KR20220116008A - 유기 전계 발광 디바이스용 다환 화합물 - Google Patents
유기 전계 발광 디바이스용 다환 화합물 Download PDFInfo
- Publication number
- KR20220116008A KR20220116008A KR1020227024233A KR20227024233A KR20220116008A KR 20220116008 A KR20220116008 A KR 20220116008A KR 1020227024233 A KR1020227024233 A KR 1020227024233A KR 20227024233 A KR20227024233 A KR 20227024233A KR 20220116008 A KR20220116008 A KR 20220116008A
- Authority
- KR
- South Korea
- Prior art keywords
- formulas
- groups
- radicals
- index
- group
- Prior art date
- Legal status (The legal status is an assumption and is not a legal conclusion. Google has not performed a legal analysis and makes no representation as to the accuracy of the status listed.)
- Pending
Links
Classifications
-
- C—CHEMISTRY; METALLURGY
- C07—ORGANIC CHEMISTRY
- C07F—ACYCLIC, CARBOCYCLIC OR HETEROCYCLIC COMPOUNDS CONTAINING ELEMENTS OTHER THAN CARBON, HYDROGEN, HALOGEN, OXYGEN, NITROGEN, SULFUR, SELENIUM OR TELLURIUM
- C07F5/00—Compounds containing elements of Groups 3 or 13 of the Periodic Table
- C07F5/02—Boron compounds
- C07F5/027—Organoboranes and organoborohydrides
-
- C—CHEMISTRY; METALLURGY
- C07—ORGANIC CHEMISTRY
- C07F—ACYCLIC, CARBOCYCLIC OR HETEROCYCLIC COMPOUNDS CONTAINING ELEMENTS OTHER THAN CARBON, HYDROGEN, HALOGEN, OXYGEN, NITROGEN, SULFUR, SELENIUM OR TELLURIUM
- C07F5/00—Compounds containing elements of Groups 3 or 13 of the Periodic Table
- C07F5/02—Boron compounds
- C07F5/025—Boronic and borinic acid compounds
-
- C—CHEMISTRY; METALLURGY
- C09—DYES; PAINTS; POLISHES; NATURAL RESINS; ADHESIVES; COMPOSITIONS NOT OTHERWISE PROVIDED FOR; APPLICATIONS OF MATERIALS NOT OTHERWISE PROVIDED FOR
- C09K—MATERIALS FOR MISCELLANEOUS APPLICATIONS, NOT PROVIDED FOR ELSEWHERE
- C09K11/00—Luminescent, e.g. electroluminescent, chemiluminescent materials
- C09K11/06—Luminescent, e.g. electroluminescent, chemiluminescent materials containing organic luminescent materials
-
- H01L51/008—
-
- H01L51/5012—
-
- H—ELECTRICITY
- H10—SEMICONDUCTOR DEVICES; ELECTRIC SOLID-STATE DEVICES NOT OTHERWISE PROVIDED FOR
- H10K—ORGANIC ELECTRIC SOLID-STATE DEVICES
- H10K50/00—Organic light-emitting devices
- H10K50/10—OLEDs or polymer light-emitting diodes [PLED]
- H10K50/11—OLEDs or polymer light-emitting diodes [PLED] characterised by the electroluminescent [EL] layers
- H10K50/12—OLEDs or polymer light-emitting diodes [PLED] characterised by the electroluminescent [EL] layers comprising dopants
-
- H—ELECTRICITY
- H10—SEMICONDUCTOR DEVICES; ELECTRIC SOLID-STATE DEVICES NOT OTHERWISE PROVIDED FOR
- H10K—ORGANIC ELECTRIC SOLID-STATE DEVICES
- H10K85/00—Organic materials used in the body or electrodes of devices covered by this subclass
- H10K85/10—Organic polymers or oligomers
-
- H—ELECTRICITY
- H10—SEMICONDUCTOR DEVICES; ELECTRIC SOLID-STATE DEVICES NOT OTHERWISE PROVIDED FOR
- H10K—ORGANIC ELECTRIC SOLID-STATE DEVICES
- H10K85/00—Organic materials used in the body or electrodes of devices covered by this subclass
- H10K85/30—Coordination compounds
- H10K85/321—Metal complexes comprising a group IIIA element, e.g. Tris (8-hydroxyquinoline) gallium [Gaq3]
- H10K85/322—Metal complexes comprising a group IIIA element, e.g. Tris (8-hydroxyquinoline) gallium [Gaq3] comprising boron
-
- H—ELECTRICITY
- H10—SEMICONDUCTOR DEVICES; ELECTRIC SOLID-STATE DEVICES NOT OTHERWISE PROVIDED FOR
- H10K—ORGANIC ELECTRIC SOLID-STATE DEVICES
- H10K85/00—Organic materials used in the body or electrodes of devices covered by this subclass
- H10K85/60—Organic compounds having low molecular weight
- H10K85/631—Amine compounds having at least two aryl rest on at least one amine-nitrogen atom, e.g. triphenylamine
-
- H—ELECTRICITY
- H10—SEMICONDUCTOR DEVICES; ELECTRIC SOLID-STATE DEVICES NOT OTHERWISE PROVIDED FOR
- H10K—ORGANIC ELECTRIC SOLID-STATE DEVICES
- H10K85/00—Organic materials used in the body or electrodes of devices covered by this subclass
- H10K85/60—Organic compounds having low molecular weight
- H10K85/649—Aromatic compounds comprising a hetero atom
- H10K85/657—Polycyclic condensed heteroaromatic hydrocarbons
- H10K85/6572—Polycyclic condensed heteroaromatic hydrocarbons comprising only nitrogen in the heteroaromatic polycondensed ring system, e.g. phenanthroline or carbazole
-
- H—ELECTRICITY
- H10—SEMICONDUCTOR DEVICES; ELECTRIC SOLID-STATE DEVICES NOT OTHERWISE PROVIDED FOR
- H10K—ORGANIC ELECTRIC SOLID-STATE DEVICES
- H10K85/00—Organic materials used in the body or electrodes of devices covered by this subclass
- H10K85/60—Organic compounds having low molecular weight
- H10K85/649—Aromatic compounds comprising a hetero atom
- H10K85/657—Polycyclic condensed heteroaromatic hydrocarbons
- H10K85/6574—Polycyclic condensed heteroaromatic hydrocarbons comprising only oxygen in the heteroaromatic polycondensed ring system, e.g. cumarine dyes
-
- H—ELECTRICITY
- H10—SEMICONDUCTOR DEVICES; ELECTRIC SOLID-STATE DEVICES NOT OTHERWISE PROVIDED FOR
- H10K—ORGANIC ELECTRIC SOLID-STATE DEVICES
