WO2023110742A1 - Materialien für organische elektrolumineszenzvorrichtungen - Google Patents
Materialien für organische elektrolumineszenzvorrichtungen Download PDFInfo
- Publication number
- WO2023110742A1 WO2023110742A1 PCT/EP2022/085369 EP2022085369W WO2023110742A1 WO 2023110742 A1 WO2023110742 A1 WO 2023110742A1 EP 2022085369 W EP2022085369 W EP 2022085369W WO 2023110742 A1 WO2023110742 A1 WO 2023110742A1
- Authority
- WO
- WIPO (PCT)
- Prior art keywords
- formula
- radicals
- aromatic
- substituted
- group
- Prior art date
- Legal status (The legal status is an assumption and is not a legal conclusion. Google has not performed a legal analysis and makes no representation as to the accuracy of the status listed.)
- Ceased
Links
Classifications
-
- C—CHEMISTRY; METALLURGY
- C07—ORGANIC CHEMISTRY
- C07D—HETEROCYCLIC COMPOUNDS
- C07D471/00—Heterocyclic compounds containing nitrogen atoms as the only ring hetero atoms in the condensed system, at least one ring being a six-membered ring with one nitrogen atom, not provided for by groups C07D451/00 - C07D463/00
- C07D471/12—Heterocyclic compounds containing nitrogen atoms as the only ring hetero atoms in the condensed system, at least one ring being a six-membered ring with one nitrogen atom, not provided for by groups C07D451/00 - C07D463/00 in which the condensed system contains three hetero rings
- C07D471/14—Ortho-condensed systems
-
- C—CHEMISTRY; METALLURGY
- C07—ORGANIC CHEMISTRY
- C07D—HETEROCYCLIC COMPOUNDS
- C07D487/00—Heterocyclic compounds containing nitrogen atoms as the only ring hetero atoms in the condensed system, not provided for by groups C07D451/00 - C07D477/00
- C07D487/12—Heterocyclic compounds containing nitrogen atoms as the only ring hetero atoms in the condensed system, not provided for by groups C07D451/00 - C07D477/00 in which the condensed system contains three hetero rings
- C07D487/14—Ortho-condensed systems
-
- C—CHEMISTRY; METALLURGY
- C07—ORGANIC CHEMISTRY
- C07D—HETEROCYCLIC COMPOUNDS
- C07D471/00—Heterocyclic compounds containing nitrogen atoms as the only ring hetero atoms in the condensed system, at least one ring being a six-membered ring with one nitrogen atom, not provided for by groups C07D451/00 - C07D463/00
- C07D471/22—Heterocyclic compounds containing nitrogen atoms as the only ring hetero atoms in the condensed system, at least one ring being a six-membered ring with one nitrogen atom, not provided for by groups C07D451/00 - C07D463/00 in which the condensed systems contains four or more hetero rings
-
- C—CHEMISTRY; METALLURGY
- C07—ORGANIC CHEMISTRY
- C07D—HETEROCYCLIC COMPOUNDS
- C07D493/00—Heterocyclic compounds containing oxygen atoms as the only ring hetero atoms in the condensed system
- C07D493/12—Heterocyclic compounds containing oxygen atoms as the only ring hetero atoms in the condensed system in which the condensed system contains three hetero rings
- C07D493/14—Ortho-condensed systems
-
- C—CHEMISTRY; METALLURGY
- C07—ORGANIC CHEMISTRY
- C07D—HETEROCYCLIC COMPOUNDS
- C07D495/00—Heterocyclic compounds containing in the condensed system at least one hetero ring having sulfur atoms as the only ring hetero atoms
- C07D495/12—Heterocyclic compounds containing in the condensed system at least one hetero ring having sulfur atoms as the only ring hetero atoms in which the condensed system contains three hetero rings
- C07D495/14—Ortho-condensed systems
-
- C—CHEMISTRY; METALLURGY
- C07—ORGANIC CHEMISTRY
- C07D—HETEROCYCLIC COMPOUNDS
- C07D519/00—Heterocyclic compounds containing more than one system of two or more relevant hetero rings condensed among themselves or condensed with a common carbocyclic ring system not provided for in groups C07D453/00 or C07D455/00
-
- C—CHEMISTRY; METALLURGY
- C07—ORGANIC CHEMISTRY
- C07F—ACYCLIC, CARBOCYCLIC OR HETEROCYCLIC COMPOUNDS CONTAINING ELEMENTS OTHER THAN CARBON, HYDROGEN, HALOGEN, OXYGEN, NITROGEN, SULFUR, SELENIUM OR TELLURIUM
- C07F5/00—Compounds containing elements of Groups 3 or 13 of the Periodic Table
- C07F5/02—Boron compounds
-
- C—CHEMISTRY; METALLURGY
- C07—ORGANIC CHEMISTRY
- C07F—ACYCLIC, CARBOCYCLIC OR HETEROCYCLIC COMPOUNDS CONTAINING ELEMENTS OTHER THAN CARBON, HYDROGEN, HALOGEN, OXYGEN, NITROGEN, SULFUR, SELENIUM OR TELLURIUM
- C07F5/00—Compounds containing elements of Groups 3 or 13 of the Periodic Table
- C07F5/02—Boron compounds
- C07F5/027—Organoboranes and organoborohydrides
-
- C—CHEMISTRY; METALLURGY
- C07—ORGANIC CHEMISTRY
- C07F—ACYCLIC, CARBOCYCLIC OR HETEROCYCLIC COMPOUNDS CONTAINING ELEMENTS OTHER THAN CARBON, HYDROGEN, HALOGEN, OXYGEN, NITROGEN, SULFUR, SELENIUM OR TELLURIUM
- C07F9/00—Compounds containing elements of Groups 5 or 15 of the Periodic Table
- C07F9/02—Phosphorus compounds
- C07F9/547—Heterocyclic compounds, e.g. containing phosphorus as a ring hetero atom
- C07F9/553—Heterocyclic compounds, e.g. containing phosphorus as a ring hetero atom having one nitrogen atom as the only ring hetero atom
- C07F9/576—Six-membered rings
- C07F9/5765—Six-membered rings condensed with carbocyclic rings or carbocyclic ring systems
-
- C—CHEMISTRY; METALLURGY
- C07—ORGANIC CHEMISTRY
- C07F—ACYCLIC, CARBOCYCLIC OR HETEROCYCLIC COMPOUNDS CONTAINING ELEMENTS OTHER THAN CARBON, HYDROGEN, HALOGEN, OXYGEN, NITROGEN, SULFUR, SELENIUM OR TELLURIUM
- C07F9/00—Compounds containing elements of Groups 5 or 15 of the Periodic Table
- C07F9/02—Phosphorus compounds
- C07F9/547—Heterocyclic compounds, e.g. containing phosphorus as a ring hetero atom
- C07F9/6564—Heterocyclic compounds, e.g. containing phosphorus as a ring hetero atom having phosphorus atoms, with or without nitrogen, oxygen, sulfur, selenium or tellurium atoms, as ring hetero atoms
- C07F9/6571—Heterocyclic compounds, e.g. containing phosphorus as a ring hetero atom having phosphorus atoms, with or without nitrogen, oxygen, sulfur, selenium or tellurium atoms, as ring hetero atoms having phosphorus and oxygen atoms as the only ring hetero atoms
- C07F9/657163—Heterocyclic compounds, e.g. containing phosphorus as a ring hetero atom having phosphorus atoms, with or without nitrogen, oxygen, sulfur, selenium or tellurium atoms, as ring hetero atoms having phosphorus and oxygen atoms as the only ring hetero atoms the ring phosphorus atom being bound to at least one carbon atom
- C07F9/657172—Heterocyclic compounds, e.g. containing phosphorus as a ring hetero atom having phosphorus atoms, with or without nitrogen, oxygen, sulfur, selenium or tellurium atoms, as ring hetero atoms having phosphorus and oxygen atoms as the only ring hetero atoms the ring phosphorus atom being bound to at least one carbon atom the ring phosphorus atom and one oxygen atom being part of a (thio)phosphinic acid ester: (X = O, S)
-
- C—CHEMISTRY; METALLURGY
- C09—DYES; PAINTS; POLISHES; NATURAL RESINS; ADHESIVES; COMPOSITIONS NOT OTHERWISE PROVIDED FOR; APPLICATIONS OF MATERIALS NOT OTHERWISE PROVIDED FOR
- C09K—MATERIALS FOR MISCELLANEOUS APPLICATIONS, NOT PROVIDED FOR ELSEWHERE
- C09K11/00—Luminescent, e.g. electroluminescent, chemiluminescent materials
- C09K11/06—Luminescent, e.g. electroluminescent, chemiluminescent materials containing organic luminescent materials
-
- H—ELECTRICITY
- H10—SEMICONDUCTOR DEVICES; ELECTRIC SOLID-STATE DEVICES NOT OTHERWISE PROVIDED FOR
- H10K—ORGANIC ELECTRIC SOLID-STATE DEVICES
- H10K50/00—Organic light-emitting devices
- H10K50/10—OLEDs or polymer light-emitting diodes [PLED]
- H10K50/11—OLEDs or polymer light-emitting diodes [PLED] characterised by the electroluminescent [EL] layers
-
- H—ELECTRICITY
- H10—SEMICONDUCTOR DEVICES; ELECTRIC SOLID-STATE DEVICES NOT OTHERWISE PROVIDED FOR
- H10K—ORGANIC ELECTRIC SOLID-STATE DEVICES
- H10K85/00—Organic materials used in the body or electrodes of devices covered by this subclass
- H10K85/60—Organic compounds having low molecular weight
- H10K85/615—Polycyclic condensed aromatic hydrocarbons, e.g. anthracene
- H10K85/621—Aromatic anhydride or imide compounds, e.g. perylene tetra-carboxylic dianhydride or perylene tetracarboxylic di-imide
-
- H—ELECTRICITY
- H10—SEMICONDUCTOR DEVICES; ELECTRIC SOLID-STATE DEVICES NOT OTHERWISE PROVIDED FOR
- H10K—ORGANIC ELECTRIC SOLID-STATE DEVICES
- H10K85/00—Organic materials used in the body or electrodes of devices covered by this subclass
- H10K85/60—Organic compounds having low molecular weight
- H10K85/615—Polycyclic condensed aromatic hydrocarbons, e.g. anthracene
- H10K85/622—Polycyclic condensed aromatic hydrocarbons, e.g. anthracene containing four rings, e.g. pyrene
-
- H—ELECTRICITY
- H10—SEMICONDUCTOR DEVICES; ELECTRIC SOLID-STATE DEVICES NOT OTHERWISE PROVIDED FOR
- H10K—ORGANIC ELECTRIC SOLID-STATE DEVICES
- H10K85/00—Organic materials used in the body or electrodes of devices covered by this subclass
- H10K85/60—Organic compounds having low molecular weight
- H10K85/649—Aromatic compounds comprising a hetero atom
- H10K85/654—Aromatic compounds comprising a hetero atom comprising only nitrogen as heteroatom
-
- H—ELECTRICITY
- H10—SEMICONDUCTOR DEVICES; ELECTRIC SOLID-STATE DEVICES NOT OTHERWISE PROVIDED FOR
- H10K—ORGANIC ELECTRIC SOLID-STATE DEVICES
- H10K85/00—Organic materials used in the body or electrodes of devices covered by this subclass
- H10K85/60—Organic compounds having low molecular weight
- H10K85/649—Aromatic compounds comprising a hetero atom
- H10K85/657—Polycyclic condensed heteroaromatic hydrocarbons
-
- H—ELECTRICITY
- H10—SEMICONDUCTOR DEVICES; ELECTRIC SOLID-STATE DEVICES NOT OTHERWISE PROVIDED FOR
- H10K—ORGANIC ELECTRIC SOLID-STATE DEVICES
- H10K85/00—Organic materials used in the body or electrodes of devices covered by this subclass
- H10K85/60—Organic compounds having low molecular weight
- H10K85/649—Aromatic compounds comprising a hetero atom
- H10K85/657—Polycyclic condensed heteroaromatic hydrocarbons
- H10K85/6572—Polycyclic condensed heteroaromatic hydrocarbons comprising only nitrogen in the heteroaromatic polycondensed ring system, e.g. phenanthroline or carbazole
-
- H—ELECTRICITY
- H10—SEMICONDUCTOR DEVICES; ELECTRIC SOLID-STATE DEVICES NOT OTHERWISE PROVIDED FOR
- H10K—ORGANIC ELECTRIC SOLID-STATE DEVICES
- H10K85/00—Organic materials used in the body or electrodes of devices covered by this subclass
- H10K85/60—Organic compounds having low molecular weight
- H10K85/649—Aromatic compounds comprising a hetero atom
- H10K85/657—Polycyclic condensed heteroaromatic hydrocarbons
- H10K85/6574—Polycyclic condensed heteroaromatic hydrocarbons comprising only oxygen in the heteroaromatic polycondensed ring system, e.g. cumarine dyes
