DE102009053382A1 - Materialien für elektronische Vorrichtungen - Google Patents
Materialien für elektronische Vorrichtungen Download PDFInfo
- Publication number
- DE102009053382A1 DE102009053382A1 DE102009053382A DE102009053382A DE102009053382A1 DE 102009053382 A1 DE102009053382 A1 DE 102009053382A1 DE 102009053382 A DE102009053382 A DE 102009053382A DE 102009053382 A DE102009053382 A DE 102009053382A DE 102009053382 A1 DE102009053382 A1 DE 102009053382A1
- Authority
- DE
- Germany
- Prior art keywords
- formula
- group
- atoms
- organic
- compound according
- Prior art date
- Legal status (The legal status is an assumption and is not a legal conclusion. Google has not performed a legal analysis and makes no representation as to the accuracy of the status listed.)
- Withdrawn
Links
- 239000000463 material Substances 0.000 title claims abstract description 44
- 150000001875 compounds Chemical class 0.000 claims abstract description 128
- 239000011159 matrix material Substances 0.000 claims abstract description 30
- 238000000034 method Methods 0.000 claims abstract description 11
- 230000008569 process Effects 0.000 claims abstract description 7
- 238000002360 preparation method Methods 0.000 claims abstract description 6
- 125000003118 aryl group Chemical group 0.000 claims description 74
- 125000001072 heteroaryl group Chemical group 0.000 claims description 45
- 125000004432 carbon atom Chemical group C* 0.000 claims description 42
- 229920000642 polymer Polymers 0.000 claims description 28
- -1 NR 2 Inorganic materials 0.000 claims description 27
- 239000000412 dendrimer Substances 0.000 claims description 23
- 229920000736 dendritic polymer Polymers 0.000 claims description 23
- 229910052757 nitrogen Inorganic materials 0.000 claims description 23
- 239000000203 mixture Substances 0.000 claims description 20
- 125000003342 alkenyl group Chemical group 0.000 claims description 16
- 229910052760 oxygen Inorganic materials 0.000 claims description 16
- 238000003786 synthesis reaction Methods 0.000 claims description 14
- 229910052799 carbon Inorganic materials 0.000 claims description 13
- 125000004433 nitrogen atom Chemical group N* 0.000 claims description 12
- 229910052717 sulfur Inorganic materials 0.000 claims description 12
- 230000015572 biosynthetic process Effects 0.000 claims description 11
- 125000004122 cyclic group Chemical group 0.000 claims description 11
- 239000002019 doping agent Substances 0.000 claims description 11
- 229910052731 fluorine Inorganic materials 0.000 claims description 11
- 125000000217 alkyl group Chemical group 0.000 claims description 10
- 229910052805 deuterium Inorganic materials 0.000 claims description 10
- 229910052739 hydrogen Inorganic materials 0.000 claims description 10
- 125000000609 carbazolyl group Chemical class C1(=CC=CC=2C3=CC=CC=C3NC12)* 0.000 claims description 9
- 238000005859 coupling reaction Methods 0.000 claims description 9
- 125000006165 cyclic alkyl group Chemical group 0.000 claims description 8
- 125000003545 alkoxy group Chemical group 0.000 claims description 6
- 125000004435 hydrogen atom Chemical group [H]* 0.000 claims description 6
- 229910052801 chlorine Inorganic materials 0.000 claims description 5
- 125000002524 organometallic group Chemical group 0.000 claims description 5
- 125000000304 alkynyl group Chemical group 0.000 claims description 4
- 229910052794 bromium Inorganic materials 0.000 claims description 4
- 230000008878 coupling Effects 0.000 claims description 4
- 238000010168 coupling process Methods 0.000 claims description 4
- 229910052740 iodine Inorganic materials 0.000 claims description 4
- 125000002950 monocyclic group Chemical group 0.000 claims description 4
- 239000002904 solvent Substances 0.000 claims description 4
- 125000005309 thioalkoxy group Chemical group 0.000 claims description 4
- 238000009472 formulation Methods 0.000 claims description 3
- 238000007339 nucleophilic aromatic substitution reaction Methods 0.000 claims description 3
- 125000001424 substituent group Chemical group 0.000 claims description 3
- 125000001931 aliphatic group Chemical group 0.000 claims description 2
- 125000003710 aryl alkyl group Chemical group 0.000 claims description 2
- 125000004104 aryloxy group Chemical group 0.000 claims description 2
- 230000005669 field effect Effects 0.000 claims description 2
- 125000004475 heteroaralkyl group Chemical group 0.000 claims description 2
- 125000005553 heteroaryloxy group Chemical group 0.000 claims description 2
- 229910052698 phosphorus Inorganic materials 0.000 claims description 2
- 108091008695 photoreceptors Proteins 0.000 claims description 2
- 238000010791 quenching Methods 0.000 claims description 2
- 229910052711 selenium Inorganic materials 0.000 claims description 2
- 239000010409 thin film Substances 0.000 claims description 2
- 125000005843 halogen group Chemical group 0.000 claims 1
- 150000003254 radicals Chemical class 0.000 description 25
- 150000001339 alkali metal compounds Chemical class 0.000 description 18
- 238000002347 injection Methods 0.000 description 16
- 239000007924 injection Substances 0.000 description 16
- YXFVVABEGXRONW-UHFFFAOYSA-N Toluene Chemical compound CC1=CC=CC=C1 YXFVVABEGXRONW-UHFFFAOYSA-N 0.000 description 15
- 150000001716 carbazoles Chemical class 0.000 description 15
- 229910052751 metal Inorganic materials 0.000 description 13
- 239000002184 metal Substances 0.000 description 13
- 230000005525 hole transport Effects 0.000 description 11
- 101100457453 Saccharomyces cerevisiae (strain ATCC 204508 / S288c) MNL1 gene Proteins 0.000 description 10
- 230000000903 blocking effect Effects 0.000 description 10
- 239000000243 solution Substances 0.000 description 10
- RAXXELZNTBOGNW-UHFFFAOYSA-N imidazole Natural products C1=CNC=N1 RAXXELZNTBOGNW-UHFFFAOYSA-N 0.000 description 9
- LFQSCWFLJHTTHZ-UHFFFAOYSA-N Ethanol Chemical compound CCO LFQSCWFLJHTTHZ-UHFFFAOYSA-N 0.000 description 8
- JUJWROOIHBZHMG-UHFFFAOYSA-N Pyridine Chemical compound C1=CC=NC=C1 JUJWROOIHBZHMG-UHFFFAOYSA-N 0.000 description 8
- XLYOFNOQVPJJNP-UHFFFAOYSA-N water Substances O XLYOFNOQVPJJNP-UHFFFAOYSA-N 0.000 description 8
- 102100036305 C-C chemokine receptor type 8 Human genes 0.000 description 7
- 101000837299 Euglena gracilis Trans-2-enoyl-CoA reductase Proteins 0.000 description 7
- 101000716063 Homo sapiens C-C chemokine receptor type 8 Proteins 0.000 description 7
- WHXSMMKQMYFTQS-UHFFFAOYSA-N Lithium Chemical compound [Li] WHXSMMKQMYFTQS-UHFFFAOYSA-N 0.000 description 7
- 230000006872 improvement Effects 0.000 description 7
- 229910052744 lithium Inorganic materials 0.000 description 7
- 150000002739 metals Chemical class 0.000 description 7
- VLKZOEOYAKHREP-UHFFFAOYSA-N n-Hexane Chemical compound CCCCCC VLKZOEOYAKHREP-UHFFFAOYSA-N 0.000 description 7
- 125000001997 phenyl group Chemical group [H]C1=C([H])C([H])=C(*)C([H])=C1[H] 0.000 description 7
- UJOBWOGCFQCDNV-UHFFFAOYSA-N 9H-carbazole Chemical compound C1=CC=C2C3=CC=CC=C3NC2=C1 UJOBWOGCFQCDNV-UHFFFAOYSA-N 0.000 description 6
- YMWUJEATGCHHMB-UHFFFAOYSA-N Dichloromethane Chemical compound ClCCl YMWUJEATGCHHMB-UHFFFAOYSA-N 0.000 description 6
- KWYUFKZDYYNOTN-UHFFFAOYSA-M Potassium hydroxide Chemical compound [OH-].[K+] KWYUFKZDYYNOTN-UHFFFAOYSA-M 0.000 description 6
- KYQCOXFCLRTKLS-UHFFFAOYSA-N Pyrazine Chemical compound C1=CN=CC=N1 KYQCOXFCLRTKLS-UHFFFAOYSA-N 0.000 description 6
- 150000001340 alkali metals Chemical class 0.000 description 6
- 208000027386 essential tremor 1 Diseases 0.000 description 6
- 125000005842 heteroatom Chemical group 0.000 description 6
- JYEUMXHLPRZUAT-UHFFFAOYSA-N 1,2,3-triazine Chemical compound C1=CN=NN=C1 JYEUMXHLPRZUAT-UHFFFAOYSA-N 0.000 description 5
- CZPWVGJYEJSRLH-UHFFFAOYSA-N Pyrimidine Chemical compound C1=CN=CN=C1 CZPWVGJYEJSRLH-UHFFFAOYSA-N 0.000 description 5
- 229910052783 alkali metal Inorganic materials 0.000 description 5
- 239000003446 ligand Substances 0.000 description 5
- BASFCYQUMIYNBI-UHFFFAOYSA-N platinum Chemical compound [Pt] BASFCYQUMIYNBI-UHFFFAOYSA-N 0.000 description 5
- 229910052709 silver Inorganic materials 0.000 description 5
- 239000011734 sodium Substances 0.000 description 5
- DGAQECJNVWCQMB-PUAWFVPOSA-M Ilexoside XXIX Chemical compound C[C@@H]1CC[C@@]2(CC[C@@]3(C(=CC[C@H]4[C@]3(CC[C@@H]5[C@@]4(CC[C@@H](C5(C)C)OS(=O)(=O)[O-])C)C)[C@@H]2[C@]1(C)O)C)C(=O)O[C@H]6[C@@H]([C@H]([C@@H]([C@H](O6)CO)O)O)O.[Na+] DGAQECJNVWCQMB-PUAWFVPOSA-M 0.000 description 4
- UFWIBTONFRDIAS-UHFFFAOYSA-N Naphthalene Chemical compound C1=CC=CC2=CC=CC=C21 UFWIBTONFRDIAS-UHFFFAOYSA-N 0.000 description 4
- PCNDJXKNXGMECE-UHFFFAOYSA-N Phenazine Natural products C1=CC=CC2=NC3=CC=CC=C3N=C21 PCNDJXKNXGMECE-UHFFFAOYSA-N 0.000 description 4
- SMWDFEZZVXVKRB-UHFFFAOYSA-N Quinoline Chemical compound N1=CC=CC2=CC=CC=C21 SMWDFEZZVXVKRB-UHFFFAOYSA-N 0.000 description 4
- YTPLMLYBLZKORZ-UHFFFAOYSA-N Thiophene Chemical compound C=1C=CSC=1 YTPLMLYBLZKORZ-UHFFFAOYSA-N 0.000 description 4
- MWPLVEDNUUSJAV-UHFFFAOYSA-N anthracene Chemical compound C1=CC=CC2=CC3=CC=CC=C3C=C21 MWPLVEDNUUSJAV-UHFFFAOYSA-N 0.000 description 4
- 125000004429 atom Chemical group 0.000 description 4
- 230000008901 benefit Effects 0.000 description 4
- ZADPBFCGQRWHPN-UHFFFAOYSA-N boronic acid Chemical compound OBO ZADPBFCGQRWHPN-UHFFFAOYSA-N 0.000 description 4
- ZUOUZKKEUPVFJK-UHFFFAOYSA-N diphenyl Chemical compound C1=CC=CC=C1C1=CC=CC=C1 ZUOUZKKEUPVFJK-UHFFFAOYSA-N 0.000 description 4
- AWJUIBRHMBBTKR-UHFFFAOYSA-N isoquinoline Chemical compound C1=NC=CC2=CC=CC=C21 AWJUIBRHMBBTKR-UHFFFAOYSA-N 0.000 description 4
- YNPNZTXNASCQKK-UHFFFAOYSA-N phenanthrene Chemical compound C1=CC=C2C3=CC=CC=C3C=CC2=C1 YNPNZTXNASCQKK-UHFFFAOYSA-N 0.000 description 4
- 238000007639 printing Methods 0.000 description 4
- UMJSCPRVCHMLSP-UHFFFAOYSA-N pyridine Natural products COC1=CC=CN=C1 UMJSCPRVCHMLSP-UHFFFAOYSA-N 0.000 description 4
- 238000010992 reflux Methods 0.000 description 4
- 229910052708 sodium Inorganic materials 0.000 description 4
- 239000007787 solid Substances 0.000 description 4
- 239000000725 suspension Substances 0.000 description 4
- LWIHDJKSTIGBAC-UHFFFAOYSA-K tripotassium phosphate Chemical compound [K+].[K+].[K+].[O-]P([O-])([O-])=O LWIHDJKSTIGBAC-UHFFFAOYSA-K 0.000 description 4
- 0 *[n]1c(****2)c2c2c1****2 Chemical compound *[n]1c(****2)c2c2c1****2 0.000 description 3
- FKASFBLJDCHBNZ-UHFFFAOYSA-N 1,3,4-oxadiazole Chemical compound C1=NN=CO1 FKASFBLJDCHBNZ-UHFFFAOYSA-N 0.000 description 3
- UHOVQNZJYSORNB-UHFFFAOYSA-N Benzene Chemical compound C1=CC=CC=C1 UHOVQNZJYSORNB-UHFFFAOYSA-N 0.000 description 3
- XEKOWRVHYACXOJ-UHFFFAOYSA-N Ethyl acetate Chemical compound CCOC(C)=O XEKOWRVHYACXOJ-UHFFFAOYSA-N 0.000 description 3
- OKKJLVBELUTLKV-UHFFFAOYSA-N Methanol Chemical compound OC OKKJLVBELUTLKV-UHFFFAOYSA-N 0.000 description 3
- ZCQWOFVYLHDMMC-UHFFFAOYSA-N Oxazole Chemical compound C1=COC=N1 ZCQWOFVYLHDMMC-UHFFFAOYSA-N 0.000 description 3
- ZLMJMSJWJFRBEC-UHFFFAOYSA-N Potassium Chemical compound [K] ZLMJMSJWJFRBEC-UHFFFAOYSA-N 0.000 description 3
- WTKZEGDFNFYCGP-UHFFFAOYSA-N Pyrazole Chemical compound C=1C=NNC=1 WTKZEGDFNFYCGP-UHFFFAOYSA-N 0.000 description 3
- 229910001413 alkali metal ion Inorganic materials 0.000 description 3
- 238000001816 cooling Methods 0.000 description 3
- GVEPBJHOBDJJJI-UHFFFAOYSA-N fluoranthrene Natural products C1=CC(C2=CC=CC=C22)=C3C2=CC=CC3=C1 GVEPBJHOBDJJJI-UHFFFAOYSA-N 0.000 description 3
- 230000009477 glass transition Effects 0.000 description 3
- 150000002367 halogens Chemical group 0.000 description 3
- 229910052741 iridium Inorganic materials 0.000 description 3
- GKOZUEZYRPOHIO-UHFFFAOYSA-N iridium atom Chemical compound [Ir] GKOZUEZYRPOHIO-UHFFFAOYSA-N 0.000 description 3
- 150000002576 ketones Chemical class 0.000 description 3
- 238000004519 manufacturing process Methods 0.000 description 3
- 229910052697 platinum Inorganic materials 0.000 description 3
- 229910052700 potassium Inorganic materials 0.000 description 3
- 239000011591 potassium Substances 0.000 description 3
- 239000004065 semiconductor Substances 0.000 description 3
- 238000006467 substitution reaction Methods 0.000 description 3
- 229930192474 thiophene Natural products 0.000 description 3
- JWJQEUDGBZMPAX-UHFFFAOYSA-N (9-phenylcarbazol-3-yl)boronic acid Chemical compound C12=CC=CC=C2C2=CC(B(O)O)=CC=C2N1C1=CC=CC=C1 JWJQEUDGBZMPAX-UHFFFAOYSA-N 0.000 description 2
- ICPSWZFVWAPUKF-UHFFFAOYSA-N 1,1'-spirobi[fluorene] Chemical compound C1=CC=C2C=C3C4(C=5C(C6=CC=CC=C6C=5)=CC=C4)C=CC=C3C2=C1 ICPSWZFVWAPUKF-UHFFFAOYSA-N 0.000 description 2
- FYADHXFMURLYQI-UHFFFAOYSA-N 1,2,4-triazine Chemical compound C1=CN=NC=N1 FYADHXFMURLYQI-UHFFFAOYSA-N 0.000 description 2
- YJTKZCDBKVTVBY-UHFFFAOYSA-N 1,3-Diphenylbenzene Chemical group C1=CC=CC=C1C1=CC=CC(C=2C=CC=CC=2)=C1 YJTKZCDBKVTVBY-UHFFFAOYSA-N 0.000 description 2
- RYHBNJHYFVUHQT-UHFFFAOYSA-N 1,4-Dioxane Chemical compound C1COCCO1 RYHBNJHYFVUHQT-UHFFFAOYSA-N 0.000 description 2
- FCEHBMOGCRZNNI-UHFFFAOYSA-N 1-benzothiophene Chemical compound C1=CC=C2SC=CC2=C1 FCEHBMOGCRZNNI-UHFFFAOYSA-N 0.000 description 2
- WJFKNYWRSNBZNX-UHFFFAOYSA-N 10H-phenothiazine Chemical compound C1=CC=C2NC3=CC=CC=C3SC2=C1 WJFKNYWRSNBZNX-UHFFFAOYSA-N 0.000 description 2
- TZMSYXZUNZXBOL-UHFFFAOYSA-N 10H-phenoxazine Chemical compound C1=CC=C2NC3=CC=CC=C3OC2=C1 TZMSYXZUNZXBOL-UHFFFAOYSA-N 0.000 description 2
- HYZJCKYKOHLVJF-UHFFFAOYSA-N 1H-benzimidazole Chemical compound C1=CC=C2NC=NC2=C1 HYZJCKYKOHLVJF-UHFFFAOYSA-N 0.000 description 2
- DDGPPAMADXTGTN-UHFFFAOYSA-N 2-chloro-4,6-diphenyl-1,3,5-triazine Chemical compound N=1C(Cl)=NC(C=2C=CC=CC=2)=NC=1C1=CC=CC=C1 DDGPPAMADXTGTN-UHFFFAOYSA-N 0.000 description 2
- IMLDYQBWZHPGJA-UHFFFAOYSA-N 2-phenyl-9h-carbazole Chemical compound C1=CC=CC=C1C1=CC=C2C3=CC=CC=C3NC2=C1 IMLDYQBWZHPGJA-UHFFFAOYSA-N 0.000 description 2
- NCNIZWUCKQOBKC-UHFFFAOYSA-N 3-(6-bromodibenzothiophen-3-yl)-9-phenylcarbazole Chemical compound BrC1=CC=CC(C2=CC=3)=C1SC2=CC=3C(C=C1C2=CC=CC=C22)=CC=C1N2C1=CC=CC=C1 NCNIZWUCKQOBKC-UHFFFAOYSA-N 0.000 description 2
- KDCGOANMDULRCW-UHFFFAOYSA-N 7H-purine Chemical compound N1=CNC2=NC=NC2=C1 KDCGOANMDULRCW-UHFFFAOYSA-N 0.000 description 2
- OEWKUQMACNUQDT-UHFFFAOYSA-N 9-(benzenesulfonyl)-3,6-dibromocarbazole Chemical compound C12=CC=C(Br)C=C2C2=CC(Br)=CC=C2N1S(=O)(=O)C1=CC=CC=C1 OEWKUQMACNUQDT-UHFFFAOYSA-N 0.000 description 2
- IAZDPXIOMUYVGZ-UHFFFAOYSA-N Dimethylsulphoxide Chemical compound CS(C)=O IAZDPXIOMUYVGZ-UHFFFAOYSA-N 0.000 description 2
- YLQBMQCUIZJEEH-UHFFFAOYSA-N Furan Chemical compound C=1C=COC=1 YLQBMQCUIZJEEH-UHFFFAOYSA-N 0.000 description 2
- SIKJAQJRHWYJAI-UHFFFAOYSA-N Indole Chemical compound C1=CC=C2NC=CC2=C1 SIKJAQJRHWYJAI-UHFFFAOYSA-N 0.000 description 2
- KFZMGEQAYNKOFK-UHFFFAOYSA-N Isopropanol Chemical compound CC(C)O KFZMGEQAYNKOFK-UHFFFAOYSA-N 0.000 description 2
- MZRVEZGGRBJDDB-UHFFFAOYSA-N N-Butyllithium Chemical compound [Li]CCCC MZRVEZGGRBJDDB-UHFFFAOYSA-N 0.000 description 2
- IMNFDUFMRHMDMM-UHFFFAOYSA-N N-Heptane Chemical compound CCCCCCC IMNFDUFMRHMDMM-UHFFFAOYSA-N 0.000 description 2
- KDLHZDBZIXYQEI-UHFFFAOYSA-N Palladium Chemical compound [Pd] KDLHZDBZIXYQEI-UHFFFAOYSA-N 0.000 description 2
- KAESVJOAVNADME-UHFFFAOYSA-N Pyrrole Chemical compound C=1C=CNC=1 KAESVJOAVNADME-UHFFFAOYSA-N 0.000 description 2
- BQCADISMDOOEFD-UHFFFAOYSA-N Silver Chemical compound [Ag] BQCADISMDOOEFD-UHFFFAOYSA-N 0.000 description 2
- 238000006069 Suzuki reaction reaction Methods 0.000 description 2
- HNEZKXOYJPNGDD-UHFFFAOYSA-N [6-(9-phenylcarbazol-3-yl)dibenzothiophen-3-yl]boronic acid Chemical compound C=1C(B(O)O)=CC=C(C2=CC=C3)C=1SC2=C3C(C=C1C2=CC=CC=C22)=CC=C1N2C1=CC=CC=C1 HNEZKXOYJPNGDD-UHFFFAOYSA-N 0.000 description 2
- DZBUGLKDJFMEHC-UHFFFAOYSA-N acridine Chemical compound C1=CC=CC2=CC3=CC=CC=C3N=C21 DZBUGLKDJFMEHC-UHFFFAOYSA-N 0.000 description 2
- 229910052784 alkaline earth metal Inorganic materials 0.000 description 2
- 150000001342 alkaline earth metals Chemical class 0.000 description 2
- 229910045601 alloy Inorganic materials 0.000 description 2
- 239000000956 alloy Substances 0.000 description 2
- 229910052782 aluminium Inorganic materials 0.000 description 2
- 229910052788 barium Inorganic materials 0.000 description 2
- IOJUPLGTWVMSFF-UHFFFAOYSA-N benzothiazole Chemical compound C1=CC=C2SC=NC2=C1 IOJUPLGTWVMSFF-UHFFFAOYSA-N 0.000 description 2
- 235000010290 biphenyl Nutrition 0.000 description 2
- 239000004305 biphenyl Substances 0.000 description 2
- 125000005620 boronic acid group Chemical group 0.000 description 2
- 125000001246 bromo group Chemical group Br* 0.000 description 2
- 229910052792 caesium Inorganic materials 0.000 description 2
- TVFDJXOCXUVLDH-UHFFFAOYSA-N caesium atom Chemical compound [Cs] TVFDJXOCXUVLDH-UHFFFAOYSA-N 0.000 description 2
- WDECIBYCCFPHNR-UHFFFAOYSA-N chrysene Chemical compound C1=CC=CC2=CC=C3C4=CC=CC=C4C=CC3=C21 WDECIBYCCFPHNR-UHFFFAOYSA-N 0.000 description 2
- 238000010276 construction Methods 0.000 description 2
- 150000004696 coordination complex Chemical class 0.000 description 2
- 230000002950 deficient Effects 0.000 description 2
- TXCDCPKCNAJMEE-UHFFFAOYSA-N dibenzofuran Chemical compound C1=CC=C2C3=CC=CC=C3OC2=C1 TXCDCPKCNAJMEE-UHFFFAOYSA-N 0.000 description 2
- IYYZUPMFVPLQIF-UHFFFAOYSA-N dibenzothiophene Chemical compound C1=CC=C2C3=CC=CC=C3SC2=C1 IYYZUPMFVPLQIF-UHFFFAOYSA-N 0.000 description 2
- NIHNNTQXNPWCJQ-UHFFFAOYSA-N fluorene Chemical compound C1=CC=C2CC3=CC=CC=C3C2=C1 NIHNNTQXNPWCJQ-UHFFFAOYSA-N 0.000 description 2
- 239000011521 glass Substances 0.000 description 2
- 229910052737 gold Inorganic materials 0.000 description 2
- 239000010931 gold Substances 0.000 description 2
- 238000004128 high performance liquid chromatography Methods 0.000 description 2
- AMGQUBHHOARCQH-UHFFFAOYSA-N indium;oxotin Chemical compound [In].[Sn]=O AMGQUBHHOARCQH-UHFFFAOYSA-N 0.000 description 2
- 238000007641 inkjet printing Methods 0.000 description 2
- IMKMFBIYHXBKRX-UHFFFAOYSA-M lithium;quinoline-2-carboxylate Chemical class [Li+].C1=CC=CC2=NC(C(=O)[O-])=CC=C21 IMKMFBIYHXBKRX-UHFFFAOYSA-M 0.000 description 2
- 229910052749 magnesium Inorganic materials 0.000 description 2
- 229910001092 metal group alloy Inorganic materials 0.000 description 2
- 239000011368 organic material Substances 0.000 description 2
- 239000012074 organic phase Substances 0.000 description 2
- RDOWQLZANAYVLL-UHFFFAOYSA-N phenanthridine Chemical compound C1=CC=C2C3=CC=CC=C3C=NC2=C1 RDOWQLZANAYVLL-UHFFFAOYSA-N 0.000 description 2
- 229950000688 phenothiazine Drugs 0.000 description 2
- BBEAQIROQSPTKN-UHFFFAOYSA-N pyrene Chemical compound C1=CC=C2C=CC3=CC=CC4=CC=C1C2=C43 BBEAQIROQSPTKN-UHFFFAOYSA-N 0.000 description 2
- XSCHRSMBECNVNS-UHFFFAOYSA-N quinoxaline Chemical compound N1=CC=NC2=CC=CC=C21 XSCHRSMBECNVNS-UHFFFAOYSA-N 0.000 description 2
- 230000009467 reduction Effects 0.000 description 2
- 229910052701 rubidium Inorganic materials 0.000 description 2
- IGLNJRXAVVLDKE-UHFFFAOYSA-N rubidium atom Chemical compound [Rb] IGLNJRXAVVLDKE-UHFFFAOYSA-N 0.000 description 2
- 239000004332 silver Substances 0.000 description 2
- 239000000758 substrate Substances 0.000 description 2
- 150000003457 sulfones Chemical class 0.000 description 2
- 125000000472 sulfonyl group Chemical group *S(*)(=O)=O 0.000 description 2
- 125000005259 triarylamine group Chemical group 0.000 description 2
- 150000003918 triazines Chemical class 0.000 description 2
- BUHVIAUBTBOHAG-FOYDDCNASA-N (2r,3r,4s,5r)-2-[6-[[2-(3,5-dimethoxyphenyl)-2-(2-methylphenyl)ethyl]amino]purin-9-yl]-5-(hydroxymethyl)oxolane-3,4-diol Chemical compound COC1=CC(OC)=CC(C(CNC=2C=3N=CN(C=3N=CN=2)[C@H]2[C@@H]([C@H](O)[C@@H](CO)O2)O)C=2C(=CC=CC=2)C)=C1 BUHVIAUBTBOHAG-FOYDDCNASA-N 0.000 description 1
- POILWHVDKZOXJZ-ARJAWSKDSA-M (z)-4-oxopent-2-en-2-olate Chemical compound C\C([O-])=C\C(C)=O POILWHVDKZOXJZ-ARJAWSKDSA-M 0.000 description 1
- FIARMZDBEGVMLV-UHFFFAOYSA-N 1,1,2,2,2-pentafluoroethanolate Chemical group [O-]C(F)(F)C(F)(F)F FIARMZDBEGVMLV-UHFFFAOYSA-N 0.000 description 1
- HQDYNFWTFJFEPR-UHFFFAOYSA-N 1,2,3,3a-tetrahydropyrene Chemical compound C1=C2CCCC(C=C3)C2=C2C3=CC=CC2=C1 HQDYNFWTFJFEPR-UHFFFAOYSA-N 0.000 description 1
- ZFXBERJDEUDDMX-UHFFFAOYSA-N 1,2,3,5-tetrazine Chemical compound C1=NC=NN=N1 ZFXBERJDEUDDMX-UHFFFAOYSA-N 0.000 description 1
- FNQJDLTXOVEEFB-UHFFFAOYSA-N 1,2,3-benzothiadiazole Chemical compound C1=CC=C2SN=NC2=C1 FNQJDLTXOVEEFB-UHFFFAOYSA-N 0.000 description 1
- UGUHFDPGDQDVGX-UHFFFAOYSA-N 1,2,3-thiadiazole Chemical compound C1=CSN=N1 UGUHFDPGDQDVGX-UHFFFAOYSA-N 0.000 description 1
- HTJMXYRLEDBSLT-UHFFFAOYSA-N 1,2,4,5-tetrazine Chemical compound C1=NN=CN=N1 HTJMXYRLEDBSLT-UHFFFAOYSA-N 0.000 description 1
- BBVIDBNAYOIXOE-UHFFFAOYSA-N 1,2,4-oxadiazole Chemical compound C=1N=CON=1 BBVIDBNAYOIXOE-UHFFFAOYSA-N 0.000 description 1
- YGTAZGSLCXNBQL-UHFFFAOYSA-N 1,2,4-thiadiazole Chemical compound C=1N=CSN=1 YGTAZGSLCXNBQL-UHFFFAOYSA-N 0.000 description 1
- UDGKZGLPXCRRAM-UHFFFAOYSA-N 1,2,5-thiadiazole Chemical compound C=1C=NSN=1 UDGKZGLPXCRRAM-UHFFFAOYSA-N 0.000 description 1
- DXBHBZVCASKNBY-UHFFFAOYSA-N 1,2-Benz(a)anthracene Chemical compound C1=CC=C2C3=CC4=CC=CC=C4C=C3C=CC2=C1 DXBHBZVCASKNBY-UHFFFAOYSA-N 0.000 description 1
- UUSUFQUCLACDTA-UHFFFAOYSA-N 1,2-dihydropyrene Chemical compound C1=CC=C2C=CC3=CCCC4=CC=C1C2=C43 UUSUFQUCLACDTA-UHFFFAOYSA-N 0.000 description 1
- MBIZXFATKUQOOA-UHFFFAOYSA-N 1,3,4-thiadiazole Chemical compound C1=NN=CS1 MBIZXFATKUQOOA-UHFFFAOYSA-N 0.000 description 1
- JIHQDMXYYFUGFV-UHFFFAOYSA-N 1,3,5-triazine Chemical compound C1=NC=NC=N1 JIHQDMXYYFUGFV-UHFFFAOYSA-N 0.000 description 1
- BCMCBBGGLRIHSE-UHFFFAOYSA-N 1,3-benzoxazole Chemical compound C1=CC=C2OC=NC2=C1 BCMCBBGGLRIHSE-UHFFFAOYSA-N 0.000 description 1
- FLBAYUMRQUHISI-UHFFFAOYSA-N 1,8-naphthyridine Chemical compound N1=CC=CC2=CC=CN=C21 FLBAYUMRQUHISI-UHFFFAOYSA-N 0.000 description 1
- IERDDDBDINUYCD-UHFFFAOYSA-N 1-[4-[4-(9h-carbazol-1-yl)phenyl]phenyl]-9h-carbazole Chemical group C12=CC=CC=C2NC2=C1C=CC=C2C(C=C1)=CC=C1C(C=C1)=CC=C1C1=C2NC3=CC=CC=C3C2=CC=C1 IERDDDBDINUYCD-UHFFFAOYSA-N 0.000 description 1