- H10K85/00—Organic materials used in the body or electrodes of devices covered by this subclass
- H10K85/60—Organic compounds having low molecular weight
- H10K85/658—Organoboranes
-
- C—CHEMISTRY; METALLURGY
- C09—DYES; PAINTS; POLISHES; NATURAL RESINS; ADHESIVES; COMPOSITIONS NOT OTHERWISE PROVIDED FOR; APPLICATIONS OF MATERIALS NOT OTHERWISE PROVIDED FOR
- C09K—MATERIALS FOR MISCELLANEOUS APPLICATIONS, NOT PROVIDED FOR ELSEWHERE
- C09K2211/00—Chemical nature of organic luminescent or tenebrescent compounds
- C09K2211/10—Non-macromolecular compounds
- C09K2211/1018—Heterocyclic compounds
-
- H—ELECTRICITY
- H10—SEMICONDUCTOR DEVICES; ELECTRIC SOLID-STATE DEVICES NOT OTHERWISE PROVIDED FOR
- H10K—ORGANIC ELECTRIC SOLID-STATE DEVICES
- H10K2101/00—Properties of the organic materials covered by group H10K85/00
- H10K2101/20—Delayed fluorescence emission
-
- H—ELECTRICITY
- H10—SEMICONDUCTOR DEVICES; ELECTRIC SOLID-STATE DEVICES NOT OTHERWISE PROVIDED FOR
- H10K—ORGANIC ELECTRIC SOLID-STATE DEVICES
- H10K50/00—Organic light-emitting devices
- H10K50/10—OLEDs or polymer light-emitting diodes [PLED]
- H10K50/11—OLEDs or polymer light-emitting diodes [PLED] characterised by the electroluminescent [EL] layers
-
- H—ELECTRICITY
- H10—SEMICONDUCTOR DEVICES; ELECTRIC SOLID-STATE DEVICES NOT OTHERWISE PROVIDED FOR
- H10K—ORGANIC ELECTRIC SOLID-STATE DEVICES
- H10K85/00—Organic materials used in the body or electrodes of devices covered by this subclass
- H10K85/60—Organic compounds having low molecular weight
- H10K85/615—Polycyclic condensed aromatic hydrocarbons, e.g. anthracene
- H10K85/622—Polycyclic condensed aromatic hydrocarbons, e.g. anthracene containing four rings, e.g. pyrene
-
- Y—GENERAL TAGGING OF NEW TECHNOLOGICAL DEVELOPMENTS; GENERAL TAGGING OF CROSS-SECTIONAL TECHNOLOGIES SPANNING OVER SEVERAL SECTIONS OF THE IPC; TECHNICAL SUBJECTS COVERED BY FORMER USPC CROSS-REFERENCE ART COLLECTIONS [XRACs] AND DIGESTS
- Y02—TECHNOLOGIES OR APPLICATIONS FOR MITIGATION OR ADAPTATION AGAINST CLIMATE CHANGE
- Y02E—REDUCTION OF GREENHOUSE GAS [GHG] EMISSIONS, RELATED TO ENERGY GENERATION, TRANSMISSION OR DISTRIBUTION
- Y02E10/00—Energy generation through renewable energy sources
- Y02E10/50—Photovoltaic [PV] energy
- Y02E10/549—Organic PV cells
Landscapes
- Chemical & Material Sciences (AREA)
- Engineering & Computer Science (AREA)
- Materials Engineering (AREA)
- Organic Chemistry (AREA)
- Physics & Mathematics (AREA)
- Spectroscopy & Molecular Physics (AREA)
- Optics & Photonics (AREA)
- Inorganic Chemistry (AREA)
- Heterocyclic Carbon Compounds Containing A Hetero Ring Having Oxygen Or Sulfur (AREA)
- Electroluminescent Light Sources (AREA)
- Nitrogen Condensed Heterocyclic Rings (AREA)
- Plural Heterocyclic Compounds (AREA)
Abstract
Description
Claims (23)
- 하기 식 (I) 의 적어도 하나의 구조를 포함하는 화합물, 바람직하게는 하기 식 (I) 의 화합물로서:
식중 사용되는 기호 및 인덱스는 다음과 같다:
Z 는 N, P, B, Al, P(=O), P(=S) 또는 Ga, 바람직하게는 N, P(=O), B 또는 Al, 더 바람직하게는 N 또는 B이고;
Y1, Y2, Y3 는 결합, N(Ar), N(R), P(Ar), P(R), P(=O)Ar, P(=O)R, P(=S)Ar, P(=S)R, B(Ar), B(R), Al(Ar), Al(R), Ga(Ar), Ga(R), C=O, C(R)2, Si(R)2, C=NR, C=NAr, C=C(R)2, O, S, Se, S=O, 또는 SO2, 바람직하게는 결합, N(Ar), N(R), B(Ar), B(R), P(R), P(=O)Ar, C=O, C(R)2, O, S, S=O, 또는 SO2 이며, 더욱 바람직하게는 결합, C(R)2, O, S, N(Ar) 또는 B(Ar) 이고;
p2, p3 는 동일하거나 상이하고 0 또는 1 이고;
X 는, Y1, Y2 또는 Y3 기가 이에 결합되는 경우, N, CR, 또는 C 이며, 단, 하나의 환 중 2개 이하의 X 기는 N 이고;
R 는 각각의 경우 동일하거나 상이하고, H, D, OH, F, Cl, Br, I, CN, NO2, N(Ar)2, N(R1)2, C(=O)N(Ar)2, C(=O)N(R1)2, C(Ar)3, C(R1)3, Si(Ar)3, Si(R1)3, B(Ar)2, B(R1)2, C(=O)Ar, C(=O)R1, P(=O)(Ar)2, P(=O)(R1)2, P(Ar)2, P(R1)2, S(=O)Ar, S(=O)R1, S(=O)2Ar, S(=O)2R1, OSO2Ar, OSO2R1, 1 내지 40 개의 탄소 원자를 갖는 직쇄 알킬, 알콕시 또는 티오알콕시 기 또는 2 내지 40 개의 탄소 원자를 갖는 알케닐 또는 알키닐 기 또는 3 내지 20 개의 탄소 원자를 갖는 분지형 또는 환형 알킬, 알콕시 또는 티오알콕시 기 (상기 알킬, 알콕시, 티오알콕시, 알케닐 또는 알키닐 기는 각 경우에 하나 이상의 R1 라디칼에 의해 치환될 수 있고, 하나 이상의 비인접 CH2 기는 R1C=CR1, C≡C, Si(R1)2, C=O, C=S, C=Se, C=NR1, -C(=O)O-, -C(=O)NR1-, NR1, P(=O)(R1), -O-, -S-, SO 또는 SO2 에 의해 대체될 수 있음), 또는 5 내지 60 개의 방향족 고리 원자를 갖고 각 경우에 하나 이상의 R1 라디칼에 의해 치환될 수 있는 방향족 또는 헤테로방향족 고리 시스템, 또는 5 내지 60 개의 방향족 고리 원자를 갖고 하나 이상의 R1 라디칼에 의해 치환될 수 있는 아릴옥시 또는 헤테로아릴옥시 기이고; 동시에, 2 개의 R 라디칼은 함께 고리 시스템을 또한 형성할 수 있고;
Ar 은 각각의 경우 동일하거나 상이하며 5 내지 60 개의 방향족 고리 원자를 가지며 하나 이상의 R1 라디칼에 의해 치환될 수도 있는 방향족 또는 헤테로방향족 고리 시스템이고; 동시에, 동일한 탄소 원자, 규소 원자, 질소 원자, 인 원자 또는 붕소 원자에 결합한 2 개의 Ar 라디칼은 또한 단일 결합에 의한 브릿지 또는 B(R1), C(R1)2, Si(R1)2, C=O, C=NR1, C=C(R1)2, O, S, S=O, SO2, N(R1), P(R1) 및 P(=O)R1 로부터 선택된 브릿지를 통해 함께 연결되는 것이 가능하고;
R1 은 각각의 경우 동일하거나 상이하고 H, D, F, Cl, Br, I, CN, NO2, N(Ar')2, N(R2)2, C(=O)Ar', C(=O)R2, P(=O)(Ar')2, P(Ar')2, B(Ar')2, B(R2)2, C(Ar')3, C(R2)3, Si(Ar')3, Si(R2)3, 1 내지 40 개의 탄소 원자를 갖는 직쇄 알킬, 알콕시 또는 티오알콕시 기 또는 3 내지 40 개의 탄소 원자를 갖는 분지형 또는 환형 알킬, 알콕시 또는 티오알콕시 기 또는 2 내지 40 개의 탄소 원자를 갖는 알케닐 기 (이들 각각은 하나 이상의 R2 라디칼에 의해 치환될 수 있고, 여기서 하나 이상의 비인접 CH2 기는 -R2C=CR2-, -C≡C-, Si(R2)2, C=O, C=S, C=Se, C=NR2, -C(=O)O-, -C(=O)NR2-, NR2, P(=O)(R2), -O-, -S-, SO 또는 SO2 로 대체될 수도 있고 하나 이상의 수소 원자는 D, F, Cl, Br, I, CN 또는 NO2 로 대체될 수도 있음), 또는 5 내지 60 개의 방향족 고리 원자를 갖는 방향족 또는 헤테로방향족 고리 시스템 (이들 각각은 하나 이상의 R2 라디칼에 의해 치환될 수도 있음), 또는 5 내지 60 개의 방향족 고리 원자를 가지며 하나 이상의 R2 라디칼에 의해 치환될 수도 있는 아릴옥시 또는 헤테로아릴옥시 기, 또는 5 내지 60 개의 방향족 고리 원자를 갖고 하나 이상의 R2 라디칼에 의해 치환될 수도 있는 아르알킬 또는 헤테로아르알킬기, 또는 이들 시스템들의 조합이고; 동시에, 2 개 이상의 바람직하게는 인접한 R1 라디칼들은 함께 고리 시스템을 형성할 수 있고; 동시에, 하나 이상의 R1 라디칼은 화합물의 추가 부분과 고리 시스템을 형성할 수 있고;