-
- H—ELECTRICITY
- H10—SEMICONDUCTOR DEVICES; ELECTRIC SOLID-STATE DEVICES NOT OTHERWISE PROVIDED FOR
- H10K—ORGANIC ELECTRIC SOLID-STATE DEVICES
- H10K85/00—Organic materials used in the body or electrodes of devices covered by this subclass
- H10K85/60—Organic compounds having low molecular weight
- H10K85/649—Aromatic compounds comprising a hetero atom
- H10K85/657—Polycyclic condensed heteroaromatic hydrocarbons
- H10K85/6576—Polycyclic condensed heteroaromatic hydrocarbons comprising only sulfur in the heteroaromatic polycondensed ring system, e.g. benzothiophene
-
- H—ELECTRICITY
- H10—SEMICONDUCTOR DEVICES; ELECTRIC SOLID-STATE DEVICES NOT OTHERWISE PROVIDED FOR
- H10K—ORGANIC ELECTRIC SOLID-STATE DEVICES
- H10K85/00—Organic materials used in the body or electrodes of devices covered by this subclass
- H10K85/60—Organic compounds having low molecular weight
- H10K85/658—Organoboranes
-
- H—ELECTRICITY
- H10—SEMICONDUCTOR DEVICES; ELECTRIC SOLID-STATE DEVICES NOT OTHERWISE PROVIDED FOR
- H10K—ORGANIC ELECTRIC SOLID-STATE DEVICES
- H10K2101/00—Properties of the organic materials covered by group H10K85/00
- H10K2101/10—Triplet emission
-
- H—ELECTRICITY
- H10—SEMICONDUCTOR DEVICES; ELECTRIC SOLID-STATE DEVICES NOT OTHERWISE PROVIDED FOR
- H10K—ORGANIC ELECTRIC SOLID-STATE DEVICES
- H10K2101/00—Properties of the organic materials covered by group H10K85/00
- H10K2101/90—Multiple hosts in the emissive layer
-
- Y—GENERAL TAGGING OF NEW TECHNOLOGICAL DEVELOPMENTS; GENERAL TAGGING OF CROSS-SECTIONAL TECHNOLOGIES SPANNING OVER SEVERAL SECTIONS OF THE IPC; TECHNICAL SUBJECTS COVERED BY FORMER USPC CROSS-REFERENCE ART COLLECTIONS [XRACs] AND DIGESTS
- Y02—TECHNOLOGIES OR APPLICATIONS FOR MITIGATION OR ADAPTATION AGAINST CLIMATE CHANGE
- Y02E—REDUCTION OF GREENHOUSE GAS [GHG] EMISSIONS, RELATED TO ENERGY GENERATION, TRANSMISSION OR DISTRIBUTION
- Y02E10/00—Energy generation through renewable energy sources
- Y02E10/50—Photovoltaic [PV] energy
- Y02E10/549—Organic PV cells
Definitions
- the present invention describes connections, in particular for use in electronic devices.
- the invention also relates to a method for producing the compounds according to the invention and electronic devices containing these compounds.
- organic electroluminescent devices in which organic semiconductors are used as functional materials is described, for example, in US Pat. No. 4,539,507, US Pat.
- Organometallic complexes that show phosphorescence are often used as emitting materials.
- organometallic compounds as phosphorescence emitters.
- electroluminescent devices in particular also in electroluminescent devices that exhibit phosphorescence, for example with regard to efficiency, operating voltage and service life.
- organic electroluminescence devices are known which comprise fluorescent emitters or emitters which exhibit TADF (thermally activated delayed fluorescence).
- lactams according to WO201 3/064206 or lactones according to WO2015/106789 are used as matrix materials for phosphorescent emitters or as electron transport materials.
- organic electroluminescent devices are not only determined by the emitters used.
- the other materials used are also here, such as matrix materials, hole-blocking materials, electron-transport materials, hole-transport materials and electron or exciton-blocking materials really important. Improvements in these materials can lead to significant improvements in electroluminescent devices.
- OLEDs containing the compounds should have high color purity.
- An object of the present invention is to provide compounds which are suitable for use in an organic electronic device, in particular in an organic electroluminescent device, as matrix materials or charge transport materials and which lead to good device properties when used in this device, and the provision the corresponding electronic device.
- a further object of the present invention can be seen as providing compounds which are suitable for use in a phosphorescent or fluorescent electroluminescent device, in particular as a matrix material.
- X 1 is the same or different on each occurrence CR or N with the proviso that a maximum of two groups X 1 are N;
- X 2 is the same or different on each occurrence CR or N, with the proviso that a maximum of two X 2 groups are N;
- Y 2 is identical or different on each occurrence, C ⁇ O, C ⁇ S, BR a , NR a , S, O, S ⁇ O, SO 2 , PR a or POR a , preferably C ⁇ O, C ⁇ S or NR a ;
- Y 1 is not equal to Y 2 ; where preferably exactly one Y 1 or Y 2 is C ⁇ O or C ⁇ S and the other Y 1 or Y 2 is NR a ;
- Ar 1 is identical or different on each occurrence, an aromatic or heteroaromatic ring system with 5 to 60 aromatic ring atoms, each of which may be substituted by one or more radicals R 1 ; where a radical Ar 1 can form a ring system with a radical R or R a which can be substituted with one or more radicals R 1 ;
- R 2 is selected identically or differently on each occurrence from the group consisting of H, D, F, CN, an aliphatic hydrocarbon radical having 1 to 20 carbon atoms or an aromatic or heteroaromatic ring system having 5 to 30 aromatic ring atoms in which one or several H atoms can be replaced by D, F, CI, Br, I or CN and can be substituted by one or more alkyl groups each having 1 to 4 carbon atoms two or more, preferably adjacent substituents R 2 together form a ring system.
- the present compounds can be used as an active compound in electronic devices.
- Active compounds are generally the organic or inorganic materials which are introduced, for example, in an organic electronic device, in particular in an organic electroluminescent device between anode and cathode, for example charge injection, charge transport or charge blocking materials, but in particular matrix materials.
- Organic materials are preferred here.
- Neighboring carbon atoms within the meaning of the present invention are carbon atoms which are linked directly to one another. Furthermore, in the definition of groups, "adjacent groups” means that these groups are attached to the same carbon atom or to adjacent carbon atoms. These definitions apply accordingly, inter alia, to the terms “adjacent groups” and “adjacent substituents”.
- the above formulation should also be understood to mean that if one of the two radicals is hydrogen, the second radical binds to the position to which the hydrogen atom was bonded, forming a ring. This shall be through the following
- a fused aryl group, a fused aromatic ring system or a fused heteroaromatic ring system within the meaning of the present invention is a group in which two or more aromatic groups are fused to one another via a common edge, i. H. are fused, so that, for example, two carbon atoms belong to the at least two aromatic or heteroaromatic rings, such as in naphthalene.
- fluorene for example, is not a fused aryl group in the context of the present invention, since the two aromatic groups in fluorene do not have a common edge.
- Corresponding definitions apply to heteroaryl groups and to fused ring systems, which can also contain heteroatoms, but do not have to.
- radicals R, R a , R 1 and/or R 2 form a ring system with one another, a monocyclic or polycyclic, aliphatic, heteroaliphatic, aromatic or heteroaromatic ring system can result.
- An aryl group within the meaning of this invention contains 6 to 60 carbon atoms, preferably 6 to 40 carbon atoms, particularly preferably 6 to 30 carbon atoms;
- a heteroaryl group within the meaning of this invention contains 2 to 60 carbon atoms, preferably 2 to 40 carbon atoms, particularly preferably 2 to 30 carbon atoms and at least one heteroatom, with the proviso that the sum of carbon atoms and heteroatoms is at least 5 results.
- the heteroatoms are preferably selected from N, O and/or S.
- An aryl group or heteroaryl group is either a simple aromatic cycle, ie benzene, or a simple heteroaromatic cycle, for example pyridine, pyrimidine, thiophene, etc., or one fused aryl or Heteroaryl group, for example naphthalene, anthracene, phenanthrene, quinoline, isoquinoline, etc. understood.
- An aromatic ring system within the meaning of this invention contains 6 to 60 carbon atoms, preferably 6 to 40 carbon atoms, particularly preferably 6 to 30 carbon atoms in the ring system.
- a heteroaromatic ring system within the meaning of this invention contains 1 to 60 C, preferably 1 to 40 C atoms, particularly preferably 1 to 30 C atoms and at least one heteroatom in the ring system, with the proviso that the sum of C atoms and heteroatoms is at least 5 results.
- the heteroatoms are preferably selected from N, O and / or S.
- An aromatic or heteroaromatic ring system in the context of this invention is to be understood as a system which does not necessarily only contain aryl or heteroaryl groups, but in which several aryl or Heteroaryl groups by a non-aromatic moiety (preferably less than 10% of the atoms other than H), such as.
- B. a C, N or O atom or a carbonyl group can be interrupted.
- systems such as 9,9'-spirobifluorene, 9,9-diarylfluorene, triarylamine, diaryl ether, stilbene, etc.
- aromatic ring systems in the context of this invention, and also systems in which two or more aryl groups are replaced, for example by one linear or cyclic alkyl group or are interrupted by a silyl group.
- systems in which two or more aryl or heteroaryl groups are bonded directly to each other such as.
- biphenyl, terphenyl, quaterphenyl or bipyridine also be understood as an aromatic or heteroaromatic ring system.
- a cyclic alkyl, alkoxy or thioalkoxy group in the context of this invention is understood as meaning a monocyclic, a bicyclic or a polycyclic group.
- a C1- to C20-alkyl group in which individual H atoms or CH2 groups can also be substituted by the groups mentioned above, for example the radicals methyl, ethyl, n-propyl, i-propyl, cyclopropyl, n-butyl, i-butyl, s-butyl, t-butyl, cyclobutyl, 2-methylbutyl, n-pentyl, s-pentyl, t-pentyl, 2-pentyl, neo-pentyl, cyclopentyl, n-hexyl, s-hexyl, t-hexyl, 2-hexyl, 3-hexyl, neo-hexyl, cyclohexyl, 1-methylcyclopentyl, 2-methylpentyl, n-heptyl, 2-heptyl, 3-hepty
- alkenyl group is understood to mean, for example, ethenyl, propenyl, butenyl, pentenyl, cyclopentenyl, hexenyl, cyclohexenyl, heptenyl, cycloheptenyl, octenyl, cyclooctenyl or cyclooctadienyl.
- An alkynyl group is understood to mean, for example, ethynyl, propynyl, butynyl, pentynyl, hexynyl, heptynyl or octynyl.
