WO2006043635A1 - 3-トリアゾリルフェニルスルフィド誘導体及びそれを有効成分として含有する殺虫・殺ダニ・殺線虫剤 - Google Patents
3-トリアゾリルフェニルスルフィド誘導体及びそれを有効成分として含有する殺虫・殺ダニ・殺線虫剤 Download PDFInfo
- Publication number
- WO2006043635A1 WO2006043635A1 PCT/JP2005/019315 JP2005019315W WO2006043635A1 WO 2006043635 A1 WO2006043635 A1 WO 2006043635A1 JP 2005019315 W JP2005019315 W JP 2005019315W WO 2006043635 A1 WO2006043635 A1 WO 2006043635A1
- Authority
- WO
- WIPO (PCT)
- Prior art keywords
- group
- substituted
- halogen atom
- mono
- alkyl
- Prior art date
- Legal status (The legal status is an assumption and is not a legal conclusion. Google has not performed a legal analysis and makes no representation as to the accuracy of the status listed.)
- Ceased
Links
Classifications
-
- C—CHEMISTRY; METALLURGY
- C07—ORGANIC CHEMISTRY
- C07D—HETEROCYCLIC COMPOUNDS
- C07D249/00—Heterocyclic compounds containing five-membered rings having three nitrogen atoms as the only ring hetero atoms
- C07D249/02—Heterocyclic compounds containing five-membered rings having three nitrogen atoms as the only ring hetero atoms not condensed with other rings
- C07D249/08—1,2,4-Triazoles; Hydrogenated 1,2,4-triazoles
- C07D249/10—1,2,4-Triazoles; Hydrogenated 1,2,4-triazoles with hetero atoms or with carbon atoms having three bonds to hetero atoms with at the most one bond to halogen, e.g. ester or nitrile radicals, directly attached to ring carbon atoms
- C07D249/14—Nitrogen atoms
-
- A—HUMAN NECESSITIES
- A01—AGRICULTURE; FORESTRY; ANIMAL HUSBANDRY; HUNTING; TRAPPING; FISHING
- A01N—PRESERVATION OF BODIES OF HUMANS OR ANIMALS OR PLANTS OR PARTS THEREOF; BIOCIDES, e.g. AS DISINFECTANTS, AS PESTICIDES OR AS HERBICIDES; PEST REPELLANTS OR ATTRACTANTS; PLANT GROWTH REGULATORS
- A01N43/00—Biocides, pest repellants or attractants, or plant growth regulators containing heterocyclic compounds
- A01N43/64—Biocides, pest repellants or attractants, or plant growth regulators containing heterocyclic compounds having rings with three nitrogen atoms as the only ring hetero atoms
- A01N43/647—Triazoles; Hydrogenated triazoles
- A01N43/653—1,2,4-Triazoles; Hydrogenated 1,2,4-triazoles
-
- C—CHEMISTRY; METALLURGY
- C07—ORGANIC CHEMISTRY
- C07C—ACYCLIC OR CARBOCYCLIC COMPOUNDS
- C07C317/00—Sulfones; Sulfoxides
- C07C317/26—Sulfones; Sulfoxides having sulfone or sulfoxide groups and nitrogen atoms, not being part of nitro or nitroso groups, bound to the same carbon skeleton
- C07C317/32—Sulfones; Sulfoxides having sulfone or sulfoxide groups and nitrogen atoms, not being part of nitro or nitroso groups, bound to the same carbon skeleton with sulfone or sulfoxide groups bound to carbon atoms of six-membered aromatic rings of the carbon skeleton
- C07C317/34—Sulfones; Sulfoxides having sulfone or sulfoxide groups and nitrogen atoms, not being part of nitro or nitroso groups, bound to the same carbon skeleton with sulfone or sulfoxide groups bound to carbon atoms of six-membered aromatic rings of the carbon skeleton having sulfone or sulfoxide groups and amino groups bound to carbon atoms of six-membered aromatic rings being part of the same non-condensed ring or of a condensed ring system containing that ring
- C07C317/36—Sulfones; Sulfoxides having sulfone or sulfoxide groups and nitrogen atoms, not being part of nitro or nitroso groups, bound to the same carbon skeleton with sulfone or sulfoxide groups bound to carbon atoms of six-membered aromatic rings of the carbon skeleton having sulfone or sulfoxide groups and amino groups bound to carbon atoms of six-membered aromatic rings being part of the same non-condensed ring or of a condensed ring system containing that ring with the nitrogen atoms of the amino groups bound to hydrogen atoms or to carbon atoms
-
- C—CHEMISTRY; METALLURGY
- C07—ORGANIC CHEMISTRY
- C07C—ACYCLIC OR CARBOCYCLIC COMPOUNDS
- C07C323/00—Thiols, sulfides, hydropolysulfides or polysulfides substituted by halogen, oxygen or nitrogen atoms, or by sulfur atoms not being part of thio groups
- C07C323/23—Thiols, sulfides, hydropolysulfides or polysulfides substituted by halogen, oxygen or nitrogen atoms, or by sulfur atoms not being part of thio groups containing thio groups and nitrogen atoms, not being part of nitro or nitroso groups, bound to the same carbon skeleton
- C07C323/31—Thiols, sulfides, hydropolysulfides or polysulfides substituted by halogen, oxygen or nitrogen atoms, or by sulfur atoms not being part of thio groups containing thio groups and nitrogen atoms, not being part of nitro or nitroso groups, bound to the same carbon skeleton having the sulfur atom of at least one of the thio groups bound to a carbon atom of a six-membered aromatic ring of the carbon skeleton
- C07C323/33—Thiols, sulfides, hydropolysulfides or polysulfides substituted by halogen, oxygen or nitrogen atoms, or by sulfur atoms not being part of thio groups containing thio groups and nitrogen atoms, not being part of nitro or nitroso groups, bound to the same carbon skeleton having the sulfur atom of at least one of the thio groups bound to a carbon atom of a six-membered aromatic ring of the carbon skeleton having at least one of the nitrogen atoms bound to a carbon atom of the same non-condensed six-membered aromatic ring
- C07C323/35—Thiols, sulfides, hydropolysulfides or polysulfides substituted by halogen, oxygen or nitrogen atoms, or by sulfur atoms not being part of thio groups containing thio groups and nitrogen atoms, not being part of nitro or nitroso groups, bound to the same carbon skeleton having the sulfur atom of at least one of the thio groups bound to a carbon atom of a six-membered aromatic ring of the carbon skeleton having at least one of the nitrogen atoms bound to a carbon atom of the same non-condensed six-membered aromatic ring the thio group being a sulfide group
-
- C—CHEMISTRY; METALLURGY
- C07—ORGANIC CHEMISTRY
- C07D—HETEROCYCLIC COMPOUNDS
- C07D249/00—Heterocyclic compounds containing five-membered rings having three nitrogen atoms as the only ring hetero atoms
- C07D249/02—Heterocyclic compounds containing five-membered rings having three nitrogen atoms as the only ring hetero atoms not condensed with other rings
- C07D249/08—1,2,4-Triazoles; Hydrogenated 1,2,4-triazoles
- C07D249/10—1,2,4-Triazoles; Hydrogenated 1,2,4-triazoles with hetero atoms or with carbon atoms having three bonds to hetero atoms with at the most one bond to halogen, e.g. ester or nitrile radicals, directly attached to ring carbon atoms
-
- C—CHEMISTRY; METALLURGY
- C07—ORGANIC CHEMISTRY
- C07D—HETEROCYCLIC COMPOUNDS
- C07D249/00—Heterocyclic compounds containing five-membered rings having three nitrogen atoms as the only ring hetero atoms
- C07D249/02—Heterocyclic compounds containing five-membered rings having three nitrogen atoms as the only ring hetero atoms not condensed with other rings
- C07D249/08—1,2,4-Triazoles; Hydrogenated 1,2,4-triazoles
- C07D249/10—1,2,4-Triazoles; Hydrogenated 1,2,4-triazoles with hetero atoms or with carbon atoms having three bonds to hetero atoms with at the most one bond to halogen, e.g. ester or nitrile radicals, directly attached to ring carbon atoms
- C07D249/12—Oxygen or sulfur atoms
-
- C—CHEMISTRY; METALLURGY
- C07—ORGANIC CHEMISTRY
- C07C—ACYCLIC OR CARBOCYCLIC COMPOUNDS
- C07C2601/00—Systems containing only non-condensed rings
- C07C2601/02—Systems containing only non-condensed rings with a three-membered ring
Definitions
- the present invention relates to a novel 3-triazolylphenylsulfide derivative and an agricultural and horticultural insecticidal 'miticide' nematicide comprising the same as an active ingredient.
- Patent Document 1 As a known insecticidal / acaricidal / nematicidal agent, Patent Document 1 already discloses a 3-triazolylphenylsulfide derivative. It is described that the compound group described in this document exhibits a high effect on solders by spraying directly on plants. On the other hand, this document does not describe soil treatment. The compound group described in this document is not sufficiently transferred in soil and transferred to plants by soil treatment. For this reason, sufficient effects may not be obtained due to uneven drug spraying or transpiration, photolysis, or chemical runoff due to rainfall.
- Patent Document 1 JP 2000-198768 (Claims and others)
- the problem of the present invention is to solve the above-mentioned problems of the conventional insecticide 'acaricide' nematicide under such circumstances, and further, safety, control effect,
- the purpose is to provide insecticides, acaricides, and nematicides with excellent residual effects.
- nematodes such as lepidopterous insects such as lepidopterous insects, lepidopterous insects such as lepidopterous insects such as lepidopterous insects, terrestrial insects, semi-aphid insects such as aphids, azuki beetles, etc.
- the present invention has been completed by finding that it has a soil treatment activity that enables a safe and labor-saving application method.
- the present invention has the gist characterized by the following.
- n an integer from 0 to 1
- a and A are group I or group II group powers.
- B represents a hydrogen atom, a halogen atom or a methyl group
- B is a halogen atom, cyano group, nitro group or C-C alkyl group (the group is a halogen atom)
- A is NH
- B is a halogen atom or a methyl group.
- Hydrogen atom, halogen atom, c to c alkyl group (the group is a halogen atom, hydroxyl group, cyano group)
- c-c Alkenyl group (the group is mono- or poly-substituted by halogen atom or cyano group)
- a c to c cycloalkyl group or a cyan group optionally substituted with a halogen atom is optionally substituted with a halogen atom.
- Nyl group (the group is substituted with a halogen atom, a c to c alkoxy group or a halogen atom)
- C-c cycloalkyl group may be mono- or poly-substituted), c-c
- Lucinylthio group (This group is monovalent by a halogen atom, a c to c alkoxy group or a cyano group.
- Atoms, c-c alkoxy groups or cyano groups may be mono- or polysubstituted
- R is a hydrogen atom, a C to C alkyl group (the group is a halogen atom, a hydroxyl group, a cyan group)
- a c to c-alkyl group which is a halogen atom or a cyan group
- the group is a halogen atom, a hydroxyl group, a cyano group, a c to c alkoxycarbonyl group or c to c
- 2 7 1 6 may be mono- or poly-substituted by an alkoxy group), an arylalkyl group (the group is a halogen atom, a cyano group, a c-c alkyl group, a c-c haloalkyl group, a c-c al
- Group may be mono- or poly-substituted), aryl group (the group is a halogen atom, cyano group, c-c alkyl group, c-c haloalkyl group, c-c alkoxycarbo group)
- C-c alkoxy group or hydroxy group may be mono- or poly-substituted
- Heteroaryl group (the group is a halogen atom, cyano group, c-c alkyl group, c-c halo group)
- 2 c is a dialkylamino group
- R and R are hydrogen atoms, C to C alkyl groups (the groups are halogen atoms, hydroxyl groups, cyan groups)
- C to c-alkyl group (which may be substituted with a halogen atom or a cyano group).
- c-alkyl group (the group may be a halogen atom or
- a cyan group May be mono-substituted or poly-substituted by a cyan group), a c to c cycloalkyl group (the group is a halogen atom, a hydroxyl group, a cyan group,
- Alkyl group (the group is a halogen atom, cyano group, c-c alkyl group, c-c halo group)
- aryl group (the group is a halogen atom, cyano group, c to c 6 alkyl group, c
- An alkoxy group may be mono- or poly-substituted) or a heteroaryl group (the group is a halogen atom, cyano group, c-c alkyl group, c-c haloalkyl group,
- R and R are hydrogen atoms, C to C alkyl groups (the groups are halogen atoms, hydroxyl groups, cyan groups) Group, c-c alkoxycarbo group or c-c alkoxy group
- the group is a halogen atom, a hydroxyl group, a cyano group, a C to C alkoxycarbonyl group, or a C to
- C may be mono- or poly-substituted by an alkoxy group
- Q is an oxygen atom or a sulfur atom
- — N CR R group R and R together with these bonded carbon atoms are 5- to 6-membered ring
- — N C (NR, R,) NR R, R and R, in the R group:
- R and R in the NR R group form a 5 to 6 membered ring with these bonded nitrogen atoms.
- R is a trifluoroethyl group
- n force ⁇ ⁇ is an integer of 1 and
- A is a C to C alkyl group (the group is mono- or poly-substituted with a halogen atom or cyan group)
- c-c alkoxy groups may be mono- or poly-substituted
- A is a group — NR R or a group — N (COR) R;
- R and R are independently of each other a hydrogen atom, a C-Canolenoquinamino group, a C-C alkyl
- R and R are not hydrogen atoms at the same time.
- B is a hydrogen atom, a halogen atom or a methyl group
- B is a cyan group or a C to C alkyl group (the group is mono-substituted or
- R is a trifluoroethyl group, n force ⁇ ⁇ is an integer of 1 and
- A is a C to C alkyl group (the group is mono- or poly-substituted with a halogen atom or cyan group)
- c-c alkoxy groups may be mono- or poly-substituted
- A is an amino group
- B is a halogen atom or a methyl group
- B is a cyano group or a C-C alkyl group (this group is mono-substituted or
- the 3-triazolylphenol sulfide derivative according to (2) above which is a rugylamino group, an acetylamino group, a propio-ramino group, a trifluoroacetylamino group or a difluoroacetylamino group.
- A is a trifluoromethyl group, a trifluoromethylthio group, or a 2, 2, 2-trifluoroethylsulfyl group,
- a 3-triazolyl according to the above (2) which is an A cationamino group or a trifluoroacetylamino group.
- Ruf ⁇ -rusulfide derivatives
- Eight is a trifluoromethyl group, a trifluoromethylthio group, or a 2,2,2 trifluoroethylsulfyl group,
- the compounds of the present invention are Hemiptera pests, Lepidoptera pests, Coleoptera pests, Diptera pests, Hymenoptera pests, Diptera pests, Termite pests, Azamuma pests, Spiders, Plant parasitic lines It exhibits excellent control effects against a wide range of pests such as reptiles, and can also control pests with resistance.
- the compounds of the present invention are agro-horticultural pests such as Namihadani, Kanzahadadai, Mikahadani, etc. Soil treatment by soil treatment due to its superior effect on osmotic migration, with excellent effects on nematodes such as Coleoptera, Hemiptera, Aphididae, and C. elegans such as Azuki beetle Thus, labor-saving application methods are possible.
- a halogen atom shows a fluorine atom, a chlorine atom, a bromine atom, and an iodine atom.
- the notation such as C to C is the carbon number power of the subsequent substituent. In this case, it should be 1 to 6
- the C 1 -C alkyl group is a straight chain or branched chain having 1 to 6 carbon atoms unless otherwise specified
- the C to C cycloalkyl group is a cycloalkyl having 3 to 6 carbon atoms unless otherwise specified.
- a group such as cyclopropyl, cyclobutyl, cyclopentyl, or cyclohexyl.
- the C to C alkenyl group is a straight chain or branched chain having 2 to 6 carbon atoms unless otherwise specified.
- the C to C alkynyl group is a straight chain or branched chain having 2 to 6 carbon atoms unless otherwise specified.
- etul 1-propiel, 2-probule, 1-butynyl, 1-methyl-2-propynyl, 2 butynyl, 3 butynyl, 1 pentynyl,
- 1-Ethyl-2 propiel 2 pentyl, 3 pentyl, 1-methyl-2 butynyl, 4 pentynyl, 1-methyl-3 butynyl, 2-methyl-3 butynyl, 1 hexul, 1- ( n -propyl) — 2-propyl, 2-hexyl, 1-ethyl-2-butynyl, 3-hexynyl, 1-methyl-2-pentynyl, 1-methyl-3 pentyl, 4-methyl-1-pentyl, 3-methyl-1-pentyl, 5 Examples include hexul, 1-ethyl-3-butulyl, 1-ethyl-1-methyl-2-probule, l- (i-propyl) 2-propynyl, 1,1 dimethyl-2-butynyl, or 2,2 dimethyl-3 butynyl.
- the C 1 -C haloalkyl group is the same or different halogen atom unless otherwise specified.
- C 1 -C alkoxy group means an (alkyl) O group in which the alkyl moiety has the above meaning
- a group such as methoxy, ethoxy, n-propoxy, i-propoxy, n-butoxy, i-butoxy, t-butoxy, pentyloxy, i-pentyloxy or hexyloxy Can give.
- C-C alkoxy C-C alkyl group refers to an alkyl moiety and an alkoxy moiety.
- the C to C alkylthio group is an alkyl moiety having the above-mentioned meanings having 1 to 6 carbon atoms (
- Alkyl S group such as methylthio, ethylthio, n-propylthio, isopropylthio and the like.
- the C to C alkyl sulfier group has a carbon number of which the alkyl part has the above meaning.
- alkyl 1 to 6 (alkyl) -SO 2 groups, such as methyl sulfiel, ethyl sulfyl, n-propyl sulfiel, i-propyl sulfiel and the like.
- the C to C alkylsulfol group has a carbon number of 1 in which the alkyl part has the above-mentioned meaning.
- alkyl 1 to 6 (alkyl) -SO groups, such as methylsulfol, ethylsulfol,
- Examples thereof include n-propylsulfol and isopropylsulfol.
- the C to C alkoxycarbo group means that the alkyl part has the carbon number as defined above.
- a C to C haloalkylcarbol group is a carbon whose haloalkyl moiety is as defined above.
- the C to C monoalkylamino group is an alkyl group in which the alkyl part has the above meaning.
- a C to C dialkylamino group is a dialkylamino group in which an alkyl group is as defined above.
- a substituted amino group is shown, and examples thereof include dimethylamino-containing ketylami-containing N-ethyl-N-methylamino and the like.
- the aryl group represents an aromatic hydrocarbon group, and examples thereof include phenol and naphthyl.
- the arylalkyl group refers to an (aryl) (alkyl) group in which the aryl and alkyl moieties have the above-mentioned meanings, and examples thereof include benzyl, phenethyl, naphthylmethyl and the like.
- the heteroaryl group refers to an aromatic heterocyclic group, and examples thereof include chael, pyridyl, benzothiazolyl and the like.
- the heteroaryl alkyl group is a (heteroaryl)-(alkyl) group in which the heteroaryl and the alkyl moiety have the above-mentioned meanings, and examples thereof include methyl and pyridylmethyl.
- a preferable group of compounds includes a group of compounds in which R is 2, 2, 2 trifluoroethyl group and represented by n force ⁇ or 1.
- R is 2, 2, 2 trifluoroethyl group
- B is an alkyl group or a haloalkyl group
- n is 0 or 1
- Pr n-propyl
- Pr-i isopropyl
- Pr-c cyclopropyl
- Bu n-butyl
- Bu-i isobutyl
- Bus sec butinole
- Bu-t tert-butinole
- Bu-c cyclobutinole
- Pen n—Pentinore
- Pen—i Isopentinole
- Pen-c cyclopentinole
- Hex-c cyclohexyl
- Ph-4-C1 indicates 4-cylinder
- 3-Py-6-C1 indicates 6-claw
- the compound of the present invention represented by the general formula [I 1] can be produced by a method comprising the reaction formulas exemplified below.
- L represents a halogen atom, an alkylsulfo-oxy group, a phenyl sulfo-oxy group or SO M
- M represents an alkali metal or an alkaline earth metal
- Lucari metal includes sodium and potassium, and A, A, B, B and R are
- the compound of the present invention represented by general formula [I-1], which is a 3-triazolylphenol sulfide derivative, is obtained by combining a compound of general formula [ ⁇ ] and a compound of general formula [III] in a solvent in the presence of a base or a radical initiator. It can manufacture by making it react in presence of.
- the amount of the compound of the general formula [III] used here is preferably a range force of 1 to 5 mol per 1 mol of the compound of the general formula [I]. ⁇ 2.0 mol.
- Solvents that can be used in this reaction include ethers such as jetyl ether, tetrahydrofuran, and dioxane, aromatic hydrocarbons such as benzene, toluene, xylene, and black benzene, dichloromethane, black form, dichloroethane, and the like.
- ethers such as jetyl ether, tetrahydrofuran, and dioxane
- aromatic hydrocarbons such as benzene, toluene, xylene, and black benzene, dichloromethane, black form, dichloroethane, and the like.
- Halogenated hydrocarbons acetonitrile, N, N dimethylformamide, N, N dimethylacetamide, N-methyl 2-pyrrolidone, dimethyl sulfoxide, sulfolane and other aprotic polar solvents, methanol, ethanol, isopropyl Alcohols such as alcohol, -tolyl such as acetonitrile, propio-tolyl, esters such as ethyl acetate and propionate, aliphatic hydrocarbons such as pentane, hexane, cyclohexane and heptane, pyridine, Picolin etc. Pyridines, water, or a mixed solvent thereof.
- Bases that can be used in this reaction include alkali metal hydroxides such as sodium hydroxide and potassium hydroxide, and alkaline earth metals such as calcium hydroxide and magnesium hydroxide.
- Metal salts of alcohols such as sodium methoxide, sodium ethoxide, potassium tert butoxide or triethylamine, N, N —dimethylaniline, pyridine, 4-N, N dimethylaminopyridine, 1,8 diazabicyclo [5 4. 0] — 7
- Organic bases such as undecene.
- the amount of the base used is preferably 0 to 1.2 moles if appropriately selected in the range of 0 to 5 moles per mole of the compound of the general formula [ ⁇ ].
- radical initiator examples include sulfite adducts such as sulfite, sulfite, and longalite (sodium honole guanoledehydrate 'snoleoxylate). Further, a base and a radical initiator may be used in combination.
- the amount used thereof is in the range of 0.01 to 5 mol relative to 1 mol of compound [II]. It is.
- the reaction temperature is 30 ° C force.
- the range force of any temperature up to the reflux temperature in the reaction system may be selected, and the reaction temperature is preferably 0 ° C to 150 ° C.
- the reaction time varies depending on the reaction temperature, reaction substrate, reaction amount, etc. Usually, it is 10 minutes to 20 hours.
- a compound represented by the general formula [IV], which is an acidic dimer of the compound represented by the general formula [ ⁇ ] used in the production method 1, may be used. it can.
- the target 3-triazolylphenylsulfide derivative of general formula [1-1] is obtained by reacting a compound of general formula [IV] with a compound of general formula [V] in a solvent in the presence of a radical initiator. It can be manufactured from Tsujiko.
- the amount of the compound of the general formula [V] used here is preferably a range force of 1 to 5 mol per 1 mol of the compound of the general formula [IV]. ⁇ 2.0 moles.
- Solvents that can be used in this reaction include, for example, ethers such as jetyl ether, tetrahydrofuran, and dioxane, aromatic hydrocarbons such as benzene, toluene, xylene, and black benzene, N, N dimethylformamide, N, N-dimethylacetamide, N-methyl-2-pyrrolidone, dimethyl sulfoxide, sulfolane, and other aprotic polar solvents, -tolyl such as acetonitol, propio-tolyl, esters such as ethyl acetate, propionate, pentane, heptane Aliphatic hydrocarbons such as xane, cyclohexane, heptane, pyridine
- Pyridines such as picoline, water, or a mixed solvent thereof.
- radical initiator examples include sulfites, sulfites, and sulfite adducts such as longalite (sodium honole guanoledehydrate 'snoleoxylate).
- the amount used is suitably selected from the range of 0.01 to 5 moles per mole of the compound of the general formula [II], preferably 0.05 to 5: L is 2 mol
- the reaction temperature may be selected from an arbitrary temperature range from 30 ° C to the reflux temperature in the reaction system, and preferably in the range of 0 ° C to 150 ° C.
- the reaction time varies depending on the reaction temperature, reaction substrate, reaction amount, etc. Usually, it is 10 minutes to 20 hours.
- the compound of the general formula [I 2], which is the compound of the present invention, can be produced by a method represented by the following reaction formula force.
- 5 1 3 2 3 represents a leaving group such as a halogen atom, an alkylsulfo-oxy group or a phenylsulfo-oxy group.
- An electron withdrawing group is a cyano group, a nitro group or the like.
- the compound of the general formula [I 2] can be produced by reacting the compound of the general formula [VI] with the compound of the general formula [VII] in a solvent in the presence of a base.
- the amount of the compound of the general formula [VII] used is preferably a range force of 1 to 5 mol per 1 mol of the compound of the general formula [VI], preferably 1.0 to 1.2 mol. It is.
- Solvents that can be used in this reaction do not inhibit the reaction, and any solvents can be used, for example, aromatic hydrocarbons such as benzene, toluene, xylene, etc., jetyl ether, tetrahydrofuran, 1,2-dimethoxy Ethers such as tan and dioxane, ketones such as acetone and methyl ethyl ketone, -tolyls such as acetonitrile and propio-tolyl, aprotic such as dimethyl sulfoxide, N and N dimethylformamide, and N and N dimethylacetamide Polar solvents, aliphatic hydrocarbons such as pentane, hexane, cyclohexane and heptane, pyridines such as pyridine and picoline, or a mixed solvent thereof.
- aromatic hydrocarbons such as benzene, toluene, xylene, etc.
- jetyl ether
- Bases that can be used in this reaction include alkali metal hydroxides such as sodium hydroxide and potassium hydroxide, and alkaline earth metals such as calcium hydroxide and magnesium hydroxide.
- Metal salts of alcohols such as sodium methoxide, sodium ethoxide, potassium tert butoxide, or triethylamine, N, N-dimethylaniline, pyridine, 4-N, N dimethylaminopyridine, 1,8 diazabicyclo [5 4. 0] — 7
- Organic bases such as undecene.
- the amount of the base used is appropriately selected within a range of 1 to 5 moles per mole of the compound of the general formula [ ⁇ ]. Preferably, it is 1.1 to 1.2 moles.
- the reaction temperature may be selected in the range of an arbitrary temperature from 70 ° C to the reflux temperature in the reaction system.
- the reaction temperature is preferably in the range of -20 ° C to 150 ° C.
- the reaction time varies depending on the reaction temperature, reaction substrate, reaction volume, etc. The reaction time is usually 10 minutes to 20 hours.
- the compound of the general formula [I 2] which is the compound of the present invention can also be produced by a method comprising a substitution reaction exemplified below.
- the present invention compound 3 triazolylphenol sulfide derivative of general formula [I-2] is obtained by combining a compound of general formula [IX] and a compound of general formula [X] in a solvent with a base or acid copper (I ) In the presence of.
- the amount of the compound of the general formula [X] used here is preferably a range force of 1 to 5 mol per 1 mol of the compound of the general formula [IX]. ⁇ 1.2 mol.
- Solvents that can be used in this reaction include ethers such as jetyl ether, tetrahydrofuran, and dioxane, aromatic hydrocarbons such as benzene, toluene, xylene, and black benzene, N, N dimethylformamide, N, N Dimethylacetamide, N-methyl-2-pyrrolidone, dimethyl sulfoxide, sulfolane and other aprotic polar solvents, methanol, ethanol, methyl cellosolve and other alcohols, pentane, hexane, cyclohexane, heptane, etc.
- ethers such as jetyl ether, tetrahydrofuran, and dioxane
- aromatic hydrocarbons such as benzene, toluene, xylene, and black benzene
- N, N dimethylformamide such as benzene, toluene, xylene, and black benz
- Bases that can be used in this reaction include alkali metal hydroxides such as sodium hydroxide and potassium hydroxide, alkaline earth metals such as calcium hydroxide and magnesium hydroxide.
- Inorganic bases such as hydroxides, alkali metal carbonates such as sodium carbonate and potassium carbonate, alkali metal bicarbonates such as sodium hydrogen carbonate and potassium hydrogen carbonate, metals such as sodium hydride and potassium hydride
- Metal salts of alcohols such as hydrides, sodium methoxide, sodium ethoxide, potassium tert butoxide or triethylamine, N, N dimethylaniline, pyridine, 4-N, N dimethylaminopyridine, 1,8 diazabicyclo [5 4. 0] — 7
- Organic bases such as undecene.
- the amount of the base and copper oxide (I) to be used is appropriately selected from the range of 1 to 5 mol per 1 mol of the compound of the general formula [IX], and is preferably 1.0 to 1.2 mol. .
- the reaction temperature may be selected from an arbitrary temperature range from 70 ° C to the reflux temperature in the reaction system, and is preferably in the range of 0 ° C to 150 ° C.
- the reaction time varies depending on the reaction temperature, reaction substrate, reaction amount, etc. Usually, it is 10 minutes to 20 hours.
- the compound of the general formula [I], which is the compound of the present invention, can be produced by a method having the reaction formula exemplified below.
- the compound of the present invention represented by the general formula [I] is obtained by reacting the compound of the general formula [VI] with the compound of the general formula [VIII] and an anhydrous copper salt in a solvent in the presence of an organic base. Can be manufactured.
- the amount of the compound of the general formula [VIII] used here is a range force of 1 to 5 mol per 1 mol of the compound of the general formula [VI]. 2. 0 mole. [0080] The solvent that can be used in this reaction does not inhibit the reaction!
- halogenated alkanes such as chloroform and dichloromethane
- aromatic hydrocarbons such as benzene, toluene, and xylene
- Ethers such as jetyl ether, tetrahydrofuran, 1,2-dimethoxyethane and dioxane
- ketones such as acetone and methylethylketone
- -tolyls such as acetonitrile and propio-tolyl
- N, N dimethylformamide, N , N aprotic polar solvents such as dimethylacetamide
- aliphatic hydrocarbons such as pentane, hexane, cyclohexane and heptane
- pyridines such as pyridine and picoline, or a mixed solvent thereof.
- Examples of the anhydrous copper salt that can be used in this reaction include anhydrous copper acetate.
- the amount of the anhydrous copper salt used may be appropriately selected from the range of 1 to 5 mol, preferably 1.2 to 2.2 mol, per 1 mol of the compound of general formula [VI].
- Organic bases that can be used in this reaction include, for example, triethylamine, N, N-dimethylaniline, pyridine, 4-N, N dimethylaminopyridine, 1,8 diazabicyclo [5. 4. 0] -7 undecene, etc. Can be given.
- the amount of the organic base to be used is preferably 1.2 to 4.4 mol, if it is appropriately selected from the range of 1 to 5 mol with respect to 1 mol of the compound of the general formula [VI].
- the reaction temperature may be selected in the range of an arbitrary temperature from 0 ° C to the reflux temperature in the reaction system, and is preferably in the range of 10 ° C to 30 ° C.
- the reaction time varies depending on the reaction temperature, reaction substrate, reaction amount, etc., but is usually 8 to 48 hours.
- the compound of the general formula [I 1], which is the compound of the present invention, can also be produced by the following reaction formula method.
- the target 3-triazolylsulfuride derivative of the general formula [1-1] is obtained by combining a compound of the general formula [XI] with a conventional method [mineral acid (such as hydrochloric acid and sulfuric acid) and nitrite or It can be produced by reacting with a mercaptan salt of the general formula [ ⁇ ] or a disulfide of the general formula [ ⁇ ] after making it into a diazo-um salt by the method using alkyl nitrite].
- a conventional method such as hydrochloric acid and sulfuric acid
- the amount of the compound of the general formula [XII] and the compound of the general formula [ ⁇ ] used here is appropriately selected within a range of 1 to 5 mol per mol of the compound of the general formula [XI]. It is preferably 1.0 to 2.0 mol.
- Solvents that can be used in this reaction include ethers such as jetyl ether, tetrahydrofuran, and dioxane, aromatic hydrocarbons such as benzene, toluene, xylene, and black benzene, dichloromethane, black form, dichloroethane, and the like.
- ethers such as jetyl ether, tetrahydrofuran, and dioxane
- aromatic hydrocarbons such as benzene, toluene, xylene, and black benzene, dichloromethane, black form, dichloroethane, and the like.
- Halogenated hydrocarbons acetonitrile, N, N dimethylformamide, N, N dimethylacetamide, N-methyl 2-pyrrolidone, dimethyl sulfoxide, sulfolane and other aprotic polar solvents, methanol, ethanol, isopropyl Alcohols such as alcohol, -tolyl such as acetonitrile, propio-tolyl, esters such as ethyl acetate and propionate, aliphatic hydrocarbons such as pentane, hexane, cyclohexane and heptane, pyridine, Pyridines such as pyridine, water, or a mixture of these Solvent and the like.
- the reaction temperature is 30 ° C force. It is preferable to select a range force of any temperature up to the reflux temperature in the reaction system.
- the reaction temperature is preferably -10 ° C to 100 ° C.
- the reaction time varies depending on the reaction temperature, reaction substrate, reaction amount, etc., but is usually 10 minutes to 20 hours.
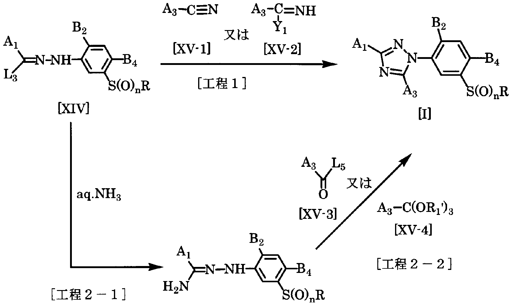
- the compound of the general formula [I] is obtained by reacting the compound of the general formula [XIV] with the compound of the general formula [XV-1] or the general formula [XV-2] in a solvent in the presence of a base. Can be manufactured.
- the amount of the compound of the general formula [XV-1] or the compound of the general formula [XV-2] used here is in the range of 1 mol to a large excess with respect to 1 mol of the compound of the general formula [XIV]. Yes, preferably 1.2 to 2.0 mol.
- Solvents that can be used in this reaction include ethers such as jetyl ether, tetrahydrofuran, and dioxane, aromatic hydrocarbons such as benzene, toluene, xylene, and black benzene, dichloromethane, black form, dichloroethane, and the like.
- ethers such as jetyl ether, tetrahydrofuran, and dioxane
- aromatic hydrocarbons such as benzene, toluene, xylene, and black benzene, dichloromethane, black form, dichloroethane, and the like.
- Halogenated hydrocarbons acetonitrile, ⁇ , ⁇ ⁇ ⁇ ⁇ dimethylformamide, ⁇ , ⁇ ⁇ ⁇ dimethylacetamide, ⁇ -methyl 2-pyrrolidone, dimethyl sulfoxide, sulfolane and other aprotic polar solvents, methanol, ethanol, isopropyl Alcohols such as alcohol, acetonitrile, propylene -Tolyls such as o-tolyl, esters such as ethyl acetate and ethyl propionate, aliphatic hydrocarbons such as pentane, hexane, cyclohexane and heptane, pyridines such as pyridine and picoline, water, or These mixed solvents are exemplified.
- Bases that can be used in this reaction include alkali metal hydroxides such as sodium hydroxide and potassium hydroxide, and alkaline earth metals such as calcium hydroxide and magnesium hydroxide.
- Inorganic bases such as hydroxides, alkali metal carbonates such as sodium carbonate and potassium carbonate, alkali metal bicarbonates such as sodium hydrogen carbonate and potassium hydrogen carbonate, metals such as sodium hydride and potassium hydride Hydride, sodium methoxide, sodium ethoxide, potassium metal salts of alcohols such as tert-butoxide or triethylamine, N, N-dimethylaniline, pyridine, 4-N, N-dimethylaminopyridine, 1,8- Organic bases such as diazabicyclo [5. 4. 0] -7-undecene.
- the amount of the base used is preferably 2.2 to 3.0 moles if appropriately selected in the range of 2 to 5 moles per mole of the compound of the general formula [XIV].
- the reaction temperature may be selected from a range of temperature ranging from 0 ° C to the reflux temperature in the reaction system, preferably 10 ° C to 150 ° C.
- the reaction time varies depending on the reaction temperature, reaction substrate, reaction amount, etc. Usually 3 to 12 hours.
- the desired 3-triazolylphenol sulfide derivative of general formula [I] can be obtained by reacting a compound of general formula [XIV] with aqueous ammonia to give a compound of general formula [XIV-1].
- step 2-1 and reacting this compound with the compound of general formula [XV-3] or general formula [XV-4] in a solvent in the presence of a base or in the presence of an acid catalyst. It can be produced by (Step 2-2).
- the amount of aqueous ammonia used in this step is preferably 2.0 to 5.0 moles if the range power of 1 to 10 moles is appropriately selected per mole of the compound of the general formula [XIV].
- Solvents usable in this step include, for example, ethers such as jetyl ether, tetrahydrofuran and dioxane, aromatic hydrocarbons such as benzene, toluene, xylene and black benzene, dichloromethane, black form and dichloroethane.
- Halogenated hydrocarbons such as pyrrolidone, dimethyl sulfoxide and sulfolane; alcohols such as methanol, ethanol and isopropyl alcohol; -tolyls such as acetonitrile and propiotolyl; esters such as ethyl acetate and propionate , Aliphatic hydrocarbons such as pentane, hexane, cyclohexane and heptane, pyridines such as pyridine and picoline, water, or a mixed solvent thereof.
- pyrrolidone dimethyl sulfoxide and sulfolane
- alcohols such as methanol, ethanol and isopropyl alcohol
- -tolyls such as acetonitrile and propiotolyl
- esters such as ethyl acetate and propionate
- Aliphatic hydrocarbons such as pentane, hexane, cyclohexane
- the reaction temperature is 30 ° C force. It is preferable to select a range force of any temperature up to the reflux temperature in the reaction system. Preferably, the reaction temperature is in the range of -10 ° C to 100 ° C.
- the reaction time varies depending on the reaction temperature, reaction substrate, reaction amount, etc., but is usually 10 minutes to 20 hours.
- the amount of the compound of general formula [XV-3] and the compound of general formula [XV-4] used in this step is 1 mol to large excess with respect to 1 mol of the compound of general formula [XIV-1].
- the range is preferably 1.0 to 2.0 mol.
- Examples of the acid catalyst that can be used in this step include sulfonic acids such as methanesulfonic acid and p-toluenesulfonic acid, inorganic acids such as hydrochloric acid and sulfuric acid, and carboxylic acids such as acetic acid and trifluoroacetic acid.
- sulfonic acids such as methanesulfonic acid and p-toluenesulfonic acid
- inorganic acids such as hydrochloric acid and sulfuric acid
- carboxylic acids such as acetic acid and trifluoroacetic acid.
- the amount of the acid catalyst used is preferably an appropriate range power from 0.01 mol to a large excess with respect to 1 mol of the compound of the general formula [XIV-1]. Is a mole.
- Examples of the solvent that can be used in this step include the same solvents as described in Step 1 above.
- Bases that can be used in this step include alkali metal hydroxides such as sodium hydroxide and potassium hydroxide, and alkaline earth metals such as calcium hydroxide and magnesium hydroxide.
- Inorganic bases such as hydroxides, alkali metal carbonates such as sodium carbonate and potassium carbonate, alkali metal bicarbonates such as sodium hydrogen carbonate and potassium hydrogen carbonate, metals such as sodium hydride and potassium hydride
- Metal salts of alcohols such as hydrides, sodium methoxide, sodium ethoxide, potassium tert butoxide or triethylamine, N, N dimethylaniline, pyridine, 4-N, N dimethylaminopyridine, 1,8 diazabicyclo [5 4. 0] — 7
- Organic bases such as undecene.
- the amount of the base used ranges from 1 mol to a large excess with respect to 1 mol of the compound [XIV-1]. It is a range, Preferably it is 1.0-1.5 mol.
- the reaction temperature is 30 ° C force. Any temperature range force up to the reflux temperature in the reaction system may be selected. Preferably, the reaction temperature is in the range of -10 ° C to 100 ° C.
- the reaction time varies depending on the reaction temperature, reaction substrate, reaction amount, etc., but is usually 10 minutes to 20 hours.
- Y represents a halogen atom, an alkoxy group, or an alkyl group which may be substituted with a halogen atom.
- R ′, A, A, ⁇ , ⁇ , R and n have the same meaning as described above.
- the compound of the general formula [I] is composed of a compound of the general formula [XVI-1], a compound of the general formula [XVII-1] and an compound of the formula [XVIII] derived from acid halides and acid anhydrides. It can be produced from Kako.
- the amount of the compound represented by the general formula [XVII-1] may be appropriately selected from a range of 1.0 to 5.0 moles per mole of the compound of the general formula [XVIII], preferably 1. 0 to 1.5 moles.
- Solvents that can be used in this step include ethers such as jetyl ether, tetrahydrofuran, and dioxane, aromatic hydrocarbons such as benzene, toluene, xylene, and black benzene, acetonitrile, N, N dimethylformamide, N, N Dimethylacetamide, N-methyl Luo-2-pyrrolidone, aprotic polar solvents such as dimethyl sulfoxide, sulfolane, alcohols such as methanol, ethanol, isopropyl alcohol, halogenated hydrocarbons such as methylene chloride, chloroform, dichloroethane, pentane, hexane, Examples thereof include aliphatic hydrocarbons such as cyclohexane and heptane, ketones such as acetone, methyl ethyl ketone and cyclohexanone, and water.
- ethers such as jetyl ether,
- the reaction temperature is 30 ° C force.
- the range force of any temperature up to the reflux temperature in the reaction system may be selected.
- the reaction temperature is preferably -10 ° C to 100 ° C.
- the reaction time varies depending on the reaction temperature, reaction substrate, reaction amount, etc., but is usually 10 minutes to 20 hours.
- the target 3-triazolylphenolsulfide derivative of general formula [1-3] is a compound of general formula [XVII-2], which is also derived from the compound of general formula [XVI-2], isotopes of carbon dioxide and halogenoalkyl.
- XVII-2 is also derived from the compound of general formula [XVI-2]
- isotopes of carbon dioxide and halogenoalkyl can be produced by reacting the compound of [XVIII] with
- the amount of the compound of the general formula [XVII-2] used is preferably 1.0 to 10 mol, as long as the range force of 1.0 to 10 mol is appropriately selected with respect to 1 mol of the compound of the general formula [XVIII]. 1. 5 moles.
- Examples of the solvent that can be used in this step include the same solvents described in Step 3 above.
- the reaction temperature is 30 ° C force. It is preferable to select a range force of any temperature up to the reflux temperature in the reaction system.
- the reaction time varies depending on the reaction temperature, reaction substrate, reaction amount, etc., but is usually 10 minutes to 20 hours.
- the compound of the general formula [I 1] is obtained by reacting a compound of the general formula [XIX] with a metal or organometallic compound and then reacting a compound of the general formula [XX] or the general formula [ ⁇ ]. Can be manufactured.
- the amount of the compound of the general formula [XX] or the general formula [ ⁇ ] used here may be appropriately selected from a range of 1 to 5 mol per mol of the compound of the general formula [XI X]. More preferably, it is 1.0 to 2.0 mol.
