WO2019185413A1 - Pesticidal substituted cyclopropyl derivatives - Google Patents
Pesticidal substituted cyclopropyl derivatives Download PDFInfo
- Publication number
- WO2019185413A1 WO2019185413A1 PCT/EP2019/056922 EP2019056922W WO2019185413A1 WO 2019185413 A1 WO2019185413 A1 WO 2019185413A1 EP 2019056922 W EP2019056922 W EP 2019056922W WO 2019185413 A1 WO2019185413 A1 WO 2019185413A1
- Authority
- WO
- WIPO (PCT)
- Prior art keywords
- spp
- compounds
- alkyl
- formula
- phenyl
- Prior art date
- Legal status (The legal status is an assumption and is not a legal conclusion. Google has not performed a legal analysis and makes no representation as to the accuracy of the status listed.)
- Ceased
Links
- 0 Cc1c(*)cc(C2C(*)(*)C2*)cc1* Chemical compound Cc1c(*)cc(C2C(*)(*)C2*)cc1* 0.000 description 4
Classifications
-
- C—CHEMISTRY; METALLURGY
- C07—ORGANIC CHEMISTRY
- C07D—HETEROCYCLIC COMPOUNDS
- C07D333/00—Heterocyclic compounds containing five-membered rings having one sulfur atom as the only ring hetero atom
- C07D333/02—Heterocyclic compounds containing five-membered rings having one sulfur atom as the only ring hetero atom not condensed with other rings
- C07D333/04—Heterocyclic compounds containing five-membered rings having one sulfur atom as the only ring hetero atom not condensed with other rings not substituted on the ring sulphur atom
- C07D333/26—Heterocyclic compounds containing five-membered rings having one sulfur atom as the only ring hetero atom not condensed with other rings not substituted on the ring sulphur atom with hetero atoms or with carbon atoms having three bonds to hetero atoms with at the most one bond to halogen, e.g. ester or nitrile radicals, directly attached to ring carbon atoms
- C07D333/38—Carbon atoms having three bonds to hetero atoms with at the most one bond to halogen, e.g. ester or nitrile radicals
-
- A—HUMAN NECESSITIES
- A01—AGRICULTURE; FORESTRY; ANIMAL HUSBANDRY; HUNTING; TRAPPING; FISHING
- A01N—PRESERVATION OF BODIES OF HUMANS OR ANIMALS OR PLANTS OR PARTS THEREOF; BIOCIDES, e.g. AS DISINFECTANTS, AS PESTICIDES OR AS HERBICIDES; PEST REPELLANTS OR ATTRACTANTS; PLANT GROWTH REGULATORS
- A01N43/00—Biocides, pest repellants or attractants, or plant growth regulators containing heterocyclic compounds
- A01N43/02—Biocides, pest repellants or attractants, or plant growth regulators containing heterocyclic compounds having rings with one or more oxygen or sulfur atoms as the only ring hetero atoms
- A01N43/04—Biocides, pest repellants or attractants, or plant growth regulators containing heterocyclic compounds having rings with one or more oxygen or sulfur atoms as the only ring hetero atoms with one hetero atom
- A01N43/06—Biocides, pest repellants or attractants, or plant growth regulators containing heterocyclic compounds having rings with one or more oxygen or sulfur atoms as the only ring hetero atoms with one hetero atom five-membered rings
- A01N43/10—Biocides, pest repellants or attractants, or plant growth regulators containing heterocyclic compounds having rings with one or more oxygen or sulfur atoms as the only ring hetero atoms with one hetero atom five-membered rings with sulfur as the ring hetero atom
-
- A—HUMAN NECESSITIES
- A01—AGRICULTURE; FORESTRY; ANIMAL HUSBANDRY; HUNTING; TRAPPING; FISHING
- A01N—PRESERVATION OF BODIES OF HUMANS OR ANIMALS OR PLANTS OR PARTS THEREOF; BIOCIDES, e.g. AS DISINFECTANTS, AS PESTICIDES OR AS HERBICIDES; PEST REPELLANTS OR ATTRACTANTS; PLANT GROWTH REGULATORS
- A01N53/00—Biocides, pest repellants or attractants, or plant growth regulators containing cyclopropane carboxylic acids or derivatives thereof
Definitions
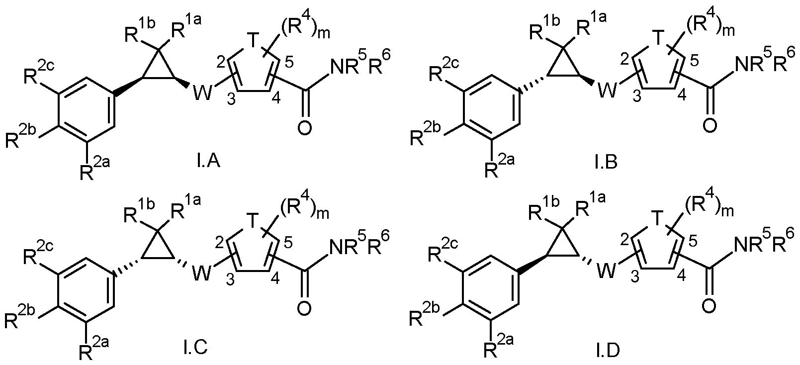
- the present invention relates to cyclopropyl compounds of formula I
- R 1a , R 1b are independently H, halogen, Ci-C 2 -alkyl, or halomethyl;
- R 2a halogen, halomethyl, or halomethoxy
- R 2b , R 2c are independently H, or as defined for R 2a ;
- U is O, or S
- R 3 is H, Ci-C 6 -alkyl, C 2 -C 6 -alkenyl, C 2 -C 6 -alkynyl, Cs-Ce-cycloalkyl, C 3 -C 8 -cycloalkyl-Ci-C 4 - alkyl, Ci-C 6 -alkylcarbonyl, Ci-C 6 -alkoxycarbonyl, phenyl or saturated, partially or fully un- saturated heterocycle, which groups are unsubstituted or substituted with one or more R a ; and wherein the rings are bonded directly or via Ci-C 4 -alkyl spacer;
- R 31 H Ci-C 6 -alkyl, Ci-C 6 -haloalkyl, C 2 -C 4 -alkenyl, C 2 -C 4 -alkynyl, C 3 -C 6 -cycloalkyl, C 3 -C 6 -halocycloalkyl, C 3 -C 6 -cycloalkylmethyl, or C 3 -C 6 -halocycloalkylmethyl;
- R 4 is H, halogen, CN, NO 2 , Ci-C 6 -alkyl, Ci-C 6 -alkoxy, Cs-Cs-cycloalkyl, Ci-C 6 -alkylcarbonyl, S(0) m R 43 ; wherein the aliphatic groups are unsubstituted or partially or fully substituted with R b ;
- R 41 is H, or Ci-C 6 -alkyl
- R 51 ,R 52 are independently H, Ci-C 6 -alkyl, C2-C6-alkenyl, C2-C6-alkynyl, Cs-Cs-cycloal- kyl, C3-C8-cycloalkyl-Ci-C4-alkyl, phenyl or saturated, partially or fully unsaturated heterocycle, which groups are unsubstituted or substituted with one or more halo- gen, CN, NO2; and wherein the rings are bonded directly or via Ci-C4-alkyl spacer; and the N-
- the invention also provides an agricultural composition
- an agricultural composition comprising at least one compound of formula I, a stereoisomer thereof and/or an agriculturally acceptable salt thereof and at least one liquid and/or solid carrier, especially at least one inert liquid and/or solid agriculturally ac- ceptable carrier.
- the invention also provides a veterinary composition
- a veterinary composition comprising at least one compound of for- mula I, a stereoisomer thereof and/or a veterinarily acceptable salt thereof and at least one liq uid and/or solid carrier, especially at least one inert veterinarily liquid and/or solid acceptable carrier.
- the invention also provides a method for controlling invertebrate pests which method corn- prises treating the pests, their food supply, their habitat or their breeding ground or a cultivated plant, plant propagation materials (such as seed), soil, area, material or environment in which the pests are growing or may grow, or the materials, cultivated plants, plant propagation materi- als (such as seed), soils, surfaces or spaces to be protected from pest attack or infestation with a pesticidally effective amount of a compound of formula I or a salt thereof as defined herein.
- the present invention also relates to plant propagation material, in particular seed, comprising at least one compound of formula I and/or an agriculturally acceptable salt thereof.
- the invention further relates to a method for treating or protecting an animal from infestation or infection by parasites which comprises bringing the animal in contact with a parasiticidally effec- tive amount of a compound of formula I or a veterinarily acceptable salt thereof. Bringing the an- imal in contact with the compound I, its salt or the veterinary composition of the invention means applying or administering it to the animal.
- WO 2016/168059 and WO 2017/055414 describe structurally closely related active corn- pounds. These compounds are mentioned to be useful for combating invertebrate pests.
- the transformation of 11.1 with 111.1 is usually carried out at temperatures of from -10°C to 120°C, preferably from 0°C to 35°C, in an inert solvent, in the presence of a base and an activa- tor [cf. Ngo, Thien H. et al, Journal of Organic Chemistry, 77(21 ), 9676-9683; 2012],
- Suitable solvents are aliphatic hydrocarbons such as pentane, hexane, cyclohexane, and pet- rol ether, aromatic hydrocarbons such as toluene, o-, m-, and p-xylene, halogenated hydrocar- bons such as methylene chloride, chloroform, and chlorobenzene, ethers such as diethylether, diisopropylether, tert.-butylmethylether (MTBE), dioxane, anisole, and tetrahydrofurane (THF), nitrils such as acetonitrile (ACN), and propionitrile, moreover dimethyl sulphoxide (DMSO), di- methyl formamide (DMF), and dimethylacetamide (DMA), preferably aromatic hydrocarbons such as toluene, o-, m-, and p-xylene, halogenated hydrocarbons such as methylene chloride and
- Suitable coupling reagents are known and are, e.g. selected from carbodiimides, such as N,N-dicyclohexylcarbodiimide (“DCC”) and N,N-diisopropylcarbodiimide (“DCI”), ben- zotriazole derivatives such as 1 -[bis(dimethylamino)methylene]-1 H-1 ,2,3-triazolo[4,5-b]pyri- dinium 3-oxid hexafluorophosphate ( ⁇ ATIG), 0-(benzotriazol-1 -yl)-N,N,N',N'-tetramethylu- ronium hexafluorophosphate (“HBTU”), and 1 -[bis(dimethylamino)methylen]-5-chlorobenzotria- zolium 3-oxide hexafluorophosphate (“HCTU”), or phosphonium-derived activators, such as (Benzotriazol-1
- Compounds of formula 11.1 are known from WO 2016/168059.
- Compounds of formula 111.1 are commercially available, or can be obtained be generally known methods, or as described in WO 2004/064721 , and WO 201 1/080277.
- the saponification is carried out under conditions generally known in the art, e.g. dissolving the compound IV.1 in either THF, methanol or water or a mixture of the solvents, and adding alkali metal hydroxides, such as LiOH, NaOH, and KOH either as solid or in solution to the mixture.
- the reaction may proceed at room temperature (20-25°C) or at elevated temperatures.
- Workup in a customary manner by aqueous extraction typically yields the title compound [cf. WO
- amidation of compounds V.W1 is usually carried out at temperatures of from -10°C to 120°C, preferably from 15°C to 1 10 °C, in an inert solvent, in the presence of a base [cf. WO 2015/144657]
- Suitable solvents are aliphatic hydrocarbons such as pentane, hexane, cyclohexane, and pet- rol ether, aromatic hydrocarbons such as toluene, o-, m-, and p-xylene, halogenated hydrocar- bons such as methylene chloride, chloroform, and chlorobenzene, ethers such as diethylether, diisopropylether, MTBE, dioxane, anisole, and THF, nitrils such as ACN, and propionitrile, more- over DMSO, DMF, and DMA, preferably aromatic hydrocarbons such as toluene, o-, m-, and p- xylene, halogenated hydrocarbons such as methylene chloride, chloroform, and chlorobenzene. It is also possible to use mixtures of the solvents mentioned.
- Suitable bases are, in general, inorganic compounds, such as alkali metal and alkaline earth metal carbonates, such as U2CO 3 , K2CO 3 , and CaC0 3 , and alkali metal bicarbonates, such as NaHCOs, moreover organic bases, for example tertiary amines, such as trimethylamine, triethyl- amine, diisopropylethylamine and N-methylpiperidine, pyridine, substituted pyridines, such as collidine, lutidine and 4-dimethylaminopyridine, and bicyclic amines. Particular preference is given to tertiary amines, such as trimethylamine.
- the bases are generally employed in catalytic amounts; however, they can also be used in equimolar amounts, in excess or, if appropriate, as solvent.
- Amines of formula VI are commercially available, or can be obtained by methods known in the art (e.g. WO 2010/056877).
- Suitable solvents are aliphatic hydrocarbons such as pentane, hexane, cyclohexane, and pet- rol ether, aromatic hydrocarbons such as toluene, 0-, m-, and p-xylene, halogenated hydrocar- bons such as methylene chloride, chloroform, and chlorobenzene, ethers such as diethylether, Diisopropylether, MTBE, dioxane, anisole, and THF, nitrils such as ACN, and propionitrile, moreover DMSO, DMF, and DMA, preferably aromatic hydrocarbons such as toluene, 0-, m-, and p-xylene, halogenated hydrocarbons such as methylene chloride, chloroform, and chloro- benzene.
- aromatic hydrocarbons such as toluene, 0-, m-, and p-xylene
- the starting materials are generally reacted with one another in equimolar amounts. In terms of yield, it may be advan- tageous to employ an excess of II or lla, based on III.
- Suitable bases are, in general, inorganic compounds, such as alkali metal and alkaline earth metal carbonates, such as U2CO 3 , K2CO 3 , and CaC0 3 , and alkali metal bicarbonates, such as NaHCOs, moreover organic bases, for example tertiary amines, such as trimethylamine, triethyl- amine, diisopropylethylamine and N-methylpiperidine, pyridine, substituted pyridines, such as collidine, lutidine and 4-dimethylaminopyridine, and bicyclic amines.
- inorganic compounds such as alkali metal and alkaline earth metal carbonates, such as U2CO 3 , K2CO 3 , and CaC0 3 , and alkali metal bicarbonates, such as NaHCOs
- organic bases for example tertiary amines, such as trimethylamine, triethyl- amine, diisopropylethylamine and N-methyl
- tertiary amines such as trimethylamine, triethylamine, triisopropylethylamine and N- methylpiperidine, pyridine.
- the bases are generally employed in catalytic amounts; however, they can also be used in equimolar amounts, in excess or, if appropriate, as solvent.
- Suitable coupling reagents are the same as mentioned above for the amidation of compounds 11.1 with III.1.
- the starting materials are generally reacted with one another in equimolar amounts. In terms of yield, it may be advantageous to employ an excess of II or lla, based on III.
- Acids of formula III.2 are commercially available, or can be obtained by methods known in the art (e.g. Wang, Shuai et al, Chemistry - A European Journal, 22(33), 1 1785-11794; 2016).
- Esters of formula IV. W2 are then saponified to carboxylic acids of formula V.W2
- the transformation is usually carried out at temperatures of from -15°C to 120°C, preferably from 15°C to 110°C, in an inert solvent, in the presence of a base [cf. WO 2013/032804],
- Suitable solvents are ethers such as diethylether, diisopropylether, MTBE, dioxane, anisole, and THF, nitrils such as ACN, and propionitrile, ketons such as acetone, methyl ethyl ketone, diethyl ketone, and tert. -butyl methyl ketone, alcohols such as methanol, ethanol, n-propanol, isopropanol, n-butanol, and tert.
- -butanol moreover DMSO, preferably ethers such as THF, and alcohols such as methanol, n-propanol, isopropanol, n-butanol. It is also possible to use mix- tures of the solvents mentioned.
- Suitable bases are, in general, inorganic compounds, such as alkali metal and alkaline earth metal hydroxides, such as LiOH, NaOH, KOH and Ca(OH)2, Particular preference is given to al- kali metal hydroxides, such as LiOH or NaOH.
- the bases are generally employed in equimolar amounts; however, they can also be used in excess.
- This transformation is usually carried out at temperatures of from -20°C to 120°C, preferably from 0°C to 80°C, in an inert solvent, in the presence of a base or an acid [cf. Arts, N. B. M. et al, Tetrahedron, 34(8), 1271-9; 1978].
- Suitable solvents are aliphatic hydrocarbons such as pentane, hexane, cyclohexane, and pet- rol ether, aromatic hydrocarbons such as toluene, o-, m-, and p-xylene, halogenated hydrocar- bons such as methylene chloride, chloroform, and chlorobenzene, ethers such as diethylether, diisopropylether, MTBE, dioxane, anisole, and THF, nitrils such as ACN, and propionitrile, ke- tons such as acetone, methyl ethyl ketone, diethyl ketone, and tert.
- aromatic hydrocarbons such as toluene, o-, m-, and p-xylene
- halogenated hydrocar- bons such as methylene chloride, chloroform, and chlorobenzene
- ethers such as diethylether,
- alco- hols such as methanol, ethanol, n-propanol, isopropanol, n-butanol, and tert. -butanol, preferably alcohols such as methanol, ethanol, n-propanol, isopropanol, n-butanol, and tert. -butanol. It is also possible to use mixtures of the solvents mentioned.
- Suitable bases are, in general, inorganic compounds, such as alkali metal and alkaline earth metal carbonates, such as U2CO 3 , K2CO 3 , and CaC0 3 , and alkali metal bicarbonates, such as NaHCOs, moreover organic bases, for example tertiary amines, such as trimethylamine, triethyl- amine, diisopropylethylamine and N-methylpiperidine, pyridine, substituted pyridines, such as collidine, lutidine and 4-dimethylaminopyridine, and bicyclic amines.
- inorganic compounds such as alkali metal and alkaline earth metal carbonates, such as U2CO 3 , K2CO 3 , and CaC0 3 , and alkali metal bicarbonates, such as NaHCOs
- organic bases for example tertiary amines, such as trimethylamine, triethyl- amine, diisopropylethylamine and N-methyl
- alkali metal and alkaline earth metal carbonates such as lithium carbonate, potassium carbonate, tertiary amines, such as trimethylamine, pyridine.
- the bases are generally employed in catalytic amounts; however, they can also be used in equimolar amounts, in excess or, if ap-litiste, as solvent.
- Suitable acids and acidic catalysts are in general inorganic acids such as HF, HCI, HBr, H 2 SO 4 und HCIO4, Lewis acids, such as BF3, AICI3, FeCh, SnCU, TiCU and ZnCh, moreover organic acids such as formic acid, acetic acid, propionic acid, oxalic acid, toluene sulphonic acid, ben- zene sulphonic acid, camphor sulphonic acid, citric acid, and trifluoro acetic acid.
- the acids are generally employed in catalytic amounts; however, they can also be used in equimolar amounts, in excess or, if appropriate, as solvent.
- This transformation is usually carried out at temperatures of from -15°C to 120°C, preferably from 15°C to 110°C, in an inert solvent, in the presence of a base [cf Ishitani, Haruro et al, Or- ganic Letters, 18(6), 1346-1349; 2016].
- Suitable solvents are aliphatic hydrocarbons such as pentane, hexane, cyclohexane, and pet- rol ether, aromatic hydrocarbons such as toluene, o-, m-, and p-xylene, halogenated hydrocar- bons such as methylene chloride, chloroform, and chlorobenzene, ethers such as diethylether, diisopropylether, MTBE, dioxane, anisole, and THF, nitrils such as ACN, and propionitrile, more- over DMSO, DMF, and DMA, preferably toluene, and DMF. It is also possible to use mixtures of the solvents mentioned.
- aromatic hydrocarbons such as toluene, o-, m-, and p-xylene
- halogenated hydrocar- bons such as methylene chloride, chloroform, and chlorobenzene
- ethers such as
- Suitable bases are, in general, inorganic compounds, such as alkali metal and alkaline earth metal hydroxides, such as LiOH, NaOH, KOH and Ca(OH) 2 , alkali metal and alkaline earth metal oxides, such as LhO, Na 2 0, CaO, and MgO, alkali metal and alkaline earth metal hy- drides, such as LiH, NaH, KH, and CaFh, alkali metal and alkaline earth metal carbonates, such as L12CO3, K2CO3, and CACO3, and also alkali metal bicarbonates, such as NaHC03, moreover organic bases, for example tertiary amines, such as trimethylamine, triethylamine, diisopropyl- ethylamine and N-methylpiperidine, pyridine, substituted pyridines, such as collidine, lutidine and 4-dimethylaminopyridine, and also bicyclic amines.
- organic bases for example tert
- tertiary amines such as trimethylamine, triethylamine, triisopropylethylamine and N-methylpiperidine, pyridine, and bicyclic amines.
- the bases are generally employed in catalytic amounts; however, they can also be used in equimolar amounts, in excess or, if appropriate, as solvent.
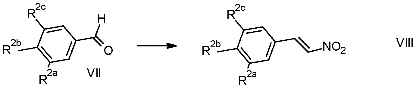
- Nitrostyrene VIII is then reacted with bromo(dichloro)methyltrimethylsilane (TMSCChBr, for- mula IX) to yield the dichloro nitrocyclopropane of formula X
- This transformation is usually carried out at temperatures of from -100°C to 50°C, preferably from -78°C to 30°C, in an inert solvent, in the presence of a base [cf. Lee et al, Chem. Eur. J. 2016, 22, 7609-16]
- Suitable solvents are halogenated hydrocarbons, ethers such as dioxane, anisole, and THF, nitrils such as ACN, and propionitrile, moreover DMSO, DMF, and DMA, preferably THF, ACN, and DMF. It is also possible to use mixtures of the solvents mentioned.
- Suitable bases are, in general, organic bases, preferably ammonium salts such as tetrabutylammonium fluorides, pref- erably NBu 4 F, and NBu 4 Ph3SiF2. The bases are generally employed in equimolar amounts; however, they can also be used in small excess.
- Reduction of nitrocyclopropyl compound X to yield amine of formula II.2 is preferably carried out with hydrogen under palladium catalysis, or with tin(ll)salts.
- This transformation is usually carried out at temperatures of from 0°C to 150°C, preferably from 10°C to 50°C, in an inert solvent, in the presence of a base or an acid [cf. WO
- Suitable solvents are aliphatic hydrocarbons such as pentane, hexane, cyclohexane, and pet- rol ether, aromatic hydrocarbons such as toluene, o-, m-, and p-xylene, halogenated hydrocar- bons such as methylene chloride, chloroform, and chlorobenzene, ethers such as diethylether, diisopropylether, MTBE, dioxane, anisole, and THF, nitrils such as ACN, and propionitrile, alco- hols such as methanol, ethanol, n-propanol, isopropanol, n-butanol, and tert. -butanol, preferably methanol, ethanol, and DMSO. It is also possible to use mixtures of the solvents mentioned.
- aromatic hydrocarbons such as toluene, o-, m-, and p-x
- Suitable bases are, in general, inorganic compounds, such as alkali metal and alkaline earth metal carbonates, such as U2CO3, K2CO3, and CaC0 3 , and alkali metal bicarbonates, such as NaHCOs, moreover organic bases, for example tertiary amines, such as trimethylamine, triethyl- amine, diisopropylethylamine and N-methylpiperidine, pyridine, substituted pyridines, such as collidine, lutidine and 4-dimethylaminopyridine, and bicyclic amines. Particular preference is given to NaHCOs, and K2CO3.
- organic bases for example tertiary amines, such as trimethylamine, triethyl- amine, diisopropylethylamine and N-methylpiperidine, pyridine, substituted pyridines, such as collidine, lutidine and 4-dimethylaminopyridine, and bicyclic amines.
- the bases are generally employed in catalytic amounts; however, they can also be used in equimolar amounts, in excess or, if appropriate, as solvent.
- Suitable acids and acidic catalysts are in general anorganic acids such as HF, HCI, HBr,
- H2SO4, and HCIO4 moreover organic acids such as formic acid, acetic acid, propionic acid, ox- alic acid, toluene sulphonic acid, benzene sulphonic acid, camphor sulphonic acid, citric acid, and trifluoro acetic acid.
- the acids are generally employed in catalytic amounts; however, they can also be used in equimolar amounts, in excess or, if appropriate, as solvent.
- R 3 being different from hydrogen is preferably made to formula V.W1 or V.W2 compounds.
- R 3 can also be introduced to formula I compounds wherein R 3 is H, preferably to such compounds wherein R 5 is not hydrogen.
- R 3 being different from hydrogen to compounds of formula IV.W1 or IV.
- W2 can be performed using standard methods by reacting these compounds with an appropriate al- kylating agent like e.g. an alkyl halide or alkyl triflate in the presence of a base.
- R 3 can be introduced using activated carbonyl compounds like for example acid halides or acid an- hydrides to obtain the respective imides of formulae IV. W1 or IV. W2.
- the compounds of formula I including their stereoisomers, salts, and N-oxides, and their precursors in the synthesis process, can be prepared by the methods described above. If individual compounds cannot be prepared via the above-described routes, they can be pre- pared by derivatization of other compounds I or the respective precursor or by customary modi- fications of the synthesis routes described. For example, in individual cases, certain compounds of formula I can advantageously be prepared from other compounds of formula I by derivatiza- tion, e.g. by ester hydrolysis, amidation, esterification, ether cleavage, olefination, reduction, ox idation and the like, or by customary modifications of the synthesis routes described.
- reaction mixtures are worked up in the customary manner, e.g. by mixing with water, sep- arating the phases, and, if appropriate, purifying the crude products by chromatography, e.g. on alumina or on silica gel.
- Some of the intermediates and end products may be obtained in the form of colorless or pale brown viscous oils which are freed or purified from volatile components under reduced pressure and at moderately elevated temperature. If the intermediates and end products are obtained as solids, they may be purified by recrystallization or trituration.
- the organic moieties mentioned in the above definitions of the variables are - like the term hal- ogen - collective terms for individual listings of the individual group members.
- the prefix C n -C m indicates in each case the possible number of carbon atoms in the group.
- halogen denotes in each case fluorine, bromine, chlorine or iodine, in particular flu orine, chlorine or bromine.
- alkyl as used herein and in the alkyl moieties of alkylamino, alkylcarbonyl, alkylthio, alkylsulfinyl, alkylsulfonyl and alkoxyalkyl denotes in each case a straight-chain or branched al- kyl group having usually from 1 to 10 carbon atoms, frequently from 1 to 6 carbon atoms, prefer- ably 1 to 4 carbon atoms, more preferably from 1 to 3 carbon atoms.
- Examples of an alkyl group are methyl, ethyl, n-propyl, iso-propyl, n-butyl, 2-butyl, iso-butyl, tert-butyl, n-pentyl, 1 -methyl- butyl, 2-methylbutyl, 3-methylbutyl, 2,2-dimethylpropyl, 1-ethylpropyl, n-hexyl, 1 ,1-dimethylpro- pyl, 1 ,2-dimethylpropyl, 1-methylpentyl, 2-methylpentyl, 3-methylpentyl, 4-methylpentyl, 1 ,1-di- methylbutyl, 1 ,2-dimethylbutyl, 1 ,3-dimethylbutyl, 2,2-dimethylbutyl, 2,3-dimethylbutyl, 3,3-dime- thylbutyl, 1-ethylbutyl, 2-ethylbutyl
- haloalkyl as used herein and in the haloalkyl moieties of haloalkylcarbonyl, haloalk- oxycarbonyl, haloalkylthio, haloalkylsulfonyl, haloalkylsulfinyl, haloalkoxy and haloalkoxyalkyl, denotes in each case a straight-chain or branched alkyl group having usually from 1 to 10 car- bon atoms, frequently from 1 to 6 carbon atoms, preferably from 1 to 4 carbon atoms, wherein the hydrogen atoms of this group are partially or totally replaced with halogen atoms.
- Preferred haloalkyl moieties are selected from Ci-C4-haloalkyl, more preferably from Ci-C3-haloalkyl or Ci-C2-haloalkyl, in particular from Ci-C2-fluoroalkyl such as fluoromethyl, difluoromethyl, trifluo- romethyl, 1-fluoroethyl, 2-fluoroethyl, 2,2-difluoroethyl, 2,2,2-trifluoroethyl, pentafluoroethyl, and the like.
- alkoxy denotes in each case a straight-chain or branched alkyl group which is bonded via an oxygen atom and has usually from 1 to 10 carbon atoms, fre- quently from 1 to 6 carbon atoms, preferably 1 to 4 carbon atoms.
- alkoxy group examples are methoxy, ethoxy, n-propoxy, iso-propoxy, n-butyloxy, 2-butyloxy, iso-butyloxy, tert.-butyloxy, and the like.
- alkoxyalkyl refers to alkyl usually comprising 1 to 10, frequently 1 to 4, preferably 1 to 2 carbon atoms, wherein 1 carbon atom carries an alkoxy radical usually corn- prising 1 to 4, preferably 1 or 2 carbon atoms as defined above. Examples are CH2OCH3, CH2- OC2H5, 2-(methoxy)ethyl, and 2-(ethoxy)ethyl.
- haloalkoxy denotes in each case a straight-chain or branched alk oxy group having from 1 to 10 carbon atoms, frequently from 1 to 6 carbon atoms, preferably 1 to 4 carbon atoms, wherein the hydrogen atoms of this group are partially or totally replaced with halogen atoms, in particular fluorine atoms.
- Preferred haloalkoxy moieties include C1-C4- haloalkoxy, in particular Ci-C2-fluoroalkoxy, such as fluoromethoxy, difluoromethoxy, trifluoro- methoxy, 1-fluoroethoxy, 2-fluoroethoxy, 2,2-difluoroethoxy, 2,2,2-trifluoroethoxy, 2-chloro-2-flu- oroethoxy, 2-chloro-2,2-difluoro-ethoxy, 2,2dichloro-2-fluorethoxy, 2,2,2-trichloroethoxy, penta- fluoroethoxy and the like.
- Ci-C2-fluoroalkoxy such as fluoromethoxy, difluoromethoxy, trifluoro- methoxy, 1-fluoroethoxy, 2-fluoroethoxy, 2,2-difluoroethoxy, 2,2,2-trifluoroethoxy, 2-chloro-2-flu- oro
- alkylthio (alkylsulfanyl: S-alkyl)
- haloalkylthio refers to an alkylthio group as mentioned above wherein the hydrogen atoms are partially or fully substituted by fluorine, chlorine, bromine and/or iodine.
- haloalkylsulfinyl refers to an alkylsulfinyl group as mentioned above wherein the hydrogen atoms are partially or fully substituted by fluorine, chlorine, bromine and/or iodine.
- haloalkylsulfonyl refers to an alkylsulfonyl group as mentioned above wherein the hydrogen atoms are partially or fully substituted by fluorine, chlorine, bro- mine and/or iodine.
- haloalkylcarbonyl refers to an alkylcarbonyl group as mentioned above, wherein the hydrogen atoms are partially or fully substituted by fluorine, chlorine, bromine and/or iodine.
- alkoxycarbonyl refers to an alkylcarbonyl group as defined above, which is bonded via an oxygen atom to the remainder of the molecule.
- haloalkoxycarbonyl refers to an alkoxycarbonyl group as mentioned above, where- in the hydrogen atoms are partially or fully substituted by fluorine, chlorine, bromine and/or io- dine.
- alkenyl denotes in each case a singly unsaturated hydrocarbon rad- ical having usually 2 to 10, frequently 2 to 6, preferably 2 to 4 carbon atoms, e.g. vinyl, allyl (2- propen-1-yl), 1 -propen-1 -yl, 2-propen-2-yl, methallyl (2-methylprop-2-en-1-yl), 2-buten-1-yl, 3- buten-1-yl, 2-penten-1-yl, 3-penten-1-yl, 4-penten-1-yl, 1-methylbut-2-en-1-yl, 2-ethylprop-2-en- 1-yl and the like.
- haloalkenyl refers to an alkenyl group as defined above, wherein the hydrogen atoms are partially or totally replaced with halogen atoms.
- alkynyl denotes in each case a singly unsaturated hydrocarbon rad- ical having usually 2 to 10, frequently 2 to 6, preferably 2 to 4 carbon atoms, e.g. ethynyl, pro- pargyl (2-propyn-1-yl), 1-propyn-1-yl, 1-methylprop-2-yn-1-yl), 2-butyn-1-yl, 3-butyn-1-yl, 1-pen- tyn-1-yl, 3-pentyn-1-yl, 4-pentyn-1-yl, 1-methylbut-2-yn-1-yl, 1-ethylprop-2-yn-1-yl and the like.
- haloalkynyl refers to an alkynyl group as defined above, wherein the hydrogen atoms are partially or totally replaced with halogen atoms.
- cycloalkyl as used herein and in the cycloalkyl moieties of cycloalkoxy and cycloal- kylthio denotes in each case a monocyclic cycloaliphatic radical having usually from 3 to 10 or from 3 to 6 carbon atoms, such as cyclopropyl, cyclobutyl, cyclopentyl, cyclohexyl, cycloheptyl, cyclooctyl, cyclononyl and cyclodecyl or cyclopropyl, cyclobutyl, cyclopentyl and cyclohexyl.
- halocycloalkyl as used herein and in the halocycloalkyl moieties of halocycloalkoxy and halocycloalkylthio denotes in each case a monocyclic cycloaliphatic radical having usually from 3 to 10 C atoms or 3 to 6 C atoms, wherein at least one, e.g. 1 , 2, 3, 4 or 5 of the hydrogen atoms, are replaced by halogen, in particular by fluorine or chlorine.
- Examples are 1- and 2-fluo- rocyclopropyl, 1 ,2-, 2,2- and 2,3-difluorocyclopropyl, 1 ,2,2-trifluorocyclopropyl, 2,2,3,3-tetrafluo- rocyclpropyl, 1- and 2-chlorocyclopropyl, 1 ,2-, 2,2- and 2,3-dichlorocyclopropyl, 1 ,2,2-trichloro- cyclopropyl, 2,2,3,3-tetrachlorocyclpropyl, 1-,2- and 3-fluorocyclopentyl, 1 ,2-, 2,2-, 2,3-, 3,3-, 3,4-, 2,5-difluorocyclopentyl, 1-,2- and 3-chlorocyclopentyl, 1 ,2-, 2,2-, 2,3-, 3,3-, 3,4-, 2,5-dichlo- rocyclopentyl and the like.
- cycloalkenyl as used herein and in the cycloalkenyl moieties of cycloalkenyloxy and cycloalkenylthio denotes in each case a monocyclic singly unsaturated non-aromatic radical ha- ving usually from 3 to 10, e.g. 3 or 4 or from 5 to 10 carbon atoms, preferably from 3- to 8 car- bon atoms.
- exemplary cycloalkenyl groups include cyclopropenyl, cycloheptenyl or cycloocte- nyl.
- halocycloalkenyl as used herein and in the halocycloalkenyl moieties of halocyclo- alkenyloxy and halocycloalkenylthio denotes in each case a monocyclic singly unsaturated non- aromatic radical having usually from 3 to 10, e.g. 3 or 4 or from 5 to 10 carbon atoms, preferably from 3- to 8 carbon atoms, wherein at least one, e.g. 1 , 2, 3, 4 or 5 of the hydrogen atoms, are replaced by halogen, in particular by fluorine or chlorine. Examples are 3,3-difluorocyclopropen- 1-yl and 3,3-dichlorocyclopropen-1-yl.
- “carbocycle” or“carbocyclyl” includes in general a 3- to 12-membered, preferably a 3- to 8-membered or a 5- to 8-membered, more preferably a 5- or 6-membered mono-cyclic, non-aromatic ring comprising 3 to 12, preferably 3 to 8 or 5 to 8, more preferably 5 or 6 carbon atoms.
- the term“carbocycle” covers cycloalkyl and cycloalkenyl groups as defined above.
- heterocycle or “heterocyclyl” includes in general 3- to 12-membered, preferably 5- or 6-membered, in particular 6-membered monocyclic heterocyclic non-aromatic radicals.
- the heterocyclic non-aromatic radicals usually comprise 1 , 2 or 3 heteroatoms selected from N, O and S as ring members, wherein S-atoms as ring members may be present as S, SO or SO2.
- Examples of 5- or 6-membered heterocyclic radicals comprise saturated or unsaturated, non- aromatic heterocyclic rings, such as 2- and 3-azetidinyl, 2- and 3-oxetanyl, 2- and 3-thietanyl, 2- and 3-thietanyl-S-oxid (S-oxothietanyl), 2- and 3-thietanyl-S-dioxid (S-dioxothietanyl), 2- and 3- pyrrolidinyl, 2- and 3-tetrahydrofuranyl, 1 ,3-dioxolan-2-yl, thiolan-2-yl, S-oxothiolan-2-yl, S-diox- othiolan-2-yl, 4- and 5-oxazolidinyl, 1 ,3-dioxan-2-yl, 1- and 3-thiopyran-2-yl, S-oxothiopyranyl, and S-dioxothiopyranyl.
- heteroaryl includes monocyclic 5- or 6-membered heteroaromatic radicals comprising as ring members 1 , 2, or 3 heteroatoms selected from N, O and S.
- 5- or 6-mem- bered heteroaromatic radicals include pyridyl, i.e. 2-, 3-, and 4-pyridyl, pyrimidinyl, i.e. 2-, 4- and 5-pyrimidinyl, pyrazinyl, pyridazinyl, i.e. 3- and 4-pyridazinyl, thienyl, i.e. 2- and 3-thienyl, furyl, i.e. 2- and 3-furyl, pyrrolyl, i.e.
- the particularly preferred embodiments of the intermediates cor- respond to those of the compounds of the formula I.
- variables of the compounds of the formula I have the following meanings, these meanings, both on their own and in combination with one another, being par- ticular embodiments of the compounds of formula I.
- the compounds I are present in form of a mixture of compounds I.A, I.B, I.C, and I.D, where the trans-configurated compounds I.B and I.D are present in an amount of more than 50% by weight, in particular of at least 70% by weight, specifically of at least 90% by weight, based on the total weight of compounds I.A to I.D.
- the method comprises step of con- tacting the plant, parts of it, its propagation material, the pests, their food supply, habitat or breeding grounds a pesticidally effective amount of a trans compound.
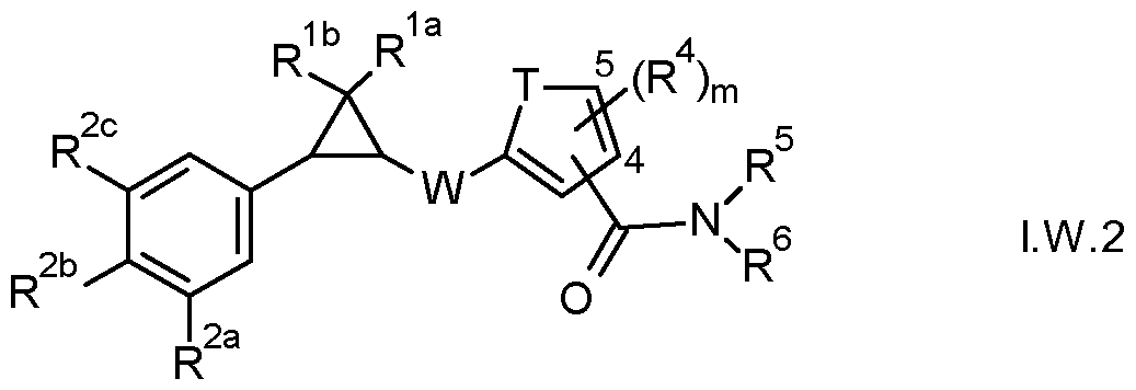
- One embodiment relates to compounds of formula I wherein the W group connects to position 2 of the T containing ring. Such compounds correspond to formula I.W.2
- a preferred embodiment relates to compounds of formula I.W.2, wherein the amide group is connected to position 4 of the T containing ring.
- Such compounds correspond to formula I.W.2.4:
- One embodiment relates to compounds of formula I wherein the W1 group connects to posi- tion 2 of the T containing ring.
- Such compounds correspond to formula I.W1.2, wherein the am- ide group is preferably connected to position 4 of the T containing ring:
- Another embodiment relates to compounds of formula I wherein the W2 group connects to po- sition 2 of the T containing ring which correspond to formula I.W2.2, wherein the amide group is preferably connected to position 4 of the T containing ring:
- Another embodiment relates to compounds of formula I wherein the W group connects to posi- tion 3 of the T containing ring.
- Such compounds correspond to formula I.W.3:
- a preferred embodiment relates to compounds of formula I.W.3, wherein the amide group is connected to position 5 of the T containing ring.
- Such compounds correspond to formula I.W.3.5:
- One embodiment relates to compounds of formula I wherein the W1 group connects to posi- tion 3 of the T containing ring. Such compounds correspond to formula I.W1.3:
- One embodiment relates to compounds of formula I wherein the W2 group connects to posi- tion 3 of the T containing ring.
- Such compounds correspond to formula I.W2.3:
- One preferred embodiment relates to compounds of formula I wherein T is S (formula I.S). Another embodiment relates to compounds of formula I wherein T is O (formula I.O).
- Formula I.W1 compounds with the amide group in position 4 correspond to formula I.W1.4.
- Formula I.W2 compounds with the amide group in position 5 correspond to formula I.W2.5.
- One embodiment relates to compounds of formula I which correspond to formula I.W1.3.4, an- other, preferred, embodiment relates to compounds of formula I which correspond to formula I.W1.3.5
- R 1a and R 1b are preferably identical.
- These groups represent preferably halogen, such as Cl, or alkyl, such as CH 3 .
- R 1a and R 1b being Cl are particularly preferred.
- R 2a is preferably selected from F, Cl, Br, CF 3 , and OCF 3 .
- R 2b and R 2c are independently preferably selected from H, F, Cl, Br, CF 3 , and OCF 3 .
- each one of the following combinations of R 2a , R 2b and R 2c wherein each line of Table A denotes a substitution pattern of the phenyl ring (“A”) bearing the R 2a , R 2b and R 2c moieties.
- Groups A-8, A-9, and A-1 1 are more preferred patterns in formula I compounds.
- A-9 is particu- larly preferred.
- R 3 is preferably H or CH 3 , particularly H.
- R 4 is preferably halogen such as Br or Cl, alkyl such as CH 3 , haloalkyl such as CF 3 , CN, NO2, alkoxy such as OCH 3 or NR 41 R 42 such as NH2.
- R 5 is preferably H, alkyl such as CH 3 or CH2CH 3 .
- R 6 is preferably Ci-C 4 -alkyl, Ci-C 4 -haloalkyl, C3-C6-cycloalkyl, or phenyl, which rings are bonded either directly or via a CH2 spacer, and which rings are unsubstituted or substituted with 1 , 2, or 3 substituents R a which are preferably CN, CH3, or halogen.
- R 85 meanings are Ci-C 6 -alkyl such as CH3, C2H5,
- R 6 is benzyl or phenyl which are unsubstituted or substituted with halogen, and Ci-C 4 -haloalkyl. Particularly preferred meaning for R 6 is a group P, wherein # is the bond to the amide-N:
- R 61 , R 62 , and R 63 are halogen or Ci-C 4 -haloalkyl.
- R 61 is Br
- R 62 is CF 3
- R 63 is CF(CF 3 )2.
- n 0.
- each one of the following combinations of R 61 , R 62 , and R 63 wherein each line of Table P denotes a substitution pattern of the phenyl ring (“P”) bearing the R 61 , R 62 , and R 63 moieties, wherein n is preferably 0.
- Groups P-21 , P-25, P-26, P-28, P-29, P-30, and P-31 are more preferred patterns in formula I compounds.
- P-25 and P-28 are particularly preferred.
- Preferred embodiments relate to each of following compounds of formula I, wherein the varia- bles are as defined in the outset and the preferred embodiments:
- Particularly preferred compounds of formula I correspond to the following, wherein the varia- bles are as defined and preferred.
- R 4a and R 4b are as defined for R 4 .
- Table 2 Compounds of formula I.W1.2.S.4 * in which R 4a is H, R 4b is Br, and the other varia- bles for a compound correspond in each case to one row of Table B
- Table 3 Compounds of formula I.W1.2.S.4 * in which R 4a is H, R 4b is Cl, and the other varia- bles for a compound correspond in each case to one row of Table B
- Table 4 Compounds of formula I.W1.2.S.4 * in which R 4a is H, R 4b is CN, and the other varia- bles for a compound correspond in each case to one row of Table B
- Table 5 Compounds of formula I.W1.2.S.4 * in which R 4a is H, R 4b is CH 3 , and the other varia- bles for a compound correspond in each case to one row of Table B
- Table 7 Compounds of formula I.W1.2.S.4 * in which R 4a is H, R 4b is CF 3 , and the other varia- bles for a compound correspond in each case to one row of Table B
- Table 8 Compounds of formula I.W1.2.0.4 * in which R 4a and R 4b are H, and the other varia- bles for a compound correspond in each case to one row of Table B
- Table 9 Compounds of formula I.W1.2.0.4 * in which R 4a is H, R 4b is Br, and the other varia- bles for a compound correspond in each case to one row of Table B
- Table 10 Compounds of formula I.W1.2.0.4 * in which R 4a is H, R 4b is Cl, and the other varia- bles for a compound correspond in each case to one row of Table B
- Table 1 1 Compounds of formula I.W1.2.0.4 * in which R 4a is H, R 4b is CN, and the other vari- ables for a compound correspond in each case to one row of T able B
- Table 12 Compounds of formula I.W1.2.0.4 * in which R 4a is H, R 4b is CH 3 , and the other var- iables for a compound correspond in each case to one row of Table B
- Table 13 Compounds of formula I.W1.2.0.4 * in which R 4a is H, R 4b is OCH 3 , and the other variables for a compound correspond in each case to one row of Table B
- Table 14 Compounds of formula I.W1.2.0.4 * in which R 4a is H, R 4b is CF 3 , and the other vari- ables for a compound correspond in each case to one row of Table B
- Table 15 Compounds of formula I.W1.2.S.5 * in which R 4a and R 4b are H, and the other varia- bles for a compound correspond in each case to one row of Table B
- Table 16 Compounds of formula I.W1.2.S.5 * in which R 4a is H, R 4b is Br, and the other varia- bles for a compound correspond in each case to one row of Table B
- Table 17 Compounds of formula I.W1.2.S.5 * in which R 4a is H, R 4b is Cl, and the other varia- bles for a compound correspond in each case to one row of Table B
- Table 18 Compounds of formula I.W1.2.S.5 * in which R 4a is H, R 4b is CN, and the other vari- ables for a compound correspond in each case to one row of T able B
- Table 19 Compounds of formula I.W1.2.S.5 * in which R 4a is H, R 4b is CH 3 , and the other vari- ables for a compound correspond in each case to one row of Table B
- Table 20 Compounds of formula I.W1.2.S.5 * in which R 4a is H, R 4b is OCH 3 , and the other variables for a compound correspond in each case to one row of Table B
- Table 21 Compounds of formula I.W1.2.S.5 * in which R 4a is H, R 4b is CF 3 , and the other vari- ables for a compound correspond in each case to one row of T able B
- Table 22 Compounds of formula I.W1.3.S.4 * in which R 4a and R 4b are H, and the other varia- bles for a compound correspond in each case to one row of Table B
- Table 23 Compounds of formula I.W1.3.S.4 * in which R 4a is H, R 4b is Br, and the other varia- bles for a compound correspond in each case to one row of Table B
- Table 24 Compounds of formula I.W1.3.S.4 * in which R 4a is H, R 4b is Cl, and the other varia- bles for a compound correspond in each case to one row of Table B
- Table 25 Compounds of formula I.W1.3.S.4 * in which R 4a is H, R 4b is CN, and the other vari- ables for a compound correspond in each case to one row of T able B
- Table 27 Compounds of formula I.W1.3.S.4 * in which R 4a is H, R 4b is OCH 3 , and the other variables for a compound correspond in each case to one row of Table B
- Table 28 Compounds of formula I.W1.3.S.4 * in which R 4a is H, R 4b is CF 3 , and the other vari- ables for a compound correspond in each case to one row of T able B
- Table 29 Compounds of formula I.W1.3.S.5 * in which R 4a and R 4b are H, and the other varia- bles for a compound correspond in each case to one row of Table B
- Table 30 Compounds of formula I.W1.3.S.5 * in which R 4a is H, R 4b is Br, and the other varia- bles for a compound correspond in each case to one row of Table B
- Table 31 Compounds of formula I.W1.3.S.5 * in which R 4a is H, R 4b is Cl, and the other varia- bles for a compound correspond in each case to one row of Table B
- Table 32 Compounds of formula I.W1.3.S.5 * in which R 4a is H, R 4b is CN, and the other vari- ables for a compound correspond in each case to one row of T able B
- Table 33 Compounds of formula I.W1.3.S.5 * in which R 4a is H, R 4b is CH 3 , and the other vari- ables for a compound correspond in each case to one row of T able B
- Table 34 Compounds of formula I.W1.3.S.5 * in which R 4a is H, R 4b is OCH 3 , and the other variables for a compound correspond in each case to one row of Table B
- Table 36 Compounds of formula I.W1.3.0.5 * in which R 4a and R 4b are H, and the other varia- bles for a compound correspond in each case to one row of Table B
- Table 37 Compounds of formula I.W1.3.0.5 * in which R 4a is H, R 4b is Br, and the other varia- bles for a compound correspond in each case to one row of Table B
- Table 38 Compounds of formula I.W1 3.0.5 * in which R 4a is H, R 4b is Cl, and the other varia- bles for a compound correspond in each case to one row of Table B
- Table 39 Compounds of formula I.W1 3.0.5 * in which R 4a is H, R 4b is CN, and the other vari- ables for a compound correspond in each case to one row of T able B
- Table 40 Compounds of formula I.W1 3.0.5 * in which R 4a is H, R 4b is CH 3 , and the other vari- ables for a compound correspond in each case to one row of T able B
- Table 41 Compounds of formula I.W1 3.0.5 * in which R 4a is H, R 4b is OCH 3 , and the other variables for a compound correspond in each case to one row of Table B
- Table 42 Compounds of formula I.W1.3.0.5 * in which R 4a is H, R 4b is CF 3 , and the other vari- ables for a compound correspond in each case to one row of T able B Table B
- the term“compound(s) of the present invention” or“compound(s) according to the invention” refers to the compound(s) of formula (I) as defined above, which are also referred to as“compound(s) of formula I” or“compound(s) I” or“formula I compound(s)”, and includes their salts, tautomers, stereoisomers, and N-oxides.
- the present invention also relates to a mixture of at least one compound of the present inven- tion with at least one mixing partner as defined herein after.
- Preferred are binary mixtures of one compound of the present invention as component I with one mixing partner as defined herein after as component II.
- Preferred weight ratios for such binary mixtures are from 5000:1 to 1 :5000, preferably from 1000:1 to 1 :1000, more preferably from 100:1 to 1 :100, particularly pref- erably from 10:1 to 1 :10.
- components I and II may be used in equal amounts, or an excess of component I, or an excess of component II may be used.
- Mixing partners can be selected from pesticides, in particular insecticides, nematicides, and acaricides, fungicides, herbicides, plant growth regulators, fertilizers, and the like.
- Preferred mixing partners are insecticides, nematicides and fungicides.
- M.1 Acetylcholine esterase (AChE) inhibitors from the class of: M.1A carbamates, e.g. aldi- carb, alanycarb, bendiocarb, benfuracarb, butocarboxim, butoxycarboxim, carbaryl, carbofuran, carbosulfan, ethiofencarb, fenobucarb, formetanate, furathiocarb, isoprocarb, methiocarb, methomyl, metolcarb, oxamyl, pirimicarb, propoxur, thiodicarb, thiofanox, trimethacarb, XMC, xylylcarb and triazamate; or from the class of M.1 B organophosphates, e.g.
- GABA-gated chloride channel antagonists such as: M.2A cyclodiene organochlorine corn- pounds, as e.g. endosulfan or chlordane; or M.2B fiproles (phenylpyrazoles), as e.g. ethiprole, fipronil, flufiprole, pyrafluprole and pyriprole;
- M.3 Sodium channel modulators from the class of M.3A pyrethroids e.g. acrinathrin, allethrin, d-cis-trans allethrin, d-trans allethrin, bifenthrin, bioallethrin, bioallethrin S-cylclopentenyl, bio- resmethrin, cycloprothrin, cyfluthrin, beta-cyfluthrin, cyhalothrin, lambda-cyhalothrin, gamma- cyhalothrin, cypermethrin, alpha-cypermethrin, beta-cypermethrin, theta-cypermethrin, zeta-cy- permethrin, cyphenothrin, deltamethrin, empenthrin, esfenvalerate, etofenprox,
- M.4 Nicotinic acetylcholine receptor agonists from the class of M.4A neonicotinoids, e.g. acetamiprid, clothianidin, cycloxaprid, dinotefuran, imidacloprid, nitenpyram, thiacloprid and thiamethoxam; or the compounds M.4A.2: (2E-)-1-[(6-Chloropyridin-3-yl)methyl]-N'-nitro-2-pen- tylidenehydrazinecarboximidamide; or M4.A.3: 1 -[(6-Chloropyridin-3-yl)methyl]-7-methyl-8-nitro- 5-propoxy-1 ,2,3,5,6,7-hexahydroimidazo[1 ,2-a]pyridine; or from the class M.4B nicotine;
- nAChR Nicotinic acetylcholine receptor agonists
- M.6 Chloride channel activators from the class of avermectins and milbemycins, e.g.