- AZUYLZMQTIKGSC-UHFFFAOYSA-N 1-[6-[4-(5-chloro-6-methyl-1H-indazol-4-yl)-5-methyl-3-(1-methylindazol-5-yl)pyrazol-1-yl]-2-azaspiro[3.3]heptan-2-yl]prop-2-en-1-one Chemical compound ClC=1C(=C2C=NNC2=CC=1C)C=1C(=NN(C=1C)C1CC2(CN(C2)C(C=C)=O)C1)C=1C=C2C=NN(C2=CC=1)C AZUYLZMQTIKGSC-UHFFFAOYSA-N 0.000 description 1
- QWENRTYMTSOGBR-UHFFFAOYSA-N 1H-1,2,3-Triazole Chemical compound C=1C=NNN=1 QWENRTYMTSOGBR-UHFFFAOYSA-N 0.000 description 1
- BAXOFTOLAUCFNW-UHFFFAOYSA-N 1H-indazole Chemical compound C1=CC=C2C=NNC2=C1 BAXOFTOLAUCFNW-UHFFFAOYSA-N 0.000 description 1
- LPHIYKWSEYTCLW-UHFFFAOYSA-N 1h-azaborole Chemical compound N1B=CC=C1 LPHIYKWSEYTCLW-UHFFFAOYSA-N 0.000 description 1
- USYCQABRSUEURP-UHFFFAOYSA-N 1h-benzo[f]benzimidazole Chemical compound C1=CC=C2C=C(NC=N3)C3=CC2=C1 USYCQABRSUEURP-UHFFFAOYSA-N 0.000 description 1
- JUUZQMUWOVDZSD-UHFFFAOYSA-N 1h-imidazole;pyrazine Chemical compound C1=CNC=N1.C1=CN=CC=N1 JUUZQMUWOVDZSD-UHFFFAOYSA-N 0.000 description 1
- IGHOZKDBCCFNNC-UHFFFAOYSA-N 1h-imidazole;quinoxaline Chemical compound C1=CNC=N1.N1=CC=NC2=CC=CC=C21 IGHOZKDBCCFNNC-UHFFFAOYSA-N 0.000 description 1
- 125000004793 2,2,2-trifluoroethoxy group Chemical group FC(CO*)(F)F 0.000 description 1
- 125000004206 2,2,2-trifluoroethyl group Chemical group [H]C([H])(*)C(F)(F)F 0.000 description 1
- PFRPMHBYYJIARU-UHFFFAOYSA-N 2,3-diazatetracyclo[6.6.2.04,16.011,15]hexadeca-1(14),2,4,6,8(16),9,11(15),12-octaene Chemical compound C1=CC=C2N=NC3=CC=CC4=CC=C1C2=C43 PFRPMHBYYJIARU-UHFFFAOYSA-N 0.000 description 1
- VEPOHXYIFQMVHW-XOZOLZJESA-N 2,3-dihydroxybutanedioic acid (2S,3S)-3,4-dimethyl-2-phenylmorpholine Chemical compound OC(C(O)C(O)=O)C(O)=O.C[C@H]1[C@@H](OCCN1C)c1ccccc1 VEPOHXYIFQMVHW-XOZOLZJESA-N 0.000 description 1
- WNEXSUAHKVAPFK-UHFFFAOYSA-N 2,8-dibromodibenzothiophene Chemical compound C1=C(Br)C=C2C3=CC(Br)=CC=C3SC2=C1 WNEXSUAHKVAPFK-UHFFFAOYSA-N 0.000 description 1
- RICKKZXCGCSLIU-UHFFFAOYSA-N 2-[2-[carboxymethyl-[[3-hydroxy-5-(hydroxymethyl)-2-methylpyridin-4-yl]methyl]amino]ethyl-[[3-hydroxy-5-(hydroxymethyl)-2-methylpyridin-4-yl]methyl]amino]acetic acid Chemical compound CC1=NC=C(CO)C(CN(CCN(CC(O)=O)CC=2C(=C(C)N=CC=2CO)O)CC(O)=O)=C1O RICKKZXCGCSLIU-UHFFFAOYSA-N 0.000 description 1
- UXGVMFHEKMGWMA-UHFFFAOYSA-N 2-benzofuran Chemical compound C1=CC=CC2=COC=C21 UXGVMFHEKMGWMA-UHFFFAOYSA-N 0.000 description 1
- LYTMVABTDYMBQK-UHFFFAOYSA-N 2-benzothiophene Chemical compound C1=CC=CC2=CSC=C21 LYTMVABTDYMBQK-UHFFFAOYSA-N 0.000 description 1
- 125000004493 2-methylbut-1-yl group Chemical group CC(C*)CC 0.000 description 1
- VHMICKWLTGFITH-UHFFFAOYSA-N 2H-isoindole Chemical compound C1=CC=CC2=CNC=C21 VHMICKWLTGFITH-UHFFFAOYSA-N 0.000 description 1
- SHBXLRNTWXLHNN-UHFFFAOYSA-N 3,6-dibromodibenzothiophene Chemical compound C1=CC=C2C3=CC=C(Br)C=C3SC2=C1Br SHBXLRNTWXLHNN-UHFFFAOYSA-N 0.000 description 1
- SYSSEYHSGAIJJI-UHFFFAOYSA-N 3-[6-(4,6-diphenyl-1,3,5-triazin-2-yl)dibenzothiophen-3-yl]-9-phenylcarbazole Chemical compound C1=CC=CC=C1C1=NC(C=2C=CC=CC=2)=NC(C=2C=3SC4=CC(=CC=C4C=3C=CC=2)C=2C=C3C4=CC=CC=C4N(C=4C=CC=CC=4)C3=CC=2)=N1 SYSSEYHSGAIJJI-UHFFFAOYSA-N 0.000 description 1
- RXXCIBALSKQCAE-UHFFFAOYSA-N 3-methylbutoxymethylbenzene Chemical compound CC(C)CCOCC1=CC=CC=C1 RXXCIBALSKQCAE-UHFFFAOYSA-N 0.000 description 1
- CPDDXQJCPYHULE-UHFFFAOYSA-N 4,5,14,16-tetrazapentacyclo[9.7.1.12,6.015,19.010,20]icosa-1(18),2,4,6,8,10(20),11(19),12,14,16-decaene Chemical group C1=CC(C2=CC=CC=3C2=C2C=NN=3)=C3C2=CC=NC3=N1 CPDDXQJCPYHULE-UHFFFAOYSA-N 0.000 description 1
- NSPMIYGKQJPBQR-UHFFFAOYSA-N 4H-1,2,4-triazole Chemical compound C=1N=CNN=1 NSPMIYGKQJPBQR-UHFFFAOYSA-N 0.000 description 1
- IUKNPBPXZUWMNO-UHFFFAOYSA-N 5,12-diazatetracyclo[6.6.2.04,16.011,15]hexadeca-1(15),2,4,6,8(16),9,11,13-octaene Chemical compound N1=CC=C2C=CC3=NC=CC4=CC=C1C2=C43 IUKNPBPXZUWMNO-UHFFFAOYSA-N 0.000 description 1
- NHWJSCHQRMCCAD-UHFFFAOYSA-N 5,14-diazatetracyclo[6.6.2.04,16.011,15]hexadeca-1(14),2,4,6,8(16),9,11(15),12-octaene Chemical compound C1=CN=C2C=CC3=NC=CC4=CC=C1C2=C43 NHWJSCHQRMCCAD-UHFFFAOYSA-N 0.000 description 1
- PODJSIAAYWCBDV-UHFFFAOYSA-N 5,6-diazatetracyclo[6.6.2.04,16.011,15]hexadeca-1(14),2,4(16),5,7,9,11(15),12-octaene Chemical compound C1=NN=C2C=CC3=CC=CC4=CC=C1C2=C43 PODJSIAAYWCBDV-UHFFFAOYSA-N 0.000 description 1
- CUHHSFGWLKGXDX-UHFFFAOYSA-N 5-chloro-4,6-diphenyltriazine Chemical compound ClC1=C(C=2C=CC=CC=2)N=NN=C1C1=CC=CC=C1 CUHHSFGWLKGXDX-UHFFFAOYSA-N 0.000 description 1
- KJCRNHQXMXUTEB-UHFFFAOYSA-N 69637-93-0 Chemical compound C1=CC=C2N=C(N=C3NC=4C(=CC=CC=4)NC3=N3)C3=NC2=C1 KJCRNHQXMXUTEB-UHFFFAOYSA-N 0.000 description 1
- SNFCXVRWFNAHQX-UHFFFAOYSA-N 9,9'-spirobi[fluorene] Chemical compound C12=CC=CC=C2C2=CC=CC=C2C21C1=CC=CC=C1C1=CC=CC=C21 SNFCXVRWFNAHQX-UHFFFAOYSA-N 0.000 description 1
- BPMFPOGUJAAYHL-UHFFFAOYSA-N 9H-Pyrido[2,3-b]indole Chemical compound C1=CC=C2C3=CC=CC=C3NC2=N1 BPMFPOGUJAAYHL-UHFFFAOYSA-N 0.000 description 1
- 239000005964 Acibenzolar-S-methyl Substances 0.000 description 1
- 229910016036 BaF 2 Inorganic materials 0.000 description 1
- FMMWHPNWAFZXNH-UHFFFAOYSA-N Benz[a]pyrene Chemical compound C1=C2C3=CC=CC=C3C=C(C=C3)C2=C2C3=CC=CC2=C1 FMMWHPNWAFZXNH-UHFFFAOYSA-N 0.000 description 1
- 238000006443 Buchwald-Hartwig cross coupling reaction Methods 0.000 description 1
- RYJNLNRXWKQVMU-UTOQUPLUSA-N C/C(/N=N\N=C)=N/C Chemical compound C/C(/N=N\N=C)=N/C RYJNLNRXWKQVMU-UTOQUPLUSA-N 0.000 description 1
- ZPIPUFJBRZFYKJ-UHFFFAOYSA-N C1=NC=C2C=CC3=CN=CC4=CC=C1C2=C34 Chemical compound C1=NC=C2C=CC3=CN=CC4=CC=C1C2=C34 ZPIPUFJBRZFYKJ-UHFFFAOYSA-N 0.000 description 1
- RYGMFSIKBFXOCR-UHFFFAOYSA-N Copper Chemical compound [Cu] RYGMFSIKBFXOCR-UHFFFAOYSA-N 0.000 description 1
- 229910021595 Copper(I) iodide Inorganic materials 0.000 description 1
- 229910052693 Europium Inorganic materials 0.000 description 1
- 229910018068 Li 2 O Inorganic materials 0.000 description 1
- ZOKXTWBITQBERF-UHFFFAOYSA-N Molybdenum Chemical compound [Mo] ZOKXTWBITQBERF-UHFFFAOYSA-N 0.000 description 1
- 229920001609 Poly(3,4-ethylenedioxythiophene) Polymers 0.000 description 1
- KJTLSVCANCCWHF-UHFFFAOYSA-N Ruthenium Chemical compound [Ru] KJTLSVCANCCWHF-UHFFFAOYSA-N 0.000 description 1
- 101100386054 Saccharomyces cerevisiae (strain ATCC 204508 / S288c) CYS3 gene Proteins 0.000 description 1
- 229910052772 Samarium Inorganic materials 0.000 description 1
- BLRPTPMANUNPDV-UHFFFAOYSA-N Silane Chemical compound [SiH4] BLRPTPMANUNPDV-UHFFFAOYSA-N 0.000 description 1
- VYPSYNLAJGMNEJ-UHFFFAOYSA-N Silicium dioxide Chemical compound O=[Si]=O VYPSYNLAJGMNEJ-UHFFFAOYSA-N 0.000 description 1
- PJANXHGTPQOBST-VAWYXSNFSA-N Stilbene Natural products C=1C=CC=CC=1/C=C/C1=CC=CC=C1 PJANXHGTPQOBST-VAWYXSNFSA-N 0.000 description 1
- DPOPAJRDYZGTIR-UHFFFAOYSA-N Tetrazine Chemical compound C1=CN=NN=N1 DPOPAJRDYZGTIR-UHFFFAOYSA-N 0.000 description 1
- FZWLAAWBMGSTSO-UHFFFAOYSA-N Thiazole Chemical compound C1=CSC=N1 FZWLAAWBMGSTSO-UHFFFAOYSA-N 0.000 description 1
- 238000006887 Ullmann reaction Methods 0.000 description 1
- PTFCDOFLOPIGGS-UHFFFAOYSA-N Zinc dication Chemical compound [Zn+2] PTFCDOFLOPIGGS-UHFFFAOYSA-N 0.000 description 1
- DGEZNRSVGBDHLK-UHFFFAOYSA-N [1,10]phenanthroline Chemical compound C1=CN=C2C3=NC=CC=C3C=CC2=C1 DGEZNRSVGBDHLK-UHFFFAOYSA-N 0.000 description 1
- VGRJHHLDEYYRNF-UHFFFAOYSA-N ac1lasce Chemical compound C1C2=CC=CC=C2C(C=2C3=CC=CC=C3CC=22)=C1C1=C2CC2=CC=CC=C21 VGRJHHLDEYYRNF-UHFFFAOYSA-N 0.000 description 1
- 230000009471 action Effects 0.000 description 1
- 229910001515 alkali metal fluoride Inorganic materials 0.000 description 1
- 229910001618 alkaline earth metal fluoride Inorganic materials 0.000 description 1
- HSFWRNGVRCDJHI-UHFFFAOYSA-N alpha-acetylene Natural products C#C HSFWRNGVRCDJHI-UHFFFAOYSA-N 0.000 description 1
- XAGFODPZIPBFFR-UHFFFAOYSA-N aluminium Chemical compound [Al] XAGFODPZIPBFFR-UHFFFAOYSA-N 0.000 description 1
- 150000008064 anhydrides Chemical class 0.000 description 1
- 239000010405 anode material Substances 0.000 description 1
- 150000008365 aromatic ketones Chemical class 0.000 description 1
- RFRXIWQYSOIBDI-UHFFFAOYSA-N benzarone Chemical compound CCC=1OC2=CC=CC=C2C=1C(=O)C1=CC=C(O)C=C1 RFRXIWQYSOIBDI-UHFFFAOYSA-N 0.000 description 1
- 125000003785 benzimidazolyl group Chemical group N1=C(NC2=C1C=CC=C2)* 0.000 description 1
- WMUIZUWOEIQJEH-UHFFFAOYSA-N benzo[e][1,3]benzoxazole Chemical compound C1=CC=C2C(N=CO3)=C3C=CC2=C1 WMUIZUWOEIQJEH-UHFFFAOYSA-N 0.000 description 1
- QRUDEWIWKLJBPS-UHFFFAOYSA-N benzotriazole Chemical compound C1=CC=C2N[N][N]C2=C1 QRUDEWIWKLJBPS-UHFFFAOYSA-N 0.000 description 1
- 239000012964 benzotriazole Substances 0.000 description 1
- 125000002529 biphenylenyl group Chemical group C1(=CC=CC=2C3=CC=CC=C3C12)* 0.000 description 1
- 230000031709 bromination Effects 0.000 description 1
- 238000005893 bromination reaction Methods 0.000 description 1
- GDTBXPJZTBHREO-UHFFFAOYSA-N bromine Substances BrBr GDTBXPJZTBHREO-UHFFFAOYSA-N 0.000 description 1
- 125000004369 butenyl group Chemical group C(=CCC)* 0.000 description 1
- 125000000480 butynyl group Chemical group [*]C#CC([H])([H])C([H])([H])[H] 0.000 description 1
- 229910052791 calcium Inorganic materials 0.000 description 1
- 150000004649 carbonic acid derivatives Chemical class 0.000 description 1
- 239000012159 carrier gas Substances 0.000 description 1
- 238000006243 chemical reaction Methods 0.000 description 1
- 238000004587 chromatography analysis Methods 0.000 description 1
- WCZVZNOTHYJIEI-UHFFFAOYSA-N cinnoline Chemical compound N1=NC=CC2=CC=CC=C21 WCZVZNOTHYJIEI-UHFFFAOYSA-N 0.000 description 1
- 238000010549 co-Evaporation Methods 0.000 description 1
- 230000000052 comparative effect Effects 0.000 description 1
- 230000000295 complement effect Effects 0.000 description 1
- 229920000547 conjugated polymer Polymers 0.000 description 1
- 229910052802 copper Inorganic materials 0.000 description 1
- 239000010949 copper Substances 0.000 description 1
- LSXDOTMGLUJQCM-UHFFFAOYSA-M copper(i) iodide Chemical compound I[Cu] LSXDOTMGLUJQCM-UHFFFAOYSA-M 0.000 description 1
- 239000013078 crystal Substances 0.000 description 1
- 125000001162 cycloheptenyl group Chemical group C1(=CCCCCC1)* 0.000 description 1
- 125000000582 cycloheptyl group Chemical group [H]C1([H])C([H])([H])C([H])([H])C([H])([H])C([H])(*)C([H])([H])C1([H])[H] 0.000 description 1
- 125000000596 cyclohexenyl group Chemical group C1(=CCCCC1)* 0.000 description 1
- 125000000113 cyclohexyl group Chemical group [H]C1([H])C([H])([H])C([H])([H])C([H])(*)C([H])([H])C1([H])[H] 0.000 description 1
- 125000000522 cyclooctenyl group Chemical group C1(=CCCCCCC1)* 0.000 description 1
- 125000000640 cyclooctyl group Chemical group [H]C1([H])C([H])([H])C([H])([H])C([H])([H])C([H])(*)C([H])([H])C([H])([H])C1([H])[H] 0.000 description 1
- 125000002433 cyclopentenyl group Chemical group C1(=CCCC1)* 0.000 description 1
- 125000001511 cyclopentyl group Chemical group [H]C1([H])C([H])([H])C([H])([H])C([H])(*)C1([H])[H] 0.000 description 1
- 238000000354 decomposition reaction Methods 0.000 description 1
- 238000000151 deposition Methods 0.000 description 1
- 238000011161 development Methods 0.000 description 1
- 230000018109 developmental process Effects 0.000 description 1
- 150000001987 diarylethers Chemical class 0.000 description 1
- 150000007858 diazaphosphole derivatives Chemical class 0.000 description 1
- 125000005509 dibenzothiophenyl group Chemical group 0.000 description 1
- XXPBFNVKTVJZKF-UHFFFAOYSA-N dihydrophenanthrene Natural products C1=CC=C2CCC3=CC=CC=C3C2=C1 XXPBFNVKTVJZKF-UHFFFAOYSA-N 0.000 description 1
- 230000000694 effects Effects 0.000 description 1
- 238000005401 electroluminescence Methods 0.000 description 1
- 238000001194 electroluminescence spectrum Methods 0.000 description 1
- 125000001495 ethyl group Chemical group [H]C([H])([H])C([H])([H])* 0.000 description 1
- 125000002534 ethynyl group Chemical group [H]C#C* 0.000 description 1
- OGPBJKLSAFTDLK-UHFFFAOYSA-N europium atom Chemical compound [Eu] OGPBJKLSAFTDLK-UHFFFAOYSA-N 0.000 description 1
- 230000005284 excitation Effects 0.000 description 1
- 150000002220 fluorenes Chemical class 0.000 description 1
- 230000004907 flux Effects 0.000 description 1
- 125000000524 functional group Chemical group 0.000 description 1
- JKFAIQOWCVVSKC-UHFFFAOYSA-N furazan Chemical compound C=1C=NON=1 JKFAIQOWCVVSKC-UHFFFAOYSA-N 0.000 description 1
- 238000007429 general method Methods 0.000 description 1
- PCHJSUWPFVWCPO-UHFFFAOYSA-N gold Chemical compound [Au] PCHJSUWPFVWCPO-UHFFFAOYSA-N 0.000 description 1
- 230000026030 halogenation Effects 0.000 description 1
- 238000005658 halogenation reaction Methods 0.000 description 1
- 125000000623 heterocyclic group Chemical group 0.000 description 1
- 125000006038 hexenyl group Chemical group 0.000 description 1
- 125000005980 hexynyl group Chemical group 0.000 description 1
- 230000007062 hydrolysis Effects 0.000 description 1
- 238000006460 hydrolysis reaction Methods 0.000 description 1
- WUNJCKOTXFSWBK-UHFFFAOYSA-N indeno[2,1-a]carbazole Chemical class C1=CC=C2C=C3C4=NC5=CC=CC=C5C4=CC=C3C2=C1 WUNJCKOTXFSWBK-UHFFFAOYSA-N 0.000 description 1
- PJULCNAVAGQLAT-UHFFFAOYSA-N indeno[2,1-a]fluorene Chemical class C1=CC=C2C=C3C4=CC5=CC=CC=C5C4=CC=C3C2=C1 PJULCNAVAGQLAT-UHFFFAOYSA-N 0.000 description 1
- 229910052738 indium Inorganic materials 0.000 description 1
- PZOUSPYUWWUPPK-UHFFFAOYSA-N indole Natural products CC1=CC=CC2=C1C=CN2 PZOUSPYUWWUPPK-UHFFFAOYSA-N 0.000 description 1
- RKJUIXBNRJVNHR-UHFFFAOYSA-N indolenine Natural products C1=CC=C2CC=NC2=C1 RKJUIXBNRJVNHR-UHFFFAOYSA-N 0.000 description 1
- HOBCFUWDNJPFHB-UHFFFAOYSA-N indolizine Chemical compound C1=CC=CN2C=CC=C21 HOBCFUWDNJPFHB-UHFFFAOYSA-N 0.000 description 1
- VVVPGLRKXQSQSZ-UHFFFAOYSA-N indolo[3,2-c]carbazole Chemical class C1=CC=CC2=NC3=C4C5=CC=CC=C5N=C4C=CC3=C21 VVVPGLRKXQSQSZ-UHFFFAOYSA-N 0.000 description 1
- 239000011261 inert gas Substances 0.000 description 1
- PNDPGZBMCMUPRI-UHFFFAOYSA-N iodine Chemical group II PNDPGZBMCMUPRI-UHFFFAOYSA-N 0.000 description 1
- 239000011630 iodine Substances 0.000 description 1
- SNHMUERNLJLMHN-UHFFFAOYSA-N iodobenzene Chemical class IC1=CC=CC=C1 SNHMUERNLJLMHN-UHFFFAOYSA-N 0.000 description 1
- 125000000959 isobutyl group Chemical group [H]C([H])([H])C([H])(C([H])([H])[H])C([H])([H])* 0.000 description 1
- 125000001449 isopropyl group Chemical group [H]C([H])([H])C([H])(*)C([H])([H])[H] 0.000 description 1
- ZLTPDFXIESTBQG-UHFFFAOYSA-N isothiazole Chemical compound C=1C=NSC=1 ZLTPDFXIESTBQG-UHFFFAOYSA-N 0.000 description 1
- CTAPFRYPJLPFDF-UHFFFAOYSA-N isoxazole Chemical compound C=1C=NOC=1 CTAPFRYPJLPFDF-UHFFFAOYSA-N 0.000 description 1
- 229910052747 lanthanoid Inorganic materials 0.000 description 1
- 150000002602 lanthanoids Chemical class 0.000 description 1
- 238000004020 luminiscence type Methods 0.000 description 1
- 239000008204 material by function Substances 0.000 description 1
- 229910044991 metal oxide Inorganic materials 0.000 description 1
- 150000004706 metal oxides Chemical class 0.000 description 1
- 229910003455 mixed metal oxide Inorganic materials 0.000 description 1
- 229910052750 molybdenum Inorganic materials 0.000 description 1
- 239000011733 molybdenum Substances 0.000 description 1
- 125000004108 n-butyl group Chemical group [H]C([H])([H])C([H])([H])C([H])([H])C([H])([H])* 0.000 description 1
- 125000003136 n-heptyl group Chemical group [H]C([H])([H])C([H])([H])C([H])([H])C([H])([H])C([H])([H])C([H])([H])C([H])([H])* 0.000 description 1
- 125000000740 n-pentyl group Chemical group [H]C([H])([H])C([H])([H])C([H])([H])C([H])([H])C([H])([H])* 0.000 description 1
- 125000004123 n-propyl group Chemical group [H]C([H])([H])C([H])([H])C([H])([H])* 0.000 description 1
- 125000004365 octenyl group Chemical group C(=CCCCCCC)* 0.000 description 1
- 125000005069 octynyl group Chemical group [H]C([H])([H])C([H])([H])C([H])([H])C([H])([H])C([H])([H])C([H])([H])C#C* 0.000 description 1
- 238000007645 offset printing Methods 0.000 description 1
- 150000002894 organic compounds Chemical class 0.000 description 1
- 239000013110 organic ligand Substances 0.000 description 1
- 239000003960 organic solvent Substances 0.000 description 1
- 229910052762 osmium Inorganic materials 0.000 description 1
- SYQBFIAQOQZEGI-UHFFFAOYSA-N osmium atom Chemical compound [Os] SYQBFIAQOQZEGI-UHFFFAOYSA-N 0.000 description 1
- WCPAKWJPBJAGKN-UHFFFAOYSA-N oxadiazole Chemical compound C1=CON=N1 WCPAKWJPBJAGKN-UHFFFAOYSA-N 0.000 description 1
- MPQXHAGKBWFSNV-UHFFFAOYSA-N oxidophosphanium Chemical class [PH3]=O MPQXHAGKBWFSNV-UHFFFAOYSA-N 0.000 description 1
- 125000004430 oxygen atom Chemical group O* 0.000 description 1
- 229910052763 palladium Inorganic materials 0.000 description 1
- LXNAVEXFUKBNMK-UHFFFAOYSA-N palladium(II) acetate Substances [Pd].CC(O)=O.CC(O)=O LXNAVEXFUKBNMK-UHFFFAOYSA-N 0.000 description 1
- YJVFFLUZDVXJQI-UHFFFAOYSA-L palladium(ii) acetate Chemical compound [Pd+2].CC([O-])=O.CC([O-])=O YJVFFLUZDVXJQI-UHFFFAOYSA-L 0.000 description 1
- SLIUAWYAILUBJU-UHFFFAOYSA-N pentacene Chemical compound C1=CC=CC2=CC3=CC4=CC5=CC=CC=C5C=C4C=C3C=C21 SLIUAWYAILUBJU-UHFFFAOYSA-N 0.000 description 1
- 125000006340 pentafluoro ethyl group Chemical group FC(F)(F)C(F)(F)* 0.000 description 1
- 125000002255 pentenyl group Chemical group C(=CCCC)* 0.000 description 1
- 125000005981 pentynyl group Chemical group 0.000 description 1
- 125000002080 perylenyl group Chemical group C1(=CC=C2C=CC=C3C4=CC=CC5=CC=CC(C1=C23)=C45)* 0.000 description 1
- CSHWQDPOILHKBI-UHFFFAOYSA-N peryrene Natural products C1=CC(C2=CC=CC=3C2=C2C=CC=3)=C3C2=CC=CC3=C1 CSHWQDPOILHKBI-UHFFFAOYSA-N 0.000 description 1
- 150000002987 phenanthrenes Chemical class 0.000 description 1
- ISWSIDIOOBJBQZ-UHFFFAOYSA-M phenolate Chemical compound [O-]C1=CC=CC=C1 ISWSIDIOOBJBQZ-UHFFFAOYSA-M 0.000 description 1
- 229940031826 phenolate Drugs 0.000 description 1
- 125000003170 phenylsulfonyl group Chemical group C1(=CC=CC=C1)S(=O)(=O)* 0.000 description 1
- 150000003057 platinum Chemical class 0.000 description 1
- 238000006116 polymerization reaction Methods 0.000 description 1
- 229910000160 potassium phosphate Inorganic materials 0.000 description 1
- 235000011009 potassium phosphates Nutrition 0.000 description 1
- 238000012545 processing Methods 0.000 description 1
- 230000002035 prolonged effect Effects 0.000 description 1
- 125000004368 propenyl group Chemical group C(=CC)* 0.000 description 1
- 125000002568 propynyl group Chemical group [*]C#CC([H])([H])[H] 0.000 description 1
- 125000006239 protecting group Chemical group 0.000 description 1
- CPNGPNLZQNNVQM-UHFFFAOYSA-N pteridine Chemical compound N1=CN=CC2=NC=CN=C21 CPNGPNLZQNNVQM-UHFFFAOYSA-N 0.000 description 1
- 238000000746 purification Methods 0.000 description 1
- 125000003373 pyrazinyl group Chemical group 0.000 description 1
- PBMFSQRYOILNGV-UHFFFAOYSA-N pyridazine Chemical compound C1=CC=NN=C1 PBMFSQRYOILNGV-UHFFFAOYSA-N 0.000 description 1
- 125000005495 pyridazyl group Chemical group 0.000 description 1
- GDISDVBCNPLSDU-UHFFFAOYSA-N pyrido[2,3-g]quinoline Chemical compound C1=CC=NC2=CC3=CC=CN=C3C=C21 GDISDVBCNPLSDU-UHFFFAOYSA-N 0.000 description 1
- 125000000714 pyrimidinyl group Chemical group 0.000 description 1
- JWVCLYRUEFBMGU-UHFFFAOYSA-N quinazoline Chemical compound N1=CN=CC2=CC=CC=C21 JWVCLYRUEFBMGU-UHFFFAOYSA-N 0.000 description 1
- 239000011541 reaction mixture Substances 0.000 description 1
- 229910052702 rhenium Inorganic materials 0.000 description 1
- WUAPFZMCVAUBPE-UHFFFAOYSA-N rhenium atom Chemical compound [Re] WUAPFZMCVAUBPE-UHFFFAOYSA-N 0.000 description 1
- 229910052703 rhodium Inorganic materials 0.000 description 1
- 239000010948 rhodium Substances 0.000 description 1
- MHOVAHRLVXNVSD-UHFFFAOYSA-N rhodium atom Chemical compound [Rh] MHOVAHRLVXNVSD-UHFFFAOYSA-N 0.000 description 1
- 229910052707 ruthenium Inorganic materials 0.000 description 1
- 238000007650 screen-printing Methods 0.000 description 1
- 125000002914 sec-butyl group Chemical group [H]C([H])([H])C([H])([H])C([H])(*)C([H])([H])[H] 0.000 description 1
- 229910000077 silane Inorganic materials 0.000 description 1
- 239000000741 silica gel Substances 0.000 description 1
- 229910002027 silica gel Inorganic materials 0.000 description 1
- 239000010944 silver (metal) Substances 0.000 description 1
- 150000003384 small molecules Chemical class 0.000 description 1
- 238000004528 spin coating Methods 0.000 description 1
- PJANXHGTPQOBST-UHFFFAOYSA-N stilbene Chemical compound C=1C=CC=CC=1C=CC1=CC=CC=C1 PJANXHGTPQOBST-UHFFFAOYSA-N 0.000 description 1
- 235000021286 stilbenes Nutrition 0.000 description 1
- 238000003756 stirring Methods 0.000 description 1
- 101150035983 str1 gene Proteins 0.000 description 1
- 238000000859 sublimation Methods 0.000 description 1
- 230000008022 sublimation Effects 0.000 description 1
- 238000005092 sublimation method Methods 0.000 description 1
- 239000000126 substance Substances 0.000 description 1
- 150000001911 terphenyls Chemical class 0.000 description 1
- 125000000999 tert-butyl group Chemical group [H]C([H])([H])C(*)(C([H])([H])[H])C([H])([H])[H] 0.000 description 1
- IFLREYGFSNHWGE-UHFFFAOYSA-N tetracene Chemical compound C1=CC=CC2=CC3=CC4=CC=CC=C4C=C3C=C21 IFLREYGFSNHWGE-UHFFFAOYSA-N 0.000 description 1
- 150000003536 tetrazoles Chemical class 0.000 description 1
- 238000001931 thermography Methods 0.000 description 1
- 125000004001 thioalkyl group Chemical group 0.000 description 1
- 150000003577 thiophenes Chemical class 0.000 description 1
- JOXIMZWYDAKGHI-UHFFFAOYSA-N toluene-4-sulfonic acid Chemical compound CC1=CC=C(S(O)(=O)=O)C=C1 JOXIMZWYDAKGHI-UHFFFAOYSA-N 0.000 description 1
- 238000010023 transfer printing Methods 0.000 description 1
- 125000004306 triazinyl group Chemical group 0.000 description 1
- ITMCEJHCFYSIIV-UHFFFAOYSA-M triflate Chemical compound [O-]S(=O)(=O)C(F)(F)F ITMCEJHCFYSIIV-UHFFFAOYSA-M 0.000 description 1
- 125000002023 trifluoromethyl group Chemical group FC(F)(F)* 0.000 description 1
- WRECIMRULFAWHA-UHFFFAOYSA-N trimethyl borate Chemical compound COB(OC)OC WRECIMRULFAWHA-UHFFFAOYSA-N 0.000 description 1