Ar' 은 각각의 경우 동일하거나 상이하며 5 내지 30 개의 방향족 고리 원자를 가지며 하나 이상의 R2 라디칼에 의해 치환될 수도 있는 방향족 또는 헤테로방향족 고리 시스템이고; 동시에, 동일한 탄소 원자, 규소 원자, 질소 원자, 인 원자 또는 붕소 원자에 결합한 2 개의 Ar' 라디칼은 또한 단일 결합에 의한 브릿지 또는 B(R2), C(R2)2, Si(R2)2, C=O, C=NR2, C=C(R2)2, O, S, S=O, SO2, N(R2), P(R2) 및 P(=O)R2 로부터 선택된 브릿지를 통해 함께 연결되는 것이 가능하고;
R2 는 각각의 경우 동일하거나 상이하며, H, D, F, CN, 1 내지 20 개의 탄소 원자를 갖는 지방족 히드로카르빌 라디칼, 또는 5 내지 30 개의 방향족 고리 원자를 갖는 방향족 또는 헤테로방향족 고리 시스템 (여기서, 하나 이상의 수소 원자가 D, F, Cl, Br, I 또는 CN 으로 대체될 수도 있고, 1 내지 4 개의 탄소 원자를 각각 갖는 하나 이상의 알킬 기에 의해 치환될 수도 있음) 로 이루어지는 군으로부터 선택되고; 동시에, 2개 이상의, 바람직하게는 인접한 치환기 R2 는 함께 고리 시스템을 형성할 수 있고;
단,
Z 가 N 및 P로부터 선택되는 경우, Y1, Y2, Y3 기 중 적어도 하나는 P(=O)Ar, P(=O)R, B(Ar), B(R), Al(Ar), Al(R), Ga(Ar), Ga(R), C=O, S=O 또는 SO2, 바람직하게는 B(Ar), B(R), P(=O)Ar, P(=O)R, C=O, S=O 또는 SO2, 보다 바람직하게는 B(R) 또는 B(Ar) 이거나, 또는
Z 가 B, Al, P(=O), P(=S) 및 Ga 로부터 선택되는 경우, Y1, Y2, Y3 기 중 적어도 하나는 N(Ar), N(R), P(Ar), P(R), O, S 또는 Se, 바람직하게는 N(Ar), N(R), O 또는 S, 보다 바람직하게는 N(Ar) 이고;
적어도 2개의 R 라디칼은 상기 2개의 R 라디칼이 결합하는 추가 기와 함께 융합 고리를 형성하고, 여기서 2개의 R 라디칼은 하기 식 (RA-1) 내지 (RA-12) 의 적어도 하나의 구조를 형성하고:
식 중 R1 은 위에 제시된 정의를 갖고, 점선 결합은 2개의 R 라디칼이 결합하는 기의 원자에 대한 부착 부위를 나타내며, 추가 기호는 다음 정의를 갖는다:
Y4 는 각각의 경우 동일하거나 상이하고 C(R1)2, (R1)2C-C(R1)2, (R1)C=C(R1), NR1, NAr, O 또는 S, 바람직하게는 C(R1)2, (R1)2C-C(R1)2, (R1)C=C(R1), O 또는 S 이고;
Ra 는 각각의 경우 동일하거나 상이하고, F, 1 내지 40개의 탄소 원자를 갖는 직쇄 알킬, 알콕시 또는 티오알콕시기 또는 2 내지 40개의 탄소 원자를 갖는 알케닐 또는 알키닐기 또는 3 내지 20 개의 탄소 원자를 갖는 분지형 또는 환형 알킬, 알콕시 또는 티오알콕시기 (상기 알킬, 알콕시, 티오알콕시, 알케닐 또는 알키닐 기는 각 경우에 하나 이상의 R2 라디칼에 의해 치환될 수도 있고, 하나 이상의 비인접 CH2 기는 R2C=CR2, C≡C, Si(R2)2, C=O, C=S, C=Se, C=NR2, -C(=O)O-, -C(=O)NR2-, NR2, P(=O)(R1), -O-, -S-, SO 또는 SO2 로 치환될 수도 있음), 또는 5 내지 60 개의 방향족 고리 원자를 갖고 각 경우에 하나 이상의 R2 라디칼에 의해 치환될 수도 있는 방향족 또는 헤테로방향족 고리 시스템, 또는 5 내지 60 개의 방향족 고리 원자를 갖고 하나 이상의 R2 라디칼에 의해 치환될 수도 있는 아릴옥시 또는 헤테로아릴옥시기이고; 동시에, 또한 2 개의 Ra 라디칼은 함께 고리 시스템을 형성할 수 있고;
s 는 0, 1, 2, 3, 4, 5 또는 6, 바람직하게는 0, 1, 2, 3 또는 4, 보다 바람직하게는 0, 1 또는 2 이고;
t 는 0, 1, 2, 3, 4, 5, 6, 7 또는 8, 바람직하게는 0, 1, 2, 3 또는 4, 보다 바람직하게는 0, 1 또는 2 이고;
v 는 0, 1, 2, 3, 4, 5, 6, 7, 8 또는 9, 바람직하게는 0, 1, 2, 3 또는 4, 보다 바람직하게는 0, 1 또는 2 인 것을 특징으로 하는 화합물. - 제 1 항에 있어서,
식 (IIa), (IIb), (IIc) 및 (IId) 의 적어도 하나의 구조를 포함하고, 바람직하게는 식 (IIa), (IIb), (IIc) 및 (IId) 의 화합물로부터 선택되고:
식 중 p2, p3, Y1, Y2, Y3, X, Z, 및 R 은 제 1 항에 주어진 정의를 가지며, 인덱스 m은 0, 1, 2, 3 또는 4, 바람직하게는 0, 1 또는 2 이고, 인덱스 n은 0, 1, 2 또는 3, 바람직하게는 0, 1 또는 2이며, 여기서 인덱스 m과 n의 총합은 바람직하게는 0, 1, 2, 3 또는 4 인, 화합물. - 제 1 항 또는 제 2 항에 있어서,
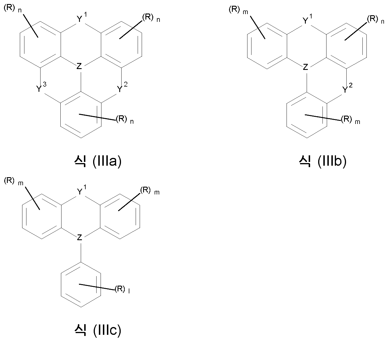
하기 식 (IIIa), (IIIb) 및 (IIIc) 의 적어도 하나의 구조를 포함하고, 바람직하게는 식 (IIIa), (IIIb) 및 (IIIc) 의 화합물로부터 선택되고:
식 중 Y1, Y2, Y3, X, Z, 및 R 은 제 1 항에 주어진 정의를 가지며, 인덱스 l 은 0, 1, 2, 3, 4 또는 5, 바람직하게는 0, 1 또는 2이고, 인덱스 m은 0, 1 , 2, 3 또는 4, 바람직하게는 0, 1 또는 2이고, 인덱스 n은 0, 1, 2 또는 3, 바람직하게는 0, 1 또는 2 이고, 여기서 인덱스 l, m 및 n의 총합은 바람직하게는 2, 3, 4, 5, 6, 7 또는 8 이고, 식 (IIIa) 및 (IIIb)의 구조가 바람직하고, 식 (IIIa) 의 구조가 특히 바람직한, 화합물. - 제 1 항 내지 제 3 항 중 어느 한 항에 있어서,
식 (RA-1) 내지 (RA-12) 의 구조를 형성하고 축합 고리를 형성하는 적어도 2개의 R 라디칼은 인접한 X 기로부터의 R 라디칼인 것을 특징으로 하는 화합물. - 제 1 항 내지 제 5 항 중 어느 한 항에 있어서,
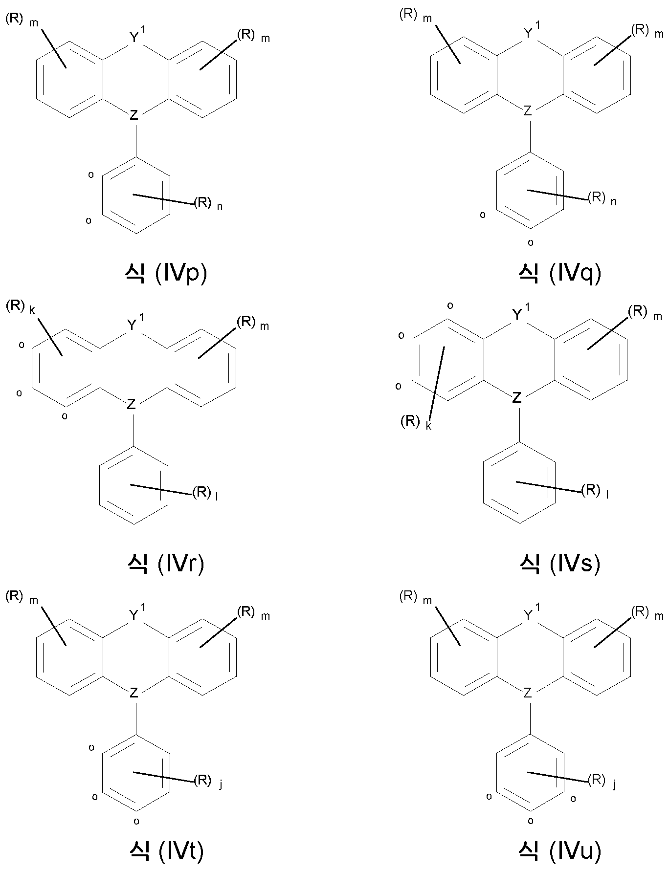
하기 식 (IVa) 내지 (IVu) 의 적어도 하나의 구조를 포함하고, 바람직하게는 식 (IVa) 내지 (IVu) 의 화합물로부터 선택되고,
식 중 Y1, Y2, Y3, X, Z, 및 R 은 제 1 항에 주어진 정의를 가지며, 기호 o는 구조 (RA-1) 내지 (RA-12) 중 적어도 하나의 부착 부위를 나타내고, 인덱스 l 은 0, 1, 2, 3, 4 또는 5, 바람직하게는 0, 1 또는 2, 인덱스 m 은 0, 1, 2, 3 또는 4, 바람직하게 0, 1 또는 2, 인덱스 n 은 0, 1, 2 또는 3, 바람직하게 0, 1 또는 2, 인덱스 j 는 0, 1 또는 2, 바람직하게 0 또는 1, 그리고 인덱스 k 는 0 또는 1, 바람직하게는 0 이고, 인덱스 k, j, l, m 및 n 의 총합은 바람직하게 0, 1, 2, 3, 4, 5 또는 6 이고, 식 (IVa) 내지 (IVk) 의 구조/화합물이 바람직하고, 식 (IVa) 내지 (IVc) 의 구조/화합물이 특히 바람직한, 화합물. - 제 1 항 내지 제 6 항 중 어느 한 항에 있어서,
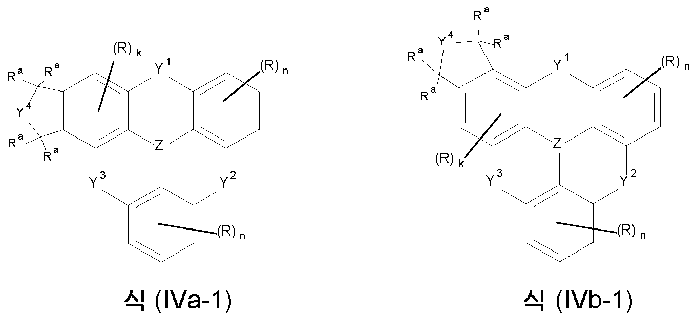
하기 식 (IVa-1) 내지 (IVb-4) 의 적어도 하나의 구조를 포함하고, 바람직하게는 하기 식 (IVa-1) 내지 (IVb-4) 의 화합물로부터 선택되고:
식 중 인덱스 s 및 v 그리고 기호 Y1, Y2, Y3, Y4, X, Z, R, Ra 및 R1 는 제 1 항에 주어진 정의를 가지며, 인덱스 n 은 0, 1, 2 또는 3, 바람직하게는 0, 1 또는 2, 그리고 인덱스 k 는 0 또는 1, 바람직하게는 0 이고, 여기서 인덱스 k 및 n 의 총합은 바람직하게 0, 1, 2, 3, 4, 5 또는 6, 보다 바람직하게 2, 3, 4 또는 5 인, 화합물. - 제 1 항 내지 제 8 항 중 어느 한 항에 있어서,
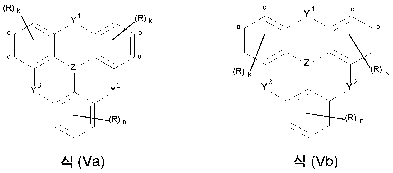
상기 화합물이 적어도 2개의 융합된 고리를 갖고, 여기서 적어도 하나의 융합된 고리는 식 (RA-1) 내지 (RA-12) 의 구조에 의해 형성되고 추가 고리는 식 (RA-1) 내지 (RA-12) 또는 (RB) 의 구조에 의해 형성되고, 하기 식 (Va) 내지 (Vz) 의 적어도 하나의 구조를 포함하고, 바람직하게는 하기 식 (Va) 내지 (Vz) 의 화합물로부터 선택되고:
식 중 Y1, Y2, Y3, X, Z, 및 R 은 제 1 항에 주어진 정의를 가지며, 기호 o는 식 (RA-1) 내지 (RA-12) 의 적어도 하나의 구조 또는 식 (RB) 의 구조의 부착 부위를 나타내고, 인덱스 l 은 0, 1, 2, 3, 4 또는 5, 바람직하게는 0, 1 또는 2, 인덱스 m 은 0, 1, 2, 3 또는 4, 바람직하게 0, 1 또는 2, 인덱스 n 은 0, 1, 2 또는 3, 바람직하게 0, 1 또는 2, 인덱스 j 는 0, 1 또는 2, 바람직하게 0 또는 1, 그리고 인덱스 k 는 0 또는 1, 바람직하게는 0 이고, 인덱스 k, j, l, m 및 n 의 총합은 바람직하게 0, 1, 2, 3 또는 4, 보다 바람직하게 2, 3 또는 4 이고, 식 (Va) 내지 (Vp) 의 구조/화합물이 바람직하고, 식 (Va) 내지 (Vd) 의 구조/화합물이 특히 바람직한, 화합물. - 제 1 항 내지 제 6 항, 제 8 항 및 제 9 항 중 어느 한 항에 있어서,