- abamectin emamectin benzoate, ivermectin, lepimectin or milbemectin;
- M.7 Juvenile hormone mimics such as M.7A juvenile hormone analogues as hydroprene, ki- noprene and methoprene; or others as M.7B fenoxycarb or M.7C pyriproxyfen;
- M.8 miscellaneous non-specific (multi-site) inhibitors e.g. M.8A alkyl halides as methyl bro- mide and other alkyl halides, or M.8B chloropicrin, or M.8C sulfuryl fluoride, or M.8D borax, or M.8E tartar emetic;
- M.9 Selective homopteran feeding blockers, e.g. M.9B pymetrozine, or M.9C flonicamid;
- M.10 Mite growth inhibitors e.g. M.10A clofentezine, hexythiazox and diflovidazin, or M.10B etoxazole;
- M.1 1 Microbial disruptors of insect midgut membranes, e.g. bacillus thuringiensis or bacillus sphaericus and the insecticdal proteins they produce such as bacillus thuringiensis subsp. is- rae/ensis, bacillus sphaericus, bacillus thuringiensis subsp. aizawai, bacillus thuringiensis subsp. kurstaki and bacillus thuringiensis subsp. tenebrionis, or the Bt crop proteins: Cry1 Ab, CrylAc, Cryl Fa, Cry2Ab, mCry3A, Cry3Ab, Cry3Bb and Cry34/35Ab1 ;
- M.12 Inhibitors of mitochondrial ATP synthase e.g. M.12A diafenthiuron, or M.12B organotin miticides such as azocyclotin, cyhexatin or fenbutatin oxide, or M.12C propargite, or M.12D tetrad ifon;
- chlorfenapyr DNOC or sulfluramid
- Nicotinic acetylcholine receptor (nAChR) channel blockers e.g. nereistoxin analogues as bensultap, cartap hydrochloride, thiocyclam or thiosultap sodium;
- benzoylureas as e.g. bistrifluron, chlorfluazuron, diflubenzuron, flucycloxuron, flufenoxuron, hexaflumuron, lufenuron, novaluron, noviflumuron, teflubenzuron or triflumuron;
- M.16 Inhibitors of the chitin biosynthesis type 1 as e.g. buprofezin;
- Ecdyson receptor agonists such as diacylhydrazines, e.g. methoxyfenozide, tebufeno- zide, halofenozide, fufenozide or chromafenozide;
- Octopamin receptor agonists as e.g. amitraz
- M.20 Mitochondrial complex III electron transport inhibitors e.g. M.20A hydramethylnon, or M.20B acequinocyl, or M.20C fluacrypyrim;
- M.21 Mitochondrial complex I electron transport inhibitors e.g. M.21A METI acaricides and in- secticides such as fenazaquin, fenpyroximate, pyrimidifen, pyridaben, tebufenpyrad or tolfen- pyrad, or M.21 B rotenone; M.22 Voltage-dependent sodium channel blockers, e.g.
- M.22A indoxacarb, or M.22B meta- flumizone, or M.22B.1 2-[2-(4-Cyanophenyl)-1-[3-(trifluoromethyl)phenyl]ethylidene]-N-[4-(di- fluoromethoxy)phenyl]-hydrazinecarboxamide or M.22B.2: N-(3-Chloro-2-methylphenyl)-2-[(4- chlorophenyl)[4-[methyl(methylsulfonyl)amino]phenyl]methylene]-hydrazinecarboxamide;
- M.23 Inhibitors of the of acetyl CoA carboxylase such as Tetronic and Tetramic acid deriva- tives, e.g. spirodiclofen, spiromesifen or spirotetramat;
- M.24 Mitochondrial complex IV electron transport inhibitors e.g. M.24A phosphine such as al- uminium phosphide, calcium phosphide, phosphine or zinc phosphide, or M.24B cyanide;
- Mitochondrial complex II electron transport inhibitors such as beta-ketonitrile derivatives, e.g. cyenopyrafen or cyflumetofen;
- M.28 Ryanodine receptor-modulators from the class of diamides as e.g. flubendiamide, chlor- antraniliprole (rynaxypyr®), cyantraniliprole (cyazypyr®), tetraniliprole, M.28.1 : (R)-3-Chlor-N1- ⁇ 2-methyl-4-[1 ,2,2,2-tetrafluor-1-(trifluormethyl)ethyl]phenyl ⁇ -N2-(1-methyl-2-methylsulfonyl- ethyl)phthalamid and M.28.2: (S)-3-Chlor-N 1- ⁇ 2-methyl-4-[1 ,2,2,2 -tetrafluor-1-(trifluorome- thyl)ethyl]phenyl ⁇ -N2-(1 -methyl-2-methylsulfonylethyl)phthalamid, M.28.3: cyclaniliprole, M.28.4: methyl-2
- M.28.5b N-[4-chloro-2-[(diethyl-lambda-4-sulfanylidene)carbamoyl]-6-methyl-phenyl]-2-(3-chlo- ro-2-pyridyl)-5-(trifluoromethyl)pyrazole-3-carboxamide; M.28.5c) N-[4-chloro-2-[(di-2-propyl- lambda-4-sulfanylidene)carbamoyl]-6-methyl-phenyl]-2-(3-chloro-2-pyridyl)-5-(trifluoromethyl)py- razole-3-carboxamide; M.28.5d) N-[4,6-dichloro-2-[(di-2-propyl-lambda-4-sulfanylidene)carba- moyl]-phenyl]-2-(3-chloro-2-pyridyl)-5
- M.29. active compounds of unknown or uncertain mode of action as e.g. afidopyropen, afoxo- laner, azadirachtin, amidoflumet, benzoximate, bifenazate, broflanilide, bromopropylate, chino- methionat, cryolite, dicloromezotiaz, dicofol, flufenerim, flometoquin, fluensulfone, fluhexafon, fluopyram, flupyradifurone, fluralaner, metoxadiazone, piperonyl butoxide, pyflubumide, pyrida- lyl, pyrifluquinazon, sulfoxaflor, tioxazafen, triflumezopyrim,
- afidopyropen afoxo- laner, azadirachtin, amidoflumet, benzoximate, bifenazate
- M.29.3 11 -(4-chloro-2,6-dimethylphenyl)-12-hydroxy-1 ,4-dioxa-9-azadispiro[4.2.4.2]-tetradec- 1 1-en-10-one
- M.29.4 3-(4’-fluoro-2,4-dimethylbiphenyl-3-yl)-4-hydroxy-8-oxa-1-azaspi- ro[4.5]dec-3-en-2-one
- M.29.5 1-[2-fluoro-4-methyl-5-[(2,2,2-trifluoroethyl)sulfinyl]phenyl]-3-(tri- fluoromethyl)-1 H-1 ,2,4-triazole-5-amine, or actives on basis of bacillus firmus (Votivo, 1-1582);
- M.29.1 1 selected from M.29.1 1 b) to M.29.1 1 p): M.29.1 1.b) 3-(benzoylmethylamino)-N-[2-bro- mo-4-[1 ,2,2,3,3,3-hexafluoro-1 -(trifluoromethyl)propyl]-6-(trifluoromethyl)phenyl]-2-fluoro-benz- amide; M.29.1 1.c) 3-(benzoylmethylamino)-2-fluoro-N-[2-iodo-4-[1 ,2,2,2-tetrafluoro-1 -(trifluoro- methyl)ethyl]-6-(trifluoromethyl)phenyl]-benzamide; M.29.1 1 .d) N-[3-[[[2-iodo-4-[1 ,2,2,2-tetraflu- oro-1 -(trifluoromethyl)ethyl]-6-(trifluoro
- M.29.1 1.n) 4-cyano-N-[2-cyano-5-[[2,6-dichloro-4-[1 ,2,2,3,3,3-hexafluoro-1 -(trifluoromethyl)pro- pyl]phenyl]carbamoyl]phenyl]-2-methyl-benzamide; M.29.1 1.o) 4-cyano-N-[2-cyano-5-[[2,6-di- chloro-4-[1 ,2,2,2-tetrafluoro-1 -(trifluoromethyl)ethyl]phenyl]carbamoyl]phenyl]-2-methyl-ben- zamide; M.29.1 1.p) N-[5-[[2-bromo-6-chloro-4-[1 ,2,2,2-tetrafluoro-1 -(trifluoromethyl)ethyl]phe- nyl]carbamoyl]-2-cyano-phenyl]-4-cyano
- M.29.14a 1 -[(6-Chloro-3-pyridinyl)methyl]-1 ,2,3,5,6,7-hexahydro-5-methoxy-7-methyl-8-nitro- imidazo[1 ,2-a]pyridine; or M.29.14b) 1 -[(6-Chloropyridin-3-yl)methyl]-7-methyl-8-nitro- 1 ,2,3,5,6,7-hexahydroimidazo[1 ,2-a]pyridin-5-ol; M.29.16a) 1 -isopropyl-N,5-dimethyl-N-pyri- dazin-4-yl-pyrazole-4-carboxamide; or M.29.16b) 1 -(1 ,2-dimethylpropyl)-N-ethyl-5-methyl-N-pyr- idazin-4-yl-pyrazole-4-carboxamide; M.29.16c) N,5-dimethyl-N-pyrid
- M.29.17j M.29.17a) N-(1 -methylethyl)-2-(3-pyridinyl)-2H-indazole-4-carboxamide; M.29.17b) N-cyclopropyl-2-(3-pyridinyl)-2H-indazole-4-carboxamide; M.29.17c) N-cyclohexyl-2-(3-pyridi- nyl)-2H-indazole-4-carboxamide; M.29.17d) 2-(3-pyridinyl)-N-(2,2,2-trifluoroethyl)-2H-indazole- 4-carboxamide; M.29.17e) 2-(3-pyridinyl)-N-[(tetrahydro-2-furanyl)methyl]-2H-indazole-5-car- boxamide; M.29.17f) methyl 2-[[2-(3-pyridinyl)-2H-inda
- M.29.17h N-(2,2-difluoropropyl)-2-(3-pyridinyl)-2H-indazole-5-carboxamide; M.29.17i) 2-(3-pyri- dinyl )-N-(2-pyrimidinylmethyl )-2H-indazole-5-carboxamide; M.29.17j) N-[(5-methyl-2-pyrazi- nyl)methyl]-2-(3-pyridinyl)-2H-indazole-5-carboxamide, M.29.18 selected from M.29.18a) to M.29.18d): M.29.18a) N-[3-chloro-1 -(3-pyridyl)pyrazol-4-yl]-N-ethyl-3-(3,3,3-trifluoropropylsulfa- nyl)propanamide; M.29.18b) N-[3-chloro-1 -(3-
- M.4 cycloxaprid is known from WO2010/069266 and WO201 1/069456
- M.4A.2 guadipyr
- WO2013/003977 M.4A.3 (paichongding in China) is known from WO
- M.22B.1 is described in CN10171577 and M.22B.2 in CN102126994.
- M.28.1 and M.28.2 are known from W02007/101540.
- M.28.3 is described in W02005/077934.
- M.28.4 is described in W02007/043677.
- M.28.5a) to M.28.5d) and M.28.5h) are described in WO 07/006670, WO2013/024009 and WO2013/024010, M.28.5 ⁇ ) is described in WO201 1/085575, M.28.5j) in W02008/134969, M.28.5k) in US201 1/046186 and M.28.5I) in WO2012/034403.
- M.28.6 can be found in WO2012/034472.
- M.29.3 is known from W02006/089633 and M.29.4 from W02008/06791 1.
- M.29.5 is described in W02006/043635, and biological control agents on the basis of bacillus firmus are described in W02009/124707.
- M.29.6a) to M.29.6i) listed un- der M.29.6 are described in WO2012/029672, and M.29.6j) and M.29.6k) in WO2013/129688.
- M.29.8 is known from WO2013/055584.
- M.29.9.a) is described in WO2013/050317.
- M.29.9.b is described in WO2014/126208.
- M.29.10 is known from WO2010/060379. Broflanilide and M.29.1 1.b) to M.29.1 1 .h) are described in WO2010/018714, M.29.1 1 i) to M.29.1 1.p) in WO 2010/127926.
- M.29.12.a) to M.29.12.c) are known from WO2010/006713, M.29.12.d) and M.29.12.e) are known from WO2012/000896, and M.29.12.f) to M.29.12.m) from WO2014/126208.
- M.29.10 is known from WO2010/060379. Broflanilide and M.29.1 1.b) to M.29.1 1 .h) are described in WO2010/018714, M.29.1 1 i) to M.29.1 1.p) in WO 2010/127926.
- M.29.14a) and M.29.14b) are known from W02007/101369.
- M.29.16.a) to M.29.16h) are described in WO2010/034737, WO2012/084670, and WO2012/143317, resp., and M.29.16i) and M.29.16j) are described in WO2015/055497.
- M.29.17a) to M.29.17.j) are de- scribed in WO2015/038503.
- M.29.18a) to M.29.18d) are described in US2014/0213448.
- M.29.19 is described in WO2014/036056.
- M.29.20 is known from W02014/090918.
- Inhibitors of complex III at Q 0 site e. g. strobilurins: azoxystrobin (A.1 .1 ), coumethoxy- strobin (A.1.2), coumoxystrobin (A.1 .3), dimoxystrobin (A.1.4), enestroburin (A.1 .5), fenamin- strobin (A.1 .6), fenoxystrobin/flufenoxystrobin (A.1 .7), fluoxastrobin (A.1 .8), kresoxim-methyl (A.1.9), mandestrobin (A.1.10), metominostrobin (A.1 .1 1 ), orysastrobin (A.1 .12), picoxy.strobin (A.1.13), pyraclostrobin (A.1 .14), pyrametostrobin (A.1 .15), pyraoxystrobin (A.1 .16), trifloxystro-
- inhibitors of complex II e. g. carboxamides: benodanil (A.3.1 ), benzovindiflupyr (A.3.2), bixafen (A.3.3), boscalid (A.3.4), carboxin (A.3.5), fenfuram (A.3.6), fluopyram (A.3.7), flutolanil (A.3.8), fluxapyroxad (A.3.9), furametpyr (A.3.10), isofetamid (A.3.1 1 ), isopyrazam (A.3.12), me- pronil (A.3.13), oxycarboxin (A.3.14), penflufen (A.3.14), penthiopyrad (A.3.15), sedaxane (A.3.16), tecloftalam (A.3.17), thifluzamide (A.3.18), N-(4'-trifluoromethylthiobiphenyl-2-yl)-
- respiration inhibitors e. g. complex I, uncouplers: diflumetorim (A.4.1 ), (5,8-difluoro- quinazolin-4-yl)- ⁇ 2-[2-fluoro-4-(4-trifluoromethylpyridin-2-yloxy)-phenyl]-ethyl ⁇ -amine (A.4.2); ni- trophenyl derivates: binapacryl (A.4.3), dinobuton (A.4.4), dinocap (A.4.5), fluazinam (A.4.6); ferimzone (A.4.7); organometal compounds: fentin salts, such as fentin-acetate (A.4.8), fentin chloride (A.4.9) or fentin hydroxide (A.4.10); ametoctradin (A.4.1 1 ); and silthiofam (A.4.12);
- fentin salts such as fentin-acetate (A.4.8), fentin chlor
- C14 demethylase inhibitors (DMI fungicides): triazoles: azaconazole (B.1 .1 ), bitertanol (B.1.2), bromuconazole (B.1.3), cyproconazole (B.1 .4), difenoconazole (B.1 .5), diniconazole (B.1.6), diniconazole-M (B.1 .7), epoxiconazole (B.1.8), fenbuconazole (B.1 .9), fluquinconazole (B.1.10), flusilazole (B.1.1 1 ), flutriafol (B.1 .12), hexaconazole (B.1.13), imibenconazole (B.1.14), ipconazole (B.1.15), metconazole (B.1 .17), myclobutanil (B.1 .18), oxpoconazole (B.1.19),
- Deltal 4-reductase inhibitors aldimorph (B.2.1 ), dodemorph (B.2.2), dodemorph-acetate (B.2.3), fenpropimorph (B.2.4), tridemorph (B.2.5), fenpropidin (B.2.6), piperalin (B.2.7), spirox- amine (B.2.8);
- Inhibitors of 3-keto reductase fenhexamid (B.3.1 );
- phenylamides or acyl amino acid fungicides benalaxyl (C.1.1 ), benalaxyl-M (C.1.2), kiral- axyl (C.1.3), metalaxyl (C.1.4), metalaxyl-M (mefenoxam, C.1.5), ofurace (C.1.6), oxadixyl (C.1.7);
- tubulin inhibitors such as benzimidazoles, thiophanates: benomyl (D1.1 ), carbendazim (D1.2), fuberidazole (D1.3), thiabendazole (D1.4), thiophanate-methyl (D1.5); triazolopyrimidi- nes: 5-chloro-7-(4-methylpiperidin-1 -yl)-6-(2,4,6-trifluorophenyl)-[1 ,2,4]triazolo[1 ,5-a]pyrimidine (D1.6);
- diethofencarb (D2.1 ), ethaboxam (D2.2), pencycuron (D2.3), fluopicolide (D2.4), zoxamide (D2.5), metrafenone (D2.6), pyriofenone (D2.7);
- methionine synthesis inhibitors anilino-pyrimidines: cyprodinil (E.1.1 ), mepanipyrim (E.1.2), pyrimethanil (E.1.3);
- blasticidin-S (E.2.1 ), kasugamycin (E.2.2), kasugamycin hy- drochloride-hydrate (E.2.3), mildiomycin (E.2.4), streptomycin (E.2.5), oxytetracyclin (E.2.6), polyoxine (E.2.7), validamycin A (E.2.8);
- MAP / histidine kinase inhibitors fluoroimid (F.1.1), iprodione (F.1.2), procymidone (F.1.3), vinclozolin (F.1.4), fenpiclonil (F.1.5), fludioxonil (F.1.6);
- G protein inhibitors quinoxyfen (F.2.1 );
- Phospholipid biosynthesis inhibitors edifenphos (G .1.1), iprobenfos (G.1.2), pyrazophos (G.1.3), isoprothiolane (G.1.4);
- lipid peroxidation dicloran (G.2.1), quintozene (G.2.2), tecnazene (G.2.3), tolclofos-methyl (G.2.4), biphenyl (G.2.5), chloroneb (G.2.6), etridiazole (G.2.7);
- phospholipid biosynthesis and cell wall deposition dimethomorph (G.3.1 ), flumorph (G.3.2), mandipropamid (G.3.3), pyrimorph (G.3.4), benthiavalicarb (G.3.5), iprovalicarb (G.3.6), valifenalate (G.3.7) and N-(1-(1-(4-cyano-phenyl)ethanesulfonyl)-but-2-yl) carbamic acid-(4- fluorophenyl) ester (G.3.8);
- inorganic active substances Bordeaux mixture (H.1.1), copper acetate (H.1.2), copper hy- droxide (H.1.3), copper oxychloride (H.1.4), basic copper sulfate (H.1.5), sulfur (H.1.6);
- thio- and dithiocarbamates ferbam (H.2.1), mancozeb (H.2.2), maneb (H.2.3), metam (H.2.4), metiram (H.2.5), propineb (H.2.6), thiram (H.2.7), zineb (H.2.8), ziram (H.2.9);
- organochlorine compounds e. g. phthalimides, sulfamides, chloronitriles: anilazine (H.3.1 ), chlorothalonil (H.3.2), captafol (H.3.3), captan (H.3.4), folpet (H.3.5), dichlofluanid (H.3.6), dichlorophen (H.3.7), hexachlorobenzene (H.3.8), pentachlorphenole (H.3.9) and its salts, phthalide (H.3.10), tolylfluanid (H.3.1 1), N-(4-chloro-2-nitro-phenyl)-N-ethyl-4-methyl- benzenesulfonamide (H.3.12);
- organochlorine compounds e. g. phthalimides, sulfamides, chloronitriles
- guanidines and others guanidine (H.4.1 ), dodine (H.4.2), dodine free base (H.4.3), guazatine (H.4.4), guazatine-acetate (H.4.5), iminoctadine (H.4.6), iminoctadine-triacetate (H.4.7), iminoctadine-tris(albesilate) (H.4.8), dithianon (H.4.9), 2,6-dimethyl-1 H,5H-[1 ,4]dithi- ino[2,3-c:5,6-c']dipyrrole-1 ,3,5,7(2H,6H)-tetraone (H.4.10);
- inhibitors of glucan synthesis validamycin (1.1.1 ), polyoxin B (1.1.2);
- melanin synthesis inhibitors pyroquilon (1.2.1), tricyclazole (1.2.2), carpropamid (I.2.3), dicyclomet (I.2.4), fenoxanil (1.2.5);
- acibenzolar-S-methyl J.1.1
- probenazole J.1.2
- isotianil J.1.3
- tiadinil J.1.4
- prohexadione-calcium J.1.5
- phosphonates fosetyl (J.1.6), fosetyl-aluminum (J.1.7), phosphorous acid and its salts (J.1.8), potassium or sodium bicarbonate (J.1.9);
- bronopol K.1.1
- chinomethionat K.1.2
- cyflufenamid K.1.3
- cymoxanil K.1.4
- dazomet K.1.5
- debacarb K.1.6
- diclomezine K.1.7
- difenzoquat K.1.8
- difenzoquat-methylsulfate K.1.9
- diphenylamin K.1.10
- fenpyrazamine K.1.11
- flumetover K.1.12
- flusulfamide K.1.13
- flutianil K.1.14)
- methasulfocarb K.1.15), nitrapyrin (K.1.16), nitrothal-isopropyl (K.1.18), oxathiapiprolin (K.1.19), tolprocarb (K.1.20), oxin-copper (K.1.21), proquinazid
- fungicides described by common names, their preparation and their activity e.g. against harmful fungi is known (cf.: http://www.alanwood.net/pesticides/); these substances are commercially available.
- fungicides described by IUPAC nomenclature, their preparation and their pesticidal activity is also known (cf. Can. J. Plant Sci. 48(6), 587-94, 1968; EP-A 141 317; EP-A 152 031 ; EP-A 226 917; EP-A 243 970; EP-A 256 503; EP-A 428 941 ; EP-A 532 022; EP-A 1 028 125; EP-A 1 035 122; EP-A 1 201 648; EP-A 1 122 244, JP 2002316902; DE 19650197;
- Suitable mixing partners for the compounds of the present invention also include biopesticides.
- Biopesticides have been defined as a form of pesticides based on micro-organisms (bacteria, fungi, viruses, nematodes, etc.) or natural products (compounds, such as metabolites, proteins, or extracts from biological or other natural sources) (U.S. Environmental Protection Agency: http://www.epa.gov/pesticides/biopesticides/). Biopesticides fall into two major classes, microbial and biochemical pesticides:
- Microbial pesticides consist of bacteria, fungi or viruses (and often include the metabolites that bacteria and fungi produce). Entomopathogenic nematodes are also classified as microbial pesticides, even though they are multi-cellular.
- Biochemical pesticides are naturally occurring substances or or structurally-similar and functionally identical to a naturally-occurring substance and extracts from biological sources that control pests or provide other crop protection uses as defined below, but have non-toxic mode of actions (such as growth or developmental regulation, attractents, repellents or defence activators (e.g. induced resistance) and are relatively non-toxic to mammals.
- Biopesticides for use against crop diseases have already established themselves on a variety of crops. For example, biopesticides already play an important role in controlling downy mildew diseases. Their benefits include: a 0-Day Pre-Harvest Interval, the ability to use under moderate to severe disease pressure, and the ability to use in mixture or in a rotational program with other registered pesticides.
- Biopesticidal seed treatments are e.g. used to control soil borne fungal pathogens that cause seed rots, damping-off, root rot and seedling blights. They can also be used to control internal seed borne fungal pathogens as well as fungal pathogens that are on the surface of the seed.
- Many biopesticidal products also show capacities to stimulate plant host defenses and other physiological processes that can make treated crops more resistant to a variety of biotic and abiotic stresses or can regulate plant growth. Many biopesticidal products also show capacities to stimulate plant health, plant growth and/or yield enhancing activity.
- the invention also relates to agrochemical compositions comprising an auxiliary and at least one compound of the present invention or a mixture thereof.
- An agrochemical composition comprises a pesticidally effective amount of a compound of the present invention or a mixture thereof.
- the term "pesticidally effective amount” is defined below.
- the compounds of the present invention or the mixtures thereof can be converted into customary types of agro-chemical compositions, e. g. solutions, emulsions, suspensions, dusts, powders, pastes, granules, pressings, capsules, and mixtures thereof.
- agro-chemical compositions e. g. solutions, emulsions, suspensions, dusts, powders, pastes, granules, pressings, capsules, and mixtures thereof.
- composition types are suspensions (e.g. SC, OD, FS), emulsifiable concentrates (e.g. EC), emulsions (e.g. EW, EO, ES, ME), capsules (e.g. CS, ZC), pastes, pastilles, wettable powders or dusts (e.g. WP, SP, WS, DP, DS), pressings (e.g. BR, TB, DT), granules (e.g. WG, SG, GR, FG, GG, MG), insecticidal articles (e.g. LN), as well as gel formulations for the treatment of plant propagation materials such as seeds (e.g. GF).
- suspensions e.g. SC, OD, FS
- emulsifiable concentrates e.g. EC
- emulsions e.g. EW, EO, ES, ME
- capsules e.g. CS, ZC
- compositions are prepared in a known manner, such as described by Mollet and Grube- mann, Formulation technology, Wiley VCH, Weinheim, 2001 ; or Knowles, New developments in crop protection product formulation, Agrow Reports DS243, T&F Informa, London, 2005.
- auxiliaries are solvents, liquid carriers, solid carriers or fillers, surfac- tants, dispersants, emulsifiers, wetters, adjuvants, solubilizers, penetration enhancers, protec- tive colloids, adhesion agents, thickeners, humectants, repellents, attractants, feeding stimu- lants, compatibilizers, bactericides, anti-freezing agents, anti-foaming agents, colorants, tackifi- ers and binders.
- suitable auxiliaries are solvents, liquid carriers, solid carriers or fillers, surfac- tants, dispersants, emulsifiers, wetters, adjuvants, solubilizers, penetration enhancers, protec- tive colloids, adhesion agents, thickeners, humectants, repellents, attractants, feeding stimu- lants, compatibilizers, bactericides, anti-freezing agents, anti-foaming agents
- Suitable solvents and liquid carriers are water and organic solvents, such as mineral oil frac- tions of medium to high boiling point, e.g. kerosene, diesel oil; oils of vegetable or animal origin; aliphatic, cyclic and aromatic hydrocarbons, e. g. toluene, paraffin, tetrahydronaphthalene, al- kylated naphthalenes; alcohols, e.g. ethanol, propanol, butanol, benzylalcohol, cyclo ⁇ hexanol; glycols; DMSO; ketones, e.g. cyclohexanone; esters, e.g.
- mineral oil frac- tions of medium to high boiling point e.g. kerosene, diesel oil
- oils of vegetable or animal origin oils of vegetable or animal origin
- aliphatic, cyclic and aromatic hydrocarbons e. g. toluene, paraffin, tetrahydron
- lactates carbonates, fatty acid esters, gamma-butyrolactone; fatty acids; phosphonates; amines; amides, e.g. N-methylpyrrolidone, fatty acid dimethylamides; and mixtures thereof.
- Suitable solid carriers or fillers are mineral earths, e.g. silicates, silica gels, talc, kaolins, lime- stone, lime, chalk, clays, dolomite, diatomaceous earth, bentonite, calcium sulfate, magnesium sulfate, magnesium oxide; polysaccharide powders, e.g. cellulose, starch; fertilizers, e.g.
- ammonium sulfate, ammonium phosphate, ammonium nitrate, ureas products of vegetable origin, e.g. cereal meal, tree bark meal, wood meal, nutshell meal, and mixtures thereof.
- Suitable surfactants are surface-active compounds, such as anionic, cationic, nonionic and amphoteric surfactants, block polymers, polyelectrolytes, and mixtures thereof. Such surfactants can be used as emusifier, dispersant, solubilizer, wetter, penetration enhancer, protective colloid, or adjuvant. Examples of surfactants are listed in McCutcheon’s, Vol.1 : Emulsifiers & Detergents, McCutcheon’s Directories, Glen Rock, USA, 2008 (International Ed. or North American Ed.).
- Suitable anionic surfactants are alkali, alkaline earth or ammonium salts of sulfonates, sul- fates, phosphates, carboxylates, and mixtures thereof.
- sulfonates are alkylaryl- sulfonates, diphenylsulfonates, alpha-olefin sulfonates, lignine sulfonates, sulfonates of fatty acids and oils, sulfonates of ethoxylated alkylphenols, sulfonates of alkoxylated arylphenols, sulfonates of condensed naphthalenes, sulfonates of dodecyl- and tridecylbenzenes, sulfonates of naphthalenes and alkyhnaphthalenes, sulfosuccinates or sulfosuccinamates.
- sulfates are sulfates of fatty acids and oils, of ethoxylated alkylphenols, of alcohols, of ethox- ylated alcohols, or of fatty acid esters.
- phosphates are phosphate esters. Exam- pies of carboxylates are alkyl carboxylates, and carboxylated alcohol or alkylphenol eth- oxylates.
- Suitable nonionic surfactants are alkoxylates, N-subsituted fatty acid amides, amine oxides, esters, sugar-based surfactants, polymeric surfactants, and mixtures thereof.
- alkoxylates are compounds such as alcohols, alkylphenols, amines, amides, arylphenols, fatty acids or fatty acid esters which have been alkoxylated with 1 to 50 equivalents.
- Ethylene oxide and/or propylene oxide may be employed for the alkoxylation, preferably ethylene oxide.
- Exam- pies of N-subsititued fatty acid amides are fatty acid glucamides or fatty acid alkanolamides.
- esters are fatty acid esters, glycerol esters or monoglycerides.
- sugar- based surfactants are sorbitans, ethoxylated sorbitans, sucrose and glucose esters or alkylpolyglucosides.
- polymeric surfactants are homo- or copolymers of
- Suitable cationic surfactants are quaternary surfactants, e.g. quaternary ammonium
- Suitable amphoteric surfactants are alkylbetains and imidazolines.
- Suitable block polymers are block polymers of the A-B or A-B-A type comprising blocks of polyethylene oxide and polypropylene oxide, or of the A-B-C type comprising alkanol, polyethylene oxide and polypropylene oxide.
- Suitable polyelectrolytes are polyacids or polybases. Examples of polyacids are alkali salts of polyacrylic acid or polyacid comb polymers. Examples of polybases are polyvinylamines or polyethyleneamines.
- Suitable adjuvants are compounds, which have a neglectable or even no pesticidal activity themselves, and which improve the biological performance of the compounds of the present invention on the target.
- examples are surfactants, mineral or vegetable oils, and other auxilaries. Further examples are listed by Knowles, Adjuvants and additives, Agrow Reports DS256, T&F Informa UK, 2006, chapter 5.
- Suitable thickeners are polysaccharides (e.g. xanthan gum, carboxymethylcellulose), anorganic clays (organically modified or unmodified), polycarboxylates, and silicates.
- Suitable bactericides are bronopol and isothiazolinone derivatives such as alkylisothiazoli- nones and benzisothiazolinones.
- Suitable anti-freezing agents are ethylene glycol, propylene glycol, urea and glycerin.
- Suitable anti-foaming agents are silicones, long chain alcohols, and salts of fatty acids.
- Suitable colorants are pigments of low water solubility and water- soluble dyes.
- examples are inorganic colorants (e.g. iron oxide, titan oxide, iron hexacyanofer- rate) and organic colorants (e.g. alizarin-, azo- and phthalocyanine colorants).
- Suitable tackifiers or binders are polyvinylpyrrolidons, polyvinylacetates, polyvinyl alcohols, polyacrylates, biological or synthetic waxes, and cellulose ethers.
- composition types and their preparation are:
- alcohol alkoxylates are dissolved in water and/or in a water-soluble solvent (e.g. alcohols) up to 100 wt%.
- a water-soluble solvent e.g. alcohols
- the active substance dissolves upon dilution with water.
- a compound I according to the invention 5-25 wt% of a compound I according to the invention and 1-10 wt% dispersant (e. g. polyvi- nylpyrrolidone) are dissolved in up to 100 wt% organic solvent (e.g. cyclohexanone). Dilution with water gives a dispersion.
- dispersant e. g. polyvi- nylpyrrolidone
- emulsifiers e.g. calcium dodecylbenzenesulfonate and castor oil ethoxylate
- 20-40 wt% water-insoluble organic solvent e.g. aromatic hydrocarbon
- a compound I according to the invention 20-60 wt% of a compound I according to the invention are comminuted with addition of 2-10 wt% dispersants and wetting agents (e.g. sodium lignosulfonate and alcohol ethoxylate), 0,1-2 wt% thickener (e.g. xanthan gum) and up to 100 wt% water to give a fine active substance suspension. Dilution with water gives a stable suspension of the active sub-stance.
- dispersants and wetting agents e.g. sodium lignosulfonate and alcohol ethoxylate
- 0,1-2 wt% thickener e.g. xanthan gum
- up to 100 wt% water 100 wt% water
- Dilution with water gives a stable suspension of the active sub-stance.
- binder e.g. polyvinylalcohol
- 50-80 wt% of a compound I according to the invention are ground finely with addition of up to 100 wt% dispersants and wetting agents (e.g. sodium lignosulfonate and alcohol ethoxylate) and prepared as water-dispersible or water-soluble granules by means of technical appliances (e. g. extrusion, spray tower, fluidized bed). Dilution with water gives a stable dispersion or solution of the active substance.
- dispersants and wetting agents e.g. sodium lignosulfonate and alcohol ethoxylate
- wt% of a compound I according to the invention are ground in a rotor-stator mill with ad- dition of 1-5 wt% dispersants (e.g. sodium lignosulfonate), 1-3 wt% wetting agents (e.g. alcohol ethoxylate) and up to 100 wt% solid carrier, e.g. silica gel. Dilution with water gives a stable dis persion or solution of the active substance.
- dispersants e.g. sodium lignosulfonate
- wetting agents e.g. alcohol ethoxylate
- solid carrier e.g. silica gel
- a compound I according to the invention In an agitated ball mill, 5-25 wt% of a compound I according to the invention are comminuted with addition of 3-10 wt% dispersants (e.g. sodium lignosulfonate), 1-5 wt% thickener (e.g. car- boxymethylcellulose) and up to 100 wt% water to give a fine suspension of the active sub- stance. Dilution with water gives a stable suspension of the active substance.
- dispersants e.g. sodium lignosulfonate
- 1-5 wt% thickener e.g. car- boxymethylcellulose
- 5-20 wt% of a compound I according to the invention are added to 5-30 wt% organic solvent blend (e.g. fatty acid dimethylamide and cyclohexanone), 10-25 wt% surfactant blend (e.g. alkohol ethoxylate and arylphenol ethoxylate), and water up to 100 %. This mixture is stirred for 1 h to produce spontaneously a thermodynamically stable microemulsion.
- organic solvent blend e.g. fatty acid dimethylamide and cyclohexanone
- surfactant blend e.g. alkohol ethoxylate and arylphenol ethoxylate
- An oil phase comprising 5-50 wt% of a compound I according to the invention, 0-40 wt% water insoluble organic solvent (e.g. aromatic hydrocarbon), 2-15 wt% acrylic monomers (e.g.
- methylmethacrylate, methacrylic acid and a di- or triacrylate are dispersed into an aqueous solution of a protective colloid (e.g. polyvinyl alcohol). Radical polymerization initiated by a radi cal initiator results in the formation of poly(meth)acrylate microcapsules.
- a protective colloid e.g. polyvinyl alcohol
- Radical polymerization initiated by a radi cal initiator results in the formation of poly(meth)acrylate microcapsules.
- an oil phase comprising 5-50 wt% of a compound I according to the invention, 0-40 wt% water insolu- ble organic solvent (e.g. aromatic hydrocarbon), and an isocyanate monomer (e.g. diphenylme- thene-4,4’-diisocyanatae) are dispersed into an aqueous solution of a protective colloid (e.g.
- polyvinyl alcohol The addition of a polyamine (e.g. hexamethylenediamine) results in the for- mation of a polyurea microcapsule.
- the monomers amount to 1-10 wt%.
- the wt% relate to the total CS composition.
- Dustable powders (DP, DS)
- 1-10 wt% of a compound I according to the invention are ground finely and mixed intimately with up to 100 wt% solid carrier, e.g. finely divided kaolin.
- 0.5-30 wt% of a compound I according to the invention is ground finely and associated with up to 100 wt% solid carrier (e.g. silicate). Granulation is achieved by extrusion, spray-drying or the fluidized bed.
- solid carrier e.g. silicate
- 1-50 wt% of a compound I according to the invention are dissolved in up to 100 wt% organic solvent, e.g. aromatic hydrocarbon.
- organic solvent e.g. aromatic hydrocarbon.
- compositions types i) to xi) may optionally comprise further auxiliaries, such as 0.1-1 wt% bactericides, 5-15 wt% anti-freezing agents, 0.1-1 wt% anti-foaming agents, and 0.1-1 wt% col- ora nts.
- the agrochemical compositions generally comprise between 0.01 and 95%, preferably be- tween 0.1 and 90%, and most preferably between 0.5 and 75%, by weight of active sub-stance.
- the active substances are employed in a purity of from 90% to 100%, preferably from 95% to 100% (according to NMR spectrum).
- oils, wetters, adjuvants, fertilizer, or micronutrients, and other pesticides may be added to the active substances or the compositions cormprising them as premix or, if appropriate not until immediately prior to use (tank mix).
- pesticides e.g. herbicides, insecticides, fungicides, growth regulators, safeners
- These agents can be admixed with the compositions according to the invention in a weight ratio of 1 :100 to 100:1 , preferably 1 :10 to 10:1.
- composition according to the invention usually from a predosage de-vice, a knapsack sprayer, a spray tank, a spray plane, or an irrigation system.
- a predosage de-vice usually from a predosage de-vice, a knapsack sprayer, a spray tank, a spray plane, or an irrigation system.
- a knapsack sprayer usually from a spray tank, a spray plane, or an irrigation system.
- agrochemical composition is made up with water, buffer, and/or further auxiliaries to the desired application concentration and the ready-to-use spray liquor or the agrochemical composition according to the invention is thus obtained.
- 20 to 2000 liters, preferably 50 to 400 liters, of the ready-to-use spray liquor are applied per hectare of agricultural useful area.
- composition according to the in- vention such as parts of a kit or parts of a binary or ternary mixture may be mixed by the user himself in a spray tank and further auxiliaries may be added, if appropriate.
- either individual components of the composition according to the in- vention or partially premixed components may be mixed by the user in a spray tank and further auxiliaries and additives may be added, if appropriate.
- either individual components of the composition according to the in- vention or partially premixed components e. g. components comprising compounds of the present invention and/or mixing partners as defined above, can be applied jointly (e.g. after tank mix) or consecutively.
- the compounds of the present invention are suitable for use in protecting crops, plants, plant propagation materials, such as seeds, or soil or water, in which the plants are growing, from attack or infestation by animal pests. Therefore, the present invention also relates to a plant pro- tection method, which comprises contacting crops, plants, plant propagation materials, such as seeds, or soil or water, in which the plants are growing, to be protected from attack or infestation by animal pests, with a pesticidally effective amount of a compound of the present invention.
- the compounds of the present invention are also suitable for use in combating or controlling animal pests. Therefore, the present invention also relates to a method of combating or controlling animal pests, which comprises contacting the animal pests, their habitat, breeding ground, or food supply, or the crops, plants, plant propagation materials, such as seeds, or soil, or the area, material or environment in which the animal pests are growing or may grow, with a pesticidally effective amount of a compound of the present invention.
- the compounds of the present invention are effective through both contact and ingestion. Furthermore, the compounds of the present invention can be applied to any and all
- the compounds of the present invention can be applied as such or in form of compositions comprising them as defined above. Furthermore, the compounds of the present invention can be applied together with a mixing partner as defined above or in form of compositions compri- sing said mixtures as defined above. The components of said mixture can be applied
- the application can be carried out both before and after the infestation of the crops, plants, plant propagation materials, such as seeds, soil, or the area, material or environment by the pests.
- Suitable application methods include inter alia soil treatment, seed treatment, in furrow appli cation, and foliar application.
- Soil treatment methods include drenching the soil, drip irrigation (drip application onto the soil), dipping roots, tubers or bulbs, or soil injection.
- Seed treatment techniques include seed dressing, seed coating, seed dusting, seed soaking, and seed pelleting.
- furrow applications typically include the steps of making a furrow in cultivated land, seeding the furrow with seeds, applying the pesticidally active compound to the furrow, and closing the furrow.
- Foliar application refers to the application of the pesticidally active compound to plant foliage, e.g. through spray equipment.
- pheromones for specific crops and pests are known to a skilled person and publicly available from databases of pheromones and semiochemicals, such as http://www.pherobase.com.
- contacting includes both direct contact (applying the
- animal pest includes arthropods, gastropods, and nematodes.
- Preferred animal pests according to the invention are arthropods, preferably insects and arachnids, in particular insects.
- Insects, which are of particular relevance for crops, are typically referred to as crop insect pests.
- crop refers to both, growing and harvested crops.
- plant includes cereals, e.g. durum and other wheat, rye, barley, triticale, oats, rice, or maize (fodder maize and sugar maize / sweet and field corn); beet, e.g. sugar beet or fodder beet; fruits, such as pomes, stone fruits or soft fruits, e.g.
- iceberg lettuce chicory, cabbage, asparagus, cabbages, carrots, onions, garlic, leeks, tomatoes, potatoes, cucurbits or sweet peppers; lauraceous plants, such as avocados, cinnamon or camphor; energy and raw material plants, such as corn, soybean, rapeseed, sugar cane or oil palm;
- tobacco tobacco; nuts, e.g. walnuts; pistachios; coffee; tea; bananas; vines (table grapes and grape juice grape vines); hop; sweet leaf (also called Stevia); natural rubber plants or ornamental and forestry plants, such as flowers (e.g. carnation, petunias, geranium/pelargoniums, pansies and impatiens), shrubs, broad-leaved trees (e.g. poplar) or evergreens, e.g. conifers; eucalyptus; turf; lawn; grass such as grass for animal feed or ornamental uses.
- flowers e.g. carnation, petunias, geranium/pelargoniums, pansies and impatiens
- shrubs broad-leaved trees (e.g. poplar) or evergreens, e.g. conifers; eucalyptus; turf; lawn; grass such as grass for animal feed or ornamental uses.
- flowers
- Preferred plants include potatoes sugar beets, tobacco, wheat, rye, barley, oats, rice, corn, cotton, soybeans, rapeseed, legumes, sunflowers, coffee or sugar cane; fruits; vines; ornamentals; or vegetables, such as cucumbers, tomatoes, beans or squashes.
- plant is to be understood as including wild type plants and plants, which have been modified by either conventional breeding, or mutagenesis or genetic engineering, or by a combination thereof.
- Plants which have been modified by mutagenesis or genetic engineering, and are of particular commercial importance, include alfalfa, rapeseed (e.g. oilseed rape), bean, carnation, chicory, cotton, eggplant, eucalyptus, flax, lentil, maize, melon, papaya, petunia, plum, poplar, potato, rice, soybean, squash, sugar beet, sugarcane, sunflower, sweet pepper, tobacco, tomato, and cereals (e.g. wheat), in particular maize, soybean, cotton, wheat, and rice.
- rapeseed e.g. oilseed rape
- the one or more mutagenized or integrated genes are preferably selected from pat, epsps, crylAb, bar, cry1 Fa2, crylAc, cry34Ab1 , cry35AB1 , cry3A, cryF, cry1 F, mcry3a, cry2Ab2, cry3Bb1 , cry1A.105, dfr, barnase, vip3Aa20, barstar, als, bxn, bp40, asn1 , and ppo5.
- the mutagenesis or integration of the one or more genes is performed in order to improve certain properties of the plant.
- Such properties include abiotic stress tolerance, altered growth/yield, disease resistance, herbicide tolerance, insect resistance, modified product quality, and pollination control.
- herbicide tolerance e.g. imidazolinone tolerance, glyphosate tolerance, or glufosi- nate tolerance
- mutagenesis e.g. Clearfield® oilseed rape being tolerant to imidazolinones, e.g. imazamox.
- genetic engineering methods have been used to render plants, such as soybean, cotton, corn, beets and oil seed rape, tolerant to herbicides, such as glyphosate and glufosinate, some of which are commercially available under the trade names Roundup- Ready® (glyphosate) and LibertyLink® (glufosinate).
- herbicides such as glyphosate and glufosinate, some of which are commercially available under the trade names Roundup- Ready® (glyphosate) and LibertyLink® (glufosinate).
- glyphosate glyphosate
- LibertyLink® glufosinate
- Insect resistance is typically achieved by modifying plants by integrating cry and/or vip genes, which were isolated from Bacillus thuringiensis (Bt), and code for the respective Bt toxins.
- Plants may be modified by mutagenesis or genetic engineering either in terms of one property (singular traits) or in terms of a combination of properties (stacked traits). Stacked traits, e.g. the combination of herbicide tolerance and insect resistance, are of increasing importance.
- the pesticidal activity of the compounds of the present invention may be enhanced by the insecticidal trait of a modified plant. Furthermore, it has been found that the compounds of the present invention are suitable for preventing insects to become resistant to the insecticidal trait or for combating pests, which already have become resistant to the insecticidal trait of a modified plant. Moreover, the compounds of the present invention are suitable for combating pests, against which the insecticidal trait is not effective, so that a complementary insecticidal activity can advantageously be used.
- plant propagation material refers to all the generative parts of the plant such as seeds and vegetative plant material such as cuttings and tubers (e.g. potatoes), which can be used for the multiplication of the plant. This includes seeds, roots, fruits, tubers, bulbs, rhizomes, shoots, sprouts and other parts of plants. Seedlings and young plants, which are to be transplanted after germination or after emergence from soil, may also be included. These plant propagation materials may be treated prophylactically with a plant protection compound either at or before planting or transplanting.
- seed embraces seeds and plant propagules of all kinds including but not limited to true seeds, seed pieces, suckers, corms, bulbs, fruit, tubers, grains, cuttings, cut shoots and the like, and means in a preferred embodiment true seeds.
- pesticidally effective amount means the amount of active ingredient needed to achieve an observable effect on growth, including the effects of necrosis, death, retardation, prevention, and removal, destruction, or otherwise diminishing the occurrence and activity of the target organism.
- the pesticidally effective amount can vary for the various compounds/composi- tions used in the invention.
- a pesticidally effective amount of the compositions will also vary according to the prevailing conditions such as desired pesticidal effect and duration, weather, target species, locus, mode of application, and the like.
- the quantity of active ingredient ranges from 0.0001 to 500 g per 100 m 2 , preferably from 0.001 to 20 g per 100 m 2 .
- the rate of application of the active ingredients of this invention may be in the range of 0.0001 g to 4000 g per hectare, e.g. from 1 g to 2 kg per hectare or from 1 g to 750 g per hectare, desirably from 1 g to 100 g per hectare, more desirably from 10 g to 50 g per hectare, e.g., 10 to 20 g per hectare, 20 to 30 g per hectare, 30 to 40 g per hectare, or 40 to 50 g per hectare.
- the compounds of the present invention are particularly suitable for use in the treatment of seeds in order to protect the seeds from insect pests, in particular from soil-living insect pests, and the resulting seedling’s roots and shoots against soil pests and foliar insects.
- the present invention therefore also relates to a method for the protection of seeds from insects, in particular from soil insects, and of the seedling's roots and shoots from insects, in particular from soil and foliar insects, said method comprising treating the seeds before sowing and/or after
- seed treatment comprises all suitable seed treatment techniques known in the art, such as seed dressing, seed coating, seed dusting, seed soaking, seed pelleting, and in-furrow application methods.
- seed treatment application of the active compound is carried out by spraying or by dusting the seeds before sowing of the plants and before emergence of the plants.
- the present invention also comprises seeds coated with or containing the active compound.
- coated with and/or containing generally signifies that the active ingredient is for the most part on the surface of the propagation product at the time of application, although a greater or lesser part of the ingredient may penetrate into the propagation product, depending on the method of application. When the said propagation product is (re)planted, it may absorb the active ingredient.
- Suitable seed is e.g. seed of cereals, root crops, oil crops, vegetables, spices, ornamentals, e.g. seed of durum and other wheat, barley, oats, rye, maize (fodder maize and sugar maize / sweet and field corn), soybeans, oil crops, crucifers, cotton, sunflowers, bananas, rice, oilseed rape, turnip rape, sugarbeet, fodder beet, eggplants, potatoes, grass, lawn, turf, fodder grass, tomatoes, leeks, pumpkin/squash, cabbage, iceberg lettuce, pepper, cucumbers, melons, Bras- sica species, melons, beans, peas, garlic, onions, carrots, tuberous plants such as potatoes, sugar cane, tobacco, grapes, petunias, geranium/pelargoniums, pansies and impatiens.
- the active compound may also be used for the treatment of seeds from plants, which have been modified by mutagenisis or genetic engineering, and which e.g. tolerate the action of herbicides or fungicides or insecticides. Such modified plants have been described in detail above.
- Conventional seed treatment formulations include e.g. flowable concentrates FS, solutions LS, suspoemulsions (SE), powders for dry treatment DS, water dispersible powders for slurry treat- ment WS, water-soluble powders SS and emulsion ES and EC and gel formulation GF. These formulations can be applied to the seed diluted or undiluted. Application to the seeds is carried out before sowing, either directly on the seeds or after having pregerminated the latter.
- the formulations are applied such that germination is not included.
- the active substance concentrations in ready-to-use formulations are preferably from 0.01 to 60% by weight, more preferably from 0.1 to 40 % by weight.
- a FS formulation is used for seed treatment.
- a FS for- mulation may comprise 1-800 g/l of active ingredient, 1-200 g/l Surfactant, 0 to 200 g/l antifreezing agent, 0 to 400 g/l of binder, 0 to 200 g/l of a pigment and up to 1 liter of a solvent, preferably water.
- Especially preferred FS formulations of the compounds of the present invention for seed treat- ment usually comprise from 0.1 to 80% by weight (1 to 800 g/l) of the active ingredient, from 0.1 to 20 % by weight (1 to 200 g/l) of at least one surfactant, e.g. 0.05 to 5 % by weight of a wetter and from 0.5 to 15 % by weight of a dispersing agent, up to 20 % by weight, e.g. from 5 to 20 % of an anti-freeze agent, from 0 to 15 % by weight, e.g. 1 to 15 % by weight of a pigment and/or a dye, from 0 to 40 % by weight, e.g.
- a binder (sticker /adhesion agent), optionally up to 5 % by weight, e.g. from 0.1 to 5 % by weight of a thickener, optionally from 0.1 to 2 % of an anti-foam agent, and optionally a preservative such as a biocide, antioxidant or the like, e.g. in an amount from 0.01 to 1 % by weight and a filler/vehicle up to 100 % by weight.
- a binder sticker /adhesion agent
- a preservative such as a biocide, antioxidant or the like
- the application rates of the compounds of the invention are generally from 0.1 g to 10 kg per 100 kg of seed, preferably from 1 g to 5 kg per 100 kg of seed, more preferably from 1 g to 1000 g per 100 kg of seed and in particular from 1 g to 200 g per 100 kg of seed, e.g. from 1 g to 100 g or from 5 g to 100 g per 100 kg of seed.
- the invention therefore also relates to seed comprising a compound of the present invention, or an agriculturally useful salt thereof, as defined herein.
- the amount of the compound of the present invention or the agriculturally useful salt thereof will in general vary from 0.1 g to 10 kg per 100 kg of seed, preferably from 1 g to 5 kg per 100 kg of seed, in particular from 1 g to 1000 g per 100 kg of seed. For specific crops such as lettuce the rate can be higher.
- the compounds of the present invention may also be used for improving the health of a plant. Therefore, the present invention also relates to a method for improving plant health by treating a plant, plant propagation material and/or the locus where the plant is growing or is to grow with an effective and non-phytotoxic amount of a compound of the present invention.
- an effective and non-phytotoxic amount means that the compound is used in a quantity which allows to obtain the desired effect but which does not give rise to any phyto- toxic symptom on the treated plant or on the plant grown from the treated propagule or treated soil.
- Plant health is defined as a condition of the plant and/or its products which is determined by several aspects alone or in combination with each other such as yield (e.g. increased biomass and/or increased content of valuable ingredients), quality (e.g. improved content or composition of certain ingredients or shelf life), plant vigour (e.g. improved plant growth and/or greener leaves (“greening effect”), tolerance to abiotic (e.g. drought) and/or biotic stress (e.g. disease) and production efficiency (for example, harvesting efficiency, processability).
- yield e.g. increased biomass and/or increased content of valuable ingredients
- quality e.g. improved content or composition of certain ingredients or shelf life
- plant vigour e.g. improved plant growth and/or greener leaves (“greening effect”)
- tolerance to abiotic e.g. drought
- biotic stress e.g. disease
- production efficiency for example, harvesting efficiency, processability
- the above identified indicators for the health condition of a plant may be interdependent and may result from each other.