- Solvents that can be used in this reaction include ethers such as jetyl ether, tetrahydrofuran, and dioxane, aromatic hydrocarbons such as benzene, toluene, xylene, and black benzene, pentane, hexane, and cyclohexane. And aliphatic hydrocarbons such as heptane, pyridines such as pyridine and picoline, or a mixed solvent thereof.
- ethers such as jetyl ether, tetrahydrofuran, and dioxane
- aromatic hydrocarbons such as benzene, toluene, xylene, and black benzene
- pentane hexane
- cyclohexane cyclohexane
- aliphatic hydrocarbons such as heptane, pyridines such as pyridine and picoline, or a mixed solvent thereof.
- metals that can be used in this reaction include alkali metals such as lithium and alkaline earth metals such as magnesium.
- the amount used is 1 to 3 moles per mole of the compound of the general formula [XIX]. Range force It is preferable to select appropriately.
- the reaction temperature is 90 ° C force. It is preferable to select a range force of any temperature up to the reflux temperature in the reaction system.
- the reaction time is from 78 ° C to 70 ° C.
- the force varies depending on the reaction temperature, reaction substrate, reaction amount, etc. Usually 10 minutes to 20 hours.
- the compound of the general formula [I 4] can be produced by reacting the compound of the general formula [I 1] with an oxidizing agent in the presence or absence of a catalyst.
- Examples of the oxidant that can be used in this reaction include hydrogen peroxide, m-peroxybenzoic acid, sodium periodate, oxone (OXONE, trade name of DuPont; peroxohydrogensulfate-containing hydrogen peroxide) ), N chlorosuccinimide, N bromosuccinimide, tert butyl hypochlorite, sodium hypochlorite and the like.
- the amount of the oxidizing agent to be used is preferably 1.0 to 1.2 mol, if it is appropriately selected from the range of 1 to 6 mol with respect to 1 mol of the compound of the general formula [I 1].
- Examples of the catalyst that can be used in this reaction include sodium tungstate.
- the amount of the catalyst used may be appropriately selected in the range of 0 to 1 mol per mol of the general formula [I 1], preferably 0.01 to 0.1 monolayer.
- Solvents that can be used in this reaction include ethers such as jetyl ether, tetrahydrofuran, and dioxane, aromatic hydrocarbons such as benzene, toluene, xylene, and black benzene, acetonitrile, N, N dimethylformamide, Aprotic polar solvents such as N, N-dimethylacetamide, N-methyl-2-pyrrolidone, dimethyl sulfoxide, sulfolane, alcohols such as methanol, ethanol, isopropyl alcohol, methyl chloride, black-form, dichloroethane, etc.
- ethers such as jetyl ether, tetrahydrofuran, and dioxane
- aromatic hydrocarbons such as benzene, toluene, xylene, and black benzene
- acetonitrile N, N dimethylformamide
- Aprotic polar solvents such as N, N-dimethylace
- Halogenated hydrocarbons of the above aliphatic hydrocarbons such as pentane, hexane, cyclohexane and heptane, ketones such as acetone, methyl ethyl ketone, cyclohexanone, acetic acid, water, or a mixed solvent thereof. It can be illustrated.
- the reaction temperature is 30 ° C force.
- the range force of any temperature up to the reflux temperature in the reaction system may be selected.
- the reaction temperature is preferably -10 ° C to 100 ° C.
- the reaction time varies depending on the reaction temperature, reaction substrate, reaction amount, etc., but is usually 10 minutes to 20 hours.
- the compound of the general formula [I] can be produced by subjecting a 3-triazolylphenylsulfide derivative to functional group conversion by a generally known method.
- L is a hydrogen atom, halogen
- the compound of the general formula [I] is obtained by combining the compound of the general formula [1-3] with an electrophilic reagent in the presence or absence of a solvent, in the presence or absence of a base, and in the presence of an acid. It can be produced by reacting in the presence or absence of, in the presence or absence of a dehydration condensation agent.
- the electrophilic reagents that can be used in this step are halogenated alkanes, halogenated alkenes, halogenated alkynes, phenol alkyl halides, heterocyclic alkyl halides, halogenated acyls, acid anhydrides, benzoic acids, benzoic acids.
- halogen alkane examples include methyl iodide, acetyl iodide, propyl iodide and the like.
- Halyl bromides that can be used in this process include allyl bromide and 1, 1, 3-trichloro. Mouth propen.
- halogenated alkyne examples include propargylbuguchimido and 4-chloro-2-butyne.
- phenylalkyl halide examples include benzylbutamide,
- heterocyclic alkyl halide examples include 2-chloro-5-chloromethylpyridine.
- halogenated acyls examples include acetyl chloride and propio.
- Examples of the acid anhydride that can be used in this step include acetic anhydride, trifluoroacetic anhydride, chlorodifluoroacetic anhydride, and the like.
- isocyanates examples include methyl isocyanate, ethyl isocyanate, chlorosulfur isocyanate, and the like.
- aromatic halide examples include 3,5 dichlorotetrafluorobenzoic trifluoride.
- heterocyclic halide examples include 2,3-dichloro-5-trifluoromethylpyridine.
- Examples of the sulfohalides that can be used in this step include trifluoromethanesulfonyl fluoride, trifluoromethane sulfochloride, difluoromethane sulfochloride and the like.
- Examples of the sulfonic acid anhydride that can be used in this step include trifluoromethanesulfonic acid anhydride.
- ketones that can be used in this step include acetone, 4-hydroxy-3-methoxybenzaldehyde, and the like.
- Examples of the benzoic acid halide that can be used in this step include benzoic acid chloride and the like.
- Examples of the heterocyclic carboxylic acid that can be used in this step include 3-pyridinecarboxylic acid and thiophene carboxylic acid.
- heterocyclic carboxylic acid halide examples include 3-pyridine carboxylic acid chloride, thiophene carboxylic acid chloride, and the like.
- Examples of the aliphatic carboxylic acid halide that can be used in this step include acetyl chloride and propionic acid chloride.
- alcohols examples include methanol, ethanol, benzyl alcohol, and the like.
- the amount of the electrophilic reagent used is preferably 1 to 10 moles, more preferably 1 to 10 moles as long as it is appropriately selected from the range of 1 to LOO moles with respect to 1 mole of the compound of the general formula [I3]. 3 moles.
- usable bases include alkali metal hydroxides such as sodium hydroxide and potassium hydroxide, calcium hydroxide and magnesium hydroxide, for example.
- Inorganic bases such as alkaline earth metal hydroxides, alkali metal carbonates such as sodium carbonate and potassium carbonate, alkali metal bicarbonates such as sodium hydrogen carbonate and potassium hydrogen carbonate, sodium hydride, hydrogenated Metal hydrides such as potassium, metal salts of alcohols such as sodium methoxide, sodium ethoxide, potassium tert butoxide or triethylamine, N, N dimethylaniline, pyridine, 4-N, N dimethylamino pyridine, 1 , 8 Diazabicyclo [5. 4. 0] — 7 Organic bases such as undecene.
- the amount of the base used is 0. 1 mol of the compound of the general formula [I 3].
- the range force in the range of 01 to 3 moles may be appropriately selected, and is preferably 0.1 to 2 moles, more preferably 0.1 to 1.2 moles.
- the acid that can be used is a Lewis acid, for example, sulfonic acids such as methanesulfonic acid or p-toluenesulfonic acid, inorganic acids such as hydrochloric acid, hydrobromic acid or sulfuric acid, Examples thereof include carboxylic acids such as acetic acid and trifluoroacetic acid.
- sulfonic acids such as methanesulfonic acid or p-toluenesulfonic acid
- inorganic acids such as hydrochloric acid, hydrobromic acid or sulfuric acid
- carboxylic acids such as acetic acid and trifluoroacetic acid.
- the amount of acid used is 0.001 to 1 mol of the compound of the general formula [I 3].
- the range force of ⁇ 5 mol is preferably selected as appropriate, and is preferably 0.01-2 mol, and more preferably Preferably 0.03: L is 0 mol.
- Examples of the solvent that can be used in this step include ethers such as jetyl ether, tetrahydrofuran, and dioxane, aromatic hydrocarbons such as benzene, toluene, xylene, and black benzene, acetonitrile, and N, N dimethylformamide.
- ethers such as jetyl ether, tetrahydrofuran, and dioxane
- aromatic hydrocarbons such as benzene, toluene, xylene, and black benzene
- acetonitrile and N, N dimethylformamide.
- N, N Dimethylacetamide, N-methyl-2-pyrrolidone, dimethyl sulfoxide, sulfolane, and other aprotic polar solvents methanol, ethanol, isopropyl alcohol, and other alcohols, methylene chloride, chloroform, formaldehyde, dichloroethane, etc.
- Examples thereof include aliphatic hydrocarbons such as hydrogen, pentane, hexane, cyclohexane, and heptane, ketones such as acetone, methylethylketone, and cyclohexanone, or a mixed solvent thereof.
- dehydrating condensing agent examples include carpositimides such as dicyclohexyl carpositimide.
- the amount of the dehydrating condensing agent used is preferably a range force of 1 to 3 moles per mole of the compound of the general formula [I3], preferably 1.0. ⁇ 1.2 moles.
- the reaction temperature is 20 ° C force.
- the range force of any temperature up to the reflux temperature in the reaction system may be selected.
- the reaction temperature is preferably 0 ° C to 80 ° C! /.
- reaction time varies depending on the reaction temperature, reaction substrate, reaction amount, etc., but is usually 15 minutes to 24 hours.
- the compound of the general formula [I] is produced by reacting the compound of the general formula [I 5] with the compound represented by the general formula [I 7] in the presence or absence of a base in the presence of a solvent. It can be done.
- usable bases include alkali metal hydroxides such as sodium hydroxide and potassium hydroxide, calcium hydroxide and magnesium hydroxide, for example.
- Inorganic bases such as alkaline earth metal hydroxides, alkali metal carbonates such as sodium carbonate and potassium carbonate, alkali metal bicarbonates such as sodium hydrogen carbonate and potassium hydrogen carbonate, sodium hydride, hydrogenated Metal hydrides such as potassium, metal salts of alcohols such as sodium methoxide, sodium ethoxide, potassium tert butoxide or Organic bases such as triethylamine, N, N dimethylaniline, pyridine, 4-N, N dimethylaminopyridin, 1,8 diazabicyclo [5.4.0] -7undecene.
- the amount of the base used is preferably 1 to 3 moles as long as the range power of 1 to 10 moles is appropriately selected with respect to 1 mole of the compound of the general formula [I5]. More preferably, it is 1.0 to 1.2 mol.
- Examples of the solvent that can be used in this step include ethers such as jetyl ether, tetrahydrofuran, and dioxane, aromatic hydrocarbons such as benzene, toluene, xylene, and black benzene, acetonitrile, and N, N dimethylformamide.
- ethers such as jetyl ether, tetrahydrofuran, and dioxane
- aromatic hydrocarbons such as benzene, toluene, xylene, and black benzene
- acetonitrile and N, N dimethylformamide.
- N, N-dimethylacetamide, N-methyl-2-pyrrolidone, dimethyl sulfoxide, sulfolane and other aprotic polar solvents methanol, ethanol, isopropyl alcohol and other alcohols, methylene chloride, chloroform, formaldehyde, dichloroethane, etc.
- Hydrocarbons such as pentane, hexane, cyclohexane, and heptane, ketones such as acetone, methylethylketone, cyclohexanone, and water can be mentioned, and these mixed solvents are also used. it can.
- the reaction temperature is 20 ° C force.
- the range force of any temperature up to the reflux temperature in the reaction system should be selected.
- the reaction temperature should preferably be in the range of 10 ° C to 150 ° C! /.
- reaction time varies depending on the reaction temperature, reaction substrate, reaction amount, etc., but is usually 15 minutes to 12 hours.
- the compound of the present invention represented by the general formula [I] can be produced by reacting the compound of the general formula [I 6] with amines, carboxylic acids and alcohols in the presence or absence of a solvent. .
- Examples of amines that can be used in this step include methylamine, ethylamine, dimethylamine, propylamine, isopropylamine, hydrazine, and methylhydrazine.
- Examples of carboxylic acids that can be used in this step include acetic acid, propionic acid, methoxyacetic acid, benzoic acid, and the like.
- Examples of alcohols that can be used in this step include methanol, ethanol, propanol, aryl alcohol, propargyl alcohol, and cyclopropanol.
- the amount of amines, carboxylic acids or alcohols used is 1 to 100 moles, preferably 1 to 100 moles of amines, carboxylic acids or alcohols with respect to 1 mole of the compound represented by the general formula [I 6]. It is 1 to 30 mol, more preferably 1 to 3 mol.
- Examples of the solvent that can be used in this reaction include ethers such as jetyl ether, tetrahydrofuran, and dioxane, aromatic hydrocarbons such as benzene, toluene, xylene, and black benzene, acetonitrile, and N, N dimethylformamide.
- ethers such as jetyl ether, tetrahydrofuran, and dioxane
- aromatic hydrocarbons such as benzene, toluene, xylene, and black benzene
- acetonitrile and N, N dimethylformamide.
- N, N Dimethylacetamide, N-methyl-2-pyrrolidone, dimethyl sulfoxide, sulfolane, and other aprotic polar solvents methanol, ethanol, isopropyl alcohol, and other alcohols, methylene chloride, chloroform, formaldehyde, dichloroethane, etc.
- Examples thereof include hydrogens, aliphatic hydrocarbons such as pentane, hexane, cyclohexane and heptane, ketones such as acetone, methylethylketone and cyclohexanone, and mixed solvents thereof.
- the reaction temperature is 20 ° C force.
- the range of the temperature up to the reflux temperature in the reaction system may be selected.
- the reaction temperature is preferably in the range of 10 ° C to 150 ° C! /.
- reaction time varies depending on the reaction temperature, reaction substrate, reaction amount and the like, but is usually 30 minutes to 24 hours.
- R ′ represents a methyl group or a trifluoromethyl group
- Y, A, A, B and B are
- the target compound represented by the general formula [ ⁇ ] or [IV] is treated with an acetic anhydride or trifluoroacetic anhydride after oxidizing the compound of the general formula [XXI] with an oxidizing agent to form a methyl sulfoxide. Then, the Pummerer rearrangement reaction is carried out to give an acylmethoxysulfide represented by the general formula [ ⁇ ]. Then, it can manufacture by hydrolyzing this.
- Oxidizing agents that can be used in this process include, for example, hydrogen peroxide, m-peroxybenzoic acid, sodium periodate, oxone (OXONE, trade name of DuPont; potassium peroxosulfate) Product), N chlorosuccinimide, N bromosuccinimide, tert butyl hypochlorite, sodium hypochlorite and the like.
- the amount of the oxidizing agent used ranges from 1 to 3 moles per mole of the compound of the general formula [XXI]. It is preferable to select it appropriately, and it is 1.0 to 1.2 mol.
- the amount of acetic anhydride or trifluoroacetic anhydride to be used can be used as a reaction solvent from 1 mol to 1 mol of the compound of the general formula [XXI], preferably 1.0 to 3.0 mol.
- the reaction temperature is selected from any temperature range up to the reflux temperature in the reaction system of 10 ° C.
- the reaction temperature is 0 ° C to 50 ° C. ! /
- the reaction time varies depending on the reaction temperature, reaction substrate, reaction amount, etc., but is usually 5 minutes to 12 hours.
- the compound represented by the general formula [ ⁇ ] can be produced by treating the compound of the general formula [XIX] with a metal or organometallic compound in a solvent and then reacting with sulfur.
- Examples of the solvent that can be used in this step include ethers such as jetyl ether, tetrahydrofuran, and dioxane, aromatic hydrocarbons such as benzene, toluene, xylene, and black benzene, pentane, hexane, and cyclohexane.
- ethers such as jetyl ether, tetrahydrofuran, and dioxane
- aromatic hydrocarbons such as benzene, toluene, xylene, and black benzene, pentane, hexane, and cyclohexane.
- examples thereof include aliphatic hydrocarbons such as xane and heptane, pyridines such as pyridine and picoline, and mixed solvents thereof.
- Examples of the metal that can be used in this step include lithium and magnesium.
- the amount of the metal used is preferably 1.0 to 1.2 moles as long as it is appropriately selected from the range of 1 to 3 moles per mole of the compound of the general formula [XIX].
- organometallic compound examples include n-butyllithium.
- the amount of the organometallic compound used is preferably a range of 1 to 3 moles per mole of the compound of the general formula [XIX], preferably 1.0 to 1.2 moles.
- the amount of sulfur used is preferably in the range of 1 to 5 mol per 1 mol of the compound of general formula [XIX].
- the reaction temperature is 60 ° C force.
- the range force of any temperature up to the reflux temperature in the reaction system may be selected.
- the reaction temperature is preferably 60 ° C to room temperature.
- the time varies depending on the reaction temperature, reaction substrate, reaction amount, etc., but is usually 30 minutes to 12 hours.
- the amount of xanthate or thiocyanate to be used is preferably in the range of 1 to 3 moles per mole of the compound of the general formula [XI].
- the reaction temperature is 70 ° C force. It is preferable to select a range force of any temperature up to the reflux temperature in the reaction system. Preferably, the reaction temperature is in the temperature range of 20 ° C to 100 ° C. Is good.
- the reaction time varies depending on the reaction temperature, reaction substrate, reaction amount, etc., but is usually 10 minutes to 20 hours.
- the synthetic intermediate represented by the general formula [ ⁇ ] is obtained by treating the compound of the general formula [ ⁇ ] with chlorosulfonic acid to give sulfosulfuryl chloride of the general formula [XXIV], which is lithium aluminum hydride and zinc. It can be produced by reducing with tin and acid, tin and acid or red phosphorus and iodine.
- the amount of chlorosulfonic acid used in this step is 2 to 5 moles per 1 mole of the compound of the general formula [ ⁇ ].
- Examples of the acid include hydrochloric acid and sulfuric acid.
- the amount of chlorosulfonic acid to be used is preferably 2.2 to 3.5 moles as long as it is appropriately selected from the range of 2 to 10 moles per mole of the compound of the general formula [ ⁇ ].
- Lithium aluminum hydride, zinc and acid, tin, acid, red phosphorus, and iodine are used in a range of 1 to 5 moles per mole of the compound of general formula [ ⁇ ]. Is 1.5 to 2.0 moles.
- the compound represented by the general formula [IV] can be produced by reacting the compound of the general formula [ ⁇ ] with a disalt salt in the presence or absence of a catalyst. Furthermore, the compound represented by the general formula [II] can be produced by reducing the compound represented by the general formula [IV] by a conventional method. [0192]
- the amount of dichloride used is suitably selected from the range of 1 to 5 moles per mole of the compound of the general formula [ ⁇ ], preferably 1.1 to 1.5 moles.
- Examples of the catalyst that can be used in this step include Lewis acid catalysts such as sodium chloride aluminum, tin chloride (IV), and varnished chloride (IV).
- the amount of the catalyst used is preferably 1.1 to 2.0 moles as long as it is appropriately selected within a range of 1 to 5 moles per mole of the compound of general formula [ ⁇ ].
- Examples of the solvent that can be used in this step include halogenated hydrocarbons such as methylene chloride, chloroform, and dichloroethane, and aromatic hydrocarbons such as chloroform and dichlorobenzene.
- the reaction temperature is 30 ° C force. It is preferable to select a range force of any temperature up to the reflux temperature in the reaction system. Preferably, the reaction temperature is in the range of -10 ° C to 100 ° C.
- the reaction time varies depending on the reaction temperature, reaction substrate, reaction amount, etc., but is usually 1 to 20 hours.
- the target 3 triazolylphenol thiol derivative represented by the general formula [ ⁇ -1] was obtained by reacting the compound of general formula [IX] with the compound of general formula [XXV] in a solvent in the presence of a base. Then, it can manufacture by neutralizing with a mineral acid etc.
- the amount of the compound of the general formula [XXV] used here is a range force of 1 to 3 mol per 1 mol of the compound of the general formula [IX]. 1. 5 moles
- Solvents usable in this step are ethers such as jetyl ether, tetrahydrofuran and dioxane, aromatic hydrocarbons such as benzene, toluene, xylene and black benzene, N, N dimethylformamide, N, N dimethyl Acetamide, N-methyl-2-pyrrolidone, aprotic polar solvents such as dimethyl sulfoxide, sulfolane, alcohols such as methanol, ethanol, isopropyl alcohol, and halogenated compounds such as methylene chloride, chloroform, and dichloromethane Examples thereof include hydrocarbons, aliphatic hydrocarbons such as pentane, hexane, cyclohexane and heptane, ketones such as acetone, methyl ethyl ketone and cyclohexanone, and water.
- ethers such as jetyl ether, tetrahydrofuran and diox
- Bases that can be used in this step include alkali metal hydroxides such as sodium hydroxide and potassium hydroxide and alkaline earth metals such as calcium hydroxide and magnesium hydroxide.
- Inorganic bases such as hydroxides, alkali metal carbonates such as sodium carbonate and potassium carbonate, alkali metal bicarbonates such as sodium hydrogen carbonate and potassium hydrogen carbonate, metals such as sodium hydride and potassium hydride
- Metal salts of alcohols such as hydrides, sodium methoxide, sodium ethoxide, potassium tert butoxide or triethylamine, N, N dimethylaniline, pyridine, 4-N, N dimethylaminopyridine, 1,8 diazabicyclo [5 4. 0] — 7
- Organic bases such as undecene.
- the amount of the base used is preferably in the range of 1.0 to 1.2 mol, if it is appropriately selected in the range of 1 to 5 mol per mol of the compound of the general formula [IX].
- Examples of mineral acids include hydrochloric acid and sulfuric acid.
- the amount of mineral acid to be used is preferably in the range of 1 to 5 mol per 1 mol of the compound of general formula [IX].
- the reaction temperature may be selected from an arbitrary temperature range from 30 ° C to the reflux temperature in the reaction system, and it is preferably carried out in a temperature range of -20 ° C to 100 ° C.
- the reaction time varies depending on the reaction temperature, reaction substrate, reaction volume, etc. The reaction time is usually 10 minutes to 20 hours.
- the synthetic intermediate represented by the general formula [VI] is converted into the compound of the general formula [XVII] in the same manner as in Production Method 8 and the hydrazine hydrate of the formula [XXVI] [ XXVI] can be produced from Kako.
- the amount of hydrazine hydrate [XXVI] used here is a range force of 1 to 5 moles per mole of the compound of the general formula [XVII]. 0 mol.
- the synthetic intermediate represented by the general formula [VI] is prepared in the same manner as in Production Method 7.
- the compound of the general formula [XXVII] and the compound of the general formula [XV-1] or the compound of the general formula [XV-2] It can be produced from Kako.
- the amount of the compound represented by the general formula [XV-1] or the compound represented by the general formula [XV-2] used here is 1 per 1 mol of the compound of the general formula [XXVII].
- Molar force Yes preferably 1.0 to 2.0 mol.
- the reaction temperature is 70 ° C force.
- the range of the temperature up to the reflux temperature in the reaction system can be selected.
- the reaction temperature is preferably 20 ° C to 100 ° C! /.
- reaction time varies depending on the reaction temperature, reaction substrate, reaction amount, etc., but is usually 10 minutes to 20 hours.
- the synthetic intermediate represented by the general formula [VI] is produced by reacting the compound represented by the general formula [XXVII] with ammonia water to produce an amiderazone represented by the general formula [XXVII-2]. Furthermore, it can be produced by reacting this reactant with a compound represented by the general formula [XV-3] or a compound represented by the general formula [XV-4].
- the amount of ammonia water used is preferably a range force of 1 to 10 moles per mole of the compound represented by the general formula [XXVII], preferably 2.0 to 5.0 moles. is there.
- the amount of the compound represented by the general formula [XV-3] or the compound represented by the general formula [XV-4] is used with respect to 1 mol of the compound represented by the general formula [XXVII-2]. From 1 mol to a large excess, preferably 1.0 to 2.0 mol.
- the reaction temperature is 70 ° C force. It is preferable to select an arbitrary temperature range force up to the reflux temperature in the reaction system.
- the reaction temperature is preferably -20 ° C to 100 ° C.
- the reaction time varies depending on the reaction temperature, reaction substrate, reaction volume, etc. The reaction time is usually 10 minutes to 20 hours.
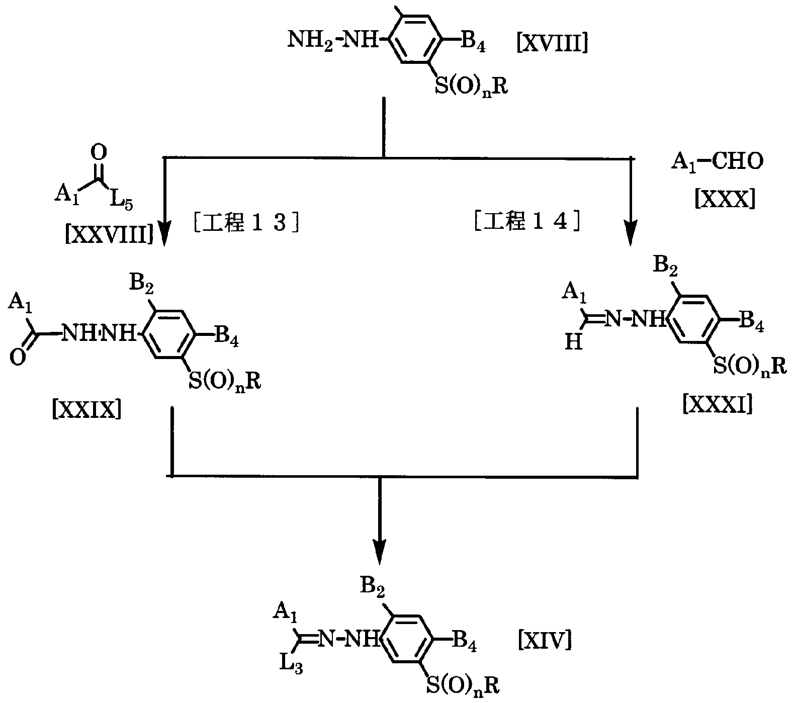
- the compound represented by the general formula [XXIX] is obtained by reacting a phenol hydrazine derivative represented by the general formula [XVIII] with a compound represented by the general formula [xxvm] in a solvent in the presence of a base. And then you'll be confused. Thereafter, the target compound represented by the general formula [XIV] can be produced by treating the compound represented by the general formula [XXIX] with a halogenating agent.
- the amount of the compound of the general formula [xxvm] used here is preferably a range force of 1 to 5 moles per mole of the compound of the general formula [XVIII], preferably 1.0 to 1. 1 mole.
- Solvents that can be used in this step include ethers such as jetyl ether, tetrahydrofuran, and dioxane, and aromatics such as benzene, toluene, xylene, and black benzene.
- ethers such as jetyl ether, tetrahydrofuran, and dioxane
- aromatics such as benzene, toluene, xylene, and black benzene.
- Hydrocarbons such as dichloromethane, chloroform, dichloroethane, and the like, aprotic properties such as N, N dimethylformamide, N, N dimethylacetamide, N-methyl-2-pyrrolidone, dimethyl sulfoxide, and sulfolane Polar solvents, alcohols such as methanol, ethanol, isopropyl alcohol, -tolyls such as acetonitrile, propio-tolyl, esters such as ethyl acetate, ethyl propionate, pentane, hexane, cyclohexane, heptane, etc. Examples thereof include aliphatic hydrocarbons, pyridines such as pyridine and picoline, water, or a mixed solvent thereof.
- Bases that can be used in this step include alkali metal hydroxides such as sodium hydroxide and potassium hydroxide, and alkaline earth metals such as calcium hydroxide and magnesium hydroxide.
- Inorganic bases such as hydroxides, alkali metal carbonates such as sodium carbonate and potassium carbonate, alkali metal bicarbonates such as sodium hydrogen carbonate and potassium hydrogen carbonate, metals such as sodium hydride and potassium hydride
- Metal salts of alcohols such as hydrides, sodium methoxide, sodium ethoxide, potassium tert butoxide or triethylamine, N, N dimethylaniline, pyridine, 4-N, N dimethylaminopyridine, 1,8 diazabicyclo [5 4. 0] — 7
- Organic bases such as undecene.
- the amount of the base used is 1 mol to a large excess with respect to 1 mol of the compound of the general formula [XVIII], preferably 1.0 to 1.2 mol.
- the rogenating agent include phosphorus trichloride, triodorous phosphorus, chlorothionyl chloride, phosphorus oxychloride, phosphorus pentachloride, triphosphine Z tetrasalt ⁇ carbon or triphenylphosphine Z carbon tetrabromide Etc.
- the amount of the halogenating agent to be used is 1 mol to excessively larger than 1 mol of the compound [XXIX], and preferably 1.0 to 1.5 mol.
- the reaction temperature is 70 ° C force.
- the range of the temperature up to the reflux temperature in the reaction system can be selected.
- the reaction temperature is preferably 20 ° C to 150 ° C. /.
- the reaction time varies depending on the reaction temperature, reaction substrate, reaction amount, etc., but is usually 10 minutes to 20 hours.
- the target compound represented by the general formula [XIV] is obtained by combining a furhydrazine derivative represented by the general formula [XVIII] and an aldehyde compound represented by the general formula [XXX] in a solvent.
- a phenol hydrazone derivative represented by the general formula [XXXI] can be obtained and then treated with a halogenating agent.
- the amount of the compound of the general formula [XXX] used here is preferably in the range of 1 to 5 mol per 1 mol of the compound of the general formula [XVIII]. ⁇ 1.2 moles.
- the solvent that can be used in this step does not inhibit the reaction!
- a solvent for example, aromatic hydrocarbons such as benzene, toluene, xylene, jetyl ether, tetrahydrofuran, 1,2-dimethoxy ester Ethers such as tan and dioxane, ketones such as acetone and methyl ethyl ketone, -tolyl such as acetonitrile and propio-tolyl, aprotic such as dimethyl sulfoxide, N, N dimethylformamide, and N, N dimethylacetamide And polar solvents, aliphatic hydrocarbons such as pentane, hexane, cyclohexane and heptane, pyridines such as pyridine and picoline, or a mixed solvent thereof.
- aromatic hydrocarbons such as benzene, toluene, xylene, jetyl ether, tetrahydrofuran
- Examples of the acid catalyst that can be used in this step include sulfonic acids such as p-toluenesulfonic acid, and Lewis acids such as tetrasalt and titanium.
- the amount used is preferably 1.0 to 1 as long as the range force of 1 to 5 mol is appropriately selected with respect to 1 mol of the compound of the general formula [XVIII]. 2 moles.
- halogenating agent examples include chlorine, N-chlorosuccinimide, N-butyl mosuccinimide, and tert-butyl hypochlorite.
- the amount of the halogenating agent used here is 1 mol of the compound of the general formula [XXXI].
- the range force in the range of 1 to 5 moles may be appropriately selected, and is preferably 1.0 to 1.1 moles.
- the reaction temperature is 70 ° C force. It is preferable to select an arbitrary range of temperature up to the reflux temperature in the reaction system.
- the reaction temperature is preferably -20 ° C to 150 ° C.
- the reaction time varies depending on the reaction temperature, reaction substrate, reaction volume, etc. The reaction time is usually 10 minutes to 20 hours.
- phenylhydrazine of the general formula [XVIII] can be prepared by using the corresponding linkers in the usual manner, for example, complete 'organic' functional 'group' transformation (and omprehensive organic functional uroup). Transformations) 2nd, 2nd / o
- the 3-thioaline derivative represented by the general formula [XXXVI] is represented by the general formula [XXXIV] in the same manner as described in the intermediate production method 1. It can be produced by using the disulfide or thiol represented by the general formula [XXXV] and further using the method described in Production Method 1 or Production Method 2.
- the furhydrazine represented by the general formula [XVIII-1] is converted to a diazo-um salt by reacting the compound represented by the general formula [XXXVI] with nitrite in the presence of mineral acid. It can be produced by reducing it with zinc powder, sulfites, tin chloride or the like.
- mineral acids include hydrochloric acid and sulfuric acid.
- the amount of mineral acid to be used is preferably 3 to 5 moles as long as it is appropriately selected within a range of 2 to 10 moles per mole of compound [XXXVI].
- the amount of nitrite to be used is suitably 1.0 to 1.2 mol, if it is appropriately selected from the range of 1.0 to 5.0 mol with respect to 1 mol of compound [XXXVI].
- the reaction temperature should be selected from a temperature range of 20 ° C to 50 ° C, more preferably 5 ° C to 20 ° C! /.
- the reaction time varies depending on the reaction temperature, reaction substrate, reaction amount, etc., but is usually 30 minutes to 5 hours.
- the compound of the general formula [I 5] can be produced by the following method.
- A, A, B, B, n and R have the same meaning as described above, and L represents a halogen atom.
- W represents a methylthio group or a p-tolylthio group.
- the compound of the general formula [I-5a] is diazotized from the compound of the general formula [1-3] by a conventional method and further reacted with copper chloride (I) or copper bromide (I). By making it, it can manufacture.
- the amount of copper chloride (I) or copper bromide (I) used here is 1 to 5 moles, preferably 1 to 5 moles per mole of the compound of the general formula [I 3]. 2 moles.
- Solvents that can be used include carboxylic acids such as acetic acid, and mineral acids such as hydrochloric acid, hydrobromic acid, and sulfuric acid.
- the reaction temperature may be selected from an arbitrary range of temperature ranging from 70 ° C to the reflux temperature in the reaction system, and the reaction temperature is preferably -20 ° C to 100 ° C.
- the reaction time varies depending on the reaction temperature, reaction substrate, reaction volume, etc. The reaction time is usually 10 minutes to 20 hours.
- the amount of the nitrites used is 1 to 5 mol, preferably 1 to 2 mol, per 1 mol of the compound of the general formula [I3].
- the amount of copper chloride ( ⁇ ) or copper bromide ( ⁇ ) used here is 1 to 5 mol, preferably 1 to 2 with respect to 1 mol of the compound of the general formula [I 3]. Is a mole.
- the amount of copper chloride ( ⁇ ) or copper bromide ( ⁇ ) used here is 1 to 5 mol, preferably 1 to 2 with respect to 1 mol of the compound of the general formula [I 3]. Is a mole.
- Usable solvents are ethers such as jetyl ether, tetrahydrofuran and dioxane, -tolyls such as acetonitrile, N, N dimethylformamide, N, N dimethylacetamide, N-methyl-2-pyrrolidone, dimethyl sulfoxide, sulfolane Non-protonic polar solvents such as these, or mixed solvents thereof.
- ethers such as jetyl ether, tetrahydrofuran and dioxane
- -tolyls such as acetonitrile, N, N dimethylformamide, N, N dimethylacetamide, N-methyl-2-pyrrolidone, dimethyl sulfoxide, sulfolane
- Non-protonic polar solvents such as these, or mixed solvents thereof.
- the reaction temperature is 70 ° C force.
- the range force of any temperature up to the reflux temperature in the reaction system may be selected.
- the reaction temperature is preferably -20 ° C to 100 ° C.
- the reaction time varies depending on the reaction temperature, reaction substrate, reaction volume, etc. The reaction time is usually 10 minutes to 20 hours.
- the compound of the general formula [I 5b] can be produced by reacting the compound of the general formula [I 5a] with methyl mercaptan or 4-methylbenzenethiol in a solvent in the presence of a base. .
- Bases that can be used here include, for example, alkali metal hydroxides such as sodium hydroxide and potassium hydroxide, alkaline earth metal hydroxides such as calcium hydroxide and magnesium hydroxide, Inorganic bases such as alkali metal carbonates such as sodium carbonate and potassium carbonate, sodium hydrogen carbonate and alkali metal bicarbonates such as potassium hydrogen carbonate, sodium hydride Metal hydrides such as lithium, potassium hydride, metal salts of alcohols such as sodium methoxide, sodium ethoxide, potassium tert butoxide, or triethylamine, N, N —dimethylaniline, pyridine, 4-N, N dimethylamino Organic bases such as pyridine, 1, 8 diazabicyclo [5. 4. 0] -7 undecene.
- alkali metal hydroxides such as sodium hydroxide and potassium hydroxide
- alkaline earth metal hydroxides such as calcium hydroxide and magnesium hydroxide
- Inorganic bases such as alkali metal carbonates such
- Solvents that can be used in this step include ethers such as jetyl ether, tetrahydrofuran, and dioxane, aromatic hydrocarbons such as benzene, toluene, xylene, and black benzene, N, N dimethylformamide, and N, N dimethyl.
- ethers such as jetyl ether, tetrahydrofuran, and dioxane
- aromatic hydrocarbons such as benzene, toluene, xylene, and black benzene, N, N dimethylformamide, and N, N dimethyl.
- aprotic polar solvents such as dimethyl sulfoxide, sulfolane
- alcohols such as methanol, ethanol, isopropyl alcohol
- halogenated compounds such as methylene chloride, chloroform, and dichloromethane
- hydrocarbons aliphatic hydrocarbons such as pentane, hexane, cyclohexane and heptane
- ketones such as acetone, methyl ethyl ketone and cyclohexanone, and water.
- the compound of the general formula [I 5c] or the general formula [I 5d] includes a compound of the general formula [I 5b], hydrogen peroxide, m-peroxybenzoic acid, sodium periodate, oxone (OXONE By reacting with oxidizing agents such as N-chlorosuccinimide, N-bromosuccinimide, tert-butyl hypochlorite, sodium hypochlorite, etc. Can be manufactured.
- the amount of the oxidizing agent used is, in the case of producing [I 5c], 0.5 to 1.5 monolayer, preferably ⁇ , 0.8 per mol of the compound of the general formula [I 5b]. Power 1. It is 2 monole. Furthermore, when [I 5d] is produced, 2 to 10 moles, preferably 2 monoreca is also 4 monole with respect to 1 mole of the compound of the general formula [I 5b].
- the compound of the general formula [I 5d] can also be produced by reacting the compound represented by [I 5a] with methanesulfinate or P-toluenesulfinate. it can.
- the amount of methanesulfinate or p-toluenesulfinate used here is 1 to 10 moles, preferably 1 to 5 moles, more preferably 1 mole relative to 1 mole of the general formula [I-5a] 1 to 3 moles.
- Solvents that can be used include -tolyls such as acetonitrile, aprotic polar solvents such as dimethyl sulfoxide, N, N dimethylformamide, N, N dimethylacetamide, and the like.
- the reaction temperature may be selected from an arbitrary temperature range from 0 ° C to the reflux temperature in the reaction system, and it is preferably carried out in the temperature range of 10 ° C to 100 ° C.
- reaction time varies depending on the reaction temperature, reaction substrate, reaction amount, etc., but is usually 1 to 24 hours.
- the compound of the general formula [I 5e] can be produced by reacting the compound of the general formula [I 3] with nitrites such as t-butyl nitrite and isoamyl nitrite. it can
- the amount of the nitrites used is 1 to 5 mol, preferably 1 to 2 mol, per 1 mol of the compound of the general formula [I 3].
- Solvents that can be used are ethers such as jetyl ether, tetrahydrofuran and dioxane, -tolyls such as acetonitrile, N, N dimethylformamide, N, N-dimethylacetamide, N-methyl-2-pyrrolidone, dimethyl sulfoxide, Examples thereof include non-protonic polar solvents such as sulfolane, and mixed solvents thereof.
- the reaction temperature may be selected from an arbitrary temperature range from 70 ° C to the reflux temperature in the reaction system, and the reaction temperature is preferably -20 ° C to 100 ° C.
- the reaction time varies depending on the reaction temperature, reaction substrate, reaction volume, etc. The reaction time is usually 10 minutes to 20 hours.
- the compound represented by the general formula [I 6] is produced by a known method in which a compound represented by the general formula [I 3] is reacted with a disalt oxalyl or phosgene in the presence of a solvent. To do Togashi.
- the amount of disodium hyoxalyl or phosgene used may be appropriately selected from the range of 1 mole to the equivalent amount of the reaction solvent, with respect to 1 mole of the compound represented by the general formula [I 3]. 3 moles.
- Solvents that can be used here include, for example, ethers such as jetyl ether, tetrahydrofuran, and dioxane, aromatic hydrocarbons such as benzene, toluene, xylene, and black benzene, dichloromethane, black form, and dichloroethane.
- ethers such as jetyl ether, tetrahydrofuran, and dioxane
- aromatic hydrocarbons such as benzene, toluene, xylene, and black benzene, dichloromethane, black form, and dichloroethane.
- Halogenated hydrocarbons such as aliphatic hydrocarbons such as pentane, hexane, cyclohexane and heptane, or a mixed solvent thereof.
- the compound of the present invention when used as an active ingredient of a pest control agent, the compound of the present invention may be used as it is, but the carrier or interface generally used for formulation as an agricultural chemical adjuvant.
- active agents and other adjuvants emulsions, suspensions, powders, granules, tablets, wettable powders, aqueous solvents, solutions, flowables, wettable granules, aerosols, pastes, oils , And can be formulated into various forms such as emulsions and smoke agents.
- active agents and other adjuvants emulsions, suspensions, powders, granules, tablets, wettable powders, aqueous solvents, solutions, flowables, wettable granules, aerosols, pastes, oils , And can be formulated into various forms such as emulsions and smoke agents.
- active agents and other adjuvants emulsions, suspensions, powders, granules, tablets,
- Carriers used in the formulation referred to here are classified into solid carriers and liquid carriers.
- Solid carriers include, for example, animal and vegetable powders such as starch, activated carbon, soybean flour, wheat flour, wood flour, fish flour and milk powder, talc, kaolin, bentonite, calcium carbonate, zeolite, diatomaceous earth, white carbon, clay, alumina, ammonium sulfate. And inorganic powders such as urea.
- liquid carrier examples include water; alcohols such as isopropyl alcohol and ethylene glycol; ketones such as cyclohexanone and methyl ethyl ketone; ethers such as dioxane and tetrahydrofuran; aliphatic hydrocarbons such as kerosene and light oil.
- Aromatic hydrocarbons such as xylene, trimethylbenzene, tetramethylbenzene, methylnaphthalene and solvent naphtha; Halogenated hydrocarbons such as black benzene; Acid amides such as dimethylacetamide; Glycerin of fatty acid Examples include esters such as esters; -tolyls such as acetonitrile; and sulfur-containing compounds such as dimethyl sulfoxide.
- surfactants include alkylbenzene sulfonic acid metal salts, dinaphthyl methane disulfonic acid metal salts, alcohol sulfate esters, and alkyl aryl sulfonates. , Sulfonate sulfonate, polyoxyethylene glycol ether, polyoxyethylene alkyl aryl ether, polyoxyethylene sorbitan monoalkylate and the like.
- adjuvants include, for example, fixing agents such as carboxymethylcellulose, gum arabic, sodium alginate, guar gum, tragacanth gum, polyvinyl alcohol, thickeners, antifoaming agents such as metal sarcophagus, fatty acids, Physical property improvers such as alkyl phosphates, silicones and paraffins, colorants and the like can be used.
- fixing agents such as carboxymethylcellulose, gum arabic, sodium alginate, guar gum, tragacanth gum, polyvinyl alcohol, thickeners, antifoaming agents such as metal sarcophagus, fatty acids, Physical property improvers such as alkyl phosphates, silicones and paraffins, colorants and the like can be used.