- SLGBZMMZGDRARJ-UHFFFAOYSA-N triphenylene Chemical compound C1=CC=C2C3=CC=CC=C3C3=CC=CC=C3C2=C1 SLGBZMMZGDRARJ-UHFFFAOYSA-N 0.000 description 1
- 229910000404 tripotassium phosphate Inorganic materials 0.000 description 1
- 235000019798 tripotassium phosphate Nutrition 0.000 description 1
- COIOYMYWGDAQPM-UHFFFAOYSA-N tris(2-methylphenyl)phosphane Chemical compound CC1=CC=CC=C1P(C=1C(=CC=CC=1)C)C1=CC=CC=C1C COIOYMYWGDAQPM-UHFFFAOYSA-N 0.000 description 1
- YGPLLMPPZRUGTJ-UHFFFAOYSA-N truxene Chemical compound C1C2=CC=CC=C2C(C2=C3C4=CC=CC=C4C2)=C1C1=C3CC2=CC=CC=C21 YGPLLMPPZRUGTJ-UHFFFAOYSA-N 0.000 description 1
- WFKWXMTUELFFGS-UHFFFAOYSA-N tungsten Chemical compound [W] WFKWXMTUELFFGS-UHFFFAOYSA-N 0.000 description 1
- 229910052721 tungsten Inorganic materials 0.000 description 1
- 239000010937 tungsten Substances 0.000 description 1
- 238000002061 vacuum sublimation Methods 0.000 description 1
- 238000001947 vapour-phase growth Methods 0.000 description 1
- 125000000391 vinyl group Chemical group [H]C([*])=C([H])[H] 0.000 description 1
- 150000003751 zinc Chemical class 0.000 description 1
- YVTHLONGBIQYBO-UHFFFAOYSA-N zinc indium(3+) oxygen(2-) Chemical compound [O--].[Zn++].[In+3] YVTHLONGBIQYBO-UHFFFAOYSA-N 0.000 description 1
Classifications
-
- C—CHEMISTRY; METALLURGY
- C07—ORGANIC CHEMISTRY
- C07D—HETEROCYCLIC COMPOUNDS
- C07D403/00—Heterocyclic compounds containing two or more hetero rings, having nitrogen atoms as the only ring hetero atoms, not provided for by group C07D401/00
- C07D403/02—Heterocyclic compounds containing two or more hetero rings, having nitrogen atoms as the only ring hetero atoms, not provided for by group C07D401/00 containing two hetero rings
- C07D403/12—Heterocyclic compounds containing two or more hetero rings, having nitrogen atoms as the only ring hetero atoms, not provided for by group C07D401/00 containing two hetero rings linked by a chain containing hetero atoms as chain links
-
- C—CHEMISTRY; METALLURGY
- C07—ORGANIC CHEMISTRY
- C07D—HETEROCYCLIC COMPOUNDS
- C07D403/00—Heterocyclic compounds containing two or more hetero rings, having nitrogen atoms as the only ring hetero atoms, not provided for by group C07D401/00
- C07D403/02—Heterocyclic compounds containing two or more hetero rings, having nitrogen atoms as the only ring hetero atoms, not provided for by group C07D401/00 containing two hetero rings
- C07D403/10—Heterocyclic compounds containing two or more hetero rings, having nitrogen atoms as the only ring hetero atoms, not provided for by group C07D401/00 containing two hetero rings linked by a carbon chain containing aromatic rings
-
- C—CHEMISTRY; METALLURGY
- C07—ORGANIC CHEMISTRY
- C07D—HETEROCYCLIC COMPOUNDS
- C07D403/00—Heterocyclic compounds containing two or more hetero rings, having nitrogen atoms as the only ring hetero atoms, not provided for by group C07D401/00
- C07D403/14—Heterocyclic compounds containing two or more hetero rings, having nitrogen atoms as the only ring hetero atoms, not provided for by group C07D401/00 containing three or more hetero rings
-
- C—CHEMISTRY; METALLURGY
- C07—ORGANIC CHEMISTRY
- C07D—HETEROCYCLIC COMPOUNDS
- C07D405/00—Heterocyclic compounds containing both one or more hetero rings having oxygen atoms as the only ring hetero atoms, and one or more rings having nitrogen as the only ring hetero atom
- C07D405/14—Heterocyclic compounds containing both one or more hetero rings having oxygen atoms as the only ring hetero atoms, and one or more rings having nitrogen as the only ring hetero atom containing three or more hetero rings
-
- C—CHEMISTRY; METALLURGY
- C07—ORGANIC CHEMISTRY
- C07D—HETEROCYCLIC COMPOUNDS
- C07D409/00—Heterocyclic compounds containing two or more hetero rings, at least one ring having sulfur atoms as the only ring hetero atoms
- C07D409/14—Heterocyclic compounds containing two or more hetero rings, at least one ring having sulfur atoms as the only ring hetero atoms containing three or more hetero rings
-
- C—CHEMISTRY; METALLURGY
- C07—ORGANIC CHEMISTRY
- C07D—HETEROCYCLIC COMPOUNDS
- C07D471/00—Heterocyclic compounds containing nitrogen atoms as the only ring hetero atoms in the condensed system, at least one ring being a six-membered ring with one nitrogen atom, not provided for by groups C07D451/00 - C07D463/00
- C07D471/02—Heterocyclic compounds containing nitrogen atoms as the only ring hetero atoms in the condensed system, at least one ring being a six-membered ring with one nitrogen atom, not provided for by groups C07D451/00 - C07D463/00 in which the condensed system contains two hetero rings
- C07D471/04—Ortho-condensed systems
-
- C—CHEMISTRY; METALLURGY
- C09—DYES; PAINTS; POLISHES; NATURAL RESINS; ADHESIVES; COMPOSITIONS NOT OTHERWISE PROVIDED FOR; APPLICATIONS OF MATERIALS NOT OTHERWISE PROVIDED FOR
- C09B—ORGANIC DYES OR CLOSELY-RELATED COMPOUNDS FOR PRODUCING DYES, e.g. PIGMENTS; MORDANTS; LAKES
- C09B57/00—Other synthetic dyes of known constitution
-
- H—ELECTRICITY
- H10—SEMICONDUCTOR DEVICES; ELECTRIC SOLID-STATE DEVICES NOT OTHERWISE PROVIDED FOR
- H10K—ORGANIC ELECTRIC SOLID-STATE DEVICES
- H10K85/00—Organic materials used in the body or electrodes of devices covered by this subclass
- H10K85/30—Coordination compounds
-
- H—ELECTRICITY
- H10—SEMICONDUCTOR DEVICES; ELECTRIC SOLID-STATE DEVICES NOT OTHERWISE PROVIDED FOR
- H10K—ORGANIC ELECTRIC SOLID-STATE DEVICES
- H10K85/00—Organic materials used in the body or electrodes of devices covered by this subclass
- H10K85/60—Organic compounds having low molecular weight
- H10K85/649—Aromatic compounds comprising a hetero atom
- H10K85/654—Aromatic compounds comprising a hetero atom comprising only nitrogen as heteroatom
-
- H—ELECTRICITY
- H10—SEMICONDUCTOR DEVICES; ELECTRIC SOLID-STATE DEVICES NOT OTHERWISE PROVIDED FOR
- H10K—ORGANIC ELECTRIC SOLID-STATE DEVICES
- H10K85/00—Organic materials used in the body or electrodes of devices covered by this subclass
- H10K85/60—Organic compounds having low molecular weight
- H10K85/649—Aromatic compounds comprising a hetero atom
- H10K85/657—Polycyclic condensed heteroaromatic hydrocarbons
- H10K85/6572—Polycyclic condensed heteroaromatic hydrocarbons comprising only nitrogen in the heteroaromatic polycondensed ring system, e.g. phenanthroline or carbazole
-
- H—ELECTRICITY
- H10—SEMICONDUCTOR DEVICES; ELECTRIC SOLID-STATE DEVICES NOT OTHERWISE PROVIDED FOR
- H10K—ORGANIC ELECTRIC SOLID-STATE DEVICES
- H10K85/00—Organic materials used in the body or electrodes of devices covered by this subclass
- H10K85/60—Organic compounds having low molecular weight
- H10K85/649—Aromatic compounds comprising a hetero atom
- H10K85/657—Polycyclic condensed heteroaromatic hydrocarbons
- H10K85/6576—Polycyclic condensed heteroaromatic hydrocarbons comprising only sulfur in the heteroaromatic polycondensed ring system, e.g. benzothiophene
-
- Y—GENERAL TAGGING OF NEW TECHNOLOGICAL DEVELOPMENTS; GENERAL TAGGING OF CROSS-SECTIONAL TECHNOLOGIES SPANNING OVER SEVERAL SECTIONS OF THE IPC; TECHNICAL SUBJECTS COVERED BY FORMER USPC CROSS-REFERENCE ART COLLECTIONS [XRACs] AND DIGESTS
- Y02—TECHNOLOGIES OR APPLICATIONS FOR MITIGATION OR ADAPTATION AGAINST CLIMATE CHANGE
- Y02E—REDUCTION OF GREENHOUSE GAS [GHG] EMISSIONS, RELATED TO ENERGY GENERATION, TRANSMISSION OR DISTRIBUTION
- Y02E10/00—Energy generation through renewable energy sources
- Y02E10/50—Photovoltaic [PV] energy
- Y02E10/549—Organic PV cells
Landscapes
- Chemical & Material Sciences (AREA)
- Organic Chemistry (AREA)
- Engineering & Computer Science (AREA)
- Materials Engineering (AREA)
- Physics & Mathematics (AREA)
- Spectroscopy & Molecular Physics (AREA)
- Inorganic Chemistry (AREA)
- Plural Heterocyclic Compounds (AREA)
- Electroluminescent Light Sources (AREA)
- Nitrogen Condensed Heterocyclic Rings (AREA)
- Nitrogen And Oxygen Or Sulfur-Condensed Heterocyclic Ring Systems (AREA)
- Heterocyclic Carbon Compounds Containing A Hetero Ring Having Oxygen Or Sulfur (AREA)
- Polyoxymethylene Polymers And Polymers With Carbon-To-Carbon Bonds (AREA)
Abstract
Die vorliegende Erfindung betrifft neue Verbindungen gemäß Formel (I) oder (II), die Verwendung der Verbindungen in elektronischen Vorrichtungen, Verfahren zur Herstellung der Verbindungen sowie elektronische Vorrichtungen enthaltend die Verbindungen, bevorzugt als Matrixmaterialien oder als Elektronentransportmaterialien.
Description
- Gegenstand der Erfindung sind neue Verbindungen gemäß den Formeln (I) oder (II), die vorzugsweise als Matrixmaterialien für phosphoreszierende Dotanden oder als Elektronentransportmaterialien eingesetzt werden können, insbesondere zur Verwendung in der Emissions- und/oder Ladungstransportschicht von Elektrolumineszenzvorrichtungen. Die Erfindung betrifft ferner Polymere, die diese Verbindungen als Struktureinheiten enthalten, Verfahren zur Herstellung der erfindungsgemäßen Verbindungen sowie elektronische Vorrichtungen, enthaltend diese Verbindungen.
- Organische Halbleiter wie die erfindungsgemäßen Verbindungen werden für eine Reihe verschiedenartiger elektronischer Anwendungen entwickelt. Der Aufbau organischer Elektrolumineszenzvorrichtungen (OLEDs), in denen diese organischen Halbleiter als funktionelle Materialien eingesetzt werden, ist beispielsweise in
US 4539507 ,US 5151629 ,EP 0676461 und beschrieben. Weiterentwicklungen und Verbesserungen sind allerdings wünschenswert, insbesondere in Bezug auf die Lebensdauer, die Effizienz und die Betriebsspannung organischer Elektrolumineszenzvorrichtungen. Weiterhin besteht an die eingesetzten Verbindungen in vielen Fällen die Anforderung, dass diese eine hohe thermische Stabilität und eine hohe Glasübergangstemperatur aufweisen und sich unzersetzt sublimieren lassen.WO 98/27136 - Gerade auch bei phosphoreszierenden Elektrolumineszenzvorrichtungen sind Verbesserungen der oben genannten Eigenschaften erwünscht. Insbesondere besteht Bedarf an Matrixmaterialien für phosphoreszierende Emitter, die gleichzeitig zu guter Effizienz, hoher Lebensdauer und geringer Betriebsspannung führen. Insbesondere die Eigenschaften der Matrixmaterialien sind häufig limitierend für die Lebensdauer und die Effizienz der organischen Elektrolumineszenzvorrichtung.
- Gemäß dem Stand der Technik werden häufig Carbazolderivate, z. B. Bis(carbazolyl)biphenyl, als Matrixmaterialien verwendet. Hier besteht noch Bedarf an alternativen Materialien, welche bevorzugt eine hohe Glasübergangstemperatur aufweisen und eine verlängerte Lebensdauer der elektronischen Vorrichtungen bewirken.
- Weiterhin werden Ketone (
), Phosphinoxide und Sulfone (WO 04/093207 ) als Matrixmaterialien für phosphoreszierende Emitter verwendet. Insbesondere mit Ketonen werden niedrige Betriebsspannungen und lange Lebensdauern erzielt. Hier besteht noch Verbesserungsbedarf insbesondere in Bezug auf die Effizienz und die Kompatibilität mit Metallkomplexen, welche Ketoketonat-Liganden enthalten, beispielsweise Acetylacetonat.WO 05/003253 - Weiterhin werden Metallkomplexe, beispielsweise BAIq oder Bis[2-(2-benzothiazol)phenolat]-zink(II), als Matrixmaterialien für phosphoreszierende Emitter verwendet. Hier besteht Verbesserungsbedarf insbesondere in Bezug auf die Betriebsspannung und die chemische Stabilität. Rein organische Verbindungen sind häufig stabiler als die Metallkomplexe. So sind einige der Metallkomplexe hydrolyseempfindlich, was ihre Handhabung erschwert.
- Insbesondere besteht Bedarf an Matrixmaterialien für phosphoreszierende Emitter, welche gleichzeitig zu hohen Effizienzen, langen Lebensdauern und geringen Betriebsspannungen führen und welche auch mit phosphoreszierenden Emittern, welche Ketoketonat-Liganden tragen, kompatibel sind.
- Ebenso ist die Bereitstellung neuer Elektronentransportmaterialien wünschenswert, da gerade auch die Eigenschaften des Elektronentransportmaterials einen wesentlichen Einfluss auf die oben genannten Eigenschaften der organischen Elektrolumineszenzvorrichtung ausüben. Insbesondere besteht Bedarf an Elektronentransportmaterialien, welche gleichzeitig zu guter Effizienz, hoher Lebensdauer und geringer Betriebsspannung führen.
- Dabei wäre es wünschenswert, Elektronentransportmaterialien zur Verfügung zu haben, welche zu einer besseren Elektroneninjektion in die emittierende Schicht führen, da eine elektronenreichere Emissionsschicht eine bessere Effizienz mit sich bringt. Außerdem kann durch eine bessere Injektion die Betriebsspannung gesenkt werden.
- Es besteht also weiterhin Bedarf an Elektronentransportmaterialien, die in organischen Elektrolumineszenzvorrichtungen zu guten Effizienzen und gleichzeitig zu hohen Lebensdauern führen.
-
bzw.WO 2006/067976 EP 1829871 , bzw.WO 2005/085387 EP 1724323 , undWO 2008/123189 offenbaren Carbazole, welche mit elektronenarmen Heterocyclen wie beispielsweise Triazin derivatisiert sind, zur Verwendung in elektronischen Vorrichtungen. Die dort offenbarten Systeme, Materialkombinationen und Verbindungen weisen jedoch noch in einigen Bereichen Verbesserungspotential auf, unter anderem bei der Langlebigkeit der elektronischen Vorrichtungen, der Betriebsspannung und der Glasübergangstemperatur der eingesetzten Verbindungen.JP 2002/193952 - Es besteht folglich weiterhin Bedarf an Matrixmaterialien für phosphoreszierende Dotanden, welche bevorzugterweise die folgenden Eigenschaften aufweisen: Erhöhung der Effizienz der Elektrolumineszenzvorrichtung, Verlängerung der Lebensdauer der Vorrichtung sowie technisch unproblematische Verarbeitbarkeit. Zudem besteht Bedarf an neuen Elektronentransportmaterialien, die bevorzugt die oben genannten vorteilhaften Eigenschaften aufweisen.
- Die Aufgabe der vorliegenden Erfindung besteht somit in der Bereitstellung solcher Verbindungen.
- Es wurde nun gefunden, dass die erfindungsgemäßen Verbindungen hervorragend zur Verwendung als Matrixmaterialien in elektronischen Vorrichtungen geeignet sind, insbesondere als Matrixmaterialien für phosphoreszierende Emitter. Mit diesen Materialien können bevorzugterweise höhere Effizienzen und längere Lebensdauern als mit Materialien gemäß dem Stand der Technik erreicht werden. Bevorzugt kann zusätzlich die Betriebsspannung gesenkt werden, was höheren Leistungseffizienzen entspricht.
- Weiterhin wurde gefunden, dass die erfindungsgemäßen Verbindungen als Reinschicht oder in Kombination mit organischen oder anorganischen Alkalimetallverbindungen als Elektronentransportmaterialien in organischen Elektrolumineszenzvorrichtungen verwendet werden können. Es lässt sich mit den erfindungsgemäßen Verbindungen bevorzugterweise ein verbessertes Leistungsprofil der Vorrichtungen erzielen, insbesondere höhere Effizienzen, längere Lebensdauern sowie eine Absenkung der Betriebsspannung.
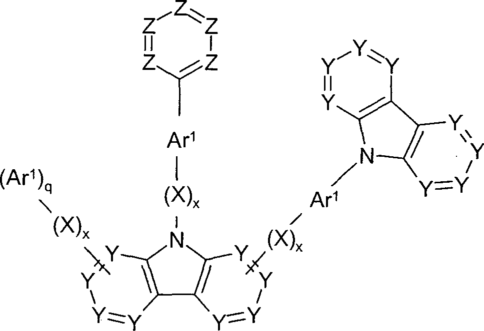
- Die Erfindung stellt zu den genannten, im Folgenden näher erläuterten Zwecken Verbindungen der Formel (I) und (II) bereit: Formel (I) Formel (II) wobei die auftretenden Symbole und Indices wie folgt definiert sind:
Ar1, Ar2, Ar3 sind bei jedem Auftreten gleich oder verschieden ein aromatisches oder heteroaromatisches Ringsystem mit 5 bis 60 aromatischen Ringatomen, welches wahlweise mit einem oder mehreren Resten R1 substituiert ist;
HetAr ist bei jedem Auftreten gleich oder verschieden eine Heteroarylgruppe mit 5 bis 60 aromatischen Ringatomen, welche wahlweise mit einem oder mehreren Resten RHetaryl substituiert ist;
Cz ist bei jedem Auftreten gleich oder verschieden eine Gruppe der Formel (A), Formel (A) bei der die gestrichelten Linien mit dem Symbol * mögliche Bindungspositionen zu Ar1 oder X oder zum zentralen Carbazolderivat darstellen und das Stickstoffatom die bevorzugte Anbindungsstelle ist;
A ist N oder P;
X ist bei jedem Auftreten gleich oder verschieden ausgewählt aus B(R1), N(R1), P(R1), P(R1)3, PO(R1), C(R1)2, Si(R1)2, C=O, C=NR1, C=C(R1)2, O, S, Se, S=O oder SO2;
Y ist bei jedem Auftreten gleich oder verschieden CRCz oder N oder ist C, wenn an diese Gruppe eine Gruppe X oder Ar1 oder Ar3 oder Cz gebunden ist;
Z ist bei jedem Auftreten gleich oder verschieden CRHetaryl oder N, wobei mindestens ein Z pro Sechsring gleich N ist;
q ist bei jedem Auftreten gleich oder verschieden 0 oder 1, wobei für den Fall q = 0 gilt, dass die beiden an die betreffende Gruppe Ar1 oder Ar3 bindenden Gruppen direkt miteinander verbunden sind;
s ist bei jedem Auftreten gleich oder verschieden 0 oder 1, mit der Maßgabe, dass mindestens ein Index s gleich 1 ist;
x ist bei jedem Auftreten gleich oder verschieden 0 oder 1, wobei für den Fall x = 0 gilt, dass die beiden an die betreffende Gruppe X bindenden Gruppen direkt miteinander verbunden sind;
R1, RHetaryl, RCz ist bei jedem Auftreten gleich oder verschieden H, D, F, Cl, Br, I, N(R2)2, CN, NO2, Si(R2)3, B(OR2)2, C(=O)R2, P(=O)(R2)2, S(=O)R2, S(=O)2R2, OSO2R2, eine geradkettige Alkyl-, Alkoxy- oder Thioalkoxygruppe mit 1 bis 40 C-Atomen oder eine geradkettige Alkenyl- oder Alkinylgruppe mit 2 bis 40 C-Atomen oder eine verzweigte oder cyclische Alkyl-, Alkoxy- oder Thioalkoxygruppe mit 3 bis 40 C-Atomen oder eine verzweigte oder cyclische Alkenyl- oder Alkinylgruppe mit 4 bis 40 C-Atomen, die jeweils mit einem oder mehreren Resten R2 substituiert sein können, wobei eine oder mehrere benachbarte oder nicht benachbarte CH2-Gruppen durch R2C=CR2, Si(R2)2, Ge(R2)2, Sn(R2)2, C=O, C=S, C=Se, C=NR2, P(=O)(R2), SO, SO2, NR2, O, S, COO oder CONR2 ersetzt sein können, oder ein aromatisches oder heteroaromatisches Ringsystem mit 5 bis 60 aromatischen Ringatomen, das jeweils mit einem oder mehreren Resten R2 substituiert sein kann, oder eine Aryloxy- oder Heteroaryloxygruppe mit 5 bis 60 aromatischen Ringatomen, die mit einem oder mehreren Resten R2 substituiert sein kann, oder eine Aralkyl- oder Heteroaralkylgruppe mit 5 bis 60 aromatischen Ringatomen, die jeweils mit einem oder mehreren Resten R2 substituiert sein kann; dabei können zwei oder mehrere Substituenten R1, RHetaryl bzw. RCz miteinander verknüpft sein und wahlweise ein mono- oder polycyclisches aliphatisches, aromatisches oder heteroaromatisches Ringsystem bilden;
R2 ist bei jedem Auftreten gleich oder verschieden H, D oder ein aliphatischer, aromatischer oder heteroaromatischer organischer Rest mit 1 bis 20 C-Atomen, in dem auch ein oder mehrere H-Atome durch D oder F ersetzt sein können; dabei können zwei oder mehrere benachbarte oder nicht benachbarte Reste R2 miteinander verknüpft sein und wahlweise ein mono- oder polycyclisches aliphatisches, aromatisches oder heteroaromatisches Ringsystem bilden. - Eine Arylgruppe im Sinne dieser Erfindung enthält 6 bis 60 C-Atome; eine Heteroarylgruppe im Sinne dieser Erfindung enthält 1 bis 59 C-Atome und mindestens ein Heteroatom, mit der Maßgabe, dass die Summe aus C-Atomen und Heteroatomen mindestens 5 ergibt. Die Heteroatome sind bevorzugt ausgewählt aus N, O und/oder S. Dabei wird unter einer Arylgruppe bzw. Heteroarylgruppe entweder ein einfacher aromatischer Cyclus, also Benzol, bzw. ein einfacher heteroaromatischer Cyclus, beispielsweise Pyridin, Pyrimidin, Thiophen, etc., oder eine kondensierte (annellierte) Aryl- oder Heteroarylgruppe, beispielsweise Naphthalin, Anthracen, Phenanthren, Chinolin, Isochinolin, Carbazol, etc., verstanden.
- Ein aromatisches Ringsystem im Sinne dieser Erfindung enthält 6 bis 60 C-Atome im Ringsystem. Ein heteroaromatisches Ringsystem im Sinne dieser Erfindung enthält 5 bis 60 aromatische Ringatome und mindestens ein Heteroatom im Ringsystem, mit der Maßgabe, dass die Summe aus C-Atomen und Heteroatomen mindestens 5 ergibt. Die Heteroatome sind bevorzugt ausgewählt aus N, O und/oder S. Unter einem aromatischen oder heteroaromatischen Ringsystem im Sinne dieser Erfindung soll ein System verstanden werden, das nicht notwendigerweise nur Aryl- oder Heteroarylgruppen enthält, sondern in dem auch mehrere Aryl- oder Heteroarylgruppen durch eine nicht-aromatische Einheit (bevorzugt weniger als 10% der von H verschiedenen Atome), wie z. B. ein sp3-hybridisiertes C-, N- oder O-Atom, verbunden sein können. So sollen beispielsweise auch Systeme wie 9,9'-Spirobifluoren, 9,9-Diarylfluoren, Triarylamin, Diarylether, Stilben, etc. als aromatische Ringsysteme im Sinne dieser Erfindung verstanden werden.
- Unter einem aromatischen oder heteroaromatischen Ringsystem mit 5–60 aromatischen Ringatomen, welches noch jeweils mit den oben genannten Resten R1 substituiert sein kann und welches über beliebige Positionen am Aromaten bzw. Heteroaromaten verknüpft sein kann, werden insbesondere Gruppen verstanden, die abgeleitet sind von Benzol, Naphthalin, Anthracen, Benzanthracen, Phenanthren, Benzphenanthren, Pyren, Chrysen, Perylen, Fluoranthen, Naphthacen, Pentacen, Benzpyren, Biphenyl, Biphenylen, Terphenyl, Terphenylen, Fluoren, Spirobifluoren, Dihydrophenanthren, Dihydropyren, Tetrahydropyren, cis- oder trans-Indenofluoren, Truxen, Isotruxen, Spirotruxen, Spiroisotruxen, Furan, Benzofuran, Isobenzofuran, Dibenzofuran, Thiophen, Benzothiophen, Isobenzothiophen, Dibenzothiophen, Pyrrol, Indol, Isoindol, Carbazol, Pyridin, Chinolin, Isochinolin, Acridin, Phenanthridin, Benzo-5,6-chinolin, Benzo-6,7-chinolin, Benzo-7,8-chinolin, Phenothiazin, Phenoxazin, Pyrazol, Indazol, Imidazol, Benzimidazol, Naphthimidazol, Phenanthrimidazol, Pyridimidazol, Pyrazinimidazol, Chinoxalinimidazol, Oxazol, Benzoxazol, Naphthoxazol, Anthroxazol, Phenanthroxazol, Isoxazol, 1,2-Thiazol, 1,3-Thiazol, Benzothiazol, Pyridazin, Benzopyridazin, Pyrimidin, Benzpyrimidin, Chinoxalin, 1,5-Diazaanthracen, 2,7-Diazapyren, 2,3-Diazapyren, 1,6-Diazapyren, 1,8-Diazapyren, 4,5-Diazapyren, 4,5,9,10-Tetraazaperylen, Pyrazin, Phenazin, Phenoxazin, Phenothiazin, Fluorubin, Naphthyridin, Azacarbazol, Benzocarbolin, Phenanthrolin, 1,2,3-Triazol, 1,2,4-Triazol, Benzotriazol, 1,2,3-Oxadiazol, 1,2,4-Oxadiazol, 1,2,5-Oxadiazol, 1,3,4-Oxadiazol, 1,2,3-Thiadiazol, 1,2,4-Thiadiazol, 1,2,5-Thiadiazol, 1,3,4-Thiadiazol, 1,3,5-Triazin, 1,2,4-Triazin, 1,2,3-Triazin, Tetrazol, 1,2,4,5-Tetrazin, 1,2,3,4-Tetrazin, 1,2,3,5-Tetrazin, Purin, Pteridin, Indolizin und Benzothiadiazol.
