WO2004083193A1 - Amide compound and bactericide composition containing the same - Google Patents
Amide compound and bactericide composition containing the same Download PDFInfo
- Publication number
- WO2004083193A1 WO2004083193A1 PCT/JP2004/003223 JP2004003223W WO2004083193A1 WO 2004083193 A1 WO2004083193 A1 WO 2004083193A1 JP 2004003223 W JP2004003223 W JP 2004003223W WO 2004083193 A1 WO2004083193 A1 WO 2004083193A1
- Authority
- WO
- WIPO (PCT)
- Prior art keywords
- group
- formula
- compound
- hydrogen atom
- reaction
- Prior art date
- Legal status (The legal status is an assumption and is not a legal conclusion. Google has not performed a legal analysis and makes no representation as to the accuracy of the status listed.)
- Ceased
Links
Classifications
-
- C—CHEMISTRY; METALLURGY
- C07—ORGANIC CHEMISTRY
- C07D—HETEROCYCLIC COMPOUNDS
- C07D261/00—Heterocyclic compounds containing 1,2-oxazole or hydrogenated 1,2-oxazole rings
- C07D261/02—Heterocyclic compounds containing 1,2-oxazole or hydrogenated 1,2-oxazole rings not condensed with other rings
- C07D261/06—Heterocyclic compounds containing 1,2-oxazole or hydrogenated 1,2-oxazole rings not condensed with other rings having two or more double bonds between ring members or between ring members and non-ring members
- C07D261/10—Heterocyclic compounds containing 1,2-oxazole or hydrogenated 1,2-oxazole rings not condensed with other rings having two or more double bonds between ring members or between ring members and non-ring members with hetero atoms or with carbon atoms having three bonds to hetero atoms with at the most one bond to halogen, e.g. ester or nitrile radicals, directly attached to ring carbon atoms
- C07D261/14—Nitrogen atoms
-
- A—HUMAN NECESSITIES
- A01—AGRICULTURE; FORESTRY; ANIMAL HUSBANDRY; HUNTING; TRAPPING; FISHING
- A01N—PRESERVATION OF BODIES OF HUMANS OR ANIMALS OR PLANTS OR PARTS THEREOF; BIOCIDES, e.g. AS DISINFECTANTS, AS PESTICIDES OR AS HERBICIDES; PEST REPELLANTS OR ATTRACTANTS; PLANT GROWTH REGULATORS
- A01N43/00—Biocides, pest repellants or attractants, or plant growth regulators containing heterocyclic compounds
- A01N43/48—Biocides, pest repellants or attractants, or plant growth regulators containing heterocyclic compounds having rings with two nitrogen atoms as the only ring hetero atoms
- A01N43/56—1,2-Diazoles; Hydrogenated 1,2-diazoles
-
- A—HUMAN NECESSITIES
- A01—AGRICULTURE; FORESTRY; ANIMAL HUSBANDRY; HUNTING; TRAPPING; FISHING
- A01N—PRESERVATION OF BODIES OF HUMANS OR ANIMALS OR PLANTS OR PARTS THEREOF; BIOCIDES, e.g. AS DISINFECTANTS, AS PESTICIDES OR AS HERBICIDES; PEST REPELLANTS OR ATTRACTANTS; PLANT GROWTH REGULATORS
- A01N43/00—Biocides, pest repellants or attractants, or plant growth regulators containing heterocyclic compounds
- A01N43/72—Biocides, pest repellants or attractants, or plant growth regulators containing heterocyclic compounds having rings with nitrogen atoms and oxygen or sulfur atoms as ring hetero atoms
- A01N43/80—Biocides, pest repellants or attractants, or plant growth regulators containing heterocyclic compounds having rings with nitrogen atoms and oxygen or sulfur atoms as ring hetero atoms five-membered rings with one nitrogen atom and either one oxygen atom or one sulfur atom in positions 1,2
-
- C—CHEMISTRY; METALLURGY
- C07—ORGANIC CHEMISTRY
- C07D—HETEROCYCLIC COMPOUNDS
- C07D231/00—Heterocyclic compounds containing 1,2-diazole or hydrogenated 1,2-diazole rings
- C07D231/02—Heterocyclic compounds containing 1,2-diazole or hydrogenated 1,2-diazole rings not condensed with other rings
- C07D231/10—Heterocyclic compounds containing 1,2-diazole or hydrogenated 1,2-diazole rings not condensed with other rings having two or three double bonds between ring members or between ring members and non-ring members
- C07D231/14—Heterocyclic compounds containing 1,2-diazole or hydrogenated 1,2-diazole rings not condensed with other rings having two or three double bonds between ring members or between ring members and non-ring members with hetero atoms or with carbon atoms having three bonds to hetero atoms with at the most one bond to halogen, e.g. ester or nitrile radicals, directly attached to ring carbon atoms
- C07D231/38—Nitrogen atoms
- C07D231/40—Acylated on said nitrogen atom
Definitions
- the present invention relates to an amide compound having a 5-membered nitrogen-containing aromatic ring in the amine moiety and a fungicide composition containing the same.
- the present invention provides an amide compound (1)
- X 1 represents an OR 4 group
- Y 1 represents a hydrogen atom.
- R 2 represents a hydrogen atom, a halogen atom or C 1, or represents an C 3 Al 'kill group, or R 1 and R 2 are together a connexion, ..
- the present invention also provides a fungicidal composition containing the compound of the present invention as an active ingredient and a method for controlling plant diseases, which comprises treating a plant or soil with an effective amount of the compound of the present invention.
- the halogen atom represented by -R 1 include a fluorine atom, a chlorine atom, a bromine atom and an iodine atom
- examples of the C 1 -C 3 alkyl group include a methyl group, an ethyl group and a Pill group and isopropyl group
- C1-C3 haloalkyl groups include fluoromethyl group, difluoromethyl group, trifluoromethyl group and 2, '22 -trifluoroethyl group, and C1-C3
- T-lucoxy groups include: methoxy, ethoxy, and isopropoxy.
- Examples of the halogen atom represented by R 2 include a chlorine atom, a bromine atom and an iodine atom, and examples of the C 1 -C 3 alkyl group include a methyl group, an ethyl group, a propyl group and an isopropyl group. '- ⁇ ..
- Examples of the C 1 -C 3 alkyl group represented by R 3 include a methyl group, an ethyl group, a propyl group and an isopropyl group, and examples of the C 3 -C 4 alkynyl group include a 2-propynyl group and a 1-methyl-2 —Provyl group, 2-butulyl group and 3-butynyl group; C 1 -C 3 alkyl group represented by R includes methyl group, ethyl group, propyl group and isopropyl group, and C 3 — Examples of the C 4 alkynyl group include 2-propynyl, 1-methyl-2-propynyl, 2-butynyl, and 3-butynyl.
- C 1 -C 3 alkyl group represented by R 5 Methyl, ethyl, propyl, and isopropyl.
- Examples of the C 3 -C 4 alkynyl include 2-propynyl, 1-methyl-2-propynyl, 2-butulyl, and 3-butynyl.
- C 1—C 4 alkyl represented by R 6 Examples of the group include a methyl group, an ethyl group, and a propyl group. .. :: .- Embodiments of the present invention include, for example, the following compounds.
- X 1 is OR 4 group
- Y 1 is a hydrogen atom
- an amino-de-compound is 13 ⁇ 4 4 Gazi 1 - ⁇ 3 alkyl group
- X 1 is an OR 4 group, ⁇ 1 is a hydrogen atom, and is an R ⁇ C 3 -C 4 alkynyl group;- ⁇ —
- X 1 is An amide compound in which OR 4 is a group, Y 1 is a hydrogen atom, and R 4 is a C 3 -C 4 alkynyl group;
- X 1 and Y 1 are together : an amide compound having NO—R 5 groups;
- R 1 and R 2 are joined together to form a tetramethylene group.
- X 1 is an OR 4 group
- Y 1 is a hydrogen atom
- X 1 is an OR 4 group
- R 4 is C 3— C
- An amide compound of the formula (1) wherein X 1 and Y 1 are linked to each other to form a NOR 5 group and R ' 5 is a 2-propyl group; Compound;.
- an amide compound in which R 1 is a CT-1 G-3 alkino group; and R 2 is a hydrogen atom; ---. 1 '.-In formula (1), R 1 is a methyl group.
- R 2 is a hydrogen atom
- R 1 is an ethyl group and R 2 is a hydrogen atom in the formula (1)
- R 3 is a C 1 -C 3 alkyl group
- X 1 is an OR 4 group
- Y 1 is a hydrogen atom
- R 4 is a C 3 -C 4 alkyl group Amide compound-;
- an amide compound in which R 3 is a methyl group, X 1 is an OR 4 group, Y 1 is a hydrogen atom, and R 4 is a C 3 —C 4 alkynyl group; ⁇ ; 5
- 1 is a C 1-C.3 alkyl group; R 3 -is a C 1.-C 3 alkyl group; and X 1 is a ⁇ R 4 group.
- R 1 is C 1—G 3 a Anorekiru group
- R 3 is a methyl group der Ri ⁇ ⁇
- X 1 is OR 4 group
- Y 1 is a hydrogen atom
- - R 4 is C:.. 3- C'4- Arukieru group der
- R 1 is a halogen atom
- R 3 is a C 1 -C 3 alkyl group
- X 1 is an OR 4 group
- Y 1 is a hydrogen atom
- R 4 is.
- X 1 is an OR 15 " 4 group
- An amide compound in which Y 1 is a hydrogen atom and R 4 is a C_.3-C alkynyl group; ————————
- R 1 is a C 1-3 alkyl group
- R 2 is a hydrogen atom
- R 3 is a methyl group
- X 1 is an OR 4 group
- Y 1 is hydrogen.
- R 4 is a C3 -C 4 alkynyl; -. '- Bruno -
- R 1 is a methyl group
- R 2 is a hydrogen atom
- R 3 is a methyl group—
- X 1 is an OR 4 group
- Y is a hydrogen atom
- An amide compound wherein R 4 is a C 3 -G-4 alkynyl group
- R 1 is an ethyl group
- R 2 is a hydrogen atom
- X 1 is an OR 4 group
- Y 1 is a hydrogen atom
- Ami de compound is in and, R 4 is C3- C4 Arukini 25 Le group; ..,:. - -, - - - in formula (1), R 1 is a halogen atom; -R 2 two are a hydrogen atom -, 'R 3 is a methylcarbamoyl .. Le group, Y 1 X 1 is OR 4 group is a hydrogen atom, R 4 is C 3 - C 4 Al: Ami de is Kiniru group Compound; -
- R 1 is a chlorine atom
- R 2 _ is a hydrogen atom
- R 3 is a methyl group
- X 1 is an OR 4 group
- Y is a hydrogen atom
- R 1 is a bromine atom
- R 2 — is a hydrogen atom:
- R 3 — is a methyl group —
- X 1 is an OR 4 group
- Y is a hydrogen atom
- —2 R 4 is C, 3 C 4 Alky: Amide compound which is a group; ⁇ ⁇ . '..:--------
- - amide compounds wherein R 1 is a methyl group;:. - - 1 - 1) - In Ammi ⁇ R 2 is a hydrogen atom; - '1 In one 1), R 2 An amide compound wherein is a halogen atom;
- an amide compound in which X 1 and Y 1 are joined together to form a group NOR 5 and R 5 is a methyl group;...-: Formula (1-1)
- X 1 and Y 1 are linked together; NOR 5 groups, and R 5 is Amide compound which is a tyl group;-...;:-“ ⁇ —
- X 1 and Y 1 are joined together to form a NOR 5 group, and R 5 is C 3 —C 4 alkynyl group amide compound ⁇ ..-—--: ⁇ -In formula (1-1)
- X 4 and Y 1 together form NQR 5 group
- R 5 -is 2 5 - amino de compound is flop pinyl group -; - r -:..
- R 1 is a halogen atom; der: Ri, R 2 is hydrogen atom "der - Ru Mi: de compound; - ⁇ - -:.? - - - - in the formula (1 one 1), R 1 is a chlorine atom, R force a hydrogen atom - in - Orua: ⁇ ..-::. — — One,. « 10
- R 1 is a bromine atom; and R 2 is a hydrogen atom.
- R 3 is a C 1 -C 3 alkyl group
- X ⁇ 1 is a QR 4 group
- Y 1 is a hydrogen atom
- R 4 is a C 3 C 4 alkynyl group.
- R 3 is a methyl group
- X 1 is an OR 4 group
- Y is a hydrogen atom
- R 4 is C 3 — C 4 ano: Amido compound which is a quinyl group----d.
- R 1 is a C 1 -C-3 asoalkyl group
- R 3 is An amide compound in which C 1 —C 3 alkyl group
- X 1 is OR ′ 1 group
- Y 1 is S hydrogen atom
- R 4 is C 3 —C 4 — ′ alkynyl group; - ⁇ ⁇ ⁇ — '
- R 1 is a C 3 bull-quinole.- group
- R: is a -methyl group
- X 1 is a ⁇ R 4 group
- Y 1 is a hydrogen atom.
- R 1 is a halogen atom 1
- R is a C 1 _′G 3 alkyl group
- X 1 is an OR ′ 1 group
- Y 1 is a hydrogen atom.
- R 4 is a halogen ⁇ : atom,- A mid compound wherein 'R 3 is a methyl group, X]-is an OR' 1 group, Y 1 is a hydrogen atom, and R 4 is: a C: 3-C 4 alkynyl group; -— ⁇ ',:- ⁇ —'
- R 1 is a C 1-— C 3 -alkynole group;; 2 -is a hydrogen atom; and R 3 is a methyl group.
- R 1 is ethyl
- R 2 is a hydrogen atom
- —R 3 is a —methyl group
- X 1 is an OR 4 group
- —Y 1 ′ is a hydrogen atom
- R 4 Is a C 3—C 4 alkynyl group: ⁇ -- ⁇ -.. .--..— —
- R 1 is a halogen atom
- R 2 is a hydrogen atom
- R 3 — is a methyl group
- X 1 is an OR 4 — group
- 'Y' 1 is a hydrogen atom '.
- R is a chlorine atom.
- R 2 is a hydrogen atom-: eninolevirazole compound;-.-. — 7 ;:-Formula (112) ⁇ . in the formula (1 one 3),: -.R 2: "is: C: l 'C: 3 is an alkyl group off 10: Enirubirazoru compound; -:'
- -R 2 - is a halogen atom in which -R2- is a 2 -/-pyrazole compound
- R 6 is a C 1 -C 3 alkyl group.
- X ⁇ 1 is an O—R 4 group: a phenylpyrazole compound in which Y 1 is a hydrogen atom and R 4 is a hydrogen atom ;--.-
- X 1 is an OR 4 group
- Y 1 is a hydrogen atom
- R 4 is a C 1 -C 3 alkyl group.
- X 1 is an OR 4 group
- ... Y 1 is a hydrogen atom
- R 4 is a methyl group.
- X 1 is an OR- 4 group,-- 1 is a hydrogen atom 30 and R 4 is a C 3 -C 4 alkynyl 5 group, that Fenirupirazo Le compounds; - in formula (1 2) or formula (1-3), X 1 is a four ⁇ ,: '' Y 1 is a hydrogen atom, R 4 is 2-propynyl group - Oh 'Ru' Hue ⁇ 'Lupira', pool ; compound;-, in equation (1-2) or equation (1-3),-:.
- X 1 and-Y together NQR 5 Wherein R 5 is a C 1 -C 3 -alkyl group;
- X 1 is an OR 4 group
- Y 1 is a hydrogen atom
- R 4 is a C 1 -C 3 alkyl group
- R 3 is a C 1 -C 3 alkyl group.
- 'X 1 is a ⁇ R 4 group
- Y 1 is a hydrogen atom
- R 4 is a C 1 -C 3 alkynole group
- R 6- I is a hydrogen atom
- R 3 is a C1-20.G3 alkyl group
- a phenylpyrazole compound
- X ′ is a QR 4 group, Y ⁇ . Is a hydrogen atom, and R 4 is a C 1—C 3 alkyl group. , R 6 is a methyl group, and scale 3 is 1- ⁇ -C 3 alkyl group phenylvilla ”sol compound ..;-:.-'-.-.
- X 1 is a 0_R 4 group
- Y-shi is a hydroquinone atom: 25, R ⁇ C3—C4 alkynyl group.
- Phenylvirazole compounds which are C3-alkyl groups;
- R 2 is a hydrogen atom
- X 1 is an OR 4 : group-is, : 1 is a hydrogen atom,;
- R. 4 is a C.1-35-C 3 alkyl group, and
- R 6 is A phenylpyrazole compound that is a hydrogen atom;
- 'Formula (1-2) or Formula (1-3) is a hydrogen atom, R 1 is a hydrogen atom, R 2 is a hydrogen atom, and X 1 is a hydrogen atom.
- R 1 is a parogen atom, a .razole compound;-.-.--'_:. ) Or a formula (1-5) wherein R is a chlorine atom :
- R 2 is a hydrogen atom .. .. .. J —: — ::: ⁇ -.-.-: ⁇ pa ..-In formula (1-4) or formula (1-5), R 2 is Gl- ⁇ C. 3-.. It is a rualkyl group. 5-.- ervirazole compound; "-.:.- ⁇ - ⁇ .- :: .... ..
- R 2 is a ha: logen atom, a pheninolebi lazonolai conjugate; ⁇ ⁇ ; ⁇ '--" ⁇
- R 6 is a C 1 -C 3 benzyl group, or a enylvirazo compound of the formula (114) or the formula (1-5), wherein R 6 is a methyl group; :-.
- Equation (1 4) or the formula (1 5) Oite ,,: - 3 CL- C: 3 3 ⁇ 4 a Rekiru group off 25 Enirupirazoru compound;? ⁇ - ⁇ ;; ..-A phenylvinylsol compound of the formula (1-4) or the formula (1-5), wherein R 3 is a methyl group;
- X 1 is an OR 4 group
- Y: 1 is a hydrogen atom
- X 1 is an OR 4 group
- Y 1 is a hydrogen atom
- R 4 is a C 1 C 3 alkyl group Hue Rubirazoru compound; -V-:..
- -X 1 is oR 4 group
- Upsilon ⁇ ⁇ is A phenylvinylazole compound having a hydrogen atom 5 and R 4 being a methyl group; ...:-;--- ⁇ :
- X 1 is 0 . be a scale 4 3 ⁇ 4
- -Y 1 is a hydrogen atom - and -
- R 4 is C3- C4 alkynyl 3 ⁇ 4 full sulfonyl 'Vila:.
- R 1 is a tyl group
- -R. 2 is a phenylvirazole compound having a hydrogen atom-.;:. - ⁇ -.-.;-
- X 1 is a QR 4 group: ⁇ 1 -is a hydrogen atom.
- R 4 is a CI—C3 alkyl group— and R 3 is a CI— C-alkyl phenyl virazole compound::.: .- .. ⁇ : / ⁇ .: One-one:-
- X 1 is an OR 4 group
- Y 1 is a hydrogen atom 30-
- R 4 is a C 1—C 3 alkynole group
- —R There is a hydrogen atom,: - Contact: 3 I one - Fuenirupirazo Les female compound is C 3 alkyl group; - equation (.1 4) or the formula (1 5):.., X 1 is QR 4 - Motodea; Y. ⁇ is hydrogen atom - and, R 4 is a C 1-C 3 alkyl radical, R methylcarbamoyl - a Le group, R- 3 is C 1-
- ⁇ 1 is an OR 4 group
- ⁇ 1 ⁇ is a hydrogen atom---
- R 4 is a C 3 _ C 4 alkynyl- group
- R- is .. G 1, C-3 alkyl group Phenylvirazole compound;
- X 1 is an OR 4 -— group
- U... is a hydrogen atom •-
- shaku 4 is a 3- to 4-alkynyl group.
- 6 is a hydrogen atom
- 3 is a 1- — -—— C 3 alkynole group.
- X 1 is an OR 4 group
- Y is a hydrogen atom ′
- R 4 is a C 3 -C 4 alkynyl group
- R 6 is a methylol group
- R Phenylbitazole compound wherein 3 is a C-1 to C3 alkyl group;- : -no: no —
- R 1 is located at € 1- C 3 alkyl group.
- R 2 is a hydrogen atom
- X 1 is OR 4 group
- Y 1 Is a hydrogen atom
- R 4 is a C 110-: one G3 alkyl group
- R 6 is a hydrogen atom, a ferpyrazole compound ';'--formula (1 4)-or formula (1-5 ), Is a halogen atom
- R 2 is an ice atom
- X 1 is an OR 4 group—
- Y 1 is a water-hydrogen atom—, and R.
- R 1 is C 1: .— a C 3 alkino group .: 15
- R 2 is a hydrogen atom
- X 1 is an OR 4 group
- one R is Cl:
- R 1 - is a halogen atom
- "R 2 - is water atom
- X 1 is a four ⁇ _R
- Y 1 is is a hydrogen atom
- R. 4 is C .1- C 3 ⁇ alkyl group
- Hue Rupirazoru R 6 is methyl group
- R 1 is C 1 one C .3 alkyl group
- R 2 is a hydrogen atom
- R 4 is A phenolic compound having a C 3 -C 4 alkynyl group and R 6 being a hydrogen atom;: In the formula (1-4) or the formula (1-5), R 1 is a halogen atom; R 2 is a water atom, X 1 is a ⁇ R 4 group, Y 1. Is a hydrogen atom :, R 4 is a C.3—C 4; ⁇ 25 norekinyl group, and R 6 is a hydrogen atom Atomic phenirazole compounds.
- -R 1 is a C 1 C, 3 alkino k group;, is a hydrogen atom, X 1 is OR 4 , Y ' 1 is a hydrogen atom, R. 4 is a C3: 1 C 4 alkynyl group, and R- 6 is a ⁇ tyl group.
- R 1 is a halogen atom,.
- R 2 is a hydrogen atom, X 1 is an OR 4 group, and is hydrogen.