- preparations containing the compound of the present invention, or dilutions thereof are usually applied by a commonly used application method, that is, spraying (for example, spraying, misting, atomizing, dusting, dusting, water surface application, box application) Application), soil application (eg, mixing, irrigation, etc.), surface application (eg, application, powder coating, coating, etc.), immersion, poison bait, and smoke application. It is also possible to feed livestock with the above-mentioned active ingredient mixed with feed to control the occurrence and growth of harmful insects, particularly harmful insects, in the excreta.
- the so-called ultra-high concentration and small quantity spraying method it is possible to contain 100% of the active ingredient.
- the proportion of the active ingredient is appropriately selected as necessary, but 0.1 to 20% (weight) for powders and granules, and 1 to 80% (weight) for emulsions and wettable powders. Is appropriate.
- the pest control agent of the present invention When used after being diluted with a diluent, it is generally used at an active ingredient concentration of 0.1 to 5000 ppm. When the preparation is used as it is, the application amount per unit area is not limited to the force used at 0.1 to 5000 g per lha as the active ingredient compound.
- the compounds of the present invention are sufficiently effective when used alone, but other fertilizers and agricultural chemicals such as insecticides, acaricides, nematicides, fungicides, It can be mixed and used in combination with virus agents, attractants, herbicides, plant growth regulators, etc. In this case, even better effects may be shown.
- organophosphorus and carbamate insecticides fenthion, fe-trothion, diazinone, chlorpyrifos, oxydeprofos, bamidthione, phentoate, dimethoate, formothion, malathion, trichlorfone, thiomethone, phosmet, dichlorvos, acephete, EPBP, methylparathion , Oxydimethone methyl, ethion, dioxabenzo phos, cyanophos, isoxathion, pyridafenthione, hosalon, methidathione, sulprophos, clonolefenvinphos, tetrachlorbinphos, dimethylvinphos, propapho
- Pyrethroid insecticides permethrin, cypermethrin, deltamethrin, fenvalerate, fenpropatoline, pyrethrin, allethrin, tetramethrin, resmethrin, dimeslin, pronothrin, phenothrin, prothrin, flunolineate, cyfluthrin, cyhalothrinate, flucitrinate Etofenprox, cycloproton, tralomethrin, silafluophene, teflutrin, bifenthrin, acrinathrin, etc.
- Asylurea other insecticides: diflubenslon, chlorfluazuron, hexaflumuron, triflumuron, tefluvenslon, funolefenoxuron, funolecyclotusuron, buprofezin, pyriproxyfen, norefenuron , Cyromazine, methoprene, endosnophan, difenthiuron, imidacloprid, acetamiprid, ditenbilam, clothiazine, dinotefuran, thiamethoxam, thiacloprid, pymetrozine, fiprol, pyridalyl, nicotine sulfate, rotenone, metaaldehyde, machine oil Microbial pesticides such as BT and entomopathogenic virus, phenoxycalp, cartap, thiocyclam, bensultap, tebufenozide
- Nematicides fenamifos, phostiazete, etoprofos, methylisothiocyanate, 1,3 dichloropropene, DCIP and the like.
- Acaricides chlorbendilate, fe-sobromolate, dicophore, amitraz, propargite, benzomate, hexithiazotas, fenbutatinoxide, polynactin, quinomethionate, chlorfenson, tetradiphone, abamethatin, milbemectin, Clofenthedin, pyridaben, fenpyroximate, tebufenvirad, pyrimidifen, phenothiocalp, dienochlor, etoxazole, bifenazate, acequinosyl, halfenprottus, spirodiclofen and the like.
- Bactericides thiophanate methyl, benomyl, carbendazole, thiabendazole, phorpet, thiuram, diram, dinebu, mannebu, polycarbamate, iprobenphos, edifenphos, fusalide, probenazole, isoprothiolane, chlorothalonil, captan, polyoxin, Blasticidin S, Kasugamycin, Streptomycin, Noridamycin, Tricyclazole, Pyroxilone, Phenazineoxide, Meprol, Flutral, Pencyclone, Iprodione, Himexazole, Metalaxyl, Triflumizole, Triforine, Triazimephone, Vitertanol, Fenarimol, propiconazole, simoxa ninole, prok oral razu, pefazoate, hexaconazole, microbutarate, dichromedin, te Rofutara arm,
- the compounds of the present invention are semilepidopterous insects, lepidopterous insects, coleoptera insects, diptera insects, hymenoptera insects, straight-eye insects, termite insects, thrips insect insects, spiders, plants Excellent control effect against pests such as parasitic nematodes. Examples of such pests include the following pests.
- Hemiptera pests such as Riptortus clavatus, Nez ara viridula, Lygus sp., Blisssus leu copterus, Stephanitis nashi ) And other stink bugs (heteroptera; heteroptera); Sogatella lurcifera), sea cucumbers such as Laodelphax striatellus, pheasants such as Psvlla sp., Silver leaf whitefly (Bemisia tabaci), onshkona Whiteflies such as lice (Trialeurodes vaporariorum), grape aphids (Viteus vit ifolii), peach aphids (Myzus persicae), apple aphids (Aphis pomi), potato aphids (Aphis gossypii), Aphis fabae, Rhopalosiphum psedobrassicas), aphids such as potato
- Anguinoma (Sparganothis pillenana), Nanhimeme squirrel (urapholitha molesta), Ma, No, Nokui 7J (Leguminivora glycinivorella), aspor 7 ), Eucosma sp. ⁇ Lobesia botrana, etc., Grape Hosono
- Common moths such as Lyo netia prunifoliella, Common moths such as Phyllonorycter rigoniella, Common moths such as Phyllocnistis citrella, Plu tella xys , Grape scab (Paranthrene regalis), Synanthedon sp. hora gossypiella), potato moth (Phthorimaea operculella), Stomopteryx sp.
- Coleoptera pests for example, Anomala cuprea, bean squirrel (Popillia japo nica), himeko! (. Agriotes sp). Not (Anomala rufocuprea), co-7 Nemushi such as Eutheola rugiceps, Wa Iyawamu, Conodeus sp click beetles such as, - Jiyuuyahoshiten door, Roh (Epilachna vigintioctopunctata Roh, ⁇ Sindelfingen Anne toe insect (Epilachna varivestis) Ladybirds such as Tribolium castaneum, Anoplophora malasiaca, longhorn beetle (Monochamus alternat us), longhorn beetle (Acanthoscelides obtec tus) Legumes such as (Callosobruchus chinensis), Colorado worm (Leptinotarsa decemlineata), Konolica sp.
- Nemushi such as
- Diptera pests such as Tipra ano, Tanytarsus oryza e, Inseolia oryzae, Ceratitis capitata, Hydrellia griseola, Drosophila suzukii, Fritz fly (Oscinella frit), rice flies (chlorops oryzae), common beetle (Ophiomyia phaseoli), bean leaf fly (Liriomyza trifolii), papomya hyacinth (os) Tanenoe (Hylemia platura, Sonore; V Mukhfi (Athengona soccata), Yenoe (Musca domestica), Kumanoe (Gastrophilus sp.), Sasinoye (St omoxys sp.), Aedes aegypti, Ryo Kayeka ( Culex pipiens), Shichoha Madaf force (Anopheles sinensis), Cocatakay
- Hymenopteran pests for example, Cephus sp., Harmolita sp. , Power wasps (Athalia sp.), Wasps (Vespa sp .), Fire ant etc.
- Diptera such as Blatella germanica, Peripla neta amencana, Kef (ryllotalpa africana), Roh, Goku (Locusta migratona migrato nodes ;, Meianoplus sanguinipes, etc.
- Termite insect pests for example, reticulitermes speratus, termite termosanus, etc.
- Azamuma pests such as Scirtothrips dorsalis, Thrips palmi, Helothothrips haemorrhoidalis, Frankliniella occ Kudaazamuma (Haplothrips acul eatus) etc. ⁇
- Plant-parasitic nematodes such as Meloidogyne sp., Pratylenchus sp., Heterodera glycines, Globodera rostochiensis ), Bananamemo Sentiyu (Radopholus similis), Strawberry Sentiyu (Aphelenchoides fragariae), Rice Singale Sentiyu (.Aphelenchoides besseyi no, Bursaphelenchus xylophilus) and the like.
- Examples include bed bugs such as nymphs, imex sp., Animal parasitic mites such as Boophilus microplus, Haemaphy sails longicornis, and ticks. [0297] Furthermore, it is also effective against pests that are resistant to organic phosphorus compounds, carbamate compounds, synthetic pyrethroid compounds, acylurea compounds, or existing insecticides.
- bed bugs such as nymphs, imex sp.
- Animal parasitic mites such as Boophilus microplus, Haemaphy sails longicornis, and ticks.
- the solvent was distilled off under reduced pressure, and the resulting residue and a mixture of 31 g of red phosphorus, 200 g of iodine and 200 ml of acetic acid were heated to reflux for 1 hour, and the reaction solution was cooled to room temperature.
- the insoluble material was collected by mouth, concentrated under reduced pressure, water was added, and the mixture was extracted with ethyl acetate.
- the organic layer was washed with water and dried over anhydrous magnesium sulfate, and then the solvent was distilled off under reduced pressure.
- the residue was purified by silica gel column chromatography to obtain 14 g of 5 acetylthio-2-chloro-4-methylacetolide.
- Solvent solvent was distilled off under reduced pressure and reduced pressure to obtain a 22-chloromethane --- 44--methylyl --- 55-- ((22, 22, 22, 22 Ethylicyl thiothio))) Fueninyl hydrhydrazin 1122 .. llgg was obtained. .
- Chlorolol-44-Memethicyl Loo 55 ((22, 22, 22, 22 Tritrifl Fluoro Loecyl tilthioo)) Hue--Lulhydrhydrazin 44 .. llgg, Tomiriflurooroacetoacetotoallededehydedehycetyl hemi-miacetate tar 22 .. 33gg, pp--toluluenensesulfuronic acid monohydrate
- a mixed mixture of 00 .. llgg and ethatanol 5500 mmll was heated and refluxed for 66 hours. . The obtained reaction mixture was concentrated and concentrated under reduced pressure and reduced pressure.
- Trifluoroacetaldehyde ⁇ 2 Fluoro-4-methyl-5- (2,2,2 trifluoroethylthio) phenol ⁇ hydrazone 3.7 g is dissolved in 50 ml of N, N-dimethylformamide, and N-prosuccinimide 2 at room temperature. Og was added and stirred at room temperature for 30 minutes. The reaction mixture was poured into water, extracted with ethyl acetate, and the organic layer was dried over anhydrous magnesium sulfate.
- the comparative drugs a and b used are the compounds [VI-208] and [VI-226] exemplified in JP-A 2000-198768.
- Test Example 1 Namihada two control test (immersion treatment)
- a wettable powder prepared according to Formulation Example 2 was diluted with water to a concentration of 500 ppm as an active ingredient. Soybean seedlings previously inoculated with Namihada-adult were immersed in the chemical solution and air-dried. The treated soybean seedlings were placed in a thermostatic chamber at 25 ° C, and the number of surviving insects was investigated after 13 days, and the control value was calculated by the formula of formula 2. The test was conducted in a single run. The results of this test are shown in Tables 11 and 12.
- a wettable powder prepared according to Formulation Example 2 was diluted with water to a concentration of lOOppm as an active ingredient.
- the drug solution was irrigated with 5 ml of soil lOOg of soybean seedling cups previously inoculated with Namihada-adult.
- the treated soybean seedlings were placed in a constant temperature room at 25 ° C, and the number of surviving insects was examined after 13 days, and the control value was calculated by the formula of formula 2. The results of this test are shown in Table 13 and Table 14.
Landscapes
- Organic Chemistry (AREA)
- Chemical & Material Sciences (AREA)
- Life Sciences & Earth Sciences (AREA)
- Health & Medical Sciences (AREA)
- Plant Pathology (AREA)
- Engineering & Computer Science (AREA)
- Dentistry (AREA)
- General Health & Medical Sciences (AREA)
- Wood Science & Technology (AREA)
- Zoology (AREA)
- Environmental Sciences (AREA)
- Pest Control & Pesticides (AREA)
- Agronomy & Crop Science (AREA)
- Agricultural Chemicals And Associated Chemicals (AREA)
- Plural Heterocyclic Compounds (AREA)
- Organic Low-Molecular-Weight Compounds And Preparation Thereof (AREA)
Abstract
Description
Claims
Priority Applications (11)
| Application Number | Priority Date | Filing Date | Title |
|---|---|---|---|
| KR1020077005590A KR101310073B1 (ko) | 2004-10-20 | 2005-10-20 | 3-트리아졸릴페닐설파이드 유도체 및 그것을유효성분으로서 함유하는 살충·살진드기·살선충제 |
| US11/577,670 US7872036B2 (en) | 2004-10-20 | 2005-10-20 | 3-triazolylphenyl sulfide derivative and insecticide, miticide and nematicide containing it as an active ingredient |
| BRPI0516976A BRPI0516976B8 (pt) | 2004-10-20 | 2005-10-20 | derivado de sulfeto de 3-tiazolilfenila, inseticida, miticida ou nematicida contendo-o como um ingrediente ativo, e derivado de anilina |
| CN2005800353712A CN101039922B (zh) | 2004-10-20 | 2005-10-20 | 3-三唑基苯基硫醚衍生物及含其作为有效成分的杀虫·杀螨·杀线虫剂 |
| JP2006543069A JP4970950B2 (ja) | 2004-10-20 | 2005-10-20 | 3−トリアゾリルフェニルスルフィド誘導体及びそれを有効成分として含有する殺虫・殺ダニ・殺線虫剤 |
| MX2007004710A MX2007004710A (es) | 2004-10-20 | 2005-10-20 | Derivado de sulfuro de 3-triazolilfenilo e insecticida/acaricida/ nematicida que contiene el mismo como ingrediente activo. |
| EP05795858.9A EP1803712B1 (en) | 2004-10-20 | 2005-10-20 | 3-triazolylphenyl sulfide derivative and insecticide/acaricide/nematicide containing the same as active ingredient |
| AU2005296529A AU2005296529B2 (en) | 2004-10-20 | 2005-10-20 | 3-triazolylphenyl sulfide derivative and insecticide/acaricide/nematicide containing the same as active ingredient |
| CA2581725A CA2581725C (en) | 2004-10-20 | 2005-10-20 | 3-triazolylphenyl sulfide derivative, and insecticide, miticide and nematicide containing it as an active ingredient |
| NZ553200A NZ553200A (en) | 2004-10-20 | 2005-10-20 | 3-triazolylphenyl sulfide derivative and insecticide/acaricide/nematicide containing the same as active ingredient |
| IL182594A IL182594A (en) | 2004-10-20 | 2007-04-16 | A result of triazoliphenyl sulfide and insecticide / acaricide / nematide containing it as an active ingredient |
Applications Claiming Priority (2)
| Application Number | Priority Date | Filing Date | Title |
|---|---|---|---|
| JP2004-305251 | 2004-10-20 | ||
| JP2004305251 | 2004-10-20 |
Publications (1)
| Publication Number | Publication Date |
|---|---|
| WO2006043635A1 true WO2006043635A1 (ja) | 2006-04-27 |
Family
ID=36203051
Family Applications (1)
| Application Number | Title | Priority Date | Filing Date |
|---|---|---|---|
| PCT/JP2005/019315 Ceased WO2006043635A1 (ja) | 2004-10-20 | 2005-10-20 | 3-トリアゾリルフェニルスルフィド誘導体及びそれを有効成分として含有する殺虫・殺ダニ・殺線虫剤 |
Country Status (16)
| Country | Link |
|---|---|
| US (1) | US7872036B2 (ja) |
| EP (1) | EP1803712B1 (ja) |
| JP (1) | JP4970950B2 (ja) |
| KR (1) | KR101310073B1 (ja) |
| CN (1) | CN101039922B (ja) |
| AU (1) | AU2005296529B2 (ja) |
| BR (1) | BRPI0516976B8 (ja) |
| CA (1) | CA2581725C (ja) |
| IL (1) | IL182594A (ja) |
| MX (1) | MX2007004710A (ja) |
| NZ (1) | NZ553200A (ja) |
| RU (1) | RU2394819C2 (ja) |
| TW (1) | TWI382020B (ja) |
| UA (1) | UA86251C2 (ja) |
| WO (1) | WO2006043635A1 (ja) |
| ZA (1) | ZA200702684B (ja) |
Cited By (571)
| Publication number | Priority date | Publication date | Assignee | Title |
|---|---|---|---|---|
| WO2007131680A1 (en) * | 2006-05-16 | 2007-11-22 | Bayer Cropscience Ag | Insecticidal benzamidines |
| WO2009022548A1 (ja) | 2007-08-10 | 2009-02-19 | Kumiai Chemical Industry Co., Ltd. | 有害生物防除剤組成物及び有害生物防除方法 |
| WO2009051245A1 (ja) | 2007-10-18 | 2009-04-23 | Kumiai Chemical Industry Co., Ltd. | 3-アルコキシ-1-フェニルピラゾ-ル誘導体及び有害生物防除剤 |
| WO2009069312A1 (ja) | 2007-11-30 | 2009-06-04 | Ihara Chemical Industry Co., Ltd. | (1h-1,2,4-トリアゾール-1-イル)アリール化合物及びその製造方法 |
| WO2009069311A1 (ja) | 2007-11-30 | 2009-06-04 | Ihara Chemical Industry Co., Ltd. | 3-メルカプトアニリン化合物の製造法 |
| EP2274982A1 (de) | 2009-07-16 | 2011-01-19 | Bayer CropScience AG | Verwendung von Phenyltriazolen zur Bekämpfung von Insekten und Spinnmilben durch Angiessen, Tröpfchen- oder Tauchapplikation oder durch Behandlung von Saatgut |
| WO2011006603A2 (de) | 2009-07-16 | 2011-01-20 | Bayer Cropscience Ag | Synergistische wirkstoffkombinationen mit phenyltriazolen |
| US20110015405A1 (en) * | 2009-07-16 | 2011-01-20 | Bayer Cropscience Ag | Process for preparing chiral 3-triazolyl sulphoxide derivatives |
| WO2011009540A2 (en) | 2009-07-24 | 2011-01-27 | Bayer Cropscience Ag | Pesticidal carboxamides |
| WO2011020567A1 (de) | 2009-08-20 | 2011-02-24 | Bayer Cropscience Ag | 3-triazolylphenyl-substituierte sulfid-derivate als akarizide und insektizide |
| WO2011029506A1 (de) | 2009-08-20 | 2011-03-17 | Bayer Cropscience Ag | 3-[1-(3-haloalkyl)-triazolyl]-phenyl-sulfid-derivate als akarizide und insektizide |
| WO2011045224A1 (de) | 2009-10-12 | 2011-04-21 | Bayer Cropscience Ag | 1- (pyrid-3-yl) -pyrazole und 1- (pyrimid-5-yl) -pyrazole als schädlingsbekämpfungsmittel |
| WO2011045240A1 (de) | 2009-10-12 | 2011-04-21 | Bayer Cropscience Ag | Amide und thioamide als schädlingsbekämpfungsmittel |
| WO2011051455A1 (en) | 2009-10-30 | 2011-05-05 | Bayer Cropscience Ag | Pesticidal heterocyclic compounds |
| WO2011054436A2 (de) | 2009-10-27 | 2011-05-12 | Bayer Cropscience Ag | Halogenalkyl-substituierte amide als insektizide und akarizide |
| WO2011080044A2 (en) | 2009-12-16 | 2011-07-07 | Bayer Cropscience Ag | Active compound combinations |
| WO2011080211A1 (en) | 2009-12-28 | 2011-07-07 | Bayer Cropscience Ag | Pesticidal arylpyrrolidines |
| WO2011098440A2 (de) | 2010-02-10 | 2011-08-18 | Bayer Cropscience Ag | Biphenylsubstituierte cyclische ketoenole |
| WO2011098443A1 (de) | 2010-02-10 | 2011-08-18 | Bayer Cropscience Ag | Spiroheterocyclisch-substituierte tetramsäure-derivate |
| WO2011107504A1 (de) | 2010-03-04 | 2011-09-09 | Bayer Cropscience Ag | Fluoralkyl- substituierte 2 -amidobenzimidazole und deren verwendung zur steigerung der stresstoleranz in pflanzen |
| EP2382865A1 (de) | 2010-04-28 | 2011-11-02 | Bayer CropScience AG | Synergistische Wirkstoffkombinationen |
| WO2011138285A1 (de) | 2010-05-05 | 2011-11-10 | Bayer Cropscience Ag | Thiazolderivate als schädlingsbekämpfungsmittel |
| WO2011152320A1 (ja) | 2010-06-01 | 2011-12-08 | クミアイ化学工業株式会社 | 有害生物防除活性を有するトリアゾール化合物 |
| WO2011157663A1 (de) | 2010-06-15 | 2011-12-22 | Bayer Cropscience Ag | Neue ortho-substituierte arylamid-derivate |
| WO2011157778A1 (de) | 2010-06-18 | 2011-12-22 | Bayer Cropscience Ag | Wirkstoffkombinationen mit insektiziden und akariziden eigenschaften |
| WO2012000896A2 (de) | 2010-06-28 | 2012-01-05 | Bayer Cropscience Ag | Heterocyclische verbindungen als schädlingsbekämpfungsmittel |
| WO2012000902A1 (de) | 2010-06-29 | 2012-01-05 | Bayer Cropscience Ag | Verbesserte insektizide zusammensetzungen enthaltend cyclische carbonylamidine |
| WO2012001068A2 (de) | 2010-07-02 | 2012-01-05 | Bayer Cropscience Ag | Insektizide oder akarizide formulierungen mit verbesserter verfügbarkeit auf pflanzenoberflächen |
| WO2012004208A1 (de) | 2010-07-09 | 2012-01-12 | Bayer Cropscience Ag | Anthranilsäurediamid-derivate als pestizide |
| WO2012004326A1 (en) | 2010-07-08 | 2012-01-12 | Bayer Cropscience Ag | Pesticidal pyrroline derivatives |
| WO2012004293A2 (de) | 2010-07-08 | 2012-01-12 | Bayer Cropscience Ag | Insektizide und fungizide wirkstoffkombinationen |
| WO2012007500A2 (de) | 2010-07-15 | 2012-01-19 | Bayer Cropscience Ag | Neue heterocyclische verbindungen als schädlingsbekämpfungsmittel |
| WO2012028583A1 (de) | 2010-09-03 | 2012-03-08 | Bayer Cropscience Ag | Deltamethrin enthaltende formulierungen |
| WO2012034957A1 (en) | 2010-09-15 | 2012-03-22 | Bayer Cropscience Ag | Pesticidal pyrroline n-oxide derivatives |
| WO2012035011A1 (en) | 2010-09-15 | 2012-03-22 | Bayer Cropscience Ag | Pesticidal arylpyrrolidines |
| WO2012045680A2 (de) | 2010-10-04 | 2012-04-12 | Bayer Cropscience Ag | Insektizide und fungizide wirkstoffkombinationen |
| WO2012052490A1 (en) | 2010-10-21 | 2012-04-26 | Bayer Cropscience Ag | N-benzyl heterocyclic carboxamides |
| WO2012052412A1 (de) | 2010-10-22 | 2012-04-26 | Bayer Cropscience Ag | Neue heterocylische verbindungen als schädlingsbekämpfungsmittel |
| EP2446742A1 (de) | 2010-10-28 | 2012-05-02 | Bayer CropScience AG | Insektizide oder akarizide Zusammensetzungen enthaltend Mono- oder Disacchariden als Wirkungsverstärker |
| WO2012059497A1 (en) | 2010-11-02 | 2012-05-10 | Bayer Cropscience Ag | N-hetarylmethyl pyrazolylcarboxamides |
| WO2012065944A1 (en) | 2010-11-15 | 2012-05-24 | Bayer Cropscience Ag | N-aryl pyrazole(thio)carboxamides |
| WO2012072660A1 (en) | 2010-12-01 | 2012-06-07 | Bayer Cropscience Ag | Use of fluopyram for controlling nematodes in crops and for increasing yield |
| WO2012072489A1 (de) | 2010-11-29 | 2012-06-07 | Bayer Cropscience Ag | Alpha-beta-ungesättigte imine |
| WO2012076471A1 (en) | 2010-12-09 | 2012-06-14 | Bayer Cropscience Ag | Insecticidal mixtures with improved properties |
| WO2012076470A1 (en) | 2010-12-09 | 2012-06-14 | Bayer Cropscience Ag | Pesticidal mixtures with improved properties |
| DE102010063691A1 (de) | 2010-12-21 | 2012-06-21 | Bayer Animal Health Gmbh | Ektoparasitizide Wirkstoffkombinationen |
| WO2012082548A2 (en) | 2010-12-15 | 2012-06-21 | Syngenta Participations Ag | Soybean event syht0h2 and compositions and methods for detection thereof |
| WO2012089722A2 (de) | 2010-12-30 | 2012-07-05 | Bayer Cropscience Ag | Verwendung von offenkettigen aryl-, heteroaryl- und benzylsulfonamidocarbonsäuren, -carbonsäureestern, -carbonsäureamiden und -carbonitrilen oder deren salze zur steigerung der stresstoleranz in pflanzen |
| WO2012110518A1 (de) | 2011-02-17 | 2012-08-23 | Bayer Pharma Aktiengesellschaft | Substituierte 3-(biphenyl-3-yl)-8,8-difluor-4-hydroxy-1-azaspiro[4.5]dec-3-en-2-one zur therapie |
| WO2012110464A1 (en) | 2011-02-17 | 2012-08-23 | Bayer Cropscience Ag | Use of sdhi fungicides on conventionally bred asr-tolerant, stem canker resistant and/or frog-eye leaf spot resistant soybean varieties |
| WO2012116960A1 (de) | 2011-03-01 | 2012-09-07 | Bayer Cropscience Ag | 2-acyloxy-pyrrolin-4-one |
| WO2012119984A1 (de) | 2011-03-09 | 2012-09-13 | Bayer Cropscience Ag | Indol- und benzimidazolcarbonsäureamide als insektizide und akarizide |
| WO2012120105A1 (en) | 2011-03-10 | 2012-09-13 | Bayer Cropscience Ag | Use of lipochito-oligosaccharide compounds for safeguarding seed safety of treated seeds |
| WO2012126766A1 (de) | 2011-03-18 | 2012-09-27 | Bayer Cropscience Ag | N- (3 -carbamoylphenyl) - 1h - pyrazol - 5 - carboxamid - derivate und ihre verwendung zur bekämpfung von tierischen schädlingen |
| WO2012136751A1 (en) | 2011-04-08 | 2012-10-11 | Basf Se | N-substituted hetero-bicyclic compounds and derivatives for combating animal pests |
| WO2012139891A1 (de) | 2011-04-15 | 2012-10-18 | Bayer Cropscience Ag | Substituierte vinyl- und alkinyl-cyclohexenole als wirkstoffe gegen abiotischen pflanzenstress |
| WO2012139890A1 (de) | 2011-04-15 | 2012-10-18 | Bayer Cropscience Ag | Substituierte 5-(cyclohex-2-en-1-yl)-penta-2,4-diene und 5-(cyclohex-2-en-1-yl)-pent-2-en-4-ine als wirkstoffe gegen abiotischen pflanzenstress |
| WO2012139892A1 (de) | 2011-04-15 | 2012-10-18 | Bayer Cropscience Ag | Substituierte 5-(bicyclo[4.1.0]hept-3-en-2-yl)-penta-2,4-diene und 5-(bicyclo[4.1.0]hept-3-en-2-yl)-pent-2-en-4-ine als wirkstoffe gegen abiotischen pflanzenstress |
| EP2535334A1 (de) | 2011-06-17 | 2012-12-19 | Bayer CropScience AG | Kristalline Modifikationen von Penflufen |
| EP2540163A1 (en) | 2011-06-30 | 2013-01-02 | Bayer CropScience AG | Nematocide N-cyclopropyl-sulfonylamide derivatives |
| WO2013004652A1 (de) | 2011-07-04 | 2013-01-10 | Bayer Intellectual Property Gmbh | Verwendung substituierter isochinolinone, isochinolindione, isochinolintrione und dihydroisochinolinone oder jeweils deren salze als wirkstoffe gegen abiotischen pflanzenstress |
| WO2013010947A2 (en) | 2011-07-15 | 2013-01-24 | Basf Se | Pesticidal methods using substituted 3-pyridyl thiazole compounds and derivatives for combating animal pests ii |
| WO2013014126A1 (de) | 2011-07-26 | 2013-01-31 | Bayer Intellectual Property Gmbh | Veretherte laktatester, verfahren zu ihrer herstellung und ihre verwendung zur verbesserung der wirkung von pflanzenschutzmitteln |
| WO2013014227A1 (en) | 2011-07-27 | 2013-01-31 | Bayer Intellectual Property Gmbh | Seed dressing for controlling phytopathogenic fungi |
| WO2013024008A1 (en) | 2011-08-12 | 2013-02-21 | Basf Se | Aniline type compounds |
| EP2561759A1 (en) | 2011-08-26 | 2013-02-27 | Bayer Cropscience AG | Fluoroalkyl-substituted 2-amidobenzimidazoles and their effect on plant growth |
| WO2013037955A1 (en) | 2011-09-16 | 2013-03-21 | Bayer Intellectual Property Gmbh | Use of acylsulfonamides for improving plant yield |
| WO2013037956A1 (en) | 2011-09-16 | 2013-03-21 | Bayer Intellectual Property Gmbh | Use of 5-phenyl- or 5-benzyl-2 isoxazoline-3 carboxylates for improving plant yield |
| WO2013037958A1 (en) | 2011-09-16 | 2013-03-21 | Bayer Intellectual Property Gmbh | Use of phenylpyrazolin-3-carboxylates for improving plant yield |
| WO2013050433A1 (en) | 2011-10-05 | 2013-04-11 | Bayer Intellectual Property Gmbh | Pesticide preparation and process for producing the same |
| WO2013079600A1 (en) | 2011-12-02 | 2013-06-06 | Basf Se | Method and system for monitoring crops during storage |
| WO2013079601A1 (en) | 2011-12-02 | 2013-06-06 | Basf Se | Method and system for monitoring crops and/or infestation of crops with harmful organismus during storage |
| EP2604118A1 (en) | 2011-12-15 | 2013-06-19 | Bayer CropScience AG | Active ingredient combinations having insecticidal and acaricidal properties |
| EP2606726A1 (de) | 2011-12-21 | 2013-06-26 | Bayer CropScience AG | N-Arylamidine-substituierte trifluoroethylsulfid-Derivate als Akarizide und Insektizide |
| WO2013092519A1 (en) | 2011-12-19 | 2013-06-27 | Bayer Cropscience Ag | Use of anthranilic acid diamide derivatives for pest control in transgenic crops |
| WO2013092522A1 (de) | 2011-12-20 | 2013-06-27 | Bayer Intellectual Property Gmbh | Neue insektizide aromatische amide |
| WO2013092868A1 (en) | 2011-12-21 | 2013-06-27 | Basf Se | N-thio-anthranilamide compounds and their use as pesticides |
| WO2013092943A1 (en) | 2011-12-23 | 2013-06-27 | Basf Se | Isothiazoline compounds for combating invertebrate pests |
| WO2013107785A1 (en) | 2012-01-21 | 2013-07-25 | Bayer Intellectual Property Gmbh | Use of host defense inducers for controlling bacterial harmful organisms in useful plants |
| WO2013113789A1 (en) | 2012-02-02 | 2013-08-08 | Basf Se | N-thio-anthranilamide compounds and their use as pesticides |
| WO2013135724A1 (en) | 2012-03-14 | 2013-09-19 | Bayer Intellectual Property Gmbh | Pesticidal arylpyrrolidines |
| WO2013144213A1 (en) | 2012-03-30 | 2013-10-03 | Basf Se | N-substituted pyridinylidene compounds and derivatives for combating animal pests |
| WO2013144223A1 (en) | 2012-03-30 | 2013-10-03 | Basf Se | N-substituted pyrimidinylidene compounds and derivatives for combating animal pests |
| WO2013144228A1 (en) | 2012-03-29 | 2013-10-03 | Basf Se | Pesticidal methods using heterocyclic compounds and derivatives for combating animal pests |
| WO2013149940A1 (en) | 2012-04-02 | 2013-10-10 | Basf Se | Acrylamide compounds for combating invertebrate pests |
| WO2013149903A1 (en) | 2012-04-03 | 2013-10-10 | Basf Se | N- substituted hetero - bicyclic furanone derivatives for combating animal |
| WO2013150115A1 (en) | 2012-04-05 | 2013-10-10 | Basf Se | N- substituted hetero - bicyclic compounds and derivatives for combating animal pests |
| EP2649879A1 (en) | 2012-04-10 | 2013-10-16 | Basf Se | Pesticidal mixtures containing fluxapyroxad |
| WO2013156331A1 (en) | 2012-04-16 | 2013-10-24 | Basf Se | Synergistic compositions comprising pyraclostrobin and an insecticidal compound |
| WO2013164295A1 (en) | 2012-05-04 | 2013-11-07 | Basf Se | Substituted pyrazole-containing compounds and their use as pesticides |
| WO2013167633A1 (en) | 2012-05-09 | 2013-11-14 | Basf Se | Acrylamide compounds for combating invertebrate pests |
| WO2013171199A1 (de) | 2012-05-16 | 2013-11-21 | Bayer Cropscience Ag | Insektizide wasser-in-öl (w/o) formulierung |
| WO2013171201A1 (de) | 2012-05-16 | 2013-11-21 | Bayer Cropscience Ag | Insektizide öl-in-wasser (o/w) formulierung |
| WO2013174836A1 (en) | 2012-05-22 | 2013-11-28 | Bayer Cropscience Ag | Active compounds combinations comprising a lipo-chitooligosaccharide derivative and a nematicide, insecticidal or fungicidal compound |
| WO2013174645A1 (en) | 2012-05-24 | 2013-11-28 | Basf Se | N-thio-anthranilamide compounds and their use as pesticides |
| WO2013186089A2 (en) | 2012-06-14 | 2013-12-19 | Basf Se | Pesticidal methods using substituted 3-pyridyl thiazole compounds and derivatives for combating animal pests |
| WO2014005982A1 (de) | 2012-07-05 | 2014-01-09 | Bayer Cropscience Ag | Insektizide und fungizide wirkstoffkombinationen |
| WO2014019983A1 (en) | 2012-07-31 | 2014-02-06 | Bayer Cropscience Ag | Compositions comprising a pesticidal terpene mixture and an insecticide |
| WO2014026984A1 (de) | 2012-08-17 | 2014-02-20 | Bayer Cropscience Ag | Azaindolcarbonsäure- und -thiocarbonsäureamide als insektizide und akarizide |
| WO2014037340A1 (de) | 2012-09-05 | 2014-03-13 | Bayer Cropscience Ag | Verwendung substituierter 2-amidobenzimidazole, 2-amidobenzoxazole und 2-amidobenzothiazole oder deren salze als wirkstoffe gegen abiotischen pflanzenstress |
| WO2014053404A1 (en) | 2012-10-01 | 2014-04-10 | Basf Se | Pesticidally active mixtures comprising anthranilamide compounds |
| WO2014053401A2 (en) | 2012-10-01 | 2014-04-10 | Basf Se | Method of improving plant health |
| WO2014053398A1 (en) | 2012-10-01 | 2014-04-10 | Basf Se | Pesticidal mixtures comprising jasmonic acid or a derivative thereof |
| WO2014053395A1 (en) | 2012-10-01 | 2014-04-10 | Basf Se | Use of n-thio-anthranilamide compounds on cultivated plants |
| WO2014053407A1 (en) | 2012-10-01 | 2014-04-10 | Basf Se | N-thio-anthranilamide compounds and their use as pesticides |
| WO2014053450A1 (de) | 2012-10-02 | 2014-04-10 | Bayer Cropscience Ag | Heterocyclische verbindungen als schädlingsbekämpfungsmittel |
| WO2014053405A1 (en) | 2012-10-01 | 2014-04-10 | Basf Se | Pesticidally active mixtures comprising anthranilamide compounds |
| WO2014053406A1 (en) | 2012-10-01 | 2014-04-10 | Basf Se | Method of controlling ryanodine-modulator insecticide resistant insects |
| WO2014053403A1 (en) | 2012-10-01 | 2014-04-10 | Basf Se | Method of controlling insecticide resistant insects |
| WO2014060381A1 (de) | 2012-10-18 | 2014-04-24 | Bayer Cropscience Ag | Heterocyclische verbindungen als schädlingsbekämpfungsmittel |
| WO2014067962A1 (de) | 2012-10-31 | 2014-05-08 | Bayer Cropscience Ag | Neue heterocylische verbindungen als schädlingsbekämpfungsmittel |
| WO2014072250A1 (en) | 2012-11-06 | 2014-05-15 | Bayer Cropscience Ag | Herbicidal combinations for tolerant soybean cultures |
| WO2014079766A1 (en) | 2012-11-22 | 2014-05-30 | Basf Se | Pesticidal mixtures |
| WO2014079728A1 (en) | 2012-11-22 | 2014-05-30 | Basf Se | Pesticidal mixtures |
| WO2014079813A1 (en) | 2012-11-23 | 2014-05-30 | Basf Se | Pesticidal mixtures |
| WO2014079820A1 (en) | 2012-11-22 | 2014-05-30 | Basf Se | Use of anthranilamide compounds for reducing insect-vectored viral infections |
| WO2014079814A1 (en) | 2012-11-22 | 2014-05-30 | Basf Se | Pesticidal mixtures |
| WO2014079770A1 (en) | 2012-11-22 | 2014-05-30 | Basf Se | Pesticidal mixtures |
| WO2014079804A1 (en) | 2012-11-22 | 2014-05-30 | Basf Se | Pesticidal mixtures |
| WO2014079841A1 (en) | 2012-11-22 | 2014-05-30 | Basf Se | Pesticidal mixtures |
| WO2014079774A1 (en) | 2012-11-22 | 2014-05-30 | Basf Se | Pesticidal mixtures |
| WO2014079772A1 (en) | 2012-11-22 | 2014-05-30 | Basf Se | Pesticidal mixtures |
| WO2014079752A1 (en) | 2012-11-23 | 2014-05-30 | Basf Se | Pesticidal mixtures |
| WO2014083088A2 (en) | 2012-11-30 | 2014-06-05 | Bayer Cropscience Ag | Binary fungicidal mixtures |
| WO2014083031A2 (en) | 2012-11-30 | 2014-06-05 | Bayer Cropscience Ag | Binary pesticidal and fungicidal mixtures |
| WO2014083033A1 (en) | 2012-11-30 | 2014-06-05 | Bayer Cropsience Ag | Binary fungicidal or pesticidal mixture |
| WO2014086750A2 (en) | 2012-12-03 | 2014-06-12 | Bayer Cropscience Ag | Composition comprising a biological control agent and an insecticide |
| WO2014086758A2 (en) | 2012-12-03 | 2014-06-12 | Bayer Cropscience Ag | Composition comprising a biological control agent and an insecticide |
| WO2014086759A2 (en) | 2012-12-03 | 2014-06-12 | Bayer Cropscience Ag | Composition comprising biological control agents |
| WO2014086751A1 (de) | 2012-12-05 | 2014-06-12 | Bayer Cropscience Ag | Verwendung substituierter 1-(arylethinyl)-, 1-(heteroarylethinyl)-, 1-(heterocyclylethinyl)- und 1-(cyloalkenylethinyl)-cyclohexanole als wirkstoffe gegen abiotischen pflanzenstress |
| WO2014086749A2 (en) | 2012-12-03 | 2014-06-12 | Bayer Cropscience Ag | Composition comprising a biological control agent and an insecticide |
| WO2014086753A2 (en) | 2012-12-03 | 2014-06-12 | Bayer Cropscience Ag | Composition comprising biological control agents |
| WO2014090765A1 (en) | 2012-12-12 | 2014-06-19 | Bayer Cropscience Ag | Use of 1-[2-fluoro-4-methyl-5-(2,2,2-trifluoroethylsulfinyl)phenyl]-5-amino-3-trifluoromethyl)-1 h-1,2,4 tfia zole for controlling nematodes in nematode-resistant crops |
| WO2014090700A1 (en) | 2012-12-14 | 2014-06-19 | Basf Se | Malononitrile compounds for controlling animal pests |
| WO2014095826A1 (en) | 2012-12-18 | 2014-06-26 | Bayer Cropscience Ag | Binary fungicidal and bactericidal combinations |
| WO2014096238A1 (en) | 2012-12-21 | 2014-06-26 | Basf Se | Cycloclavine and derivatives thereof for controlling invertebrate pests |
| WO2014102244A1 (en) | 2012-12-27 | 2014-07-03 | Basf Se | 2-(pyridin-3-yl)-5-hetaryl-thiazole compounds carrying an imine or imine-derived substituent for combating invertebrate pests |
| WO2014124361A1 (en) | 2013-02-11 | 2014-08-14 | Bayer Cropscience Lp | Compositions comprising a streptomyces-based biological control agent and another biological control agent |
