DE102009014513A1 - Organische Elektrolumineszenzvorrichtung - Google Patents
Organische Elektrolumineszenzvorrichtung Download PDFInfo
- Publication number
- DE102009014513A1 DE102009014513A1 DE102009014513A DE102009014513A DE102009014513A1 DE 102009014513 A1 DE102009014513 A1 DE 102009014513A1 DE 102009014513 A DE102009014513 A DE 102009014513A DE 102009014513 A DE102009014513 A DE 102009014513A DE 102009014513 A1 DE102009014513 A1 DE 102009014513A1
- Authority
- DE
- Germany
- Prior art keywords
- aromatic
- atoms
- organic electroluminescent
- electroluminescent device
- occurrence
- Prior art date
- Legal status (The legal status is an assumption and is not a legal conclusion. Google has not performed a legal analysis and makes no representation as to the accuracy of the status listed.)
- Withdrawn
Links
- 239000011159 matrix material Substances 0.000 claims abstract description 54
- 239000000203 mixture Substances 0.000 claims abstract description 8
- 125000003118 aryl group Chemical group 0.000 claims description 75
- 239000000463 material Substances 0.000 claims description 63
- 150000001875 compounds Chemical class 0.000 claims description 49
- -1 aromatic sulfoxides Chemical class 0.000 claims description 38
- 238000004770 highest occupied molecular orbital Methods 0.000 claims description 32
- 125000004432 carbon atom Chemical group C* 0.000 claims description 29
- 229910052799 carbon Inorganic materials 0.000 claims description 20
- 238000004768 lowest unoccupied molecular orbital Methods 0.000 claims description 20
- 125000004122 cyclic group Chemical group 0.000 claims description 16
- 229910052739 hydrogen Inorganic materials 0.000 claims description 12
- 229910052751 metal Inorganic materials 0.000 claims description 12
- 239000002184 metal Substances 0.000 claims description 12
- 238000000034 method Methods 0.000 claims description 12
- 125000001424 substituent group Chemical group 0.000 claims description 10
- OKTJSMMVPCPJKN-UHFFFAOYSA-N Carbon Chemical compound [C] OKTJSMMVPCPJKN-UHFFFAOYSA-N 0.000 claims description 8
- 125000000217 alkyl group Chemical group 0.000 claims description 8
- 125000006165 cyclic alkyl group Chemical group 0.000 claims description 8
- 229910052731 fluorine Inorganic materials 0.000 claims description 8
- 239000003446 ligand Substances 0.000 claims description 8
- 229910052760 oxygen Inorganic materials 0.000 claims description 8
- 229910052717 sulfur Inorganic materials 0.000 claims description 8
- 125000001931 aliphatic group Chemical group 0.000 claims description 7
- 150000008365 aromatic ketones Chemical class 0.000 claims description 7
- UFHFLCQGNIYNRP-UHFFFAOYSA-N Hydrogen Chemical compound [H][H] UFHFLCQGNIYNRP-UHFFFAOYSA-N 0.000 claims description 6
- 125000003342 alkenyl group Chemical group 0.000 claims description 6
- 239000001257 hydrogen Substances 0.000 claims description 6
- 125000004435 hydrogen atom Chemical group [H]* 0.000 claims description 6
- 125000004429 atom Chemical group 0.000 claims description 5
- 125000002950 monocyclic group Chemical group 0.000 claims description 5
- 125000003367 polycyclic group Chemical group 0.000 claims description 5
- 230000008569 process Effects 0.000 claims description 5
- 150000003918 triazines Chemical class 0.000 claims description 5
- IJGRMHOSHXDMSA-UHFFFAOYSA-N Atomic nitrogen Chemical compound N#N IJGRMHOSHXDMSA-UHFFFAOYSA-N 0.000 claims description 4
- 239000004215 Carbon black (E152) Substances 0.000 claims description 4
- 125000003545 alkoxy group Chemical group 0.000 claims description 4
- 125000000304 alkynyl group Chemical group 0.000 claims description 4
- 229930195733 hydrocarbon Natural products 0.000 claims description 4
- 238000007639 printing Methods 0.000 claims description 4
- 150000003384 small molecules Chemical class 0.000 claims description 4
- 125000005309 thioalkoxy group Chemical group 0.000 claims description 4
- 238000002156 mixing Methods 0.000 claims description 3
- 229910052757 nitrogen Inorganic materials 0.000 claims description 3
- 229910052698 phosphorus Chemical class 0.000 claims description 3
- ZXZMRYBHVYXOPJ-UHFFFAOYSA-N 1H-diazaborole Chemical group N1C=CB=N1 ZXZMRYBHVYXOPJ-UHFFFAOYSA-N 0.000 claims description 2
- OAICVXFJPJFONN-UHFFFAOYSA-N Phosphorus Chemical class [P] OAICVXFJPJFONN-UHFFFAOYSA-N 0.000 claims description 2
- AZDRQVAHHNSJOQ-UHFFFAOYSA-N alumane Chemical class [AlH3] AZDRQVAHHNSJOQ-UHFFFAOYSA-N 0.000 claims description 2
- 150000004945 aromatic hydrocarbons Chemical class 0.000 claims description 2
- 125000004104 aryloxy group Chemical group 0.000 claims description 2
- 239000012159 carrier gas Substances 0.000 claims description 2
- 125000005553 heteroaryloxy group Chemical group 0.000 claims description 2
- 150000002430 hydrocarbons Chemical class 0.000 claims description 2
- HZVOZRGWRWCICA-UHFFFAOYSA-N methanediyl Chemical class [CH2] HZVOZRGWRWCICA-UHFFFAOYSA-N 0.000 claims description 2
- 239000011574 phosphorus Chemical class 0.000 claims description 2
- 238000000859 sublimation Methods 0.000 claims description 2
- 230000008022 sublimation Effects 0.000 claims description 2
- 238000005092 sublimation method Methods 0.000 claims description 2
- 238000001947 vapour-phase growth Methods 0.000 claims description 2
- 150000003751 zinc Chemical class 0.000 claims description 2
- 239000010410 layer Substances 0.000 description 65
- 150000003254 radicals Chemical class 0.000 description 23
- 238000002484 cyclic voltammetry Methods 0.000 description 13
- YMWUJEATGCHHMB-UHFFFAOYSA-N Dichloromethane Chemical compound ClCCl YMWUJEATGCHHMB-UHFFFAOYSA-N 0.000 description 12
- 125000001072 heteroaryl group Chemical group 0.000 description 10
- 239000000243 solution Substances 0.000 description 9
- 238000002347 injection Methods 0.000 description 8
- 239000007924 injection Substances 0.000 description 8
- AWXGSYPUMWKTBR-UHFFFAOYSA-N 4-carbazol-9-yl-n,n-bis(4-carbazol-9-ylphenyl)aniline Chemical compound C12=CC=CC=C2C2=CC=CC=C2N1C1=CC=C(N(C=2C=CC(=CC=2)N2C3=CC=CC=C3C3=CC=CC=C32)C=2C=CC(=CC=2)N2C3=CC=CC=C3C3=CC=CC=C32)C=C1 AWXGSYPUMWKTBR-UHFFFAOYSA-N 0.000 description 7
- 101000837344 Homo sapiens T-cell leukemia translocation-altered gene protein Proteins 0.000 description 7
- 102100028692 T-cell leukemia translocation-altered gene protein Human genes 0.000 description 7
- 230000005525 hole transport Effects 0.000 description 7
- 150000002739 metals Chemical class 0.000 description 7
- BASFCYQUMIYNBI-UHFFFAOYSA-N platinum Chemical compound [Pt] BASFCYQUMIYNBI-UHFFFAOYSA-N 0.000 description 7
- UHOVQNZJYSORNB-UHFFFAOYSA-N Benzene Chemical compound C1=CC=CC=C1 UHOVQNZJYSORNB-UHFFFAOYSA-N 0.000 description 6
- MWPLVEDNUUSJAV-UHFFFAOYSA-N anthracene Chemical compound C1=CC=CC2=CC3=CC=CC=C3C=C21 MWPLVEDNUUSJAV-UHFFFAOYSA-N 0.000 description 6
- 125000005842 heteroatom Chemical group 0.000 description 6
- 125000002915 carbonyl group Chemical group [*:2]C([*:1])=O 0.000 description 5
- 239000004020 conductor Substances 0.000 description 5
- 238000005259 measurement Methods 0.000 description 5
- 230000007935 neutral effect Effects 0.000 description 5
- 229910052709 silver Inorganic materials 0.000 description 5
- 239000000126 substance Substances 0.000 description 5
- JYEUMXHLPRZUAT-UHFFFAOYSA-N 1,2,3-triazine Chemical compound C1=CN=NN=C1 JYEUMXHLPRZUAT-UHFFFAOYSA-N 0.000 description 4
- OWPJBAYCIXEHFA-UHFFFAOYSA-N 1-phenyl-3-(3-phenylphenyl)benzene Chemical compound C1=CC=CC=C1C1=CC=CC(C=2C=C(C=CC=2)C=2C=CC=CC=2)=C1 OWPJBAYCIXEHFA-UHFFFAOYSA-N 0.000 description 4
- UFWIBTONFRDIAS-UHFFFAOYSA-N Naphthalene Chemical compound C1=CC=CC2=CC=CC=C21 UFWIBTONFRDIAS-UHFFFAOYSA-N 0.000 description 4
- JUJWROOIHBZHMG-UHFFFAOYSA-N Pyridine Chemical compound C1=CC=NC=C1 JUJWROOIHBZHMG-UHFFFAOYSA-N 0.000 description 4
- SMWDFEZZVXVKRB-UHFFFAOYSA-N Quinoline Chemical compound N1=CC=CC2=CC=CC=C21 SMWDFEZZVXVKRB-UHFFFAOYSA-N 0.000 description 4
- YTPLMLYBLZKORZ-UHFFFAOYSA-N Thiophene Chemical compound C=1C=CSC=1 YTPLMLYBLZKORZ-UHFFFAOYSA-N 0.000 description 4
- 238000004140 cleaning Methods 0.000 description 4
- 238000000151 deposition Methods 0.000 description 4
- 230000008021 deposition Effects 0.000 description 4
- ZUOUZKKEUPVFJK-UHFFFAOYSA-N diphenyl Chemical compound C1=CC=CC=C1C1=CC=CC=C1 ZUOUZKKEUPVFJK-UHFFFAOYSA-N 0.000 description 4
- KTWOOEGAPBSYNW-UHFFFAOYSA-N ferrocene Chemical compound [Fe+2].C=1C=C[CH-]C=1.C=1C=C[CH-]C=1 KTWOOEGAPBSYNW-UHFFFAOYSA-N 0.000 description 4
- GVEPBJHOBDJJJI-UHFFFAOYSA-N fluoranthrene Natural products C1=CC(C2=CC=CC=C22)=C3C2=CC=CC3=C1 GVEPBJHOBDJJJI-UHFFFAOYSA-N 0.000 description 4
- AWJUIBRHMBBTKR-UHFFFAOYSA-N isoquinoline Chemical compound C1=NC=CC2=CC=CC=C21 AWJUIBRHMBBTKR-UHFFFAOYSA-N 0.000 description 4
- 150000002576 ketones Chemical class 0.000 description 4
- 125000001997 phenyl group Chemical group [H]C1=C([H])C([H])=C(*)C([H])=C1[H] 0.000 description 4
- 229910052697 platinum Inorganic materials 0.000 description 4
- BBEAQIROQSPTKN-UHFFFAOYSA-N pyrene Chemical compound C1=CC=C2C=CC3=CC=CC4=CC=C1C2=C43 BBEAQIROQSPTKN-UHFFFAOYSA-N 0.000 description 4
- ICPSWZFVWAPUKF-UHFFFAOYSA-N 1,1'-spirobi[fluorene] Chemical compound C1=CC=C2C=C3C4(C=5C(C6=CC=CC=C6C=5)=CC=C4)C=CC=C3C2=C1 ICPSWZFVWAPUKF-UHFFFAOYSA-N 0.000 description 3
- YAVCXSHORWKJQQ-UHFFFAOYSA-N 1-phenyl-2-(2-phenylphenyl)benzene Chemical compound C1=CC=CC=C1C1=CC=CC=C1C1=CC=CC=C1C1=CC=CC=C1 YAVCXSHORWKJQQ-UHFFFAOYSA-N 0.000 description 3
- 238000003775 Density Functional Theory Methods 0.000 description 3
- 238000010521 absorption reaction Methods 0.000 description 3
- 150000001340 alkali metals Chemical class 0.000 description 3
- 150000001412 amines Chemical class 0.000 description 3
- 239000004305 biphenyl Substances 0.000 description 3
- 230000000903 blocking effect Effects 0.000 description 3
- 230000000052 comparative effect Effects 0.000 description 3
- 239000002019 doping agent Substances 0.000 description 3
- 229910052737 gold Inorganic materials 0.000 description 3
- 239000010931 gold Substances 0.000 description 3
- RAXXELZNTBOGNW-UHFFFAOYSA-N imidazole Natural products C1=CNC=N1 RAXXELZNTBOGNW-UHFFFAOYSA-N 0.000 description 3
- 230000006872 improvement Effects 0.000 description 3
- 229910052741 iridium Inorganic materials 0.000 description 3
- GKOZUEZYRPOHIO-UHFFFAOYSA-N iridium atom Chemical compound [Ir] GKOZUEZYRPOHIO-UHFFFAOYSA-N 0.000 description 3
- NIHNNTQXNPWCJQ-UHFFFAOYSA-N o-biphenylenemethane Natural products C1=CC=C2CC3=CC=CC=C3C2=C1 NIHNNTQXNPWCJQ-UHFFFAOYSA-N 0.000 description 3
- GPRIERYVMZVKTC-UHFFFAOYSA-N p-quaterphenyl Chemical compound C1=CC=CC=C1C1=CC=C(C=2C=CC(=CC=2)C=2C=CC=CC=2)C=C1 GPRIERYVMZVKTC-UHFFFAOYSA-N 0.000 description 3
- 229910052723 transition metal Inorganic materials 0.000 description 3
- 150000003624 transition metals Chemical class 0.000 description 3
- 0 *[Al]c1nc([Al])nc([Al]=*)n1 Chemical compound *[Al]c1nc([Al])nc([Al]=*)n1 0.000 description 2
- JIHQDMXYYFUGFV-UHFFFAOYSA-N 1,3,5-triazine Chemical compound C1=NC=NC=N1 JIHQDMXYYFUGFV-UHFFFAOYSA-N 0.000 description 2
- YJTKZCDBKVTVBY-UHFFFAOYSA-N 1,3-Diphenylbenzene Chemical group C1=CC=CC=C1C1=CC=CC(C=2C=CC=CC=2)=C1 YJTKZCDBKVTVBY-UHFFFAOYSA-N 0.000 description 2
- AZUYLZMQTIKGSC-UHFFFAOYSA-N 1-[6-[4-(5-chloro-6-methyl-1H-indazol-4-yl)-5-methyl-3-(1-methylindazol-5-yl)pyrazol-1-yl]-2-azaspiro[3.3]heptan-2-yl]prop-2-en-1-one Chemical compound ClC=1C(=C2C=NNC2=CC=1C)C=1C(=NN(C=1C)C1CC2(CN(C2)C(C=C)=O)C1)C=1C=C2C=NN(C2=CC=1)C AZUYLZMQTIKGSC-UHFFFAOYSA-N 0.000 description 2
- FCEHBMOGCRZNNI-UHFFFAOYSA-N 1-benzothiophene Chemical compound C1=CC=C2SC=CC2=C1 FCEHBMOGCRZNNI-UHFFFAOYSA-N 0.000 description 2
- 125000001637 1-naphthyl group Chemical group [H]C1=C([H])C([H])=C2C(*)=C([H])C([H])=C([H])C2=C1[H] 0.000 description 2
- WJFKNYWRSNBZNX-UHFFFAOYSA-N 10H-phenothiazine Chemical compound C1=CC=C2NC3=CC=CC=C3SC2=C1 WJFKNYWRSNBZNX-UHFFFAOYSA-N 0.000 description 2
- TZMSYXZUNZXBOL-UHFFFAOYSA-N 10H-phenoxazine Chemical compound C1=CC=C2NC3=CC=CC=C3OC2=C1 TZMSYXZUNZXBOL-UHFFFAOYSA-N 0.000 description 2
- 125000001622 2-naphthyl group Chemical group [H]C1=C([H])C([H])=C2C([H])=C(*)C([H])=C([H])C2=C1[H] 0.000 description 2
- KDCGOANMDULRCW-UHFFFAOYSA-N 7H-purine Chemical compound N1=CNC2=NC=NC2=C1 KDCGOANMDULRCW-UHFFFAOYSA-N 0.000 description 2
- UJOBWOGCFQCDNV-UHFFFAOYSA-N 9H-carbazole Chemical compound C1=CC=C2C3=CC=CC=C3NC2=C1 UJOBWOGCFQCDNV-UHFFFAOYSA-N 0.000 description 2
- ROFVEXUMMXZLPA-UHFFFAOYSA-N Bipyridyl Chemical compound N1=CC=CC=C1C1=CC=CC=N1 ROFVEXUMMXZLPA-UHFFFAOYSA-N 0.000 description 2
- YLQBMQCUIZJEEH-UHFFFAOYSA-N Furan Chemical compound C=1C=COC=1 YLQBMQCUIZJEEH-UHFFFAOYSA-N 0.000 description 2
- SIKJAQJRHWYJAI-UHFFFAOYSA-N Indole Chemical compound C1=CC=C2NC=CC2=C1 SIKJAQJRHWYJAI-UHFFFAOYSA-N 0.000 description 2
- KDLHZDBZIXYQEI-UHFFFAOYSA-N Palladium Chemical compound [Pd] KDLHZDBZIXYQEI-UHFFFAOYSA-N 0.000 description 2
- PCNDJXKNXGMECE-UHFFFAOYSA-N Phenazine Natural products C1=CC=CC2=NC3=CC=CC=C3N=C21 PCNDJXKNXGMECE-UHFFFAOYSA-N 0.000 description 2
- KYQCOXFCLRTKLS-UHFFFAOYSA-N Pyrazine Chemical compound C1=CN=CC=N1 KYQCOXFCLRTKLS-UHFFFAOYSA-N 0.000 description 2
- CZPWVGJYEJSRLH-UHFFFAOYSA-N Pyrimidine Chemical compound C1=CN=CN=C1 CZPWVGJYEJSRLH-UHFFFAOYSA-N 0.000 description 2
- KAESVJOAVNADME-UHFFFAOYSA-N Pyrrole Chemical compound C=1C=CNC=1 KAESVJOAVNADME-UHFFFAOYSA-N 0.000 description 2
- BQCADISMDOOEFD-UHFFFAOYSA-N Silver Chemical compound [Ag] BQCADISMDOOEFD-UHFFFAOYSA-N 0.000 description 2
- 238000000862 absorption spectrum Methods 0.000 description 2
- DZBUGLKDJFMEHC-UHFFFAOYSA-N acridine Chemical compound C1=CC=CC2=CC3=CC=CC=C3N=C21 DZBUGLKDJFMEHC-UHFFFAOYSA-N 0.000 description 2
- 229910052783 alkali metal Inorganic materials 0.000 description 2
- 229910052784 alkaline earth metal Inorganic materials 0.000 description 2
- 150000001342 alkaline earth metals Chemical class 0.000 description 2
- 229910045601 alloy Inorganic materials 0.000 description 2
- 239000000956 alloy Substances 0.000 description 2
- 229910052782 aluminium Inorganic materials 0.000 description 2
- 229910052788 barium Inorganic materials 0.000 description 2
- RWCCWEUUXYIKHB-UHFFFAOYSA-N benzophenone Chemical compound C=1C=CC=CC=1C(=O)C1=CC=CC=C1 RWCCWEUUXYIKHB-UHFFFAOYSA-N 0.000 description 2
- 239000012965 benzophenone Substances 0.000 description 2
- IOJUPLGTWVMSFF-UHFFFAOYSA-N benzothiazole Chemical compound C1=CC=C2SC=NC2=C1 IOJUPLGTWVMSFF-UHFFFAOYSA-N 0.000 description 2
- 235000010290 biphenyl Nutrition 0.000 description 2
- 238000004364 calculation method Methods 0.000 description 2
- WDECIBYCCFPHNR-UHFFFAOYSA-N chrysene Chemical compound C1=CC=CC2=CC=C3C4=CC=CC=C4C=CC3=C21 WDECIBYCCFPHNR-UHFFFAOYSA-N 0.000 description 2
- 238000010276 construction Methods 0.000 description 2
- TXCDCPKCNAJMEE-UHFFFAOYSA-N dibenzofuran Chemical compound C1=CC=C2C3=CC=CC=C3OC2=C1 TXCDCPKCNAJMEE-UHFFFAOYSA-N 0.000 description 2
- IYYZUPMFVPLQIF-UHFFFAOYSA-N dibenzothiophene Chemical compound C1=CC=C2C3=CC=CC=C3SC2=C1 IYYZUPMFVPLQIF-UHFFFAOYSA-N 0.000 description 2
- 238000005516 engineering process Methods 0.000 description 2
- 238000011156 evaluation Methods 0.000 description 2
- 238000007429 general method Methods 0.000 description 2
- PCHJSUWPFVWCPO-UHFFFAOYSA-N gold Chemical compound [Au] PCHJSUWPFVWCPO-UHFFFAOYSA-N 0.000 description 2
- 238000007641 inkjet printing Methods 0.000 description 2
- 229910010272 inorganic material Inorganic materials 0.000 description 2
- 239000011147 inorganic material Substances 0.000 description 2
- 239000011229 interlayer Substances 0.000 description 2
- 229910052749 magnesium Inorganic materials 0.000 description 2
- 229910001092 metal group alloy Inorganic materials 0.000 description 2
- 239000011368 organic material Substances 0.000 description 2
- 230000003647 oxidation Effects 0.000 description 2
- 238000007254 oxidation reaction Methods 0.000 description 2
- YNPNZTXNASCQKK-UHFFFAOYSA-N phenanthrene Chemical compound C1=CC=C2C3=CC=CC=C3C=CC2=C1 YNPNZTXNASCQKK-UHFFFAOYSA-N 0.000 description 2
- RDOWQLZANAYVLL-UHFFFAOYSA-N phenanthridine Chemical compound C1=CC=C2C3=CC=CC=C3C=NC2=C1 RDOWQLZANAYVLL-UHFFFAOYSA-N 0.000 description 2
- 229950000688 phenothiazine Drugs 0.000 description 2
- 238000001420 photoelectron spectroscopy Methods 0.000 description 2
- 238000010926 purge Methods 0.000 description 2
- UMJSCPRVCHMLSP-UHFFFAOYSA-N pyridine Natural products COC1=CC=CN=C1 UMJSCPRVCHMLSP-UHFFFAOYSA-N 0.000 description 2
- XSCHRSMBECNVNS-UHFFFAOYSA-N quinoxaline Chemical compound N1=CC=NC2=CC=CC=C21 XSCHRSMBECNVNS-UHFFFAOYSA-N 0.000 description 2
- 239000012488 sample solution Substances 0.000 description 2
- 239000004065 semiconductor Substances 0.000 description 2
- 239000004332 silver Substances 0.000 description 2
- 229930192474 thiophene Natural products 0.000 description 2
- 125000005259 triarylamine group Chemical group 0.000 description 2
- BUHVIAUBTBOHAG-FOYDDCNASA-N (2r,3r,4s,5r)-2-[6-[[2-(3,5-dimethoxyphenyl)-2-(2-methylphenyl)ethyl]amino]purin-9-yl]-5-(hydroxymethyl)oxolane-3,4-diol Chemical compound COC1=CC(OC)=CC(C(CNC=2C=3N=CN(C=3N=CN=2)[C@H]2[C@@H]([C@H](O)[C@@H](CO)O2)O)C=2C(=CC=CC=2)C)=C1 BUHVIAUBTBOHAG-FOYDDCNASA-N 0.000 description 1
- HQDYNFWTFJFEPR-UHFFFAOYSA-N 1,2,3,3a-tetrahydropyrene Chemical compound C1=C2CCCC(C=C3)C2=C2C3=CC=CC2=C1 HQDYNFWTFJFEPR-UHFFFAOYSA-N 0.000 description 1
- ZFXBERJDEUDDMX-UHFFFAOYSA-N 1,2,3,5-tetrazine Chemical compound C1=NC=NN=N1 ZFXBERJDEUDDMX-UHFFFAOYSA-N 0.000 description 1
- FNQJDLTXOVEEFB-UHFFFAOYSA-N 1,2,3-benzothiadiazole Chemical compound C1=CC=C2SN=NC2=C1 FNQJDLTXOVEEFB-UHFFFAOYSA-N 0.000 description 1
- UGUHFDPGDQDVGX-UHFFFAOYSA-N 1,2,3-thiadiazole Chemical compound C1=CSN=N1 UGUHFDPGDQDVGX-UHFFFAOYSA-N 0.000 description 1
- HTJMXYRLEDBSLT-UHFFFAOYSA-N 1,2,4,5-tetrazine Chemical compound C1=NN=CN=N1 HTJMXYRLEDBSLT-UHFFFAOYSA-N 0.000 description 1
- BBVIDBNAYOIXOE-UHFFFAOYSA-N 1,2,4-oxadiazole Chemical compound C=1N=CON=1 BBVIDBNAYOIXOE-UHFFFAOYSA-N 0.000 description 1
- YGTAZGSLCXNBQL-UHFFFAOYSA-N 1,2,4-thiadiazole Chemical compound C=1N=CSN=1 YGTAZGSLCXNBQL-UHFFFAOYSA-N 0.000 description 1
- FYADHXFMURLYQI-UHFFFAOYSA-N 1,2,4-triazine Chemical compound C1=CN=NC=N1 FYADHXFMURLYQI-UHFFFAOYSA-N 0.000 description 1
- UDGKZGLPXCRRAM-UHFFFAOYSA-N 1,2,5-thiadiazole Chemical compound C=1C=NSN=1 UDGKZGLPXCRRAM-UHFFFAOYSA-N 0.000 description 1
- DXBHBZVCASKNBY-UHFFFAOYSA-N 1,2-Benz(a)anthracene Chemical compound C1=CC=C2C3=CC4=CC=CC=C4C=C3C=CC2=C1 DXBHBZVCASKNBY-UHFFFAOYSA-N 0.000 description 1
- UUSUFQUCLACDTA-UHFFFAOYSA-N 1,2-dihydropyrene Chemical compound C1=CC=C2C=CC3=CCCC4=CC=C1C2=C43 UUSUFQUCLACDTA-UHFFFAOYSA-N 0.000 description 1
- FKASFBLJDCHBNZ-UHFFFAOYSA-N 1,3,4-oxadiazole Chemical compound C1=NN=CO1 FKASFBLJDCHBNZ-UHFFFAOYSA-N 0.000 description 1
- MBIZXFATKUQOOA-UHFFFAOYSA-N 1,3,4-thiadiazole Chemical compound C1=NN=CS1 MBIZXFATKUQOOA-UHFFFAOYSA-N 0.000 description 1
- 150000000182 1,3,5-triazines Chemical class 0.000 description 1
- BCMCBBGGLRIHSE-UHFFFAOYSA-N 1,3-benzoxazole Chemical compound C1=CC=C2OC=NC2=C1 BCMCBBGGLRIHSE-UHFFFAOYSA-N 0.000 description 1
- FLBAYUMRQUHISI-UHFFFAOYSA-N 1,8-naphthyridine Chemical compound N1=CC=CC2=CC=CN=C21 FLBAYUMRQUHISI-UHFFFAOYSA-N 0.000 description 1
- QWENRTYMTSOGBR-UHFFFAOYSA-N 1H-1,2,3-Triazole Chemical compound C=1C=NNN=1 QWENRTYMTSOGBR-UHFFFAOYSA-N 0.000 description 1
- HYZJCKYKOHLVJF-UHFFFAOYSA-N 1H-benzimidazole Chemical compound C1=CC=C2NC=NC2=C1 HYZJCKYKOHLVJF-UHFFFAOYSA-N 0.000 description 1
- BAXOFTOLAUCFNW-UHFFFAOYSA-N 1H-indazole Chemical compound C1=CC=C2C=NNC2=C1 BAXOFTOLAUCFNW-UHFFFAOYSA-N 0.000 description 1
- USYCQABRSUEURP-UHFFFAOYSA-N 1h-benzo[f]benzimidazole Chemical compound C1=CC=C2C=C(NC=N3)C3=CC2=C1 USYCQABRSUEURP-UHFFFAOYSA-N 0.000 description 1
- JUUZQMUWOVDZSD-UHFFFAOYSA-N 1h-imidazole;pyrazine Chemical compound C1=CNC=N1.C1=CN=CC=N1 JUUZQMUWOVDZSD-UHFFFAOYSA-N 0.000 description 1
- IGHOZKDBCCFNNC-UHFFFAOYSA-N 1h-imidazole;quinoxaline Chemical compound C1=CNC=N1.N1=CC=NC2=CC=CC=C21 IGHOZKDBCCFNNC-UHFFFAOYSA-N 0.000 description 1
- 125000004206 2,2,2-trifluoroethyl group Chemical group [H]C([H])(*)C(F)(F)F 0.000 description 1
- PFRPMHBYYJIARU-UHFFFAOYSA-N 2,3-diazatetracyclo[6.6.2.04,16.011,15]hexadeca-1(14),2,4,6,8(16),9,11(15),12-octaene Chemical compound C1=CC=C2N=NC3=CC=CC4=CC=C1C2=C43 PFRPMHBYYJIARU-UHFFFAOYSA-N 0.000 description 1
- VEPOHXYIFQMVHW-XOZOLZJESA-N 2,3-dihydroxybutanedioic acid (2S,3S)-3,4-dimethyl-2-phenylmorpholine Chemical compound OC(C(O)C(O)=O)C(O)=O.C[C@H]1[C@@H](OCCN1C)c1ccccc1 VEPOHXYIFQMVHW-XOZOLZJESA-N 0.000 description 1
- GEQBRULPNIVQPP-UHFFFAOYSA-N 2-[3,5-bis(1-phenylbenzimidazol-2-yl)phenyl]-1-phenylbenzimidazole Chemical compound C1=CC=CC=C1N1C2=CC=CC=C2N=C1C1=CC(C=2N(C3=CC=CC=C3N=2)C=2C=CC=CC=2)=CC(C=2N(C3=CC=CC=C3N=2)C=2C=CC=CC=2)=C1 GEQBRULPNIVQPP-UHFFFAOYSA-N 0.000 description 1
- UXGVMFHEKMGWMA-UHFFFAOYSA-N 2-benzofuran Chemical compound C1=CC=CC2=COC=C21 UXGVMFHEKMGWMA-UHFFFAOYSA-N 0.000 description 1
- LYTMVABTDYMBQK-UHFFFAOYSA-N 2-benzothiophene Chemical compound C1=CC=CC2=CSC=C21 LYTMVABTDYMBQK-UHFFFAOYSA-N 0.000 description 1
- 125000004198 2-fluorophenyl group Chemical group [H]C1=C([H])C(F)=C(*)C([H])=C1[H] 0.000 description 1
- 125000004493 2-methylbut-1-yl group Chemical group CC(C*)CC 0.000 description 1
- 125000005916 2-methylpentyl group Chemical group 0.000 description 1
- 125000004105 2-pyridyl group Chemical group N1=C([*])C([H])=C([H])C([H])=C1[H] 0.000 description 1
- VHMICKWLTGFITH-UHFFFAOYSA-N 2H-isoindole Chemical compound C1=CC=CC2=CNC=C21 VHMICKWLTGFITH-UHFFFAOYSA-N 0.000 description 1
- 125000004180 3-fluorophenyl group Chemical group [H]C1=C([H])C(*)=C([H])C(F)=C1[H] 0.000 description 1
- OFDVABAUFQJWEZ-UHFFFAOYSA-N 3-pyridin-3-ylpyridine Chemical group C1=CN=CC(C=2C=NC=CC=2)=C1 OFDVABAUFQJWEZ-UHFFFAOYSA-N 0.000 description 1
- 125000003349 3-pyridyl group Chemical group N1=C([H])C([*])=C([H])C([H])=C1[H] 0.000 description 1
- MWVTWFVJZLCBMC-UHFFFAOYSA-N 4,4'-bipyridine Chemical group C1=NC=CC(C=2C=CN=CC=2)=C1 MWVTWFVJZLCBMC-UHFFFAOYSA-N 0.000 description 1
- CPDDXQJCPYHULE-UHFFFAOYSA-N 4,5,14,16-tetrazapentacyclo[9.7.1.12,6.015,19.010,20]icosa-1(18),2,4,6,8,10(20),11(19),12,14,16-decaene Chemical group C1=CC(C2=CC=CC=3C2=C2C=NN=3)=C3C2=CC=NC3=N1 CPDDXQJCPYHULE-UHFFFAOYSA-N 0.000 description 1
