WO2014128136A1 - Anthranilamide compounds and their use as pesticides - Google Patents
Anthranilamide compounds and their use as pesticides Download PDFInfo
- Publication number
- WO2014128136A1 WO2014128136A1 PCT/EP2014/053173 EP2014053173W WO2014128136A1 WO 2014128136 A1 WO2014128136 A1 WO 2014128136A1 EP 2014053173 W EP2014053173 W EP 2014053173W WO 2014128136 A1 WO2014128136 A1 WO 2014128136A1
- Authority
- WO
- WIPO (PCT)
- Prior art keywords
- alkyl
- alkoxy
- group
- radicals
- cycloalkyl
- Prior art date
- Legal status (The legal status is an assumption and is not a legal conclusion. Google has not performed a legal analysis and makes no representation as to the accuracy of the status listed.)
- Ceased
Links
- 0 *c(cc1C(Cl)=O)n[n]1-c1ncccc1* Chemical compound *c(cc1C(Cl)=O)n[n]1-c1ncccc1* 0.000 description 2
Classifications
-
- C—CHEMISTRY; METALLURGY
- C07—ORGANIC CHEMISTRY
- C07D—HETEROCYCLIC COMPOUNDS
- C07D401/00—Heterocyclic compounds containing two or more hetero rings, having nitrogen atoms as the only ring hetero atoms, at least one ring being a six-membered ring with only one nitrogen atom
- C07D401/02—Heterocyclic compounds containing two or more hetero rings, having nitrogen atoms as the only ring hetero atoms, at least one ring being a six-membered ring with only one nitrogen atom containing two hetero rings
- C07D401/04—Heterocyclic compounds containing two or more hetero rings, having nitrogen atoms as the only ring hetero atoms, at least one ring being a six-membered ring with only one nitrogen atom containing two hetero rings directly linked by a ring-member-to-ring-member bond
-
- A—HUMAN NECESSITIES
- A01—AGRICULTURE; FORESTRY; ANIMAL HUSBANDRY; HUNTING; TRAPPING; FISHING
- A01N—PRESERVATION OF BODIES OF HUMANS OR ANIMALS OR PLANTS OR PARTS THEREOF; BIOCIDES, e.g. AS DISINFECTANTS, AS PESTICIDES OR AS HERBICIDES; PEST REPELLANTS OR ATTRACTANTS; PLANT GROWTH REGULATORS
- A01N43/00—Biocides, pest repellants or attractants, or plant growth regulators containing heterocyclic compounds
- A01N43/48—Biocides, pest repellants or attractants, or plant growth regulators containing heterocyclic compounds having rings with two nitrogen atoms as the only ring hetero atoms
- A01N43/56—1,2-Diazoles; Hydrogenated 1,2-diazoles
-
- C—CHEMISTRY; METALLURGY
- C07—ORGANIC CHEMISTRY
- C07D—HETEROCYCLIC COMPOUNDS
- C07D401/00—Heterocyclic compounds containing two or more hetero rings, having nitrogen atoms as the only ring hetero atoms, at least one ring being a six-membered ring with only one nitrogen atom
- C07D401/14—Heterocyclic compounds containing two or more hetero rings, having nitrogen atoms as the only ring hetero atoms, at least one ring being a six-membered ring with only one nitrogen atom containing three or more hetero rings
Definitions
- the present invention relates to anthranilamide compounds and the stereoisomers, salts, tautomers and N-oxides thereof and to compositions comprising the same.
- the invention also relates to the use of the anthranilamide compounds or of the compositions comprising such compounds for combating invertebrate pests. Furthermore, the invention relates to methods of applying such compounds.
- Invertebrate pests and in particular insects, arthropods and nematodes destroy growing and harvested crops and attack wooden dwelling and commercial structures, thereby causing large economic loss to the food supply and to property. While a large number of pesticidal agents are known, due to the ability of target pests to develop resistance to said agents, there is an ongoing need for new agents for combating invertebrate pests such as insects, arachnids and nematodes. It is therefore an object of the present invention to provide compounds having a good pesticidal activity and showing a broad activity spectrum against a large number of different invertebrate pests, especially against difficult to control insects, arachnids and nematodes.
- WO 2007/043677 describes a generic anthranilamide formula encompassing anthranilamide compounds.
- WO 03/016284 describes inter alia certain anthranilamide compounds.
- WO 2007/006670 describes anthranilamide compounds with a sulfilimine or sulfoximine group and their use as pesticides.
- the compounds should show a broad activity spectrum against a large number of different invertebrate pests, in particular against difficult to control insects, arachnids and nematodes.
- anthranilamide compounds of the general formula (I), as defined below including their stereoisomers, their salts, in particular their agriculturally or veterinarily acceptable salts, their tautomers and their N- oxides.
- R 1a , R 1b , R 1c , R 1d are independently selected from the group consisting of hydrogen, halogen, Ci-Cs-alkyl, Ci-Cs-haloalkyl, Cs-Cs-cycloalkyl, Cs-Cs-halocycloalkyl, cyano, C2-C8- alkenyl, C2-C8-haloalkenyl, C2-Cs-alkynyl, C2-C8-haloalkynyl, SF 5 , -SCN, nitro, azido, wherein the radicals Ci-Cs-alkyl, Ci-Cs-haloalkyl, Cs-Cs-cycloalkyl, Cs-Cs-halocycloalkyl, C2-Cs-alkenyl, C2-Cs-haloalkenyl, C2-Cs-alkynyl, C2-Cs-haloalkynyl may optionally be substituted by one or more radical
- phenyl which may be substituted by 1 , 2, 3, 4 or 5 radicals R e ,
- heterocyclic ring containing 1 , 2 or 3 heteroatoms or heteroatom groups selected from N, O, S, NO, SO and SO2, as ring members, where the heterocyclic ring may be substituted by one or more, e.g. 1 , 2, 3 or 4 radicals R e ;
- n 0,1 or 2;
- n 1 or 2;
- R 4 is hydrogen, halogen or Ci-C4-haloalkyl
- R 5 is selected from hydrogen, C1-C6 alkyl, C3-C6-cycloalkyl, C2-C6 alkylcarbonyl, C2-C6 alkoxycarbonyl, C2-C6-alkenyl, C2-C6-alkinyl, Ci-C4-alkoxy, Ci-C4-alkylamino, C2-C8- dialkylamino, C3-C6-cycloalkylamino and (C1-C4 alkyl)-C3-C6-cycloalkylamino;
- Y is R 7 , OR 7 or NR 7 R 8 ;
- R 6 is selected from hydrogen;
- C1-C6 alkyl which may be optionally substituted with one or more, e.g. 1 or 2 substituents selected from the group consisting of C2-C6 alkylcarbonyl, C2-C6 alkoxycarbonyl, CO2H, cyano, hydroxy, C1-C4 alkoxy, C1-C4 haloalkoxy, C1-C4 alkylthio, C1-C4 haloalkylthio, C1-C4 alkylsulfinyl, C1-C4 haloalkylsulfinyl, C1-C4 alkylsulfonyl, C1-C4 haloalkylsulfonyl, nitro, C1-C4 alkylamino, C2-C8 dialkylamino, C1-C6 trialkylsilyl, and a phenyl ring which may be substituted with 1 , 2 or 3 radicals independently selected from R 9 ;
- phenyl and pyridinyl where the last two radicals may be substituted with 1 , 2 or 3 radicals independently selected from R 9 ;
- R 7 , R 8 are selected from hydrogen
- C1-C6 alkyl optionally substituted with one or more, e.g. 1 or 2 substituents selected from the group consisting of C2-C6 alkylcarbonyl, C2-C6 alkoxycarbonyl, cyano, hydroxy, C1-C4 alkoxy, C1-C4 haloalkoxy, C1-C4 alkylthio, C1-C4 haloalkylthio, C1-C4 alkylsulfinyl, C1-C4 haloalkylsulfinyl, C1-C4 alkylsulfonyl, C1-C4 haloalkylsulfonyl, C1-C4 alkylamino, C2-C8 dialkylamino, nitro, C3-C6 trialkylsilyl, and a phenyl ring which may be substituted with 1 , 2 or 3 radicals R 10 ;
- R 7 and R 8 together with the nitrogen atom to which they are bound, may form a 3-, 4-, 5-, 6- or 7-membered saturated, partially unsaturated or fully unsaturated heterocyclic ring which may additionally contain one further heteroatom selected from N, S or O as ring members, where the heterocyclic ring may optionally be substituted with from one to four substituents selected from the group consisting of halogen, C1-C2 alkyl, cyano, C1-C2 alkoxy and nitro;
- R 9 is selected from halogen, hydroxyl, cyano, nitro, C1-C4 alkyl, C1-C4 haloalkyl, C3-C6 cycloalkyl, C3-C6 halocycloalkyl, C2-C4 alkylcarbonyl, C2-C6 alkoxycarbonyl, CO2H, C2-C6 alkylaminocarbonyl, C3-C8 dialkylaminocarbonyl, C2-C4 alkenyl, C1-C4 haloalkenyl, C2-C4 alkynyl, C2-C4 haloalkynyl, C1-C4 alkoxy, C1-C4 haloalkoxy, C1-C4 alkylthio, C1-C4 alkylsulfinyl, C1-C4 alkylsulfonyl, C1-C4 alkylamino, C2-C8 dialkylamino, C3-C6
- R 10 is selected from halogen, hydroxyl, cyano, nitro, C1-C4 alkyl, C1-C4 haloalkyl, C3-C6 cycloalkyl, C3-C6 halocycloalkyl, C2-C4 alkylcarbonyl, C2-C6 alkoxycarbonyl, CO2H, C2-C6 alkylaminocarbonyl, C3-C8 dialkylaminocarbonyl, C2-C4 alkenyl, C1-C4 haloalkenyl, C2-C4 alkynyl, C2-C4 haloalkynyl, C1-C4 alkoxy, C1-C4 haloalkoxy, C1-C4 alkylthio, C1-C4 alkylsulfinyl, C1-C4 alkylsulfonyl, C1-C4 alkylamino, C2-C8 dialkylamino, C3-C6
- R c , R d are, independently from one another, selected from the group consisting of hydrogen, Ci-C6-alkyl, C3-C8-cycloalkyl-Ci-C4-alkyl, Cs-Cs-cycloalkyl, cyano, C2-C6-alkenyl, C2- C6-alkynyl, where the radicals Ci-C6-alkyl, C3-Cs-cycloalkyl-Ci-C4-alkyl, Cs-Cs-cycloalkyl, C2-C6- alkenyl, C2-C6-alkynyl may be unsubstituted, partially or fully halogenated and/or wherein one or two CH2 groups may be replaced by a CO group; and/or may carry 1 or 2 radicals selected from Ci-C6-alkoxy, Ci-C6-haloalkoxy, Ci-C6-alkylthio, Ci-C6-haloalkylthio, Ci-C
- R c and R d together with the nitrogen atom to which they are bound, form a 3-, 4-, 5-, 6- or
- N-heterocyclic ring which may contain 1 or 2 further heteroatoms selected from N, O and S as ring members, where the heterocyclic ring may carry 1 , 2, 3 or 4 substituents selected from halogen, Ci-C4-alkyl, C1-C4- haloalkyl, Ci-C4-alkoxy and Ci-C4-haloalkoxy;
- R e is independently selected from the group consisting of halogen, Ci-C6-alkyl, Cs-Cs- cycloalkyl, cyano, C2-C6-alkenyl and C2-C6-alkynyl, where the radicals Ci-C6-alkyl, Cs-Cs- cycloalkyl, C2-C6-alkenyl and C2-C6-alkynyl may be unsubstituted, partially or fully halogenated and/or wherein one or two CH2 groups may be replaced by a CO group, and/or may carry 1 -2 radicals selected from Ci-C6-alkoxycarbonyl, Ci-C4-alkoxy, Ci-C6-alkoxy, Ci-C6-haloalkoxy, Ci- C6-alkylthio, Ci-C6-haloalkylthio, Ci-C6-alkylsulfinyl, Ci-C6-haloalkylsulfinyl,
- R e in the case of more than one R e , R e can be identical or different;
- R f , R9 are, independently of each other and independently of each occurrence, selected from the group consisting of Ci-C4-alkyl, Ci-C4-alkoxy-Ci-C4-alkyl, C3-C8-cycloalkyl-Ci-C4-alkyl, C3-C6-cycloalkyl, phenyl and benzyl;
- R h is selected from the group consisting of hydrogen, Ci-C6-alkyl, Ci-C6-haloalkyl, C3- C8-cycloalkyl-Ci-C4-alkyl, Cs-Cs-cycloalkyl, C3-Cs-halocycloalkyl, cyano, C2-C6-alkenyl, C2-C6- haloalkenyl, C2-C6-alkynyl, C2-C6-haloalkynyl, Ci-C6-alkoxy and Ci-C6-haloalkoxy;
- R k and R' together with the nitrogen atom to which they are bound, may form a 3-, 4-, 5-, 6- or 7-membered saturated, partially unsaturated or fully unsaturated heterocyclic ring which may additionally contain 1 or 2 further heteroatoms or heteroatom groups selected from N, O, S, NO, SO and SO2, as ring members, where the heterocyclic ring may optionally be substituted with halogen, Ci-C4-haloalkyl, Ci-C4-alkoxy or Ci-C4-haloalkoxy;
- R m is selected from the group consisting of hydrogen, Ci-C6-alkyl, Cs-Cs-cycloalkyl, C2- C6-alkenyl, C2-C6-alkinyl, Ci-C6-alkoxy, Ci-C6-alkylthio, Ci-C6-alkylsulfinyl, Ci-C6-alkylsulfonyl, wherein one or more CH2 groups of the aforementioned radical
- phenyl, benzyl, pyridyl and phenoxy wherein the radicals phenyl, benzyl, pyridyl and phenoxymay be unsubstituted, partially or fully halogenated and/or carry 1 , 2 or 3 substituents selected from Ci-C6-alkyl, Ci-C6-haloalkyl, (Ci-C6-alkoxy)carbonyl, Ci-C6-alkoxy and C1-C6- haloalkoxy;
- R n , R° are, independently from one another, selected from the group consisting of hydrogen, Ci-C6-alkyl, C3-C8-cycloalkyl-Ci-C4-alkyl, Cs-Cs-cycloalkyl, cyano, C2-C6-alkenyl, C2- C6-alkynyl, where the radicals Ci-C6-alkyl, C3-Cs-cycloalkyl-Ci-C4-alkyl, Cs-Cs-cycloalkyl, C2-C6- alkenyl, C2-C6-alkynyl, may be unsubstituted, partially or fully halogenated and/or wherein one or two CH2 groups may be replaced by a CO group; and/or may carry 1 or 2 radicals selected from Ci-C6-alkoxycarbonyl, Ci-C6-alkoxy, Ci-C6-haloalkoxy, Ci-C6-alkylthio, Ci-C6
- R n and R° together with the nitrogen atom to which they are bound, form a 3-, 4-, 5-, 6- or 7-membered saturated, partly unsaturated or completely unsaturated N-heterocyclic ring which may contain 1 or 2 further heteroatoms selected from N, O and S as ring members, where the heterocyclic ring may carry 1 , 2, 3 or 4 substituents selected from halogen, Ci-C4-alkyl, C1-C4- haloalkyl, Ci-C4-alkoxy and Ci-C4-haloalkoxy;
- R p is selected from the group consisting of halogen, Ci-C6-alkyl, Cs-Cs-cycloalkyl, cyano, C2-C6-alkenyl and C2-C6-alkynyl where the radicals Ci-C6-alkyl, Cs-Cs-cycloalkyl, C2-C6- alkenyl and C2-C6-alkynyl may be unsubstituted, partially or fully halogenated and/or wherein one or two CH2 groups may be replaced by a CO group, and/or may carry 1 -2 radicals selected from Ci-C6-alkoxycarbonyl, Ci-C4-alkoxy, Ci-C6-alkoxy, Ci-C6-haloalkoxy, Ci-C6-alkylthio, Ci- C6-haloalkylthio, Ci-C6-alkylsulfinyl, Ci-C6-haloalkylsulfinyl, Ci-C6
- R q , R r are, independently from one another, selected from the group consisting of hydrogen, halogen, Ci-C6-alkyl, Cs-Cs-cycloalkyl, cyano, C2-C6-alkenyl, C2-C6-alkynyl, SF 5 , - SCN, nitro and azido, where the radicals Ci-C6-alkyl, Cs-Cs-cycloalkyl, C2-C6-alkenyl and C2-C6- alkynyl may be unsubstituted, partially or fully halogenated and/or oxygenated, and/or may carry 1 or 2 radicals selected from Ci-C4-alkyl; Ci-C4-haloalkyl; Ci-C6-alkoxy, Ci-C6-haloalkoxy, Ci- Ce-alkylthio, Ci-Ce-haloalkylthio, Ci-C 6 -alkylsulfinyl, Ci-C 6
- the invention relates to the compounds of formula (I), their stereoisomers, N-oxides and their salts which are particularly useful for controlling invertebrate pests, in particular for controlling arthropods and nematodes and especially insects.
- the invention relates to processes for the synthesis of compounds according to the invention and to intermediate compounds for the synthesis of compounds of formula (I).
- the present invention also relates to and includes the following aspects:
- an agricultural or veterinary composition comprising at least one compound of formula (I) or a stereoisomer, a tautomer, a N-oxide or an agriculturally or veterinarily acceptable salt thereof, and at least one liquid and/or solid carrier.
- a method for combating or controlling invertebrate pests comprises contacting said pest or its food supply, habitat or breeding grounds with a pesticidally effective amount of at least one compound compound of formula (I) or a stereoisomer, a tautomer, a N-oxide or an agriculturally or veterinarily acceptable salt thereof, or a composition as defined herein.
- a method for protecting growing plants from attack or infestation by invertebrate pests comprises contacting a plant, or soil or water in which the plant is growing, with a pesticidally effective amount of at least one compound compound of formula (I) or a stereoisomer, a tautomer, a N-oxide or an agriculturally or veterinarily acceptable salt thereof, or a composition as defined herein.
- a method for the protection of plant propagation material, especially seeds, from soil insects and of the seedlings' roots and shoots from soil and foliar insects comprising contacting the plant propagation material respectively seeds before sowing and/or after pregermination with at least one compound compound of formula (I) or a stereoisomer, a tautomer, a N-oxide or an agriculturally or veterinarily acceptable salt thereof, or a composition as defined herein.
- - seed comprising a compound of formula (I) or a stereoisomer, a tautomer, a N-oxide or an agriculturally or veterinarily acceptable salt thereof, in an amount of from 0.1 g to 10 kg per 100 kg of the plant propagation material.
- a method for treating a non-human animal infested or infected by parasites or for preventing a non-human animal from getting infested or infected by parasites or for protecting a non- human animal against infestation or infection by parasites which comprises orally, topically or parenterally administering or applying to the non-human animal a parasiticidally effective amount of a compound compound of formula (I) or a stereoisomer, a tautomer, a N-oxide or a veterinarily acceptable salt thereof or a composition as defined in claim herein.
- veterinarily acceptable salt thereof for use as a medicament.
- veterinarily acceptable salt thereof for use in the treatment, control, prevention or protection of animals against infestation or infection by parasites.
- the compounds of the formula (I), their tautomers and their stereoisomers may have one or more centers of chirality, in which case they are present as mixtures of enantiomers or diastereomers.
- the invention provides both the pure enantiomers or pure diastereomers of the compounds of formula (I), and their mixtures and the use according to the invention of the pure enantiomers or pure diastereomers of the compound of formula (I) or its mixtures.
- Suitable compounds of the formula (I), their tautomers and their stereoisomers also include all possible geometrical stereoisomers (cis/trans isomers) and mixtures thereof.
- Cis/trans isomers may be present with respect to an alkene, carbon-nitrogen double-bond, nitrogen-sulfur double bond or amide group.
- stereoisomer(s) encompasses both optical isomers, such as enantiomers or diastereomers, the latter existing due to more than one center of chirality in the molecule, as well as geometrical isomers
- N-oxide includes any compound of the present invention which has at least one tertiary nitrogen atom that is oxidized to an N-oxide moiety.
- N-oxides of compounds (I) can in particular be prepared by oxidizing the ring nitrogen atom(s) of the pyridine ring and/or the pyrazole ring with a suitable oxidizing agent, such as peroxo carboxylic acids or other peroxides.
- the compounds of the present invention may be amorphous or may exist in one ore more different crystalline states (polymorphs) which may have different macroscopic properties such as stability or show different biological properties such as activities.
- the present invention includes both amorphous and crystalline compounds of formula (I), their enantiomers or diastereomers, mixtures of different crystalline states of the respective compound of formula (I), its enantiomers or diastereomers, as well as amorphous or crystalline salts thereof.
- Salts of the compounds of the present invention are preferably agriculturally and veterinarily acceptable salts. They can be formed in a customary method, e.g. by reacting the compound with an acid if the compound of the present invention has a basic functionality or by reacting the compound with a suitable base if the compound of the present invention has an acidic functionality.
- Suitable agriculturally acceptable salts are especially the salts of those cations or the acid addition salts of those acids whose cations and anions, respectively, do not have any adverse effect on the pesticidal action of the compounds according to the present invention.
- Suitable cations are in particular the ions of the alkali metals, preferably lithium, sodium and potassium, of the alkaline earth metals, preferably calcium, magnesium and barium, and of the transition metals, preferably manganese, copper, zinc and iron, and also ammonium (NhV) and substituted ammonium in which one to four of the hydrogen atoms are replaced by Ci-C4-alkyl, Ci-C4-hydroxyalkyl, Ci-C4-alkoxy, Ci-C4-alkoxy-Ci-C4-alkyl, hydroxy-Ci-C4-alkoxy-Ci-C4-alkyl, phenyl or benzyl.
- substituted ammonium ions comprise methylammonium, isopropylammonium, dimethylammonium, diisopropylammonium, trimethylammonium, tetramethylammonium, tetraethylammonium, tetrabutylammonium, 2-hydroxyethylammonium, 2-(2-hydroxyethoxy)ethylammonium, bis(2-hydroxyethyl)ammonium, benzyltrimethylammonium and benzl-triethylammonium, furthermore phosphonium ions, sulfonium ions, preferably tri(Ci- C4-alkyl)sulfonium, and sulfoxonium ions, preferably tri(Ci-C4-alkyl)sulfoxonium.
- Anions of useful acid addition salts are primarily chloride, bromide, fluoride, hydrogensulfate, sulfate, dihydrogenphosphate, hydrogenphosphate, phosphate, nitrate, bicarbonate, carbonate, hexafluorosilicate, hexafluorophosphate, benzoate, and the anions of Ci-C4-alkanoic acids, preferably formate, acetate, propionate and butyrate. They can be formed by reacting compounds of the present invention with an acid of the corresponding anion, preferably with hydrochloric acid, hydrobromic acid, sulfuric acid, phosphoric acid or nitric acid.
- Veterinarily acceptable salts of the compounds of the present invention encompass the salts of those cations or the acid addition salts which are known and accepted in the art for the formation of salts for veterinary use.
- Suitable acid addition salts e.g. formed by compounds of the present invention containing a basic nitrogen atom, e.g. an amino group, include salts with inorganic acids, for example hydrochlorides, sulfates, phosphates, and nitrates and salts of organic acids for example acetic acid, maleic acid, e.g. the monoacid salts or diacid salts of maleic acid, dimaleic acid, fumaric acid, e.g. the monoacid salts or diacid salts of fumaric acid, difumaric acid, methane sulfenic acid, methane sulfonic acid, and succinic acid.
- inorganic acids for example hydrochlorides, sulfates, phosphates, and nit
- the organic moieties mentioned in the above definitions of the variables are - like the term halogen - collective terms for individual listings of the individual group members.
- the prefix C n - Cm indicates in each case the possible number of carbon atoms in the group.
- halogen denotes in each case fluorine, bromine, chlorine or iodine, in particular fluorine, chlorine or bromine.
- partially or fully halogenated will be taken to mean that 1 or more, e.g. 1 , 2, 3, 4 or 5 or all of the hydrogen atoms of a given radical have been replaced by a halogen atom, in particular by fluorine or chlorine.
- a partially or fully halogenated radical is termed below also “halo-radical”.
- partially or fully halogenated alkyl is also termed haloalkyl.
- alkyl as used herein (and in the alkyl moieties of other groups comprising an alkyl group, e.g. alkoxy, alkylcarbonyl, alkylthio, alkylsulfinyl, alkylsulfonyl and alkoxyalkyi) denotes in each case a straight-chain or branched alkyl group having usually from 1 to 12 or 1 to 10 carbon atoms, frequently from 1 to 6 carbon atoms, preferably 1 to 4 carbon atoms and in particular from 1 to 3 carbon atoms.
- Ci-C4-alkyl examples include methyl, ethyl, n-propyl, isopropyl, n-butyl, 2-butyl (sec-butyl), isobutyl and tert-butyl.
- Ci-C6-alkyl are, apart those mentioned for Ci-C4-alkyl, n-pentyl, 1 -methylbutyl, 2-methylbutyl, 3-methylbutyl, 2,2-dimethylpropyl, 1 -ethyl propyl, n-hexyl, 1 ,1 -dimethylpropyl, 1 ,2-dimethylpropyl, 1 -methylpentyl, 2-methylpentyl, 3-methylpentyl, 4-methylpentyl, 1 ,1 -dimethylbutyl, 1 ,2-dimethylbutyl, 1 ,3-dimethylbutyl, 2,2- dimethylbutyl, 2,3-dimethylbutyl, 3,3-dimethylbutyl, 1 -ethylbutyl, 2-ethylbutyl, 1 ,1 ,2- trimethylpropyl, 1 ,2,2-trimethylpropyl, 1 -ethyl-1 -methylpropy
- Ci-Cio-alkyl are, apart those mentioned for Ci-C6-alkyl, n-heptyl, 1 -methylhexyl, 2- methylhexyl, 3-methylhexyl, 4-methylhexyl, 5-methylhexyl, 1 -ethylpentyl, 2-ethylpentyl, 3- ethylpentyl, n-octyl, 1 -methyloctyl, 2-methylheptyl, 1 -ethylhexyl, 2-ethylhexyl, 1 ,2-dimethylhexyl,
- alkylene or alkanediyl as used herein in each case denotes an alkyl radical as defined above, wherein one hydrogen atom at any position of the carbon backbone is replaced by one further binding site, thus forming a bivalent moiety.
- haloalkyl as used herein (and in the haloalkyl moieties of other groups comprising a haloalkyl group, e.g.
- haloalkoxy, haloalkylthio, haloalkylcarbonyl, haloalkylsulfonyl and haloalkylsulfinyl denotes in each case a straight-chain or branched alkyl group having usually from 1 to 10 carbon atoms ("Ci-Cio-haloalkyl”), frequently from 1 to 6 carbon atoms (“Ci-C6-haloalkyl”), more frequently 1 to 4 carbon atoms (“Ci-Cio-haloalkyl”), wherein the hydrogen atoms of this group are partially or totally replaced with halogen atoms.
- haloalkyl moieties are selected from C1-C4- haloalkyl, more preferably from Ci-C2-haloalkyl, more preferably from halomethyl, in particular from Ci-C2-fluoroalkyl.
- Halomethyl is methyl in which 1 , 2 or 3 of the hydrogen atoms are replaced by halogen atoms. Examples are bromomethyl, chloromethyl, dichloromethyl, trichloromethyl, fluoromethyl, difluoromethyl, trifluoromethyl, chlorofluoromethyl,
- Ci-C2-fluoroalkyl fluoromethyl, difluoromethyl, trifluoromethyl, 1 -fluoroethyl, 2-fluoroethyl, 2,2-difluoroethyl, 2,2,2- trifluoroethyl, pentafluoroethyl, and the like.
- Ci-C2-haloalkyl are, apart those mentioned for Ci-C2-fluoroalkyl, chloromethyl, dichloromethyl, trichloromethyl, bromomethyl, chlorofluoromethyl, dichlorofluoromethyl, chlorodifluoromethyl, 1 -chloroethyl, 2-chloroethyl, 2,2,- dichloroethyl, 2,2,2-trichloroethyl, 2-chloro-2-fluoroethyl, 2-chloro-2,2-difluoroethyl, 2,2-dichloro-
- Ci-C4-haloalkyl are, apart those mentioned for Ci-C2-haloalkyl, 1 -fluoropropyl, 2-fluoropropyl, 3-fluoropropyl, 3,3-difluoropropyl, 3,3,3-trifluoropropyl, heptafluoropropyl, 1 ,1 ,1 -trifluoroprop-2-yl, 3-chloropropyl, 4-chlorobutyl and the like.
- cycloalkyl as used herein (and in the cycloalkyl moieties of other groups comprising a cycloalkyl group, e.g. cycloalkoxy and cycloalkylalkyl) denotes in each case a mono- or bicyclic cycloaliphatic radical having usually from 3 to 10 carbon atoms (“C3-C10- cycloalkyl”), preferably 3 to 8 carbon atoms (“Cs-Cs-cycloalkyl”) or in particular 3 to 6 carbon atoms (“C3-C6-cycloalkyl").
- Examples of monocyclic radicals having 3 to 6 carbon atoms comprise cyclopropyl, cyclobutyl, cyclopentyl and cyclohexyl.
- Examples of monocyclic radicals having 3 to 8 carbon atoms comprise cyclopropyl, cyclobutyl, cyclopentyl, cyclohexyl, cycloheptyl and cyclooctyl.
- Examples of bicyclic radicals having 7 or 8 carbon atoms comprise bicyclo[2.1 .1]hexyl, bicyclo[2.2.1 ]heptyl, bicyclo[3.1.1 ]heptyl, bicyclo[2.2.1]heptyl,
- cycloalkylene (or cycloalkanediyl) as used herein in each case denotes an cycloalkyl radical as defined above, wherein one hydrogen atom at any position of the carbon backbone is replaced by one further binding site, thus forming a bivalent moiety.
- halocycloalkyl as used herein (and in the halocycloalkyl moieties of other groups comprising an halocycloalkyl group, e.g. halocycloalkylmethyl) denotes in each case a mono- or bicyclic cycloaliphatic radical having usually from 3 to 10 carbon atoms, preferably 3 to 8 carbon atoms or in particular 3 to 6 carbon atoms, wherein at least one, e.g. 1 , 2, 3, 4 or 5 of the hydrogen atoms are replaced by halogen, in particular by fluorine or chlorine. Examples are
- cycloalkyl-alkyl used herein denotes a cycloalkyl group, as defined above, which is bound to the remainder of the molecule via an alkylene group.
- C3-C8- cycloalkyl-Ci-C4-alkyl refers to a Cs-Cs-cycloalkyl group as defined above which is bound to the remainder of the molecule via a Ci-C4-alkyl group, as defined above. Examples are
- cyclopropylmethyl cyclopropylethyl, cyclopropylpropyl, cyclobutylmethyl, cyclobutylethyl, cyclobutylpropyl, cyclopentylmethyl, cyclopentylethyl, cyclopentylpropyl, cyclohexylmethyl, cyclohexylethyl, cyclohexylpropyl, and the like.
- alkenyl denotes in each case a monounsaturated straight-chain or branched hydrocarbon radical having usually 2 to 10 (“C2-Cio-alkenyl”), preferably 2 to 6 carbon atoms (“C2-C6-alkenyl”), in particular 2 to 4 carbon atoms (“C2-C4-alkenyl”), and a double bond in any position, for example C2-C4-alkenyl, such as ethenyl, 1 -propenyl, 2-propenyl, 1 - methylethenyl, 1 -butenyl, 2-butenyl, 3-butenyl, 1 -methyl-1 -propenyl, 2-methyl-1 -propenyl, 1 - methyl-2-propenyl or 2-methyl-2-propenyl; C2-C6-alkenyl, such as ethenyl, 1 -propenyl, 2- propenyl, 1 -methylethenyl
- alkenylene (or alkenediyl) as used herein in each case denotes an alkenyl radical as defined above, wherein one hydrogen atom at any position of the carbon backbone is replaced by one further binding site, thus forming a bivalent moiety.
- haloalkenyl as used herein, which may also be expressed as "alkenyl which may be substituted by halogen", and the haloalkenyl moieties in haloalkenyloxy, haloalkenylcarbonyl and the like refers to unsaturated straight-chain or branched hydrocarbon radicals having 2 to 10 ("C 2 -Cio-haloalkenyl") or 2 to 6 ("C 2 -C 6 -haloalkenyl”) or 2 to 4 (“C 2 -C 4 -haloalkenyl”) carbon atoms and a double bond in any position, where some or all of the hydrogen atoms in these groups are replaced by halogen atoms as mentioned above, in particular fluorine, chlorine and bromine, for example chlorovinyl, chloroallyl and the like.
- alkynyl denotes unsaturated straight-chain or branched hydrocarbon radicals having usually 2 to 10 (“C2-Cio-alkynyl”), frequently 2 to 6 (“C2-C6- alkynyl”), preferably 2 to 4 carbon atoms (“C2-C 4 -alkynyl”) and one or two triple bonds in any position, for example C2-C 4 -alkynyl, such as ethynyl, 1 -propynyl, 2-propynyl, 1 -butynyl, 2- butynyl, 3-butynyl, 1 -methyl-2-propynyl and the like, C2-C6-alkynyl, such as ethynyl, 1 -propynyl, 2-propynyl, 1 -butynyl, 2-butynyl, 3-butynyl, 1 -methyl-2-propynyl, 1 -pentyn
- alkynylene (or alkynediyl) as used herein in each case denotes an alkynyl radical as defined above, wherein one hydrogen atom at any position of the carbon backbone is replaced by one further binding site, thus forming a bivalent moiety.
- haloalkynyl as used herein, which is also expressed as “alkynyl which may be substituted by halogen”, refers to unsaturated straight-chain or branched hydrocarbon radicals having usually 2 to 10 carbon atoms (“C2-Cio-haloalkynyl”), frequently 2 to 6 (“C2-C6- haloalkynyl”), preferabyl 2 to 4 carbon atoms (“C2-C 4 -haloalkynyl”), and one or two triple bonds in any position (as mentioned above), where some or all of the hydrogen atoms in these groups are replaced by halogen atoms as mentioned above, in particular fluorine, chlorine and bromine.
- C2-Cio-haloalkynyl unsaturated straight-chain or branched hydrocarbon radicals having usually 2 to 10 carbon atoms
- C2-C6- haloalkynyl frequently 2 to 6
- C2-C 4 -haloalkynyl preferabyl 2 to 4
- alkoxy denotes in each case a straight-chain or branched alkyl group usually having from 1 to 10 carbon atoms ("Ci-Cio-alkoxy”), frequently from 1 to 6 carbon atoms (“Ci-C6-alkoxy”), preferably 1 to 4 carbon atoms ("Ci-C 4 -alkoxy”), which is bound to the remainder of the molecule via an oxygen atom.
- Ci-C2-Alkoxy is methoxy or ethoxy.
- Ci-C 4 - Alkoxy is additionally, for example, n-propoxy, 1 -methylethoxy (isopropoxy), butoxy,
- Ci-C6-Alkoxy is additionally, for example, pentoxy, 1 -methylbutoxy, 2-methylbutoxy, 3- methylbutoxy, 1 ,1 -dimethylpropoxy, 1 ,2-dimethylpropoxy, 2,2-dimethylpropoxy, 1 -ethylpropoxy, hexoxy, 1 -methylpentoxy, 2-methylpentoxy, 3-methylpentoxy, 4-methylpentoxy, 1 ,1 - dimethylbutoxy, 1 ,2-dimethylbutoxy, 1 ,3-dimethylbutoxy, 2,2-dimethylbutoxy, 2,3- dimethylbutoxy, 3,3-dimethylbutoxy, 1 -ethylbutoxy, 2-ethylbutoxy, 1 ,1 ,2-trimethylpropoxy, 1 ,2,2- trimethylpropoxy, 1 -ethyl-1
- Ci-Cs-Alkoxy is additionally, for example, heptyloxy, octyloxy, 2-ethylhexyloxy and positional isomers thereof.
- Ci-Cio-Alkoxy is additionally, for example, nonyloxy, decyloxy and positional isomers thereof.
- haloalkoxy denotes in each case a straight-chain or branched alkoxy group, as defined above, having from 1 to 10 carbon atoms ("Ci-Cio-haloalkoxy”), frequently from 1 to 6 carbon atoms (“Ci-C6-haloalkoxy”), preferably 1 to 4 carbon atoms (“Ci- C4-haloalkoxy”), more preferably 1 to 3 carbon atoms (“Ci-C3-haloalkoxy”), wherein the hydrogen atoms of this group are partially or totally replaced with halogen atoms, in particular fluorine atoms.
- Ci-C 2 -Haloalkoxy is, for example, OCH 2 F, OCHF 2 , OCF 3 , OCH 2 CI, OCHCI 2 , OCC , chlorofluoromethoxy, dichlorofluoromethoxy, chlorodifluoromethoxy, 2-fluoroethoxy, 2- chloroethoxy, 2-bromoethoxy, 2-iodoethoxy, 2,2-difluoroethoxy, 2,2,2-trifluoroethoxy, 2-chloro-2- fluoroethoxy, 2-chloro-2,2-difluoroethoxy, 2,2-dichloro-2-fluoroethoxy, 2,2,2-trichloroethoxy or OC 2 F 5 .
- Ci-C4-Haloalkoxy is additionally, for example, 2-fluoropropoxy, 3-fluoropropoxy, 2,2- difluoropropoxy, 2,3-difluoropropoxy, 2-chloropropoxy, 3-chloropropoxy, 2,3-dichloropropoxy, 2- bromopropoxy, 3-bromopropoxy, 3,3,3-trifluoropropoxy, 3,3,3-trichloropropoxy, OCH 2 -C 2 F 5 , OCF 2 -C 2 F 5 , 1 -(CH 2 F)-2-fluoroethoxy, 1 -(CH 2 CI)-2-chloroethoxy, 1 -(CH 2 Br)-2-bromoethoxy, 4-fluorobutoxy, 4-chlorobutoxy, 4-bromobutoxy or nonafluorobutoxy.
- Ci-C6-Haloalkoxy is additionally, for example, 5-fluoropentoxy, 5-chloropentoxy, 5-brompentoxy, 5-iodopentoxy, undecafluoropentoxy, 6-fluorohexoxy, 6-chlorohexoxy, 6-bromohexoxy, 6-iodohexoxy or dodecafluorohexoxy.
- alkoxyalkyl denotes in each case alkyl usually comprising 1 to 6 carbon atoms, preferably 1 to 4 carbon atoms, wherein 1 carbon atom carries an alkoxy radical usually comprising 1 to 10, frequently 1 to 6, in particular 1 to 4, carbon atoms as defined above.
- Ci-C6-Alkoxy-Ci-C6-alkyl is a Ci-C6-alkyl group, as defined above, in which one hydrogen atom is replaced by a Ci-C6-alkoxy group, as defined above.
- Examples are CH 2 OCH3, CH 2 -OC 2 H 5 , n-propoxymethyl, CH 2 -OCH(CH3) 2 , n-butoxymethyl, (l -methylpropoxy)-methyl, (2- methylpropoxy)methyl, CH 2 -OC(CH3)3, 2-(methoxy)ethyl, 2-(ethoxy)ethyl, 2-(n-propoxy)-ethyl, 2- (1 -methylethoxy)-ethyl, 2-(n-butoxy)ethyl, 2-(1 -methylpropoxy)-ethyl, 2-(2-methylpropoxy)-ethyl, 2-(1 ,1 -dimethylethoxy)-ethyl, 2-(methoxy)-propyl, 2-(ethoxy)-propyl, 2-(n-propoxy)-propyl, 2-(1 -methylethoxy)-propyl, 2-(n-butoxy)-propyl, 2-(1 -methylpropoxy)-
- haloalkoxy-alkyl denotes in each case alkyl as defined above, usually comprising 1 to 6 carbon atoms, preferably 1 to 4 carbon atoms, wherein 1 carbon atom carries an haloalkoxy radical as defined above, usually comprising 1 to 10, frequently 1 to 6, in particular 1 to 4, carbon atoms as defined above.
- Examples are fluoromethoxymethyl, difluoromethoxymethyl, trifluoromethoxymethyl, 1 -fluoroethoxymethyl, 2-fluoroethoxymethyl,
- alkylthio (also alkylsulfanyl or alkyl-S-)" as used herein denotes in each case a straight-chain or branched saturated alkyl group as defined above, usually comprising 1 to 10 carbon atoms ("Ci-Cio-alkylthio"), frequently comprising 1 to 6 carbon atoms (“Ci-C6-alkylthio”), preferably 1 to 4 carbon atoms (“Ci-C4-alkylthio”), which is attached via a sulfur atom at any position in the alkyl group.
- Ci-C2-Alkylthio is methylthio or ethylthio.
- Ci-C4-Alkylthio is additionally, for example, n-propylthio, 1 -methylethylthio (isopropylthio), butylthio,
- Ci-C6-Alkylthio is additionally, for example, pentylthio, 1 -methylbutylthio,
- Ci-Cs-Alkylthio is additionally, for example, heptylthio, octylthio, 2-ethylhexylthio and positional isomers thereof.
- Ci-Cio-Alkylthio is additionally, for example, nonylthio, decylthio and positional isomers thereof.
- haloalkylthio refers to an alkylthio group as defined above wherein the hydrogen atoms are partially or fully substituted by fluorine, chlorine, bromine and/or iodine.
- Ci-C 2 -Haloalkylthio is, for example, SCH 2 F, SCHF 2 , SCF 3 , SCH 2 CI, SCHCI 2 , SCC , chlorofluoromethylthio, dichlorofluoromethylthio, chlorodifluoromethylthio, 2- fluoroethylthio, 2-chloroethylthio, 2-bromoethylthio, 2-iodoethylthio, 2,2-difluoroethylthio, 2,2,2- trifluoroethylthio, 2-chloro-2-fluoroethylthio, 2-chloro-2,2-difluoroethylthio, 2,2-dichloro-2
- Ci-C6-Haloalkylthio is additionally, for example, 5-fluoropentylthio, 5-chloropentylthio, 5-brompentylthio, 5- iodopentylthio, undecafluoropentylthio, 6-fluorohexylthio, 6-chlorohexylthio, 6-bromohexylthio,
- alkylsulfinyl and “S(0) n -alkyl” are equivalent and, as used herein, denote an alkyl group, as defined above, attached via a sulfinyl [S(O)] group.
- the term "Ci-C2-alkylsulfinyl” refers to a Ci-C2-alkyl group, as defined above, attached via a sulfinyl [S(O)] group.
- Ci-C4-alkylsulfinyl refers to a Ci-C4-alkyl group, as defined above, attached via a sulfinyl [S(O)] group.
- Ci -C6-a I kylsu If i nyl refers to a Ci- C6-alkyl group, as defined above, attached via a sulfinyl [S(O)] group.
- Ci-C4-alkylsulfinyl is additionally, for example, n-propylsulfinyl, 1 -methylethylsulfinyl (isopropylsulfinyl), butyl sulfinyl, 1 -methylpropylsulfinyl (sec-butylsulfinyl), 2- methylpropylsulfinyl (isobutylsulfinyl) or 1 ,1 -dimethylethylsulfinyl (tert-butylsulfinyl).
- C1-C6- alkylsulfinyl is additionally, for example, pentylsulfinyl, 1 -methylbutylsulfinyl, 2- methylbutylsulfinyl, 3-methylbutylsulfinyl, 1 ,1 -dimethylpropylsulfinyl, 1 ,2-dimethylpropylsulfinyl, 2,2-dimethylpropylsulfinyl, 1 -ethylpropylsulfinyl, hexylsulfinyl, 1 -methylpentylsulfinyl, 2- methylpentylsulfinyl, 3-methylpentylsulfinyl, 4-methylpentylsulfinyl, 1 ,1 -dimethylbutylsulfinyl,
- haloalkylsulfinyl and “S(0) n -haloalkyl” are equivalent and, as used herein, denote a haloalkyl group, as defined above, attached via a sulfinyl [S(O)] group.
- S(0) n -Ci-C 4 -haloalkyl (wherein n is 1 ), i.e. "Ci-C 4 -haloalkylsulfinyl”
- Ci-C 4 -haloalkyl group as defined above, attached via a sulfinyl [S(O)] group.
- C1-C6- haloalkylsulfinyl is a Ci-C6-haloalkyl group, as defined above, attached via a sulfinyl [S(O)] group.
- Ci-C 2 -Haloalkylsulfinyl is, for example, S(0)CH 2 F, S(0)CHF 2 , S(0)CF 3 , S(0)CH 2 CI, S(0)CHCl2, S(0)CCl3, chlorofluoromethylsulfinyl, dichlorofluoromethylsulfinyl,
- chlorodifluoromethylsulfinyl 2-fluoroethylsulfinyl, 2-chloroethylsulfinyl, 2-bromoethylsulfinyl, 2- iodoethylsulfinyl, 2,2-d ifluoroethylsulfinyl, 2,2,2-trifluoroethylsulfinyl, 2-chloro-2- fluoroethylsulfinyl, 2-chloro-2,2-difluoroethylsulfinyl, 2,2-dichloro-2-fluoroethylsulfinyl,
- Ci-C 4 -haloalkylsulfinyl is additionally, for example, 2- fluoropropylsulfinyl, 3-fluoropropylsulfinyl, 2,2-difluoropropylsulfinyl, 2,3-difluoropropylsulfinyl, 2- chloropropylsulfinyl, 3-chloropropylsulfinyl, 2,3-dichloropropylsulfinyl, 2-bromopropylsulfinyl, 3- bromopropylsulfinyl, 3,3,3-trifluoropropylsulfinyl, 3,3,3-trichloropropylsulfinyl, S(0)CH2-C2F 5 , S(0)CF 2 -C 2 F 5 , 1 -(CH 2 F)-2-fluoro
- Ci-C6-Haloalkylsulfinyl is additionally, for example, 5-fluoropentylsulfinyl, 5-chloropentylsulfinyl, 5-brompentylsulfinyl, 5-iodopentylsulfinyl, undecafluoropentylsulfinyl, 6- fluorohexylsulfinyl, 6-chlorohexylsulfinyl, 6-bromohexylsulfinyl, 6-iodohexylsulfinyl or
- alkylsulfonyl and “S(0) n -alkyl” (wherein n is 2) are equivalent and, as used herein, denote an alkyl group, as defined above, attached via a sulfonyl [S(0)2] group.
- Si-C2-alkylsulfonyl refers to a Ci-C2-alkyl group, as defined above, attached via a sulfonyl [S(0)2] group.
- Ci-C 4 -alkylsulfonyl refers to a Ci-C 4 -alkyl group, as defined above, attached via a sulfonyl [S(0)2] group.
- Ci-C6-alkylsulfonyl refers to a Ci-C6-alkyl group, as defined above, attached via a sulfonyl [S(0)2] group.
- C1-C2- alkylsulfonyl is methylsulfonyl or ethylsulfonyl.
- Ci-C4-alkylsulfonyl is additionally, for example, n- propylsulfonyl, 1 -methylethylsulfonyl (isopropylsulfonyl), butylsulfonyl, 1 -methylpropylsulfonyl (sec-butylsulfonyl), 2-methylpropylsulfonyl (isobutylsulfonyl) or 1 ,1 -dimethylethylsulfonyl (tert- butylsulfonyl).
- Ci-C6-alkylsulfonyl is additionally, for example, pentylsulfonyl,
- haloalkylsulfonyl and “S(0) n -haloalkyl” are equivalent and, as used herein, denote a haloalkyl group, as defined above, attached via a sulfonyl [S(0)2] group.
- S(0) n -Ci-C 4 -haloalkyl (wherein n is 2), i.e. "Ci-C 4 -haloalkylsulfonyl”
- Si-C 4 -haloalkylsulfonyl is a C1-C4- haloalkyl group, as defined above, attached via a sulfonyl [S(0)2] group.
- C1-C6- haloalkylsulfonyl is a Ci-C6-haloalkyl group, as defined above, attached via a sulfonyl [S(0)2] group.
- Ci-C 2 -Haloalkylsulfonyl is, for example, S(0) 2 CH 2 F, S(0) 2 CHF 2 , S(0) 2 CF 3 , S(0) 2 CH 2 CI, S(0) 2 CHCI 2 , S(0) 2 CCI 3 , chlorofluoromethylsulfonyl, dichlorofluoromethylsulfonyl,
- chlorodifluoromethylsulfonyl 2-fluoroethylsulfonyl, 2-chloroethylsulfonyl, 2-bromoethylsulfonyl,
- Ci-C 4 -Haloalkylsulfonyl is additionally, for example, 2-fluoropropylsulfonyl, 3-fluoropropylsulfonyl, 2,2-difluoropropylsulfonyl,
- Ci- C6-Haloalkylsulfonyl is additionally, for example, 5-fluoropentylsulfonyl, 5-chloropentylsulfonyl,
- alkylamino denotes in each case a group - NHR, wherein R is a straight-chain or branched alkyl group usually having from 1 to 6 carbon atoms (“Ci-C6-alkylamino”), preferably 1 to 4 carbon atoms("Ci-C 4 -alkylamino").
- Ci-C6-alkylamino examples include methylamino, ethylamino, n-propylamino, isopropylamino, n-butylamino, 2- butylamino, iso-butylamino, tert-butylamino, and the like.
- dialkylamino denotes in each case a group-NRR', wherein R and R', independently of each other, are a straight-chain or branched alkyl group each usually having from 1 to 6 carbon atoms ("di-(Ci-C6-alkyl)-amino"), preferably 1 to 4 carbon atoms (“di- (Ci-C 4 -alkyl)-amino").
- Examples of a di-(Ci-C6-alkyl)-amino group are dimethylamino, diethylamino, dipropylamino, dibutylamino, methyl-ethyl-amino, methyl-propyl-amino, methyl- isopropylamino, methyl-butyl-amino, methyl-isobutyl-amino, ethyl-propyl-amino, ethyl- isopropylamino, ethyl-butyl-amino, ethyl-isobutyl-amino, and the like.
- cycloalkylamino denotes in each case a group -NHR, wherein R is a cycloalkyl radical usually having from 3 to 8 carbon atoms ("Cs-Cs-cycloalkylamino"), preferably 3 to 6 carbon atoms("C3-C6-cycloalkylamino").
- C3-C6-cycloalkylamino are cyclopropylamino, cyclobutylarnino, cyclopentylamino, cyclohexylamino, and the like.
- (alkyl)cycloalkylamino denotes in each case a group-NRR', wherein R is a cycloalkyl radical usually having from 3 to 8 carbon atoms and R' is a straight-chain or branched alkyl group having 1 to 4 carbon atoms ("(Ci-C4-alkyl)C3-C8-cycloalkylamino).
- Examples are (methyl)cyclopropylamino, (ethyl)cyclobutylamino, (iso-propyl)cyclopentylarnino and (methyl)cyclohexylamino, and the like.
- alkylaminosulfonyl denotes in each case a straight-chain or branched alkylamino group as defined above, which is bound to the remainder of the molecule via a sulfonyl [S(0)2] group.
- alkylaminosulfonyl group examples include methylaminosulfonyl, ethylaminosulfonyl, n-propylaminosulfonyl, isopropylaminosulfonyl, n-butylaminosulfonyl, 2- butylaminosulfonyl, iso-butylaminosulfonyl, tert-butylaminosulfonyl, and the like.
- dialkylaminosulfonyl denotes in each case a straight-chain or branched alkylamino group as defined above, which is bound to the remainder of the molecule via a sulfonyl [S(0)2] group.
- S(0)2 sulfonyl
- dimethylaminosulfonyl diethylaminosulfonyl, dipropylaminosulfonyl, dibutylaminosulfonyl, methyl-ethyl-aminosulfonyl, methyl-propyl-aminosulfonyl, methyl-isopropylaminosulfonyl, methyl-butyl-aminosulfonyl, methyl-isobutyl-aminosulfonyl, ethyl-propyl-aminosulfonyl, ethyl- isopropylaminosulfonyl, ethyl-butyl-aminosulfonyl, ethyl-isobutyl-aminosulfonyl, and the like.
- aryl refers to a mono-, bi- or tricyclic aromatic hydrocarbon radical such as phenyl or naphthyl, in particular phenyl.
- heteroaryl refers to a mono-, bi- or tricyclic heteroaromatic hydrocarbon radical, preferably to a monocyclic heteroaromatic radical, such as pyridyl, pyrimidyl and the like.
- Fully unsaturated 5- or 6- membered heterocyclic rings are aromatic.
- the heterocyclic ring may be attached to the remainder of the molecule via a carbon ring member or via a nitrogen ring member.
- the heterocyclic ring contains at least one carbon ring atom. If the ring contains more than one O ring atom, these are not adjacent.
- Examples of a 3-, 4-, 5-, 6- or 7-membered saturated heterocyclic ring include: Oxiranyl, thiiranyl, aziridinyl, oxetanyl, thietanyl, azetidinyl, tetrahydrofuran-2-yl, tetrahydrofuran-3-yl, tetrahydrothien-2-yl, tetrahydrothien-3-yl, pyrrolidin-1 -yl, pyrrolidin-2-yl, pyrrolidin-3-yl, pyrazolidin-1 -yl, pyrazolidin-3-yl, pyrazolidin-4-yl, pyrazolidin-5-yl, imidazolidin-1 -yl, imidazolidin-yl, imidazolidin-yl, imidazolidin-
- Examples of a 3-, 4-, 5-, 6- or 7-membered partially unsaturated heterocyclic ring include:
- tetrahydrooxepinyl such as 2,3,4,5-tetrahydro[1 H]oxepin-2-, -3-, -4-, -5-, -6- or -7-yl, 2,3,4,7- tetrahydro[1 H]oxepin-2-, -3-, -4-, -5-, -6- or -7-yl, 2,3,6,7-tetrahydro[1 H]oxepin-2-, -3-, -4-, -5-, - 6- or -7-yl, tetrahydro-1 ,3-diazepinyl, tetrahydro-1 ,4-diazepinyl, tetrahydro-1 ,3-oxazepinyl, tetrahydro-1 ,4-oxazepinyl, tetrahydro-1 ,3-dioxepinyl and tetrahydro-1 ,4-diox
- a 3-, 4-, 5-, 6- or 7-membered fully unsaturated (including aromatic) heterocyclic ring is e.g. a 5- or 6-membered fully unsaturated (including aromatic) heterocyclic ring.
- Examples are: 2-furyl, 3- furyl, 2-thienyl, 3-thienyl, 1 -pyrrolyl, 2-pyrrolyl, 3-pyrrolyl, 1-pyrazolyl, 3-pyrazolyl, 4-pyrazolyl, 5- pyrazolyl, 2-oxazolyl, 4-oxazolyl, 5-oxazolyl, 2-thiazolyl, 4-thiazolyl, 5-thiazolyl, 1 -imidazolyl, 2- imidazolyl, 4-imidazolyl, 1 ,3,4-triazol-1 -yl, 1 ,3,4-triazol-2-yl, 2-pyridinyl, 3-pyridinyl, 4-pyridinyl, 1 - oxopyridin-2-yl, 1
- R a When two R a , together with the nitrogen atom to which they are bound, or R c and R d , together with the nitrogen atom to which they are bound, or R k and R', together with the nitrogen atom to which they are bound, or R n and R°, together with the nitrogen atom to which they are bound form a 3-, 4-, 5-, 6- or 7-membered saturated, partially unsaturated or fully unsaturated heterocyclic ring which may additionally contain 1 or 2 further heteroatoms or heteroatom groups selected from N, O, S, NO, SO and SO2, as ring members, this is an N-bound heterocyclic ring which in addition to the nitrogen ring atom may contain 1 , 2, 3 or 4 further heteroatoms or heteroatom groups selected from N, O, S, NO, SO and SO2, as ring members.
- Examples are aziridin-1 -yl, azetidin-1 -yl, pyrrolidine-1 -yl, pyrazolidin-1 -yl, imidazolin-1 -yl, oxazolidin-3-yl, isoxazolidin-3-yl, thiazolidin-1 -yl, isothiazolidin-1 -yl, triazolidin-1 -yl, piperdon-1 - yl, piperazine-1 -yl, morpholin-4-yl, thiomorpholin-1-yl, 1 ,1 -dioxothiomorpholin-4-yl, pyrrol in-1 -yl, , imidazolin-1 -yl, dihydropyridin-1 -yl, tetrahydropyridin-1 -yl, pyrrol-1 -yl, pyrazo-1 -yl, imidazol-1 -yl and the like.
- substituents are, if not indicated otherwise, halogen, such as fluorine, chlorine or bromine, hydroxyl, Ci-C4-alkyl, C1-C4- alkoxy, Ci-C4-haloalkyl, Ci-C4-haloalkoxy, cyano and nitro.
- halogen such as fluorine, chlorine or bromine
- hydroxyl Ci-C4-alkyl, C1-C4- alkoxy, Ci-C4-haloalkyl, Ci-C4-haloalkoxy, cyano and nitro.
- the term "optionally substituted with from one to three substituents" and the like indicate that the moiety may be unsubstituted or from one to three of the available positions on the moiety may be substituted.
- the moiety -C(CH2)2- corresponds to cyclopropan-1 ,1 -diyl.
- Preferred compounds according to the invention are compounds of formulae (I) or a stereoisomer, salt, tautomer or N-oxide thereof, wherein the salt is an agriculturally or veterinarily acceptable salt.
- Further preferred compounds according to the invention are compounds of formula (I) or a stereoisomer or salt thereof, especially an agriculturally or veterinarily acceptable salt.
- Particularly preferred compounds according to the invention are compounds of formula (I) or a salt thereof, especially an agriculturally or veterinarily acceptable salt thereof.
- Preferred embodiments relate to compounds of formula (I), wherein R 1a is selected from hydrogen, halogen, Ci-Cs-alkyl, Ci-Cs-haloalkyl, cyano, a 3-, 4-, 5-, 6- or 7-membered saturated, partially unsaturated or aromatic heterocyclic ring containing 1 , 2 or 3 heteroatoms or heteroatom groups selected from N, O, S, NO, SO and SO2, as ring members and where the heterocyclic ring may be substituted by one or more, preferably 1 , 2 or 3, more preferably 1 or
- R 1a is selected from halogen, Ci-Cs-alkyl, or Ci-Cs- haloalkyl, specifically from halogen, such as bromine or chlorine, Ci-C4-alkyl, such as methyl, or Ci-C4-fluoroalkyl, such as difluoromethyl or trifluoromethyl, more specifically from CI, Br, methyl, CF3 and CH F2, and very specifically from CI, Br and methyl.
- halogen such as bromine or chlorine
- Ci-C4-alkyl such as methyl
- Ci-C4-fluoroalkyl such as difluoromethyl or trifluoromethyl, more specifically from CI, Br, methyl, CF3 and CH F2, and very specifically from CI, Br and methyl.
- Preferred embodiments relate to compounds of formula (I), wherein R 1b is hydrogen, and a particular embodiment relates to compounds of formula (I), wherein R 1b is hydrogen and R 1d is hydrogen.
- R 1c is selected from hydrogen, halogen, such as bromine or chlorine, Ci-Cs-alkyl, Ci-Cs-haloalkyl, cyano, a 3-, 4-, 5-, 6- or 7-membered saturated, partially unsaturated or aromatic heterocyclic ring containing 1 , 2 or 3 heteroatoms or heteroatom groups selected from N, O, S, NO, SO and SO2, as ring members and where the heterocyclic ring may be substituted by one or more, preferably 1 , 2 or
- R 1c is selected from halogen, cyano or a 3-, 4-, 5-, 6- or 7-membered saturated, partially unsaturated (e.g. 2-isoxazolin-3-yl) or aromatic heterocyclic ring (e.g.
- pyrazol-1 H-yl containing 1 , 2 or 3 heteroatoms or heteroatom groups selected from N, O, S, NO, SO and SO2, as ring members and where the heterocyclic ring may be substituted by one or more, preferably 1 , 2 or 3, more preferably 1 or 2, in particular 1 radical R e .
- R 1c is halogen and more specifically bromine or chlorine. Alternatively it is preferred that R 1c is cyano.
- R 1c is selected from the group consisting of
- 5-membered saturated, partially unsaturated e.g. 2-isoxazolin-3-yl
- aromatic heterocyclic rings e.g. pyrazol-1 H-yl
- the heterocyclic ring may be substituted by one or more, preferably 1 , 2 or 3, more preferably 1 or 2, in particular 1 radical R e .
- the heterocyclic ring R 1c is preferably a partially unsaturated 5-membered heterocyclic ring containing 1 , 2 or 3 heteroatoms or heteroatom groups selected from N, O, S, NO, SO and SO2, as ring members, where the heterocyclic ring may be substituted by one or more, preferably 1 , 2 or 3, more preferably 1 or 2, in particular 1 radical R e . More preferably, the heterocyclic ring R 1c is a partially unsaturated 5-membered heterocyclic ring containing 1 nitrogen ring atom and 1 or two further heteroatoms selected from N and O, where the heterocyclic ring may be substituted by one or more, preferably 1 , 2 or 3, more preferably 1 or 2, in particular 1 radical R e .
- the heterocyclic ring as defined herein is unsubstituted.
- the partially unsaturated 5-membered heterocyclic ring is isoxazolinyl, more specifically is 2- isoxazolin-3-yl and very specifically 2-isoxazolin-3-yl which is unsubstituted.
- Preferred embodiments relate to compounds of formula (I), wherein R 1d is hydrogen and a particular embodiment relates to compounds of formula (I), wherein R 1d is hydrogen and R 1b is hydrogen.
- R 1b is hydrogen and R 1d is hydrogen
- R 1a is selected from halogen, d-Cs-alkyl, or C-i-Cs-haloalkyl, in particular from halogen, Ci-C4-alkyl, or Ci-C4-fluoroalkyl, specifically from CI, Br, methyl, CF3 and CHF2, and very specifically from CI, Br and methyl
- R 1c is selected from halogen, cyano or a 3-, 4-, 5-, 6- or 7-membered saturated, partially unsaturated (e.g. 2- isoxazolin-3-yl) or aromatic heterocyclic ring (e.g. pyrazol-1 H-yl) containing 1 , 2 or 3
- R 1c is specifically halogen and more specifically bromine or chlorine.
- R 1c is cyano.
- Preferred embodiments relate to compounds of formula (I), wherein R 2 is selected from hydrogen, Ci-C2-alkyl and C1-C2 haloalkyl. More preferably R 2 is hydrogen. Alternatively, R 2 is Ci-C2-alkyl, in particular methyl. According to a further alternative embodiment R 2 is C1-C2- haloalkyl and in particular halomethyl.
- R 3 is selected from CHF 2 , OCH 3 , OCH 2 F and OCH2CF3, specifically R 3 is CHF 2 , OCH 2 F or OCH3.
- R 4 is selected from halogen and Ci-C4-haloalkyl. In particular R 4 is selected from CI, Br and CF 3 , specifically from CI and CF 3 and more specifically from CI.
- Preferred embodiments relate to compounds of formula (I), wherein R 5 is selected from hydrogen and Ci-C6-alkyl. More preferably R 5 is hydrogen.
- Preferred embodiments relate to compounds of formula (I), wherein L is selected from
- L is selected from -CH 2 -, -CH(CH 3 )-, -CH 2 CH 2 - and -CH 2 CH 2 CH 2 -, and specifically is -CH 2 -.
- Preferred embodiments relate to compounds of formula (I), wherein Y is OR 7 .
- R 7 is preferably selected from hydrogen, Ci-C6-alkyl optionally substituted with one substituent selected from the group consisting of cyano, C1-C4 alkoxy, C1-C4
- haloalkoxy C1-C4 alkylthio, C1-C4 alkylsulfinyl, C1-C4 alkylsulfonyl, C1-C4 haloalkylthio, C1-C4 haloalkylsulfinyl, C1-C4 haloalkylsulfonyl, and a phenyl ring which may be substituted with 1 , 2 or 3 radicals R 10 ; Ci-C6-haloalkyl or a phenyl ring which may be substituted with 1 , 2 or 3 radicals R 10 .
- R 7 is selected from hydrogen and Ci-C6-alkyl optionally substituted with a phenyl ring which may be substituted with 1 , 2 or 3 radicals R 10 .