- Each indicator is defined in the art and can be determined by methods known to a skilled person.
- the compounds of the invention are also suitable for use against non-crop insect pests.
- compounds of the present invention can be used as bait composition, gel, general insect spray, aerosol, as ultra-low volume application and bed net (impregnated or surface applied).
- drenching and rodding methods can be used.
- non-crop insect pest refers to pests, which are particularly relevant for non-crop targets, such as ants, termites, wasps, flies, ticks, mosquitos, crickets, or cockroaches.
- the bait can be a liquid, a solid or a semisolid preparation (e.g. a gel).
- the bait employed in the composition is a product, which is sufficiently attractive to incite insects such as ants, termites, wasps, flies, mosquitos, crickets etc. or cockroaches to eat it.
- the attractiveness can be manipulated by using feeding stimulants or sex pheromones.
- Food stimulants are chosen, for example, but not exclusively, from animal and/or plant proteins (meat-, fish- or blood meal, insect parts, egg yolk), from fats and oils of animal and/or plant origin, or mono-, oligo- or polyorganosaccharides, especially from sucrose, lactose, fructose, dextrose, glucose, starch, pectin or even molasses or honey. Fresh or decaying parts of fruits, crops, plants, animals, insects or specific parts thereof can also serve as a feeding stimulant. Sex pheromones are known to be more insect specific. Specific pheromones are described in the literature (e.g. http://www.pherobase.com), and are known to those skilled in the art.
- the typical content of active ingredient is from 0.001 weight % to 15 weight %, desirably from 0.001 weight % to 5% weight % of active compound.
- Formulations of the compounds of the present invention as aerosols are highly suitable for the non-professional user for controlling pests such as flies, fleas, ticks, mosquitos or cockroaches.
- Aerosol recipes are preferably composed of the active compound, solvents, furthermore auxiliaries such as emulsifiers, perfume oils, if appropriate stabilizers, and, if required, propellants.
- the oil spray formulations differ from the aerosol recipes in that no propellants are used.
- the content of active ingredient is from 0.001 to 80 weights %, preferably from 0.01 to 50 weight % and most preferably from 0.01 to 15 weight %.
- the compounds of the present invention and its respective compositions can also be used in mosquito and fumigating coils, smoke cartridges, vaporizer plates or long-term vaporizers and also in moth papers, moth pads or other heat-independent vaporizer systems.
- Methods to control infectious diseases transmitted by insects e.g. malaria, dengue and yellow fever, lymphatic filariasis, and leishmaniasis
- compounds of the present invention and its respective compositions also comprise treating surfaces of huts and houses, air spraying and impregnation of curtains, tents, clothing items, bed nets, tsetse-fly trap or the like.
- Insecticidal compositions for application to fibers, fabric, knitgoods, nonwovens, netting material or foils and tarpaulins preferably comprise a mixture including the insecticide, optionally a repellent and at least one binder.
- the compounds of the present invention and its compositions can be used for protecting wooden materials such as trees, board fences, sleepers, frames, artistic artifacts, etc. and buildings, but also construction materials, furniture, leathers, fibers, vinyl articles, electric wires and cables etc. from ants and/or termites, and for controlling ants and termites from doing harm to crops or human being (e.g. when the pests invade into houses and public facilities).
- Customary application rates in the protection of materials are, for example, from 0.001 g to 2000 g or from 0.01 g to 1000 g of active compound per m 2 treated material, desirably from 0.1 g to 50 g per m 2 .
- Insecticidal compositions for use in the impregnation of materials typically contain from 0.001 to 95 weight %, preferably from 0.1 to 45 weight %, and more preferably from 1 to 25 weight % of at least one repellent and/or insecticide.
- the compounds of the present invention are especially suitable for efficiently combating animal pests such as arthropods, gastropods and nematodes including but not limited to:
- insects from the order of Lepidoptera e.g. Achroia grisella, Aderis spp. such as A. fimbriana,
- Chrysodeixis ( Pseudoptusia) spp. such as C. eriosoma, C. inc/udens; Cirphis unipuncta, Ctysia ambiguella, Cnaphalocerus spp. , Cnapha/ocrocis medinaHs, Cnephasia spp., Cochylis hospes, Coleophora spp., Colias eurytheme, Conopomorpha spp., Conotrache!us spp.
- Dendrolimus spp. such as D. pini, D. spectab/i/s, D. sibiricus; Desmia funerah ' s, Diaphania spp. such as D. nitidatis, D. hyaHnata; Diatraea grandiosella, Diatraea saccharaHs, Diphthera festiva, Earias spp. such as E. insutana, E.
- kuehniella kuehniella; Epinotia aporema, Epiphyas postvittana, Erannis tiHaria, Erionota thrax, Etietta spp., Eulia spp., EupoecHia ambiguella, Euproctis chrysorrhoea, Euxoa spp., Evetria boutiana, Faronta albilinea, Feltia spp. such as F. subterranean; Galleria mellonella, Gradiiaria spp., Graphoh ' ta spp. such as G.
- H. armigera Heliothis armigera
- H. zea Heliothis zea
- He/iothis spp. such as H. assu/ta, H. subftexa, H. virescens
- Hellula spp. such as H. unda/is, H.
- nubiiaiis nubiiaiis; Ouiema oryzae, Paieacrita vernata, Panoiis fiammea, Parnara spp., Papaipema nebris, Papiiio cresphontes, Paramyeiois transiteiia, Paranthrene regalis, Paysandisia archon, Pectinophora spp. such as P. gossypiella; Peridroma saucia, Pen!eucoptera s p p . , such as P. coffeella; Phalera bucephala, Phryganidia caiifornica,
- Phthorimaea spp. such as P. operculella; Phyllocnistis citrella, Phyllonorycter spp. such as P. blancardella, P. crataegella, P. issikii, P. ringoniella; Pier is spp. such as P. brassicae, P. rapae, P. napi; PHocrocis tripunctata, Plathypena scabra, Platynota spp. such as P. fiavedana, P.
- idaeusa/is P. stultana
- Platyptilia carduidactyla P/ebejus argus, Plodia interpunctella, Plusia spp, Plutella macuHpennis, Plutella xylostella, Pontia protodica, Prays spp., Prodenia s ., Proxenus tepigone, Pseudaletia spp. such as P. sequax, P.
- Thaumetopoea pityocampa Theda spp., Theresimima ampelophaga, Thyrinteina spp, THdenia inconspicuella, Tinea spp. such as T. doacella, T. pellionella; Tineola bisselliella, Tortrix spp. such as T. viridana; Trichophaga tapetzella, Trichoplusia spp. such as T. ni; Tuta
- insects from the order of Coleoptera e.g. Acalymma vittatum, Acanthoscehdes obtectus, Adoretus s ., Agelastica alni, Agrilus s . such as A. anxius, A. planipennis, A. sinuatus;
- Bruch us spp. such as B. lends, B. pisorum, B. rufimanus; Byctiscus betulae, Callidiellum rufipenne, Callopistria floridensis, Callosobruchus chinensis, Cameraria ohridella, Cassida nebulosa, Cerotoma trifurcata, Cetonia aurata, Ceuthorhynchus spp. such as C. assimi/is, C. napi; Chaetocnema tibialis, C/eonus mendicus, Conoderus spp. such as C. vespertinus;
- Curcuiio spp. Cy!indrocopturus spp., Cyclocephala spp., Dadyiispa baiyi, Dectes texanus, Dermestes spp., Diabrotica spp. such as D. undedmpunctata, D. spedosa, D. longicornis, D. semipundata, D. virgifera; Diaprepes abbreviates, Dichocrocis spp., Didadispa armigera, Diioboderus abderus, Diocaiandra frumenti (Diocaiandra stigmaticoHis), Enaphaiodes rufu/us, Epiiachna spp. such as E.
- hypomeces squamosus Hypothenemus spp., ips typographus, Lachnosterna consanguinea, Lasioderma serricorne, Latheticus oryzae, Lathridi us spp., Lema spp. such as L. bilineata, L. melanopus; Leptinotarsa spp. such as L. decemlineata; Leptispa pygmaea, Limonius californicus,
- Lissorhoptrus oryzophHus Lixus spp., Luperodes spp., L yet us spp. such as L. bruneus;
- Liogenys fuscus Macrodactytus spp. such as M. subspinosus
- Matadera matrida Megaplatypus mutates, Megascetis spp., Melanotus communis, Metigethes spp. such as M. aeneus
- M. subspinosus Liogenys fuscus, Macrodactytus spp. such as M. subspinosus
- Matadera matrida Megaplatypus mutates, Megascetis spp., Melanotus communis, Metigethes spp. such as M. aeneus
- Metigethes spp. such as M. aeneus
- Melolontha spp. such as M. hippocastani, M. melolontha; Metamasius hemipterus, Microtheca spp., Migdoius spp. such as M. fryanus, Monochamus spp. such as M. aiternatus; Naupactus xanthographus, Niptus ho/o/eucus, Oberia brevis, Oemona hirta, Oryctes rhinoceros,
- chrysocephaia P. nemorum, P. strioiata, P. vittuia; Phyiiopertha horticoia, Popiiiia japonica, Premnotrypes spp., Psacothea hiiaris, Psyiiiodes chrysocephaia, Prostephanus truncates,
- Psyi iiodes spp. Pt in us spp., Puiga saitona, Rhizopertha dominica, Rhynchophorus spp. such as R. biiiineatus, R. ferrugineus, R. paimarum, R. phoenicis, R. vuineratus; Saperda Candida, Scoiytus schevyrewi, Scyphophorus acupunctatus, Sitona iineatus, Si top hi/ us spp. such as S. granaria, S. oryzae, S. zeamais; Sphenophorus spp. such as S. ievis; Stegobium paniceum, Sternechus spp. such as S. subsignatus; Strophomorphus ctenotus, Symphyietes spp.,
- Tanymecus spp. Tenebrio moiitor, Tenebrioides mauretanicus, Tribo/ium spp. such as T.
- Trogoderma spp. Tychius spp.
- Xyiotrechus spp. such as X. pyrrhoderus
- Zabrus spp. such as Z. tenebrioides
- insects from the order of Diptera e.g. Aedes spp. such as A. aegypti, A. aibopictus, A. vexans; Anastrepha iudens, Anopheles spp. such as A. aibimanus, A. crucians, A. freeborni, A. gam- biae, A. ieucosphyrus, A. macuiipennis, A. minimus, A. quadrimacuiatus, A.
- Aedes spp. such as A. aegypti, A. aibopictus, A. vexans; Anastrepha iudens, Anopheles spp. such as A. aibimanus, A. crucians, A. freeborni, A. gam- biae, A. ieucosphyrus, A. macuiipennis, A. minimus, A
- pipi- ens C. quinquefasciatus, C. tarsaiis, C. tritaeniorhynchus; Cu/icoides furens, Cuiiseta inornata, Cuiiseta meianura, Cuterebra spp., Dacus cucurbitae, Dacus oieae, Dasineura brassicae, Dasineura oxycoccana, Delia spp. such as D. antique, D. coarctata, D. piatura, D. radicum; Dermatobia hominis, Drosophila spp. such as D. suzukii, Fannia spp. such as F. canicuiaris; Gastraphiius spp. such as G. intestina/is; Geomyza tipunctata, Giossina spp. such as G.
- fuscipes G. morsitans, G. paipaiis, G. tachinoides; Haematobia irritans, Hapiodipiosis equestris, Hippeiates spp., Hylemyia spp. such as H. piatura; Hypoderma spp. such as H. iineata;
- insects from the order of Thysanoptera for example, Basothrips biformis, Dichromothrips corbetti, Dichromothrips ssp., Echinothrips americanus, Enneothrips fiavens, Frankiimaschineia spp. such as F. fusca, F. occidentaiis, F.
- Heiiothrips spp. Hercinothrips femoraiis, Kakothrips spp., Microcephaiothrips abdominaiis, Neohydatothrips samayunkur, Pezothrips keiiyanus, Rhipiphorothrips cruentatus, Sci doth rips spp. such as S. citri, S. dorsalis, S. perseae;
- Stenchaetothrips spp Taeniothrips cardamom, ' Taeniothrips inconsequens, Thrips spp. such as T. imagines, T. hawaiiensis, T. oryzae, T. paimi, T. parvis pin us, T. tabaci;
- insects from the order of Hemiptera for example, Acizzia jamatonica, Acrosternum spp. such as A. hiiare; Acyrthosipon spp. such as A. onobrychis, A. pisum; Ade/ges iaricis, Adeiges tsugae, A deiphocoris spp., such as A. rapidus, A.
- Aspidiotus spp. Atanus spp., Auiacaspis yasumatsui, Auiacodhum soiani, Bactericera cockereiii (Paratrioza cockereiii), Bemisia spp. such as B. argentifoiii, B. tabaci (Aieurodes tabaci); B/issus spp. such as B. ieucopterus; Brachycaudus spp. such as B. cardui, B. heiichrysi, B. persicae, B.
- Daibuius maidis Diaphorina spp. such as D. citri; Dias pis spp. such as D. bromeiiae; Dicheiops furcatus, Diconocoris hewetti, Doratis spp., Dreyfusia nordmannianae, Dreyfusia piceae, Drosicha s ., Dysaphis spp. such as D. piantaginea, D. pyri, D. radicoia; Dysauiacodhum pseudoso/ani, Dysdercus spp. such as D. cinguiatus, D. intermedius; Dysmicoccus spp.,
- Parthenolecanium spp. such as P. corni, P. persicae; Pemphigus s . such as P. bursarius, P. popuiivenae; Peregrinus maidis, Perkinsieiia saccharicida, Phenacoccus spp. such as P. aceris, P. gossypii; Phioeomyzus passerinii, Phorodon humuii, Phylloxera spp. such as P. devastatrix, Piesma quadrata, Piezodorus spp. such as P. guiidinii; Pinnaspis aspidistrae, Pianococcus spp. such as P. citri, P. ficus; Prosapia bicincta, Protopuivinaria pyriformis, Psa/ius seriatus,
- Triaieurodes spp. such as T. abutiionea, T. ricini, T. vaporariorum; Triatoma spp., Triozaspp., Typh/ocyba spp., Unaspisspp. such as U. citri, U. yanonensis; and Viteus vitifoiii,
- Insects from the order Hymenoptera e.g. Acanthomyops interjectus, Athaiia rosae, Atta spp. such as A. capiguara, A. cephaiotes, A. cephaiotes, A. laevigata, A. robusta, A. sexdens, A. texana, Bombus spp., Brachymyrmex spp., Camponotus spp. such as C. fioridanus, C. pennsyi- vanicus, C.
- Hymenoptera e.g. Acanthomyops interjectus, Athaiia rosae, Atta spp.
- A. capiguara such as A. cephaiotes, A. cephaiotes, A. laevigata, A. robusta, A. sexdens, A. texana, Bombus spp., Brachymyrmex spp., Camp
- Paratrechina iongicornis, Paravespuia spp. such as P. germanica, P. pennsyivanica, P.
- Pheidoie spp. such as P. megacephaia
- Pogonomyrmex spp. such as P. barbatus, P. caiifornicus, Po/istes rubiginosa, Prenoiepis impairs, Pseudomyrmex gracilis, Scheiipron spp., Sirex cyaneus, So/enopsis spp. such as S. geminata, S.invicta, S. moiesta, S. richteri, S. xyioni, Sphecius speciosus, Sphex spp., Tapi noma spp. such as T. meianocephaium, T. sessile;
- Tetramorium spp. such as T. caespitum, T. bicarinatum, Vespa spp. such as V. crabro; Vespuia spp. such as V. squamosal; Wasmannia auropunctata, Xyiocopa sp;
- Insects from the order Orthoptera e.g. Acheta domesticus, Caiiiptamus ita/icus, Chortoicetes terminifera, Ceuthophiius spp., Diastrammena asynamora, Dociostaurus maroccanus, Gryiio- talpa spp. such as G. africana, G. gryllotalpa; Gryllus spp., Hieroglyphus daganensis, Kraus- saria angulifera, Locusta spp. such as L. migratoria, L. pardah ' na; Melanoplus spp. such as M. bivittatus, M. femurrubrum, M. mexicanus, M. sanguinipes, M. spretus; Nomadacris
- Pests from the Class Arachnida e.g. Acari,e.g. of the families Argasidae, Ixodidae and Sarcop- tidae, such as Amblyomma spp. (e.g. A. americanum, A. variegatum, A. macuiatum ), Argas spp. such as A. persicu), BoophUus spp. such as B. annulatus, B. decoloratus, B. microplus,
- Amblyomma spp. e.g. A. americanum, A. variegatum, A. macuiatum
- Argas spp. such as A. persicu
- BoophUus spp. such as B. annulatus, B. decoloratus, B. microplus
- Dermacentor spp. such as D.sitvarum, D. andersoni, D. variabWs, Hya/omma spp. such as H. truncatum, Ixodes spp. such as /. ricinus, /. rubicundus, /. scapularis, /. holocyclus, /. pacificus, Rhipicephalus sanguineus, Ornithodorus spp. such as O. moubata, O. hermsi, O. turicata, Ornithonyssus bacoti, Otobius megnini, Dermanyssus gallinae, Psoroptes spp. such as P.
- Rhipicephalus s . such as R. sanguineus, R. appendicuiatus, Rhipicephalus evertsi, Rhizogiy- phus spp., Sarcoptes spp. such asS. Scabiei, and Family Eriophyidae including Aceria spp. such as A. she/doni, A. anthocoptes, Acaiiitus spp., Acu/ops spp. such as A. iycopersici, A. pe/ekassi, Acu/us spp. such as A. schiechtendaii; Coiomerus vitis, Epitrimerus pyri,
- Eriiocoptruta oieivora is and Eriophyes spp. such as Eriophyes sheidoni, Family Tarsonemidae including Hemitarsonem us spp., Phytonemus paiiidus and
- Poiyphagotarsonemus iatus Stenotarsonemus spp. Steneotarsonemus spinki, Family
- Tenuipalpidae including Brevipalpus spp. such as B. Phoenicia, Family Tetranychidae including Eotetranychus spp., Eutetranychus spp., O/igonychus spp., Petrobia iatens, Tetranychus spp. such as T. cinnabarinus, T. evansi, T. kanzawai, T, pacificus, T. phaseu/us, T. teiarius and T. urticae, Bryobia praetiosa, Panonych us spp. such as P. uimi, P. citrt, Metatetranychus spp.
- O/igonychus spp. such as O. pratensis, O. perseae, Vasates iycopersici, Raoieiia indica, Family Carpoglyphidae including Carpogiyphus spp./ Penthaieidae spp. such as Haiotydeus destructor, Family Demodicidae with species such as Demodex spp.; Family Trombicidea including
- Trombicuia spp. Family Cellyssidae including Ornothonyssus spp.; Family Pyemotidae including Pyemotes tritici, Tyrophagus putrescentiae, Family Acaridae including Acarus siro, Family Araneida including Latrodectus mactans, Tegenaria agrestis, Chiracanthium sp, Lycosa sp Achaearanea tepidarioruman Loxosce/es reciusa,
- Pests from the Phylum Nematoda for example, plant parasitic nematodes such as root-knot nematodes, Meioidogyne spp. such as M. hapia, M. incognita, M. javanica; cyst-forming nema- todes, Giobodera spp. such as G. rostochiensis; Heterodera spp. such as H. avenae, H. glyci nes, H. schachtii, H. trifoiii; Seed gall nematodes, Anguina spp.; Stem and foliar nematodes, Apheienchoides spp. such as A. besseyi; Sting nematodes, Beionoiaim us spp. such as B.
- plant parasitic nematodes such as root-knot nematodes, Meioidogyne spp. such as M
- Criconemoides spp. such as Criconemoides inform is; Mesocriconema spp. / Stem and bulb nematodes, Dityienchus spp. such as D. destructor, D. dipsaci; Awl nematodes, Doiichodorus spp./ Spiral nematodes, Heiiocotyienchus mu/ticinctus; Sheath and sheathoid nematodes, Hemicyciiophora spp.
- Insects from the order Isoptera e.g. Catotermes flavicollis, Coptotermes spp. such as C. formo- sanus, C. gestroi, C. acinaciformis; Cornitermes cumutans, Cryptotermes spp. such as C. bre vis, C. cavifrons; G/obitermes su/fureus, Heterotermes spp. such as H. aureus, H. longiceps, H. tenuis; Leucotermes f/avipes, Odontotermes spp., incisitermes spp. such as /. minor, /. Snyder, Marginitermes hubbardi, Mastotermes spp. such as M.
- Neocapritermes spp. such as N. opacus, N. parvus
- Neotermes spp. Procornitermes spp.
- Zootermopsis spp. such as Z. angustico/iis, Z. nevadensis, Reticu/itermes spp.
- R. hesperus R. tibialis, R. speratus, R. fiavipes, R. grassei, R. iucifugus, R. santonensis, R. virginicus
- Termes nataiensis such as N. opacus, N. parvus
- Neotermes spp. Procornitermes spp.
- Zootermopsis spp. such as Z. angustico/iis, Z. nevadensis
- Reticu/itermes spp. such as R. hesperus, R. tibialis, R. speratus, R. fiavipes, R. grassei
- Insects from the order Siphonoptera e.g. Cediopsyiia simples, Ceratophyiius spp., Ctenoce- phaiides spp. such as C. fe/is, C. canis, Xenopsyiia cheopis, Puiex irritans, Trichodectes cam ' s, Tung a penetrans, and Nosopsy/ius fasciatus,
- Thysanura e.g. Lepisma saccharina , Ctenoiepisma urbana, and Thermobia domestica
- Pests from the class Chilopoda e.g. Geophi/us spp., Scutigera spp. such as Scutigera coieoptrata,
- Pests from the class Diplopoda e.g. Bianiuius guttu/atus, Ju/us spp., Narceus spp.,
- Pests from the order Isopoda e.g. Armadiiiidium vuigare, Oniscus ase/ius, Porceiiio scaber, Insects from the order Phthiraptera, e.g. Damaiinia spp., Pediculus spp. such as Pedicuius humanus capitis, Pediculus humanus corporis, Pediculus humanus human us; Pthirus pubis, Haematopinus spp. such as Haematopinus eurysternus, Haematopinus suis, Linognathus spp.
- Examples of further pest species which may be controlled by compounds of fomula I include: from the Phylum Mollusca, class Bivalvia, for example, Dreissena spp. ; class Gastropoda, for example, Arion spp., Biomphaiaria spp., Buiinus spp., Deroceras spp., Gaiba spp., Lymnaea spp., Oncomeiania spp., Pomacea canaiiciata, Succinea spp./ from the class of the helminths, for example, Ancyiostoma duodenaie, Ancyiostoma ceyianicum, Acyiostoma braziiiensis, Ancyiostoma spp., Ascaris iubricoides, Ascaris spp., Brugia maiayi, Brugia timori, Bunostomum spp., Chabertia spp.,
- the compounds of the present invention are suitable for use in treating or protecting animals against infestation or infection by parasites. Therefore, the present invention also relates to the use of a compound of the present invention for the manufacture of a medicament for the treat- ment or protection of animals against infestation or infection by parasites. Furthermore, the present invention relates to a method of treating or protecting animals against infestation and infection by parasites, which comprises orally, topically or parenterally administering or applying to the animals a parasiticidally effective amount of a compound of the present invention.
- the present invention also relates to the non-therapeutic use of compounds of the present invention for treating or protecting animals against infestation and infection by parasites.
- the present invention relates to a non-therapeutic method of treating or protecting animals against infestation and infection by parasites, which comprises applying to a locus a parasiticidally effective amount of a compound of the present invention.
- the compounds of the present invention are further suitable for use in combating or controlling parasites in and on animals. Furthermore, the present invention relates to a method of comba- ting or controlling parasites in and on animals, which comprises contacting the parasites with a parasitically effective amount of a compound of the present invention.
- the present invention also relates to the non-therapeutic use of compounds of the present invention for controlling or combating parasites. Moreover, the present invention relates to a non-therapeutic method of combating or controlling parasites, which comprises applying to a locus a parasiticidally effective amount of a compound of the present invention.
- the compounds of the present invention can be effective through both contact (via soil, glass, wall, bed net, carpet, blankets or animal parts) and ingestion (e.g. baits). Furthermore, the compounds of the present invention can be applied to any and all developmental stages.
- the compounds of the present invention can be applied as such or in form of compositions comprising the compounds of the present invention.
- the compounds of the present invention can also be applied together with a mixing partner, which acts against pathogenic parasites, e.g. with synthetic coccidiosis compounds, polyetherantibiotics such as Amprolium, Robenidin, Toltrazuril, Monensin, Salinomycin, Maduramicin, Lasalocid, Narasin or Semduramicin, or with other mixing partners as defined above, or in form of compositions comprising said mixtures.
- a mixing partner which acts against pathogenic parasites, e.g. with synthetic coccidiosis compounds, polyetherantibiotics such as Amprolium, Robenidin, Toltrazuril, Monensin, Salinomycin, Maduramicin, Lasalocid, Narasin or Semduramicin, or with other mixing partners as defined above, or in form of compositions comprising said mixtures.
- the compounds of the present invention and compositions comprising them can be applied orally, parenterally or topically, e.g. dermally.
- the compounds of the present invention can be systemically or non-systemically effective.
- the application can be carried out prophylactically, therapeutically or non-therapeutically. Furthermore, the application can be carried out preventively to places at which occurrence of the parasites is expected.
- the term "contacting" includes both direct contact (applying the compounds/compositions directly on the parasite, including the application directly on the animal or excluding the application directly on the animal, e.g. at it's locus for the latter) and indirect contact (applying the compounds/compositions to the locus of the parasite).
- the contact of the parasite through application to its locus is an example of a non-therapeutic use of the compounds of the present invention.
- locus means the habitat, food supply, breeding ground, area, material or environment in which a parasite is growing or may grow outside of the animal.
- parasites includes endo- and ectoparasites. In some embodiments of the present invention, endoparasites can be preferred. In other embodiments, ectoparasites can be preferred. Infestations in warm-blooded animals and fish include, but are not limited to, lice, biting lice, ticks, nasal bots, keds, biting flies, muscoid flies, flies, myiasitic fly larvae, chiggers, gnats, mosquitoes and fleas.
- the compounds of the present invention are especially useful for combating parasites of the following orders and species, respectively:
- fleas (Siphonaptera), e.g. Ctenocephalides fe/is, Ctenocephaiides cam ' s, Xenopsyiia cheopis, Pulex irritans, Tunga penetrans, and Nosopsyllus fasciatus; cockroaches (Blattaria - Blattodea), e.g.
- Blattella germanica B latte I la asahinae, Peri plane ta am erica na, Peri plan eta japonica, Peri- pianeta brunnea, Peripianeta fuligginosa, Peripianeta australasiae, and Blatta oriental is; flies, mosquitoes (Diptera), e.g.
- Phiebotomus argentipes Psorophora coiumbiae, Psorophora discolor, Prosimuiium mixtum, Sarcophaga haemorrhoidaiis, Sarcophaga sp., Simu/ium vittatum, Stomoxys caicitrans,
- Haematopinus spp. Linognathus spp., Pedicu/us spp., Phtirus spp., and So/enopotes spp.; Mallophagida (suborders Arnblycerina and Ischnocerina), e.g. 7/7- menopon spp., Menopon spp., Tri noton spp., Bovicoia spp., Werneckieiia spp., Lepikentron spp., Trichodectes spp., and Feiicoia spp.; Roundworms Nematoda: Wipeworms and
- Trichinosis Trichosyringida
- Trichinellidae Trichineiia spp.
- /Trichuridae ⁇ Trichuris spp. CapiHaria spp.
- Rhabditida e.g. Rhabditis spp., Strongyioides spp., Heiicephaiobus spp.
- Strongylida e.g. Strongyius spp., Ancyiostoma spp., Necator americanus, Bunostomum spp. (Hookworm), Trichostrongyius spp., Haemonchus contortus, Ostertagia spp., Cooperia spp., Nematodirus spp., Dictyocauius spp., Cyathostoma spp., Oesophagostomum spp.,
- Ascaris iumbricoides Ascaris suum, Ascaridia gaiii, Parascaris equorum, Enterobius vermicuiaris (Threadworm), Toxocara canis, Toxascaris leonine, Skrjabinema spp., and Oxyuris e ⁇ 7//// Camallanida, e.g. Dracuncuius medinensis (guinea worm); Spirurida, e.g. Theiazia spp., Wuchereria spp., Brugia spp., Onchocerca spp., DirofHari spp. a, Dipetaionema spp., Setaria spp., Eiaeophora spp., Spirocerca iupi, and Habronema spp.; Thorny headed worms
- Acanthocephala e.g. Acanthocephaius spp., Macracanthorhynchus hirudinaceus and
- Schistosoma spp. Trichobiiharzia spp., Aiaria aiata, Paragonimus spp., and Nanocyetes spp:, Cercomeromorpha, in particular Cestoda (Tapeworms), e.g.
- Diphyiiobothrium spp. Diphyiiobothrium spp., Tenia spp., Echinococcus spp., Dipyiidium caninum, Muiticeps spp., Hymenoiepis spp., Mesocestoides spp., Vampiroiepis spp., Moniezia spp., Anopiocephaia spp., Sirometra spp., Anopiocephaia spp., and Hymenoiepis spp..
- the term“animal” includes warm-blooded animals (including humans) and fish.
- mammals such as cattle, sheep, swine, camels, deer, horses, pigs, poultry, rabbits, goats, dogs and cats, water buffalo, donkeys, fallow deer and reindeer, and also in fur- bearing animals such as mink, chinchilla and raccoon, birds such as hens, geese, turkeys and ducks and fish such as fresh- and salt-water fish such as trout, carp and eels.
- domestic animals such as dogs or cats.
- parasiticidally effective amount means the amount of active ingredient needed to achieve an observable effect on growth, including the effects of necrosis, death, retardation, prevention, and removal, destruction, or otherwise diminishing the occurrence and activity of the target organism.
- the parasiticidally effective amount can vary for the various com- pounds/compositions used in the invention. A parasiticidally effective amount of the
- compositions will also vary according to the prevailing conditions such as desired parasiticidal effect and duration, target species, mode of application, and the like.
- the compounds of the present invention in total amounts of 0.5 mg/kg to 100 mg/kg per day, preferably 1 mg/kg to 50 mg/kg per day.
- the formula I compounds may be formulated as animal feeds, animal feed premixes, animal feed concentrates, pills, solutions, pastes, suspensions, drenches, gels, tablets, boluses and capsules.
- the formula I compounds may be administered to the animals in their drinking water.
- the dosage form chosen should provide the animal with 0.01 mg/kg to 100 mg/kg of animal body weight per day of the formula I compound, preferably with 0.5 mg/kg to 100 mg/kg of animal body weight per day.
- the formula I compounds may be administered to animals parenterally, e.g., by intraruminal, intramuscular, intravenous or subcutaneous injection.
- the formula I compounds may be dispersed or dissolved in a physiologically acceptable carrier for subcutaneous injection.
- the formula I compounds may be formulated into an implant for subcutaneous administration.
- the formula I compound may be transdermally administered to animals.
- the dosage form chosen should provide the animal with 0.01 mg/kg to 100 mg/kg of animal body weight per day of the formula I compound.
- the formula I compounds may also be applied topically to the animals in the form of dips, dusts, powders, collars, medallions, sprays, shampoos, spot-on and pour-on formulations and in ointments or oil-in-water or water-in-oil emulsions.
- dips and sprays usually contain 0.5 ppm to 5,000 ppm and preferably 1 ppm to 3,000 ppm of the formula I compound.
- the formula I compounds may be formulated as ear tags for animals, particularly quadrupeds such as cattle and sheep.
- Suitable preparations are:
- Solutions such as oral solutions, concentrates for oral administration after dilution, solutions for use on the skin or in body cavities, pouring-on formulations, gels;
- Solid preparations such as powders, premixes or concentrates, granules, pellets, tablets, boluses, capsules; aerosols and inhalants, and active compound-containing shaped articles.
- compositions suitable for injection are prepared by dissolving the active ingredient in a suitable solvent and optionally adding further auxiliaries such as acids, bases, buffer salts, preservatives, and solubilizers.
- auxiliaries for injection solutions are known in the art. The solutions are filtered and filled sterile.
- Oral solutions are administered directly. Concentrates are administered orally after prior dilution to the use concentration. Oral solutions and concentrates are prepared according to the state of the art and as described above for injection solutions, sterile procedures not being necessary.
- Solutions for use on the skin are trickled on, spread on, rubbed in, sprinkled on or sprayed on. Solutions for use on the skin are prepared according to the state of the art and according to what is described above for injection solutions, sterile procedures not being necessary.
- Gels are applied to or spread on the skin or introduced into body cavities. Gels are prepared by treating solutions which have been prepared as described in the case of the injection solutions with sufficient thickener that a clear material having an ointment-like consistency results. Suitable thickeners are known in the art. Pour-on formulations are poured or sprayed onto limited areas of the skin, the active corn- pound penetrating the skin and acting systemically. Pour-on formulations are prepared by dissolving, suspending or emulsifying the active compound in suitable skin-compatible solvents or solvent mixtures. If appropriate, other auxiliaries such as colorants, bioabsorption-promoting substances, antioxidants, light stabilizers, adhesives are added. Suitable such auxiliaries are known in the art.
- Emulsions can be administered orally, dermally or as injections.
- Emulsions are either of the water-in-oil type or of the oil-in-water type. They are prepared by dissolving the active corn- pound either in the hydrophobic or in the hydrophilic phase and homogenizing this with the solvent of the other phase with the aid of suitable emulsifiers and, if appropriate, other auxiliaries such as colorants, absorption-promoting substances, preservatives, antioxidants, light stabilizers, viscosity-enhancing substances.
- suitable hydrophobic phases (oils), suitable hydrophilic phases, suitable emulsifiers, and suitable further auxiliaries for emulsions are known in the art.
- Suspensions can be administered orally or topically/dermally. They are prepared by sus- pending the active compound in a suspending agent, if appropriate with addition of other auxiliaries such as wetting agents, colorants, bioabsorption-promoting substances,
- Suitable suspending agents, and suitable other auxiliaries for suspensions including wetting agents are known in the art.
- Semi-solid preparations can be administered orally or topically/dermally. They differ from the suspensions and emulsions described above only by their higher viscosity.
- the active compound is mixed with suitable excipients, if appropriate with addition of auxiliaries, and brought into the desired form.
- suitable auxiliaries for this purpose are known in the art.
- compositions which can be used in the invention can comprise generally from about 0.001 to 95% of the compound of the present invention.
- Ready-to-use preparations contain the compounds acting against parasites, preferably ectoparasites, in concentrations of 10 ppm to 80 per cent by weight, preferably from 0.1 to 65 per cent by weight, more preferably from 1 to 50 per cent by weight, most preferably from 5 to 40 per cent by weight.
- Preparations which are diluted before use contain the compounds acting against ectoparasites in concentrations of 0.5 to 90 per cent by weight, preferably of 1 to 50 per cent by weight.
- the preparations comprise the compounds of formula I against endoparasites in concentrations of 10 ppm to 2 per cent by weight, preferably of 0.05 to 0.9 per cent by weight, very particularly preferably of 0.005 to 0.25 per cent by weight.
- Topical application may be conducted with compound-containing shaped articles such as collars, medallions, ear tags, bands for fixing at body parts, and adhesive strips and foils.
- compound-containing shaped articles such as collars, medallions, ear tags, bands for fixing at body parts, and adhesive strips and foils.
- solid formulations which release compounds of the present invention in total amounts of 10 mg/kg to 300 mg/kg, preferably 20 mg/kg to 200 mg/kg, most preferably 25 mg/kg to 160 mg/kg body weight of the treated animal in the course of three weeks.
- HPLC-MS high performance liquid chromatography-coupled mass spectrometry
- HPLC method A HPLC method: Phenomenex Kinetex 1.7 pm XB-C18 100A; 50 x 2.1 mm; mobile phase: A: water + 0.1 % trifluoroacetic acid (TFA); B: ACN; gradient: 5-100% B in 1.50 minutes; 100% B 0.25 min; flow: 0.8-1.Oml/min in 1.51 minutes at 60°C.
- MS ESI positive, m/z 100-1400.
- HPLC method B HPLC Phenomenex Kinetex 1 ,7pm XB-C18 100A, 50 x 2,1 mm", Mobile Phase: A: water + 0,1 % TFA; B: ACN; Temperature: 60°C; Gradient: 5% B to 100% B in 1 ,50min; 100% B 0,25min; Flow: 0,8ml/min to 1 , Oml/min in 1 ,51 min; MS method: ESI positive; Mass range (m/z): 100-700".
- Step 1 Preparation of methyl 4-[[2,2-dichloro-3-(3,5-dichlorophenyl)cyclopropanecarbonyl]ami- no]thiophene-2-carboxylate
- Step 2 Preparation of 4-[[2,2-dichloro-3-(3,5-dichlorophenyl)cyclopropanecarbonyl]ami- no]thiophene-2-carboxylic acid
- Step 3 Preparation of N-cyclopropyl-4-[[2,2-dichloro-3-(3,5-dichlorophenyl)cyclopropanecarbo- nyl]amino]thiophene-2-carboxamide
- Example 2 Synthesis of 5-[[(1 RS,3RS)-2,2-dichloro-3-(3,5- dichlorophenyl)cyclopropanecarbonyl]amino]-N-(2,4-difluorophenyl)-N,2-dimethyl-thiophene-3- carboxamide [1-1 -3].
- Step 1 2-Methyl-5-nitro-thiophene-3-carboxylic acid: To a stirred solution of commercially available 2-methylthiophene-3-carboxylic acid (5.00 g, 35.1 mmol) in AcOH (25 ml.) at 0-10 °C was carefully added a pre-mixed solution of AcOH (25 ml_), fuming HNOs (>99.5 wt%, 5 ml_), and Ac 2 0 (15 ml.) in small portions. The resulting reaction mixture was stirred at ambient temperature for 1 hour before it was poured into crushed ice water. The solid material that precipitated was filtered off, washed with H 2 0 and dried under reduced pressure at 30 °C to give the title compound as a light brown solid which was used without further purification.
- Step 2 N-(2,4-Difluorophenyl)-N,2-dimethyl-5-nitro-thiophene-3-carboxamide: To a solution of 2-methyl-5-nitro-thiophene-3-carboxylic acid (920 mg, 4.92 mmol) in CH 2 CI 2 (35 ml.) at ambient temperature was sequentially added 2,4-difluoro-N-methyl-aniline (774 mg, 5.41 mmol), bromotripyrrolidinophosphonium hexafluorophosphate (“PyBrop”) (2.75 g, 5.90 mmol), and iPr 2 NEt (3.50 ml_, 20.1 mmol).
- PyBrop bromotripyrrolidinophosphonium hexafluorophosphate
- Step 3 5-Amino-N-(2,4-difluorophenyl)-N,2-dimethyl-thiophene-3-carboxamide: To a solution of N-(2,4-difluorophenyl)-N,2-dimethyl-5-nitro-thiophene-3-carboxamide (550 mg, 1.76 mmol) in EtOAc (5.0 ml.) at ambient temperature under an atmosphere of Ar was added Raney nickel (41.0 mg, 0.70 mmol) in one portion.
- Step 4 5-[[(1 RS,3RS)-2,2-dichloro-3-(3,5-dichlorophenyl)cyclopropanecarbonyl]amino]-N-(2,4- difluorophenyl)-N,2-dimethyl-thiophene-3-carboxamide: To a solution of (1 RS,3RS)-2,2-di- chloro-3-(3,5-dichlorophenyl)cyclopropanecarboxylic acid (483 mg, 1.61 mmol) in CH2CI2 (5.0 ml.) at ambient temperature was sequentially added 5-amino-N-(2,4-difluorophenyl)-N,2- dimethyl-thiophene-3-carboxamide (501 mg, 1.77 mmol), bromotripyrrolidinophosphonium hexafluorophosphate (“PyBrop”) (900 mg, 1.93 mmol), and iP ⁇ NEt (1.15 ml_, 6.76
- Step 1 5-Amino-N-benzyl-2-methyl-thiophene-3-carboxamide: To a solution of N-benzyl-2- methyl-5-nitro-thiophene-3-carboxamide (150 mg, 0.543 mmol, prepared analogously as described above in Example 1) in concentrated aq. HCI (37 wt% in H2O, 2.5 mL) at 0 °C was added a solution of SnCl 2 -2(H 2 0) (552 mg, 2.44 mmol) in concentrated aq. HCI (37 wt% in H2O, 2.5 mL), followed by EtOH (0.30 mL, 4.62 mmol).
- reaction mixture was allowed to warm to ambient temperature and stirred over night. After that time, the reaction mixture was quenched by the addition of NaOH solution (50 wt% in H2O, 20 mL) and the aqueous phase was extracted with EtOAc (3 x 20 mL), dried over Na 2 S0 4 , filtered, and concentrated under reduced pressure to afford the title compound as crude product which was used in the next step without further purification.
- Step 2 From the above 5-amino-N-benzyl-2-methyl-thiophene-3-carboxamide the desired N- benzyl-5-[[2,2-dichloro-3-(3,5-dichlorophenyl)cyclopropanecarbonyl]amino]-2-methyl-thiophene- 3-carboxamide [1-1-6] was obtained analogously as described in Example 2 (Step 4).
- Example 4 Synthesis of 2-chloro-N-(1-cyanocyclopropyl)-5-[[2,2-dichloro-3-(3,5-dichloro- phenyl)cyclopropanecarbonyl]amino]thiophene-3-carboxamide [1-1 -10].
- Step 1 2-Chloro-5-nitro-thiophene-3-carboxylic acid: To a stirred mixture of fuming HNO 3 (>99.5 wt%, 25 ml.) and concentrated H2SO4 (15 ml.) at -10 °C was carefully added 2- chlorothiophene-3-carboxylic acid (2.50 g, 15.4 mmol) in small portions. After completion of the addition, the resulting reaction mixture was stirred for an additional 15 min at temperatures between -10 °C to -5 °C before it was poured into crushed ice water. The solid material that precipitated was filtered off, washed with H2O and dried under reduced pressure at 35 °C to give the title compound (2.13 g, 67%) as a light brown solid which was used without further purification.
- Steps 2-4 From the above 2-chloro-5-nitro-thiophene-3-carboxylic acid the desired 2-chloro-N- (1-cyanocyclopropyl)-5-[[2,2-dichloro-3-(3,5-dichlorophenyl)cyclopropanecarbonyl]amino]thio- phene-3-carboxamide [1-1-10] was obtained analogously as described in Example 2 (Steps 2-4).
- the active compound was dissolved at the desired concentration in a mixture of 1 :1 (vokvol) distilled water : aceteone.
- Surfactant Karl HV was added at a rate of 0.01 % (vol/vol).
- the test solution was prepared at the day of use.
- Leaves of cabbage were dipped in test solution and air-dried. Treated leaves were placed in petri dishes lined with moist filter paper and inoculated with ten 3 rd instar larvae. Mortality was recorded 72 hours after treatment. Feeding damages were also recorded using a scale of 0- 100%.
- test unit consisted of 96-well-microtiter plates containing liquid artificial diet under an artificial mem brane.
- the compounds were formulated using a solution containing 75% v/v water and 25% v/v DMSO. Different concentrations of formulated compounds were pipetted into the aphid diet, using a custom built pipetter, at two replications.
- aphids were placed on the artificial membrane inside the microtiter plate wells. The aphids were then allowed to suck on the treated aphid diet and incubated at about 23 + 1 °C and about 50 + 5 % relative humidity for 3 days. Aphid mortality and fecundity was then visually assessed.
- test unit For evaluating control of vetch aphid ( Megoura viciae ) through contact or systemic means the test unit consisted of 24-well-microtiter plates containing broad bean leaf disks.
- the compounds were formulated using a solution containing 75% v/v water and 25% v/v DMSO. Different concentrations of formulated compounds were sprayed onto the leaf disks at 2.5 pi, using a custom built micro atomizer, at two replications.
- the leaf disks were air-dried and 5 - 8 adult aphids placed on the leaf disks inside the microtiter plate wells. The aphids were then allowed to suck on the treated leaf disks and incubated at about 23 + 1 °C and about 50 + 5 % relative humidity for 5 days. Aphid mortality and fecundity was then visually assessed.
- test unit For evaluating control of tobacco budworm ( He/iothis virescens) the test unit consisted of 96- well-microtiter plates containing an insect diet and 15-25 H. virescens eggs.
- the compounds were formulated using a solution containing 75% v/v water and 25% v/v DMSO. Different concentrations of formulated compounds were sprayed onto the insect diet at 10 pi, using a custom built micro atomizer, at two replications.
- microtiter plates were incubated at about 28 + 1 °C and about 80 + 5 % relative humidity for 5 days. Egg and larval mortality was then visually assessed.
- test unit For evaluating control of boll weevil ⁇ Anthonomus grandis the test unit consisted of 96-well- microtiter plates containing an insect diet and 5-10 A. grandis e ggs.
- the compounds were formulated using a solution containing 75% v/v water and 25% v/v DMSO. Different concentrations of formulated compounds were sprayed onto the insect diet at 5 pi, using a custom built micro atomizer, at two replications.
- microtiter plates were incubated at about 25 + 1 °C and about 75 + 5 % relative humidity for 5 days. Egg and larval mortality was then visually assessed.
- Dichromothrips corbetti adults used for bioassay were obtained from a colony maintained continuously under laboratory conditions.
- the test compound is diluted in a 1 :1 mixture of acetone:water (vokvol), plus Kinetic HV at a rate of 0.01 % v/v.
- Thrips potency of each compound was evaluated by using a floral-immersion technique. All petals of individual, intact orchid flowers were dipped into treatment solution and allowed to dry in Petri dishes. Treated petals were placed into individual re-sealable plastic along with about 20 adult thrips. All test arenas were held under continuous light and a temperature of about 28°C for duration of the assay. After 3 days, the numbers of live thrips were counted on each petal. The percent mortality was recorded 72 hours after treatment.
- test unit For evaluating control of yellow fever mosquito ⁇ Aedes aegypti the test unit consisted of 96- well-microtiter plates containing 200mI of tap water per well and 5-15 freshly hatched A. aegypti larvae.
- the active compounds were formulated using a solution containing 75% (v/v) water and 25% (v/v) DMSO. Different concentrations of formulated compounds or mixtures were sprayed onto the insect diet at 2.5mI, using a custom built micro atomizer, at two replications.
- test unit consisted of 96-well-microtiter plates containing a liquid diet.
- the compounds or mixtures were formulated using a solution containing 75% water and 25% DMSO. Different concentrations of formulated compounds were sprayed into the microtiter plate wells at 5pl per well, using a custom built micro atomiz-er, at two replications. Mixed instar 60- 100 C. elegans were transferred into the micro-titer plate wells. After application, the nematodes were incubated at 18 + 1 °C, 70 + 5 % RH for 4 days. Nematode motility (mortality) was then visually assessed.
Landscapes
- Life Sciences & Earth Sciences (AREA)
- Organic Chemistry (AREA)
- Chemical & Material Sciences (AREA)
- Dentistry (AREA)
- Health & Medical Sciences (AREA)
- Engineering & Computer Science (AREA)
- Plant Pathology (AREA)
- General Health & Medical Sciences (AREA)
- Wood Science & Technology (AREA)
- Zoology (AREA)
- Environmental Sciences (AREA)
- Pest Control & Pesticides (AREA)
- Agronomy & Crop Science (AREA)
- Agricultural Chemicals And Associated Chemicals (AREA)
- Plural Heterocyclic Compounds (AREA)
Abstract
The present invention relates to cyclopropyl compounds of formula I, wherein the variables have the meanings as defined in the specification, to compositions comprising them, to active compound combinations comprising them, and to their use for protecting growing plants and animals from attack or infestation by invertebrate pests, furthermore, to seed comprising such compounds.
Description
PESTICIDAL SUBSTITUTED CYCLOPROPYL DERIVATIVES
Description
The present invention relates to cyclopropyl compounds of formula I
wherein the W is connected to 2 or 3 position, and the amide group is in 4 or 5 position, and
R1a, R1b are independently H, halogen, Ci-C2-alkyl, or halomethyl;
R2a halogen, halomethyl, or halomethoxy;
R2b, R2c are independently H, or as defined for R2a;
W is W1 : #-C(=U)-NR3-+, or
W2: #- NR3-C(=U)-+;
wherein # is the bond to cyclopropyl, and + is the bond to the T-containing heterocycle;
U is O, or S;
R3 is H, Ci-C6-alkyl, C2-C6-alkenyl, C2-C6-alkynyl, Cs-Ce-cycloalkyl, C3-C8-cycloalkyl-Ci-C4- alkyl, Ci-C6-alkylcarbonyl, Ci-C6-alkoxycarbonyl, phenyl or saturated, partially or fully un- saturated heterocycle, which groups are unsubstituted or substituted with one or more Ra; and wherein the rings are bonded directly or via Ci-C4-alkyl spacer;
Ra is halogen, CN, Ci-C6-alkyl, OR31, or C(=0)0R31; or two Ra bound to the same C- atom form together C3-C6-cycloalkyl;
R31 H, Ci-C6-alkyl, Ci-C6-haloalkyl, C2-C4-alkenyl, C2-C4-alkynyl, C3-C6-cycloalkyl, C3-C6-halocycloalkyl, C3-C6-cycloalkylmethyl, or C3-C6-halocycloalkylmethyl;
R4 is H, halogen, CN, NO2, Ci-C6-alkyl, Ci-C6-alkoxy, Cs-Cs-cycloalkyl, Ci-C6-alkylcarbonyl, S(0)mR43; wherein the aliphatic groups are unsubstituted or partially or fully substituted with Rb;
R41 is H, or Ci-C6-alkyl;
R42 is H, Ci-C6-alkyl, Ci-C6-haloalkyl, C2-C6-alkenyl, C2-C6-haloalkenyl, C2-C6-alkynyl, C2-C6-haloalkynyl, C(=0)-Ci-C6-alkyl, C3-C6-cycloalkyl, C3-C6-halocycloalkyl, C3-C6- cycloalkylmethyl, or C3-C6-halocycloalkylmethyl which rings are unsubstituted or substituted with halogen or CN;
Rb halogen, OH, CN, N02, N(R41)R42, Ci-C6-haloalkyl, Ci-C6-alkoxy, C(=0)0R31,
NHC(=0)-Ci-C6-aikyl, NHC(=0)-C3-C8-cycloalkyl, C(=0)N(R41)R42, C(=S)N(R41)R42, or phenyl which is unsubstituted or substituted with halogen, Ci-C4-alkyl, C1-C4- haloalkyl; ; or two Rb bound to the same C-atom form together C3-C4-cycloalkyl; m is 0, 1 , or 2;
R5 is H, OH, C(=0)R31, C(=0)0R31, CN, Ci-C6-alkyl, Ci-C6-alkoxy, C2-C4-alkenyl, C2-C4-al- kynyl, Cs-Cs-cycloalkyl, C2-Cio-alkenyl, C2-Cio-alkynyl, N(R41)R42, phenyl or saturated, par- tially or fully unsaturated heterocycle, which groups are unsubstituted or substituted with one or more Ra; and wherein the rings are bonded directly or via Ci-C4-alkyl spacer;
R6 is H, Ci-C6-alkyl, C2-C6-alkenyl, C2-C6-alkynyl, Cs-Cs-cycloalkyl, C3-C8-cycloalkyl-Ci-C4- alkyl, Ci-C6-alkylcarbonyl, Ci-C6-alkoxycarbonyl, phenyl or saturated, partially or fully un- saturated heterocycle, which groups are unsubstituted or substituted with one or more Raa; and wherein the rings are bonded directly or via Ci-C4-alkyl spacer;
Raa is halogen, CN, Ci-C6-alkyl, OR31, C(=NOR51)R52; C(=0)N(R41)R42, C(=S)N(R41)R42, or C(=0)OR31; or two Raa bound to the same C-atom form together C3-C6-cycloalkyl; R51,R52 are independently H, Ci-C6-alkyl, C2-C6-alkenyl, C2-C6-alkynyl, Cs-Cs-cycloal- kyl, C3-C8-cycloalkyl-Ci-C4-alkyl, phenyl or saturated, partially or fully unsaturated heterocycle, which groups are unsubstituted or substituted with one or more halo- gen, CN, NO2; and wherein the rings are bonded directly or via Ci-C4-alkyl spacer; and the N-oxides, stereoisomers and agriculturally or veterinarily acceptable salts thereof.
The invention also provides an agricultural composition comprising at least one compound of formula I, a stereoisomer thereof and/or an agriculturally acceptable salt thereof and at least one liquid and/or solid carrier, especially at least one inert liquid and/or solid agriculturally ac- ceptable carrier.
The invention also provides a veterinary composition comprising at least one compound of for- mula I, a stereoisomer thereof and/or a veterinarily acceptable salt thereof and at least one liq uid and/or solid carrier, especially at least one inert veterinarily liquid and/or solid acceptable carrier.
The invention also provides a method for controlling invertebrate pests which method corn- prises treating the pests, their food supply, their habitat or their breeding ground or a cultivated plant, plant propagation materials (such as seed), soil, area, material or environment in which the pests are growing or may grow, or the materials, cultivated plants, plant propagation materi- als (such as seed), soils, surfaces or spaces to be protected from pest attack or infestation with a pesticidally effective amount of a compound of formula I or a salt thereof as defined herein.
