WO2014044347A1 - Metallkomplexe - Google Patents
Metallkomplexe Download PDFInfo
- Publication number
- WO2014044347A1 WO2014044347A1 PCT/EP2013/002521 EP2013002521W WO2014044347A1 WO 2014044347 A1 WO2014044347 A1 WO 2014044347A1 EP 2013002521 W EP2013002521 W EP 2013002521W WO 2014044347 A1 WO2014044347 A1 WO 2014044347A1
- Authority
- WO
- WIPO (PCT)
- Prior art keywords
- formula
- group
- radicals
- atoms
- substituted
- Prior art date
- Legal status (The legal status is an assumption and is not a legal conclusion. Google has not performed a legal analysis and makes no representation as to the accuracy of the status listed.)
- Ceased
Links
Classifications
-
- C—CHEMISTRY; METALLURGY
- C09—DYES; PAINTS; POLISHES; NATURAL RESINS; ADHESIVES; COMPOSITIONS NOT OTHERWISE PROVIDED FOR; APPLICATIONS OF MATERIALS NOT OTHERWISE PROVIDED FOR
- C09K—MATERIALS FOR MISCELLANEOUS APPLICATIONS, NOT PROVIDED FOR ELSEWHERE
- C09K11/00—Luminescent, e.g. electroluminescent, chemiluminescent materials
- C09K11/06—Luminescent, e.g. electroluminescent, chemiluminescent materials containing organic luminescent materials
-
- H—ELECTRICITY
- H05—ELECTRIC TECHNIQUES NOT OTHERWISE PROVIDED FOR
- H05B—ELECTRIC HEATING; ELECTRIC LIGHT SOURCES NOT OTHERWISE PROVIDED FOR; CIRCUIT ARRANGEMENTS FOR ELECTRIC LIGHT SOURCES, IN GENERAL
- H05B33/00—Electroluminescent light sources
- H05B33/12—Light sources with substantially two-dimensional radiating surfaces
- H05B33/14—Light sources with substantially two-dimensional radiating surfaces characterised by the chemical or physical composition or the arrangement of the electroluminescent material, or by the simultaneous addition of the electroluminescent material in or onto the light source
-
- H—ELECTRICITY
- H10—SEMICONDUCTOR DEVICES; ELECTRIC SOLID-STATE DEVICES NOT OTHERWISE PROVIDED FOR
- H10K—ORGANIC ELECTRIC SOLID-STATE DEVICES
- H10K85/00—Organic materials used in the body or electrodes of devices covered by this subclass
- H10K85/30—Coordination compounds
- H10K85/341—Transition metal complexes, e.g. Ru(II)polypyridine complexes
- H10K85/342—Transition metal complexes, e.g. Ru(II)polypyridine complexes comprising iridium
-
- C—CHEMISTRY; METALLURGY
- C09—DYES; PAINTS; POLISHES; NATURAL RESINS; ADHESIVES; COMPOSITIONS NOT OTHERWISE PROVIDED FOR; APPLICATIONS OF MATERIALS NOT OTHERWISE PROVIDED FOR
- C09K—MATERIALS FOR MISCELLANEOUS APPLICATIONS, NOT PROVIDED FOR ELSEWHERE
- C09K2211/00—Chemical nature of organic luminescent or tenebrescent compounds
- C09K2211/10—Non-macromolecular compounds
- C09K2211/1003—Carbocyclic compounds
- C09K2211/1007—Non-condensed systems
-
- C—CHEMISTRY; METALLURGY
- C09—DYES; PAINTS; POLISHES; NATURAL RESINS; ADHESIVES; COMPOSITIONS NOT OTHERWISE PROVIDED FOR; APPLICATIONS OF MATERIALS NOT OTHERWISE PROVIDED FOR
- C09K—MATERIALS FOR MISCELLANEOUS APPLICATIONS, NOT PROVIDED FOR ELSEWHERE
- C09K2211/00—Chemical nature of organic luminescent or tenebrescent compounds
- C09K2211/10—Non-macromolecular compounds
- C09K2211/1003—Carbocyclic compounds
- C09K2211/1011—Condensed systems
-
- C—CHEMISTRY; METALLURGY
- C09—DYES; PAINTS; POLISHES; NATURAL RESINS; ADHESIVES; COMPOSITIONS NOT OTHERWISE PROVIDED FOR; APPLICATIONS OF MATERIALS NOT OTHERWISE PROVIDED FOR
- C09K—MATERIALS FOR MISCELLANEOUS APPLICATIONS, NOT PROVIDED FOR ELSEWHERE
- C09K2211/00—Chemical nature of organic luminescent or tenebrescent compounds
- C09K2211/10—Non-macromolecular compounds
- C09K2211/1018—Heterocyclic compounds
- C09K2211/1025—Heterocyclic compounds characterised by ligands
- C09K2211/1029—Heterocyclic compounds characterised by ligands containing one nitrogen atom as the heteroatom
-
- C—CHEMISTRY; METALLURGY
- C09—DYES; PAINTS; POLISHES; NATURAL RESINS; ADHESIVES; COMPOSITIONS NOT OTHERWISE PROVIDED FOR; APPLICATIONS OF MATERIALS NOT OTHERWISE PROVIDED FOR
- C09K—MATERIALS FOR MISCELLANEOUS APPLICATIONS, NOT PROVIDED FOR ELSEWHERE
- C09K2211/00—Chemical nature of organic luminescent or tenebrescent compounds
- C09K2211/10—Non-macromolecular compounds
- C09K2211/1018—Heterocyclic compounds
- C09K2211/1025—Heterocyclic compounds characterised by ligands
- C09K2211/1044—Heterocyclic compounds characterised by ligands containing two nitrogen atoms as heteroatoms
-
- C—CHEMISTRY; METALLURGY
- C09—DYES; PAINTS; POLISHES; NATURAL RESINS; ADHESIVES; COMPOSITIONS NOT OTHERWISE PROVIDED FOR; APPLICATIONS OF MATERIALS NOT OTHERWISE PROVIDED FOR
- C09K—MATERIALS FOR MISCELLANEOUS APPLICATIONS, NOT PROVIDED FOR ELSEWHERE
- C09K2211/00—Chemical nature of organic luminescent or tenebrescent compounds
- C09K2211/10—Non-macromolecular compounds
- C09K2211/1018—Heterocyclic compounds
- C09K2211/1025—Heterocyclic compounds characterised by ligands
- C09K2211/1088—Heterocyclic compounds characterised by ligands containing oxygen as the only heteroatom
-
- C—CHEMISTRY; METALLURGY
- C09—DYES; PAINTS; POLISHES; NATURAL RESINS; ADHESIVES; COMPOSITIONS NOT OTHERWISE PROVIDED FOR; APPLICATIONS OF MATERIALS NOT OTHERWISE PROVIDED FOR
- C09K—MATERIALS FOR MISCELLANEOUS APPLICATIONS, NOT PROVIDED FOR ELSEWHERE
- C09K2211/00—Chemical nature of organic luminescent or tenebrescent compounds
- C09K2211/10—Non-macromolecular compounds
- C09K2211/1018—Heterocyclic compounds
- C09K2211/1025—Heterocyclic compounds characterised by ligands
- C09K2211/1096—Heterocyclic compounds characterised by ligands containing other heteroatoms
-
- H—ELECTRICITY
- H10—SEMICONDUCTOR DEVICES; ELECTRIC SOLID-STATE DEVICES NOT OTHERWISE PROVIDED FOR
- H10K—ORGANIC ELECTRIC SOLID-STATE DEVICES
- H10K2101/00—Properties of the organic materials covered by group H10K85/00
- H10K2101/10—Triplet emission
-
- H—ELECTRICITY
- H10—SEMICONDUCTOR DEVICES; ELECTRIC SOLID-STATE DEVICES NOT OTHERWISE PROVIDED FOR
- H10K—ORGANIC ELECTRIC SOLID-STATE DEVICES
- H10K2101/00—Properties of the organic materials covered by group H10K85/00
- H10K2101/90—Multiple hosts in the emissive layer
-
- H—ELECTRICITY
- H10—SEMICONDUCTOR DEVICES; ELECTRIC SOLID-STATE DEVICES NOT OTHERWISE PROVIDED FOR
- H10K—ORGANIC ELECTRIC SOLID-STATE DEVICES
- H10K50/00—Organic light-emitting devices
- H10K50/10—OLEDs or polymer light-emitting diodes [PLED]
- H10K50/11—OLEDs or polymer light-emitting diodes [PLED] characterised by the electroluminescent [EL] layers
-
- H—ELECTRICITY
- H10—SEMICONDUCTOR DEVICES; ELECTRIC SOLID-STATE DEVICES NOT OTHERWISE PROVIDED FOR
- H10K—ORGANIC ELECTRIC SOLID-STATE DEVICES
- H10K85/00—Organic materials used in the body or electrodes of devices covered by this subclass
- H10K85/60—Organic compounds having low molecular weight
- H10K85/649—Aromatic compounds comprising a hetero atom
- H10K85/654—Aromatic compounds comprising a hetero atom comprising only nitrogen as heteroatom
-
- H—ELECTRICITY
- H10—SEMICONDUCTOR DEVICES; ELECTRIC SOLID-STATE DEVICES NOT OTHERWISE PROVIDED FOR
- H10K—ORGANIC ELECTRIC SOLID-STATE DEVICES
- H10K85/00—Organic materials used in the body or electrodes of devices covered by this subclass
- H10K85/60—Organic compounds having low molecular weight
- H10K85/649—Aromatic compounds comprising a hetero atom
- H10K85/657—Polycyclic condensed heteroaromatic hydrocarbons
- H10K85/6572—Polycyclic condensed heteroaromatic hydrocarbons comprising only nitrogen in the heteroaromatic polycondensed ring system, e.g. phenanthroline or carbazole
-
- Y—GENERAL TAGGING OF NEW TECHNOLOGICAL DEVELOPMENTS; GENERAL TAGGING OF CROSS-SECTIONAL TECHNOLOGIES SPANNING OVER SEVERAL SECTIONS OF THE IPC; TECHNICAL SUBJECTS COVERED BY FORMER USPC CROSS-REFERENCE ART COLLECTIONS [XRACs] AND DIGESTS
- Y02—TECHNOLOGIES OR APPLICATIONS FOR MITIGATION OR ADAPTATION AGAINST CLIMATE CHANGE
- Y02E—REDUCTION OF GREENHOUSE GAS [GHG] EMISSIONS, RELATED TO ENERGY GENERATION, TRANSMISSION OR DISTRIBUTION
- Y02E10/00—Energy generation through renewable energy sources
- Y02E10/50—Photovoltaic [PV] energy
- Y02E10/549—Organic PV cells
Definitions
- the present invention relates to metal complexes which are suitable for use as emitters in organic electroluminescent devices.