- R 4 is a .G—3 C 4 flexyl group, and R 6 is a methyl group, a fuel pyrazole compound “, — in the formula (1-4) or the formula (1-5): -R 1 is a methyl group, R is a hydrogen atom, and R 3 is a methyl group.
- R 1 is a hydrogen atom, ⁇ -one ⁇ or Cl—C 3 alkyl ⁇ group.
- R 1 is a chlorine atom: an amide compound;-;--:--:-.
- R 1 and R 2 ′ are 3 ⁇ 4, ⁇ ⁇ ⁇ - ⁇ .
- R 3 is C 1; -C 3 -alkyl group: 'a. Amide compound-; In the formula (1-6-, R 3 is a methyl group. ;-
- an amide in which R 3 is a C 3 C 4 alkynyl group Compound;--Formula (1-6, wherein R 3 is 2-pyrole; amide compound;-"--- Formula (1-6 ', R 1 is Is a gen atom :: ⁇ ';:.: R- 2 is a hydrogen atom:
- R is Oh chlorine atom: _ ._, -' Ami compound is R force 3 ⁇ 47j rather atom; - - in formula ( ⁇ _6, R 1 is a bromine atom, - R 2 Is a hydrogen atom- Thing; ':-: .. ⁇ '
- R 1 is a C 1 -C 3 alkyl group, and R 2- ' is a water " ⁇ atom.
- R 1 is a methyl group,--, and R 2 is a hydrogen atom.
- - R 1 is E Ji Motodea -:. Ri, - "R 2 hydrogen atoms, ⁇ Mi de compound is a child; ⁇ i .: --- r- ';' ⁇ ; - - " ⁇ '-
- R 1 is C 1-C 3 alkyl group der Ru ami .. de compound;..., Formula - (in 1-.7, 'R 1 is an Mechizore group ami - de compound:; - 'formula (1 7. in ⁇ , ami de R 2 is a hydrogen atom:;.... _, ⁇ - equation - (1 - at 7, R 2 Ganoderma, androgenic atom
- R 2 is C 1 An amide compound that is an alkyl group;
- R 1 and R 1 together form a tetramethylene group:
- R 3 is a C 1 C .3 alkyl group.
- an amide compound in which R 1 is a halogen atom and R 2 is a hydrogen atom;
- R 1 is located at Echiru group ⁇ - ami de
- R 2 is a hydrogen atom: compound - things like - 0 -.:
- the compound of the present invention can be produced, for example, by the following production methods 1-3. Manufacturing method 1-.---:-
- the compound (1-1a) can be produced by reacting the compound (2) with the compound (-3) in the presence of a base. ---------
- X 1 — 1 represents OR ′ 1 — 1 group
- Y 1 — represents a hydrogen atom, or a certain V
- X:, Y 1 —— represents N_ ⁇ _R 5 group
- R 4 -. 1 represents a C 1-C 3 alkyl group or C 3- C 4 alkynyl group, RR 2, R- 3, R 5 and
- the reaction is usually carried out in the presence of a solvent ⁇
- the solvent used in the reaction include ethers such as tetrahydrofuran, ethylene glycol dimethyl ether and tert-butynolemethyl ether; aliphatic hydrocarbons such as hexane, heptane and octane; and aromatic carbons such as toluene and xylene. I-Daisui-.
- Primers halogenated hydrocarbons such as benzene, etc., esters such as butyl acetate and ethyl acetate, nitrites such as aceto-nitrile, -N, N: -dimethylform : Acid-amides such as amides; sulfoxides such as dimethyl sulfoxide and mixtures thereof.
- '"-:-:--Bases used in the reaction include sodium carbonate, carbonated lime and the like: genus carbonates, triethylamine, -diisozu.
- Pyrethylamine, 1, 8 Tertiary amides such as diazabi 10-cyclo [5,4, ⁇ ] pentadiene 7-ene, 1,5-diazabicyclo [4,3,0] non-5-ene and pyridine, 4-dimethylamizo And nitrogen-containing aromatic compounds such as pyridin.
- the compound (3.) is usually in a ratio of 1 to 3 mol, and the base is usually in a ratio of 1 to 10 mol, per 1 mol of the compound (2).
- reaction temperature of the reaction is usually in the range of 20 to 10 hours, and the reaction time is usually in the range of 0.1 to 24 hours.
- L 1 represents a chlorine atom, a bromine atom or an iodine atom
- Solvents used in the reaction include, for example, tetrahydrofuran, ethylene glycol
- ethers such as ether: aliphatic hydrocarbon dioxane such as xane, heptane and octane; aromatic dihydrogens such as -xylene Halogenated hydrocarbons such as benzene and the like; butyl acetate; esters such as ethyl acetate; nitriles such as acetotrile; acid amides such as N-di: methylformamide; Sulfosides such as dimethylsulfoxide and mixtures thereof are included.
- ethers such as ether: aliphatic hydrocarbon dioxane such as xane, heptane and octane; aromatic dihydrogens such as -xylene Halogenated hydrocarbons such as benzene and the like; butyl acetate; esters such as ethyl acetate; nitriles such as acetotrile; acid amides such as N-di: methylformamide
- Nato carbonate! ⁇ Alkali metal carbonates such as potassium, potassium carbonate and the like; and alkali metal hydrides such as sodium hydride and the like. :: 1 mole of compound (4), 1 mole of compound (5 moles, usually 12 moles, salt: group usually:! ⁇ 2 moles.... ..,.: > :. _
- the reaction temperature of the reaction is usually in the range of 1 to 2040, and the reaction temperature is usually in the range of 0.1: 1 to 24 hours. . .. - - / ⁇ ' Man . . ⁇ - , ,:
- the amide compound (1) can be isolated by performing post-treatment operations such as extracting the reaction mixture with an organic solvent and drying and concentrating the organic layer.
- the isolated amide compound (1) can be further purified by chromatography, recrystallization or the like. --.: ⁇ -.:-'--: Manufacturing method 3---
- the amide compound (1) can be produced by reacting the compound (6) with the compound (3) in the presence of a dehydrating condensing agent. ' ⁇ -: ... one->one-'
- Compound (3) is usually in a ratio of 1 to 3 mol, and a dehydration condensing agent is usually in a ratio of l to 5 mol per mol of compound (6). : "---.,-- ⁇
- reaction temperature of the reaction is normal.
- the compound (1-d) can be produced by reacting the compound '(1-C) with an acid. - ⁇ _
- R 9 represents a tert- butyl group, X 1, ⁇ 'R 1 R 2, - ⁇ 3 "ho same meaning as above -: represents the taste, -
- reaction is carried out in the presence or absence of a solvent.
- Solvents used in the reaction include, for example, alcohols such as methanol and ethanol, organic acids such as acetic acid and propionic acid, dihydrate, and mixtures thereof.
- the acid used in the reaction include, for example, inorganic acids such as hydrochloric acid and sulfuric acid.
- the acid is usually 1 mole of the compound (1 _ c) .. ⁇ -1 : mole to excess amount J ⁇ ---
- the reaction temperature is usually 0 to 1- ⁇ ° C
- the reaction time is usually from 0 to 1
- the compound (1d) can be isolated by extracting the reaction mixture with an organic solvent and performing post-treatment operations such as concentration of the organic layer by drying.
- the isolated compound ⁇ (1-1d) can also be roughly purified by chromatographic ⁇ -: recrystallization or the like.
- -:-Production method 5 'S--'--,.-Compound (8) can be produced by -reacting compound (7) with: ...
- the reaction is usually performed in the presence of a solvent.
- the solvents used for the reaction are, for example, methanol, ethanol, 2-propano
- 5-alcohols such as 1,4-dioxane, tetradrophthene, ethylesciglycol di-methyl ether,-tert-butylinolemethyl ethers, etc., aliphatics such as hekisan, heptane, octane, etc.
- Hydrocarbons 'Aromatic hydrocarbons such as toluene and xylene, 7k and mixtures thereof.
- ⁇ ; : '-— " ⁇
- Examples of the reducing agent used for the reaction are' titanium borohydride and 'hydrogenated borohydride.
- Compound (12) can also be produced by the following method.
- -Compound (10) can be produced by reacting compound (9)-with methanesulfonyl chloride in the presence of a base. ,--:::-::-,---
- the reaction is usually performed in the presence of a solvent.
- a solvent such as 1,4-dioxane, tetrat-drofuran, ethylene glycol dimethyl ether and tert-butyl methyl ether, and aliphatic hydrocarbons such as hexane, heptane and octane.
- Aromatic hydrocarbons such as toluene, xylene, halogenated hydrocarbons such as benzene benzene, esters such as butyl, butyl, and ethyl acetate; nitriles such as acetonitrile; N, N-dimethylformamide And the like, sulphoxides such as dimethylsulfoxide, and mixtures thereof. --.
- Examples of the base used in the reaction include carbonates such as sodium carbonate and potassium carbonate, metal hydrides such as sodium hydride, triethylamine, disopropylethylamine, 1,8-diazabicyclo [ 5.4.0] Pendek 7-ene, tertiary amines such as 1,5-diazabicyclo [4.3.0] non-5-ene and pyridine and 4-dimethylaminopyridine And nitrogen-containing aromatic compounds.
- Methanesulfonyl chloride is usually in a ratio of l to 3 mol, and a base is in a ratio of 1 to 10 mol per 1 mol of compound (9).
- the reaction temperature of the reaction is usually in the range of 120 to 100 ° C, and the reaction time is usually in the range of p. 1 to 24 hours. ⁇ : ...-
- the compound (10)- can be isolated by subjecting the reaction mixture to extraction with an organic solvent, drying, and subjecting the mixture to post-hypertrophy processing.
- the isolated compound (10) can be further purified by chromatography, recrystallization, or the like.
- 'Compound (1-2) can be reacted with compound (10) and compound (11).
- -Solvents used for the reaction include, for example, 15 ethers such as 1.4 dioxane, tetrahydro-furan, ethylene glycol di-methyl ether, tert-butyl methyl ether, hexane, -Aliphatic hydrocarbons such as heptane, octa: etc .; aromatic hydrocarbons such as ren, noki ... silene, etc .; acetate Bed chill, nitriles such esters Asetonitoriru such as acetic Echiru, N, ..N- dimethyl _ Chiruhorumuami de like acids ⁇ Mi:.
- 15 ethers such as 1.4 dioxane, tetrahydro-furan, ethylene glycol di-methyl ether, tert-butyl methyl ether, hexane, -Aliphatic hydrocarbons such as heptane, octa: etc .
- ⁇ Oyo sulfoxides such as methyl sulfoxide: beauty of these mixtures Is raised.
- bases used in the reaction include carbonic acid salts such as sodium carbonate and potassium carbonate, anolyte metal hydrides such as sodium hydride, and triethylamine and diethylamine.
- tertiary amines such as ⁇ : mins-and pyridine, 4-dimethylaminopyridine, etc.
- Nitrogen-containing aromatic compounds. -:.; '- ⁇ +.--.:?...:'.-Compound (11) is usually in the range of 1 mol to excess in relation to 1 mol of compound (10).
- the base is usually in a ratio of 0:! To 5 mol.
- reaction temperature of the reaction is usually in the range of 0 to 150 ° C, and the -reaction time is usually in the range of 0.5 to-, 24 hours.
- the compound (12) can be isolated by performing post-treatment operations such as removing the organic solvent from the reaction mixture and drying.
- the isolated compound (1 '-. 2) can be further purified by chromatography, recrystallization, etc. ——— Next, a method for producing an intermediate for producing the compound of the present invention will be described. ⁇ -
- the compound (22) can be produced by reacting the compound (21) with hydrogen. Boron sodium and-.
- Examples of the solvent used in the reaction include: alcohols such as ethanol, ethanol, ethers such as tetrahydrofuran, and mixtures thereof.
- the ratio of hydrogen sulfide / hydrogen sodium is usually from 0. -25 to 2. mol based on 1 mol of compound (21) -1. :---: .. '---: •
- the reaction temperature of the reaction is usually in the range of 20 to: 5.0: ° C, and the reaction time is usually in the range of instantaneous .-2.4 hours. After the reaction is completed, the reaction mixture is concentrated, water is added, the organic solvent is extracted, and the organic layer is dried and concentrated.
- Compound (22) is isolated: The isolated compound (22.) can be further purified by an operation such as chromatographic recrystallization.
- Compound (2'3) can be produced by reacting compound (22) 'with chloride: methans : honyl in the presence of a base. ⁇ —--.-.:
- solvents used in the reaction include, for example, tetrazole; ethers such as tetraphenyl-co-ter, ether, tert-butylin-co-terether, hexane,
- Aliphatic hydrocarbons such as -butane, -octane, and aromatic hydrocarbons such as toluene N, N-N-dimethylformamide and other acid amides, dimethyl sulfoxide, etc.? ) Slefoxi.
- H Kind and the 5 'compound are lost.
- Bases used in the reaction include, for example, sodium acid carbonate, carbonic acid lime, etc.
- ⁇ alkali .5' Potassium metal carbonates triethyleamine, diisopropylethylamine, 1 8 pages--azabicyclo [5,4,0] —index 7 _ 1, 1-, 5 : diaza: seven, six-[4, no-.3, 0] non — 5 —N-containing aromatic compounds such as tertiary amines such as -ene and pyridine, and: 4-didimethylami-nopi-lysine.
- the reaction temperature of the reaction is usually in the range of ⁇ 20 to 100 ° C., and the reaction time is usually in the range of 1 to ⁇ 24 hours. -.. To the second. ⁇ -,,--
- compound (23.) can be isolated, for example, by performing a post-treatment operation by the following method.
- Compound (-25) can be produced by reacting compound (23) with compound ((2 ⁇ ). ... '. R ...:' 2-:
- solvent used in the reaction examples include 1-,- ⁇ 4 : ⁇ dioxane, -tetra_hydrofuran -.- ethylene glycol-dimethyl eno ⁇ -, er ⁇ buty ⁇ C3 ⁇ 425 Athenoles, hexane, heptane, octane, etc .; aliphatic hydrocarbons, aromatic hydrocarbons such as toluene, xylene, etc .; .- nitriles, such as nitrile; N, .N-di'-tilform ', etc .: acid amides:, ..; jetty:.
- Sulfoxides such as sulfoxides, and mixtures of these _:
- Compound-(2.4 :) is usually in an amount of 1 mol to excess in relation to 1 mol of compound (23).
- the reaction temperature is usually in the range of 50 ° C to 1.50 ° C, and the reaction time is
- the base is usually: ⁇ 2; 0: The ratio of things.
- the reaction temperature of the reaction is usually in the range of 0 to 100 ° C .:
- the reaction time is usually in the range of -0-:-'5 ⁇ -24 hours.--.--
- the reaction mixture is mixed with an acid (for example, an inorganic acid such as hydrochloric acid) to make the mixture acidic, and then subjected to a post-treatment operation such as extraction with an organic solvent, drying and concentration, thereby obtaining a chemical compound.
- the isolated compound '. (26)' can be further purified by an operation such as chromatography and 5-recrystallization. :------:-
- the reaction is carried out in the presence or absence of a solvent.
- the solvents used in the reaction include, for example, chloro: .. mouth: -halogenated hydrocarbons such as benzene, aromatic compounds such as toluene and xylene, and mixtures thereof. Is raised.
- the reaction temperature is usually in the range of 20 to ⁇ 00 ° C., and the reaction time is usually in the range of 0.5 to 5: 5 to 24 hours. ----- — .. ..-; After completion of the reaction, the compound: (2-a) is isolated by performing post-treatment operations such as concentration of the reaction mixture. compound 5 was isolated play that can be (-2-a) - is the distillation: I - can be Risarani purification. --------------------------------------------------------------------------------------------------------------------------------------------------------------------------------------------------------------------------------------------------------------------------------------------------------------------------------------------------------------------------
- Alcohols such as methanol and ethanol, propanol and the like, nitriles such as acetonitrile, acid amides such as N, N-dimethylformamide, sulphoxides such as dimethylsnorreoxide, water, and mixtures thereof.
- nitriles such as acetonitrile
- acid amides such as N, N-dimethylformamide
- sulphoxides such as dimethylsnorreoxide, water, and mixtures thereof.
- Bases used in the reaction include sodium metal carbonate, potassium acid, alkaline metal carbonates such as sodium bicarbonate, lyethylamine, disopropylethylamine 1,8-diazabicyclo [54,0 ⁇ 7 7 ⁇ ⁇ ⁇ ⁇ ⁇ ⁇ ⁇ ⁇ ⁇ ⁇ ⁇ ⁇ ⁇ ⁇ ⁇ ⁇ ⁇ ⁇ ⁇ ⁇ ⁇ ⁇ ⁇ ⁇ ⁇ I can do it.
- — — ⁇ The compound (3 ′ 2) is usually in a proportion of 1 to 5 mol, and the base is usually in a catalytic amount to 10 mol with respect to 1 mol of the compound (21). -
- the reaction temperature of the reaction is usually in the range of 0 to 120 ° C., and the time between the reactions is usually in the range of 1 to 24 hours.
- the reaction mixture is extracted with an organic solvent, and the organic layer is washed with acidic water (eg, dilute hydrochloric acid) as necessary, followed by post-treatment such as drying and concentration.
- Compound (33) can be isolated.
- the isolated compound (3-3) can be further purified by chromatography, recrystallization, or the like;
- Compound (34) can be purified by a method similar to (Steps 11 to 14) of Intermediate Production Method 1,
- the reaction can be carried out using compound (33): instead of compound (25-). -.—------..
- the compound (2b) can be obtained in place of the compound (2 6) by a method similar to the intermediate production method 1 (Steps 1 1 to 5).
- the compound can be produced by reacting the compound (34). ⁇ -" ⁇ .-. —-. — Intermediate production method 4
- Aliphatic hydrocarbons such as hexane, heptane, and octane: Aromatic hydrocarbons such as toluene and xylene; -Halogenated hydrocarbons / esters such as butyl acetate, ethyl acetate, etc., nitriles such as acetonitrile: etc .: Acids such as N, dimethyl fluoride_mud, etc. '5' amides, dimethyl sulfoxide Examples of such bases include z-repoxides and mixtures thereof.---,:-' 7 --ii,. Alkali metal carbonates such as carbonated lime, sodium hydride, hydrogenated lime, etc.
- the compound (36) is usually in a ratio of 1 to -2 mol per 1 mol of the compound (35),
- the reaction temperature of the reaction is usually in the range of 0.0 to L00, and the reaction time is usually in the range of ⁇ 5 to -.24 hours. ⁇ -
- the reaction mixture is extracted with an organic solvent, and the organic layer is dried and concentrated. it can.
- the isolated compound (37) can be further purified by chromatography, crystallization, or the like. .. ... +- ⁇ + ⁇ . ⁇ Step 14-2; "No-.
- the compound (39) can be produced by reacting the compound (37) :: with the compound (38) in the presence of a base. , ': ..:.,-The reaction is carried out in the presence or absence of a solvent in Byone. --.
- solvent used in the reaction examples include tetrahydrofuran, ethers such as ethyleneglycol mono-dimethyl ether and tex-butyl methyl ether; tonnolee; /, aromatic hydrocarbons such as 25-xylene; : Halogenated hydrocarbons such as benzene, acid amides such as N, N dimethylformamide, sulfoxides such as dimethyl sulfoxide, and mixtures thereof. :...
- the base used in the reaction includes, for example, hydrogen hydride: sodium hydride, sodium hydride and the like.Alkali metal hydride, sodium methoxide, sodium ethoxide, potassium-30 tert-butoxide, etc. Al power. Li metal al-cochidide and the like are mentioned : ⁇ ;,: .. '.
- Compound-. (3.8) is usually in a proportion of 1 mol to excess amount per 1 mol of compound (37), and the base is usually :! ⁇ 5 moles. -.: No ".-.
- reaction temperature of the reaction is usually 20 ⁇ :! : ⁇ -: within the range of 0 ° C _,: Normal during reaction. ⁇ 24 hours range. ,; ',: ⁇ ”.:--..:.': ⁇ ... '-
- the reaction is usually performed in the presence of a solvent, in the presence or absence of a base.
- a solvent for example, aromatic hydrocarbons such as tosolene, xylene: lene, and acid amides such as -N, N-dimethylformamide.
- alcohols such as methanol, methanol and ethanol, and mixtures thereof. .- ':.-:-.-;-.,-'-
- Bases used in the reaction include, for example, alkali metal acetates such as sodium acetate and potassium acetate, potassium carbonate, sodium carbonate, sodium hydrogen carbonate and the like.
- Alkoxides such as sodium methoxide, sodium methoxide, potassium te-rt-butoxide and the like.
- '-Mouth is a salt of silamine or liquor.-Usually in a ratio of 1 to-mole, and a base is a catalyst in a catalytic amount of about 3 moles. ⁇ -;; '-
- the reaction temperature of the reaction is usually in the range of 20 to 2.100 ° C, and the reaction time is usually in the range of 0.5 to 24 hours. -..
- the compound (40) can be isolated by concentrating the reaction mixture and performing post-treatment operations such as filtration.
- the isolated compound--(40) 1 can be further purified by chromatography, recrystallization and the like. - ⁇ '..:: ":: ..:-,-
- ⁇ represents a benzyl group
- L represents a chlorine atom or a bromine atom
- Ri, .R 2, R 8 , and XY 1 have the same meanings as described above.
- One compound (46) is prepared in place of compound (36) according to Steps 141 to 14-3 of Intermediate Production Method 4. 42) can manufacturing child by reacting with the n - - - step 15 4: - - - - - - compound (47) compound :: (46) and a palladium on carbon and hydrogen It can be produced by reacting in the presence. -.--The reaction is usually performed in the presence of a solvent.
- Examples of the solvent used in the reaction include alcohols such as methanol and ethanol, ethers such as tedrohydrofuran, esters such as ethyl acetate, and aromatic hydrocarbons such as toluene. ,-'Mixtures of water and dirt.
- One-one -The ratio of palladium carbon is usually 0, 0.001 to 0.1 monole per mole of compound (4.6).