| WO2014124373A1 (en) | 2013-02-11 | 2014-08-14 | Bayer Cropscience Lp | Compositions comprising gougerotin and an insecticide |
| WO2014122083A1 (de) | 2013-02-06 | 2014-08-14 | Bayer Cropscience Ag | Halogensubstituierte pyrazolderivate als schädlingsbekämpfungsmittel |
| WO2014128136A1 (en) | 2013-02-20 | 2014-08-28 | Basf Se | Anthranilamide compounds and their use as pesticides |
| WO2014140111A1 (en) | 2013-03-13 | 2014-09-18 | Bayer Cropscience Ag | Lawn growth-promoting agent and method of using same |
| WO2014139897A1 (en) | 2013-03-12 | 2014-09-18 | Bayer Cropscience Ag | Use of dithiine-tetracarboximides for controlling bacterial harmful organisms in useful plants |
| WO2014170364A1 (en) | 2013-04-19 | 2014-10-23 | Bayer Cropscience Ag | Binary insecticidal or pesticidal mixture |
| WO2014170313A1 (en) | 2013-04-19 | 2014-10-23 | Bayer Cropscience Ag | Active compound combinations having insecticidal properties |
| WO2014170300A1 (en) | 2013-04-19 | 2014-10-23 | Basf Se | N-substituted acyl-imino-pyridine compounds and derivatives for combating animal pests |
| DE202014008418U1 (de) | 2014-02-19 | 2014-11-14 | Clariant International Ltd. | Schaumarme agrochemische Zusammensetzungen |
| DE202014008415U1 (de) | 2014-02-19 | 2014-11-25 | Clariant International Ltd. | Wässrige Adjuvant-Zusammensetzung zur Wirkungssteigerung von Elektrolyt-Wirkstoffen |
| WO2014202751A1 (en) | 2013-06-21 | 2014-12-24 | Basf Se | Methods for controlling pests in soybean |
| WO2014202510A1 (de) | 2013-06-20 | 2014-12-24 | Bayer Cropscience Ag | Arylsulfid- und arylsulfoxid-derivate als akarizide und insektizide |
| WO2014202505A1 (de) | 2013-06-20 | 2014-12-24 | Bayer Cropscience Ag | Arylsulfid- und arylsulfoxid-derivate als akarizide und insektizide |
| WO2015004028A1 (de) | 2013-07-08 | 2015-01-15 | Bayer Cropscience Ag | Sechsgliedrige c-n-verknüpfte arylsulfid- und arylsulfoxid- derivate als schädlingsbekämpfungsmittel |
| WO2015007682A1 (en) | 2013-07-15 | 2015-01-22 | Basf Se | Pesticide compounds |
| WO2015036380A1 (de) | 2013-09-13 | 2015-03-19 | Bayer Cropscience Ag | Verfahren zur reduktion von arylsulfoxiden zu arylthioethern |
| WO2015040116A1 (en) | 2013-09-19 | 2015-03-26 | Basf Se | N-acylimino heterocyclic compounds |
| WO2015055554A1 (de) | 2013-10-14 | 2015-04-23 | Bayer Cropscience Ag | Wirkstoff für die saatgut- und bodenbehandlung |
| WO2015055757A1 (en) | 2013-10-18 | 2015-04-23 | Basf Se | Use of pesticidal active carboxamide derivative in soil and seed application and treatment methods |
| WO2015055497A1 (en) | 2013-10-16 | 2015-04-23 | Basf Se | Substituted pesticidal pyrazole compounds |
| WO2015059088A1 (de) | 2013-10-23 | 2015-04-30 | Bayer Cropscience Ag | Substituierte chinoxalin-derivate als schädlingsbekämpfungsmittel |
| WO2015091645A1 (en) | 2013-12-18 | 2015-06-25 | Basf Se | Azole compounds carrying an imine-derived substituent |
| WO2015091649A1 (en) | 2013-12-18 | 2015-06-25 | Basf Se | N-substituted imino heterocyclic compounds |
| WO2015101622A1 (de) | 2014-01-03 | 2015-07-09 | Bayer Cropscience Ag | Neue pyrazolyl-heteroarylamide als schädlingsbekämpfungsmittel |
| WO2015104422A1 (en) | 2014-01-13 | 2015-07-16 | Basf Se | Dihydrothiophene compounds for controlling invertebrate pests |
| WO2015107133A1 (de) | 2014-01-20 | 2015-07-23 | Bayer Cropscience Ag | Chinolinderivate als insektizide und akarizide |
| DE102014018274A1 (de) | 2014-12-12 | 2015-07-30 | Clariant International Ltd. | Zuckertenside und deren Verwendung in agrochemischen Zusammensetzungen |
| EP2910126A1 (en) | 2015-05-05 | 2015-08-26 | Bayer CropScience AG | Active compound combinations having insecticidal properties |
| WO2015150300A1 (de) | 2014-04-02 | 2015-10-08 | Bayer Cropscience Ag | N-(1-(hetero)aryl-1h-pyrazol-4-yl)-(hetero)arylamid-derivate und ihre verwendung als schädlingsbekämpfungsmittel |
| WO2015160618A1 (en) | 2014-04-16 | 2015-10-22 | Bayer Cropscience Lp | Compositions comprising ningnanmycin and a biological control agent |
| WO2015160620A1 (en) | 2014-04-16 | 2015-10-22 | Bayer Cropscience Lp | Compositions comprising ningnanmycin and an insecticide |
| WO2015169776A1 (en) | 2014-05-08 | 2015-11-12 | Bayer Cropscience Ag | Pyrazolopyridine sulfonamides as nematicides |
| WO2015185531A1 (de) | 2014-06-05 | 2015-12-10 | Bayer Cropscience Aktiengesellschaft | Bicyclische verbindungen als schädlingsbekämpfungsmittel |
| JP2015537053A (ja) * | 2012-12-12 | 2015-12-24 | バイエル・クロップサイエンス・アクチェンゲゼルシャフト | ビス(3−アミノフェニル)ジスルフィド類及び3−アミノチオール類を製造する方法 |
| WO2016001129A1 (de) | 2014-07-01 | 2016-01-07 | Bayer Cropscience Aktiengesellschaft | Verbesserte insektizide zusammensetzungen |
| WO2016001119A1 (de) | 2014-07-01 | 2016-01-07 | Bayer Cropscience Aktiengesellschaft | Insektizide und fungizide wirkstoffkombinationen |
| WO2016008830A1 (de) | 2014-07-15 | 2016-01-21 | Bayer Cropscience Aktiengesellschaft | Aryl-triazolyl-pyridine als schädlingsbekämpfungsmittel |
| DE102014012022A1 (de) | 2014-08-13 | 2016-02-18 | Clariant International Ltd. | Organische Ammoniumsalze von anionischen Pestiziden |
| EP3002279A1 (de) | 2014-10-02 | 2016-04-06 | Bayer CropScience AG | Verfahren zur Herstellung von 3-(5-Aminotriazolyl)-Sulfid-Derivaten |
| WO2016055096A1 (en) | 2014-10-07 | 2016-04-14 | Bayer Cropscience Ag | Method for treating rice seed |
| WO2016071499A1 (en) | 2014-11-06 | 2016-05-12 | Basf Se | 3-pyridyl heterobicyclic compound for controlling invertebrate pests |
| WO2016091857A1 (de) | 2014-12-11 | 2016-06-16 | Bayer Cropscience Aktiengesellschaft | Fünfgliedrige c-n-verknüpfte arylsulfid- und arylsulfoxid-derivate als schädlingsbekämpfungsmittel |
| WO2016106063A1 (en) | 2014-12-22 | 2016-06-30 | Bayer Corpscience Lp | Method for using a bacillus subtilis or bacillus pumilus strain to treat or prevent pineapple disease |
| WO2016124563A1 (de) | 2015-02-05 | 2016-08-11 | Bayer Cropscience Aktiengesellschsaft | 2-(het)aryl-substituierte kondensierte bicyclische heterocyclen-derivate als schädlings-bekämpfungsmittel |
| WO2016124557A1 (de) | 2015-02-05 | 2016-08-11 | Bayer Cropscience Aktiengesellschaft | 2-(het)aryl-substituierte kondensierte bicyclische heterocyclen-derivate als schädlingsbekämpfungsmittel |
| WO2016128298A1 (de) | 2015-02-09 | 2016-08-18 | Bayer Cropscience Aktiengesellschaft | Substituierte 2-thioimidazolyl-carboxamide als schädlingsbekämpfungsmittel |
| WO2016128261A2 (en) | 2015-02-11 | 2016-08-18 | Basf Se | Pesticidal mixture comprising a pyrazole compound, an insecticide and a fungicide |
| WO2016142394A1 (de) | 2015-03-10 | 2016-09-15 | Bayer Animal Health Gmbh | Pyrazolyl-derivate als schädlingsbekämpfungsmittel |
| WO2016162371A1 (en) | 2015-04-07 | 2016-10-13 | Basf Agrochemical Products B.V. | Use of an insecticidal carboxamide compound against pests on cultivated plants |
| WO2016162318A1 (de) | 2015-04-08 | 2016-10-13 | Bayer Cropscience Aktiengesellschaft | Kondensierte bicyclische heterocyclen-derivate als schädlingsbekämpfungsmittel und deren zwischenprodukte |
| EP3081085A1 (en) | 2015-04-14 | 2016-10-19 | Bayer CropScience AG | Method for improving earliness in cotton |
| WO2016174049A1 (en) | 2015-04-30 | 2016-11-03 | Bayer Animal Health Gmbh | Anti-parasitic combinations including halogen-substituted compounds |
| WO2016180802A1 (de) | 2015-05-13 | 2016-11-17 | Bayer Cropscience Aktiengesellschaft | Insektizide arylpyrrolidine, verfahren zu ihrer herstellung und ihre verwendung als wirkstoffe zur bekämpfung tierischer schädlinge |
| US9510594B2 (en) | 2011-02-17 | 2016-12-06 | Bayer Intellectual Property Gmbh | Use of SDHI fungicides on conventionally bred ASR-tolerant, stem canker resistant and/or frog-eye leaf spot resistant soybean varieties |
| WO2016198611A1 (en) | 2015-06-11 | 2016-12-15 | Basf Se | N-(thio)acylimino heterocyclic compounds |
| WO2016198613A1 (en) | 2015-06-11 | 2016-12-15 | Basf Se | N-(thio)acylimino compounds |
| WO2017005717A1 (en) | 2015-07-06 | 2017-01-12 | Bayer Cropscience Aktiengesellschaft | Heterocyclic compounds as pesticides |
| WO2017016883A1 (en) | 2015-07-24 | 2017-02-02 | Basf Se | Process for preparation of cyclopentene compounds |
| WO2017072039A1 (de) | 2015-10-26 | 2017-05-04 | Bayer Cropscience Aktiengesellschaft | Kondensierte bicyclische heterocyclen-derivate als schädlingsbekämpfungsmittel |
| WO2017093163A1 (en) | 2015-11-30 | 2017-06-08 | Basf Se | Mixtures of cis-jasmone and bacillus amyloliquefaciens |
| WO2017093214A1 (de) | 2015-12-03 | 2017-06-08 | Bayer Cropscience Aktiengesellschaft | Mesolonische halogenierte 3-(acetyl)-1-[(1,3-thiazol-5-yl)methyl]-1h-imidazo[1,2-a]pyridin-4-ium-2-olat derivate und verwandte verbindungen als insektizide |
| WO2017093180A1 (de) | 2015-12-01 | 2017-06-08 | Bayer Cropscience Aktiengesellschaft | Kondensierte bicyclische heterocyclen-derivate als schädlingsbekämpfungsmittel |
| WO2017137338A1 (de) | 2016-02-11 | 2017-08-17 | Bayer Cropscience Aktiengesellschaft | Substituierte 2-(het)aryl-imidazolyl-carboxyamide als schädlingsbekämpfungsmittel |
| WO2017137339A1 (de) | 2016-02-11 | 2017-08-17 | Bayer Cropscience Aktiengesellschaft | Substituierte 2-oxyimidazolyl-carboxamide als schädlingsbekämpfungsmittel |
| EP3210468A1 (de) | 2016-02-26 | 2017-08-30 | Bayer CropScience Aktiengesellschaft | Lösungsmittelfreie formulierungen von niedrig schmelzenden wirkstoffen |
| WO2017144341A1 (de) | 2016-02-23 | 2017-08-31 | Bayer Cropscience Aktiengesellschaft | Kondensierte bicyclische heterocyclen-derivate als schädlingsbekämpfungsmittel |
| WO2017153217A1 (en) | 2016-03-09 | 2017-09-14 | Basf Se | Spirocyclic derivatives |
| WO2017153218A1 (en) | 2016-03-11 | 2017-09-14 | Basf Se | Method for controlling pests of plants |
| WO2017157735A1 (de) | 2016-03-15 | 2017-09-21 | Bayer Cropscience Aktiengesellschaft | Substituierte sulfonylamide zur bekämpfung tierischer schädlinge |
| WO2017157885A1 (de) | 2016-03-16 | 2017-09-21 | Bayer Cropscience Aktiengesellschaft | N-(cyanbenzyl)-6-(cyclopropylcarbonylamino)-4-(phenyl)-pyridin-2-carboxamid-derivate und verwandte verbindungen als pestizide pflanzenschutzmittel |
| US9776967B2 (en) | 2013-10-14 | 2017-10-03 | Bayer Animal Health Gmbh | Carboxamide derivatives as pesticidal compounds |
| WO2017167832A1 (en) | 2016-04-01 | 2017-10-05 | Basf Se | Bicyclic compounds |
| WO2017174414A1 (de) | 2016-04-05 | 2017-10-12 | Bayer Cropscience Aktiengesellschaft | Naphthalin-derivate als schädlingsbekämpfungsmittel |
| WO2017178416A1 (en) | 2016-04-15 | 2017-10-19 | Bayer Animal Health Gmbh | Pyrazolopyrimidine derivatives |
| WO2017186536A1 (de) | 2016-04-25 | 2017-11-02 | Bayer Cropscience Aktiengesellschaft | Substituierte 2-alkylimidazolyl-carboxamide als schädlingsbekämpfungsmittel |
| WO2017186543A2 (en) | 2016-04-24 | 2017-11-02 | Bayer Cropscience Aktiengesellschaft | Use of fluopyram and/or bacillus subtilis for controlling fusarium wilt in plants of the musaceae family |
| EP3241830A1 (de) | 2016-05-04 | 2017-11-08 | Bayer CropScience Aktiengesellschaft | Kondensierte bicyclische heterocyclen-derivate als schädlingsbekämpfungsmittel |
| EP3243387A2 (en) | 2012-05-30 | 2017-11-15 | Bayer CropScience Aktiengesellschaft | Compositions comprising a biological control agent and an insecticide |
| EP3245865A1 (en) | 2016-05-17 | 2017-11-22 | Bayer CropScience Aktiengesellschaft | Method for increasing yield in brassicaceae |
| WO2017198588A1 (en) | 2016-05-18 | 2017-11-23 | Basf Se | Capsules comprising benzylpropargylethers for use as nitrification inhibitors |
| WO2017198451A1 (en) | 2016-05-17 | 2017-11-23 | Bayer Cropscience Nv | Method for increasing yield in small grain cereals such as wheat and rice |
| WO2017198452A1 (en) | 2016-05-16 | 2017-11-23 | Bayer Cropscience Nv | Method for increasing yield in soybean |
| WO2017198454A1 (en) | 2016-05-17 | 2017-11-23 | Bayer Cropscience Nv | Method for increasing yield in cotton |
| WO2017198449A1 (en) | 2016-05-15 | 2017-11-23 | Bayer Cropscience Nv | Method for increasing yield in brassicaceae |
| WO2017198455A2 (en) | 2016-05-17 | 2017-11-23 | Bayer Cropscience Nv | Method for increasing yield in beta spp. plants |
| WO2017198450A1 (en) | 2016-05-15 | 2017-11-23 | Bayer Cropscience Nv | Method for increasing yield in maize |
| WO2017198453A1 (en) | 2016-05-16 | 2017-11-23 | Bayer Cropscience Nv | Method for increasing yield in potato, tomato or alfalfa |
| WO2018013381A1 (en) | 2016-07-11 | 2018-01-18 | Covestro Llc, Et Al. | Aqueous compositions for treating seeds, seeds treated therewith, and methods for treating seeds |
| WO2018013382A1 (en) | 2016-07-11 | 2018-01-18 | Covestro Llc, Et Al | Aqueous compositions for treating seeds, seeds treated therewith, and methods for treating seeds |
| WO2018013380A1 (en) | 2016-07-11 | 2018-01-18 | Covestro Llc, Et Al. | Methods for treating seeds with an aqueous compostion and seeds treated therewith |
| WO2018011111A1 (de) | 2016-07-12 | 2018-01-18 | Bayer Cropscience Aktiengesellschaft | Bicyclische verbindungen als schädlingsbekämpfungsmittel |
| WO2018015289A1 (de) | 2016-07-19 | 2018-01-25 | Bayer Cropscience Aktiengesellschaft | Kondensierte bicyclische heterocyclen-derivate als schädlingsbekämpfungsmittel |
| WO2018019937A1 (en) | 2016-07-29 | 2018-02-01 | Bayer Cropscience Aktiengesellschaft | Formulation comprising a beneficial p. bilaii strain and talc for use in seed treatment |
| WO2018019676A1 (en) | 2016-07-29 | 2018-02-01 | Bayer Cropscience Aktiengesellschaft | Active compound combinations and methods to protect the propagation material of plants |
| WO2018029102A1 (de) | 2016-08-10 | 2018-02-15 | Bayer Cropscience Aktiengesellschaft | Substituierte 2-heterocyclyl-imidazolyl-carboxamide als schädlingsbekämpfungsmittel |
| EP3284739A1 (de) | 2017-07-19 | 2018-02-21 | Bayer CropScience Aktiengesellschaft | Substituierte (het)arylverbindungen als schädlingsbekämpfungsmittel |
| WO2018033455A1 (de) | 2016-08-15 | 2018-02-22 | Bayer Cropscience Aktiengesellschaft | Kondensierte bicyclische heterocyclen-derivate als schädlingsbekämpfungsmittel |
| WO2018050825A1 (de) | 2016-09-19 | 2018-03-22 | Bayer Cropscience Aktiengesellschaft | Pyrazolo[1,5-a]pyridin- derivative und ihre verwendung als schädlingsbekämpfungsmittel |
| EP3305786A2 (de) | 2018-01-22 | 2018-04-11 | Bayer CropScience Aktiengesellschaft | Kondensierte bicyclische heterocyclen-derivate als schädlingsbekämpfungsmittel |
| WO2018065288A1 (de) | 2016-10-07 | 2018-04-12 | Bayer Cropscience Aktiengesellschaft | 2-[2-phenyl-1-(sulfonylmethyl)vinyl]-imidazo[4,5-b]pyridin-derivate und verwandte verbindungen als schädlingsbekämpfungsmittel im pflanzenschutz |
| WO2018065292A1 (de) | 2016-10-06 | 2018-04-12 | Bayer Cropscience Aktiengesellschaft | 2-(het)aryl-substituierte kondensierte bicyclische heterocyclen-derivate als schädlings-bekämpfungsmittel |
| WO2018069842A1 (en) | 2016-10-14 | 2018-04-19 | Pi Industries Ltd | 4-amino substituted phenylamidine derivatives and their use to protect crops by fighting undesired phytopathogenic micoorganisms |
| WO2018069841A1 (en) | 2016-10-14 | 2018-04-19 | Pi Industries Ltd | 4-substituted phenylamine derivatives and their use to protect crops by fighting undesired phytopathogenic micoorganisms |
| WO2018069106A1 (en) | 2016-10-10 | 2018-04-19 | Basf Se | Pesticidal mixture |
| WO2018083288A1 (de) | 2016-11-07 | 2018-05-11 | Bayer Aktiengesellschaft | Substituierte sulfonylamide zur bekämpfung tierischer schädlinge |
| WO2018087036A1 (en) | 2016-11-11 | 2018-05-17 | Bayer Animal Health Gmbh | New anthelmintic quinoline-3-carboxamide derivatives |
| WO2018095953A1 (de) | 2016-11-23 | 2018-05-31 | Bayer Cropscience Aktiengesellschaft | 2-[3-(alkylsulfonyl)-2h-indazol-2-yl]-3h-imidazo[4,5-b]pyridin-derivate und ähnliche verbindungen als schädlingsbekämpfungsmittel |
| WO2018104500A1 (en) | 2016-12-09 | 2018-06-14 | Bayer Cropscience Aktiengesellschaft | Plant health effect of purpureocillium lilacinum |
| WO2018108671A1 (en) | 2016-12-16 | 2018-06-21 | Basf Se | Pesticidal compounds |
| WO2018108730A1 (de) | 2016-12-16 | 2018-06-21 | Bayer Aktiengesellschaft | Mesoionische imidazopyridine als insektizide |
| WO2018108791A1 (en) | 2016-12-16 | 2018-06-21 | Bayer Cropscience Aktiengesellschaft | Thiadiazole derivatives as pesticides |
| WO2018116073A1 (en) | 2016-12-21 | 2018-06-28 | Pi Industries Ltd. | 1, 2, 3-thiadiazole compounds and their use as crop protecting agent |
| WO2018116072A1 (en) | 2016-12-20 | 2018-06-28 | Pi Industries Ltd. | Heterocyclic compounds |
| WO2018130437A1 (de) | 2017-01-10 | 2018-07-19 | Bayer Aktiengesellschaft | Heterocyclen-derivate als schädlingsbekämpfungsmittel |
| WO2018130443A1 (de) | 2017-01-10 | 2018-07-19 | Bayer Aktiengesellschaft | Heterocyclen-derivate als schädlingsbekämpfungsmittel |
| WO2018138050A1 (de) | 2017-01-26 | 2018-08-02 | Bayer Aktiengesellschaft | Kondensierte bicyclische heterocyclen-derivate als schädlingsbekämpfungsmittel |
| WO2018141954A1 (de) | 2017-02-06 | 2018-08-09 | Bayer Aktiengesellschaft | Aryl- oder heteroaryl-substituierte imidazopyridinderivate und deren anwendung als schädlingsbekämpfungsmittel |
| EP3369320A1 (de) | 2017-03-02 | 2018-09-05 | Bayer CropScience Aktiengesellschaft | Wirkstoff zur bekämpfung von wanzen |
| WO2018162312A1 (en) | 2017-03-10 | 2018-09-13 | Basf Se | Spirocyclic derivatives |
| WO2018166855A1 (en) | 2017-03-16 | 2018-09-20 | Basf Se | Heterobicyclic substituted dihydroisoxazoles |
| WO2018177781A1 (en) | 2017-03-28 | 2018-10-04 | Basf Se | Pesticidal compounds |
| WO2018177995A1 (de) | 2017-03-31 | 2018-10-04 | Bayer Cropscience Aktiengesellschaft | Trizyklische carboxamide zur bekämpfung von anthropoden |
| WO2018177993A1 (de) | 2017-03-31 | 2018-10-04 | Bayer Cropscience Aktiengesellschaft | Pyrazole zur bekämpfung von arthropoden |
| WO2018177970A1 (en) | 2017-03-31 | 2018-10-04 | Basf Se | Process for preparing chiral 2,3-dihydrothiazolo[3,2-a]pyrimidin-4-ium compounds |
| WO2018189077A1 (de) | 2017-04-12 | 2018-10-18 | Bayer Aktiengesellschaft | Mesoionische imidazopyridine als insektizide |
| WO2018192793A1 (en) | 2017-04-20 | 2018-10-25 | Basf Se | Substituted rhodanine derivatives |
| WO2018192872A1 (de) | 2017-04-21 | 2018-10-25 | Bayer Aktiengesellschaft | Mesoionische imidazopyridine als insektizide |
| WO2018193385A1 (en) | 2017-04-20 | 2018-10-25 | Pi Industries Ltd. | Novel phenylamine compounds |
| WO2018197692A1 (en) | 2017-04-27 | 2018-11-01 | Bayer Aktiengesellschaft | Heteroarylphenylaminoquinolines and analogues |
| WO2018197466A1 (en) | 2017-04-26 | 2018-11-01 | Basf Se | Substituted succinimide derivatives as pesticides |
| WO2018197257A1 (de) | 2017-04-24 | 2018-11-01 | Bayer Aktiengesellschaft | Kondensierte bicyclische heterocyclen-derivate als schädlingsbekämpfungsmittel |
| WO2018197401A1 (en) | 2017-04-27 | 2018-11-01 | Bayer Animal Health Gmbh | New bicyclic pyrazole derivatives |
| WO2018202524A1 (de) | 2017-05-04 | 2018-11-08 | Bayer Cropscience Aktiengesellschaft | 2-{[2-(phenyloxymethyl)pyridin-5-yl]oxy}-ethanamin-derivate und verwandte verbindungen als schädlingsbekämpfungsmittel z.b. für den pflanzenschutz |
| WO2018202712A1 (en) | 2017-05-03 | 2018-11-08 | Bayer Aktiengesellschaft | Trisubstitutedsilylmethylphenoxyquinolines and analogues |
| WO2018202525A1 (en) | 2017-05-04 | 2018-11-08 | Bayer Cropscience Aktiengesellschaft | Phenoxyethanamine derivatives for controlling pests |
| WO2018202501A1 (de) | 2017-05-02 | 2018-11-08 | Bayer Aktiengesellschaft | 2-(het)aryl-substituierte kondensierte heterocyclen-derivate als schädlingsbekämpfungsmittel |
| WO2018202494A1 (de) | 2017-05-02 | 2018-11-08 | Bayer Aktiengesellschaft | 2-(het)aryl-substituierte kondensierte heterocyclen-derivate als schädlingsbekämpfungsmittel |
| WO2018202715A1 (en) | 2017-05-03 | 2018-11-08 | Bayer Aktiengesellschaft | Trisubstitutedsilylbenzylbenzimidazoles and analogues |
| WO2018202706A1 (en) | 2017-05-03 | 2018-11-08 | Bayer Aktiengesellschaft | Trisubstitutedsilylheteroaryloxyquinolines and analogues |
| WO2018206479A1 (en) | 2017-05-10 | 2018-11-15 | Basf Se | Bicyclic pesticidal compounds |
| US10149477B2 (en) | 2014-10-06 | 2018-12-11 | Basf Se | Substituted pyrimidinium compounds for combating animal pests |
| WO2018224455A1 (en) | 2017-06-07 | 2018-12-13 | Basf Se | Substituted cyclopropyl derivatives |
| WO2018229202A1 (en) | 2017-06-16 | 2018-12-20 | Basf Se | Mesoionic imidazolium compounds and derivatives for combating animal pests |
| WO2018234488A1 (en) | 2017-06-23 | 2018-12-27 | Basf Se | Substituted cyclopropyl derivatives |
| WO2018234202A1 (en) | 2017-06-19 | 2018-12-27 | Basf Se | Substituted pyrimidinium compounds and derivatives for combating animal pests |
| WO2019002132A1 (en) | 2017-06-30 | 2019-01-03 | Bayer Animal Health Gmbh | NEW AZAQUINOLINE DERIVATIVES |
| WO2019007887A1 (de) | 2017-07-06 | 2019-01-10 | Bayer Aktiengesellschaft | Insektizide und fungizide wirkstoffkombinationen |
| WO2019007888A1 (de) | 2017-07-06 | 2019-01-10 | Bayer Aktiengesellschaft | Insektizide wirkstoffkombinationen |
| WO2019007891A1 (de) | 2017-07-06 | 2019-01-10 | Bayer Aktiengesellschaft | Insektizide wirkstoffkombinationen |
| WO2019007719A1 (en) | 2017-07-07 | 2019-01-10 | Basf Se | PESTICIDE MIXTURES |
| WO2019025341A1 (en) | 2017-08-04 | 2019-02-07 | Bayer Animal Health Gmbh | QUINOLINE DERIVATIVES FOR THE TREATMENT OF INFECTIONS BY HELMINTHES |
| WO2019035881A1 (en) | 2017-08-17 | 2019-02-21 | Bayer Cropscience Lp | DISPERSIBLE COMPOSITIONS IN LIQUID FERTILIZER AND ASSOCIATED METHODS |
| WO2019038195A1 (de) | 2017-08-22 | 2019-02-28 | Bayer Aktiengesellschaft | Heterocyclen-derivate als schädlingsbekämpfungsmittel |
| WO2019043183A1 (en) | 2017-08-31 | 2019-03-07 | Basf Se | METHOD FOR CONTROLLING PESTS OF RICE IN RICE |
| EP3453706A1 (en) | 2017-09-08 | 2019-03-13 | Basf Se | Pesticidal imidazole compounds |
| WO2019059412A1 (en) | 2017-09-20 | 2019-03-28 | Mitsui Chemicals Agro, Inc. | AGENT FOR EXTENDED CONTROL OF ECTOPARASITES FOR ANIMAL |
| WO2019068572A1 (de) | 2017-10-04 | 2019-04-11 | Bayer Aktiengesellschaft | Heterocyclen-derivate als schädlingsbekämpfungsmittel |
| WO2019072906A1 (en) | 2017-10-13 | 2019-04-18 | Basf Se | IMIDAZOLIDINE PYRIMIDINIUM COMPOUNDS FOR CONTROL OF HARMFUL ANIMALS |
| EP3473100A1 (en) | 2017-10-18 | 2019-04-24 | Bayer Aktiengesellschaft | Active compound combinations having insecticidal/acaricidal properties |
| EP3473103A1 (de) | 2017-10-17 | 2019-04-24 | Bayer AG | Wässrige suspensionskonzentrate auf basis von 2-[(2,4-dichlorphenyl)-methyl]-4,4'-dimethyl-3-isoxazolidinon |
| WO2019076749A1 (en) | 2017-10-18 | 2019-04-25 | Bayer Aktiengesellschaft | COMBINATIONS OF ACTIVE COMPOUNDS HAVING INSECTICIDAL / ACARICIDE PROPERTIES |
| WO2019076754A1 (en) | 2017-10-18 | 2019-04-25 | Bayer Aktiengesellschaft | COMBINATIONS OF ACTIVE COMPOUNDS HAVING INSECTICIDAL / ACARICIDE PROPERTIES |
| WO2019076750A1 (en) | 2017-10-18 | 2019-04-25 | Bayer Aktiengesellschaft | COMBINATIONS OF ACTIVE COMPOUNDS HAVING INSECTICIDE PROPERTIES7ACARICIDES |
| WO2019076752A1 (en) | 2017-10-18 | 2019-04-25 | Bayer Aktiengesellschaft | COMBINATIONS OF ACTIVE COMPOUNDS AYNT INSECTICIDE / ACARICIDE PROPERTIES |
| WO2019076751A1 (en) | 2017-10-18 | 2019-04-25 | Bayer Aktiengesellschaft | COMBINATIONS OF ACTIVE COMPOUNDS HAVING INSECTICIDAL / ACARICIDE PROPERTIES |
| WO2019092086A1 (en) | 2017-11-13 | 2019-05-16 | Bayer Aktiengesellschaft | Tetrazolylpropyl derivatives and their use as fungicides |
| WO2019105875A1 (en) | 2017-11-28 | 2019-06-06 | Bayer Aktiengesellschaft | Heterocyclic compounds as pesticides |
| WO2019105871A1 (de) | 2017-11-29 | 2019-06-06 | Bayer Aktiengesellschaft | Stickstoffhaltige heterocyclen als schädlingsbekämpfungsmittel |
| WO2019122319A1 (en) | 2017-12-21 | 2019-06-27 | Bayer Aktiengesellschaft | Trisubstitutedsilylmethylheteroaryloxyquinolines and analogues |
| WO2019123196A1 (en) | 2017-12-20 | 2019-06-27 | Pi Industries Ltd. | Fluoralkenyl compounds, process for preparation and use thereof |
| WO2019121159A1 (en) | 2017-12-21 | 2019-06-27 | Basf Se | Pesticidal compounds |
| WO2019121143A1 (en) | 2017-12-20 | 2019-06-27 | Basf Se | Substituted cyclopropyl derivatives |
| WO2019137995A1 (en) | 2018-01-11 | 2019-07-18 | Basf Se | Novel pyridazine compounds for controlling invertebrate pests |
| WO2019145140A1 (en) | 2018-01-09 | 2019-08-01 | Basf Se | Silylethynyl hetaryl compounds as nitrification inhibitors |
| WO2019150311A1 (en) | 2018-02-02 | 2019-08-08 | Pi Industries Ltd. | 1-3 dithiol compounds and their use for the protection of crops from phytopathogenic microorganisms |
| WO2019155066A1 (en) | 2018-02-12 | 2019-08-15 | Bayer Aktiengesellschaft | Fungicidal oxadiazoles |
| WO2019162174A1 (de) | 2018-02-21 | 2019-08-29 | Bayer Aktiengesellschaft | Kondensierte bicyclische heterocyclen-derivate als schädlingsbekämpfungsmittel |
| WO2019162228A1 (en) | 2018-02-21 | 2019-08-29 | Bayer Aktiengesellschaft | 1-(5-substituted imidazol-1-yl)but-3-en derivatives and their use as fungicides |
| WO2019166561A1 (en) | 2018-02-28 | 2019-09-06 | Basf Se | Use of alkoxypyrazoles as nitrification inhibitors |
| WO2019166558A1 (en) | 2018-02-28 | 2019-09-06 | Basf Se | Use of pyrazole propargyl ethers as nitrification inhibitors |
| WO2019166560A1 (en) | 2018-02-28 | 2019-09-06 | Basf Se | Use of n-functionalized alkoxy pyrazole compounds as nitrification inhibitors |
| WO2019170626A1 (en) | 2018-03-08 | 2019-09-12 | Bayer Aktiengesellschaft | Use of heteroaryl-triazole and heteroaryl-tetrazole compounds as pesticides in plant protection |
| WO2019175713A1 (en) | 2018-03-14 | 2019-09-19 | Basf Corporation | New catechol molecules and their use as inhibitors to p450 related metabolic pathways |
| WO2019175046A1 (de) | 2018-03-12 | 2019-09-19 | Bayer Aktiengesellschaft | Kondensierte bicyclische heterocyclen-derivate als schädlingsbekämpfungsmittel |
| WO2019175712A1 (en) | 2018-03-14 | 2019-09-19 | Basf Corporation | New uses for catechol molecules as inhibitors to glutathione s-transferase metabolic pathways |
| EP3545764A1 (en) | 2019-02-12 | 2019-10-02 | Bayer AG | Crystal form of 2-({2-fluoro-4-methyl-5-[(r)-(2,2,2-trifluoroethyl)sulfinyl]phenyl}imino)-3-(2,2,2- trifluoroethyl)-1,3-thiazolidin-4-one |
| WO2019185413A1 (en) | 2018-03-27 | 2019-10-03 | Basf Se | Pesticidal substituted cyclopropyl derivatives |
| WO2019197468A1 (en) | 2018-04-12 | 2019-10-17 | Bayer Aktiengesellschaft | N-(cyclopropylmethyl)-5-(methylsulfonyl)-n-{1-[1-(pyrimidin-2-yl)-1h-1,2,4-triazol-5-yl]ethyl}benzamide derivatives and the corresponding pyridine-carboxamide derivatives as pesticides |
| WO2019197615A1 (de) | 2018-04-13 | 2019-10-17 | Bayer Aktiengesellschaft | Wirkstoffkombinationen mit fungiziden, insektiziden und akariziden eigenschaften |
| WO2019197623A1 (de) | 2018-04-13 | 2019-10-17 | Bayer Aktiengesellschaft | Wirkstoffkombinationen mit insektiziden, nematiziden und akariziden eigenschaften |
| WO2019197371A1 (en) | 2018-04-10 | 2019-10-17 | Bayer Aktiengesellschaft | Oxadiazoline derivatives |
| WO2019201835A1 (en) | 2018-04-17 | 2019-10-24 | Bayer Aktiengesellschaft | Heteroaryl-triazole and heteroaryl-tetrazole compounds as pesticides |
| WO2019202077A1 (en) | 2018-04-20 | 2019-10-24 | Bayer Aktiengesellschaft | Heteroaryl-triazole and heteroaryl-tetrazole compounds as pesticides |
| WO2019201921A1 (de) | 2018-04-20 | 2019-10-24 | Bayer Aktiengesellschaft | Heterocyclen-derivate als schädlingsbekämpfungsmittel |
| WO2019206799A1 (en) | 2018-04-25 | 2019-10-31 | Bayer Aktiengesellschaft | Novel heteroaryl-triazole and heteroaryl-tetrazole compounds as pesticides |
| EP3564225A1 (en) | 2019-03-21 | 2019-11-06 | Bayer Aktiengesellschaft | Crystalline form of spiromesifen |
| WO2019215182A1 (en) | 2018-05-09 | 2019-11-14 | Bayer Animal Health Gmbh | New quinoline derivatives |
| WO2019219529A1 (en) | 2018-05-15 | 2019-11-21 | Basf Se | Mixtures comprising benzpyrimoxan and oxazosulfyl and uses and methods of applying them |
| WO2019224143A1 (de) | 2018-05-24 | 2019-11-28 | Bayer Aktiengesellschaft | Wirkstoffkombinationen mit insektiziden, nematiziden und akariziden eigenschaften |
| WO2019224092A1 (en) | 2018-05-22 | 2019-11-28 | Basf Se | Pesticidally active c15-derivatives of ginkgolides |
| EP3586630A1 (en) | 2018-06-28 | 2020-01-01 | Bayer AG | Active compound combinations having insecticidal/acaricidal properties |
| WO2020005678A1 (en) | 2018-06-25 | 2020-01-02 | Bayer Cropscience Lp | Seed treatment method |
| WO2020002472A1 (en) | 2018-06-28 | 2020-01-02 | Basf Se | Use of alkynylthiophenes as nitrification inhibitors |
| WO2020002189A1 (de) | 2018-06-27 | 2020-01-02 | Bayer Aktiengesellschaft | Wirkstoffkombinationen |
| WO2020007905A1 (en) | 2018-07-05 | 2020-01-09 | Bayer Aktiengesellschaft | Substituted thiophenecarboxamides and analogues as antibacterials agents |
| WO2020020777A1 (en) | 2018-07-23 | 2020-01-30 | Basf Se | Use of substituted 2-thiazolines as nitrification inhibitors |
| WO2020020816A1 (en) | 2018-07-26 | 2020-01-30 | Bayer Aktiengesellschaft | Novel triazole derivatives |
| WO2020021082A1 (en) | 2018-07-27 | 2020-01-30 | Bayer Aktiengesellschaft | Controlled release formulations for agrochemicals |
| WO2020020813A1 (en) | 2018-07-25 | 2020-01-30 | Bayer Aktiengesellschaft | Fungicidal active compound combinations |
| WO2020020765A1 (en) | 2018-07-23 | 2020-01-30 | Basf Se | Use of a substituted thiazolidine compound as nitrification inhibitor |
| WO2020025650A1 (en) | 2018-07-31 | 2020-02-06 | Bayer Aktiengesellschaft | Controlled release formulations with lignin for agrochemicals |
| US10556844B2 (en) | 2015-02-06 | 2020-02-11 | Basf Se | Pyrazole compounds as nitrification inhibitors |
| EP3608311A1 (en) | 2019-06-28 | 2020-02-12 | Bayer AG | Crystalline form a of n-[4-chloro-3-[(1-cyanocyclopropyl)carbamoyl]phenyl]-2-methyl-4-methylsulfonyl-5-(1,1,2,2,2-pentafluoroethyl)pyrazole-3-carboxamide |
| WO2020035826A1 (en) | 2018-08-17 | 2020-02-20 | Pi Industries Ltd. | 1,2-dithiolone compounds and use thereof |
| EP3613736A1 (en) | 2018-08-22 | 2020-02-26 | Basf Se | Substituted glutarimide derivatives |
| WO2020043650A1 (en) | 2018-08-29 | 2020-03-05 | Bayer Aktiengesellschaft | Active compound combinations having insecticidal/acaricidal properties |
| EP3620052A1 (en) | 2018-12-12 | 2020-03-11 | Bayer Aktiengesellschaft | Use of phenoxypyridinyl-substituted (1h-1,2,4-triazol-1-yl)alcohols for controlling fungicidal diseases in maize |
| WO2020053282A1 (de) | 2018-09-13 | 2020-03-19 | Bayer Aktiengesellschaft | Heterocyclen-derivate als schädlingsbekämpfungsmittel |
| WO2020057939A1 (en) | 2018-09-17 | 2020-03-26 | Bayer Aktiengesellschaft | Use of the fungicide isoflucypram for controlling claviceps purpurea and reducing sclerotia in cereals |
| EP3628158A1 (en) | 2018-09-28 | 2020-04-01 | Basf Se | Pesticidal mixture comprising a mesoionic compound and a biopesticide |
| EP3628156A1 (en) | 2018-09-28 | 2020-04-01 | Basf Se | Method for controlling pests of sugarcane, citrus, rapeseed, and potato plants |
| EP3628157A1 (en) | 2018-09-28 | 2020-04-01 | Basf Se | Method of controlling insecticide resistant insects and virus transmission to plants |
| WO2020064492A1 (en) | 2018-09-28 | 2020-04-02 | Basf Se | Method of controlling pests by seed treatment application of a mesoionic compound or mixture thereof |
| WO2020070050A1 (en) | 2018-10-01 | 2020-04-09 | Bayer Aktiengesellschaft | Fungicidal 5-substituted imidazol-1-yl carbinol derivatives |
| EP3636644A1 (de) | 2018-10-11 | 2020-04-15 | Bayer Aktiengesellschaft | Mesoionische imidazopyridine als insektizide |
| WO2020079167A1 (en) | 2018-10-18 | 2020-04-23 | Bayer Aktiengesellschaft | Heteroarylaminoquinolines and analogues |
| WO2020079173A1 (en) | 2018-10-18 | 2020-04-23 | Bayer Aktiengesellschaft | Pyridylphenylaminoquinolines and analogues |
| WO2020079232A1 (en) | 2018-10-20 | 2020-04-23 | Bayer Aktiengesellschaft | Oxetanylphenoxyquinolines and analogues |
| WO2020078839A1 (de) | 2018-10-16 | 2020-04-23 | Bayer Aktiengesellschaft | Wirkstoffkombinationen |
| EP3643711A1 (en) | 2018-10-24 | 2020-04-29 | Bayer Animal Health GmbH | New anthelmintic compounds |
| EP3643705A1 (en) | 2018-10-24 | 2020-04-29 | Basf Se | Pesticidal compounds |
| WO2020109039A1 (en) | 2018-11-28 | 2020-06-04 | Basf Se | Pesticidal compounds |
| WO2020109391A1 (en) | 2018-11-28 | 2020-06-04 | Bayer Aktiengesellschaft | Pyridazine (thio)amides as fungicidal compounds |
| WO2020114934A1 (de) | 2018-12-07 | 2020-06-11 | Bayer Aktiengesellschaft | Herbizide zusammensetzungen |
| WO2020114932A1 (de) | 2018-12-07 | 2020-06-11 | Bayer Aktiengesellschaft | Herbizide zusammensetzungen |
| EP3669652A1 (en) | 2018-12-21 | 2020-06-24 | Bayer AG | Active compound combination |
| WO2020126980A1 (en) | 2018-12-18 | 2020-06-25 | Bayer Aktiengesellschaft | Active compound combinations having insecticidal/acaricidal properties |
| WO2020127974A1 (en) | 2018-12-21 | 2020-06-25 | Bayer Aktiengesellschaft | 1,3,4-oxadiazoles and their derivatives as new antifungal agents |
| WO2020127780A1 (en) | 2018-12-20 | 2020-06-25 | Bayer Aktiengesellschaft | Heterocyclyl pyridazine as fungicidal compounds |
| WO2020126591A1 (en) | 2018-12-18 | 2020-06-25 | Basf Se | Substituted pyrimidinium compounds for combating animal pests |