- OLEDs organic electroluminescent devices
- OLEDs organic electroluminescent devices
- organometallic complexes which exhibit phosphorescence instead of fluorescence are increasingly being used as emitting materials (M.A. Baldo et al., Appl. Phys. Lett. 1999, 75, 4-6).
- organometallic compounds For quantum mechanical reasons, up to four times energy and power efficiency is possible using organometallic compounds as phosphorescence emitters.
- organometallic compounds For quantum mechanical reasons, up to four times energy and power efficiency is possible using organometallic compounds as phosphorescence emitters.
- organometallic compounds as phosphorescence emitters.
- iridium and platinum complexes are used in phosphorescent OLEDs as triplet emitters in particular.
- Bis- and tris-ortho-metalated complexes with aromatic ligands are used in particular as iridium complexes, the ligands binding to the metal via a negatively charged carbon atom and a neutral nitrogen atom.
- An example of such a complex is tris- (phenylpyridyl) iridium (III).
- a variety of related ligands and iridium or platinum complexes are known from the literature. Even if good results have already been achieved with such metal complexes, further improvements are desirable here.
- US 2005/0227109 furthermore discloses iridium complexes in which the ligand binds to the metal via a nitrogen atom, for example in a pyridyl group, and the carbon atom of an alkenyl group.
- iridium complexes in which the ligand binds to the metal via a nitrogen atom, for example in a pyridyl group, and the carbon atom of an alkenyl group.
- Such complexes are also known from Advanced Materials 2004, 16, 2003-2007, with external quantum efficiencies in the range of 4 to 11% are reported.
- Complexes in which the alkenyl group is part of a cyclic system are not disclosed.
- the object of the present invention is therefore to provide new metal complexes which are suitable as emitters for use in OLEDs.
- the object is to provide emitters which have improved properties in terms of efficiency, operating voltage, lifetime, color coordinates and / or color purity, ie. H. Width of the emission band, show.
- certain metal chelate complexes described in more detail below achieve this object and are suitable for use in an organic electroluminescent device. These metal complexes and organic electroluminescent devices containing these complexes are therefore the subject of the present invention.
- the invention thus relates to a compound according to formula (1),
- Y is the same or different every occurrence CR or N;
- Aryloxy or heteroaryloxy group having 5 to 40 aromatic ring atoms which may be substituted by one or more radicals R 2 , or an aralkyl or heteroaralkyl group having 5 to 40 aromatic ring atoms, which may be substituted by one or more radicals R 2 , or a Diarylamino, Diheteroarylaminooeuvre or Arylheteroarylaminoè having 10 to 40 aromatic ring atoms, which may be substituted by one or more radicals R 2 ; in this case, two or more adjacent radicals R 1 with one another or R with R form a mono- or polycyclic, aliphatic, aromatic or heteroaromatic ring system; R 2 is the same or different at each occurrence, H, D, F or an aliphatic, aromatic and / or heteroaromatic hydrocarbon radical having 1 to 20 carbon atoms, in which also one or more H atoms may be replaced by F; two or more substituents R 2 may also together form a mono- or poly---cycl
- n 1, 2 or 3
- m 0, 1, 2, 3 or 4
- several ligands L can be linked to one another or L to L 'via a single bond or a divalent or trivalent bridge and thus span a tridentate, tetradentates, pentadentates or hexadentate ligand system;
- a substituent R can additionally coordinate to the metal.
- An aryl group for the purposes of this invention contains 6 to 40 carbon atoms;
- a heteroaryl group contains 2 to 40 C atoms and at least one heteroatom, with the proviso that the sum of C atoms and heteroatoms gives at least 5.
- the heteroatoms are preferably selected from N, O and / or S.
- aryl group or heteroaryl either a simple aromatic cycle, ie benzene, or a simple heteroaromatic cycle, for example pyridine, pyrimidine, thiophene, etc., or a fused aryl or heteroaryl group, for example naphthalene, anthracene, phenanthrene, quinoline, isoquinoline, etc., understood.
- An aromatic ring system in the sense of this invention contains 6 to 60 carbon atoms in the ring system.
- a heteroaromatic ring system in the context of this invention contains 1 to 60 C atoms and at least one heteroatom in the ring system, with the proviso that the sum of C atoms and heteroatoms is at least 5.
- the heteroatoms are preferably selected from N, O and / or S.
- An aromatic or heteroaromatic ring system in the sense of this invention is to be understood as meaning a system which does not necessarily contain only aryl or heteroaryl groups but in which also several aryl or heteroaryl groups Heteroaryl groups by a non-aromatic unit (preferably less than 10% of the atoms other than H), such as.
- N or O atom or a carbonyl group may be interrupted.
- systems such as 9,9'-spirobifluorene, 9,9-diarylfluorene, triarylamine, diaryl ethers, stilbene, etc. are to be understood as aromatic ring systems in the context of this invention, and also systems in which two or more aryl groups, for example by a linear or cyclic alkyl group or interrupted by a silyl group.
- systems in which two or more aryl or heteroaryl groups are bonded directly to each other, such as.
- biphenyl or terphenyl also be understood as an aromatic or heteroaromatic ring system.
- a cyclic alkyl, alkoxy or thioalkoxy group is understood as meaning a monocyclic, a bicyclic or a polycyclic group.
- a C 1 - to C 40 -alkyl group in which also individual H atoms or CH 2 groups can be substituted by the abovementioned groups for example the radicals methyl, ethyl, n-propyl, Propyl, cyclopropyl, n-butyl, i-butyl, s-butyl, t-butyl, cyclobutyl, 2-methylbutyl, n-pentyl, s-pentyl, t-pentyl, 2-pentyl, neo-pentyl, cyclopentyl, n- Hexyl, s -hexyl, t-hexyl, 2-hexyl, 3-hexyl, neo-hexyl, cyclohexyl, 1-methylcyclopentyl, 2-methylpentyl, n-heptyl, 2-heptyl, 3-h
- alkenyl group is understood as meaning, for example, ethenyl, propenyl, butenyl, pentenyl, cyclopentenyl, hexenyl, cyclohexenyl, heptenyl, cycloheptenyl, octenyl, cyclooctenyl or cyclooctadienyl.
- alkynyl group is meant, for example, ethynyl, propynyl, butynyl, pentynyl, hexynyl, heptynyl or octynyl.
- o-alkoxy group for example, methoxy, trifluoromethoxy, ethoxy, n-propoxy, i-propoxy, n-butoxy, i-butoxy, s-butoxy, t-butoxy or 2-methylbutoxy understood.
- aromatic or heteroaromatic ring system having 5-60 aromatic ring atoms, which may be substituted in each case with the abovementioned radicals and which may be linked via any position on the aromatic or heteroaromatic, are understood, for example, groups which are derived from benzene, naphthalene , Anthracene, benzanthracene, phenanthrene, benzophenanthrene, pyrene, chrysene, perylene, fluoranthene, benzfluoranthene, naphthacene, pentacene, benzpyrene, biphenyl, biphenylene, terphenyl, terphenylene, fluorene, spirobifluorene, dihydrophenanthrene, dihydropyrene, tetrahydropyrene, cis- or trans- indenofluorene, cis- or trans-monobenzoindenofluorene, cis-
- the compounds according to the invention are charged, they additionally contain a corresponding counterion, ie one or more anions in the case of a cationic compound of the formula (1) or one or more cations in the case of an anionic compound of the formula (1).
- compounds according to formula (1) are not charged, d. H. electrically neutral, are. This is achieved in a simple way by selecting the charge of the ligands L and L 'in such a way that they compensate for the charge of the complexed metal atom M.
- M is a transition metal, with lanthanides and actinides being excluded, in particular being a tetracoordinate, a pentacoordinate or a hexacoordinate transition metal, more preferably selected from the group consisting of chromium, Molybdenum, tungsten, rhenium,
- the metals can be present in different oxidation states.
- the indices n and m are chosen such that the coordination number on the metal M in total, depending on the metal, corresponds to the usual coordination number for this metal.
- M is a tetracoordinate metal
- the subscript n is 1 or 2.
- a preferred tetracoordinate metal is Pt (II).
- M is a hexacoordinated metal
- a preferred hexacoordinated metal is Ir (III).
- the substructure M (L) n is selected from the structures of the formulas (2) and (3), in particular of the formula (2).
- the two groups Z in formula (2) or in formula (3) represent a group of the abovementioned formula (5).
- the substructure M (L) n is therefore preferably a structure of the following formula (6) or (7),
- a maximum of two groups Y for N the other groups Y stand for CR. More preferably, at most one group Y is N, and very particularly preferably all groups Y are CR, according to the structures of the formula (6a) or (7a),
- a in formula (2) to (4) or (6), (6a), (7) and (7a) is CR 2 .
- structures of the following formulas (6b) and (7b) are preferred,
- the radicals R can also form a mono- or polycycl
- R preferably represents an aromatic or heteroaromatic ring system having 5 to 60 aromatic ring atoms, each of which may be substituted by one or more radicals R 1 .
- the aryl group which binds directly to the boron atom is preferably substituted in at least one ortho position, preferably at both ortho positions, to the boron atom, in particular by an alkyl group having 1 to 10 C atoms. Suitable groups here are, for example, ortho-tolyl, 2,6-xylyl or 2,4,6-mesityl.
- CyN is a heteroaryl group having 5 to 13 aromatic ring atoms, particularly preferably having 5 to 10 aromatic ring atoms, which coordinates to M via a neutral nitrogen atom and which may be substituted by one or more radicals R.