- 125000001255 4-fluorophenyl group Chemical group [H]C1=C([H])C(*)=C([H])C([H])=C1F 0.000 description 1
- 125000000339 4-pyridyl group Chemical group N1=C([H])C([H])=C([*])C([H])=C1[H] 0.000 description 1
- NSPMIYGKQJPBQR-UHFFFAOYSA-N 4H-1,2,4-triazole Chemical compound C=1N=CNN=1 NSPMIYGKQJPBQR-UHFFFAOYSA-N 0.000 description 1
- IUKNPBPXZUWMNO-UHFFFAOYSA-N 5,12-diazatetracyclo[6.6.2.04,16.011,15]hexadeca-1(15),2,4,6,8(16),9,11,13-octaene Chemical compound N1=CC=C2C=CC3=NC=CC4=CC=C1C2=C43 IUKNPBPXZUWMNO-UHFFFAOYSA-N 0.000 description 1
- NHWJSCHQRMCCAD-UHFFFAOYSA-N 5,14-diazatetracyclo[6.6.2.04,16.011,15]hexadeca-1(14),2,4,6,8(16),9,11(15),12-octaene Chemical compound C1=CN=C2C=CC3=NC=CC4=CC=C1C2=C43 NHWJSCHQRMCCAD-UHFFFAOYSA-N 0.000 description 1
- PODJSIAAYWCBDV-UHFFFAOYSA-N 5,6-diazatetracyclo[6.6.2.04,16.011,15]hexadeca-1(14),2,4(16),5,7,9,11(15),12-octaene Chemical compound C1=NN=C2C=CC3=CC=CC4=CC=C1C2=C43 PODJSIAAYWCBDV-UHFFFAOYSA-N 0.000 description 1
- KJCRNHQXMXUTEB-UHFFFAOYSA-N 69637-93-0 Chemical compound C1=CC=C2N=C(N=C3NC=4C(=CC=CC=4)NC3=N3)C3=NC2=C1 KJCRNHQXMXUTEB-UHFFFAOYSA-N 0.000 description 1
- SNFCXVRWFNAHQX-UHFFFAOYSA-N 9,9'-spirobi[fluorene] Chemical compound C12=CC=CC=C2C2=CC=CC=C2C21C1=CC=CC=C1C1=CC=CC=C21 SNFCXVRWFNAHQX-UHFFFAOYSA-N 0.000 description 1
- BPMFPOGUJAAYHL-UHFFFAOYSA-N 9H-Pyrido[2,3-b]indole Chemical compound C1=CC=C2C3=CC=CC=C3NC2=N1 BPMFPOGUJAAYHL-UHFFFAOYSA-N 0.000 description 1
- 239000005964 Acibenzolar-S-methyl Substances 0.000 description 1
- 229910016036 BaF 2 Inorganic materials 0.000 description 1
- FMMWHPNWAFZXNH-UHFFFAOYSA-N Benz[a]pyrene Chemical compound C1=C2C3=CC=CC=C3C=C(C=C3)C2=C2C3=CC=CC2=C1 FMMWHPNWAFZXNH-UHFFFAOYSA-N 0.000 description 1
- HKMTVMBEALTRRR-UHFFFAOYSA-N Benzo[a]fluorene Chemical compound C1=CC=CC2=C3CC4=CC=CC=C4C3=CC=C21 HKMTVMBEALTRRR-UHFFFAOYSA-N 0.000 description 1
- KHNYNFUTFKJLDD-UHFFFAOYSA-N Benzo[j]fluoranthene Chemical compound C1=CC(C=2C3=CC=CC=C3C=CC=22)=C3C2=CC=CC3=C1 KHNYNFUTFKJLDD-UHFFFAOYSA-N 0.000 description 1
- ZPIPUFJBRZFYKJ-UHFFFAOYSA-N C1=NC=C2C=CC3=CN=CC4=CC=C1C2=C34 Chemical compound C1=NC=C2C=CC3=CN=CC4=CC=C1C2=C34 ZPIPUFJBRZFYKJ-UHFFFAOYSA-N 0.000 description 1
- RYGMFSIKBFXOCR-UHFFFAOYSA-N Copper Chemical compound [Cu] RYGMFSIKBFXOCR-UHFFFAOYSA-N 0.000 description 1
- 229910052693 Europium Inorganic materials 0.000 description 1
- 229910018068 Li 2 O Inorganic materials 0.000 description 1
- ZOKXTWBITQBERF-UHFFFAOYSA-N Molybdenum Chemical compound [Mo] ZOKXTWBITQBERF-UHFFFAOYSA-N 0.000 description 1
- ZCQWOFVYLHDMMC-UHFFFAOYSA-N Oxazole Chemical compound C1=COC=N1 ZCQWOFVYLHDMMC-UHFFFAOYSA-N 0.000 description 1
- WTKZEGDFNFYCGP-UHFFFAOYSA-N Pyrazole Chemical compound C=1C=NNC=1 WTKZEGDFNFYCGP-UHFFFAOYSA-N 0.000 description 1
- KJTLSVCANCCWHF-UHFFFAOYSA-N Ruthenium Chemical compound [Ru] KJTLSVCANCCWHF-UHFFFAOYSA-N 0.000 description 1
- 229910052772 Samarium Inorganic materials 0.000 description 1
- 229910021607 Silver chloride Inorganic materials 0.000 description 1
- PJANXHGTPQOBST-VAWYXSNFSA-N Stilbene Natural products C=1C=CC=CC=1/C=C/C1=CC=CC=C1 PJANXHGTPQOBST-VAWYXSNFSA-N 0.000 description 1
- DPOPAJRDYZGTIR-UHFFFAOYSA-N Tetrazine Chemical compound C1=CN=NN=N1 DPOPAJRDYZGTIR-UHFFFAOYSA-N 0.000 description 1
- FZWLAAWBMGSTSO-UHFFFAOYSA-N Thiazole Chemical compound C1=CSC=N1 FZWLAAWBMGSTSO-UHFFFAOYSA-N 0.000 description 1
- DGEZNRSVGBDHLK-UHFFFAOYSA-N [1,10]phenanthroline Chemical compound C1=CN=C2C3=NC=CC=C3C=CC2=C1 DGEZNRSVGBDHLK-UHFFFAOYSA-N 0.000 description 1
- VGRJHHLDEYYRNF-UHFFFAOYSA-N ac1lasce Chemical compound C1C2=CC=CC=C2C(C=2C3=CC=CC=C3CC=22)=C1C1=C2CC2=CC=CC=C21 VGRJHHLDEYYRNF-UHFFFAOYSA-N 0.000 description 1
- 229910001515 alkali metal fluoride Inorganic materials 0.000 description 1
- 229910001618 alkaline earth metal fluoride Inorganic materials 0.000 description 1
- HSFWRNGVRCDJHI-UHFFFAOYSA-N alpha-acetylene Natural products C#C HSFWRNGVRCDJHI-UHFFFAOYSA-N 0.000 description 1
- XAGFODPZIPBFFR-UHFFFAOYSA-N aluminium Chemical compound [Al] XAGFODPZIPBFFR-UHFFFAOYSA-N 0.000 description 1
- 239000010405 anode material Substances 0.000 description 1
- 229940045985 antineoplastic platinum compound Drugs 0.000 description 1
- RFRXIWQYSOIBDI-UHFFFAOYSA-N benzarone Chemical compound CCC=1OC2=CC=CC=C2C=1C(=O)C1=CC=C(O)C=C1 RFRXIWQYSOIBDI-UHFFFAOYSA-N 0.000 description 1
- WMUIZUWOEIQJEH-UHFFFAOYSA-N benzo[e][1,3]benzoxazole Chemical compound C1=CC=C2C(N=CO3)=C3C=CC2=C1 WMUIZUWOEIQJEH-UHFFFAOYSA-N 0.000 description 1
- 150000008366 benzophenones Chemical class 0.000 description 1
- QRUDEWIWKLJBPS-UHFFFAOYSA-N benzotriazole Chemical compound C1=CC=C2N[N][N]C2=C1 QRUDEWIWKLJBPS-UHFFFAOYSA-N 0.000 description 1
- 239000012964 benzotriazole Substances 0.000 description 1
- 125000006269 biphenyl-2-yl group Chemical group [H]C1=C([H])C([H])=C(C([H])=C1[H])C1=C(*)C([H])=C([H])C([H])=C1[H] 0.000 description 1
- 125000006268 biphenyl-3-yl group Chemical group [H]C1=C([H])C([H])=C(C([H])=C1[H])C1=C([H])C(*)=C([H])C([H])=C1[H] 0.000 description 1
- 125000000319 biphenyl-4-yl group Chemical group [H]C1=C([H])C([H])=C([H])C([H])=C1C1=C([H])C([H])=C([*])C([H])=C1[H] 0.000 description 1
- 125000002529 biphenylenyl group Chemical group C1(=CC=CC=2C3=CC=CC=C3C12)* 0.000 description 1
- 125000004369 butenyl group Chemical group C(=CCC)* 0.000 description 1
- 125000000480 butynyl group Chemical group [*]C#CC([H])([H])C([H])([H])[H] 0.000 description 1
- 229910052791 calcium Inorganic materials 0.000 description 1
- 150000001716 carbazoles Chemical class 0.000 description 1
- 150000004649 carbonic acid derivatives Chemical class 0.000 description 1
- 238000012512 characterization method Methods 0.000 description 1
- WCZVZNOTHYJIEI-UHFFFAOYSA-N cinnoline Chemical compound N1=NC=CC2=CC=CC=C21 WCZVZNOTHYJIEI-UHFFFAOYSA-N 0.000 description 1
- 239000003086 colorant Substances 0.000 description 1
- 229910052802 copper Inorganic materials 0.000 description 1
- 239000010949 copper Substances 0.000 description 1
- 125000001162 cycloheptenyl group Chemical group C1(=CCCCCC1)* 0.000 description 1
- 125000000582 cycloheptyl group Chemical group [H]C1([H])C([H])([H])C([H])([H])C([H])([H])C([H])(*)C([H])([H])C1([H])[H] 0.000 description 1
- 125000000596 cyclohexenyl group Chemical group C1(=CCCCC1)* 0.000 description 1
- 125000000113 cyclohexyl group Chemical group [H]C1([H])C([H])([H])C([H])([H])C([H])(*)C([H])([H])C1([H])[H] 0.000 description 1
- 125000000522 cyclooctenyl group Chemical group C1(=CCCCCCC1)* 0.000 description 1
- 125000000640 cyclooctyl group Chemical group [H]C1([H])C([H])([H])C([H])([H])C([H])([H])C([H])(*)C([H])([H])C([H])([H])C1([H])[H] 0.000 description 1
- 125000002433 cyclopentenyl group Chemical group C1(=CCCC1)* 0.000 description 1
- 125000001511 cyclopentyl group Chemical group [H]C1([H])C([H])([H])C([H])([H])C([H])(*)C1([H])[H] 0.000 description 1
- 238000000354 decomposition reaction Methods 0.000 description 1
- 238000011161 development Methods 0.000 description 1
- 150000001987 diarylethers Chemical class 0.000 description 1
- XNKVIGSNRYAOQZ-UHFFFAOYSA-N dibenzofluorene Chemical compound C12=CC=CC=C2C2=CC=CC=C2C2=C1CC1=CC=CC=C12 XNKVIGSNRYAOQZ-UHFFFAOYSA-N 0.000 description 1
- XXPBFNVKTVJZKF-UHFFFAOYSA-N dihydrophenanthrene Natural products C1=CC=C2CCC3=CC=CC=C3C2=C1 XXPBFNVKTVJZKF-UHFFFAOYSA-N 0.000 description 1
- 238000005401 electroluminescence Methods 0.000 description 1
- 238000001194 electroluminescence spectrum Methods 0.000 description 1
- 239000003792 electrolyte Substances 0.000 description 1
- 239000008151 electrolyte solution Substances 0.000 description 1
- 125000001495 ethyl group Chemical group [H]C([H])([H])C([H])([H])* 0.000 description 1
- 125000002534 ethynyl group Chemical group [H]C#C* 0.000 description 1
- OGPBJKLSAFTDLK-UHFFFAOYSA-N europium atom Chemical compound [Eu] OGPBJKLSAFTDLK-UHFFFAOYSA-N 0.000 description 1
- 230000005284 excitation Effects 0.000 description 1
- 230000005281 excited state Effects 0.000 description 1
- 238000000605 extraction Methods 0.000 description 1
- 125000003983 fluorenyl group Chemical class C1(=CC=CC=2C3=CC=CC=C3CC12)* 0.000 description 1
- JKFAIQOWCVVSKC-UHFFFAOYSA-N furazan Chemical compound C=1C=NON=1 JKFAIQOWCVVSKC-UHFFFAOYSA-N 0.000 description 1
- 230000009477 glass transition Effects 0.000 description 1
- 125000006038 hexenyl group Chemical group 0.000 description 1
- 125000005980 hexynyl group Chemical group 0.000 description 1
- PJULCNAVAGQLAT-UHFFFAOYSA-N indeno[2,1-a]fluorene Chemical compound C1=CC=C2C=C3C4=CC5=CC=CC=C5C4=CC=C3C2=C1 PJULCNAVAGQLAT-UHFFFAOYSA-N 0.000 description 1
- 229910052738 indium Inorganic materials 0.000 description 1
- AMGQUBHHOARCQH-UHFFFAOYSA-N indium;oxotin Chemical compound [In].[Sn]=O AMGQUBHHOARCQH-UHFFFAOYSA-N 0.000 description 1
- PZOUSPYUWWUPPK-UHFFFAOYSA-N indole Natural products CC1=CC=CC2=C1C=CN2 PZOUSPYUWWUPPK-UHFFFAOYSA-N 0.000 description 1
- RKJUIXBNRJVNHR-UHFFFAOYSA-N indolenine Natural products C1=CC=C2CC=NC2=C1 RKJUIXBNRJVNHR-UHFFFAOYSA-N 0.000 description 1
- HOBCFUWDNJPFHB-UHFFFAOYSA-N indolizine Chemical compound C1=CC=CN2C=CC=C21 HOBCFUWDNJPFHB-UHFFFAOYSA-N 0.000 description 1
- 125000000959 isobutyl group Chemical group [H]C([H])([H])C([H])(C([H])([H])[H])C([H])([H])* 0.000 description 1
- 125000001449 isopropyl group Chemical group [H]C([H])([H])C([H])(*)C([H])([H])[H] 0.000 description 1
- ZLTPDFXIESTBQG-UHFFFAOYSA-N isothiazole Chemical compound C=1C=NSC=1 ZLTPDFXIESTBQG-UHFFFAOYSA-N 0.000 description 1
- CTAPFRYPJLPFDF-UHFFFAOYSA-N isoxazole Chemical compound C=1C=NOC=1 CTAPFRYPJLPFDF-UHFFFAOYSA-N 0.000 description 1
- 229910052747 lanthanoid Inorganic materials 0.000 description 1
- 150000002602 lanthanoids Chemical class 0.000 description 1
- 238000004020 luminiscence type Methods 0.000 description 1
- 125000000040 m-tolyl group Chemical group [H]C1=C([H])C(*)=C([H])C(=C1[H])C([H])([H])[H] 0.000 description 1
- 238000004519 manufacturing process Methods 0.000 description 1
- 239000008204 material by function Substances 0.000 description 1
- 238000000691 measurement method Methods 0.000 description 1
- 229910044991 metal oxide Inorganic materials 0.000 description 1
- 150000004706 metal oxides Chemical class 0.000 description 1
- 229910003455 mixed metal oxide Inorganic materials 0.000 description 1
- 238000012986 modification Methods 0.000 description 1
- 230000004048 modification Effects 0.000 description 1
- 229910052750 molybdenum Inorganic materials 0.000 description 1
- 239000011733 molybdenum Substances 0.000 description 1
- 125000004108 n-butyl group Chemical group [H]C([H])([H])C([H])([H])C([H])([H])C([H])([H])* 0.000 description 1
- 125000003136 n-heptyl group Chemical group [H]C([H])([H])C([H])([H])C([H])([H])C([H])([H])C([H])([H])C([H])([H])C([H])([H])* 0.000 description 1
- 125000001280 n-hexyl group Chemical group C(CCCCC)* 0.000 description 1
- 125000000740 n-pentyl group Chemical group [H]C([H])([H])C([H])([H])C([H])([H])C([H])([H])C([H])([H])* 0.000 description 1
- 125000004123 n-propyl group Chemical group [H]C([H])([H])C([H])([H])C([H])([H])* 0.000 description 1
- 125000001624 naphthyl group Chemical group 0.000 description 1
- 125000004433 nitrogen atom Chemical group N* 0.000 description 1
- 238000010606 normalization Methods 0.000 description 1
- 125000003261 o-tolyl group Chemical group [H]C1=C([H])C(*)=C(C([H])=C1[H])C([H])([H])[H] 0.000 description 1
- 125000004365 octenyl group Chemical group C(=CCCCCCC)* 0.000 description 1
- 125000005069 octynyl group Chemical group [H]C([H])([H])C([H])([H])C([H])([H])C([H])([H])C([H])([H])C([H])([H])C#C* 0.000 description 1
- 238000007645 offset printing Methods 0.000 description 1
- 125000002524 organometallic group Chemical group 0.000 description 1
- 229910052762 osmium Inorganic materials 0.000 description 1
- SYQBFIAQOQZEGI-UHFFFAOYSA-N osmium atom Chemical compound [Os] SYQBFIAQOQZEGI-UHFFFAOYSA-N 0.000 description 1
- WCPAKWJPBJAGKN-UHFFFAOYSA-N oxadiazole Chemical compound C1=CON=N1 WCPAKWJPBJAGKN-UHFFFAOYSA-N 0.000 description 1
- 150000004866 oxadiazoles Chemical class 0.000 description 1
- 125000004430 oxygen atom Chemical group O* 0.000 description 1
- 125000001037 p-tolyl group Chemical group [H]C1=C([H])C(=C([H])C([H])=C1*)C([H])([H])[H] 0.000 description 1
- 229910052763 palladium Inorganic materials 0.000 description 1
- SLIUAWYAILUBJU-UHFFFAOYSA-N pentacene Chemical compound C1=CC=CC2=CC3=CC4=CC5=CC=CC=C5C=C4C=C3C=C21 SLIUAWYAILUBJU-UHFFFAOYSA-N 0.000 description 1
- 125000006340 pentafluoro ethyl group Chemical group FC(F)(F)C(F)(F)* 0.000 description 1
- 125000002255 pentenyl group Chemical group C(=CCCC)* 0.000 description 1
- 125000005981 pentynyl group Chemical group 0.000 description 1
- 125000002080 perylenyl group Chemical group C1(=CC=C2C=CC=C3C4=CC=CC5=CC=CC(C1=C23)=C45)* 0.000 description 1
- CSHWQDPOILHKBI-UHFFFAOYSA-N peryrene Natural products C1=CC(C2=CC=CC=3C2=C2C=CC=3)=C3C2=CC=CC3=C1 CSHWQDPOILHKBI-UHFFFAOYSA-N 0.000 description 1
- 150000003058 platinum compounds Chemical class 0.000 description 1
- 229920000642 polymer Polymers 0.000 description 1
- 125000004368 propenyl group Chemical group C(=CC)* 0.000 description 1
- 125000002568 propynyl group Chemical group [*]C#CC([H])([H])[H] 0.000 description 1
- CPNGPNLZQNNVQM-UHFFFAOYSA-N pteridine Chemical compound N1=CN=CC2=NC=CN=C21 CPNGPNLZQNNVQM-UHFFFAOYSA-N 0.000 description 1
- 125000004307 pyrazin-2-yl group Chemical group [H]C1=C([H])N=C(*)C([H])=N1 0.000 description 1
- 125000004944 pyrazin-3-yl group Chemical group [H]C1=C([H])N=C(*)C([H])=N1 0.000 description 1
- PBMFSQRYOILNGV-UHFFFAOYSA-N pyridazine Chemical compound C1=CC=NN=C1 PBMFSQRYOILNGV-UHFFFAOYSA-N 0.000 description 1
- GDISDVBCNPLSDU-UHFFFAOYSA-N pyrido[2,3-g]quinoline Chemical compound C1=CC=NC2=CC3=CC=CN=C3C=C21 GDISDVBCNPLSDU-UHFFFAOYSA-N 0.000 description 1
- 125000000246 pyrimidin-2-yl group Chemical group [H]C1=NC(*)=NC([H])=C1[H] 0.000 description 1
- 125000004527 pyrimidin-4-yl group Chemical group N1=CN=C(C=C1)* 0.000 description 1
- 125000004528 pyrimidin-5-yl group Chemical group N1=CN=CC(=C1)* 0.000 description 1
- 238000003077 quantum chemistry computational method Methods 0.000 description 1
- JWVCLYRUEFBMGU-UHFFFAOYSA-N quinazoline Chemical compound N1=CN=CC2=CC=CC=C21 JWVCLYRUEFBMGU-UHFFFAOYSA-N 0.000 description 1
- 230000009467 reduction Effects 0.000 description 1
- 229910052702 rhenium Inorganic materials 0.000 description 1
- WUAPFZMCVAUBPE-UHFFFAOYSA-N rhenium atom Chemical compound [Re] WUAPFZMCVAUBPE-UHFFFAOYSA-N 0.000 description 1
- 229910052703 rhodium Inorganic materials 0.000 description 1
- 239000010948 rhodium Substances 0.000 description 1
- MHOVAHRLVXNVSD-UHFFFAOYSA-N rhodium atom Chemical compound [Rh] MHOVAHRLVXNVSD-UHFFFAOYSA-N 0.000 description 1
- 229910052707 ruthenium Inorganic materials 0.000 description 1
- 239000012266 salt solution Substances 0.000 description 1
- 238000007650 screen-printing Methods 0.000 description 1
- 125000002914 sec-butyl group Chemical group [H]C([H])([H])C([H])([H])C([H])(*)C([H])([H])[H] 0.000 description 1
- 239000010944 silver (metal) Substances 0.000 description 1
- HKZLPVFGJNLROG-UHFFFAOYSA-M silver monochloride Chemical compound [Cl-].[Ag+] HKZLPVFGJNLROG-UHFFFAOYSA-M 0.000 description 1
- 238000004528 spin coating Methods 0.000 description 1
- PJANXHGTPQOBST-UHFFFAOYSA-N stilbene Chemical compound C=1C=CC=CC=1C=CC1=CC=CC=C1 PJANXHGTPQOBST-UHFFFAOYSA-N 0.000 description 1
- 235000021286 stilbenes Nutrition 0.000 description 1
- 238000006467 substitution reaction Methods 0.000 description 1
- 150000003462 sulfoxides Chemical class 0.000 description 1
- 125000006836 terphenylene group Chemical group 0.000 description 1
- 125000000999 tert-butyl group Chemical group [H]C([H])([H])C(*)(C([H])([H])[H])C([H])([H])[H] 0.000 description 1
- 125000001973 tert-pentyl group Chemical group [H]C([H])([H])C([H])([H])C(*)(C([H])([H])[H])C([H])([H])[H] 0.000 description 1
- IFLREYGFSNHWGE-UHFFFAOYSA-N tetracene Chemical compound C1=CC=CC2=CC3=CC4=CC=CC=C4C=C3C=C21 IFLREYGFSNHWGE-UHFFFAOYSA-N 0.000 description 1
- 150000003536 tetrazoles Chemical class 0.000 description 1
- 238000001931 thermography Methods 0.000 description 1
- 238000010023 transfer printing Methods 0.000 description 1
- 125000002023 trifluoromethyl group Chemical group FC(F)(F)* 0.000 description 1
- YGPLLMPPZRUGTJ-UHFFFAOYSA-N truxene Chemical compound C1C2=CC=CC=C2C(C2=C3C4=CC=CC=C4C2)=C1C1=C3CC2=CC=CC=C21 YGPLLMPPZRUGTJ-UHFFFAOYSA-N 0.000 description 1
- WFKWXMTUELFFGS-UHFFFAOYSA-N tungsten Chemical compound [W] WFKWXMTUELFFGS-UHFFFAOYSA-N 0.000 description 1
- 229910052721 tungsten Inorganic materials 0.000 description 1
- 239000010937 tungsten Substances 0.000 description 1
- 238000002061 vacuum sublimation Methods 0.000 description 1
- 229910052720 vanadium Inorganic materials 0.000 description 1
- 125000000391 vinyl group Chemical group [H]C([*])=C([H])[H] 0.000 description 1
- XLYOFNOQVPJJNP-UHFFFAOYSA-N water Substances O XLYOFNOQVPJJNP-UHFFFAOYSA-N 0.000 description 1
- 150000003752 zinc compounds Chemical class 0.000 description 1
- YVTHLONGBIQYBO-UHFFFAOYSA-N zinc indium(3+) oxygen(2-) Chemical compound [O--].[Zn++].[In+3] YVTHLONGBIQYBO-UHFFFAOYSA-N 0.000 description 1
Classifications
-
- H—ELECTRICITY
- H10—SEMICONDUCTOR DEVICES; ELECTRIC SOLID-STATE DEVICES NOT OTHERWISE PROVIDED FOR
- H10K—ORGANIC ELECTRIC SOLID-STATE DEVICES
- H10K50/00—Organic light-emitting devices
- H10K50/10—OLEDs or polymer light-emitting diodes [PLED]
- H10K50/11—OLEDs or polymer light-emitting diodes [PLED] characterised by the electroluminescent [EL] layers
-
- H—ELECTRICITY
- H10—SEMICONDUCTOR DEVICES; ELECTRIC SOLID-STATE DEVICES NOT OTHERWISE PROVIDED FOR
- H10K—ORGANIC ELECTRIC SOLID-STATE DEVICES
- H10K85/00—Organic materials used in the body or electrodes of devices covered by this subclass
- H10K85/30—Coordination compounds
- H10K85/321—Metal complexes comprising a group IIIA element, e.g. Tris (8-hydroxyquinoline) gallium [Gaq3]
- H10K85/322—Metal complexes comprising a group IIIA element, e.g. Tris (8-hydroxyquinoline) gallium [Gaq3] comprising boron
-
- H—ELECTRICITY
- H10—SEMICONDUCTOR DEVICES; ELECTRIC SOLID-STATE DEVICES NOT OTHERWISE PROVIDED FOR
- H10K—ORGANIC ELECTRIC SOLID-STATE DEVICES
- H10K85/00—Organic materials used in the body or electrodes of devices covered by this subclass
- H10K85/30—Coordination compounds
- H10K85/341—Transition metal complexes, e.g. Ru(II)polypyridine complexes
- H10K85/342—Transition metal complexes, e.g. Ru(II)polypyridine complexes comprising iridium
-
- H—ELECTRICITY
- H10—SEMICONDUCTOR DEVICES; ELECTRIC SOLID-STATE DEVICES NOT OTHERWISE PROVIDED FOR
- H10K—ORGANIC ELECTRIC SOLID-STATE DEVICES
- H10K85/00—Organic materials used in the body or electrodes of devices covered by this subclass
- H10K85/30—Coordination compounds
- H10K85/341—Transition metal complexes, e.g. Ru(II)polypyridine complexes
- H10K85/346—Transition metal complexes, e.g. Ru(II)polypyridine complexes comprising platinum
-
- H—ELECTRICITY
- H10—SEMICONDUCTOR DEVICES; ELECTRIC SOLID-STATE DEVICES NOT OTHERWISE PROVIDED FOR
- H10K—ORGANIC ELECTRIC SOLID-STATE DEVICES
- H10K85/00—Organic materials used in the body or electrodes of devices covered by this subclass
- H10K85/60—Organic compounds having low molecular weight
-
- H—ELECTRICITY
- H10—SEMICONDUCTOR DEVICES; ELECTRIC SOLID-STATE DEVICES NOT OTHERWISE PROVIDED FOR
- H10K—ORGANIC ELECTRIC SOLID-STATE DEVICES
- H10K85/00—Organic materials used in the body or electrodes of devices covered by this subclass
- H10K85/60—Organic compounds having low molecular weight
- H10K85/615—Polycyclic condensed aromatic hydrocarbons, e.g. anthracene
-
- H—ELECTRICITY
- H10—SEMICONDUCTOR DEVICES; ELECTRIC SOLID-STATE DEVICES NOT OTHERWISE PROVIDED FOR
- H10K—ORGANIC ELECTRIC SOLID-STATE DEVICES
- H10K85/00—Organic materials used in the body or electrodes of devices covered by this subclass
- H10K85/60—Organic compounds having low molecular weight
- H10K85/615—Polycyclic condensed aromatic hydrocarbons, e.g. anthracene
- H10K85/626—Polycyclic condensed aromatic hydrocarbons, e.g. anthracene containing more than one polycyclic condensed aromatic rings, e.g. bis-anthracene
-
- H—ELECTRICITY
- H10—SEMICONDUCTOR DEVICES; ELECTRIC SOLID-STATE DEVICES NOT OTHERWISE PROVIDED FOR
- H10K—ORGANIC ELECTRIC SOLID-STATE DEVICES
- H10K85/00—Organic materials used in the body or electrodes of devices covered by this subclass
- H10K85/60—Organic compounds having low molecular weight
- H10K85/649—Aromatic compounds comprising a hetero atom
- H10K85/654—Aromatic compounds comprising a hetero atom comprising only nitrogen as heteroatom
-
- H—ELECTRICITY
- H10—SEMICONDUCTOR DEVICES; ELECTRIC SOLID-STATE DEVICES NOT OTHERWISE PROVIDED FOR
- H10K—ORGANIC ELECTRIC SOLID-STATE DEVICES
- H10K85/00—Organic materials used in the body or electrodes of devices covered by this subclass
- H10K85/60—Organic compounds having low molecular weight
- H10K85/658—Organoboranes
-
- H—ELECTRICITY
- H10—SEMICONDUCTOR DEVICES; ELECTRIC SOLID-STATE DEVICES NOT OTHERWISE PROVIDED FOR
- H10K—ORGANIC ELECTRIC SOLID-STATE DEVICES
- H10K2101/00—Properties of the organic materials covered by group H10K85/00
- H10K2101/10—Triplet emission
-
- H—ELECTRICITY
- H10—SEMICONDUCTOR DEVICES; ELECTRIC SOLID-STATE DEVICES NOT OTHERWISE PROVIDED FOR
- H10K—ORGANIC ELECTRIC SOLID-STATE DEVICES
- H10K2101/00—Properties of the organic materials covered by group H10K85/00
- H10K2101/30—Highest occupied molecular orbital [HOMO], lowest unoccupied molecular orbital [LUMO] or Fermi energy values
Landscapes
- Chemical & Material Sciences (AREA)
- Physics & Mathematics (AREA)
- Engineering & Computer Science (AREA)
- Materials Engineering (AREA)
- Spectroscopy & Molecular Physics (AREA)
- Inorganic Chemistry (AREA)
- Optics & Photonics (AREA)
- Crystallography & Structural Chemistry (AREA)
- Electroluminescent Light Sources (AREA)
Abstract
Die vorliegende Erfindung betrifft phosphoreszierende organische Elektrolumineszenzvorrichtungen, welche in der emittierenden Schicht mindestens einen phosphoreszierenden Emitter und eine Mischung aus mindestens zwei Matrixmaterialien enthalten.