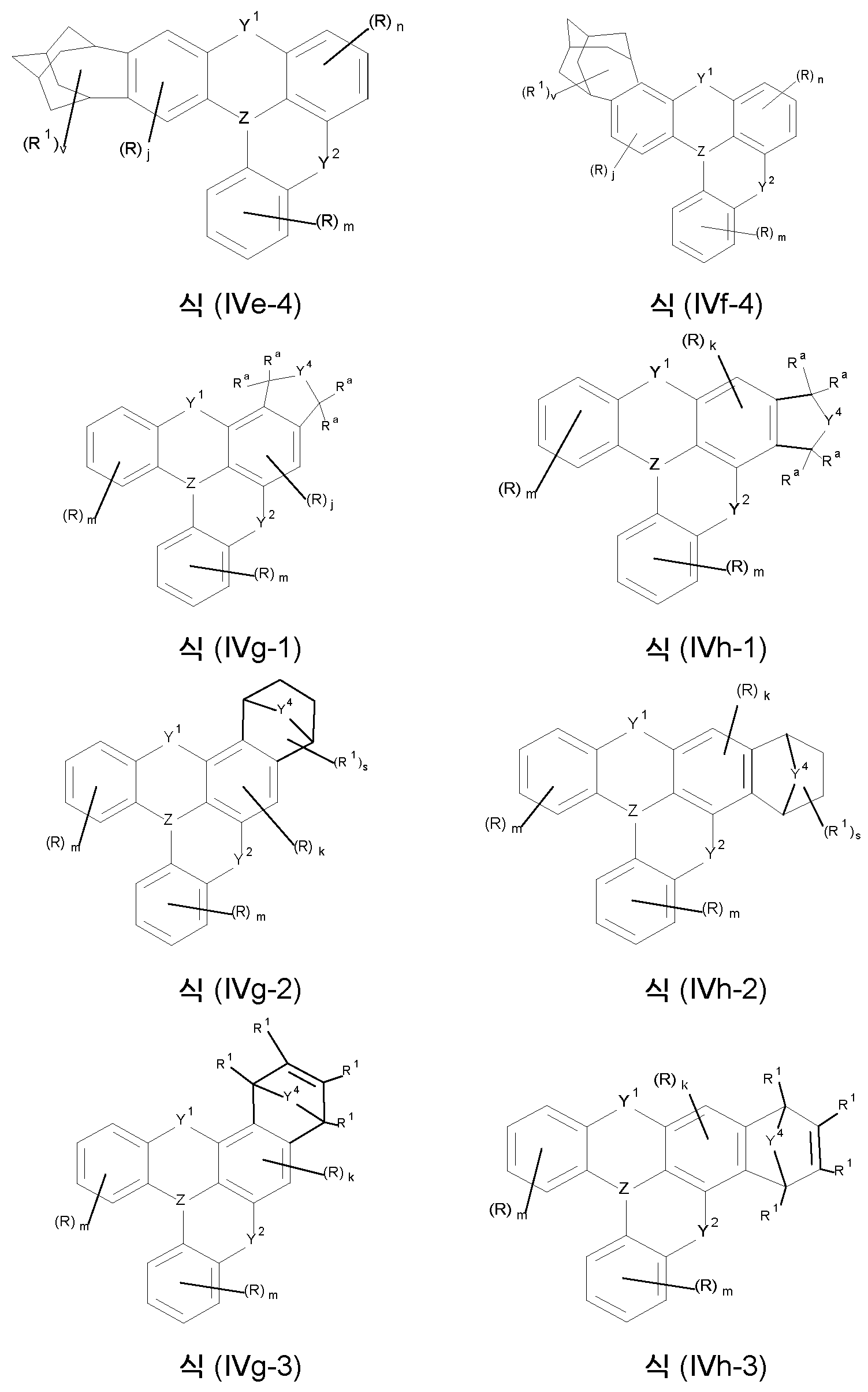
하기 식 (IVe-1) 내지 (IVh-4) 의 적어도 하나의 구조를 포함하고, 바람직하게는 하기 식 (IVe-1) 내지 (IVh-4) 의 화합물로부터 선택되고:
식 중 인덱스 s 및 v, Y1, Y2, Y4, X, Z, R, Ra 및 R1 는 제 1 항에 주어진 정의를 가지며, 인덱스 m 은 0, 1, 2, 3 또는 4, 바람직하게 0, 1 또는 2, 인덱스 n 은 0, 1, 2 또는 3, 바람직하게 0, 1 또는 2, 인덱스 j 는 0, 1 또는 2, 바람직하게 0 또는 1, 그리고 인덱스 k 는 0 또는 1, 바람직하게는 0 이고, 여기서 인덱스 k, j, l, m 및 n 의 총합은 바람직하게 0, 1, 2, 3, 4, 5, 6, 7 또는 8, 보다 바람직하게는 2, 3, 4, 5 또는 6 인, 화합물. - 제 1 항 내지 제 9 항 중 어느 한 항에 있어서,
하기 식 (Va-1) 내지 (Va-18) 의 적어도 하나의 구조를 포함하고, 바람직하게는 하기 식 (Va-1) 내지 (Va-18) 의 화합물로부터 선택되고:
식 중 인덱스 s 및 v, Y1, Y2, Y3, Y4, Y5, X, Z, R, Ra 및 R1 은 제 1 항 또는 제 8 항에 주어진 정의를 가지며, 인덱스 m 은 0, 1, 2, 3 또는 4, 바람직하게는 0, 1 또는 2, 인덱스 n 은 0, 1, 2 또는 3, 바람직하게는 0, 1 또는 2, 그리고 인덱스 k 는 0 또는 1, 바람직하게는 0 이고, 여기서 인덱스 k, m 및 n 의 총합은 바람직하게 0, 1, 2, 3, 4, 5, 6, 7 또는 8, 보다 바람직하게 0, 1, 2, 3 또는 4 인, 화합물. - 제 1 항 내지 제 9 항 및 제 11 항 중 어느 한 항에 있어서,
식 (I), (IIa), (IIb) 에서, 인덱스 p2 및 p3 의 총합은 2이고 Y1, Y2, Y3 기 중 적어도 하나는 결합이고, Y1, Y2, Y3 기(들) 중 적어도 하나 그리고 바람직하게 적어도 2개는 B(Ar) 또는 B(R) 이고 Z 는 N이거나, 및/또는, 식 (IIIa), (IVa) 내지 (IVc), (Va) 내지 (Vd) 또는 (Va-1) 내지 (Va-18) 에서, Y1, Y2, Y3 기 중 적어도 하나는 결합이고, Y1, Y2, Y3 기 중 적어도 하나 그리고 바람직하게는 적어도 2개는 B(Ar) 또는 B(R) 이고 Z 는 N 인 것을 특징으로 하는 화합물. - 제 1 항 내지 제 9 항 및 제 11 항 중 어느 한 항에 있어서,
식 (I), (IIa), (IIb) 에서, 인덱스 p2 및 p3 의 총합은 2이고 Y1, Y2, Y3 기 중 적어도 2개, 바람직하게 모든 Y1, Y2, Y3 기는, B(Ar) 또는 B(R) 이고 Z 는 N 이거나, 및/또는, 식 (IIIa), (IVa) 내지 (IVc), (Va) 내지 (Vd) 또는 (Va-1) 내지 (Va-18) 에서, Y1, Y2, Y3 기 중 적어도 2개, 바람직하게 모든 Y1, Y2, Y3 기는 B(Ar) 또는 B(R) 이고 Z 는 N 인 것을 특징으로 하는 화합물. - 제 1 항 내지 제 9 항 및 제 11 항 중 어느 한 항에 있어서,
식 (I), (IIa), (IIb) 에서, 인덱스 p2 및 p3 의 총합은 2이고 Y1, Y2, Y3 기 중 적어도 하나는 결합이고, Y1, Y2, Y3 기(들) 중 적어도 하나 그리고 바람직하게 적어도 2개는 N(Ar) 또는 N(R) 이고 Z 는 B이거나, 및/또는, 식 (IIIa), (IVa) 내지 (IVc), (Va) 내지 (Vd) 또는 (Va-1) 내지 (Va-18) 에서, Y1, Y2, Y3 기 중 적어도 하나는 결합이고, Y1, Y2, Y3 기 중 적어도 하나 그리고 바람직하게는 적어도 2개는 N(Ar) 또는 N(R) 이고 Z 는 B 인 것을 특징으로 하는 화합물. - 제 1 항 내지 제 9 항 및 제 11 항 중 어느 한 항에 있어서,
식 (I), (IIa), (IIb) 에서, 인덱스 p2 및 p3 의 총합은 2이고 Y1, Y2, Y3 기 중 적어도 2개, 바람직하게 모든 Y1, Y2, Y3 기는, N(Ar) 또는 N(R) 이고 Z 는 B 이거나, 및/또는, 식 (IIIa), (IVa) 내지 (IVc), (Va) 내지 (Vd) 또는 (Va-1) 내지 (Va-18) 에서, Y1, Y2, Y3 기 중 적어도 2개, 바람직하게 모든 Y1, Y2, Y3 기는 N(Ar) 또는 N(R) 이고 Z 는 B 인 것을 특징으로 하는 화합물. - 제 1 항 내지 제 6 항 및 제 8 항 내지 제 10 항 중 어느 한 항에 있어서,
식 (I) 및 (IIa) 내지 (IId) 에서, 인덱스 p2 및 p3 의 총합은 1 이거나 또는 인덱스 p2 는 1 이고 Y1, Y2, Y3 기 중 적어도 하나, 바람직하게 Y1, Y2, Y3 기 중 2개는 B(Ar) 또는 B(R) 이고 Z 는 N 이거나, 및/또는 식 (IIIb), (IVd) 내지 (IVm) 또는 (Ve) 내지 (Vp) 에서, Y1, Y2 기 중 적어도 하나, 바람직하게는 양자 모두의 Y1, Y2 기는 B(Ar) 또는 B(R) 이고 Z 는 N 인 것을 특징으로 하는 화합물. - 제 1 항 내지 제 6 항 및 제 8 항 내지 제 10 항 중 어느 한 항에 있어서,
식 (I) 및 (IIa) 내지 (IId) 에서, 인덱스 p2 및 p3 의 총합은 1 이거나 또는 인덱스 p2 는 1 이고 Y1, Y2, Y3 기 중 적어도 하나, 바람직하게 Y1, Y2, Y3 기 중 2개는 N(Ar) 또는 N(R) 이고 Z 는 B 이거나, 및/또는 식 (IIIb), (IVd) 내지 (IVm) 또는 (Ve) 내지 (Vp) 에서, Y1, Y2 기 중 적어도 하나, 바람직하게는 양자 모두의 Y1, Y2 기는 N(Ar) 또는 N(R) 이고 Z 는 B 인 것을 특징으로 하는 화합물. - 제 1 항 내지 제 17 항 중 어느 한 항에 기재된 화합물을 하나 이상 함유하는 올리고머, 폴리머 또는 덴드리머로서,
수소 원자 또는 치환기보다는, 상기 폴리머, 올리고머 또는 덴드리머에 대한 상기 화합물의 하나 이상의 결합이 있는, 올리고머, 폴리머 또는 덴드리머. - 제 1 항 내지 제 17 항 중 어느 한 항에 기재된 화합물 적어도 하나,
제 18 항에 기재된 올리고머, 폴리머 또는 덴드리머 및
적어도 하나의 추가 화합물을 포함하고, 상기 추가 화합물은 바람직하게 하나 이상의 용매로부터 선택되는, 포뮬레이션. - 제 1 항 내지 제 17 항 중 어느 한 항에 기재된 화합물 적어도 하나 또는 제 18 항에 기재된 올리고머, 폴리머 또는 덴드리머, 및
형광 방출체, 인광 방출체, TADF를 나타내는 방출체, 호스트 재료, 전자 수송 재료, 전자 주입 재료, 정공 전도체 재료, 정공 주입 재료, 전자 차단 재료 및 정공 차단 재료로 이루어지는 군으로부터 선택되는 적어도 하나의 추가 화합물을 포함하는, 조성물. - 제 1 항 내지 제 17 항 중 어느 한 항에 기재된 화합물의 제조 방법으로서,
Z 기 또는 상기 Z 기의 전구체를 갖는 베이스 골격이 합성되고, Y1, Y2, Y3 기 중 적어도 하나가 친핵성 방향족 치환 반응 또는 커플링 반응에 의해 도입되는 것을 특징으로 하는 제조 방법. - 제 1 항 내지 제 17 항 중 어느 한 항에 기재된 화합물 또는 제 18 항에 기재된 올리고머, 폴리머 또는 덴드리머의 전자 디바이스에서의 용도.
- 제 1 항 내지 제 17 항 중 어느 한 항에 기재된 화합물 적어도 하나, 또는 제 18 항에 기재된 올리고머, 폴리머 또는 덴드리머를 포함하는 전자 디바이스로서,
상기 전자 디바이스는 바람직하게 전계 발광 디바이스인, 전자 디바이스.
Applications Claiming Priority (3)
| Application Number | Priority Date | Filing Date | Title |
|---|---|---|---|
| EP19217948.9 | 2019-12-19 | ||
| EP19217948 | 2019-12-19 | ||
| PCT/EP2020/086412 WO2021122740A1 (de) | 2019-12-19 | 2020-12-16 | Polycyclische verbindungen für organische elektrolumineszenzvorrichtungen |
Publications (1)
| Publication Number | Publication Date |
|---|---|
| KR20220116008A true KR20220116008A (ko) | 2022-08-19 |
Family
ID=68965855
Family Applications (1)
| Application Number | Title | Priority Date | Filing Date |
|---|---|---|---|
| KR1020227024233A Pending KR20220116008A (ko) | 2019-12-19 | 2020-12-16 | 유기 전계 발광 디바이스용 다환 화합물 |
Country Status (6)
| Country | Link |
|---|---|
| US (1) | US20230104248A1 (ko) |
| EP (1) | EP4077336A1 (ko) |
| JP (1) | JP7652781B2 (ko) |
| KR (1) | KR20220116008A (ko) |
| CN (1) | CN114867729A (ko) |
| WO (1) | WO2021122740A1 (ko) |
Families Citing this family (7)
