WO2018192793A1 - Substituted rhodanine derivatives - Google Patents
Substituted rhodanine derivatives Download PDFInfo
- Publication number
- WO2018192793A1 WO2018192793A1 PCT/EP2018/059074 EP2018059074W WO2018192793A1 WO 2018192793 A1 WO2018192793 A1 WO 2018192793A1 EP 2018059074 W EP2018059074 W EP 2018059074W WO 2018192793 A1 WO2018192793 A1 WO 2018192793A1
- Authority
- WO
- WIPO (PCT)
- Prior art keywords
- spp
- compounds
- alkyl
- formula
- phenyl
- Prior art date
- Legal status (The legal status is an assumption and is not a legal conclusion. Google has not performed a legal analysis and makes no representation as to the accuracy of the status listed.)
- Ceased
Links
Classifications
-
- C—CHEMISTRY; METALLURGY
- C07—ORGANIC CHEMISTRY
- C07D—HETEROCYCLIC COMPOUNDS
- C07D417/00—Heterocyclic compounds containing two or more hetero rings, at least one ring having nitrogen and sulfur atoms as the only ring hetero atoms, not provided for by group C07D415/00
- C07D417/02—Heterocyclic compounds containing two or more hetero rings, at least one ring having nitrogen and sulfur atoms as the only ring hetero atoms, not provided for by group C07D415/00 containing two hetero rings
- C07D417/12—Heterocyclic compounds containing two or more hetero rings, at least one ring having nitrogen and sulfur atoms as the only ring hetero atoms, not provided for by group C07D415/00 containing two hetero rings linked by a chain containing hetero atoms as chain links
-
- A—HUMAN NECESSITIES
- A01—AGRICULTURE; FORESTRY; ANIMAL HUSBANDRY; HUNTING; TRAPPING; FISHING
- A01N—PRESERVATION OF BODIES OF HUMANS OR ANIMALS OR PLANTS OR PARTS THEREOF; BIOCIDES, e.g. AS DISINFECTANTS, AS PESTICIDES OR AS HERBICIDES; PEST REPELLANTS OR ATTRACTANTS; PLANT GROWTH REGULATORS
- A01N43/00—Biocides, pest repellants or attractants, or plant growth regulators containing heterocyclic compounds
- A01N43/72—Biocides, pest repellants or attractants, or plant growth regulators containing heterocyclic compounds having rings with nitrogen atoms and oxygen or sulfur atoms as ring hetero atoms
- A01N43/74—Biocides, pest repellants or attractants, or plant growth regulators containing heterocyclic compounds having rings with nitrogen atoms and oxygen or sulfur atoms as ring hetero atoms five-membered rings with one nitrogen atom and either one oxygen atom or one sulfur atom in positions 1,3
- A01N43/78—1,3-Thiazoles; Hydrogenated 1,3-thiazoles
Definitions
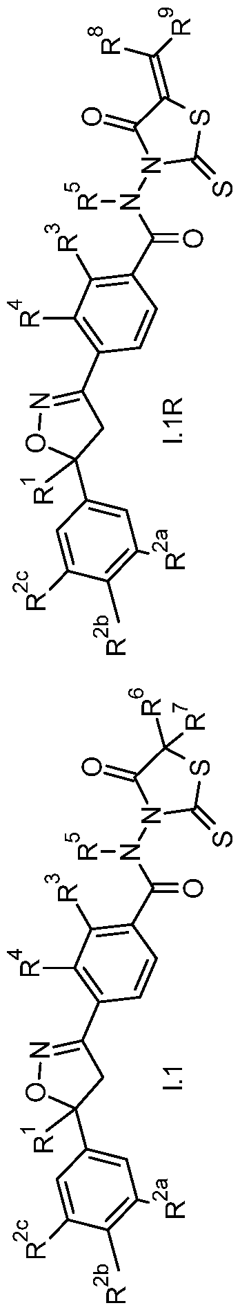
- the present invention relates to rhodanine compounds of formula I
- R 2a halogen, halomethyl, or halomethoxy
- R 2b , R 2c are independently H, or as defined for R 2a ;
- R 3 is CN, N0 2 , Ci-C 2 -alkyl, halomethyl, Ci-C 2 -alkoxy, S(0) m -Ci-C 2 -alkyl, Ci-C 2 -haloalkoxy, or
- R 4 is H, or as defined for R 3 ;
- R 3 and R 4 form together with the C-atoms they are bound to a 5-, or 6-membered saturated, partially, or fully unsaturated ring containing none, or one heteroatom O, N(0) n or S(0) m as ring members;
- R 5 is H, CN, Ci-Cio-alkyl, C 3 -C 8 -cycloalkyl, C 2 -Cio-alkenyl, C 2 -Cio-alkynyl, S(0) m R 1 °, which aliphatic groups are unsubstituted, partially or fully halogenated and/or substituted with one or more R a ;
- R 10 H Ci-Ce-alkyl, Ci-C 6 -haloalkyl, C 3 -C 8 -cycloalkyl, C 3 -C 8 -cycloalkyl-Ci-C 4 -alkyl, C 3 -C 8 - halocycloalkyl, C 2 -C6-alkenyl, C 2 -C6-haloalkenyl, C 2 -C6-alkynyl, C 2 -C6-haloalkynyl, which groups are unsubstituted or substituted with one or more R a , and phenyl which is unsubstituted or substituted with one or more R A ;
- n 0, 1 , or 2;
- n 0, or 1 ;
- R 6 , R 7 are independently selected from the R 8 groups;
- R 8 , R 9 are independently H, Ci-C6-alkyl, Ci-C6-haloalkyl, C 2 -C6-alkenyl, C 2 -C6-haloalkenyl, C 2 -C6-alkynyl, C 2 -C6-haloalkynyl which aliphatic groups are unsubstituted or substituted with one or more radicals R 81 ; C 3 -C6-cycloalkyl, C 3 -C6-halocycloalkyl which cyclic groups are unsubstituted or substituted with one or more radicals R 82 ;
- R 811 is independently OH , cyano, Ci-C2-alkyl, or Ci-C2-haloalkyl;
- R 82 d-Ce-alkyl, Ci-C 6 -haloalkyl, or a group as defined for R 81 ;
- R 83 is H , or Ci-Ce-alkyl
- R 84 is H , Ci-Ce-alkyl, Ci-C 6 -haloalkyl, C 2 -C 6 -alkenyl, C 2 -C 6 -haloalkenyl, C 2 -C 6 - alkynyl, C2-C6-haloalkynyl, or C3-C6-cycloalkyl, C3-C6-halocycloalkyl, C3-C6- cycloalkylmethyl, or C3-C6-halocycloalkylmethyl which rings are unsubstituted or substituted with a cyano;
- R 85 H Ci-Ce-alkyl, C C 6 -haloalkyl, C 2 -C 4 -alkenyl, C 2 -C 4 -alkynyl, CH 2 -CN , C 3 -C 6 - cycloalkyl, C 3 -C6-halocycloalkyl, C 3 -C6-cycloalkylmethyl, C 3 -C6-halocyclo- alkylmethyl, phenyl and hetaryl which aromatic rings are unsubstituted or partially or fully substituted with R A ;
- R 86 is independently H , Ci-Ce-alkyl, or Ci-C 6 -haloalkyl
- the invention also provides an agricultural composition
- an agricultural composition comprising at least one compound of formula I, a stereoisomer thereof and/or an agriculturally acceptable salt thereof and at least one liquid and/or solid carrier, especially at least one inert liquid and/or solid agriculturally acceptable carrier.
- the invention also provides a veterinary composition
- a veterinary composition comprising at least one compound of formula I, a stereoisomer thereof and/or a veterinarily acceptable salt thereof and at least one liquid and/or solid carrier, especially at least one inert veterinarily liquid and/or solid acceptable carrier.
- the invention also provides a method for controlling invertebrate pests which method comprises treating the pests, their food supply, their habitat or their breeding ground or a cultivated plant, plant propagation materials (such as seed), soil, area, material or environment in which the pests are growing or may grow, or the materials, cultivated plants, plant propagation materials (such as seed), soils, surfaces or spaces to be protected from pest attack or infestation with a pesticidally effective amount of a compound of formula I or a salt thereof as defined herein.
- the invention also relates to plant propagation material, in particular seed, comprising at least one compound of formula I and/or an agriculturally acceptable salt thereof.
- the invention further relates to a method for treating or protecting an animal from infestation or infection by parasites which comprises bringing the animal in contact with a parasiticidally effective amount of a compound of formula I or a veterinarily acceptable salt thereof. Bringing the animal in contact with the compound I, its salt or the veterinary composition of the invention means applying or administering it to the animal.
- JP 2007/091708, WO 2007/123853, WO 2007/123855, WO 2008/12871 1 , WO 2010/020522, WO 2013/037626, WO 2017/050921 , and WO 2017/050922 describe structurally closely related active compounds. These compounds are mentioned to be useful for combating invertebrate pests.
- Compounds of formula I can be prepared by reacting an activated carboxylic acid of formula lla, that is compounds of formula I I wherein X is a leaving group, preferably a halogen such as, e.g., CI or Br, or Ci-C6-alkoxy, such as OCH 3 or OC2H5, with an N-aminorhodanine of formula II I , in an amidation-type reaction.
- X is a leaving group, preferably a halogen such as, e.g., CI or Br, or Ci-C6-alkoxy, such as OCH 3 or OC2H5
- the reaction is carried out with compounds of formula I I I wherein R 5 is hydrogen.
- Compound ⁇ ⁇ is used as the corresponding acyl chloride or acyl bromide of formula I I .
- Suitable solvents are THF, 1 ,4-dioxane, or the like, or aromatic hydrocarbons such as benzene, toluene, 0-, m-, or p-xylene, or mixtures thereof.
- the transformation is usually carried out at
- an acid promoter can be employed in the reaction, such as a Bronsted acid like HCI or HBr, or a Lewis acid such as, AICI 3 , AIBr 3 , SnCI 4 , alkyl aluminum(l ll) dichloride ("RAICI 2 "), dialkylaluminum(l l l) chloride (“R2AICI").
- a Bronsted acid like HCI or HBr
- a Lewis acid such as, AICI 3 , AIBr 3 , SnCI 4 , alkyl aluminum(l ll) dichloride ("RAICI 2 "), dialkylaluminum(l l l) chloride (“R2AICI").
- reaction can also be performed in the presence of an organic base, such as triethylamine (EtsN), ⁇ , ⁇ -diisopropylethylamine (iP ⁇ NEt), pyridine, substituted pyridines such as collidine or lutidine, and/or a nucleophilic catalyst such as 4-(N,N- dimethylamino)pyridine ("DMAP").
- organic base such as triethylamine (EtsN), ⁇ , ⁇ -diisopropylethylamine (iP ⁇ NEt)
- pyridine substituted pyridines such as collidine or lutidine
- DMAP 4-(N,N- dimethylamino)pyridine
- suitable solvents are halogenated hydrocarbons such as dichloromethane, chloroform, or chlorobenzene, aromatic hydrocarbons such as, benzene, toluene, o-, m-, or p-xylene, tetrahydrofuran (THF), ⁇ , ⁇ -dimethylformamide (DMF).
- THF tetrahydrofuran
- DMF ⁇ , ⁇ -dimethylformamide
- the transformation is usually carried out at temperatures from 0 °C to 100 °C, preferably from 20 °C to 70 °C.
- the starting materials are generally reacted with one another in equimolar amounts. In terms of yield, it may be advantageous to employ an excess of II I , based on II .
- compounds of formula ⁇ can be obtained from carboxylic acids of formula l la by treatment with an activating/halogenating agent, e.g. thionyl chloride (SOCI 2 ), tionyl bromide
- an activating/halogenating agent e.g. thionyl chloride (SOCI 2 ), tionyl bromide
- R 5 being different from hydrogen
- R 5 can also be introduced to compounds of formula I.
- Compounds of formula I wherein R 5 is different from hydrogen can be prepared by alkylating compounds of formula I or formula I II , wherein R 5 is hydrogen, using suitable alkylating agents in the presence of bases and under standard conditions known to a person skilled in the art.
- compounds of formula I wherein R 5 is different from hydrogen can be prepared by reacting compounds of formula I or formula I I I, wherein R 5 is hydrogen, with an aldehyde or ketone in in a reductive amination reaction.
- the reaction is generally carried out in the presence of a reducing agent such asNaBH 4 , sodium triacetoxyborohydride [NaBH(OAc)3], or sodium cya- noborohydride (NaBI-hCN).
- a reducing agent such asNaBH 4 , sodium triacetoxyborohydride [NaBH(OAc)3], or sodium cya- noborohydride (NaBI-hCN).
- Suitable reaction conditions are known to a person skilled in the art and described in the literature (e.g. US201 1 /144164, US2003/225082, WO2010/98496).
- Introduction of groups R 6 / R 7 being different from hydrogen is preferably made to compounds of formula I .
- R 6 / R 7
- Compounds of formula I wherein at least one of R 6 and R 7 is different from hydrogen can be prepared by alkylating or acylating a compound of formula I or formula II I , in which R 6 and R 7 are hydrogen, using suitable alkylating or acylating agents in the presence of bases.
- suitable reaction conditions for the acylation can be found in literature (e.g. V. N. Yarovenko et al. Russian Chemical Bulletin 2007, 56, 1624-1630).
- Suitable reaction conditions for the alkylation can be found in literature (e.g.A. K. El-Shafei et al. Gazzetta Chimica Italiana 1990, 120, 197-201 ).
- the introduction of a single group R 6 or R 7 being different from hydrogen can be achieved by reacting a compound of formula I or formula I I I, in which R 6 and R 7 are hydrogen, with the appropriate aldehyde or ketone in a Knoevenagel condensation/olefin reduction reaction. Suitable reaction conditions are decribed in literature (e.g. EP 291 007).
- reaction conditions are described in the literature (e.g. US2010/210577, J. P. Powers et al. J. Med. Chem. 2006, 43, 1034-1046, W. Hanefeld et al., Archiv der Pharmazie, 1993, 326, 887-891 ).
- the reaction is generally carried out in the presence of a base such as sodium acetate, piperidine, Et 3 N, iPr 2 NEt, ethylenediamine diacetate, or NH 4 OH.
- Suitable solvents are lower alkanols such as methanol, ethanol, n-propanol, isopropanol, n-butanol, and tert-butanol, carboxylic acids such as acetic acid, and propionic acid, aromatic hydrocarbons such as benzene, toluene, o-, m-, or p-xylene, or polar aprotic organic solvents such as ethyl acetate, ace- tonitrile, and DMF.
- the transformation is usually carried out at temperatures from 20 °C to 250 °C, preferably from 20 °C to 120 °C.
- the starting materials are generally reacted with one another in equimolar amounts. In terms of yield, it may be advantageous to employ an excess of IV, based on I or I I I .
- the activated carboxylic acid of formula I I can be made from carboxylic acid of formula l la by reaction with oxalylchloride or a Ci-C6-alcohol.
- the starting materials required for preparing the compounds I are commercially available or known from literature [cf. WO 2014/029639] or can be prepared in accordance with the literature cited.
- the compounds of formula I including their stereoisomers, salts, and N-oxides, and their precursors in the synthesis process, can be prepared by the methods described above. If individual compounds cannot be prepared via the above-described routes, they can be prepared by derivatization of other compounds I or the respective precursor or by customary modi- fications of the synthesis routes described. For example, in individual cases, certain compounds of formula I can advantageously be prepared from other compounds of formula I by derivatiza- tion, e.g. by ester hydrolysis, amidation, esterification, ether cleavage, olefination, reduction, oxidation and the like, or by customary modifications of the synthesis routes described.
- reaction mixtures are worked up in the customary manner, e.g. by mixing with water, separating the phases, and, if appropriate, purifying the crude products by chromatography, e.g. on alumina or on silica gel.
- Some of the intermediates and end products may be obtained in the form of colorless or pale brown viscous oils which are freed or purified from volatile components under reduced pressure and at moderately elevated temperature. If the intermediates and end products are obtained as solids, they may be purified by recrystallization or trituration.
- the organic moieties mentioned in the above definitions of the variables are - like the term halogen - collective terms for individual listings of the individual group members.
- the prefix C n -C m indicates in each case the possible number of carbon atoms in the group.
- halogen denotes in each case fluorine, bromine, chlorine or iodine, in particular flu- orine, chlorine or bromine.
- alkyl as used herein and in the alkyl moieties of alkylamino, alkylcarbonyl, alkylthio, alkylsulfinyl, alkylsulfonyl and alkoxyalkyl denotes in each case a straight-chain or branched alkyl group having usually from 1 to 10 carbon atoms, frequently from 1 to 6 carbon atoms, preferably 1 to 4 carbon atoms, more preferably from 1 to 3 carbon atoms.
- Examples of an alkyl group are methyl, ethyl, n-propyl, iso-propyl, n-butyl, 2-butyl, iso-butyl, tert-butyl, n-pentyl, 1 -methyl- butyl, 2-methylbutyl, 3-methylbutyl, 2,2-dimethylpropyl, 1-ethylpropyl, n-hexyl, 1 ,1 -dimethylpro- pyl, 1 ,2-dimethylpropyl, 1 -methylpentyl, 2-methylpentyl, 3-methylpentyl, 4-methylpentyl, 1 , 1 -dimethyl butyl , 1 ,2-dimethylbutyl, 1 ,3-dimethylbutyl, 2,2-dimethylbutyl, 2,3-dimethylbutyl, 3,3-dime- thylbutyl, 1 -ethylbutyl, 2-eth
- haloalkyl as used herein and in the haloalkyl moieties of haloalkylcarbonyl, haloalk- oxycarbonyl, haloalkylthio, haloalkylsulfonyl, haloalkylsulfinyl, haloalkoxy and haloalkoxyalkyl, denotes in each case a straight-chain or branched alkyl group having usually from 1 to 10 carbon atoms, frequently from 1 to 6 carbon atoms, preferably from 1 to 4 carbon atoms, wherein the hydrogen atoms of this group are partially or totally replaced with halogen atoms.
- Preferred haloalkyl moieties are selected from Ci-C4-haloalkyl, more preferably from Ci-C3-haloalkyl or Ci-C2-haloalkyl, in particular from Ci-C2-fluoroalkyl such as fluoromethyl, difluoromethyl, trifluo- romethyl, 1-fluoroethyl, 2-fluoroethyl, 2,2-difluoroethyl, 2,2, 2-trif I u oroethy I , pentafluoroethyl, and the like.
- alkoxy denotes in each case a straight-chain or branched alkyl group which is bonded via an oxygen atom and has usually from 1 to 10 carbon atoms, frequently from 1 to 6 carbon atoms, preferably 1 to 4 carbon atoms.
- alkoxy group examples are methoxy, ethoxy, n-propoxy, iso-propoxy, n-butyloxy, 2-butyloxy, iso-butyloxy, tert.-butyloxy, and the like.
- alkoxyalkyl refers to alkyl usually comprising 1 to 10, frequently 1 to 4, preferably 1 to 2 carbon atoms, wherein 1 carbon atom carries an alkoxy radical usually comprising 1 to 4, preferably 1 or 2 carbon atoms as defined above. Examples are CH2OCH3, CH2- OC2H5, 2-(methoxy)ethyl, and 2-(ethoxy)ethyl.
- haloalkoxy denotes in each case a straight-chain or branched alkoxy group having from 1 to 10 carbon atoms, frequently from 1 to 6 carbon atoms, preferably 1 to 4 carbon atoms, wherein the hydrogen atoms of this group are partially or totally replaced with halogen atoms, in particular fluorine atoms.
- Preferred haloalkoxy moieties include C1-C4- haloalkoxy, in particular Ci-C2-fluoroalkoxy, such as fluoromethoxy, difluoromethoxy, trifluoro- methoxy, 1 -fluoroethoxy, 2-fluoroethoxy, 2,2-difluoroethoxy, 2,2,2-trifluoroethoxy, 2-chloro-2-flu- oroethoxy, 2-chloro-2,2-difluoro-ethoxy, 2,2dichloro-2-fluorethoxy, 2,2,2-trichloroethoxy, penta- fluoroethoxy and the like.
- Ci-C2-fluoroalkoxy such as fluoromethoxy, difluoromethoxy, trifluoro- methoxy, 1 -fluoroethoxy, 2-fluoroethoxy, 2,2-difluoroethoxy, 2,2,2-trifluoroethoxy, 2-chloro-2-
- alkylthio (alkylsulfanyl: S-alkyl)
- haloalkylthio refers to an alkylthio group as mentioned above wherein the hydrogen atoms are partially or fully substituted by fluorine, chlorine, bromine and/or iodine.
- haloalkylsulfinyl refers to an alkylsulfinyl group as mentioned above wherein the hydrogen atoms are partially or fully substituted by fluorine, chlorine, bromine and/or iodine.
- haloalkylsulfonyl refers to an alkylsulfonyl group as mentioned above wherein the hydrogen atoms are partially or fully substituted by fluorine, chlorine, bromine and/or iodine.
- haloalkylcarbonyl refers to an alkylcarbonyl group as mentioned above, wherein the hydrogen atoms are partially or fully substituted by fluorine, chlorine, bromine and/or iodine.
- alkoxycarbonyl refers to an alkylcarbonyl group as defined above, which is bonded via an oxygen atom to the remainder of the molecule.
- haloalkoxycarbonyl refers to an alkoxycarbonyl group as mentioned above, where- in the hydrogen atoms are partially or fully substituted by fluorine, chlorine, bromine and/or iodine.
- alkenyl denotes in each case a singly unsaturated hydrocarbon radical having usually 2 to 10, frequently 2 to 6, preferably 2 to 4 carbon atoms, e.g. vinyl, allyl (2- propen-1 -yl), 1-propen-1-yl, 2-propen-2-yl, methallyl (2-methylprop-2-en-1 -yl), 2-buten-1-yl, 3- buten-1 -yl, 2-penten-1-yl, 3-penten-1 -yl, 4-penten-1-yl, 1-methylbut-2-en-1-yl, 2-ethylprop-2-en- 1-yl and the like.
- haloalkenyl refers to an alkenyl group as defined above, wherein the hydrogen atoms are partially or totally replaced with halogen atoms.
- alkynyl denotes in each case a singly unsaturated hydrocarbon radical having usually 2 to 10, frequently 2 to 6, preferably 2 to 4 carbon atoms, e.g. ethynyl, pro- pargyl (2-propyn-1 -yl), 1-propyn-1-yl, 1-methylprop-2-yn-1 -yl), 2-butyn-1 -yl, 3-butyn-1-yl, 1-pen- tyn-1-yl, 3-pentyn-1-yl, 4-pentyn-1-yl, 1-methylbut-2-yn-1 -yl, 1-ethylprop-2-yn-1-yl and the like.
- haloalkynyl refers to an alkynyl group as defined above, wherein the hydrogen atoms are partially or totally replaced with halogen atoms.
- cycloalkyl as used herein and in the cycloalkyl moieties of cycloalkoxy and cycloal- kylthio denotes in each case a monocyclic cycloaliphatic radical having usually from 3 to 10 or from 3 to 6 carbon atoms, such as cyclopropyl, cyclobutyl, cyclopentyl, cyclohexyl, cycloheptyl, cyclooctyl, cyclononyl and cyclodecyl or cyclopropyl, cyclobutyl, cyclopentyl and cyclohexyl.
- halocycloalkyl as used herein and in the halocycloalkyl moieties of halocycloalkoxy and halocycloalkylthio denotes in each case a monocyclic cycloaliphatic radical having usually from 3 to 10 C atoms or 3 to 6 C atoms, wherein at least one, e.g. 1 , 2, 3, 4 or 5 of the hydrogen atoms, are replaced by halogen, in particular by fluorine or chlorine.
- Examples are 1 - and 2-fluo- rocyclopropyl, 1 ,2-, 2,2- and 2,3-difluorocyclopropyl, 1 ,2,2-trifluorocyclopropyl, 2,2,3,3-tetrafluo- rocyclpropyl, 1 - and 2-chlorocyclopropyl, 1 ,2-, 2,2- and 2,3-dichlorocyclopropyl, 1 ,2,2-trichloro- cyclopropyl, 2,2,3,3-tetrachlorocyclpropyl, 1 -,2- and 3-fluorocyclopentyl, 1 ,2-, 2,2-, 2,3-, 3,3-, 3,4-, 2,5-difluorocyclopentyl, 1 -,2- and 3-chlorocyclopentyl, 1 ,2-, 2,2-, 2,3-, 3,3-, 3,4-, 2,5-difluorocyclopentyl, 1 -,2- and 3-chlorocyclopen
- cycloalkenyl as used herein and in the cycloalkenyl moieties of cycloalkenyloxy and cycloalkenylthio denotes in each case a monocyclic singly unsaturated non-aromatic radical having usually from 3 to 10, e.g. 3 or 4 or from 5 to 10 carbon atoms, preferably from 3- to 8 carbon atoms.
- exemplary cycloalkenyl groups include cyclopropenyl, cycloheptenyl or cycloocte- nyl.
- halocycloalkenyl as used herein and in the halocycloalkenyl moieties of halocyclo- alkenyloxy and halocycloalkenylthio denotes in each case a monocyclic singly unsaturated non- aromatic radical having usually from 3 to 10, e.g. 3 or 4 or from 5 to 10 carbon atoms, preferably from 3- to 8 carbon atoms, wherein at least one, e.g. 1 , 2, 3, 4 or 5 of the hydrogen atoms, are replaced by halogen, in particular by fluorine or chlorine. Examples are 3,3-difluorocyclopropen- 1-yl and 3,3-dichlorocyclopropen-1-yl.
- carrier or “carbocyclyl” includes in general a 3- to 12-membered, preferably a 3- to 8-membered or a 5- to 8-membered, more preferably a 5- or 6-membered mono-cyclic, non-aromatic ring comprising 3 to 12, preferably 3 to 8 or 5 to 8, more preferably 5 or 6 carbon atoms.
- the term “carbocycle” covers cycloalkyl and cycloalkenyl groups as defined above.
- heterocycle or “heterocyclyl” includes in general 3- to 12-membered, preferably 5- or 6-membered, in particular 6-membered monocyclic heterocyclic non-aromatic radicals.
- the heterocyclic non-aromatic radicals usually comprise 1 , 2 or 3 heteroatoms selected from N, O and S as ring members, wherein S-atoms as ring members may be present as S, SO or SO2.
- Examples of 5- or 6-membered heterocyclic radicals comprise saturated or unsaturated, non- aromatic heterocyclic rings, such as 2- and 3-azetidinyl, 2- and 3-oxetanyl, 2- and 3-thietanyl, 2- and 3-thietanyl-S-oxid (S-oxothietanyl), 2- and 3-thietanyl-S-dioxid (S-dioxothietanyl), 2- and 3- pyrrolidinyl, 2- and 3-tetrahydrofuranyl, 1 ,3-dioxolan-2-yl, thiolan-2-yl, S-oxothiolan-2-yl, S-diox- othiolan-2-yl, 4- and 5-oxazolidinyl, 1 ,3-dioxan-2-yl, 1 - and 3-thiopyran-2-yl, S-oxothiopyranyl, and S-dioxothiopyranyl
- heteroaryl includes monocyclic 5- or 6-membered heteroaromatic radicals comprising as ring members 1 , 2, or 3 heteroatoms selected from N, O and S.
- 5- or 6-membered heteroaromatic radicals include pyridyl, i.e. 2-, 3-, and 4-pyridyl, pyrimidinyl, i.e. 2-, 4- and 5-pyrimidinyl, pyrazinyl, pyridazinyl, i.e. 3- and 4-pyridazinyl, thienyl, i.e. 2- and 3-thienyl, furyl, i.e. 2- and 3-furyl, pyrrolyl, i.e.
- variables of the compounds of the formula I have the following meanings, these meanings, both on their own and in combination with one another, being particular embodiments of the compounds of formula I.
- the compounds I are present in form of a mixture of compounds I.A and I.B, where compound I.A is present in an amount of more than 50% by weight, in particular of at least 70% by weight, specifically of at least 90% by weight, based on the total
- the method comprises step of contacting the plant, parts of it, its propagation material, the pests, their food supply, habitat or breeding grounds a pesticidally effective amount of a compound of formula I.A.
- R 2a is preferably selected from F, CI, Br, CF 3 , and OCF 3 .
- R 2b and R 2c are independently preferably selected from H, F, CI, Br, CF3, and OCF3. Particularly preferred is each one of the following combinations of R 2a , R 2b and R 2c wherein each line of Table A denotes a substitution pattern of the phenyl ring ("A") bearing the R 2a , R 2b and R 2c moieties.
- Groups A-8, A-9, and A-1 1 are more preferred patterns in formula I compounds.
- A-1 1 is particularly preferred.
- R 3 and R 4 are preferably halogen such as CI and F, N0 2 , CN, CH 3 , CF 3 , SCH 3 , OCH 3 , or OCH F2. More preferably R 4 is H, and R 3 has one of the preferred meanings.
- R 3 and R 4 together with the C-atoms they are bound to form a 5-mem- bered saturated carbocyclic ring.
- R 5 is preferably H.
- R 6 and R 7 are H.
- R 8 is preferably H, Ci-C6-alkyl, or phenyl which is unsubstituted or partially or fully substituted with groups R A which are preferably selected from halogen, or Ci-C4-alkyl.
- R 9 is preferably H.
- Preferred embodiments relate to each of following compounds of formula I, wherein the varia- b
- Table 1 Compounds of formula 1.1 * in which R 6 and R 7 are H, and the other variables for a compound correspond in each case to one row of Table B
- Table 2 Compounds of formula 1.2 * in which R 6 and R 7 are H, and the other variables for a compound correspond in each case to one row of Table B
- Table 3 Compounds of formula 1.3 * in which R 6 and R 7 are H, and the other variables for a compound correspond in each case to one row of Table B
- Table 5 Compounds of formula I.2R * in which R 8 and R 9 are H, and the other variables for a compound correspond in each case to one row of Table B
- Table 8 Compounds of formula I.2R * in which R 8 is CH3, R 9 is H, and the other variables for a compound correspond in each case to one row of Table B
- Table 9 Compounds of formula I.3R * in which R 8 is CH 3 , R 9 is H, and the other variables for a compound correspond in each case to one row of Table B
- Table 10 Compounds of formula M R * in which R 8 and R 9 are CH3, and the other variables for a compound correspond in each case to one row of Table B
- Table 1 1 Compounds of formula I.2R * in which R 8 and R 9 are CH3, and the other variables for a compound correspond in each case to one row of Table B
- Table 12 Compounds of formula I.3R * in which R 8 and R 9 are CH3, and the other variables for a compound correspond in each case to one row of Table B
- Table 14 Compounds of formula I.2R * in which R 8 is C6H5, R 9 is H, and the other variables for a compound correspond in each case to one row of Table B
- Table 15 Compounds of formula I.3R * in which R 8 is C6H5, R 9 is H, and the other variables for a compound correspond in each case to one row of Table B
- Table 17 Compounds of formula I.2R * in which R 8 is C2H5, R 9 is H, and the other variables for a compound correspond in each case to one row of Table B
- Table 18 Compounds of formula I.3R * in which R 8 is C2H5, R 9 is H, and the other variables for a compound correspond in each case to one row of Table B
- Table 20 Compounds of formula I.2R * in which R 8 is CH2(CH3)2, R 9 is H, and the other variables for a compound correspond in each case to one row of Table B
- Table 21 Compounds of formula I.3R * in which R 8 is CH 2 (CH 3 )2, R 9 is H, and the other variables for a compound correspond in each case to one row of Table B
- the term "compound(s) of the invention” or “compound(s) according to the invention” refers to the compound(s) of formula (I) as defined above, which are also referred to as “compound(s) of formula I” or “compound(s) I” or “formula I compound(s)”, and includes their salts, tautomers, stereoisomers, and N-oxides.
- the invention also relates to a mixture of at least one compound of the invention with at least one mixing partner as defined herein after.
- Preferred weight ratios for such binary mixtures are from 5000: 1 to 1 :5000, preferably from 1000:1 to 1 :1000, more preferably from 100:1 to 1 :100, particularly preferably from 10:1 to 1 :10
- components I and II may be used in equal amounts, or an excess of component I, or an excess of component II may be used.
- Mixing partners can be selected from pesticides, in particular insecticides, nematicides, and acaricides, fungicides, herbicides, plant growth regulators, fertilizers, and the like.
- Preferred mixing partners are insecticides, nematicides and fungicides.
- the following list M of pesticides, grouped and numbered according the Mode of Action Classification of the Insecticide Resistance Action Committee (IRAC), together with which the compounds of the invention can be used and with which potential synergistic effects might be produced, is intended to illustrate the possible combinations, but not to impose any limitation:
- M.1 Acetylcholine esterase (AChE) inhibitors from the class of: M.1A carbamates, e.g. aldi- carb, alanycarb, bendiocarb, benfuracarb, butocarboxim, butoxycarboxim, carbaryl, carbofuran, carbosulfan, ethiofencarb, fenobucarb, formetanate, furathiocarb, isoprocarb, methiocarb, methomyl, metolcarb, oxamyl, pirimicarb, propoxur, thiodicarb, thiofanox, trimethacarb, XMC, xylylcarb and triazamate; or from the class of M.1 B organophosphates, e.g.
- GABA-gated chloride channel antagonists such as: M.2A cyclodiene organochlorine compounds, as e.g. endosulfan or chlordane; or M.2B fiproles (phenylpyrazoles), as e.g. ethiprole, fipronil, flufiprole, pyrafluprole and pyriprole;
- M.3 Sodium channel modulators from the class of M.3A pyrethroids e.g. acrinathrin, allethrin, d-cis-trans allethrin, d-trans allethrin, bifenthrin, bioallethrin, bioallethrin S-cylclopentenyl, bio- resmethrin, cycloprothrin, cyfluthrin, beta-cyfluthrin, cyhalothrin, lambda-cyhalothrin, gamma- cyhalothrin, cypermethrin, alpha-cypermethrin, beta-cypermethrin, theta-cypermethrin, zeta-cy- permethrin, cyphenothrin, deltamethrin, empenthrin, esfenvalerate, etofenprox,
- M.4 Nicotinic acetylcholine receptor agonists from the class of M.4A neonicotinoids, e.g. acetamiprid, clothianidin, cycloxaprid, dinotefuran, imidacloprid, nitenpyram, thiacloprid and thiamethoxam; or the compounds M.4A.2: (2E-)-1 -[(6-Chloropyridin-3-yl)methyl]-N'-nitro-2-pen- tylidenehydrazinecarboximidamide; or M4.A.3: 1 -[(6-Chloropyridin-3-yl)methyl]-7-methyl-8-nitro- 5-propoxy-1 ,2,3,5,6,7-hexahydroimidazo[1 ,2-a]pyridine; or from the class M.4B nicotine;
- nAChR Nicotinic acetylcholine receptor agonists
- M.6 Chloride channel activators from the class of avermectins and milbemycins, e.g.
- abamectin emamectin benzoate, ivermectin, lepimectin or milbemectin;
- M.7 Juvenile hormone mimics such as M.7A juvenile hormone analogues as hydroprene, ki- noprene and methoprene; or others as M.7B fenoxycarb or M.7C pyriproxyfen; M.8 miscellaneous non-specific (multi-site) inhibitors, e.g. M.8A alkyl halides as methyl bromide and other alkyl halides, or M.8B chloropicrin, or M.8C sulfuryl fluoride, or M.8D borax, or M.8E tartar emetic;
- M.8A alkyl halides as methyl bromide and other alkyl halides
- M.8B chloropicrin or M.8C sulfuryl fluoride
- M.8D borax or M.8E tartar emetic
- M.9 Selective homopteran feeding blockers, e.g. M.9B pymetrozine, or M.9C flonicamid;
- M.10 Mite growth inhibitors e.g. M.10A clofentezine, hexythiazox and diflovidazin, or M.10B etoxazole;
- M.1 1 Microbial disruptors of insect midgut membranes, e.g. bacillus thuringiensis or bacillus sphaericus and the insecticdal proteins they produce such as bacillus thuringiensis subsp. is- raelensis, bacillus sphaericus, bacillus thuringiensis subsp. aizawai, bacillus thuringiensis subsp. kurstakiand bacillus thuringiensis subsp. tenebrionis, or the Bt crop proteins: CrylAb, CrylAc, Cryl Fa, Cry2Ab, mCry3A, Cry3Ab, Cry3Bb and Cry34/35Ab1 ;
- M.12 Inhibitors of mitochondrial ATP synthase e.g. M.12A diafenthiuron, or M.12B organotin miticides such as azocyclotin, cyhexatin or fenbutatin oxide, or M.12C propargite, or M.12D tetrad if on;
- chlorfenapyr DNOC or sulfluramid
- Nicotinic acetylcholine receptor (nAChR) channel blockers e.g. nereistoxin analogues as bensultap, cartap hydrochloride, thiocyclam or thiosultap sodium;
- benzoylureas as e.g. bistrifluron, chlorfluazuron, diflubenzuron, flucycloxuron, flufenoxuron, hexaflumuron, lufenuron, novaluron, noviflumuron, teflubenzuron or triflumuron;
- M.16 Inhibitors of the chitin biosynthesis type 1 as e.g. buprofezin;
- Ecdyson receptor agonists such as diacylhydrazines, e.g. methoxyfenozide, tebufeno- zide, halofenozide, fufenozide or chromafenozide;
- Octopamin receptor agonists as e.g. amitraz
- M.20 Mitochondrial complex III electron transport inhibitors e.g. M.20A hydramethylnon, or M.20B acequinocyl, or M.20C fluacrypyrim;
- M.21 Mitochondrial complex I electron transport inhibitors e.g. M.21A METI acaricides and in- secticides such as fenazaquin, fenpyroximate, pyrimidifen, pyridaben, tebufenpyrad or tolfen- pyrad, or M.21 B rotenone;
- M.22 Voltage-dependent sodium channel blockers e.g. M.22A indoxacarb, or M.22B meta- flumizone, or M.22B.1 : 2-[2-(4-Cyanophenyl)-1-[3-(trifluoromethyl)phenyl]ethylidene]-N-[4-(di- fluoromethoxy)phenyl]-hydrazinecarboxamide or M.22B.2: N-(3-Chloro-2-methylphenyl)-2-[(4- chlorophenyl)[4-[methyl(methylsulfonyl)amino]phenyl]methylene]-hydrazinecarboxamide;
- M.23 Inhibitors of the of acetyl CoA carboxylase such as Tetronic and Tetramic acid derivatives, e.g. spirodiclofen, spiromesifen or spirotetramat;
- M.24 Mitochondrial complex IV electron transport inhibitors e.g. M.24A phosphine such as aluminium phosphide, calcium phosphide, phosphine or zinc phosphide, or M.24B cyanide;
- Mitochondrial complex II electron transport inhibitors such as beta-ketonitrile derivatives, e.g. cyenopyrafen or cyflumetofen;
- M.28 Ryanodine receptor-modulators from the class of diamides as e.g. flubendiamide, chlor- antraniliprole (rynaxypyr®), cyantraniliprole (cyazypyr®), tetraniliprole, M.28.1 : (R)-3-Chlor-N1- ⁇ 2-methyl-4-[1 ,2,2,2-tetrafluor-1 -(trifluormethyl)ethyl]phenyl ⁇ -N2-(1 -methyl-2-methylsulfonyl- ethyl)phthalamid and M.28.2: (S)-3-Chlor-N 1 - ⁇ 2-methyl-4-[1 ,2,2,2 -tetrafluor-1 -(trifluorome- thyl)ethyl]phenyl ⁇ -N2-(1 -methyl-2-methylsulfonylethyl)phthalamid, M.28.3: cyclaniliprole, M.28.
- M.29. active compounds of unknown or uncertain mode of action as e.g. afidopyropen, afoxo- laner, azadirachtin, amidoflumet, benzoximate, bifenazate, broflanilide, bromopropylate, chino- methionat, cryolite, dicloromezotiaz, dicofol, flufenerim, flometoquin, fluensulfone, fluhexafon, fluopyram, flupyradifurone, fluralaner, metoxadiazone, piperonyl butoxide, pyflubumide, pyrida- lyl, pyrifluquinazon, sulfoxaflor, tioxazafen, triflumezopyrim,
- afidopyropen afoxo- laner, azadirachtin, amidoflumet, benzoximate, bifenazate
- M.29.3 1 1 -(4-chloro-2,6-dimethylphenyl)-12-hydroxy-1 ,4-dioxa-9-azadispiro[4.2.4.2]-tetradec- 1 1-en-10-one
- M.29.4 3-(4'-fluoro-2,4-dimethylbiphenyl-3-yl)-4-hydroxy-8-oxa-1-azaspi- ro[4.5]dec-3-en-2-one
- M.29.5 1 -[2-fluoro-4-methyl-5-[(2,2,2-trifluoroethyl)sulfinyl]phenyl]-3-(tri- fluoromethyl)-1 H-1 ,2,4-triazole-5-amine, or actives on basis of bacillus firmus (Votivo, 1-1582);
- M.29.1 1 .e N-[3-[[[2-bromo-4-[1 ,2,2,2-tetrafluoro-1-(trifluoromethyl)ethyl]-6-(trifluorome- thyl)phenyl]amino]carbonyl]-2-fluorophenyl]-4-fluoro-N-methyl-benzamide; M.29.1 1 .f) 4-fluoro-N- [2-fluoro-3-[[[2-iodo-4-[1 ,2,2,2-tetrafluoro-1-(trifluoromethyl)ethyl]-6-(trifluoromethyl)phen no]carbonyl]phenyl]-N-methyl-benzamide; M.29.1 1 .g) 3-fluoro-N-[2-fluoro-3-[[[2-iodo-4-[1 ,2,2,2- tetrafluoro-1-(trifluoromethyl)ethyl]-6-(
- M.29.1 1.k) N-[5-[[2-chloro-6-cyano-4-[1 ,2,2,3,3,3-hexafluoro-1 -(trifluoromethyl)propyl]phe- nyl]carbamoyl]-2-cyano-phenyl]-4-cyano-2-methyl-benzamide; M.29.1 1.1) N-[5-[[2-bromo-6-chlo- ro-4-[2,2,2-trifluoro-1-hydroxy-1-(trifluoromethyl)ethyl]phenyl]carbamoyl]-2-cyano-phenyl]-4-cy- ano-2-methyl-benzamide; M.29.1 1 .m) N-[5-[[2-bromo-6-chloro-4-[1 ,2,2,3,3,3-hexafluoro-1-(tri- fluoromethyl)propyl]phenyl]carbamoyl]-2-cyano-phen
- M.29.1 1.n) 4-cyano-N-[2-cyano-5-[[2,6-dichloro-4-[1 ,2,2,3,3,3-hexafluoro-1 -(trifluoromethyl)pro- pyl]phenyl]carbamoyl]phenyl]-2-methyl-benzamide; M.29.1 1 .o) 4-cyano-N-[2-cyano-5-[[2,6-di- chloro-4-[1 ,2,2,2-tetrafluoro-1-(trifluoromethyl)ethyl]phenyl]carbamoyl]phenyl]-2-methyl-ben- zamide; M.29.1 1.p) N-[5-[[2-bromo-6-chloro-4-[1 ,2,2,2-tetrafluoro-1 -(trifluoromethyl)ethyl]phe- nyl]carbamoyl]-2-cyano-phenyl]-4-cyan
- M.29.14a 1 -[(6-Chloro-3-pyridinyl)methyl]-1 ,2,3,5,6,7-hexahydro-5-methoxy-7-methyl-8-nitro- imidazo[1 ,2-a]pyridine; or M.29.14b) 1-[(6-Chloropyridin-3-yl)methyl]-7-methyl-8-nitro- 1 ,2,3,5,6,7-hexahydroimidazo[1 ,2-a]pyridin-5-ol; M.29.16a) 1 -isopropyl-N,5-dimethyl-N-pyri- dazin-4-yl-pyrazole-4-carboxamide; or M.29.16b) 1-(1 ,2-dimethylpropyl)-N-ethyl-5-methyl-N-pyr- idazin-4-yl-pyrazole-4-carboxamide; M.29.16c) N,5-dimethyl-N-pyridazin-4-
- M.29.17j M.29.17a) N-(1-methylethyl)-2-(3-pyridinyl)-2H-indazole-4-carboxamide; M.29.17b) N-cyclopropyl-2-(3-pyridinyl)-2H-indazole-4-carboxamide; M.29.17c) N-cyclohexyl-2-(3-pyridi- nyl)-2H-indazole-4-carboxamide; M.29.17d) 2-(3-pyridinyl)-N-(2,2,2-trifluoroethyl)-2H-indazole- 4-carboxamide; M.29.17e) 2-(3-pyridinyl)-N-[(tetrahydro-2-furanyl)methyl]-2H-indazole-5-car- boxamide; M.29.17f) methyl 2-[[2-(3-pyridinyl)-2H-indazol
- M.29.17h N-(2,2-difluoropropyl)-2-(3-pyridinyl)-2H-indazole-5-carboxamide
- M.29.17i 2-(3-pyri- dinyl )-N-(2-pyrimidinylmethyl )-2H-indazole-5-carboxamide
- M.29.17j N-[(5-methyl-2-pyrazi- nyl)methyl]-2-(3-pyridinyl)-2H-indazole-5-carboxamide
- M.29.18 selected from M.29.18a) to
- M.29.18d M.29.18a) N-[3-chloro-1-(3-pyridyl)pyrazol-4-yl]-N-ethyl-3-(3,3,3-trifluoropropylsulfa- nyl)propanamide; M.29.18b) N-[3-chloro-1 -(3-pyridyl)pyrazol-4-yl]-N-ethyl-3-(3,3,3-trifluoropro- pylsulfinyl)propanamide; M.29.18c) N-[3-chloro-1 -(3-pyridyl)pyrazol-4-yl]-3-[(2,2-difluorocyclo- propyl)methylsulfanyl]-N-ethyl-propanamide; M.29.18d) N-[3-chloro-1-(3-pyridyl)pyrazol-4-yl]-3-
- M.4 cycloxaprid is known from WO2010/069266 and WO201 1/069456
- M.4A.2 guadipyr
- WO2013/003977 M.4A.3 (paichongding in China) is known from WO
- M.22B.1 is described in CN10171577 and M.22B.2 in CN102126994.