- a C1- to C40-alkoxy group is understood as meaning, for example, methoxy, trifluoromethoxy, ethoxy, n-propoxy, i-propoxy, n-butoxy, i-butoxy, s-butoxy, t-butoxy or 2-methylbutoxy.
- aromatic or heteroaromatic ring system with 5 to 60, preferably 5-40 aromatic ring atoms, particularly preferably 5 to 30 aromatic ring atoms, which can be substituted in each case with the abovementioned radicals and which can be linked via any positions on the aromatic or heteroaromatic , are understood, for example, groups derived from benzene, naphthalene, anthracene, benzanthracene, phenanthrene, benzophenanthrene, pyrene, chrysene, perylene, fluoranthene, benzfluoranthene, naphthacene, Pentacene, benzopyrene, biphenyl, biphenylene, terphenyl, terphenylene, fluorene, spirobifluorene, dihydrophenanthrene, dihydropyrene, tetrahydropyrene, cis or trans indenofluorene, cis or trans monobenzo
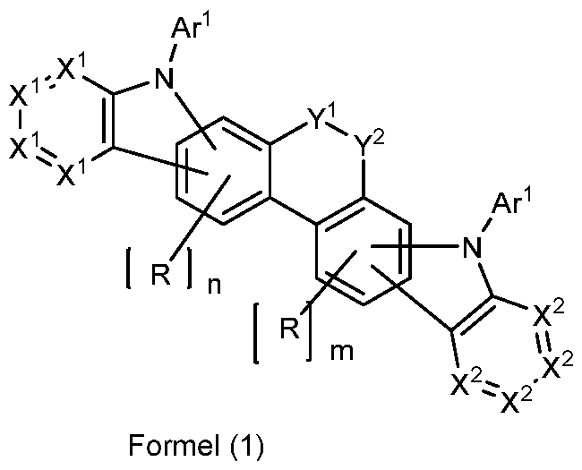
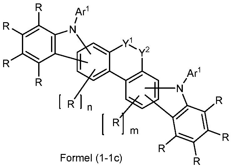
- Preferred compounds for the purposes of the invention are compounds of the formulas (1-1a) or (1-1b), where the symbols used have the meaning given above.
- a maximum of two of the symbols X 1 and X 2 are particularly preferably N, and a maximum of one of the symbols X 1 and X 2 is very particularly preferably N.
- a further preferred embodiment of the invention are the compounds of the formula (1-3a) and (1-3b), where the symbols used have the meaning given above.
- the compounds according to the invention are selected from compounds of the formulas (2-1a) to (2-36a), where the symbols used have the meanings given above.
- the compounds according to the invention are particularly preferably selected from compounds of the formula (2-9a), (2-10a), (2-21a) or (2-22a).
- the compound of the formula (1) or the preferred embodiments contains a maximum of two substituents R, which represent a group other than H or D, and more preferably a maximum of one substituent R stands for a group other than H or D.
- R represents a group other than H or D
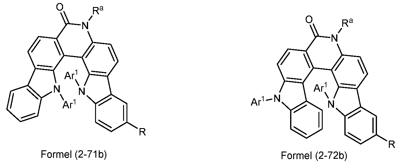
- Compounds of the formulas (2-1b) to (2-72b) are very particularly preferred.
- Ar 1 is identical or different on each occurrence for an aromatic or heteroaromatic ring system having 6 to 40 aromatic ring atoms, which may be substituted by one or more R 1 radicals, with the R 1 radicals preferably not being substituted -are aromatic.
- Ar 1 is particularly preferably identical or different on each occurrence, an aromatic or heteroaromatic ring system having 6 to 24 aromatic ring atoms, in particular having 6 to 13 aromatic ring atoms, which can be substituted by one or more, preferably non-aromatic, radicals R 1 .
- Ar 1 is a heteroaryl group, in particular triazine, pyrimidine, quinazoline, quinoxaline or carbazole, preference may also be given to aromatic or heteroaromatic substituents R 1 on this heteroaryl group.
- Suitable aromatic or heteroaromatic ring systems Ar 1 are selected identically or differently on each occurrence from the group consisting of phenyl, biphenyl, in particular ortho-, meta- or para-biphenyl, terphenyl, in particular ortho-, meta-, para- or branched terphenyl , quaterphenyl, in particular ortho-, meta-, para- or branched quaterphenyl, fluorene, which can be linked via the 1-, 2-, 3- or 4-position, spirobifluorene, which via the 1-, 2-, 3- or 4-position, naphthalene, which can be linked via the 1- or 2-position, indole, benzofuran, benzothiophene, carbazole, which can
- Ar 1 is a heteroaryl group, in particular triazine, pyrimidine, quinazoline, quinoxaline or carbazole, preference may also be given to aromatic or heteroaromatic radicals R 1 on this heteroaryl group.
- Ar 1 is preferably selected identically or differently on each occurrence from the groups of the following formulas Ar-1 to Ar-83,
- Ar-67 Ar-68 where R 1 has the meanings given above, the dashed bond represents the bond to the nitrogen atom and the following also applies:
- Ar 2 is identical or different on each occurrence, a divalent aromatic or heteroaromatic ring system having 6 to 18 aromatic ring atoms, which can be substituted by one or more radicals R 1 ;
- groups Ar-1 to Ar-83 mentioned above have several groups A 1 , then all combinations from the definition of A 1 are suitable for this. Preferred embodiments are then those in which one group A 1 is NR 1 and the other group A 1 is C(R 1 ) 2 or in which both groups A 1 are NR 1 or in which both groups A 1 are 0 . In a particularly preferred embodiment of the invention, in groups Ar 1 which have several groups A 1 , at least one group A 1 is C(R 1 ) 2 or NR 1 .
- the substituent R 1 which is bonded to the nitrogen atom is preferably an aromatic or heteroaromatic ring system having 5 to 24 aromatic ring atoms, which can also be substituted by one or more R 2 radicals.
- this substituent R 1 is identical or different on each occurrence for an aromatic or heteroaromatic ring system having 6 to 24 aromatic ring atoms, preferably having 6 to 12 aromatic ring atoms, which has no fused aryl groups or heteroaryl groups in which two or more aromatic or heteroaromatic 6-ring groups are fused directly to one another, has, and which in each case can also be substituted by one or more radicals R 2 .
- the substituents R 1 bonded to this carbon atom are preferably identical or different on each occurrence and are a linear alkyl group having 1 to 10 carbon atoms or a branched or cyclic alkyl group with 3 to 10 carbon atoms or for an aromatic or heteroaromatic ring system with 5 to 24 aromatic ring atoms, which can also be substituted by one or more radicals R 2 .
- R 1 very particularly preferably represents a methyl group or a phenyl group.
- the radicals R 1 can also form a ring system with one another, which leads to a spiro system.
- R a is identical or different on each occurrence and is an aromatic or heteroaromatic ring system having 6 to 40 aromatic ring atoms, which can be substituted by one or more R 1 radicals. Furthermore, the preferred embodiments mentioned above for Ar 1 and R 1 and apply. R a is consequently preferably selected from the formulas Ar-1 to Ar-83.
- R is the same or different on each occurrence selected from the group consisting of H, D, F, CN, OR 1 , a straight-chain alkyl group having 1 to 10 carbon atoms or an alkenyl group having 2 to 10 carbon atoms -Atoms or a branched or cyclic alkyl group with 3 to 10 carbon atoms, it being possible for the alkyl or alkenyl group to be substituted by one or more radicals R 1 and for one or more non-adjacent CH2 groups to be replaced by O, or an aromatic or hetero- aromatic ring system having 6 to 30 aromatic ring atoms, each of which can be substituted by one or more radicals R 1 ; two or more radicals R 1 together can form an aliphatic, heteroaliphatic, aromatic or heteroaromatic ring system.
- R is identical or different on each occurrence selected from the group consisting of H, D, a straight-chain alkyl group having 1 to 6 carbon atoms, in particular having 1, 2, 3 or 4 carbon atoms, or a branched or cyclic alkyl group with 3 to 6 carbon atoms, where the alkyl group can be substituted with one or more radicals R 1 , but is preferably unsubstituted, or an aromatic or heteroaromatic ring system with 6 to 24 aromatic ring atoms, preferably with 6 to 13 aromatic ring atoms, each of which may be substituted by one or more R 1 radicals, but is preferably unsubstituted.
- R is an aromatic or heteroaromatic ring system, it is preferably selected from the structures (Ar-1) to (Ar-83) shown above.
- R 1 is the same or different on each occurrence selected from the group consisting of H, D, F, CN, OR 2 , a straight-chain alkyl group having 1 to 10 carbon atoms or an alkenyl group having 2 to 10 C atoms or a branched or cyclic alkyl group having 3 to 10 C atoms, it being possible for the alkyl or alkenyl group to be substituted by one or more R 2 radicals and for one or more non-adjacent CH2 groups to be replaced by O , or an aromatic or heteroaromatic ring system having 6 to 30 aromatic ring atoms, each of which can be substituted by one or more radicals R 2 ; two or more R 2 radicals can form an aliphatic, heteroaliphatic, aromatic or heteroaromatic ring system with one another.
- R is 1 identical or different on each occurrence selected from the group consisting of H, D, a straight-chain alkyl group having 1 to 6 carbon atoms, in particular having 1, 2, 3 or 4 carbon atoms, or a branched or cyclic alkyl group having 3 to 6 C atoms, where the alkyl group can be substituted by one or more radicals R 2 , but is preferably unsubstituted, or an aromatic or heteroaromatic ring system having 6 to 24 aromatic ring atoms, preferably having 6 to 13 aromatic ring atoms, each of which is substituted by one or more R 2 radicals may be substituted, but is preferably unsubstituted.
- R 1 is an aromatic or heteroaromatic ring system, it is preferably selected from the structures (Ar-1) to (Ar-83) shown above.
- R 2 is identical or different on each occurrence of H, D, F, an alkyl group having 1 to 4 carbon atoms or an aryl group having 6 to 10 carbon atoms, which is bonded to an alkyl group having 1 to 4 carbon atoms C atoms may be substituted, but is preferably unsubstituted.
- the alkyl groups in compounds according to the invention which are processed by vacuum evaporation preferably have no more than five carbon atoms, particularly preferably no more than 4 carbon atoms, very particularly preferably no more than 1 carbon atom.
- compounds that are processed from solution are also compounds that are substituted with alkyl groups, especially branched alkyl groups, having up to 10 carbon atoms or with oligoarylene groups, such as ortho-, meta-, para- or branched terphenyl or quaterphenyl groups are substituted.
- the compounds of the formula (1) or the preferred embodiments are used as matrix material for a phosphorescent emitter or in a layer which is directly adjacent to a phosphorescent layer, it is also preferred if the compound does not contain any Contains fused aryl or heteroaryl groups in which more than two six-membered rings are fused directly to one another.
- the groups R, R 1 and R 2 do not contain any fused aryl or heteroaryl groups in which two or more six-membered rings are fused directly to one another. Exceptions to this are phenanthrene, triphenylene, quinazoline and quinoxaline, which can be preferred due to their higher triplet energy despite the presence of fused aromatic six-membered rings.