| Publication number | Priority date | Publication date | Assignee | Title |
|---|---|---|---|---|
| WO2018047639A1 (ja) * | 2016-09-07 | 2018-03-15 | 学校法人関西学院 | 多環芳香族化合物 |
| CN112028918B (zh) * | 2019-12-31 | 2023-04-28 | 陕西莱特光电材料股份有限公司 | 一种有机化合物、其应用以及有机电致发光器件 |
| KR102654217B1 (ko) * | 2020-09-15 | 2024-04-03 | 머티어리얼사이언스 주식회사 | 유기 화합물 및 이를 포함하는 유기전계발광소자 |
| TW202229215A (zh) * | 2020-09-30 | 2022-08-01 | 德商麥克專利有限公司 | 用於有機電致發光裝置功能層之結構化的化合物 |
| JP7710670B2 (ja) * | 2020-12-07 | 2025-07-22 | エスケーマテリアルズジェイエヌシー株式会社 | 多環芳香族化合物 |
| CN113773207B (zh) * | 2021-06-18 | 2022-08-02 | 北京莱特众成光电材料科技有限公司 | 有机化合物及包含其的电子元件和电子装置 |
| KR102803141B1 (ko) * | 2022-04-14 | 2025-04-30 | 울산대학교 산학협력단 | 트립티센 구조를 포함하는 열 활성화 지연 형광 유기 발광 화합물 및 이를 포함하는 유기 발광 소자 |
Family Cites Families (133)
| Publication number | Priority date | Publication date | Assignee | Title |
|---|---|---|---|---|
| DE4111878A1 (de) | 1991-04-11 | 1992-10-15 | Wacker Chemie Gmbh | Leiterpolymere mit konjugierten doppelbindungen |
| JPH07133483A (ja) | 1993-11-09 | 1995-05-23 | Shinko Electric Ind Co Ltd | El素子用有機発光材料及びel素子 |
| JP3139321B2 (ja) | 1994-03-31 | 2001-02-26 | 東レ株式会社 | 発光素子 |
| DE4436773A1 (de) | 1994-10-14 | 1996-04-18 | Hoechst Ag | Konjugierte Polymere mit Spirozentren und ihre Verwendung als Elektrolumineszenzmaterialien |
| WO1997005184A1 (en) | 1995-07-28 | 1997-02-13 | The Dow Chemical Company | 2,7-aryl-9-substituted fluorenes and 9-substituted fluorene oligomers and polymers |
| DE19614971A1 (de) | 1996-04-17 | 1997-10-23 | Hoechst Ag | Polymere mit Spiroatomen und ihre Verwendung als Elektrolumineszenzmaterialien |
| DE19846766A1 (de) | 1998-10-10 | 2000-04-20 | Aventis Res & Tech Gmbh & Co | Konjugierte Polymere, enthaltend spezielle Fluorenbausteine mit verbesserten Eigenschaften |
| US6166172A (en) | 1999-02-10 | 2000-12-26 | Carnegie Mellon University | Method of forming poly-(3-substituted) thiophenes |
| WO2000070655A2 (en) | 1999-05-13 | 2000-11-23 | The Trustees Of Princeton University | Very high efficiency organic light emitting devices based on electrophosphorescence |
| KR100946314B1 (ko) | 1999-12-01 | 2010-03-09 | 더 트러스티즈 오브 프린스턴 유니버시티 | 인광성 유기금속화합물을 포함하는 유기 발광 장치 |
| US6660410B2 (en) | 2000-03-27 | 2003-12-09 | Idemitsu Kosan Co., Ltd. | Organic electroluminescence element |
| US20020121638A1 (en) | 2000-06-30 | 2002-09-05 | Vladimir Grushin | Electroluminescent iridium compounds with fluorinated phenylpyridines, phenylpyrimidines, and phenylquinolines and devices made with such compounds |
| CN101924190B (zh) | 2000-08-11 | 2012-07-04 | 普林斯顿大学理事会 | 有机金属化合物和发射转换有机电致磷光 |
| JP4154139B2 (ja) | 2000-09-26 | 2008-09-24 | キヤノン株式会社 | 発光素子 |
| JP4154138B2 (ja) | 2000-09-26 | 2008-09-24 | キヤノン株式会社 | 発光素子、表示装置及び金属配位化合物 |
| JP4154140B2 (ja) | 2000-09-26 | 2008-09-24 | キヤノン株式会社 | 金属配位化合物 |
| ITRM20020411A1 (it) | 2002-08-01 | 2004-02-02 | Univ Roma La Sapienza | Derivati dello spirobifluorene, loro preparazione e loro uso. |
| GB0226010D0 (en) | 2002-11-08 | 2002-12-18 | Cambridge Display Tech Ltd | Polymers for use in organic electroluminescent devices |
| JP2006511939A (ja) | 2002-12-23 | 2006-04-06 | コビオン・オーガニック・セミコンダクターズ・ゲーエムベーハー | 有機エレクトロルミネセンス素子 |
| DE10304819A1 (de) | 2003-02-06 | 2004-08-19 | Covion Organic Semiconductors Gmbh | Carbazol-enthaltende konjugierte Polymere und Blends, deren Darstellung und Verwendung |
| JP4411851B2 (ja) | 2003-03-19 | 2010-02-10 | コニカミノルタホールディングス株式会社 | 有機エレクトロルミネッセンス素子 |
| JP5318347B2 (ja) | 2003-04-15 | 2013-10-16 | メルク パテント ゲーエムベーハー | 発光可能な、マトリックス材料と有機半導体との混合物、その使用、ならびに前記混合物を含む電子部品 |
| EP2236579B1 (en) | 2003-04-23 | 2014-04-09 | Konica Minolta Holdings, Inc. | Organic electroluminescent element and display |
| EP1491568A1 (en) | 2003-06-23 | 2004-12-29 | Covion Organic Semiconductors GmbH | Semiconductive Polymers |
| DE10328627A1 (de) | 2003-06-26 | 2005-02-17 | Covion Organic Semiconductors Gmbh | Neue Materialien für die Elektrolumineszenz |
| DE10337346A1 (de) | 2003-08-12 | 2005-03-31 | Covion Organic Semiconductors Gmbh | Konjugierte Polymere enthaltend Dihydrophenanthren-Einheiten und deren Verwendung |
| DE10338550A1 (de) | 2003-08-19 | 2005-03-31 | Basf Ag | Übergangsmetallkomplexe mit Carbenliganden als Emitter für organische Licht-emittierende Dioden (OLEDs) |
| DE10345572A1 (de) | 2003-09-29 | 2005-05-19 | Covion Organic Semiconductors Gmbh | Metallkomplexe |
| US7795801B2 (en) | 2003-09-30 | 2010-09-14 | Konica Minolta Holdings, Inc. | Organic electroluminescent element, illuminator, display and compound |
| US7659540B2 (en) | 2003-10-22 | 2010-02-09 | Merck Patent Gmbh | Materials for electroluminescence and the utilization thereof |
| JP2007512692A (ja) | 2003-11-25 | 2007-05-17 | メルク パテント ゲーエムベーハー | 有機エレクトロルミネセンス素子 |
| US7790890B2 (en) | 2004-03-31 | 2010-09-07 | Konica Minolta Holdings, Inc. | Organic electroluminescence element material, organic electroluminescence element, display device and illumination device |