Description
- Die vorliegende Erfindung betrifft organische Elektrolumineszenzvorrichtungen, welche mindestens eine Schicht mit mindestens einem phosphoreszierenden Dotanden und mindestens zwei Matrixmaterialien enthalten.
- Der Aufbau organischer Elektrolumineszenzvorrichtungen (OLEDs), in denen organische Halbleiter als funktionelle Materialien eingesetzt werden, ist beispielsweise in
US 4539507 ,US 5151629 ,EP 0676461 und beschrieben. Eine Entwicklung im Bereich der organischen Elektrolumineszenzvorrichtungen sind phosphoreszierende OLEDs. Diese weisen aufgrund der höheren erreichbaren Effizienz im Vergleich zu fluoreszierenden OLEDs deutliche Vorteile auf.WO 98/27136 - Allerdings gibt es bei phosphoreszierenden OLEDs noch Verbesserungsbedarf. Dies gilt insbesondere für die Effizienz und die Lebensdauer der Vorrichtung.
- Die der vorliegenden Erfindung zugrunde liegende technische Aufgabe besteht daher darin, eine phosphoreszierende organische Elektrolumineszenzvorrichtung bereitzustellen, welche eine verbesserte Lebensdauer aufweist. Eine weitere Aufgabe besteht darin, eine phosphoreszierende organische Elektrolumineszenzvorrichtung bereitzustellen, welche eine verbesserte Effizienz aufweist.
- Gemäß dem Stand der Technik werden elektronenleitende Materialien, unter anderem Ketone (z. B. gemäß
oder gemäß der nicht offen gelegten AnmeldungWO 04/093207 DE 10 2008 033 943.1 ) oder Triazinderivate (z. B. gemäß der nicht offen gelegten Anmeldung ) als Matrixmaterialien für phosphoreszierende Emitter verwendet. Insbesondere mit Ketonen werden niedrige Betriebsspannungen und lange Lebensdauern erzielt, was diese Verbindungsklasse zu einem sehr interessanten Matrixmaterial macht. Allerdings besteht bei Verwendung dieser Matrixmaterialien ebenso wie bei anderen Matrixmaterialien noch Verbesserungsbedarf, insbesondere in Bezug auf die Effizienz und die Lebensdauer der Vorrichtung.DE 100 2008 036 982.9 - Aus dem Stand der Technik sind weiterhin organische Elektrolumineszenzvorrichtungen bekannt, welche einen phosphoreszierenden Emitter dotiert in eine Mischung aus zwei Matrixmaterialien enthalten.
- In der
werden phosphoreszierende organische Elektrolumineszenzvorrichtungen offenbart, welche eine Mischung aus einem loch- und einem elektronenleitenden Matrixmaterial aufweisen. Für diese OLEDs wird eine verbesserte Effizienz offenbart. Ein Einfluss auf die Lebensdauer ist nicht erkennbar.US 2007/0252516 - In der
werden weiß emittierende organische Elektrolumineszenzvorrichtungen offenbart, wobei die grün bzw. rot emittierende Schicht einen phosphoreszierenden Emitter und eine Mischung aus einem loch- und einem elektronenleitenden Matrixmaterial aufweist. Als lochleitende Materialien sind unter anderem Triarylamin- und Carbazolderivate angegeben. Als elektronenleitende Materialien sind unter anderem Aluminium- und Zinkverbindungen, Oxadiazolverbindungen und Triazin- bzw. Triazolverbindungen angegeben. Auch für diese OLEDs sind noch weitere Verbesserungen wünschenswert.US 2007/0099026 - Überraschend wurde gefunden, dass sich sowohl die Effizienz wie auch die Lebensdauer einer phosphoreszierenden organischen Elektrolumineszenzvorrichtung auf Basis niedermolekularer Moleküle (so genannte Small Molecules) deutlich verbessert, wenn in der emittierenden Schicht als Matrix für den phosphoreszierenden Emitter eine Mischung aus mindestens zwei Matrixmaterialien verwendet wird, wobei eines der beiden Matrixmaterialien ein Material ist, welches in der Lage ist, Ladungen zu transportieren, also ein Elektronen- oder Lochtransportmaterial, und das andere der beiden Matrixmaterialien ein Material ist, welches so gewählt ist, dass es nicht am Ladungstransport beteiligt ist. Dies erreicht man durch Materialien, in denen die Lage des HOMO (höchstes besetztes Molekülorbital) und des LUMO (niedrigstes unbesetztes Molekülorbital) sowie die Energielücke (Bandgap) entsprechend gewählt wird. Mit derartigen Elektrolumineszenzvorrichtungen werden bessere Ergebnisse, insbesondere in Bezug auf Effizienz und Lebensdauer, erzielt als mit Elektrolumineszenzvorrichtungen, welche als Matrix für den phosphoreszierenden Emitter eine Mischung aus einem elektronentransportierenden und einem lochtransportierenden Material enthalten.
- Gegenstand der Erfindung ist somit eine organische Elektrolumineszenzvorrichtung, enthaltend Anode, Kathode und mindestens eine emittierende Schicht, welche mindestens eine phosphoreszierende Verbindung enthält, welche in eine Mischung aus zwei Materialien A und B eindotiert ist, wobei diese Materialien definierte niedermolekulare Verbindungen mit einer Molmasse von 2000 g/mol oder weniger sind, dadurch gekennzeichnet, dass das Material A ein ladungstransportierendes Material ist und dass das Material B ein Material ist, welches ein HOMO von –5.4 eV oder weniger und ein LUMO von –2.4 eV oder mehr aufweist, und welches eine Energielücke von mindestens 3.5 eV aufweist.
- Die Materialien A und B sind dabei die Matrixmaterialien für die phosphoreszierende Verbindung und sind selber nicht an der Emission der Elektrolumineszenzvorrichtung beteiligt.
- Das ladungstransportierende Matrixmaterial A kann ein lochtransportierendes Material oder ein elektronentransportierendes Material sein.
- Ein lochtransportierendes Material im Sinne dieser Anmeldung ist charakterisiert durch ein HOMO von mehr als –5.4 eV. Ein elektronentransportierendes Material im Sinne dieser Anmeldung ist charakterisiert durch ein LUMO von weniger als –2.4 eV. Dabei erfolgt die Bestimmung der HOMO- und LUMO-Lagen und der Energielücke so, wie im Beispielteil ausführlich allgemein beschrieben.
- Die erfindungsgemäße organische Elektrolumineszenzvorrichtung enthält, wie oben beschrieben, Anode, Kathode und mindestens eine emittierende Schicht, welche zwischen der Anode und der Kathode angeordnet ist. Dabei enthält die emittierende Schicht mindestens eine phosphoreszierende Verbindung und weiterhin mindestens ein ladungstranspor tierendes Matrixmaterial und ein weiteres Matrixmaterial mit einem HOMO von –5.4 eV oder weniger, einem LUMO von –2.4 eV oder mehr und einer Energielücke von 3.5 eV oder mehr. Die organische Elektrolumineszenzvorrichtung muss nicht notwendigerweise nur Schichten enthalten, welche aus organischen oder metallorganischen Materialien aufgebaut sind. So ist es auch möglich, dass Anode, Kathode und/oder eine oder mehrere Schichten anorganische Materialien enthalten oder ganz aus anorganischen Materialien aufgebaut sind.
- Eine phosphoreszierende Verbindung im Sinne dieser Erfindung ist eine Verbindung, welche bei Raumtemperatur Lumineszenz aus einem angeregten Zustand mit höherer Spinmultiplizität zeigt, also einem Spinzustand > 1, insbesondere aus einem angeregten Triplettzustand. Im Sinne dieser Erfindung sollen alle lumineszierenden Übergangsmetallkomplexe mit Übergangsmetallen der zweiten und dritten Übergangsmetallreihe, insbesondere alle lumineszierenden Iridium- und Platinverbindungen als phosphoreszierende Verbindungen angesehen werden.
- In einer bevorzugten Ausführungsform der Erfindung handelt es sich bei der phosphoreszierenden Verbindung um eine rot phosphoreszierende Verbindung oder um eine grün phosphoreszierende Verbindung.
- Bevorzugt weisen die Matrixmaterialien A und B eine Glasübergangstemperatur TG von größer als 70°C auf, besonders bevorzugt größer als 90°C, ganz besonders bevorzugt größer als 110°C.
- Der Anteil der phosphoreszierenden Verbindung in der emittierenden Schicht beträgt bevorzugt 1 bis 50 Vol.-%, besonders bevorzugt 3 bis 30 Vol.-%, ganz besonders bevorzugt 5 bis 25 Vol.-%, insbesondere 10 bis 20 Vol.-%.
- Das Verhältnis zwischen dem Matrixmaterial A und dem Matrixmaterial B kann variieren. Insbesondere kann durch Variation dieses Verhältnisses die Ladungsbalance der OLED einfach und reproduzierbar eingestellt werden. Durch das Einstellen des Mischungsverhältnisses lässt sich somit leicht die Effizienz der OLED optimieren. Dabei beträgt das Mischungs verhältnis zwischen der dem ladungstransportierenden Matrixmaterial A und dem Matrixmaterial B im Allgmeinen von 10:1 bis 1:10, bevorzugt von 7:1 bis 1:7, besonders bevorzugt von 4:1 bis 1:4, jeweils bezogen auf das Volumen.
- Im Folgenden werden bevorzugte Ausführungsformen für das ladungstransportierende Matrixmaterial A und das Matrixmaterial B sowie für die phosphoreszierende Verbindung, welche erfindungsgemäß in der emitterenden Schicht vorhanden sind, ausgeführt.
- In einer bevorzugten Ausführungsform der Erfindung ist das ladungstransportierende Matrixmaterial A eine elektronenleitende Verbindung. Geeignete elektronentransportierende Matrixmaterialien sind ausgewählt aus der Gruppe bestehend aus aromatischen Ketonen, aromatischen Sulfoxiden, aromatischen Sulfonen, Triazinderivaten, Zink-Komplexen und Aluminium-Komplexen.
- Unter einem aromatischen Keton im Sinne dieser Anmeldung wird eine Carbonylgruppe verstanden, an die zwei aromatische oder heteroaromatische Gruppen bzw. aromatische oder heteroaromatische Ringsysteme direkt gebunden sind. Aromatische Sulfone und Sulfoxide sind entsprechend definiert.
- In einer bevorzugten Ausführungsform der Erfindung ist das aromatische Keton eine Verbindung der folgenden Formel (1), wobei für die verwendeten Symbole gilt:
Ar ist bei jedem Auftreten gleich oder verschieden ein aromatisches oder heteroaromatisches Ringsystem mit 5 bis 60 aromatischen Ringatomen, welches jeweils mit einer oder mehreren Gruppen R1 substituiert sein kann;
R1 ist bei jedem Auftreten gleich oder verschieden H, D, F, Cl, Br, I, CHO, C(=O)Ar1, P(=O)(Ar1)2, S(=O)Ar1, S(=O)2Ar1, CR2=CR2Ar1, CN, NO2, Si(R2)3, B(OR2)2, B(R2)2, B(N(R2)2)2, OSO2R2, eine geradkettige Alkyl-, Alkoxy- oder Thioalkoxygruppe mit 1 bis 40 C-Atomen oder eine geradkettige Alkenyl- oder Alkinylgruppe mit 2 bis 40 C-Atomen oder eine verzweigte oder cyclische Alkyl-, Alkenyl-, Alkenyl-, Alkoxy- oder Thioalkoxygruppe mit 3 bis 40 C-Atomen, die jeweils mit einem oder mehreren Resten R2 substituiert sein kann, wobei eine oder mehrere nicht benachbarte CH2-Gruppen durch R2C=CR2, C≡C, Si(R2)2, Ge(R2)2, Sn(R2)2, C=O, C=S, C=Se, C=NR2, P(=O)(R2), SO, SO2, NR2, O, S oder CONR2 ersetzt sein können und wobei ein oder mehrere H-Atome durch F, Cl, Br, I, CN oder NO2 ersetzt sein können, oder ein aromatisches oder heteroaromatisches Ringsystem mit 5 bis 60 aromatischen Ringatomen, das jeweils durch einen oder mehrere Reste R2 substituiert sein kann, oder eine Aryloxy- oder Heteroaryloxygruppe mit 5 bis 60 aromatischen Ringatomen, die durch einen oder mehrere Reste R2 substituiert sein kann, oder eine Kombination dieser Systeme; dabei können zwei oder mehrere benachbarte Substituenten R1 auch miteinander ein mono- oder polycyclisches, aliphatisches oder aromatisches Ringsystem bilden;
Ar1 ist bei jedem Auftreten gleich oder verschieden ein aromatisches oder heteroaromatisches Ringsystem mit 5 bis 40 aromatischen Ringatomen, das mit einem oder mehreren Resten R2 substituiert sein kann;
R2 ist bei jedem Auftreten gleich oder verschieden H, D, CN oder ein aliphatischer, aromatischer und/oder heteroaromatischer Kohlenwasserstoffrest mit 1 bis 20 C-Atomen, in dem auch H-Atome durch F ersetzt sein können; dabei können zwei oder mehrere benachbarte Substituenten R2 auch miteinander ein mono- oder polycyclisches, aliphatisches oder aromatisches Ringsystem bilden. - Eine Arylgruppe im Sinne dieser Erfindung enthält mindestens 6 C-Atome; eine Heteroarylgruppe im Sinne dieser Erfindung enthält mindestens 2 C-Atome und mindestens 1 Heteroatom, mit der Maßgabe, dass die Summe aus C-Atomen und Heteroatomen mindestens 5 ergibt. Die Heteroatome sind bevorzugt ausgewählt aus N, O und/oder S. Dabei wird unter einer Arylgruppe bzw. Heteroarylgruppe entweder ein einfacher aromatischer Cyclus, also Benzol, bzw. ein einfacher heteroaromatischer Cyclus, beispielsweise Pyridin, Pyrimidin, Thiophen, etc., oder eine kondensierte Aryl- oder Heteroarylgruppe, beispielsweise Naphthalin, Anthracen, Pyren, Chinolin, Isochinolin, etc., verstanden.
- Ein aromatisches Ringsystem im Sinne dieser Erfindung enthält mindestens 6 C-Atome im Ringsystem. Ein heteroaromatisches Ringsystem im Sinne dieser Erfindung enthält mindestens 2 C-Atome und mindestens ein Heteroatom im Ringsystem, mit der Maßgabe, dass die Summe aus C-Atomen und Heteroatomen mindestens 5 ergibt. Die Heteroatome sind bevorzugt ausgewählt aus N, O und/oder S. Unter einem aromatischen oder heteroaromatischen Ringsystem im Sinne dieser Erfindung soll ein System verstanden werden, das nicht notwendigerweise nur Aryl- oder Heteroarylgruppen enthält, sondern in dem auch mehrere Aryl- oder Heteroarylgruppen durch eine kurze, nicht-aromatische Einheit (bevorzugt weniger als 10% der von H verschiedenen Atome), wie z. B. ein sp3-hybridisiertes C-, N- oder O-Atom oder eine Carbonylgruppe, unterbrochen sein können. So sollen beispielsweise auch Systeme wie 9,9'-Spirobifluoren, 9,9-Diarylfluoren, Triarylamin, Diarylether, Stilben, Benzophenon, etc. als aromatische Ringsysteme im Sinne dieser Erfindung verstanden werden. Ebenso werden unter einem aromatischen bzw. heteroaromatischen Ringsystem Systeme verstanden, in denen mehrere Aryl- bzw. Heteroarylgruppen durch Einfachbindungen miteinander verknüpft sind, beispielsweise Biphenyl, Terphenyl oder Bipyridin.
- Im Rahmen der vorliegenden Erfindung werden unter einer C1- bis C40-Alkylgruppe, in der auch einzelne H-Atome oder CH2-Gruppen durch die oben genannten Gruppen substituiert sein können, besonders bevorzugt die Reste Methyl, Ethyl, n-Propyl, i-Propyl, n-Butyl, i-Butyl, s-Butyl, t-Butyl, 2-Methylbutyl, n-Pentyl, s-Pentyl, t-Pentyl, 2-Pentyl, Cyclopentyl, n-Hexyl, s-Hexyl, t-Hexyl, 2-Hexyl, 3-Hexyl, Cyclohexyl, 2-Methylpentyl, n-Heptyl, 2-Heptyl, 3-Heptyl, 4-Heptyl, Cycloheptyl, 1-Methylcyclohexyl, n-Octyl, 2-Ethylhexyl, Cyclooctyl, 1-Bicyclo[2,2,2]octyl, 2-Bicyclo[2,2,2]octyl, 2-(2,6-Dimethyl)octyl, 3-(3,7-Dimethyl)octyl, Trifluormethyl, Pentafluorethyl und 2,2,2-Trifluorethyl verstanden. Unter einer unter einer C2- bis C40-Alkenylgruppe werden bevorzugt Ethenyl, Propenyl, Butenyl, Pentenyl, Cyclopentenyl, Hexenyl, Cyclohexenyl, Heptenyl, Cycloheptenyl, Octenyl und Cyclooctenyl verstanden. Unter einer unter einer C2- bis C40-Alkinylgruppe werden bevorzugt Ethinyl, Propinyl, Butinyl, Pentinyl, Hexinyl, Heptinyl und Octinyl verstanden. Unter einer C1- bis C40-Alkoxygruppe werden bevorzugt Methoxy, Trifluormethoxy, Ethoxy, n-Propoxy, i-Propoxy, n-Butoxy, i-Butoxy, s-Butoxy, t-Butoxy oder 2-Methylbutoxy verstanden. Unter einem aromatischen oder heteroaromatischen Ringsystem mit 5–60 aromatischen Ringatomen, welches noch jeweils mit den oben genannten Resten R substituiert sein kann und welches über beliebige Positionen am Aromaten bzw. Heteroaromaten verknüpft sein kann, werden insbesondere Gruppen verstanden, die abgeleitet sind von Benzol, Naphthalin, Anthracen, Phenanthren, Benzanthracen, Pyren, Chrysen, Perylen, Fluoranthen, Benzfluoranthen, Naphthacen, Pentacen, Benzpyren, Biphenyl, Biphenylen, Terphenyl, Terphenylen, Fluoren, Benzofluoren, Dibenzofluoren, Spirobifluoren, Dihydrophenanthren, Dihydropyren, Tetrahydropyren, cis- oder trans-Indenofluoren, cis- oder trans-Monobenzoindenofluoren, cis- oder trans-Dibenzoindenofluoren, Truxen, Isotruxen, Spirotruxen, Spiroisotruxen, Furan, Benzofuran, Isobenzofuran, Dibenzofuran, Thiophen, Benzothiophen, Isobenzothiophen, Dibenzothiophen, Pyrrol, Indol, Isoindol, Carbazol, Pyridin, Chinolin, Isochinolin, Acridin, Phenanthridin, Benzo-5,6-chinolin, Benzo-6,7-chinolin, Benzo-7,8-chinolin, Phenothiazin, Phenoxazin, Pyrazol, Indazol, Imidazol, Benzimidazol, Naphthimidazol, Phenanthrimidazol, Pyridimidazol, Pyrazinimidazol, Chinoxalinimidazol, Oxazol, Benzoxazol, Naphthoxazol, Anthroxazol, Phenanthroxazol, Isoxazol, 1,2-Thiazol, 1,3-Thiazol, Benzothiazol, Pyridazin, Benzopyridazin, Pyrimidin, Benzpyrimidin, Chinoxalin, 1,5-Diazaanthracen, 2,7-Diazapyren, 2,3-Diazapyren, 1,6-Diazapyren, 1,8-Diazapyren, 4,5-Diazapyren, 4,5,9,10-Tetraazaperylen, Pyrazin, Phenazin, Phenoxazin, Phenothiazin, Fluorubin, Naphthyridin, Azacarbazol, Benzocarbolin, Phenanthrolin, 1,2,3-Triazol, 1,2,4-Triazol, Benzotriazol, 1,2,3- Oxadiazol, 1,2,4-Oxadiazol, 1,2,5-Oxadiazol, 1,3,4-Oxadiazol, 1,2,3-Thiadiazol, 1,2,4-Thiadiazol, 1,2,5-Thiadiazol, 1,3,4-Thiadiazol, 1,3,5-Triazin, 1,2,4-Triazin, 1,2,3-Triazin, Tetrazol, 1,2,4,5-Tetrazin, 1,2,3,4-Tetrazin, 1,2,3,5-Tetrazin, Purin, Pteridin, Indolizin und Benzothiadiazol.
- Geeignete Verbindungen gemäß Formel (1) sind insbesondere die in
und in der nicht offen gelegtenWO 04/093207 DE 10 2008 033 943.1 offenbarten Ketone. Diese sind via Zitat Bestandteil der vorliegenden Erfindung. - Aus der Definition der Verbindung gemäß Formel (1) geht hervor, dass diese nicht nur eine Carbonylgruppe enthalten muss, sondern auch mehrere dieser Gruppen enthalten kann.
