WO2022101171A1 - Schwefelhaltige verbindungen für organische elektrolumineszenzvorrichtungen - Google Patents
Schwefelhaltige verbindungen für organische elektrolumineszenzvorrichtungen Download PDFInfo
- Publication number
- WO2022101171A1 WO2022101171A1 PCT/EP2021/081045 EP2021081045W WO2022101171A1 WO 2022101171 A1 WO2022101171 A1 WO 2022101171A1 EP 2021081045 W EP2021081045 W EP 2021081045W WO 2022101171 A1 WO2022101171 A1 WO 2022101171A1
- Authority
- WO
- WIPO (PCT)
- Prior art keywords
- aromatic
- radicals
- group
- ring system
- substituted
- Prior art date
- Legal status (The legal status is an assumption and is not a legal conclusion. Google has not performed a legal analysis and makes no representation as to the accuracy of the status listed.)
- Ceased
Links
Classifications
-
- C—CHEMISTRY; METALLURGY
- C07—ORGANIC CHEMISTRY
- C07D—HETEROCYCLIC COMPOUNDS
- C07D495/00—Heterocyclic compounds containing in the condensed system at least one hetero ring having sulfur atoms as the only ring hetero atoms
- C07D495/12—Heterocyclic compounds containing in the condensed system at least one hetero ring having sulfur atoms as the only ring hetero atoms in which the condensed system contains three hetero rings
- C07D495/14—Ortho-condensed systems
-
- C—CHEMISTRY; METALLURGY
- C07—ORGANIC CHEMISTRY
- C07D—HETEROCYCLIC COMPOUNDS
- C07D495/00—Heterocyclic compounds containing in the condensed system at least one hetero ring having sulfur atoms as the only ring hetero atoms
- C07D495/02—Heterocyclic compounds containing in the condensed system at least one hetero ring having sulfur atoms as the only ring hetero atoms in which the condensed system contains two hetero rings
- C07D495/04—Ortho-condensed systems
-
- H—ELECTRICITY
- H10—SEMICONDUCTOR DEVICES; ELECTRIC SOLID-STATE DEVICES NOT OTHERWISE PROVIDED FOR
- H10K—ORGANIC ELECTRIC SOLID-STATE DEVICES
- H10K85/00—Organic materials used in the body or electrodes of devices covered by this subclass
- H10K85/60—Organic compounds having low molecular weight
- H10K85/649—Aromatic compounds comprising a hetero atom
- H10K85/657—Polycyclic condensed heteroaromatic hydrocarbons
-
- C—CHEMISTRY; METALLURGY
- C07—ORGANIC CHEMISTRY
- C07D—HETEROCYCLIC COMPOUNDS
- C07D495/00—Heterocyclic compounds containing in the condensed system at least one hetero ring having sulfur atoms as the only ring hetero atoms
- C07D495/12—Heterocyclic compounds containing in the condensed system at least one hetero ring having sulfur atoms as the only ring hetero atoms in which the condensed system contains three hetero rings
- C07D495/16—Peri-condensed systems
-
- C—CHEMISTRY; METALLURGY
- C07—ORGANIC CHEMISTRY
- C07D—HETEROCYCLIC COMPOUNDS
- C07D519/00—Heterocyclic compounds containing more than one system of two or more relevant hetero rings condensed among themselves or condensed with a common carbocyclic ring system not provided for in groups C07D453/00 or C07D455/00
-
- C—CHEMISTRY; METALLURGY
- C09—DYES; PAINTS; POLISHES; NATURAL RESINS; ADHESIVES; COMPOSITIONS NOT OTHERWISE PROVIDED FOR; APPLICATIONS OF MATERIALS NOT OTHERWISE PROVIDED FOR
- C09K—MATERIALS FOR MISCELLANEOUS APPLICATIONS, NOT PROVIDED FOR ELSEWHERE
- C09K11/00—Luminescent, e.g. electroluminescent, chemiluminescent materials
- C09K11/06—Luminescent, e.g. electroluminescent, chemiluminescent materials containing organic luminescent materials
-
- H—ELECTRICITY
- H10—SEMICONDUCTOR DEVICES; ELECTRIC SOLID-STATE DEVICES NOT OTHERWISE PROVIDED FOR
- H10K—ORGANIC ELECTRIC SOLID-STATE DEVICES
- H10K50/00—Organic light-emitting devices
- H10K50/10—OLEDs or polymer light-emitting diodes [PLED]
- H10K50/11—OLEDs or polymer light-emitting diodes [PLED] characterised by the electroluminescent [EL] layers
-
- H—ELECTRICITY
- H10—SEMICONDUCTOR DEVICES; ELECTRIC SOLID-STATE DEVICES NOT OTHERWISE PROVIDED FOR
- H10K—ORGANIC ELECTRIC SOLID-STATE DEVICES
- H10K50/00—Organic light-emitting devices
- H10K50/10—OLEDs or polymer light-emitting diodes [PLED]
- H10K50/14—Carrier transporting layers
- H10K50/15—Hole transporting layers
-
- H—ELECTRICITY
- H10—SEMICONDUCTOR DEVICES; ELECTRIC SOLID-STATE DEVICES NOT OTHERWISE PROVIDED FOR
- H10K—ORGANIC ELECTRIC SOLID-STATE DEVICES
- H10K50/00—Organic light-emitting devices
- H10K50/10—OLEDs or polymer light-emitting diodes [PLED]
- H10K50/18—Carrier blocking layers
- H10K50/181—Electron blocking layers
-
- H—ELECTRICITY
- H10—SEMICONDUCTOR DEVICES; ELECTRIC SOLID-STATE DEVICES NOT OTHERWISE PROVIDED FOR
- H10K—ORGANIC ELECTRIC SOLID-STATE DEVICES
- H10K85/00—Organic materials used in the body or electrodes of devices covered by this subclass
- H10K85/60—Organic compounds having low molecular weight
- H10K85/631—Amine compounds having at least two aryl rest on at least one amine-nitrogen atom, e.g. triphenylamine
- H10K85/633—Amine compounds having at least two aryl rest on at least one amine-nitrogen atom, e.g. triphenylamine comprising polycyclic condensed aromatic hydrocarbons as substituents on the nitrogen atom
-
- H—ELECTRICITY
- H10—SEMICONDUCTOR DEVICES; ELECTRIC SOLID-STATE DEVICES NOT OTHERWISE PROVIDED FOR
- H10K—ORGANIC ELECTRIC SOLID-STATE DEVICES
- H10K85/00—Organic materials used in the body or electrodes of devices covered by this subclass
- H10K85/60—Organic compounds having low molecular weight
- H10K85/631—Amine compounds having at least two aryl rest on at least one amine-nitrogen atom, e.g. triphenylamine
- H10K85/636—Amine compounds having at least two aryl rest on at least one amine-nitrogen atom, e.g. triphenylamine comprising heteroaromatic hydrocarbons as substituents on the nitrogen atom
-
- H—ELECTRICITY
- H10—SEMICONDUCTOR DEVICES; ELECTRIC SOLID-STATE DEVICES NOT OTHERWISE PROVIDED FOR
- H10K—ORGANIC ELECTRIC SOLID-STATE DEVICES
- H10K85/00—Organic materials used in the body or electrodes of devices covered by this subclass
- H10K85/60—Organic compounds having low molecular weight
- H10K85/649—Aromatic compounds comprising a hetero atom
- H10K85/654—Aromatic compounds comprising a hetero atom comprising only nitrogen as heteroatom
-
- H—ELECTRICITY
- H10—SEMICONDUCTOR DEVICES; ELECTRIC SOLID-STATE DEVICES NOT OTHERWISE PROVIDED FOR
- H10K—ORGANIC ELECTRIC SOLID-STATE DEVICES
- H10K85/00—Organic materials used in the body or electrodes of devices covered by this subclass
- H10K85/60—Organic compounds having low molecular weight
- H10K85/649—Aromatic compounds comprising a hetero atom
- H10K85/657—Polycyclic condensed heteroaromatic hydrocarbons
- H10K85/6572—Polycyclic condensed heteroaromatic hydrocarbons comprising only nitrogen in the heteroaromatic polycondensed ring system, e.g. phenanthroline or carbazole
-
- H—ELECTRICITY
- H10—SEMICONDUCTOR DEVICES; ELECTRIC SOLID-STATE DEVICES NOT OTHERWISE PROVIDED FOR
- H10K—ORGANIC ELECTRIC SOLID-STATE DEVICES
- H10K85/00—Organic materials used in the body or electrodes of devices covered by this subclass
- H10K85/60—Organic compounds having low molecular weight
- H10K85/649—Aromatic compounds comprising a hetero atom
- H10K85/657—Polycyclic condensed heteroaromatic hydrocarbons
- H10K85/6574—Polycyclic condensed heteroaromatic hydrocarbons comprising only oxygen in the heteroaromatic polycondensed ring system, e.g. cumarine dyes
-
- C—CHEMISTRY; METALLURGY
- C09—DYES; PAINTS; POLISHES; NATURAL RESINS; ADHESIVES; COMPOSITIONS NOT OTHERWISE PROVIDED FOR; APPLICATIONS OF MATERIALS NOT OTHERWISE PROVIDED FOR
- C09K—MATERIALS FOR MISCELLANEOUS APPLICATIONS, NOT PROVIDED FOR ELSEWHERE
- C09K2211/00—Chemical nature of organic luminescent or tenebrescent compounds
- C09K2211/10—Non-macromolecular compounds
- C09K2211/1018—Heterocyclic compounds
-
- H—ELECTRICITY
- H10—SEMICONDUCTOR DEVICES; ELECTRIC SOLID-STATE DEVICES NOT OTHERWISE PROVIDED FOR
- H10K—ORGANIC ELECTRIC SOLID-STATE DEVICES
- H10K50/00—Organic light-emitting devices
- H10K50/10—OLEDs or polymer light-emitting diodes [PLED]
- H10K50/11—OLEDs or polymer light-emitting diodes [PLED] characterised by the electroluminescent [EL] layers
- H10K50/12—OLEDs or polymer light-emitting diodes [PLED] characterised by the electroluminescent [EL] layers comprising dopants
-
- H—ELECTRICITY
- H10—SEMICONDUCTOR DEVICES; ELECTRIC SOLID-STATE DEVICES NOT OTHERWISE PROVIDED FOR
- H10K—ORGANIC ELECTRIC SOLID-STATE DEVICES
- H10K85/00—Organic materials used in the body or electrodes of devices covered by this subclass
- H10K85/60—Organic compounds having low molecular weight
- H10K85/615—Polycyclic condensed aromatic hydrocarbons, e.g. anthracene
-
- Y—GENERAL TAGGING OF NEW TECHNOLOGICAL DEVELOPMENTS; GENERAL TAGGING OF CROSS-SECTIONAL TECHNOLOGIES SPANNING OVER SEVERAL SECTIONS OF THE IPC; TECHNICAL SUBJECTS COVERED BY FORMER USPC CROSS-REFERENCE ART COLLECTIONS [XRACs] AND DIGESTS
- Y02—TECHNOLOGIES OR APPLICATIONS FOR MITIGATION OR ADAPTATION AGAINST CLIMATE CHANGE
- Y02E—REDUCTION OF GREENHOUSE GAS [GHG] EMISSIONS, RELATED TO ENERGY GENERATION, TRANSMISSION OR DISTRIBUTION
- Y02E10/00—Energy generation through renewable energy sources
- Y02E10/50—Photovoltaic [PV] energy
- Y02E10/549—Organic PV cells
Definitions
- Sulfur-containing compounds for organic electroluminescent devices The present invention relates to sulfur-containing compounds for use in electronic devices, in particular in organic electroluminescent devices, and electronic devices, in particular organic electroluminescent devices, containing these materials.
- organic electroluminescence devices phosphorescent organometallic complexes are frequently used as emitting materials. For quantum mechanical reasons, up to four times the energy and power efficiency is possible when using organometallic compounds as phosphorescence emitters.
- organometallic compounds as phosphorescence emitters.
- the properties of phosphorescent electroluminescent devices are not only determined by the triplet emitters used.
- WO 2019/022435 discloses thionylcarbazole derivatives as matrix materials for phosphorescent emitters.
- US Pat. No. 10/312455 B2 discloses compounds which are suitable as TADF (thermally activated delayed fluorescence) emitters.
- US 2019/100543 A1 discloses complexes which comprise thionylcarbazole structural elements. In general, there is still a need for improvement with these materials, for example for use as matrix materials, in particular with regard to the service life, but also with regard to the efficiency and the operating voltage of the device.
- the object of the present invention is therefore to provide compounds which are suitable for use in an organic electronic device, in particular in an organic electroluminescent device, and which lead to good device properties when used in this device, and to provide the corresponding electronic device .
- the properties of the matrix materials in particular also have a significant influence on the service life and the efficiency of the organic electroluminescent device.
- a further object of the present invention can be seen as providing compounds which are suitable for use in a phosphorescent or fluorescent electroluminescent device, in particular as a matrix material.
- the compounds should lead to devices which have excellent color purity, particularly when they are used as matrix materials, as hole-transport materials or as electron-blocking materials in organic electroluminescent devices.
- a further object can be seen in providing electronic devices with excellent performance as cost-effectively as possible and with constant quality.
- the electronic devices should be able to be used or adapted for many purposes. In particular, the Performance of the electronic devices are maintained over a wide temperature range.
- the present invention relates to a compound comprising at least one structure of the formula (1), preferably a compound of the formula (1), where the following applies to the symbols and indices used: T stands for a heteroaromatic 5-membered ring with a sulfur atom which is fused to the azole ring via two adjacent and interconnected carbon atoms and which can be substituted by one or more groups R 3 ; L represents a linking group, preferably selected from a bond or an aromatic or heteroaromatic ring system having 5 to 40 aromatic ring atoms, which can be substituted with one or more radicals R 2 , particularly preferably a bond; X is N, CR or C if a group L, Y 1 or Y 2 is attached thereto, with the proviso that no more than two of the groups X in a cycle are N, preferably X is C or CR; X 1 is N, CR 1 or C if the group L is attached thereto, with the proviso that no more than two of the groups X
- An aryl group within the meaning of this invention contains 6 to 40 carbon atoms; a heteroaryl group within the meaning of this invention contains 2 to 40 carbon atoms and at least one heteroatom, with the proviso that the sum of carbon atoms and heteroatoms is at least 5.
- the heteroatoms are preferably selected from N, O and/or S.
- An aryl group or heteroaryl group is either a simple aromatic cycle, ie benzene, or a simple heteroaromatic cycle, e.g. pyridine, pyrimidine, thiophene, etc., or a fused (fused) aryl or heteroaryl group, e.g.
- aromatics linked to one another by a single bond such as biphenyl, are not referred to as aryl or heteroaryl groups, but as aromatic ring systems.
- An electron-deficient heteroaryl group in the context of the present invention is a heteroaryl group which has at least one heteroaromatic six-membered ring with at least one nitrogen atom. Further aromatic or heteroaromatic five-membered rings or six-membered rings can be fused onto this six-membered ring.
- Examples of electron-deficient heteroaryl groups are pyridine, pyrimidine, pyrazine, pyridazine, triazine, quinoline, quinazoline or quinoxaline.
- An aromatic ring system within the meaning of this invention contains 6 to 60 carbon atoms in the ring system.
- a heteroaromatic ring system within the meaning of this invention contains 2 to 60 carbon atoms and at least one heteroatom in the ring system, with the proviso that the sum of carbon atoms and heteroatoms is at least 5.
- the heteroatoms are preferably selected from N, O and/or S.
- aromatic or heteroaromatic ring system in the context of this invention is to be understood as meaning a system which does not necessarily only contain aryl or heteroaryl groups, but in which also several aryl or heteroaryl groups by a non-aromatic moiety, such as. B. a C, N or O atom may be connected.
- systems such as fluorene, 9,9'-spirobifluorene, 9,9-diarylfluorene, triarylamine, diaryl ether, stilbene, etc. should also be understood as aromatic ring systems for the purposes of this invention, and also systems in which two or more Aryl groups are connected, for example, by a short alkyl group.
- the aromatic ring system is preferably selected from fluorene, 9,9'-spirobifluorene, 9,9-diarylamine or groups in which two or more aryl and/or heteroaryl groups are linked to one another by single bonds.