The present invention also relates to plant propagation material, in particular seed, comprising at least one compound of formula I and/or an agriculturally acceptable salt thereof.
The invention further relates to a method for treating or protecting an animal from infestation or infection by parasites which comprises bringing the animal in contact with a parasiticidally effec- tive amount of a compound of formula I or a veterinarily acceptable salt thereof. Bringing the an- imal in contact with the compound I, its salt or the veterinary composition of the invention means applying or administering it to the animal.
WO 2016/168059 and WO 2017/055414 describe structurally closely related active corn- pounds. These compounds are mentioned to be useful for combating invertebrate pests.
Nevertheless, there remains a need for highly effective and versatile agents for combating in- vertebrate pests. It is therefore an object of the present invention to provide compounds having a good pesticidal activity and showing a broad activity spectrum against a large number of dif- ferent invertebrate pests, especially against difficult to control pests, such as insects.
It has been found that these objects can be achieved by compounds of formula I as depicted and defined below, and by their stereoisomers, salts, tautomers and N-oxides, in particular their agriculturally acceptable salts.
Compounds of formula I wherein W is W1 (formula I.W1 ), can be prepared by amidation of an acid of formula 11.1 with compounds of formula 111.1 . X in formula 111.1 denotes a leaving group, preferably Ci-C6-alkoxy, such as OCH3 or OC2H5.
The transformation of 11.1 with 111.1 is usually carried out at temperatures of from -10°C to 120°C, preferably from 0°C to 35°C, in an inert solvent, in the presence of a base and an activa- tor [cf. Ngo, Thien H. et al, Journal of Organic Chemistry, 77(21 ), 9676-9683; 2012],
Suitable solvents are aliphatic hydrocarbons such as pentane, hexane, cyclohexane, and pet- rol ether, aromatic hydrocarbons such as toluene, o-, m-, and p-xylene, halogenated hydrocar- bons such as methylene chloride, chloroform, and chlorobenzene, ethers such as diethylether, diisopropylether, tert.-butylmethylether (MTBE), dioxane, anisole, and tetrahydrofurane (THF), nitrils such as acetonitrile (ACN), and propionitrile, moreover dimethyl sulphoxide (DMSO), di- methyl formamide (DMF), and dimethylacetamide (DMA), preferably aromatic hydrocarbons such as toluene, o-, m-, and p-xylene, halogenated hydrocarbons such as methylene chloride and chlorobenzene. It is also possible to use mixtures of the solvents mentioned. The starting materials are generally reacted with one another in equimolar amounts. In terms of yield, it may be advantageous to employ an excess of II or lla, based on III.
Suitable coupling reagents (activators) are known and are, e.g. selected from carbodiimides, such as N,N-dicyclohexylcarbodiimide (“DCC”) and N,N-diisopropylcarbodiimide (“DCI”), ben- zotriazole derivatives such as 1 -[bis(dimethylamino)methylene]-1 H-1 ,2,3-triazolo[4,5-b]pyri- dinium 3-oxid hexafluorophosphate (ΉATIG), 0-(benzotriazol-1 -yl)-N,N,N',N'-tetramethylu- ronium hexafluorophosphate (“HBTU”), and 1 -[bis(dimethylamino)methylen]-5-chlorobenzotria- zolium 3-oxide hexafluorophosphate (“HCTU”), or phosphonium-derived activators, such as (Benzotriazol-1 -yloxy)tris(dimethylamino)phosphonium hexafluorophosphate (“BOP”), (benzotri- azol-1 -yl-oxytripyrrolidinophosphonium hexafluorophosphate) (“Py-BOP”), bromotripyrrolidino- phosphonium hexafluorophosphate (“Py-BrOP”). Generally, the activator is used in excess. The benzotriazole and phosphonium coupling reagents are generally used in a basic medium.
Compounds of formula 11.1 are known from WO 2016/168059. Compounds of formula 111.1 are commercially available, or can be obtained be generally known methods, or as described in WO 2004/064721 , and WO 201 1/080277.
Compounds IV. W1 are saponified to the corresponding acids V.W1 , which are then reacted with an amine of formula VI to yield the amide of formula I.W1.
The saponification is carried out under conditions generally known in the art, e.g. dissolving the compound IV.1 in either THF, methanol or water or a mixture of the solvents, and adding alkali
metal hydroxides, such as LiOH, NaOH, and KOH either as solid or in solution to the mixture. The reaction may proceed at room temperature (20-25°C) or at elevated temperatures. Workup in a customary manner by aqueous extraction typically yields the title compound [cf. WO
2013/032804]
The amidation of compounds V.W1 is usually carried out at temperatures of from -10°C to 120°C, preferably from 15°C to 1 10 °C, in an inert solvent, in the presence of a base [cf. WO 2015/144657]
Suitable solvents are aliphatic hydrocarbons such as pentane, hexane, cyclohexane, and pet- rol ether, aromatic hydrocarbons such as toluene, o-, m-, and p-xylene, halogenated hydrocar- bons such as methylene chloride, chloroform, and chlorobenzene, ethers such as diethylether, diisopropylether, MTBE, dioxane, anisole, and THF, nitrils such as ACN, and propionitrile, more- over DMSO, DMF, and DMA, preferably aromatic hydrocarbons such as toluene, o-, m-, and p- xylene, halogenated hydrocarbons such as methylene chloride, chloroform, and chlorobenzene. It is also possible to use mixtures of the solvents mentioned.
Suitable bases are, in general, inorganic compounds, such as alkali metal and alkaline earth metal carbonates, such as U2CO3, K2CO3, and CaC03, and alkali metal bicarbonates, such as NaHCOs, moreover organic bases, for example tertiary amines, such as trimethylamine, triethyl- amine, diisopropylethylamine and N-methylpiperidine, pyridine, substituted pyridines, such as collidine, lutidine and 4-dimethylaminopyridine, and bicyclic amines. Particular preference is given to tertiary amines, such as trimethylamine. The bases are generally employed in catalytic amounts; however, they can also be used in equimolar amounts, in excess or, if appropriate, as solvent.
Amines of formula VI are commercially available, or can be obtained by methods known in the art (e.g. WO 2010/056877).
Compounds of formula I wherein W is W2 (formula I.W2), can be prepared by amidation of an amine of formula II.2 with an acid of formula III.2. X in formula III denotes Ci-C6-alkoxy, such as
The transformation of 11.2 with 111.2 is usually carried out at temperatures of from -15°C to
120°C, preferably from 0°C to 1 10°C, in an inert solvent, in the presence of a base and an acti- vator [cf. US 20030013757 or WO 2005/105777]
Suitable solvents are aliphatic hydrocarbons such as pentane, hexane, cyclohexane, and pet- rol ether, aromatic hydrocarbons such as toluene, 0-, m-, and p-xylene, halogenated hydrocar- bons such as methylene chloride, chloroform, and chlorobenzene, ethers such as diethylether, Diisopropylether, MTBE, dioxane, anisole, and THF, nitrils such as ACN, and propionitrile, moreover DMSO, DMF, and DMA, preferably aromatic hydrocarbons such as toluene, 0-, m-, and p-xylene, halogenated hydrocarbons such as methylene chloride, chloroform, and chloro- benzene. It is also possible to use mixtures of the solvents mentioned. The starting materials
are generally reacted with one another in equimolar amounts. In terms of yield, it may be advan- tageous to employ an excess of II or lla, based on III.
Suitable bases are, in general, inorganic compounds, such as alkali metal and alkaline earth metal carbonates, such as U2CO3, K2CO3, and CaC03, and alkali metal bicarbonates, such as NaHCOs, moreover organic bases, for example tertiary amines, such as trimethylamine, triethyl- amine, diisopropylethylamine and N-methylpiperidine, pyridine, substituted pyridines, such as collidine, lutidine and 4-dimethylaminopyridine, and bicyclic amines. Particular preference is given to tertiary amines, such as trimethylamine, triethylamine, triisopropylethylamine and N- methylpiperidine, pyridine. The bases are generally employed in catalytic amounts; however, they can also be used in equimolar amounts, in excess or, if appropriate, as solvent.
Suitable coupling reagents (activators) are the same as mentioned above for the amidation of compounds 11.1 with III.1.
The starting materials are generally reacted with one another in equimolar amounts. In terms of yield, it may be advantageous to employ an excess of II or lla, based on III.
Acids of formula III.2 are commercially available, or can be obtained by methods known in the art (e.g. Wang, Shuai et al, Chemistry - A European Journal, 22(33), 1 1785-11794; 2016).
Esters of formula IV. W2 are then saponified to carboxylic acids of formula V.W2
The transformation is usually carried out at temperatures of from -15°C to 120°C, preferably from 15°C to 110°C, in an inert solvent, in the presence of a base [cf. WO 2013/032804],
Suitable solvents are ethers such as diethylether, diisopropylether, MTBE, dioxane, anisole, and THF, nitrils such as ACN, and propionitrile, ketons such as acetone, methyl ethyl ketone, diethyl ketone, and tert. -butyl methyl ketone, alcohols such as methanol, ethanol, n-propanol, isopropanol, n-butanol, and tert. -butanol, moreover DMSO, preferably ethers such as THF, and alcohols such as methanol, n-propanol, isopropanol, n-butanol. It is also possible to use mix- tures of the solvents mentioned.
Suitable bases are, in general, inorganic compounds, such as alkali metal and alkaline earth metal hydroxides, such as LiOH, NaOH, KOH and Ca(OH)2, Particular preference is given to al- kali metal hydroxides, such as LiOH or NaOH. The bases are generally employed in equimolar amounts; however, they can also be used in excess.
Carbonic acids of formula V.W2 are reacted with amines VI to yield final active compounds of formula I.W2
The amidation of V.W2 with amines VI usually proceeds as above described for amidation of compounds V.W1 and VI.
Alternatively compounds of formula II.W2 can be obtained from acids of formula 11.1 , by Cur- tius rearrangement of the corresponding acyl azides II.3.
This transformation is usually carried out at temperatures of from -20°C to 120°C, preferably from 0°C to 80°C, in an inert solvent, in the presence of a base or an acid [cf. Arts, N. B. M. et al, Tetrahedron, 34(8), 1271-9; 1978].
Suitable solvents are aliphatic hydrocarbons such as pentane, hexane, cyclohexane, and pet- rol ether, aromatic hydrocarbons such as toluene, o-, m-, and p-xylene, halogenated hydrocar- bons such as methylene chloride, chloroform, and chlorobenzene, ethers such as diethylether, diisopropylether, MTBE, dioxane, anisole, and THF, nitrils such as ACN, and propionitrile, ke- tons such as acetone, methyl ethyl ketone, diethyl ketone, and tert. -butyl methyl ketone, alco- hols such as methanol, ethanol, n-propanol, isopropanol, n-butanol, and tert. -butanol, preferably alcohols such as methanol, ethanol, n-propanol, isopropanol, n-butanol, and tert. -butanol. It is also possible to use mixtures of the solvents mentioned.
Suitable bases are, in general, inorganic compounds, such as alkali metal and alkaline earth metal carbonates, such as U2CO3, K2CO3, and CaC03, and alkali metal bicarbonates, such as NaHCOs, moreover organic bases, for example tertiary amines, such as trimethylamine, triethyl- amine, diisopropylethylamine and N-methylpiperidine, pyridine, substituted pyridines, such as collidine, lutidine and 4-dimethylaminopyridine, and bicyclic amines. Particular preference is given to alkali metal and alkaline earth metal carbonates, such as lithium carbonate, potassium carbonate, tertiary amines, such as trimethylamine, pyridine. The bases are generally employed in catalytic amounts; however, they can also be used in equimolar amounts, in excess or, if ap- propriate, as solvent.
Suitable acids and acidic catalysts are in general inorganic acids such as HF, HCI, HBr, H2SO4 und HCIO4, Lewis acids, such as BF3, AICI3, FeCh, SnCU, TiCU and ZnCh, moreover organic acids such as formic acid, acetic acid, propionic acid, oxalic acid, toluene sulphonic acid, ben- zene sulphonic acid, camphor sulphonic acid, citric acid, and trifluoro acetic acid. The acids are generally employed in catalytic amounts; however, they can also be used in equimolar amounts, in excess or, if appropriate, as solvent.
Alternatively compounds II. W2 are accessable starting from benzaldehydes of formula VII to which nitromethane is added to yield a nitrostyrene of formula VII.
This transformation is usually carried out at temperatures of from -15°C to 120°C, preferably from 15°C to 110°C, in an inert solvent, in the presence of a base [cf Ishitani, Haruro et al, Or- ganic Letters, 18(6), 1346-1349; 2016].
Suitable solvents are aliphatic hydrocarbons such as pentane, hexane, cyclohexane, and pet- rol ether, aromatic hydrocarbons such as toluene, o-, m-, and p-xylene, halogenated hydrocar- bons such as methylene chloride, chloroform, and chlorobenzene, ethers such as diethylether, diisopropylether, MTBE, dioxane, anisole, and THF, nitrils such as ACN, and propionitrile, more- over DMSO, DMF, and DMA, preferably toluene, and DMF. It is also possible to use mixtures of the solvents mentioned.
Suitable bases are, in general, inorganic compounds, such as alkali metal and alkaline earth metal hydroxides, such as LiOH, NaOH, KOH and Ca(OH)2, alkali metal and alkaline earth metal oxides, such as LhO, Na20, CaO, and MgO, alkali metal and alkaline earth metal hy- drides, such as LiH, NaH, KH, and CaFh, alkali metal and alkaline earth metal carbonates, such as L12CO3, K2CO3, and CACO3, and also alkali metal bicarbonates, such as NaHC03, moreover organic bases, for example tertiary amines, such as trimethylamine, triethylamine, diisopropyl- ethylamine and N-methylpiperidine, pyridine, substituted pyridines, such as collidine, lutidine and 4-dimethylaminopyridine, and also bicyclic amines. Particular preference is given to tertiary amines, such as trimethylamine, triethylamine, triisopropylethylamine and N-methylpiperidine, pyridine, and bicyclic amines. The bases are generally employed in catalytic amounts; however, they can also be used in equimolar amounts, in excess or, if appropriate, as solvent.
Nitrostyrene VIII is then reacted with bromo(dichloro)methyltrimethylsilane (TMSCChBr, for- mula IX) to yield the dichloro nitrocyclopropane of formula X
This transformation is usually carried out at temperatures of from -100°C to 50°C, preferably from -78°C to 30°C, in an inert solvent, in the presence of a base [cf. Lee et al, Chem. Eur. J. 2016, 22, 7609-16]
Suitable solvents are halogenated hydrocarbons, ethers such as dioxane, anisole, and THF, nitrils such as ACN, and propionitrile, moreover DMSO, DMF, and DMA, preferably THF, ACN, and DMF. It is also possible to use mixtures of the solvents mentioned. Suitable bases are, in general, organic bases, preferably ammonium salts such as tetrabutylammonium fluorides, pref- erably NBu4F, and NBu4Ph3SiF2. The bases are generally employed in equimolar amounts; however, they can also be used in small excess.
Reduction of nitrocyclopropyl compound X to yield amine of formula II.2 is preferably carried out with hydrogen under palladium catalysis, or with tin(ll)salts.
This transformation is usually carried out at temperatures of from 0°C to 150°C, preferably from 10°C to 50°C, in an inert solvent, in the presence of a base or an acid [cf. WO
2006/065646]
Suitable solvents are aliphatic hydrocarbons such as pentane, hexane, cyclohexane, and pet- rol ether, aromatic hydrocarbons such as toluene, o-, m-, and p-xylene, halogenated hydrocar- bons such as methylene chloride, chloroform, and chlorobenzene, ethers such as diethylether, diisopropylether, MTBE, dioxane, anisole, and THF, nitrils such as ACN, and propionitrile, alco- hols such as methanol, ethanol, n-propanol, isopropanol, n-butanol, and tert. -butanol, preferably methanol, ethanol, and DMSO. It is also possible to use mixtures of the solvents mentioned.
Suitable bases are, in general, inorganic compounds, such as alkali metal and alkaline earth metal carbonates, such as U2CO3, K2CO3, and CaC03, and alkali metal bicarbonates, such as NaHCOs, moreover organic bases, for example tertiary amines, such as trimethylamine, triethyl- amine, diisopropylethylamine and N-methylpiperidine, pyridine, substituted pyridines, such as collidine, lutidine and 4-dimethylaminopyridine, and bicyclic amines. Particular preference is given to NaHCOs, and K2CO3.
The bases are generally employed in catalytic amounts; however, they can also be used in equimolar amounts, in excess or, if appropriate, as solvent.
Suitable acids and acidic catalysts are in general anorganic acids such as HF, HCI, HBr,
H2SO4, and HCIO4, moreover organic acids such as formic acid, acetic acid, propionic acid, ox- alic acid, toluene sulphonic acid, benzene sulphonic acid, camphor sulphonic acid, citric acid, and trifluoro acetic acid. The acids are generally employed in catalytic amounts; however, they can also be used in equimolar amounts, in excess or, if appropriate, as solvent.
Introduction of group R3 being different from hydrogen is preferably made to formula V.W1 or V.W2 compounds. Alternatively such R3 can also be introduced to formula I compounds wherein R3 is H, preferably to such compounds wherein R5 is not hydrogen.
Such introduction of R3 being different from hydrogen to compounds of formula IV.W1 or IV. W2 can be performed using standard methods by reacting these compounds with an appropriate al- kylating agent like e.g. an alkyl halide or alkyl triflate in the presence of a base. Alternatively, R3 can be introduced using activated carbonyl compounds like for example acid halides or acid an- hydrides to obtain the respective imides of formulae IV. W1 or IV. W2.
Compounds of formula I, wherein U is S are obtainable by sulphurization of compounds II.W1 or III.W2 by standard methods by reacting these compounds with an appropriate sulphurization agent like e.g. Lawesson’s reagent or P2S5 in an inert solvent like for example toluene or pyri dine.
As a rule, the compounds of formula I including their stereoisomers, salts, and N-oxides, and their precursors in the synthesis process, can be prepared by the methods described above. If individual compounds cannot be prepared via the above-described routes, they can be pre- pared by derivatization of other compounds I or the respective precursor or by customary modi- fications of the synthesis routes described. For example, in individual cases, certain compounds
of formula I can advantageously be prepared from other compounds of formula I by derivatiza- tion, e.g. by ester hydrolysis, amidation, esterification, ether cleavage, olefination, reduction, ox idation and the like, or by customary modifications of the synthesis routes described.
The reaction mixtures are worked up in the customary manner, e.g. by mixing with water, sep- arating the phases, and, if appropriate, purifying the crude products by chromatography, e.g. on alumina or on silica gel. Some of the intermediates and end products may be obtained in the form of colorless or pale brown viscous oils which are freed or purified from volatile components under reduced pressure and at moderately elevated temperature. If the intermediates and end products are obtained as solids, they may be purified by recrystallization or trituration.
However, if the synthesis yields mixtures of isomers, a separation is generally not necessarily required since in some cases the individual isomers can be interconverted during work-up for use or during application (e.g. under the action of light, acids or bases). Such conversions may also take place after use, e.g. in the treatment of plants in the treated plant.
The organic moieties mentioned in the above definitions of the variables are - like the term hal- ogen - collective terms for individual listings of the individual group members. The prefix Cn-Cm indicates in each case the possible number of carbon atoms in the group.
The term“halogen” denotes in each case fluorine, bromine, chlorine or iodine, in particular flu orine, chlorine or bromine.
The term "alkyl" as used herein and in the alkyl moieties of alkylamino, alkylcarbonyl, alkylthio, alkylsulfinyl, alkylsulfonyl and alkoxyalkyl denotes in each case a straight-chain or branched al- kyl group having usually from 1 to 10 carbon atoms, frequently from 1 to 6 carbon atoms, prefer- ably 1 to 4 carbon atoms, more preferably from 1 to 3 carbon atoms. Examples of an alkyl group are methyl, ethyl, n-propyl, iso-propyl, n-butyl, 2-butyl, iso-butyl, tert-butyl, n-pentyl, 1 -methyl- butyl, 2-methylbutyl, 3-methylbutyl, 2,2-dimethylpropyl, 1-ethylpropyl, n-hexyl, 1 ,1-dimethylpro- pyl, 1 ,2-dimethylpropyl, 1-methylpentyl, 2-methylpentyl, 3-methylpentyl, 4-methylpentyl, 1 ,1-di- methylbutyl, 1 ,2-dimethylbutyl, 1 ,3-dimethylbutyl, 2,2-dimethylbutyl, 2,3-dimethylbutyl, 3,3-dime- thylbutyl, 1-ethylbutyl, 2-ethylbutyl, 1 ,1 ,2-trimethylpropyl, 1 ,2,2-trimethylpropyl, 1 -ethyl-1 -methyl- propyl, and 1-ethyl-2-methylpropyl.
The term "haloalkyl" as used herein and in the haloalkyl moieties of haloalkylcarbonyl, haloalk- oxycarbonyl, haloalkylthio, haloalkylsulfonyl, haloalkylsulfinyl, haloalkoxy and haloalkoxyalkyl, denotes in each case a straight-chain or branched alkyl group having usually from 1 to 10 car- bon atoms, frequently from 1 to 6 carbon atoms, preferably from 1 to 4 carbon atoms, wherein the hydrogen atoms of this group are partially or totally replaced with halogen atoms. Preferred haloalkyl moieties are selected from Ci-C4-haloalkyl, more preferably from Ci-C3-haloalkyl or Ci-C2-haloalkyl, in particular from Ci-C2-fluoroalkyl such as fluoromethyl, difluoromethyl, trifluo- romethyl, 1-fluoroethyl, 2-fluoroethyl, 2,2-difluoroethyl, 2,2,2-trifluoroethyl, pentafluoroethyl, and the like.
The term "alkoxy" as used herein denotes in each case a straight-chain or branched alkyl group which is bonded via an oxygen atom and has usually from 1 to 10 carbon atoms, fre- quently from 1 to 6 carbon atoms, preferably 1 to 4 carbon atoms. Examples of an alkoxy group are methoxy, ethoxy, n-propoxy, iso-propoxy, n-butyloxy, 2-butyloxy, iso-butyloxy, tert.-butyloxy, and the like.
The term "alkoxyalkyl" as used herein refers to alkyl usually comprising 1 to 10, frequently 1 to 4, preferably 1 to 2 carbon atoms, wherein 1 carbon atom carries an alkoxy radical usually corn- prising 1 to 4, preferably 1 or 2 carbon atoms as defined above. Examples are CH2OCH3, CH2- OC2H5, 2-(methoxy)ethyl, and 2-(ethoxy)ethyl.
The term "haloalkoxy" as used herein denotes in each case a straight-chain or branched alk oxy group having from 1 to 10 carbon atoms, frequently from 1 to 6 carbon atoms, preferably 1 to 4 carbon atoms, wherein the hydrogen atoms of this group are partially or totally replaced with halogen atoms, in particular fluorine atoms. Preferred haloalkoxy moieties include C1-C4- haloalkoxy, in particular Ci-C2-fluoroalkoxy, such as fluoromethoxy, difluoromethoxy, trifluoro- methoxy, 1-fluoroethoxy, 2-fluoroethoxy, 2,2-difluoroethoxy, 2,2,2-trifluoroethoxy, 2-chloro-2-flu- oroethoxy, 2-chloro-2,2-difluoro-ethoxy, 2,2dichloro-2-fluorethoxy, 2,2,2-trichloroethoxy, penta- fluoroethoxy and the like.
The term "alkylthio "(alkylsulfanyl: S-alkyl)" as used herein refers to a straight-chain or branched saturated alkyl group having 1 to 10 carbon atoms, preferably 1 to 4 carbon atoms (= Ci-C4-alkylthio), more preferably 1 to 3 carbon atoms, which is attached via a sulfur atom.
The term "haloalkylthio" as used herein refers to an alkylthio group as mentioned above wherein the hydrogen atoms are partially or fully substituted by fluorine, chlorine, bromine and/or iodine.
The term "alkylsulfinyl" (alkylsulfoxyl: S(=0)-Ci-C6-alkyl), as used herein refers to a straight- chain or branched saturated alkyl group (as mentioned above) having 1 to 10 carbon atoms, preferably 1 to 4 carbon atoms (= Ci-C4-alkylsulfinyl), more preferably 1 to 3 carbon atoms bonded through the sulfur atom of the sulfinyl group at any position in the alkyl group.
The term "haloalkylsulfinyl" as used herein refers to an alkylsulfinyl group as mentioned above wherein the hydrogen atoms are partially or fully substituted by fluorine, chlorine, bromine and/or iodine.
The term "alkylsulfonyl" (S(=0)2-alkyl) as used herein refers to a straight-chain or branched saturated alkyl group having 1 to 10 carbon atoms, preferably 1 to 4 carbon atoms (= Ci-C4-al- kylsulfonyl), preferably 1 to 3 carbon atoms, which is bonded via the sulfur atom of the sulfonyl group at any position in the alkyl group.
The term "haloalkylsulfonyl" as used herein refers to an alkylsulfonyl group as mentioned above wherein the hydrogen atoms are partially or fully substituted by fluorine, chlorine, bro- mine and/or iodine.
The term "alkylcarbonyl" refers to an alkyl group as defined above, which is bonded via the carbon atom of a carbonyl group (C=0) to the remainder of the molecule.
The term "haloalkylcarbonyl" refers to an alkylcarbonyl group as mentioned above, wherein the hydrogen atoms are partially or fully substituted by fluorine, chlorine, bromine and/or iodine.
The term "alkoxycarbonyl" refers to an alkylcarbonyl group as defined above, which is bonded via an oxygen atom to the remainder of the molecule.
The term "haloalkoxycarbonyl” refers to an alkoxycarbonyl group as mentioned above, where- in the hydrogen atoms are partially or fully substituted by fluorine, chlorine, bromine and/or io- dine.
The term "alkenyl" as used herein denotes in each case a singly unsaturated hydrocarbon rad- ical having usually 2 to 10, frequently 2 to 6, preferably 2 to 4 carbon atoms, e.g. vinyl, allyl (2- propen-1-yl), 1 -propen-1 -yl, 2-propen-2-yl, methallyl (2-methylprop-2-en-1-yl), 2-buten-1-yl, 3-
buten-1-yl, 2-penten-1-yl, 3-penten-1-yl, 4-penten-1-yl, 1-methylbut-2-en-1-yl, 2-ethylprop-2-en- 1-yl and the like.
The term "haloalkenyl" as used herein refers to an alkenyl group as defined above, wherein the hydrogen atoms are partially or totally replaced with halogen atoms.
The term "alkynyl" as used herein denotes in each case a singly unsaturated hydrocarbon rad- ical having usually 2 to 10, frequently 2 to 6, preferably 2 to 4 carbon atoms, e.g. ethynyl, pro- pargyl (2-propyn-1-yl), 1-propyn-1-yl, 1-methylprop-2-yn-1-yl), 2-butyn-1-yl, 3-butyn-1-yl, 1-pen- tyn-1-yl, 3-pentyn-1-yl, 4-pentyn-1-yl, 1-methylbut-2-yn-1-yl, 1-ethylprop-2-yn-1-yl and the like.
The term "haloalkynyl" as used herein refers to an alkynyl group as defined above, wherein the hydrogen atoms are partially or totally replaced with halogen atoms.
The term "cycloalkyl" as used herein and in the cycloalkyl moieties of cycloalkoxy and cycloal- kylthio denotes in each case a monocyclic cycloaliphatic radical having usually from 3 to 10 or from 3 to 6 carbon atoms, such as cyclopropyl, cyclobutyl, cyclopentyl, cyclohexyl, cycloheptyl, cyclooctyl, cyclononyl and cyclodecyl or cyclopropyl, cyclobutyl, cyclopentyl and cyclohexyl.
The term "halocycloalkyl" as used herein and in the halocycloalkyl moieties of halocycloalkoxy and halocycloalkylthio denotes in each case a monocyclic cycloaliphatic radical having usually from 3 to 10 C atoms or 3 to 6 C atoms, wherein at least one, e.g. 1 , 2, 3, 4 or 5 of the hydrogen atoms, are replaced by halogen, in particular by fluorine or chlorine. Examples are 1- and 2-fluo- rocyclopropyl, 1 ,2-, 2,2- and 2,3-difluorocyclopropyl, 1 ,2,2-trifluorocyclopropyl, 2,2,3,3-tetrafluo- rocyclpropyl, 1- and 2-chlorocyclopropyl, 1 ,2-, 2,2- and 2,3-dichlorocyclopropyl, 1 ,2,2-trichloro- cyclopropyl, 2,2,3,3-tetrachlorocyclpropyl, 1-,2- and 3-fluorocyclopentyl, 1 ,2-, 2,2-, 2,3-, 3,3-, 3,4-, 2,5-difluorocyclopentyl, 1-,2- and 3-chlorocyclopentyl, 1 ,2-, 2,2-, 2,3-, 3,3-, 3,4-, 2,5-dichlo- rocyclopentyl and the like.
The term "cycloalkenyl" as used herein and in the cycloalkenyl moieties of cycloalkenyloxy and cycloalkenylthio denotes in each case a monocyclic singly unsaturated non-aromatic radical ha- ving usually from 3 to 10, e.g. 3 or 4 or from 5 to 10 carbon atoms, preferably from 3- to 8 car- bon atoms. Exemplary cycloalkenyl groups include cyclopropenyl, cycloheptenyl or cycloocte- nyl.
The term“halocycloalkenyl” as used herein and in the halocycloalkenyl moieties of halocyclo- alkenyloxy and halocycloalkenylthio denotes in each case a monocyclic singly unsaturated non- aromatic radical having usually from 3 to 10, e.g. 3 or 4 or from 5 to 10 carbon atoms, preferably from 3- to 8 carbon atoms, wherein at least one, e.g. 1 , 2, 3, 4 or 5 of the hydrogen atoms, are replaced by halogen, in particular by fluorine or chlorine. Examples are 3,3-difluorocyclopropen- 1-yl and 3,3-dichlorocyclopropen-1-yl.
The term "cycloalkenylalkyl" refers to a cycloalkenyl group as defined above which is bonded via an alkylene group, such as a C-i-Cs-alkyl group or a Ci-C4-alkyl group, in particular a meth- ylene group (= cycloalkenylmethyl), to the remainder of the molecule.
The term“carbocycle” or“carbocyclyl” includes in general a 3- to 12-membered, preferably a 3- to 8-membered or a 5- to 8-membered, more preferably a 5- or 6-membered mono-cyclic, non-aromatic ring comprising 3 to 12, preferably 3 to 8 or 5 to 8, more preferably 5 or 6 carbon atoms. Preferably, the term“carbocycle” covers cycloalkyl and cycloalkenyl groups as defined above.
The term“heterocycle” or "heterocyclyl" includes in general 3- to 12-membered, preferably 5- or 6-membered, in particular 6-membered monocyclic heterocyclic non-aromatic radicals. The
heterocyclic non-aromatic radicals usually comprise 1 , 2 or 3 heteroatoms selected from N, O and S as ring members, wherein S-atoms as ring members may be present as S, SO or SO2. Examples of 5- or 6-membered heterocyclic radicals comprise saturated or unsaturated, non- aromatic heterocyclic rings, such as 2- and 3-azetidinyl, 2- and 3-oxetanyl, 2- and 3-thietanyl, 2- and 3-thietanyl-S-oxid (S-oxothietanyl), 2- and 3-thietanyl-S-dioxid (S-dioxothietanyl), 2- and 3- pyrrolidinyl, 2- and 3-tetrahydrofuranyl, 1 ,3-dioxolan-2-yl, thiolan-2-yl, S-oxothiolan-2-yl, S-diox- othiolan-2-yl, 4- and 5-oxazolidinyl, 1 ,3-dioxan-2-yl, 1- and 3-thiopyran-2-yl, S-oxothiopyranyl, and S-dioxothiopyranyl.
The term "hetaryl" includes monocyclic 5- or 6-membered heteroaromatic radicals comprising as ring members 1 , 2, or 3 heteroatoms selected from N, O and S. Examples of 5- or 6-mem- bered heteroaromatic radicals include pyridyl, i.e. 2-, 3-, and 4-pyridyl, pyrimidinyl, i.e. 2-, 4- and 5-pyrimidinyl, pyrazinyl, pyridazinyl, i.e. 3- and 4-pyridazinyl, thienyl, i.e. 2- and 3-thienyl, furyl, i.e. 2- and 3-furyl, pyrrolyl, i.e. 1-, 2- and 3-pyrrolyl, oxazolyl, i.e. 2-, 4- and 5-oxazolyl, isoxa- zolyl, i.e. 3-, 4- and 5-isoxazolyl, thiazolyl, i.e. 2-, 3- and 5-thiazolyl, isothiazolyl, i.e. 3-, 4- and 5-isothiazolyl, pyrazolyl, i.e. 1-, 3-, 4- and 5-pyrazolyl, imidazolyl, i.e. 1-, 2-, 4- and 5-imidazolyl, oxadiazolyl, e.g. 2- and 5-[1 ,3,4]oxadiazolyl, thiadiazolyl, e.g. 1 ,3,4-thiadiazol-5-yl, 1 ,2,4-thiadia- zol-3-yl, triazolyl, e.g. 1 ,3,4-triazol-2-yl, and 1 ,2,4-triazol-3-yl.
The terms "heterocyclyolalkyl" and "hetarylalkyl" refer to heterocyclyl or hetaryl, resp., as de- fined above which are bound via a Ci-C4-alkyl group, in particular a methyl group (= heterocy- clylmethyl or hetarylmethyl, resp.), to the remainder of the molecule.
With respect to the variables, the particularly preferred embodiments of the intermediates cor- respond to those of the compounds of the formula I.
In a particular embodiment, the variables of the compounds of the formula I have the following meanings, these meanings, both on their own and in combination with one another, being par- ticular embodiments of the compounds of formula I.
In a preferred embodiment, the compounds I are present in form of a mixture of compounds I.A, I.B, I.C, and I.D, where the trans-configurated compounds I.B and I.D are present in an amount of more than 50% by weight, in particular of at least 70% by weight, specifically of at least 90% by weight, based on the total weight of compounds I.A to I.D.
In one particularly preferred embodiment of the invention, the method comprises step of con- tacting the plant, parts of it, its propagation material, the pests, their food supply, habitat or breeding grounds a pesticidally effective amount of a trans compound.
Compounds of formula I are preferred wherein U is O.
One embodiment relates to compounds of formula I wherein the W group connects to position 2 of the T containing ring. Such compounds correspond to formula I.W.2
A preferred embodiment relates to compounds of formula I.W.2, wherein the amide group is connected to position 4 of the T containing ring. Such compounds correspond to formula I.W.2.4:
One embodiment relates to compounds of formula I wherein the W1 group connects to posi- tion 2 of the T containing ring. Such compounds correspond to formula I.W1.2, wherein the am- ide group is preferably connected to position 4 of the T containing ring:
Another embodiment relates to compounds of formula I wherein the W2 group connects to po- sition 2 of the T containing ring which correspond to formula I.W2.2, wherein the amide group is preferably connected to position 4 of the T containing ring:
Another embodiment relates to compounds of formula I wherein the W group connects to posi- tion 3 of the T containing ring. Such compounds correspond to formula I.W.3:
A preferred embodiment relates to compounds of formula I.W.3, wherein the amide group is connected to position 5 of the T containing ring. Such compounds correspond to formula I.W.3.5:
One embodiment relates to compounds of formula I wherein the W1 group connects to posi- tion 3 of the T containing ring. Such compounds correspond to formula I.W1.3:
One embodiment relates to compounds of formula I wherein the W2 group connects to posi- tion 3 of the T containing ring. Such compounds correspond to formula I.W2.3:
One preferred embodiment relates to compounds of formula I wherein T is S (formula I.S). Another embodiment relates to compounds of formula I wherein T is O (formula I.O).
One embodiment relates to compounds of formula I wherein the amide group C(=0)NR5R6 is bound to position 4 of the heterocycle (formula I.W.4).
Another embodiment relates to compounds of formula I wherein the amide group C(=0)NR5R6 is bound to position 5 of the heterocycle (formula I.W.5).
Formula I.W2 compounds with the amide group in position 5 correspond to formula I.W2.5.
One embodiment relates to compounds of formula I which correspond to formula I.W1.3.4, an- other, preferred, embodiment relates to compounds of formula I which correspond to formula I.W1.3.5
Such formula I compounds are particularly preferred wherein T is S.
R1a and R1b are preferably identical.
These groups represent preferably halogen, such as Cl, or alkyl, such as CH3.
R1a and R1b being Cl are particularly preferred.
R2a is preferably selected from F, Cl, Br, CF3, and OCF3.
R2b and R2c are independently preferably selected from H, F, Cl, Br, CF3, and OCF3.
Particularly preferred is each one of the following combinations of R2a, R2b and R2c wherein each line of Table A denotes a substitution pattern of the phenyl ring (“A”) bearing the R2a, R2b and R2c moieties.
Table A
Groups A-8, A-9, and A-1 1 are more preferred patterns in formula I compounds. A-9 is particu- larly preferred.
R3 is preferably H or CH3, particularly H.
R4 is preferably halogen such as Br or Cl, alkyl such as CH3, haloalkyl such as CF3, CN, NO2, alkoxy such as OCH3 or NR41R42 such as NH2.
R5 is preferably H, alkyl such as CH3 or CH2CH3.
R6 is preferably Ci-C4-alkyl, Ci-C4-haloalkyl, C3-C6-cycloalkyl, or phenyl, which rings are bonded either directly or via a CH2 spacer, and which rings are unsubstituted or substituted with 1 , 2, or 3 substituents Ra which are preferably CN, CH3, or halogen.
C3-C4-alkenyl, C3-C4-alkynyl, CH2C(=0)0R85, or benzyl wherein the ring is unsubstituted or corresponds to a group P. Preferred R85 meanings are Ci-C6-alkyl such as CH3, C2H5,
CH(CH3)2, and C(CH3)3, or phenyl, or benzyl.
In a preferred embodiment R6 is benzyl or phenyl which are unsubstituted or substituted with halogen, and Ci-C4-haloalkyl. Particularly preferred meaning for R6 is a group P, wherein # is the bond to the amide-N:
and R61, R62, and R63 are halogen or Ci-C4-haloalkyl.
In a particularly preferred embodiment R61 is Br, R62, is CF3, and R63 is CF(CF3)2.
In a particularly preferred embodiment n is 0.
Particularly preferred is each one of the following combinations of R61, R62, and R63 wherein each line of Table P denotes a substitution pattern of the phenyl ring (“P”) bearing the R61, R62, and R63 moieties, wherein n is preferably 0.
Table P
Groups P-21 , P-25, P-26, P-28, P-29, P-30, and P-31 are more preferred patterns in formula I compounds. P-25 and P-28 are particularly preferred.
Preferred embodiments relate to each of following compounds of formula I, wherein the varia- bles are as defined in the outset and the preferred embodiments:
Particularly preferred compounds of formula I correspond to the following, wherein the varia- bles are as defined and preferred. R4a and R4b are as defined for R4.
In particular with a view to their use, preference is given to the compounds of formula I corn- piled in the tables below, which compounds correspond to formulae I.W1 .2.S.4*, I.W1 .2.0.4*, I.W1 .2.S.5*, I.W1 .3.S.4*, I.W1 .3.S.5*, and I.W1 .3.0.5*, resp. Each of the groups mentioned for a substituent in the tables is furthermore per se, independently of the combination in which it is mentioned, a particularly preferred aspect of the substituent in question.
Table 1 : Compounds of formula I.W1.2.S.4* in which R4a and R4b are H, and the other varia- bles for a compound correspond in each case to one row of Table B
Table 2 : Compounds of formula I.W1.2.S.4* in which R4a is H, R4b is Br, and the other varia- bles for a compound correspond in each case to one row of Table B
Table 3 : Compounds of formula I.W1.2.S.4* in which R4a is H, R4b is Cl, and the other varia- bles for a compound correspond in each case to one row of Table B
Table 4 : Compounds of formula I.W1.2.S.4* in which R4a is H, R4b is CN, and the other varia- bles for a compound correspond in each case to one row of Table B
Table 5 : Compounds of formula I.W1.2.S.4* in which R4a is H, R4b is CH3, and the other varia- bles for a compound correspond in each case to one row of Table B
Table 6 : Compounds of formula I.W1.2.S.4* in which R4a is H, R4b is OCH3, and the other var- iables for a compound correspond in each case to one row of Table B
Table 7 : Compounds of formula I.W1.2.S.4* in which R4a is H, R4b is CF3, and the other varia- bles for a compound correspond in each case to one row of Table B
Table 8 : Compounds of formula I.W1.2.0.4* in which R4a and R4b are H, and the other varia- bles for a compound correspond in each case to one row of Table B
Table 9 : Compounds of formula I.W1.2.0.4* in which R4a is H, R4b is Br, and the other varia- bles for a compound correspond in each case to one row of Table B
Table 10 : Compounds of formula I.W1.2.0.4* in which R4a is H, R4b is Cl, and the other varia- bles for a compound correspond in each case to one row of Table B
Table 1 1 : Compounds of formula I.W1.2.0.4* in which R4a is H, R4b is CN, and the other vari- ables for a compound correspond in each case to one row of T able B
Table 12 : Compounds of formula I.W1.2.0.4* in which R4a is H, R4b is CH3, and the other var- iables for a compound correspond in each case to one row of Table B
Table 13 : Compounds of formula I.W1.2.0.4* in which R4a is H, R4b is OCH3, and the other variables for a compound correspond in each case to one row of Table B
Table 14 : Compounds of formula I.W1.2.0.4* in which R4a is H, R4b is CF3, and the other vari- ables for a compound correspond in each case to one row of Table B
Table 15 : Compounds of formula I.W1.2.S.5* in which R4a and R4b are H, and the other varia- bles for a compound correspond in each case to one row of Table B
Table 16 : Compounds of formula I.W1.2.S.5* in which R4a is H, R4b is Br, and the other varia- bles for a compound correspond in each case to one row of Table B
Table 17 : Compounds of formula I.W1.2.S.5* in which R4a is H, R4b is Cl, and the other varia- bles for a compound correspond in each case to one row of Table B
Table 18 : Compounds of formula I.W1.2.S.5* in which R4a is H, R4b is CN, and the other vari- ables for a compound correspond in each case to one row of T able B
Table 19 : Compounds of formula I.W1.2.S.5* in which R4a is H, R4b is CH3, and the other vari- ables for a compound correspond in each case to one row of Table B
Table 20 : Compounds of formula I.W1.2.S.5* in which R4a is H, R4b is OCH3, and the other variables for a compound correspond in each case to one row of Table B
Table 21 : Compounds of formula I.W1.2.S.5* in which R4a is H, R4b is CF3, and the other vari- ables for a compound correspond in each case to one row of T able B
Table 22 : Compounds of formula I.W1.3.S.4* in which R4a and R4b are H, and the other varia- bles for a compound correspond in each case to one row of Table B
Table 23 : Compounds of formula I.W1.3.S.4* in which R4a is H, R4b is Br, and the other varia- bles for a compound correspond in each case to one row of Table B
Table 24 : Compounds of formula I.W1.3.S.4* in which R4a is H, R4b is Cl, and the other varia- bles for a compound correspond in each case to one row of Table B
Table 25 : Compounds of formula I.W1.3.S.4* in which R4a is H, R4b is CN, and the other vari- ables for a compound correspond in each case to one row of T able B
Table 26 : Compounds of formula I.W1.3.S.4* in which R4a is H, R4b is CH3, and the other vari- ables for a compound correspond in each case to one row of T able B
Table 27 : Compounds of formula I.W1.3.S.4* in which R4a is H, R4b is OCH3, and the other variables for a compound correspond in each case to one row of Table B
Table 28 : Compounds of formula I.W1.3.S.4* in which R4a is H, R4b is CF3, and the other vari- ables for a compound correspond in each case to one row of T able B
Table 29 : Compounds of formula I.W1.3.S.5* in which R4a and R4b are H, and the other varia- bles for a compound correspond in each case to one row of Table B
Table 30 : Compounds of formula I.W1.3.S.5* in which R4a is H, R4b is Br, and the other varia- bles for a compound correspond in each case to one row of Table B
Table 31 : Compounds of formula I.W1.3.S.5* in which R4a is H, R4b is Cl, and the other varia- bles for a compound correspond in each case to one row of Table B
Table 32 : Compounds of formula I.W1.3.S.5* in which R4a is H, R4b is CN, and the other vari- ables for a compound correspond in each case to one row of T able B
Table 33 : Compounds of formula I.W1.3.S.5* in which R4a is H, R4b is CH3, and the other vari- ables for a compound correspond in each case to one row of T able B
Table 34 : Compounds of formula I.W1.3.S.5* in which R4a is H, R4b is OCH3, and the other variables for a compound correspond in each case to one row of Table B
Table 35 : Compounds of formula I.W1.3.S.5* in which R4a is H, R4b is CF3, and the other vari- ables for a compound correspond in each case to one row of T able B
Table 36 : Compounds of formula I.W1.3.0.5*in which R4a and R4b are H, and the other varia- bles for a compound correspond in each case to one row of Table B
Table 37 : Compounds of formula I.W1.3.0.5*in which R4a is H, R4b is Br, and the other varia- bles for a compound correspond in each case to one row of Table B
Table 38 : Compounds of formula I.W1 3.0.5*in which R4a is H, R4b is Cl, and the other varia- bles for a compound correspond in each case to one row of Table B
Table 39 : Compounds of formula I.W1 3.0.5*in which R4a is H, R4b is CN, and the other vari- ables for a compound correspond in each case to one row of T able B
Table 40 : Compounds of formula I.W1 3.0.5*in which R4a is H, R4b is CH3, and the other vari- ables for a compound correspond in each case to one row of T able B
Table 41 : Compounds of formula I.W1 3.0.5*in which R4a is H, R4b is OCH3, and the other variables for a compound correspond in each case to one row of Table B
Table 42 : Compounds of formula I.W1.3.0.5*in which R4a is H, R4b is CF3, and the other vari- ables for a compound correspond in each case to one row of T able B
Table B
As used herein, the term“compound(s) of the present invention” or“compound(s) according to the invention” refers to the compound(s) of formula (I) as defined above, which are also referred to as“compound(s) of formula I” or“compound(s) I” or“formula I compound(s)”, and includes their salts, tautomers, stereoisomers, and N-oxides.
The present invention also relates to a mixture of at least one compound of the present inven- tion with at least one mixing partner as defined herein after. Preferred are binary mixtures of one compound of the present invention as component I with one mixing partner as defined herein after as component II. Preferred weight ratios for such binary mixtures are from 5000:1 to 1 :5000, preferably from 1000:1 to 1 :1000, more preferably from 100:1 to 1 :100, particularly pref- erably from 10:1 to 1 :10. In such binary mixtures, components I and II may be used in equal amounts, or an excess of component I, or an excess of component II may be used.
Mixing partners can be selected from pesticides, in particular insecticides, nematicides, and acaricides, fungicides, herbicides, plant growth regulators, fertilizers, and the like. Preferred mixing partners are insecticides, nematicides and fungicides.