- Bevorzugt ist die Gruppe Ar in Verbindungen gemäß Formel (1) ein aromatisches Ringsystem mit 6 bis 40 aromatischen Ringatomen, d. h. sie enthält keine Heteroarylgruppen. Wie oben definiert, muss das aromatische Ringsystem nicht notwendigerweise nur aromatische Gruppen aufweisen, sondern es können auch zwei Arylgruppen durch eine nichtaromatische Gruppe, beispielsweise durch eine weitere Carbonylgruppe unterbrochen sein.
- In einer weiteren bevorzugten Ausführungsform der Erfindung weist die Gruppe Ar nicht mehr als zwei kondensierte Ringe auf. Sie ist also bevorzugt nur aus Phenyl- und/oder Naphthylgruppen, besonders bevorzugt nur aus Phenylgruppen, aufgebaut, enthält aber keine größeren kondensierten Aromaten, wie beispielsweise Anthracen.
- Bevorzugte Gruppen Ar, die an die Carbonylgruppe gebunden sind, sind Phenyl, 2-, 3- oder 4-Tolyl, 3- oder 4-o-Xylyl, 2- oder 4-m-Xylyl, 2-p-Xylyl, o-, m- oder p-tert-Butylphenyl, o-, m- oder p-Fluorphenyl, Benzophenon, 1-, 2- oder 3-Phenylmethanon, 2-, 3- oder 4-Biphenyl, 2-, 3- oder 4-o-Terphenyl, 2-, 3- oder 4-m-Terphenyl, 2-, 3- oder 4-p-Terphenyl, 2'-p-Terphenyl, 2'-, 4'- oder 5'-m-Terphenyl, 3'- oder 4'-o-Terphenyl, p-, m,p-, o,p-, m,m-, o,m- oder o,o-Quaterphenyl, Quinquephenyl, Sexiphenyl, 1-, 2-, 3- oder 4-Fluorenyl, 2-, 3- oder 4-Spiro-9,9'-bifluorenyl, 1-, 2-, 3- oder 4-(9,10-Dihydro)phenanthrenyl, 1- oder 2-Naphthyl, 2-, 3-, 4-, 5-, 6-, 7- oder 8-Chinolinyl, 1-, 3-, 4-, 5-, 6-, 7- oder 8-iso-Chinolinyl, 1- oder 2-(4-Methylnaphthyl), 1- oder 2-(4-Phenylnaphthyl), 1- oder 2-(4-naphthyl-naphthyl), 1-, 2- oder 3-(4-naphthyl-phenyl), 2-, 3- oder 4-Pyridyl, 2-, 4- oder 5-Pyrimidinyl, 2- oder 3-Pyrazinyl, 3- oder 4-Pyridanzinyl, 2-(1,3,5-Triazin)yl-, 2-, 3- oder 4-(Phenylpyridyl), 3-, 4-, 5- oder 6-(2,2'-Bipyridyl), 2-, 4-, 5- oder 6-(3,3'-Bipyridyl), 2- oder 3-(4,4'-Bipyridyl) und Kombinationen eines oder mehrerer dieser Reste.
- Die Gruppen Ar können, wie oben beschrieben, durch einen oder mehrere Reste R1 substituiert sein. Diese Reste R1 sind bevorzugt gleich oder verschieden bei jedem Auftreten gewählt aus der Gruppe bestehend aus H, F, C(=O)Ar1, P(=O)(Ar1)2, S(=O)Ar1, S(=O)2Ar1, einer geradkettigen Alkylgruppe mit 1 bis 4 C-Atomen oder einer verzweigten oder cyclischen Alkylgruppe mit 3 bis 5 C-Atomen, die jeweils mit einem oder mehreren Resten R2 substituiert sein kann, wobei ein oder mehrere H-Atome durch F ersetzt sein können, oder einem aromatischen Ringsystem mit 6 bis 24 aromatischen Ringatomen, das durch einen oder mehrere Reste R2 substituiert sein kann, oder eine Kombination dieser Systeme; dabei können zwei oder mehrere benachbarte Substituenten R1 auch miteinander ein mono- oder polycyclisches, aliphatisches oder aromatisches Ringsystem bilden. Wenn die organische Elektrolumineszenzvorrichtung aus Lösung aufgebracht wird, sind auch geradkettige, verzweigte oder cyclische Alkylgruppen mit bis zu 10 C-Atomen als Substituenten R1 bevorzugt. Die Reste R1 sind besonders bevorzugt gleich oder verschieden bei jedem Auftreten gewählt aus der Gruppe bestehend aus H, C(=O)Ar1 oder einem aromatischen Ringsystem mit 6 bis 24 aromatischen Ringatomen, das durch einen oder mehrere Reste R2 substituiert sein kann, bevorzugt aber unsubstituiert ist.
- In nochmals einer bevorzugten Ausführungsform der Erfindung ist die Gruppe Ar1 gleich oder verschieden bei jedem Auftreten ein aromatisches Ringsystem mit 6 bis 24 aromatischen Ringatomen, das mit einem oder mehreren Resten R2 substituiert sein kann. Besonders bevorzugt ist Ar1 gleich oder verschieden bei jedem Auftreten ein aromatisches Ringsystem mit 6 bis 12 aromatischen Ringatomen.
- Besonders bevorzugt sind Benzophenon-Derivate, die jeweils an den 3,5,3',5'-Positionen durch ein aromatisches oder heteroaromatisches Ringsystem mit 5 bis 30 aromatischen Ringatomen substituiert sind, welche wiederum durch einen oder mehrere Reste R1 gemäß der obigen Definition substituiert sein kann. Weiterhin bevorzugt sind Ketone, welche mit mindestens einer Spirobifluorengruppe substituiert sind.
-
- Bevorzugt steht Ar in der oben genannten Formel (2), (4) und (5) für ein aromatisches oder heteroaromatisches Ringsystem mit 1 bis 30 aromatischen Ringatomen, welches mit einem oder mehreren Resten R1 substituiert sein kann. Besonders bevorzugt sind die oben genannten Gruppen Ar.
- Beispiele für geeignete Verbindungen gemäß Formel (1) sind die im Folgenden abgebildeten Verbindungen (1) bis (59).
- Geeignete Triazinderivate, die als Matrixmaterial A verwendet werden können, sind insbesondere 1,3,5-Triazine, welche mit mindestens einer, bevorzugt mindestens zwei, besonders bevorzugt mit drei aromatischen oder heteroaromatischen Ringsystemen substituiert sind. Besonders bevorzugt sind also Verbindungen der folgenden Formel (6) oder (7), wobei R1 die oben genannte Bedeutung hat und für die weiteren verwendeten Symbole gilt:
Ar2 ist gleich oder verschieden bei jedem Auftreten ein monovalentes aromatisches oder heteroaromatisches Ringsystem mit 5 bis 60 aromatischen Ringatomen, welches jeweils mit einem oder mehreren Resten R1 substituiert sein kann;
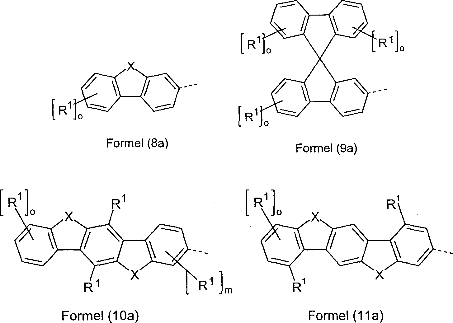
Ar3 ist ein bivalentes aromatisches oder heteroaromatisches Ringsystem mit 5 bis 60 aromatischen Ringatomen, welches mit einem oder mehreren Resten R1 substituiert sein kann. - Bevorzugt ist in Verbindungen der Formel (6) und (7) mindestens eine Gruppe Ar2 gewählt aus den Gruppen der folgenden Formeln (8) bis (14), und die anderen Gruppen Ar2 haben die oben angegebene Bedeutung, wobei R1 dieselbe Bedeutung hat, wie oben beschrieben, die gestrichelte Bindung die Verknüpfung mit der Triazineinheit darstellt und weiterhin gilt:
X ist gleich oder verschieden bei jedem Auftreten eine bivalente Brücke, ausgewählt aus B(R1), C(R1)2, Si(R1)2, C=O, C=NR1, C=C(R1)2, O, S, S=O, SO2, N(R1), P(R1) und P(=O)R1;
m ist bei jedem Auftreten gleich oder verschieden 0, 1, 2 oder 3;
o ist bei jedem Auftreten gleich oder verschieden 0, 1, 2, 3 oder 4. -
-
- Besonders bevorzugte Gruppen Ar3 sind gewählt aus den Gruppen der folgenden Formeln (15a) bis (21a), wobei die verwendeten Symbole und Indizes dieselbe Bedeutung haben, wie oben beschrieben. Dabei ist X bevorzugt gleich oder verschieden gewählt aus C(R1)2, N(R1), O und S, besonders bevorzugt C(R1)2.
- Bevorzugt sind weiterhin Verbindungen der oben aufgeführten Formel (7), in der die Gruppe Ar3 aus den oben aufgeführten Formeln (15) bis (21) ausgewählt ist und Ar2 gleich oder verschieden bei jedem Auftreten ausgewählt ist aus den oben aufgeführten Formeln (8) bis (14) oder Phenyl, 1- oder 2-Naphthyl, ortho-, meta- oder para-Biphenyl, welche durch einen oder mehrere Reste R1 substituiert sein können, jedoch bevorzugt unsubstituiert sind.
- Wie oben beschrieben, ist das Matrixmaterial B ein Material, welches ein HOMO von –5.4 eV oder weniger aufweist und welches ein LUMO von –2.4 eV oder mehr aufweist und welches weiterhin eine Energielücke von 3.5 eV oder mehr aufweist. In einer bevorzugten Ausführungsform der Erfindung weist das Matrixmaterial B ein HOMO von –5.7 eV oder weniger, besonders bevorzugt von –6.0 eV oder weniger auf. Weiterhin bevorzugt weist das Matrixmaterial B eine Energielücke von 3.7 eV oder mehr, besonders bevorzugt von 3.9 eV oder mehr auf. Durch die Wahl von Materialien mit den oben genannten Bedingungen für HOMO, LUMO und Energielücke wird gewährleistet, dass dieses Material nicht bzw. nicht in einem wesentlichen Anteil am Ladungstransport in der Schicht teilnimmt. Weiterhin bevorzugt weist das Matrixmaterial B ein LUMO von –2.2 eV oder mehr, besonders bevorzugt von –2.0 eV oder mehr auf.
- In einer bevorzugten Ausführungsform der Erfindung ist das Matrixmaterial B ein Diazaborolderivat, insbesondere ein aromatisches Diazaborolderivat.
- In einer weiteren bevorzugten Ausführungsform der Erfindung ist das Matrixmaterial B ein reiner Kohlenwasserstoff, also ein Material, welches nur aus den Atomen Kohlenstoff und Wasserstoff aufgebaut ist und welches keine Atome ungleich Kohlenstoff oder Wasserstoff enthält. In einer besonders bevorzugten Ausführungsform der Erfindung handelt es sich bei dem Matrixmaterial B um einen aromatischen Kohlenwasserstoff. Dieser ist dadurch gekennzeichnet, dass er aromatische Gruppen enthält. Er kann aber zusätzlich auch nicht-aromatische Kohlenstoffatome enthalten, beispielsweise Alkylgruppen.
- In einer besonders bevorzugten Ausführungsform der Erfindung ist das Matrixmaterial B ausgewählt aus der Gruppe bestehend aus Diarylmethan-Derivaten, Fluorenderivaten, Spirobifluorenderivaten oder Diazaborolderivaten. Besonders geeignete Matrixmaterialien B sind also Verbindungen der folgenden Formeln (22), (23), (24) und (25), wobei Ar, R1 und n die oben genannte Bedeutung haben und die weiteren verwendeten Symbole die folgenden Bedeutungen haben:
Ar4 ist bei jedem Auftreten gleich oder verschieden ein aromatisches Gruppe mit 6 bis 60 aromatischen C-Atomen, welches keine nichtaromatischen Gruppen ungleich Kohlenstoff oder Wasserstoff enthält; dabei kann Ar4 durch einen oder mehrere Reste R4 substituiert sein;
R3 ist bei jedem Auftreten gleich oder verschieden eine geradkettige Alkylgruppe mit 1 bis 20 C-Atomen oder eine verzweigte oder cyclische Alkylgruppe mit 3 bis 20 C-Atomen, oder ein aromatisches Ringsystem mit 6 bis 60 aromatischen C-Atomen, welches keine nicht-aromatischen Gruppen ungleich Kohlenstoff oder Wasserstoff enthält und welches durch einen oder mehrere Reste R4 substituiert sein kann; dabei können zwei oder mehrere Reste R3 auch miteinander ein Ringsystem bilden;
R4 ist bei jedem Auftreten gleich oder verschieden eine geradkettige Alkylgruppe mit 1 bis 20 C-Atomen oder eine verzweigte oder cyclische Alkylgruppe mit 3 bis 20 C-Atomen; dabei können zwei oder mehrere Reste R4 auch miteinander ein Ringsystem bilden;
q ist 1, 2, 3 oder 4. - Beispiele für bevorzugte Matrixmaterialien B gemäß den oben genannten Formeln (22) bis (25) sind die im Folgenden abgebildeten Verbindungen (1) bis (19).
- Als phosphoreszierende Verbindung eignen sich insbesondere Verbindungen, die bei geeigneter Anregung Licht, vorzugsweise im sichtbaren Bereich, emittieren und außerdem mindestens ein Atom der Ordnungszahl größer 20, bevorzugt größer 38 und kleiner 84, besonders bevorzugt größer 56 und kleiner 80 enthalten. Bevorzugt werden als Phosphoreszenzemitter Verbindungen, die Kupfer, Molybdän, Wolfram, Rhenium, Ruthenium, Osmium, Rhodium, Iridium, Palladium, Platin, Silber, Gold oder Europium enthalten, verwendet, insbesondere Verbindungen, die Iridium oder Platin enthalten.
- Besonders bevorzugte organische Elektrolumineszenzvorrichtungen enthalten als phosphoreszierende Verbindung mindestens eine Verbindung der Formeln (26) bis (29), wobei R1 dieselbe Bedeutung hat, wie oben für Formel (1) beschrieben, und für die weiteren verwendeten Symbole gilt:
DCy ist gleich oder verschieden bei jedem Auftreten eine cyclische Gruppe, die mindestens ein Donoratom, bevorzugt Stickstoff, Kohlenstoff in Form eines Carbens oder Phosphor, enthält, über welches die cyclische Gruppe an das Metall gebunden ist, und die wiederum einen oder mehrere Substituenten R1 tragen kann; die Gruppen DCy und CCy sind über eine kovalente Bindung miteinander verbunden;
CCy ist gleich oder verschieden bei jedem Auftreten eine cyclische Gruppe, die ein Kohlenstoffatom enthält, über welches die cyclische Gruppe an das Metall gebunden ist und die wiederum einen oder mehrere Substituenten R1 tragen kann;
A ist gleich oder verschieden bei jedem Auftreten ein monoanionischer, zweizähnig chelatisierender Ligand, bevorzugt ein Diketonatligand. - Dabei kann durch Bildung von Ringsystemen zwischen mehreren Resten R1 auch eine Brücke zwischen den Gruppen DCy und CCy vorliegen. Weiterhin kann durch Bildung von Ringsystemen zwischen mehreren Resten R1 auch eine Brücke zwischen zwei oder drei Liganden CCy-DCy bzw. zwischen ein oder zwei Liganden CCy-DCy und dem Liganden A vorliegen, so dass es sich um ein polydentates bzw. polypodales Ligandensystem handelt.
- Beispiele der oben beschriebenen Emitter können den Anmeldungen
,WO 00/70655 ,WO 01/41512 ,WO 02/02714 ,WO 02/15645 EP 1191613 ,EP 1191612 ,EP 1191614 , ,WO 04/081017 ,WO 05/033244 ,WO 05/042550 ,WO 05/113563 ,WO 06/008069 ,WO 06/061182 und den nicht offen gelegten AnmeldungenWO 06/081973 DE 10 2008 015 526.8 ,DE 10 2008 027 005.9 undDE 10 2009 007 038.9 entnommen werden. Generell eignen sich alle phosphoreszierenden Komplexe, wie sie gemäß dem Stand der Technik für phosphoreszierende OLEDs verwendet werden und wie sie dem Fachmann auf dem Gebiet der organischen Elektrolumineszenz bekannt sind, und der Fachmann kann ohne erfinderisches Zutun weitere phosphoreszierende Verbindungen verwenden. Insbesondere ist dem Fachmann bekannt, welche phosphoreszierenden Komplexe mit welcher Emissionsfarbe emittieren. - Beispiele für geeignete phosphoreszierende Verbindungen sind die in der folgenden Tabelle aufgeführten Strukturen (1) bis (140).
- Außer Kathode, Anode und der mindestens einen emittierenden Schicht, die oben beschrieben wurde, kann die organische Elektrolumineszenzvorrichtung noch weitere Schichten enthalten. Diese sind beispielsweise gewählt aus jeweils einer oder mehreren Lochinjektionsschichten, Lochtransportschichten, Lochblockierschichten, Elektronentransportschichten, Elektroneninjektionsschichten, Elektronenblockierschichten, Excitonenblockierschichten, Ladungserzeugungsschichten (Charge-Generation Layers) und/oder organischen oder anorganischen p/n-Übergängen. Außerdem können Interlayers vorhanden sein, welche beispielsweise die Ladungsbalance im Device steuern. Insbesondere können solche Interlayers als Zwischenschicht zwischen zwei emittierenden Schichten sinnvoll sein, insbesondere als Zwischenschicht zwischen einer fluoreszierenden und einer phosphoreszierenden Schicht. Weiterhin können die Schichten, insbesondere die Ladungstransportschichten, auch dotiert sein. Die Dotierung der Schichten kann für einen verbesserten Ladungstransport vorteilhaft sein. Es sei aber darauf hingewiesen, dass nicht notwendigerweise jede der oben genannten Schichten vorhanden sein muss und die Wahl der Schichten immer von den verwendeten Verbindungen abhängt. Die Verwendung derartiger Schichten ist dem Fachmann bekannt, und er kann hierfür ohne erfinderisches Zutun alle für derartige Schichten bekannten Materialien gemäß dem Stand der Technik verwenden.
- Weiterhin ist es möglich, mehr als eine emittierende Schicht zu verwenden, beispielsweise zwei oder drei emittierende Schichten, wobei diese bevorzugt unterschiedliche Emissionsfarben aufweisen. In einer besonders bevorzugten Auführungsform der Erfindung handelt es sich um eine weiß emittierende organische Elektrolumineszenzvorrichtung. Diese ist dadurch charakterisiert, dass sie Licht mit CIE-Farbkoordinaten im Bereich von 0.28/0.29 bis 0.45/0.41 emittiert. Der allgemeine Aufbau einer derartigen weiß emittierenden Elektrolumineszenzvorrichtung ist beispielsweise in
offenbart.WO 05/011013 - Als Kathode der erfindungsgemäßen Elektrolumineszenzvorrichtung sind Metalle mit geringer Austrittsarbeit, Metalllegierungen oder mehrlagige Strukturen aus verschiedenen Metallen bevorzugt, wie beispielsweise Erdalkalimetalle, Alkalimetalle, Hauptgruppenmetalle oder Lanthanoide (z. B. Ca, Ba, Mg, Al, In, Mg, Yb, Sm, etc.). Bei mehrlagigen Strukturen können auch zusätzlich zu den genannten Metallen weitere Metalle verwendet werden, die eine relativ hohe Austrittsarbeit aufweisen, wie z. B. Ag, wobei dann in der Regel Kombinationen der Metalle, wie beispielsweise Ca/Ag oder Ba/Ag verwendet werden. Ebenso bevorzugt sind Metalllegierungen, insbesondere Legierungen aus einem Alkalimetall oder Erdalkalimetall und Silber, besonders bevorzugt eine Legierung aus Mg und Ag. Es kann auch bevorzugt sein, zwischen einer metallischen Kathode und dem organischen Halbleiter eine dünne Zwischenschicht eines Materials mit einer hohen Dielektrizitätskonstante einzubringen. Hierfür kommen beispielsweise Alkalimetall- oder Erdalkalimetallfluoride, aber auch die entsprechenden Oxide oder Carbonate in Frage (z. B. LiF, Li2O, CsF, Cs2CO3, BaF2, MgO, NaF, etc.). Die Schichtdicke dieser Schicht beträgt bevorzugt zwischen 0.5 und 5 nm.
- Als Anode der erfindungsgemäßen Elektrolumineszenzvorrichtung sind Materialien mit hoher Austrittsarbeit bevorzugt. Bevorzugt weist die Anode eine Austrittsarbeit größer 4.5 eV vs. Vakuum auf. Hierfür sind einerseits Metalle mit hohem Redoxpotential geeignet, wie beispielsweise Ag, Pt oder Au. Es können andererseits auch Metall/Metalloxid-Elektroden (z. B. Al/Ni/NiOx, Al/PtOx) bevorzugt sein. Dabei muss mindestens eine der Elektroden transparent sein, um die Auskopplung von Licht zu ermöglichen. Ein bevorzugter Aufbau verwendet eine transparente Anode. Bevorzugte Anodenmaterialien sind hier leitfähige gemischte Metalloxide. Besonders bevorzugt sind Indium-Zinn-Oxid (ITO) oder Indium-Zink Oxid (IZO). Bevorzugt sind weiterhin leitfähige, dotierte organische Materialien, insbesondere leitfähige dotierte Polymere.
- Die Vorrichtung wird entsprechend (je nach Anwendung) strukturiert, kontaktiert und schließlich hermetisch versiegelt, da sich die Lebensdauer derartiger Vorrichtungen bei Anwesenheit von Wasser und/oder Luft drastisch verkürzt.
- Es können generell alle weiteren Materialien, wie sie gemäß dem Stand der Technik in organischen Elektrolumineszenzvorrichtungen eingesetzt werden, in Kombination mit der erfindungsgemäßen emittierenden Schicht, welche mindestens einen phosphoreszierenden Emitter und die oben definierten Matrixmaterialien A und B enthält, eingesetzt werden.
- Geeignete Ladungstransportmaterialien, wie sie in der Lochinjektions- bzw. Lochtransportschicht oder in der Elektronentransportschicht der erfindungsgemäßen organischen Elektrolumineszenzvorrichtung verwendet werden können, sind beispielsweise die in Y. Shirota et al., Chem. Rev. 2007, 107(4), 953–1010 offenbarten Verbindungen oder andere Materialien, wie sie gemäß dem Stand der Technik in diesen Schichten eingesetzt werden.
- Beispiele für bevorzugte Lochtransportmaterialien, die in einer Lochtransport- oder Lochinjektionsschicht in der erfindungsgemäßen Elektrolumineszenzvorrichtung verwendet werden können, sind Indenofluorenamine und Derivate (z. B. gemäß
oderWO 06/122630 ), die inWO 06/100896 EP 1661888 offenbarten Aminderivate, Hexaazatriphenylenderivate (z. B. gemäß ), Aminderivate mit kondensierten Aromaten (z. B. gemäßWO 01/049806 US 5,061,569 ), die in offenbarten Aminderivate, Monobenzoindenofluorenamine (z. B. gemäßWO 95/09147 ) oder Dibenzoindenofluorenamine (z. B. gemäßWO 08/006449 ). Weiterhin geeignete Lochtransport- und Lochinjektionsmaterialien sind Derivate der oben abgebildeten Verbindungen, wie sie inWO 07/140847 ,JP 2001/226331 ,EP 676461 ,EP 650955 ,WO 01/049806 US 4780536 , ,WO 98/30071 ,EP 891121 EP 1661888 , ,JP 2006/253445 ,EP 650955 undWO 06/073054 US 5061569 offenbart werden. - Geeignete Lochtransport- oder Lochinjektionsmaterialien sind weiterhin beispielsweise die in der folgenden Tabelle aufgeführten Materialien.
- Geeignete Elektronentransport- oder Elektroneninjektionsmaterialien für die erfindungsgemäße Elektrolumineszenzvorrichtung sind beispielsweise die in der folgenden Tabelle aufgeführten Materialien. Weiterhin geeignete Elektronentransport- und Elektroneninjektionsmaterialien sind Derivate der oben abgebildeten Verbindungen, wie sie in
,JP 2000/053957 ,WO 03/060956 undWO 04/028217 offenbart werden.WO 04/080975 - Weiterhin bevorzugt ist eine organische Elektrolumineszenzvorrichtung, dadurch gekennzeichnet, dass eine oder mehrere Schichten mit einem Sublimationsverfahren beschichtet werden. Dabei werden die Materialien in Vakuum-Sublimationsanlagen bei einem Anfangsdruck kleiner 10–5 mbar, bevorzugt kleiner 10–6 mbar aufgedampft. Es sei jedoch angemerkt, dass der Anfangsdruck auch noch geringer sein kann, beispielsweise kleiner 10–7 mbar.
- Bevorzugt ist ebenfalls eine organische Elektrolumineszenzvorrichtung, dadurch gekennzeichnet, dass eine oder mehrere Schichten mit dem OVPD (Organic Vapour Phase Deposition) Verfahren oder mit Hilfe einer Trägergassublimation beschichtet werden. Dabei werden die Materialien bei einem Druck zwischen 10–5 mbar und 1 bar aufgebracht. Ein Spezialfall dieses Verfahrens ist das OVJP (Organic Vapour Jet Printing) Verfahren, bei dem die Materialien direkt durch eine Düse aufgebracht und so strukturiert werden (z. B. M. S. Arnold et al., Appl. Phys. Lett. 2008, 92, 053301).
- Weiterhin bevorzugt ist eine organische Elektrolumineszenzvorrichtung, dadurch gekennzeichnet, dass eine oder mehrere Schichten aus Lösung, wie z. B. durch Spincoating, oder mit einem beliebigen Druckverfahren, wie z. B. Siebdruck, Flexodruck oder Offsetdruck, besonders bevorzugt aber LITI (Light Induced Thermal Imaging, Thermotransferdruck) oder Ink-Jet Druck (Tintenstrahldruck), hergestellt werden. Hierfür sind lösliche Verbindungen nötig. Hohe Löslichkeit lässt sich durch geeignete Substitution der Verbindungen erreichen. Dabei können nicht nur Lösungen aus einzelnen Materialien aufgebracht werden, sondern auch Lösungen, die mehrere Verbindungen enthalten, beispielsweise Matrixmaterialien und Dotanden.
- Die organische Elektrolumineszenzvorrichtung kann auch als Hybridsystem hergestellt werden, indem eine oder mehrere Schichten aus Lösung aufgebracht werden und eine oder mehrere weitere Schichten aufgedampft werden.
- Diese Verfahren sind dem Fachmann generell bekannt und können von ihm ohne erfinderisches Zutun auf die erfindungsgemäßen organischen Elektrolumineszenzvorrichtungen angewandt werden.
- Die erfindungsgemäßen organischen Elektrolumineszenzvorrichtungen weisen folgende überraschende Vorteile gegenüber dem Stand der Technik auf:
- 1. Die erfindungsgemäße organische Elektrolumineszenzvorrichtung weist eine sehr hohe Effizienz auf. Dabei ist die Effizienz besser als bei Verwendung eines elektronentransportierenden Matrixmaterials in Kombination mit einem lochtransportierenden Matrixmaterial.
- 2. Die erfindungsgemäße organische Elektrolumineszenzvorrichtung weist gleichzeitig eine verbesserte Lebensdauer auf. Dabei ist die Lebensdauer höher als bei Verwendung eines elektronentransportierenden Matrixmaterials in Kombination mit einem lochtransportierenden Matrixmaterial.
- Die Erfindung wird durch die nachfolgenden Beispiele genauer beschrieben, ohne sie dadurch einschränken zu wollen. Der Fachmann kann, ohne erfinderisch tätig zu werden, weitere erfindungsgemäße organische Elektrolumineszenzvorrichtungen herstellen.
