WO2011057706A2 - Materialien für elektronische vorrichtungen - Google Patents
Materialien für elektronische vorrichtungen Download PDFInfo
- Publication number
- WO2011057706A2 WO2011057706A2 PCT/EP2010/006415 EP2010006415W WO2011057706A2 WO 2011057706 A2 WO2011057706 A2 WO 2011057706A2 EP 2010006415 W EP2010006415 W EP 2010006415W WO 2011057706 A2 WO2011057706 A2 WO 2011057706A2
- Authority
- WO
- WIPO (PCT)
- Prior art keywords
- formula
- organic
- group
- aromatic
- compounds
- Prior art date
- Legal status (The legal status is an assumption and is not a legal conclusion. Google has not performed a legal analysis and makes no representation as to the accuracy of the status listed.)
- Ceased
Links
- 0 C**(***1)*c2c1c(*=**C(C)C)c(*)[n]2** Chemical compound C**(***1)*c2c1c(*=**C(C)C)c(*)[n]2** 0.000 description 19
- JWJQEUDGBZMPAX-UHFFFAOYSA-N OB(c(cc1c2c3cccc2)ccc1[n]3-c1ccccc1)O Chemical compound OB(c(cc1c2c3cccc2)ccc1[n]3-c1ccccc1)O JWJQEUDGBZMPAX-UHFFFAOYSA-N 0.000 description 4
- KMNBVODPWIFUSS-UHFFFAOYSA-N Brc(cc1)cc([s]c2c3)c1c2ccc3Br Chemical compound Brc(cc1)cc([s]c2c3)c1c2ccc3Br KMNBVODPWIFUSS-UHFFFAOYSA-N 0.000 description 1
- ISZHRYNEIRWBGJ-UHFFFAOYSA-N Brc(cc1)cc2c1[o]c(cc1)c2cc1-c(cc1)cc(c2ccccc22)c1[n]2-c1ccccc1 Chemical compound Brc(cc1)cc2c1[o]c(cc1)c2cc1-c(cc1)cc(c2ccccc22)c1[n]2-c1ccccc1 ISZHRYNEIRWBGJ-UHFFFAOYSA-N 0.000 description 1
- QBLDHQQJEWVUSG-UHFFFAOYSA-N Brc(cccc1c2ccc3)c1[o]c2c3-c(cc1c2c3cccc2)ccc1[n]3-c1ccccc1 Chemical compound Brc(cccc1c2ccc3)c1[o]c2c3-c(cc1c2c3cccc2)ccc1[n]3-c1ccccc1 QBLDHQQJEWVUSG-UHFFFAOYSA-N 0.000 description 1
- CZBCLUQSXZXXSQ-UHFFFAOYSA-N Brc1c2[s]c(c(-c(cc3c4ccccc44)ccc3[n]4-c3ccccc3)ccc3)c3c2ccc1 Chemical compound Brc1c2[s]c(c(-c(cc3c4ccccc44)ccc3[n]4-c3ccccc3)ccc3)c3c2ccc1 CZBCLUQSXZXXSQ-UHFFFAOYSA-N 0.000 description 1
- CDQGAHIRTCGGSU-UHFFFAOYSA-N Brc1ccc(c(c([s]2)c3)ccc3-c(cc3)cc(c4c5cccc4)c3[n]5-c3ccccc3)c2c1 Chemical compound Brc1ccc(c(c([s]2)c3)ccc3-c(cc3)cc(c4c5cccc4)c3[n]5-c3ccccc3)c2c1 CDQGAHIRTCGGSU-UHFFFAOYSA-N 0.000 description 1
- ULGFJZPCGNTWFK-UHFFFAOYSA-N Brc1cccc2c1[s]c1c2cccc1Br Chemical compound Brc1cccc2c1[s]c1c2cccc1Br ULGFJZPCGNTWFK-UHFFFAOYSA-N 0.000 description 1
- AQELVNFESBBCOU-GBUHRFEDSA-N C/C=C\[I]=C(/C=C)\C(\C=C)=C\c(c1c2ccc(-c3ccccc3)c1)c(C)[n]2-c(cc1)cc(c2cc(-[n]3c(ccc(-c4ccccc4)c4)c4c4c3ccc(-c3ccccc3)c4)ccc22)c1[n]2S(c1ccccc1)(=O)=O Chemical compound C/C=C\[I]=C(/C=C)\C(\C=C)=C\c(c1c2ccc(-c3ccccc3)c1)c(C)[n]2-c(cc1)cc(c2cc(-[n]3c(ccc(-c4ccccc4)c4)c4c4c3ccc(-c3ccccc3)c4)ccc22)c1[n]2S(c1ccccc1)(=O)=O AQELVNFESBBCOU-GBUHRFEDSA-N 0.000 description 1
- CMKWQJRVMUPUIZ-UHFFFAOYSA-N C1C=CC=CC1c(cc1)cc(c2c3nccc2)c1[n]3-c(cc1)cc(c2c3)c1[nH]c2ccc3-[n]1c(nccc2)c2c2cc(-c3ccccc3)ccc12 Chemical compound C1C=CC=CC1c(cc1)cc(c2c3nccc2)c1[n]3-c(cc1)cc(c2c3)c1[nH]c2ccc3-[n]1c(nccc2)c2c2cc(-c3ccccc3)ccc12 CMKWQJRVMUPUIZ-UHFFFAOYSA-N 0.000 description 1
- XOXVMZJKJWSCJL-UHFFFAOYSA-N CCc1nnc(C)nn1 Chemical compound CCc1nnc(C)nn1 XOXVMZJKJWSCJL-UHFFFAOYSA-N 0.000 description 1
- VXXHGGCKGDFJTE-UHFFFAOYSA-N Cc1ccc2[o]c(ccc(Br)c3)c3c2c1 Chemical compound Cc1ccc2[o]c(ccc(Br)c3)c3c2c1 VXXHGGCKGDFJTE-UHFFFAOYSA-N 0.000 description 1
- ZDNHNUIDORQTHY-UHFFFAOYSA-N O=S(c1ccccc1)([n](c(c(c1c2)c3)ccc3-[n]3c(cc(cc4)-c5ccccc5)c4c4c3cccc4)c1ccc2-[n]1c(cc(cc2)-c3ccccc3)c2c2c1cccc2)=O Chemical compound O=S(c1ccccc1)([n](c(c(c1c2)c3)ccc3-[n]3c(cc(cc4)-c5ccccc5)c4c4c3cccc4)c1ccc2-[n]1c(cc(cc2)-c3ccccc3)c2c2c1cccc2)=O ZDNHNUIDORQTHY-UHFFFAOYSA-N 0.000 description 1
- GYBRLPWWIFEBNG-UHFFFAOYSA-N O=S(c1ccccc1)([n]1c(ccc(-[n]2c(nccc3)c3c3c2ccc(-c2ccccc2)c3)c2)c2c2c1ccc(-[n]1c(nccc3)c3c3c1ccc(-c1ccccc1)c3)c2)=O Chemical compound O=S(c1ccccc1)([n]1c(ccc(-[n]2c(nccc3)c3c3c2ccc(-c2ccccc2)c3)c2)c2c2c1ccc(-[n]1c(nccc3)c3c3c1ccc(-c1ccccc1)c3)c2)=O GYBRLPWWIFEBNG-UHFFFAOYSA-N 0.000 description 1
- GVGVUWFDJSGJNK-UHFFFAOYSA-N c(cc1)ccc1-c(cc1)cc(c2cc(-c3ccccc3)ccc22)c1[n]2-c(cc1c2c3)ccc1[nH]c2ccc3-[n]1c(ccc(-c2ccccc2)c2)c2c2cc(-c3ccccc3)ccc12 Chemical compound c(cc1)ccc1-c(cc1)cc(c2cc(-c3ccccc3)ccc22)c1[n]2-c(cc1c2c3)ccc1[nH]c2ccc3-[n]1c(ccc(-c2ccccc2)c2)c2c2cc(-c3ccccc3)ccc12 GVGVUWFDJSGJNK-UHFFFAOYSA-N 0.000 description 1
- HBAJPMNDBAUERO-UHFFFAOYSA-N c(cc1)ccc1-c(cc1)cc2c1c1ccccc1[n]2-c1ccc2[nH]c(ccc(-[n]3c4cc(-c5ccccc5)ccc4c4c3cccc4)c3)c3c2c1 Chemical compound c(cc1)ccc1-c(cc1)cc2c1c1ccccc1[n]2-c1ccc2[nH]c(ccc(-[n]3c4cc(-c5ccccc5)ccc4c4c3cccc4)c3)c3c2c1 HBAJPMNDBAUERO-UHFFFAOYSA-N 0.000 description 1
Classifications
-
- C—CHEMISTRY; METALLURGY
- C07—ORGANIC CHEMISTRY
- C07D—HETEROCYCLIC COMPOUNDS
- C07D403/00—Heterocyclic compounds containing two or more hetero rings, having nitrogen atoms as the only ring hetero atoms, not provided for by group C07D401/00
- C07D403/02—Heterocyclic compounds containing two or more hetero rings, having nitrogen atoms as the only ring hetero atoms, not provided for by group C07D401/00 containing two hetero rings
- C07D403/12—Heterocyclic compounds containing two or more hetero rings, having nitrogen atoms as the only ring hetero atoms, not provided for by group C07D401/00 containing two hetero rings linked by a chain containing hetero atoms as chain links
-
- C—CHEMISTRY; METALLURGY
- C07—ORGANIC CHEMISTRY
- C07D—HETEROCYCLIC COMPOUNDS
- C07D403/00—Heterocyclic compounds containing two or more hetero rings, having nitrogen atoms as the only ring hetero atoms, not provided for by group C07D401/00
- C07D403/02—Heterocyclic compounds containing two or more hetero rings, having nitrogen atoms as the only ring hetero atoms, not provided for by group C07D401/00 containing two hetero rings
- C07D403/10—Heterocyclic compounds containing two or more hetero rings, having nitrogen atoms as the only ring hetero atoms, not provided for by group C07D401/00 containing two hetero rings linked by a carbon chain containing aromatic rings
-
- C—CHEMISTRY; METALLURGY
- C07—ORGANIC CHEMISTRY
- C07D—HETEROCYCLIC COMPOUNDS
- C07D403/00—Heterocyclic compounds containing two or more hetero rings, having nitrogen atoms as the only ring hetero atoms, not provided for by group C07D401/00
- C07D403/14—Heterocyclic compounds containing two or more hetero rings, having nitrogen atoms as the only ring hetero atoms, not provided for by group C07D401/00 containing three or more hetero rings
-
- C—CHEMISTRY; METALLURGY
- C07—ORGANIC CHEMISTRY
- C07D—HETEROCYCLIC COMPOUNDS
- C07D405/00—Heterocyclic compounds containing both one or more hetero rings having oxygen atoms as the only ring hetero atoms, and one or more rings having nitrogen as the only ring hetero atom
- C07D405/14—Heterocyclic compounds containing both one or more hetero rings having oxygen atoms as the only ring hetero atoms, and one or more rings having nitrogen as the only ring hetero atom containing three or more hetero rings
-
- C—CHEMISTRY; METALLURGY
- C07—ORGANIC CHEMISTRY
- C07D—HETEROCYCLIC COMPOUNDS
- C07D409/00—Heterocyclic compounds containing two or more hetero rings, at least one ring having sulfur atoms as the only ring hetero atoms
- C07D409/14—Heterocyclic compounds containing two or more hetero rings, at least one ring having sulfur atoms as the only ring hetero atoms containing three or more hetero rings
-
- C—CHEMISTRY; METALLURGY
- C07—ORGANIC CHEMISTRY
- C07D—HETEROCYCLIC COMPOUNDS
- C07D471/00—Heterocyclic compounds containing nitrogen atoms as the only ring hetero atoms in the condensed system, at least one ring being a six-membered ring with one nitrogen atom, not provided for by groups C07D451/00 - C07D463/00
- C07D471/02—Heterocyclic compounds containing nitrogen atoms as the only ring hetero atoms in the condensed system, at least one ring being a six-membered ring with one nitrogen atom, not provided for by groups C07D451/00 - C07D463/00 in which the condensed system contains two hetero rings
- C07D471/04—Ortho-condensed systems
-
- C—CHEMISTRY; METALLURGY
- C09—DYES; PAINTS; POLISHES; NATURAL RESINS; ADHESIVES; COMPOSITIONS NOT OTHERWISE PROVIDED FOR; APPLICATIONS OF MATERIALS NOT OTHERWISE PROVIDED FOR
- C09B—ORGANIC DYES OR CLOSELY-RELATED COMPOUNDS FOR PRODUCING DYES, e.g. PIGMENTS; MORDANTS; LAKES
- C09B57/00—Other synthetic dyes of known constitution
-
- H—ELECTRICITY
- H10—SEMICONDUCTOR DEVICES; ELECTRIC SOLID-STATE DEVICES NOT OTHERWISE PROVIDED FOR
- H10K—ORGANIC ELECTRIC SOLID-STATE DEVICES
- H10K85/00—Organic materials used in the body or electrodes of devices covered by this subclass
- H10K85/30—Coordination compounds
-
- H—ELECTRICITY
- H10—SEMICONDUCTOR DEVICES; ELECTRIC SOLID-STATE DEVICES NOT OTHERWISE PROVIDED FOR
- H10K—ORGANIC ELECTRIC SOLID-STATE DEVICES
- H10K85/00—Organic materials used in the body or electrodes of devices covered by this subclass
- H10K85/60—Organic compounds having low molecular weight
- H10K85/649—Aromatic compounds comprising a hetero atom
- H10K85/654—Aromatic compounds comprising a hetero atom comprising only nitrogen as heteroatom
-
- H—ELECTRICITY
- H10—SEMICONDUCTOR DEVICES; ELECTRIC SOLID-STATE DEVICES NOT OTHERWISE PROVIDED FOR
- H10K—ORGANIC ELECTRIC SOLID-STATE DEVICES
- H10K85/00—Organic materials used in the body or electrodes of devices covered by this subclass
- H10K85/60—Organic compounds having low molecular weight
- H10K85/649—Aromatic compounds comprising a hetero atom
- H10K85/657—Polycyclic condensed heteroaromatic hydrocarbons
- H10K85/6572—Polycyclic condensed heteroaromatic hydrocarbons comprising only nitrogen in the heteroaromatic polycondensed ring system, e.g. phenanthroline or carbazole
-
- H—ELECTRICITY
- H10—SEMICONDUCTOR DEVICES; ELECTRIC SOLID-STATE DEVICES NOT OTHERWISE PROVIDED FOR
- H10K—ORGANIC ELECTRIC SOLID-STATE DEVICES
- H10K85/00—Organic materials used in the body or electrodes of devices covered by this subclass
- H10K85/60—Organic compounds having low molecular weight
- H10K85/649—Aromatic compounds comprising a hetero atom
- H10K85/657—Polycyclic condensed heteroaromatic hydrocarbons
- H10K85/6576—Polycyclic condensed heteroaromatic hydrocarbons comprising only sulfur in the heteroaromatic polycondensed ring system, e.g. benzothiophene
-
- Y—GENERAL TAGGING OF NEW TECHNOLOGICAL DEVELOPMENTS; GENERAL TAGGING OF CROSS-SECTIONAL TECHNOLOGIES SPANNING OVER SEVERAL SECTIONS OF THE IPC; TECHNICAL SUBJECTS COVERED BY FORMER USPC CROSS-REFERENCE ART COLLECTIONS [XRACs] AND DIGESTS
- Y02—TECHNOLOGIES OR APPLICATIONS FOR MITIGATION OR ADAPTATION AGAINST CLIMATE CHANGE
- Y02E—REDUCTION OF GREENHOUSE GAS [GHG] EMISSIONS, RELATED TO ENERGY GENERATION, TRANSMISSION OR DISTRIBUTION
- Y02E10/00—Energy generation through renewable energy sources
- Y02E10/50—Photovoltaic [PV] energy
- Y02E10/549—Organic PV cells
Definitions
- the invention relates to novel compounds according to the formulas (I) or (II).
- the invention further relates to polymers containing the
- Organic semiconductors such as the compounds according to the present application are used for a number of different types of electronic
- OLEDs organic electroluminescent devices
- matrix materials for phosphorescent emitters which at the same time lead to good efficiency, long service life and low operating voltage.
- the properties of the matrix materials are often limiting for the lifetime and the efficiency of the organic electroluminescent device.
- carbazole derivatives e.g. Bis (carbazolyl) biphenyl
- carbazole derivatives used as matrix materials for phosphorescent emitters.
- alternative materials which preferably have a high glass transition temperature and effect a prolonged life of the electronic devices.
- ketones WO 04/093207
- phosphine oxides and sulfones WO 05/003253
- ketoketonate ligands for example, acetylacetonate
- Metal complexes for example BAIq or bis [2- (2-benzothiazole) phenolate] zinc (II), used as matrix materials for phosphorescent emitters.
- BAIq or bis [2- (2-benzothiazole) phenolate] zinc (II)
- II bis [2- (2-benzothiazole) phenolate] zinc
- Electron transport material exert a significant influence on the above properties of the organic electroluminescent device.
- there is a need for electron transport materials which at the same time lead to good efficiency, long service life and low operating voltage.
- WO 2008/123189 and JP 2002/193952 disclose carbazole derivatives derivatized with electron-poor heterocycles such as triazine and their use in electronic devices.
- phosphorescent dopants which preferably have the following properties: increasing the efficiency of
- Electroluminescent device extending the life of the device and technically unproblematic processability.
- the present technical task is thus to provide such compounds.
- compounds according to the formulas (I) or (II) defined below are outstandingly suitable for use as matrix materials in electronic devices, in particular as matrix materials for phosphorescent emitters. With these materials, preferably higher efficiencies and longer lifetimes can be achieved than with materials of the prior art. Preferably, in addition, the operating voltage can be lowered, which corresponds to higher power efficiencies. Furthermore, it has been found that the compounds according to the formulas (I) or (II) as electron transport materials in organic
- Electroluminescent devices can be used. It can be achieved with the compounds of the invention preferably an improved performance profile of the devices, in particular a Higher power efficiency, longer life and a
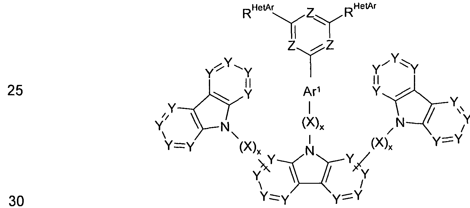
- the invention thus relates to a compound of the formula (I) or (II)
- Ar 1 , Ar 2 , Ar 3 are the same or different at each occurrence
- aromatic or heteroaromatic ring system having 5 to 60 aromatic ring atoms, which is optionally substituted by one or more radicals R 1 ; is the same or different at each occurrence a group of formula (A),
- dashed lines represent possible attachment positions to Ar 1 or X or to the central carbazole derivative and nitrogen is the preferred binding position; is N or P;
- Aryloxy or heteroaryloxy group having 5 to 60 aromatic ring atoms which may be substituted by one or more radicals R 2 , or an aralkyl or
- Heteroaralkyl distr having 5 to 60 aromatic ring atoms, each of which may be substituted by one or more radicals R 2 ; two or more substituents R 1 , R HetAr or R Cz may be linked together and optionally form a mono- or polycyclic aliphatic, aromatic or heteroaromatic ring system; R 2 is the same or different H, D or an aliphatic, aromatic or heteroaromatic organic radical having 1 to 20 C atoms in each occurrence, in which also one or more H atoms may be replaced by D or F; in this case, two or more radicals R 2 may be linked together and optionally a mono- or polycyclic aliphatic, aromatic or heteroaromatic
- An aryl group in the sense of this invention contains 6 to 60 C atoms;
- a heteroaryl group contains 1 to 60 C atoms and at least one heteroatom, with the proviso that the sum of C atoms and heteroatoms gives at least 5.
- the heteroatoms are preferably selected from N, O and / or S.
- an aryl group or heteroaryl group is either a simple aromatic cycle, ie benzene, or a simpler one
- heteroaromatic cycle for example pyridine, pyrimidine or
- heteroaromatic polycycle for example, naphthalene, phenanthrene, quinoline or carbazole understood.
- a condensed (fused) aromatic or heteroaromatic polycycle consists of two or more simple aromatic or heteroaromatic rings condensed together.