- M.28.1 and M.28.2 are known from WO2007/101540.
- M.28.3 is described in WO2005/077934.
- M.28.4 is described in WO2007/043677.
- M.28.5a) to M.28.5d) and M.28.5h) are described in WO
- M.28.5i 07/006670, WO2013/024009 and WO2013/024010, M.28.5i) is described in WO201 1/085575, M.28.5j) in WO2008/134969, M.28.5k) in US201 1/046186 and M.28.5I) in WO2012/034403.
- M.28.6 can be found in WO2012/034472.
- M.29.3 is known from WO2006/089633 and M.29.4 from WO2008/06791 1 .
- M.29.5 is described in WO2006/043635, and biological control agents on the basis of bacillus firmus are described in WO2009/124707.
- M.29.6a) to M.29.6i) listed under M.29.6 are described in WO2012/029672, and M.29.6j) and M.29.6k) in WO2013/129688.
- M.29.8 is known from WO2013/055584.
- M.29.9.a) is described in WO2013/050317.
- M.29.9.b) is described in WO2014/126208.
- M.29.10 is known from WO2010/060379. Broflanilide and M.29.1 1.b) to M.29.1 1 .h) are described in WO2010/018714, M.29.1 1 i) to M.29.1 1 .p) in WO 2010/127926.
- M.29.12.a) to M.29.12.c) are known from WO2010/006713
- M.29.12.d) and M.29.12.e) are known from WO2012/000896, and M.29.12.f) to M.29.12.m) from WO
- M.29.14a) and M.29.14b) are known from WO2007/101369.
- M.29.16.a) to M.29.16h) are described in WO2010/034737, WO2012/084670, and WO2012/143317, resp., and ⁇ .29.16 ⁇ ) and M.29.16j) are described in WO2015/055497.
- M.29.17a) to M.29.17.j) are described in WO2015/038503.
- M.29.18a) to M.29.18d) are described in US2014/0213448.
- M.29.19 is described in WO2014/036056.
- M.29.20 is known from WO2014/090918.
- Inhibitors of complex III at Q 0 site e. g. strobilurins: azoxystrobin (A.1 .1 ), coumethoxy- strobin (A.1 .2), coumoxystrobin (A.1.3), dimoxystrobin (A.1.4), enestroburin (A.1.5), fenamin- strobin (A.1.6), fenoxystrobin/flufenoxystrobin (A.1 .7), fluoxastrobin (A.1 .8), kresoxim-methyl (A.1 .9), mandestrobin (A.1 .10), metominostrobin (A.1 .1 1 ), orysastrobin (A.1 .12), picoxy.
- azoxystrobin A.1 .1
- coumethoxy- strobin A.1 .2
- coumoxystrobin A.1.3
- dimoxystrobin A.1.4
- enestroburin
- strobin (A.1 .13), pyraclostrobin (A.1.14), pyrametostrobin (A.1.15), pyraoxystrobin (A.1.16), trifloxystro- bin (A.1 .17), 2-(2-(3-(2,6-dichlorophenyl)-1 -methyl-allylideneaminooxymethyl)-phenyl)-2-meth- oxyimino-N-methyl-acetamide (A.1.18), pyribencarb (A.1 .19), triclopyricarb/chlorodincarb (A.1 .20), famoxadone (A.1 .21 ), fenamidone (A.1.21 ), methyl-/V-[2-[(1 ,4-dimethyl-5-phenyl-pyra- zol-3-yl)oxylmethyl]phenyl]-N-methoxy-carbamate (A.1.22), 1-[3-
- inhibitors of complex III at Qi site cyazofamid (A.2.1 ), amisulbrom (A.2.2), [(3S,6S,7R,8R)- 8-benzyl-3-[(3-acetoxy-4-methoxy-pyridine-2-carbonyl)amino]-6-methyl-4,9-dioxo-1 ,5-dioxonan- 7-yl] 2-methylpropanoate (A.2.3), [(3S,6S,7R,8R)-8-benzyl-3-[[3-(acetoxymethoxy)-4-methoxy- pyridine-2-carbonyl]amino]-6-methyl-4,9-dioxo-1 ,5-dioxonan-7-yl] 2-methylpropanoate (A.2.4), [(3S,6S,7R,8R)-8-benzyl-3-[(3-isobutoxycarbonyloxy-4-methoxy-pyridine-2-carbony
- inhibitors of complex II e. g. carboxamides: benodanil (A.3.1 ), benzovindiflupyr (A.3.2), bixafen (A.3.3), boscalid (A.3.4), carboxin (A.3.5), fenfuram (A.3.6), fluopyram (A.3.7), flutolanil (A.3.8), fluxapyroxad (A.3.9), furametpyr (A.3.10), isofetamid (A.3.1 1 ), isopyrazam (A.3.12), me- pronil (A.3.13), oxycarboxin (A.3.14), penflufen (A.3.14), penthiopyrad (A.3.15), sedaxane (A.3.16), tecloftalam (A.3.17), thifluzamide (A.3.18), N-(4'-trifluoromethylthiobiphenyl-2-yl)- 3-difluoromethyl-1-methyl-1 H-pyrazole
- respiration inhibitors e. g. complex I, uncouplers: diflumetorim (A.4.1 ), (5,8-difluoro- quinazolin-4-yl)- ⁇ 2-[2-fluoro-4-(4-trifluoromethylpyridin-2-yloxy)-phenyl]-ethyl ⁇ -amine (A.4.2); ni- trophenyl derivates: binapacryl (A.4.3), dinobuton (A.4.4), dinocap (A.4.5), fluazinam (A.4.6); ferimzone (A.4.7); organometal compounds: fentin salts, such as fentin-acetate (A.4.8), fentin chloride (A.4.9) or fentin hydroxide (A.4.10); ametoctradin (A.4.1 1 ); and silthiofam (A.4.12); B) Sterol biosynthesis inhibitors (SBI fungicides)
- SBI fungicides Sterol bio
- DMI fungicides triazoles: azaconazole (B.1 .1 ), bitertanol (B.1 .2), bromuconazole (B.1 .3), cyproconazole (B.1 .4), difenoconazole (B.1.5), diniconazole (B.1 .6), diniconazole-M (B.1 .7), epoxiconazole (B.1 .8), fenbuconazole (B.1.9), fluquinconazole (B.1 .10), flusilazole (B.1.1 1 ), flutriafol (B.1.12), hexaconazole (B.1.13), imibenconazole (B.1 .14), ipconazole (B.1.15), metconazole (B.1.17), myclobutanil (B.1.18), oxpoconazole (DMI fungicides): triazoles:
- Delta 14-reductase inhibitors aldimorph (B.2.1 ), dodemorph (B.2.2), dodemorph-acetate (B.2.3), fenpropimorph (B.2.4), tridemorph (B.2.5), fenpropidin (B.2.6), piperalin (B.2.7), spirox- amine (B.2.8);
- Inhibitors of 3-keto reductase fenhexamid (B.3.1 );
- benalaxyl (C.1 .1 ), benalaxyl-M (C.1.2), kiral- axyl (C.1.3), metalaxyl (C.1 .4), metalaxyl-M (mefenoxam, C.1 .5), ofurace (C.1.6), oxadixyl (C.1.7);
- hymexazole C.2.1
- octhilinone C.2.2
- oxolinic acid C.2.3
- bupirimate C.2.4
- 5-fluorocytosine C.2.5
- 5-fluoro-2-(p-tolylmethoxy)pyrimidin-4-amine C.2.6
- 5-fluoro-2-(4- fluorophenylmethoxy)pyrimidin-4-amine C.2.7
- tubulin inhibitors such as benzimidazoles, thiophanates: benomyl (D1.1 ), carbendazim (D1.2), fuberidazole (D1.3), thiabendazole (D1.4), thiophanate-methyl (D1 .5); triazolopyrimidi- nes: 5-chloro-7-(4-methylpiperidin-1-yl)-6-(2,4,6-trifluorophenyl)-[1 ,2,4]triazolo[1 ,5-a]pyrimidine (D1.6);
- diethofencarb (D2.1 ), ethaboxam (D2.2), pencycuron (D2.3), fluopicolide (D2.4), zoxamide (D2.5), metrafenone (D2.6), pyriofenone (D2.7);
- methionine synthesis inhibitors anilino-pyrimidines: cyprodinil (E.1 .1 ), mepanipyrim (E.1 .2), pyrimethanil (E.1.3);
- blasticidin-S (E.2.1 ), kasugamycin (E.2.2), kasugamycin hy- drochloride-hydrate (E.2.3), mildiomycin (E.2.4), streptomycin (E.2.5), oxytetracyclin (E.2.6), polyoxine (E.2.7), validamycin A (E.2.8);
- fluoroimid F.1 .1
- iprodione F.1 .2
- procymidone F.1.3
- vinclozolin F.1 .4
- fenpiclonil F.1.5
- fludioxonil F.1 .6
- G protein inhibitors quinoxyfen (F.2.1 );
- Phospholipid biosynthesis inhibitors edifenphos (G.1 .1 ), iprobenfos (G.1.2), pyrazophos (G.1 .3), isoprothiolane (G.1 .4);
- lipid peroxidation dicloran (G.2.1 ), quintozene (G.2.2), tecnazene (G.2.3), tolclofos-methyl (G.2.4), biphenyl (G.2.5), chloroneb (G.2.6), etridiazole (G.2.7);
- phospholipid biosynthesis and cell wall deposition dimethomorph (G.3.1 ), flumorph (G.3.2), mandipropamid (G.3.3), pyrimorph (G.3.4), benthiavalicarb (G.3.5), iprovalicarb (G.3.6), valifenalate (G.3.7) and N-(1-(1-(4-cyano-phenyl)ethanesulfonyl)-but-2-yl) carbamic acid-(4- fluorophenyl) ester (G.3.8);
- inorganic active substances Bordeaux mixture (H.1.1 ), copper acetate (H.1.2), copper hydroxide (H.1.3), copper oxychloride (H.1 .4), basic copper sulfate (H.1 .5), sulfur (H.1.6); thio- and dithiocarbamates: ferbam (H.2.1 ), mancozeb (H.2.2), maneb (H.2.3), metam (H.2.4), metiram (H.2.5), propineb (H.2.6), thiram (H.2.7), zineb (H.2.8), ziram (H.2.9);
- organochlorine compounds e. g. phthalimides, sulfamides, chloronitriles: anilazine (H.3.1 ), chlorothalonil (H.3.2), captafol (H.3.3), captan (H.3.4), folpet (H.3.5), dichlofluanid (H.3.6), dichlorophen (H.3.7), hexachlorobenzene (H.3.8), pentachlorphenole (H.3.9) and its salts, phthalide (H.3.10), tolylfluanid (H.3.1 1 ), N-(4-chloro-2-nitro-phenyl)-N-ethyl-4-methyl- benzenesulfonamide (H.3.12);
- organochlorine compounds e. g. phthalimides, sulfamides, chloronitriles
- guanidines and others guanidine (H.4.1 ), dodine (H.4.2), dodine free base (H.4.3), guazatine (H.4.4), guazatine-acetate (H.4.5), iminoctadine (H.4.6), iminoctadine-tri acetate (H.4.7), iminoctadine-tris(albesilate) (H.4.8), dithianon (H.4.9), 2,6-dimethyl-1 H,5H-[1 ,4]dithi- ino[2,3-c:5,6-c']dipyrrole-1 ,3,5,7(2H,6H)-tetraone (H.4.10);
- inhibitors of glucan synthesis validamycin (1.1.1 ), polyoxin B (1.1 .2);
- melanin synthesis inhibitors pyroquilon (1.2.1 ), tricyclazole (I.2.2), carpropamid (1.2.3), di- cyclomet (I.2.4), fenoxanil (I.2.5);
- acibenzolar-S-methyl J.1.1
- probenazole J.1 .2
- isotianil J.1 .3
- tiadinil J.1 .4
- prohexa- dione-calcium J.1.5
- phosphonates fosetyl (J.1.6), fosetyl-aluminum (J.1 .7), phosphorous acid and its salts (J.1.8), potassium or sodium bicarbonate (J.1 .9);
- bronopol K.1 .1
- chinomethionat K.1.2
- cyflufenamid K.1.3
- cymoxanil K.1.4
- dazomet K.1 .5
- debacarb K.1.6
- diclomezine K.1.7
- difenzoquat K.1.8
- difenzoquat-methylsulfate K.1 .9
- diphenylamin K.1.10
- fenpyrazamine K.1 .1 1
- flumetover K.1 .12
- flusulfamide K.1 .13
- flutianil K.1 .14
- methasulfocarb K.1.15), nitrapyrin (K.1.16), nitrothal-isopropyl (K.1 .18), oxathiapiprolin (K.1.19), tolprocarb (K.1 .20), oxin-copper (K.1.2
- fungicides described by common names, their preparation and their activity e.g. against harmful fungi is known (cf.: http://www.alanwood.net/pesticides/); these substances are com- briefly available.
- fungicides described by lUPAC nomenclature, their preparation and their pesticidal activity is also known (cf. Can. J. Plant Sci. 48(6), 587-94, 1968; EP-A 141 317; EP-A 152 031 ; EP-A 226 917; EP-A 243 970; EP-A 256 503; EP-A 428 941 ; EP-A 532 022; EP-A 1 028 125; EP-A 1 035 122; EP-A 1 201 648; EP-A 1 122 244, JP 2002316902; DE 19650197; DE 10021412; DE 102005009458; US 3,296,272; US 3,325,503; WO 98/46608; WO 99/14187; WO 99/24413; WO 99/27783; WO 00/29404; WO 00/46148; WO 00/65913; WO 01/54501 ; WO 01/56358; WO 02/22583;
- Suitable mixing partners for the compounds of the invention also include biopesticides.
- Biopesticides have been defined as a form of pesticides based on micro-organisms (bacteria, fungi, viruses, nematodes, etc.) or natural products (compounds, such as metabolites, proteins, or extracts from biological or other natural sources) (U.S. Environmental Protection Agency: http://www.epa.gov/pesticides/biopesticides/). Biopesticides fall into two major classes, microbial and biochemical pesticides:
- Microbial pesticides consist of bacteria, fungi or viruses (and often include the metabolites that bacteria and fungi produce). Entomopathogenic nematodes are also classified as microbial pesticides, even though they are multi-cellular.
- Biochemical pesticides are naturally occurring substances or or structurally-similar and functionally identical to a naturally-occurring substance and extracts from biological sources that control pests or provide other crop protection uses as defined below, but have non-toxic mode of actions (such as growth or developmental regulation, attractents, repellents or defence activators (e.g. induced resistance) and are relatively non-toxic to mammals.
- Biopesticides for use against crop diseases have already established themselves on a variety of crops. For example, biopesticides already play an important role in controlling downy mildew diseases. Their benefits include: a 0-Day Pre-Harvest Interval, the ability to use under moderate to severe disease pressure, and the ability to use in mixture or in a rotational program with other registered pesticides. A major growth area for biopesticides is in the area of seed treatments and soil amendments. Biopesticidal seed treatments are e.g. used to control soil borne fungal pathogens that cause seed rots, damping-off, root rot and seedling blights.
- biopesticidal products can also be used to control internal seed borne fungal pathogens as well as fungal pathogens that are on the surface of the seed.
- Many biopesticidal products also show capacities to stimulate plant host defenses and other physiological processes that can make treated crops more resistant to a variety of biotic and abiotic stresses or can regulate plant growth.
- Many biopesticidal products also show capacities to stimulate plant health, plant growth and/or yield enhancing activity.
- the invention also relates to agrochemical compositions comprising an auxiliary and at least one compound of the invention or a mixture thereof.
- An agrochemical composition comprises a pesticidally effective amount of a compound of the invention or a mixture thereof.
- the term "pesticidally effective amount” is defined below.
- compositions e.g. solutions, emulsions, suspensions, dusts, powders, pastes, granules, pressings, capsules, and mixtures thereof.
- composition types are suspensions (e.g. SC, OD, FS), emulsifiable concentrates (e.g. EC), emulsions (e.g. EW, EO, ES, ME), capsules (e.g. CS, ZC), pastes, pastilles, wettable powders or dusts (e.g. WP, SP, WS, DP, DS), pressings (e.g.
- compositions types are defined in the "Catalogue of pesticide formulation types and international coding system", Technical Monograph No. 2, 6th Ed. May 2008, CropLife International.
- compositions are prepared in a known manner, such as described by Mollet and Grube- mann, Formulation technology, Wiley VCH, Weinheim, 2001 ; or Knowles, New developments in crop protection product formulation, Agrow Reports DS243, T&F Informa, London, 2005.
- auxiliaries are solvents, liquid carriers, solid carriers or fillers, surfactants, dispersants, emulsifiers, wetters, adjuvants, solubilizers, penetration enhancers, protective colloids, adhesion agents, thickeners, humectants, repellents, attractants, feeding stimu- lants, compatibilizers, bactericides, anti-freezing agents, anti-foaming agents, colorants, tackifi- ers and binders.
- Suitable solvents and liquid carriers are water and organic solvents, such as mineral oil fractions of medium to high boiling point, e.g. kerosene, diesel oil; oils of vegetable or animal origin; aliphatic, cyclic and aromatic hydrocarbons, e. g. toluene, paraffin, tetrahydronaphthalene, al- kylated naphthalenes; alcohols, e.g. ethanol, propanol, butanol, benzylalcohol, cyclo-'hexanol; glycols; DMSO; ketones, e.g. cyclohexanone; esters, e.g.
- mineral oil fractions of medium to high boiling point e.g. kerosene, diesel oil
- oils of vegetable or animal origin oils of vegetable or animal origin
- aliphatic, cyclic and aromatic hydrocarbons e. g. toluene, paraffin, tetrahydronaphthalene,
- lactates carbonates, fatty acid esters, gamma-butyrolactone; fatty acids; phosphonates; amines; amides, e.g. N-methylpyrrolidone, fatty acid dimethylamides; and mixtures thereof.
- Suitable solid carriers or fillers are mineral earths, e.g. silicates, silica gels, talc, kaolins, lime- stone, lime, chalk, clays, dolomite, diatomaceous earth, bentonite, calcium sulfate, magnesium sulfate, magnesium oxide; polysaccharide powders, e.g. cellulose, starch; fertilizers, e.g. ammonium sulfate, ammonium phosphate, ammonium nitrate, ureas; products of vegetable origin, e.g. cereal meal, tree bark meal, wood meal, nutshell meal, and mixtures thereof.
- mineral earths e.g. silicates, silica gels, talc, kaolins, lime- stone, lime, chalk, clays, dolomite, diatomaceous earth, bentonite, calcium sulfate, magnesium sulfate, magnesium oxide
- polysaccharide powders e.g. cellulose
- Suitable surfactants are surface-active compounds, such as anionic, cationic, nonionic and amphoteric surfactants, block polymers, polyelectrolytes, and mixtures thereof. Such surfactants can be used as emusifier, dispersant, solubilizer, wetter, penetration enhancer, protective colloid, or adjuvant. Examples of surfactants are listed in McCutcheon's, Vol.1 : Emulsifiers & De- tergents, McCutcheon's Directories, Glen Rock, USA, 2008 (International Ed. or North American Ed.).
- Suitable anionic surfactants are alkali, alkaline earth or ammonium salts of sulfonates, sulfates, phosphates, carboxylates, and mixtures thereof.
- sulfonates are alkylaryl-sul- fonates, diphenylsulfonates, alpha-olefin sulfonates, lignine sulfonates, sulfonates of fatty acids and oils, sulfonates of ethoxylated alkylphenols, sulfonates of alkoxylated arylphenols, sulfonates of condensed naphthalenes, sulfonates of dodecyl- and tridecylbenzenes, sulfonates of naphthalenes and alkyhnaphthalenes, sulfosucci nates or sulfosuccinamates.
- sulfates are sulfates of fatty acids and oils, of ethoxylated alkylphenols, of alcohols, of ethox-ylated alcohols, or of fatty acid esters.
- phosphates are phosphate esters. Exam-pies of carboxylates are alkyl carboxylates, and carboxylated alcohol or alkylphenol eth-oxylates.
- Suitable nonionic surfactants are alkoxylates, N-subsituted fatty acid amides, amine oxides, esters, sugar-based surfactants, polymeric surfactants, and mixtures thereof.
- alkoxylates are compounds such as alcohols, alkylphenols, amines, amides, arylphenols, fatty acids or fatty acid esters which have been alkoxylated with 1 to 50 equivalents.
- Ethylene oxide and/or propylene oxide may be employed for the alkoxylation, preferably ethylene oxide.
- N-subsititued fatty acid amides are fatty acid glucamides or fatty acid alkanolamides.
- esters are fatty acid esters, glycerol esters or monoglycerides.
- sugar- based surfactants are sorbitans, ethoxylated sorbitans, sucrose and glucose esters or alkylpoly- glucosides.
- polymeric surfactants are homo- or copolymers of vinylpyrrolidone, vi- nylalcohols, or vinylacetate.
- Suitable cationic surfactants are quaternary surfactants, e.g. quaternary ammonium compounds with one or two hydrophobic groups, or salts of long-chain primary amines.
- Suitable amphoteric surfactants are alkylbetains and imidazolines.
- Suitable block polymers are block polymers of the A-B or A-B-A type comprising blocks of polyethylene oxide and polypropylene ox- ide, or of the A-B-C type comprising alkanol, polyethylene oxide and polypropylene oxide.
- Suitable polyelectrolytes are polyacids or polybases. Examples of polyacids are alkali salts of poly- acrylic acid or polyacid comb polymers. Examples of polybases are polyvinylamines or polyeth- yleneamines.
- Suitable adjuvants are compounds, which have a neglectable or even no pesticidal activity themselves, and which improve the biological performance of the compounds of the invention on the target.
- examples are surfactants, mineral or vegetable oils, and other auxilaries. Further examples are listed by Knowles, Adjuvants and additives, Agrow Reports DS256, T&F Informa UK, 2006, chapter 5.
- Suitable thickeners are polysaccharides (e.g. xanthan gum, carboxymethylcellulose), anor- ganic clays (organically modified or unmodified), polycarboxylates, and silicates.
- Suitable bactericides are bronopol and isothiazolinone derivatives such as alkylisothiazoli- nones and benzisothiazolinones.
- Suitable anti-freezing agents are ethylene glycol, propylene glycol, urea and glycerin.
- Suitable anti-foaming agents are silicones, long chain alcohols, and salts of fatty acids.
- Suitable colorants e.g. in red, blue, or green
- Suitable colorants are pigments of low water solubility and water- soluble dyes. Examples are inorganic colorants (e.g. iron oxide, titan oxide, iron hexacyanofer- rate) and organic colorants (e.g. alizarin-, azo- and phthalocyanine colorants).
- Suitable tackifiers or binders are polyvinylpyrrolidone, polyvinylacetates, polyvinyl alcohols, polyacrylates, biological or synthetic waxes, and cellulose ethers.
- the agrochemical compositions generally comprise between 0.01 and 95%, preferably between 0.1 and 90%, and most preferably between 0.5 and 75%, by weight of active sub-stance.
- the active substances are employed in a purity of from 90% to 100%, preferably from 95% to 100% (according to NMR spectrum).
- oils, wetters, adjuvants, fertilizer, or micronutrients, and other pesticides may be added to the active substances or the compositions cormprising them as premix or, if appropriate not until immediately prior to use (tank mix).
- pesticides e.g. herbicides, insecticides, fungicides, growth regulators, safeners
- These agents can be admixed with the compositions according to the invention in a weight ratio of 1 :100 to 100:1 , preferably 1 :10 to 10:1 .
- the user applies the composition according to the invention usually from a predosage de-vice, a knapsack sprayer, a spray tank, a spray plane, or an irrigation system.
- the agrochemical composition is made up with water, buffer, and/or further auxiliaries to the desired application concentration and the ready-to-use spray liquor or the agrochemical composition according to the invention is thus obtained.
- 20 to 2000 liters, preferably 50 to 400 liters, of the ready-to-use spray liquor are applied per hectare of agricultural useful area.
- composition according to the invention such as parts of a kit or parts of a binary or ternary mixture may be mixed by the user himself in a spray tank and further auxiliaries may be added, if appropriate.
- either individual components of the composition according to the in- vention or partially premixed components may be mixed by the user in a spray tank and further auxiliaries and additives may be added, if appropriate.
- either individual components of the composition according to the invention or partially premixed components e. g. components comprising compounds of the in- vention and/or mixing partners as defined above, can be applied jointly (e.g. after tank mix) or consecutively.
- the compounds of the invention are suitable for use in protecting crops, plants, plant propagation materials, such as seeds, or soil or water, in which the plants are growing, from attack or infestation by animal pests. Therefore, the invention also relates to a plant protection method, which comprises contacting crops, plants, plant propagation materials, such as seeds, or soil or water, in which the plants are growing, to be protected from attack or infestation by animal pests, with a pesticidally effective amount of a compound of the invention.
- the compounds of the present invention are also suitable for use in combating or controlling animal pests. Therefore, the invention also relates to a method of combating or controlling animal pests, which comprises contacting the animal pests, their habitat, breeding ground, or food supply, or the crops, plants, plant propagation materials, such as seeds, or soil, or the area, material or environment in which the animal pests are growing or may grow, with a pesticidally effective amount of a compound of the invention.
- the compounds of the invention are effective through both contact and ingestion.
- the compounds of the invention can be applied to any and all developmental stages, such as egg, larva, pupa, and adult.
- the compounds of the invention can be applied as such or in form of compositions comprising them as defined above. Furthermore, the compounds of the invention can be applied together with a mixing partner as defined above or in form of compositions comprising said mixtures as defined above.
- the components of said mixture can be applied simultaneously, jointly or separately, or in succession, that is immediately one after another and thereby creating the mixture "in situ" on the desired location, e.g. the plant, the sequence, in the case of separate applica- tion, generally not having any effect on the result of the control measures.
- the application can be carried out both before and after the infestation of the crops, plants, plant propagation materials, such as seeds, soil, or the area, material or environment by the pests.
- Suitable application methods include inter alia soil treatment, seed treatment, in furrow appli- cation, and foliar application.
- Soil treatment methods include drenching the soil, drip irrigation (drip application onto the soil), dipping roots, tubers or bulbs, or soil injection.
- Seed treatment techniques include seed dressing, seed coating, seed dusting, seed soaking, and seed pelleting.
- furrow applications typically include the steps of making a furrow in cultivated land, seeding the furrow with seeds, applying the pesticidally active compound to the furrow, and closing the furrow.
- Foliar application refers to the application of the pesticidally active compound to plant foliage, e.g. through spray equipment.
- pheromones for specific crops and pests are known to a skilled person and publicly available from databases of pheromones and semiochemicals, such as
- the term "contacting” includes both direct contact (applying the compounds/compositions directly on the animal pest or plant - typically to the foliage, stem or roots of the plant) and indirect contact (applying the compounds/compositions to the locus, i.e. habitat, breeding ground, plant, seed, soil, area, material or environment in which a pest is growing or may grow, of the animal pest or plant).
- animal pest includes arthropods, gastropods, and nematodes.
- Preferred animal pests according to the invention are arthropods, preferably insects and arachnids, in particular insects.
- Insects, which are of particular relevance for crops, are typically referred to as crop insect pests.
- crop refers to both, growing and harvested crops.
- plant includes cereals, e.g. durum and other wheat, rye, barley, triticale, oats, rice, or maize (fodder maize and sugar maize / sweet and field corn); beet, e.g. sugar beet or fodder beet; fruits, such as pomes, stone fruits or soft fruits, e.g.
- iceberg lettuce chicory, cabbage, asparagus, cabbages, carrots, onions, garlic, leeks, tomatoes, potatoes, cucurbits or sweet peppers; lauraceous plants, such as avocados, cinnamon or camphor; energy and raw material plants, such as corn, soybean, rapeseed, sugar cane or oil palm; tobacco; nuts, e.g. walnuts; pistachios; coffee; tea; bananas; vines (table grapes and grape juice grape vines); hop; sweet leaf (also called Stevia); natural rubber plants or ornamental and forestry plants, such as flowers (e.g.
- Preferred plants include potatoes sugar beets, to- bacco, wheat, rye, barley, oats, rice, corn, cotton, soybeans, rapeseed, legumes, sunflowers, coffee or sugar cane; fruits; vines; ornamentals; or vegetables, such as cucumbers, tomatoes, beans or squashes.
- plant is to be understood as including wild type plants and plants, which have been modified by either conventional breeding, or mutagenesis or genetic engineering, or by a combi- nation thereof.
- Plants which have been modified by mutagenesis or genetic engineering, and are of particular commercial importance, include alfalfa, rapeseed (e.g. oilseed rape), bean, carnation, chicory, cotton, eggplant, eucalyptus, flax, lentil, maize, melon, papaya, petunia, plum, poplar, potato, rice, soybean, squash, sugar beet, sugarcane, sunflower, sweet pepper, tobacco, tomato, and cereals (e.g. wheat), in particular maize, soybean, cotton, wheat, and rice.
- rapeseed e.g. oilseed rape
- bean carnation
- chicory cotton
- eggplant eucalyptus
- flax flax
- lentil eucalyptus
- melon melon
- papaya petunia
- plum poplar
- potato rice
- soybean zucchini
- sugar beet sugarcane
- sunflower sweet pepper
- sweet pepper tobacco, tomato
- the one or more mutagenized or integrated genes are preferably selected from pat, epsps, crylAb, bar, cry1 Fa2, crylAc, cry34Ab1 , cry35AB1 , cry3A, cryF, cry1 F, mcry3a, cry2Ab2, cry3Bb1 , cry1A.105, dfr, barnase, vip3Aa20, barstar, als, bxn, bp40, asnl , and ppo5.
- the mutagenesis or integration of the one or more genes is performed in order to improve certain properties of the plant.
- Such properties include abiotic stress tolerance, altered growth/yield, disease resistance, herbicide tolerance, insect resistance, modified product quality, and pollination control.
- herbicide tolerance e.g. imidazolinone tolerance, glyphosate tolerance, or glufosi- nate tolerance
- mutagenesis e.g. Clearfield® oilseed rape being tolerant to imidazolinones, e.g. ima- zamox.
- genetic engineering methods have been used to render plants, such as soybean, cotton, corn, beets and oil seed rape, tolerant to herbicides, such as glyphosate and glufosinate, some of which are commercially available under the trade names RoundupReady® (glyphosate) and LibertyLink® (glufosinate).
- herbicides such as glyphosate and glufosinate, some of which are commercially available under the trade names RoundupReady® (glyphosate) and LibertyLink® (glufosinate).
- glyphosate and glufosinate some of which are commercially available under the trade names RoundupReady® (glyphosate) and LibertyLink® (glufosinate).
- herbicides such as glyphosate and glufosinate
- RoundupReady® glyphosate
- LibertyLink® glufosinate
- insect resistance is of importance, in particular lepidopteran insect resistance and coleopteran insect resistance.
- Plants may be modified by mutagenesis or genetic engineering either in terms of one property (singular traits) or in terms of a combination of properties (stacked traits). Stacked traits, e.g. the combination of herbicide tolerance and insect resistance, are of increasing importance.
- the pesticidal activity of the compounds of the invention may be enhanced by the insecticidal trait of a modified plant. Furthermore, it has been found that the compounds of the invention are suitable for preventing insects to become resistant to the insecticidal trait or for combating pests, which already have become resistant to the insecti- cidal trait of a modified plant. Moreover, the compounds of the invention are suitable for combating pests, against which the insecticidal trait is not effective, so that a complementary insecticidal activity can advantageously be used.
- plant propagation material refers to all the generative parts of the plant such as seeds and vegetative plant material such as cuttings and tubers (e.g. potatoes), which can be used for the multiplication of the plant. This includes seeds, roots, fruits, tubers, bulbs, rhizomes, shoots, sprouts and other parts of plants. Seedlings and young plants, which are to be transplanted after germination or after emergence from soil, may also be included. These plant propagation materials may be treated prophylactically with a plant protection compound either at or before planting or transplanting.
- seed embraces seeds and plant propagules of all kinds including but not limited to true seeds, seed pieces, suckers, corms, bulbs, fruit, tubers, grains, cuttings, cut shoots and the like, and means in a preferred embodiment true seeds.
- pesticidally effective amount means the amount of active ingredient needed to achieve an observable effect on growth, including the effects of necrosis, death, retardation, prevention, and removal, destruction, or otherwise diminishing the occurrence and activity of the target organism.
- the pesticidally effective amount can vary for the various compounds/compositions used in the invention.
- a pesticidally effective amount of the compositions will also vary according to the prevailing conditions such as desired pesticidal effect and duration, weather, target species, locus, mode of application, and the like.
- the quantity of active ingredient ranges from 0.0001 to 500 g per 100 m 2 , preferably from 0.001 to 20 g per 100 m 2 .
- the rate of application of the active ingredients of this invention may be in the range of 0.0001 g to 4000 g per hectare, e.g. from 1 g to 2 kg per hectare or from 1 g to 750 g per hectare, desirably from 1 g to 100 g per hectare, more desirably from 10 g to 50 g per hectare, e.g., 10 to 20 g per hectare, 20 to 30 g per hectare, 30 to 40 g per hectare, or 40 to 50 g per hectare.
- the compounds of the invention are particularly suitable for use in the treatment of seeds in order to protect the seeds from insect pests, in particular from soil-living insect pests, and the resulting seedling's roots and shoots against soil pests and foliar insects.
- the invention therefore also relates to a method for the protection of seeds from insects, in particular from soil insects, and of the seedling's roots and shoots from insects, in particular from soil and foliar insects, said method comprising treating the seeds before sowing and/or after pregermination with a compound of the invention.
- the protection of the seedling's roots and shoots is preferred. More preferred is the protection of seedling's shoots from piercing and sucking insects, chewing insects and nematodes.
- seed treatment comprises all suitable seed treatment techniques known in the art, such as seed dressing, seed coating, seed dusting, seed soaking, seed pelleting, and in-furrow application methods.
- seed treatment application of the active compound is carried out by spraying or by dusting the seeds before sowing of the plants and before emergence of the plants.
- the invention also comprises seeds coated with or containing the active compound.
- coated with and/or containing generally signifies that the active ingredient is for the most part on the surface of the propagation product at the time of application, although a greater or lesser part of the ingredient may penetrate into the propagation product, depending on the method of application. When the said propagation product is (re)planted, it may absorb the active ingredient.
- Suitable seed is e.g. seed of cereals, root crops, oil crops, vegetables, spices, ornamentals, e.g. seed of durum and other wheat, barley, oats, rye, maize (fodder maize and sugar maize / sweet and field corn), soybeans, oil crops, crucifers, cotton, sunflowers, bananas, rice, oilseed rape, turnip rape, sugarbeet, fodder beet, eggplants, potatoes, grass, lawn, turf, fodder grass, tomatoes, leeks, pumpkin/squash, cabbage, iceberg lettuce, pepper, cucumbers, melons, Bras- sica species, melons, beans, peas, garlic, onions, carrots, tuberous plants such as potatoes, sugar cane, tobacco, grapes, petunias, geranium/pelargoniums, pansies and impatiens.
- the active compound may also be used for the treatment of seeds from plants, which have been modified by mutagenisis or genetic engineering, and which e.g. tolerate the action of herbicides or fungicides or insecticides. Such modified plants have been described in detail above.
- Conventional seed treatment formulations include e.g. flowable concentrates FS, solutions LS, suspoemulsions (SE), powders for dry treatment DS, water dispersible powders for slurry treatment WS, water-soluble powders SS and emulsion ES and EC and gel formulation GF. These formulations can be applied to the seed diluted or undiluted. Application to the seeds is carried out before sowing, either directly on the seeds or after having pregerminated the latter. Preferably, the formulations are applied such that germination is not included.
- the active substance concentrations in ready-to-use formulations are preferably from 0.01 to 60% by weight, more preferably from 0.1 to 40 % by weight.
- a FS formulation is used for seed treatment.
- a FS formulation may comprise 1-800 g/l of active ingredient, 1-200 g/l Surfactant, 0 to 200 g/l antifreezing agent, 0 to 400 g/l of binder, 0 to 200 g/l of a pigment and up to 1 liter of a solvent, preferably water.
- Especially preferred FS formulations of the compounds of the invention for seed treatment usually comprise from 0.1 to 80% by weight (1 to 800 g/l) of the active ingredient, from 0.1 to 20 % by weight (1 to 200 g/l) of at least one surfactant, e.g. 0.05 to 5 % by weight of a wetter and from 0.5 to 15 % by weight of a dispersing agent, up to 20 % by weight, e.g. from 5 to 20 % of an anti-freeze agent, from 0 to 15 % by weight, e.g. 1 to 15 % by weight of a pigment and/or a dye, from 0 to 40 % by weight, e.g.
- a binder (sticker /adhesion agent), optionally up to 5 % by weight, e.g. from 0.1 to 5 % by weight of a thickener, optionally from 0.1 to 2 % of an anti-foam agent, and optionally a preservative such as a biocide, antioxidant or the like, e.g. in an amount from 0.01 to 1 % by weight and a filler/vehicle up to 100 % by weight.
- a binder sticker /adhesion agent
- a preservative such as a biocide, antioxidant or the like
- the application rates of the compounds of the invention are generally from 0.1 g to 10 kg per 100 kg of seed, preferably from 1 g to 5 kg per 100 kg of seed, more preferably from 1 g to 1000 g per 100 kg of seed and in particular from 1 g to 200 g per 100 kg of seed, e.g. from 1 g to 100 g or from 5 g to 100 g per 100 kg of seed.
- the invention therefore also relates to seed comprising a compound of the invention, or an agriculturally useful salt thereof, as defined herein.
- the amount of the compound of the invention or the agriculturally useful salt thereof will in general vary from 0.1 g to 10 kg per 100 kg of seed, preferably from 1 g to 5 kg per 100 kg of seed, in particular from 1 g to 1000 g per 100 kg of seed. For specific crops such as lettuce the rate can be higher.
- the compounds of the invention may also be used for improving the health of a plant.
- the invention also relates to a method for improving plant health by treating a plant, plant propagation material and/or the locus where the plant is growing or is to grow with an effective and non-phytotoxic amount of a compound of the invention.
- an effective and non-phytotoxic amount means that the compound is used in a quantity which allows to obtain the desired effect but which does not give rise to any phyto- toxic symptom on the treated plant or on the plant grown from the treated propagule or treated soil.
- plant and “plant propagation material” are defined above.
- Plant health is defined as a condition of the plant and/or its products which is determined by several aspects alone or in combination with each other such as yield (e.g. increased biomass and/or increased content of valuable ingredients), quality (e.g. improved content or composition of certain ingredients or shelf life), plant vigour (e.g. improved plant growth and/or greener leaves ("greening effect"), tolerance to abiotic (e.g. drought) and/or biotic stress (e.g. disease) and production efficiency (for example, harvesting efficiency, processability).
- yield e.g. increased biomass and/or increased content of valuable ingredients
- quality e.g. improved content or composition of certain ingredients or shelf life
- plant vigour e.g. improved plant growth and/or greener leaves ("greening effect")
- tolerance to abiotic e.g. drought
- biotic stress e.g. disease
- production efficiency for example, harvesting efficiency, processability
- the above identified indicators for the health condition of a plant may be interdependent and may result from each other.
- Each indicator is defined in the art and can be determined by methods known to a skilled person.
- the compounds of the invention are also suitable for use against non-crop insect pests.
- compounds of the invention can be used as bait composition, gel, general insect spray, aerosol, as ultra-low volume application and bed net (impregnated or surface applied).
- drenching and rodding methods can be used.
- non-crop insect pest refers to pests, which are particularly relevant for non-crop targets, such as ants, termites, wasps, flies, ticks, mosquitos, crickets, or cockroaches.
- the bait can be a liquid, a solid or a semisolid preparation (e.g. a gel).
- the bait employed in the composition is a product, which is sufficiently attractive to incite insects such as ants, termites, wasps, flies, mosquitos, crickets etc. or cockroaches to eat it.
- the attractiveness can be manipulated by using feeding stimulants or sex pheromones.
- Food stimulants are chosen, for example, but not exclusively, from animal and/or plant proteins (meat-, fish- or blood meal, insect parts, egg yolk), from fats and oils of animal and/or plant origin, or mono-, oligo- or polyor- ganosaccharides, especially from sucrose, lactose, fructose, dextrose, glucose, starch, pectin or even molasses or honey. Fresh or decaying parts of fruits, crops, plants, animals, insects or specific parts thereof can also serve as a feeding stimulant. Sex pheromones are known to be more insect specific. Specific pheromones are described in the literature (e.g. http://www.phero- base.com), and are known to those skilled in the art.
- the typical content of active ingredient is from 0.001 weight % to 15 weight %, desirably from 0.001 weight % to 5% weight % of active compound.
- Formulations of the compounds of the invention as aerosols are highly suitable for the non-professional user for controlling pests such as flies, fleas, ticks, mosquitos or cockroaches.
- Aerosol recipes are preferably composed of the active compound, solvents, furthermore auxiliaries such as emulsifiers, perfume oils, if appropriate stabilizers, and, if required, propellants.
- the oil spray formulations differ from the aerosol recipes in that no propellants are used.
- the content of active ingredient is from 0.001 to 80 weights %, preferably from 0.01 to 50 weight % and most preferably from 0.01 to 15 weight %.
- the compounds of the invention and its respective compositions can also be used in mosquito and fumigating coils, smoke cartridges, vaporizer plates or long-term vaporizers and also in moth papers, moth pads or other heat-independent vaporizer systems.
- Methods to control infectious diseases transmitted by insects e.g. malaria, dengue and yellow fever, lymphatic filariasis, and leishmaniasis
- compounds of the invention and its respective compositions also comprise treating surfaces of huts and houses, air spraying and impregnation of curtains, tents, clothing items, bed nets, tsetse-fly trap or the like.
- Insecticidal compositions for application to fibers, fabric, knitgoods, nonwovens, netting material or foils and tarpaulins preferably comprise a mixture including the insecticide, optionally a repellent and at least one binder.
- the compounds of the invention and its compositions can be used for protecting wooden materials such as trees, board fences, sleepers, frames, artistic artifacts, etc. and buildings, but also construction materials, furniture, leathers, fibers, vinyl articles, electric wires and cables etc. from ants and/or termites, and for controlling ants and termites from doing harm to crops or human being (e.g. when the pests invade into houses and public facilities).
- Customary application rates in the protection of materials are, for example, from 0.001 g to 2000 g or from 0.01 g to 1000 g of active compound per m 2 treated material, desirably from 0.1 g to 50 g per m 2 .
- Insecticidal compositions for use in the impregnation of materials typically contain from 0.001 to 95 weight %, preferably from 0.1 to 45 weight %, and more preferably from 1 to 25 weight % of at least one repellent and/or insecticide.
- the compounds of the the invention are especially suitable for efficiently combating animal pests such as arthropods, gastropods and nematodes including but not limited to:
- insects from the order of Lepidoptera e.g. Achroia grisella, Acleris spp. such as A. fimbriana, A. gloverana, A. variana; Acrolepiopsis assectella, Acronicta major, Adoxophyes spp. such as A. cyrtosema, A. orana; Aedia leucomelas, Agrotis spp. such as A. exclamationis, A. fucosa, A. ipsilon, A. orthogoma, A. segetum, A.
- Argyresthia conjugella Argyroploce spp., Argyrotaenia spp.
- A. velutinana Athetis mindara, Austroasca viridigrisea, Autog- rapha gamma, Autographa nigrisigna, Barathra brassicae, Bedel/la spp., Bonagota salubricola, Borbo cinnara, Bucculatrix thurberiella, Bupalus piniarius, Busseola spp., Cacoecia spp. such as C. murinana, C.
- Cactoblastis cactorum Cadra cauteiia, Calingo braziHensis, Calop- tills theivora, Capua reticulana, Carposina spp. such as C. niponensis, C. sasakii; Cephus spp., Chaetocnema aridula, Cheimatobia brumata, Chilo spp. such as C. Indicus, C. suppressalis, C. partellus; Choreutis pariana, Choristoneura spp. such as C. conflictana, C. fumiferana, C. longi- cellana, C. murinana, C. occidentalis, C.
- kuehniella kuehniella; Epinotia aporema, Epiphyas postvittana, Erannis tiliaria, Erionota thrax, Etiella spp., Eulia spp., Eupoecilia ambiguella, Euproctis chrysorrhoea, Euxoa spp., Evetria bouliana, Faronta albilinea, Feltia spp. such as F. subterranean; Galleria mellonella, Gracillaria spp., Gra- pholita spp. such as G. funebrana, G. molesta, G.
- Mamestra spp. such as M. brassicae, M. configurata; Mamstra brassicae, Manduca spp. such as M. quinquemaculata, M. sexta; Marasmia spp, Marmara spp., Maruca testuiaiis, Megaiopyge lanata, Meianchra picta, Meianitis leda, Mocis spp. such as M. lapites, M.
- opercuieiia Phyiiocnistis citreiia, Phyiionorycter spp. such as P. biancardella, P. crataegella, P. issikii, P. ringoniella; Pieris spp. such as P. brassicae, P. rapae, P. napi; Pilocro- cis tripunctata, Plathypena scabra, Platynota spp. such as P. flavedana, P. idaeusalis, P.
- insects from the order of Coleoptera e.g. Acalymma vittatum, Acanthoscehdes obtectus,
- Adoretus spp. Adoretus spp., Agelastica alni, Agrilus spp. such as A. anxius, A. planipennis, A. sinuatus; Agri- otes spp. such as A. fuscicollis, A. lineatus, A. obscurus; Alphitobius diaperinus, Amphimallus solstitialis, Anisandrus dispar, Anisoplia austriaca, Anobium punctatum, Anomala diverenta, Anomala rufocuprea, Anoplophora spp. such as A. glabripennis; Anthonomus spp. such as A. eugenii, A. grandis, A.