- Beispiele:
- Bestimmung von HOMO, LUMO und Energielücke aus Cyclovoltammetrie und Absortionsspektrum
- Die Bestimmung der HOMO- und LUMO-Werte sowie der Energielücke im Sinne der vorliegenden Erfindung erfolgt nach den im Folgenden beschriebenen allgemeinen Verfahren:
Der HOMO-Wert ergibt sich aus dem Oxidationspotential, das mittels Cyclovoltammetrie (CV) bei Raumtemperatur gemessen wird. Als Messgerät hierzu wird ein ECO Autolab System mit Metrohm 663 VA Stand verwendet. Die Arbeitselektrode ist eine Goldelektrode, die Referenzelektrode Ag/AgCl, der Zwischenelektrolyt KCl (3 mol/l) und die Hilfselektrode Platin. - Für die Messung wird zunächst eine 0.11 M Leitsalzlösung aus Tetrabutylammoniumhexafluorophosphat (NH4PF6) in Dichlormethan hergestellt, in die Messzelle eingefüllt und 5 min entgast. Anschließend werden zwei Messzyklen mit folgenden Parametern durchgeführt:
Messtechnik: CV
Initial purge time: 300 s
Cleaning Potential: –1 V
Cleaning Time: 10 s
Deposition Potential: –0.2 V
Deposition Time: 10 s
Start Potential: –0.2 V
End Potential: 1.6 V
Voltage Step: 6 mV
Sweep Rate: 50 mV/s - Anschließend wird die Leitsalzlösung mit 1 ml der Probenlösung (10 mg der zu messenden Substanz in 1 ml Dichlormethan) versetzt und erneut 5 min entgast. Anschließend werden fünf weitere Messzyklen gefahren, von denen die letzten 3 zur Auswertung aufgezeichnet werden. Dabei werden dieselben Parameter eingestellt, wie oben beschrieben.
- Anschließend wird die Lösung mit 0.1 ml Ferrocenlösung (100 mg Ferrocen in 1 ml Dichlormethan) versetzt, 1 min entgast, und ein Messzyklus mit folgenden Parametern durchgeführt:
Messtechnik: CV
Initial purge time: 60 s
Cleaning Potential: –1 V
Cleaning Time: 10 s
Deposition Potential: –0.2 V
Deposition Time: 10 s
Start Potential: –0.2 V
End Potential: 1.6 V
Voltage Step: 6 mV
Sweep Rate: 50 mV/s - Zur Auswertung wird für die Probenlösung und die mit Ferrocenlösung versetzte Lösung jeweils der Mittelwert aus den Spannungen des ersten Oxidationsmaximums aus den Hinkurven und des zugehörigen Reduktionsmaximums aus den Rückkurven genommen (VP und VF), wobei als Spannung jeweils die Spannung gegen Ferrocen verwendet wird. Der HOMO-Wert der zu untersuchenden Substanz EHOMO ergibt sich als EHOMO = –[e·(VP – VF) + 4.8 eV], wobei e die Elementarladung darstellt.
- Es ist zu beachten, dass im Einzelfall gegebenenfalls sinnvolle Abwandlungen der Messmethode vorgenommen werden müssen, z. B. wenn sich die zu untersuchende Substanz in Dichlormethan nicht lösen lässt oder wenn es zu Zersetzung der Substanz während der Messung kommt. Sollte eine sinnvolle Messung mittels CV mit der oben genannten Methode nicht möglich sein, wird die HOMO-Energie über Photoelektronen-Spektroskopie mittels Model AC-2 Photoelectron Spectrometer von Riken Keiki Co. Ltd. (http://www.rikenkeiki.com/pages/AC2.htm) bestimmt werden, wobei zu beachten ist, dass die erhaltenen Werte dabei typischerweise um 0.3 eV tiefer liegen, als die mit CV gemessenen. Unter dem HOMO-Wert im Sinne dieses Patents ist dann der Wert aus Riken AC2 + 0.3 eV zu verstehen.
- Weiterhin lassen sich sowohl mit der beschriebenen CV Methode wie auch mit der beschriebenen Photoelektronen-Spektroskopie HOMO-Werte, die tiefer als –6 eV liegen, nicht verlässlich messen. In diesem Fall werden die HOMO-Werte aus quantenchemischer Rechnung mittels Dichtefunktional-Theorie (DFT) ermittelt. Dies erfolgt über die kommerziell erhältliche Software Gaussian 03W (Gaussian Inc.) mit der Methode B3PW91/6- 31 G(d). Die Normierung der berechneten Werte auf CV-Werte wird über einen Abgleich mit aus CV messbaren Materialien erreicht. Hierzu werden die HOMO-Werte einer Reihe von Materialien mit der CV Methode gemessen und ebenso berechnet. Die berechneten Werte werden dann mittels der gemessenen kalibriert, dieser Kalibrierfaktor wird für alle weiteren Berechnungen verwendet. Auf diese Weise lassen sich HOMO-Werte berechnen, die sehr gut denen entsprechen, die man über CV messen würde. Sollte sich der HOMO-Wert einer bestimmten Substanz nicht über CV oder Riken AC2 wie oben beschrieben messen lassen, ist unter dem HOMO-Wert im Sinne dieses Patents daher der Wert zu verstehen, der entsprechend der Beschreibung durch eine auf CV kalibrierte DFT-Rechnung, wie oben beschrieben, erhalten wird. Beispiele für auf diese Weise berechnetete Werte einiger gäninger organischer Materialien sind: NPB = (HOMO –5.16 eV, LUMO –2.28 eV); TCTA (HOMO –5.33 eV, LUMO –2.20 eV); TPBI (HOMO –6.26 eV, LUMO –2.48 eV). Diese Werte können für die Kalibrierung der Rechenmethode verwendet werden.
- Die Energielücke wird bestimmt aus der Absorptionskante des Absorptionsspektrums gemessen an einem Film mit Schichtdicke 50 nm. Die Absorptionskante ist dabei definiert als die Wellenlänge, die man erhält, wenn man im Absorptionsspektrum an die langwelligste abfallende Flanke an ihrer steilsten Stelle eine Gerade anfittet und den Wert ermittelt, bei dem diese Gerade die Wellenlängeachse, d. h. den Absorptionswert = 0, schneidet
- Der LUMO Wert wird durch Addition der Energielücke auf den oben beschriebenen HOMO-Wert erhalten.
- Herstellung und Charakterisierung von organischen Elektrolumineszenzvorrichtungen gemäß der Erfindung
- Erfindungsgemäße Elektrolumineszenzvorrichtungen können, wie beispielsweise in
allgemein beschrieben, hergestellt werden. Die Strukturen der verwendeten Materialien sind der Übersichtlichkeit halber im Folgenden abgebildet.WO 05/003253 - Diese noch nicht optimierten OLEDs werden standardmäßig charakterisiert; hierfür werden die Elektrolumineszenzspektren und Farbkoordinaten (gemäß CIE 1931), die Effizienz (gemessen in cd/A) in Abhängigkeit von der Helligkeit, die Betriebsspannung, berechnet aus Strom-Spannungs-Leuchtdichte-Kennlinien (IUL-Kennlinien), und die Lebensdauer bestimmt. Die erhaltenen Ergebnisse sind in Tabelle 2 zusammengefasst.
- Im Folgenden werden die Ergebnisse verschiedener OLEDs gegenübergestellt. Für die verwendeten Matrixmaterialien werden dabei folgende Werte für HOMO, LUMO und Energielücke mit der oben beschriebenen allgemeinen Methode bestimmt (Tabelle 1). Tabelle 1
Material HOMO LUMO Energielücke TMM1 –6.3 eV –2.75 eV 3.55 eV TMM2 –5.8 eV –1.8 eV 4.0 eV TMM3 –6.15 eV –2.0 eV 4.15 eV TMM4 –6.2 eV –2.2 eV 4.0 eV CBP –5.40 eV –2.0 eV 3.4 eV TCTA –5.30 eV –2.2 eV 3.1 eV - Dabei ist TMM1 ein elektronenleitendes Matrixmaterial, CBP und TCTA sind lochleitende Matrixmaterialien und TMM2, TMM3 und TMM4 sind weder elektronenleitende noch lochleitende Matrixmaterialien.
- Beispiel 1:
- Erfindungsgemäße Beispiele 1a und 1b werden durch folgenden Schichtaufbau realisiert:
20 nm HIM, 20 nm HTM, 30 nm Mischschicht TMM1:TMM3 im Verhältnis 2:1 (1a) bzw. 1:2 (1b) dotiert mit 10% TEG, 10 nm TMM1, 20 nm ETM, 1 nm LiF, 100 nm Al. - TMM1 stellt hierbei gemäß Definition einen elektronenleitenden Host dar und TMM3 einen Neutralhost. Die erhaltenen OLEDs weisen grüne Emission mit hoher Effizienz, niedriger Betriebsspannung und einer langen Betriebslebensdauer auf.
- Beispiel 2:
- Erfindungsgemäßes Beispiel 2 wird durch den gleichen Schichtaufbau realisiert wie Beispiel 1a, wobei als Neutralhost anstelle von TMM3 das Material TMM2 verwendet wurde. Auch diese OLED weist ähnlich gute Emissionseigenschaften auf wie Beispiele 1a und 1b
- Beispiel 3:
- Erfindungsgemäßes Beispiel 3 wird durch den gleichen Schichtaufbau realisiert wie Beispiel 2, wobei als Neutralhost anstelle von TMM2 das Material TMM4 verwendet wurde. Auch diese OLED weist ähnlich gute Emissionseigenschaften auf wie Beispiel 2
- Beispiel 4 (Vergleich):
- Vergleichsbeispiel 4 wird durch den gleichen Schichtaufbau realisiert wie Beispiele 1, 2 und 3 allerdings wird hier auf eine Mischschicht verzichtet, die Emissionsschicht enthält TMM1 alleine, dotiert mit 10% TEG.
- Die Verwendung des elektronenleitenden Hosts ohne Beimischung eines Neutralmaterials ermöglich zwar etwas geringere Spannungen, dafür liegen aber Effizienz und Betriebslebensdauer deutlich unter den Daten der in Beispielen 1, 2 und 3 gezeigten OLEDs mit erfindungsgemäßer Mischschicht.
- Beispiel 5 (Vergleich):
- Vergleichsbeispiel 5 wird durch den gleichen Schichtaufbau realisiert wie Beispiel 4, allerdings wird hier der Neutralhost TMM3 als alleiniger Host für die Emissionsschicht verwendet, wieder dotiert mit 10% TEG.
- Es zeigt sich, dass dieses Material als alleiniger Host aufgrund seiner HOMO und LUMO Lagen ungeeignet ist, um eine brauchbare OLED Emissionscharakteristik zu erhalten. Schon alleine an der sehr hohen Betriebsspannung zeigt sich, dass dieses Material zu keinem guten Ladungstransport in der OLED führt.
- Beispiel 6 (Vergleich):
- Vergleichsbeispiele 6a und 6b enthalten wieder eine Mischschicht als Host, allerdings keine erfindungesgemäße, da sie entsprechend dem Stand der Technik neben dem elektronenleitenden Material TMM1 die lochleitenden Materialien CBP oder TCTA enthalten. Sie werden analog zu Beispiel 1a durch folgenden Schichtaufbau realisiert:
20 nm HIM, 20 nm HTM, 30 nm Mischschicht TMM1:CBP (6a) bzw. TMM1:TCTA (6b) im Verhältnis 2:1 dotiert mit 10% TEG, 10 nm TMM1, 20 nm ETM, 1 nm LiF, 100 nm Al. - Es zeigt sich, dass die Spannung bei Verwendung von TCTA zwar etwas niedriger liegt als bei den erfindungsgemäßen Mischschichten in Beispielen 1 und 2. Die Effizienz und insbesondere die Betriebslebensdauer ist den erfindungsgemäßen Mischschichten aber deutlich unterlegen. Tabelle 2: Device-Ergebnisse
Bsp. Wirtsmaterial(ien) Dotand CIE x/y bei 1000 cd/m2 Effizienz bei 1000 cd/m2 Spannung bei 1000 cd/m2 Lebensdauer 50% bei 4000 cd/m2 1a TMM1:TMM3 (2:1) TEG 10% 0.36/0.61 46 cd/A 4.0 V 2900 1b TMM1:TMM3 (1:2) TEG 10% 0.36/0.61 45 cd/A 4.3 V 3100 2 TMM1:TMM2 (2:1) TEG 10% 0.36/0.61 47 cd/A 4.1 V 2700 3 TMM1:TMM4 (2:1) TEG 10% 036/0.61 45 cd/A 4.1 V 2300 4(Vgl.) TMM1 TEG 10% 0.37/0.60 42 cd/A 3.8 V 2000 5(Vgl.) TMM3 TEG 10% 0.34/0.59 12 cd/A 8.7 V 140 6a(Vgl) TMM1:CBP (2:1) TEG 10% 0.36/0.61 44 cd/A 4.1 V 2000 6b(Vgl) TMM1:TCTA (2:1) TEG 10% 0.35/0.60 42 cd/A 3.9 V 1100 - ZITATE ENTHALTEN IN DER BESCHREIBUNG
- Diese Liste der vom Anmelder aufgeführten Dokumente wurde automatisiert erzeugt und ist ausschließlich zur besseren Information des Lesers aufgenommen. Die Liste ist nicht Bestandteil der deutschen Patent- bzw. Gebrauchsmusteranmeldung. Das DPMA übernimmt keinerlei Haftung für etwaige Fehler oder Auslassungen.
- Zitierte Patentliteratur
-
- - US 4539507 [0002]
- - US 5151629 [0002]
- - EP 0676461 [0002]
- - WO 98/27136 [0002]
- - WO 04/093207 [0005, 0027]
- - DE 102008033943 [0005, 0027]
- - DE 1002008036982 [0005]
- - US 2007/0252516 [0007]
- - US 2007/0099026 [0008]
- - WO 00/70655 [0052]
- - WO 01/41512 [0052]
- - WO 02/02714 [0052]
- - WO 02/15645 [0052]
- - EP 1191613 [0052]
- - EP 1191612 [0052]
- - EP 1191614 [0052]
- - WO 04/081017 [0052]
- - WO 05/033244 [0052]
- - WO 05/042550 [0052]
- - WO 05/113563 [0052]
- - WO 06/008069 [0052]
- - WO 06/061182 [0052]
- - WO 06/081973 [0052]
- - DE 102008015526 [0052]
- - DE 102008027005 [0052]
- - DE 102009007038 [0052]
- - WO 05/011013 [0055]
- - WO 06/122630 [0061]
- - WO 06/100896 [0061]
- - EP 1661888 [0061, 0061]
- - WO 01/049806 [0061, 0061]
- - US 5061569 [0061, 0061]
- - WO 95/09147 [0061]
- - WO 08/006449 [0061]
- - WO 07/140847 [0061]
- - JP 2001/226331 [0061]
- - EP 676461 [0061]
- - EP 650955 [0061, 0061]
- - US 4780536 [0061]
- - WO 98/30071 [0061]
- - EP 891121 [0061]
- - JP 2006/253445 [0061]
- - WO 06/073054 [0061]
- - JP 2000/053957 [0063]
- - WO 03/060956 [0063]
- - WO 04/028217 [0063]
- - WO 04/080975 [0063]
- - WO 05/003253 [0080]
- Zitierte Nicht-Patentliteratur
-
- - Y. Shirota et al., Chem. Rev. 2007, 107(4), 953–1010 [0060]
- - M. S. Arnold et al., Appl. Phys. Lett. 2008, 92, 053301 [0065]
Claims (15)
- Organische Elektrolumineszenzvorrichtung, enthaltend Anode, Kathode und mindestens eine emittierende Schicht, welche mindestens eine phosphoreszierende Verbindung enthält, welche in eine Mischung aus zwei Materialien A und B eindotiert ist, wobei die Materialien A und B definierte niedermolekulare Verbindungen mit einer Molmasse von 2000 g/mol oder weniger sind, dadurch gekennzeichnet, dass das Material A ein ladungstransportierendes Material ist und dass das Material B ein Material ist, welches ein HOMO von –5.4 eV oder weniger und ein LUMO von –2.4 eV oder mehr aufweist, und welches eine Energielücke von mindestens 3.5 eV aufweist.
- Organische Elektrolumineszenzvorrichtung nach Anspruch 1, dadurch gekennzeichnet, dass das ladungstransportierende Matrixmaterial A ein lochtransportierendes Material oder ein elektronentransportierendes Material ist.
- Organische Elektrolumineszenzvorrichtung nach Anspruch 1 oder 2, dadurch gekennzeichnet, dass der Anteil der phosphoreszierenden Verbindung in der emittierenden Schicht 1 bis 50 Vol.-%, bevorzugt 3 bis 30 Vol.-%, besonders bevorzugt 5 bis 25 Vol.-%, ganz besonders bevorzugt 10 bis 20 Vol.-% beträgt.
- Organische Elektrolumineszenzvorrichtung nach einem oder mehreren der Ansprüche 1 bis 3, dadurch gekennzeichnet, dass das Mischungsverhältnis zwischen dem ladungstransportierenden Material A und dem Material B zwischen 10:1 und 1:10, bevorzugt zwischen 7:1 und 1:7, besonders bevorzugt zwischen 4:1 und 1:4 liegt, jeweils bezogen auf das Volumen.
- Organische Elektrolumineszenzvorrichtung nach einem oder mehreren der Ansprüche 1 bis 4, dadurch gekennzeichnet, dass das ladungstransportierende Material A eine elektronenleitende Verbindung ist, welche ausgewählt ist aus der Gruppe bestehend aus aromatischen Ketonen, aromatischen Sulfoxiden, aromatischen Sulfonen, Triazinderivaten, Zink-Komplexen und Aluminium-Komplexen.
- Organische Elektrolumineszenzvorrichtung nach Anspruch 5, dadurch gekennzeichnet, dass das aromatische Keton eine Verbindung der Formel (1) ist, wobei für die verwendeten Symbole gilt: Ar ist bei jedem Auftreten gleich oder verschieden ein aromatisches oder heteroaromatisches Ringsystem mit 5 bis 60 aromatischen Ringatomen, welches jeweils mit einer oder mehreren Gruppen R1 substituiert sein kann; R1 ist bei jedem Auftreten gleich oder verschieden H, D, F, Cl, Br, I, CHO, C(=O)Ar1, P(=O)(Ar1)2, S(=O)Ar1, S(=O)2Ar1, CR2=CR2Ar1, CN, NO2, Si(R2)3, B(OR2)2, B(R2)2, B(N(R2)2)2, OSO2R2, eine geradkettige Alkyl-, Alkoxy- oder Thioalkoxygruppe mit 1 bis 40 C-Atomen oder eine geradkettige Alkenyl- oder Alkinylgruppe mit 2 bis 40 C-Atomen oder eine verzweigte oder cyclische Alkyl-, Alkenyl-, Alkinyl-, Alkoxy- oder Thioalkoxygruppe mit 3 bis 40 C-Atomen, die jeweils mit einem oder mehreren Resten R2 substituiert sein kann, wobei eine oder mehrere nicht benachbarte CH2-Gruppen durch R2C=CR2, C≡C, Si(R2)2, Ge(R2)2, Sn(R2)2, C=O, C=S, C=Se, C=NR2, P(=O)(R2), SO, SO2, NR2, O, S oder CONR2 ersetzt sein können und wobei ein oder mehrere H-Atome durch F, Cl, Br, I, CN oder NO2 ersetzt sein können, oder ein aromatisches oder heteroaromatisches Ringsystem mit 5 bis 60 aromatischen Ringatomen, das jeweils durch einen oder mehrere Reste R2 substituiert sein kann, oder eine Aryloxy- oder Heteroaryloxygruppe mit 5 bis 60 aromatischen Ringatomen, die durch einen oder mehrere Reste R2 substituiert sein kann, oder eine Kombination dieser Systeme; dabei können zwei oder mehrere benachbarte Substituenten R1 auch miteinander ein mono- oder polycyclisches, aliphatisches oder aromatisches Ringsystem bilden; Ar1 ist bei jedem Auftreten gleich oder verschieden ein aromatisches oder heteroaromatisches Ringsystem mit 5 bis 40 aromatischen Ringatomen, das mit einem oder mehreren Resten R2 substituiert sein kann; R2 ist bei jedem Auftreten gleich oder verschieden H, D, CN oder ein aliphatischer, aromatischer und/oder heteroaromatischer Kohlenwasserstoffrest mit 1 bis 20 C-Atomen, in dem auch H-Atome durch F ersetzt sein können; dabei können zwei oder mehrere benachbarte Substituenten R2 auch miteinander ein mono- oder polycyclisches, aliphatisches oder aromatisches Ringsystem bilden.
- Organische Elektrolumineszenzvorrichtung nach Anspruch 5 oder 6, dadurch gekennzeichnet, dass das aromatische Keton eine Verbindung der Formel (2), (3), (4) oder (5) ist, wobei Ar und R1 dieselbe Bedeutung haben, wie in Anspruch 6 beschrieben, und weiterhin gilt: Z ist gleich oder verschieden bei jedem Auftreten CR1 oder N; n ist gleich oder verschieden bei jedem Auftreten 0 oder 1.
- Organische Elektrolumineszenzvorrichtung nach Anspruch 5, dadurch gekennzeichnet, dass das Triazinderivat eine Verbindung der Formel (6) oder (7) ist, wobei R1 die in Anspruch 6 genannte Bedeutung hat und für die weiteren verwendeten Symbole gilt: Ar2 ist gleich oder verschieden bei jedem Auftreten ein monovalentes aromatisches oder heteroaromatisches Ringsystem mit 5 bis 60 aromatischen Ringatomen, welches jeweils mit einem oder mehreren Resten R1 substituiert sein kann; Ar3 ist ein bivalentes aromatisches oder heteroaromatisches Ringsystem mit 5 bis 60 aromatischen Ringatomen, welches mit einem oder mehreren Resten R1 substituiert sein kann.
- Organische Elektrolumineszenzvorrichtung nach einem oder mehreren der Ansprüche 1 bis 8, dadurch gekennzeichnet, dass das Material B ein HOMO von –5.7 eV oder weniger, bevorzugt von –6.0 eV oder weniger aufweist.
- Organische Elektrolumineszenzvorrichtung nach einem oder mehreren der Ansprüche 1 bis 9, dadurch gekennzeichnet, dass das Material B eine Energielücke von 3.7 eV oder mehr, bevorzugt von 3.9 eV oder mehr aufweist.
- Organische Elektrolumineszenzvorrichtung nach einem oder mehreren der Ansprüche 1 bis 10, dadurch gekennzeichnet, dass das Material B ein LUMO von –2.2 eV oder mehr, bevorzugt von –2.0 eV oder mehr aufweist.
- Organische Elektrolumineszenzvorrichtung nach einem oder mehreren der Ansprüche 1 bis 11, dadurch gekennzeichnet, dass das Material B ein Diazaborol oder ein reiner Kohlenwasserstoff ist, insbesondere ein aromatischer Kohlenwasserstoff.
- Organische Elektrolumineszenzvorrichtung nach Anspruch 12, dadurch gekennzeichnet, dass das Matrixmaterial B ausgewählt ist aus Verbindungen der Formeln (22), (23), (24) und (25), wobei Ar, R1 und n die in den Ansprüchen 6 und 7 genannten Bedeutungen haben und die weiteren verwendeten Symbole die folgenden Bedeutungen haben: Ar4 ist bei jedem Auftreten gleich oder verschieden ein aromatisches Gruppe mit 6 bis 60 aromatischen C-Atomen, welches keine nicht-aromatischen Gruppen ungleich Kohlenstoff oder Wasserstoff enthält; dabei kann Ar4 durch einen oder mehrere Reste R4 substituiert sein; R3 ist bei jedem Auftreten gleich oder verschieden eine geradkettige Alkylgruppe mit 1 bis 20 C-Atomen oder eine verzweigte oder cyclische Alkylgruppe mit 3 bis 20 C-Atomen, oder ein aromatisches Ringsystem mit 6 bis 60 aromatischen C-Atomen, welches keine nicht-aromatischen Gruppen ungleich Kohlenstoff oder Wasserstoff enthält und welches durch einen oder mehrere Reste R4 substituiert sein kann; dabei können zwei oder mehrere Reste R3 auch miteinander ein Ringsystem bilden; R4 ist bei jedem Auftreten gleich oder verschieden eine geradkettige Alkylgruppe mit 1 bis 20 C-Atomen oder eine verzweigte oder cyclische Alkylgruppe mit 3 bis 20 C-Atomen; dabei können zwei oder mehrere Reste R4 auch miteinander ein Ringsystem bilden; q ist 1, 2, 3 oder 4.
- Organische Elektrolumineszenzvorrichtung nach einem oder mehreren der Ansprüche 1 bis 13, dadurch gekennzeichnet, dass die phosphoreszierende Verbindung eine Verbindung der Formeln (26) bis (29) ist, wobei R1 dieselbe Bedeutung hat, wie in Anspruch 6 beschrieben, und für die weiteren verwendeten Symbole gilt: DCy ist gleich oder verschieden bei jedem Auftreten eine cyclische Gruppe, die mindestens ein Donoratom, bevorzugt Stickstoff, Kohlenstoff in Form eines Carbens oder Phosphor, enthält, über welches die cyclische Gruppe an das Metall gebunden ist, und die wiederum einen oder mehrere Substituenten R1 tragen kann; die Gruppen DCy und CCy sind über eine kovalente Bindung miteinander verbunden; CCy ist gleich oder verschieden bei jedem Auftreten eine cyclische Gruppe, die ein Kohlenstoffatom enthält, über welches die cyclische Gruppe an das Metall gebunden ist und die wiederum einen oder mehrere Substituenten R1 tragen kann; A ist gleich oder verschieden bei jedem Auftreten ein monoanionischer, zweizähnig chelatisierender Ligand, bevorzugt ein Diketonatligand.
- Verfahren zur Herstellung einer organischen Elektrolumineszenzvorrichtung nach einem oder mehreren der Ansprüche 1 bis 14, dadurch gekennzeichnet, dass eine oder mehrere Schichten mit einem Sublimationsverfahren beschichtet werden oder dass eine oder mehrere Schichten mit dem OVPD (Organic Vapour Phase Deposition) Verfahren oder mit Hilfe einer Trägergassublimation beschichtet werden oder dass eine oder mehrere Schichten aus Lösung oder mit einem Druckverfahren beschichtet werden.