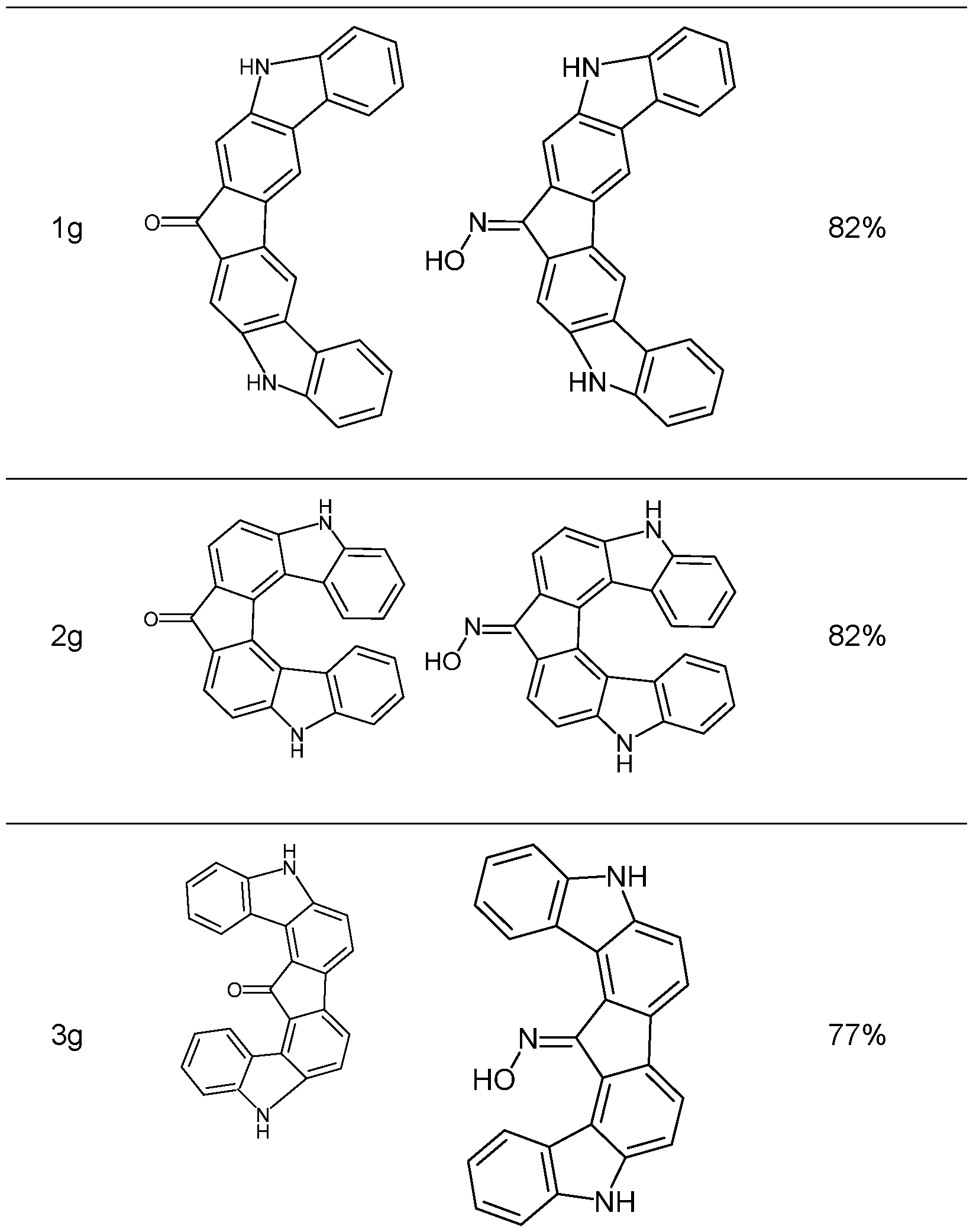
- the basic structure of the compounds according to the invention can be prepared according to one of the routes outlined in the following schemes 1, 2 and 3 and be functionalized.
- the biscarbazole skeleton can be formed via a Buchwald coupling and subsequent ring-closure reaction with CH activation (Scheme 1) or via a Suzuki coupling and subsequent ring-closure reaction via a Cadogan Reaction are shown and then functionalized (e.g. via Buchwald or Ullmann coupling or nucleophilic substitution).
- the corresponding oxime is then first produced and then the central ring is expanded to form the respective lactam via a rearrangement reaction (Beckmann rearrangement).
- the central lactam nitrogen (or thiolactam nitrogen) can then be further functionalized (e.g. via Buchwald or Ullmann coupling).
- a further subject of the present invention is therefore a process for the preparation of the compounds according to the invention, characterized by the following steps:
- Formulations of the compounds according to the invention are required for processing the compounds of the formula (1) or the preferred embodiments from the liquid phase, for example by spin coating or by printing processes.
- a further subject of the present invention are therefore formulations containing at least one compound of the formula (1) or the preferred embodiments and at least one solvent. These formulations can be, for example, solutions, dispersions or emulsions. It may be preferable to use mixtures of two or more solvents for this.
- Suitable and preferred solvents are, for example, toluene, anisole, o-, m- or p-xylene, methyl benzoate, mesitylene, tetralin, veratrol, THF, methyl THF, THP, chlorobenzene, dioxane, phenoxytoluene, in particular 3-phenoxytoluene, ( -)-fenchone, 1,2,3,5-tetramethylbenzene, 1,2,4,5-tetramethylbenzene, 1-methyl-naphthalene, 2-methylbenzothiazole, 2-phenoxyethanol, 2-pyrrolidinone, 3-methylanisole, 4-methylanisole , 3,4-dimethylanisole, 3,5-dimethylanisole, acetophenone, terpineol, benzothiazole, butyl benzoate, cumene, cyclohexanol, cyclohexanone, cyclohexylbenzene, decalin, do
- the compounds of the formula (1) or of the preferred embodiments listed above are used according to the invention in an electronic device, in particular in an organic electroluminescent device. Another object of the present invention is therefore the Use of the compounds of the formula (1) or the preferred embodiments in an electronic device, in particular in an OLED.
- an electronic device in particular an organic electroluminescent device containing at least one compound according to the invention.
- An electronic device within the meaning of the present invention is a device which contains at least one layer which contains at least one organic compound.
- the component can also contain inorganic materials or also layers which are made up entirely of inorganic materials.
- the electronic device is preferably selected from the group consisting of organic electroluminescent devices (OLEDs), organic integrated circuits (O-ICs), organic field effect transistors (O-FETs), organic thin film transistors (0 TFTs), organic light emitting transistors (O LETs), organic solar cells (0 SCs), dye-sensitized organic solar cells (DSSCs), organic optical detectors, organic photoreceptors, organic field quench devices (0 FQDs), light-emitting electrochemical cells (LECs), organic laser diodes (0 Laser) and "organic plasmon emitting devices", but preferably organic electroluminescent devices (OLEDs), particularly preferably phosphorescent OLEDs.
- OLEDs organic electroluminescent devices
- O-ICs organic integrated circuits
- O-FETs organic field effect transistors
- O LETs organic thin film transistors
- O LETs organic solar cells
- SCs organic light emitting transistors
- DSSCs dye-sensitized organic solar cells
- the organic electroluminescent device contains cathode, anode and at least one emitting layer. In addition to these layers, it can also contain further layers, for example one or more hole-injection layers, hole-transport layers, hole-blocking layers, electron-transport layers, electron-injection layers, exciton-blocking layers, electron-blocking layers and/or charge-generation layers. Interlayers can also be introduced between two emitting layers, which, for example, wise exhibit an exciton-blocking function. However, it should be pointed out that each of these layers does not necessarily have to be present. In this case, the organic electroluminescence device can contain an emitting layer, or it can contain a plurality of emitting layers.
- a plurality of emission layers are present, these preferably have a total of a plurality of emission maxima between 380 nm and 750 nm, resulting in white emission overall, ie different emitting compounds which can fluoresce or phosphorescence are used in the emitting layers.
- Systems with three emitting layers are particularly preferred, with the three layers showing blue, green and orange or red emission.
- the organic electroluminescence device according to the invention can also be a tandem OLED, in particular for white-emitting OLEDs.
- connection according to the embodiments listed above can be used in different layers, depending on the precise structure. Preference is given to an organic electroluminescent device containing a compound of the formula (1) or the preferred embodiments outlined above in an emitting layer as matrix material for phosphorescent or fluorescent emitters or for emitters which exhibit TADF (thermally activated delayed fluorescence), in particular as a matrix material for phosphorescent emitters.
- the organic electroluminescence device can contain an emitting layer, or it can contain a plurality of emitting layers, with at least one emitting layer containing at least one compound according to the invention as matrix material.
- the compound according to the invention can also be used in an electron transport layer and/or in a hole-blocking layer.
- the compound is used as a matrix material for a phosphorescent compound in an emitting layer, it is preferably used in Combination with one or more phosphorescent materials (triplet emitter) used.
- Phosphorescence within the meaning of this invention is understood as meaning luminescence from an excited state with a higher spin multiplicity, ie a spin state>1, in particular from an excited triplet state.
- all luminescent complexes with transition metals or lanthanides, in particular all indium, platinum and copper complexes are to be regarded as phosphorescent compounds.
- the mixture of the compound of the formula (1) or the preferred embodiments and the emitting compound contains between 99 and 1% by volume, preferably between 98 and 10% by volume, particularly preferably between 97 and 60% by volume, in particular between 95 and 80% by volume of the compound of the formula (1) or of the preferred embodiments, based on the total mixture of emitter and matrix material.
- the mixture contains between 1 and 99% by volume, preferably between 2 and 90% by volume, particularly preferably between 3 and 40% by volume, in particular between 5 and 20% by volume, of the emitter, based on the total mixture emitter and matrix material.
- a further preferred embodiment of the present invention is the use of the compound of the formula (1) or the preferred embodiments as matrix material for a phosphorescent emitter in combination with a further matrix material.
- Suitable matrix materials which can be used in combination with the compounds according to the invention are aromatic ketones, aromatic phosphine oxides or aromatic sulfoxides or sulfones, e.g. B. according to WO 2004/013080, WO 2004/093207, WO 2006/005627 or WO 2010/006680, triarylamines, carbazole derivatives, z. B.
- CBP N, N-bis-carbazolylbiphenyl
- WO 2005/039246 US 2005/0069729, JP 2004/288381
- EP 1205527 WO 2008/086851 or WO 2013/041176, indolocarbazole derivatives, z. B. according to WO 2007/063754 or WO 2008/056746, indenocarbazole derivatives, z. B. according to WO 2010/136109, WO 2011/000455, WO 2013/041176 or WO 2013/056776, azacarbazole derivatives, e.g. B. according to EP 1617710, EP 1617711, EP 1731584, JP 2005/347160, bipolar matrix materials, z.
- WO 2010/054730 bridged carbazole derivatives, z. B. according to WO 2011/042107, WO 2011/060867, WO 2011/088877 and WO 2012/143080, triphenylene derivatives, z. B. according to WO 2012/048781, or dibenzofuran derivatives, z. according to WO 2015/169412, WO 2016/015810, WO 2016/023608, WO 2017/148564 or WO 2017/148565.
- another phosphorescent emitter which emits at a shorter wavelength than the actual emitter, can be present as a co-host in the mixture, or a compound that does not participate, or does not participate to a significant extent, in charge transport, as described, for example, in WO 2010/108579.
- the materials are used in combination with another matrix material.
- Some of the compounds of the formula (1) or the preferred embodiments are electron-rich compounds. This applies in particular to compounds which carry an electron-rich aromatic or heteroaromatic ring system as the Ar 1 and/or R a radicals.
- Preferred co-matrix materials are therefore electron-transporting compounds, which are preferably selected from the group of triazines, pyrimidines, quinazolines, quinoxalines and lactams or derivatives of these structures.
- Preferred triazine, pyrimidine, quinazoline or quinoxaline derivatives, which are used as a mixture together with the compounds according to the invention can be set are the compounds of the following formulas (3), (4),
- R preferably represents, identically or differently on each occurrence, H, D or an aromatic or heteroaromatic ring system having 6 to 30 aromatic ring atoms, which may be substituted by one or more R 1 radicals.
- triazine derivatives of the formula (3) or (3a) and the quinaxoline derivatives of the formula (6) or (6a), in particular the triazine derivatives of the formula (3) or (3a), are particularly preferred.