- the reaction temperature of the reaction is usually in the range of 20 to 100 ° C, and the reaction time is usually in the range of 1 to '24 hours. -Knee.
- compound (47) is isolated by post-treatment such as adding an organic solvent to the reaction mixture as necessary, filtering and concentrating the filtrate under reduced pressure.
- the isolated compound (.47) can be further purified by chromatography, recrystallization, etc.: : “-—Step 15-5.”. -.
- Compound (48) can be produced by reacting the compound (47) in place of the compound (3) by the-'method according to the production method 3. -":--:
- R 11 and R 12 each represent a methyl group or an ethyl group, and R 3 and R 6 represent the same meaning as described above. ]
- Step 161-1 Compound (51) can be produced by reacting compound (49-) with compound (50) in the presence of sodium metal. -The reaction is carried out in the presence or absence of a solvent.
- Solvents used in the reaction include, for example, ethers such as 1,4-dioxane, tetra-t-drofuran, ethylene glycolone resin methinolate ether, tert-butynolemethinolate ether, and the like.
- Aliphatic hydrocarbons such as xane, heptane and octane; and aromatic hydrocarbons such as z and mixtures thereof. ..:.-- ⁇
- reaction temperature of the reaction is usually in the range of 100 to 150
- reaction time is usually in the range of 1 to 24 hours.
- the reaction mixture is acidified by adding an acid such as aqueous acetic acid, and then the organic solvent is removed. The organic layer is dried and concentrated.
- the compound (5-_ .1) can be isolated by carrying out the post-treatment operation of the compound.
- the isolated compound (5.1) can be isolated by Kuguchi-Matog. According to et al: Can be refined roughly.
- Step: ⁇ 6-2 "--Compound (53) can be produced by reacting compound (51) with compound (5.2).
- the ratio of -J ligated product (5 '2') ⁇ is usually ⁇ to- ⁇ "mono"-per mole of -did product (51).
- the reaction temperature is usually in the range of 50 to 150.
- the reaction time is usually in the range of 1 ' ⁇ 24 hours.
- the compound After completion of the reaction, the compound is subjected to a post-treatment operation such as concentration of the reaction mixture to obtain the compound.
- the isolated compound- '(53) can be purified by chromatography, recrystallization or the like. -Process 1.6-3
- Compound (55) can be produced by reacting compound (53)-with compound 5A) or a salt thereof such as hydrochloride, sulfate and the like.
- the reaction is usually carried out in the presence of a solvent, in the presence or absence of a base.
- Examples of the solvent used in the reaction include alcohols such as methanol and ethanol, and aromatic hydrocarbons such as toluene, xylene, and the like: .-N, .N-dimethyles: phor. Acid amides such as mead, water, and mixtures thereof.
- carbon dioxide such as hydrogen carbonate, sodium carbonate: aluminum, carbonated lime, etc.
- Salts sodium hydroxide; hydroxides such as hydroxides, hydroxides, sodium-rivum menotoxide, sodium hydroxide, gallium te rt- -Metal alkoxides such as butoxide ⁇ ⁇ '.' ⁇ ' ⁇ . ::::::. : ⁇ : ⁇
- the compound (.54) is usually in a ratio of 1 to 3 mol per mol of the compound (53). 1. When a base is used, the amount is usually in the range of -0.1 to mono.
- the reaction temperature of the reaction is usually in the range of Q to 150 ° C.
- the reaction time is usually il to 2 -4.
- the compound (3 ⁇ 4-5) ′ can be isolated, for example, by performing a post-treatment operation by the following method. - ⁇ .-—: 'Yes.-.--,:.
- the isolated compound 55) is further purified by chromatography, recrystallization, etc.
- Compound (56) can be produced by reacting compound (55) with water in the presence of a base. --The reaction is usually carried out with water and an organic solvent.
- Examples of the base used in the reaction include, but are not limited to, hydroxyl, potassium hydroxide, aluminum hydroxide, and metal hydroxides such as sodium hydroxide. .
- the amount of the base used in the reaction is usually 1- ⁇ .mol,
- the reaction temperature of the reaction is usually in the range of 0 to 120 ° C., and the reaction time is in the range of 0.5 ⁇ 4 hours. , ⁇ — _. '
- the reaction mixture is acidified by adding an acid such as hydrochloric acid, and then extracted with an organic solvent, followed by a post-treatment operation such as drying and concentrating the organic layer to obtain the compound (5: . isolation, can be isolated compound to the; - click (5-_6-.) -:.. Roma on the graph I over recrystallization koto: can be further purified by 30 ',.. -..:: ':. Step 16-5:- ⁇ '11-.'--; 2.:::::::: ⁇ Compound (57) is converted to compound (.56) chlorinating agent- React with ':: r : produce:-can---2: 1-2
- reaction is carried out in the presence or absence of a solvent.
- the solvent and " ⁇ Te is that Chi used in the reaction: for example, is milled by wet:. Emissions, key register, etc. aromatic hydrocarbons Halogenated hydrocarbons such as benzene and black benzene, and mixtures thereof.
- Examples of the chlorinating agent used in the reaction include, for example, thionyl chloride, oxychloride, and lean. .... - - - -: -; - Compound (111) was 3 ⁇ 4 ⁇ 1 mole ratio chlorinating agent is usually 1 mole to excess: the reaction temperature of 3 ⁇ 4 the reaction is usually one 20 Reaction time is usually instantaneous in the range of -1 CO ° C
- compound (57) can be isolated by performing post-treatment operations such as concentration of the reaction mixture.
- the isolated compound (57)- is obtained by distillation or the like;
- Compound (58) can be produced by reacting compound (.57). -'
- reaction is performed in the presence or absence of a solvent.
- Solvents used for the reaction include 1,4--1, oxane, tetrahydrofuran, -furan,-.: ⁇ thylene glycolone-dimethinoleether, -1 e , rt ethers such as butynolemethinoleether, Aliphatic hydrocarbons such as hexane, heptane, and octane; hydrogenated hydrocarbons such as chloroplone; esters such as butyl acetate and ethyl acetate; Acid amides such as N, N-dimethylformamide Byone; sulfoxides such as dimethylesnolefoxyside; water; and mixtures thereof. _
- Examples of the ammonia used in the reaction include ammonia gas and aqueous ammonia. ...-[-.: ⁇ '. ..;.-:.-:::-.
- the amount of ammo is usually 0.1 mol to excess per 1 mol of compound (5-7).
- '-The reaction temperature of the reaction is usually in the range of ⁇ 20 to 100 ° C., and the reaction time is usually in the range of instantaneous to 24 hours.
- compound (58) can be isolated by performing post-treatment operations such as concentration of the reaction mixture.
- Examples of the organic solvent used in the reaction include: U4-dioxane, tetrahydrofuran, ethylene glycolone resin methinolle tenoré, -tert buty-human lemethinolete te; ethers such as k., Hexane, heptane , Odatan and other aliphatic hydrocarbons, Torr: ⁇ ⁇ And aromatic hydrocarbons such as benzene, and benzene and the like, and mixtures thereof. — ⁇ '...' — ',. ....
- Te base capital 'Les used in the reaction such as lithium hydroxide, hydroxide force I ⁇ beam, alkali metal hydroxides, sodium water oxidation, and the like.
- base is usually at a ratio of 1: 1.0.
- bromine is usually at a ratio of 1-2 mol.
- reaction temperature of the reaction is usually in the range of 12 QO ° G: the reaction time is usually instantaneous _ to 24 hours. : - 'single' -:: 1 - '",..':.. ⁇ -"; -: -: ⁇ .
- compound (59) can be isolated by performing post-treatment operations such as extraction of the reaction mixture with an organic solvent, and drying and concentration of the organic layer.
- the isolated compound (59) ⁇ can be further purified by chromatography, recrystallization, or the like.
- R 10 has the same meaning as in the above '. ]::.-:---Step 17-1 and Step 17-7-2
- ⁇ ⁇ : .no:--;: ⁇ :--The bases used in the reaction are: eg-acetic acid acetate-trim:, such as acetic acid rim: ⁇ -potassium metal acetates Alkali metal carbonates such as sodium bicarbonate, sodium carbonate, sodium carbonate, sodium carbonate, sodium carbonate, sodium carbonate, sodium carbonate, sodium carbonate, sodium carbonate Roh Jobs: shea ⁇ class is Abachireru ⁇ -'.- ⁇ : ⁇ '- 10 - relative to the compound (39) ⁇ mol,: compound ( ⁇ 5'4) or a salt of each usually 1 ⁇ - The ratio is 3 moles, and the base is a catalyst amount to 3 moles.
- reaction temperature of the reaction is usually in the range of -20 to 10 ° C, and the reaction time is usually in the range of 5 to 24 hours.
- reaction time is usually in the range of 5 to 24 hours.
- 15 compounds (63-) can be isolated by concentrating the reaction mixture and performing post-treatment operations such as filtration.
- the simple ⁇ a ⁇ product (6-3)- can also be roughly purified by chromatography, recrystallization, or the like. --? : ':
- Step 18-1- ⁇ _ ⁇ --1.: ⁇ ;. —: 1.--:-Compound (6.6 ⁇ 6_) is a compound-(64-) azide agent-. In other words, it is possible to manufacture by making .-:.--
- reaction is usually performed in the presence of a solvent. -.-+
- -25--Compound- ⁇ 65 can also be used in combination with a solvent '-; Compound (; 6.5) Examples include methanol, ethanol propylene, butyl alcohol, .. ter .-: t: monobutyl alcohol. ..- ⁇ ": to: ⁇ ----The azide used in the reaction is, for example: diphenyl: phosphoryl lua" zide, dinatrium toxide and the like. .-- ⁇ ,.:--R
- reaction temperature of the reaction is usually in the range of 0 to 1.1 ° C, and the reaction time is in the range of 2 hours.
- the compound in the post-treatment operation, the compound :. ("6.") can be isolated.
- ⁇ - ⁇ -----,--.-:-Step 18-2- no:. 'One two--.:: ⁇ : No
- -Compound (63) can be produced by reacting compound (6-6) with water in the presence of an acid. , —: — —-.... '.-The reaction is usually carried out in the presence of water and organic acids. '.-----
- Examples of the organic acids used in the reaction include trifluoroacetic acid; acetic acid; propionic acid; and mixtures thereof. :: .—;:-:-'.-—. ..—;' ":-; ⁇ ::
- the reaction temperature of the reaction is usually in the range of 40 to 120 ° C. Normally 0 5: Up to 24 hours-----.
- Solvents used in the reaction include, for example, -1,4-dioxane, tetotehydrofuran, ethyl glycol dimethyl: ruel: t. "Ert-butyl methyl ether, etc.
- Aliphatic hydrocarbons such as ethers, hexane, heptane and octane; aromatic hydrocarbons such as toluene and keylene;
- Examples include hydrogens, esters such as ethyl acetate and butyl acetate, nitriles such as a-r.-tolyl, sulfites such as methifif: sulfoxide, and mixtures thereof. .--:
- Examples of the base used in the reaction include: carbonates such as sodium carbonate -V.Pharma and carbonic acid-force-ream, etc., dotylamine-; disop-opene-noreth.ethylamine, 1,8-diaza: bishikuro [ 5, 4, 0] Pendek 7-d--1,-, 5:-diazabishi; b, [4, --3, .1 0] no Nitrogen-containing aromatic compounds such as tertiary amines and phenylamine; _, 4 dimethylaminopyridine.
- -'Compound (.6: 3) is usually 0.52 mol, and base is usually 1 to 10 mol, per 1 mol of compound (67). -.-;;: .-:--.
- reaction temperature of the reaction is usually in the range of 0 to -5O 0 C, and the reaction time is usually in the range of 0.1 to 24 hours.
- the reaction mixture is spiked with an organic solvent, and required.: Add water: Add water. Concentrate:-Add water, extract with organic solvent, dry,-: _ Concentrate.
- Add water Add water.
- Concentrate -Add water, extract with organic solvent, dry,-: _ Concentrate.
- the compound (6.8) can be isolated.
- Isolated foods 6.) can be further purified by bears, small grains, recrystallization, etc. ---Next, four specific examples of the compound of the present invention are shown below.
- Examples of the plant disease in which the compound of the present invention has a controlling effect include plant diseases caused by algae, and specific examples include the following diseases. ''''-"Vegetables, Radish Downy Mildew (Peronospora -brassicae)-, Ho.
- Vrenzo ⁇ Downy Mildew (Peronospora spinaciae), Tano ⁇ f Downy Mildew Pseudoperonospora cuDensis, Pseudoperonospora cuDensis, Plasmopara yiticola, Phytophthora cactorum, Phytophthora cactorum, Tomato and Phytophora capsici ), Nono 0 Inappunore of late blight (Phytophthora cinnamomi), Shagaimo, Bokuma Bok of late blight (Phytophthora inf estans), 'da path,' the Soviet Union Ramame, To ⁇ of Neki (Phytophthora nicotianae var.
- the disinfectant composition is appropriately selected depending on the application form of the yarn and the like, etc.
- the disinfectant composition may further contain a formulation auxiliary such as a surfactant, if necessary.
- the fungicide composition comprises an emulsion, -Includes formulation forms such as wettable powders, wettable powders, flowables, powders, and -granules.
- the fungicide composition usually contains 0.1 to 90% by weight of the compound of the present invention.
- solid carriers used in the formulation include kaolin clay, attapar jacto clay, bentonite, montmorillonite, acid clay, pyrophyllite, -5 talc, diatomaceous earth, calcite and other minerals, and corn.
- Natural organics such as mouth cob flour and walnut shell flour--
- -Synthetic organic substances such as urea, calcium carbonate, salts such as ammonium sulfate, synthetic hydrous powders and granular substances made of synthetic inorganic substances such as silicon oxide, etc.
- the liquid carrier is, for example, xylene. , Alkylbenzene, methyl naphthalene, etc., and aromatic alcohols such as 2-propanol, ethylesiglycol 'chol, propylene glycol', and cello 10 noreb, acetone, syrup, kebexanone and isophorone.
- Cosmetics,-Vegetable oils such as soybean oil and cottonseed oil, petroleum-based aliphatic hydrocarbons, esters methylsnorreoxide, acetonitrile, and 7J.
- perfumeSurfactants include, for example, alkyl sulfate earth salts, alkylarylsulfonates, dialkylsulfosuccinates, 'polyethylenealkyla'arylates 15 tellurates, ligninsulfonates, Anionic interfaces such as naphthalene sulfonate formaldehyde- aldehyde polycondensate.
- Nonionic agents such as surfactants and polyoxyethylene alkyl acrylates, polyoxyethylene annalequinole polyoxypropylene block copolymers, sorbitan fatty acid esters, etc.
- Surfactants '—-
- Water-soluble polymers such as 1-lidone, gum arabic, alginic acid and its salts, polysaccharides such as CMC (forced methoxymethylcellulose), xanthan gum, and inorganic substances such as anolemminium magnesium silicate and alumina sol , Preservatives, colorants, stabilizers such as PA-P (acidic acid mouth pill) and BHT. :
- the fungicide composition of the present invention is used to protect S from plant diseases by, for example, treating plants, and growing on the soil by treating the soil. -Used to protect plants from plant diseases. ''.
- the treatment amount is a plant to be controlled. type, ⁇ raw about control target disease, formulation form, treatment period, but may be varied depending meteorological 30 conditions, OOOO m 2 per the present invention compounds - generally 1 as an object
- -Emulsions, wettable powders, flowables, etc. are usually processed by diluting with water and spraying.
- the concentration of the compound of the present invention is usually 0.0013 to 13% by weight, preferably ⁇ .
- Powders, granules, etc. are usually treated without dilution. _
- the fungicide composition of the present invention can be used in a treatment method such as seed disinfection.
- the method of the present invention is to immerse plant seeds in the fungicidal composition of the present invention prepared so that the concentration of the compound of the present invention is-1 to 1: 100 pPm. Spraying or spraying the seeds of the present invention on plant seeds ⁇ : • Spraying or smearing the fungicide composition of the present invention with a compound concentration of 1 to 100-O ppm A method for dressing the fungicide composition of the present invention is described below.
- the method for controlling plant diseases of the present invention generally comprises treating an effective amount of the fungicidal composition of the present invention with a plant in which the occurrence of a disease is predicted or a soil in which the plant grows, and Alternatively, if the disease has been confirmed, the plant will grow if it is found: treating it with soil.
- . — ⁇ is done. ⁇ -,.
- the fungicide composition of the present invention is generally used for controlling plant diseases for agricultural and horticultural use; that is, for controlling plant diseases such as upland fields, 'paddy fields: ⁇ trees: 10- orchards, tea fields, pastures, lawns, etc. Used as a plant disease control agent.
- the fungicidal composition of the present invention may be used for other plant disease controlling agents, insecticides, acaricides, nematicides,
- ⁇ Can also be used with herbicides, plant growth regulators and ⁇ or fertilizers.
- inorganic copper salts are organic copper derivatives (-basic copper sulfate, basic copper chloride, copper hydroxide, oxine copper, etc.), and a: n-alanine derivatives (me.
- Cypro furan, benalaxinole,: oxazine, 20xyl, etc.
- stoline bil-lin _ compounds cresoki, methethyl-,. ⁇ ⁇ ⁇ ⁇ ⁇ ⁇ ⁇ ⁇ ⁇ ⁇ ⁇ ⁇ ⁇ ⁇ ⁇ ⁇ ⁇ ⁇ ⁇ Two -... Pirimu etc.
- phenylene Rubiroru derivative full We ⁇ Pikuro alkenyl, Furujiokisoniru etc.
- imide derivatives Puroshimi Don, Eve dione ⁇ link port ethylbenzthiazoline etc.
- Tetrahydrofuran 50 ml Mix product 2.1-g of 6-a with Tritylamine 2-m1 and add this mixture At 0.5 ° C., 1.8 g of the above crude 4-methylthiol-g: lyochloride-silicic acid chloride was added, and the mixture was stirred at room temperature for 2 hours. -After that, water was added to the reaction mixture-: concentrated, concentrated under reduced pressure, and extracted with chloroform & times. .Organic ;! The residue was subjected to silica gel chromatography to obtain 1.4 g of a product having the following physical properties (hereinafter, referred to as _-product 21). -----...
- product-2-7 The residue was subjected to gel force lambda mouth chromatography to obtain 0.21 g of a product ′ having the following physical properties (hereinafter, referred to as product-2-7).
- product-2-7 One ... —... ' ⁇ , ⁇ .:.
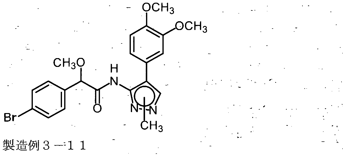
- Production Example 3-6 -"1.0 g of product 3-5 is added to a mixture of 6 ml of ethanol and 10 ml of hydrochloric acid (3 mol Z1) and 3 ml of 1,1,4-dioxane 3-and reflux. Water was added to the -reaction mixture and extracted with ethyl acetate. The organic layer was washed with a saturated aqueous solution of sodium hydrogen carbonate, dried and concentrated under reduced pressure. The residue was subjected to silica gel chromatography. The product having the following physical properties (hereinafter referred to as product 3-6) ⁇ S lmg was obtained.
- product 3—9— 'a. The product of the following physical properties (hereinafter referred to as “product 3—9— 'a.”)-0.2: 7—g and the product of the following physical properties (hereinafter, the compound of the present invention 3— 9 b) 0.3 1 g was obtained. -.-.,--.:
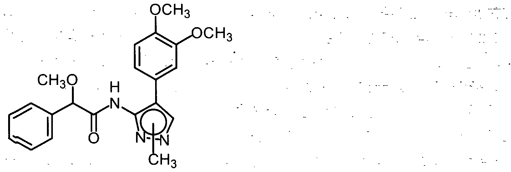
- 2-methoxy1-2-phenylacetic acid was obtained using z-noraldehyde in 4-methylthiobenzyl aldehyde. 0.42 g of 2-phenylphenylacetic acid, 0.49 g of the product ⁇ -9 ⁇ -0.'no5 '8-g, -53 g of -WSCO.3 and 8 ml of pyridine The mixture was mixed and stirred at 115 ° C. for 5 hours. The mixture was cooled to room temperature and water was added to the mixture, followed by extraction with ethyl acetate.
- product II-16a 3. lg was obtained.
- Plastic pots were filled with sandy loam, tomatoes-(variety: -Ponteroza) were sown, and-grown in a greenhouse for 20 days. Products' 2-1, .2-2, 2. ⁇ -3, 2-4, 2-7,
- the lesion area on the plant to which the diluted solution of 3-17b was sprayed was 10% or less of the lesion area in the untreated plot.
- _Plastic pots were filled with sandy loam, and grape (variety: Veri ⁇ )-was sown and grown in a greenhouse for 40 days.
- Products 1-1, 2-3, 2-4, 2-7, 2-8, 3-0.3, 3-4, 3_5, 3_-6, 0.3_7a, 3.-7 b-., 3-8 a, 3-9 a :, 3, -9 .. b, 3-12 a, 3-15 a, and 3-15 b are prepared.
- a diluent was prepared with water so that the concentration of the compound of the present invention was 200 ppm. The diluted solution was sprayed on the foliage so as to sufficiently adhere to the grape leaf surface.
- the lesion area on the plant was visually observed.
- the lesion area on the plant was investigated.
- Product 1 Ryo.:! 2-3, 2-4, 2-7, 2-8, -3-3, 3-4, 3-5, 3-6, 3-7a, -3-7b, 3-8a, 3-9a, 3_9-b, -3—12a, 3-15a, and 3-15.
- the compound of the present invention has an excellent plant disease controlling effect, and an effective amount of the compound of the present invention can be applied to plants.