- Anthrenus spp. Aphthona euphoridae, Apion spp., Apogonia spp., Athous haemorrhoidalis, Atomaria spp. such as A. linearis; Attagenus spp., Aulacophora femora/is, Blastophagus piniperda, Blitophaga undata, Bruchidius obtectus, Bruchus spp. such as B. lentis, B. pisorum, B.
- vespertinus Conotrachelus nenuphar, Cosmopolites spp., Costelytra zealandica, Crioceris asparagi, Cryptolestes ferrugineus, Cryptorhynchus lapathi, Ctenicera spp. such as C. destructor; Curculio spp., Cylindrocopturus spp., Cycloceph- ala spp., Dactyl/spa ba/yi, Dectes texanus, Dermestes spp., Diabrotica spp. such as D. undec-legictata, D. speciosa, D. longicornis, D. semipunctata, D.
- Diaprepes abbreviates, Dichocrocis spp., Dicladispa armigera, Diloboderus abderus, Diocalandra frumenti (Diocalandra stigmaticollis), Enaphalodes rufulus, Epilachna spp. such as E. varivestis, E. vigintioctomacu- lata; Ep/tr/xspp. such as E. hirtipennis, E.
- hypomeces squamosus Hypothenemus spp., Ips typographus, Lachno- sterna consanguinea, Lasioderma serricorne, Latheticus oryzae, Lathridius spp., Lema spp. such as L. bilineata, L. melanopus; Leptinotarsa spp. such as L. decemlineata; Leptispa pyg- maea, Limonius californicus, Lissorhoptrus oryzophilus, Lixus spp., Luperodes spp., Lyctus spp. such as L.
- vittula Phyllopertha horticola, Pop/ilia japonica, Premnotrypes spp., Psacothea hilaris, Psylliodes chrysocephala, Prostephanus truncates, Psylliodes spp., Pti- nus spp., Pulga saltona, Rhizopertha dominica, Rhynchophorus spp. such as R. billineatus, R. ferrugineus, R. palmarum, R. phoenicis, R.
- Saperda Candida Scolytus schevyrewi, Scyphophorus acupunctatus, Sitona lineatus, Sitophilus spp. such as S. granaria, S. oryzae, S. zeamais; Sphenophorus spp. such as S. levis; Stegobium paniceum, Sternechus spp. such as S. subsignatus; Strophomorphus ctenotus, Symphyletes spp., Tanymecus spp., Tenebrio molitor, Tenebrioides mauretanicus, Tribolium spp. such as T.
- Trogoderma spp. Tychius spp.
- Xylotrech us spp. such as X. pyrrhoderus
- Zabrus spp. such as Z. tenebrioides
- insects from the order of Diptera e.g. Aedes spp. such as A. aegypti, A. albopictus, A. vexans; Anastrepha ludens, Anopheles spp. such as A. albimanus, A. crucians, A. freeborni, A. gam- biae, A. leucosphyrus, A. maculipennis, A. minimus, A. quadrimaculatus, A. sinensis; Bactro- cera in va dens, Bibio hortulanus, Calliphora erythrocephala, Calliphora vicina, Ceratitis capitata, Chrysomyia spp.
- Aedes spp. such as A. aegypti, A. albopictus, A. vexans
- Anastrepha ludens Anopheles spp.
- A. albimanus A.
- C. bezziana such as C. bezziana, C. hominivorax, C. macellaria; Chrysops atlanticus, Chrysops discalis, Chrysops silacea, Cochliomyia spp. such as C. hominivorax; Contarinia spp. such as C. sorghicola; Cordylobia anthropophaga, Culexspp. such as C. nigripalpus, C.
- pipi- ens C quinquefasciatus, C tarsalis, C tritaeniorhynchus; Culicoides furens, Culiseta inornata, Culiseta melanura, Cuterebra spp., Dacus cucurbitae, Dacus oleae, Dasineura brassicae, Dasi- neura oxycoccana, Delia spp. such as D. antique, D. coarctata, D. platura, D. radicum; Dermat- obia hominis, Drosophila spp. such as D. suzukii, Fannia spp. such as F.
- canicularis Gastraphi- lus spp. such as G. intestinaiis; Geomyza tipunctata, Glossina spp. such as G. fuscipes, G. mor- sitans, G. pa/pa/is, G. tach/noides; Haematobia irritans, Haplodiplosis equestris, Hippelates spp., Hylemyia spp. such as H. platura; Hypoderma spp. such as H. lineata; Hyppobosca spp., Hydrellia philippina, Leptoconops torrens, Liriomyza spp. such as L. sativae, L.
- Lucilia spp. such as L. caprina, L. cuprina, L. sericata; Lycoria pectoraiis, Mansonia titiiianus, Mayetioia spp. such as M. destructor; Musca spp. such as M. autumnalis, M. domestica; Muscina stabu- lans, Oestrus spp. such as O. ovis; Opomyza florum, Oscinella spp. such as O. frit; Orseolia oryzae, Pegomya hysocyami, Phlebotomus argentipes, Phorbia spp. such as P. antiqua, P. brassicae, P.
- insects from the order of Thysanoptera for example, Basothrips biformis, Dichromothrips cor- betti, Dichromothrips ssp., Echinothrips americanus, Enneothrips flavens, Frankliniella spp. such as F. fusca, F. occidentalis, F. tritici; Heliothrips spp., Hercinothrips femora/is, Kakothrips spp., Microcephalothrips abdominalis, Neohydatothrips samayunkur, Pezothrips kellyanus, Rhipiphorothrips cruentatus, Scirtothrips spp. such as S.
- insects from the order of Hemiptera for example, Acizzia jamatonica, Acrosternum spp. such as A. hilare; Acyrthosipon spp. such as A. onobrychis, A. pisum; Adelges laricis, Adelges tsu- gae, Adelphocoris spp. , such as A. rapidus, A.
- Brachycolus spp. Brachycorynella asparagi, Brevicoryne brassicae, Cacopsylla spp. such as C. fulguralis, C. pyricola (Psylla piri); Calligypona marginata, Calocoris spp., Campylomma livida, Capitophorus horn/, Carneocephala fulgida, Cavelerius spp., Ceraplastes spp., Ceratovacuna lanigera, Ceroplastes ceriferus, Cerosipha gossypii, Chaetosiphon fragaefolii, Chionaspis te- galensis, Chlorita onukii, Chromaphis juglandicola, Chrysomphalus ficus, Cicadulina mbila, Ci- mexspp.
- C. fulguralis C. pyri
- Diaspis spp. such as D. bromeliae; Dichelops furcatus, Diconocoris he- wetti, Dora/is spp., Dreyfus/a nordmann/anae, Dreyfus/a p/ceae, Drosicha spp., Dysaphis spp. such as D. plantaginea, D. pyri, D. radicola; Dysaulacorthum pseudosolani, Dysdercus spp. such as D. cingulatus, D. intermedius; Dysmicoccus spp., Edessa spp., Geocoris spp., Em- poasca spp. such as E.
- L. hesperus such as L. hesperus, L. lineolaris, L. pra- tensis; Maconellicoccus hirsutus, Marchalina horrenica, Macropes excavatus, Macrosiphum spp. such as M. rosae, M. avenae, M.
- Nephotettix spp. such as N. malayanus, N. nigropictus, N. parvus, N. vi- rescens; Nezara spp. such as N. viridula; Nilaparvata lugens, Nysius huttoni, Oebalus spp.
- Psylla spp. such as P. mali
- Pteromalus spp. Pulvinaria amygdali, Pyrilla spp., Quadraspidiotus spp., such as Q. perniciosus
- Quesada gigas Rastrococcus spp., Redu- vius senilis, Rhizoecus americanus, Rhodnius spp., Rhopalomyzus ascalonicus, Rhopalosi- phum spp.
- R. pseudobrassicas such as P. mali
- Pteromalus spp. Pulvinaria amygdali, Pyrilla spp., Quadraspidiotus spp., such as Q. perniciosus
- Quesada gigas Rastrococcus spp.
- Redu- vius senilis Rhizoecus americanus
- Rhodnius spp. Rhopalo
- T. accerra, T. perditor Tibraca spp., Tomaspis spp., Toxoptera spp. such as T. aurantii; Trialeu- rodes spp. such as T. abutilonea, T. ricini, T. vaporariorum; Triatoma spp., Trioza spp., Typhlo- cyba spp., Unaspis spp. such as U. citri, U. yanonensis; and Viteus vitifolii,
- Insects from the order Hymenoptera e.g. Acanthomyops interjectus, Athalia rosae, Atta spp. such as A. capiguara, A. cephaiotes, A. cephaiotes, A. laevigata, A. robusta, A. sexdens, A. tex- ana, Bombus spp., Brachymyrmex spp., Camponotus spp. such as C. floridanus, C. pennsyl- vanicus, C.
- Hymenoptera e.g. Acanthomyops interjectus, Athalia rosae, Atta spp.
- A. capiguara such as A. cephaiotes, A. cephaiotes, A. laevigata, A. robusta, A. sexdens, A. tex- ana, Bombus spp., Brachymyrmex spp., Camponotus
- Paravespula spp. such as P. germanica, P. pennsylvanica, P. vulgaris; Pheidole spp. such as P. megacephala; Pogonomyrmex spp. such as P. barbatus, P. californicus, Polistes ru- biginosa, Prenolepis impairs, Pseudomyrmex gracilis, Schelipron spp., Sirex cyaneus, Solenop- sis spp. such as S.
- Pests from the Class Arachnida e.g. Acari,e.g. of the families Argasidae, Ixodidae and Sar- coptidae, such as Amblyomma spp. (e.g. A. americanum, A. variegatum, A. maculatum), Argas spp. such as A. persicu), Boophilus spp. such as B. annulatus, B. decoloratus, B. microplus, Dermacentor spp. such as D.silvarum, D. andersoni, D. variabilis, Hyalomma spp. such as H. truncatum, Ixodes spp. such as /.
- Amblyomma spp. e.g. A. americanum, A. variegatum, A. maculatum
- Argas spp. such as A. persicu
- Boophilus spp. such as B. annulatus
- ricinus I. rubicundus, I. scapularis, I. holocyclus, I. pacificus, Rhipicephalus sanguineus, Ornithodorus spp. such as O. moubata, O. hermsi, O. turicata, Orni- thonyssus bacoti, Otobius megnini, Dermanyssus gallinae, Psoroptes spp. such as P. ovis, Rhi- picephalus spp. such as R. sanguineus, R. appendiculatus, Rhipicephalus everts/, Rhizogly- phus spp., Sarcoptes spp. such asS.
- Acer/a spp. such as A. sheldoni, A. anthocoptes, Acallitus spp., Aculops spp. such as A. lycopersici, A. pel- ekassi, Aculus spp. such as A.
- A. spp.
- A. sheldoni such as A. sheldoni
- A. anthocoptes such as A. anthocoptes
- Acallitus spp. such as A. lycopersici
- A. pel- ekassi such as A. spp.
- Aculus spp. such as A.
- A. spp.
- Colomerus vitis Epitrimerus pyri, Phyllocoptruta oieivora
- Eriophytes ribis such as Eriophyes spp.
- T. cinnabarinus such as Eriophyes sheldoni, Family Tarsonemidae including Hemitarsonemus spp., Phytonemus pallidus and Polyphagotarsonemus latus, Steno- tarsonemus spp. Steneotarsonemus spinki, Family Tenuipalpidae including Brevipalpus spp. such as B. phoenicis; Family Tetranychidae including Eotetranych us spp., Eutetranychus spp., Oligonychus spp., Petrobia latens, Tetranych us spp. such as T. cinnabarinus, T. evansi, T. kanzawai, T, pacificus, T.
- Halotydeus destructor Family Demodicidae with species such as Demodexspp.
- Family Trombicidea including Trombicula spp:, Family Cellyssidae including Ornothonyssus spp:, Family Pyemotidae including Pyemotes tritici, Tyrophagus pu- trescentiae
- Family Acaridae including Acarus siro
- Family Araneida including Latrodectus mac- tans, Tegenaria agrestis, Chiracanthium sp, Lycosa sp Achaearanea tepidariorum and Loxos- celes rec/usa
- Halotydeus destructor Family Demodicidae with species such as Demodexspp.
- Family Trombicidea including Trombicula spp:, Family Cellyssidae including Ornothonyssus spp:, Family Pyemot
- Pests from the Phylum Nematoda for example, plant parasitic nematodes such as root-knot nematodes, Meloidogyne spp. such as M. hapla, M. incognita, M. javanica; cyst-forming nema- todes, Globodera spp. such as G rostochiensis; Heterodera spp. such as H. avenae, H. glycines, H. schachtii, H. trifolii; Seed gall nematodes, Anguina spp:, Stem and foliar nematodes, Aphelenchoides spp. such as A.
- plant parasitic nematodes such as root-knot nematodes, Meloidogyne spp. such as M. hapla, M. incognita, M. javanica; cyst-forming nema- todes, Globodera spp. such as G ros
- brachyurus P. neglectus, P. penetrans, P. curvitatus, P. goodeyi; Burrowing nematodes, Radopholus spp. such as R. similis; Rhadopholus spp.; Rhodopholus spp.; Reniform nematodes, Rotylenchus spp. such as R. ro- bustus, R. reniformis; Scutellonema spp.; Stubby-root nematode, Trichodorus spp. such as 7! obtusus, T. primitivus; Paratrichodorus spp. such as .
- Stunt nematodes Tylenchorhyn- chus spp. such as 7! claytoni, T. dub/us
- Citrus nematodes Tylenchulus spp. such as 7! se/77/- penetrans
- Dagger nematodes Xiphinema spp.
- other plant parasitic nematode species include Stunt nematodes, Tylenchorhyn- chus spp. such as 7! claytoni, T. dub/us;
- Citrus nematodes Tylenchulus spp. such as 7! se/77/- penetrans;
- Dagger nematodes Xiphinema spp.; and other plant parasitic nematode species;
- Insects from the order Isoptera e.g. Calotermes flavicollis, Coptotermes spp. such as C. /&/ ⁇ - mosanus, C. gestroi, C. acinaciformis; Cornitermes cumulans, Cryptotermes spp. such as C. brevis, C. cavifrons; Giobitermes suifureus, Heterotermes spp. such as A , aureus, H. longiceps, H. tenuis; Leucotermes flavipes, Odontotermes spp., Incisitermes spp. such as /. minor, I. Snyder, Marginitermes hubbardi, Ma 'stotermes spp.
- Neocapritermes spp. such as ⁇ . opacus, N. parvus; Neotermes spp., Procornitermes spp., Zootermopsis spp. such as Z. angusticoiiis, Z. nevadensis, Reticuiitermes spp. such as R. hesperus, R. tibialis, R. spera- tus, R. flavipes, R. grassei, R. lucifugus, R. santonensis, R. virginicus; Termes natalensis,
- Insects from the order Siphonoptera e.g. Cediopsylla simples, Ceratophyllus spp., Ctenoce- phalides spp. such as C. felis, C. cam ' s, Xenopsylla cheopis, Pulex irritans, Trichodectes cam ' s, Tung a penetrans, and Nosopsyllus fascia tus,
- Thysanura e.g. Lepisma saccharina , Ctenolepisma urbana, and Ther- mobia domestica
- Pests from the class Chilopoda e.g. Geophilus spp., Scutigera spp. such as Scutigera coleop- trata,
- Pests from the class Diplopoda e.g. Blaniulus guttulatus, Ju/us spp., Narceus spp.,
- Pests from the class Symphyla e.g. Scutigerella immaculata
- Pests from the order Isopoda for example, Armadillidium vulgare, Oniscus asellus, Porcellio scaber,
- Pediculus spp. such as Pediculus hu- manus capitis, Pediculus humanus corporis, Pediculus humanus humanus; Pthirus pubis, Haematopinus spp. such as Haematopinus eurysternus, Haematopinus sui , Linognathus spp. such as Linognathus vituli; Bovicola bovis, Menopon gaiiinae, Menacanthus stramineus and So- lenopotes capillatus, Trichodectes spp.,
- Examples of further pest species which may be controlled by compounds of fomula I include: from the Phylum Mollusca, class Bivalvia, for example, Dreissena spp.; class Gastropoda, for example, Arion spp., Biomphalaria spp., Bulinus spp., Deroceras spp., Ga/ba spp., Lymnaea spp., Oncomelania spp., Pomacea canaliclata, Succinea spp.; from the class of the helminths, for example, Ancylostoma duodenale, Ancylostoma ceylanicum, Acylostoma braziliensis, Ancy- lostoma spp., Ascaris lubricoides, Ascaris spp., Brugia malayi, Brugia timori, Bunostomum spp., Chabertia spp., Clonorchis spp
- the compounds of the invention are suitable for use in treating or protecting animals against infestation or infection by parasites. Therefore, the invention also relates to the use of a compound of the invention for the manufacture of a medicament for the treatment or protection of animals against infestation or infection by parasites. Furthermore, the invention relates to a method of treating or protecting animals against infestation and infection by parasites, which comprises orally, topically or parenterally administering or applying to the animals a parasiticidally effective amount of a compound of the invention.
- the invention also relates to the non-therapeutic use of compounds of the invention for treating or protecting animals against infestation and infection by parasites. Moreover, the invention relates to a non-therapeutic method of treating or protecting animals against infestation and infection by parasites, which comprises applying to a locus a parasiticidally effective amount of a compound of the invention.
- the compounds of the invention are further suitable for use in combating or controlling parasites in and on animals. Furthermore, the invention relates to a method of combating or control- ling parasites in and on animals, which comprises contacting the parasites with a parasitically effective amount of a compound of the invention.
- the invention also relates to the non-therapeutic use of compounds of the invention for controlling or combating parasites. Moreover, the invention relates to a non-therapeutic method of combating or controlling parasites, which comprises applying to a locus a parasiticidally effec- tive amount of a compound of the invention.
- the compounds of the invention can be effective through both contact (via soil, glass, wall, bed net, carpet, blankets or animal parts) and ingestion (e.g. baits). Furthermore, the compounds of the invention can be applied to any and all developmental stages.
- the compounds of the invention can be applied as such or in form of compositions comprising the compounds of the invention.
- the compounds of the invention can also be applied together with a mixing partner, which acts against pathogenic parasites, e.g. with synthetic coccidiosis compounds, polyetherantibiotics such as Amprolium, Robenidin, Toltrazuril, Monensin, Salinomycin, Maduramicin, Lasalocid, Narasin or Semduramicin, or with other mixing partners as defined above, or in form of compo- sitions comprising said mixtures.
- a mixing partner which acts against pathogenic parasites, e.g. with synthetic coccidiosis compounds, polyetherantibiotics such as Amprolium, Robenidin, Toltrazuril, Monensin, Salinomycin, Maduramicin, Lasalocid, Narasin or Semduramicin, or with other mixing partners as defined above, or in form of compo- sitions comprising said mixtures.
- the compounds of the invention and compositions comprising them can be applied orally, parenterally or topically, e.g. dermally.
- the compounds of the invention can be systemically or non- systemically effective.
- the application can be carried out prophylactically, therapeutically or non-therapeutically. Furthermore, the application can be carried out preventively to places at which occurrence of the parasites is expected.
- the term "contacting" includes both direct contact (applying the com- pounds/compositions directly on the parasite, including the application directly on the animal or excluding the application directly on the animal, e.g. at it's locus for the latter) and indirect contact (applying the compounds/compositions to the locus of the parasite).
- the contact of the parasite through application to its locus is an example of a non-therapeutic use of the compounds of the invention.
- locus means the habitat, food supply, breeding ground, area, material or environment in which a parasite is growing or may grow outside of the animal.
- parasites includes endo- and ectoparasites. In some embodiments of the invention, endoparasites can be preferred. In other embodiments, ectoparasites can be preferred. Infestations in warm-blooded animals and fish include, but are not limited to, lice, bit- ing lice, ticks, nasal bots, keds, biting flies, muscoid flies, flies, myiasitic fly larvae, chiggers, gnats, mosquitoes and fleas.
- the compounds of the invention are especially useful for combating parasites of the following orders and species, respectively:
- fleas (Siphonaptera), e.g. Ctenocephalides felis, Ctenocephalides cam ' s, Xenopsylla cheopis, Pulex irritans, Tunga penetrans, and Nosopsyllus fasciatus; cockroaches (Blattaria - Blattodea), e.g. Blattella germanica, Blattella asahinae, Periplaneta americana, Periplaneta japonica, Peri- planeta brunnea, Periplaneta fuligginosa, Periplaneta australasiae, and Blatta orienta/is; fWes, mosquitoes (Diptera), e.g.
- Pediculus humanus capitis Pediculus humanus corporis, Pthirus pubis, Haematopinus eurysternus, Haematopinus suis, Linognathus vituli, Bovicola bo vis, Menopon gallinae, Menacanthus stramineus and Solenopotes capillatus; ticks and parasitic mites (Parasitiformes): ticks (Ixodida), e.g.
- Haematopinus spp. Linognathus spp., Pediculus spp., Phtirus spp., and Solenopotes spp.
- Mallophagida suborders Arnblycerina and Ischnocerina), e.g. 7/7- menopon spp., Menopon spp., Trinoton spp., Bovicola spp., Werneckiella spp., Lepikentron spp., Trichodectes spp., and Felicola spp.
- Roundworms Nematoda Wipeworms and Trichino- sis (Trichosyringida), e.g.
- Trichinellidae Trichinella spp.
- Rhabditida e.g. Rhabditis spp., Strongyloides spp., Helicephalobus spp.
- Strongylida e.g. Strongylus spp., Ancylostoma spp., Necator americanus, Bunostomum spp.
- Ascaris lumbricoides Ascaris suum, Ascaridia galli, Parascaris equorum, Enterobius vermicularis (Threadworm), Toxocara canis, Toxascaris leonine, Skrjabinema spp., and Oxyuris equi; Camallanida, e.g. Dracunculus medinensis (guinea worm); Spirurida, e.g. Thelazia spp., Wuchereria spp., Brugia spp., Onchocerca spp., Dirofilari spp.
- Faciola spp. Fascioloides magna, Paragonimus spp., Dicrocoelium spp., Fasciolopsis buski, Clonorchis sinensis, Schistosoma spp., Trichobilharzia spp., Alaria alata, Paragonimus spp., and Nanocyetes spp:, Cercomeromorpha, in particular Cestoda (Tapeworms), e.g.
- Diphyllobothrium spp. Diphyllobothrium spp., Tenia spp., Echinococcus spp., Dipylidium caninum, Multi- ceps spp., Hymenolepis spp., Mesocestoides spp., Vampirolepis spp., Moniezia spp., Anoplo- cephala spp., Sirometra spp., Anoplocephala spp., and Hymenolepis spp..
- animal includes warm-blooded animals (including humans) and fish.
- mammals such as cattle, sheep, swine, camels, deer, horses, pigs, poultry, rabbits, goats, dogs and cats, water buffalo, donkeys, fallow deer and reindeer, and also in fur- bearing animals such as mink, chinchilla and raccoon, birds such as hens, geese, turkeys and ducks and fish such as fresh- and salt-water fish such as trout, carp and eels.
- domestic animals such as dogs or cats.
- parasiticidally effective amount means the amount of active ingredient needed to achieve an observable effect on growth, including the effects of necrosis, death, retardation, prevention, and removal, destruction, or otherwise diminishing the occurrence and activity of the target organism.
- the parasiticidally effective amount can vary for the various compounds/compositions used in the invention.
- a parasiticidally effective amount of the compositions will also vary according to the prevailing conditions such as desired parasiticidal effect and duration, target species, mode of application, and the like. Generally, it is favorable to apply the compounds of the invention in total amounts of 0.5 mg/kg to 100 mg/kg per day, preferably 1 mg/kg to 50 mg/kg per day.
- the formula I compounds may be formulated as animal feeds, animal feed premixes, animal feed concentrates, pills, solutions, pastes, sus- pensions, drenches, gels, tablets, boluses and capsules.
- the formula I compounds may be administered to the animals in their drinking water.
- the dosage form chosen should provide the animal with 0.01 mg/kg to 100 mg/kg of animal body weight per day of the formula I compound, preferably with 0.5 mg/kg to 100 mg/kg of animal body weight per day.
- the formula I compounds may be administered to animals parenterally, for example, by intraruminal, intramuscular, intravenous or subcutaneous injection.
- the formula I compounds may be dispersed or dissolved in a physiologically acceptable carrier for subcutaneous injection.
- the formula I compounds may be formulated into an implant for subcutaneous administration.
- the formula I compound may be transdermally administered to animals.
- the dosage form chosen should provide the animal with 0.01 mg/kg to 100 mg/kg of animal body weight per day of the formula I compound.
- the formula I compounds may also be applied topically to the animals in the form of dips, dusts, powders, collars, medallions, sprays, shampoos, spot-on and pour-on formulations and in ointments or oil-in-water or water-in-oil emulsions.
- dips and sprays usu- ally contain 0.5 ppm to 5,000 ppm and preferably 1 ppm to 3,000 ppm of the formula I compound.
- the formula I compounds may be formulated as ear tags for animals, particularly quadrupeds such as cattle and sheep.
- Suitable preparations are:
- Solutions such as oral solutions, concentrates for oral administration after dilution, solutions for use on the skin or in body cavities, pouring-on formulations, gels;
- Solid preparations such as powders, premixes or concentrates, granules, pellets, tablets, bo- luses, capsules; aerosols and inhalants, and active compound-containing shaped articles.
- compositions suitable for injection are prepared by dissolving the active ingredient in a suitable solvent and optionally adding further auxiliaries such as acids, bases, buffer salts, preservatives, and solubilizers.
- auxiliaries for injection solutions are known in the art. The solutions are filtered and filled sterile.
- Oral solutions are administered directly. Concentrates are administered orally after prior dilution to the use concentration. Oral solutions and concentrates are prepared according to the state of the art and as described above for injection solutions, sterile procedures not being necessary.
- Solutions for use on the skin are trickled on, spread on, rubbed in, sprinkled on or sprayed on.
- Solutions for use on the skin are prepared according to the state of the art and according to what is described above for injection solutions, sterile procedures not being necessary. Gels are applied to or spread on the skin or introduced into body cavities. Gels are prepared by treating solutions which have been prepared as described in the case of the injection solutions with sufficient thickener that a clear material having an ointment-like consistency results. Suitable thickeners are known in the art.
- Pour-on formulations are poured or sprayed onto limited areas of the skin, the active compound penetrating the skin and acting systemically.
- Pour-on formulations are prepared by dissolving, suspending or emulsifying the active compound in suitable skin-compatible solvents or solvent mixtures.
- suitable skin-compatible solvents or solvent mixtures If appropriate, other auxiliaries such as colorants, bioabsorption-promoting substances, antioxidants, light stabilizers, adhesives are added. Suitable such auxiliaries are known in the art.
- Emulsions can be administered orally, dermally or as injections.
- Emulsions are either of the water-in-oil type or of the oil-in-water type. They are prepared by dissolving the active compound either in the hydrophobic or in the hydrophilic phase and homogenizing this with the solvent of the other phase with the aid of suitable emulsifiers and, if appropriate, other auxiliaries such as colorants, absorption-promoting substances, preservatives, antioxidants, light stabilizers, viscosity-enhancing substances.
- suitable hydrophobic phases (oils), suitable hydrophilic phases, suitable emulsifiers, and suitable further auxiliaries for emulsions are known in the art.
- Suspensions can be administered orally or topically/dermally. They are prepared by suspending the active compound in a suspending agent, if appropriate with addition of other auxiliaries such as wetting agents, colorants, bioabsorption-promoting substances, preservatives, antioxidants, light stabilizers. Suitable suspending agents, and suitable other auxiliaries for suspensions including wetting agents are known in the art.
- Semi-solid preparations can be administered orally or topically/dermally. They differ from the suspensions and emulsions described above only by their higher viscosity.
- the active compound is mixed with suitable excipi- ents, if appropriate with addition of auxiliaries, and brought into the desired form.
- auxiliaries for this purpose are known in the art.
- compositions which can be used in the invention can comprise generally from about 0.001 to 95% of the compound of the invention.
- Ready-to-use preparations contain the compounds acting against parasites, preferably ectoparasites, in concentrations of 10 ppm to 80 per cent by weight, preferably from 0.1 to 65 per cent by weight, more preferably from 1 to 50 per cent by weight, most preferably from 5 to 40 per cent by weight.
- Preparations which are diluted before use contain the compounds acting against ectoparasites in concentrations of 0.5 to 90 per cent by weight, preferably of 1 to 50 per cent by weight.
- the preparations comprise the compounds of formula I against endoparasites in concentrations of 10 ppm to 2 per cent by weight, preferably of 0.05 to 0.9 per cent by weight, very particularly preferably of 0.005 to 0.25 per cent by weight.
- Topical application may be conducted with compound-containing shaped articles such as col- lars, medallions, ear tags, bands for fixing at body parts, and adhesive strips and foils.
- compound-containing shaped articles such as col- lars, medallions, ear tags, bands for fixing at body parts, and adhesive strips and foils.
- solid formulations which release compounds of the invention in total amounts of 10 mg/kg to 300 mg/kg, preferably 20 mg/kg to 200 mg/kg, most preferably 25 mg/kg to 160 mg/kg body weight of the treated animal in the course of three weeks.
- HPLC-MS high performance liquid chromatography-coupled mass spectrometry
- HPLC method Phenomenex Kinetex 1.7 ⁇ XB-C18 100A; 50 x 2.1 mm; mobile phase: A: water + 0.1 % trifluoroacetic acid (TFA); B: acetonitrile; gradient: 5-100% B in 1 .50 minutes; 100% B 0.25 min; flow: 0.8-1.Oml/min in 1.51 minutes at 60°C.
- MS ESI positive, m/z 100-700.
- Step 1 Synthesis of 2-chloro-4-[5-(3,5-dichloro-4-fluoro-phenyl)-5-(trifluoromethyl)-4H-isoxa- zol-3-yl]benzoyl chloride
- Step 2 Synthesis of 2-chloro-4-[5-(3,5-dichloro-4-fluoro-phenyl)-5-(trifluoromethyl)-4H-isoxa- zol-3-yl]-N-(4-oxo-2-thioxo-thiazolidin-3-yl)benzamide
- Step 3 Synthesis of N-[5-benzylidene-4-oxo-2-thioxo-thiazolidin-3-yl]-2-chloro-4-[5-(3,5-di- chloro-4-fluoro-phenyl)-5-(trifluoromethyl)-4H-isoxazol-3-yl]benzamide
- the active compound was dissolved at the desired concentration in a mixture of 1 :1 (vohvol) distilled water : aceteone.
- Surfactant Karl HV was added at a rate of 0.01 % (vol/vol).
- the test solution was prepared at the day of use.
- Leaves of cabbage were dipped in test solution and air-dried. Treated leaves were placed in petri dishes lined with moist filter paper and inoculated with ten 3 rd instar larvae. Mortality was recorded 72 hours after treatment. Feeding damages were also recorded using a scale of 0- 100%.
- test unit consisted of 96-well-microtiter plates containing liquid artificial diet under an artificial mem brane.
- the compounds were formulated using a solution containing 75% v/v water and 25% v/v
- DMSO DMSO
- aphids were placed on the artificial membrane inside the microtiter plate wells. The aphids were then allowed to suck on the treated aphid diet and incubated at about 23 + 1 °C and about 50 + 5 % relative humidity for 3 days. Aphid mortality and fecundity was then visually assessed.
- test unit consisted of 24-well-microtiter plates containing broad bean leaf disks.
- the compounds were formulated using a solution containing 75% v/v water and 25% v/v DMSO. Different concentrations of formulated compounds were sprayed onto the leaf disks at 2.5 ⁇ , using a custom built micro atomizer, at two replications.
- the leaf disks were air-dried and 5 - 8 adult aphids placed on the leaf disks inside the microtiter plate wells. The aphids were then allowed to suck on the treated leaf disks and incubated at about 23 + 1 °C and about 50 + 5 % relative humidity for 5 days. Aphid mortality and fecundity was then visually assessed.
- test unit For evaluating control of tobacco budworm ⁇ Heliothis virescens the test unit consisted of 96- well-microtiter plates containing an insect diet and 15-25 H. virescens eggs.
- the compounds were formulated using a solution containing 75% v/v water and 25% v/v DMSO. Different concentrations of formulated compounds were sprayed onto the insect diet at 10 ⁇ , using a custom built micro atomizer, at two replications.
- microtiter plates were incubated at about 28 + 1 °C and about 80 + 5 % relative humidity for 5 days. Egg and larval mortality was then visually assessed.
- test unit For evaluating control of boll weevil ⁇ Anthonomus grandis the test unit consisted of 96-well- microtiter plates containing an insect diet and 5-10 A. grandis eggs.
- the compounds were formulated using a solution containing 75% v/v water and 25% v/v
- microtiter plates were incubated at about 25 + 1 °C and about 75 + 5 % relative humidity for 5 days. Egg and larval mortality was then visually assessed.
- Dichromothrips corbetti adults used for bioassay were obtained from a colony maintained con- tinuously under laboratory conditions.
- the test compound is diluted in a 1 :1 mixture of acetone:water (vohvol), plus Kinetic HV at a rate of 0.01 % v/v.
- Thrips potency of each compound was evaluated by using a floral-immersion technique. All petals of individual, intact orchid flowers were dipped into treatment solution and allowed to dry in Petri dishes. Treated petals were placed into individual re-sealable plastic along with about 20 adult thrips. All test arenas were held under continuous light and a temperature of about 28°C for duration of the assay. After 3 days, the numbers of live thrips were counted on each petal. The percent mortality was recorded 72 hours after treatment.
Landscapes
- Chemical & Material Sciences (AREA)
- Organic Chemistry (AREA)
- Life Sciences & Earth Sciences (AREA)
- Agronomy & Crop Science (AREA)
- Pest Control & Pesticides (AREA)
- Plant Pathology (AREA)
- Health & Medical Sciences (AREA)
- Engineering & Computer Science (AREA)
- Dentistry (AREA)
- General Health & Medical Sciences (AREA)
- Wood Science & Technology (AREA)
- Zoology (AREA)
- Environmental Sciences (AREA)
- Plural Heterocyclic Compounds (AREA)
- Agricultural Chemicals And Associated Chemicals (AREA)
- Pharmaceuticals Containing Other Organic And Inorganic Compounds (AREA)
Abstract
The present invention relates to rhodanine compounds of formula (I), wherein the variables have the meanings as defined in the specification, to compositions comprising them, to active compound combinations comprising them, and to their use for protecting growing plants and animals from attack or infestation by invertebrate pests, furthermore, to seed comprising such compounds.
Description
Substituted rhodanine derivatives
Description
The present invention relates to rhodanine compounds of formula I
wherein
W-Z is -0-N= -CH2-N=, or -CH2-CH=;
R1 halomethyl;
R2a halogen, halomethyl, or halomethoxy;
R2b, R2c are independently H, or as defined for R2a;
R3 is CN, N02, Ci-C2-alkyl, halomethyl, Ci-C2-alkoxy, S(0)m-Ci-C2-alkyl, Ci-C2-haloalkoxy, or
S(0)m-Ci-C2-haloalkyl;
R4 is H, or as defined for R3; or
R3 and R4 form together with the C-atoms they are bound to a 5-, or 6-membered saturated, partially, or fully unsaturated ring containing none, or one heteroatom O, N(0)n or S(0)m as ring members;
R5 is H, CN, Ci-Cio-alkyl, C3-C8-cycloalkyl, C2-Cio-alkenyl, C2-Cio-alkynyl, S(0)mR1°, which aliphatic groups are unsubstituted, partially or fully halogenated and/or substituted with one or more Ra;
R10 H, Ci-Ce-alkyl, Ci-C6-haloalkyl, C3-C8-cycloalkyl, C3-C8-cycloalkyl-Ci-C4-alkyl, C3-C8- halocycloalkyl, C2-C6-alkenyl, C2-C6-haloalkenyl, C2-C6-alkynyl, C2-C6-haloalkynyl, which groups are unsubstituted or substituted with one or more Ra, and phenyl which is unsubstituted or substituted with one or more RA;
Ra is CN, N3, N02, SCN, SF5, Si(Ci-C4-alkyl)3, OR85, OS02R85, S(0)mR85, N(R83)R84, C(=0)N(R83)R84, C(=S)N(R83)R84, C(=0)OR85, CH=NOR85, C3-C8-cycloalkyl, C3-C8- halocycloalkyl, which cyclic moieties may be substituted with R81; phenyl which is unsubstituted or substituted with one or more RA; and 3- to 7-membered saturated, partially or fully unsaturated heterocycle comprising 1 , 2 or 3 heteroatoms O, N(0)n or S(0)m as ring members, which heterocycle is unsubstituted or substituted with one or more RA,
m is 0, 1 , or 2;
n is 0, or 1 ;
R6, R7 are independently selected from the R8 groups; or
R6 and R7 form together a group =CR8R9, wherein
R8, R9 are independently H, Ci-C6-alkyl, Ci-C6-haloalkyl, C2-C6-alkenyl, C2-C6-haloalkenyl, C2-C6-alkynyl, C2-C6-haloalkynyl which aliphatic groups are unsubstituted or substituted with one or more radicals R81; C3-C6-cycloalkyl, C3-C6-halocycloalkyl which cyclic groups are unsubstituted or substituted with one or more radicals R82;
C(=0)N(R83)R84, N(R83)R85, CH=NOR86; phenyl, 3- to 7-membered saturated,
partially or fully unsaturated heterocycle comprising 1 , 2 or 3 heteroatoms O, N(0)n or S(0)m as ring members, which rings are unsubstituted or substituted with one or more RA;
R81 is independently OH , CN , Ci-C6-alkoxy, Ci-C6-haloalkoxy, S(0)n-Ci-C6-alkyl, S(0)n-Ci-C6-haloalkyl, C(=0)N(R83)R84, C3-C6-cycloalkyl, or C3-C6-halocyclo- alkyl which cycles are unsubstituted or substituted with one or more R811 ; or phenyl, partially or fully unsaturated heterocycle which rings are unsubstituted or substituted with one or more RA;
R811 is independently OH , cyano, Ci-C2-alkyl, or Ci-C2-haloalkyl;
R82 d-Ce-alkyl, Ci-C6-haloalkyl, or a group as defined for R81 ;
R83 is H , or Ci-Ce-alkyl,
R84 is H , Ci-Ce-alkyl, Ci-C6-haloalkyl, C2-C6-alkenyl, C2-C6-haloalkenyl, C2-C6- alkynyl, C2-C6-haloalkynyl, or C3-C6-cycloalkyl, C3-C6-halocycloalkyl, C3-C6- cycloalkylmethyl, or C3-C6-halocycloalkylmethyl which rings are unsubstituted or substituted with a cyano;
R85 H , Ci-Ce-alkyl, C C6-haloalkyl, C2-C4-alkenyl, C2-C4-alkynyl, CH2-CN , C3-C6- cycloalkyl, C3-C6-halocycloalkyl, C3-C6-cycloalkylmethyl, C3-C6-halocyclo- alkylmethyl, phenyl and hetaryl which aromatic rings are unsubstituted or partially or fully substituted with RA;
R86 is independently H , Ci-Ce-alkyl, or Ci-C6-haloalkyl;
RA is independently selected from halogen, cyano, N02, Ci-C4-alkyl, Ci-C4-halo- alkyl, C2-C4-alkenyl, C2-C4-haloalkenyl, C2-C4-alkynyl, C2-C4-haloalkynyl, C3- C6-cycloalkyl, C3-C6-halocycloalkyl, Ci-C4-alkoxy, Ci-C4-haloalkoxy, S(0)n-Ci- C4- alkyl, S(0)n-CrC4-haloalkyl, Ci-C4-alkylcarbonyl, CrC4-haloalkylcarbonyl, C(=0)N(R83)R84; or
two RA present on the same carbon atom of a saturated or partially saturated ring may form together =0 or =S; or
two RA present on the same S or SO ring member of a heterocyclic ring may together form a group =N(Ci-C6-alkyl), =NO(Ci-C6-alkyl), =N N(H)(Ci-C6-alkyl) or =N N (Ci-C6-alkyl)2;
and the N-oxides, stereoisomers and agriculturally or veterinarily acceptable salts thereof.
The invention also provides an agricultural composition comprising at least one compound of formula I, a stereoisomer thereof and/or an agriculturally acceptable salt thereof and at least one liquid and/or solid carrier, especially at least one inert liquid and/or solid agriculturally acceptable carrier.
The invention also provides a veterinary composition comprising at least one compound of formula I, a stereoisomer thereof and/or a veterinarily acceptable salt thereof and at least one liquid and/or solid carrier, especially at least one inert veterinarily liquid and/or solid acceptable carrier.
The invention also provides a method for controlling invertebrate pests which method comprises treating the pests, their food supply, their habitat or their breeding ground or a cultivated plant, plant propagation materials (such as seed), soil, area, material or environment in which the pests are growing or may grow, or the materials, cultivated plants, plant
propagation materials (such as seed), soils, surfaces or spaces to be protected from pest attack or infestation with a pesticidally effective amount of a compound of formula I or a salt thereof as defined herein.
The invention also relates to plant propagation material, in particular seed, comprising at least one compound of formula I and/or an agriculturally acceptable salt thereof.
The invention further relates to a method for treating or protecting an animal from infestation or infection by parasites which comprises bringing the animal in contact with a parasiticidally effective amount of a compound of formula I or a veterinarily acceptable salt thereof. Bringing the animal in contact with the compound I, its salt or the veterinary composition of the invention means applying or administering it to the animal.
JP 2007/091708, WO 2007/123853, WO 2007/123855, WO 2008/12871 1 , WO 2010/020522, WO 2013/037626, WO 2017/050921 , and WO 2017/050922 describe structurally closely related active compounds. These compounds are mentioned to be useful for combating invertebrate pests.
Nevertheless, there remains a need for highly effective and versatile agents for combating invertebrate pests. It is therefore an object of the invention to provide compounds having a good pesticidal activity and showing a broad activity spectrum against a large number of different invertebrate pests, especially against difficult to control pests, such as insects.
It has been found that these objects can be achieved by compounds of formula I as depicted and defined below, and by their stereoisomers, salts, tautomers and N-oxides, in particular their agriculturally acceptable salts.
Compounds of formula I can be prepared by reacting an activated carboxylic acid of formula lla, that is compounds of formula I I wherein X is a leaving group, preferably a halogen such as, e.g., CI or Br, or Ci-C6-alkoxy, such as OCH3 or OC2H5, with an N-aminorhodanine of formula II I , in an amidation-type reaction. Preferably, the reaction is carried out with compounds of formula I I I wherein R5 is hydrogen.
Suitable reaction conditions are described in the literature (W. Hanefeld et al. Archiv der Pharmazie, 1993, 326, 887-891 ; J. P. Powers et al. J. Med. Chem. 2006, 43, 1034-1046).
Compound Ι Γ is used as the corresponding acyl chloride or acyl bromide of formula I I . Suitable solvents are THF, 1 ,4-dioxane, or the like, or aromatic hydrocarbons such as benzene, toluene, 0-, m-, or p-xylene, or mixtures thereof. The transformation is usually carried out at
temperatures from 20 °C to 250 °C, preferably from 60 °C to 120 °C. Optionally, an acid promoter can be employed in the reaction, such as a Bronsted acid like HCI or HBr, or a Lewis acid such as, AICI3, AIBr3, SnCI4, alkyl aluminum(l ll) dichloride ("RAICI2"), dialkylaluminum(l l l) chloride ("R2AICI"). Alternatively, the reaction can also be performed in the presence of an organic base, such as triethylamine (EtsN), Ν,Ν-diisopropylethylamine (iP^NEt), pyridine, substituted pyridines such as collidine or lutidine, and/or a nucleophilic catalyst such as 4-(N,N-
dimethylamino)pyridine ("DMAP"). In these cases, suitable solvents are halogenated hydrocarbons such as dichloromethane, chloroform, or chlorobenzene, aromatic hydrocarbons such as, benzene, toluene, o-, m-, or p-xylene, tetrahydrofuran (THF), Ν ,Ν-dimethylformamide (DMF). The transformation is usually carried out at temperatures from 0 °C to 100 °C, preferably from 20 °C to 70 °C. The starting materials are generally reacted with one another in equimolar amounts. In terms of yield, it may be advantageous to employ an excess of II I , based on II .
In turn, compounds of formula ΙΓ can be obtained from carboxylic acids of formula l la by treatment with an activating/halogenating agent, e.g. thionyl chloride (SOCI2), tionyl bromide
(SOBr2), oxalyl chloride [(COCI)2], oxalyl bromide [(COBr)2], or phosphorous trichloride (PCI3), or phosphorous tribromide (PBr3), resp.. Suitable reaction conditions are known and described in literature (WO2010/135504, WO2008/154528, B. Kusuma et al. Org. Lett. 2012, 14, 6242- 6245). Compounds of formula l la and compounds of formula I I wherein X is Ci-C6-alkoxy, such as OCHs or OC2H5, can be prepared as described in literature (WO2014/029639,
WO2010/72781 ).
Introduction of a group R5 being different from hydrogen is preferably made to compounds of formula I I I prior to the amidation-type reaction. However, such R5 can also be introduced to compounds of formula I. Compounds of formula I wherein R5 is different from hydrogen can be prepared by alkylating compounds of formula I or formula I II , wherein R5 is hydrogen, using suitable alkylating agents in the presence of bases and under standard conditions known to a person skilled in the art.
Alternatively, compounds of formula I wherein R5 is different from hydrogen can be prepared by reacting compounds of formula I or formula I I I, wherein R5 is hydrogen, with an aldehyde or ketone in in a reductive amination reaction. The reaction is generally carried out in the presence of a reducing agent such asNaBH4, sodium triacetoxyborohydride [NaBH(OAc)3], or sodium cya- noborohydride (NaBI-hCN). Suitable reaction conditions are known to a person skilled in the art and described in the literature (e.g. US201 1 /144164, US2003/225082, WO2010/98496). Introduction of groups R6 / R7 being different from hydrogen is preferably made to compounds of formula I . However, such R6 / R7 can also be introduced to compounds of formula II I .