- an aliphatic hydrocarbon radical or an alkyl group or an alkenyl or Alkynyl group which can contain 1 to 20 carbon atoms and in which individual H atoms or CH2 groups can also be substituted by the groups mentioned above, preferably the radicals methyl, ethyl, n-propyl, i-propyl, n- butyl, i-butyl, s-butyl, t-butyl, 2-methylbutyl, n-pentyl, s-pentyl, neo-pentyl, cyclopentyl, n-hexyl, neo-hexyl, cyclohexyl, n-hept
- An alkoxy group having 1 to 40 carbon atoms is preferably methoxy, trifluoromethoxy, ethoxy, n-propoxy, i-propoxy, n-butoxy, i-butoxy, s-butoxy, t-butoxy, n-pentoxy, s- pentoxy, 2-methylbutoxy, n-hexoxy, cyclohexyloxy, n-heptoxy, cycloheptyloxy, n-octyloxy, cyclooctyloxy, 2-ethylhexyloxy, pentafluoroethoxy and 2,2,2-trifluoroethoxy.
- a thioalkyl group with 1 to 40 carbon atoms is, in particular, methylthio, ethylthio, n-propylthio, i-propylthio, n-butylthio, i-butylthio, s-butylthio, t-butylthio, n-pentylthio, s-pentylthio, n-hexylthio, cyclohexylthio, n-heptylthio, cycloheptylthio, n-octylthio, cyclooctylthio, 2-ethylhexylthio, trifluoromethylthio, pentafluoroethylthio, 2,2,2-trifluoroethylthio, ethenylthio, propenylthio, butenylthio, pentenylthio, cyclopentenylthi
- alkyl, alkoxy or thioalkyl groups can be straight-chain, branched or cyclic, it being possible for one or more non-adjacent CH2 groups to be replaced by the groups mentioned above; furthermore, one or more H atoms can also be replaced by D, F, Cl, Br, I, CN or NO2, preferably F, Cl or CN, more preferably F or CN, particularly preferably CN.
- An aromatic or heteroaromatic ring system with 5-60 or 5 to 40 aromatic ring atoms, which can be substituted with the above-mentioned radicals and which can be linked via any position on the aromatic or heteroaromatic is understood to mean, in particular, groups derived from benzene, naphthalene, anthracene, benzanthracene, phenanthrene, pyrene, chrysene, perylene, fluoranthene, naphthacene, pentacene, benzopyrene, biphenyl, Biphenylene, terphenyl, triphenylene, fluorene, spirobifluorene, dihydrophenanthrene, dihydropyrene, tetrahydropyrene, cis or trans indenofluorene, cis or trans indenocarbazole, cis or trans indolocarbazole, truxene, isotruxene, spir
- two or more radicals can form a ring with one another
- the wording that two or more radicals can form a ring with one another is to be understood, inter alia, as meaning that the two radicals are linked to one another by a chemical bond with formal splitting off of two hydrogen atoms. This is illustrated by the following scheme.
- the above formulation should also be understood to mean that if one of the two radicals is hydrogen, the second radical is attached to the position, forming a ring, to which the hydrogen atom was bonded.
- the compounds according to the invention can preferably have at least one structure of the formulas (1a), (1b), (1c), (1d), (1e), (1f), (1g), (1h), (1i), (1j), (1k), (1l), (1m), (1n), (1o), (1p), (1q), (1r), (1s), (1t), (1u), (1v ), (1w), (1x), (1y), (1z) and (1za) and are particularly preferably selected from the compounds of the formulas (1a), (1b), (1c), (1d), (1e ), (1f), (1g), (1h), (1i), (1j), (1k), (1l), (1m), (1n), (1o), (1p), (1q), (1r), (1s), (1t), (1u), (1v), (1w), (1x), (1y), (1z) and (1za),
- the linking group L binds to the thiofuran ring and in formulas (1g), (1h), (1i) does not bind to the thiofuran ring.
- the linking group L binds to an aromatic or heteroaromatic moiety of the fluorene, dibenzofuran, dibenzothiofuran or carbazole group, the linking group L binding to any suitable attachment site of the bridged thionylcarbazole moiety can. The other structures result from these differences accordingly.
- the compounds according to the invention have a structure of the formulas (2a), (2b), (2c), (2d), (2e), (2f), (2g), (2h), ( 2i), (2j), (2k), (2l), (2m), (2n), (2o), (2p), (2q), (2r), (2s), (2t), (2u) , (2v), (2w), (2x), (2y), (2z) and (2za), where the compounds according to the invention can be particularly preferably selected from the compounds of the formulas (2a), (2b), (2c).
- the index k is 0 or 1
- the index j is 0, 1 or 2, preferably 0 or 1
- the index n is 0, 1, 2 or 3, preferably 0, 1 or 2 and more preferably 0 or 1
- the index m is 0, 1, 2, 3 or 4, preferably 0, 1 or 2 and most preferably 0 or 1.
- the linking group L binds to the thiofuran ring and in formulas (2g), (2h), (2i) does not bind to the thiofuran ring.
- the linking group L binds to an aromatic moiety of the fluorene, dibenzofuran, dibenzothiofuran or carbazole group, where the linking group L can bind to any suitable attachment site of the bridged thionylcarbazole moiety.
- the compounds according to the invention have a structure of the formulas (3a), (3b), (3c), (3d), (3e), (3f), (3g), (3h), ( 3i), (3j), (3k), (3l), (3m), (3n), (3o), (3p), (3q) and (3r), it being possible for the compounds according to the invention to be selected particularly preferably from the compounds of the formulas (3a), (3b), (3c), (3d), (3e), (3f), (3g), (3h), (3i), (3j), (3k), (3l ), (3m), (3n), (3o), (3p), (3q) and (3r), where L, Y, R, R 1 and R 3 have the meanings mentioned above, in particular for formula (1), the index k is 0 or 1, the index n is 0, 1, 2 or 3, preferably 0, 1 or 2 and more preferably 0 or 1 and the index m is 0, 1, 2, 3 or 4, preferably 0, 1 or 2 and most preferably 0 or 1.
- the linking group L in formulas (3a), (3b) can attach to any suitable attachment site of the two structural groups linked by the linking group L.
- the linking group L binds to the thiofuran ring and in the formulas (3e), (3f) does not bind to the thiofuran ring.
- linking group L binds to an aromatic moiety of the fluorene, dibenzofuran, dibenzothiofuran or carbazole group, where the linking group L can bind to any suitable attachment site of the bridged thionylcarbazole moiety.
- the compounds according to the invention have a structure of the formulas (4a), (4b), (4c), (4d), (4e), (4f), (4g), (4h), ( 4i), (4j), (4k), (4l), (4m), (4n), (4o), (4p), (4q) and (4r), it being possible for the compounds according to the invention to be selected particularly preferably from the connections of Formulas (4a), (4b), (4c), (4d), (4e), (4f), (4g), (4h), (4i), (4j), (4k), (4l), ( 4m), (4n), (4o), (4p), (4q) and (4r),
- the index k is 0 or 1
- the index j is 0, 1 or 2, preferably 0 or 1
- the index n is 0, 1, 2 or 3, preferably 0, 1 or 2 and more preferably 0 or 1
- the index m is 0, 1, 2, 3 or 4, preferably 0, 1 or 2 and most preferably 0 or 1.
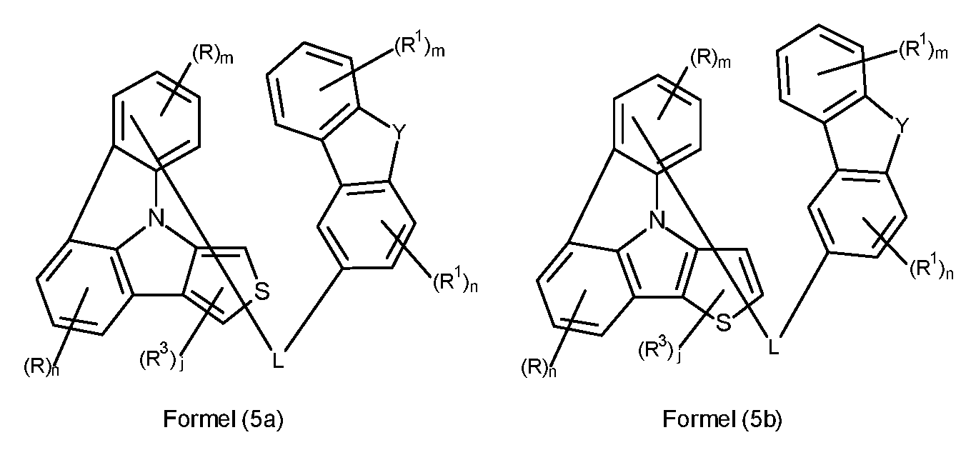
- the compound has at least one structure of the formulas (5a), (5b), (5c), (5d), (5e), (5f), (5g), (5h) and (5i), where particularly preferably a compound is selected from the compounds of the formulas (5a), (5b), (5c), (5d), (5e), (5f), (5g), (5h ) and (5i),
- the index k is 0 or 1
- the index j is 0, 1 or 2, preferably 0 or 1
- the index n is 0, 1, 2 or 3, preferably 0, 1 or 2 and more preferably 0 or 1
- the index m is 0, 1, 2, 3 or 4, preferably 0, 1 or 2 and most preferably 0 or 1.
- linking group L in formulas (5a), (5b), (5c) can attach to any suitable attachment site of the thionylcarbazole moiety.
- the linking group L binds to the thiofuran ring and in formulas (5g), (5h) and (5i) does not bind to the thiofuran ring.
- the Compounds preferably at least one structure of the formulas (6a), (6b), (6c), (6d), (6e), (6f), (6g) and (6h), where the compounds are particularly preferably selected from the Compounds of formulas (6a), (6b), (6c), (6d), (6e), (6f), (6g) and (6h), where L, Y, R, R 1 and R 3 have the meanings mentioned above, in particular for formula (1), the index k is 0 or 1, the index j is 0, 1 or 2, preferably 0 or 1, the index n is 0, 1, 2 or 3, preferably 0, 1 or 2 and more preferably 0 or 1 and the index m is 0, 1, 2, 3 or 4, preferably 0, 1 or 2 and most preferably 0 or 1.
- the sum of the indices k, j, m and n in structures/compounds of formulas (2a) to (2za), (3a) to (3r), (4a) to (4r), (5a) to (5i) and ( 6a) to (6h) is preferably at most 6, particularly preferably at most 4 and particularly preferably at most 2.
- the group L represents a linking group, which is preferably selected from a bond, an aromatic or heteroaromatic ring system having 5 to 40 aromatic ring atoms which may be substituted with one or more R 2 radicals, or an N-containing group, preferably a mono -, di- or triarylamine group.
- the linking group L is particularly preferably selected from a bond or an aromatic or heteroaromatic ring system having 5 to 40 aromatic ring atoms, which can be substituted by one or more R 2 radicals, L particularly preferably being a bond.
- the group L is a radical which links the two structural elements via a nitrogen-containing group, in particular via a mono-, di- or triarylamine group.
- the group L may represent a group of the formula -N(Ar a )-, -N(Ar a )-Ar b - or -Ar c -N(Ar a )-Ar b - where Ar a , Ar b and Ar c are identical or different on each occurrence and are an aromatic or heteroaromatic ring system having 5 to 24 aromatic ring atoms, which can each be substituted by one or more R 2 radicals.
- the total number of aromatic ring atoms of Ar a , Ar b and Ar c is at most 60 and preferably at most 40.
- Ar c and Ar a can be connected to one another and/or Ar a and Ar b can also be connected to one another by a group selected from C(R 2 )2, NR 2 , O or S can be connected.
- Ar c and Ar a are preferably linked to one another or Ar a and Ar b are linked to one another in each case ortho to the position of the linkage to the nitrogen atom.
- none of the groups Ar a , Ar b or Ar c are connected to one another.
- Ar c is preferably an aromatic or heteroaromatic ring system having 6 to 24 aromatic ring atoms, preferably having 6 to 12 aromatic ring atoms, which can each be substituted by one or more R 2 radicals.
- Ar c is particularly preferably selected from the group consisting of ortho-, meta- or para-phenylene or ortho-, meta- or para-biphenyl, each of which may be substituted by one or more R 4 radicals, but is preferably unsubstituted. Most preferably, Ar c is an unsubstituted phenylene group.
- Ar a and Ar b are preferably identical or different on each occurrence and are an aromatic or heteroaromatic ring system having 6 to 24 aromatic ring atoms, which can each be substituted by one or more R 2 radicals.
- Ar a or Ar b are identical or different on each occurrence selected from the group consisting of benzene, ortho-, meta- or para-biphenyl, ortho-, meta-, para- or branched terphenyl, ortho-, meta- , para- or branched quaterphenyl, 1-, 2-, 3- or 4-fluorenyl, 1-, 2-, 3- or 4-spirobifluorenyl, 1- or 2-naphthyl, indole, benzofuran, benzothiophene, 1-, 2 -, 3- or 4-carbazole, 1-, 2-, 3- or 4-dibenzofuran, 1-, 2-, 3- or 4-dibenzothiophene, indenocarbazole, indolocarbazole, 2-, 3- or 4-pyridine, 2 -, 4- or 5-pyrimidine, pyrazine, pyridazine, triazine, phenanthrene or triphenylene, each of which may be substituted
- Ar a and Ar b are very particularly preferably identical or different on each occurrence selected from the group consisting of benzene, biphenyl, in particular ortho-, meta- or para-biphenyl, terphenyl, in particular ortho-, meta-, para- or ver- branched terphenyl, quaterphenyl, in particular ortho-, meta-, para- or branched quaterphenyl, fluorene, in particular 1-, 2-, 3- or 4-fluorene, or spirobifluorene, in particular 1-, 2-, 3- or 4-spirobifluorene .
- the group L can preferably form a continuous conjugation with the groups to which the group L according to formula (1) or the preferred embodiments of this formula is bonded.
- Continuous conjugation of the aromatic or heteroaromatic systems is formed as soon as direct bonds are formed between adjacent aromatic or heteroaromatic rings.
- a further linkage between the aforementioned conjugated groups which takes place for example via an S, N or O atom or a carbonyl group, does not damage a conjugation.
- the two aromatic rings are bonded directly, with the sp 3 hybridized carbon atom in position 9 preventing a condensation of these rings, but a Conjugation can take place since this sp 3 hybridized carbon atom in position 9 does not necessarily lie between the groups which are connected via the linking group L.
- a second spirobifluorene structure continuous conjugation can be formed if the linkage between the groups linked through the linking group L is through the same phenyl group of the spirobifluorene structure or through phenyl groups of the spirobifluorene structure that are bonded directly to each other and in a plane lying, takes place. If the linkage between the groups linked through linking group L is through different phenyl groups of the second spirobifluorene structure linked through the sp 3 hybridized carbon atom at position 9, the conjugation is disrupted.
- L represents a bond or an aromatic or heteroaromatic ring system having 5 to 14 aromatic or heteroaromatic ring atoms, preferably an aromatic ring system having 6 to 12 carbon atoms, which can be substituted by one or more R 2 radicals, but is preferably unsubstituted, where R 2 can have the meaning given above, in particular for formula (1).
- L particularly preferably represents a bond or an aromatic ring system having 6 to 10 aromatic ring atoms or a heteroaromatic ring system having 6 to 13 heteroaromatic ring atoms, each of which may be substituted by one or more R 2 radicals, but is preferably unsubstituted, where R 2 can have the meaning mentioned above, in particular for formula (1).
- the symbol L set out in formula (1) is the same or different on each occurrence for a bond or an aryl or heteroaryl radical having 5 to 24 ring atoms, preferably 6 to 13 ring atoms, particularly preferably 6 to 10 ring atoms, so that an aromatic or heteroaromatic group of an aromatic or heteroaromatic ring system is bonded directly, ie via an atom of the aromatic or heteroaromatic group, to the respective atom of the further group.
- the group L set out in formula (1) comprises an aromatic ring system with at most two fused aromatic and/or heteroaromatic 6-rings, preferably no fused aromatic or heteroaromatic ring system.
- naphthyl structures are preferred over anthracene structures.
- fluorenyl, spirobifluorenyl, dibenzofuranyl and/or dibenzothienyl structures are preferred over naphthyl structures.
- Particularly preferred are structures that do not exhibit condensation, such as phenyl, biphenyl, terphenyl and/or quaterphenyl structures.
- Suitable aromatic or heteroaromatic ring systems L are selected from the group consisting of ortho-, meta- or para-phenylene, ortho-, meta- or para-biphenylene, terphenylene, in particular branched terphenylene, quaterphenylene, in particular branched quaterphenylene, fluorenylene, spirobifluorenylene , Dibenzofuranylene, dibenzothienylene and carbazolylene, each of which may be substituted by one or more radicals R 2 , but are preferably unsubstituted.