- R 7 is Ci-C6-alkyl selected from methyl, ethyl, and isobutyl.
- R 7 is preferably a methyl substituted with a phenyl ring which may be substituted with 1 , 2 or 3 radicals R 10 , specifically R 7 is benzyl.
- R 6 is selected from hydrogen, Ci-C6-alkyl, which may be optionally substituted with one or more, e.g. 1 or 2 substituents selected from the group consisting of cyano, nitro, hydroxy, C1-C4 alkoxy, C1-C4 haloalkoxy, C1-C4 alkylthio, C1-C4 alkylsulfinyl, C1-C4 alkylsulfonyl, C1-C4 haloalkylthio, C1-C4 haloalkylsulfinyl, C1-C4 haloalkylsulfonyl, C1-C4 alkylamino, C 2 -Cs dialkylamino, C0 2 H, C 2 -C6 alkoxycarbonyl, C 2 -C6 alkylcarbonyl, C1-C6 trialkylsilyl, and a phenyl
- Partiularly preferred embodiments relate to compounds of the formula (I), wherein
- R 1b is hydrogen
- R 1d is hydrogen
- R 1a is selected from halogen, d-Cs-alkyl, or C-i-Cs-haloalkyl, in particular from halogen, Ci-C4-alkyl, or Ci-C4-fluoroalkyl, specifically from CI, Br, methyl, CF 3 and CHF 2 , and very specifically from CI, Br and methyl;
- R 1c is selected from halogen, cyano or a 3-, 4-, 5-, 6- or 7-membered saturated, partially unsaturated (e.g. 2-isoxazolin-3-yl) or aromatic heterocyclic ring (e.g. pyrazol-1 H-yl) containing 1 , 2 or 3 heteroatoms or heteroatom groups selected from N, O, S, NO, SO and S0 2 , as ring members and where the heterocyclic ring may be substituted by one or more, preferably 1 , 2 or 3, more preferably 1 or 2, in particular 1 radical R e with R 1c being specifically halogen and more specifically bromine or chlorine or cyano;
- R 2 is selected from hydrogen, Ci-C2-alkyl and C1-C2 haloalkyl, especially hydrogen;
- R 4 is selected from halogen and Ci-C4-haloalkyl, in particular from CI, Br and CF3, specifically from CI and CF3 and more specifically from CI;
- R 5 is selected from hydrogen and Ci-C6-alkyl with R 5 being especially hydrogen;
- R 6 is selected from hydrogen, Ci-C6-alkyl, which may be optionally substituted with one or more, e.g. 1 or 2 substituents selected from the group consisting of cyano, nitro, hydroxy, Ci- C 4 alkoxy, C1-C4 haloalkoxy, C1-C4 alkylthio, C1-C4 alkylsulfinyl, C1-C4 alkylsulfonyl, C1-C4 haloalkylthio, C1-C4 haloalkylsulfinyl, C1-C4 haloalkylsulfonyl, C1-C4 alkylamino, C2-C8
- R 6 is selected from hydrogen, Ci-C6-alkyl and C1-C6 alkoxycarbonyl, specifically R 6 is hydrogen;
- L is -CH2-, -CH(CH 3 )-, -CH 2 CH 2 - or -CH 2 CH 2 CH 2 -, and specifically is -CH 2 -;
- Y is OR 7 , wherein R 7 is selected from hydrogen, Ci-C6-alkyl optionally substituted with one substituent selected from the group consisting of cyano, C1-C4 alkoxy, C1-C4 haloalkoxy, C1-C4 alkylthio, C1-C4 alkylsulfinyl, C1-C4 alkylsulfonyl, C1-C4 haloalkylthio, C1-C4 haloalkylsulfinyl, Ci- C4 haloalkylsulfonyl, and a phenyl ring which may be substituted with 1 , 2 or 3 radicals R 10 ; Ci- C6-haloalkyl or a phenyl ring which may be substituted with 1 , 2 or 3 radicals R 10 .
- R 7 is selected from hydrogen and Ci-C6-alkyl optionally substituted with a phenyl ring which may be substituted with 1 , 2 or 3 radicals R 10 .
- R 7 is Ci-C6-alkyl selected from methyl, ethyl, and isobutyl.
- R 7 is preferably a methyl substituted with a phenyl ring which may be substituted with 1 , 2 or 3 radicals R 10 , specifically R 7 is benzyl.
- R 1d is hydrogen
- R 1a is selected from halogen, Ci-C4-alkyl, or Ci-C4-fluoroalkyl, in partiuclar from CI, Br, methyl, CF3 and CHF2, and especially from CI, Br and methyl;
- R 1c is selected from halogen or cyano and more specifically bromine or chlorine or cyano;
- R 2 is hydrogen;
- R 3 is selected from CHF 2 , OCH 3 , and OCH 2 F, in particular from CHF 2 or OCH 3 ;
- R 4 is selected from CI, Br and CF3, in particular from CI and CF3 and specifically is CI;
- R 5 is hydrogen;
- R 6 is selected from hydrogen, Ci-C6-alkyl and C1-C6 alkoxycarbonyl, specifically R 6 is hydrogen;
- L is -CH2-, -CH(CHs)-, -CH2CH2- or-CH 2 CH 2 CH 2 -, and specifically is -CH 2 -;
- Y is OR 7 , wherein R 7 is selected from hydrogen and Ci-C6-alkyl optionally substituted with a phenyl ring, in particular from methyl, ethyl, isobutyl and benzyl.
- R 7 is selected from hydrogen and Ci-C6-alkyl optionally substituted with a phenyl ring, in particular from methyl, ethyl, isobutyl and benzyl.
- R n , RP, R? and R r independently of each other, preferably have one of the following meanings:
- each R 8 is independently selected from the group consisting of
- each R 9 is independently selected from the group consisting of halogen, C1-C4 alkyl, C1-C4 haloalkyl, C3-C6 cycloalkyl, C3-C6 halocycloalkyl, C2-C4 alkylcarbonyl, C2-C6
- alkoxycarbonyl CO2H, C2-C6 alkylaminocarbonyl, C3-C8 dialkylaminocarbonyl, cyano, hydroxyl, C1-C4 alkoxy, C1-C4 haloalkoxy, C1-C4 alkylthio, C1-C4 alkylsulfinyl, C1-C4 alkylsulfonyl, C1-C4 alkylamino, C2-C8 dialkylamino, C3-C6 cycloalkylamino, (C1-C4 alkyl) C3-C6 cycloalkylamino and C3-C6 trialkylsilyl.
- each R 9 is independently selected from the group consisting of halogen, C1-C4 alkyl, C1-C4 haloalkyl, C2-C6 alkoxycarbonyl, C2-C6 alkylaminocarbonyl, C3-C8
- each R 9 is independently selected from the group consisting of halogen, Ci-C4-alkyl, Ci-C4-haloalkyl, C2-C6 alkoxycarbonyl, C1-C4 alkoxy and Ci- C4 haloalkoxy.
- each R 10 is independently selected from the group consisting of halogen, Ci-
- each R 10 is independently selected from the group consisting of halogen, C1-C4 alkyl, C1-C4 haloalkyl, C2-C6 alkoxycarbonyl, C2-C6 alkylaminocarbonyl, C3-C8
- each R 10 is independently selected from the group consisting of halogen, Ci-C4-alkyl, Ci-C4-haloalkyl, C2-C6 alkoxycarbonyl, C1-C4 alkoxy and C1-C4 haloalkoxy.
- each R b is independently selected from the group consisting of Ci-C4-alkyl, Ci- C4-haloalkyl, Cs-Cs-cycloalkyl, phenyl and benzyl.
- R c and R d are, independently of each other and independently of each occurrence, selected from the group consisting of hydrogen, Ci-C4-alkyl, Ci-C4-haloalkyl, C3-C8- cycloalkyl-Chb, Cs-Cs-cycloalkyl, cyano, benzyl, phenyl and Ci-C4-alkoxy;
- R c , R d together with the nitrogen atom, to which they are bound may form a saturated 5-, 6- or 7-membered N-heterocycle, which may contain 1 or 2 further heteroatoms selected from N, O and S as ring members, where the heterocyclic ring may carry 1 , 2, 3 or 4 substituents selected from Ci-C4-alkyl.
- each R e is independently selected from the group consisting of halogen, in particular fluorine, chlorine or bromine, Ci-C4-alkyl, Ci-C4-haloalkyl, Ci-C4-alkoxycarbonyl, cyano, Ci-C4-alkoxy and Ci-C4-haloalkoxy especially from the group consisting of halogen, in particular fluorine, chlorine or bromine, methyl, halomethyl, e.g. trifluoromethyl, difluoromethyl or bromodifluoromethyl, cyano, methoxy and halomethoxy, e.g. trifluoromethoxy, difluoromethoxy or fluoromethoxy.
- halogen in particular fluorine, chlorine or bromine
- R f and Rs are, independently of each other and independently of each occurrence, selected from the group consisting of Ci-C4-alkyl and are in particular methyl. (R a to R f from process patent)
- R h is selected from the group consisting of hydrogen and Ci-C6-alkyl, more preferably R h is hydrogen.
- each R' is independently selected from the group consisting of Ci-C4-alkyl, Ci- C4-haloalkyl, Cs-Cs-cycloalkyl, phenyl and benzyl.
- each Ri is independently selected from the group consisting of Ci-C4-alkyl, Ci- C4-haloalkyl, Cs-Cs-cycloalkyl, phenyl and benzyl.
- R k and R' are, independently of each other and independently of each occurrence, selected from the group consisting of hydrogen, Ci-C4-alkyl, Ci-C4-haloalkyl, C3-C8- cycloalkyl-Chb, Cs-Cs-cycloalkyl, cyano, benzyl, phenyl and Ci-C4-alkoxy;
- R k , R' together with the nitrogen atom, to which they are bound may form a saturated 5-, 6- or 7-membered N-heterocycle, which may contain 1 or 2 further heteroatoms selected from N, O and S as ring members, where the heterocyclic ring may carry 1 , 2, 3 or 4 substituents selected from Ci-C4-alkyl.
- each R m is independently selected from the group consisting of Ci-C4-alkyl, Ci-C4-haloalkyl, Cs-Cs-cycloalkyl, phenyl and benzyl.
- R n and R° are, independently of each other and independently of each occurrence, selected from the group consisting of hydrogen, Ci-C4-alkyl, Ci-C4-haloalkyl, C3-C8- cycloalkyl-Chb, Cs-Cs-cycloalkyl, cyano, benzyl, phenyl and Ci-C4-alkoxy;
- R n , R° together with the nitrogen atom, to which they are bound may form a saturated 5-, 6- or 7-membered N-heterocycle, which may contain 1 or 2 further heteroatoms selected from N, O and S as ring members, where the heterocyclic ring may carry 1 , 2, 3 or 4 substituents selected from Ci-C4-alkyl.
- each RP is independently selected from the group consisting of halogen, in particular fluorine, chlorine or bromine, Ci-C4-alkyl, Ci-C4-haloalkyl, Ci-C4-alkoxycarbonyl, cyano, Ci-C4-alkoxy and Ci-C4-haloalkoxy especially from the group consisting of halogen, in particular fluorine, chlorine or bromine, methyl, halomethyl, e.g. trifluoromethyl, difluoromethyl or bromodifluoromethyl, cyano, methoxy and halomethoxy, e.g. trifluoromethoxy, difluoromethoxy or fluoromethoxy.
- halogen in particular fluorine, chlorine or bromine
- methyl halomethyl, e.g. trifluoromethyl, difluoromethyl or bromodifluoromethyl
- cyano methoxy and halomethoxy, e.g. trifluoromethoxy, difluo
- R r are, independently of each other and independently of each occurrence, selected from the group consisting of hydrogen, halogen, cyano and Ci-C6-alkyl.
- the compound of formula (I) is of the general formula (l-a). In another particularly preferred embodiment, the compound of formula (I) is of the general formul
- R 1a , R 1c , R 1d , R 3 and R 7 have one of the general meanings, or, in particular, one of the preferred meanings given above.
- R 1a is selected from halogen, d-Cs-alkyl and Ci-Cs-haloalkyl, specifically from halogen, Ci-C4-alkyl and Ci-C4-fluoroalkyl, more specifically from CI, Br, methyl, CF3 and
- R 1c is selected from hydrogen, halogen, d-Cs-alkyl, C-i-Cs-haloalkyl, cyano, a 3-, 4-, 5-, 6- or 7-membered saturated, partially unsaturated or aromatic heterocyclic ring containing 1 , 2 or 3 heteroatoms or heteroatom groups selected from N, O, S, NO, SO and SO2, as ring members and where the heterocyclic ring may be substituted by one or more radicals R e .
- R 1c is halogen and more specifically bromine or chlorine.
- R 1c is cyano;
- R 1d is hydrogen
- R 3 is selected from CHF 2 , OCH 3 , and OCH 2 F, specifically from CHF 2 , and OCH 3 ;
- R 7 is selected from hydrogen, Ci-C6-alkyl optionally substituted with one substituent selected from the group consisting of cyano, C1-C4 alkoxy, C1-C4 haloalkoxy, C1-C4 alkylthio, C1-C4 alkylsulfinyl, C1-C4 alkylsulfonyl, C1-C4 haloalkylthio, C1-C4 haloalkylsulfinyl, C1-C4 haloalkylsulfonyl, and a phenyl ring which may be substituted with 1 , 2 or 3 radicals R 10 ; Ci-C6-haloalkyl and a phenyl ring which may be substituted with 1 , 2 or 3 radicals R 10 .
- R 1a is selected from halogen, d-Cs-alkyl and d-Cs-haloalkyl, in particular from halogen, Ci-C4-alkyl and Ci-C4-fluoroalkyl, specifically from CI, Br, methyl, CF3 and CHF2, and very specifically from CI, Br and methyl;
- R 1c is selected from halogen or cyano, and more specifically from CI, Br and cyano.
- R 1d is hydrogen
- R 3 is selected from CHF 2 , and OCH 3 ;
- R 7 is selected from hydrogen and Ci-C6-alkyl optionally substituted with a phenyl ring which may be substituted with 1 , 2 or 3 radicals R 10 .
- R 1a is selected from CI, Br, methyl, CF3 and CHF2, and more specifically from CI, Br and methyl;
- R 1c is selected from CI, Br and cyano
- R 1d is hydrogen
- R 3 is selected from CHF2 and OCH3;
- R 7 is selected from hydrogen, methyl optionally substituted with a phenyl ring which may be substituted with 1 , 2 or 3 radicals R 10 , ethyl and isobutyl.
- R 1a is selected from CI, Br and methyl
- R 1c is selected from CI, Br and CN;
- R 1d is hydrogen
- R 3 is selected from CHF2 and OCH3;
- R 7 is selected from H, CH 3 , CH2CH3, CH 2 CH(CH 3 )2 and benzyl.
- the compound of formula (I) is of the general formula (l-d).
- R 1a , R 1c , R 3 , R 7 and L have one of the general meanings, or, in particular, one of the preferred meanings given above.
- R 1a is selected from halogen, d-Cs-alkyl and Ci-Cs-haloalkyI, preferably from halogen, Ci-C4-alkyl and Ci-C4-fluoroalkyl, more preferably from CI, Br, methyl, CF3 and CHF 2 , specifically from CI, Br and methyl, and very specifically from CI and methyl;
- R 1c is selected from hydrogen, halogen, C-i-Cs-alkyl, C-i-Cs-haloalkyl, cyano, a 3-, 4-, 5-, 6- or 7-membered saturated, partially unsaturated or aromatic heterocyclic ring containing 1 , 2 or 3 heteroatoms or heteroatom groups selected from N, O, S, NO, SO and S0 2 , as ring members and where the heterocyclic ring may be substituted by one or more radicals R e .
- R 1c is halogen, more specifically bromine or chlorine, and in particular chlorine.
- R 1c is cyano
- R 3 is selected from CHF 2 , OCHs, OCH 2 F and OCH 2 CF 3 , specifically from CHF 2 , OCH 2 F and OCH 2 CF3; alternatively R 3 is selected from CHF 2 , OCH3 and OCH 2 F, specifically from CHF 2 and OCH 2 F;
- R 7 is selected from hydrogen, Ci-C6-alkyl optionally substituted with one substituent selected from the group consisting of cyano, C1-C4 alkoxy, C1-C4 haloalkoxy, C1-C4 alkylthio, C1-C4 alkylsulfinyl, C1-C4 alkylsulfonyl, C1-C4 haloalkylthio, C1-C4 haloalkylsulfinyl, C1-C4 haloalkylsulfonyl, and a phenyl ring which may be substituted with 1 , 2 or 3 radicals R 10 ; Ci-C6-haloalkyl and a phenyl ring which may be substituted with 1 , 2 or 3 radicals R 10 .
- R 7 is hydrogen or Ci-C4-alkyl, more specifically hydrogen, methyl or ethyl, and very specifically methyl or ethyl;
- L is -CH2-, -CH(CHs)-, -CH2CH2- or -CH 2 CH 2 CH 2 -, and specifically is -CH 2 -, -CH(CH 3 )- or -CH 2 CH 2 -.
- R 1a is selected from halogen, d-Cs-alkyl and d-Cs-haloalkyl, preferably from halogen, Ci-C4-alkyl and Ci-C4-fluoroalkyl, specifically from CI, Br, methyl, CF3 and CHF 2 , more specifically from CI, Br and methyl, and very specifically from CI and methyl;
- R 1c is selected from halogen and cyano, specifically from CI, Br and cyano, and very specifically from CI and cyano.
- R 3 is selected from CHF 2 , OCH 2 F and OCH 2 CF 3 , specifically from CHF 2 and OCH 2 F;
- R 7 is selected from hydrogen and Ci-C4-alkyl, specifically from hydrogen, methyl and ethyl, and very specifically from methyl and ethyl;
- L is -CH 2 -, -CH(CHs)-, -CH 2 CH 2 - or -CH 2 CH 2 CH 2 -, and specifically is -CH 2 -, -CH(CH 3 )- or -CH 2 CH 2 -.
- R 1a is selected from CI, Br, methyl, CF3 and CHF 2 , specifically from CI, Br and methyl, and very specifically from CI and methyl;
- R 1c is selected from CI, Br and cyano, and specifically from CI and cyano;
- R 3 is selected from CHF 2 , OCH 2 F and OCH 2 CF3, and specifically from CHF 2 and
- R 7 is selected from hydrogen, methyl and ethyl, and specifically from methyl and ethyl;
- L is -CH 2 -, -CH(CHs)-, -CH 2 CH 2 - or -CH 2 CH 2 CH 2 -, and specifically is -CH 2 -, -CH(CH 3 )- or -CH 2 CH 2 -.
- R 1a is selected from CI, Br and methyl, and specifically from CI and methyl;
- R 1c is selected from CI, Br and cyano, and specifically from CI and cyano;
- R 3 is selected from CHF 2 , OCH 2 F and OCH 2 CF3, and specifically from CHF 2 and
- R 7 is selected from methyl and ethyl
- L is -CH 2 -, -CH(CHs)- or -CH 2 CH 2 -.
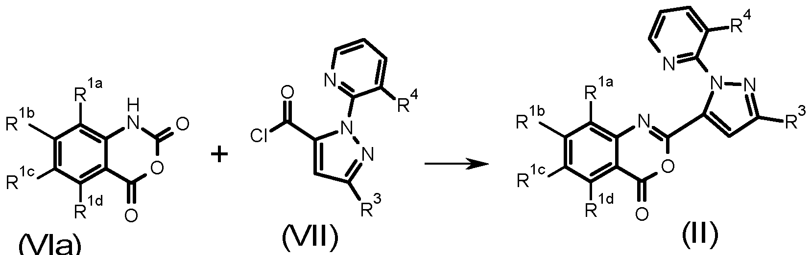
- the compounds of the formula (I) can be prepared by the standard methods of organic chemistry, e.g. by the methods described hereinafter in schemes 1 to x and in the synthesis descriptions of the working examples.
- schemes 1 to X the radicals Y, L, R 1a , R 1b , R 1c , R 1d , R 2 , R 3 , R 4 , R 5 and R 6 are as defined above for formula (I), if not otherwise specified.
- the compounds of formula (I), wherein R 1 is H can be prepared as shown in the Scheme 1 below.
- Y is preferably different from OH.
- a polar or apolar aprotic solvent such as ⁇ , ⁇ -dimethylformamide, tetrahydrofuran, dioxane, acetonitrile, dimethylsulfoxide, pyridine, dichloromethane, benzene, toluene, the xylenes or chlorobenzene or mixtures of such solvents, in a temperature range of from 0 °C and 100°C, preferably of from 20°C and 90°C.
- the reaction is suitably carried out in the presence of a base.
- Suitable bases include but are not limited to oxo bases and amine bases.
- Suitable oxo bases include but are not limited to hydroxides, in particular alkalimetal hydroxides such as lithium, sodium or potassium hydroxide, carbonates, in particular alkalimetal carbonates, such as lithium, sodium or potassium carbonates, hydrogen carbonates, in particular alkalimetal hydrogen carbonates, such as lithium, sodium or potassium hydrogen carbonates, phosphates or hydrogenphosphates, in particular alkalimetal phosphates or hydrogenphosphates, such as lithium, sodium or potassium phosphate, or lithium, sodium or potassium hydrogen phosphate, alkoxides, in particular alkalimetal alkoxides such as sodium or potassium methoxide, sodium or potassium ethoxide or sodium or potassium tert-butanolate, carboxylates, in particular alkalimetal carboxylates, such as lithium, sodium or potassium formiate, lithium, sodium or potassium acetate or lithium, sodium or potassium propionate.
- Suitable amine bases include but are not limited to ammonia and organic amines, in particular aliphatic or cycloaliphatic amines, e.g. di-Ci-C4-alkylamines, tri-Ci-C4-alkylamines, C3-C6- cycloalkylamines, C3-C6-cycloalkyl-di-Ci-C4-alkylamines or cyclic amines such as
- Preferred bases are amine bases. Mixtures of oxobases and amine bases may also be used.
- Compound of formula (III) is typically employed in an amount of from 0.9 to 5 mol, preferably from 0.9 to 3 mol, more preferably from 0.9 to 1.5 mol and in particular from 0.95 to 1.2 mol per mol of the compound of formula (II) used.
- compounds of formula (I) in which R 2 is H can be reacted with compounds of formula R 2 -Lg, wherein R 2 is not H and Lg is a leaving group, such as a bromine, chlorine or iodine atom or a tosylate, mesylate or triflate, to yield compounds of formula (I), wherein R 2 is different from H.
- Lg is a leaving group, such as a bromine, chlorine or iodine atom or a tosylate, mesylate or triflate
- the reaction is suitably carried out in the presence of a base such as sodium hydride or potassium hydride, suitably in a polar aprotic solvent such as N,N-dimethylformamide, tetrahydrofuran, dioxane, acetonitrile, dimethylsulfoxide or pyridine, or mixtures of these solvents, in a temperature range of from 0°C and 100 C.
- a base such as sodium hydride or potassium hydride
- a polar aprotic solvent such as N,N-dimethylformamide, tetrahydrofuran, dioxane, acetonitrile, dimethylsulfoxide or pyridine, or mixtures of these solvents, in a temperature range of from 0°C and 100 C.
- Y is preferably OH.
- the reaction shown in scheme 2 can be performed by analogy to conventional derivatization of ketones or aldehydes into their Oximes. A suitable method has also been described in WO 2012/038851 .
- Suitable reaction conditions for performing the reactions of scheme 3 can be taken from WO 01/70671 , WO 03/016284, WO 2007/006670 or WO 2007/093402, respectively and the literature cited therein.
- Suitable reaction conditions for performing the reactions of scheme 4 can be taken from
- the compounds of formula (I), especially (l-a), (l-b), (l-c), (l-d), including their stereoisomers, N-oxides and salts, as well as their precursors in the synthesis process can be prepared by the methods described above or by customary modifications of the synthesis routes described. If individual compounds can not be prepared via the above-described routes, they can be prepared by derivatization of other compounds (I) or the respective precursor. For example, in individual cases, certain compounds of formula (I) can advantageously be prepared from other compounds of formula (I) by derivatization, e.g. by ester hydrolysis, amidation, esterification, ether cleavage, olefination, reduction, oxidation and the like, or by customary modifications of the synthesis routes described.
- reaction mixtures are worked up in the customary manner, for example by mixing with water, separating the phases, and, if appropriate, purifying the crude products by
- intermediates and end products may be obtained in the form of colorless or pale brown viscous oils which are freed or purified from volatile components under reduced pressure and at moderately elevated temperature. If the intermediates and end products are obtained as solids, they may be purified by recrystallization or trituration with an appropriate solvent.
- invertebrate pest encompasses animal populations, such as arthropode pests, including insects and arachnids, as well as nematodes, which may attack plants thereby causing substantial damage to the plants attacked, as well as ectoparasites which may infest animals, in particular warm blooded animals such as e.g.
- the compounds of the formula I are in particular suitable for efficiently controlling arthropodal pests such as arachnids, myriapedes and insects as well as nematodes.
- the compounds of the formula I are especially suitable for efficiently combating the following pests:
- Leucoptera scitella Lithocolletis blancardella, Lobesia botrana, Loxostege sticticalis, Lymantria dispar, Lymantria monacha, Lyonetia clerkella, Malacosoma neustria, Mamestra brassicae,
- Trichoplusia ni and Zeiraphera canadensis Trichoplusia ni and Zeiraphera canadensis; beetles (Coleoptera), for example Agrilus sinuatus, Agriotes lineatus, Agriotes obscurus, Amphimallus solstitialis, Anisandrus dispar, Anthonomus grandis, Anthonomus pomorum, Aphthona euphoridae, Athous haemorrhoidalis, Atomaria linearis, Blastophagus piniperda, Blitophaga undata, Bruchus rufimanus, Bruchus pisorum, Bruchus lentis, Byctiscus betulae, Cassida nebulosa, Cerotoma trifurcata, Cetonia aurata, Ceuthorrhynchus assimilis,
- Ceuthorrhynchus napi Chaetocnema tibialis, Conoderus vespertinus, Crioceris asparagi, Ctenicera ssp., Diabrotica longicornis, Diabrotica semipunctata, Diabrotica 12-punctata
- Diabrotica speciosa Diabrotica virgifera, Epilachna varivestis, Epitrix hirtipennis, Eutinobothrus brasiliensis, Hylobius abietis, Hypera brunneipennis, Hypera postica, Ips typographus, Lema bilineata, Lema melanopus, Leptinotarsa decemlineata, Limonius californicus, Lissorhoptrus oryzophilus, Melanotus communis, Meligethes aeneus, Melolontha hippocastani, Melolontha melolontha, Oulema oryzae, Otiorrhynchus sulcatus, Otiorrhynchus ovatus, Phaedon cochleariae, Phyllobius pyri, Phyllotreta chrysocephala, Phyllophaga sp
- mosquitoes e.g. Aedes aegypti, Aedes albopictus, Aedes vexans,
- Anastrepha ludens Anopheles maculipennis, Anopheles crucians, Anopheles albimanus, Anopheles gambiae, Anopheles freeborni, Anopheles leucosphyrus, Anopheles minimus, Anopheles quadrimaculatus, Calliphora vicina, Ceratitis capitata, Chrysomya bezziana, Chrysomya hominivorax, Chrysomya macellaria, Chrysops discalis, Chrysops silacea, Chrysops atlanticus, Cochliomyia hominivorax, Contarinia sorghicola Cordylobia anthropophaga,
- thrips (Thysanoptera), e.g. Dichromothrips corbetti, Dichromothrips ssp., Frankliniella fusca, Frankliniella occidentalis, Frankliniella tritici, Scirtothrips citri, Thrips oryzae, Thrips palmi and Thrips tabaci,
- Isoptera e.g. Calotermes flavicollis, Leucotermes flavipes, Heterotermes aureus, Reticulitermes flavipes, Reticulitermes virginicus, Reticulitermes lucifugus,
- Reticulitermes santonensis Reticulitermes grassei, Termes natalensis, and Coptotermes formosanus
- cockroaches Bostodian - Blattodea
- Blattella germanica e.g., Blattella germanica, Blattella asahinae
- Periplaneta americana Periplaneta japonica, Periplaneta brunnea, Periplaneta fuligginosa, Periplaneta australasiae, and Blatta orientalis;
- ants e.g. Athalia rosae, Atta cephalotes, Atta capiguara, Atta cephalotes, Atta laevigata, Atta robusta, Atta sexdens, Atta texana,
- Crematogaster spp. Hoplocampa minuta, Hoplocampa testudinea, Lasius niger, Monomorium pharaonis, Solenopsis geminata, Solenopsis invicta, Solenopsis richteri, Solenopsis xyloni, Pogonomyrmex barbatus, Pogonomyrmex californicus, Pheidole megacephala, Dasymutilla occidentalis, Bombus spp., Vespula squamosa, Paravespula vulgaris, Paravespula
- crickets grasshoppers, locusts (Orthoptera), e.g. Acheta domestica, Gryllotalpa gryllotalpa, Locusta migratoria, Melanoplus bivittatus, Melanoplus femurrubrum, Melanoplus mexicanus, Melanoplus sanguinipes, Melanoplus spretus, Nomadacris septemfasciata,
- Schistocerca americana Schistocerca gregaria, Dociostaurus maroccanus, Tachycines asynamorus, Oedaleus senegalensis, Zonozerus variegatus, Hieroglyphus daganensis,
- arachnoidea such as arachnids (Acarina), e.g.
- Argasidae Ixodidae and Sarcoptidae, such as Amblyomma americanum, Amblyomma variegatum, Ambryomma maculatum, Argas persicus, Boophilus annulatus, Boophilus decoloratus, Boophilus microplus, Dermacentor silvarum, Dermacentor andersoni, Dermacentor variabilis, Hyalomma truncatum, Ixodes ricinus, Ixodes rubicundus, Ixodes scapularis, Ixodes holocyclus, Ixodes pacificus, Ornithodorus moubata, Ornithodorus hermsi, Ornithodorus turicata, Ornithonyssus bacoti, Otobius megnini, Dermanyssus gallinae, Psoroptes ovis, Rhipicephalus sanguineus,
- Rhipicephalus appendiculatus Rhipicephalus evertsi, Sarcoptes scabiei, and Eriophyidae spp.
- Eriophyidae spp. such as Aculus Westendali, Phyllocoptrata oleivora and Eriophyes sheldoni
- Tarsonemidae spp. such as Phytonemus pallidus and Polyphagotarsonemus latus
- Tenuipalpidae spp. such as Brevipalpus phoenicis
- Tetranychus cinnabarinus Tetranychus kanzawai, Tetranychus pacificus, Tetranychus telarius and Tetranychus urticae, Panonychus ulmi, Panonychus citri, and Oligonychus pratensis
- Araneida e.g. Latrodectus mactans, and Loxosceles reclusa
- fleas e.g. Ctenocephalides felis, Ctenocephalides canis, Xenopsylla cheopis, Pulex irritans, Tunga penetrans, and Nosopsyllus fasciatus,
- silverfish, firebrat e.g. Lepisma saccharina and Thermobia domestica, centipedes (Chilopoda), e.g. Scutigera coleoptrata,
- Earwigs e.g. forficula auricularia
- Pediculus humanus capitis e.g. Pediculus humanus capitis, Pediculus humanus corporis, Pthirus pubis, Haematopinus eurysternus, Haematopinus suis, Linognathus vituli, Bovicola bovis, Menopon gallinae, Menacanthus stramineus and Solenopotes capillatus.
- Collembola (springtails), e.g. Onychiurus ssp..
- the compounds of the present invention including their salts, N-oxides and
- stereoisomers are also suitable for controlling nematodes , especially plant parasitic nematodes such as root knot nematodes, Meloidogyne hapla, Meloidogyne incognita, Meloidogyne javanica, and other Meloidogyne species; cyst-forming nematodes, Globodera rostochiensis and other Globodera species; Heterodera avenae, Heterodera glycines, Heterodera schachtii, Heterodera trifolii, and other Heterodera species; Seed gall nematodes, Anguina species; Stem and foliar nematodes, Aphelenchoides species; Sting nematodes, Belonolaimus longicaudatus and other Belonolaimus species; Pine nematodes, Bursaphelenchus xylophilus and other Bursaphelenchus species; Ring nemato
- arachnids such as acarians (Acarina), e.g. of the families Argasidae, Ixodidae and Sarcoptidae, such as Amblyomma americanum, Amblyomma variegatum, Argas persicus, Boophilus annulatus, Boophilus decoloratus, Boophilus microplus, Dermacentor silvarum, Hyalomma truncatum, Ixodes ricinus, Ixodes rubicundus, Ornithodorus moubata, Otobius megnini, Dermanyssus gallinae, Psoroptes ovis, Rhipicephalus
- arachnoidea such as acarians (Acarina)
- Argasidae, Ixodidae and Sarcoptidae such as Amblyomma americanum, Amblyomma variegatum, Argas persicus, Boophilus annul
- Tetranychus cinnabarinus Tetranychus kanzawai
- Tetranychus pacificus Tetranychus telarius
- Tetranychus urticae Panonychus ulmi, Panonychus citri, and oligonychus pratensis.
- insects preferably sucking or piercing insects such as insects from the genera Thysanoptera, Diptera and
- Hemiptera, and chewing-biting pests such as insects from the genera of Lepidoptera, in particular the following species:
- Thysanoptera Frankliniella fusca, Frankliniella occidentalis, Frankliniella tritici
- Diptera e.g. Aedes aegypti, Aedes albopictus, Aedes vexans, Anastrepha ludens, Anopheles maculipennis, Anopheles crucians, Anopheles albimanus, Anopheles gambiae, Anopheles freeborni, Anopheles leucosphyrus, Anopheles minimus, Anopheles quadrimaculatus,
- Calliphora vicina Ceratitis capitata, Chrysomya bezziana, Chrysomya hominivorax, Chrysomya macellaria, Chrysops discalis, Chrysops silacea, Chrysops atlanticus, Cochliomyia hominivorax, Contarinia sorghicola Cordylobia anthropophaga, Culicoides furens, Culex pipiens, Culex nigripalpus, Culex quinquefasciatus, Culex tarsalis, Culiseta inomata, Culiseta melanura, Dacus cucurbitae, Dacus oleae, Dasineura brassicae, Delia antique, Delia coarctata, Delia platura, Delia radicum, Dermatobia hominis, Fannia canicularis, Geomyza Tripunctata, Gasterophilus intestinalis, Glossina morsitans, Gloss
- Hemiptera in particular aphids: Acyrthosiphon onobrychis, Adelges laricis, Aphidula nasturtii, Aphis fabae, Aphis forbesi, Aphis pomi, Aphis gossypii, Aphis grossulariae, Aphis schneideri, Aphis spiraecola, Aphis sambuci, Acyrthosiphon pisum, Aulacorthum solani, Brachycaudus cardui, Brachycaudus helichrysi, Brachycaudus persicae, Brachycaudus prunicola, Brevicoryne brassicae, Capitophorus horni, Cerosipha gossypii, Chaetosiphon fragaefolii, Cryptomyzus ribis, Dreyfusia nordmannianae, Dreyfusia piceae, Dys
- Hyalopterus pruni Hyperomyzus lactucae, Macrosiphum avenae, Macrosiphum euphorbiae, Macrosiphon rosae, Megoura viciae, Melanaphis pyrarius, Metopolophium dirhodum, Myzodes persicae, Myzus ascalonicus, Myzus cerasi, Myzus varians, Nasonovia ribis-nigri, Nilaparvata lugens, Pemphigus bursarius, Perkinsiella saccharicida, Phorodon humuli, Psylla mali, Psylla piri, Rhopalomyzus ascalonicus, Rhopalosiphum maidis, Rhopalosiphum padi, Rhopalosiphum insertum, Sappaphis mala, Sappaphis mali, Schizaphis graminum, Schizoneura lanuginosa, Sitobion a
- Lepidoptera in particular: Agrotis ypsilon, Agrotis segetum, Alabama argillacea, Anticarsia gemmatalis, Argyresthia conjugella, Autographa gamma, Bupalus piniarius, Cacoecia murinana, Capua reticulana, Cheimatobia brumata, Chonstoneura fumiferana, Choristoneura occidentalis, Cirphis unipuncta, Cydia pomonella, Dendrolimus pini, Diaphania nitidalis, Diatraea
- Thaumatopoea pityocampa, Tortrix viridana, Trichoplusia ni and Zeiraphera canadensis Thaumatopoea pityocampa, Tortrix viridana, Trichoplusia ni and Zeiraphera canadensis.
- Compounds of the formula I are particularly useful for controlling insects of the orders Hemiptera and Thysanoptera.
- the invention also relates to agrochemical compositions comprising an auxiliary and at least one compound I according to the invention.
- An agrochemical composition comprises a pesticidally effective amount of a compound I.
- the term "effective amount” denotes an amount of the composition or of the compounds I, which is sufficient for controlling invertebrate pests on cultivated plants or in the protection of materials and which does not result in a substantial damage to the treated plants or material. Such an amount can vary in a broad range and is dependent on various factors, such as the invertebrate (e.g. insect) species to be controlled, the treated cultivated plant or material, the climatic conditions and the specific compound I used.
- the compounds I, their stereoisomers, N-oxides and salts can be converted into customary types of agrochemical compositions, e. g. solutions, emulsions, suspensions, dusts, powders, pastes, granules, pressings, capsules, and mixtures thereof.
- agrochemical compositions e. g. solutions, emulsions, suspensions, dusts, powders, pastes, granules, pressings, capsules, and mixtures thereof.
- composition types are suspensions (e.g. SC, OD, FS), emulsifiable concentrates (e.g. EC), emulsions (e.g. EW, EO, ES, ME), capsules (e.g. CS, ZC), pastes, pastilles, wettable powders or dusts (e.g. WP, SP, WS, DP, DS), pressings (e.g. BR, TB, DT), granules (e.g. WG, SG, GR, FG, GG, MG), insecticidal articles (e.g. LN), as well as gel formulations for the treatment of plant propagation materials such as seeds (e.g. GF).
- suspensions e.g. SC, OD, FS
- emulsifiable concentrates e.g. EC
- emulsions e.g. EW, EO, ES, ME
- capsules e.g. CS, ZC
- compositions are prepared in a known manner, such as described by Mollet and
- auxiliaries are solvents, liquid carriers, solid carriers or fillers, surfactants, dispersants, emulsifiers, wetters, adjuvants, solubilizers, penetration enhancers, protective colloids, adhesion agents, thickeners, humectants, repellents, attractants, feeding stimulants, compatibilizers, bactericides, anti-freezing agents, anti-foaming agents, colorants, tackifiers and binders.
- Suitable solvents and liquid carriers are water and organic solvents, such as mineral oil fractions of medium to high boiling point, e.g. kerosene, diesel oil; oils of vegetable or animal origin; aliphatic, cyclic and aromatic hydrocarbons, e. g. toluene, paraffin,
- tetrahydronaphthalene alkylated naphthalenes
- alcohols e.g. ethanol, propanol, butanol, benzylalcohol, cyclohexanol
- glycols DMSO
- ketones e.g. cyclohexanone
- esters e.g. lactates, carbonates, fatty acid esters, gamma-butyrolactone
- fatty acids phosphonates
- amines amides, e.g. N-methylpyrrolidone, fatty acid dimethylamides; and mixtures thereof.
- Suitable solid earners or fillers are mineral earths, e.g. silicates, silica gels, talc, kaolins, limestone, lime, chalk, clays, dolomite, diatomaceous earth, bentonite, calcium sulfate, magnesium sulfate, magnesium oxide; polysaccharide powders, e.g. cellulose, starch;
- fertilizers e.g. ammonium sulfate, ammonium phosphate, ammonium nitrate, ureas
- products of vegetable origin e.g. cereal meal, tree bark meal, wood meal, nutshell meal, and mixtures thereof.
- Suitable surfactants are surface-active compounds, such as anionic, cationic, nonionic and amphoteric surfactants, block polymers, polyelectrolytes, and mixtures thereof. Such surfactants can be used as emusifier, dispersant, solubilizer, wetter, penetration enhancer, protective colloid, or adjuvant. Examples of surfactants are listed in McCutcheon's, Vol.1 :
- Emulsifiers & Detergents McCutcheon's Directories, Glen Rock, USA, 2008 (International Ed. or North American Ed.).
- Suitable anionic surfactants are alkali, alkaline earth or ammonium salts of sulfonates, sulfates, phosphates, carboxylates, and mixtures thereof.
- sulfonates are alkylarylsulfonates, diphenylsulfonates, alpha-olefin sulfonates, lignine sulfonates, sulfonates of fatty acids and oils, sulfonates of ethoxylated alkylphenols, sulfonates of alkoxylated
- tridecylbenzenes sulfonates of naphthalenes and alkylnaphthalenes, sulfosuccinates or sulfosuccinamates.
- sulfates are sulfates of fatty acids and oils, of ethoxylated alkylphenols, of alcohols, of ethoxylated alcohols, or of fatty acid esters.
- phosphates are phosphate esters.
- carboxylates are alkyl carboxylates, and carboxylated alcohol or alkylphenol ethoxylates.
- Suitable nonionic surfactants are alkoxylates, N-subsituted fatty acid amides, amine oxides, esters, sugar-based surfactants, polymeric surfactants, and mixtures thereof.
- alkoxylates are compounds such as alcohols, alkylphenols, amines, amides, arylphenols, fatty acids or fatty acid esters which have been alkoxylated with 1 to 50 equivalents.
- Ethylene oxide and/or propylene oxide may be employed for the alkoxylation, preferably ethylene oxide.
- N-subsititued fatty acid amides are fatty acid glucamides or fatty acid
- esters are fatty acid esters, glycerol esters or monoglycerides.
- sugar-based surfactants are sorbitans, ethoxylated sorbitans, sucrose and glucose esters or alkylpolyglucosides.
- polymeric surfactants are home- or copolymers of vinylpyrrolidone, vinylalcohols, or vinylacetate.
- Suitable cationic surfactants are quaternary surfactants, for example quaternary ammonium compounds with one or two hydrophobic groups, or salts of long-chain primary amines.
- Suitable amphoteric surfactants are alkylbetains and imidazolines.
- Suitable block polymers are block polymers of the A-B or A-B-A type comprising blocks of polyethylene oxide and polypropylene oxide, or of the A-B-C type comprising alkanol, polyethylene oxide and polypropylene oxide.
- Suitable polyelectrolytes are polyacids or polybases. Examples of polyacids are alkali salts of polyacrylic acid or polyacid comb polymers. Examples of polybases are polyvinylamines or polyethyleneamines.
- Suitable adjuvants are compounds, which have a neglectable or even no pesticidal activity themselves, and which improve the biological performance of the compound I on the target.
- examples are surfactants, mineral or vegetable oils, and other auxilaries. Further examples are listed by Knowles, Adjuvants and additives, Agrow Reports DS256, T&F Informa UK, 2006, chapter 5.
- Suitable thickeners are polysaccharides (e.g. xanthan gum, carboxymethylcellulose), anorganic clays (organically modified or unmodified), polycarboxylates, and silicates.
- Suitable bactericides are bronopol and isothiazolinone derivatives such as
- Suitable anti-freezing agents are ethylene glycol, propylene glycol, urea and glycerin.
- Suitable anti-fbaming agents are silicones, long chain alcohols, and salts of fatty acids.
- Suitable colorants are pigments of low water solubility and water-soluble dyes.
- examples are inorganic colorants (e.g. iron oxide, titan oxide, iron hexacyanoferrate) and organic colorants (e.g. alizarin-, azo- and phthalocyanine colorants).
- Suitable tackifiers or binders are polyvinylpyrrolidone, polyvinylacetates, polyvinyl alcohols, polyacrylates, biological or synthetic waxes, and cellulose ethers.
- composition types and their preparation are:
- a compound I according to the invention 10-60 wt% of a compound I according to the invention and 5-15 wt% wetting agent (e.g. alcohol alkoxylates) are dissolved in water and/or in a water-soluble solvent (e.g. alcohols) up to 100 wt%.
- the active substance dissolves upon dilution with water,
- polyvinylpyrrolidone are dissolved in up to 100 wt% organic solvent (e.g. cyclohexanone). Dilution with water gives a dispersion.
- organic solvent e.g. cyclohexanone
- emulsifiers e.g. calcium dodecylbenzenesulfonate and castor oil ethoxylate
- 20-40 wt% water-insoluble organic solvent e.g. aromatic hydrocarbon
- a compound I according to the invention 20-60 wt% of a compound I according to the invention are comminuted with addition of 2-10 wt% dispersants and wetting agents (e.g. sodium lignosulfonate and alcohol ethoxylate), 0,1 -2 wt% thickener (e.g. xanthan gum) and up to 100 wt% water to give a fine active substance suspension. Dilution with water gives a stable suspension of the active substance.
- dispersants and wetting agents e.g. sodium lignosulfonate and alcohol ethoxylate
- 0,1 -2 wt% thickener e.g. xanthan gum
- 50-80 wt% of a compound I according to the invention are ground finely with addition of up to 100 wt% dispersants and wetting agents (e.g. sodium lignosulfonate and alcohol ethoxylate) and prepared as water-dispersible or water-soluble granules by means of technical appliances (e. g. extrusion, spray tower, fluidized bed). Dilution with water gives a stable dispersion or solution of the active substance.
- dispersants and wetting agents e.g. sodium lignosulfonate and alcohol ethoxylate
- 50-80 wt% of a compound I according to the invention are ground in a rotor-stator mill with addition of 1 -5 wt% dispersants (e.g. sodium lignosulfonate), 1 -3 wt% wetting agents (e.g.
- a compound I according to the invention In an agitated ball mill, 5-25 wt% of a compound I according to the invention are comminuted with addition of 3-10 wt% dispersants (e.g. sodium lignosulfonate), 1 -5 wt% thickener (e.g. carboxymethylcellulose) and up to 100 wt% water to give a fine suspension of the active substance. Dilution with water gives a stable suspension of the active substance.
- dispersants e.g. sodium lignosulfonate
- 1 -5 wt% thickener e.g. carboxymethylcellulose
- a compound I according to the invention 5-20 wt% of a compound I according to the invention are added to 5-30 wt% organic solvent blend (e.g. fatty acid dimethylamide and cyclohexanone), 10-25 wt% surfactant blend (e.g. alkohol ethoxylate and arylphenol ethoxylate), and water up to 100 %. This mixture is stirred for 1 h to produce spontaneously a thermodynamically stable microemulsion.
- organic solvent blend e.g. fatty acid dimethylamide and cyclohexanone
- surfactant blend e.g. alkohol ethoxylate and arylphenol ethoxylate
- An oil phase comprising 5-50 wt% of a compound I according to the invention, 0-40 wt% water insoluble organic solvent (e.g. aromatic hydrocarbon), 2-15 wt% acrylic monomers (e.g.
- methylmethacrylate, methacrylic acid and a di- or triacrylate are dispersed into an aqueous solution of a protective colloid (e.g. polyvinyl alcohol). Radical polymerization initiated by a radical initiator results in the formation of poly(meth)acrylate microcapsules.
- a protective colloid e.g. polyvinyl alcohol.
- Radical polymerization initiated by a radical initiator results in the formation of poly(meth)acrylate microcapsules.
- an oil phase comprising 5-50 wt% of a compound I according to the invention, 0-40 wt% water insoluble organic solvent (e.g. aromatic hydrocarbon), and an isocyanate monomer (e.g.
- diphenylmethene-4,4'-diisocyanatae are dispersed into an aqueous solution of a protective colloid (e.g. polyvinyl alcohol).
- a protective colloid e.g. polyvinyl alcohol.
- the addition of a polyamine results in the formation of a polyurea microcapsules.
- the monomers amount to 1 -10 wt%.
- the wt% relate to the total CS composition.
- Dustable powders (DP, DS)
- 1 -10 wt% of a compound I according to the invention are ground finely and mixed intimately with up to 100 wt% solid carrier, e.g. finely divided kaolin.
- 0.5-30 wt% of a compound I according to the invention is ground finely and associated with up to 100 wt% solid carrier (e.g. silicate). Granulation is achieved by extrusion, spray-drying or the fluidized bed.
- solid carrier e.g. silicate
- a compound I according to the invention are dissolved in up to 100 wt% organic solvent, e.g. aromatic hydrocarbon.
- organic solvent e.g. aromatic hydrocarbon.
- compositions types i) to xi) may optionally comprise further auxiliaries, such as 0,1 -1 wt% bactericides, 5-15 wt% anti-freezing agents, 0,1 -1 wt% anti-foaming agents, and 0,1 -1 wt% colorants.
- auxiliaries such as 0,1 -1 wt% bactericides, 5-15 wt% anti-freezing agents, 0,1 -1 wt% anti-foaming agents, and 0,1 -1 wt% colorants.
- the agrochemical compositions generally comprise between 0.01 and 95%, preferably between 0.1 and 90%, and most preferably between 0.5 and 75%, by weight of active substance.
- the active substances are employed in a purity of from 90% to 100%, preferably from 95% to 100% (according to NMR spectrum).
- Water-soluble concentrates (LS), Suspoemulsions (SE), flowable concentrates (FS), powders for dry treatment (DS), water-dispersible powders for slurry treatment (WS), water- soluble powders (SS), emulsions (ES), emulsifiable concentrates (EC) and gels (GF) are usually employed for the purposes of treatment of plant propagation materials, particularly seeds.
- the compositions in question give, after two-to-tenfold dilution, active substance concentrations of from 0.01 to 60% by weight, preferably from 0.1 to 40% by weight, in the ready-to-use preparations. Application can be carried out before or during sowing.
- Methods for applying or treating compound I and compositions thereof, respectively, on to plant propagation material, especially seeds include dressing, coating, pelleting, dusting, soaking and in-furrow application methods of the propagation material.
- compound I or the compositions thereof, respectively are applied on to the plant propagation material by a method such that germination is not induced, e. g. by seed dressing, pelleting, coating and dusting.
- the amounts of active substances applied are, depending on the kind of effect desired, from 0.001 to 2 kg per ha, preferably from 0.001 to 1 kg per ha, more preferably from 0.005 to 0.9 kg per ha, in particular from 0.005 to 0.5 kg per ha.
- amounts of active substance of from 0.1 to 1000 g, preferably from 0.1 to 300 g, more preferably from 0.1 to 200 g and most preferably from 0.25 to 200 g, per 100 kilogram of plant propagation material (preferably seed) are generally required.
- the amount of active substance applied depends on the kind of application area and on the desired effect. Amounts customarily applied in the protection of materials are 0.001 g to 2 kg, preferably 0.005 g to 1 kg, of active substance per cubic meter of treated material.
- oils, wetters, adjuvants, fertilizer, or micronutrients, and other pesticides may be added to the active substances or the compositions comprising them as premix or, if appropriate not until immediately prior to use (tank mix).
- pesticides e.g. herbicides, insecticides, fungicides, growth regulators, safeners
- These agents can be admixed with the compositions according to the invention in a weight ratio of 1 :100 to 100:1 , preferably 1 :10 to 10:1.
- the user applies the composition according to the invention usually from a predosage device, a knapsack sprayer, a spray tank, a spray plane, or an irrigation system.
- the agrochemical composition is made up with water, buffer, and/or further auxiliaries to the desired application concentration and the ready-to-use spray liquor or the agrochemical composition according to the invention is thus obtained.
- 20 to 2000 liters, preferably 50 to 400 liters, of the ready-to-use spray liquor are applied per hectare of agricultural useful area.
- composition according to the invention such as parts of a kit or parts of a binary or ternary mixture may be mixed by the user himself in a spray tank and further auxiliaries may be added, if appropriate.
- either individual components of the composition according to the invention or partially premixed components may be mixed by the user in a spray tank and further auxiliaries and additives may be added, if appropriate.
- either individual components of the composition according to the invention or partially premixed components e. g. components comprising compounds I and/or active substances from the groups A) to O
- compounds I may be applied with other active ingredients, for example with other pesticides, insecticides, herbicides, fertilizers such as ammonium nitrate, urea, potash, and superphosphate, phytotoxicants and plant growth regulators, safeners and nematicides.
- additional ingredients may be used sequentially or in combination with the above-described compositions, if appropriate also added only immediately prior to use (tank mix).
- the plant(s) may be sprayed with a composition of this invention either before or after being treated with other active ingredients. Therefore, the present invention also relates to a mixture or composition comprising at least one compound of formula (I), or a stereoisomer or agriculturally or veterinarily acceptable salt thereof, and at least one further pesticide.
- the following categorized list M of pesticides represents insecticidal mixture partners, which are, whenever possible, classified according to the Insecticide Resistance Action
- Acetylcholine esterase (AChE) inhibitors from the class of
- M.1 A carbamates for example aldicarb, alanycarb, bendiocarb, benfuracarb, butocarboxim, butoxycarboxim, carbaryl, carbofuran, carbosulfan, ethiofencarb, fenobucarb, formetanate, furathiocarb, isoprocarb, methiocarb, methomyl, metolcarb, oxamyl, pirimicarb, propoxur, thiodicarb, thiofanox, trimethacarb, XMC, xylylcarb and triazamate; or from the class of
- M.1 B organophosphates for example acephate, azamethiphos, azinphos-ethyl,
- methamidophos methidathion, mevinphos, monocrotophos, naled, omethoate, oxydemeton- methyl, parathion, parathion-methyl, phenthoate, phorate, phosalone, phosmet, phosphamidon, phoxim, pirimiphos- methyl, profenofos, propetamphos, prothiofos, pyraclofos, pyridaphenthion, quinalphos, sulfotep, tebupirimfos, temephos, terbufos, tetrachlorvinphos, thiometon, triazophos, trichlorfon and vamidothion;
- GABA-gated chloride channel antagonists such as:
- M.2A cyclodiene organochlorine compounds as for example endosulfan or chlordane
- M.2B fiproles phenylpyrazoles
- ethiprole phenylpyrazoles
- fipronil flufiprole
- pyrafluprole pyriprole
- M.3A pyrethroids for example acrinathrin, allethrin, d-cis-trans allethrin, d-trans allethrin, bifenthrin, bioallethrin, bioallethrin S-cylclopentenyl, bioresmethrin, cycloprothrin, cyfluthrin, beta-cyfluthrin, cyhalothrin, lambda-cyhalothrin, gamma-cyhalothrin, cypermethrin, alpha- cypermethrin, beta-cypermethrin, theta-cypermethrin, zeta-cypermethrin, cyphenothrin, deltamethrin, empenthrin, esfenvalerate, etofenprox, fenpropathrin, fenvalerate, fluc
- M.4 Nicotinic acetylcholine receptor agonists from the class of M.4A neonicotinoids, for example acteamiprid, chlothianidin, dinotefuran, imidacloprid, nitenpyram, thiacloprid and thiamethoxam; or
- M.6 Chloride channel activators from the class of avermectins and milbemycins, for example abamectin, emamectin benzoate, ivermectin, lepimectin or milbemectin;
- M.7A juvenile hormone analogues as hydroprene, kinoprene and methoprene; or others as M.7B fenoxycarb, or
- M.8A alkyl halides as methyl bromide and other alkyl halides, or
- M.1 1 Microbial disruptors of insect midgut membranes, for example bacillus thuringiensis or bacillus sphaericus and the insecticdal proteins they produce such as bacillus thuringiensis subsp. israelensis, bacillus sphaericus, bacillus thuringiensis subsp. aizawai, bacillus thuringiensis subsp. kurstaki and bacillus thuringiensis subsp. tenebrionis, or the Bt crop proteins: CrylAb, CrylAc, Cryl Fa, Cry2Ab, mCry3A, Cry3Ab, Cry3Bb and Cry34/35Ab1 ;
- M.12 Inhibitors of mitochondrial ATP synthase for example
- M.12B organotin miticides such as azocyclotin, cyhexatin or fenbutatin oxide, or M.12C propargite, or
- Nicotinic acetylcholine receptor (nAChR) channel blockers for example nereistoxin analogues as bensultap, cartap hydrochloride, thiocyclam or thiosultap sodium;
- benzoylureas as for example bistrifluron, chlorfluazuron, diflubenzuron, flucycloxuron, flufenoxuron, hexaflumuron, lufenuron, novaluron, noviflumuron, teflubenzuron or triflumuron;
- M.16 Inhibitors of the chitin biosynthesis type 1 as for example buprofezin;
- M.18 Ecdyson receptor agonists such as diacylhydrazines, for example methoxyfenozide, tebufenozide, halofenozide, fufenozide or chromafenozide;
- Octopamin receptor agonists as for example amitraz
- M.21 A METI acaricides and insecticides such as fenazaquin, fenpyroximate, pyrimidifen, pyridaben, tebufenpyrad or tolfenpyrad, or
- M.23 Inhibitors of the of acetyl CoA carboxylase such as Tetronic and Tetramic acid derivatives, for example spirodiclofen, spiromesifen or spirotetramat;
- M.24A phosphine such as aluminium phosphide, calcium phosphide, phosphine or
- Mitochondrial complex II electron transport inhibitors such as beta-ketonitrile derivatives, for example cyenopyrafen or cyflumetofen;
- flubendiamide for example flubendiamide, chlorantraniliprole (rynaxypyr®), cyantraniliprole (cyazypyr®), or the phthalamide compounds
- M.X insecticidal active compounds of unknown or uncertain mode of action as for example azadirachtin, amidoflumet, benzoximate, bifenazate, bromopropylate, chinomethionat, cryolite, dicofol, flufenerim, flometoquin, fluensulfone, flupyradifurone, piperonyl butoxide, pyridalyl, pyrifluquinazon, sulfoxaflor, or the compound
- M.X.2 cyclopropaneacetic acid, 1 ,1 '-[(3S,4R,4aR,6S,6aS,12R,12aS,12bS)-4-[[(2- cyclopropylacetyl)oxy]methyl]-1 ,3,4,4a,5,6,6a,12,12a,12b-decahydro-12-hydroxy-4,6a,12b- trimethyl-1 1 -oxo-9-(3-pyridinyl)-2H,1 1 H-naphtho[2,1 -b]pyrano[3,4-e]pyran-3,6-diyl] ester, or the compound
- M.X.5 1 -[2-fluoro-4-methyl-5-[(2,2,2-trifluoroethyl)sulfinyl]phenyl]-3-(trifluoromethyl)-1 H-1 ,2,4- triazole-5-amine, or actives on basis of bacillus firmus (Votivo, 1-1582).
- Pesticide Manual 15th Edition, C. D. S. Tomlin, British Crop Protection Council (201 1 ) among other publications.
- the phthalamides M.26.1 and M.26.2 are both known from WO 2007/101540.
- the anthranilamide M.26.3 has been described in WO2005/077943.
- the hydrazide compound M.26.4 has been described in WO 2007/043677.
- the quinoline derivative flometoquin is shown in WO2006/013896.
- the aminofuranone compounds flupyradifurone is known from WO
- the sulfoximine compound sulfoxaflor is known from WO2007/149134.
- the isoxazoline compound M.X.1 has been described in WO2005/085216.
- the pyripyropene derivative M.X.2 has been described in WO 2006/129714.
- the spiroketal-substituted cyclic ketoenol derivative M.X.3 is known from WO2006/089633 and the biphenyl-substituted spirocyclic ketoenol derivative M.X.4 from WO2008/06791 1.
- strobilurins azoxystrobin, coumethoxystrobin, coumoxystrobin, dimoxystrobin, enestroburin, fluoxastrobin, kresoxim-methyl, metominostrobin, orysastrobin, picoxystrobin, pyraclostrobin, pyrametostrobin, pyraoxystrobin, pyribencarb, triclopyricarb/chlorodincarb, trifloxystrobin, 2-[2- (2,5-dimethyl-phenoxymethyl)-phenyl]-3-methoxy-acrylic acid methyl ester and 2 (2-(3-(2,6- dichlorophenyl)-1 -methyl-allylideneaminooxymethyl)-phenyl)-2-methoxyimino-N methyl- acetamide;
- oxazolidinediones and imidazolinones famoxadone, fenamidone;
- Inhibitors of complex II e.g. carboxamides
- carboxanilides benodanil, bixafen, boscalid, carboxin, fenfuram, fenhexamid, fluopyram, flutolanil, furametpyr, isopyrazam, isotianil, mepronil, oxycarboxin, penflufen, penthiopyrad, sedaxane, tecloftalam, thifluzamide, tiadinil, 2-amino-4 methyl-thiazole-5-carboxanilide, N- (3',4',5' trifluorobiphenyl-2 yl)-3-difluoromethyl-1 -methyl-1 H-pyrazole-4 carboxamide, N-(4'- trifluoromethylthiobiphenyl-2-yl)-3 difluoromethyl-1 -methyl-1 H pyrazole-4-carboxamide, N-(2- (1 ,3,3-trimethyl-butyl)-phenyl)-1 ,3-dimethyl-5
- Inhibitors of complex III at Qi site cyazofamid, amisulbrom, 3S,6S,7R,8R)-3-[[(3-hydroxy- 4-methoxy-2-pyridinyl)carbonyl]amino]-6-methyl-4,9-dioxo-8-(phenylmethyl)-1 ,5-dioxonan-7-yl 2-methylpropanoate;
- respiration inhibitors diflumetorim; tecnazen; ferimzone; ametoctradin; silthiofam; nitrophenyl derivates: binapacryl, dinobuton, dinocap, fluazinam, nitrthal-isopropyl, organometal compounds: fentin salts, such as fentin-acetate, fentin chloride or fentin hydroxide;
- triazoles azaconazole, bitertanol, bromuconazole, cyproconazole, difenoconazole,
- paclobutrazole penconazole, propiconazole, prothioconazole, simeconazole, tebuconazole, tetraconazole, triadimefon, triadimenol, triticonazole, uniconazole;
- imidazoles imazalil, pefurazoate, oxpoconazole, prochloraz, triflumizole;
- pyrimidines, pyridines and piperazines fenarimol, nuarimol, pyrifenox, triforine, 1 -[rel-(2S;3R)-3- (2-chlorophenyl)-2-(2,4-difluorophenyl)-oxiranylmethyl]-5-thiocyanato-1 H-[1 ,2,4]triazole, 2-[rel-(2S;3R)-3- (2-chlorophenyl)-2-(2,4-difluorophenyl)-oxiranylmethyl]-5-thiocyanato-1 H-[1 ,2,4]triazole, 2-[rel-
- morpholines aldimorph, dodemorph, dodemorph-acetate, fenpropimorph, tridemorph;
- piperidines fenpropidin, piperalin; spiroketalamines: spiroxamine;
- RNA DNA synthesis phenylamides or acyl amino acid fungicides: benalaxyl, benalaxyl-M, kiralaxyl, metalaxyl, metalaxyl-M (mefenoxam), ofurace, oxadixyl;
- isoxazoles and iosothiazolones hymexazole, octhilinone;
- Tubulin inhibitors benzimidazoles and thiophanates: benomyl, carbendazim, fuberidazole, thiabendazole, thiophanate-methyl;
- triazolopyrimidines 5-chloro-7 (4-methylpiperidin-1 -yl)-6-(2,4,6-trifluorophenyl)- [1 ,2,4]triazolo[1 ,5 a]pyrimidine;
- benzamides and phenyl acetamides diethofencarb, ethaboxam, pencycuron, fluopicolide, zoxamide;
- Actin inhibitors benzophenones: metrafenone;
- anilino-pyrimidines cyprodinil, mepanipyrim, nitrapyrin, pyrimethanil;
- F.V-2 Protein synthesis inhibitors (anilino-pyrimidines)
- antibiotics blasticidin-S, kasugamycin, kasugamycin hydrochloride-hydrate, mildiomycin, streptomycin, oxytetracyclin, polyoxine, validamycin A;
- MAP / Histidine kinase inhibitors e.g. anilino-pyrimidines
- dicarboximides fluoroimid, iprodione, procymidone, vinclozolin;
- phenylpyrroles fenpiclonil, fludioxonil;
- F.VI-2 G protein inhibitors: quinolines: quinoxyfen;
- organophosphorus compounds edifenphos, iprobenfos, pyrazophos;
- dithiolanes isoprothiolane
- cinnamic or mandelic acid amides dimethomorph, flumorph, mandiproamid, pyrimorph;
- valinamide carbamates benthiavalicarb, iprovalicarb, pyribencarb, valifenalate and N-(1 -(1 -(4- cyano-phenyl)ethanesulfonyl)-but-2-yl) carbamic acid-(4-fluorophenyl) ester;
- F.VI II Inhibitors with Multi Site Action
- F.VIII-1 Inorganic active substances: Bordeaux mixture, copper acetate, copper hydroxide, copper oxychloride, basic copper sulfate, sulfur;
- F.VIII-2 Thio- and dithiocarbamates: ferbam, mancozeb, maneb, metam, methasulphocarb, metiram, propineb, thiram, zineb, ziram;
- Inhibitors of glucan synthesis validamycin, polyoxin B;
- F.IX-2 Melanin synthesis inhibitors: pyroquilon, tricyclazole, carpropamide, dicyclomet, fenoxanil;
- phosphonates fosetyl, fosetyl-aluminum, phosphorous acid and its salts;
- F.XI Growth regulators: abscisic acid, amidochlor, ancymidol, 6-benzylaminopurine, brassinolide, butralin, chlormequat (chlormequat chloride), choline chloride, cyclanilide, daminozide, dikegulac, dimethipin, 2,6-dimethylpuridine, ethephon, flumetralin, flurprimidol, fluthiacet, forchlorfenuron, gibberellic acid, inabenfide, indole-3-acetic acid, maleic hydrazide, mefluidide, mepiquat (mepiquat chloride), naphthaleneacetic acid, N 6-benzyladenine, paclobutrazol, prohexadione (prohexadione-calcium), prohydrojasmon, thidiazuron,
- Bacillus substilis strain with NRRL No. B-21661 e.g. Rhapsody®, Serenade® MAX and Serenade® ASO from AgraQuest, Inc., USA.