| EP3679790A1 (en) | 2019-01-08 | 2020-07-15 | Bayer AG | Active compound combinations |
| EP3679791A1 (en) | 2019-01-08 | 2020-07-15 | Bayer AG | Active compound combinations |
| EP3679789A1 (en) | 2019-01-08 | 2020-07-15 | Bayer AG | Active compound combinations |
| EP3679792A1 (en) | 2019-01-08 | 2020-07-15 | Bayer AG | Active compound combinations |
| EP3679793A1 (en) | 2019-01-08 | 2020-07-15 | Bayer AG | Active compound combinations |
| EP3696177A1 (en) | 2019-02-12 | 2020-08-19 | Basf Se | Heterocyclic compounds for the control of invertebrate pests |
| EP3701796A1 (en) | 2019-08-08 | 2020-09-02 | Bayer AG | Active compound combinations |
| WO2020173860A1 (en) | 2019-02-26 | 2020-09-03 | Bayer Aktiengesellschaft | Fused bicyclic heterocycle derivatives as pesticides |
| WO2020173861A1 (de) | 2019-02-26 | 2020-09-03 | Bayer Aktiengesellschaft | Kondensierte bicyclische heterocyclen-derivate als schädlingsbekämpfungsmittel |
| WO2020178307A1 (en) | 2019-03-05 | 2020-09-10 | Bayer Aktiengesellschaft | Active compound combination |
| WO2020178067A1 (en) | 2019-03-01 | 2020-09-10 | Bayer Aktiengesellschaft | Active compound combinations having insecticidal/acaricidal properties |
| US10772324B2 (en) | 2012-11-03 | 2020-09-15 | Clariant International Ltd. | Aqueous adjuvant-compositions |
| EP3708565A1 (en) | 2020-03-04 | 2020-09-16 | Bayer AG | Pyrimidinyloxyphenylamidines and the use thereof as fungicides |
| WO2020182929A1 (en) | 2019-03-13 | 2020-09-17 | Bayer Aktiengesellschaft | Substituted ureas and derivatives as new antifungal agents |
| WO2020187656A1 (en) | 2019-03-15 | 2020-09-24 | Bayer Aktiengesellschaft | Active compound combinations having insecticidal/acaricidal properties |
| EP3725788A1 (en) | 2019-04-15 | 2020-10-21 | Bayer AG | Novel heteroaryl-substituted aminoalkyl azole compounds as pesticides |
| US10813862B2 (en) | 2012-05-30 | 2020-10-27 | Clariant International Ltd. | Use of N-methyl-N-acylglucamines as solubilizers |
| WO2020225437A1 (en) | 2019-05-08 | 2020-11-12 | Bayer Aktiengesellschaft | Ulv formulations with enhanced uptake |
| WO2020225242A1 (en) | 2019-05-08 | 2020-11-12 | Bayer Aktiengesellschaft | Active compound combination |
| WO2020229398A1 (de) | 2019-05-14 | 2020-11-19 | Bayer Aktiengesellschaft | (1-alkenyl)-substituierte pyrazole und triazole als schädlingsbekämpfungsmittel |
| WO2020231751A1 (en) | 2019-05-10 | 2020-11-19 | Bayer Cropscience Lp | Active compound combinations |
| WO2020239517A1 (en) | 2019-05-29 | 2020-12-03 | Basf Se | Mesoionic imidazolium compounds and derivatives for combating animal pests |
| US10864275B2 (en) | 2012-05-30 | 2020-12-15 | Clariant International Ltd. | N-methyl-N-acylglucamine-containing composition |
| EP3750888A1 (en) | 2019-06-12 | 2020-12-16 | Bayer Aktiengesellschaft | Crystalline form a of 1,4-dimethyl-2-[2-(pyridin-3-yl)-2h-indazol-5-yl]-1,2,4-triazolidine-3,5-dione |
| WO2020254488A1 (en) | 2019-06-21 | 2020-12-24 | Bayer Aktiengesellschaft | Hydroxyisoxazolines and use thereof as fungicides |
| WO2020254489A1 (en) | 2019-06-21 | 2020-12-24 | Bayer Aktiengesellschaft | Benzylphenyl hydroxyisoxazolines and analogues as new antifungal agents |
| WO2020254490A1 (en) | 2019-06-21 | 2020-12-24 | Bayer Aktiengesellschaft | Phenoxyphenyl hydroxyisoxazolines and analogues as new antifungal agents |
| WO2020254487A1 (en) | 2019-06-21 | 2020-12-24 | Bayer Aktiengesellschaft | Hydroxyisoxazolines and derivatives thereof |
| WO2020254493A1 (en) | 2019-06-21 | 2020-12-24 | Bayer Aktiengesellschaft | Thienylhydroxyisoxazolines and derivatives thereof |
| WO2020254492A1 (en) | 2019-06-21 | 2020-12-24 | Bayer Aktiengesellschaft | Hydroxyisoxazolines and derivatives thereof |
| WO2020254494A1 (en) | 2019-06-21 | 2020-12-24 | Bayer Aktiengesellschaft | Fungicidal oxadiazoles |
| WO2020254486A1 (en) | 2019-06-21 | 2020-12-24 | Bayer Aktiengesellschaft | Hydroxyisoxazolines and derivatives thereof |
| WO2020263812A1 (en) | 2019-06-24 | 2020-12-30 | Auburn University | A bacillus strain and methods of its use for plant growth promotion |
| WO2021001273A1 (de) | 2019-07-04 | 2021-01-07 | Bayer Aktiengesellschaft | Herbizide zusammensetzungen |
| WO2021001331A1 (en) | 2019-07-03 | 2021-01-07 | Bayer Aktiengesellschaft | Substituted thiophene carboxamides and derivatives thereof as microbicides |
| EP3766879A1 (en) | 2019-07-19 | 2021-01-20 | Basf Se | Pesticidal pyrazole derivatives |
| EP3769623A1 (en) | 2019-07-22 | 2021-01-27 | Basf Se | Mesoionic imidazolium compounds and derivatives for combating animal pests |
| WO2021013719A1 (en) | 2019-07-23 | 2021-01-28 | Bayer Aktiengesellschaft | Novel heteroaryl-triazole compounds as pesticides |
| WO2021013720A1 (en) | 2019-07-23 | 2021-01-28 | Bayer Aktiengesellschaft | Novel heteroaryl-triazole compounds as pesticides |
| WO2021013721A1 (de) | 2019-07-22 | 2021-01-28 | Bayer Aktiengesellschaft | 5-amino substituierte pyrazole und triazole als schädlingsbekämpfungsmittel |
| EP3771714A1 (de) | 2019-07-30 | 2021-02-03 | Bayer AG | Stickstoffhaltige heterocyclen als schädlingsbekämpfungsmittel |
| WO2021018839A1 (en) | 2019-07-30 | 2021-02-04 | Bayer Animal Health Gmbh | Isoquinoline derivatives and their use for the treatment of parasitic infections |
| US10920080B2 (en) | 2015-10-09 | 2021-02-16 | Clariant International Ltd. | N-Alkyl glucamine-based universal pigment dispersions |
| WO2021048188A1 (de) | 2019-09-11 | 2021-03-18 | Bayer Aktiengesellschaft | Hochwirksame formulierungen auf basis von 2-[(2;4-dichlorphenyl)-m ethyl|-4,4'-dimethyl- 3-isoxazolidinone sowie vorauflaufherbiziden |
| US10961484B2 (en) | 2015-10-09 | 2021-03-30 | Clariant International Ltd. | Compositions comprising sugar amine and fatty acid |
| WO2021058659A1 (en) | 2019-09-26 | 2021-04-01 | Bayer Aktiengesellschaft | Rnai-mediated pest control |
| WO2021069569A1 (en) | 2019-10-09 | 2021-04-15 | Bayer Aktiengesellschaft | Novel heteroaryl-triazole compounds as pesticides |
| WO2021069567A1 (en) | 2019-10-09 | 2021-04-15 | Bayer Aktiengesellschaft | Novel heteroaryl-triazole compounds as pesticides |
| WO2021069575A1 (en) | 2019-10-11 | 2021-04-15 | Bayer Animal Health Gmbh | Heteroaryl-substituted pyrazine derivatives as pesticides |
| WO2021089673A1 (de) | 2019-11-07 | 2021-05-14 | Bayer Aktiengesellschaft | Substituierte sulfonylamide zur bekämpfung tierischer schädlinge |
| WO2021097162A1 (en) | 2019-11-13 | 2021-05-20 | Bayer Cropscience Lp | Beneficial combinations with paenibacillus |
| WO2021099303A1 (en) | 2019-11-18 | 2021-05-27 | Bayer Aktiengesellschaft | Novel heteroaryl-triazole compounds as pesticides |
| WO2021105091A1 (en) | 2019-11-25 | 2021-06-03 | Bayer Aktiengesellschaft | Novel heteroaryl-triazole compounds as pesticides |
| WO2021122986A1 (en) | 2019-12-20 | 2021-06-24 | Bayer Aktiengesellschaft | Thienyloxazolones and analogues |
| WO2021123051A1 (en) | 2019-12-20 | 2021-06-24 | Bayer Aktiengesellschaft | Substituted thiophene carboxamides, thiophene carboxylic acids and derivatives thereof |
| WO2021130143A1 (en) | 2019-12-23 | 2021-07-01 | Basf Se | Enzyme enhanced root uptake of agrochemical active compound |
| US11053175B2 (en) | 2015-05-12 | 2021-07-06 | Basf Se | Thioether compounds as nitrification inhibitors |
| EP3845304A1 (en) | 2019-12-30 | 2021-07-07 | Bayer AG | Capsule suspension concentrates based on polyisocyanates and biodegradable amine based cross-linker |
| EP3868207A1 (de) | 2020-02-24 | 2021-08-25 | Bayer Aktiengesellschaft | Verkapselte pyrethroide mit verbesserter wirksamkeit bei boden- und blattanwendungen |
| WO2021165195A1 (en) | 2020-02-18 | 2021-08-26 | Bayer Aktiengesellschaft | Heteroaryl-triazole compounds as pesticides |
| WO2021170463A1 (en) | 2020-02-28 | 2021-09-02 | BASF Agro B.V. | Methods and uses of a mixture comprising alpha-cypermethrin and dinotefuran for controlling invertebrate pests in turf |
| US11142514B2 (en) | 2015-10-02 | 2021-10-12 | Basf Se | Imino compounds with a 2-chloropyrimidin-5-yl substituent as pest-control agents |
| WO2021204930A1 (en) | 2020-04-09 | 2021-10-14 | Bayer Animal Health Gmbh | Substituted condensed azines as anthelmintic compounds |
| EP3896065A1 (de) | 2015-08-07 | 2021-10-20 | Bayer CropScience Aktiengesellschaft | 2-(het)aryl-substituierte kondensierte heterocyclen-derivate als schädlingsbekämpfungsmittel |
| WO2021209490A1 (en) | 2020-04-16 | 2021-10-21 | Bayer Aktiengesellschaft | Cyclaminephenylaminoquinolines as fungicides |
| WO2021209364A1 (en) | 2020-04-16 | 2021-10-21 | Bayer Aktiengesellschaft | Active compound combinations and fungicide compositions comprising those |
| WO2021209366A1 (en) | 2020-04-16 | 2021-10-21 | Bayer Aktiengesellschaft | Active compound combinations and fungicide compositions comprising those |
| WO2021209363A1 (en) | 2020-04-16 | 2021-10-21 | Bayer Aktiengesellschaft | Active compound combinations and fungicide compositions comprising those |
| WO2021209368A1 (en) | 2020-04-16 | 2021-10-21 | Bayer Aktiengesellschaft | Active compound combinations and fungicide compositions comprising those |
| WO2021209365A1 (en) | 2020-04-16 | 2021-10-21 | Bayer Aktiengesellschaft | Active compound combinations and fungicide compositions comprising those |
| WO2021213978A1 (de) | 2020-04-21 | 2021-10-28 | Bayer Aktiengesellschaft | 2-(het)aryl-substituierte kondensierte heterocyclen-derivate als schädlingsbekämpfungsmittel |
| WO2021219513A1 (en) | 2020-04-28 | 2021-11-04 | Basf Se | Pesticidal compounds |
| WO2021224220A1 (en) | 2020-05-06 | 2021-11-11 | Bayer Aktiengesellschaft | Pyridine (thio)amides as fungicidal compounds |
| WO2021224323A1 (en) | 2020-05-06 | 2021-11-11 | Bayer Aktiengesellschaft | Novel heteroaryl-triazole compounds as pesticides |
| EP3909950A1 (en) | 2020-05-13 | 2021-11-17 | Basf Se | Heterocyclic compounds for the control of invertebrate pests |
| WO2021228734A1 (en) | 2020-05-12 | 2021-11-18 | Bayer Aktiengesellschaft | Triazine and pyrimidine (thio)amides as fungicidal compounds |
| WO2021233861A1 (en) | 2020-05-19 | 2021-11-25 | Bayer Aktiengesellschaft | Azabicyclic(thio)amides as fungicidal compounds |
| EP3915371A1 (en) | 2020-11-04 | 2021-12-01 | Bayer AG | Active compound combinations and fungicide compositions comprising those |
| EP3915971A1 (en) | 2020-12-16 | 2021-12-01 | Bayer Aktiengesellschaft | Phenyl-s(o)n-phenylamidines and the use thereof as fungicides |
| WO2021245087A1 (en) | 2020-06-04 | 2021-12-09 | Bayer Aktiengesellschaft | Heterocyclyl pyrimidines and triazines as novel fungicides |
| WO2021249995A1 (en) | 2020-06-10 | 2021-12-16 | Bayer Aktiengesellschaft | Azabicyclyl-substituted heterocycles as fungicides |
| WO2021255089A1 (en) | 2020-06-19 | 2021-12-23 | Bayer Aktiengesellschaft | 1,3,4-oxadiazole pyrimidines and 1,3,4-oxadiazole pyridines as fungicides |
| WO2021255071A1 (en) | 2020-06-18 | 2021-12-23 | Bayer Aktiengesellschaft | 3-(pyridazin-4-yl)-5,6-dihydro-4h-1,2,4-oxadiazine derivatives as fungicides for crop protection |
| WO2021255091A1 (en) | 2020-06-19 | 2021-12-23 | Bayer Aktiengesellschaft | 1,3,4-oxadiazoles and their derivatives as fungicides |
| WO2021255169A1 (en) | 2020-06-19 | 2021-12-23 | Bayer Aktiengesellschaft | 1,3,4-oxadiazole pyrimidines as fungicides |
| WO2021255170A1 (en) | 2020-06-19 | 2021-12-23 | Bayer Aktiengesellschaft | 1,3,4-oxadiazole pyrimidines as fungicides |
| EP3929189A1 (en) | 2020-06-25 | 2021-12-29 | Bayer Animal Health GmbH | Novel heteroaryl-substituted pyrazine derivatives as pesticides |
| WO2021260017A1 (en) | 2020-06-26 | 2021-12-30 | Bayer Aktiengesellschaft | Aqueous capsule suspension concentrates comprising biodegradable ester groups |
| WO2022002818A1 (de) | 2020-07-02 | 2022-01-06 | Bayer Aktiengesellschaft | Heterocyclen-derivate als schädlingsbekämpfungsmittel |
| US11220603B2 (en) | 2016-05-09 | 2022-01-11 | Clariant International Ltd. | Stabilizers for silicate paints |
| WO2022033991A1 (de) | 2020-08-13 | 2022-02-17 | Bayer Aktiengesellschaft | 5-amino substituierte triazole als schädlingsbekämpfungsmittel |
| WO2022053453A1 (de) | 2020-09-09 | 2022-03-17 | Bayer Aktiengesellschaft | Azolcarboxamide als schädlingsbekämpfungsmittel |
| WO2022058327A1 (en) | 2020-09-15 | 2022-03-24 | Bayer Aktiengesellschaft | Substituted ureas and derivatives as new antifungal agents |
| EP3974414A1 (de) | 2020-09-25 | 2022-03-30 | Bayer AG | 5-amino substituierte pyrazole und triazole als schädlingsbekämpfungsmittel |
| EP3994992A1 (en) | 2020-11-08 | 2022-05-11 | Bayer AG | Low drift, rainfastness, high uptake and ulv tank mix adjuvant formulation |
| EP3994993A1 (en) | 2020-11-08 | 2022-05-11 | Bayer Aktiengesellschaft | Low drift, rainfastness, high spreading and ulv tank mix adjuvant formulation |
| EP3994986A1 (en) | 2020-11-08 | 2022-05-11 | Bayer Aktiengesellschaft | Agrochemical composition with improved drift and spreading properties |
| EP3994995A1 (en) | 2020-11-08 | 2022-05-11 | Bayer Aktiengesellschaft | Low drift, rainfastness, high spreading, high uptake and ulv tank mix adjuvant formulation |
| EP3994991A1 (en) | 2020-11-08 | 2022-05-11 | Bayer Aktiengesellschaft | Agrochemical composition with improved drift, spreading, uptake and rainfastness properties |
| EP3994985A1 (en) | 2020-11-08 | 2022-05-11 | Bayer Aktiengesellschaft | Agrochemical composition with improved drift properties |
| EP3994994A1 (en) | 2020-11-08 | 2022-05-11 | Bayer Aktiengesellschaft | Low drift, rainfastness, high spreading, high uptake and ulv tank mix adjuvant formulation |
| EP3994987A1 (en) | 2020-11-08 | 2022-05-11 | Bayer AG | Agrochemical composition with improved drift and uptake properties |
| EP3994988A1 (en) | 2020-11-08 | 2022-05-11 | Bayer AG | Agrochemical composition with improved drift, spreading and rainfastness properties |
| EP3994990A1 (en) | 2020-11-08 | 2022-05-11 | Bayer AG | Agrochemical composition with improved drift, spreading and uptake properties |
| EP3994989A1 (en) | 2020-11-08 | 2022-05-11 | Bayer AG | Agrochemical composition with improved drift, rainfastness and uptake properties |
| WO2022129190A1 (en) | 2020-12-18 | 2022-06-23 | Bayer Aktiengesellschaft | (hetero)aryl substituted 1,2,4-oxadiazoles as fungicides |
| WO2022129196A1 (en) | 2020-12-18 | 2022-06-23 | Bayer Aktiengesellschaft | Heterobicycle substituted 1,2,4-oxadiazoles as fungicides |
| WO2022129188A1 (en) | 2020-12-18 | 2022-06-23 | Bayer Aktiengesellschaft | 1,2,4-oxadiazol-3-yl pyrimidines as fungicides |
| WO2022152728A1 (de) | 2021-01-15 | 2022-07-21 | Bayer Aktiengesellschaft | Herbizide zusammensetzungen |
| EP4036083A1 (de) | 2021-02-02 | 2022-08-03 | Bayer Aktiengesellschaft | 5-oxy substituierte hetereozyklen, als schädlingsbekämpfungsmittel |
| WO2022162129A1 (en) | 2021-01-28 | 2022-08-04 | Rhodia Operations | Method for treating rice seed with improved retention of agrochemical, micronutrient and colorant |
| WO2022167488A1 (en) | 2021-02-02 | 2022-08-11 | Basf Se | Synergistic action of dcd and alkoxypyrazoles as nitrification inhibitors |
| EP4043444A1 (en) | 2021-02-11 | 2022-08-17 | Basf Se | Substituted isoxazoline derivatives |
| US11425904B2 (en) | 2014-04-23 | 2022-08-30 | Clariant International Ltd. | Use of aqueous drift-reducing compositions |
| WO2022207494A1 (en) | 2021-03-30 | 2022-10-06 | Bayer Aktiengesellschaft | 3-(hetero)aryl-5-chlorodifluoromethyl-1,2,4-oxadiazole as fungicide |
| WO2022207496A1 (en) | 2021-03-30 | 2022-10-06 | Bayer Aktiengesellschaft | 3-(hetero)aryl-5-chlorodifluoromethyl-1,2,4-oxadiazole as fungicide |
| WO2022233777A1 (en) | 2021-05-06 | 2022-11-10 | Bayer Aktiengesellschaft | Alkylamide substituted, annulated imidazoles and use thereof as insecticides |
| WO2022238194A1 (de) | 2021-05-10 | 2022-11-17 | Bayer Aktiengesellschaft | Herbizid/safener-kombinationen basierend auf safenern aus der klasse der substituierten [(1,5-diphenyl1h-1,2,4-triazol-3-yl)oxy]essigsäuren sowie deren salze |
| WO2022238391A1 (de) | 2021-05-12 | 2022-11-17 | Bayer Aktiengesellschaft | 2-(het)aryl-substituierte kondensierte heterocyclen-derivate als schädlingsbekämpfungsmittel |
| WO2022243521A1 (en) | 2021-05-21 | 2022-11-24 | Basf Se | Use of ethynylpyridine compounds as nitrification inhibitors |
| WO2022243523A1 (en) | 2021-05-21 | 2022-11-24 | Basf Se | Use of an n-functionalized alkoxy pyrazole compound as nitrification inhibitor |
| WO2022268810A1 (en) | 2021-06-21 | 2022-12-29 | Basf Se | Metal-organic frameworks with pyrazole-based building blocks |
| EP4119547A1 (en) | 2021-07-12 | 2023-01-18 | Basf Se | Triazole compounds for the control of invertebrate pests |
| WO2023017120A1 (en) | 2021-08-13 | 2023-02-16 | Bayer Aktiengesellschaft | Active compound combinations and fungicide compositions comprising those |
| EP4140986A1 (en) | 2021-08-23 | 2023-03-01 | Basf Se | Pyrazine compounds for the control of invertebrate pests |
| EP4140995A1 (en) | 2021-08-27 | 2023-03-01 | Basf Se | Pyrazine compounds for the control of invertebrate pests |
| WO2023025682A1 (en) | 2021-08-25 | 2023-03-02 | Bayer Aktiengesellschaft | Novel pyrazinyl-triazole compounds as pesticides |
| EP4144739A1 (de) | 2021-09-02 | 2023-03-08 | Bayer Aktiengesellschaft | Anellierte pyrazole als schädlingsbekämpfungsmittel |
| EP4148052A1 (en) | 2021-09-09 | 2023-03-15 | Bayer Animal Health GmbH | New quinoline derivatives |
| EP4151631A1 (en) | 2021-09-20 | 2023-03-22 | Basf Se | Heterocyclic compounds for the control of invertebrate pests |
| WO2023078915A1 (en) | 2021-11-03 | 2023-05-11 | Bayer Aktiengesellschaft | Bis(hetero)aryl thioether (thio)amides as fungicidal compounds |
| WO2023092050A1 (en) | 2021-11-20 | 2023-05-25 | Bayer Cropscience Lp | Beneficial combinations with recombinant bacillus cells expressing a serine protease |
| WO2023099445A1 (en) | 2021-11-30 | 2023-06-08 | Bayer Aktiengesellschaft | Bis(hetero)aryl thioether oxadiazines as fungicidal compounds |
| EP4194453A1 (en) | 2021-12-08 | 2023-06-14 | Basf Se | Pyrazine compounds for the control of invertebrate pests |
| EP4198033A1 (en) | 2021-12-14 | 2023-06-21 | Basf Se | Heterocyclic compounds for the control of invertebrate pests |
| EP4198023A1 (en) | 2021-12-16 | 2023-06-21 | Basf Se | Pesticidally active thiosemicarbazone compounds |
| WO2023110656A1 (en) | 2021-12-15 | 2023-06-22 | Bayer Aktiengesellschaft | Spectroscopic solution for non-destructive quantification of one or more chemical substances in a matrix comprising coating and bulk material in a sample, such as coated seeds, using multivariate data analysis |
| EP4238971A1 (en) | 2022-03-02 | 2023-09-06 | Basf Se | Substituted isoxazoline derivatives |
| EP4265110A1 (en) | 2022-04-20 | 2023-10-25 | Bayer AG | Water dispersible granules with low melting active ingredients prepared by extrusion |
| WO2023203066A1 (en) | 2022-04-21 | 2023-10-26 | Basf Se | Synergistic action as nitrification inhibitors of dcd oligomers with alkoxypyrazole and its oligomers |
| WO2023205602A1 (en) | 2022-04-18 | 2023-10-26 | Basf Corporation | High-load agricultural formulations and methods of making same |
| WO2023208447A1 (en) | 2022-04-25 | 2023-11-02 | Basf Se | An emulsifiable concentrate having a (substituted) benzaldehyde-based solvent system |
| WO2023213626A1 (en) | 2022-05-03 | 2023-11-09 | Bayer Aktiengesellschaft | Use of (5s)-3-[3-(3-chloro-2-fluorophenoxy)-6-methylpyridazin-4-yl]-5-(2-chloro-4-methylbenzyl)-5,6-dihydro-4h-1,2,4-oxadiazine for controlling unwanted microorganisms |
| WO2023213670A1 (en) | 2022-05-03 | 2023-11-09 | Bayer Aktiengesellschaft | Crystalline forms of (5s)-3-[3-(3-chloro-2-fluorophenoxy)-6-methylpyridazin-4-yl]-5-(2-chloro-4-methylbenzyl)-5,6-dihydro-4h-1,2,4-oxadiazine |
| WO2023217619A1 (en) | 2022-05-07 | 2023-11-16 | Bayer Aktiengesellschaft | Low drift aqueous liquid formulations for low, medium, and high spray volume application |
| WO2023237444A1 (en) | 2022-06-06 | 2023-12-14 | Bayer Aktiengesellschaft | Agrochemical formulations comprising crystalline form a of 4-[(6-chloro-3-pyridylmethyl)(2,2-difluoroethyl)amino]furan-2(5h)-one |
| EP4295683A1 (en) | 2022-06-21 | 2023-12-27 | Bayer Aktiengesellschaft | Agrochemical formulations comprising crystalline form a of 4-[(6-chloro-3-pyridylmethyl)(2,2-difluoroethyl)amino]furan-2(5h)-one |
| EP4295688A1 (en) | 2022-09-28 | 2023-12-27 | Bayer Aktiengesellschaft | Active compound combination |
| WO2024013015A1 (en) | 2022-07-11 | 2024-01-18 | Bayer Aktiengesellschaft | Herbicidal compositions |
| WO2024013016A1 (en) | 2022-07-11 | 2024-01-18 | Bayer Aktiengesellschaft | Herbicidal compositions |
| WO2024028243A1 (en) | 2022-08-02 | 2024-02-08 | Basf Se | Pyrazolo pesticidal compounds |
| EP4342885A1 (en) | 2022-09-20 | 2024-03-27 | Basf Se | N-(3-(aminomethyl)-phenyl)-5-(4-phenyl)-5-(trifluoromethyl)-4,5-dihydroisoxazol-3-amine derivatives and similar compounds as pesticides |
| WO2024068520A1 (en) | 2022-09-28 | 2024-04-04 | Bayer Aktiengesellschaft | 3-(hetero)aryl-5-chlorodifluoromethyl-1,2,4-oxadiazole as fungicide |
| WO2024068517A1 (en) | 2022-09-28 | 2024-04-04 | Bayer Aktiengesellschaft | 3-(hetero)aryl-5-chlorodifluoromethyl-1,2,4-oxadiazole as fungicide |
| WO2024068518A1 (en) | 2022-09-28 | 2024-04-04 | Bayer Aktiengesellschaft | 3-heteroaryl-5-chlorodifluoromethyl-1,2,4-oxadiazole as fungicide |
| WO2024068519A1 (en) | 2022-09-28 | 2024-04-04 | Bayer Aktiengesellschaft | 3-(hetero)aryl-5-chlorodifluoromethyl-1,2,4-oxadiazole as fungicide |
| WO2024068473A1 (de) | 2022-09-27 | 2024-04-04 | Bayer Aktiengesellschaft | Herbizid/safener-kombinationen basierend auf safenern aus der klasse der substituierten [(1,5-diphenyl1h-1,2,4-triazol-3-yl)oxy]essigsäuren sowie deren salze |
| EP4353082A1 (en) | 2022-10-14 | 2024-04-17 | Bayer Aktiengesellschaft | Herbicidal compositions |
| WO2024104643A1 (en) | 2022-11-17 | 2024-05-23 | Bayer Aktiengesellschaft | Use of isotianil for controlling plasmodiophora brassica |
| EP4389210A1 (en) | 2022-12-21 | 2024-06-26 | Basf Se | Heteroaryl compounds for the control of invertebrate pests |
| WO2024170472A1 (en) | 2023-02-16 | 2024-08-22 | Bayer Aktiengesellschaft | Herbicidal mixtures |
| WO2024213752A1 (en) | 2023-04-14 | 2024-10-17 | Elanco Animal Health Gmbh | Long-term prevention and/or treatment of a disease by slo-1 inhibitors |
| EP4455137A1 (en) | 2023-04-24 | 2024-10-30 | Basf Se | Pyrimidine compounds for the control of invertebrate pests |
| EP4467535A1 (en) | 2023-05-25 | 2024-11-27 | Basf Se | Lactam pesticidal compounds |
| EP4488273A1 (en) | 2023-07-06 | 2025-01-08 | Basf Se | Triazole compounds for the control of invertebrate pests |
| EP4488270A1 (en) | 2023-07-06 | 2025-01-08 | Basf Se | Triazole compounds for the control of invertebrate pests |
| EP4488269A1 (en) | 2023-07-06 | 2025-01-08 | Basf Se | Triazole compounds for the control of invertebrate pests |
| WO2025026738A1 (en) | 2023-07-31 | 2025-02-06 | Bayer Aktiengesellschaft | 6-[5-(ethylsulfonyl)-1-methyl-1h-imidazol-4-yl]-7-methyl-3-(pentafluoroethyl)-7h-imidazo[4,5-c]pyridazine derivatives as pesticides |
| WO2025026787A1 (en) | 2023-08-01 | 2025-02-06 | Globachem Nv | Plant defense elicitors |
| WO2025026815A1 (en) | 2023-08-01 | 2025-02-06 | Globachem Nv | Insecticidal mixtures |
| WO2025032038A1 (en) | 2023-08-09 | 2025-02-13 | Bayer Aktiengesellschaft | Pyridazin-4-yloxadiazines as novel fungicides |
| WO2025031668A1 (en) | 2023-08-09 | 2025-02-13 | Bayer Aktiengesellschaft | Azaheterobiaryl-substituted 4,5-dihydro-1h-2,4,5-oxadiazines as novel fungicides |
| WO2025040301A1 (de) | 2023-08-21 | 2025-02-27 | Bayer Aktiengesellschaft | Herbizid/safener-kombinationen basierend auf safenern aus der klasse der substituierten [(1,5-diphenyl-1h-1,2,4-triazol-3-yl)oxy]essigsäuren und herbiziden aus der klasse der substituierten cyclischen dione sowie deren salze |
| WO2025040520A1 (de) | 2023-08-21 | 2025-02-27 | Bayer Aktiengesellschaft | Herbizid/safener-kombinationen basierend auf safenern aus der klasse der substituierten [(1,5-diphenyl-1h-1,2,4-triazol-3-yl)oxy]essigsäuren und herbiziden aus der klasse der substituierten cyclischen dione sowie deren salze |
| WO2025049555A1 (en) | 2023-08-31 | 2025-03-06 | Oerth Bio Llc | Compositions and methods for targeted inhibition and degradation of proteins in an insect cell |
| WO2025078128A1 (en) | 2023-10-11 | 2025-04-17 | Bayer Aktiengesellschaft | Pyridazin-3-one-4-yloxadiazines as novel fungicides |
| WO2025098874A1 (en) | 2023-11-10 | 2025-05-15 | Bayer Aktiengesellschaft | Active compound combinations having fungicidal/insecticidal/acaricidal properties |
| WO2025098876A1 (en) | 2023-11-10 | 2025-05-15 | Bayer Aktiengesellschaft | Active compound combinations having insecticidal/acaricidal properties |
| WO2025098875A1 (en) | 2023-11-10 | 2025-05-15 | Bayer Aktiengesellschaft | Active compound combinations having insecticidal/acaricidal properties |
| WO2025108865A1 (de) | 2023-11-23 | 2025-05-30 | Bayer Aktiengesellschaft | Herbizide zusammensetzungen |
| WO2025114238A1 (en) | 2023-12-01 | 2025-06-05 | Bayer Aktiengesellschaft | Solid agrochemical formulations comprising crystalline form a of 4-[(6-chloro-3-pyridylmethyl)(2,2- difluoroethyl)amino]furan-2(5h)-one |
| WO2025117659A1 (en) | 2023-11-29 | 2025-06-05 | Basf Corporation | Insecticide delivery by nanocarriers |
| WO2025119860A1 (en) | 2023-12-05 | 2025-06-12 | Bayer Aktiengesellschaft | Liquid agrochemical formulations comprising flupyradifurone |
| EP4574819A1 (en) | 2023-12-22 | 2025-06-25 | Basf Se | Diazinone compounds for the control of invertebrate pests |
| WO2025132148A1 (en) | 2023-12-21 | 2025-06-26 | Bayer Aktiengesellschaft | Adjuvant compositions for agrochemical applications |
| WO2025168620A1 (en) | 2024-02-07 | 2025-08-14 | Bayer Aktiengesellschaft | Heteroaryl-substituted 4,5-dihydro-1h-2,4,5-oxadiazines as novel fungicides |
| WO2025168777A1 (en) | 2024-02-08 | 2025-08-14 | Bayer Aktiengesellschaft | Use of isoxazolinecarboxamide for selective weed control in pineapple |
| WO2025186065A1 (en) | 2024-03-05 | 2025-09-12 | Bayer Aktiengesellschaft | Heteroaryl-substituted (aza)quinoxaline derivatives as pesticides |
| WO2025190927A1 (en) | 2024-03-14 | 2025-09-18 | Bayer Aktiengesellschaft | Active compound combinations having insecticidal/acaricidal properties |
| WO2025242699A1 (en) | 2024-05-22 | 2025-11-27 | Basf Se | Method for improving rainfastness of an agrochemical active ingredient |
| WO2025257121A1 (en) | 2024-06-12 | 2025-12-18 | Bayer Aktiengesellschaft | Active compound combinations having insecticidal/acaricidal properties |
| WO2025257242A1 (de) | 2024-06-14 | 2025-12-18 | Bayer Aktiengesellschaft | Heterocyclyl-substituierte aryl- und heteroarylpyrazine sowie deren salze und ihre verwendung als herbizide wirkstoffe |
| WO2025257122A1 (en) | 2024-06-12 | 2025-12-18 | Bayer Aktiengesellschaft | Active compound combinations having insecticidal/acaricidal properties |
Families Citing this family (13)
| Publication number | Priority date | Publication date | Assignee | Title |
|---|---|---|---|---|
| WO2011020579A1 (de) | 2009-08-20 | 2011-02-24 | Bayer Cropscience Ag | Verfahren zur herstellung von 1-phenyl-1,2,4-triazolen |
| WO2015135984A1 (de) * | 2014-03-13 | 2015-09-17 | Bayer Cropscience Ag | Verfahren zur herstellung von chiralen 3-(5-aminotriazolyl)-sulfoxid-derivaten |
| WO2016001124A1 (de) * | 2014-07-01 | 2016-01-07 | Bayer Cropscience Aktiengesellschaft | Insektizide wirkstoffkombinationen |
| TWI696612B (zh) * | 2015-01-29 | 2020-06-21 | 日商日本農藥股份有限公司 | 具有環烷基吡啶基的稠合雜環化合物或其鹽類及含有該化合物的農園藝用殺蟲劑以及其使用方法 |
| KR102066901B1 (ko) * | 2016-02-26 | 2020-01-16 | 니혼노야쿠가부시키가이샤 | 벤즈옥사졸 화합물 또는 그의 염류 및 상기 화합물을 함유하는 농원예용 살충제 및 그 사용 방법 |
| CN106349236B (zh) * | 2016-07-28 | 2018-11-16 | 中国农业大学 | 1h-1,2,4-三唑脒类化合物及其制备方法和应用 |
| CN108373453B (zh) * | 2018-04-03 | 2020-04-17 | 苏州大学张家港工业技术研究院 | 三氮唑衍生物及其制备方法 |
| TW202023386A (zh) * | 2018-09-13 | 2020-07-01 | 瑞士商先正達合夥公司 | 殺有害生物活性唑-醯胺化合物 |
| CN110367255A (zh) * | 2019-06-27 | 2019-10-25 | 山东康乔生物科技有限公司 | 包含螺甲螨酯和三氟乙基硫化物类杀虫剂的协同杀虫组合物及其应用 |
| CN111689915A (zh) * | 2020-06-14 | 2020-09-22 | 湖南斯派克科技股份有限公司 | 1-(2,4-二氯苯基)-4-二氟甲基-3-甲基-1h-1,2,4-三唑-5-酮的制备方法 |
| CN112724047B (zh) * | 2020-12-15 | 2023-10-17 | 中船(邯郸)派瑞特种气体股份有限公司 | 一种制备三氟甲磺酰氟的装置及方法 |
| CN115093373A (zh) * | 2022-08-24 | 2022-09-23 | 江苏省中国科学院植物研究所 | 一种1,5-二取代-3-氟烷基-1,2,4-三氮唑化合物及其制备方法和应用 |
| CN118324677B (zh) * | 2024-04-12 | 2024-10-01 | 江苏三吉利化工股份有限公司 | 一种丁硫残杀威的合成方法 |
Citations (7)
| Publication number | Priority date | Publication date | Assignee | Title |
|---|---|---|---|---|
| JPH01230562A (ja) | 1987-03-27 | 1989-09-14 | Kumiai Chem Ind Co Ltd | フェニルトリアゾール誘導体及び殺虫剤 |
| JPH0291062A (ja) * | 1988-09-27 | 1990-03-30 | Kumiai Chem Ind Co Ltd | トリアゾール誘導体及び殺虫剤 |
| JPH0291061A (ja) | 1988-09-27 | 1990-03-30 | Kumiai Chem Ind Co Ltd | フェニルトリアゾール誘導体及び殺虫剤 |
| JPH07258227A (ja) * | 1994-03-25 | 1995-10-09 | Kumiai Chem Ind Co Ltd | フェニルトリアゾール誘導体及び殺虫剤 |
| DE19548415A1 (de) * | 1995-12-22 | 1997-06-26 | Bayer Ag | 1-Aryl-3-halogenalkyl-5-arylaminotriazole |
| WO1999055668A1 (en) * | 1998-04-27 | 1999-11-04 | Kumiai Chemical Industry Co., Ltd. | 3-arylphenyl sulfide derivatives and insecticides and miticides |
| JP2000239262A (ja) * | 1999-02-17 | 2000-09-05 | Sumitomo Chem Co Ltd | トリアゾール化合物およびその用途 |
Family Cites Families (5)
| Publication number | Priority date | Publication date | Assignee | Title |
|---|---|---|---|---|
| DE3316300A1 (de) * | 1982-05-07 | 1983-11-24 | Kureha Kagaku Kogyo K.K., Tokyo | Heribizide zusammensetzung mit einem gehalt an einem derivat des 1,2,4-triazols als wirkstoff |
| GB2327418A (en) * | 1997-07-18 | 1999-01-27 | Rhone Poulenc Agriculture | Derivatives of 2-benzoylcyclohexane-1,3-dione |
| JP4209995B2 (ja) | 1998-04-27 | 2009-01-14 | クミアイ化学工業株式会社 | 3−アリールフェニルスルフィド誘導体及び殺虫、殺ダニ剤 |
| ES2218230T3 (es) * | 1999-09-30 | 2004-11-16 | Basf Corporation | Resinas con funcionalidad carbamato de adhesion mejorada, procedimiento para su preparacion y metodo para mejorar la adhesion entre capas. |
| US7146433B2 (en) * | 2002-02-01 | 2006-12-05 | Lenovo Singapore Pte. Ltd | Extending an allowable transmission distance between a wireless device and an access point by communication with intermediate wireless devices |
-
2005
- 2005-10-20 CA CA2581725A patent/CA2581725C/en not_active Expired - Lifetime
- 2005-10-20 WO PCT/JP2005/019315 patent/WO2006043635A1/ja not_active Ceased
- 2005-10-20 MX MX2007004710A patent/MX2007004710A/es active IP Right Grant
- 2005-10-20 JP JP2006543069A patent/JP4970950B2/ja not_active Expired - Lifetime
- 2005-10-20 BR BRPI0516976A patent/BRPI0516976B8/pt not_active IP Right Cessation
- 2005-10-20 US US11/577,670 patent/US7872036B2/en active Active
- 2005-10-20 ZA ZA200702684A patent/ZA200702684B/xx unknown
- 2005-10-20 KR KR1020077005590A patent/KR101310073B1/ko not_active Expired - Lifetime
- 2005-10-20 AU AU2005296529A patent/AU2005296529B2/en not_active Ceased
- 2005-10-20 CN CN2005800353712A patent/CN101039922B/zh not_active Expired - Lifetime
- 2005-10-20 NZ NZ553200A patent/NZ553200A/en not_active IP Right Cessation
- 2005-10-20 EP EP05795858.9A patent/EP1803712B1/en not_active Expired - Lifetime
- 2005-10-20 RU RU2007118700/04A patent/RU2394819C2/ru active
- 2005-10-20 UA UAA200702646A patent/UA86251C2/uk unknown
- 2005-10-20 TW TW094136700A patent/TWI382020B/zh not_active IP Right Cessation
-
2007
- 2007-04-16 IL IL182594A patent/IL182594A/en active IP Right Grant
Patent Citations (8)
| Publication number | Priority date | Publication date | Assignee | Title |
|---|---|---|---|---|
| JPH01230562A (ja) | 1987-03-27 | 1989-09-14 | Kumiai Chem Ind Co Ltd | フェニルトリアゾール誘導体及び殺虫剤 |
| JPH0291062A (ja) * | 1988-09-27 | 1990-03-30 | Kumiai Chem Ind Co Ltd | トリアゾール誘導体及び殺虫剤 |
| JPH0291061A (ja) | 1988-09-27 | 1990-03-30 | Kumiai Chem Ind Co Ltd | フェニルトリアゾール誘導体及び殺虫剤 |
| JPH07258227A (ja) * | 1994-03-25 | 1995-10-09 | Kumiai Chem Ind Co Ltd | フェニルトリアゾール誘導体及び殺虫剤 |
| DE19548415A1 (de) * | 1995-12-22 | 1997-06-26 | Bayer Ag | 1-Aryl-3-halogenalkyl-5-arylaminotriazole |
| WO1999055668A1 (en) * | 1998-04-27 | 1999-11-04 | Kumiai Chemical Industry Co., Ltd. | 3-arylphenyl sulfide derivatives and insecticides and miticides |
| EP1076053A1 (en) | 1998-04-27 | 2001-02-14 | Kumiai Chemical Industry Co., Ltd. | 3-arylphenyl sulfide derivatives and insecticides and miticides |
| JP2000239262A (ja) * | 1999-02-17 | 2000-09-05 | Sumitomo Chem Co Ltd | トリアゾール化合物およびその用途 |
Non-Patent Citations (1)
| Title |
|---|
| See also references of EP1803712A4 |
Cited By (685)
| Publication number | Priority date | Publication date | Assignee | Title |
|---|---|---|---|---|
| WO2007131680A1 (en) * | 2006-05-16 | 2007-11-22 | Bayer Cropscience Ag | Insecticidal benzamidines |
| EP2174547A4 (en) * | 2007-08-10 | 2014-05-14 | Kumiai Chemical Industry Co | COMPOSITION FOR A PESTICIDAL AGENT AND PEST CONTROL METHOD |
| WO2009022548A1 (ja) | 2007-08-10 | 2009-02-19 | Kumiai Chemical Industry Co., Ltd. | 有害生物防除剤組成物及び有害生物防除方法 |
| JP5436211B2 (ja) * | 2007-08-10 | 2014-03-05 | クミアイ化学工業株式会社 | 有害生物防除剤組成物及び有害生物防除方法 |
| US8741803B2 (en) | 2007-08-10 | 2014-06-03 | Kumiai Chemical Industry Co., Ltd. | Pesticidal composition and method for controlling pest |
| WO2009051245A1 (ja) | 2007-10-18 | 2009-04-23 | Kumiai Chemical Industry Co., Ltd. | 3-アルコキシ-1-フェニルピラゾ-ル誘導体及び有害生物防除剤 |
| CN101878197A (zh) * | 2007-11-30 | 2010-11-03 | 庵原化学工业株式会社 | 3-巯基苯胺化合物的制备方法 |