| DE102004020298A1 (de) | 2004-04-26 | 2005-11-10 | Covion Organic Semiconductors Gmbh | Elektrolumineszierende Polymere und deren Verwendung |
| DE102004023277A1 (de) | 2004-05-11 | 2005-12-01 | Covion Organic Semiconductors Gmbh | Neue Materialmischungen für die Elektrolumineszenz |
| US7598388B2 (en) | 2004-05-18 | 2009-10-06 | The University Of Southern California | Carbene containing metal complexes as OLEDs |
| JP4862248B2 (ja) | 2004-06-04 | 2012-01-25 | コニカミノルタホールディングス株式会社 | 有機エレクトロルミネッセンス素子、照明装置及び表示装置 |
| ITRM20040352A1 (it) | 2004-07-15 | 2004-10-15 | Univ Roma La Sapienza | Derivati oligomerici dello spirobifluorene, loro preparazione e loro uso. |
| JP2006080272A (ja) | 2004-09-09 | 2006-03-23 | Konica Minolta Holdings Inc | 有機エレクトロルミネッセンス素子、照明装置及び表示装置 |
| EP1669386A1 (de) | 2004-12-06 | 2006-06-14 | Covion Organic Semiconductors GmbH | Teilkonjugierte Polymere, deren Darstellung und Verwendung |
| CN101171320B (zh) | 2005-05-03 | 2013-04-10 | 默克专利有限公司 | 有机电致发光器件 |
| DE102005037734B4 (de) | 2005-08-10 | 2018-02-08 | Merck Patent Gmbh | Elektrolumineszierende Polymere, ihre Verwendung und bifunktionelle monomere Verbindungen |
| EP1956022B1 (en) | 2005-12-01 | 2012-07-25 | Nippon Steel Chemical Co., Ltd. | Compound for organic electroluminescent element and organic electroluminescent element |
| DE102005058558A1 (de) | 2005-12-08 | 2007-06-14 | Merck Patent Gmbh | Organische Elektrolumineszenzvorrichtungen |
| DE102005058557A1 (de) | 2005-12-08 | 2007-06-14 | Merck Patent Gmbh | Organische Elektrolumineszenzvorrichtung |
| DE102006025777A1 (de) | 2006-05-31 | 2007-12-06 | Merck Patent Gmbh | Neue Materialien für organische Elektrolumineszenzvorrichtungen |
| US8062769B2 (en) | 2006-11-09 | 2011-11-22 | Nippon Steel Chemical Co., Ltd. | Indolocarbazole compound for use in organic electroluminescent device and organic electroluminescent device |
| WO2009030981A2 (en) | 2006-12-28 | 2009-03-12 | Universal Display Corporation | Long lifetime phosphorescent organic light emitting device (oled) structures |
| DE102007002714A1 (de) | 2007-01-18 | 2008-07-31 | Merck Patent Gmbh | Neue Materialien für organische Elektrolumineszenzvorrichtungen |
| DE102007053771A1 (de) | 2007-11-12 | 2009-05-14 | Merck Patent Gmbh | Organische Elektrolumineszenzvorrichtungen |
| DE102008017591A1 (de) | 2008-04-07 | 2009-10-08 | Merck Patent Gmbh | Neue Materialien für organische Elektrolumineszenzvorrichtungen |
| DE102008027005A1 (de) | 2008-06-05 | 2009-12-10 | Merck Patent Gmbh | Organische elektronische Vorrichtung enthaltend Metallkomplexe |
| DE102008033943A1 (de) | 2008-07-18 | 2010-01-21 | Merck Patent Gmbh | Neue Materialien für organische Elektrolumineszenzvorrichtungen |
| DE102008036247A1 (de) | 2008-08-04 | 2010-02-11 | Merck Patent Gmbh | Elektronische Vorrichtungen enthaltend Metallkomplexe |
| DE102008036982A1 (de) | 2008-08-08 | 2010-02-11 | Merck Patent Gmbh | Organische Elektrolumineszenzvorrichtung |
| DE102008048336A1 (de) | 2008-09-22 | 2010-03-25 | Merck Patent Gmbh | Einkernige neutrale Kupfer(I)-Komplexe und deren Verwendung zur Herstellung von optoelektronischen Bauelementen |
| KR20110097612A (ko) | 2008-11-11 | 2011-08-31 | 메르크 파텐트 게엠베하 | 유기 전계발광 소자 |
| DE102008056688A1 (de) | 2008-11-11 | 2010-05-12 | Merck Patent Gmbh | Materialien für organische Elektrolumineszenzvorrichtungen |
| DE102008057051B4 (de) | 2008-11-13 | 2021-06-17 | Merck Patent Gmbh | Materialien für organische Elektrolumineszenzvorrichtungen |
| DE102008057050B4 (de) | 2008-11-13 | 2021-06-02 | Merck Patent Gmbh | Materialien für organische Elektrolumineszenzvorrichtungen |
| DE102009007038A1 (de) | 2009-02-02 | 2010-08-05 | Merck Patent Gmbh | Metallkomplexe |
| DE102009011223A1 (de) | 2009-03-02 | 2010-09-23 | Merck Patent Gmbh | Metallkomplexe |
| DE102009013041A1 (de) | 2009-03-13 | 2010-09-16 | Merck Patent Gmbh | Materialien für organische Elektrolumineszenzvorrichtungen |
| DE102009014513A1 (de) | 2009-03-23 | 2010-09-30 | Merck Patent Gmbh | Organische Elektrolumineszenzvorrichtung |
| DE102009023155A1 (de) | 2009-05-29 | 2010-12-02 | Merck Patent Gmbh | Materialien für organische Elektrolumineszenzvorrichtungen |
| DE102009031021A1 (de) | 2009-06-30 | 2011-01-05 | Merck Patent Gmbh | Materialien für organische Elektrolumineszenzvorrichtungen |
| DE102009053645A1 (de) | 2009-11-17 | 2011-05-19 | Merck Patent Gmbh | Materialien für organische Elektrolumineszenzvorrichtung |
| DE102009041414A1 (de) | 2009-09-16 | 2011-03-17 | Merck Patent Gmbh | Metallkomplexe |
| DE102009053644B4 (de) | 2009-11-17 | 2019-07-04 | Merck Patent Gmbh | Materialien für organische Elektrolumineszenzvorrichtungen |
| DE102009048791A1 (de) | 2009-10-08 | 2011-04-14 | Merck Patent Gmbh | Materialien für organische Elektrolumineszenzvorrichtungen |
| DE102009053382A1 (de) | 2009-11-14 | 2011-05-19 | Merck Patent Gmbh | Materialien für elektronische Vorrichtungen |
| DE102009053836A1 (de) | 2009-11-18 | 2011-05-26 | Merck Patent Gmbh | Materialien für organische Elektrolumineszenzvorrichtungen |