- plant diseases can be controlled by treating soil or soil. '---
Landscapes
- Chemical & Material Sciences (AREA)
- Organic Chemistry (AREA)
- Life Sciences & Earth Sciences (AREA)
- Agronomy & Crop Science (AREA)
- Pest Control & Pesticides (AREA)
- Plant Pathology (AREA)
- Health & Medical Sciences (AREA)
- Engineering & Computer Science (AREA)
- Dentistry (AREA)
- General Health & Medical Sciences (AREA)
- Wood Science & Technology (AREA)
- Zoology (AREA)
- Environmental Sciences (AREA)
- Plural Heterocyclic Compounds (AREA)
Abstract
Description
明 細 書 Specification
アミ ド化合物およびこれを含有する殺菌剤組成物 技術分野 Amid compound and fungicide composition containing the same
本発明はァミン部分に 5員の含窒素芳香族環を有するアミ ド化合物およびこれ を含有する殺菌剤組成物に関する。 背景技術 The present invention relates to an amide compound having a 5-membered nitrogen-containing aromatic ring in the amine moiety and a fungicide composition containing the same. Background art
従来より、 植物病害防除効力を有する種々の化合物が開発され、 多数の化合物が 殺菌剤組成物の有効成分として実用に供されているが、 その防除効力は十分ではな い場合がある。 発明の開示 Conventionally, various compounds having a plant disease controlling effect have been developed, and many compounds have been put to practical use as an active ingredient of a fungicide composition, but the controlling effect may not be sufficient. Disclosure of the invention
本発明は、 アミ ド化合物 (1 ) The present invention provides an amide compound (1)
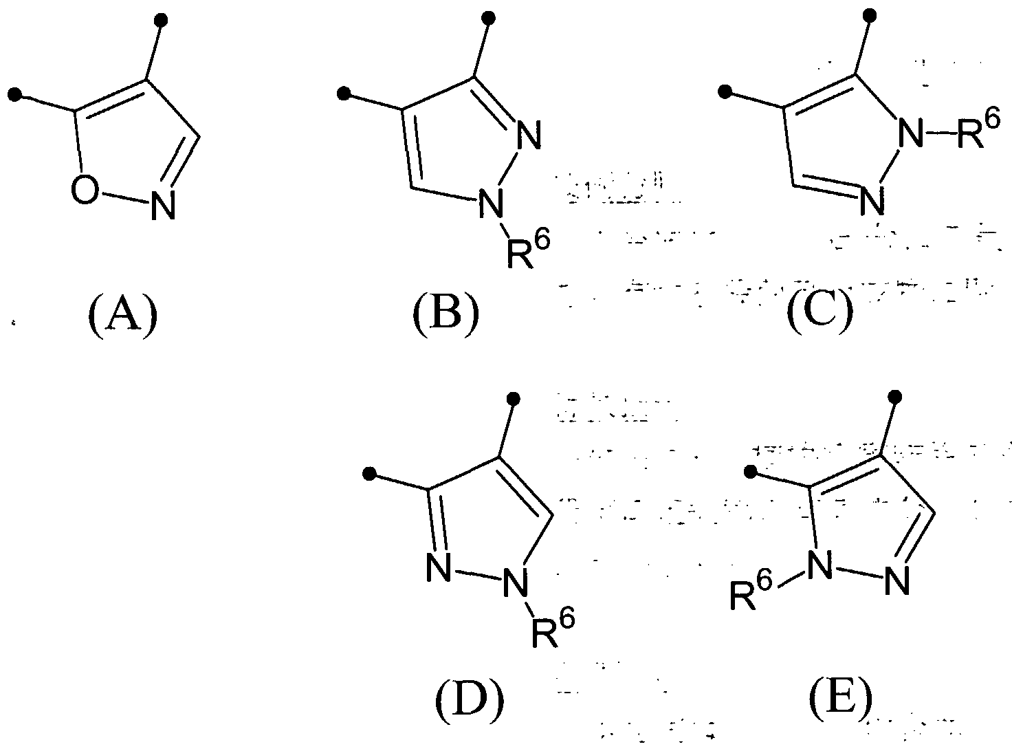
[式中、 は、 下記の式 (A)、 (B )、 (C )、 (D) または (E ) [Where the is the following formula (A), (B), (C), (D) or (E)
で示される基を表し; X1 は OR4基を表し、 Y1 は水素原子を表:: f:か、 あるいは X 1 と Y1 とが一緒になつて、 =〇基または = NOR5基を表し; R1 '水素原子、 ノヽ ロゲン原子、 C 1— C 3ァノレキノレ基、 C 1— C 3ハロアルキル基また.は C 1—C 3 アルコキシ基を表し; R2 は水素原子、 ハロゲン原子または C 1,一 C 3アル'キル基 を表すか、 あるいは R1 と R2 とが一緒になつて、 ..トリメチレン基、ノテ トラメチレ ン基または CH = CH— CH二 CH基を表し; R3—は C 1:, C 3アルキル基または C 3— C 4アルキニル基を表し、 R4 ば水^原'ぞ Γ· IT ' C、3ァ キル基または C 3—C 4アルキニル基を表し、 R5 は. C 1'一 C 3アルキル基または C — C 4アル キニル基を表す。〕 Γ" X 1 represents an OR 4 group, and Y 1 represents a hydrogen atom. Table: f: or X 1 and Y 1 are taken together to form = 〇 group or = NOR 5 group R 1 'represents a hydrogen atom, a hydrogen atom, a C 1 -C 3 anolequinole group, a C 1 -C 3 haloalkyl group or a C 1 -C 3 alkoxy group; R 2 represents a hydrogen atom, a halogen atom or C 1, or represents an C 3 Al 'kill group, or R 1 and R 2 are together a connexion, .. represent a trimethylene group, Note Toramechire emissions group or CH = CH- CH two CH groups; R 3 — Represents a C 1 :, C 3 alkyl group or a C 3 — C 4 alkynyl group, and R 4 represents water, a hydrogen atom, or “IT” represents a C, 3 alkyl group or a C 3 —C 4 alkynyl group; R 5 represents a C 1′-C 3 alkyl group or a C—C 4 alkynyl group. Γ "
で示されるアミ ド化合物 (以下、 本発明化合物と記す。),.を提供する。 3(Hereinafter, referred to as the compound of the present invention). Three
[式中、 X1、 Y R\ R2及び R3 は前記と同じ意味を表す。] [Wherein, X 1 , YR \ R 2 and R 3 represent the same meaning as described above. ]
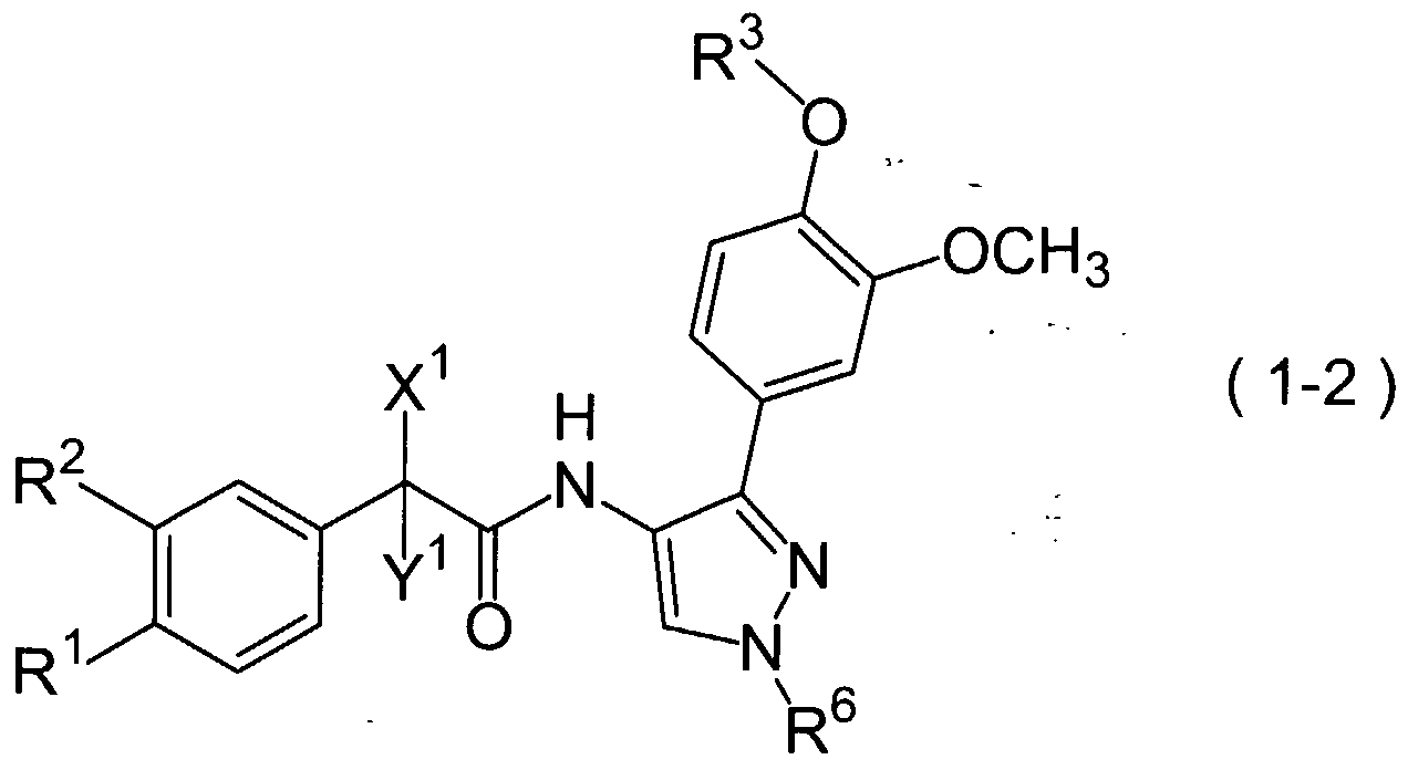
、 アミ ド化合物 (1一 2) , Amide compounds (1-2)
[式中、 X Y\ R\ R2、 R3及び R6 は前記と同じ意味を表す。] ァミ ド化合物 ( 1一 3 ) Wherein, XY \ R \ R 2, R 3 and R 6 are as defined above. ] Amide compounds (1-1-3)
[式中、 X Y R\ R2、 R3及び R6 は前記と同じ意味を表す。] アミ ド化合物 (1— 4 ) - [Wherein, XYR \ R 2 , R 3 and R 6 represent the same meaning as described above. ] Amide compounds (1-4)-
[式中、 X1、 Y\ R\ R2、 R3及び R6 は前記と同じ意味を表す。] 、 アミ ド化合物 (1— 5 ) [Wherein, X 1 , Y \ R \ R 2 , R 3 and R 6 represent the same meaning as described above. ], Amide compounds (1-5)
[式中、 X1、 Y1, R R2、 R3及び R6 は前記と同じ意味を表す。] 、 了ミ ド化合物 ( 1一 6 ) [Wherein, X 1 , Y 1 , RR 2 , R 3 and R 6 represent the same meaning as described above. ], Ryodo compound (1-6)
[式中、 は、 前記と同じ意味を表す。] 、 ァミ ド化合物 ( 1一 7 ) … 一 [Wherein, has the same meaning as described above. ], Amide compounds (1-7)
( 1-7)(1-7)
[式中、 R 1、 R2、 R3、 R5 は、 前記と同じ意味を表す。] を提供する。 ― Where R 1 , R 2 , R 3 , R 5 Represents the same meaning as described above. ] I will provide a. ―
また、本発明化合物を有効成分として含有する 菌剤組成物及び本発明化合物の 有効量を植物または土壌に処理することを特徴とする植物病害防除方法を提供す る。 本発明において、 - R 1 で表されるハロゲン原子としては、 例えばフッ素原子、 塩素原子、 臭素原子、 ヨウ素原子があげられ、 C 1—C 3アルキル基としては、 メチル基、 ェチル基、 プ 口ピル基、 イソプロピル基があげられ、 C 1一 C 3ハロアルキル基としては、 フル ォロメチル基、 ジフルォロメチル基、 トリフルォロメチル基または 2, '2 2—ト リフルォロェチル基があげられ、 C 1— C 3 Tルコキシ基としては、:メ トキシ基、 エトキシ基、 イソプロポキシ基があげられ、 ' The present invention also provides a fungicidal composition containing the compound of the present invention as an active ingredient and a method for controlling plant diseases, which comprises treating a plant or soil with an effective amount of the compound of the present invention. In the present invention, examples of the halogen atom represented by -R 1 include a fluorine atom, a chlorine atom, a bromine atom and an iodine atom, and examples of the C 1 -C 3 alkyl group include a methyl group, an ethyl group and a Pill group and isopropyl group; and C1-C3 haloalkyl groups include fluoromethyl group, difluoromethyl group, trifluoromethyl group and 2, '22 -trifluoroethyl group, and C1-C3 Examples of T-lucoxy groups include: methoxy, ethoxy, and isopropoxy.
R2 で表されるハロゲン原子としては、 例えば塩素原子、 臭素原子、 ヨウ素原子が あげられ、 C 1—C 3アルキル基としてはメチル基、 ェチル基、 プロピル基、 イソ プロピル基があげられ、 — '- ― .. Examples of the halogen atom represented by R 2 include a chlorine atom, a bromine atom and an iodine atom, and examples of the C 1 -C 3 alkyl group include a methyl group, an ethyl group, a propyl group and an isopropyl group. '-― ..
R3 で表される C 1—C 3アルキル基としては、メチル基、ェチル基、プロピル基、 イソプロピル基があげられ、 C 3— C 4アルキニル基としては 2—プロピニル基、 1 一メチル— 2—プロビュル基、 2—ブチュル基、 3—ブチニル基があげられ;. R で表される C 1—C 3アルキル基としては、メチル基、ェチル基、プロピル基、 ィソプロピル基があげられ、 C 3— C 4アルキニル基としては、 2—プロピニ ¾、 1 一メチル— 2—プロピニル基、 2—ブチニル基、 3—ブチニル基があげられ、 R5 で表される C 1—C 3アルキル基としては、メチル基、ェチル基、プロピル基、 イソプロピル基があげられ、 C 3— C 4アルキニル基としては、 2—プロピニル基、 1 一メチル— 2—プロピニル基、 2—ブチュル基、 3—ブチニル基があげられ、 R6で表される C 1—C 4アルキル基としては、 メチル基、 ェチル基、 プロピル基 があげられる。 ..::.- 本発明の態様としては、 例えば以下の化合物があげられる。 Examples of the C 1 -C 3 alkyl group represented by R 3 include a methyl group, an ethyl group, a propyl group and an isopropyl group, and examples of the C 3 -C 4 alkynyl group include a 2-propynyl group and a 1-methyl-2 —Provyl group, 2-butulyl group and 3-butynyl group; C 1 -C 3 alkyl group represented by R includes methyl group, ethyl group, propyl group and isopropyl group, and C 3 — Examples of the C 4 alkynyl group include 2-propynyl, 1-methyl-2-propynyl, 2-butynyl, and 3-butynyl. As the C 1 -C 3 alkyl group represented by R 5 , , Methyl, ethyl, propyl, and isopropyl. Examples of the C 3 -C 4 alkynyl include 2-propynyl, 1-methyl-2-propynyl, 2-butulyl, and 3-butynyl. And C 1—C 4 alkyl represented by R 6 Examples of the group include a methyl group, an ethyl group, and a propyl group. .. :: .- Embodiments of the present invention include, for example, the following compounds.
式 (1) において、 R1 が水素原子、 ハロゲン原子または C 1—C 3アルキル基で あるアミ ド化合物; - 式 (1) において、 X1 が OR4基であり、 Y1 が水素原子であるアミ ド化合物; 式 (1) において、 X1 が〇R4基であり、 Y1 が水素原子であり、 R4が水素原子 であるアミ ド化合物; An amide compound wherein R 1 is a hydrogen atom, a halogen atom or a C 1 -C 3 alkyl group in the formula (1);-In the formula (1), X 1 is an OR 4 group and Y 1 is a hydrogen atom there ami de compounds; in formula (1), X 1 is a four 〇_R, Y 1 is a hydrogen atom, an amino-de-compound wherein R 4 is a hydrogen atom;
式 (1) において、 X1 が OR4基であり、 Y1 が水素原子であり、 1¾4がじ 1ー〇 3アルキル基であるアミ ド化合物; In formula (1), X 1 is OR 4 group, Y 1 is a hydrogen atom, an amino-de-compound is 1¾ 4 Gazi 1 - ○ 3 alkyl group;
式 (1) において、 X1 が OR4基であり、 Ύ1 が水素原子であり、 R^ C3—C 4アルキニル基であるアミ ド化合物; - · -- 式 (1) において、 X1 が OR4基であり'、 Y1 が水素原子であり、 R4が C 3— C 4アルキニル基であるアミ ド化合物; " ' An amide compound in which, in the formula (1), X 1 is an OR 4 group, Ύ 1 is a hydrogen atom, and is an R ^ C 3 -C 4 alkynyl group;-· — In the formula (1), X 1 is An amide compound in which OR 4 is a group, Y 1 is a hydrogen atom, and R 4 is a C 3 -C 4 alkynyl group;
式 (1) において、 X1 と Y1 が一緒にな :つ = NO—R 5基であるアミ 'ド化合物; 式 (1) において、 X1 と Y1 が一緒になつて = NOR5基であり、 R5 が C 1—— C 3アルキル基であるアミ ド化合物; "- : : 一 式 (1) において、 R1 が水素原子であるァ -ミ ド化合物; In formula (1), X 1 and Y 1 are together : an amide compound having NO—R 5 groups; In formula (1), X 1 and Y 1 are together and = NOR 5 groups and the Ammi de compounds wherein R 5 is C 1-- C 3 alkyl group; "-:: in an equation (1), § R 1 is a hydrogen atom - Mi de compound;
式 (1) において、 R1 がハロゲン原子であるアミ-ド化合物; -- 式 (1) において、 R1 が塩素原子であるアミ ド化合物; 一 An amide compound wherein R 1 is a halogen atom in the formula (1);-an amide compound wherein R 1 is a chlorine atom in the formula (1);
式 (1) において、 R1 が C 1一 C' 3アルギル基であるァミ ド化合物; An amide compound represented by the formula (1), wherein R 1 is a C 1 -C ′ 3 argyl group;
式 (1) において、 R1 がメチル基であるアミ ド化合物; An amide compound represented by the formula (1), wherein R 1 is a methyl group;
式 (1) において、 R2 が水素原子であるアミ ド化合物; - 式 (1) において、 R2 がハロゲン原子 あるアミ ド化合物; - 式 (1) において、 R2 が塩素原子であるアミ ド化合物; An amide compound wherein R 2 is a hydrogen atom in the formula (1);-an amide compound wherein R 2 is a halogen atom in the formula (1);-an amide compound wherein R 2 is a chlorine atom in the formula (1) Compound;
式 (1) において、 R2 が C 1 _ C 3アルキル基で-あるァミ ド化合物;— An amide compound represented by the formula (1), wherein R 2 is a C 1 _C 3 alkyl group;
式 (1) において、 R2 がメチル基であるアミ ド化合物; An amide compound represented by the formula (1), wherein R 2 is a methyl group;
式 (1) において、 R1 と R2 とが一緒になつてトリメチレン基であるアミ ド化合 物; An amide compound represented by the formula (1), wherein R 1 and R 2 are taken together to form a trimethylene group;
式 (1) において、 R1 と R2 とが一緒になつてテトラメチレン基であるアミ ド化 合物; In formula (1), R 1 and R 2 are joined together to form a tetramethylene group. Compound;
式 (1) において、 R1 と R2 とが一緒になつて CH = CH— CH二て H基である ァミ ド化合物; An amide compound represented by the formula (1), wherein R 1 and R 2 are joined together to form CH = CH—CH and H;
式 (1) において、 R3が C 1—C 3アルキル基であるアミ ド化合物; - 式 (1) において、 R3 がメチル基であるアミ ド化合物; An amide compound wherein R 3 is a C 1 -C 3 alkyl group in the formula (1);-an amide compound wherein R 3 is a methyl group in the formula (1);
式 (1) において、 R3 がェチル基-であるアミ ド化合物; - 式 (1) において、 R3 が C 3 _ C 4アルキ^ル基であるァミ ド化合物; An amide compound wherein R 3 is an ethyl group in the formula (1); an amide compound wherein R 3 is a C 3 _C 4 alkyl group in the formula (1);
式 (1) において、 R3 が 2—プロ—ビュル基であるアミ ド化合物; - 式 (1) において、 X1 が OR'1基で 'あり Y1 が水素原子であり R4 が水素原子 であるアミ ド化合物;. -.— An amide compound of the formula (1) wherein R 3 is a 2-pro-butyl group;-in the formula (1), X 1 is an OR ′ 1 group, Y 1 is a hydrogen atom, and R 4 is a hydrogen atom An amide compound that is
式 (1) において、 X1 が OR4基であり Y1 が水素原子であり、 が C 1一 CIn the formula (1), X 1 is an OR 4 group, Y 1 is a hydrogen atom, and
3アル-キル基であるアミ ド化合物; Amide compounds that are 3 alkyl groups;
式 (1) において、 X1 が OR4基であり Y1 が水素原子であり、 R4 がメチル基 であるアミ ド化合物; In the formula (1), an amide compound in which X 1 is an OR 4 group, Y 1 is a hydrogen atom, and R 4 is a methyl group;
式 (1) において、 X1 が OR4基であり YV.が水素原子であり、 R4 が C 3— CIn the formula (1), X 1 is an OR 4 group, YV. Is a hydrogen atom, and R 4 is C 3— C
4アルキニル基であるアミ ド化合物; Amide compounds that are 4 alkynyl groups;
式 (1) において、 X1 が OR4基であり Y二 が水素原子であり、 R4,が 2—-プロ - ビュル基であるアミ ド化合物; An amide compound represented by the formula (1), wherein X 1 is an OR 4 group, Y 2 is a hydrogen atom, and R 4 , is a 2-pro-butyl group;
式 (1) において、 X1 と Y1 とが一緒になつで = NOR5基でありく- R が C 1— C 3アルキル基であるアミ ド化合物-; .. ― ' - 式 (1) において、 X1—と Y1 とが一緒になつ-で = NOR5基であり、 —: R5.:がメチル 基であるアミ ド化合物; : - ' ' ' In the formula (1), X 1 and Y 1 are joined together to form a group of = NOR 5 -an amide compound in which R is a C 1 -C 3 alkyl group; In, X 1 — and Y 1 are taken together and — is NOR 5 group, and —: R 5 .: Is a methyl group; an amide compound;
式 (1) において、 X1 と Y1 とが一緒になつて NOR5基であり R3 がェチル 基であるアミ ド化合物; In the formula (1), an amide compound in which X 1 and Y 1 are joined together to form a NOR 5 group and R 3 is an ethyl group;
式 (1) において、 X) と Y1 とが一緒になって = N〇R5基であり R5 -が C 3 -In the formula (1), X) and Y 1 together are = N〇R 5 groups, and R 5 -is C 3-
C 4アルキニル基であるアミ ド化合物; : -. 式 (1) において、 X1 と Y1 とが -緒にな て = NOR5基であり R'5 が 2—プ ロビニル基であるアミ ド化合物; . - —一 一 一An amide compound which is a C 4 alkynyl group;:-. An amide compound of the formula (1) wherein X 1 and Y 1 are linked to each other to form a = NOR 5 group and R ' 5 is a 2-propyl group; Compound;.