- the group L set out in formula (1) has at most 1 nitrogen atom, preferably at most 2 heteroatoms, particularly preferably at most one heteroatom and particularly preferably no heteroatom. Furthermore, it can be provided that the group L does not form a fused aromatic or heteroaromatic ring system with the groups to which the group L binds, this including the radicals R, R 1 , R 2 or R 3 through which the group L or a of the groups to which the group L binds may be substituted.
- the group L in formula (1) is a bond and Y is selected from NR 2 , NAr, O, S, preferably Y is NAr.
- Y is selected from NR 2 , NAr, O, S, preferably Y is NAr.
- Preferred aromatic or heteroaromatic ring systems Ar are selected from phenyl, biphenyl, in particular ortho-, meta- or para-biphenyl, terphenyl, in particular ortho-, meta-, para- or branched terphenyl, quaterphenyl, in particular ortho-, meta-, para- - or branched quaterphenyl, fluorene, which can be linked via the 1-, 2-, 3- or 4-position, spirobifluorene, which can be linked via the 1-, 2-, 3- or 4-position, naphthalene , in particular 1- or 2- linked naphthalene, indole, benzofuran, benzothiophene, carbazole, which can be linked via the 1-, 2-, 3-, 4- or 9-position, dibenzofuran, which via the 1-, 2- , 3- or 4-position, dibenzothiophene, which can be linked via the 1-, 2-, 3- or 4-position, indenocarbazole, indoloc
- the substituents R, R 1 , R 2 and R 3 according to the above formulas with the ring atoms of the ring system are not a fused aromatic or heteroaromatic ring system, preferably do not form a fused ring system. This includes the formation of a fused ring system with possible substituents R 4 , R 5 which can be attached to the radicals R, R 1 , R 2 , R 3 .
- radicals which can be selected in particular from R 1 , R 2 , R 3 , R 4 , R 5 , R 6 , R 7 , R 8 , R 9 , R 10 and/or R 11 , form a ring system with one another, this can be mono- or polycyclic, aliphatic, heteroaliphatic, aromatic or heteroaromatic.
- the radicals which form a ring system with one another can be adjacent, ie these radicals are attached to the same carbon atom or to carbon atoms which are bonded directly to one another, or they can be further apart.
- each of the corresponding binding sites is preferably provided with a substituent R 1 , R 2 , R 3 , R 4 , R 5 , R 6 , R 7 , R 8 , R 9 , R 10 and/or R 11 .
- R, R 1 , R 2 and/or R 3 are selected identically or differently on each occurrence from the group consisting of H, D or an aromatic or heteroaromatic ring system selected from the groups of the following formulas Ar-1 to Ar-75 and/or the group Ar and/or Ar' is selected identically or differently on each occurrence from the groups of the following formulas Ar-1 to Ar-75, where R 4 has the meanings given above, the dashed bond represents the point of attachment and the following also applies:
- Ar 1 is identical or different on each occurrence, a bivalent aromatic or heteroaromatic ring system having 6 to 18 aromatic ring atoms, each with one or several radicals R 4 may be substituted;
- A is, identically or differently, on each occurrence C(R 4 )2, NR 4 , O or S;
- q is 0 or
- the structures of the formulas (Ar-1) to (Ar-75) presented above represent preferred configurations of the radical Ar, as defined for example in structures of the formula (1), in which case the substituents R 4 in formulas (Ar -1) to (Ar-75) are to be replaced by R 2 , where R 2 is as defined above, in particular for formula (1).
- the structures of the formulas (Ar-1) to (Ar-75) set out above represent preferred configurations of the radicals Ar a , Ar b and Arc c , as defined for example for preferred connecting groups L, in which case the substituents R 4 in formulas (Ar-1) to (Ar-75) are to be replaced by R 2 , where R 2 has the meaning given above, in particular for formula (1).
- radicals Ar b and Ar c include a further attachment point.
- structures of the formulas (Ar-1), (Ar-2), (Ar-3), (Ar-12), (Ar-13), (Ar-14), (Ar-15), (Ar- 16), (Ar-69), (Ar-70), (Ar-75), preferred and structures of formulas (Ar-1), (Ar-2), (Ar-3), (Ar-12), (Ar-13), (Ar-14), (Ar-15), (Ar-16) are particularly preferred. If the groups mentioned above have several groups A for Ar, then all combinations from the definition of A are suitable for this.
- Preferred embodiments are then those in which one group A is NR 4 and the other group A is C(R 4 ) 2 or in which both groups A are NR 4 or in which both groups A are O.
- A is NR 4
- the substituent R 4 which is bonded to the nitrogen atom is preferably an aromatic or heteroaromatic ring system having 5 to 24 aromatic ring atoms, which can also be substituted by one or more R 5 radicals.
- this substituent R 4 is identical or different on each occurrence for an aromatic or heteroaromatic ring system with 6 to 24 aromatic ring atoms, in particular with 6 to 18 aromatic ring atoms, which has no fused aryl groups and which no fused heteroaryl groups in which two or more aromatic or heteroaromatic 6-ring groups are fused directly to one another, and which can each also be substituted by one or more R 5 radicals.
- R 5 radicals Preference is given to phenyl, biphenyl, terphenyl and quaterphenyl with linkage patterns as listed above for Ar-1 to Ar-11, these structures being substituted by one or more R 5 radicals instead of R 4 can be, but are preferably unsubstituted.
- Triazine, pyrimidine and quinazoline are also preferred, as listed above for Ar-47 to Ar-50, Ar-57 and Ar-58, it being possible for these structures to be substituted by one or more R 5 radicals instead of by R 4 .
- A is C(R 4 ) 2
- the substituents R 4 bonded to this carbon atom are preferably identical or different each time they occur for a linear alkyl group having 1 to 10 carbon atoms or for a branched or cyclic alkyl group 3 to 10 carbon atoms or an aromatic or heteroaromatic ring system having 5 to 24 aromatic ring atoms, which can also be substituted by one or more R 5 radicals.
- R 4 is very particularly preferably a methyl group or a phenyl group.
- the R 4 radicals can also form a ring system with one another, which leads to a spiro system.
- Preferred substituents R, R 1 , R 2 and R 3 are described below.
- R, R 1 , R 2 and R 3 are the same or different on each occurrence selected from the group consisting of H, D, F, CN, NO2, Si(R 4 )3, B(OR 4 )2, a straight-chain alkyl group having 1 to 20 carbon atoms or a branched or cyclic alkyl group having 3 to 20 carbon atoms, it being possible for each alkyl group to be substituted by one or more radicals R 4 , or an aromatic or heteroaromatic ring system having 5 to 60 aromatic ring atoms, preferably having 5 to 40 aromatic ring atoms, each of which may be substituted by one or more R 4 radicals.
- R, R 1 , R 2 and R 3 are identical or different on each occurrence selected from the group consisting of H, D, F, a straight-chain alkyl group having 1 to 20 carbon atoms or a branched or cyclic alkyl group having 3 to 20 carbon atoms, where each alkyl group may be substituted by one or more R 4 radicals, or an aromatic or heteroaromatic ring system having 5 to 60 aromatic ring atoms, preferably having 5 to 40 aromatic ring atoms, each may be substituted by one or more R 4 radicals.
- R, R 1 , R 2 and R 3 are the same or different on each occurrence selected from the group consisting of H, D, an aromatic or heteroaromatic ring system having 6 to 30 aromatic ring atoms, which with one or several radicals R 4 can be substituted, or a group N(Ar')2.
- R, R 1 , R 2 are particularly preferably selected identically or differently on each occurrence from the group consisting of H or an aromatic or heteroaromatic ring system having 6 to 24 aromatic ring atoms, preferably having 6 to 18 aromatic ring atoms, particularly preferably having 6 to 13 aromatic ring atoms, each of which may be substituted by one or more R 4 radicals.
- Preferred aromatic or heteroaromatic ring systems R, R 1 , R 2 , R 3 or Ar' are selected from phenyl, biphenyl, in particular ortho-, meta- or para-biphenyl, terphenyl, in particular ortho-, meta-, para- or branched terphenyl, quaterphenyl, in particular ortho-, meta-, para- or branched quaterphenyl, fluorene, which can be linked via the 1-, 2-, 3- or 4-position, spirobifluorene, which can be linked via the 1-, 2-, 3- or 4-position can be linked, naphthalene, in particular 1- or 2-linked naphthalene, indole, benzofuran, benzothiophene, carbazole, which can be linked via the 1-, 2-, 3- or 4-position, dibenzofuran, which can be linked via the 1-, 2-, 3- or 4-position, dibenzothiophene, which can be linked via the 1-, 2-, 3- or 4-
- Ar-1 to Ar-75 listed above are particularly preferred, with structures of the formulas (Ar-1), (Ar-2), (Ar-3), (Ar-12), (Ar-13), ( Ar-14), (Ar-15), (Ar-16), (Ar-69), (Ar-70), (Ar-75), preferred and structures of formulas (Ar-1), (Ar-2 ), (Ar-3), (Ar-12), (Ar-13), (Ar-14), (Ar-15), (Ar-16) are particularly preferred.
- R, R 1 , R 2 and R 3 are groups of the formula -Ar 4 -N (Ar 2 ) (Ar 3 ), where Ar 2 , Ar 3 and Ar 4 are identical or different on each occurrence for an aromatic or heteroaromatic ring system with 5 to 24 aromatic ring atoms, which each may be substituted with one or more R 4 groups.
- the total number of aromatic ring atoms of Ar 2 , Ar 3 and Ar 4 is a maximum of 60 and preferably a maximum of 40.
- Ar 4 and Ar 2 can be connected to one another and/or Ar 2 and Ar 3 can also be connected to one another by a group selected from C(R 4 )2, NR 4 , O or S can be connected.
- Ar 4 and Ar 2 are preferably linked to one another or Ar 2 and Ar 3 to one another in each case ortho to the position of the linkage to the nitrogen atom.
- Ar 4 is preferably an aromatic or heteroaromatic ring system having 6 to 24 aromatic ring atoms, preferably having 6 to 12 aromatic ring atoms, which can each be substituted by one or more R 4 radicals.
- Ar 4 is particularly preferably selected from the group consisting of ortho-, meta- or para-phenylene or ortho-, meta- or para-biphenyl, which can each be substituted by one or more radicals R 4 , but are preferably unsubstituted.
- Ar 4 is an unsubstituted phenylene group.
- Ar 2 and Ar 3 are preferably identical or different on each occurrence and are an aromatic or heteroaromatic ring system having 6 to 24 aromatic ring atoms, which can each be substituted by one or more R 4 radicals.
- Ar 2 and Ar 3 groups are identical or different on each occurrence and are selected from the group consisting of benzene, ortho-, meta- or para-biphenyl, ortho-, meta-, para- or branched terphenyl, ortho-, meta -, para- or branched quaterphenyl, 1-, 2-, 3- or 4-fluorenyl, 1-, 2-, 3- or 4-spirobifluorenyl, 1- or 2-naphthyl, indole, benzofuran, benzothiophene , 1-, 2-, 3- or 4-carbazole, 1-, 2-, 3- or 4-dibenzofuran, 1-, 2-, 3- or 4-dibenzothiophene, indenocarbazole, indolocarbazole, 2-, 3 - or 4-pyridine, 2-, 4- or 5-pyrimidine, pyrazine, pyridazine, triazine, phenanthrene or triphenylene, each of which may be substituted by
- Ar 2 and Ar 3 are very particularly preferably the same or different on each occurrence selected from the group consisting of benzene, biphenyl, in particular ortho-, meta- or para-biphenyl, terphenyl, in particular ortho-, meta-, para- or branched ter - phenyl, quaterphenyl, in particular ortho-, meta-, para- or branched quaterphenyl, fluorene, in particular 1-, 2-, 3- or 4-fluorene, or spirobifluorene, in particular 1-, 2-, 3- or 4- spirobifluorene.
- R 4 is selected identically or differently on each occurrence from the group consisting of H, D, F, CN, a straight-chain alkyl group having 1 to 10 carbon atoms or a branched or cyclic alkyl group having 3 to 10 carbon atoms, it being possible for the alkyl group to be substituted by one or more R 2 radicals, or an aromatic or heteroaromatic ring system having 6 to 24 aromatic ring atoms, each of which can be substituted by one or more R 5 radicals.
- R 4 is identical or different on each occurrence selected from the group consisting of H, a straight-chain alkyl group having 1 to 6 carbon atoms, in particular having 1, 2, 3 or 4 carbon atoms, or a branched or cyclic alkyl group having 3 to 6 carbon atoms, where the alkyl group may be substituted by one or more radicals R 5 , but is preferably unsubstituted, or an aromatic or heteroaromatic ring system having 6 to 13 aromatic ring atoms, each of which is substituted by one or more radicals R 5 may be substituted, but is preferably unsubstituted.
- R 5 is the same or different on each occurrence of H, an alkyl group having 1 to 4 carbon atoms or an aryl group having 6 to 10 carbon atoms which is substituted with an alkyl group having 1 to 4 carbon atoms may be, but is preferably unsubstituted.
- the alkyl groups preferably have no more than five carbon atoms, particularly preferably no more than 4 carbon atoms, very particularly preferably no more than 1 carbon atom.
- Also suitable for compounds which are processed from solution are compounds which are substituted with alkyl groups, in particular branched alkyl groups, having up to 10 carbon atoms or which are substituted with oligoarylene groups, for example ortho-, meta-, para- or branched terphenyl - or quaterphenyl groups, are substituted. If the compounds of the formula (1) or the preferred embodiments are used as matrix material for a phosphorescent emitter or in a layer which is directly adjacent to a phosphorescent layer, it is also preferred if the compound does not contain any Contains fused aryl or heteroaryl groups in which more than two six-membered rings are fused directly to one another.
- phenanthrene and triphenylene which can be preferred due to their high triplet energy despite the presence of fused aromatic six-membered rings.
- preferred compounds according to the invention are characterized in that they can be sublimed. These compounds generally have a molar mass of less than about 1200 g/mol.
- the compound comprising structures according to formula (1), preferably the compound according to formula (1) or a preferred embodiment of this structure/compound is not in direct contact with a metal atom, preferably is not a ligand for a metal complex.
- the preferred embodiments mentioned above can be combined with one another at will within the limitations defined in claim 1. In a particularly preferred embodiment of the invention, the preferences mentioned above occur simultaneously. Examples of preferred compounds according to the embodiments listed above are the compounds listed in the table below.
- the basic structure of the compounds according to the invention can be represented according to the routes outlined in the following schemes.
- the individual synthesis steps such as CC coupling reactions according to Suzuki, CN coupling reactions according to Hartwig-Buchwald or cyclization reactions, are known in principle to those skilled in the art. Further information on the synthesis of the compounds according to the invention can be found in the synthesis examples.
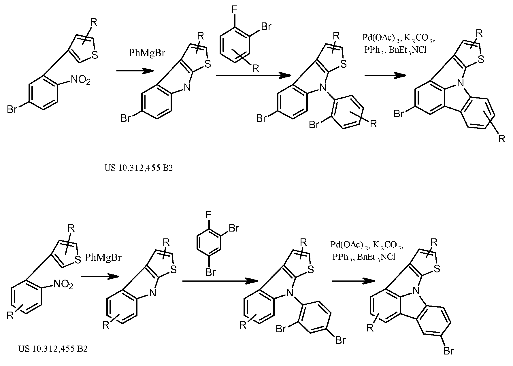
- a possible synthesis of the basic structure is shown in Scheme 1. This can take place in accordance with the reactions set out in US 10/312455 B2. Alternatively, coupling can be done with the amino group of an optionally substituted carbazole, followed by a ring closure reaction.