| DE102009057167A1 (de) | 2009-12-05 | 2011-06-09 | Merck Patent Gmbh | Elektronische Vorrichtung enthaltend Metallkomplexe |
| DE102010005697A1 (de) | 2010-01-25 | 2011-07-28 | Merck Patent GmbH, 64293 | Verbindungen für elektronische Vorrichtungen |
| DE112011102008B4 (de) | 2010-06-15 | 2022-04-21 | Merck Patent Gmbh | Metallkomplexe |
| DE102010027317A1 (de) | 2010-07-16 | 2012-01-19 | Merck Patent Gmbh | Metallkomplexe |
| DE102010048608A1 (de) | 2010-10-15 | 2012-04-19 | Merck Patent Gmbh | Materialien für organische Elektrolumineszenzvorrichtungen |
| KR101979469B1 (ko) | 2011-04-18 | 2019-05-16 | 메르크 파텐트 게엠베하 | 유기 전계발광 소자용 재료 |
| CA2849087A1 (en) | 2011-09-21 | 2013-03-28 | Merck Patent Gmbh | Carbazole derivatives for organic electroluminescent devices |
| EP2768808B1 (de) | 2011-10-20 | 2017-11-15 | Merck Patent GmbH | Materialien für organische elektrolumineszenzvorrichtungen |
| KR102169444B1 (ko) * | 2012-06-22 | 2020-10-26 | 에스에프씨 주식회사 | 방향족 화합물 및 이를 포함하는 유기전계발광소자 |
| EP2872590B1 (de) | 2012-07-13 | 2018-11-14 | Merck Patent GmbH | Metallkomplexe |
| CN108054293B (zh) * | 2012-07-23 | 2020-05-22 | 默克专利有限公司 | 2-二芳基氨基芴的衍生物和含有所述2-二芳基氨基芴衍生物的有机电子复合体 |
| JP6363075B2 (ja) | 2012-08-07 | 2018-07-25 | メルク パテント ゲーエムベーハー | 金属錯体 |
| EP2935292B1 (de) | 2012-12-21 | 2019-04-10 | Merck Patent GmbH | Metallkomplexe |
| WO2014094960A1 (de) | 2012-12-21 | 2014-06-26 | Merck Patent Gmbh | Metallkomplexe |
| WO2014106523A1 (de) | 2013-01-03 | 2014-07-10 | Merck Patent Gmbh | Elektronische vorrichtung |
| EP3044284B1 (de) | 2013-09-11 | 2019-11-13 | Merck Patent GmbH | Metallkomplexe |
| EP3069392B1 (en) * | 2013-11-15 | 2019-08-07 | Merck Patent GmbH | Compound with novel six-membered ring structure for use in organic electronic devices |
| WO2015091716A1 (en) | 2013-12-20 | 2015-06-25 | Basf Se | Highly efficient oled devices with very short decay times |
| US11005050B2 (en) | 2014-01-13 | 2021-05-11 | Merck Patent Gmbh | Metal complexes |
| CN105980519B (zh) | 2014-02-05 | 2019-06-14 | 默克专利有限公司 | 金属络合物 |
| EP3140302B1 (de) | 2014-05-05 | 2019-08-21 | Merck Patent GmbH | Materialien für organische elektrolumineszenzvorrichtungen |
| WO2016015815A1 (de) | 2014-07-28 | 2016-02-04 | Merck Patent Gmbh | Metallkomplexe |
| CN106661006B (zh) | 2014-07-29 | 2019-11-08 | 默克专利有限公司 | 用于有机电致发光器件的材料 |
| EP3180411B1 (de) | 2014-08-13 | 2018-08-29 | Merck Patent GmbH | Materialien für organische elektrolumineszenzvorrichtungen |
| KR20160066308A (ko) * | 2014-12-02 | 2016-06-10 | (주)피엔에이치테크 | 유기발광 화합물 및 이를 포함하는 유기전계발광소자 |
| JP6772188B2 (ja) | 2015-02-03 | 2020-10-21 | メルク、パテント、ゲゼルシャフト、ミット、ベシュレンクテル、ハフツングMerck Patent GmbH | 金属錯体 |
| EP4060757A1 (en) | 2015-06-03 | 2022-09-21 | UDC Ireland Limited | Highly efficient oled devices with very short decay times |
| JP6862420B2 (ja) | 2015-08-13 | 2021-04-21 | メルク パテント ゲーエムベーハー | ヘキサメチルインダン |
| US11031562B2 (en) | 2015-08-25 | 2021-06-08 | Merck Patent Gmbh | Metal complexes |
| KR102851400B1 (ko) | 2016-03-03 | 2025-08-29 | 메르크 파텐트 게엠베하 | 유기 전계 발광 장치용 재료 |
| CN106008138B (zh) | 2016-05-23 | 2019-04-09 | 中节能万润股份有限公司 | 一种有机电致发光材料、应用及发光器件 |
| JP7039549B2 (ja) | 2016-07-14 | 2022-03-22 | メルク パテント ゲゼルシャフト ミット ベシュレンクテル ハフツング | 金属錯体 |
| TW201817738A (zh) | 2016-07-25 | 2018-05-16 | 德商麥克專利有限公司 | 金屬錯合物 |
| CN116987124A (zh) | 2016-07-25 | 2023-11-03 | 默克专利有限公司 | 用作有机电致发光器件中的发光体的金属络合物 |
| WO2018041769A1 (de) | 2016-08-30 | 2018-03-08 | Merck Patent Gmbh | Bl- und trinukleare metallkomplexe aufgebaut aus zwei miteinander verknüpften tripodalen hexadentaten liganden zur verwendung in elektrolumineszenzvorrichtungen |
| CN109715642A (zh) | 2016-09-21 | 2019-05-03 | 默克专利有限公司 | 用作有机电致发光器件中的发光体的双核金属络合物 |
| WO2018069196A1 (de) | 2016-10-12 | 2018-04-19 | Merck Patent Gmbh | Binukleare metallkomplexe sowie elektronische vorrichtungen, insbesondere organische elektrolumineszenzvorrichtungen, enthaltend diese metallkomplexe |
| WO2018069197A1 (de) | 2016-10-12 | 2018-04-19 | Merck Patent Gmbh | Metallkomplexe |
| JP7023946B2 (ja) | 2016-10-13 | 2022-02-22 | メルク パテント ゲゼルシャフト ミット ベシュレンクテル ハフツング | 金属錯体 |
| CN110177855A (zh) | 2017-01-23 | 2019-08-27 | 默克专利有限公司 | 用于有机电致发光器件的材料 |
| US11569458B2 (en) | 2017-03-29 | 2023-01-31 | Merck Patent Gmbh | Metal complexes |
| KR102597731B1 (ko) | 2017-03-29 | 2023-11-02 | 메르크 파텐트 게엠베하 | 방향족 화합물 |
| TWI774767B (zh) | 2017-05-12 | 2022-08-21 | 瑞士商多蒂孔股份有限公司 | 茚烷衍生物及其在有機電子產品的用途 |
| JP7173006B2 (ja) | 2017-06-30 | 2022-11-16 | 住友化学株式会社 | 高分子化合物及びそれを用いた発光素子 |
| CN107266484A (zh) * | 2017-07-14 | 2017-10-20 | 瑞声科技(南京)有限公司 | 有机电致发光材料及其发光器件 |
| TWI776926B (zh) | 2017-07-25 | 2022-09-11 | 德商麥克專利有限公司 | 金屬錯合物 |
| US11637249B2 (en) | 2017-08-17 | 2023-04-25 | Kwansei Gakuin Educational Foundation | Organic electroluminescent element |
| KR102423197B1 (ko) * | 2017-09-07 | 2022-07-21 | 솔루스첨단소재 주식회사 | 유기 화합물 및 이를 포함하는 유기 전계 발광 소자 |