,式 (1) において、 R1 がハロゲン原子であ:り.、 R2 が水素原子であ—るアミ ド化合 物; : · : - - - - -. - - - - 式 ( 1 ) において、 R1 が塩素原子-であり、 R2 が水素原子であるァミ ド化合物; 式 (1) において、 R1 が臭素原子であり、 ; 2'が水素原子であるアミ ド化合物; - 式 (1) において、 R1 が CT一 G—3アルキノ 基であり.、 R2 が水素原子であるァ ミ ド化合物; -ー .一 ' . - 式 (1) において、 R1 がメチル基であり、 R2 が水素原子であるアミ ド化合物; 式 (1) において、 R1 がェチル基であり、 R2 が水素原子であるアミ ド化合物; 式 (1) において、 R3 が C 1—C 3アルキル基であり、 X1 が OR4基であり、 Y 1 が水素原子であり、 R4 が C 3— C 4アルキ-ル基であるアミ ド化合物-; In formula (1), an amide compound in which R 1 is a halogen atom, and R 2 is a hydrogen atom;: ·:-----.----In formula (1) An amide compound in which R 1 is a chlorine atom and R 2 is a hydrogen atom; an amide compound in which R 1 is a bromine atom; and 2 ′ is a hydrogen atom; In (1), an amide compound in which R 1 is a CT-1 G-3 alkino group; and R 2 is a hydrogen atom; ---. 1 '.-In formula (1), R 1 is a methyl group. An amide compound wherein R 2 is a hydrogen atom; an amide compound wherein R 1 is an ethyl group and R 2 is a hydrogen atom in the formula (1); In the formula (1), R 3 is a C 1 -C 3 alkyl group, X 1 is an OR 4 group, Y 1 is a hydrogen atom, and R 4 is a C 3 -C 4 alkyl group Amide compound-;
式 (1) において、 R3がメチル基であり '、· X1が OR4基であり、 Y1 が水素原子 であり、 R4 が C 3— C 4アルキニル基であるァミド化合物; 」 - . · =; 5 式 (1) において、 1 が C 1— C.3アルキ;レ基であり、 R3-が C 1.一 C 3·アルキ ル基であり、 X1 が〇R4基であり-、 · Υ1·が水素原子であり、 R4 が G3— C4—アル キニル基であるアミ ド化合物; ― — : . · ' 式 (1) において、 R1 が C 1—G 3ァノレキル基であり、 R3.がメチル基であ.り ■ ■ X1 が OR4基であり、 Y1 が水素原子であり、 - R4 が C:3— C'4—アルキエル基であIn the formula (1), an amide compound in which R 3 is a methyl group, X 1 is an OR 4 group, Y 1 is a hydrogen atom, and R 4 is a C 3 —C 4 alkynyl group; · =; 5 In the formula (1), 1 is a C 1-C.3 alkyl group; R 3 -is a C 1.-C 3 alkyl group; and X 1 is a 〇R 4 group. An amide compound in which R 1 is a hydrogen atom and R 4 is a G3—C4—alkynyl group; — —:. · ′ In the formula (1), R 1 is C 1—G 3 a Anorekiru group, R 3 is a methyl group der Ri ■ ■ X 1 is OR 4 group, Y 1 is a hydrogen atom, - R 4 is C:.. 3- C'4- Arukieru group der
10 るアミ ド化合物; - · -: ': -10 amide compounds;-·-: ':-
- 式 (1) において、 R1 がハロゲン原子であり、 R3 が C 1— C 3アルキル基であ り、 X1 が OR4基であり、 Y1 が水素原子であり R4 が. C 3—C- 4アルキニル基 であるアミド化合物; : + — - 式 (1)·において、 R1 がハロゲン原子であり、 R3-がメチル基であり、 X1 が OR 15" 4 基であり、 Y1 が水素原子であり、 R4 が C_.3 - C アルキニル基であるアミ 'ド化 合物; ― - -— --In the formula (1), R 1 is a halogen atom, R 3 is a C 1 -C 3 alkyl group, X 1 is an OR 4 group, Y 1 is a hydrogen atom, and R 4 is. An amide compound which is a 3-C-4 alkynyl group; + +--In the formula (1), R 1 is a halogen atom, R 3 -is a methyl group, X 1 is an OR 15 " 4 group An amide compound in which Y 1 is a hydrogen atom and R 4 is a C_.3-C alkynyl group; —————
— 」式 (1) において、 R1 が C 1一 3アルキル基であり、 R2 が水素原子であ1! R3 がメチル基であり、 X1 が OR4 基であり、 Y1 が水素原子-であり、 R4 が C3 —C 4アルキニル基であるアミ ド化合物; - ' . - ノ—— ”In the formula (1), R 1 is a C 1-3 alkyl group, R 2 is a hydrogen atom, 1 ! R 3 is a methyl group, X 1 is an OR 4 group, and Y 1 is hydrogen. atom -, and amino de compounds wherein R 4 is a C3 -C 4 alkynyl; -. '- Bruno -
20 式 (1) において、 R1 がメチル基であり、 R2 が水素原子であり:、 R3.がメチル基 " であり-、 X 1 が O R 4基であり、 Y が水素原子であり、: R 4.が C 3— G- 4アルキ二 - ル基であるアミ ド化合物; 20 In the formula (1), R 1 is a methyl group, R 2 is a hydrogen atom: R 3 is a methyl group—, X 1 is an OR 4 group, Y is a hydrogen atom An amide compound wherein R 4 is a C 3 -G-4 alkynyl group;
-: · 式 (1) において、 R1 がェチル基であり、 R2 :が水素原子であり、 R3-がメチル基- であり; X1 が OR4基であり、 Y1 が水素原子であり、 R4 が C3— C4アルキニ 25 ル基であるアミ ド化合物; .. , . : -- - , - - ― 式 (1) において、 R1 がハロゲン原子であり; -R2二が水素原子であり-、' R3 がメチ .. ル基であり、 X1 が O R4基であり Y1 が水素原子であり、 R4 が C 3 - C 4アル: キニル基であるアミ ド化合物; ― -: · In the formula (1), R 1 is an ethyl group, R 2 : is a hydrogen atom, R 3 -is a methyl group-; X 1 is an OR 4 group, and Y 1 is a hydrogen atom Ami de compound is in and, R 4 is C3- C4 Arukini 25 Le group; ..,:. - -, - - - in formula (1), R 1 is a halogen atom; -R 2 two are a hydrogen atom -, 'R 3 is a methylcarbamoyl .. Le group, Y 1 X 1 is OR 4 group is a hydrogen atom, R 4 is C 3 - C 4 Al: Ami de is Kiniru group Compound; -
, 式 (1) において、 R1 が塩素原子であり、 R2_が水素原子であり、 R3がメチル基 30 であり、 X1 が OR4基であり、 Y卜が水素原子であり、 R4 が C 3— C 4アルキ- ル基であるアミ ド化合物; .·- · .:.- - 、 - .. .' ·· - . :: 式 (1) において、 R1 が臭素原子であり、 R2-が水素原子であ:り R3—がメチル基- であり、 X 1 が O R 4基であり、 Yしが水素原子であり、-二 R 4 が C, 3 C 4アルキ : ル基であるアミ ド化合物; · ·. ' .. : - - In the formula (1), R 1 is a chlorine atom, R 2 _ is a hydrogen atom, R 3 is a methyl group 30, X 1 is an OR 4 group, Y is a hydrogen atom, An amide compound in which R 4 is a C 3 -C 4 alkyl group; ..-...--,-... '....: In the formula (1), R 1 is a bromine atom R 2 — is a hydrogen atom: R 3 — is a methyl group —, X 1 is an OR 4 group, Y is a hydrogen atom, and —2 R 4 is C, 3 C 4 Alky: Amide compound which is a group; · ·. '..:--
式 (1— 1) において、 R1 が水素原子、 ハロゲン原子または C 1 C 3ァノレキノレ 基であるアミ ド化合物; '- - 1- 1) において、 R1 が水素原子であるアミ ド化合物; In the formula (1-1), an amide compound in which R 1 is a hydrogen atom, a halogen atom, or a C 1 C 3 benzoquinone group; An amide compound according to 1), wherein R 1 is a hydrogen atom;
1- 1) において、 R' がハ口-ゲン原子であるアミ.ド化合物.; - ··. 1 - 1) において、 R1 が塩素原子であるアミ ド化合物; An amide compound in which R 'is a halo-gen atom in 1-1);-an amide compound in which R 1 is a chlorine atom in 1-1);
1— 1) において、 R1 が C 1一 C 3アルキル基であるァ ド化合物; 1) The compound according to 1), wherein R 1 is a C 1 -C 3 alkyl group;
1- 1) ·において、- R1 がメチル基であるアミド化合物; : - ·. 1 - 1)-において、 R2 が水素原子であるアミ卞化合物; - ' 1一 1 ) において、 R2 がハロゲン原子であるアミ ド化合物.; In 1-1), - amide compounds wherein R 1 is a methyl group;:. - - 1 - 1) - In Ammi卞R 2 is a hydrogen atom; - '1 In one 1), R 2 An amide compound wherein is a halogen atom;
1― 1)—において、 R2 が塩素原子であるアミ ド化合物'; " r - 1- 1) において、 R2 が C 1— C 3アルキル基である;ァミ ド化合物; In 1-1) —, an amide compound in which R 2 is a chlorine atom ′; “In r-1-1), R 2 is a C 1 -C 3 alkyl group;
1- 1) において、 R2 がメチル基であるアミ ド化合物; . ― '- - ' 1-1) において、 R1 と R2 とが一緒になつてトリメチレン基であるアミ ド 化合物-; - , An amide compound in which R 2 is a methyl group in 1-1);.-An amide compound in which R 1 and R 2 are taken together to form a trimethylene group; ,
式 (1— 1) において、 R1 と R2 とが一緒になつてテトヲメヂレン基であるアミ ド化合物; :- ;- : In the formula (1-1), an amide compound in which R 1 and R 2 are taken together to form a tetramethylene group;:-;-:
式 (1— 1) において、 R1 と R2:とが一緒になつて CH = CH二 CH= CH基で あるアミ ド化合物; In the formula (1-1), an amide compound in which R 1 and R 2 : together form a CH = CH2 CH = CH group;
式 (1 -1) において R3 'が C 1—C 3アルキル基であるアミ _ド化合物 -; . An amide compound of the formula (1-1) wherein R 3 ′ is a C 1 -C 3 alkyl group;
式 (1— 1) -において、 R3 がメチル基であるアミ ド化合物; 一 . - 式 (1— 1) において、 - R3 がェチル基であるァミ ド化合物;' - - ' '·: In the formula (1-1)-, an amide compound in which R 3 is a methyl group; 1.-In the formula (1-1),-an amide compound in which R 3 is an ethyl group; :
式 (1— 1) において、 R3 が C 3—— C 4アルキ^ル基であるァ ド化合物; 式 (1— 1) において、 R3 が 2——プロピエル基であるァミ ド化合物; ' : 式 (1— 1) において、 X1 が OR4基であり Y1 が水素原子であり R が水素 原子であるアミ ド化合物; - - - ' ' - 式 (1一 1) において、 X1 が OR4基であり、 Y1 が水素 1 チ ?あり- R が C- —C 3アルキル基であるアミ ド化合物; 一- "- 式 (1— 1) において、 X1 が OR4基であり、 Y1 が水素原子であり R4 がメ_チ ル基であるアミ ド化合物; - 式 (1— 1) において、 X1 が OR4基であり Y1 が水素原子であり、- R4 が C 3 -C 4アルキニル基であるアミ ド化合物; In the formula (1-1), an amide compound in which R 3 is a C 3 —C 4 alkyl group; in the formula (1-1), an amide compound in which R 3 is a 2-—propyl group; ': An amide compound of the formula (1-1), wherein X 1 is an OR 4 group, Y 1 is a hydrogen atom, and R is a hydrogen atom;---''-In the formula (1-1 1), An amide compound in which 1 is an OR 4 group and Y 1 is a hydrogen atom, and R is a C-C 3 alkyl group; 1-"-In the formula (1-1), X 1 is an OR 4 group An amide compound wherein Y 1 is a hydrogen atom and R 4 is a methyl group;-In the formula (1-1), X 1 is an OR 4 group, Y 1 is a hydrogen atom, and- An amide compound wherein R 4 is a C 3 -C 4 alkynyl group;
式 (1— 1) において、 X1 が OR4基であり Y1 が水素原子であり.、 R4 が 2 プ口ビュル基であるアミ ド化合物; ... - 式 (1— 1) におい-て、 X1 ど Y1 とが 緒にな-づ":0 N OR 基であり、 R5 が- C 1一 C 3アルキル基であるアミ ド化合物;: … ' — :〜. - 式 (1— 1) において、 X1 と Y1 とが一緒になつて = NOR5基であり、 R5 がメ チル基であるアミ ド化合物; . . . . - :- 式 (1—1) において、 X1 と Y1 とが一緒に-なつて; NOR5基であり、 R5 がェ チル基であるアミ ド化合物; -. . . ;:- 「 · · — 式 (1— 1) において、 X1 と Y1 とが一緒になつて = NOR5基であり、 R5 が C 3—C 4アルキニル基であるアミ ド化合物 ·.. - — - -: Γ - 式 (1— 1) において、 X4 と Y1 とが一緒になつて = NQR5基であり、 R5-が 2 5 —プ ピニル基であるアミ ド化合物-; . . ― . . r -: : - : - : ' 式 (1— 1) において、 R1 がハロゲン原子;であ:り.、 R2 が水素原子」であ-る ミ:ド 化合物; - ^ - —: - - -. : 式 (1一 1) において、 R1 が塩素原子であり、 R? 力水素原子-で-おるア :卞化合' ノ .. - : : . — — 一 , . . . . — . 10 式 (i— iy において、 R1 が臭素原子であり、 ; R2 が水素原子であるァ-ミ ド化合In the formula (1-1), an amide compound in which X 1 is an OR 4 group, Y 1 is a hydrogen atom, and R 4 is a 2-port butyl group; ...-a compound represented by the formula (1-1) -, X 1 and Y 1 are linked together: ": an amide compound in which R is a NOR group and R 5 is a -C 1 -C 3 alkyl group;:… '—: ~. In (1-1), an amide compound in which X 1 and Y 1 are joined together to form a group = NOR 5 and R 5 is a methyl group;...-: Formula (1-1) In the above, X 1 and Y 1 are linked together; NOR 5 groups, and R 5 is Amide compound which is a tyl group;-...;:-“·· — In the formula (1-1), X 1 and Y 1 are joined together to form a NOR 5 group, and R 5 is C 3 —C 4 alkynyl group amide compound · ..-—--: Γ-In formula (1-1), X 4 and Y 1 together form = NQR 5 group, and R 5 -is 2 5 - amino de compound is flop pinyl group -; - r -:.. ...: -: -: in 'formula (1- 1), R 1 is a halogen atom; der: Ri, R 2 is hydrogen atom "der - Ru Mi: de compound; - ^ - -:.? - - - - in the formula (1 one 1), R 1 is a chlorine atom, R force a hydrogen atom - in - Orua:卞..-::. — — One,....... 10 In the formula (i—iy, R 1 is a bromine atom; and R 2 is a hydrogen atom.
- 物; . - - —, 式 (1— 1) において、 R1 が C 1. C 3アルキル基であり、 R2 が水素原子であ - るアミ ド化合物; ·. -- :. i- i 式 (1— 1) において、 R1 がメチル基であり、 R2 が水素原子であるアミ ド化合 15 物 ; - : . : + - ';. : - - -:: :- 式 (1— 1) において、 R1 がェチル基であり、 R2 が水素原子であるアミ ド化合 物 : - 一 + . . . -An amide compound in which, in the formula (1-1), R 1 is a C 1. C 3 alkyl group, and R 2 is a hydrogen atom; i In the formula (1-1), an amide compound 15 in which R 1 is a methyl group and R 2 is a hydrogen atom;-:.: +-';.:---:::-: In 1), an amide compound in which R 1 is an ethyl group and R 2 is a hydrogen atom:-one +...-
- 式( 1— 1 )において、 R3 が C 1— C 3アルキル基であり、 X·1 が QR4基であり、 Y1 が水素原子であり、 R4 が C 3 C 4アルキニル基であるアミ 匕合物—; · - - 20 式 (—1— 1) において、 R3 がメチル基であり、 X1 が OR4基であり、 Y が水素- 原子であり、 R4 が C 3— C 4ァノ :キニル基であるアミ—.ド化合物-に - - - - ニ. 一- 式 ( 1— 1 ) において、 R1 が C 1— C-3ァソレキル基であり、 R3 が C 1— C 3ァ— ルキル基であり、 X1 が OR'1 基であり、 Y1 力 S水素原子であり、 R4 が C 3— C 4 -' アルキニル基であるアミ ド化合物; ' -· ■·—' -In the formula (1-1), R 3 is a C 1 -C 3 alkyl group, X · 1 is a QR 4 group, Y 1 is a hydrogen atom, R 4 is a C 3 C 4 alkynyl group. In a formula (—1-1), R 3 is a methyl group, X 1 is an OR 4 group, Y is a hydrogen atom, and R 4 is C 3 — C 4 ano: Amido compound which is a quinyl group----d. In the formula (1-1), R 1 is a C 1 -C-3 asoalkyl group, and R 3 is An amide compound in which C 1 —C 3 alkyl group, X 1 is OR ′ 1 group, Y 1 is S hydrogen atom, and R 4 is C 3 —C 4 — ′ alkynyl group; -· ■ · — '
25 式ズ1ー1) において、 R1 が C 3ブル-キノレ.-基であり、 Rさ :が-メチル基であ り、 X1 が〇R4基であり、 Y1 が水素原子であり、 R4:が C 3 - C 4アルキ ル基- ... であるアミ ド化合物; : . - ·' 25 In the formulas 1-1), R 1 is a C 3 bull-quinole.- group, R: is a -methyl group, X 1 is a 〇R 4 group, and Y 1 is a hydrogen atom. And an amide compound in which R 4 is a C 3 -C 4 alkyl group-...;
式 (1一 1) において、 R1 がハ ゲン原子-であ 1、 R が C 1 _'G 3アルキル基 ,であり、 X1 が OR'1基であり、 · Y1 が水素原子であり-、 R4—が C3 -G 4アルキニ 30 ル基であるアミ ド化合物; - - - - " へ; -: - 式 (1— 1) において、 R1 がハロゲ^:原子であり、 -'R3.がメ.チル基であり、 X] - が OR'1基であり、 Y1 が水素原子であり、 R4 が: C :3— C 4アルキニル基である ミ ド化合物; ; - — · ' , : - ノ — ' 式 (1— 1) において、 R1 が C 1-— C 3-アルキノレ基であり、 ; 2-が水素原子であ 35 り、 R3 がメチル基であり、 X1 が OR4基であり、 Y1 が水素原子であり、 R4 が - C 3—C 4アルキニル基であるアミ .ド化合物; :, - - - 式'(1— 1) において、 R1 がメチル基であ-り、, R2 が水素原子であり、 R3 がメチ —ノレ基であり、 X1 が OR'1基であり、 Ύ1 が水素原子であり、 R4 が C3— C4-アル キニル基であるアミ ド化合物; . .. . Γ· · '- ,·-- - 式 (1 - 1 ) -において、— R1 がェチル基であり—、 R2:が水素原子であり、- R3 が--メ―チ ル基であり; X1 が OR4基であり、 -Y1 'が水素原寻であり、 R4が C 3— C 4アル キニル基である ミ.ド化合物; : · - - ■-·. . .--..· — 式 (—1— 1)·において、 R1 がハ口'ゲン原子であり、 R2 が水素原子であり、 R3 —がメチル基であり、 X1 が OR4-基で 'あり、 Y'1 が水素原子であり'、 が In the formula (11-1), R 1 is a halogen atom 1, R is a C 1 _′G 3 alkyl group, X 1 is an OR ′ 1 group, and Y 1 is a hydrogen atom. Yes, an amide compound in which R 4 — is a C 3 -G 4 alkynyl group;----"to;-:-In the formula (1-1), R 1 is a halogen ^: atom,- A mid compound wherein 'R 3 is a methyl group, X]-is an OR' 1 group, Y 1 is a hydrogen atom, and R 4 is: a C: 3-C 4 alkynyl group; -— · ',:-ノ —' In the formula (1-1), R 1 is a C 1-— C 3 -alkynole group;; 2 -is a hydrogen atom; and R 3 is a methyl group. An amide compound wherein X 1 is an OR 4 group, Y 1 is a hydrogen atom, and R 4 is a -C 3 -C 4 alkynyl group;:,--- In the formula '(1-1), R 1 is a methyl group, R 2 is a hydrogen atom, R 3 is a methyl group, X 1 is an OR' 1 group, and Ύ 1 Is a hydrogen atom and R 4 is a C3-C4-alkynyl group;... 基 · '-, ·--In the formula (1-1)-, — R 1 is ethyl R 2 : is a hydrogen atom, —R 3 is a —methyl group; X 1 is an OR 4 group, —Y 1 ′ is a hydrogen atom, R 4 Is a C 3—C 4 alkynyl group: ·--■-.. .--..— — In the formula (—1-1—1), R 1 is a halogen atom R 2 is a hydrogen atom, R 3 — is a methyl group, X 1 is an OR 4 — group, and 'Y' 1 is a hydrogen atom '.