- Im Rahmen der vorliegenden Erfindung werden unter einem aliphatischem Kohlenwasserstoffrest bzw. einer Alkylgruppe, die typischerweise 1 bis 40 oder auch 1 bis 20 C-Atome enthalten kann, und in der auch einzelne H-Atome oder CH2-Gruppen durch die oben genannten Gruppen substituiert sein können, bevorzugt die Reste Methyl, Ethyl, n-Propyl, i-Propyl, n-Butyl, i-Butyl, s-Butyl, t-Butyl, 2-Methylbutyl, n-Pentyl, s-Pentyl, Cyclopentyl, n-Hexyl, Cyclohexyl, n-Heptyl, Cycloheptyl, n-Octyl, Cyclooctyl, 2-Ethylhexyl, Trifluormethyl, Pentafluorethyl, 2,2,2-Trifluorethyl, Ethenyl, Propenyl, Butenyl, Pentenyl, Cyclopentenyl, Hexenyl, Cyclohexenyl, Heptenyl, Cycloheptenyl, Octenyl, Cyclooctenyl, Ethinyl, Propinyl, Butinyl, Pentinyl, Hexinyl, Heptinyl oder Octinyl verstanden. Unter einer Alkoxygruppe mit 1 bis 40 C-Atomen werden bevorzugt Methoxy, Trifluormethoxy, Ethoxy, n-Propoxy, i-Propoxy, n-Butoxy, i-Butoxy, s-Butoxy, t-Butoxy, n-Pentoxy, s-Pentoxy, 2-Methylbutoxy, n-Hexoxy, Cyclohexyloxy, n-Heptoxy, Cycloheptyloxy, n-Octyloxy, Cyclooctyloxy, 2-Ethylhexyloxy, Pentafluorethoxy und 2,2,2-Trifluorethoxy verstanden. Unter einer Thioalkylgruppe mit 1 bis 40 C-Atomen werden insbesondere Methylthio, Ethylthio, n-Propylthio, i-Propylthio, n-Butylthio, i-Butylthio, s-Butylthio, t-Butylthio, n-Pentylthio, s-Pentylthio, n-Hexylthio, Cyclohexylthio, n-Heptylthio, Cycloheptylthio, n-Octylthio, Cyclooctylthio, 2-Ethylhexylthio, Trifluormethylthio, Pentafluorethylthio, 2,2,2-Trifluorethylthio, Ethenylthio, Propenylthio, Butenylthio, Pentenylthio, Cyclopentenylthio, Hexenylthio, Cyclohexenylthio, Heptenylthio, Cycloheptenylthio, Octenylthio, Cyclooctenylthio, Ethinylthio, Propinylthio, Butinylthio, Pentinylthio, Hexinylthio, Heptinylthio oder Octinylthio verstanden. Allgemein können Alkyl-, Alkoxy- oder Thioalkylgruppen gemäß der vorliegenden Erfindung geradkettig, verzweigt oder cyclisch sein, wobei eine oder mehrere nicht-benachbarte CH2-Gruppen durch R2C=CR2, C≡C, Si(R2)2, Ge(R2)2, Sn(R2)2, C=O, C=S, C=Se, C=NR2, P(=O)(R2), SO, SO2, NR2, O, S oder CONR2 ersetzt sein können; weiterhin können auch ein oder mehrere H-Atome durch D, F, Cl, Br, I, CN oder NO2, bevorzugt D, F, Cl oder CN, weiter bevorzugt F oder Cl, besonders bevorzugt F ersetzt sein.
- Erfindungsgemäß ist es bevorzugt, dass bei den Verbindungen gemäß Formel (I) oder Formel (II) maximal eine Gruppe Y pro Sechsring des Carbazolderivats für ein Stickstoffatom steht und alle anderen für CRCz oder C. Besonders bevorzugt ist es für Verbindungen gemäß Formel (I), dass alle Gruppen Y für CRCz oder C stehen.
- Es ist für Verbindungen gemäß Formel (II) bevorzugt, dass eine oder mehrere Gruppen Y für ein Stickstoffatom stehen.
- Weiterhin ist es erfindungsgemäß bevorzugt, dass in den Verbindungen gemäß Formel (I) oder Formel (II) alle Indices s den Wert 1 annehmen.
- In einer weiteren bevorzugten Ausführungsform der Erfindung nimmt in den erfindungsgemäßen Verbindungen ein Index s den Wert 1 an und der andere den Wert 0, wobei in diesem Fall bevorzugt 1, 2 oder 3 Gruppen X vorhanden sind.
- Weiterhin ist es erfindungsgemäß bevorzugt, dass A ein Stickstoffatom darstellt.
- Es ist für Verbindungen gemäß Formel (I) bevorzugt, dass die Gruppe HetAr bei jedem Auftreten gleich oder verschieden eine Heteroarylgruppe mit 5 bis 18 aromatischen Ringatomen darstellt.
-
- Besonders bevorzugt ist HetAr ausgewählt aus wahlweise mit einem oder mehreren Resten RHetaryl substituiertem Triazin, Pyrazin, Pyrimidin, Pyridin, Pyrazol, Imidazol, Oxazol, 1,3,4-Oxadiazol und Benzimidazol, ganz besonders bevorzugt mit einem oder mehreren Resten RHetaryl substituiertes Triazin.
- Für die Gruppen Ar1, Ar2 und Ar3 gelten folgende bevorzugte Ausführungsformen:
Ar1 stellt bevorzugt bei jedem Auftreten gleich oder verschieden ein aromatisches oder heteroaromatisches Ringsystem mit 5 bis 30 aromatischen Ringatomen dar, welches wahlweise mit einem oder mehreren Resten R1 substituiert ist.
Ar2 stellt bevorzugt bei jedem Auftreten gleich oder verschieden ein aromatisches Ringsystem mit 6 bis 30 aromatischen Ringatomen dar, welches wahlweise mit einem oder mehreren Resten R1 substituiert ist, besonders bevorzugt eine Arylgruppe mit 6 bis 18 aromatischen Ringatomen, welche wahlweise mit einem oder mehreren Resten R1 substituiert ist.
Ar3 stellt bevorzugt bei jedem Auftreten gleich oder verschieden ein heteroaromatisches Ringsystem mit 5 bis 30 aromatischen Ringatomen dar, welches wahlweise mit einem oder mehreren Resten R1 substituiert ist, besonders bevorzugt eine Heteroarylgruppe mit 5 bis 18 aromatischen Ringatomen, welche wahlweise mit einem oder mehreren Resten R1 substituiert ist. - Weiterhin ist es bevorzugt, dass
R1 bei jedem Auftreten gleich oder verschieden ausgewählt ist aus H, D, F, N(R2)2, C(=O)R2, CR2=C(R2)2, CN, einer geradkettigen Alkylgruppe mit 1 bis 10 C-Atomen, einer geradkettigen Alkenylgruppe mit 2 bis 10 C-Atomen, einer verzweigten oder cyclischen Alkylgruppe mit 3 bis 10 C-Atomen oder einer verzweigten oder cyclischen Alkenylgruppe mit 4 bis 10 C-Atomen oder einer Aryl- oder Heteroarylgruppe mit 5 bis 20 aromatischen Ringatomen, wobei die genannten Gruppen jeweils mit einem oder mehreren Resten R2 substituiert sein können. - Weiterhin ist es bevorzugt, dass
RCz bei jedem Auftreten gleich oder verschieden ausgewählt ist aus H, D, F, N(R2)2, C(=O)R2, CR2=C(R2)2, CN, einer geradkettigen Alkylgruppe mit 1 bis 10 C-Atomen, einer geradkettigen Alkenylgruppe mit 2 bis 10 C-Atomen, einer verzweigten oder cyclischen Alkylgruppe mit 3 bis 10 C-Atomen oder einer verzweigten oder cyclischen Alkenylgruppe mit 4 bis 10 C-Atomen oder einer Aryl- oder Heteroarylgruppe mit 5 bis 20 aromatischen Ringatomen, wobei die genannten Gruppen jeweils mit einem oder mehreren Resten R2 substituiert sein können. -
- Weiterhin ist es bevorzugt, dass
RHetaryl bei jedem Auftreten gleich oder verschieden ausgewählt ist aus H, D, F, N(R2)2, C(=O)R2, CR2=C(R2)2, CN, einer geradkettigen Alkylgruppe mit 1 bis 10 C-Atomen, einer geradkettigen Alkenylgruppe mit 2 bis 10 C-Atomen, einer verzweigten oder cyclischen Alkylgruppe mit 3 bis 10 C-Atomen oder einer verzweigten oder cyclischen Alkenylgruppe mit 4 bis 10 C-Atomen oder einer Aryl- oder Heteroarylgruppe mit 5 bis 20 aromatischen Ringatomen, wobei die genannten Gruppen jeweils mit einem oder mehreren Resten R2 substituiert sein können. - Besonders bevorzugt ist RHetaryl ausgewählt aus H oder Aryl- oder Heteroarylgruppen mit 5 bis 20 aromatischen Ringatomen, darunter bevorzugt Phenyl-, Biphenyl-, Terphenyl-, Pyrazinyl-, Pyridazyl-, Pyrimidyl-, Triazinyl-, Carbazolyl- oder Dibenzothiophenylgruppen, wobei die genannten Gruppen jeweils mit einem oder mehreren Resten R2 substituiert sein können.
- Erfindungsgemäß ist es bevorzugt, dass
X bei jedem Auftreten gleich oder verschieden ausgewählt ist aus N(R1), C(R1)2, C=O, C=NR1, O, S, S=O oder SO2. - Weiterhin ist es bevorzugt, dass drei Gruppen Z pro Sechsring in Verbindungen gemäß Formel (II) gleich N sind und die zwei anderen Gruppen Z im Sechsring gleich CRHetaryl sind; ganz besonders bevorzugt stellt der betreffende heteroaromatische Sechsring ein mit gleichen oder verschiedenen Gruppen RHetaryl substituiertes Triazinderivat dar.
- In einer weiteren bevorzugten Ausführungsform der erfindungsgemäßen Verbindungen gilt, dass mindestens ein Index x gleich 1 ist.
- Besonders bevorzugte Ausführungsformen der Verbindungen gemäß Formel (I) entsprechen den folgenden Formeln (III) bis (XII) Formel (III) Formel (IV) Formel (V) Formel (VI) Formel (VII) Formel (VIII) Formel (IX) Formel (X) Formel (XI) Formel (XII) wobei die vorkommenden Symbole und Indices wie oben angegeben definiert sind.
- Besonders bevorzugte Ausführungsformen der Verbindungen gemäß Formel (II) entsprechen den folgenden Formeln (XIII) bis (XVII) Formel (XIII) Formel (XIV) Formel (XV) Formel (XVI) Formel (XVII) wobei die vorkommenden Symbole und Indices wie oben angegeben definiert sind und es für die Formeln (XVI) und (XVII) besonders bevorzugt ist, dass Ar3 eine Heteroarylgruppe mit 5 bis 18 aromatischen Ringatomen darstellt, welche wahlweise mit einem oder mehreren Resten R1 substituiert ist.
- In einer besonders bevorzugten Ausführungsform der Formeln (I) bis (XVII) gelten die oben genannten Bevorzugungen gleichzeitig. Besonders bevorzugt sind also Verbindungen, für die gilt:
A stellt ein Stickstoffatom dar; und
Ar1 stellt bei jedem Auftreten gleich oder verschieden ein aromatisches oder heteroaromatisches Ringsystem mit 5 bis 30 aromatischen Ringatomen dar, welches wahlweise mit einem oder mehreren Resten R1 substituiert ist; und
Ar2 stellt bei jedem Auftreten gleich oder verschieden ein aromatisches Ringsystem mit 6 bis 30 aromatischen Ringatomen dar, welches wahlweise mit einem oder mehreren Resten R1 substituiert ist; und
Ar3 stellt bei jedem Auftreten gleich oder verschieden ein heteroaromatisches Ringsystem mit 5 bis 30 aromatischen Ringatomen dar, welches wahlweise mit einem oder mehreren Resten R1 substituiert ist; und
X ist bei jedem Auftreten gleich oder verschieden ausgewählt aus N(R1), C(R1)2, C=O, C=NR1, O, S, S=O oder SO2; und
R1 ist bei jedem Auftreten gleich oder verschieden ausgewählt aus H, D, F, N(R2)2, C(=O)R2, CR2=C(R2)2, CN, einer geradkettigen Alkylgruppe mit 1 bis 10 C-Atomen, einer geradkettigen Alkenylgruppe mit 2 bis 10 C-Atomen, einer verzweigten oder cyclischen Alkylgruppe mit 3 bis 10 C-Atomen oder einer verzweigten oder cyclischen Alkenylgruppe mit 4 bis 10 C-Atomen oder einer Aryl- oder Heteroarylgruppe mit 5 bis 20 aromatischen Ringatomen, wobei die genannten Gruppen jeweils mit einem oder mehreren Resten R2 substituiert sein können; und
RCz ist bei jedem Auftreten gleich oder verschieden ausgewählt aus H, D, F, N(R2)2, C(=O)R2, CR2=C(R2)2, CN, einer geradkettigen Alkylgruppe mit 1 bis 10 C-Atomen, einer geradkettigen Alkenylgruppe mit 2 bis 10 C-Atomen, einer verzweigten oder cyclischen Alkylgruppe mit 3 bis 10 C-Atomen oder einer verzweigten oder cyclischen Alkenylgruppe mit 4 bis 10 C-Atomen oder einer Aryl- oder Heteroarylgruppe mit 5 bis 20 aromatischen Ringatomen, wobei die genannten Gruppen jeweils mit einem oder mehreren Resten R2 substituiert sein können; und
RHetaryl ist bei jedem Auftreten gleich oder verschieden ausgewählt aus H, D, F, N(R2)2, C(=O)R2, CR2=C(R2)2, CN, einer geradkettigen Alkylgruppe mit 1 bis 10 C-Atomen, einer geradkettigen Alkenylgruppe mit 2 bis 10 C-Atomen, einer verzweigten oder cyclischen Alkylgruppe mit 3 bis 10 C-Atomen oder einer verzweigten oder cyclischen Alkenylgruppe mit 4 bis 10 C-Atomen oder einer Aryl- oder Heteroarylgruppe mit 5 bis 20 aromatischen Ringatomen, wobei die genannten Gruppen jeweils mit einem oder mehreren Resten R2 substituiert sein können; und
HetAr ist ausgewählt aus wahlweise mit einem oder mehreren Resten RHetaryl substituiertem Triazin, Pyrazin, Pyrimidin, Pyridin, Pyrazol, Imidazol, Oxazol, 1,3,4-Oxadiazol und Benzimidazol. -
- Die erfindungsgemäßen Verbindungen können nach dem Fachmann bekannten Syntheseschritten, wie z. B. Halogenierung, bevorzugt Bromierung, und einer sich anschließenden metallorganischen Kupplungsreaktion, z. B. Suzuki-Kupplung, Heck-Kupplung oder Hartwig-Buchwald-Kupplung, hergestellt werden.
-
- Die Synthese geht beispielsweise von substituierten oder unsubstituierten Carbazolderivaten aus (Darstellung z. B. nach Synthesis 2005, 10, 1619–1624), welche in einer Buchwald-Kupplung mit einem N-Phenylsulfonylgeschützten Carbazolderivat umgesetzt werden, das einen oder mehrere Halogensubstituenten trägt (Org. Biomol. Chem. 2004, 2, 1476–1483). Die Phenylsulfonylgruppe wird unter Einwirkung von KOH abgespalten, und die freie aromatische Aminofunktion des Carbazols kann mit einem Triazinderivat in einer nukleophilen aromatischen Substitutionsreaktion umgesetzt werden. Auf diese Weise können auch andere Carbazolderivate mit hier nicht gezeigten Substitutionsmustern synthetisiert werden. Schema 2
- Die gezeigte Synthese geht von einem Bromcarbazolderivat aus, welches mit einer Iod-Arylverbindung (hier exemplarisch ein Phenyliodid-Derivat) in einer Ullmann-Kupplung umgesetzt wird. Anschließend wird die Bromfunktionalität in eine Boronsäurefunktionalität überführt, so dass eine Suzuki-Kupplung mit einem Chlordiphenyltriazin stattfinden kann. Auf diese Weise können Carbazolderivate, die an einem oder beiden aromatischen Ringen der Carbazolgruppe mit Aryl- oder Heteroarylgruppen substituiert sind, hergestellt werden. Auch Carbazolderivate mit anderen, hier nicht gezeigten Substitutionsmustern können gemäß dem gezeigten Schema hergestellt werden.
- Der Fachmann kann, ohne erfinderisch tätig zu werden, die oben gezeigten Syntheseschemata abwandeln und die gezeigten Verfahren für die Synthese verwandter erfindungsgemäßer Strukturklassen anwenden.
- Ein weiterer Gegenstand der Erfindung ist ein Verfahren zur Herstellung der erfindungsgemäßen Verbindungen gemäß den Formeln (I) oder (II), umfassend die Schritte:
- a) Synthese eines substituierten Carbazolderivats, ggf. unter Einführung von Halogensubstituenten
- b) Kupplung des Stickstoffatoms des Carbazolderivats in einer metallorganischen Kupplungsreaktion oder einer nukleophilen aromatischen Substitutionsreaktion mit einer Aryl- oder Heteroarylgruppe
- c) Metallorganische Kupplungsreaktion zur Einführung von Aryl- oder Heteroarylgruppen an einen oder beide aromatischen Sechsringe der Carbazolgruppe,
- Die erfindungsgemäßen Verbindungen können auch zur Herstellung von Polymeren, Oligomeren oder Dendrimeren verwendet werden. Dies erfolgt gewöhnlich über polymerisierbare funktionelle Gruppen. Hierzu sind insbesondere solche Verbindungen bevorzugt, welche mit reaktiven Abgangsgruppen, wie Brom, Iod, Boronsäure, Boronsäureester, Tosylat oder Triflat substituiert sind. Diese können als Comonomere zur Erzeugung entsprechender konjugierter, teilkonjugierter oder nicht-konjugierter Polymere, Oligomere oder auch als Kern von Dendrimeren Verwendung finden. Die Polymerisation erfolgt dabei bevorzugt über die Halogenfunktionalität bzw. die Boronsäurefunktionalität. Die Polymere können auch über vernetzbare Gruppen verfügen bzw. vernetzt sein. Insbesondere eignen sich vernetzbare Gruppen, welche dann in der Schicht der elektronischen Vorrichtung vernetzt werden.
- Ein weiterer Gegenstand der Erfindung sind somit Polymere, Oligomere oder Dendrimere, enthaltend eine oder mehrere Verbindungen gemäß einer der Formeln (I) und (II), wobei an die Stelle einer oder mehrerer Reste oder H-Atome der oben definierten Verbindungen eine Bindung zum Polymer, Oligomer oder Dendrimer tritt. Dabei können die Polymere, Oligomere oder Dendrimere konjugiert, teilkonjugiert oder nicht-konjugiert sein. Ebenfalls umfasst sind Mischungen (Blends) der erfindungsgemäßen Polymere, Oligomere oder Dendrimere mit weiteren Polymeren, Oligomeren oder Dendrimeren.
- Als Oligomer wird im Sinne dieser Erfindung eine Verbindung bezeichnet, welche etwa drei bis neun Wiederholungseinheiten aufweist. Als Polymer im Sinne der Erfindung wird eine Verbindung verstanden, welche zehn oder mehr Wiederholungseinheiten aufweist.
- Diese Oligomere oder Polymere können weitere Wiederholungseinheiten enthalten. Diese weiteren Wiederholungseinheiten sind vorzugsweise ausgewählt aus der Gruppe, bestehend aus Fluorenen (z. B. gemäß
oderEP 842208 ), Spirobifluorenen (z. B. gemäßWO 00/22026 ,EP 707020 oderEP 894107 ), Para-phenylenen (z. B. gemäßWO 06/061181 ), Carbazolen (z. B. gemäßWO 92/18552 oderWO 04/070772 ), Thiophenen (z. B. gemäßWO 04/113468 EP 1028136 ), Dihydrophenanthrenen (z. B. gemäß ), cis- und trans-Indenofluorenen (z. B. gemäßWO 05/014689 oderWO 04/041901 ), Ketonen (z. B. gemäßWO 04/113412 ), Phenanthrenen (z. B. gemäßWO 05/040302 oderWO 05/104264 DE 10 2005 037 734 ) und/oder Metallkomplexen, insbesondere ortho-metallierten Iridium- und Platinkomplexen. Dabei sei ausdrücklich darauf hingewiesen, dass die Polymere auch mehrere verschiedene Wiederholungseinheiten aufweisen können, welche aus einer oder mehreren der oben genannten Gruppen ausgewählt sind. - Die erfindungsgemäßen Verbindungen und die erfindungsgemäßen Polymere, Oligomere oder Dendrimere können in elektronischen Vorrichtungen, insbesondere in organischen Elektrolumineszenzvorrichtungen eingesetzt werden. Die genaue Verwendung der Verbindungen hängt dabei von den Substituenten ab.
- Ein weiterer Gegenstand der Erfindung ist daher die Verwendung der erfindungsgemäßen Verbindungen sowie der erfindungsgemäßen Polymere, Oligomere oder Dendrimere in elektronischen Vorrichtungen.
- Es ist im Rahmen der Erfindung bevorzugt, dass in der elektronischen Vorrichtung die erfindungsgemäßen Verbindungen als Matrixmaterial für phosphoreszierende Dotanden eingesetzt werden.
- Es ist im Rahmen der Erfindung ferner bevorzugt, dass in der elektronischen Vorrichtung die erfindungsgemäßen Verbindungen oder die erfindungsgemäßen Polymere, Oligomere oder Dendrimere als Elektronentransportmaterial in einer Elektronentransportschicht und/oder als Lochtransportmaterial in der Lochtransportschicht und/oder als Lochblockiermaterial in einer Lochblockierschicht eingesetzt werden.
- Ein weiterer Gegenstand der Erfindung ist eine elektronische Vorrichtung, enthaltend mindestens eine Verbindung gemäß einer der Formeln (I) oder (II), oder ein Polymer, Oligomer oder Dendrimer, wie oben definiert. Ebenfalls von der Erfindung umfasst sind Mischungen (Blends) der erfindungsgemäßen Oligomere, Polymere oder Dendrimere, gegebenenfalls mit weiteren davon verschiedenen Oligomeren, Polymeren oder Dendrimeren oder weiteren niedermolekularen Verbindungen.
- Die elektronische Vorrichtung ist bevorzugt ausgewählt aus der Gruppe bestehend aus organischen Elektrolumineszenzvorrichtungen (OLEDs), organischen Feld-Effekt-Transistoren (O-FETs), organischen Dünnfilmtransistoren (O-TFTs), organischen lichtemittierenden Transistoren (O-LETs), organischen integrierten Schaltungen (O-ICs), organischen Solarzellen (O-SCs), organischen Feld-Quench-Devices (O-FQDs), lichtemittierenden elektrochemischen Zellen (LECs), organischen Photorezeptoren oder organischen Laserdioden (O-Laser).
- Gegenstand der vorliegenden Erfindung sind auch organische Elektrolumineszenzvorrichtungen, die dadurch gekennzeichnet sind, dass mehrere emittierende Verbindungen in derselben Schicht oder in unterschiedlichen Schichten verwendet werden. Dabei kann die erfindungsgemäße Verbindung entweder in einer emittierenden Schicht als Matrixmaterial oder in einer Elektronentransportschicht als Elektronentransportmaterial oder in einer Lochtransportschicht als Lochtransportmaterial eingesetzt werden. Erfindungsgemäße Verbindungen können jedoch auch in mehreren der genannten Schichten eingesetzt werden. Besonders bevorzugt weisen diese Emissionsschichten insgesamt mehrere Emissionsmaxima zwischen 380 nm und 750 nm auf, so dass insgesamt weiße Emission resultiert, d. h. in den emittierenden Schichten werden verschiedene emittierende Verbindungen verwendet, die fluoreszieren oder phosphoreszieren können und die blaues und gelbes, oranges oder rotes Licht emittieren. Insbesondere bevorzugt sind Dreischichtsysteme, also Systeme mit drei emittierenden Schichten, wobei mindestens eine dieser Schichten mindestens eine Verbindung gemäß einer der Formeln (I) oder (II) und mindestens einen phosphoreszierenden Emitter enthält und wobei die drei Schichten blaue, grüne und orange oder rote Emission zeigen (für den prinzipiellen Aufbau siehe z. B.
). Auch die Verwendung von mehr als drei emittierenden Schichten kann bevorzugt sein. Ebenso eignen sich für weiße Emission Emitter, welche breitbandige Emissionsbanden aufweisen und dadurch weiße Emission zeigen.WO 05/011013 - Außer Kathode, Anode und mindestens einer der bereits genannten Schichten kann die organische Elektrolumineszenzvorrichtung noch weitere Schichten enthalten. Diese können beispielsweise sein: Lochinjektionsschicht, Elektronenblockierschicht, Excitonenblockierschicht, Lochblockierschicht, Elektroneninjektionsschicht und/oder eine Charge-Generation Layer (T. Matsumoto et al., Multiphoton Organic EL Device Having Charge Generation Layer, IDMC 2003, Taiwan; Session 21 OLED (5)). Es sei aber an dieser Stelle darauf hingewiesen, dass nicht notwendigerweise jede dieser Schichten vorhanden sein muss. So werden insbesondere bei Verwendung der erfindungsgemäßen Verbindungen mit elektronenleitenden Hostmaterialien weiterhin sehr gute Ergebnisse erhalten, wenn die organische Elektrolumineszenzvorrichtung keine separate Elektronentransportschicht enthält und die emittierende Schicht direkt an die Elektroneninjektionsschicht oder an die Kathode grenzt. Alternativ kann das Hostmaterial auch gleichzeitig in einer Elektronentransportschicht als Elektronentransportmaterial dienen. Ebenfalls kann es bevorzugt sein, wenn die organische Elektrolumineszenzvorrichtung keine separate Lochtransportschicht enthält und die emittierende Schicht direkt an die Lochinjektionsschicht oder an die Anode grenzt.
- Eine organische Elektrolumineszenzvorrichtung ist eine Vorrichtung, welche Anode, Kathode und mindestens eine emittierende Schicht, welche zwischen der Anode und der Kathode angeordnet ist, enthält. Zusätzlich können noch jeweils eine oder mehrere Elektronentransportschichten und/oder Lochtransportschichten enthalten sein. Eine erfindungsgemäße organische Elektrolumineszenzvorrichtung enthält mindestens eine Schicht zwischen der Anode und der Kathode, die eine oder mehrere der erfindungsgemäßen Verbindungen oder Polymere, Oligomere oder Dendrimere enthält.
- In einer weiteren bevorzugten Ausführungsform der Erfindung kann die organische Elektrolumineszenzvorrichtung auch mehrere emittierende Schichten enthalten, wobei mindestens eine emittierende Schicht mindestens eine erfindungsgemäße Verbindung und mindestens einen Emitter, bevorzugt phosphoreszierenden Emitter enthält.
- Weiterer Gegenstand der Erfindung sind daher auch Mischungen aus einer oder mehreren erfindungsgemäßen Verbindungen mit einer oder mehreren emittierenden Verbindungen.
- Die Mischung aus der erfindungsgemäßen Verbindung und dem Emitter, die in der emittierenden Schicht eingesetzt wird, enthält bevorzugt zwischen 99 und 50 Vol.-%, vorzugsweise zwischen 98 und 50 Vol.-%, besonders bevorzugt zwischen 97 und 60 Vol.-%, insbesondere zwischen 95 und 85 Vol.-% der erfindungsgemäßen Verbindung bezogen auf die Gesamtmischung aus Emitter und Matrixmaterial. Entsprechend enthält die Mischung zwischen 1 und 50 Vol.-%, vorzugsweise zwischen 2 und 50 Vol.-%, besonders bevorzugt zwischen 3 und 40 Vol.-%, insbesondere zwischen 5 und 15 Vol.-% des Emitters bezogen auf die Gesamtmischung aus Emitter und Matrixmaterial.
- Eine weitere bevorzugte Ausführungsform der vorliegenden Erfindung ist der Einsatz der erfindungsgemäßen Verbindung als Matrixmaterial für einen phosphoreszierenden Emitter in Kombination mit einem weiteren Matrixmaterial. Besonders geeignete Matrixmaterialien, welche in Kombination mit den erfindungsgemäßen Verbindungen eingesetzt werden können, sind aromatische Ketone, aromatische Phosphinoxide oder aromatische Sulfoxide oder Sulfone, z. B. gemäß
,WO 04/013080 ,WO 04/093207 oder der nicht offen gelegten AnmeldungWO 06/005627 DE 10 2008 033 943.1 , Triarylamine, Carbazolderivate, z. B. CBP (N,N-Biscarbazolylbiphenyl) oder die in ,WO 05/039246 ,US 2005/0069729 ,JP 2004/288381 EP 1205527 oder offenbarten Carbazolderivate, Indolocarbazolderivate, z. B. gemäßWO 08/086851 oderWO 07/063754 , Azacarbazolderivate, z. B. gemäßWO 08/056746 EP 1617710 ,EP 1617711 ,EP 1731584 , , bipolare Matrixmaterialien, z. B. gemäßJP 2005/347160 , Silane, z. B. gemäßWO 07/137725 , Azaborole oder Boronester, z. B. gemäßWO 05/111172 , Triazinderivate, z. B. gemäß der nicht offen gelegten AnmeldungWO 06/117052 DE 10 2008 036 982.9 , oderWO 07/063754 , Zinkkomplexe, z. B. gemäßWO 08/056746 oderEP 652273 , Diazasilol- bzw. Tetraazasilol-Derivate, z. B. gemäß der nicht offen gelegten AnmeldungWO 09/062578 DE 10 2008 056 688.8 , Diazaphosphol-Derivate, z. B. gemäß der nicht offen gelegten AnmeldungDE 10 2009 022 858.6 , Indenocarbazolderivate, z. B. gemäß der nicht offen gelegten AnmeldungDE 10 2009 023 155.2 , oder verbrückte Carbazolderivate, z. B. gemäß der nicht offen gelegten AnmeldungDE 10 2009 048 791.3 . - Als phosphoreszierende Verbindungen (= Triplettemitter) eignen sich insbesondere Verbindungen, die bei geeigneter Anregung Licht, vorzugsweise im sichtbaren Bereich, emittieren und außerdem mindestens ein Atom der Ordnungszahl größer 20, bevorzugt größer 38 und kleiner 84, besonders bevorzugt größer 56 und kleiner 80 enthalten. Bevorzugt werden als Phosphoreszenzemitter Verbindungen, die Kupfer, Molybdän, Wolfram, Rhenium, Ruthenium, Osmium, Rhodium, Iridium, Palladium, Platin, Silber, Gold oder Europium enthalten, verwendet, insbesondere Verbindungen, die Iridium oder Platin enthalten.
- Beispiele der oben beschriebenen Emitter können den Anmeldungen
,WO 00/70655 ,WO 01/41512 ,WO 02/02714 ,WO 02/15645 EP 1191613 ,EP 1191612 ,EP 1191614 , ,WO 05/033244 undWO 05/019373 entnommen werden. Generell eignen sich alle phosphoreszierenden Komplexe, wie sie gemäß dem Stand der Technik für phosphoreszierende OLEDs verwendet werden und wie sie dem Fachmann auf dem Gebiet der organischen Elektrolumineszenz bekannt sind. Auch kann der Fachmann ohne erfinderisches Zutun weitere phosphoreszierende Komplexe verwenden.US 2005/0258742 - Es kann auch bevorzugt sein, zwei oder mehr unterschiedliche phosphoreszierende Emitter in einer emittierenden Schicht zu verwenden, insbesondere Emitter, welche unterschiedliche Emissionsmaxima haben. So ist es durch Einsatz beispielsweise eines grün und eines rot phosphoreszierenden Emitters möglich, rote Lumineszenz mit einer verbesserten Effizienz zu erzielen.