The following list M of pesticides, grouped and numbered according the Mode of Action Classi- fication of the Insecticide Resistance Action Committee (IRAC), together with which the corn- pounds of the present invention can be used and with which potential synergistic effects might be produced, is intended to illustrate the possible combinations, but not to impose any limitation:
M.1 Acetylcholine esterase (AChE) inhibitors from the class of: M.1A carbamates, e.g. aldi- carb, alanycarb, bendiocarb, benfuracarb, butocarboxim, butoxycarboxim, carbaryl, carbofuran, carbosulfan, ethiofencarb, fenobucarb, formetanate, furathiocarb, isoprocarb, methiocarb, methomyl, metolcarb, oxamyl, pirimicarb, propoxur, thiodicarb, thiofanox, trimethacarb, XMC, xylylcarb and triazamate; or from the class of M.1 B organophosphates, e.g. acephate, aza- methiphos, azinphos-ethyl, azinphosmethyl, cadusafos, chlorethoxyfos, chlorfenvinphos, chlor- mephos, chlorpyrifos, chlorpyrifos-methyl, coumaphos, cyanophos, demeton-S-methyl, diazi- non, dichlorvos/ DDVP, dicrotophos, dimethoate, dimethylvinphos, disulfoton, EPN, ethion, ethoprophos, famphur, fenamiphos, fenitrothion, fenthion, fosthiazate, heptenophos, imicyafos, isofenphos, isopropyl O- (methoxyaminothio-phosphoryl) salicylate, isoxathion, malathion, me- carbam, methamidophos, methidathion, mevinphos, monocrotophos, naled, omethoate, oxyde- meton-methyl, parathion, parathion-methyl, phenthoate, phorate, phosalone, phosmet, phos- phamidon, phoxim, pirimiphos- methyl, profenofos, propetamphos, prothiofos, pyraclofos, pyri- daphenthion, quinalphos, sulfotep, tebupirimfos, temephos, terbufos, tetrachlorvinphos, thiome- ton, triazophos, trichlorfon and vamidothion;
M.2. GABA-gated chloride channel antagonists such as: M.2A cyclodiene organochlorine corn- pounds, as e.g. endosulfan or chlordane; or M.2B fiproles (phenylpyrazoles), as e.g. ethiprole, fipronil, flufiprole, pyrafluprole and pyriprole;
M.3 Sodium channel modulators from the class of M.3A pyrethroids, e.g. acrinathrin, allethrin, d-cis-trans allethrin, d-trans allethrin, bifenthrin, bioallethrin, bioallethrin S-cylclopentenyl, bio- resmethrin, cycloprothrin, cyfluthrin, beta-cyfluthrin, cyhalothrin, lambda-cyhalothrin, gamma- cyhalothrin, cypermethrin, alpha-cypermethrin, beta-cypermethrin, theta-cypermethrin, zeta-cy- permethrin, cyphenothrin, deltamethrin, empenthrin, esfenvalerate, etofenprox, fenpropathrin, fenvalerate, flucythrinate, flumethrin, tau-fluvalinate, halfenprox, heptafluthrin, imiprothrin, me- perfluthrin,metofluthrin, momfluorothrin, permethrin, phenothrin, prallethrin, profluthrin, pyrethrin
(pyrethrum), resmethrin, silafluofen, tefluthrin, tetramethylfluthrin, tetramethrin, tralomethrin and transfluthrin; or M.3B sodium channel modulators such as DDT or methoxychlor;
M.4 Nicotinic acetylcholine receptor agonists (nAChR) from the class of M.4A neonicotinoids, e.g. acetamiprid, clothianidin, cycloxaprid, dinotefuran, imidacloprid, nitenpyram, thiacloprid and thiamethoxam; or the compounds M.4A.2: (2E-)-1-[(6-Chloropyridin-3-yl)methyl]-N'-nitro-2-pen- tylidenehydrazinecarboximidamide; or M4.A.3: 1 -[(6-Chloropyridin-3-yl)methyl]-7-methyl-8-nitro- 5-propoxy-1 ,2,3,5,6,7-hexahydroimidazo[1 ,2-a]pyridine; or from the class M.4B nicotine;
M.5 Nicotinic acetylcholine receptor allosteric activators from the class of spinosyns, e.g. spinosad or spinetoram;
M.6 Chloride channel activators from the class of avermectins and milbemycins, e.g.
abamectin, emamectin benzoate, ivermectin, lepimectin or milbemectin;
M.7 Juvenile hormone mimics, such as M.7A juvenile hormone analogues as hydroprene, ki- noprene and methoprene; or others as M.7B fenoxycarb or M.7C pyriproxyfen;
M.8 miscellaneous non-specific (multi-site) inhibitors, e.g. M.8A alkyl halides as methyl bro- mide and other alkyl halides, or M.8B chloropicrin, or M.8C sulfuryl fluoride, or M.8D borax, or M.8E tartar emetic;
M.9 Selective homopteran feeding blockers, e.g. M.9B pymetrozine, or M.9C flonicamid;
M.10 Mite growth inhibitors, e.g. M.10A clofentezine, hexythiazox and diflovidazin, or M.10B etoxazole;
M.1 1 Microbial disruptors of insect midgut membranes, e.g. bacillus thuringiensis or bacillus sphaericus and the insecticdal proteins they produce such as bacillus thuringiensis subsp. is- rae/ensis, bacillus sphaericus, bacillus thuringiensis subsp. aizawai, bacillus thuringiensis subsp. kurstaki and bacillus thuringiensis subsp. tenebrionis, or the Bt crop proteins: Cry1 Ab, CrylAc, Cryl Fa, Cry2Ab, mCry3A, Cry3Ab, Cry3Bb and Cry34/35Ab1 ;
M.12 Inhibitors of mitochondrial ATP synthase, e.g. M.12A diafenthiuron, or M.12B organotin miticides such as azocyclotin, cyhexatin or fenbutatin oxide, or M.12C propargite, or M.12D tetrad ifon;
M.13 Uncouplers of oxidative phosphorylation via disruption of the proton gradient, e.g.
chlorfenapyr, DNOC or sulfluramid;
M.14 Nicotinic acetylcholine receptor (nAChR) channel blockers, e.g. nereistoxin analogues as bensultap, cartap hydrochloride, thiocyclam or thiosultap sodium;
M.15 Inhibitors of the chitin biosynthesis type 0, such as benzoylureas as e.g. bistrifluron, chlorfluazuron, diflubenzuron, flucycloxuron, flufenoxuron, hexaflumuron, lufenuron, novaluron, noviflumuron, teflubenzuron or triflumuron;
M.16 Inhibitors of the chitin biosynthesis type 1 , as e.g. buprofezin;
M.17 Moulting disruptors, Dipteran, as e.g. cyromazine;
M.18 Ecdyson receptor agonists such as diacylhydrazines, e.g. methoxyfenozide, tebufeno- zide, halofenozide, fufenozide or chromafenozide;
M.19 Octopamin receptor agonists, as e.g. amitraz;
M.20 Mitochondrial complex III electron transport inhibitors, e.g. M.20A hydramethylnon, or M.20B acequinocyl, or M.20C fluacrypyrim;
M.21 Mitochondrial complex I electron transport inhibitors, e.g. M.21A METI acaricides and in- secticides such as fenazaquin, fenpyroximate, pyrimidifen, pyridaben, tebufenpyrad or tolfen- pyrad, or M.21 B rotenone;
M.22 Voltage-dependent sodium channel blockers, e.g. M.22A indoxacarb, or M.22B meta- flumizone, or M.22B.1 : 2-[2-(4-Cyanophenyl)-1-[3-(trifluoromethyl)phenyl]ethylidene]-N-[4-(di- fluoromethoxy)phenyl]-hydrazinecarboxamide or M.22B.2: N-(3-Chloro-2-methylphenyl)-2-[(4- chlorophenyl)[4-[methyl(methylsulfonyl)amino]phenyl]methylene]-hydrazinecarboxamide;
M.23 Inhibitors of the of acetyl CoA carboxylase, such as Tetronic and Tetramic acid deriva- tives, e.g. spirodiclofen, spiromesifen or spirotetramat;
M.24 Mitochondrial complex IV electron transport inhibitors, e.g. M.24A phosphine such as al- uminium phosphide, calcium phosphide, phosphine or zinc phosphide, or M.24B cyanide;
M.25 Mitochondrial complex II electron transport inhibitors, such as beta-ketonitrile derivatives, e.g. cyenopyrafen or cyflumetofen;
M.28 Ryanodine receptor-modulators from the class of diamides, as e.g. flubendiamide, chlor- antraniliprole (rynaxypyr®), cyantraniliprole (cyazypyr®), tetraniliprole, M.28.1 : (R)-3-Chlor-N1- {2-methyl-4-[1 ,2,2,2-tetrafluor-1-(trifluormethyl)ethyl]phenyl}-N2-(1-methyl-2-methylsulfonyl- ethyl)phthalamid and M.28.2: (S)-3-Chlor-N 1-{2-methyl-4-[1 ,2,2,2 -tetrafluor-1-(trifluorome- thyl)ethyl]phenyl}-N2-(1 -methyl-2-methylsulfonylethyl)phthalamid, M.28.3: cyclaniliprole, M.28.4: methyl-2-[3,5-dibromo-2-({[3-bromo-1-(3-chlorpyridin-2-yl)-1 H-pyrazol-5-yl]carbonyl}amino)ben- zoyl]-1 ,2-dimethylhydrazinecarboxylate; M.28.5a) N-[4,6-dichloro-2-[(diethyl-lambda-4-sulfanyli- dene)carbamoyl]-phenyl]-2-(3-chloro-2-pyridyl)-5-(trifluoromethyl)pyrazole-3-carboxamide;
M.28.5b) N-[4-chloro-2-[(diethyl-lambda-4-sulfanylidene)carbamoyl]-6-methyl-phenyl]-2-(3-chlo- ro-2-pyridyl)-5-(trifluoromethyl)pyrazole-3-carboxamide; M.28.5c) N-[4-chloro-2-[(di-2-propyl- lambda-4-sulfanylidene)carbamoyl]-6-methyl-phenyl]-2-(3-chloro-2-pyridyl)-5-(trifluoromethyl)py- razole-3-carboxamide; M.28.5d) N-[4,6-dichloro-2-[(di-2-propyl-lambda-4-sulfanylidene)carba- moyl]-phenyl]-2-(3-chloro-2-pyridyl)-5-(trifluoromethyl)pyrazole-3-carboxamide; M.28.5h) N-[4,6- dibromo-2-[(diethyl-lambda-4-sulfanylidene)carbamoyl]-phenyl]-2-(3-chloro-2-pyridyl)-5-(trifluo- romethyl)pyrazole-3-carboxamide; M.28.5i) N-[2-(5-Amino-1 ,3,4-thiadiazol-2-yl)-4-chloro-6-me- thylphenyl]-3-bromo-1-(3-chloro-2-pyridinyl)-1 H-pyrazole-5-carboxamide; M.28.5j) 3-Chloro-1- (3-chloro-2-pyridinyl)-N-[2,4-dichloro-6-[[(1-cyano-1-methylethyl)amino]carbonyl]phenyl]-1 H-py- razole-5-carboxamide; M.28.5k) 3-Bromo-N-[2,4-dichloro-6-(methylcarbamoyl)phenyl]-1 -(3,5- dichloro-2-pyridyl)-1 H-pyrazole-5-carboxamide; M.28.5I) N-[4-Chloro-2-[[(1 ,1-dimethylethyl)ami- no]carbonyl]-6-methylphenyl]-1-(3-chloro-2-pyridinyl)-3-(fluoromethoxy)-1 H-pyrazole-5-carbox- amide;
M.28.6: cyhalodiamide; or;
M.29. active compounds of unknown or uncertain mode of action, as e.g. afidopyropen, afoxo- laner, azadirachtin, amidoflumet, benzoximate, bifenazate, broflanilide, bromopropylate, chino- methionat, cryolite, dicloromezotiaz, dicofol, flufenerim, flometoquin, fluensulfone, fluhexafon, fluopyram, flupyradifurone, fluralaner, metoxadiazone, piperonyl butoxide, pyflubumide, pyrida- lyl, pyrifluquinazon, sulfoxaflor, tioxazafen, triflumezopyrim,
M.29.3: 11 -(4-chloro-2,6-dimethylphenyl)-12-hydroxy-1 ,4-dioxa-9-azadispiro[4.2.4.2]-tetradec- 1 1-en-10-one, M.29.4: 3-(4’-fluoro-2,4-dimethylbiphenyl-3-yl)-4-hydroxy-8-oxa-1-azaspi- ro[4.5]dec-3-en-2-one, M.29.5: 1-[2-fluoro-4-methyl-5-[(2,2,2-trifluoroethyl)sulfinyl]phenyl]-3-(tri- fluoromethyl)-1 H-1 ,2,4-triazole-5-amine, or actives on basis of bacillus firmus (Votivo, 1-1582);
M.29.6, selected from M.29.6a) to M.29.6k): M.29.6a) (E/Z)-N-[1-[(6-chloro-3-pyridyl)methyl]-2- pyridylidene]-2,2,2-trifluoro-acetamide; M.29.6b) (E/Z)-N-[1-[(6-chloro-5-fluoro-3-pyridyl)methyl]-
2-pyridylidene]-2,2,2-trifluoro-acetamide; M.29.6c) (E/Z)-2,2,2-trifluoro-N-[1 -[(6-fluoro-3-pyri- dyl)methyl]-2-pyridylidene]acetamide; M.29.6d) (E/Z)-N-[1 -[(6-bromo-3-pyridyl)methyl]-2-pyridyli- dene]-2,2,2-trifluoro-acetamide; M.29.6e) (E/Z)-N-[1 -[1 -(6-chloro-3-pyridyl)ethyl]-2-pyridylidene]- 2,2,2-trifluoro-acetamide; M.29.6f) (E/Z)-N-[1 -[(6-chloro-3-pyridyl)methyl]-2-pyridylidene]-2,2- difluoro-acetamide; M.29.6g) (E/Z)-2-chloro-N-[1 -[(6-chloro-3-pyridyl)methyl]-2-pyridylidene]-2,2- difluoro-acetamide; M.29.6h) (E/Z)-N-[1 -[(2-chloropyrimidin-5-yl)methyl]-2-pyridylidene]-2,2,2- trifluoro-acetamide; M.29.6i) (E/Z)-N-[1 -[(6-chloro-3-pyridyl)methyl]-2-pyridylidene]-2,2,3,3,3- pentafluoro-propanamide.); M.29.6j) N-[1 -[(6-chloro-3-pyridyl)methyl]-2-pyridylidene]-2,2,2-tri- fluoro-thioacetamide; or M.29.6k) N-[1 -[(6-chloro-3-pyridyl)methyl]-2-pyridylidene]-2,2,2-trifluoro- N'-isopropyl-acetamidine; M.29.8: fluazaindolizine; M.29.9.a): 4-[5-(3,5-dichlorophenyl)-5-(tri- fluoromethyl)-4H-isoxazol-3-yl]-2-methyl-N-(1 -oxothietan-3-yl)benzamide; or M.29.9.b): flux- ametamide; M.29.10: 5-[3-[2,6-dichloro-4-(3,3-dichloroallyloxy)phenoxy]propoxy]-1 H-pyrazole;
M.29.1 1 , selected from M.29.1 1 b) to M.29.1 1 p): M.29.1 1.b) 3-(benzoylmethylamino)-N-[2-bro- mo-4-[1 ,2,2,3,3,3-hexafluoro-1 -(trifluoromethyl)propyl]-6-(trifluoromethyl)phenyl]-2-fluoro-benz- amide; M.29.1 1.c) 3-(benzoylmethylamino)-2-fluoro-N-[2-iodo-4-[1 ,2,2,2-tetrafluoro-1 -(trifluoro- methyl)ethyl]-6-(trifluoromethyl)phenyl]-benzamide; M.29.1 1 .d) N-[3-[[[2-iodo-4-[1 ,2,2,2-tetraflu- oro-1 -(trifluoromethyl)ethyl]-6-(trifluoromethyl)phenyl]amino]carbonyl]phenyl]-N-methyl-benz- amide; M.29.1 1 .e) N-[3-[[[2-bromo-4-[1 ,2,2,2-tetrafluoro-1 -(trifluoromethyl)ethyl]-6-(trifluorome- thyl)phenyl]amino]carbonyl]-2-fluorophenyl]-4-fluoro-N-methyl-benzamide; M.29.1 1 .f) 4-fluoro-N- [2-fluoro-3-[[[2-iodo-4-[1 ,2,2,2-tetrafluoro-1 -(trifluoromethyl)ethyl]-6-(trifluoromethyl)phenyl]ami- no]carbonyl]phenyl]-N-methyl-benzamide; M.29.1 1 .g) 3-fluoro-N-[2-fluoro-3-[[[2-iodo-4-[1 ,2,2,2- tetrafluoro-1 -(trifluoromethyl)ethyl]-6-(trifluoromethyl)phenyl]amino]carbonyl]phenyl]-N-methyl- benzamide; M.29.1 1 .h) 2-chloro-N-[3-[[[2-iodo-4-[1 ,2,2,2-tetrafluoro-1 -(trifluoromethyl)ethyl]-6- (trifluoromethyl)phenyl]amino]carbonyl]phenyl]- 3-pyridinecarboxamide; M.29.1 1 .i) 4-cyano-N- [2-cyano-5-[[2,6-dibromo-4-[1 ,2,2,3,3,3-hexafluoro-1 -(trifluoromethyl)propyl]phenyl]carbamo- yl]phenyl]-2-methyl-benzamide; M.29.1 1 .j) 4-cyano-3-[(4-cyano-2-methyl-benzoyl)amino]-N-[2,6- dichloro-4-[1 ,2,2,3,3,3-hexafluoro-1 -(trifluoromethyl)propyl]phenyl]-2-fluoro-benzamide;
M.29.1 1 .k) N-[5-[[2-chloro-6-cyano-4-[1 ,2,2,3,3,3-hexafluoro-1 -(trifluoromethyl)propyl]phe- nyl]carbamoyl]-2-cyano-phenyl]-4-cyano-2-methyl-benzamide; M.29.1 1 .1) N-[5-[[2-bromo-6-chlo- ro-4-[2, 2, 2-trifluoro-1 -hydroxy-1 -(trifluoromethyl)ethyl]phenyl]carbamoyl]-2-cyano-phenyl]-4-cy- ano-2-methyl-benzamide; M.29.1 1 .m) N-[5-[[2-bromo-6-chloro-4-[1 ,2,2,3,3,3-hexafluoro-1 -(tri- fluoromethyl)propyl]phenyl]carbamoyl]-2-cyano-phenyl]-4-cyano-2-methyl-benzamide;
M.29.1 1.n) 4-cyano-N-[2-cyano-5-[[2,6-dichloro-4-[1 ,2,2,3,3,3-hexafluoro-1 -(trifluoromethyl)pro- pyl]phenyl]carbamoyl]phenyl]-2-methyl-benzamide; M.29.1 1.o) 4-cyano-N-[2-cyano-5-[[2,6-di- chloro-4-[1 ,2,2,2-tetrafluoro-1 -(trifluoromethyl)ethyl]phenyl]carbamoyl]phenyl]-2-methyl-ben- zamide; M.29.1 1.p) N-[5-[[2-bromo-6-chloro-4-[1 ,2,2,2-tetrafluoro-1 -(trifluoromethyl)ethyl]phe- nyl]carbamoyl]-2-cyano-phenyl]-4-cyano-2-methyl-benzamide; M.29.12, selected from
M.29.12a) to M.29.12m): M.29.12.a) 2-(1 ,3-Dioxan-2-yl)-6-[2-(3-pyridinyl)-5-thiazolyl]-pyridine; M.29.12. b) 2-[6-[2-(5-Fluoro-3-pyridinyl)-5-thiazolyl]-2-pyridinyl]-pyrimidine; M.29.12. c) 2-[6-[2- (3-Pyridinyl)-5-thiazolyl]-2-pyridinyl]-pyrimidine; M.29.12. d) N-Methylsulfonyl-6-[2-(3-pyridyl)thia- zol-5-yl]pyridine-2-carboxamide; M.29.12. e) N-Methylsulfonyl-6-[2-(3-pyridyl)thiazol-5-yl]pyridi- ne-2-carboxamide; M.29.12.f) N-Ethyl-N-[4-methyl-2-(3-pyridyl)thiazol-5-yl]-3-methylthio-propan- amide; M.29.12. g) N-Methyl-N-[4-methyl-2-(3-pyridyl)thiazol-5-yl]-3-methylthio-propanamide; M.29.12. h) N,2-Dimethyl-N-[4-methyl-2-(3-pyridyl)thiazol-5-yl]-3-methylthio-propanamide;
M.29.12.1) N-Ethyl-2-methyl-N-[4-methyl-2-(3-pyridyl)thiazol-5-yl]-3-methylthio-propanamide; M.29.12.j) N-[4-Chloro-2-(3-pyridyl)thiazol-5-yl]-N-ethyl-2-methyl-3-methylthio-propanamide; M.29.12.k) N-[4-Chloro-2-(3-pyridyl)thiazol-5-yl]-N,2-dimethyl-3-methylthio-propanamide;
M.29.12.1) N-[4-Chloro-2-(3-pyridyl)thiazol-5-yl]-N-methyl-3-methylthio-propanamide;
M.29.12.m) N-[4-Chloro-2-(3-pyridyl)thiazol-5-yl]-N-ethyl-3-methylthio-propanamide;
M.29.14a) 1 -[(6-Chloro-3-pyridinyl)methyl]-1 ,2,3,5,6,7-hexahydro-5-methoxy-7-methyl-8-nitro- imidazo[1 ,2-a]pyridine; or M.29.14b) 1 -[(6-Chloropyridin-3-yl)methyl]-7-methyl-8-nitro- 1 ,2,3,5,6,7-hexahydroimidazo[1 ,2-a]pyridin-5-ol; M.29.16a) 1 -isopropyl-N,5-dimethyl-N-pyri- dazin-4-yl-pyrazole-4-carboxamide; or M.29.16b) 1 -(1 ,2-dimethylpropyl)-N-ethyl-5-methyl-N-pyr- idazin-4-yl-pyrazole-4-carboxamide; M.29.16c) N,5-dimethyl-N-pyridazin-4-yl-1 -(2,2,2-trifluoro-1 - methyl-ethyl)pyrazole-4-carboxamide; M.29.16d) 1 -[1 -(1 -cyanocyclopropyl)ethyl]-N-ethyl-5-me- thyl-N-pyridazin-4-yl-pyrazole-4-carboxamide; M.29.16e) N-ethyl-1 -(2-fluoro-1 -methyl-propyl)-5- methyl-N-pyridazin-4-yl-pyrazole-4-carboxamide; M.29.16f) 1 -(1 ,2-dimethylpropyl)-N,5-dimethyl- N-pyridazin-4-yl-pyrazole-4-carboxamide; M.29.16g) 1 -[1 -(1 -cyanocyclopropyl)ethyl]-N,5-dime- thyl-N-pyridazin-4-yl-pyrazole-4-carboxamide; M.29.16h) N-methyl-1 -(2-fluoro-1 -methyl-propyl]- 5-methyl-N-pyridazin-4-yl-pyrazole-4-carboxamide; M.29.16i) 1 -(4,4-difluorocyclohexyl)-N-ethyl- 5-methyl-N-pyridazin-4-yl-pyrazole-4-carboxamide; or M.29.16j) 1 -(4,4-difluorocyclohexyl)-N,5- dimethyl-N-pyridazin-4-yl-pyrazole-4-carboxamide, M.29.17 selected from M.29.17a) to
M.29.17j): M.29.17a) N-(1 -methylethyl)-2-(3-pyridinyl)-2H-indazole-4-carboxamide; M.29.17b) N-cyclopropyl-2-(3-pyridinyl)-2H-indazole-4-carboxamide; M.29.17c) N-cyclohexyl-2-(3-pyridi- nyl)-2H-indazole-4-carboxamide; M.29.17d) 2-(3-pyridinyl)-N-(2,2,2-trifluoroethyl)-2H-indazole- 4-carboxamide; M.29.17e) 2-(3-pyridinyl)-N-[(tetrahydro-2-furanyl)methyl]-2H-indazole-5-car- boxamide; M.29.17f) methyl 2-[[2-(3-pyridinyl)-2H-indazol-5-yl]carbonyl]hydrazinecarboxylate; M.29.17g) N-[(2,2-difluorocyclopropyl)methyl]-2-(3-pyridinyl)-2H-indazole-5-carboxamide;
M.29.17h) N-(2,2-difluoropropyl)-2-(3-pyridinyl)-2H-indazole-5-carboxamide; M.29.17i) 2-(3-pyri- dinyl )-N-(2-pyrimidinylmethyl )-2H-indazole-5-carboxamide; M.29.17j) N-[(5-methyl-2-pyrazi- nyl)methyl]-2-(3-pyridinyl)-2H-indazole-5-carboxamide, M.29.18 selected from M.29.18a) to M.29.18d): M.29.18a) N-[3-chloro-1 -(3-pyridyl)pyrazol-4-yl]-N-ethyl-3-(3,3,3-trifluoropropylsulfa- nyl)propanamide; M.29.18b) N-[3-chloro-1 -(3-pyridyl)pyrazol-4-yl]-N-ethyl-3-(3,3,3-trifluoropro- pylsulfinyl)propanamide; M.29.18c) N-[3-chloro-1 -(3-pyridyl)pyrazol-4-yl]-3-[(2,2-difluorocyclo- propyl)methylsulfanyl]-N-ethyl-propanamide; M.29.18d) N-[3-chloro-1 -(3-pyridyl)pyrazol-4-yl]-3- [(2,2-difluorocyclopropyl)methylsulfinyl]-N-ethyl-propanamide; M.29.19 sarolaner, or M.29.20 lo- tilaner.
The commercially available compounds of the group M listed above may be found in The Pes- ticide Manual, 16th Edition, C. MacBean, British Crop Protection Council (2013) among other publications. The online Pesticide Manual is updated regularly and is accessible through http://bcpcdata.com/pesticide-manual.html.
Another online data base for pesticides providing the ISO common names is http://www.alan- wood.net/pesticides.
M.4 cycloxaprid is known from WO2010/069266 and WO201 1/069456, M.4A.2, guadipyr, is known from WO2013/003977, and M.4A.3 (paichongding in China) is known from WO
07/101369. M.22B.1 is described in CN10171577 and M.22B.2 in CN102126994. M.28.1 and M.28.2 are known from W02007/101540. M.28.3 is described in W02005/077934. M.28.4 is described in W02007/043677. M.28.5a) to M.28.5d) and M.28.5h) are described in WO
07/006670, WO2013/024009 and WO2013/024010, M.28.5Ϊ) is described in WO201 1/085575, M.28.5j) in W02008/134969, M.28.5k) in US201 1/046186 and M.28.5I) in WO2012/034403. M.28.6 can be found in WO2012/034472. M.29.3 is known from W02006/089633 and M.29.4 from W02008/06791 1. M.29.5 is described in W02006/043635, and biological control agents on the basis of bacillus firmus are described in W02009/124707. M.29.6a) to M.29.6i) listed un- der M.29.6 are described in WO2012/029672, and M.29.6j) and M.29.6k) in WO2013/129688. M.29.8 is known from WO2013/055584. M.29.9.a) is described in WO2013/050317. M.29.9.b) is described in WO2014/126208. M.29.10 is known from WO2010/060379. Broflanilide and M.29.1 1.b) to M.29.1 1 .h) are described in WO2010/018714, M.29.1 1 i) to M.29.1 1.p) in WO 2010/127926. M.29.12.a) to M.29.12.c) are known from WO2010/006713, M.29.12.d) and M.29.12.e) are known from WO2012/000896, and M.29.12.f) to M.29.12.m) from WO
2010/129497. M.29.14a) and M.29.14b) are known from W02007/101369. M.29.16.a) to M.29.16h) are described in WO2010/034737, WO2012/084670, and WO2012/143317, resp., and M.29.16i) and M.29.16j) are described in WO2015/055497. M.29.17a) to M.29.17.j) are de- scribed in WO2015/038503. M.29.18a) to M.29.18d) are described in US2014/0213448.
M.29.19 is described in WO2014/036056. M.29.20 is known from W02014/090918.
The following list of fungicides, in conjunction with which the compounds of the present inven- tion can be used, is intended to illustrate the possible combinations but does not limit them:
A) Respiration inhibitors
Inhibitors of complex III at Q0 site (e. g. strobilurins): azoxystrobin (A.1 .1 ), coumethoxy- strobin (A.1.2), coumoxystrobin (A.1 .3), dimoxystrobin (A.1.4), enestroburin (A.1 .5), fenamin- strobin (A.1 .6), fenoxystrobin/flufenoxystrobin (A.1 .7), fluoxastrobin (A.1 .8), kresoxim-methyl (A.1.9), mandestrobin (A.1.10), metominostrobin (A.1 .1 1 ), orysastrobin (A.1 .12), picoxy.strobin (A.1.13), pyraclostrobin (A.1 .14), pyrametostrobin (A.1 .15), pyraoxystrobin (A.1 .16), trifloxystro- bin (A.1.17), 2-(2-(3-(2,6-dichlorophenyl)-1 -methyl-allylideneaminooxymethyl)-phenyl)-2-meth- oxyimino-N-methyl-acetamide (A.1.18), pyribencarb (A.1 .19), triclopyricarb/chlorodincarb (A.1.20), famoxadone (A.1 .21 ), fenamidone (A.1 .21 ), methyl-/V-[2-[(1 ,4-dimethyl-5-phenyl-pyra- zol-3-yl)oxylmethyl]phenyl]-N-methoxy-carbamate (A.1 .22), 1 -[3-chloro-2-[[1 -(4-chlorophenyl)- 1 H-pyrazol-3-yl]oxymethyl]phenyl]-4-methyl-tetrazol-5-one (A.1.23), 1 -[3-bromo-2-[[1 -(4-chloro- phenyl)pyrazol-3-yl]oxymethyl]phenyl]-4-methyl-tetrazol-5-one (A.1 .24), 1 -[2-[[1 -(4-chlorophe- nyl)pyrazol-3-yl]oxymethyl]-3-methyl-phenyl]-4-methyl-tetrazol-5-one (A.1.25), 1 -[2-[[1 -(4-chloro- phenyl)pyrazol-3-yl]oxymethyl]-3-fluoro-phenyl]-4-methyl-tetrazol-5-one (A.1.26), 1 -[2-[[1 -(2,4- dichlorophenyl)pyrazol-3-yl]oxymethyl]-3-fluoro-phenyl]-4-methyl-tetrazol-5-one (A.1 .27), 1 -[2- [[4-(4-chlorophenyl)thiazol-2-yl]oxymethyl]-3-methyl-phenyl]-4-methyl-tetrazol-5-one (A.1.28), 1 - [3-chloro-2-[[4-(p-tolyl)thiazol-2-yl]oxymethyl]phenyl]-4-methyl-tetrazol-5-one (A.1.29), 1 -[3-cy- clopropyl-2-[[2-methyl-4-(1 -methylpyrazol-3-yl)phenoxy]methyl]phenyl]-4-methyl-tetrazol-5-one (A.1.30), 1 -[3-(difluoromethoxy)-2-[[2-methyl-4-(1 -methylpyrazol-3-yl)phenoxy]methyl]phenyl]-4- methyl-tetrazol-5-one (A.1.31 ), 1 -methyl-4-[3-methyl-2-[[2-methyl-4-(1 -methylpyrazol-3-yl)phe- noxy]methyl]phenyl]tetrazol-5-one (A.1 .32), 1 -methyl-4-[3-methyl-2-[[1 -[3-(trifluoromethyl)phe- nyl]-ethylideneamino]oxymethyl]phenyl]tetrazol-5-one (A.1 .33), (^2£)-5-[1 -(2,4-dichlorophe- nyl)pyrazol-3-yl]-oxy-2-methoxyimino-/V,3-dimethyl-pent-3-enamide (A.1 .34), (^2£)-5-[1 -(4- chlorophenyl)pyrazol-3-yl]oxy-2-methoxyimino-/V,3-dimethyl-pent-3-enamide (A.1 .35), (Z,2E)-5- [1 -(4-chloro-2-fluoro-phenyl)pyrazol-3-yl]oxy-2-methoxyimino-/V,3-dimethyl-pent-3-enamide (A.1.36),
inhibitors of complex III at Q, site: cyazofamid (A.2.1 ), amisulbrom (A.2.2), [(3S,6S,7R,8R)- 8-benzyl-3-[(3-acetoxy-4-methoxy-pyridine-2-carbonyl)amino]-6-methyl-4,9-dioxo-1 ,5-dioxonan- 7-yl] 2-methylpropanoate (A.2.3), [(3S,6S,7R,8R)-8-benzyl-3-[[3-(acetoxymethoxy)-4-methoxy- pyridine-2-carbonyl]amino]-6-methyl-4,9-dioxo-1 ,5-dioxonan-7-yl] 2-methylpropanoate (A.2.4), [(3S,6S,7R,8R)-8-benzyl-3-[(3-isobutoxycarbonyloxy-4-methoxy-pyridine-2-carbonyl)amino]-6- methyl-4,9-dioxo-1 ,5-dioxonan-7-yl] 2-methylpropanoate (A.2.5), [(3S,6S,7R,8R)-8-benzyl-3-[[3- (1 ,3-benzodioxol-5-ylmethoxy)-4-methoxy-pyridine-2-carbonyl]amino]-6-methyl-4,9-dioxo-1 ,5- dioxonan-7-yl] 2-methylpropanoate (A.2.6); (3S,6S,7R,8R)-3-[[(3-hydroxy-4-methoxy-2-pyridi- nyl)carbonyl]amino]-6-methyl-4,9-dioxo-8-(phenylmethyl)-1 ,5-dioxonan-7-yl 2-methylpropanoate (A.2.7), (3S,6S,7R,8R)-8-benzyl-3-[3-[(isobutyryloxy)methoxy]-4-methoxypicolinamido]-6-me- thyl-4,9-dioxo-1 ,5-dioxonan-7-yl isobutyrate (A.2.8);
inhibitors of complex II (e. g. carboxamides): benodanil (A.3.1 ), benzovindiflupyr (A.3.2), bixafen (A.3.3), boscalid (A.3.4), carboxin (A.3.5), fenfuram (A.3.6), fluopyram (A.3.7), flutolanil (A.3.8), fluxapyroxad (A.3.9), furametpyr (A.3.10), isofetamid (A.3.1 1 ), isopyrazam (A.3.12), me- pronil (A.3.13), oxycarboxin (A.3.14), penflufen (A.3.14), penthiopyrad (A.3.15), sedaxane (A.3.16), tecloftalam (A.3.17), thifluzamide (A.3.18), N-(4'-trifluoromethylthiobiphenyl-2-yl)-
3-difluoromethyl-1 -methyl-1 H-pyrazole-4-carboxamide (A.3.19), N-(2-(1 ,3,3-trimethyl-butyl)-phe- nyl)-1 ,3-dimethyl-5-fluoro-1 H-pyrazole-4-carboxamide (A.3.20), 3-(difluoromethyl)-1 -methyl-N- (1 ,1 ,3-trimethylindan-4-yl)pyrazole-4-carboxamide (A.3.21 ), 3-(trifluoromethyl)-1 -methyl-N-
(1 ,1 ,3-trimethylindan-4-yl)pyrazole-4-carboxamide (A.3.22), 1 ,3-dimethyl-N-(1 ,1 ,3-trimethylin- dan-4-yl)pyrazole-4-carboxamide (A.3.23), 3-(trifluoromethyl)-1 ,5-dimethyl-N-(1 ,1 ,3-trimethylin- dan-4-yl)pyrazole-4-carboxamide (A.3.24), 1 ,3,5-trimethyl-N-(1 ,1 ,3-trimethylindan-4-yl)pyrazole-
4-carboxamide (A.3.25), N-(7-fluoro-1 ,1 ,3-trimethyl-indan-4-yl)-1 ,3-dimethyl-pyrazole-4-carbox- amide (A.3.26), N-[2-(2,4-dichlorophenyl)-2-methoxy-1 -methyl-ethyl]-3-(difluoromethyl)-1 -me- thyl-pyrazole-4-carboxamide (A.3.27);
other respiration inhibitors (e. g. complex I, uncouplers): diflumetorim (A.4.1 ), (5,8-difluoro- quinazolin-4-yl)-{2-[2-fluoro-4-(4-trifluoromethylpyridin-2-yloxy)-phenyl]-ethyl}-amine (A.4.2); ni- trophenyl derivates: binapacryl (A.4.3), dinobuton (A.4.4), dinocap (A.4.5), fluazinam (A.4.6); ferimzone (A.4.7); organometal compounds: fentin salts, such as fentin-acetate (A.4.8), fentin chloride (A.4.9) or fentin hydroxide (A.4.10); ametoctradin (A.4.1 1 ); and silthiofam (A.4.12);
B) Sterol biosynthesis inhibitors (SBI fungicides)
C14 demethylase inhibitors (DMI fungicides): triazoles: azaconazole (B.1 .1 ), bitertanol (B.1.2), bromuconazole (B.1.3), cyproconazole (B.1 .4), difenoconazole (B.1 .5), diniconazole (B.1.6), diniconazole-M (B.1 .7), epoxiconazole (B.1.8), fenbuconazole (B.1 .9), fluquinconazole (B.1.10), flusilazole (B.1.1 1 ), flutriafol (B.1 .12), hexaconazole (B.1.13), imibenconazole (B.1.14), ipconazole (B.1.15), metconazole (B.1 .17), myclobutanil (B.1 .18), oxpoconazole (B.1.19), paclo- butrazole (B.1.20), penconazole (B.1.21 ), propiconazole (B.1 .22), prothioconazole (B.1 .23), simeconazole (B.1.24), tebuconazole (B.1.25), tetraconazole (B.1.26), triadimefon (B.1.27), tri- adimenol (B.1 .28), triticonazole (B.1 .29), uniconazole (B.1 .30), 1 -[reA(2^3/^-3-(2-chlorophe- nyl)-2-(2,4-difluorophenyl)-oxiranylmethyl]-5-thiocyanato-1 H-[1 ,2,4]triazolo (B.1.31 ), 2 -\rel· (2S;3/\ -3-(2-chlorophenyl)-2-(2,4-difluorophenyl)-oxiranylmethyl]-2H-[1 ,2,4]triazole-3-thiol (B.1.32), 2-[2-chloro-4-(4-chlorophenoxy)phenyl]-1 -(1 ,2,4-triazol-1 -yl)pentan-2-ol (B.1 .33) , 1 -[4- (4-chlorophenoxy)-2-(trifluoromethyl)phenyl]-1 -cyclopropyl-2-(1 ,2,4-triazol-1 -yl)ethanol (B.1.34), 2-[4-(4-chlorophenoxy)-2-(trifluoromethyl)phenyl]-1 -(1 ,2,4-triazol-1 -yl)butan-2-ol (B.1.35),
2-[2-chloro-4-(4-chlorophenoxy)phenyl]-1-(1 ,2,4-triazol-1-yl)butan-2-ol (B.1.36), 2-[4-(4-chloro- phenoxy)-2-(trifluoromethyl)phenyl]-3-methyl-1-(1 ,2,4-triazol-1-yl)butan-2-ol (B.1.37), 2-[4-(4- chlorophenoxy)-2-(trifluoromethyl)phenyl]-1-(1 ,2,4-triazol-1-yl)propan-2-ol (B.1.38), 2-[2-chloro-
4-(4-chlorophenoxy)phenyl]-3-methyl-1-(1 ,2,4-triazol-1-yl)butan-2-ol (B.1.39), 2-[4-(4-chlorophe- noxy)-2-(trifluoromethyl)phenyl]-1-(1 ,2,4-triazol-1-yl)pentan-2-ol (B.1.40), 2-[4-(4-fluorophen- oxy)-2-(trifluoromethyl)phenyl]-1-(1 ,2,4-triazol-1-yl)propan-2-ol (B.1.41), 2-[2-chloro-4-(4-chloro- phenoxy)phenyl]-1-(1 ,2,4-triazol-1-yl)pent-3-yn-2-ol (B.1.51); imidazoles: imazalil (B.1.42), pe- furazoate (B.1.43), prochloraz (B.1.44), triflumizol (B.1.45); pyrimidines, pyridines and pipera- zines: fenarimol (B.1.46), nuarimol (B.1.47), pyrifenox (B.1.48), triforine (B.1.49), [3-(4-chloro-2- fluoro-phenyl)-5-(2,4-difluorophenyl)isoxazol-4-yl]-(3-pyridyl)methanol (B.1.50);
Deltal 4-reductase inhibitors: aldimorph (B.2.1 ), dodemorph (B.2.2), dodemorph-acetate (B.2.3), fenpropimorph (B.2.4), tridemorph (B.2.5), fenpropidin (B.2.6), piperalin (B.2.7), spirox- amine (B.2.8);
Inhibitors of 3-keto reductase: fenhexamid (B.3.1 );
C) Nucleic acid synthesis inhibitors
phenylamides or acyl amino acid fungicides: benalaxyl (C.1.1 ), benalaxyl-M (C.1.2), kiral- axyl (C.1.3), metalaxyl (C.1.4), metalaxyl-M (mefenoxam, C.1.5), ofurace (C.1.6), oxadixyl (C.1.7);
others: hymexazole (C.2.1), octhilinone (C.2.2), oxolinic acid (C.2.3), bupirimate (C.2.4),
5-fluorocytosine (C.2.5), 5-fluoro-2-(p-tolylmethoxy)pyrimidin-4-amine (C.2.6), 5-fluoro-2-(4- fluorophenylmethoxy)pyrimidin-4-amine (C.2.7);
D) Inhibitors of cell division and cytoskeleton
tubulin inhibitors, such as benzimidazoles, thiophanates: benomyl (D1.1 ), carbendazim (D1.2), fuberidazole (D1.3), thiabendazole (D1.4), thiophanate-methyl (D1.5); triazolopyrimidi- nes: 5-chloro-7-(4-methylpiperidin-1 -yl)-6-(2,4,6-trifluorophenyl)-[1 ,2,4]triazolo[1 ,5-a]pyrimidine (D1.6);
other cell division inhibitors: diethofencarb (D2.1 ), ethaboxam (D2.2), pencycuron (D2.3), fluopicolide (D2.4), zoxamide (D2.5), metrafenone (D2.6), pyriofenone (D2.7);
E) Inhibitors of amino acid and protein synthesis
methionine synthesis inhibitors (anilino-pyrimidines): cyprodinil (E.1.1 ), mepanipyrim (E.1.2), pyrimethanil (E.1.3);
protein synthesis inhibitors: blasticidin-S (E.2.1 ), kasugamycin (E.2.2), kasugamycin hy- drochloride-hydrate (E.2.3), mildiomycin (E.2.4), streptomycin (E.2.5), oxytetracyclin (E.2.6), polyoxine (E.2.7), validamycin A (E.2.8);
F) Signal transduction inhibitors
MAP / histidine kinase inhibitors: fluoroimid (F.1.1), iprodione (F.1.2), procymidone (F.1.3), vinclozolin (F.1.4), fenpiclonil (F.1.5), fludioxonil (F.1.6);
G protein inhibitors: quinoxyfen (F.2.1 );
G) Lipid and membrane synthesis inhibitors
Phospholipid biosynthesis inhibitors: edifenphos (G .1.1), iprobenfos (G.1.2), pyrazophos (G.1.3), isoprothiolane (G.1.4);
lipid peroxidation: dicloran (G.2.1), quintozene (G.2.2), tecnazene (G.2.3), tolclofos-methyl (G.2.4), biphenyl (G.2.5), chloroneb (G.2.6), etridiazole (G.2.7);
phospholipid biosynthesis and cell wall deposition: dimethomorph (G.3.1 ), flumorph
(G.3.2), mandipropamid (G.3.3), pyrimorph (G.3.4), benthiavalicarb (G.3.5), iprovalicarb (G.3.6), valifenalate (G.3.7) and N-(1-(1-(4-cyano-phenyl)ethanesulfonyl)-but-2-yl) carbamic acid-(4- fluorophenyl) ester (G.3.8);
compounds affecting cell membrane permeability and fatty acides: propamocarb (G.4.1 ); fatty acid amide hydrolase inhibitors: oxathiapiprolin (G.5.1), 2-{3-[2-(1-{[3,5-bis(difluoro- methyl-1 H-pyrazol-1 -yl]acetyl}piperidin-4-yl)-1 ,3-thiazol-4-yl]-4,5-dihydro-1 ,2-oxazol-5-yl}phenyl methanesulfonate (G.5.2), 2-{3-[2-(1-{[3,5-bis(difluoromethyl)-1 H-pyrazol-1 -yl]acetyl}piperidin-4- yl) 1 ,3-thiazol-4-yl]-4,5-dihydro-1 ,2-oxazol-5-yl}-3-chlorophenyl methanesulfonate (G.5.3);
H) Inhibitors with Multi Site Action
inorganic active substances: Bordeaux mixture (H.1.1), copper acetate (H.1.2), copper hy- droxide (H.1.3), copper oxychloride (H.1.4), basic copper sulfate (H.1.5), sulfur (H.1.6);
thio- and dithiocarbamates: ferbam (H.2.1), mancozeb (H.2.2), maneb (H.2.3), metam (H.2.4), metiram (H.2.5), propineb (H.2.6), thiram (H.2.7), zineb (H.2.8), ziram (H.2.9);
organochlorine compounds (e. g. phthalimides, sulfamides, chloronitriles): anilazine (H.3.1 ), chlorothalonil (H.3.2), captafol (H.3.3), captan (H.3.4), folpet (H.3.5), dichlofluanid (H.3.6), dichlorophen (H.3.7), hexachlorobenzene (H.3.8), pentachlorphenole (H.3.9) and its salts, phthalide (H.3.10), tolylfluanid (H.3.1 1), N-(4-chloro-2-nitro-phenyl)-N-ethyl-4-methyl- benzenesulfonamide (H.3.12);
guanidines and others: guanidine (H.4.1 ), dodine (H.4.2), dodine free base (H.4.3), guazatine (H.4.4), guazatine-acetate (H.4.5), iminoctadine (H.4.6), iminoctadine-triacetate (H.4.7), iminoctadine-tris(albesilate) (H.4.8), dithianon (H.4.9), 2,6-dimethyl-1 H,5H-[1 ,4]dithi- ino[2,3-c:5,6-c']dipyrrole-1 ,3,5,7(2H,6H)-tetraone (H.4.10);
I) Cell wall synthesis inhibitors
inhibitors of glucan synthesis: validamycin (1.1.1 ), polyoxin B (1.1.2);
melanin synthesis inhibitors: pyroquilon (1.2.1), tricyclazole (1.2.2), carpropamid (I.2.3), dicyclomet (I.2.4), fenoxanil (1.2.5);
J) Plant defence inducers
acibenzolar-S-methyl (J.1.1 ), probenazole (J.1.2), isotianil (J.1.3), tiadinil (J.1.4), prohexadione-calcium (J.1.5); phosphonates: fosetyl (J.1.6), fosetyl-aluminum (J.1.7), phosphorous acid and its salts (J.1.8), potassium or sodium bicarbonate (J.1.9);
K) Unknown mode of action
bronopol (K.1.1 ), chinomethionat (K.1.2), cyflufenamid (K.1.3), cymoxanil (K.1.4), dazomet (K.1.5), debacarb (K.1.6), diclomezine (K.1.7), difenzoquat (K.1.8), difenzoquat-methylsulfate (K.1.9), diphenylamin (K.1.10), fenpyrazamine (K.1.11 ), flumetover (K.1.12), flusulfamide (K.1.13), flutianil (K.1.14), methasulfocarb (K.1.15), nitrapyrin (K.1.16), nitrothal-isopropyl (K.1.18), oxathiapiprolin (K.1.19), tolprocarb (K.1.20), oxin-copper (K.1.21), proquinazid
(K.1.22), tebufloquin (K.1.23), tecloftalam (K.1.24), triazoxide (K.1.25), 2-butoxy-6-iodo- 3-propylchromen-4-one (K.1.26), 2-[3,5-bis(difluoromethyl)-1 H-pyrazol-1 -yl]-1-[4-(4-{5-[2-(prop- 2-yn-1 -yloxy)phenyl]-4,5-dihydro-1 ,2-oxazol-3-yl}-1 ,3-thiazol-2-yl)piperidin-1 -yl]ethanone (K.1.27), 2-[3,5-bis(difluoromethyl)-1 H-pyrazol-1 -yl]-1-[4-(4-{5-[2-fluoro-6-(prop-2-yn-1-yl- oxy)phenyl]-4,5-dihydro-1 ,2-oxazol-3-yl}-1 ,3-thiazol-2-yl)piperidin-1-yl]ethanone (K.1.28), 2-[3,5- bis(difluoromethyl)-1 H-pyrazol-1 -yl]-1 -[4-(4-{5-[2-chloro-6-(prop-2-yn-1 -yloxy)phenyl]-4,5-di- hydro-1 ,2-oxazol-3-yl}-1 ,3-thiazol-2-yl)piperidin-1-yl]ethanone (K.1.29), N-(cyclo- propylmethoxyimino-(6-difluoro-methoxy-2,3-difluoro-phenyl)-methyl)-2-phenyl acetamide
(K.1.30), N'-(4-(4-chloro-3-trifluoromethyl-phenoxy)-2,5-dimethyl-phenyl)-N-ethyl-N-methyl formamidine (K.1.31), N'-(4-(4-fluoro-3-trifluoromethyl-phenoxy)-2,5-dimethyl-phenyl)-N-ethyl-N- methyl formamidine (K.1.32), N'-(2-methyl-5-trifluoromethyl-4-(3-trimethylsilanyl-propoxy)- phenyl)-N-ethyl-N-methyl formamidine (K.1.33), N'-(5-difluoromethyl-2-methyl-4-(3-tri- methylsilanyl-propoxy)-phenyl)-N-ethyl-N-methyl formamidine (K.1.34), methoxy-acetic acid 6- tert-butyl-8-fluoro-2,3-dimethyl-quinolin-4-yl ester (K.1.35), 3-[5-(4-methylphenyl)-2,3-dimethyl- isoxazolidin-3-yl]-pyridine (K.1.36), 3-[5-(4-chloro-phenyl)-2,3-dimethyl-isoxazolidin-3-yl]- pyridine (pyrisoxazole) (K.1.37), N-(6-methoxy-pyridin-3-yl) cyclopropanecarboxylic acid amide (K.1.38), 5-chloro-1-(4,6-dimethoxy-pyrimidin-2-yl)-2-methyl-1 H-benzoimidazole (K.1.39), 2-(4- chloro-phenyl)-N-[4-(3,4-dimethoxy-phenyl)-isoxazol-5-yl]-2-prop-2-ynyloxy-acetamide, ethyl (Z)-3-amino-2-cyano-3-phenyl-prop-2-enoate (K.1.40), picarbutrazox (K.1.41), pentyl N-[6-[[(Z)- [(1-methyltetrazol-5-yl)-phenyl-methylene]amino]oxymethyl]-2-pyridyl]carbamate (K.1.42), 2-[2- [(7,8-difluoro-2-methyl-3-quinolyl)oxy]-6-fluoro-phenyl]propan-2-ol (K.1.43), 2-[2-fluoro-6-[(8- fluoro-2-methyl-3-quinolyl)oxy]phen-yl]propan-2-ol (K.1.44), 3-(5-fluoro-3,3,4,4-tetramethyl-3,4- dihydroisoquinolin-1-yl)quinoline (K.1.45), 3-(4,4-difluoro-3,3-dimethyl-3,4-dihydroisoquinolin-1- yl)quinoline (K.1.46), 3-(4,4,5-trifluoro-3,3-dimethyl-3,4-dihydroisoquinolin-1-yl)quinoline
(K.1.47), 9-fluoro-2,2-dimethyl-5-(3-quinolyl)-3H-1 ,4-benzoxazepine (K.1.48).
The fungicides described by common names, their preparation and their activity e.g. against harmful fungi is known (cf.: http://www.alanwood.net/pesticides/); these substances are commercially available.
The fungicides described by IUPAC nomenclature, their preparation and their pesticidal activity is also known (cf. Can. J. Plant Sci. 48(6), 587-94, 1968; EP-A 141 317; EP-A 152 031 ; EP-A 226 917; EP-A 243 970; EP-A 256 503; EP-A 428 941 ; EP-A 532 022; EP-A 1 028 125; EP-A 1 035 122; EP-A 1 201 648; EP-A 1 122 244, JP 2002316902; DE 19650197;
DE 10021412; DE 102005009458; US 3,296,272; US 3,325,503; WO 98/46608; WO 99/14187;
WO 99/24413; WO 99/27783; WO 00/29404; WO 00/46148; WO 00/65913; WO 01/54501 ;
WO 01/56358; WO 02/22583; WO 02/40431 ; WO 03/10149; WO 03/11853; WO 03/14103;
WO 03/16286; WO 03/53145; WO 03/61388; WO 03/66609; WO 03/74491 ; WO 04/49804;
WO 04/83193; WO 05/120234; WO 05/123689; WO 05/123690; WO 05/63721 ; WO 05/87772; WO 05/87773; WO 06/15866; WO 06/87325; WO 06/87343; WO 07/82098; WO 07/90624, WO 1 1/028657, WO2012/168188, WO 2007/006670, WO 2011/77514; WO13/047749, WO
10/069882, WO 13/047441 , WO 03/16303, WO 09/90181 , WO 13/007767, WO 13/010862,
WO 13/127704, WO 13/024009, WO 13/024010 and WO 13/047441 , WO 13/162072,
WO 13/092224, WO 11/135833).
Suitable mixing partners for the compounds of the present invention also include biopesticides.
Biopesticides have been defined as a form of pesticides based on micro-organisms (bacteria, fungi, viruses, nematodes, etc.) or natural products (compounds, such as metabolites, proteins, or extracts from biological or other natural sources) (U.S. Environmental Protection Agency: http://www.epa.gov/pesticides/biopesticides/). Biopesticides fall into two major classes, microbial and biochemical pesticides:
(1 ) Microbial pesticides consist of bacteria, fungi or viruses (and often include the metabolites that bacteria and fungi produce). Entomopathogenic nematodes are also classified as microbial pesticides, even though they are multi-cellular.
(2) Biochemical pesticides are naturally occurring substances or or structurally-similar and functionally identical to a naturally-occurring substance and extracts from biological sources that control pests or provide other crop protection uses as defined below, but have non-toxic mode of actions (such as growth or developmental regulation, attractents, repellents or defence activators (e.g. induced resistance) and are relatively non-toxic to mammals.
Biopesticides for use against crop diseases have already established themselves on a variety of crops. For example, biopesticides already play an important role in controlling downy mildew diseases. Their benefits include: a 0-Day Pre-Harvest Interval, the ability to use under moderate to severe disease pressure, and the ability to use in mixture or in a rotational program with other registered pesticides.
A major growth area for biopesticides is in the area of seed treatments and soil amendments. Biopesticidal seed treatments are e.g. used to control soil borne fungal pathogens that cause seed rots, damping-off, root rot and seedling blights. They can also be used to control internal seed borne fungal pathogens as well as fungal pathogens that are on the surface of the seed. Many biopesticidal products also show capacities to stimulate plant host defenses and other physiological processes that can make treated crops more resistant to a variety of biotic and abiotic stresses or can regulate plant growth. Many biopesticidal products also show capacities to stimulate plant health, plant growth and/or yield enhancing activity.
The invention also relates to agrochemical compositions comprising an auxiliary and at least one compound of the present invention or a mixture thereof.
An agrochemical composition comprises a pesticidally effective amount of a compound of the present invention or a mixture thereof. The term "pesticidally effective amount" is defined below.
The compounds of the present invention or the mixtures thereof can be converted into customary types of agro-chemical compositions, e. g. solutions, emulsions, suspensions, dusts, powders, pastes, granules, pressings, capsules, and mixtures thereof. Examples for
composition types are suspensions (e.g. SC, OD, FS), emulsifiable concentrates (e.g. EC), emulsions (e.g. EW, EO, ES, ME), capsules (e.g. CS, ZC), pastes, pastilles, wettable powders or dusts (e.g. WP, SP, WS, DP, DS), pressings (e.g. BR, TB, DT), granules (e.g. WG, SG, GR, FG, GG, MG), insecticidal articles (e.g. LN), as well as gel formulations for the treatment of plant propagation materials such as seeds (e.g. GF). These and further compositions types are defined in the“Catalogue of pesticide formulation types and international coding system”, Technical Mono-graph No. 2, 6th Ed. May 2008, CropLife International.
The compositions are prepared in a known manner, such as described by Mollet and Grube- mann, Formulation technology, Wiley VCH, Weinheim, 2001 ; or Knowles, New developments in crop protection product formulation, Agrow Reports DS243, T&F Informa, London, 2005.
Examples for suitable auxiliaries are solvents, liquid carriers, solid carriers or fillers, surfac- tants, dispersants, emulsifiers, wetters, adjuvants, solubilizers, penetration enhancers, protec- tive colloids, adhesion agents, thickeners, humectants, repellents, attractants, feeding stimu- lants, compatibilizers, bactericides, anti-freezing agents, anti-foaming agents, colorants, tackifi- ers and binders.
Suitable solvents and liquid carriers are water and organic solvents, such as mineral oil frac- tions of medium to high boiling point, e.g. kerosene, diesel oil; oils of vegetable or animal origin; aliphatic, cyclic and aromatic hydrocarbons, e. g. toluene, paraffin, tetrahydronaphthalene, al-
kylated naphthalenes; alcohols, e.g. ethanol, propanol, butanol, benzylalcohol, cyclo^hexanol; glycols; DMSO; ketones, e.g. cyclohexanone; esters, e.g. lactates, carbonates, fatty acid esters, gamma-butyrolactone; fatty acids; phosphonates; amines; amides, e.g. N-methylpyrrolidone, fatty acid dimethylamides; and mixtures thereof.
Suitable solid carriers or fillers are mineral earths, e.g. silicates, silica gels, talc, kaolins, lime- stone, lime, chalk, clays, dolomite, diatomaceous earth, bentonite, calcium sulfate, magnesium sulfate, magnesium oxide; polysaccharide powders, e.g. cellulose, starch; fertilizers, e.g.
ammonium sulfate, ammonium phosphate, ammonium nitrate, ureas; products of vegetable origin, e.g. cereal meal, tree bark meal, wood meal, nutshell meal, and mixtures thereof.
Suitable surfactants are surface-active compounds, such as anionic, cationic, nonionic and amphoteric surfactants, block polymers, polyelectrolytes, and mixtures thereof. Such surfactants can be used as emusifier, dispersant, solubilizer, wetter, penetration enhancer, protective colloid, or adjuvant. Examples of surfactants are listed in McCutcheon’s, Vol.1 : Emulsifiers & Detergents, McCutcheon’s Directories, Glen Rock, USA, 2008 (International Ed. or North American Ed.).
Suitable anionic surfactants are alkali, alkaline earth or ammonium salts of sulfonates, sul- fates, phosphates, carboxylates, and mixtures thereof. Examples of sulfonates are alkylaryl- sulfonates, diphenylsulfonates, alpha-olefin sulfonates, lignine sulfonates, sulfonates of fatty acids and oils, sulfonates of ethoxylated alkylphenols, sulfonates of alkoxylated arylphenols, sulfonates of condensed naphthalenes, sulfonates of dodecyl- and tridecylbenzenes, sulfonates of naphthalenes and alkyhnaphthalenes, sulfosuccinates or sulfosuccinamates. Examples of sulfates are sulfates of fatty acids and oils, of ethoxylated alkylphenols, of alcohols, of ethox- ylated alcohols, or of fatty acid esters. Examples of phosphates are phosphate esters. Exam- pies of carboxylates are alkyl carboxylates, and carboxylated alcohol or alkylphenol eth- oxylates.