- Bacillus pumilus strain with NRRL No. B-30087 e.g. Sonata® and Ballad® Plus from AgraQuest, Inc., USA
- Ulocladium oudemansii e.g. the product Botry-Zen from BotriZen Ltd., New Zealand
- Chitosan e.g.
- the animal pest also referred to as "invertebrate pest"
- insect pest i.e. the insects, arachnids and nematodes, the plant, soil or water in which the plant is growing
- contacting includes both direct contact (applying the
- the compounds of formula I or the pesticidal compositions comprising them may be used to protect growing plants and crops from attack or infestation by animal pests, especially insects, acaridae or arachnids by contacting the plant/crop with a pesticidally effective amount of compounds of formula I , an N-oxide, a tautomer or a salt thereof.
- plants comprises any types of plants including “non-cultivated plants” and in particular "cultivated plants”.
- non-cultivated plants refers to any wild type species or related species or related genera of a cultivated plant.
- crop refers both to growing and harvested crops.
- the compounds of the present invention and the compositions comprising them are particularly important in the control of a multitude of insects on various cultivated plants, such as cereal, root crops, oil crops, vegetables, spices, ornamentals, for example seed of durum and other wheat, barley, oats, rye, maize (fodder maize and sugar maize / sweet and field corn), soybeans, oil crops, crucifers, cotton, sunflowers, bananas, rice, oilseed rape, turnip rape, sugarbeet, fodder beet, eggplants, potatoes, grass, lawn, turf, fodder grass, tomatoes, leeks, pumpkin/squash, cabbage, iceberg lettuce, pepper, cucumbers, melons, Brassica species, melons, beans, peas, garlic, onions, carrots, tuberous plants such as potatoes, sugar cane, tobacco, grapes, petunias, geranium/pelargoniums, pansies and impatiens.
- the compounds of the present invention are employed as such or in form of compositions by treating the insects or the plants, plant propagation materials, such as seeds, soil, surfaces, materials or rooms to be protected from insecticidal attack with an insecticidally effective amount of the active compounds.
- the application can be carried out both before and after the infection of the plants, plant propagation materials, such as seeds, soil, surfaces, materials or rooms by the insects.
- the present invention also includes a method of combating animal pests which comprises contacting the animal pests, their habitat, breeding ground, food supply, cultivated plants, seed, soil, area, material or environment in which the animal pests are growing or may grow, or the materials, plants, seeds, soils, surfaces or spaces to be protected from animal attack or infestation with a pesticidally effective amount of a mixture of at least one active compound I.
- animal pests may be controlled by contacting the target pest, its food supply, habitat, breeding ground or its locus with a pesticidally effective amount of compounds of formula I.
- the application may be carried out before or after the infection of the locus, growing crops, or harvested crops by the pest.
- the compounds of the invention can also be applied preventively to places at which occurrence of the pests is expected.
- the compounds of formula I, their tautomers, their N-oxides and the salts thereof may be also used to protect growing plants from attack or infestation by pests by contacting the plant with a pesticidally effective amount of compounds of formula I.
- "contacting” includes both direct contact (applying the compounds/compositions directly on the pest and/or plant - typically to the foliage, stem or roots of the plant) and indirect contact (applying the
- “Locus” means a habitat, breeding ground, plant, seed, soil, area, material or environment in which a pest or parasite is growing or may grow.
- plant propagation material is to be understood to denote all the generative parts of the plant such as seeds and vegetative plant material such as cuttings and tubers (e. g. potatoes), which can be used for the multiplication of the plant. This includes seeds, roots, fruits, tubers, bulbs, rhizomes, shoots, sprouts and other parts of plants. Seedlings and young plants, which are to be transplanted after germination or after emergence from soil, may also be included. These plant propagation materials may be treated prophylactically with a plant protection compound either at or before planting or transplanting.
- cultivadas plants is to be understood as including plants which have been modified by breeding, mutagenesis or genetic engineering.
- Genetically modified plants are plants, the genetic material of which has been so modified by the use of recombinant DNA techniques that under natural circumstances cannot readily be obtained by cross breeding, mutations or natural recombination.
- one or more genes have been integrated into the genetic material of a genetically modified plant in order to improve certain properties of the plant.
- Such genetic modifications also include but are not limited to targeted post-transtional modification of protein(s) (oligo- or polypeptides) for example by glycosylation or polymer additions such as prenylated, acetylated or farnesylated moieties or PEG moieties(e.g.
- cultiva plants is to be understood also including plants that have been rendered tolerant to applications of specific classes of herbicides, such as hydroxy- phe- nylpyruvate dioxygenase (HPPD) inhibitors; acetolactate synthase (ALS) inhibitors, such as sulfonyl ureas (see e. g.
- HPPD hydroxy- phe- nylpyruvate dioxygenase
- ALS acetolactate synthase
- sulfonyl ureas see e. g.
- EPSPS enolpyruvylshikimate-3-phosphate synthase
- GS glutamine synthetase
- cultiva is to be understood also including plants that are by the use of recombinant DNA techniques capable to synthesize one or more insecticidal proteins, especially those known from the bacterial genus Bacillus, particularly from Bacillus
- thuringiensis such as a-endotoxins, e. g. CrylA(b), CrylA(c), CrylF, CrylF(a2), CryllA(b), CrylllA, CrylllB(bl ) or Cry9c; vegetative insecticidal proteins (VIP), e. g. VIP1 , VIP2, VIP3 or VIP3A; insecticidal proteins of bacteria colonizing nematodes, for example Photorhabdus spp. or Xenorhabdus spp.; toxins produced by animals, such as scorpion toxins, arachnid toxins, wasp toxins, or other insect-specific neurotoxins; toxins produced by fungi, such
- Streptomycetes toxins plant lectins, such as pea or barley lectins; agglutinins; proteinase inhibitors, such as trypsin inhibitors, serine protease inhibitors, patatin, cystatin or papain inhibitors; ribosome-inactivating proteins (RIP), such as ricin, maize-RIP, abrin, luffin, saporin or bryodin; steroid metabolism enzymes, such as 3-hydroxysteroid oxidase, ecdysteroid-IDP- glycosyl-transferase, cholesterol oxidases, ecdysone inhibitors or HMG-CoA-reductase; ion channel blockers, such as blockers of sodium or calcium channels; juvenile hormone esterase; diuretic hormone receptors (helicokinin receptors); stilben synthase, bibenzyl synthase, chitinases or glucanases.
- these insecticidal proteins or toxins are to be understood expressly also as pre-toxins, hybrid proteins, truncated or otherwise modified proteins.
- Hybrid proteins are characterized by a new combination of protein domains, (see, for example WO 02/015701 ).
- Further examples of such toxins or genetically-modified plants capable of synthesizing such toxins are dis-closed, for example, in EP-A 374 753, WO 93/007278, WO 95/34656, EP-A 427 529, EP-A 451 878, WO 03/018810 und WO 03/052073.
- the methods for producing such genetically modified plants are generally known to the person skilled in the art and are described, for example, in the publications mentioned above.
- insecticidal proteins contained in the genetically modified plants impart to the plants producing these proteins protection from harmful pests from certain taxonomic groups of arthropods, particularly to beetles (Coleoptera), flies (Diptera), and butterflies and moths (Lepidoptera) and to plant parasitic nematodes (Nematoda).
- cultivars are to be understood also including plants that are by the use of recombinant DNA techniques capable to synthesize one or more proteins to increase the resistance or tolerance of those plants to bacterial, viral or fungal pathogens.
- proteins are the so-called "pathogenesis-related proteins" (PR proteins, see, for example EP-A 0 392 225), plant disease resistance genes (for example potato cultivars, which express resistance genes acting against Phytophthora infestans derived from the mexican wild potato Solanum bulbocastanum) or T4-lyso-zym (e. g. potato cultivars capable of synthesizing these proteins with increased resistance against bacteria such as Erwinia amylvora).
- PR proteins pathogenesis-related proteins
- plant disease resistance genes for example potato cultivars, which express resistance genes acting against Phytophthora infestans derived from the mexican wild potato Solanum bulbocastanum
- T4-lyso-zym e. g. potato cultivar
- cultiva plants is to be understood also including plants that are by the use of recombinant DNA techniques capable to synthesize one or more proteins to increase the productivity (e. g. bio mass production, grain yield, starch content, oil content or protein content), tolerance to drought, salinity or other growth-limiting environ-mental factors or tolerance to pests and fungal, bacterial or viral pathogens of those plants.
- cultivadas plants is to be understood also including plants that contain by the use of recombinant DNA techniques a modified amount of substances of content or new substances of content, specifically to improve human or animal nutrition, for ex-ample oil crops that produce health-promoting long-chain omega-3 fatty acids or unsaturated omega-9 fatty acids (e. g.
- cultiva plants is to be understood also including plants that contain by the use of recombinant DNA techniques a modified amount of substances of content or new substances of content, specifically to improve raw material production, for example potatoes that produce increased amounts of amylopectin (e. g. Amflora® potato).
- pesticidally effective amount means the amount of active ingredient needed to achieve an observable effect on growth, including the effects of necrosis, death, retardation, prevention, and removal, destruction, or otherwise diminishing the occurrence and activity of the target organism.
- the pesticidally effective amount can vary for the various combinations
- a pesticidally effective amount of the compositions will also vary according to the prevailing conditions such as desired pesticidal effect and duration, weather, target species, locus, mode of application, and the like.
- the quantity of active ingredient ranges from 0.0001 to 500 g per 100 m 2 , preferably from 0.001 to 20 g per 100 m 2 .
- Customary application rates in the protection of materials are, for example, from 0.01 g to
- Insecticidal compositions for use in the impregnation of materials typically contain from 0.001 to 95 weight %, preferably from 0.1 to 45 weight %, and more preferably from 1 to 25 weight % of at least one repellent and/or insecticide.
- the rate of application of the active ingredients of this invention may be in the range of 0.1 g to 4000 g per hectare, desirably from 25 g to 600 g per hectare, more desirably from 50 g to 500 g per hectare.
- the compounds of formula I, their tautomers, their N-oxides and the salts thereof are effective through both contact (via soil, glass, wall, bed net, carpet, plant parts or animal parts), and ingestion (bait, or plant part).
- the compounds of the invention may also be applied against non-crop insect pests, such as ants, termites, wasps, flies, mosquitos, crickets, or cockroaches.
- non-crop insect pests such as ants, termites, wasps, flies, mosquitos, crickets, or cockroaches.
- compounds of formula I are preferably used in a bait composition.
- the bait can be a liquid, a solid or a semisolid preparation (e.g. a gel).
- Solid baits can be formed into various shapes and forms suitable to the respective application e.g. granules, blocks, sticks, disks.
- Liquid baits can be filled into various devices to ensure proper application, e.g. open containers, spray devices, droplet sources, or evaporation sources.
- Gels can be based on aqueous or oily matrices and can be formulated to particular necessities in terms of stickyness, moisture retention or aging characteristics.
- the bait employed in the composition is a product, which is sufficiently attractive to incite insects such as ants, termites, wasps, flies, mosquitos, crickets etc. or cockroaches to eat it.
- the attractiveness can be manipulated by using feeding stimulants or sex pheromones.
- Food stimulants are chosen, for example, but not exclusively, from animal and/or plant proteins (meat-, fish- or blood meal, insect parts, egg yolk), from fats and oils of animal and/or plant origin, or mono-, oligo- or polyorganosaccharides, especially from sucrose, lactose, fructose, dextrose, glucose, starch, pectin or even molasses or honey.
- Fresh or decaying parts of fruits, crops, plants, animals, insects or specific parts thereof can also serve as a feeding stimulant.
- Sex pheromones are known to be more insect specific. Specific pheromones are described in the literature and are known to those skilled in the art.
- the typical content of active ingredient is from 0.001 weight % to 15 weight %, desirably from 0.001 weight % to 5% weight % of active compound.
- Formulations of compounds of formula I as aerosols are highly suitable for the non-professional user for controlling pests such as flies, fleas, ticks, mosquitos or cockroaches.
- Aerosol recipes are preferably composed of the active compound, solvents such as lower alcohols (e.g. methanol, ethanol, propanol, butanol), ketones (e.g. acetone, methyl ethyl ketone), paraffin hydrocarbons (e.g.
- kerosenes having boiling ranges of approximately 50 to 250 °C, dimethylformamide, N-methylpyrrolidone, dimethyl sulfoxide, aromatic hydrocarbons such as toluene, xylene, water, furthermore auxiliaries such as emulsifiers such as sorbitol monooleate, oleyl ethoxylate having 3-7 mol of ethylene oxide, fatty alcohol ethoxylate, perfume oils such as ethereal oils, esters of medium fatty acids with lower alcohols, aromatic carbonyl compounds, if appropriate stabilizers such as sodium benzoate, amphoteric surfactants, lower epoxides, triethyl orthoformate and, if required, propellants such as propane, butane, nitrogen, compressed air, dimethyl ether, carbon dioxide, nitrous oxide, or mixtures of these gases.
- emulsifiers such as sorbitol monooleate, oleyl ethoxylate having 3-7 mol of
- the oil spray formulations differ from the aerosol recipes in that no propellants are used.
- the content of active ingredient is from 0.001 to 80 weights %, preferably from 0.01 to 50 weight % and most preferably from 0.01 to 15 weight %.
- the compounds of formula I, the tautomer, the N-oxide or the salt thereof and its respective compositions can also be used in mosquito and fumigating coils, smoke cartridges, vaporizer plates or long-term vaporizers and also in moth papers, moth pads or other heat-independent vaporizer systems.
- Methods to control infectious diseases transmitted by insects e.g. malaria, dengue and yellow fever, lymphatic filariasis, and leishmaniasis
- compounds of formula I and its respective compositions also comprise treating surfaces of huts and houses, air spraying and impregnation of curtains, tents, clothing items, bed nets, tsetse-fly trap or the like.
- Insecticidal compositions for application to fibers, fabric, knitgoods, nonwovens, netting material or foils and tarpaulins preferably comprise a mixture including the insecticide, optionally a repellent and at least one binder.
- Suitable repellents for example are ⁇ , ⁇ -Diethyl-meta-toluamide (DEET), N,N- diethylphenylacetamide (DEPA), 1 -(3-cyclohexan-1 -yl-carbonyl)-2-methylpiperine, (2- hydroxymethylcyclohexyl) acetic acid lactone, 2-ethyl-1 ,3-hexandiol, indalone,
- Methylneodecanamide (MNDA), a pyrethroid not used for insect control such as ⁇ (+/-)-3-allyl-2- methyl-4-oxocyclopent-2-(+)-enyl-(+)-trans-chrysantemate (Esbiothrin), a repellent derived from or identical with plant extracts like limonene, eugenol, (+)-Eucamalol (1 ), (-)-l -epi-eucamalol or crude plant extracts from plants like Eucalyptus maculata, Vitex rotundifolia, Cymbopogan martinii, Cymbopogan citratus (lemon grass), Cymopogan nartdus (citronella).
- MNDA Methylneodecanamide
- Esbiothrin a repellent derived from or identical with plant extracts like limonene, eugenol, (+
- Suitable binders are selected for example from polymers and copolymers of vinyl esters of aliphatic acids (such as such as vinyl acetate and vinyl versatate), acrylic and methacrylic esters of alcohols, such as butyl acrylate, 2-ethylhexylacrylate, and methyl acrylate, mono- and di-ethylenically unsaturated hydrocarbons, such as styrene, and aliphatic diens, such as butadiene.
- vinyl esters of aliphatic acids such as such as vinyl acetate and vinyl versatate
- acrylic and methacrylic esters of alcohols such as butyl acrylate, 2-ethylhexylacrylate, and methyl acrylate
- mono- and di-ethylenically unsaturated hydrocarbons such as styrene
- aliphatic diens such as butadiene.
- the impregnation of curtains and bednets is done in general by dipping the textile material into emulsions or dispersions of the insecticide or spraying them onto the nets.
- the compounds of formula I, their stereoisomers, their tautomers, their N-oxides, the salts thereof and their compositions can be used for protecting wooden materials such as trees, board fences, sleepers, etc. and buildings such as houses, outhouses, factories, but also construction materials, furniture, leathers, fibers, vinyl articles, electric wires and cables etc. from ants and/or termites, and for controlling ants and termites from doing harm to crops or human being (e.g. when the pests invade into houses and public facilities).
- the compounds of formula I are applied not only to the surrounding soil surface or into the under-floor soil in order to protect wooden materials but it can also be applied to lumbered articles such as surfaces of the under-floor concrete, alcove posts, beams, plywoods, furniture, etc., wooden articles such as particle boards, half boards, etc. and vinyl articles such as coated electric wires, vinyl sheets, heat insulating material such as styrene foams, etc.
- the ant controller of the present invention is applied to the crops or the surrounding soil, or is directly applied to the nest of ants or the like.
- the compounds of formula I, their stereoisomers, their tautomers, their N-oxidesa nd the salts thereof are also suitable for the treatment of seeds in order to protect the seed from insect pest, in particular from soil-living insect pests and the resulting plant's roots and shoots against soil pests and foliar insects.
- the compounds of formula I, their stereoisomers, their tautomers, their N-oxides and the salts thereof are particularly useful for the protection of the seed from soil pests and the resulting plant's roots and shoots against soil pests and foliar insects.
- the protection of the resulting plant's roots and shoots is preferred. More preferred is the protection of resulting plant's shoots from piercing and sucking insects, wherein the protection from aphids is most preferred.
- the present invention therefore comprises a method for the protection of seeds from insects, in particular from soil insects and of the seedlings' roots and shoots from insects, in particular from soil and foliar insects, said method comprising contacting the seeds before sowing and/or after pregermination with a compound of the general formula I or a salt thereof.
- a method wherein the plant's roots and shoots are protected, more preferably a method, wherein the plants shoots are protected from piercing and sucking insects, most preferably a method, wherein the plants shoots are protected from aphids.
- seed embraces seeds and plant propagules of all kinds including but not limited to true seeds, seed pieces, suckers, corms, bulbs, fruit, tubers, grains, cuttings, cut shoots and the like and means in a preferred embodiment true seeds.
- seed treatment comprises all suitable seed treatment techniques known in the art, such as seed dressing, seed coating, seed dusting, seed soaking and seed pelleting.
- the present invention also comprises seeds coated with or containing the active compound.
- coated with and/or containing generally signifies that the active ingredient is for the most part on the surface of the propagation product at the time of application, although a greater or lesser part of the ingredient may penetrate into the propagation product, depending on the method of application. When the said propagation product is (re)planted, it may absorb the active ingredient.
- Suitable seed is seed of cereals, root crops, oil crops, vegetables, spices, ornamentals, for example seed of durum and other wheat, barley, oats, rye, maize (fodder maize and sugar maize / sweet and field corn), soybeans, oil crops, crucifers, cotton, sunflowers, bananas, rice, oilseed rape, turnip rape, sugarbeet, fodder beet, eggplants, potatoes, grass, lawn, turf, fodder grass, tomatoes, leeks, pumpkin/squash, cabbage, iceberg lettuce, pepper, cucumbers, melons, Brassica species, melons, beans, peas, garlic, onions, carrots, tuberous plants such as potatoes, sugar cane, tobacco, grapes, petunias, geranium/pelargoniums, pansies and impatiens.
- the active compound may also be used for the treatment of seeds from plants, which tolerate the action of herbicides or fungicides or insecticides owing to breeding, including genetic engineering methods.
- the active compound can be employed in treatment of seeds from plants, which are resistant to herbicides from the group consisting of the sulfonylureas, imidazolinones, glufosinate-ammonium or glyphosate-isopropylammonium and analogous active substances (see for example, EP-A 242 236, EP-A 242 246) (WO 92/00377) (EP-A 257 993, U.S.
- Bacillus thuringiensis toxins Bacillus thuringiensis toxins which make the plants resistant to certain pests (EP-A 142 924, EP-A 193 259),
- the active compound can be used also for the treatment of seeds from plants, which have modified characteristics in comparison with existing plants consist, which can be generated for example by traditional breeding methods and/or the generation of mutants, or by recombinant procedures).
- a number of cases have been described of recombinant modifications of crop plants for the purpose of modifying the starch synthesized in the plants (e.g. WO 92/1 1376, WO 92/14827, WO 91/19806) or of transgenic crop plants having a modified fatty acid composition (WO 91/13972).
- the seed treatment application of the active compound is carried out by spraying or by dusting the seeds before sowing of the plants and before emergence of the plants.
- compositions which are especially useful for seed treatment are e.g.:
- a Soluble concentrates (SL, LS)
- Conventional seed treatment formulations include for example flowable concentrates FS, solutions LS, powders for dry treatment DS, water dispersible powders for slurry treatment WS, water-soluble powders SS and emulsion ES and EC and gel formulation GF.
- formulations can be applied to the seed diluted or undiluted. Application to the seeds is carried out before sowing, either directly on the seeds or after having pregerminated the latter
- a FS formulation is used for seed treatment.
- a FS formulation may comprise 1 -800 g/l of active ingredient, 1 -200 g/l Surfactant, 0 to 200 g/l antifreezing agent, 0 to 400 g/l of binder, 0 to 200 g/l of a pigment and up to 1 liter of a solvent, preferably water.
- Especially preferred FS formulations of compounds of formula I for seed treatment usually comprise from 0.1 to 80% by weight (1 to 800 g/l) of the active ingredient, from 0.1 to 20 % by weight (1 to 200 g/l) of at least one surfactant, e.g. 0.05 to 5 % by weight of a wetter and from 0.5 to 15 % by weight of a dispersing agent, up to 20 % by weight, e.g. from 5 to 20 % of an anti-freeze agent, from 0 to 15 % by weight, e.g. 1 to 15 % by weight of a pigment and/or a dye, from 0 to 40 % by weight, e.g.
- a binder (sticker /adhesion agent), optionally up to 5 % by weight, e.g. from 0.1 to 5 % by weight of a thickener, optionally from 0.1 to 2 % of an anti-foam agent, and optionally a preservative such as a biocide, antioxidant or the like, e.g. in an amount from 0.01 to 1 % by weight and a filler/vehicle up to 100 % by weight.
- a binder sticker /adhesion agent
- a preservative such as a biocide, antioxidant or the like
- Seed Treatment formulations may additionally also comprise binders and optionally colorants.
- Binders can be added to improve the adhesion of the active materials on the seeds after treatment.
- Suitable binders are homo- and copolymers from alkylene oxides like ethylene oxide or propylene oxide, polyvinylacetate, polyvinylalcohols, polyvinylpyrrolidones, and copolymers thereof, ethylene-vinyl acetate copolymers, acrylic homo- and copolymers, polyethyleneamines, polyethyleneamides and polyethyleneimines, polysaccharides like celluloses, tylose and starch, polyolefin homo- and copolymers like olefin/maleic anhydride copolymers, polyurethanes, polyesters, polystyrene homo and copolymers.
- colorants can be included in the formulation. Suitable colorants or dyes for seed treatment formulations are Rhodamin B, C.I. Pigment Red 1 12, C.I. Solvent Red 1 , pigment blue 15:4, pigment blue 15:3, pigment blue 15:2, pigment blue 15:1 , pigment blue 80, pigment yellow 1 , pigment yellow 13, pigment red 1 12, pigment red 48:2, pigment red 48:1 , pigment red 57:1 , pigment red 53:1 , pigment orange 43, pigment orange 34, pigment orange 5, pigment green 36, pigment green 7, pigment white 6, pigment brown 25, basic violet 10, basic violet 49, acid red 51 , acid red 52, acid red 14, acid blue 9, acid yellow 23, basic red 10, basic red 108.
- gelling agent examples include carrageen (Satiagel ® )
- the application rates of the compounds I are generally from 0.1 g to 10 kg per 100 kg of seed, preferably from 1 g to 5 kg per 100 kg of seed, more preferably from 1 g to 1000 g per 100 kg of seed and in particular from 1 g to 200 g per 100 kg of seed.
- the invention therefore also relates to seed comprising a compound of the formula I, or an agriculturally useful salt of I, as defined herein.
- seed comprising a compound of the formula I, or an agriculturally useful salt of I, as defined herein.
- agriculturally useful salt thereof will in general vary from 0.1 g to 10 kg per 100 kg of seed, preferably from 1 g to 5 kg per 100 kg of seed, in particular from 1 g to 1000 g per 100 kg of seed. For specific crops such as lettuce the rate can be higher.
- Animal health will in general vary from 0.1 g to 10 kg per 100 kg of seed, preferably from 1 g to 5 kg per 100 kg of seed, in particular from 1 g to 1000 g per 100 kg of seed.
- the rate can be higher.
- the compounds of formula I or the stereoisomers, tautomers, N-Oxides or veterinarily acceptable salts thereof are in particular also suitable for being used for combating parasites in and on animals.
- An object of the present invention is therfore also to provide new methods to control parasites in and on animals. Another object of the invention is to provide safer pesticides for animals. Another object of the invention is further to provide pesticides for animals that may be used in lower doses than existing pesticides. And another object of the invention is to provide pesticides for animals, which provide a long residual control of the parasites.
- the invention also relates to compositions comprising a parasiticidally effective amount of compounds of formula I or the stereoisomers, tautomers, N-oxides or veterinarily acceptable salts thereof and an acceptable carrier, for combating parasites in and on animals.
- the present invention also provides a method for treating, controlling, preventing and protecting animals against infestation and infection by parasites, which comprises orally, topically or parenterally administering or applying to the animals a parasiticidally effective amount of a compound of formula I or the stereoisomers, tautomers, N-oxides or veterinarily acceptable salts thereof or a composition comprising it.
- the invention also provides a process for the preparation of a composition for treating, controlling, preventing or protecting animals against infestation or infection by parasites which comprises a parasiticidally effective amount of a compound of formula I or the stereoisomers, tautomers, N-oxides or veterinarily acceptable salts thereof or a composition comprising it.
- Compounds of formula I or the stereoisomers, tautomers, N-oxides or veterinarily acceptable salts thereof and compositions comprising them are preferably used for controlling and preventing infestations and infections animals including warm-blooded animals (including humans) and fish.
- mammals such as cattle, sheep, swine, camels, deer, horses, pigs, poultry, rabbits, goats, dogs and cats, water buffalo, donkeys, fallow deer and reindeer, and also in fur-bearing animals such as mink, chinchilla and raccoon, birds such as hens, geese, turkeys and ducks and fish such as fresh- and salt-water fish such as trout, carp and eels.
- Compounds of formula I or the stereoisomers, tautomers, N-oxides or veterinarily acceptable salts thereof and compositions comprising them are preferably used for controlling and preventing infestations and infections in domestic animals, such as dogs or cats.
- Infestations in warm-blooded animals and fish include, but are not limited to, lice, biting lice, ticks, nasal bots, keds, biting flies, muscoid flies, flies, myiasitic fly larvae, chiggers, gnats, mosquitoes and fleas.
- the compounds of formula I or the stereoisomers, tautomers, N-oxides or veterinarily acceptable salts thereof and compositions comprising them are suitable for systemic and/or non-systemic control of ecto- and/or endoparasites. They are active against all or some stages of development.
- the compounds of formula I, their stereoisomers, their tautomers, their N-oxides and the salts thereof are especially useful for combating ectoparasites.
- the compounds of formula I, their stereoisomers, their tautomers, their N-oxides and the salts thereof are especially useful for combating parasites of the following orders and species, respectively:
- fleas e.g. Ctenocephalides felis, Ctenocephalides cams, Xenopsylla cheopis, Pulex irritans, Tunga penetrans, and Nosopsyllus fasciatus, cockroaches (Blattaria - Blattodea), e.g. Blattella germanica, Blattella asahinae,
- mosquitoes e.g. Aedes aegypti, Aedes albopictus, Aedes vexans,
- Anastrepha ludens Anopheles maculipennis, Anopheles crucians, Anopheles albimanus, Anopheles gambiae, Anopheles freeborni, Anopheles leucosphyrus, Anopheles minimus, Anopheles quadrimaculatus, Calliphora vicina, Chrysomya bezziana, Chrysomya hominivorax, Chrysomya macellaria, Chrysops discalis, Chrysops silacea, Chrysops atlanticus, Cochliomyia hominivorax, Cordylobia anthropophaga, Culicoides furens, Culex pipiens, Culex nigripalpus, Culex quinquefasciatus, Culex tarsalis, Culiseta inornata, Culiseta melanura, Dermatobia hominis, Fannia canicularis, Gasterophilus intestinalis,
- Hippelates spp. Hypoderma lineata, Leptoconops torrens, Lucilia caprina, Lucilia cuprina, Lucilia sericata, Lycoria pectoralis, Mansonia spp., Musca domestica, Muscina stabulans, Oestrus ovis, Phlebotomus argentipes, Psorophora columbiae, Psorophora discolor,
- ticks and parasitic mites ticks (Ixodida), e.g. Ixodes scapularis, Ixodes holocyclus, Ixodes pacificus, Rhiphicephalus sanguineus, Dermacentor andersoni, Dermacentor variabilis, Amblyomma americanum, Ambryomma maculatum, Ornithodorus hermsi,
- Ornithodorus turicata and parasitic mites e.g. Ornithonyssus bacoti and Dermanyssus gallinae
- Actinedida (Prostigmata) und Acaridida (Astigmata) e.g. Acarapis spp., Cheyletiella spp., Ornitrocheyletia spp., Myobia spp., Psorergates spp., Demodex spp., Trombicula spp.,
- Pterolichus spp. Psoroptes spp., Chorioptes spp., Otodectes spp., Sarcoptes spp., Notoedres spp.,Knemidocoptes spp., Cytodites spp., and Laminosioptes spp,
- Bots Cimex lectularius, Cimex hemipterus, Reduvius senilis, Triatoma spp., Rhodnius ssp., Panstrongylus ssp. and Arilus critatus,
- Anoplurida e.g. Haematopinus spp., Linognathus spp., Pediculus spp., Phtirus spp., and Solenopotes spp,
- Mallophagida suborders Arnblycerina and Ischnocerina
- Trimenopon spp. Menopon spp., Trinoton spp., Bovicola spp., Wemeckiella spp., Lepikentron spp., Trichodectes spp., and Felicola spp
- Mallophagida suborders Arnblycerina and Ischnocerina
- Trichinosis Trichosyringida
- Trichinellidae Trichinella spp.
- Trichuridae Trichuris spp. Capillaria spp
- Rhabditida e.g. Rhabditis spp, Strongyloides spp., Helicephalobus spp, Strongylida, e.g. Strongylus spp., Ancylostoma spp., Necator americanus, Bunostomum spp.
- Trichostrongylus spp. Haemonchus contortus., Ostertagia spp., Cooperia spp., Nematodirus spp., Dictyocaulus spp., Cyathostoma spp., Oesophagostomum spp., Stephanurus dentatus, Ollulanus spp., Chabertia spp., Stephanurus dentatus , Syngamus trachea, Ancylostoma spp., Uncinaria spp., Globocephalus spp., Necator spp., Metastrongylus spp., Muellerius capillaris, Protostrongylus spp., Angiostrongylus spp., Parelaphostrongylus spp. Aleurostrongylus abstrusus, and Dioctophyma renale,
- Intestinal roundworms (Ascaridida), e.g. Ascaris lumbricoides, Ascaris suum, Ascaridia galli, Parascaris equorum, Enterobius vermicularis (Threadworm), Toxocara canis, Toxascaris leonine, Skrjabinema spp., and Oxyuris equi,
- Ascaridida e.g. Ascaris lumbricoides, Ascaris suum, Ascaridia galli, Parascaris equorum, Enterobius vermicularis (Threadworm), Toxocara canis, Toxascaris leonine, Skrjabinema spp., and Oxyuris equi
- Ascaridida e.g. Ascaris lumbricoides, Ascaris suum, Ascaridia galli, Parascaris equorum, Enterobius vermicularis (Threadworm), Toxocara canis, Toxascar
- Camallanida e.g. Dracunculus medinensis (guinea worm)
- Spirurida e.g. Thelazia spp. Wuchereria spp., Brugia spp., Onchocerca spp., Dirofilari spp. a, Dipetalonema spp., Setaria spp., Elaeophora spp., Spirocerca lupi, and Habronema spp.,
- Planarians (Plathelminthes):
- Flukes e.g. Faciola spp., Fascioloides magna, Paragonimus spp.,
- Dicrocoelium spp. Fasciolopsis buski, Clonorchis sinensis, Schistosoma spp., Trichobilharzia spp., Alaria alata, Paragonimus spp., and Nanocyetes spp,
- Cercomeromorpha in particular Cestoda (Tapeworms), e.g. Diphyllobothrium spp., Tenia spp., Echinococcus spp., Dipylidium caninum, Multiceps spp., Hymenolepis spp.,
- the compounds of formula I, their stereoisomers, their tautomers, their N-oxides and the salts thereof and compositions containing them are particularly useful for the control of pests from the orders Diptera, Siphonaptera and Ixodida.
- the compounds of formula I, their stereoisomers, their tautomers, their N-oxides and the salts thereof also are especially useful for combating endoparasites (roundworms nematoda, thorny headed worms and planarians).
- Administration can be carried out both prophylactically and therapeutically.
- Administration of the active compounds is carried out directly or in the form of suitable preparations, orally, topically/dermally or parenterally.
- the formula I compounds may be formulated as animal feeds, animal feed premixes, animal feed concentrates, pills, solutions, pastes, suspensions, drenches, gels, tablets, boluses and capsules.
- the formula I compounds may be administered to the animals in their drinking water.
- the dosage form chosen should provide the animal with 0.01 mg/kg to 100 mg/kg of animal body weight per day of the formula I compound, preferably with 0.5 mg/kg to 100 mg/kg of animal body weight per day.
- the formula I compounds, their stereoisomers, their tautomers, their N- oxides and the salts thereof may be administered to animals parenterally, for example, by intraruminal, intramuscular, intravenous or subcutaneous injection.
- the formula I compounds, their stereoisomers, their tautomers, their N-oxides and the salts thereof may be dispersed or dissolved in a physiologically acceptable carrier for subcutaneous injection.
- the formula I compounds may be formulated into an implant for subcutaneous administration.
- the formula I compound may be transdermally administered to animals.
- the dosage form chosen should provide the animal with 0.01 mg/kg to 100 mg/kg of animal body weight per day of the formula I compound.
- the formula I compounds, their stereoisomers, their tautomers, their N-oxides and the salts thereof may also be applied topically to the animals in the form of dips, dusts, powders, collars, medallions, sprays, shampoos, spot-on and pour-on formulations and in ointments or oil-in-water or water-in-oil emulsions.
- dips and sprays usually contain 0.5 ppm to 5,000 ppm and preferably 1 ppm to 3,000 ppm of the formula I compound.
- the formula I compounds may be formulated as ear tags for animals, particularly quadrupeds such as cattle and sheep.
- Suitable preparations are:
- Solutions such as oral solutions, concentrates for oral administration after dilution, solutions for use on the skin or in body cavities, pouring-on formulations, gels;
- compositions suitable for injection are prepared by dissolving the active ingredient in a suitable solvent and optionally adding further ingredients such as acids, bases, buffer salts,
- preservatives and solubilizers.
- the solutions are filtered and filled sterile.
- Suitable solvents are physiologically tolerable solvents such as water, alkanols such as ethanol, butanol, benzyl alcohol, glycerol, propylene glycol, polyethylene glycols, N-methyl-pyrrolidone, 2-pyrrolidone, and mixtures thereof.
- the active compounds can optionally be dissolved in physiologically tolerable vegetable or synthetic oils which are suitable for injection.
- Suitable solubilizers are solvents which promote the dissolution of the active compound in the main solvent or prevent its precipitation. Examples are polyvinylpyrrolidone, polyvinyl alcohol, polyoxyethylated castor oil, and polyoxyethylated sorbitan ester.
- Suitable preservatives are benzyl alcohol, trichlorobutanol, p-hydroxybenzoic acid esters, and n- butanol.
- Oral solutions are administered directly. Concentrates are administered orally after prior dilution to the use concentration. Oral solutions and concentrates are prepared according to the state of the art and as described above for injection solutions, sterile procedures not being necessary.
- Solutions for use on the skin are trickled on, spread on, rubbed in, sprinkled on or sprayed on.
- Solutions for use on the skin are prepared according to the state of the art and according to what is described above for injection solutions, sterile procedures not being necessary.
- solvents are polypropylene glycol, phenyl ethanol, phenoxy ethanol, ester such as ethyl or butyl acetate, benzyl benzoate, ethers such as alkyleneglycol alkylether, e.g.
- ketons such as acetone, methylethylketone, aromatic hydrocarbons, vegetable and synthetic oils, dimethylformamide, dimethylacetamide, transcutol, solketal, propylencarbonate, and mixtures thereof.
- thickeners are inorganic thickeners such as bentonites, colloidal silicic acid, aluminium monostearate, organic thickeners such as cellulose derivatives, polyvinyl alcohols and their copolymers, acrylates and methacrylates.
- Gels are applied to or spread on the skin or introduced into body cavities. Gels are prepared by treating solutions which have been prepared as described in the case of the injection solutions with sufficient thickener that a clear material having an ointment-like consistency results.
- the thickeners employed are the thickeners given above.
- Pour-on formulations are poured or sprayed onto limited areas of the skin, the active compound penetrating the skin and acting systemically.
- pour-on formulations are prepared by dissolving, suspending or emulsifying the active compound in suitable skin-compatible solvents or solvent mixtures. If appropriate, other auxiliaries such as colorants, bioabsorption-promoting substances, antioxidants, light stabilizers, adhesives are added.
- Suitable solvents which are: water, alkanols, glycols, polyethylene glycols, polypropylene glycols, glycerol, aromatic alcohols such as benzyl alcohol, phenylethanol, phenoxyethanol, esters such as ethyl acetate, butyl acetate, benzyl benzoate, ethers such as alkylene glycol alkyl ethers such as dipropylene glycol monomethyl ether, diethylene glycol mono-butyl ether, ketones such as acetone, methyl ethyl ketone, cyclic carbonates such as propylene carbonate, ethylene carbonate, aromatic and/or aliphatic hydrocarbons, vegetable or synthetic oils, DMF, dimethylacetamide, n-alkylpyrrolidones such as methylpyrrolidone, n-butylpyrrolidone or n- octylpyrrolidone, N-methylpyrrolidone, 2-pyrrol
- Suitable absorption-promoting substances are, for example, DMSO, spreading oils such as isopropyl myristate, dipropylene glycol pelargonate, silicone oils and copolymers thereof with polyethers, fatty acid esters, triglycerides, fatty alcohols.
- Suitable antioxidants are sulfites or metabisulfites such as potassium metabisulfite, ascorbic acid, butylhydroxytoluene, butylhydroxyanisole, tocopherol.
- Suitable light stabilizers are, for example, novantisolic acid.
- Suitable adhesives are, for example, cellulose derivatives, starch derivatives,
- polyacrylates natural polymers such as alginates, gelatin.
- Emulsions can be administered orally, dermally or as injections.
- Emulsions are either of the water-in-oil type or of the oil-in-water type.
- Suitable hydrophobic phases (oils) are:
- liquid paraffins silicone oils, natural vegetable oils such as sesame oil, almond oil, castor oil, synthetic triglycerides such as caprylic/capric biglyceride, triglyceride mixture with vegetable fatty acids of the chain length Cs-Ci2 or other specially selected natural fatty acids, partial glyceride mixtures of saturated or unsaturated fatty acids possibly also containing hydroxyl groups, mono- and diglycerides of the Cs-do fatty acids,
- fatty acid esters such as ethyl stearate, di-n-butyryl adipate, hexyl laurate, dipropylene glycol perlargonate, esters of a branched fatty acid of medium chain length with saturated fatty alcohols of chain length C16-C18, isopropyl myristate, isopropyl palmitate, caprylic/capric acid esters of saturated fatty alcohols of chain length C12-C18, isopropyl stearate, oleyl oleate, decyl oleate, ethyl oleate, ethyl lactate, waxy fatty acid esters such as synthetic duck coccygeal gland fat, dibutyl phthalate, diisopropyl adipate, and ester mixtures related to the latter, fatty alcohols such as isotridecyl alcohol, 2-octyldodecanol, cetylstearyl alcohol,
- Suitable hydrophilic phases are: water, alcohols such as propylene glycol, glycerol, sorbitol and mixtures thereof.
- Suitable emulsifiers are:
- non-ionic surfactants e.g. polyethoxylated castor oil, polyethoxylated sorbitan monooleate, sorbitan monostearate, glycerol monostearate, polyoxyethyl stearate, alkylphenol polyglycol ether;
- ampholytic surfactants such as di-sodium N-lauryl-p-iminodipropionate or lecithin;
- anionic surfactants such as sodium lauryl sulfate, fatty alcohol ether sulfates, mono/dialkyl polyglycol ether orthophosphoric acid ester monoethanolamine salt;
- cation-active surfactants such as cetyltrimethylammonium chloride.
- Suitable further auxiliaries are: substances which enhance the viscosity and stabilize the emulsion, such as carboxymethylcellulose, methylcellulose and other cellulose and starch derivatives, polyacrylates, alginates, gelatin, gum arabic, polyvinylpyrrolidone, polyvinyl alcohol, copolymers of methyl vinyl ether and maleic anhydride, polyethylene glycols, waxes, colloidal silicic acid or mixtures of the substances mentioned.
- Suspensions can be administered orally or topically/dermally. They are prepared by suspending the active compound in a suspending agent, if appropriate with addition of other auxiliaries such as wetting agents, colorants, bioabsorption-promoting substances,
- preservatives antioxidants, light stabilizers.
- Liquid suspending agents are all homogeneous solvents and solvent mixtures.
- Suitable wetting agents are the emulsifiers given above.
- Semi-solid preparations can be administered orally or topically/dermally. They differ from the suspensions and emulsions described above only by their higher viscosity.
- the active compound is mixed with suitable excipients, if appropriate with addition of auxiliaries, and brought into the desired form.
- Suitable excipients are all physiologically tolerable solid inert substances. Those used are inorganic and organic substances. Inorganic substances are, for example, sodium chloride, carbonates such as calcium carbonate, hydrogencarbonates, aluminium oxides, titanium oxide, silicic acids, argillaceous earths, precipitated or colloidal silica, or phosphates. Organic substances are, for example, sugar, cellulose, foodstuffs and feeds such as milk powder, animal meal, grain meals and shreds, starches.
- Suitable auxiliaries are preservatives, antioxidants, and/or colorants which have been mentioned above.
- auxiliaries are lubricants and glidants such as magnesium stearate, stearic acid, talc, bentonites, disintegration-promoting substances such as starch or crosslinked polyvinylpyrrolidone, binders such as starch, gelatin or linear polyvinylpyrrolidone, and dry binders such as microcrystalline cellulose.
- lubricants and glidants such as magnesium stearate, stearic acid, talc, bentonites, disintegration-promoting substances such as starch or crosslinked polyvinylpyrrolidone, binders such as starch, gelatin or linear polyvinylpyrrolidone, and dry binders such as microcrystalline cellulose.
- parasiticidally effective amount means the amount of active ingredient needed to achieve an observable effect on growth, including the effects of necrosis, death, retardation, prevention, and removal, destruction, or otherwise diminishing the occurrence and activity of the target organism.
- the parasiticidally effective amount can vary for the various compounds/compositions used in the invention.
- a parasiticidally effective amount of the compositions will also vary according to the prevailing conditions such as desired parasiticidal effect and duration, target species, mode of application, and the like.
- compositions which can be used in the invention can comprise generally from about 0.001 to 95% of the compound of formula I.
- the compounds of formula I in total amounts of 0.5 mg/kg to 100 mg/kg per day, preferably 1 mg/kg to 50 mg/kg per day.
- Ready-to-use preparations contain the compounds acting against parasites, preferably ectoparasites, in concentrations of 10 ppm to 80 per cent by weight, preferably from 0.1 to 65 per cent by weight, more preferably from 1 to 50 per cent by weight, most preferably from 5 to 40 per cent by weight.
- Preparations which are diluted before use contain the compounds acting against ectoparasites in concentrations of 0.5 to 90 per cent by weight, preferably of 1 to 50 per cent by weight.
- endoparasites in concentrations of 10 ppm to 2 per cent by weight, preferably of 0.05 to 0.9 per cent by weight, very particularly preferably of 0.005 to 0.25 per cent by weight.
- compositions comprising the compounds of formula I them are applied dermally / topically.
- the topical application is conducted in the form of compound-containing shaped articles such as collars, medallions, ear tags, bands for fixing at body parts, and adhesive strips and foils.
- solid formulations which release compounds of formula I in total amounts of 10 mg/kg to 300 mg/kg, preferably 20 mg/kg to 200 mg/kg, most preferably 25 mg/kg to 160 mg/kg body weight of the treated animal in the course of three weeks.
- thermoplastic and flexible plastics as well as elastomers and thermoplastic elastomers are used.
- Suitable plastics and elastomers are polyvinyl resins, polyurethane, polyacrylate, epoxy resins, cellulose, cellulose derivatives, polyamides and polyester which are sufficiently compatible with the compounds of formula I.
- a detailed list of plastics and elastomers as well as preparation procedures for the shaped articles is given e.g. in WO 03/086075.
- the compounds can be characterized e.g. by coupled High Performance Liquid
- Analytical UPLC column Phenomenex Kinetex 1 ,7 ⁇ XB-C18 100A; 50 x 2.1 mm; mobile phase: A: water + 0.1 % trifluoroacetic acid (TFA); B: acetonitrile + 0.1 % TFA; gradient: 5-100% B in 1 .50 minutes; 100% B 0.20 min; flow: 0.8-1 .0 mL/min in 1 .50 minutes at 60°C.
- TFA trifluoroacetic acid
- Example P.2 2-(3-chloropyridin-2-yl)-5-difluoromethyl-2H-pyrazole-3-carbonyl chloride: In a reaction vessel equipped with a thermometer, septum, nitrogen inlet and stirring bar, 2-(3-Chloropyridin-2-yl)-5-difluoromethyl-2H-pyrazole-3-carboxylic acid (10 g, 40 mmol) was suspended in dry dichloromethane (100 ml.) and three drops of DMF were added. Oxalyl chloride (9.4 ml_, 13.9 g, 1 10 mmol, 3.0 equiv.) was added dropwise with stirring at 22°C. The mixture was stirred for 16 h at 22°C. The reaction mixture was evaporated and co-distilled with chloroform (2 x) to obtain the title compound (1 1 .3 g, yield 100%, purity 94%) which was used in the next step without further purification.
- Example P.3 6-chloro-2-[2-(3-chloro-2-pyridyl)-5-(difluoromethyl)pyrazol-3-yl]-8-methyl- 3,1 -benzoxazin-4-one:
- test solutions are prepared as follow:
- the active compound is dissolved at the desired concentration in a mixture of 1 :1 (vokvol) distilled water : acteon.
- the test solution is prepared at the day of use and in general at concentrations of 2500 ppm, 1000 ppm, 500 ppm, 300 ppm,100 ppm, 30 ppm and 5 ppm
- the active compound is dissolved at the desired concentration in a mixture of 1 :1 (vohvol) distilled water : acetone.
- Surfactant Alkamuls® EL 620
- the test solution is prepared at the day of use.
- Potted cowpea plants were colonized with approximately 50 - 100 aphids of various stages by manually transferring a leaf tissue cut from infested plant 24 hours before application. Plants were sprayed after the pest population has been recorded. Treated plants are
Landscapes
- Chemical & Material Sciences (AREA)
- Organic Chemistry (AREA)
- Life Sciences & Earth Sciences (AREA)
- Agronomy & Crop Science (AREA)
- Pest Control & Pesticides (AREA)
- Plant Pathology (AREA)
- Health & Medical Sciences (AREA)
- Engineering & Computer Science (AREA)
- Dentistry (AREA)
- General Health & Medical Sciences (AREA)
- Wood Science & Technology (AREA)
- Zoology (AREA)
- Environmental Sciences (AREA)
- Pharmaceuticals Containing Other Organic And Inorganic Compounds (AREA)
- Agricultural Chemicals And Associated Chemicals (AREA)
Abstract
The present invention relates to anthranilamide compounds of the formula (I),the stereoisomers, the salts, the tautomers and the N-oxides thereof, (I) wherein R1a, R1b,R1c,R1d are independently selected from the group consisting of hydrogen, halogen, C1-C8-alkyl, C1-C8-haloalkyl and the like; R2 is hydrogen, C1-C6-alkyl or the like; R3 is CHF2, OCH3, OCH2F or the like; R4 is hydrogen, halogen or C1-C4-haloalkyl; R5 is hydrogen, C1-C6 alkyl or the like; L is -CH2- or the like; Y is R7, OR7 or NR7R8; R6 is hydrogen, C1-C6-alkyl or the like; and R7, R8 are hydrogen, C1-C6-alkyl or the like. The present invention further relates to a method for combating or controlling invertebrate pests, to a method for protecting plant propagation material and/or the plants which grow therefrom, to plant propagation material comprising at least one compound according to the present invention, to a method for treating or protecting an animal from infestation or infection by parasites, to a process for the preparation of a composition for treating infested or infected animals and/or for protecting animals against infestation or infection by parasites, and to a compound according to the invention for use as a medicament.
Description
Anthranilamide compounds and their use as pesticides
Description The present invention relates to anthranilamide compounds and the stereoisomers, salts, tautomers and N-oxides thereof and to compositions comprising the same. The invention also relates to the use of the anthranilamide compounds or of the compositions comprising such compounds for combating invertebrate pests. Furthermore, the invention relates to methods of applying such compounds.
Invertebrate pests and in particular insects, arthropods and nematodes destroy growing and harvested crops and attack wooden dwelling and commercial structures, thereby causing large economic loss to the food supply and to property. While a large number of pesticidal agents are known, due to the ability of target pests to develop resistance to said agents, there is an ongoing need for new agents for combating invertebrate pests such as insects, arachnids and nematodes. It is therefore an object of the present invention to provide compounds having a good pesticidal activity and showing a broad activity spectrum against a large number of different invertebrate pests, especially against difficult to control insects, arachnids and nematodes.
Anthranilamide compounds have been described in a number of patent applications (e.g. WO 01/70671 , WO 03/015518, WO 03/024222, WO 2006/000336, WO 2006/068669,
WO 2007/043677, WO 2008/130021 , WO 03/015519, WO 2004/046129). WO 03/016300 describes a generic anthranilamide formula encompassing anthranilamide compounds. WO 03/016284 describes inter alia certain anthranilamide compounds. WO 2007/006670 describes anthranilamide compounds with a sulfilimine or sulfoximine group and their use as pesticides.
It is an object of the present invention to provide further compounds having a high pesticidal activity against invertebrate pests, in particular against insect pest. The compounds should show a broad activity spectrum against a large number of different invertebrate pests, in particular against difficult to control insects, arachnids and nematodes.
It has been found that the above objectives can be achieved by anthranilamide compounds of the general formula (I), as defined below, including their stereoisomers, their salts, in particular their agriculturally or veterinarily acceptable salts, their tautomers and their N- oxides.