- An aryl or heteroaryl group which may be substituted in each case by the abovementioned radicals and which may be linked via any position on the aromatic or heteroaromatic compounds is understood in particular to mean groups which are derived from benzene, naphthalene, anthracene, phenanthrene, pyrene, Dihydropyrenes, chrysene, perylene, fluoranthene, benzanthracene, benzphenanthrene, tetracene, pentacene, benzopyrene, furan, benzofuran, isobenzofuran, dibenzofuran, thiophene, benzothiophene, isobenzothiophene, dibenzothiophene, pyrrole, indole, isoindole, carbazole, pyridine, quinoline, isoquinoline, acridine,
- Phenanthridine benzo-5,6-quinoline, benzo-6,7-quinoline, benzo-7,8-quinoline, phenothiazine, phenoxazine, pyrazole, indazole, imidazole, benzimidazole, naphthimidazole, phenanthrimidazole, pyrimididazole, pyrazine imidazole, quinoxaline imidazole, oxazole, Benzoxazole, naphthoxazole, anthroxazole, phenanthroxazole, isoxazole, 1, 2-thiazole, 1, 3-thiazole, benzothiazole,
- An aromatic ring system in the sense of this invention contains 6 to 60 carbon atoms in the ring system.
- a heteroaromatic ring system in the context of this invention contains 5 to 60 aromatic ring atoms, at least one of which represents a heteroatom.
- the heteroatoms are preferably selected from N, O and / or S.
- An aromatic or heteroaromatic ring system in the sense of this invention is to be understood as meaning a system which does not necessarily contain only aryl or heteroaryl groups but in which also several aryl or heteroaryl groups a non-aromatic moiety (preferably less than 10% of the atoms other than H), such as e.g. B.
- an sp 3 - hybridized C, Si, N or O atom, an sp 2 -hybridized C or N atom or a sp-hybridized carbon atom may be connected.
- systems such as 9,9'-spirobifluorene, 9,9'-diarylfluorene, triarylamine, diaryl ethers, stilbene, etc. are to be understood as aromatic ring systems in the context of this invention, and also systems in which two or more aryl groups, for example by a linear or cyclic alkyl, alkenyl or alkynyl group or by a
- Silyl group are connected.
- systems in which two or more aryl or heteroaryl groups are linked together via single bonds are understood as aromatic or heteroaromatic ring systems in the context of this invention, such as systems such as biphenyl, terphenyl or diphenyltriazine.
- An aromatic or heteroaromatic ring system having 5-60 aromatic ring atoms, which may be substituted in each case by radicals as defined above and which may be linked via any positions on the aromatic or heteroaromatic compounds, is understood in particular to mean groups derived from benzene, naphthalene , Anthracene, benzanthracene, phenanthrene, benzphenanthrene, pyrene, chrysene, perylene, fluoranthene, naphthacene, pentacene, benzpyrene, biphenyl, biphenylene, terphenyl, terphenylene, fluorene, spirobifluorene, Dihydrophenanthrene, dihydropyrene, tetrahydropyrene, cis or trans indenofluorene, truxene, isotruxene, spirotruxene, spiroisotruxene, furan, benzofur
- the radicals are methyl, ethyl, n-propyl, i-propyl, n-butyl, i-butyl, s-butyl, t-butyl, 2-methylbutyl, n-pentyl, s-pentyl, cyclopentyl, neo Pentyl, n-hexyl, cyclohexyl, neo-hexyl, n-heptyl,
- alkoxy or thioalkyl group having 1 to 40 carbon atoms methoxy, trifluoromethoxy, ethoxy, n-propoxy, i-propoxy, n-butoxy, i-butoxy, s-butoxy, t-butoxy, n-pentoxy, s pentoxy, 2-methylbutoxy, n-hexoxy, cyclohexyloxy, n-heptoxy, cycloheptyloxy, n-octyloxy, cyclooctyloxy, 2-ethylhexyloxy, pentafluoroethoxy, 2,2,2-trifluoroethoxy, methylthio, ethylthio, n-propylthio, i-propylthio, n- Butyl thio, i-butylthio, s-butylthio, t-butylthio, n-pentylthio,
- Groups Y stand for CR Cz or C respectively.
- an index s assumes the value 1 and the other the value 0, in which case preferably 1, 2 or 3 groups X are present, i. the index x in question is equal to 1.
- A is equal to N.
- 1, 2 or 3 groups Z per six-membered ring in the compounds of the present invention are N, more preferably 2 or 3 groups Z per six-membered ring in the compounds of the present invention are N, even more preferably exactly 3 Z groups per six-membered ring the compounds of the invention are equal to N, wherein the other groups Z in the six-membered ring are equal to CR HetAr .
- the heteroaromatic six-membered ring in question has one of the same or different groups R HetAr
- Ar 1 represents preferably at each occurrence the same or different an aromatic or heteroaromatic ring system having 5 to 30 aromatic ring atoms, which is optionally substituted by one or more radicals R 1 .
- Ar is preferably the same or different at each instance and is an aromatic ring system having from 6 to 30 aromatic ring atoms optionally substituted with one or more R 1 , more preferably an aryl group having from 6 to 18 aromatic ring atoms optionally containing one or more radicals R 1 is substituted.
- Ar 3 preferably represents identically or differently on each occurrence a heteroaromatic ring system having from 5 to 30 aromatic
- Ring atoms which is optionally substituted by one or more radicals R 1 , more preferably one
- NR 2 - may be replaced, or an aryl or heteroaryl group having 5 to 20 aromatic ring atoms, which may be substituted by one or more radicals R 2 .
- NR 2 - may be replaced, or an aryl or heteroaryl group having 5 to 20 aromatic ring atoms, which may be substituted by one or more radicals R 2 .
- At least one radical R Cz preferably represents a group of the formula (A)
- NR 2 - may be replaced, or an aryl or heteroaryl group having 5 to 20 aromatic ring atoms, which may be substituted by one or more radicals R 2 .
- R MeiMr is particularly preferably selected from H or aryl or
- Heteroaryl groups having 5 to 20 aromatic ring atoms including preferably phenyl, biphenyl, terphenyl, pyrazinyl, pyridazyl, pyrimidyl, triazinyl, carbazolyl or dibenzothiophenyl groups, wherein the
- the compound of formula (I) is a compound of formula (1-1) or (I-2)
- the compound of the formula (II) represents a compound of the formula (11-1) or (II-2)
- Particularly preferred embodiments of the compounds according to formula (1-1) and (I-2) correspond to the following formulas (1-1 a) to (1-1 d) and (l-2a) to (l-2f)
- Particularly preferred embodiments of the compounds according to formula (11-1) and (II-2) correspond to the following formulas (II-1a) to (II-1b) and (II-2a) to (II-2c)
- Ar 1 represents with each occurrence, identically or differently, an aromatic or heteroaromatic ring system having 5 to 30 aromatic ring atoms, which is optionally substituted by one or more radicals R 1 ;
- Ar 2 sets the same or different at every occurrence
- aromatic ring system having 6 to 30 aromatic ring atoms which is optionally substituted with one or more R 1 radicals;
- Ar 3 sets the same or different at every occurrence
- Ring atoms which is optionally substituted by one or more R radicals;
- X is the same or different at each occurrence
- R is the same or different at each occurrence selected from H,
- the compounds of the invention can according to the expert known synthesis steps, such as. B. halogenation, preferably bromination, and a subsequent organometallic
- the exemplary synthesis shown assumes substituted or unsubstituted carbazole derivatives (for example, Synthesis 2005, 10, 1619-1624), which are reacted in a Buchwald coupling with an N-phenylsulfonyl-protected carbazole derivative having one or more halogen substituents carries (Org Biomol Chem 2004, 2, 1476-1483).
- the phenylsulfonyl group is cleaved under the action of KOH, and the free aromatic amino function of the carbazole can be cleaved with a triazine derivative in a nucleophilic aromatic
- the synthesis shown starts from a Bromcarbazolderivat, which is reacted with an iodine aryl compound (exemplified by a phenyliodide derivative) in an Ullmann coupling. Subsequently, the iodine aryl compound (exemplified by a phenyliodide derivative) in an Ullmann coupling. Subsequently, the iodine aryl compound (exemplified by a phenyliodide derivative) in an Ullmann coupling. Subsequently, the iodine aryl compound (exemplified by a phenyliodide derivative) in an Ullmann coupling. Subsequently, the iodine aryl compound (exemplified by a phenyliodide derivative) in an Ullmann coupling. Subsequently, the iodine aryl compound (exemplified by a pheny
- Carbazole derivatives with other, not shown substitution patterns can be prepared according to the scheme shown.
- Another object of the invention is thus a process for the preparation of the compounds according to the formulas (I) or (II), comprising the
- the compounds according to the invention can furthermore be used for the preparation of polymers, oligomers or dendrimers. This is usually done via polymerizable functional groups. Particularly suitable compounds for this purpose are those which are substituted by reactive leaving groups, such as bromine, iodine, boronic acid, boronic acid ester, tosylate or triflate. These can be used as comonomers
- the polymerization is preferably carried out via the halogen functionality or the boronic acid functionality.
- the polymers may also have crosslinkable groups or be crosslinked. In particular, crosslinkable groups are suitable, which are then crosslinked in the layer of the electronic device.
- Another object of the invention are thus polymers, oligomers or dendrimers containing one or more compounds according to one of the formulas (I) and (II), wherein in place of one or more radicals or H atoms of the compounds defined above, a bond to the polymer , Oligomer or dendrimer occurs.
- Oligomers or dendrimers may be conjugated, partially conjugated or non-conjugated. Also included are mixtures (blends) of the polymers, oligomers or dendrimers according to the invention with further polymers,
- an oligomer is a compound which has about three to nine repeat units.
- a polymer is understood as meaning a compound which has ten or more repeat units.
- oligomers or polymers may contain further repeat units.
- These further repeating units are preferably selected from the group consisting of fluorenes (for example according to EP 842208 or WO 00/22026), spirobifluorenes (for example according to US Pat
- the polymers may also have a plurality of different repeating units selected from one or more of the above groups.
- Another object of the invention are therefore also formulations containing at least one compound of formula (I) or (II) or at least one polymer, oligomer or dendrimer containing at least one unit of formula (I) or (II) and at least one
- Solvent preferably an organic solvent.
- the compounds of the formula (I) or (II) according to the invention are suitable for use in electronic devices, in particular in organic electroluminescent devices (OLEDs). Depending on the substitution, the compounds are used in different functions and in different layers of the organic electroluminescent device. Another object of the invention is therefore the use of the compounds of the invention and the inventive
- Matrix materials used for one or more phosphorescent emitters are used for one or more phosphorescent emitters.
- mixtures comprising at least one phosphorescent emitter and at least one compound according to one of the formulas (I) to (II).
- the mixture of the compound according to the invention and the emitter used in the emitting layer preferably contains between 99 and 50% by volume, preferably between 98 and 50% by volume, particularly preferably between 97 and 60% by volume, in particular between 95 and 85% by volume of the compound according to the invention based on the total mixture of emitter and matrix material. Accordingly, the mixture contains between 1 and 50% by volume, preferably between 2 and 50% by volume, more preferably between 3 and 40% by volume, in particular between 5 and 15% by volume of the emitter, based on the total mixture Emitter and matrix material.
- Suitable phosphorescent compounds are, in particular, compounds which emit light, preferably in the visible range, with suitable excitation and also contain at least one atom of atomic number greater than 20, preferably greater than 38 and less than 84, particularly preferably greater than 56 and less than 80.
- Preferred phosphorescence emitters used are compounds containing copper, molybdenum, tungsten, rhenium, ruthenium, osmium, rhodium, iridium, palladium, platinum, silver, gold or europium, in particular compounds containing iridium or platinum. Examples of the emitters described above can be found in the applications
- Particularly suitable phosphorescent dopants continue to be the compounds listed in the following table.
- a further preferred embodiment of the present invention is the use of the compound according to the invention as a matrix material for a phosphorescent emitter in combination with a further matrix material.
- Particularly suitable matrix materials which can be used in combination with the compounds according to the invention are aromatic ketones, aromatic phosphine oxides or aromatic sulfoxides or sulfones, eg. Example, according to WO 04/013080, WO 04/093207, WO 06/005627 or WO 10/006680, triarylamines, carbazole derivatives, for.
- WO 05/039246 US 2005/0069729, JP 2004/288381, EP 1205527 or O 08/086851 disclosed carbazole derivatives, indolocarbazole derivatives, for. B. according to WO 07/063754 or WO 08/056746, Azacarbazolderivate, z. B. according to EP 1617710, EP 1617711, EP 1731584, JP 2005/347160, bipolar matrix materials, for. B. according to WO 07/137725, silanes, z. B. according to
- azaboroles or boronic esters e.g. B. according to WO 06/117052, triazine derivatives, z. B. according to WO 10/015306, WO 07/063754 or
- two or more different phosphorescent emitters in an emitting layer, in particular emitters having different emission maxima.
- red luminescence with a green and a red phosphorescent emitter
- the compounds of the formula (I) or (II) are used as the electron transport material in an electron transport layer.
- the compounds of the formula (I) or (II) have one or more electron-poor heteroaromatic groups, for example triazine or pyrimidine.
- the compounds according to the invention are used as electron transport material in an organic electroluminescent device, they can also be used according to the invention in combination with an organic or inorganic alkali metal compound.
- “in combination with an organic alkali metal compound” means that the compounds according to the invention and the
- Alkali metal compound either as a mixture in one layer or separately in two successive layers.
- Alkali metal compound either as a mixture in one layer or separately in two successive layers.
- organic alkali metal compound in the context of this invention is to be understood as meaning a compound which contains at least one alkali metal, ie lithium, sodium, potassium, rubidium or cesium, and which also contains at least one organic ligand.
- Suitable organic alkali metal compounds are, for example, the compounds disclosed in WO 07/050301, WO 07/050334 and EP 1144543. These are via quote part of the present application.
- Preferred organic alkali metal compounds are the compounds of the following formula (B)
- the complex according to formula (B) is present in monomeric form, as shown above, or that it is in the form of aggregates, for example of two alkali metal ions and two ligands, four alkali metal ions and four ligands, six alkali metal ions and six ligands or other aggregates.
- Preferred compounds of the formula (B) are the compounds of the following formulas ( ⁇ ') and (B "),
- the alkali metal M is selected from lithium, sodium and potassium, more preferably lithium and sodium, most preferably lithium.
- a compound of formula ( ⁇ '), in particular with M lithium.
- Examples of suitable organic alkali metal compounds are the structures listed in the following table.
- the ratio of the compound of the present invention to the organic alkali metal compound is preferably 20:80 to 80:20, more preferably 30:70 to 70:30, even more preferably 30:70 to 50:50, in particular 30:70 to 45:55, in each case based on the volume.
- the organic alkali metal compound is particularly preferably present in a higher proportion than the compound according to the invention.
- the layer thickness of this electron transport layer is preferably between 3 and 150 nm, particularly preferably between 5 and 100 nm, very particularly preferably between 10 and 60 nm, in particular between 15 and 40 nm ,
- Layers are present, the layer thickness of the layer containing the compound of the invention, preferably between 3 and 150 nm, more preferably between 5 and 100 nm, most preferably between 10 and 60 nm, in particular between 15 and 40 nm. Die
- the compounds are then preferably used in a hole blocking layer, in particular in a phosphorescent OLED.
- a hole blocking layer in the sense of this invention is a layer which is arranged between an emitting layer and an electron transport layer.
- the compounds according to the invention are used as hole transport material and / or as hole injection material.
- the compounds are then preferably used in a hole transport layer and / or in a hole injection layer.
- a hole injection layer in the sense of this invention is a layer which is directly adjacent to the anode.
- a hole transport layer in the sense of this invention is a layer that lies between the hole injection layer and the emission layer.
- Another object of the invention is an electronic device comprising at least one compound according to one of the formulas (I) or (II), or a polymer, oligomer or dendrimer, as defined above.
- the electronic device is preferably selected from the group consisting of organic electroluminescent devices (OLEDs), organic field-effect transistors (O-FETs), organic thin-film transistors (O-TFTs), organic light-emitting transistors
- OLEDs organic electroluminescent devices
- O-FETs organic field-effect transistors
- O-TFTs organic thin-film transistors
- OLEDs organic light-emitting transistors
- O-LETs organic integrated circuits
- O-ICs organic solar cells
- O-SCs organic field quench devices
- LECs light-emitting electrochemical cells
- O-SCs organic laser diodes
- Laser more preferably organic electroluminescent devices (OLEDs).
- An organic electroluminescent device in the context of the present invention is a device which contains the anode, cathode and at least one emitting layer, which is arranged between the anode and the cathode. In addition, in each case one or more electron-transport layers and / or hole-transport layers and / or further layers may be contained.
- An organic electroluminescent device according to the invention contains at least one layer between the anode and the cathode, which contains one or more of the
- the organic electroluminescent device may also contain further layers. These may be, for example: hole injection layer, electron blocking layer, exciton blocking layer, hole blocking layer, electron injection layer and / or charge generation layer (T.Matsumoto et al., Multiphoton Organic EL Device Having Charge Generation Layer, IDMC 2003, Taiwan; Session 21 OLED (5) ). However, it should be noted at this point that not necessarily each of these layers must be present.
- the organic electroluminescent device does not contain a separate electron transport layer and the emitting layer directly adjoins the electron injection layer or the cathode.
- the matrix material may also simultaneously serve as an electron transport material in an electron transport layer. It may likewise be preferred if the organic electroluminescent device does not contain a separate hole transport layer and the emitting layer directly adjoins the hole injection layer or the anode.
- the present invention also provides organic electroluminescent devices, which are characterized in that a plurality of emitting compounds are used in the same layer or in different layers.
- the compound according to the invention can be used, for example, in an emitting layer as a matrix material or in an electron transport layer as an electron transport material or in a hole transport layer as a hole transport material.
- Compounds of the invention can also be used in several of the layers mentioned.
- the organic electroluminescent device may also include a plurality of emitting layers. These emission layers particularly preferably have a total of a plurality of emission maxima between 380 nm and 750 nm, so that a total of white emission results, ie different emitting layers are emitted in the emitting layers Used compounds that can fluoresce or phosphoresce and emit the blue and yellow, orange or red light. Particularly preferred are three-layer systems, ie systems with three emitting layers, wherein one or more of these layers may contain a compound according to one of the formulas (I) or (II) as matrix material and wherein the three layers show blue, green and orange or red emission (for the basic structure see eg
- the organic electroluminescent device according to the invention contains no separate
- low work function metals, metal alloys or multilayer structures of various metals are preferable, such as alkaline earth metals, alkali metals, main group metals or lanthanides (eg, Ca, Ba, Mg, Al, In, Mg, Yb, Sm, etc.).
- alkaline earth metals alkali metals
- main group metals or lanthanides eg, Ca, Ba, Mg, Al, In, Mg, Yb, Sm, etc.
- further metals which have a relatively high work function, such as, for example, B. Ag, which then usually combinations of metals, such as Ca / Ag or Ba / Ag are used.
- metal alloys especially alloys of an alkali metal or alkaline earth metal and silver, more preferably an alloy of Mg and Ag.
- a metallic cathode and the organic semiconductor may also be preferred to introduce between a metallic cathode and the organic semiconductor a thin intermediate layer of a material with a high dielectric constant.
- Suitable examples of these are alkali metal or alkaline earth metal fluorides, but also the corresponding oxides or carbonates (eg LiF, Li 2 O, CsF, Cs 2 CO 3 , BaF 2 , MgO, NaF, etc.).
- the layer thickness of this layer is preferably between 0.5 and 5 nm.
- materials with a high work function are preferred.
- the anode has a work function greater than 4.5 eV against vacuum.
- metals with a high redox potential such as Ag, Pt or Au, are suitable for this purpose.
- metal / metal oxide electrode (z. B. AI / Ni / NiO, AI / PtO x, WoO 3) may be preferred on the other hand.
- at least one of the electrodes must be transparent to allow either the irradiation of the organic material (O-SC) or the outcoupling of light (OLED / PLED, O-laser).
- a preferred construction uses a transparent anode.
- Preferred anode materials here are conductive mixed metal oxides. Particularly preferred are indium tin oxide (ITO) or indium zinc oxide (IZO).
- the device is structured according to Qe according to application), contacted and finally hermetically sealed, since the life of the devices according to the invention is shortened in the presence of water and / or air.
- an organic electroluminescent device characterized in that one or more layers are coated with a sublimation process.
- the materials in vacuum sublimation systems become smaller at an initial pressure
- an organic electroluminescent device characterized in that one or more layers are coated with the OVPD (Organic Vapor Phase Deposition) method or with the aid of a carrier gas sublimation.
- the materials are applied at a pressure between 1 fJ 5 mbar and 1 bar.
- OVJP Organic Vapor Jet Printing
- the materials are applied directly through a nozzle and thus structured (for example, BMS Arnold et al., Appl. Phys. Lett., 2008, 92, 053301).
- an organic electroluminescent device characterized in that one or more layers of solution, such. B. by spin coating, or with any printing process such.
- any printing process such as screen printing, flexographic printing, nozzle printing or offset printing, but particularly preferably LITI (Light Induced Thermal Imaging,
- the organic electroluminescent device may also be fabricated as a hybrid system by exposing one or more layers
- Solution are applied and one or more other layers are evaporated.
- the emitting layer containing one of the compounds according to the invention and a phosphorescent dopant can be vapor-deposited in vacuo and one or more other layers can be applied from solution.