Suitable nonionic surfactants are alkoxylates, N-subsituted fatty acid amides, amine oxides, esters, sugar-based surfactants, polymeric surfactants, and mixtures thereof. Examples of alkoxylates are compounds such as alcohols, alkylphenols, amines, amides, arylphenols, fatty acids or fatty acid esters which have been alkoxylated with 1 to 50 equivalents. Ethylene oxide and/or propylene oxide may be employed for the alkoxylation, preferably ethylene oxide. Exam- pies of N-subsititued fatty acid amides are fatty acid glucamides or fatty acid alkanolamides. Examples of esters are fatty acid esters, glycerol esters or monoglycerides. Examples of sugar- based surfactants are sorbitans, ethoxylated sorbitans, sucrose and glucose esters or alkylpolyglucosides. Examples of polymeric surfactants are homo- or copolymers of
vinylpyrrolidone, vinylalcohols, or vinylacetate.
Suitable cationic surfactants are quaternary surfactants, e.g. quaternary ammonium
compounds with one or two hydrophobic groups, or salts of long-chain primary amines. Suitable amphoteric surfactants are alkylbetains and imidazolines. Suitable block polymers are block polymers of the A-B or A-B-A type comprising blocks of polyethylene oxide and polypropylene oxide, or of the A-B-C type comprising alkanol, polyethylene oxide and polypropylene oxide. Suitable polyelectrolytes are polyacids or polybases. Examples of polyacids are alkali salts of polyacrylic acid or polyacid comb polymers. Examples of polybases are polyvinylamines or polyethyleneamines.
Suitable adjuvants are compounds, which have a neglectable or even no pesticidal activity themselves, and which improve the biological performance of the compounds of the present invention on the target. Examples are surfactants, mineral or vegetable oils, and other auxilaries. Further examples are listed by Knowles, Adjuvants and additives, Agrow Reports DS256, T&F Informa UK, 2006, chapter 5.
Suitable thickeners are polysaccharides (e.g. xanthan gum, carboxymethylcellulose), anorganic clays (organically modified or unmodified), polycarboxylates, and silicates.
Suitable bactericides are bronopol and isothiazolinone derivatives such as alkylisothiazoli- nones and benzisothiazolinones.
Suitable anti-freezing agents are ethylene glycol, propylene glycol, urea and glycerin.
Suitable anti-foaming agents are silicones, long chain alcohols, and salts of fatty acids.
Suitable colorants (e.g. in red, blue, or green) are pigments of low water solubility and water- soluble dyes. Examples are inorganic colorants (e.g. iron oxide, titan oxide, iron hexacyanofer- rate) and organic colorants (e.g. alizarin-, azo- and phthalocyanine colorants).
Suitable tackifiers or binders are polyvinylpyrrolidons, polyvinylacetates, polyvinyl alcohols, polyacrylates, biological or synthetic waxes, and cellulose ethers.
Examples for composition types and their preparation are:
i) Water-soluble concentrates (SL, LS)
10-60 wt% of a compound I according to the invention and 5-15 wt% wetting agent (e.g.
alcohol alkoxylates) are dissolved in water and/or in a water-soluble solvent (e.g. alcohols) up to 100 wt%. The active substance dissolves upon dilution with water.
ii) Dispersible concentrates (DC)
5-25 wt% of a compound I according to the invention and 1-10 wt% dispersant (e. g. polyvi- nylpyrrolidone) are dissolved in up to 100 wt% organic solvent (e.g. cyclohexanone). Dilution with water gives a dispersion.
iii) Emulsifiable concentrates (EC)
15-70 wt% of a compound I according to the invention and 5-10 wt% emulsifiers (e.g. calcium dodecylbenzenesulfonate and castor oil ethoxylate) are dissolved in up to 100 wt% water- insoluble organic solvent (e.g. aromatic hydrocarbon). Dilution with water gives an emulsion. iv) Emulsions (EW, EO, ES)
5-40 wt% of a compound I according to the invention and 1-10 wt% emulsifiers (e.g. calcium dodecylbenzenesulfonate and castor oil ethoxylate) are dissolved in 20-40 wt% water-insoluble organic solvent (e.g. aromatic hydrocarbon). This mixture is introduced into up to 100 wt% water by means of an emulsifying machine and made into a homogeneous emulsion. Dilution with water gives an emulsion.
v) Suspensions (SC, OD, FS)
In an agitated ball mill, 20-60 wt% of a compound I according to the invention are comminuted with addition of 2-10 wt% dispersants and wetting agents (e.g. sodium lignosulfonate and alcohol ethoxylate), 0,1-2 wt% thickener (e.g. xanthan gum) and up to 100 wt% water to give a fine active substance suspension. Dilution with water gives a stable suspension of the active sub-stance. For FS type composition up to 40 wt% binder (e.g. polyvinylalcohol) is added.
vi) Water-dispersible granules and water-soluble granules (WG, SG)
50-80 wt% of a compound I according to the invention are ground finely with addition of up to 100 wt% dispersants and wetting agents (e.g. sodium lignosulfonate and alcohol ethoxylate)
and prepared as water-dispersible or water-soluble granules by means of technical appliances (e. g. extrusion, spray tower, fluidized bed). Dilution with water gives a stable dispersion or solution of the active substance.
vii) Water-dispersible powders and water-soluble powders (WP, SP, WS)
50-80 wt% of a compound I according to the invention are ground in a rotor-stator mill with ad- dition of 1-5 wt% dispersants (e.g. sodium lignosulfonate), 1-3 wt% wetting agents (e.g. alcohol ethoxylate) and up to 100 wt% solid carrier, e.g. silica gel. Dilution with water gives a stable dis persion or solution of the active substance.
viii) Gel (GW, GF)
In an agitated ball mill, 5-25 wt% of a compound I according to the invention are comminuted with addition of 3-10 wt% dispersants (e.g. sodium lignosulfonate), 1-5 wt% thickener (e.g. car- boxymethylcellulose) and up to 100 wt% water to give a fine suspension of the active sub- stance. Dilution with water gives a stable suspension of the active substance.
ix) Microemulsion (ME)
5-20 wt% of a compound I according to the invention are added to 5-30 wt% organic solvent blend (e.g. fatty acid dimethylamide and cyclohexanone), 10-25 wt% surfactant blend (e.g. alkohol ethoxylate and arylphenol ethoxylate), and water up to 100 %. This mixture is stirred for 1 h to produce spontaneously a thermodynamically stable microemulsion.
x) Microcapsules (CS)
An oil phase comprising 5-50 wt% of a compound I according to the invention, 0-40 wt% water insoluble organic solvent (e.g. aromatic hydrocarbon), 2-15 wt% acrylic monomers (e.g.
methylmethacrylate, methacrylic acid and a di- or triacrylate) are dispersed into an aqueous solution of a protective colloid (e.g. polyvinyl alcohol). Radical polymerization initiated by a radi cal initiator results in the formation of poly(meth)acrylate microcapsules. Alternatively, an oil phase comprising 5-50 wt% of a compound I according to the invention, 0-40 wt% water insolu- ble organic solvent (e.g. aromatic hydrocarbon), and an isocyanate monomer (e.g. diphenylme- thene-4,4’-diisocyanatae) are dispersed into an aqueous solution of a protective colloid (e.g. polyvinyl alcohol). The addition of a polyamine (e.g. hexamethylenediamine) results in the for- mation of a polyurea microcapsule. The monomers amount to 1-10 wt%. The wt% relate to the total CS composition.
xi) Dustable powders (DP, DS)
1-10 wt% of a compound I according to the invention are ground finely and mixed intimately with up to 100 wt% solid carrier, e.g. finely divided kaolin.
xii) Granules (GR, FG)
0.5-30 wt% of a compound I according to the invention is ground finely and associated with up to 100 wt% solid carrier (e.g. silicate). Granulation is achieved by extrusion, spray-drying or the fluidized bed.
xiii) Ultra-low volume liquids (UL)
1-50 wt% of a compound I according to the invention are dissolved in up to 100 wt% organic solvent, e.g. aromatic hydrocarbon.
The compositions types i) to xi) may optionally comprise further auxiliaries, such as 0.1-1 wt% bactericides, 5-15 wt% anti-freezing agents, 0.1-1 wt% anti-foaming agents, and 0.1-1 wt% col- ora nts.
The agrochemical compositions generally comprise between 0.01 and 95%, preferably be- tween 0.1 and 90%, and most preferably between 0.5 and 75%, by weight of active sub-stance. The active substances are employed in a purity of from 90% to 100%, preferably from 95% to 100% (according to NMR spectrum).
Various types of oils, wetters, adjuvants, fertilizer, or micronutrients, and other pesticides (e.g. herbicides, insecticides, fungicides, growth regulators, safeners) may be added to the active substances or the compositions cormprising them as premix or, if appropriate not until immediately prior to use (tank mix). These agents can be admixed with the compositions according to the invention in a weight ratio of 1 :100 to 100:1 , preferably 1 :10 to 10:1.
The user applies the composition according to the invention usually from a predosage de-vice, a knapsack sprayer, a spray tank, a spray plane, or an irrigation system. Usually, the
agrochemical composition is made up with water, buffer, and/or further auxiliaries to the desired application concentration and the ready-to-use spray liquor or the agrochemical composition according to the invention is thus obtained. Usually, 20 to 2000 liters, preferably 50 to 400 liters, of the ready-to-use spray liquor are applied per hectare of agricultural useful area.
According to one embodiment, individual components of the composition according to the in- vention such as parts of a kit or parts of a binary or ternary mixture may be mixed by the user himself in a spray tank and further auxiliaries may be added, if appropriate.
In a further embodiment, either individual components of the composition according to the in- vention or partially premixed components, e. g. components comprising compounds of the present invention and/or mixing partners as defined above, may be mixed by the user in a spray tank and further auxiliaries and additives may be added, if appropriate.
In a further embodiment, either individual components of the composition according to the in- vention or partially premixed components, e. g. components comprising compounds of the present invention and/or mixing partners as defined above, can be applied jointly (e.g. after tank mix) or consecutively.
The compounds of the present invention are suitable for use in protecting crops, plants, plant propagation materials, such as seeds, or soil or water, in which the plants are growing, from attack or infestation by animal pests. Therefore, the present invention also relates to a plant pro- tection method, which comprises contacting crops, plants, plant propagation materials, such as seeds, or soil or water, in which the plants are growing, to be protected from attack or infestation by animal pests, with a pesticidally effective amount of a compound of the present invention.
The compounds of the present invention are also suitable for use in combating or controlling animal pests. Therefore, the present invention also relates to a method of combating or controlling animal pests, which comprises contacting the animal pests, their habitat, breeding ground, or food supply, or the crops, plants, plant propagation materials, such as seeds, or soil, or the area, material or environment in which the animal pests are growing or may grow, with a pesticidally effective amount of a compound of the present invention.
The compounds of the present invention are effective through both contact and ingestion. Furthermore, the compounds of the present invention can be applied to any and all
developmental stages, such as egg, larva, pupa, and adult.
The compounds of the present invention can be applied as such or in form of compositions comprising them as defined above. Furthermore, the compounds of the present invention can be applied together with a mixing partner as defined above or in form of compositions compri- sing said mixtures as defined above. The components of said mixture can be applied
simultaneously, jointly or separately, or in succession, that is immediately one after another and thereby creating the mixture“in situ” on the desired location, e.g. the plant, the sequence, in the case of separate application, generally not having any effect on the result of the control measures.
The application can be carried out both before and after the infestation of the crops, plants, plant propagation materials, such as seeds, soil, or the area, material or environment by the pests.
Suitable application methods include inter alia soil treatment, seed treatment, in furrow appli cation, and foliar application. Soil treatment methods include drenching the soil, drip irrigation (drip application onto the soil), dipping roots, tubers or bulbs, or soil injection. Seed treatment techniques include seed dressing, seed coating, seed dusting, seed soaking, and seed pelleting. In furrow applications typically include the steps of making a furrow in cultivated land, seeding the furrow with seeds, applying the pesticidally active compound to the furrow, and closing the furrow. Foliar application refers to the application of the pesticidally active compound to plant foliage, e.g. through spray equipment. For foliar applications, it can be advantageous to modify the behavior of the pests by use of pheromones in combination with the compounds of the present invention. Suitable pheromones for specific crops and pests are known to a skilled person and publicly available from databases of pheromones and semiochemicals, such as http://www.pherobase.com.
As used herein, the term "contacting" includes both direct contact (applying the
compounds/compositions directly on the animal pest or plant - typically to the foliage, stem or roots of the plant) and indirect contact (applying the compounds/compositions to the locus, i.e. habitat, breeding ground, plant, seed, soil, area, material or environment in which a pest is growing or may grow, of the animal pest or plant).
The term“animal pest” includes arthropods, gastropods, and nematodes. Preferred animal pests according to the invention are arthropods, preferably insects and arachnids, in particular insects. Insects, which are of particular relevance for crops, are typically referred to as crop insect pests.
The term "crop" refers to both, growing and harvested crops.
The term“plant” includes cereals, e.g. durum and other wheat, rye, barley, triticale, oats, rice, or maize (fodder maize and sugar maize / sweet and field corn); beet, e.g. sugar beet or fodder beet; fruits, such as pomes, stone fruits or soft fruits, e.g. apples, pears, plums, peaches, nectarines, almonds, cherries, papayas, strawberries, raspberries, blackberries or gooseberries; leguminous plants, such as beans, lentils, peas, alfalfa or soybeans; oil plants, such as rape- seed (oilseed rape), turnip rape, mustard, olives, sunflowers, coconut, cocoa beans, castor oil plants, oil palms, ground nuts or soybeans; cucurbits, such as squashes, pumpkins, cucumber or melons; fiber plants, such as cotton, flax, hemp or jute; citrus fruit, such as oranges, lemons, grapefruits or mandarins; vegetables, such as eggplant, spinach, lettuce (e.g. iceberg lettuce), chicory, cabbage, asparagus, cabbages, carrots, onions, garlic, leeks, tomatoes, potatoes, cucurbits or sweet peppers; lauraceous plants, such as avocados, cinnamon or camphor;
energy and raw material plants, such as corn, soybean, rapeseed, sugar cane or oil palm;
tobacco; nuts, e.g. walnuts; pistachios; coffee; tea; bananas; vines (table grapes and grape juice grape vines); hop; sweet leaf (also called Stevia); natural rubber plants or ornamental and forestry plants, such as flowers (e.g. carnation, petunias, geranium/pelargoniums, pansies and impatiens), shrubs, broad-leaved trees (e.g. poplar) or evergreens, e.g. conifers; eucalyptus; turf; lawn; grass such as grass for animal feed or ornamental uses. Preferred plants include potatoes sugar beets, tobacco, wheat, rye, barley, oats, rice, corn, cotton, soybeans, rapeseed, legumes, sunflowers, coffee or sugar cane; fruits; vines; ornamentals; or vegetables, such as cucumbers, tomatoes, beans or squashes.
The term“plant” is to be understood as including wild type plants and plants, which have been modified by either conventional breeding, or mutagenesis or genetic engineering, or by a combination thereof.
Plants, which have been modified by mutagenesis or genetic engineering, and are of particular commercial importance, include alfalfa, rapeseed (e.g. oilseed rape), bean, carnation, chicory, cotton, eggplant, eucalyptus, flax, lentil, maize, melon, papaya, petunia, plum, poplar, potato, rice, soybean, squash, sugar beet, sugarcane, sunflower, sweet pepper, tobacco, tomato, and cereals (e.g. wheat), in particular maize, soybean, cotton, wheat, and rice. In plants, which have been modified by mutagenesis or genetic engineering, one or more genes have been mutage- nized or integrated into the genetic material of the plant. The one or more mutagenized or integrated genes are preferably selected from pat, epsps, crylAb, bar, cry1 Fa2, crylAc, cry34Ab1 , cry35AB1 , cry3A, cryF, cry1 F, mcry3a, cry2Ab2, cry3Bb1 , cry1A.105, dfr, barnase, vip3Aa20, barstar, als, bxn, bp40, asn1 , and ppo5. The mutagenesis or integration of the one or more genes is performed in order to improve certain properties of the plant. Such properties, also known as traits, include abiotic stress tolerance, altered growth/yield, disease resistance, herbicide tolerance, insect resistance, modified product quality, and pollination control. Of these properties, herbicide tolerance, e.g. imidazolinone tolerance, glyphosate tolerance, or glufosi- nate tolerance, is of particular importance. Several plants have been rendered tolerant to herbicides by mutagenesis, e.g. Clearfield® oilseed rape being tolerant to imidazolinones, e.g. imazamox. Alternatively, genetic engineering methods have been used to render plants, such as soybean, cotton, corn, beets and oil seed rape, tolerant to herbicides, such as glyphosate and glufosinate, some of which are commercially available under the trade names Roundup- Ready® (glyphosate) and LibertyLink® (glufosinate). Furthermore, insect resistance is of importance, in particular lepidopteran insect resistance and coleopteran insect resistance.
Insect resistance is typically achieved by modifying plants by integrating cry and/or vip genes, which were isolated from Bacillus thuringiensis (Bt), and code for the respective Bt toxins.
Genetically modified plants with insect resistance are commercially available under trade names including WideStrike®, Bollgard®, Agrisure®, Herculex®, YieldGard®, Genuity®, and Intacta®. Plants may be modified by mutagenesis or genetic engineering either in terms of one property (singular traits) or in terms of a combination of properties (stacked traits). Stacked traits, e.g. the combination of herbicide tolerance and insect resistance, are of increasing importance. In general, all relevant modified plants in connection with singular or stacked traits as well as detailed information as to the mutagenized or integrated genes and the respective events are available from websites of the organizations“International Service for the Acquisition of Agri-
biotech Applications (ISAAA)” (http://www.isaaa.org/gmapprovaldatabase) and“Center for Environmental Risk Assessment (CERA)” (http://cera-gmc.org/GMCropDatabase).
It has surprisingly been found that the pesticidal activity of the compounds of the present invention may be enhanced by the insecticidal trait of a modified plant. Furthermore, it has been found that the compounds of the present invention are suitable for preventing insects to become resistant to the insecticidal trait or for combating pests, which already have become resistant to the insecticidal trait of a modified plant. Moreover, the compounds of the present invention are suitable for combating pests, against which the insecticidal trait is not effective, so that a complementary insecticidal activity can advantageously be used.
The term "plant propagation material" refers to all the generative parts of the plant such as seeds and vegetative plant material such as cuttings and tubers (e.g. potatoes), which can be used for the multiplication of the plant. This includes seeds, roots, fruits, tubers, bulbs, rhizomes, shoots, sprouts and other parts of plants. Seedlings and young plants, which are to be transplanted after germination or after emergence from soil, may also be included. These plant propagation materials may be treated prophylactically with a plant protection compound either at or before planting or transplanting.
The term“seed” embraces seeds and plant propagules of all kinds including but not limited to true seeds, seed pieces, suckers, corms, bulbs, fruit, tubers, grains, cuttings, cut shoots and the like, and means in a preferred embodiment true seeds.
In general, "pesticidally effective amount" means the amount of active ingredient needed to achieve an observable effect on growth, including the effects of necrosis, death, retardation, prevention, and removal, destruction, or otherwise diminishing the occurrence and activity of the target organism. The pesticidally effective amount can vary for the various compounds/composi- tions used in the invention. A pesticidally effective amount of the compositions will also vary according to the prevailing conditions such as desired pesticidal effect and duration, weather, target species, locus, mode of application, and the like.
In the case of soil treatment, in furrow application or of application to the pests dwelling place or nest, the quantity of active ingredient ranges from 0.0001 to 500 g per 100 m2, preferably from 0.001 to 20 g per 100 m2.
For use in treating crop plants, e.g. by foliar application, the rate of application of the active ingredients of this invention may be in the range of 0.0001 g to 4000 g per hectare, e.g. from 1 g to 2 kg per hectare or from 1 g to 750 g per hectare, desirably from 1 g to 100 g per hectare, more desirably from 10 g to 50 g per hectare, e.g., 10 to 20 g per hectare, 20 to 30 g per hectare, 30 to 40 g per hectare, or 40 to 50 g per hectare.
The compounds of the present invention are particularly suitable for use in the treatment of seeds in order to protect the seeds from insect pests, in particular from soil-living insect pests, and the resulting seedling’s roots and shoots against soil pests and foliar insects. The present invention therefore also relates to a method for the protection of seeds from insects, in particular from soil insects, and of the seedling's roots and shoots from insects, in particular from soil and foliar insects, said method comprising treating the seeds before sowing and/or after
pregermination with a compound of the present invention. The protection of the seedling's roots and shoots is preferred. More preferred is the protection of seedling’s shoots from piercing and sucking insects, chewing insects and nematodes.
The term“seed treatment” comprises all suitable seed treatment techniques known in the art, such as seed dressing, seed coating, seed dusting, seed soaking, seed pelleting, and in-furrow application methods. Preferably, the seed treatment application of the active compound is carried out by spraying or by dusting the seeds before sowing of the plants and before emergence of the plants.
The present invention also comprises seeds coated with or containing the active compound. The term "coated with and/or containing" generally signifies that the active ingredient is for the most part on the surface of the propagation product at the time of application, although a greater or lesser part of the ingredient may penetrate into the propagation product, depending on the method of application. When the said propagation product is (re)planted, it may absorb the active ingredient.
Suitable seed is e.g. seed of cereals, root crops, oil crops, vegetables, spices, ornamentals, e.g. seed of durum and other wheat, barley, oats, rye, maize (fodder maize and sugar maize / sweet and field corn), soybeans, oil crops, crucifers, cotton, sunflowers, bananas, rice, oilseed rape, turnip rape, sugarbeet, fodder beet, eggplants, potatoes, grass, lawn, turf, fodder grass, tomatoes, leeks, pumpkin/squash, cabbage, iceberg lettuce, pepper, cucumbers, melons, Bras- sica species, melons, beans, peas, garlic, onions, carrots, tuberous plants such as potatoes, sugar cane, tobacco, grapes, petunias, geranium/pelargoniums, pansies and impatiens.
In addition, the active compound may also be used for the treatment of seeds from plants, which have been modified by mutagenisis or genetic engineering, and which e.g. tolerate the action of herbicides or fungicides or insecticides. Such modified plants have been described in detail above.
Conventional seed treatment formulations include e.g. flowable concentrates FS, solutions LS, suspoemulsions (SE), powders for dry treatment DS, water dispersible powders for slurry treat- ment WS, water-soluble powders SS and emulsion ES and EC and gel formulation GF. These formulations can be applied to the seed diluted or undiluted. Application to the seeds is carried out before sowing, either directly on the seeds or after having pregerminated the latter.
Preferably, the formulations are applied such that germination is not included.
The active substance concentrations in ready-to-use formulations, which may be obtained after two-to-tenfold dilution, are preferably from 0.01 to 60% by weight, more preferably from 0.1 to 40 % by weight.
In a preferred embodiment a FS formulation is used for seed treatment. Typically, a FS for- mulation may comprise 1-800 g/l of active ingredient, 1-200 g/l Surfactant, 0 to 200 g/l antifreezing agent, 0 to 400 g/l of binder, 0 to 200 g/l of a pigment and up to 1 liter of a solvent, preferably water.
Especially preferred FS formulations of the compounds of the present invention for seed treat- ment usually comprise from 0.1 to 80% by weight (1 to 800 g/l) of the active ingredient, from 0.1 to 20 % by weight (1 to 200 g/l) of at least one surfactant, e.g. 0.05 to 5 % by weight of a wetter and from 0.5 to 15 % by weight of a dispersing agent, up to 20 % by weight, e.g. from 5 to 20 % of an anti-freeze agent, from 0 to 15 % by weight, e.g. 1 to 15 % by weight of a pigment and/or a dye, from 0 to 40 % by weight, e.g. 1 to 40 % by weight of a binder (sticker /adhesion agent), optionally up to 5 % by weight, e.g. from 0.1 to 5 % by weight of a thickener, optionally from 0.1 to 2 % of an anti-foam agent, and optionally a preservative such as a biocide, antioxidant or the like, e.g. in an amount from 0.01 to 1 % by weight and a filler/vehicle up to 100 % by weight.
In the treatment of seed, the application rates of the compounds of the invention are generally from 0.1 g to 10 kg per 100 kg of seed, preferably from 1 g to 5 kg per 100 kg of seed, more preferably from 1 g to 1000 g per 100 kg of seed and in particular from 1 g to 200 g per 100 kg of seed, e.g. from 1 g to 100 g or from 5 g to 100 g per 100 kg of seed.
The invention therefore also relates to seed comprising a compound of the present invention, or an agriculturally useful salt thereof, as defined herein. The amount of the compound of the present invention or the agriculturally useful salt thereof will in general vary from 0.1 g to 10 kg per 100 kg of seed, preferably from 1 g to 5 kg per 100 kg of seed, in particular from 1 g to 1000 g per 100 kg of seed. For specific crops such as lettuce the rate can be higher.
The compounds of the present invention may also be used for improving the health of a plant. Therefore, the present invention also relates to a method for improving plant health by treating a plant, plant propagation material and/or the locus where the plant is growing or is to grow with an effective and non-phytotoxic amount of a compound of the present invention.
As used herein“an effective and non-phytotoxic amount” means that the compound is used in a quantity which allows to obtain the desired effect but which does not give rise to any phyto- toxic symptom on the treated plant or on the plant grown from the treated propagule or treated soil.
The terms“plant” and“plant propagation material” are defined above.
"Plant health" is defined as a condition of the plant and/or its products which is determined by several aspects alone or in combination with each other such as yield (e.g. increased biomass and/or increased content of valuable ingredients), quality (e.g. improved content or composition of certain ingredients or shelf life), plant vigour (e.g. improved plant growth and/or greener leaves (“greening effect”), tolerance to abiotic (e.g. drought) and/or biotic stress (e.g. disease) and production efficiency (for example, harvesting efficiency, processability).
The above identified indicators for the health condition of a plant may be interdependent and may result from each other. Each indicator is defined in the art and can be determined by methods known to a skilled person.
The compounds of the invention are also suitable for use against non-crop insect pests. For use against said non-crop pests, compounds of the present invention can be used as bait composition, gel, general insect spray, aerosol, as ultra-low volume application and bed net (impregnated or surface applied). Furthermore, drenching and rodding methods can be used.
As used herein, the term“non-crop insect pest” refers to pests, which are particularly relevant for non-crop targets, such as ants, termites, wasps, flies, ticks, mosquitos, crickets, or cockroaches.
The bait can be a liquid, a solid or a semisolid preparation (e.g. a gel). The bait employed in the composition is a product, which is sufficiently attractive to incite insects such as ants, termites, wasps, flies, mosquitos, crickets etc. or cockroaches to eat it. The attractiveness can be manipulated by using feeding stimulants or sex pheromones. Food stimulants are chosen, for example, but not exclusively, from animal and/or plant proteins (meat-, fish- or blood meal, insect parts, egg yolk), from fats and oils of animal and/or plant origin, or mono-, oligo- or polyorganosaccharides, especially from sucrose, lactose, fructose, dextrose, glucose, starch, pectin or even molasses or honey. Fresh or decaying parts of fruits, crops, plants, animals,
insects or specific parts thereof can also serve as a feeding stimulant. Sex pheromones are known to be more insect specific. Specific pheromones are described in the literature (e.g. http://www.pherobase.com), and are known to those skilled in the art.
For use in bait compositions, the typical content of active ingredient is from 0.001 weight % to 15 weight %, desirably from 0.001 weight % to 5% weight % of active compound.
Formulations of the compounds of the present invention as aerosols (e.g in spray cans), oil sprays or pump sprays are highly suitable for the non-professional user for controlling pests such as flies, fleas, ticks, mosquitos or cockroaches. Aerosol recipes are preferably composed of the active compound, solvents, furthermore auxiliaries such as emulsifiers, perfume oils, if appropriate stabilizers, and, if required, propellants.
The oil spray formulations differ from the aerosol recipes in that no propellants are used.
For use in spray compositions, the content of active ingredient is from 0.001 to 80 weights %, preferably from 0.01 to 50 weight % and most preferably from 0.01 to 15 weight %.
The compounds of the present invention and its respective compositions can also be used in mosquito and fumigating coils, smoke cartridges, vaporizer plates or long-term vaporizers and also in moth papers, moth pads or other heat-independent vaporizer systems.
Methods to control infectious diseases transmitted by insects (e.g. malaria, dengue and yellow fever, lymphatic filariasis, and leishmaniasis) with compounds of the present invention and its respective compositions also comprise treating surfaces of huts and houses, air spraying and impregnation of curtains, tents, clothing items, bed nets, tsetse-fly trap or the like. Insecticidal compositions for application to fibers, fabric, knitgoods, nonwovens, netting material or foils and tarpaulins preferably comprise a mixture including the insecticide, optionally a repellent and at least one binder.
The compounds of the present invention and its compositions can be used for protecting wooden materials such as trees, board fences, sleepers, frames, artistic artifacts, etc. and buildings, but also construction materials, furniture, leathers, fibers, vinyl articles, electric wires and cables etc. from ants and/or termites, and for controlling ants and termites from doing harm to crops or human being (e.g. when the pests invade into houses and public facilities).
Customary application rates in the protection of materials are, for example, from 0.001 g to 2000 g or from 0.01 g to 1000 g of active compound per m2 treated material, desirably from 0.1 g to 50 g per m2.
Insecticidal compositions for use in the impregnation of materials typically contain from 0.001 to 95 weight %, preferably from 0.1 to 45 weight %, and more preferably from 1 to 25 weight % of at least one repellent and/or insecticide.
The compounds of the the present invention are especially suitable for efficiently combating animal pests such as arthropods, gastropods and nematodes including but not limited to:
insects from the order of Lepidoptera, e.g. Achroia grisella, Aderis spp. such as A. fimbriana,
A. gloverana, A. variana; Acrolepiopsis assectella, Acronicta major, Adoxophyes spp. such as A. cyrtosema, A. orana; Aedia leucomelas, Agrotis spp. such as A. exdamationis, A. fucosa, A. ipsilon, A. orthogoma, A. segetum, A. subterranea; Alabama argillacea, Aleurodicus dispersus, Alsophila pometaria, Ampelophaga rubiginosa, Amyelois transitella, Anacampsis sardtella, Ana- gasta kuehniella, Anarsia lineatella, Anisota senatoria, Antheraea pernyi, Anticarsia (=Therme- sia) spp. such as A. gemmata!is; Apamea spp., Aproaerema modicella, Archips spp. such as A.
argyrospHa, A. fuscocupreanus, A. rosana, A. xyioseanus; Argyresthia conjugella, Argyroploce spp., Argyrotaenia spp. such as A. velutinana; Athetis mindara, Austroasca viridigrisea,
Autograph a gamma, Autograph a nigrisigna, Barathra brassicae, Bedel Ha spp., Bonagota salubricola, Borbo cinnara, Bucculatrix thurberiella, Bupalus piniarius, Busseo/a spp., Cacoecia spp. such as C. murinana, C. podana; Cactoblastis cactorum, Cadra cautella, Caiingo braziHensis, Caloptilis theivora, Capua reticulana, Carposina spp. such as C. niponensis, C. sasakii; Cephus spp., Chaetocnema aridula, Cheimatobia brumata, ChHo spp. such as C.
Indicus, C. suppressa/is, C. partellus; Choreutis pariana, Choristoneura spp. such as C.
confHctana, C. fumiferana, C. longicellana, C. murinana, C. occidentalis, C. rosaceana;
Chrysodeixis (=Pseudoptusia) spp. such as C. eriosoma, C. inc/udens; Cirphis unipuncta, Ctysia ambiguella, Cnaphalocerus spp. , Cnapha/ocrocis medinaHs, Cnephasia spp., Cochylis hospes, Coleophora spp., Colias eurytheme, Conopomorpha spp., Conotrache!us spp. , Copitarsia spp., Corcyra cepha/onica, Crambus caliginosellus, Crambus teterrellus, Crocidosema (=Epinotia) aporema, Cydalima (=Diaphania) perspecta/is, Cydia (=Carpocapsa) spp. such as C.
pomonella, C. latiferreana; Da/aca noctuides, Datana integerrima, Dasychira pinico/a,
Dendrolimus spp. such as D. pini, D. spectab/i/s, D. sibiricus; Desmia funerah's, Diaphania spp. such as D. nitidatis, D. hyaHnata; Diatraea grandiosella, Diatraea saccharaHs, Diphthera festiva, Earias spp. such as E. insutana, E. vittella; Ecdyto/opha aurantianu, Egira (=Xytomyges) curialis, Elasmopalpus iignose/ius, Eldana saccharina, Endopiza viteana, Ennomos subsignaria, Eoreuma loftini, Ephestia spp. such as E. cautella, E. elutella, E. kuehniella; Epinotia aporema, Epiphyas postvittana, Erannis tiHaria, Erionota thrax, Etietta spp., Eulia spp., EupoecHia ambiguella, Euproctis chrysorrhoea, Euxoa spp., Evetria boutiana, Faronta albilinea, Feltia spp. such as F. subterranean; Galleria mellonella, Gradiiaria spp., Graphoh'ta spp. such as G.
funebrana, G. mo/esta, G. inopinata; Halysidota spp., Harrisina americana, Hedyiepta spp., HeHcoverpa spp. such as H. armigera (=Heliothis armigera), H. zea (=Heliothis zea); He/iothis spp. such as H. assu/ta, H. subftexa, H. virescens; Hellula spp. such as H. unda/is, H. rogatah's; Hetocoverpa getotopoeon, Flemileuca otiviae, Herpetogramma licarsisalis, Hibernia defoiiaria, HofmannophHa pseudospreteiia, Homoeosoma eiecteiium, Homona magnanima, Hypena scabra, Hyphantria cunea, Hyponomeuta padeiia, Hyponomeuta malinellus, Kakivoria fiavofasciata, Keiferia iycopersiceiia, Lambdina fisceiiaria fisceiiaria, Lambdina fisceiiaria iugubrosa, Lamprosema indicata, Laspeyresia moiesta, Leguminivora glycinivorella, Lerodea eufaia, Leucinodes orbonaiis, Leucoma sa/icis, Leucoptera spp. such as L. coffeeiia, L. sciteiia; Leuminivora lycinivorella, Lithocoiietis biancardeiia, Lithophane antennata, Uattia octo (=Amyna axis), Lobesia botrana, L ophocampa spp., Loxagrotis aibicosta, Loxostege spp. such as L. stictica/is, L. cereraiis; Lymantria spp. such as L. dispar, L. monacha; Lyonetia cierkeiia,
Lyonetia prunifoliella, Maiacosoma spp. such as M. americanum, M. caiifornicum, M. constrict- tum, M. neustria; Mamestra spp. such as M. brassicae, M. configurate; Mamstra brassicae, Manduca spp. such as M. quinquemacuiata, M. sexta; Marasmia spp, Marmara s ., Maruca testu/a/is, Megaiopyge ianata, Meianchra picta, Meianitis ieda, Mods spp. such as M. iapites, M. repanda; Mods iatipes, Monochroa fragariae, Mythimna separata, Nemapogon doaceiia, Neoieucinodes eiegantaiis, Nepytia spp., Nymph u la spp., Oiketicus spp., Omiodes indicata, Omphisa anastomosaiis, Operophtera brumata, Orgyia pseudotsugata, Oria spp., Orthaga thyri- sa/is, Ostrinia spp. such as O. nubiiaiis; Ouiema oryzae, Paieacrita vernata, Panoiis fiammea, Parnara spp., Papaipema nebris, Papiiio cresphontes, Paramyeiois transiteiia, Paranthrene
regalis, Paysandisia archon, Pectinophora spp. such as P. gossypiella; Peridroma saucia, Pen!eucoptera s p p . , such as P. coffeella; Phalera bucephala, Phryganidia caiifornica,
Phthorimaea spp. such as P. operculella; Phyllocnistis citrella, Phyllonorycter spp. such as P. blancardella, P. crataegella, P. issikii, P. ringoniella; Pier is spp. such as P. brassicae, P. rapae, P. napi; PHocrocis tripunctata, Plathypena scabra, Platynota spp. such as P. fiavedana, P.
idaeusa/is, P. stultana; Platyptilia carduidactyla, P/ebejus argus, Plodia interpunctella, Plusia spp, Plutella macuHpennis, Plutella xylostella, Pontia protodica, Prays spp., Prodenia s ., Proxenus tepigone, Pseudaletia spp. such as P. sequax, P. unipuncta; Pyrausta nubilalis, Rachiplusia nu, Richia albicosta, Rhizobius ventralis, Rhyacionia frustrana, Sabu/odes aegrotata, Schizura concinna, Schoenobius spp. , Schreckensteinia festaliella, Scirpophaga spp. such as S. incertulas, S. innotata; Scotia segetum, Sesamia spp. such as S. inferens, Seudyra sub t, lava, Sitotroga cereal el la, Sparganothis piHeriana, SpHonota lechriaspis, S. ocellana, Spodoptera (=Lamphygma) spp. such as S. cosmo/des, S. eridania, S. exigua, S. frugiperda, S. latisfascla, S. littoralis, S. Htura, S. omithogalli; Stigmella spp., Stomopteryx subsecive/la, Strymon bazochii, Sylepta derogata, Synanthedon spp. such as S. exitiosa, Tecia solanivora, Telehin Ileus, Thaumatopoea pityocampa, Thaumatotibia (=Cryptophlebia) leucotreta,
Thaumetopoea pityocampa, Theda spp., Theresimima ampelophaga, Thyrinteina spp, THdenia inconspicuella, Tinea spp. such as T. doacella, T. pellionella; Tineola bisselliella, Tortrix spp. such as T. viridana; Trichophaga tapetzella, Trichoplusia spp. such as T. ni; Tuta
(=Scrobipalpula) absoluta, Udea spp. such as U. rubigalis, U. rubigalis; Virachola spp.,
Yponomeuta pa della, and Zeiraphera canadensis;
insects from the order of Coleoptera, e.g. Acalymma vittatum, Acanthoscehdes obtectus, Adoretus s ., Agelastica alni, Agrilus s . such as A. anxius, A. planipennis, A. sinuatus;
Ag notes spp. such as A. fusdcollis, A. Hneatus, A. obscurus; A/phitobius diaperinus,
Amphimallus so/stitia/is, Anisandrus dispar, AnisopHa austriaca, Anobium punctatum, Anomala corpulenta, Anomala rufocuprea, Anoplophora spp. such as A. glabripennis; Anthonomus spp. such as A. eugenii, A. grandis, A. pomorum; Anthrenus spp., Aphthona euphoridae, Apion spp., Apogonia spp., Athous haemorrhoidaiis, Atom aria spp. such as A. linearis; Attagenus spp., Aulacophora femoral is, Blastophagus piniperda, BHtophaga undata, Bruch idius obtectus,
Bruch us spp. such as B. lends, B. pisorum, B. rufimanus; Byctiscus betulae, Callidiellum rufipenne, Callopistria floridensis, Callosobruchus chinensis, Cameraria ohridella, Cassida nebulosa, Cerotoma trifurcata, Cetonia aurata, Ceuthorhynchus spp. such as C. assimi/is, C. napi; Chaetocnema tibialis, C/eonus mendicus, Conoderus spp. such as C. vespertinus;
Conotrachelus nenuphar, Cosmopolites spp., Costeiytra zealandica, Crioceris asparagi, Cryptolestes ferrugineus, Cryptorhynchus lapathi, Ctenicera spp. such as C. destructor;
Curcuiio spp., Cy!indrocopturus spp., Cyclocephala spp., Dadyiispa baiyi, Dectes texanus, Dermestes spp., Diabrotica spp. such as D. undedmpunctata, D. spedosa, D. longicornis, D. semipundata, D. virgifera; Diaprepes abbreviates, Dichocrocis spp., Didadispa armigera, Diioboderus abderus, Diocaiandra frumenti (Diocaiandra stigmaticoHis), Enaphaiodes rufu/us, Epiiachna spp. such as E. varivestis, E. vigintiodomacuiata; Epitrix spp. such as E. hirtipennis, E. simiiaris; Eutheoia humiiis, Eutinobothrus brasi/iensis, Faustinus cubae, Gibbium psyiioides, Gnathocerus cornutus, Heiiuia undaiis, Heteronychus arator, Hyiamorpha eiegans, Hyiobius abietis, Hyiotrupes bajuius, Hypera spp. such as H. brunneipennis, H. postica; Hypomeces squamosus, Hypothenemus spp., ips typographus, Lachnosterna consanguinea, Lasioderma
serricorne, Latheticus oryzae, Lathridi us spp., Lema spp. such as L. bilineata, L. melanopus; Leptinotarsa spp. such as L. decemlineata; Leptispa pygmaea, Limonius californicus,
Lissorhoptrus oryzophHus, Lixus spp., Luperodes spp., L yet us spp. such as L. bruneus;
Liogenys fuscus, Macrodactytus spp. such as M. subspinosus; Matadera matrida, Megaplatypus mutates, Megascetis spp., Melanotus communis, Metigethes spp. such as M. aeneus;
Melolontha spp. such as M. hippocastani, M. melolontha; Metamasius hemipterus, Microtheca spp., Migdoius spp. such as M. fryanus, Monochamus spp. such as M. aiternatus; Naupactus xanthographus, Niptus ho/o/eucus, Oberia brevis, Oemona hirta, Oryctes rhinoceros,
Oryzaephiius surinamensis, Oryzaphagus oryzae, Otiorrhynchus su/catus, Otiorrhynchus ovatus, Otiorrhynchus su/catus, Ouiema meianopus, Ouiema oryzae, Oxycetonia jucunda, Phaedon spp. such as P. brassicae, P. cochieariae; Phoracantha recurva, Phyiiobius pyri, Phyiiopertha horticoia, Phyiiophaga spp. such as P. heiieri; Phyiiotreta spp. such as P.
chrysocephaia, P. nemorum, P. strioiata, P. vittuia; Phyiiopertha horticoia, Popiiiia japonica, Premnotrypes spp., Psacothea hiiaris, Psyiiiodes chrysocephaia, Prostephanus truncates,
Psyi iiodes spp., Pt in us spp., Puiga saitona, Rhizopertha dominica, Rhynchophorus spp. such as R. biiiineatus, R. ferrugineus, R. paimarum, R. phoenicis, R. vuineratus; Saperda Candida, Scoiytus schevyrewi, Scyphophorus acupunctatus, Sitona iineatus, Si top hi/ us spp. such as S. granaria, S. oryzae, S. zeamais; Sphenophorus spp. such as S. ievis; Stegobium paniceum, Sternechus spp. such as S. subsignatus; Strophomorphus ctenotus, Symphyietes spp.,
Tanymecus spp., Tenebrio moiitor, Tenebrioides mauretanicus, Tribo/ium spp. such as T.
castaneum; Trogoderma spp., Tychius spp., Xyiotrechus spp. such as X. pyrrhoderus; and, Zabrus spp. such as Z. tenebrioides;
insects from the order of Diptera e.g. Aedes spp. such as A. aegypti, A. aibopictus, A. vexans; Anastrepha iudens, Anopheles spp. such as A. aibimanus, A. crucians, A. freeborni, A. gam- biae, A. ieucosphyrus, A. macuiipennis, A. minimus, A. quadrimacuiatus, A. sinensis; Bactro- cera invadens, Bibio hortuianus, Caiiiphora erythrocephaia, Caiiiphora vicina, Ceratitis capitata, Chrysomyia spp. such as C. bezziana, C. hominivorax, C. maceiiaria; Chrysops atianticus, Chrysops discaiis, Chrysops siiacea, Cochiiomyia spp. such as C. hominivorax; Contarinia spp. such as C. sorghicoia; Cordyiobia anthropophaga, Cuiex spp. such as C. nigripaipus, C. pipi- ens, C. quinquefasciatus, C. tarsaiis, C. tritaeniorhynchus; Cu/icoides furens, Cuiiseta inornata, Cuiiseta meianura, Cuterebra spp., Dacus cucurbitae, Dacus oieae, Dasineura brassicae, Dasineura oxycoccana, Delia spp. such as D. antique, D. coarctata, D. piatura, D. radicum; Dermatobia hominis, Drosophila spp. such as D. suzukii, Fannia spp. such as F. canicuiaris; Gastraphiius spp. such as G. intestina/is; Geomyza tipunctata, Giossina spp. such as G.
fuscipes, G. morsitans, G. paipaiis, G. tachinoides; Haematobia irritans, Hapiodipiosis equestris, Hippeiates spp., Hylemyia spp. such as H. piatura; Hypoderma spp. such as H. iineata;
Hyppobosca spp., Hydreiiia phiiippina, Leptoconops torrens, Liriomyza spp. such as L. sativae, L. trifoiii; Luciiia spp. such as L. caprina, L. cuprina, L. sericata; Lycoria pectoraiis, Mansonia titiiianus, Mayetioia spp. such as M. destructor; Musca spp. such as M. autumnaiis, M.
domestica; Muscina stabuians, Oestrus . such as O. ovis; Opomyza fiorum, Oscineiia spp. such as O. frit; Orseoiia oryzae, Pegomya hysocyami, Phiebotomus argentipes, Phorbia spp. such as P. antiqua, P. brassicae, P. coarctata; Phytomyza gymnostoma, Prosimuiium mixtum, Psiia rosae, Psorophora coiumbiae, Psorophora discolor, Rhagoietis spp. such as R. cerasi, R. cingulate, R. indifferens, R. mend ax, R. porno neiia; Riveiiia quadrifasciata, Sarcophaga spp.
such as S. haemorrhoidalis; Simu/ium vittatum, Sitoc/ip/osis mosellana, Stomoxys spp. such as S. calcitrans; Tabanus spp. such as T. atratus, T bovinus, T. lineola, T. s/m/l/s; Tannia spp., Thecodiplosis japonensis, Tipula oleracea, Tipula paludosa, and Wohlfahrtia spp;
insects from the order of Thysanoptera for example, Baliothrips biformis, Dichromothrips corbetti, Dichromothrips ssp., Echinothrips americanus, Enneothrips fiavens, Frankiinieiia spp. such as F. fusca, F. occidentaiis, F. tritici; Heiiothrips spp., Hercinothrips femoraiis, Kakothrips spp., Microcephaiothrips abdominaiis, Neohydatothrips samayunkur, Pezothrips keiiyanus, Rhipiphorothrips cruentatus, Sci doth rips spp. such as S. citri, S. dorsalis, S. perseae;
Stenchaetothrips spp, Taeniothrips cardamom,' Taeniothrips inconsequens, Thrips spp. such as T. imagines, T. hawaiiensis, T. oryzae, T. paimi, T. parvis pin us, T. tabaci;
insects from the order of Hemiptera for example, Acizzia jamatonica, Acrosternum spp. such as A. hiiare; Acyrthosipon spp. such as A. onobrychis, A. pisum; Ade/ges iaricis, Adeiges tsugae, A deiphocoris spp., such as A. rapidus, A. superbus; A eneoiamia spp., Agonoscena spp., Auiacodhum soiani, Aieurocanthus wogiumi, Aieurodes s ., A/eurodicus disperses, A/euro/obus barodensis, Aieurothrixus spp., Amrasca spp., Anasa tristis, Antestiopsis spp., Anuraphis cardui, Aonidieiia spp., Aphanostigma piri, Aphiduia nastudii, Aphis spp. such as A. craccivora, A. fabae, A. forbesi, A. gossypii, A. grossuiariae, A. maidiradicis, A. pomi, A.
sambuci, A. schneideri, A. spiraecoia; Arboridia apicaiis, Ari/us critatus, Aspidieiia spp.,
Aspidiotus spp., Atanus spp., Auiacaspis yasumatsui, Auiacodhum soiani, Bactericera cockereiii (Paratrioza cockereiii), Bemisia spp. such as B. argentifoiii, B. tabaci (Aieurodes tabaci); B/issus spp. such as B. ieucopterus; Brachycaudus spp. such as B. cardui, B. heiichrysi, B. persicae, B. prunicoia; Brachycoius spp., Brachycoryneiia asparagi, Brevicoryne brassicae, Cacopsyiia spp. such as C. fuiguraiis, C. pyricoia (Psyiia piri); Caiiigypona marginata, Caiocoris spp.,
Campyiomma iivida, Capitophorus horni, Carneocephaia fuigida, Caveierius spp., Cerapiastes spp., Ceratovacuna ianigera, Cerop tastes ceriferus, Cerosipha gossypii, Chaetosiphon fragaefoiii, Chionaspis tega/ensis, Chiorita onukii, Chromaphis jugiandicoia, Chrysomphaius ficus, Cicaduiina mbiia, Cimex spp. such as C. hemipterus, C. iectuiarius; Coccomytiius haiii, Coccus spp. such as C. hesperidum, C. pseudomagnoiiarum, Corythucha arcuata, Creontiades diiutus, Cryptomyzus ribis, Chrysomphaius aonidum, Cryptomyzus ribis, Ctenarytaina spatuiata, Cydopeitis notatus, Daibuius spp., Dasynus piperis, Diaieurodes spp. such as D. citrifoiii;
Daibuius maidis, Diaphorina spp. such as D. citri; Dias pis spp. such as D. bromeiiae; Dicheiops furcatus, Diconocoris hewetti, Doratis spp., Dreyfusia nordmannianae, Dreyfusia piceae, Drosicha s ., Dysaphis spp. such as D. piantaginea, D. pyri, D. radicoia; Dysauiacodhum pseudoso/ani, Dysdercus spp. such as D. cinguiatus, D. intermedius; Dysmicoccus spp.,
Edessa spp., Geocoris spp., Empoasca spp. such as E. fabae, E. soiana; Epidiaspis ieperii, Eriosoma spp. such as E. ianigerum, E. pyricoia; Erythroneura spp., Eurygaster spp. such as E. integriceps; Eusce/is bi/obatus, Euschistus spp. such as E. herns, E. impictiventris, E. servus; Fiorinia theae, Geococcus coffeae, Giycaspis brimbiecombei, Haiyomorpha spp. such as H. haiys; He/iope/tis spp. , Homaiodisca vitripennis (=H. coaguiata), Horcias nobiieiius, Hyaiopterus pruni, Hyperomyzus iactucae, i eery a s . such as /. purchase; idiocerus spp., idioscopus spp., Laodeiphax striate/ius, Lecanium spp., Lecanoideus f/occissimus, L epidosaphes spp. such as L. uimi; Leptocorisa spp., Leptog/ossus phy/iopus, Lipaphis erysimi, Lygus spp. such as L.
hes perns, L. iineoiaris, L. prate ns is; Maconeiiicoccus hirsutus, Marchaiina heiienica, Macropes excavatus, Macrosiphum spp. such as M. rosae, M. avenae, M. euphorbiae; Macrosteies
quadriHneatus, Mahanarva fimbriolata, Megacopta cribraria, Megoura viciae, Melanaphis pyrarius, Melanaphis sacchari, Melanocallis (=TinocaWs) caryaefoliae, Metcafiella spp. ,
Metopolophium dirhodum, Monellia costalis, Monelliopsis pecanis, MyzocaWs coryli, Murgantia spp., Myzus spp. such as M. ascalonicus, M. cerasi, M. nicotianae, M. persicae, M. varians; Nasonovia ribis-nigri, Neotoxoptera formosana, Neomega/otomus spp, Nephotettixspp. such as N. malayanus, N. nigropictus, N. parvus, N. virescens; Nezara spp. such as N. viridula;
NHaparvata lugens, Nys/us button/, Oeba/us spp. such as O. pugnax; Oncometopia spp., Orthezia praelonga, Oxycaraenus hyalinipennis, Parabemisia myricae, Par/atoria spp.,
Parthenolecanium spp. such as P. corni, P. persicae; Pemphigus s . such as P. bursarius, P. popuiivenae; Peregrinus maidis, Perkinsieiia saccharicida, Phenacoccus spp. such as P. aceris, P. gossypii; Phioeomyzus passerinii, Phorodon humuii, Phylloxera spp. such as P. devastatrix, Piesma quadrata, Piezodorus spp. such as P. guiidinii; Pinnaspis aspidistrae, Pianococcus spp. such as P. citri, P. ficus; Prosapia bicincta, Protopuivinaria pyriformis, Psa/ius seriatus,
Pseudacysta persea, Pseudau/acaspis pentagona, Pseudococcus spp. such as P. comstocki; Psyiia spp. such as P. maii; Pteromaius spp., Puivinaria amygdaii, Pyniia spp., Quadraspidiotus spp., such as Q. perniciosus; Quesada gigas, Rastrococcus spp. , Reduvius senilis, Rhizoecus americanus, Rhodnius spp., Rhopaiomyzus ascalonicus, Rhopaiosiphum spp. such as R.