Therefore, in a first aspect th ounds of formula (I),
wherein
R1a, R1b, R1c, R1d are independently selected from the group consisting of hydrogen, halogen, Ci-Cs-alkyl, Ci-Cs-haloalkyl, Cs-Cs-cycloalkyl, Cs-Cs-halocycloalkyl, cyano, C2-C8- alkenyl, C2-C8-haloalkenyl, C2-Cs-alkynyl, C2-C8-haloalkynyl, SF5, -SCN, nitro, azido, wherein the radicals Ci-Cs-alkyl, Ci-Cs-haloalkyl, Cs-Cs-cycloalkyl, Cs-Cs-halocycloalkyl, C2-Cs-alkenyl, C2-Cs-haloalkenyl, C2-Cs-alkynyl, C2-Cs-haloalkynyl may optionally be substituted by one or more radicals Ra,
-ORb, SRb, -S(0)mRb, -S(0)nN(Rc)Rd, -N(Rc)Rd, -Si(Rf)2R9,
-N(Rc)C(=0)R , -C(=NRc)R , -C(=0)N(Rc)Rd, -C(=S)N(Rc)Rd,
phenyl which may be substituted by 1 , 2, 3, 4 or 5 radicals Re,
and a 3-, 4-, 5-, 6- or 7-membered saturated, partially unsaturated or aromatic heterocyclic ring containing 1 , 2 or 3 heteroatoms or heteroatom groups selected from N, O, S, NO, SO and SO2, as ring members, where the heterocyclic ring may be substituted by one or more, e.g. 1 , 2, 3 or 4 radicals Re;
two radicals from the group consisting of R1a,R1b, R1c,R1d bound on adjacent carbon atoms may be together a group selected from -CH2CH2CH2CH2-, -CH=CH-CH=CH-, -N=CH-CH=CH-, - CH=N-CH=CH-, -N=CH-N=CH-, -OCH2CH2CH2-, -OCH=CHCH2-,
-CH2OCH2CH2-, -OCH2CH2O-, -OCH2OCH2-, -CH2CH2CH2-, -CH=CHCH2-, -CH2CH2O-, - CH=CHO-, -CH2OCH2-, -CH2C(=0)0-, -C(=0)OCH2-,
-0(CH2)0-, -SCH2CH2CH2-, -SCH=CHCH2-, -CH2SCH2CH2-, -SCH2CH2S-,
-SCH2SCH2-, -CH2CH2S-, -CH=CHS-, -CH2SCH2-, -CH2C(=S)S-,
-C(=S)SCH2-, -S(CH2)S-, -CH2CH2NRh-,-CH2CH=N-, -CH=CH-NRh-,
-CH=N-NRh-, -OCH=N- and -SCH=N-, thus forming, together with the carbon atoms to which they are bound, a 5- or 6-membered ring, where the hydrogen atoms of the above groups may be replaced by one or more, e.g. 1 , 2, 3 or 4 substituents selected from halogen, methyl, halomethyl, hydroxyl, methoxy and halomethoxy or one or more CH2 groups of the above groups may be replaced by a C=0 group;
R2 is selected from the group consisting of hydrogen, C1-C6 alkyl, C1-C6 haloalkyl, Ci- C4-alkoxy-Ci-C4-alkyl, Ci-C4-haloalkoxy-Ci-C4-alkyl, Cs-Cs-cycloalkyl, Cs-Cs-halocycloalkyl, C(=0)Ri, C(=0)ORj, C(=0)NRkR', C2-C6-alkenyl, C2-C6-haloalkenyl, C2-C6-alkinyl and C2-C6- haloalkinyl;
R3 is selected from CHF2, OCH3, OCH2F, fluoroethoxy, e.g. OCF2CF3, OCH2CH2F, OCH2CHF2 or OCH2CFs, S(=0)nCH3, S(=0)nCH2CH3, and S(=0)nCH2CF3;
n is 0,1 or 2;
m is 1 or 2;
R4 is hydrogen, halogen or Ci-C4-haloalkyl;
R5 is selected from hydrogen, C1-C6 alkyl, C3-C6-cycloalkyl, C2-C6 alkylcarbonyl, C2-C6 alkoxycarbonyl, C2-C6-alkenyl, C2-C6-alkinyl, Ci-C4-alkoxy, Ci-C4-alkylamino, C2-C8- dialkylamino, C3-C6-cycloalkylamino and (C1-C4 alkyl)-C3-C6-cycloalkylamino;
L is a linker moiety selected from the group consisting of -CH2-, -CH(CH3)-, -C(CHs)2-, -C(CH2)2- (-C(CH2)2- = cyclopropan-1 ,1 -diyl), -CH2CH2-, -CH2CH(CH3)-, -CH(CH3)CH2-,
-CH2C(CH3)2-, -CH2C(CH2)2-, -CH2CH2CH2-, -CH2CH2-0-CH2- and -CH2CH2-S-CH2-;
Y is R7, OR7 or NR7R8;
R6 is selected from hydrogen;
C1-C6 alkyl which may be optionally substituted with one or more, e.g. 1 or 2 substituents selected from the group consisting of C2-C6 alkylcarbonyl, C2-C6 alkoxycarbonyl, CO2H, cyano, hydroxy, C1-C4 alkoxy, C1-C4 haloalkoxy, C1-C4 alkylthio, C1-C4 haloalkylthio, C1-C4 alkylsulfinyl, C1-C4 haloalkylsulfinyl, C1-C4 alkylsulfonyl, C1-C4 haloalkylsulfonyl, nitro, C1-C4 alkylamino, C2-C8 dialkylamino, C1-C6 trialkylsilyl, and a phenyl ring which may be substituted with 1 , 2 or 3 radicals independently selected from R9;
Ci-C6 haloalkyl;
Cs-Ce cycloalkyl;
C1-C6 alkoxycarbonyl;
phenyl and pyridinyl, where the last two radicals may be substituted with 1 , 2 or 3 radicals independently selected from R9;
R7, R8 are selected from hydrogen;
Ci-C6 haloalkyl;
C1-C6 alkyl optionally substituted with one or more, e.g. 1 or 2 substituents selected from the group consisting of C2-C6 alkylcarbonyl, C2-C6 alkoxycarbonyl, cyano, hydroxy, C1-C4 alkoxy, C1-C4 haloalkoxy, C1-C4 alkylthio, C1-C4 haloalkylthio, C1-C4 alkylsulfinyl, C1-C4 haloalkylsulfinyl, C1-C4 alkylsulfonyl, C1-C4 haloalkylsulfonyl, C1-C4 alkylamino, C2-C8 dialkylamino, nitro, C3-C6 trialkylsilyl, and a phenyl ring which may be substituted with 1 , 2 or 3 radicals R10;
and a phenyl ring which may be substituted with 1 , 2 or 3 radicals R10; or
R7 and R8, together with the nitrogen atom to which they are bound, may form a 3-, 4-, 5-, 6- or 7-membered saturated, partially unsaturated or fully unsaturated heterocyclic ring which may additionally contain one further heteroatom selected from N, S or O as ring members, where the heterocyclic ring may optionally be substituted with from one to four substituents selected from the group consisting of halogen, C1-C2 alkyl, cyano, C1-C2 alkoxy and nitro;
R9 is selected from halogen, hydroxyl, cyano, nitro, C1-C4 alkyl, C1-C4 haloalkyl, C3-C6 cycloalkyl, C3-C6 halocycloalkyl, C2-C4 alkylcarbonyl, C2-C6 alkoxycarbonyl, CO2H, C2-C6 alkylaminocarbonyl, C3-C8 dialkylaminocarbonyl, C2-C4 alkenyl, C1-C4 haloalkenyl, C2-C4 alkynyl, C2-C4 haloalkynyl, C1-C4 alkoxy, C1-C4 haloalkoxy, C1-C4 alkylthio, C1-C4 alkylsulfinyl, C1-C4 alkylsulfonyl, C1-C4 alkylamino, C2-C8 dialkylamino, C3-C6 cycloalkylamino, (C1-C4 alkyl) C3-C6 cycloalkylamino, and C3-C6 trialkylsilyl;
R10 is selected from halogen, hydroxyl, cyano, nitro, C1-C4 alkyl, C1-C4 haloalkyl, C3-C6 cycloalkyl, C3-C6 halocycloalkyl, C2-C4 alkylcarbonyl, C2-C6 alkoxycarbonyl, CO2H, C2-C6 alkylaminocarbonyl, C3-C8 dialkylaminocarbonyl, C2-C4 alkenyl, C1-C4 haloalkenyl, C2-C4 alkynyl, C2-C4 haloalkynyl, C1-C4 alkoxy, C1-C4 haloalkoxy, C1-C4 alkylthio, C1-C4 alkylsulfinyl, C1-C4 alkylsulfonyl, C1-C4 alkylamino, C2-C8 dialkylamino, C3-C6 cycloalkylamino, (C1-C4 alkyl) C3-C6 cycloalkylamino, or C3-C6 trialkylsilyl;
Ra is selected from the group consisting of Ci-C6-alkyl, Ci-C6-haloalkyl, Ci-C6-alkoxy- d-Ce-alkyl, C3-C8-cycloalkyl, C3-C8-halocycloalkyl, C(=0)Rm, C(=0)ORm, C(=0)N(Rn)R°, cyano, C2-C6-alkenyl, C2-C6-haloalkenyl, C2-C6-alkynyl, C2-C6-haloalkynyl, phenyl which may be
substituted by 1 , 2, 3, 4 or 5 radicals RP, -ORm, -SRm, SF5, -S(0)mRm, -S(0)nN(Rn)R°, -SCN, -N(Rn)R°, nitro, azido, -Si(Rf)2Rg, and a 3-, 4-, 5-, 6- or 7-membered saturated, partially unsaturated or completely unsaturated heterocyclic ring containing 1 , 2 or 3 heteroatoms or heteroatom groups selected from N, O, S, NO, SO and SO2, as ring members, where the heterocyclic ring may be substituted by one or more, e.g. 1 , 2, 3 or 4 radicals RP; or
two geminally bound radicals Ra together form a group selected from =CRgRr, =NRn, =NORm and =NNRnR°; or
two radicals Ra, together with the carbon atoms to which they are bound, form a 3-, 4-, 5-,
6- , 7- or 8-membered saturated or partially unsaturated carbocyclic ring or a 3-, 4-, 5-, 6-, 7- or 8-membered saturated or partially unsaturated heterocyclic ring containing 1 , 2 or 3
heteroatoms or heteroatom groups selected from N, O, S, NO, SO and SO2, as ring members;
Rb is selected from the group consisting of Ci-C6-alkyl, Cs-Cs-cycloalkyl, C2-C6-alkenyl, C2-C6-alkinyl, Ci-C6-alkoxy, Ci-C6-alkylthio, Ci-C6-alkylsulfinyl, Ci-C6-alkylsulfonyl, wherein one or more CH2 groups of the aforementioned radicals may be replaced by a C=0 group, and/or the aliphatic and cycloaliphatic moieties of the aforementioned radicals may be unsubstituted, partially or fully halogenated and/or may carry 1 or 2 substituents selected from Ci-C4-alkoxy; phenyl, benzyl, pyridyl and phenoxy, wherein the radicals phenyl, benzyl, pyridyl and phenoxy may be unsubstituted, partially or fully halogenated and/or carry 1 , 2 or 3 substituents selected from Ci-C6-alkyl, Ci-C6-haloalkyl, (Ci-C6-alkoxy)carbonyl, Ci-C6-alkoxy and Ci-C6-haloalkoxy ;
Rc, Rd are, independently from one another, selected from the group consisting of hydrogen, Ci-C6-alkyl, C3-C8-cycloalkyl-Ci-C4-alkyl, Cs-Cs-cycloalkyl, cyano, C2-C6-alkenyl, C2- C6-alkynyl, where the radicals Ci-C6-alkyl, C3-Cs-cycloalkyl-Ci-C4-alkyl, Cs-Cs-cycloalkyl, C2-C6- alkenyl, C2-C6-alkynyl may be unsubstituted, partially or fully halogenated and/or wherein one or two CH2 groups may be replaced by a CO group; and/or may carry 1 or 2 radicals selected from Ci-C6-alkoxy, Ci-C6-haloalkoxy, Ci-C6-alkylthio, Ci-C6-haloalkylthio, Ci-C6-alkylsulfinyl, C1-C6- alkylsulfonyl, Ci-C6-alkoxycarbonyl, -Si(Rf)2Rg, phenyl, benzyl, pyridyl and phenoxy, it being possible for phenyl, benzyl, pyridyl and phenoxy to be unsubstituted, partially or fully
halogenated and/or to carry 1 , 2 or 3 substituents selected from the group consisting of C1-C6- alkyl, Ci-C6-haloalkyl, Ci-C6-alkoxycarbonyl, Ci-C6-alkoxy, and C1-C6 haloalkoxy; or
Rc and Rd, together with the nitrogen atom to which they are bound, form a 3-, 4-, 5-, 6- or
7- membered saturated, partly unsaturated or completely unsaturated N-heterocyclic ring which may contain 1 or 2 further heteroatoms selected from N, O and S as ring members, where the heterocyclic ring may carry 1 , 2, 3 or 4 substituents selected from halogen, Ci-C4-alkyl, C1-C4- haloalkyl, Ci-C4-alkoxy and Ci-C4-haloalkoxy;
Re is independently selected from the group consisting of halogen, Ci-C6-alkyl, Cs-Cs- cycloalkyl, cyano, C2-C6-alkenyl and C2-C6-alkynyl, where the radicals Ci-C6-alkyl, Cs-Cs- cycloalkyl, C2-C6-alkenyl and C2-C6-alkynyl may be unsubstituted, partially or fully halogenated and/or wherein one or two CH2 groups may be replaced by a CO group, and/or may carry 1 -2 radicals selected from Ci-C6-alkoxycarbonyl, Ci-C4-alkoxy, Ci-C6-alkoxy, Ci-C6-haloalkoxy, Ci- C6-alkylthio, Ci-C6-haloalkylthio, Ci-C6-alkylsulfinyl, Ci-C6-haloalkylsulfinyl, Ci-C6-alkylsulfonyl, Ci-C6-haloalkylsulfonyl, -Si(Rf)2Rg, phenyl, benzyl, pyridyl and phenoxy,
it being possible for phenyl, benzyl, pyridyl and phenoxy to be unsubstituted, partially or fully halogenated and/or to carry 1 , 2 or 3 substituents selected from the group consisting of C1-C6- alkyl, Ci-C6-haloalkyl, Ci-C6-alkoxycarbonyl, Ci-C6-alkoxy, and C1-C6 haloalkoxy ;
wherein, in the case of more than one Re, Re can be identical or different;
Rf, R9 are, independently of each other and independently of each occurrence, selected from the group consisting of Ci-C4-alkyl, Ci-C4-alkoxy-Ci-C4-alkyl, C3-C8-cycloalkyl-Ci-C4-alkyl, C3-C6-cycloalkyl, phenyl and benzyl;
Rh is selected from the group consisting of hydrogen, Ci-C6-alkyl, Ci-C6-haloalkyl, C3- C8-cycloalkyl-Ci-C4-alkyl, Cs-Cs-cycloalkyl, C3-Cs-halocycloalkyl, cyano, C2-C6-alkenyl, C2-C6- haloalkenyl, C2-C6-alkynyl, C2-C6-haloalkynyl, Ci-C6-alkoxy and Ci-C6-haloalkoxy;
R' is selected from the group consisting of Ci-C6-alkyl, Cs-Cs-cycloalkyl, C2-C6-alkenyl, C2-C6-alkinyl, Ci-C6-alkoxy, Ci-C6-alkylthio, Ci-C6-alkylsulfinyl, Ci-C6-alkylsulfonyl, wherein one or more CH2 groups of the aforementioned radicals may be replaced by a C=0 group, and/or the aliphatic and cycloaliphatic moieties of the aforementioned radicals may be unsubstituted, partially or fully halogenated and/or may carry 1 or 2 substituents selected from Ci-C4-alkoxy; phenyl, benzyl, pyridyl and phenoxy, wherein the radicals phenyl, benzyl, pyridyl and phenoxy may be unsubstituted, partially or fully halogenated and/or carry 1 , 2 or 3 substituents selected from Ci-C6-alkyl, Ci-C6-haloalkyl, (Ci-C6-alkoxy)carbonyl, Ci-C6-alkoxy and Ci-C6-haloalkoxy;
Rj is selected from the group consisting of Ci-C6-alkyl, Cs-Cs-cycloalkyl, C2-C6-alkenyl, C2-C6-alkinyl, Ci-C6-alkoxy, Ci-C6-alkylthio, Ci-C6-alkylsulfinyl, Ci-C6-alkylsulfonyl, wherein one or more CH2 groups of the aforementioned radicals may be replaced by a C=0 group, and/or the aliphatic and cycloaliphatic moieties of the aforementioned radicals may be unsubstituted, partially or fully halogenated and/or may carry 1 or 2 substituents selected from Ci-C4-alkoxy; phenyl, benzyl, pyridyl and phenoxy, wherein the radicals phenyl, benzyl, pyridyl and phenoxy may be unsubstituted, partially or fully halogenated and/or carry 1 , 2 or 3 substituents selected from Ci-C6-alkyl, Ci-C6-haloalkyl, (Ci-C6-alkoxy)carbonyl, Ci-C6-alkoxy and Ci-C6-haloalkoxy ;
Rk, R' are, independently from one another and independently of each occurrence, selected from the group consisting of hydrogen, Ci-C6-alkyl, Cs-Cs-cycloalkyl, cyano, C2-C6- alkenyl, C2-C6-alkinyl, wherein one or more CH2 groups of the radicals Ci-C6-alkyl, C3-C8- cycloalkyl, C2-C6-alkenyl, C2-C6-alkinyl, may be replaced by a C=0 group, and/or the aliphatic and cycloaliphatic moieties of the aforementioned radicals may be unsubstituted, partially or fully halogenated and/or may carry 1 or 2 radicals selected from Ci-C4-alkoxy;
Ci-C6-alkoxy, Ci-C6-haloalkoxy, Ci-C6-alkylthio, Ci-C6-haloalkylthio, Ci-C6-alkylsulfinyl, Ci-Ce- alkylsulfonyl, phenyl, benzyl, pyridyl and phenoxy, wherein the radicals phenyl, benzyl, pyridyl and phenoxy may be unsubstituted, partially or fully halogenated and/or carry 1 , 2 or 3 substituents selected from Ci-C6-alkyl, Ci-C6-haloalkyl, (Ci-C6-alkoxy)carbonyl, Ci-C6-alkoxy, and C1-C6 haloalkoxy; or
Rk and R', together with the nitrogen atom to which they are bound, may form a 3-, 4-, 5-, 6- or 7-membered saturated, partially unsaturated or fully unsaturated heterocyclic ring which may additionally contain 1 or 2 further heteroatoms or heteroatom groups selected from N, O, S, NO, SO and SO2, as ring members, where the heterocyclic ring may optionally be substituted with halogen, Ci-C4-haloalkyl, Ci-C4-alkoxy or Ci-C4-haloalkoxy;
Rm is selected from the group consisting of hydrogen, Ci-C6-alkyl, Cs-Cs-cycloalkyl, C2- C6-alkenyl, C2-C6-alkinyl, Ci-C6-alkoxy, Ci-C6-alkylthio, Ci-C6-alkylsulfinyl, Ci-C6-alkylsulfonyl, wherein one or more CH2 groups of the aforementioned radicals may be replaced by a C=0 group, and/or the aliphatic and cycloaliphatic moieties of the aforementioned radicals may be unsubstituted, partially or fully halogenated and/or may carry 1 or 2 substituents selected from Ci-C4-alkoxy;
phenyl, benzyl, pyridyl and phenoxy, wherein the radicals phenyl, benzyl, pyridyl and phenoxymay be unsubstituted, partially or fully halogenated and/or carry 1 , 2 or 3 substituents selected from Ci-C6-alkyl, Ci-C6-haloalkyl, (Ci-C6-alkoxy)carbonyl, Ci-C6-alkoxy and C1-C6- haloalkoxy;
Rn, R° are, independently from one another, selected from the group consisting of hydrogen, Ci-C6-alkyl, C3-C8-cycloalkyl-Ci-C4-alkyl, Cs-Cs-cycloalkyl, cyano, C2-C6-alkenyl, C2- C6-alkynyl, where the radicals Ci-C6-alkyl, C3-Cs-cycloalkyl-Ci-C4-alkyl, Cs-Cs-cycloalkyl, C2-C6- alkenyl, C2-C6-alkynyl, may be unsubstituted, partially or fully halogenated and/or wherein one or two CH2 groups may be replaced by a CO group; and/or may carry 1 or 2 radicals selected from Ci-C6-alkoxycarbonyl, Ci-C6-alkoxy, Ci-C6-haloalkoxy, Ci-C6-alkylthio, Ci-C6-haloalkylthio, Ci-C6-alkylsulfinyl, Ci-C6-alkylsulfonyl, -Si(Rf)2Rg, phenyl, benzyl, pyridyl and phenoxy, it being possible for phenyl, benzyl, pyridyl and phenoxy to be unsubstituted, partially or fully
halogenated and/or to carry 1 , 2 or 3 substituents selected from the group consisting of C1-C6- alkyl, Ci-C6-haloalkyl, Ci-C6-alkoxycarbonyl, Ci-C6-alkoxy, and C1-C6 haloalkoxy; or
Rn and R°, together with the nitrogen atom to which they are bound, form a 3-, 4-, 5-, 6- or 7-membered saturated, partly unsaturated or completely unsaturated N-heterocyclic ring which may contain 1 or 2 further heteroatoms selected from N, O and S as ring members, where the heterocyclic ring may carry 1 , 2, 3 or 4 substituents selected from halogen, Ci-C4-alkyl, C1-C4- haloalkyl, Ci-C4-alkoxy and Ci-C4-haloalkoxy;
Rp is selected from the group consisting of halogen, Ci-C6-alkyl, Cs-Cs-cycloalkyl, cyano, C2-C6-alkenyl and C2-C6-alkynyl where the radicals Ci-C6-alkyl, Cs-Cs-cycloalkyl, C2-C6- alkenyl and C2-C6-alkynyl may be unsubstituted, partially or fully halogenated and/or wherein one or two CH2 groups may be replaced by a CO group, and/or may carry 1 -2 radicals selected from Ci-C6-alkoxycarbonyl, Ci-C4-alkoxy, Ci-C6-alkoxy, Ci-C6-haloalkoxy, Ci-C6-alkylthio, Ci- C6-haloalkylthio, Ci-C6-alkylsulfinyl, Ci-C6-haloalkylsulfinyl, Ci-C6-alkylsulfonyl, C1-C6- haloalkylsulfonyl, -Si(Rf)2Rg, phenyl, benzyl, pyridyl and phenoxy, it being possible for phenyl, benzyl, pyridyl and phenoxy to be unsubstituted, partially or fully halogenated and/or to carry 1 , 2 or 3 substituents selected from the group consisting of Ci-C6-alkyl, Ci-C6-haloalkyl, C1-C6- alkoxycarbonyl, Ci-C6-alkoxy, and C1-C6 haloalkoxy;
Rq, Rr are, independently from one another, selected from the group consisting of hydrogen, halogen, Ci-C6-alkyl, Cs-Cs-cycloalkyl, cyano, C2-C6-alkenyl, C2-C6-alkynyl, SF5, - SCN, nitro and azido, where the radicals Ci-C6-alkyl, Cs-Cs-cycloalkyl, C2-C6-alkenyl and C2-C6- alkynyl may be unsubstituted, partially or fully halogenated and/or oxygenated, and/or may carry 1 or 2 radicals selected from Ci-C4-alkyl; Ci-C4-haloalkyl; Ci-C6-alkoxy, Ci-C6-haloalkoxy, Ci- Ce-alkylthio, Ci-Ce-haloalkylthio, Ci-C6-alkylsulfinyl, Ci-C6-alkylsulfonyl, -Si(Rf)2R9, -OH, -SH, phenyl, benzyl, pyridyl and phenoxy,
it being possible for phenyl, benzyl, pyridyl and phenoxy to be unsubstituted, partially or fully halogenated and/or to carry 1 , 2 or 3 substituents selected from the group consisting of C1-C6- alkyl, Ci-C6-haloalkyl, (Ci-C6-alkoxy)carbonyl, Ci-C6-alkoxy, C1-C6 haloalkoxy; (C1-C6- alkyl)amino, di-(Ci-C6-alkyl)amino; or
Rq and Rr together form a group =C(Ci-C4-alkyl)2, =N(Ci-C6-alkyl), =NO(Ci-C6-alkyl), or
=0;
or a stereoisomer, salt, tautomer or N-oxide thereof.
The invention relates to the compounds of formula (I), their stereoisomers, N-oxides and their salts which are particularly useful for controlling invertebrate pests, in particular for controlling arthropods and nematodes and especially insects.
Furthermore, the invention relates to processes for the synthesis of compounds according to the invention and to intermediate compounds for the synthesis of compounds of formula (I).
Moreover, the present invention also relates to and includes the following aspects:
- an agricultural or veterinary composition comprising at least one compound of formula (I) or a stereoisomer, a tautomer, a N-oxide or an agriculturally or veterinarily acceptable salt thereof, and at least one liquid and/or solid carrier.
- a method for combating or controlling invertebrate pests, which method comprises contacting said pest or its food supply, habitat or breeding grounds with a pesticidally effective amount of at least one compound compound of formula (I) or a stereoisomer, a tautomer, a N-oxide or an agriculturally or veterinarily acceptable salt thereof, or a composition as defined herein.
- a method for protecting growing plants from attack or infestation by invertebrate pests, which method comprises contacting a plant, or soil or water in which the plant is growing, with a pesticidally effective amount of at least one compound compound of formula (I) or a stereoisomer, a tautomer, a N-oxide or an agriculturally or veterinarily acceptable salt thereof, or a composition as defined herein.
- a method for the protection of plant propagation material, especially seeds, from soil insects and of the seedlings' roots and shoots from soil and foliar insects comprising contacting the plant propagation material respectively seeds before sowing and/or after pregermination with at least one compound compound of formula (I) or a stereoisomer, a tautomer, a N-oxide or an agriculturally or veterinarily acceptable salt thereof, or a composition as defined herein.
- seed comprising a compound of formula (I) or a stereoisomer, a tautomer, a N-oxide or an agriculturally or veterinarily acceptable salt thereof, in an amount of from 0.1 g to 10 kg per 100 kg of the plant propagation material.
- use of a compound of formula (I) or a stereoisomer, a tautomer, a N-oxide or an agriculturally or veterinarily acceptable salt thereof, or a composition as defined in claim yy for combating or controlling invertebrate pests of the group of insects, arachnids or nematodes.
- use of a compound of formula (I) or a stereoisomer, a tautomer, a N-oxide or an agriculturally or veterinarily acceptable salt thereof, or a composition as defined in claim yy for protecting growing plants from attack or infestation by invertebrate pests.
- use of a compound compound of formula (I) or a stereoisomer, a tautomer, a N-oxideor a veterinarily acceptable salt thereof or a composition as defined herein for combating or controlling invertebrate parasites in and on animals.
- a method for treating a non-human animal infested or infected by parasites or for preventing a non-human animal from getting infested or infected by parasites or for protecting a non- human animal against infestation or infection by parasites which comprises orally, topically or parenterally administering or applying to the non-human animal a parasiticidally effective amount of a compound compound of formula (I) or a stereoisomer, a tautomer, a N-oxide or a veterinarily acceptable salt thereof or a composition as defined in claim herein.
- a compound compound of formula (I) or a stereoisomer, a tautomer, a N-oxide or a
veterinarily acceptable salt thereof for use as a medicament.
- a compound compound of formula (I) or a stereoisomer, a tautomer, a N-oxide or a
veterinarily acceptable salt thereof for use in the treatment, control, prevention or protection of animals against infestation or infection by parasites.
Depending on the substitution pattern, the compounds of the formula (I), their tautomers and their stereoisomers may have one or more centers of chirality, in which case they are present as mixtures of enantiomers or diastereomers. The invention provides both the pure enantiomers or pure diastereomers of the compounds of formula (I), and their mixtures and the use according to the invention of the pure enantiomers or pure diastereomers of the compound of formula (I) or its mixtures. Suitable compounds of the formula (I), their tautomers and their stereoisomers also include all possible geometrical stereoisomers (cis/trans isomers) and mixtures thereof. Cis/trans isomers may be present with respect to an alkene, carbon-nitrogen double-bond, nitrogen-sulfur double bond or amide group. The term "stereoisomer(s)" encompasses both optical isomers, such as enantiomers or diastereomers, the latter existing due to more than one center of chirality in the molecule, as well as geometrical isomers
(cis/trans isomers).
The compounds of the formula (I), their tautomers, their stereoisomers and their salts may be present in the form of their N-oxides. The term "N-oxide" includes any compound of the present invention which has at least one tertiary nitrogen atom that is oxidized to an N-oxide moiety. N-oxides of compounds (I) can in particular be prepared by oxidizing the ring nitrogen atom(s) of the pyridine ring and/or the pyrazole ring with a suitable oxidizing agent, such as peroxo carboxylic acids or other peroxides.
The compounds of the present invention may be amorphous or may exist in one ore more different crystalline states (polymorphs) which may have different macroscopic properties such as stability or show different biological properties such as activities. The present invention includes both amorphous and crystalline compounds of formula (I), their enantiomers or diastereomers, mixtures of different crystalline states of the respective compound of formula (I), its enantiomers or diastereomers, as well as amorphous or crystalline salts thereof.
Salts of the compounds of the present invention are preferably agriculturally and veterinarily acceptable salts. They can be formed in a customary method, e.g. by reacting the compound with an acid if the compound of the present invention has a basic functionality or by reacting the compound with a suitable base if the compound of the present invention has an acidic functionality.
Suitable agriculturally acceptable salts are especially the salts of those cations or the acid addition salts of those acids whose cations and anions, respectively, do not have any adverse
effect on the pesticidal action of the compounds according to the present invention. Suitable cations are in particular the ions of the alkali metals, preferably lithium, sodium and potassium, of the alkaline earth metals, preferably calcium, magnesium and barium, and of the transition metals, preferably manganese, copper, zinc and iron, and also ammonium (NhV) and substituted ammonium in which one to four of the hydrogen atoms are replaced by Ci-C4-alkyl, Ci-C4-hydroxyalkyl, Ci-C4-alkoxy, Ci-C4-alkoxy-Ci-C4-alkyl, hydroxy-Ci-C4-alkoxy-Ci-C4-alkyl, phenyl or benzyl. Examples of substituted ammonium ions comprise methylammonium, isopropylammonium, dimethylammonium, diisopropylammonium, trimethylammonium, tetramethylammonium, tetraethylammonium, tetrabutylammonium, 2-hydroxyethylammonium, 2-(2-hydroxyethoxy)ethylammonium, bis(2-hydroxyethyl)ammonium, benzyltrimethylammonium and benzl-triethylammonium, furthermore phosphonium ions, sulfonium ions, preferably tri(Ci- C4-alkyl)sulfonium, and sulfoxonium ions, preferably tri(Ci-C4-alkyl)sulfoxonium.
Anions of useful acid addition salts are primarily chloride, bromide, fluoride, hydrogensulfate, sulfate, dihydrogenphosphate, hydrogenphosphate, phosphate, nitrate, bicarbonate, carbonate, hexafluorosilicate, hexafluorophosphate, benzoate, and the anions of Ci-C4-alkanoic acids, preferably formate, acetate, propionate and butyrate. They can be formed by reacting compounds of the present invention with an acid of the corresponding anion, preferably with hydrochloric acid, hydrobromic acid, sulfuric acid, phosphoric acid or nitric acid.
Veterinarily acceptable salts of the compounds of the present invention encompass the salts of those cations or the acid addition salts which are known and accepted in the art for the formation of salts for veterinary use. Suitable acid addition salts, e.g. formed by compounds of the present invention containing a basic nitrogen atom, e.g. an amino group, include salts with inorganic acids, for example hydrochlorides, sulfates, phosphates, and nitrates and salts of organic acids for example acetic acid, maleic acid, e.g. the monoacid salts or diacid salts of maleic acid, dimaleic acid, fumaric acid, e.g. the monoacid salts or diacid salts of fumaric acid, difumaric acid, methane sulfenic acid, methane sulfonic acid, and succinic acid.
The organic moieties mentioned in the above definitions of the variables are - like the term halogen - collective terms for individual listings of the individual group members. The prefix Cn- Cm indicates in each case the possible number of carbon atoms in the group.
The term halogen denotes in each case fluorine, bromine, chlorine or iodine, in particular fluorine, chlorine or bromine.
The term "partially or fully halogenated" will be taken to mean that 1 or more, e.g. 1 , 2, 3, 4 or 5 or all of the hydrogen atoms of a given radical have been replaced by a halogen atom, in particular by fluorine or chlorine. A partially or fully halogenated radical is termed below also "halo-radical". For example, partially or fully halogenated alkyl is also termed haloalkyl.
The term "alkyl" as used herein (and in the alkyl moieties of other groups comprising an alkyl group, e.g. alkoxy, alkylcarbonyl, alkylthio, alkylsulfinyl, alkylsulfonyl and alkoxyalkyi) denotes in each case a straight-chain or branched alkyl group having usually from 1 to 12 or 1 to 10 carbon atoms, frequently from 1 to 6 carbon atoms, preferably 1 to 4 carbon atoms and in particular from 1 to 3 carbon atoms. Examples of Ci-C4-alkyl are methyl, ethyl, n-propyl, isopropyl, n-butyl, 2-butyl (sec-butyl), isobutyl and tert-butyl. Examples for Ci-C6-alkyl are, apart those mentioned for Ci-C4-alkyl, n-pentyl, 1 -methylbutyl, 2-methylbutyl, 3-methylbutyl, 2,2-dimethylpropyl,
1 -ethyl propyl, n-hexyl, 1 ,1 -dimethylpropyl, 1 ,2-dimethylpropyl, 1 -methylpentyl, 2-methylpentyl, 3-methylpentyl, 4-methylpentyl, 1 ,1 -dimethylbutyl, 1 ,2-dimethylbutyl, 1 ,3-dimethylbutyl, 2,2- dimethylbutyl, 2,3-dimethylbutyl, 3,3-dimethylbutyl, 1 -ethylbutyl, 2-ethylbutyl, 1 ,1 ,2- trimethylpropyl, 1 ,2,2-trimethylpropyl, 1 -ethyl-1 -methylpropyl and 1 -ethyl-2-methylpropyl.
Examples for Ci-Cio-alkyl are, apart those mentioned for Ci-C6-alkyl, n-heptyl, 1 -methylhexyl, 2- methylhexyl, 3-methylhexyl, 4-methylhexyl, 5-methylhexyl, 1 -ethylpentyl, 2-ethylpentyl, 3- ethylpentyl, n-octyl, 1 -methyloctyl, 2-methylheptyl, 1 -ethylhexyl, 2-ethylhexyl, 1 ,2-dimethylhexyl,
1 - propylpentyl, 2-propylpentyl, nonyl, decyl, 2-propylheptyl and 3-propylheptyl.
The term "alkylene" (or alkanediyl) as used herein in each case denotes an alkyl radical as defined above, wherein one hydrogen atom at any position of the carbon backbone is replaced by one further binding site, thus forming a bivalent moiety.The term "haloalkyl" as used herein (and in the haloalkyl moieties of other groups comprising a haloalkyl group, e.g.
haloalkoxy, haloalkylthio, haloalkylcarbonyl, haloalkylsulfonyl and haloalkylsulfinyl) denotes in each case a straight-chain or branched alkyl group having usually from 1 to 10 carbon atoms ("Ci-Cio-haloalkyl"), frequently from 1 to 6 carbon atoms ("Ci-C6-haloalkyl"), more frequently 1 to 4 carbon atoms ("Ci-Cio-haloalkyl"), wherein the hydrogen atoms of this group are partially or totally replaced with halogen atoms. Preferred haloalkyl moieties are selected from C1-C4- haloalkyl, more preferably from Ci-C2-haloalkyl, more preferably from halomethyl, in particular from Ci-C2-fluoroalkyl. Halomethyl is methyl in which 1 , 2 or 3 of the hydrogen atoms are replaced by halogen atoms. Examples are bromomethyl, chloromethyl, dichloromethyl, trichloromethyl, fluoromethyl, difluoromethyl, trifluoromethyl, chlorofluoromethyl,
dichlorofluoromethyl, chlorodifluoromethyl and the like. Examples for Ci-C2-fluoroalkyl are fluoromethyl, difluoromethyl, trifluoromethyl, 1 -fluoroethyl, 2-fluoroethyl, 2,2-difluoroethyl, 2,2,2- trifluoroethyl, pentafluoroethyl, and the like. Examples for Ci-C2-haloalkyl are, apart those mentioned for Ci-C2-fluoroalkyl, chloromethyl, dichloromethyl, trichloromethyl, bromomethyl, chlorofluoromethyl, dichlorofluoromethyl, chlorodifluoromethyl, 1 -chloroethyl, 2-chloroethyl, 2,2,- dichloroethyl, 2,2,2-trichloroethyl, 2-chloro-2-fluoroethyl, 2-chloro-2,2-difluoroethyl, 2,2-dichloro-
2- fluoroethyl, 1 -bromoethyl, and the like. Examples for Ci-C4-haloalkyl are, apart those mentioned for Ci-C2-haloalkyl, 1 -fluoropropyl, 2-fluoropropyl, 3-fluoropropyl, 3,3-difluoropropyl, 3,3,3-trifluoropropyl, heptafluoropropyl, 1 ,1 ,1 -trifluoroprop-2-yl, 3-chloropropyl, 4-chlorobutyl and the like.
The term "cycloalkyl" as used herein (and in the cycloalkyl moieties of other groups comprising a cycloalkyl group, e.g. cycloalkoxy and cycloalkylalkyl) denotes in each case a mono- or bicyclic cycloaliphatic radical having usually from 3 to 10 carbon atoms ("C3-C10- cycloalkyl"), preferably 3 to 8 carbon atoms ("Cs-Cs-cycloalkyl") or in particular 3 to 6 carbon atoms ("C3-C6-cycloalkyl"). Examples of monocyclic radicals having 3 to 6 carbon atoms comprise cyclopropyl, cyclobutyl, cyclopentyl and cyclohexyl. Examples of monocyclic radicals having 3 to 8 carbon atoms comprise cyclopropyl, cyclobutyl, cyclopentyl, cyclohexyl, cycloheptyl and cyclooctyl. Examples of bicyclic radicals having 7 or 8 carbon atoms comprise bicyclo[2.1 .1]hexyl, bicyclo[2.2.1 ]heptyl, bicyclo[3.1.1 ]heptyl, bicyclo[2.2.1]heptyl,
bicyclo[2.2.2]octyl and bicyclo[3.2.1]octyl.
The term "cycloalkylene" (or cycloalkanediyl) as used herein in each case denotes an
cycloalkyl radical as defined above, wherein one hydrogen atom at any position of the carbon backbone is replaced by one further binding site, thus forming a bivalent moiety.
The term "halocycloalkyl" as used herein (and in the halocycloalkyl moieties of other groups comprising an halocycloalkyl group, e.g. halocycloalkylmethyl) denotes in each case a mono- or bicyclic cycloaliphatic radical having usually from 3 to 10 carbon atoms, preferably 3 to 8 carbon atoms or in particular 3 to 6 carbon atoms, wherein at least one, e.g. 1 , 2, 3, 4 or 5 of the hydrogen atoms are replaced by halogen, in particular by fluorine or chlorine. Examples are
1 - and 2- fluorocyclopropyl, 1 ,2-, 2,2- and 2,3-difluorocyclopropyl, 1 ,2,2-trifluorocyclopropyl, 2,2,3,3-tetrafluorocyclpropyl, 1 - and 2-chlorocyclopropyl, 1 ,2-, 2,2- and 2,3-dichlorocyclopropyl, 1 ,2,2-trichlorocyclopropyl, 2,2,3,3-tetrachlorocyclpropyl, 1 -,2- and 3-fluorocyclopentyl, 1 ,2-, 2,2-, 2,3-, 3,3-, 3,4-, 2,5-difluorocyclopentyl, 1 -,2- and 3-chlorocyclopentyl, 1 ,2-, 2,2-, 2,3-, 3,3-, 3,4-, 2,5-dichlorocyclopentyl and the like.
The term "cycloalkyl-alkyl" used herein denotes a cycloalkyl group, as defined above, which is bound to the remainder of the molecule via an alkylene group. The term "C3-C8- cycloalkyl-Ci-C4-alkyl" refers to a Cs-Cs-cycloalkyl group as defined above which is bound to the remainder of the molecule via a Ci-C4-alkyl group, as defined above. Examples are
cyclopropylmethyl, cyclopropylethyl, cyclopropylpropyl, cyclobutylmethyl, cyclobutylethyl, cyclobutylpropyl, cyclopentylmethyl, cyclopentylethyl, cyclopentylpropyl, cyclohexylmethyl, cyclohexylethyl, cyclohexylpropyl, and the like.
The term "alkenyl" as used herein denotes in each case a monounsaturated straight-chain or branched hydrocarbon radical having usually 2 to 10 ("C2-Cio-alkenyl"), preferably 2 to 6 carbon atoms ("C2-C6-alkenyl"), in particular 2 to 4 carbon atoms ("C2-C4-alkenyl"), and a double bond in any position, for example C2-C4-alkenyl, such as ethenyl, 1 -propenyl, 2-propenyl, 1 - methylethenyl, 1 -butenyl, 2-butenyl, 3-butenyl, 1 -methyl-1 -propenyl, 2-methyl-1 -propenyl, 1 - methyl-2-propenyl or 2-methyl-2-propenyl; C2-C6-alkenyl, such as ethenyl, 1 -propenyl, 2- propenyl, 1 -methylethenyl, 1 -butenyl, 2-butenyl, 3-butenyl, 1 -methyl-1 -propenyl, 2-methyl-1 - propenyl, 1 -methyl-2-propenyl, 2-methyl-2-propenyl, 1 -pentenyl, 2-pentenyl, 3-pentenyl, 4- pentenyl, 1 -methyl-1 -butenyl, 2-methyl-1 -butenyl, 3-methyl-1 -butenyl, 1 -methyl-2-butenyl,
2- methyl-2-butenyl, 3-methyl-2-butenyl, 1 -methyl-3-butenyl, 2-methyl-3-butenyl, 3-methyl-3- butenyl, 1 ,1 -dimethyl-2-propenyl, 1 ,2-dimethyl-1 -propenyl, 1 ,2-dimethyl-2-propenyl, 1 -ethyl-1 - propenyl, 1 -ethyl-2-propenyl, 1 -hexenyl, 2-hexenyl, 3-hexenyl, 4-hexenyl, 5-hexenyl, 1 -methyl-
1 - pentenyl, 2-methyl-1 -pentenyl, 3-methyl-1 -pentenyl, 4-methyl-1 -pentenyl, 1 -methyl-2- pentenyl, 2-methyl-2-pentenyl, 3-methyl-2-pentenyl, 4-methyl-2-pentenyl, 1 -methyl-3-pentenyl,
2- methyl-3-pentenyl, 3-methyl-3-pentenyl, 4-methyl-3-pentenyl, 1 -methyl-4-pentenyl, 2-methyl- 4-pentenyl, 3-methyl-4-pentenyl, 4-methyl-4-pentenyl, 1 ,1 -dimethyl-2-butenyl, 1 ,1 -dimethyl-3- butenyl, 1 ,2-dimethyl-1 -butenyl, 1 ,2-dimethyl-2-butenyl, 1 ,2-dimethyl-3-butenyl, 1 ,3-dimethyl-1 - butenyl, 1 ,3-dimethyl-2-butenyl, 1 ,3-dimethyl-3-butenyl, 2,2-dimethyl-3-butenyl, 2,3-dimethyl-1 - butenyl, 2,3-dimethyl-2-butenyl, 2,3-dimethyl-3-butenyl, 3, 3-dimethyl-1 -butenyl, 3,3-dimethyl-2- butenyl, 1 -ethyl-1 -butenyl, 1 -ethyl-2-butenyl, 1 -ethyl-3-butenyl, 2-ethyl-1 -butenyl,
2-ethyl-2-butenyl, 2-ethyl-3-butenyl, 1 ,1 ,2-trimethyl-2-propenyl, 1 -ethyl-1 -methyl-2-propenyl, 1 - ethyl-2-methyl-1 -propenyl, 1 -ethyl-2-methyl-2-propenyl and the like, or C2-Cio-alkenyl, such as the radicals mentioned for C2-C6-alkenyl and additionally 1 -heptenyl, 2-heptenyl, 3-heptenyl, 1 -
octenyl, 2-octenyl, 3-octenyl, 4-octenyl, 1 -nonenyl, 2-nonenyl, 3-nonenyl, 4-nonenyl, 1 -decenyl, 2-decenyl, 3-decenyl, 4-decenyl, 5-decenyl and the positional isomers thereof.
The term "alkenylene" (or alkenediyl) as used herein in each case denotes an alkenyl radical as defined above, wherein one hydrogen atom at any position of the carbon backbone is replaced by one further binding site, thus forming a bivalent moiety.
The term "haloalkenyl" as used herein, which may also be expressed as "alkenyl which may be substituted by halogen", and the haloalkenyl moieties in haloalkenyloxy, haloalkenylcarbonyl and the like refers to unsaturated straight-chain or branched hydrocarbon radicals having 2 to 10 ("C2-Cio-haloalkenyl") or 2 to 6 ("C2-C6-haloalkenyl") or 2 to 4 ("C2-C4-haloalkenyl") carbon atoms and a double bond in any position, where some or all of the hydrogen atoms in these groups are replaced by halogen atoms as mentioned above, in particular fluorine, chlorine and bromine, for example chlorovinyl, chloroallyl and the like.
The term "alkynyl" as used herein denotes unsaturated straight-chain or branched hydrocarbon radicals having usually 2 to 10 ("C2-Cio-alkynyl"), frequently 2 to 6 ("C2-C6- alkynyl"), preferably 2 to 4 carbon atoms ("C2-C4-alkynyl") and one or two triple bonds in any position, for example C2-C4-alkynyl, such as ethynyl, 1 -propynyl, 2-propynyl, 1 -butynyl, 2- butynyl, 3-butynyl, 1 -methyl-2-propynyl and the like, C2-C6-alkynyl, such as ethynyl, 1 -propynyl, 2-propynyl, 1 -butynyl, 2-butynyl, 3-butynyl, 1 -methyl-2-propynyl, 1 -pentynyl, 2-pentynyl, 3- pentynyl, 4-pentynyl, 1 -methyl-2-butynyl, 1 -methyl-3-butynyl, 2-methyl-3-butynyl, 3-methyl-1 - butynyl, 1 ,1 -dimethyl-2-propynyl, 1 -ethyl-2-propynyl, 1 -hexynyl, 2-hexynyl, 3-hexynyl, 4-hexynyl, 5-hexynyl, 1 -methyl-2-pentynyl, 1 -methyl-3-pentynyl, 1 -methyl-4-pentynyl, 2-methyl-3-pentynyl, 2-methyl-4-pentynyl, 3-methyl-1 -pentynyl, 3-methyl-4-pentynyl, 4-methyl-1 -pentynyl, 4-methyl-2- pentynyl, 1 ,1 -dimethyl-2-butynyl, 1 ,1 -dimethyl-3-butynyl, 1 ,2-dimethyl-3-butynyl, 2,2-dimethyl-3- butynyl, 3, 3-dimethyl-1 -butynyl, 1 -ethyl-2-butynyl, 1 -ethyl-3-butynyl, 2-ethyl-3-butynyl, 1 -ethyl-1 - methyl-2-propynyl and the like.
The term "alkynylene" (or alkynediyl) as used herein in each case denotes an alkynyl radical as defined above, wherein one hydrogen atom at any position of the carbon backbone is replaced by one further binding site, thus forming a bivalent moiety.
The term "haloalkynyl" as used herein, which is also expressed as "alkynyl which may be substituted by halogen", refers to unsaturated straight-chain or branched hydrocarbon radicals having usually 2 to 10 carbon atoms ("C2-Cio-haloalkynyl"), frequently 2 to 6 ("C2-C6- haloalkynyl"), preferabyl 2 to 4 carbon atoms ("C2-C4-haloalkynyl"), and one or two triple bonds in any position (as mentioned above), where some or all of the hydrogen atoms in these groups are replaced by halogen atoms as mentioned above, in particular fluorine, chlorine and bromine.
The term "alkoxy" as used herein denotes in each case a straight-chain or branched alkyl group usually having from 1 to 10 carbon atoms ("Ci-Cio-alkoxy"), frequently from 1 to 6 carbon atoms ("Ci-C6-alkoxy"), preferably 1 to 4 carbon atoms ("Ci-C4-alkoxy"), which is bound to the remainder of the molecule via an oxygen atom. Ci-C2-Alkoxy is methoxy or ethoxy. Ci-C4- Alkoxy is additionally, for example, n-propoxy, 1 -methylethoxy (isopropoxy), butoxy,
1 -methylpropoxy (sec-butoxy), 2-methylpropoxy (isobutoxy) or 1 ,1 -dimethylethoxy (tert-butoxy). Ci-C6-Alkoxy is additionally, for example, pentoxy, 1 -methylbutoxy, 2-methylbutoxy, 3- methylbutoxy, 1 ,1 -dimethylpropoxy, 1 ,2-dimethylpropoxy, 2,2-dimethylpropoxy, 1 -ethylpropoxy,
hexoxy, 1 -methylpentoxy, 2-methylpentoxy, 3-methylpentoxy, 4-methylpentoxy, 1 ,1 - dimethylbutoxy, 1 ,2-dimethylbutoxy, 1 ,3-dimethylbutoxy, 2,2-dimethylbutoxy, 2,3- dimethylbutoxy, 3,3-dimethylbutoxy, 1 -ethylbutoxy, 2-ethylbutoxy, 1 ,1 ,2-trimethylpropoxy, 1 ,2,2- trimethylpropoxy, 1 -ethyl-1 -methylpropoxy or 1 -ethyl-2-methylpropoxy. Ci-Cs-Alkoxy is additionally, for example, heptyloxy, octyloxy, 2-ethylhexyloxy and positional isomers thereof. Ci-Cio-Alkoxy is additionally, for example, nonyloxy, decyloxy and positional isomers thereof.
The term "haloalkoxy" as used herein denotes in each case a straight-chain or branched alkoxy group, as defined above, having from 1 to 10 carbon atoms ("Ci-Cio-haloalkoxy"), frequently from 1 to 6 carbon atoms ("Ci-C6-haloalkoxy"), preferably 1 to 4 carbon atoms ("Ci- C4-haloalkoxy"), more preferably 1 to 3 carbon atoms ("Ci-C3-haloalkoxy"), wherein the hydrogen atoms of this group are partially or totally replaced with halogen atoms, in particular fluorine atoms. Ci-C2-Haloalkoxy is, for example, OCH2F, OCHF2, OCF3, OCH2CI, OCHCI2, OCC , chlorofluoromethoxy, dichlorofluoromethoxy, chlorodifluoromethoxy, 2-fluoroethoxy, 2- chloroethoxy, 2-bromoethoxy, 2-iodoethoxy, 2,2-difluoroethoxy, 2,2,2-trifluoroethoxy, 2-chloro-2- fluoroethoxy, 2-chloro-2,2-difluoroethoxy, 2,2-dichloro-2-fluoroethoxy, 2,2,2-trichloroethoxy or OC2F5. Ci-C4-Haloalkoxy is additionally, for example, 2-fluoropropoxy, 3-fluoropropoxy, 2,2- difluoropropoxy, 2,3-difluoropropoxy, 2-chloropropoxy, 3-chloropropoxy, 2,3-dichloropropoxy, 2- bromopropoxy, 3-bromopropoxy, 3,3,3-trifluoropropoxy, 3,3,3-trichloropropoxy, OCH2-C2F5, OCF2-C2F5, 1 -(CH2F)-2-fluoroethoxy, 1 -(CH2CI)-2-chloroethoxy, 1 -(CH2Br)-2-bromoethoxy, 4-fluorobutoxy, 4-chlorobutoxy, 4-bromobutoxy or nonafluorobutoxy. Ci-C6-Haloalkoxy is additionally, for example, 5-fluoropentoxy, 5-chloropentoxy, 5-brompentoxy, 5-iodopentoxy, undecafluoropentoxy, 6-fluorohexoxy, 6-chlorohexoxy, 6-bromohexoxy, 6-iodohexoxy or dodecafluorohexoxy.
The term "alkoxyalkyl" as used herein denotes in each case alkyl usually comprising 1 to 6 carbon atoms, preferably 1 to 4 carbon atoms, wherein 1 carbon atom carries an alkoxy radical usually comprising 1 to 10, frequently 1 to 6, in particular 1 to 4, carbon atoms as defined above. "Ci-C6-Alkoxy-Ci-C6-alkyl" is a Ci-C6-alkyl group, as defined above, in which one hydrogen atom is replaced by a Ci-C6-alkoxy group, as defined above. Examples are CH2OCH3, CH2-OC2H5, n-propoxymethyl, CH2-OCH(CH3)2, n-butoxymethyl, (l -methylpropoxy)-methyl, (2- methylpropoxy)methyl, CH2-OC(CH3)3, 2-(methoxy)ethyl, 2-(ethoxy)ethyl, 2-(n-propoxy)-ethyl, 2- (1 -methylethoxy)-ethyl, 2-(n-butoxy)ethyl, 2-(1 -methylpropoxy)-ethyl, 2-(2-methylpropoxy)-ethyl, 2-(1 ,1 -dimethylethoxy)-ethyl, 2-(methoxy)-propyl, 2-(ethoxy)-propyl, 2-(n-propoxy)-propyl, 2-(1 - methylethoxy)-propyl, 2-(n-butoxy)-propyl, 2-(1 -methylpropoxy)-propyl, 2-(2-methylpropoxy)- propyl, 2-(1 ,1 -dimethylethoxy)-propyl, 3-(methoxy)-propyl, 3-(ethoxy)-propyl, 3-(n-propoxy)- propyl, 3-(1 -methylethoxy)-propyl, 3-(n-butoxy)-propyl, 3-(1 -methylpropoxy)-propyl, 3-(2- methylpropoxy)-propyl, 3-(1 ,1 -dimethylethoxy)-propyl, 2-(methoxy)-butyl, 2-(ethoxy)-butyl, 2-(n- propoxy)-butyl, 2-(1 -methylethoxy)-butyl, 2-(n-butoxy)-butyl, 2-(1 -methylpropoxy)-butyl, 2-(2- methyl-propoxy)-butyl, 2-(1 ,1 -dimethylethoxy)-butyl, 3-(methoxy)-butyl, 3-(ethoxy)-butyl, 3-(n- propoxy)-butyl, 3-(1 -methylethoxy)-butyl, 3-(n-butoxy)-butyl, 3-(1 -methylpropoxy)-butyl, 3-(2- methylpropoxy)-butyl, 3-(1 ,1 -dimethylethoxy)-butyl, 4-(methoxy)-butyl, 4-(ethoxy)-butyl, 4-(n- propoxy)-butyl, 4-(1 -methylethoxy)-butyl, 4-(n-butoxy)-butyl, 4-(1 -methylpropoxy)-butyl, 4-(2- methylpropoxy)-butyl, 4-(1 ,1 -dimethylethoxy)-butyl and the like.
The term "haloalkoxy-alkyl" as used herein denotes in each case alkyl as defined above, usually comprising 1 to 6 carbon atoms, preferably 1 to 4 carbon atoms, wherein 1 carbon atom carries an haloalkoxy radical as defined above, usually comprising 1 to 10, frequently 1 to 6, in particular 1 to 4, carbon atoms as defined above. Examples are fluoromethoxymethyl, difluoromethoxymethyl, trifluoromethoxymethyl, 1 -fluoroethoxymethyl, 2-fluoroethoxymethyl,
1 .1 - difluoroethoxymethyl, 1 ,2-difluoroethoxymethyl, 2,2-difluoroethoxymethyl, 1 ,1 ,2- trifluoroethoxymethyl, 1 ,2,2-trifluoroethoxymethyl, 2,2,2-trifluoroethoxymethyl,
pentafluoroethoxymethyl, 1 -fluoroethoxy-1 -ethyl, 2-fluoroethoxy-1 -ethyl, 1 ,1 -difluoroethoxy-1 - ethyl, 1 ,2-difluoroethoxy-1 -ethyl, 2,2-difluoroethoxy-1 -ethyl, 1 ,1 ,2-trifluoroethoxy-1 -ethyl, 1 ,2,2- trifluoroethoxy-1 -ethyl, 2,2,2-trifluoroethoxy-1 -ethyl, pentafluoroethoxy-1 -ethyl, 1 -fluoroethoxy-2- ethyl, 2-fluoroethoxy-2-ethyl, 1 ,1 -difluoroethoxy-2 -ethyl, 1 ,2-difluoroethoxy-2-ethyl, 2,2- difluoroethoxy-2-ethyl, 1 ,1 ,2-trifluoroethoxy-2-ethyl, 1 ,2,2-trifluoroethoxy-2-ethyl, 2,2,2- trifluoroethoxy-2-ethyl, pentafluoroethoxy-2-ethyl, and the like.
The term "alkylthio"(also alkylsulfanyl or alkyl-S-)" as used herein denotes in each case a straight-chain or branched saturated alkyl group as defined above, usually comprising 1 to 10 carbon atoms ("Ci-Cio-alkylthio"), frequently comprising 1 to 6 carbon atoms ("Ci-C6-alkylthio"), preferably 1 to 4 carbon atoms ("Ci-C4-alkylthio"), which is attached via a sulfur atom at any position in the alkyl group. Ci-C2-Alkylthio is methylthio or ethylthio. Ci-C4-Alkylthio is additionally, for example, n-propylthio, 1 -methylethylthio (isopropylthio), butylthio,
1 -methylpropylthio (sec-butylthio), 2-methylpropylthio (isobutylthio) or 1 ,1 -dimethylethylthio (tert- butylthio). Ci-C6-Alkylthio is additionally, for example, pentylthio, 1 -methylbutylthio,
2- methylbutylthio, 3-methylbutylthio, 1 ,1 -dimethylpropylthio, 1 ,2-dimethylpropylthio,
2.2- dimethylpropylthio, 1 -ethylpropylthio, hexylthio, 1 -methylpentylthio, 2-methylpentylthio,
3- methylpentylthio, 4-methylpentylthio, 1 ,1 -dimethylbutylthio, 1 ,2-dimethylbutylthio,
1 ,3-dimethylbutylthio, 2,2-dimethylbutylthio, 2,3-dimethylbutylthio, 3,3-dimethylbutylthio,
1 - ethylbutylthio, 2-ethylbutylthio, 1 ,1 ,2-trimethylpropylthio, 1 ,2,2-trimethylpropylthio, 1 -ethyl-1 - methylpropylthio or 1 -ethyl-2-methylpropylthio. Ci-Cs-Alkylthio is additionally, for example, heptylthio, octylthio, 2-ethylhexylthio and positional isomers thereof. Ci-Cio-Alkylthio is additionally, for example, nonylthio, decylthio and positional isomers thereof.
The term "haloalkylthio" as used herein refers to an alkylthio group as defined above wherein the hydrogen atoms are partially or fully substituted by fluorine, chlorine, bromine and/or iodine. Ci-C2-Haloalkylthio is, for example, SCH2F, SCHF2, SCF3, SCH2CI, SCHCI2, SCC , chlorofluoromethylthio, dichlorofluoromethylthio, chlorodifluoromethylthio, 2- fluoroethylthio, 2-chloroethylthio, 2-bromoethylthio, 2-iodoethylthio, 2,2-difluoroethylthio, 2,2,2- trifluoroethylthio, 2-chloro-2-fluoroethylthio, 2-chloro-2,2-difluoroethylthio, 2,2-dichloro-2- fluoroethylthio, 2,2,2-trichloroethylthio or SC2F5. Ci-C4-Haloalkylthio is additionally, for example,
2- fluoropropylthio, 3-fluoropropylthio, 2,2-difluoropropylthio, 2,3-difluoropropylthio,
2- chloropropylthio, 3-chloropropylthio, 2,3-dichloropropylthio, 2-bromopropylthio,
3- bromopropylthio, 3,3,3-trifluoropropylthio, 3,3,3-trichloropropylthio, SCH2-C2F5, SCF2-C2F5, 1 - (CH2F)-2-fluoroethylthio, 1 -(CH2CI)-2-chloroethylthio, 1 -(CH2Br)-2-bromoethylthio,
4- fluorobutylthio, 4-chlorobutylthio, 4-bromobutylthio or nonafluorobutylthio. Ci-C6-Haloalkylthio is additionally, for example, 5-fluoropentylthio, 5-chloropentylthio, 5-brompentylthio,
5- iodopentylthio, undecafluoropentylthio, 6-fluorohexylthio, 6-chlorohexylthio, 6-bromohexylthio,
6- iodohexylthio or dodecafluorohexylthio.
The terms "alkylsulfinyl" and "S(0)n-alkyl" (wherein n is 1 ) are equivalent and, as used herein, denote an alkyl group, as defined above, attached via a sulfinyl [S(O)] group. For example, the term "Ci-C2-alkylsulfinyl" refers to a Ci-C2-alkyl group, as defined above, attached via a sulfinyl [S(O)] group. The term "Ci-C4-alkylsulfinyl" refers to a Ci-C4-alkyl group, as defined above, attached via a sulfinyl [S(O)] group. The term "Ci -C6-a I kylsu If i nyl " refers to a Ci- C6-alkyl group, as defined above, attached via a sulfinyl [S(O)] group. C i -C2-a I ky I s u If i ny I is methylsulfinyl or ethylsulfinyl. Ci-C4-alkylsulfinyl is additionally, for example, n-propylsulfinyl, 1 -methylethylsulfinyl (isopropylsulfinyl), butyl sulfinyl, 1 -methylpropylsulfinyl (sec-butylsulfinyl), 2- methylpropylsulfinyl (isobutylsulfinyl) or 1 ,1 -dimethylethylsulfinyl (tert-butylsulfinyl). C1-C6- alkylsulfinyl is additionally, for example, pentylsulfinyl, 1 -methylbutylsulfinyl, 2- methylbutylsulfinyl, 3-methylbutylsulfinyl, 1 ,1 -dimethylpropylsulfinyl, 1 ,2-dimethylpropylsulfinyl, 2,2-dimethylpropylsulfinyl, 1 -ethylpropylsulfinyl, hexylsulfinyl, 1 -methylpentylsulfinyl, 2- methylpentylsulfinyl, 3-methylpentylsulfinyl, 4-methylpentylsulfinyl, 1 ,1 -dimethylbutylsulfinyl,
1 .2- dimethylbutylsulfinyl, 1 ,3-dimethylbutylsulfinyl, 2,2-dimethylbutylsulfinyl,
2.3- dimethylbutylsulfinyl, 3,3-dimethylbutylsulfinyl, 1 -ethylbutylsulfinyl, 2-ethylbutylsulfinyl, 1 ,1 ,2- trimethylpropylsulfinyl, 1 ,2,2-trimethylpropylsulfinyl, 1 -ethyl-1 -methylpropylsulfinyl or 1 -ethyl-2- methylpropylsulfinyl.
The terms "haloalkylsulfinyl" and "S(0)n-haloalkyl" (wherein n is 1 ) are equivalent and, as used herein, denote a haloalkyl group, as defined above, attached via a sulfinyl [S(O)] group. The term "S(0)n-Ci-C4-haloalkyl" (wherein n is 1 ), i.e. "Ci-C4-haloalkylsulfinyl", is a Ci-C4- haloalkyl group, as defined above, attached via a sulfinyl [S(O)] group. The term "C1-C6- haloalkylsulfinyl" is a Ci-C6-haloalkyl group, as defined above, attached via a sulfinyl [S(O)] group. Ci-C2-Haloalkylsulfinyl is, for example, S(0)CH2F, S(0)CHF2, S(0)CF3, S(0)CH2CI, S(0)CHCl2, S(0)CCl3, chlorofluoromethylsulfinyl, dichlorofluoromethylsulfinyl,
chlorodifluoromethylsulfinyl, 2-fluoroethylsulfinyl, 2-chloroethylsulfinyl, 2-bromoethylsulfinyl, 2- iodoethylsulfinyl, 2,2-d ifluoroethylsulfinyl, 2,2,2-trifluoroethylsulfinyl, 2-chloro-2- fluoroethylsulfinyl, 2-chloro-2,2-difluoroethylsulfinyl, 2,2-dichloro-2-fluoroethylsulfinyl,
2,2,2-trichloroethylsulfinyl or S(0)C2F5. Ci-C4-haloalkylsulfinyl is additionally, for example, 2- fluoropropylsulfinyl, 3-fluoropropylsulfinyl, 2,2-difluoropropylsulfinyl, 2,3-difluoropropylsulfinyl, 2- chloropropylsulfinyl, 3-chloropropylsulfinyl, 2,3-dichloropropylsulfinyl, 2-bromopropylsulfinyl, 3- bromopropylsulfinyl, 3,3,3-trifluoropropylsulfinyl, 3,3,3-trichloropropylsulfinyl, S(0)CH2-C2F5, S(0)CF2-C2F5, 1 -(CH2F)-2-fluoroethylsulfinyl, 1 -(CH2CI)-2-chloroethylsulfinyl, 1 -(CH2Br)-2- bromoethylsulfinyl, 4-fluorobutylsulfinyl, 4-chlorobutylsulfinyl, 4-bromobutylsulfinyl or
nonafluorobutylsulfinyl. Ci-C6-Haloalkylsulfinyl is additionally, for example, 5-fluoropentylsulfinyl, 5-chloropentylsulfinyl, 5-brompentylsulfinyl, 5-iodopentylsulfinyl, undecafluoropentylsulfinyl, 6- fluorohexylsulfinyl, 6-chlorohexylsulfinyl, 6-bromohexylsulfinyl, 6-iodohexylsulfinyl or
dodecafluorohexylsulfinyl. The terms "alkylsulfonyl" and "S(0)n-alkyl" (wherein n is 2) are equivalent and, as used herein, denote an alkyl group, as defined above, attached via a sulfonyl [S(0)2] group. The term "Ci-C2-alkylsulfonyl" refers to a Ci-C2-alkyl group, as defined above, attached via a sulfonyl [S(0)2] group. The term "Ci-C4-alkylsulfonyl" refers to a Ci-C4-alkyl
group, as defined above, attached via a sulfonyl [S(0)2] group. The term "Ci-C6-alkylsulfonyl" refers to a Ci-C6-alkyl group, as defined above, attached via a sulfonyl [S(0)2] group. C1-C2- alkylsulfonyl is methylsulfonyl or ethylsulfonyl. Ci-C4-alkylsulfonyl is additionally, for example, n- propylsulfonyl, 1 -methylethylsulfonyl (isopropylsulfonyl), butylsulfonyl, 1 -methylpropylsulfonyl (sec-butylsulfonyl), 2-methylpropylsulfonyl (isobutylsulfonyl) or 1 ,1 -dimethylethylsulfonyl (tert- butylsulfonyl). Ci-C6-alkylsulfonyl is additionally, for example, pentylsulfonyl,
1 -methylbutylsulfonyl, 2-methylbutylsulfonyl, 3-methylbutylsulfonyl, 1 ,1 -dimethylpropylsulfonyl, 1 ,2-dimethylpropylsulfonyl, 2,2-dimethylpropylsulfonyl, 1 -ethylpropylsulfonyl, hexylsulfonyl, 1 - methylpentylsulfonyl, 2-methylpentylsulfonyl, 3-methylpentylsulfonyl, 4-methylpentylsulfonyl, 1 ,1 -dimethylbutylsulfonyl, 1 ,2-dimethylbutylsulfonyl, 1 ,3-dimethylbutylsulfonyl,
2.2- dimethylbutylsulfonyl, 2,3-dimethylbutylsulfonyl, 3,3-dimethylbutylsulfonyl,
1 - ethylbutylsulfonyl, 2-ethylbutylsulfonyl, 1 ,1 ,2-trimethylpropylsulfonyl,
1 ,2,2-trimethylpropylsulfonyl, 1 -ethyl-1 -methylpropylsulfonyl or 1 -ethyl-2-methylpropylsulfonyl.
The terms "haloalkylsulfonyl" and "S(0)n-haloalkyl" (wherein n is 2) are equivalent and, as used herein, denote a haloalkyl group, as defined above, attached via a sulfonyl [S(0)2] group. The term "S(0)n-Ci-C4-haloalkyl" (wherein n is 2), i.e. "Ci-C4-haloalkylsulfonyl", is a C1-C4- haloalkyl group, as defined above, attached via a sulfonyl [S(0)2] group. The term "C1-C6- haloalkylsulfonyl" is a Ci-C6-haloalkyl group, as defined above, attached via a sulfonyl [S(0)2] group. Ci-C2-Haloalkylsulfonyl is, for example, S(0)2CH2F, S(0)2CHF2, S(0)2CF3, S(0)2CH2CI, S(0)2CHCI2, S(0)2CCI3, chlorofluoromethylsulfonyl, dichlorofluoromethylsulfonyl,
chlorodifluoromethylsulfonyl, 2-fluoroethylsulfonyl, 2-chloroethylsulfonyl, 2-bromoethylsulfonyl,
2- iodoethylsulfonyl, 2,2-difluoroethylsulfonyl, 2,2,2-trifluoroethylsulfonyl, 2-chloro-2- fluoroethylsulfonyl, 2-chloro-2,2-difluoroethylsulfonyl, 2,2-dichloro-2-fluoroethylsulfonyl,
2.2.2- trichloroethylsulfonyl or S(0)2C2F5. Ci-C4-Haloalkylsulfonyl is additionally, for example, 2-fluoropropylsulfonyl, 3-fluoropropylsulfonyl, 2,2-difluoropropylsulfonyl,
2.3- difluoropropylsulfonyl, 2-chloropropylsulfonyl, 3-chloropropylsulfonyl,
2,3-dichloropropylsulfonyl, 2-bromopropylsulfonyl, 3-bromopropylsulfonyl,
3.3.3- trifluoropropylsulfonyl, 3,3,3-trichloropropylsulfonyl, S(0)2CH2-C2F5, S(0)2CF2-C2F5, 1 - (CH2F)-2-fluoroethylsulfonyl, 1 -(CH2CI)-2-chloroethylsulfonyl, 1 -(CH2Br)-2-bromoethylsulfonyl, 4-fluorobutylsulfonyl, 4-chlorobutylsulfonyl, 4-bromobutylsulfonyl or nonafluorobutylsulfonyl. Ci- C6-Haloalkylsulfonyl is additionally, for example, 5-fluoropentylsulfonyl, 5-chloropentylsulfonyl,
5- brompentylsulfonyl, 5-iodopentylsulfonyl, undecafluoropentylsulfonyl, 6-fluorohexylsulfonyl,
6- chlorohexylsulfonyl, 6-bromohexylsulfonyl, 6-iodohexylsulfonyl or
dodecafluorohexylsulfonyl.The term "alkylamino" as used herein denotes in each case a group - NHR, wherein R is a straight-chain or branched alkyl group usually having from 1 to 6 carbon atoms ("Ci-C6-alkylamino"), preferably 1 to 4 carbon atoms("Ci-C4-alkylamino"). Examples of Ci-C6-alkylamino are methylamino, ethylamino, n-propylamino, isopropylamino, n-butylamino, 2- butylamino, iso-butylamino, tert-butylamino, and the like.
The term "dialkylamino" as used herein denotes in each case a group-NRR', wherein R and R', independently of each other, are a straight-chain or branched alkyl group each usually having from 1 to 6 carbon atoms ("di-(Ci-C6-alkyl)-amino"), preferably 1 to 4 carbon atoms ("di- (Ci-C4-alkyl)-amino"). Examples of a di-(Ci-C6-alkyl)-amino group are dimethylamino,
diethylamino, dipropylamino, dibutylamino, methyl-ethyl-amino, methyl-propyl-amino, methyl- isopropylamino, methyl-butyl-amino, methyl-isobutyl-amino, ethyl-propyl-amino, ethyl- isopropylamino, ethyl-butyl-amino, ethyl-isobutyl-amino, and the like.
The term "cycloalkylamino" as used herein denotes in each case a group -NHR, wherein R is a cycloalkyl radical usually having from 3 to 8 carbon atoms ("Cs-Cs-cycloalkylamino"), preferably 3 to 6 carbon atoms("C3-C6-cycloalkylamino"). Examples of C3-C6-cycloalkylamino are cyclopropylamino, cyclobutylarnino, cyclopentylamino, cyclohexylamino, and the like.
The term "(alkyl)cycloalkylamino" as used herein denotes in each case a group-NRR', wherein R is a cycloalkyl radical usually having from 3 to 8 carbon atoms and R' is a straight-chain or branched alkyl group having 1 to 4 carbon atoms ("(Ci-C4-alkyl)C3-C8-cycloalkylamino).
Examples are (methyl)cyclopropylamino, (ethyl)cyclobutylamino, (iso-propyl)cyclopentylarnino and (methyl)cyclohexylamino, and the like.
The term "alkylaminosulfonyl" as used herein denotes in each case a straight-chain or branched alkylamino group as defined above, which is bound to the remainder of the molecule via a sulfonyl [S(0)2] group. Examples of an alkylaminosulfonyl group are methylaminosulfonyl, ethylaminosulfonyl, n-propylaminosulfonyl, isopropylaminosulfonyl, n-butylaminosulfonyl, 2- butylaminosulfonyl, iso-butylaminosulfonyl, tert-butylaminosulfonyl, and the like.
The term "dialkylaminosulfonyl" as used herein denotes in each case a straight-chain or branched alkylamino group as defined above, which is bound to the remainder of the molecule via a sulfonyl [S(0)2] group. Examples of an dialkylaminosulfonyl group are
dimethylaminosulfonyl, diethylaminosulfonyl, dipropylaminosulfonyl, dibutylaminosulfonyl, methyl-ethyl-aminosulfonyl, methyl-propyl-aminosulfonyl, methyl-isopropylaminosulfonyl, methyl-butyl-aminosulfonyl, methyl-isobutyl-aminosulfonyl, ethyl-propyl-aminosulfonyl, ethyl- isopropylaminosulfonyl, ethyl-butyl-aminosulfonyl, ethyl-isobutyl-aminosulfonyl, and the like.
The suffix ,,-carbonyl" in a group denotes in each case that the group is bound to the remainder of the molecule via a carbonyl C=0 group. This is the case e.g. in alkylcarbonyl, haloalkylcarbonyl, aminocarbonyl, alkylaminocarbonyl, dialkylaminocarbonyl, alkoxycarbonyl, haloalkoxycarbonyl.
The term "aryl" as used herein refers to a mono-, bi- or tricyclic aromatic hydrocarbon radical such as phenyl or naphthyl, in particular phenyl.
The term "het(ero)aryl" as used herein refers to a mono-, bi- or tricyclic heteroaromatic hydrocarbon radical, preferably to a monocyclic heteroaromatic radical, such as pyridyl, pyrimidyl and the like.
The term "3-, 4-, 5-, 6- or 7-membered saturated, partially unsaturated or fully unsaturated heterocyclic ring containing 1 , 2 or 3 heteroatoms or heteroatom groups selected from N, O, S, NO, SO and SO2, as ring members" [wherein "fully unsaturated" also includes "aromatic"] as used herein denotes monocyclic radicals, the monocyclic radicals being saturated, partially unsaturated or fully unsaturated (including aromatic). Unsaturated rings contain at least one C- C and/or C-N and/or N-N double bond(s). Fully unsaturated rings contain as many conjugated C-C and/or C-N and/or N-N double bonds as allowed by the ring size. Fully unsaturated 5- or 6- membered heterocyclic rings are aromatic. The heterocyclic ring may be attached to the remainder of the molecule via a carbon ring member or via a nitrogen ring member. As a matter
of course, the heterocyclic ring contains at least one carbon ring atom. If the ring contains more than one O ring atom, these are not adjacent.