- the compounds according to the invention When used in organic electroluminescent devices, the compounds according to the invention have the following surprising advantages over the prior art:
- the compounds according to the invention are very suitable for use as matrix material for phosphorescent emitters and lead in this use to good efficiencies, long service life and low operating voltages.
- Electron transport layer is Electron transport layer.
- the organic electroluminescent devices according to the invention simultaneously have a reduced operating voltage.
- the organic electroluminescent devices according to the invention have a very high efficiency.
- the improved efficiency may be due to improved electron injection due to the electron transport layer in the emitting layer.
- Carbazole and 48 g (856 mmol) of potassium hydroxide in 65 ml of dimethyl sulfoxide and 21 ml of water are refluxed for 1 h. It is then cooled to room temperature and neutralized with 1 M HCl solution.
- Boronic acid can be used in this form without further purification.
- tripotassium phosphate 44.6 g (210.0 mmol) of tripotassium phosphate are suspended in 500 ml of toluene, 500 ml of dioxane and 500 ml of water. 913 mg (3.0 mmol) of tri-o-tolylphosphine and then 112 mg (0.5 mmol) are added to this suspension.
- inventive OLEDs and OLEDs according to the prior art is carried out according to a general method according to WO 04/058911, based on the conditions described here
- Emission Layer Emission Layer
- HBL Optional Hole Blocking Layer
- Electron Transport Layer ETL
- EIL Optional Electron Injection Layer
- cathode is formed by a 100 nm thick aluminum layer.
- Table 1 The exact structure of the OLEDs is shown in Table 1.
- Table 3 The materials needed to make the OLEDs are shown in Table 3.
- the emission layer always consists of at least one matrix material (host material, host material) and an emitting dopant (dopant, emitter), which is admixed to the matrix material or the matrix materials by co-evaporation in a specific volume fraction.
- the electron transport layer may consist of a mixture of two materials.
- the OLEDs are characterized by default. Electroluminescence spectra, current efficiency (measured in cd / A), power efficiency (measured in Im / W) and external quantum efficiency are used for this (EQE, measured in percent) as a function of the luminance, calculated from the current-voltage-luminance characteristic curves (IUL characteristic curves) and the service life.
- the electroluminescence spectra are determined at a luminance of 1000 cd / m 2 and from this the CIE 1931 x and y color coordinates are calculated.
- the indication U1000 in Table 2 indicates the voltage required for a luminance of 1000 cd / m 2 .
- SE1000 and LE1000 indicate the power efficiency achieved at 1000 cd / m 2 .
- EQE1000 is the external quantum efficiency at an operating luminance of 1000 cd / m 2 .
- the values for the lifetime can be converted to an indication for other starting luminous densities with the aid of conversion formulas known to the person skilled in the art.
- the life for a starting luminous flux of 1000 cd / m 2 is a common statement.
- Examples V1-V5 are comparative examples according to the prior art, examples E1-E27 show data from OLEDs
- the compounds of the invention can be used in particular as matrix materials (host materials) for phosphorescent dopants.
- the host materials for phosphorescent dopants.
- Lifetime lie This is for example for the compound G1, in which there is an advantage over the prior art of just over 10% in terms of power efficiency at green emission.
- the lifetime improves by about 35% (see examples V4 and E3).
Landscapes
- Chemical & Material Sciences (AREA)
- Organic Chemistry (AREA)
- Engineering & Computer Science (AREA)
- Materials Engineering (AREA)
- Physics & Mathematics (AREA)
- Spectroscopy & Molecular Physics (AREA)
- Inorganic Chemistry (AREA)
- Plural Heterocyclic Compounds (AREA)
- Electroluminescent Light Sources (AREA)
- Nitrogen Condensed Heterocyclic Rings (AREA)
- Nitrogen And Oxygen Or Sulfur-Condensed Heterocyclic Ring Systems (AREA)
- Heterocyclic Carbon Compounds Containing A Hetero Ring Having Oxygen Or Sulfur (AREA)
- Polyoxymethylene Polymers And Polymers With Carbon-To-Carbon Bonds (AREA)
Abstract
Description
Claims
Priority Applications (6)
| Application Number | Priority Date | Filing Date | Title |
|---|---|---|---|
| DE112010004381.7T DE112010004381B4 (de) | 2009-11-14 | 2010-10-20 | Materialien für elektronische Vorrichtungen |
| KR1020127015380A KR101819761B1 (ko) | 2009-11-14 | 2010-10-20 | 전자 소자용 재료 |
| KR1020177020938A KR101886593B1 (ko) | 2009-11-14 | 2010-10-20 | 전자 소자용 재료 |
| JP2012538211A JP5819312B2 (ja) | 2009-11-14 | 2010-10-20 | 電子素子のための材料 |
| US13/509,399 US9334260B2 (en) | 2009-11-14 | 2010-10-20 | Materials for electronic devices |
| CN201080051333.7A CN102770427B (zh) | 2009-11-14 | 2010-10-20 | 用于电子器件的材料 |
Applications Claiming Priority (2)
| Application Number | Priority Date | Filing Date | Title |
|---|---|---|---|
| DE102009053382A DE102009053382A1 (de) | 2009-11-14 | 2009-11-14 | Materialien für elektronische Vorrichtungen |
| DE102009053382.6 | 2009-11-14 |
Publications (3)
| Publication Number | Publication Date |
|---|---|
| WO2011057706A2 true WO2011057706A2 (de) | 2011-05-19 |
| WO2011057706A3 WO2011057706A3 (de) | 2011-08-25 |
| WO2011057706A8 WO2011057706A8 (de) | 2012-08-23 |
Family
ID=43533247
Family Applications (1)
| Application Number | Title | Priority Date | Filing Date |
|---|---|---|---|
| PCT/EP2010/006415 Ceased WO2011057706A2 (de) | 2009-11-14 | 2010-10-20 | Materialien für elektronische vorrichtungen |
Country Status (7)
| Country | Link |
|---|---|
| US (1) | US9334260B2 (de) |
| JP (1) | JP5819312B2 (de) |
| KR (2) | KR101886593B1 (de) |
| CN (1) | CN102770427B (de) |
| DE (2) | DE102009053382A1 (de) |
| TW (1) | TW201134823A (de) |
| WO (1) | WO2011057706A2 (de) |
Cited By (178)
| Publication number | Priority date | Publication date | Assignee | Title |
|---|---|---|---|---|
| WO2012048781A1 (de) | 2010-10-15 | 2012-04-19 | Merck Patent Gmbh | Materialien auf basis von triphenylen für organische elektrolumineszenzvorrichtungen |
| WO2012067425A1 (en) * | 2010-11-16 | 2012-05-24 | Rohm And Haas Electronic Materials Korea Ltd. | Novel compound for organic electronic material and organic electroluminescent device using the same |
| WO2012077520A1 (ja) * | 2010-12-09 | 2012-06-14 | 新日鐵化学株式会社 | 有機電界発光素子 |
| DE102012000064A1 (de) | 2011-01-21 | 2012-07-26 | Merck Patent Gmbh | Materialien für organische Elektrolumineszenzvorrichtungen |
| WO2012136295A1 (de) | 2011-04-05 | 2012-10-11 | Merck Patent Gmbh | Organische elektrolumineszenzvorrichtung |
| CN102952120A (zh) * | 2011-08-26 | 2013-03-06 | 昱镭光电科技股份有限公司 | 用于有机电致发光装置的化合物及使用该化合物的有机电致发光装置 |
| WO2013038804A1 (ja) | 2011-09-12 | 2013-03-21 | 新日鉄住金化学株式会社 | 有機電界発光素子 |
| WO2013041176A1 (de) * | 2011-09-21 | 2013-03-28 | Merck Patent Gmbh | Carbazolderivate für organische elektrolumineszenzvorrichtungen |
| WO2013046635A1 (ja) * | 2011-09-28 | 2013-04-04 | 出光興産株式会社 | 有機エレクトロルミネッセンス素子用材料及びそれを用いた有機エレクトロルミネッセンス素子 |
| WO2013081088A1 (ja) * | 2011-12-02 | 2013-06-06 | 国立大学法人九州大学 | 有機発光素子ならびにそれに用いる遅延蛍光材料および化合物 |
| WO2013083216A1 (de) | 2011-11-17 | 2013-06-13 | Merck Patent Gmbh | Spiro -dihydroacridinderivate und ihre verwendung als materialien für organische elektrolumineszenzvorrichtungen |
| CN103159745A (zh) * | 2011-12-16 | 2013-06-19 | 昱镭光电科技股份有限公司 | 用于有机电激发光装置的化合物及有机电激发光装置 |
| WO2013100538A1 (ko) * | 2011-12-26 | 2013-07-04 | 제일모직 주식회사 | 유기광전자소자용 화합물, 이를 포함하는 유기발광소자 및 상기 유기발광소자를 포함하는 표시장치 |
| WO2013100540A1 (ko) * | 2011-12-30 | 2013-07-04 | 제일모직 주식회사 | 유기광전자소자용 화합물, 이를 포함하는 유기발광소자 및 상기 유기발광소자를 포함하는 표시장치 |
| WO2013100539A1 (ko) * | 2011-12-26 | 2013-07-04 | 제일모직 주식회사 | 유기광전자소자용 화합물, 이를 포함하는 유기발광소자 및 상기 유기발광소자를 포함하는 표시장치 |
| EP2629346A3 (de) * | 2012-02-14 | 2013-09-04 | Samsung Display Co., Ltd. | Organische lichtemittierende Vorrichtung mit verbesserten Effizienzmerkmalen und organische lichtemittierende Anzeigevorrichtung damit |
| WO2013139431A1 (de) | 2012-03-23 | 2013-09-26 | Merck Patent Gmbh | 9,9'-spirobixanthenderivate für elektrolumineszenzvorrichtungen |
| WO2013165192A1 (en) * | 2012-05-02 | 2013-11-07 | Rohm And Haas Electronic Materials Korea Ltd. | Novel organic electroluminescence compounds and organic electroluminescence device containing the same |
| US20130313531A1 (en) * | 2010-07-09 | 2013-11-28 | Udc Ireland Limited | Organic Electroluminescent Element |
| US20130331582A1 (en) * | 2010-10-11 | 2013-12-12 | Solvay Societe Anonyme | N-cycloalkylalkyl triscarbazoles |
| WO2014015931A1 (de) | 2012-07-23 | 2014-01-30 | Merck Patent Gmbh | Materialien für organische elektrolumineszenzvorrichtungen |
| WO2014051004A1 (ja) * | 2012-09-28 | 2014-04-03 | 出光興産株式会社 | 有機エレクトロルミネッセンス素子用材料及び有機エレクトロルミネッセンス素子 |
| WO2014106524A2 (de) | 2013-01-03 | 2014-07-10 | Merck Patent Gmbh | Materialien für elektronische vorrichtungen |
| JP2015502338A (ja) * | 2011-10-27 | 2015-01-22 | メルク パテント ゲーエムベーハー | 電子素子のための材料 |
| WO2015009102A1 (ko) * | 2013-07-19 | 2015-01-22 | 주식회사 두산 | 유기발광 화합물 및 이를 이용한 유기 전계 발광 소자 |
| WO2015033894A1 (ja) * | 2013-09-04 | 2015-03-12 | 出光興産株式会社 | カルバゾール誘導体、これを用いた有機エレクトロルミネッセンス素子用材料、並びにこれを用いた有機エレクトロルミネッセンス素子及び電子機器 |
| WO2015036080A1 (de) | 2013-09-11 | 2015-03-19 | Merck Patent Gmbh | Organische elektrolumineszenzvorrichtung |
| KR101507003B1 (ko) * | 2011-12-29 | 2015-03-30 | 제일모직 주식회사 | 유기광전자소자용 화합물, 이를 포함하는 유기발광소자 및 상기 유기발광소자를 포함하는 표시장치 |
| WO2015051869A1 (de) * | 2013-10-08 | 2015-04-16 | Merck Patent Gmbh | Materialien für elektronische vorrichtungen |
| WO2015128779A1 (en) * | 2014-02-25 | 2015-09-03 | Basf Se | Heteroacenes for organic electronics |
| WO2015165563A1 (de) | 2014-04-30 | 2015-11-05 | Merck Patent Gmbh | Materialien für elektronische vorrichtungen |
| WO2015169412A1 (de) | 2014-05-05 | 2015-11-12 | Merck Patent Gmbh | Materialien für organische elektrolumineszenzvorrichtungen |
| WO2015192941A1 (de) | 2014-06-18 | 2015-12-23 | Merck Patent Gmbh | Zusammensetzungen für elektronische vorrichtungen |
| WO2015197156A1 (de) | 2014-06-25 | 2015-12-30 | Merck Patent Gmbh | Materialien für organische elektrolumineszenzvorrichtungen |
| EP3034506A1 (de) | 2014-12-15 | 2016-06-22 | Idemitsu Kosan Co., Ltd | 4-funktionalisierte Carbazolderivate für elektronische Anwendungen |
| US20160181548A1 (en) * | 2013-07-30 | 2016-06-23 | Merck Patent Gmbh | Materials for electronic devices |
| WO2016124304A1 (de) | 2015-02-03 | 2016-08-11 | Merck Patent Gmbh | Metallkomplexe |
| WO2016198144A1 (en) | 2015-06-10 | 2016-12-15 | Merck Patent Gmbh | Materials for organic electroluminescent devices |
| WO2017016630A1 (en) | 2015-07-30 | 2017-02-02 | Merck Patent Gmbh | Materials for organic electroluminescent devices |
| WO2017071791A1 (en) | 2015-10-27 | 2017-05-04 | Merck Patent Gmbh | Materials for organic electroluminescent devices |
| KR20170137036A (ko) | 2015-03-30 | 2017-12-12 | 신닛테츠 수미킨 가가쿠 가부시키가이샤 | 유기 전계 발광 소자 |
| EP3257850A4 (de) * | 2015-02-13 | 2017-12-20 | Konica Minolta, Inc. | Aromatisches heterocyclisches derivat und organisches elektrolumineszenzelement, beleuchtungsvorrichtung und anzeigevorrichtung mit dem aromatischen heterocyclischen derivat |
| WO2018087022A1 (de) | 2016-11-09 | 2018-05-17 | Merck Patent Gmbh | Materialien für organische elektrolumineszenzvorrichtungen |
| WO2018104193A1 (de) | 2016-12-05 | 2018-06-14 | Merck Patent Gmbh | Materialien für organische elektrolumineszenzvorrichtungen |
| WO2018104194A1 (de) | 2016-12-05 | 2018-06-14 | Merck Patent Gmbh | Materialien für organische elektrolumineszenzvorrichtungen |
| WO2018127465A1 (de) | 2017-01-04 | 2018-07-12 | Merck Patent Gmbh | Materialien für organische elektrolumineszenzvorrichtungen |
| EP3269789A4 (de) * | 2015-03-09 | 2018-08-01 | Hodogaya Chemical Co., Ltd. | Lichtemittierendes material und organisches elektrolumineszentes element |
| WO2018138306A1 (de) | 2017-01-30 | 2018-08-02 | Merck Patent Gmbh | Materialien für organische elektrolumineszenzvorrichtungen |
| WO2018149769A1 (de) | 2017-02-14 | 2018-08-23 | Merck Patent Gmbh | Materialien für organische elektrolumineszenzvorrichtungen |
| WO2018189134A1 (de) | 2017-04-13 | 2018-10-18 | Merck Patent Gmbh | Zusammensetzung für organische elektronische vorrichtungen |
| WO2019007867A1 (de) | 2017-07-05 | 2019-01-10 | Merck Patent Gmbh | Zusammensetzung für organische elektronische vorrichtungen |
| WO2019007866A1 (de) | 2017-07-05 | 2019-01-10 | Merck Patent Gmbh | Zusammensetzung für organische elektronische vorrichtungen |
| WO2019081391A1 (de) | 2017-10-24 | 2019-05-02 | Merck Patent Gmbh | Materialien für organische elektrolumineszenzvorrichtungen |
| WO2019096717A2 (de) | 2017-11-14 | 2019-05-23 | Merck Patent Gmbh | Zusammensetzung für organische elektronische vorrichtungen |
| WO2019145316A1 (de) | 2018-01-25 | 2019-08-01 | Merck Patent Gmbh | Materialien für organische elektrolumineszenzvorrichtungen |
| WO2019233904A1 (de) | 2018-06-07 | 2019-12-12 | Merck Patent Gmbh | Organische elektrolumineszenzvorrichtungen |
| WO2020011686A1 (de) | 2018-07-09 | 2020-01-16 | Merck Patent Gmbh | Materialien für organische elektrolumineszenzvorrichtungen |
| US10547014B2 (en) | 2017-06-23 | 2020-01-28 | Kyulux, Inc. | Composition of matter for use in organic light-emitting diodes |
| US10644249B2 (en) | 2017-12-22 | 2020-05-05 | Kyulux, Inc. | Composition of matter for use in organic light-emitting diodes |
| WO2020094542A1 (de) | 2018-11-06 | 2020-05-14 | Merck Patent Gmbh | 5,6-diphenyl-5,6-dihydro-dibenz[c,e][1,2]azaphosphorin- und 6-phenyl-6h-dibenzo[c,e][1,2]thiazin-5,5-dioxid-derivate und ähnliche verbindungen als organische elektrolumineszenzmaterialien für oleds |
| WO2020099307A1 (de) | 2018-11-15 | 2020-05-22 | Merck Patent Gmbh | Materialien für organische elektrolumineszenzvorrichtungen |
| WO2020127165A1 (de) | 2018-12-19 | 2020-06-25 | Merck Patent Gmbh | Materialien für organische elektrolumineszenzvorrichtungen |
| WO2020182779A1 (de) | 2019-03-12 | 2020-09-17 | Merck Patent Gmbh | Materialien für organische elektrolumineszenzvorrichtungen |
| EP3712229A1 (de) | 2013-07-30 | 2020-09-23 | Merck Patent GmbH | Materialien für elektronische vorrichtungen |
| WO2020187865A1 (de) | 2019-03-20 | 2020-09-24 | Merck Patent Gmbh | Materialien für organische elektrolumineszenzvorrichtungen |
| WO2020193447A1 (de) | 2019-03-25 | 2020-10-01 | Merck Patent Gmbh | Materialien für organische elektrolumineszenzvorrichtungen |
| US10892425B1 (en) | 2017-03-03 | 2021-01-12 | Kyulux, Inc. | Composition of matter for use in organic light-emitting diodes |
| WO2021037401A1 (de) | 2019-08-26 | 2021-03-04 | Merck Patent Gmbh | Materialien für organische elektrolumineszenzvorrichtungen |
| WO2021043703A1 (de) | 2019-09-02 | 2021-03-11 | Merck Patent Gmbh | Materialien für organische elektrolumineszenzvorrichtungen |
| WO2021043755A1 (de) | 2019-09-03 | 2021-03-11 | Merck Patent Gmbh | Materialien für organische elektrolumineszenzvorrichtungen |
| WO2021053046A1 (de) | 2019-09-20 | 2021-03-25 | Merck Patent Gmbh | Peri-kondensierte heterozyklische verbindungen als materialien für elektronische vorrichtungen |
| WO2021078831A1 (de) | 2019-10-25 | 2021-04-29 | Merck Patent Gmbh | In einer organischen elektronischen vorrichtung einsetzbare verbindungen |
| WO2021078710A1 (en) | 2019-10-22 | 2021-04-29 | Merck Patent Gmbh | Materials for organic electroluminescent devices |
| WO2021122538A1 (de) | 2019-12-18 | 2021-06-24 | Merck Patent Gmbh | Aromatische verbindungen für organische elektrolumineszenzvorrichtungen |
| WO2021122740A1 (de) | 2019-12-19 | 2021-06-24 | Merck Patent Gmbh | Polycyclische verbindungen für organische elektrolumineszenzvorrichtungen |