pseudobrassicas, R. insertum, R. maidis, R. padi; Sagatodes spp., Sahibergeiia singu/aris, Saissetia spp., Sappaphis maia, Sappaphis maii, Scaptocoris spp., Scaphoides titanus, Schizaphis graminum, Schizoneura lanuginosa, Scotinophora spp., Se/enaspidus articuiatus, Sitobion avenae, Sogata spp., Sogateiia furcifera, So/ubea insu/aris, Spissisti/us festinus (=Stictocephaia festina), Stephanitis nashi, Stephanitis pyrioides, Stephanitis takeyai,
Tenaiaphara maiayensis, Tetraieurodes perseae, Therioaphis maculate, Thyanta . such as T. accerra, T. perditor; Tibracaspp., Tomaspis spp., Toxoptera spp. such as T. aurantii;
Triaieurodes spp. such as T. abutiionea, T. ricini, T. vaporariorum; Triatoma spp., Triozaspp., Typh/ocyba spp., Unaspisspp. such as U. citri, U. yanonensis; and Viteus vitifoiii,
Insects from the order Hymenoptera e.g. Acanthomyops interjectus, Athaiia rosae, Atta spp. such as A. capiguara, A. cephaiotes, A. cephaiotes, A. laevigata, A. robusta, A. sexdens, A. texana, Bombus spp., Brachymyrmex spp., Camponotus spp. such as C. fioridanus, C. pennsyi- vanicus, C. modoc; Cardiocondyia nuda, Chaiibion sp, Crematogaster spp., Dasymutiiia occidentaiis, Diprion ., Doiichovespuia macuiata, Dorymyrmex spp., Dryocosmus kuriphiius, Formica spp., Hopiocampa spp. such as H. minuta, H. testudinea; iridomyrmex humiiis, Lasius spp. such as L. niger, Linepithema humiie, Liometopum spp., Leptocybe invasa, Monomorium spp. such as M. pharaonis, Monomorium, Nyiandria fuiva, Pachycondyia chinensis,
Paratrechina iongicornis, Paravespuia spp., such as P. germanica, P. pennsyivanica, P.
vulgaris; Pheidoie spp. such as P. megacephaia; Pogonomyrmex spp. such as P. barbatus, P. caiifornicus, Po/istes rubiginosa, Prenoiepis impairs, Pseudomyrmex gracilis, Scheiipron spp., Sirex cyaneus, So/enopsis spp. such as S. geminata, S.invicta, S. moiesta, S. richteri, S. xyioni, Sphecius speciosus, Sphex spp., Tapi noma spp. such as T. meianocephaium, T. sessile;
Tetramorium spp. such as T. caespitum, T. bicarinatum, Vespa spp. such as V. crabro; Vespuia spp. such as V. squamosal; Wasmannia auropunctata, Xyiocopa sp;
Insects from the order Orthoptera e.g. Acheta domesticus, Caiiiptamus ita/icus, Chortoicetes terminifera, Ceuthophiius spp., Diastrammena asynamora, Dociostaurus maroccanus, Gryiio-
talpa spp. such as G. africana, G. gryllotalpa; Gryllus spp., Hieroglyphus daganensis, Kraus- saria angulifera, Locusta spp. such as L. migratoria, L. pardah'na; Melanoplus spp. such as M. bivittatus, M. femurrubrum, M. mexicanus, M. sanguinipes, M. spretus; Nomadacris
septemfasciata, Oeda/eus senega/ensis, Scapteriscus spp., Schistocerca spp. such as S.
americana, S. gregaria, Stemopelmatus spp., Tachycines asynamorus, and Zonozerus variegatus;
Pests from the Class Arachnida e.g. Acari,e.g. of the families Argasidae, Ixodidae and Sarcop- tidae, such as Amblyomma spp. (e.g. A. americanum, A. variegatum, A. macuiatum ), Argas spp. such as A. persicu), BoophUus spp. such as B. annulatus, B. decoloratus, B. microplus,
Dermacentor spp. such as D.sitvarum, D. andersoni, D. variabWs, Hya/omma spp. such as H. truncatum, Ixodes spp. such as /. ricinus, /. rubicundus, /. scapularis, /. holocyclus, /. pacificus, Rhipicephalus sanguineus, Ornithodorus spp. such as O. moubata, O. hermsi, O. turicata, Ornithonyssus bacoti, Otobius megnini, Dermanyssus gallinae, Psoroptes spp. such as P. ovis, Rhipicephalus s . such as R. sanguineus, R. appendicuiatus, Rhipicephalus evertsi, Rhizogiy- phus spp., Sarcoptes spp. such asS. Scabiei, and Family Eriophyidae including Aceria spp. such as A. she/doni, A. anthocoptes, Acaiiitus spp., Acu/ops spp. such as A. iycopersici, A. pe/ekassi, Acu/us spp. such as A. schiechtendaii; Coiomerus vitis, Epitrimerus pyri,
Phyiiocoptruta oieivora; Eriophytes rib is and Eriophyes spp. such as Eriophyes sheidoni, Family Tarsonemidae including Hemitarsonem us spp., Phytonemus paiiidus and
Poiyphagotarsonemus iatus, Stenotarsonemus spp. Steneotarsonemus spinki, Family
Tenuipalpidae including Brevipalpus spp. such as B. Phoenicia, Family Tetranychidae including Eotetranychus spp., Eutetranychus spp., O/igonychus spp., Petrobia iatens, Tetranychus spp. such as T. cinnabarinus, T. evansi, T. kanzawai, T, pacificus, T. phaseu/us, T. teiarius and T. urticae, Bryobia praetiosa, Panonych us spp. such as P. uimi, P. citrt, Metatetranychus spp. and O/igonychus spp. such as O. pratensis, O. perseae, Vasates iycopersici, Raoieiia indica, Family Carpoglyphidae including Carpogiyphus spp./ Penthaieidae spp. such as Haiotydeus destructor, Family Demodicidae with species such as Demodex spp.; Family Trombicidea including
Trombicuia spp.; Family Macronyssidae including Ornothonyssus spp.; Family Pyemotidae including Pyemotes tritici, Tyrophagus putrescentiae, Family Acaridae including Acarus siro, Family Araneida including Latrodectus mactans, Tegenaria agrestis, Chiracanthium sp, Lycosa sp Achaearanea tepidarioruman Loxosce/es reciusa,
Pests from the Phylum Nematoda, for example, plant parasitic nematodes such as root-knot nematodes, Meioidogyne spp. such as M. hapia, M. incognita, M. javanica; cyst-forming nema- todes, Giobodera spp. such as G. rostochiensis; Heterodera spp. such as H. avenae, H. glyci nes, H. schachtii, H. trifoiii; Seed gall nematodes, Anguina spp.; Stem and foliar nematodes, Apheienchoides spp. such as A. besseyi; Sting nematodes, Beionoiaim us spp. such as B.
iongicaudatus; Pine nematodes, Bursapheienchus spp. such as B. iignicoius, B. xyiophiius;
Ring nematodes, Criconema spp., Criconemeiia spp. such as C. xenopiax and C. ornata; and, Criconemoides spp. such as Criconemoides inform is; Mesocriconema spp. / Stem and bulb nematodes, Dityienchus spp. such as D. destructor, D. dipsaci; Awl nematodes, Doiichodorus spp./ Spiral nematodes, Heiiocotyienchus mu/ticinctus; Sheath and sheathoid nematodes, Hemicyciiophora spp. and Hemicriconemoides spp./ Hirshmannieiia spp./ Lance nematodes, Hopioaimus spp./ False rootknot nematodes, Nacobbus spp./ Needle nematodes, Longidorus spp. such as L. eiongatus; Lesion nematodes, Pratyiench us spp. such as P. brachyurus, P.
neg/ectus, P. penetrans, P. curvitatus, P. goodeyi; Burrowing nematodes, Radophotus spp. such as R. simi/is; Rhadopho/us spp./ Rhodopho/us spp./ Reniform nematodes, Rotytenchus spp. such as R. robustus, R. reniformis; Scuteiionema spp. / Stubby-root nematode, Trichodorus spp. such as T. obtusus, T. primitivus; Paratrichodorus spp. such as P. minor; Stunt nematodes, Tytenchorhynchus spp. such as T. ciaytoni, T. dub/us; Citrus nematodes, Tylenchulus spp. such as T. semipenetrans; Dagger nematodes, Xiphinema spp./ and other plant parasitic nematode species;
Insects from the order Isoptera e.g. Catotermes flavicollis, Coptotermes spp. such as C. formo- sanus, C. gestroi, C. acinaciformis; Cornitermes cumutans, Cryptotermes spp. such as C. bre vis, C. cavifrons; G/obitermes su/fureus, Heterotermes spp. such as H. aureus, H. longiceps, H. tenuis; Leucotermes f/avipes, Odontotermes spp., incisitermes spp. such as /. minor, /. Snyder, Marginitermes hubbardi, Mastotermes spp. such as M. darwiniensis Neocapritermes spp. such as N. opacus, N. parvus; Neotermes spp., Procornitermes spp., Zootermopsis spp. such as Z. angustico/iis, Z. nevadensis, Reticu/itermes spp. such as R. hesperus, R. tibialis, R. speratus, R. fiavipes, R. grassei, R. iucifugus, R. santonensis, R. virginicus; Termes nataiensis,
Insects from the order Blattaria e.g. Biatta spp. such as B. orientaiis, B. lateralis; Biatteiia spp. such as B. asahinae, B. germanica; Leucophaea maderae, Panchiora nivea, Peripianeta spp. such as P. americana, P. austraiasiae, P. brunnea, P. fuiigginosa, P. japonica; Supeiia iongipaipa, Parcobiatta pennsyivanica, Eurycotis fioridana, Pycnosceius surinamensis,
Insects from the order Siphonoptera e.g. Cediopsyiia simples, Ceratophyiius spp., Ctenoce- phaiides spp. such as C. fe/is, C. canis, Xenopsyiia cheopis, Puiex irritans, Trichodectes cam's, Tung a penetrans, and Nosopsy/ius fasciatus,
Insects from the order Thysanura e.g. Lepisma saccharina , Ctenoiepisma urbana, and Thermobia domestica,
Pests from the class Chilopoda e.g. Geophi/us spp., Scutigera spp. such as Scutigera coieoptrata,
Pests from the class Diplopoda e.g. Bianiuius guttu/atus, Ju/us spp., Narceus spp.,
Pests from the class Symphyla e.g. Scutigereiia immacuiata,
Insects from the order Dermaptera, e.g. Forficuia auricuiaria,
Insects from the order Collembola, e.g. Onychiurus spp., such as Onychiurus armatus,
Pests from the order Isopoda, e.g. Armadiiiidium vuigare, Oniscus ase/ius, Porceiiio scaber, Insects from the order Phthiraptera, e.g. Damaiinia spp., Pediculus spp. such as Pedicuius humanus capitis, Pediculus humanus corporis, Pediculus humanus human us; Pthirus pubis, Haematopinus spp. such as Haematopinus eurysternus, Haematopinus suis, Linognathus spp. such as Linognathus vituii; Bovicoia bovis, Menopon gaiiinae, Menacanthus stramineus and So/enopotes capiiiatus, Trichodectes s .,
Examples of further pest species which may be controlled by compounds of fomula I include: from the Phylum Mollusca, class Bivalvia, for example, Dreissena spp. ; class Gastropoda, for example, Arion spp., Biomphaiaria spp., Buiinus spp., Deroceras spp., Gaiba spp., Lymnaea spp., Oncomeiania spp., Pomacea canaiiciata, Succinea spp./ from the class of the helminths, for example, Ancyiostoma duodenaie, Ancyiostoma ceyianicum, Acyiostoma braziiiensis, Ancyiostoma spp., Ascaris iubricoides, Ascaris spp., Brugia maiayi, Brugia timori, Bunostomum spp., Chabertia spp., Cionorchis spp., Coo peri a spp., Dicrocoeiium spp., Dictyocauius fiiaria, Diphyiiobothrium iatum, Dracuncuius medinensis, Echinococcus granulosus, Echinococcus
multilocularis, Enterobius vermicularis, Faciola spp., Haemonchus spp. such as Haemonchus con tortus; Heterakis spp., Hymenotepis nana, Hyostrongutus spp., Loa Loa, Nematodirus spp., Oesophagostomum spp., Opisth orchis spp., Onchocerca volvulus, Ostertagia spp.,
Paragonimus spp., Schistosomen spp., Strongyloides fuelleborni, Strongyloides stercora Hs, Strony/oides spp., Taenia saginata, Taenia solium, Trichineiia spiralis, Trichineiia nativa, Trichineiia britovi, Trichineiia nelson i, Trichineiia pseudopsira/is, Trichostronguius spp., Trichuris trichuria, Wuchereria bancrofti.
The compounds of the present invention are suitable for use in treating or protecting animals against infestation or infection by parasites. Therefore, the present invention also relates to the use of a compound of the present invention for the manufacture of a medicament for the treat- ment or protection of animals against infestation or infection by parasites. Furthermore, the present invention relates to a method of treating or protecting animals against infestation and infection by parasites, which comprises orally, topically or parenterally administering or applying to the animals a parasiticidally effective amount of a compound of the present invention.
The present invention also relates to the non-therapeutic use of compounds of the present invention for treating or protecting animals against infestation and infection by parasites.
Moreover, the present invention relates to a non-therapeutic method of treating or protecting animals against infestation and infection by parasites, which comprises applying to a locus a parasiticidally effective amount of a compound of the present invention.
The compounds of the present invention are further suitable for use in combating or controlling parasites in and on animals. Furthermore, the present invention relates to a method of comba- ting or controlling parasites in and on animals, which comprises contacting the parasites with a parasitically effective amount of a compound of the present invention.
The present invention also relates to the non-therapeutic use of compounds of the present invention for controlling or combating parasites. Moreover, the present invention relates to a non-therapeutic method of combating or controlling parasites, which comprises applying to a locus a parasiticidally effective amount of a compound of the present invention.
The compounds of the present invention can be effective through both contact (via soil, glass, wall, bed net, carpet, blankets or animal parts) and ingestion (e.g. baits). Furthermore, the compounds of the present invention can be applied to any and all developmental stages.
The compounds of the present invention can be applied as such or in form of compositions comprising the compounds of the present invention.
The compounds of the present invention can also be applied together with a mixing partner, which acts against pathogenic parasites, e.g. with synthetic coccidiosis compounds, polyetherantibiotics such as Amprolium, Robenidin, Toltrazuril, Monensin, Salinomycin, Maduramicin, Lasalocid, Narasin or Semduramicin, or with other mixing partners as defined above, or in form of compositions comprising said mixtures.
The compounds of the present invention and compositions comprising them can be applied orally, parenterally or topically, e.g. dermally. The compounds of the present invention can be systemically or non-systemically effective.
The application can be carried out prophylactically, therapeutically or non-therapeutically. Furthermore, the application can be carried out preventively to places at which occurrence of the parasites is expected.
As used herein, the term "contacting" includes both direct contact (applying the compounds/compositions directly on the parasite, including the application directly on the animal or excluding the application directly on the animal, e.g. at it's locus for the latter) and indirect contact (applying the compounds/compositions to the locus of the parasite). The contact of the parasite through application to its locus is an example of a non-therapeutic use of the compounds of the present invention.
The term "locus" means the habitat, food supply, breeding ground, area, material or environment in which a parasite is growing or may grow outside of the animal.
As used herein, the term“parasites” includes endo- and ectoparasites. In some embodiments of the present invention, endoparasites can be preferred. In other embodiments, ectoparasites can be preferred. Infestations in warm-blooded animals and fish include, but are not limited to, lice, biting lice, ticks, nasal bots, keds, biting flies, muscoid flies, flies, myiasitic fly larvae, chiggers, gnats, mosquitoes and fleas.
The compounds of the present invention are especially useful for combating parasites of the following orders and species, respectively:
fleas (Siphonaptera), e.g. Ctenocephalides fe/is, Ctenocephaiides cam's, Xenopsyiia cheopis, Pulex irritans, Tunga penetrans, and Nosopsyllus fasciatus; cockroaches (Blattaria - Blattodea), e.g. Blattella germanica, B latte I la asahinae, Peri plane ta am erica na, Peri plan eta japonica, Peri- pianeta brunnea, Peripianeta fuligginosa, Peripianeta australasiae, and Blatta oriental is; flies, mosquitoes (Diptera), e.g. Aedes aegypti, Aedes a/bopictus, Aedes vexans, Anastrepha ludens, Anopheles maculipennis, Anopheles crucians, Anopheles albimanus, Anopheles gambiae, Anopheles freeborni, Anopheles leucosphyrus, Anopheles minimus, Anopheles
quadrimaculatus, CaWphora vicina, Chrysomya bezziana, Chrysomya hominivorax, Chrysomya macellaria, Chrysops discalis, Chrysops silacea, Chrysops atianticus, Cochiiomyia hominivorax, Cordylobia anthropophaga, Cu/icoides furens, Culex pipiens, Culex nigripalpus, Culex quinquefasciatus, Culex tarsalis, Culiseta inornata, Culiseta melanura, Dermatobia horn inis, Fannia canicularis, GasterophHus intestinalis, G/ossina morsitans, G/ossina palpalis, G/ossina fuscipes, G/ossina tachinoides, Haematobia irritans, Hapiodipiosis equestris, Hippeiates spp., Hypoderma iineata, Leptoconops torrens, Lu cilia caprina, Lu cilia cuprina, Lu cilia sericata, Lycoria pectoral is, Mansonia spp., Mu sea domestica, Muscina stabuians, Oestrus ovis,
Phiebotomus argentipes, Psorophora coiumbiae, Psorophora discolor, Prosimuiium mixtum, Sarcophaga haemorrhoidaiis, Sarcophaga sp., Simu/ium vittatum, Stomoxys caicitrans,
Tabanus bovinus, Tabanus atratus, Tabanus iineoia, and Tabanus simiiis; lice (Phthiraptera), e.g. Pedicuius human us capitis, Pedicuius human us corporis, Pthirus pubis, Haematopinus eurysternus, Haematopinus suis, Linognathus vituii, Bovicoia bovis, Menopon gaiiinae,
Menacanthus stramineus and Soienopotes capiiiatus; ticks and parasitic mites (Parasitiformes): ticks (Ixodida), e.g. ixodes scapuiaris, ixodes hoiocycius, Ixodes pacificus, Rhiphicephaius sanguineus, Dermacentor andersoni, Dermacentor variabiiis, Ambiyomma americanum, Ambryomma macuiatum, Ornithodorus hermsi, Ornithodorus turicata and parasitic mites (Mesostigmata), e.g. Ornithonyssus bacoti and Dermanyssus gaiiinae, Actinedida (Prostigmata) und Acaridida (Astigmata), e.g. Acarapis spp., Cheyietieiia spp., Ornithocheyietia spp., Myobia spp., Psorergates spp., Demodex spp., Trombicuia spp., Listrophorus spp., Acarus spp., Tyrophagus spp., Caiogiyphus spp., Hypodectes spp., Pteroiichus spp., Psoroptes spp., Chorioptes spp., Otodectes spp., Sarcoptes spp., Notoedres spp., Knemidocoptes spp.,
Cytodites spp., and Laminosioptes spp; Bugs (Heteropterida): Cimex lectularius, Cimex hemipterus, Reduvius senilis, Triatoma spp., Rhodnius ssp., Panstrongyius ssp., and Ari/us critatus; A n o p I u ri d a , e.g. Haematopinus spp., Linognathus spp., Pedicu/us spp., Phtirus spp., and So/enopotes spp.; Mallophagida (suborders Arnblycerina and Ischnocerina), e.g. 7/7- menopon spp., Menopon spp., Tri noton spp., Bovicoia spp., Werneckieiia spp., Lepikentron spp., Trichodectes spp., and Feiicoia spp.; Roundworms Nematoda: Wipeworms and
Trichinosis (Trichosyringida), e.g. Trichinellidae (Trichineiia spp.), /Trichuridae^ Trichuris spp., CapiHaria spp.; Rhabditida, e.g. Rhabditis spp., Strongyioides spp., Heiicephaiobus spp.;
Strongylida, e.g. Strongyius spp., Ancyiostoma spp., Necator americanus, Bunostomum spp. (Hookworm), Trichostrongyius spp., Haemonchus contortus, Ostertagia spp., Cooperia spp., Nematodirus spp., Dictyocauius spp., Cyathostoma spp., Oesophagostomum spp.,
Stephanurus dentatus, Oiiuianus spp., Chabertia spp., Stephanurus dentatus, Syngamus trachea, Ancyiostoma spp., Uncinaria spp., Giobocephaius spp., Necator spp., Metastrongyius spp., Mueiierius capiHaris, Protostrongyius spp., Angiostrongyius spp., Pareiaphostrongyius spp., A/eurostrongy/us abstrusus, and Dioctophyma renaie; Intestinal roundworms (Ascaridida), e.g. Ascaris iumbricoides, Ascaris suum, Ascaridia gaiii, Parascaris equorum, Enterobius vermicuiaris (Threadworm), Toxocara canis, Toxascaris leonine, Skrjabinema spp., and Oxyuris e<7//// Camallanida, e.g. Dracuncuius medinensis (guinea worm); Spirurida, e.g. Theiazia spp., Wuchereria spp., Brugia spp., Onchocerca spp., DirofHari spp. a, Dipetaionema spp., Setaria spp., Eiaeophora spp., Spirocerca iupi, and Habronema spp.; Thorny headed worms
(Acanthocephala), e.g. Acanthocephaius spp., Macracanthorhynchus hirudinaceus and
Oncicoia spp.; Planarians (Plathelminthes): Flukes (Trematoda), e.g. Facioia spp., Fascioioides magna, Paragonimus spp., Dicrocoeiium spp., Fascio/opsis busk/, Cionorchis sinensis,
Schistosoma spp., Trichobiiharzia spp., Aiaria aiata, Paragonimus spp., and Nanocyetes spp:, Cercomeromorpha, in particular Cestoda (Tapeworms), e.g. Diphyiiobothrium spp., Tenia spp., Echinococcus spp., Dipyiidium caninum, Muiticeps spp., Hymenoiepis spp., Mesocestoides spp., Vampiroiepis spp., Moniezia spp., Anopiocephaia spp., Sirometra spp., Anopiocephaia spp., and Hymenoiepis spp..
As used herein, the term“animal” includes warm-blooded animals (including humans) and fish. Preferred are mammals, such as cattle, sheep, swine, camels, deer, horses, pigs, poultry, rabbits, goats, dogs and cats, water buffalo, donkeys, fallow deer and reindeer, and also in fur- bearing animals such as mink, chinchilla and raccoon, birds such as hens, geese, turkeys and ducks and fish such as fresh- and salt-water fish such as trout, carp and eels. Particularly preferred are domestic animals, such as dogs or cats.
In general, "parasiticidally effective amount" means the amount of active ingredient needed to achieve an observable effect on growth, including the effects of necrosis, death, retardation, prevention, and removal, destruction, or otherwise diminishing the occurrence and activity of the target organism. The parasiticidally effective amount can vary for the various com- pounds/compositions used in the invention. A parasiticidally effective amount of the
compositions will also vary according to the prevailing conditions such as desired parasiticidal effect and duration, target species, mode of application, and the like.
Generally, it is favorable to apply the compounds of the present invention in total amounts of 0.5 mg/kg to 100 mg/kg per day, preferably 1 mg/kg to 50 mg/kg per day.
For oral administration to warm-blooded animals, the formula I compounds may be formulated as animal feeds, animal feed premixes, animal feed concentrates, pills, solutions, pastes, suspensions, drenches, gels, tablets, boluses and capsules. In addition, the formula I compounds may be administered to the animals in their drinking water. For oral administration, the dosage form chosen should provide the animal with 0.01 mg/kg to 100 mg/kg of animal body weight per day of the formula I compound, preferably with 0.5 mg/kg to 100 mg/kg of animal body weight per day.
Alternatively, the formula I compounds may be administered to animals parenterally, e.g., by intraruminal, intramuscular, intravenous or subcutaneous injection. The formula I compounds may be dispersed or dissolved in a physiologically acceptable carrier for subcutaneous injection. Alternatively, the formula I compounds may be formulated into an implant for subcutaneous administration. In addition the formula I compound may be transdermally administered to animals. For parenteral administration, the dosage form chosen should provide the animal with 0.01 mg/kg to 100 mg/kg of animal body weight per day of the formula I compound.
The formula I compounds may also be applied topically to the animals in the form of dips, dusts, powders, collars, medallions, sprays, shampoos, spot-on and pour-on formulations and in ointments or oil-in-water or water-in-oil emulsions. For topical application, dips and sprays usually contain 0.5 ppm to 5,000 ppm and preferably 1 ppm to 3,000 ppm of the formula I compound. In addition, the formula I compounds may be formulated as ear tags for animals, particularly quadrupeds such as cattle and sheep.
Suitable preparations are:
- Solutions such as oral solutions, concentrates for oral administration after dilution, solutions for use on the skin or in body cavities, pouring-on formulations, gels;
- Emulsions and suspensions for oral or dermal administration; semi-solid preparations;
- Formulations in which the active compound is processed in an ointment base or in an oil-in- water or water-in-oil emulsion base;
- Solid preparations such as powders, premixes or concentrates, granules, pellets, tablets, boluses, capsules; aerosols and inhalants, and active compound-containing shaped articles.
Compositions suitable for injection are prepared by dissolving the active ingredient in a suitable solvent and optionally adding further auxiliaries such as acids, bases, buffer salts, preservatives, and solubilizers. Suitable auxiliaries for injection solutions are known in the art. The solutions are filtered and filled sterile.
Oral solutions are administered directly. Concentrates are administered orally after prior dilution to the use concentration. Oral solutions and concentrates are prepared according to the state of the art and as described above for injection solutions, sterile procedures not being necessary.
Solutions for use on the skin are trickled on, spread on, rubbed in, sprinkled on or sprayed on. Solutions for use on the skin are prepared according to the state of the art and according to what is described above for injection solutions, sterile procedures not being necessary.
Gels are applied to or spread on the skin or introduced into body cavities. Gels are prepared by treating solutions which have been prepared as described in the case of the injection solutions with sufficient thickener that a clear material having an ointment-like consistency results. Suitable thickeners are known in the art.
Pour-on formulations are poured or sprayed onto limited areas of the skin, the active corn- pound penetrating the skin and acting systemically. Pour-on formulations are prepared by dissolving, suspending or emulsifying the active compound in suitable skin-compatible solvents or solvent mixtures. If appropriate, other auxiliaries such as colorants, bioabsorption-promoting substances, antioxidants, light stabilizers, adhesives are added. Suitable such auxiliaries are known in the art.
Emulsions can be administered orally, dermally or as injections. Emulsions are either of the water-in-oil type or of the oil-in-water type. They are prepared by dissolving the active corn- pound either in the hydrophobic or in the hydrophilic phase and homogenizing this with the solvent of the other phase with the aid of suitable emulsifiers and, if appropriate, other auxiliaries such as colorants, absorption-promoting substances, preservatives, antioxidants, light stabilizers, viscosity-enhancing substances. Suitable hydrophobic phases (oils), suitable hydrophilic phases, suitable emulsifiers, and suitable further auxiliaries for emulsions are known in the art.
Suspensions can be administered orally or topically/dermally. They are prepared by sus- pending the active compound in a suspending agent, if appropriate with addition of other auxiliaries such as wetting agents, colorants, bioabsorption-promoting substances,
preservatives, antioxidants, light stabilizers. Suitable suspending agents, and suitable other auxiliaries for suspensions including wetting agents are known in the art.
Semi-solid preparations can be administered orally or topically/dermally. They differ from the suspensions and emulsions described above only by their higher viscosity.
For the production of solid preparations, the active compound is mixed with suitable excipients, if appropriate with addition of auxiliaries, and brought into the desired form. Suitable auxiliaries for this purpose are known in the art.
The compositions which can be used in the invention can comprise generally from about 0.001 to 95% of the compound of the present invention.
Ready-to-use preparations contain the compounds acting against parasites, preferably ectoparasites, in concentrations of 10 ppm to 80 per cent by weight, preferably from 0.1 to 65 per cent by weight, more preferably from 1 to 50 per cent by weight, most preferably from 5 to 40 per cent by weight.
Preparations which are diluted before use contain the compounds acting against ectoparasites in concentrations of 0.5 to 90 per cent by weight, preferably of 1 to 50 per cent by weight.
Furthermore, the preparations comprise the compounds of formula I against endoparasites in concentrations of 10 ppm to 2 per cent by weight, preferably of 0.05 to 0.9 per cent by weight, very particularly preferably of 0.005 to 0.25 per cent by weight.
Topical application may be conducted with compound-containing shaped articles such as collars, medallions, ear tags, bands for fixing at body parts, and adhesive strips and foils.
Generally it is favorable to apply solid formulations which release compounds of the present invention in total amounts of 10 mg/kg to 300 mg/kg, preferably 20 mg/kg to 200 mg/kg, most preferably 25 mg/kg to 160 mg/kg body weight of the treated animal in the course of three weeks.
Examples
A. Preparation examples
With appropriate modification of the starting materials, the procedures given in the synthesis description were used to obtain further compounds I. The compounds obtained in this manner are listed in the table that follows, together with physical data.
The products shown below were characterized by melting point determination, by NMR spectroscopy or by the masses ([m/z]) or retention time (RT; [min.]) determined by HPLC-MS or HPLC spectrometry.
HPLC-MS = high performance liquid chromatography-coupled mass spectrometry;
HPLC method A: HPLC method: Phenomenex Kinetex 1.7 pm XB-C18 100A; 50 x 2.1 mm; mobile phase: A: water + 0.1 % trifluoroacetic acid (TFA); B: ACN; gradient: 5-100% B in 1.50 minutes; 100% B 0.25 min; flow: 0.8-1.Oml/min in 1.51 minutes at 60°C. MS: ESI positive, m/z 100-1400.
HPLC method B: HPLC Phenomenex Kinetex 1 ,7pm XB-C18 100A, 50 x 2,1 mm", Mobile Phase: A: water + 0,1 % TFA; B: ACN; Temperature: 60°C; Gradient: 5% B to 100% B in 1 ,50min; 100% B 0,25min; Flow: 0,8ml/min to 1 , Oml/min in 1 ,51 min; MS method: ESI positive; Mass range (m/z): 100-700".
The synthesis of 2,2-dichloro-3-(3,5-dichlorophenyl)cyclopropanecarboxylic acid was performed in analogy to WO 2016168058. The synthesis of (1 RS,3RS)-2,2-dichloro-3-(3,5- dichlorophenyl)cyclopropanecarboxylic acid and (1 RS,3RS)-2,2-dichloro-3-[4-fluoro-3- (trifluoromethyl)phenyl]cyclopropanecarboxylic acid was performed in analogy to WO
2016/168056, WO 2016/168058, WO 2016/168059, and WO2018/071327.
Example 1 : N-cyclopropyl-4-[[2,2-dichloro-3-(3,5-dichlorophenyl)cyclopropanecarbonyl]ami- no]thiophene-2-carboxamide [C-1]
Step 1 : Preparation of methyl 4-[[2,2-dichloro-3-(3,5-dichlorophenyl)cyclopropanecarbonyl]ami- no]thiophene-2-carboxylate
To a solution of 2,2-dichloro-3-(3,5-dichlorophenyl)cyclopropanecarboxylic acid (1.40 g, 4.67 mmol) in dichloromethane (5 mL) was added methyl 4-aminothiophene-2-carboxylate (734 mg, 4.67 mmol, 1.00 equiv.), Py-BrOP (2.61 g, 5.60 mmol, 1.20 equiv.) and diisopropylethylamine (3.33 mL, 2.53 g, 19.6 mmol, 4.2 equiv.) at room temperature and the mixture was stirred over night. After completion of the reaction, all volatiles were removed in vaccum and the residue was purified via flash chromatography on silica gel to afford the title compound (1.32 g, 64%).
HPLC-MS: retention time: RT = 1.376, m/z = 439.9 [M+H]
Step 2: Preparation of 4-[[2,2-dichloro-3-(3,5-dichlorophenyl)cyclopropanecarbonyl]ami- no]thiophene-2-carboxylic acid
A mixture of methyl 4-[[2,2-dichloro-3-(3,5-dichlorophenyl)cyclopropanecarbonyl]ami- no]thiophene-2-carboxylate (750 mg, 1.71 mmol) and trimethyltin hydroxide (2.32 g, 12.8 mmol, 7.5 equiv.) in 1 ,2-dichloroethane (5 mL) was stirred at 80°C until the starting material was consumed. The solvent was distilled off under reduced pressure and the residue was taken up in ethyl acetate. The mixture was washed with an aqueous solution of KHS04, dried over
Na2S04 and concentrated under reduced pressure. Purification via preparative HPLC chromatography yielded the title compound (300 mg, 41 %).
1H NMR: (500 MHz, CDCIs): d 2.86 (d, 1 H), 3.57 (d, 1 H), 7.19 (s, 2H), 7.36 (s, 1 H), 7.72 (s,
1 H), 7.93 (s, 1 H), 8.60 (s, 1 H) ppm.
Step 3: Preparation of N-cyclopropyl-4-[[2,2-dichloro-3-(3,5-dichlorophenyl)cyclopropanecarbo- nyl]amino]thiophene-2-carboxamide
To a solution of 4-[[2,2-dichloro-3-(3,5-dichlorophenyl)cyclopropanecarbonyl]amino]thiophene- 2-carboxylic acid (140 mg, 0.329 mmol) in dichloromethane (5 ml.) was added cyclopropyl- amine (23 pL, 19 mg, 0.33 mmol, 1.0 equiv), Py-BrOP (184 mg, 395 pmol, 1 .20 equiv.) and diisopropylethylamine (235 pl_, 179 mg, 1.38 mmol, 4.2 equiv.) at room temperature and the mixture was stirred over night. After completion of the reaction, all volatiles were removed in vaccum and the residue was purified via flash chromatography on silica gel to afford the title compound (150 mg, 98%).
1H NMR: (500 MHz, CDCIs): d 0.62 (m, 2H), 0.73 (m, 2H), 2.85 (m, 1 H), 6.54 (s, 1 H), 7.14 (s, 2H), 7.30 (s, 1 H), 7.67 (s, 1 H), 7.78 (s, 1 H), 10.07 (s, 1 H) ppm.
Example 2: Synthesis of 5-[[(1 RS,3RS)-2,2-dichloro-3-(3,5- dichlorophenyl)cyclopropanecarbonyl]amino]-N-(2,4-difluorophenyl)-N,2-dimethyl-thiophene-3- carboxamide [1-1 -3].
Step 1 : 2-Methyl-5-nitro-thiophene-3-carboxylic acid: To a stirred solution of commercially available 2-methylthiophene-3-carboxylic acid (5.00 g, 35.1 mmol) in AcOH (25 ml.) at 0-10 °C was carefully added a pre-mixed solution of AcOH (25 ml_), fuming HNOs (>99.5 wt%, 5 ml_), and Ac20 (15 ml.) in small portions. The resulting reaction mixture was stirred at ambient temperature for 1 hour before it was poured into crushed ice water. The solid material that precipitated was filtered off, washed with H20 and dried under reduced pressure at 30 °C to give the title compound as a light brown solid which was used without further purification.
1H NMR (400 MHz, DMSO-d6, RT) 13.38 (br s, 1 H), 8.1 1 (s, 1 H), 2.76 (s, 3H).
Step 2: N-(2,4-Difluorophenyl)-N,2-dimethyl-5-nitro-thiophene-3-carboxamide: To a solution of 2-methyl-5-nitro-thiophene-3-carboxylic acid (920 mg, 4.92 mmol) in CH2CI2 (35 ml.) at ambient temperature was sequentially added 2,4-difluoro-N-methyl-aniline (774 mg, 5.41 mmol), bromotripyrrolidinophosphonium hexafluorophosphate (“PyBrop”) (2.75 g, 5.90 mmol), and iPr2NEt (3.50 ml_, 20.1 mmol). The resulting reaction mixture was stirred at ambient temperature over night, before it was concentrated under reduced pressure and purified by column chromatography (EtOAc/cyclohexane 0:100 to 45:55, gradient) to afford the title compound (550 mg, 36%).
LC-MS (Method B): Mass calc for CI3HIOF2N203S+ [(M)+] 312.3, found 312.8; Rt = 1.103 min;
1H NMR (400 MHz, CDCIs, RT) 7.32 (s, 1 H), 7.21 -7.13 (m, 1 H), 6.92-6.79 (m, 2H), 3.38 (s, 3H), 2.57 (s, 3H).
Step 3: 5-Amino-N-(2,4-difluorophenyl)-N,2-dimethyl-thiophene-3-carboxamide: To a solution of N-(2,4-difluorophenyl)-N,2-dimethyl-5-nitro-thiophene-3-carboxamide (550 mg, 1.76 mmol) in EtOAc (5.0 ml.) at ambient temperature under an atmosphere of Ar was added Raney nickel (41.0 mg, 0.70 mmol) in one portion. The argon atmosphere was replaced with hh (1 atm) from a baloon source and the reaction mixture was vigorously stirred at ambient temperature for 4 days. After that time, the hh atmosphere was replaced with Ar and the resulting reaction mixture filtered through a short pad of celite eluting with EtOAc. The filtrate was concentrated under reduced pressure to afford the crude title compound (501 mg, 100%) which was used in the next reaction without further purification.
LC-MS (Method B): Mass calc for Ci3Hi2F2l\l20S+ [(M)+] 282.3, found 282.8; Rt = 0.859 min.
Step 4: 5-[[(1 RS,3RS)-2,2-dichloro-3-(3,5-dichlorophenyl)cyclopropanecarbonyl]amino]-N-(2,4- difluorophenyl)-N,2-dimethyl-thiophene-3-carboxamide: To a solution of (1 RS,3RS)-2,2-di- chloro-3-(3,5-dichlorophenyl)cyclopropanecarboxylic acid (483 mg, 1.61 mmol) in CH2CI2 (5.0 ml.) at ambient temperature was sequentially added 5-amino-N-(2,4-difluorophenyl)-N,2- dimethyl-thiophene-3-carboxamide (501 mg, 1.77 mmol), bromotripyrrolidinophosphonium hexafluorophosphate (“PyBrop”) (900 mg, 1.93 mmol), and iP^NEt (1.15 ml_, 6.76 mmol). The resulting reaction mixture was stirred at ambient temperature over night, before it was concentrated under reduced pressure and purified by column chromatography (EtOAc/cyclo- hexane 0:100 to 60:40, gradient) to afford the title compound (563 mg, 62%).
LC-MS (Method B): Mass calc for C23Hi6Cl4F2N202S+ [(M)+] 564.3, found 564.9;
Rt = 1.399 min; 1H NMR (400 MHz, DMSO-d6) d 1 1.60 (s, 1 H), 7.60 (t, J = 1.9 Hz, 1 H), 7.53 (d, J = 1.9 Hz, 2H), 7.51-7.44 (m, 1 H), 7.37-7.27 (m, 1 H), 7.09 (app. t, J = 8.7 Hz, 1 H), 6.27 (s, 1 H), 3.58 (d, J = 8.5 Hz, 1 H), 3.42 (d, J = 8.6 Hz, 1 H), 3.25 (s, 3H), 2.30 (s, 3H).
Example 3: Synthesis of N-benzyl-5-[[2,2-dichloro-3-(3,5-dichlorophenyl)cyclopropane- carbonyl]amino]-2-methyl-thiophene-3-carboxamide [1-1 -6].
Step 1 : 5-Amino-N-benzyl-2-methyl-thiophene-3-carboxamide: To a solution of N-benzyl-2- methyl-5-nitro-thiophene-3-carboxamide (150 mg, 0.543 mmol, prepared analogously as described above in Example 1) in concentrated aq. HCI (37 wt% in H2O, 2.5 mL) at 0 °C was added a solution of SnCl2-2(H20) (552 mg, 2.44 mmol) in concentrated aq. HCI (37 wt% in H2O, 2.5 mL), followed by EtOH (0.30 mL, 4.62 mmol). The resulting reaction mixture was allowed to warm to ambient temperature and stirred over night. After that time, the reaction mixture was quenched by the addition of NaOH solution (50 wt% in H2O, 20 mL) and the aqueous phase was extracted with EtOAc (3 x 20 mL), dried over Na2S04, filtered, and concentrated under reduced pressure to afford the title compound as crude product which was used in the next step without further purification.
LC-MS (Method B): Mass calc for Ci3Hi4N20S+ [(M)+] 246.3, found 246.9; Rt = 0.768 min.
Step 2: From the above 5-amino-N-benzyl-2-methyl-thiophene-3-carboxamide the desired N- benzyl-5-[[2,2-dichloro-3-(3,5-dichlorophenyl)cyclopropanecarbonyl]amino]-2-methyl-thiophene- 3-carboxamide [1-1-6] was obtained analogously as described in Example 2 (Step 4).
Example 4: Synthesis of 2-chloro-N-(1-cyanocyclopropyl)-5-[[2,2-dichloro-3-(3,5-dichloro- phenyl)cyclopropanecarbonyl]amino]thiophene-3-carboxamide [1-1 -10].
Step 1 : 2-Chloro-5-nitro-thiophene-3-carboxylic acid: To a stirred mixture of fuming HNO3 (>99.5 wt%, 25 ml.) and concentrated H2SO4 (15 ml.) at -10 °C was carefully added 2- chlorothiophene-3-carboxylic acid (2.50 g, 15.4 mmol) in small portions. After completion of the addition, the resulting reaction mixture was stirred for an additional 15 min at temperatures between -10 °C to -5 °C before it was poured into crushed ice water. The solid material that precipitated was filtered off, washed with H2O and dried under reduced pressure at 35 °C to give the title compound (2.13 g, 67%) as a light brown solid which was used without further purification.
1H NMR (400 MHz, DMSO-d6, RT) £13.81 (br s, 1 H), 8.16 (s, 1 H).
Steps 2-4: From the above 2-chloro-5-nitro-thiophene-3-carboxylic acid the desired 2-chloro-N- (1-cyanocyclopropyl)-5-[[2,2-dichloro-3-(3,5-dichlorophenyl)cyclopropanecarbonyl]amino]thio- phene-3-carboxamide [1-1-10] was obtained analogously as described in Example 2 (Steps 2-4).
x> The given isomer in at least 85% by weight n H
II. Evaluation of pesticidal activity
The activity of the compounds of formula I of the present invention can be demonstrated and evaluated by the following biological test.
B.1 Diamond back moth (Plutella xylostella)
The active compound was dissolved at the desired concentration in a mixture of 1 :1 (vokvol) distilled water : aceteone. Surfactant (Kinetic HV) was added at a rate of 0.01 % (vol/vol). The test solution was prepared at the day of use.
Leaves of cabbage were dipped in test solution and air-dried. Treated leaves were placed in petri dishes lined with moist filter paper and inoculated with ten 3rd instar larvae. Mortality was recorded 72 hours after treatment. Feeding damages were also recorded using a scale of 0- 100%.
In this test, compounds C-1 , C-2, 05, 1-1-1 , 1-1-2, 1-1-3, 1-1-4, 1-1-5, 1-1-6, 1-1-8, 1-1-9, and 1-1-10, resp., at 300 ppm showed over 75% mortality in comparison with untreated controls.
B.2 Green Peach Aphid (Myzus persicae)
For evaluating control of green peach aphid ( Myzus persicae) through systemic means the test unit consisted of 96-well-microtiter plates containing liquid artificial diet under an artificial mem brane.
The compounds were formulated using a solution containing 75% v/v water and 25% v/v DMSO. Different concentrations of formulated compounds were pipetted into the aphid diet, using a custom built pipetter, at two replications.
After application, 5 - 8 adult aphids were placed on the artificial membrane inside the microtiter plate wells. The aphids were then allowed to suck on the treated aphid diet and incubated at about 23 + 1 °C and about 50 + 5 % relative humidity for 3 days. Aphid mortality and fecundity was then visually assessed.
In this test, C- 1 , C-2, C-3, C-4, C-5, 1-1-1 , 1-1-2, 1-1-3, 1-1-4, 1-1-5, 1-1-6, 1-1-7, and 1-1-9, resp., at 2500 ppm showed over 75% mortality in comparison with untreated controls.
B.3 Vetch aphid ( Megoura viciae )
For evaluating control of vetch aphid ( Megoura viciae ) through contact or systemic means the test unit consisted of 24-well-microtiter plates containing broad bean leaf disks.
The compounds were formulated using a solution containing 75% v/v water and 25% v/v DMSO. Different concentrations of formulated compounds were sprayed onto the leaf disks at 2.5 pi, using a custom built micro atomizer, at two replications.
After application, the leaf disks were air-dried and 5 - 8 adult aphids placed on the leaf disks inside the microtiter plate wells. The aphids were then allowed to suck on the treated leaf disks and incubated at about 23 + 1 °C and about 50 + 5 % relative humidity for 5 days. Aphid mortality and fecundity was then visually assessed.
In this test, compounds C-1 , C-2, C-3, C-5, 1-1-2, 1-1-3, 1-1-4, 1-1-5, 1-1-6, and 1-1-9, resp., at 2500 ppm showed over 75% mortality in comparison with untreated controls.
B.4 Tobacco budworm ( He/iothis virescens)
For evaluating control of tobacco budworm ( He/iothis virescens) the test unit consisted of 96- well-microtiter plates containing an insect diet and 15-25 H. virescens eggs.
The compounds were formulated using a solution containing 75% v/v water and 25% v/v DMSO. Different concentrations of formulated compounds were sprayed onto the insect diet at 10 pi, using a custom built micro atomizer, at two replications.
After application, microtiter plates were incubated at about 28 + 1 °C and about 80 + 5 % relative humidity for 5 days. Egg and larval mortality was then visually assessed.
In this test, compounds C-1 , C-2, 03, 04, 05, 1-1-1 , 1-1-2, 1-1-3, 1-1-4, 1-1-5, 1-1-6, 1-1-7, and 1-1-9, resp., at 2500 ppm showed over 75% mortality in comparison with untreated controls.
B.5 Boll weevil ( Anthonomus grandis)
For evaluating control of boll weevil {Anthonomus grandis) the test unit consisted of 96-well- microtiter plates containing an insect diet and 5-10 A. grandis e ggs.
The compounds were formulated using a solution containing 75% v/v water and 25% v/v DMSO. Different concentrations of formulated compounds were sprayed onto the insect diet at 5 pi, using a custom built micro atomizer, at two replications.
After application, microtiter plates were incubated at about 25 + 1 °C and about 75 + 5 % relative humidity for 5 days. Egg and larval mortality was then visually assessed.
In this test, C- 1 , C-2, C-3, C-4, C-5, 1-1-1 , 1-1-2, 1-1-3, 1-1-4, 1-1-5, 1-1-6, 1-1-7, and 1-1-9, resp., at 2500 ppm showed over 75% mortality in comparison with untreated controls.
B.7 Orchid thrips {dichromothrips corbetti)
Dichromothrips corbetti adults used for bioassay were obtained from a colony maintained continuously under laboratory conditions. For testing purposes, the test compound is diluted in a 1 :1 mixture of acetone:water (vokvol), plus Kinetic HV at a rate of 0.01 % v/v.
Thrips potency of each compound was evaluated by using a floral-immersion technique. All petals of individual, intact orchid flowers were dipped into treatment solution and allowed to dry in Petri dishes. Treated petals were placed into individual re-sealable plastic along with about 20 adult thrips. All test arenas were held under continuous light and a temperature of about 28°C for duration of the assay. After 3 days, the numbers of live thrips were counted on each petal. The percent mortality was recorded 72 hours after treatment.
In this test, compounds C-1 , C-2, C-5, 1-1-2, 1-1-4, 1-1-5, 1-1-8, 1-1-9, and 1-1-10, resp., at 300 ppm showed over 75% mortality in comparison with untreated controls.
B8. Yellow fever mosquito {Aedes aegypti)
For evaluating control of yellow fever mosquito {Aedes aegypti) the test unit consisted of 96- well-microtiter plates containing 200mI of tap water per well and 5-15 freshly hatched A. aegypti larvae.
The active compounds were formulated using a solution containing 75% (v/v) water and 25% (v/v) DMSO. Different concentrations of formulated compounds or mixtures were sprayed onto the insect diet at 2.5mI, using a custom built micro atomizer, at two replications.
After application, microtiter plates were incubated at 28 + 1 °C, 80 + 5 % RH for 2 days. Larval mortality was then visually assessed.
In this test, compounds 1-1-1 , 1-1-2, 1-1-3, 1-1-4, 1-1-5, 1-1-6, 1-1-7, and 1-1-9, resp., at 2500 ppm showed over 75% mortality in comparison with untreated controls.
B9. Caenorhabditis elegans
For evaluating control of Caenorhabditis elegans through contact or systemic means the test unit consisted of 96-well-microtiter plates containing a liquid diet.
The compounds or mixtures were formulated using a solution containing 75% water and 25% DMSO. Different concentrations of formulated compounds were sprayed into the microtiter plate wells at 5pl per well, using a custom built micro atomiz-er, at two replications. Mixed instar 60- 100 C. elegans were transferred into the micro-titer plate wells. After application, the nematodes were incubated at 18 + 1 °C, 70 + 5 % RH for 4 days. Nematode motility (mortality) was then visually assessed.
In this test, compounds 1-1-6, and 1-1-9, resp., at 2500 ppm showed over 75% mortality in comparison with untreated controls.
Claims
1. Cyclopropyl compounds compounds of formula I
wherein W is connected to 2 or 3 position, the amide group is in 4 or 5 position, and
R1a, R1b are independently H, halogen, Ci-C2-alkyl, or halomethyl;
R2a halogen, halomethyl, or halomethoxy;
R2b, R2c are independently H, or as defined for R2a;
W is W1 : #-C(=U)-NR3-+, or
W2: #- NR3-C(=U)-+; wherein
# is the bond to cyclopropyl, and
+ is the bond to the T-containing heterocycle;
U is O, or S;
R3 is H, Ci-C6-alkyl, C2-C6-alkenyl, C2-C6-alkynyl, Cs-Ce-cycloalkyl, Cs-Ce-cycloalkyl-C-i- C4-alkyl, Ci-C6-alkylcarbonyl, Ci-C6-alkoxycarbonyl, phenyl or saturated, partially or fully unsaturated heterocycle, which groups are unsubstituted or substituted with one or more Ra; and wherein the rings are bonded directly or via Ci-C4-alkyl spacer; Ra is halogen, CN, Ci-C6-alkyl, OR31, or C(=0)0R31; or two Ra bound to the same C-atom form together C3-C6-cycloalkyl;
R31 H, Ci-C6-alkyl, Ci-C6-haloalkyl, C2-C4-alkenyl, C2-C4-alkynyl, C3-C6-cycloalkyl, C3-C6-halocycloalkyl, C3-C6-cycloalkylmethyl, or C3-C6-halocycloalkylmethyl;
R4 is H, halogen, CN, NO2, Ci-C6-alkyl, Ci-C6-alkoxy, Cs-Cs-cycloalkyl, Ci-C6-alkyl- carbonyl, S(0)mR43; wherein the aliphatic groups are unsubstituted or partially or fully substituted with Rb;
R41 is H, or Ci-C6-alkyl;
R42 is H, Ci-C6-alkyl, Ci-C6-haloalkyl, C2-C6-alkenyl, C2-C6-haloalkenyl, C2-C6- alkynyl, C2-C6-haloalkynyl, C(=0)-Ci-C6-alkyl, C3-C6-cycloalkyl, C3-C6- halocycloalkyl, C3-C6-cycloalkylmethyl, or C3-C6-halocycloalkylmethyl which rings are unsubstituted or substituted with halogen or CN;
Rb halogen, OH, CN, N02, N(R41)R42, Ci-C6-haloalkyl, Ci-C6-alkoxy, C(=0)0R31, NHC(=0)-Ci-C6-alkyi, NHC(=0)-C3-C8-cycloalkyi, C(=0)N(R41)R42,
C(=S)N(R41)R42, or phenyl which is unsubstituted or substituted with halogen, Ci-C4-alkyl, Ci-C4-haloalkyl; ; or two Rb bound to the same C-atom form together C3-C4-cycloalkyl;
m is 0, 1 , or 2;
R5 is H, OH, C(=0)R31, C(=0)0R31, CN, Ci-C6-alkyl, Ci-C6-alkoxy, C2-C4-alkenyl, C2- C4-alkynyl, Cs-Cs-cycloalkyl, C2-Cio-alkenyl, C2-Cio-alkynyl, N(R41)R42, phenyl or saturated, partially or fully unsaturated heterocycle, which groups are unsubstituted or substituted with one or more Ra; and wherein the rings are bonded directly or via Ci-C4-alkyl spacer;
R6 is H, Ci-C6-alkyl, C2-C6-alkenyl, C2-C6-alkynyl, Cs-Cs-cycloalkyl, Cs-Ce-cycloalkyl-C-i- C4-alkyl, Ci-C6-alkylcarbonyl, Ci-C6-alkoxycarbonyl, phenyl or saturated, partially or fully unsaturated heterocycle, which groups are unsubstituted or substituted with one or more Raa; and wherein the rings are bonded directly or via Ci-C4-alkyl spacer;
Raa is halogen, CN, Ci-C6-alkyl, OR31, C(=NOR51)R52; C(=0)N(R41)R42,
C(=S)N(R41)R42, or C(=0)0R31; or two Raa bound to the same C-atom form together C3-C6-cycloalkyl;
R51,R52 are independently H, Ci-C6-alkyl, C2-C6-alkenyl, C2-C6-alkynyl, Cs-Cs- cycloalkyl, C3-C8-cycloalkyl-Ci-C4-alkyl, phenyl or saturated, partially or fully unsaturated heterocycle, which groups are unsubstituted or substituted with one or more halogen, CN, NO2; and wherein the rings are bonded directly or via Ci-C4-alkyl spacer;
and the N-oxides, stereoisomers and agriculturally or veterinarily acceptable salts thereof.