Priority Applications (8)
| Application Number | Priority Date | Filing Date | Title |
|---|---|---|---|
| DE102009014513A DE102009014513A1 (de) | 2009-03-23 | 2009-03-23 | Organische Elektrolumineszenzvorrichtung |
| PCT/EP2010/001123 WO2010108579A1 (de) | 2009-03-23 | 2010-02-24 | Organische elektrolumineszenzvorrichtung |
| JP2012501154A JP5670418B2 (ja) | 2009-03-23 | 2010-02-24 | 有機エレクトロルミネセンスデバイス |
| DE112010001236.9T DE112010001236B4 (de) | 2009-03-23 | 2010-02-24 | Organische elektrolumineszenzvorrichtung |
| US13/258,214 US9444064B2 (en) | 2009-03-23 | 2010-02-24 | Organic electroluminescent device |
| KR1020117024815A KR101704837B1 (ko) | 2009-03-23 | 2010-02-24 | 유기 전계발광 디바이스 |
| CN201080013018.5A CN102362367B (zh) | 2009-03-23 | 2010-02-24 | 有机电致发光器件 |
| TW099108016A TWI510596B (zh) | 2009-03-23 | 2010-03-18 | 有機電發光裝置 |
Applications Claiming Priority (1)
| Application Number | Priority Date | Filing Date | Title |
|---|---|---|---|
| DE102009014513A DE102009014513A1 (de) | 2009-03-23 | 2009-03-23 | Organische Elektrolumineszenzvorrichtung |
Publications (1)
| Publication Number | Publication Date |
|---|---|
| DE102009014513A1 true DE102009014513A1 (de) | 2010-09-30 |
Family
ID=42170826
Family Applications (2)
| Application Number | Title | Priority Date | Filing Date |
|---|---|---|---|
| DE102009014513A Withdrawn DE102009014513A1 (de) | 2009-03-23 | 2009-03-23 | Organische Elektrolumineszenzvorrichtung |
| DE112010001236.9T Active DE112010001236B4 (de) | 2009-03-23 | 2010-02-24 | Organische elektrolumineszenzvorrichtung |
Family Applications After (1)
| Application Number | Title | Priority Date | Filing Date |
|---|---|---|---|
| DE112010001236.9T Active DE112010001236B4 (de) | 2009-03-23 | 2010-02-24 | Organische elektrolumineszenzvorrichtung |
Country Status (7)
| Country | Link |
|---|---|
| US (1) | US9444064B2 (de) |
| JP (1) | JP5670418B2 (de) |
| KR (1) | KR101704837B1 (de) |
| CN (1) | CN102362367B (de) |
| DE (2) | DE102009014513A1 (de) |
| TW (1) | TWI510596B (de) |
| WO (1) | WO2010108579A1 (de) |
Cited By (21)
| Publication number | Priority date | Publication date | Assignee | Title |
|---|---|---|---|---|
| DE102009041414A1 (de) | 2009-09-16 | 2011-03-17 | Merck Patent Gmbh | Metallkomplexe |
| DE102009057167A1 (de) | 2009-12-05 | 2011-06-09 | Merck Patent Gmbh | Elektronische Vorrichtung enthaltend Metallkomplexe |
| DE102010004803A1 (de) | 2010-01-16 | 2011-07-21 | Merck Patent GmbH, 64293 | Materialien für organische Elektrolumineszenzvorrichtungen |
| DE102010005697A1 (de) | 2010-01-25 | 2011-07-28 | Merck Patent GmbH, 64293 | Verbindungen für elektronische Vorrichtungen |
| DE102010009903A1 (de) | 2010-03-02 | 2011-09-08 | Merck Patent Gmbh | Verbindungen für elektronische Vorrichtungen |
| DE102010010481A1 (de) | 2010-03-06 | 2011-09-08 | Merck Patent Gmbh | Organische Elektrolumineszenzvorrichtung |
| DE102010014933A1 (de) | 2010-04-14 | 2011-10-20 | Merck Patent Gmbh | Materialien für elektronische Vorrichtungen |
| WO2011141120A1 (de) | 2010-05-14 | 2011-11-17 | Merck Patent Gmbh | Metallkomplexe |
| DE102010024335A1 (de) | 2010-06-18 | 2011-12-22 | Merck Patent Gmbh | Verbindungen für elektronische Vorrichtungen |
| DE102010024542A1 (de) | 2010-06-22 | 2011-12-22 | Merck Patent Gmbh | Materialien für elektronische Vorrichtungen |
| DE102010024897A1 (de) | 2010-06-24 | 2011-12-29 | Merck Patent Gmbh | Materialien für organische Elektrolumineszenzvorrichtungen |
| WO2012007088A1 (de) | 2010-07-16 | 2012-01-19 | Merck Patent Gmbh | Metallkomplexe |
| DE102010027218A1 (de) | 2010-07-15 | 2012-01-19 | Merck Patent Gmbh | Organische Komplexe enthaltend Metalle |
| DE102010027316A1 (de) | 2010-07-16 | 2012-01-19 | Merck Patent Gmbh | Metallkomplexe |
| DE102010027317A1 (de) | 2010-07-16 | 2012-01-19 | Merck Patent Gmbh | Metallkomplexe |
| DE102010045405A1 (de) | 2010-09-15 | 2012-03-15 | Merck Patent Gmbh | Materialien für organische Elektrolumineszenzvorrichtungen |
| WO2012038029A1 (de) | 2010-09-24 | 2012-03-29 | Merck Patent Gmbh | Phosphorhaltige metallkomplexe |
| DE102012016192A1 (de) | 2011-08-19 | 2013-02-21 | Merck Patent Gmbh | Neue Materialien für organische Elektrolumineszenzvorrichtungen |
| WO2013097920A1 (en) | 2011-12-27 | 2013-07-04 | Merck Patent Gmbh | Metal complexes comprising 1,2,3-triazoles |
| WO2013107487A1 (en) | 2012-01-16 | 2013-07-25 | Merck Patent Gmbh | Organic metal complexes |
| WO2013174471A1 (en) | 2012-05-24 | 2013-11-28 | Merck Patent Gmbh | Metal complexes comprising condensed heteroaromatic rings |
Families Citing this family (326)
| Publication number | Priority date | Publication date | Assignee | Title |
|---|---|---|---|---|
| DE102009041289A1 (de) * | 2009-09-16 | 2011-03-17 | Merck Patent Gmbh | Organische Elektrolumineszenzvorrichtung |
| WO2011076325A1 (en) * | 2009-12-23 | 2011-06-30 | Merck Patent Gmbh | Compositions comprising polymeric binders |
| JP5238889B2 (ja) | 2010-01-15 | 2013-07-17 | 出光興産株式会社 | 有機エレクトロルミネッセンス素子 |
| DE112011102008B4 (de) | 2010-06-15 | 2022-04-21 | Merck Patent Gmbh | Metallkomplexe |
| EP2627731A1 (de) * | 2010-10-11 | 2013-08-21 | Solvay Sa | Neuartige spirobifluoren-verbindungen |
| DE102010048497A1 (de) * | 2010-10-14 | 2012-04-19 | Merck Patent Gmbh | Formulierungen für organische Elektrolumineszenzvorrichtungen |
| DE102010048498A1 (de) * | 2010-10-14 | 2012-04-19 | Merck Patent Gmbh | Materialien für organische Elektrolumineszenzvorrichtungen |
| EP2649150A2 (de) * | 2010-12-08 | 2013-10-16 | Georgia Tech Research Corporation | Bis(sulfonyl)biarylderivate als elektronentransportierende und/oder wirtsmaterialien |
| DE102011106849A1 (de) | 2010-12-15 | 2012-06-21 | Merck Patent Gmbh | Verfahren zur Synthese N-N verknüpfter und um die N-N Bindung rotationsgehinderter bis-N-heterocyclische Carbene und deren Einsatz als Liganden für Metallkomplexe |
| DE112012007377B4 (de) | 2011-02-16 | 2025-08-07 | Semiconductor Energy Laboratory Co., Ltd. | Licht emittierendes Element |
| CN121442891A (zh) | 2011-02-16 | 2026-01-30 | 株式会社半导体能源研究所 | 发光元件 |
| DE102011011539A1 (de) | 2011-02-17 | 2012-08-23 | Merck Patent Gmbh | Verbindungen für elektronische Vorrichtungen |
| KR20250018429A (ko) | 2011-03-23 | 2025-02-05 | 가부시키가이샤 한도오따이 에네루기 켄큐쇼 | 발광 소자 |
| JP5996628B2 (ja) | 2011-04-04 | 2016-09-21 | メルク パテント ゲーエムベーハー | 金属錯体 |
| US9385335B2 (en) | 2011-04-05 | 2016-07-05 | Merck Patent Gmbh | Organic electroluminescent device |
| CN103476774B (zh) | 2011-04-13 | 2017-02-15 | 默克专利有限公司 | 用于电子器件的材料 |
| EP2697226B1 (de) | 2011-04-13 | 2017-01-18 | Merck Patent GmbH | Verbindungen für elektronische vorrichtungen |
| EP2699641B1 (de) | 2011-04-18 | 2017-05-17 | Merck Patent GmbH | Verbindungen für elektronische vorrichtungen |
| WO2012149992A1 (de) | 2011-05-04 | 2012-11-08 | Merck Patent Gmbh | Vorrichtung zur aufbewahrung von frischwaren |
| KR101884496B1 (ko) | 2011-05-05 | 2018-08-01 | 메르크 파텐트 게엠베하 | 전자 소자용 화합물 |
| JP6195823B2 (ja) | 2011-05-05 | 2017-09-13 | メルク パテント ゲーエムベーハー | 電子素子のための化合物 |
| WO2012166101A1 (en) | 2011-05-27 | 2012-12-06 | Universal Display Corporation | Oled having multi-component emissivie layer |
| KR101972184B1 (ko) | 2011-06-03 | 2019-04-24 | 메르크 파텐트 게엠베하 | 금속 착물 |
| KR101943676B1 (ko) | 2011-06-28 | 2019-01-29 | 메르크 파텐트 게엠베하 | 금속 착물 |
| US9780311B2 (en) | 2011-07-29 | 2017-10-03 | Merck Patent Gmbh | Compounds for electronic devices |
| KR101967014B1 (ko) | 2011-08-10 | 2019-04-08 | 메르크 파텐트 게엠베하 | 금속 착물 |
| KR102051790B1 (ko) | 2011-08-22 | 2019-12-04 | 메르크 파텐트 게엠베하 | 유기 전계발광 디바이스 |
| JP6223984B2 (ja) | 2011-10-27 | 2017-11-01 | メルク パテント ゲーエムベーハー | 電子素子のための材料 |
| JP6469445B2 (ja) * | 2011-12-22 | 2019-02-13 | メルク パテント ゲーエムベーハー | 有機エレクトロルミネッセンス素子のための化合物 |
| KR102357439B1 (ko) | 2012-02-14 | 2022-02-08 | 메르크 파텐트 게엠베하 | 유기 전계발광 소자용 스피로비플루오렌 화합물 |
| KR101358784B1 (ko) * | 2012-02-14 | 2014-02-10 | 삼성디스플레이 주식회사 | 개선된 효율 특성을 갖는 유기 발광 소자 및 이를 포함하는 유기 발광 표시 장치 |
| DE102012011335A1 (de) | 2012-06-06 | 2013-12-12 | Merck Patent Gmbh | Verbindungen für Organische Elekronische Vorrichtungen |
| WO2014006913A1 (ja) * | 2012-07-06 | 2014-01-09 | 出光興産株式会社 | ベンゾジアザボロール化合物及びそれを用いた有機エレクトロルミネッセンス素子用材料と有機エレクトロルミネッセンス素子 |
| EP2872590B1 (de) | 2012-07-13 | 2018-11-14 | Merck Patent GmbH | Metallkomplexe |
| KR20210076207A (ko) | 2012-07-23 | 2021-06-23 | 메르크 파텐트 게엠베하 | 플루오렌 및 이를 함유하는 전자 소자 |
| CN110444694B (zh) | 2012-07-23 | 2023-04-07 | 默克专利有限公司 | 化合物以及有机电致发光器件 |
| CN108054293B (zh) | 2012-07-23 | 2020-05-22 | 默克专利有限公司 | 2-二芳基氨基芴的衍生物和含有所述2-二芳基氨基芴衍生物的有机电子复合体 |
| JP6363075B2 (ja) | 2012-08-07 | 2018-07-25 | メルク パテント ゲーエムベーハー | 金属錯体 |
| WO2014023388A1 (de) | 2012-08-10 | 2014-02-13 | Merck Patent Gmbh | Materialien für organische elektrolumineszenzvorrichtungen |
| WO2014044347A1 (de) | 2012-09-20 | 2014-03-27 | Merck Patent Gmbh | Metallkomplexe |
| DE102012020167A1 (de) | 2012-10-13 | 2014-04-17 | Eberhard Karls Universität Tübingen | Metallkomplexe |
| KR101963104B1 (ko) | 2012-10-31 | 2019-03-28 | 메르크 파텐트 게엠베하 | 전자 디바이스 |
| DE102012021650A1 (de) | 2012-11-03 | 2014-05-08 | Eberhard Karls Universität Tübingen | Metallkomplexe |
| WO2014072017A1 (de) | 2012-11-12 | 2014-05-15 | Merck Patent Gmbh | Materialien für elektronische vorrichtungen |
| EP2923391A1 (de) | 2012-11-20 | 2015-09-30 | Merck Patent GmbH | Formulierung in hochreinem l?sungsmittel zur herstellung elektronischer vorrichtungen |
| KR102173856B1 (ko) | 2012-11-30 | 2020-11-04 | 메르크 파텐트 게엠베하 | 전자 소자 |
| US8766531B1 (en) * | 2012-12-14 | 2014-07-01 | Universal Display Corporation | Wearable display |
| WO2014094964A1 (de) * | 2012-12-18 | 2014-06-26 | Merck Patent Gmbh | Organische elektrolumineszenzvorrichtung |
| EP2941472B1 (de) | 2013-01-03 | 2018-07-25 | Merck Patent GmbH | Materialien für elektronische vorrichtungen |
| US20150340627A1 (en) | 2013-01-03 | 2015-11-26 | Merck Patent Gmbh | Materials for electronic devices |
| EP2941473B1 (de) * | 2013-01-03 | 2018-01-31 | Merck Patent GmbH | Elektronische vorrichtung |
| DE102013008189A1 (de) | 2013-05-14 | 2014-12-04 | Eberhard Karls Universität Tübingen | Metallkomplexe |
| WO2015014435A1 (de) | 2013-07-30 | 2015-02-05 | Merck Patent Gmbh | Materialien für elektronische vorrichtungen |
| WO2015014434A1 (de) | 2013-07-30 | 2015-02-05 | Merck Patent Gmbh | Materialien für elektronische vorrichtungen |
| DE102013013876A1 (de) | 2013-08-20 | 2015-03-12 | Merck Patent Gmbh | Metallkomplexe |
| EP3044284B1 (de) * | 2013-09-11 | 2019-11-13 | Merck Patent GmbH | Metallkomplexe |
| CN105612164A (zh) | 2013-10-02 | 2016-05-25 | 默克专利有限公司 | 用于oled中的含硼化合物 |
| US9390649B2 (en) | 2013-11-27 | 2016-07-12 | Universal Display Corporation | Ruggedized wearable display |
| KR102380808B1 (ko) | 2013-12-06 | 2022-03-30 | 메르크 파텐트 게엠베하 | 치환 옥세핀 |
| WO2015082056A1 (de) | 2013-12-06 | 2015-06-11 | Merck Patent Gmbh | Verbindungen und organische elektronische vorrichtungen |
| EP3080229B1 (de) | 2013-12-12 | 2018-01-17 | Merck Patent GmbH | Materialien für elektronische vorrichtungen |
| KR102618668B1 (ko) | 2013-12-19 | 2023-12-27 | 메르크 파텐트 게엠베하 | 헤테로시클릭 스피로 화합물 |
| CN106255687B (zh) | 2014-04-30 | 2020-06-05 | 默克专利有限公司 | 用于电子器件的材料 |
| DE102015006708A1 (de) | 2014-06-12 | 2015-12-17 | Merck Patent Gmbh | Metallkomplexe |
| DE102014008722B4 (de) | 2014-06-18 | 2024-08-22 | Merck Patent Gmbh | Zusammensetzungen für elektronische Vorrichtungen, Formulierung diese enthaltend, Verwendung der Zusammensetzung, Verwendung der Formulierung sowie organische elektronische Vorrichtung enthaltend die Zusammensetzung |
| EP3158597B1 (de) * | 2014-06-18 | 2020-09-23 | Merck Patent GmbH | Materialien für organische elektrolumineszenzvorrichtungen |
| JP6556764B2 (ja) | 2014-06-25 | 2019-08-07 | メルク パテント ゲーエムベーハー | 有機エレクトロルミネッセンス素子のための材料 |
| JP6629291B2 (ja) | 2014-07-21 | 2020-01-15 | メルク、パテント、ゲゼルシャフト、ミット、ベシュレンクテル、ハフツングMerck Patent GmbH | 電子素子用材料 |
| DE102014012818A1 (de) | 2014-08-28 | 2016-03-03 | Eberhard Karls Universität Tübingen | Metallkomplexe |
| EP3189551B1 (de) | 2014-09-05 | 2021-01-27 | Merck Patent GmbH | Formulierungen und verfahren zur herstellung einer organischen elektrolumineszenzvorrichtung |
| WO2016078747A1 (de) * | 2014-11-21 | 2016-05-26 | Merck Patent Gmbh | Heterocyclische verbindungen zur verwendung in elektronischen vorrichtungen |
| WO2016107663A1 (de) | 2014-12-30 | 2016-07-07 | Merck Patent Gmbh | Formulierungen und elektronische vorrichtungen |
| EP3250658B1 (de) | 2015-01-30 | 2019-06-19 | Merck Patent GmbH | Materialien für elektronische vorrichtungen |
| JP6772188B2 (ja) | 2015-02-03 | 2020-10-21 | メルク、パテント、ゲゼルシャフト、ミット、ベシュレンクテル、ハフツングMerck Patent GmbH | 金属錯体 |
| WO2016155866A1 (en) | 2015-03-30 | 2016-10-06 | Merck Patent Gmbh | Formulation of an organic functional material comprising a siloxane solvent |
| JP2018525331A (ja) | 2015-06-10 | 2018-09-06 | メルク パテント ゲーエムベーハー | 有機エレクトロルミネッセンス素子のための材料 |
| KR102654992B1 (ko) | 2015-06-12 | 2024-04-04 | 메르크 파텐트 게엠베하 | Oled 제제에 대한 용매로서 비-방향족 사이클을 함유하는 에스테르 |
| US20180219156A1 (en) | 2015-07-22 | 2018-08-02 | Merck Patent Gmbh | Materials for organic electroluminescent devices |
| WO2017016632A1 (en) | 2015-07-29 | 2017-02-02 | Merck Patent Gmbh | Materials for organic electroluminescent devices |
| CN107922359A (zh) | 2015-07-30 | 2018-04-17 | 默克专利有限公司 | 用于有机电致发光器件的材料 |
| JP6786591B2 (ja) | 2015-08-14 | 2020-11-18 | メルク、パテント、ゲゼルシャフト、ミット、ベシュレンクテル、ハフツングMerck Patent GmbH | 有機エレクトロルミネッセンス素子のためのフェノキサジン誘導体 |
| EP3341981B1 (de) | 2015-08-28 | 2020-08-19 | Merck Patent GmbH | Formulierung eines organischen funktionellen materials mit einem epoxidgruppenhaltigen lösungsmittel |
| DE102015013381A1 (de) | 2015-10-14 | 2017-04-20 | Eberhard Karls Universität Tübingen | Metallkomplexe |
| KR20250005542A (ko) | 2015-10-26 | 2025-01-09 | 오티아이 루미오닉스 인크. | 표면 상에 코팅을 패턴화하는 방법 및 패턴화된 코팅을 포함하는 디바이스 |
| EP3368520B1 (de) | 2015-10-27 | 2023-04-26 | Merck Patent GmbH | Materialien für organische elektrolumineszente vorrichtungen |
| DE102015016016A1 (de) | 2015-12-10 | 2017-06-14 | Eberhard Karls Universität Tübingen | Metallkomplexe |
| CN108368361A (zh) | 2015-12-10 | 2018-08-03 | 默克专利有限公司 | 含有包含非芳族环的酮的制剂 |
| JP7051684B2 (ja) | 2015-12-15 | 2022-04-11 | メルク パテント ゲーエムベーハー | 有機電子調合物のための溶媒として芳香族基を含むエステル |
| EP3390549B1 (de) | 2015-12-16 | 2022-06-29 | Merck Patent GmbH | Formulierungen mit einem festen lösungsmittel |
| KR20180095028A (ko) | 2015-12-16 | 2018-08-24 | 메르크 파텐트 게엠베하 | 둘 이상의 상이한 용매의 혼합물을 함유하는 제형 |
| WO2017133829A1 (de) | 2016-02-05 | 2017-08-10 | Merck Patent Gmbh | Materialien für elektronische vorrichtungen |
| US10840448B2 (en) | 2016-02-17 | 2020-11-17 | Merck Patent Gmbh | Formulation of an organic functional material |
| DE102016003104A1 (de) | 2016-03-15 | 2017-09-21 | Merck Patent Gmbh | Behälter umfassend eine Formulierung enthaltend mindestens einen organischen Halbleiter |
| TWI745361B (zh) | 2016-03-17 | 2021-11-11 | 德商麥克專利有限公司 | 具有螺聯茀結構之化合物 |
| CN108884087A (zh) | 2016-04-11 | 2018-11-23 | 默克专利有限公司 | 包含二苯并呋喃和/或二苯并噻吩结构的杂环化合物 |
| US12486230B2 (en) | 2016-06-03 | 2025-12-02 | Merck Patent Gmbh | Materials for organic electroluminescent devices |
| CN109153871A (zh) | 2016-06-16 | 2019-01-04 | 默克专利有限公司 | 有机功能材料的制剂 |
| JP2019523998A (ja) | 2016-06-17 | 2019-08-29 | メルク パテント ゲーエムベーハー | 有機機能材料の調合物 |
| TW201815998A (zh) | 2016-06-28 | 2018-05-01 | 德商麥克專利有限公司 | 有機功能材料之調配物 |
| US11192909B2 (en) | 2016-06-30 | 2021-12-07 | Merck Patent Gmbh | Method for the separation of enantiomeric mixtures from metal complexes |
| JP7039549B2 (ja) | 2016-07-14 | 2022-03-22 | メルク パテント ゲゼルシャフト ミット ベシュレンクテル ハフツング | 金属錯体 |
| TW201817738A (zh) | 2016-07-25 | 2018-05-16 | 德商麥克專利有限公司 | 金屬錯合物 |
| CN116987124A (zh) | 2016-07-25 | 2023-11-03 | 默克专利有限公司 | 用作有机电致发光器件中的发光体的金属络合物 |
| WO2018024719A1 (en) | 2016-08-04 | 2018-02-08 | Merck Patent Gmbh | Formulation of an organic functional material |
| WO2018041769A1 (de) | 2016-08-30 | 2018-03-08 | Merck Patent Gmbh | Bl- und trinukleare metallkomplexe aufgebaut aus zwei miteinander verknüpften tripodalen hexadentaten liganden zur verwendung in elektrolumineszenzvorrichtungen |
| TW201827425A (zh) | 2016-09-14 | 2018-08-01 | 德商麥克專利有限公司 | 具有咔唑結構之化合物 |
| US11447464B2 (en) | 2016-09-14 | 2022-09-20 | Merck Patent Gmbh | Compounds with spirobifluorene-structures |
| CN109715642A (zh) | 2016-09-21 | 2019-05-03 | 默克专利有限公司 | 用作有机电致发光器件中的发光体的双核金属络合物 |
| TWI766884B (zh) | 2016-09-30 | 2022-06-11 | 德商麥克專利有限公司 | 具有二氮雜二苯并呋喃或二氮雜二苯并噻吩結構的化合物、其製法及其用途 |
| US20200028091A1 (en) | 2016-09-30 | 2020-01-23 | Merck Patent Gmbh | Carbazoles with diazadibenzofurane or diazadibenzothiophene structures |
| WO2018069197A1 (de) | 2016-10-12 | 2018-04-19 | Merck Patent Gmbh | Metallkomplexe |
| WO2018069196A1 (de) | 2016-10-12 | 2018-04-19 | Merck Patent Gmbh | Binukleare metallkomplexe sowie elektronische vorrichtungen, insbesondere organische elektrolumineszenzvorrichtungen, enthaltend diese metallkomplexe |
| JP7023946B2 (ja) | 2016-10-13 | 2022-02-22 | メルク パテント ゲゼルシャフト ミット ベシュレンクテル ハフツング | 金属錯体 |
| DE102017008794A1 (de) | 2016-10-17 | 2018-04-19 | Merck Patent Gmbh | Materialien zur Verwendung in elektronischen Vorrichtungen |
| US20190280220A1 (en) | 2016-10-25 | 2019-09-12 | Merck Patent Gmbh | Metal complexes |
| JP7013459B2 (ja) | 2016-10-31 | 2022-01-31 | メルク パテント ゲーエムベーハー | 有機機能材料の調合物 |
| CN109863223B (zh) | 2016-10-31 | 2023-06-20 | 默克专利有限公司 | 有机功能材料的制剂 |
| JP2020512273A (ja) | 2016-11-02 | 2020-04-23 | メルク パテント ゲーエムベーハー | 電子デバイス用材料 |
| TWI756292B (zh) | 2016-11-14 | 2022-03-01 | 德商麥克專利有限公司 | 具有受體基團與供體基團之化合物 |
| TW201833118A (zh) | 2016-11-22 | 2018-09-16 | 德商麥克專利有限公司 | 用於電子裝置之材料 |
| JP7101670B2 (ja) | 2016-11-25 | 2022-07-15 | メルク パテント ゲゼルシャフト ミット ベシュレンクテル ハフツング | 有機エレクトロルミネッセンス素子(oled)の材料としてのビスベンゾフラン縮合2,8-ジアミノインデノ[1,2-b]フルオレン誘導体およびその関連化合物 |
| US11453680B2 (en) | 2016-11-25 | 2022-09-27 | Merck Patent Gmbh | Bisbenzofuran-fused indeno[1,2-B]fluorene derivatives and related compounds as materials for organic electroluminescent devices (OLED) |
| TW201829385A (zh) | 2016-11-30 | 2018-08-16 | 德商麥克專利有限公司 | 具有戊內醯胺結構之化合物 |
| CN110301053B (zh) | 2016-12-02 | 2024-05-10 | Oti照明公司 | 包括设置在发射区域上面的导电涂层的器件及其方法 |
| KR20190086028A (ko) | 2016-12-05 | 2019-07-19 | 메르크 파텐트 게엠베하 | 유기 전계발광 디바이스용 재료 |
| EP3548486B1 (de) | 2016-12-05 | 2021-10-27 | Merck Patent GmbH | Materialien für organische elektrolumineszenzvorrichtungen |
| TW201831468A (zh) | 2016-12-05 | 2018-09-01 | 德商麥克專利有限公司 | 含氮的雜環化合物 |
| KR102472751B1 (ko) | 2016-12-06 | 2022-11-30 | 메르크 파텐트 게엠베하 | 전자 디바이스의 제조 방법 |
| CN110168047B (zh) | 2016-12-13 | 2023-08-08 | 默克专利有限公司 | 有机功能材料的制剂 |
| KR102504432B1 (ko) | 2016-12-22 | 2023-02-27 | 메르크 파텐트 게엠베하 | 적어도 2종의 유기-기능성 화합물을 포함하는 혼합물 |
| WO2018127465A1 (de) | 2017-01-04 | 2018-07-12 | Merck Patent Gmbh | Materialien für organische elektrolumineszenzvorrichtungen |
| CN110177855A (zh) | 2017-01-23 | 2019-08-27 | 默克专利有限公司 | 用于有机电致发光器件的材料 |
| TW201833300A (zh) | 2017-01-25 | 2018-09-16 | 德商麥克專利有限公司 | 咔唑衍生物 |
| TWI763772B (zh) | 2017-01-30 | 2022-05-11 | 德商麥克專利有限公司 | 電子裝置之有機元件的形成方法 |
| TWI791481B (zh) | 2017-01-30 | 2023-02-11 | 德商麥克專利有限公司 | 形成有機電致發光(el)元件之方法 |
| US11407766B2 (en) | 2017-01-30 | 2022-08-09 | Merck Patent Gmbh | Materials for organic electroluminescent devices |
| CN110291064B (zh) | 2017-02-02 | 2023-04-28 | 默克专利有限公司 | 用于电子器件的材料 |
| TW201835075A (zh) | 2017-02-14 | 2018-10-01 | 德商麥克專利有限公司 | 用於有機電致發光裝置之材料 |
| KR20190126097A (ko) | 2017-03-01 | 2019-11-08 | 메르크 파텐트 게엠베하 | 유기 전계발광 디바이스 |
| CN110325524A (zh) | 2017-03-02 | 2019-10-11 | 默克专利有限公司 | 用于有机电子器件的材料 |
| TW201843143A (zh) | 2017-03-13 | 2018-12-16 | 德商麥克專利有限公司 | 含有芳基胺結構之化合物 |
| KR102597731B1 (ko) | 2017-03-29 | 2023-11-02 | 메르크 파텐트 게엠베하 | 방향족 화합물 |
| JP7123967B2 (ja) | 2017-03-31 | 2022-08-23 | メルク パテント ゲーエムベーハー | 有機発光ダイオード(oled)のための印刷方法 |
| CN110494514A (zh) | 2017-04-10 | 2019-11-22 | 默克专利有限公司 | 有机功能材料的制剂 |
| WO2018189134A1 (de) | 2017-04-13 | 2018-10-18 | Merck Patent Gmbh | Zusammensetzung für organische elektronische vorrichtungen |
| CN110573515B (zh) | 2017-04-25 | 2023-07-25 | 默克专利有限公司 | 用于电子器件的化合物 |
| JP2020518107A (ja) | 2017-04-26 | 2020-06-18 | オーティーアイ ルミオニクス インコーポレーテッドOti Lumionics Inc. | 表面上のコーティングをパターン化する方法およびパターン化されたコーティングを含むデバイス |