- Ar 1 in the formulas (3a), (4a), (5a) and (6a) is identical or different on each occurrence, an aromatic or heteroaromatic ring system having 6 to 30 aromatic ring atoms, in particular having 6 to 24 aromatic ring atoms, which may be substituted by one or more R radicals.
- Suitable aromatic or heteroaromatic ring systems Ar 1 are the same as those listed above as embodiments for Ar 1 , in particular the structures Ar-1 to Ar-83.
- suitable triazine and pyrimidine compounds which can be used as matrix materials together with the compounds according to the invention are the compounds shown in the table below.
- lactams are the structures shown in the table below:
- the materials are used in combination with another matrix material.
- Some of the compounds of the formula (1) or the preferred embodiments are electron-poor compounds. This applies especially for compounds which carry an electron-deficient heteroaromatic ring system as radicals Ar 1 and/or R a Preferred co-matrix materials are therefore hole-transporting compounds, which are preferably selected from the group of arylamine or carbazole derivatives.
- Preferred biscarbazoles are the structures of the following formulas (7) to (13), where A 1 has the meanings given above and Ar 1 is selected identically or differently on each occurrence from an aromatic or heteroaromatic ring system having 5 to 40 aromatic ring atoms, which may be substituted by one or more R 1 radicals.
- a 1 is CR2.
- Preferred embodiments of Ar 1 are the preferred structures listed above for Ar 1 , especially the groups (Ar-1 ) to (Ar-83).
- Preferred embodiments of the compounds of the formulas (7) to (13) are the compounds of the following formulas (7a) to (13a),
- Preferred bridged carbazoles are the structures of the following formula (14), where A 1 and R have the meanings given above and A 1 is preferably identical or different on each occurrence selected from the group consisting of NR 1 , where R 1 is an aromatic or heteroaromatic ring system having 5 to 24 aromatic ring atoms, which with a or more radicals R 2 can be substituted, and C(R 1 ) 2 .
- Preferred dibenzofuran derivatives are the compounds of the following
- L is a single bond or an aromatic or heteroaromatic ring system having 5 to 24 aromatic ring atoms, which may be substituted with one or more R radicals; where the oxygen can also be replaced by sulfur, so that a dibenzothiophene is formed, and R and Ar 1 have the meanings given above.
- the two groups Ar 1 which bind to the same nitrogen atom, or a group Ar 1 and a group L, which bind to the same nitrogen atom, can also be connected to one another, for example to form a carbazole.
- Examples of suitable dibenzofuran derivatives are the compounds shown below.
- Preferred carbazole amines are the structures of the following formulas (15), (16) and (17),
- Examples of suitable carbazolamine derivatives are the compounds shown below.
- Particularly suitable phosphorescent compounds are compounds which, when suitably excited, emit light, preferably in the visible range, and also contain at least one atom with an atomic number greater than 20, preferably greater than 38 and less than 84, particularly preferably greater than 56 and less than 80. in particular a metal with this atomic number.
- Compounds containing copper, molybdenum, tungsten, rhenium, ruthenium, osmium, rhodium, indium, palladium, platinum, silver, gold or europium are preferably used as phosphorescence emitters, in particular compounds containing indium or platinum.
- Examples of the emitter described above can be registered where 00/70655, where 2002/02714, WO 2002/15645, EP 1191612, EP 1191614, WO 05/019373, US 2005/ 0258742, WO 2009/146770, WO 2010/015307, WO 2010/031485, WO 2010/054731, WO 2010/054728, WO 2010/086089, WO 2010/099852, WO 2010/102709, WO 2011/032626, WO 2011/ 066898, WO 2011/157339, WO 2012/007086, WO 2014/008982, WO 2014/023377, WO 2014/094961, WO 2014/094960, WO 2015/036074, WO 2015/104045, WO 2015/117718, WO 2016/ 015815, WO 2016/124304, WO 2017/032439, WO 2018/011186 and WO 2018/041769, WO 2019/020538, WO 2018/
- Examples of phosphorescent dopants are listed below.
- an organic electroluminescent device characterized in that one or more layers are coated using a sublimation process.
- the materials are vapour-deposited in vacuum sublimation systems at an initial pressure of less than 10' 5 mbar, preferably less than 10' 6 mbar. However, it is also possible for the initial pressure to be even lower, for example less than 10′ 7 mbar.
- an organic electroluminescent device characterized in that one or more layers with the OVPD (Organic Vapor Phase Deposition) method or be coated using a carrier gas sublimation.
- the materials are applied at a pressure of between 10'5 mbar and 1 bar.
- OVJP Organic Vapor Jet Printing
- an organic electroluminescent device characterized in that one or more layers of solution, such as. B. by spin coating, or with any printing method, such as. B. screen printing, flexographic printing, offset printing, LITI (Light Induced Thermal Imaging, thermal transfer printing), ink-jet printing (ink jet printing) or nozzle printing.
- any printing method such as. B. screen printing, flexographic printing, offset printing, LITI (Light Induced Thermal Imaging, thermal transfer printing), ink-jet printing (ink jet printing) or nozzle printing.
- Hybrid processes are also possible, in which, for example, one or more layers are applied from solution and one or more further layers are vapor-deposited.
- OLEDs containing the compounds of the formula (1) as matrix material for phosphorescent emitters lead to long lifetimes. This applies in particular when the compounds are used as matrix material for a phosphorescent emitter.
- the OLEDs show an improved lifetime compared to OLEDs with matrix materials, which also contain a lactam fused to a carbazole, but which do not have a second carbazole fused to the lactam.
- OLEDs containing the compounds of the formula (1) lead to high efficiencies. This applies in particular when the compounds are used as matrix material for a phosphorescent emitter.
- OLEDs containing the compounds of the formula (1) lead to low operating voltages. This applies in particular when the compounds are used as matrix material for a phosphorescent emitter.
- the compounds according to the invention can also be used with very good properties in an electron transport layer, also in combination with a fluorescent emission layer, or in a hole-blocking layer.
- the use of the compounds according to the invention in OLEDs is presented in the following examples E1 to E21.
- Pretreatment for Examples E1-E21 Glass flakes which are coated with structured ITO (indium tin oxide) with a thickness of 50 nm are first treated with an oxygen plasma, followed by an argon plasma, before the coating. These plasma-treated glass flakes form the substrates on which the OLEDs are applied.
- the OLEDs have the following layer structure: substrate / hole injection layer (HIL) / hole transport layer (HTL) / electron blocking layer (EBL) / emission layer (EML) / optional hole blocking layer (HBL) / electron transport layer (ETL) / optional electron injection layer (EIL) and finally a cathode.
- the cathode is formed by a 100 nm thick aluminum layer.
- the precise structure of the OLEDs can be found in Table 1.
- the materials required to produce the OLEDs are shown in Table 2.
- the data of the OLEDs are listed in Table 3. All materials are thermally evaporated in a vacuum chamber.
- the emission layer always consists of at least one matrix material (host material, host material) and an emitting dopant (dopant, emitter), which is added to the matrix material or matrix materials by co-evaporation in a certain proportion by volume.
- a specification such as 2b:BisC1:TEG1 (45%:45%:10%) means that the material 2b has a volume fraction of 45%, BisC1 has a volume fraction of 45% and TEG1 has a volume fraction of 10% in the layer present.
- the electron transport layer can also consist of a mixture of two materials.
- the OLEDs are characterized by default.
- the electroluminescence spectra, the external quantum efficiency (EQE, measured in %) as a function of the luminance, calculated from current-voltage-luminance characteristics assuming a Lambertian emission characteristic, and the service life are determined.
- the electroluminescence spectra are determined at a luminance of 1000 cd/m 2 and the CIE 1931 x and y color coordinates are calculated therefrom.
- the specification U1000 in table ß designates the voltage required for a luminance of 1000 cd/m 2 .
- EQE1000 designates the external quantum efficiency that can be achieved at 1000cd/m 2 .
- the material combinations according to the invention can be used in the emission layer in phosphorescent OLEDs.
- the inventive compound 1j, 3j, 5j, 6j and 11j are used in examples E1 to E13 as h-type (hole-transporting matrix) for green emitters in the emission layer and compounds 7j, 8j, 20j, 2i and 4i are used in examples E14 to E18 as an e-type (electron-transporting matrix) for green emitters in the emission layer and compound 11j is used in example E19 as a hole conductor for green matrix material in the emission layer is used, and 8j is used as the red matrix material in the emission layer in examples E20 and E21.
- the compounds according to the invention are used in combination with h-type matrices such as BisC1 (h-type) or TZ5 (e-type) in examples E2 to E18 or as a single host (E1, E19, E21).
- h-type matrices such as BisC1 (h-type) or TZ5 (e-type) in examples E2 to E18 or as a single host (E1, E19, E21).
- the compound 8j according to the invention is used as a single host and in combination with the compound BisC2 in Examples E20 and E21 as the red matrix material in the emission layer.