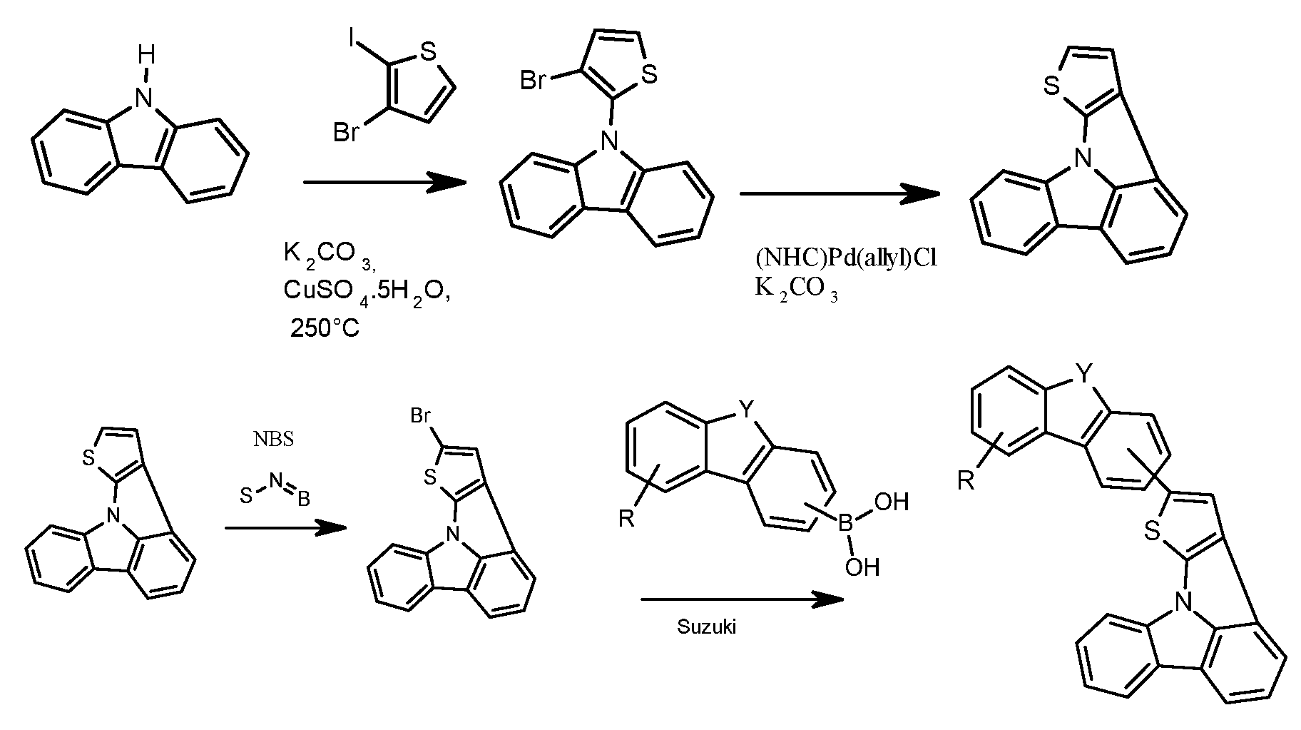
- Schemes 3 to 5 show various ways of introducing the fluorene, dibenzofuran, dibenzothiophene or carbazole group.
- a fluorene, dibenzofuran, dibenzothiophene or carbazole compound substituted with a suitable reactive group, for example a boron-containing group, can be introduced in a Suzuki coupling reaction, as shown in Schemes 3 to 5.
- Scheme 1 Scheme 2
- a further subject of the present invention is therefore a process for preparing a compound according to the invention, in which a thiofuran compound is reacted with an aromatic or heteroaromatic nitrogen compound by means of a coupling reaction.
- Formulations of the compounds according to the invention are required for the processing of the compounds according to the invention from the liquid phase, for example by spin coating or by printing processes. These formulations can be, for example, solutions, dispersions or be emulsions. It may be preferable to use mixtures of two or more solvents for this.
- Suitable and preferred solvents are toluene, anisole, o-, m- or p-xylene, methyl benzoate, mesitylene, tetralin, veratrol, THF, methyl THF, THP, chlorobenzene, dioxane, phenoxytoluene, especially 3-phenoxytoluene , (-)-fenchone, 1,2,3,5-tetramethylbenzene, 1,2,4,5-tetramethylbenzene, 1-methylnaphthalene, 2-methylbenzothiazole, 2-phenoxyethanol, 2-pyrrolidinone, 3-methylanisole, 4 -Methylanisole, 3,4-dimethylanisole, 3,5-dimethylanisole, acetophenone, ⁇ -terpineol, benzothiazole, butyl benzoate, cumene, cyclohexanol, cyclohexanone, cyclohexylbenzene, decalin, do
- a further object of the present invention is therefore a formulation or a composition containing at least one compound according to the invention and at least one further compound.
- the further connection can be, for example, a solvent, in particular one of the abovementioned solvents or a mixture of these solvents. If the further compound comprises a solvent, then this mixture is referred to herein as a formulation.
- the further compound can also be at least one further organic or inorganic compound which is also used in the electronic device, for example an emitting compound and/or a further matrix material. Suitable emitting compounds and other matrix materials are listed below in connection with the organic electroluminescent device.
- the further connection can also be polymeric.
- Another object of the present invention is the use of a compound according to the invention in an electronic device, in particular in an organic electroluminescent device.
- Yet another subject matter of the present invention is an electronic device containing at least one connection according to the invention.
- An electronic device within the meaning of the present invention is a device which contains at least one layer which contains at least one organic compound.
- the component can also contain inorganic materials or also layers which are made up entirely of inorganic materials.
- OLEDs organic electroluminescent devices
- PLEDs organic electroluminescent devices
- LECs organic electroluminescent devices
- OLEDs organic light-emitting diodes
- SOLEDs organic light-emitting diodes based on small molecules
- PLEDs organic light-emitting Diodes based on polymers
- LECs light-emitting electrochemical cells
- O-lasers organic laser diodes
- O-plasmon emitting devices DM Koller et al., Nature Photonics 2008, 1-4
- organic integrated circuits O-ICs
- O-FETs organic field-effect transistors
- OF-TFTs organic thin-film transistors
- O-LETs organic solar cells
- O-SCs organic optical Detectors, organic photoreceptors, organic field quench devices (O-FQDs) and organic electrical sensors, preferably organic electroluminescent devices (OLEDs, sOLED, PLEDs, LECs, etc.
- O-ICs organic
- the organic electroluminescent device contains cathode, anode and at least one emitting layer. In addition to these layers, it can also contain other layers, for example one or more hole-injection layers, hole-transport layers, hole-blocking layers, electron-transport layers, electron-injection layers, exciton blocking layers, electron blocking layers and/or charge generation layers. Likewise, interlayers can be introduced between two emitting layers, which have an exciton-blocking function, for example. However, it should be pointed out that each of these layers does not necessarily have to be present. In this case, the organic electroluminescent device can contain an emitting layer, or it can contain a plurality of emitting layers.
- a plurality of emission layers are present, these preferably have a total of a plurality of emission maxima between 380 nm and 750 nm, resulting in white emission overall, ie different emitting compounds which can fluoresce or phosphorescence are used in the emitting layers.
- Systems with three emitting layers are particularly preferred, with the three layers showing blue, green and orange or red emission.
- the organic electroluminescent device according to the invention can also be a tandem electroluminescent device, in particular for white-emitting OLEDs.
- the connection according to the invention can be used in different layers, depending on the precise structure.
- an organic electroluminescent device containing a compound of the formula (1) or the preferred embodiments outlined above in an emitting layer as matrix material for phosphorescent emitters or for emitters which exhibit TADF (thermally activated delayed fluorescence), in particular for phosphorescent emitters.
- the compound according to the invention can also be used in an electron transport layer and/or in a hole transport layer and/or in an exciton blocking layer and/or in a hole blocking layer.
- the compound according to the invention is particularly preferably used as a matrix material for phosphorescent emitters, in particular for red, orange, green or yellow, preferably green phosphorescent emitters, in an emitting layer or as a hole-transport or electron-blocking material in a hole-transport or electron-blocking layer preferably as a matrix material in an emitting layer. If the compound according to the invention is used as matrix material for a phosphorescent compound in an emitting layer, it is preferably used in combination with one or more phosphorescent materials (triplet emitters). Phosphorescence within the meaning of this invention is understood as meaning luminescence from an excited state with a higher spin multiplicity, ie a spin state >1, in particular from an excited triplet state.
- the mixture of the compound according to the invention and the emitting compound contains between 99 and 1% by volume, preferably between 98 and 10% by volume, particularly preferably between 97 and 60% by volume, in particular between 95 and 80% by volume. -% of the compound according to the invention based on the total mixture of emitter and matrix material.
- the mixture contains between 1 and 99% by volume, preferably between 2 and 90% by volume, particularly preferably between 3 and 40% by volume, in particular between 5 and 20% by volume, of the emitter, based on the total mixture emitter and matrix material.
- the compound according to the invention is used as the only matrix material (“single host”) for the phosphorescent emitter.
- a further embodiment of the present invention is the use of the compound according to the invention as a matrix material for a phosphorescent emitter in combination with a further matrix material.
- Suitable matrix materials which can be used in combination with the compounds according to the invention are aromatic ketones, aromatic phosphine oxides or aromatic sulfoxides or sulfones, e.g. B. according to WO 2004/013080, WO 2004/093207, WO 2006/005627 or WO 2010/006680, triarylamines, carbazole derivatives, z. B.
- CBP N, N-biscarbazolylbiphenyl
- WO 2005/039246 US 2005/0069729, JP 2004/288381
- EP 1205527 WO 2008/086851 or WO 2013/041176, indolocarbazole derivatives, z. B. according to WO 2007/063754 or WO 2008/056746, indenocarbazole derivatives, z. B. according to WO 2010/136109, WO 2011/000455, WO 2013/041176 or WO 2013/056776, azacarbazole derivatives, e.g. according to EP 1617710, EP 1617711, EP 1731584, JP 2005/347160, bipolar matrix materials, e.g. B.
- WO 2010/054730 bridged carbazole derivatives, z. B. according to WO 2011/042107, WO 2011/060867, WO 2011/088877 and WO 2012/143080, triphenylene derivatives, z. B. according to WO 2012/048781, dibenzofuran derivatives, z. B. according to WO 2015/169412, WO 2016/015810, WO 2016/023608, WO 2017/148564 or WO 2017/148565 or biscarbazoles, z. B. according to JP 3139321 B2.
- a further phosphorescent emitter which emits at a shorter wavelength than the actual emitter, can also be present in the mixture as a co-host.
- a red phosphorescent emitter is used as the emitter and a yellow phosphorescent emitter is used as the co-host in combination with the compound according to the invention.
- a compound can be used as a co-host that does not participate, or does not participate to a significant extent, in charge transport, as described, for example, in WO 2010/108579.
- suitable co-matrix material are compounds which have a large band gap and do not themselves participate, or at least not to a significant extent, in the charge transport of the emitting layer.
- Such materials are preferably pure hydrocarbons. Examples of such materials can be found, for example, in WO 2009/124627 or in WO 2010/006680.
- R 6 is the same or different on each occurrence selected from the group consisting of H, D, F, CN, NO2, Si(R 7 )3, B(OR 7 )2, a straight-chain alkyl group having 1 to 20 carbon atoms or a branched or cyclic alkyl group having 3 to 20 carbon atoms, it being possible for the alkyl group to be substituted by one or more radicals R 7 in each case, or an aromatic or heteroaromatic ring system having 5 to 60 aromatic ring atoms, preferably having 5 to 40 aromatic ring atoms, which can each be substituted by one or more R 7 radicals.
- R 6 is identical or different on each occurrence selected from the group consisting of H, D, F, a straight-chain alkyl group having 1 to 20 carbon atoms or a branched or cyclic alkyl group having 3 to 20 carbon atoms. Atoms, it being possible for the alkyl group to be substituted by one or more R 7 radicals, or an aromatic or heteroaromatic ring system having 5 to 60 aromatic ring atoms, preferably having 5 to 40 aromatic ring atoms, which can each be substituted by one or more R 7 radicals .
- R 6 is identical or different on each occurrence selected from the group consisting of H, D, an aromatic or heteroaromatic ring system having 6 to 30 aromatic ring atoms, which can be substituted by one or more radicals R 7 , or a group N(Ar'')2.
- R 6 is particularly preferably the same or different on each occurrence selected from the group consisting of H or one aromatic or heteroaromatic ring system having 6 to 24 aromatic ring atoms, preferably having 6 to 18 aromatic ring atoms, particularly preferably having 6 to 13 aromatic ring atoms, each of which can be substituted by one or more R 7 radicals.
- Preferred aromatic or heteroaromatic ring systems R 6 or Ar'' are selected from phenyl, biphenyl, in particular ortho-, meta- or para-biphenyl, terphenyl, in particular ortho-, meta-, para- or branched terphenyl, quaterphenyl, in particular ortho-, meta-, para- or branched quaterphenyl, fluorene, which can be linked via the 1-, 2-, 3- or 4-position, spirobifluorene, which can be linked via the 1-, 2-, 3- or 4- Position can be linked, naphthalene, in particular 1- or 2-linked naphthalene, indole, benzofuran, benzothiophene, carbazole, which can be linked via the 1-, 2-, 3- or 4-position, dibenzofuran, which via the 1-, 2-, 3- or 4-position can be linked, dibenzothiophene, which can be linked via the 1-, 2-, 3- or 4-position, indenocarbazole,
- the structures Ar-1 to Ar-75 listed above are particularly preferred, with structures of the formulas (Ar-1), (Ar-2), (Ar-3), (Ar-12), (Ar-13), ( Ar-14), (Ar-15), (Ar-16), (Ar-69), (Ar-70), (Ar-75), preferred and structures of formulas (Ar-1), (Ar-2 ), (Ar-3), (Ar-12), (Ar-13), (Ar-14), (Ar-15), (Ar-16) are particularly preferred.
- the substituents R 4 in relation to the radicals R 6 and Ar'' are to be replaced by the corresponding radicals R 7 .
- R 6 The preferences set out above for the groups R 2 and R 3 apply correspondingly to the group R 6 .
- Further suitable groups R 6 are groups of the formula -Ar 4 -N(Ar 2 )(Ar 3 ), where Ar 2 , Ar 3 and Ar 4 are identical or different on each occurrence for an aromatic or heteroaromatic ring system having 5 to 24 aromatic matic ring atoms, each of which may be substituted by one or more R 4 radicals.
- the total number of aromatic ring atoms of Ar 2 , Ar 3 and Ar 4 is a maximum of 60 and preferably a maximum of 40.
- Other preferences for the groups Ar 2 , Ar 3 and Ar 4 have been explained above and apply accordingly.
- R 7 , R 8 which can be attached to the R 6 radicals.
- a 1 is NR 7
- the substituent R 7 which is bonded to the nitrogen atom is preferably an aromatic or heteroaromatic ring system having 5 to 24 aromatic ring atoms, which can also be substituted by one or more R 8 radicals.
- this substituent R 7 is identical or different on each occurrence for an aromatic or heteroaromatic ring system with 6 to 24 aromatic ring atoms, in particular with 6 to 18 aromatic ring atoms, which has no fused aryl groups and which no fused heteroaryl groups in which two or more aromatic or heteroaromatic 6-ring groups are fused directly to one another, and which can also be substituted by one or more R 8 radicals.
- R 8 radicals Preference is given to phenyl, biphenyl, terphenyl and quaterphenyl with linkage patterns as listed above for Ar-1 to Ar-11, it being possible for these structures to be substituted by one or more R 8 radicals instead of R 4 , but they are preferably unsubstituted.
- Triazine, pyrimidine and quinazoline are also preferred, as listed above for Ar-47 to Ar-50, Ar-57 and Ar-58, it being possible for these structures to be substituted by one or more R 8 radicals instead of by R 4 .
- R 8 radicals instead of by R 4 .
- a 1 is C(R 7 ) 2
- the substituents R 7 bonded to this carbon atom are preferably identical or different on each occurrence and are a linear alkyl group having 1 to 10 carbon atoms or a branched or cyclic alkyl group with 3 to 10 carbon atoms or for an aromatic or heteroaromatic ring system with 5 to 24 aromatic ring atoms, which can also be substituted by one or more radicals R 8 .
- R 7 is very particularly preferably a methyl group or a phenyl group.
- the R 7 radicals can also form a ring system with one another, which leads to a spiro system.
- preferred co-host materials which can be used in combination with the compounds according to the invention are compounds according to one of the formulas (11), (12), (13), (14), (15), (16), (17) or (18), where the following applies to the symbols and indices used:
- X 2 represents N or CR 9 , with the proviso that no more than two of the groups X 2 in a cycle represent N, preferably at least one X 2 represents N;
- L 2 represents a linking group, which is preferably selected from a bond or an aromatic or heteroaromatic Ring system with 5 to 40 aromatic ring atoms, which can be substituted with one or more radicals R 9 , particularly preferably a bond;
- a 2 is C(R 10 )2, NR 10 , O or S;
- Ar 6 is identical or different on each
- the sum of the indices v, t, x and z in compounds of the formulas (11), (12), (13), (14), (15), (16), (17) or (18) is preferably at most 6 , particularly preferably at most 4 and particularly preferably at most 2.