| US8440838B2 (en) * | 2007-11-30 | 2013-05-14 | Ihara Chemical Industry Co., Ltd. | Aryl (1H-1,2,4-triazol-1-yl) compound and process for production thereof |
| JP5498798B2 (ja) * | 2007-11-30 | 2014-05-21 | イハラケミカル工業株式会社 | 3−メルカプトアニリン化合物の製造方法 |
| JP5507257B2 (ja) * | 2007-11-30 | 2014-05-28 | イハラケミカル工業株式会社 | (1h−1,2,4−トリアゾール−1−イル)アリール化合物及びその製造方法 |
| KR20100092942A (ko) | 2007-11-30 | 2010-08-23 | 이하라케미칼 고교가부시키가이샤 | 3-메르캅토아닐린 화합물의 제조법 |
| WO2009069311A1 (ja) | 2007-11-30 | 2009-06-04 | Ihara Chemical Industry Co., Ltd. | 3-メルカプトアニリン化合物の製造法 |
| US20130023666A1 (en) * | 2007-11-30 | 2013-01-24 | Ihara Chemical Industry Co., Ltd. | Aryl (1h-1,2,4-triazol-1-yl) compound, and process for production thereof |
| WO2009069312A1 (ja) | 2007-11-30 | 2009-06-04 | Ihara Chemical Industry Co., Ltd. | (1h-1,2,4-トリアゾール-1-イル)アリール化合物及びその製造方法 |
| US8648207B2 (en) * | 2007-11-30 | 2014-02-11 | Ihara Chemical Industry Co., Ltd. | Aryl (1H-1,2,4-triazol-1-yl) compound, and process for production thereof |
| WO2011006605A1 (de) | 2009-07-16 | 2011-01-20 | Bayer Cropscience Aktiengesellschaft | Verwendung von phenyltriazolen zur bekämpfung von insekten und spinnmilben durch angiessen, tröpfchen- oder tauchapplikation oder durch behandlung von saatgut |
| EP2274982A1 (de) | 2009-07-16 | 2011-01-19 | Bayer CropScience AG | Verwendung von Phenyltriazolen zur Bekämpfung von Insekten und Spinnmilben durch Angiessen, Tröpfchen- oder Tauchapplikation oder durch Behandlung von Saatgut |
| US8314133B2 (en) * | 2009-07-16 | 2012-11-20 | Bayer Cropscience Ag | Process for preparing chiral 3-triazolyl sulphoxide derivatives |
| WO2011006603A2 (de) | 2009-07-16 | 2011-01-20 | Bayer Cropscience Ag | Synergistische wirkstoffkombinationen mit phenyltriazolen |
| JP2012532905A (ja) * | 2009-07-16 | 2012-12-20 | バイエル・クロップサイエンス・アーゲー | 灌水、液滴施用若しくは浸漬施用によって又は種子を処理することによって昆虫類及びハダニ類を防除するためのフェニルトリアゾール類の使用 |
| JP2012532904A (ja) * | 2009-07-16 | 2012-12-20 | バイエル・クロップサイエンス・アーゲー | フェニルトリアゾール類を含む相乗的活性化合物組み合わせ |
| US20110015405A1 (en) * | 2009-07-16 | 2011-01-20 | Bayer Cropscience Ag | Process for preparing chiral 3-triazolyl sulphoxide derivatives |
| WO2011009540A2 (en) | 2009-07-24 | 2011-01-27 | Bayer Cropscience Ag | Pesticidal carboxamides |
| CN102471291B (zh) * | 2009-08-20 | 2015-04-22 | 拜尔农作物科学股份公司 | 用作杀螨剂和杀昆虫剂的3-三唑基苯基取代的硫化物衍生物 |
| CN102471291A (zh) * | 2009-08-20 | 2012-05-23 | 拜尔农作物科学股份公司 | 用作杀螨剂和杀昆虫剂的3-三唑基苯基取代的硫化物衍生物 |
| WO2011029506A1 (de) | 2009-08-20 | 2011-03-17 | Bayer Cropscience Ag | 3-[1-(3-haloalkyl)-triazolyl]-phenyl-sulfid-derivate als akarizide und insektizide |
| US8722717B2 (en) | 2009-08-20 | 2014-05-13 | Bayer Cropscience Ag | 3-triazolylphenyl-substituted sulphide derivatives as acaricides and insecticides |
| WO2011020567A1 (de) | 2009-08-20 | 2011-02-24 | Bayer Cropscience Ag | 3-triazolylphenyl-substituierte sulfid-derivate als akarizide und insektizide |
| US8632767B2 (en) | 2009-08-20 | 2014-01-21 | Bayer Intellectual Property Gmbh | 3-[1-(3-haloalkyl)triazolyl]phenyl sulphide derivatives as acaricides and insecticides |
| WO2011045240A1 (de) | 2009-10-12 | 2011-04-21 | Bayer Cropscience Ag | Amide und thioamide als schädlingsbekämpfungsmittel |
| WO2011045224A1 (de) | 2009-10-12 | 2011-04-21 | Bayer Cropscience Ag | 1- (pyrid-3-yl) -pyrazole und 1- (pyrimid-5-yl) -pyrazole als schädlingsbekämpfungsmittel |
| WO2011054436A2 (de) | 2009-10-27 | 2011-05-12 | Bayer Cropscience Ag | Halogenalkyl-substituierte amide als insektizide und akarizide |
| WO2011051455A1 (en) | 2009-10-30 | 2011-05-05 | Bayer Cropscience Ag | Pesticidal heterocyclic compounds |
| WO2011080044A2 (en) | 2009-12-16 | 2011-07-07 | Bayer Cropscience Ag | Active compound combinations |
| WO2011080211A1 (en) | 2009-12-28 | 2011-07-07 | Bayer Cropscience Ag | Pesticidal arylpyrrolidines |
| WO2011098443A1 (de) | 2010-02-10 | 2011-08-18 | Bayer Cropscience Ag | Spiroheterocyclisch-substituierte tetramsäure-derivate |
| WO2011098440A2 (de) | 2010-02-10 | 2011-08-18 | Bayer Cropscience Ag | Biphenylsubstituierte cyclische ketoenole |
| WO2011107504A1 (de) | 2010-03-04 | 2011-09-09 | Bayer Cropscience Ag | Fluoralkyl- substituierte 2 -amidobenzimidazole und deren verwendung zur steigerung der stresstoleranz in pflanzen |
| EP2382865A1 (de) | 2010-04-28 | 2011-11-02 | Bayer CropScience AG | Synergistische Wirkstoffkombinationen |
| WO2011134964A1 (de) | 2010-04-28 | 2011-11-03 | Bayer Cropscience Ag | Synergistische wirkstoffkombinationen |
| WO2011138285A1 (de) | 2010-05-05 | 2011-11-10 | Bayer Cropscience Ag | Thiazolderivate als schädlingsbekämpfungsmittel |
| KR20130081654A (ko) | 2010-06-01 | 2013-07-17 | 구미아이 가가쿠 고교 가부시키가이샤 | 유해생물 방제 활성을 가지는 트리아졸 화합물 |
| US8729116B2 (en) | 2010-06-01 | 2014-05-20 | Kumiai Chemical Industry Co., Ltd. | Triazole compound having pesticidal activities |
| JP5918130B2 (ja) * | 2010-06-01 | 2016-05-18 | クミアイ化学工業株式会社 | トリアゾール化合物を含有する有害生物防除剤、及び有害生物防除方法 |
| WO2011152320A1 (ja) | 2010-06-01 | 2011-12-08 | クミアイ化学工業株式会社 | 有害生物防除活性を有するトリアゾール化合物 |
| US8658800B2 (en) | 2010-06-15 | 2014-02-25 | Bayer Cropscience Ag | Ortho-substituted arylamide derivatives |
| WO2011157663A1 (de) | 2010-06-15 | 2011-12-22 | Bayer Cropscience Ag | Neue ortho-substituierte arylamid-derivate |
| US9968086B2 (en) | 2010-06-18 | 2018-05-15 | Bayer Intellectual Property Gmbh | Active ingredient combinations having insecticidal and acaricidal properties |
| US9198424B2 (en) | 2010-06-18 | 2015-12-01 | Bayer Intellectual Property Gmbh | Active ingredient combinations having insecticidal and acaricidal properties |
| WO2011157778A1 (de) | 2010-06-18 | 2011-12-22 | Bayer Cropscience Ag | Wirkstoffkombinationen mit insektiziden und akariziden eigenschaften |
| WO2012000896A2 (de) | 2010-06-28 | 2012-01-05 | Bayer Cropscience Ag | Heterocyclische verbindungen als schädlingsbekämpfungsmittel |
| WO2012000902A1 (de) | 2010-06-29 | 2012-01-05 | Bayer Cropscience Ag | Verbesserte insektizide zusammensetzungen enthaltend cyclische carbonylamidine |
| WO2012001068A2 (de) | 2010-07-02 | 2012-01-05 | Bayer Cropscience Ag | Insektizide oder akarizide formulierungen mit verbesserter verfügbarkeit auf pflanzenoberflächen |
| WO2012004293A2 (de) | 2010-07-08 | 2012-01-12 | Bayer Cropscience Ag | Insektizide und fungizide wirkstoffkombinationen |
| WO2012004326A1 (en) | 2010-07-08 | 2012-01-12 | Bayer Cropscience Ag | Pesticidal pyrroline derivatives |
| US9790202B2 (en) | 2010-07-09 | 2017-10-17 | Bayer Intellectual Property Gmbh | Anthranilamide derivatives as pesticides |
| WO2012004208A1 (de) | 2010-07-09 | 2012-01-12 | Bayer Cropscience Ag | Anthranilsäurediamid-derivate als pestizide |
| WO2012007500A2 (de) | 2010-07-15 | 2012-01-19 | Bayer Cropscience Ag | Neue heterocyclische verbindungen als schädlingsbekämpfungsmittel |
| WO2012028583A1 (de) | 2010-09-03 | 2012-03-08 | Bayer Cropscience Ag | Deltamethrin enthaltende formulierungen |
| WO2012035011A1 (en) | 2010-09-15 | 2012-03-22 | Bayer Cropscience Ag | Pesticidal arylpyrrolidines |
| WO2012034957A1 (en) | 2010-09-15 | 2012-03-22 | Bayer Cropscience Ag | Pesticidal pyrroline n-oxide derivatives |
| WO2012045680A2 (de) | 2010-10-04 | 2012-04-12 | Bayer Cropscience Ag | Insektizide und fungizide wirkstoffkombinationen |
| WO2012052490A1 (en) | 2010-10-21 | 2012-04-26 | Bayer Cropscience Ag | N-benzyl heterocyclic carboxamides |
| WO2012052412A1 (de) | 2010-10-22 | 2012-04-26 | Bayer Cropscience Ag | Neue heterocylische verbindungen als schädlingsbekämpfungsmittel |
| US9173396B2 (en) | 2010-10-22 | 2015-11-03 | Bayer Intellectual Property Gmbh | Heterocyclic compounds as pesticides |
| EP2446742A1 (de) | 2010-10-28 | 2012-05-02 | Bayer CropScience AG | Insektizide oder akarizide Zusammensetzungen enthaltend Mono- oder Disacchariden als Wirkungsverstärker |
| WO2012059497A1 (en) | 2010-11-02 | 2012-05-10 | Bayer Cropscience Ag | N-hetarylmethyl pyrazolylcarboxamides |
| US9206137B2 (en) | 2010-11-15 | 2015-12-08 | Bayer Intellectual Property Gmbh | N-Aryl pyrazole(thio)carboxamides |
| WO2012065944A1 (en) | 2010-11-15 | 2012-05-24 | Bayer Cropscience Ag | N-aryl pyrazole(thio)carboxamides |
| US9055743B2 (en) | 2010-11-29 | 2015-06-16 | Bayer Intellectual Property Gmbh | Alpha, beta-unsaturated imines |
| WO2012072489A1 (de) | 2010-11-29 | 2012-06-07 | Bayer Cropscience Ag | Alpha-beta-ungesättigte imine |
| WO2012072660A1 (en) | 2010-12-01 | 2012-06-07 | Bayer Cropscience Ag | Use of fluopyram for controlling nematodes in crops and for increasing yield |
| WO2012076471A1 (en) | 2010-12-09 | 2012-06-14 | Bayer Cropscience Ag | Insecticidal mixtures with improved properties |
| WO2012076470A1 (en) | 2010-12-09 | 2012-06-14 | Bayer Cropscience Ag | Pesticidal mixtures with improved properties |
| WO2012082548A2 (en) | 2010-12-15 | 2012-06-21 | Syngenta Participations Ag | Soybean event syht0h2 and compositions and methods for detection thereof |
| DE102010063691A1 (de) | 2010-12-21 | 2012-06-21 | Bayer Animal Health Gmbh | Ektoparasitizide Wirkstoffkombinationen |
| WO2012089722A2 (de) | 2010-12-30 | 2012-07-05 | Bayer Cropscience Ag | Verwendung von offenkettigen aryl-, heteroaryl- und benzylsulfonamidocarbonsäuren, -carbonsäureestern, -carbonsäureamiden und -carbonitrilen oder deren salze zur steigerung der stresstoleranz in pflanzen |
| WO2012089721A1 (de) | 2010-12-30 | 2012-07-05 | Bayer Cropscience Ag | Verwendung von substituierten spirocyclischen sulfonamidocarbonsäuren, deren carbonsäureestern, deren carbonsäureamiden und deren carbonitrilen oder deren salze zur steigerung der stresstoleranz in pflanzen |
| US8946124B2 (en) | 2011-02-17 | 2015-02-03 | Bayer Intellectual Property Gmbh | Substituted 3-(biphenyl-3-yl)-8,8-difluoro-4-hydroxy-1-azaspiro[4.5]dec-3-en-2-ones for therapy and halogen-substituted spirocyclic ketoenols |
| WO2012110519A1 (de) | 2011-02-17 | 2012-08-23 | Bayer Cropscience Ag | Substituierte 3-(biphenyl-3-yl)-8,8-difluor-4-hydroxy-1-azaspiro[4.5]dec-3-en-2-one zur therapie und halogensubstituierte spirocyclische ketoenole |
| WO2012110518A1 (de) | 2011-02-17 | 2012-08-23 | Bayer Pharma Aktiengesellschaft | Substituierte 3-(biphenyl-3-yl)-8,8-difluor-4-hydroxy-1-azaspiro[4.5]dec-3-en-2-one zur therapie |
| WO2012110464A1 (en) | 2011-02-17 | 2012-08-23 | Bayer Cropscience Ag | Use of sdhi fungicides on conventionally bred asr-tolerant, stem canker resistant and/or frog-eye leaf spot resistant soybean varieties |
| US9510594B2 (en) | 2011-02-17 | 2016-12-06 | Bayer Intellectual Property Gmbh | Use of SDHI fungicides on conventionally bred ASR-tolerant, stem canker resistant and/or frog-eye leaf spot resistant soybean varieties |
| WO2012116960A1 (de) | 2011-03-01 | 2012-09-07 | Bayer Cropscience Ag | 2-acyloxy-pyrrolin-4-one |
| US9204640B2 (en) | 2011-03-01 | 2015-12-08 | Bayer Intellectual Property Gmbh | 2-acyloxy-pyrrolin-4-ones |
| US9107411B2 (en) | 2011-03-09 | 2015-08-18 | Bayer Intellectual Property Gmbh | Indolecarboxamides and benzimidazolecarboxamides as insecticides and acaricides |
| WO2012119984A1 (de) | 2011-03-09 | 2012-09-13 | Bayer Cropscience Ag | Indol- und benzimidazolcarbonsäureamide als insektizide und akarizide |
| WO2012120105A1 (en) | 2011-03-10 | 2012-09-13 | Bayer Cropscience Ag | Use of lipochito-oligosaccharide compounds for safeguarding seed safety of treated seeds |
| WO2012126766A1 (de) | 2011-03-18 | 2012-09-27 | Bayer Cropscience Ag | N- (3 -carbamoylphenyl) - 1h - pyrazol - 5 - carboxamid - derivate und ihre verwendung zur bekämpfung von tierischen schädlingen |
| WO2012136751A1 (en) | 2011-04-08 | 2012-10-11 | Basf Se | N-substituted hetero-bicyclic compounds and derivatives for combating animal pests |
| WO2012139890A1 (de) | 2011-04-15 | 2012-10-18 | Bayer Cropscience Ag | Substituierte 5-(cyclohex-2-en-1-yl)-penta-2,4-diene und 5-(cyclohex-2-en-1-yl)-pent-2-en-4-ine als wirkstoffe gegen abiotischen pflanzenstress |
| WO2012139891A1 (de) | 2011-04-15 | 2012-10-18 | Bayer Cropscience Ag | Substituierte vinyl- und alkinyl-cyclohexenole als wirkstoffe gegen abiotischen pflanzenstress |
| WO2012139892A1 (de) | 2011-04-15 | 2012-10-18 | Bayer Cropscience Ag | Substituierte 5-(bicyclo[4.1.0]hept-3-en-2-yl)-penta-2,4-diene und 5-(bicyclo[4.1.0]hept-3-en-2-yl)-pent-2-en-4-ine als wirkstoffe gegen abiotischen pflanzenstress |
| EP2535334A1 (de) | 2011-06-17 | 2012-12-19 | Bayer CropScience AG | Kristalline Modifikationen von Penflufen |
| WO2013010758A1 (en) | 2011-06-30 | 2013-01-24 | Bayer Intellectual Property Gmbh | Nematocide n- cyclopropyl - sulfonylamide derivatives |
| EP2540163A1 (en) | 2011-06-30 | 2013-01-02 | Bayer CropScience AG | Nematocide N-cyclopropyl-sulfonylamide derivatives |
| WO2013004652A1 (de) | 2011-07-04 | 2013-01-10 | Bayer Intellectual Property Gmbh | Verwendung substituierter isochinolinone, isochinolindione, isochinolintrione und dihydroisochinolinone oder jeweils deren salze als wirkstoffe gegen abiotischen pflanzenstress |
| WO2013010946A2 (en) | 2011-07-15 | 2013-01-24 | Basf Se | Pesticidal methods using substituted 3-pyridyl thiazole compounds and derivatives for combating animal pests i |
| WO2013010947A2 (en) | 2011-07-15 | 2013-01-24 | Basf Se | Pesticidal methods using substituted 3-pyridyl thiazole compounds and derivatives for combating animal pests ii |
| WO2013014126A1 (de) | 2011-07-26 | 2013-01-31 | Bayer Intellectual Property Gmbh | Veretherte laktatester, verfahren zu ihrer herstellung und ihre verwendung zur verbesserung der wirkung von pflanzenschutzmitteln |
| US9826734B2 (en) | 2011-07-26 | 2017-11-28 | Clariant International Ltd. | Etherified lactate esters, method for the production thereof and use thereof for enhancing the effect of plant protecting agents |
| WO2013014227A1 (en) | 2011-07-27 | 2013-01-31 | Bayer Intellectual Property Gmbh | Seed dressing for controlling phytopathogenic fungi |
| WO2013024008A1 (en) | 2011-08-12 | 2013-02-21 | Basf Se | Aniline type compounds |
| EP2561759A1 (en) | 2011-08-26 | 2013-02-27 | Bayer Cropscience AG | Fluoroalkyl-substituted 2-amidobenzimidazoles and their effect on plant growth |
| WO2013037955A1 (en) | 2011-09-16 | 2013-03-21 | Bayer Intellectual Property Gmbh | Use of acylsulfonamides for improving plant yield |
| WO2013037956A1 (en) | 2011-09-16 | 2013-03-21 | Bayer Intellectual Property Gmbh | Use of 5-phenyl- or 5-benzyl-2 isoxazoline-3 carboxylates for improving plant yield |
| WO2013037958A1 (en) | 2011-09-16 | 2013-03-21 | Bayer Intellectual Property Gmbh | Use of phenylpyrazolin-3-carboxylates for improving plant yield |
| WO2013050433A1 (en) | 2011-10-05 | 2013-04-11 | Bayer Intellectual Property Gmbh | Pesticide preparation and process for producing the same |
| WO2013079600A1 (en) | 2011-12-02 | 2013-06-06 | Basf Se | Method and system for monitoring crops during storage |
| WO2013079601A1 (en) | 2011-12-02 | 2013-06-06 | Basf Se | Method and system for monitoring crops and/or infestation of crops with harmful organismus during storage |
| EP2604118A1 (en) | 2011-12-15 | 2013-06-19 | Bayer CropScience AG | Active ingredient combinations having insecticidal and acaricidal properties |
| WO2013087709A1 (en) | 2011-12-15 | 2013-06-20 | Bayer Intellectual Property Gmbh | Active ingredient combinations having insecticidal and acaricidal properties |
| WO2013092519A1 (en) | 2011-12-19 | 2013-06-27 | Bayer Cropscience Ag | Use of anthranilic acid diamide derivatives for pest control in transgenic crops |
| WO2013092522A1 (de) | 2011-12-20 | 2013-06-27 | Bayer Intellectual Property Gmbh | Neue insektizide aromatische amide |
| EP3395171A1 (de) | 2011-12-21 | 2018-10-31 | Bayer CropScience Aktiengesellschaft | N-arylamidine-substituierte trifluoroethylsulfid-derivate als akarizide und insektizide |
| JP2015506334A (ja) * | 2011-12-21 | 2015-03-02 | バイエル・クロップサイエンス・アーゲーBayer Cropscience Ag | 殺ダニ剤および殺虫剤としてのn−アリールアミジン−置換トリフルオロエチルスルフィド誘導体 |
| EP2606726A1 (de) | 2011-12-21 | 2013-06-26 | Bayer CropScience AG | N-Arylamidine-substituierte trifluoroethylsulfid-Derivate als Akarizide und Insektizide |
| WO2013092868A1 (en) | 2011-12-21 | 2013-06-27 | Basf Se | N-thio-anthranilamide compounds and their use as pesticides |
| US10051861B2 (en) | 2011-12-21 | 2018-08-21 | Bayer Cropscience Ag | N-arylamidine-substituted trifluoroethyl sulfide derivatives as acaricides and insecticides |
| WO2013092350A1 (de) | 2011-12-21 | 2013-06-27 | Bayer Cropscience Ag | N-arylamidine-substituierte trifluoroethylsulfid-derivate als akarizide und insektizide |
| US9642363B2 (en) | 2011-12-21 | 2017-05-09 | Bayer Cropscience Ag | N-arylamidine-substituted trifluoroethyl sulfide derivatives as acaricides and insecticides |
| WO2013092943A1 (en) | 2011-12-23 | 2013-06-27 | Basf Se | Isothiazoline compounds for combating invertebrate pests |
| WO2013107785A1 (en) | 2012-01-21 | 2013-07-25 | Bayer Intellectual Property Gmbh | Use of host defense inducers for controlling bacterial harmful organisms in useful plants |
| WO2013113789A1 (en) | 2012-02-02 | 2013-08-08 | Basf Se | N-thio-anthranilamide compounds and their use as pesticides |
| WO2013135724A1 (en) | 2012-03-14 | 2013-09-19 | Bayer Intellectual Property Gmbh | Pesticidal arylpyrrolidines |
| WO2013144228A1 (en) | 2012-03-29 | 2013-10-03 | Basf Se | Pesticidal methods using heterocyclic compounds and derivatives for combating animal pests |
| WO2013144223A1 (en) | 2012-03-30 | 2013-10-03 | Basf Se | N-substituted pyrimidinylidene compounds and derivatives for combating animal pests |
| WO2013144213A1 (en) | 2012-03-30 | 2013-10-03 | Basf Se | N-substituted pyridinylidene compounds and derivatives for combating animal pests |
| WO2013149940A1 (en) | 2012-04-02 | 2013-10-10 | Basf Se | Acrylamide compounds for combating invertebrate pests |
| WO2013149903A1 (en) | 2012-04-03 | 2013-10-10 | Basf Se | N- substituted hetero - bicyclic furanone derivatives for combating animal |
| WO2013150115A1 (en) | 2012-04-05 | 2013-10-10 | Basf Se | N- substituted hetero - bicyclic compounds and derivatives for combating animal pests |
| EP2649879A1 (en) | 2012-04-10 | 2013-10-16 | Basf Se | Pesticidal mixtures containing fluxapyroxad |
| WO2013156331A1 (en) | 2012-04-16 | 2013-10-24 | Basf Se | Synergistic compositions comprising pyraclostrobin and an insecticidal compound |
| WO2013164295A1 (en) | 2012-05-04 | 2013-11-07 | Basf Se | Substituted pyrazole-containing compounds and their use as pesticides |
| WO2013167633A1 (en) | 2012-05-09 | 2013-11-14 | Basf Se | Acrylamide compounds for combating invertebrate pests |
| WO2013171199A1 (de) | 2012-05-16 | 2013-11-21 | Bayer Cropscience Ag | Insektizide wasser-in-öl (w/o) formulierung |
| WO2013171201A1 (de) | 2012-05-16 | 2013-11-21 | Bayer Cropscience Ag | Insektizide öl-in-wasser (o/w) formulierung |
| WO2013174836A1 (en) | 2012-05-22 | 2013-11-28 | Bayer Cropscience Ag | Active compounds combinations comprising a lipo-chitooligosaccharide derivative and a nematicide, insecticidal or fungicidal compound |
| WO2013174645A1 (en) | 2012-05-24 | 2013-11-28 | Basf Se | N-thio-anthranilamide compounds and their use as pesticides |
| EP3243387A2 (en) | 2012-05-30 | 2017-11-15 | Bayer CropScience Aktiengesellschaft | Compositions comprising a biological control agent and an insecticide |
| US10864275B2 (en) | 2012-05-30 | 2020-12-15 | Clariant International Ltd. | N-methyl-N-acylglucamine-containing composition |
| US10813862B2 (en) | 2012-05-30 | 2020-10-27 | Clariant International Ltd. | Use of N-methyl-N-acylglucamines as solubilizers |
| WO2013186089A2 (en) | 2012-06-14 | 2013-12-19 | Basf Se | Pesticidal methods using substituted 3-pyridyl thiazole compounds and derivatives for combating animal pests |
| WO2014005982A1 (de) | 2012-07-05 | 2014-01-09 | Bayer Cropscience Ag | Insektizide und fungizide wirkstoffkombinationen |
| WO2014019983A1 (en) | 2012-07-31 | 2014-02-06 | Bayer Cropscience Ag | Compositions comprising a pesticidal terpene mixture and an insecticide |
| EP3424322A1 (en) | 2012-07-31 | 2019-01-09 | Bayer CropScience Aktiengesellschaft | Compositions comprising a pesticidal terpene mixture and an insecticide |
| WO2014026984A1 (de) | 2012-08-17 | 2014-02-20 | Bayer Cropscience Ag | Azaindolcarbonsäure- und -thiocarbonsäureamide als insektizide und akarizide |
| WO2014037340A1 (de) | 2012-09-05 | 2014-03-13 | Bayer Cropscience Ag | Verwendung substituierter 2-amidobenzimidazole, 2-amidobenzoxazole und 2-amidobenzothiazole oder deren salze als wirkstoffe gegen abiotischen pflanzenstress |
| WO2014053405A1 (en) | 2012-10-01 | 2014-04-10 | Basf Se | Pesticidally active mixtures comprising anthranilamide compounds |
| WO2014053406A1 (en) | 2012-10-01 | 2014-04-10 | Basf Se | Method of controlling ryanodine-modulator insecticide resistant insects |
| WO2014053407A1 (en) | 2012-10-01 | 2014-04-10 | Basf Se | N-thio-anthranilamide compounds and their use as pesticides |
| WO2014053395A1 (en) | 2012-10-01 | 2014-04-10 | Basf Se | Use of n-thio-anthranilamide compounds on cultivated plants |
| WO2014053398A1 (en) | 2012-10-01 | 2014-04-10 | Basf Se | Pesticidal mixtures comprising jasmonic acid or a derivative thereof |
| WO2014053403A1 (en) | 2012-10-01 | 2014-04-10 | Basf Se | Method of controlling insecticide resistant insects |
| WO2014053401A2 (en) | 2012-10-01 | 2014-04-10 | Basf Se | Method of improving plant health |
| WO2014053404A1 (en) | 2012-10-01 | 2014-04-10 | Basf Se | Pesticidally active mixtures comprising anthranilamide compounds |
| WO2014053450A1 (de) | 2012-10-02 | 2014-04-10 | Bayer Cropscience Ag | Heterocyclische verbindungen als schädlingsbekämpfungsmittel |
| WO2014060381A1 (de) | 2012-10-18 | 2014-04-24 | Bayer Cropscience Ag | Heterocyclische verbindungen als schädlingsbekämpfungsmittel |
| WO2014067962A1 (de) | 2012-10-31 | 2014-05-08 | Bayer Cropscience Ag | Neue heterocylische verbindungen als schädlingsbekämpfungsmittel |
| US10772324B2 (en) | 2012-11-03 | 2020-09-15 | Clariant International Ltd. | Aqueous adjuvant-compositions |
| EP3369318A1 (en) | 2012-11-06 | 2018-09-05 | Bayer CropScience Aktiengesellschaft | Herbicidal combinations for tolerant soybean cultures |
| EP3387906A1 (en) | 2012-11-06 | 2018-10-17 | Bayer CropScience Aktiengesellschaft | Herbicidal combinations for tolerant soybean cultures |
| WO2014072250A1 (en) | 2012-11-06 | 2014-05-15 | Bayer Cropscience Ag | Herbicidal combinations for tolerant soybean cultures |
| WO2014079804A1 (en) | 2012-11-22 | 2014-05-30 | Basf Se | Pesticidal mixtures |
| WO2014079766A1 (en) | 2012-11-22 | 2014-05-30 | Basf Se | Pesticidal mixtures |
| WO2014079728A1 (en) | 2012-11-22 | 2014-05-30 | Basf Se | Pesticidal mixtures |
| WO2014079820A1 (en) | 2012-11-22 | 2014-05-30 | Basf Se | Use of anthranilamide compounds for reducing insect-vectored viral infections |
| WO2014079814A1 (en) | 2012-11-22 | 2014-05-30 | Basf Se | Pesticidal mixtures |
| WO2014079770A1 (en) | 2012-11-22 | 2014-05-30 | Basf Se | Pesticidal mixtures |
| WO2014079772A1 (en) | 2012-11-22 | 2014-05-30 | Basf Se | Pesticidal mixtures |
| WO2014079841A1 (en) | 2012-11-22 | 2014-05-30 | Basf Se | Pesticidal mixtures |
| WO2014079774A1 (en) | 2012-11-22 | 2014-05-30 | Basf Se | Pesticidal mixtures |
| WO2014079813A1 (en) | 2012-11-23 | 2014-05-30 | Basf Se | Pesticidal mixtures |
| WO2014079752A1 (en) | 2012-11-23 | 2014-05-30 | Basf Se | Pesticidal mixtures |
| WO2014083031A2 (en) | 2012-11-30 | 2014-06-05 | Bayer Cropscience Ag | Binary pesticidal and fungicidal mixtures |
| WO2014083088A2 (en) | 2012-11-30 | 2014-06-05 | Bayer Cropscience Ag | Binary fungicidal mixtures |
| WO2014083033A1 (en) | 2012-11-30 | 2014-06-05 | Bayer Cropsience Ag | Binary fungicidal or pesticidal mixture |
| WO2014086759A2 (en) | 2012-12-03 | 2014-06-12 | Bayer Cropscience Ag | Composition comprising biological control agents |
| WO2014086750A2 (en) | 2012-12-03 | 2014-06-12 | Bayer Cropscience Ag | Composition comprising a biological control agent and an insecticide |
| WO2014086758A2 (en) | 2012-12-03 | 2014-06-12 | Bayer Cropscience Ag | Composition comprising a biological control agent and an insecticide |
| WO2014086749A2 (en) | 2012-12-03 | 2014-06-12 | Bayer Cropscience Ag | Composition comprising a biological control agent and an insecticide |
| WO2014086753A2 (en) | 2012-12-03 | 2014-06-12 | Bayer Cropscience Ag | Composition comprising biological control agents |
| WO2014086751A1 (de) | 2012-12-05 | 2014-06-12 | Bayer Cropscience Ag | Verwendung substituierter 1-(arylethinyl)-, 1-(heteroarylethinyl)-, 1-(heterocyclylethinyl)- und 1-(cyloalkenylethinyl)-cyclohexanole als wirkstoffe gegen abiotischen pflanzenstress |
| JP2015537053A (ja) * | 2012-12-12 | 2015-12-24 | バイエル・クロップサイエンス・アクチェンゲゼルシャフト | ビス(3−アミノフェニル)ジスルフィド類及び3−アミノチオール類を製造する方法 |
| WO2014090765A1 (en) | 2012-12-12 | 2014-06-19 | Bayer Cropscience Ag | Use of 1-[2-fluoro-4-methyl-5-(2,2,2-trifluoroethylsulfinyl)phenyl]-5-amino-3-trifluoromethyl)-1 h-1,2,4 tfia zole for controlling nematodes in nematode-resistant crops |
| US10117430B2 (en) | 2012-12-14 | 2018-11-06 | Basf Se | Malononitrile compounds for controlling animal pests |
| WO2014090700A1 (en) | 2012-12-14 | 2014-06-19 | Basf Se | Malononitrile compounds for controlling animal pests |
| WO2014095826A1 (en) | 2012-12-18 | 2014-06-26 | Bayer Cropscience Ag | Binary fungicidal and bactericidal combinations |
| WO2014096238A1 (en) | 2012-12-21 | 2014-06-26 | Basf Se | Cycloclavine and derivatives thereof for controlling invertebrate pests |
| WO2014102244A1 (en) | 2012-12-27 | 2014-07-03 | Basf Se | 2-(pyridin-3-yl)-5-hetaryl-thiazole compounds carrying an imine or imine-derived substituent for combating invertebrate pests |
| WO2014122083A1 (de) | 2013-02-06 | 2014-08-14 | Bayer Cropscience Ag | Halogensubstituierte pyrazolderivate als schädlingsbekämpfungsmittel |
| WO2014124361A1 (en) | 2013-02-11 | 2014-08-14 | Bayer Cropscience Lp | Compositions comprising a streptomyces-based biological control agent and another biological control agent |
| WO2014124373A1 (en) | 2013-02-11 | 2014-08-14 | Bayer Cropscience Lp | Compositions comprising gougerotin and an insecticide |
| WO2014124379A1 (en) | 2013-02-11 | 2014-08-14 | Bayer Cropscience Lp | Compositions comprising a streptomyces-based biological control agent and an insecticide |
| WO2014124375A1 (en) | 2013-02-11 | 2014-08-14 | Bayer Cropscience Lp | Compositions comprising gougerotin and a biological control agent |
| WO2014128136A1 (en) | 2013-02-20 | 2014-08-28 | Basf Se | Anthranilamide compounds and their use as pesticides |
| WO2014139897A1 (en) | 2013-03-12 | 2014-09-18 | Bayer Cropscience Ag | Use of dithiine-tetracarboximides for controlling bacterial harmful organisms in useful plants |
| WO2014140111A1 (en) | 2013-03-13 | 2014-09-18 | Bayer Cropscience Ag | Lawn growth-promoting agent and method of using same |
| WO2014170300A1 (en) | 2013-04-19 | 2014-10-23 | Basf Se | N-substituted acyl-imino-pyridine compounds and derivatives for combating animal pests |
| WO2014170364A1 (en) | 2013-04-19 | 2014-10-23 | Bayer Cropscience Ag | Binary insecticidal or pesticidal mixture |
| WO2014170313A1 (en) | 2013-04-19 | 2014-10-23 | Bayer Cropscience Ag | Active compound combinations having insecticidal properties |
| US9981940B2 (en) * | 2013-06-20 | 2018-05-29 | Bayer Cropscience Aktiengesellschaft | Aryl sulfide derivatives and aryl sulfoxide derivatives as acaricides and insecticides |
| US9981928B2 (en) * | 2013-06-20 | 2018-05-29 | Bayer Cropscience Aktiengesellschaft | Aryl sulfide derivatives and aryl sulfoxide derivatives as acaricides and insecticides |
| JP2016526538A (ja) * | 2013-06-20 | 2016-09-05 | バイエル・クロップサイエンス・アクチェンゲゼルシャフト | 殺ダニ剤及び殺虫剤としてのアリールスルフィド誘導体及びアリールスルホキシド誘導体 |
| JP2016526539A (ja) * | 2013-06-20 | 2016-09-05 | バイエル・クロップサイエンス・アクチェンゲゼルシャフト | 殺ダニ剤及び殺虫剤としてのアリールスルフィド誘導体及びアリールスルホキシド誘導体 |
| US20160145235A1 (en) * | 2013-06-20 | 2016-05-26 | Bayer Cropscience Aktiengesellschaft | Aryl sulfide derivatives and aryl sulfoxide derivatives as acaricides and insecticides |
| WO2014202505A1 (de) | 2013-06-20 | 2014-12-24 | Bayer Cropscience Ag | Arylsulfid- und arylsulfoxid-derivate als akarizide und insektizide |
| WO2014202510A1 (de) | 2013-06-20 | 2014-12-24 | Bayer Cropscience Ag | Arylsulfid- und arylsulfoxid-derivate als akarizide und insektizide |
| US20160130240A1 (en) * | 2013-06-20 | 2016-05-12 | Bayer Cropscience Aktiengesellschaft | Aryl sulfide derivatives and aryl sulfoxide derivatives as acaricides and insecticides |
| WO2014202751A1 (en) | 2013-06-21 | 2014-12-24 | Basf Se | Methods for controlling pests in soybean |
| WO2015004028A1 (de) | 2013-07-08 | 2015-01-15 | Bayer Cropscience Ag | Sechsgliedrige c-n-verknüpfte arylsulfid- und arylsulfoxid- derivate als schädlingsbekämpfungsmittel |
| JP2016529226A (ja) * | 2013-07-08 | 2016-09-23 | バイエル・クロップサイエンス・アクチェンゲゼルシャフト | 有害生物防除剤としての6員c−n−結合アリールスルフィド誘導体及びアリールスルホキシド誘導体 |
| WO2015007682A1 (en) | 2013-07-15 | 2015-01-22 | Basf Se | Pesticide compounds |
| WO2015036380A1 (de) | 2013-09-13 | 2015-03-19 | Bayer Cropscience Ag | Verfahren zur reduktion von arylsulfoxiden zu arylthioethern |
| WO2015040116A1 (en) | 2013-09-19 | 2015-03-26 | Basf Se | N-acylimino heterocyclic compounds |
| US9776967B2 (en) | 2013-10-14 | 2017-10-03 | Bayer Animal Health Gmbh | Carboxamide derivatives as pesticidal compounds |
| WO2015055554A1 (de) | 2013-10-14 | 2015-04-23 | Bayer Cropscience Ag | Wirkstoff für die saatgut- und bodenbehandlung |
| WO2015055497A1 (en) | 2013-10-16 | 2015-04-23 | Basf Se | Substituted pesticidal pyrazole compounds |
| WO2015055757A1 (en) | 2013-10-18 | 2015-04-23 | Basf Se | Use of pesticidal active carboxamide derivative in soil and seed application and treatment methods |
| EP3456201A1 (en) | 2013-10-18 | 2019-03-20 | BASF Agrochemical Products B.V. | Use of pesticidal active carboxamide derivative in soil and seed application and treatment meth-ods |
| WO2015059088A1 (de) | 2013-10-23 | 2015-04-30 | Bayer Cropscience Ag | Substituierte chinoxalin-derivate als schädlingsbekämpfungsmittel |
| WO2015091649A1 (en) | 2013-12-18 | 2015-06-25 | Basf Se | N-substituted imino heterocyclic compounds |
| WO2015091645A1 (en) | 2013-12-18 | 2015-06-25 | Basf Se | Azole compounds carrying an imine-derived substituent |
| WO2015101622A1 (de) | 2014-01-03 | 2015-07-09 | Bayer Cropscience Ag | Neue pyrazolyl-heteroarylamide als schädlingsbekämpfungsmittel |
| WO2015104422A1 (en) | 2014-01-13 | 2015-07-16 | Basf Se | Dihydrothiophene compounds for controlling invertebrate pests |
| WO2015107133A1 (de) | 2014-01-20 | 2015-07-23 | Bayer Cropscience Ag | Chinolinderivate als insektizide und akarizide |
| DE202014008418U1 (de) | 2014-02-19 | 2014-11-14 | Clariant International Ltd. | Schaumarme agrochemische Zusammensetzungen |
| DE202014008415U1 (de) | 2014-02-19 | 2014-11-25 | Clariant International Ltd. | Wässrige Adjuvant-Zusammensetzung zur Wirkungssteigerung von Elektrolyt-Wirkstoffen |
| WO2015150300A1 (de) | 2014-04-02 | 2015-10-08 | Bayer Cropscience Ag | N-(1-(hetero)aryl-1h-pyrazol-4-yl)-(hetero)arylamid-derivate und ihre verwendung als schädlingsbekämpfungsmittel |
| WO2015160620A1 (en) | 2014-04-16 | 2015-10-22 | Bayer Cropscience Lp | Compositions comprising ningnanmycin and an insecticide |
| WO2015160618A1 (en) | 2014-04-16 | 2015-10-22 | Bayer Cropscience Lp | Compositions comprising ningnanmycin and a biological control agent |
| US11425904B2 (en) | 2014-04-23 | 2022-08-30 | Clariant International Ltd. | Use of aqueous drift-reducing compositions |
| WO2015169776A1 (en) | 2014-05-08 | 2015-11-12 | Bayer Cropscience Ag | Pyrazolopyridine sulfonamides as nematicides |
| WO2015185531A1 (de) | 2014-06-05 | 2015-12-10 | Bayer Cropscience Aktiengesellschaft | Bicyclische verbindungen als schädlingsbekämpfungsmittel |
| WO2016001119A1 (de) | 2014-07-01 | 2016-01-07 | Bayer Cropscience Aktiengesellschaft | Insektizide und fungizide wirkstoffkombinationen |
| WO2016001129A1 (de) | 2014-07-01 | 2016-01-07 | Bayer Cropscience Aktiengesellschaft | Verbesserte insektizide zusammensetzungen |
| WO2016008830A1 (de) | 2014-07-15 | 2016-01-21 | Bayer Cropscience Aktiengesellschaft | Aryl-triazolyl-pyridine als schädlingsbekämpfungsmittel |
| DE102014012022A1 (de) | 2014-08-13 | 2016-02-18 | Clariant International Ltd. | Organische Ammoniumsalze von anionischen Pestiziden |
| EP3556211A1 (de) | 2014-08-13 | 2019-10-23 | Clariant International Ltd | Organische ammoniumsalze von anionischen pestiziden |
| EP3002279A1 (de) | 2014-10-02 | 2016-04-06 | Bayer CropScience AG | Verfahren zur Herstellung von 3-(5-Aminotriazolyl)-Sulfid-Derivaten |
| US10149477B2 (en) | 2014-10-06 | 2018-12-11 | Basf Se | Substituted pyrimidinium compounds for combating animal pests |
| WO2016055096A1 (en) | 2014-10-07 | 2016-04-14 | Bayer Cropscience Ag | Method for treating rice seed |
| WO2016071499A1 (en) | 2014-11-06 | 2016-05-12 | Basf Se | 3-pyridyl heterobicyclic compound for controlling invertebrate pests |
| WO2016091857A1 (de) | 2014-12-11 | 2016-06-16 | Bayer Cropscience Aktiengesellschaft | Fünfgliedrige c-n-verknüpfte arylsulfid- und arylsulfoxid-derivate als schädlingsbekämpfungsmittel |
| DE102014018274A1 (de) | 2014-12-12 | 2015-07-30 | Clariant International Ltd. | Zuckertenside und deren Verwendung in agrochemischen Zusammensetzungen |
| WO2016106063A1 (en) | 2014-12-22 | 2016-06-30 | Bayer Corpscience Lp | Method for using a bacillus subtilis or bacillus pumilus strain to treat or prevent pineapple disease |