4アルキニル基であるアミ ド化合物 . -- ― 式 (1— 1- ) において、 R1 が塩素原子であ,、 R2 :が水素原子であり R-3:がメチ ル基であり、 X1 が OR4基であり/、. -Y1 が水素原子であり、 R4 が C3— C4アル キニル基であるアミ ド化合物; : ー 一. . : — 式 (1 1) において、—— R1 が臭素原子であり. R2 が水素原子であり、.. R3 がメチ ル基であり、 X1 が〇R4基であり、 Y1 が水素原子であ^、 R4 が C-3—G.4アル キニル基であるァ-ミ ド化合物.;. - -: - : 4 An amide compound which is an alkynyl group .-- ― In the formula (1-1-), R 1 is a chlorine atom, R 2 : is a hydrogen atom, R- 3 : is a methyl group, X An amide compound in which 1 is an OR 4 group, .-Y 1 is a hydrogen atom, and R 4 is a C 3 -C 4 alkynyl group;: — 1...: — In the formula (11), —— R 1 is a bromine atom. R 2 is a hydrogen atom. .. R 3 is a methyl group. X 1 is a 〇R 4 group. Y 1 is a hydrogen atom. ^ R 4 is a C atom. -3—G.4 Amide compound that is an alkynyl group.;.--:-:
式 (1— 2) または式 (1 3) におレ\て.、 - R1 が水素原子、 ハロゲン原子または C 1 - C 3アルキル基であるァミ ド化合物 : :.. -; - ': --- . - ' 式 (1-2) または式 ( 1一 3) において、 R¾ が- C 1 -C 3アルキル基であるス - ニノレビラゾール化合物; : -一- - - - -二 ― .. : : , - . 式 (1— 2) または式 (1一 3) において、:. R がメチル基であるフヱニルビラゾ - ール化合物; " — · — — . _ : . : - 式 (1— 2) または式 (1一 3) お.レ、て、 -R 1:がハ口ゲ Jg子であるフエニノレビ --- ラゾール化合物; · ' V 1 : In the formula (1-2) or the formula (13),-an amide compound in which R 1 is a hydrogen atom, a halogen atom or a C 1 -C 3 alkyl group:: ..-;-'-'-Ninolevirazole compound of the formula (1-2) or the formula (1-13), wherein R¾ is a -C 1 -C 3 alkyl group;: --1-----2-. .::,-. In the formula (1-2) or the formula (1-13), a phenylvinylazole compound wherein R is a methyl group; "— · — —. _:.:-The formula (1-2) or the formula (1 I 3) Oh, and -R 1 : a pheninolebi --- razol compound whose J is a child of the mouth; · 'V 1 :
• 5 式 (1— 2) または式 (1一 3) にお で R が塩素原子で.あるフエ ルピ ゾ- ― ール化合物「 - - . - 二 . . : — ·; . • 5 In the formula (1-2) or (13), R is a chlorine atom.
式 ( 1一 2 ) または式 ( 1一 3 ) において、 R2 .が水素原子-であるフ.:ェニノレビラゾ ール化合物; -. - . — 7 ; :- 式 (1一 2) ·.または式 (1一 3) において、: -.R2:」が: C:l ' C:3アルキル基であるフ 10 : ェニルビラゾール化合物; - : ' In the formula (112) or the formula (113), R 2 is a hydrogen atom-: eninolevirazole compound;-.-. — 7 ;:-Formula (112) ·. in the formula (1 one 3),: -.R 2: "is: C: l 'C: 3 is an alkyl group off 10: Enirubirazoru compound; -:'
式 (1— 2) または式 (1一 3- ) においで、 - R2 -がハロゲン原子であるフエ」二/レ-ピ ラゾール化合物; -一 一 In the formula (1-2) or the formula (1-1-3-), -R 2 -is a halogen atom in which -R2- is a 2 -/-pyrazole compound;
式 (1— 2)' または式 (1—3 において、 R 6が C 1—C 3アルキル基である.化' 合物; - . : . - ― ;In the formula (1-2) 'or the formula (1-3, R 6 is a C 1 -C 3 alkyl group. Compound;-.:.--;
15 式 ( 1一 2 ) または式 ( 1一 3 ) において-、:. R がメ-チ 基であるフェ -ルピラゾ ール化合物; . 15 In the formula (112) or the formula (113),-,: a pyrpyrazole compound wherein R is a methyl group;
式 (1— 2) または式 (1— 3) において、 R 6が水素原子であるフエ-ルビラゾ —ル化合物; - -— ... ― . - 式 (1— 2) または式 (1— 3)— において、 R3が C 1一 C 3アルキル基でおるフ 20 ェニルビラゾール化合物; ' . 、 In the formula (1-2) or the formula (1-3), a ferbilazole compound in which R 6 is a hydrogen atom;---...-.-The formula (1-2) or the formula (1-3) ) —, Wherein R 3 is a C 1 -C 3 alkyl group;
式 ( 1一 2 ) または式 ( 1— 3 ) おいて、 - R 3カ メチノ 基であるフエ二ルビラゾ 一ノレィ匕合物; ^^ - '^ - : In the formula (112) or the formula (1-3), -R 3 -cameino group, a fenylvirazo mono-residence compound; ^^-'^- :
- -式 (1— 2) またほ式 (1一 3) において、 X·1 が O- R4基であり:、 Y1 が水素原子 であり、 R 4が水素原子であるフエニルピラゾ一ル化合物; - -. ---In formula (1-2) or in formula (13), X · 1 is an O—R 4 group: a phenylpyrazole compound in which Y 1 is a hydrogen atom and R 4 is a hydrogen atom ;--.-
25 式 (1— 2) または式 (1— 3) において、 X1 が OR 4基で牟:り.、 Y1-が水素原子 であり、 R4が C 1—C3アルキル基であるフエ二ルビラゾール化合物; :- . .. 式 (1— 2) または式 (1— 3) において、 X1 が OR 4基であり、... Y1 が水素:原子 であり、 R4がメチル基であるフエ二ルビラゾール化合物; ―' · 25 In the formula (1-2) or the formula (1-3), X 1 is an OR 4 group, Y 1 is a hydrogen atom, and R 4 is a C 1 -C 3 alkyl group. Rubirazole compound;:-... In the formula (1-2) or the formula (1-3), X 1 is an OR 4 group, ... Y 1 is a hydrogen atom, and R 4 is a methyl group. Certain phenylvirazole compounds; ― '·
,式 (1— 2) または式 (1— 3) において、 X1 が. OR-4基であり- ΓΥ1 が水素原子 30 であり、 R 4が C 3— C 4アルキニ 5 基であ,るフェニルピラゾ ル化合物; - 式 ( 1— 2 ) または式 ( 1— 3 ) において、 X1 が Ό 4基であり、: '' Y1 が水素原子 であり、 R 4が 2—プロピニル基 -あ'る'"フエ≤ 'ルピラ '、プール^合 ;物; - , 式 (1— 2) または式 (1— 3) において-、 .: X1 と- Y とが一緒になつて = NQR5 基を表し、 R 5が C 1一 C 3-アルキル基であるフエ- sルどラヅニル化合物:; In the formula (1-2) or the formula (1-3), X 1 is an OR- 4 group,-- 1 is a hydrogen atom 30 and R 4 is a C 3 -C 4 alkynyl 5 group, that Fenirupirazo Le compounds; - in formula (1 2) or formula (1-3), X 1 is a four Ό,: '' Y 1 is a hydrogen atom, R 4 is 2-propynyl group - Oh 'Ru' Hue ≤ 'Lupira', pool ; compound;-, in equation (1-2) or equation (1-3),-:. X 1 and-Y together = NQR 5 Wherein R 5 is a C 1 -C 3 -alkyl group;
35 式 (1— 2) または式 (1— .3) において、 — X1 と Ύ1·-とが一緒になつて FNOR.5 ' 基を表し、 R 5がメチル基であるフ-ェニル.ビラゾール '化合物.; - ' 式 (1— 2) または式 (1— 3) において、 X1 と Y1 とが一緒になつて. = NOR5 — 基を表し、 R 5が C 3— C 4ァノレキニル基であるフエ二ルビラゾーノレ化合物-; 35 In the formula (1-2) or the formula (1-3), — X 1 and Ύ 1 ·-are taken together to represent the FNOR. 5 ′ group, and R 5 is a methyl group. Virazol 'compound .;- 'In Formula (1-2) or Formula (1-3), X 1 and Y 1 are joined together. = NOR 5 — represents a group, and R 5 is a C 3 —C 4 anorekinyl group. Rubirazone compound-;
式 (1— 2) または式 (1— 3) において、 X1 と Y-1 とが一緒になつて. = N.OR5 基を表し, R 5が 2-—プロ'ピニル基である-フエ-ルビラゾール化合物 ― ―. - 5 :-式 (1 ^ 2) または式 (1— 3:) において、 X1 と .とがー緒 なつ.て- =0基.を 表すフエ-ルビラゾール化合物; : —- "-: ? 式 (1— 2) またば式 (1—3) において、 R1 が C 1—C 3アルキノ 基であり; R2 が水素原子であるフヱニルビラゾール化合物 In the formula (1-2) or the formula (1-3), X 1 and Y- 1 are taken together. = N.OR represents a 5 group, and R 5 is a 2-—prop'pinyl group. Ferruvirazole compound ― ―.-5 : -In formula (1 ^ 2) or formula (1-3), X- 1 and. : —- “-:? Formula (1-2) Also, in Formula (1-3), R 1 is a C 1 -C 3 alkino group; R 2 is a phenylvinylazole compound which is a hydrogen atom
式 (1— 2) または式 (1— 3) において、 R1 が チル基であり、 R.2-が水素原 10. 子であるフエ二ルビラゾール化合物; — - . -In the formula (1-2) or the formula (1-3), a phenylvirazole compound in which R 1 is a tyl group and R. 2 -is a hydrogen atom; — —.
'- 式 (1— 2) またば式 (1— 3) において、- R1 がハ ゲン原子であり、. R2.が水 素原子であるフエ二ルビラゾール化合物. — - - -式 ( 1一 2) または式.(.1— 3) において、 R1 が塩素原子であ—.り、 R2-.が水素原 ―子であるフェニルビラゾール化合物; - 15 式 (1— 2) または式 (1— 3) において、 X1 が OR4基であ-り Y1.が水素原 であり、 R4が C 1— C 3アルキル基であり.、 R 3が C 1—C 3アルキル基であるフ ニノレビラゾール化合物; - .:;-. : : '-Formula (1-2) or in formula (1-3), a phenylvirazole compound in which -R 1 is a halogen atom and R 2 is a hydrogen atom. —--- (1) 2) or a phenylvirazole compound represented by the formula (.1-3), wherein R 1 is a chlorine atom and R 2- . Is a hydrogen atom; In the formula (1-3), X 1 is an OR 4 group, Y 1 is a hydrogen atom, R 4 is a C 1 -C 3 alkyl group, and R 3 is a C 1 -C 3 alkyl group. -.:;- .::
式 (1— 2) または式 ( 1 - 3) において、 ' X1 が〇R 4基であり、 Y1 が水素原子 であり、 R4が C 1—C 3アルキノレ基であり、 R 6-が水素原子であり-、 R3が C1— 20 . G 3アルキル基であるフエニルピラゾール化合物 ·; :" In the formula (1-2) or the formula (1-3), 'X 1 is a 〇R 4 group, Y 1 is a hydrogen atom, R 4 is a C 1 -C 3 alkynole group, and R 6- Is a hydrogen atom, and R 3 is a C1-20.G3 alkyl group; a phenylpyrazole compound;
- 式 (1 - 2) または式 (1一 3 にお-いて、 X' が. QR4基であり ·、 Y±.が水素原子 であり、 R4が C 1—C 3アルキル基であり、 R6がメチル基であり、 尺3が。 1— ■ - C 3アルキル基であるフエニルビラ」ゾール化合物..; -:. - ' ―. - . -In the formula (1-2) or the formula (1-13, X ′ is a QR 4 group, Y ±. Is a hydrogen atom, and R 4 is a C 1—C 3 alkyl group. , R 6 is a methyl group, and scale 3 is 1- ■ -C 3 alkyl group phenylvilla ”sol compound ..;-:.-'-.-.
式 (1一 2) または式 (1— 3) において、 X1 が 0_R4基であり Y-しが水秦原子: 25 であり、 R^ C3— C4アルキニル基であり.、 R が Crl一 C 3-アルキル基である フエ二ルビラゾール化合物; In the formula (1-1-2) or the formula (1-3), X 1 is a 0_R 4 group, Y-shi is a hydroquinone atom: 25, R ^ C3—C4 alkynyl group. Phenylvirazole compounds which are C3-alkyl groups;
- -. -. 式 (1— 2) または式 (1— 3) において; ?:1 が OR 4基であ-り、 Y1.が水素原子 であり、 R 4が C 3— C 4アルキニル基であり、 R 6が水素原子であり—.、 R 3が— C 1- · - ,一 C'3アルキル基であるフエ二ルビラゾ ル化合物; - 30 式 ( 1— 2 ) または式 ( 1— 3.) において、 X1 が O R 4基であり -、 Y^HTK素原子- であり、 R4が C 3— C 4アルキニ^基であり、 が チル基であり :、 R3が c.l 一 C 3アルキル基であるフエニルピラゾール化合物;. - : - : — ·-. . A, . ' - 式 (1— 2) または式 (1 _ 3)—において R1 が <31.— C3-アルキル基であり、--.-. In equation (1-2) or equation (1-3):? : 1 is an OR 4 group, Y 1 is a hydrogen atom, R 4 is a C 3 -C 4 alkynyl group, R 6 is a hydrogen atom, R 3 is — C 1- ·-, A phenylbiazole compound which is a C'3 alkyl group;-30 in the formula (1-2) or the formula ( 1-3 ), X 1 is an OR 4 group; - and, R 4 is a C 3- C 4 Arukini ^ group, but be a methyl group:, phenylalanine pyrazole compounds R3 is cl one C 3 alkyl group; -:. -: - - -.. A,. '-In the formula (1-2) or the formula (1 _ 3) —, R 1 is <31.— a C3-alkyl group,
R2 が水素原子であり、 X1 が OR4:基 -あり、: Ύ1 が水素原子であ-り、 ; R.4が C.1- 35 一 C 3アルキル基であり、 R 6が水素原子であるフ ニルピラゾ ル化合物—; R 2 is a hydrogen atom, X 1 is an OR 4 : group-is, : 1 is a hydrogen atom,; R. 4 is a C.1-35-C 3 alkyl group, and R 6 is A phenylpyrazole compound that is a hydrogen atom;
式 (1 - 2) または式.( 1一 3 )— において、- .がハログン原子であり-、二- R2 が水 素原子であり.、 X1 が OR4 '基であ」り、 Y1 が水素原子であり v—R4が — C 3了 ルキル基であり、 R 6が水素原子であるフエ二ルピラゾ-—ル化合物;. . . -' 式 ( 1一 2 ) または式—( Γ 3 ) において、:. R】 C.1一 C 3-アルキ 基であり、 R2 が水素原子であり、 X1 が OR 基であ-り、:. -Y1 -が水素原子で-あ ¾、- - .R.4が Ο 一 C 3.アルキル基であり、- R がメチル基であるフエニルピ -ラ-ゾール化合物; - . '式 (1— 2) または式 (1— 3) おレヽて—-、 R 1 -力 、口-ゲン原子であり、 R 2 が水 素原子であり、 X1 がひ R4基であり、' Y1--が水素原子であり、- R4が G 1.— C 3-ァ ルキル基であり、 R 6がメチル基であるフ;^二:ル:ピラヅール化合物:; - 一 -.. · 式 (1— 2) または式 (1— 3) に-おいて、—; R が CI.— C::3アルキ 基であり:、 R2-が水素原子であり、 -X1 が OR4基であり が水素原子であり、 R4が C3 •一 C 4アルキ-ノレ基であり、 R 6が水素原子であるフ.ェ ルビラ-ゾール化合物; -. 式 (1— 2) または式 (1— 3) において、- R1 がハロゲン原子であり、 R2 が水 :素原子であり、 X1 が OR4基であ ¾.、 Y1 が水素原子であり、 R4が C3.— C4;ァ ルキニル基であり、 R 6が水素原子であるフエ二ルビラゾール化合物; ,― In the formula (1-2) or the formula (1-13),-is a Halogon atom, and -R 2 is water. X 1 is an OR 4 'group, Y 1 is a hydrogen atom, v—R 4 is a —C 3 alkyl group, and R 6 is a hydrogen atom. In the formula (1-2) or formula ((3): R] C.1 is a C 3 -alkyl group, R 2 is a hydrogen atom, and X 1 Is an OR group, and: -Y 1 -is a hydrogen atom, -A,--.R. 4 is a C 3 alkyl group, and -R is a methyl group. Zole compound;-. 'Formula (1-2) or Formula (1-3) is a hydrogen atom, R 1 is a hydrogen atom, R 2 is a hydrogen atom, and X 1 is a hydrogen atom. R 4 group, 'Y 1 -is a hydrogen atom, -R 4 is a G 1.—C 3 -alkyl group, and R 6 is a methyl group; -;---.. · In formula (1-2) or formula (1-3):-; R is CI.— C :: 3 alkyl group, and R 2 -is a hydrogen atom. Yes -X 1 is located in the OR 4 group are hydrogen atom, R 4 is C3 • one C 4 alkylene - a Honoré group, full E Rubira R 6 is a hydrogen atom - tetrazole compound;. -. Equation (1 — 2) or in the formula (1-3), —R 1 is a halogen atom, R 2 is a water: element atom, X 1 is an OR 4 group, and Y 1 is a hydrogen atom, A phenylvirazole compound in which R 4 is C3.—C4; an alkynyl group and R 6 is a hydrogen atom;
-式 ( 1— 2 ) -または式 ( 1—3 ) において、 1 'が- Cユー C 3ァ /レキ 基であり'、、 R 2 が水素原子であり、 X 1 が O R 4基であ:り、 · Y 1 が水素原子^ Cあり; - R が C 3 —C 4アルキニル基であり、 R 6が-メチル基であるフ ニルビラゾール化合物; 式 ( 1— 2 ) または式 ( - 1一 3 ) おいて、 · R 1 :が-ハ口ゲ 原子であ:り ·; R 2 が-水 素原子であり、 X1 が OR4基であり、 Ύ1 が水素原子であり、 R4が 3 C4ァ ルキニル基であり、, R 6がメチル基であるフエ.エルビラ、/ ル化合物-; , :,·.-- or in the formula (1-3), 1 - equation (1 2) 'is - a C U C 3 § / gravel group' ,, R 2 is a hydrogen atom, X 1 is OR 4 Motodea : R 1 is a hydrogen atom ^ C;-a phenylvirazole compound in which R is a C 3 -C 4 alkynyl group and R 6 is a -methyl group; a formula (1-2) or a formula (-1-1 3), where R 1 is -H-atom atom: R ·; R 2 is -hydrogen atom, X 1 is OR 4 group, Ύ 1 is hydrogen atom, R 4 Is a 3 C4 alkynyl group, and R 6 is a methyl group.
―式 (1 _ 2).または式 (1— 3) において、 .R1;-がメチ 7レ基であり、 : R2 が水素原 子であり、 R 3がメチル基であるフ ± ルビラゾ ノレ化-合物; ■ — - 式 (1-'2) または式 (1— 3) において、 R が塩素原子'であり:、 R2 が水.素原'. 子であり、 R3がメチル基であるフ.ェニルピラゾ一ル化合物; — -:. -: -In the formula (1_2). Or the formula (1-3), .R 1 ;-is a methyl group, and R 2 is a hydrogen atom and R 3 is a methyl group. ■--In the formula (1-'2) or the formula (1-3), R is a chlorine atom ', R 2 is a hydrogen atom, a hydrogen atom, and R 3 is Phenylpyrazole compound which is a methyl group; —-:.- :
式 ( 1一 4) または式 (1 -:5 ) .において、-: :1 ·が氷素原子、: ,ヾロゲン原子ま fこは- - C 1一 C.3ァフレキル基であるアミ ド化合物;— 二.、 · : ' -:: ' 式 ( 1一 4 ) または式 ( 1— 5 ) に:おいて、 _R 1 が: C 1 -C 3アルキル基であ-る-フ - 5 ェ-ルビラゾール化合物; : '. :: . . .; 入:. · - — 式 (1— 4) または式 (1— 5) において、 R1 がメチル基であ-るフエニゾレピラ^ - ール化合物; - ;- -: - :: -. -'; "In the formula (1-4) or the formula (1-: 5),-:: 1 · is a chromium atom,:, a perogen atom or an amide which is a-C 1 -C. . compound; - Second, &: '-:' (1 one 4) or formula (1-5): Oite, _R 1 is: C 1 -C 3 alkyl group der - Ru - off - 5 : '.::..; Including: · ·--A phenylazole compound in which R 1 is a methyl group in the formula (1-4) or the formula (1-5). ;-;--:-::-.-';"
- 式 (1— 4) または式 (1— 5) において、 R1 がパロゲン原子であ,るフ 二ルビ.. ラゾール化合物; - . - . - - ' _:. : 0 式 (1— 4) または式 (1— 5) において、— R が塩素原子であるフエ二ルビラゾ : -In the formula (1-4) or the formula (1-5), R 1 is a parogen atom, a .razole compound;-.-.--'_:. ) Or a formula (1-5) wherein R is a chlorine atom :
- · ール化合物; . ' ' '-: - - - - - : '-■ 式 (1— 4) または式 (1一- 5) において、 R2 が水素原子であるフ ニルビラ ー一ル化合物; .. .. .. J —:—::: ·-. - . - :■ パ.. - 式 (1—4)· または式 (1— 5) において、 R2 が G.l-^C.3了..ルキル基である.フ 5— .-ェ-ルビラゾール化合物; " - . : . -- · -· · .- ::..· . ·. '''-:-----:'-■ In formula (1-4) or formula (1-1-5), a vinyl alcohol compound in which R 2 is a hydrogen atom .. .. .. J —: — ::: ·-.-.-: ■ pa ..-In formula (1-4) or formula (1-5), R 2 is Gl- ^ C. 3-.. It is a rualkyl group. 5-.- ervirazole compound; "-.:.-·-· .- :: .... ..