- In einer weiteren Ausführungsform der Erfindung enthält die erfindungsgemäße organische Elektrolumineszenzvorrichtung keine separate Lochinjektionsschicht und/oder Lochtransportschicht und/oder Lochblockierschicht und/oder Elektronentransportschicht, d. h. die emittierende Schicht grenzt direkt an die Lochinjektionschicht oder die Anode an, und/oder die emittierende Schicht grenzt direkt an die Elektronentransportschicht oder die Elektroneninjektionsschicht oder die Kathode an, wie zum Beispiel in
beschrieben. Weiterhin ist es möglich, einen Metallkomplex, der gleich oder ähnlich dem Metallkomplex in der emittierenden Schicht ist, direkt angrenzend an die emittierende Schicht als Lochtransport- bzw. Lochinjektionsmaterial zu verwenden, wie z. B. inWO 05/053051 beschrieben.WO 09/030981 - In einer weiteren Ausführungsform der vorliegenden Erfindung enthält die erfindungsgemäße organische Elektrolumineszenzvorrichtung die erfindungsgemäßen Verbindungen als Elektronentransportmaterial, bevorzugt in einer Elektronentransportschicht. Besonders bevorzugte Verbindungen sind in diesem Fall Verbindungen gemäß einer der Formeln (I) oder (II), welche eine oder mehrere elektronenarme heteroaromatische Gruppen aufweisen, beispielsweise Triazin oder Pyrimidin.
- Werden die erfindungsgemäßen Verbindungen als Elektronentransportmaterial in einer organischen Elektrolumineszenzvorrichtung eingesetzt, so können sie auch erfindungsgemäß in Kombination mit einer organischen oder anorganischen Alkalimetallverbindung eingesetzt werden. Dabei bedeutet „in Kombination mit einer organischen Alkalimetallverbindung”, dass die erfindungsgemäßen Verbindungen und die Alkalimetallverbindung entweder als Mischung in einer Schicht oder separat in zwei aufeinander folgenden Schichten vorliegen. In einer bevorzugten Ausführungsform der Erfindung liegen die erfindungsgemäßen Verbindungen und die organische Alkalimetallverbindung als Mischung in einer Schicht vor.
- Unter einer organischen Alkalimetallverbindung im Sinne dieser Erfindung soll eine Verbindung verstanden werden, welche mindestens ein Alkalimetall, also Lithium, Natrium, Kalium, Rubidium oder Caesium, enthält und welche weiterhin mindestens einen organischen Liganden enthält. Geeignete organische Alkalimetallverbindungen sind beispielsweise die in
,WO 07/050301 undWO 07/050334 EP 1144543 offenbarten Verbindungen. Diese sind via Zitat Bestandteil der vorliegenden Anmeldung. - Bevorzugte organische Alkalimetallverbindungen sind die Verbindungen der folgenden Formel (C), Formel (C) wobei R1 dieselbe Bedeutung hat, wie oben beschrieben, die gebogene Linie zwei oder drei Atome und Bindungen darstellt, welche erforderlich sind, um mit M einen 5- oder 6-Ring zu ergänzen, wobei diese Atome auch durch einen oder mehrere Reste R1 substituiert sein können, und M ein Alkalimetall, ausgewählt aus der Gruppe bestehend aus Lithium, Natrium, Kalium, Rubidium oder Caesium, darstellt.
- Dabei ist es möglich, dass der Komplex gemäß Formel (C) in monomerer Form vorliegt, wie oben abgebildet, oder dass er in Form von Aggregaten vorliegt, beispielsweise aus zwei Alkalimetallionen und zwei Liganden, vier Alkalimetallionen und vier Liganden, sechs Alkalimetallionen und sechs Liganden oder andere Aggregate.
-
-
- Bevorzugt ist das Alkalimetall M ausgewählt aus Lithium, Natrium und Kalium, besonders bevorzugt Lithium und Natrium, ganz besonders bevorzugt Lithium.
- Besonders bevorzugt ist eine Verbindung der Formel (C'), insbesondere mit M = Lithium. Ganz besonders bevorzugt ist weiterhin die Index k = 0.
- Ganz besonders bevorzugt handelt es sich also um unsubstituiertes Lithiumchinolinat.
- Ganz besonders bevorzugt enthält die organische Elektrolumineszenzvorrichtung eine Mischung aus einer erfindungsgemäßen Verbindung, welche eine elektronenarme heteroaromatische Gruppe enthält und einer organischen Alkalimetallverbindung der Formel (C'), bevorzugt mit M = Lithium, insbesondere unsubsubstituiertes Lithiumchinolinat.
- Beispiele für geeignete organische Alkalimetallverbindungen sind die in der folgenden Tabelle aufgeführten Strukturen (1) bis (45).
- Wenn die erfindungsgemäße Verbindung und die organische oder anorganische Alkalimetallverbindung in einer Mischung vorliegen, beträgt das Verhältnis der erfindungsgemäßen Verbindung zur organischen Alkalimetallverbindung bevorzugt 20:80 bis 80:20, besonders bevorzugt 30:70 bis 70:30, ganz besonders bevorzugt 30:70 bis 50:50, insbesondere 30:70 bis 45:55, jeweils bezogen auf das Volumen. Besonders bevorzugt liegt also die organische Alkalimetallverbindung in höherem Anteil vor als die erfindungsgemäße Verbindung.
- Wenn die erfindungsgemäße Verbindung und die organische oder anorganische Alkalimetallverbindung in einer Mischung vorliegen, beträgt die Schichtdicke dieser Elektronentransportschicht bevorzugt zwischen 3 und 150 nm, besonders bevorzugt zwischen 5 und 100 nm, ganz besonders bevorzugt zwischen 10 und 60 nm, insbesondere zwischen 15 und 40 nm.
- Wenn die erfindungsgemäße Verbindung und die organische oder anorganische Alkalimetallverbindung in zwei aufeinanderfolgenden Schichten vorliegen, so beträgt die Schichtdicke der Schicht, welche die erfindungsgemäße Verbindung enthält, bevorzugt zwischen 3 und 150 nm, besonders bevorzugt zwischen 5 und 100 nm, ganz besonders bevorzugt zwischen 10 und 60 nm, insbesondere zwischen 15 und 40 nm. Die Schichtdicke der Schicht, welche die organische oder anorganische Alkalimetallverbindung enthält und welche zwischen der Schicht mit der erfindungegemäßen Verbindung und der Kathode angeordnet ist, beträgt bevorzugt zwischen 0.5 und 20 nm, besonders bevorzugt zwischen 1 und 10 nm, ganz besonders bevorzugt zwischen 1 und 5 nm, insbesondere zwischen 1.5 und 3 nm.
- Es ist weiterhin ein Gegenstand der vorliegenden Erfindung, dass die erfindungsgemäße Verbindung als Lochblockiermaterial eingesetzt wird. Die Verbindungen werden dann bevorzugt in einer Lochblockierschicht eingesetzt, insbesondere in einer phosphoreszierenden OLED. Eine Lochblockierschicht im Sinne dieser Erfindung ist eine Schicht, welche zwischen einer emittierenden Schicht und einer Elektronentransportschicht angeordnet ist.
- Es ist weiterhin ein Gegenstand der vorliegenden Erfindung, dass die erfindungsgemäße Verbindung als Lochtransportmaterial und/oder als Lochinjektionsmaterial eingesetzt werden. Die Verbindungen werden dann bevorzugt in einer Lochtransportschicht und/oder in einer Lochinjektionsschicht eingesetzt. Eine Lochinjektionsschicht im Sinne dieser Erfindung ist eine Schicht, die direkt an die Anode angrenzt. Eine Lochtransportschicht im Sinne dieser Erfindung ist eine Schicht, die zwischen der Lochinjektionsschicht und der Emissionsschicht liegt.
- Als Kathode sind Metalle mit geringer Austrittsarbeit, Metalllegierungen oder mehrlagige Strukturen aus verschiedenen Metallen bevorzugt, wie beispielsweise Erdalkalimetalle, Alkalimetalle, Hauptgruppenmetalle oder Lanthanoide (z. B. Ca, Ba, Mg, Al, In, Mg, Yb, Sm, etc.). Bei mehrlagigen Strukturen können auch zusätzlich zu den genannten Metallen weitere Metalle verwendet werden, die eine relativ hohe Austrittsarbeit aufweisen, wie z. B. Ag, wobei dann in der Regel Kombinationen der Metalle, wie beispielsweise Ca/Ag oder Ba/Ag verwendet werden. Ebenso bevorzugt sind Metalllegierungen, insbesondere Legierungen aus einem Alkalimetall oder Erdalkalimetall und Silber, besonders bevorzugt eine Legierung aus Mg und Ag. Es kann auch bevorzugt sein, zwischen einer metallischen Kathode und dem organischen Halbleiter eine dünne Zwischenschicht eines Materials mit einer hohen Dielektrizitätskonstante einzubringen. Hierfür kommen beispielsweise Alkalimetall- oder Erdalkalimetallfluoride, aber auch die entsprechenden Oxide oder Carbonate in Frage (z. B. LiF, Li2O, CsF, Cs2CO3, BaF2, MgO, NaF, etc.). Die Schichtdicke dieser Schicht beträgt bevorzugt zwischen 0.5 und 5 nm.
- Als Anode sind Materialien mit hoher Austrittsarbeit bevorzugt. Bevorzugt weist die Anode eine Austrittsarbeit größer 4.5 eV gegen Vakuum auf. Hierfür sind einerseits Metalle mit hohem Redoxpotential geeignet, wie beispielsweise Ag, Pt oder Au. Es können andererseits auch Metall/Metalloxid-Elektroden (z. B. Al/Ni/NiOx, Al/PtOx, WoO3) bevorzugt sein. Für einige Anwendungen muss mindestens eine der Elektroden transparent sein, um entweder die Bestrahlung des organischen Materials (O-SC) oder die Auskopplung von Licht (OLED/PLED, O-Laser) zu ermöglichen. Ein bevorzugter Aufbau verwendet eine transparente Anode. Bevorzugte Anodenmaterialien sind hier leitfähige gemischte Metalloxide. Besonders bevorzugt sind Indium-Zinn-Oxid (ITO) oder Indium-Zink Oxid (IZO). Bevorzugt sind weiterhin leitfähige, dotierte organische Materialien, insbesondere leitfähige dotierte Polymere.
- Die Vorrichtung wird entsprechend (je nach Anwendung) strukturiert, kontaktiert und schließlich hermetisch versiegelt, da sich die Lebensdauer der erfindungsgemäßen Vorrichtungen bei Anwesenheit von Wasser und/oder Luft verkürzt.
- Auch in Polymeren, Oligomeren oder Dendrimeren können Verbindungen gemäß einer der Formeln (I) bis (II) entweder als lochtransportierende Einheit und/oder als elektronentransportierende Einheit und/oder als Matrix für phosphoreszierende Einheiten eingesetzt werden.
- Weiterhin bevorzugt ist eine organische Elektrolumineszenzvorrichtung, dadurch gekennzeichnet, dass eine oder mehrere Schichten mit einem Sublimationsverfahren beschichtet werden. Dabei werden die Materialien in Vakuum-Sublimationsanlagen bei einem Anfangsdruck kleiner 10–5 mbar, bevorzugt kleiner 10–6 mbar aufgedampft. Es sei aber angemerkt, dass der Anfangsdruck auch noch geringer sein kann, beispielsweise kleiner 10–7 mbar.
- Bevorzugt ist ebenfalls eine organische Elektrolumineszenzvorrichtung, dadurch gekennzeichnet, dass eine oder mehrere Schichten mit dem OVPD (Organic Vapour Phase Deposition) Verfahren oder mit Hilfe einer Trägergassublimation beschichtet werden. Dabei werden die Materialien bei einem Druck zwischen 10–5 mbar und 1 bar aufgebracht. Ein Spezialfall dieses Verfahrens ist das OVJP (Organic Vapour Jet Printing) Verfahren, bei dem die Materialien direkt durch eine Düse aufgebracht und so strukturiert werden (z. B. M. S. Arnold et al., Appl. Phys. Lett. 2008, 92, 053301).
- Weiterhin bevorzugt ist eine organische Elektrolumineszenzvorrichtung, dadurch gekennzeichnet, dass eine oder mehrere Schichten aus Lösung, wie z. B. durch Spincoating, oder mit einem beliebigen Druckverfahren, wie z. B. Siebdruck, Flexodruck, Nozzle Printing oder Offsetdruck, besonders bevorzugt aber LITI (Light Induced Thermal Imaging, Thermotransferdruck) oder Ink-Jet Druck (Tintenstrahldruck), hergestellt werden. Hierfür sind lösliche Verbindungen gemäß einer der Formeln (I) bis (II) nötig. Hohe Löslichkeit lässt sich durch geeignete Substitution der Verbindungen erreichen. Diese Verfahren zur Herstellung von Schichten eignen sich insbesondere auch für Polymere, Oligomere oder Dendrimere.
- Die organische Elektrolumineszenzvorrichtung kann auch als Hybridsystem hergestellt werden, indem eine oder mehrere Schichten aus Lösung aufgebracht werden und eine oder mehrere andere Schichten aufgedampft werden. So ist es beispielsweise möglich, eine emittierende Schicht enthaltend eine Verbindung gemäß einer der Formeln (I) bis (II) und einen phosphoreszierenden Dotanden aus Lösung aufzubringen und darauf eine Lochblockierschicht und/oder eine Elektronentransportschicht im Vakuum aufzudampfen. Ebenso kann die emittierende Schicht enthaltend eine der erfindungsgemäßen Verbindungen und einen phosphoreszierenden Dotanden im Vakuum aufgedampft werden und eine oder mehrere andere Schichten können aus Lösung aufgebracht werden.
- Alternativ oder ergänzend ist es beispielsweise auch möglich, eine emittierende Schicht aus Lösung aufzubringen und darauf eine Elektronentransportschicht enthaltend eine erfindungsgemäße Verbindung, ggf. in Kombination mit einer organischen Alkalimetallverbindung, im Vakuum aufzudampfen.
- Diese Verfahren sind dem Fachmann generell bekannt und können von ihm ohne Probleme auf organische Elektrolumineszenzvorrichtungen enthaltend Verbindungen gemäß einer der Formeln (I) bis (II) bzw. die oben aufgeführten bevorzugten Ausführungsformen angewandt werden.
- Für das Aufbringen aus Lösung sind Lösungen bzw. Formulierungen der erfindungsgemäßen Verbindung erforderlich. Ein weiterer Gegenstand der vorliegenden Erfindung ist daher eine Formulierung enthaltend mindestens eine erfindungsgemäße Verbindung oder ein Oligomer, Polymer oder Dendrimer enthaltend eine dieser Verbindungen sowie mindestens ein Lösungsmittel, bevorzugt ein organisches Lösungsmittel.
- Ein weiterer Gegenstand der vorliegenden Erfindung sind Mischungen, enthaltend mindestens einen phosphoreszierenden Emitter und mindestens eine Verbindung gemäß einer der Formeln (I) bis (II).
- Die erfindungsgemäßen Verbindungen weisen bei Verwendung in organischen Elektrolumineszenzvorrichtungen folgende überraschende Vorteile gegenüber dem Stand der Technik auf:
- 1. Die erfindungsgemäßen Verbindungen eignen sich sehr gut für die Verwendung als Matrixmaterial für phosphoreszierende Emitter und führen in dieser Verwendung zu guten Effizienzen, hohen Lebensdauern und geringen Betriebsspannungen.
- 2. Die Leistungseffizienz entsprechender Vorrichtungen wird höher im Vergleich zu Systemen gemäß dem Stand der Technik, insbesondere bei Verwendung dicker Schichten. Dies gilt insbesondere bei Verwendung der erfindungsgemäßen Verbindung in einer Elektronentransportschicht.
- 3. Die Stabilität entsprechender Vorrichtungen wird höher im Vergleich zu Systemen gemäß dem Stand der Technik, was sich vor allem in einer deutlich höheren Lebensdauer zeigt, insbesondere bei Verwendung dicker Schichten.
- 4. Die erfindungsgemäßen organische Elektroluminszenzvorrichtungen weisen gleichzeitig eine verringerte Betriebsspannung auf.
- 5. Die erfindungsgemäßen organischen Elektrolumineszenzvorrichtungen weisen eine sehr hohe Effizienz auf. Die verbesserte Effizienz ist möglicherweise auf eine verbesserte Elektroneninjektion aus der Elektronentransportschicht in die emittierende Schicht zurückzuführen.
- Abschließend soll angemerkt werden, dass alle bevorzugten und alle nicht als explizit bevorzugt genannten Merkmale der oben genannten erfindungsgemäßen Verbindungen, ihrer Verwendung in elektronischen Vorrichtungen und der elektronischen Vorrichtungen selbst beliebig miteinander kombiniert werden können. Alle resultierenden Kombinationen sind ebenfalls Bestandteil dieser Erfindung.
- Die Erfindung wird nun durch die nachfolgenden Beispiele näher erläutert, ohne sie dadurch einschränken zu wollen. Der Fachmann kann, ohne erfinderisch tätig zu Werden, weitere erfindungsgemäße Verbindungen synthetisieren und diese in elektronischen Vorrichtungen einsetzen.
- Ausführungsbeispiele
- Die nachfolgenden Synthesen werden, sofern nicht anders angegeben, unter einer Schutzgasatmosphäre in getrockneten Lösungsmitteln durchgeführt.
- Als Ausgangspunkt der Synthesen können z. B. 2-Phenylcarbazol (Synthesis 2005, 10, 1619–1624), 3,6-Dibromo-9-(phenylsulfonyl)-9H-carbazol (Organic & Biomolecular Chemistry 2004, 2, 1476–1483), 9-Phenyl-9H-carbazol-3-boronsäure (Synlett 2006, 17, 2841–2845) oder 2,8-Dibromodibenzothiophen (Journal of Organic Chemistry 2004, 69, 8177–8182) dienen.
- Eine gut gerührte Suspension von 56.9 g (234 mmol) 2-Phenylcarbazol, 54.4 g (117 mmol) 3,6-Dibromo-9-(phenylsulfonyl)-9H-carbazol und 416.4 g (1961 mmol) Kaliumphosphat in 1170 ml Dioxan und wird mit 8.0 g (42.2 mmol) Kupfer(I)iodid und 11.7 ml (97.5 mmol) trans-Cyclohexandiamin versetzt und anschließend 16 h unter Rückfluss erhitzt. Nach Erkalten wird der ausgefallene Feststoff abgesaugt, dreimal mit 50 ml Toluol, dreimal mit 50 ml Ethanol:Wasser (1:1, v:v) und dreimal mit 100 ml Ethanol gewaschen. Ausbeute: 80 g (101 mmol), 86%.
- 97 g (123 mmol) 3,3''-Bis(phenyl)-9'-[(phenyl)sulfonyl]- 9,3':6',9''-ter-9H-carbazol und 48 g (856 mmol) Kaliumhydroxid in 65 ml Dimethylsulfoxid und 21 ml Wasser werden 1 h unter Rückfluss erhitzt. Anschließend wird auf Raumtemperatur gekühlt und mit 1 M HCl-Lösung neutralisiert. Daraufhin wird mit Dichloromethan extrahiert. Das Lösungsmittel wird im Vakuum eingeengt und der Rückstand chromatographisch gereinigt (Heptan/Essigsäureethylester 10:1). Ausbeute: 64.8 g (100 mmol), 80%.
- 1.6 g (40 mmol) NaH (60% in Öl) wird in 150 ml DMF vorgelegt. Dazu tropft man bei RT eine Lösung aus 19.9 g (30 mmol) 3,3''-Bis(phenyl)-9,3':6',9''-ter-9H-carbazol in 50 ml DMF hinzu. Nach 1 h Stunde wird 9 g (33 mmol) 2-Chlor-4,6-diphenyl-(1,3,5)-triazin zugegeben und 8 h bei RT gerührt. Der ausgefallene Feststoff wird aus Toluol umkristallisiert. Die ausgefallenen Kristalle werden abgesaugt, mit etwas MeOH gewaschen und im Vakuum getrocknet; Ausbeute: 17.8 g (20 mmol), 66%; Reinheit: 99.9% nach HPLC.
- Eine gut gerührte Suspension von 15 g (40 mmol) 3,6-Dibromodibenzothiophen, 15 g (40 mmol) 9-Phenyl-9H-carbazol-3-boronsäure und 63.9 g (127 mmol) Na2CO3 in 500 ml DMF wird mit 2.47 g (8.1 mmol) Tetrakis-triphenylphosphinopalladium(0) versetzt und anschließend 16 h unter Rückfluss erhitzt. Nach Erkalten wird der ausgefallene Feststoff abgesaugt, dreimal mit 50 ml Toluol, dreimal mit 50 ml Ethanol:Wasser (1:1, v:v) und dreimal mit 100 ml Ethanol gewaschen und dreimal aus DMF (ca. 15 ml/g) umkristallisiert. Ausbeute 17.4 g (33 mmol), 86.0%, Reinheit 99.9%ig (HPLC).
- Eine Suspension von 50.4 g (100 mmol)) 3-(6-Bromo-dibenzothiophen-3-yl)-9-phenyl-9H-carbazol in 1000 ml THF wird bei –78°C unter gutem Rühren tropfenweise mit 52 ml (130 mmol) n-Buthyllithium (2.5 M in n-Hexan) versetzt und 2 h nachgerührt. Die rote Lösung wird unter gutem Rühren mit 16.7 ml (150 mmol) Trimethylborat (in einer Portion) versetzt, 30 min bei –78°C nachgerührt, dann während 3 h auf Raumtemperatur erwärmt, mit 300 ml Wasser versetzt und 30 min gerührt. Die organische Phase wird abgetrennt und im Vakuum zur Trockene eingeengt. Der Feststoff wird in 100 ml n-Hexan aufgenommen, abgesaugt, einmal mit 100 ml Hexan gewaschen und im Vakuum getrocknet. Ausbeute: 39 g (38 mmol), 84%, Reinheit ca. 90%ig (NMR) an Boronsäure, mit wechselnden Mengen an Boronsäureanhydrid und Boronsäure. Die Boronsäure kann ohne weitere Reinigung in dieser Form verwendet werden.
- 51.5 g (110.0 mmol) 6-(9-Phenyl-9H-carbazol-3-yl)-dibenzothiophen-3-boronsäure, 29.5 g (110.0 mmol) 2-Chlor-4,6-diphenyl-1,3,5-triazin und 44.6 g (210.0 mmol) Trikaliumphosphat werden in 500 mL Toulol, 500 mL Dioxan und 500 mL Wasser suspendiert. Zu dieser Suspension werden 913 mg (3.0 mmol) Tri-o-tolylphosphin und dann 112 mg (0.5 mmol) Palladium(II)acetat gegeben, und die Reaktionsmischung wird 16 h unter Rückfluss erhitzt. Nach Erkalten wird die organische Phase abgetrennt, über Kieselgel filtriert, dreimal mit 200 mL Wasser gewaschen und anschließend zur Trockene eingeengt. Der Rückstand wird aus Toluol und aus Dichlormethan/iso-Propanol umkristallisiert und abschließend im Hochvakuum (p = 5 × 10–5 mbar) sublimiert. Die Reinheit beträgt 99.9%. Die Ausbeute beträgt 58 g (88.9 mmol), entsprechend 81% der Theorie.
- Beispiel 3: Herstellung der OLEDs
- Die Herstellung von erfindungsgemäßen OLEDs sowie OLEDs nach dem Stand der Technik erfolgt nach einem allgemeinen Verfahren gemäß
, das auf die hier beschriebenen Gegebenheiten (Schichtdickenvariation, verwendete Materialien) angepasst wird.WO 04/058911 - In den folgenden Beispielen 3a bis 3j (siehe Tabellen 1 und 2) werden die Ergebnisse verschiedener OLEDs vorgestellt. Glasplättchen, die mit strukturiertem ITO (Indium Zinn Oxid) der Dicke 150 nm beschichtet sind, werden zur verbesserten Prozessierung mit 20 nm PEDOT beschichtet (Poly(3,4-ethylendioxy-2,5-thiophen), aus Wasser aufgeschleudert; bezogen von H. C. Starck, Goslar, Deutschland). Diese beschichteten Glasplättchen bilden die Substrate, auf welche die OLEDs aufgebracht werden. Die OLEDs haben prinzipiell folgenden Schichtaufbau: Substrat/Lochtransportschicht (HTL)/Elektronenblockerschicht (EBL)/Emissionsschicht (EML)/Optionale Lochblockierschicht (HBL)/Elektronentransportschicht (ETL)/Optionale Elektroneninjektionsschicht (EIL) und abschließend eine Kathode. Die Kathode wird durch eine 100 nm dicke Aluminiumschicht gebildet. Der genaue Aufbau der OLEDs ist Tabelle 1 zu entnehmen. Die zur Herstellung der OLEDs verwendeten Materialien sind in Tabelle 3 gezeigt.
- Alle Materialien werden in einer Vakuumkammer thermisch aufgedampft. Dabei besteht die Emissionsschicht immer aus mindestens einem Matrixmaterial (Hostmaterial, Wirtsmaterial) und einem emittierenden Dotierstoff (Dotand, Emitter), der dem Matrixmaterial bzw. den Matrixmaterialien durch Coverdampfung in einem bestimmten Volumenanteil beigemischt wird. Eine Angabe wie H1:CBP:TER1 (55%:35%:10%) bedeutet hierbei, dass das Material H1 in einem Volumenanteil von 55%, CBP in einem Anteil von 35% und TER1 in einem Anteil von 10% in der Schicht vorliegt. Analog kann auch die Elektronentransportschicht aus einer Mischung zweier Materialien bestehen.
- Die OLEDs werden standardmäßig charakterisiert. Hierfür werden die Elektrolumineszenzspektren, die Stromeffizienz (gemessen in cd/A), die Leistungseffizienz (gemessen in lm/W) und die externe Quanteneffizienz (EQE, gemessen in Prozent) in Abhängigkeit der Leuchtdichte, berechnet aus Strom-Spannungs-Helligkeits-Kennlinien (IUL-Kennlinien) sowie die Lebensdauer bestimmt. Als Lebensdauer wird die Zeit definiert, nach der die Leuchtdichte von einer bestimmten Startleuchtdichte aus auf einen gewissen Anteil abgesunken ist. Die Angabe LD80 bedeutet, dass es sich bei der genannten Lebensdauer um die Zeit handelt, bei der die Leuchtdichte auf 80% der Startleuchtdichte abgefallen ist, also von z. B. 4000 cd/m2 auf 3200 cd/m2. Die Werte für die Lebensdauer können mit Hilfe dem Fachmann bekannten Umrechnungsformeln auf eine Angabe für andere Startleuchtdichten umgerechnet werden. Hierbei ist die Lebensdauer für eine Startleuchtdichte von 1000 cd/m2 eine übliche Angabe.
- Verwendung von erfindungsgemäßen Verbindungen als Matrixmaterialien in phosphoreszierenden OLEDs
- Die erfindungsgemäßen Verbindungen lassen sich unter anderem als Matrixmaterialien (Hostmaterialien) für phosphoreszierende Dotanden einsetzen. In den vorliegenden Beispielen kommen die erfindungsgemäßen Verbindungen H2 und H3 zum Einsatz. Als Vergleich die im Stand der Technik bekannte Verbindung H1 verwendet. Es werden OLEDs mit dem grün emittierenden Dotanden TEG1 sowie dem rot emittierenden Dotanden TER1 hergestellt. Die Ergebnisse der OLEDs sind in Tabelle 2 zusammengefasst. Bsp. 3a–3d zeigen OLEDs mit Materialien gemäß dem Stand der Technik und dienen als Vergleichsbeispiele. Die Devicebeispiele 3e bis 3j zeigen die Vorteile beim Einsatz der erfindungsgemäßen Verbindungen. Man sieht, dass die Vorteile der neuen Materialien vor allem in einer Verringerung der Betriebsspannung sowie einer Verbesserung der Lebensdauer liegen. Dies gilt vor allem für die Verbindung H2, bei welcher gegenüber dem Stand der Technik ein Vorteil von etwas über 10% bezüglich der Leistungseffizienz bei grüner Emission zu sehen ist. Die Lebensdauer verbessert sich um etwa 35% (siehe Beispiele 3c und 3g). Bei roter Emission beobachtet man beim Einsatz der erfindungsgemäßen Verbindungen eine noch deutlichere Verbesserung der Lebensdauer um ca. 50% (siehe Beispiele 3e und 3f im Vergleich mit 3a und 3b). Auch hier zeigt sich eine signifikante Steigerung der Leistungseffizienz um etwa 10%. Tabelle 1: Aufbau der OLEDs
Tabelle 2: Verwendung von erfindungsgemäßen Verbindungen als Matrixmaterialien in phosphoreszenten OLEDsBsp. HTL Dicke EBL Dicke EML Dicke HBL Dicke ETL Dicke EIL Dicke 3a (Vgl.) HTM1 20 nm NPB 20 nm H1:TER1 (85%:15%) 30 nm - Alq3 20 nm LiF 1 nm 3b (Vgl.) HTM1 20 nm NPB 20 nm H1:CBP:TER1 (45%:45%:10%) 30 nm H1 10 nm Alq3 20 nm LiF 1 nm 3c (Vgl.) HTM1 160 nm EBM1 20 nm H1:TEG1 (90%:10%) 30 nm H1 10 nm ETM1:LiQ (50%:50%) 40 nm - 3d (Vgl.) HTM1 160 nm EBM1 20 nm H1:TEG1 (90%:10%) 30 nm - ETM1:LiQ (50%:50%) 40 nm - 3e HTM1 20 nm NPB 20 nm H2:TER1 (85%:15%) 30 nm - Alq3 20 nm LiF 1 nm 3f HTM1 20 nm NPB 20 nm H2:CBP:TER1 (45%:45%:10%) 30 nm H1 10 nm Alq3 20 nm LiF 1 nm 3g HTM1 160 nm EBM1 20 nm H2:TEG1 (90%:10%) 30 nm H1 10 nm ETM1:LiQ (50%:50%) 40 nm - 3h HTM1 160 nm EBM1 20 nm H2:TEG1 (90%:10%) 30 nm - ETM1:LiQ (50%:50%) 40 nm - 3i HTM1 160 nm EBM1 20 nm H3:TEG1 (90%:10%) 30 nm H1 10 nm ETM1:LiQ (50%:50%) 40 nm - 3j HTM1 160 nm EBM1 20 nm H3:TEG1 (90%:10%) 30 nm - ETM1:LiQ (50%:50%) 40 nm - Tabelle 3: Strukturformeln der verwendeten MaterialienBsp. Spannung für 1000 cd/m2 Effizienz bei 1000 cd/m2 Effizienz bei 1000 cd/m2 CIE x/y bei 1000 cd/m2 LD80 ab 4000 cd/m2 3a (Vgl.) 5.0 V 7.2 cd/A 4.5 lm/W 0.69/0.31 230 h 3b (Vgl.) 5.2 V 8.1 cd/A 4.9 lm/W 0.68/0.32 250 h 3c (Vgl.) 4.7 V 55 cd/A 37 lm/W 0.36/0.61 440 h 3d (Vgl.) 4.6 V 54 cd/A 37 lm/W 0.37/0.60 400 h 3e 4.8 V 7.8 cd/A 5.1 lm/W 0.69/0.31 350 h 3f 4.9 V 8.5 cd/A 5.4 lm/W 0.69/0.31 380 h 3g 4.3 V 57 cd/A 42 lm/W 0.36/0.61 590 h 3h 4.3 V 52 cd/A 38 lm/W 0.36/0.61 510 h 3i 4.5 V 51 cd/A 36 lm/W 0.37/0.60 530 h 3j 4.4 V 53 cd/A 38 lm/W 0.38/0.59 520 h - ZITATE ENTHALTEN IN DER BESCHREIBUNG
- Diese Liste der vom Anmelder aufgeführten Dokumente wurde automatisiert erzeugt und ist ausschließlich zur besseren Information des Lesers aufgenommen. Die Liste ist nicht Bestandteil der deutschen Patent- bzw. Gebrauchsmusteranmeldung. Das DPMA übernimmt keinerlei Haftung für etwaige Fehler oder Auslassungen.