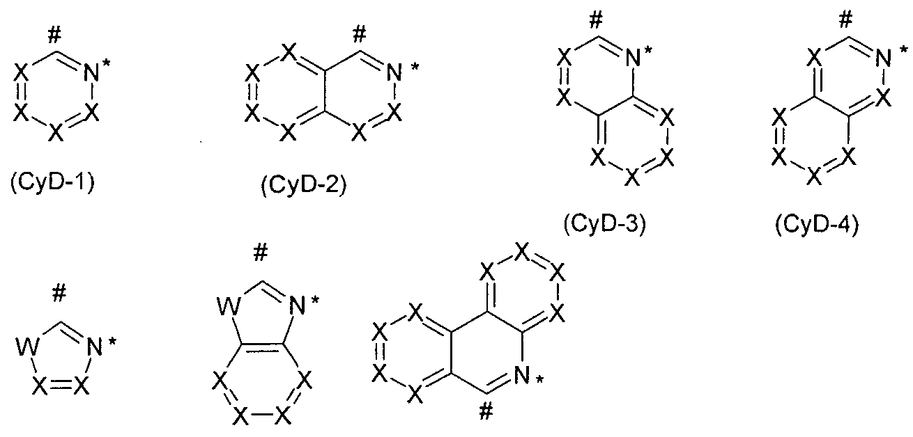
- Preferred embodiments of the group CyN are the structures of the following formulas (CyN-1) to (CyN-7), wherein the group CyN in each case binds to the cyclopentadiene or indene of the ligand at the position indicated by # and to the position indicated by * coordinated to the metal,
- X is the same or different CR or N at each occurrence
- W is the same or different NR, O or S at each occurrence.
- a maximum of three symbols X in CyN stands for N, more preferably at most two symbols X in CyN stand for N, very particularly preferably at most one symbol X in CyN stands for N. More preferably, all symbols X stand for CR.
- CyN are thus the groups of the following formulas (CyN-1a) to (CyN-7a),
- Preferred groups among the groups (CyN-1) to (CyN-10) are the groups (CyN-1), (CyN-3) and (CyN-4), and particularly preferred are the groups (CyN-1 a), (CyN-3a) and (CyN-4a).
- radicals R on each occurrence are identically or differently selected from the group consisting of H, D, F, N (R 1 ) 2 , a straight-chain alkyl group having 1 to 6 C atoms or a branched or cyclic alkyl group having 3 to 10 C atoms, wherein one or more H atoms may be replaced by D or F, or an aromatic or heteroaromatic ring system having 5 to 24 aromatic ring atoms, each of which may be substituted by one or more radicals R 1 ; in this case, two adjacent radicals R or R with R 1 can also form a mono- or polycyclic, aliphatic or aromatic ring system with one another.
- two adjacent radicals R together form an aliphatic cycle containing no acidic benzylic protons, in particular an aliphatic five-membered ring without acidic benzylic protons.
- the absence of acidic benzylic protons can be achieved by substitution of the benzylic positions or by the use of corresponding bicycles, in which due to the fixed geometry the benzylic protons are not acidic.
- the substituent R which is adjacent to the position for metal coordination, represents a group which also coordinates to the metal M or binds.
- Preferred coordinating groups R are aryl or heteroaryl groups, for example phenyl or pyridyl, aryl or alkyl cyanides, aryl or alkyl isocyanides, amines or amides, alcohols or alcoholates, thioalcohols or thioalcoholates, phosphines, phosphites, carbonyl functions, carboxylates, carbamides or Aryl or alkyl acetylides.
- a bridging unit may be present which links this ligand L with one or more further ligands L and L '.
- a bridging unit instead of one of the radicals R, in particular instead of the radicals R, in the ortho or meta position to the coordinating
- a bridging unit exists, so that the ligands have tridentate or polydentate or polypodalen character. There may also be two such bridging units. This leads to the formation of macrocyclic ligands or to the formation of cryptates.
- Preferred structures with polydentate ligands or with polydentate ligands are the metal complexes of the following formulas (20) to (27),
- V preferably represents a single bond or a bridging unit containing 1 to 80 atoms from the third, fourth, fifth and / or sixth main group (group 13, 14, 15 or 16 according to IUPAC) or a 3- to 6-membered homo- or heterocycle which covalently connects the partial ligands L with each other or L with L '.
- the bridging unit V can also be constructed asymmetrically, ie the combination of V to L or L 'does not have to be identical.
- the bridging unit V may be neutral, single, double or triple negative or single, double or triple positively charged.
- V is preferably neutral or simply negative or simply positively charged, more preferably neutral.
- the charge of V is preferably chosen so that a total of a neutral complex is formed. In this case, the preferences mentioned above for the substructure ML n apply to the ligands and n is preferably at least 2.
- group V has no significant influence on the electronic properties of the complex, as the task of this group is essentially to: by bridging L with each other or with L 'to increase the chemical and thermal stability of the complexes.
- V is a trivalent group, ie three ligands L are bridged with one another or two ligands L with L 'or one ligand L with two ligands L', V is preferably the same or different at each occurrence selected from the group consisting of B, B ( R 1 ) ⁇ B (C (R 1 ) 2 ) 3,
- N (C O) 3 , N (C (R 1 ) 2 C (R 1 ) 2 ) 3 , (R 1 ) N (C (R 1 ) 2 C (R 1 ) 2 ) + , P, P ( R 1 ) + , PO, PS,
- the other symbols used have the meanings given above.
- V stands for a group CR 2
- the two radicals R can also be linked to one another so that structures such as, for example, 9,9-fluorene are suitable groups V.
- V is a divalent group, ie two ligands L linked to one another or a ligand L to L '
- the ligands L ' may also be bonded to L via a bridging group V.
- Preferred neutral, monodentate ligands U are selected from the group consisting of carbon monoxide, nitrogen monoxide, alkyl cyanides, such as.
- alkyl cyanides such as.
- amines such as.
- Trifluorophosphine trimethylphosphine, tricyclohexylphosphine, tri-tert-butylphosphine, triphenylphosphine, tris (pentafluorophenyl) phosphine, dimethylphenylphosphine, methyldiphenylphosphine, bis (tert-butyl) phenylphosphine, phosphites, such as. For example, trimethyl phosphite, triethyl phosphite, arsines, such as.
- Trifluorarsine trimethylarsine, tricyclohexylarsine, tri-tert-butylarsine, triphenylarsine, tris (pentafluorophenyl) -arsine, stibines, such as. Trifluorostibine, trimethylstibine, tricyclohexylstibine, tri-ferf-butylstibine, triphenylstibin, tris (pentafluorophenyl) stibine, nitrogen-containing heterocycles, such as. As pyridine, pyridazine, pyrazine, pyrimidine, triazine, and carbenes, in particular Arduengo carbenes.
- Preferred monoanionic, monodentate ligands L ' are selected from hydride, deuteride, the halides F, Cl, " ⁇ and ⁇ , Alkylacetyliden such.
- Methyl C C ⁇ , tert-butyl-CsC" Arylacetyliden as z.
- phenyl C C ⁇ , cyanide, cyanate, isocyanate, thiocyanate, isothiocyanate, aliphatic or aromatic alcoholates, such as. For example, methanolate, ethanolate,
- Propanolate, / so-propanolate, fert-butylate, phenolate, aliphatic or aromatic thioalcoholates such.
- Carboxylates such as. Acetate, trifluoroacetate, propionate, benzoate,
- Aryl groups such as. Phenyl, naphthyl, and anionic nitrogen-containing heterocycles such as pyrrolidine, imidazolide, pyrazolide.
- the alkyl groups in these groups are preferably C 1 -C 20 -alkyl groups, particularly preferably C 1 -C 10 -alkyl groups, very particularly preferably C 1 -C 4 -alkyl groups.
- An aryl group is also understood to mean heteroaryl groups. These groups are as defined above.
- Preferred neutral or mono- or dianionic, bidentate or higher-dentate ligand L ' are selected from diamines, such as.
- diphosphines such as.
- acetylacetone benzoylacetone, 1, 5-diphenylacetone
- 3-keto esters such.
- ethyl acetoacetate carboxylates derived from aminocarboxylic acids, such as.
- pyridine-2-carboxylic acid quinoline-2-carboxylic acid, glycine, ⁇ , ⁇ -dimethylglycine, alanine, N, N-dimethylamino-alanine, salicyliminates derived from salicylimines, such as.
- methylsalicylimine, ethylsalicylimine, phenylsalicylimine dialcoholates derived from dialcohols, such as.
- ethylene glycol, 1, 3-propylene glycol, dithiolates derived from dithiols such as. 1, 2-ethylenedithiol, 1, 3-propylenedithiol, bis (pyrazolylborates), bis (imidazolyl) borates, 3- (2-pyridyl) -diazoles or 3- (2-pyridyl) -triazoles.
- Preferred tridentate ligands are borates of nitrogen-containing heterocycles, such as. As tetrakis (1-imidazolyl) borate and tetrakis (1-pyrazolyl) borate.
- bidentate monoanionic, neutral or dianionic ligands L ' in particular monoanionic ligands which have with the metal a cyclometallated five-membered ring or six-membered ring with at least one metal-carbon bond, in particular a cyclometallated five-membered ring.
- monoanionic ligands as are generally used in the field of phosphorescent metal complexes for organic electroluminescent devices, ie ligands of the type phenylpyridine, naphthylpyridine, phenylquinoline, phenylisoquinoline, etc., which may each be substituted by one or more radicals R.
- ligands as are generally used in the field of phosphorescent metal complexes for organic electroluminescent devices, ie ligands of the type phenylpyridine, naphthylpyridine, phenylquinoline, phenylisoquinoline, etc., which may each be substituted by
- Electroluminescent devices a plurality of such ligands is known, and he can without further inventive step other such
- ligand L ' for compounds according to formula (1).
- it is particularly suitable for the combination of two groups, as shown by the following formulas (44) to (68), wherein one group preferably binds via a neutral nitrogen atom or a carbene carbon atom and the other group preferably via a negatively charged Carbon atom or a negatively charged nitrogen atom binds.
- the ligand L 'can then be formed from the groups of formulas (44) to (68) by each of these groups bonding to each other at the position indicated by #.
- the position at which the groups coordinate to the Metali are indicated by * .
- These groups can also be bound to the ligand L via one or two bridging units V.
- Formula (64) Formula (65) Formula (66) Formula (67) Formula (68)
- W, X and R have the same meaning as described above.
- a maximum of three symbols X in each group represent N, more preferably, at most two symbols X in each group represent N, most preferably, at most one symbol X in each group represents N. More preferably, all symbols X stand for CR.
- Also preferred ligands U are r
- ligands L ' are 1,3,5-cis, cis-cyclohexane derivatives, in particular of the formula (69), 1,1,1-tri (methylene) methane derivatives, in particular of the formula (70) and 1, 1, 1- trisubstituted methanes, in particular of the formulas (71) and (72),
- R has the abovementioned meaning and A, identical or different at each occurrence, is Cr, S " , COO, PR 2 or NR 2 .