Examples of a 3-, 4-, 5-, 6- or 7-membered saturated heterocyclic ring include: Oxiranyl, thiiranyl, aziridinyl, oxetanyl, thietanyl, azetidinyl, tetrahydrofuran-2-yl, tetrahydrofuran-3-yl, tetrahydrothien-2-yl, tetrahydrothien-3-yl, pyrrolidin-1 -yl, pyrrolidin-2-yl, pyrrolidin-3-yl, pyrazolidin-1 -yl, pyrazolidin-3-yl, pyrazolidin-4-yl, pyrazolidin-5-yl, imidazolidin-1 -yl, imidazolidin-
2- yl, imidazolidin-4-yl, oxazolidin-2-yl, oxazolidin-3-yl, oxazolidin-4-yl, oxazolidin-5-yl, isoxazolidin-2-yl, isoxazolidin-3-yl, isoxazolidin-4-yl, isoxazolidin-5-yl, thiazolidin-2-yl, thiazolidin-
3- yl, thiazolidin-4-yl, thiazolidin-5-yl, isothiazolidin-2-yl, isothiazolidin-3-yl, isothiazolidin-4-yl, isothiazolidin-5-yl, 1 ,2,4-oxadiazolidin-3-yl, 1 ,2,4-oxadiazolidin-5-yl, 1 ,2,4-thiadiazolidin-3-yl,
1 ,2,4-thiadiazolidin-5-yl, 1 ,2,4-triazolidin-3-yl, 1 ,3,4-oxadiazolidin-2-yl, 1 ,3,4-thiadiazolidin-2-yl,
1 .3.4- triazolidin-1 -yl, 1 ,3,4-triazolidin-2-yl, 2-tetrahydropyranyl, 4-tetrahydropyranyl, 1 ,3-dioxan- 5-yl, 1 ,4-dioxan-2-yl, piperidin-1 -yl, piperidin-2-yl, piperidin-3-yl, piperidin-4-yl,
hexahydropyridazin-3-yl, hexahydropyridazin-4-yl, hexahydropyrimidin-2-yl,
hexahydropyrimidin-4-yl, hexahydropyrimidin-5-yl, piperazin-1 -yl, piperazin-2-yl,
1 .3.5- hexahydrotriazin-1 -yl, 1 ,3,5-hexahydrotriazin-2-yl and 1 ,2,4-hexahydrotriazin-3-yl, morpholin-2-yl, morpholin-3-yl, morpholin-4-yl, thiomorpholin-2-yl, thiomorpholin-3-yl, thiomorpholin-4-yl, 1 -oxothiomorpholin-2-yl, 1 -oxothiomorpholin-3-yl, 1 -oxothiomorpholin-4-yl,
1 ,1 -dioxothiomorpholin-2-yl, 1 ,1 -dioxothiomorpholin-3-yl, 1 ,1 -dioxothiomorpholin-4-yl, azepan-1 - , -2-, -3- or -4-yl, oxepan-2-, -3-, -4- or -5-yl, hexahydro-1 ,3-diazepinyl, hexahydro-1 ,4- diazepinyl, hexahydro-1 ,3-oxazepinyl, hexahydro-1 ,4-oxazepinyl, hexahydro-1 ,3-dioxepinyl, hexahydro-1 ,4-dioxepinyl and the like.
Examples of a 3-, 4-, 5-, 6- or 7-membered partially unsaturated heterocyclic ring include:
2,3-dihydrofur-2-yl, 2,3-dihydrofur-3-yl, 2,4-dihydrofur-2-yl, 2,4-dihydrofur-3-yl, 2,3-dihydrothien- 2-yl, 2,3-dihydrothien-3-yl, 2,4-dihydrothien-2-yl, 2,4-dihydrothien-3-yl, 2-pyrrolin-2-yl, 2-pyrrolin-
3- yl, 3-pyrrolin-2-yl, 3-pyrrolin-3-yl, 2-isoxazolin-3-yl, 3-isoxazolin-3-yl, 4-isoxazolin-3-yl, 2- isoxazolin-4-yl, 3-isoxazolin-4-yl, 4-isoxazolin-4-yl, 2-isoxazolin-5-yl, 3-isoxazolin-5-yl, 4- isoxazolin-5-yl, 2-isothiazolin-3-yl, 3-isothiazolin-3-yl, 4-isothiazolin-3-yl, 2-isothiazolin-4-yl, 3- isothiazolin-4-yl, 4-isothiazolin-4-yl, 2-isothiazolin-5-yl, 3-isothiazolin-5-yl, 4-isothiazolin-5-yl, 2,3- dihydropyrazol-1 -yl, 2,3-dihydropyrazol-2-yl, 2,3-dihydropyrazol-3-yl, 2,3-dihydropyrazol-4-yl, 2,3-dihydropyrazol-5-yl, 3,4-dihydropyrazol-1 -yl, 3,4-dihydropyrazol-3-yl, 3,4-dihydropyrazol-4- yl, 3,4-dihydropyrazol-5-yl, 4,5-dihydropyrazol-1 -yl, 4,5-dihydropyrazol-3-yl, 4,5-dihydropyrazol-
4- yl, 4,5-dihydropyrazol-5-yl, 2,3-dihydrooxazol-2-yl, 2,3-dihydrooxazol-3-yl, 2,3-dihydrooxazol- 4-yl, 2,3-dihydrooxazol-5-yl, 3,4-dihydrooxazol-2-yl, 3,4-dihydrooxazol-3-yl, 3,4-dihydrooxazol-4- yl, 3,4-dihydrooxazol-5-yl, 3,4-dihydrooxazol-2-yl, 3,4-dihydrooxazol-3-yl, 3,4-dihydrooxazol-4- yl, 2-, 3-, 4-, 5- or 6-di- or tetrahydropyridinyl, 3-di- or tetrahydropyridazinyl, 4-di- or
tetrahydropyridazinyl, 2-di- or tetrahydropyrimidinyl, 4-di- or tetrahydropyrimidinyl, 5-di- or tetrahydropyrimidinyl, di- or tetrahydropyrazinyl, 1 ,3, 5-di- or tetrahydrotriazin-2-yl, 1 ,2, 4-di- or tetrahydrotriazin-3-yl, 2,3,4,5-tetrahydro[1 H]azepin-1 -, -2-, -3-, -4-, -5-, -6- or -7-yl,
3,4,5,6-tetrahydro[2H]azepin-2-, -3-, -4-, -5-, -6- or -7-yl, 2,3,4,7-tetrahydro[1 H]azepin-1 -, -2-, -3- , -4-, -5-, -6- or -7-yl, 2,3,6,7-tetrahydro[1 H]azepin-1 -, -2-, -3-, -4-, -5-, -6- or -7-yl,
tetrahydrooxepinyl, such as 2,3,4,5-tetrahydro[1 H]oxepin-2-, -3-, -4-, -5-, -6- or -7-yl, 2,3,4,7-
tetrahydro[1 H]oxepin-2-, -3-, -4-, -5-, -6- or -7-yl, 2,3,6,7-tetrahydro[1 H]oxepin-2-, -3-, -4-, -5-, - 6- or -7-yl, tetrahydro-1 ,3-diazepinyl, tetrahydro-1 ,4-diazepinyl, tetrahydro-1 ,3-oxazepinyl, tetrahydro-1 ,4-oxazepinyl, tetrahydro-1 ,3-dioxepinyl and tetrahydro-1 ,4-dioxepinyl.
A 3-, 4-, 5-, 6- or 7-membered fully unsaturated (including aromatic) heterocyclic ring is e.g. a 5- or 6-membered fully unsaturated (including aromatic) heterocyclic ring. Examples are: 2-furyl, 3- furyl, 2-thienyl, 3-thienyl, 1 -pyrrolyl, 2-pyrrolyl, 3-pyrrolyl, 1-pyrazolyl, 3-pyrazolyl, 4-pyrazolyl, 5- pyrazolyl, 2-oxazolyl, 4-oxazolyl, 5-oxazolyl, 2-thiazolyl, 4-thiazolyl, 5-thiazolyl, 1 -imidazolyl, 2- imidazolyl, 4-imidazolyl, 1 ,3,4-triazol-1 -yl, 1 ,3,4-triazol-2-yl, 2-pyridinyl, 3-pyridinyl, 4-pyridinyl, 1 - oxopyridin-2-yl, 1 -oxopyridin-3-yl, 1 -oxopyridin-4-yl,3-pyridazinyl, 4-pyridazinyl, 2-pyrimidinyl, 4-pyrimidinyl, 5-pyrimidinyl and 2-pyrazinyl.
When two Ra, together with the nitrogen atom to which they are bound, or Rc and Rd, together with the nitrogen atom to which they are bound, or Rk and R', together with the nitrogen atom to which they are bound, or Rn and R°, together with the nitrogen atom to which they are bound form a 3-, 4-, 5-, 6- or 7-membered saturated, partially unsaturated or fully unsaturated heterocyclic ring which may additionally contain 1 or 2 further heteroatoms or heteroatom groups selected from N, O, S, NO, SO and SO2, as ring members, this is an N-bound heterocyclic ring which in addition to the nitrogen ring atom may contain 1 , 2, 3 or 4 further heteroatoms or heteroatom groups selected from N, O, S, NO, SO and SO2, as ring members. Examples are aziridin-1 -yl, azetidin-1 -yl, pyrrolidine-1 -yl, pyrazolidin-1 -yl, imidazolin-1 -yl, oxazolidin-3-yl, isoxazolidin-3-yl, thiazolidin-1 -yl, isothiazolidin-1 -yl, triazolidin-1 -yl, piperdon-1 - yl, piperazine-1 -yl, morpholin-4-yl, thiomorpholin-1-yl, 1 ,1 -dioxothiomorpholin-4-yl, pyrrol in-1 -yl, , imidazolin-1 -yl, dihydropyridin-1 -yl, tetrahydropyridin-1 -yl, pyrrol-1 -yl, pyrazo-1 -yl, imidazol-1 -yl and the like.
The term "optionally substituted" indicates that a moiety may be substituted or
unsubstituted by one or more, in particular 1 , 2, 3 or 4 radicals. Suitable substituents are, if not indicated otherwise, halogen, such as fluorine, chlorine or bromine, hydroxyl, Ci-C4-alkyl, C1-C4- alkoxy, Ci-C4-haloalkyl, Ci-C4-haloalkoxy, cyano and nitro. The term "optionally substituted with from one to three substituents" and the like indicate that the moiety may be unsubstituted or from one to three of the available positions on the moiety may be substituted. When a moiety contains a substituent which can be hydrogen, for example R1c, then, when this substituent is taken as hydrogen, it is recognized that this is equivalent to said moiety being unsubstituted.
As regards the linker L, the moiety -C(CH2)2- corresponds to cyclopropan-1 ,1 -diyl.
The remarks made below as to preferred embodiments of the variables (substituents) of the compounds of formulae (I) are valid on their own as well as preferably in combination with each other, as well as in combination with the stereoisomers, salts, tautomers or N-oxides thereof.
The remarks made below concerning preferred embodiments of the variables further are valid on their own as well as preferably in combination with each other concerning the compounds of formulae (I) as well as concerning the uses and methods according to the invention and the composition according to the invention.
Preferred compounds according to the invention are compounds of formulae (I) or a stereoisomer, salt, tautomer or N-oxide thereof, wherein the salt is an agriculturally or
veterinarily acceptable salt. Further preferred compounds according to the invention are compounds of formula (I) or a stereoisomer or salt thereof, especially an agriculturally or veterinarily acceptable salt. Particularly preferred compounds according to the invention are compounds of formula (I) or a salt thereof, especially an agriculturally or veterinarily acceptable salt thereof.)
Preferred embodiments relate to compounds of formula (I), wherein R1a is selected from hydrogen, halogen, Ci-Cs-alkyl, Ci-Cs-haloalkyl, cyano, a 3-, 4-, 5-, 6- or 7-membered saturated, partially unsaturated or aromatic heterocyclic ring containing 1 , 2 or 3 heteroatoms or heteroatom groups selected from N, O, S, NO, SO and SO2, as ring members and where the heterocyclic ring may be substituted by one or more, preferably 1 , 2 or 3, more preferably 1 or
2, in particular 1 radical Re. In particular, R1a is selected from halogen, Ci-Cs-alkyl, or Ci-Cs- haloalkyl, specifically from halogen, such as bromine or chlorine, Ci-C4-alkyl, such as methyl, or Ci-C4-fluoroalkyl, such as difluoromethyl or trifluoromethyl, more specifically from CI, Br, methyl, CF3 and CH F2, and very specifically from CI, Br and methyl.
Preferred embodiments relate to compounds of formula (I), wherein R1b is hydrogen, and a particular embodiment relates to compounds of formula (I), wherein R1b is hydrogen and R1d is hydrogen.
Preferred embodiments relate to compounds of formula (I), wherein R1c is selected from hydrogen, halogen, such as bromine or chlorine, Ci-Cs-alkyl, Ci-Cs-haloalkyl, cyano, a 3-, 4-, 5-, 6- or 7-membered saturated, partially unsaturated or aromatic heterocyclic ring containing 1 , 2 or 3 heteroatoms or heteroatom groups selected from N, O, S, NO, SO and SO2, as ring members and where the heterocyclic ring may be substituted by one or more, preferably 1 , 2 or
3, more preferably 1 or 2, in particular 1 radical Re.
In particular, R1c is selected from halogen, cyano or a 3-, 4-, 5-, 6- or 7-membered saturated, partially unsaturated (e.g. 2-isoxazolin-3-yl) or aromatic heterocyclic ring (e.g.
pyrazol-1 H-yl) containing 1 , 2 or 3 heteroatoms or heteroatom groups selected from N, O, S, NO, SO and SO2, as ring members and where the heterocyclic ring may be substituted by one or more, preferably 1 , 2 or 3, more preferably 1 or 2, in particular 1 radical Re. Specifically R1c is halogen and more specifically bromine or chlorine. Alternatively it is preferred that R1c is cyano.
According to a further alternative embodiment R1c is selected from the group consisting of
5-membered saturated, partially unsaturated (e.g. 2-isoxazolin-3-yl) or aromatic heterocyclic rings (e.g. pyrazol-1 H-yl) containing 1 , 2 or 3 heteroatoms or heteroatom groups selected from N, O, S, NO, SO and SO2, as ring members and where the heterocyclic ring may be substituted by one or more, preferably 1 , 2 or 3, more preferably 1 or 2, in particular 1 radical Re. The heterocyclic ring R1c is preferably a partially unsaturated 5-membered heterocyclic ring containing 1 , 2 or 3 heteroatoms or heteroatom groups selected from N, O, S, NO, SO and SO2, as ring members, where the heterocyclic ring may be substituted by one or more, preferably 1 , 2 or 3, more preferably 1 or 2, in particular 1 radical Re. More preferably, the heterocyclic ring R1c is a partially unsaturated 5-membered heterocyclic ring containing 1 nitrogen ring atom and 1 or two further heteroatoms selected from N and O, where the heterocyclic ring may be substituted by one or more, preferably 1 , 2 or 3, more preferably 1 or 2, in particular 1 radical Re. Alternatively, the heterocyclic ring as defined herein is unsubstituted. Specifically the
partially unsaturated 5-membered heterocyclic ring is isoxazolinyl, more specifically is 2- isoxazolin-3-yl and very specifically 2-isoxazolin-3-yl which is unsubstituted.
Preferred embodiments relate to compounds of formula (I), wherein R1d is hydrogen and a particular embodiment relates to compounds of formula (I), wherein R1d is hydrogen and R1b is hydrogen.
According to an alternative embodiment R1c, R1d are together a group selected from - CH2CH2CH2CH2-, -CH=CH-CH=CH-, -N=CH-CH=CH-,
-CH=N-CH=CH-, -N=CH-N=CH-, -OCH2CH2CH2-, -OCH=CHCH2-, -CH2OCH2CH2-,
-OCH2CH2O-, -OCH2OCH2-, -CH2CH2CH2-, -CH=CHCH2-, -CH2CH2O-, -CH=CHO-, -CH2OCH2-, -CH2C(=0)0-, -C(=0)OCH2-, -0(CH2)0-, -SCH2CH2CH2-, -SCH=CHCH2-, -CH2SCH2CH2-, -SCH2CH2S-, -SCH2SCH2-, -CH2CH2S-, -CH=CHS-, -CH2SCH2-, -CH2C(=S)S-, -C(=S)SCH2-, -S(CH2)S-, -CH2CH2NRh-,-CH2CH=N-, -CH=CH-NRh-, -CH=N-NRh-, -OCH=N- and -SCH=N-, thus forming, together with the carbon atoms to which they are bound, a 5- or 6-membered ring, where the hydrogen atoms of the above groups may be replaced by one or more substituents selected from halogen, methyl, halomethyl, hydroxyl, methoxy and halomethoxy or one or more CH2 groups of the above groups may be replaced by a C=0 group. In particular, R1c, R1d are together -CH=N-NRh- thus forming, together with the carbon atoms to which they are bound, a ring, where the hydrogen atoms of the above group may be replaced by one or more
substituents selected from halogen, methyl, halomethyl, hydroxyl, methoxy and halomethoxy or the CH2 group of the above group may be replaced by a C=0 group. Specifically, R1c, R1d are together -CH=N-NRh- thus forming, together with the carbon atoms to which they are bound, a ring, wherein the ring is unsubstituted.
In a preferred embodiment R1c, R1d are together -CH=N-NRh- and Rh is hydrogen.
Particularly preferred embodiments relate to compounds of the formula (I), wherein R1b is hydrogen and R1d is hydrogen, R1a is selected from halogen, d-Cs-alkyl, or C-i-Cs-haloalkyl, in particular from halogen, Ci-C4-alkyl, or Ci-C4-fluoroalkyl, specifically from CI, Br, methyl, CF3 and CHF2, and very specifically from CI, Br and methyl and wherein R1c is selected from halogen, cyano or a 3-, 4-, 5-, 6- or 7-membered saturated, partially unsaturated (e.g. 2- isoxazolin-3-yl) or aromatic heterocyclic ring (e.g. pyrazol-1 H-yl) containing 1 , 2 or 3
heteroatoms or heteroatom groups selected from N, O, S, NO, SO and SO2, as ring members and where the heterocyclic ring may be substituted by one or more, preferably 1 , 2 or 3, more preferably 1 or 2, in particular 1 radical Re. In these partiularly preferred embodiments R1c is specifically halogen and more specifically bromine or chlorine. In these partiularly preferred embodiments it is also preferred that R1c is cyano.
Preferred embodiments relate to compounds of formula (I), wherein R2 is selected from hydrogen, Ci-C2-alkyl and C1-C2 haloalkyl. More preferably R2 is hydrogen. Alternatively, R2 is Ci-C2-alkyl, in particular methyl. According to a further alternative embodiment R2 is C1-C2- haloalkyl and in particular halomethyl.
Preferred embodiments relate to compounds of formula (I), wherein R3 is selected from CHF2, OCH3, OCH2F, OCH2CF3, S(=0)nCH3, S(=0)nCH2CH3 and S(=0)nCH2CF3. In particular, R3 is selected from CHF2, OCH3, OCH2F and OCH2CF3, specifically R3 is CHF2, OCH2F or OCH3.
Preferred alternative embodiments relate to compounds of formula (I), wherein R3 is selected from CHF2, OCH3, OCH2F, S(=0)nCH3, S(=0)nCH2CH3 and S(=0)nCH2CF3, more preferably from CHF2, OCH3 and OCH2F, and specifically from CHF2 and OCH3. Preferred embodiments relate to compounds of formula (I), wherein R4 is selected from halogen and Ci-C4-haloalkyl. In particular R4 is selected from CI, Br and CF3, specifically from CI and CF3 and more specifically from CI.
Preferred embodiments relate to compounds of formula (I), wherein R5 is selected from hydrogen and Ci-C6-alkyl. More preferably R5 is hydrogen.
Preferred embodiments relate to compounds of formula (I), wherein L is selected from
- CH2-, -CH(CH3)-, -CH2CH2-, -CH2CH2CH2-, -CH2C(CH3)2- and -CH(CH3)CH2-. In particular L is selected from -CH2-, -CH(CH3)-, -CH2CH2- and -CH2CH2CH2-, and specifically is -CH2-.
Preferred embodiments relate to compounds of formula (I), wherein Y is OR7.
In this context, R7 is preferably selected from hydrogen, Ci-C6-alkyl optionally substituted with one substituent selected from the group consisting of cyano, C1-C4 alkoxy, C1-C4
haloalkoxy, C1-C4 alkylthio, C1-C4 alkylsulfinyl, C1-C4 alkylsulfonyl, C1-C4 haloalkylthio, C1-C4 haloalkylsulfinyl, C1-C4 haloalkylsulfonyl, and a phenyl ring which may be substituted with 1 , 2 or 3 radicals R10; Ci-C6-haloalkyl or a phenyl ring which may be substituted with 1 , 2 or 3 radicals R10. In particular R7 is selected from hydrogen and Ci-C6-alkyl optionally substituted with a phenyl ring which may be substituted with 1 , 2 or 3 radicals R10. In a further embodiment R7 is Ci-C6-alkyl selected from methyl, ethyl, and isobutyl. In an alternative embodiment R7 is preferably a methyl substituted with a phenyl ring which may be substituted with 1 , 2 or 3 radicals R10, specifically R7 is benzyl.
Preferred embodiments relate to compounds of formula (I), wherein R6 is selected from hydrogen, Ci-C6-alkyl, which may be optionally substituted with one or more, e.g. 1 or 2 substituents selected from the group consisting of cyano, nitro, hydroxy, C1-C4 alkoxy, C1-C4 haloalkoxy, C1-C4 alkylthio, C1-C4 alkylsulfinyl, C1-C4 alkylsulfonyl, C1-C4 haloalkylthio, C1-C4 haloalkylsulfinyl, C1-C4 haloalkylsulfonyl, C1-C4 alkylamino, C2-Cs dialkylamino, C02H, C2-C6 alkoxycarbonyl, C2-C6 alkylcarbonyl, C1-C6 trialkylsilyl, and a phenyl ring which may be substituted with 1 , 2 or 3 radicals independently selected from R9; and C1-C6 alkoxycarbonyl. More preferably R6 is selected from hydrogen, Ci-C6-alkyl and C1-C6 alkoxycarbonyl, specifically R6 is hydrogen.
Partiularly preferred embodiments relate to compounds of the formula (I), wherein
R1b is hydrogen;
R1d is hydrogen;
R1a is selected from halogen, d-Cs-alkyl, or C-i-Cs-haloalkyl, in particular from halogen, Ci-C4-alkyl, or Ci-C4-fluoroalkyl, specifically from CI, Br, methyl, CF3 and CHF2, and very specifically from CI, Br and methyl;
R1c is selected from halogen, cyano or a 3-, 4-, 5-, 6- or 7-membered saturated, partially unsaturated (e.g. 2-isoxazolin-3-yl) or aromatic heterocyclic ring (e.g. pyrazol-1 H-yl) containing 1 , 2 or 3 heteroatoms or heteroatom groups selected from N, O, S, NO, SO and S02, as ring members and where the heterocyclic ring may be substituted by one or more, preferably 1 , 2 or
3, more preferably 1 or 2, in particular 1 radical Re with R1c being specifically halogen and more specifically bromine or chlorine or cyano;
R2 is selected from hydrogen, Ci-C2-alkyl and C1-C2 haloalkyl, especially hydrogen;
R3 is selected from CHF2, OCH3, OCH2F, OCH2CF3, S(=0)nCH3, S(=0)nCH2CH3 and S(=0)nCH2CF3, in particular selected from CHF2, OCH3, OCH2F and OCH2CF3, specifically from CHF2, OCH2F and OCH3; alternatively R3 is selected from CHF2, OCH3, OCH2F, S(=0)nCH3, S(=0)nCH2CH3 and S(=0)nCH2CF3, in particular selected from CHF2, OCH3 and OCH2F, specifically from CHF2 and OCH3;
R4 is selected from halogen and Ci-C4-haloalkyl, in particular from CI, Br and CF3, specifically from CI and CF3 and more specifically from CI;
R5 is selected from hydrogen and Ci-C6-alkyl with R5 being especially hydrogen;
R6 is selected from hydrogen, Ci-C6-alkyl, which may be optionally substituted with one or more, e.g. 1 or 2 substituents selected from the group consisting of cyano, nitro, hydroxy, Ci- C4 alkoxy, C1-C4 haloalkoxy, C1-C4 alkylthio, C1-C4 alkylsulfinyl, C1-C4 alkylsulfonyl, C1-C4 haloalkylthio, C1-C4 haloalkylsulfinyl, C1-C4 haloalkylsulfonyl, C1-C4 alkylamino, C2-C8
dialkylamino, CO2H, C2-C6 alkoxycarbonyl, C2-C6 alkylcarbonyl, C1-C6 trialkylsilyl, and a phenyl ring which may be substituted with 1 , 2 or 3 radicals independently selected from R9; and C1-C6 alkoxycarbonyl. More preferably R6 is selected from hydrogen, Ci-C6-alkyl and C1-C6 alkoxycarbonyl, specifically R6 is hydrogen;
L is -CH2-, -CH(CH3)-, -CH2CH2- or -CH2CH2CH2-, and specifically is -CH2-;
Y is OR7, wherein R7 is selected from hydrogen, Ci-C6-alkyl optionally substituted with one substituent selected from the group consisting of cyano, C1-C4 alkoxy, C1-C4 haloalkoxy, C1-C4 alkylthio, C1-C4 alkylsulfinyl, C1-C4 alkylsulfonyl, C1-C4 haloalkylthio, C1-C4 haloalkylsulfinyl, Ci- C4 haloalkylsulfonyl, and a phenyl ring which may be substituted with 1 , 2 or 3 radicals R10; Ci- C6-haloalkyl or a phenyl ring which may be substituted with 1 , 2 or 3 radicals R10. In particular R7 is selected from hydrogen and Ci-C6-alkyl optionally substituted with a phenyl ring which may be substituted with 1 , 2 or 3 radicals R10. In a further embodiment R7 is Ci-C6-alkyl selected from methyl, ethyl, and isobutyl. In an alternative embodiment R7 is preferably a methyl substituted with a phenyl ring which may be substituted with 1 , 2 or 3 radicals R10, specifically R7 is benzyl.
Even more preferred embodiments relate to compounds of the formula (I), wherein R1b is hydrogen;
R1d is hydrogen;
R1a is selected from halogen, Ci-C4-alkyl, or Ci-C4-fluoroalkyl, in partiuclar from CI, Br, methyl, CF3 and CHF2, and especially from CI, Br and methyl;
R1c is selected from halogen or cyano and more specifically bromine or chlorine or cyano; R2 is hydrogen;
R3 is selected from CHF2, OCH3, and OCH2F, in particular from CHF2 or OCH3;
R4 is selected from CI, Br and CF3, in particular from CI and CF3 and specifically is CI; R5 is hydrogen;
R6 is selected from hydrogen, Ci-C6-alkyl and C1-C6 alkoxycarbonyl, specifically R6 is hydrogen;
L is -CH2-, -CH(CHs)-, -CH2CH2- or-CH2CH2CH2-, and specifically is -CH2-;
Y is OR7, wherein R7 is selected from hydrogen and Ci-C6-alkyl optionally substituted with a phenyl ring, in particular from methyl, ethyl, isobutyl and benzyl. Apart from that, the variables R8, R9, R10, Ra, Rb, Rc, Rd, Re, Rf, Rs, Rh, R', Rj, Rk, R1, Rm,
Rn, RP, R? and Rr independently of each other, preferably have one of the following meanings:
Preferably, each R8 is independently selected from the group consisting of
Preferably, each R9 is independently selected from the group consisting of halogen, C1-C4 alkyl, C1-C4 haloalkyl, C3-C6 cycloalkyl, C3-C6 halocycloalkyl, C2-C4 alkylcarbonyl, C2-C6
alkoxycarbonyl, CO2H, C2-C6 alkylaminocarbonyl, C3-C8 dialkylaminocarbonyl, cyano, hydroxyl, C1-C4 alkoxy, C1-C4 haloalkoxy, C1-C4 alkylthio, C1-C4 alkylsulfinyl, C1-C4 alkylsulfonyl, C1-C4 alkylamino, C2-C8 dialkylamino, C3-C6 cycloalkylamino, (C1-C4 alkyl) C3-C6 cycloalkylamino and C3-C6 trialkylsilyl.
More preferably, each R9 is independently selected from the group consisting of halogen, C1-C4 alkyl, C1-C4 haloalkyl, C2-C6 alkoxycarbonyl, C2-C6 alkylaminocarbonyl, C3-C8
dialkylaminocarbonyl cyano, C1-C4 alkoxy, C1-C4 haloalkoxy, C1-C4 alkylthio, C1-C4 alkylsulfinyl and C1-C4 alkylsulfonyl. Even more preferably, each R9 is independently selected from the group consisting of halogen, Ci-C4-alkyl, Ci-C4-haloalkyl, C2-C6 alkoxycarbonyl, C1-C4 alkoxy and Ci- C4 haloalkoxy.
Preferably, each R10 is independently selected from the group consisting of halogen, Ci-
C4 alkyl, C1-C4 haloalkyl, C3-C6 cycloalkyl, C3-C6 halocycloalkyl, C2-C4 alkylcarbonyl, C2-C6 alkoxycarbonyl, CO2H, C2-C6 alkylaminocarbonyl, C3-C8 dialkylaminocarbonyl, cyano, hydroxyl, C1-C4 alkoxy, C1-C4 haloalkoxy, C1-C4 alkylthio, C1-C4 alkylsulfinyl, C1-C4 alkylsulfonyl, C1-C4 alkylamino, C2-C8 dialkylamino, C3-C6 cycloalkylamino, (C1-C4 alkyl) C3-C6 cycloalkylamino and Cs-Ce trialkylsilyl.
More preferably, each R10 is independently selected from the group consisting of halogen, C1-C4 alkyl, C1-C4 haloalkyl, C2-C6 alkoxycarbonyl, C2-C6 alkylaminocarbonyl, C3-C8
dialkylaminocarbonyl cyano, C1-C4 alkoxy, C1-C4 haloalkoxy, C1-C4 alkylthio, C1-C4 alkylsulfinyl and C1-C4 alkylsulfonyl. Even more preferably, each R10 is independently selected from the group consisting of halogen, Ci-C4-alkyl, Ci-C4-haloalkyl, C2-C6 alkoxycarbonyl, C1-C4 alkoxy and C1-C4 haloalkoxy.
Preferably, each Ra is independently selected from the group consisting of Ci-C6-alkyl, Ci- Ce-haloalkyl, C3-C8-cycloalkyl, C3-C8-halocycloalkyl, C(=0)N(Rn)R°, phenyl which may be substituted by 1 , 2, 3, 4 or 5 radicals RP, -ORm, -SRm, SF5, -S(0)mRm, -S(0)nN(Rn)R°, -N(Rn)R°, and -Si(Rf)2Rg, where Rf, Rs, Rm, Rn, R° and RP are as defined herein. Ra is preferably selected from the group consisting of Cs-Cs-cycloalkyl, Ci-C4-alkylcarbonyl, Ci-C4-alkoxycarbonyl, - C(=0)N(Rc)Rd, cyano, Ci-C4-alkoxy, Ci-C4-alkylthio, Ci-C4-alkylsulfonyl, -S(0)nN(Rc)Rd and - N(Rc)Rd.
Preferably, each Rb is independently selected from the group consisting of Ci-C4-alkyl, Ci- C4-haloalkyl, Cs-Cs-cycloalkyl, phenyl and benzyl.
Preferably, Rc and Rd are, independently of each other and independently of each occurrence, selected from the group consisting of hydrogen, Ci-C4-alkyl, Ci-C4-haloalkyl, C3-C8- cycloalkyl-Chb, Cs-Cs-cycloalkyl, cyano, benzyl, phenyl and Ci-C4-alkoxy;
Rc, Rd together with the nitrogen atom, to which they are bound may form a saturated 5-, 6- or 7-membered N-heterocycle, which may contain 1 or 2 further heteroatoms selected from N, O and S as ring members, where the heterocyclic ring may carry 1 , 2, 3 or 4 substituents selected from Ci-C4-alkyl.
Preferably each Re is independently selected from the group consisting of halogen, in particular fluorine, chlorine or bromine, Ci-C4-alkyl, Ci-C4-haloalkyl, Ci-C4-alkoxycarbonyl, cyano, Ci-C4-alkoxy and Ci-C4-haloalkoxy especially from the group consisting of halogen, in particular fluorine, chlorine or bromine, methyl, halomethyl, e.g. trifluoromethyl, difluoromethyl or bromodifluoromethyl, cyano, methoxy and halomethoxy, e.g. trifluoromethoxy, difluoromethoxy or fluoromethoxy.
Preferably, Rf and Rs are, independently of each other and independently of each occurrence, selected from the group consisting of Ci-C4-alkyl and are in particular methyl. (Ra to Rf from process patent)
Preferably, Rh is selected from the group consisting of hydrogen and Ci-C6-alkyl, more preferably Rh is hydrogen.
Preferably, each R' is independently selected from the group consisting of Ci-C4-alkyl, Ci- C4-haloalkyl, Cs-Cs-cycloalkyl, phenyl and benzyl.
Preferably, each Ri is independently selected from the group consisting of Ci-C4-alkyl, Ci- C4-haloalkyl, Cs-Cs-cycloalkyl, phenyl and benzyl.
Preferably, Rk and R' are, independently of each other and independently of each occurrence, selected from the group consisting of hydrogen, Ci-C4-alkyl, Ci-C4-haloalkyl, C3-C8- cycloalkyl-Chb, Cs-Cs-cycloalkyl, cyano, benzyl, phenyl and Ci-C4-alkoxy;
Rk, R' together with the nitrogen atom, to which they are bound may form a saturated 5-, 6- or 7-membered N-heterocycle, which may contain 1 or 2 further heteroatoms selected from N, O and S as ring members, where the heterocyclic ring may carry 1 , 2, 3 or 4 substituents selected from Ci-C4-alkyl. Preferably, each Rm is independently selected from the group consisting of Ci-C4-alkyl, Ci-C4-haloalkyl, Cs-Cs-cycloalkyl, phenyl and benzyl.
Preferably, Rn and R° are, independently of each other and independently of each occurrence, selected from the group consisting of hydrogen, Ci-C4-alkyl, Ci-C4-haloalkyl, C3-C8- cycloalkyl-Chb, Cs-Cs-cycloalkyl, cyano, benzyl, phenyl and Ci-C4-alkoxy;
Rn, R° together with the nitrogen atom, to which they are bound may form a saturated 5-, 6- or 7-membered N-heterocycle, which may contain 1 or 2 further heteroatoms selected from N, O and S as ring members, where the heterocyclic ring may carry 1 , 2, 3 or 4 substituents selected from Ci-C4-alkyl.
Preferably each RP is independently selected from the group consisting of halogen, in particular fluorine, chlorine or bromine, Ci-C4-alkyl, Ci-C4-haloalkyl, Ci-C4-alkoxycarbonyl, cyano, Ci-C4-alkoxy and Ci-C4-haloalkoxy especially from the group consisting of halogen, in particular fluorine, chlorine or bromine, methyl, halomethyl, e.g. trifluoromethyl, difluoromethyl or
bromodifluoromethyl, cyano, methoxy and halomethoxy, e.g. trifluoromethoxy, difluoromethoxy or fluoromethoxy.
Preferably, and Rr are, independently of each other and independently of each occurrence, selected from the group consisting of hydrogen, halogen, cyano and Ci-C6-alkyl.
In a particularly preferred embodiment, the compound of formula (I) is of the general formula (l-a). In another particularly preferred embodiment, the compound of formula (I) is of the general formul
(l-b)
wherein
R1a, R1c, R1d, R3 and R7 have one of the general meanings, or, in particular, one of the preferred meanings given above.
Particularly preferred are compounds of formulae (l-a) and (l-b), the N-oxides and the salts thereof, wherein
R1a is selected from halogen, d-Cs-alkyl and Ci-Cs-haloalkyl, specifically from halogen, Ci-C4-alkyl and Ci-C4-fluoroalkyl, more specifically from CI, Br, methyl, CF3 and
CHF2, and very specifically from CI, Br and methyl;
R1c is selected from hydrogen, halogen, d-Cs-alkyl, C-i-Cs-haloalkyl, cyano, a 3-, 4-, 5-, 6- or 7-membered saturated, partially unsaturated or aromatic heterocyclic ring containing 1 , 2 or 3 heteroatoms or heteroatom groups selected from N, O, S, NO, SO and SO2, as ring members and where the heterocyclic ring may be substituted by one or more radicals Re. Specifically R1c is halogen and more specifically bromine or chlorine. Alternatively it is preferred that R1c is cyano;
R1d is hydrogen;
R3 is selected from CHF2, OCH3, and OCH2F, specifically from CHF2, and OCH3;
R7 is selected from hydrogen, Ci-C6-alkyl optionally substituted with one substituent selected from the group consisting of cyano, C1-C4 alkoxy, C1-C4 haloalkoxy, C1-C4 alkylthio, C1-C4 alkylsulfinyl, C1-C4 alkylsulfonyl, C1-C4 haloalkylthio, C1-C4 haloalkylsulfinyl, C1-C4 haloalkylsulfonyl, and a phenyl ring which may be substituted with 1 , 2 or 3 radicals R10; Ci-C6-haloalkyl and a phenyl ring which may be substituted with 1 , 2 or 3 radicals R10.
Especially preferred are compounds of formulae (l-a) and (l-b), the N-oxides and the salts thereof, wherein
R1a is selected from halogen, d-Cs-alkyl and d-Cs-haloalkyl, in particular from halogen, Ci-C4-alkyl and Ci-C4-fluoroalkyl, specifically from CI, Br, methyl, CF3 and CHF2, and very specifically from CI, Br and methyl;
R1c is selected from halogen or cyano, and more specifically from CI, Br and cyano.
R1d is hydrogen;
R3 is selected from CHF2, and OCH3;
R7 is selected from hydrogen and Ci-C6-alkyl optionally substituted with a phenyl ring which may be substituted with 1 , 2 or 3 radicals R10.
Specifically preferred are compounds of formulae (l-a) and (l-b), the N-oxides and the salts thereof, wherein
R1a is selected from CI, Br, methyl, CF3 and CHF2, and more specifically from CI, Br and methyl;
R1c is selected from CI, Br and cyano;
R1d is hydrogen;
R3 is selected from CHF2 and OCH3;
R7 is selected from hydrogen, methyl optionally substituted with a phenyl ring which may be substituted with 1 , 2 or 3 radicals R10, ethyl and isobutyl.
More specifically preferred are compounds of formulae (l-a) and (l-b), the N-oxides and the salts thereof, wherein
R1a is selected from CI, Br and methyl;
R1c is selected from CI, Br and CN;
R1d is hydrogen;
R3 is selected from CHF2 and OCH3;
R7 is selected from H, CH3, CH2CH3, CH2CH(CH3)2 and benzyl.
Further particular compounds of the present invention are the individual anthranilamide derivatives of the formula (l-c) as listed in the following tables 1 to 2 and physiologically tolerated salts thereof:
Table 1
Compounds of the formula (l-c) wherein R4 is CI and the combination of R1a, R1c, R1d, R3 and R7 or a compound in each case corresponds to one line of Table A (A-1 to A-40).
Table 2
Compounds of the formula (l-c) wherein R4 is CF3 and the combination of R1a, R1c, R1d, R3 and R7 or a compound in each case corresponds to one line of Table A (A-1 to A-40).
Table A row R1a R1c R1d R3 R7
A-1 . CHs CI H CHF2 CHs
A-2. CHs CI H CHF2 CH2Ph
A-3. CHs CI H CHF2 CH2-CH(CHs)2
A-4. CHs CI H CHF2 H
A-5. CI CI H CHF2 CHs
A-6. CI CI H CHF2 CH2Ph
A-7. CI CI H CHF2 CH2-CH(CHs)2
A-8. CI CI H CHF2 H
A-9. Br Br H CHF2 CHs
A-10. Br Br H CHF2 CH2Ph
A-1 1 . Br Br H CHF2 CH2-CH(CHs)2
A-12. Br Br H CHF2 H
A-13. CHs CN H CHF2 CHs
A-14. CHs CN H CHF2 CH2Ph
A-15. CHs CN H CHF2 CH2-CH(CHs)2
A-16. CHs CN H CHF2 H
A-17. CHs CI H OCHs CHs
A-18. CHs CI H OCHs CH2Ph
A-19. CHs CI H OCHs CH2-CH(CHs)2
A-20. CHs CI H OCHs H
A-21 . CI CI H OCHs CHs
A-22. CI CI H OCHs CH2Ph
A-23. CI CI H OCHs CH2-CH(CHs)2
A-24. CI CI H OCHs H
A-25. Br Br H OCHs CHs
A-26. Br Br H OCHs CH2Ph
A-27. Br Br H OCHs CH2-CH(CHs)2
A-28. Br Br H OCHs H
A-29. CHs CN H OCHs CHs
A-30. CHs CN H OCHs CH2Ph
A-31 . CHs CN H OCHs CH2-CH(CHs)2
A-32. CHs CN H OCHs H
A-33. CHs -CH=NNH- OCHs CHs
row R1a R1c R1d R3 R7
A-34. CHs -CH=NNH- OCHs CH2Ph
A-35. CHs -CH=NNH- OCHs CH2-CH(CHs)2
A-36. CHs -CH=NNH- OCHs H
A-37. CHs -CH=NNH- CHF2 CHs
A-38. CHs -CH=NNH- CHF2 CH2Ph
A-39. CHs -CH=NNH- CHF2 CH2-CH(CHs)2
A-40. CHs -CH=NNH- CHF2 H
In another particularly preferred embodiment, the compound of formula (I) is of the general formula (l-d).
wherein
R1a, R1c, R3, R7 and L have one of the general meanings, or, in particular, one of the preferred meanings given above.
Particularly preferred are compounds of formula (l-d), the N-oxides and the salts thereof, wherein
R1a is selected from halogen, d-Cs-alkyl and Ci-Cs-haloalkyI, preferably from halogen, Ci-C4-alkyl and Ci-C4-fluoroalkyl, more preferably from CI, Br, methyl, CF3 and CHF2, specifically from CI, Br and methyl, and very specifically from CI and methyl; R1c is selected from hydrogen, halogen, C-i-Cs-alkyl, C-i-Cs-haloalkyl, cyano, a 3-, 4-, 5-, 6- or 7-membered saturated, partially unsaturated or aromatic heterocyclic ring containing 1 , 2 or 3 heteroatoms or heteroatom groups selected from N, O, S, NO, SO and S02, as ring members and where the heterocyclic ring may be substituted by one or more radicals Re. Specifically R1c is halogen, more specifically bromine or chlorine, and in particular chlorine. Alternatively it is preferred that R1c is cyano; R3 is selected from CHF2, OCHs, OCH2F and OCH2CF3, specifically from CHF2, OCH2F and OCH2CF3; alternatively R3 is selected from CHF2, OCH3 and OCH2F, specifically from CHF2 and OCH2F;
R7 is selected from hydrogen, Ci-C6-alkyl optionally substituted with one substituent selected from the group consisting of cyano, C1-C4 alkoxy, C1-C4 haloalkoxy, C1-C4 alkylthio, C1-C4 alkylsulfinyl, C1-C4 alkylsulfonyl, C1-C4 haloalkylthio, C1-C4
haloalkylsulfinyl, C1-C4 haloalkylsulfonyl, and a phenyl ring which may be substituted with 1 , 2 or 3 radicals R10; Ci-C6-haloalkyl and a phenyl ring which may be substituted with 1 , 2 or 3 radicals R10. Specifically R7 is hydrogen or Ci-C4-alkyl, more specifically hydrogen, methyl or ethyl, and very specifically methyl or ethyl; L is -CH2-, -CH(CHs)-, -CH2CH2- or -CH2CH2CH2-, and specifically is -CH2-, -CH(CH3)- or -CH2CH2-.
Especially preferred are compounds of formula (l-d), the N-oxides and the salts thereof, wherein
R1a is selected from halogen, d-Cs-alkyl and d-Cs-haloalkyl, preferably from halogen, Ci-C4-alkyl and Ci-C4-fluoroalkyl, specifically from CI, Br, methyl, CF3 and CHF2, more specifically from CI, Br and methyl, and very specifically from CI and methyl; R1c is selected from halogen and cyano, specifically from CI, Br and cyano, and very specifically from CI and cyano.
R3 is selected from CHF2, OCH2F and OCH2CF3, specifically from CHF2 and OCH2F; R7 is selected from hydrogen and Ci-C4-alkyl, specifically from hydrogen, methyl and ethyl, and very specifically from methyl and ethyl;
L is -CH2-, -CH(CHs)-, -CH2CH2- or -CH2CH2CH2-, and specifically is -CH2-, -CH(CH3)- or -CH2CH2-.
Specifically preferred are compounds of formula (l-d), the N-oxides and the salts thereof, wherein
R1a is selected from CI, Br, methyl, CF3 and CHF2, specifically from CI, Br and methyl, and very specifically from CI and methyl;
R1c is selected from CI, Br and cyano, and specifically from CI and cyano;
R3 is selected from CHF2, OCH2F and OCH2CF3, and specifically from CHF2 and
OCH2F;
R7 is selected from hydrogen, methyl and ethyl, and specifically from methyl and ethyl;
L is -CH2-, -CH(CHs)-, -CH2CH2- or -CH2CH2CH2-, and specifically is -CH2-, -CH(CH3)- or -CH2CH2-.
More specifically preferred are compounds of formula (l-d), the N-oxides and the salts thereof, wherein
R1a is selected from CI, Br and methyl, and specifically from CI and methyl;
R1c is selected from CI, Br and cyano, and specifically from CI and cyano;
R3 is selected from CHF2, OCH2F and OCH2CF3, and specifically from CHF2 and
OCH2F;
R7 is selected from methyl and ethyl;
L is -CH2-, -CH(CHs)- or -CH2CH2-.
The compounds of the formula (I) can be prepared by the standard methods of organic chemistry, e.g. by the methods described hereinafter in schemes 1 to x and in the synthesis descriptions of the working examples. In schemes 1 to X, the radicals Y, L, R1a, R1b, R1c, R1d, R2, R3, R4, R5 and R6 are as defined above for formula (I), if not otherwise specified.
The compounds of formula (I), wherein R1 is H, can be prepared as shown in the Scheme 1 below.
Scheme 1 :
(I): R2 = H
The reaction shown in scheme 1 can be performed in accordance with the methods described in the examples and by analogy to the methods described in WO 01/70671 (see e.g. scheme 1 1 ), WO 03/016284 (scheme 7) and WO 2007/006670, WO 2007/009661 , Bioorg. Med. Chem. Lett. 22 (1 1 ), 3800-3806, 2012, PCT/EP2012/066137, PCT/EP2012/066139 and
PCT/EP2012/066140. In scheme 1 , Y is preferably different from OH. Usually Compounds of formula (II) are reacted with compounds of formula (III) in a polar or apolar aprotic solvent, such as Ν,Ν-dimethylformamide, tetrahydrofuran, dioxane, acetonitrile, dimethylsulfoxide, pyridine, dichloromethane, benzene, toluene, the xylenes or chlorobenzene or mixtures of such solvents, in a temperature range of from 0 °C and 100°C, preferably of from 20°C and 90°C. The reaction is suitably carried out in the presence of a base. Suitable bases include but are not limited to oxo bases and amine bases. Suitable oxo bases include but are not limited to hydroxides, in particular alkalimetal hydroxides such as lithium, sodium or potassium hydroxide, carbonates, in particular alkalimetal carbonates, such as lithium, sodium or potassium carbonates, hydrogen carbonates, in particular alkalimetal hydrogen carbonates, such as lithium, sodium or potassium hydrogen carbonates, phosphates or hydrogenphosphates, in particular alkalimetal phosphates or hydrogenphosphates, such as lithium, sodium or potassium phosphate, or lithium, sodium or potassium hydrogen phosphate, alkoxides, in particular alkalimetal alkoxides such as sodium or potassium methoxide, sodium or potassium ethoxide or sodium or potassium tert-butanolate, carboxylates, in particular alkalimetal carboxylates, such as lithium, sodium or potassium formiate, lithium, sodium or potassium acetate or lithium, sodium or potassium propionate.
Suitable amine bases include but are not limited to ammonia and organic amines, in particular aliphatic or cycloaliphatic amines, e.g. di-Ci-C4-alkylamines, tri-Ci-C4-alkylamines, C3-C6- cycloalkylamines, C3-C6-cycloalkyl-di-Ci-C4-alkylamines or cyclic amines such as
dimethylamine, diethylamine, diisopropylamine, cyclohexylamine, dimethylcyclohexylamine, trimethylamine, diethylamine or triethylamine, piperidine and N-methylpiperidine. Preferred bases are amine bases. Mixtures of oxobases and amine bases may also be used. Compound of formula (III) is typically employed in an amount of from 0.9 to 5 mol, preferably from 0.9 to 3
mol, more preferably from 0.9 to 1.5 mol and in particular from 0.95 to 1.2 mol per mol of the compound of formula (II) used.
For converting compounds of formula (I) in which R2 is H into compounds (I) in which R2 is not H, compounds of formula (I) in which R2 is H can be reacted with compounds of formula R2-Lg, wherein R2 is not H and Lg is a leaving group, such as a bromine, chlorine or iodine atom or a tosylate, mesylate or triflate, to yield compounds of formula (I), wherein R2 is different from H. The reaction is suitably carried out in the presence of a base such as sodium hydride or potassium hydride, suitably in a polar aprotic solvent such as N,N-dimethylformamide, tetrahydrofuran, dioxane, acetonitrile, dimethylsulfoxide or pyridine, or mixtures of these solvents, in a temperature range of from 0°C and 100 C.
The compounds of formula (I) can also be prepared as shown in the Scheme 2 below.
Scheme 2:
In scheme 2, Y is preferably OH. The reaction shown in scheme 2 can be performed by analogy to conventional derivatization of ketones or aldehydes into their Oximes. A suitable method has also been described in WO 2012/038851 .
Compounds of the formula (II) can be prepared by analogy to the methods described in in WO 01/70671 , WO 03/016284, WO 2007/006670 or WO 2007/093402. Usually compounds of the formula (II) are prepared by the reactions shown in the following reaction scheme 3:
Suitable reaction conditions for performing the reactions of scheme 3 can be taken from WO 01/70671 , WO 03/016284, WO 2007/006670 or WO 2007/093402, respectively and the literature cited therein.
Compounds of the formulae (III) and (V) are known or can be prepared by analogy to the methods described in DE 3306197, Eur. J. Med. Chem. 40(8), 805-810, 2005 or
US20070045568 and references therein.
Compounds of formula (IV) can be obtained by reaction of a compounds of the formula(ll) with an aminoalcohol of the formula (VIII) followed by subsequent oxidation as shown in Scheme 4 below.
Scheme 4:
(IV): R2 = H
Suitable reaction conditions for performing the reactions of scheme 4 can be taken from
WO 2012/038851 and the literature cited therein.
Compounds of the formulae (Via), (VIb) and (VII) are either commercial or known from WO 01/70671 , WO 03/016284, WO 2007/006670 or WO 2007/093402. Syntheses for compounds of formula (Via) have been described for example in J. Org. Chem. 1938, 3, 414- 423, J. Org. Chem. 1947, 12, 734-751 or J. Am. Chem. Soc. 1950, 72, 4887-4890. Compounds of formula (VII) have been described for example in WO 2007/043677, WO 2008/134969 or in PCT/EP2012/065648 or can be prepared by analogy to the methods described therein.
Compounds of the formula (VIII) are known.
As a rule, the compounds of formula (I), especially (l-a), (l-b), (l-c), (l-d), including their stereoisomers, N-oxides and salts, as well as their precursors in the synthesis process, can be prepared by the methods described above or by customary modifications of the synthesis routes described. If individual compounds can not be prepared via the above-described routes,
they can be prepared by derivatization of other compounds (I) or the respective precursor. For example, in individual cases, certain compounds of formula (I) can advantageously be prepared from other compounds of formula (I) by derivatization, e.g. by ester hydrolysis, amidation, esterification, ether cleavage, olefination, reduction, oxidation and the like, or by customary modifications of the synthesis routes described.
The reaction mixtures are worked up in the customary manner, for example by mixing with water, separating the phases, and, if appropriate, purifying the crude products by
chromatography, for example on alumina or on silica gel. Some of the intermediates and end products may be obtained in the form of colorless or pale brown viscous oils which are freed or purified from volatile components under reduced pressure and at moderately elevated temperature. If the intermediates and end products are obtained as solids, they may be purified by recrystallization or trituration with an appropriate solvent.
Due to their excellent activity, the compounds of the present invention may be used for controlling invertebrate pests. The term "invertebrate pest" as used herein encompasses animal populations, such as arthropode pests, including insects and arachnids, as well as nematodes, which may attack plants thereby causing substantial damage to the plants attacked, as well as ectoparasites which may infest animals, in particular warm blooded animals such as e.g.
mammals or birds, or other higher animals such as reptiles, amphibians or fish, thereby causing substantial damage to the animals infested.
The compounds of the formula I, and their stereoisomers, N-oxides and salts, are in particular suitable for efficiently controlling arthropodal pests such as arachnids, myriapedes and insects as well as nematodes. The compounds of the formula I are especially suitable for efficiently combating the following pests:
Insects from the order of the lepidopterans (Lepidoptera), for example Agrotis ypsilon,
Agrotis segetum, Alabama argillacea, Anticarsia gemmatalis, Argyresthia conjugella,
Autographa gamma, Bupalus piniarius, Cacoecia murinana, Capua reticulana, Cheimatobia brumata, Choristoneura fumiferana, Choristoneura occidentalis, Cirphis unipuncta, Cydia pomonella, Dendrolimus pini, Diaphania nitidalis, Diatraea grandiosella, Earias insulana, Elasmopalpus lignosellus, Eupoecilia ambiguella, Evetria bouliana, Feltia subterranea, Galleria mellonella, Grapholitha funebrana, Grapholitha molesta, Heliothis armigera, Heliothis virescens, Heliothis zea, Hellula undalis, Hibernia defoliaria, Hyphantria cunea, Hyponomeuta malinellus, Keiferia lycopersicella, Lambdina fiscellaria, Laphygma exigua, Leucoptera coffeella,
Leucoptera scitella, Lithocolletis blancardella, Lobesia botrana, Loxostege sticticalis, Lymantria dispar, Lymantria monacha, Lyonetia clerkella, Malacosoma neustria, Mamestra brassicae,
Orgyia pseudotsugata, Ostrinia nubilalis, Panolis flammea, Pectinophora gossypiella, Peridroma saucia, Phalera bucephala, Phthorimaea operculella, Phyllocnistis citrella, Pieris brassicae, Plathypena scabra, Plutella xylostella, Pseudoplusia includens, Rhyacionia frustrana,
Scrobipalpula absoluta, Sitotroga cerealella, Sparganothis pilleriana, Spodoptera frugiperda, Spodoptera littoralis, Spodoptera litura, Thaumatopoea pityocampa, Tortrix viridana,
Trichoplusia ni and Zeiraphera canadensis;
beetles (Coleoptera), for example Agrilus sinuatus, Agriotes lineatus, Agriotes obscurus, Amphimallus solstitialis, Anisandrus dispar, Anthonomus grandis, Anthonomus pomorum, Aphthona euphoridae, Athous haemorrhoidalis, Atomaria linearis, Blastophagus piniperda, Blitophaga undata, Bruchus rufimanus, Bruchus pisorum, Bruchus lentis, Byctiscus betulae, Cassida nebulosa, Cerotoma trifurcata, Cetonia aurata, Ceuthorrhynchus assimilis,
Ceuthorrhynchus napi, Chaetocnema tibialis, Conoderus vespertinus, Crioceris asparagi, Ctenicera ssp., Diabrotica longicornis, Diabrotica semipunctata, Diabrotica 12-punctata
Diabrotica speciosa, Diabrotica virgifera, Epilachna varivestis, Epitrix hirtipennis, Eutinobothrus brasiliensis, Hylobius abietis, Hypera brunneipennis, Hypera postica, Ips typographus, Lema bilineata, Lema melanopus, Leptinotarsa decemlineata, Limonius californicus, Lissorhoptrus oryzophilus, Melanotus communis, Meligethes aeneus, Melolontha hippocastani, Melolontha melolontha, Oulema oryzae, Otiorrhynchus sulcatus, Otiorrhynchus ovatus, Phaedon cochleariae, Phyllobius pyri, Phyllotreta chrysocephala, Phyllophaga sp., Phyllopertha horticola, Phyllotreta nemorum, Phyllotreta striolata, Popillia japonica, Sitona lineatus and Sitophilus granaria;
flies, mosquitoes (Diptera), e.g. Aedes aegypti, Aedes albopictus, Aedes vexans,
Anastrepha ludens, Anopheles maculipennis, Anopheles crucians, Anopheles albimanus, Anopheles gambiae, Anopheles freeborni, Anopheles leucosphyrus, Anopheles minimus, Anopheles quadrimaculatus, Calliphora vicina, Ceratitis capitata, Chrysomya bezziana, Chrysomya hominivorax, Chrysomya macellaria, Chrysops discalis, Chrysops silacea, Chrysops atlanticus, Cochliomyia hominivorax, Contarinia sorghicola Cordylobia anthropophaga,
Culicoides furens, Culex pipiens, Culex nigripalpus, Culex quinquefasciatus, Culex tarsalis, Culiseta inornata, Culiseta melanura, Dacus cucurbitae, Dacus oleae, Dasineura brassicae, Delia antique, Delia coarctata, Delia platura, Delia radicum, Dermatobia hominis, Fannia canicularis, Geomyza Tripunctata, Gasterophilus intestinalis, Glossina morsitans, Glossina palpalis, Glossina fuscipes, Glossina tachinoides, Haematobia irritans, Haplodiplosis equestris, Hippelates spp., Hylemyia platura, Hypoderma lineata, Leptoconops torrens, Liriomyza sativae, Liriomyza trifolii, Lucilia caprina, Lucilia cuprina, Lucilia sericata, Lycoria pectoralis, Mansonia titillanus, Mayetiola destructor, Musca autumnalis, Musca domestica, Muscina stabulans, Oestrus ovis, Opomyza florum, Oscinella frit, Pegomya hysocyami, Phorbia antiqua, Phorbia brassicae, Phorbia coarctata, Phlebotomus argentipes, Psorophora columbiae, Psila rosae, Psorophora discolor, Prosimulium mixtum, Rhagoletis cerasi, Rhagoletis pomonella,
Sarcophaga haemorrhoidalis, Sarcophaga spp., Simulium vittatum, Stomoxys calcitrans, Tabanus bovinus, Tabanus atratus, Tabanus lineola, and Tabanus similis, Tipula oleracea, and Tipula paludosa;
thrips (Thysanoptera), e.g. Dichromothrips corbetti, Dichromothrips ssp., Frankliniella fusca, Frankliniella occidentalis, Frankliniella tritici, Scirtothrips citri, Thrips oryzae, Thrips palmi and Thrips tabaci,
termites (Isoptera), e.g. Calotermes flavicollis, Leucotermes flavipes, Heterotermes aureus, Reticulitermes flavipes, Reticulitermes virginicus, Reticulitermes lucifugus,
Reticulitermes santonensis, Reticulitermes grassei, Termes natalensis, and Coptotermes formosanus;
cockroaches (Blattaria - Blattodea), e.g. Blattella germanica, Blattella asahinae,
Periplaneta americana, Periplaneta japonica, Periplaneta brunnea, Periplaneta fuligginosa, Periplaneta australasiae, and Blatta orientalis;
bugs, aphids, leafhoppers, whiteflies, scale insects, cicadas (Hemiptera), e.g.
Acrostemum hilare, Blissus leucopterus, Cyrtopeltis notatus, Dysdercus cingulatus, Dysdercus intermedius, Eurygaster integriceps, Euschistus impictiventris, Leptoglossus phyllopus, Lygus lineolaris, Lygus pratensis, Nezara viridula, Piesma quadrata, Solubea insularis, Thyanta perditor, Acyrthosiphon onobrychis, Adelges laricis, Aphidula nasturtii, Aphis fabae, Aphis forbesi, Aphis pomi, Aphis gossypii, Aphis grossulariae, Aphis schneideri, Aphis spiraecola, Aphis sambuci, Acyrthosiphon pisum, Aulacorthum solani, Bemisia argentifolii, Brachycaudus cardui, Brachycaudus helichrysi, Brachycaudus persicae, Brachycaudus prunicola, Brevicoryne brassicae, Capitophorus horni, Cerosipha gossypii, Chaetosiphon fragaefolii, Cryptomyzus ribis, Dreyfusia nordmannianae, Dreyfusia piceae, Dysaphis radicola, Dysaulacorthum pseudosolani, Dysaphis plantaginea, Dysaphis pyri, Empoasca fabae, Hyalopterus pruni, Hyperomyzus lactucae, Macrosiphum avenae, Macrosiphum euphorbiae, Macrosiphon rosae, Megoura viciae, Melanaphis pyrarius, Metopolophium dirhodum, Myzus persicae, Myzus ascalonicus, Myzus cerasi, Myzus varians, Nasonovia ribis-nigri, Nilaparvata lugens, Pemphigus bursarius,
Perkinsiella saccharicida, Phorodon humuli, Psylla mail, Psylla piri, Rhopalomyzus ascalonicus, Rhopalosiphum maidis, Rhopalosiphum padi, Rhopalosiphum insertum, Sappaphis mala, Sappaphis mail, Schizaphis graminum, Schizoneura lanuginosa, Sitobion avenae, Trialeurodes vaporariorum, Toxoptera aurantiiand, Viteus vitifolii, Cimex lectularius, Cimex hemipterus, Reduvius senilis, Triatoma spp., and Arilus critatus;
ants, bees, wasps, sawflies (Hymenoptera), e.g. Athalia rosae, Atta cephalotes, Atta capiguara, Atta cephalotes, Atta laevigata, Atta robusta, Atta sexdens, Atta texana,
Crematogaster spp., Hoplocampa minuta, Hoplocampa testudinea, Lasius niger, Monomorium pharaonis, Solenopsis geminata, Solenopsis invicta, Solenopsis richteri, Solenopsis xyloni, Pogonomyrmex barbatus, Pogonomyrmex californicus, Pheidole megacephala, Dasymutilla occidentalis, Bombus spp., Vespula squamosa, Paravespula vulgaris, Paravespula
pennsylvanica, Paravespula germanica, Dolichovespula maculata, Vespa crabro, Polistes rubiginosa, Camponotus floridanus, and Linepithema humile;
crickets, grasshoppers, locusts (Orthoptera), e.g. Acheta domestica, Gryllotalpa gryllotalpa, Locusta migratoria, Melanoplus bivittatus, Melanoplus femurrubrum, Melanoplus mexicanus, Melanoplus sanguinipes, Melanoplus spretus, Nomadacris septemfasciata,
Schistocerca americana, Schistocerca gregaria, Dociostaurus maroccanus, Tachycines asynamorus, Oedaleus senegalensis, Zonozerus variegatus, Hieroglyphus daganensis,
Kraussaria angulifera, Calliptamus italicus, Chortoicetes terminifera, and Locusta na pardalina; arachnoidea, such as arachnids (Acarina), e.g. of the families Argasidae, Ixodidae and Sarcoptidae, such as Amblyomma americanum, Amblyomma variegatum, Ambryomma maculatum, Argas persicus, Boophilus annulatus, Boophilus decoloratus, Boophilus microplus, Dermacentor silvarum, Dermacentor andersoni, Dermacentor variabilis, Hyalomma truncatum, Ixodes ricinus, Ixodes rubicundus, Ixodes scapularis, Ixodes holocyclus, Ixodes pacificus, Ornithodorus moubata, Ornithodorus hermsi, Ornithodorus turicata, Ornithonyssus bacoti,
Otobius megnini, Dermanyssus gallinae, Psoroptes ovis, Rhipicephalus sanguineus,
Rhipicephalus appendiculatus, Rhipicephalus evertsi, Sarcoptes scabiei, and Eriophyidae spp. such as Aculus schlechtendali, Phyllocoptrata oleivora and Eriophyes sheldoni; Tarsonemidae spp. such as Phytonemus pallidus and Polyphagotarsonemus latus; Tenuipalpidae spp. such as Brevipalpus phoenicis; Tetranychidae spp. such as Tetranychus cinnabarinus, Tetranychus kanzawai, Tetranychus pacificus, Tetranychus telarius and Tetranychus urticae, Panonychus ulmi, Panonychus citri, and Oligonychus pratensis; Araneida, e.g. Latrodectus mactans, and Loxosceles reclusa;
fleas (Siphonaptera), e.g. Ctenocephalides felis, Ctenocephalides canis, Xenopsylla cheopis, Pulex irritans, Tunga penetrans, and Nosopsyllus fasciatus,
silverfish, firebrat (Thysanura), e.g. Lepisma saccharina and Thermobia domestica, centipedes (Chilopoda), e.g. Scutigera coleoptrata,
millipedes (Diplopoda), e.g. Narceus spp.,
Earwigs (Dermaptera), e.g. forficula auricularia,
lice (Phthiraptera), e.g. Pediculus humanus capitis, Pediculus humanus corporis, Pthirus pubis, Haematopinus eurysternus, Haematopinus suis, Linognathus vituli, Bovicola bovis, Menopon gallinae, Menacanthus stramineus and Solenopotes capillatus.