Compounds of formula I wherein at least one of R6 and R7 is different from hydrogen can be prepared by alkylating or acylating a compound of formula I or formula II I , in which R6 and R7 are hydrogen, using suitable alkylating or acylating agents in the presence of bases. Suitable reaction conditions for the acylation can be found in literature (e.g. V. N. Yarovenko et al. Russian Chemical Bulletin 2007, 56, 1624-1630). Suitable reaction conditions for the alkylation can be found in literature (e.g.A. K. El-Shafei et al. Gazzetta Chimica Italiana 1990, 120, 197-201 ). Alternatively, the introduction of a single group R6 or R7 being different from hydrogen can be achieved by reacting a compound of formula I or formula I I I, in which R6 and R7 are hydrogen,
with the appropriate aldehyde or ketone in a Knoevenagel condensation/olefin reduction reaction. Suitable reaction conditions are decribed in literature (e.g. EP 291 007).
Compounds of formula I wherein R6 and R7 together form a group =CR8R9 can be prepared by Knoevenagel condensation between an aldehyde (R8 = H) or ketone of formula IV with either compound of formula I or I II wherein both, R6 and R7 are H, as shown below.
Suitable reaction conditions are described in the literature (e.g. US2010/210577, J. P. Powers et al. J. Med. Chem. 2006, 43, 1034-1046, W. Hanefeld et al., Archiv der Pharmazie, 1993, 326, 887-891 ). The reaction is generally carried out in the presence of a base such as sodium acetate, piperidine, Et3N, iPr2NEt, ethylenediamine diacetate, or NH4OH. Suitable solvents are lower alkanols such as methanol, ethanol, n-propanol, isopropanol, n-butanol, and tert-butanol, carboxylic acids such as acetic acid, and propionic acid, aromatic hydrocarbons such as benzene, toluene, o-, m-, or p-xylene, or polar aprotic organic solvents such as ethyl acetate, ace- tonitrile, and DMF. The transformation is usually carried out at temperatures from 20 °C to 250 °C, preferably from 20 °C to 120 °C. The starting materials are generally reacted with one another in equimolar amounts. In terms of yield, it may be advantageous to employ an excess of IV, based on I or I I I . Compounds of formula I I I (R6, R7 = H) and IV are commercially available, or known in the art.
A person skilled in the art understands that the initial product of the Knoevenagel condensation between either a compound of formula I or II I , wherein both, R6 and R7 are hydrogen, and an aldehyde (R8 = H) or a ketone of formula IV wherein R8 and R9 differ significantly in size or electronic proprties, may preferentially, if not exclusively, lead to the formation of only one of the two possible double-bond isomers, i.e. the (E)- or (Z)-isomer, respectively. In these cases, the isomers may be interconverted into one another under the conditions described in literature (e.g. J. P. Powers et al. J. Med. Chem. 2006, 43, 1034-1046).
The activated carboxylic acid of formula I I can be made from carboxylic acid of formula l la by reaction with oxalylchloride or a Ci-C6-alcohol.
The starting materials required for preparing the compounds I are commercially available or known from literature [cf. WO 2014/029639] or can be prepared in accordance with the literature cited.
As a rule, the compounds of formula I including their stereoisomers, salts, and N-oxides, and their precursors in the synthesis process, can be prepared by the methods described above. If individual compounds cannot be prepared via the above-described routes, they can be prepared by derivatization of other compounds I or the respective precursor or by customary modi- fications of the synthesis routes described. For example, in individual cases, certain compounds
of formula I can advantageously be prepared from other compounds of formula I by derivatiza- tion, e.g. by ester hydrolysis, amidation, esterification, ether cleavage, olefination, reduction, oxidation and the like, or by customary modifications of the synthesis routes described. The reaction mixtures are worked up in the customary manner, e.g. by mixing with water, separating the phases, and, if appropriate, purifying the crude products by chromatography, e.g. on alumina or on silica gel. Some of the intermediates and end products may be obtained in the form of colorless or pale brown viscous oils which are freed or purified from volatile components under reduced pressure and at moderately elevated temperature. If the intermediates and end products are obtained as solids, they may be purified by recrystallization or trituration.
However, if the synthesis yields mixtures of isomers, a separation is generally not necessarily required since in some cases the individual isomers can be interconverted during work-up for use or during application (e.g. under the action of light, acids or bases). Such conversions may also take place after use, e.g. in the treatment of plants in the treated plant.
The organic moieties mentioned in the above definitions of the variables are - like the term halogen - collective terms for individual listings of the individual group members. The prefix Cn-Cm indicates in each case the possible number of carbon atoms in the group.
The term "halogen" denotes in each case fluorine, bromine, chlorine or iodine, in particular flu- orine, chlorine or bromine.
The term "alkyl" as used herein and in the alkyl moieties of alkylamino, alkylcarbonyl, alkylthio, alkylsulfinyl, alkylsulfonyl and alkoxyalkyl denotes in each case a straight-chain or branched alkyl group having usually from 1 to 10 carbon atoms, frequently from 1 to 6 carbon atoms, preferably 1 to 4 carbon atoms, more preferably from 1 to 3 carbon atoms. Examples of an alkyl group are methyl, ethyl, n-propyl, iso-propyl, n-butyl, 2-butyl, iso-butyl, tert-butyl, n-pentyl, 1 -methyl- butyl, 2-methylbutyl, 3-methylbutyl, 2,2-dimethylpropyl, 1-ethylpropyl, n-hexyl, 1 ,1 -dimethylpro- pyl, 1 ,2-dimethylpropyl, 1 -methylpentyl, 2-methylpentyl, 3-methylpentyl, 4-methylpentyl, 1 , 1 -dimethyl butyl , 1 ,2-dimethylbutyl, 1 ,3-dimethylbutyl, 2,2-dimethylbutyl, 2,3-dimethylbutyl, 3,3-dime- thylbutyl, 1 -ethylbutyl, 2-ethylbutyl, 1 ,1 ,2-trimethylpropyl, 1 ,2,2-trimethylpropyl, 1-ethyl-1-methyl- propyl, and 1-ethyl-2-methylpropyl.
The term "haloalkyl" as used herein and in the haloalkyl moieties of haloalkylcarbonyl, haloalk- oxycarbonyl, haloalkylthio, haloalkylsulfonyl, haloalkylsulfinyl, haloalkoxy and haloalkoxyalkyl, denotes in each case a straight-chain or branched alkyl group having usually from 1 to 10 carbon atoms, frequently from 1 to 6 carbon atoms, preferably from 1 to 4 carbon atoms, wherein the hydrogen atoms of this group are partially or totally replaced with halogen atoms. Preferred haloalkyl moieties are selected from Ci-C4-haloalkyl, more preferably from Ci-C3-haloalkyl or Ci-C2-haloalkyl, in particular from Ci-C2-fluoroalkyl such as fluoromethyl, difluoromethyl, trifluo- romethyl, 1-fluoroethyl, 2-fluoroethyl, 2,2-difluoroethyl, 2,2, 2-trif I u oroethy I , pentafluoroethyl, and the like.
The term "alkoxy" as used herein denotes in each case a straight-chain or branched alkyl group which is bonded via an oxygen atom and has usually from 1 to 10 carbon atoms, frequently from 1 to 6 carbon atoms, preferably 1 to 4 carbon atoms. Examples of an alkoxy group are methoxy, ethoxy, n-propoxy, iso-propoxy, n-butyloxy, 2-butyloxy, iso-butyloxy, tert.-butyloxy, and the like.
The term "alkoxyalkyl" as used herein refers to alkyl usually comprising 1 to 10, frequently 1 to 4, preferably 1 to 2 carbon atoms, wherein 1 carbon atom carries an alkoxy radical usually comprising 1 to 4, preferably 1 or 2 carbon atoms as defined above. Examples are CH2OCH3, CH2- OC2H5, 2-(methoxy)ethyl, and 2-(ethoxy)ethyl.
The term "haloalkoxy" as used herein denotes in each case a straight-chain or branched alkoxy group having from 1 to 10 carbon atoms, frequently from 1 to 6 carbon atoms, preferably 1 to 4 carbon atoms, wherein the hydrogen atoms of this group are partially or totally replaced with halogen atoms, in particular fluorine atoms. Preferred haloalkoxy moieties include C1-C4- haloalkoxy, in particular Ci-C2-fluoroalkoxy, such as fluoromethoxy, difluoromethoxy, trifluoro- methoxy, 1 -fluoroethoxy, 2-fluoroethoxy, 2,2-difluoroethoxy, 2,2,2-trifluoroethoxy, 2-chloro-2-flu- oroethoxy, 2-chloro-2,2-difluoro-ethoxy, 2,2dichloro-2-fluorethoxy, 2,2,2-trichloroethoxy, penta- fluoroethoxy and the like.
The term "alkylthio "(alkylsulfanyl: S-alkyl)" as used herein refers to a straight-chain or branched saturated alkyl group having 1 to 10 carbon atoms, preferably 1 to 4 carbon atoms (= Ci-C4-alkylthio), more preferably 1 to 3 carbon atoms, which is attached via a sulfur atom.
The term "haloalkylthio" as used herein refers to an alkylthio group as mentioned above wherein the hydrogen atoms are partially or fully substituted by fluorine, chlorine, bromine and/or iodine.
The term "alkylsulfinyl" (alkylsulfoxyl: S(=0)-Ci-C6-alkyl), as used herein refers to a straight- chain or branched saturated alkyl group (as mentioned above) having 1 to 10 carbon atoms, preferably 1 to 4 carbon atoms (= Ci-C4-alkylsulfinyl), more preferably 1 to 3 carbon atoms bonded through the sulfur atom of the sulfinyl group at any position in the alkyl group.
The term "haloalkylsulfinyl" as used herein refers to an alkylsulfinyl group as mentioned above wherein the hydrogen atoms are partially or fully substituted by fluorine, chlorine, bromine and/or iodine.
The term "alkylsulfonyl" (S(=0)2-alkyl) as used herein refers to a straight-chain or branched saturated alkyl group having 1 to 10 carbon atoms, preferably 1 to 4 carbon atoms (= Ci-C4-al- kylsulfonyl), preferably 1 to 3 carbon atoms, which is bonded via the sulfur atom of the sulfonyl group at any position in the alkyl group.
The term "haloalkylsulfonyl" as used herein refers to an alkylsulfonyl group as mentioned above wherein the hydrogen atoms are partially or fully substituted by fluorine, chlorine, bromine and/or iodine.
The term "alkylcarbonyl" refers to an alkyl group as defined above, which is bonded via the carbon atom of a carbonyl group (C=0) to the remainder of the molecule.
The term "haloalkylcarbonyl" refers to an alkylcarbonyl group as mentioned above, wherein the hydrogen atoms are partially or fully substituted by fluorine, chlorine, bromine and/or iodine.
The term "alkoxycarbonyl" refers to an alkylcarbonyl group as defined above, which is bonded via an oxygen atom to the remainder of the molecule.
The term "haloalkoxycarbonyl" refers to an alkoxycarbonyl group as mentioned above, where- in the hydrogen atoms are partially or fully substituted by fluorine, chlorine, bromine and/or iodine.
The term "alkenyl" as used herein denotes in each case a singly unsaturated hydrocarbon radical having usually 2 to 10, frequently 2 to 6, preferably 2 to 4 carbon atoms, e.g. vinyl, allyl (2- propen-1 -yl), 1-propen-1-yl, 2-propen-2-yl, methallyl (2-methylprop-2-en-1 -yl), 2-buten-1-yl, 3-
buten-1 -yl, 2-penten-1-yl, 3-penten-1 -yl, 4-penten-1-yl, 1-methylbut-2-en-1-yl, 2-ethylprop-2-en- 1-yl and the like.
The term "haloalkenyl" as used herein refers to an alkenyl group as defined above, wherein the hydrogen atoms are partially or totally replaced with halogen atoms.
The term "alkynyl" as used herein denotes in each case a singly unsaturated hydrocarbon radical having usually 2 to 10, frequently 2 to 6, preferably 2 to 4 carbon atoms, e.g. ethynyl, pro- pargyl (2-propyn-1 -yl), 1-propyn-1-yl, 1-methylprop-2-yn-1 -yl), 2-butyn-1 -yl, 3-butyn-1-yl, 1-pen- tyn-1-yl, 3-pentyn-1-yl, 4-pentyn-1-yl, 1-methylbut-2-yn-1 -yl, 1-ethylprop-2-yn-1-yl and the like. The term "haloalkynyl" as used herein refers to an alkynyl group as defined above, wherein the hydrogen atoms are partially or totally replaced with halogen atoms.
The term "cycloalkyl" as used herein and in the cycloalkyl moieties of cycloalkoxy and cycloal- kylthio denotes in each case a monocyclic cycloaliphatic radical having usually from 3 to 10 or from 3 to 6 carbon atoms, such as cyclopropyl, cyclobutyl, cyclopentyl, cyclohexyl, cycloheptyl, cyclooctyl, cyclononyl and cyclodecyl or cyclopropyl, cyclobutyl, cyclopentyl and cyclohexyl. The term "halocycloalkyl" as used herein and in the halocycloalkyl moieties of halocycloalkoxy and halocycloalkylthio denotes in each case a monocyclic cycloaliphatic radical having usually from 3 to 10 C atoms or 3 to 6 C atoms, wherein at least one, e.g. 1 , 2, 3, 4 or 5 of the hydrogen atoms, are replaced by halogen, in particular by fluorine or chlorine. Examples are 1 - and 2-fluo- rocyclopropyl, 1 ,2-, 2,2- and 2,3-difluorocyclopropyl, 1 ,2,2-trifluorocyclopropyl, 2,2,3,3-tetrafluo- rocyclpropyl, 1 - and 2-chlorocyclopropyl, 1 ,2-, 2,2- and 2,3-dichlorocyclopropyl, 1 ,2,2-trichloro- cyclopropyl, 2,2,3,3-tetrachlorocyclpropyl, 1 -,2- and 3-fluorocyclopentyl, 1 ,2-, 2,2-, 2,3-, 3,3-, 3,4-, 2,5-difluorocyclopentyl, 1 -,2- and 3-chlorocyclopentyl, 1 ,2-, 2,2-, 2,3-, 3,3-, 3,4-, 2,5-dichlo- rocyclopentyl and the like.
The term "cycloalkenyl" as used herein and in the cycloalkenyl moieties of cycloalkenyloxy and cycloalkenylthio denotes in each case a monocyclic singly unsaturated non-aromatic radical having usually from 3 to 10, e.g. 3 or 4 or from 5 to 10 carbon atoms, preferably from 3- to 8 carbon atoms. Exemplary cycloalkenyl groups include cyclopropenyl, cycloheptenyl or cycloocte- nyl.
The term "halocycloalkenyl" as used herein and in the halocycloalkenyl moieties of halocyclo- alkenyloxy and halocycloalkenylthio denotes in each case a monocyclic singly unsaturated non- aromatic radical having usually from 3 to 10, e.g. 3 or 4 or from 5 to 10 carbon atoms, preferably from 3- to 8 carbon atoms, wherein at least one, e.g. 1 , 2, 3, 4 or 5 of the hydrogen atoms, are replaced by halogen, in particular by fluorine or chlorine. Examples are 3,3-difluorocyclopropen- 1-yl and 3,3-dichlorocyclopropen-1-yl.
The term "cycloalkenylalkyl" refers to a cycloalkenyl group as defined above which is bonded via an alkylene group, such as a Ci-Cs-alkyl group or a Ci-C4-alkyl group, in particular a methylene group (= cycloalkenylmethyl), to the remainder of the molecule.
The term "carbocycle" or "carbocyclyl" includes in general a 3- to 12-membered, preferably a 3- to 8-membered or a 5- to 8-membered, more preferably a 5- or 6-membered mono-cyclic, non-aromatic ring comprising 3 to 12, preferably 3 to 8 or 5 to 8, more preferably 5 or 6 carbon atoms. Preferably, the term "carbocycle" covers cycloalkyl and cycloalkenyl groups as defined above.
The term "heterocycle" or "heterocyclyl" includes in general 3- to 12-membered, preferably 5- or 6-membered, in particular 6-membered monocyclic heterocyclic non-aromatic radicals. The
heterocyclic non-aromatic radicals usually comprise 1 , 2 or 3 heteroatoms selected from N, O and S as ring members, wherein S-atoms as ring members may be present as S, SO or SO2. Examples of 5- or 6-membered heterocyclic radicals comprise saturated or unsaturated, non- aromatic heterocyclic rings, such as 2- and 3-azetidinyl, 2- and 3-oxetanyl, 2- and 3-thietanyl, 2- and 3-thietanyl-S-oxid (S-oxothietanyl), 2- and 3-thietanyl-S-dioxid (S-dioxothietanyl), 2- and 3- pyrrolidinyl, 2- and 3-tetrahydrofuranyl, 1 ,3-dioxolan-2-yl, thiolan-2-yl, S-oxothiolan-2-yl, S-diox- othiolan-2-yl, 4- and 5-oxazolidinyl, 1 ,3-dioxan-2-yl, 1 - and 3-thiopyran-2-yl, S-oxothiopyranyl, and S-dioxothiopyranyl.
The term "hetaryl" includes monocyclic 5- or 6-membered heteroaromatic radicals comprising as ring members 1 , 2, or 3 heteroatoms selected from N, O and S. Examples of 5- or 6-membered heteroaromatic radicals include pyridyl, i.e. 2-, 3-, and 4-pyridyl, pyrimidinyl, i.e. 2-, 4- and 5-pyrimidinyl, pyrazinyl, pyridazinyl, i.e. 3- and 4-pyridazinyl, thienyl, i.e. 2- and 3-thienyl, furyl, i.e. 2- and 3-furyl, pyrrolyl, i.e. 1 -, 2- and 3-pyrrolyl, oxazolyl, i.e. 2-, 4- and 5-oxazolyl, isoxa- zolyl, i.e. 3-, 4- and 5-isoxazolyl, thiazolyl, i.e. 2-, 3- and 5-thiazolyl, isothiazolyl, i.e. 3-, 4- and 5-isothiazolyl, pyrazolyl, i.e. 1-, 3-, 4- and 5-pyrazolyl, imidazolyl, i.e. 1-, 2-, 4- and 5-imidazolyl, oxadiazolyl, e.g. 2- and 5-[1 ,3,4]oxadiazolyl, thiadiazolyl, e.g. 1 ,3,4-thiadiazol-5-yl, 1 ,2,4-thiadia- zol-3-yl, triazolyl, e.g. 1 ,3,4-triazol-2-yl, and 1 ,2,4-triazol-3-yl.
The terms "heterocyclyolalkyl" and "hetarylalkyl" refer to heterocyclyl or hetaryl, resp., as defined above which are bound via a Ci-C4-alkyl group, in particular a methyl group (= heterocy- clylmethyl or hetarylmethyl, resp.), to the remainder of the molecule.
With respect to the variables, the particularly preferred embodiments of the intermediates correspond to those of the compounds of the formula I.
In a particular embodiment, the variables of the compounds of the formula I have the following meanings, these meanings, both on their own and in combination with one another, being particular embodiments of the compounds of formula I.
In a preferred embodiment, the compounds I are present in form of a mixture of compounds I.A and I.B, where compound I.A is present in an amount of more than 50% by weight, in particular of at least 70% by weight, specifically of at least 90% by weight, based on the total
In one particularly preferred embodiment of the invention, the method comprises step of contacting the plant, parts of it, its propagation material, the pests, their food supply, habitat or breeding grounds a pesticidally effective amount of a compound of formula I.A.
Preferably W-Z in formula I is -0-N=; such compounds correspond to formula 1.1.
In another embodiment W-Z in formula I is -CH2-N=; such compounds correspond to formula 1.2. In another embodiment W-Z in formula I is -CH2-CH=; such compounds correspond to formula I.3.
R2a is preferably selected from F, CI, Br, CF3, and OCF3.
R2b and R2c are independently preferably selected from H, F, CI, Br, CF3, and OCF3. Particularly preferred is each one of the following combinations of R2a, R2b and R2c wherein each line of Table A denotes a substitution pattern of the phenyl ring ("A") bearing the R2a, R2b and R2c moieties.
Table A
Groups A-8, A-9, and A-1 1 are more preferred patterns in formula I compounds. A-1 1 is particularly preferred. R3 and R4 are preferably halogen such as CI and F, N02, CN, CH3, CF3, SCH3, OCH3, or OCH F2. More preferably R4 is H, and R3 has one of the preferred meanings.
In another embodiment R3 and R4 together with the C-atoms they are bound to form a 5-mem- bered saturated carbocyclic ring. R5 is preferably H.
In one embodiment R6 and R7 are H.
In another embodiment R6 and R7 form together a group =CR8R9; such compounds correspond to formula I.R.
R8 is preferably H, Ci-C6-alkyl, or phenyl which is unsubstituted or partially or fully substituted with groups RA which are preferably selected from halogen, or Ci-C4-alkyl.
R9 is preferably H.
Preferred embodiments relate to each of following compounds of formula I, wherein the varia- b
In particular with a view to their use, preference is given to the compounds of formula I compiled in the tables below, which compounds correspond to formulae 1.1 *, I.2*, 1.3*, M R*, I.2R*, and I.3R*, resp. Each of the groups mentioned for a substituent in the tables is furthermore per se, independently of the combination in which it is mentioned, a particularly preferred aspect of the substituent in question.
Table 1 : Compounds of formula 1.1 * in which R6 and R7 are H, and the other variables for a compound correspond in each case to one row of Table B
Table 2 : Compounds of formula 1.2* in which R6 and R7 are H, and the other variables for a compound correspond in each case to one row of Table B
Table 3 : Compounds of formula 1.3* in which R6 and R7 are H, and the other variables for a compound correspond in each case to one row of Table B
Table 4 : Compounds of formula 1.1 R* in which R8 and R9 are H, and the other variables for a compound correspond in each case to one row of Table B
Table 5 : Compounds of formula I.2R* in which R8 and R9 are H, and the other variables for a compound correspond in each case to one row of Table B
Table 6 : Compounds of formula I.3R* in which R8 and R9 are H, and the other variables for a compound correspond in each case to one row of Table B
Table 7 : Compounds of formula M R* in which R8 is CH3, R9 is H, and the other variables for a compound correspond in each case to one row of Table B
Table 8 : Compounds of formula I.2R* in which R8 is CH3, R9 is H, and the other variables for a compound correspond in each case to one row of Table B
Table 9 : Compounds of formula I.3R* in which R8 is CH3, R9 is H, and the other variables for a compound correspond in each case to one row of Table B
Table 10 : Compounds of formula M R* in which R8 and R9 are CH3, and the other variables for a compound correspond in each case to one row of Table B
Table 1 1 : Compounds of formula I.2R* in which R8 and R9 are CH3, and the other variables for a compound correspond in each case to one row of Table B
Table 12 : Compounds of formula I.3R* in which R8 and R9 are CH3, and the other variables for a compound correspond in each case to one row of Table B
Table 13 : Compounds of formula M R* in which R8 is C6H5, R9 is H, and the other variables for a compound correspond in each case to one row of Table B
Table 14 : Compounds of formula I.2R* in which R8 is C6H5, R9 is H, and the other variables for a compound correspond in each case to one row of Table B
Table 15 : Compounds of formula I.3R* in which R8 is C6H5, R9 is H, and the other variables for a compound correspond in each case to one row of Table B
Table 16 : Compounds of formula M R* in which R8 is C2H5, R9 is H, and the other variables for a compound correspond in each case to one row of Table B
Table 17 : Compounds of formula I.2R* in which R8 is C2H5, R9 is H, and the other variables for a compound correspond in each case to one row of Table B
Table 18 : Compounds of formula I.3R* in which R8 is C2H5, R9 is H, and the other variables for a compound correspond in each case to one row of Table B
Table 19 : Compounds of formula M R* in which R8 is CH2(CH3)2, R9 is H, and the other variables for a compound correspond in each case to one row of Table B
Table 20 : Compounds of formula I.2R* in which R8 is CH2(CH3)2, R9 is H, and the other variables for a compound correspond in each case to one row of Table B
Table 21 : Compounds of formula I.3R* in which R8 is CH2(CH3)2, R9 is H, and the other variables for a compound correspond in each case to one row of Table B
Table B
No. R2a,R2b,R2c R R3 R4 No. R2a,R2b,R2c R R3 R4
1-1 A-8 CF3 CH3 H 1-15 A-1 1 CF2CI CH3 H
I-2 A-9 CF3 CH3 H 1-16 A-8 CF2CI CH3 H
I-3 A-1 1 CF3 CH3 H 1-17 A-9 CF2CI CH3 H
I-4 A-8 CF3 CH3 H 1-18 A-1 1 CF2CI CH3 H
I-5 A-9 CF3 CH3 H 1-19 A-8 CF3 CI H
I-6 A-1 1 CF3 CH3 H I-20 A-9 CF3 CI H
I-7 A-8 CF3 CH3 H 1-21 A-1 1 CF3 CI H
I-8 A-9 CF3 CH3 H I-22 A-8 CF3 CI H
I-9 A-1 1 CF3 CH3 H I-23 A-9 CF3 CI H
1-10 A-8 CF2CI CH3 H I-24 A-1 1 CF3 CI H
1-1 1 A-9 CF2CI CH3 H I-25 A-8 CF3 CI H
1-12 A-1 1 CF2CI CH3 H I-26 A-9 CF3 CI H
1-13 A-8 CF2CI CH3 H I-27 A-1 1 CF3 CI H
1-14 A-9 CF2CI CH3 H I-28 A-8 CF2CI CI H
No. R2a,R2b,R2c R1 R3 R4 No. R2a,R2b,R2c R1 R3 R4
I-29 A-9 CF2CI CI H 1-51 A-1 1 CF2CI F H
I-30 A-1 1 CF2CI CI H I-52 A-8 CF2CI F H
1-31 A-8 CF2CI CI H I-53 A-9 CF2CI F H
I-32 A-9 CF2CI CI H I-54 A-1 1 CF2CI F H
I-33 A-1 1 CF2CI CI H I-55 A-8 CFs CFs H
I-34 A-8 CF2CI CI H I-56 A-9 CFs CFs H
I-35 A-9 CF2CI CI H I-57 A-1 1 CFs CFs H
I-36 A-1 1 CF2CI CI H I-58 A-8 CFs CFs H
I-37 A-8 CFs F H I-59 A-9 CFs CFs H
I-38 A-9 CFs F H I-60 A-1 1 CFs CFs H
I-39 A-1 1 CFs F H 1-61 A-8 CFs CFs H
I-40 A-8 CFs F H I-62 A-9 CFs CFs H
1-41 A-9 CFs F H I-63 A-1 1 CFs CFs H
I-42 A-1 1 CFs F H I-64 A-8 CF2CI CFs H
I-43 A-8 CFs F H I-65 A-9 CF2CI CFs H
I-44 A-9 CFs F H I-66 A-1 1 CF2CI CFs H
I-45 A-1 1 CFs F H I-67 A-8 CF2CI CFs H
I-46 A-8 CF2CI F H I-68 A-9 CF2CI CFs H
I-47 A-9 CF2CI F H I-69 A-1 1 CF2CI CFs H
I-48 A-1 1 CF2CI F H I-70 A-8 CF2CI CFs H
I-49 A-8 CF2CI F H 1-71 A-9 CF2CI CFs H
I-50 A-9 CF2CI F H I-72 A-1 1 CF2CI CFs H
As used herein, the term "compound(s) of the invention" or "compound(s) according to the invention" refers to the compound(s) of formula (I) as defined above, which are also referred to as "compound(s) of formula I" or "compound(s) I" or "formula I compound(s)", and includes their salts, tautomers, stereoisomers, and N-oxides.
The invention also relates to a mixture of at least one compound of the invention with at least one mixing partner as defined herein after. Preferred are binary mixtures of one compound of the invention as component I with one mixing partner as defined herein after as component II. Preferred weight ratios for such binary mixtures are from 5000: 1 to 1 :5000, preferably from 1000:1 to 1 :1000, more preferably from 100:1 to 1 :100, particularly preferably from 10:1 to 1 :10 In such binary mixtures, components I and II may be used in equal amounts, or an excess of component I, or an excess of component II may be used.
Mixing partners can be selected from pesticides, in particular insecticides, nematicides, and acaricides, fungicides, herbicides, plant growth regulators, fertilizers, and the like. Preferred mixing partners are insecticides, nematicides and fungicides.
The following list M of pesticides, grouped and numbered according the Mode of Action Classification of the Insecticide Resistance Action Committee (IRAC), together with which the compounds of the invention can be used and with which potential synergistic effects might be produced, is intended to illustrate the possible combinations, but not to impose any limitation:
M.1 Acetylcholine esterase (AChE) inhibitors from the class of: M.1A carbamates, e.g. aldi- carb, alanycarb, bendiocarb, benfuracarb, butocarboxim, butoxycarboxim, carbaryl, carbofuran, carbosulfan, ethiofencarb, fenobucarb, formetanate, furathiocarb, isoprocarb, methiocarb, methomyl, metolcarb, oxamyl, pirimicarb, propoxur, thiodicarb, thiofanox, trimethacarb, XMC, xylylcarb and triazamate; or from the class of M.1 B organophosphates, e.g. acephate, aza- methiphos, azinphos-ethyl, azinphosmethyl, cadusafos, chlorethoxyfos, chlorfenvinphos, chlor- mephos, chlorpyrifos, chlorpyrifos-methyl, coumaphos, cyanophos, demeton-S-methyl, diazi- non, dichlorvos/ DDVP, dicrotophos, dimethoate, dimethylvinphos, disulfoton, EPN, ethion, ethoprophos, famphur, fenamiphos, fenitrothion, fenthion, fosthiazate, heptenophos, imicyafos, isofenphos, isopropyl O- (methoxyaminothio-phosphoryl) salicylate, isoxathion, malathion, me- carbarn, methamidophos, methidathion, mevinphos, monocrotophos, naled, omethoate, oxyde- meton-methyl, parathion, parathion-methyl, phenthoate, phorate, phosalone, phosmet, phos- phamidon, phoxim, pirimiphos- methyl, profenofos, propetamphos, prothiofos, pyraclofos, pyri- daphenthion, quinalphos, sulfotep, tebupirimfos, temephos, terbufos, tetrachlorvinphos, thiome- ton, triazophos, trichlorfon and vamidothion;
M.2. GABA-gated chloride channel antagonists such as: M.2A cyclodiene organochlorine compounds, as e.g. endosulfan or chlordane; or M.2B fiproles (phenylpyrazoles), as e.g. ethiprole, fipronil, flufiprole, pyrafluprole and pyriprole;
M.3 Sodium channel modulators from the class of M.3A pyrethroids, e.g. acrinathrin, allethrin, d-cis-trans allethrin, d-trans allethrin, bifenthrin, bioallethrin, bioallethrin S-cylclopentenyl, bio- resmethrin, cycloprothrin, cyfluthrin, beta-cyfluthrin, cyhalothrin, lambda-cyhalothrin, gamma- cyhalothrin, cypermethrin, alpha-cypermethrin, beta-cypermethrin, theta-cypermethrin, zeta-cy- permethrin, cyphenothrin, deltamethrin, empenthrin, esfenvalerate, etofenprox, fenpropathrin, fenvalerate, flucythrinate, flumethrin, tau-fluvalinate, halfenprox, heptafluthrin, imiprothrin, me- perfluthrin,metofluthrin, momfluorothrin, permethrin, phenothrin, prallethrin, profluthrin, pyrethrin (pyrethrum), resmethrin, silafluofen, tefluthrin, tetramethylfluthrin, tetramethrin, tralomethrin and transfluthrin; or M.3B sodium channel modulators such as DDT or methoxychlor;
M.4 Nicotinic acetylcholine receptor agonists (nAChR) from the class of M.4A neonicotinoids, e.g. acetamiprid, clothianidin, cycloxaprid, dinotefuran, imidacloprid, nitenpyram, thiacloprid and thiamethoxam; or the compounds M.4A.2: (2E-)-1 -[(6-Chloropyridin-3-yl)methyl]-N'-nitro-2-pen- tylidenehydrazinecarboximidamide; or M4.A.3: 1 -[(6-Chloropyridin-3-yl)methyl]-7-methyl-8-nitro- 5-propoxy-1 ,2,3,5,6,7-hexahydroimidazo[1 ,2-a]pyridine; or from the class M.4B nicotine;
M.5 Nicotinic acetylcholine receptor allosteric activators from the class of spinosyns, e.g. spinosad or spinetoram;
M.6 Chloride channel activators from the class of avermectins and milbemycins, e.g.
abamectin, emamectin benzoate, ivermectin, lepimectin or milbemectin;
M.7 Juvenile hormone mimics, such as M.7A juvenile hormone analogues as hydroprene, ki- noprene and methoprene; or others as M.7B fenoxycarb or M.7C pyriproxyfen;
M.8 miscellaneous non-specific (multi-site) inhibitors, e.g. M.8A alkyl halides as methyl bromide and other alkyl halides, or M.8B chloropicrin, or M.8C sulfuryl fluoride, or M.8D borax, or M.8E tartar emetic;
M.9 Selective homopteran feeding blockers, e.g. M.9B pymetrozine, or M.9C flonicamid;
M.10 Mite growth inhibitors, e.g. M.10A clofentezine, hexythiazox and diflovidazin, or M.10B etoxazole;
M.1 1 Microbial disruptors of insect midgut membranes, e.g. bacillus thuringiensis or bacillus sphaericus and the insecticdal proteins they produce such as bacillus thuringiensis subsp. is- raelensis, bacillus sphaericus, bacillus thuringiensis subsp. aizawai, bacillus thuringiensis subsp. kurstakiand bacillus thuringiensis subsp. tenebrionis, or the Bt crop proteins: CrylAb, CrylAc, Cryl Fa, Cry2Ab, mCry3A, Cry3Ab, Cry3Bb and Cry34/35Ab1 ;
M.12 Inhibitors of mitochondrial ATP synthase, e.g. M.12A diafenthiuron, or M.12B organotin miticides such as azocyclotin, cyhexatin or fenbutatin oxide, or M.12C propargite, or M.12D tetrad if on;
M.13 Uncouplers of oxidative phosphorylation via disruption of the proton gradient, e.g.
chlorfenapyr, DNOC or sulfluramid;
M.14 Nicotinic acetylcholine receptor (nAChR) channel blockers, e.g. nereistoxin analogues as bensultap, cartap hydrochloride, thiocyclam or thiosultap sodium;
M.15 Inhibitors of the chitin biosynthesis type 0, such as benzoylureas as e.g. bistrifluron, chlorfluazuron, diflubenzuron, flucycloxuron, flufenoxuron, hexaflumuron, lufenuron, novaluron, noviflumuron, teflubenzuron or triflumuron;
M.16 Inhibitors of the chitin biosynthesis type 1 , as e.g. buprofezin;
M.17 Moulting disruptors, Dipteran, as e.g. cyromazine;
M.18 Ecdyson receptor agonists such as diacylhydrazines, e.g. methoxyfenozide, tebufeno- zide, halofenozide, fufenozide or chromafenozide;
M.19 Octopamin receptor agonists, as e.g. amitraz;
M.20 Mitochondrial complex III electron transport inhibitors, e.g. M.20A hydramethylnon, or M.20B acequinocyl, or M.20C fluacrypyrim;
M.21 Mitochondrial complex I electron transport inhibitors, e.g. M.21A METI acaricides and in- secticides such as fenazaquin, fenpyroximate, pyrimidifen, pyridaben, tebufenpyrad or tolfen- pyrad, or M.21 B rotenone;
M.22 Voltage-dependent sodium channel blockers, e.g. M.22A indoxacarb, or M.22B meta- flumizone, or M.22B.1 : 2-[2-(4-Cyanophenyl)-1-[3-(trifluoromethyl)phenyl]ethylidene]-N-[4-(di- fluoromethoxy)phenyl]-hydrazinecarboxamide or M.22B.2: N-(3-Chloro-2-methylphenyl)-2-[(4- chlorophenyl)[4-[methyl(methylsulfonyl)amino]phenyl]methylene]-hydrazinecarboxamide;
M.23 Inhibitors of the of acetyl CoA carboxylase, such as Tetronic and Tetramic acid derivatives, e.g. spirodiclofen, spiromesifen or spirotetramat;
M.24 Mitochondrial complex IV electron transport inhibitors, e.g. M.24A phosphine such as aluminium phosphide, calcium phosphide, phosphine or zinc phosphide, or M.24B cyanide;
M.25 Mitochondrial complex II electron transport inhibitors, such as beta-ketonitrile derivatives, e.g. cyenopyrafen or cyflumetofen;
M.28 Ryanodine receptor-modulators from the class of diamides, as e.g. flubendiamide, chlor- antraniliprole (rynaxypyr®), cyantraniliprole (cyazypyr®), tetraniliprole, M.28.1 : (R)-3-Chlor-N1-
{2-methyl-4-[1 ,2,2,2-tetrafluor-1 -(trifluormethyl)ethyl]phenyl}-N2-(1 -methyl-2-methylsulfonyl- ethyl)phthalamid and M.28.2: (S)-3-Chlor-N 1 -{2-methyl-4-[1 ,2,2,2 -tetrafluor-1 -(trifluorome- thyl)ethyl]phenyl}-N2-(1 -methyl-2-methylsulfonylethyl)phthalamid, M.28.3: cyclaniliprole, M.28.4: methyl-2-[3,5-dibromo-2-({[3-bromo-1-(3-chlorpyridin-2-yl)-1 H-pyrazol-5-yl]carbonyl}amino)ben- zoyl]-1 ,2-dimethylhydrazinecarboxylate; M.28.5a) N-[4,6-dichloro-2-[(diethyl-lambda-4-sulfanyli- dene)carbamoyl]-phenyl]-2-(3-chloro-2-pyridyl)-5-(trifluoromethyl)pyrazole-3-carboxamide^ M.28.5b) N-[4-chloro-2-[(diethyl-lambda-4-sulfanylidene)carbamoyl]-6-methyl-phenyl]-2-(3-chlo- ro-2-pyridyl)-5-(trifluoromethyl)pyrazole-3-carboxamide; M.28.5c) N-[4-chloro-2-[(di-2-propyl- lambda-4-sulfanylidene)carbamoyl]-6-methyl-phenyl]-2-(3-chloro-2-pyridyl)-5-(trifluorom razole-3-carboxamide; M.28.5d) N-[4,6-dichloro-2-[(di-2-propyl-lambda-4-sulfanylidene)carba- moyl]-phenyl]-2-(3-chloro-2-pyridyl)-5-(trifluoromethyl)pyrazole-3-carboxamide; M.28.5h) N-[4,6- dibromo-2-[(diethyl-lambda-4-sulfanylidene)carbamoyl]-pheny^
romethyl)pyrazole-3-carboxamide; M.28.5i) N-[2-(5-Amino-1 ,3,4-thiadiazol-2-yl)-4-chloro-6-me- thylphenyl]-3-bromo-1 -(3-chloro-2-pyridinyl)-1 H-pyrazole-5-carboxamide; M.28.5j) 3-Chloro-1 - (3-chloro-2-pyridinyl)-N-[2,4-dichloro-6-[[(1-cyano-1 -methylethyl)amino]carbonyl]ph
razole-5-carboxamide; M.28.5k) 3-Bromo-N-[2,4-dichloro-6-(methylcarbamoyl)phenyl]-1-(3,5- dichloro-2-pyridyl)-1 H-pyrazole-5-carboxamide; M.28.5I) N-[4-Chloro-2-[[(1 ,1 -dimethylethyl)ami- no]carbonyl]-6-methylphenyl]-1-(3-chloro-2-pyridinyl)-3-(fluoromethoxy)-1 H-pyrazole-5-ca amide;
M.28.6: cyhalodiamide; or;
M.29. active compounds of unknown or uncertain mode of action, as e.g. afidopyropen, afoxo- laner, azadirachtin, amidoflumet, benzoximate, bifenazate, broflanilide, bromopropylate, chino- methionat, cryolite, dicloromezotiaz, dicofol, flufenerim, flometoquin, fluensulfone, fluhexafon, fluopyram, flupyradifurone, fluralaner, metoxadiazone, piperonyl butoxide, pyflubumide, pyrida- lyl, pyrifluquinazon, sulfoxaflor, tioxazafen, triflumezopyrim,
M.29.3: 1 1 -(4-chloro-2,6-dimethylphenyl)-12-hydroxy-1 ,4-dioxa-9-azadispiro[4.2.4.2]-tetradec- 1 1-en-10-one, M.29.4: 3-(4'-fluoro-2,4-dimethylbiphenyl-3-yl)-4-hydroxy-8-oxa-1-azaspi- ro[4.5]dec-3-en-2-one, M.29.5: 1 -[2-fluoro-4-methyl-5-[(2,2,2-trifluoroethyl)sulfinyl]phenyl]-3-(tri- fluoromethyl)-1 H-1 ,2,4-triazole-5-amine, or actives on basis of bacillus firmus (Votivo, 1-1582); M.29.6, selected from M.29.6a) to M.29.6k): M.29.6a) (E/Z)-N-[1-[(6-chloro-3-pyridyl)methyl]-2- pyridylidene]-2,2,2-trifluoro-acetamide; M.29.6b) (E/Z)-N-[1-[(6-chloro-5-fluoro-3-pyridyl)methyl]- 2-pyridylidene]-2,2,2-trifluoro-acetamide; M.29.6c) (E/Z)-2,2,2-trifluoro-N-[1 -[(6-fluoro-3-pyri- dyl)methyl]-2-pyridylidene]acetamide; M.29.6d) (E/Z)-N-[1-[(6-bromo-3-pyridyl)methyl]-2-pyridyli- dene]-2,2,2-trifluoro-acetamide; M.29.6e) (E/Z)-N-[1 -[1-(6-chloro-3-pyridyl)ethyl]-2-pyridylidene]- 2,2,2-trifluoro-acetamide; M.29.6f) (E/Z)-N-[1-[(6-chloro-3-pyridyl)methyl]-2-pyridylidene]-2,2- difluoro-acetamide; M.29.6g) (E/Z)-2-chloro-N-[1-[(6-chloro-3-pyridyl)methyl]-2-pyridylidene]-2,2- difluoro-acetamide; M.29.6h) (E/Z)-N-[1 -[(2-chloropyrimidin-5-yl)methyl]-2-pyridylidene]-2,2,2- trifluoro-acetamide; M.29.6i) (E/Z)-N-[1 -[(6-chloro-3-pyridyl)methyl]-2-pyridylidene]-2,2,3,3,3- pentafluoro-propanamide.); M.29.6j) N-[1 -[(6-chloro-3-pyridyl)methyl]-2-pyridylidene]-2,2,2-tri- fluoro-thioacetamide; or M.29.6k) N-[1-[(6-chloro-3-pyridyl)methyl]-2-pyridylidene]-2,2,2-trifluoro- N'-isopropyl-acetamidine; M.29.8: fluazaindolizine; M.29.9. a): 4-[5-(3,5-dichlorophenyl)-5-(tri- fluoromethyl)-4H-isoxazol-3-yl]-2-methyl-N-(1-oxothietan-3-yl)benzamide; or M.29.9.b): flux- ametamide; M.29.10: 5-[3-[2,6-dichloro-4-(3,3-dichloroallyloxy)phenoxy]propoxy]-1 H-pyrazole;
M.29.1 1 , selected from M.29.1 1 b) to M.29.1 1 p): M.29.1 1. b) 3-(benzoylmethylamino)-N-[2-bro- mo-4-[1 ,2,2,3,3,3-hexafluoro-1-(trifluoromethyl)^
amide; M.29.1 1 .c) 3-(benzoylmethylamino)-2-fluoro-N-[2-iodo-4-[1 ,2,2,2-tetrafluoro-1 -(trifluoro- methyl)ethyl]-6-(trifluoromethyl)phenyl]-benzamide; M.29.1 1.d) N-[3-[[[2-iodo-4-[1 ,2,2,2-tetraflu- oro-1-(trifluoromethyl)ethyl]-6-(trifluorome
amide; M.29.1 1 .e) N-[3-[[[2-bromo-4-[1 ,2,2,2-tetrafluoro-1-(trifluoromethyl)ethyl]-6-(trifluorome- thyl)phenyl]amino]carbonyl]-2-fluorophenyl]-4-fluoro-N-methyl-benzamide; M.29.1 1 .f) 4-fluoro-N- [2-fluoro-3-[[[2-iodo-4-[1 ,2,2,2-tetrafluoro-1-(trifluoromethyl)ethyl]-6-(trifluoromethyl)phen no]carbonyl]phenyl]-N-methyl-benzamide; M.29.1 1 .g) 3-fluoro-N-[2-fluoro-3-[[[2-iodo-4-[1 ,2,2,2- tetrafluoro-1-(trifluoromethyl)ethyl]-6-(trifluoromethyl)phenyl]amino]carbonyl]phenyl]-N-met^ benzamide; M.29.1 1 .h) 2-chloro-N-[3-[[[2-iodo-4-[1 ,2,2,2-tetrafluoro-1 -(trifluoromethyl)ethyl]-6- (trifluoromethyl)phenyl]amino]carbonyl]phenyl]- 3-pyridinecarboxamide; M.29.1 1 .i) 4-cyano-N- [2-cyano-5-[[2,6-dibromo-4-[1 ,2,2,3,3,3-hexafluoro-1-(trifluoromethyl)propyl]phenyl]carbamo- yl]phenyl]-2-methyl-benzamide; M.29.1 1 .j) 4-cyano-3-[(4-cyano-2-methyl-benzoyl)amino]-N-[2,6- dichloro-4-[1 ,2,2,3,3,3-hexafluoro-1-(trifluoromethyl)propyl]phenyl]-2-fluoro-benzamide;
M.29.1 1.k) N-[5-[[2-chloro-6-cyano-4-[1 ,2,2,3,3,3-hexafluoro-1 -(trifluoromethyl)propyl]phe- nyl]carbamoyl]-2-cyano-phenyl]-4-cyano-2-methyl-benzamide; M.29.1 1.1) N-[5-[[2-bromo-6-chlo- ro-4-[2,2,2-trifluoro-1-hydroxy-1-(trifluoromethyl)ethyl]phenyl]carbamoyl]-2-cyano-phenyl]-4-cy- ano-2-methyl-benzamide; M.29.1 1 .m) N-[5-[[2-bromo-6-chloro-4-[1 ,2,2,3,3,3-hexafluoro-1-(tri- fluoromethyl)propyl]phenyl]carbamoyl]-2-cyano-phenyl]-4-cyano-2-methyl-benzamide;
M.29.1 1.n) 4-cyano-N-[2-cyano-5-[[2,6-dichloro-4-[1 ,2,2,3,3,3-hexafluoro-1 -(trifluoromethyl)pro- pyl]phenyl]carbamoyl]phenyl]-2-methyl-benzamide; M.29.1 1 .o) 4-cyano-N-[2-cyano-5-[[2,6-di- chloro-4-[1 ,2,2,2-tetrafluoro-1-(trifluoromethyl)ethyl]phenyl]carbamoyl]phenyl]-2-methyl-ben- zamide; M.29.1 1.p) N-[5-[[2-bromo-6-chloro-4-[1 ,2,2,2-tetrafluoro-1 -(trifluoromethyl)ethyl]phe- nyl]carbamoyl]-2-cyano-phenyl]-4-cyano-2-methyl-benzamide; M.29.12, selected from
M.29.12a) to M.29.12m): M.29.12.a) 2-(1 ,3-Dioxan-2-yl)-6-[2-(3-pyridinyl)-5-thiazolyl]-pyridine; M.29.12.b) 2-[6-[2-(5-Fluoro-3-pyridinyl)-5-thiazolyl]-2-pyridinyl]-pyrimidine; M.29.12.c) 2-[6-[2- (3-Pyridinyl)-5-thiazolyl]-2-pyridinyl]-pyrimidine; M.29.12. d) N-Methylsulfonyl-6-[2-(3-pyridyl)thia- zol-5-yl]pyridine-2-carboxamide; M.29.12. e) N-Methylsulfonyl-6-[2-(3-pyridyl)thiazol-5-yl]pyridi- ne-2-carboxamide; M.29.12.f) N-Ethyl-N-[4-methyl-2-(3-pyridyl)thiazol-5-yl]-3-methylthio-propan- amide; M.29.12. g) N-Methyl-N-[4-methyl-2-(3-pyridyl)thiazol-5-yl]-3-methylthio-propanamide; M.29.12.h) N,2-Dimethyl-N-[4-methyl-2-(3-pyridyl)thiazol-5-yl]-3-methylthio-propanamide;
M.29.12. i) N-Ethyl-2-methyl-N-[4-methyl-2-(3-pyridyl)thiazol-5-yl]-3-methylthio-propanamide; M.29.12.j) N-[4-Chloro-2-(3-pyridyl)thiazol-5-yl]-N-ethyl-2-methyl-3-methylthio-propanamide; M.29.12.k) N-[4-Chloro-2-(3-pyridyl)thiazol-5-yl]-N,2-dimethyl-3-methylthio-propanamide;
M.29.12.1) N-[4-Chloro-2-(3-pyridyl)thiazol-5-yl]-N-methyl-3-methylthio-propanamide;
M.29.12. m) N-[4-Chloro-2-(3-pyridyl)thiazol-5-yl]-N-ethyl-3-methylthio-propanamide;
M.29.14a) 1 -[(6-Chloro-3-pyridinyl)methyl]-1 ,2,3,5,6,7-hexahydro-5-methoxy-7-methyl-8-nitro- imidazo[1 ,2-a]pyridine; or M.29.14b) 1-[(6-Chloropyridin-3-yl)methyl]-7-methyl-8-nitro- 1 ,2,3,5,6,7-hexahydroimidazo[1 ,2-a]pyridin-5-ol; M.29.16a) 1 -isopropyl-N,5-dimethyl-N-pyri- dazin-4-yl-pyrazole-4-carboxamide; or M.29.16b) 1-(1 ,2-dimethylpropyl)-N-ethyl-5-methyl-N-pyr- idazin-4-yl-pyrazole-4-carboxamide; M.29.16c) N,5-dimethyl-N-pyridazin-4-yl-1-(2,2,2-trifluoro-1- methyl-ethyl)pyrazole-4-carboxamide; M.29.16d) 1-[1 -(1 -cyanocyclopropyl)ethyl]-N-ethyl-5-me- thyl-N-pyridazin-4-yl-pyrazole-4-carboxamide; M.29.16e) N-ethyl-1-(2-fluoro-1 -methyl-propyl)-5-
methyl-N-pyridazin-4-yl-pyrazole-4-carboxamide; M.29.16f) 1 -(1 ,2-dimethylpropyl)-N,5-dimethyl- N-pyridazin-4-yl-pyrazole-4-carboxamide; M.29.16g) 1 -[1-(1-cyanocyclopropyl)ethyl]-N,5-dime- thyl-N-pyridazin-4-yl-pyrazole-4-carboxamide; M.29.16h) N-methyl-1-(2-fluoro-1-methyl-propyl]- 5-methyl-N-pyridazin-4-yl-pyrazole-4-carboxamide; M.29.16i) 1 -(4,4-difluorocyclohexyl)-N-ethyl- 5-methyl-N-pyridazin-4-yl-pyrazole-4-carboxamide; or M.29.16j) 1-(4,4-difluorocyclohexyl)-N,5- dimethyl-N-pyridazin-4-yl-pyrazole-4-carboxamide, M.29.17 selected from M.29.17a) to
M.29.17j): M.29.17a) N-(1-methylethyl)-2-(3-pyridinyl)-2H-indazole-4-carboxamide; M.29.17b) N-cyclopropyl-2-(3-pyridinyl)-2H-indazole-4-carboxamide; M.29.17c) N-cyclohexyl-2-(3-pyridi- nyl)-2H-indazole-4-carboxamide; M.29.17d) 2-(3-pyridinyl)-N-(2,2,2-trifluoroethyl)-2H-indazole- 4-carboxamide; M.29.17e) 2-(3-pyridinyl)-N-[(tetrahydro-2-furanyl)methyl]-2H-indazole-5-car- boxamide; M.29.17f) methyl 2-[[2-(3-pyridinyl)-2H-indazol-5-yl]carbonyl]hydrazinecarboxylate; M.29.17g) N-[(2,2-difluorocyclopropyl)methyl]-2-(3-pyridinyl)-2H-indazole-5-carboxamide;
M.29.17h) N-(2,2-difluoropropyl)-2-(3-pyridinyl)-2H-indazole-5-carboxamide; M.29.17i) 2-(3-pyri- dinyl )-N-(2-pyrimidinylmethyl )-2H-indazole-5-carboxamide; M.29.17j) N-[(5-methyl-2-pyrazi- nyl)methyl]-2-(3-pyridinyl)-2H-indazole-5-carboxamide, M.29.18 selected from M.29.18a) to
M.29.18d): M.29.18a) N-[3-chloro-1-(3-pyridyl)pyrazol-4-yl]-N-ethyl-3-(3,3,3-trifluoropropylsulfa- nyl)propanamide; M.29.18b) N-[3-chloro-1 -(3-pyridyl)pyrazol-4-yl]-N-ethyl-3-(3,3,3-trifluoropro- pylsulfinyl)propanamide; M.29.18c) N-[3-chloro-1 -(3-pyridyl)pyrazol-4-yl]-3-[(2,2-difluorocyclo- propyl)methylsulfanyl]-N-ethyl-propanamide; M.29.18d) N-[3-chloro-1-(3-pyridyl)pyrazol-4-yl]-3- [(2,2-difluorocyclopropyl)methylsulfinyl]-N-ethyl-propanamide; M.29.19 sarolaner, or M.29.20 lo- tilaner.