- the group L 2 represents a linking group, which is preferably selected from a bond or an aromatic or heteroaromatic ring system having 5 to 40 aromatic ring atoms, which can be substituted by one or more radicals R 9 , particularly preferably a bond.
- the group L 2 with the groups to which the group L 2 according to formulas (11), (12), (13), (14), (15), (16), (17) or (18) or is bound to the preferred embodiments of this formula form a continuous conjugation.
- L represents a bond or an aromatic or heteroaromatic ring system having 5 to 14 aromatic or heteroaromatic ring atoms, preferably an aromatic ring system having 6 to 12 carbon atoms, which can be substituted by one or more R 9 radicals, but is preferably unsubstituted, where R 9 can have the meaning mentioned above, in particular for formulas (11), (12), (13), (14), (15), (16), (17) or (18).
- L 2 particularly preferably represents a bond or an aromatic ring system having 6 to 10 aromatic ring atoms or a heteroaromatic ring system having 6 to 13 heteroaromatic ring atoms, which can each be substituted by one or more radicals R 9 , but is preferably unsubstituted, where R 9 can have the meaning mentioned above, in particular for formulas (11), (12), (13), (14), (15), (16), (17) or (18).
- the symbol L 2 set out, inter alia, in formulas (11), (12), (13), (14), (15), (16), (17) or (18) is preferably identical or different on each occurrence a bond or an aryl or heteroaryl radical having 5 to 24 ring atoms, preferably 6 to 13 ring atoms, particularly preferably 6 to 10 ring atoms, so that an aromatic or heteroaromatic group of an aromatic or heteroaromatic ring system directly, ie via an atom of the aromatic or heteroaromatic group , is bound to the respective atom of the further group.
- the group L 2 set out in formulas (11), (12), (13), (14), (15), (16), (17) or (18) is an aromatic ring system with at most two fused aromatic and/or heteroaromatic 6-rings, preferably no fused aromatic or heteroaromatic ring system. Accordingly, naphthyl structures are preferred over anthracene structures. Furthermore, fluorenyl, spirobifluorenyl, dibenzofuranyl and/or dibenzothienyl structures are preferred over naphthyl structures. Particularly preferred are structures that do not exhibit condensation, such as phenyl, biphenyl, terphenyl and/or quaterphenyl structures.
- Suitable aromatic or heteroaromatic ring systems L 2 are selected from the group consisting of ortho-, meta- or para-phenylene, ortho-, meta- or para-biphenylene, terphenylene, in particular branched terphenylene, quaterphenylene, in particular branched quaterphenylene, fluorenylene, Spirobifluorenylene, dibenzofuranylene, dibenzothienylene and carbazolylene, each of which may be substituted by one or more R 9 radicals, but are preferably unsubstituted.
- the group L 2 set out, inter alia, in formulas (11), (12), (13), (14), (15), (16), (17) or (18) has at most 1 nitrogen atom, preferably at most 2 heteroatoms, particularly preferably at most one heteroatom and particularly preferably no heteroatom. Furthermore, it can be provided that the group L 2 does not form a fused aromatic or heteroaromatic ring system with the groups to which the group L 2 binds, this including the radicals R 9 , R 10 or R 11 through which the group L 2 or one of the groups to which the group L 2 binds may be substituted.
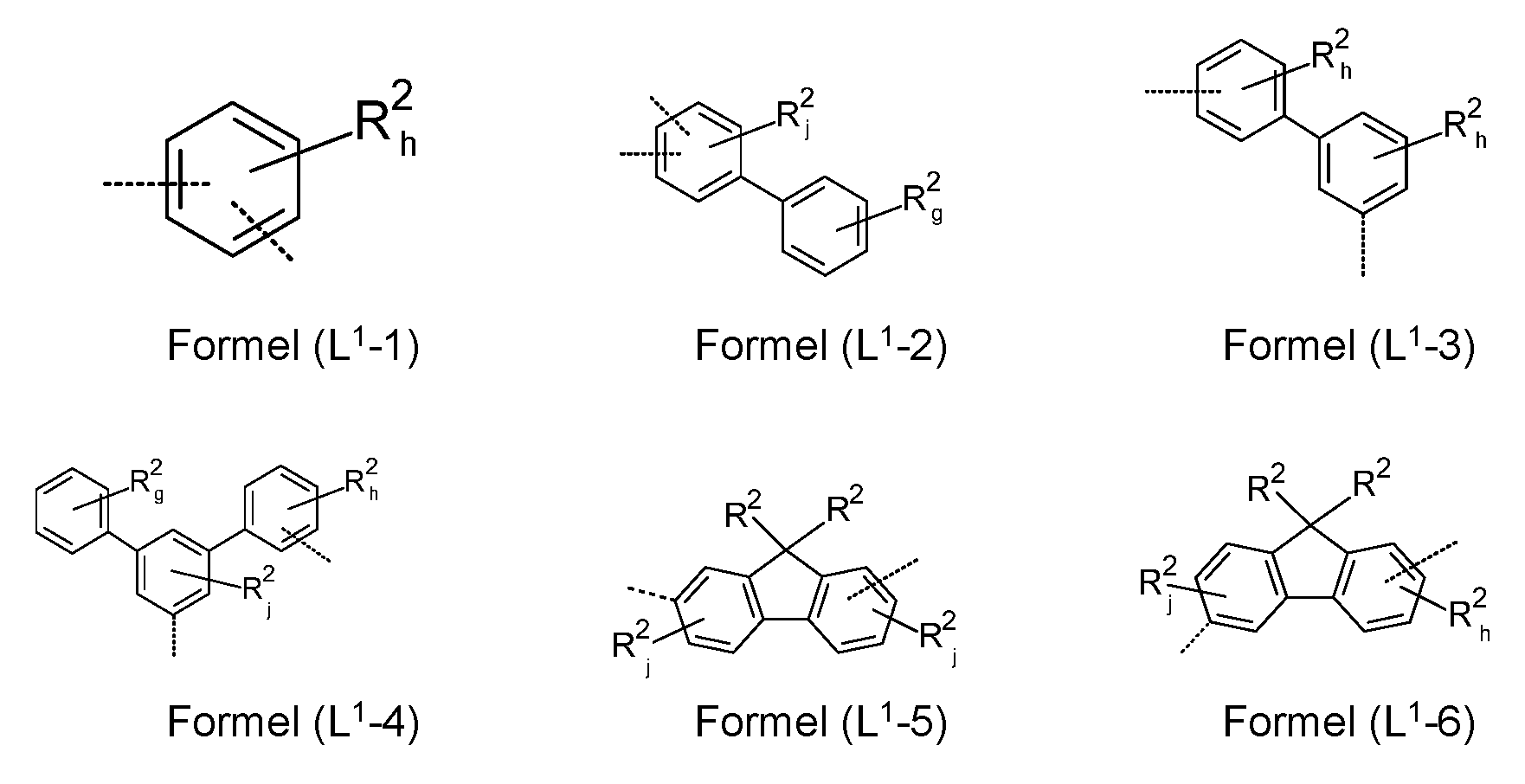
- the group L 2 is particularly preferably a bond or a group which is selected from the formulas (L 1 -1) to (L 1 -13), such as these were previously defined, wherein the substituents R 2 in the structures of formulas (L 1 -1) to (L 1 -13) are to be replaced by R 9 .
- R 9 is the same or different on each occurrence selected from the group consisting of H, D, F, CN, NO2, Si(R 10 )3, B(OR 10 )2, a straight-chain alkyl group with 1 to 20 carbon atoms or a branched or cyclic alkyl group with 3 to 20 carbon atoms, where the alkyl group can be substituted with one or more radicals R 10 , or an aromatic or heteroaromatic ring system with 5 to 60 aromatic ring atoms, preferably with 5 to 40 aromatic ring atoms, each of which may be substituted by one or more R 10 radicals.
- R 9 is the same or different on each occurrence and is selected from the group consisting of H, D, F, a straight-chain alkyl group having 1 to 20 carbon atoms or a branched or cyclic alkyl group having 3 to 20 carbon atoms. Atoms, where the alkyl group can be substituted by one or more radicals R 10 , or an aromatic or heteroaromatic ring system with 5 to 60 aromatic ring atoms, preferably with 5 to 40 aromatic ring atoms, which can each be substituted by one or more radicals R 10 .
- R 9 is identical or different on each occurrence selected from the group consisting of H, D, an aromatic or heteroaromatic ring system having 6 to 30 aromatic ring atoms, which can be substituted by one or more radicals R 10 , or a group N(Ar''')2.
- R 9 is particularly preferably the same or different on each occurrence selected from the group consisting of H or an aromatic or heteroaromatic ring system having 6 to 24 aromatic ring atoms, preferably having 6 to 18 aromatic ring atoms, particularly preferably having 6 to 13 aromatic ring atoms, each of which may be substituted by one or more R 10 radicals.
- Preferred aromatic or heteroaromatic ring systems R 9 or Ar''' are selected from phenyl, biphenyl, in particular ortho-, meta- or para-biphenyl, terphenyl, in particular ortho-, meta-, para- or branched terphenyl, quaterphenyl, in particular ortho-, meta-, para- or branched quaterphenyl, fluorene, which has the 1-, 2-, 3- or 4-position can be linked, spirobifluorene, which can be linked via the 1-, 2-, 3- or 4-position, naphthalene, in particular 1- or 2-linked naphthalene, indole, benzofuran, benzothiophene, carbazole, which via the 1-, 2-, 3- or 4-position can be linked, dibenzofuran, which can be linked via the 1-, 2-, 3- or 4-position, dibenzothiophene, which can be linked via the 1-, 2-, 3- or 4-position can be linked, indenocarbazole
- the structures Ar-1 to Ar-75 listed above are particularly preferred, with structures of the formulas (Ar-1), (Ar-2), (Ar-3), (Ar-12), (Ar-13), ( Ar-14), (Ar-15), (Ar-16), (Ar-69), (Ar-70), (Ar-75), preferred and structures of formulas (Ar-1), (Ar-2 ), (Ar-3), (Ar-12), (Ar-13), (Ar-14), (Ar-15), (Ar-16) are particularly preferred.
- the substituents R 4 in relation to the radicals R 6 and Ar'' are to be replaced by the corresponding radicals R 10 .
- R 9 are groups of the formula -Ar 4 -N(Ar 2 )(Ar 3 ), where Ar 2 , Ar 3 and Ar 4 are identical or different on each occurrence for an aromatic or heteroaromatic ring system having 5 to 24 aromatic matic ring atoms, each of which may be substituted by one or more R 4 radicals.
- the total number of aromatic ring atoms of Ar 2 , Ar 3 and Ar 4 is a maximum of 60 and preferably a maximum of 40.
- Other preferences for the groups Ar 2 , Ar 3 and Ar 4 have been explained above and apply accordingly.
- R 10 which is bonded to the nitrogen atom is preferably an aromatic or heteroaromatic ring system having 5 to 24 aromatic ring atoms, which can also be substituted by one or more R 11 radicals.
- this substituent R 10 is identical or different on each occurrence for an aromatic or heteroaromatic ring system having 6 to 24 aromatic ring atoms, in particular having 6 to 18 aromatic ring atoms, which has no fused aryl groups and which has no fused heteroaryl groups in which two or more aromatic or heteroaromatic 6-ring groups are fused directly to one another, and which in each case can also be substituted by one or more radicals R 11 .
- phenyl, biphenyl, terphenyl and quaterphenyl with linkage patterns as listed above for Ar-1 to Ar-11 it being possible for these structures to be substituted by one or more radicals R 11 instead of by R 4 , but they are preferably unsubstituted.
- Triazine, pyrimidine and quinazoline are also preferred, as listed above for Ar-47 to Ar-50, Ar-57 and Ar-58, it being possible for these structures to be substituted by one or more R 11 radicals instead of by R 4 .
- the substituents R 10 bonded to this carbon atom are preferably identical or different on each occurrence for a linear alkyl group having 1 to 10 carbon atoms or for a branched or cyclic alkyl group with 3 to 10 carbon atoms or for an aromatic or heteroaromatic ring system with 5 to 24 aromatic ring atoms, which can also be substituted by one or more radicals R 11 .
- R 10 very particularly preferably represents a methyl group or a phenyl group.
- the R 10 radicals can also form a ring system with one another, which leads to a spiro system.
- Preferred aromatic or heteroaromatic ring systems Ar 5 and/or Ar 6 are selected from phenyl, biphenyl, in particular ortho-, meta- or para-biphenyl, terphenyl, in particular ortho-, meta-, para- or branched terphenyl, quaterphenyl, in particular ortho -, meta-, para- or branched quaterphenyl, fluorene, which via the 1-, 2-, 3- or 4-position, spirobifluorene, which can be linked via the 1-, 2-, 3- or 4-position, naphthalene, in particular 1- or 2-linked naphthalene, indole, benzofuran, benzothiophene, carbazole, which via the 1-, 2-, 3- or 4-position can be linked, dibenzofuran, which can be linked via the 1-, 2-, 3- or 4-position, dibenzothiophene, which can be linked via the 1-, 2-, 3- - or 4-position can be linked, indenocarbazole
- the groups Ar 5 and/or Ar 6 are particularly preferably selected independently of one another from the groups of the formulas Ar-1 to Ar-75 set out above, with structures of the formulas (Ar-1), (Ar-2), (Ar- 3), (Ar-12), (Ar-13), (Ar-14), (Ar-15), (Ar-16), (Ar-69), (Ar-70), (Ar-75) , preferred and structures of the formulas (Ar-1), (Ar-2), (Ar-3), (Ar-12), (Ar-13), (Ar-14), (Ar-15), (Ar -16) are particularly preferred.
- R 7 and/or R 10 is the same or different on each occurrence and is selected from the group consisting of H, D, F, CN, a straight-chain alkyl group having 1 to 10 carbon atoms or a branched or cyclic one Alkyl group with 3 to 10 carbon atoms, where the alkyl group can be substituted with one or more radicals R 8 or R 11 , or an aromatic or heteroaromatic ring system with 6 to 24 aromatic ring atoms, each of which is substituted by one or more radicals R 8 or R 11 may be substituted.
- R 7 and/or R 10 is the same or different on each occurrence and is selected from the group consisting of H, a straight-chain alkyl group having 1 to 6 carbon atoms, in particular having 1, 2, 3 or 4 carbon atoms -Atoms, or a branched or cyclic alkyl group having 3 to 6 carbon atoms, wherein the alkyl group may be substituted by one or more radicals R 8 or R 11 , but is preferably unsubstituted, or an aromatic or heteroaromatic ring system having 6 to 13 aromatic ring atoms, which can each be substituted by one or more radicals R 8 or R 11 , but is preferably unsubstituted.
- R 8 and/or R 11 is the same or different on each occurrence of H, an alkyl group having 1 to 4 carbon atoms or an aryl group having 6 to 10 carbon atoms, which with an alkyl group having 1 to 4 carbon atoms may be substituted, but is preferably unsubstituted.
- Preferred embodiments of the compounds of the formulas (7) and (8) are the compounds of the following formulas (7a) and (8a), where R 6 , Ar 5 and A 1 have the meanings mentioned above, in particular for formula (7) or (8).
- a 1 in formula (8a) is C(R 7 )2.
- Preferred embodiments of the compounds of the formulas (7a) or (8a) are the compounds of the following formulas (7b) or (8b),
- R 6 , Ar 5 and A 1 have the meanings mentioned above, in particular for formula (7) or (8).
- a 1 in formula (8b) is C(R 7 )2.
- suitable compounds of the formula (7), (8), (9) or (10) are the compounds shown below.
- compositions containing at least one compound according to formula (1) or the preferred embodiments thereof set out above and at least one further matrix material, wherein the further matrix material is selected from compounds according to one of the formulas (7), (8), (9 ) or (10).
- These compositions are particularly suitable as so-called premix mixtures, which can be vaporized together.
- a further subject of the present invention is therefore a composition containing at least one compound according to formula (1) or the preferred embodiments thereof set out above and at least one further matrix material, wherein the further matrix material is selected from compounds according to one of the formulas (11), (12 ), (13), (14), (15), (16), (17) or (18).
- the composition consists of at least one compound according to formula (1) or the preferred embodiments thereof set out above and at least one compound according to one of the formulas (11), (12), (13), (14), (15) , (16), (17) or (18).
- these compositions are particularly suitable as so-called premix mixtures, which can be vaporized together.
- the composition consists of at least one compound according to formula (1) or the preferred embodiments thereof set out above and at least one compound according to one of the formulas (7), (8), (9), (10), (11 ), (12), (13), (14), (15), (16), (17) or (18).