Collembola (springtails), e.g. Onychiurus ssp..
The compounds of the present invention, including their salts, N-oxides and
stereoisomers are also suitable for controlling nematodes , especially plant parasitic nematodes such as root knot nematodes, Meloidogyne hapla, Meloidogyne incognita, Meloidogyne javanica, and other Meloidogyne species; cyst-forming nematodes, Globodera rostochiensis and other Globodera species; Heterodera avenae, Heterodera glycines, Heterodera schachtii, Heterodera trifolii, and other Heterodera species; Seed gall nematodes, Anguina species; Stem and foliar nematodes, Aphelenchoides species; Sting nematodes, Belonolaimus longicaudatus and other Belonolaimus species; Pine nematodes, Bursaphelenchus xylophilus and other Bursaphelenchus species; Ring nematodes, Criconema species, Criconemella species, Criconemoides species, Mesocriconema species; Stem and bulb nematodes, Ditylenchus destructor, Ditylenchus dipsaci and other Ditylenchus species; Awl nematodes, Dolichodorus species; Spiral nematodes, Heliocotylenchus multicinctus and other Helicotylenchus species; Sheath and sheathoid nematodes, Hemicycliophora species and Hemicriconemoides species; Hirshmanniella species; Lance nematodes, Hoploaimus species; false rootknot nematodes, Nacobbus species; Needle nematodes, Longidorus elongatus and other Longidorus species; Lesion nematodes, Pratylenchus neglectus, Pratylenchus penetrans, Pratylenchus curvitatus, Pratylenchus goodeyi and other Pratylenchus species; Burrowing nematodes, Radopholus similis and other Radopholus species; Reniform nematodes, Rotylenchus robustus and other Rotylenchus species; Scutellonema species; Stubby root nematodes, Trichodorus primitivus and other Trichodorus species, Paratrichodorus species; Stunt nematodes, Tylenchorhynchus claytoni, Tylenchorhynchus dubius and other Tylenchorhynchus species; Citrus nematodes, Tylenchulus species; Dagger nematodes, Xiphinema species; and other plant parasitic nematode species.
The compounds of the present invention, including their salts, N-oxides and stereoisomers are also useful for controlling arachnids (Arachnoidea), such as acarians (Acarina), e.g. of the families Argasidae, Ixodidae and Sarcoptidae, such as Amblyomma americanum, Amblyomma variegatum, Argas persicus, Boophilus annulatus, Boophilus decoloratus, Boophilus microplus, Dermacentor silvarum, Hyalomma truncatum, Ixodes ricinus, Ixodes rubicundus, Ornithodorus moubata, Otobius megnini, Dermanyssus gallinae, Psoroptes ovis, Rhipicephalus
appendiculatus, Rhipicephalus evertsi, Sarcoptes scabiei, and Eriophyidae spp. such as Aculus schlechtendali, Phyllocoptrata oleivora and Eriophyes sheldoni; Tarsonemidae spp. such as Phytonemus pallidus and Polyphagotarsonemus latus; Tenuipalpidae spp. such as Brevipalpus phoenicis; Tetranychidae spp. such as Tetranychus cinnabarinus, Tetranychus kanzawai, Tetranychus pacificus, Tetranychus telarius and Tetranychus urticae, Panonychus ulmi, Panonychus citri, and oligonychus pratensis.
Compounds of the formula I are particularly useful for controlling insects, preferably sucking or piercing insects such as insects from the genera Thysanoptera, Diptera and
Hemiptera, and chewing-biting pests such as insects from the genera of Lepidoptera, in particular the following species:
Thysanoptera : Frankliniella fusca, Frankliniella occidentalis, Frankliniella tritici,
Scirtothrips citri, Thrips oryzae, Thrips palmi and Thrips tabaci,
Diptera, e.g. Aedes aegypti, Aedes albopictus, Aedes vexans, Anastrepha ludens, Anopheles maculipennis, Anopheles crucians, Anopheles albimanus, Anopheles gambiae, Anopheles freeborni, Anopheles leucosphyrus, Anopheles minimus, Anopheles quadrimaculatus,
Calliphora vicina, Ceratitis capitata, Chrysomya bezziana, Chrysomya hominivorax, Chrysomya macellaria, Chrysops discalis, Chrysops silacea, Chrysops atlanticus, Cochliomyia hominivorax, Contarinia sorghicola Cordylobia anthropophaga, Culicoides furens, Culex pipiens, Culex nigripalpus, Culex quinquefasciatus, Culex tarsalis, Culiseta inomata, Culiseta melanura, Dacus cucurbitae, Dacus oleae, Dasineura brassicae, Delia antique, Delia coarctata, Delia platura, Delia radicum, Dermatobia hominis, Fannia canicularis, Geomyza Tripunctata, Gasterophilus intestinalis, Glossina morsitans, Glossina palpalis, Glossina fuscipes, Glossina tachinoides, Haematobia irritans, Haplodiplosis equestris, Hippelates spp., Hylemyia platura, Hypoderma lineata, Leptoconops torrens, Liriomyza sativae, Liriomyza trifolii, Lucilia caprina, Lucilia cuprina, Lucilia sericata, Lycoria pectoralis, Mansonia titillanus, Mayetiola destructor, Musca autumnalis, Musca domestica, Muscina stabulans, Oestrus ovis, Opomyza florum, Oscinella frit, Pegomya hysocyami, Phorbia antiqua, Phorbia brassicae, Phorbia coarctata, Phlebotomus argentipes, Psorophora columbiae, Psila rosae, Psorophora discolor, Prosimulium mixtum, Rhagoletis cerasi, Rhagoletis pomonella, Sarcophaga haemorrhoidalis, Sarcophaga spp., Simulium vittatum, Stomoxys calcitrans, Tabanus bovinus, Tabanus atratus, Tabanus lineola, and Tabanus similis, Tipula oleracea, and Tipula paludosa;
Hemiptera, in particular aphids: Acyrthosiphon onobrychis, Adelges laricis, Aphidula nasturtii, Aphis fabae, Aphis forbesi, Aphis pomi, Aphis gossypii, Aphis grossulariae, Aphis schneideri, Aphis spiraecola, Aphis sambuci, Acyrthosiphon pisum, Aulacorthum solani, Brachycaudus cardui, Brachycaudus helichrysi, Brachycaudus persicae, Brachycaudus prunicola, Brevicoryne brassicae, Capitophorus horni, Cerosipha gossypii, Chaetosiphon
fragaefolii, Cryptomyzus ribis, Dreyfusia nordmannianae, Dreyfusia piceae, Dysaphis radicola, Dysaulacorthum pseudosolani, Dysaphis plantaginea, Dysaphis pyri, Empoasca fabae,
Hyalopterus pruni, Hyperomyzus lactucae, Macrosiphum avenae, Macrosiphum euphorbiae, Macrosiphon rosae, Megoura viciae, Melanaphis pyrarius, Metopolophium dirhodum, Myzodes persicae, Myzus ascalonicus, Myzus cerasi, Myzus varians, Nasonovia ribis-nigri, Nilaparvata lugens, Pemphigus bursarius, Perkinsiella saccharicida, Phorodon humuli, Psylla mali, Psylla piri, Rhopalomyzus ascalonicus, Rhopalosiphum maidis, Rhopalosiphum padi, Rhopalosiphum insertum, Sappaphis mala, Sappaphis mali, Schizaphis graminum, Schizoneura lanuginosa, Sitobion avenae, Trialeurodes vaporariorum, Toxoptera aurantiiand, and Viteus vitifolii.
Lepidoptera, in particular: Agrotis ypsilon, Agrotis segetum, Alabama argillacea, Anticarsia gemmatalis, Argyresthia conjugella, Autographa gamma, Bupalus piniarius, Cacoecia murinana, Capua reticulana, Cheimatobia brumata, Chonstoneura fumiferana, Choristoneura occidentalis, Cirphis unipuncta, Cydia pomonella, Dendrolimus pini, Diaphania nitidalis, Diatraea
grandiosella, Earias insulana, Elasmopalpus lignosellus, Eupoecilia ambiguella, Evetria bouliana, Feltia subterranea, Galleria mellonella, Grapholitha funebrana, Grapholitha molesta, Heliothis armigera, Heliothis virescens, Heliothis zea, Hellula undalis, Hibernia defoliaria, Hyphantria cunea, Hyponomeuta malinellus, Keiferia lycopersicella, Lambdina fiscellaria, Laphygma exigua, Leucoptera coffeella, Leucoptera scitella, Lithocolletis blancardella, Lobesia botrana, Loxostege sticticalis, Lymantria dispar, Lymantria monacha, Lyonetia clerkella, Malacosoma neustria, Mamestra brassicae, Orgyia pseudotsugata, Ostrinia nubilalis, Panolis flammea, Pectinophora gossypiella, Peridroma saucia, Phalera bucephala, Phthorimaea operculella, Phyllocnistis citrella, Pieris brassicae, Plathypena scabra, Plutella xylostella, Pseudoplusia includens, Rhyacionia frustrana, Scrobipalpula absoluta, Sitotroga cerealella, Sparganothis pilleriana, Spodoptera frugiperda, Spodoptera littoralis, Spodoptera litura,
Thaumatopoea pityocampa, Tortrix viridana, Trichoplusia ni and Zeiraphera canadensis.
Compounds of the formula I are particularly useful for controlling insects of the orders Hemiptera and Thysanoptera.
The invention also relates to agrochemical compositions comprising an auxiliary and at least one compound I according to the invention.
An agrochemical composition comprises a pesticidally effective amount of a compound I. The term "effective amount" denotes an amount of the composition or of the compounds I, which is sufficient for controlling invertebrate pests on cultivated plants or in the protection of materials and which does not result in a substantial damage to the treated plants or material. Such an amount can vary in a broad range and is dependent on various factors, such as the invertebrate (e.g. insect) species to be controlled, the treated cultivated plant or material, the climatic conditions and the specific compound I used.
The compounds I, their stereoisomers, N-oxides and salts can be converted into customary types of agrochemical compositions, e. g. solutions, emulsions, suspensions, dusts, powders, pastes, granules, pressings, capsules, and mixtures thereof. Examples for
composition types are suspensions (e.g. SC, OD, FS), emulsifiable concentrates (e.g. EC), emulsions (e.g. EW, EO, ES, ME), capsules (e.g. CS, ZC), pastes, pastilles, wettable powders
or dusts (e.g. WP, SP, WS, DP, DS), pressings (e.g. BR, TB, DT), granules (e.g. WG, SG, GR, FG, GG, MG), insecticidal articles (e.g. LN), as well as gel formulations for the treatment of plant propagation materials such as seeds (e.g. GF). These and further compositions types are defined in the "Catalogue of pesticide formulation types and international coding system", Technical Monograph No. 2, 6th Ed. May 2008, CropLife International.
The compositions are prepared in a known manner, such as described by Mollet and
Grubemann, Formulation technology, Wiley VCH, Weinheim, 2001 ; or Knowles, New
developments in crop protection product formulation, Agrow Reports DS243, T&F Informa, London, 2005.
Examples for suitable auxiliaries are solvents, liquid carriers, solid carriers or fillers, surfactants, dispersants, emulsifiers, wetters, adjuvants, solubilizers, penetration enhancers, protective colloids, adhesion agents, thickeners, humectants, repellents, attractants, feeding stimulants, compatibilizers, bactericides, anti-freezing agents, anti-foaming agents, colorants, tackifiers and binders.
Suitable solvents and liquid carriers are water and organic solvents, such as mineral oil fractions of medium to high boiling point, e.g. kerosene, diesel oil; oils of vegetable or animal origin; aliphatic, cyclic and aromatic hydrocarbons, e. g. toluene, paraffin,
tetrahydronaphthalene, alkylated naphthalenes; alcohols, e.g. ethanol, propanol, butanol, benzylalcohol, cyclohexanol; glycols; DMSO; ketones, e.g. cyclohexanone; esters, e.g. lactates, carbonates, fatty acid esters, gamma-butyrolactone; fatty acids; phosphonates; amines; amides, e.g. N-methylpyrrolidone, fatty acid dimethylamides; and mixtures thereof.
Suitable solid earners or fillers are mineral earths, e.g. silicates, silica gels, talc, kaolins, limestone, lime, chalk, clays, dolomite, diatomaceous earth, bentonite, calcium sulfate, magnesium sulfate, magnesium oxide; polysaccharide powders, e.g. cellulose, starch;
fertilizers, e.g. ammonium sulfate, ammonium phosphate, ammonium nitrate, ureas; products of vegetable origin, e.g. cereal meal, tree bark meal, wood meal, nutshell meal, and mixtures thereof.
Suitable surfactants are surface-active compounds, such as anionic, cationic, nonionic and amphoteric surfactants, block polymers, polyelectrolytes, and mixtures thereof. Such surfactants can be used as emusifier, dispersant, solubilizer, wetter, penetration enhancer, protective colloid, or adjuvant. Examples of surfactants are listed in McCutcheon's, Vol.1 :
Emulsifiers & Detergents, McCutcheon's Directories, Glen Rock, USA, 2008 (International Ed. or North American Ed.).
Suitable anionic surfactants are alkali, alkaline earth or ammonium salts of sulfonates, sulfates, phosphates, carboxylates, and mixtures thereof. Examples of sulfonates are alkylarylsulfonates, diphenylsulfonates, alpha-olefin sulfonates, lignine sulfonates, sulfonates of fatty acids and oils, sulfonates of ethoxylated alkylphenols, sulfonates of alkoxylated
arylphenols, sulfonates of condensed naphthalenes, sulfonates of dodecyl- and
tridecylbenzenes, sulfonates of naphthalenes and alkylnaphthalenes, sulfosuccinates or sulfosuccinamates. Examples of sulfates are sulfates of fatty acids and oils, of ethoxylated alkylphenols, of alcohols, of ethoxylated alcohols, or of fatty acid esters. Examples of
phosphates are phosphate esters. Examples of carboxylates are alkyl carboxylates, and carboxylated alcohol or alkylphenol ethoxylates.
Suitable nonionic surfactants are alkoxylates, N-subsituted fatty acid amides, amine oxides, esters, sugar-based surfactants, polymeric surfactants, and mixtures thereof. Examples of alkoxylates are compounds such as alcohols, alkylphenols, amines, amides, arylphenols, fatty acids or fatty acid esters which have been alkoxylated with 1 to 50 equivalents. Ethylene oxide and/or propylene oxide may be employed for the alkoxylation, preferably ethylene oxide.
Examples of N-subsititued fatty acid amides are fatty acid glucamides or fatty acid
alkanolamides. Examples of esters are fatty acid esters, glycerol esters or monoglycerides. Examples of sugar-based surfactants are sorbitans, ethoxylated sorbitans, sucrose and glucose esters or alkylpolyglucosides. Examples of polymeric surfactants are home- or copolymers of vinylpyrrolidone, vinylalcohols, or vinylacetate.
Suitable cationic surfactants are quaternary surfactants, for example quaternary ammonium compounds with one or two hydrophobic groups, or salts of long-chain primary amines.
Suitable amphoteric surfactants are alkylbetains and imidazolines.
Suitable block polymers are block polymers of the A-B or A-B-A type comprising blocks of polyethylene oxide and polypropylene oxide, or of the A-B-C type comprising alkanol, polyethylene oxide and polypropylene oxide. Suitable polyelectrolytes are polyacids or polybases. Examples of polyacids are alkali salts of polyacrylic acid or polyacid comb polymers. Examples of polybases are polyvinylamines or polyethyleneamines.
Suitable adjuvants are compounds, which have a neglectable or even no pesticidal activity themselves, and which improve the biological performance of the compound I on the target. Examples are surfactants, mineral or vegetable oils, and other auxilaries. Further examples are listed by Knowles, Adjuvants and additives, Agrow Reports DS256, T&F Informa UK, 2006, chapter 5.
Suitable thickeners are polysaccharides (e.g. xanthan gum, carboxymethylcellulose), anorganic clays (organically modified or unmodified), polycarboxylates, and silicates.
Suitable bactericides are bronopol and isothiazolinone derivatives such as
alkylisothiazolinones and benzisothiazolinones.
Suitable anti-freezing agents are ethylene glycol, propylene glycol, urea and glycerin.
Suitable anti-fbaming agents are silicones, long chain alcohols, and salts of fatty acids.
Suitable colorants (e.g. in red, blue, or green) are pigments of low water solubility and water-soluble dyes. Examples are inorganic colorants (e.g. iron oxide, titan oxide, iron hexacyanoferrate) and organic colorants (e.g. alizarin-, azo- and phthalocyanine colorants).
Suitable tackifiers or binders are polyvinylpyrrolidone, polyvinylacetates, polyvinyl alcohols, polyacrylates, biological or synthetic waxes, and cellulose ethers.
Examples for composition types and their preparation are:
i) Water-soluble concentrates (SL, LS)
10-60 wt% of a compound I according to the invention and 5-15 wt% wetting agent (e.g. alcohol alkoxylates) are dissolved in water and/or in a water-soluble solvent (e.g. alcohols) up to 100
wt%. The active substance dissolves upon dilution with water,
ii) Dispersible concentrates (DC)
5-25 wt% of a compound I according to the invention and 1 -10 wt% dispersant (e. g.
polyvinylpyrrolidone) are dissolved in up to 100 wt% organic solvent (e.g. cyclohexanone). Dilution with water gives a dispersion.
Hi) Emulsifiable concentrates (EC)
15-70 wt% of a compound I according to the invention and 5-10 wt% emulsifiers (e.g. calcium dodecylbenzenesulfonate and castor oil ethoxylate) are dissolved in up to 100 wt% water- insoluble organic solvent (e.g. aromatic hydrocarbon). Dilution with water gives an emulsion. iv) Emulsions (EW, EO, ES)
5-40 wt% of a compound I according to the invention and 1 -10 wt% emulsifiers (e.g. calcium dodecylbenzenesulfonate and castor oil ethoxylate) are dissolved in 20-40 wt% water-insoluble organic solvent (e.g. aromatic hydrocarbon). This mixture is introduced into up to 100 wt% water by means of an emulsifying machine and made into a homogeneous emulsion. Dilution with water gives an emulsion.
v) Suspensions (SC, OD, FS)
In an agitated ball mill, 20-60 wt% of a compound I according to the invention are comminuted with addition of 2-10 wt% dispersants and wetting agents (e.g. sodium lignosulfonate and alcohol ethoxylate), 0,1 -2 wt% thickener (e.g. xanthan gum) and up to 100 wt% water to give a fine active substance suspension. Dilution with water gives a stable suspension of the active substance. For FS type composition up to 40 wt% binder (e.g. polyvinylalcohol) is added.
vi) Water-dispersible granules and water-soluble granules (WG, SG)
50-80 wt% of a compound I according to the invention are ground finely with addition of up to 100 wt% dispersants and wetting agents (e.g. sodium lignosulfonate and alcohol ethoxylate) and prepared as water-dispersible or water-soluble granules by means of technical appliances (e. g. extrusion, spray tower, fluidized bed). Dilution with water gives a stable dispersion or solution of the active substance.
vii) Water-dispersible powders and water-soluble powders (WP, SP, WS)
50-80 wt% of a compound I according to the invention are ground in a rotor-stator mill with addition of 1 -5 wt% dispersants (e.g. sodium lignosulfonate), 1 -3 wt% wetting agents (e.g.
alcohol ethoxylate) and up to 100 wt% solid carrier, e.g. silica gel. Dilution with water gives a stable dispersion or solution of the active substance.
viii) Gel (GW, GF)
In an agitated ball mill, 5-25 wt% of a compound I according to the invention are comminuted with addition of 3-10 wt% dispersants (e.g. sodium lignosulfonate), 1 -5 wt% thickener (e.g. carboxymethylcellulose) and up to 100 wt% water to give a fine suspension of the active substance. Dilution with water gives a stable suspension of the active substance.
ix) Microemulsion (ME)
5-20 wt% of a compound I according to the invention are added to 5-30 wt% organic solvent blend (e.g. fatty acid dimethylamide and cyclohexanone), 10-25 wt% surfactant blend (e.g. alkohol ethoxylate and arylphenol ethoxylate), and water up to 100 %. This mixture is stirred for 1 h to produce spontaneously a thermodynamically stable microemulsion.
x) Microcapsules (CS)
An oil phase comprising 5-50 wt% of a compound I according to the invention, 0-40 wt% water insoluble organic solvent (e.g. aromatic hydrocarbon), 2-15 wt% acrylic monomers (e.g.
methylmethacrylate, methacrylic acid and a di- or triacrylate) are dispersed into an aqueous solution of a protective colloid (e.g. polyvinyl alcohol). Radical polymerization initiated by a radical initiator results in the formation of poly(meth)acrylate microcapsules. Alternatively, an oil phase comprising 5-50 wt% of a compound I according to the invention, 0-40 wt% water insoluble organic solvent (e.g. aromatic hydrocarbon), and an isocyanate monomer (e.g.
diphenylmethene-4,4'-diisocyanatae) are dispersed into an aqueous solution of a protective colloid (e.g. polyvinyl alcohol). The addition of a polyamine (e.g. hexamethylenediamine) results in the formation of a polyurea microcapsules. The monomers amount to 1 -10 wt%. The wt% relate to the total CS composition.
xi) Dustable powders (DP, DS)
1 -10 wt% of a compound I according to the invention are ground finely and mixed intimately with up to 100 wt% solid carrier, e.g. finely divided kaolin.
xii) Granules (GR, FG)
0.5-30 wt% of a compound I according to the invention is ground finely and associated with up to 100 wt% solid carrier (e.g. silicate). Granulation is achieved by extrusion, spray-drying or the fluidized bed.
xiii) Ultra-low volume liquids (UL)
1 -50 wt% of a compound I according to the invention are dissolved in up to 100 wt% organic solvent, e.g. aromatic hydrocarbon.
The compositions types i) to xi) may optionally comprise further auxiliaries, such as 0,1 -1 wt% bactericides, 5-15 wt% anti-freezing agents, 0,1 -1 wt% anti-foaming agents, and 0,1 -1 wt% colorants.
The agrochemical compositions generally comprise between 0.01 and 95%, preferably between 0.1 and 90%, and most preferably between 0.5 and 75%, by weight of active substance. The active substances are employed in a purity of from 90% to 100%, preferably from 95% to 100% (according to NMR spectrum).
Water-soluble concentrates (LS), Suspoemulsions (SE), flowable concentrates (FS), powders for dry treatment (DS), water-dispersible powders for slurry treatment (WS), water- soluble powders (SS), emulsions (ES), emulsifiable concentrates (EC) and gels (GF) are usually employed for the purposes of treatment of plant propagation materials, particularly seeds. The compositions in question give, after two-to-tenfold dilution, active substance concentrations of from 0.01 to 60% by weight, preferably from 0.1 to 40% by weight, in the ready-to-use preparations. Application can be carried out before or during sowing. Methods for applying or treating compound I and compositions thereof, respectively, on to plant propagation material, especially seeds include dressing, coating, pelleting, dusting, soaking and in-furrow application methods of the propagation material. Preferably, compound I or the compositions thereof, respectively, are applied on to the plant propagation material by a method such that germination is not induced, e. g. by seed dressing, pelleting, coating and dusting.
When employed in plant protection, the amounts of active substances applied are, depending on the kind of effect desired, from 0.001 to 2 kg per ha, preferably from 0.001 to 1 kg per ha, more preferably from 0.005 to 0.9 kg per ha, in particular from 0.005 to 0.5 kg per ha.
In treatment of plant propagation materials such as seeds, e. g. by dusting, coating or drenching seed, amounts of active substance of from 0.1 to 1000 g, preferably from 0.1 to 300 g, more preferably from 0.1 to 200 g and most preferably from 0.25 to 200 g, per 100 kilogram of plant propagation material (preferably seed) are generally required.
When used in the protection of materials or stored products, the amount of active substance applied depends on the kind of application area and on the desired effect. Amounts customarily applied in the protection of materials are 0.001 g to 2 kg, preferably 0.005 g to 1 kg, of active substance per cubic meter of treated material.
Various types of oils, wetters, adjuvants, fertilizer, or micronutrients, and other pesticides (e.g. herbicides, insecticides, fungicides, growth regulators, safeners) may be added to the active substances or the compositions comprising them as premix or, if appropriate not until immediately prior to use (tank mix). These agents can be admixed with the compositions according to the invention in a weight ratio of 1 :100 to 100:1 , preferably 1 :10 to 10:1.
The user applies the composition according to the invention usually from a predosage device, a knapsack sprayer, a spray tank, a spray plane, or an irrigation system. Usually, the agrochemical composition is made up with water, buffer, and/or further auxiliaries to the desired application concentration and the ready-to-use spray liquor or the agrochemical composition according to the invention is thus obtained. Usually, 20 to 2000 liters, preferably 50 to 400 liters, of the ready-to-use spray liquor are applied per hectare of agricultural useful area.
According to one embodiment, individual components of the composition according to the invention such as parts of a kit or parts of a binary or ternary mixture may be mixed by the user himself in a spray tank and further auxiliaries may be added, if appropriate.
In a further embodiment, either individual components of the composition according to the invention or partially premixed components, e. g. components comprising compounds I and/or active substances from the groups A) to O), may be mixed by the user in a spray tank and further auxiliaries and additives may be added, if appropriate.
In a further embodiment, either individual components of the composition according to the invention or partially premixed components, e. g. components comprising compounds I and/or active substances from the groups A) to O), can be applied jointly (e.g. after tank mix) or consecutively.
In the methods of this invention compounds I may be applied with other active ingredients, for example with other pesticides, insecticides, herbicides, fertilizers such as ammonium nitrate, urea, potash, and superphosphate, phytotoxicants and plant growth regulators, safeners and nematicides. These additional ingredients may be used sequentially or in combination with the above-described compositions, if appropriate also added only immediately prior to use (tank mix). For example, the plant(s) may be sprayed with a composition of this invention either before or after being treated with other active ingredients.
Therefore, the present invention also relates to a mixture or composition comprising at least one compound of formula (I), or a stereoisomer or agriculturally or veterinarily acceptable salt thereof, and at least one further pesticide.
The following categorized list M of pesticides represents insecticidal mixture partners, which are, whenever possible, classified according to the Insecticide Resistance Action
Committee (IRAC), and together with which the compounds according to the present invention may be used. The combined use of the compounds of the present invention with the following pesticides may result in potential synergistic effects. The following examples of insecticidal mixing partners are provided with the intention to illustrate the possible combinations, but not to impose any limitation to the obtainable mixtures:
M.1 Acetylcholine esterase (AChE) inhibitors from the class of
M.1 A carbamates, for example aldicarb, alanycarb, bendiocarb, benfuracarb, butocarboxim, butoxycarboxim, carbaryl, carbofuran, carbosulfan, ethiofencarb, fenobucarb, formetanate, furathiocarb, isoprocarb, methiocarb, methomyl, metolcarb, oxamyl, pirimicarb, propoxur, thiodicarb, thiofanox, trimethacarb, XMC, xylylcarb and triazamate; or from the class of
M.1 B organophosphates, for example acephate, azamethiphos, azinphos-ethyl,
azinphosmethyl, cadusafos, chlorethoxyfos, chlorfenvinphos, chlormephos, chlorpyrifos, chlorpyrifos-methyl, coumaphos, cyanophos, demeton-S-methyl, diazinon, dichlorvos/ DDVP, dicrotophos, dimethoate, dimethylvinphos, disulfoton, EPN, ethion, ethoprophos, famphur, fenamiphos, fenitrothion, fenthion, fosthiazate, heptenophos, imicyafos, isofenphos, isopropyl O- (methoxyaminothio-phosphoryl) salicylate, isoxathion, malathion, mecarbam,
methamidophos, methidathion, mevinphos, monocrotophos, naled, omethoate, oxydemeton- methyl, parathion, parathion-methyl, phenthoate, phorate, phosalone, phosmet, phosphamidon, phoxim, pirimiphos- methyl, profenofos, propetamphos, prothiofos, pyraclofos, pyridaphenthion, quinalphos, sulfotep, tebupirimfos, temephos, terbufos, tetrachlorvinphos, thiometon, triazophos, trichlorfon and vamidothion;
M.2. GABA-gated chloride channel antagonists such as:
M.2A cyclodiene organochlorine compounds, as for example endosulfan or chlordane; or M.2B fiproles (phenylpyrazoles), as for example ethiprole, fipronil, flufiprole, pyrafluprole and pyriprole;
M.3 Sodium channel modulators from the class of
M.3A pyrethroids, for example acrinathrin, allethrin, d-cis-trans allethrin, d-trans allethrin, bifenthrin, bioallethrin, bioallethrin S-cylclopentenyl, bioresmethrin, cycloprothrin, cyfluthrin, beta-cyfluthrin, cyhalothrin, lambda-cyhalothrin, gamma-cyhalothrin, cypermethrin, alpha- cypermethrin, beta-cypermethrin, theta-cypermethrin, zeta-cypermethrin, cyphenothrin, deltamethrin, empenthrin, esfenvalerate, etofenprox, fenpropathrin, fenvalerate, flucythrinate, flumethrin, tau-fluvalinate, halfenprox, imiprothrin, meperfluthrin,metofluthrin, permethrin, phenothrin, prallethrin, profluthrin, pyrethrin (pyrethrum), resmethrin, silafluofen, tefluthrin, tetramethylfluthrin, tetramethrin, tralomethrin and transfluthrin; or
M.3B sodium channel modulators such as DDT or methoxychlor;
M.4 Nicotinic acetylcholine receptor agonists (nAChR) from the class of
M.4A neonicotinoids, for example acteamiprid, chlothianidin, dinotefuran, imidacloprid, nitenpyram, thiacloprid and thiamethoxam; or
M.4B nicotine.
M.5 Nicotinic acetylcholine receptor allosteric activators from the class of spinosyns, for example spinosad or spinetoram;
M.6 Chloride channel activators from the class of avermectins and milbemycins, for example abamectin, emamectin benzoate, ivermectin, lepimectin or milbemectin;
M.7 Juvenile hormone mimics, such as
M.7A juvenile hormone analogues as hydroprene, kinoprene and methoprene; or others as M.7B fenoxycarb, or
M.7C pyriproxyfen;
M.8 miscellaneous non-specific (multi-site) inhibitors, for example
M.8A alkyl halides as methyl bromide and other alkyl halides, or
M.8B chloropicrin, or
M.8C sulfuryl fluoride, or
M.8D borax, or
M.8E tartar emetic;
M.9 Selective homopteran feeding blockers, for example
M.9B pymetrozine, or
M.9C flonicamid;
M.10 Mite growth inhibitors, for example
M.10A clofentezine, hexythiazox and diflovidazin, or
M.10B etoxazole;
M.1 1 Microbial disruptors of insect midgut membranes, for example bacillus thuringiensis or bacillus sphaericus and the insecticdal proteins they produce such as bacillus thuringiensis subsp. israelensis, bacillus sphaericus, bacillus thuringiensis subsp. aizawai, bacillus thuringiensis subsp. kurstaki and bacillus thuringiensis subsp. tenebrionis, or the Bt crop proteins: CrylAb, CrylAc, Cryl Fa, Cry2Ab, mCry3A, Cry3Ab, Cry3Bb and Cry34/35Ab1 ;
M.12 Inhibitors of mitochondrial ATP synthase, for example
M.12A diafenthiuron, or
M.12B organotin miticides such as azocyclotin, cyhexatin or fenbutatin oxide, or M.12C propargite, or
M.12D tetrad if on;
M.13 Uncouplers of oxidative phosphorylation via disruption of the proton gradient, for example chlorfenapyr, DNOC or sulfluramid;
M.14 Nicotinic acetylcholine receptor (nAChR) channel blockers, for example nereistoxin analogues as bensultap, cartap hydrochloride, thiocyclam or thiosultap sodium;
M.15 Inhibitors of the chitin biosynthesis type 0, such as benzoylureas as for example bistrifluron, chlorfluazuron, diflubenzuron, flucycloxuron, flufenoxuron, hexaflumuron, lufenuron, novaluron, noviflumuron, teflubenzuron or triflumuron;
M.16 Inhibitors of the chitin biosynthesis type 1 , as for example buprofezin;
M.17 Moulting disruptors, Dipteran, as for example cyromazine;
M.18 Ecdyson receptor agonists such as diacylhydrazines, for example methoxyfenozide, tebufenozide, halofenozide, fufenozide or chromafenozide;
M.19 Octopamin receptor agonists, as for example amitraz;
M.20 Mitochondrial complex III electron transport inhibitors, for example
M.20A hydramethylnon, or
M.20B acequinocyl, or
M.20C fluacrypyrim;
M.21 Mitochondrial complex I electron transport inhibitors, for example
M.21 A METI acaricides and insecticides such as fenazaquin, fenpyroximate, pyrimidifen, pyridaben, tebufenpyrad or tolfenpyrad, or
M.21 B rotenone;
M.22 Voltage-dependent sodium channel blockers, for example
M.22A indoxacarb, or
M.22B metaflumizone;
M.23 Inhibitors of the of acetyl CoA carboxylase, such as Tetronic and Tetramic acid derivatives, for example spirodiclofen, spiromesifen or spirotetramat;
M.24 Mitochondrial complex IV electron transport inhibitors, for example
M.24A phosphine such as aluminium phosphide, calcium phosphide, phosphine or
zinc phosphide, or
M.24B cyanide.
M.25 Mitochondrial complex II electron transport inhibitors, such as beta-ketonitrile derivatives, for example cyenopyrafen or cyflumetofen;
M.26 Ryanodine receptor-modulators from the class of diamides, as
for example flubendiamide, chlorantraniliprole (rynaxypyr®), cyantraniliprole (cyazypyr®), or the phthalamide compounds
M.26.1 : (R)-3-Chlor-N1 -{2-methyl-4-[1 ,2,2,2 -tetrafluor-1 -(trifluormethyl)ethyl]phenyl}-N2-(1 - methyl-2-methylsulfonylethyl)phthalamid and
M.26.2: (S)-3-Chlor-N1 -{2-methyl-4-[1 ,2,2,2 -tetrafluor-1 -(trifluormethyl)ethyl]phenyl}-N2-(1 - methyl-2-methylsulfonylethyl)phthalamid, or the compound
M.26.3: 3-bromo-N-{2-bromo-4-chloro-6-[(1 -cyclopropylethyl)carbamoyl]phenyl}-1 -(3- chlorpyridin-2-yl)-1 H-pyrazole-5-carboxamide, or the compound
M.26.4: methyl-2-[3,5-dibromo-2-({[3-bromo-1 -(3-chlorpyridin-2-yl)-1 H-pyrazol-5- yl]carbonyl}amino)benzoyl]-1 ,2-dimethylhydrazinecarboxylate;
M.X insecticidal active compounds of unknown or uncertain mode of action, as for example azadirachtin, amidoflumet, benzoximate, bifenazate, bromopropylate, chinomethionat, cryolite, dicofol, flufenerim, flometoquin, fluensulfone, flupyradifurone, piperonyl butoxide, pyridalyl, pyrifluquinazon, sulfoxaflor, or the compound
M.X.1 : 4-[5-(3,5-Dichloro-phenyl)-5-trifluoromethyl-4,5-dihydro-isoxazol-3-yl]-2-methyl-N-[(2,2,2- trifluoro-ethylcarbamoyl)-methyl]-benzamide, or the compound
M.X.2: cyclopropaneacetic acid, 1 ,1 '-[(3S,4R,4aR,6S,6aS,12R,12aS,12bS)-4-[[(2- cyclopropylacetyl)oxy]methyl]-1 ,3,4,4a,5,6,6a,12,12a,12b-decahydro-12-hydroxy-4,6a,12b-
trimethyl-1 1 -oxo-9-(3-pyridinyl)-2H,1 1 H-naphtho[2,1 -b]pyrano[3,4-e]pyran-3,6-diyl] ester, or the compound
M.X.3: 1 1 -(4-chloro-2,6-dimethylphenyl)-12-hydroxy-1 ,4-dioxa-9-azadispiro[4.2.4.2]-tetradec-1 1 - en-10-one, or the compound
M.X.4: 3-(4'-fluoro-2,4-dimethylbiphenyl-3-yl)-4-hydroxy-8-oxa-1 -azaspiro[4.5]dec-3-en-2-one, or the compound
M.X.5: 1 -[2-fluoro-4-methyl-5-[(2,2,2-trifluoroethyl)sulfinyl]phenyl]-3-(trifluoromethyl)-1 H-1 ,2,4- triazole-5-amine, or actives on basis of bacillus firmus (Votivo, 1-1582).
M.X.6; a compound selected from the group of
(E/Z)-N-[1 -[(6-chloro-3-pyridyl)methyl]-2-pyridylidene]-2,2,2-trifluoro-acetamide;
(E/Z)-N-[1 -[(6-chloro-5-fluoro-3-pyridyl)methyl]-2-pyridylidene]-2,2,2-trifluoro-acetamide;
(E/Z)-2,2,2-trifluoro-N-[1 -[(6-fluoro-3-pyridyl)methyl]-2-pyridylidene]acetamide;
(E/Z)-N-[1 -[(6-bromo-3-pyridyl)methyl]-2-pyridylidene]-2,2,2-trifluoro-acetamide;
(E/Z)-N-[1 -[1 -(6-chloro-3-pyridyl)ethyl]-2-pyridylidene]-2,2,2-trifluoro-acetamide;
(E/Z)-N-[1 -[(6-chloro-3-pyridyl)methyl]-2-pyridylidene]-2,2-difluoro-acetamide;
(E/Z)-2-chloro-N-[1 -[(6-chloro-3-pyridyl)methyl]-2-pyridylidene]-2,2-difluoro-acetamide;
(E/Z)-N-[1 -[(2-chloropyrimidin-5-yl)methyl]-2-pyridylidene]-2,2,2-trifluoro-acetamide and
(E/Z)-N-[1 -[(6-chloro-3-pyridyl)methyl]-2-pyridylidene]-2,2,3,3,3-pentafluoro-propanamide..).. The commercially available compounds of the group M listed above may be found in The
Pesticide Manual, 15th Edition, C. D. S. Tomlin, British Crop Protection Council (201 1 ) among other publications.
The phthalamides M.26.1 and M.26.2 are both known from WO 2007/101540. The anthranilamide M.26.3 has been described in WO2005/077943. The hydrazide compound M.26.4 has been described in WO 2007/043677.-The quinoline derivative flometoquin is shown in WO2006/013896. The aminofuranone compounds flupyradifurone is known from WO
2007/1 15644. The sulfoximine compound sulfoxaflor is known from WO2007/149134. The isoxazoline compound M.X.1 has been described in WO2005/085216. The pyripyropene derivative M.X.2 has been described in WO 2006/129714. The spiroketal-substituted cyclic ketoenol derivative M.X.3 is known from WO2006/089633 and the biphenyl-substituted spirocyclic ketoenol derivative M.X.4 from WO2008/06791 1. Finally triazoylphenylsulfide like M.X.5 have been described in WO2006/043635 and biological control agents on basis of bacillus firmus in WO2009/124707. The compounds listed in M.X.6 have been described in WO2012/029672.
The following list F of active substances, in conjunction with which the compounds according to the invention can be used, is intended to illustrate the possible combinations but does not limit them:
F.I) Respiration Inhibitors
F.1-1 ) Inhibitors of complex III at Qo site:
strobilurins: azoxystrobin, coumethoxystrobin, coumoxystrobin, dimoxystrobin, enestroburin, fluoxastrobin, kresoxim-methyl, metominostrobin, orysastrobin, picoxystrobin, pyraclostrobin,
pyrametostrobin, pyraoxystrobin, pyribencarb, triclopyricarb/chlorodincarb, trifloxystrobin, 2-[2- (2,5-dimethyl-phenoxymethyl)-phenyl]-3-methoxy-acrylic acid methyl ester and 2 (2-(3-(2,6- dichlorophenyl)-1 -methyl-allylideneaminooxymethyl)-phenyl)-2-methoxyimino-N methyl- acetamide;
oxazolidinediones and imidazolinones: famoxadone, fenamidone;
F.I-2) Inhibitors of complex II (e.g. carboxamides):
carboxanilides: benodanil, bixafen, boscalid, carboxin, fenfuram, fenhexamid, fluopyram, flutolanil, furametpyr, isopyrazam, isotianil, mepronil, oxycarboxin, penflufen, penthiopyrad, sedaxane, tecloftalam, thifluzamide, tiadinil, 2-amino-4 methyl-thiazole-5-carboxanilide, N- (3',4',5' trifluorobiphenyl-2 yl)-3-difluoromethyl-1 -methyl-1 H-pyrazole-4 carboxamide, N-(4'- trifluoromethylthiobiphenyl-2-yl)-3 difluoromethyl-1 -methyl-1 H pyrazole-4-carboxamide, N-(2- (1 ,3,3-trimethyl-butyl)-phenyl)-1 ,3-dimethyl-5 fluoro-1 H-pyrazole-4 carboxamide,
3-(difluoromethyl)-1 -methyl-N-(1 ,1 ,3-trimethylindan-4-yl)pyrazole-4-carboxamide,
3-(trifluoromethyl)-1 -methyl-N-(1 ,1 ,3-trimethylindan-4-yl)pyrazole-4-carboxamide, 1 ,3-dimethyl- N-(1 ,1 ,3-trimethylindan-4-yl)pyrazole-4-carboxamide, 3-(trifluoromethyl)-1 ,5-dimethyl-N-(1 ,1 ,3- trimethylindan-4-yl)pyrazole-4-carboxamide, 3-(difluoromethyl)-1 ,5-dimethyl-N-(1 ,1 ,3- trimethylindan-4-yl)pyrazole-4-carboxamide and 1 ,3,5-trimethyl-N-(1 ,1 ,3-trimethylindan-4- yl)pyrazole-4-carboxamide;
F.I-3) Inhibitors of complex III at Qi site: cyazofamid, amisulbrom, 3S,6S,7R,8R)-3-[[(3-hydroxy- 4-methoxy-2-pyridinyl)carbonyl]amino]-6-methyl-4,9-dioxo-8-(phenylmethyl)-1 ,5-dioxonan-7-yl 2-methylpropanoate;
F.I-4) Other respiration inhibitors (complex I, uncouplers) diflumetorim; tecnazen; ferimzone; ametoctradin; silthiofam; nitrophenyl derivates: binapacryl, dinobuton, dinocap, fluazinam, nitrthal-isopropyl, organometal compounds: fentin salts, such as fentin-acetate, fentin chloride or fentin hydroxide;
F.ll) Sterol biosynthesis inhibitors (SBI fungicides)
F.II-1 ) C14 demethylase inhibitors (DMI fungicides, e.g. triazoles, imidazoles)
triazoles: azaconazole, bitertanol, bromuconazole, cyproconazole, difenoconazole,
diniconazole, diniconazole-M, epoxiconazole, fenbuconazole, fluquinconazole, flusilazole, flutriafol, hexaconazole, imibenconazole, ipconazole, metconazole, myclobutanil,
paclobutrazole, penconazole, propiconazole, prothioconazole, simeconazole, tebuconazole, tetraconazole, triadimefon, triadimenol, triticonazole, uniconazole;
imidazoles: imazalil, pefurazoate, oxpoconazole, prochloraz, triflumizole;
pyrimidines, pyridines and piperazines: fenarimol, nuarimol, pyrifenox, triforine, 1 -[rel-(2S;3R)-3- (2-chlorophenyl)-2-(2,4-difluorophenyl)-oxiranylmethyl]-5-thiocyanato-1 H-[1 ,2,4]triazole, 2-[rel-
(2S;3R)-3-(2-chlorophenyl)-2-(2,4-difluorophenyl)-oxiranylmethyl]-2H-[1 ,2,4]triazole-3-thiol;
F.II-2) Delta14-reductase inhitors (Amines, e.g. morpholines, piperidines)
morpholines: aldimorph, dodemorph, dodemorph-acetate, fenpropimorph, tridemorph;
piperidines: fenpropidin, piperalin; spiroketalamines: spiroxamine;
F.II-3) Inhibitors of 3-keto reductase: hydroxyanilides: fenhexamid;
F.lll) Nucleic acid synthesis inhibitors
F.III-1 ) RNA, DNA synthesis
phenylamides or acyl amino acid fungicides: benalaxyl, benalaxyl-M, kiralaxyl, metalaxyl, metalaxyl-M (mefenoxam), ofurace, oxadixyl;
isoxazoles and iosothiazolones: hymexazole, octhilinone;
R.111-2) DNA topisomerase inhibitors: oxolinic acid;
R.111-3) Nucleotide metabolism (e.g. adenosin-deaminase), hydroxy (2-amino)-pyrimidines: bupirimate;
F.IV) Inhibitors of cell division and or cytoskeleton
F.IV-1 ) Tubulin inhibitors: benzimidazoles and thiophanates: benomyl, carbendazim, fuberidazole, thiabendazole, thiophanate-methyl;
triazolopyrimidines: 5-chloro-7 (4-methylpiperidin-1 -yl)-6-(2,4,6-trifluorophenyl)- [1 ,2,4]triazolo[1 ,5 a]pyrimidine;
F.IV-2) Other cell division inhibitors
benzamides and phenyl acetamides: diethofencarb, ethaboxam, pencycuron, fluopicolide, zoxamide;
F.IV-3) Actin inhibitors: benzophenones: metrafenone;
F.V) Inhibitors of amino acid and protein synthesis
F.V-1 ) Methionine synthesis inhibitors (anilino-pyrimidines)
anilino-pyrimidines: cyprodinil, mepanipyrim, nitrapyrin, pyrimethanil;
F.V-2) Protein synthesis inhibitors (anilino-pyrimidines)
antibiotics: blasticidin-S, kasugamycin, kasugamycin hydrochloride-hydrate, mildiomycin, streptomycin, oxytetracyclin, polyoxine, validamycin A;
F.VI) Signal transduction inhibitors
F.VI-1 ) MAP / Histidine kinase inhibitors (e.g. anilino-pyrimidines)
dicarboximides: fluoroimid, iprodione, procymidone, vinclozolin;
phenylpyrroles: fenpiclonil, fludioxonil;
F.VI-2) G protein inhibitors: quinolines: quinoxyfen;
F.VI I) Lipid and membrane synthesis inhibitors
F.VI 1-1 ) Phospholipid biosynthesis inhibitors
organophosphorus compounds: edifenphos, iprobenfos, pyrazophos;
dithiolanes: isoprothiolane;
F.VII-2) Lipid peroxidation: aromatic hydrocarbons: dicloran, quintozene, tecnazene, tolclofos- methyl, biphenyl, chloroneb, etridiazole;
F.VII-3) Carboxyl acid amides (CAA fungicides)
cinnamic or mandelic acid amides: dimethomorph, flumorph, mandiproamid, pyrimorph;
valinamide carbamates: benthiavalicarb, iprovalicarb, pyribencarb, valifenalate and N-(1 -(1 -(4- cyano-phenyl)ethanesulfonyl)-but-2-yl) carbamic acid-(4-fluorophenyl) ester;
F.VII-4) Compounds affecting cell membrane permeability and fatty acids:
1 -[4-[4-[5-(2,6-difluorophenyl)-4,5-dihydro-3-isoxazolyl]-2-thiazolyl]-1 -piperidinyl]-2-[5-methyl-3- (trifluoromethyl)-l H-pyrazol-1 -yl]ethanone, carbamates: propamocarb, propamocarb- hydrochlorid,
F.VI II) Inhibitors with Multi Site Action
F.VIII-1 ) Inorganic active substances: Bordeaux mixture, copper acetate, copper hydroxide, copper oxychloride, basic copper sulfate, sulfur;
F.VIII-2) Thio- and dithiocarbamates: ferbam, mancozeb, maneb, metam, methasulphocarb, metiram, propineb, thiram, zineb, ziram;
F.VIII-3) Organochlorine compounds (e.g. phthalimides, sulfamides, chloronitriles):
anilazine, chlorothalonil, captafol, captan, folpet, dichlofluanid, dichlorophen, flusulfamide, hexachlorobenzene, pentachlorphenole and its salts, phthalide, tolylfluanid, N-(4-chloro-2-nitro- phenyl)-N-ethyl-4-methyl-benzenesulfonamide;
F.VIII-4) Guanidines and other: guanidine, dodine, dodine free base, guazatine, guazatine- acetate, iminoctadine, iminoctadine-triacetate, iminoctadine-tris(albesilate), 2,6-dimethyl-1 H,5H- [1 ,4]dithiino[2,3-c:5,6-c']dipyrrole-1 ,3,5,7(2H,6H)-tetraone;
F.VIII-5) Ahtraquinones: dithianon;
F.IX) Cell wall synthesis inhibitors
F.IX-1 ) Inhibitors of glucan synthesis: validamycin, polyoxin B;
F.IX-2) Melanin synthesis inhibitors: pyroquilon, tricyclazole, carpropamide, dicyclomet, fenoxanil;
F.X) Plant defence inducers
F.X-1 ) Salicylic acid pathway: acibenzolar-S-methyl;
F.X-2) Others: probenazole, isotianil, tiadinil, prohexadione-calcium;
phosphonates: fosetyl, fosetyl-aluminum, phosphorous acid and its salts;
F.XI) Unknown mode of action:bronopol, chinomethionat, cyflufenamid, cymoxanil, dazomet, debacarb, diclomezine, difenzoquat, difenzoquat-methylsulfate, diphenylamin, flumetover, flusulfamide, flutianil, methasulfocarb, oxin-copper, proquinazid, tebufloquin, tecloftalam, triazoxide, 2-butoxy-6-iodo-3-propylchromen-4-one, N-(cyclopropylmethoxyimino-(6-difluoro- methoxy-2,3-difluoro-phenyl)-methyl)-2-phenyl acetamide, N'-(4-(4-chloro-3-trifluoromethyl- phenoxy)-2,5-dimethyl-phenyl)-N-ethyl-N methyl formamidine, N' (4-(4-fluoro-3-trifluoromethyl- phenoxy)-2,5-dimethyl-phenyl)-N-ethyl-N-methyl formamidine, N'-(2-methyl-5-trifluoromethyl-4- (3-trimethylsilanyl-propoxy)-phenyl)-N-ethyl-N-methyl formamidine, N'-(5-difluoromethyl-2 methyl-4-(3-trimethylsilanyl-propoxy)-phenyl)-N-ethyl-N-methyl formamidine, 2-{1 -[2-(5-methyl- 3-trifluoromethyl-pyrazole-1 -yl)-acetyl]-piperidin-4-yl}-thiazole-4-carboxylic acid methyl-(1 ,2,3,4- tetrahydro-naphthalen-1 -yl)-amide, 2-{1 -[2-(5-methyl-3-trifluoromethyl-pyrazole-1 -yl)-acetyl]- piperidin-4-yl}-thiazole-4-carboxylic acid methyl-(R)-1 ,2,3,4-tetrahydro-naphthalen-1 -yl-amide, methoxy-acetic acid 6-tert-butyl-8-fluoro-2,3-dimethyl-quinolin-4-yl ester and N-Methyl-2-{1 -[(5- methyl-3-trifluoromethyl-1 H-pyrazol-1 -yl)-acetyl]-piperidin-4-yl}-N-[(1 R)-1 ,2,3,4- tetrahydronaphthalen-1 -yl]-4-thiazolecarboxamide, 3-[5-(4-chloro-phenyl)-2,3-dimethyl- isoxazolidin-3 yl]-pyridine, pyrisoxazole, 5-amino-2-isopropyl-3-oxo-4-ortho-tolyl-2,3-dihydro- pyrazole-1 carbothioic acid S-allyl ester, N-(6-methoxy-pyridin-3-yl) cyclopropanecarboxylic acid amide, 5-chloro-1 (4,6-dimethoxy-pyrimidin-2-yl)-2-methyl-1 H-benzoimidazole, 2-(4-chloro- phenyl)-N-[4-(3,4-dimethoxy-phenyl)-isoxazol-5-yl]-2-prop-2-ynyloxy-acetamide,.
F.XI) Growth regulators: abscisic acid, amidochlor, ancymidol, 6-benzylaminopurine, brassinolide, butralin, chlormequat (chlormequat chloride), choline chloride, cyclanilide, daminozide, dikegulac, dimethipin, 2,6-dimethylpuridine, ethephon, flumetralin, flurprimidol,
fluthiacet, forchlorfenuron, gibberellic acid, inabenfide, indole-3-acetic acid, maleic hydrazide, mefluidide, mepiquat (mepiquat chloride), naphthaleneacetic acid, N 6-benzyladenine, paclobutrazol, prohexadione (prohexadione-calcium), prohydrojasmon, thidiazuron,
triapenthenol, tributyl phosphorotrithioate, 2,3,5 tri iodobenzoic acid, trinexapac-ethyl and uniconazole;
F.XII) Biological control agents
antifungal biocontrol agents: Bacillus substilis strain with NRRL No. B-21661 (e.g. Rhapsody®, Serenade® MAX and Serenade® ASO from AgraQuest, Inc., USA.), Bacillus pumilus strain with NRRL No. B-30087 (e.g. Sonata® and Ballad® Plus from AgraQuest, Inc., USA), Ulocladium oudemansii (e.g. the product Botry-Zen from BotriZen Ltd., New Zealand), Chitosan (e.g.
Armour-Zen from BotriZen Ltd., New Zealand).
Applications
The animal pest (also referred to as "invertebrate pest"), i.e. the insects, arachnids and nematodes, the plant, soil or water in which the plant is growing can be contacted with the present compounds of formula I or composition(s) comprising them by any application method known in the art. As such, "contacting" includes both direct contact (applying the
compounds/compositions directly on the animal pest or plant - typically to the foliage, stem or roots of the plant) and indirect contact (applying the compounds/compositions to the locus of the animal pest or plant).
The compounds of formula I or the pesticidal compositions comprising them may be used to protect growing plants and crops from attack or infestation by animal pests, especially insects, acaridae or arachnids by contacting the plant/crop with a pesticidally effective amount of compounds of formula I , an N-oxide, a tautomer or a salt thereof.
The term "plants" comprises any types of plants including "non-cultivated plants" and in particular "cultivated plants".
The term "non-cultivated plants" refers to any wild type species or related species or related genera of a cultivated plant.
The term "crop" refers both to growing and harvested crops.
The compounds of the present invention and the compositions comprising them are particularly important in the control of a multitude of insects on various cultivated plants, such as cereal, root crops, oil crops, vegetables, spices, ornamentals, for example seed of durum and other wheat, barley, oats, rye, maize (fodder maize and sugar maize / sweet and field corn), soybeans, oil crops, crucifers, cotton, sunflowers, bananas, rice, oilseed rape, turnip rape, sugarbeet, fodder beet, eggplants, potatoes, grass, lawn, turf, fodder grass, tomatoes, leeks, pumpkin/squash, cabbage, iceberg lettuce, pepper, cucumbers, melons, Brassica species, melons, beans, peas, garlic, onions, carrots, tuberous plants such as potatoes, sugar cane, tobacco, grapes, petunias, geranium/pelargoniums, pansies and impatiens.
The compounds of the present invention are employed as such or in form of compositions by treating the insects or the plants, plant propagation materials, such as seeds, soil, surfaces, materials or rooms to be protected from insecticidal attack with an insecticidally effective amount of the active compounds. The application can be carried out both before and after the infection of the plants, plant propagation materials, such as seeds, soil, surfaces, materials or rooms by the insects.
The present invention also includes a method of combating animal pests which comprises contacting the animal pests, their habitat, breeding ground, food supply, cultivated plants, seed, soil, area, material or environment in which the animal pests are growing or may grow, or the materials, plants, seeds, soils, surfaces or spaces to be protected from animal attack or infestation with a pesticidally effective amount of a mixture of at least one active compound I. Moreover, animal pests may be controlled by contacting the target pest, its food supply, habitat, breeding ground or its locus with a pesticidally effective amount of compounds of formula I. As such, the application may be carried out before or after the infection of the locus, growing crops, or harvested crops by the pest.
The compounds of the invention can also be applied preventively to places at which occurrence of the pests is expected.
The compounds of formula I, their tautomers, their N-oxides and the salts thereof may be also used to protect growing plants from attack or infestation by pests by contacting the plant with a pesticidally effective amount of compounds of formula I. As such, "contacting" includes both direct contact (applying the compounds/compositions directly on the pest and/or plant - typically to the foliage, stem or roots of the plant) and indirect contact (applying the
compounds/compositions to the locus of the pest and/or plant).
"Locus" means a habitat, breeding ground, plant, seed, soil, area, material or environment in which a pest or parasite is growing or may grow.
The term "plant propagation material" is to be understood to denote all the generative parts of the plant such as seeds and vegetative plant material such as cuttings and tubers (e. g. potatoes), which can be used for the multiplication of the plant. This includes seeds, roots, fruits, tubers, bulbs, rhizomes, shoots, sprouts and other parts of plants. Seedlings and young plants, which are to be transplanted after germination or after emergence from soil, may also be included. These plant propagation materials may be treated prophylactically with a plant protection compound either at or before planting or transplanting.
The term "cultivated plants" is to be understood as including plants which have been modified by breeding, mutagenesis or genetic engineering. Genetically modified plants are plants, the genetic material of which has been so modified by the use of recombinant DNA techniques that under natural circumstances cannot readily be obtained by cross breeding, mutations or natural recombination. Typically, one or more genes have been integrated into the genetic material of a genetically modified plant in order to improve certain properties of the plant. Such genetic modifications also include but are not limited to targeted post-transtional modification of protein(s) (oligo- or polypeptides) for example by glycosylation or polymer additions such as prenylated, acetylated or farnesylated moieties or PEG moieties(e.g. as disclosed in Biotechnol Prog. 2001 Jul-Aug;17(4):720-8., Protein Eng Des Sel. 2004
Jan;17(1 ):57-66, Nat Protoc. 2007;2(5): 1225-35., Curr Opin Chem Biol. 2006 Oct;10(5):487-91. Epub 2006 Aug 28., Biomaterials. 2001 Mar;22(5):405-17, Bioconjug Chem. 2005 Jan- Feb;16(1 ):1 13-21 ).
The term "cultivated plants" is to be understood also including plants that have been rendered tolerant to applications of specific classes of herbicides, such as hydroxy- phe- nylpyruvate dioxygenase (HPPD) inhibitors; acetolactate synthase (ALS) inhibitors, such as sulfonyl ureas (see e. g. US 6,222,100, WO 01/82685, WO 00/26390, WO 97/ 41218, WO 98/02526, WO 98/02527, WO 04/106529, WO 05/20673, WO 03/14357, WO 03/13225, WO 03/14356, WO 04/16073) or imidazolinones (see e. g. US 6222100, WO 01/82685, WO
00/26390, WO 97/41218, WO 98/02526, WO 98/02527, WO 04/ 106529, WO 05/20673, WO 03/14357, WO 03/13225, WO 03/14356, WO 04/16073); enolpyruvylshikimate-3-phosphate synthase (EPSPS) inhibitors, such as glyphosate (see e. g. WO 92/00377); glutamine synthetase (GS) inhibitors, such as glufosinate (see e. g. EP-A-0242236, EP-A-242246) or oxynil herbicides (see e. g. US 5,559,024) as a result of conventional methods of breeding or genetic engineering. Several cultivated plants have been rendered tolerant to herbicides by conventional methods of breeding (mutagenesis), for example Clearfield® summer rape (Canola) being tolerant to imidazolinones, e. g. imazamox. Genetic engineering methods have been used to render cultivated plants, such as soybean, cotton, corn, beets and rape, tolerant to herbicides, such as glyphosate and glufosinate, some of which are commercially available under the trade names RoundupReady® (glyphosate) and LibertyLink® (glufosinate).
The term "cultivated plants" is to be understood also including plants that are by the use of recombinant DNA techniques capable to synthesize one or more insecticidal proteins, especially those known from the bacterial genus Bacillus, particularly from Bacillus
thuringiensis, such as a-endotoxins, e. g. CrylA(b), CrylA(c), CrylF, CrylF(a2), CryllA(b), CrylllA, CrylllB(bl ) or Cry9c; vegetative insecticidal proteins (VIP), e. g. VIP1 , VIP2, VIP3 or VIP3A; insecticidal proteins of bacteria colonizing nematodes, for example Photorhabdus spp. or Xenorhabdus spp.; toxins produced by animals, such as scorpion toxins, arachnid toxins, wasp toxins, or other insect-specific neurotoxins; toxins produced by fungi, such
Streptomycetes toxins, plant lectins, such as pea or barley lectins; agglutinins; proteinase inhibitors, such as trypsin inhibitors, serine protease inhibitors, patatin, cystatin or papain inhibitors; ribosome-inactivating proteins (RIP), such as ricin, maize-RIP, abrin, luffin, saporin or bryodin; steroid metabolism enzymes, such as 3-hydroxysteroid oxidase, ecdysteroid-IDP- glycosyl-transferase, cholesterol oxidases, ecdysone inhibitors or HMG-CoA-reductase; ion channel blockers, such as blockers of sodium or calcium channels; juvenile hormone esterase; diuretic hormone receptors (helicokinin receptors); stilben synthase, bibenzyl synthase, chitinases or glucanases. In the context of the present invention these insecticidal proteins or toxins are to be understood expressly also as pre-toxins, hybrid proteins, truncated or otherwise modified proteins. Hybrid proteins are characterized by a new combination of protein domains, (see, for example WO 02/015701 ). Further examples of such toxins or genetically-modified plants capable of synthesizing such toxins are dis-closed, for example, in EP-A 374 753, WO 93/007278, WO 95/34656, EP-A 427 529, EP-A 451 878, WO 03/018810 und WO 03/052073. The methods for producing such genetically modified plants are generally known to the person
skilled in the art and are described, for example, in the publications mentioned above. These insecticidal proteins contained in the genetically modified plants impart to the plants producing these proteins protection from harmful pests from certain taxonomic groups of arthropods, particularly to beetles (Coleoptera), flies (Diptera), and butterflies and moths (Lepidoptera) and to plant parasitic nematodes (Nematoda).
The term "cultivated plants" is to be understood also including plants that are by the use of recombinant DNA techniques capable to synthesize one or more proteins to increase the resistance or tolerance of those plants to bacterial, viral or fungal pathogens. Examples of such proteins are the so-called "pathogenesis-related proteins" (PR proteins, see, for example EP-A 0 392 225), plant disease resistance genes (for example potato cultivars, which express resistance genes acting against Phytophthora infestans derived from the mexican wild potato Solanum bulbocastanum) or T4-lyso-zym (e. g. potato cultivars capable of synthesizing these proteins with increased resistance against bacteria such as Erwinia amylvora). The methods for producing such genetically modified plants are generally known to the person skilled in the art and are described, for example, in the publications mentioned above.