| WO2021122535A1 (de) | 2019-12-17 | 2021-06-24 | Merck Patent Gmbh | Materialien für organische elektrolumineszenzvorrichtungen |
| US11069860B2 (en) | 2017-08-21 | 2021-07-20 | Kyulux, Inc. | Composition of matter for use in organic light-emitting diodes |
| WO2021151922A1 (de) | 2020-01-29 | 2021-08-05 | Merck Patent Gmbh | Benzimidazol-derivate |
| US11104669B2 (en) | 2018-02-02 | 2021-08-31 | Kyulux, Inc. | Composition of matter for use in organic light-emitting diodes |
| WO2021170522A1 (de) | 2020-02-25 | 2021-09-02 | Merck Patent Gmbh | Verwendung von heterocyclischen verbindungen in einer organischen elektronischen vorrichtung |
| WO2021175706A1 (de) | 2020-03-02 | 2021-09-10 | Merck Patent Gmbh | Verwendung von sulfonverbindungen in einer organischen elektronischen vorrichtung |
| WO2021185829A1 (de) | 2020-03-17 | 2021-09-23 | Merck Patent Gmbh | Heterocyclische verbindungen für organische elektrolumineszenzvorrichtungen |
| WO2021185712A1 (de) | 2020-03-17 | 2021-09-23 | Merck Patent Gmbh | Heteroaromatische verbindungen für organische elektrolumineszenzvorrichtungen |
| WO2021191183A1 (de) | 2020-03-26 | 2021-09-30 | Merck Patent Gmbh | Cyclische verbindungen für organische elektrolumineszenzvorrichtungen |
| WO2021191117A1 (de) | 2020-03-24 | 2021-09-30 | Merck Patent Gmbh | Materialien für elektronische vorrichtungen |
| WO2021198213A1 (de) | 2020-04-02 | 2021-10-07 | Merck Patent Gmbh | Materialien für organische elektrolumineszenzvorrichtungen |
| WO2021204646A1 (de) | 2020-04-06 | 2021-10-14 | Merck Patent Gmbh | Polycyclische verbindungen für organische elektrolumineszenzvorrichtungen |
| WO2022002771A1 (de) | 2020-06-29 | 2022-01-06 | Merck Patent Gmbh | Heterocyclische verbindungen für organische elektrolumineszenzvorrichtungen |
| WO2022002772A1 (de) | 2020-06-29 | 2022-01-06 | Merck Patent Gmbh | Heteroaromatische verbindungen für organische elektrolumineszenzvorrichtungen |
| WO2022029096A1 (de) | 2020-08-06 | 2022-02-10 | Merck Patent Gmbh | Materialien für organische elektrolumineszenzvorrichtungen |
| WO2022038065A1 (de) | 2020-08-18 | 2022-02-24 | Merck Patent Gmbh | Materialien für organische elektrolumineszenzvorrichtungen |
| WO2022038066A1 (de) | 2020-08-19 | 2022-02-24 | Merck Patent Gmbh | Materialien für organische elektrolumineszenzvorrichtungen |
| US11283027B1 (en) | 2017-03-03 | 2022-03-22 | Kyulux, Inc. | Composition of matter for use in organic light-emitting diodes |
| WO2022069422A1 (de) | 2020-09-30 | 2022-04-07 | Merck Patent Gmbh | Verbindungen zur strukturierung von funktionalen schichten organischer elektrolumineszenzvorrichtungen |
| WO2022069421A1 (de) | 2020-09-30 | 2022-04-07 | Merck Patent Gmbh | Zur strukturierung von funktionalen schichten organischer elektrolumineszenzvorrichtungen einsetzbare verbindungen |
| WO2022079067A1 (de) | 2020-10-16 | 2022-04-21 | Merck Patent Gmbh | Verbindungen mit heteroatomen für organische elektrolumineszenzvorrichtungen |
| WO2022079068A1 (de) | 2020-10-16 | 2022-04-21 | Merck Patent Gmbh | Heterocyclische verbindungen für organische elektrolumineszenzvorrichtungen |
| WO2022101171A1 (de) | 2020-11-10 | 2022-05-19 | Merck Patent Gmbh | Schwefelhaltige verbindungen für organische elektrolumineszenzvorrichtungen |
| WO2022117473A1 (de) | 2020-12-02 | 2022-06-09 | Merck Patent Gmbh | Heterocyclische verbindungen für organische elektrolumineszenzvorrichtungen |
| WO2022122682A2 (de) | 2020-12-10 | 2022-06-16 | Merck Patent Gmbh | Materialien für organische elektrolumineszenzvorrichtungen |
| WO2022129114A1 (de) | 2020-12-18 | 2022-06-23 | Merck Patent Gmbh | Stickstoffhaltige verbindungen für organische elektrolumineszenzvorrichtungen |
| WO2022129113A1 (de) | 2020-12-18 | 2022-06-23 | Merck Patent Gmbh | Stickstoffhaltige heteroaromaten für organische elektrolumineszenzvorrichtungen |
| WO2022129116A1 (de) | 2020-12-18 | 2022-06-23 | Merck Patent Gmbh | Indolo[3.2.1-jk]carbazole-6-carbonitril-derivate als blau fluoreszierende emitter zur verwendung in oleds |
| WO2022148717A1 (de) | 2021-01-05 | 2022-07-14 | Merck Patent Gmbh | Materialien für organische elektrolumineszenzvorrichtungen |
| WO2022157343A1 (de) | 2021-01-25 | 2022-07-28 | Merck Patent Gmbh | Stickstoffhaltige verbindungen für organische elektrolumineszenzvorrichtungen |
| WO2022184601A1 (de) | 2021-03-02 | 2022-09-09 | Merck Patent Gmbh | Verbindungen für organische elektrolumineszenzvorrichtungen |
| US11444250B2 (en) | 2017-12-05 | 2022-09-13 | Kyulux, Inc. | Composition of matter for use in organic light-emitting diodes |
| WO2022194799A1 (de) | 2021-03-18 | 2022-09-22 | Merck Patent Gmbh | Heteroaromatische verbindungen für organische elektrolumineszenzvorrichtungen |
| WO2022200638A1 (de) | 2021-07-06 | 2022-09-29 | Merck Patent Gmbh | Materialien für organische elektrolumineszenzvorrichtungen |
| WO2022229298A1 (de) | 2021-04-29 | 2022-11-03 | Merck Patent Gmbh | Materialien für organische elektrolumineszenzvorrichtungen |
| WO2022229234A1 (de) | 2021-04-30 | 2022-11-03 | Merck Patent Gmbh | Stickstoffhaltige, heterocyclische verbindungen für organische elektrolumineszenzvorrichtungen |
| WO2022229126A1 (de) | 2021-04-29 | 2022-11-03 | Merck Patent Gmbh | Materialien für organische elektrolumineszenzvorrichtungen |
| US11498914B2 (en) | 2018-03-30 | 2022-11-15 | Kyulux, Inc. | Composition of matter for use in organic light-emitting diodes |
| WO2022243403A1 (de) | 2021-05-21 | 2022-11-24 | Merck Patent Gmbh | Verfahren zur kontinuierlichen aufreinigung von mindestens einem funktionalen material und vorrichtung zur kontinuierlichen aufreinigung von mindestens einem funktionalen material |
| US11542260B2 (en) | 2018-01-31 | 2023-01-03 | Kyulux, Inc. | Composition of matter for use in organic light-emitting diodes |
| US11575088B2 (en) | 2017-12-22 | 2023-02-07 | Kyulux, Inc. | Composition of matter for use in organic light-emitting diodes |
| US11608333B2 (en) | 2018-03-20 | 2023-03-21 | Kyulux, Inc. | Composition of matter for use in organic light-emitting diodes |
| WO2023041454A1 (de) | 2021-09-14 | 2023-03-23 | Merck Patent Gmbh | Borhaltige, heterocyclische verbindungen für organische elektrolumineszenzvorrichtungen |
| WO2023052314A1 (de) | 2021-09-28 | 2023-04-06 | Merck Patent Gmbh | Materialien für elektronische vorrichtungen |
| WO2023052313A1 (de) | 2021-09-28 | 2023-04-06 | Merck Patent Gmbh | Materialien für elektronische vorrichtungen |
| WO2023052272A1 (de) | 2021-09-28 | 2023-04-06 | Merck Patent Gmbh | Materialien für elektronische vorrichtungen |
| WO2023052275A1 (de) | 2021-09-28 | 2023-04-06 | Merck Patent Gmbh | Materialien für elektronische vorrichtungen |
| WO2023072799A1 (de) | 2021-10-27 | 2023-05-04 | Merck Patent Gmbh | Bor- und stickstoffhaltige, heterocyclische verbindungen für organische elektrolumineszenzvorrichtungen |
| WO2023094412A1 (de) | 2021-11-25 | 2023-06-01 | Merck Patent Gmbh | Materialien für elektronische vorrichtungen |
| WO2023110742A1 (de) | 2021-12-13 | 2023-06-22 | Merck Patent Gmbh | Materialien für organische elektrolumineszenzvorrichtungen |
| WO2023117837A1 (de) | 2021-12-21 | 2023-06-29 | Merck Patent Gmbh | Verfahren zur herstellung von deuterierten organischen verbindungen |
| WO2023139034A1 (en) | 2022-01-20 | 2023-07-27 | Merck Patent Gmbh | Organic electric element with mixed host system |
| WO2023152063A1 (de) | 2022-02-09 | 2023-08-17 | Merck Patent Gmbh | Materialien für organische elektrolumineszenzvorrichtungen |
| WO2023152346A1 (de) | 2022-02-14 | 2023-08-17 | Merck Patent Gmbh | Materialien für elektronische vorrichtungen |
| WO2023161167A1 (de) | 2022-02-23 | 2023-08-31 | Merck Patent Gmbh | Stickstoffhaltige heterocyclen für organische elektrolumineszenzvorrichtungen |
| WO2023161168A1 (de) | 2022-02-23 | 2023-08-31 | Merck Patent Gmbh | Aromatische heterocyclen für organische elektrolumineszenzvorrichtungen |
| US11778904B2 (en) | 2018-05-09 | 2023-10-03 | Kyulux, Inc. | Composition of matter for use in organic light-emitting diodes |
| WO2023213837A1 (de) | 2022-05-06 | 2023-11-09 | Merck Patent Gmbh | Cyclische verbindungen für organische elektrolumineszenzvorrichtungen |
| WO2023222559A1 (de) | 2022-05-18 | 2023-11-23 | Merck Patent Gmbh | Verfahren zur herstellung von deuterierten organischen verbindungen |
| WO2023247345A1 (de) | 2022-06-20 | 2023-12-28 | Merck Patent Gmbh | Heterocyclen für photoelektrische vorrichtungen |
| WO2023247338A1 (de) | 2022-06-20 | 2023-12-28 | Merck Patent Gmbh | Organische heterocyclen für photoelektrische vorrichtungen |
| WO2024013004A1 (de) | 2022-07-11 | 2024-01-18 | Merck Patent Gmbh | Materialien für elektronische vorrichtungen |
| WO2024061948A1 (de) | 2022-09-22 | 2024-03-28 | Merck Patent Gmbh | Stickstoffenthaltende heterocyclen für organische elektrolumineszenzvorrichtungen |
| WO2024061942A1 (de) | 2022-09-22 | 2024-03-28 | Merck Patent Gmbh | Stickstoffenthaltende verbindungen für organische elektrolumineszenzvorrichtungen |
| WO2024094592A2 (de) | 2022-11-01 | 2024-05-10 | Merck Patent Gmbh | Stickstoffhaltige heterocyclen für organische elektrolumineszenzvorrichtungen |
| WO2024121133A1 (de) | 2022-12-08 | 2024-06-13 | Merck Patent Gmbh | Organische elektronische vorrichtung und spezielle materialien für organische elektronische vorrichtungen |
| WO2024133048A1 (en) | 2022-12-20 | 2024-06-27 | Merck Patent Gmbh | Method for preparing deuterated aromatic compounds |
| WO2024132993A1 (de) | 2022-12-19 | 2024-06-27 | Merck Patent Gmbh | Materialien für elektronische vorrichtungen |
| WO2024149694A1 (de) | 2023-01-10 | 2024-07-18 | Merck Patent Gmbh | Stickstoffhaltige heterocyclen für organische elektrolumineszenzvorrichtungen |
| WO2024153568A1 (de) | 2023-01-17 | 2024-07-25 | Merck Patent Gmbh | Heterocyclen für organische elektrolumineszenzvorrichtungen |
| WO2024184050A1 (de) | 2023-03-07 | 2024-09-12 | Merck Patent Gmbh | Cyclische stickstoffverbindungen für organische elektrolumineszenzvorrichtungen |
| WO2024194264A1 (de) | 2023-03-20 | 2024-09-26 | Merck Patent Gmbh | Materialien für organische elektrolumineszenzvorrichtungen |
| WO2024218109A1 (de) | 2023-04-20 | 2024-10-24 | Merck Patent Gmbh | Materialien für elektronische vorrichtungen |
| WO2024240725A1 (de) | 2023-05-25 | 2024-11-28 | Merck Patent Gmbh | Tris[1,2,4]triazolo[1,5-a:1',5'-c:1'',5''-e][1,3,5]triazin-derivate zur verwendung in organischen elektrolumineszenzvorrichtungen |
| WO2024256357A1 (de) | 2023-06-12 | 2024-12-19 | Merck Patent Gmbh | Organische heterocyclen für photoelektrische vorrichtungen |
| EP4486099A1 (de) | 2023-06-30 | 2025-01-01 | Merck Patent GmbH | Verbindungen für organische elektrolumineszenzvorrichtungen |
| WO2025003084A1 (de) | 2023-06-28 | 2025-01-02 | Merck Patent Gmbh | Dicyanoarylverbindungen für organische elektrolumineszenzvorrichtungen |
| WO2025021855A1 (de) | 2023-07-27 | 2025-01-30 | Merck Patent Gmbh | Materialien für organische lichtemittierende vorrichtungen und organische sensoren |
| WO2025045816A1 (en) | 2023-08-29 | 2025-03-06 | Merck Patent Gmbh | Materials for organic electroluminescent devices |
| WO2025045851A1 (de) | 2023-08-30 | 2025-03-06 | Merck Patent Gmbh | Materialien für organische lichtemittierende vorrichtungen |
| WO2025045935A1 (de) | 2023-08-31 | 2025-03-06 | Merck Patent Gmbh | Cyanogruppen-enthaltende aromaten für organische elektrolumineszenzvorrichtungen |
| WO2025045842A1 (de) | 2023-08-30 | 2025-03-06 | Merck Patent Gmbh | Materialien für organische lichtemittierende vorrichtungen |
| WO2025045843A1 (de) | 2023-08-30 | 2025-03-06 | Merck Patent Gmbh | Materialien für organische lichtemittierende vorrichtungen |
| WO2025073675A1 (en) | 2023-10-04 | 2025-04-10 | Merck Patent Gmbh | Materials for organic electroluminescent devices |
| WO2025105757A1 (ko) * | 2023-11-13 | 2025-05-22 | 엘티소재주식회사 | 화합물, 유기 발광 소자 및 유기 발광 소자의 유기물층용 조성물 |
| WO2025104058A1 (de) | 2023-11-16 | 2025-05-22 | Merck Patent Gmbh | Materialien für organische elektronische vorrichtungen |
| WO2025109056A1 (de) | 2023-11-24 | 2025-05-30 | Merck Patent Gmbh | Sauerstoffenthaltende heterocyclen für organische elektrolumineszenzvorrichtungen |
| WO2025119821A1 (en) | 2023-12-05 | 2025-06-12 | Merck Patent Gmbh | Material composition for organic electroluminescent devices |
| WO2025132551A1 (de) | 2023-12-22 | 2025-06-26 | Merck Patent Gmbh | Materialien für elektronische vorrichtungen |
| WO2025132547A1 (en) | 2023-12-21 | 2025-06-26 | Merck Patent Gmbh | Mechanochemical method for deuterating organic compounds |
| WO2025168515A1 (de) | 2024-02-06 | 2025-08-14 | Merck Patent Gmbh | Materialien für organische elektronische vorrichtungen |
| WO2025181097A1 (de) | 2024-02-29 | 2025-09-04 | Merck Patent Gmbh | Stickstoffenthaltende heterocyclen für organische elektrolumineszenzvorrichtungen |
| WO2025181124A1 (de) | 2024-03-01 | 2025-09-04 | Merck Patent Gmbh | Materialien für organische elektrolumineszenzvorrichtungen |
| WO2025181044A1 (de) | 2024-02-29 | 2025-09-04 | Merck Patent Gmbh | Stickstoffenthaltende verbindungen für organische elektrolumineszenzvorrichtungen |
| WO2025195961A1 (de) | 2024-03-19 | 2025-09-25 | Merck Patent Gmbh | Organische lichtemittierende vorrichtungen |
| WO2025210013A1 (de) | 2024-04-04 | 2025-10-09 | Merck Patent Gmbh | Verbindungen für elektronische vorrichtungen, insbesondere verbindungen für oleds |
| WO2025228800A1 (de) | 2024-04-30 | 2025-11-06 | Merck Patent Gmbh | Materialien für organische elektronische vorrichtungen |
| WO2026008710A1 (de) | 2024-07-05 | 2026-01-08 | Merck Patent Gmbh | Cyclische siliciumverbindungen für organische elektrolumineszenzvorrichtungen |
| WO2026017611A1 (en) | 2024-07-15 | 2026-01-22 | Merck Patent Gmbh | Organic light emitting device |
| WO2026017608A1 (de) | 2024-07-15 | 2026-01-22 | Merck Patent Gmbh | Materialien für organische lichtemittierende vorrichtungen |
| WO2026017607A1 (en) | 2024-07-15 | 2026-01-22 | Merck Patent Gmbh | Organic light-emitting device |
| WO2026017612A1 (en) | 2024-07-15 | 2026-01-22 | Merck Patent Gmbh | Organic light-emitting device |
| WO2026022016A1 (de) | 2024-07-22 | 2026-01-29 | Merck Patent Gmbh | Materialien für organische lichtemittierende vorrichtungen |
Families Citing this family (50)
| Publication number | Priority date | Publication date | Assignee | Title |
|---|---|---|---|---|
| EP2471800B1 (de) * | 2009-08-27 | 2014-01-15 | National Institute of Advanced Industrial Science And Technology | Iridiumkomplex und daraus geformtes lichtemittierendes material |
| DE102009041289A1 (de) * | 2009-09-16 | 2011-03-17 | Merck Patent Gmbh | Organische Elektrolumineszenzvorrichtung |
| DE102010010481A1 (de) | 2010-03-06 | 2011-09-08 | Merck Patent Gmbh | Organische Elektrolumineszenzvorrichtung |
| DE102010012738A1 (de) | 2010-03-25 | 2011-09-29 | Merck Patent Gmbh | Materialien für organische Elektrolumineszenzvorrichtungen |
| KR20120057561A (ko) | 2010-04-20 | 2012-06-05 | 이데미쓰 고산 가부시키가이샤 | 비스카르바졸 유도체, 유기 일렉트로루미네선스 소자용 재료 및 그것을 사용한 유기 일렉트로루미네선스 소자 |
| DE102010019306B4 (de) | 2010-05-04 | 2021-05-20 | Merck Patent Gmbh | Organische Elektrolumineszenzvorrichtungen |
| JP5783173B2 (ja) * | 2010-06-02 | 2015-09-24 | Jnc株式会社 | 電子受容性窒素含有へテロアリールを含む置換基を有するカルバゾール化合物および有機電界発光素子 |
| KR101420318B1 (ko) * | 2010-06-17 | 2014-07-16 | 이-레이 옵토일렉트로닉스 테크놀로지 컴퍼니 리미티드 | 유기전계발광장치용 화합물 및 이를 포함하는 유기전계발광장치 |
| DE102010055901A1 (de) * | 2010-12-23 | 2012-06-28 | Merck Patent Gmbh | Organische Elektrolumineszenzvorrichtung |
| TWI591154B (zh) | 2011-02-07 | 2017-07-11 | Idemitsu Kosan Co | Biscarbazole derivatives and organic electroluminescent devices using the same |
| US20140197399A1 (en) * | 2011-08-23 | 2014-07-17 | Konica Minolta, Inc. | Organic electroluminescent element, lighting device and display device |