| JP7330898B2 (ja) | 2017-05-03 | 2023-08-22 | メルク パテント ゲーエムベーハー | 有機機能材料の調合物 |
| CN116997204A (zh) | 2017-05-17 | 2023-11-03 | Oti照明公司 | 在图案化涂层上选择性沉积传导性涂层的方法和包括传导性涂层的装置 |
| JP2020520970A (ja) | 2017-05-22 | 2020-07-16 | メルク パテント ゲーエムベーハー | 電子デバイス用六環性ヘテロ芳香族化合物 |
| CN110770363A (zh) | 2017-06-26 | 2020-02-07 | 默克专利有限公司 | 均质混合物 |
| TW201920070A (zh) | 2017-06-28 | 2019-06-01 | 德商麥克專利有限公司 | 用於電子裝置之材料 |
| CN110785415A (zh) | 2017-07-05 | 2020-02-11 | 默克专利有限公司 | 用于有机电子器件的组合物 |
| WO2019007867A1 (de) | 2017-07-05 | 2019-01-10 | Merck Patent Gmbh | Zusammensetzung für organische elektronische vorrichtungen |
| WO2019016184A1 (en) | 2017-07-18 | 2019-01-24 | Merck Patent Gmbh | FORMULATION OF AN ORGANIC FUNCTIONAL MATERIAL |
| TWI776926B (zh) | 2017-07-25 | 2022-09-11 | 德商麥克專利有限公司 | 金屬錯合物 |
| TWI779067B (zh) | 2017-07-28 | 2022-10-01 | 德商麥克專利有限公司 | 電子裝置用材料 |
| CN118405981A (zh) | 2017-09-08 | 2024-07-30 | 默克专利有限公司 | 用于电子器件的材料 |
| CN108675975A (zh) | 2017-10-17 | 2018-10-19 | 默克专利有限公司 | 用于有机电致发光器件的材料 |
| KR102653073B1 (ko) | 2017-10-24 | 2024-03-29 | 메르크 파텐트 게엠베하 | 유기 전계발광 디바이스용 재료 |
| TWI785142B (zh) | 2017-11-14 | 2022-12-01 | 德商麥克專利有限公司 | 用於有機電子裝置之組成物 |
| EP4242286A3 (de) | 2017-11-23 | 2023-10-04 | Merck Patent GmbH | Materialien für elektronische vorrichtungen |
| TWI820057B (zh) | 2017-11-24 | 2023-11-01 | 德商麥克專利有限公司 | 用於有機電致發光裝置的材料 |
| TWI838352B (zh) | 2017-11-24 | 2024-04-11 | 德商麥克專利有限公司 | 用於有機電致發光裝置的材料 |
| TWI637960B (zh) * | 2017-12-01 | 2018-10-11 | Yuan Ze University | 苯並二氮雜硼雜環戊二烯化合物以及有機發光二極體元件 |
| TWI791701B (zh) | 2017-12-13 | 2023-02-11 | 德商麥克專利有限公司 | 金屬錯合物 |
| CN111418081B (zh) | 2017-12-15 | 2024-09-13 | 默克专利有限公司 | 有机功能材料的制剂 |
| KR102638811B1 (ko) | 2017-12-15 | 2024-02-21 | 메르크 파텐트 게엠베하 | 유기 전계 발광 디바이스용 치환된 방향족 아민 |
| TW201938562A (zh) | 2017-12-19 | 2019-10-01 | 德商麥克專利有限公司 | 雜環化合物 |
| TWI811290B (zh) | 2018-01-25 | 2023-08-11 | 德商麥克專利有限公司 | 用於有機電致發光裝置的材料 |
| US11751415B2 (en) | 2018-02-02 | 2023-09-05 | Oti Lumionics Inc. | Materials for forming a nucleation-inhibiting coating and devices incorporating same |
| JP7422668B2 (ja) | 2018-02-13 | 2024-01-26 | ユー・ディー・シー アイルランド リミテッド | 金属錯体 |
| JP7247231B2 (ja) | 2018-02-26 | 2023-03-28 | メルク パテント ゲーエムベーハー | 有機機能材料の調合物 |
| TW201938761A (zh) | 2018-03-06 | 2019-10-01 | 德商麥克專利有限公司 | 用於有機電致發光裝置的材料 |
| TWI802656B (zh) | 2018-03-06 | 2023-05-21 | 德商麥克專利有限公司 | 用於有機電致發光裝置之材料 |
| TWI828664B (zh) | 2018-03-19 | 2024-01-11 | 愛爾蘭商Udc愛爾蘭責任有限公司 | 金屬錯合物 |
| KR102868464B1 (ko) | 2018-05-07 | 2025-10-10 | 오티아이 루미오닉스 인크. | 보조 전극을 제공하는 방법 및 보조 전극을 포함하는 장치 |
| EP3802520A1 (de) | 2018-05-30 | 2021-04-14 | Merck Patent GmbH | Zusammensetzung für organische elektronische vorrichtungen |
| JP7322075B2 (ja) | 2018-06-07 | 2023-08-07 | メルク パテント ゲーエムベーハー | 有機エレクトロルミネッセンスデバイス |
| EP3807367B1 (de) | 2018-06-15 | 2023-07-19 | Merck Patent GmbH | Formulierung aus einem organischen funktionalen material |
| WO2020011686A1 (de) | 2018-07-09 | 2020-01-16 | Merck Patent Gmbh | Materialien für organische elektrolumineszenzvorrichtungen |
| KR102316066B1 (ko) * | 2018-07-27 | 2021-10-21 | 주식회사 엘지화학 | 잉크 조성물, 이를 이용한 유기 발광 소자 및 이의 제조방법 |
| KR20210052487A (ko) | 2018-08-28 | 2021-05-10 | 메르크 파텐트 게엠베하 | 유기 전계 발광 디바이스용 재료 |
| TWI823993B (zh) | 2018-08-28 | 2023-12-01 | 德商麥克專利有限公司 | 用於有機電致發光裝置之材料 |
| TWI837167B (zh) | 2018-08-28 | 2024-04-01 | 德商麥克專利有限公司 | 用於有機電致發光裝置之材料 |
| JP7459065B2 (ja) | 2018-09-12 | 2024-04-01 | メルク パテント ゲーエムベーハー | 有機エレクトロルミネッセンスデバイス用の材料 |
| KR20210056432A (ko) | 2018-09-24 | 2021-05-18 | 메르크 파텐트 게엠베하 | 과립형 재료의 제조 방법 |
| US12178124B2 (en) | 2018-09-27 | 2024-12-24 | Merck Kgaa | Compounds that can be used in an organic electronic device as active compounds |
| WO2020064662A2 (de) | 2018-09-27 | 2020-04-02 | Merck Patent Gmbh | Verfahren zur herstellung von sterisch gehinderten stickstoffhaltigen heteroaromatischen verbindungen |
| KR20210088597A (ko) | 2018-10-31 | 2021-07-14 | 메르크 파텐트 게엠베하 | 유기 전계발광 디바이스용 재료 |
| EP3877369A1 (de) | 2018-11-05 | 2021-09-15 | Merck Patent GmbH | In einer organischen elektronischen vorrichtung einsetzbare verbindungen |
| KR20210089205A (ko) | 2018-11-06 | 2021-07-15 | 메르크 파텐트 게엠베하 | Oled 용 유기 전계 발광 재료로서 5,6-디페닐-5,6-디히드로디벤즈[c,e][1,2]아자포스포린 및 6-페닐-6h-디벤조[c,e][1,2]티아진-5,5-디옥사이드 유도체 및 유사한 화합물 |
| WO2020094538A1 (en) | 2018-11-06 | 2020-05-14 | Merck Patent Gmbh | Method for forming an organic element of an electronic device |
| WO2020099349A1 (de) | 2018-11-14 | 2020-05-22 | Merck Patent Gmbh | Zur herstellung einer organischen elektronischen vorrichtung einsetzbare verbindungen |
| CN113195500B (zh) | 2018-11-15 | 2024-05-17 | 默克专利有限公司 | 用于有机电致发光器件的材料 |
| WO2020105015A1 (en) | 2018-11-23 | 2020-05-28 | Oti Lumionics Inc. | Optoelectronic device including a light transmissive region |
| TW202039493A (zh) | 2018-12-19 | 2020-11-01 | 德商麥克專利有限公司 | 用於有機電致發光裝置之材料 |
| TW202035345A (zh) | 2019-01-17 | 2020-10-01 | 德商麥克專利有限公司 | 用於有機電致發光裝置之材料 |
| TWI850329B (zh) | 2019-02-11 | 2024-08-01 | 愛爾蘭商Udc愛爾蘭責任有限公司 | 金屬錯合物 |
| US20230080974A1 (en) | 2019-02-18 | 2023-03-16 | Merck Patent Gmbh | Composition for organic electronic devices |
| US20220127286A1 (en) | 2019-03-04 | 2022-04-28 | Merck Patent Gmbh | Ligands for nano-sized materials |
| CN116456753A (zh) | 2019-03-07 | 2023-07-18 | Oti照明公司 | 一种光电子器件 |
| US20220162205A1 (en) | 2019-03-12 | 2022-05-26 | Merck Patent Gmbh | Materials for organic electroluminescent devices |
| KR20210141593A (ko) | 2019-03-20 | 2021-11-23 | 메르크 파텐트 게엠베하 | 유기 전계 발광 디바이스용 재료 |
| WO2020193447A1 (de) | 2019-03-25 | 2020-10-01 | Merck Patent Gmbh | Materialien für organische elektrolumineszenzvorrichtungen |
| WO2020212296A1 (de) | 2019-04-15 | 2020-10-22 | Merck Patent Gmbh | Metallkomplexe |
| WO2020212953A1 (en) | 2019-04-18 | 2020-10-22 | Oti Lumionics Inc. | Materials for forming a nucleation-inhibiting coating and devices incorporating the same |
| JP7576337B2 (ja) | 2019-05-08 | 2024-11-01 | オーティーアイ ルミオニクス インコーポレーテッド | 核生成抑制コーティングを形成するための材料およびそれを組み込んだデバイス |
| JP7618938B2 (ja) * | 2019-05-21 | 2025-01-22 | ユニバーサル ディスプレイ コーポレイション | 有機エレクトロルミネセンス材料及びデバイス |
| CN117500334A (zh) | 2019-06-26 | 2024-02-02 | Oti照明公司 | 包括具有光衍射特征的光透射区域的光电设备 |
| US11832473B2 (en) | 2019-06-26 | 2023-11-28 | Oti Lumionics Inc. | Optoelectronic device including light transmissive regions, with light diffraction characteristics |
| KR102818817B1 (ko) | 2019-08-09 | 2025-06-11 | 오티아이 루미오닉스 인크. | 보조 전극 및 파티션을 포함하는 광전자 디바이스 |
| CN114222738B (zh) | 2019-08-26 | 2024-05-17 | 默克专利有限公司 | 用于有机电致发光器件的材料 |
| US12108665B2 (en) | 2019-09-02 | 2024-10-01 | Merck Kgaa | Materials for organic electroluminescent devices |
| TW202122558A (zh) | 2019-09-03 | 2021-06-16 | 德商麥克專利有限公司 | 用於有機電致發光裝置之材料 |
| CN114342103B (zh) | 2019-09-19 | 2025-12-23 | 默克专利有限公司 | 两种主体材料的混合物和包含所述混合物的有机电致发光器件 |
| CN114401945A (zh) | 2019-09-20 | 2022-04-26 | 默克专利有限公司 | 作为用于电子器件的材料的迫位缩合杂环化合物 |
| WO2021078710A1 (en) | 2019-10-22 | 2021-04-29 | Merck Patent Gmbh | Materials for organic electroluminescent devices |
| WO2021078831A1 (de) | 2019-10-25 | 2021-04-29 | Merck Patent Gmbh | In einer organischen elektronischen vorrichtung einsetzbare verbindungen |
| KR20220110534A (ko) | 2019-12-04 | 2022-08-08 | 메르크 파텐트 게엠베하 | 금속 착물 |
| TW202136471A (zh) | 2019-12-17 | 2021-10-01 | 德商麥克專利有限公司 | 有機電致發光裝置用的材料 |
| JP7620631B2 (ja) | 2019-12-18 | 2025-01-23 | メルク パテント ゲゼルシャフト ミット ベシュレンクテル ハフツング | 有機エレクトロルミネッセンス素子のための芳香族化合物 |
| KR20220116008A (ko) | 2019-12-19 | 2022-08-19 | 메르크 파텐트 게엠베하 | 유기 전계 발광 디바이스용 다환 화합물 |
| CN115552643B (zh) | 2019-12-24 | 2025-08-19 | Oti照明公司 | 包含覆盖层的发光装置和其制造方法 |
| KR102822247B1 (ko) * | 2019-12-26 | 2025-06-20 | 삼성디스플레이 주식회사 | 유기 전계 발광 소자 및 유기 전계 발광 소자용 다환 화합물 |
| CN115052865A (zh) | 2020-01-29 | 2022-09-13 | 默克专利有限公司 | 苯并咪唑衍生物 |
| EP4110884B1 (de) | 2020-02-25 | 2024-11-20 | Merck Patent GmbH | Verwendung von heterocyclischen verbindungen in einer organischen elektronischen vorrichtung |
| WO2021175706A1 (de) | 2020-03-02 | 2021-09-10 | Merck Patent Gmbh | Verwendung von sulfonverbindungen in einer organischen elektronischen vorrichtung |
| WO2021185712A1 (de) | 2020-03-17 | 2021-09-23 | Merck Patent Gmbh | Heteroaromatische verbindungen für organische elektrolumineszenzvorrichtungen |
| KR20220154751A (ko) | 2020-03-17 | 2022-11-22 | 메르크 파텐트 게엠베하 | 유기 전계 발광 디바이스용 복소환 화합물 |
| KR20220158017A (ko) | 2020-03-24 | 2022-11-29 | 메르크 파텐트 게엠베하 | 전자 디바이스용 재료 |
| US20230157171A1 (en) | 2020-03-26 | 2023-05-18 | Merck Patent Gmbh | Cyclic compounds for organic electroluminescent devices |
| WO2021198213A1 (de) | 2020-04-02 | 2021-10-07 | Merck Patent Gmbh | Materialien für organische elektrolumineszenzvorrichtungen |
| US20230183269A1 (en) | 2020-04-06 | 2023-06-15 | Merck Patent Gmbh | Polycyclic compounds for organic electroluminescent devices |
| WO2021213918A1 (en) | 2020-04-21 | 2021-10-28 | Merck Patent Gmbh | Formulation of an organic functional material |
| US20230234937A1 (en) | 2020-06-18 | 2023-07-27 | Merck Patent Gmbh | Indenoazanaphthalenes |
| WO2021259824A1 (de) | 2020-06-23 | 2021-12-30 | Merck Patent Gmbh | Verfahren zur herstellung einer mischung |
| CN115916794A (zh) | 2020-06-29 | 2023-04-04 | 默克专利有限公司 | 用于有机电致发光器件的杂环化合物 |
| JP2023531470A (ja) | 2020-06-29 | 2023-07-24 | メルク パテント ゲゼルシャフト ミット ベシュレンクテル ハフツング | 有機エレクトロルミネッセンス素子のためのヘテロ芳香族化合物 |
| WO2022017997A1 (en) | 2020-07-22 | 2022-01-27 | Merck Patent Gmbh | Materials for organic electroluminescent devices |
| EP4192832A1 (de) | 2020-08-06 | 2023-06-14 | Merck Patent GmbH | Materialien für organische elektrolumineszenzvorrichtungen |
| EP4196486B1 (de) | 2020-08-13 | 2025-07-09 | UDC Ireland Limited | Metallkomplexe |
| US12433160B2 (en) | 2020-08-18 | 2025-09-30 | Merck Patent Gmbh | Materials for organic electroluminescent devices |
| EP4200289A1 (de) | 2020-08-19 | 2023-06-28 | Merck Patent GmbH | Materialien für organische elektrolumineszenzvorrichtungen |
| KR20230074754A (ko) | 2020-09-29 | 2023-05-31 | 메르크 파텐트 게엠베하 | Oled에 사용하기 위한 단핵성 트리포달 여섯자리 이리듐 착물 |
| TW202229215A (zh) | 2020-09-30 | 2022-08-01 | 德商麥克專利有限公司 | 用於有機電致發光裝置功能層之結構化的化合物 |
| TW202222748A (zh) | 2020-09-30 | 2022-06-16 | 德商麥克專利有限公司 | 用於結構化有機電致發光裝置的功能層之化合物 |
| US20230389423A1 (en) | 2020-10-16 | 2023-11-30 | Merck Patent Gmbh | Heterocyclic compounds for organic electroluminescent devices |
| EP4229145B1 (de) | 2020-10-16 | 2025-07-23 | Merck Patent GmbH | Verbindungen mit heteroatomen für organische elektrolumineszenzvorrichtungen |
| TW202231838A (zh) | 2020-10-27 | 2022-08-16 | 德商麥克專利有限公司 | 有機電致發光裝置 |
| EP4244228A1 (de) | 2020-11-10 | 2023-09-20 | Merck Patent GmbH | Schwefelhaltige verbindungen für organische elektrolumineszenzvorrichtungen |
| KR20230116023A (ko) | 2020-12-02 | 2023-08-03 | 메르크 파텐트 게엠베하 | 유기 전계 발광 디바이스용 복소환 화합물 |
| WO2022123431A1 (en) | 2020-12-07 | 2022-06-16 | Oti Lumionics Inc. | Patterning a conductive deposited layer using a nucleation inhibiting coating and an underlying metallic coating |
| WO2022122607A1 (en) | 2020-12-08 | 2022-06-16 | Merck Patent Gmbh | An ink system and a method for inkjet printing |
| WO2022122682A2 (de) | 2020-12-10 | 2022-06-16 | Merck Patent Gmbh | Materialien für organische elektrolumineszenzvorrichtungen |
| US20240124769A1 (en) | 2020-12-18 | 2024-04-18 | Merck Patent Gmbh | Nitrogenous compounds for organic electroluminescent devices |
| EP4263746B1 (de) | 2020-12-18 | 2025-10-01 | Merck Patent GmbH | Stickstoffhaltige heteroaromaten für organische elektrolumineszenzvorrichtungen |
| KR20230122094A (ko) | 2020-12-18 | 2023-08-22 | 메르크 파텐트 게엠베하 | Oled에 사용하기 위한 청색 형광 방출체로서의 인돌로[3.2.1-jk]카르바졸-6-카르보니트릴유도체 |
| EP4274827A1 (de) | 2021-01-05 | 2023-11-15 | Merck Patent GmbH | Materialien für organische elektrolumineszenzvorrichtungen |
| WO2022157343A1 (de) | 2021-01-25 | 2022-07-28 | Merck Patent Gmbh | Stickstoffhaltige verbindungen für organische elektrolumineszenzvorrichtungen |
| US20240188429A1 (en) | 2021-03-02 | 2024-06-06 | Merck Patent Gmbh | Compounds for organic electroluminescent devices |
| KR20230158657A (ko) | 2021-03-18 | 2023-11-21 | 메르크 파텐트 게엠베하 | 유기 전계 발광 디바이스용 헤테로방향족 화합물 |
| WO2022207678A1 (de) | 2021-03-30 | 2022-10-06 | Merck Patent Gmbh | Organische elektrolumineszierende vorrichtung |
| EP4079742A1 (de) | 2021-04-14 | 2022-10-26 | Merck Patent GmbH | Metallkomplexe |
| WO2022223675A1 (en) | 2021-04-23 | 2022-10-27 | Merck Patent Gmbh | Formulation of an organic functional material |
| CN117279902A (zh) | 2021-04-29 | 2023-12-22 | 默克专利有限公司 | 用于有机电致发光器件的材料 |
| KR20240005782A (ko) | 2021-04-29 | 2024-01-12 | 메르크 파텐트 게엠베하 | 유기 전계 발광 디바이스용 재료 |
| WO2022229234A1 (de) | 2021-04-30 | 2022-11-03 | Merck Patent Gmbh | Stickstoffhaltige, heterocyclische verbindungen für organische elektrolumineszenzvorrichtungen |
| DE112022003409A5 (de) | 2021-07-06 | 2024-05-23 | MERCK Patent Gesellschaft mit beschränkter Haftung | Materialien für organische elektrolumineszenzvorrichtungen |
| WO2023041454A1 (de) | 2021-09-14 | 2023-03-23 | Merck Patent Gmbh | Borhaltige, heterocyclische verbindungen für organische elektrolumineszenzvorrichtungen |
| WO2023052313A1 (de) | 2021-09-28 | 2023-04-06 | Merck Patent Gmbh | Materialien für elektronische vorrichtungen |
| WO2023052275A1 (de) | 2021-09-28 | 2023-04-06 | Merck Patent Gmbh | Materialien für elektronische vorrichtungen |
| KR20240075872A (ko) | 2021-09-28 | 2024-05-29 | 메르크 파텐트 게엠베하 | 전자 디바이스용 재료 |
| KR20240075888A (ko) | 2021-09-28 | 2024-05-29 | 메르크 파텐트 게엠베하 | 전자 디바이스용 재료 |
| TW202349760A (zh) | 2021-10-05 | 2023-12-16 | 德商麥克專利有限公司 | 電子裝置之有機元件的形成方法 |
| CN118159623A (zh) | 2021-10-27 | 2024-06-07 | 默克专利有限公司 | 用于有机电致发光器件的含硼和氮的杂环化合物 |
| JP7757154B2 (ja) * | 2021-11-24 | 2025-10-21 | キヤノン株式会社 | 有機化合物及び有機発光素子 |
| EP4437814A1 (de) | 2021-11-25 | 2024-10-02 | Merck Patent GmbH | Materialien für elektronische vorrichtungen |
| WO2023099543A1 (en) | 2021-11-30 | 2023-06-08 | Merck Patent Gmbh | Compounds having fluorene structures |
| EP4448527A1 (de) | 2021-12-13 | 2024-10-23 | Merck Patent GmbH | Materialien für organische elektrolumineszenzvorrichtungen |
| KR20240128020A (ko) | 2021-12-21 | 2024-08-23 | 메르크 파텐트 게엠베하 | 중수소화 유기 화합물의 제조 방법 |
| KR20240127395A (ko) | 2021-12-21 | 2024-08-22 | 메르크 파텐트 게엠베하 | 전자 디바이스 |
| US20250163035A1 (en) | 2022-02-09 | 2025-05-22 | Merck Patent Gmbh | Materials for organic electroluminescent devices |
| US20250160204A1 (en) | 2022-02-14 | 2025-05-15 | Merck Patent Gmbh | Materials for electronic devices |
| JP2023118486A (ja) * | 2022-02-15 | 2023-08-25 | キヤノン株式会社 | 有機化合物及び有機発光素子 |
| EP4482843A1 (de) | 2022-02-23 | 2025-01-01 | Merck Patent GmbH | Aromatische heterocyclen für organische elektrolumineszenzvorrichtungen |
| CN118696106A (zh) | 2022-02-23 | 2024-09-24 | 默克专利有限公司 | 用于有机电致发光器件的含氮杂环化合物 |
| EP4519383B1 (de) | 2022-05-06 | 2026-01-14 | Merck Patent GmbH | Cyclische verbindungen für organische elektrolumineszenzvorrichtungen |
| EP4526279A1 (de) | 2022-05-18 | 2025-03-26 | Merck Patent GmbH | Verfahren zur herstellung von deuterierten organischen verbindungen |
| CN119325756A (zh) | 2022-06-20 | 2025-01-17 | 默克专利有限公司 | 用于光电器件的杂环化合物 |
| CN119325755A (zh) | 2022-06-20 | 2025-01-17 | 默克专利有限公司 | 用于光电器件的有机杂环化合物 |
| KR20250037489A (ko) | 2022-07-11 | 2025-03-17 | 메르크 파텐트 게엠베하 | 전자 디바이스용 재료 |
| EP4311849B1 (de) | 2022-07-27 | 2025-01-29 | UDC Ireland Limited | Metallkomplexe |
| CN119894856A (zh) | 2022-09-22 | 2025-04-25 | 默克专利有限公司 | 用于有机电致发光器件的含氮化合物 |
| WO2024061948A1 (de) | 2022-09-22 | 2024-03-28 | Merck Patent Gmbh | Stickstoffenthaltende heterocyclen für organische elektrolumineszenzvorrichtungen |
| CN120152954A (zh) | 2022-11-01 | 2025-06-13 | 默克专利有限公司 | 用于有机电致发光器件的含氮杂环化合物 |
| TW202440819A (zh) | 2022-12-16 | 2024-10-16 | 德商麥克專利有限公司 | 有機功能性材料之調配物 |
| WO2024132993A1 (de) | 2022-12-19 | 2024-06-27 | Merck Patent Gmbh | Materialien für elektronische vorrichtungen |
| WO2024133048A1 (en) | 2022-12-20 | 2024-06-27 | Merck Patent Gmbh | Method for preparing deuterated aromatic compounds |
| WO2024149694A1 (de) | 2023-01-10 | 2024-07-18 | Merck Patent Gmbh | Stickstoffhaltige heterocyclen für organische elektrolumineszenzvorrichtungen |
| CN120569385A (zh) | 2023-01-17 | 2025-08-29 | 默克专利有限公司 | 用于有机电致发光器件的杂环化合物 |
| WO2024170605A1 (en) | 2023-02-17 | 2024-08-22 | Merck Patent Gmbh | Materials for organic electroluminescent devices |
| WO2024184050A1 (de) | 2023-03-07 | 2024-09-12 | Merck Patent Gmbh | Cyclische stickstoffverbindungen für organische elektrolumineszenzvorrichtungen |
| EP4683925A1 (de) | 2023-03-20 | 2026-01-28 | Merck Patent GmbH | Materialien für organische elektrolumineszenzvorrichtungen |
| WO2024218109A1 (de) | 2023-04-20 | 2024-10-24 | Merck Patent Gmbh | Materialien für elektronische vorrichtungen |
| WO2024240725A1 (de) | 2023-05-25 | 2024-11-28 | Merck Patent Gmbh | Tris[1,2,4]triazolo[1,5-a:1',5'-c:1'',5''-e][1,3,5]triazin-derivate zur verwendung in organischen elektrolumineszenzvorrichtungen |
| WO2025003084A1 (de) | 2023-06-28 | 2025-01-02 | Merck Patent Gmbh | Dicyanoarylverbindungen für organische elektrolumineszenzvorrichtungen |
| EP4486099A1 (de) | 2023-06-30 | 2025-01-01 | Merck Patent GmbH | Verbindungen für organische elektrolumineszenzvorrichtungen |
| WO2025012253A1 (en) | 2023-07-12 | 2025-01-16 | Merck Patent Gmbh | Materials for electronic devices |
| WO2025021855A1 (de) | 2023-07-27 | 2025-01-30 | Merck Patent Gmbh | Materialien für organische lichtemittierende vorrichtungen und organische sensoren |
| WO2025032039A1 (en) | 2023-08-07 | 2025-02-13 | Merck Patent Gmbh | Process for the preparation of an electronic device |
| WO2025045843A1 (de) | 2023-08-30 | 2025-03-06 | Merck Patent Gmbh | Materialien für organische lichtemittierende vorrichtungen |
| WO2025045842A1 (de) | 2023-08-30 | 2025-03-06 | Merck Patent Gmbh | Materialien für organische lichtemittierende vorrichtungen |
| WO2025045851A1 (de) | 2023-08-30 | 2025-03-06 | Merck Patent Gmbh | Materialien für organische lichtemittierende vorrichtungen |
| WO2025045935A1 (de) | 2023-08-31 | 2025-03-06 | Merck Patent Gmbh | Cyanogruppen-enthaltende aromaten für organische elektrolumineszenzvorrichtungen |
| WO2025109056A1 (de) | 2023-11-24 | 2025-05-30 | Merck Patent Gmbh | Sauerstoffenthaltende heterocyclen für organische elektrolumineszenzvorrichtungen |
| WO2025119821A1 (en) | 2023-12-05 | 2025-06-12 | Merck Patent Gmbh | Material composition for organic electroluminescent devices |
| WO2025132547A1 (en) | 2023-12-21 | 2025-06-26 | Merck Patent Gmbh | Mechanochemical method for deuterating organic compounds |
| WO2025132551A1 (de) | 2023-12-22 | 2025-06-26 | Merck Patent Gmbh | Materialien für elektronische vorrichtungen |
| WO2025181044A1 (de) | 2024-02-29 | 2025-09-04 | Merck Patent Gmbh | Stickstoffenthaltende verbindungen für organische elektrolumineszenzvorrichtungen |
| WO2025181097A1 (de) | 2024-02-29 | 2025-09-04 | Merck Patent Gmbh | Stickstoffenthaltende heterocyclen für organische elektrolumineszenzvorrichtungen |
| WO2025181124A1 (de) | 2024-03-01 | 2025-09-04 | Merck Patent Gmbh | Materialien für organische elektrolumineszenzvorrichtungen |
| WO2025196145A1 (en) | 2024-03-22 | 2025-09-25 | Merck Patent Gmbh | Materials for organic light emitting devices |
| WO2025210013A1 (de) | 2024-04-04 | 2025-10-09 | Merck Patent Gmbh | Verbindungen für elektronische vorrichtungen, insbesondere verbindungen für oleds |
| WO2026008710A1 (de) | 2024-07-05 | 2026-01-08 | Merck Patent Gmbh | Cyclische siliciumverbindungen für organische elektrolumineszenzvorrichtungen |
| WO2026022016A1 (de) | 2024-07-22 | 2026-01-29 | Merck Patent Gmbh | Materialien für organische lichtemittierende vorrichtungen |
Citations (46)
| Publication number | Priority date | Publication date | Assignee | Title |
|---|---|---|---|---|
| US4539507A (en) | 1983-03-25 | 1985-09-03 | Eastman Kodak Company | Organic electroluminescent devices having improved power conversion efficiencies |
| US4780536A (en) | 1986-09-05 | 1988-10-25 | The Ohio State University Research Foundation | Hexaazatriphenylene hexanitrile and its derivatives and their preparations |
| US5061569A (en) | 1990-07-26 | 1991-10-29 | Eastman Kodak Company | Electroluminescent device with organic electroluminescent medium |