| WO2019052939A1 (en) * | 2017-09-12 | 2019-03-21 | Cynora Gmbh | ORGANIC MOLECULES, IN PARTICULAR FOR USE IN OPTOELECTRONIC DEVICES |
| CN107686487B (zh) | 2017-09-29 | 2020-12-11 | 中节能万润股份有限公司 | 一种二甲基蒽类有机化合物及其在有机电致发光器件上的应用 |
| KR102633062B1 (ko) | 2017-10-13 | 2024-02-02 | 가꼬우 호징 관세이 가쿠잉 | 다환 방향족계 2량체 화합물 |
| WO2019088799A1 (ko) | 2017-11-06 | 2019-05-09 | 주식회사 엘지화학 | 다환 화합물 및 이를 포함하는 유기 발광 소자 |
| US11800785B2 (en) | 2017-11-24 | 2023-10-24 | Kwansei Gakuin Educational Foundation | Material for organic device and organic electroluminescent device using the same |
| TWI791701B (zh) | 2017-12-13 | 2023-02-11 | 德商麥克專利有限公司 | 金屬錯合物 |
| KR102134523B1 (ko) * | 2017-12-26 | 2020-07-16 | 주식회사 엘지화학 | 화합물 및 이를 포함하는 유기 발광 소자 |
| JP7422668B2 (ja) | 2018-02-13 | 2024-01-26 | ユー・ディー・シー アイルランド リミテッド | 金属錯体 |
| TWI828664B (zh) | 2018-03-19 | 2024-01-11 | 愛爾蘭商Udc愛爾蘭責任有限公司 | 金屬錯合物 |
| KR102216430B1 (ko) * | 2018-07-19 | 2021-02-17 | 주식회사 엘지화학 | 다환 화합물 및 이를 포함하는 유기 발광 소자 |
| WO2020054676A1 (ja) | 2018-09-10 | 2020-03-19 | 学校法人関西学院 | 有機電界発光素子 |
| CN113227108B (zh) * | 2018-12-27 | 2024-02-02 | 株式会社Lg化学 | 化合物和包含其的有机发光二极管 |
| KR20220034928A (ko) * | 2019-04-22 | 2022-03-18 | 가꼬우 호징 관세이 가쿠잉 | 시클로알칸 축합 다환 방향족 화합물 |
| KR20250119652A (ko) * | 2019-06-14 | 2025-08-07 | 가꼬우 호징 관세이 가쿠잉 | 다환방향족 화합물 |
-
2020
- 2020-12-16 KR KR1020227024233A patent/KR20220116008A/ko active Pending
- 2020-12-16 US US17/785,601 patent/US20230104248A1/en active Pending
- 2020-12-16 WO PCT/EP2020/086412 patent/WO2021122740A1/de not_active Ceased
- 2020-12-16 EP EP20829883.6A patent/EP4077336A1/de active Pending
- 2020-12-16 JP JP2022537825A patent/JP7652781B2/ja active Active
- 2020-12-16 CN CN202080085565.8A patent/CN114867729A/zh active Pending
Also Published As
| Publication number | Publication date |
|---|---|
| US20230104248A1 (en) | 2023-04-06 |
| JP7652781B2 (ja) | 2025-03-27 |
| WO2021122740A1 (de) | 2021-06-24 |
| CN114867729A (zh) | 2022-08-05 |
| EP4077336A1 (de) | 2022-10-26 |
| JP2023506570A (ja) | 2023-02-16 |
Similar Documents
| Publication | Publication Date | Title |
|---|---|---|
| KR102195986B1 (ko) | 유기 전계발광 소자용 재료 | |
| KR102059793B1 (ko) | 유기 전계발광 소자용 재료 | |
| KR102543777B1 (ko) | 유기 전계발광 소자용 재료 | |
| JP7652781B2 (ja) | 有機エレクトロルミネッセンス素子のための多環式化合物 | |
| KR102238852B1 (ko) | 유기 전계 발광 소자용 스피로-축합 락탐 화합물 | |
| KR102362339B1 (ko) | 유기 전계발광 소자용 재료 | |
| KR102496045B1 (ko) | 유기 전계발광 소자용 재료 | |
| KR102362338B1 (ko) | 유기 전계발광 소자용 재료 | |
| JP7620631B2 (ja) | 有機エレクトロルミネッセンス素子のための芳香族化合物 | |
| KR20230088415A (ko) | 유기 전계 발광 디바이스용 복소환 화합물 | |
| KR20230122093A (ko) | 유기 전계 발광 디바이스용 질소 함유 화합물 | |
| KR20220154751A (ko) | 유기 전계 발광 디바이스용 복소환 화합물 | |
| KR20250008768A (ko) | 유기 전계 발광 디바이스용 환형 화합물 | |
| KR20230028315A (ko) | 유기 전계 발광 디바이스용 복소환 화합물 | |
| KR20230029927A (ko) | 유기 전계 발광 디바이스용 헤테로방향족 화합물 | |
| KR20220154774A (ko) | 유기 전계 발광 디바이스용 헤테로방향족 화합물 | |
| JP7723680B2 (ja) | 有機エレクトロルミネッセンス素子のための多環式化合物 | |
| KR20230088748A (ko) | 유기 전계 발광 디바이스용 헤테로원자를 포함하는 화합물 | |
| KR20220158771A (ko) | 유기 전계 발광 디바이스용 환형 화합물 | |
| KR20230077741A (ko) | 유기 전계 발광 디바이스의 기능성 층의 구조화에 사용 가능한 화합물 | |
| TW202311495A (zh) | 用於有機電致發光裝置之含氮雜環化合物 | |
| KR20220133937A (ko) | 벤즈이미다졸 유도체 | |
| KR20250075641A (ko) | 유기 전계발광 디바이스용 질소 함유 헤테로사이클 | |
| KR20250075627A (ko) | 유기 전계 발광 디바이스용 질소 함유 화합물 | |
| KR20250107847A (ko) | 유기 전계 발광 디바이스용 함질소 복소환 |
Legal Events
| Date | Code | Title | Description |
|---|---|---|---|
| PA0105 | International application |
St.27 status event code: A-0-1-A10-A15-nap-PA0105 |
|
| PG1501 | Laying open of application |
St.27 status event code: A-1-1-Q10-Q12-nap-PG1501 |
|
| P22-X000 | Classification modified |
St.27 status event code: A-2-2-P10-P22-nap-X000 |
|
| P22-X000 | Classification modified |
St.27 status event code: A-2-2-P10-P22-nap-X000 |
|
| P11-X000 | Amendment of application requested |
St.27 status event code: A-2-2-P10-P11-nap-X000 |
|
| P13-X000 | Application amended |
St.27 status event code: A-2-2-P10-P13-nap-X000 |
|
| PA0201 | Request for examination |
St.27 status event code: A-1-2-D10-D11-exm-PA0201 |
|
| P22-X000 | Classification modified |
St.27 status event code: A-2-2-P10-P22-nap-X000 |
|
| D21 | Rejection of application intended |
Free format text: ST27 STATUS EVENT CODE: A-1-2-D10-D21-EXM-PE0902 (AS PROVIDED BY THE NATIONAL OFFICE) |
|
| PE0902 | Notice of grounds for rejection |
St.27 status event code: A-1-2-D10-D21-exm-PE0902 |
|
| T11 | Administrative time limit extension requested |
Free format text: ST27 STATUS EVENT CODE: U-3-3-T10-T11-OTH-X000 (AS PROVIDED BY THE NATIONAL OFFICE) |
|
| T11-X000 | Administrative time limit extension requested |
St.27 status event code: U-3-3-T10-T11-oth-X000 |
|
| E13-X000 | Pre-grant limitation requested |
St.27 status event code: A-2-3-E10-E13-lim-X000 |
|
| P11-X000 | Amendment of application requested |
St.27 status event code: A-2-2-P10-P11-nap-X000 |
























































































































