| WO2016124563A1 (de) | 2015-02-05 | 2016-08-11 | Bayer Cropscience Aktiengesellschsaft | 2-(het)aryl-substituierte kondensierte bicyclische heterocyclen-derivate als schädlings-bekämpfungsmittel |
| WO2016124557A1 (de) | 2015-02-05 | 2016-08-11 | Bayer Cropscience Aktiengesellschaft | 2-(het)aryl-substituierte kondensierte bicyclische heterocyclen-derivate als schädlingsbekämpfungsmittel |
| US10556844B2 (en) | 2015-02-06 | 2020-02-11 | Basf Se | Pyrazole compounds as nitrification inhibitors |
| WO2016128298A1 (de) | 2015-02-09 | 2016-08-18 | Bayer Cropscience Aktiengesellschaft | Substituierte 2-thioimidazolyl-carboxamide als schädlingsbekämpfungsmittel |
| US10701937B2 (en) | 2015-02-11 | 2020-07-07 | Basf Se | Pesticidal mixture comprising a pyrazole compound, an insecticide and a fungicide |
| WO2016128261A2 (en) | 2015-02-11 | 2016-08-18 | Basf Se | Pesticidal mixture comprising a pyrazole compound, an insecticide and a fungicide |
| WO2016142394A1 (de) | 2015-03-10 | 2016-09-15 | Bayer Animal Health Gmbh | Pyrazolyl-derivate als schädlingsbekämpfungsmittel |
| WO2016162371A1 (en) | 2015-04-07 | 2016-10-13 | Basf Agrochemical Products B.V. | Use of an insecticidal carboxamide compound against pests on cultivated plants |
| WO2016162318A1 (de) | 2015-04-08 | 2016-10-13 | Bayer Cropscience Aktiengesellschaft | Kondensierte bicyclische heterocyclen-derivate als schädlingsbekämpfungsmittel und deren zwischenprodukte |
| EP3081085A1 (en) | 2015-04-14 | 2016-10-19 | Bayer CropScience AG | Method for improving earliness in cotton |
| WO2016174049A1 (en) | 2015-04-30 | 2016-11-03 | Bayer Animal Health Gmbh | Anti-parasitic combinations including halogen-substituted compounds |
| EP2910126A1 (en) | 2015-05-05 | 2015-08-26 | Bayer CropScience AG | Active compound combinations having insecticidal properties |
| US11053175B2 (en) | 2015-05-12 | 2021-07-06 | Basf Se | Thioether compounds as nitrification inhibitors |
| WO2016180802A1 (de) | 2015-05-13 | 2016-11-17 | Bayer Cropscience Aktiengesellschaft | Insektizide arylpyrrolidine, verfahren zu ihrer herstellung und ihre verwendung als wirkstoffe zur bekämpfung tierischer schädlinge |
| WO2016198611A1 (en) | 2015-06-11 | 2016-12-15 | Basf Se | N-(thio)acylimino heterocyclic compounds |
| WO2016198613A1 (en) | 2015-06-11 | 2016-12-15 | Basf Se | N-(thio)acylimino compounds |
| WO2017005717A1 (en) | 2015-07-06 | 2017-01-12 | Bayer Cropscience Aktiengesellschaft | Heterocyclic compounds as pesticides |
| WO2017016883A1 (en) | 2015-07-24 | 2017-02-02 | Basf Se | Process for preparation of cyclopentene compounds |
| EP3896066A2 (de) | 2015-08-07 | 2021-10-20 | Bayer CropScience Aktiengesellschaft | 2-(het)aryl-substituierte kondensierte heterocyclen-derivate als schädlingsbekämpfungsmittel |
| EP3896065A1 (de) | 2015-08-07 | 2021-10-20 | Bayer CropScience Aktiengesellschaft | 2-(het)aryl-substituierte kondensierte heterocyclen-derivate als schädlingsbekämpfungsmittel |
| US11142514B2 (en) | 2015-10-02 | 2021-10-12 | Basf Se | Imino compounds with a 2-chloropyrimidin-5-yl substituent as pest-control agents |
| US10961484B2 (en) | 2015-10-09 | 2021-03-30 | Clariant International Ltd. | Compositions comprising sugar amine and fatty acid |
| US10920080B2 (en) | 2015-10-09 | 2021-02-16 | Clariant International Ltd. | N-Alkyl glucamine-based universal pigment dispersions |
| WO2017072039A1 (de) | 2015-10-26 | 2017-05-04 | Bayer Cropscience Aktiengesellschaft | Kondensierte bicyclische heterocyclen-derivate als schädlingsbekämpfungsmittel |
| WO2017093163A1 (en) | 2015-11-30 | 2017-06-08 | Basf Se | Mixtures of cis-jasmone and bacillus amyloliquefaciens |
| WO2017093180A1 (de) | 2015-12-01 | 2017-06-08 | Bayer Cropscience Aktiengesellschaft | Kondensierte bicyclische heterocyclen-derivate als schädlingsbekämpfungsmittel |
| WO2017093214A1 (de) | 2015-12-03 | 2017-06-08 | Bayer Cropscience Aktiengesellschaft | Mesolonische halogenierte 3-(acetyl)-1-[(1,3-thiazol-5-yl)methyl]-1h-imidazo[1,2-a]pyridin-4-ium-2-olat derivate und verwandte verbindungen als insektizide |
| WO2017137338A1 (de) | 2016-02-11 | 2017-08-17 | Bayer Cropscience Aktiengesellschaft | Substituierte 2-(het)aryl-imidazolyl-carboxyamide als schädlingsbekämpfungsmittel |
| WO2017137339A1 (de) | 2016-02-11 | 2017-08-17 | Bayer Cropscience Aktiengesellschaft | Substituierte 2-oxyimidazolyl-carboxamide als schädlingsbekämpfungsmittel |
| WO2017144341A1 (de) | 2016-02-23 | 2017-08-31 | Bayer Cropscience Aktiengesellschaft | Kondensierte bicyclische heterocyclen-derivate als schädlingsbekämpfungsmittel |
| WO2017144497A1 (de) | 2016-02-26 | 2017-08-31 | Bayer Cropscience Aktiengesellschaft | Lösungsmittelfreie formulierungen von niedrig schmelzenden wirkstoffen |
| EP3210468A1 (de) | 2016-02-26 | 2017-08-30 | Bayer CropScience Aktiengesellschaft | Lösungsmittelfreie formulierungen von niedrig schmelzenden wirkstoffen |
| WO2017153217A1 (en) | 2016-03-09 | 2017-09-14 | Basf Se | Spirocyclic derivatives |
| WO2017153218A1 (en) | 2016-03-11 | 2017-09-14 | Basf Se | Method for controlling pests of plants |
| WO2017157735A1 (de) | 2016-03-15 | 2017-09-21 | Bayer Cropscience Aktiengesellschaft | Substituierte sulfonylamide zur bekämpfung tierischer schädlinge |
| WO2017157885A1 (de) | 2016-03-16 | 2017-09-21 | Bayer Cropscience Aktiengesellschaft | N-(cyanbenzyl)-6-(cyclopropylcarbonylamino)-4-(phenyl)-pyridin-2-carboxamid-derivate und verwandte verbindungen als pestizide pflanzenschutzmittel |
| WO2017167832A1 (en) | 2016-04-01 | 2017-10-05 | Basf Se | Bicyclic compounds |
| WO2017174414A1 (de) | 2016-04-05 | 2017-10-12 | Bayer Cropscience Aktiengesellschaft | Naphthalin-derivate als schädlingsbekämpfungsmittel |
| WO2017178416A1 (en) | 2016-04-15 | 2017-10-19 | Bayer Animal Health Gmbh | Pyrazolopyrimidine derivatives |
| WO2017186543A2 (en) | 2016-04-24 | 2017-11-02 | Bayer Cropscience Aktiengesellschaft | Use of fluopyram and/or bacillus subtilis for controlling fusarium wilt in plants of the musaceae family |
| WO2017186536A1 (de) | 2016-04-25 | 2017-11-02 | Bayer Cropscience Aktiengesellschaft | Substituierte 2-alkylimidazolyl-carboxamide als schädlingsbekämpfungsmittel |
| EP3241830A1 (de) | 2016-05-04 | 2017-11-08 | Bayer CropScience Aktiengesellschaft | Kondensierte bicyclische heterocyclen-derivate als schädlingsbekämpfungsmittel |
| US11220603B2 (en) | 2016-05-09 | 2022-01-11 | Clariant International Ltd. | Stabilizers for silicate paints |
| WO2017198449A1 (en) | 2016-05-15 | 2017-11-23 | Bayer Cropscience Nv | Method for increasing yield in brassicaceae |
| WO2017198450A1 (en) | 2016-05-15 | 2017-11-23 | Bayer Cropscience Nv | Method for increasing yield in maize |
| WO2017198453A1 (en) | 2016-05-16 | 2017-11-23 | Bayer Cropscience Nv | Method for increasing yield in potato, tomato or alfalfa |
| WO2017198452A1 (en) | 2016-05-16 | 2017-11-23 | Bayer Cropscience Nv | Method for increasing yield in soybean |
| EP3245865A1 (en) | 2016-05-17 | 2017-11-22 | Bayer CropScience Aktiengesellschaft | Method for increasing yield in brassicaceae |
| WO2017198451A1 (en) | 2016-05-17 | 2017-11-23 | Bayer Cropscience Nv | Method for increasing yield in small grain cereals such as wheat and rice |
| WO2017198454A1 (en) | 2016-05-17 | 2017-11-23 | Bayer Cropscience Nv | Method for increasing yield in cotton |
| WO2017198455A2 (en) | 2016-05-17 | 2017-11-23 | Bayer Cropscience Nv | Method for increasing yield in beta spp. plants |
| WO2017198588A1 (en) | 2016-05-18 | 2017-11-23 | Basf Se | Capsules comprising benzylpropargylethers for use as nitrification inhibitors |
| WO2018013381A1 (en) | 2016-07-11 | 2018-01-18 | Covestro Llc, Et Al. | Aqueous compositions for treating seeds, seeds treated therewith, and methods for treating seeds |
| WO2018013382A1 (en) | 2016-07-11 | 2018-01-18 | Covestro Llc, Et Al | Aqueous compositions for treating seeds, seeds treated therewith, and methods for treating seeds |
| WO2018013380A1 (en) | 2016-07-11 | 2018-01-18 | Covestro Llc, Et Al. | Methods for treating seeds with an aqueous compostion and seeds treated therewith |
| WO2018011111A1 (de) | 2016-07-12 | 2018-01-18 | Bayer Cropscience Aktiengesellschaft | Bicyclische verbindungen als schädlingsbekämpfungsmittel |
| WO2018015289A1 (de) | 2016-07-19 | 2018-01-25 | Bayer Cropscience Aktiengesellschaft | Kondensierte bicyclische heterocyclen-derivate als schädlingsbekämpfungsmittel |
| WO2018019937A1 (en) | 2016-07-29 | 2018-02-01 | Bayer Cropscience Aktiengesellschaft | Formulation comprising a beneficial p. bilaii strain and talc for use in seed treatment |
| WO2018019676A1 (en) | 2016-07-29 | 2018-02-01 | Bayer Cropscience Aktiengesellschaft | Active compound combinations and methods to protect the propagation material of plants |
| WO2018029102A1 (de) | 2016-08-10 | 2018-02-15 | Bayer Cropscience Aktiengesellschaft | Substituierte 2-heterocyclyl-imidazolyl-carboxamide als schädlingsbekämpfungsmittel |
| WO2018033455A1 (de) | 2016-08-15 | 2018-02-22 | Bayer Cropscience Aktiengesellschaft | Kondensierte bicyclische heterocyclen-derivate als schädlingsbekämpfungsmittel |
| WO2018050825A1 (de) | 2016-09-19 | 2018-03-22 | Bayer Cropscience Aktiengesellschaft | Pyrazolo[1,5-a]pyridin- derivative und ihre verwendung als schädlingsbekämpfungsmittel |
| WO2018065292A1 (de) | 2016-10-06 | 2018-04-12 | Bayer Cropscience Aktiengesellschaft | 2-(het)aryl-substituierte kondensierte bicyclische heterocyclen-derivate als schädlings-bekämpfungsmittel |
| WO2018065288A1 (de) | 2016-10-07 | 2018-04-12 | Bayer Cropscience Aktiengesellschaft | 2-[2-phenyl-1-(sulfonylmethyl)vinyl]-imidazo[4,5-b]pyridin-derivate und verwandte verbindungen als schädlingsbekämpfungsmittel im pflanzenschutz |
| WO2018069106A1 (en) | 2016-10-10 | 2018-04-19 | Basf Se | Pesticidal mixture |
| WO2018069842A1 (en) | 2016-10-14 | 2018-04-19 | Pi Industries Ltd | 4-amino substituted phenylamidine derivatives and their use to protect crops by fighting undesired phytopathogenic micoorganisms |
| US11155517B2 (en) | 2016-10-14 | 2021-10-26 | Pi Industries Ltd. | 4-substituted phenylamine derivatives and their use to protect crops by fighting undesired phytopathogenic micoorganisms |
| WO2018069841A1 (en) | 2016-10-14 | 2018-04-19 | Pi Industries Ltd | 4-substituted phenylamine derivatives and their use to protect crops by fighting undesired phytopathogenic micoorganisms |
| WO2018083288A1 (de) | 2016-11-07 | 2018-05-11 | Bayer Aktiengesellschaft | Substituierte sulfonylamide zur bekämpfung tierischer schädlinge |
| US11505545B2 (en) | 2016-11-11 | 2022-11-22 | Bayer Animal Health Gmbh | Anthelmintic quinoline-3-carboxamide derivatives |
| US10889573B2 (en) | 2016-11-11 | 2021-01-12 | Bayer Animal Health Gmbh | Anthelmintic quinoline-3-carboxamide derivatives |
| WO2018087036A1 (en) | 2016-11-11 | 2018-05-17 | Bayer Animal Health Gmbh | New anthelmintic quinoline-3-carboxamide derivatives |
| WO2018095953A1 (de) | 2016-11-23 | 2018-05-31 | Bayer Cropscience Aktiengesellschaft | 2-[3-(alkylsulfonyl)-2h-indazol-2-yl]-3h-imidazo[4,5-b]pyridin-derivate und ähnliche verbindungen als schädlingsbekämpfungsmittel |
| WO2018104500A1 (en) | 2016-12-09 | 2018-06-14 | Bayer Cropscience Aktiengesellschaft | Plant health effect of purpureocillium lilacinum |
| WO2018108791A1 (en) | 2016-12-16 | 2018-06-21 | Bayer Cropscience Aktiengesellschaft | Thiadiazole derivatives as pesticides |
| WO2018108730A1 (de) | 2016-12-16 | 2018-06-21 | Bayer Aktiengesellschaft | Mesoionische imidazopyridine als insektizide |
| WO2018108671A1 (en) | 2016-12-16 | 2018-06-21 | Basf Se | Pesticidal compounds |
| WO2018116072A1 (en) | 2016-12-20 | 2018-06-28 | Pi Industries Ltd. | Heterocyclic compounds |
| WO2018116073A1 (en) | 2016-12-21 | 2018-06-28 | Pi Industries Ltd. | 1, 2, 3-thiadiazole compounds and their use as crop protecting agent |
| WO2018130437A1 (de) | 2017-01-10 | 2018-07-19 | Bayer Aktiengesellschaft | Heterocyclen-derivate als schädlingsbekämpfungsmittel |
| WO2018130443A1 (de) | 2017-01-10 | 2018-07-19 | Bayer Aktiengesellschaft | Heterocyclen-derivate als schädlingsbekämpfungsmittel |
| WO2018138050A1 (de) | 2017-01-26 | 2018-08-02 | Bayer Aktiengesellschaft | Kondensierte bicyclische heterocyclen-derivate als schädlingsbekämpfungsmittel |
| WO2018141954A1 (de) | 2017-02-06 | 2018-08-09 | Bayer Aktiengesellschaft | Aryl- oder heteroaryl-substituierte imidazopyridinderivate und deren anwendung als schädlingsbekämpfungsmittel |
| EP3369320A1 (de) | 2017-03-02 | 2018-09-05 | Bayer CropScience Aktiengesellschaft | Wirkstoff zur bekämpfung von wanzen |
| WO2018162312A1 (en) | 2017-03-10 | 2018-09-13 | Basf Se | Spirocyclic derivatives |
| WO2018166855A1 (en) | 2017-03-16 | 2018-09-20 | Basf Se | Heterobicyclic substituted dihydroisoxazoles |
| WO2018177781A1 (en) | 2017-03-28 | 2018-10-04 | Basf Se | Pesticidal compounds |
| WO2018177993A1 (de) | 2017-03-31 | 2018-10-04 | Bayer Cropscience Aktiengesellschaft | Pyrazole zur bekämpfung von arthropoden |
| US11825838B2 (en) | 2017-03-31 | 2023-11-28 | Bayer Cropscience Aktiengesellschaft | Tricyclic carboxamides for controlling arthropods |
| WO2018177970A1 (en) | 2017-03-31 | 2018-10-04 | Basf Se | Process for preparing chiral 2,3-dihydrothiazolo[3,2-a]pyrimidin-4-ium compounds |
| WO2018177995A1 (de) | 2017-03-31 | 2018-10-04 | Bayer Cropscience Aktiengesellschaft | Trizyklische carboxamide zur bekämpfung von anthropoden |
| EP3978504A1 (en) | 2017-03-31 | 2022-04-06 | Basf Se | Chiral 2,3-dihydrothiazolo[3,2-a]pyrimidine derivatives for combating animal pests |
| WO2018189077A1 (de) | 2017-04-12 | 2018-10-18 | Bayer Aktiengesellschaft | Mesoionische imidazopyridine als insektizide |
| WO2018193385A1 (en) | 2017-04-20 | 2018-10-25 | Pi Industries Ltd. | Novel phenylamine compounds |
| US11524934B2 (en) | 2017-04-20 | 2022-12-13 | Pi Industries Ltd | Phenylamine compounds |
| WO2018192793A1 (en) | 2017-04-20 | 2018-10-25 | Basf Se | Substituted rhodanine derivatives |
| WO2018192872A1 (de) | 2017-04-21 | 2018-10-25 | Bayer Aktiengesellschaft | Mesoionische imidazopyridine als insektizide |
| WO2018197257A1 (de) | 2017-04-24 | 2018-11-01 | Bayer Aktiengesellschaft | Kondensierte bicyclische heterocyclen-derivate als schädlingsbekämpfungsmittel |
| WO2018197466A1 (en) | 2017-04-26 | 2018-11-01 | Basf Se | Substituted succinimide derivatives as pesticides |
| US11130768B2 (en) | 2017-04-27 | 2021-09-28 | Bayer Animal Health Gmbh | Bicyclic pyrazole derivatives |
| WO2018197692A1 (en) | 2017-04-27 | 2018-11-01 | Bayer Aktiengesellschaft | Heteroarylphenylaminoquinolines and analogues |
| WO2018197401A1 (en) | 2017-04-27 | 2018-11-01 | Bayer Animal Health Gmbh | New bicyclic pyrazole derivatives |
| WO2018202501A1 (de) | 2017-05-02 | 2018-11-08 | Bayer Aktiengesellschaft | 2-(het)aryl-substituierte kondensierte heterocyclen-derivate als schädlingsbekämpfungsmittel |
| WO2018202494A1 (de) | 2017-05-02 | 2018-11-08 | Bayer Aktiengesellschaft | 2-(het)aryl-substituierte kondensierte heterocyclen-derivate als schädlingsbekämpfungsmittel |
| WO2018202712A1 (en) | 2017-05-03 | 2018-11-08 | Bayer Aktiengesellschaft | Trisubstitutedsilylmethylphenoxyquinolines and analogues |
| WO2018202706A1 (en) | 2017-05-03 | 2018-11-08 | Bayer Aktiengesellschaft | Trisubstitutedsilylheteroaryloxyquinolines and analogues |
| WO2018202715A1 (en) | 2017-05-03 | 2018-11-08 | Bayer Aktiengesellschaft | Trisubstitutedsilylbenzylbenzimidazoles and analogues |
| WO2018202525A1 (en) | 2017-05-04 | 2018-11-08 | Bayer Cropscience Aktiengesellschaft | Phenoxyethanamine derivatives for controlling pests |
| WO2018202524A1 (de) | 2017-05-04 | 2018-11-08 | Bayer Cropscience Aktiengesellschaft | 2-{[2-(phenyloxymethyl)pyridin-5-yl]oxy}-ethanamin-derivate und verwandte verbindungen als schädlingsbekämpfungsmittel z.b. für den pflanzenschutz |
| US11827616B2 (en) | 2017-05-04 | 2023-11-28 | Discovery Purchaser Corporation | Heterocyclic compounds as pesticides |
| EP3400801A1 (en) | 2017-05-10 | 2018-11-14 | Bayer CropScience Aktiengesellschaft | Plant health effect of purpureocillium lilacinum |
| WO2018206479A1 (en) | 2017-05-10 | 2018-11-15 | Basf Se | Bicyclic pesticidal compounds |
| WO2018224455A1 (en) | 2017-06-07 | 2018-12-13 | Basf Se | Substituted cyclopropyl derivatives |
| WO2018229202A1 (en) | 2017-06-16 | 2018-12-20 | Basf Se | Mesoionic imidazolium compounds and derivatives for combating animal pests |
| WO2018234202A1 (en) | 2017-06-19 | 2018-12-27 | Basf Se | Substituted pyrimidinium compounds and derivatives for combating animal pests |
| WO2018234488A1 (en) | 2017-06-23 | 2018-12-27 | Basf Se | Substituted cyclopropyl derivatives |
| WO2019002132A1 (en) | 2017-06-30 | 2019-01-03 | Bayer Animal Health Gmbh | NEW AZAQUINOLINE DERIVATIVES |
| WO2019007887A1 (de) | 2017-07-06 | 2019-01-10 | Bayer Aktiengesellschaft | Insektizide und fungizide wirkstoffkombinationen |
| WO2019007888A1 (de) | 2017-07-06 | 2019-01-10 | Bayer Aktiengesellschaft | Insektizide wirkstoffkombinationen |
| WO2019007891A1 (de) | 2017-07-06 | 2019-01-10 | Bayer Aktiengesellschaft | Insektizide wirkstoffkombinationen |
| WO2019007719A1 (en) | 2017-07-07 | 2019-01-10 | Basf Se | PESTICIDE MIXTURES |
| EP3284739A1 (de) | 2017-07-19 | 2018-02-21 | Bayer CropScience Aktiengesellschaft | Substituierte (het)arylverbindungen als schädlingsbekämpfungsmittel |
| WO2019025341A1 (en) | 2017-08-04 | 2019-02-07 | Bayer Animal Health Gmbh | QUINOLINE DERIVATIVES FOR THE TREATMENT OF INFECTIONS BY HELMINTHES |
| WO2019035881A1 (en) | 2017-08-17 | 2019-02-21 | Bayer Cropscience Lp | DISPERSIBLE COMPOSITIONS IN LIQUID FERTILIZER AND ASSOCIATED METHODS |
| WO2019038195A1 (de) | 2017-08-22 | 2019-02-28 | Bayer Aktiengesellschaft | Heterocyclen-derivate als schädlingsbekämpfungsmittel |
| WO2019042932A1 (en) | 2017-08-31 | 2019-03-07 | Basf Se | METHOD FOR CONTROLLING RICE PARASITES IN RICE |
| WO2019043183A1 (en) | 2017-08-31 | 2019-03-07 | Basf Se | METHOD FOR CONTROLLING PESTS OF RICE IN RICE |
| EP3453706A1 (en) | 2017-09-08 | 2019-03-13 | Basf Se | Pesticidal imidazole compounds |
| WO2019059412A1 (en) | 2017-09-20 | 2019-03-28 | Mitsui Chemicals Agro, Inc. | AGENT FOR EXTENDED CONTROL OF ECTOPARASITES FOR ANIMAL |
| WO2019068572A1 (de) | 2017-10-04 | 2019-04-11 | Bayer Aktiengesellschaft | Heterocyclen-derivate als schädlingsbekämpfungsmittel |
| WO2019072906A1 (en) | 2017-10-13 | 2019-04-18 | Basf Se | IMIDAZOLIDINE PYRIMIDINIUM COMPOUNDS FOR CONTROL OF HARMFUL ANIMALS |
| WO2019076744A1 (de) | 2017-10-17 | 2019-04-25 | Bayer Aktiengesellschaft | Wässrige suspensionskonzentrate auf basis von 2-[(2,4-dichlorphenyl)-methyl]-4,4'-dimethyl-3-isoxazolidinone |
| EP3473103A1 (de) | 2017-10-17 | 2019-04-24 | Bayer AG | Wässrige suspensionskonzentrate auf basis von 2-[(2,4-dichlorphenyl)-methyl]-4,4'-dimethyl-3-isoxazolidinon |
| WO2019076751A1 (en) | 2017-10-18 | 2019-04-25 | Bayer Aktiengesellschaft | COMBINATIONS OF ACTIVE COMPOUNDS HAVING INSECTICIDAL / ACARICIDE PROPERTIES |
| WO2019076750A1 (en) | 2017-10-18 | 2019-04-25 | Bayer Aktiengesellschaft | COMBINATIONS OF ACTIVE COMPOUNDS HAVING INSECTICIDE PROPERTIES7ACARICIDES |
| WO2019076752A1 (en) | 2017-10-18 | 2019-04-25 | Bayer Aktiengesellschaft | COMBINATIONS OF ACTIVE COMPOUNDS AYNT INSECTICIDE / ACARICIDE PROPERTIES |
| WO2019076749A1 (en) | 2017-10-18 | 2019-04-25 | Bayer Aktiengesellschaft | COMBINATIONS OF ACTIVE COMPOUNDS HAVING INSECTICIDAL / ACARICIDE PROPERTIES |
| EP3473100A1 (en) | 2017-10-18 | 2019-04-24 | Bayer Aktiengesellschaft | Active compound combinations having insecticidal/acaricidal properties |
| WO2019076754A1 (en) | 2017-10-18 | 2019-04-25 | Bayer Aktiengesellschaft | COMBINATIONS OF ACTIVE COMPOUNDS HAVING INSECTICIDAL / ACARICIDE PROPERTIES |
| WO2019092086A1 (en) | 2017-11-13 | 2019-05-16 | Bayer Aktiengesellschaft | Tetrazolylpropyl derivatives and their use as fungicides |
| WO2019105875A1 (en) | 2017-11-28 | 2019-06-06 | Bayer Aktiengesellschaft | Heterocyclic compounds as pesticides |
| WO2019105871A1 (de) | 2017-11-29 | 2019-06-06 | Bayer Aktiengesellschaft | Stickstoffhaltige heterocyclen als schädlingsbekämpfungsmittel |
| WO2019123196A1 (en) | 2017-12-20 | 2019-06-27 | Pi Industries Ltd. | Fluoralkenyl compounds, process for preparation and use thereof |
| WO2019121143A1 (en) | 2017-12-20 | 2019-06-27 | Basf Se | Substituted cyclopropyl derivatives |
| WO2019121159A1 (en) | 2017-12-21 | 2019-06-27 | Basf Se | Pesticidal compounds |
| WO2019122319A1 (en) | 2017-12-21 | 2019-06-27 | Bayer Aktiengesellschaft | Trisubstitutedsilylmethylheteroaryloxyquinolines and analogues |
| WO2019145140A1 (en) | 2018-01-09 | 2019-08-01 | Basf Se | Silylethynyl hetaryl compounds as nitrification inhibitors |
| WO2019137995A1 (en) | 2018-01-11 | 2019-07-18 | Basf Se | Novel pyridazine compounds for controlling invertebrate pests |
| EP3305786A2 (de) | 2018-01-22 | 2018-04-11 | Bayer CropScience Aktiengesellschaft | Kondensierte bicyclische heterocyclen-derivate als schädlingsbekämpfungsmittel |
| WO2019150311A1 (en) | 2018-02-02 | 2019-08-08 | Pi Industries Ltd. | 1-3 dithiol compounds and their use for the protection of crops from phytopathogenic microorganisms |
| WO2019155066A1 (en) | 2018-02-12 | 2019-08-15 | Bayer Aktiengesellschaft | Fungicidal oxadiazoles |
| WO2019162174A1 (de) | 2018-02-21 | 2019-08-29 | Bayer Aktiengesellschaft | Kondensierte bicyclische heterocyclen-derivate als schädlingsbekämpfungsmittel |
| WO2019162228A1 (en) | 2018-02-21 | 2019-08-29 | Bayer Aktiengesellschaft | 1-(5-substituted imidazol-1-yl)but-3-en derivatives and their use as fungicides |
| WO2019166561A1 (en) | 2018-02-28 | 2019-09-06 | Basf Se | Use of alkoxypyrazoles as nitrification inhibitors |
| WO2019166558A1 (en) | 2018-02-28 | 2019-09-06 | Basf Se | Use of pyrazole propargyl ethers as nitrification inhibitors |
| WO2019166560A1 (en) | 2018-02-28 | 2019-09-06 | Basf Se | Use of n-functionalized alkoxy pyrazole compounds as nitrification inhibitors |
| WO2019170626A1 (en) | 2018-03-08 | 2019-09-12 | Bayer Aktiengesellschaft | Use of heteroaryl-triazole and heteroaryl-tetrazole compounds as pesticides in plant protection |
| WO2019175045A1 (de) | 2018-03-12 | 2019-09-19 | Bayer Aktiengesellschaft | Kondensierte bicyclische heterocyclen-derivate als schädlingsbekämpfungsmittel |
| WO2019175046A1 (de) | 2018-03-12 | 2019-09-19 | Bayer Aktiengesellschaft | Kondensierte bicyclische heterocyclen-derivate als schädlingsbekämpfungsmittel |
| WO2019175713A1 (en) | 2018-03-14 | 2019-09-19 | Basf Corporation | New catechol molecules and their use as inhibitors to p450 related metabolic pathways |
| WO2019175712A1 (en) | 2018-03-14 | 2019-09-19 | Basf Corporation | New uses for catechol molecules as inhibitors to glutathione s-transferase metabolic pathways |
| WO2019185413A1 (en) | 2018-03-27 | 2019-10-03 | Basf Se | Pesticidal substituted cyclopropyl derivatives |
| WO2019197371A1 (en) | 2018-04-10 | 2019-10-17 | Bayer Aktiengesellschaft | Oxadiazoline derivatives |
| WO2019197468A1 (en) | 2018-04-12 | 2019-10-17 | Bayer Aktiengesellschaft | N-(cyclopropylmethyl)-5-(methylsulfonyl)-n-{1-[1-(pyrimidin-2-yl)-1h-1,2,4-triazol-5-yl]ethyl}benzamide derivatives and the corresponding pyridine-carboxamide derivatives as pesticides |
| EP3904349A2 (en) | 2018-04-12 | 2021-11-03 | Bayer Aktiengesellschaft | N-(cyclopropylmethyl)-5-(methylsulfonyl)-n-{1-[1-(pyrimidin-2-yl)-1h-1,2,4-triazol-5-yl]ethyl}heterocyclyl amide derivatives and similar compounds as pesticides |
| EP3904350A1 (en) | 2018-04-12 | 2021-11-03 | Bayer Aktiengesellschaft | N-(cyclopropylmethyl)-5-(methylsulfonyl)-n-{1-[1-(pyrimidin-2-yl)-1h-1,2,4-triazol-5-yl]ethyl}benzamide derivatives and the corresponding pyridine-carboxamide derivatives as pesticides |
| WO2019197623A1 (de) | 2018-04-13 | 2019-10-17 | Bayer Aktiengesellschaft | Wirkstoffkombinationen mit insektiziden, nematiziden und akariziden eigenschaften |
| WO2019197615A1 (de) | 2018-04-13 | 2019-10-17 | Bayer Aktiengesellschaft | Wirkstoffkombinationen mit fungiziden, insektiziden und akariziden eigenschaften |
| EP4670505A2 (de) | 2018-04-13 | 2025-12-31 | Bayer Aktiengesellschaft | Wirkstoffkombinationen mit insektiziden, nematiziden und akariziden eigenschaften |
| EP4039682A1 (en) | 2018-04-17 | 2022-08-10 | Bayer Aktiengesellschaft | Novel heteroaryl-triazole and heteroaryl-tetrazole compounds as pesticides |
| WO2019201835A1 (en) | 2018-04-17 | 2019-10-24 | Bayer Aktiengesellschaft | Heteroaryl-triazole and heteroaryl-tetrazole compounds as pesticides |
| WO2019202077A1 (en) | 2018-04-20 | 2019-10-24 | Bayer Aktiengesellschaft | Heteroaryl-triazole and heteroaryl-tetrazole compounds as pesticides |
| WO2019201921A1 (de) | 2018-04-20 | 2019-10-24 | Bayer Aktiengesellschaft | Heterocyclen-derivate als schädlingsbekämpfungsmittel |
| WO2019206799A1 (en) | 2018-04-25 | 2019-10-31 | Bayer Aktiengesellschaft | Novel heteroaryl-triazole and heteroaryl-tetrazole compounds as pesticides |
| EP3919486A1 (en) | 2018-04-25 | 2021-12-08 | Bayer Aktiengesellschaft | Novel heteroaryl-triazole and heteroaryl-tetrazole compounds as pesticides |
| WO2019215182A1 (en) | 2018-05-09 | 2019-11-14 | Bayer Animal Health Gmbh | New quinoline derivatives |
| WO2019219529A1 (en) | 2018-05-15 | 2019-11-21 | Basf Se | Mixtures comprising benzpyrimoxan and oxazosulfyl and uses and methods of applying them |
| WO2019224092A1 (en) | 2018-05-22 | 2019-11-28 | Basf Se | Pesticidally active c15-derivatives of ginkgolides |
| WO2019224143A1 (de) | 2018-05-24 | 2019-11-28 | Bayer Aktiengesellschaft | Wirkstoffkombinationen mit insektiziden, nematiziden und akariziden eigenschaften |
| WO2020005678A1 (en) | 2018-06-25 | 2020-01-02 | Bayer Cropscience Lp | Seed treatment method |
| WO2020002189A1 (de) | 2018-06-27 | 2020-01-02 | Bayer Aktiengesellschaft | Wirkstoffkombinationen |
| EP3586630A1 (en) | 2018-06-28 | 2020-01-01 | Bayer AG | Active compound combinations having insecticidal/acaricidal properties |
| WO2020002472A1 (en) | 2018-06-28 | 2020-01-02 | Basf Se | Use of alkynylthiophenes as nitrification inhibitors |
| US12516037B2 (en) | 2018-07-05 | 2026-01-06 | Bayer Aktiengesellschaft | Substituted thiophenecarboxamides and analogues as antibacterials agents |
| WO2020007905A1 (en) | 2018-07-05 | 2020-01-09 | Bayer Aktiengesellschaft | Substituted thiophenecarboxamides and analogues as antibacterials agents |
| WO2020007904A1 (en) | 2018-07-05 | 2020-01-09 | Bayer Aktiengesellschaft | Substituted thiophenecarboxamides and analogues as antibacterials agents |
| WO2020007902A1 (en) | 2018-07-05 | 2020-01-09 | Bayer Aktiengesellschaft | Substituted thiophenecarboxamides and analogues as antibacterials agents |
| US11884643B2 (en) | 2018-07-05 | 2024-01-30 | Bayer Aktiengesellschaft | Substituted thiophenecarboxamides and analogues as antibacterials agents |
| US11952359B2 (en) | 2018-07-05 | 2024-04-09 | Bayer Aktiengesellschaft | Substituted thiophenecarboxamides and analogues as antibacterials agents |
| WO2020020765A1 (en) | 2018-07-23 | 2020-01-30 | Basf Se | Use of a substituted thiazolidine compound as nitrification inhibitor |
| WO2020020777A1 (en) | 2018-07-23 | 2020-01-30 | Basf Se | Use of substituted 2-thiazolines as nitrification inhibitors |
| WO2020020813A1 (en) | 2018-07-25 | 2020-01-30 | Bayer Aktiengesellschaft | Fungicidal active compound combinations |
| WO2020020816A1 (en) | 2018-07-26 | 2020-01-30 | Bayer Aktiengesellschaft | Novel triazole derivatives |
| WO2020021082A1 (en) | 2018-07-27 | 2020-01-30 | Bayer Aktiengesellschaft | Controlled release formulations for agrochemicals |
| WO2020025650A1 (en) | 2018-07-31 | 2020-02-06 | Bayer Aktiengesellschaft | Controlled release formulations with lignin for agrochemicals |
| WO2020035826A1 (en) | 2018-08-17 | 2020-02-20 | Pi Industries Ltd. | 1,2-dithiolone compounds and use thereof |
| EP3613736A1 (en) | 2018-08-22 | 2020-02-26 | Basf Se | Substituted glutarimide derivatives |
| WO2020043650A1 (en) | 2018-08-29 | 2020-03-05 | Bayer Aktiengesellschaft | Active compound combinations having insecticidal/acaricidal properties |
| WO2020053282A1 (de) | 2018-09-13 | 2020-03-19 | Bayer Aktiengesellschaft | Heterocyclen-derivate als schädlingsbekämpfungsmittel |
| WO2020057939A1 (en) | 2018-09-17 | 2020-03-26 | Bayer Aktiengesellschaft | Use of the fungicide isoflucypram for controlling claviceps purpurea and reducing sclerotia in cereals |
| EP3628158A1 (en) | 2018-09-28 | 2020-04-01 | Basf Se | Pesticidal mixture comprising a mesoionic compound and a biopesticide |
| EP3628156A1 (en) | 2018-09-28 | 2020-04-01 | Basf Se | Method for controlling pests of sugarcane, citrus, rapeseed, and potato plants |
| EP3628157A1 (en) | 2018-09-28 | 2020-04-01 | Basf Se | Method of controlling insecticide resistant insects and virus transmission to plants |
| WO2020064408A1 (en) | 2018-09-28 | 2020-04-02 | Basf Se | Method of controlling insecticide resistant insects and virus transmission to plants |
| WO2020064492A1 (en) | 2018-09-28 | 2020-04-02 | Basf Se | Method of controlling pests by seed treatment application of a mesoionic compound or mixture thereof |
| WO2020064480A1 (en) | 2018-09-28 | 2020-04-02 | Basf Se | Pesticidal mixture comprising a mesoionic compound and a biopesticide |
| WO2020070050A1 (en) | 2018-10-01 | 2020-04-09 | Bayer Aktiengesellschaft | Fungicidal 5-substituted imidazol-1-yl carbinol derivatives |
| EP3636644A1 (de) | 2018-10-11 | 2020-04-15 | Bayer Aktiengesellschaft | Mesoionische imidazopyridine als insektizide |
| WO2020078839A1 (de) | 2018-10-16 | 2020-04-23 | Bayer Aktiengesellschaft | Wirkstoffkombinationen |
| WO2020079173A1 (en) | 2018-10-18 | 2020-04-23 | Bayer Aktiengesellschaft | Pyridylphenylaminoquinolines and analogues |
| WO2020079167A1 (en) | 2018-10-18 | 2020-04-23 | Bayer Aktiengesellschaft | Heteroarylaminoquinolines and analogues |
| WO2020079232A1 (en) | 2018-10-20 | 2020-04-23 | Bayer Aktiengesellschaft | Oxetanylphenoxyquinolines and analogues |
| WO2020083733A1 (en) | 2018-10-24 | 2020-04-30 | Basf Se | Pesticidal compounds |
| EP3643711A1 (en) | 2018-10-24 | 2020-04-29 | Bayer Animal Health GmbH | New anthelmintic compounds |
| EP3643705A1 (en) | 2018-10-24 | 2020-04-29 | Basf Se | Pesticidal compounds |
| WO2020083971A2 (en) | 2018-10-24 | 2020-04-30 | Bayer Animal Health Gmbh | New anthelmintic compounds |
| US12435068B2 (en) | 2018-10-24 | 2025-10-07 | Elanco Animal Health Gmbh | Anthelmintic compounds |
| WO2020109039A1 (en) | 2018-11-28 | 2020-06-04 | Basf Se | Pesticidal compounds |
| WO2020109391A1 (en) | 2018-11-28 | 2020-06-04 | Bayer Aktiengesellschaft | Pyridazine (thio)amides as fungicidal compounds |
| WO2020114934A1 (de) | 2018-12-07 | 2020-06-11 | Bayer Aktiengesellschaft | Herbizide zusammensetzungen |
| WO2020114932A1 (de) | 2018-12-07 | 2020-06-11 | Bayer Aktiengesellschaft | Herbizide zusammensetzungen |
| EP3620052A1 (en) | 2018-12-12 | 2020-03-11 | Bayer Aktiengesellschaft | Use of phenoxypyridinyl-substituted (1h-1,2,4-triazol-1-yl)alcohols for controlling fungicidal diseases in maize |
| WO2020126980A1 (en) | 2018-12-18 | 2020-06-25 | Bayer Aktiengesellschaft | Active compound combinations having insecticidal/acaricidal properties |
| WO2020126591A1 (en) | 2018-12-18 | 2020-06-25 | Basf Se | Substituted pyrimidinium compounds for combating animal pests |
| WO2020127780A1 (en) | 2018-12-20 | 2020-06-25 | Bayer Aktiengesellschaft | Heterocyclyl pyridazine as fungicidal compounds |
| EP3669652A1 (en) | 2018-12-21 | 2020-06-24 | Bayer AG | Active compound combination |
| WO2020127974A1 (en) | 2018-12-21 | 2020-06-25 | Bayer Aktiengesellschaft | 1,3,4-oxadiazoles and their derivatives as new antifungal agents |
| EP3679789A1 (en) | 2019-01-08 | 2020-07-15 | Bayer AG | Active compound combinations |
| EP3679790A1 (en) | 2019-01-08 | 2020-07-15 | Bayer AG | Active compound combinations |
| EP3679791A1 (en) | 2019-01-08 | 2020-07-15 | Bayer AG | Active compound combinations |
| EP3679792A1 (en) | 2019-01-08 | 2020-07-15 | Bayer AG | Active compound combinations |
| EP3679793A1 (en) | 2019-01-08 | 2020-07-15 | Bayer AG | Active compound combinations |
| EP3545764A1 (en) | 2019-02-12 | 2019-10-02 | Bayer AG | Crystal form of 2-({2-fluoro-4-methyl-5-[(r)-(2,2,2-trifluoroethyl)sulfinyl]phenyl}imino)-3-(2,2,2- trifluoroethyl)-1,3-thiazolidin-4-one |
| EP3696177A1 (en) | 2019-02-12 | 2020-08-19 | Basf Se | Heterocyclic compounds for the control of invertebrate pests |
| WO2020173860A1 (en) | 2019-02-26 | 2020-09-03 | Bayer Aktiengesellschaft | Fused bicyclic heterocycle derivatives as pesticides |
| WO2020173861A1 (de) | 2019-02-26 | 2020-09-03 | Bayer Aktiengesellschaft | Kondensierte bicyclische heterocyclen-derivate als schädlingsbekämpfungsmittel |
| WO2020178067A1 (en) | 2019-03-01 | 2020-09-10 | Bayer Aktiengesellschaft | Active compound combinations having insecticidal/acaricidal properties |
| WO2020178307A1 (en) | 2019-03-05 | 2020-09-10 | Bayer Aktiengesellschaft | Active compound combination |
| WO2020182929A1 (en) | 2019-03-13 | 2020-09-17 | Bayer Aktiengesellschaft | Substituted ureas and derivatives as new antifungal agents |
| WO2020187656A1 (en) | 2019-03-15 | 2020-09-24 | Bayer Aktiengesellschaft | Active compound combinations having insecticidal/acaricidal properties |
| EP3564225A1 (en) | 2019-03-21 | 2019-11-06 | Bayer Aktiengesellschaft | Crystalline form of spiromesifen |
| EP3725788A1 (en) | 2019-04-15 | 2020-10-21 | Bayer AG | Novel heteroaryl-substituted aminoalkyl azole compounds as pesticides |