2. Compounds of formula I according to claim 1 , wich correspond to formula I.W.2.
Compounds of formula I according to claim 1 , wich correspond to formula I.W1.
3
4. Compounds of formula I according to any of claims 1 to 3, wherein the amide group
C(=0)NR5R6 is in position 5.
5. Compounds of formula I according to any of claims 1 to 4, wherein T is S.
6. Compounds of formula I according to any of claims 1 to 5, wherein R1a and R1b are
halogen.
7. Compounds of formula I according to any of claims 1 to 6, wherein R3 and R5 are H.
8. Compounds of formula I according to any of claims 1 to 7, wherein R4 is H, halogen, or
Ci-C4-alkyl.
9. Compounds of formula I according to any of claims 1 to 8, wherein R6 is Ci-C4-alkyl, Ci- C4-haloalkyl, cyclopropyl or phenyl which rings are bonded either directly or via Chh spacer, and which rings are unsubstituted or substituted with halogen, CN, or Ci-C4-alkyl.
10. An agricultural or veterinary composition comprising at least one compound according to any one of claims 1 to 9 and/or at least one agriculturally or veterinarily acceptable salt thereof, and at least one inert liquid and/or solid agriculturally or veterinarily acceptable carrier.
1 1. An agricultural composition for combating animal pests comprising at least one compound as defined in any of claims 1 to 9 and at least one inert liquid and/or solid acceptable car- rier and, if desired, at least one surfactant.
12. A method for combating or controlling invertebrate pests, which method comprises con- tacting said pest or its food supply, habitat or breeding grounds with a pesticidally effective amount of at least one compound as defined in any one of claims 1 to 9.
13. A method for protecting growing plants from attack or infestation by invertebrate pests, which method comprises contacting a plant, or soil or water in which the plant is growing, with a pesticidally effective amount of at least one compound as defined in any of claims 1 to 9.
14. Seed comprising a compound as defined in any of claims 1 to 9, or the enantiomers, dia- stereomers or salts thereof, in an amount of from 0.1 g to 10 kg per 100 kg of seed.
15. A method for treating or protecting an animal from infestation or infection by invertebrate pests which comprises bringing the animal in contact with a pesticidally effective amount of at least one compound of the formula I as defined in any of claims 1 to 9, a stereoisomer thereof and/or at least one veterinarily acceptable salt thereof.
Applications Claiming Priority (2)
| Application Number | Priority Date | Filing Date | Title |
|---|---|---|---|
| EP18164125 | 2018-03-27 | ||
| EP18164125.9 | 2018-03-27 |
Publications (1)
| Publication Number | Publication Date |
|---|---|
| WO2019185413A1 true WO2019185413A1 (en) | 2019-10-03 |
Family
ID=61827547
Family Applications (1)
| Application Number | Title | Priority Date | Filing Date |
|---|---|---|---|
| PCT/EP2019/056922 Ceased WO2019185413A1 (en) | 2018-03-27 | 2019-03-20 | Pesticidal substituted cyclopropyl derivatives |
Country Status (1)
| Country | Link |
|---|---|
| WO (1) | WO2019185413A1 (en) |
Cited By (2)
| Publication number | Priority date | Publication date | Assignee | Title |
|---|---|---|---|---|
| US10993440B2 (en) | 2016-10-12 | 2021-05-04 | Dow Agrosciences Llc | Molecules having pesticidal utility, and intermediates, compositions, and processes related thereto |
| US11632957B2 (en) | 2015-04-17 | 2023-04-25 | Corteva Agriscience Llc | Molecules having pesticidal utility, and intermediates, compositions, and processes, related thereto |
Citations (115)
| Publication number | Priority date | Publication date | Assignee | Title |
|---|---|---|---|---|
| US3296272A (en) | 1965-04-01 | 1967-01-03 | Dow Chemical Co | Sulfinyl- and sulfonylpyridines |
| US3325503A (en) | 1965-02-18 | 1967-06-13 | Diamond Alkali Co | Polychloro derivatives of mono- and dicyano pyridines and a method for their preparation |
| EP0141317A2 (en) | 1983-10-21 | 1985-05-15 | BASF Aktiengesellschaft | 7-Amino-azolo[1,5-a]pyrimidines and fungicides containing them |
| EP0152031A2 (en) | 1984-02-03 | 1985-08-21 | Shionogi & Co., Ltd. | Azolyl cycloalkanol derivatives and agricultural fungicides |
| EP0226917A1 (en) | 1985-12-20 | 1987-07-01 | BASF Aktiengesellschaft | Acrylic acid esters and fungicides containing these compounds |
| EP0243970A1 (en) | 1986-05-02 | 1987-11-04 | Stauffer Chemical Company | Fungicidal pyridyl imidates |
| EP0256503A2 (en) | 1986-08-12 | 1988-02-24 | Mitsubishi Kasei Corporation | Pyridinecarboxamide derivatives and their use as fungicide |
| EP0428941A1 (en) | 1989-11-10 | 1991-05-29 | Agro-Kanesho Co., Ltd. | Hexahydrotriazine compounds and insecticides |
| EP0532022A1 (en) | 1991-09-13 | 1993-03-17 | Ube Industries, Ltd. | Acrylate compound, preparation process thereof and fungicide using the same |
| DE19650197A1 (en) | 1996-12-04 | 1998-06-10 | Bayer Ag | 3-thiocarbamoylpyrazole derivatives |
| WO1998046608A1 (en) | 1997-04-14 | 1998-10-22 | American Cyanamid Company | Fungicidal trifluoromethylalkylamino-triazolopyrimidines |
| WO1999014187A1 (en) | 1997-09-18 | 1999-03-25 | Basf Aktiengesellschaft | Benzamidoxim derivatives, intermediate products and methods for preparing and using them as fungicides |
| WO1999024413A2 (en) | 1997-11-12 | 1999-05-20 | Bayer Aktiengesellschaft | Isothiazole carboxylic acid amides and the application thereof in order to protect plants |
| WO1999027783A1 (en) | 1997-12-04 | 1999-06-10 | Dow Agrosciences Llc | Fungicidal compositions and methods, and compounds and methods for the preparation thereof |
| WO2000029404A1 (en) | 1998-11-17 | 2000-05-25 | Kumiai Chemical Industry Co., Ltd. | Pyrimidinylbenzimidazole and triazinylbenzimidazole derivatives and agricultura/horticultural bactericides |
| WO2000046148A1 (en) | 1999-02-02 | 2000-08-10 | Sintokogio, Ltd. | Silica gel carrying titanium oxide photocatalyst in high concentration and method for preparation thereof |
| EP1028125A1 (en) | 1998-11-30 | 2000-08-16 | Isagro Ricerca S.r.l. | Dipeptide compounds having fungicidal activity and their agronomic use |
| EP1035122A1 (en) | 1999-03-11 | 2000-09-13 | Rohm And Haas Company | Heterocyclic subsituted isoxazolidines and their use as fungicides |
| WO2000065913A1 (en) | 1999-04-28 | 2000-11-09 | Takeda Chemical Industries, Ltd. | Sulfonamide derivatives |
| DE10021412A1 (en) | 1999-12-13 | 2001-06-21 | Bayer Ag | Fungicidal active ingredient combinations |
| WO2001046165A2 (en) * | 1999-12-16 | 2001-06-28 | Novartis Ag | N-heteroaryl-amides and their use as parasiticides |
| WO2001054501A2 (en) | 2000-01-25 | 2001-08-02 | Syngenta Participations Ag | Herbicidal composition |
| EP1122244A1 (en) | 2000-02-04 | 2001-08-08 | Sumitomo Chemical Company, Limited | Uracil compounds and their use |
| WO2001056358A2 (en) | 2000-01-28 | 2001-08-09 | Rohm And Haas Company | Enhanced propertied pesticides |
| WO2002022583A2 (en) | 2000-09-18 | 2002-03-21 | E. I. Du Pont De Nemours And Company | Pyridinyl amides and imides for use as fungicides |
| EP1201648A1 (en) | 1999-08-05 | 2002-05-02 | Kumiai Chemical Industry Co., Ltd. | Carbamate derivatives and agricultural/horticultural bactericides |
| WO2002040431A2 (en) | 2000-11-17 | 2002-05-23 | Dow Agrosciences Llc | Compounds having fungicidal activity and processes to make and use same |
| JP2002316902A (en) | 2001-04-20 | 2002-10-31 | Sumitomo Chem Co Ltd | Plant disease control agent composition |
| US20030013757A1 (en) | 2001-06-15 | 2003-01-16 | Ulrike Leser-Reiff | Aromatic dicarboxylic acid derivatives |
| WO2003010149A1 (en) | 2001-07-25 | 2003-02-06 | Bayer Cropscience Ag | Pyrazolylcarboxanilides as fungicides |
| WO2003011853A1 (en) | 2001-07-30 | 2003-02-13 | Dow Agrosciences Llc | 6-aryl-4-aminopicolinates and their use as herbicides |
| WO2003014103A1 (en) | 2001-08-03 | 2003-02-20 | Bayer Cropscience S.A. | Iodobenzopyran-4-one derivatives having fungicidal activity |
| WO2003016303A1 (en) | 2001-08-20 | 2003-02-27 | Dainippon Ink And Chemicals, Inc. | Tetrazoyl oxime derivative and agricultural chemical containing the same as active ingredient |
| WO2003016286A1 (en) | 2001-08-17 | 2003-02-27 | Sankyo Agro Company, Limited | 3-phenoxy-4-pyridazinol derivative and herbicide composition containing the same |
| WO2003053145A1 (en) | 2001-12-21 | 2003-07-03 | Nissan Chemical Industries, Ltd. | Bactericidal composition |
| WO2003061388A1 (en) | 2002-01-18 | 2003-07-31 | Sumitomo Chemical Takeda Agro Company, Limited | Fused heterocyclic sulfonylurea compound, herbicide containing the same, and method of controlling weed with the same |
| WO2003066609A1 (en) | 2002-02-04 | 2003-08-14 | Bayer Cropscience Aktiengesellschaft | Disubstituted thiazolyl carboxanilides and their use as microbicides |
| WO2003074491A1 (en) | 2002-03-05 | 2003-09-12 | Syngenta Participations Ag | O-cyclopropyl-carboxanilides and their use as fungicides |
| WO2004049804A2 (en) | 2002-11-29 | 2004-06-17 | Syngenta Participations Ag | Fungicidal combinations for crop potection |
| WO2004064721A2 (en) | 2003-01-24 | 2004-08-05 | Tanabe Seiyaku Co., Ltd. | A pyrazolopyrimidine compound and a process for preparing the same |
| WO2004083193A1 (en) | 2003-03-17 | 2004-09-30 | Sumitomo Chemical Company, Limited | Amide compound and bactericide composition containing the same |
| WO2005063721A1 (en) | 2003-12-19 | 2005-07-14 | E.I. Dupont De Nemours And Company | Herbicidal pyrimidines |
| WO2005077934A1 (en) | 2004-02-18 | 2005-08-25 | Ishihara Sangyo Kaisha, Ltd. | Anthranilamides, process for the production thereof, and pest controllers containing the same |
| WO2005087772A1 (en) | 2004-03-10 | 2005-09-22 | Basf Aktiengesellschaft | 5,6-dialkyl-7-amino-triazolopyrimidines, method for their production, their use for controlling pathogenic fungi and agents containing said compounds |
| WO2005087773A1 (en) | 2004-03-10 | 2005-09-22 | Basf Aktiengesellschaft | 5,6-dialkyl-7-amino-triazolopyrimidines, method for their production, their use for controlling pathogenic fungi and agents containing said compounds |
| WO2005105777A1 (en) | 2004-05-05 | 2005-11-10 | Pharmacia & Upjohn Company Llc | Substituted thiophene amide compounds for the treatment of inflammation |
| WO2005120234A2 (en) | 2004-06-03 | 2005-12-22 | E.I. Dupont De Nemours And Company | Fungicidal mixtures of amidinylphenyl compounds |
| WO2005123690A1 (en) | 2004-06-18 | 2005-12-29 | Basf Aktiengesellschaft | 1-methyl-3-difluoromethyl-pyrazol-4-carbonic acid-(ortho-phenyl)-anilides, and use thereof as a fungicide |
| WO2005123689A1 (en) | 2004-06-18 | 2005-12-29 | Basf Aktiengesellschaft | 1-methyl-3-trifluoromethyl-pyrazole-4-carboxylic acid (ortho-phenyl)-anilides and to use thereof as fungicide |
| WO2006015866A1 (en) | 2004-08-12 | 2006-02-16 | Syngenta Participations Ag | Method for protecting useful plants or plant propagation material |
| WO2006043635A1 (en) | 2004-10-20 | 2006-04-27 | Kumiai Chemical Industry Co., Ltd. | 3-triazolylphenyl sulfide derivative and insecticide/acaricide/nematicide containing the same as active ingredient |
| WO2006065646A1 (en) | 2004-12-13 | 2006-06-22 | Abbott Laboratories | Benzisothiazole-1, 1-dioxide acting as antagonists to the vanilloid receptor subtype 1 (vr1) and uses thereof |
| WO2006087325A1 (en) | 2005-02-16 | 2006-08-24 | Basf Aktiengesellschaft | 5-alkoxyalkyl-6-alkyl-7-amino-azolopyrimidines, method for their production, their use for controlling pathogenic fungi and agents containing said substances |
| WO2006087343A1 (en) | 2005-02-16 | 2006-08-24 | Basf Aktiengesellschaft | Pyrazole carboxylic acid anilides, method for the production thereof and agents containing them for controlling pathogenic fungi |
| WO2006089633A2 (en) | 2005-02-22 | 2006-08-31 | Bayer Cropscience Ag | Spiroketal-substituted cyclic ketoenols |
| DE102005009458A1 (en) | 2005-03-02 | 2006-09-07 | Bayer Cropscience Ag | pyrazolylcarboxanilides |
| WO2007006670A1 (en) | 2005-07-07 | 2007-01-18 | Basf Aktiengesellschaft | N-thio-anthranilamid compounds and their use as pesticides |
| WO2007043677A1 (en) | 2005-10-14 | 2007-04-19 | Sumitomo Chemical Company, Limited | Hydrazide compound and pesticidal use of the same |
| WO2007082098A2 (en) | 2006-01-13 | 2007-07-19 | Dow Agrosciences Llc | 6-(poly-substituted aryl)-4-aminopicolinates and their use as herbicides |
| WO2007090624A2 (en) | 2006-02-09 | 2007-08-16 | Syngenta Participations Ag | A method of protecting a plant propagation material, a plant, and/or plant organs |
| WO2007101369A1 (en) | 2006-03-09 | 2007-09-13 | East China University Of Science And Technology | Preparation method and use of compounds having high biocidal activities |
| WO2007101540A1 (en) | 2006-03-06 | 2007-09-13 | Bayer Cropscience Ag | Combinations of active ingredients with insecticidal properties |
| WO2008067911A1 (en) | 2006-12-04 | 2008-06-12 | Bayer Cropscience Ag | Biphenyl-substituted spirocyclic ketoenols |
| WO2008134969A1 (en) | 2007-04-30 | 2008-11-13 | Sinochem Corporation | Benzamide compounds and applications thereof |
| WO2009090181A2 (en) | 2008-01-15 | 2009-07-23 | Bayer Cropscience Sa | Pesticide composition comprising a tetrazolyloxime derivative and a fungicide or an insecticide active substance |
| WO2009124707A2 (en) | 2008-04-07 | 2009-10-15 | Bayer Cropscience Ag | Combinations of biological control agents and insecticides or fungicides |
| WO2010006713A2 (en) | 2008-07-17 | 2010-01-21 | Bayer Cropscience Ag | Heterocyclic compounds used as pesticides |
| WO2010018714A1 (en) | 2008-08-13 | 2010-02-18 | 三井化学アグロ株式会社 | Amide derivative, pest control agent containing the amide derivative and use of the pest control agent |
| WO2010034737A1 (en) | 2008-09-24 | 2010-04-01 | Basf Se | Pyrazole compounds for controlling invertebrate pests |
| WO2010056877A2 (en) | 2008-11-13 | 2010-05-20 | Virobay, Inc. | Haloalkyl containing compounds as cysteine protease inhibitors |
| CN101715774A (en) | 2008-10-09 | 2010-06-02 | 浙江化工科技集团有限公司 | Preparation and use of compound having insecticidal activity |
| WO2010060379A1 (en) | 2008-11-28 | 2010-06-03 | 中国中化集团公司 | Ether compounds with nitrogen-containing 5-member heterocycle and the uses thereof |
| WO2010069266A1 (en) | 2008-12-19 | 2010-06-24 | 华东理工大学 | Heterocyclic nitrogenous or oxygenous compounds with insecticidal activity formed from dialdehydes and their preparation and uses thereof |
| WO2010069882A1 (en) | 2008-12-17 | 2010-06-24 | Syngenta Participations Ag | Isoxazole derivatives for use as fungicides |
| WO2010129497A1 (en) | 2009-05-05 | 2010-11-11 | Dow Agrosciences Llc | Pesticidal compositions |
| WO2010127926A1 (en) | 2009-05-06 | 2010-11-11 | Syngenta Participations Ag | 4 -cyano- 3 -benzoylamino-n- phenyl-benzamides for use in pest control |
| US20110046186A1 (en) | 2008-07-07 | 2011-02-24 | Bin Li | 1-Substituted Pyridyl-Pyrazolyl Amide Compounds and Uses Thereof |
| WO2011028657A1 (en) | 2009-09-01 | 2011-03-10 | Dow Agrosciences Llc | Synergistic fungicidal compositions containing a 5-fluoropyrimidine derivative for fungal control in cereals |
| WO2011069456A1 (en) | 2009-12-09 | 2011-06-16 | 华东理工大学 | Divalent and oxabridged heterocyclic neonicotinoid compounds and preparation methods thereof |
| WO2011077514A1 (en) | 2009-12-22 | 2011-06-30 | 三井化学アグロ株式会社 | Plant disease control composition and method for controlling plant diseases by applying the composition |
| WO2011080277A1 (en) | 2009-12-29 | 2011-07-07 | Poxel | Thieno [2,3-b] pyridinedione activators of ampk and therapeutic uses thereof |
| CN102126994A (en) | 2010-01-19 | 2011-07-20 | 中化蓝天集团有限公司 | Benzophenone hydrazone derivative and preparation method and application thereof |
| WO2011085575A1 (en) | 2010-01-15 | 2011-07-21 | 江苏省农药研究所股份有限公司 | Ortho-heterocyclyl formanilide compounds, their synthesis methods and use |
| WO2011135833A1 (en) | 2010-04-28 | 2011-11-03 | Sumitomo Chemical Company, Limited | Plant disease control composition and its use |
| WO2012000896A2 (en) | 2010-06-28 | 2012-01-05 | Bayer Cropscience Ag | Heterocyclic compounds as agents for pest control |
| WO2012029672A1 (en) | 2010-08-31 | 2012-03-08 | Meiji Seikaファルマ株式会社 | Noxious organism control agent |
| WO2012034472A1 (en) | 2010-09-13 | 2012-03-22 | 中化蓝天集团有限公司 | Cyano benzenedicarboxamide compounds, preparing methods and as agricultural insecticides uses thereof |
| WO2012034403A1 (en) | 2010-09-14 | 2012-03-22 | 中化蓝天集团有限公司 | Fluoromethoxypyrazole anthranilamide compounds, synthesization methods and uses thereof |
| WO2012084670A1 (en) | 2010-12-20 | 2012-06-28 | Basf Se | Pesticidal active mixtures comprising pyrazole compounds |
| WO2012143317A1 (en) | 2011-04-21 | 2012-10-26 | Basf Se | Novel pesticidal pyrazole compounds |
| WO2012168188A1 (en) | 2011-06-07 | 2012-12-13 | Bayer Intellectual Property Gmbh | Active compound combinations |
| WO2013003977A1 (en) | 2011-07-01 | 2013-01-10 | 合肥星宇化学有限责任公司 | Compound of 2,5-disubstituted-3-nitroimino-1,2,4-triazoline and preparation method and use as pesticide thereof |
| WO2013007767A1 (en) | 2011-07-13 | 2013-01-17 | Basf Se | Fungicidal substituted 2-[2-halogenalkyl-4-(phenoxy)-phenyl]-1-[1,2,4]triazol-1-yl-ethanol compounds |
| WO2013010862A1 (en) | 2011-07-15 | 2013-01-24 | Basf Se | Fungicidal alkyl-substituted 2-[2-chloro-4-(4-chloro-phenoxy)-phenyl]-1-[1,2,4]triazol-1-yl-ethanol compounds |
| WO2013024010A1 (en) | 2011-08-12 | 2013-02-21 | Basf Se | N-thio-anthranilamide compounds and their use as pesticides |
| WO2013024009A1 (en) | 2011-08-12 | 2013-02-21 | Basf Se | N-thio-anthranilamide compounds and their use as pesticides |
| WO2013032804A1 (en) | 2011-08-30 | 2013-03-07 | Eli Lilly And Company | (THIENO[2,3-b][1,5]BENZOXAZEPIN-4-YL)PIPERAZIN-1-YL COMPOUNDS AS DUAL ACTIVITY H1 INVERSE AGONISTS/5-HT2A ANTAGONISTS |
| WO2013047441A1 (en) | 2011-09-26 | 2013-04-04 | 日本曹達株式会社 | Agricultural and horticultural bactericide composition |
| WO2013047749A1 (en) | 2011-09-29 | 2013-04-04 | 三井化学アグロ株式会社 | Production method for 4, 4-difluoro-3,4-dihydroisoquinoline derivative |
| WO2013050317A1 (en) | 2011-10-03 | 2013-04-11 | Syngenta Limited | Polymorphs of an isoxazoline derivative |
| WO2013055584A1 (en) | 2011-10-13 | 2013-04-18 | E. I. Du Pont De Nemours And Company | Solid forms of nematocidal sulfonamides |
| WO2013092224A1 (en) | 2011-12-21 | 2013-06-27 | Basf Se | Use of strobilurin type compounds for combating phytopathogenic fungi resistant to qo inhibitors |
| WO2013129688A1 (en) | 2012-02-29 | 2013-09-06 | Meiji Seika Pharma Co., Ltd. | Pest control composition including novel iminopyridine derivative |
| WO2013127704A1 (en) | 2012-02-27 | 2013-09-06 | Bayer Intellectual Property Gmbh | Active compound combinations containing a thiazoylisoxazoline and a fungicide |
| WO2013162072A1 (en) | 2012-04-27 | 2013-10-31 | Sumitomo Chemical Company, Limited | Tetrazolinone compounds and its use as pesticides |
| WO2014036056A1 (en) | 2012-08-31 | 2014-03-06 | Zoetis Llc | Crystalline forms of 1-(5'-(5-(3,5-dichloro-4-fluorophenyl)-5-(trifluoromethyl)-4,5-dihydroisoxazol-3-yl)-3'h-spiro[azetidine-3,1'-isobenzofuran]-1-yl)-2-(methylsulfonyl)ethanone |
| WO2014090918A1 (en) | 2012-12-13 | 2014-06-19 | Novartis Ag | Process for the enantiomeric enrichment of diaryloxazoline derivatives |
| US20140213448A1 (en) | 2012-04-27 | 2014-07-31 | Dow Agrosciences Llc | Pesticidal compositions and processes related thereto |
| WO2014126208A1 (en) | 2013-02-14 | 2014-08-21 | 日産化学工業株式会社 | Crystalline polymorph of isoxazoline-substituted benzamide compound, and method for producing same |
| WO2015038503A1 (en) | 2013-09-13 | 2015-03-19 | E. I. Du Pont De Nemours And Company | Heterocycle-substituted bicyclic azole pesticides |
| WO2015055497A1 (en) | 2013-10-16 | 2015-04-23 | Basf Se | Substituted pesticidal pyrazole compounds |
| WO2015144657A1 (en) | 2014-03-27 | 2015-10-01 | Bayer Cropscience Ag | Use of pyridyloxyalkylcarboxamides for the control of unwanted microorganisms |
| WO2016168056A1 (en) | 2015-04-17 | 2016-10-20 | Dow Agrosciences Llc | Molecules having pesticidal utility, and intermediates, composition, and processes, related thereto |
| WO2017055414A1 (en) | 2015-10-02 | 2017-04-06 | Syngenta Participations Ag | Pesticidally active pyrazole derivatives |
| WO2018071327A1 (en) | 2016-10-12 | 2018-04-19 | Dow Agrosciences Llc | Molecules having pesticidal utility, and intermediates, compositions, and processes, related thereto |
-
2019
- 2019-03-20 WO PCT/EP2019/056922 patent/WO2019185413A1/en not_active Ceased
Patent Citations (120)
| Publication number | Priority date | Publication date | Assignee | Title |
|---|---|---|---|---|
| US3325503A (en) | 1965-02-18 | 1967-06-13 | Diamond Alkali Co | Polychloro derivatives of mono- and dicyano pyridines and a method for their preparation |
| US3296272A (en) | 1965-04-01 | 1967-01-03 | Dow Chemical Co | Sulfinyl- and sulfonylpyridines |
| EP0141317A2 (en) | 1983-10-21 | 1985-05-15 | BASF Aktiengesellschaft | 7-Amino-azolo[1,5-a]pyrimidines and fungicides containing them |
| EP0152031A2 (en) | 1984-02-03 | 1985-08-21 | Shionogi & Co., Ltd. | Azolyl cycloalkanol derivatives and agricultural fungicides |
| EP0226917A1 (en) | 1985-12-20 | 1987-07-01 | BASF Aktiengesellschaft | Acrylic acid esters and fungicides containing these compounds |
| EP0243970A1 (en) | 1986-05-02 | 1987-11-04 | Stauffer Chemical Company | Fungicidal pyridyl imidates |
| EP0256503A2 (en) | 1986-08-12 | 1988-02-24 | Mitsubishi Kasei Corporation | Pyridinecarboxamide derivatives and their use as fungicide |
| EP0428941A1 (en) | 1989-11-10 | 1991-05-29 | Agro-Kanesho Co., Ltd. | Hexahydrotriazine compounds and insecticides |
| EP0532022A1 (en) | 1991-09-13 | 1993-03-17 | Ube Industries, Ltd. | Acrylate compound, preparation process thereof and fungicide using the same |
| DE19650197A1 (en) | 1996-12-04 | 1998-06-10 | Bayer Ag | 3-thiocarbamoylpyrazole derivatives |
| WO1998046608A1 (en) | 1997-04-14 | 1998-10-22 | American Cyanamid Company | Fungicidal trifluoromethylalkylamino-triazolopyrimidines |
| WO1999014187A1 (en) | 1997-09-18 | 1999-03-25 | Basf Aktiengesellschaft | Benzamidoxim derivatives, intermediate products and methods for preparing and using them as fungicides |
| WO1999024413A2 (en) | 1997-11-12 | 1999-05-20 | Bayer Aktiengesellschaft | Isothiazole carboxylic acid amides and the application thereof in order to protect plants |
| WO1999027783A1 (en) | 1997-12-04 | 1999-06-10 | Dow Agrosciences Llc | Fungicidal compositions and methods, and compounds and methods for the preparation thereof |
| WO2000029404A1 (en) | 1998-11-17 | 2000-05-25 | Kumiai Chemical Industry Co., Ltd. | Pyrimidinylbenzimidazole and triazinylbenzimidazole derivatives and agricultura/horticultural bactericides |
| EP1028125A1 (en) | 1998-11-30 | 2000-08-16 | Isagro Ricerca S.r.l. | Dipeptide compounds having fungicidal activity and their agronomic use |
| WO2000046148A1 (en) | 1999-02-02 | 2000-08-10 | Sintokogio, Ltd. | Silica gel carrying titanium oxide photocatalyst in high concentration and method for preparation thereof |
| EP1035122A1 (en) | 1999-03-11 | 2000-09-13 | Rohm And Haas Company | Heterocyclic subsituted isoxazolidines and their use as fungicides |
| WO2000065913A1 (en) | 1999-04-28 | 2000-11-09 | Takeda Chemical Industries, Ltd. | Sulfonamide derivatives |
| EP1201648A1 (en) | 1999-08-05 | 2002-05-02 | Kumiai Chemical Industry Co., Ltd. | Carbamate derivatives and agricultural/horticultural bactericides |
| DE10021412A1 (en) | 1999-12-13 | 2001-06-21 | Bayer Ag | Fungicidal active ingredient combinations |
| WO2001046165A2 (en) * | 1999-12-16 | 2001-06-28 | Novartis Ag | N-heteroaryl-amides and their use as parasiticides |
| WO2001054501A2 (en) | 2000-01-25 | 2001-08-02 | Syngenta Participations Ag | Herbicidal composition |
| WO2001056358A2 (en) | 2000-01-28 | 2001-08-09 | Rohm And Haas Company | Enhanced propertied pesticides |
| EP1122244A1 (en) | 2000-02-04 | 2001-08-08 | Sumitomo Chemical Company, Limited | Uracil compounds and their use |
| WO2002022583A2 (en) | 2000-09-18 | 2002-03-21 | E. I. Du Pont De Nemours And Company | Pyridinyl amides and imides for use as fungicides |
| WO2002040431A2 (en) | 2000-11-17 | 2002-05-23 | Dow Agrosciences Llc | Compounds having fungicidal activity and processes to make and use same |
| JP2002316902A (en) | 2001-04-20 | 2002-10-31 | Sumitomo Chem Co Ltd | Plant disease control agent composition |
| US20030013757A1 (en) | 2001-06-15 | 2003-01-16 | Ulrike Leser-Reiff | Aromatic dicarboxylic acid derivatives |
| WO2003010149A1 (en) | 2001-07-25 | 2003-02-06 | Bayer Cropscience Ag | Pyrazolylcarboxanilides as fungicides |
| WO2003011853A1 (en) | 2001-07-30 | 2003-02-13 | Dow Agrosciences Llc | 6-aryl-4-aminopicolinates and their use as herbicides |
| WO2003014103A1 (en) | 2001-08-03 | 2003-02-20 | Bayer Cropscience S.A. | Iodobenzopyran-4-one derivatives having fungicidal activity |
| WO2003016286A1 (en) | 2001-08-17 | 2003-02-27 | Sankyo Agro Company, Limited | 3-phenoxy-4-pyridazinol derivative and herbicide composition containing the same |
| WO2003016303A1 (en) | 2001-08-20 | 2003-02-27 | Dainippon Ink And Chemicals, Inc. | Tetrazoyl oxime derivative and agricultural chemical containing the same as active ingredient |
| WO2003053145A1 (en) | 2001-12-21 | 2003-07-03 | Nissan Chemical Industries, Ltd. | Bactericidal composition |
| WO2003061388A1 (en) | 2002-01-18 | 2003-07-31 | Sumitomo Chemical Takeda Agro Company, Limited | Fused heterocyclic sulfonylurea compound, herbicide containing the same, and method of controlling weed with the same |
| WO2003066609A1 (en) | 2002-02-04 | 2003-08-14 | Bayer Cropscience Aktiengesellschaft | Disubstituted thiazolyl carboxanilides and their use as microbicides |
| WO2003074491A1 (en) | 2002-03-05 | 2003-09-12 | Syngenta Participations Ag | O-cyclopropyl-carboxanilides and their use as fungicides |
| WO2004049804A2 (en) | 2002-11-29 | 2004-06-17 | Syngenta Participations Ag | Fungicidal combinations for crop potection |
| WO2004064721A2 (en) | 2003-01-24 | 2004-08-05 | Tanabe Seiyaku Co., Ltd. | A pyrazolopyrimidine compound and a process for preparing the same |
| WO2004083193A1 (en) | 2003-03-17 | 2004-09-30 | Sumitomo Chemical Company, Limited | Amide compound and bactericide composition containing the same |
| WO2005063721A1 (en) | 2003-12-19 | 2005-07-14 | E.I. Dupont De Nemours And Company | Herbicidal pyrimidines |
| WO2005077934A1 (en) | 2004-02-18 | 2005-08-25 | Ishihara Sangyo Kaisha, Ltd. | Anthranilamides, process for the production thereof, and pest controllers containing the same |
| WO2005087772A1 (en) | 2004-03-10 | 2005-09-22 | Basf Aktiengesellschaft | 5,6-dialkyl-7-amino-triazolopyrimidines, method for their production, their use for controlling pathogenic fungi and agents containing said compounds |
| WO2005087773A1 (en) | 2004-03-10 | 2005-09-22 | Basf Aktiengesellschaft | 5,6-dialkyl-7-amino-triazolopyrimidines, method for their production, their use for controlling pathogenic fungi and agents containing said compounds |
| WO2005105777A1 (en) | 2004-05-05 | 2005-11-10 | Pharmacia & Upjohn Company Llc | Substituted thiophene amide compounds for the treatment of inflammation |
| WO2005120234A2 (en) | 2004-06-03 | 2005-12-22 | E.I. Dupont De Nemours And Company | Fungicidal mixtures of amidinylphenyl compounds |
| WO2005123690A1 (en) | 2004-06-18 | 2005-12-29 | Basf Aktiengesellschaft | 1-methyl-3-difluoromethyl-pyrazol-4-carbonic acid-(ortho-phenyl)-anilides, and use thereof as a fungicide |
| WO2005123689A1 (en) | 2004-06-18 | 2005-12-29 | Basf Aktiengesellschaft | 1-methyl-3-trifluoromethyl-pyrazole-4-carboxylic acid (ortho-phenyl)-anilides and to use thereof as fungicide |
| WO2006015866A1 (en) | 2004-08-12 | 2006-02-16 | Syngenta Participations Ag | Method for protecting useful plants or plant propagation material |
| WO2006043635A1 (en) | 2004-10-20 | 2006-04-27 | Kumiai Chemical Industry Co., Ltd. | 3-triazolylphenyl sulfide derivative and insecticide/acaricide/nematicide containing the same as active ingredient |
| WO2006065646A1 (en) | 2004-12-13 | 2006-06-22 | Abbott Laboratories | Benzisothiazole-1, 1-dioxide acting as antagonists to the vanilloid receptor subtype 1 (vr1) and uses thereof |
| WO2006087325A1 (en) | 2005-02-16 | 2006-08-24 | Basf Aktiengesellschaft | 5-alkoxyalkyl-6-alkyl-7-amino-azolopyrimidines, method for their production, their use for controlling pathogenic fungi and agents containing said substances |
| WO2006087343A1 (en) | 2005-02-16 | 2006-08-24 | Basf Aktiengesellschaft | Pyrazole carboxylic acid anilides, method for the production thereof and agents containing them for controlling pathogenic fungi |
| WO2006089633A2 (en) | 2005-02-22 | 2006-08-31 | Bayer Cropscience Ag | Spiroketal-substituted cyclic ketoenols |
| DE102005009458A1 (en) | 2005-03-02 | 2006-09-07 | Bayer Cropscience Ag | pyrazolylcarboxanilides |
| WO2007006670A1 (en) | 2005-07-07 | 2007-01-18 | Basf Aktiengesellschaft | N-thio-anthranilamid compounds and their use as pesticides |
| WO2007043677A1 (en) | 2005-10-14 | 2007-04-19 | Sumitomo Chemical Company, Limited | Hydrazide compound and pesticidal use of the same |
| WO2007082098A2 (en) | 2006-01-13 | 2007-07-19 | Dow Agrosciences Llc | 6-(poly-substituted aryl)-4-aminopicolinates and their use as herbicides |
| WO2007090624A2 (en) | 2006-02-09 | 2007-08-16 | Syngenta Participations Ag | A method of protecting a plant propagation material, a plant, and/or plant organs |
| WO2007101540A1 (en) | 2006-03-06 | 2007-09-13 | Bayer Cropscience Ag | Combinations of active ingredients with insecticidal properties |
| WO2007101369A1 (en) | 2006-03-09 | 2007-09-13 | East China University Of Science And Technology | Preparation method and use of compounds having high biocidal activities |
| WO2008067911A1 (en) | 2006-12-04 | 2008-06-12 | Bayer Cropscience Ag | Biphenyl-substituted spirocyclic ketoenols |
| WO2008134969A1 (en) | 2007-04-30 | 2008-11-13 | Sinochem Corporation | Benzamide compounds and applications thereof |
| WO2009090181A2 (en) | 2008-01-15 | 2009-07-23 | Bayer Cropscience Sa | Pesticide composition comprising a tetrazolyloxime derivative and a fungicide or an insecticide active substance |
| WO2009124707A2 (en) | 2008-04-07 | 2009-10-15 | Bayer Cropscience Ag | Combinations of biological control agents and insecticides or fungicides |
| US20110046186A1 (en) | 2008-07-07 | 2011-02-24 | Bin Li | 1-Substituted Pyridyl-Pyrazolyl Amide Compounds and Uses Thereof |
| WO2010006713A2 (en) | 2008-07-17 | 2010-01-21 | Bayer Cropscience Ag | Heterocyclic compounds used as pesticides |
| WO2010018714A1 (en) | 2008-08-13 | 2010-02-18 | 三井化学アグロ株式会社 | Amide derivative, pest control agent containing the amide derivative and use of the pest control agent |
| WO2010034737A1 (en) | 2008-09-24 | 2010-04-01 | Basf Se | Pyrazole compounds for controlling invertebrate pests |
| CN101715774A (en) | 2008-10-09 | 2010-06-02 | 浙江化工科技集团有限公司 | Preparation and use of compound having insecticidal activity |
| WO2010056877A2 (en) | 2008-11-13 | 2010-05-20 | Virobay, Inc. | Haloalkyl containing compounds as cysteine protease inhibitors |
| WO2010060379A1 (en) | 2008-11-28 | 2010-06-03 | 中国中化集团公司 | Ether compounds with nitrogen-containing 5-member heterocycle and the uses thereof |
| WO2010069882A1 (en) | 2008-12-17 | 2010-06-24 | Syngenta Participations Ag | Isoxazole derivatives for use as fungicides |
| WO2010069266A1 (en) | 2008-12-19 | 2010-06-24 | 华东理工大学 | Heterocyclic nitrogenous or oxygenous compounds with insecticidal activity formed from dialdehydes and their preparation and uses thereof |
| WO2010129497A1 (en) | 2009-05-05 | 2010-11-11 | Dow Agrosciences Llc | Pesticidal compositions |
| WO2010127926A1 (en) | 2009-05-06 | 2010-11-11 | Syngenta Participations Ag | 4 -cyano- 3 -benzoylamino-n- phenyl-benzamides for use in pest control |
| WO2011028657A1 (en) | 2009-09-01 | 2011-03-10 | Dow Agrosciences Llc | Synergistic fungicidal compositions containing a 5-fluoropyrimidine derivative for fungal control in cereals |
| WO2011069456A1 (en) | 2009-12-09 | 2011-06-16 | 华东理工大学 | Divalent and oxabridged heterocyclic neonicotinoid compounds and preparation methods thereof |
| WO2011077514A1 (en) | 2009-12-22 | 2011-06-30 | 三井化学アグロ株式会社 | Plant disease control composition and method for controlling plant diseases by applying the composition |
| WO2011080277A1 (en) | 2009-12-29 | 2011-07-07 | Poxel | Thieno [2,3-b] pyridinedione activators of ampk and therapeutic uses thereof |
| WO2011085575A1 (en) | 2010-01-15 | 2011-07-21 | 江苏省农药研究所股份有限公司 | Ortho-heterocyclyl formanilide compounds, their synthesis methods and use |
| CN102126994A (en) | 2010-01-19 | 2011-07-20 | 中化蓝天集团有限公司 | Benzophenone hydrazone derivative and preparation method and application thereof |
| WO2011135833A1 (en) | 2010-04-28 | 2011-11-03 | Sumitomo Chemical Company, Limited | Plant disease control composition and its use |
| WO2012000896A2 (en) | 2010-06-28 | 2012-01-05 | Bayer Cropscience Ag | Heterocyclic compounds as agents for pest control |
| WO2012029672A1 (en) | 2010-08-31 | 2012-03-08 | Meiji Seikaファルマ株式会社 | Noxious organism control agent |
| WO2012034472A1 (en) | 2010-09-13 | 2012-03-22 | 中化蓝天集团有限公司 | Cyano benzenedicarboxamide compounds, preparing methods and as agricultural insecticides uses thereof |
| WO2012034403A1 (en) | 2010-09-14 | 2012-03-22 | 中化蓝天集团有限公司 | Fluoromethoxypyrazole anthranilamide compounds, synthesization methods and uses thereof |
| WO2012084670A1 (en) | 2010-12-20 | 2012-06-28 | Basf Se | Pesticidal active mixtures comprising pyrazole compounds |
| WO2012143317A1 (en) | 2011-04-21 | 2012-10-26 | Basf Se | Novel pesticidal pyrazole compounds |
| WO2012168188A1 (en) | 2011-06-07 | 2012-12-13 | Bayer Intellectual Property Gmbh | Active compound combinations |
| WO2013003977A1 (en) | 2011-07-01 | 2013-01-10 | 合肥星宇化学有限责任公司 | Compound of 2,5-disubstituted-3-nitroimino-1,2,4-triazoline and preparation method and use as pesticide thereof |
| WO2013007767A1 (en) | 2011-07-13 | 2013-01-17 | Basf Se | Fungicidal substituted 2-[2-halogenalkyl-4-(phenoxy)-phenyl]-1-[1,2,4]triazol-1-yl-ethanol compounds |
| WO2013010862A1 (en) | 2011-07-15 | 2013-01-24 | Basf Se | Fungicidal alkyl-substituted 2-[2-chloro-4-(4-chloro-phenoxy)-phenyl]-1-[1,2,4]triazol-1-yl-ethanol compounds |
| WO2013024010A1 (en) | 2011-08-12 | 2013-02-21 | Basf Se | N-thio-anthranilamide compounds and their use as pesticides |
| WO2013024009A1 (en) | 2011-08-12 | 2013-02-21 | Basf Se | N-thio-anthranilamide compounds and their use as pesticides |
| WO2013032804A1 (en) | 2011-08-30 | 2013-03-07 | Eli Lilly And Company | (THIENO[2,3-b][1,5]BENZOXAZEPIN-4-YL)PIPERAZIN-1-YL COMPOUNDS AS DUAL ACTIVITY H1 INVERSE AGONISTS/5-HT2A ANTAGONISTS |
| WO2013047441A1 (en) | 2011-09-26 | 2013-04-04 | 日本曹達株式会社 | Agricultural and horticultural bactericide composition |
| WO2013047749A1 (en) | 2011-09-29 | 2013-04-04 | 三井化学アグロ株式会社 | Production method for 4, 4-difluoro-3,4-dihydroisoquinoline derivative |
| WO2013050317A1 (en) | 2011-10-03 | 2013-04-11 | Syngenta Limited | Polymorphs of an isoxazoline derivative |
| WO2013055584A1 (en) | 2011-10-13 | 2013-04-18 | E. I. Du Pont De Nemours And Company | Solid forms of nematocidal sulfonamides |
| WO2013092224A1 (en) | 2011-12-21 | 2013-06-27 | Basf Se | Use of strobilurin type compounds for combating phytopathogenic fungi resistant to qo inhibitors |
| WO2013127704A1 (en) | 2012-02-27 | 2013-09-06 | Bayer Intellectual Property Gmbh | Active compound combinations containing a thiazoylisoxazoline and a fungicide |
| WO2013129688A1 (en) | 2012-02-29 | 2013-09-06 | Meiji Seika Pharma Co., Ltd. | Pest control composition including novel iminopyridine derivative |
| WO2013162072A1 (en) | 2012-04-27 | 2013-10-31 | Sumitomo Chemical Company, Limited | Tetrazolinone compounds and its use as pesticides |
| US20140213448A1 (en) | 2012-04-27 | 2014-07-31 | Dow Agrosciences Llc | Pesticidal compositions and processes related thereto |
| WO2014036056A1 (en) | 2012-08-31 | 2014-03-06 | Zoetis Llc | Crystalline forms of 1-(5'-(5-(3,5-dichloro-4-fluorophenyl)-5-(trifluoromethyl)-4,5-dihydroisoxazol-3-yl)-3'h-spiro[azetidine-3,1'-isobenzofuran]-1-yl)-2-(methylsulfonyl)ethanone |
| WO2014090918A1 (en) | 2012-12-13 | 2014-06-19 | Novartis Ag | Process for the enantiomeric enrichment of diaryloxazoline derivatives |
| WO2014126208A1 (en) | 2013-02-14 | 2014-08-21 | 日産化学工業株式会社 | Crystalline polymorph of isoxazoline-substituted benzamide compound, and method for producing same |
| WO2015038503A1 (en) | 2013-09-13 | 2015-03-19 | E. I. Du Pont De Nemours And Company | Heterocycle-substituted bicyclic azole pesticides |
| WO2015055497A1 (en) | 2013-10-16 | 2015-04-23 | Basf Se | Substituted pesticidal pyrazole compounds |
| WO2015144657A1 (en) | 2014-03-27 | 2015-10-01 | Bayer Cropscience Ag | Use of pyridyloxyalkylcarboxamides for the control of unwanted microorganisms |
| WO2016168056A1 (en) | 2015-04-17 | 2016-10-20 | Dow Agrosciences Llc | Molecules having pesticidal utility, and intermediates, composition, and processes, related thereto |
| WO2016168058A1 (en) | 2015-04-17 | 2016-10-20 | Dow Agrosciences Llc | Molecules having pesticidal utility, and intermediates, compositions, and processes, related thereto |
| WO2016168059A1 (en) | 2015-04-17 | 2016-10-20 | Dow Agrosciences Llc | Molecules having pesticidal utility, and intermediates, compositions, and processes, related thereto |
| US20170339961A1 (en) * | 2015-04-17 | 2017-11-30 | Dow Agrosciences Llc | Molecules having pesticidal utility, and intermediates, compositions, and processes, related thereto |
| US20180000087A1 (en) * | 2015-04-17 | 2018-01-04 | Dow Agrosciences Llc | Molecules having pesticidal utility, and intermediates, compositions, and processes, related thereto |
| US20180007911A1 (en) * | 2015-04-17 | 2018-01-11 | Dow Agrosciences Llc | Molecules having pesticidal utility, and intermediates, compositions, and processes, related thereto |
| WO2017055414A1 (en) | 2015-10-02 | 2017-04-06 | Syngenta Participations Ag | Pesticidally active pyrazole derivatives |
| WO2018071327A1 (en) | 2016-10-12 | 2018-04-19 | Dow Agrosciences Llc | Molecules having pesticidal utility, and intermediates, compositions, and processes, related thereto |
Non-Patent Citations (17)
| Title |
|---|
| "Technical Mono-graph", May 2008, CROPLIFE INTERNATIONAL, article "Catalogue of pesticide formulation types and international coding system" |
| ARTS, N. B. M. ET AL., TETRAHEDRON, vol. 34, no. 8, 1978, pages 1271 - 9 |
| C. MACBEAN: "The Pesticide Manual", 2013, BRITISH CROP PROTECTION COUNCIL |
| CAN. J. PLANT SCI., vol. 48, no. 6, 1968, pages 587 - 94 |
| ISHITANI, HARURO ET AL., ORGANIC LETTERS, vol. 18, no. 6, 2016, pages 1346 - 1349 |
| KNOWLES: "Adjuvants and additives, Agrow Reports DS256", 2006, T&F INFORMA |
| KNOWLES: "Agrow Reports DS243", 2005, T&F INFORMA, article "New developments in crop protection product formulation" |
| LEE ET AL., CHEM. EUR. J., vol. 22, 2016, pages 7609 - 16 |
| MCCUTCHEON'S: "Emulsifiers & Detergents", vol. 1, 2008, MCCUTCHEON'S DIRECTORIES |
| MOLLET; GRUBE-MANN: "Formulation technology", 2001, WILEY VCH |
| NATIONAL CENTER FOR BIOTECHNOLOGY INFORMATION PUBCHEM COMPOUND DATABASE, INTERNET CITATION, 11 December 2015 (2015-12-11), XP002782599, Retrieved from the Internet <URL:https://pubchem.ncbi.nlm.nih.gov/compound/95775211> [retrieved on 20180627] * |
| NATIONAL CENTER FOR BIOTECHNOLOGY INFORMATION PUBCHEM COMPOUND DATABASE, INTERNET CITATION, 11 December 2015 (2015-12-11), XP002782600, Retrieved from the Internet <URL:https://pubchem.ncbi.nlm.nih.gov/compound/95775212> [retrieved on 20180627] * |
| NATIONAL CENTER FOR BIOTECHNOLOGY INFORMATION PUBCHEM COMPOUND DATABASE, INTERNET CITATION, 11 December 2015 (2015-12-11), XP002782601, Retrieved from the Internet <URL:https://pubchem.ncbi.nlm.nih.gov/compound/95775213> [retrieved on 20180627] * |
| NATIONAL CENTER FOR BIOTECHNOLOGY INFORMATION PUBCHEM COMPOUND DATABASE, INTERNET CITATION, 11 December 2015 (2015-12-11), XP002782602, Retrieved from the Internet <URL:https://pubchem.ncbi.nlm.nih.gov/compound/95775214> [retrieved on 20180627] * |
| NATIONAL CENTER FOR BIOTECHNOLOGY INFORMATION PUBCHEM COMPOUND DATABASE, INTERNET CITATION, 2 December 2013 (2013-12-02), XP002782598, Retrieved from the Internet <URL:https://pubchem.ncbi.nlm.nih.gov/compound/72128403> [retrieved on 20180627] * |
| NGO, THIEN H. ET AL., JOURNAL OF ORGANIC CHEMISTRY, vol. 77, no. 21, 2012, pages 9676 - 9683 |
| WANG, SHUAI ET AL., CHEMISTRY - A EUROPEAN JOURNAL, vol. 22, no. 33, 2016, pages 11785 - 11794 |
Cited By (5)
| Publication number | Priority date | Publication date | Assignee | Title |
|---|---|---|---|---|
| US11632957B2 (en) | 2015-04-17 | 2023-04-25 | Corteva Agriscience Llc | Molecules having pesticidal utility, and intermediates, compositions, and processes, related thereto |
| US12256738B2 (en) | 2015-04-17 | 2025-03-25 | Corteva Agriscience Llc | Molecules having pesticidal utility, and intermediates, compositions, and processes, related thereto |
| US12490741B2 (en) | 2015-04-17 | 2025-12-09 | Corteva Agriscience Llc | Molecules having pesticidal utility, and intermediates, compositions, and processes, related thereto |
| US10993440B2 (en) | 2016-10-12 | 2021-05-04 | Dow Agrosciences Llc | Molecules having pesticidal utility, and intermediates, compositions, and processes related thereto |
| US11944099B2 (en) | 2016-10-12 | 2024-04-02 | Corteva Agriscience Llc | Molecules having pesticidal utility, and intermediates, compositions, and processes, related thereto |
Similar Documents
| Publication | Publication Date | Title |
|---|---|---|
| EP3601298B1 (en) | Process for preparing chiral 2,3-dihydrothiazolo[3,2-a]pyrimidin-4-ium compounds | |
| EP3436457B1 (en) | Bicyclic compounds | |
| EP3615530B1 (en) | Substituted succinimide derivatives as pesticides | |
| AU2019364656A1 (en) | Pesticidal compounds | |
| AU2017374992A1 (en) | Pesticidal compounds | |
| AU2018266990A1 (en) | Bicyclic pesticidal compounds | |
| AU2015212838A1 (en) | Pyrazoles for controlling invertebrate pests | |
| WO2019121159A1 (en) | Pesticidal compounds | |
| WO2015162133A1 (en) | C3-c4-cycloalkenyl-comprising pyrazoles for controlling invertebrate pests | |
| WO2018224455A1 (en) | Substituted cyclopropyl derivatives | |
| EP3426660A1 (en) | Spirocyclic derivatives | |
| WO2019185413A1 (en) | Pesticidal substituted cyclopropyl derivatives | |
| WO2019121143A1 (en) | Substituted cyclopropyl derivatives | |
| EP3613736A1 (en) | Substituted glutarimide derivatives | |
| WO2018162312A1 (en) | Spirocyclic derivatives | |
| WO2018192793A1 (en) | Substituted rhodanine derivatives | |
| EP3887357A1 (en) | Pesticidal compounds | |
| WO2018166855A1 (en) | Heterobicyclic substituted dihydroisoxazoles | |
| WO2018234488A1 (en) | SUBSTITUTED CYCLOPROPYL DERIVATIVES |
Legal Events
| Date | Code | Title | Description |
|---|---|---|---|
| 121 | Ep: the epo has been informed by wipo that ep was designated in this application |
Ref document number: 19712187 Country of ref document: EP Kind code of ref document: A1 |
|
| NENP | Non-entry into the national phase |
Ref country code: DE |
|
| 122 | Ep: pct application non-entry in european phase |
Ref document number: 19712187 Country of ref document: EP Kind code of ref document: A1 |








