- These compositions are suitable in particular as so-called premix mixtures that can be vaporized together.
- the compounds of one of the formulas (7), (8), (9), (10), (11), (12), (13), (14), (15), (16), (17 ) or (18) are each used individually or as a mixture of two, three or more compounds of the respective structures. Furthermore, the compounds of the formulas (7), (8), (9), (10), (11), (12), (13), (14), (15), (16), (17) or (18) used singly or as a mixture of two, three or more compounds of different structures.
- the compound of the formula (1) or its preferred embodiments described above preferably has a mass fraction in the composition in the range from 10% by weight to 95% by weight, preferably in the range from 15% by weight to 90% by weight. , and more preferably in the range of 40% to 70% by weight based on the total weight of the composition.
- the compounds according to one of the formulas (7), (8), (9), (10), (11), (12), (13), (14), (15), (16 ), (17) or (18) in the composition a mass fraction in the range from 5% to 90% by weight, preferably in the range from 10% to 85% by weight, more preferably in the range of 20% to 85% by weight, more preferably in the range of 30% to 80% by weight, most preferably in the range of 20% to 60% by weight and most preferably in the range of 30% to 50% by weight based on the total composition.
- the further matrix material is a hole-transporting matrix material according to at least one of the formulas (7), (8), (9) or (10) and the hole-transporting matrix material has a mass fraction in the range from 10% by weight to 95% by weight %, preferably in the range from 15% to 90% by weight, more preferably in the range from 15% to 80% by weight, even more preferably in the range from 20% to 70% by weight % by weight, very particularly preferably in the range of 40% by weight to 80% by weight and most preferably in the range of 50% to 70% by weight of the total composition.
- the further matrix material is an electron-transporting matrix material according to at least one of the formulas (11), (12), (13), (14), (15), (16), (17) or (18) and the electron-transporting matrix material has a mass fraction in the range from 10% by weight to 95% by weight, preferably in the range from 15% by weight to 90% by weight, more preferably in the range from 15% by weight to 80% by weight. -%, even more preferably in the range from 20% to 70% by weight, very particularly preferably in the range from 40% to 80% by weight and most preferably in the range from 50% by weight to 70% by weight, based on the total composition.
- the composition consists exclusively of the formula (1) or the preferred embodiments thereof set out above and one of the other matrix materials mentioned, preferably compounds according to at least one of the formulas (7), (8), (9) or (10 ) consists. Furthermore, it can be provided that the composition consists exclusively of the formula (1) or the preferred embodiments thereof set out above and one of the other matrix materials mentioned, preferably compounds according to at least one of the formulas (11), (12), (13), (14) , (15), (16), (17) or (18).
- the composition consists exclusively of the formula (1) or the preferred embodiments thereof set out above and one of the other matrix materials mentioned, preferably compounds according to at least one of the formulas (7), (8), (9), (10) , (11), (12), (13), (14), (15), (16), (17) or (18).
- Particularly suitable phosphorescent compounds are compounds which, when suitably excited, emit light, preferably in the visible range, and also at least one atom with an atomic number greater than 20, preferably greater than 38 and less than 84, particularly preferably greater than 56 and less than 80 included, in particular a metal with this atomic number.
- the phosphorescence emitters used are preferably compounds which contain copper, molybdenum, tungsten, rhenium, ruthenium, osmium, rhodium, iridium, palladium, platinum, silver, gold or europium, in particular compounds which contain iridium or platinum.
- Examples of the emitters described above can be found in applications WO 00/70655, WO 2001/41512, WO 2002/02714, WO 2002/15645, EP 1191613, EP 1191612, EP 1191614, WO 05/033244, WO 05/019373, US 2005/ 0258742, WO 2009/146770, WO 2010/015307, WO 2010/031485, WO 2010/054731, WO 2010/054728, WO 2010/086089, WO 2010/099852, WO 2010/102609, WO 2011/ WO02011/ 066898, WO 2011/157339, WO 2012/007086, WO 2014/008982, WO 2014/023377, WO 2014/094961, WO 2014/094960, WO 2015/036074, WO 2015/104045, WO 127018/61 015815, WO 2016/124304, WO 2017/032439 and WO 2018/011186.
- all phosphorescent complexes are suitable as are used according to the prior art for phosphorescent electroluminescent devices and as are known to the person skilled in the field of organic electroluminescence, and the person skilled in the art can use further phosphorescent complexes without any inventive activity.
- Examples of phosphorescent dopants are listed in the table below.
- the compounds according to the invention are also particularly suitable as matrix materials for phosphorescent emitters in organic electroluminescent devices, such as are used, for. as described in WO 98/24271, US 2011/0248247 and US 2012/0223633.
- an additional blue emission layer is vapor-deposited over the entire surface of all pixels, including those with a color other than blue.
- the organic electroluminescent device according to the invention contains no separate hole injection layer and/or hole transport layer and/or hole blocking layer and/or electron transport layer, ie the emitting layer is directly adjacent to the hole injection layer or the anode and/or the emitting layer is directly adjacent to the electron transport layer or the electron injection layer or the cathode, as described for example in WO 2005/053051. It is also possible to use a metal to use complex that is the same or similar to the metal complex in the emitting layer directly adjacent to the emitting layer as a hole transport or hole injection material, such as. B. described in WO 2009/030981.
- organic electroluminescent device In the further layers of the organic electroluminescent device according to the invention it is possible to use all the materials which are customarily used in accordance with the prior art. The person skilled in the art can therefore use all materials known for organic electroluminescent devices in combination with the compounds according to the invention of the formula (1) or the preferred embodiments described above without any inventive step. Also preferred is an organic electroluminescence device, characterized in that one or more layers are coated using a sublimation process. The materials are vapour-deposited in vacuum sublimation systems at an initial pressure of less than 10 -5 mbar, preferably less than 10 -6 mbar. However, it is also possible for the initial pressure to be even lower, for example less than 10 -7 mbar.
- An organic electroluminescent device is also preferred, characterized in that one or more layers are coated using the OVPD (organic vapor phase deposition) method or with the aid of carrier gas sublimation. The materials are applied at a pressure between 10 -5 mbar and 1 bar.
- OVPD organic vapor phase deposition
- a special case of this process is the OVJP (Organic Vapor Jet Printing) process, in which the materials are applied directly through a nozzle and thus structured.
- an organic electroluminescent device characterized in that one or more layers of solution, such as. B. by spin coating, or with any printing method, such as. B. screen printing, flexographic printing, offset printing, LITI (Light Induced Thermal Imaging, thermal transfer printing), ink-jet printing (ink jet printing) or nozzle printing.
- Formulations for applying a compound according to formula (1) or its or its preferred embodiments outlined above are new A further subject of the present invention is therefore a formulation containing at least one solvent and a compound according to formula (1) or its preferred embodiments outlined above. Furthermore, a formulation containing at least one solvent and a compound of the formula (1) or the preferred embodiments thereof set out above and a compound of at least one of the formulas (7), (8), (9) or (10) is a subject of the present invention .
- a formulation containing at least one solvent and a compound of the formula (1) or the preferred embodiments thereof set out above and a compound of at least one of the formulas (11), (12), (13), (14), (15) , (16), (17) or (18) subject of the present invention contains at least one solvent and a compound according to formula (1) or the preferred embodiments thereof set out above and a compound according to at least one of the formulas (7), (8), (9), (10) (11 ), (12), (13), (14), (15), (16), (17) or (18).
- Hybrid processes are also possible, in which, for example, one or more layers are applied from solution and one or more further layers are vapor-deposited.
- the compounds according to the invention and the organic electroluminescent devices according to the invention are distinguished in particular by an improved service life compared to the prior art.
- the other electronic properties of the electroluminescent devices, such as efficiency or operating voltage, remain at least as good.
- the compounds according to the invention and the organic electroluminescent devices according to the invention are distinguished, compared with the prior art, in particular by improved efficiency and/or operating voltage and a longer service life.
- the electronic devices according to the invention, in particular organic electroluminescent devices are distinguished by one or more of the following surprising advantages over the prior art: 1.
- Electronic devices in particular organic electroluminescent devices containing compounds of the formula (1) or the preferred embodiments described above and below , especially as a matrix material or as hole-conducting materials, have a very good service life. In this case, these connections bring about, in particular, a low roll-off, ie a low drop in the power efficiency of the device at high luminance levels. 2.
- Electronic devices, in particular organic electroluminescent devices containing compounds of the formula (1) or the preferred embodiments described above and below as hole-conducting materials and/or matrix materials have excellent efficiency. In this connection, compounds according to the invention of the formula (1) or the preferred embodiments described above and below bring about a low operating voltage when used in electronic devices. 3.
- the compounds according to the invention of the formula (1) or the preferred embodiments described above and below exhibit very high stability and durability. 4. With compounds of the formula (1) or the preferred embodiments described above and below, in electronic devices, in particular organic electroluminescent devices, the formation of optical loss channels can be avoided. As a result, these devices are characterized by a high PL and thus high EL efficiency of emitters and excellent energy transfer from the matrices to dopants. 5. Compounds of the formula (1) or the preferred embodiments described above and below exhibit excellent glass film formation. 6. Compounds of the formula (1) or the preferred embodiments described above and below form very good films from solutions. 7.
- the compounds of the formula (1) or the preferred embodiments described above and below have a low triplet level T1, which can be, for example, in the range from ⁇ 2.22 eV to ⁇ 2.9 eV.
- T1 triplet level
- These advantages mentioned above do not go hand in hand with an excessively high deterioration in the other electronic properties.
- variations of the embodiments described in the present invention are within the scope of this invention.
- Each feature disclosed in the present invention may, unless explicitly excluded, be substituted with alternative features serving the same, equivalent or similar purpose.
- each feature disclosed in the present invention is to be considered as an example of a generic series or as an equivalent or similar feature. All features of the present invention may be combined in any manner, unless certain features and/or steps are mutually exclusive.
- reaction is terminated by adding sodium sulfite solution and stirred at room temperature for a further 30 minutes. After phase separation, the organic phase is washed with water and the aqueous phase is extracted with dichloromethane. The combined organic phases are dried over sodium sulfate and concentrated in vacuo. The residue is dissolved in toluene and filtered through silica gel. The crude product is then recrystallized from toluene/heptane. Yield: 34 g (106 mmol), 70% of theory. Th., colorless solid.
- Electroluminescent Devices The use of the materials according to the invention in electroluminescent devices is presented in the following examples E1 to E20 (see Table 1).
- Pretreatment for Examples E1-E20 Glass flakes coated with structured ITO (indium tin oxide) with a thickness of 50 nm are first treated with an oxygen plasma, followed by an argon plasma, before the coating. These plasma-treated glass flakes form the substrates on which the OLEDs are applied.
- ITO indium tin oxide
- the electroluminescence devices have the following layer structure: substrate/hole injection layer (HIL)/hole transport layer (HTL)/electron blocking layer (EBL)/emission layer (EML)/optional hole blocking layer (HBL)/electron transport layer (ETL)/optional electron injection layer (EIL) and finally one Cathode.
- the cathode is formed by a 100 nm thick aluminum layer.
- the precise structure of the OLEDs can be found in Table 1.
- the materials required to fabricate the electroluminescent devices are shown in Table 2.
- the data of the electroluminescent devices are listed in Table 3. All materials are thermally evaporated in a vacuum chamber.
- the emission layer always consists of at least one matrix material (host material, host material), at least within the meaning of the invention two matrix materials, and an emitting dopant (dopant, emitter), which is added to the matrix material or matrix materials by co-evaporation in a specific volume fraction.
- a specification such as 2b:BisC1:TEG1 (45%:45%:10%) means that the material 2b accounts for 45% by volume, BisC1 for 45% and TEG1 for 10% in the layer present.
- the electron transport layer can also consist of a mixture of two materials.
- the electroluminescent devices are characterized in a standard way.
- the electroluminescence spectra, the current efficiency (SE, measured in cd/A) and the external quantum efficiency (EQE, measured in %) are determined as a function of the luminance, calculated from current-voltage-luminance characteristics assuming a Lambertian radiation characteristic, and the lifetime .
- the electroluminescence spectra are determined at a luminance of 1000 cd/m2 and the CIE 1931 x and y color coordinates are calculated from this.
- the specification U1000 in Table 18 describes the voltage required for a luminance of 1000 cd/m2.
- SE1000 and EQE1000 denote the current efficiency and external quantum efficiency, respectively, achieved at 1000cd/m2.
- the material combinations according to the invention can be used in the emission layer in phosphorescent OLEDs.
- the compounds 2b and 9b according to the invention are used as green matrix material in the emission layer in examples E1 to E2, and 10b and 18b are used as red matrix material in the emission layer in examples E16 to E17.
- the combinations according to the invention of compound BisC1 with corresponding compound b, 2b and 9b are used as matrix material in the emission layer in examples E3 to E5.
- Further combinations according to the invention of the compounds 24a and 2dB with the compounds Tz1 to Tz8 are used as matrix material in the emission layer in Examples E6 to E15.
- example E18 A further combination according to the invention of the compounds 18b with the compound BisC2 is used in example E18 as the red matrix material in the emission layer.
- compound 9b according to the invention is used as electron blocking material in the EBL.