Landscapes
- Chemical & Material Sciences (AREA)
- Organic Chemistry (AREA)
- Physics & Mathematics (AREA)
- Engineering & Computer Science (AREA)
- Materials Engineering (AREA)
- Spectroscopy & Molecular Physics (AREA)
- Biochemistry (AREA)
- Health & Medical Sciences (AREA)
- Life Sciences & Earth Sciences (AREA)
- General Health & Medical Sciences (AREA)
- Molecular Biology (AREA)
- Optics & Photonics (AREA)
- Electroluminescent Light Sources (AREA)
Abstract
Description
Claims
Priority Applications (4)
| Application Number | Priority Date | Filing Date | Title |
|---|---|---|---|
| EP22835673.9A EP4448527A1 (de) | 2021-12-13 | 2022-12-12 | Materialien für organische elektrolumineszenzvorrichtungen |
| CN202280082093.XA CN118401524A (zh) | 2021-12-13 | 2022-12-12 | 用于有机电致发光器件的材料 |
| KR1020247023541A KR20240122858A (ko) | 2021-12-13 | 2022-12-12 | 유기 전계발광 디바이스용 재료 |
| US18/742,755 US20240336621A1 (en) | 2021-12-13 | 2024-06-13 | Materials for organic electroluminescent devices |
Applications Claiming Priority (2)
| Application Number | Priority Date | Filing Date | Title |
|---|---|---|---|
| EP21214069.3 | 2021-12-13 | ||
| EP21214069 | 2021-12-13 |
Related Child Applications (1)
| Application Number | Title | Priority Date | Filing Date |
|---|---|---|---|
| US18/742,755 Continuation US20240336621A1 (en) | 2021-12-13 | 2024-06-13 | Materials for organic electroluminescent devices |
Publications (1)
| Publication Number | Publication Date |
|---|---|
| WO2023110742A1 true WO2023110742A1 (de) | 2023-06-22 |
Family
ID=78844778
Family Applications (1)
| Application Number | Title | Priority Date | Filing Date |
|---|---|---|---|
| PCT/EP2022/085369 Ceased WO2023110742A1 (de) | 2021-12-13 | 2022-12-12 | Materialien für organische elektrolumineszenzvorrichtungen |
Country Status (5)
| Country | Link |
|---|---|
| US (1) | US20240336621A1 (de) |
| EP (1) | EP4448527A1 (de) |
| KR (1) | KR20240122858A (de) |
| CN (1) | CN118401524A (de) |
| WO (1) | WO2023110742A1 (de) |
Citations (86)
| Publication number | Priority date | Publication date | Assignee | Title |
|---|---|---|---|---|
| US4539507A (en) | 1983-03-25 | 1985-09-03 | Eastman Kodak Company | Organic electroluminescent devices having improved power conversion efficiencies |
| US5151629A (en) | 1991-08-01 | 1992-09-29 | Eastman Kodak Company | Blue emitting internal junction organic electroluminescent device (I) |
| EP0652273A1 (de) | 1993-11-09 | 1995-05-10 | Shinko Electric Industries Co. Ltd. | Organisches Material für elektrolumineszente Vorrichtung und elektrolumineszente Vorrichtung |
| EP0676461A2 (de) | 1994-04-07 | 1995-10-11 | Hoechst Aktiengesellschaft | Spiroverbindungen und ihre Verwendung als Elektrolumineszenzmaterialien |
| WO1998027136A1 (de) | 1996-12-16 | 1998-06-25 | Aventis Research & Technologies Gmbh & Co Kg | ARYLSUBSTITUIERTE POLY(p-ARYLENVINYLENE), VERFAHREN ZUR HERSTELLUNG UND DEREN VERWENDUNG IN ELEKTROLUMINESZENZBAUELEMENTEN |
| WO2000070655A2 (en) | 1999-05-13 | 2000-11-23 | The Trustees Of Princeton University | Very high efficiency organic light emitting devices based on electrophosphorescence |
| WO2001041512A1 (en) | 1999-12-01 | 2001-06-07 | The Trustees Of Princeton University | Complexes of form l2mx as phosphorescent dopants for organic leds |
| WO2002002714A2 (en) | 2000-06-30 | 2002-01-10 | E.I. Du Pont De Nemours And Company | Electroluminescent iridium compounds with fluorinated phenylpyridines, phenylpyrimidines, and phenylquinolines and devices made with such compounds |
| WO2002015645A1 (en) | 2000-08-11 | 2002-02-21 | The Trustees Of Princeton University | Organometallic compounds and emission-shifting organic electrophosphorescence |
| EP1191613A2 (de) | 2000-09-26 | 2002-03-27 | Canon Kabushiki Kaisha | Lumineszente Vorrichtung, Bildanzeigevorrichtung und Metallkoordinationsverbindung |
| EP1191614A2 (de) | 2000-09-26 | 2002-03-27 | Canon Kabushiki Kaisha | Lumineszente Vorrichtung und dafür verwendete Metallkoordinationsverbindung |
| EP1191612A2 (de) | 2000-09-26 | 2002-03-27 | Canon Kabushiki Kaisha | Lumineszente Vorrichtung, Bildanzeigevorrichtung und Metallkoordinationsverbindung |
| EP1205527A1 (de) | 2000-03-27 | 2002-05-15 | Idemitsu Kosan Co., Ltd. | Organische elektrolumineszierende vorrichtung |
| WO2004013080A1 (en) | 2002-08-01 | 2004-02-12 | Covion Organic Semiconductors Gmbh | Spirobifluorene derivatives, their preparation and uses thereof |
| JP2004288381A (ja) | 2003-03-19 | 2004-10-14 | Konica Minolta Holdings Inc | 有機エレクトロルミネッセンス素子 |
| WO2004093207A2 (de) | 2003-04-15 | 2004-10-28 | Covion Organic Semiconductors Gmbh | Mischungen von organischen zur emission befähigten halbleitern und matrixmaterialien, deren verwendung und elektronikbauteile enthaltend diese mischungen |
| WO2005019373A2 (de) | 2003-08-19 | 2005-03-03 | Basf Aktiengesellschaft | Übergangsmetallkomplexe mit carbenliganden als emitter für organische licht-emittierende dioden (oleds) |
| US20050069729A1 (en) | 2003-09-30 | 2005-03-31 | Konica Minolta Holdings, Inc. | Organic electroluminescent element, illuminator, display and compound |
| WO2005033244A1 (de) | 2003-09-29 | 2005-04-14 | Covion Organic Semiconductors Gmbh | Metallkomplexe |
| WO2005111172A2 (de) | 2004-05-11 | 2005-11-24 | Merck Patent Gmbh | Neue materialmischungen für die elektrolumineszenz |
| US20050258742A1 (en) | 2004-05-18 | 2005-11-24 | Yui-Yi Tsai | Carbene containing metal complexes as OLEDs |
| JP2005347160A (ja) | 2004-06-04 | 2005-12-15 | Konica Minolta Holdings Inc | 有機エレクトロルミネッセンス素子、照明装置及び表示装置 |
| EP1617710A1 (de) | 2003-04-23 | 2006-01-18 | Konica Minolta Holdings, Inc. | Material für ein organisches elektrolumineszenzgerät, organisches elektrolumineszenzgerät, beleuchtungsvorrichtung und anzeige |
| WO2006005627A1 (en) | 2004-07-15 | 2006-01-19 | Merck Patent Gmbh | Oligomeric derivatives of spirobifluorene, their preparation and use |
| WO2006117052A1 (de) | 2005-05-03 | 2006-11-09 | Merck Patent Gmbh | Organische elektrolumineszenzvorrichtung und in deren herstellung verwendete boronsäure- und borinsäure-derivate |
| EP1731584A1 (de) | 2004-03-31 | 2006-12-13 | Konica Minolta Holdings, Inc. | Organischer elektrolumineszenzvorrichtungsstoff, organische elektrolumineszenzvorrichtung, display und beleuchtungsvorrichtung |
| WO2007063754A1 (ja) | 2005-12-01 | 2007-06-07 | Nippon Steel Chemical Co., Ltd. | 有機電界発光素子用化合物及び有機電界発光素子 |
| WO2007137725A1 (de) | 2006-05-31 | 2007-12-06 | Merck Patent Gmbh | Neue materialien für organische elektrolumineszenzvorrichtungen |
| WO2008056746A1 (en) | 2006-11-09 | 2008-05-15 | Nippon Steel Chemical Co., Ltd. | Compound for organic electroluminescent device and organic electroluminescent device |
| WO2008086851A1 (de) | 2007-01-18 | 2008-07-24 | Merck Patent Gmbh | Carbazol-derivate für organische elektrolumineszenzvorrichtungen |
| WO2009062578A1 (de) | 2007-11-12 | 2009-05-22 | Merck Patent Gmbh | Organische elektrolumineszenzvorrichtungen enthaltend azomethin-metall-komplexe |
| WO2009146770A2 (de) | 2008-06-05 | 2009-12-10 | Merck Patent Gmbh | Elektronische vorrichtung enthaltend metallkomplexe |
| WO2010006680A1 (de) | 2008-07-18 | 2010-01-21 | Merck Patent Gmbh | Materialien für organische elektrolumineszenzvorrichtungen |
| WO2010015306A1 (de) | 2008-08-08 | 2010-02-11 | Merck Patent Gmbh, | Organische elektrolumineszenzvorrichtung |
| WO2010015307A1 (de) | 2008-08-04 | 2010-02-11 | Merck Patent Gmbh | Elektronische vorrichtung enthaltend metallkomplexe mit isonitrilliganden |
| WO2010031485A1 (de) | 2008-09-22 | 2010-03-25 | Merck Patent Gmbh | Materialien für organische elektrolumineszenzvorrichtungen |
| WO2010054729A2 (de) | 2008-11-11 | 2010-05-20 | Merck Patent Gmbh | Materialien für organische elektrolumineszenzvorrichtungen |
| WO2010054730A1 (de) | 2008-11-11 | 2010-05-20 | Merck Patent Gmbh | Organische elektrolumineszenzvorrichtungen |
| WO2010054731A1 (de) | 2008-11-13 | 2010-05-20 | Merck Patent Gmbh | Materialien für organische elektrolumineszenzvorrichtungen |
| WO2010054728A1 (de) | 2008-11-13 | 2010-05-20 | Merck Patent Gmbh | Materialien für organische elektrolumineszenzvorrichtungen |
| WO2010086089A1 (de) | 2009-02-02 | 2010-08-05 | Merck Patent Gmbh | Metallkomplexe |
| WO2010099852A1 (de) | 2009-03-02 | 2010-09-10 | Merck Patent Gmbh | Metallkomplexe mit azaborol-liganden und elektronische vorrichtung damit |
| WO2010102709A1 (de) | 2009-03-13 | 2010-09-16 | Merck Patent Gmbh | Materialien für organische elektrolumineszenzvorrichtungen |
| WO2010108579A1 (de) | 2009-03-23 | 2010-09-30 | Merck Patent Gmbh | Organische elektrolumineszenzvorrichtung |
| WO2010136109A1 (de) | 2009-05-29 | 2010-12-02 | Merck Patent Gmbh | Materialien für organische elektrolumineszenzvorrichtungen |
| WO2010151006A1 (en) | 2009-06-22 | 2010-12-29 | Dow Advanced Display Materials, Ltd. | Novel organic electroluminescent compounds and organic electroluminescent device using the same |
| WO2011000455A1 (de) | 2009-06-30 | 2011-01-06 | Merck Patent Gmbh | Materialien für organische elektrolumineszenzvorrichtungen |
| WO2011032626A1 (de) | 2009-09-16 | 2011-03-24 | Merck Patent Gmbh | Metallkomplexe |
| WO2011042107A2 (de) | 2009-10-08 | 2011-04-14 | Merck Patent Gmbh | Materialien für organische elektrolumineszenzvorrichtungen |
| WO2011057706A2 (de) | 2009-11-14 | 2011-05-19 | Merck Patent Gmbh | Materialien für elektronische vorrichtungen |
| WO2011060859A1 (de) | 2009-11-17 | 2011-05-26 | Merck Patent Gmbh | Materialien für organische elektrolumineszenzvorrichtungen |
| WO2011060877A2 (de) | 2009-11-17 | 2011-05-26 | Merck Patent Gmbh | Materialien für organische elektrolumineszenzvorrichtungen |
| WO2011060867A1 (de) | 2009-11-18 | 2011-05-26 | Merck Patent Gmbh | Stickstoffhaltige kondensierte heterozyklen für oleds |