- radicals R are the same or different at each occurrence selected from the group consisting of H, D, F, Br, CN, B (OR 1 ) 2 , a straight-chain alkyl group having 1 to 5 carbon atoms, in particular methyl, or a branched or cyclic alkyl group having 3 to 5 C-atoms, in particular iso-propyl or tert-butyl, wherein one or more H atoms may be replaced by D or F, or an aromatic or heteroaromatic ring system having 5 to 12 aromatic ring atoms, the each may be substituted by one or more radicals R; two or more radicals R may also together form a mono- or polycyclic, aliphatic, aromatic and / or benzoannulated ring system.
- the complexes according to the invention can be facial or pseudofacial, or they can be meridional or pseudomeridional.
- the ligands L may also be chiral depending on the structure. This is particularly the case when they contain substituents, for example alkyl, alkoxy, dialkylamino or aralkyl groups, which have one or more stereocenters. Since the basic structure of the complex can also be a chiral structure, the formation of diastereomers and several pairs of enantiomers is possible.
- the complexes according to the invention then comprise both the mixtures of the different diastereomers or the corresponding racemates as well as the individual isolated diastereomers or enantiomers.
- Examples of suitable compounds according to the invention are the compounds listed in the following table.
- the metal complexes according to the invention can in principle be prepared by various methods. However, the methods described below have been found to be particularly suitable.
- another object of the present invention is a process for the preparation of the metal complex compounds according to formula (1) by reacting the corresponding free ligands L and optionally L 'with metal alcoholates of the formula (73), with metal ketoketonates of the formula (74), with metal halides of the formula (75), with dimeric metal complexes of the formula (76) or with metal complexes of the formula (77),
- metal compounds in particular iridium compounds, which carry both alcoholate and / or halide and / or hydroxyl and also ketoketonate radicals. These connections can also be loaded.
- iridium compounds which are particularly suitable as starting materials are disclosed in WO 2004/085449.
- [IrCl 2 (acac) 2r for example Na [IrCl 2 (acac) 2 ]
- metal complexes with acetylacetonate derivatives as ligands for example Ir (acac) 3 or tris (2,2,6,6-tetramethylheptane-3 , 5-dionato) iridium, and lrCl 3 xH 2 O, where x is usually a number between 2 and 4.
- Suitable platinum starting materials are, for example, PtCl 2 , K 2 [PtCl 4 ],
- Heteroleptic complexes can also be used, for example, according to WO
- melt means that the ligand has melted and the metal precursor is dissolved or suspended in this melt
- Lewis acid for example a silver salt or AICI 3 .
- the compounds of the invention according to formula (1) can be obtained in high purity, preferably more than 99% (determined by means of 1 H-NMR and / or HPLC).
- the compounds according to the invention can also be made soluble by suitable substitution, for example by longer alkyl groups (about 4 to 20 C atoms), in particular branched alkyl groups, or optionally substituted aryl groups, for example xylyl, mesityl or branched terphenyl or quaterphenyl groups.
- suitable substitution for example by longer alkyl groups (about 4 to 20 C atoms), in particular branched alkyl groups, or optionally substituted aryl groups, for example xylyl, mesityl or branched terphenyl or quaterphenyl groups.
- Such compounds are then soluble in common organic solvents, such as toluene or xylene at room temperature in sufficient concentration to process the complexes from solution can.
- These soluble compounds are particularly suitable for processing from solution, for example by printing processes.
- the compounds of the invention may also be mixed with a polymer. It is also possible to incorporate these compounds covalently into a polymer. This is particularly possible with compounds which are substituted with reactive leaving groups, such as bromine, iodine, chlorine, boronic acid or boronic acid esters, or with reactive, polymerizable groups, such as olefins or oxetanes. These can be used as monomers for the production of corresponding oligomers, dendrimers or polymers. The oligomerization or polymerization is preferably carried out via the halogen functionality or the boronic acid functionality or via the polymerizable group. It is also possible to crosslink the polymers via such groups.
- reactive leaving groups such as bromine, iodine, chlorine, boronic acid or boronic acid esters
- reactive, polymerizable groups such as olefins or oxetanes.
- the compounds of the invention and polymers can be used as a crosslinked or uncrosslinked layer.
- the invention therefore further oligomers, polymers or dendrimers containing one or more of the compounds of the invention listed above, wherein one or more bonds of the inventive compound to the polymer, oligomer or dendrimer are present. Depending on the linkage of the compound according to the invention, this therefore forms a side chain of the oligomer or polymer or is linked in the main chain.
- the polymers, oligomers or dendrimers may be conjugated, partially conjugated or non-conjugated.
- the oligomers or polymers may be linear, branched or dendritic.
- the repeat units of the compounds according to the invention in oligomers, dendrimers and polymers have the same preferences as described above.
- the monomers according to the invention are homopolymerized or copolymerized with further monomers. Preference is given to copolymers in which the units of the formula (1) or the preferred embodiments described above are present at 0.01 to 99.9 mol%, preferably 5 to 90 mol%, particularly preferably 20 to 80 mol%.
- Suitable and preferred comonomers which form the polymer backbone are selected from fluorenes (for example according to EP 842208 or WO 2000/022026), spirobifluorenes (for example according to EP 707020, EP 894107 or WO 2006/061181), para phenylenes (for example according to WO 92/18552), carbazoles (for example according to WO 2004/070772 or WO 2004/1 3468), thiophenes (for example according to EP 1028136), dihydrophenanthrenes (for example in accordance with WO 2005/014689), cisones (for example in accordance with WO 2005/040302), phenanthrenes (for example, according to WO 2005/014689), cis- and trans-indeno-fluorenes (for example according to WO 2004/041901 or WO 2004/113412).
- fluorenes for example according to EP 842208 or WO 2000/022026
- the polymers, oligomers and dendrimers may also contain other units, for example hole transport units, in particular those based on triarylamines, and / or electron transport units.
- Yet another object of the present invention is a formulation containing a compound of the invention or a Oligomer, polymer or dendrimer according to the invention and at least one further compound.
- the further compound may for example be a solvent. Suitable solvents are, for example, toluene, xylenes, anisoles, methyl benzoate, dimethylanisoles, mesitylenes, tetralin, veratrol, THF, chlorobenzene or mixtures of these solvents.
- the further compound can also be a further organic or inorganic compound which is likewise used in the electronic device, for example a matrix material. This further compound may also be polymeric.
- An electronic device is understood as meaning a device which contains anode, cathode and at least one layer, this layer containing at least one organic or organometallic compound.
- the electronic device according to the invention thus contains anode, cathode and at least one layer which contains at least one compound of the above-mentioned formula (1).
- preferred electronic devices are selected from the group consisting of organic electroluminescent devices (OLEDs, PLEDs), organic integrated circuits (O-ICs), organic field effect transistors (O-FETs), organic thin film transistors (O-TFTs), organic light-emitting Transistors (O-LETs), organic solar cells (O-SCs), organic optical detectors, organic photoreceptors, organic field quench devices (O-FQDs), light-emitting electrochemical cells (LECs) or organic laser diodes (O-lasers) in at least one layer at least one compound according to the above-mentioned formula (1). Particularly preferred are organic electroluminescent devices.
- Active components are generally the organic or inorganic materials incorporated between the anode and cathode, for example, charge injection, charge transport or charge blocking materials, but especially emission materials and matrix materials.
- the compounds according to the invention exhibit particularly good properties as emission material in organic electroluminescent devices.
- a preferred option Guiding form of the invention are therefore organic Elektrolumineszenzvor- directions.
- the compounds according to the invention can be used for the production of singlet oxygen or in photocatalysis.
- the organic electroluminescent device includes cathode, anode and at least one emitting layer.
- these layers may also contain further layers, for example one or more hole injection layers, hole transport layers, hole blocking layers, electron transport layers, electron injection layers, exciton blocking layers, electron blocking layers, charge generation layers and / or organic or inorganic p / n junctions. It is possible that one or more hole transport layers are p-doped, for example with metal oxides such as MoO 3 or WO 3 or with (per) fluorinated low-electron aromatics, and / or that one or more electron-transport layers are n-doped. Likewise, interlayers may be introduced between two emitting layers which, for example, have an exciton-blocking function and / or control the charge balance in the electroluminescent device. It should be noted, however, that not necessarily each of these layers must be present.
- the organic electroluminescent device can be any organic electroluminescent device.
- the organic electroluminescent device can be any organic electroluminescent device.
- emission layers may include multiple emissive layers. If several emission layers are present, they preferably have a total of a plurality of emission maxima between 380 nm and 750 nm, so that overall white emission results, ie in the emitting layers different emitting compounds are used, which can fluoresce or phosphoresce. Preference is given to three-layer systems, the three layers exhibiting blue, green and orange or red emission (for the basic structure see, for example, WO 2005/011013) or systems having more than three emitting layers. Also preferred are two-layer systems, in particular for lighting applications, wherein the two layers show blue and yellow emission. Many of the compounds according to the invention are currently suitable for use in two-component layer systems, as they show yellow emission. It may also be a hybrid system wherein one or more layers fluoresce and one or more other layers phosphoresce.
- the organic electroluminescent device contains the compound according to formula (1) or the above-mentioned preferred embodiments as
- emitting compound in one or more emitting layers.
- the compound of the formula (1) is used as an emitting compound in an emitting layer, it is preferably used in U.S.P.
- the mixture of the compound according to formula (1) and the matrix material contains between 0.1 and 99% by volume, preferably between 1 and 90% by volume, more preferably between 3 and 40% by volume, in particular between 5 and 15% by volume .-% of the compound according to formula (1) based on the total mixture of emitter and matrix material. Accordingly, the mixture contains between 99.9 and 1% by volume, preferably between 99 and 10% by volume, more preferably between 97 and 60% by volume, in particular between 95 and 85% by volume of the matrix material, based on the total mixture Emitter and matrix material.
- the triplet level of the matrix material is higher than the tri-level of the emitter.
- Suitable matrix materials for the compounds according to the invention are ketones, phosphine oxides, sulfoxides and sulfones, for. B. according to WO 2004/013080, WO 2004/093207, WO 2006/005627 or WO
- azaborole or boronic esters z. B. according to WO 2006/117052, Diazasilolderivate, z. B. according to WO 2010/054729, Diazaphospholderivate, z. B. according to WO 2010/054730, triazine derivatives, z. B. according to WO
- a plurality of different matrix materials as a mixture, in particular at least one electron-conducting matrix material and at least one hole-conducting matrix material.