- compound 28b according to the invention is used as hole transport material. Table 1: Structure of the electroluminescent devices
Landscapes
- Chemical & Material Sciences (AREA)
- Organic Chemistry (AREA)
- Physics & Mathematics (AREA)
- Engineering & Computer Science (AREA)
- Materials Engineering (AREA)
- Spectroscopy & Molecular Physics (AREA)
- Optics & Photonics (AREA)
- Nitrogen Condensed Heterocyclic Rings (AREA)
- Electroluminescent Light Sources (AREA)
Abstract
Description
Claims
Priority Applications (4)
| Application Number | Priority Date | Filing Date | Title |
|---|---|---|---|
| EP21805960.8A EP4244228A1 (de) | 2020-11-10 | 2021-11-09 | Schwefelhaltige verbindungen für organische elektrolumineszenzvorrichtungen |
| CN202180073546.8A CN116601157A (zh) | 2020-11-10 | 2021-11-09 | 用于有机电致发光器件的含硫化合物 |
| KR1020237019622A KR20230107308A (ko) | 2020-11-10 | 2021-11-09 | 유기 전계 발광 디바이스들을 위한 황 화합물들 |
| US18/035,313 US20230422610A1 (en) | 2020-11-10 | 2021-11-09 | Sulfurous compounds for organic electroluminescent devices |
Applications Claiming Priority (2)
| Application Number | Priority Date | Filing Date | Title |
|---|---|---|---|
| EP20206660.1 | 2020-11-10 | ||
| EP20206660 | 2020-11-10 |
Publications (1)
| Publication Number | Publication Date |
|---|---|
| WO2022101171A1 true WO2022101171A1 (de) | 2022-05-19 |
Family
ID=73288439
Family Applications (1)
| Application Number | Title | Priority Date | Filing Date |
|---|---|---|---|
| PCT/EP2021/081045 Ceased WO2022101171A1 (de) | 2020-11-10 | 2021-11-09 | Schwefelhaltige verbindungen für organische elektrolumineszenzvorrichtungen |
Country Status (5)
| Country | Link |
|---|---|
| US (1) | US20230422610A1 (de) |
| EP (1) | EP4244228A1 (de) |
| KR (1) | KR20230107308A (de) |
| CN (1) | CN116601157A (de) |
| WO (1) | WO2022101171A1 (de) |
Families Citing this family (1)
| Publication number | Priority date | Publication date | Assignee | Title |
|---|---|---|---|---|
| CN114080391B (zh) * | 2019-11-22 | 2024-07-23 | 株式会社Lg化学 | 化合物和包含其的有机发光器件 |
Citations (81)
| Publication number | Priority date | Publication date | Assignee | Title |
|---|---|---|---|---|
| EP0652273A1 (de) | 1993-11-09 | 1995-05-10 | Shinko Electric Industries Co. Ltd. | Organisches Material für elektrolumineszente Vorrichtung und elektrolumineszente Vorrichtung |
| WO1998024271A1 (en) | 1996-11-25 | 1998-06-04 | Seiko Epson Corporation | Method of producing organic el elements, organic el elements and organic el display device |
| WO2000070655A2 (en) | 1999-05-13 | 2000-11-23 | The Trustees Of Princeton University | Very high efficiency organic light emitting devices based on electrophosphorescence |
| JP3139321B2 (ja) | 1994-03-31 | 2001-02-26 | 東レ株式会社 | 発光素子 |
| WO2001041512A1 (en) | 1999-12-01 | 2001-06-07 | The Trustees Of Princeton University | Complexes of form l2mx as phosphorescent dopants for organic leds |
| WO2002002714A2 (en) | 2000-06-30 | 2002-01-10 | E.I. Du Pont De Nemours And Company | Electroluminescent iridium compounds with fluorinated phenylpyridines, phenylpyrimidines, and phenylquinolines and devices made with such compounds |
| WO2002015645A1 (en) | 2000-08-11 | 2002-02-21 | The Trustees Of Princeton University | Organometallic compounds and emission-shifting organic electrophosphorescence |
| EP1191614A2 (de) | 2000-09-26 | 2002-03-27 | Canon Kabushiki Kaisha | Lumineszente Vorrichtung und dafür verwendete Metallkoordinationsverbindung |
| EP1191612A2 (de) | 2000-09-26 | 2002-03-27 | Canon Kabushiki Kaisha | Lumineszente Vorrichtung, Bildanzeigevorrichtung und Metallkoordinationsverbindung |
| EP1191613A2 (de) | 2000-09-26 | 2002-03-27 | Canon Kabushiki Kaisha | Lumineszente Vorrichtung, Bildanzeigevorrichtung und Metallkoordinationsverbindung |
| EP1205527A1 (de) | 2000-03-27 | 2002-05-15 | Idemitsu Kosan Co., Ltd. | Organische elektrolumineszierende vorrichtung |
| WO2004013080A1 (en) | 2002-08-01 | 2004-02-12 | Covion Organic Semiconductors Gmbh | Spirobifluorene derivatives, their preparation and uses thereof |
| JP2004288381A (ja) | 2003-03-19 | 2004-10-14 | Konica Minolta Holdings Inc | 有機エレクトロルミネッセンス素子 |
| WO2004093207A2 (de) | 2003-04-15 | 2004-10-28 | Covion Organic Semiconductors Gmbh | Mischungen von organischen zur emission befähigten halbleitern und matrixmaterialien, deren verwendung und elektronikbauteile enthaltend diese mischungen |
| WO2005019373A2 (de) | 2003-08-19 | 2005-03-03 | Basf Aktiengesellschaft | Übergangsmetallkomplexe mit carbenliganden als emitter für organische licht-emittierende dioden (oleds) |
| US20050069729A1 (en) | 2003-09-30 | 2005-03-31 | Konica Minolta Holdings, Inc. | Organic electroluminescent element, illuminator, display and compound |
| WO2005033244A1 (de) | 2003-09-29 | 2005-04-14 | Covion Organic Semiconductors Gmbh | Metallkomplexe |
| WO2005053051A1 (de) | 2003-11-25 | 2005-06-09 | Merck Patent Gmbh | Organisches elektrolumineszenzelement |
| WO2005111172A2 (de) | 2004-05-11 | 2005-11-24 | Merck Patent Gmbh | Neue materialmischungen für die elektrolumineszenz |
| US20050258742A1 (en) | 2004-05-18 | 2005-11-24 | Yui-Yi Tsai | Carbene containing metal complexes as OLEDs |
| JP2005347160A (ja) | 2004-06-04 | 2005-12-15 | Konica Minolta Holdings Inc | 有機エレクトロルミネッセンス素子、照明装置及び表示装置 |
| EP1617710A1 (de) | 2003-04-23 | 2006-01-18 | Konica Minolta Holdings, Inc. | Material für ein organisches elektrolumineszenzgerät, organisches elektrolumineszenzgerät, beleuchtungsvorrichtung und anzeige |
| WO2006005627A1 (en) | 2004-07-15 | 2006-01-19 | Merck Patent Gmbh | Oligomeric derivatives of spirobifluorene, their preparation and use |
| WO2006117052A1 (de) | 2005-05-03 | 2006-11-09 | Merck Patent Gmbh | Organische elektrolumineszenzvorrichtung und in deren herstellung verwendete boronsäure- und borinsäure-derivate |
| EP1731584A1 (de) | 2004-03-31 | 2006-12-13 | Konica Minolta Holdings, Inc. | Organischer elektrolumineszenzvorrichtungsstoff, organische elektrolumineszenzvorrichtung, display und beleuchtungsvorrichtung |
| WO2007063754A1 (ja) | 2005-12-01 | 2007-06-07 | Nippon Steel Chemical Co., Ltd. | 有機電界発光素子用化合物及び有機電界発光素子 |
| WO2007137725A1 (de) | 2006-05-31 | 2007-12-06 | Merck Patent Gmbh | Neue materialien für organische elektrolumineszenzvorrichtungen |
| WO2008056746A1 (en) | 2006-11-09 | 2008-05-15 | Nippon Steel Chemical Co., Ltd. | Compound for organic electroluminescent device and organic electroluminescent device |
| WO2008086851A1 (de) | 2007-01-18 | 2008-07-24 | Merck Patent Gmbh | Carbazol-derivate für organische elektrolumineszenzvorrichtungen |
| WO2009030981A2 (en) | 2006-12-28 | 2009-03-12 | Universal Display Corporation | Long lifetime phosphorescent organic light emitting device (oled) structures |
| WO2009062578A1 (de) | 2007-11-12 | 2009-05-22 | Merck Patent Gmbh | Organische elektrolumineszenzvorrichtungen enthaltend azomethin-metall-komplexe |
| WO2009124627A1 (de) | 2008-04-07 | 2009-10-15 | Merck Patent Gmbh | Pluorenderivate für organische elektrolumineszenzvorrichtungen |
| WO2009146770A2 (de) | 2008-06-05 | 2009-12-10 | Merck Patent Gmbh | Elektronische vorrichtung enthaltend metallkomplexe |
| WO2010006680A1 (de) | 2008-07-18 | 2010-01-21 | Merck Patent Gmbh | Materialien für organische elektrolumineszenzvorrichtungen |
| WO2010015307A1 (de) | 2008-08-04 | 2010-02-11 | Merck Patent Gmbh | Elektronische vorrichtung enthaltend metallkomplexe mit isonitrilliganden |
| WO2010015306A1 (de) | 2008-08-08 | 2010-02-11 | Merck Patent Gmbh, | Organische elektrolumineszenzvorrichtung |
| WO2010031485A1 (de) | 2008-09-22 | 2010-03-25 | Merck Patent Gmbh | Materialien für organische elektrolumineszenzvorrichtungen |
| WO2010054729A2 (de) | 2008-11-11 | 2010-05-20 | Merck Patent Gmbh | Materialien für organische elektrolumineszenzvorrichtungen |
| WO2010054730A1 (de) | 2008-11-11 | 2010-05-20 | Merck Patent Gmbh | Organische elektrolumineszenzvorrichtungen |
| WO2010054731A1 (de) | 2008-11-13 | 2010-05-20 | Merck Patent Gmbh | Materialien für organische elektrolumineszenzvorrichtungen |
| WO2010054728A1 (de) | 2008-11-13 | 2010-05-20 | Merck Patent Gmbh | Materialien für organische elektrolumineszenzvorrichtungen |
| WO2010086089A1 (de) | 2009-02-02 | 2010-08-05 | Merck Patent Gmbh | Metallkomplexe |
| WO2010099852A1 (de) | 2009-03-02 | 2010-09-10 | Merck Patent Gmbh | Metallkomplexe mit azaborol-liganden und elektronische vorrichtung damit |
| WO2010102709A1 (de) | 2009-03-13 | 2010-09-16 | Merck Patent Gmbh | Materialien für organische elektrolumineszenzvorrichtungen |
| WO2010108579A1 (de) | 2009-03-23 | 2010-09-30 | Merck Patent Gmbh | Organische elektrolumineszenzvorrichtung |
| WO2010136109A1 (de) | 2009-05-29 | 2010-12-02 | Merck Patent Gmbh | Materialien für organische elektrolumineszenzvorrichtungen |
| WO2011000455A1 (de) | 2009-06-30 | 2011-01-06 | Merck Patent Gmbh | Materialien für organische elektrolumineszenzvorrichtungen |
| WO2011032626A1 (de) | 2009-09-16 | 2011-03-24 | Merck Patent Gmbh | Metallkomplexe |
| WO2011042107A2 (de) | 2009-10-08 | 2011-04-14 | Merck Patent Gmbh | Materialien für organische elektrolumineszenzvorrichtungen |
| WO2011057706A2 (de) | 2009-11-14 | 2011-05-19 | Merck Patent Gmbh | Materialien für elektronische vorrichtungen |
| WO2011060859A1 (de) | 2009-11-17 | 2011-05-26 | Merck Patent Gmbh | Materialien für organische elektrolumineszenzvorrichtungen |
| WO2011060867A1 (de) | 2009-11-18 | 2011-05-26 | Merck Patent Gmbh | Stickstoffhaltige kondensierte heterozyklen für oleds |
| WO2011060877A2 (de) | 2009-11-17 | 2011-05-26 | Merck Patent Gmbh | Materialien für organische elektrolumineszenzvorrichtungen |
| WO2011066898A1 (de) | 2009-12-05 | 2011-06-09 | Merck Patent Gmbh | Elektronische vorrichtung enthaltend metallkomplexe |
| WO2011088877A1 (de) | 2010-01-25 | 2011-07-28 | Merck Patent Gmbh | Verbindungen für elektronische vorrichtungen |
| US20110248247A1 (en) | 2010-04-09 | 2011-10-13 | Sony Corporation | Organic el display unit, method of manufacturing the same, and solution used in method |
| WO2011157339A1 (de) | 2010-06-15 | 2011-12-22 | Merck Patent Gmbh | Metallkomplexe |
| WO2012007086A1 (de) | 2010-07-16 | 2012-01-19 | Merck Patent Gmbh | Metallkomplexe |
| WO2012048781A1 (de) | 2010-10-15 | 2012-04-19 | Merck Patent Gmbh | Materialien auf basis von triphenylen für organische elektrolumineszenzvorrichtungen |
| US20120223633A1 (en) | 2011-03-04 | 2012-09-06 | Sony Corporation | Organic el display device and method of manufacturing the same |
| WO2012143080A2 (de) | 2011-04-18 | 2012-10-26 | Merck Patent Gmbh | Materialien für organische elektrolumineszenzvorrichtungen |
| WO2013041176A1 (de) | 2011-09-21 | 2013-03-28 | Merck Patent Gmbh | Carbazolderivate für organische elektrolumineszenzvorrichtungen |
| WO2013056776A1 (de) | 2011-10-20 | 2013-04-25 | Merck Patent Gmbh | Materialien für organische elektrolumineszenzvorrichtungen |
| WO2014008982A1 (de) | 2012-07-13 | 2014-01-16 | Merck Patent Gmbh | Metallkomplexe |
| WO2014023377A2 (de) | 2012-08-07 | 2014-02-13 | Merck Patent Gmbh | Metallkomplexe |
| WO2014094961A1 (de) | 2012-12-21 | 2014-06-26 | Merck Patent Gmbh | Metallkomplexe |
| WO2014094960A1 (de) | 2012-12-21 | 2014-06-26 | Merck Patent Gmbh | Metallkomplexe |
| WO2015036074A1 (de) | 2013-09-11 | 2015-03-19 | Merck Patent Gmbh | Metallkomplexe |
| WO2015104045A1 (de) | 2014-01-13 | 2015-07-16 | Merck Patent Gmbh | Metallkomplexe |
| WO2015117718A1 (de) | 2014-02-05 | 2015-08-13 | Merck Patent Gmbh | Metallkomplexe |
| WO2015169412A1 (de) | 2014-05-05 | 2015-11-12 | Merck Patent Gmbh | Materialien für organische elektrolumineszenzvorrichtungen |
| WO2016015815A1 (de) | 2014-07-28 | 2016-02-04 | Merck Patent Gmbh | Metallkomplexe |
| WO2016015810A1 (de) | 2014-07-29 | 2016-02-04 | Merck Patent Gmbh | Materialien f?r organische elektrolumineszenzvorrichtungen |
| WO2016023608A1 (de) | 2014-08-13 | 2016-02-18 | Merck Patent Gmbh | Materialien für organische elektrolumineszenzvorrichtungen |
| WO2016124304A1 (de) | 2015-02-03 | 2016-08-11 | Merck Patent Gmbh | Metallkomplexe |
| WO2017032439A1 (de) | 2015-08-25 | 2017-03-02 | Merck Patent Gmbh | Metallkomplexe |
| WO2017148564A1 (de) | 2016-03-03 | 2017-09-08 | Merck Patent Gmbh | Materialien für organische elektrolumineszenzvorrichtungen |
| WO2018011186A1 (de) | 2016-07-14 | 2018-01-18 | Merck Patent Gmbh | Metallkomplexe |
| US20180277765A1 (en) * | 2017-03-26 | 2018-09-27 | Luminescence Technology Corporation | Delayed fluorescence material for organic electroluminescence device |
| WO2019022435A1 (ko) | 2017-07-25 | 2019-01-31 | 덕산네오룩스 주식회사 | 유기전기 소자용 화합물, 이를 이용한 유기전기소자 및 그 전자 장치 |
| US20190100543A1 (en) | 2017-10-02 | 2019-04-04 | Luminescence Technology Corporation | Iridium complex and organic electroluminescence device using the same |
Family Cites Families (2)
| Publication number | Priority date | Publication date | Assignee | Title |
|---|---|---|---|---|
| KR101686076B1 (ko) * | 2012-07-04 | 2016-12-13 | 제일모직주식회사 | 유기발광소자용 조성물, 이를 포함하는 유기발광층 및 유기발광소자 |
| KR102429520B1 (ko) * | 2014-04-29 | 2022-08-05 | 주식회사 동진쎄미켐 | 신규한 화합물 및 이를 포함하는 유기발광소자 |
-
2021
- 2021-11-09 EP EP21805960.8A patent/EP4244228A1/de active Pending
- 2021-11-09 CN CN202180073546.8A patent/CN116601157A/zh active Pending
- 2021-11-09 WO PCT/EP2021/081045 patent/WO2022101171A1/de not_active Ceased
- 2021-11-09 US US18/035,313 patent/US20230422610A1/en active Pending
- 2021-11-09 KR KR1020237019622A patent/KR20230107308A/ko not_active Withdrawn
Patent Citations (84)
| Publication number | Priority date | Publication date | Assignee | Title |
|---|---|---|---|---|
| EP0652273A1 (de) | 1993-11-09 | 1995-05-10 | Shinko Electric Industries Co. Ltd. | Organisches Material für elektrolumineszente Vorrichtung und elektrolumineszente Vorrichtung |
| JP3139321B2 (ja) | 1994-03-31 | 2001-02-26 | 東レ株式会社 | 発光素子 |
| WO1998024271A1 (en) | 1996-11-25 | 1998-06-04 | Seiko Epson Corporation | Method of producing organic el elements, organic el elements and organic el display device |
| WO2000070655A2 (en) | 1999-05-13 | 2000-11-23 | The Trustees Of Princeton University | Very high efficiency organic light emitting devices based on electrophosphorescence |