| US5151629A (en) | 1991-08-01 | 1992-09-29 | Eastman Kodak Company | Blue emitting internal junction organic electroluminescent device (I) |
| WO1995009147A1 (en) | 1993-09-29 | 1995-04-06 | Idemitsu Kosan Co., Ltd. | Organic electroluminescent element and arylenediamine derivative |
| EP0650955A1 (de) | 1993-11-01 | 1995-05-03 | Hodogaya Chemical Co., Ltd. | Aminverbindung und sie enthaltende Elektrolumineszenzvorrichtung |
| EP0676461A2 (de) | 1994-04-07 | 1995-10-11 | Hoechst Aktiengesellschaft | Spiroverbindungen und ihre Verwendung als Elektrolumineszenzmaterialien |
| WO1998027136A1 (de) | 1996-12-16 | 1998-06-25 | Aventis Research & Technologies Gmbh & Co Kg | ARYLSUBSTITUIERTE POLY(p-ARYLENVINYLENE), VERFAHREN ZUR HERSTELLUNG UND DEREN VERWENDUNG IN ELEKTROLUMINESZENZBAUELEMENTEN |
| WO1998030071A1 (en) | 1996-12-28 | 1998-07-09 | Tdk Corporation | Organic electroluminescent elements |
| JP2000053957A (ja) | 1998-06-23 | 2000-02-22 | Koto Gijutsu Kenkyuin Kenkyu Kumiai | 新規な有機金属発光物質およびそれを含む有機電気発光素子 |
| WO2000070655A2 (en) | 1999-05-13 | 2000-11-23 | The Trustees Of Princeton University | Very high efficiency organic light emitting devices based on electrophosphorescence |
| WO2001041512A1 (en) | 1999-12-01 | 2001-06-07 | The Trustees Of Princeton University | Complexes of form l2mx as phosphorescent dopants for organic leds |
| WO2001049806A1 (en) | 1999-12-31 | 2001-07-12 | Lg Chemical Co., Ltd | Electronic device comprising organic compound having p-type semiconducting characteristics |
| JP2001226331A (ja) | 2000-02-14 | 2001-08-21 | Mitsui Chemicals Inc | アミン化合物および該化合物を含有する有機電界発光素子 |
| WO2002002714A2 (en) | 2000-06-30 | 2002-01-10 | E.I. Du Pont De Nemours And Company | Electroluminescent iridium compounds with fluorinated phenylpyridines, phenylpyrimidines, and phenylquinolines and devices made with such compounds |
| WO2002015645A1 (en) | 2000-08-11 | 2002-02-21 | The Trustees Of Princeton University | Organometallic compounds and emission-shifting organic electrophosphorescence |
| EP1191612A2 (de) | 2000-09-26 | 2002-03-27 | Canon Kabushiki Kaisha | Lumineszente Vorrichtung, Bildanzeigevorrichtung und Metallkoordinationsverbindung |
| EP1191613A2 (de) | 2000-09-26 | 2002-03-27 | Canon Kabushiki Kaisha | Lumineszente Vorrichtung, Bildanzeigevorrichtung und Metallkoordinationsverbindung |
| EP1191614A2 (de) | 2000-09-26 | 2002-03-27 | Canon Kabushiki Kaisha | Lumineszente Vorrichtung und dafür verwendete Metallkoordinationsverbindung |
| WO2003060956A2 (en) | 2002-01-18 | 2003-07-24 | Lg Chem, Ltd. | New material for transporting electrons and organic electroluminescent display using the same |
| WO2004028217A1 (ja) | 2002-09-20 | 2004-04-01 | Idemitsu Kosan Co., Ltd. | 有機エレクトロルミネッセンス素子 |
| WO2004080975A1 (ja) | 2003-03-13 | 2004-09-23 | Idemitsu Kosan Co., Ltd. | 新規含窒素複素環誘導体及びそれを用いた有機エレクトロルミネッセンス素子 |
| WO2004081017A1 (de) | 2003-03-11 | 2004-09-23 | Covion Organic Semiconductors Gmbh | Metallkomplexe |
| WO2004093207A2 (de) | 2003-04-15 | 2004-10-28 | Covion Organic Semiconductors Gmbh | Mischungen von organischen zur emission befähigten halbleitern und matrixmaterialien, deren verwendung und elektronikbauteile enthaltend diese mischungen |
| WO2005003253A2 (de) | 2003-07-07 | 2005-01-13 | Covion Organic Semiconductors Gmbh | Mischungen von organischen zur emission befähigten halbleitern und matrixmaterialen, deren verwendung und elektronikbauteile enthaltend diese |
| WO2005011013A1 (de) | 2003-07-21 | 2005-02-03 | Covion Organic Semiconductors Gmbh | Organisches elektrolumineszenzelement |
| WO2005033244A1 (de) | 2003-09-29 | 2005-04-14 | Covion Organic Semiconductors Gmbh | Metallkomplexe |
| WO2005042550A1 (de) | 2003-10-30 | 2005-05-12 | Merck Patent Gmbh | Metallkomplexe mit bipodalen liganden |
| WO2005113563A1 (de) | 2004-05-19 | 2005-12-01 | Merck Patent Gmbh | Metallkomplexe |
| WO2006008069A1 (de) | 2004-07-16 | 2006-01-26 | Merck Patent Gmbh | Metallkomplexe |
| EP1661888A1 (de) | 2004-11-29 | 2006-05-31 | Samsung SDI Co., Ltd. | Phenylcarbazole basierte Verbindungen und deren Verwendung als organische Elektroluminiszierende Vorrichtung |
| WO2006061182A1 (de) | 2004-12-09 | 2006-06-15 | Merck Patent Gmbh | Metallkomplexe und deren verwendung als die emittierende komponente in elektronischen bauteilen, besonders in elektrolumineszenten anzeigevorrichtungen |
| WO2006073054A1 (ja) | 2005-01-05 | 2006-07-13 | Idemitsu Kosan Co., Ltd. | 芳香族アミン誘導体及びそれを用いた有機エレクトロルミネッセンス素子 |
| WO2006081973A1 (de) | 2005-02-03 | 2006-08-10 | Merck Patent Gmbh | Metallkomplexe |
| JP2006253445A (ja) | 2005-03-11 | 2006-09-21 | Toyo Ink Mfg Co Ltd | 有機エレクトロルミネッセンス素子 |
| WO2006100896A1 (ja) | 2005-03-18 | 2006-09-28 | Idemitsu Kosan Co., Ltd. | 芳香族アミン誘導体及びそれを用いた有機エレクトロルミネッセンス素子 |
| WO2006122630A1 (de) | 2005-05-20 | 2006-11-23 | Merck Patent Gmbh | Verbindungen für organische elektronische vorrichtungen |
| US20070099026A1 (en) | 2005-07-15 | 2007-05-03 | Samsung Sdi Co., Ltd. | White organic light emitting diode and method for manufacturing the same |
| US20070252516A1 (en) | 2006-04-27 | 2007-11-01 | Eastman Kodak Company | Electroluminescent devices including organic EIL layer |
| WO2007140847A1 (de) | 2006-06-02 | 2007-12-13 | Merck Patent Gmbh | Materialien für organische elektrolumineszenzvorrichtungen |
| WO2008006449A1 (de) | 2006-07-11 | 2008-01-17 | Merck Patent Gmbh | Neue materialien für organische elektrolumineszenzvorrichtungen |
| DE102008015526A1 (de) | 2008-03-25 | 2009-10-01 | Merck Patent Gmbh | Metallkomplexe |
| DE102008027005A1 (de) | 2008-06-05 | 2009-12-10 | Merck Patent Gmbh | Organische elektronische Vorrichtung enthaltend Metallkomplexe |
| DE102008033943A1 (de) | 2008-07-18 | 2010-01-21 | Merck Patent Gmbh | Neue Materialien für organische Elektrolumineszenzvorrichtungen |
| DE102008036982A1 (de) | 2008-08-08 | 2010-02-11 | Merck Patent Gmbh | Organische Elektrolumineszenzvorrichtung |
| DE102009007038A1 (de) | 2009-02-02 | 2010-08-05 | Merck Patent Gmbh | Metallkomplexe |
Family Cites Families (10)
| Publication number | Priority date | Publication date | Assignee | Title |
|---|---|---|---|---|
| DE10249723A1 (de) | 2002-10-25 | 2004-05-06 | Covion Organic Semiconductors Gmbh | Arylamin-Einheiten enthaltende konjugierte Polymere, deren Darstellung und Verwendung |
| EP1665897B1 (de) | 2003-09-24 | 2011-11-23 | FUJIFILM Corporation | Elektrolumineszenzbauelement |
| US7803468B2 (en) | 2004-09-29 | 2010-09-28 | Fujifilm Corporation | Organic electroluminescent element |
| KR100669757B1 (ko) * | 2004-11-12 | 2007-01-16 | 삼성에스디아이 주식회사 | 유기 전계 발광 소자 |
| US20080069399A1 (en) | 2004-12-24 | 2008-03-20 | Tomoharu Nagao | Image Processor |
| TWI304087B (en) | 2005-07-07 | 2008-12-11 | Chi Mei Optoelectronics Corp | Organic electroluminescent device and host material of luminescent and hole-blocking material thereof |
| US8206839B2 (en) * | 2005-10-04 | 2012-06-26 | Fujifilm Corporation | Organic electroluminescent element |
| US20080187748A1 (en) * | 2007-02-07 | 2008-08-07 | Masayuki Mishima | Organic electroluminescence device |
| JP5300255B2 (ja) | 2007-02-07 | 2013-09-25 | ユー・ディー・シー アイルランド リミテッド | 有機電界発光素子 |
| JP5130001B2 (ja) * | 2007-07-27 | 2013-01-30 | 富士フイルム株式会社 | 有機電界発光素子 |
-
2009
- 2009-03-23 DE DE102009014513A patent/DE102009014513A1/de not_active Withdrawn
-
2010
- 2010-02-24 US US13/258,214 patent/US9444064B2/en active Active
- 2010-02-24 WO PCT/EP2010/001123 patent/WO2010108579A1/de not_active Ceased
- 2010-02-24 DE DE112010001236.9T patent/DE112010001236B4/de active Active
- 2010-02-24 JP JP2012501154A patent/JP5670418B2/ja active Active
- 2010-02-24 KR KR1020117024815A patent/KR101704837B1/ko active Active
- 2010-02-24 CN CN201080013018.5A patent/CN102362367B/zh active Active
- 2010-03-18 TW TW099108016A patent/TWI510596B/zh not_active IP Right Cessation
Patent Citations (47)
| Publication number | Priority date | Publication date | Assignee | Title |
|---|---|---|---|---|
| US4539507A (en) | 1983-03-25 | 1985-09-03 | Eastman Kodak Company | Organic electroluminescent devices having improved power conversion efficiencies |
| US4780536A (en) | 1986-09-05 | 1988-10-25 | The Ohio State University Research Foundation | Hexaazatriphenylene hexanitrile and its derivatives and their preparations |
| US5061569A (en) | 1990-07-26 | 1991-10-29 | Eastman Kodak Company | Electroluminescent device with organic electroluminescent medium |
| US5151629A (en) | 1991-08-01 | 1992-09-29 | Eastman Kodak Company | Blue emitting internal junction organic electroluminescent device (I) |
| WO1995009147A1 (en) | 1993-09-29 | 1995-04-06 | Idemitsu Kosan Co., Ltd. | Organic electroluminescent element and arylenediamine derivative |
| EP0650955A1 (de) | 1993-11-01 | 1995-05-03 | Hodogaya Chemical Co., Ltd. | Aminverbindung und sie enthaltende Elektrolumineszenzvorrichtung |
| EP0676461A2 (de) | 1994-04-07 | 1995-10-11 | Hoechst Aktiengesellschaft | Spiroverbindungen und ihre Verwendung als Elektrolumineszenzmaterialien |
| WO1998027136A1 (de) | 1996-12-16 | 1998-06-25 | Aventis Research & Technologies Gmbh & Co Kg | ARYLSUBSTITUIERTE POLY(p-ARYLENVINYLENE), VERFAHREN ZUR HERSTELLUNG UND DEREN VERWENDUNG IN ELEKTROLUMINESZENZBAUELEMENTEN |
| WO1998030071A1 (en) | 1996-12-28 | 1998-07-09 | Tdk Corporation | Organic electroluminescent elements |
| EP0891121A1 (de) | 1996-12-28 | 1999-01-13 | TDK Corporation | Organische elektrolumineszente elementen |
| JP2000053957A (ja) | 1998-06-23 | 2000-02-22 | Koto Gijutsu Kenkyuin Kenkyu Kumiai | 新規な有機金属発光物質およびそれを含む有機電気発光素子 |
| WO2000070655A2 (en) | 1999-05-13 | 2000-11-23 | The Trustees Of Princeton University | Very high efficiency organic light emitting devices based on electrophosphorescence |
| WO2001041512A1 (en) | 1999-12-01 | 2001-06-07 | The Trustees Of Princeton University | Complexes of form l2mx as phosphorescent dopants for organic leds |
| WO2001049806A1 (en) | 1999-12-31 | 2001-07-12 | Lg Chemical Co., Ltd | Electronic device comprising organic compound having p-type semiconducting characteristics |
| JP2001226331A (ja) | 2000-02-14 | 2001-08-21 | Mitsui Chemicals Inc | アミン化合物および該化合物を含有する有機電界発光素子 |
| WO2002002714A2 (en) | 2000-06-30 | 2002-01-10 | E.I. Du Pont De Nemours And Company | Electroluminescent iridium compounds with fluorinated phenylpyridines, phenylpyrimidines, and phenylquinolines and devices made with such compounds |
| WO2002015645A1 (en) | 2000-08-11 | 2002-02-21 | The Trustees Of Princeton University | Organometallic compounds and emission-shifting organic electrophosphorescence |
| EP1191612A2 (de) | 2000-09-26 | 2002-03-27 | Canon Kabushiki Kaisha | Lumineszente Vorrichtung, Bildanzeigevorrichtung und Metallkoordinationsverbindung |
| EP1191613A2 (de) | 2000-09-26 | 2002-03-27 | Canon Kabushiki Kaisha | Lumineszente Vorrichtung, Bildanzeigevorrichtung und Metallkoordinationsverbindung |
| EP1191614A2 (de) | 2000-09-26 | 2002-03-27 | Canon Kabushiki Kaisha | Lumineszente Vorrichtung und dafür verwendete Metallkoordinationsverbindung |
| WO2003060956A2 (en) | 2002-01-18 | 2003-07-24 | Lg Chem, Ltd. | New material for transporting electrons and organic electroluminescent display using the same |
| WO2004028217A1 (ja) | 2002-09-20 | 2004-04-01 | Idemitsu Kosan Co., Ltd. | 有機エレクトロルミネッセンス素子 |
| WO2004081017A1 (de) | 2003-03-11 | 2004-09-23 | Covion Organic Semiconductors Gmbh | Metallkomplexe |
| WO2004080975A1 (ja) | 2003-03-13 | 2004-09-23 | Idemitsu Kosan Co., Ltd. | 新規含窒素複素環誘導体及びそれを用いた有機エレクトロルミネッセンス素子 |
| WO2004093207A2 (de) | 2003-04-15 | 2004-10-28 | Covion Organic Semiconductors Gmbh | Mischungen von organischen zur emission befähigten halbleitern und matrixmaterialien, deren verwendung und elektronikbauteile enthaltend diese mischungen |
| WO2005003253A2 (de) | 2003-07-07 | 2005-01-13 | Covion Organic Semiconductors Gmbh | Mischungen von organischen zur emission befähigten halbleitern und matrixmaterialen, deren verwendung und elektronikbauteile enthaltend diese |
| WO2005011013A1 (de) | 2003-07-21 | 2005-02-03 | Covion Organic Semiconductors Gmbh | Organisches elektrolumineszenzelement |
| WO2005033244A1 (de) | 2003-09-29 | 2005-04-14 | Covion Organic Semiconductors Gmbh | Metallkomplexe |
| WO2005042550A1 (de) | 2003-10-30 | 2005-05-12 | Merck Patent Gmbh | Metallkomplexe mit bipodalen liganden |
| WO2005113563A1 (de) | 2004-05-19 | 2005-12-01 | Merck Patent Gmbh | Metallkomplexe |
| WO2006008069A1 (de) | 2004-07-16 | 2006-01-26 | Merck Patent Gmbh | Metallkomplexe |
| EP1661888A1 (de) | 2004-11-29 | 2006-05-31 | Samsung SDI Co., Ltd. | Phenylcarbazole basierte Verbindungen und deren Verwendung als organische Elektroluminiszierende Vorrichtung |
| WO2006061182A1 (de) | 2004-12-09 | 2006-06-15 | Merck Patent Gmbh | Metallkomplexe und deren verwendung als die emittierende komponente in elektronischen bauteilen, besonders in elektrolumineszenten anzeigevorrichtungen |
| WO2006073054A1 (ja) | 2005-01-05 | 2006-07-13 | Idemitsu Kosan Co., Ltd. | 芳香族アミン誘導体及びそれを用いた有機エレクトロルミネッセンス素子 |
| WO2006081973A1 (de) | 2005-02-03 | 2006-08-10 | Merck Patent Gmbh | Metallkomplexe |
| JP2006253445A (ja) | 2005-03-11 | 2006-09-21 | Toyo Ink Mfg Co Ltd | 有機エレクトロルミネッセンス素子 |
| WO2006100896A1 (ja) | 2005-03-18 | 2006-09-28 | Idemitsu Kosan Co., Ltd. | 芳香族アミン誘導体及びそれを用いた有機エレクトロルミネッセンス素子 |
| WO2006122630A1 (de) | 2005-05-20 | 2006-11-23 | Merck Patent Gmbh | Verbindungen für organische elektronische vorrichtungen |
| US20070099026A1 (en) | 2005-07-15 | 2007-05-03 | Samsung Sdi Co., Ltd. | White organic light emitting diode and method for manufacturing the same |
| US20070252516A1 (en) | 2006-04-27 | 2007-11-01 | Eastman Kodak Company | Electroluminescent devices including organic EIL layer |
| WO2007140847A1 (de) | 2006-06-02 | 2007-12-13 | Merck Patent Gmbh | Materialien für organische elektrolumineszenzvorrichtungen |
| WO2008006449A1 (de) | 2006-07-11 | 2008-01-17 | Merck Patent Gmbh | Neue materialien für organische elektrolumineszenzvorrichtungen |
| DE102008015526A1 (de) | 2008-03-25 | 2009-10-01 | Merck Patent Gmbh | Metallkomplexe |
| DE102008027005A1 (de) | 2008-06-05 | 2009-12-10 | Merck Patent Gmbh | Organische elektronische Vorrichtung enthaltend Metallkomplexe |
| DE102008033943A1 (de) | 2008-07-18 | 2010-01-21 | Merck Patent Gmbh | Neue Materialien für organische Elektrolumineszenzvorrichtungen |
| DE102008036982A1 (de) | 2008-08-08 | 2010-02-11 | Merck Patent Gmbh | Organische Elektrolumineszenzvorrichtung |
| DE102009007038A1 (de) | 2009-02-02 | 2010-08-05 | Merck Patent Gmbh | Metallkomplexe |
Non-Patent Citations (2)
| Title |
|---|
| M. S. Arnold et al., Appl. Phys. Lett. 2008, 92, 053301 |
| Y. Shirota et al., Chem. Rev. 2007, 107(4), 953-1010 |
Cited By (27)
| Publication number | Priority date | Publication date | Assignee | Title |
|---|---|---|---|---|
| DE102009041414A1 (de) | 2009-09-16 | 2011-03-17 | Merck Patent Gmbh | Metallkomplexe |
| DE102009057167A1 (de) | 2009-12-05 | 2011-06-09 | Merck Patent Gmbh | Elektronische Vorrichtung enthaltend Metallkomplexe |
| DE102010004803A1 (de) | 2010-01-16 | 2011-07-21 | Merck Patent GmbH, 64293 | Materialien für organische Elektrolumineszenzvorrichtungen |
| DE102010005697A1 (de) | 2010-01-25 | 2011-07-28 | Merck Patent GmbH, 64293 | Verbindungen für elektronische Vorrichtungen |
| DE102010009903A1 (de) | 2010-03-02 | 2011-09-08 | Merck Patent Gmbh | Verbindungen für elektronische Vorrichtungen |
| DE102010010481A1 (de) | 2010-03-06 | 2011-09-08 | Merck Patent Gmbh | Organische Elektrolumineszenzvorrichtung |
| DE102010014933A1 (de) | 2010-04-14 | 2011-10-20 | Merck Patent Gmbh | Materialien für elektronische Vorrichtungen |
| WO2011141120A1 (de) | 2010-05-14 | 2011-11-17 | Merck Patent Gmbh | Metallkomplexe |
| DE102010020567A1 (de) | 2010-05-14 | 2011-11-17 | Merck Patent Gmbh | Metallkomplexe |
| DE102010024335A1 (de) | 2010-06-18 | 2011-12-22 | Merck Patent Gmbh | Verbindungen für elektronische Vorrichtungen |
| DE102010024542A1 (de) | 2010-06-22 | 2011-12-22 | Merck Patent Gmbh | Materialien für elektronische Vorrichtungen |
| DE102010024897A1 (de) | 2010-06-24 | 2011-12-29 | Merck Patent Gmbh | Materialien für organische Elektrolumineszenzvorrichtungen |
| EP2896627A1 (de) | 2010-07-15 | 2015-07-22 | Merck Patent GmbH | Organische Komplexe enthaltend Metalle |
| DE102010027218A1 (de) | 2010-07-15 | 2012-01-19 | Merck Patent Gmbh | Organische Komplexe enthaltend Metalle |
| WO2012007103A1 (de) | 2010-07-15 | 2012-01-19 | Merck Patent Gmbh | Metallkomplexe mit organischen liganden und deren verwendung in oleds |
| EP3121183A1 (de) | 2010-07-15 | 2017-01-25 | Merck Patent GmbH | Organische komplexe enthaltend metalle |
| WO2012007088A1 (de) | 2010-07-16 | 2012-01-19 | Merck Patent Gmbh | Metallkomplexe |
| DE102010027319A1 (de) | 2010-07-16 | 2012-01-19 | Merck Patent Gmbh | Metallkomplexe |
| DE102010027317A1 (de) | 2010-07-16 | 2012-01-19 | Merck Patent Gmbh | Metallkomplexe |
| DE102010027316A1 (de) | 2010-07-16 | 2012-01-19 | Merck Patent Gmbh | Metallkomplexe |
| DE102010045405A1 (de) | 2010-09-15 | 2012-03-15 | Merck Patent Gmbh | Materialien für organische Elektrolumineszenzvorrichtungen |
| WO2012038029A1 (de) | 2010-09-24 | 2012-03-29 | Merck Patent Gmbh | Phosphorhaltige metallkomplexe |
| DE102010046512A1 (de) | 2010-09-24 | 2012-03-29 | Merck Patent Gmbh | Phosphorhaltige Metallkomplexe |
| DE102012016192A1 (de) | 2011-08-19 | 2013-02-21 | Merck Patent Gmbh | Neue Materialien für organische Elektrolumineszenzvorrichtungen |
| WO2013097920A1 (en) | 2011-12-27 | 2013-07-04 | Merck Patent Gmbh | Metal complexes comprising 1,2,3-triazoles |
| WO2013107487A1 (en) | 2012-01-16 | 2013-07-25 | Merck Patent Gmbh | Organic metal complexes |
| WO2013174471A1 (en) | 2012-05-24 | 2013-11-28 | Merck Patent Gmbh | Metal complexes comprising condensed heteroaromatic rings |
Also Published As
| Publication number | Publication date |
|---|---|
| TWI510596B (zh) | 2015-12-01 |
| KR20110135974A (ko) | 2011-12-20 |
| DE112010001236B4 (de) | 2022-07-07 |
| US9444064B2 (en) | 2016-09-13 |
| CN102362367A (zh) | 2012-02-22 |
| DE112010001236A5 (de) | 2012-06-14 |
| CN102362367B (zh) | 2014-06-18 |
| US20120056169A1 (en) | 2012-03-08 |
| TW201105769A (en) | 2011-02-16 |
| JP2012521643A (ja) | 2012-09-13 |
| WO2010108579A1 (de) | 2010-09-30 |
| JP5670418B2 (ja) | 2015-02-18 |
| KR101704837B1 (ko) | 2017-02-08 |
Similar Documents
| Publication | Publication Date | Title |
|---|---|---|
| DE112010001236B4 (de) | Organische elektrolumineszenzvorrichtung | |
| EP2303815B1 (de) | Organische elektrolumineszenzvorrichtung | |
| EP2695213B1 (de) | Organische elektrolumineszenzvorrichtung | |
| DE112011102558B4 (de) | Organische Elektrolumineszenzvorrichtung | |
| DE112011101604B4 (de) | Organische Elektrolumineszenzvorrichtung | |
| DE102009012346B4 (de) | Organische Elektrolumineszenzvorrichtung und Verfahren zu deren Herstellung | |
| EP2907173B1 (de) | Elektronische vorrichtung | |
| EP2984152B1 (de) | Organische elektrolumineszenzvorrichtung | |
| EP2984692B1 (de) | Organische elektrolumineszenzvorrichtung mit thermisch aktiviertem verzögertem fluoreszenzmaterial | |
| EP2984151B1 (de) | Organische elektrolumineszenzvorrichtung | |
| EP2764558B1 (de) | Organische elektrolumineszenzvorrichtung | |
| EP2984691B1 (de) | Organische lichtemittierende vorrichtung mit verzögerter fluoreszenz | |
| EP3120396B1 (de) | Organische elektrolumineszenzvorrichtung | |
| DE102010010481A1 (de) | Organische Elektrolumineszenzvorrichtung | |
| DE102010048497A1 (de) | Formulierungen für organische Elektrolumineszenzvorrichtungen | |
| EP2748878A1 (de) | Organische elektrolumineszenzvorrichtung | |
| EP2358842A1 (de) | Organische elektrolumineszenzvorrichtung | |
| WO2010115498A1 (de) | Organische elektrolumineszenzvorrichtung | |
| WO2021028513A1 (de) | Elektronische vorrichtung | |
| WO2021170886A2 (de) | Elektronische vorrichtung | |
| WO2011035835A1 (de) | Organische elektrolumineszenzvorrichtung |
Legal Events
| Date | Code | Title | Description |
|---|---|---|---|
| R119 | Application deemed withdrawn, or ip right lapsed, due to non-payment of renewal fee |
Effective date: 20111001 |













