式 (1—4) または式 (1— 5) において、 R2 がハ:ロゲ 原子であるフエニノレビ ラゾーノレイ匕合物; π^; ■ ' - - "· 式 (1— 4) または式 (1— 5)· において、 R6が C 1— C 3ァノ ¾キル基である化 0 式 ( 1一 4 ) または式 ( 1— 5 ) において、 R 6がメチル基である ェニルビラゾ , ール化合物; :- . In the formula (1-4) or the formula (1-5), R 2 is a ha: logen atom, a pheninolebi lazonolai conjugate; π ^ ; ■ '--"· The formula (1-4) or the formula (1— 5) In the formula, R 6 is a C 1 -C 3 benzyl group, or a enylvirazo compound of the formula (114) or the formula (1-5), wherein R 6 is a methyl group; :-.
式 (1— 4) または式 (1— 5) に-おいて、. R 6が水素厚子であるフエ二ルビラゾ. ール化合物; .. — : :· .- '·'■- . In the formula (1-4) or the formula (1-5), a phenylvinylazole compound in which R 6 is a hydrogen thickener; .. —::...
式 ( 1— 4 ) または式 ( 1— 5 )· おいて、、:- 3が C L— C :3 ¾レキル基であるフ 25 ェニルピラゾール化合物; ? ^ - · ;;. . ― 式 (1— 4) または式 (1— 5) において、 R 3がメチル基であるフ 3ニルビラ.ゾ ール化合物; Equation (1 4) or the formula (1 5) Oite ,,: - 3 CL- C: 3 ¾ a Rekiru group off 25 Enirupirazoru compound;? ^-· ;; ..-A phenylvinylsol compound of the formula (1-4) or the formula (1-5), wherein R 3 is a methyl group;
式- (1—4)または式 (1-^5) において、 X1 が OR 4基であり、 Y:1 が水素原子 であり、 R4が水素原子であるフエ二ルビラゾール化合物; : . - - 式 (1 4) または式 (1— 5) において、 X1 が OR4基であり Y1 が水素原子 であり、 R4が C 1 C 3アルキル基であるフエ ルビラゾール化合物.; -V- : . 式 (1— 4- または式 (1— 5)·において、 -X1 が OR 4基であり、 Υ· ^が水素原子 5 であり、 R4がメチル基であるフエ二ルビラゾ一ル化合物; ... :- ; - - - ·: 式 (1— 4) または式 (1— 5) において、 X1 が 0尺4¾であり.、 -Y1 が水素原子 - であり—、 R4が C3— C4アルキニル ¾であるフ ニル 'ビラ:/ール化合物;- . -- - - 二— 式 (1 4) または式 (1— 5) に.おいて、 X1 が OR4¾であり、 Y1 が水素原子 であり :、 R 4が 2—プロピニル基であるフエニルピラゾ ル化合物; . In the formula (1-4) or the formula (1- ^ 5), X 1 is an OR 4 group, and Y: 1 is a hydrogen atom A phenylvirazole compound wherein R 4 is a hydrogen atom;:.--In the formula (14) or the formula (1-5), X 1 is an OR 4 group, Y 1 is a hydrogen atom, and R 4 is a C 1 C 3 alkyl group Hue Rubirazoru compound; -V-:.. in formula (1-4- or formula (1- 5) ·, -X 1 is oR 4 group, Upsilon · ^ is A phenylvinylazole compound having a hydrogen atom 5 and R 4 being a methyl group; ...:-;---·: In the formula (1-4) or the formula (1-5), X 1 is 0 . be a scale 4 ¾, -Y 1 is a hydrogen atom - and -, R 4 is C3- C4 alkynyl ¾ full sulfonyl 'Vila:. / Lumpur compounds; - - - - two - equation (1 4 ) Or in formula (1-5), wherein X 1 is OR 4 、 and Y 1 is a hydrogen atom : and a phenylpyrazole compound wherein R 4 is a 2-propynyl group;
:10 式 ( 1 - 4 ) ま -だは式. (1-5) -において、 X1··と Y1 とが 緒にな :て. = N OR5 基を表し、 R5が C 1—C 3アルキル基であるフ-ェ二ルピラゾ ル化合物 - 式 (1- 4) または式 (1— 5).において、 X1 と :とがー緒になつr:=.NOR_5 - ― 基を表し R5がメチル基であるフエ-ルビラヅ一ル化合物; · ·.」 — . -式 (1— 4) または式 (1— 5).において.、 —X1 と Y とが一緒になつ-で = NOR 5 "15 基を表し、 5が C 3—(34アルキニル基であるフ 二ルビラゾ ル化'合物; r 式 (1-4) または式 (1— 5) において、 X1 と Y1 -と:が 緒になづ:て NOR-5- 基を表し、 R5が 2—プロピニル基であるフ ルビラゾール化合物 : 10 Formula (1-4) or -Dara formula. In (1-5)-, X 1 ... and Y 1 are linked to each other: = N OR represents 5 groups, and R 5 is C 1 . -C is a 3 alkyl group off - E two Rupirazo Le compounds - formula (1 4) or the formula (1 5) in, X 1 and: Toga cord in summer r:. = NOR_ 5 - - group And R 5 is a methyl group, a ferrule compound; · ·. ”—.-In the formula (1-4) or the formula (1-5)., —X 1 and Y are taken together -Represents = NOR 5 "15 groups, and 5 is a C3- (34 alkynyl group) compound; r In the formula (1-4) or the formula (1-5), X 1 and A furubirazole compound in which Y 1 -and: are linked to each other to represent a NOR- 5 -group, and R 5 is a 2-propynyl group
式 (1— 4) または式 (1— 5) において、—R1 C.1.— C 3ァ-ルキル基であり、 - R2 が水素原子であるフエ二ルビラゾー/レ化合物 — - - -:In the formula (1-4) or the formula (1-5), -R 1 C.1.—C 3 -alkyl group, and -R 2 is a hydrogen atom. :
20 式 (1—4) または式 (1—5) に:おいて、 R1 が チル基であ:り、 -R.2 が水素'原 子であるフエ二ルビラゾール化合物-.;: . --· --. - . ; --20 In the formula (1-4) or the formula (1-5): where R 1 is a tyl group, and -R. 2 is a phenylvirazole compound having a hydrogen atom-.;:. -·-.-.;-
, ■ 式 (1-4) または式 (1-5) において、 R1 がハ:.ロゲン原子であり R2 が冰 ノ 素原子であるフエ二ルビラゾ一ル化合物 - . , ■ In the formula (1-4) or the formula (1-5), a phenylvinylazole compound in which R 1 is a halogenogen atom and R 2 is an ice atom-.
- 式 (1 4) または式 (1— 5) において、 : R1 -が塩素原子であり、 R2-.—が水素原 25 子であるフエニルビラゾール化合物-; ' ^r -In the formula (14) or the formula (1-5): a phenylvirazole compound in which R 1 -is a chlorine atom and R 2 -.— is a hydrogen atom;
式 (1 4) または式 (1 5) において、 X1 が QR4基であり:、 Ύ1 -が水素原子 . であり、 R4が C I— C3アルキル基-であり、 R3が C I— C3アルキル基であるフ - ェニルビラゾール化合物; :. : . -..; ■:/■ .: 一- 一 : -In the formula (1 4) or the formula (15), X 1 is a QR 4 group: Ύ 1 -is a hydrogen atom. R 4 is a CI—C3 alkyl group— and R 3 is a CI— C-alkyl phenyl virazole compound::.: .- .. ■: / ■ .: One-one:-
,式 (1-4) または式 (1-5) において、 X1 が OR4基であり、 Y1 が水素原子 30- であり、 R 4が C 1— C 3アルキノレ基であり、- R が水素原子であり、 :-お:3が I一 - C 3アルキル基であるフエニルピラゾ .レ牝合物; -- 式 (.1 4) または式 (1— 5) において:、. X1 が QR4-基であ ; Y.^が水素原子 - であり、 R4が C 1—C 3アルキル基であり、 R がメチ-ル基であり、 R-3が C 1—In the formula (1-4) or the formula (1-5), X 1 is an OR 4 group, Y 1 is a hydrogen atom 30-, R 4 is a C 1—C 3 alkynole group, and —R There is a hydrogen atom,: - Contact: 3 I one - Fuenirupirazo Les female compound is C 3 alkyl group; - equation (.1 4) or the formula (1 5):.., X 1 is QR 4 - Motodea; Y. ^ is hydrogen atom - and, R 4 is a C 1-C 3 alkyl radical, R methylcarbamoyl - a Le group, R- 3 is C 1-
- C 3アルキル基.であるフヱニルビラ:.ゾール化合物 -:; ·.;-..· ― - -:·:. , -■- ---V . 35 式 (1— 4) または式 (1— 5) において ^1 が OR 4基であり、 Υ1· が水素原子 - - - であり、 R 4が C 3 _ C 4アルキニル—基であり、 R-; 3が.. G 1一, C- 3アルキル基である フエ二ルビラゾール化合物; ; V ·' · . - - . -- · .— · ·-C 3 alkyl group.Vinyl villa: .Zole compound-:; ·.;-.. ·---:::,-■---- V. 35 Formula (1-4) or Formula (1 — In 5), ^ 1 is an OR 4 group, Υ 1 · is a hydrogen atom---, R 4 is a C 3 _ C 4 alkynyl- group, and R- ; 3 is .. G 1, C-3 alkyl group Phenylvirazole compound;; V · '·.--.-· .— · · ·
-.. 式 (1— 4) または式 (1— 5) において、 X1 が OR4-—基であり—、 U…が水素原子 • - であり、 尺4が 3—じ4ァルキニル基でぁり、 6が水素原子でぁり、 3が 1- — -——C 3アルキノレ基であるフエエルビラゾ一ル化合物' ';.·—— · - - -- . " -- . 5 式 (1 4) または式 (1— 5) において、 X1 が OR 4基であり、 Y が水素原子 ' であり、 R4が C 3— C 4アルキニル基であり、 R6.がメチノレ基であり R3が C-1 一 C 3アルキル基であるフエ二ルビテゾ一ル化合物; -- :-ノ: ノ —-.. In the formula (1-4) or the formula (1-5), X 1 is an OR 4 -— group, U… is a hydrogen atom •-, and the shaku 4 is a 3- to 4-alkynyl group. In this formula, 6 is a hydrogen atom, and 3 is a 1- — -—— C 3 alkynole group. In the formula (4) or the formula (1-5), X 1 is an OR 4 group, Y is a hydrogen atom ′, R 4 is a C 3 -C 4 alkynyl group, R 6 is a methylol group and R Phenylbitazole compound wherein 3 is a C-1 to C3 alkyl group;- : -no: no —
·" 式 (1— 4) または式 (1— 5·) において、 R1 が€ 1— C 3アルキル基であり . R2 が水素原子であり、 X1 が OR4基であり、 Y1. が水素原子であり、 R4が C 1 10 -:一 G3アルキル基であり、 R6;が水素原子であるフェ ルピラゾール化合物'; ' - - 式 (1 4) - または式 (1— 5) において、 がハロゲン原子であり、 ; R2 が氷- ― - 素原子であり、 X1 が OR 4基であり—、 Y1 が水秦原子であり—、 R.4が C-1— C 3·ァ ルキル基であり、 R 6が水素原子でおるフ 二ルピラゾール化合物; - ·· .z '― - - - 式 (1 4) .または式 (1— 5) において、 R1 が C 1:.— C 3アルキノ 基であ.り-.、: :. 15 R2 が水素原子であり、 X1 が OR4.基であり、 が水素原子であり、一 R が C l: - "formula (1 4) or the formula (1-5-), R 1 is located at € 1- C 3 alkyl group. R 2 is a hydrogen atom, X 1 is OR 4 group, Y 1 Is a hydrogen atom, R 4 is a C 110-: one G3 alkyl group, and R 6 ; is a hydrogen atom, a ferpyrazole compound ';'--formula (1 4)-or formula (1-5 ), Is a halogen atom; R 2 is an ice atom, X 1 is an OR 4 group—, Y 1 is a water-hydrogen atom—, and R. 4 is C-1— A furpyrazole compound having a C 3 alkyl group and R 6 being a hydrogen atom;-.z '----In the formula (14) or the formula (1-5), R 1 is C 1: .— a C 3 alkino group .: 15 R 2 is a hydrogen atom, X 1 is an OR 4 group, is a hydrogen atom, and one R is Cl:
' · .—C 3アルキル基であり、 R 6がメチル基であるフ 二ノレピラゾニノ W匕合物; '· .—C 3 alkyl group and R 6 is a methyl group.
式 (1— 4) または式 (1— 5) において、 R1 —がハロゲン原子であ-り、」 R2 -が水 素原子であり、 X1 が〇R 4基であり、 Y1 が水素原子であり、 R.4が C .1— C 3ァ ルキル基であり、 R6がメチル基であるフエ ルピラゾール化合物; - 20'·- 式 ( 1— 4 ) または式 ( 1一 5 ) において、 R1 が C 1一 C .3アルキル基であり、 R2 が水素原子であり、 X1 が OR4基で-あり、 - -Y一1 が-水素原子で.あり; R 4が C 3 一 C 4アルキニル基であり、 R 6が水素原子であるフェ ^ノレビラブ ル化合物; :; 式 (1-4) または式 (1— 5) において、 R1 がハロゲン原子-であり、 . R2 が水 秦原子であり、 X1 が〇 R 4基であり、 Y1. が水素原子であり:、 R 4が C .3— C 4;ァ 25 ノレキニル基であり、 R6が水素原子でおるフエ二.ルビラゾール化合物- . In the formula (1-4) or the formula (1 5), R 1 - is a halogen atom, "R 2 - is water atom, X 1 is a four 〇_R, Y 1 is is a hydrogen atom, R. 4 is C .1- C 3 § alkyl group, Hue Rupirazoru R 6 is methyl group; - 20 '& - formula (1 4) or the formula (1 one 5) in, R 1 is C 1 one C .3 alkyl group, R 2 is a hydrogen atom, X 1 by OR 4 group - Yes, - -Y one 1 - a hydrogen atom located;. R 4 is A phenolic compound having a C 3 -C 4 alkynyl group and R 6 being a hydrogen atom;: In the formula (1-4) or the formula (1-5), R 1 is a halogen atom; R 2 is a water atom, X 1 is a 〇R 4 group, Y 1. Is a hydrogen atom :, R 4 is a C.3—C 4; α 25 norekinyl group, and R 6 is a hydrogen atom Atomic phenirazole compounds.
式 - ( 1 _ 4 ) または式 ( 1 _ 5 ) にお-いズ、 -R1 が C 1 C ,3アルキノー k基で-あり;、: が水素原子であり、 X1.が OR 4基であり、 Y'1 が水素原子であり R.4が C3: 一 C 4アルキニル基であり、 R-6が^チル基であるフエ:.二ルピラ ル化合物.; . ― ,式 (1— 4) または式 ( 1 - 5 ) におい'て、 R1 が 、口-ゲン原子であ-り.、 . R2,が水 30 素原子であり、 X1 が OR4基であり が水素原子であり、 R4が. G—3 C 4ァ フレキ二ル基であり、 R 6がメチル基であるフエエルピラヅ ル化合物「 , - 式 (1— 4) または式 (1— 5) に:おいて、 - R1 がメチル基であ-—り、 . R が冰素原 子であり、 R 3がメチル基であるフエ-二ルビラゾール化合物; . In formula (1 _ 4) or formula (1 _ 5), -R 1 is a C 1 C, 3 alkino k group;, is a hydrogen atom, X 1 is OR 4 , Y ' 1 is a hydrogen atom, R. 4 is a C3: 1 C 4 alkynyl group, and R- 6 is a ^ tyl group. — In 4) or in formula (1-5), R 1 is a halogen atom,. R 2 is a hydrogen atom, X 1 is an OR 4 group, and is hydrogen. R 4 is a .G—3 C 4 flexyl group, and R 6 is a methyl group, a fuel pyrazole compound “, — in the formula (1-4) or the formula (1-5): -R 1 is a methyl group, R is a hydrogen atom, and R 3 is a methyl group.
- 式 ( I - 4 ) または式 ( 1一 5 )'において、 -R】 塩素原子.であり、… R2 が水素原. _ 35 · 子であり、 R 3がメチル基であるフエ二ルビラゾール化合物; - .. „ 一 -In the formula (I-4) or the formula (1-1 5) ', -R] is a chlorine atom. ... R 2 is a hydrogen atom. _ 35 · a phenirvirazole which is a methyl group and R 3 is a methyl group. Compounds;-.. „一
:式 (1— 6.) において、 R1 が水素原子、 ^^ -ン^または C.l—C 3アルキル ^ 基でおる.ァ: ド化合物; -ノ - : - - · - : ' へ- - . て: 式 (1 -6 において; -: が水素原子である.ァ:ミ ド化合物 ;--— : : - : : 式 (1一 6 において、 R1 力 ^、口-ダ,ン原子-であるアミ .ド化合物; .. - -- 式 (1— 6 において、. R 1 が塩素原子で:あるァミド化合物;- ; - ― :- -: - . 式 (1— 6 において、 R1 が C—1 C.3アルキル基-であるアミ.—ド化合物; - · 式 (1一 6 こお-いて、 R1:がメチル基で ¾¾アミ ド化合物:;- ■ ノ-, 式 ( 1— 6 において、 R2-が水素原子 ある.アミ 化合物;:.. -:— ·: ノ '■;■'. 式 ( 1- 6 において、 R2 がハ口:ゲン原子である了ミ ド化合物:; ―::: . . - 式 (1— 6 において、— R2 が塩素原子であるアミ ド化合物.; , · . ■ - ■ 式 (1— 6 において、 R2 が C 1—C 3-アルキル基.であるアミ ド化合物;— :.. -- 式 (1 -6 において、 R2 がメ レ基である.アミ 化合物; :- - —-- 式 (1一 6 において、— R1 と とが一 ¾にな-—つで小リメ:チレン基であるアミ.ド. 化合物; : In the formula (1-6), R 1 is a hydrogen atom, ^^-one ^ or Cl—C 3 alkyl ^ group. A: Compound; -no-:---:: to '-- :: Formula (in 1-6;-: is a hydrogen atom. A: Mido compound; --—::-:: Formula (In the formula 1-16, R 1 force ^, mouth-da atom In the formula (1-6, R 1 is a chlorine atom: an amide compound;-;--:--:-. In the formula (1-6, An amide compound in which 1 is a C-1C.3 alkyl group-;-· (1 to 6 in which R1 : is a methyl group and a amide compound :; (in 1-6, R 2 - is a hydrogen atom ami compound;:.. .. -: - -: Bruno '■;■' in formula (1-6, R 2 Gaha port: a Gen atom Ryo Mi de compounds:;.... - ::: - in formula (1-6, - amino de compound wherein R 2 is a chlorine atom;, · ■ - ■ the formula (1-6 There are, ami de compound wherein R 2 is a C 1-C 3- alkyl group; -:.. .. - in formula (1 -6, an R 2 turtles les group ami compound;: - - - -In the formula (116, an amide compound in which-R 1 and-are together and are a small lylene group:
式 (1— 6 において、 R1 と R2 'とが ,¾ ^ある-ァ.: ド化合物; In the formula (1-6, R 1 and R 2 ′ are ¾, あ る ^ -α.
式 (1— 6. において、 R 1 と. R 2 とが 緒:にな:つて OH =- H^ G H = C H基で あるアミ ド匕合物; . . In the formula (1- 6., R 1 and R 2 and are cord: the Do: connexion OH = - ami de匕合was a H ^ GH = CH group;.