- Zitierte Patentliteratur
-
- US 4539507 [0002]
- US 5151629 [0002]
- EP 0676461 [0002]
- WO 98/27136 [0002]
- WO 04/093207 [0005, 0064]
- WO 05/003253 [0005]
- WO 2006/067976 [0011]
- EP 1829871 [0011]
- WO 2005/085387 [0011]
- EP 1724323 [0011]
- WO 2008/123189 [0011]
- JP 2002/193952 [0011]
- EP 842208 [0051]
- WO 00/22026 [0051]
- EP 707020 [0051]
- EP 894107 [0051]
- WO 06/061181 [0051]
- WO 92/18552 [0051]
- WO 04/070772 [0051]
- WO 04/113468 [0051]
- EP 1028136 [0051]
- WO 05/014689 [0051]
- WO 04/041901 [0051]
- WO 04/113412 [0051]
- WO 05/040302 [0051]
- WO 05/104264 [0051]
- DE 102005037734 [0051]
- WO 05/011013 [0058]
- WO 04/013080 [0064]
- WO 06/005627 [0064]
- DE 102008033943 [0064]
- WO 05/039246 [0064]
- US 2005/0069729 [0064]
- JP 2004/288381 [0064]
- EP 1205527 [0064]
- WO 08/086851 [0064]
- WO 07/063754 [0064, 0064]
- WO 08/056746 [0064, 0064]
- EP 1617710 [0064]
- EP 1617711 [0064]
- EP 1731584 [0064]
- JP 2005/347160 [0064]
- WO 07/137725 [0064]
- WO 05/111172 [0064]
- WO 06/117052 [0064]
- DE 102008036982 [0064]
- EP 652273 [0064]
- WO 09/062578 [0064]
- DE 102008056688 [0064]
- DE 102009022858 [0064]
- DE 102009023155 [0064]
- DE 102009048791 [0064]
- WO 00/70655 [0066]
- WO 01/41512 [0066]
- WO 02/02714 [0066]
- WO 02/15645 [0066]
- EP 1191613 [0066]
- EP 1191612 [0066]
- EP 1191614 [0066]
- WO 05/033244 [0066]
- WO 05/019373 [0066]
- US 2005/0258742 [0066]
- WO 05/053051 [0068]
- WO 09/030981 [0068]
- WO 07/050301 [0071]
- WO 07/050334 [0071]
- EP 1144543 [0071]
- WO 04/058911 [0109]
- Zitierte Nicht-Patentliteratur
-
- Synthesis 2005, 10, 1619–1624 [0044]
- Org. Biomol. Chem. 2004, 2, 1476–1483 [0044]
- T. Matsumoto et al., Multiphoton Organic EL Device Having Charge Generation Layer, IDMC 2003, Taiwan; Session 21 OLED (5) [0059]
- M. S. Arnold et al., Appl. Phys. Lett. 2008, 92, 053301 [0091]
- Synthesis 2005, 10, 1619–1624 [0102]
- Organic & Biomolecular Chemistry 2004, 2, 1476–1483 [0102]
- Synlett 2006, 17, 2841–2845 [0102]
- Journal of Organic Chemistry 2004, 69, 8177–8182 [0102]
Claims (16)
- Verbindung gemäß Formel (I) oder Formel (II), Formel (I) Formel (II) wobei die auftretenden Symbole und Indices wie folgt definiert sind: Ar1, Ar2, Ar3 sind bei jedem Auftreten gleich oder verschieden ein aromatisches oder heteroaromatisches Ringsystem mit 5 bis 60 aromatischen Ringatomen, welches wahlweise mit einem oder mehreren Resten R1 substituiert ist; HetAr ist bei jedem Auftreten gleich oder verschieden eine Heteroarylgruppe mit 5 bis 60 aromatischen Ringatomen, welche wahlweise mit einem oder mehreren Resten RHetaryl substituiert ist; Cz ist bei jedem Auftreten gleich oder verschieden eine Gruppe der Formel (A), Formel (A) bei der die gestrichelten Linien mit dem Symbol * mögliche Bindungspositionen zu Ar1 oder X oder zum zentralen Carbazolderivat darstellen und das Stickstoffatom die bevorzugte Anbindungsstelle ist; A ist N oder P; X ist bei jedem Auftreten gleich oder verschieden ausgewählt aus B(R1), N(R1), P(R1), P(R1)3, PO(R1), C(R1)2, Si(R1)2, C=O, C=NR1, C=C(R1)2, O, S, Se, S=O oder SO2; Y ist bei jedem Auftreten gleich oder verschieden CRCz oder N oder ist C, wenn an diese Gruppe eine Gruppe X oder Ar1 oder Ar3 oder Cz gebunden ist; Z ist bei jedem Auftreten gleich oder verschieden CRHetaryl oder N, wobei mindestens ein Z pro Sechsring gleich N ist; q ist bei jedem Auftreten gleich oder verschieden 0 oder 1, wobei für den Fall q = 0 gilt, dass die beiden an die betreffende Gruppe Ar1 oder Ar3 bindenden Gruppen direkt miteinander verbunden sind; s ist bei jedem Auftreten gleich oder verschieden 0 oder 1, mit der Maßgabe, dass mindestens ein Index s gleich 1 ist; x ist bei jedem Auftreten gleich oder verschieden 0 oder 1, wobei für den Fall x = 0 gilt, dass die beiden an die betreffende Gruppe X bindenden Gruppen direkt miteinander verbunden sind; R1, RHetaryl, RCz ist bei jedem Auftreten gleich oder verschieden H, D, F, Cl, Br, I, N(R2)2, CN, NO2, Si(R2)3, B(OR2)2, C(=O)R2, P(=O)(R2)2, S(=O)R2, S(=O)2R2, OSO2R2, eine geradkettige Alkyl-, Alkoxy- oder Thioalkoxygruppe mit 1 bis 40 C-Atomen oder eine geradkettige Alkenyl- oder Alkinylgruppe mit 2 bis 40 C-Atomen oder eine verzweigte oder cyclische Alkyl-, Alkoxy- oder Thioalkoxygruppe mit 3 bis 40 C-Atomen oder eine verzweigte oder cyclische Alkenyl- oder Alkinylgruppe mit 4 bis 40 C-Atomen, die jeweils mit einem oder mehreren Resten R2 substituiert sein können, wobei eine oder mehrere benachbarte oder nicht benachbarte CH2-Gruppen durch R2C=CR2, Si(R2)2, Ge(R2)2, Sn(R2)2, C=O, C=S, C=Se, C=NR2, P(=O)(R2), SO, SO2, NR2, O, S, COO oder CONR2 ersetzt sein können, oder ein aromatisches oder heteroaromatisches Ringsystem mit 5 bis 60 aromatischen Ringatomen, das jeweils mit einem oder mehreren Resten R2 substituiert sein kann, oder eine Aryloxy- oder Heteroaryloxygruppe mit 5 bis 60 aromatischen Ringatomen, die mit einem oder mehreren Resten R2 substituiert sein kann, oder eine Aralkyl- oder Heteroaralkylgruppe mit 5 bis 60 aromatischen Ringatomen, die jeweils mit einem oder mehreren Resten R2 substituiert sein kann; dabei können zwei oder mehrere Substituenten R1, RHetaryl bzw. RCz miteinander verknüpft sein und wahlweise ein mono- oder polycyclisches aliphatisches, aromatisches oder heteroaromatisches Ringsystem bilden; R2 ist bei jedem Auftreten gleich oder verschieden H, D oder ein aliphatischer, aromatischer oder heteroaromatischer organischer Rest mit 1 bis 20 C-Atomen, in dem auch ein oder mehrere H-Atome durch D oder F ersetzt sein können; dabei können zwei oder mehrere benachbarte oder nicht benachbarte Reste R2 miteinander verknüpft sein und wahlweise ein mono- oder polycyclisches aliphatisches, aromatisches oder heteroaromatisches Ringsystem bilden.
- Verbindung nach Anspruch 1, dadurch gekennzeichnet, dass maximal eine Gruppe Y pro Sechsring des Carbazolderivats für ein Stickstoffatom steht und alle anderen für CRCz oder C.
- Verbindung nach Anspruch 1 oder Anspruch 2, dadurch gekennzeichnet, dass A ein Stickstoffatom darstellt.
- Verbindung nach Anspruch 1 gemäß Formel (II), dadurch gekennzeichnet, dass eine oder mehrere Gruppen Y für ein Stickstoffatom stehen.
- Verbindung nach einem oder mehreren der Ansprüche 1 bis 4, dadurch gekennzeichnet, dass alle Indices s den Wert 1 annehmen.
- Verbindung nach einem oder mehreren der Ansprüche 1 bis 6, wobei Ar3 bei jedem Auftreten gleich oder verschieden ein heteroaromatisches Ringsystem mit 5 bis 30 aromatischen Ringatomen darstellt, welches wahlweise mit einem oder mehreren Resten R1 substituiert ist, bevorzugt eine Heteroarylgruppe mit 5 bis 18 aromatischen Ringatomen, welche wahlweise mit einem oder mehreren Resten R1 substituiert ist.
- Verbindung nach einem oder mehreren der Ansprüche 1 bis 7, dadurch gekennzeichnet, dass X bei jedem Auftreten gleich oder verschieden ausgewählt ist aus N(R1), C(R1)2, C=O, C=NR1, O, S, S=O oder SO2.
- Verbindung nach einem oder mehreren der Ansprüche 1 bis 8 entsprechend einer der Formeln (III) bis (XII) Formel (III) Formel (IV) Formel (V) Formel (VI) Formel (VII) Formel (VIII) Formel (IX) Formel (X) Formel (XI) Formel (XII) wobei die vorkommenden Symbole und Indices wie in Anspruch 1 definiert sind.
- Verbindung nach einem oder mehreren der Ansprüche 1 bis 8 entsprechend einer der Formeln (XIII) bis (XVII) Formel (XIII) Formel (XIV) Formel (XV) Formel (XVI) Formel (XVII) wobei die vorkommenden Symbole und Indices wie in Anspruch 1 definiert sind und es für die Formeln (XVI) und (XVII) besonders bevorzugt ist, dass Ar3 eine Heteroarylgruppe mit 5 bis 18 aromatischen Ringatomen darstellt, welche wahlweise mit einem oder mehreren Resten R1 substituiert ist.
- Verfahren zur Herstellung einer Verbindung nach einem oder mehreren der Ansprüche 1 bis 10, dadurch gekennzeichnet, dass die folgenden Schritte umfasst sind: a) Synthese eines substituierten Carbazolderivats, ggf. unter Einführung von Halogensubstituenten b) Kupplung des Stickstoffatoms des Carbazolderivats in einer metallorganischen Kupplungsreaktion oder einer nukleophilen aromatischen Substitutionsreaktion mit einer Aryl- oder Heteroarylgruppe c) Metallorganische Kupplungsreaktion zur Einführung von Aryl- oder Heteroarylgruppen an einen oder beide aromatischen Sechsringe der Carbazolgruppe,
- Oligomer, Polymer oder Dendrimer enthaltend eine oder mehrere Verbindungen nach einem oder mehreren der Ansprüche 1 bis 10, wobei an die Stelle einer oder mehrerer Reste oder H-Atome der Verbindungen eine Bindung zum Polymer, Oligomer oder Dendrimer tritt.
- Formulierung enthaltend mindestens eine Verbindung nach einem oder mehreren der Ansprüche 1 bis 10 oder ein Oligomer, Polymer oder Dendrimer nach Anspruch 12 sowie mindestens ein Lösungsmittel.
- Verwendung von Verbindungen nach einem oder mehreren der Ansprüche 1 bis 10 oder von Oligomeren, Dendrimeren oder Polymeren nach Anspruch 12 in elektronischen Vorrichtungen, insbesondere in organischen Elektrolumineszenzvorrichtungen.
- Elektronische Vorrichtung, bevorzugt ausgewählt aus organischen Elektrolumineszenzvorrichtungen (OLED), organischen Feld-Effekt-Transistoren (O-FETs), organischen Dünnfilmtransistoren (O-TFTs), organischen lichtemittierenden Transistoren (O-LETs), organischen integrierten Schaltungen (O-ICs), organischen Solarzellen (O-SCs), organischen Feld-Quench-Devices (O-FQDs), lichtemittierenden elektrochemischen Zellen (LECs), organischen Laserdioden (O-Laser) oder organischen Photorezeptoren, enthaltend mindestens eine Verbindung nach einem oder mehreren der Ansprüche 1 bis 10 oder mindestens ein Oligomer, Dendrimer oder Polymer nach Anspruch 12.
- Organische Elektrolumineszenzvorrichtung nach Anspruch 15, dadurch gekennzeichnet, dass die Verbindung nach einem oder mehreren der Ansprüche 1 bis 10 oder das Oligomer, Dendrimer oder Polymer nach Anspruch 12 als Matrixmaterial, bevorzugt als Matrixmaterial für phosphoreszierende Dotanden, oder als Elektronentransportmaterial eingesetzt wird.
Priority Applications (9)
| Application Number | Priority Date | Filing Date | Title |
|---|---|---|---|
| DE102009053382A DE102009053382A1 (de) | 2009-11-14 | 2009-11-14 | Materialien für elektronische Vorrichtungen |
| DE112010004381.7T DE112010004381B4 (de) | 2009-11-14 | 2010-10-20 | Materialien für elektronische Vorrichtungen |
| KR1020127015380A KR101819761B1 (ko) | 2009-11-14 | 2010-10-20 | 전자 소자용 재료 |
| KR1020177020938A KR101886593B1 (ko) | 2009-11-14 | 2010-10-20 | 전자 소자용 재료 |
| JP2012538211A JP5819312B2 (ja) | 2009-11-14 | 2010-10-20 | 電子素子のための材料 |
| US13/509,399 US9334260B2 (en) | 2009-11-14 | 2010-10-20 | Materials for electronic devices |
| CN201080051333.7A CN102770427B (zh) | 2009-11-14 | 2010-10-20 | 用于电子器件的材料 |
| PCT/EP2010/006415 WO2011057706A2 (de) | 2009-11-14 | 2010-10-20 | Materialien für elektronische vorrichtungen |
| TW099138674A TW201134823A (en) | 2009-11-14 | 2010-11-10 | Materials for electronic devices |
Applications Claiming Priority (1)
| Application Number | Priority Date | Filing Date | Title |
|---|---|---|---|
| DE102009053382A DE102009053382A1 (de) | 2009-11-14 | 2009-11-14 | Materialien für elektronische Vorrichtungen |
Publications (1)
| Publication Number | Publication Date |
|---|---|
| DE102009053382A1 true DE102009053382A1 (de) | 2011-05-19 |
Family
ID=43533247
Family Applications (2)
| Application Number | Title | Priority Date | Filing Date |
|---|---|---|---|
| DE102009053382A Withdrawn DE102009053382A1 (de) | 2009-11-14 | 2009-11-14 | Materialien für elektronische Vorrichtungen |
| DE112010004381.7T Active DE112010004381B4 (de) | 2009-11-14 | 2010-10-20 | Materialien für elektronische Vorrichtungen |
Family Applications After (1)
| Application Number | Title | Priority Date | Filing Date |
|---|---|---|---|
| DE112010004381.7T Active DE112010004381B4 (de) | 2009-11-14 | 2010-10-20 | Materialien für elektronische Vorrichtungen |
Country Status (7)
| Country | Link |
|---|---|
| US (1) | US9334260B2 (de) |
| JP (1) | JP5819312B2 (de) |
| KR (2) | KR101886593B1 (de) |
| CN (1) | CN102770427B (de) |
| DE (2) | DE102009053382A1 (de) |
| TW (1) | TW201134823A (de) |
| WO (1) | WO2011057706A2 (de) |
Cited By (15)
| Publication number | Priority date | Publication date | Assignee | Title |
|---|---|---|---|---|
| DE102010010481A1 (de) | 2010-03-06 | 2011-09-08 | Merck Patent Gmbh | Organische Elektrolumineszenzvorrichtung |
| DE102010012738A1 (de) | 2010-03-25 | 2011-09-29 | Merck Patent Gmbh | Materialien für organische Elektrolumineszenzvorrichtungen |
| DE102010019306A1 (de) | 2010-05-04 | 2011-11-10 | Merck Patent Gmbh | Organische Elektrolumineszenzvorrichtungen |
| DE102010048608A1 (de) | 2010-10-15 | 2012-04-19 | Merck Patent Gmbh | Materialien für organische Elektrolumineszenzvorrichtungen |
| WO2013096832A3 (en) * | 2011-12-22 | 2013-12-27 | Georgia Tech Research Corporation | Small molecule crosslinkable triscarbazole hole transport materials |
| WO2016023608A1 (de) * | 2014-08-13 | 2016-02-18 | Merck Patent Gmbh | Materialien für organische elektrolumineszenzvorrichtungen |
| EP2650941A4 (de) * | 2010-12-09 | 2016-06-15 | Nippon Steel & Sumikin Chem Co | Organisches elektrolumineszenzelement |
| WO2018237385A1 (en) * | 2017-06-23 | 2018-12-27 | Kyulux, Inc. | Composition of matter for use in organic light-emitting diodes |
| US10644249B2 (en) | 2017-12-22 | 2020-05-05 | Kyulux, Inc. | Composition of matter for use in organic light-emitting diodes |
| US11444250B2 (en) | 2017-12-05 | 2022-09-13 | Kyulux, Inc. | Composition of matter for use in organic light-emitting diodes |
| US11498914B2 (en) | 2018-03-30 | 2022-11-15 | Kyulux, Inc. | Composition of matter for use in organic light-emitting diodes |
| US11542260B2 (en) | 2018-01-31 | 2023-01-03 | Kyulux, Inc. | Composition of matter for use in organic light-emitting diodes |
| US11575088B2 (en) | 2017-12-22 | 2023-02-07 | Kyulux, Inc. | Composition of matter for use in organic light-emitting diodes |
| US11608333B2 (en) | 2018-03-20 | 2023-03-21 | Kyulux, Inc. | Composition of matter for use in organic light-emitting diodes |
| US11778904B2 (en) | 2018-05-09 | 2023-10-03 | Kyulux, Inc. | Composition of matter for use in organic light-emitting diodes |
Families Citing this family (213)
| Publication number | Priority date | Publication date | Assignee | Title |
|---|---|---|---|---|
| EP2471800B1 (de) * | 2009-08-27 | 2014-01-15 | National Institute of Advanced Industrial Science And Technology | Iridiumkomplex und daraus geformtes lichtemittierendes material |
| DE102009041289A1 (de) * | 2009-09-16 | 2011-03-17 | Merck Patent Gmbh | Organische Elektrolumineszenzvorrichtung |
| KR20120057561A (ko) | 2010-04-20 | 2012-06-05 | 이데미쓰 고산 가부시키가이샤 | 비스카르바졸 유도체, 유기 일렉트로루미네선스 소자용 재료 및 그것을 사용한 유기 일렉트로루미네선스 소자 |
| JP5783173B2 (ja) * | 2010-06-02 | 2015-09-24 | Jnc株式会社 | 電子受容性窒素含有へテロアリールを含む置換基を有するカルバゾール化合物および有機電界発光素子 |
| KR101420318B1 (ko) * | 2010-06-17 | 2014-07-16 | 이-레이 옵토일렉트로닉스 테크놀로지 컴퍼니 리미티드 | 유기전계발광장치용 화합물 및 이를 포함하는 유기전계발광장치 |
| JP4680322B1 (ja) * | 2010-07-09 | 2011-05-11 | 富士フイルム株式会社 | 有機電界発光素子 |
| CN103261158B (zh) * | 2010-10-11 | 2016-05-04 | 索尔维公司 | N-环烷基烷基三咔唑 |
| KR20120052879A (ko) * | 2010-11-16 | 2012-05-24 | 롬엔드하스전자재료코리아유한회사 | 신규한 유기 전자재료용 화합물 및 이를 채용하고 있는 유기 전계 발광 소자 |
| DE102010055901A1 (de) * | 2010-12-23 | 2012-06-28 | Merck Patent Gmbh | Organische Elektrolumineszenzvorrichtung |
| DE102012000064B4 (de) | 2011-01-21 | 2026-01-22 | Merck Patent Gmbh | Materialien für organische Elektrolumineszenzvorrichtungen |
| TWI591154B (zh) | 2011-02-07 | 2017-07-11 | Idemitsu Kosan Co | Biscarbazole derivatives and organic electroluminescent devices using the same |
| US9385335B2 (en) | 2011-04-05 | 2016-07-05 | Merck Patent Gmbh | Organic electroluminescent device |
| US20140197399A1 (en) * | 2011-08-23 | 2014-07-17 | Konica Minolta, Inc. | Organic electroluminescent element, lighting device and display device |
| US9353085B2 (en) * | 2011-08-26 | 2016-05-31 | E-Ray Optoelectronics Technology Co., Ltd. | Compound for organic electroluminescent device and organic electroluminescent devices using the same |
| US9466802B2 (en) | 2011-09-12 | 2016-10-11 | Nippon Steel & Sumikin Chemical Co., Ltd. | Organic electroluminescent element |
| CA2849087A1 (en) * | 2011-09-21 | 2013-03-28 | Merck Patent Gmbh | Carbazole derivatives for organic electroluminescent devices |
| JP6012611B2 (ja) * | 2011-09-28 | 2016-10-25 | 出光興産株式会社 | 有機エレクトロルミネッセンス素子用材料及びそれを用いた有機エレクトロルミネッセンス素子 |
| JP6223984B2 (ja) * | 2011-10-27 | 2017-11-01 | メルク パテント ゲーエムベーハー | 電子素子のための材料 |
| CN103946215B (zh) * | 2011-11-17 | 2016-09-28 | 默克专利有限公司 | 螺二氢吖啶衍生物和其作为有机电致发光器件用材料的用途 |
| KR102261235B1 (ko) | 2011-11-22 | 2021-06-04 | 이데미쓰 고산 가부시키가이샤 | 방향족 복소 고리 유도체, 유기 일렉트로루미네선스 소자용 재료 및 유기 일렉트로루미네선스 소자 |
| WO2013081088A1 (ja) * | 2011-12-02 | 2013-06-06 | 国立大学法人九州大学 | 有機発光素子ならびにそれに用いる遅延蛍光材料および化合物 |
| CN103159745B (zh) * | 2011-12-16 | 2016-01-20 | 昱镭光电科技股份有限公司 | 用于有机电激发光装置的化合物及有机电激发光装置 |
| KR101474796B1 (ko) * | 2011-12-26 | 2014-12-19 | 제일모직주식회사 | 유기광전자소자용 화합물, 이를 포함하는 유기발광소자 및 상기 유기발광소자를 포함하는 표시장치 |
| KR20130074765A (ko) * | 2011-12-26 | 2013-07-04 | 제일모직주식회사 | 유기광전자소자용 화합물, 이를 포함하는 유기발광소자 및 상기 유기발광소자를 포함하는 표시장치 |
| KR101507003B1 (ko) * | 2011-12-29 | 2015-03-30 | 제일모직 주식회사 | 유기광전자소자용 화합물, 이를 포함하는 유기발광소자 및 상기 유기발광소자를 포함하는 표시장치 |
| KR20130078437A (ko) * | 2011-12-30 | 2013-07-10 | 제일모직주식회사 | 유기광전자소자용 화합물, 이를 포함하는 유기발광소자 및 상기 유기발광소자를 포함하는 표시장치 |
| KR101358784B1 (ko) * | 2012-02-14 | 2014-02-10 | 삼성디스플레이 주식회사 | 개선된 효율 특성을 갖는 유기 발광 소자 및 이를 포함하는 유기 발광 표시 장치 |
| JP6105040B2 (ja) | 2012-03-23 | 2017-03-29 | メルク パテント ゲーエムベーハー | エレクトロルミネッセンス素子のための9,9’−スピロビキサンテン誘導体 |
| KR20140096182A (ko) * | 2012-05-02 | 2014-08-04 | 롬엔드하스전자재료코리아유한회사 | 신규한 유기 전계 발광 화합물 및 이를 채용하고 있는 유기 전계 발광 소자 |
| KR102125199B1 (ko) * | 2012-07-23 | 2020-06-22 | 메르크 파텐트 게엠베하 | 유기 전계발광 소자용 재료 |
| JP2014072417A (ja) | 2012-09-28 | 2014-04-21 | Idemitsu Kosan Co Ltd | 有機エレクトロルミネッセンス素子用材料及び有機エレクトロルミネッセンス素子 |
| US20150340627A1 (en) | 2013-01-03 | 2015-11-26 | Merck Patent Gmbh | Materials for electronic devices |
| WO2014188947A1 (ja) * | 2013-05-20 | 2014-11-27 | 保土谷化学工業株式会社 | 新規なピリミジン誘導体および有機エレクトロルミネッセンス素子 |
| KR101576562B1 (ko) * | 2013-07-19 | 2015-12-10 | 주식회사 두산 | 유기발광 화합물 및 이를 이용한 유기 전계 발광 소자 |
| KR101547065B1 (ko) * | 2013-07-29 | 2015-08-25 | 주식회사 엘지화학 | 헤테로 고리 화합물 및 이를 포함하는 유기 발광 소자 |
| WO2015014434A1 (de) * | 2013-07-30 | 2015-02-05 | Merck Patent Gmbh | Materialien für elektronische vorrichtungen |
| WO2015014435A1 (de) | 2013-07-30 | 2015-02-05 | Merck Patent Gmbh | Materialien für elektronische vorrichtungen |
| JP6370791B2 (ja) * | 2013-09-04 | 2018-08-08 | 出光興産株式会社 | カルバゾール誘導体、これを用いた有機エレクトロルミネッセンス素子用材料、並びにこれを用いた有機エレクトロルミネッセンス素子及び電子機器 |
| JP6580571B2 (ja) * | 2013-09-11 | 2019-09-25 | メルク パテント ゲーエムベーハー | 電子素子 |
| US10529930B2 (en) | 2013-10-08 | 2020-01-07 | Merck Patent Gmbh | Materials for electronic devices |
| KR102145888B1 (ko) | 2013-12-13 | 2020-08-20 | 삼성디스플레이 주식회사 | 트리아진계 화합물 및 이를 포함하는 유기 발광 소자 |
| KR101622811B1 (ko) * | 2013-12-17 | 2016-05-19 | 주식회사 두산 | 유기 화합물 및 이를 포함하는 유기 전계 발광 소자 |
| KR102280686B1 (ko) * | 2014-02-11 | 2021-07-22 | 삼성전자주식회사 | 카바졸계 화합물 및 이를 포함한 유기 발광 소자 |
| WO2015128779A1 (en) * | 2014-02-25 | 2015-09-03 | Basf Se | Heteroacenes for organic electronics |
| CN106255687B (zh) * | 2014-04-30 | 2020-06-05 | 默克专利有限公司 | 用于电子器件的材料 |
| EP3140302B1 (de) * | 2014-05-05 | 2019-08-21 | Merck Patent GmbH | Materialien für organische elektrolumineszenzvorrichtungen |
| WO2015171627A1 (en) * | 2014-05-08 | 2015-11-12 | Universal Display Corporation | Stabilized imidazophenanthridine materials |
| US10403830B2 (en) | 2014-05-08 | 2019-09-03 | Universal Display Corporation | Organic electroluminescent materials and devices |
| US10301338B2 (en) | 2014-05-08 | 2019-05-28 | Universal Display Corporation | Organic electroluminescent materials and devices |
| US10636983B2 (en) | 2014-05-08 | 2020-04-28 | Universal Display Corporation | Organic electroluminescent materials and devices |
| DE102014008722B4 (de) | 2014-06-18 | 2024-08-22 | Merck Patent Gmbh | Zusammensetzungen für elektronische Vorrichtungen, Formulierung diese enthaltend, Verwendung der Zusammensetzung, Verwendung der Formulierung sowie organische elektronische Vorrichtung enthaltend die Zusammensetzung |
| JP6556764B2 (ja) | 2014-06-25 | 2019-08-07 | メルク パテント ゲーエムベーハー | 有機エレクトロルミネッセンス素子のための材料 |
| CN106715420A (zh) * | 2014-09-25 | 2017-05-24 | 西诺拉股份有限公司 | 可交联主体材料 |
| KR101560102B1 (ko) * | 2014-11-20 | 2015-10-13 | 주식회사 엘지화학 | 유기 발광 소자 |
| EP3034506A1 (de) | 2014-12-15 | 2016-06-22 | Idemitsu Kosan Co., Ltd | 4-funktionalisierte Carbazolderivate für elektronische Anwendungen |
| JP6772188B2 (ja) | 2015-02-03 | 2020-10-21 | メルク、パテント、ゲゼルシャフト、ミット、ベシュレンクテル、ハフツングMerck Patent GmbH | 金属錯体 |
| JP5831654B1 (ja) * | 2015-02-13 | 2015-12-09 | コニカミノルタ株式会社 | 芳香族複素環誘導体、それを用いた有機エレクトロルミネッセンス素子、照明装置及び表示装置 |
| WO2016143589A1 (ja) | 2015-03-09 | 2016-09-15 | 保土谷化学工業株式会社 | 発光材料および有機エレクトロルミネッセンス素子 |
| US11600786B2 (en) | 2015-03-30 | 2023-03-07 | Nippon Steel Chemical & Material Co., Ltd. | Organic electroluminescent element |
| JP2018525331A (ja) | 2015-06-10 | 2018-09-06 | メルク パテント ゲーエムベーハー | 有機エレクトロルミネッセンス素子のための材料 |
| CN107922359A (zh) | 2015-07-30 | 2018-04-17 | 默克专利有限公司 | 用于有机电致发光器件的材料 |
| KR101879232B1 (ko) * | 2015-08-07 | 2018-07-17 | 머티어리얼사이언스 주식회사 | 유기전계발광소자 |
| JP6319231B2 (ja) * | 2015-08-24 | 2018-05-09 | コニカミノルタ株式会社 | 有機エレクトロルミネッセンス素子用の芳香族複素環誘導体、それを用いた有機エレクトロルミネッセンス素子、照明装置及び表示装置 |
| JP6319230B2 (ja) * | 2015-08-24 | 2018-05-09 | コニカミノルタ株式会社 | 有機エレクトロルミネッセンス素子用の芳香族複素環誘導体、それを用いた有機エレクトロルミネッセンス素子、照明装置及び表示装置 |
| JP6319228B2 (ja) * | 2015-08-24 | 2018-05-09 | コニカミノルタ株式会社 | 有機エレクトロルミネッセンス素子用の芳香族複素環誘導体、それを用いた有機エレクトロルミネッセンス素子、照明装置及び表示装置 |
| EP3368520B1 (de) | 2015-10-27 | 2023-04-26 | Merck Patent GmbH | Materialien für organische elektrolumineszente vorrichtungen |
| KR101849747B1 (ko) | 2016-07-20 | 2018-05-31 | 주식회사 엘지화학 | 신규한 헤테로 고리 화합물 및 이를 이용한 유기발광 소자 |
| TWI766884B (zh) | 2016-09-30 | 2022-06-11 | 德商麥克專利有限公司 | 具有二氮雜二苯并呋喃或二氮雜二苯并噻吩結構的化合物、其製法及其用途 |
| WO2018084423A2 (ko) * | 2016-11-07 | 2018-05-11 | 주식회사 엘지화학 | 신규한 헤테로 고리 화합물 및 이를 이용한 유기발광소자 |
| KR101885899B1 (ko) * | 2016-11-07 | 2018-08-06 | 주식회사 엘지화학 | 신규한 헤테로 고리 화합물 및 이를 이용한 유기발광 소자 |
| US11345687B2 (en) | 2016-11-09 | 2022-05-31 | Merck Patent Gmbh | Materials for organic electroluminescent devices |
| EP3548486B1 (de) | 2016-12-05 | 2021-10-27 | Merck Patent GmbH | Materialien für organische elektrolumineszenzvorrichtungen |