| WO2020212235A1 (en) | 2019-04-15 | 2020-10-22 | Bayer Animal Health Gmbh | Novel heteroaryl-substituted aminoalkyl azole compounds as pesticides |
| WO2020225438A1 (en) | 2019-05-08 | 2020-11-12 | Bayer Aktiengesellschaft | High uptake and rainfastness ulv formulations |
| WO2020225428A1 (en) | 2019-05-08 | 2020-11-12 | Bayer Aktiengesellschaft | High spreading ulv formulations for insecticides |
| WO2020225435A1 (en) | 2019-05-08 | 2020-11-12 | Bayer Aktiengesellschaft | High spreading and uptake ulv formulations |
| WO2020225434A1 (en) | 2019-05-08 | 2020-11-12 | Bayer Aktiengesellschaft | High spreading ulv formulations for agrochemical compounds ii |
| WO2020225437A1 (en) | 2019-05-08 | 2020-11-12 | Bayer Aktiengesellschaft | Ulv formulations with enhanced uptake |
| WO2020225242A1 (en) | 2019-05-08 | 2020-11-12 | Bayer Aktiengesellschaft | Active compound combination |
| WO2020225440A1 (en) | 2019-05-08 | 2020-11-12 | Bayer Aktiengesellschaft | High spreading and rainfastness ulv formulations |
| WO2020225439A1 (en) | 2019-05-08 | 2020-11-12 | Bayer Aktiengesellschaft | Ulv formulations with enhanced rainfastness |
| WO2020225436A1 (en) | 2019-05-08 | 2020-11-12 | Bayer Aktiengesellschaft | High spreading, uptake and rainfastness ulv formulations |
| WO2020231751A1 (en) | 2019-05-10 | 2020-11-19 | Bayer Cropscience Lp | Active compound combinations |
| WO2020229398A1 (de) | 2019-05-14 | 2020-11-19 | Bayer Aktiengesellschaft | (1-alkenyl)-substituierte pyrazole und triazole als schädlingsbekämpfungsmittel |
| WO2020239517A1 (en) | 2019-05-29 | 2020-12-03 | Basf Se | Mesoionic imidazolium compounds and derivatives for combating animal pests |
| EP3750888A1 (en) | 2019-06-12 | 2020-12-16 | Bayer Aktiengesellschaft | Crystalline form a of 1,4-dimethyl-2-[2-(pyridin-3-yl)-2h-indazol-5-yl]-1,2,4-triazolidine-3,5-dione |
| WO2020254487A1 (en) | 2019-06-21 | 2020-12-24 | Bayer Aktiengesellschaft | Hydroxyisoxazolines and derivatives thereof |
| WO2020254488A1 (en) | 2019-06-21 | 2020-12-24 | Bayer Aktiengesellschaft | Hydroxyisoxazolines and use thereof as fungicides |
| WO2020254486A1 (en) | 2019-06-21 | 2020-12-24 | Bayer Aktiengesellschaft | Hydroxyisoxazolines and derivatives thereof |
| WO2020254494A1 (en) | 2019-06-21 | 2020-12-24 | Bayer Aktiengesellschaft | Fungicidal oxadiazoles |
| WO2020254489A1 (en) | 2019-06-21 | 2020-12-24 | Bayer Aktiengesellschaft | Benzylphenyl hydroxyisoxazolines and analogues as new antifungal agents |
| WO2020254490A1 (en) | 2019-06-21 | 2020-12-24 | Bayer Aktiengesellschaft | Phenoxyphenyl hydroxyisoxazolines and analogues as new antifungal agents |
| WO2020254493A1 (en) | 2019-06-21 | 2020-12-24 | Bayer Aktiengesellschaft | Thienylhydroxyisoxazolines and derivatives thereof |
| WO2020254492A1 (en) | 2019-06-21 | 2020-12-24 | Bayer Aktiengesellschaft | Hydroxyisoxazolines and derivatives thereof |
| WO2020263812A1 (en) | 2019-06-24 | 2020-12-30 | Auburn University | A bacillus strain and methods of its use for plant growth promotion |
| EP3608311A1 (en) | 2019-06-28 | 2020-02-12 | Bayer AG | Crystalline form a of n-[4-chloro-3-[(1-cyanocyclopropyl)carbamoyl]phenyl]-2-methyl-4-methylsulfonyl-5-(1,1,2,2,2-pentafluoroethyl)pyrazole-3-carboxamide |
| WO2021001331A1 (en) | 2019-07-03 | 2021-01-07 | Bayer Aktiengesellschaft | Substituted thiophene carboxamides and derivatives thereof as microbicides |
| EP4378314A2 (de) | 2019-07-04 | 2024-06-05 | Bayer AG | Herbizide zusammensetzungen |
| WO2021001273A1 (de) | 2019-07-04 | 2021-01-07 | Bayer Aktiengesellschaft | Herbizide zusammensetzungen |
| EP3766879A1 (en) | 2019-07-19 | 2021-01-20 | Basf Se | Pesticidal pyrazole derivatives |
| WO2021013561A1 (en) | 2019-07-19 | 2021-01-28 | Basf Se | Pesticidal pyrazole and triazole derivatives |
| EP3769623A1 (en) | 2019-07-22 | 2021-01-27 | Basf Se | Mesoionic imidazolium compounds and derivatives for combating animal pests |
| WO2021013721A1 (de) | 2019-07-22 | 2021-01-28 | Bayer Aktiengesellschaft | 5-amino substituierte pyrazole und triazole als schädlingsbekämpfungsmittel |
| WO2021013720A1 (en) | 2019-07-23 | 2021-01-28 | Bayer Aktiengesellschaft | Novel heteroaryl-triazole compounds as pesticides |
| WO2021013719A1 (en) | 2019-07-23 | 2021-01-28 | Bayer Aktiengesellschaft | Novel heteroaryl-triazole compounds as pesticides |
| WO2021018839A1 (en) | 2019-07-30 | 2021-02-04 | Bayer Animal Health Gmbh | Isoquinoline derivatives and their use for the treatment of parasitic infections |
| EP3771714A1 (de) | 2019-07-30 | 2021-02-03 | Bayer AG | Stickstoffhaltige heterocyclen als schädlingsbekämpfungsmittel |
| EP3701796A1 (en) | 2019-08-08 | 2020-09-02 | Bayer AG | Active compound combinations |
| WO2021048188A1 (de) | 2019-09-11 | 2021-03-18 | Bayer Aktiengesellschaft | Hochwirksame formulierungen auf basis von 2-[(2;4-dichlorphenyl)-m ethyl|-4,4'-dimethyl- 3-isoxazolidinone sowie vorauflaufherbiziden |
| WO2021058659A1 (en) | 2019-09-26 | 2021-04-01 | Bayer Aktiengesellschaft | Rnai-mediated pest control |
| WO2021069569A1 (en) | 2019-10-09 | 2021-04-15 | Bayer Aktiengesellschaft | Novel heteroaryl-triazole compounds as pesticides |
| WO2021069567A1 (en) | 2019-10-09 | 2021-04-15 | Bayer Aktiengesellschaft | Novel heteroaryl-triazole compounds as pesticides |
| WO2021069575A1 (en) | 2019-10-11 | 2021-04-15 | Bayer Animal Health Gmbh | Heteroaryl-substituted pyrazine derivatives as pesticides |
| WO2021089673A1 (de) | 2019-11-07 | 2021-05-14 | Bayer Aktiengesellschaft | Substituierte sulfonylamide zur bekämpfung tierischer schädlinge |
| WO2021097162A1 (en) | 2019-11-13 | 2021-05-20 | Bayer Cropscience Lp | Beneficial combinations with paenibacillus |
| WO2021099303A1 (en) | 2019-11-18 | 2021-05-27 | Bayer Aktiengesellschaft | Novel heteroaryl-triazole compounds as pesticides |
| WO2021105091A1 (en) | 2019-11-25 | 2021-06-03 | Bayer Aktiengesellschaft | Novel heteroaryl-triazole compounds as pesticides |
| WO2021123051A1 (en) | 2019-12-20 | 2021-06-24 | Bayer Aktiengesellschaft | Substituted thiophene carboxamides, thiophene carboxylic acids and derivatives thereof |
| WO2021122986A1 (en) | 2019-12-20 | 2021-06-24 | Bayer Aktiengesellschaft | Thienyloxazolones and analogues |
| WO2021130143A1 (en) | 2019-12-23 | 2021-07-01 | Basf Se | Enzyme enhanced root uptake of agrochemical active compound |
| WO2021136758A1 (en) | 2019-12-30 | 2021-07-08 | Bayer Aktiengesellschaft | Aqueous capsule suspension concentrates based on polyurea shell material containing polyfunctional aminocarboxylic esters |
| EP3845304A1 (en) | 2019-12-30 | 2021-07-07 | Bayer AG | Capsule suspension concentrates based on polyisocyanates and biodegradable amine based cross-linker |
| WO2021165195A1 (en) | 2020-02-18 | 2021-08-26 | Bayer Aktiengesellschaft | Heteroaryl-triazole compounds as pesticides |
| EP3868207A1 (de) | 2020-02-24 | 2021-08-25 | Bayer Aktiengesellschaft | Verkapselte pyrethroide mit verbesserter wirksamkeit bei boden- und blattanwendungen |
| WO2021170527A1 (de) | 2020-02-24 | 2021-09-02 | Bayer Aktiengesellschaft | Verkapselte pyrethroide mit verbesserter wirksamkeit bei boden- und blattanwendungen |
| WO2021170463A1 (en) | 2020-02-28 | 2021-09-02 | BASF Agro B.V. | Methods and uses of a mixture comprising alpha-cypermethrin and dinotefuran for controlling invertebrate pests in turf |
| EP3708565A1 (en) | 2020-03-04 | 2020-09-16 | Bayer AG | Pyrimidinyloxyphenylamidines and the use thereof as fungicides |
| WO2021204930A1 (en) | 2020-04-09 | 2021-10-14 | Bayer Animal Health Gmbh | Substituted condensed azines as anthelmintic compounds |
| WO2021209366A1 (en) | 2020-04-16 | 2021-10-21 | Bayer Aktiengesellschaft | Active compound combinations and fungicide compositions comprising those |
| WO2021209364A1 (en) | 2020-04-16 | 2021-10-21 | Bayer Aktiengesellschaft | Active compound combinations and fungicide compositions comprising those |
| WO2021209490A1 (en) | 2020-04-16 | 2021-10-21 | Bayer Aktiengesellschaft | Cyclaminephenylaminoquinolines as fungicides |
| WO2021209363A1 (en) | 2020-04-16 | 2021-10-21 | Bayer Aktiengesellschaft | Active compound combinations and fungicide compositions comprising those |
| WO2021209368A1 (en) | 2020-04-16 | 2021-10-21 | Bayer Aktiengesellschaft | Active compound combinations and fungicide compositions comprising those |
| WO2021209365A1 (en) | 2020-04-16 | 2021-10-21 | Bayer Aktiengesellschaft | Active compound combinations and fungicide compositions comprising those |
| WO2021213978A1 (de) | 2020-04-21 | 2021-10-28 | Bayer Aktiengesellschaft | 2-(het)aryl-substituierte kondensierte heterocyclen-derivate als schädlingsbekämpfungsmittel |
| WO2021219513A1 (en) | 2020-04-28 | 2021-11-04 | Basf Se | Pesticidal compounds |
| WO2021224323A1 (en) | 2020-05-06 | 2021-11-11 | Bayer Aktiengesellschaft | Novel heteroaryl-triazole compounds as pesticides |
| WO2021224220A1 (en) | 2020-05-06 | 2021-11-11 | Bayer Aktiengesellschaft | Pyridine (thio)amides as fungicidal compounds |
| WO2021228734A1 (en) | 2020-05-12 | 2021-11-18 | Bayer Aktiengesellschaft | Triazine and pyrimidine (thio)amides as fungicidal compounds |
| EP3909950A1 (en) | 2020-05-13 | 2021-11-17 | Basf Se | Heterocyclic compounds for the control of invertebrate pests |
| WO2021233861A1 (en) | 2020-05-19 | 2021-11-25 | Bayer Aktiengesellschaft | Azabicyclic(thio)amides as fungicidal compounds |
| WO2021245087A1 (en) | 2020-06-04 | 2021-12-09 | Bayer Aktiengesellschaft | Heterocyclyl pyrimidines and triazines as novel fungicides |
| WO2021249995A1 (en) | 2020-06-10 | 2021-12-16 | Bayer Aktiengesellschaft | Azabicyclyl-substituted heterocycles as fungicides |
| WO2021255071A1 (en) | 2020-06-18 | 2021-12-23 | Bayer Aktiengesellschaft | 3-(pyridazin-4-yl)-5,6-dihydro-4h-1,2,4-oxadiazine derivatives as fungicides for crop protection |
| WO2021255089A1 (en) | 2020-06-19 | 2021-12-23 | Bayer Aktiengesellschaft | 1,3,4-oxadiazole pyrimidines and 1,3,4-oxadiazole pyridines as fungicides |
| WO2021255091A1 (en) | 2020-06-19 | 2021-12-23 | Bayer Aktiengesellschaft | 1,3,4-oxadiazoles and their derivatives as fungicides |
| WO2021255169A1 (en) | 2020-06-19 | 2021-12-23 | Bayer Aktiengesellschaft | 1,3,4-oxadiazole pyrimidines as fungicides |
| WO2021255170A1 (en) | 2020-06-19 | 2021-12-23 | Bayer Aktiengesellschaft | 1,3,4-oxadiazole pyrimidines as fungicides |
| WO2021259997A1 (en) | 2020-06-25 | 2021-12-30 | Bayer Animal Health Gmbh | Novel heteroaryl-substituted pyrazine derivatives as pesticides |
| EP3929189A1 (en) | 2020-06-25 | 2021-12-29 | Bayer Animal Health GmbH | Novel heteroaryl-substituted pyrazine derivatives as pesticides |
| WO2021260017A1 (en) | 2020-06-26 | 2021-12-30 | Bayer Aktiengesellschaft | Aqueous capsule suspension concentrates comprising biodegradable ester groups |
| WO2022002818A1 (de) | 2020-07-02 | 2022-01-06 | Bayer Aktiengesellschaft | Heterocyclen-derivate als schädlingsbekämpfungsmittel |
| WO2022033991A1 (de) | 2020-08-13 | 2022-02-17 | Bayer Aktiengesellschaft | 5-amino substituierte triazole als schädlingsbekämpfungsmittel |
| WO2022053453A1 (de) | 2020-09-09 | 2022-03-17 | Bayer Aktiengesellschaft | Azolcarboxamide als schädlingsbekämpfungsmittel |
| WO2022058327A1 (en) | 2020-09-15 | 2022-03-24 | Bayer Aktiengesellschaft | Substituted ureas and derivatives as new antifungal agents |
| EP3974414A1 (de) | 2020-09-25 | 2022-03-30 | Bayer AG | 5-amino substituierte pyrazole und triazole als schädlingsbekämpfungsmittel |
| EP3915371A1 (en) | 2020-11-04 | 2021-12-01 | Bayer AG | Active compound combinations and fungicide compositions comprising those |
| WO2022096685A1 (en) | 2020-11-08 | 2022-05-12 | Bayer Aktiengesellschaft | Agrochemical composition with improved drift and spreading properties |
| EP3994987A1 (en) | 2020-11-08 | 2022-05-11 | Bayer AG | Agrochemical composition with improved drift and uptake properties |
| WO2022096688A1 (en) | 2020-11-08 | 2022-05-12 | Bayer Aktiengesellschaft | Agrochemical composition with improved drift, spreading and rainfastness properties |
| WO2022096690A1 (en) | 2020-11-08 | 2022-05-12 | Bayer Aktiengesellschaft | Agrochemical composition with improved drift, spreading and uptake properties |
| WO2022096694A1 (en) | 2020-11-08 | 2022-05-12 | Bayer Aktiengesellschaft | Low drift, rainfastness, high spreading and ulv tank mix adjuvant formulation |
| WO2022096691A1 (en) | 2020-11-08 | 2022-05-12 | Bayer Aktiengesellschaft | Agrochemical composition with improved drift, uptake and rainfastness properties |
| WO2022096693A1 (en) | 2020-11-08 | 2022-05-12 | Bayer Aktiengesellschaft | Low drift, rainfastness, high uptake and ulv tank mix adjuvant formulation |
| WO2022096686A1 (en) | 2020-11-08 | 2022-05-12 | Bayer Aktiengesellschaft | Agrochemical composition with improved drift properties |
| WO2022096687A1 (en) | 2020-11-08 | 2022-05-12 | Bayer Aktiengesellschaft | Agrochemical composition with improved drift and uptake properties |
| WO2022096696A1 (en) | 2020-11-08 | 2022-05-12 | Bayer Aktiengesellschaft | Low drift, rainfastness, high spreading, high uptake and ulv tank mix adjuvant formulation |
| EP3994989A1 (en) | 2020-11-08 | 2022-05-11 | Bayer AG | Agrochemical composition with improved drift, rainfastness and uptake properties |
| EP3994990A1 (en) | 2020-11-08 | 2022-05-11 | Bayer AG | Agrochemical composition with improved drift, spreading and uptake properties |
| EP3994988A1 (en) | 2020-11-08 | 2022-05-11 | Bayer AG | Agrochemical composition with improved drift, spreading and rainfastness properties |
| EP3994992A1 (en) | 2020-11-08 | 2022-05-11 | Bayer AG | Low drift, rainfastness, high uptake and ulv tank mix adjuvant formulation |
| EP3994993A1 (en) | 2020-11-08 | 2022-05-11 | Bayer Aktiengesellschaft | Low drift, rainfastness, high spreading and ulv tank mix adjuvant formulation |
| EP3994986A1 (en) | 2020-11-08 | 2022-05-11 | Bayer Aktiengesellschaft | Agrochemical composition with improved drift and spreading properties |
| EP3994995A1 (en) | 2020-11-08 | 2022-05-11 | Bayer Aktiengesellschaft | Low drift, rainfastness, high spreading, high uptake and ulv tank mix adjuvant formulation |
| WO2022096692A1 (en) | 2020-11-08 | 2022-05-12 | Bayer Aktiengesellschaft | Agrochemical composition with improved drift, spreading, uptake and rainfastness properties |
| WO2022096695A1 (en) | 2020-11-08 | 2022-05-12 | Bayer Aktiengesellschaft | Low drift, rainfastness, high spreading, high uptake and ulv tank mix adjuvant formulation |
| EP3994991A1 (en) | 2020-11-08 | 2022-05-11 | Bayer Aktiengesellschaft | Agrochemical composition with improved drift, spreading, uptake and rainfastness properties |
| EP3994994A1 (en) | 2020-11-08 | 2022-05-11 | Bayer Aktiengesellschaft | Low drift, rainfastness, high spreading, high uptake and ulv tank mix adjuvant formulation |
| EP3994985A1 (en) | 2020-11-08 | 2022-05-11 | Bayer Aktiengesellschaft | Agrochemical composition with improved drift properties |
| EP3915971A1 (en) | 2020-12-16 | 2021-12-01 | Bayer Aktiengesellschaft | Phenyl-s(o)n-phenylamidines and the use thereof as fungicides |
| WO2022129196A1 (en) | 2020-12-18 | 2022-06-23 | Bayer Aktiengesellschaft | Heterobicycle substituted 1,2,4-oxadiazoles as fungicides |
| WO2022129190A1 (en) | 2020-12-18 | 2022-06-23 | Bayer Aktiengesellschaft | (hetero)aryl substituted 1,2,4-oxadiazoles as fungicides |
| WO2022129188A1 (en) | 2020-12-18 | 2022-06-23 | Bayer Aktiengesellschaft | 1,2,4-oxadiazol-3-yl pyrimidines as fungicides |
| WO2022152728A1 (de) | 2021-01-15 | 2022-07-21 | Bayer Aktiengesellschaft | Herbizide zusammensetzungen |
| WO2022162129A1 (en) | 2021-01-28 | 2022-08-04 | Rhodia Operations | Method for treating rice seed with improved retention of agrochemical, micronutrient and colorant |
| WO2022167488A1 (en) | 2021-02-02 | 2022-08-11 | Basf Se | Synergistic action of dcd and alkoxypyrazoles as nitrification inhibitors |
| EP4036083A1 (de) | 2021-02-02 | 2022-08-03 | Bayer Aktiengesellschaft | 5-oxy substituierte hetereozyklen, als schädlingsbekämpfungsmittel |
| EP4043444A1 (en) | 2021-02-11 | 2022-08-17 | Basf Se | Substituted isoxazoline derivatives |
| WO2022207496A1 (en) | 2021-03-30 | 2022-10-06 | Bayer Aktiengesellschaft | 3-(hetero)aryl-5-chlorodifluoromethyl-1,2,4-oxadiazole as fungicide |
| WO2022207494A1 (en) | 2021-03-30 | 2022-10-06 | Bayer Aktiengesellschaft | 3-(hetero)aryl-5-chlorodifluoromethyl-1,2,4-oxadiazole as fungicide |
| WO2022233777A1 (en) | 2021-05-06 | 2022-11-10 | Bayer Aktiengesellschaft | Alkylamide substituted, annulated imidazoles and use thereof as insecticides |
| WO2022238194A1 (de) | 2021-05-10 | 2022-11-17 | Bayer Aktiengesellschaft | Herbizid/safener-kombinationen basierend auf safenern aus der klasse der substituierten [(1,5-diphenyl1h-1,2,4-triazol-3-yl)oxy]essigsäuren sowie deren salze |
| WO2022238391A1 (de) | 2021-05-12 | 2022-11-17 | Bayer Aktiengesellschaft | 2-(het)aryl-substituierte kondensierte heterocyclen-derivate als schädlingsbekämpfungsmittel |
| WO2022243521A1 (en) | 2021-05-21 | 2022-11-24 | Basf Se | Use of ethynylpyridine compounds as nitrification inhibitors |
| WO2022243523A1 (en) | 2021-05-21 | 2022-11-24 | Basf Se | Use of an n-functionalized alkoxy pyrazole compound as nitrification inhibitor |
| WO2022268810A1 (en) | 2021-06-21 | 2022-12-29 | Basf Se | Metal-organic frameworks with pyrazole-based building blocks |
| EP4119547A1 (en) | 2021-07-12 | 2023-01-18 | Basf Se | Triazole compounds for the control of invertebrate pests |
| WO2023017120A1 (en) | 2021-08-13 | 2023-02-16 | Bayer Aktiengesellschaft | Active compound combinations and fungicide compositions comprising those |
| EP4140986A1 (en) | 2021-08-23 | 2023-03-01 | Basf Se | Pyrazine compounds for the control of invertebrate pests |
| WO2023025682A1 (en) | 2021-08-25 | 2023-03-02 | Bayer Aktiengesellschaft | Novel pyrazinyl-triazole compounds as pesticides |
| EP4140995A1 (en) | 2021-08-27 | 2023-03-01 | Basf Se | Pyrazine compounds for the control of invertebrate pests |
| EP4144739A1 (de) | 2021-09-02 | 2023-03-08 | Bayer Aktiengesellschaft | Anellierte pyrazole als schädlingsbekämpfungsmittel |
| EP4148052A1 (en) | 2021-09-09 | 2023-03-15 | Bayer Animal Health GmbH | New quinoline derivatives |
| WO2023036821A1 (en) | 2021-09-09 | 2023-03-16 | Bayer Animal Health Gmbh | New quinoline derivatives |
| EP4151631A1 (en) | 2021-09-20 | 2023-03-22 | Basf Se | Heterocyclic compounds for the control of invertebrate pests |
| WO2023078915A1 (en) | 2021-11-03 | 2023-05-11 | Bayer Aktiengesellschaft | Bis(hetero)aryl thioether (thio)amides as fungicidal compounds |
| WO2023092050A1 (en) | 2021-11-20 | 2023-05-25 | Bayer Cropscience Lp | Beneficial combinations with recombinant bacillus cells expressing a serine protease |
| WO2023099445A1 (en) | 2021-11-30 | 2023-06-08 | Bayer Aktiengesellschaft | Bis(hetero)aryl thioether oxadiazines as fungicidal compounds |
| EP4194453A1 (en) | 2021-12-08 | 2023-06-14 | Basf Se | Pyrazine compounds for the control of invertebrate pests |
| EP4198033A1 (en) | 2021-12-14 | 2023-06-21 | Basf Se | Heterocyclic compounds for the control of invertebrate pests |
| WO2023110656A1 (en) | 2021-12-15 | 2023-06-22 | Bayer Aktiengesellschaft | Spectroscopic solution for non-destructive quantification of one or more chemical substances in a matrix comprising coating and bulk material in a sample, such as coated seeds, using multivariate data analysis |
| EP4198023A1 (en) | 2021-12-16 | 2023-06-21 | Basf Se | Pesticidally active thiosemicarbazone compounds |
| EP4238971A1 (en) | 2022-03-02 | 2023-09-06 | Basf Se | Substituted isoxazoline derivatives |
| WO2023205602A1 (en) | 2022-04-18 | 2023-10-26 | Basf Corporation | High-load agricultural formulations and methods of making same |
| WO2023203009A1 (en) | 2022-04-20 | 2023-10-26 | Bayer Aktiengesellschaft | Water dispersible granules with low melting active ingredients prepared by extrusion |
| EP4265110A1 (en) | 2022-04-20 | 2023-10-25 | Bayer AG | Water dispersible granules with low melting active ingredients prepared by extrusion |
| WO2023203066A1 (en) | 2022-04-21 | 2023-10-26 | Basf Se | Synergistic action as nitrification inhibitors of dcd oligomers with alkoxypyrazole and its oligomers |
| WO2023208447A1 (en) | 2022-04-25 | 2023-11-02 | Basf Se | An emulsifiable concentrate having a (substituted) benzaldehyde-based solvent system |
| WO2023213626A1 (en) | 2022-05-03 | 2023-11-09 | Bayer Aktiengesellschaft | Use of (5s)-3-[3-(3-chloro-2-fluorophenoxy)-6-methylpyridazin-4-yl]-5-(2-chloro-4-methylbenzyl)-5,6-dihydro-4h-1,2,4-oxadiazine for controlling unwanted microorganisms |
| WO2023213670A1 (en) | 2022-05-03 | 2023-11-09 | Bayer Aktiengesellschaft | Crystalline forms of (5s)-3-[3-(3-chloro-2-fluorophenoxy)-6-methylpyridazin-4-yl]-5-(2-chloro-4-methylbenzyl)-5,6-dihydro-4h-1,2,4-oxadiazine |
| WO2023217619A1 (en) | 2022-05-07 | 2023-11-16 | Bayer Aktiengesellschaft | Low drift aqueous liquid formulations for low, medium, and high spray volume application |
| WO2023237444A1 (en) | 2022-06-06 | 2023-12-14 | Bayer Aktiengesellschaft | Agrochemical formulations comprising crystalline form a of 4-[(6-chloro-3-pyridylmethyl)(2,2-difluoroethyl)amino]furan-2(5h)-one |
| EP4295683A1 (en) | 2022-06-21 | 2023-12-27 | Bayer Aktiengesellschaft | Agrochemical formulations comprising crystalline form a of 4-[(6-chloro-3-pyridylmethyl)(2,2-difluoroethyl)amino]furan-2(5h)-one |
| WO2024013016A1 (en) | 2022-07-11 | 2024-01-18 | Bayer Aktiengesellschaft | Herbicidal compositions |
| WO2024013015A1 (en) | 2022-07-11 | 2024-01-18 | Bayer Aktiengesellschaft | Herbicidal compositions |
| WO2024028243A1 (en) | 2022-08-02 | 2024-02-08 | Basf Se | Pyrazolo pesticidal compounds |
| EP4342885A1 (en) | 2022-09-20 | 2024-03-27 | Basf Se | N-(3-(aminomethyl)-phenyl)-5-(4-phenyl)-5-(trifluoromethyl)-4,5-dihydroisoxazol-3-amine derivatives and similar compounds as pesticides |
| WO2024068473A1 (de) | 2022-09-27 | 2024-04-04 | Bayer Aktiengesellschaft | Herbizid/safener-kombinationen basierend auf safenern aus der klasse der substituierten [(1,5-diphenyl1h-1,2,4-triazol-3-yl)oxy]essigsäuren sowie deren salze |
| WO2024068520A1 (en) | 2022-09-28 | 2024-04-04 | Bayer Aktiengesellschaft | 3-(hetero)aryl-5-chlorodifluoromethyl-1,2,4-oxadiazole as fungicide |
| WO2024068517A1 (en) | 2022-09-28 | 2024-04-04 | Bayer Aktiengesellschaft | 3-(hetero)aryl-5-chlorodifluoromethyl-1,2,4-oxadiazole as fungicide |
| WO2024068518A1 (en) | 2022-09-28 | 2024-04-04 | Bayer Aktiengesellschaft | 3-heteroaryl-5-chlorodifluoromethyl-1,2,4-oxadiazole as fungicide |
| WO2024068519A1 (en) | 2022-09-28 | 2024-04-04 | Bayer Aktiengesellschaft | 3-(hetero)aryl-5-chlorodifluoromethyl-1,2,4-oxadiazole as fungicide |
| EP4295688A1 (en) | 2022-09-28 | 2023-12-27 | Bayer Aktiengesellschaft | Active compound combination |
| EP4353082A1 (en) | 2022-10-14 | 2024-04-17 | Bayer Aktiengesellschaft | Herbicidal compositions |
| WO2024104643A1 (en) | 2022-11-17 | 2024-05-23 | Bayer Aktiengesellschaft | Use of isotianil for controlling plasmodiophora brassica |
| EP4389210A1 (en) | 2022-12-21 | 2024-06-26 | Basf Se | Heteroaryl compounds for the control of invertebrate pests |
| WO2024170472A1 (en) | 2023-02-16 | 2024-08-22 | Bayer Aktiengesellschaft | Herbicidal mixtures |
| WO2024213752A1 (en) | 2023-04-14 | 2024-10-17 | Elanco Animal Health Gmbh | Long-term prevention and/or treatment of a disease by slo-1 inhibitors |
| EP4455137A1 (en) | 2023-04-24 | 2024-10-30 | Basf Se | Pyrimidine compounds for the control of invertebrate pests |
| EP4467535A1 (en) | 2023-05-25 | 2024-11-27 | Basf Se | Lactam pesticidal compounds |
| EP4488273A1 (en) | 2023-07-06 | 2025-01-08 | Basf Se | Triazole compounds for the control of invertebrate pests |
| EP4488270A1 (en) | 2023-07-06 | 2025-01-08 | Basf Se | Triazole compounds for the control of invertebrate pests |
| EP4488269A1 (en) | 2023-07-06 | 2025-01-08 | Basf Se | Triazole compounds for the control of invertebrate pests |
| WO2025026738A1 (en) | 2023-07-31 | 2025-02-06 | Bayer Aktiengesellschaft | 6-[5-(ethylsulfonyl)-1-methyl-1h-imidazol-4-yl]-7-methyl-3-(pentafluoroethyl)-7h-imidazo[4,5-c]pyridazine derivatives as pesticides |
| WO2025026815A1 (en) | 2023-08-01 | 2025-02-06 | Globachem Nv | Insecticidal mixtures |
| WO2025026787A1 (en) | 2023-08-01 | 2025-02-06 | Globachem Nv | Plant defense elicitors |
| WO2025031668A1 (en) | 2023-08-09 | 2025-02-13 | Bayer Aktiengesellschaft | Azaheterobiaryl-substituted 4,5-dihydro-1h-2,4,5-oxadiazines as novel fungicides |
| WO2025032038A1 (en) | 2023-08-09 | 2025-02-13 | Bayer Aktiengesellschaft | Pyridazin-4-yloxadiazines as novel fungicides |
| WO2025040301A1 (de) | 2023-08-21 | 2025-02-27 | Bayer Aktiengesellschaft | Herbizid/safener-kombinationen basierend auf safenern aus der klasse der substituierten [(1,5-diphenyl-1h-1,2,4-triazol-3-yl)oxy]essigsäuren und herbiziden aus der klasse der substituierten cyclischen dione sowie deren salze |
| WO2025040520A1 (de) | 2023-08-21 | 2025-02-27 | Bayer Aktiengesellschaft | Herbizid/safener-kombinationen basierend auf safenern aus der klasse der substituierten [(1,5-diphenyl-1h-1,2,4-triazol-3-yl)oxy]essigsäuren und herbiziden aus der klasse der substituierten cyclischen dione sowie deren salze |
| WO2025049555A1 (en) | 2023-08-31 | 2025-03-06 | Oerth Bio Llc | Compositions and methods for targeted inhibition and degradation of proteins in an insect cell |
| WO2025078128A1 (en) | 2023-10-11 | 2025-04-17 | Bayer Aktiengesellschaft | Pyridazin-3-one-4-yloxadiazines as novel fungicides |
| WO2025098876A1 (en) | 2023-11-10 | 2025-05-15 | Bayer Aktiengesellschaft | Active compound combinations having insecticidal/acaricidal properties |
| WO2025098875A1 (en) | 2023-11-10 | 2025-05-15 | Bayer Aktiengesellschaft | Active compound combinations having insecticidal/acaricidal properties |
| WO2025098874A1 (en) | 2023-11-10 | 2025-05-15 | Bayer Aktiengesellschaft | Active compound combinations having fungicidal/insecticidal/acaricidal properties |
| WO2025108865A1 (de) | 2023-11-23 | 2025-05-30 | Bayer Aktiengesellschaft | Herbizide zusammensetzungen |
| WO2025117659A1 (en) | 2023-11-29 | 2025-06-05 | Basf Corporation | Insecticide delivery by nanocarriers |
| WO2025114238A1 (en) | 2023-12-01 | 2025-06-05 | Bayer Aktiengesellschaft | Solid agrochemical formulations comprising crystalline form a of 4-[(6-chloro-3-pyridylmethyl)(2,2- difluoroethyl)amino]furan-2(5h)-one |
| WO2025119860A1 (en) | 2023-12-05 | 2025-06-12 | Bayer Aktiengesellschaft | Liquid agrochemical formulations comprising flupyradifurone |
| WO2025132148A1 (en) | 2023-12-21 | 2025-06-26 | Bayer Aktiengesellschaft | Adjuvant compositions for agrochemical applications |
| EP4574819A1 (en) | 2023-12-22 | 2025-06-25 | Basf Se | Diazinone compounds for the control of invertebrate pests |
| WO2025168620A1 (en) | 2024-02-07 | 2025-08-14 | Bayer Aktiengesellschaft | Heteroaryl-substituted 4,5-dihydro-1h-2,4,5-oxadiazines as novel fungicides |
| WO2025168777A1 (en) | 2024-02-08 | 2025-08-14 | Bayer Aktiengesellschaft | Use of isoxazolinecarboxamide for selective weed control in pineapple |
| WO2025186065A1 (en) | 2024-03-05 | 2025-09-12 | Bayer Aktiengesellschaft | Heteroaryl-substituted (aza)quinoxaline derivatives as pesticides |
| WO2025190927A1 (en) | 2024-03-14 | 2025-09-18 | Bayer Aktiengesellschaft | Active compound combinations having insecticidal/acaricidal properties |
| WO2025242699A1 (en) | 2024-05-22 | 2025-11-27 | Basf Se | Method for improving rainfastness of an agrochemical active ingredient |
| WO2025257122A1 (en) | 2024-06-12 | 2025-12-18 | Bayer Aktiengesellschaft | Active compound combinations having insecticidal/acaricidal properties |
| WO2025257121A1 (en) | 2024-06-12 | 2025-12-18 | Bayer Aktiengesellschaft | Active compound combinations having insecticidal/acaricidal properties |
| WO2025257242A1 (de) | 2024-06-14 | 2025-12-18 | Bayer Aktiengesellschaft | Heterocyclyl-substituierte aryl- und heteroarylpyrazine sowie deren salze und ihre verwendung als herbizide wirkstoffe |
Also Published As
| Publication number | Publication date |
|---|---|
| CN101039922A (zh) | 2007-09-19 |
| TW200630349A (en) | 2006-09-01 |
| IL182594A (en) | 2013-04-30 |
| CA2581725A1 (en) | 2006-04-27 |
| CA2581725C (en) | 2013-01-08 |
| EP1803712A1 (en) | 2007-07-04 |
| AU2005296529B2 (en) | 2011-03-24 |
| BRPI0516976B8 (pt) | 2016-05-24 |
| RU2007118700A (ru) | 2008-11-27 |
| NZ553200A (en) | 2009-09-25 |
| RU2394819C2 (ru) | 2010-07-20 |
| CN101039922B (zh) | 2011-04-13 |
| EP1803712A4 (en) | 2009-08-26 |
| IL182594A0 (en) | 2007-07-24 |
| AU2005296529A1 (en) | 2006-04-27 |
| BRPI0516976A (pt) | 2008-09-30 |
| KR101310073B1 (ko) | 2013-09-24 |
| BRPI0516976B1 (pt) | 2014-07-22 |
| ZA200702684B (en) | 2008-08-27 |
| TWI382020B (zh) | 2013-01-11 |
| EP1803712B1 (en) | 2015-12-30 |
| UA86251C2 (uk) | 2009-04-10 |
| KR20070064321A (ko) | 2007-06-20 |
| JP4970950B2 (ja) | 2012-07-11 |
| US20090076282A1 (en) | 2009-03-19 |
| MX2007004710A (es) | 2007-06-14 |
| US7872036B2 (en) | 2011-01-18 |
| JPWO2006043635A1 (ja) | 2008-05-22 |
Similar Documents
| Publication | Publication Date | Title |
|---|---|---|
| WO2006043635A1 (ja) | 3-トリアゾリルフェニルスルフィド誘導体及びそれを有効成分として含有する殺虫・殺ダニ・殺線虫剤 | |
| JP5442048B2 (ja) | ビフェニルスルフィド化合物の製造方法 | |
| DE69934224T2 (de) | 3-arylphenylsulfid-derivate und insektizide und mitizide | |
| AU685025B2 (en) | Benzylsulfide derivatives, processes for their production, intermediates thereof and pesticides | |
| JP2000026421A (ja) | ジアリ―ルスルフィド誘導体及び有害生物防除剤 | |
| JP2008308448A (ja) | (3−硫黄原子置換フェニル)へテロアリール誘導体 | |
| JP5113531B2 (ja) | (3−硫黄原子置換フェニル)ピラゾール誘導体 | |
| JP2007284356A (ja) | 3−トリアゾリルフェニルスルフィド誘導体及びそれを有効成分として含有する農園芸用殺虫・殺ダニ・殺線虫剤 | |
| RU2294329C2 (ru) | Производные n-гетероарилникотинамида, инсектицид и способ его получения | |
| JPWO2007081019A6 (ja) | (3−硫黄原子置換フェニル)ピラゾール誘導体 | |
| JP2008260706A (ja) | N−(ヘテロ)アリールピラゾール化合物 | |
| JP2007284387A (ja) | 3−ピラゾリルフェニルスルフィド誘導体及びそれを有効成分として含有する殺虫・殺ダニ・殺線虫剤 | |
| JP2007284384A (ja) | フェニルピラゾール誘導体及びそれを有効成分として含有する殺虫・殺ダニ・殺線虫剤 | |
| JP2007284386A (ja) | 3−ピラゾリルフェニルスルフィド誘導体及びそれを有効成分として含有する殺虫・殺ダニ・殺線虫剤 | |
| JP3913802B2 (ja) | ベンジルスルフィド誘導体、その製造方法及び有害生物防除剤 | |
| JP2007284385A (ja) | 2−フェニルイミダゾール誘導体及びそれを有効成分として含有する殺虫・殺ダニ・殺線虫剤 | |
| JP2007284388A (ja) | フェニルピラゾール誘導体及び農園芸用殺虫・殺ダニ・殺線虫剤 | |
| JPWO2005060750A1 (ja) | 1,2−ベンゾイソチアゾール誘導体、農園芸用植物病害防除剤及び農園芸用害虫防除剤 | |
| JP2003238518A (ja) | ジフルオロアルケニルカーバメート誘導体及びそれを含有する有害生物防除剤 |
Legal Events
| Date | Code | Title | Description |
|---|---|---|---|
| AK | Designated states |
Kind code of ref document: A1 Designated state(s): AE AG AL AM AT AU AZ BA BB BG BR BW BY BZ CA CH CN CO CR CU CZ DE DK DM DZ EC EE EG ES FI GB GD GE GH GM HR HU ID IL IN IS JP KE KG KM KP KR KZ LC LK LR LS LT LU LV LY MA MD MG MK MN MW MX MZ NA NG NI NO NZ OM PG PH PL PT RO RU SC SD SE SG SK SL SM SY TJ TM TN TR TT TZ UA UG US UZ VC VN YU ZA ZM ZW |
|
| AL | Designated countries for regional patents |
Kind code of ref document: A1 Designated state(s): GM KE LS MW MZ NA SD SL SZ TZ UG ZM ZW AM AZ BY KG KZ MD RU TJ TM AT BE BG CH CY CZ DE DK EE ES FI FR GB GR HU IE IS IT LT LU LV MC NL PL PT RO SE SI SK TR BF BJ CF CG CI CM GA GN GQ GW ML MR NE SN TD TG |
|
| 121 | Ep: the epo has been informed by wipo that ep was designated in this application | ||
| WWE | Wipo information: entry into national phase |
Ref document number: 553200 Country of ref document: NZ |
|
| WWE | Wipo information: entry into national phase |
Ref document number: 1020077005590 Country of ref document: KR |
|
| WWE | Wipo information: entry into national phase |
Ref document number: 2005296529 Country of ref document: AU |
|
| WWE | Wipo information: entry into national phase |
Ref document number: 2005795858 Country of ref document: EP Ref document number: 07027523 Country of ref document: CO |
|
| WWE | Wipo information: entry into national phase |
Ref document number: 2581725 Country of ref document: CA |
|
| WWE | Wipo information: entry into national phase |
Ref document number: 2006543069 Country of ref document: JP |
|
| WWE | Wipo information: entry into national phase |
Ref document number: 1274/KOLNP/2007 Country of ref document: IN |
|
| WWE | Wipo information: entry into national phase |
Ref document number: 182594 Country of ref document: IL Ref document number: 200580035371.2 Country of ref document: CN |
|
| ENP | Entry into the national phase |
Ref document number: 2005296529 Country of ref document: AU Date of ref document: 20051020 Kind code of ref document: A |
|
| WWE | Wipo information: entry into national phase |
Ref document number: 12007500859 Country of ref document: PH Ref document number: MX/a/2007/004710 Country of ref document: MX |
|
| WWP | Wipo information: published in national office |
Ref document number: 2005296529 Country of ref document: AU |
|
| WWE | Wipo information: entry into national phase |
Ref document number: 11577670 Country of ref document: US |
|
| NENP | Non-entry into the national phase |
Ref country code: DE |
|
| WWE | Wipo information: entry into national phase |
Ref document number: 2007118700 Country of ref document: RU |
|
| WWP | Wipo information: published in national office |
Ref document number: 2005795858 Country of ref document: EP |
|
| ENP | Entry into the national phase |
Ref document number: PI0516976 Country of ref document: BR |





