| WO2011066898A1 (de) | 2009-12-05 | 2011-06-09 | Merck Patent Gmbh | Elektronische vorrichtung enthaltend metallkomplexe |
| WO2011088877A1 (de) | 2010-01-25 | 2011-07-28 | Merck Patent Gmbh | Verbindungen für elektronische vorrichtungen |
| WO2011157339A1 (de) | 2010-06-15 | 2011-12-22 | Merck Patent Gmbh | Metallkomplexe |
| WO2012007086A1 (de) | 2010-07-16 | 2012-01-19 | Merck Patent Gmbh | Metallkomplexe |
| WO2012048781A1 (de) | 2010-10-15 | 2012-04-19 | Merck Patent Gmbh | Materialien auf basis von triphenylen für organische elektrolumineszenzvorrichtungen |
| WO2012143080A2 (de) | 2011-04-18 | 2012-10-26 | Merck Patent Gmbh | Materialien für organische elektrolumineszenzvorrichtungen |
| WO2013041176A1 (de) | 2011-09-21 | 2013-03-28 | Merck Patent Gmbh | Carbazolderivate für organische elektrolumineszenzvorrichtungen |
| WO2013056776A1 (de) | 2011-10-20 | 2013-04-25 | Merck Patent Gmbh | Materialien für organische elektrolumineszenzvorrichtungen |
| WO2013064206A1 (de) | 2011-11-01 | 2013-05-10 | Merck Patent Gmbh | Organische elektrolumineszenzvorrichtung |
| WO2014008982A1 (de) | 2012-07-13 | 2014-01-16 | Merck Patent Gmbh | Metallkomplexe |
| WO2014023377A2 (de) | 2012-08-07 | 2014-02-13 | Merck Patent Gmbh | Metallkomplexe |
| WO2014094961A1 (de) | 2012-12-21 | 2014-06-26 | Merck Patent Gmbh | Metallkomplexe |
| WO2014094960A1 (de) | 2012-12-21 | 2014-06-26 | Merck Patent Gmbh | Metallkomplexe |
| WO2015036074A1 (de) | 2013-09-11 | 2015-03-19 | Merck Patent Gmbh | Metallkomplexe |
| WO2015104045A1 (de) | 2014-01-13 | 2015-07-16 | Merck Patent Gmbh | Metallkomplexe |
| WO2015106789A1 (de) | 2014-01-17 | 2015-07-23 | Merck Patent Gmbh | Materialien f?r organische elektrolumineszenzvorrichtungen |
| WO2015117718A1 (de) | 2014-02-05 | 2015-08-13 | Merck Patent Gmbh | Metallkomplexe |
| WO2015169412A1 (de) | 2014-05-05 | 2015-11-12 | Merck Patent Gmbh | Materialien für organische elektrolumineszenzvorrichtungen |
| WO2016015810A1 (de) | 2014-07-29 | 2016-02-04 | Merck Patent Gmbh | Materialien f?r organische elektrolumineszenzvorrichtungen |
| WO2016015815A1 (de) | 2014-07-28 | 2016-02-04 | Merck Patent Gmbh | Metallkomplexe |
| WO2016023608A1 (de) | 2014-08-13 | 2016-02-18 | Merck Patent Gmbh | Materialien für organische elektrolumineszenzvorrichtungen |
| WO2016124304A1 (de) | 2015-02-03 | 2016-08-11 | Merck Patent Gmbh | Metallkomplexe |
| WO2017032439A1 (de) | 2015-08-25 | 2017-03-02 | Merck Patent Gmbh | Metallkomplexe |
| WO2017148564A1 (de) | 2016-03-03 | 2017-09-08 | Merck Patent Gmbh | Materialien für organische elektrolumineszenzvorrichtungen |
| WO2018011186A1 (de) | 2016-07-14 | 2018-01-18 | Merck Patent Gmbh | Metallkomplexe |
| WO2018041769A1 (de) | 2016-08-30 | 2018-03-08 | Merck Patent Gmbh | Bl- und trinukleare metallkomplexe aufgebaut aus zwei miteinander verknüpften tripodalen hexadentaten liganden zur verwendung in elektrolumineszenzvorrichtungen |
| CN107987086A (zh) * | 2017-12-26 | 2018-05-04 | 长春海谱润斯科技有限公司 | 基于咔唑类结构的稠环化合物及其有机发光器件 |
| WO2018178001A1 (de) | 2017-03-29 | 2018-10-04 | Merck Patent Gmbh | Metallkomplexe |
| US20180337345A1 (en) * | 2017-05-19 | 2018-11-22 | Arizona Board Of Regents On Behalf Of Arizona State University | Donor-acceptor type thermally activated delayed fluorescent materials based on imidazo[1,2-f]phenanthridine and analogues |
| WO2019020538A1 (de) | 2017-07-25 | 2019-01-31 | Merck Patent Gmbh | Metallkomplexe |
| WO2019115423A1 (de) | 2017-12-13 | 2019-06-20 | Merck Patent Gmbh | Metallkomplexe |
| WO2019158453A1 (de) | 2018-02-13 | 2019-08-22 | Merck Patent Gmbh | Metallkomplexe |
| CN111269232A (zh) * | 2018-12-04 | 2020-06-12 | 北京鼎材科技有限公司 | 一种有机电致发光材料及其应用 |
-
2022
- 2022-12-12 EP EP22835673.9A patent/EP4448527A1/de active Pending
- 2022-12-12 WO PCT/EP2022/085369 patent/WO2023110742A1/de not_active Ceased
- 2022-12-12 KR KR1020247023541A patent/KR20240122858A/ko active Pending
- 2022-12-12 CN CN202280082093.XA patent/CN118401524A/zh active Pending
-
2024
- 2024-06-13 US US18/742,755 patent/US20240336621A1/en active Pending
Patent Citations (89)
| Publication number | Priority date | Publication date | Assignee | Title |
|---|---|---|---|---|
| US4539507A (en) | 1983-03-25 | 1985-09-03 | Eastman Kodak Company | Organic electroluminescent devices having improved power conversion efficiencies |
| US5151629A (en) | 1991-08-01 | 1992-09-29 | Eastman Kodak Company | Blue emitting internal junction organic electroluminescent device (I) |
| EP0652273A1 (de) | 1993-11-09 | 1995-05-10 | Shinko Electric Industries Co. Ltd. | Organisches Material für elektrolumineszente Vorrichtung und elektrolumineszente Vorrichtung |
| EP0676461A2 (de) | 1994-04-07 | 1995-10-11 | Hoechst Aktiengesellschaft | Spiroverbindungen und ihre Verwendung als Elektrolumineszenzmaterialien |
| WO1998027136A1 (de) | 1996-12-16 | 1998-06-25 | Aventis Research & Technologies Gmbh & Co Kg | ARYLSUBSTITUIERTE POLY(p-ARYLENVINYLENE), VERFAHREN ZUR HERSTELLUNG UND DEREN VERWENDUNG IN ELEKTROLUMINESZENZBAUELEMENTEN |
| WO2000070655A2 (en) | 1999-05-13 | 2000-11-23 | The Trustees Of Princeton University | Very high efficiency organic light emitting devices based on electrophosphorescence |
| WO2001041512A1 (en) | 1999-12-01 | 2001-06-07 | The Trustees Of Princeton University | Complexes of form l2mx as phosphorescent dopants for organic leds |
| EP1205527A1 (de) | 2000-03-27 | 2002-05-15 | Idemitsu Kosan Co., Ltd. | Organische elektrolumineszierende vorrichtung |
| WO2002002714A2 (en) | 2000-06-30 | 2002-01-10 | E.I. Du Pont De Nemours And Company | Electroluminescent iridium compounds with fluorinated phenylpyridines, phenylpyrimidines, and phenylquinolines and devices made with such compounds |
| WO2002015645A1 (en) | 2000-08-11 | 2002-02-21 | The Trustees Of Princeton University | Organometallic compounds and emission-shifting organic electrophosphorescence |
| EP1191613A2 (de) | 2000-09-26 | 2002-03-27 | Canon Kabushiki Kaisha | Lumineszente Vorrichtung, Bildanzeigevorrichtung und Metallkoordinationsverbindung |
| EP1191614A2 (de) | 2000-09-26 | 2002-03-27 | Canon Kabushiki Kaisha | Lumineszente Vorrichtung und dafür verwendete Metallkoordinationsverbindung |
| EP1191612A2 (de) | 2000-09-26 | 2002-03-27 | Canon Kabushiki Kaisha | Lumineszente Vorrichtung, Bildanzeigevorrichtung und Metallkoordinationsverbindung |
| WO2004013080A1 (en) | 2002-08-01 | 2004-02-12 | Covion Organic Semiconductors Gmbh | Spirobifluorene derivatives, their preparation and uses thereof |
| JP2004288381A (ja) | 2003-03-19 | 2004-10-14 | Konica Minolta Holdings Inc | 有機エレクトロルミネッセンス素子 |
| WO2004093207A2 (de) | 2003-04-15 | 2004-10-28 | Covion Organic Semiconductors Gmbh | Mischungen von organischen zur emission befähigten halbleitern und matrixmaterialien, deren verwendung und elektronikbauteile enthaltend diese mischungen |
| EP1617711A1 (de) | 2003-04-23 | 2006-01-18 | Konica Minolta Holdings, Inc. | Organisches elektrolumineszenzbauelement und anzeige |
| EP1617710A1 (de) | 2003-04-23 | 2006-01-18 | Konica Minolta Holdings, Inc. | Material für ein organisches elektrolumineszenzgerät, organisches elektrolumineszenzgerät, beleuchtungsvorrichtung und anzeige |
| WO2005019373A2 (de) | 2003-08-19 | 2005-03-03 | Basf Aktiengesellschaft | Übergangsmetallkomplexe mit carbenliganden als emitter für organische licht-emittierende dioden (oleds) |
| WO2005033244A1 (de) | 2003-09-29 | 2005-04-14 | Covion Organic Semiconductors Gmbh | Metallkomplexe |
| US20050069729A1 (en) | 2003-09-30 | 2005-03-31 | Konica Minolta Holdings, Inc. | Organic electroluminescent element, illuminator, display and compound |
| WO2005039246A1 (ja) | 2003-09-30 | 2005-04-28 | Konica Minolta Holdings, Inc. | 有機エレクトロルミネッセンス素子、照明装置、表示装置 |
| EP1731584A1 (de) | 2004-03-31 | 2006-12-13 | Konica Minolta Holdings, Inc. | Organischer elektrolumineszenzvorrichtungsstoff, organische elektrolumineszenzvorrichtung, display und beleuchtungsvorrichtung |
| WO2005111172A2 (de) | 2004-05-11 | 2005-11-24 | Merck Patent Gmbh | Neue materialmischungen für die elektrolumineszenz |
| US20050258742A1 (en) | 2004-05-18 | 2005-11-24 | Yui-Yi Tsai | Carbene containing metal complexes as OLEDs |
| JP2005347160A (ja) | 2004-06-04 | 2005-12-15 | Konica Minolta Holdings Inc | 有機エレクトロルミネッセンス素子、照明装置及び表示装置 |
| WO2006005627A1 (en) | 2004-07-15 | 2006-01-19 | Merck Patent Gmbh | Oligomeric derivatives of spirobifluorene, their preparation and use |
| WO2006117052A1 (de) | 2005-05-03 | 2006-11-09 | Merck Patent Gmbh | Organische elektrolumineszenzvorrichtung und in deren herstellung verwendete boronsäure- und borinsäure-derivate |
| WO2007063754A1 (ja) | 2005-12-01 | 2007-06-07 | Nippon Steel Chemical Co., Ltd. | 有機電界発光素子用化合物及び有機電界発光素子 |
| WO2007137725A1 (de) | 2006-05-31 | 2007-12-06 | Merck Patent Gmbh | Neue materialien für organische elektrolumineszenzvorrichtungen |
| WO2008056746A1 (en) | 2006-11-09 | 2008-05-15 | Nippon Steel Chemical Co., Ltd. | Compound for organic electroluminescent device and organic electroluminescent device |
| WO2008086851A1 (de) | 2007-01-18 | 2008-07-24 | Merck Patent Gmbh | Carbazol-derivate für organische elektrolumineszenzvorrichtungen |
| WO2009062578A1 (de) | 2007-11-12 | 2009-05-22 | Merck Patent Gmbh | Organische elektrolumineszenzvorrichtungen enthaltend azomethin-metall-komplexe |
| WO2009146770A2 (de) | 2008-06-05 | 2009-12-10 | Merck Patent Gmbh | Elektronische vorrichtung enthaltend metallkomplexe |
| WO2010006680A1 (de) | 2008-07-18 | 2010-01-21 | Merck Patent Gmbh | Materialien für organische elektrolumineszenzvorrichtungen |
| WO2010015307A1 (de) | 2008-08-04 | 2010-02-11 | Merck Patent Gmbh | Elektronische vorrichtung enthaltend metallkomplexe mit isonitrilliganden |