| KR102261235B1 (ko) | 2011-11-22 | 2021-06-04 | 이데미쓰 고산 가부시키가이샤 | 방향족 복소 고리 유도체, 유기 일렉트로루미네선스 소자용 재료 및 유기 일렉트로루미네선스 소자 |
| WO2013096832A2 (en) * | 2011-12-22 | 2013-06-27 | Georgia Tech Research Corporation | Small molecule crosslinkable triscarbazole hole transport materials |
| WO2014188947A1 (ja) * | 2013-05-20 | 2014-11-27 | 保土谷化学工業株式会社 | 新規なピリミジン誘導体および有機エレクトロルミネッセンス素子 |
| KR101547065B1 (ko) * | 2013-07-29 | 2015-08-25 | 주식회사 엘지화학 | 헤테로 고리 화합물 및 이를 포함하는 유기 발광 소자 |
| KR102145888B1 (ko) | 2013-12-13 | 2020-08-20 | 삼성디스플레이 주식회사 | 트리아진계 화합물 및 이를 포함하는 유기 발광 소자 |
| KR101622811B1 (ko) * | 2013-12-17 | 2016-05-19 | 주식회사 두산 | 유기 화합물 및 이를 포함하는 유기 전계 발광 소자 |
| KR102280686B1 (ko) * | 2014-02-11 | 2021-07-22 | 삼성전자주식회사 | 카바졸계 화합물 및 이를 포함한 유기 발광 소자 |
| WO2015171627A1 (en) * | 2014-05-08 | 2015-11-12 | Universal Display Corporation | Stabilized imidazophenanthridine materials |
| US10403830B2 (en) | 2014-05-08 | 2019-09-03 | Universal Display Corporation | Organic electroluminescent materials and devices |
| US10301338B2 (en) | 2014-05-08 | 2019-05-28 | Universal Display Corporation | Organic electroluminescent materials and devices |
| US10636983B2 (en) | 2014-05-08 | 2020-04-28 | Universal Display Corporation | Organic electroluminescent materials and devices |
| EP3180411B1 (de) * | 2014-08-13 | 2018-08-29 | Merck Patent GmbH | Materialien für organische elektrolumineszenzvorrichtungen |
| CN106715420A (zh) * | 2014-09-25 | 2017-05-24 | 西诺拉股份有限公司 | 可交联主体材料 |
| KR101560102B1 (ko) * | 2014-11-20 | 2015-10-13 | 주식회사 엘지화학 | 유기 발광 소자 |
| KR101879232B1 (ko) * | 2015-08-07 | 2018-07-17 | 머티어리얼사이언스 주식회사 | 유기전계발광소자 |
| JP6319231B2 (ja) * | 2015-08-24 | 2018-05-09 | コニカミノルタ株式会社 | 有機エレクトロルミネッセンス素子用の芳香族複素環誘導体、それを用いた有機エレクトロルミネッセンス素子、照明装置及び表示装置 |
| JP6319230B2 (ja) * | 2015-08-24 | 2018-05-09 | コニカミノルタ株式会社 | 有機エレクトロルミネッセンス素子用の芳香族複素環誘導体、それを用いた有機エレクトロルミネッセンス素子、照明装置及び表示装置 |
| JP6319228B2 (ja) * | 2015-08-24 | 2018-05-09 | コニカミノルタ株式会社 | 有機エレクトロルミネッセンス素子用の芳香族複素環誘導体、それを用いた有機エレクトロルミネッセンス素子、照明装置及び表示装置 |
| KR101849747B1 (ko) | 2016-07-20 | 2018-05-31 | 주식회사 엘지화학 | 신규한 헤테로 고리 화합물 및 이를 이용한 유기발광 소자 |
| TWI766884B (zh) | 2016-09-30 | 2022-06-11 | 德商麥克專利有限公司 | 具有二氮雜二苯并呋喃或二氮雜二苯并噻吩結構的化合物、其製法及其用途 |
| WO2018084423A2 (ko) * | 2016-11-07 | 2018-05-11 | 주식회사 엘지화학 | 신규한 헤테로 고리 화합물 및 이를 이용한 유기발광소자 |
| KR101885899B1 (ko) * | 2016-11-07 | 2018-08-06 | 주식회사 엘지화학 | 신규한 헤테로 고리 화합물 및 이를 이용한 유기발광 소자 |
| KR20180108425A (ko) | 2017-03-24 | 2018-10-04 | 희성소재 (주) | 헤테로고리 화합물 및 이를 포함하는 유기 발광 소자 |
| WO2018174682A1 (ko) * | 2017-03-24 | 2018-09-27 | 희성소재(주) | 헤테로고리 화합물 및 이를 포함하는 유기 발광 소자 |
| KR102536248B1 (ko) | 2017-06-21 | 2023-05-25 | 삼성디스플레이 주식회사 | 헤테로시클릭 화합물 및 이를 포함한 유기 발광 소자 |
| US11584739B2 (en) | 2017-06-23 | 2023-02-21 | Kyulux, Inc. | Composition of matter for use in organic light-emitting diodes |
| KR102415376B1 (ko) | 2017-08-04 | 2022-07-01 | 삼성디스플레이 주식회사 | 축합환 화합물 및 이를 포함한 유기 발광 소자 |
| KR102121433B1 (ko) | 2017-09-01 | 2020-06-10 | 주식회사 엘지화학 | 신규한 화합물 및 이를 이용한 유기발광 소자 |
| KR102038031B1 (ko) * | 2017-09-15 | 2019-10-30 | 엘티소재주식회사 | 헤테로고리 화합물 및 이를 포함하는 유기 발광 소자 |
| KR102511183B1 (ko) * | 2017-12-01 | 2023-03-20 | 솔루스첨단소재 주식회사 | 유기 화합물 및 이를 이용한 유기 전계 발광 소자 |
| KR102536246B1 (ko) | 2018-03-23 | 2023-05-25 | 삼성디스플레이 주식회사 | 헤테로고리 화합물 및 이를 포함한 유기 발광 소자 |
| WO2020022779A1 (ko) * | 2018-07-24 | 2020-01-30 | 주식회사 엘지화학 | 신규한 헤테로 고리 화합물 및 이를 이용한 유기발광 소자 |
| CN111971281B (zh) * | 2018-07-24 | 2023-09-19 | 株式会社Lg化学 | 新的杂环化合物和包含其的有机发光器件 |
| KR102711310B1 (ko) * | 2018-10-02 | 2024-09-26 | 엘지디스플레이 주식회사 | 유기전계발광소자 |
| EP3880672B1 (de) * | 2018-11-16 | 2024-10-23 | Samsung Display Co., Ltd. | Carbazolderivate zur verwendung in optoelektronischen vorrichtungen |
| US20210388001A1 (en) * | 2018-11-30 | 2021-12-16 | Lg Chem, Ltd. | Novel compound and organic light emitting device comprising the same |
| KR102311640B1 (ko) * | 2018-11-30 | 2021-10-13 | 주식회사 엘지화학 | 신규한 화합물 및 이를 이용한 유기발광 소자 |
| KR102716201B1 (ko) * | 2018-12-17 | 2024-10-14 | 솔루스첨단소재 주식회사 | 유기 화합물 및 이를 이용한 유기 전계 발광 소자 |
| CN111620853B (zh) | 2019-02-28 | 2023-07-28 | 北京夏禾科技有限公司 | 有机电致发光材料及其器件 |
Citations (62)
| Publication number | Priority date | Publication date | Assignee | Title |
|---|---|---|---|---|
| US4539507A (en) | 1983-03-25 | 1985-09-03 | Eastman Kodak Company | Organic electroluminescent devices having improved power conversion efficiencies |
| US5151629A (en) | 1991-08-01 | 1992-09-29 | Eastman Kodak Company | Blue emitting internal junction organic electroluminescent device (I) |
| WO1992018552A1 (de) | 1991-04-11 | 1992-10-29 | Wacker-Chemie Gmbh | Leiterpolymere mit konjugierten doppelbindungen |
| EP0652273A1 (de) | 1993-11-09 | 1995-05-10 | Shinko Electric Industries Co. Ltd. | Organisches Material für elektrolumineszente Vorrichtung und elektrolumineszente Vorrichtung |
| EP0676461A2 (de) | 1994-04-07 | 1995-10-11 | Hoechst Aktiengesellschaft | Spiroverbindungen und ihre Verwendung als Elektrolumineszenzmaterialien |
| EP0707020A2 (de) | 1994-10-14 | 1996-04-17 | Hoechst Aktiengesellschaft | Konjugierte Polymere mit Spirozentren und ihre Verwendung als Elektrolumineszenzmaterialien |
| EP0842208A1 (de) | 1995-07-28 | 1998-05-20 | The Dow Chemical Company | 2,7-aryl-9-substituierte fluorene und 9-substituierte fluorenoligomere und polymere |
| WO1998027136A1 (de) | 1996-12-16 | 1998-06-25 | Aventis Research & Technologies Gmbh & Co Kg | ARYLSUBSTITUIERTE POLY(p-ARYLENVINYLENE), VERFAHREN ZUR HERSTELLUNG UND DEREN VERWENDUNG IN ELEKTROLUMINESZENZBAUELEMENTEN |
| EP0894107A1 (de) | 1996-04-17 | 1999-02-03 | Hoechst Research & Technology Deutschland GmbH & Co. KG | Polymere mit spiroatomen und ihre verwendung als elektrolumineszenzmaterialien |
| WO2000022026A1 (de) | 1998-10-10 | 2000-04-20 | Celanese Ventures Gmbh | Konjugierte polymere, enthaltend spezielle fluoren-bausteine mit verbesserten eigenschaften |
| EP1028136A2 (de) | 1999-02-10 | 2000-08-16 | Carnegie-Mellon University | Ein Verfahren zur Herstellung von Poly(3-substituierten)thiophenen |
| WO2000070655A2 (en) | 1999-05-13 | 2000-11-23 | The Trustees Of Princeton University | Very high efficiency organic light emitting devices based on electrophosphorescence |
| WO2001041512A1 (en) | 1999-12-01 | 2001-06-07 | The Trustees Of Princeton University | Complexes of form l2mx as phosphorescent dopants for organic leds |
| EP1144543A1 (de) | 1998-12-02 | 2001-10-17 | South Bank University Enterprises Ltd. | Elektrolumineszente chinolate |
| WO2002002714A2 (en) | 2000-06-30 | 2002-01-10 | E.I. Du Pont De Nemours And Company | Electroluminescent iridium compounds with fluorinated phenylpyridines, phenylpyrimidines, and phenylquinolines and devices made with such compounds |
| WO2002015645A1 (en) | 2000-08-11 | 2002-02-21 | The Trustees Of Princeton University | Organometallic compounds and emission-shifting organic electrophosphorescence |
| EP1191614A2 (de) | 2000-09-26 | 2002-03-27 | Canon Kabushiki Kaisha | Lumineszente Vorrichtung und dafür verwendete Metallkoordinationsverbindung |
| EP1191612A2 (de) | 2000-09-26 | 2002-03-27 | Canon Kabushiki Kaisha | Lumineszente Vorrichtung, Bildanzeigevorrichtung und Metallkoordinationsverbindung |
| EP1191613A2 (de) | 2000-09-26 | 2002-03-27 | Canon Kabushiki Kaisha | Lumineszente Vorrichtung, Bildanzeigevorrichtung und Metallkoordinationsverbindung |
| EP1205527A1 (de) | 2000-03-27 | 2002-05-15 | Idemitsu Kosan Co., Ltd. | Organische elektrolumineszierende vorrichtung |
| JP2002193952A (ja) | 2000-12-25 | 2002-07-10 | Fuji Photo Film Co Ltd | 新規含窒素へテロ環化合物、発光素子材料およびそれらを使用した発光素子 |
| WO2004013080A1 (en) | 2002-08-01 | 2004-02-12 | Covion Organic Semiconductors Gmbh | Spirobifluorene derivatives, their preparation and uses thereof |
| WO2004041901A1 (en) | 2002-11-08 | 2004-05-21 | Covion Organic Semiconductors Gmbh | Aryl-substituted polyindenofluorenes for use in organic electroluminiscent devices |
| WO2004058911A2 (de) | 2002-12-23 | 2004-07-15 | Covion Organic Semiconductors Gmbh | Organisches elektrolumineszenzelement |
| WO2004070772A2 (de) | 2003-02-06 | 2004-08-19 | Covion Organic Semiconductors Gmbh | Carbazol-enthaltende konjugierte polymere und blends, deren darstellung und verwendung |
| JP2004288381A (ja) | 2003-03-19 | 2004-10-14 | Konica Minolta Holdings Inc | 有機エレクトロルミネッセンス素子 |
| WO2004093207A2 (de) | 2003-04-15 | 2004-10-28 | Covion Organic Semiconductors Gmbh | Mischungen von organischen zur emission befähigten halbleitern und matrixmaterialien, deren verwendung und elektronikbauteile enthaltend diese mischungen |
| WO2004113468A1 (de) | 2003-06-26 | 2004-12-29 | Covion Organic Semiconductors Gmbh | Neue materialien für die elektrolumineszenz |
| WO2004113412A2 (en) | 2003-06-23 | 2004-12-29 | Covion Organic Semiconductors Gmbh | Polymer |
| WO2005003253A2 (de) | 2003-07-07 | 2005-01-13 | Covion Organic Semiconductors Gmbh | Mischungen von organischen zur emission befähigten halbleitern und matrixmaterialen, deren verwendung und elektronikbauteile enthaltend diese |
| WO2005011013A1 (de) | 2003-07-21 | 2005-02-03 | Covion Organic Semiconductors Gmbh | Organisches elektrolumineszenzelement |
| WO2005014689A2 (de) | 2003-08-12 | 2005-02-17 | Covion Organic Semiconductors Gmbh | Konjugierte polymere enthaltend dihydrophenanthren-einheiten und deren verwendung |
| WO2005019373A2 (de) | 2003-08-19 | 2005-03-03 | Basf Aktiengesellschaft | Übergangsmetallkomplexe mit carbenliganden als emitter für organische licht-emittierende dioden (oleds) |
| US20050069729A1 (en) | 2003-09-30 | 2005-03-31 | Konica Minolta Holdings, Inc. | Organic electroluminescent element, illuminator, display and compound |
| WO2005033244A1 (de) | 2003-09-29 | 2005-04-14 | Covion Organic Semiconductors Gmbh | Metallkomplexe |
| WO2005040302A1 (de) | 2003-10-22 | 2005-05-06 | Merck Patent Gmbh | Neue materialien für die elektrolumineszenz und deren verwendung |
| WO2005053051A1 (de) | 2003-11-25 | 2005-06-09 | Merck Patent Gmbh | Organisches elektrolumineszenzelement |
| WO2005085387A1 (ja) | 2004-03-08 | 2005-09-15 | Idemitsu Kosan Co., Ltd. | 有機エレクトロルミネッセンス素子用材料及びそれを利用した有機エレクトロルミネッセンス素子 |
| WO2005104264A1 (de) | 2004-04-26 | 2005-11-03 | Merck Patent Gmbh | Elektrolumineszierende polymere und deren verwendung |
| US20050258742A1 (en) | 2004-05-18 | 2005-11-24 | Yui-Yi Tsai | Carbene containing metal complexes as OLEDs |
| WO2005111172A2 (de) | 2004-05-11 | 2005-11-24 | Merck Patent Gmbh | Neue materialmischungen für die elektrolumineszenz |
| JP2005347160A (ja) | 2004-06-04 | 2005-12-15 | Konica Minolta Holdings Inc | 有機エレクトロルミネッセンス素子、照明装置及び表示装置 |
| EP1617711A1 (de) | 2003-04-23 | 2006-01-18 | Konica Minolta Holdings, Inc. | Organisches elektrolumineszenzbauelement und anzeige |
| WO2006005627A1 (en) | 2004-07-15 | 2006-01-19 | Merck Patent Gmbh | Oligomeric derivatives of spirobifluorene, their preparation and use |
| WO2006061181A1 (de) | 2004-12-06 | 2006-06-15 | Merck Patent Gmbh | Teilkonjugierte polymere, deren darstellung und verwendung |
| WO2006067976A1 (ja) | 2004-12-24 | 2006-06-29 | Pioneer Corporation | 有機化合物、電荷輸送材料および有機電界発光素子 |
| WO2006117052A1 (de) | 2005-05-03 | 2006-11-09 | Merck Patent Gmbh | Organische elektrolumineszenzvorrichtung und in deren herstellung verwendete boronsäure- und borinsäure-derivate |
| EP1731584A1 (de) | 2004-03-31 | 2006-12-13 | Konica Minolta Holdings, Inc. | Organischer elektrolumineszenzvorrichtungsstoff, organische elektrolumineszenzvorrichtung, display und beleuchtungsvorrichtung |
| DE102005037734A1 (de) | 2005-08-10 | 2007-02-22 | Merck Patent Gmbh | Elektrolumineszierende Polymere und ihre Verwendung |
| WO2007050301A2 (en) | 2005-10-26 | 2007-05-03 | Eastman Kodak Company | Organic element for low voltage electroluminescent devices |
| WO2007050334A1 (en) | 2005-10-26 | 2007-05-03 | Eastman Kodak Company | Organic element for low voltage electroluminescent devices |
| WO2007063754A1 (ja) | 2005-12-01 | 2007-06-07 | Nippon Steel Chemical Co., Ltd. | 有機電界発光素子用化合物及び有機電界発光素子 |
| WO2007137725A1 (de) | 2006-05-31 | 2007-12-06 | Merck Patent Gmbh | Neue materialien für organische elektrolumineszenzvorrichtungen |
| WO2008056746A1 (en) | 2006-11-09 | 2008-05-15 | Nippon Steel Chemical Co., Ltd. | Compound for organic electroluminescent device and organic electroluminescent device |
| WO2008086851A1 (de) | 2007-01-18 | 2008-07-24 | Merck Patent Gmbh | Carbazol-derivate für organische elektrolumineszenzvorrichtungen |
| WO2008123189A1 (ja) | 2007-03-26 | 2008-10-16 | Nippon Steel Chemical Co., Ltd. | 有機電界発光素子用化合物及び有機電界発光素子 |
| WO2009030981A2 (en) | 2006-12-28 | 2009-03-12 | Universal Display Corporation | Long lifetime phosphorescent organic light emitting device (oled) structures |
| WO2009062578A1 (de) | 2007-11-12 | 2009-05-22 | Merck Patent Gmbh | Organische elektrolumineszenzvorrichtungen enthaltend azomethin-metall-komplexe |
| WO2010003475A2 (de) | 2008-06-10 | 2010-01-14 | Merck Patent Gmbh | Neue pyrrolidinderivate als metap-2 inhibitoren |
| WO2010006680A1 (de) | 2008-07-18 | 2010-01-21 | Merck Patent Gmbh | Materialien für organische elektrolumineszenzvorrichtungen |
| WO2010015306A1 (de) | 2008-08-08 | 2010-02-11 | Merck Patent Gmbh, | Organische elektrolumineszenzvorrichtung |
| WO2010054729A2 (de) | 2008-11-11 | 2010-05-20 | Merck Patent Gmbh | Materialien für organische elektrolumineszenzvorrichtungen |
Family Cites Families (26)
| Publication number | Priority date | Publication date | Assignee | Title |
|---|---|---|---|---|
| GB1119824A (en) | 1964-07-30 | 1968-07-17 | Nat Res Dev | Derivatives of s-triazine |
| EP1489155A4 (de) | 2002-03-22 | 2006-02-01 | Idemitsu Kosan Co | Material für organische elektrolumineszierende vorrichtungen und die entsprechenden vorrichtungen |
| JP4103492B2 (ja) * | 2002-08-09 | 2008-06-18 | コニカミノルタホールディングス株式会社 | 有機エレクトロルミネッセンス素子および表示装置 |
| JP4707082B2 (ja) | 2002-11-26 | 2011-06-22 | コニカミノルタホールディングス株式会社 | 有機エレクトロルミネッセンス素子および表示装置 |
| US20040247933A1 (en) | 2003-06-03 | 2004-12-09 | Canon Kabushiki Kaisha | Bipolar asymmetric carbazole-based host materials for electrophosphorescent guest-host OLED systems |
| EP2592905B1 (de) | 2003-07-31 | 2014-11-12 | Mitsubishi Chemical Corporation | Verbindung, Ladungstransportmaterial und organisches Elektrolumineszenzelement |
| JP4561221B2 (ja) | 2003-07-31 | 2010-10-13 | 三菱化学株式会社 | 化合物、電荷輸送材料および有機電界発光素子 |
| JP4701818B2 (ja) * | 2005-04-28 | 2011-06-15 | Jsr株式会社 | トリアジン化合物および有機エレクトロルミネッセンス素子用組成物並びに有機エレクトロルミネッセンス素子 |
| JP5262081B2 (ja) | 2006-11-20 | 2013-08-14 | Jnc株式会社 | 電子輸送材料およびこれを用いた有機電界発光素子 |
| JP5262192B2 (ja) * | 2007-03-07 | 2013-08-14 | Jnc株式会社 | 電子輸送材料およびこれを用いた有機電界発光素子 |
| JP5194596B2 (ja) * | 2007-07-11 | 2013-05-08 | コニカミノルタホールディングス株式会社 | 有機エレクトロルミネッセンス素子、表示装置及び照明装置 |
| JP2009029726A (ja) * | 2007-07-25 | 2009-02-12 | Toyo Ink Mfg Co Ltd | カルバゾリル基を有する化合物およびその用途 |
| JP2009051788A (ja) * | 2007-08-29 | 2009-03-12 | Toyo Ink Mfg Co Ltd | カルバゾリル基を有する化合物およびその用途 |
| JP2009057307A (ja) | 2007-08-31 | 2009-03-19 | Toyo Ink Mfg Co Ltd | カルバゾリル基を有する化合物およびその用途 |
| JP2009123976A (ja) * | 2007-11-16 | 2009-06-04 | Toyo Ink Mfg Co Ltd | 有機エレクトロルミネッセンス素子用材料および有機エレクトロルミネッセンス素子。 |
| WO2009069442A1 (ja) | 2007-11-26 | 2009-06-04 | Konica Minolta Holdings, Inc. | 有機エレクトロルミネッセンス素子、表示装置及び照明装置 |
| US8221905B2 (en) | 2007-12-28 | 2012-07-17 | Universal Display Corporation | Carbazole-containing materials in phosphorescent light emitting diodes |
| WO2009136595A1 (ja) | 2008-05-08 | 2009-11-12 | 新日鐵化学株式会社 | 有機電界発光素子用化合物及び有機電界発光素子 |
| EP2479234B1 (de) * | 2008-05-13 | 2017-06-21 | Konica Minolta Holdings, Inc. | Organisches elektrolumineszentes element, anzeigevorrichtung und beleuchtungsvorrichtung |
| KR100958641B1 (ko) * | 2008-08-18 | 2010-05-20 | 삼성모바일디스플레이주식회사 | 광효율 개선층을 구비한 유기 발광 소자 |