The commercially available compounds of the group M listed above may be found in The Pesticide Manual, 16th Edition, C. MacBean, British Crop Protection Council (2013) among other publications. The online Pesticide Manual is updated regularly and is accessible through http://bcpcdata.com/pesticide-manual.html.
Another online data base for pesticides providing the ISO common names is http://www.alan- wood.net/pesticides.
M.4 cycloxaprid is known from WO2010/069266 and WO201 1/069456, M.4A.2, guadipyr, is known from WO2013/003977, and M.4A.3 (paichongding in China) is known from WO
07/101369. M.22B.1 is described in CN10171577 and M.22B.2 in CN102126994. M.28.1 and M.28.2 are known from WO2007/101540. M.28.3 is described in WO2005/077934. M.28.4 is described in WO2007/043677. M.28.5a) to M.28.5d) and M.28.5h) are described in WO
07/006670, WO2013/024009 and WO2013/024010, M.28.5i) is described in WO201 1/085575, M.28.5j) in WO2008/134969, M.28.5k) in US201 1/046186 and M.28.5I) in WO2012/034403. M.28.6 can be found in WO2012/034472. M.29.3 is known from WO2006/089633 and M.29.4 from WO2008/06791 1 . M.29.5 is described in WO2006/043635, and biological control agents on the basis of bacillus firmus are described in WO2009/124707. M.29.6a) to M.29.6i) listed under M.29.6 are described in WO2012/029672, and M.29.6j) and M.29.6k) in WO2013/129688. M.29.8 is known from WO2013/055584. M.29.9.a) is described in WO2013/050317. M.29.9.b) is described in WO2014/126208. M.29.10 is known from WO2010/060379. Broflanilide and M.29.1 1.b) to M.29.1 1 .h) are described in WO2010/018714, M.29.1 1 i) to M.29.1 1 .p) in WO 2010/127926. M.29.12.a) to M.29.12.c) are known from WO2010/006713, M.29.12.d) and M.29.12.e) are known from WO2012/000896, and M.29.12.f) to M.29.12.m) from WO
2010/129497. M.29.14a) and M.29.14b) are known from WO2007/101369. M.29.16.a) to
M.29.16h) are described in WO2010/034737, WO2012/084670, and WO2012/143317, resp., and Μ.29.16Ϊ) and M.29.16j) are described in WO2015/055497. M.29.17a) to M.29.17.j) are described in WO2015/038503. M.29.18a) to M.29.18d) are described in US2014/0213448.
M.29.19 is described in WO2014/036056. M.29.20 is known from WO2014/090918.
The following list of fungicides, in conjunction with which the compounds of the invention can be used, is intended to illustrate the possible combinations but does not limit them:
A) Respiration inhibitors
Inhibitors of complex III at Q0 site (e. g. strobilurins): azoxystrobin (A.1 .1 ), coumethoxy- strobin (A.1 .2), coumoxystrobin (A.1.3), dimoxystrobin (A.1.4), enestroburin (A.1.5), fenamin- strobin (A.1.6), fenoxystrobin/flufenoxystrobin (A.1 .7), fluoxastrobin (A.1 .8), kresoxim-methyl (A.1 .9), mandestrobin (A.1 .10), metominostrobin (A.1 .1 1 ), orysastrobin (A.1 .12), picoxy. strobin (A.1 .13), pyraclostrobin (A.1.14), pyrametostrobin (A.1.15), pyraoxystrobin (A.1.16), trifloxystro- bin (A.1 .17), 2-(2-(3-(2,6-dichlorophenyl)-1 -methyl-allylideneaminooxymethyl)-phenyl)-2-meth- oxyimino-N-methyl-acetamide (A.1.18), pyribencarb (A.1 .19), triclopyricarb/chlorodincarb (A.1 .20), famoxadone (A.1 .21 ), fenamidone (A.1.21 ), methyl-/V-[2-[(1 ,4-dimethyl-5-phenyl-pyra- zol-3-yl)oxylmethyl]phenyl]-N-methoxy-carbamate (A.1.22), 1-[3-chloro-2-[[1-(4-chlorophenyl)- 1 H-pyrazol-3-yl]oxymethyl]phenyl]-4-methyl-tetrazol-5-one (A.1 .23), 1-[3-bromo-2-[[1-(4-chloro- phenyl)pyrazol-3-yl]oxymethyl]phenyl]-4-methyl-tetrazol-5-one (A.1.24), 1-[2-[[1 -(4-chlorophe- nyl)pyrazol-3-yl]oxymethyl]-3-methyl-phenyl]-4-methyl-tetrazol-5-one (A.1.25), 1 -[2-[[1 -(4-chloro- phenyl)pyrazol-3-yl]oxymethyl]-3-fluoro-phenyl]-4-methyl-tetrazol-5-one (A.1 .26), 1 -[2-[[1 -(2,4- dichlorophenyl)pyrazol-3-yl]oxymethyl]-3-fluoro-phenyl]-4-methyl-tetrazol-5-one (A.1.27), 1-[2- [[4-(4-chlorophenyl)thiazol-2-yl]oxymethyl]-3-methyl-phenyl]-4-methyl-tetrazol-5-one (A.1.28), 1- [3-chloro-2-[[4-(p-tolyl)thiazol-2-yl]oxymethyl]phenyl]-4-methyl-tetrazol-5-one (A.1 .29), 1 -[3-cyc- lopropyl-2-[[2-methyl-4-(1 -methylpyrazol-3-yl)phenoxy]methyl]phenyl]-4-methyl-tetrazol-5-one (A.1 .30), 1 -[3-(difluoromethoxy)-2-[[2-methyl-4-(1-methylpyrazol-3-yl)phenoxy]methyl]phenyl]-4- methyl-tetrazol-5-one (A.1.31 ), 1-methyl-4-[3-methyl-2-[[2-methyl-4-(1-methylpyrazol-3-yl)phe- noxy]methyl]phenyl]tetrazol-5-one (A.1 .32), 1 -methyl-4-[3-methyl-2-[[1 -[3-(trifluoromethyl)phe- nyl]-ethylideneamino]oxymethyl]phenyl]tetrazol-5-one (A.1.33), (Z;2£)-5-[1-(2,4-dichlorophe- nyl)pyrazol-3-yl]-oxy-2-methoxyimino-/V,3-dimethyl-pent-3-enamide (A.1 .34), (^2£)-5-[1 -(4- chlorophenyl)pyrazol-3-yl]oxy-2-methoxyimino-/V,3-dimethyl-pent-3-enamide (A.1 .35), (Z,2E)-5- [1 -(4-chloro-2-fluoro-phenyl)pyrazol-3-yl]oxy-2-methoxyimino-/V,3-dimethyl-pent-3-enamide (A.1 .36),
inhibitors of complex III at Qi site: cyazofamid (A.2.1 ), amisulbrom (A.2.2), [(3S,6S,7R,8R)- 8-benzyl-3-[(3-acetoxy-4-methoxy-pyridine-2-carbonyl)amino]-6-methyl-4,9-dioxo-1 ,5-dioxonan- 7-yl] 2-methylpropanoate (A.2.3), [(3S,6S,7R,8R)-8-benzyl-3-[[3-(acetoxymethoxy)-4-methoxy- pyridine-2-carbonyl]amino]-6-methyl-4,9-dioxo-1 ,5-dioxonan-7-yl] 2-methylpropanoate (A.2.4), [(3S,6S,7R,8R)-8-benzyl-3-[(3-isobutoxycarbonyloxy-4-methoxy-pyridine-2-carbonyl)amino]-6- methyl-4,9-dioxo-1 ,5-dioxonan-7-yl] 2-methylpropanoate (A.2.5), [(3S,6S,7R,8R)-8-benzyl-3-[[3- (1 ,3-benzodioxol-5-ylmethoxy)-4-methoxy-pyridine-2-carbonyl]amino]-6-methyl-4,9-dioxo-1 ,5- dioxonan-7-yl] 2-methylpropanoate (A.2.6); (3S,6S,7R,8R)-3-[[(3-hydroxy-4-methoxy-2-pyridi- nyl)carbonyl]amino]-6-methyl-4,9-dioxo-8-(phenylmethyl)-1 ,5-dioxonan-7-yl 2-methylpropanoate (A.2.7), (3S,6S,7R,8R)-8-benzyl-3-[3-[(isobutyryloxy)methoxy]-4-methoxypicolinamido]-6-me- thyl-4,9-dioxo-1 ,5-dioxonan-7-yl isobutyrate (A.2.8);
inhibitors of complex II (e. g. carboxamides): benodanil (A.3.1 ), benzovindiflupyr (A.3.2),
bixafen (A.3.3), boscalid (A.3.4), carboxin (A.3.5), fenfuram (A.3.6), fluopyram (A.3.7), flutolanil (A.3.8), fluxapyroxad (A.3.9), furametpyr (A.3.10), isofetamid (A.3.1 1 ), isopyrazam (A.3.12), me- pronil (A.3.13), oxycarboxin (A.3.14), penflufen (A.3.14), penthiopyrad (A.3.15), sedaxane (A.3.16), tecloftalam (A.3.17), thifluzamide (A.3.18), N-(4'-trifluoromethylthiobiphenyl-2-yl)- 3-difluoromethyl-1-methyl-1 H-pyrazole-4-carboxamide (A.3.19), N-(2-(1 ,3,3-trimethyl-butyl)-phe- nyl)-1 ,3-dimethyl-5-fluoro-1 H-pyrazole-4-carboxamide (A.3.20), 3-(difluoromethyl)-1 -methyl-N- (1 ,1 ,3-trimethylindan-4-yl)pyrazole-4-carboxamide (A.3.21 ), 3-(trifluoromethyl)-1 -methyl-N- (1 ,1 ,3-trimethylindan-4-yl)pyrazole-4-carboxamide (A.3.22), 1 ,3-dimethyl-N-(1 ,1 ,3-trimethylin- dan-4-yl)pyrazole-4-carboxamide (A.3.23), 3-(trifluoromethyl)-1 ,5-dimethyl-N-(1 ,1 ,3-trimethylin- dan-4-yl)pyrazole-4-carboxamide (A.3.24), 1 ,3,5-trimethyl-N-(1 ,1 ,3-trimethylindan-4-yl)pyrazole- 4-carboxamide (A.3.25), N-(7-fluoro-1 ,1 ,3-trimethyl-indan-4-yl)-1 ,3-dimethyl-pyrazole-4-carbox- amide (A.3.26), N-[2-(2,4-dichlorophenyl)-2-methoxy-1-methyl-ethyl]-3-(difluoromethyl)-1 -me- thyl-pyrazole-4-carboxamide (A.3.27);
other respiration inhibitors (e. g. complex I, uncouplers): diflumetorim (A.4.1 ), (5,8-difluoro- quinazolin-4-yl)-{2-[2-fluoro-4-(4-trifluoromethylpyridin-2-yloxy)-phenyl]-ethyl}-amine (A.4.2); ni- trophenyl derivates: binapacryl (A.4.3), dinobuton (A.4.4), dinocap (A.4.5), fluazinam (A.4.6); ferimzone (A.4.7); organometal compounds: fentin salts, such as fentin-acetate (A.4.8), fentin chloride (A.4.9) or fentin hydroxide (A.4.10); ametoctradin (A.4.1 1 ); and silthiofam (A.4.12); B) Sterol biosynthesis inhibitors (SBI fungicides)
- C14 demethylase inhibitors (DMI fungicides): triazoles: azaconazole (B.1 .1 ), bitertanol (B.1 .2), bromuconazole (B.1 .3), cyproconazole (B.1 .4), difenoconazole (B.1.5), diniconazole (B.1 .6), diniconazole-M (B.1 .7), epoxiconazole (B.1 .8), fenbuconazole (B.1.9), fluquinconazole (B.1 .10), flusilazole (B.1.1 1 ), flutriafol (B.1.12), hexaconazole (B.1.13), imibenconazole (B.1 .14), ipconazole (B.1.15), metconazole (B.1.17), myclobutanil (B.1.18), oxpoconazole (B.1 .19), paclo- butrazole (B.1 .20), penconazole (B.1.21 ), propiconazole (B.1 .22), prothioconazole (B.1 .23), simeconazole (B.1.24), tebuconazole (B.1.25), tetraconazole (B.1.26), triadimefon (B.1 .27), tri- adimenol (B.1.28), triticonazole (B.1.29), uniconazole (B.1 .30), 1 -[reA(2^3 )-3-(2-chlorophe- nyl)-2-(2,4-difluorophenyl)-oxiranylmethyl]-5-thiocyanato-1 H-[1 ,2,4]triazolo (B.1 .31 ), 2-[re (2^3 )-3-(2-chlorophenyl)-2-(2,4-difluorophenyl)-oxiranylmethyl]-2H-[1 ,2,4]triazole-3-thiol (B.1 .32), 2-[2-chloro-4-(4-chlorophenoxy)phenyl]-1 -(1 ,2,4-triazol-1 -yl)pentan-2-ol (B.1.33), 1-[4- (4-chlorophenoxy)-2-(trifluoromethyl)phenyl]-1-cyclopropyl-2-(1 ,2,4-triazol-1 -yl)ethanol (B.1.34), 2-[4-(4-chlorophenoxy)-2-(trifluoromethyl)phenyl]-1 -(1 ,2,4-triazol-1 -yl)butan-2-ol (B.1.35), 2-[2-chloro-4-(4-chlorophenoxy)phenyl]-1-(1 ,2,4-triazol-1 -yl)butan-2-ol (B.1 .36), 2-[4-(4-chloro- phenoxy)-2-(trifluoromethyl)phenyl]-3-methyl-1-(1 ,2,4-triazol-1 -yl)butan-2-ol (B.1.37), 2-[4-(4- chlorophenoxy)-2-(trifluoromethyl)phenyl]-1-(1 ,2,4-triazol-1-yl)propan-2-ol (B.1.38), 2-[2-chloro- 4-(4-chlorophenoxy)phenyl]-3-methyl-1 -(1 ,2,4-triazol-1 -yl)butan-2-ol (B.1 .39), 2-[4-(4-chlorophe- noxy)-2-(trifluoromethyl)phenyl]-1 -(1 ,2,4-triazol-1-yl)pentan-2-ol (B.1.40), 2-[4-(4-fluorophen- oxy)-2-(trifluoromethyl)phenyl]-1 -(1 ,2,4-triazol-1-yl)propan-2-ol (B.1 .41 ), 2-[2-chloro-4-(4-chloro- phenoxy)phenyl]-1-(1 ,2,4-triazol-1 -yl)pent-3-yn-2-ol (B.1.51 ); imidazoles: imazalil (B.1.42), pe- furazoate (B.1.43), prochloraz (B.1.44), triflumizol (B.1 .45); pyrimidines, pyridines and pipera- zines: fenarimol (B.1 .46), nuarimol (B.1 .47), pyrifenox (B.1 .48), triforine (B.1.49), [3-(4-chloro-2- fluoro-phenyl)-5-(2,4-difluorophenyl)isoxazol-4-yl]-(3-pyridyl)methanol (B.1.50);
Delta 14-reductase inhibitors: aldimorph (B.2.1 ), dodemorph (B.2.2), dodemorph-acetate
(B.2.3), fenpropimorph (B.2.4), tridemorph (B.2.5), fenpropidin (B.2.6), piperalin (B.2.7), spirox- amine (B.2.8);
Inhibitors of 3-keto reductase: fenhexamid (B.3.1 );
C) Nucleic acid synthesis inhibitors
- phenylamides or acyl amino acid fungicides: benalaxyl (C.1 .1 ), benalaxyl-M (C.1.2), kiral- axyl (C.1.3), metalaxyl (C.1 .4), metalaxyl-M (mefenoxam, C.1 .5), ofurace (C.1.6), oxadixyl (C.1.7);
others: hymexazole (C.2.1 ), octhilinone (C.2.2), oxolinic acid (C.2.3), bupirimate (C.2.4), 5-fluorocytosine (C.2.5), 5-fluoro-2-(p-tolylmethoxy)pyrimidin-4-amine (C.2.6), 5-fluoro-2-(4- fluorophenylmethoxy)pyrimidin-4-amine (C.2.7);
D) Inhibitors of cell division and cytoskeleton
tubulin inhibitors, such as benzimidazoles, thiophanates: benomyl (D1.1 ), carbendazim (D1.2), fuberidazole (D1.3), thiabendazole (D1.4), thiophanate-methyl (D1 .5); triazolopyrimidi- nes: 5-chloro-7-(4-methylpiperidin-1-yl)-6-(2,4,6-trifluorophenyl)-[1 ,2,4]triazolo[1 ,5-a]pyrimidine (D1.6);
other cell division inhibitors: diethofencarb (D2.1 ), ethaboxam (D2.2), pencycuron (D2.3), fluopicolide (D2.4), zoxamide (D2.5), metrafenone (D2.6), pyriofenone (D2.7);
E) Inhibitors of amino acid and protein synthesis
methionine synthesis inhibitors (anilino-pyrimidines): cyprodinil (E.1 .1 ), mepanipyrim (E.1 .2), pyrimethanil (E.1.3);
protein synthesis inhibitors: blasticidin-S (E.2.1 ), kasugamycin (E.2.2), kasugamycin hy- drochloride-hydrate (E.2.3), mildiomycin (E.2.4), streptomycin (E.2.5), oxytetracyclin (E.2.6), polyoxine (E.2.7), validamycin A (E.2.8);
F) Signal transduction inhibitors
- MAP / histidine kinase inhibitors: fluoroimid (F.1 .1 ), iprodione (F.1 .2), procymidone (F.1.3), vinclozolin (F.1 .4), fenpiclonil (F.1.5), fludioxonil (F.1 .6);
G protein inhibitors: quinoxyfen (F.2.1 );
G) Lipid and membrane synthesis inhibitors
Phospholipid biosynthesis inhibitors: edifenphos (G.1 .1 ), iprobenfos (G.1.2), pyrazophos (G.1 .3), isoprothiolane (G.1 .4);
lipid peroxidation: dicloran (G.2.1 ), quintozene (G.2.2), tecnazene (G.2.3), tolclofos-methyl (G.2.4), biphenyl (G.2.5), chloroneb (G.2.6), etridiazole (G.2.7);
phospholipid biosynthesis and cell wall deposition: dimethomorph (G.3.1 ), flumorph (G.3.2), mandipropamid (G.3.3), pyrimorph (G.3.4), benthiavalicarb (G.3.5), iprovalicarb (G.3.6), valifenalate (G.3.7) and N-(1-(1-(4-cyano-phenyl)ethanesulfonyl)-but-2-yl) carbamic acid-(4- fluorophenyl) ester (G.3.8);
compounds affecting cell membrane permeability and fatty acides: propamocarb (G.4.1 ); fatty acid amide hydrolase inhibitors: oxathiapiprolin (G.5.1 ), 2-{3-[2-(1-{[3,5-bis(difluoro- methyl-1 H-pyrazol-1 -yl]acetyl}piperidin-4-yl)-1 ,3-thiazol-4-yl]-4,5-dihydro-1 ,2-oxazol-5-yl}phenyl methanesulfonate (G.5.2), 2-{3-[2-(1 -{[3,5-bis(difluoromethyl)-1 H-pyrazol-1 -yl]acetyl}piperidin-4- yl) 1 ,3-thiazol-4-yl]-4,5-dihydro-1 ,2-oxazol-5-yl}-3-chlorophenyl methanesulfonate (G.5.3);
H) Inhibitors with Multi Site Action
inorganic active substances: Bordeaux mixture (H.1.1 ), copper acetate (H.1.2), copper hydroxide (H.1.3), copper oxychloride (H.1 .4), basic copper sulfate (H.1 .5), sulfur (H.1.6);
thio- and dithiocarbamates: ferbam (H.2.1 ), mancozeb (H.2.2), maneb (H.2.3), metam (H.2.4), metiram (H.2.5), propineb (H.2.6), thiram (H.2.7), zineb (H.2.8), ziram (H.2.9);
organochlorine compounds (e. g. phthalimides, sulfamides, chloronitriles): anilazine (H.3.1 ), chlorothalonil (H.3.2), captafol (H.3.3), captan (H.3.4), folpet (H.3.5), dichlofluanid (H.3.6), dichlorophen (H.3.7), hexachlorobenzene (H.3.8), pentachlorphenole (H.3.9) and its salts, phthalide (H.3.10), tolylfluanid (H.3.1 1 ), N-(4-chloro-2-nitro-phenyl)-N-ethyl-4-methyl- benzenesulfonamide (H.3.12);
guanidines and others: guanidine (H.4.1 ), dodine (H.4.2), dodine free base (H.4.3), guazatine (H.4.4), guazatine-acetate (H.4.5), iminoctadine (H.4.6), iminoctadine-tri acetate (H.4.7), iminoctadine-tris(albesilate) (H.4.8), dithianon (H.4.9), 2,6-dimethyl-1 H,5H-[1 ,4]dithi- ino[2,3-c:5,6-c']dipyrrole-1 ,3,5,7(2H,6H)-tetraone (H.4.10);
I) Cell wall synthesis inhibitors
inhibitors of glucan synthesis: validamycin (1.1.1 ), polyoxin B (1.1 .2);
melanin synthesis inhibitors: pyroquilon (1.2.1 ), tricyclazole (I.2.2), carpropamid (1.2.3), di- cyclomet (I.2.4), fenoxanil (I.2.5);
J) Plant defence inducers
acibenzolar-S-methyl (J.1.1 ), probenazole (J.1 .2), isotianil (J.1 .3), tiadinil (J.1 .4), prohexa- dione-calcium (J.1.5); phosphonates: fosetyl (J.1.6), fosetyl-aluminum (J.1 .7), phosphorous acid and its salts (J.1.8), potassium or sodium bicarbonate (J.1 .9);
K) Unknown mode of action
bronopol (K.1 .1 ), chinomethionat (K.1.2), cyflufenamid (K.1.3), cymoxanil (K.1.4), dazomet (K.1 .5), debacarb (K.1.6), diclomezine (K.1.7), difenzoquat (K.1.8), difenzoquat-methylsulfate (K.1 .9), diphenylamin (K.1.10), fenpyrazamine (K.1 .1 1 ), flumetover (K.1 .12), flusulfamide (K.1 .13), flutianil (K.1 .14), methasulfocarb (K.1.15), nitrapyrin (K.1.16), nitrothal-isopropyl (K.1 .18), oxathiapiprolin (K.1.19), tolprocarb (K.1 .20), oxin-copper (K.1.21 ), proquinazid
(K.1 .22), tebufloquin (K.1 .23), tecloftalam (K.1 .24), triazoxide (K.1.25), 2-butoxy-6-iodo- 3-propylchromen-4-one (K.1.26), 2-[3,5-bis(difluoromethyl)-1 H-pyrazol-1 -yl]-1-[4-(4-{5-[2-(prop- 2-yn-1-yloxy)phenyl]-4,5-dihydro-1 ,2-oxazol-3-yl}-1 ,3-thiazol-2-yl)piperidin-1 -yl]ethanone (K.1 .27), 2-[3,5-bis(difluoromethyl)-1 H-pyrazol-1-yl]-1-[4-(4-{5-[2-fluoro-6-(prop-2-yn-1-yl- oxy)phenyl]-4,5-dihydro-1 ,2-oxazol-3-yl}-1 ,3-thiazol-2-yl)piperidin-1-yl]ethanone (K.1 .28), 2-[3,5- bis(difluoromethyl)-1 H-pyrazol-1-yl]-1 -[4-(4-{5-[2-chloro-6-(prop-2-yn-1-yloxy)phenyl]-4,5-dihy- dro-1 ,2-oxazol-3-yl}-1 ,3-thiazol-2-yl)piperidin-1-yl]ethanone (K.1 .29), N-(cyclopropylmethoxy- imino-(6-difluoro-methoxy-2,3-difluoro-phenyl)-methyl)-2-phenyl acetamide (K.1 .30), N'-(4-(4- chloro-3-trifluoromethyl-phenoxy)-2,5-dimethyl-phenyl)-N-ethyl-N-methyl formamidine (K.1.31 ), N'-(4-(4-fluoro-3-trifluoromethyl-phenoxy)-2,5-dimethyl-phenyl)-N-ethyl-N-methyl formamidine (K.1 .32), N'-(2-methyl-5-trifluoromethyl-4-(3-trimethylsilanyl-propoxy)-phenyl)-N-ethyl-N-methyl formamidine (K.1.33), N'-(5-difluoromethyl-2-methyl-4-(3-trimethylsilanyl-propoxy)-phenyl)-N- ethyl-N-methyl formamidine (K.1 .34), methoxy-acetic acid 6-tert-butyl-8-fluoro-2,3-dimethyl-qui- nolin-4-yl ester (K.1 .35), 3-[5-(4-methylphenyl)-2,3-dimethyl-isoxazolidin-3-yl]-pyridine (K.1 .36), 3-[5-(4-chloro-phenyl)-2,3-dimethyl-isoxazolidin-3-yl]-pyridine (pyrisoxazole) (K.1.37), N-(6- methoxy-pyridin-3-yl) cyclopropanecarboxylic acid amide (K.1.38), 5-chloro-1-(4,6-dimethoxy- pyrimidin-2-yl)-2-methyl-1 H-benzoimidazole (K.1.39), 2-(4-chloro-phenyl)-N-[4-(3,4-dimethoxy- phenyl)-isoxazol-5-yl]-2-prop-2-ynyloxy-acetamide, ethyl (Z)-3-amino-2-cyano-3-phenyl-prop-2-
enoate (K.1.40), picarbutrazox (K.1 .41 ), pentyl N-[6-[[(Z)-[(1-methyltetrazol-5-yl)-phenyl-meth- ylene]amino]oxymethyl]-2-pyridyl]carbamate (K.1.42), 2-[2-[(7,8-difluoro-2-methyl-3-quino- lyl)oxy]-6-fluoro-phenyl]propan-2-ol (K.1 .43), 2-[2-fluoro-6-[(8-fluoro-2-methyl-3-quinolyl)oxy]- phen-yl]propan-2-ol (K.1.44), 3-(5-fluoro-3,3,4,4-tetramethyl-3,4-dihydroisoquinolin-1-yl)quino- line (K.1 .45), 3-(4,4-difluoro-3,3-dimethyl-3,4-dihydroisoquinolin-1-yl)quinoline (K.1.46), 3-(4,4,5- trifluoro-3,3-dimethyl-3,4-dihydroisoquinolin-1 -yl)quinoline (K.1.47), 9-fluoro-2,2-dimethyl-5-(3- quinolyl)-3H-1 ,4-benzoxazepine (K.1 .48).
The fungicides described by common names, their preparation and their activity e.g. against harmful fungi is known (cf.: http://www.alanwood.net/pesticides/); these substances are com- mercially available.
The fungicides described by lUPAC nomenclature, their preparation and their pesticidal activity is also known (cf. Can. J. Plant Sci. 48(6), 587-94, 1968; EP-A 141 317; EP-A 152 031 ; EP-A 226 917; EP-A 243 970; EP-A 256 503; EP-A 428 941 ; EP-A 532 022; EP-A 1 028 125; EP-A 1 035 122; EP-A 1 201 648; EP-A 1 122 244, JP 2002316902; DE 19650197; DE 10021412; DE 102005009458; US 3,296,272; US 3,325,503; WO 98/46608; WO 99/14187; WO 99/24413; WO 99/27783; WO 00/29404; WO 00/46148; WO 00/65913; WO 01/54501 ; WO 01/56358; WO 02/22583; WO 02/40431 ; WO 03/10149; WO 03/1 1853; WO 03/14103; WO 03/16286; WO 03/53145; WO 03/61388; WO 03/66609; WO 03/74491 ; WO 04/49804; WO 04/83193; WO 05/120234; WO 05/123689; WO 05/123690; WO 05/63721 ; WO 05/87772; WO 05/87773; WO 06/15866; WO 06/87325; WO 06/87343; WO 07/82098; WO 07/90624, WO 1 1/028657, WO2012/168188, WO 2007/006670, WO 201 1/77514; W013/047749, WO 10/069882, WO 13/047441 , WO 03/16303, WO 09/90181 , WO 13/007767, WO 13/010862, WO 13/127704, WO 13/024009, WO 13/024010 and WO 13/047441 , WO 13/162072, WO 13/092224, WO 1 1/135833).
Suitable mixing partners for the compounds of the invention also include biopesticides.
Biopesticides have been defined as a form of pesticides based on micro-organisms (bacteria, fungi, viruses, nematodes, etc.) or natural products (compounds, such as metabolites, proteins, or extracts from biological or other natural sources) (U.S. Environmental Protection Agency: http://www.epa.gov/pesticides/biopesticides/). Biopesticides fall into two major classes, microbial and biochemical pesticides:
(1 ) Microbial pesticides consist of bacteria, fungi or viruses (and often include the metabolites that bacteria and fungi produce). Entomopathogenic nematodes are also classified as microbial pesticides, even though they are multi-cellular.
(2) Biochemical pesticides are naturally occurring substances or or structurally-similar and functionally identical to a naturally-occurring substance and extracts from biological sources that control pests or provide other crop protection uses as defined below, but have non-toxic mode of actions (such as growth or developmental regulation, attractents, repellents or defence activators (e.g. induced resistance) and are relatively non-toxic to mammals.
Biopesticides for use against crop diseases have already established themselves on a variety of crops. For example, biopesticides already play an important role in controlling downy mildew diseases. Their benefits include: a 0-Day Pre-Harvest Interval, the ability to use under moderate to severe disease pressure, and the ability to use in mixture or in a rotational program with other registered pesticides.
A major growth area for biopesticides is in the area of seed treatments and soil amendments. Biopesticidal seed treatments are e.g. used to control soil borne fungal pathogens that cause seed rots, damping-off, root rot and seedling blights. They can also be used to control internal seed borne fungal pathogens as well as fungal pathogens that are on the surface of the seed. Many biopesticidal products also show capacities to stimulate plant host defenses and other physiological processes that can make treated crops more resistant to a variety of biotic and abiotic stresses or can regulate plant growth. Many biopesticidal products also show capacities to stimulate plant health, plant growth and/or yield enhancing activity. The invention also relates to agrochemical compositions comprising an auxiliary and at least one compound of the invention or a mixture thereof.
An agrochemical composition comprises a pesticidally effective amount of a compound of the invention or a mixture thereof. The term "pesticidally effective amount" is defined below.
The compounds of the invention or the mixtures thereof can be converted into customary types of agro-chemical compositions, e. g. solutions, emulsions, suspensions, dusts, powders, pastes, granules, pressings, capsules, and mixtures thereof. Examples for composition types are suspensions (e.g. SC, OD, FS), emulsifiable concentrates (e.g. EC), emulsions (e.g. EW, EO, ES, ME), capsules (e.g. CS, ZC), pastes, pastilles, wettable powders or dusts (e.g. WP, SP, WS, DP, DS), pressings (e.g. BR, TB, DT), granules (e.g. WG, SG, GR, FG, GG, MG), in- secticidal articles (e.g. LN), as well as gel formulations for the treatment of plant propagation materials such as seeds (e.g. GF). These and further compositions types are defined in the "Catalogue of pesticide formulation types and international coding system", Technical Monograph No. 2, 6th Ed. May 2008, CropLife International.
The compositions are prepared in a known manner, such as described by Mollet and Grube- mann, Formulation technology, Wiley VCH, Weinheim, 2001 ; or Knowles, New developments in crop protection product formulation, Agrow Reports DS243, T&F Informa, London, 2005.
Examples for suitable auxiliaries are solvents, liquid carriers, solid carriers or fillers, surfactants, dispersants, emulsifiers, wetters, adjuvants, solubilizers, penetration enhancers, protective colloids, adhesion agents, thickeners, humectants, repellents, attractants, feeding stimu- lants, compatibilizers, bactericides, anti-freezing agents, anti-foaming agents, colorants, tackifi- ers and binders.
Suitable solvents and liquid carriers are water and organic solvents, such as mineral oil fractions of medium to high boiling point, e.g. kerosene, diesel oil; oils of vegetable or animal origin; aliphatic, cyclic and aromatic hydrocarbons, e. g. toluene, paraffin, tetrahydronaphthalene, al- kylated naphthalenes; alcohols, e.g. ethanol, propanol, butanol, benzylalcohol, cyclo-'hexanol; glycols; DMSO; ketones, e.g. cyclohexanone; esters, e.g. lactates, carbonates, fatty acid esters, gamma-butyrolactone; fatty acids; phosphonates; amines; amides, e.g. N-methylpyrrolidone, fatty acid dimethylamides; and mixtures thereof.
Suitable solid carriers or fillers are mineral earths, e.g. silicates, silica gels, talc, kaolins, lime- stone, lime, chalk, clays, dolomite, diatomaceous earth, bentonite, calcium sulfate, magnesium sulfate, magnesium oxide; polysaccharide powders, e.g. cellulose, starch; fertilizers, e.g. ammonium sulfate, ammonium phosphate, ammonium nitrate, ureas; products of vegetable origin, e.g. cereal meal, tree bark meal, wood meal, nutshell meal, and mixtures thereof.
Suitable surfactants are surface-active compounds, such as anionic, cationic, nonionic and amphoteric surfactants, block polymers, polyelectrolytes, and mixtures thereof. Such surfactants can be used as emusifier, dispersant, solubilizer, wetter, penetration enhancer, protective colloid, or adjuvant. Examples of surfactants are listed in McCutcheon's, Vol.1 : Emulsifiers & De- tergents, McCutcheon's Directories, Glen Rock, USA, 2008 (International Ed. or North American Ed.).
Suitable anionic surfactants are alkali, alkaline earth or ammonium salts of sulfonates, sulfates, phosphates, carboxylates, and mixtures thereof. Examples of sulfonates are alkylaryl-sul- fonates, diphenylsulfonates, alpha-olefin sulfonates, lignine sulfonates, sulfonates of fatty acids and oils, sulfonates of ethoxylated alkylphenols, sulfonates of alkoxylated arylphenols, sulfonates of condensed naphthalenes, sulfonates of dodecyl- and tridecylbenzenes, sulfonates of naphthalenes and alkyhnaphthalenes, sulfosucci nates or sulfosuccinamates. Examples of sulfates are sulfates of fatty acids and oils, of ethoxylated alkylphenols, of alcohols, of ethox-ylated alcohols, or of fatty acid esters. Examples of phosphates are phosphate esters. Exam-pies of carboxylates are alkyl carboxylates, and carboxylated alcohol or alkylphenol eth-oxylates.
Suitable nonionic surfactants are alkoxylates, N-subsituted fatty acid amides, amine oxides, esters, sugar-based surfactants, polymeric surfactants, and mixtures thereof. Examples of alkoxylates are compounds such as alcohols, alkylphenols, amines, amides, arylphenols, fatty acids or fatty acid esters which have been alkoxylated with 1 to 50 equivalents. Ethylene oxide and/or propylene oxide may be employed for the alkoxylation, preferably ethylene oxide. Examples of N-subsititued fatty acid amides are fatty acid glucamides or fatty acid alkanolamides. Examples of esters are fatty acid esters, glycerol esters or monoglycerides. Examples of sugar- based surfactants are sorbitans, ethoxylated sorbitans, sucrose and glucose esters or alkylpoly- glucosides. Examples of polymeric surfactants are homo- or copolymers of vinylpyrrolidone, vi- nylalcohols, or vinylacetate.
Suitable cationic surfactants are quaternary surfactants, e.g. quaternary ammonium compounds with one or two hydrophobic groups, or salts of long-chain primary amines. Suitable amphoteric surfactants are alkylbetains and imidazolines. Suitable block polymers are block polymers of the A-B or A-B-A type comprising blocks of polyethylene oxide and polypropylene ox- ide, or of the A-B-C type comprising alkanol, polyethylene oxide and polypropylene oxide. Suitable polyelectrolytes are polyacids or polybases. Examples of polyacids are alkali salts of poly- acrylic acid or polyacid comb polymers. Examples of polybases are polyvinylamines or polyeth- yleneamines.
Suitable adjuvants are compounds, which have a neglectable or even no pesticidal activity themselves, and which improve the biological performance of the compounds of the invention on the target. Examples are surfactants, mineral or vegetable oils, and other auxilaries. Further examples are listed by Knowles, Adjuvants and additives, Agrow Reports DS256, T&F Informa UK, 2006, chapter 5.
Suitable thickeners are polysaccharides (e.g. xanthan gum, carboxymethylcellulose), anor- ganic clays (organically modified or unmodified), polycarboxylates, and silicates.
Suitable bactericides are bronopol and isothiazolinone derivatives such as alkylisothiazoli- nones and benzisothiazolinones.
Suitable anti-freezing agents are ethylene glycol, propylene glycol, urea and glycerin.
Suitable anti-foaming agents are silicones, long chain alcohols, and salts of fatty acids.
Suitable colorants (e.g. in red, blue, or green) are pigments of low water solubility and water- soluble dyes. Examples are inorganic colorants (e.g. iron oxide, titan oxide, iron hexacyanofer- rate) and organic colorants (e.g. alizarin-, azo- and phthalocyanine colorants).
Suitable tackifiers or binders are polyvinylpyrrolidone, polyvinylacetates, polyvinyl alcohols, polyacrylates, biological or synthetic waxes, and cellulose ethers.
The agrochemical compositions generally comprise between 0.01 and 95%, preferably between 0.1 and 90%, and most preferably between 0.5 and 75%, by weight of active sub-stance. The active substances are employed in a purity of from 90% to 100%, preferably from 95% to 100% (according to NMR spectrum).
Various types of oils, wetters, adjuvants, fertilizer, or micronutrients, and other pesticides (e.g. herbicides, insecticides, fungicides, growth regulators, safeners) may be added to the active substances or the compositions cormprising them as premix or, if appropriate not until immediately prior to use (tank mix). These agents can be admixed with the compositions according to the invention in a weight ratio of 1 :100 to 100:1 , preferably 1 :10 to 10:1 .
The user applies the composition according to the invention usually from a predosage de-vice, a knapsack sprayer, a spray tank, a spray plane, or an irrigation system. Usually, the agrochemical composition is made up with water, buffer, and/or further auxiliaries to the desired application concentration and the ready-to-use spray liquor or the agrochemical composition according to the invention is thus obtained. Usually, 20 to 2000 liters, preferably 50 to 400 liters, of the ready-to-use spray liquor are applied per hectare of agricultural useful area.
According to one embodiment, individual components of the composition according to the invention such as parts of a kit or parts of a binary or ternary mixture may be mixed by the user himself in a spray tank and further auxiliaries may be added, if appropriate.