| KR20190086028A (ko) | 2016-12-05 | 2019-07-19 | 메르크 파텐트 게엠베하 | 유기 전계발광 디바이스용 재료 |
| WO2018127465A1 (de) | 2017-01-04 | 2018-07-12 | Merck Patent Gmbh | Materialien für organische elektrolumineszenzvorrichtungen |
| US11407766B2 (en) | 2017-01-30 | 2022-08-09 | Merck Patent Gmbh | Materials for organic electroluminescent devices |
| TW201835075A (zh) | 2017-02-14 | 2018-10-01 | 德商麥克專利有限公司 | 用於有機電致發光裝置之材料 |
| US11283027B1 (en) | 2017-03-03 | 2022-03-22 | Kyulux, Inc. | Composition of matter for use in organic light-emitting diodes |
| US10892425B1 (en) | 2017-03-03 | 2021-01-12 | Kyulux, Inc. | Composition of matter for use in organic light-emitting diodes |
| KR20180108425A (ko) | 2017-03-24 | 2018-10-04 | 희성소재 (주) | 헤테로고리 화합물 및 이를 포함하는 유기 발광 소자 |
| WO2018174682A1 (ko) * | 2017-03-24 | 2018-09-27 | 희성소재(주) | 헤테로고리 화합물 및 이를 포함하는 유기 발광 소자 |
| WO2018189134A1 (de) | 2017-04-13 | 2018-10-18 | Merck Patent Gmbh | Zusammensetzung für organische elektronische vorrichtungen |
| KR102536248B1 (ko) | 2017-06-21 | 2023-05-25 | 삼성디스플레이 주식회사 | 헤테로시클릭 화합물 및 이를 포함한 유기 발광 소자 |
| US10547014B2 (en) | 2017-06-23 | 2020-01-28 | Kyulux, Inc. | Composition of matter for use in organic light-emitting diodes |
| WO2019007867A1 (de) | 2017-07-05 | 2019-01-10 | Merck Patent Gmbh | Zusammensetzung für organische elektronische vorrichtungen |
| CN110785415A (zh) | 2017-07-05 | 2020-02-11 | 默克专利有限公司 | 用于有机电子器件的组合物 |
| KR102415376B1 (ko) | 2017-08-04 | 2022-07-01 | 삼성디스플레이 주식회사 | 축합환 화합물 및 이를 포함한 유기 발광 소자 |
| US11069860B2 (en) | 2017-08-21 | 2021-07-20 | Kyulux, Inc. | Composition of matter for use in organic light-emitting diodes |
| KR102121433B1 (ko) | 2017-09-01 | 2020-06-10 | 주식회사 엘지화학 | 신규한 화합물 및 이를 이용한 유기발광 소자 |
| KR102038031B1 (ko) * | 2017-09-15 | 2019-10-30 | 엘티소재주식회사 | 헤테로고리 화합물 및 이를 포함하는 유기 발광 소자 |
| KR102653073B1 (ko) | 2017-10-24 | 2024-03-29 | 메르크 파텐트 게엠베하 | 유기 전계발광 디바이스용 재료 |
| TWI785142B (zh) | 2017-11-14 | 2022-12-01 | 德商麥克專利有限公司 | 用於有機電子裝置之組成物 |
| KR102511183B1 (ko) * | 2017-12-01 | 2023-03-20 | 솔루스첨단소재 주식회사 | 유기 화합물 및 이를 이용한 유기 전계 발광 소자 |
| TWI811290B (zh) | 2018-01-25 | 2023-08-11 | 德商麥克專利有限公司 | 用於有機電致發光裝置的材料 |
| US11104669B2 (en) | 2018-02-02 | 2021-08-31 | Kyulux, Inc. | Composition of matter for use in organic light-emitting diodes |
| KR102536246B1 (ko) | 2018-03-23 | 2023-05-25 | 삼성디스플레이 주식회사 | 헤테로고리 화합물 및 이를 포함한 유기 발광 소자 |
| JP7322075B2 (ja) | 2018-06-07 | 2023-08-07 | メルク パテント ゲーエムベーハー | 有機エレクトロルミネッセンスデバイス |
| WO2020011686A1 (de) | 2018-07-09 | 2020-01-16 | Merck Patent Gmbh | Materialien für organische elektrolumineszenzvorrichtungen |
| WO2020022779A1 (ko) * | 2018-07-24 | 2020-01-30 | 주식회사 엘지화학 | 신규한 헤테로 고리 화합물 및 이를 이용한 유기발광 소자 |
| CN111971281B (zh) * | 2018-07-24 | 2023-09-19 | 株式会社Lg化学 | 新的杂环化合物和包含其的有机发光器件 |
| KR102711310B1 (ko) * | 2018-10-02 | 2024-09-26 | 엘지디스플레이 주식회사 | 유기전계발광소자 |
| KR20210089205A (ko) | 2018-11-06 | 2021-07-15 | 메르크 파텐트 게엠베하 | Oled 용 유기 전계 발광 재료로서 5,6-디페닐-5,6-디히드로디벤즈[c,e][1,2]아자포스포린 및 6-페닐-6h-디벤조[c,e][1,2]티아진-5,5-디옥사이드 유도체 및 유사한 화합물 |
| CN113195500B (zh) | 2018-11-15 | 2024-05-17 | 默克专利有限公司 | 用于有机电致发光器件的材料 |
| EP3880672B1 (de) * | 2018-11-16 | 2024-10-23 | Samsung Display Co., Ltd. | Carbazolderivate zur verwendung in optoelektronischen vorrichtungen |
| US20210388001A1 (en) * | 2018-11-30 | 2021-12-16 | Lg Chem, Ltd. | Novel compound and organic light emitting device comprising the same |
| KR102311640B1 (ko) * | 2018-11-30 | 2021-10-13 | 주식회사 엘지화학 | 신규한 화합물 및 이를 이용한 유기발광 소자 |
| KR102716201B1 (ko) * | 2018-12-17 | 2024-10-14 | 솔루스첨단소재 주식회사 | 유기 화합물 및 이를 이용한 유기 전계 발광 소자 |
| TW202039493A (zh) | 2018-12-19 | 2020-11-01 | 德商麥克專利有限公司 | 用於有機電致發光裝置之材料 |
| CN111620853B (zh) | 2019-02-28 | 2023-07-28 | 北京夏禾科技有限公司 | 有机电致发光材料及其器件 |
| US20220162205A1 (en) | 2019-03-12 | 2022-05-26 | Merck Patent Gmbh | Materials for organic electroluminescent devices |
| KR20210141593A (ko) | 2019-03-20 | 2021-11-23 | 메르크 파텐트 게엠베하 | 유기 전계 발광 디바이스용 재료 |
| WO2020193447A1 (de) | 2019-03-25 | 2020-10-01 | Merck Patent Gmbh | Materialien für organische elektrolumineszenzvorrichtungen |
| CN114222738B (zh) | 2019-08-26 | 2024-05-17 | 默克专利有限公司 | 用于有机电致发光器件的材料 |
| US12108665B2 (en) | 2019-09-02 | 2024-10-01 | Merck Kgaa | Materials for organic electroluminescent devices |
| TW202122558A (zh) | 2019-09-03 | 2021-06-16 | 德商麥克專利有限公司 | 用於有機電致發光裝置之材料 |
| CN114401945A (zh) | 2019-09-20 | 2022-04-26 | 默克专利有限公司 | 作为用于电子器件的材料的迫位缩合杂环化合物 |
| WO2021078710A1 (en) | 2019-10-22 | 2021-04-29 | Merck Patent Gmbh | Materials for organic electroluminescent devices |
| WO2021078831A1 (de) | 2019-10-25 | 2021-04-29 | Merck Patent Gmbh | In einer organischen elektronischen vorrichtung einsetzbare verbindungen |
| TW202136471A (zh) | 2019-12-17 | 2021-10-01 | 德商麥克專利有限公司 | 有機電致發光裝置用的材料 |
| JP7620631B2 (ja) | 2019-12-18 | 2025-01-23 | メルク パテント ゲゼルシャフト ミット ベシュレンクテル ハフツング | 有機エレクトロルミネッセンス素子のための芳香族化合物 |
| KR20220116008A (ko) | 2019-12-19 | 2022-08-19 | 메르크 파텐트 게엠베하 | 유기 전계 발광 디바이스용 다환 화합물 |
| CN115052865A (zh) | 2020-01-29 | 2022-09-13 | 默克专利有限公司 | 苯并咪唑衍生物 |
| EP4110884B1 (de) | 2020-02-25 | 2024-11-20 | Merck Patent GmbH | Verwendung von heterocyclischen verbindungen in einer organischen elektronischen vorrichtung |
| WO2021175706A1 (de) | 2020-03-02 | 2021-09-10 | Merck Patent Gmbh | Verwendung von sulfonverbindungen in einer organischen elektronischen vorrichtung |
| KR20220154751A (ko) | 2020-03-17 | 2022-11-22 | 메르크 파텐트 게엠베하 | 유기 전계 발광 디바이스용 복소환 화합물 |
| WO2021185712A1 (de) | 2020-03-17 | 2021-09-23 | Merck Patent Gmbh | Heteroaromatische verbindungen für organische elektrolumineszenzvorrichtungen |
| KR20220158017A (ko) | 2020-03-24 | 2022-11-29 | 메르크 파텐트 게엠베하 | 전자 디바이스용 재료 |
| US20230157171A1 (en) | 2020-03-26 | 2023-05-18 | Merck Patent Gmbh | Cyclic compounds for organic electroluminescent devices |
| WO2021198213A1 (de) | 2020-04-02 | 2021-10-07 | Merck Patent Gmbh | Materialien für organische elektrolumineszenzvorrichtungen |
| US20230183269A1 (en) | 2020-04-06 | 2023-06-15 | Merck Patent Gmbh | Polycyclic compounds for organic electroluminescent devices |
| JP2023531470A (ja) | 2020-06-29 | 2023-07-24 | メルク パテント ゲゼルシャフト ミット ベシュレンクテル ハフツング | 有機エレクトロルミネッセンス素子のためのヘテロ芳香族化合物 |
| CN115916794A (zh) | 2020-06-29 | 2023-04-04 | 默克专利有限公司 | 用于有机电致发光器件的杂环化合物 |
| EP4192832A1 (de) | 2020-08-06 | 2023-06-14 | Merck Patent GmbH | Materialien für organische elektrolumineszenzvorrichtungen |
| US12433160B2 (en) | 2020-08-18 | 2025-09-30 | Merck Patent Gmbh | Materials for organic electroluminescent devices |
| EP4200289A1 (de) | 2020-08-19 | 2023-06-28 | Merck Patent GmbH | Materialien für organische elektrolumineszenzvorrichtungen |
| TW202222748A (zh) | 2020-09-30 | 2022-06-16 | 德商麥克專利有限公司 | 用於結構化有機電致發光裝置的功能層之化合物 |
| TW202229215A (zh) | 2020-09-30 | 2022-08-01 | 德商麥克專利有限公司 | 用於有機電致發光裝置功能層之結構化的化合物 |
| EP4229145B1 (de) | 2020-10-16 | 2025-07-23 | Merck Patent GmbH | Verbindungen mit heteroatomen für organische elektrolumineszenzvorrichtungen |
| US20230389423A1 (en) | 2020-10-16 | 2023-11-30 | Merck Patent Gmbh | Heterocyclic compounds for organic electroluminescent devices |
| EP4244228A1 (de) | 2020-11-10 | 2023-09-20 | Merck Patent GmbH | Schwefelhaltige verbindungen für organische elektrolumineszenzvorrichtungen |
| KR20230116023A (ko) | 2020-12-02 | 2023-08-03 | 메르크 파텐트 게엠베하 | 유기 전계 발광 디바이스용 복소환 화합물 |
| WO2022122682A2 (de) | 2020-12-10 | 2022-06-16 | Merck Patent Gmbh | Materialien für organische elektrolumineszenzvorrichtungen |
| KR20230122094A (ko) | 2020-12-18 | 2023-08-22 | 메르크 파텐트 게엠베하 | Oled에 사용하기 위한 청색 형광 방출체로서의 인돌로[3.2.1-jk]카르바졸-6-카르보니트릴유도체 |
| EP4263746B1 (de) | 2020-12-18 | 2025-10-01 | Merck Patent GmbH | Stickstoffhaltige heteroaromaten für organische elektrolumineszenzvorrichtungen |
| US20240124769A1 (en) | 2020-12-18 | 2024-04-18 | Merck Patent Gmbh | Nitrogenous compounds for organic electroluminescent devices |
| EP4274827A1 (de) | 2021-01-05 | 2023-11-15 | Merck Patent GmbH | Materialien für organische elektrolumineszenzvorrichtungen |
| WO2022157343A1 (de) | 2021-01-25 | 2022-07-28 | Merck Patent Gmbh | Stickstoffhaltige verbindungen für organische elektrolumineszenzvorrichtungen |
| US20240188429A1 (en) | 2021-03-02 | 2024-06-06 | Merck Patent Gmbh | Compounds for organic electroluminescent devices |
| KR20230158657A (ko) | 2021-03-18 | 2023-11-21 | 메르크 파텐트 게엠베하 | 유기 전계 발광 디바이스용 헤테로방향족 화합물 |
| CN117279902A (zh) | 2021-04-29 | 2023-12-22 | 默克专利有限公司 | 用于有机电致发光器件的材料 |
| KR20240005782A (ko) | 2021-04-29 | 2024-01-12 | 메르크 파텐트 게엠베하 | 유기 전계 발광 디바이스용 재료 |
| WO2022229234A1 (de) | 2021-04-30 | 2022-11-03 | Merck Patent Gmbh | Stickstoffhaltige, heterocyclische verbindungen für organische elektrolumineszenzvorrichtungen |
| CN117355364A (zh) | 2021-05-21 | 2024-01-05 | 默克专利有限公司 | 用于连续纯化至少一种功能材料的方法和用于连续纯化至少一种功能材料的装置 |
| DE112022003409A5 (de) | 2021-07-06 | 2024-05-23 | MERCK Patent Gesellschaft mit beschränkter Haftung | Materialien für organische elektrolumineszenzvorrichtungen |
| WO2023041454A1 (de) | 2021-09-14 | 2023-03-23 | Merck Patent Gmbh | Borhaltige, heterocyclische verbindungen für organische elektrolumineszenzvorrichtungen |
| WO2023052313A1 (de) | 2021-09-28 | 2023-04-06 | Merck Patent Gmbh | Materialien für elektronische vorrichtungen |
| KR20240075888A (ko) | 2021-09-28 | 2024-05-29 | 메르크 파텐트 게엠베하 | 전자 디바이스용 재료 |
| WO2023052275A1 (de) | 2021-09-28 | 2023-04-06 | Merck Patent Gmbh | Materialien für elektronische vorrichtungen |
| KR20240075872A (ko) | 2021-09-28 | 2024-05-29 | 메르크 파텐트 게엠베하 | 전자 디바이스용 재료 |
| CN118159623A (zh) | 2021-10-27 | 2024-06-07 | 默克专利有限公司 | 用于有机电致发光器件的含硼和氮的杂环化合物 |
| EP4437814A1 (de) | 2021-11-25 | 2024-10-02 | Merck Patent GmbH | Materialien für elektronische vorrichtungen |
| EP4448527A1 (de) | 2021-12-13 | 2024-10-23 | Merck Patent GmbH | Materialien für organische elektrolumineszenzvorrichtungen |
| KR20240128020A (ko) | 2021-12-21 | 2024-08-23 | 메르크 파텐트 게엠베하 | 중수소화 유기 화합물의 제조 방법 |
| TW202340423A (zh) | 2022-01-20 | 2023-10-16 | 德商麥克專利有限公司 | 具有混合主體系統之有機電元件 |
| US20250163035A1 (en) | 2022-02-09 | 2025-05-22 | Merck Patent Gmbh | Materials for organic electroluminescent devices |
| US20250160204A1 (en) | 2022-02-14 | 2025-05-15 | Merck Patent Gmbh | Materials for electronic devices |
| EP4482843A1 (de) | 2022-02-23 | 2025-01-01 | Merck Patent GmbH | Aromatische heterocyclen für organische elektrolumineszenzvorrichtungen |
| CN118696106A (zh) | 2022-02-23 | 2024-09-24 | 默克专利有限公司 | 用于有机电致发光器件的含氮杂环化合物 |
| EP4519383B1 (de) | 2022-05-06 | 2026-01-14 | Merck Patent GmbH | Cyclische verbindungen für organische elektrolumineszenzvorrichtungen |
| EP4526279A1 (de) | 2022-05-18 | 2025-03-26 | Merck Patent GmbH | Verfahren zur herstellung von deuterierten organischen verbindungen |
| CN119325756A (zh) | 2022-06-20 | 2025-01-17 | 默克专利有限公司 | 用于光电器件的杂环化合物 |
| CN119325755A (zh) | 2022-06-20 | 2025-01-17 | 默克专利有限公司 | 用于光电器件的有机杂环化合物 |
| KR20250037489A (ko) | 2022-07-11 | 2025-03-17 | 메르크 파텐트 게엠베하 | 전자 디바이스용 재료 |
| CN119894856A (zh) | 2022-09-22 | 2025-04-25 | 默克专利有限公司 | 用于有机电致发光器件的含氮化合物 |
| WO2024061948A1 (de) | 2022-09-22 | 2024-03-28 | Merck Patent Gmbh | Stickstoffenthaltende heterocyclen für organische elektrolumineszenzvorrichtungen |
| CN120152954A (zh) | 2022-11-01 | 2025-06-13 | 默克专利有限公司 | 用于有机电致发光器件的含氮杂环化合物 |
| WO2024121133A1 (de) | 2022-12-08 | 2024-06-13 | Merck Patent Gmbh | Organische elektronische vorrichtung und spezielle materialien für organische elektronische vorrichtungen |
| WO2024132993A1 (de) | 2022-12-19 | 2024-06-27 | Merck Patent Gmbh | Materialien für elektronische vorrichtungen |
| WO2024133048A1 (en) | 2022-12-20 | 2024-06-27 | Merck Patent Gmbh | Method for preparing deuterated aromatic compounds |
| WO2024149694A1 (de) | 2023-01-10 | 2024-07-18 | Merck Patent Gmbh | Stickstoffhaltige heterocyclen für organische elektrolumineszenzvorrichtungen |
| CN120569385A (zh) | 2023-01-17 | 2025-08-29 | 默克专利有限公司 | 用于有机电致发光器件的杂环化合物 |
| WO2024184050A1 (de) | 2023-03-07 | 2024-09-12 | Merck Patent Gmbh | Cyclische stickstoffverbindungen für organische elektrolumineszenzvorrichtungen |
| EP4683925A1 (de) | 2023-03-20 | 2026-01-28 | Merck Patent GmbH | Materialien für organische elektrolumineszenzvorrichtungen |
| WO2024218109A1 (de) | 2023-04-20 | 2024-10-24 | Merck Patent Gmbh | Materialien für elektronische vorrichtungen |
| WO2024240725A1 (de) | 2023-05-25 | 2024-11-28 | Merck Patent Gmbh | Tris[1,2,4]triazolo[1,5-a:1',5'-c:1'',5''-e][1,3,5]triazin-derivate zur verwendung in organischen elektrolumineszenzvorrichtungen |
| CN121264197A (zh) | 2023-06-12 | 2026-01-02 | 默克专利有限公司 | 用于光电器件的有机杂环化合物 |
| WO2025003084A1 (de) | 2023-06-28 | 2025-01-02 | Merck Patent Gmbh | Dicyanoarylverbindungen für organische elektrolumineszenzvorrichtungen |
| EP4486099A1 (de) | 2023-06-30 | 2025-01-01 | Merck Patent GmbH | Verbindungen für organische elektrolumineszenzvorrichtungen |
| WO2025021855A1 (de) | 2023-07-27 | 2025-01-30 | Merck Patent Gmbh | Materialien für organische lichtemittierende vorrichtungen und organische sensoren |
| WO2025045816A1 (en) | 2023-08-29 | 2025-03-06 | Merck Patent Gmbh | Materials for organic electroluminescent devices |
| WO2025045842A1 (de) | 2023-08-30 | 2025-03-06 | Merck Patent Gmbh | Materialien für organische lichtemittierende vorrichtungen |
| WO2025045843A1 (de) | 2023-08-30 | 2025-03-06 | Merck Patent Gmbh | Materialien für organische lichtemittierende vorrichtungen |
| WO2025045851A1 (de) | 2023-08-30 | 2025-03-06 | Merck Patent Gmbh | Materialien für organische lichtemittierende vorrichtungen |
| WO2025045935A1 (de) | 2023-08-31 | 2025-03-06 | Merck Patent Gmbh | Cyanogruppen-enthaltende aromaten für organische elektrolumineszenzvorrichtungen |
| WO2025073675A1 (en) | 2023-10-04 | 2025-04-10 | Merck Patent Gmbh | Materials for organic electroluminescent devices |
| KR20250070650A (ko) * | 2023-11-13 | 2025-05-21 | 엘티소재주식회사 | 화합물, 유기 발광 소자 및 유기 발광 소자의 유기물층용 조성물 |
| WO2025104058A1 (de) | 2023-11-16 | 2025-05-22 | Merck Patent Gmbh | Materialien für organische elektronische vorrichtungen |
| WO2025109056A1 (de) | 2023-11-24 | 2025-05-30 | Merck Patent Gmbh | Sauerstoffenthaltende heterocyclen für organische elektrolumineszenzvorrichtungen |
| WO2025119821A1 (en) | 2023-12-05 | 2025-06-12 | Merck Patent Gmbh | Material composition for organic electroluminescent devices |
| WO2025132547A1 (en) | 2023-12-21 | 2025-06-26 | Merck Patent Gmbh | Mechanochemical method for deuterating organic compounds |
| WO2025132551A1 (de) | 2023-12-22 | 2025-06-26 | Merck Patent Gmbh | Materialien für elektronische vorrichtungen |
| WO2025168515A1 (de) | 2024-02-06 | 2025-08-14 | Merck Patent Gmbh | Materialien für organische elektronische vorrichtungen |
| WO2025181097A1 (de) | 2024-02-29 | 2025-09-04 | Merck Patent Gmbh | Stickstoffenthaltende heterocyclen für organische elektrolumineszenzvorrichtungen |
| WO2025181044A1 (de) | 2024-02-29 | 2025-09-04 | Merck Patent Gmbh | Stickstoffenthaltende verbindungen für organische elektrolumineszenzvorrichtungen |
| WO2025181124A1 (de) | 2024-03-01 | 2025-09-04 | Merck Patent Gmbh | Materialien für organische elektrolumineszenzvorrichtungen |
| WO2025195961A1 (de) | 2024-03-19 | 2025-09-25 | Merck Patent Gmbh | Organische lichtemittierende vorrichtungen |
| WO2025210013A1 (de) | 2024-04-04 | 2025-10-09 | Merck Patent Gmbh | Verbindungen für elektronische vorrichtungen, insbesondere verbindungen für oleds |
| WO2025228800A1 (de) | 2024-04-30 | 2025-11-06 | Merck Patent Gmbh | Materialien für organische elektronische vorrichtungen |
| WO2026008710A1 (de) | 2024-07-05 | 2026-01-08 | Merck Patent Gmbh | Cyclische siliciumverbindungen für organische elektrolumineszenzvorrichtungen |
| WO2026017608A1 (de) | 2024-07-15 | 2026-01-22 | Merck Patent Gmbh | Materialien für organische lichtemittierende vorrichtungen |
| WO2026017611A1 (en) | 2024-07-15 | 2026-01-22 | Merck Patent Gmbh | Organic light emitting device |
| WO2026017612A1 (en) | 2024-07-15 | 2026-01-22 | Merck Patent Gmbh | Organic light-emitting device |
| WO2026017607A1 (en) | 2024-07-15 | 2026-01-22 | Merck Patent Gmbh | Organic light-emitting device |
| WO2026022016A1 (de) | 2024-07-22 | 2026-01-29 | Merck Patent Gmbh | Materialien für organische lichtemittierende vorrichtungen |
Citations (63)
| Publication number | Priority date | Publication date | Assignee | Title |
|---|---|---|---|---|
| US4539507A (en) | 1983-03-25 | 1985-09-03 | Eastman Kodak Company | Organic electroluminescent devices having improved power conversion efficiencies |
| US5151629A (en) | 1991-08-01 | 1992-09-29 | Eastman Kodak Company | Blue emitting internal junction organic electroluminescent device (I) |
| WO1992018552A1 (de) | 1991-04-11 | 1992-10-29 | Wacker-Chemie Gmbh | Leiterpolymere mit konjugierten doppelbindungen |
| EP0652273A1 (de) | 1993-11-09 | 1995-05-10 | Shinko Electric Industries Co. Ltd. | Organisches Material für elektrolumineszente Vorrichtung und elektrolumineszente Vorrichtung |
| EP0676461A2 (de) | 1994-04-07 | 1995-10-11 | Hoechst Aktiengesellschaft | Spiroverbindungen und ihre Verwendung als Elektrolumineszenzmaterialien |
| EP0707020A2 (de) | 1994-10-14 | 1996-04-17 | Hoechst Aktiengesellschaft | Konjugierte Polymere mit Spirozentren und ihre Verwendung als Elektrolumineszenzmaterialien |
| EP0842208A1 (de) | 1995-07-28 | 1998-05-20 | The Dow Chemical Company | 2,7-aryl-9-substituierte fluorene und 9-substituierte fluorenoligomere und polymere |
| WO1998027136A1 (de) | 1996-12-16 | 1998-06-25 | Aventis Research & Technologies Gmbh & Co Kg | ARYLSUBSTITUIERTE POLY(p-ARYLENVINYLENE), VERFAHREN ZUR HERSTELLUNG UND DEREN VERWENDUNG IN ELEKTROLUMINESZENZBAUELEMENTEN |
| EP0894107A1 (de) | 1996-04-17 | 1999-02-03 | Hoechst Research & Technology Deutschland GmbH & Co. KG | Polymere mit spiroatomen und ihre verwendung als elektrolumineszenzmaterialien |
| WO2000022026A1 (de) | 1998-10-10 | 2000-04-20 | Celanese Ventures Gmbh | Konjugierte polymere, enthaltend spezielle fluoren-bausteine mit verbesserten eigenschaften |
| EP1028136A2 (de) | 1999-02-10 | 2000-08-16 | Carnegie-Mellon University | Ein Verfahren zur Herstellung von Poly(3-substituierten)thiophenen |
| WO2000070655A2 (en) | 1999-05-13 | 2000-11-23 | The Trustees Of Princeton University | Very high efficiency organic light emitting devices based on electrophosphorescence |
| WO2001041512A1 (en) | 1999-12-01 | 2001-06-07 | The Trustees Of Princeton University | Complexes of form l2mx as phosphorescent dopants for organic leds |
| EP1144543A1 (de) | 1998-12-02 | 2001-10-17 | South Bank University Enterprises Ltd. | Elektrolumineszente chinolate |
| WO2002002714A2 (en) | 2000-06-30 | 2002-01-10 | E.I. Du Pont De Nemours And Company | Electroluminescent iridium compounds with fluorinated phenylpyridines, phenylpyrimidines, and phenylquinolines and devices made with such compounds |
| WO2002015645A1 (en) | 2000-08-11 | 2002-02-21 | The Trustees Of Princeton University | Organometallic compounds and emission-shifting organic electrophosphorescence |
| EP1191613A2 (de) | 2000-09-26 | 2002-03-27 | Canon Kabushiki Kaisha | Lumineszente Vorrichtung, Bildanzeigevorrichtung und Metallkoordinationsverbindung |
| EP1191612A2 (de) | 2000-09-26 | 2002-03-27 | Canon Kabushiki Kaisha | Lumineszente Vorrichtung, Bildanzeigevorrichtung und Metallkoordinationsverbindung |
| EP1191614A2 (de) | 2000-09-26 | 2002-03-27 | Canon Kabushiki Kaisha | Lumineszente Vorrichtung und dafür verwendete Metallkoordinationsverbindung |
| EP1205527A1 (de) | 2000-03-27 | 2002-05-15 | Idemitsu Kosan Co., Ltd. | Organische elektrolumineszierende vorrichtung |
| JP2002193952A (ja) | 2000-12-25 | 2002-07-10 | Fuji Photo Film Co Ltd | 新規含窒素へテロ環化合物、発光素子材料およびそれらを使用した発光素子 |
| WO2004013080A1 (en) | 2002-08-01 | 2004-02-12 | Covion Organic Semiconductors Gmbh | Spirobifluorene derivatives, their preparation and uses thereof |
| WO2004041901A1 (en) | 2002-11-08 | 2004-05-21 | Covion Organic Semiconductors Gmbh | Aryl-substituted polyindenofluorenes for use in organic electroluminiscent devices |
| WO2004058911A2 (de) | 2002-12-23 | 2004-07-15 | Covion Organic Semiconductors Gmbh | Organisches elektrolumineszenzelement |
| WO2004070772A2 (de) | 2003-02-06 | 2004-08-19 | Covion Organic Semiconductors Gmbh | Carbazol-enthaltende konjugierte polymere und blends, deren darstellung und verwendung |
| JP2004288381A (ja) | 2003-03-19 | 2004-10-14 | Konica Minolta Holdings Inc | 有機エレクトロルミネッセンス素子 |
| WO2004093207A2 (de) | 2003-04-15 | 2004-10-28 | Covion Organic Semiconductors Gmbh | Mischungen von organischen zur emission befähigten halbleitern und matrixmaterialien, deren verwendung und elektronikbauteile enthaltend diese mischungen |
| WO2004113468A1 (de) | 2003-06-26 | 2004-12-29 | Covion Organic Semiconductors Gmbh | Neue materialien für die elektrolumineszenz |
| WO2004113412A2 (en) | 2003-06-23 | 2004-12-29 | Covion Organic Semiconductors Gmbh | Polymer |
| WO2005003253A2 (de) | 2003-07-07 | 2005-01-13 | Covion Organic Semiconductors Gmbh | Mischungen von organischen zur emission befähigten halbleitern und matrixmaterialen, deren verwendung und elektronikbauteile enthaltend diese |
| WO2005011013A1 (de) | 2003-07-21 | 2005-02-03 | Covion Organic Semiconductors Gmbh | Organisches elektrolumineszenzelement |
| WO2005014689A2 (de) | 2003-08-12 | 2005-02-17 | Covion Organic Semiconductors Gmbh | Konjugierte polymere enthaltend dihydrophenanthren-einheiten und deren verwendung |
| WO2005019373A2 (de) | 2003-08-19 | 2005-03-03 | Basf Aktiengesellschaft | Übergangsmetallkomplexe mit carbenliganden als emitter für organische licht-emittierende dioden (oleds) |
| US20050069729A1 (en) | 2003-09-30 | 2005-03-31 | Konica Minolta Holdings, Inc. | Organic electroluminescent element, illuminator, display and compound |
| WO2005033244A1 (de) | 2003-09-29 | 2005-04-14 | Covion Organic Semiconductors Gmbh | Metallkomplexe |
| WO2005040302A1 (de) | 2003-10-22 | 2005-05-06 | Merck Patent Gmbh | Neue materialien für die elektrolumineszenz und deren verwendung |
| WO2005053051A1 (de) | 2003-11-25 | 2005-06-09 | Merck Patent Gmbh | Organisches elektrolumineszenzelement |
| WO2005085387A1 (ja) | 2004-03-08 | 2005-09-15 | Idemitsu Kosan Co., Ltd. | 有機エレクトロルミネッセンス素子用材料及びそれを利用した有機エレクトロルミネッセンス素子 |
| WO2005104264A1 (de) | 2004-04-26 | 2005-11-03 | Merck Patent Gmbh | Elektrolumineszierende polymere und deren verwendung |
| WO2005111172A2 (de) | 2004-05-11 | 2005-11-24 | Merck Patent Gmbh | Neue materialmischungen für die elektrolumineszenz |