- a preferred combination is, for example, the use of an aromatic ketone, a triazine derivative or a phosphine oxide derivative with a triarylamine derivative or a carbazole derivative as a mixed matrix for the metal complex according to the invention.
- Also preferred is the use of a mixture of a charge-transporting matrix material and an electrically inert matrix material, which is not or not significantly involved in charge transport, such. As described in WO 2010/108579.
- the triplet emitter with the shorter-wave emission spectrum serves as a co-matrix for the triplet emitter with the longer-wave emission spectrum.
- the complexes according to the invention of formula (1) can be used as a co-matrix for longer-wavelength emitting triplet emitters, for example for red emitting triplet emitters.
- the compounds according to the invention can also be used in other functions in the electronic device, for example as hole transport material in a hole injection or transport layer, as charge generation material or as electron blocking material.
- the complexes according to the invention can be used as matrix material for use other phosphorescent metal complexes in an emitting layer.
- low work function metals, metal alloys or multilayer structures of various metals are preferable, such as alkaline earth metals, alkali metals, main group metals or lanthanides (eg, Ca, Ba, Mg, Al, In, Mg, Yb, Sm, etc.).
- alkaline earth metals alkali metals, main group metals or lanthanides (eg, Ca, Ba, Mg, Al, In, Mg, Yb, Sm, etc.).
- alloys of an alkali or alkaline earth metal and silver for example an alloy of magnesium and silver.
- further metals which have a relatively high work function such as, for example, B. Ag, which then usually combinations of metals, such as Mg / Ag, Ca / Ag or Ba / Ag are used.
- a metallic cathode and the organic semiconductor may also be preferred to introduce between a metallic cathode and the organic semiconductor a thin intermediate layer of a material with a high dielectric constant.
- Suitable examples of these are alkali metal or alkaline earth metal fluorides, but also the corresponding oxides or carbonates (eg LiF, Li 2 O, BaF 2 , MgO, NaF, CsF, Cs 2 CO 3 , etc.).
- organic alkali metal complexes for.
- Liq lithium quinolinate
- the layer thickness of this layer is preferably between 0.5 and 5 nm.
- the anode high workfunction materials are preferred.
- the anode has a work function greater than 4.5 eV. Vacuum up.
- metals with a high redox potential are suitable for this purpose, such as, for example, Ag, Pt or Au.
- metal / metal oxide electrodes eg Al / Ni / NiO x , Al / PtO x
- at least one of the electrodes must be transparent or partially transparent to allow either the irradiation of the organic material (O-SC) or the outcoupling of light (OLED / PLED, O-LASER).
- Preferred anode materials here are conductive mixed metal oxides.
- ITO indium tin oxide
- IZO indium zinc oxide
- conductive, doped organic materials in particular conductive doped polymers, for. B. PEDOT, PANI or derivatives of these polymers. It is furthermore preferred if a p-doped hole transport material is punched onto the anode Injection is applied, wherein suitable as p-dopants metal oxides, such as M0O 3 or WO 3 , or (per) fluorinated electron-poor aromatics. Further suitable p-dopants are HAT-CN (hexacyano-hexaazatriphenylene) or the compound NPD9 from Novaled. Such a layer simplifies the hole injection in materials with a low HOMO, ie a HOMO of large magnitude.
- the device is structured accordingly (depending on the application), contacted and finally hermetically sealed because the life of such devices drastically shortened in the presence of water and / or air.
- an organic electroluminescent device characterized in that one or more layers are coated with a sublimation process.
- the materials in vacuum sublimation are at an initial pressure of usually less than 10 -5 mbar, preferably below 10 "vapor-deposited 6 mbar. It is also possible that the initial pressure is even lower or even higher, for example less than 10 -7 mbar.
- an organic electroluminescent device characterized in that one or more layers are coated with the OVPD (Organic Vapor Phase Deposition) method or with the aid of a carrier gas sublimation.
- the materials are applied at a pressure between 10 ⁇ 5 mbar and 1 bar.
- OVJP Organic Vapor Jet Printing
- the materials are applied directly through a nozzle and thus structured (for example, BMS Arnold et al., Appl. Phys. Lett., 2008, 92, 053301).
- an organic electroluminescent device characterized in that one or more layers of solution, such. B. by spin coating, or with any printing process, such.
- Suitable substitution As screen printing, flexographic printing, offset printing or Nozzle printing, but more preferably LITI (Light Induced Thermal Imaging, thermal transfer printing) or ink-jet printing (inkjet printing), are produced.
- LITI Light Induced Thermal Imaging, thermal transfer printing
- ink-jet printing inkjet printing
- soluble compounds are necessary, which are obtained for example by suitable substitution.
- the organic electroluminescent device can also be manufactured as a hybrid system by applying one or more layers of solution and depositing one or more other layers.
- a hybrid system by applying one or more layers of solution and depositing one or more other layers.
- the electronic devices according to the invention are distinguished by one or more of the following surprising advantages over the prior art:
- Organic electroluminescent devices containing compounds according to formula (1) as emitting materials have a good lifetime.
- Organic electroluminescent devices comprising compounds according to formula (1) as emitting materials have a good efficiency. These advantages mentioned above are not accompanied by a deterioration of the other electronic properties.
- the following syntheses are carried out under an inert gas atmosphere in dried solvents.
- the metal complexes are additionally handled in the absence of light or under yellow light.
- the solvents and reagents may, for. B. from Sigma-ALDRICH or ABCR.
- the respective information in square brackets or the numbers given for individual compounds refer to the CAS numbers of the compounds known from the literature.
- Variant A tris-acetylacetonato-iridium (III) as iridium starting material
- a mixture of 10 mmol Tris-acetylacetonato iridium (III) [15635-87-7] and 60 mmol of the ligand L and a glass-coated magnetic stirring bar will be under vacuum ( "5 mbar 10) melted in a thick-walled 50 ml glass vial.
- the vial is The mixture is tempered for the specified time at the indicated temperature, the molten mixture being stirred by means of a magnetic stirrer In order to avoid sublimation of the ligands to colder parts of the ampoule, the entire ampoule must have the indicated temperature Synthesis carried out in a stirred autoclave with glass insert.
- the ampoules are usually under pressure!
- the ampoule is opened, the sinter cake is with 100 g glass beads (3 mm diameter) in 100 ml of a suspending agent (the suspending agent is chosen so that the ligand is good, the metal complex but poor soluble in it, typical suspending agents being methanol,
- the dry solid is placed in a continuous hot extractor on a 3-5 cm high Alox bed (Alox, basic, activity level 1) and extracted with an extractant (amount of approximately 500 ml, the extractant is chosen such that the complex therein is in the Heat is good and poorly soluble in the cold, particularly suitable extractants are hydrocarbons such as toluene, xylenes, mesitylene, naphthalene, o-dichlorobenzene, halogenated aliphatic hydrocarbons are generally unsuitable because they may halogenate or decompose the complexes).
- the extractant is concentrated in vacuo to about 100 ml.
- Metal complexes which have too good a solubility in the extractant are brought to crystallization by the dropwise addition of 200 ml of methanol.
- the solid of the suspensions thus obtained is filtered off with suction, washed once with about 50 ml of methanol and dried. After drying, the purity of the metal complex is determined by NMR and / or HPLC. If the purity is below 99.5%, the hot extraction step is repeated, the Alox bed being omitted from the 2nd extraction. If a purity of 99.5 - 99.9% is reached, the metal complex is tempered or sublimated.
- the annealing is carried out in high vacuum (p about 10 "6 mbar) in the temperature range of about 200-300 ° C
- the sublimation is carried out in high vacuum (p about 10". 6 mbar) in the temperature range of about 230-400 ° C
- the sublimation is preferably carried out in the form of a fractional sublimation.
- complexes which are readily soluble in organic solvents can also be chromatographed on silica gel.
- Variant B tris (2,2,6,6-tetramethyl-3,5-heptanedionato) iridium (III) as an iridium starting material
- Variants C Sodium [cis, trans-di-chloro (bis-acetylacetonato] iridate (III) as iridium starting material
- a mixture of 10 mmol of sodium bis-acetylacetonato-dichloro-iridate (III) [770720-50-8], 24 mmol of ligand L and a glass-coated magnetic stirrer core are melted under vacuum (10 "5 mbar) into a thick-walled 50 ml glass ampoule
- the ampoule is tempered for the specified time at the specified temperature, the molten mixture being stirred with the aid of a magnetic stirrer After cooling - CAUTION: the ampoules are usually under pressure!
- the sinter cake is mixed with 100 g glass beads (3 mm diameter) in 100 ml of the indicated suspending agent (the suspending agent is chosen so that the ligand is good, but the chloro-dimer of the formula [Ir (L) 2 Cl] 2 is poorly soluble in it; typical suspending agents are DCM, acetone , Ethyl acetate, toluene, etc.) for 3 h while mechanically digested, the fine suspension is decanted from the glass beads, the solid is sucked in [lr (L) 2 Cl] 2 , which still contains about 2 eq NaCl, nachfo called the crude chloro-dimer, and dried in vacuo.
- the crude chloro-dimer of the formula thus obtained
- the precipitated silver (l) chloride is filtered off with suction through a bed of Celite, the filtrate is concentrated to dryness, the yellow residue is taken up in 30 ml of toluene or cyclohexane, filtered from the solid, washed with n-heptane and dried in vacuo , The product of the formula [Ir (L) 2 (HOMe) 2 ] OTf thus obtained is further reacted without purification.
- inventive OLEDs and OLEDs according to the prior art is carried out according to a general method according to WO 2004/058911, based on the circumstances described here
- the OLEDs have in principle the following layer structure: substrate / hole transport layer 1 (HTL1) consisting of HTM doped with 3% NDP-9 (commercially available from Novaled), 20 nm / hole transport layer 2 (HTL2) / Optional Electron Blocking Layer (EBL) / Emission Layer (EML) / Optional Hole Blocking Layer (HBL) / Electron Transport Layer (ETL) / Optional Electron Injection Layer (EIL), and finally a
- the cathode is formed by a 100 nm thick aluminum layer.
- the emission layer always consists of at least one matrix material (host material, host material) and an emitting dopant (dopant, emitter), which is admixed to the matrix material or the matrix materials by co-evaporation in a specific volume fraction.
- M1: M2: lr (L1) 3 (55%: 35%: 10%) means that the material M1 in a volume fraction of 55%, M2 in a proportion of 35% and lr (L1) 3 in a proportion of 10% is present in the layer. Analog can also the
- Electron transport layer consist of a mixture of two materials.