In a further embodiment, either individual components of the composition according to the in- vention or partially premixed components, e. g. components comprising compounds of the invention and/or mixing partners as defined above, may be mixed by the user in a spray tank and further auxiliaries and additives may be added, if appropriate.
In a further embodiment, either individual components of the composition according to the invention or partially premixed components, e. g. components comprising compounds of the in- vention and/or mixing partners as defined above, can be applied jointly (e.g. after tank mix) or consecutively.
The compounds of the invention are suitable for use in protecting crops, plants, plant propagation materials, such as seeds, or soil or water, in which the plants are growing, from attack or infestation by animal pests. Therefore, the invention also relates to a plant protection method, which comprises contacting crops, plants, plant propagation materials, such as seeds, or soil or water, in which the plants are growing, to be protected from attack or infestation by animal pests, with a pesticidally effective amount of a compound of the invention.
The compounds of the present invention are also suitable for use in combating or controlling animal pests. Therefore, the invention also relates to a method of combating or controlling animal pests, which comprises contacting the animal pests, their habitat, breeding ground, or food supply, or the crops, plants, plant propagation materials, such as seeds, or soil, or the area, material or environment in which the animal pests are growing or may grow, with a pesticidally effective amount of a compound of the invention.
The compounds of the invention are effective through both contact and ingestion. Furthermore, the compounds of the invention can be applied to any and all developmental stages, such as egg, larva, pupa, and adult.
The compounds of the invention can be applied as such or in form of compositions comprising them as defined above. Furthermore, the compounds of the invention can be applied together with a mixing partner as defined above or in form of compositions comprising said mixtures as defined above. The components of said mixture can be applied simultaneously, jointly or separately, or in succession, that is immediately one after another and thereby creating the mixture "in situ" on the desired location, e.g. the plant, the sequence, in the case of separate applica- tion, generally not having any effect on the result of the control measures.
The application can be carried out both before and after the infestation of the crops, plants, plant propagation materials, such as seeds, soil, or the area, material or environment by the pests.
Suitable application methods include inter alia soil treatment, seed treatment, in furrow appli- cation, and foliar application. Soil treatment methods include drenching the soil, drip irrigation (drip application onto the soil), dipping roots, tubers or bulbs, or soil injection. Seed treatment techniques include seed dressing, seed coating, seed dusting, seed soaking, and seed pelleting. In furrow applications typically include the steps of making a furrow in cultivated land, seeding the furrow with seeds, applying the pesticidally active compound to the furrow, and closing the furrow. Foliar application refers to the application of the pesticidally active compound to plant foliage, e.g. through spray equipment. For foliar applications, it can be advantageous to modify the behavior of the pests by use of pheromones in combination with the compounds of the invention. Suitable pheromones for specific crops and pests are known to a skilled person and publicly available from databases of pheromones and semiochemicals, such as
http://www.pherobase.com.
As used herein, the term "contacting" includes both direct contact (applying the compounds/compositions directly on the animal pest or plant - typically to the foliage, stem or roots of the plant) and indirect contact (applying the compounds/compositions to the locus, i.e. habitat, breeding ground, plant, seed, soil, area, material or environment in which a pest is growing or may grow, of the animal pest or plant).
The term "animal pest" includes arthropods, gastropods, and nematodes. Preferred animal pests according to the invention are arthropods, preferably insects and arachnids, in particular insects. Insects, which are of particular relevance for crops, are typically referred to as crop insect pests.
The term "crop" refers to both, growing and harvested crops.
The term "plant" includes cereals, e.g. durum and other wheat, rye, barley, triticale, oats, rice, or maize (fodder maize and sugar maize / sweet and field corn); beet, e.g. sugar beet or fodder beet; fruits, such as pomes, stone fruits or soft fruits, e.g. apples, pears, plums, peaches, nectarines, almonds, cherries, papayas, strawberries, raspberries, blackberries or gooseberries; le- guminous plants, such as beans, lentils, peas, alfalfa or soybeans; oil plants, such as rapeseed (oilseed rape), turnip rape, mustard, olives, sunflowers, coconut, cocoa beans, castor oil plants, oil palms, ground nuts or soybeans; cucurbits, such as squashes, pumpkins, cucumber or melons; fiber plants, such as cotton, flax, hemp or jute; citrus fruit, such as oranges, lemons, grape-
fruits or mandarins; vegetables, such as eggplant, spinach, lettuce (e.g. iceberg lettuce), chicory, cabbage, asparagus, cabbages, carrots, onions, garlic, leeks, tomatoes, potatoes, cucurbits or sweet peppers; lauraceous plants, such as avocados, cinnamon or camphor; energy and raw material plants, such as corn, soybean, rapeseed, sugar cane or oil palm; tobacco; nuts, e.g. walnuts; pistachios; coffee; tea; bananas; vines (table grapes and grape juice grape vines); hop; sweet leaf (also called Stevia); natural rubber plants or ornamental and forestry plants, such as flowers (e.g. carnation, petunias, geranium/pelargoniums, pansies and impatiens), shrubs, broad-leaved trees (e.g. poplar) or evergreens, e.g. conifers; eucalyptus; turf; lawn; grass such as grass for animal feed or ornamental uses. Preferred plants include potatoes sugar beets, to- bacco, wheat, rye, barley, oats, rice, corn, cotton, soybeans, rapeseed, legumes, sunflowers, coffee or sugar cane; fruits; vines; ornamentals; or vegetables, such as cucumbers, tomatoes, beans or squashes.
The term "plant" is to be understood as including wild type plants and plants, which have been modified by either conventional breeding, or mutagenesis or genetic engineering, or by a combi- nation thereof.
Plants, which have been modified by mutagenesis or genetic engineering, and are of particular commercial importance, include alfalfa, rapeseed (e.g. oilseed rape), bean, carnation, chicory, cotton, eggplant, eucalyptus, flax, lentil, maize, melon, papaya, petunia, plum, poplar, potato, rice, soybean, squash, sugar beet, sugarcane, sunflower, sweet pepper, tobacco, tomato, and cereals (e.g. wheat), in particular maize, soybean, cotton, wheat, and rice. In plants, which have been modified by mutagenesis or genetic engineering, one or more genes have been mutagen- ized or integrated into the genetic material of the plant. The one or more mutagenized or integrated genes are preferably selected from pat, epsps, crylAb, bar, cry1 Fa2, crylAc, cry34Ab1 , cry35AB1 , cry3A, cryF, cry1 F, mcry3a, cry2Ab2, cry3Bb1 , cry1A.105, dfr, barnase, vip3Aa20, barstar, als, bxn, bp40, asnl , and ppo5. The mutagenesis or integration of the one or more genes is performed in order to improve certain properties of the plant. Such properties, also known as traits, include abiotic stress tolerance, altered growth/yield, disease resistance, herbicide tolerance, insect resistance, modified product quality, and pollination control. Of these properties, herbicide tolerance, e.g. imidazolinone tolerance, glyphosate tolerance, or glufosi- nate tolerance, is of particular importance. Several plants have been rendered tolerant to herbicides by mutagenesis, e.g. Clearfield® oilseed rape being tolerant to imidazolinones, e.g. ima- zamox. Alternatively, genetic engineering methods have been used to render plants, such as soybean, cotton, corn, beets and oil seed rape, tolerant to herbicides, such as glyphosate and glufosinate, some of which are commercially available under the trade names RoundupReady® (glyphosate) and LibertyLink® (glufosinate). Furthermore, insect resistance is of importance, in particular lepidopteran insect resistance and coleopteran insect resistance. Insect resistance is typically achieved by modifying plants by integrating cry and/or vip genes, which were isolated from Bacillus thuringiensis (Bt), and code for the respective Bt toxins. Genetically modified plants with insect resistance are commercially available under trade names including Wid- eStrike®, Bollgard®, Agrisure®, Herculex®, YieldGard®, Genuity®, and Intacta®. Plants may be modified by mutagenesis or genetic engineering either in terms of one property (singular traits) or in terms of a combination of properties (stacked traits). Stacked traits, e.g. the combination of herbicide tolerance and insect resistance, are of increasing importance. In general, all
relevant modified plants in connection with singular or stacked traits as well as detailed information as to the mutagenized or integrated genes and the respective events are available from websites of the organizations "International Service for the Acquisition of Agri-biotech Applications (ISAAA)" (http://www.isaaa.org/gmapprovaldatabase) and "Center for Environmental Risk Assessment (CERA)" (http://cera-gmc.org/GIVlCropDatabase).
It has surprisingly been found that the pesticidal activity of the compounds of the invention may be enhanced by the insecticidal trait of a modified plant. Furthermore, it has been found that the compounds of the invention are suitable for preventing insects to become resistant to the insecticidal trait or for combating pests, which already have become resistant to the insecti- cidal trait of a modified plant. Moreover, the compounds of the invention are suitable for combating pests, against which the insecticidal trait is not effective, so that a complementary insecticidal activity can advantageously be used.
The term "plant propagation material" refers to all the generative parts of the plant such as seeds and vegetative plant material such as cuttings and tubers (e.g. potatoes), which can be used for the multiplication of the plant. This includes seeds, roots, fruits, tubers, bulbs, rhizomes, shoots, sprouts and other parts of plants. Seedlings and young plants, which are to be transplanted after germination or after emergence from soil, may also be included. These plant propagation materials may be treated prophylactically with a plant protection compound either at or before planting or transplanting.
The term "seed" embraces seeds and plant propagules of all kinds including but not limited to true seeds, seed pieces, suckers, corms, bulbs, fruit, tubers, grains, cuttings, cut shoots and the like, and means in a preferred embodiment true seeds.
In general, "pesticidally effective amount" means the amount of active ingredient needed to achieve an observable effect on growth, including the effects of necrosis, death, retardation, prevention, and removal, destruction, or otherwise diminishing the occurrence and activity of the target organism. The pesticidally effective amount can vary for the various compounds/compositions used in the invention. A pesticidally effective amount of the compositions will also vary according to the prevailing conditions such as desired pesticidal effect and duration, weather, target species, locus, mode of application, and the like.
In the case of soil treatment, in furrow application or of application to the pests dwelling place or nest, the quantity of active ingredient ranges from 0.0001 to 500 g per 100 m2, preferably from 0.001 to 20 g per 100 m2.
For use in treating crop plants, e.g. by foliar application, the rate of application of the active ingredients of this invention may be in the range of 0.0001 g to 4000 g per hectare, e.g. from 1 g to 2 kg per hectare or from 1 g to 750 g per hectare, desirably from 1 g to 100 g per hectare, more desirably from 10 g to 50 g per hectare, e.g., 10 to 20 g per hectare, 20 to 30 g per hectare, 30 to 40 g per hectare, or 40 to 50 g per hectare.
The compounds of the invention are particularly suitable for use in the treatment of seeds in order to protect the seeds from insect pests, in particular from soil-living insect pests, and the resulting seedling's roots and shoots against soil pests and foliar insects. The invention therefore also relates to a method for the protection of seeds from insects, in particular from soil insects, and of the seedling's roots and shoots from insects, in particular from soil and foliar insects, said method comprising treating the seeds before sowing and/or after pregermination
with a compound of the invention. The protection of the seedling's roots and shoots is preferred. More preferred is the protection of seedling's shoots from piercing and sucking insects, chewing insects and nematodes.
The term "seed treatment" comprises all suitable seed treatment techniques known in the art, such as seed dressing, seed coating, seed dusting, seed soaking, seed pelleting, and in-furrow application methods. Preferably, the seed treatment application of the active compound is carried out by spraying or by dusting the seeds before sowing of the plants and before emergence of the plants.
The invention also comprises seeds coated with or containing the active compound. The term "coated with and/or containing" generally signifies that the active ingredient is for the most part on the surface of the propagation product at the time of application, although a greater or lesser part of the ingredient may penetrate into the propagation product, depending on the method of application. When the said propagation product is (re)planted, it may absorb the active ingredient.
Suitable seed is e.g. seed of cereals, root crops, oil crops, vegetables, spices, ornamentals, e.g. seed of durum and other wheat, barley, oats, rye, maize (fodder maize and sugar maize / sweet and field corn), soybeans, oil crops, crucifers, cotton, sunflowers, bananas, rice, oilseed rape, turnip rape, sugarbeet, fodder beet, eggplants, potatoes, grass, lawn, turf, fodder grass, tomatoes, leeks, pumpkin/squash, cabbage, iceberg lettuce, pepper, cucumbers, melons, Bras- sica species, melons, beans, peas, garlic, onions, carrots, tuberous plants such as potatoes, sugar cane, tobacco, grapes, petunias, geranium/pelargoniums, pansies and impatiens.
In addition, the active compound may also be used for the treatment of seeds from plants, which have been modified by mutagenisis or genetic engineering, and which e.g. tolerate the action of herbicides or fungicides or insecticides. Such modified plants have been described in detail above.
Conventional seed treatment formulations include e.g. flowable concentrates FS, solutions LS, suspoemulsions (SE), powders for dry treatment DS, water dispersible powders for slurry treatment WS, water-soluble powders SS and emulsion ES and EC and gel formulation GF. These formulations can be applied to the seed diluted or undiluted. Application to the seeds is carried out before sowing, either directly on the seeds or after having pregerminated the latter. Preferably, the formulations are applied such that germination is not included.
The active substance concentrations in ready-to-use formulations, which may be obtained after two-to-tenfold dilution, are preferably from 0.01 to 60% by weight, more preferably from 0.1 to 40 % by weight.
In a preferred embodiment a FS formulation is used for seed treatment. Typically, a FS formulation may comprise 1-800 g/l of active ingredient, 1-200 g/l Surfactant, 0 to 200 g/l antifreezing agent, 0 to 400 g/l of binder, 0 to 200 g/l of a pigment and up to 1 liter of a solvent, preferably water.
Especially preferred FS formulations of the compounds of the invention for seed treatment usually comprise from 0.1 to 80% by weight (1 to 800 g/l) of the active ingredient, from 0.1 to 20 % by weight (1 to 200 g/l) of at least one surfactant, e.g. 0.05 to 5 % by weight of a wetter and from 0.5 to 15 % by weight of a dispersing agent, up to 20 % by weight, e.g. from 5 to 20 % of an anti-freeze agent, from 0 to 15 % by weight, e.g. 1 to 15 % by weight of a pigment and/or a dye, from 0 to 40 % by weight, e.g. 1 to 40 % by weight of a binder (sticker /adhesion agent),
optionally up to 5 % by weight, e.g. from 0.1 to 5 % by weight of a thickener, optionally from 0.1 to 2 % of an anti-foam agent, and optionally a preservative such as a biocide, antioxidant or the like, e.g. in an amount from 0.01 to 1 % by weight and a filler/vehicle up to 100 % by weight. In the treatment of seed, the application rates of the compounds of the invention are generally from 0.1 g to 10 kg per 100 kg of seed, preferably from 1 g to 5 kg per 100 kg of seed, more preferably from 1 g to 1000 g per 100 kg of seed and in particular from 1 g to 200 g per 100 kg of seed, e.g. from 1 g to 100 g or from 5 g to 100 g per 100 kg of seed.
The invention therefore also relates to seed comprising a compound of the invention, or an agriculturally useful salt thereof, as defined herein. The amount of the compound of the invention or the agriculturally useful salt thereof will in general vary from 0.1 g to 10 kg per 100 kg of seed, preferably from 1 g to 5 kg per 100 kg of seed, in particular from 1 g to 1000 g per 100 kg of seed. For specific crops such as lettuce the rate can be higher.
The compounds of the invention may also be used for improving the health of a plant. There- fore, the invention also relates to a method for improving plant health by treating a plant, plant propagation material and/or the locus where the plant is growing or is to grow with an effective and non-phytotoxic amount of a compound of the invention.
As used herein "an effective and non-phytotoxic amount" means that the compound is used in a quantity which allows to obtain the desired effect but which does not give rise to any phyto- toxic symptom on the treated plant or on the plant grown from the treated propagule or treated soil.
The terms "plant" and "plant propagation material" are defined above.
"Plant health" is defined as a condition of the plant and/or its products which is determined by several aspects alone or in combination with each other such as yield (e.g. increased biomass and/or increased content of valuable ingredients), quality (e.g. improved content or composition of certain ingredients or shelf life), plant vigour (e.g. improved plant growth and/or greener leaves ("greening effect"), tolerance to abiotic (e.g. drought) and/or biotic stress (e.g. disease) and production efficiency (for example, harvesting efficiency, processability).
The above identified indicators for the health condition of a plant may be interdependent and may result from each other. Each indicator is defined in the art and can be determined by methods known to a skilled person.
The compounds of the invention are also suitable for use against non-crop insect pests. For use against said non-crop pests, compounds of the invention can be used as bait composition, gel, general insect spray, aerosol, as ultra-low volume application and bed net (impregnated or surface applied). Furthermore, drenching and rodding methods can be used.
As used herein, the term "non-crop insect pest" refers to pests, which are particularly relevant for non-crop targets, such as ants, termites, wasps, flies, ticks, mosquitos, crickets, or cockroaches.
The bait can be a liquid, a solid or a semisolid preparation (e.g. a gel). The bait employed in the composition is a product, which is sufficiently attractive to incite insects such as ants, termites, wasps, flies, mosquitos, crickets etc. or cockroaches to eat it. The attractiveness can be manipulated by using feeding stimulants or sex pheromones. Food stimulants are chosen, for
example, but not exclusively, from animal and/or plant proteins (meat-, fish- or blood meal, insect parts, egg yolk), from fats and oils of animal and/or plant origin, or mono-, oligo- or polyor- ganosaccharides, especially from sucrose, lactose, fructose, dextrose, glucose, starch, pectin or even molasses or honey. Fresh or decaying parts of fruits, crops, plants, animals, insects or specific parts thereof can also serve as a feeding stimulant. Sex pheromones are known to be more insect specific. Specific pheromones are described in the literature (e.g. http://www.phero- base.com), and are known to those skilled in the art.
For use in bait compositions, the typical content of active ingredient is from 0.001 weight % to 15 weight %, desirably from 0.001 weight % to 5% weight % of active compound.
Formulations of the compounds of the invention as aerosols (e.g in spray cans), oil sprays or pump sprays are highly suitable for the non-professional user for controlling pests such as flies, fleas, ticks, mosquitos or cockroaches. Aerosol recipes are preferably composed of the active compound, solvents, furthermore auxiliaries such as emulsifiers, perfume oils, if appropriate stabilizers, and, if required, propellants.
The oil spray formulations differ from the aerosol recipes in that no propellants are used.
For use in spray compositions, the content of active ingredient is from 0.001 to 80 weights %, preferably from 0.01 to 50 weight % and most preferably from 0.01 to 15 weight %.
The compounds of the invention and its respective compositions can also be used in mosquito and fumigating coils, smoke cartridges, vaporizer plates or long-term vaporizers and also in moth papers, moth pads or other heat-independent vaporizer systems.
Methods to control infectious diseases transmitted by insects (e.g. malaria, dengue and yellow fever, lymphatic filariasis, and leishmaniasis) with compounds of the invention and its respective compositions also comprise treating surfaces of huts and houses, air spraying and impregnation of curtains, tents, clothing items, bed nets, tsetse-fly trap or the like. Insecticidal compositions for application to fibers, fabric, knitgoods, nonwovens, netting material or foils and tarpaulins preferably comprise a mixture including the insecticide, optionally a repellent and at least one binder.
The compounds of the invention and its compositions can be used for protecting wooden materials such as trees, board fences, sleepers, frames, artistic artifacts, etc. and buildings, but also construction materials, furniture, leathers, fibers, vinyl articles, electric wires and cables etc. from ants and/or termites, and for controlling ants and termites from doing harm to crops or human being (e.g. when the pests invade into houses and public facilities).
Customary application rates in the protection of materials are, for example, from 0.001 g to 2000 g or from 0.01 g to 1000 g of active compound per m2 treated material, desirably from 0.1 g to 50 g per m2.
Insecticidal compositions for use in the impregnation of materials typically contain from 0.001 to 95 weight %, preferably from 0.1 to 45 weight %, and more preferably from 1 to 25 weight % of at least one repellent and/or insecticide. The compounds of the the invention are especially suitable for efficiently combating animal pests such as arthropods, gastropods and nematodes including but not limited to:
insects from the order of Lepidoptera, e.g. Achroia grisella, Acleris spp. such as A. fimbriana, A. gloverana, A. variana; Acrolepiopsis assectella, Acronicta major, Adoxophyes spp. such as A. cyrtosema, A. orana; Aedia leucomelas, Agrotis spp. such as A. exclamationis, A. fucosa, A.
ipsilon, A. orthogoma, A. segetum, A. subterranea; Alabama argillacea, Aleurodicus dispersus, Alsophila pometaria, Ampelophaga rubiginosa, Amyelois transitella, Anacampsis sarcitella, Ana- gasta kuehniella, Anarsia lineatella, Anisota senator/a, Antheraea pernyi, Ant/cars/a (=Therme- sia) spp. such as A. gemma talis; Apamea spp., Aproaerema modicella, Arch ips spp. such as A. argyrospila, A. fuscocupreanus, A. rosana, A. xyloseanus; Argyresthia conjugella, Argyroploce spp., Argyrotaenia spp. such as A. velutinana; Athetis mindara, Austroasca viridigrisea, Autog- rapha gamma, Autographa nigrisigna, Barathra brassicae, Bedel/la spp., Bonagota salubricola, Borbo cinnara, Bucculatrix thurberiella, Bupalus piniarius, Busseola spp., Cacoecia spp. such as C. murinana, C. podana; Cactoblastis cactorum, Cadra cauteiia, Calingo braziHensis, Calop- tills theivora, Capua reticulana, Carposina spp. such as C. niponensis, C. sasakii; Cephus spp., Chaetocnema aridula, Cheimatobia brumata, Chilo spp. such as C. Indicus, C. suppressalis, C. partellus; Choreutis pariana, Choristoneura spp. such as C. conflictana, C. fumiferana, C. longi- cellana, C. murinana, C. occidentalis, C. rosaceana; Chrysodeixis (=Pseudoplusia) spp. such as C. eriosoma, C. includens; Cirphis unipuncta, Clysia ambiguella, Cnaphalocerus spp., Cna- phalocrocis medinalis, Cnephasia spp., Cochylis hospes, Coleophora spp., Co/las eurytheme, Conopomorpha spp., Conotrachelus spp., Cop/tarsia spp., Corcyra cephalonica, Crambus ca/ig- inosellus, Crambus teterrellus, Crocidosema (=Epinotia) aporema, Cydalima (=Diaphania) per- spectalis, Cydia (=Carpocapsa) spp. such as C. pomonella, C. latiferreana; Dalaca noctuides, Datana integerrima, Dasychira pinicola, Dendrolimus spp. such as D. pini, D. spectabilis, D. sibi- ricus; Desmia funeralis, Diaphania spp. such as D. nitidalis, D. hyalinata; Diatraea grandiosella, Diatraea saccharaiis, Diphthera festiva, Earias spp. such as E. insuiana, E. vitteiia; Ecdytolopha aurantianu, Egira (=Xylomyges) curia/is, E/asmopa/pus lignosellus, Eldana saccharina, Endopi- za viteana, Ennomos subsignaria, Eoreuma loftini, Ephestia spp. such as E. cauteiia, E. eiuteiia, E. kuehniella; Epinotia aporema, Epiphyas postvittana, Erannis tiliaria, Erionota thrax, Etiella spp., Eulia spp., Eupoecilia ambiguella, Euproctis chrysorrhoea, Euxoa spp., Evetria bouliana, Faronta albilinea, Feltia spp. such as F. subterranean; Galleria mellonella, Gracillaria spp., Gra- pholita spp. such as G. funebrana, G. molesta, G. inopinata; Halysidota pp., Harrisina ameri- cana, Hedylepta spp., Helicoverpa spp. such as H. armigera (=Heliothis armigera), H. zea (=He- liothis zea); Heliothis spp. such as H. assulta, H. subflexa, H. virescens; Hellula spp. such as H. undalis, H. rogatalis; Helocoverpa gelotopoeon, Hemileuca oliviae, Herpetogramma licarsisalis, Hibernia defoliaria, Hofmannophila pseudospretella, Homoeosoma electellum, Homona mag- nanima, Hypena scabra, Hyphantria cunea, Hyponomeuta padella, Hyponomeuta malinellus, Kakivoria flavofasciata, Keiferia lycopersicella, Lambdina fiscellaria fiscellaria, Lambdina fiscel- laria lugubrosa, Lamprosema indicata, Laspeyresia molesta, Leguminivora glycinivorella, Ler- odea eufala, Leucinodes orbonalis, Leucoma salicis, Leucoptera spp. such as L. coffeella, L. scitella; Leuminivora lycinivorella, Lithocolletis blancardella, Lithophane antennata, Llattia octo (=Amyna axis), Lobes/a botrana, Lophocampa spp., Loxagrotis albicosta, Loxostege spp. such as L. sticticalis, L. cereralis; Lymantria spp. such as L. dispar, L. monacha; Lyonetia clerkella, Lyonetia prunifoliella, Malacosoma spp. such as M. americanum, M. californicum, M. constrict- turn, M. neustria; Mamestra spp. such as M. brassicae, M. configurata; Mamstra brassicae, Manduca spp. such as M. quinquemaculata, M. sexta; Marasmia spp, Marmara spp., Maruca testuiaiis, Megaiopyge lanata, Meianchra picta, Meianitis leda, Mocis spp. such as M. lapites, M. repanda; Mocis latipes, Monochroa fragariae, Mythimna separata, Nemapogon cloacella, Ne-
oleucinodes elegantalis, Nepytia spp., Nymphula spp., Oiketicus spp., Omiodes indicata, Om- phisa anastomosalis, Operophtera brumata, Orgyia pseudotsugata, Oria spp., Orthaga thyri- salis, Ostrinia spp. such as 0. nubilalis; Oulema oryzae, Paleacrita vernata, Panolis flammea, Pa rnara spp., Papaipema nebris, Papilio cresphontes, Paramyelois transitella, Paranthrene re- galis, Paysandisia archon, Pectinophora spp. such as P. gossypieiia; Pendroma saucia, Peri/eu- coptera spp., such as P. coffee/la; Pha/era bucephala, Phryganidia californica, Phthorimaea spp. such as P. opercuieiia; Phyiiocnistis citreiia, Phyiionorycter spp. such as P. biancardella, P. crataegella, P. issikii, P. ringoniella; Pieris spp. such as P. brassicae, P. rapae, P. napi; Pilocro- cis tripunctata, Plathypena scabra, Platynota spp. such as P. flavedana, P. idaeusalis, P. stul- tana; Platyptilia carduidactyla, Plebejus argus, Plodia interpunctella, Plusia spp, Plutella maculi- pennis, Plutella xylostella, Pontia protodica, Prays spp., Prodenia spp., Proxenus /epigone, Pseuda/et/a spp. such as P. sequax, P. unipuncta; Pyrausta nubilalis, Rachiplusia nu, Rich/a al- bicosta, Rhizobius ventralis, Rhyacionia frustrana, Sabulodes aegrotata, Schizura concinna, Schoenobius spp., Schreckensteinia festaliella, Scirpophaga spp. such as S. incertulas, S. inno- tata; Scotia segetum, Sesamia spp. such as S. inferens, Seudyra subflava, Sitotroga cerealella, Sparganothis pilleriana, Spilonota lechriaspis, S. ocellana, Spodoptera (=Lamphygma) spp. such as S. cosmoides, S. eridania, S. exigua, S. frugiperda, S. latis fascia, S. littoralis, S. litura, S. omithogalli; S tig me I la spp., Stomopteryx subsecivella, Strymon bazochii, Sylepta derogata, Synanthedon spp. such as S. exitiosa, Tec/a solanivora, Telehin Ileus, Thaumatopoea pityo- campa, Thaumatotibia (=Cryptophlebia) leucotreta, Thaumetopoea pityocampa, Thecla spp., Theresimima ampelophaga, Thy rinteina spp, Tildenia inconspicuella, Tinea spp. such as T. clo- acella, T. pellionella; Tineola bisselliella, Tortrixspp. such as T. viridana; Trichophaga tapetz- ella, Trichoplusia spp. such as T. ni; Tuta (=Scrobipalpula) absoluta, Udea spp. such as U. rubi- galis, U. rub/galls; Virachola spp., Yponomeuta padella, and Zeiraphera canadensis;
insects from the order of Coleoptera, e.g. Acalymma vittatum, Acanthoscehdes obtectus,
Adoretus spp., Agelastica alni, Agrilus spp. such as A. anxius, A. planipennis, A. sinuatus; Agri- otes spp. such as A. fuscicollis, A. lineatus, A. obscurus; Alphitobius diaperinus, Amphimallus solstitialis, Anisandrus dispar, Anisoplia austriaca, Anobium punctatum, Anomala corpulenta, Anomala rufocuprea, Anoplophora spp. such as A. glabripennis; Anthonomus spp. such as A. eugenii, A. grandis, A. pomorum; Anthrenus spp., Aphthona euphoridae, Apion spp., Apogonia spp., Athous haemorrhoidalis, Atomaria spp. such as A. linearis; Attagenus spp., Aulacophora femora/is, Blastophagus piniperda, Blitophaga undata, Bruchidius obtectus, Bruchus spp. such as B. lentis, B. pisorum, B. rufimanus; Byctiscus betulae, Callidiellum rufipenne, Callopistria floridensis, Callosobruchus chinensis, Cameraria ohridella, Cassida nebulosa, Cerotoma trifur- cata, Cetonia aurata, Ceuthorhynchus spp. such as C. assimilis, C. napi; Chaetocnema tibialis, Cleonus mendicus, Conoderus spp. such as C. vespertinus; Conotrachelus nenuphar, Cosmopolites spp., Costelytra zealandica, Crioceris asparagi, Cryptolestes ferrugineus, Cryptorhynchus lapathi, Ctenicera spp. such as C. destructor; Curculio spp., Cylindrocopturus spp., Cycloceph- ala spp., Dactyl/spa ba/yi, Dectes texanus, Dermestes spp., Diabrotica spp. such as D. undec- impunctata, D. speciosa, D. longicornis, D. semipunctata, D. virgifera; Diaprepes abbreviates, Dichocrocis spp., Dicladispa armigera, Diloboderus abderus, Diocalandra frumenti (Diocalandra stigmaticollis), Enaphalodes rufulus, Epilachna spp. such as E. varivestis, E. vigintioctomacu- lata; Ep/tr/xspp. such as E. hirtipennis, E. simiiaris; Eutheoia humiiis, Eutinobothrus brasiiiensis, Faustinus cubae, Gibbium psylloides, Gnathocerus cornutus, Hellula undalis, Heteronychus
arator, Hylamorpha elegans, Hylobius abietis, Hylotrupes bajulus, Hypera spp. such as H. brun- neipennis, H. postica; Hypomeces squamosus, Hypothenemus spp., Ips typographus, Lachno- sterna consanguinea, Lasioderma serricorne, Latheticus oryzae, Lathridius spp., Lema spp. such as L. bilineata, L. melanopus; Leptinotarsa spp. such as L. decemlineata; Leptispa pyg- maea, Limonius californicus, Lissorhoptrus oryzophilus, Lixus spp., Luperodes spp., Lyctus spp. such as L. bruneus; Liogenys fuscus, Macrodactylus spp. such as M. subspinosus; Maladera matrida, Megaplatypus mutates, Megascelis spp., Melanotus communis, Meligethes spp. such as M. aeneus; Melolontha spp. such as M. hippocastani, M. melolontha; Metamasius hemip- terus, Microtheca spp., Migdolus spp. such as M. fryanus, Monochamus spp. such as M. alter- natus; Naupactus xanthographus, Nipt us hololeucus, Oberia brevis, Oemona hirta, Oryctes rhinoceros, Oryzaephilus surinamensis, Oryzaphagus oryzae, Otiorrhynchus sulcatus, Otiorrhyn- chus ovatus, Otiorrhynchus sulcatus, Oulema melanopus, Oulema oryzae, Oxycetonia jucunda, Phaedon spp. such as P. brassicae, P. cochleariae; Phoracantha recurva, Phyllobius pyri, Phyl- lopertha horticola, Phyllophaga spp. such as P. helleri; Phyllotreta spp. such as P. chrysoceph- ala, P. nemorum, P. striolata, P. vittula; Phyllopertha horticola, Pop/ilia japonica, Premnotrypes spp., Psacothea hilaris, Psylliodes chrysocephala, Prostephanus truncates, Psylliodes spp., Pti- nus spp., Pulga saltona, Rhizopertha dominica, Rhynchophorus spp. such as R. billineatus, R. ferrugineus, R. palmarum, R. phoenicis, R. vulneratus; Saperda Candida, Scolytus schevyrewi, Scyphophorus acupunctatus, Sitona lineatus, Sitophilus spp. such as S. granaria, S. oryzae, S. zeamais; Sphenophorus spp. such as S. levis; Stegobium paniceum, Sternechus spp. such as S. subsignatus; Strophomorphus ctenotus, Symphyletes spp., Tanymecus spp., Tenebrio molitor, Tenebrioides mauretanicus, Tribolium spp. such as T. castaneum; Trogoderma spp., Tychius spp., Xylotrech us spp. such as X. pyrrhoderus; and, Zabrus spp. such as Z. tenebrioides;
insects from the order of Diptera e.g. Aedes spp. such as A. aegypti, A. albopictus, A. vexans; Anastrepha ludens, Anopheles spp. such as A. albimanus, A. crucians, A. freeborni, A. gam- biae, A. leucosphyrus, A. maculipennis, A. minimus, A. quadrimaculatus, A. sinensis; Bactro- cera in va dens, Bibio hortulanus, Calliphora erythrocephala, Calliphora vicina, Ceratitis capitata, Chrysomyia spp. such as C. bezziana, C. hominivorax, C. macellaria; Chrysops atlanticus, Chrysops discalis, Chrysops silacea, Cochliomyia spp. such as C. hominivorax; Contarinia spp. such as C. sorghicola; Cordylobia anthropophaga, Culexspp. such as C. nigripalpus, C. pipi- ens, C quinquefasciatus, C tarsalis, C tritaeniorhynchus; Culicoides furens, Culiseta inornata, Culiseta melanura, Cuterebra spp., Dacus cucurbitae, Dacus oleae, Dasineura brassicae, Dasi- neura oxycoccana, Delia spp. such as D. antique, D. coarctata, D. platura, D. radicum; Dermat- obia hominis, Drosophila spp. such as D. suzukii, Fannia spp. such as F. canicularis; Gastraphi- lus spp. such as G. intestinaiis; Geomyza tipunctata, Glossina spp. such as G. fuscipes, G. mor- sitans, G. pa/pa/is, G. tach/noides; Haematobia irritans, Haplodiplosis equestris, Hippelates spp., Hylemyia spp. such as H. platura; Hypoderma spp. such as H. lineata; Hyppobosca spp., Hydrellia philippina, Leptoconops torrens, Liriomyza spp. such as L. sativae, L. trifolii; Lucilia spp. such as L. caprina, L. cuprina, L. sericata; Lycoria pectoraiis, Mansonia titiiianus, Mayetioia spp. such as M. destructor; Musca spp. such as M. autumnalis, M. domestica; Muscina stabu- lans, Oestrus spp. such as O. ovis; Opomyza florum, Oscinella spp. such as O. frit; Orseolia oryzae, Pegomya hysocyami, Phlebotomus argentipes, Phorbia spp. such as P. antiqua, P. brassicae, P. coarctata; Phytomyza gymnostoma, Prosimuiium mixtum, Psiia rosae, Psorophora
columbiae, Psorophora discolor, Rhagoletis spp. such as R. cerasi, R. cingulate, R. indifferens, R. mendax, R. pomonella; Riveiiia quadrifasciata, Sarcophaga spp. such as S. haemorrhoidalis; Simulium vittatum, Sitodiplosis mosellana, Stomoxys spp. such as S. calcitrans; Tabanus spp. such as T. atratus, T. bovinus, T. lineola, T. similis; Tannia spp., Thecodiplosis japonensis, Tip- ula oleracea, Tipula paludosa, and Wohlfahrtia spp;
insects from the order of Thysanoptera for example, Baliothrips biformis, Dichromothrips cor- betti, Dichromothrips ssp., Echinothrips americanus, Enneothrips flavens, Frankliniella spp. such as F. fusca, F. occidentalis, F. tritici; Heliothrips spp., Hercinothrips femora/is, Kakothrips spp., Microcephalothrips abdominalis, Neohydatothrips samayunkur, Pezothrips kellyanus, Rhipiphorothrips cruentatus, Scirtothrips spp. such as S. citri, S. dorsaiis, S. perseae; Stenchae- tothrips spp, Taeniothrips cardamoni, Taeniothrips inconsequens, Thrips spp. such as T. imagines, T. hawaiiensis, T. oryzae, T. palmi, T. parvispinus, T. tabaci;
insects from the order of Hemiptera for example, Acizzia jamatonica, Acrosternum spp. such as A. hilare; Acyrthosipon spp. such as A. onobrychis, A. pisum; Adelges laricis, Adelges tsu- gae, Adelphocoris spp. , such as A. rapidus, A. superbus; Aeneolamia spp., Agonoscena spp., Aulacorthum soiani, Aleurocanthus woglumi, Aleurodes spp., Aleurodicus disperses, Aleurolo- bus barodensis, Aleurothrixus spp., Amrasca spp., Anasa tristis, Antestiopsis spp., Anuraphis cardui, Aonidiella spp., Aphanostigma piri, Aphidula nasturtii, Aphis spp. such as A. craccivora, A. fabae, A. forbesi, A. gossypii, A. grossulariae, A. maidiradicis, A. pomi, A. sambuci, A.
schneideri, A. spiraeco/a; Arbor/d/a apica/is, Ar/ius cr/tatus, Aspidiella spp., Aspidiotus spp., Ata- nus spp., Auiacaspis yasumatsui, Aulacorthum soiani, Bactericera cockereiii (Paratrioza cockereiii), Bemisia spp. such as B. argentifolii, B. tabaci (Aleurodes tabaci); Blissus spp. such as B. leucopterus; Brachycaudus spp. such as B. cardui, B. helichrysi, B. persicae, B. prunicola;
Brachycolus spp., Brachycorynella asparagi, Brevicoryne brassicae, Cacopsylla spp. such as C. fulguralis, C. pyricola (Psylla piri); Calligypona marginata, Calocoris spp., Campylomma livida, Capitophorus horn/, Carneocephala fulgida, Cavelerius spp., Ceraplastes spp., Ceratovacuna lanigera, Ceroplastes ceriferus, Cerosipha gossypii, Chaetosiphon fragaefolii, Chionaspis te- galensis, Chlorita onukii, Chromaphis juglandicola, Chrysomphalus ficus, Cicadulina mbila, Ci- mexspp. such as C. hemipterus, C. lectularius; Coccomytilus halli, Coccus spp. such as C. hes- peridum, C. pseudomagnoliarum, Corythucha arcuata, Creontiades dilutus, Cryptomyzus ribis, Chrysomphalus aonidum, Cryptomyzus ribis, Ctenarytaina spatulata, Cyrtopeltis notatus, Dalbu- lus spp., Dasynus piperis, Dialeurodes spp. such as D. citrifolii; Dalbulus maidis, Diaphorina spp. such as D. citri; Diaspis spp. such as D. bromeliae; Dichelops furcatus, Diconocoris he- wetti, Dora/is spp., Dreyfus/a nordmann/anae, Dreyfus/a p/ceae, Drosicha spp., Dysaphis spp. such as D. plantaginea, D. pyri, D. radicola; Dysaulacorthum pseudosolani, Dysdercus spp. such as D. cingulatus, D. intermedius; Dysmicoccus spp., Edessa spp., Geocoris spp., Em- poasca spp. such as E. fabae, E. so/ana; Ep/d/asp/s leper//, Er/osoma spp. such as E. lanig- erum, E. pyricola; Erythroneura spp., Eurygaster spp. such as E. integriceps; Euscelis bilobatus, Euschistus spp. such as E. heros, E. impictiventris, E. servus; Fiorinia theae, Geococcus coffeae, Glycaspis brimblecombei, Halyomorpha spp. such as H. halys; Heliopeltis spp., Ho- malodisca vitripennis (=H. coagulata), Horcias nobilellus, Hyalopterus pruni, Hyperomyzus lac- tucae, lcerya spp. such as /. purchase; Idiocerus spp., Idioscopus spp., Laodelphax striatellus, Lecanium spp., Lecanoideus floccissimus, Lepidosaphes spp. such as L. ulmi; Leptocorisa spp.,
Leptoglossus phyllopus, Lipaphis erysimi, Lygus spp. such as L. hesperus, L. lineolaris, L. pra- tensis; Maconellicoccus hirsutus, Marchalina hellenica, Macropes excavatus, Macrosiphum spp. such as M. rosae, M. avenae, M. euphorbiae; Macrosteles quadrilineatus, Mahanarva fimbrio- lata, Megacopta cribraria, Megoura viciae, Melanaphis pyrarius, Melanaphis sacchari, Melano- callis (=Tinocallis) caryaefoliae, Metcafiella spp., Metopolophium dirhodum, Monellia costalis, Monelliopsis pecanis, Myzocallis coryli, Murgantia spp., Myzus spp. such as M. ascalonicus, M. cerasi, M. nicotianae, M. persicae, M. varians; Nasonovia ribis-nigri, Neotoxoptera formosana, Neomegalotomus spp, Nephotettix spp. such as N. malayanus, N. nigropictus, N. parvus, N. vi- rescens; Nezara spp. such as N. viridula; Nilaparvata lugens, Nysius huttoni, Oebalus spp. such as Q pugnax; Oncometopia spp., Orthez/a prae/onga, Oxycaraenus hyalinipennis, Parabemisia myricae, Parlatoria spp., Parthenolecanium spp. such as P. corn/, P. persicae; Pemphigus spp. such as P. bursar/us, P. popu/ivenae; Peregrin us maidis, Perkinsiella saccharic/da, Phenacoc- cus spp. such as P. aceris, P. gossypii; Phloeomyzus passer/nil, Phorodon humuli, Phylloxera spp. such as P. devastatrix, Piesma quadrata, Piezodorus spp. such as P. guildinii; Pinnaspis aspidistrae, Planococcus spp. such as P. citri, P. ficus; Prosapia bicincta, Protopulvinaria pyri- formis, Psallus seriatus, Pseudacysta persea, Pseudaulacaspis pentagona, Pseudococcus spp. such as P. comstocki; Psylla spp. such as P. mali; Pteromalus spp., Pulvinaria amygdali, Pyrilla spp., Quadraspidiotus spp., such as Q. perniciosus; Quesada gigas, Rastrococcus spp., Redu- vius senilis, Rhizoecus americanus, Rhodnius spp., Rhopalomyzus ascalonicus, Rhopalosi- phum spp. such as R. pseudobrassicas, R. insertum, R. maidis, R. padi; Saga todes spp., Sahl- bergella singularis, Saissetia spp., Sappaphis mala, Sappaph/s mail, Scaptocoris spp., Scaph- oides titan us, Schizaphis graminum, Schizoneura lanuginosa, Scotinophora spp., Selenaspidus articulatus, Sitobion avenae, Sogata spp., Sogatella furcifera, Solubea insularis, Spissistilus festinus (=Stictocephala festina), Stephanitis nashi, Stephanitis pyrioides, Stephanitis takeyai, Tenalaphara malayensis, Tetraleurodes perseae, Therioaphis maculate, Thyanta spp. such as T. accerra, T. perditor; Tibraca spp., Tomaspis spp., Toxoptera spp. such as T. aurantii; Trialeu- rodes spp. such as T. abutilonea, T. ricini, T. vaporariorum; Triatoma spp., Trioza spp., Typhlo- cyba spp., Unaspis spp. such as U. citri, U. yanonensis; and Viteus vitifolii,
Insects from the order Hymenoptera e.g. Acanthomyops interjectus, Athalia rosae, Atta spp. such as A. capiguara, A. cephaiotes, A. cephaiotes, A. laevigata, A. robusta, A. sexdens, A. tex- ana, Bombus spp., Brachymyrmex spp., Camponotus spp. such as C. floridanus, C. pennsyl- vanicus, C. modoc; Cardiocondyla nuda, Chalibion sp, Crematogaster spp., Dasymutilla occi- dentalis, Diprion spp., Dolichovespula maculata, Dory my rmex spp., Dryocosmus kuriphilus, Formica spp., Hoplocampa spp. such as H. minuta, H. testudinea; Iridomyrmex humilis, Lasius spp. such as L. niger, Linepithema humile, Liometopum spp., Leptocybe invasa, Monomorium spp. such as M. pharaonis, Monomorium, Nylandria fuiva, Pachycondyla chinensis, Paratrechina lon- gicornis, Paravespula spp., such as P. germanica, P. pennsylvanica, P. vulgaris; Pheidole spp. such as P. megacephala; Pogonomyrmex spp. such as P. barbatus, P. californicus, Polistes ru- biginosa, Prenolepis impairs, Pseudomyrmex gracilis, Schelipron spp., Sirex cyaneus, Solenop- sis spp. such as S. geminata, S.invicta, S. molesta, S. richteri, S. xyloni, Sphecius speciosus, Sphexspp., Tapinoma spp. such as T. melanocephalum, T. sessile; Tetramorium spp. such as T. caespitum, T. bicarinatum, Vespa spp. such as V. crabro; Vespula spp. such as V. squamosal; Wasmannia auropunctata, Xy loco pa sp;
Insects from the order Orthoptera e.g. Acheta domesticus, Calliptamus italicus, Chortoicetes terminifera, Ceuthophilus spp., Diastrammena asynamora, Dociostaurus maroccanus, Gryllo- talpa spp. such as G. africana, G. gryllotalpa; Gryllus spp., Hieroglyphus daganensis, Kraus- saria angulifera, Locusta spp. such as L migratoria, L. pardalina; Melanoplus spp. such as M. bivittatus, M. femurrubrum, M. mexicanus, M. sanguinipes, M. spretus; Nomadacris septemfas- ciata, Oedaleus senegalensis, Scapteriscus spp., Schistocerca spp. such as S. americana, S. gregaria, Stemopelmatus spp., Tachycines asynamorus, and Zonozerus variegatus;
Pests from the Class Arachnida e.g. Acari,e.g. of the families Argasidae, Ixodidae and Sar- coptidae, such as Amblyomma spp. (e.g. A. americanum, A. variegatum, A. maculatum), Argas spp. such as A. persicu), Boophilus spp. such as B. annulatus, B. decoloratus, B. microplus, Dermacentor spp. such as D.silvarum, D. andersoni, D. variabilis, Hyalomma spp. such as H. truncatum, Ixodes spp. such as /. ricinus, I. rubicundus, I. scapularis, I. holocyclus, I. pacificus, Rhipicephalus sanguineus, Ornithodorus spp. such as O. moubata, O. hermsi, O. turicata, Orni- thonyssus bacoti, Otobius megnini, Dermanyssus gallinae, Psoroptes spp. such as P. ovis, Rhi- picephalus spp. such as R. sanguineus, R. appendiculatus, Rhipicephalus everts/, Rhizogly- phus spp., Sarcoptes spp. such asS. Scabiei, and Family Eriophyidae including Acer/a spp. such as A. sheldoni, A. anthocoptes, Acallitus spp., Aculops spp. such as A. lycopersici, A. pel- ekassi, Aculus spp. such as A. schlechtendali; Colomerus vitis, Epitrimerus pyri, Phyllocoptruta oieivora; Eriophytes ribis and Eriophyes spp. such as Eriophyes sheldoni, Family Tarsonemidae including Hemitarsonemus spp., Phytonemus pallidus and Polyphagotarsonemus latus, Steno- tarsonemus spp. Steneotarsonemus spinki, Family Tenuipalpidae including Brevipalpus spp. such as B. phoenicis; Family Tetranychidae including Eotetranych us spp., Eutetranychus spp., Oligonychus spp., Petrobia latens, Tetranych us spp. such as T. cinnabarinus, T. evansi, T. kanzawai, T, pacificus, T. phase ulus, T. telarius and T. urticae, Bryobia praet/osa; Panonychus spp. such as P. u/mi, P. citri, Metatetranychus spp. and Oligonychus spp. such as O. pratensis, O. perseae, Vasates lycopersici, Raoiella indica, /¾/77/7yCarpoglyphidae including Carpogly- phus spp.; Penthaleidae spp. such as Halotydeus destructor, Family Demodicidae with species such as Demodexspp.; Family Trombicidea including Trombicula spp:, Family Macronyssidae including Ornothonyssus spp:, Family Pyemotidae including Pyemotes tritici, Tyrophagus pu- trescentiae; Family Acaridae including Acarus siro, Family Araneida including Latrodectus mac- tans, Tegenaria agrestis, Chiracanthium sp, Lycosa sp Achaearanea tepidariorum and Loxos- celes rec/usa;
Pests from the Phylum Nematoda, for example, plant parasitic nematodes such as root-knot nematodes, Meloidogyne spp. such as M. hapla, M. incognita, M. javanica; cyst-forming nema- todes, Globodera spp. such as G rostochiensis; Heterodera spp. such as H. avenae, H. glycines, H. schachtii, H. trifolii; Seed gall nematodes, Anguina spp:, Stem and foliar nematodes, Aphelenchoides spp. such as A. besseyi; Sting nematodes, Belonolaimus spp. such as B. longi- caudatus; Pine nematodes, Bursaphelenchus spp. such as B. lignicolus, B. xylophilus; Ring nematodes, Criconema spp., Criconemella spp. such as C. xenop/axand C. ornata; and, Cricone- moides spp. such as Criconemoides informis; Mesocriconema spp.; Stem and bulb nematodes, Ditylenchus spp. such as D. destructor, D. dipsaci;Aw\ nematodes, Dolichodorus spp.; Spiral nematodes, Heliocotylenchus multicinctus; Sheath and sheathoid nematodes, Hemicyciiophora spp. and Hemicriconemoides spp.; Hirshmanniella spp.; ^ Lance nematodes, Hoploaimus spp.; False rootknot nematodes, Nacobbus spp.; Needle nematodes, Longidorus spp. such as L.