| WO2010015306A1 (de) | 2008-08-08 | 2010-02-11 | Merck Patent Gmbh, | Organische elektrolumineszenzvorrichtung |
| WO2010031485A1 (de) | 2008-09-22 | 2010-03-25 | Merck Patent Gmbh | Materialien für organische elektrolumineszenzvorrichtungen |
| WO2010054729A2 (de) | 2008-11-11 | 2010-05-20 | Merck Patent Gmbh | Materialien für organische elektrolumineszenzvorrichtungen |
| WO2010054730A1 (de) | 2008-11-11 | 2010-05-20 | Merck Patent Gmbh | Organische elektrolumineszenzvorrichtungen |
| WO2010054731A1 (de) | 2008-11-13 | 2010-05-20 | Merck Patent Gmbh | Materialien für organische elektrolumineszenzvorrichtungen |
| WO2010054728A1 (de) | 2008-11-13 | 2010-05-20 | Merck Patent Gmbh | Materialien für organische elektrolumineszenzvorrichtungen |
| WO2010086089A1 (de) | 2009-02-02 | 2010-08-05 | Merck Patent Gmbh | Metallkomplexe |
| WO2010099852A1 (de) | 2009-03-02 | 2010-09-10 | Merck Patent Gmbh | Metallkomplexe mit azaborol-liganden und elektronische vorrichtung damit |
| WO2010102709A1 (de) | 2009-03-13 | 2010-09-16 | Merck Patent Gmbh | Materialien für organische elektrolumineszenzvorrichtungen |
| WO2010108579A1 (de) | 2009-03-23 | 2010-09-30 | Merck Patent Gmbh | Organische elektrolumineszenzvorrichtung |
| WO2010136109A1 (de) | 2009-05-29 | 2010-12-02 | Merck Patent Gmbh | Materialien für organische elektrolumineszenzvorrichtungen |
| WO2010151006A1 (en) | 2009-06-22 | 2010-12-29 | Dow Advanced Display Materials, Ltd. | Novel organic electroluminescent compounds and organic electroluminescent device using the same |
| WO2011000455A1 (de) | 2009-06-30 | 2011-01-06 | Merck Patent Gmbh | Materialien für organische elektrolumineszenzvorrichtungen |
| WO2011032626A1 (de) | 2009-09-16 | 2011-03-24 | Merck Patent Gmbh | Metallkomplexe |
| WO2011042107A2 (de) | 2009-10-08 | 2011-04-14 | Merck Patent Gmbh | Materialien für organische elektrolumineszenzvorrichtungen |
| WO2011057706A2 (de) | 2009-11-14 | 2011-05-19 | Merck Patent Gmbh | Materialien für elektronische vorrichtungen |
| WO2011060859A1 (de) | 2009-11-17 | 2011-05-26 | Merck Patent Gmbh | Materialien für organische elektrolumineszenzvorrichtungen |
| WO2011060877A2 (de) | 2009-11-17 | 2011-05-26 | Merck Patent Gmbh | Materialien für organische elektrolumineszenzvorrichtungen |
| WO2011060867A1 (de) | 2009-11-18 | 2011-05-26 | Merck Patent Gmbh | Stickstoffhaltige kondensierte heterozyklen für oleds |
| WO2011066898A1 (de) | 2009-12-05 | 2011-06-09 | Merck Patent Gmbh | Elektronische vorrichtung enthaltend metallkomplexe |
| WO2011088877A1 (de) | 2010-01-25 | 2011-07-28 | Merck Patent Gmbh | Verbindungen für elektronische vorrichtungen |
| WO2011157339A1 (de) | 2010-06-15 | 2011-12-22 | Merck Patent Gmbh | Metallkomplexe |
| WO2012007086A1 (de) | 2010-07-16 | 2012-01-19 | Merck Patent Gmbh | Metallkomplexe |
| WO2012048781A1 (de) | 2010-10-15 | 2012-04-19 | Merck Patent Gmbh | Materialien auf basis von triphenylen für organische elektrolumineszenzvorrichtungen |
| WO2012143080A2 (de) | 2011-04-18 | 2012-10-26 | Merck Patent Gmbh | Materialien für organische elektrolumineszenzvorrichtungen |
| WO2013041176A1 (de) | 2011-09-21 | 2013-03-28 | Merck Patent Gmbh | Carbazolderivate für organische elektrolumineszenzvorrichtungen |
| WO2013056776A1 (de) | 2011-10-20 | 2013-04-25 | Merck Patent Gmbh | Materialien für organische elektrolumineszenzvorrichtungen |
| WO2013064206A1 (de) | 2011-11-01 | 2013-05-10 | Merck Patent Gmbh | Organische elektrolumineszenzvorrichtung |
| WO2014008982A1 (de) | 2012-07-13 | 2014-01-16 | Merck Patent Gmbh | Metallkomplexe |
| WO2014023377A2 (de) | 2012-08-07 | 2014-02-13 | Merck Patent Gmbh | Metallkomplexe |
| WO2014094960A1 (de) | 2012-12-21 | 2014-06-26 | Merck Patent Gmbh | Metallkomplexe |
| WO2014094961A1 (de) | 2012-12-21 | 2014-06-26 | Merck Patent Gmbh | Metallkomplexe |
| WO2015036074A1 (de) | 2013-09-11 | 2015-03-19 | Merck Patent Gmbh | Metallkomplexe |
| WO2015104045A1 (de) | 2014-01-13 | 2015-07-16 | Merck Patent Gmbh | Metallkomplexe |
| WO2015106789A1 (de) | 2014-01-17 | 2015-07-23 | Merck Patent Gmbh | Materialien f?r organische elektrolumineszenzvorrichtungen |
| WO2015117718A1 (de) | 2014-02-05 | 2015-08-13 | Merck Patent Gmbh | Metallkomplexe |
| WO2015169412A1 (de) | 2014-05-05 | 2015-11-12 | Merck Patent Gmbh | Materialien für organische elektrolumineszenzvorrichtungen |
| WO2016015815A1 (de) | 2014-07-28 | 2016-02-04 | Merck Patent Gmbh | Metallkomplexe |
| WO2016015810A1 (de) | 2014-07-29 | 2016-02-04 | Merck Patent Gmbh | Materialien f?r organische elektrolumineszenzvorrichtungen |
| WO2016023608A1 (de) | 2014-08-13 | 2016-02-18 | Merck Patent Gmbh | Materialien für organische elektrolumineszenzvorrichtungen |
| WO2016124304A1 (de) | 2015-02-03 | 2016-08-11 | Merck Patent Gmbh | Metallkomplexe |
| WO2017032439A1 (de) | 2015-08-25 | 2017-03-02 | Merck Patent Gmbh | Metallkomplexe |
| WO2017148564A1 (de) | 2016-03-03 | 2017-09-08 | Merck Patent Gmbh | Materialien für organische elektrolumineszenzvorrichtungen |
| WO2017148565A1 (de) | 2016-03-03 | 2017-09-08 | Merck Patent Gmbh | Materialien für organische elektrolumineszenzvorrichtungen |
| WO2018011186A1 (de) | 2016-07-14 | 2018-01-18 | Merck Patent Gmbh | Metallkomplexe |
| WO2018041769A1 (de) | 2016-08-30 | 2018-03-08 | Merck Patent Gmbh | Bl- und trinukleare metallkomplexe aufgebaut aus zwei miteinander verknüpften tripodalen hexadentaten liganden zur verwendung in elektrolumineszenzvorrichtungen |
| WO2018178001A1 (de) | 2017-03-29 | 2018-10-04 | Merck Patent Gmbh | Metallkomplexe |
| US20180337345A1 (en) * | 2017-05-19 | 2018-11-22 | Arizona Board Of Regents On Behalf Of Arizona State University | Donor-acceptor type thermally activated delayed fluorescent materials based on imidazo[1,2-f]phenanthridine and analogues |
| WO2019020538A1 (de) | 2017-07-25 | 2019-01-31 | Merck Patent Gmbh | Metallkomplexe |
| WO2019115423A1 (de) | 2017-12-13 | 2019-06-20 | Merck Patent Gmbh | Metallkomplexe |
| CN107987086A (zh) * | 2017-12-26 | 2018-05-04 | 长春海谱润斯科技有限公司 | 基于咔唑类结构的稠环化合物及其有机发光器件 |
| WO2019158453A1 (de) | 2018-02-13 | 2019-08-22 | Merck Patent Gmbh | Metallkomplexe |
| CN111269232A (zh) * | 2018-12-04 | 2020-06-12 | 北京鼎材科技有限公司 | 一种有机电致发光材料及其应用 |
Also Published As
| Publication number | Publication date |
|---|---|
| US20240336621A1 (en) | 2024-10-10 |
| CN118401524A (zh) | 2024-07-26 |
| EP4448527A1 (de) | 2024-10-23 |
| KR20240122858A (ko) | 2024-08-13 |
Similar Documents
| Publication | Publication Date | Title |
|---|---|---|
| EP3744155B1 (de) | Materialien für organische elektrolumineszenzvorrichtungen | |
| EP3423542B1 (de) | Materialien für organische elektrolumineszenzvorrichtungen | |
| EP3335254B1 (de) | Materialien für organische elektrolumineszenzvorrichtungen | |
| EP3160954B1 (de) | Materialien für organische elektrolumineszenzvorrichtungen | |
| EP3371274A1 (de) | Materialien für organische elektrolumineszenzvorrichtungen | |
| WO2018138306A1 (de) | Materialien für organische elektrolumineszenzvorrichtungen | |
| WO2016023608A1 (de) | Materialien für organische elektrolumineszenzvorrichtungen | |
| EP3347354B1 (de) | Materialien für organische elektrolumineszenzvorrichtungen | |
| WO2018087022A1 (de) | Materialien für organische elektrolumineszenzvorrichtungen | |
| EP3880682B1 (de) | Materialien für organische elektrolumineszenzvorrichtungen | |
| EP3803998A1 (de) | Organische elektrolumineszenzvorrichtungen | |
| WO2022229126A1 (de) | Materialien für organische elektrolumineszenzvorrichtungen | |
| WO2022157343A1 (de) | Stickstoffhaltige verbindungen für organische elektrolumineszenzvorrichtungen | |
| EP3565816B1 (de) | Materialien für organische elektrolumineszenzvorrichtungen | |
| EP3820966B1 (de) | Materialien für organische elektrolumineszenzvorrichtungen | |
| WO2018149769A1 (de) | Materialien für organische elektrolumineszenzvorrichtungen | |
| EP4229145B1 (de) | Verbindungen mit heteroatomen für organische elektrolumineszenzvorrichtungen | |
| EP3898888A1 (de) | Materialien für organische elektrolumineszenzvorrichtungen | |
| WO2022229298A1 (de) | Materialien für organische elektrolumineszenzvorrichtungen | |
| EP3877373B1 (de) | 5,6-diphenyl-5,6-dihydro-dibenz[c,e][1,2]azaphosphorin- und 6-phenyl-6h-dibenzo[c,e][1,2]thiazin-5,5-dioxid-derivate und ähnliche verbindungen als organische elektrolumineszenzmaterialien für oleds | |
| WO2022200638A1 (de) | Materialien für organische elektrolumineszenzvorrichtungen | |
| EP4192832A1 (de) | Materialien für organische elektrolumineszenzvorrichtungen | |
| EP4448527A1 (de) | Materialien für organische elektrolumineszenzvorrichtungen | |
| WO2023152063A1 (de) | Materialien für organische elektrolumineszenzvorrichtungen | |
| EP4274827A1 (de) | Materialien für organische elektrolumineszenzvorrichtungen |
Legal Events
| Date | Code | Title | Description |
|---|---|---|---|
| 121 | Ep: the epo has been informed by wipo that ep was designated in this application |
Ref document number: 22835673 Country of ref document: EP Kind code of ref document: A1 |
|
| WWE | Wipo information: entry into national phase |
Ref document number: 202280082093.X Country of ref document: CN |
|
| ENP | Entry into the national phase |
Ref document number: 20247023541 Country of ref document: KR Kind code of ref document: A |
|
| WWE | Wipo information: entry into national phase |
Ref document number: 2022835673 Country of ref document: EP |
|
| NENP | Non-entry into the national phase |
Ref country code: DE |
|
| ENP | Entry into the national phase |
Ref document number: 2022835673 Country of ref document: EP Effective date: 20240715 |
















































































































































