| WO2001041512A1 (en) | 1999-12-01 | 2001-06-07 | The Trustees Of Princeton University | Complexes of form l2mx as phosphorescent dopants for organic leds |
| EP1205527A1 (de) | 2000-03-27 | 2002-05-15 | Idemitsu Kosan Co., Ltd. | Organische elektrolumineszierende vorrichtung |
| WO2002002714A2 (en) | 2000-06-30 | 2002-01-10 | E.I. Du Pont De Nemours And Company | Electroluminescent iridium compounds with fluorinated phenylpyridines, phenylpyrimidines, and phenylquinolines and devices made with such compounds |
| WO2002015645A1 (en) | 2000-08-11 | 2002-02-21 | The Trustees Of Princeton University | Organometallic compounds and emission-shifting organic electrophosphorescence |
| EP1191612A2 (de) | 2000-09-26 | 2002-03-27 | Canon Kabushiki Kaisha | Lumineszente Vorrichtung, Bildanzeigevorrichtung und Metallkoordinationsverbindung |
| EP1191613A2 (de) | 2000-09-26 | 2002-03-27 | Canon Kabushiki Kaisha | Lumineszente Vorrichtung, Bildanzeigevorrichtung und Metallkoordinationsverbindung |
| EP1191614A2 (de) | 2000-09-26 | 2002-03-27 | Canon Kabushiki Kaisha | Lumineszente Vorrichtung und dafür verwendete Metallkoordinationsverbindung |
| WO2004013080A1 (en) | 2002-08-01 | 2004-02-12 | Covion Organic Semiconductors Gmbh | Spirobifluorene derivatives, their preparation and uses thereof |
| JP2004288381A (ja) | 2003-03-19 | 2004-10-14 | Konica Minolta Holdings Inc | 有機エレクトロルミネッセンス素子 |
| WO2004093207A2 (de) | 2003-04-15 | 2004-10-28 | Covion Organic Semiconductors Gmbh | Mischungen von organischen zur emission befähigten halbleitern und matrixmaterialien, deren verwendung und elektronikbauteile enthaltend diese mischungen |
| EP1617711A1 (de) | 2003-04-23 | 2006-01-18 | Konica Minolta Holdings, Inc. | Organisches elektrolumineszenzbauelement und anzeige |
| EP1617710A1 (de) | 2003-04-23 | 2006-01-18 | Konica Minolta Holdings, Inc. | Material für ein organisches elektrolumineszenzgerät, organisches elektrolumineszenzgerät, beleuchtungsvorrichtung und anzeige |
| WO2005019373A2 (de) | 2003-08-19 | 2005-03-03 | Basf Aktiengesellschaft | Übergangsmetallkomplexe mit carbenliganden als emitter für organische licht-emittierende dioden (oleds) |
| WO2005033244A1 (de) | 2003-09-29 | 2005-04-14 | Covion Organic Semiconductors Gmbh | Metallkomplexe |
| US20050069729A1 (en) | 2003-09-30 | 2005-03-31 | Konica Minolta Holdings, Inc. | Organic electroluminescent element, illuminator, display and compound |
| WO2005039246A1 (ja) | 2003-09-30 | 2005-04-28 | Konica Minolta Holdings, Inc. | 有機エレクトロルミネッセンス素子、照明装置、表示装置 |
| WO2005053051A1 (de) | 2003-11-25 | 2005-06-09 | Merck Patent Gmbh | Organisches elektrolumineszenzelement |
| EP1731584A1 (de) | 2004-03-31 | 2006-12-13 | Konica Minolta Holdings, Inc. | Organischer elektrolumineszenzvorrichtungsstoff, organische elektrolumineszenzvorrichtung, display und beleuchtungsvorrichtung |
| WO2005111172A2 (de) | 2004-05-11 | 2005-11-24 | Merck Patent Gmbh | Neue materialmischungen für die elektrolumineszenz |
| US20050258742A1 (en) | 2004-05-18 | 2005-11-24 | Yui-Yi Tsai | Carbene containing metal complexes as OLEDs |
| JP2005347160A (ja) | 2004-06-04 | 2005-12-15 | Konica Minolta Holdings Inc | 有機エレクトロルミネッセンス素子、照明装置及び表示装置 |
| WO2006005627A1 (en) | 2004-07-15 | 2006-01-19 | Merck Patent Gmbh | Oligomeric derivatives of spirobifluorene, their preparation and use |
| WO2006117052A1 (de) | 2005-05-03 | 2006-11-09 | Merck Patent Gmbh | Organische elektrolumineszenzvorrichtung und in deren herstellung verwendete boronsäure- und borinsäure-derivate |
| WO2007063754A1 (ja) | 2005-12-01 | 2007-06-07 | Nippon Steel Chemical Co., Ltd. | 有機電界発光素子用化合物及び有機電界発光素子 |
| WO2007137725A1 (de) | 2006-05-31 | 2007-12-06 | Merck Patent Gmbh | Neue materialien für organische elektrolumineszenzvorrichtungen |
| WO2008056746A1 (en) | 2006-11-09 | 2008-05-15 | Nippon Steel Chemical Co., Ltd. | Compound for organic electroluminescent device and organic electroluminescent device |
| WO2009030981A2 (en) | 2006-12-28 | 2009-03-12 | Universal Display Corporation | Long lifetime phosphorescent organic light emitting device (oled) structures |
| WO2008086851A1 (de) | 2007-01-18 | 2008-07-24 | Merck Patent Gmbh | Carbazol-derivate für organische elektrolumineszenzvorrichtungen |
| WO2009062578A1 (de) | 2007-11-12 | 2009-05-22 | Merck Patent Gmbh | Organische elektrolumineszenzvorrichtungen enthaltend azomethin-metall-komplexe |
| WO2009124627A1 (de) | 2008-04-07 | 2009-10-15 | Merck Patent Gmbh | Pluorenderivate für organische elektrolumineszenzvorrichtungen |
| WO2009146770A2 (de) | 2008-06-05 | 2009-12-10 | Merck Patent Gmbh | Elektronische vorrichtung enthaltend metallkomplexe |
| WO2010006680A1 (de) | 2008-07-18 | 2010-01-21 | Merck Patent Gmbh | Materialien für organische elektrolumineszenzvorrichtungen |
| WO2010015307A1 (de) | 2008-08-04 | 2010-02-11 | Merck Patent Gmbh | Elektronische vorrichtung enthaltend metallkomplexe mit isonitrilliganden |
| WO2010015306A1 (de) | 2008-08-08 | 2010-02-11 | Merck Patent Gmbh, | Organische elektrolumineszenzvorrichtung |
| WO2010031485A1 (de) | 2008-09-22 | 2010-03-25 | Merck Patent Gmbh | Materialien für organische elektrolumineszenzvorrichtungen |
| WO2010054729A2 (de) | 2008-11-11 | 2010-05-20 | Merck Patent Gmbh | Materialien für organische elektrolumineszenzvorrichtungen |
| WO2010054730A1 (de) | 2008-11-11 | 2010-05-20 | Merck Patent Gmbh | Organische elektrolumineszenzvorrichtungen |
| WO2010054728A1 (de) | 2008-11-13 | 2010-05-20 | Merck Patent Gmbh | Materialien für organische elektrolumineszenzvorrichtungen |
| WO2010054731A1 (de) | 2008-11-13 | 2010-05-20 | Merck Patent Gmbh | Materialien für organische elektrolumineszenzvorrichtungen |
| WO2010086089A1 (de) | 2009-02-02 | 2010-08-05 | Merck Patent Gmbh | Metallkomplexe |
| WO2010099852A1 (de) | 2009-03-02 | 2010-09-10 | Merck Patent Gmbh | Metallkomplexe mit azaborol-liganden und elektronische vorrichtung damit |
| WO2010102709A1 (de) | 2009-03-13 | 2010-09-16 | Merck Patent Gmbh | Materialien für organische elektrolumineszenzvorrichtungen |
| WO2010108579A1 (de) | 2009-03-23 | 2010-09-30 | Merck Patent Gmbh | Organische elektrolumineszenzvorrichtung |
| WO2010136109A1 (de) | 2009-05-29 | 2010-12-02 | Merck Patent Gmbh | Materialien für organische elektrolumineszenzvorrichtungen |
| WO2011000455A1 (de) | 2009-06-30 | 2011-01-06 | Merck Patent Gmbh | Materialien für organische elektrolumineszenzvorrichtungen |
| WO2011032626A1 (de) | 2009-09-16 | 2011-03-24 | Merck Patent Gmbh | Metallkomplexe |
| WO2011042107A2 (de) | 2009-10-08 | 2011-04-14 | Merck Patent Gmbh | Materialien für organische elektrolumineszenzvorrichtungen |
| WO2011057706A2 (de) | 2009-11-14 | 2011-05-19 | Merck Patent Gmbh | Materialien für elektronische vorrichtungen |
| WO2011060859A1 (de) | 2009-11-17 | 2011-05-26 | Merck Patent Gmbh | Materialien für organische elektrolumineszenzvorrichtungen |
| WO2011060877A2 (de) | 2009-11-17 | 2011-05-26 | Merck Patent Gmbh | Materialien für organische elektrolumineszenzvorrichtungen |
| WO2011060867A1 (de) | 2009-11-18 | 2011-05-26 | Merck Patent Gmbh | Stickstoffhaltige kondensierte heterozyklen für oleds |
| WO2011066898A1 (de) | 2009-12-05 | 2011-06-09 | Merck Patent Gmbh | Elektronische vorrichtung enthaltend metallkomplexe |
| WO2011088877A1 (de) | 2010-01-25 | 2011-07-28 | Merck Patent Gmbh | Verbindungen für elektronische vorrichtungen |
| US20110248247A1 (en) | 2010-04-09 | 2011-10-13 | Sony Corporation | Organic el display unit, method of manufacturing the same, and solution used in method |
| WO2011157339A1 (de) | 2010-06-15 | 2011-12-22 | Merck Patent Gmbh | Metallkomplexe |
| WO2012007086A1 (de) | 2010-07-16 | 2012-01-19 | Merck Patent Gmbh | Metallkomplexe |
| WO2012048781A1 (de) | 2010-10-15 | 2012-04-19 | Merck Patent Gmbh | Materialien auf basis von triphenylen für organische elektrolumineszenzvorrichtungen |
| US20120223633A1 (en) | 2011-03-04 | 2012-09-06 | Sony Corporation | Organic el display device and method of manufacturing the same |
| WO2012143080A2 (de) | 2011-04-18 | 2012-10-26 | Merck Patent Gmbh | Materialien für organische elektrolumineszenzvorrichtungen |
| WO2013041176A1 (de) | 2011-09-21 | 2013-03-28 | Merck Patent Gmbh | Carbazolderivate für organische elektrolumineszenzvorrichtungen |
| WO2013056776A1 (de) | 2011-10-20 | 2013-04-25 | Merck Patent Gmbh | Materialien für organische elektrolumineszenzvorrichtungen |
| WO2014008982A1 (de) | 2012-07-13 | 2014-01-16 | Merck Patent Gmbh | Metallkomplexe |
| WO2014023377A2 (de) | 2012-08-07 | 2014-02-13 | Merck Patent Gmbh | Metallkomplexe |
| WO2014094961A1 (de) | 2012-12-21 | 2014-06-26 | Merck Patent Gmbh | Metallkomplexe |
| WO2014094960A1 (de) | 2012-12-21 | 2014-06-26 | Merck Patent Gmbh | Metallkomplexe |
| WO2015036074A1 (de) | 2013-09-11 | 2015-03-19 | Merck Patent Gmbh | Metallkomplexe |
| WO2015104045A1 (de) | 2014-01-13 | 2015-07-16 | Merck Patent Gmbh | Metallkomplexe |
| WO2015117718A1 (de) | 2014-02-05 | 2015-08-13 | Merck Patent Gmbh | Metallkomplexe |
| WO2015169412A1 (de) | 2014-05-05 | 2015-11-12 | Merck Patent Gmbh | Materialien für organische elektrolumineszenzvorrichtungen |
| WO2016015815A1 (de) | 2014-07-28 | 2016-02-04 | Merck Patent Gmbh | Metallkomplexe |
| WO2016015810A1 (de) | 2014-07-29 | 2016-02-04 | Merck Patent Gmbh | Materialien f?r organische elektrolumineszenzvorrichtungen |
| WO2016023608A1 (de) | 2014-08-13 | 2016-02-18 | Merck Patent Gmbh | Materialien für organische elektrolumineszenzvorrichtungen |
| WO2016124304A1 (de) | 2015-02-03 | 2016-08-11 | Merck Patent Gmbh | Metallkomplexe |
| WO2017032439A1 (de) | 2015-08-25 | 2017-03-02 | Merck Patent Gmbh | Metallkomplexe |
| WO2017148564A1 (de) | 2016-03-03 | 2017-09-08 | Merck Patent Gmbh | Materialien für organische elektrolumineszenzvorrichtungen |
| WO2017148565A1 (de) | 2016-03-03 | 2017-09-08 | Merck Patent Gmbh | Materialien für organische elektrolumineszenzvorrichtungen |
| WO2018011186A1 (de) | 2016-07-14 | 2018-01-18 | Merck Patent Gmbh | Metallkomplexe |
| US20180277765A1 (en) * | 2017-03-26 | 2018-09-27 | Luminescence Technology Corporation | Delayed fluorescence material for organic electroluminescence device |
| WO2019022435A1 (ko) | 2017-07-25 | 2019-01-31 | 덕산네오룩스 주식회사 | 유기전기 소자용 화합물, 이를 이용한 유기전기소자 및 그 전자 장치 |
| US20190100543A1 (en) | 2017-10-02 | 2019-04-04 | Luminescence Technology Corporation | Iridium complex and organic electroluminescence device using the same |
Non-Patent Citations (1)
| Title |
|---|
| D. M. KOLLER ET AL.: "organic plasmon emitting devices", NATURE PHOTONICS, 2008, pages 1 - 4 |
Also Published As
| Publication number | Publication date |
|---|---|
| US20230422610A1 (en) | 2023-12-28 |
| KR20230107308A (ko) | 2023-07-14 |
| EP4244228A1 (de) | 2023-09-20 |
| CN116601157A (zh) | 2023-08-15 |
Similar Documents
| Publication | Publication Date | Title |
|---|---|---|
| EP3744155B1 (de) | Materialien für organische elektrolumineszenzvorrichtungen | |
| EP3681890B1 (de) | Materialien für organische elektrolumineszenzvorrichtungen | |
| EP3160954A1 (de) | Materialien für organische elektrolumineszenzvorrichtungen | |
| EP3700909B1 (de) | Materialien für organische elektrolumineszenzvorrichtungen | |
| WO2017041874A1 (de) | Materialien für organische elektrolumineszenzvorrichtungen | |
| WO2019233904A1 (de) | Organische elektrolumineszenzvorrichtungen | |
| EP3880682B1 (de) | Materialien für organische elektrolumineszenzvorrichtungen | |
| EP4519383A1 (de) | Cyclische verbindungen für organische elektrolumineszenzvorrichtungen | |
| WO2022157343A1 (de) | Stickstoffhaltige verbindungen für organische elektrolumineszenzvorrichtungen | |
| EP3565816B1 (de) | Materialien für organische elektrolumineszenzvorrichtungen | |
| EP3583104B1 (de) | Materialien für organische elektrolumineszenzvorrichtungen | |
| EP3820966B1 (de) | Materialien für organische elektrolumineszenzvorrichtungen | |
| EP4308664A1 (de) | Heteroaromatische verbindungen für organische elektrolumineszenzvorrichtungen | |
| EP4229145A1 (de) | Verbindungen mit heteroatomen für organische elektrolumineszenzvorrichtungen | |
| EP4244228A1 (de) | Schwefelhaltige verbindungen für organische elektrolumineszenzvorrichtungen | |
| EP3877373B1 (de) | 5,6-diphenyl-5,6-dihydro-dibenz[c,e][1,2]azaphosphorin- und 6-phenyl-6h-dibenzo[c,e][1,2]thiazin-5,5-dioxid-derivate und ähnliche verbindungen als organische elektrolumineszenzmaterialien für oleds | |
| WO2022200638A1 (de) | Materialien für organische elektrolumineszenzvorrichtungen | |
| WO2022229234A1 (de) | Stickstoffhaltige, heterocyclische verbindungen für organische elektrolumineszenzvorrichtungen | |
| EP4192832A1 (de) | Materialien für organische elektrolumineszenzvorrichtungen | |
| WO2021043755A1 (de) | Materialien für organische elektrolumineszenzvorrichtungen | |
| EP3548485A1 (de) | Materialien für organische elektrolumineszenzvorrichtungen | |
| EP4301757A1 (de) | Verbindungen für organische elektrolumineszenzvorrichtungen | |
| EP4255905A1 (de) | Heterocyclische verbindungen für organische elektrolumineszenzvorrichtungen | |
| EP4259628A2 (de) | Materialien für organische elektrolumineszenzvorrichtungen | |
| EP4476215A1 (de) | Materialien für organische elektrolumineszenzvorrichtungen |
Legal Events
| Date | Code | Title | Description |
|---|---|---|---|
| 121 | Ep: the epo has been informed by wipo that ep was designated in this application |
Ref document number: 21805960 Country of ref document: EP Kind code of ref document: A1 |
|
| WWE | Wipo information: entry into national phase |
Ref document number: 202180073546.8 Country of ref document: CN |
|
| ENP | Entry into the national phase |
Ref document number: 20237019622 Country of ref document: KR Kind code of ref document: A |
|
| NENP | Non-entry into the national phase |
Ref country code: DE |
|
| ENP | Entry into the national phase |
Ref document number: 2021805960 Country of ref document: EP Effective date: 20230612 |
|
| WWW | Wipo information: withdrawn in national office |
Ref document number: 1020237019622 Country of ref document: KR |











































































































