elongatus; Lesion nematodes, Pratylenchus spp. such as P. brachyurus, P. neglectus, P. penetrans, P. curvitatus, P. goodeyi; Burrowing nematodes, Radopholus spp. such as R. similis; Rhadopholus spp.; Rhodopholus spp.; Reniform nematodes, Rotylenchus spp. such as R. ro- bustus, R. reniformis; Scutellonema spp.; Stubby-root nematode, Trichodorus spp. such as 7! obtusus, T. primitivus; Paratrichodorus spp. such as . minor; Stunt nematodes, Tylenchorhyn- chus spp. such as 7! claytoni, T. dub/us; Citrus nematodes, Tylenchulus spp. such as 7! se/77/- penetrans; Dagger nematodes, Xiphinema spp.; and other plant parasitic nematode species;
Insects from the order Isoptera e.g. Calotermes flavicollis, Coptotermes spp. such as C. /&/·- mosanus, C. gestroi, C. acinaciformis; Cornitermes cumulans, Cryptotermes spp. such as C. brevis, C. cavifrons; Giobitermes suifureus, Heterotermes spp. such as A , aureus, H. longiceps, H. tenuis; Leucotermes flavipes, Odontotermes spp., Incisitermes spp. such as /. minor, I. Snyder, Marginitermes hubbardi, Ma 'stotermes spp. such as darwiniensis Neocapritermes spp. such as Λ . opacus, N. parvus; Neotermes spp., Procornitermes spp., Zootermopsis spp. such as Z. angusticoiiis, Z. nevadensis, Reticuiitermes spp. such as R. hesperus, R. tibialis, R. spera- tus, R. flavipes, R. grassei, R. lucifugus, R. santonensis, R. virginicus; Termes natalensis,
Insects from the order Blattaria e.g. Blatta spp. such as B. orientalis, B. lateralis; Blattella spp. such as B. asahinae, B. germanica; Leucophaea maderae, Panchlora nivea, Pen planeta spp. such as P. americana, P. australasiae, P. brunnea, P. fuligginosa, P. japonica; Supella longi- palpa, Parcoblatta pennsylvanica, Eurycotis floridana, Pycnoscelus surinamensis,
Insects from the order Siphonoptera e.g. Cediopsylla simples, Ceratophyllus spp., Ctenoce- phalides spp. such as C. felis, C. cam's, Xenopsylla cheopis, Pulex irritans, Trichodectes cam's, Tung a penetrans, and Nosopsyllus fascia tus,
Insects from the order Thysanura e.g. Lepisma saccharina , Ctenolepisma urbana, and Ther- mobia domestica,
Pests from the class Chilopoda e.g. Geophilus spp., Scutigera spp. such as Scutigera coleop- trata,
Pests from the class Diplopoda e.g. Blaniulus guttulatus, Ju/us spp., Narceus spp.,
Pests from the class Symphyla e.g. Scutigerella immaculata,
Insects from the order Dermaptera, e.g. Forficula auricularia,
Insects from the order Collembola, e.g. Onychiurus spp., such as Onychiurus armatus,
Pests from the order Isopoda for example, Armadillidium vulgare, Oniscus asellus, Porcellio scaber,
Insects from the order Phthiraptera, e.g. Damalinia spp., Pediculus spp. such as Pediculus hu- manus capitis, Pediculus humanus corporis, Pediculus humanus humanus; Pthirus pubis, Haematopinus spp. such as Haematopinus eurysternus, Haematopinus sui , Linognathus spp. such as Linognathus vituli; Bovicola bovis, Menopon gaiiinae, Menacanthus stramineus and So- lenopotes capillatus, Trichodectes spp.,
Examples of further pest species which may be controlled by compounds of fomula I include: from the Phylum Mollusca, class Bivalvia, for example, Dreissena spp.; class Gastropoda, for example, Arion spp., Biomphalaria spp., Bulinus spp., Deroceras spp., Ga/ba spp., Lymnaea spp., Oncomelania spp., Pomacea canaliclata, Succinea spp.; from the class of the helminths, for example, Ancylostoma duodenale, Ancylostoma ceylanicum, Acylostoma braziliensis, Ancy- lostoma spp., Ascaris lubricoides, Ascaris spp., Brugia malayi, Brugia timori, Bunostomum spp.,
Chabertia spp., Clonorchis spp., Cooper/a spp., Dicrocoelium spp., Dictyocaulus filaria, Diphyl- lobothrium latum, Dracunculus medinensis, Echinococcus granulosus, Echinococcus multilocu- laris, Enterobius vermicularis, Faciola spp., Haemonchus spp. such as Haemonchus contortus; Heterakis spp., Hymenolepis nana, Hyostrongulus spp., Loa Loa, Nematodirus spp., Oesoph- agostomum spp., Opisthorch is spp., Onchocerca volvulus, Ostertagia spp., Pa rag on im us spp., Schistosomen spp., Strongyloides fuelleborni, Strongyloides stercora lis, Stronyloides spp., Taenia saginata, Taenia solium, Trichinella spiralis, Trichinella nativa, Trichinella britovi, Trichi- nella nelsoni, Trichinella pseudopsiralis, Trichostrongulus spp., Trichuris trichuria, Wuchereria bancrofti.
The compounds of the invention are suitable for use in treating or protecting animals against infestation or infection by parasites. Therefore, the invention also relates to the use of a compound of the invention for the manufacture of a medicament for the treatment or protection of animals against infestation or infection by parasites. Furthermore, the invention relates to a method of treating or protecting animals against infestation and infection by parasites, which comprises orally, topically or parenterally administering or applying to the animals a parasiticidally effective amount of a compound of the invention.
The invention also relates to the non-therapeutic use of compounds of the invention for treating or protecting animals against infestation and infection by parasites. Moreover, the invention relates to a non-therapeutic method of treating or protecting animals against infestation and infection by parasites, which comprises applying to a locus a parasiticidally effective amount of a compound of the invention.
The compounds of the invention are further suitable for use in combating or controlling parasites in and on animals. Furthermore, the invention relates to a method of combating or control- ling parasites in and on animals, which comprises contacting the parasites with a parasitically effective amount of a compound of the invention.
The invention also relates to the non-therapeutic use of compounds of the invention for controlling or combating parasites. Moreover, the invention relates to a non-therapeutic method of combating or controlling parasites, which comprises applying to a locus a parasiticidally effec- tive amount of a compound of the invention.
The compounds of the invention can be effective through both contact (via soil, glass, wall, bed net, carpet, blankets or animal parts) and ingestion (e.g. baits). Furthermore, the compounds of the invention can be applied to any and all developmental stages.
The compounds of the invention can be applied as such or in form of compositions comprising the compounds of the invention.
The compounds of the invention can also be applied together with a mixing partner, which acts against pathogenic parasites, e.g. with synthetic coccidiosis compounds, polyetherantibiotics such as Amprolium, Robenidin, Toltrazuril, Monensin, Salinomycin, Maduramicin, Lasalocid, Narasin or Semduramicin, or with other mixing partners as defined above, or in form of compo- sitions comprising said mixtures.
The compounds of the invention and compositions comprising them can be applied orally, parenterally or topically, e.g. dermally. The compounds of the invention can be systemically or non- systemically effective.
The application can be carried out prophylactically, therapeutically or non-therapeutically. Furthermore, the application can be carried out preventively to places at which occurrence of the parasites is expected.
As used herein, the term "contacting" includes both direct contact (applying the com- pounds/compositions directly on the parasite, including the application directly on the animal or excluding the application directly on the animal, e.g. at it's locus for the latter) and indirect contact (applying the compounds/compositions to the locus of the parasite). The contact of the parasite through application to its locus is an example of a non-therapeutic use of the compounds of the invention.
The term "locus" means the habitat, food supply, breeding ground, area, material or environment in which a parasite is growing or may grow outside of the animal.
As used herein, the term "parasites" includes endo- and ectoparasites. In some embodiments of the invention, endoparasites can be preferred. In other embodiments, ectoparasites can be preferred. Infestations in warm-blooded animals and fish include, but are not limited to, lice, bit- ing lice, ticks, nasal bots, keds, biting flies, muscoid flies, flies, myiasitic fly larvae, chiggers, gnats, mosquitoes and fleas.
The compounds of the invention are especially useful for combating parasites of the following orders and species, respectively:
fleas (Siphonaptera), e.g. Ctenocephalides felis, Ctenocephalides cam's, Xenopsylla cheopis, Pulex irritans, Tunga penetrans, and Nosopsyllus fasciatus; cockroaches (Blattaria - Blattodea), e.g. Blattella germanica, Blattella asahinae, Periplaneta americana, Periplaneta japonica, Peri- planeta brunnea, Periplaneta fuligginosa, Periplaneta australasiae, and Blatta orienta/is; fWes, mosquitoes (Diptera), e.g. Aedes aegypti, Aedes aibopictus, Aedes vexans, Anastrepha ludens, Anopheles maculipennis, Anopheles crucians, Anopheles albimanus, Anopheles gambiae, Anopheles freeborni, Anopheles leucosphyrus, Anopheles minimus, Anopheles quadrimacula- tus, Calliphora vicina, Chrysomya bezziana, Chrysomya hominivorax, Chrysomya macellaria, Chrysops discaiis, Chrysops siiacea, Chrysops atianticus, Cochiiomyia hominivorax, Cordyiobia anthropophaga, Culicoides furens, Culex pip/ens, Culex nigripalpus, Culex quinquefasciatus, Culex tarsalis, Culiseta inornata, Culiseta melanura, Dermatobia hominis, Fannia canicularis, Gasterophilus intestinalis, Glossina morsitans, Glossina pa/pa/is, Glossina fuscipes, Glossina tachinoides, Haematobia irritans, Haplodiplosis equestris, Hipp elates spp., Hypoderma lineata, Leptoconops torrens, Luciiia caprina, Luciiia cuprina, Luciiia sericata, Lycoria pectoralis, Man son/a spp., Musca domes tica, Muscina stabu/ans, Oestrus ovis, Ph/ebotomus argentipes, Psoro- phora columbiae, Psorophora discolor, Prosimulium mixtum, Sarcophaga haemorrhoidalis, Sar- cophaga sp., Simulium vittatum, Stomoxys calcitrans, Tabanus bovinus, Tabanus atratus, Taba- nus lineola, and Tabanus similis; lice (Phthiraptera), e.g. Pediculus humanus capitis, Pediculus humanus corporis, Pthirus pubis, Haematopinus eurysternus, Haematopinus suis, Linognathus vituli, Bovicola bo vis, Menopon gallinae, Menacanthus stramineus and Solenopotes capillatus; ticks and parasitic mites (Parasitiformes): ticks (Ixodida), e.g. Ixodes scapularis, Ixodes holocy- clus, Ixodes pacificus, Rhiphicephalus sanguineus, Dermacentor andersoni, Dermacentor variabilis, Amblyomma americanum, Ambryomma maculatum, Ornithodorus hermsi, Ornithodorus turicata and parasitic mites (Mesostigmata), e.g. Ornithonyssus bacoti and Dermanyssus gallinae; Actinedida (Prostigmata) und Acaridida (Astigmata), e.g. Acarapis spp., Cheyletiella spp.,
Ornithocheyletia spp., Myobia spp., Psorergates spp., Demodex spp., Trombicula spp., Listro- phorus spp., Acarus spp., Tyrophagus spp., Caloglyphus spp., Hypodectes spp., Pterolichus spp., Psoroptes spp., Chorioptes spp., Otodectes spp., Sarcoptes spp., Notoedres spp., Kne- midocoptes spp., Cytodites spp., and Laminosioptes spp; Bugs (Heteropterida): Cimex lectular- /us, Cimex hemipterus, Reduvius senilis, Triatoma spp., Rhodnius ssp., Panstrongyius ssp., and Ari/us cr/tatus; Anop\ur\da, e.g. Haematopinus spp., Linognathus spp., Pediculus spp., Phtirus spp., and Solenopotes spp.; Mallophagida (suborders Arnblycerina and Ischnocerina), e.g. 7/7- menopon spp., Menopon spp., Trinoton spp., Bovicola spp., Werneckiella spp., Lepikentron spp., Trichodectes spp., and Felicola spp.; Roundworms Nematoda: Wipeworms and Trichino- sis (Trichosyringida), e.g. Trichinellidae (Trichinella spp.), ( richuridae^ Trichuris spp., Capillaria spp.; Rhabditida, e.g. Rhabditis spp., Strongyloides spp., Helicephalobus spp.; Strongylida, e.g. Strongylus spp., Ancylostoma spp., Necator americanus, Bunostomum spp. (Hookworm), Tri- chostrongylus spp., Haemonchus contortus, Ostertagia spp., Cooper/a spp., Nematodirus spp., Dictyocaulus spp., Cyathostoma spp., Oesophagostomum spp., Stephanurus dentatus, Ollula- nus spp., Chabertia spp., Stephanurus dentatus, Syngamus trachea, Ancylostoma spp., Unci- naria spp., Globocephalus spp., Necator spp., Metastrongylus spp., Muellerius capillaris, Proto- strongylus spp., Angiostrongylus spp., Parelaphostrongylus spp., Aleurostrongylus abstrusus, and Dioctophyma renale; Intestinal roundworms (Ascaridida), e.g. Ascaris lumbricoides, Ascaris suum, Ascaridia galli, Parascaris equorum, Enterobius vermicularis (Threadworm), Toxocara canis, Toxascaris leonine, Skrjabinema spp., and Oxyuris equi; Camallanida, e.g. Dracunculus medinensis (guinea worm); Spirurida, e.g. Thelazia spp., Wuchereria spp., Brugia spp., Onchocerca spp., Dirofilari spp. a, Dipetalonema spp., Setaria spp., Elaeophora spp., Spirocerca lupi, and Habronema spp.; Thorny headed worms (Acanthocephala), e.g. Acanthocephalus spp., Macracanthorhynchus hirudinaceus and Oncicola spp.; Planarians (Plathelminthes): Flukes (Trematoda), e.g. Faciola spp., Fascioloides magna, Paragonimus spp., Dicrocoelium spp., Fasciolopsis buski, Clonorchis sinensis, Schistosoma spp., Trichobilharzia spp., Alaria alata, Paragonimus spp., and Nanocyetes spp:, Cercomeromorpha, in particular Cestoda (Tapeworms), e.g. Diphyllobothrium spp., Tenia spp., Echinococcus spp., Dipylidium caninum, Multi- ceps spp., Hymenolepis spp., Mesocestoides spp., Vampirolepis spp., Moniezia spp., Anoplo- cephala spp., Sirometra spp., Anoplocephala spp., and Hymenolepis spp..
As used herein, the term "animal" includes warm-blooded animals (including humans) and fish. Preferred are mammals, such as cattle, sheep, swine, camels, deer, horses, pigs, poultry, rabbits, goats, dogs and cats, water buffalo, donkeys, fallow deer and reindeer, and also in fur- bearing animals such as mink, chinchilla and raccoon, birds such as hens, geese, turkeys and ducks and fish such as fresh- and salt-water fish such as trout, carp and eels. Particularly preferred are domestic animals, such as dogs or cats.
In general, "parasiticidally effective amount" means the amount of active ingredient needed to achieve an observable effect on growth, including the effects of necrosis, death, retardation, prevention, and removal, destruction, or otherwise diminishing the occurrence and activity of the target organism. The parasiticidally effective amount can vary for the various compounds/compositions used in the invention. A parasiticidally effective amount of the compositions will also vary according to the prevailing conditions such as desired parasiticidal effect and duration, target species, mode of application, and the like.
Generally, it is favorable to apply the compounds of the invention in total amounts of 0.5 mg/kg to 100 mg/kg per day, preferably 1 mg/kg to 50 mg/kg per day.
For oral administration to warm-blooded animals, the formula I compounds may be formulated as animal feeds, animal feed premixes, animal feed concentrates, pills, solutions, pastes, sus- pensions, drenches, gels, tablets, boluses and capsules. In addition, the formula I compounds may be administered to the animals in their drinking water. For oral administration, the dosage form chosen should provide the animal with 0.01 mg/kg to 100 mg/kg of animal body weight per day of the formula I compound, preferably with 0.5 mg/kg to 100 mg/kg of animal body weight per day.
Alternatively, the formula I compounds may be administered to animals parenterally, for example, by intraruminal, intramuscular, intravenous or subcutaneous injection. The formula I compounds may be dispersed or dissolved in a physiologically acceptable carrier for subcutaneous injection. Alternatively, the formula I compounds may be formulated into an implant for subcutaneous administration. In addition the formula I compound may be transdermally administered to animals. For parenteral administration, the dosage form chosen should provide the animal with 0.01 mg/kg to 100 mg/kg of animal body weight per day of the formula I compound.
The formula I compounds may also be applied topically to the animals in the form of dips, dusts, powders, collars, medallions, sprays, shampoos, spot-on and pour-on formulations and in ointments or oil-in-water or water-in-oil emulsions. For topical application, dips and sprays usu- ally contain 0.5 ppm to 5,000 ppm and preferably 1 ppm to 3,000 ppm of the formula I compound. In addition, the formula I compounds may be formulated as ear tags for animals, particularly quadrupeds such as cattle and sheep.
Suitable preparations are:
- Solutions such as oral solutions, concentrates for oral administration after dilution, solutions for use on the skin or in body cavities, pouring-on formulations, gels;
- Emulsions and suspensions for oral or dermal administration; semi-solid preparations;
- Formulations in which the active compound is processed in an ointment base or in an oil-in- water or water-in-oil emulsion base;
- Solid preparations such as powders, premixes or concentrates, granules, pellets, tablets, bo- luses, capsules; aerosols and inhalants, and active compound-containing shaped articles.
Compositions suitable for injection are prepared by dissolving the active ingredient in a suitable solvent and optionally adding further auxiliaries such as acids, bases, buffer salts, preservatives, and solubilizers. Suitable auxiliaries for injection solutions are known in the art. The solutions are filtered and filled sterile.
Oral solutions are administered directly. Concentrates are administered orally after prior dilution to the use concentration. Oral solutions and concentrates are prepared according to the state of the art and as described above for injection solutions, sterile procedures not being necessary.
Solutions for use on the skin are trickled on, spread on, rubbed in, sprinkled on or sprayed on. Solutions for use on the skin are prepared according to the state of the art and according to what is described above for injection solutions, sterile procedures not being necessary.
Gels are applied to or spread on the skin or introduced into body cavities. Gels are prepared by treating solutions which have been prepared as described in the case of the injection solutions with sufficient thickener that a clear material having an ointment-like consistency results. Suitable thickeners are known in the art.
Pour-on formulations are poured or sprayed onto limited areas of the skin, the active compound penetrating the skin and acting systemically. Pour-on formulations are prepared by dissolving, suspending or emulsifying the active compound in suitable skin-compatible solvents or solvent mixtures. If appropriate, other auxiliaries such as colorants, bioabsorption-promoting substances, antioxidants, light stabilizers, adhesives are added. Suitable such auxiliaries are known in the art.
Emulsions can be administered orally, dermally or as injections. Emulsions are either of the water-in-oil type or of the oil-in-water type. They are prepared by dissolving the active compound either in the hydrophobic or in the hydrophilic phase and homogenizing this with the solvent of the other phase with the aid of suitable emulsifiers and, if appropriate, other auxiliaries such as colorants, absorption-promoting substances, preservatives, antioxidants, light stabilizers, viscosity-enhancing substances. Suitable hydrophobic phases (oils), suitable hydrophilic phases, suitable emulsifiers, and suitable further auxiliaries for emulsions are known in the art.
Suspensions can be administered orally or topically/dermally. They are prepared by suspending the active compound in a suspending agent, if appropriate with addition of other auxiliaries such as wetting agents, colorants, bioabsorption-promoting substances, preservatives, antioxidants, light stabilizers. Suitable suspending agents, and suitable other auxiliaries for suspensions including wetting agents are known in the art.
Semi-solid preparations can be administered orally or topically/dermally. They differ from the suspensions and emulsions described above only by their higher viscosity.
For the production of solid preparations, the active compound is mixed with suitable excipi- ents, if appropriate with addition of auxiliaries, and brought into the desired form. Suitable auxiliaries for this purpose are known in the art.
The compositions which can be used in the invention can comprise generally from about 0.001 to 95% of the compound of the invention.
Ready-to-use preparations contain the compounds acting against parasites, preferably ectoparasites, in concentrations of 10 ppm to 80 per cent by weight, preferably from 0.1 to 65 per cent by weight, more preferably from 1 to 50 per cent by weight, most preferably from 5 to 40 per cent by weight.
Preparations which are diluted before use contain the compounds acting against ectoparasites in concentrations of 0.5 to 90 per cent by weight, preferably of 1 to 50 per cent by weight.
Furthermore, the preparations comprise the compounds of formula I against endoparasites in concentrations of 10 ppm to 2 per cent by weight, preferably of 0.05 to 0.9 per cent by weight, very particularly preferably of 0.005 to 0.25 per cent by weight.
Topical application may be conducted with compound-containing shaped articles such as col- lars, medallions, ear tags, bands for fixing at body parts, and adhesive strips and foils.
Generally it is favorable to apply solid formulations which release compounds of the invention in total amounts of 10 mg/kg to 300 mg/kg, preferably 20 mg/kg to 200 mg/kg, most preferably 25 mg/kg to 160 mg/kg body weight of the treated animal in the course of three weeks.
Examples
A. Preparation examples
With appropriate modification of the starting materials, the procedures given in the synthesis description were used to obtain further compounds I. The compounds obtained in this manner are listed in the table that follows, together with physical data.
The products shown below were characterized by melting point determination, by NMR spectroscopy or by the masses ([m/z]) or retention time (RT; [min.]) determined by HPLC-MS or HPLC spectrometry.
HPLC-MS = high performance liquid chromatography-coupled mass spectrometry;
HPLC method: Phenomenex Kinetex 1.7 μηι XB-C18 100A; 50 x 2.1 mm; mobile phase: A: water + 0.1 % trifluoroacetic acid (TFA); B: acetonitrile; gradient: 5-100% B in 1 .50 minutes; 100% B 0.25 min; flow: 0.8-1.Oml/min in 1.51 minutes at 60°C. MS: ESI positive, m/z 100-700.
Preparation of N-[5-benzylidene-4-oxo-2-thioxo-thiazolidin-3-yl]-2-chloro-4-[5-(3,5-dichloro-4- fluoro-phenyl)-5-(trifluoromethyl)-4H-isoxazol-3-yl]benzamide (Compound C-2-1 )
Step 1 : Synthesis of 2-chloro-4-[5-(3,5-dichloro-4-fluoro-phenyl)-5-(trifluoromethyl)-4H-isoxa- zol-3-yl]benzoyl chloride
To al solution of 2-chloro-4-[5-(3,5-dichloro-4-fluoro-phenyl)-5-(trifluoromethyl)-4H-isoxazol-3- yl]benzoic acid (known from WO 2017/050921 , 2.00 g, 4.38 mmol, 1 .00 equiv.) in dichloro- methane (5 mL) was added one drop of DMF, followed by the slow addition of oxalyl chloride
(0.45 mL, 0.56 g, 1.20 equiv.) at 0°C. After 2 h at this temperature, all volatiles were removed by vacuum distillation and the residue (2.00 g) was used as such without further purification in the next step.
Step 2: Synthesis of 2-chloro-4-[5-(3,5-dichloro-4-fluoro-phenyl)-5-(trifluoromethyl)-4H-isoxa- zol-3-yl]-N-(4-oxo-2-thioxo-thiazolidin-3-yl)benzamide
To a solution of 3-amino-2-thioxo-thiazolidin-4-one (623 mg, 4.21 mmol, 1.00 equiv.) in 1 ,4- dioxane (20 mL) was added 2-chloro-4-[5-(3,5-dichloro-4-fluoro-phenyl)-5-(trifluoromethyl)-4H- isoxazol-3-yl]benzoyl chloride (from step 1 , 2.00 g, 4.21 mmol, 1 .00 equiv.) and the mixture was stirred at 80°C for 5 h. After cooling, water was added and the mixture was extracted with ethyl acetate. Combined organic layers were dried over Na2S04 and concentrated in vacuum. The residue was purified via flash chromatography on silica gel to yield the title compound (1.9 g, 77%).
H-NMR (500 MHz, CDCI3): δ (delta) = 3.72 (d, 1 H), 4.1 1 (d, 1 H), 4.13 (m, 2H), 7.59 (m, 2H), 7.66 (d, 1 H), 7.76 (s, 1 H), 7.91 (d, 1 H), 8.20-8.90 (br. s, 1 H) ppm.
Step 3: Synthesis of N-[5-benzylidene-4-oxo-2-thioxo-thiazolidin-3-yl]-2-chloro-4-[5-(3,5-di- chloro-4-fluoro-phenyl)-5-(trifluoromethyl)-4H-isoxazol-3-yl]benzamide
A mixture of 2-chloro-4-[5-(3,5-dichloro-4-fluoro-phenyl)-5-(trifluoromethyl)-4H-isoxazol-3-yl]-N- (4-oxo-2-thioxo-thiazolidin-3-yl)benzamide (250 mg, 0.426 mmol, 1 .00 equiv.), benzaldehyde (45 mg, 0.426 mmol, 1 .00 equiv.) and piperidine (109 mg, 1.28 mmol, 3 equiv.) in ethanol (10 mL) was attired at 20 - 25°C over night. All volatiles were removed in vacuum and the residue was purified via flash chromatography on silica gel yielding the title compound (109 mg, 34%).
1H-NMR (500 MHz, CDCI3): δ (delta) = 3.69 (d, 1 H), 4.07 (d, 1 H), 4.13 (m, 2H), 7.49 (m, 5H), 7.58 (m, 3H), 7.66 (m, 1 H), 7.74 (s, 1 H), 7.82 (d, 1 H), 8.94 (s, 1 H) ppm.
Table C - Compounds of formula 1.1 and MR
II. Evaluation of pesticidal activity:
The activity of the compounds of formula I of the invention can be demonstrated and evaluated by the following biological test. B.1 Diamond back moth (Plutella xylostella)
The active compound was dissolved at the desired concentration in a mixture of 1 :1 (vohvol) distilled water : aceteone. Surfactant (Kinetic HV) was added at a rate of 0.01 % (vol/vol). The test solution was prepared at the day of use.
Leaves of cabbage were dipped in test solution and air-dried. Treated leaves were placed in petri dishes lined with moist filter paper and inoculated with ten 3rd instar larvae. Mortality was recorded 72 hours after treatment. Feeding damages were also recorded using a scale of 0- 100%.
In this test, compounds C- 1 - 1 , C-2 - 1 , C- 1 -2, C-2-2, and C-2-3, resp., at 300 ppm showed over 75 % mortality in comparison with untreated controls.
B.2 Green Peach Aphid (Myzus persicae)
For evaluating control of green peach aphid {Myzus persicae) through systemic means the test unit consisted of 96-well-microtiter plates containing liquid artificial diet under an artificial mem brane.
The compounds were formulated using a solution containing 75% v/v water and 25% v/v
DMSO. Different concentrations of formulated compounds were pipetted into the aphid diet, using a custom built pipetter, at two replications.
After application, 5 - 8 adult aphids were placed on the artificial membrane inside the microtiter plate wells. The aphids were then allowed to suck on the treated aphid diet and incubated at about 23 + 1 °C and about 50 + 5 % relative humidity for 3 days. Aphid mortality and fecundity was then visually assessed.
In this test, compounds C- 1 - 1 , C- 1 -2, C-2-2, and C-2-3, resp., at 2500 ppm showed over 75 % mortality in comparison with untreated controls B.3 Vetch aphid (Megoura viciae)
For evaluating control of vetch aphid {Megoura viciae) through contact or systemic means the test unit consisted of 24-well-microtiter plates containing broad bean leaf disks.
The compounds were formulated using a solution containing 75% v/v water and 25% v/v DMSO. Different concentrations of formulated compounds were sprayed onto the leaf disks at 2.5 μΙ, using a custom built micro atomizer, at two replications.
After application, the leaf disks were air-dried and 5 - 8 adult aphids placed on the leaf disks inside the microtiter plate wells. The aphids were then allowed to suck on the treated leaf disks and incubated at about 23 + 1 °C and about 50 + 5 % relative humidity for 5 days. Aphid mortality and fecundity was then visually assessed.
In this test, compounds C- 1 - 1 , and C- 1 -2, resp., at 2500 ppm showed over 75 % mortality in comparison with untreated controls.
B.4 Tobacco budworm {Heliothis virescens)
For evaluating control of tobacco budworm {Heliothis virescens) the test unit consisted of 96- well-microtiter plates containing an insect diet and 15-25 H. virescens eggs.
The compounds were formulated using a solution containing 75% v/v water and 25% v/v DMSO. Different concentrations of formulated compounds were sprayed onto the insect diet at 10 μΙ, using a custom built micro atomizer, at two replications.
After application, microtiter plates were incubated at about 28 + 1 °C and about 80 + 5 % relative humidity for 5 days. Egg and larval mortality was then visually assessed.
In this test, compounds C- 1 - 1 , C-2- 1 , C- 1 -2, C-2-2, and C-2-3, resp., at 2500 ppm showed over 75 % mortality in comparison with untreated controls.
B.5 Boll weevil {Anthonomus grandis)
For evaluating control of boll weevil {Anthonomus grandis) the test unit consisted of 96-well- microtiter plates containing an insect diet and 5-10 A. grandis eggs.
The compounds were formulated using a solution containing 75% v/v water and 25% v/v
DMSO. Different concentrations of formulated compounds were sprayed onto the insect diet at 5 μΙ, using a custom built micro atomizer, at two replications.
After application, microtiter plates were incubated at about 25 + 1 °C and about 75 + 5 % relative humidity for 5 days. Egg and larval mortality was then visually assessed.
In this test, compounds C- 1 - 1 , C-2- 1 , C- 1 -2, C-2-2, and C-2-3, resp., at 2500 ppm showed over 75 % mortality in comparison with untreated controls.
B.6 Orchid thrips {dichromothrips corbetti)
Dichromothrips corbetti adults used for bioassay were obtained from a colony maintained con- tinuously under laboratory conditions. For testing purposes, the test compound is diluted in a 1 :1 mixture of acetone:water (vohvol), plus Kinetic HV at a rate of 0.01 % v/v.
Thrips potency of each compound was evaluated by using a floral-immersion technique. All petals of individual, intact orchid flowers were dipped into treatment solution and allowed to dry in Petri dishes. Treated petals were placed into individual re-sealable plastic along with about 20 adult thrips. All test arenas were held under continuous light and a temperature of about 28°C for duration of the assay. After 3 days, the numbers of live thrips were counted on each petal. The percent mortality was recorded 72 hours after treatment.
In this test, compounds C- 1 - 1 , C- 1 -2, and C-2-2, resp., at 300 ppm showed over 75 % mortality in comparison with untreated controls.
Claims
Rhodanine compounds compounds of formula I
W-Z is -0-N= -CH2-N=, or -CH2-CH=;
R1 halomethyl;
R2a halogen, halomethyl, or halomethoxy;
R2b, R2c are independently H, or as defined for R2a;
R3 is CN, N02, CrC2-alkyl, halomethyl, C C2-alkoxy, S(0)m-C C2-alkyl, C C2-haloal- koxy, or S(0)m-Ci-C2-haloalkyl;
R4 is H, or as defined for R3; or
R3 and R4 form together with the C-atoms they are bound to a 5-, or 6-membered saturated, partially, or fully unsaturated ring containing none, or one heteroatom O, N(0)n or S(0)m as ring members;
R5 is H, CN, CrCio-alkyl, C3-C8-cycloalkyl, C2-Ci0-alkenyl, C2-Ci0-alkynyl, S(0)mR10, which aliphatic groups are unsubstituted, partially or fully halogenated and/or substituted with one or more Ra;
R10 H, d-Ce-alkyl, Ci-C6-haloalkyl, C3-C8-cycloalkyl, C3-C8-cycloalkyl-Ci-C4-alkyl, C3-C8-halocycloalkyl, C2-C6-alkenyl, C2-C6-haloalkenyl, C2-C6-alkynyl, C2-C6- haloalkynyl, which groups are unsubstituted or substituted with one or more
Ra, and phenyl which is unsubstituted or substituted with one or more RA; Ra is CN, N3, N02, SCN, SF5, Si(Ci-C4-alkyl)3, OR85, OS02R85, S(0)mR85,
N(R83)R84, C(=0)N(R83)R84, C(=S)N(R83)R84, C(=0)OR85, CH=NOR85, C3-C8- cycloalkyl, C3-C8-halocycloalkyl, which cyclic moieties may be substituted with R81 ; phenyl which is unsubstituted or substituted with one or more RA; and 3- to 7-membered saturated, partially or fully unsaturated heterocycle comprising 1 ,
2 or 3 heteroatoms O, N(0)n or S(0)m as ring members, which heterocycle is unsubstituted or substituted with one or more RA,
m is 0, 1 , or 2;
n is O, or 1 ;
R6, R7 are independently selected from the R8 groups; or
R6 and R7 form together a group =CR8R9, wherein
R8, R9 are independently H, Ci-C6-alkyl, Ci-Ce-haloalkyI, C2-C6-alkenyl, C2-C6-halo- alkenyl, C2-C6-alkynyl, C2-C6-haloalkynyl which aliphatic groups are unsubsti- tuted or substituted with one or more radicals R81; C3-C6-cycloalkyl, C3-C6-hal- ocycloalkyl which cyclic groups are unsubstituted or substituted with one or more radicals R82; C(=0)N(R83)R84, N(R83)R85, CH=NOR86; phenyl,
3- to 7- membered saturated, partially or fully unsaturated heterocycle comprising 1 , 2 or 3 heteroatoms O, N(0)n or S(0)m as ring members, which rings are unsub- stituted or substituted with one or more RA;
R81 is independently OH, CN, C C6-alkoxy, Ci-C6-haloalkoxy, S(0)n-CrC6- alkyl, S(0)n-Ci-C6-haloalkyl, C(=0)N(R83)R84, C3-C6-cycloalkyl, or C3-C6- halocycloalkyl which cycles are unsubstituted or substituted with one or more R811; or
phenyl, partially or fully unsaturated heterocycle which rings are unsubstituted or substituted with one or more RA;
R811 is independently OH, cyano, Ci-C2-alkyl, or Ci-C2-haloalkyl;
R82 Ci-C6-alkyl, Ci-C6-haloalkyl, or a group as defined for R81;
R83 is H, or CrCe-alkyl,
R84 is H, d-Ce-alkyl, Ci-C6-haloalkyl, C2-C6-alkenyl, C2-C6-haloalkenyl, C2- C6-alkynyl, C2-C6-haloalkynyl, or C3-C6-cycloalkyl, C3-C6-halocycloalkyl, C3-C6-cycloalkylmethyl, or C3-C6-halocycloalkylmethyl which rings are unsubstituted or substituted with a cyano;
R85 H, d-Ce-alkyl, Ci-C6-haloalkyl, C2-C4-alkenyl, C2-C4-alkynyl, CH2-CN, C3-C6-cycloalkyl, C3-C6-halocycloalkyl, C3-C6-cycloalkylmethyl, C3-C6- halocycloalkylmethyl, phenyl and hetaryl which aromatic rings are unsubstituted or partially or fully substituted with RA;
R86 is independently H, Ci-C6-alkyl, or Ci-C6-haloalkyl;
RA is independently selected from halogen, cyano, N02, Ci-C4-alkyl, Ci-C4- haloalkyl, C2-C4-alkenyl, C2-C4-haloalkenyl, C2-C4-alkynyl, C2-C4-haloal- kynyl, C3-C6-cycloalkyl, C3-C6-halocycloalkyl, Ci-C4-alkoxy, Ci-C4-haloal- koxy, S(0)n-Ci-C4- alkyl, S(0)n-Ci-C4-haloalkyl, Ci-C4-alkylcarbonyl, Ci- C4-haloalkylcarbonyl, C(=0)N(R83)R84; or
two RA present on the same carbon atom of a saturated or partially saturated ring may form together =0 or =S; or
two RA present on the same S or SO ring member of a heterocyclic ring may together form a group =N(Ci-C6-alkyl), =NO(Ci-C6-alkyl), =NN(H)(Ci-C6-alkyl) or =NN(Ci-C6-alkyl)2;
and the N-oxides, stereoisomers and agriculturally or veterinarily acceptable salts thereof. Compounds of formula I according to claim 1 , which correspond to formula 1.1.
Compounds of formula I according to claim 1 , which correspond to formula 1.2
4. Compounds of formula I according to claim 1 , which correspond to formula 1.3.
Compounds of formula I according to any of claims 1 , 2, and 4, wherein R6 and R7 together form a group =CR8R9.
Compounds of formula I according to claims 5, wherein R6 and R7 are H, CrC6-alkyl, phenyl.
Compounds of formula I according to any of claims 1 to 6, wherein R1 is halomethyl.
8. Compounds of formula I according to any of claims 1 to 7, wherein R3 is halogen, NO2, CN, CH3, CF3, SCH3, OCH3, or OCHF2, and R4 is H; or R3 and R4 together with the C-at- oms they are bound to form a 5-membered saturated carbocyclic ring.
9. An agricultural or veterinary composition comprising at least one compound according to any one of claims 1 to 8 and/or at least one agriculturally or veterinarily acceptable salt thereof, and at least one inert liquid and/or solid agriculturally or veterinarily acceptable carrier.
10. An agricultural composition for combating animal pests comprising at least one compound as defined in any of claims 1 to 8 and at least one inert liquid and/or solid acceptable carrier and, if desired, at least one surfactant.
1 1. The composition according to claim 9 or 10, comprising additionally a further active substance.
12. A method for combating or controlling invertebrate pests, which method comprises con- tacting said pest or its food supply, habitat or breeding grounds with a pesticidally effective amount of at least one compound as defined in any one of claims 1 to 8.
13. A method for protecting growing plants from attack or infestation by invertebrate pests, which method comprises contacting a plant, or soil or water in which the plant is growing, with a pesticidally effective amount of at least one compound as defined in any of claims 1 to 8.
14. Seed comprising a compound as defined in any of claims 1 to 8, or the enantiomers, dia- stereomers or salts thereof, in an amount of from 0.1 g to 10 kg per 100 kg of seed.
5. A method for treating or protecting an animal from infestation or infection by invertebrate pests which comprises bringing the animal in contact with a pesticidally effective amount of at least one compound of the formula I as defined in any of claims 1 to 8, a stereoisomer thereof and/or at least one veterinarily acceptable salt thereof.