- the exact structure of the OLEDs is shown in Table 1.
- the materials used to make the OLEDs are shown in Table 3.
- the OLEDs are characterized by default.
- the electroluminescence spectra, the current efficiency (measured in cd / A) and the voltage (measured at 1000 cd / m 2 in V) are determined from current-voltage-brightness characteristic curves (IUL characteristic curves).
- IUL characteristic curves current-voltage-brightness characteristic curves
- the service life is determined. The life is defined as the time after which the luminance has dropped to a certain level from a certain starting luminance.
- LD50 means that the stated lifetime is the time at which the luminance has fallen to 50% of the starting luminance, ie from 1000 cd / m 2 to 500 cd / m 2 . Depending on the emission color, different starting brightnesses were selected. The values for the lifetime can be converted to an indication for other starting luminance densities with the aid of conversion formulas known to the person skilled in the art. Here, the life for a starting luminous flux of 1000 cd / m 2 is a common statement. Use of compounds according to the invention as emitter materials in phosphorescent OLEDs
- the compounds according to the invention can be used inter alia as phosphorescent emitter materials in the emission layer in OLEDs.
- the results of the OLEDs are summarized in Table 2.
Landscapes
- Chemical & Material Sciences (AREA)
- Engineering & Computer Science (AREA)
- Materials Engineering (AREA)
- Organic Chemistry (AREA)
- Crystallography & Structural Chemistry (AREA)
- Inorganic Chemistry (AREA)
- Electroluminescent Light Sources (AREA)
Description
Claims
Priority Applications (1)
| Application Number | Priority Date | Filing Date | Title |
|---|---|---|---|
| DE112013004610.5T DE112013004610A5 (de) | 2012-09-20 | 2013-08-21 | Metallkomplexe |
Applications Claiming Priority (2)
| Application Number | Priority Date | Filing Date | Title |
|---|---|---|---|
| EP12006590 | 2012-09-20 | ||
| EP12006590.9 | 2012-09-20 |
Publications (1)
| Publication Number | Publication Date |
|---|---|
| WO2014044347A1 true WO2014044347A1 (de) | 2014-03-27 |
Family
ID=46940198
Family Applications (1)
| Application Number | Title | Priority Date | Filing Date |
|---|---|---|---|
| PCT/EP2013/002521 Ceased WO2014044347A1 (de) | 2012-09-20 | 2013-08-21 | Metallkomplexe |
Country Status (2)
| Country | Link |
|---|---|
| DE (1) | DE112013004610A5 (de) |
| WO (1) | WO2014044347A1 (de) |
Cited By (6)
| Publication number | Priority date | Publication date | Assignee | Title |
|---|---|---|---|---|
| US9768397B2 (en) | 2014-03-31 | 2017-09-19 | Commonwealth Scientific And Industrial Research Organisation | Phenylenediamine compounds for phosphorescent diazaborole metal complexes |
| CN107474072A (zh) * | 2017-08-11 | 2017-12-15 | 烟台显华化工科技有限公司 | 一种含氮杂环配体的红色铱磷光材料、其制备方法及应用 |
| CN107474073A (zh) * | 2017-08-11 | 2017-12-15 | 烟台显华化工科技有限公司 | 一种含氮杂环配体的红色铱磷光材料、其制备方法及应用 |
| US9859504B2 (en) | 2014-03-31 | 2018-01-02 | Commonwealth Scientific And Industrial Research Organisation | Diamine compounds for phosphorescent diazaborole metal complexes and electroluminescent devices |
| US10476010B2 (en) | 2015-11-30 | 2019-11-12 | Universal Display Corporation | Organic electroluminescent materials and devices |
| CN114989223A (zh) * | 2022-04-25 | 2022-09-02 | 上海八亿时空先进材料有限公司 | 一种金属配合物及其应用 |
Citations (57)
| Publication number | Priority date | Publication date | Assignee | Title |
|---|---|---|---|---|
| US4539507A (en) | 1983-03-25 | 1985-09-03 | Eastman Kodak Company | Organic electroluminescent devices having improved power conversion efficiencies |
| US5151629A (en) | 1991-08-01 | 1992-09-29 | Eastman Kodak Company | Blue emitting internal junction organic electroluminescent device (I) |
| WO1992018552A1 (de) | 1991-04-11 | 1992-10-29 | Wacker-Chemie Gmbh | Leiterpolymere mit konjugierten doppelbindungen |
| EP0652273A1 (de) | 1993-11-09 | 1995-05-10 | Shinko Electric Industries Co. Ltd. | Organisches Material für elektrolumineszente Vorrichtung und elektrolumineszente Vorrichtung |
| EP0676461A2 (de) | 1994-04-07 | 1995-10-11 | Hoechst Aktiengesellschaft | Spiroverbindungen und ihre Verwendung als Elektrolumineszenzmaterialien |
| EP0707020A2 (de) | 1994-10-14 | 1996-04-17 | Hoechst Aktiengesellschaft | Konjugierte Polymere mit Spirozentren und ihre Verwendung als Elektrolumineszenzmaterialien |
| EP0842208A1 (de) | 1995-07-28 | 1998-05-20 | The Dow Chemical Company | 2,7-aryl-9-substituierte fluorene und 9-substituierte fluorenoligomere und polymere |
| WO1998027136A1 (de) | 1996-12-16 | 1998-06-25 | Aventis Research & Technologies Gmbh & Co Kg | ARYLSUBSTITUIERTE POLY(p-ARYLENVINYLENE), VERFAHREN ZUR HERSTELLUNG UND DEREN VERWENDUNG IN ELEKTROLUMINESZENZBAUELEMENTEN |
| EP0894107A1 (de) | 1996-04-17 | 1999-02-03 | Hoechst Research & Technology Deutschland GmbH & Co. KG | Polymere mit spiroatomen und ihre verwendung als elektrolumineszenzmaterialien |
| WO2000022026A1 (de) | 1998-10-10 | 2000-04-20 | Celanese Ventures Gmbh | Konjugierte polymere, enthaltend spezielle fluoren-bausteine mit verbesserten eigenschaften |
| EP1028136A2 (de) | 1999-02-10 | 2000-08-16 | Carnegie-Mellon University | Ein Verfahren zur Herstellung von Poly(3-substituierten)thiophenen |
| EP1205527A1 (de) | 2000-03-27 | 2002-05-15 | Idemitsu Kosan Co., Ltd. | Organische elektrolumineszierende vorrichtung |
| WO2002060910A1 (de) | 2001-02-01 | 2002-08-08 | Covion Organic Semiconductors Gmbh | Verfahren zur herstellung von hochreinen, tris-ortho-metallierten organo-iridium-verbindungen |
| JP2003272861A (ja) * | 2002-03-12 | 2003-09-26 | Konica Corp | 有機エレクトロルミネッセンス素子及びそれを用いた表示装置 |
| WO2004013080A1 (en) | 2002-08-01 | 2004-02-12 | Covion Organic Semiconductors Gmbh | Spirobifluorene derivatives, their preparation and uses thereof |
| WO2004041901A1 (en) | 2002-11-08 | 2004-05-21 | Covion Organic Semiconductors Gmbh | Aryl-substituted polyindenofluorenes for use in organic electroluminiscent devices |
| WO2004058911A2 (de) | 2002-12-23 | 2004-07-15 | Covion Organic Semiconductors Gmbh | Organisches elektrolumineszenzelement |
| WO2004070772A2 (de) | 2003-02-06 | 2004-08-19 | Covion Organic Semiconductors Gmbh | Carbazol-enthaltende konjugierte polymere und blends, deren darstellung und verwendung |
| WO2004085449A1 (de) | 2003-03-27 | 2004-10-07 | Covion Organic Semiconductors Gmbh | Verfahren zur herstellung von hochreinen organo-iridium-verbindungen |
| JP2004288381A (ja) | 2003-03-19 | 2004-10-14 | Konica Minolta Holdings Inc | 有機エレクトロルミネッセンス素子 |
| WO2004093207A2 (de) | 2003-04-15 | 2004-10-28 | Covion Organic Semiconductors Gmbh | Mischungen von organischen zur emission befähigten halbleitern und matrixmaterialien, deren verwendung und elektronikbauteile enthaltend diese mischungen |
| WO2004113468A1 (de) | 2003-06-26 | 2004-12-29 | Covion Organic Semiconductors Gmbh | Neue materialien für die elektrolumineszenz |
| WO2004113412A2 (en) | 2003-06-23 | 2004-12-29 | Covion Organic Semiconductors Gmbh | Polymer |
| WO2005011013A1 (de) | 2003-07-21 | 2005-02-03 | Covion Organic Semiconductors Gmbh | Organisches elektrolumineszenzelement |
| WO2005014689A2 (de) | 2003-08-12 | 2005-02-17 | Covion Organic Semiconductors Gmbh | Konjugierte polymere enthaltend dihydrophenanthren-einheiten und deren verwendung |
| US20050069729A1 (en) | 2003-09-30 | 2005-03-31 | Konica Minolta Holdings, Inc. | Organic electroluminescent element, illuminator, display and compound |
| WO2005040302A1 (de) | 2003-10-22 | 2005-05-06 | Merck Patent Gmbh | Neue materialien für die elektrolumineszenz und deren verwendung |
| WO2005042548A1 (de) | 2003-10-30 | 2005-05-12 | Merck Patent Gmbh | Verfahren zur herstellung von heteroleptischer, ortho-metallierter organometall-verbindungen |
| US20050227109A1 (en) | 2003-07-24 | 2005-10-13 | Chien-Hong Cheng | Organic light emitting diode containing a novel Ir complex as a phosphorescent emitter |
| WO2005104264A1 (de) | 2004-04-26 | 2005-11-03 | Merck Patent Gmbh | Elektrolumineszierende polymere und deren verwendung |
| WO2005111172A2 (de) | 2004-05-11 | 2005-11-24 | Merck Patent Gmbh | Neue materialmischungen für die elektrolumineszenz |