| JP2010140976A (ja) | 2008-12-10 | 2010-06-24 | Toyo Ink Mfg Co Ltd | 有機エレクトロルミネッセンス素子用材料およびそれを用いた有機エレクトロルミネッセンス素子 |
| KR101233367B1 (ko) * | 2008-12-29 | 2013-02-15 | 제일모직주식회사 | 신규한 유기광전소자용 화합물 및 이를 포함하는 유기광전소자 |
| KR20100118700A (ko) * | 2009-04-29 | 2010-11-08 | 다우어드밴스드디스플레이머티리얼 유한회사 | 신규한 유기 발광 화합물 및 이를 채용하고 있는 유기 전계 발광 소자 |
| DE102009023155A1 (de) | 2009-05-29 | 2010-12-02 | Merck Patent Gmbh | Materialien für organische Elektrolumineszenzvorrichtungen |
| DE102009048791A1 (de) | 2009-10-08 | 2011-04-14 | Merck Patent Gmbh | Materialien für organische Elektrolumineszenzvorrichtungen |
| US9450192B2 (en) * | 2010-12-06 | 2016-09-20 | E-Ray Optoelectronics Technology | Carbazole derivative and organic electroluminescent devices utilizing the same and fabrication method thereof |
-
2009
- 2009-11-14 DE DE102009053382A patent/DE102009053382A1/de not_active Withdrawn
-
2010
- 2010-10-20 JP JP2012538211A patent/JP5819312B2/ja active Active
- 2010-10-20 US US13/509,399 patent/US9334260B2/en active Active
- 2010-10-20 KR KR1020177020938A patent/KR101886593B1/ko active Active
- 2010-10-20 WO PCT/EP2010/006415 patent/WO2011057706A2/de not_active Ceased
- 2010-10-20 DE DE112010004381.7T patent/DE112010004381B4/de active Active
- 2010-10-20 KR KR1020127015380A patent/KR101819761B1/ko active Active
- 2010-10-20 CN CN201080051333.7A patent/CN102770427B/zh active Active
- 2010-11-10 TW TW099138674A patent/TW201134823A/zh unknown
Patent Citations (64)
| Publication number | Priority date | Publication date | Assignee | Title |
|---|---|---|---|---|
| US4539507A (en) | 1983-03-25 | 1985-09-03 | Eastman Kodak Company | Organic electroluminescent devices having improved power conversion efficiencies |
| WO1992018552A1 (de) | 1991-04-11 | 1992-10-29 | Wacker-Chemie Gmbh | Leiterpolymere mit konjugierten doppelbindungen |
| US5151629A (en) | 1991-08-01 | 1992-09-29 | Eastman Kodak Company | Blue emitting internal junction organic electroluminescent device (I) |
| EP0652273A1 (de) | 1993-11-09 | 1995-05-10 | Shinko Electric Industries Co. Ltd. | Organisches Material für elektrolumineszente Vorrichtung und elektrolumineszente Vorrichtung |
| EP0676461A2 (de) | 1994-04-07 | 1995-10-11 | Hoechst Aktiengesellschaft | Spiroverbindungen und ihre Verwendung als Elektrolumineszenzmaterialien |
| EP0707020A2 (de) | 1994-10-14 | 1996-04-17 | Hoechst Aktiengesellschaft | Konjugierte Polymere mit Spirozentren und ihre Verwendung als Elektrolumineszenzmaterialien |
| EP0842208A1 (de) | 1995-07-28 | 1998-05-20 | The Dow Chemical Company | 2,7-aryl-9-substituierte fluorene und 9-substituierte fluorenoligomere und polymere |
| EP0894107A1 (de) | 1996-04-17 | 1999-02-03 | Hoechst Research & Technology Deutschland GmbH & Co. KG | Polymere mit spiroatomen und ihre verwendung als elektrolumineszenzmaterialien |
| WO1998027136A1 (de) | 1996-12-16 | 1998-06-25 | Aventis Research & Technologies Gmbh & Co Kg | ARYLSUBSTITUIERTE POLY(p-ARYLENVINYLENE), VERFAHREN ZUR HERSTELLUNG UND DEREN VERWENDUNG IN ELEKTROLUMINESZENZBAUELEMENTEN |
| WO2000022026A1 (de) | 1998-10-10 | 2000-04-20 | Celanese Ventures Gmbh | Konjugierte polymere, enthaltend spezielle fluoren-bausteine mit verbesserten eigenschaften |
| EP1144543A1 (de) | 1998-12-02 | 2001-10-17 | South Bank University Enterprises Ltd. | Elektrolumineszente chinolate |
| EP1028136A2 (de) | 1999-02-10 | 2000-08-16 | Carnegie-Mellon University | Ein Verfahren zur Herstellung von Poly(3-substituierten)thiophenen |
| WO2000070655A2 (en) | 1999-05-13 | 2000-11-23 | The Trustees Of Princeton University | Very high efficiency organic light emitting devices based on electrophosphorescence |
| WO2001041512A1 (en) | 1999-12-01 | 2001-06-07 | The Trustees Of Princeton University | Complexes of form l2mx as phosphorescent dopants for organic leds |
| EP1205527A1 (de) | 2000-03-27 | 2002-05-15 | Idemitsu Kosan Co., Ltd. | Organische elektrolumineszierende vorrichtung |
| WO2002002714A2 (en) | 2000-06-30 | 2002-01-10 | E.I. Du Pont De Nemours And Company | Electroluminescent iridium compounds with fluorinated phenylpyridines, phenylpyrimidines, and phenylquinolines and devices made with such compounds |
| WO2002015645A1 (en) | 2000-08-11 | 2002-02-21 | The Trustees Of Princeton University | Organometallic compounds and emission-shifting organic electrophosphorescence |
| EP1191614A2 (de) | 2000-09-26 | 2002-03-27 | Canon Kabushiki Kaisha | Lumineszente Vorrichtung und dafür verwendete Metallkoordinationsverbindung |
| EP1191613A2 (de) | 2000-09-26 | 2002-03-27 | Canon Kabushiki Kaisha | Lumineszente Vorrichtung, Bildanzeigevorrichtung und Metallkoordinationsverbindung |
| EP1191612A2 (de) | 2000-09-26 | 2002-03-27 | Canon Kabushiki Kaisha | Lumineszente Vorrichtung, Bildanzeigevorrichtung und Metallkoordinationsverbindung |
| JP2002193952A (ja) | 2000-12-25 | 2002-07-10 | Fuji Photo Film Co Ltd | 新規含窒素へテロ環化合物、発光素子材料およびそれらを使用した発光素子 |
| WO2004013080A1 (en) | 2002-08-01 | 2004-02-12 | Covion Organic Semiconductors Gmbh | Spirobifluorene derivatives, their preparation and uses thereof |
| WO2004041901A1 (en) | 2002-11-08 | 2004-05-21 | Covion Organic Semiconductors Gmbh | Aryl-substituted polyindenofluorenes for use in organic electroluminiscent devices |
| WO2004058911A2 (de) | 2002-12-23 | 2004-07-15 | Covion Organic Semiconductors Gmbh | Organisches elektrolumineszenzelement |
| WO2004070772A2 (de) | 2003-02-06 | 2004-08-19 | Covion Organic Semiconductors Gmbh | Carbazol-enthaltende konjugierte polymere und blends, deren darstellung und verwendung |
| JP2004288381A (ja) | 2003-03-19 | 2004-10-14 | Konica Minolta Holdings Inc | 有機エレクトロルミネッセンス素子 |
| WO2004093207A2 (de) | 2003-04-15 | 2004-10-28 | Covion Organic Semiconductors Gmbh | Mischungen von organischen zur emission befähigten halbleitern und matrixmaterialien, deren verwendung und elektronikbauteile enthaltend diese mischungen |
| EP1617711A1 (de) | 2003-04-23 | 2006-01-18 | Konica Minolta Holdings, Inc. | Organisches elektrolumineszenzbauelement und anzeige |
| EP1617710A1 (de) | 2003-04-23 | 2006-01-18 | Konica Minolta Holdings, Inc. | Material für ein organisches elektrolumineszenzgerät, organisches elektrolumineszenzgerät, beleuchtungsvorrichtung und anzeige |
| WO2004113412A2 (en) | 2003-06-23 | 2004-12-29 | Covion Organic Semiconductors Gmbh | Polymer |
| WO2004113468A1 (de) | 2003-06-26 | 2004-12-29 | Covion Organic Semiconductors Gmbh | Neue materialien für die elektrolumineszenz |
| WO2005003253A2 (de) | 2003-07-07 | 2005-01-13 | Covion Organic Semiconductors Gmbh | Mischungen von organischen zur emission befähigten halbleitern und matrixmaterialen, deren verwendung und elektronikbauteile enthaltend diese |
| WO2005011013A1 (de) | 2003-07-21 | 2005-02-03 | Covion Organic Semiconductors Gmbh | Organisches elektrolumineszenzelement |
| WO2005014689A2 (de) | 2003-08-12 | 2005-02-17 | Covion Organic Semiconductors Gmbh | Konjugierte polymere enthaltend dihydrophenanthren-einheiten und deren verwendung |
| WO2005019373A2 (de) | 2003-08-19 | 2005-03-03 | Basf Aktiengesellschaft | Übergangsmetallkomplexe mit carbenliganden als emitter für organische licht-emittierende dioden (oleds) |
| WO2005033244A1 (de) | 2003-09-29 | 2005-04-14 | Covion Organic Semiconductors Gmbh | Metallkomplexe |
| WO2005039246A1 (ja) | 2003-09-30 | 2005-04-28 | Konica Minolta Holdings, Inc. | 有機エレクトロルミネッセンス素子、照明装置、表示装置 |
| US20050069729A1 (en) | 2003-09-30 | 2005-03-31 | Konica Minolta Holdings, Inc. | Organic electroluminescent element, illuminator, display and compound |
| WO2005040302A1 (de) | 2003-10-22 | 2005-05-06 | Merck Patent Gmbh | Neue materialien für die elektrolumineszenz und deren verwendung |
| WO2005053051A1 (de) | 2003-11-25 | 2005-06-09 | Merck Patent Gmbh | Organisches elektrolumineszenzelement |
| WO2005085387A1 (ja) | 2004-03-08 | 2005-09-15 | Idemitsu Kosan Co., Ltd. | 有機エレクトロルミネッセンス素子用材料及びそれを利用した有機エレクトロルミネッセンス素子 |
| EP1731584A1 (de) | 2004-03-31 | 2006-12-13 | Konica Minolta Holdings, Inc. | Organischer elektrolumineszenzvorrichtungsstoff, organische elektrolumineszenzvorrichtung, display und beleuchtungsvorrichtung |
| WO2005104264A1 (de) | 2004-04-26 | 2005-11-03 | Merck Patent Gmbh | Elektrolumineszierende polymere und deren verwendung |
| WO2005111172A2 (de) | 2004-05-11 | 2005-11-24 | Merck Patent Gmbh | Neue materialmischungen für die elektrolumineszenz |
| US20050258742A1 (en) | 2004-05-18 | 2005-11-24 | Yui-Yi Tsai | Carbene containing metal complexes as OLEDs |
| JP2005347160A (ja) | 2004-06-04 | 2005-12-15 | Konica Minolta Holdings Inc | 有機エレクトロルミネッセンス素子、照明装置及び表示装置 |
| WO2006005627A1 (en) | 2004-07-15 | 2006-01-19 | Merck Patent Gmbh | Oligomeric derivatives of spirobifluorene, their preparation and use |
| WO2006061181A1 (de) | 2004-12-06 | 2006-06-15 | Merck Patent Gmbh | Teilkonjugierte polymere, deren darstellung und verwendung |
| WO2006067976A1 (ja) | 2004-12-24 | 2006-06-29 | Pioneer Corporation | 有機化合物、電荷輸送材料および有機電界発光素子 |
| WO2006117052A1 (de) | 2005-05-03 | 2006-11-09 | Merck Patent Gmbh | Organische elektrolumineszenzvorrichtung und in deren herstellung verwendete boronsäure- und borinsäure-derivate |
| DE102005037734A1 (de) | 2005-08-10 | 2007-02-22 | Merck Patent Gmbh | Elektrolumineszierende Polymere und ihre Verwendung |
| WO2007050301A2 (en) | 2005-10-26 | 2007-05-03 | Eastman Kodak Company | Organic element for low voltage electroluminescent devices |
| WO2007050334A1 (en) | 2005-10-26 | 2007-05-03 | Eastman Kodak Company | Organic element for low voltage electroluminescent devices |
| WO2007063754A1 (ja) | 2005-12-01 | 2007-06-07 | Nippon Steel Chemical Co., Ltd. | 有機電界発光素子用化合物及び有機電界発光素子 |
| WO2007137725A1 (de) | 2006-05-31 | 2007-12-06 | Merck Patent Gmbh | Neue materialien für organische elektrolumineszenzvorrichtungen |
| WO2008056746A1 (en) | 2006-11-09 | 2008-05-15 | Nippon Steel Chemical Co., Ltd. | Compound for organic electroluminescent device and organic electroluminescent device |
| WO2009030981A2 (en) | 2006-12-28 | 2009-03-12 | Universal Display Corporation | Long lifetime phosphorescent organic light emitting device (oled) structures |
| WO2008086851A1 (de) | 2007-01-18 | 2008-07-24 | Merck Patent Gmbh | Carbazol-derivate für organische elektrolumineszenzvorrichtungen |
| WO2008123189A1 (ja) | 2007-03-26 | 2008-10-16 | Nippon Steel Chemical Co., Ltd. | 有機電界発光素子用化合物及び有機電界発光素子 |
| WO2009062578A1 (de) | 2007-11-12 | 2009-05-22 | Merck Patent Gmbh | Organische elektrolumineszenzvorrichtungen enthaltend azomethin-metall-komplexe |
| WO2010003475A2 (de) | 2008-06-10 | 2010-01-14 | Merck Patent Gmbh | Neue pyrrolidinderivate als metap-2 inhibitoren |
| WO2010006680A1 (de) | 2008-07-18 | 2010-01-21 | Merck Patent Gmbh | Materialien für organische elektrolumineszenzvorrichtungen |
| WO2010015306A1 (de) | 2008-08-08 | 2010-02-11 | Merck Patent Gmbh, | Organische elektrolumineszenzvorrichtung |
| WO2010054729A2 (de) | 2008-11-11 | 2010-05-20 | Merck Patent Gmbh | Materialien für organische elektrolumineszenzvorrichtungen |
Non-Patent Citations (8)
| Title |
|---|
| B. M. S. ARNOLD ET AL., APPL. PHYS. LETT., 2008, pages 92 |
| DARSTELLUNG Z. B., NACH SYNTHESIS, vol. 10, 2005, pages 1619 - 1624 |
| JOURNAL OF ORGANIC CHEMISTRY, vol. 69, 2004, pages 8177 - 8182 |
| ORG. BIOMOL. CHEM., vol. 2, 2004, pages 1476 - 1483 |
| ORGANIC & BIOMOLECULAR CHEMISTRY, vol. 2, 2004, pages 1476 - 1483 |
| SYNLETT, vol. 17, 2006, pages 2841 - 2845 |
| SYNTHESIS, vol. 10, 2005, pages 1619 - 1624 |
| T. MATSUMOTO ET AL.: "Multiphoton Organic EL Device Having Charge Generation Layer", IDMC, 2003 |
Cited By (242)
| Publication number | Priority date | Publication date | Assignee | Title |
|---|---|---|---|---|
| US10431749B2 (en) * | 2010-07-09 | 2019-10-01 | Udc Ireland Limited | Organic electroluminescent element |
| US20130313531A1 (en) * | 2010-07-09 | 2013-11-28 | Udc Ireland Limited | Organic Electroluminescent Element |
| US8987472B2 (en) * | 2010-10-11 | 2015-03-24 | Solvay Sa | N-cycloalkylalkyl triscarbazoles |
| US20130331582A1 (en) * | 2010-10-11 | 2013-12-12 | Solvay Societe Anonyme | N-cycloalkylalkyl triscarbazoles |
| WO2012048781A1 (de) | 2010-10-15 | 2012-04-19 | Merck Patent Gmbh | Materialien auf basis von triphenylen für organische elektrolumineszenzvorrichtungen |
| WO2012067425A1 (en) * | 2010-11-16 | 2012-05-24 | Rohm And Haas Electronic Materials Korea Ltd. | Novel compound for organic electronic material and organic electroluminescent device using the same |
| EP2640726A4 (de) * | 2010-11-16 | 2014-04-09 | Rohm & Haas Elect Mat | Neuartige verbindung für ein organisches elektronisches material und organische elektrolumineszenzvorrichtung damit |
| JP5834023B2 (ja) * | 2010-12-09 | 2015-12-16 | 新日鉄住金化学株式会社 | 有機電界発光素子 |
| WO2012077520A1 (ja) * | 2010-12-09 | 2012-06-14 | 新日鐵化学株式会社 | 有機電界発光素子 |
| DE102012000064A1 (de) | 2011-01-21 | 2012-07-26 | Merck Patent Gmbh | Materialien für organische Elektrolumineszenzvorrichtungen |
| WO2012136295A1 (de) | 2011-04-05 | 2012-10-11 | Merck Patent Gmbh | Organische elektrolumineszenzvorrichtung |
| CN102952120A (zh) * | 2011-08-26 | 2013-03-06 | 昱镭光电科技股份有限公司 | 用于有机电致发光装置的化合物及使用该化合物的有机电致发光装置 |
| WO2013038804A1 (ja) | 2011-09-12 | 2013-03-21 | 新日鉄住金化学株式会社 | 有機電界発光素子 |
| US9466802B2 (en) | 2011-09-12 | 2016-10-11 | Nippon Steel & Sumikin Chemical Co., Ltd. | Organic electroluminescent element |
| KR20140074925A (ko) | 2011-09-12 | 2014-06-18 | 신닛테츠 수미킨 가가쿠 가부시키가이샤 | 유기 전계 발광 소자 |
| JP2014528942A (ja) * | 2011-09-21 | 2014-10-30 | メルク パテント ゲーエムベーハー | 有機エレクトロルミネッセンスデバイス用のカルバゾール誘導体 |
| US9818948B2 (en) | 2011-09-21 | 2017-11-14 | Merck Patent Gmbh | Carbazole derivatives for organic electroluminescence devices |
| US20140225046A1 (en) * | 2011-09-21 | 2014-08-14 | Merck Patent Gmbh | Carbazole derivatives for organic electroluminescence devices |
| CN103842339A (zh) * | 2011-09-21 | 2014-06-04 | 默克专利有限公司 | 用于有机电致发光器件的咔唑衍生物 |
| AU2012313001B2 (en) * | 2011-09-21 | 2017-03-09 | Merck Patent Gmbh | Carbazole derivatives for organic electroluminescence devices |
| CN103842339B (zh) * | 2011-09-21 | 2017-08-08 | 默克专利有限公司 | 用于有机电致发光器件的咔唑衍生物 |
| RU2626977C2 (ru) * | 2011-09-21 | 2017-08-02 | Мерк Патент Гмбх | Производные карбазола для органических электролюминисцентных устройств |
| WO2013041176A1 (de) * | 2011-09-21 | 2013-03-28 | Merck Patent Gmbh | Carbazolderivate für organische elektrolumineszenzvorrichtungen |
| WO2013046635A1 (ja) * | 2011-09-28 | 2013-04-04 | 出光興産株式会社 | 有機エレクトロルミネッセンス素子用材料及びそれを用いた有機エレクトロルミネッセンス素子 |
| JPWO2013046635A1 (ja) * | 2011-09-28 | 2015-03-26 | 出光興産株式会社 | 有機エレクトロルミネッセンス素子用材料及びそれを用いた有機エレクトロルミネッセンス素子 |
| US9991447B2 (en) | 2011-09-28 | 2018-06-05 | Idemitsu Korea Co., Ltd. | Material for organic electroluminescent element, and organic electroluminescent element produced using same |
| US9812643B2 (en) | 2011-10-27 | 2017-11-07 | Merck Patent Gmbh | Materials for electronic devices |
| JP2015502338A (ja) * | 2011-10-27 | 2015-01-22 | メルク パテント ゲーエムベーハー | 電子素子のための材料 |
| JP2017031152A (ja) * | 2011-11-17 | 2017-02-09 | メルク パテント ゲーエムベーハー | スピロジヒドロアクリジンおよび有機エレクトロルミネッセンス素子のための材料としてのそれの使用 |
| US10305040B2 (en) | 2011-11-17 | 2019-05-28 | Merck Patent Gmbh | Spiro dihydroacridine derivatives and the use thereof as materials for organic electroluminescence devices |
| WO2013083216A1 (de) | 2011-11-17 | 2013-06-13 | Merck Patent Gmbh | Spiro -dihydroacridinderivate und ihre verwendung als materialien für organische elektrolumineszenzvorrichtungen |
| JP2015505819A (ja) * | 2011-11-17 | 2015-02-26 | メルク パテント ゲーエムベーハー | スピロジヒドロアクリジンおよび有機エレクトロルミネッセンス素子のための材料としてのそれの使用 |
| CN103959502B (zh) * | 2011-12-02 | 2017-03-01 | 九州有机光材股份有限公司 | 有机发光元件及使用其的迟滞荧光材料以及化合物 |
| US9153788B2 (en) | 2011-12-02 | 2015-10-06 | Kyushu University National University Corporation | Organic light-emitting device, and delayed fluorescent material and compound used therefor |