| US20050258742A1 (en) | 2004-05-18 | 2005-11-24 | Yui-Yi Tsai | Carbene containing metal complexes as OLEDs |
| JP2005347160A (ja) | 2004-06-04 | 2005-12-15 | Konica Minolta Holdings Inc | 有機エレクトロルミネッセンス素子、照明装置及び表示装置 |
| EP1617711A1 (de) | 2003-04-23 | 2006-01-18 | Konica Minolta Holdings, Inc. | Organisches elektrolumineszenzbauelement und anzeige |
| WO2006005627A1 (en) | 2004-07-15 | 2006-01-19 | Merck Patent Gmbh | Oligomeric derivatives of spirobifluorene, their preparation and use |
| WO2006061181A1 (de) | 2004-12-06 | 2006-06-15 | Merck Patent Gmbh | Teilkonjugierte polymere, deren darstellung und verwendung |
| WO2006067976A1 (ja) | 2004-12-24 | 2006-06-29 | Pioneer Corporation | 有機化合物、電荷輸送材料および有機電界発光素子 |
| WO2006117052A1 (de) | 2005-05-03 | 2006-11-09 | Merck Patent Gmbh | Organische elektrolumineszenzvorrichtung und in deren herstellung verwendete boronsäure- und borinsäure-derivate |
| EP1731584A1 (de) | 2004-03-31 | 2006-12-13 | Konica Minolta Holdings, Inc. | Organischer elektrolumineszenzvorrichtungsstoff, organische elektrolumineszenzvorrichtung, display und beleuchtungsvorrichtung |
| DE102005037734A1 (de) | 2005-08-10 | 2007-02-22 | Merck Patent Gmbh | Elektrolumineszierende Polymere und ihre Verwendung |
| WO2007050334A1 (en) | 2005-10-26 | 2007-05-03 | Eastman Kodak Company | Organic element for low voltage electroluminescent devices |
| WO2007050301A2 (en) | 2005-10-26 | 2007-05-03 | Eastman Kodak Company | Organic element for low voltage electroluminescent devices |
| WO2007063754A1 (ja) | 2005-12-01 | 2007-06-07 | Nippon Steel Chemical Co., Ltd. | 有機電界発光素子用化合物及び有機電界発光素子 |
| WO2007137725A1 (de) | 2006-05-31 | 2007-12-06 | Merck Patent Gmbh | Neue materialien für organische elektrolumineszenzvorrichtungen |
| WO2008056746A1 (en) | 2006-11-09 | 2008-05-15 | Nippon Steel Chemical Co., Ltd. | Compound for organic electroluminescent device and organic electroluminescent device |
| WO2008086851A1 (de) | 2007-01-18 | 2008-07-24 | Merck Patent Gmbh | Carbazol-derivate für organische elektrolumineszenzvorrichtungen |
| WO2008123189A1 (ja) | 2007-03-26 | 2008-10-16 | Nippon Steel Chemical Co., Ltd. | 有機電界発光素子用化合物及び有機電界発光素子 |
| WO2009030981A2 (en) | 2006-12-28 | 2009-03-12 | Universal Display Corporation | Long lifetime phosphorescent organic light emitting device (oled) structures |
| WO2009062578A1 (de) | 2007-11-12 | 2009-05-22 | Merck Patent Gmbh | Organische elektrolumineszenzvorrichtungen enthaltend azomethin-metall-komplexe |
| DE102008033943A1 (de) | 2008-07-18 | 2010-01-21 | Merck Patent Gmbh | Neue Materialien für organische Elektrolumineszenzvorrichtungen |
| DE102008036982A1 (de) | 2008-08-08 | 2010-02-11 | Merck Patent Gmbh | Organische Elektrolumineszenzvorrichtung |
| DE102008056688A1 (de) | 2008-11-11 | 2010-05-12 | Merck Patent Gmbh | Materialien für organische Elektrolumineszenzvorrichtungen |
| DE102009023155A1 (de) | 2009-05-29 | 2010-12-02 | Merck Patent Gmbh | Materialien für organische Elektrolumineszenzvorrichtungen |
| DE102009048791A1 (de) | 2009-10-08 | 2011-04-14 | Merck Patent Gmbh | Materialien für organische Elektrolumineszenzvorrichtungen |
Family Cites Families (25)
| Publication number | Priority date | Publication date | Assignee | Title |
|---|---|---|---|---|
| GB1119824A (en) | 1964-07-30 | 1968-07-17 | Nat Res Dev | Derivatives of s-triazine |
| EP1489155A4 (de) | 2002-03-22 | 2006-02-01 | Idemitsu Kosan Co | Material für organische elektrolumineszierende vorrichtungen und die entsprechenden vorrichtungen |
| JP4103492B2 (ja) * | 2002-08-09 | 2008-06-18 | コニカミノルタホールディングス株式会社 | 有機エレクトロルミネッセンス素子および表示装置 |
| JP4707082B2 (ja) | 2002-11-26 | 2011-06-22 | コニカミノルタホールディングス株式会社 | 有機エレクトロルミネッセンス素子および表示装置 |
| US20040247933A1 (en) | 2003-06-03 | 2004-12-09 | Canon Kabushiki Kaisha | Bipolar asymmetric carbazole-based host materials for electrophosphorescent guest-host OLED systems |
| EP2592905B1 (de) | 2003-07-31 | 2014-11-12 | Mitsubishi Chemical Corporation | Verbindung, Ladungstransportmaterial und organisches Elektrolumineszenzelement |
| JP4561221B2 (ja) | 2003-07-31 | 2010-10-13 | 三菱化学株式会社 | 化合物、電荷輸送材料および有機電界発光素子 |
| JP4701818B2 (ja) * | 2005-04-28 | 2011-06-15 | Jsr株式会社 | トリアジン化合物および有機エレクトロルミネッセンス素子用組成物並びに有機エレクトロルミネッセンス素子 |
| JP5262081B2 (ja) | 2006-11-20 | 2013-08-14 | Jnc株式会社 | 電子輸送材料およびこれを用いた有機電界発光素子 |
| JP5262192B2 (ja) * | 2007-03-07 | 2013-08-14 | Jnc株式会社 | 電子輸送材料およびこれを用いた有機電界発光素子 |
| JP5194596B2 (ja) * | 2007-07-11 | 2013-05-08 | コニカミノルタホールディングス株式会社 | 有機エレクトロルミネッセンス素子、表示装置及び照明装置 |
| JP2009029726A (ja) * | 2007-07-25 | 2009-02-12 | Toyo Ink Mfg Co Ltd | カルバゾリル基を有する化合物およびその用途 |
| JP2009051788A (ja) * | 2007-08-29 | 2009-03-12 | Toyo Ink Mfg Co Ltd | カルバゾリル基を有する化合物およびその用途 |
| JP2009057307A (ja) | 2007-08-31 | 2009-03-19 | Toyo Ink Mfg Co Ltd | カルバゾリル基を有する化合物およびその用途 |
| JP2009123976A (ja) * | 2007-11-16 | 2009-06-04 | Toyo Ink Mfg Co Ltd | 有機エレクトロルミネッセンス素子用材料および有機エレクトロルミネッセンス素子。 |
| WO2009069442A1 (ja) | 2007-11-26 | 2009-06-04 | Konica Minolta Holdings, Inc. | 有機エレクトロルミネッセンス素子、表示装置及び照明装置 |
| US8221905B2 (en) | 2007-12-28 | 2012-07-17 | Universal Display Corporation | Carbazole-containing materials in phosphorescent light emitting diodes |
| WO2009136595A1 (ja) | 2008-05-08 | 2009-11-12 | 新日鐵化学株式会社 | 有機電界発光素子用化合物及び有機電界発光素子 |
| EP2479234B1 (de) * | 2008-05-13 | 2017-06-21 | Konica Minolta Holdings, Inc. | Organisches elektrolumineszentes element, anzeigevorrichtung und beleuchtungsvorrichtung |
| DE102008027574A1 (de) | 2008-06-10 | 2009-12-17 | Merck Patent Gmbh | Neue Pyrrolidinderivate als MetAP-2 Inhibitoren |
| KR100958641B1 (ko) * | 2008-08-18 | 2010-05-20 | 삼성모바일디스플레이주식회사 | 광효율 개선층을 구비한 유기 발광 소자 |
| JP2010140976A (ja) | 2008-12-10 | 2010-06-24 | Toyo Ink Mfg Co Ltd | 有機エレクトロルミネッセンス素子用材料およびそれを用いた有機エレクトロルミネッセンス素子 |
| KR101233367B1 (ko) * | 2008-12-29 | 2013-02-15 | 제일모직주식회사 | 신규한 유기광전소자용 화합물 및 이를 포함하는 유기광전소자 |
| KR20100118700A (ko) * | 2009-04-29 | 2010-11-08 | 다우어드밴스드디스플레이머티리얼 유한회사 | 신규한 유기 발광 화합물 및 이를 채용하고 있는 유기 전계 발광 소자 |
| US9450192B2 (en) * | 2010-12-06 | 2016-09-20 | E-Ray Optoelectronics Technology | Carbazole derivative and organic electroluminescent devices utilizing the same and fabrication method thereof |
-
2009
- 2009-11-14 DE DE102009053382A patent/DE102009053382A1/de not_active Withdrawn
-
2010
- 2010-10-20 JP JP2012538211A patent/JP5819312B2/ja active Active
- 2010-10-20 US US13/509,399 patent/US9334260B2/en active Active
- 2010-10-20 KR KR1020177020938A patent/KR101886593B1/ko active Active
- 2010-10-20 WO PCT/EP2010/006415 patent/WO2011057706A2/de not_active Ceased
- 2010-10-20 DE DE112010004381.7T patent/DE112010004381B4/de active Active
- 2010-10-20 KR KR1020127015380A patent/KR101819761B1/ko active Active
- 2010-10-20 CN CN201080051333.7A patent/CN102770427B/zh active Active
- 2010-11-10 TW TW099138674A patent/TW201134823A/zh unknown
Patent Citations (67)
| Publication number | Priority date | Publication date | Assignee | Title |
|---|---|---|---|---|
| US4539507A (en) | 1983-03-25 | 1985-09-03 | Eastman Kodak Company | Organic electroluminescent devices having improved power conversion efficiencies |
| WO1992018552A1 (de) | 1991-04-11 | 1992-10-29 | Wacker-Chemie Gmbh | Leiterpolymere mit konjugierten doppelbindungen |
| US5151629A (en) | 1991-08-01 | 1992-09-29 | Eastman Kodak Company | Blue emitting internal junction organic electroluminescent device (I) |
| EP0652273A1 (de) | 1993-11-09 | 1995-05-10 | Shinko Electric Industries Co. Ltd. | Organisches Material für elektrolumineszente Vorrichtung und elektrolumineszente Vorrichtung |
| EP0676461A2 (de) | 1994-04-07 | 1995-10-11 | Hoechst Aktiengesellschaft | Spiroverbindungen und ihre Verwendung als Elektrolumineszenzmaterialien |
| EP0707020A2 (de) | 1994-10-14 | 1996-04-17 | Hoechst Aktiengesellschaft | Konjugierte Polymere mit Spirozentren und ihre Verwendung als Elektrolumineszenzmaterialien |
| EP0842208A1 (de) | 1995-07-28 | 1998-05-20 | The Dow Chemical Company | 2,7-aryl-9-substituierte fluorene und 9-substituierte fluorenoligomere und polymere |
| EP0894107A1 (de) | 1996-04-17 | 1999-02-03 | Hoechst Research & Technology Deutschland GmbH & Co. KG | Polymere mit spiroatomen und ihre verwendung als elektrolumineszenzmaterialien |
| WO1998027136A1 (de) | 1996-12-16 | 1998-06-25 | Aventis Research & Technologies Gmbh & Co Kg | ARYLSUBSTITUIERTE POLY(p-ARYLENVINYLENE), VERFAHREN ZUR HERSTELLUNG UND DEREN VERWENDUNG IN ELEKTROLUMINESZENZBAUELEMENTEN |
| WO2000022026A1 (de) | 1998-10-10 | 2000-04-20 | Celanese Ventures Gmbh | Konjugierte polymere, enthaltend spezielle fluoren-bausteine mit verbesserten eigenschaften |
| EP1144543A1 (de) | 1998-12-02 | 2001-10-17 | South Bank University Enterprises Ltd. | Elektrolumineszente chinolate |
| EP1028136A2 (de) | 1999-02-10 | 2000-08-16 | Carnegie-Mellon University | Ein Verfahren zur Herstellung von Poly(3-substituierten)thiophenen |
| WO2000070655A2 (en) | 1999-05-13 | 2000-11-23 | The Trustees Of Princeton University | Very high efficiency organic light emitting devices based on electrophosphorescence |
| WO2001041512A1 (en) | 1999-12-01 | 2001-06-07 | The Trustees Of Princeton University | Complexes of form l2mx as phosphorescent dopants for organic leds |
| EP1205527A1 (de) | 2000-03-27 | 2002-05-15 | Idemitsu Kosan Co., Ltd. | Organische elektrolumineszierende vorrichtung |
| WO2002002714A2 (en) | 2000-06-30 | 2002-01-10 | E.I. Du Pont De Nemours And Company | Electroluminescent iridium compounds with fluorinated phenylpyridines, phenylpyrimidines, and phenylquinolines and devices made with such compounds |
| WO2002015645A1 (en) | 2000-08-11 | 2002-02-21 | The Trustees Of Princeton University | Organometallic compounds and emission-shifting organic electrophosphorescence |
| EP1191613A2 (de) | 2000-09-26 | 2002-03-27 | Canon Kabushiki Kaisha | Lumineszente Vorrichtung, Bildanzeigevorrichtung und Metallkoordinationsverbindung |
| EP1191614A2 (de) | 2000-09-26 | 2002-03-27 | Canon Kabushiki Kaisha | Lumineszente Vorrichtung und dafür verwendete Metallkoordinationsverbindung |
| EP1191612A2 (de) | 2000-09-26 | 2002-03-27 | Canon Kabushiki Kaisha | Lumineszente Vorrichtung, Bildanzeigevorrichtung und Metallkoordinationsverbindung |
| JP2002193952A (ja) | 2000-12-25 | 2002-07-10 | Fuji Photo Film Co Ltd | 新規含窒素へテロ環化合物、発光素子材料およびそれらを使用した発光素子 |
| WO2004013080A1 (en) | 2002-08-01 | 2004-02-12 | Covion Organic Semiconductors Gmbh | Spirobifluorene derivatives, their preparation and uses thereof |
| WO2004041901A1 (en) | 2002-11-08 | 2004-05-21 | Covion Organic Semiconductors Gmbh | Aryl-substituted polyindenofluorenes for use in organic electroluminiscent devices |
| WO2004058911A2 (de) | 2002-12-23 | 2004-07-15 | Covion Organic Semiconductors Gmbh | Organisches elektrolumineszenzelement |
| WO2004070772A2 (de) | 2003-02-06 | 2004-08-19 | Covion Organic Semiconductors Gmbh | Carbazol-enthaltende konjugierte polymere und blends, deren darstellung und verwendung |
| JP2004288381A (ja) | 2003-03-19 | 2004-10-14 | Konica Minolta Holdings Inc | 有機エレクトロルミネッセンス素子 |
| WO2004093207A2 (de) | 2003-04-15 | 2004-10-28 | Covion Organic Semiconductors Gmbh | Mischungen von organischen zur emission befähigten halbleitern und matrixmaterialien, deren verwendung und elektronikbauteile enthaltend diese mischungen |
| EP1617711A1 (de) | 2003-04-23 | 2006-01-18 | Konica Minolta Holdings, Inc. | Organisches elektrolumineszenzbauelement und anzeige |
| EP1617710A1 (de) | 2003-04-23 | 2006-01-18 | Konica Minolta Holdings, Inc. | Material für ein organisches elektrolumineszenzgerät, organisches elektrolumineszenzgerät, beleuchtungsvorrichtung und anzeige |
| WO2004113412A2 (en) | 2003-06-23 | 2004-12-29 | Covion Organic Semiconductors Gmbh | Polymer |
| WO2004113468A1 (de) | 2003-06-26 | 2004-12-29 | Covion Organic Semiconductors Gmbh | Neue materialien für die elektrolumineszenz |
| WO2005003253A2 (de) | 2003-07-07 | 2005-01-13 | Covion Organic Semiconductors Gmbh | Mischungen von organischen zur emission befähigten halbleitern und matrixmaterialen, deren verwendung und elektronikbauteile enthaltend diese |
| WO2005011013A1 (de) | 2003-07-21 | 2005-02-03 | Covion Organic Semiconductors Gmbh | Organisches elektrolumineszenzelement |
| WO2005014689A2 (de) | 2003-08-12 | 2005-02-17 | Covion Organic Semiconductors Gmbh | Konjugierte polymere enthaltend dihydrophenanthren-einheiten und deren verwendung |
| WO2005019373A2 (de) | 2003-08-19 | 2005-03-03 | Basf Aktiengesellschaft | Übergangsmetallkomplexe mit carbenliganden als emitter für organische licht-emittierende dioden (oleds) |
| WO2005033244A1 (de) | 2003-09-29 | 2005-04-14 | Covion Organic Semiconductors Gmbh | Metallkomplexe |
| WO2005039246A1 (ja) | 2003-09-30 | 2005-04-28 | Konica Minolta Holdings, Inc. | 有機エレクトロルミネッセンス素子、照明装置、表示装置 |
| US20050069729A1 (en) | 2003-09-30 | 2005-03-31 | Konica Minolta Holdings, Inc. | Organic electroluminescent element, illuminator, display and compound |
| WO2005040302A1 (de) | 2003-10-22 | 2005-05-06 | Merck Patent Gmbh | Neue materialien für die elektrolumineszenz und deren verwendung |
| WO2005053051A1 (de) | 2003-11-25 | 2005-06-09 | Merck Patent Gmbh | Organisches elektrolumineszenzelement |
| WO2005085387A1 (ja) | 2004-03-08 | 2005-09-15 | Idemitsu Kosan Co., Ltd. | 有機エレクトロルミネッセンス素子用材料及びそれを利用した有機エレクトロルミネッセンス素子 |
| EP1724323A1 (de) | 2004-03-08 | 2006-11-22 | Idemitsu Kosan Co., Ltd. | Material für organische elektrolumineszenzvorrichtung und davon gebrauch machende organische elektrolumineszenzvorrichtung |
| EP1731584A1 (de) | 2004-03-31 | 2006-12-13 | Konica Minolta Holdings, Inc. | Organischer elektrolumineszenzvorrichtungsstoff, organische elektrolumineszenzvorrichtung, display und beleuchtungsvorrichtung |
| WO2005104264A1 (de) | 2004-04-26 | 2005-11-03 | Merck Patent Gmbh | Elektrolumineszierende polymere und deren verwendung |
| WO2005111172A2 (de) | 2004-05-11 | 2005-11-24 | Merck Patent Gmbh | Neue materialmischungen für die elektrolumineszenz |
| US20050258742A1 (en) | 2004-05-18 | 2005-11-24 | Yui-Yi Tsai | Carbene containing metal complexes as OLEDs |
| JP2005347160A (ja) | 2004-06-04 | 2005-12-15 | Konica Minolta Holdings Inc | 有機エレクトロルミネッセンス素子、照明装置及び表示装置 |
| WO2006005627A1 (en) | 2004-07-15 | 2006-01-19 | Merck Patent Gmbh | Oligomeric derivatives of spirobifluorene, their preparation and use |
| WO2006061181A1 (de) | 2004-12-06 | 2006-06-15 | Merck Patent Gmbh | Teilkonjugierte polymere, deren darstellung und verwendung |
| WO2006067976A1 (ja) | 2004-12-24 | 2006-06-29 | Pioneer Corporation | 有機化合物、電荷輸送材料および有機電界発光素子 |
| EP1829871A1 (de) | 2004-12-24 | 2007-09-05 | Pioneer Corporation | Organische verbindung, material zum transportieren von ladungen und organisches elektrolumineszentes element |
| WO2006117052A1 (de) | 2005-05-03 | 2006-11-09 | Merck Patent Gmbh | Organische elektrolumineszenzvorrichtung und in deren herstellung verwendete boronsäure- und borinsäure-derivate |
| DE102005037734A1 (de) | 2005-08-10 | 2007-02-22 | Merck Patent Gmbh | Elektrolumineszierende Polymere und ihre Verwendung |
| WO2007050334A1 (en) | 2005-10-26 | 2007-05-03 | Eastman Kodak Company | Organic element for low voltage electroluminescent devices |
| WO2007050301A2 (en) | 2005-10-26 | 2007-05-03 | Eastman Kodak Company | Organic element for low voltage electroluminescent devices |
| WO2007063754A1 (ja) | 2005-12-01 | 2007-06-07 | Nippon Steel Chemical Co., Ltd. | 有機電界発光素子用化合物及び有機電界発光素子 |
| WO2007137725A1 (de) | 2006-05-31 | 2007-12-06 | Merck Patent Gmbh | Neue materialien für organische elektrolumineszenzvorrichtungen |
| WO2008056746A1 (en) | 2006-11-09 | 2008-05-15 | Nippon Steel Chemical Co., Ltd. | Compound for organic electroluminescent device and organic electroluminescent device |
| WO2009030981A2 (en) | 2006-12-28 | 2009-03-12 | Universal Display Corporation | Long lifetime phosphorescent organic light emitting device (oled) structures |
| WO2008086851A1 (de) | 2007-01-18 | 2008-07-24 | Merck Patent Gmbh | Carbazol-derivate für organische elektrolumineszenzvorrichtungen |
| WO2008123189A1 (ja) | 2007-03-26 | 2008-10-16 | Nippon Steel Chemical Co., Ltd. | 有機電界発光素子用化合物及び有機電界発光素子 |
| WO2009062578A1 (de) | 2007-11-12 | 2009-05-22 | Merck Patent Gmbh | Organische elektrolumineszenzvorrichtungen enthaltend azomethin-metall-komplexe |
| DE102008033943A1 (de) | 2008-07-18 | 2010-01-21 | Merck Patent Gmbh | Neue Materialien für organische Elektrolumineszenzvorrichtungen |
| DE102008036982A1 (de) | 2008-08-08 | 2010-02-11 | Merck Patent Gmbh | Organische Elektrolumineszenzvorrichtung |
| DE102008056688A1 (de) | 2008-11-11 | 2010-05-12 | Merck Patent Gmbh | Materialien für organische Elektrolumineszenzvorrichtungen |
| DE102009023155A1 (de) | 2009-05-29 | 2010-12-02 | Merck Patent Gmbh | Materialien für organische Elektrolumineszenzvorrichtungen |
| DE102009048791A1 (de) | 2009-10-08 | 2011-04-14 | Merck Patent Gmbh | Materialien für organische Elektrolumineszenzvorrichtungen |
Non-Patent Citations (7)
| Title |
|---|
| Journal of Organic Chemistry 2004, 69, 8177-8182 |
| M. S. Arnold et al., Appl. Phys. Lett. 2008, 92, 053301 |
| Org. Biomol. Chem. 2004, 2, 1476-1483 |
| Organic & Biomolecular Chemistry 2004, 2, 1476-1483 |
| Synlett 2006, 17, 2841-2845 |
| Synthesis 2005, 10, 1619-1624 |
| T. Matsumoto et al., Multiphoton Organic EL Device Having Charge Generation Layer, IDMC 2003, Taiwan; Session 21 OLED (5) |
Cited By (17)
| Publication number | Priority date | Publication date | Assignee | Title |
|---|---|---|---|---|
| DE102010010481A1 (de) | 2010-03-06 | 2011-09-08 | Merck Patent Gmbh | Organische Elektrolumineszenzvorrichtung |
| DE102010012738A1 (de) | 2010-03-25 | 2011-09-29 | Merck Patent Gmbh | Materialien für organische Elektrolumineszenzvorrichtungen |
| DE102010019306A1 (de) | 2010-05-04 | 2011-11-10 | Merck Patent Gmbh | Organische Elektrolumineszenzvorrichtungen |
| DE102010048608A1 (de) | 2010-10-15 | 2012-04-19 | Merck Patent Gmbh | Materialien für organische Elektrolumineszenzvorrichtungen |
| EP2650941A4 (de) * | 2010-12-09 | 2016-06-15 | Nippon Steel & Sumikin Chem Co | Organisches elektrolumineszenzelement |
| WO2013096832A3 (en) * | 2011-12-22 | 2013-12-27 | Georgia Tech Research Corporation | Small molecule crosslinkable triscarbazole hole transport materials |
| WO2016023608A1 (de) * | 2014-08-13 | 2016-02-18 | Merck Patent Gmbh | Materialien für organische elektrolumineszenzvorrichtungen |
| US9876181B2 (en) | 2014-08-13 | 2018-01-23 | Merck Patent Gmbh | Materials for organic electroluminescent devices |
| WO2018237385A1 (en) * | 2017-06-23 | 2018-12-27 | Kyulux, Inc. | Composition of matter for use in organic light-emitting diodes |
| US11584739B2 (en) | 2017-06-23 | 2023-02-21 | Kyulux, Inc. | Composition of matter for use in organic light-emitting diodes |
| US11444250B2 (en) | 2017-12-05 | 2022-09-13 | Kyulux, Inc. | Composition of matter for use in organic light-emitting diodes |
| US10644249B2 (en) | 2017-12-22 | 2020-05-05 | Kyulux, Inc. | Composition of matter for use in organic light-emitting diodes |
| US11575088B2 (en) | 2017-12-22 | 2023-02-07 | Kyulux, Inc. | Composition of matter for use in organic light-emitting diodes |
| US11542260B2 (en) | 2018-01-31 | 2023-01-03 | Kyulux, Inc. | Composition of matter for use in organic light-emitting diodes |
| US11608333B2 (en) | 2018-03-20 | 2023-03-21 | Kyulux, Inc. | Composition of matter for use in organic light-emitting diodes |
| US11498914B2 (en) | 2018-03-30 | 2022-11-15 | Kyulux, Inc. | Composition of matter for use in organic light-emitting diodes |
| US11778904B2 (en) | 2018-05-09 | 2023-10-03 | Kyulux, Inc. | Composition of matter for use in organic light-emitting diodes |
Also Published As
| Publication number | Publication date |
|---|---|
| WO2011057706A2 (de) | 2011-05-19 |
| WO2011057706A8 (de) | 2012-08-23 |
| KR101819761B1 (ko) | 2018-01-17 |
| KR20170090513A (ko) | 2017-08-07 |
| CN102770427B (zh) | 2016-07-20 |
| DE112010004381B4 (de) | 2023-09-07 |
| TW201134823A (en) | 2011-10-16 |
| JP2013510803A (ja) | 2013-03-28 |
| KR101886593B1 (ko) | 2018-08-07 |
| JP5819312B2 (ja) | 2015-11-24 |
| WO2011057706A3 (de) | 2011-08-25 |
| DE112010004381A5 (de) | 2012-08-30 |
| US20120223276A1 (en) | 2012-09-06 |
| CN102770427A (zh) | 2012-11-07 |
| KR20120104246A (ko) | 2012-09-20 |
| US9334260B2 (en) | 2016-05-10 |
Similar Documents
| Publication | Publication Date | Title |
|---|---|---|
| DE112010004381B4 (de) | Materialien für elektronische Vorrichtungen | |
| EP2705552B1 (de) | Verbindungen für elektronische vorrichtungen | |
| EP2705550B1 (de) | Verbindungen für elektronische vorrichtungen | |
| EP2740165B1 (de) | Materialien für elektronische vorrichtungen | |
| EP2875004B1 (de) | Fluorene und elektronische vorrichtungen, die sie enthalten | |
| EP2791105B1 (de) | Verbindungen für elektronische vorrichtungen | |
| EP3335253A1 (de) | Materialien für elektronische vorrichtungen | |
| EP2737554A1 (de) | Verbindungen für elektronische vorrichtungen | |
| DE102010009903A1 (de) | Verbindungen für elektronische Vorrichtungen | |
| DE102009031021A1 (de) | Materialien für organische Elektrolumineszenzvorrichtungen | |
| DE102009048791A1 (de) | Materialien für organische Elektrolumineszenzvorrichtungen | |
| DE102009053645A1 (de) | Materialien für organische Elektrolumineszenzvorrichtung | |
| DE102010024542A1 (de) | Materialien für elektronische Vorrichtungen | |
| WO2012048780A1 (de) | Verbindungen für elektronische vorrichtungen | |
| DE102010005697A1 (de) | Verbindungen für elektronische Vorrichtungen | |
| DE102009052428A1 (de) | Verbindung für elektronische Vorrichtungen | |
| DE102010013806A1 (de) | Materialien für organische Elektrolumineszenzvorrichtungen | |
| EP2941469A2 (de) | Materialien für elektronische vorrichtungen | |
| EP3898605A2 (de) | Materialien für elektronische vorrichtungen | |
| DE102012022880B4 (de) | Elektronische Vorrichtungen enthaltend organische Schichten | |
| WO2011157346A1 (de) | Verbindungen für elektronische vorrichtungen | |
| EP4240718A1 (de) | Materialien für elektronische vorrichtungen | |
| EP3679023A1 (de) | Materialien für elektronische vorrichtungen | |
| EP3714022A1 (de) | Materialien für elektronische vorrichtungen | |
| DE102010024897A1 (de) | Materialien für organische Elektrolumineszenzvorrichtungen |
Legal Events
| Date | Code | Title | Description |
|---|---|---|---|
| R118 | Application deemed withdrawn due to claim for domestic priority |
Effective date: 20120514 |


































