| JP2005347160A (ja) | 2004-06-04 | 2005-12-15 | Konica Minolta Holdings Inc | 有機エレクトロルミネッセンス素子、照明装置及び表示装置 |
| EP1617711A1 (de) | 2003-04-23 | 2006-01-18 | Konica Minolta Holdings, Inc. | Organisches elektrolumineszenzbauelement und anzeige |
| WO2006005627A1 (en) | 2004-07-15 | 2006-01-19 | Merck Patent Gmbh | Oligomeric derivatives of spirobifluorene, their preparation and use |
| WO2006061181A1 (de) | 2004-12-06 | 2006-06-15 | Merck Patent Gmbh | Teilkonjugierte polymere, deren darstellung und verwendung |
| WO2006117052A1 (de) | 2005-05-03 | 2006-11-09 | Merck Patent Gmbh | Organische elektrolumineszenzvorrichtung und in deren herstellung verwendete boronsäure- und borinsäure-derivate |
| EP1731584A1 (de) | 2004-03-31 | 2006-12-13 | Konica Minolta Holdings, Inc. | Organischer elektrolumineszenzvorrichtungsstoff, organische elektrolumineszenzvorrichtung, display und beleuchtungsvorrichtung |
| WO2007017066A1 (de) | 2005-08-10 | 2007-02-15 | Merck Patent Gmbh | Elektrolumineszierende polymere und ihre verwendung |
| WO2007063754A1 (ja) | 2005-12-01 | 2007-06-07 | Nippon Steel Chemical Co., Ltd. | 有機電界発光素子用化合物及び有機電界発光素子 |
| WO2007065523A1 (de) | 2005-12-05 | 2007-06-14 | Merck Patent Gmbh | Verfahren zur herstellung ortho-metallierter metallverbindungen |
| WO2007137725A1 (de) | 2006-05-31 | 2007-12-06 | Merck Patent Gmbh | Neue materialien für organische elektrolumineszenzvorrichtungen |
| WO2008056746A1 (en) | 2006-11-09 | 2008-05-15 | Nippon Steel Chemical Co., Ltd. | Compound for organic electroluminescent device and organic electroluminescent device |
| WO2008086851A1 (de) | 2007-01-18 | 2008-07-24 | Merck Patent Gmbh | Carbazol-derivate für organische elektrolumineszenzvorrichtungen |
| WO2009062578A1 (de) | 2007-11-12 | 2009-05-22 | Merck Patent Gmbh | Organische elektrolumineszenzvorrichtungen enthaltend azomethin-metall-komplexe |
| US20090136779A1 (en) | 2007-11-26 | 2009-05-28 | Chien-Hong Cheng | Conjugated compounds containing hydroindoloacridine structural elements, and their use |
| US20090134784A1 (en) | 2004-10-21 | 2009-05-28 | Universal Display Corporation | Carbazole-containing materials in phosphorescent light emitting diodes |
| WO2009148015A1 (ja) | 2008-06-05 | 2009-12-10 | 出光興産株式会社 | ハロゲン化合物、多環系化合物及びそれを用いた有機エレクトロルミネッセンス素子 |
| WO2010006680A1 (de) | 2008-07-18 | 2010-01-21 | Merck Patent Gmbh | Materialien für organische elektrolumineszenzvorrichtungen |
| WO2010015306A1 (de) | 2008-08-08 | 2010-02-11 | Merck Patent Gmbh, | Organische elektrolumineszenzvorrichtung |
| WO2010050778A1 (en) | 2008-10-31 | 2010-05-06 | Gracel Display Inc. | Novel compounds for organic electronic material and organic electronic device using the same |
| WO2010054729A2 (de) | 2008-11-11 | 2010-05-20 | Merck Patent Gmbh | Materialien für organische elektrolumineszenzvorrichtungen |
| WO2010054730A1 (de) | 2008-11-11 | 2010-05-20 | Merck Patent Gmbh | Organische elektrolumineszenzvorrichtungen |
| WO2010108579A1 (de) | 2009-03-23 | 2010-09-30 | Merck Patent Gmbh | Organische elektrolumineszenzvorrichtung |
| WO2010136109A1 (de) | 2009-05-29 | 2010-12-02 | Merck Patent Gmbh | Materialien für organische elektrolumineszenzvorrichtungen |
| WO2011000455A1 (de) | 2009-06-30 | 2011-01-06 | Merck Patent Gmbh | Materialien für organische elektrolumineszenzvorrichtungen |
| WO2011042107A2 (de) | 2009-10-08 | 2011-04-14 | Merck Patent Gmbh | Materialien für organische elektrolumineszenzvorrichtungen |
| WO2011088877A1 (de) | 2010-01-25 | 2011-07-28 | Merck Patent Gmbh | Verbindungen für elektronische vorrichtungen |
-
2013
- 2013-08-21 WO PCT/EP2013/002521 patent/WO2014044347A1/de not_active Ceased
- 2013-08-21 DE DE112013004610.5T patent/DE112013004610A5/de not_active Withdrawn
Patent Citations (59)
| Publication number | Priority date | Publication date | Assignee | Title |
|---|---|---|---|---|
| US4539507A (en) | 1983-03-25 | 1985-09-03 | Eastman Kodak Company | Organic electroluminescent devices having improved power conversion efficiencies |
| WO1992018552A1 (de) | 1991-04-11 | 1992-10-29 | Wacker-Chemie Gmbh | Leiterpolymere mit konjugierten doppelbindungen |
| US5151629A (en) | 1991-08-01 | 1992-09-29 | Eastman Kodak Company | Blue emitting internal junction organic electroluminescent device (I) |
| EP0652273A1 (de) | 1993-11-09 | 1995-05-10 | Shinko Electric Industries Co. Ltd. | Organisches Material für elektrolumineszente Vorrichtung und elektrolumineszente Vorrichtung |
| EP0676461A2 (de) | 1994-04-07 | 1995-10-11 | Hoechst Aktiengesellschaft | Spiroverbindungen und ihre Verwendung als Elektrolumineszenzmaterialien |
| EP0707020A2 (de) | 1994-10-14 | 1996-04-17 | Hoechst Aktiengesellschaft | Konjugierte Polymere mit Spirozentren und ihre Verwendung als Elektrolumineszenzmaterialien |
| EP0842208A1 (de) | 1995-07-28 | 1998-05-20 | The Dow Chemical Company | 2,7-aryl-9-substituierte fluorene und 9-substituierte fluorenoligomere und polymere |
| EP0894107A1 (de) | 1996-04-17 | 1999-02-03 | Hoechst Research & Technology Deutschland GmbH & Co. KG | Polymere mit spiroatomen und ihre verwendung als elektrolumineszenzmaterialien |
| WO1998027136A1 (de) | 1996-12-16 | 1998-06-25 | Aventis Research & Technologies Gmbh & Co Kg | ARYLSUBSTITUIERTE POLY(p-ARYLENVINYLENE), VERFAHREN ZUR HERSTELLUNG UND DEREN VERWENDUNG IN ELEKTROLUMINESZENZBAUELEMENTEN |
| WO2000022026A1 (de) | 1998-10-10 | 2000-04-20 | Celanese Ventures Gmbh | Konjugierte polymere, enthaltend spezielle fluoren-bausteine mit verbesserten eigenschaften |
| EP1028136A2 (de) | 1999-02-10 | 2000-08-16 | Carnegie-Mellon University | Ein Verfahren zur Herstellung von Poly(3-substituierten)thiophenen |
| EP1205527A1 (de) | 2000-03-27 | 2002-05-15 | Idemitsu Kosan Co., Ltd. | Organische elektrolumineszierende vorrichtung |
| WO2002060910A1 (de) | 2001-02-01 | 2002-08-08 | Covion Organic Semiconductors Gmbh | Verfahren zur herstellung von hochreinen, tris-ortho-metallierten organo-iridium-verbindungen |
| JP2003272861A (ja) * | 2002-03-12 | 2003-09-26 | Konica Corp | 有機エレクトロルミネッセンス素子及びそれを用いた表示装置 |
| WO2004013080A1 (en) | 2002-08-01 | 2004-02-12 | Covion Organic Semiconductors Gmbh | Spirobifluorene derivatives, their preparation and uses thereof |
| WO2004041901A1 (en) | 2002-11-08 | 2004-05-21 | Covion Organic Semiconductors Gmbh | Aryl-substituted polyindenofluorenes for use in organic electroluminiscent devices |
| WO2004058911A2 (de) | 2002-12-23 | 2004-07-15 | Covion Organic Semiconductors Gmbh | Organisches elektrolumineszenzelement |
| WO2004070772A2 (de) | 2003-02-06 | 2004-08-19 | Covion Organic Semiconductors Gmbh | Carbazol-enthaltende konjugierte polymere und blends, deren darstellung und verwendung |
| JP2004288381A (ja) | 2003-03-19 | 2004-10-14 | Konica Minolta Holdings Inc | 有機エレクトロルミネッセンス素子 |
| WO2004085449A1 (de) | 2003-03-27 | 2004-10-07 | Covion Organic Semiconductors Gmbh | Verfahren zur herstellung von hochreinen organo-iridium-verbindungen |
| WO2004093207A2 (de) | 2003-04-15 | 2004-10-28 | Covion Organic Semiconductors Gmbh | Mischungen von organischen zur emission befähigten halbleitern und matrixmaterialien, deren verwendung und elektronikbauteile enthaltend diese mischungen |
| EP1617711A1 (de) | 2003-04-23 | 2006-01-18 | Konica Minolta Holdings, Inc. | Organisches elektrolumineszenzbauelement und anzeige |
| EP1617710A1 (de) | 2003-04-23 | 2006-01-18 | Konica Minolta Holdings, Inc. | Material für ein organisches elektrolumineszenzgerät, organisches elektrolumineszenzgerät, beleuchtungsvorrichtung und anzeige |
| WO2004113412A2 (en) | 2003-06-23 | 2004-12-29 | Covion Organic Semiconductors Gmbh | Polymer |
| WO2004113468A1 (de) | 2003-06-26 | 2004-12-29 | Covion Organic Semiconductors Gmbh | Neue materialien für die elektrolumineszenz |
| WO2005011013A1 (de) | 2003-07-21 | 2005-02-03 | Covion Organic Semiconductors Gmbh | Organisches elektrolumineszenzelement |
| US20050227109A1 (en) | 2003-07-24 | 2005-10-13 | Chien-Hong Cheng | Organic light emitting diode containing a novel Ir complex as a phosphorescent emitter |