The term "cultivated plants" is to be understood also including plants that are by the use of recombinant DNA techniques capable to synthesize one or more proteins to increase the productivity (e. g. bio mass production, grain yield, starch content, oil content or protein content), tolerance to drought, salinity or other growth-limiting environ-mental factors or tolerance to pests and fungal, bacterial or viral pathogens of those plants.
The term "cultivated plants" is to be understood also including plants that contain by the use of recombinant DNA techniques a modified amount of substances of content or new substances of content, specifically to improve human or animal nutrition, for ex-ample oil crops that produce health-promoting long-chain omega-3 fatty acids or unsaturated omega-9 fatty acids (e. g.
Nexera® rape).
The term "cultivated plants" is to be understood also including plants that contain by the use of recombinant DNA techniques a modified amount of substances of content or new substances of content, specifically to improve raw material production, for example potatoes that produce increased amounts of amylopectin (e. g. Amflora® potato).
In general, "pesticidally effective amount" means the amount of active ingredient needed to achieve an observable effect on growth, including the effects of necrosis, death, retardation, prevention, and removal, destruction, or otherwise diminishing the occurrence and activity of the target organism. The pesticidally effective amount can vary for the various
compounds/compositions used in the invention. A pesticidally effective amount of the compositions will also vary according to the prevailing conditions such as desired pesticidal effect and duration, weather, target species, locus, mode of application, and the like.
In the case of soil treatment or of application to the pests dwelling place or nest, the quantity of active ingredient ranges from 0.0001 to 500 g per 100 m2, preferably from 0.001 to 20 g per 100 m2.
Customary application rates in the protection of materials are, for example, from 0.01 g to
1000 g of active compound per m2 treated material, desirably from 0.1 g to 50 g per m2.
Insecticidal compositions for use in the impregnation of materials typically contain from 0.001 to 95 weight %, preferably from 0.1 to 45 weight %, and more preferably from 1 to 25 weight % of at least one repellent and/or insecticide.
For use in treating crop plants, the rate of application of the active ingredients of this invention may be in the range of 0.1 g to 4000 g per hectare, desirably from 25 g to 600 g per hectare, more desirably from 50 g to 500 g per hectare.
The compounds of formula I, their tautomers, their N-oxides and the salts thereof are effective through both contact (via soil, glass, wall, bed net, carpet, plant parts or animal parts), and ingestion (bait, or plant part).
The compounds of the invention may also be applied against non-crop insect pests, such as ants, termites, wasps, flies, mosquitos, crickets, or cockroaches. For use against said non- crop pests, compounds of formula I are preferably used in a bait composition.
The bait can be a liquid, a solid or a semisolid preparation (e.g. a gel). Solid baits can be formed into various shapes and forms suitable to the respective application e.g. granules, blocks, sticks, disks. Liquid baits can be filled into various devices to ensure proper application, e.g. open containers, spray devices, droplet sources, or evaporation sources. Gels can be based on aqueous or oily matrices and can be formulated to particular necessities in terms of stickyness, moisture retention or aging characteristics.
The bait employed in the composition is a product, which is sufficiently attractive to incite insects such as ants, termites, wasps, flies, mosquitos, crickets etc. or cockroaches to eat it. The attractiveness can be manipulated by using feeding stimulants or sex pheromones. Food stimulants are chosen, for example, but not exclusively, from animal and/or plant proteins (meat-, fish- or blood meal, insect parts, egg yolk), from fats and oils of animal and/or plant origin, or mono-, oligo- or polyorganosaccharides, especially from sucrose, lactose, fructose, dextrose, glucose, starch, pectin or even molasses or honey. Fresh or decaying parts of fruits, crops, plants, animals, insects or specific parts thereof can also serve as a feeding stimulant. Sex pheromones are known to be more insect specific. Specific pheromones are described in the literature and are known to those skilled in the art.
For use in bait compositions, the typical content of active ingredient is from 0.001 weight % to 15 weight %, desirably from 0.001 weight % to 5% weight % of active compound.
Formulations of compounds of formula I as aerosols (e.g in spray cans), oil sprays or pump sprays are highly suitable for the non-professional user for controlling pests such as flies, fleas, ticks, mosquitos or cockroaches. Aerosol recipes are preferably composed of the active compound, solvents such as lower alcohols (e.g. methanol, ethanol, propanol, butanol), ketones (e.g. acetone, methyl ethyl ketone), paraffin hydrocarbons (e.g. kerosenes) having boiling ranges of approximately 50 to 250 °C, dimethylformamide, N-methylpyrrolidone, dimethyl sulfoxide, aromatic hydrocarbons such as toluene, xylene, water, furthermore auxiliaries such as emulsifiers such as sorbitol monooleate, oleyl ethoxylate having 3-7 mol of ethylene oxide, fatty alcohol ethoxylate, perfume oils such as ethereal oils, esters of medium fatty acids with lower alcohols, aromatic carbonyl compounds, if appropriate stabilizers such as sodium benzoate, amphoteric surfactants, lower epoxides, triethyl orthoformate and, if required,
propellants such as propane, butane, nitrogen, compressed air, dimethyl ether, carbon dioxide, nitrous oxide, or mixtures of these gases.
The oil spray formulations differ from the aerosol recipes in that no propellants are used.
For use in spray compositions, the content of active ingredient is from 0.001 to 80 weights %, preferably from 0.01 to 50 weight % and most preferably from 0.01 to 15 weight %.
The compounds of formula I, the tautomer, the N-oxide or the salt thereof and its respective compositions can also be used in mosquito and fumigating coils, smoke cartridges, vaporizer plates or long-term vaporizers and also in moth papers, moth pads or other heat-independent vaporizer systems.
Methods to control infectious diseases transmitted by insects (e.g. malaria, dengue and yellow fever, lymphatic filariasis, and leishmaniasis) with compounds of formula I and its respective compositions also comprise treating surfaces of huts and houses, air spraying and impregnation of curtains, tents, clothing items, bed nets, tsetse-fly trap or the like. Insecticidal compositions for application to fibers, fabric, knitgoods, nonwovens, netting material or foils and tarpaulins preferably comprise a mixture including the insecticide, optionally a repellent and at least one binder. Suitable repellents for example are Ν,Ν-Diethyl-meta-toluamide (DEET), N,N- diethylphenylacetamide (DEPA), 1 -(3-cyclohexan-1 -yl-carbonyl)-2-methylpiperine, (2- hydroxymethylcyclohexyl) acetic acid lactone, 2-ethyl-1 ,3-hexandiol, indalone,
Methylneodecanamide (MNDA), a pyrethroid not used for insect control such as {(+/-)-3-allyl-2- methyl-4-oxocyclopent-2-(+)-enyl-(+)-trans-chrysantemate (Esbiothrin), a repellent derived from or identical with plant extracts like limonene, eugenol, (+)-Eucamalol (1 ), (-)-l -epi-eucamalol or crude plant extracts from plants like Eucalyptus maculata, Vitex rotundifolia, Cymbopogan martinii, Cymbopogan citratus (lemon grass), Cymopogan nartdus (citronella). Suitable binders are selected for example from polymers and copolymers of vinyl esters of aliphatic acids (such as such as vinyl acetate and vinyl versatate), acrylic and methacrylic esters of alcohols, such as butyl acrylate, 2-ethylhexylacrylate, and methyl acrylate, mono- and di-ethylenically unsaturated hydrocarbons, such as styrene, and aliphatic diens, such as butadiene.
The impregnation of curtains and bednets is done in general by dipping the textile material into emulsions or dispersions of the insecticide or spraying them onto the nets.
The compounds of formula I, their stereoisomers, their tautomers, their N-oxides, the salts thereof and their compositions can be used for protecting wooden materials such as trees, board fences, sleepers, etc. and buildings such as houses, outhouses, factories, but also construction materials, furniture, leathers, fibers, vinyl articles, electric wires and cables etc. from ants and/or termites, and for controlling ants and termites from doing harm to crops or human being (e.g. when the pests invade into houses and public facilities). The compounds of formula I are applied not only to the surrounding soil surface or into the under-floor soil in order to protect wooden materials but it can also be applied to lumbered articles such as surfaces of the under-floor concrete, alcove posts, beams, plywoods, furniture, etc., wooden articles such as particle boards, half boards, etc. and vinyl articles such as coated electric wires, vinyl sheets, heat insulating material such as styrene foams, etc. In case of application against ants doing harm to crops or human beings, the ant controller of the present invention is applied to the crops or the surrounding soil, or is directly applied to the nest of ants or the like.
Seed treatment
The compounds of formula I, their stereoisomers, their tautomers, their N-oxidesa nd the salts thereof are also suitable for the treatment of seeds in order to protect the seed from insect pest, in particular from soil-living insect pests and the resulting plant's roots and shoots against soil pests and foliar insects.
The compounds of formula I, their stereoisomers, their tautomers, their N-oxides and the salts thereof are particularly useful for the protection of the seed from soil pests and the resulting plant's roots and shoots against soil pests and foliar insects. The protection of the resulting plant's roots and shoots is preferred. More preferred is the protection of resulting plant's shoots from piercing and sucking insects, wherein the protection from aphids is most preferred.
The present invention therefore comprises a method for the protection of seeds from insects, in particular from soil insects and of the seedlings' roots and shoots from insects, in particular from soil and foliar insects, said method comprising contacting the seeds before sowing and/or after pregermination with a compound of the general formula I or a salt thereof. Particularly preferred is a method, wherein the plant's roots and shoots are protected, more preferably a method, wherein the plants shoots are protected from piercing and sucking insects, most preferably a method, wherein the plants shoots are protected from aphids.
The term seed embraces seeds and plant propagules of all kinds including but not limited to true seeds, seed pieces, suckers, corms, bulbs, fruit, tubers, grains, cuttings, cut shoots and the like and means in a preferred embodiment true seeds.
The term seed treatment comprises all suitable seed treatment techniques known in the art, such as seed dressing, seed coating, seed dusting, seed soaking and seed pelleting.
The present invention also comprises seeds coated with or containing the active compound.
The term "coated with and/or containing" generally signifies that the active ingredient is for the most part on the surface of the propagation product at the time of application, although a greater or lesser part of the ingredient may penetrate into the propagation product, depending on the method of application. When the said propagation product is (re)planted, it may absorb the active ingredient.
Suitable seed is seed of cereals, root crops, oil crops, vegetables, spices, ornamentals, for example seed of durum and other wheat, barley, oats, rye, maize (fodder maize and sugar maize / sweet and field corn), soybeans, oil crops, crucifers, cotton, sunflowers, bananas, rice, oilseed rape, turnip rape, sugarbeet, fodder beet, eggplants, potatoes, grass, lawn, turf, fodder grass, tomatoes, leeks, pumpkin/squash, cabbage, iceberg lettuce, pepper, cucumbers, melons, Brassica species, melons, beans, peas, garlic, onions, carrots, tuberous plants such as potatoes, sugar cane, tobacco, grapes, petunias, geranium/pelargoniums, pansies and impatiens.
In addition, the active compound may also be used for the treatment of seeds from plants, which tolerate the action of herbicides or fungicides or insecticides owing to breeding, including genetic engineering methods.
For example, the active compound can be employed in treatment of seeds from plants, which are resistant to herbicides from the group consisting of the sulfonylureas, imidazolinones, glufosinate-ammonium or glyphosate-isopropylammonium and analogous active substances (see for example, EP-A 242 236, EP-A 242 246) (WO 92/00377) (EP-A 257 993, U.S.
5,013,659) or in transgenic crop plants, for example cotton, with the capability of producing Bacillus thuringiensis toxins (Bt toxins) which make the plants resistant to certain pests (EP-A 142 924, EP-A 193 259),
Furthermore, the active compound can be used also for the treatment of seeds from plants, which have modified characteristics in comparison with existing plants consist, which can be generated for example by traditional breeding methods and/or the generation of mutants, or by recombinant procedures). For example, a number of cases have been described of recombinant modifications of crop plants for the purpose of modifying the starch synthesized in the plants (e.g. WO 92/1 1376, WO 92/14827, WO 91/19806) or of transgenic crop plants having a modified fatty acid composition (WO 91/13972).
The seed treatment application of the active compound is carried out by spraying or by dusting the seeds before sowing of the plants and before emergence of the plants.
Compositions which are especially useful for seed treatment are e.g.:
A Soluble concentrates (SL, LS)
D Emulsions (EW, EO, ES)
E Suspensions (SC, OD, FS)
F Water-dispersible granules and water-soluble granules (WG, SG)
G Water-dispersible powders and water-soluble powders (WP, SP, WS)
H Gel-Formulations (GF)
I Dustable powders (DP, DS)
Conventional seed treatment formulations include for example flowable concentrates FS, solutions LS, powders for dry treatment DS, water dispersible powders for slurry treatment WS, water-soluble powders SS and emulsion ES and EC and gel formulation GF. These
formulations can be applied to the seed diluted or undiluted. Application to the seeds is carried out before sowing, either directly on the seeds or after having pregerminated the latter
In a preferred embodiment a FS formulation is used for seed treatment. Typcially, a FS formulation may comprise 1 -800 g/l of active ingredient, 1 -200 g/l Surfactant, 0 to 200 g/l antifreezing agent, 0 to 400 g/l of binder, 0 to 200 g/l of a pigment and up to 1 liter of a solvent, preferably water.
Especially preferred FS formulations of compounds of formula I for seed treatment usually comprise from 0.1 to 80% by weight (1 to 800 g/l) of the active ingredient, from 0.1 to 20 % by weight (1 to 200 g/l) of at least one surfactant, e.g. 0.05 to 5 % by weight of a wetter and from 0.5 to 15 % by weight of a dispersing agent, up to 20 % by weight, e.g. from 5 to 20 % of an anti-freeze agent, from 0 to 15 % by weight, e.g. 1 to 15 % by weight of a pigment and/or a dye, from 0 to 40 % by weight, e.g. 1 to 40 % by weight of a binder (sticker /adhesion agent), optionally up to 5 % by weight, e.g. from 0.1 to 5 % by weight of a thickener, optionally from 0.1
to 2 % of an anti-foam agent, and optionally a preservative such as a biocide, antioxidant or the like, e.g. in an amount from 0.01 to 1 % by weight and a filler/vehicle up to 100 % by weight.
Seed Treatment formulations may additionally also comprise binders and optionally colorants.
Binders can be added to improve the adhesion of the active materials on the seeds after treatment. Suitable binders are homo- and copolymers from alkylene oxides like ethylene oxide or propylene oxide, polyvinylacetate, polyvinylalcohols, polyvinylpyrrolidones, and copolymers thereof, ethylene-vinyl acetate copolymers, acrylic homo- and copolymers, polyethyleneamines, polyethyleneamides and polyethyleneimines, polysaccharides like celluloses, tylose and starch, polyolefin homo- and copolymers like olefin/maleic anhydride copolymers, polyurethanes, polyesters, polystyrene homo and copolymers.
Optionally, also colorants can be included in the formulation. Suitable colorants or dyes for seed treatment formulations are Rhodamin B, C.I. Pigment Red 1 12, C.I. Solvent Red 1 , pigment blue 15:4, pigment blue 15:3, pigment blue 15:2, pigment blue 15:1 , pigment blue 80, pigment yellow 1 , pigment yellow 13, pigment red 1 12, pigment red 48:2, pigment red 48:1 , pigment red 57:1 , pigment red 53:1 , pigment orange 43, pigment orange 34, pigment orange 5, pigment green 36, pigment green 7, pigment white 6, pigment brown 25, basic violet 10, basic violet 49, acid red 51 , acid red 52, acid red 14, acid blue 9, acid yellow 23, basic red 10, basic red 108.
Examples of a gelling agent is carrageen (Satiagel®)
In the treatment of seed, the application rates of the compounds I are generally from 0.1 g to 10 kg per 100 kg of seed, preferably from 1 g to 5 kg per 100 kg of seed, more preferably from 1 g to 1000 g per 100 kg of seed and in particular from 1 g to 200 g per 100 kg of seed.
The invention therefore also relates to seed comprising a compound of the formula I, or an agriculturally useful salt of I, as defined herein. The amount of the compound I or the
agriculturally useful salt thereof will in general vary from 0.1 g to 10 kg per 100 kg of seed, preferably from 1 g to 5 kg per 100 kg of seed, in particular from 1 g to 1000 g per 100 kg of seed. For specific crops such as lettuce the rate can be higher. Animal health
The compounds of formula I or the stereoisomers, tautomers, N-Oxides or veterinarily acceptable salts thereof are in particular also suitable for being used for combating parasites in and on animals.
An object of the present invention is therfore also to provide new methods to control parasites in and on animals. Another object of the invention is to provide safer pesticides for animals. Another object of the invention is further to provide pesticides for animals that may be used in lower doses than existing pesticides. And another object of the invention is to provide pesticides for animals, which provide a long residual control of the parasites.
The invention also relates to compositions comprising a parasiticidally effective amount of compounds of formula I or the stereoisomers, tautomers, N-oxides or veterinarily acceptable salts thereof and an acceptable carrier, for combating parasites in and on animals.
The present invention also provides a method for treating, controlling, preventing and protecting animals against infestation and infection by parasites, which comprises orally, topically or parenterally administering or applying to the animals a parasiticidally effective amount of a compound of formula I or the stereoisomers, tautomers, N-oxides or veterinarily acceptable salts thereof or a composition comprising it.
The invention also provides a process for the preparation of a composition for treating, controlling, preventing or protecting animals against infestation or infection by parasites which comprises a parasiticidally effective amount of a compound of formula I or the stereoisomers, tautomers, N-oxides or veterinarily acceptable salts thereof or a composition comprising it.
Activity of compounds against agricultural pests does not suggest their suitability for control of endo- and ectoparasites in and on animals which requires, for example, low, non- emetic dosages in the case of oral application, metabolic compatibility with the animal, low toxicity, and a safe handling.
Surprisingly it has now been found that compounds of formula I are suitable for combating endo- and ectoparasites in and on animals.
Compounds of formula I or the stereoisomers, tautomers, N-oxides or veterinarily acceptable salts thereof and compositions comprising them are preferably used for controlling and preventing infestations and infections animals including warm-blooded animals (including humans) and fish. They are for example suitable for controlling and preventing infestations and infections in mammals such as cattle, sheep, swine, camels, deer, horses, pigs, poultry, rabbits, goats, dogs and cats, water buffalo, donkeys, fallow deer and reindeer, and also in fur-bearing animals such as mink, chinchilla and raccoon, birds such as hens, geese, turkeys and ducks and fish such as fresh- and salt-water fish such as trout, carp and eels.
Compounds of formula I or the stereoisomers, tautomers, N-oxides or veterinarily acceptable salts thereof and compositions comprising them are preferably used for controlling and preventing infestations and infections in domestic animals, such as dogs or cats.
Infestations in warm-blooded animals and fish include, but are not limited to, lice, biting lice, ticks, nasal bots, keds, biting flies, muscoid flies, flies, myiasitic fly larvae, chiggers, gnats, mosquitoes and fleas.
The compounds of formula I or the stereoisomers, tautomers, N-oxides or veterinarily acceptable salts thereof and compositions comprising them are suitable for systemic and/or non-systemic control of ecto- and/or endoparasites. They are active against all or some stages of development.
The compounds of formula I, their stereoisomers, their tautomers, their N-oxides and the salts thereof are especially useful for combating ectoparasites.
The compounds of formula I, their stereoisomers, their tautomers, their N-oxides and the salts thereof are especially useful for combating parasites of the following orders and species, respectively:
fleas (Siphonaptera), e.g. Ctenocephalides felis, Ctenocephalides cams, Xenopsylla cheopis, Pulex irritans, Tunga penetrans, and Nosopsyllus fasciatus,
cockroaches (Blattaria - Blattodea), e.g. Blattella germanica, Blattella asahinae,
Periplaneta americana, Periplaneta japonica, Periplaneta brunnea, Periplaneta fuligginosa, Periplaneta australasiae, and Blatta orientalis,
flies, mosquitoes (Diptera), e.g. Aedes aegypti, Aedes albopictus, Aedes vexans,
Anastrepha ludens, Anopheles maculipennis, Anopheles crucians, Anopheles albimanus, Anopheles gambiae, Anopheles freeborni, Anopheles leucosphyrus, Anopheles minimus, Anopheles quadrimaculatus, Calliphora vicina, Chrysomya bezziana, Chrysomya hominivorax, Chrysomya macellaria, Chrysops discalis, Chrysops silacea, Chrysops atlanticus, Cochliomyia hominivorax, Cordylobia anthropophaga, Culicoides furens, Culex pipiens, Culex nigripalpus, Culex quinquefasciatus, Culex tarsalis, Culiseta inornata, Culiseta melanura, Dermatobia hominis, Fannia canicularis, Gasterophilus intestinalis, Glossina morsitans, Glossina palpalis, Glossina fuscipes, Glossina tachinoides, Haematobia irritans, Haplodiplosis equestris,
Hippelates spp., Hypoderma lineata, Leptoconops torrens, Lucilia caprina, Lucilia cuprina, Lucilia sericata, Lycoria pectoralis, Mansonia spp., Musca domestica, Muscina stabulans, Oestrus ovis, Phlebotomus argentipes, Psorophora columbiae, Psorophora discolor,
Prosimulium mixtum, Sarcophaga haemorrhoidalis, Sarcophaga sp., Simulium vittatum, Stomoxys calcitrans, Tabanus bovinus, Tabanus atratus, Tabanus lineola, and Tabanus similis, lice (Phthiraptera), e.g. Pediculus humanus capitis, Pediculus humanus corporis, Pthirus pubis, Haematopinus eurysternus, Haematopinus suis, Linognathus vituli, Bovicola bovis, Menopon gallinae, Menacanthus stramineus and Solenopotes capillatus.
ticks and parasitic mites (Parasitiformes): ticks (Ixodida), e.g. Ixodes scapularis, Ixodes holocyclus, Ixodes pacificus, Rhiphicephalus sanguineus, Dermacentor andersoni, Dermacentor variabilis, Amblyomma americanum, Ambryomma maculatum, Ornithodorus hermsi,
Ornithodorus turicata and parasitic mites (Mesostigmata), e.g. Ornithonyssus bacoti and Dermanyssus gallinae,
Actinedida (Prostigmata) und Acaridida (Astigmata) e.g. Acarapis spp., Cheyletiella spp., Ornithocheyletia spp., Myobia spp., Psorergates spp., Demodex spp., Trombicula spp.,
Listrophorus spp., Acarus spp., Tyrophagus spp., Caloglyphus spp., Hypodectes spp.,
Pterolichus spp., Psoroptes spp., Chorioptes spp., Otodectes spp., Sarcoptes spp., Notoedres spp.,Knemidocoptes spp., Cytodites spp., and Laminosioptes spp,
Bugs (Heteropterida): Cimex lectularius, Cimex hemipterus, Reduvius senilis, Triatoma spp., Rhodnius ssp., Panstrongylus ssp. and Arilus critatus,
Anoplurida, e.g. Haematopinus spp., Linognathus spp., Pediculus spp., Phtirus spp., and Solenopotes spp,
Mallophagida (suborders Arnblycerina and Ischnocerina), e.g. Trimenopon spp., Menopon spp., Trinoton spp., Bovicola spp., Wemeckiella spp., Lepikentron spp., Trichodectes spp., and Felicola spp,
Roundworms Nematoda:
Wipeworms and Trichinosis (Trichosyringida), e.g. Trichinellidae (Trichinella spp.), (Trichuridae Trichuris spp., Capillaria spp,
Rhabditida, e.g. Rhabditis spp, Strongyloides spp., Helicephalobus spp,
Strongylida, e.g. Strongylus spp., Ancylostoma spp., Necator americanus, Bunostomum spp. (Hookworm), Trichostrongylus spp., Haemonchus contortus., Ostertagia spp., Cooperia spp., Nematodirus spp., Dictyocaulus spp., Cyathostoma spp., Oesophagostomum spp., Stephanurus dentatus, Ollulanus spp., Chabertia spp., Stephanurus dentatus , Syngamus trachea, Ancylostoma spp., Uncinaria spp., Globocephalus spp., Necator spp., Metastrongylus spp., Muellerius capillaris, Protostrongylus spp., Angiostrongylus spp., Parelaphostrongylus spp. Aleurostrongylus abstrusus, and Dioctophyma renale,
Intestinal roundworms (Ascaridida), e.g. Ascaris lumbricoides, Ascaris suum, Ascaridia galli, Parascaris equorum, Enterobius vermicularis (Threadworm), Toxocara canis, Toxascaris leonine, Skrjabinema spp., and Oxyuris equi,
Camallanida, e.g. Dracunculus medinensis (guinea worm)
Spirurida, e.g. Thelazia spp. Wuchereria spp., Brugia spp., Onchocerca spp., Dirofilari spp. a, Dipetalonema spp., Setaria spp., Elaeophora spp., Spirocerca lupi, and Habronema spp.,
Thorny headed worms (Acanthocephala), e.g. Acanthocephalus spp.,
Macracanthorhynchus hirudinaceus and Oncicola spp,
Planarians (Plathelminthes):
Flukes (Trematoda), e.g. Faciola spp., Fascioloides magna, Paragonimus spp.,
Dicrocoelium spp., Fasciolopsis buski, Clonorchis sinensis, Schistosoma spp., Trichobilharzia spp., Alaria alata, Paragonimus spp., and Nanocyetes spp,
Cercomeromorpha, in particular Cestoda (Tapeworms), e.g. Diphyllobothrium spp., Tenia spp., Echinococcus spp., Dipylidium caninum, Multiceps spp., Hymenolepis spp.,
Mesocestoides spp., Vampirolepis spp., Moniezia spp., Anoplocephala spp., Sirometra spp., Anoplocephala spp., and Hymenolepis spp.
The compounds of formula I, their stereoisomers, their tautomers, their N-oxides and the salts thereof and compositions containing them are particularly useful for the control of pests from the orders Diptera, Siphonaptera and Ixodida.
Moreover, the use of the compounds of formula I, their stereoisomers, their tautomers, their N-oxides and the salts thereof and compositions containing them for combating mosquitoes is especially preferred.
The use of the compounds of formula I, their stereoisomers, their tautomers, their N- oxides and the salts thereof and compositions containing them for combating flies is a further preferred embodiment of the present invention.
Furthermore, the use of the compounds of formula I, their stereoisomers, their tautomers, their N-oxides and the salts thereof and compositions containing them for combating fleas is especially preferred.
The use of the compounds of formula I, their stereoisomers, their tautomers, their N- oxides and the salts thereof and compositions containing them for combating ticks is a further preferred embodiment of the present invention.
The compounds of formula I, their stereoisomers, their tautomers, their N-oxides and the salts thereof also are especially useful for combating endoparasites (roundworms nematoda, thorny headed worms and planarians).
Administration can be carried out both prophylactically and therapeutically.
Administration of the active compounds is carried out directly or in the form of suitable preparations, orally, topically/dermally or parenterally.
For oral administration to warm-blooded animals, the formula I compounds may be formulated as animal feeds, animal feed premixes, animal feed concentrates, pills, solutions, pastes, suspensions, drenches, gels, tablets, boluses and capsules. In addition, the formula I compounds may be administered to the animals in their drinking water. For oral administration, the dosage form chosen should provide the animal with 0.01 mg/kg to 100 mg/kg of animal body weight per day of the formula I compound, preferably with 0.5 mg/kg to 100 mg/kg of animal body weight per day.
Alternatively, the formula I compounds, their stereoisomers, their tautomers, their N- oxides and the salts thereof may be administered to animals parenterally, for example, by intraruminal, intramuscular, intravenous or subcutaneous injection. The formula I compounds, their stereoisomers, their tautomers, their N-oxides and the salts thereof may be dispersed or dissolved in a physiologically acceptable carrier for subcutaneous injection. Alternatively, the formula I compounds may be formulated into an implant for subcutaneous administration. In addition the formula I compound may be transdermally administered to animals. For parenteral administration, the dosage form chosen should provide the animal with 0.01 mg/kg to 100 mg/kg of animal body weight per day of the formula I compound.
The formula I compounds, their stereoisomers, their tautomers, their N-oxides and the salts thereof may also be applied topically to the animals in the form of dips, dusts, powders, collars, medallions, sprays, shampoos, spot-on and pour-on formulations and in ointments or oil-in-water or water-in-oil emulsions. For topical application, dips and sprays usually contain 0.5 ppm to 5,000 ppm and preferably 1 ppm to 3,000 ppm of the formula I compound. In addition, the formula I compounds may be formulated as ear tags for animals, particularly quadrupeds such as cattle and sheep.
Suitable preparations are:
- Solutions such as oral solutions, concentrates for oral administration after dilution, solutions for use on the skin or in body cavities, pouring-on formulations, gels;
- Emulsions and suspensions for oral or dermal administration; semi-solid preparations;
- Formulations in which the active compound is processed in an ointment base or in an oil-in- water or water-in-oil emulsion base;
- Solid preparations such as powders, premixes or concentrates, granules, pellets, tablets, boluses, capsules; aerosols and inhalants, and active compound-containing shaped articles. Compositions suitable for injection are prepared by dissolving the active ingredient in a suitable solvent and optionally adding further ingredients such as acids, bases, buffer salts,
preservatives, and solubilizers. The solutions are filtered and filled sterile.
Suitable solvents are physiologically tolerable solvents such as water, alkanols such as ethanol, butanol, benzyl alcohol, glycerol, propylene glycol, polyethylene glycols, N-methyl-pyrrolidone, 2-pyrrolidone, and mixtures thereof.
The active compounds can optionally be dissolved in physiologically tolerable vegetable or synthetic oils which are suitable for injection.
Suitable solubilizers are solvents which promote the dissolution of the active compound in the main solvent or prevent its precipitation. Examples are polyvinylpyrrolidone, polyvinyl alcohol, polyoxyethylated castor oil, and polyoxyethylated sorbitan ester.
Suitable preservatives are benzyl alcohol, trichlorobutanol, p-hydroxybenzoic acid esters, and n- butanol.
Oral solutions are administered directly. Concentrates are administered orally after prior dilution to the use concentration. Oral solutions and concentrates are prepared according to the state of the art and as described above for injection solutions, sterile procedures not being necessary.
Solutions for use on the skin are trickled on, spread on, rubbed in, sprinkled on or sprayed on.
Solutions for use on the skin are prepared according to the state of the art and according to what is described above for injection solutions, sterile procedures not being necessary.
Further suitable solvents are polypropylene glycol, phenyl ethanol, phenoxy ethanol, ester such as ethyl or butyl acetate, benzyl benzoate, ethers such as alkyleneglycol alkylether, e.g.
dipropylenglycol monomethylether, ketons such as acetone, methylethylketone, aromatic hydrocarbons, vegetable and synthetic oils, dimethylformamide, dimethylacetamide, transcutol, solketal, propylencarbonate, and mixtures thereof.
It may be advantageous to add thickeners during preparation. Suitable thickeners are inorganic thickeners such as bentonites, colloidal silicic acid, aluminium monostearate, organic thickeners such as cellulose derivatives, polyvinyl alcohols and their copolymers, acrylates and methacrylates.
Gels are applied to or spread on the skin or introduced into body cavities. Gels are prepared by treating solutions which have been prepared as described in the case of the injection solutions with sufficient thickener that a clear material having an ointment-like consistency results. The thickeners employed are the thickeners given above.
Pour-on formulations are poured or sprayed onto limited areas of the skin, the active compound penetrating the skin and acting systemically.
Pour-on formulations are prepared by dissolving, suspending or emulsifying the active compound in suitable skin-compatible solvents or solvent mixtures. If appropriate, other auxiliaries such as colorants, bioabsorption-promoting substances, antioxidants, light stabilizers, adhesives are added.
Suitable solvents which are: water, alkanols, glycols, polyethylene glycols, polypropylene glycols, glycerol, aromatic alcohols such as benzyl alcohol, phenylethanol, phenoxyethanol, esters such as ethyl acetate, butyl acetate, benzyl benzoate, ethers such as alkylene glycol alkyl ethers such as dipropylene glycol monomethyl ether, diethylene glycol mono-butyl ether, ketones such as acetone, methyl ethyl ketone, cyclic carbonates such as propylene carbonate, ethylene carbonate, aromatic and/or aliphatic hydrocarbons, vegetable or synthetic oils, DMF, dimethylacetamide, n-alkylpyrrolidones such as methylpyrrolidone, n-butylpyrrolidone or n- octylpyrrolidone, N-methylpyrrolidone, 2-pyrrolidone, 2,2-dimethyl-4-oxy-methylene-1 ,3-diox- olane and glycerol formal.
Suitable colorants are all colorants permitted for use on animals and which can be dissolved or suspended.
Suitable absorption-promoting substances are, for example, DMSO, spreading oils such as isopropyl myristate, dipropylene glycol pelargonate, silicone oils and copolymers thereof with polyethers, fatty acid esters, triglycerides, fatty alcohols.
Suitable antioxidants are sulfites or metabisulfites such as potassium metabisulfite, ascorbic acid, butylhydroxytoluene, butylhydroxyanisole, tocopherol.
Suitable light stabilizers are, for example, novantisolic acid.
Suitable adhesives are, for example, cellulose derivatives, starch derivatives,
polyacrylates, natural polymers such as alginates, gelatin.
Emulsions can be administered orally, dermally or as injections.
Emulsions are either of the water-in-oil type or of the oil-in-water type.
They are prepared by dissolving the active compound either in the hydrophobic or in the hydrophilic phase and homogenizing this with the solvent of the other phase with the aid of suitable emulsifiers and, if appropriate, other auxiliaries such as colorants, absorption-promoting substances, preservatives, antioxidants, light stabilizers, viscosity-enhancing substances.
Suitable hydrophobic phases (oils) are:
liquid paraffins, silicone oils, natural vegetable oils such as sesame oil, almond oil, castor oil, synthetic triglycerides such as caprylic/capric biglyceride, triglyceride mixture with vegetable fatty acids of the chain length Cs-Ci2 or other specially selected natural fatty acids, partial glyceride mixtures of saturated or unsaturated fatty acids possibly also containing hydroxyl groups, mono- and diglycerides of the Cs-do fatty acids,
fatty acid esters such as ethyl stearate, di-n-butyryl adipate, hexyl laurate, dipropylene glycol perlargonate, esters of a branched fatty acid of medium chain length with saturated fatty alcohols of chain length C16-C18, isopropyl myristate, isopropyl palmitate, caprylic/capric acid esters of saturated fatty alcohols of chain length C12-C18, isopropyl stearate, oleyl oleate, decyl oleate, ethyl oleate, ethyl lactate, waxy fatty acid esters such as synthetic duck coccygeal gland fat, dibutyl phthalate, diisopropyl adipate, and ester mixtures related to the latter, fatty alcohols such as isotridecyl alcohol, 2-octyldodecanol, cetylstearyl alcohol, oleyl alcohol, and fatty acids such as oleic acid and mixtures thereof.
Suitable hydrophilic phases are: water, alcohols such as propylene glycol, glycerol, sorbitol and mixtures thereof.
Suitable emulsifiers are:
non-ionic surfactants, e.g. polyethoxylated castor oil, polyethoxylated sorbitan monooleate, sorbitan monostearate, glycerol monostearate, polyoxyethyl stearate, alkylphenol polyglycol ether;
ampholytic surfactants such as di-sodium N-lauryl-p-iminodipropionate or lecithin;
anionic surfactants, such as sodium lauryl sulfate, fatty alcohol ether sulfates, mono/dialkyl polyglycol ether orthophosphoric acid ester monoethanolamine salt;
cation-active surfactants, such as cetyltrimethylammonium chloride.
Suitable further auxiliaries are: substances which enhance the viscosity and stabilize the emulsion, such as carboxymethylcellulose, methylcellulose and other cellulose and starch
derivatives, polyacrylates, alginates, gelatin, gum arabic, polyvinylpyrrolidone, polyvinyl alcohol, copolymers of methyl vinyl ether and maleic anhydride, polyethylene glycols, waxes, colloidal silicic acid or mixtures of the substances mentioned.
Suspensions can be administered orally or topically/dermally. They are prepared by suspending the active compound in a suspending agent, if appropriate with addition of other auxiliaries such as wetting agents, colorants, bioabsorption-promoting substances,
preservatives, antioxidants, light stabilizers.
Liquid suspending agents are all homogeneous solvents and solvent mixtures.
Suitable wetting agents (dispersants) are the emulsifiers given above.
Other auxiliaries which may be mentioned are those given above.
Semi-solid preparations can be administered orally or topically/dermally. They differ from the suspensions and emulsions described above only by their higher viscosity.
For the production of solid preparations, the active compound is mixed with suitable excipients, if appropriate with addition of auxiliaries, and brought into the desired form.
Suitable excipients are all physiologically tolerable solid inert substances. Those used are inorganic and organic substances. Inorganic substances are, for example, sodium chloride, carbonates such as calcium carbonate, hydrogencarbonates, aluminium oxides, titanium oxide, silicic acids, argillaceous earths, precipitated or colloidal silica, or phosphates. Organic substances are, for example, sugar, cellulose, foodstuffs and feeds such as milk powder, animal meal, grain meals and shreds, starches.
Suitable auxiliaries are preservatives, antioxidants, and/or colorants which have been mentioned above.
Other suitable auxiliaries are lubricants and glidants such as magnesium stearate, stearic acid, talc, bentonites, disintegration-promoting substances such as starch or crosslinked polyvinylpyrrolidone, binders such as starch, gelatin or linear polyvinylpyrrolidone, and dry binders such as microcrystalline cellulose.
In general, "parasiticidally effective amount" means the amount of active ingredient needed to achieve an observable effect on growth, including the effects of necrosis, death, retardation, prevention, and removal, destruction, or otherwise diminishing the occurrence and activity of the target organism. The parasiticidally effective amount can vary for the various compounds/compositions used in the invention. A parasiticidally effective amount of the compositions will also vary according to the prevailing conditions such as desired parasiticidal effect and duration, target species, mode of application, and the like.
The compositions which can be used in the invention can comprise generally from about 0.001 to 95% of the compound of formula I.
Generally it is favorable to apply the compounds of formula I in total amounts of 0.5 mg/kg to 100 mg/kg per day, preferably 1 mg/kg to 50 mg/kg per day.
Ready-to-use preparations contain the compounds acting against parasites, preferably ectoparasites, in concentrations of 10 ppm to 80 per cent by weight, preferably from 0.1 to 65 per cent by weight, more preferably from 1 to 50 per cent by weight, most preferably from 5 to 40 per cent by weight.
Preparations which are diluted before use contain the compounds acting against ectoparasites in concentrations of 0.5 to 90 per cent by weight, preferably of 1 to 50 per cent by weight.
Furthermore, the preparations comprise the compounds of formula I against
endoparasites in concentrations of 10 ppm to 2 per cent by weight, preferably of 0.05 to 0.9 per cent by weight, very particularly preferably of 0.005 to 0.25 per cent by weight.
In a preferred embodiment of the present invention, the compositions comprising the compounds of formula I them are applied dermally / topically.
In a further preferred embodiment, the topical application is conducted in the form of compound-containing shaped articles such as collars, medallions, ear tags, bands for fixing at body parts, and adhesive strips and foils.
Generally it is favorable to apply solid formulations which release compounds of formula I in total amounts of 10 mg/kg to 300 mg/kg, preferably 20 mg/kg to 200 mg/kg, most preferably 25 mg/kg to 160 mg/kg body weight of the treated animal in the course of three weeks.
For the preparation of the shaped articles, thermoplastic and flexible plastics as well as elastomers and thermoplastic elastomers are used. Suitable plastics and elastomers are polyvinyl resins, polyurethane, polyacrylate, epoxy resins, cellulose, cellulose derivatives, polyamides and polyester which are sufficiently compatible with the compounds of formula I. A detailed list of plastics and elastomers as well as preparation procedures for the shaped articles is given e.g. in WO 03/086075.
Examples
The present invention is now illustrated in further details by the following examples, without imposing any limitation thereto.
The compounds can be characterized e.g. by coupled High Performance Liquid
Chromatography / mass spectrometry (HPLC/MS), by 1H-NMR and/or by their melting points. The following analytical procedures were employed:
Analytical UPLC column: Phenomenex Kinetex 1 ,7 μηη XB-C18 100A; 50 x 2.1 mm; mobile phase: A: water + 0.1 % trifluoroacetic acid (TFA); B: acetonitrile + 0.1 % TFA; gradient: 5-100% B in 1 .50 minutes; 100% B 0.20 min; flow: 0.8-1 .0 mL/min in 1 .50 minutes at 60°C.
MS-method: ESI positive.
1H-NMR: The signals are characterized by chemical shift (ppm) vs. tetramethylsilane, by their multiplicity and by their integral (relative number of hydrogen atoms given). The following abbreviations are used to characterize the multiplicity of the signals: m = multiplett, q = quartett, t = triplett, d = doublet and s = singulett.
Abbreviations used are: h for hour(s), min for minute(s) and room temperature for 20-25°C. A. Synthesis examples
Starting materials (preparation examples P.1 to P.5)
Substituted 1 H-benzo[d][1 ,3]oxazine-2,4-diones can be prepared according to WO 2007/43677 or by the following protocol of example P.1 :
Example P.1 : 6-chloro-8-methyl-1 H-benzo[d][1 ,3]oxazine-2,4-dione
To a solution of 2-amino-3-methyl-5-chlorobenzoic acid (76.5 g, 0.41 mol) in dioxane (428 ml.) was added diphosgene (59.7 ml_, 97.8 g, 198 mmol, 1.20 equiv.) keeping the internal temperature below 28°C. The reaction was stirred at 22°C for 3 h, purged with nitrogen and then cooled to 0°C. The resulting precipitate was collected by filtration, washed with diisopropyl ether and dried in vacuum to obtain the title compound (87.10 g, 100%).
Characterization by H-NMR (400 MHz, DMSO-de): 5[delta] = 2.32 (s, 3 H), 7.66 (s, 1 H), 7.75 (s, 1 H), 1 1 .19 (s, 1 H).
The following compounds were prepared by analogy to example P.1 :
6,8-dichloro-1 H-benzo[d][1 ,3]oxazine-2,4-dione,
6,8-dibromo-1 H-benzo[d][1 ,3]oxazine-2,4-dione,
6-cyano-8-methyl-1 H-benzo[d][1 ,3]oxazine-2,4-dione.
Example P.2: 2-(3-chloropyridin-2-yl)-5-difluoromethyl-2H-pyrazole-3-carbonyl chloride: In a reaction vessel equipped with a thermometer, septum, nitrogen inlet and stirring bar, 2-(3-Chloropyridin-2-yl)-5-difluoromethyl-2H-pyrazole-3-carboxylic acid (10 g, 40 mmol) was suspended in dry dichloromethane (100 ml.) and three drops of DMF were added. Oxalyl chloride (9.4 ml_, 13.9 g, 1 10 mmol, 3.0 equiv.) was added dropwise with stirring at 22°C. The mixture was stirred for 16 h at 22°C. The reaction mixture was evaporated and co-distilled with chloroform (2 x) to obtain the title compound (1 1 .3 g, yield 100%, purity 94%) which was used in the next step without further purification.
Characterization by H-NMR (400 MHz, DMSO-d6): 5[delta] = 7.12 (t, 1 H), 7.31 (s, 1 H), 7.70 (m, 1 H), 8.26 (d, 1 H), 8.57 (d, 1 H).
The following compounds can be prepared by analogy to example P.2:
2-(3-chloropyridin-2-yl)-5-methoxy-2H-pyrazole-3-carbonyl chloride.
Example P.3: 6-chloro-2-[2-(3-chloro-2-pyridyl)-5-(difluoromethyl)pyrazol-3-yl]-8-methyl- 3,1 -benzoxazin-4-one:
To a suspension of 6-chloro-8-methyl-1 H-benzo[d][1 ,3]oxazine-2,4-dione as obtained from example P.1 (3.29 g, 15.6 mmol) in acetonitrile (20 ml.) was added a solution of 2-(3- chloropyridin-2-yl)-5-difluoromethyl-2H-pyrazole-3-carbonyl chloride (5.00 g, 17.1 mmol, 1 .1 equiv.) in acetonitrile (10 ml.) dropwise at 22°C. After 15 min, pyridine (8.16 ml_, 7.99 g, 101 mmol, 6.5 equiv.) was added and the mixture was stirred at 100°C for 2 h. The resulting precipitate was collected by filtration, washed with a small amount of acetonitrile and dried to obtain the title compound (5.30 g. 81 %).
Characterization by H-NMR (400 MHz, DMSO-d6): 5[delta] = 1 .72 (s, 3 H), 7.24 (t, 1 H), 7.58 (s, 1 H), 7.79 (m, 2H), 7.90 (s, 1 H), 8.38 (d, 1 H), 8.65 (d, 1 H).
Characterization by HPLC-MS: 1 .343 min, m/z = 423.1 .
The following compounds were prepared by analogy to example P.3:
6,8-dichloro-2-[2-(3-chloro-2-pyridyl)-5-(difluoromethyl)pyrazol-3-yl]-3,1 -benzoxazin-4-one, 6,8-dibromo-2-[2-(3-chloro-2-pyridyl)-5-(difluoromethyl)pyrazol-3-yl]-3,1 -benzoxazin-4-one, 6-cyano-2-[2-(3-chloro-2-pyridyl)-5-(difluoromethyl)pyrazol-3-yl]-8-methyl-3,1 -benzoxazin-4-one.
The following compounds can be prepared by analogy to example P.3:
6,8-dichloro-2-[2-(3-chloro-2-pyridyl)-5-methoxypyrazol-3-yl]-3,1 -benzoxazin-4-one,
6,8-dibromo-2-[2-(3-chloro-2-pyridyl)-5-methoxypyrazol-3-yl]-3,1 -benzoxazin-4-one,
6-cyano-2-[2-(3-chloro-2-pyridyl)-5-methoxypyrazol-3-yl]-8-methyl-3,1 -benzoxazin-4-one.
5-Methyl-7-[2-(3-chloro-2-pyridyl)-5-difluoromethyl-2H-pyrazol-3-yl]-1 H-8-oxa-1 ,2,6- triazacyclopenta[a]napthalen-9-one and 5-methyl-7-[2-(3-chloro-2-pyridyl)-5-methoxy-2H- pyrazol-3-yl]-1 H-8-oxa-1 ,2,6-triazacyclopenta[a]napthalen-9-one can be prepared by analogy to example 10, step c) of WO 2007/093402 Example P.4: (E/Z)-2-chloro-N-ethoxy-ethanimine:
A mixture of chloracetyl chloride (26.99 g, 170 mmol) and ethyl hydroxalamine
hydrochloride (22.3 g, 230 mmol, 1 .33 equiv.) was stirred at 22°C for 16 h. Water (150 mL) was added and the mixture was extracted with ether twice. The combined organic layers were washed with brine, dried over sodium sulfate and evaporated at 30°C and 200 mbar to obtain the title compound (18.18 g, 87%) as an 67:33 E/Z mixture which was used in the next step as such.
Characterization by H-NMR (400 MHz, CDCI3): 5[delta] = 1.24 (t, 3H), 4.12 (m, 2H), 4.13- 4.21 (m, 2H), 6.80 & 7.41 (2xt, 1 H). Example P.5: (E/Z)-2-ethoxyiminoethanamine:
To an aqueous ammonia solution (25%, 136 g) was added (E/Z)-2-chloro-N-ethoxy- ethanimine as obtained from example P.4 (18.18 g, 150 mmol) and stirred at 22°C for 4 d.
Dichloromethane (50 mL) was added and the layers were separated. The aqueous layer was extracted with dichloromethane twice. The combined organic layers were washed with brine, dried over sodium sulfate and evaporated at 30°C and 200 mbar to obtain the crude title compound (10.56 g). Distillation in vacuum 51 °C, 1 1 mbar yielded pure (E/Z)-2- ethoxyiminoethanamine (67:33 E/Z mixture, 5.65 g, 37%).
Characterization by H-NMR (400 MHz, CDCI3): 5[delta] = 1.26 (t, 3H), 3.42 & 3.56 (2 x d,
2H), 4.10 (m, 2H), 6.78 & 7.44 (2xt, 1 H).
The following compounds were prepared by analogy to example P.4/P.5:
(E/Z)-2-methoxyiminoethanamine
(E/Z)-2-hydroxyiminoethanamine
The following compounds can be prepared by analogy to example P.4/P.5:
(E/Z)-2-(2-methylpropyloxy)iminoethanamine
(E/Z)-2-benzyloxyiminoethanamine
Preparation examples (examples 1-1 to I-54)
Example 1 : N-[4-chloro-2-[[(2E)-2-ethoxyiminoethyl]carbamoyl]-6-methyl-phenyl]-2-(3- chloro-2-pyridyl)-5-(difluoromethyl)pyrazole-3-carboxamide (compound I-6 of table S.1 ):
To a solution of 6-chloro-2-[2-(3-chloro-2-pyridyl)-5-(difluoromethyl)pyrazol-3-yl]-8-methyl- 3,1 -benzoxazin-4-one as obtained from example P.3 (500 mg, 1 .18 mmol) in DMSO (30 ml.) was added triethyl amine (0.2 ml_, 0.14 g, 1.4 mmol, 1.2 equiv.) and (E/Z)-2- ethoxyiminoethanamine as prepared in example P.5 (145 mg, 1.42 mmol, 1 .2 equiv.) at 22°C. After 3 h at this temperature, water was added and the mixture was acidified with 1 N HCI. The layers were separated and the aqueous layer was extracted with dichloromethane twice. The combined organic layers were washed with water and brine, dried over sodium sulfate, filtered and concentrated in vacuum. Flash-chromatography on silica gel yielded the title compound (450 mg, 73%).
Characterization by H-NMR (400 MHz, DMSO-de): 5[delta] = 1 .12-1.26.40 (m, 3H), 2.20 & 2.21 (2 x s, 3H), 3.86 & 3.91 (2 x t, 2H), 4.00 & 4.07 (2 x q, 2H), 6.62 & 7.27 (2 x t, 1 H), 7.23 (t, 1 H), 7.33-7.42 (m, 1 H), 7.50 (m, 1 H), 7.63 (m, 1 H), 8.15 & 8.17 (2 x s, 1 H), 8.52 (m, 1 H), 8.64 & 8.69 (2 x t, 1 H), 10.30 & 10.33 (2 x s, 1 H).
By analogy to the procedure described in example 1 the compounds 1-1 to I-53 which are compounds of formula (l-d) described in the following table S.1 , have been prepared.
Table S.1
Ex. R1a R1c R3 R7 L Rt [min] m/z
1-1 CHs CI CHF2 H -CH2- 0.976 497.3
I-2 CHs CI CHF2 CHs -CH2- 1 .127 51 1 .2
I-3 CI CI CHF2 CHs -CH2- 1 .12 533.2
I-4 Br Br CHF2 CHs -CH2- 1 .122 620.8
1-5 CHs CN CHF2 CHs -CH2- 1.055 502.2
1-6 CHs CI CHF2 CH2CHs -CH2- 1.156 526.8
1-7 CI CI CHF2 CH2CHs -CH2- 1.156 547.1
1-8 Br Br CHF2 CH2CHs -CH2- 1.177 634.9
1-9 CHs CN CHF2 CH2CHs -CH2- 1.113 516.2
1-10 CHs CI OCH2F CHs -CH2- 1.048 509.1
1-11 CHs CI OCH2CFs CHs -CH2- 1.173 559.2
1-12 CHs CN OCH2F CHs -CH2- 0.985 500.2
1-13 CI CI OCH2F CHs -CH2- 1.050 529.2
1-14 CI CI OCH2CFs CHs -CH2- 1.145 579.2
1-15 CHs CN OCH2CFs CHs -CH2- 1.085 550.1
1-16 CHs CI OCH2F CHs -CH(CHs)- 1.079 523.2
1-17 CHs CI OCH2CFs CHs -CH(CHs)- 1.196 573.2
1-18 CI CI OCH2CFs CHs -CH(CHs)- 1.203 595.0
1-19 CI CI OCH2F CHs -CH(CHs)- 1.094 543.1
I-20 CHs CN OCH2F CHs -CH(CHs)- 1.008 514.2
1-21 CHs CI CHF2 CHs -CH(CHs)- 1.136 525.1
I-22 CHs CN OCH2CFs CHs -CH(CHs)- 1.150 564.2
I-23 CI CI CHF2 CHs -CH(CHs)- 1.129 545.1
I-24 CHs CN CHF2 CHs -CH(CHs)- 1.075 516.2
I-25 CI CI CHF2 CHs -CH2CH2- 1.106 544.8
I-26 CHs CI CHF2 CHs -CH2CH2- 1.114 525.7
I-27 CHs CN CHF2 CHs -CH2CH2- 1.047 516.8
I-28 CI CI OCH2F CHs -CH2CH2- 1.063 544.6
I-29 CHs CI OCH2F CHs -CH2CH2- 1.070 522.9
I-30 CHs CN OCH2F CHs -CH2CH2- 0.996 514.8
1-31 CI CI CHF2 CH2CHs -CH2CH2- 1.170 561.6
I-32 CHs CI CHF2 CH2CHs -CH2CH2- 1.164 560.8
I-33 CHs CN CHF2 CH2CHs -CH2CH2- 1.110 530.8
I-34 CI CI OCH2F CH2CHs -CH2CH2- 1.119 557.7
I-35 CHs CI OCH2F CH2CHs -CH2CH2- 1.130 536.8
I-36 CHs CN OCH2F CH2CHs -CH2CH2- 1.054 527.9
I-37 CI CI CHF2 CHs -CH2CH2CH2- 1.126 559.8
I-38 CHs CI CHF2 CHs -CH2CH2CH2- 1.122 538.9
I-39 CHs CN CHF2 CHs -CH2CH2CH2- 1.074 530.8
I-40 CI CI OCH2F CHs -CH2CH2CH2- 1.092 559.6
1-41 CHs CI OCH2F CHs -CH2CH2CH2- 1.099 537.8
I-42 CHs CN OCH2F CHs -CH2CH2CH2- 1.008 527.9
I-43 CI CI CHF2 CH2CHs -CH2CH2CH2- 1.185 575.7
1-44 CHs CI CHF2 CH2CHs -CH2CH2CH2- 1 .189 553.8
1-45 CHs CN CHF2 CH2CHs -CH2CH2CH2- 1 .123 544.8
1-46 CI CI CHF2 CHs -CH2C(CHs)2- 1 .190 574.7
1-47 CHs CI CHF2 CHs -CH2C(CHs)2- 1 .201 552.9
1-48 CHs CN CHF2 CHs -CH2C(CHs)2- 1 .131 543.9
1-49 CI CI CHF2 CH2CHs -CH2C(CHs)2- 1 .273 589.8
1-50 CHs CI CHF2 CH2CHs -CH2C(CHs)2- 1 .243 566.9
1-51 CHs CN CHF2 CH2CHs -CH2C(CHs)2- 1 .172 557.9
I-52 CI CI CHF2 CH2CHs -CH(CHs)CH2- 1 .195 573.8
I-53 CHs CI CHF2 CH2CHs -CH(CHs)CH2- 1 .208 553.9
By analogy to the procedure described in example 1 also the compound I-54, as described the following table S.2, has been prepared.
Table S.2
B. Biological examples
The activity of the compounds of formula I of the present invention could be demonstrated and evaluated in biological tests described in the following.
If not otherwise specified the test solutions are prepared as follow:
The active compound is dissolved at the desired concentration in a mixture of 1 :1 (vokvol) distilled water : acteon. The test solution is prepared at the day of use and in general at concentrations of 2500 ppm, 1000 ppm, 500 ppm, 300 ppm,100 ppm, 30 ppm and 5 ppm
(wt/vol).
B.1 Cowpea aphid (Aphis craccivora)
The active compound is dissolved at the desired concentration in a mixture of 1 :1 (vohvol) distilled water : acetone. Surfactant (Alkamuls® EL 620) is added at a rate of 0.1 % (vol/vol). The test solution is prepared at the day of use.
Potted cowpea plants were colonized with approximately 50 - 100 aphids of various stages by manually transferring a leaf tissue cut from infested plant 24 hours before application. Plants were sprayed after the pest population has been recorded. Treated plants are
maintained on light carts at about 28°C. Percent mortality was assessed after 72 hours.
In this test, the compounds 1-1 , I-3, I-4, I-5, I-9, 1-10, 1-1 1 , 1-13, 1-15, 1-16, 1-19, I-22, I-23, I-25, I-27, I-28 and I-54, respectively, at 300 ppm showed a mortality of at least 75% in comparison with untreated controls.
B.2 Diamond back moth (Plutella xylostella)
The active compound is dissolved at the desired concentration in a mixture of 1 :1 (vohvol) distilled water : acetone. Surfactant (Alkamuls® EL 620) is added at a rate of 0.1 % (vol/vol). The test solution is prepared at the day of use.
Leaves of cabbage were dipped in test solution and air-dried. Treated leaves were placed in petri dish eslined with moist filter paper and inoculated with ten 3rd instar larvae. Mortality was recorded 72 hours after treatment. Feeding damages were also recorded using a scale of 0-100%.
In this test, the compounds 1-1 , I-2, I-3, I-4, I-5, I-6, I-7, I-8, I-9, 1-1 1 , 1-13, 1-14, 1-15, 1-16, 1-17, 1-18, 1-19, 1-21 , I-22, I-23, I-24, I-25, I-26, I-27, I-28, I-29 and I-54, respectively, at 300 ppm showed a mortality of at least 75% in comparison with untreated controls. B.3 Orchid thrips (Dichromothrips corbetti)
Dichromothrips corbetti adults used for bioassay were obtained from a colony maintained continuously under laboratory conditions. For testing purposes, the test compound is diluted in a 1 :1 mixture of acetone:water (vohvol), plus 0.01 % vol/vol Alkamuls® EL 620 surfactant.
Thrips potency of each compound was evaluated by using a floral-immersion technique. Plastic petri dishes were used as test arenas. All petals of individual, intact orchid flowers were dipped into treatment solution and allowed to dry. Treated flowers were placed into individual petri dishes along with about 20 adult thrips. The petri dishes were then covered with lids. All test arenas were held under continuous light and at temperature of about 28°C for duration of the assay. After 3 days, the numbers of live thrips were counted on each flower, and along inner walls of each petri dish. The percent mortality was recorded 72 hours after treatment.
In this test, the compounds 1-1 , I-2, I-3, I-4, I-5, I-6, I-7, I-8, I-9, 1-10, 1-1 1 , 1-12, 1-13, 1-14, 1-15, 1-16, 1-17, 1-19, 1-21 , I-22, I-23, I-24, I-25, I-26, I-27, I-28, I-29, I-30 and I-54, respectively, at 300 ppm showed a mortality of at least 75% in comparison with untreated controls.
B.4 Southern armyworm (Spodoptera eridania)
The active compounds were formulated in cyclohexanone as a 10,000 ppm solution supplied in tubes. The tubes were inserted into an automated electrostatic sprayer equipped
with an atomizing nozzle and they served as stock solutions for which lower dilutions were made in 50% acetone:50% water (v/v). A nonionic surfactant (Kinetic®) was included in the solution at a volume of 0.01 % (v/v).
Lima bean plants (variety Sieva) were grown 2 plants to a pot and selected for treatment at the 1st true leaf stage. Test solutions were sprayed onto the foliage by an automated electrostatic plant sprayer equipped with an atomizing spray nozzle. The plants were dried in the sprayer fume hood and then removed from the sprayer. Each pot was placed into perforated plastic bags with a zip closure. About 10 to 1 1 armyworm larvae were placed into the bag and the bags zipped closed. Test plants were maintained in a growth room at about 25°C and about 20-40% relative humidity for 4 days, avoiding direct exposure to fluorescent light (24 hour photoperiod) to prevent trapping of heat inside the bags. Mortality and reduced feeding were assessed 4 days after treatment, compared to untreated control plants.
In this test, the compounds I-2, I-3, I-4, I-6, 1-10, 1-1 1 , 1-13 and I-54, respectively, at 1 ppm showed a mortality of at least 75% in comparison with untreated controls.
B.5 Vetch aphid (Megoura viciae)
For evaluating control of vetch aphid (Megoura viciae) through contact or systemic means the test unit consisted of 24-well-microtiter plates containing broad bean leaf disks.
The compounds were formulated using a solution containing 75% v/v water and 25% v/v DMSO. Different concentrations of formulated compounds were sprayed onto the leaf disks at 2.5 μΙ, using a custom built micro atomizer, at two replications.
After application, the leaf disks were air-dried and 5 - 8 adult aphids placed on the leaf disks inside the microtiter plate wells. The aphids were then allowed to suck on the treated leaf disks and incubated at about 23 + 1 °C and about 50 + 5 % relative humidity for 5 days. Aphid mortality and fecundity was then visually assessed.
In this test, the compounds 1-1 , I-2, I-3, I-4, I-5, I-6, I-7, I-8, I-9, 1-10, 1-1 1 , 1-12, 1-13, 1-14, 1-15, 1-16, 1-17, 1-18, 1-19, I-20, 1-21 , I-22, I-23, I-24, I-25, I-26, I-27, I-28, I-29, I-30, 1-31 , I-32, I-33, I-34, I-35, I-36, I-37 and I-54, respectively, at 2500 ppm showed a mortality of at least 75% in comparison with untreated controls.
B.6 Tobacco budworm (Heliothis virescens) I
For evaluating control of tobacco budworm (Heliothis virescens) the test unit consisted of 96-well-microtiter plates containing an insect diet and 15-25 H. virescens eggs.
The compounds were formulated using a solution containing 75% v/v water and 25% v/v DMSO. Different concentrations of formulated compounds were sprayed onto the insect diet at 10 μΙ, using a custom built micro atomizer, at two replications.
After application, microtiter plates were incubated at about 28 + 1 °C and about 80 + 5 % relative humidity for 5 days. Egg and larval mortality was then visually assessed.
In this test, the compounds 1-1 , I-2, I-3, I-4, I-5, I-6, I-7, I-8, I-9, 1-10, 1-1 1 , 1-12, 1-13, 1-14, 1-15, 1-16, 1-17, 1-18, 1-19, I-20, 1-21 , I-22, I-23, I-24, I-25, I-26, I-27, I-28, I-29, I-30, 1-31 , I-32, I-33, I-34, I-35, I-36, I-37 and I-54, respectively, at 2500 ppm showed a mortality of at least 75% in comparison with untreated controls.
B.7 Boll weevil (Anthonomus grand is)
For evaluating control of boll weevil (Anthonomus grandis) the test unit consisted of 24- well-microtiter plates containing an insect diet and 20-30 A. grandis eggs.
The compounds were formulated using a solution containing 75% v/v water and 25% v/v
DMSO. Different concentrations of formulated compounds were sprayed onto the insect diet at 20 μΙ, using a custom built micro atomizer, at two replications.
After application, microtiter plates were incubated at about 23 + 1 °C and about 50 + 5 % relative humidity for 5 days. Egg and larval mortality was then visually assessed.
In this test, the compounds 1-1 , I-2, I-3, I-4, I-5, I-6, I-7, I-8, I-9, 1-10, 1-1 1 , 1-12, 1-13, 1-14,
1-15, 1-16, 1-17, 1-18, 1-19, I-20, 1-21 , I-22, I-23, I-24, I-25, I-26, I-27, I-28, I-29, I-30, 1-31 , I-32, I-33, I-34, I-35, I-36, I-37 and I-54, respectively, at 2500 ppm showed a mortality of at least 75% in comparison with untreated controls. B.8 Colorado Potato Beetle (Leptinotarsa decemlineata)
The active compounds were formulated in cyclohexanone as a 10,000 ppm solution supplied in tubes. The tubes were inserted into an automated electrostatic sprayer equipped with an atomizing nozzle and they served as stock solutions for which lower dilutions were made in 50% acetone:50% water (v/v). A nonionic surfactant (Kinetic®) was included in the solution at a volume of 0.01 % (v/v).