Applications Claiming Priority (2)
| Application Number | Priority Date | Filing Date | Title |
|---|---|---|---|
| EP17167308.0 | 2017-04-20 | ||
| EP17167308 | 2017-04-20 |
Publications (1)
| Publication Number | Publication Date |
|---|---|
| WO2018192793A1 true WO2018192793A1 (en) | 2018-10-25 |
Family
ID=58579078
Family Applications (1)
| Application Number | Title | Priority Date | Filing Date |
|---|---|---|---|
| PCT/EP2018/059074 Ceased WO2018192793A1 (en) | 2017-04-20 | 2018-04-10 | Substituted rhodanine derivatives |
Country Status (1)
| Country | Link |
|---|---|
| WO (1) | WO2018192793A1 (en) |
Cited By (1)
| Publication number | Priority date | Publication date | Assignee | Title |
|---|---|---|---|---|
| US12497370B2 (en) | 2019-12-18 | 2025-12-16 | Elanco Tiergesundheit Ag | Isoxazoline derivatives |
Citations (125)
| Publication number | Priority date | Publication date | Assignee | Title |
|---|---|---|---|---|
| US3296272A (en) | 1965-04-01 | 1967-01-03 | Dow Chemical Co | Sulfinyl- and sulfonylpyridines |
| US3325503A (en) | 1965-02-18 | 1967-06-13 | Diamond Alkali Co | Polychloro derivatives of mono- and dicyano pyridines and a method for their preparation |
| EP0141317A2 (en) | 1983-10-21 | 1985-05-15 | BASF Aktiengesellschaft | 7-Amino-azolo[1,5-a]pyrimidines and fungicides containing them |
| EP0152031A2 (en) | 1984-02-03 | 1985-08-21 | Shionogi & Co., Ltd. | Azolyl cycloalkanol derivatives and agricultural fungicides |
| EP0226917A1 (en) | 1985-12-20 | 1987-07-01 | BASF Aktiengesellschaft | Acrylic acid esters and fungicides containing these compounds |
| EP0243970A1 (en) | 1986-05-02 | 1987-11-04 | Stauffer Chemical Company | Fungicidal pyridyl imidates |
| EP0256503A2 (en) | 1986-08-12 | 1988-02-24 | Mitsubishi Kasei Corporation | Pyridinecarboxamide derivatives and their use as fungicide |
| EP0291007A1 (en) | 1987-05-11 | 1988-11-17 | Kaken Pharmaceutical Co., Ltd. | Rhodanine derivative, process for preparing the same and pharmaceutical composition containing the same |
| EP0428941A1 (en) | 1989-11-10 | 1991-05-29 | Agro-Kanesho Co., Ltd. | Hexahydrotriazine compounds and insecticides |
| EP0532022A1 (en) | 1991-09-13 | 1993-03-17 | Ube Industries, Ltd. | Acrylate compound, preparation process thereof and fungicide using the same |
| DE19650197A1 (en) | 1996-12-04 | 1998-06-10 | Bayer Ag | 3-thiocarbamoylpyrazole derivatives |
| WO1998046608A1 (en) | 1997-04-14 | 1998-10-22 | American Cyanamid Company | Fungicidal trifluoromethylalkylamino-triazolopyrimidines |
| WO1999014187A1 (en) | 1997-09-18 | 1999-03-25 | Basf Aktiengesellschaft | Benzamidoxim derivatives, intermediate products and methods for preparing and using them as fungicides |
| WO1999024413A2 (en) | 1997-11-12 | 1999-05-20 | Bayer Aktiengesellschaft | Isothiazole carboxylic acid amides and the application thereof in order to protect plants |
| WO1999027783A1 (en) | 1997-12-04 | 1999-06-10 | Dow Agrosciences Llc | Fungicidal compositions and methods, and compounds and methods for the preparation thereof |
| WO2000029404A1 (en) | 1998-11-17 | 2000-05-25 | Kumiai Chemical Industry Co., Ltd. | Pyrimidinylbenzimidazole and triazinylbenzimidazole derivatives and agricultura/horticultural bactericides |
| WO2000046148A1 (en) | 1999-02-02 | 2000-08-10 | Sintokogio, Ltd. | Silica gel carrying titanium oxide photocatalyst in high concentration and method for preparation thereof |
| EP1028125A1 (en) | 1998-11-30 | 2000-08-16 | Isagro Ricerca S.r.l. | Dipeptide compounds having fungicidal activity and their agronomic use |
| EP1035122A1 (en) | 1999-03-11 | 2000-09-13 | Rohm And Haas Company | Heterocyclic subsituted isoxazolidines and their use as fungicides |
| WO2000065913A1 (en) | 1999-04-28 | 2000-11-09 | Takeda Chemical Industries, Ltd. | Sulfonamide derivatives |
| DE10021412A1 (en) | 1999-12-13 | 2001-06-21 | Bayer Ag | Fungicidal active ingredient combinations |
| WO2001054501A2 (en) | 2000-01-25 | 2001-08-02 | Syngenta Participations Ag | Herbicidal composition |
| EP1122244A1 (en) | 2000-02-04 | 2001-08-08 | Sumitomo Chemical Company, Limited | Uracil compounds and their use |
| WO2001056358A2 (en) | 2000-01-28 | 2001-08-09 | Rohm And Haas Company | Enhanced propertied pesticides |
| WO2002022583A2 (en) | 2000-09-18 | 2002-03-21 | E. I. Du Pont De Nemours And Company | Pyridinyl amides and imides for use as fungicides |
| EP1201648A1 (en) | 1999-08-05 | 2002-05-02 | Kumiai Chemical Industry Co., Ltd. | Carbamate derivatives and agricultural/horticultural bactericides |
| WO2002040431A2 (en) | 2000-11-17 | 2002-05-23 | Dow Agrosciences Llc | Compounds having fungicidal activity and processes to make and use same |
| JP2002316902A (en) | 2001-04-20 | 2002-10-31 | Sumitomo Chem Co Ltd | Plant disease control agent composition |
| WO2003010149A1 (en) | 2001-07-25 | 2003-02-06 | Bayer Cropscience Ag | Pyrazolylcarboxanilides as fungicides |
| WO2003011853A1 (en) | 2001-07-30 | 2003-02-13 | Dow Agrosciences Llc | 6-aryl-4-aminopicolinates and their use as herbicides |
| WO2003014103A1 (en) | 2001-08-03 | 2003-02-20 | Bayer Cropscience S.A. | Iodobenzopyran-4-one derivatives having fungicidal activity |
| WO2003016303A1 (en) | 2001-08-20 | 2003-02-27 | Dainippon Ink And Chemicals, Inc. | Tetrazoyl oxime derivative and agricultural chemical containing the same as active ingredient |
| WO2003016286A1 (en) | 2001-08-17 | 2003-02-27 | Sankyo Agro Company, Limited | 3-phenoxy-4-pyridazinol derivative and herbicide composition containing the same |
| WO2003053145A1 (en) | 2001-12-21 | 2003-07-03 | Nissan Chemical Industries, Ltd. | Bactericidal composition |
| WO2003061388A1 (en) | 2002-01-18 | 2003-07-31 | Sumitomo Chemical Takeda Agro Company, Limited | Fused heterocyclic sulfonylurea compound, herbicide containing the same, and method of controlling weed with the same |
| WO2003066609A1 (en) | 2002-02-04 | 2003-08-14 | Bayer Cropscience Aktiengesellschaft | Disubstituted thiazolyl carboxanilides and their use as microbicides |
| WO2003074491A1 (en) | 2002-03-05 | 2003-09-12 | Syngenta Participations Ag | O-cyclopropyl-carboxanilides and their use as fungicides |
| US20030225082A1 (en) | 2002-03-19 | 2003-12-04 | Laufersweiler Matthew John | 1,2-dihydropyrazol-3-ones which controls inflammatory cytokines |
| WO2004049804A2 (en) | 2002-11-29 | 2004-06-17 | Syngenta Participations Ag | Fungicidal combinations for crop potection |
| WO2004083193A1 (en) | 2003-03-17 | 2004-09-30 | Sumitomo Chemical Company, Limited | Amide compound and bactericide composition containing the same |
| WO2005063721A1 (en) | 2003-12-19 | 2005-07-14 | E.I. Dupont De Nemours And Company | Herbicidal pyrimidines |
| WO2005077934A1 (en) | 2004-02-18 | 2005-08-25 | Ishihara Sangyo Kaisha, Ltd. | Anthranilamides, process for the production thereof, and pest controllers containing the same |
| WO2005087772A1 (en) | 2004-03-10 | 2005-09-22 | Basf Aktiengesellschaft | 5,6-dialkyl-7-amino-triazolopyrimidines, method for their production, their use for controlling pathogenic fungi and agents containing said compounds |
| WO2005087773A1 (en) | 2004-03-10 | 2005-09-22 | Basf Aktiengesellschaft | 5,6-dialkyl-7-amino-triazolopyrimidines, method for their production, their use for controlling pathogenic fungi and agents containing said compounds |
| WO2005120234A2 (en) | 2004-06-03 | 2005-12-22 | E.I. Dupont De Nemours And Company | Fungicidal mixtures of amidinylphenyl compounds |
| WO2005123689A1 (en) | 2004-06-18 | 2005-12-29 | Basf Aktiengesellschaft | 1-methyl-3-trifluoromethyl-pyrazole-4-carboxylic acid (ortho-phenyl)-anilides and to use thereof as fungicide |
| WO2005123690A1 (en) | 2004-06-18 | 2005-12-29 | Basf Aktiengesellschaft | 1-methyl-3-difluoromethyl-pyrazol-4-carbonic acid-(ortho-phenyl)-anilides, and use thereof as a fungicide |
| WO2006015866A1 (en) | 2004-08-12 | 2006-02-16 | Syngenta Participations Ag | Method for protecting useful plants or plant propagation material |
| WO2006043635A1 (en) | 2004-10-20 | 2006-04-27 | Kumiai Chemical Industry Co., Ltd. | 3-triazolylphenyl sulfide derivative and insecticide/acaricide/nematicide containing the same as active ingredient |
| WO2006087325A1 (en) | 2005-02-16 | 2006-08-24 | Basf Aktiengesellschaft | 5-alkoxyalkyl-6-alkyl-7-amino-azolopyrimidines, method for their production, their use for controlling pathogenic fungi and agents containing said substances |
| WO2006087343A1 (en) | 2005-02-16 | 2006-08-24 | Basf Aktiengesellschaft | Pyrazole carboxylic acid anilides, method for the production thereof and agents containing them for controlling pathogenic fungi |
| WO2006089633A2 (en) | 2005-02-22 | 2006-08-31 | Bayer Cropscience Ag | Spiroketal-substituted cyclic ketoenols |
| DE102005009458A1 (en) | 2005-03-02 | 2006-09-07 | Bayer Cropscience Ag | pyrazolylcarboxanilides |
| WO2007006670A1 (en) | 2005-07-07 | 2007-01-18 | Basf Aktiengesellschaft | N-thio-anthranilamid compounds and their use as pesticides |
| JP2007091708A (en) | 2005-05-16 | 2007-04-12 | Nissan Chem Ind Ltd | Dihydroazole-substituted benzamide compound and pest-controlling agent |
| WO2007043677A1 (en) | 2005-10-14 | 2007-04-19 | Sumitomo Chemical Company, Limited | Hydrazide compound and pesticidal use of the same |
| WO2007082098A2 (en) | 2006-01-13 | 2007-07-19 | Dow Agrosciences Llc | 6-(poly-substituted aryl)-4-aminopicolinates and their use as herbicides |
| WO2007090624A2 (en) | 2006-02-09 | 2007-08-16 | Syngenta Participations Ag | A method of protecting a plant propagation material, a plant, and/or plant organs |
| WO2007101369A1 (en) | 2006-03-09 | 2007-09-13 | East China University Of Science And Technology | Preparation method and use of compounds having high biocidal activities |
| WO2007101540A1 (en) | 2006-03-06 | 2007-09-13 | Bayer Cropscience Ag | Combinations of active ingredients with insecticidal properties |
| WO2007123853A2 (en) | 2006-04-20 | 2007-11-01 | E. I. Du Pont De Nemours And Company | Five-membered heterocyclic invertebrate pest control agents |
| WO2007123855A2 (en) | 2006-04-20 | 2007-11-01 | E. I. Du Pont De Nemours And Company | Pyrazolines for controlling invertebrate pests |
| WO2008067911A1 (en) | 2006-12-04 | 2008-06-12 | Bayer Cropscience Ag | Biphenyl-substituted spirocyclic ketoenols |
| EP1932836A1 (en) * | 2005-09-02 | 2008-06-18 | Nissan Chemical Industries, Ltd. | Isoxazoline-substituted benzamide compound and harmful organism-controlling agent |
| WO2008128711A1 (en) | 2007-04-23 | 2008-10-30 | Bayer Cropscience Ag | Insecticidal aryl pyrrolidines |
| WO2008134969A1 (en) | 2007-04-30 | 2008-11-13 | Sinochem Corporation | Benzamide compounds and applications thereof |
| WO2008154528A2 (en) | 2007-06-13 | 2008-12-18 | E. I. Du Pont De Nemours And Company | Isoxazoline insecticides |
| WO2009090181A2 (en) | 2008-01-15 | 2009-07-23 | Bayer Cropscience Sa | Pesticide composition comprising a tetrazolyloxime derivative and a fungicide or an insecticide active substance |
| WO2009124707A2 (en) | 2008-04-07 | 2009-10-15 | Bayer Cropscience Ag | Combinations of biological control agents and insecticides or fungicides |
| WO2010006713A2 (en) | 2008-07-17 | 2010-01-21 | Bayer Cropscience Ag | Heterocyclic compounds used as pesticides |
| WO2010018714A1 (en) | 2008-08-13 | 2010-02-18 | 三井化学アグロ株式会社 | Amide derivative, pest control agent containing the amide derivative and use of the pest control agent |
| WO2010020522A1 (en) | 2008-08-22 | 2010-02-25 | Syngenta Participations Ag | Insecticidal compounds |
| WO2010034737A1 (en) | 2008-09-24 | 2010-04-01 | Basf Se | Pyrazole compounds for controlling invertebrate pests |
| CN101715774A (en) | 2008-10-09 | 2010-06-02 | 浙江化工科技集团有限公司 | Preparation and use of compound having insecticidal activity |
| WO2010060379A1 (en) | 2008-11-28 | 2010-06-03 | 中国中化集团公司 | Ether compounds with nitrogen-containing 5-member heterocycle and the uses thereof |
| WO2010069882A1 (en) | 2008-12-17 | 2010-06-24 | Syngenta Participations Ag | Isoxazole derivatives for use as fungicides |
| WO2010069266A1 (en) | 2008-12-19 | 2010-06-24 | 华东理工大学 | Heterocyclic nitrogenous or oxygenous compounds with insecticidal activity formed from dialdehydes and their preparation and uses thereof |
| WO2010072781A2 (en) | 2008-12-23 | 2010-07-01 | Basf Se | Imine compounds for combating invertebrate pests |
| US20100210577A1 (en) | 2006-06-08 | 2010-08-19 | Cornell Research Foundation, Inc. | Cyclic carboxylic acid rhodanine derivatives for the treatment and prevention of tuberculosis |
| WO2010098496A1 (en) | 2009-02-26 | 2010-09-02 | Eisai R&D Management Co., Ltd. | Process for producing tetrahydrotriazolopyridine derivative |
| WO2010129497A1 (en) | 2009-05-05 | 2010-11-11 | Dow Agrosciences Llc | Pesticidal compositions |
| WO2010127926A1 (en) | 2009-05-06 | 2010-11-11 | Syngenta Participations Ag | 4 -cyano- 3 -benzoylamino-n- phenyl-benzamides for use in pest control |
| WO2010135504A1 (en) | 2009-05-20 | 2010-11-25 | Glaxosmithkline Llc | Thiazolopyrimidinone derivatives as pi3 kinase inhibitors |
| US20110046186A1 (en) | 2008-07-07 | 2011-02-24 | Bin Li | 1-Substituted Pyridyl-Pyrazolyl Amide Compounds and Uses Thereof |
| WO2011028657A1 (en) | 2009-09-01 | 2011-03-10 | Dow Agrosciences Llc | Synergistic fungicidal compositions containing a 5-fluoropyrimidine derivative for fungal control in cereals |
| WO2011069456A1 (en) | 2009-12-09 | 2011-06-16 | 华东理工大学 | Divalent and oxabridged heterocyclic neonicotinoid compounds and preparation methods thereof |
| US20110144164A1 (en) | 2009-12-15 | 2011-06-16 | H. Lundbeck A/S | Pyridone derivatives as NK3 antagonists |
| WO2011077514A1 (en) | 2009-12-22 | 2011-06-30 | 三井化学アグロ株式会社 | Plant disease control composition and method for controlling plant diseases by applying the composition |
| CN102126994A (en) | 2010-01-19 | 2011-07-20 | 中化蓝天集团有限公司 | Benzophenone hydrazone derivative and preparation method and application thereof |
| WO2011085575A1 (en) | 2010-01-15 | 2011-07-21 | 江苏省农药研究所股份有限公司 | Ortho-heterocyclyl formanilide compounds, their synthesis methods and use |
| WO2011135833A1 (en) | 2010-04-28 | 2011-11-03 | Sumitomo Chemical Company, Limited | Plant disease control composition and its use |
| WO2012000896A2 (en) | 2010-06-28 | 2012-01-05 | Bayer Cropscience Ag | Heterocyclic compounds as agents for pest control |
| WO2012007426A1 (en) * | 2010-07-13 | 2012-01-19 | Basf Se | Azoline substituted isoxazoline benzamide compounds for combating animal pests |
| WO2012029672A1 (en) | 2010-08-31 | 2012-03-08 | Meiji Seikaファルマ株式会社 | Noxious organism control agent |
| WO2012034403A1 (en) | 2010-09-14 | 2012-03-22 | 中化蓝天集团有限公司 | Fluoromethoxypyrazole anthranilamide compounds, synthesization methods and uses thereof |
| WO2012034472A1 (en) | 2010-09-13 | 2012-03-22 | 中化蓝天集团有限公司 | Cyano benzenedicarboxamide compounds, preparing methods and as agricultural insecticides uses thereof |
| WO2012084670A1 (en) | 2010-12-20 | 2012-06-28 | Basf Se | Pesticidal active mixtures comprising pyrazole compounds |
| WO2012143317A1 (en) | 2011-04-21 | 2012-10-26 | Basf Se | Novel pesticidal pyrazole compounds |
| WO2012168188A1 (en) | 2011-06-07 | 2012-12-13 | Bayer Intellectual Property Gmbh | Active compound combinations |
| WO2013003977A1 (en) | 2011-07-01 | 2013-01-10 | 合肥星宇化学有限责任公司 | Compound of 2,5-disubstituted-3-nitroimino-1,2,4-triazoline and preparation method and use as pesticide thereof |
| WO2013007767A1 (en) | 2011-07-13 | 2013-01-17 | Basf Se | Fungicidal substituted 2-[2-halogenalkyl-4-(phenoxy)-phenyl]-1-[1,2,4]triazol-1-yl-ethanol compounds |
| WO2013010862A1 (en) | 2011-07-15 | 2013-01-24 | Basf Se | Fungicidal alkyl-substituted 2-[2-chloro-4-(4-chloro-phenoxy)-phenyl]-1-[1,2,4]triazol-1-yl-ethanol compounds |
| WO2013024009A1 (en) | 2011-08-12 | 2013-02-21 | Basf Se | N-thio-anthranilamide compounds and their use as pesticides |
| WO2013024010A1 (en) | 2011-08-12 | 2013-02-21 | Basf Se | N-thio-anthranilamide compounds and their use as pesticides |
| WO2013037626A1 (en) | 2011-09-13 | 2013-03-21 | Syngenta Participations Ag | Isothiazoline derivatives as insecticidal compounds |
| WO2013047749A1 (en) | 2011-09-29 | 2013-04-04 | 三井化学アグロ株式会社 | Production method for 4, 4-difluoro-3,4-dihydroisoquinoline derivative |
| WO2013047441A1 (en) | 2011-09-26 | 2013-04-04 | 日本曹達株式会社 | Agricultural and horticultural bactericide composition |
| WO2013050317A1 (en) | 2011-10-03 | 2013-04-11 | Syngenta Limited | Polymorphs of an isoxazoline derivative |
| WO2013055584A1 (en) | 2011-10-13 | 2013-04-18 | E. I. Du Pont De Nemours And Company | Solid forms of nematocidal sulfonamides |
| WO2013092224A1 (en) | 2011-12-21 | 2013-06-27 | Basf Se | Use of strobilurin type compounds for combating phytopathogenic fungi resistant to qo inhibitors |
| WO2013129688A1 (en) | 2012-02-29 | 2013-09-06 | Meiji Seika Pharma Co., Ltd. | Pest control composition including novel iminopyridine derivative |
| WO2013127704A1 (en) | 2012-02-27 | 2013-09-06 | Bayer Intellectual Property Gmbh | Active compound combinations containing a thiazoylisoxazoline and a fungicide |
| WO2013162072A1 (en) | 2012-04-27 | 2013-10-31 | Sumitomo Chemical Company, Limited | Tetrazolinone compounds and its use as pesticides |
| WO2014029639A1 (en) | 2012-08-24 | 2014-02-27 | Syngenta Participations Ag | Methods of soil pest control |
| WO2014036056A1 (en) | 2012-08-31 | 2014-03-06 | Zoetis Llc | Crystalline forms of 1-(5'-(5-(3,5-dichloro-4-fluorophenyl)-5-(trifluoromethyl)-4,5-dihydroisoxazol-3-yl)-3'h-spiro[azetidine-3,1'-isobenzofuran]-1-yl)-2-(methylsulfonyl)ethanone |
| WO2014090918A1 (en) | 2012-12-13 | 2014-06-19 | Novartis Ag | Process for the enantiomeric enrichment of diaryloxazoline derivatives |
| US20140213448A1 (en) | 2012-04-27 | 2014-07-31 | Dow Agrosciences Llc | Pesticidal compositions and processes related thereto |
| WO2014126208A1 (en) | 2013-02-14 | 2014-08-21 | 日産化学工業株式会社 | Crystalline polymorph of isoxazoline-substituted benzamide compound, and method for producing same |
| WO2015038503A1 (en) | 2013-09-13 | 2015-03-19 | E. I. Du Pont De Nemours And Company | Heterocycle-substituted bicyclic azole pesticides |
| WO2015055497A1 (en) | 2013-10-16 | 2015-04-23 | Basf Se | Substituted pesticidal pyrazole compounds |
| WO2015066277A1 (en) * | 2013-11-01 | 2015-05-07 | Merial Limited | Antiparisitic and pesticidal isoxazoline compounds |
| WO2015128358A1 (en) * | 2014-02-26 | 2015-09-03 | Basf Se | Azoline compounds |
| WO2016102482A1 (en) * | 2014-12-22 | 2016-06-30 | Basf Se | Azoline compounds substituted by a condensed ring system |
| WO2017050921A1 (en) | 2015-09-23 | 2017-03-30 | Syngenta Participations Ag | Isoxazoline-substituted benzamides and analogues as insecticides |
| WO2017050922A1 (en) | 2015-09-23 | 2017-03-30 | Syngenta Participations Ag | Isoxazoline-substituted benzamides and analogues as insecticides |
-
2018
- 2018-04-10 WO PCT/EP2018/059074 patent/WO2018192793A1/en not_active Ceased
Patent Citations (125)
| Publication number | Priority date | Publication date | Assignee | Title |
|---|---|---|---|---|
| US3325503A (en) | 1965-02-18 | 1967-06-13 | Diamond Alkali Co | Polychloro derivatives of mono- and dicyano pyridines and a method for their preparation |
| US3296272A (en) | 1965-04-01 | 1967-01-03 | Dow Chemical Co | Sulfinyl- and sulfonylpyridines |
| EP0141317A2 (en) | 1983-10-21 | 1985-05-15 | BASF Aktiengesellschaft | 7-Amino-azolo[1,5-a]pyrimidines and fungicides containing them |
| EP0152031A2 (en) | 1984-02-03 | 1985-08-21 | Shionogi & Co., Ltd. | Azolyl cycloalkanol derivatives and agricultural fungicides |
| EP0226917A1 (en) | 1985-12-20 | 1987-07-01 | BASF Aktiengesellschaft | Acrylic acid esters and fungicides containing these compounds |
| EP0243970A1 (en) | 1986-05-02 | 1987-11-04 | Stauffer Chemical Company | Fungicidal pyridyl imidates |
| EP0256503A2 (en) | 1986-08-12 | 1988-02-24 | Mitsubishi Kasei Corporation | Pyridinecarboxamide derivatives and their use as fungicide |
| EP0291007A1 (en) | 1987-05-11 | 1988-11-17 | Kaken Pharmaceutical Co., Ltd. | Rhodanine derivative, process for preparing the same and pharmaceutical composition containing the same |
| EP0428941A1 (en) | 1989-11-10 | 1991-05-29 | Agro-Kanesho Co., Ltd. | Hexahydrotriazine compounds and insecticides |
| EP0532022A1 (en) | 1991-09-13 | 1993-03-17 | Ube Industries, Ltd. | Acrylate compound, preparation process thereof and fungicide using the same |
| DE19650197A1 (en) | 1996-12-04 | 1998-06-10 | Bayer Ag | 3-thiocarbamoylpyrazole derivatives |
| WO1998046608A1 (en) | 1997-04-14 | 1998-10-22 | American Cyanamid Company | Fungicidal trifluoromethylalkylamino-triazolopyrimidines |
| WO1999014187A1 (en) | 1997-09-18 | 1999-03-25 | Basf Aktiengesellschaft | Benzamidoxim derivatives, intermediate products and methods for preparing and using them as fungicides |
| WO1999024413A2 (en) | 1997-11-12 | 1999-05-20 | Bayer Aktiengesellschaft | Isothiazole carboxylic acid amides and the application thereof in order to protect plants |
| WO1999027783A1 (en) | 1997-12-04 | 1999-06-10 | Dow Agrosciences Llc | Fungicidal compositions and methods, and compounds and methods for the preparation thereof |
| WO2000029404A1 (en) | 1998-11-17 | 2000-05-25 | Kumiai Chemical Industry Co., Ltd. | Pyrimidinylbenzimidazole and triazinylbenzimidazole derivatives and agricultura/horticultural bactericides |
| EP1028125A1 (en) | 1998-11-30 | 2000-08-16 | Isagro Ricerca S.r.l. | Dipeptide compounds having fungicidal activity and their agronomic use |
| WO2000046148A1 (en) | 1999-02-02 | 2000-08-10 | Sintokogio, Ltd. | Silica gel carrying titanium oxide photocatalyst in high concentration and method for preparation thereof |
| EP1035122A1 (en) | 1999-03-11 | 2000-09-13 | Rohm And Haas Company | Heterocyclic subsituted isoxazolidines and their use as fungicides |
| WO2000065913A1 (en) | 1999-04-28 | 2000-11-09 | Takeda Chemical Industries, Ltd. | Sulfonamide derivatives |
| EP1201648A1 (en) | 1999-08-05 | 2002-05-02 | Kumiai Chemical Industry Co., Ltd. | Carbamate derivatives and agricultural/horticultural bactericides |
| DE10021412A1 (en) | 1999-12-13 | 2001-06-21 | Bayer Ag | Fungicidal active ingredient combinations |
| WO2001054501A2 (en) | 2000-01-25 | 2001-08-02 | Syngenta Participations Ag | Herbicidal composition |
| WO2001056358A2 (en) | 2000-01-28 | 2001-08-09 | Rohm And Haas Company | Enhanced propertied pesticides |
| EP1122244A1 (en) | 2000-02-04 | 2001-08-08 | Sumitomo Chemical Company, Limited | Uracil compounds and their use |
| WO2002022583A2 (en) | 2000-09-18 | 2002-03-21 | E. I. Du Pont De Nemours And Company | Pyridinyl amides and imides for use as fungicides |
| WO2002040431A2 (en) | 2000-11-17 | 2002-05-23 | Dow Agrosciences Llc | Compounds having fungicidal activity and processes to make and use same |
| JP2002316902A (en) | 2001-04-20 | 2002-10-31 | Sumitomo Chem Co Ltd | Plant disease control agent composition |
| WO2003010149A1 (en) | 2001-07-25 | 2003-02-06 | Bayer Cropscience Ag | Pyrazolylcarboxanilides as fungicides |
| WO2003011853A1 (en) | 2001-07-30 | 2003-02-13 | Dow Agrosciences Llc | 6-aryl-4-aminopicolinates and their use as herbicides |
| WO2003014103A1 (en) | 2001-08-03 | 2003-02-20 | Bayer Cropscience S.A. | Iodobenzopyran-4-one derivatives having fungicidal activity |
| WO2003016286A1 (en) | 2001-08-17 | 2003-02-27 | Sankyo Agro Company, Limited | 3-phenoxy-4-pyridazinol derivative and herbicide composition containing the same |
| WO2003016303A1 (en) | 2001-08-20 | 2003-02-27 | Dainippon Ink And Chemicals, Inc. | Tetrazoyl oxime derivative and agricultural chemical containing the same as active ingredient |
| WO2003053145A1 (en) | 2001-12-21 | 2003-07-03 | Nissan Chemical Industries, Ltd. | Bactericidal composition |
| WO2003061388A1 (en) | 2002-01-18 | 2003-07-31 | Sumitomo Chemical Takeda Agro Company, Limited | Fused heterocyclic sulfonylurea compound, herbicide containing the same, and method of controlling weed with the same |
| WO2003066609A1 (en) | 2002-02-04 | 2003-08-14 | Bayer Cropscience Aktiengesellschaft | Disubstituted thiazolyl carboxanilides and their use as microbicides |
| WO2003074491A1 (en) | 2002-03-05 | 2003-09-12 | Syngenta Participations Ag | O-cyclopropyl-carboxanilides and their use as fungicides |
| US20030225082A1 (en) | 2002-03-19 | 2003-12-04 | Laufersweiler Matthew John | 1,2-dihydropyrazol-3-ones which controls inflammatory cytokines |
| WO2004049804A2 (en) | 2002-11-29 | 2004-06-17 | Syngenta Participations Ag | Fungicidal combinations for crop potection |
| WO2004083193A1 (en) | 2003-03-17 | 2004-09-30 | Sumitomo Chemical Company, Limited | Amide compound and bactericide composition containing the same |
| WO2005063721A1 (en) | 2003-12-19 | 2005-07-14 | E.I. Dupont De Nemours And Company | Herbicidal pyrimidines |
| WO2005077934A1 (en) | 2004-02-18 | 2005-08-25 | Ishihara Sangyo Kaisha, Ltd. | Anthranilamides, process for the production thereof, and pest controllers containing the same |
| WO2005087772A1 (en) | 2004-03-10 | 2005-09-22 | Basf Aktiengesellschaft | 5,6-dialkyl-7-amino-triazolopyrimidines, method for their production, their use for controlling pathogenic fungi and agents containing said compounds |
| WO2005087773A1 (en) | 2004-03-10 | 2005-09-22 | Basf Aktiengesellschaft | 5,6-dialkyl-7-amino-triazolopyrimidines, method for their production, their use for controlling pathogenic fungi and agents containing said compounds |
| WO2005120234A2 (en) | 2004-06-03 | 2005-12-22 | E.I. Dupont De Nemours And Company | Fungicidal mixtures of amidinylphenyl compounds |
| WO2005123689A1 (en) | 2004-06-18 | 2005-12-29 | Basf Aktiengesellschaft | 1-methyl-3-trifluoromethyl-pyrazole-4-carboxylic acid (ortho-phenyl)-anilides and to use thereof as fungicide |
| WO2005123690A1 (en) | 2004-06-18 | 2005-12-29 | Basf Aktiengesellschaft | 1-methyl-3-difluoromethyl-pyrazol-4-carbonic acid-(ortho-phenyl)-anilides, and use thereof as a fungicide |
| WO2006015866A1 (en) | 2004-08-12 | 2006-02-16 | Syngenta Participations Ag | Method for protecting useful plants or plant propagation material |
| WO2006043635A1 (en) | 2004-10-20 | 2006-04-27 | Kumiai Chemical Industry Co., Ltd. | 3-triazolylphenyl sulfide derivative and insecticide/acaricide/nematicide containing the same as active ingredient |
| WO2006087325A1 (en) | 2005-02-16 | 2006-08-24 | Basf Aktiengesellschaft | 5-alkoxyalkyl-6-alkyl-7-amino-azolopyrimidines, method for their production, their use for controlling pathogenic fungi and agents containing said substances |
| WO2006087343A1 (en) | 2005-02-16 | 2006-08-24 | Basf Aktiengesellschaft | Pyrazole carboxylic acid anilides, method for the production thereof and agents containing them for controlling pathogenic fungi |
| WO2006089633A2 (en) | 2005-02-22 | 2006-08-31 | Bayer Cropscience Ag | Spiroketal-substituted cyclic ketoenols |
| DE102005009458A1 (en) | 2005-03-02 | 2006-09-07 | Bayer Cropscience Ag | pyrazolylcarboxanilides |
| JP2007091708A (en) | 2005-05-16 | 2007-04-12 | Nissan Chem Ind Ltd | Dihydroazole-substituted benzamide compound and pest-controlling agent |
| WO2007006670A1 (en) | 2005-07-07 | 2007-01-18 | Basf Aktiengesellschaft | N-thio-anthranilamid compounds and their use as pesticides |
| EP1932836A1 (en) * | 2005-09-02 | 2008-06-18 | Nissan Chemical Industries, Ltd. | Isoxazoline-substituted benzamide compound and harmful organism-controlling agent |
| WO2007043677A1 (en) | 2005-10-14 | 2007-04-19 | Sumitomo Chemical Company, Limited | Hydrazide compound and pesticidal use of the same |
| WO2007082098A2 (en) | 2006-01-13 | 2007-07-19 | Dow Agrosciences Llc | 6-(poly-substituted aryl)-4-aminopicolinates and their use as herbicides |
| WO2007090624A2 (en) | 2006-02-09 | 2007-08-16 | Syngenta Participations Ag | A method of protecting a plant propagation material, a plant, and/or plant organs |
| WO2007101540A1 (en) | 2006-03-06 | 2007-09-13 | Bayer Cropscience Ag | Combinations of active ingredients with insecticidal properties |
| WO2007101369A1 (en) | 2006-03-09 | 2007-09-13 | East China University Of Science And Technology | Preparation method and use of compounds having high biocidal activities |
| WO2007123855A2 (en) | 2006-04-20 | 2007-11-01 | E. I. Du Pont De Nemours And Company | Pyrazolines for controlling invertebrate pests |
| WO2007123853A2 (en) | 2006-04-20 | 2007-11-01 | E. I. Du Pont De Nemours And Company | Five-membered heterocyclic invertebrate pest control agents |
| US20100210577A1 (en) | 2006-06-08 | 2010-08-19 | Cornell Research Foundation, Inc. | Cyclic carboxylic acid rhodanine derivatives for the treatment and prevention of tuberculosis |
| WO2008067911A1 (en) | 2006-12-04 | 2008-06-12 | Bayer Cropscience Ag | Biphenyl-substituted spirocyclic ketoenols |
| WO2008128711A1 (en) | 2007-04-23 | 2008-10-30 | Bayer Cropscience Ag | Insecticidal aryl pyrrolidines |
| WO2008134969A1 (en) | 2007-04-30 | 2008-11-13 | Sinochem Corporation | Benzamide compounds and applications thereof |
| WO2008154528A2 (en) | 2007-06-13 | 2008-12-18 | E. I. Du Pont De Nemours And Company | Isoxazoline insecticides |
| WO2009090181A2 (en) | 2008-01-15 | 2009-07-23 | Bayer Cropscience Sa | Pesticide composition comprising a tetrazolyloxime derivative and a fungicide or an insecticide active substance |
| WO2009124707A2 (en) | 2008-04-07 | 2009-10-15 | Bayer Cropscience Ag | Combinations of biological control agents and insecticides or fungicides |
| US20110046186A1 (en) | 2008-07-07 | 2011-02-24 | Bin Li | 1-Substituted Pyridyl-Pyrazolyl Amide Compounds and Uses Thereof |
| WO2010006713A2 (en) | 2008-07-17 | 2010-01-21 | Bayer Cropscience Ag | Heterocyclic compounds used as pesticides |
| WO2010018714A1 (en) | 2008-08-13 | 2010-02-18 | 三井化学アグロ株式会社 | Amide derivative, pest control agent containing the amide derivative and use of the pest control agent |
| WO2010020522A1 (en) | 2008-08-22 | 2010-02-25 | Syngenta Participations Ag | Insecticidal compounds |
| WO2010034737A1 (en) | 2008-09-24 | 2010-04-01 | Basf Se | Pyrazole compounds for controlling invertebrate pests |
| CN101715774A (en) | 2008-10-09 | 2010-06-02 | 浙江化工科技集团有限公司 | Preparation and use of compound having insecticidal activity |
| WO2010060379A1 (en) | 2008-11-28 | 2010-06-03 | 中国中化集团公司 | Ether compounds with nitrogen-containing 5-member heterocycle and the uses thereof |
| WO2010069882A1 (en) | 2008-12-17 | 2010-06-24 | Syngenta Participations Ag | Isoxazole derivatives for use as fungicides |
| WO2010069266A1 (en) | 2008-12-19 | 2010-06-24 | 华东理工大学 | Heterocyclic nitrogenous or oxygenous compounds with insecticidal activity formed from dialdehydes and their preparation and uses thereof |
| WO2010072781A2 (en) | 2008-12-23 | 2010-07-01 | Basf Se | Imine compounds for combating invertebrate pests |
| WO2010098496A1 (en) | 2009-02-26 | 2010-09-02 | Eisai R&D Management Co., Ltd. | Process for producing tetrahydrotriazolopyridine derivative |
| WO2010129497A1 (en) | 2009-05-05 | 2010-11-11 | Dow Agrosciences Llc | Pesticidal compositions |
| WO2010127926A1 (en) | 2009-05-06 | 2010-11-11 | Syngenta Participations Ag | 4 -cyano- 3 -benzoylamino-n- phenyl-benzamides for use in pest control |
| WO2010135504A1 (en) | 2009-05-20 | 2010-11-25 | Glaxosmithkline Llc | Thiazolopyrimidinone derivatives as pi3 kinase inhibitors |
| WO2011028657A1 (en) | 2009-09-01 | 2011-03-10 | Dow Agrosciences Llc | Synergistic fungicidal compositions containing a 5-fluoropyrimidine derivative for fungal control in cereals |
| WO2011069456A1 (en) | 2009-12-09 | 2011-06-16 | 华东理工大学 | Divalent and oxabridged heterocyclic neonicotinoid compounds and preparation methods thereof |
| US20110144164A1 (en) | 2009-12-15 | 2011-06-16 | H. Lundbeck A/S | Pyridone derivatives as NK3 antagonists |
| WO2011077514A1 (en) | 2009-12-22 | 2011-06-30 | 三井化学アグロ株式会社 | Plant disease control composition and method for controlling plant diseases by applying the composition |
| WO2011085575A1 (en) | 2010-01-15 | 2011-07-21 | 江苏省农药研究所股份有限公司 | Ortho-heterocyclyl formanilide compounds, their synthesis methods and use |
| CN102126994A (en) | 2010-01-19 | 2011-07-20 | 中化蓝天集团有限公司 | Benzophenone hydrazone derivative and preparation method and application thereof |
| WO2011135833A1 (en) | 2010-04-28 | 2011-11-03 | Sumitomo Chemical Company, Limited | Plant disease control composition and its use |
| WO2012000896A2 (en) | 2010-06-28 | 2012-01-05 | Bayer Cropscience Ag | Heterocyclic compounds as agents for pest control |
| WO2012007426A1 (en) * | 2010-07-13 | 2012-01-19 | Basf Se | Azoline substituted isoxazoline benzamide compounds for combating animal pests |
| WO2012029672A1 (en) | 2010-08-31 | 2012-03-08 | Meiji Seikaファルマ株式会社 | Noxious organism control agent |
| WO2012034472A1 (en) | 2010-09-13 | 2012-03-22 | 中化蓝天集团有限公司 | Cyano benzenedicarboxamide compounds, preparing methods and as agricultural insecticides uses thereof |
| WO2012034403A1 (en) | 2010-09-14 | 2012-03-22 | 中化蓝天集团有限公司 | Fluoromethoxypyrazole anthranilamide compounds, synthesization methods and uses thereof |
| WO2012084670A1 (en) | 2010-12-20 | 2012-06-28 | Basf Se | Pesticidal active mixtures comprising pyrazole compounds |
| WO2012143317A1 (en) | 2011-04-21 | 2012-10-26 | Basf Se | Novel pesticidal pyrazole compounds |
| WO2012168188A1 (en) | 2011-06-07 | 2012-12-13 | Bayer Intellectual Property Gmbh | Active compound combinations |
| WO2013003977A1 (en) | 2011-07-01 | 2013-01-10 | 合肥星宇化学有限责任公司 | Compound of 2,5-disubstituted-3-nitroimino-1,2,4-triazoline and preparation method and use as pesticide thereof |
| WO2013007767A1 (en) | 2011-07-13 | 2013-01-17 | Basf Se | Fungicidal substituted 2-[2-halogenalkyl-4-(phenoxy)-phenyl]-1-[1,2,4]triazol-1-yl-ethanol compounds |
| WO2013010862A1 (en) | 2011-07-15 | 2013-01-24 | Basf Se | Fungicidal alkyl-substituted 2-[2-chloro-4-(4-chloro-phenoxy)-phenyl]-1-[1,2,4]triazol-1-yl-ethanol compounds |
| WO2013024009A1 (en) | 2011-08-12 | 2013-02-21 | Basf Se | N-thio-anthranilamide compounds and their use as pesticides |
| WO2013024010A1 (en) | 2011-08-12 | 2013-02-21 | Basf Se | N-thio-anthranilamide compounds and their use as pesticides |
| WO2013037626A1 (en) | 2011-09-13 | 2013-03-21 | Syngenta Participations Ag | Isothiazoline derivatives as insecticidal compounds |
| WO2013047441A1 (en) | 2011-09-26 | 2013-04-04 | 日本曹達株式会社 | Agricultural and horticultural bactericide composition |
| WO2013047749A1 (en) | 2011-09-29 | 2013-04-04 | 三井化学アグロ株式会社 | Production method for 4, 4-difluoro-3,4-dihydroisoquinoline derivative |
| WO2013050317A1 (en) | 2011-10-03 | 2013-04-11 | Syngenta Limited | Polymorphs of an isoxazoline derivative |
| WO2013055584A1 (en) | 2011-10-13 | 2013-04-18 | E. I. Du Pont De Nemours And Company | Solid forms of nematocidal sulfonamides |
| WO2013092224A1 (en) | 2011-12-21 | 2013-06-27 | Basf Se | Use of strobilurin type compounds for combating phytopathogenic fungi resistant to qo inhibitors |
| WO2013127704A1 (en) | 2012-02-27 | 2013-09-06 | Bayer Intellectual Property Gmbh | Active compound combinations containing a thiazoylisoxazoline and a fungicide |
| WO2013129688A1 (en) | 2012-02-29 | 2013-09-06 | Meiji Seika Pharma Co., Ltd. | Pest control composition including novel iminopyridine derivative |
| US20140213448A1 (en) | 2012-04-27 | 2014-07-31 | Dow Agrosciences Llc | Pesticidal compositions and processes related thereto |
| WO2013162072A1 (en) | 2012-04-27 | 2013-10-31 | Sumitomo Chemical Company, Limited | Tetrazolinone compounds and its use as pesticides |
| WO2014029639A1 (en) | 2012-08-24 | 2014-02-27 | Syngenta Participations Ag | Methods of soil pest control |
| WO2014036056A1 (en) | 2012-08-31 | 2014-03-06 | Zoetis Llc | Crystalline forms of 1-(5'-(5-(3,5-dichloro-4-fluorophenyl)-5-(trifluoromethyl)-4,5-dihydroisoxazol-3-yl)-3'h-spiro[azetidine-3,1'-isobenzofuran]-1-yl)-2-(methylsulfonyl)ethanone |
| WO2014090918A1 (en) | 2012-12-13 | 2014-06-19 | Novartis Ag | Process for the enantiomeric enrichment of diaryloxazoline derivatives |
| WO2014126208A1 (en) | 2013-02-14 | 2014-08-21 | 日産化学工業株式会社 | Crystalline polymorph of isoxazoline-substituted benzamide compound, and method for producing same |
| WO2015038503A1 (en) | 2013-09-13 | 2015-03-19 | E. I. Du Pont De Nemours And Company | Heterocycle-substituted bicyclic azole pesticides |
| WO2015055497A1 (en) | 2013-10-16 | 2015-04-23 | Basf Se | Substituted pesticidal pyrazole compounds |
| WO2015066277A1 (en) * | 2013-11-01 | 2015-05-07 | Merial Limited | Antiparisitic and pesticidal isoxazoline compounds |
| WO2015128358A1 (en) * | 2014-02-26 | 2015-09-03 | Basf Se | Azoline compounds |
| WO2016102482A1 (en) * | 2014-12-22 | 2016-06-30 | Basf Se | Azoline compounds substituted by a condensed ring system |
| WO2017050921A1 (en) | 2015-09-23 | 2017-03-30 | Syngenta Participations Ag | Isoxazoline-substituted benzamides and analogues as insecticides |
| WO2017050922A1 (en) | 2015-09-23 | 2017-03-30 | Syngenta Participations Ag | Isoxazoline-substituted benzamides and analogues as insecticides |
Non-Patent Citations (12)
| Title |
|---|
| "Technical Monograph", May 2008, CROPLIFE INTERNATIONAL, article "Catalogue of pesticide formulation types and international coding system" |
| A. K. EI-SHAFEI ET AL., GAZZETTA CHIMICA ITALIANA, vol. 120, 1990, pages 197 - 201 |
| B. KUSUMA ET AL., ORG. LETT., vol. 14, 2012, pages 6242 - 6245 |
| C. MACBEAN: "The Pesticide Manual", 2013, BRITISH CROP PROTECTION COUNCIL |
| CAN. J. PLANT SCI., vol. 48, no. 6, 1968, pages 587 - 94 |
| J. P. POWERS ET AL., J. MED. CHEM., vol. 43, 2006, pages 1034 - 1046 |
| KNOWLES: "Agrow Reports DS243", 2005, T&F INFORMA, article "New developments in crop protection product formulation" |
| KNOWLES: "Agrow Reports DS256", 2006, T&F INFORMA, article "Adjuvants and additives" |
| MCCUTCHEON: "Emulsifiers & Detergents", vol. 1, 2008, MCCUTCHEON'S DIRECTORIES |
| MOLLET; GRUBE-MANN: "Formulation technology", 2001, WILEY VCH |
| V. N. YAROVENKO ET AL., RUSSIAN CHEMICAL BULLETIN, vol. 56, 2007, pages 1624 - 1630 |
| W. HANEFELD ET AL., ARCHIV DER PHARMAZIE, vol. 326, 1993, pages 887 - 891 |
Cited By (1)
| Publication number | Priority date | Publication date | Assignee | Title |
|---|---|---|---|---|
| US12497370B2 (en) | 2019-12-18 | 2025-12-16 | Elanco Tiergesundheit Ag | Isoxazoline derivatives |
Similar Documents
| Publication | Publication Date | Title |
|---|---|---|
| EP3436457B1 (en) | Bicyclic compounds | |
| EP3615530B1 (en) | Substituted succinimide derivatives as pesticides | |
| CN110461854A (en) | Process for the preparation of chiral 2,3-dihydrothiazolo[3,2-A]pyrimidine-4-onium compounds | |
| EP3601231B1 (en) | Pesticidal compounds | |
| WO2016055431A1 (en) | Substituted pyrimidinium compounds for combating animal pests | |
| WO2018108671A1 (en) | Pesticidal compounds | |
| WO2017045955A1 (en) | Heterobicyclic compounds | |
| ES3039587T3 (en) | Pesticidal compounds | |
| WO2015114106A1 (en) | Pyrazoles for controlling invertebrate pests | |
| WO2015162133A1 (en) | C3-c4-cycloalkenyl-comprising pyrazoles for controlling invertebrate pests | |
| WO2018224455A1 (en) | Substituted cyclopropyl derivatives | |
| EP3426660A1 (en) | Spirocyclic derivatives | |
| WO2016113271A1 (en) | Imidazoisoquinoline compounds, compositions comprising the compounds and their use for controlling invertebrate pests | |
| WO2019185413A1 (en) | Pesticidal substituted cyclopropyl derivatives | |
| US10106558B2 (en) | Azolobenzazine compounds, compositions comprising these compounds and their use for controlling invertebrate pests | |
| WO2018192793A1 (en) | Substituted rhodanine derivatives | |
| WO2018162312A1 (en) | Spirocyclic derivatives | |
| EP3887357A1 (en) | Pesticidal compounds | |
| WO2018166855A1 (en) | Heterobicyclic substituted dihydroisoxazoles | |
| WO2018234488A1 (en) | SUBSTITUTED CYCLOPROPYL DERIVATIVES |
Legal Events
| Date | Code | Title | Description |
|---|---|---|---|
| 121 | Ep: the epo has been informed by wipo that ep was designated in this application |
Ref document number: 18717572 Country of ref document: EP Kind code of ref document: A1 |
|
| NENP | Non-entry into the national phase |
Ref country code: DE |
|
| 122 | Ep: pct application non-entry in european phase |
Ref document number: 18717572 Country of ref document: EP Kind code of ref document: A1 |