| WO2005014689A2 (de) | 2003-08-12 | 2005-02-17 | Covion Organic Semiconductors Gmbh | Konjugierte polymere enthaltend dihydrophenanthren-einheiten und deren verwendung |
| US20050069729A1 (en) | 2003-09-30 | 2005-03-31 | Konica Minolta Holdings, Inc. | Organic electroluminescent element, illuminator, display and compound |
| WO2005039246A1 (ja) | 2003-09-30 | 2005-04-28 | Konica Minolta Holdings, Inc. | 有機エレクトロルミネッセンス素子、照明装置、表示装置 |
| WO2005040302A1 (de) | 2003-10-22 | 2005-05-06 | Merck Patent Gmbh | Neue materialien für die elektrolumineszenz und deren verwendung |
| WO2005042548A1 (de) | 2003-10-30 | 2005-05-12 | Merck Patent Gmbh | Verfahren zur herstellung von heteroleptischer, ortho-metallierter organometall-verbindungen |
| EP1731584A1 (de) | 2004-03-31 | 2006-12-13 | Konica Minolta Holdings, Inc. | Organischer elektrolumineszenzvorrichtungsstoff, organische elektrolumineszenzvorrichtung, display und beleuchtungsvorrichtung |
| WO2005104264A1 (de) | 2004-04-26 | 2005-11-03 | Merck Patent Gmbh | Elektrolumineszierende polymere und deren verwendung |
| WO2005111172A2 (de) | 2004-05-11 | 2005-11-24 | Merck Patent Gmbh | Neue materialmischungen für die elektrolumineszenz |
| JP2005347160A (ja) | 2004-06-04 | 2005-12-15 | Konica Minolta Holdings Inc | 有機エレクトロルミネッセンス素子、照明装置及び表示装置 |
| WO2006005627A1 (en) | 2004-07-15 | 2006-01-19 | Merck Patent Gmbh | Oligomeric derivatives of spirobifluorene, their preparation and use |
| US20090134784A1 (en) | 2004-10-21 | 2009-05-28 | Universal Display Corporation | Carbazole-containing materials in phosphorescent light emitting diodes |
| WO2006061181A1 (de) | 2004-12-06 | 2006-06-15 | Merck Patent Gmbh | Teilkonjugierte polymere, deren darstellung und verwendung |
| WO2006117052A1 (de) | 2005-05-03 | 2006-11-09 | Merck Patent Gmbh | Organische elektrolumineszenzvorrichtung und in deren herstellung verwendete boronsäure- und borinsäure-derivate |
| WO2007017066A1 (de) | 2005-08-10 | 2007-02-15 | Merck Patent Gmbh | Elektrolumineszierende polymere und ihre verwendung |
| WO2007063754A1 (ja) | 2005-12-01 | 2007-06-07 | Nippon Steel Chemical Co., Ltd. | 有機電界発光素子用化合物及び有機電界発光素子 |
| WO2007065523A1 (de) | 2005-12-05 | 2007-06-14 | Merck Patent Gmbh | Verfahren zur herstellung ortho-metallierter metallverbindungen |
| WO2007137725A1 (de) | 2006-05-31 | 2007-12-06 | Merck Patent Gmbh | Neue materialien für organische elektrolumineszenzvorrichtungen |
| WO2008056746A1 (en) | 2006-11-09 | 2008-05-15 | Nippon Steel Chemical Co., Ltd. | Compound for organic electroluminescent device and organic electroluminescent device |
| WO2008086851A1 (de) | 2007-01-18 | 2008-07-24 | Merck Patent Gmbh | Carbazol-derivate für organische elektrolumineszenzvorrichtungen |
| WO2009062578A1 (de) | 2007-11-12 | 2009-05-22 | Merck Patent Gmbh | Organische elektrolumineszenzvorrichtungen enthaltend azomethin-metall-komplexe |
| US20090136779A1 (en) | 2007-11-26 | 2009-05-28 | Chien-Hong Cheng | Conjugated compounds containing hydroindoloacridine structural elements, and their use |
| WO2009148015A1 (ja) | 2008-06-05 | 2009-12-10 | 出光興産株式会社 | ハロゲン化合物、多環系化合物及びそれを用いた有機エレクトロルミネッセンス素子 |
| WO2010006680A1 (de) | 2008-07-18 | 2010-01-21 | Merck Patent Gmbh | Materialien für organische elektrolumineszenzvorrichtungen |
| WO2010015306A1 (de) | 2008-08-08 | 2010-02-11 | Merck Patent Gmbh, | Organische elektrolumineszenzvorrichtung |
| WO2010050778A1 (en) | 2008-10-31 | 2010-05-06 | Gracel Display Inc. | Novel compounds for organic electronic material and organic electronic device using the same |
| WO2010054729A2 (de) | 2008-11-11 | 2010-05-20 | Merck Patent Gmbh | Materialien für organische elektrolumineszenzvorrichtungen |
| WO2010054730A1 (de) | 2008-11-11 | 2010-05-20 | Merck Patent Gmbh | Organische elektrolumineszenzvorrichtungen |
| WO2010108579A1 (de) | 2009-03-23 | 2010-09-30 | Merck Patent Gmbh | Organische elektrolumineszenzvorrichtung |
| WO2010136109A1 (de) | 2009-05-29 | 2010-12-02 | Merck Patent Gmbh | Materialien für organische elektrolumineszenzvorrichtungen |
| WO2011000455A1 (de) | 2009-06-30 | 2011-01-06 | Merck Patent Gmbh | Materialien für organische elektrolumineszenzvorrichtungen |
| WO2011042107A2 (de) | 2009-10-08 | 2011-04-14 | Merck Patent Gmbh | Materialien für organische elektrolumineszenzvorrichtungen |
| WO2011088877A1 (de) | 2010-01-25 | 2011-07-28 | Merck Patent Gmbh | Verbindungen für elektronische vorrichtungen |
Non-Patent Citations (5)
| Title |
|---|
| ADVANCED MATERIALS, vol. 16, 2004, pages 2003 - 2007 |
| J. BROOKS ET AL., INORG. CHEM., vol. 41, 2002, pages 3055 |
| LAMANSKY S ET AL: "HIGHLY PHOSPHORESCENT BIS-CYCLOMETALATED IRIDIUM COMPLEXES: SYNTHESIS , PHOTOPHYSICAL CHARACTERIZATION, AND USE IN ORGANIC LIGHT EMITTING DIODES", JOURNAL OF THE AMERICAN CHEMICAL SOCIETY, ACS PUBLICATIONS, US, vol. 123, 1 January 2001 (2001-01-01), pages 4304 - 4312, XP002253230, ISSN: 0002-7863, DOI: 10.1021/JA003693S * |
| M. A. BALDO ET AL., APPL. PHYS. LETT., vol. 75, 1999, pages 4 - 6 |
| M. S. ARNOLD ET AL., APPL. PHYS. LETT., vol. 92, 2008, pages 053301 |
Cited By (7)
| Publication number | Priority date | Publication date | Assignee | Title |
|---|---|---|---|---|
| US9768397B2 (en) | 2014-03-31 | 2017-09-19 | Commonwealth Scientific And Industrial Research Organisation | Phenylenediamine compounds for phosphorescent diazaborole metal complexes |
| US9859504B2 (en) | 2014-03-31 | 2018-01-02 | Commonwealth Scientific And Industrial Research Organisation | Diamine compounds for phosphorescent diazaborole metal complexes and electroluminescent devices |
| US10476010B2 (en) | 2015-11-30 | 2019-11-12 | Universal Display Corporation | Organic electroluminescent materials and devices |
| CN107474072A (zh) * | 2017-08-11 | 2017-12-15 | 烟台显华化工科技有限公司 | 一种含氮杂环配体的红色铱磷光材料、其制备方法及应用 |
| CN107474073A (zh) * | 2017-08-11 | 2017-12-15 | 烟台显华化工科技有限公司 | 一种含氮杂环配体的红色铱磷光材料、其制备方法及应用 |
| CN114989223A (zh) * | 2022-04-25 | 2022-09-02 | 上海八亿时空先进材料有限公司 | 一种金属配合物及其应用 |
| CN114989223B (zh) * | 2022-04-25 | 2025-02-11 | 上海八亿时空先进材料有限公司 | 一种金属配合物及其应用 |
Also Published As
| Publication number | Publication date |
|---|---|
| DE112013004610A5 (de) | 2015-06-03 |
Similar Documents
| Publication | Publication Date | Title |
|---|---|---|
| EP2906575B1 (de) | Metallkomplexe | |
| EP2294160B1 (de) | Elektronische vorrichtung enthaltend metallkomplexe | |
| DE112011102366B4 (de) | Metallkomplexe | |
| DE112010004049B4 (de) | Metallkomplexe | |
| EP2882763B1 (de) | Metallkomplexe | |
| EP2935292B1 (de) | Metallkomplexe | |
| WO2015039723A1 (de) | Polycyclische phenyl-pyridin iridiumkomplexe und derivate davon für oled | |
| WO2010099852A1 (de) | Metallkomplexe mit azaborol-liganden und elektronische vorrichtung damit | |
| EP3174890A1 (de) | Metallkomplexe | |
| WO2011032626A1 (de) | Metallkomplexe | |
| DE102009007038A1 (de) | Metallkomplexe | |
| EP3044284A1 (de) | Metallkomplexe | |
| EP3160976A1 (de) | Metallkomplexe | |
| WO2012007088A1 (de) | Metallkomplexe | |
| EP3328872B1 (de) | Elektrolumineszierende überbrückte metallkomplexe zur verwendung in elektronischen vorrichtungen | |
| DE102012020167A1 (de) | Metallkomplexe | |
| EP2984093B1 (de) | Metallkomplexe und ihre verwendung in elektronischen vorrichtungen | |
| WO2014044347A1 (de) | Metallkomplexe | |
| EP3956338A1 (de) | Metallkomplexe | |
| EP4069709B1 (de) | Metallkomplexe | |
| DE102012021650A1 (de) | Metallkomplexe | |
| DE102015006708A1 (de) | Metallkomplexe |
Legal Events
| Date | Code | Title | Description |
|---|---|---|---|
| 121 | Ep: the epo has been informed by wipo that ep was designated in this application |
Ref document number: 13755961 Country of ref document: EP Kind code of ref document: A1 |
|
| WWE | Wipo information: entry into national phase |
Ref document number: 112013004610 Country of ref document: DE Ref document number: 1120130046105 Country of ref document: DE |
|
| REG | Reference to national code |
Ref country code: DE Ref legal event code: R225 Ref document number: 112013004610 Country of ref document: DE Effective date: 20150603 |
|
| 122 | Ep: pct application non-entry in european phase |
Ref document number: 13755961 Country of ref document: EP Kind code of ref document: A1 |




















