| CN103959502A (zh) * | 2011-12-02 | 2014-07-30 | 国立大学法人九州大学 | 有机发光元件及使用其的迟滞荧光材料以及化合物 |
| WO2013081088A1 (ja) * | 2011-12-02 | 2013-06-06 | 国立大学法人九州大学 | 有機発光素子ならびにそれに用いる遅延蛍光材料および化合物 |
| CN103159745B (zh) * | 2011-12-16 | 2016-01-20 | 昱镭光电科技股份有限公司 | 用于有机电激发光装置的化合物及有机电激发光装置 |
| CN103159745A (zh) * | 2011-12-16 | 2013-06-19 | 昱镭光电科技股份有限公司 | 用于有机电激发光装置的化合物及有机电激发光装置 |
| WO2013100538A1 (ko) * | 2011-12-26 | 2013-07-04 | 제일모직 주식회사 | 유기광전자소자용 화합물, 이를 포함하는 유기발광소자 및 상기 유기발광소자를 포함하는 표시장치 |
| WO2013100539A1 (ko) * | 2011-12-26 | 2013-07-04 | 제일모직 주식회사 | 유기광전자소자용 화합물, 이를 포함하는 유기발광소자 및 상기 유기발광소자를 포함하는 표시장치 |
| KR101507003B1 (ko) * | 2011-12-29 | 2015-03-30 | 제일모직 주식회사 | 유기광전자소자용 화합물, 이를 포함하는 유기발광소자 및 상기 유기발광소자를 포함하는 표시장치 |
| WO2013100540A1 (ko) * | 2011-12-30 | 2013-07-04 | 제일모직 주식회사 | 유기광전자소자용 화합물, 이를 포함하는 유기발광소자 및 상기 유기발광소자를 포함하는 표시장치 |
| EP2629346A3 (de) * | 2012-02-14 | 2013-09-04 | Samsung Display Co., Ltd. | Organische lichtemittierende Vorrichtung mit verbesserten Effizienzmerkmalen und organische lichtemittierende Anzeigevorrichtung damit |
| WO2013139431A1 (de) | 2012-03-23 | 2013-09-26 | Merck Patent Gmbh | 9,9'-spirobixanthenderivate für elektrolumineszenzvorrichtungen |
| CN104271702A (zh) * | 2012-05-02 | 2015-01-07 | 罗门哈斯电子材料韩国有限公司 | 新有机电致发光化合物和包含该化合物的有机电致发光器件 |
| WO2013165192A1 (en) * | 2012-05-02 | 2013-11-07 | Rohm And Haas Electronic Materials Korea Ltd. | Novel organic electroluminescence compounds and organic electroluminescence device containing the same |
| US12022732B2 (en) | 2012-07-23 | 2024-06-25 | Merck Patent Gmbh | Materials for organic electroluminescent devices |
| US10991892B2 (en) | 2012-07-23 | 2021-04-27 | Merck Patent Gmbh | Materials for organic electroluminescent devices |
| WO2014015931A1 (de) | 2012-07-23 | 2014-01-30 | Merck Patent Gmbh | Materialien für organische elektrolumineszenzvorrichtungen |
| US20210217966A1 (en) * | 2012-07-23 | 2021-07-15 | Merck Patent Gmbh | Materials for organic electroluminescent devices |
| JP2015530363A (ja) * | 2012-07-23 | 2015-10-15 | メルク パテント ゲーエムベーハー | 有機エレクトロルミネッセンス素子のための材料 |
| CN104507932A (zh) * | 2012-07-23 | 2015-04-08 | 默克专利有限公司 | 用于有机电致发光器件的材料 |
| US9997719B2 (en) | 2012-09-28 | 2018-06-12 | Idemitsu Kosan Co., Ltd. | Material for organic electroluminescence device and organic electroluminescence device |
| WO2014051004A1 (ja) * | 2012-09-28 | 2014-04-03 | 出光興産株式会社 | 有機エレクトロルミネッセンス素子用材料及び有機エレクトロルミネッセンス素子 |
| WO2014106524A2 (de) | 2013-01-03 | 2014-07-10 | Merck Patent Gmbh | Materialien für elektronische vorrichtungen |
| WO2015009102A1 (ko) * | 2013-07-19 | 2015-01-22 | 주식회사 두산 | 유기발광 화합물 및 이를 이용한 유기 전계 발광 소자 |
| US11588117B2 (en) * | 2013-07-30 | 2023-02-21 | Merck Patent Gmbh | Materials for electronic devices |
| EP3712229A1 (de) | 2013-07-30 | 2020-09-23 | Merck Patent GmbH | Materialien für elektronische vorrichtungen |
| US20160181548A1 (en) * | 2013-07-30 | 2016-06-23 | Merck Patent Gmbh | Materials for electronic devices |
| EP3647393A1 (de) | 2013-07-30 | 2020-05-06 | Merck Patent GmbH | Materialien für elektronische vorrichtungen |
| US20230210004A1 (en) * | 2013-07-30 | 2023-06-29 | Merck Patent Gmbh | Materials for electronic devices |
| WO2015033894A1 (ja) * | 2013-09-04 | 2015-03-12 | 出光興産株式会社 | カルバゾール誘導体、これを用いた有機エレクトロルミネッセンス素子用材料、並びにこれを用いた有機エレクトロルミネッセンス素子及び電子機器 |
| JPWO2015033894A1 (ja) * | 2013-09-04 | 2017-03-02 | 出光興産株式会社 | カルバゾール誘導体、これを用いた有機エレクトロルミネッセンス素子用材料、並びにこれを用いた有機エレクトロルミネッセンス素子及び電子機器 |
| US9963429B2 (en) | 2013-09-04 | 2018-05-08 | Idemitsu Kosan Co., Ltd. | Carbazole derivative, material for organic electroluminescent element which comprises same, and organic electroluminescent element and electronic device each manufactured using same |
| WO2015036080A1 (de) | 2013-09-11 | 2015-03-19 | Merck Patent Gmbh | Organische elektrolumineszenzvorrichtung |
| US20160226001A1 (en) * | 2013-09-11 | 2016-08-04 | Merck Patent Gmbh | Organic Electroluminescent Device |
| US12336428B2 (en) | 2013-10-08 | 2025-06-17 | Merck Patent Gmbh | Materials for electronic devices |
| KR20160065207A (ko) * | 2013-10-08 | 2016-06-08 | 메르크 파텐트 게엠베하 | 전자 소자용 재료 |
| WO2015051869A1 (de) * | 2013-10-08 | 2015-04-16 | Merck Patent Gmbh | Materialien für elektronische vorrichtungen |
| KR102318974B1 (ko) | 2013-10-08 | 2021-10-28 | 메르크 파텐트 게엠베하 | 전자 소자용 재료 |
| US10529930B2 (en) | 2013-10-08 | 2020-01-07 | Merck Patent Gmbh | Materials for electronic devices |
| US11856849B2 (en) | 2013-10-08 | 2023-12-26 | Merck Patent Gmbh | Materials for electronic devices |
| US9716237B2 (en) | 2014-02-25 | 2017-07-25 | Basf Se | Heteroacenes for organic electronics |
| WO2015128779A1 (en) * | 2014-02-25 | 2015-09-03 | Basf Se | Heteroacenes for organic electronics |
| EP3533794A3 (de) * | 2014-04-30 | 2019-11-20 | Merck Patent GmbH | Materialien für elektronische vorrichtungen |
| US10985330B2 (en) | 2014-04-30 | 2021-04-20 | Merck Patent Gmbh | Materials for electronic devices |
| US10355223B2 (en) | 2014-04-30 | 2019-07-16 | Merck Patent Gmbh | Materials for electronic devices |
| WO2015165563A1 (de) | 2014-04-30 | 2015-11-05 | Merck Patent Gmbh | Materialien für elektronische vorrichtungen |
| EP3533794A2 (de) | 2014-04-30 | 2019-09-04 | Merck Patent GmbH | Materialien für elektronische vorrichtungen |
| US11963442B2 (en) | 2014-04-30 | 2024-04-16 | Merck Patent Gmbh | Materials for electronic devices |
| US11895913B2 (en) | 2014-05-05 | 2024-02-06 | Merck Patent Gmbh | Materials for organic light emitting devices |
| US12329026B2 (en) | 2014-05-05 | 2025-06-10 | Merck Patent Gmbh | Materials for organic light emitting devices |
| US10622565B2 (en) | 2014-05-05 | 2020-04-14 | Merck Patent Gmbh | Materials for organic light emitting devices |
| US11991924B2 (en) | 2014-05-05 | 2024-05-21 | Merck Patent Gmbh | Materials for organic light emitting devices |
| US11877511B2 (en) | 2014-05-05 | 2024-01-16 | Merck Patent Gmbh | Materials for organic light emitting devices |
| WO2015169412A1 (de) | 2014-05-05 | 2015-11-12 | Merck Patent Gmbh | Materialien für organische elektrolumineszenzvorrichtungen |
| US11626561B2 (en) | 2014-05-05 | 2023-04-11 | Merck Patent Gmbh | Materials for organic light emitting devices |
| WO2015192941A1 (de) | 2014-06-18 | 2015-12-23 | Merck Patent Gmbh | Zusammensetzungen für elektronische vorrichtungen |
| DE102014008722B4 (de) | 2014-06-18 | 2024-08-22 | Merck Patent Gmbh | Zusammensetzungen für elektronische Vorrichtungen, Formulierung diese enthaltend, Verwendung der Zusammensetzung, Verwendung der Formulierung sowie organische elektronische Vorrichtung enthaltend die Zusammensetzung |
| DE102014008722A1 (de) | 2014-06-18 | 2015-12-24 | Merck Patent Gmbh | Zusammensetzungen für elektronische Vorrichtungen |
| WO2015197156A1 (de) | 2014-06-25 | 2015-12-30 | Merck Patent Gmbh | Materialien für organische elektrolumineszenzvorrichtungen |
| EP3034506A1 (de) | 2014-12-15 | 2016-06-22 | Idemitsu Kosan Co., Ltd | 4-funktionalisierte Carbazolderivate für elektronische Anwendungen |
| WO2016124304A1 (de) | 2015-02-03 | 2016-08-11 | Merck Patent Gmbh | Metallkomplexe |
| EP3257850A4 (de) * | 2015-02-13 | 2017-12-20 | Konica Minolta, Inc. | Aromatisches heterocyclisches derivat und organisches elektrolumineszenzelement, beleuchtungsvorrichtung und anzeigevorrichtung mit dem aromatischen heterocyclischen derivat |
| EP4271160A3 (de) * | 2015-02-13 | 2024-01-10 | Merck Patent GmbH | Aromatisches heterocyclisches derivat und organisches elektrolumineszenzelement, beleuchtungsvorrichtung und anzeigevorrichtung mit dem aromatischen heterocyclischen derivat |
| US10559761B2 (en) | 2015-03-09 | 2020-02-11 | Kyulux, Inc. | Light-emitting material, and organic electroluminescent device |
| EP3269789A4 (de) * | 2015-03-09 | 2018-08-01 | Hodogaya Chemical Co., Ltd. | Lichtemittierendes material und organisches elektrolumineszentes element |
| KR20170137036A (ko) | 2015-03-30 | 2017-12-12 | 신닛테츠 수미킨 가가쿠 가부시키가이샤 | 유기 전계 발광 소자 |
| WO2016198144A1 (en) | 2015-06-10 | 2016-12-15 | Merck Patent Gmbh | Materials for organic electroluminescent devices |
| WO2017016630A1 (en) | 2015-07-30 | 2017-02-02 | Merck Patent Gmbh | Materials for organic electroluminescent devices |
| EP4301110A2 (de) | 2015-07-30 | 2024-01-03 | Merck Patent GmbH | Materialien für organische elektrolumineszenzvorrichtungen |
| WO2017071791A1 (en) | 2015-10-27 | 2017-05-04 | Merck Patent Gmbh | Materials for organic electroluminescent devices |
| WO2018087022A1 (de) | 2016-11-09 | 2018-05-17 | Merck Patent Gmbh | Materialien für organische elektrolumineszenzvorrichtungen |
| WO2018104194A1 (de) | 2016-12-05 | 2018-06-14 | Merck Patent Gmbh | Materialien für organische elektrolumineszenzvorrichtungen |
| WO2018104193A1 (de) | 2016-12-05 | 2018-06-14 | Merck Patent Gmbh | Materialien für organische elektrolumineszenzvorrichtungen |
| WO2018127465A1 (de) | 2017-01-04 | 2018-07-12 | Merck Patent Gmbh | Materialien für organische elektrolumineszenzvorrichtungen |
| WO2018138306A1 (de) | 2017-01-30 | 2018-08-02 | Merck Patent Gmbh | Materialien für organische elektrolumineszenzvorrichtungen |
| WO2018149769A1 (de) | 2017-02-14 | 2018-08-23 | Merck Patent Gmbh | Materialien für organische elektrolumineszenzvorrichtungen |
| US10892425B1 (en) | 2017-03-03 | 2021-01-12 | Kyulux, Inc. | Composition of matter for use in organic light-emitting diodes |
| US11283027B1 (en) | 2017-03-03 | 2022-03-22 | Kyulux, Inc. | Composition of matter for use in organic light-emitting diodes |
| US11778907B2 (en) | 2017-04-13 | 2023-10-03 | Merck Patent Gmbh | Composition for organic electronic devices |
| WO2018189134A1 (de) | 2017-04-13 | 2018-10-18 | Merck Patent Gmbh | Zusammensetzung für organische elektronische vorrichtungen |
| US10547014B2 (en) | 2017-06-23 | 2020-01-28 | Kyulux, Inc. | Composition of matter for use in organic light-emitting diodes |
| EP4186898A1 (de) | 2017-07-05 | 2023-05-31 | Merck Patent GmbH | Zusammensetzung für organische elektronische verbindungen |
| US12435070B2 (en) | 2017-07-05 | 2025-10-07 | Merck Patent Gmbh | Composition for organic electronic devices |
| WO2019007867A1 (de) | 2017-07-05 | 2019-01-10 | Merck Patent Gmbh | Zusammensetzung für organische elektronische vorrichtungen |
| US11591320B2 (en) | 2017-07-05 | 2023-02-28 | Merck Patent Gmbh | Composition for organic electronic devices |
| WO2019007866A1 (de) | 2017-07-05 | 2019-01-10 | Merck Patent Gmbh | Zusammensetzung für organische elektronische vorrichtungen |
| US11069860B2 (en) | 2017-08-21 | 2021-07-20 | Kyulux, Inc. | Composition of matter for use in organic light-emitting diodes |
| WO2019081391A1 (de) | 2017-10-24 | 2019-05-02 | Merck Patent Gmbh | Materialien für organische elektrolumineszenzvorrichtungen |
| WO2019096717A2 (de) | 2017-11-14 | 2019-05-23 | Merck Patent Gmbh | Zusammensetzung für organische elektronische vorrichtungen |
| US11450809B2 (en) | 2017-11-14 | 2022-09-20 | Merck Patent Gmbh | Composition for organic electronic devices |
| US11444250B2 (en) | 2017-12-05 | 2022-09-13 | Kyulux, Inc. | Composition of matter for use in organic light-emitting diodes |
| US10644249B2 (en) | 2017-12-22 | 2020-05-05 | Kyulux, Inc. | Composition of matter for use in organic light-emitting diodes |
| US11575088B2 (en) | 2017-12-22 | 2023-02-07 | Kyulux, Inc. | Composition of matter for use in organic light-emitting diodes |
| WO2019145316A1 (de) | 2018-01-25 | 2019-08-01 | Merck Patent Gmbh | Materialien für organische elektrolumineszenzvorrichtungen |
| US11542260B2 (en) | 2018-01-31 | 2023-01-03 | Kyulux, Inc. | Composition of matter for use in organic light-emitting diodes |
| US11104669B2 (en) | 2018-02-02 | 2021-08-31 | Kyulux, Inc. | Composition of matter for use in organic light-emitting diodes |
| US11608333B2 (en) | 2018-03-20 | 2023-03-21 | Kyulux, Inc. | Composition of matter for use in organic light-emitting diodes |
| US11498914B2 (en) | 2018-03-30 | 2022-11-15 | Kyulux, Inc. | Composition of matter for use in organic light-emitting diodes |
| US11778904B2 (en) | 2018-05-09 | 2023-10-03 | Kyulux, Inc. | Composition of matter for use in organic light-emitting diodes |
| WO2019233904A1 (de) | 2018-06-07 | 2019-12-12 | Merck Patent Gmbh | Organische elektrolumineszenzvorrichtungen |
| WO2020011686A1 (de) | 2018-07-09 | 2020-01-16 | Merck Patent Gmbh | Materialien für organische elektrolumineszenzvorrichtungen |
| WO2020094542A1 (de) | 2018-11-06 | 2020-05-14 | Merck Patent Gmbh | 5,6-diphenyl-5,6-dihydro-dibenz[c,e][1,2]azaphosphorin- und 6-phenyl-6h-dibenzo[c,e][1,2]thiazin-5,5-dioxid-derivate und ähnliche verbindungen als organische elektrolumineszenzmaterialien für oleds |
| WO2020099307A1 (de) | 2018-11-15 | 2020-05-22 | Merck Patent Gmbh | Materialien für organische elektrolumineszenzvorrichtungen |
| WO2020127165A1 (de) | 2018-12-19 | 2020-06-25 | Merck Patent Gmbh | Materialien für organische elektrolumineszenzvorrichtungen |
| WO2020182779A1 (de) | 2019-03-12 | 2020-09-17 | Merck Patent Gmbh | Materialien für organische elektrolumineszenzvorrichtungen |
| WO2020187865A1 (de) | 2019-03-20 | 2020-09-24 | Merck Patent Gmbh | Materialien für organische elektrolumineszenzvorrichtungen |
| WO2020193447A1 (de) | 2019-03-25 | 2020-10-01 | Merck Patent Gmbh | Materialien für organische elektrolumineszenzvorrichtungen |
| WO2021037401A1 (de) | 2019-08-26 | 2021-03-04 | Merck Patent Gmbh | Materialien für organische elektrolumineszenzvorrichtungen |
| WO2021043703A1 (de) | 2019-09-02 | 2021-03-11 | Merck Patent Gmbh | Materialien für organische elektrolumineszenzvorrichtungen |
| WO2021043755A1 (de) | 2019-09-03 | 2021-03-11 | Merck Patent Gmbh | Materialien für organische elektrolumineszenzvorrichtungen |
| WO2021053046A1 (de) | 2019-09-20 | 2021-03-25 | Merck Patent Gmbh | Peri-kondensierte heterozyklische verbindungen als materialien für elektronische vorrichtungen |
| WO2021078710A1 (en) | 2019-10-22 | 2021-04-29 | Merck Patent Gmbh | Materials for organic electroluminescent devices |
| WO2021078831A1 (de) | 2019-10-25 | 2021-04-29 | Merck Patent Gmbh | In einer organischen elektronischen vorrichtung einsetzbare verbindungen |
| WO2021122535A1 (de) | 2019-12-17 | 2021-06-24 | Merck Patent Gmbh | Materialien für organische elektrolumineszenzvorrichtungen |
| WO2021122538A1 (de) | 2019-12-18 | 2021-06-24 | Merck Patent Gmbh | Aromatische verbindungen für organische elektrolumineszenzvorrichtungen |
| WO2021122740A1 (de) | 2019-12-19 | 2021-06-24 | Merck Patent Gmbh | Polycyclische verbindungen für organische elektrolumineszenzvorrichtungen |
| WO2021151922A1 (de) | 2020-01-29 | 2021-08-05 | Merck Patent Gmbh | Benzimidazol-derivate |
| WO2021170522A1 (de) | 2020-02-25 | 2021-09-02 | Merck Patent Gmbh | Verwendung von heterocyclischen verbindungen in einer organischen elektronischen vorrichtung |
| WO2021175706A1 (de) | 2020-03-02 | 2021-09-10 | Merck Patent Gmbh | Verwendung von sulfonverbindungen in einer organischen elektronischen vorrichtung |
| WO2021185829A1 (de) | 2020-03-17 | 2021-09-23 | Merck Patent Gmbh | Heterocyclische verbindungen für organische elektrolumineszenzvorrichtungen |
| WO2021185712A1 (de) | 2020-03-17 | 2021-09-23 | Merck Patent Gmbh | Heteroaromatische verbindungen für organische elektrolumineszenzvorrichtungen |
| WO2021191117A1 (de) | 2020-03-24 | 2021-09-30 | Merck Patent Gmbh | Materialien für elektronische vorrichtungen |
| WO2021191183A1 (de) | 2020-03-26 | 2021-09-30 | Merck Patent Gmbh | Cyclische verbindungen für organische elektrolumineszenzvorrichtungen |
| WO2021198213A1 (de) | 2020-04-02 | 2021-10-07 | Merck Patent Gmbh | Materialien für organische elektrolumineszenzvorrichtungen |
| WO2021204646A1 (de) | 2020-04-06 | 2021-10-14 | Merck Patent Gmbh | Polycyclische verbindungen für organische elektrolumineszenzvorrichtungen |