Eggplants were grown 2 plants to a pot and were selected for treatment at the 1 st true leaf stage. Test solutions were sprayed onto the foliage by an automated electrostatic plant sprayer equipped with an atomizing spray nozzle. The plants were dried in the sprayer fume hood and then removed from the sprayer. The treated foliage was then cut and removed from the pot and placed in a Petri dish lined with moistened filter paper. Five beetle larvae were introduced into each Petri dish and the dish was covered by a Petri dish lid. Petri dishes were maintained in a growth room at about 25°C and about 20-40% relative humidity for 4 days, avoiding direct exposure to fluorescent light (24 hour photoperiod) to prevent trapping of heat inside the dishes. Mortality and reduced feeding were assessed 4 days after treatment, compared to untreated control plants.
In this test, the compound I-3 at 10 ppm showed a mortality of at least 75% in comparison with untreated controls.
B.9 Rice green leafhopper (Nephotettix virescens)
Rice seedlings are cleaned and washed 24 hours before spraying. The active compounds are formulated in 50:50 acetone:water (vohvol), and 0.1 % vol/vol surfactant (EL 620) is added.
Potted rice seedlings are sprayed with 5 ml test solution, air dried, placed in cages and inoculated with 10 adults. Treated rice plants are kept at about 28-29°C and relative humidity of about 50-60%. Percent mortality is recorded after 72 hours.
In this test, the compounds 1-1 , I-2, I-3, I-4, I-5, I-6, I-7, I-9, 1-21 and I-54, respectively, at
500 ppm showed a mortality of at least 75% in comparison with untreated controls.
B.10 Mediterranean fruitfly (Ceratitis capitata)
For evaluating control of Mediterranean fruitfly (Ceratitis capitata) the test unit consists of microtiter plates containing an insect diet and 50-80 C. capitata eggs.
The compounds are formulated using a solution containing 75% v/v water and 25% v/v DMSO. Different concentrations of formulated compounds are sprayed onto the insect diet at 5 μΙ, using a custom built micro atomizer, at two replications.
After application, microtiter plates are incubated at about 28 + 1 °C and about 80 + 5 % relative humidity for 5 days. Egg and larval mortality is then visually assessed.
In this test, the compounds 1-1 , I-2, I-3, I-4, I-5, I-6, I-7, I-8, I-9, 1-10, 1-1 1 , 1-12, 1-13, 1-14, 1-15, 1-16, 1-17, 1-18, 1-19, I-20, 1-21 , I-22, I-23, I-24, I-25, I-26, I-27, I-28, I-29, I-30, 1-31 , I-32, I-33, I-34, I-35, I-36, I-37 and I-54, respectively, at 2500 ppm showed a mortality of at least 75% in comparison with untreated controls.
B.1 1 Green Peach Aphid (Myzus persicae)
For evaluating control of green peach aphid (Myzus persicae) through systemic means the test unit consisted of 96-well-microtiter plates containing liquid artificial diet under an artificial membrane.
The compounds were formulated using a solution containing 75% v/v water and 25% v/v DMSO. Different concentrations of formulated compounds were pipetted into the aphid diet, using a custom built pipetter, at two replications.
After application, 5 - 8 adult aphids were placed on the artificial membrane inside the microtiter plate wells. The aphids were then allowed to suck on the treated aphid diet and incubated at about 23 + 1 °C and about 50 + 5 % relative humidity for 3 days. Aphid mortality and fecundity was then visually assessed.
In this test, the compounds 1-1 , I-2, I-3, I-4, I-5, I-6, I-7, I-8, I-9, 1-10, 1-1 1 , 1-12, 1-13, 1-14,
1-15, 1-16, 1-17, 1-18, 1-19, I-20, 1-21 , I-22, I-23, I-24, I-25, I-26, I-27, I-28, I-29, I-30, 1-31 , I-32, I-33, I-34, I-35, I-36, I-37 and I-54, respectively, at 2500 ppm showed a mortality of at least 75% in comparison with untreated controls.
Claims
1. A compound of the general formula (I)
,R1b, R1c,R d are independently selected from the group consisting of
hydrogen, halogen, Ci-C8-alkyl, Ci-C8-haloalkyl, C3-C8-cycloalkyl, C3-C8- halocycloalkyl, cyano, C2-C8-alkenyl, C2-C8-haloalkenyl, C2-Cs-alkynyl, C2- Ca-haloalkynyl, SF5, -SCN, nitro, azido, wherein the radicals CrC8-alkyl, Ci- Ce-haloalkyl, C3-C8-cycloalkyl, C3-C8-halocycloalkyl, C2-C8-alkenyl, C2-Cs- haloalkenyl, C2-C8-alkynyl, C2-Ce-haloalkynyl may optionally be substituted by one or more radicals Ra,
-ORb, SR», -S(0)mRb, -S(0)nN(Rc)Rd, -N(Rc)Rd, -Si(R92R",
-N(Rc)C(=0)R , -C(=NRc)Rb, -C(=0)N(Rc)Rd, -C(=S)N(Rc)Rd,
phenyl which may be substituted by 1 , 2, 3, 4 or 5 radicals Re, and a 3-, 4-, 5-, 6 or 7-membered saturated, partially unsaturated or aromatic heterocyclic ring containing 1 , 2 or 3 heteroatoms or heteroatom groups selected from N, O, S, NO, SO and S02, as ring members, where the heterocyclic ring may be substituted by one or more radicals Re; two radicals from the group consisting of R1a,R b, R1c,R1d bound on adjacent carbon atoms may be together a group selected from -CH2CH2CH2CH2-, - CH=CH-CH=CH-, -N=CH-CH=CH-, -CH=N-CH=CH-, -N=CH-N=CH-, - OCH2CH2CH2-, -OCH=CHCH2-,
-CH2OCH2CH2- -OCH2CH20-, -OCH2OCH2-, -CH2CH2CH2-, -CH=CHCH2-, - CH2CH20-, -CH=CHO-, -CH2OCH2-, -CH2C(=0)0-, -C(=0)OCH2-, -0(CH2)0-, -SCH2CH2CH2-, -SCH=CHCH2-, -CH2SCH2CH2-, -SCH2CH2S-, -SCH2SCH2-, -CH2CH2S-, -CH=CHS-, -CH2SCH2-, -CH2C(=S)S-, -C(=S)SCH2-, -S(CH2)S-, -CH2CH2NRh-,-CH2CH=N-, -CH=CH-NRh-, -CH=N-NRh-, -OCH=N- and -SCH=N-, thus forming, together with the carbon atoms to which they are bound, a 5- or 6-membered ring, where the
hydrogen atoms of the above groups may be replaced by one or more substituents selected from halogen, methyl, halomethyl, hydroxy!, methoxy and halomethoxy or one or more CH2 groups of the above groups may be replaced by a C=0 group;
R2 is selected from hydrogen, d-C6 alkyl, C1-C6 haloalkyl, Ci-C4-alkbxy- C1-C4- alkyl, CrC4-haloalkoxy- Ci-C4-alkyl, C3-C8-cycloalkyl, C3-C8-halocycloalkyl, C(=0)Ri, C(=0)OR), C(=0)NRkR', C2-C6-alkenyl, C2-C6-haloalkenyl, C2-C6- alkinyl and C2-C6-haloalkinyl;
R3 is selected from CHF2| OCH3, OCH2F, fluoroethoxy, S(=0)nCH3,
S(=0)nCH2CH3 and S(=0)nCH2CF3;
R4 is hydrogen, halogen or CrC4-haloalkyl; R5 is selected from hydrogen, C1-C6 alkyl, C3-C6-cycloalkyl, C2-C6 alkylcarbonyl,
C2-C6alkoxycarbonyl, C2-Ce-alkenyl, C2-C6-alkinyl, CrC4-alkoxy, C1-C4- alkylamino, C^Cs-dialkylamino, C3-C6-cycloalkylamino and (C1-C4 alkyl)-C3- C6-cycloalkylamino; n is 0, 1 or 2; m is 1 or 2;
L selected from the group consisting of -CH2-, -CH(CH3)-, -C(CH3)2-, -C(CH2)2, -CH2CH2-, -CH2CH(CH3)-, -CH(CH3)CH2-, -CH2C(CH3)2-, -CH2C(CH2)2-,
-CH2CH2CH2-, -CH2CH2-0-CH2- and -CH2CH2-S-CH2-;
Y is R7, OR7 or NR7R8; R6 is selected from hydrogen;
Ci-C6 alkyl which may be optionally substituted with one or more
substituents selected from the group consisting of C2-C6 alkylcarbonyl, C1-C6 alkoxycarbonyl, C02H, cyano, hydroxy, C1-C4 alkoxy, C1-C4 haloalkoxy, d- C4 alkylthio, Ci-C4 haloalkylthio, C1-C4 alkylsulfinyl, C1-C4 haloalkylsulfinyl, C1-C4 alkylsulfonyl, C1-C4 haloalkylsulfonyl, nitro, C1-C4 alkylamino, C2-C8 dialkylamino, CrC6 trialkylsilyl, and a phenyl ring which may be substituted with 1 , 2 or 3 radicals independently selected from R9; C1-C6 haloalkyl;
C3-C6 cycloalkyl;
C1-C6 alkoxycarbonyl;
phenyl and pyridinyl, where the last two radicals may be substituted with 1 , 2 or 3 radicals independently selected from R9;
R7, R8are selected from hydrogen;
Ci-C6 haloalkyl;
C1-C6 alkyl optionally substituted with one or more substituents selected from the group consisting of C2-C6 alkylcarbonyl, C2-C6 alkoxycarbonyl, cyano, hydroxy, C1-C4 alkoxy, C1-C4 haloalkoxy, C1-C4 alkylthio, C1-C4 haloalkylthio, C1-C4 alkylsulfinyl, C1-C4 haloalkylsulfinyl, C1-C4 alkylsulfonyl, C1-C4
haloalkylsulfonyl, C1-C4 alkylamino, C2-C8 dialkylamino, nitro, C3-C6
trialkylsilyl, and a phenyl ring which may be substituted with 1 , 2 or 3 radicals R10;
and a phenyl ring which may be substituted with 1, 2 or 3 radicals R10;
or R7 and R8, together with the nitrogen atom to which they are bound, may form a 3-, 4-, 5-, 6- or 7-membered saturated, partially unsaturated or fully unsaturated heterocyclic ring which may additionally contain one further heteroatom selected from N, S or O as ring members, where the
heterocyclic ring may optionally be substituted with from one to four substituents selected from the group consisting of halogen, C1-C2 alkyl, cyano, C1-C2 alkoxy and nitro;
R9 is selected from halogen, hydroxyl, cyano, nitro, C1-C4 alkyl, C1-C4 haloalkyl, C3-C6 cycloalkyl, C3-C6 halocycloalkyl, C2-C4 alkylcarbonyl, C2-C6
alkoxycarbonyl, CO2H, C2-C6 alkylaminocarbonyl, C3-C8
dialkylaminocarbonyl, C2-C4 alkenyl, C1-C4 haloalkenyl, C2-C4 alkynyl, C2-C4 haloalkynyl, C1-C4 alkoxy, C1-C4 haloa|koxy, C1-C4 alkylthio, C1-C4
alkylsulfinyl, C1-C4 alkylsulfonyl, C1-C4 alkylamino, C2-Cs dialkylamino, C3-C6 cycloalkylamino, (C1-C4 alkyl) C3-C6 cycloalkylamino, or C3-C6 trialkylsilyl; is selected from halogen, hydroxyl, cyano, nitro, C1-C4 alkyl, C1-C4 haloalkyl, C3-Ce cycloalkyl, C3-C6 halocycloalkyl, C2-C4 alkylcarbonyl, C2-C6
alkoxycarbonyl, CO2H, C2-C6 alkylaminocarbonyl, C3-C8
dialkylaminocarbonyl, C2-C4 alkenyl, C1-C4 haloalkenyl, C2-C4 alkynyl, C2-C4 haloalkynyl, C1-C4 alkoxy, C C4 haloalkoxy, C1-C4 alkylthio, C1-C4
alkylsulfinyl, C1-C4 alkylsulfonyl, C1-C4 alkylamino, C2-C8 dialkylamino, C3-C6 cycloalkylamino, (C1-C4 alkyl) C3-C6 cycloalkylamino, or C3-C6 trialkylsilyl; is selected from the group consisting of Ci-C6-alkyl, Ci-C6-haloalkyl, C1-C6- alkoxy-Ci-C6-alkyl, C3-C8-cycloalkyl, C3-C8-halocycloalkyl, - C(=0)RM, C(=0)ORM, C(=0)N(R")R°, cyano, C2-C6-alkenyl, C2-C6-haloalkenyl, C2-C6- alkynyl, C2-C6-haloalkynyl, -ORM, -SR% SF5, -S(0)MRM, -S(0)NN(RN)R°, - SCN, -N(RN)R°, nitro, azido, -SifR^ e,
phenyl which may be substituted by 1 , 2, 3, 4 or 5 radicals RP, and a 3-, 4-, 5-, 6- or 7-membered saturated, partially unsaturated or completely unsaturated heterocyclic ring containing 1 , 2 or 3 heteroatoms or heteroatom
groups selected from N, O, S, NO, SO and SO2, as ring members, where the heterocyclic ring may be substituted by one or more radicals RP; or two geminally bound radicals Ra together form a group selected from
or two radicals Ra, together with the carbon atoms to which they are bound, form a 3-, 4-, 5-, 6-, 7- or 8-membered saturated or partially unsaturated carbocyclic ring or a 3-, 4-, 5-, 6-, 7- or 8-membered saturated or partially unsaturated heterocyclic ring containing 1 , 2 or 3 heteroatoms or heteroatom groups selected from N, O, S, NO, SO and S02, as ring members;
Rb is selected from the group consisting of Ci-C6-alkyl, Ca-Ca-cycloalkyl, C2-C6- alkenyl, C2-C6-alkinyl, d-Ce-alkoxy, Ci-C6-alkylthio, Ci-C6-alkylsulfinyl, Ci- C6-alkylsulfonyl, wherein one or more CH2 groups of the aforementioned radicals may be replaced by a C=0 group, and/or the aliphatic and cycloaliphatic moieties of the aforementioned radicals may be unsubstituted, partially or fully halogenated and/or may carry 1 or 2 substituents selected from Ci-C4-alkoxy;
phenyl, benzyl, pyridyl and phenoxy, wherein the radicals phenyl, benzyl, pyridyl and phenoxy may be unsubstituted, partially or fully halogenated and/or carry 1, 2 or 3 substituents selected from Ci-C6-alkyl, Ci-Ce-haloalkyt, (Ci-Ce-alkoxyJcarbonyl, Ci-C6-alkoxy and Ci-C6-haloalkoxy ; Rc, Rd are, independently from one another, selected from the group consisting of hydrogen, Ci-C6-alkyl, C3-C8-cycloalkyl-C1-C4-alkyl, C3-C8-cycloalkyl, cyano, C2-C6-alkenyl and C2-C6-alkynyl, where the radicals Ci-C6-alkyl, C3-C8- cycloalkyl-CrC4-alkyl, Ca-Cs-cycloalkyl, C2-C6-alkenyl, C2-C6-alkynyl may be unsubstituted, partially or fully halogenated and/or wherein one or two CH2 groups may be replaced by a CO group; and/or may carry 1 or 2 radicals selected from Ci-C6-alkoxy, Ci-C6-haloalkoxy, Ci-C6-alkoxycarbonyl, Ci-C6- alkylthio, CrC6-haloalkylthio, CrC6-alkylsulfinyl, Ci-C6-alkylsulfonyl, - Si(R 2Rg, phenyl, benzyl, pyridyl and phenoxy, it being possible for phenyl, benzyl, pyridyl and phenoxy to be unsubstituted, partially or fully
halogenated and/or to carry 1 , 2 or 3 substituents selected from the group consisting of CrC6-alkyl, C -C6-haloalkyl, Ci-C6-alkoxycarbonyl, Ci-C6- alkoxy and Ci-C6 haloalkoxy ; or Rc and Rd, together with the nitrogen atom to which they are bound, form a 3-, 4-, 5-, 6- or 7-membered saturated, partly unsaturated or completely unsaturated N-heterocyclic ring which may contain 1 or 2 further
heteroatoms selected from N, O and S as ring members, where the
heterocyclic ring may carry 1 , 2, 3 or 4 substituents selected from halogen, Ci-C4-alkyl, Ci-C4-haloalkyl, Ci-C4-alkoxy and Ci-C4-haloalkoxy;
Re is independently selected from the group consisting of halogen, CrC6-alkyl, C3-C8-cycloalkyl, cyano, C2-C6-alkenyl and C2-C6-alkynyl, where the radicals
Ci-Ce-alkyl, CvCs-cycloalkyl, C2-Ce-alkenyl and C2-C6-alkynyl may be unsubstituted, partially or fully halogenated and/or wherein one or two CH2 groups may be replaced by a CO group, and/or may carry 1-2 radicals selected from CrC6-alkoxycarbonyl, Ci-C4-alkoxy, Ci-C6-alkoxy, C1-C6- haloalkoxy, Ci-C6-alkylthio, CrC6-haloalkylthio, CrC6-alkylsulfinyl, Ci-C6- haloalkylsulfinyl, Ci-C6-alkylsulfonyl, Ci-C6-haloalkylsulfonyl, -S ^Ra, phenyl, benzyl, pyridyl and phenoxy,
it being possible for phenyl, benzyl, pyridyl and phenoxy to be unsubstituted, partially or fully halogenated and/or to carry 1 , 2 or 3 substituents selected from the group consisting of CrC6-alkyl, CrC6-haloalkyl, C1-C6- alkoxycarbonyl, Ci-Ce-alkoxy , and C1-C6 haloalkoxy ; wherein, in the case of more than one Re, Re can be identical or different; Rf, R9 are, independently of each other and independently of each occurrence, selected from the group consisting of Ci-C4-alkyl, Ci-C4-alkoxy-CrC4-alkyl, C3-C8-cycloalkyl-CrC4-alkyl, C3-C6-cycloalkyl, phenyl and benzyl;
Rh is selected from the group consisting of hydrogen, CrC6-alkyl, C1-C6- haloalkyl, Cs-Cs-cycloalkyl-d^-alkyl, C3-C8-cycloalkyl, C3-C8- halocycloalkyl, cyano, C2-C6-alkenyl, C2-C6-haloalkenyl, C2-C6-alkynyl, C2- C6-haIoalkynyl, CrC6-alkoxy and Ci-C6-haloalkoxy;
R' is selected from the group consisting of Ci-C6-alkyl, C3-C8-cycloalkyl, C2-C6- alkenyl, C2-C6-alkinyl, Ci-Ce-alkoxy, Ci-C6-alkylthio, C C6-alkylsulfinyl, Ci-
C6-alkylsulfonyl, wherein one or more CH2 groups of the aforementioned radicals may be replaced by a C=0 group, and/or the aliphatic and cycloaliphatic moieties of the aforementioned radicals may be unsubstituted, partially or fully halogenated and/or may carry 1 or 2 substituents selected from Ci-C4-alkoxy; phenyl, benzyl, pyridyl and phenoxy, wherein the radicals phenyl, benzyl, pyridyl and phenoxy may be unsubstituted, partially or fully halogenated and/or carry 1, 2 or 3 substituents selected from CrC6-alkyl, d-Ce-haloalkyl, (Ci-Ce-alkoxyJcarbonyl, Ci-Ce-alkoxy and Ci-C6-haloalkoxy; Ri is selected from the group consisting of Ci-C6-alkyl, C3-C8-cycloalkyl, C2-C6- alkenyl, C2-C6-alkinyl, CrC6-alkoxy, Ci-C6-alkylthio, Ci-C6-alkylsulfinyl, Ci- C6-alkylsulfonyl, wherein one or more CH2 groups of the aforementioned
radicals may be replaced by a C=0 group, and/or the aliphatic and cycloaliphatic moieties of the aforementioned radicals may be unsubstituted, partially or fully halogenated and/or may carry 1 or 2 substituents selected from Ci-C4-alkoxy; phenyl, benzyl, pyridyl and phenoxy, wherein the radicals phenyl, benzyl, pyridyl and phenoxy may be unsubstituted, partially or fully halogenated and/or carry 1 , 2 or 3 substituents selected from Ci-C6-alkyl, Ci-C6-haloalkyl, (CrC6-alkoxy)carbonyl, Ci-Ce-alkoxy and Ci-C6-haloalkoxy; are, independently from one another and independently of each occurrence, selected from the group consisting of hydrogen, Ci-C6-alkyl, C3-C8- cycloalkyl, cyano, C2-C6-alkenyl, C2-C6-alkinyl, wherein one or more Chfe groups of the radicals Ci-Ce-alkyl, C3-C8-cycloalkyl, C2-C6-alkenyl, C2-C6- alkinyl, may be replaced by a C=0 group, and/or the aliphatic and cycloaliphatic moieties of the aforementioned radicals may be unsubstituted, partially or fully halogenated and/or may carry 1 or 2 radicals selected from Ci-C4-alkoxy;
Ci-C6-alkoxy, d-Ce-haloalkoxy, d-Ce-alkylthio, d-Ce-haloalkylthio, d-C6- alkylsulfinyl, Ci-C6-alkylsulfonyl, phenyl, benzyl, pyridyl and phenoxy, wherein the radicals phenyl, benzyl, pyridyl and phenoxy may be
unsubstituted, partially or fully halogenated and/or carry 1 , 2 or 3
substituents selected from CrC6-alkyl, Ci-C6-haloalkyl, (d-C6- alkoxy)carbonyl, Ci-C6-alkoxy and d-C6 haloalkoxy; or
Rk and R', together with the nitrogen atom to which they are bound, may form a 3-, 4-, 5-, 6- or 7-membered saturated, partially unsaturated or fully unsaturated heterocyclic ring which may additionally contain 1 or 2 further heteroatoms or heteroatom groups selected from N, O, S, NO, SO and S02, as ring members, where the heterocyclic ring may optionally be substituted with halogen, Ci-C4-haloalkyl, Ci-C4-alkoxy or Ci-C4-haloalkoxy; is selected from the group consisting of hydrogen, Ci-C6-alkyl, C3-C8- cycloalkyl, C2-C6-alkenyl, C2-C6-alkinyl, d-Ce-alkoxy, C C6-alkylthio, d-C6- alkylsulfinyl, Ci-C6-alkylsulfonyl, wherein one or more CH2 groups of the aforementioned radicals may be replaced by a C=0 group, and/or the aliphatic and cycloaliphatic moieties of the aforementioned radicals may be unsubstituted, partially or fully halogenated and/or may carry 1 or 2 substituents selected from CrC4-alkoxy,
phenyl, benzyl, pyridyl and phenoxy, wherein the radicals phenyl, benzyl, pyridyl and phenoxy may be unsubstituted, partially or fully halogenated and/or carry 1, 2 or 3 substituents selected from CrC6-alkyl, Ci-C6-haloalkyl, (Ci-C6-alkoxy)carbonyl, d-C6-alkoxy and d-C6-haloalkoxy;
Rn, R° are, independently from one another, selected from the group consisting of hydrogen, Ci-C6-alkyl, Ca-Ce-cycloalkyl-d-C^alkyl, C3-Ce-cycloalkyl, cyano, C2-C6-alkenyl, C2-C6-alkynyl, where the radicals Ci-C6-alkyl, C3-C8- cycloalkyl-C1-C4-alkyl, Cs-Ce-cycloalkyl, C2-C6-alkenyl, C2-C6-alkynyl, may be unsubstituted, partially or fully halogenated and/or wherein one or two CH2 groups may be replaced by a CO group; and/or may carry 1 or 2 radicals selected from CrC6-alkoxycarbonyl, Ci-C6-alkoxy, Ci-C6-haloalkoxy, C1-C6- alkylthio, Ci-C6-haloalkylthio, CrC6-alkylsulfinyl, Ci-Ce-alkylsulfonyl, - Si(R 2R9, phenyl, benzyl, pyridyl and phenoxy, it being possible for phenyl, benzyl, pyridyl and phenoxy to be unsubstituted, partially or fully
halogenated and/or to carry 1 , 2 or 3 substituents selected from the group consisting of Ci-C6-alkyl, CrC6-haloalkyl, Ci-C6-alkoxycarbonyl, C1-C6- alkoxy, and Ci-C6 haloalkoxy; or Rn and R°, together with the nitrogen atom to which they are bound, form a 3-, 4-, 5-, 6- or 7-membered saturated, partly unsaturated or completely unsaturated N-heterocyclic ring which may contain 1 or 2 further
heteroatoms selected from N, Q and S as ring members, where the heterocyclic ring may carry 1 , 2, 3 or 4 substituents selected from halogen, CrC4-alkyl, Ci-C4-haloalkyl, CrC4-alkoxy and Ci-C4-haloalkoxy;
Rp is selected from the group consisting of halogen, Ci-C6-alkyl, C3-C8- cycloalkyl, cyano, C2-C6-alkenyl and C2-C6-alkynyl where the radicals C1-C6- alkyl, Cs-Cs-cycloalkyl, C2-C6-alkenyl and C2-C6-alkynyl may be
unsubstituted, partially or fully halogenated and/or wherein one or two CH2 groups may be replaced by a CO group, and/or may carry 1-2 radicals selected from CrC6-alkoxycarbonyl, Ci-C4-alkoxy, Ci-C6-alkoxy, C1-C6- haloalkoxy, Ci-C6-alkylthio, Ci-C6-haloalkylthio, C C6-alkylsulfinyl, C1-C6- haloalkylsulfinyl, Ci-C6-alkylsulfonyl, Ci-Ce-haloalkylsulfonyl, -S R 2R9, phenyl, benzyl, pyridyl and phenoxy, it being possible for phenyl, benzyl, pyridyl and phenoxy to be unsubstituted, partially or fully halogenated and/or to carry 1, 2 or 3 substituents selected from the group consisting of C1-C6- alkyl, CrC6-haloalkyl, CrC6-alkoxycarbonyl, Ci-C6-alkoxy, and d-Ce haloalkoxy;
R", Rr are, independently from one another, selected from the group consisting of hydrogen, halogen, Ci-C6-alkyl, Ca-Cs-cycloalkyl, cyano, C2-C6-alkenyl, C2- C6-alkynyl, SF5, -SCN, nitro and azido, where the radicals Ci-C6-alkyl, C3-C8- cycloalkyl, C2-C6-alkenyl and C2-C6-alkynyl may be unsubstituted, partially or fully halogenated and/or oxygenated, and/or may carry 1 or 2 radicals selected from Ci-C4-alkyl; Ci-C4-haloalkyl; Ci-C6-alkoxy, Ci-C6-haloalkoxy,
Ci-Ce-alkylthio, Ci-Ce-haloalkylthio, Ci-C6-alkylsulfinyl, Ci-Ce-alkylsulfonyl, -
Si(Rf)2R9, -OH, -SH, phenyl, benzyl, pyridyl and phenoxy,
it being possible for phenyl, benzyl, pyridyl and phenoxy to be unsubstituted, partially or fully halogenated and/or to carry 1 , 2 or 3 substituents selected from the group consisting of Ci-C6-alkyl, Ci-C6-haloalkyl, (C1-C6- alkoxy)carbonyl, d-Ce-alkoxy, C1-C6 haloalkoxy; (Ci-C6-alkyl)amino, di-(Ci-
C6-alkyl)amino; or R" and Rr together form a group =C(Ci-C4-alkyl)2, =N(Ci-C6-alkyl),
=NO(CrC6-alkyl), or =0; or a stereoisomer, salt, tautomer or N-oxide thereof.
2 The compound according to claim 1, wherein R1a is selected from hydrogen,
cyano, halogen, Ci-Ce-alkyl, d-Cs-haloalkyl, a 3-, 4-, 5-, 6- or 7-membered saturated, partially unsaturated or aromatic heterocyclic ring containing 1 , 2 or 3 heteroatoms or heteroatom groups selected from N, O, S, NO, SO and SO2, as ring members and where the heterocyclic ring may be substituted by one or more radicals Re.
3. The compound according to claim 2, wherein R1a is selected from bromine,
chlorine, methyl, trifluoromethyl and difluoromethyl, in particular from chlorine, bromine and methyl.
4. The compound according to any of the preceding claims, wherein Rl is hydrogen.
5. The compound according to any of the preceding claims, wherein R c is selected from hydrogen, halogen, d-Ca-alkyl, Ci-Cs-haloalkyl, cyano, a 3-, 4-, 5-, 6- or 7- membered saturated, partially unsaturated or aromatic heterocyclic ring containing 1 , 2 or 3 heteroatoms or heteroatom groups selected from N, O, S, NO, SO and
SO2, as ring members and where the heterocyclic ring may be substituted by one or more radicals Re.
6. The compound according to any of the preceding claims, wherein R c is selected from bromine, chlorine and cyano.
7. The compound according to any of the preceding claims, wherein R1d is hydrogen.
8. The compound according to any of the preceding claims, wherein R2 is selected from hydrogen, Ci-C2-alkyl and C1-C2 haloalkyl and where R2 is in particular hydrogen.
The compound according to any of the preceding claims, wherein R3 is selected from CHF2, OCH3l OCH2F and OCH2CF3.
10. The compound according to any of the preceding claims, wherein R4 is selected from chlorine bromine and CF3.
11. The compound according to any of the preceding claims, wherein R4 is chlorine.
12. The compound according to any of the preceding claims, wherein R5 is selected from hydrogen and Ci-C6-alkyl and where R5 is in particular hydrogen.
13. The compound according to any of the preceding claims, wherein L is -CH2-.
14. The compound according to any of the preceding claims, wherein Y is OR7.
15. The compound according to any of the preceding claims, wherein R7 is selected from hydrogen, Ci-Ce-alkyl optionally substituted with one substituent selected from the group consisting of cyano, C1-C4 alkoxy, C1-C4 haloalkoxy, C1-C4 alkylthio, C1-C4 haloalkylthio, C1-C4 alkylsulfinyl, C1-C4 haloalkylsulfinyl, C1-C4 alkylsulfonyl, C1-C4 haloa!kylsulfonyl, and a phenyl ring which may be substituted with 1, 2 or 3 radicals R 0; Ci-Ce-haloalkyl or a phenyl ring which may be substituted with 1 , 2 or 3 radicals R10.
16. The compound according to any of the preceding claims, wherein R6 is selected from hydrogen and d-Ce-alkyl and where R6 is in particular hydrogen.
17. The compound according to any of the preceding claims, wherein the compound has the general formula (l-a)
(l-a) wherein R1a, R1c, R1d, R3 and R7 are as defined in any of the preceding claims.
18. The compound according to claim 17, wherein R1a, R1c, R1d, R3 and R7 have one of the meanings given in any one of rows 1 to 40 of the following table:
The compound according to claims 1 to 16, wherein the compound has the general formula (l-d)
(l-d) wherein R1a, R1c, R3, R7 and L are as defined in any of claims 1 to 16.
The compound according to claim 19, wherein R1a, R c, R3, R7 and L have one of the meanings given in any one of rows 1 to 48 of the following table:
14 CI CI OCH2F CH3 -CH(CH3)-
15 CH3 CN OCH2F CH3 -CH(CH3)-
16 CH3 CI CHF2 CH3 -CH(CH3)-
17 CH3 CN OCH2CF3 CH3 -CH(CH3)-
18 CI CI CHF2 CH3 -CH(CH3)-
19 CH3 CN CHF2 CH3 -CH(CH3)-
20 CI CI CHF2 CH3 -CH2CH -
21 CH3 CI CHF2 CH3 -CH2CH -
22 CH3 CN CHF2 CH3 -CH2CH2-
23 CI CI OCH2F CH3 -CH2CH2-
24 CH3 CI OCH2F CH3 -CH2CH2-
25 CH3 CN OCH2F CH3 -CH2CH2-
26 CI CI CHF2 CH2CH3 -CH2CH2-
27 CH3 CI CHF2 CH2CH3 -CH2CH2-
28 CH3 CN CHF2 CH2CH3 -CH2CH2-
29 CI CI OCH2F CH2CH3 -CH2CH2-
30 CH3 CI OCH2F CH2CH3 -CH2CH2-
31 CH3 CN OCH2F CH2CH3 -CH2CH2-
32 CI CI CHF2 CH3 -CH2CH CH2-
33 CH3 CI CHF2 CH3 -CH2CH2CH2-
34 CH3 CN CHF2 CH3 -CH2CH2CH2-
35 CI CI OCH2F CH3 -CH2CH2CH2-
36 CH3 CI OCH2F CH3 -CH2CH2CH2-
37 CH3 CN OCH2F CH3 -CH CH CH2-
38 CI CI CHF2 CH2CH3 -CH CH2CH2-
39 CH3 CI CHF2 CH2CH3 -CH CH2CH2-
40 CH3 CN CHF2 CH2CH3 -CH2CH2CH2-
41 CI CI CHF2 CH3 -CH2C(CH3)2-
42 CH3 CI CHF2 CH3 -CH2C(CH3)2-
43 CH3 CN CHF2 CH3 -CH2C(CH3)2-
44 CI CI CHF2 CH2CH3 -CH2C(CH3)2-
45 CH3 CI CHF2 CH2CH3 -CH2C(CH3)2-
46 CH3 CN CHF2 CH2CH3 -CH2C(CH3)2-
47 CI CI CHF2 CH2CH3 -CH(CH3)CH2-
48 CH3 CI CHF2 CH2CH3 -CH(CH3)CH2-
An agricultural or veterinary composition comprising at least one compound as defined in any one of claims 1 to 20, or a stereoisomer, agriculturally or veterinarily acceptable salt, tautomer or N-oxide thereof and at least one liquid and/or solid carrier.
22. Seed comprising a compound as defined in any one of claims 1 to 20 or a stereoisomer, salt, tautomer or N-oxide thereof in an amount of from 0.1 g to 10 kg per 100 kg of the plant propagation material.
23. Use of a compound as defined in any one of claims 1 to 20 or a stereoisomer, salt, tautomer or N-oxide thereof or a composition as defined in claim 20 for at least one of the following purposes:
combating or controlling invertebrate pests of the group of insects, arachnids or nematodes;
for protecting growing plants from attack or infestation by invertebrate pests; for combating or controlling invertebrate parasites in and on animals.
24. A compound as defined in any of claims 1 to 20 or a stereoisomer, veterinarily acceptable salt, tautomer or N-oxide thereof for use as a medicament.
Applications Claiming Priority (4)
| Application Number | Priority Date | Filing Date | Title |
|---|---|---|---|
| US201361766740P | 2013-02-20 | 2013-02-20 | |
| EP13156026.0 | 2013-02-20 | ||
| US61/766,740 | 2013-02-20 | ||
| EP13156026 | 2013-02-20 |
Publications (1)
| Publication Number | Publication Date |
|---|---|
| WO2014128136A1 true WO2014128136A1 (en) | 2014-08-28 |
Family
ID=47722177
Family Applications (1)
| Application Number | Title | Priority Date | Filing Date |
|---|---|---|---|
| PCT/EP2014/053173 Ceased WO2014128136A1 (en) | 2013-02-20 | 2014-02-19 | Anthranilamide compounds and their use as pesticides |
Country Status (1)
| Country | Link |
|---|---|
| WO (1) | WO2014128136A1 (en) |
Cited By (7)
| Publication number | Priority date | Publication date | Assignee | Title |
|---|---|---|---|---|
| US9556141B2 (en) | 2011-11-21 | 2017-01-31 | Basf Se | Process for preparing N-substituted 1H-pyrazole-5-carboxylate compounds and derivatives thereof |
| CN110835330A (en) * | 2018-08-15 | 2020-02-25 | 海利尔药业集团股份有限公司 | Preparation method of substituted pyrazole amide compound with insecticidal activity |
| CN111670186A (en) * | 2017-12-20 | 2020-09-15 | Pi工业有限公司 | Pyrazolopyridine-diamide compound, use as pesticide and preparation method thereof |
| US11206831B2 (en) | 2015-12-03 | 2021-12-28 | Basf Se | Substituted oxadiazoles for combating phytopathogenic fungi |
| CN115636825A (en) * | 2022-09-26 | 2023-01-24 | 山东省农药科学研究院 | Preparation method of intermediate oxazinone and application of intermediate oxazinone in preparation of bisamide insecticide |
| WO2023006634A1 (en) | 2021-07-27 | 2023-02-02 | Syngenta Crop Protection Ag | Method for controlling diamide resistant pests & compounds therefor |
| WO2023021020A1 (en) | 2021-08-19 | 2023-02-23 | Syngenta Crop Protection Ag | Method for controlling diamide resistant pests & compounds therefor |
Citations (63)
| Publication number | Priority date | Publication date | Assignee | Title |
|---|---|---|---|---|
| DE3306197A1 (en) | 1983-02-23 | 1984-08-23 | Bayer Ag, 5090 Leverkusen | ALKOXIMINOALKYLAMINO-1,3,5-TRIAZINE, METHOD FOR THE PRODUCTION THEREOF AND THEIR USE AS HERBICIDES |
| EP0142924A2 (en) | 1983-09-26 | 1985-05-29 | Mycogen Plant Science, Inc. | Insect resistant plants |
| EP0193259A1 (en) | 1985-01-18 | 1986-09-03 | Plant Genetic Systems N.V. | Modifying plants by genetic engineering to combat or control insects |
| EP0242246A1 (en) | 1986-03-11 | 1987-10-21 | Plant Genetic Systems N.V. | Plant cells resistant to glutamine synthetase inhibitors, made by genetic engineering |
| EP0257993A2 (en) | 1986-08-26 | 1988-03-02 | E.I. Du Pont De Nemours And Company | Nucleic acid fragment encoding herbicide resistant plant acetolactate synthase |
| EP0374753A2 (en) | 1988-12-19 | 1990-06-27 | American Cyanamid Company | Insecticidal toxines, genes coding therefor, antibodies binding them, transgenic plant cells and plants expressing these toxines |
| EP0392225A2 (en) | 1989-03-24 | 1990-10-17 | Ciba-Geigy Ag | Disease-resistant transgenic plants |
| US5013659A (en) | 1987-07-27 | 1991-05-07 | E. I. Du Pont De Nemours And Company | Nucleic acid fragment encoding herbicide resistant plant acetolactate synthase |
| EP0427529A1 (en) | 1989-11-07 | 1991-05-15 | Pioneer Hi-Bred International, Inc. | Larvicidal lectins and plant insect resistance based thereon |
| WO1991013972A1 (en) | 1990-03-16 | 1991-09-19 | Calgene, Inc. | Plant desaturases - compositions and uses |
| WO1991019806A1 (en) | 1990-06-18 | 1991-12-26 | Monsanto Company | Increased starch content in plants |
| WO1992000377A1 (en) | 1990-06-25 | 1992-01-09 | Monsanto Company | Glyphosate tolerant plants |
| WO1992011376A1 (en) | 1990-12-21 | 1992-07-09 | Amylogene Hb | Genetically engineered modification of potato to form amylopectin-type starch |
| WO1992014827A1 (en) | 1991-02-13 | 1992-09-03 | Institut Für Genbiologische Forschung Berlin Gmbh | Plasmids containing dna-sequences that cause changes in the carbohydrate concentration and the carbohydrate composition in plants, as well as plant cells and plants containing these plasmids |
| WO1993007278A1 (en) | 1991-10-04 | 1993-04-15 | Ciba-Geigy Ag | Synthetic dna sequence having enhanced insecticidal activity in maize |
| WO1995034656A1 (en) | 1994-06-10 | 1995-12-21 | Ciba-Geigy Ag | Novel bacillus thuringiensis genes coding toxins active against lepidopteran pests |
| US5559024A (en) | 1988-03-23 | 1996-09-24 | Rhone-Poulenc Agrochimie | Chimeric nitrilase-encoding gene for herbicidal resistance |
| WO1997041218A1 (en) | 1996-04-29 | 1997-11-06 | Board Of Supervisors Of Louisiana State University And Agricultural And Mechanical College | Herbicide resistant rice |
| WO1998002527A1 (en) | 1996-07-17 | 1998-01-22 | Michigan State University | Imidazolinone herbicide resistant sugar beet plants |
| WO1998002526A1 (en) | 1996-07-17 | 1998-01-22 | Michigan State University | Imidazolinone herbicide resistant sugar beet plants |
| WO2000026390A2 (en) | 1998-10-29 | 2000-05-11 | American Cyanamid Company | Genes and vectors for conferring herbicide resistance in plants |
| US6222100B1 (en) | 1984-03-06 | 2001-04-24 | Mgi Pharma, Inc. | Herbicide resistance in plants |
| WO2001070671A2 (en) | 2000-03-22 | 2001-09-27 | E.I. Du Pont De Nemours And Company | Insecticidal anthranilamides |
| WO2001082685A1 (en) | 2000-04-28 | 2001-11-08 | Basf Aktiengesellschaft | Use of the maize x112 mutant ahas 2 gene and imidazolinone herbicides for selection of transgenic monocots, maize, rice and wheat plants resistant to the imidazolinone herbicides |
| WO2002015701A2 (en) | 2000-08-25 | 2002-02-28 | Syngenta Participations Ag | Bacillus thuringiensis crystal protein hybrids |
| WO2003013225A2 (en) | 2001-08-09 | 2003-02-20 | Northwest Plant Breeding Company | Wheat plants having increased resistance to imidazolinone herbicides |
| WO2003014356A1 (en) | 2001-08-09 | 2003-02-20 | University Of Saskatchewan | Wheat plants having increased resistance to imidazolinone herbicides |
| WO2003014357A1 (en) | 2001-08-09 | 2003-02-20 | University Of Saskatchewan | Wheat plants having increased resistance to imidazolinone herbicides |
| WO2003016284A1 (en) | 2001-08-16 | 2003-02-27 | E. I. Du Pont De Nemours And Company | Substituted anthranilamides for controlling invertebrate pests |
| WO2003016300A1 (en) | 2001-08-15 | 2003-02-27 | E. I. Du Pont De Nemours And Company | Ortho-substituted aryl amides for controlling invertebrate pests |
| WO2003015518A1 (en) | 2001-08-13 | 2003-02-27 | E.I. Du Pont De Nemours And Company | Method for controlling particular insect pests by applying anthranilamide compounds |
| WO2003015519A1 (en) | 2001-08-13 | 2003-02-27 | E.I. Du Pont De Nemours And Company | Arthropodicidal anthranilamides |
| WO2003018810A2 (en) | 2001-08-31 | 2003-03-06 | Syngenta Participations Ag | Modified cry3a toxins and nucleic acid sequences coding therefor |
| WO2003024222A1 (en) | 2001-09-21 | 2003-03-27 | E. I. Du Pont De Nemours And Company | Anthranilamide arthropodicide treatment |
| WO2003052073A2 (en) | 2001-12-17 | 2003-06-26 | Syngenta Participations Ag | Novel corn event |
| WO2003086075A1 (en) | 2002-04-16 | 2003-10-23 | Bayer Healthcare Ag | Parasite control in animals |
| WO2004016073A2 (en) | 2002-07-10 | 2004-02-26 | The Department Of Agriculture, Western Australia | Wheat plants having increased resistance to imidazolinone herbicides |
| WO2004046129A2 (en) | 2002-11-15 | 2004-06-03 | E.I. Du Pont De Nemours And Company | Novel anthranilamide insecticides |
| WO2004106529A2 (en) | 2003-05-28 | 2004-12-09 | Basf Aktiengesellschaft | Wheat plants having increased tolerance to imidazolinone herbicides |
| WO2005020673A1 (en) | 2003-08-29 | 2005-03-10 | Instituto Nacional De Technologia Agropecuaria | Rice plants having increased tolerance to imidazolinone herbicides |
| WO2005077943A1 (en) | 2004-01-09 | 2005-08-25 | Cadila Healthcare Limited | 1 , 3 - dioxane derivatives and analogues thereof useful in the treatment of i.a. obesity and diabetes |
| WO2005085216A1 (en) | 2004-03-05 | 2005-09-15 | Nissan Chemical Industries, Ltd. | Isoxazoline-substituted benzamide compound and noxious organism control agent |
| WO2006000336A2 (en) | 2004-06-28 | 2006-01-05 | Bayer Cropscience Ag | Anthranilamides serving as pesticides |
| WO2006013896A1 (en) | 2004-08-04 | 2006-02-09 | Meiji Seika Kaisha, Ltd. | Quinoline derivative and insecticide containing same as active constituent |
| WO2006043635A1 (en) | 2004-10-20 | 2006-04-27 | Kumiai Chemical Industry Co., Ltd. | 3-triazolylphenyl sulfide derivative and insecticide/acaricide/nematicide containing the same as active ingredient |
| WO2006068669A1 (en) | 2004-07-26 | 2006-06-29 | E.I. Dupont De Nemours And Company | Mixtures of anthranilamide invertebrate pest control agents |
| WO2006089633A2 (en) | 2005-02-22 | 2006-08-31 | Bayer Cropscience Ag | Spiroketal-substituted cyclic ketoenols |
| WO2006129714A1 (en) | 2005-06-01 | 2006-12-07 | Meiji Seika Kaisha, Ltd. | Pest control agent |
| WO2007006670A1 (en) | 2005-07-07 | 2007-01-18 | Basf Aktiengesellschaft | N-thio-anthranilamid compounds and their use as pesticides |
| WO2007009661A2 (en) | 2005-07-15 | 2007-01-25 | Syngenta Participations Ag | Pesticidal mixtures containing bicyclic anthranilamides |
| US20070045568A1 (en) | 2005-08-25 | 2007-03-01 | Jui-Fang Chen | Method for reducing particles during ion implantation |
| WO2007043677A1 (en) | 2005-10-14 | 2007-04-19 | Sumitomo Chemical Company, Limited | Hydrazide compound and pesticidal use of the same |
| WO2007080131A2 (en) * | 2006-01-16 | 2007-07-19 | Syngenta Participations Ag | Anthranilamide derivatives and their use for the control of insects and acari |
| WO2007093402A1 (en) | 2006-02-16 | 2007-08-23 | Syngenta Participations Ag | Pesticides containing a bicyclic bisamide structure |
| WO2007101540A1 (en) | 2006-03-06 | 2007-09-13 | Bayer Cropscience Ag | Combinations of active ingredients with insecticidal properties |
| WO2007115644A1 (en) | 2006-03-31 | 2007-10-18 | Bayer Cropscience Ag | Substituted enaminocarbonyl compounds |
| WO2007149134A1 (en) | 2006-06-23 | 2007-12-27 | Dow Agrosciences Llc | A method to control insects resistant to common insecticides |
| WO2008067911A1 (en) | 2006-12-04 | 2008-06-12 | Bayer Cropscience Ag | Biphenyl-substituted spirocyclic ketoenols |
| WO2008130021A2 (en) | 2007-04-12 | 2008-10-30 | Sumitomo Chemical Company, Limited | Heterocyclic hydrazide compound and pesticidal use of the same |
| WO2008134969A1 (en) | 2007-04-30 | 2008-11-13 | Sinochem Corporation | Benzamide compounds and applications thereof |
| WO2009124707A2 (en) | 2008-04-07 | 2009-10-15 | Bayer Cropscience Ag | Combinations of biological control agents and insecticides or fungicides |
| WO2012029672A1 (en) | 2010-08-31 | 2012-03-08 | Meiji Seikaファルマ株式会社 | Noxious organism control agent |
| WO2012038851A1 (en) | 2010-09-24 | 2012-03-29 | Pfizer Inc. | Isoxazoline oximes as antiparasitic agents |
-
2014
- 2014-02-19 WO PCT/EP2014/053173 patent/WO2014128136A1/en not_active Ceased
Patent Citations (65)
| Publication number | Priority date | Publication date | Assignee | Title |
|---|---|---|---|---|
| DE3306197A1 (en) | 1983-02-23 | 1984-08-23 | Bayer Ag, 5090 Leverkusen | ALKOXIMINOALKYLAMINO-1,3,5-TRIAZINE, METHOD FOR THE PRODUCTION THEREOF AND THEIR USE AS HERBICIDES |
| EP0142924A2 (en) | 1983-09-26 | 1985-05-29 | Mycogen Plant Science, Inc. | Insect resistant plants |
| US6222100B1 (en) | 1984-03-06 | 2001-04-24 | Mgi Pharma, Inc. | Herbicide resistance in plants |
| EP0451878A1 (en) | 1985-01-18 | 1991-10-16 | Plant Genetic Systems, N.V. | Modifying plants by genetic engineering to combat or control insects |
| EP0193259A1 (en) | 1985-01-18 | 1986-09-03 | Plant Genetic Systems N.V. | Modifying plants by genetic engineering to combat or control insects |
| EP0242246A1 (en) | 1986-03-11 | 1987-10-21 | Plant Genetic Systems N.V. | Plant cells resistant to glutamine synthetase inhibitors, made by genetic engineering |
| EP0242236A1 (en) | 1986-03-11 | 1987-10-21 | Plant Genetic Systems N.V. | Plant cells resistant to glutamine synthetase inhibitors, made by genetic engineering |
| EP0257993A2 (en) | 1986-08-26 | 1988-03-02 | E.I. Du Pont De Nemours And Company | Nucleic acid fragment encoding herbicide resistant plant acetolactate synthase |
| US5013659A (en) | 1987-07-27 | 1991-05-07 | E. I. Du Pont De Nemours And Company | Nucleic acid fragment encoding herbicide resistant plant acetolactate synthase |
| US5559024A (en) | 1988-03-23 | 1996-09-24 | Rhone-Poulenc Agrochimie | Chimeric nitrilase-encoding gene for herbicidal resistance |
| EP0374753A2 (en) | 1988-12-19 | 1990-06-27 | American Cyanamid Company | Insecticidal toxines, genes coding therefor, antibodies binding them, transgenic plant cells and plants expressing these toxines |
| EP0392225A2 (en) | 1989-03-24 | 1990-10-17 | Ciba-Geigy Ag | Disease-resistant transgenic plants |
| EP0427529A1 (en) | 1989-11-07 | 1991-05-15 | Pioneer Hi-Bred International, Inc. | Larvicidal lectins and plant insect resistance based thereon |
| WO1991013972A1 (en) | 1990-03-16 | 1991-09-19 | Calgene, Inc. | Plant desaturases - compositions and uses |
| WO1991019806A1 (en) | 1990-06-18 | 1991-12-26 | Monsanto Company | Increased starch content in plants |
| WO1992000377A1 (en) | 1990-06-25 | 1992-01-09 | Monsanto Company | Glyphosate tolerant plants |
| WO1992011376A1 (en) | 1990-12-21 | 1992-07-09 | Amylogene Hb | Genetically engineered modification of potato to form amylopectin-type starch |
| WO1992014827A1 (en) | 1991-02-13 | 1992-09-03 | Institut Für Genbiologische Forschung Berlin Gmbh | Plasmids containing dna-sequences that cause changes in the carbohydrate concentration and the carbohydrate composition in plants, as well as plant cells and plants containing these plasmids |
| WO1993007278A1 (en) | 1991-10-04 | 1993-04-15 | Ciba-Geigy Ag | Synthetic dna sequence having enhanced insecticidal activity in maize |
| WO1995034656A1 (en) | 1994-06-10 | 1995-12-21 | Ciba-Geigy Ag | Novel bacillus thuringiensis genes coding toxins active against lepidopteran pests |
| WO1997041218A1 (en) | 1996-04-29 | 1997-11-06 | Board Of Supervisors Of Louisiana State University And Agricultural And Mechanical College | Herbicide resistant rice |
| WO1998002527A1 (en) | 1996-07-17 | 1998-01-22 | Michigan State University | Imidazolinone herbicide resistant sugar beet plants |
| WO1998002526A1 (en) | 1996-07-17 | 1998-01-22 | Michigan State University | Imidazolinone herbicide resistant sugar beet plants |
| WO2000026390A2 (en) | 1998-10-29 | 2000-05-11 | American Cyanamid Company | Genes and vectors for conferring herbicide resistance in plants |
| WO2001070671A2 (en) | 2000-03-22 | 2001-09-27 | E.I. Du Pont De Nemours And Company | Insecticidal anthranilamides |
| WO2001082685A1 (en) | 2000-04-28 | 2001-11-08 | Basf Aktiengesellschaft | Use of the maize x112 mutant ahas 2 gene and imidazolinone herbicides for selection of transgenic monocots, maize, rice and wheat plants resistant to the imidazolinone herbicides |
| WO2002015701A2 (en) | 2000-08-25 | 2002-02-28 | Syngenta Participations Ag | Bacillus thuringiensis crystal protein hybrids |
| WO2003013225A2 (en) | 2001-08-09 | 2003-02-20 | Northwest Plant Breeding Company | Wheat plants having increased resistance to imidazolinone herbicides |
| WO2003014356A1 (en) | 2001-08-09 | 2003-02-20 | University Of Saskatchewan | Wheat plants having increased resistance to imidazolinone herbicides |
| WO2003014357A1 (en) | 2001-08-09 | 2003-02-20 | University Of Saskatchewan | Wheat plants having increased resistance to imidazolinone herbicides |
| WO2003015519A1 (en) | 2001-08-13 | 2003-02-27 | E.I. Du Pont De Nemours And Company | Arthropodicidal anthranilamides |
| WO2003015518A1 (en) | 2001-08-13 | 2003-02-27 | E.I. Du Pont De Nemours And Company | Method for controlling particular insect pests by applying anthranilamide compounds |
| WO2003016300A1 (en) | 2001-08-15 | 2003-02-27 | E. I. Du Pont De Nemours And Company | Ortho-substituted aryl amides for controlling invertebrate pests |
| WO2003016284A1 (en) | 2001-08-16 | 2003-02-27 | E. I. Du Pont De Nemours And Company | Substituted anthranilamides for controlling invertebrate pests |
| WO2003018810A2 (en) | 2001-08-31 | 2003-03-06 | Syngenta Participations Ag | Modified cry3a toxins and nucleic acid sequences coding therefor |
| WO2003024222A1 (en) | 2001-09-21 | 2003-03-27 | E. I. Du Pont De Nemours And Company | Anthranilamide arthropodicide treatment |
| WO2003052073A2 (en) | 2001-12-17 | 2003-06-26 | Syngenta Participations Ag | Novel corn event |
| WO2003086075A1 (en) | 2002-04-16 | 2003-10-23 | Bayer Healthcare Ag | Parasite control in animals |
| WO2004016073A2 (en) | 2002-07-10 | 2004-02-26 | The Department Of Agriculture, Western Australia | Wheat plants having increased resistance to imidazolinone herbicides |
| WO2004046129A2 (en) | 2002-11-15 | 2004-06-03 | E.I. Du Pont De Nemours And Company | Novel anthranilamide insecticides |
| WO2004106529A2 (en) | 2003-05-28 | 2004-12-09 | Basf Aktiengesellschaft | Wheat plants having increased tolerance to imidazolinone herbicides |
| WO2005020673A1 (en) | 2003-08-29 | 2005-03-10 | Instituto Nacional De Technologia Agropecuaria | Rice plants having increased tolerance to imidazolinone herbicides |
| WO2005077943A1 (en) | 2004-01-09 | 2005-08-25 | Cadila Healthcare Limited | 1 , 3 - dioxane derivatives and analogues thereof useful in the treatment of i.a. obesity and diabetes |
| WO2005085216A1 (en) | 2004-03-05 | 2005-09-15 | Nissan Chemical Industries, Ltd. | Isoxazoline-substituted benzamide compound and noxious organism control agent |
| WO2006000336A2 (en) | 2004-06-28 | 2006-01-05 | Bayer Cropscience Ag | Anthranilamides serving as pesticides |
| WO2006068669A1 (en) | 2004-07-26 | 2006-06-29 | E.I. Dupont De Nemours And Company | Mixtures of anthranilamide invertebrate pest control agents |
| WO2006013896A1 (en) | 2004-08-04 | 2006-02-09 | Meiji Seika Kaisha, Ltd. | Quinoline derivative and insecticide containing same as active constituent |
| WO2006043635A1 (en) | 2004-10-20 | 2006-04-27 | Kumiai Chemical Industry Co., Ltd. | 3-triazolylphenyl sulfide derivative and insecticide/acaricide/nematicide containing the same as active ingredient |
| WO2006089633A2 (en) | 2005-02-22 | 2006-08-31 | Bayer Cropscience Ag | Spiroketal-substituted cyclic ketoenols |
| WO2006129714A1 (en) | 2005-06-01 | 2006-12-07 | Meiji Seika Kaisha, Ltd. | Pest control agent |
| WO2007006670A1 (en) | 2005-07-07 | 2007-01-18 | Basf Aktiengesellschaft | N-thio-anthranilamid compounds and their use as pesticides |
| WO2007009661A2 (en) | 2005-07-15 | 2007-01-25 | Syngenta Participations Ag | Pesticidal mixtures containing bicyclic anthranilamides |
| US20070045568A1 (en) | 2005-08-25 | 2007-03-01 | Jui-Fang Chen | Method for reducing particles during ion implantation |
| WO2007043677A1 (en) | 2005-10-14 | 2007-04-19 | Sumitomo Chemical Company, Limited | Hydrazide compound and pesticidal use of the same |
| WO2007080131A2 (en) * | 2006-01-16 | 2007-07-19 | Syngenta Participations Ag | Anthranilamide derivatives and their use for the control of insects and acari |
| WO2007093402A1 (en) | 2006-02-16 | 2007-08-23 | Syngenta Participations Ag | Pesticides containing a bicyclic bisamide structure |
| WO2007101540A1 (en) | 2006-03-06 | 2007-09-13 | Bayer Cropscience Ag | Combinations of active ingredients with insecticidal properties |
| WO2007115644A1 (en) | 2006-03-31 | 2007-10-18 | Bayer Cropscience Ag | Substituted enaminocarbonyl compounds |
| WO2007149134A1 (en) | 2006-06-23 | 2007-12-27 | Dow Agrosciences Llc | A method to control insects resistant to common insecticides |
| WO2008067911A1 (en) | 2006-12-04 | 2008-06-12 | Bayer Cropscience Ag | Biphenyl-substituted spirocyclic ketoenols |
| WO2008130021A2 (en) | 2007-04-12 | 2008-10-30 | Sumitomo Chemical Company, Limited | Heterocyclic hydrazide compound and pesticidal use of the same |
| WO2008134969A1 (en) | 2007-04-30 | 2008-11-13 | Sinochem Corporation | Benzamide compounds and applications thereof |
| WO2009124707A2 (en) | 2008-04-07 | 2009-10-15 | Bayer Cropscience Ag | Combinations of biological control agents and insecticides or fungicides |
| WO2012029672A1 (en) | 2010-08-31 | 2012-03-08 | Meiji Seikaファルマ株式会社 | Noxious organism control agent |
| WO2012038851A1 (en) | 2010-09-24 | 2012-03-29 | Pfizer Inc. | Isoxazoline oximes as antiparasitic agents |
Non-Patent Citations (17)
| Title |
|---|
| "Technical Monograph", May 2008, CROPLIFE INTERNATIONAL, article "Catalogue of pesticide formulation types and international coding system" |
| BIOCONJUG CHEM, vol. 16, no. 1, January 2005 (2005-01-01), pages 113 - 21 |
| BIOMATERIALS, vol. 22, no. 5, March 2001 (2001-03-01), pages 405 - 17 |
| BIOORG. MED. CHEM. LETT., vol. 22, no. 11, 2012, pages 3800 - 3806 |
| BIOTECHNOL PROG., vol. 17, no. 4, July 2001 (2001-07-01), pages 720 - 8 |
| C. D. S. TOMLIN: "The Pesticide Manual", 2011, BRITISH CROP PROTECTION COUNCIL |
| CURR OPIN CHEM BIOL., vol. 10, no. 5, 28 August 2006 (2006-08-28), pages 487 - 91 |
| EUR. J. MED. CHEM., vol. 40, no. 8, 2005, pages 805 - 810 |
| J. AM. CHEM. SOC., vol. 72, 1950, pages 4887 - 4890 |
| J. ORG. CHEM., vol. 12, 1947, pages 734 - 751 |
| J. ORG. CHEM., vol. 3, 1938, pages 414 - 423 |
| KNOWLES: "Agrow Reports DS243", 2005, T&F INFORMA, article "New developments in crop protection product formulation" |
| KNOWLES: "Agrow Reports DS256", 2006, T&F INFORMA, article "Adjuvants and additives" |
| MCCUTCHEON'S: "Emulsifiers & Detergents, McCutcheon's Directories", vol. 1, 2008, GLEN ROCK |
| MOLLET; GRUBEMANN: "Formulation technology", 2001, WILEY VCH |
| NAT PROTOC., vol. 2, no. 5, 2007, pages 1225 - 35 |
| PROTEIN ENG DES SEL., vol. 17, no. 1, January 2004 (2004-01-01), pages 57 - 66 |
Cited By (8)
| Publication number | Priority date | Publication date | Assignee | Title |
|---|---|---|---|---|
| US9556141B2 (en) | 2011-11-21 | 2017-01-31 | Basf Se | Process for preparing N-substituted 1H-pyrazole-5-carboxylate compounds and derivatives thereof |
| US11206831B2 (en) | 2015-12-03 | 2021-12-28 | Basf Se | Substituted oxadiazoles for combating phytopathogenic fungi |
| CN111670186A (en) * | 2017-12-20 | 2020-09-15 | Pi工业有限公司 | Pyrazolopyridine-diamide compound, use as pesticide and preparation method thereof |
| CN111670186B (en) * | 2017-12-20 | 2023-10-17 | Pi工业有限公司 | Pyrazolopyridine-diamide compounds, their use as pesticides and their preparation methods |
| CN110835330A (en) * | 2018-08-15 | 2020-02-25 | 海利尔药业集团股份有限公司 | Preparation method of substituted pyrazole amide compound with insecticidal activity |
| WO2023006634A1 (en) | 2021-07-27 | 2023-02-02 | Syngenta Crop Protection Ag | Method for controlling diamide resistant pests & compounds therefor |
| WO2023021020A1 (en) | 2021-08-19 | 2023-02-23 | Syngenta Crop Protection Ag | Method for controlling diamide resistant pests & compounds therefor |
| CN115636825A (en) * | 2022-09-26 | 2023-01-24 | 山东省农药科学研究院 | Preparation method of intermediate oxazinone and application of intermediate oxazinone in preparation of bisamide insecticide |
Similar Documents
| Publication | Publication Date | Title |
|---|---|---|
| EP2742037B1 (en) | N-thio-anthranilamide compounds and their use as pesticides | |
| AU2012297003B2 (en) | Aniline type compounds | |
| EP2844651A1 (en) | Substituted pyrazole-containing compounds and their use as pesticides | |
| EP2742027A1 (en) | N-thio-anthranilamide compounds and their use as pesticides | |
| EP2742023A1 (en) | N-thio-anthranilamide compounds and their use as pesticides | |
| WO2013092868A1 (en) | N-thio-anthranilamide compounds and their use as pesticides | |
| WO2013113789A1 (en) | N-thio-anthranilamide compounds and their use as pesticides | |
| EP2744784A1 (en) | Carbamoylmethoxy- and carbamoylmethylthio- and carbamoylmethylamino benzamides for combating invertebrate pests | |
| WO2013167633A1 (en) | Acrylamide compounds for combating invertebrate pests | |
| US9533968B2 (en) | N-thio-anthranilamide compounds and their use as pesticides | |
| EP2742038A1 (en) | Anthranilamide compounds and their use as pesticides | |
| WO2014128136A1 (en) | Anthranilamide compounds and their use as pesticides | |
| US20140200134A1 (en) | Anthranilamide Compounds and their use as Pesticides | |
| WO2013024169A1 (en) | Carbamoylmethoxy- and carbamoylmethylthio- and carbamoylmethylamino benzamides for combating invertebrate pests | |
| WO2013024171A1 (en) | Carbamoylmethoxy- and carbamoylmethylthio- and carbamoylmethylamino benzamides for combating invertebrate pests | |
| WO2015028501A1 (en) | Anthranilamide compounds and their use as pesticides |
Legal Events
| Date | Code | Title | Description |
|---|---|---|---|
| 121 | Ep: the epo has been informed by wipo that ep was designated in this application |
Ref document number: 14705756 Country of ref document: EP Kind code of ref document: A1 |
|
| DPE1 | Request for preliminary examination filed after expiration of 19th month from priority date (pct application filed from 20040101) | ||
| NENP | Non-entry into the national phase |
Ref country code: DE |
|
| 122 | Ep: pct application non-entry in european phase |
Ref document number: 14705756 Country of ref document: EP Kind code of ref document: A1 |
