| WO2022002772A1 (de) | 2020-06-29 | 2022-01-06 | Merck Patent Gmbh | Heteroaromatische verbindungen für organische elektrolumineszenzvorrichtungen |
| WO2022002771A1 (de) | 2020-06-29 | 2022-01-06 | Merck Patent Gmbh | Heterocyclische verbindungen für organische elektrolumineszenzvorrichtungen |
| WO2022029096A1 (de) | 2020-08-06 | 2022-02-10 | Merck Patent Gmbh | Materialien für organische elektrolumineszenzvorrichtungen |
| WO2022038065A1 (de) | 2020-08-18 | 2022-02-24 | Merck Patent Gmbh | Materialien für organische elektrolumineszenzvorrichtungen |
| WO2022038066A1 (de) | 2020-08-19 | 2022-02-24 | Merck Patent Gmbh | Materialien für organische elektrolumineszenzvorrichtungen |
| WO2022069422A1 (de) | 2020-09-30 | 2022-04-07 | Merck Patent Gmbh | Verbindungen zur strukturierung von funktionalen schichten organischer elektrolumineszenzvorrichtungen |
| WO2022069421A1 (de) | 2020-09-30 | 2022-04-07 | Merck Patent Gmbh | Zur strukturierung von funktionalen schichten organischer elektrolumineszenzvorrichtungen einsetzbare verbindungen |
| WO2022079067A1 (de) | 2020-10-16 | 2022-04-21 | Merck Patent Gmbh | Verbindungen mit heteroatomen für organische elektrolumineszenzvorrichtungen |
| WO2022079068A1 (de) | 2020-10-16 | 2022-04-21 | Merck Patent Gmbh | Heterocyclische verbindungen für organische elektrolumineszenzvorrichtungen |
| WO2022101171A1 (de) | 2020-11-10 | 2022-05-19 | Merck Patent Gmbh | Schwefelhaltige verbindungen für organische elektrolumineszenzvorrichtungen |
| WO2022117473A1 (de) | 2020-12-02 | 2022-06-09 | Merck Patent Gmbh | Heterocyclische verbindungen für organische elektrolumineszenzvorrichtungen |
| WO2022122682A2 (de) | 2020-12-10 | 2022-06-16 | Merck Patent Gmbh | Materialien für organische elektrolumineszenzvorrichtungen |
| WO2022129113A1 (de) | 2020-12-18 | 2022-06-23 | Merck Patent Gmbh | Stickstoffhaltige heteroaromaten für organische elektrolumineszenzvorrichtungen |
| EP4676208A2 (de) | 2020-12-18 | 2026-01-07 | Merck Patent GmbH | Stickstoffhaltige heteroaromaten für organische elektrolumineszenzvorrichtungen |
| WO2022129114A1 (de) | 2020-12-18 | 2022-06-23 | Merck Patent Gmbh | Stickstoffhaltige verbindungen für organische elektrolumineszenzvorrichtungen |
| WO2022129116A1 (de) | 2020-12-18 | 2022-06-23 | Merck Patent Gmbh | Indolo[3.2.1-jk]carbazole-6-carbonitril-derivate als blau fluoreszierende emitter zur verwendung in oleds |
| WO2022148717A1 (de) | 2021-01-05 | 2022-07-14 | Merck Patent Gmbh | Materialien für organische elektrolumineszenzvorrichtungen |
| WO2022157343A1 (de) | 2021-01-25 | 2022-07-28 | Merck Patent Gmbh | Stickstoffhaltige verbindungen für organische elektrolumineszenzvorrichtungen |
| WO2022184601A1 (de) | 2021-03-02 | 2022-09-09 | Merck Patent Gmbh | Verbindungen für organische elektrolumineszenzvorrichtungen |
| WO2022194799A1 (de) | 2021-03-18 | 2022-09-22 | Merck Patent Gmbh | Heteroaromatische verbindungen für organische elektrolumineszenzvorrichtungen |
| WO2022229298A1 (de) | 2021-04-29 | 2022-11-03 | Merck Patent Gmbh | Materialien für organische elektrolumineszenzvorrichtungen |
| WO2022229126A1 (de) | 2021-04-29 | 2022-11-03 | Merck Patent Gmbh | Materialien für organische elektrolumineszenzvorrichtungen |
| WO2022229234A1 (de) | 2021-04-30 | 2022-11-03 | Merck Patent Gmbh | Stickstoffhaltige, heterocyclische verbindungen für organische elektrolumineszenzvorrichtungen |
| WO2022243403A1 (de) | 2021-05-21 | 2022-11-24 | Merck Patent Gmbh | Verfahren zur kontinuierlichen aufreinigung von mindestens einem funktionalen material und vorrichtung zur kontinuierlichen aufreinigung von mindestens einem funktionalen material |
| WO2022200638A1 (de) | 2021-07-06 | 2022-09-29 | Merck Patent Gmbh | Materialien für organische elektrolumineszenzvorrichtungen |
| WO2023041454A1 (de) | 2021-09-14 | 2023-03-23 | Merck Patent Gmbh | Borhaltige, heterocyclische verbindungen für organische elektrolumineszenzvorrichtungen |
| WO2023052314A1 (de) | 2021-09-28 | 2023-04-06 | Merck Patent Gmbh | Materialien für elektronische vorrichtungen |
| WO2023052313A1 (de) | 2021-09-28 | 2023-04-06 | Merck Patent Gmbh | Materialien für elektronische vorrichtungen |
| WO2023052272A1 (de) | 2021-09-28 | 2023-04-06 | Merck Patent Gmbh | Materialien für elektronische vorrichtungen |
| WO2023052275A1 (de) | 2021-09-28 | 2023-04-06 | Merck Patent Gmbh | Materialien für elektronische vorrichtungen |
| WO2023072799A1 (de) | 2021-10-27 | 2023-05-04 | Merck Patent Gmbh | Bor- und stickstoffhaltige, heterocyclische verbindungen für organische elektrolumineszenzvorrichtungen |
| WO2023094412A1 (de) | 2021-11-25 | 2023-06-01 | Merck Patent Gmbh | Materialien für elektronische vorrichtungen |
| WO2023110742A1 (de) | 2021-12-13 | 2023-06-22 | Merck Patent Gmbh | Materialien für organische elektrolumineszenzvorrichtungen |
| WO2023117837A1 (de) | 2021-12-21 | 2023-06-29 | Merck Patent Gmbh | Verfahren zur herstellung von deuterierten organischen verbindungen |
| WO2023139034A1 (en) | 2022-01-20 | 2023-07-27 | Merck Patent Gmbh | Organic electric element with mixed host system |
| WO2023152063A1 (de) | 2022-02-09 | 2023-08-17 | Merck Patent Gmbh | Materialien für organische elektrolumineszenzvorrichtungen |
| WO2023152346A1 (de) | 2022-02-14 | 2023-08-17 | Merck Patent Gmbh | Materialien für elektronische vorrichtungen |
| WO2023161168A1 (de) | 2022-02-23 | 2023-08-31 | Merck Patent Gmbh | Aromatische heterocyclen für organische elektrolumineszenzvorrichtungen |
| WO2023161167A1 (de) | 2022-02-23 | 2023-08-31 | Merck Patent Gmbh | Stickstoffhaltige heterocyclen für organische elektrolumineszenzvorrichtungen |
| WO2023213837A1 (de) | 2022-05-06 | 2023-11-09 | Merck Patent Gmbh | Cyclische verbindungen für organische elektrolumineszenzvorrichtungen |
| WO2023222559A1 (de) | 2022-05-18 | 2023-11-23 | Merck Patent Gmbh | Verfahren zur herstellung von deuterierten organischen verbindungen |
| WO2023247338A1 (de) | 2022-06-20 | 2023-12-28 | Merck Patent Gmbh | Organische heterocyclen für photoelektrische vorrichtungen |
| WO2023247345A1 (de) | 2022-06-20 | 2023-12-28 | Merck Patent Gmbh | Heterocyclen für photoelektrische vorrichtungen |
| WO2024013004A1 (de) | 2022-07-11 | 2024-01-18 | Merck Patent Gmbh | Materialien für elektronische vorrichtungen |
| WO2024061942A1 (de) | 2022-09-22 | 2024-03-28 | Merck Patent Gmbh | Stickstoffenthaltende verbindungen für organische elektrolumineszenzvorrichtungen |
| WO2024061948A1 (de) | 2022-09-22 | 2024-03-28 | Merck Patent Gmbh | Stickstoffenthaltende heterocyclen für organische elektrolumineszenzvorrichtungen |
| WO2024094592A2 (de) | 2022-11-01 | 2024-05-10 | Merck Patent Gmbh | Stickstoffhaltige heterocyclen für organische elektrolumineszenzvorrichtungen |
| WO2024121133A1 (de) | 2022-12-08 | 2024-06-13 | Merck Patent Gmbh | Organische elektronische vorrichtung und spezielle materialien für organische elektronische vorrichtungen |
| WO2024132993A1 (de) | 2022-12-19 | 2024-06-27 | Merck Patent Gmbh | Materialien für elektronische vorrichtungen |
| WO2024133048A1 (en) | 2022-12-20 | 2024-06-27 | Merck Patent Gmbh | Method for preparing deuterated aromatic compounds |
| WO2024149694A1 (de) | 2023-01-10 | 2024-07-18 | Merck Patent Gmbh | Stickstoffhaltige heterocyclen für organische elektrolumineszenzvorrichtungen |
| WO2024153568A1 (de) | 2023-01-17 | 2024-07-25 | Merck Patent Gmbh | Heterocyclen für organische elektrolumineszenzvorrichtungen |
| WO2024184050A1 (de) | 2023-03-07 | 2024-09-12 | Merck Patent Gmbh | Cyclische stickstoffverbindungen für organische elektrolumineszenzvorrichtungen |
| WO2024194264A1 (de) | 2023-03-20 | 2024-09-26 | Merck Patent Gmbh | Materialien für organische elektrolumineszenzvorrichtungen |
| WO2024218109A1 (de) | 2023-04-20 | 2024-10-24 | Merck Patent Gmbh | Materialien für elektronische vorrichtungen |
| WO2024240725A1 (de) | 2023-05-25 | 2024-11-28 | Merck Patent Gmbh | Tris[1,2,4]triazolo[1,5-a:1',5'-c:1'',5''-e][1,3,5]triazin-derivate zur verwendung in organischen elektrolumineszenzvorrichtungen |
| WO2024256357A1 (de) | 2023-06-12 | 2024-12-19 | Merck Patent Gmbh | Organische heterocyclen für photoelektrische vorrichtungen |
| WO2025003084A1 (de) | 2023-06-28 | 2025-01-02 | Merck Patent Gmbh | Dicyanoarylverbindungen für organische elektrolumineszenzvorrichtungen |
| EP4486099A1 (de) | 2023-06-30 | 2025-01-01 | Merck Patent GmbH | Verbindungen für organische elektrolumineszenzvorrichtungen |
| WO2025021855A1 (de) | 2023-07-27 | 2025-01-30 | Merck Patent Gmbh | Materialien für organische lichtemittierende vorrichtungen und organische sensoren |
| WO2025045816A1 (en) | 2023-08-29 | 2025-03-06 | Merck Patent Gmbh | Materials for organic electroluminescent devices |
| WO2025045851A1 (de) | 2023-08-30 | 2025-03-06 | Merck Patent Gmbh | Materialien für organische lichtemittierende vorrichtungen |
| WO2025045842A1 (de) | 2023-08-30 | 2025-03-06 | Merck Patent Gmbh | Materialien für organische lichtemittierende vorrichtungen |
| WO2025045843A1 (de) | 2023-08-30 | 2025-03-06 | Merck Patent Gmbh | Materialien für organische lichtemittierende vorrichtungen |
| WO2025045935A1 (de) | 2023-08-31 | 2025-03-06 | Merck Patent Gmbh | Cyanogruppen-enthaltende aromaten für organische elektrolumineszenzvorrichtungen |
| WO2025073675A1 (en) | 2023-10-04 | 2025-04-10 | Merck Patent Gmbh | Materials for organic electroluminescent devices |
| WO2025105757A1 (ko) * | 2023-11-13 | 2025-05-22 | 엘티소재주식회사 | 화합물, 유기 발광 소자 및 유기 발광 소자의 유기물층용 조성물 |
| WO2025104058A1 (de) | 2023-11-16 | 2025-05-22 | Merck Patent Gmbh | Materialien für organische elektronische vorrichtungen |
| WO2025109056A1 (de) | 2023-11-24 | 2025-05-30 | Merck Patent Gmbh | Sauerstoffenthaltende heterocyclen für organische elektrolumineszenzvorrichtungen |
| WO2025119821A1 (en) | 2023-12-05 | 2025-06-12 | Merck Patent Gmbh | Material composition for organic electroluminescent devices |
| WO2025132547A1 (en) | 2023-12-21 | 2025-06-26 | Merck Patent Gmbh | Mechanochemical method for deuterating organic compounds |
| WO2025132551A1 (de) | 2023-12-22 | 2025-06-26 | Merck Patent Gmbh | Materialien für elektronische vorrichtungen |
| WO2025168515A1 (de) | 2024-02-06 | 2025-08-14 | Merck Patent Gmbh | Materialien für organische elektronische vorrichtungen |
| WO2025181097A1 (de) | 2024-02-29 | 2025-09-04 | Merck Patent Gmbh | Stickstoffenthaltende heterocyclen für organische elektrolumineszenzvorrichtungen |
| WO2025181044A1 (de) | 2024-02-29 | 2025-09-04 | Merck Patent Gmbh | Stickstoffenthaltende verbindungen für organische elektrolumineszenzvorrichtungen |
| WO2025181124A1 (de) | 2024-03-01 | 2025-09-04 | Merck Patent Gmbh | Materialien für organische elektrolumineszenzvorrichtungen |
| WO2025195961A1 (de) | 2024-03-19 | 2025-09-25 | Merck Patent Gmbh | Organische lichtemittierende vorrichtungen |
| WO2025210013A1 (de) | 2024-04-04 | 2025-10-09 | Merck Patent Gmbh | Verbindungen für elektronische vorrichtungen, insbesondere verbindungen für oleds |
| WO2025228800A1 (de) | 2024-04-30 | 2025-11-06 | Merck Patent Gmbh | Materialien für organische elektronische vorrichtungen |
| WO2026008710A1 (de) | 2024-07-05 | 2026-01-08 | Merck Patent Gmbh | Cyclische siliciumverbindungen für organische elektrolumineszenzvorrichtungen |
| WO2026017611A1 (en) | 2024-07-15 | 2026-01-22 | Merck Patent Gmbh | Organic light emitting device |
| WO2026017608A1 (de) | 2024-07-15 | 2026-01-22 | Merck Patent Gmbh | Materialien für organische lichtemittierende vorrichtungen |
| WO2026017607A1 (en) | 2024-07-15 | 2026-01-22 | Merck Patent Gmbh | Organic light-emitting device |
| WO2026017612A1 (en) | 2024-07-15 | 2026-01-22 | Merck Patent Gmbh | Organic light-emitting device |
| WO2026022016A1 (de) | 2024-07-22 | 2026-01-29 | Merck Patent Gmbh | Materialien für organische lichtemittierende vorrichtungen |
Also Published As
| Publication number | Publication date |
|---|---|
| WO2011057706A8 (de) | 2012-08-23 |
| KR101819761B1 (ko) | 2018-01-17 |
| KR20170090513A (ko) | 2017-08-07 |
| CN102770427B (zh) | 2016-07-20 |
| DE112010004381B4 (de) | 2023-09-07 |
| TW201134823A (en) | 2011-10-16 |
| DE102009053382A1 (de) | 2011-05-19 |
| JP2013510803A (ja) | 2013-03-28 |
| KR101886593B1 (ko) | 2018-08-07 |
| JP5819312B2 (ja) | 2015-11-24 |
| WO2011057706A3 (de) | 2011-08-25 |
| DE112010004381A5 (de) | 2012-08-30 |
| US20120223276A1 (en) | 2012-09-06 |
| CN102770427A (zh) | 2012-11-07 |
| KR20120104246A (ko) | 2012-09-20 |
| US9334260B2 (en) | 2016-05-10 |
Similar Documents
| Publication | Publication Date | Title |
|---|---|---|
| DE112010004381B4 (de) | Materialien für elektronische Vorrichtungen | |
| EP2705552B1 (de) | Verbindungen für elektronische vorrichtungen | |
| EP2737554B1 (de) | Verbindungen für elektronische vorrichtungen | |
| EP2705550B1 (de) | Verbindungen für elektronische vorrichtungen | |
| DE112011101314B4 (de) | Materialien für elektronische Vorrichtungen | |
| DE112011103412B4 (de) | Materialien für elektronische Vorrichtungen | |
| EP3335253A1 (de) | Materialien für elektronische vorrichtungen | |
| DE102010009903A1 (de) | Verbindungen für elektronische Vorrichtungen | |
| WO2013056776A1 (de) | Materialien für organische elektrolumineszenzvorrichtungen | |
| EP2875004A2 (de) | Verbindungen und organische elektronische vorrichtungen | |
| WO2012048780A1 (de) | Verbindungen für elektronische vorrichtungen | |
| WO2012069121A1 (de) | Materialien für organische elektrolumineszenzvorrichtungen | |
| EP3535240A1 (de) | Materialien für elektronische vorrichtungen | |
| WO2011060877A2 (de) | Materialien für organische elektrolumineszenzvorrichtungen | |
| DE102010005697A1 (de) | Verbindungen für elektronische Vorrichtungen | |
| WO2013041176A1 (de) | Carbazolderivate für organische elektrolumineszenzvorrichtungen | |
| EP3017016A1 (de) | Materialien für elektronische vorrichtungen | |
| DE102009052428A1 (de) | Verbindung für elektronische Vorrichtungen | |
| EP2941469A2 (de) | Materialien für elektronische vorrichtungen | |
| EP2926385A1 (de) | Elektronische vorrichtung | |
| WO2011157346A1 (de) | Verbindungen für elektronische vorrichtungen | |
| EP2697225A1 (de) | Materialien für elektronische vorrichtungen | |
| WO2019048458A1 (de) | Materialien für elektronische vorrichtungen | |
| DE102012022880A1 (de) | Elektronische Vorrichtungen enthaltend organische Schichten | |
| EP2697226B1 (de) | Verbindungen für elektronische vorrichtungen |
Legal Events
| Date | Code | Title | Description |
|---|---|---|---|
| WWE | Wipo information: entry into national phase |
Ref document number: 201080051333.7 Country of ref document: CN |
|
| 121 | Ep: the epo has been informed by wipo that ep was designated in this application |
Ref document number: 10773574 Country of ref document: EP Kind code of ref document: A1 |
|
| WWE | Wipo information: entry into national phase |
Ref document number: 13509399 Country of ref document: US |
|
| WWE | Wipo information: entry into national phase |
Ref document number: 2012538211 Country of ref document: JP Ref document number: 1120100043817 Country of ref document: DE Ref document number: 112010004381 Country of ref document: DE |
|
| ENP | Entry into the national phase |
Ref document number: 20127015380 Country of ref document: KR Kind code of ref document: A |
|
| REG | Reference to national code |
Ref country code: DE Ref legal event code: R225 Ref document number: 112010004381 Country of ref document: DE Effective date: 20120830 |
|
| 122 | Ep: pct application non-entry in european phase |
Ref document number: 10773574 Country of ref document: EP Kind code of ref document: A2 |













































































