式 (1一 6 において、 R3 が C 1;- C 3— レキル基である:'ァ.ミ ド化合物-; 式 (1— 6 -において、 R3がメチル基.であるてミ ド化合物; . -In the formula (1-6, R 3 is C 1; -C 3 -alkyl group: 'a. Amide compound-; In the formula (1-6-, R 3 is a methyl group. ;-
,式 (1— 6 ' において、 R3がェチル基であるアミ:.ド化合物 ■ :: · 式 (1-6 において、' R3が C 3 C 4アルキ-ニル基であるァ-ミ ド化合物; - - 式 (1— 6 おいて、 R3 が 2—プ :ピ^ル基である;アミ ド化合物;-」 --- 式 ( 1 -6 'において、 R1 がハ_口-ゲン原子であ::り';:.: R-2 が水素原子で:ある了ミ:ド 化合物; In the formula (1-6), an amide compound in which R 3 is an ethyl group ■ :: · In the formula (1-6, an amide in which R 3 is a C 3 C 4 alkynyl group Compound;--Formula (1-6, wherein R 3 is 2-pyrole; amide compound;-"--- Formula (1-6 ', R 1 is Is a gen atom :: り ';:.: R- 2 is a hydrogen atom:
'式 1— 6 において、 R が塩素原子であ: _ ._、· 'R 力 ¾7jく素原子であるアミ 化合 物; - - 式 (Γ_6 において、 R1 が臭素原子であり、 - R2 が水素原子-であるアミ ド化合 物; ' :■■ - : .. · ''In formula 1-6, R is Oh chlorine atom: _ ._, -' Ami compound is R force ¾7j rather atom; - - in formula (Γ_6, R 1 is a bromine atom, - R 2 Is a hydrogen atom- Thing; ':-: .. ·'
'式 (1— 6) において、 R1 が C 1—C 3アルキル基であり、 R2-'が水"^原子であ る.アミ ド化合物; - · . - : . G . . - , 式 (1 - 6) において、 R1 がメチル基であ- -、 R2 が水素廐子であるアミ ド化食. 物; - 一.ノ - - . . ; ニノ - - — · 式 U— 6 ) において、 - R1 がェチ 基であ-:り、- "R2. 水素原、子であるァミ ド化合 物;^ i.: --- r- ' ; '· ;- -" ■ '- 'In the formula (1-6), R 1 is a C 1 -C 3 alkyl group, and R 2- ' is a water "^ atom. Amid compound;-·.-:. In the formula (1-6), R 1 is a methyl group,--, and R 2 is a hydrogen atom. Amidated food.-I.---..; Nino---· Formula U- in 6), - R 1 is E Ji Motodea -:. Ri, - "R 2 hydrogen atoms, § Mi de compound is a child; ^ i .: --- r- ';'·; - - "■ '-
式 (1— 7 において、 R1 が水素原子であるアミ ド化合物 . — ■ ..; 式 (1— 7 において、 R1 がノ、ロダン原子であるアミド化合物; In the formula (1-7, an amide compound in which R 1 is a hydrogen atom. — ■ .. ; In the formula (1-7, an amide compound in which R 1 is a rho or rhodan atom;
式 ( 1一 7 において、 R1 が塩素原子であるアミ ド化合物.; —. V·:-:. . . In the formula (117, an amide compound in which R 1 is a chlorine atom .; —. V ·:-:...
(—1一 7 -において、 R1 が C 1— C 3アルキル基であ.る.アミ..ド化合物; , . 式- (1— .7 において、 ' R1 がメチゾレ基であるアミ-ド化合物:; - ' 式 (1— 7. ^において、 R2 が水素原子であるアミ.ド化合物:; _ , . . ^-. 式- (1 - 7 において、 R2 がノ、ロゲン原子であるアミ ド化合物; へ :' --. 式 ( 1一 7 において、 R2 が塩素原子であるアミ.'ド化合物; - ; ―.. 式 (1 -- 7 において、 R2 が C 1 アルキル基であるアミ ド化合物 ; (-1 one 7 - In, R 1 is C 1-C 3 alkyl group der Ru ami .. de compound;..., Formula - (in 1-.7, 'R 1 is an Mechizore group ami - de compound:; - 'formula (1 7. in ^, ami de R 2 is a hydrogen atom:;.... _, ^ - equation - (1 - at 7, R 2 Ganoderma, androgenic atom In the formula (117, an amide compound in which R 2 is a chlorine atom;- ; -.. In the formula (1-7, R 2 is C 1 An amide compound that is an alkyl group;
式 (1ー 7 において、 R2 がメチ 基であるァミ-ド化合物-;' :-· ·■ -...-:..- 、―: 式 (1一 7 において、 R1 R2 とが一緒にな όて'ト Uメチレン基であるアミ..ド 化合物; . In the formula (1-7, an amide compound in which R 2 is a methyl group-; ':-· ■ -...-: ..-,-: In the formula (17, R 1 R 2 And an amino compound which is a methylene group;
式 ( 1一 7 において、— R1 と とが一緒にな ό.てテトラメチレン基で:あるアミ , ド化合物; In the formula (117), R 1 and R 1 together form a tetramethylene group:
式 (1一 7 において、 R 1 と とが 緒にな て C H'= C Hi-; In the formula (17, R 1 and C H ′ = C Hi-;
あるアミ ド匕合物; r : - 一 '; - - ― ; -- - ^ 式 (1 _ 7 において、 R3 が C 1 C .3·アルキル基である.'ァ,ミド化合物;. … 式 (1一 7 において、— R3 がメチル基であるアミ ド化合物; : -:. 式 (1— 7 こおいて; R3 がェチル基であるアミ -ド化合物:; . - . 式 ( 1一 7 において、 R3 が C.3— 4アルキニル基であるァ_ミ-ド化合物; 式 (1一 7 において、 R3 が 2—ズロビニル基であるアミ.ド:化合物-::; : ' - 式 (1 7) において、 R1 がハロゲン原子であり、 R2 が水素原子であるアミ ド 化合物; - : . ■ ·A certain amide compound; r:-1 ';---;--^ Formula (In 1_7, R 3 is a C 1 C .3 alkyl group. In the formula (117, an amide compound in which —R 3 is a methyl group;:-:. In the formula (1-7, an amide compound in which R 3 is an ethyl group :;. An amide compound wherein R 3 is a C.3-4 alkynyl group in the formula (17); an amide compound wherein the R 3 is a 2-zulovinyl group in the formula: '- In the formula (17), an amide compound in which R 1 is a halogen atom and R 2 is a hydrogen atom;
■ 式 (1— 7) において、 R1 —が塩素原子であり、 R2 が水素原子であるアミ ド化合 物; -" ■ In the formula (1-7), an amide compound in which R 1 — is a chlorine atom and R 2 is a hydrogen atom;
5. 式 —(1— 7) において、 R1 が臭素原子であり、 R2 が水素原子であるアミ ドィ匕合 物; - - - :'-■ - - : . ■. - 式 (1— 7) において、' R1 が C 1一 C 3アルキル基であり、 R2 が水素原子であ— るアミ ド化合物; - . . 5. In the formula — (1-7), an amide compound in which R 1 is a bromine atom and R 2 is a hydrogen atom;---: '-■--:. — 7) In the amide compound, wherein R 1 is a C 1 -C 3 alkyl group and R 2 is a hydrogen atom;
-. 式 - (1— -7) において、 R1 がメチル基であり、- R2 力 s水素原子であるアミ ド化合0 物;- . - - ::ノ . - ' --. In the formula-(1-7), an amide compound in which R 1 is a methyl group and -R 2 is a hydrogen atom;-.--::.
• 式 (1一 7— ) において、 R1 がェチル基であり ■- R2 が水素原子であるアミ ド:化合 - 物が挙げられる- 0 -. : • In the equation (1 one 7-), R 1 is located at Echiru group ■ - ami de R 2 is a hydrogen atom: compound - things like - 0 -.:
; 本発明化合物の製造法について 明する 'Clarify the method for producing the compound of the present invention '
5 本発明化合物は、 例えば以下の製造法 1〜 3-により製造ずることができる。 製造法 1 - . -- -: -5 The compound of the present invention can be produced, for example, by the following production methods 1-3. Manufacturing method 1-.---:-
- アミ ド化合物 (1) うち、 化合物 (1一 a) は、. 化合物 (2) と化合物 (-3)·と を塩基の存在下で反応させることにより製造する.こ:.とができる。 - — — - - - -Among the amide compounds (1), the compound (1-1a) can be produced by reacting the compound (2) with the compound (-3) in the presence of a base. ------
0 (3) ( 1-a 0 (3) (1-a
〔式中、 X1— 1 は OR'1— 1基を表し、 Y1-しは水素原子を表すか、 ある V、は X 人と: , Y1-— どが一緒になつて、 二 N〇R5基を表し、 R4— 1 は C 1—C 3アルキル基また は C 3— C 4アルキニル基を表し、. R R2、 R-3、 R5および [Wherein X 1 — 1 represents OR ′ 1 — 1 group, Y 1 — represents a hydrogen atom, or a certain V, with X:, Y 1 —— represents N_〇_R 5 group, R 4 -. 1 represents a C 1-C 3 alkyl group or C 3- C 4 alkynyl group, RR 2, R- 3, R 5 and
5 は、 前記と同じ意味を表す。〕 5 has the same meaning as described above. ]
-該反応は、 通常溶媒の存在下で われる < 反応に用いられる溶媒としては、 例えばテトラヒドロフラン、 エチレングリコ— ルジメチルエーテル、 t e r t—ブチノレメチルェ テル等のエーテル類、へキサン、 ヘプタン、 オクタン等の脂肪族炭化水素類、 トルェ_ン、 キシレン等の芳香族炭ィ匕水 -. 素類、 クロ口ベンゼン等のハロゲン化炭化水素類、 酢酸ブチル、 酢酸ェチル等のェ 5 ステル類、 ァセト—二トリル等の二トリフレ類、 -N, N:—ジメチルホルム :ァ—ミ ド等の酸 ― アミ ド類; ジメチルスルホキシド等のスルホキシド類及びこれらの混合物があげら : ' れる。' " - :- : - - 反応に用いられる塩基としては、 炭酸ナトリ _ゥ.ム、 炭酸力リゥム等のアル力リ金 :属炭酸塩類、 トリェチルァミン、 -—ジイソズ口.ピルェチルアミン、 1 , 8: ジァザビ 10 シクロ 〔5, 4, Ό] ゥンデジク一 7—ェン、 1, 5—ジァザビシクロ 〔4, 3, 0〕 ノン— 5—ェン等の第 3級アミ 類及びピリジン、 4 -ジメチルァミゾピリジ- ン等の含窒素芳香族化合物類が.あげられる。 :: . -The reaction is usually carried out in the presence of a solvent < Examples of the solvent used in the reaction include ethers such as tetrahydrofuran, ethylene glycol dimethyl ether and tert-butynolemethyl ether; aliphatic hydrocarbons such as hexane, heptane and octane; and aromatic carbons such as toluene and xylene. I-Daisui-. Primers, halogenated hydrocarbons such as benzene, etc., esters such as butyl acetate and ethyl acetate, nitrites such as aceto-nitrile, -N, N: -dimethylform : Acid-amides such as amides; sulfoxides such as dimethyl sulfoxide and mixtures thereof. '"-:-:--Bases used in the reaction include sodium carbonate, carbonated lime and the like: genus carbonates, triethylamine, -diisozu. Pyrethylamine, 1, 8: Tertiary amides such as diazabi 10-cyclo [5,4, Ό] pentadiene 7-ene, 1,5-diazabicyclo [4,3,0] non-5-ene and pyridine, 4-dimethylamizo And nitrogen-containing aromatic compounds such as pyridin.
化合物 (2) 1モルに対して、 化合物 (3.) が通常 1〜3モルの割合であり、、塩 基が通常 1〜10モルの割合である。 -: :: ' . - . : ::-: . . The compound (3.) is usually in a ratio of 1 to 3 mol, and the base is usually in a ratio of 1 to 10 mol, per 1 mol of the compound (2). -: :: '.-.:::-:.
15 ― 該反応の反応温度は通常一 20〜 10ひ. の範囲であり 反応時間は通常 0. 1- 〜 24時間の範囲である。 — ― ― 15-The reaction temperature of the reaction is usually in the range of 20 to 10 hours, and the reaction time is usually in the range of 0.1 to 24 hours. — — —
反応終了後は、 反応混合物を有機溶媒抽出し、 有機層を乾燥、 濃縮する等の後処 理操作を行う.ことにより:、 ·化合物 (1— a).を単離する.ことができ _る。.単離された 化合物 (1 -al は、.クロマ小グラフィ— 、.再結晶等によ.:りさらに精製する.こ.とも 20 : できる。 - - -: - . - - - . 製造法 2 --- - - アミ ド化合物 (1) は、 化合物 (4) と化合物 (5) とを-、 塩基の存在下-で-反応 させることにより製造することができる。 . After completion of the reaction, the reaction mixture is extracted with an organic solvent, and the organic layer is subjected to post-treatment operations such as drying and concentration, whereby the compound (1-a) can be isolated. You. Isolated compound (1-al is purified by chromatographic chromatography, recrystallization, etc., and can be further purified. 20: Can be obtained.---:-.--- 2 --- --- Amide compound (1) can be produced by reacting compound (4) with compound (5) in the presence of a base.
25 ( 4し ( 1 ) -25 ( 4 ) ( 1 )-
〔式中、 L1-は塩素原子、 臭素原子またはヨウ素原子を表し、. R R2、 R3、 X1 [In the formula, L 1 -represents a chlorine atom, a bromine atom or an iodine atom, and RR 2 , R 3 , X 1
- γ1 および ■ . ' - -γ 1 and ■. '-
は前記と同じ意味を表す。〕 -. -. - ノ -.: - . . Represents the same meaning as described above. -.-.-ノ-.:-.
- 該反応は、 通常溶媒の存在下で行われる-。 ' . · . :- . -ニ - — - : 反応に用いられる溶媒としては、 えばテトラヒドロフラン、 エチレングリコー-The reaction is usually performed in the presence of a solvent. '. ·.:-. -D---: Solvents used in the reaction include, for example, tetrahydrofuran, ethylene glycol
5 ノレジメチルエーテル、 t e r tーブヂルメ'チ:?レエ一テル等のエーテル類:、. キサン、 ヘプタン、 オクタン等の脂肪族炭化水素凝 斗ルェン;. -キ.シレン等の芳香族 ί匕水 素類、 クロ口ベンゼン等のハロゲン化炭化水素類.、 酢酸ブチル;: 酢酸ェチル等のェ' - ステル類、 ァセト トリル等の二トリル類、 Ν N—ジ:メチ ホルムアミ-ド等の酸 アミ ド類、 ジメチルスルホキシド等のスルホ シド類及びこ-.れ:らの混合物があげら 10 れる。 - 一 : : ー : . 5 Noredimethyl ether, tert-butyl ether: ethers such as ether: aliphatic hydrocarbon dioxane such as xane, heptane and octane; aromatic dihydrogens such as -xylene Halogenated hydrocarbons such as benzene and the like; butyl acetate; esters such as ethyl acetate; nitriles such as acetotrile; acid amides such as N-di: methylformamide; Sulfosides such as dimethylsulfoxide and mixtures thereof are included. -One::-:.
反応に用いちれる塩基としては 例え 炭酸ナト! ゥ:ム、—炭酸カリ.ゥム等のアル カリ金属炭酸塩及び水素化ナ.トリゥム等の—アル、力リ-金属水素化物類があげられる。:: 化合物 ( 4 ) 1モルに対して、 化合物 ( 5 力通常 1 2モルの割合であり、 塩 :基が通常:!〜 2モルの割合である。 . . ··,· .: 二 .. . .. 、.: >:. _As the base used in the reaction, for example, Nato carbonate!ゥ: Alkali metal carbonates such as potassium, potassium carbonate and the like; and alkali metal hydrides such as sodium hydride and the like. :: 1 mole of compound (4), 1 mole of compound (5 moles, usually 12 moles, salt: group usually:! ~ 2 moles.... ..,.: > :. _
15 該反応の反応温度は通常一 20 40 の範囲であり、 反応日寺間は通常 0. :1 - - 〜24時間の範囲である。 . .. - - /·' 人 . .· - 、 ,:15 The reaction temperature of the reaction is usually in the range of 1 to 2040, and the reaction temperature is usually in the range of 0.1: 1 to 24 hours. . .. - - /·' Man . .· - , ,:
- 反応終了後は、 反応混合物を有機溶媒抽出し、 有機層を乾燥、 濃縮する等の後処 - 理操作を行うことにより、 アミ ド化合物 (1) を単離することができる。 単離され たアミ ド化合物 (1) は、 クロマト—.グ スィー、-再結晶等によりさらに精製するこ. 20 ともできる。 . ― -. : ■ - . :— ' - -: 製造法 3 ― —— -After completion of the reaction, the amide compound (1) can be isolated by performing post-treatment operations such as extracting the reaction mixture with an organic solvent and drying and concentrating the organic layer. The isolated amide compound (1) can be further purified by chromatography, recrystallization or the like. --.: ■-.:-'--: Manufacturing method 3---
ァミ ド化合物 ( 1 ) は、 化合物 .( 6 ) と化合物 ( 3 ) .と 、 脱水縮合剤の存在下 で反応させることにより製造することができる。 ' · - : ...一 ->·一 - ' The amide compound (1) can be produced by reacting the compound (6) with the compound (3) in the presence of a dehydrating condensing agent. '·-: ... one->one-'
I:式中、 R1、 R2、 R3、 X1、 -Y1 および I: wherein R 1 , R 2 , R 3 , X 1 , -Y 1 and
- は、 前記と.同じ意味を表す。〕 - 一 一 - - - 該反応は: 逋常溶媒の存在下で行おれる。 - - … - -: · · -Represents the same meaning as described above. The reaction is performed in the presence of a common solvent. --…--: · ·
' 反応に用いられる溶媒としては、例えば N, N—ジメチルホルムァ'ミ ド等の酸アミ' 一 5 - ド頻、 ジメチルスルホキシド等 :のスルホキシド類、,ピリジン、 キノリン等の含窒素 — 芳香族化合物-及びこれらの混合物があげられる。 " . -ヘ二-' : : 反応に用いられる脱水縮合剤とじては、 Ί—ェチル—一 3 - ( 3 ·—ジメチルァ ノ -: プロピル) ガルボジイミ ド塩酸塩、 1 , 3—ジシク口 キシル -力/レポジィミ .ド等の -' - " カルボジイミ ド類があげられる。 、 ": . - , . — ■· ·÷- .'Examples of the solvent used in the reaction, for example N, N-dimethylformamide §' acid Ami 'single 5 such as Mi-de - frequent de, dimethyl sulfoxide and the like: sulfoxides ,, pyridine, nitrogen-containing, such as quinoline - aromatic Compounds and mixtures thereof. "-Hen- ':: The dehydrating condensing agent used in the reaction is ェ -ethyl-3- (3-dimethylano- : propyl) garbodiimid hydrochloride, 1,3-dicyclohexyl- -'- "carbodiimides such as force / repository. , ":.-,. —
10 化合物 (6) 1モルに対しで ^ 化合物 (3) が通常 1〜3モルの割合であり、 脱 水縮合剤が通常 ι〜5モルの割合でおる'—。 : · " - - -. , - - ■10 Compound (3) is usually in a ratio of 1 to 3 mol, and a dehydration condensing agent is usually in a ratio of l to 5 mol per mol of compound (6). : "---.,--■
' ― : 該反応の反応温度は、 通常。〜 1-4 QPCめ範曲で-あ-り、.反応時間は通常!;〜 24 - :時間の範囲である。 — .■ -:· . .. - . : . 一 . ノ. ノ'-: The reaction temperature of the reaction is normal. To 1-4 in the Q P C Me range song - Oh -. Is, the reaction time is usually! ; To 24-: Time range. —. ■-: · ..-.:.
: 反応終了後は、反応混合物を濾過 た後、 :慮液を有機溶媒抽出し、有機層を乾燥、- 15 濃縮する等の後処理操作を行う.—ことによ -り、 ァミ ド化合物 ( 1 ) を単離するこどが- できる。 -単 されたァミ ド化合物 ( 1 ) は:、--ク口 -トグラブィー、 再結晶等により: After completion of the reaction, the reaction mixture is filtered, and : After-treatment such as extraction of the conc. Liquid with an organic solvent, drying of the organic layer and concentration of -15 is carried out. (1) can be isolated. -The amide compound (1) used is:
- :さらに精製することもできる。 — ノ ■: .「· : ' ... : -^. .. 製造法 4 : .; - . -- : Can be further purified. — ノ ■:. "·: '...:-^. .. Production method 4:.;-.-
20 ィ匕合物 ( 1— d ) は、 化合物' (1 -- C ) を酸と反応させることにより、:製造す.る ことができる。 - ノ_ The compound (1-d) can be produced by reacting the compound '(1-C) with an acid. -ノ _
(1-c) _ , (1-d) (1-c) _, (1-d)
; 〔式中、 R9は tert—ブチル基を表し、 X1、 Υ' R1 R2、-^3」ほ前記と同じ意-: 味を表し、 - ; Wherein, R 9 represents a tert- butyl group, X 1, Υ 'R 1 R 2, - ^ 3 "ho same meaning as above -: represents the taste, -
は、 下記に示される Is shown below
の-いずれかを表す。 ] . 一,: ::.: :; ' . :.パ. - -.'- . ': . -: 該反応は溶媒め存在下または非存在下で行われる。. : : . • 反応に用いられる溶媒として-は、 -例えばメタノール、 エタノール等のアルコール 類、 酢酸、 プロピオン酸等の有機酸類、ニ水及びこれらの混合物があげられる。 , 反応に用いられる酸としては、 例え:ば塩酸、」硫酸等の無機酸類が.あげ れる。 化合物 ( 1 _ c ) iモルに対して、酸が通常ひ.. Ό·-1:モル〜過剰量の割合である J ·- -該反応め反応温度は、 通常 0〜 1 - Ό °C 範囲であり、 反応時間は通常 0 1〜-Represents one of I., ::::::; '.:. Pa.- -.'-.': .-: The reaction is carried out in the presence or absence of a solvent. •: Solvents used in the reaction-include, for example, alcohols such as methanol and ethanol, organic acids such as acetic acid and propionic acid, dihydrate, and mixtures thereof. Examples of the acid used in the reaction include, for example, inorganic acids such as hydrochloric acid and sulfuric acid. The acid is usually 1 mole of the compound (1 _ c) .. Ό -1 : mole to excess amount J ·--The reaction temperature is usually 0 to 1-Ό ° C The reaction time is usually from 0 to 1
'24時間の範囲である。 - - … 二- , ■, ■ ■ · ■ . - - ; V: .- :; '24 hours range. --… Two-, ■, ■ ■ · ■.--; V: .-:;
反応終了後は、. 反応混合物を有機溶媒抽出し、 ·有機層を乾燥ミ '濃縮する等の後処 理操作を行うことにより、 化合物 ( 一 d) を単離する-こ.とができる。 単離された 化合物^ (1一 d) は、 クロマトグラプィ-ー τ--:再結晶等によりざらに精製することも- でさる。 . · . - : 製造法5 ' ソ - - ' · - , . - 化合物 (8) は、 化合物 (7) と還元剤と:を-反応させることにより製造すること ができる。 . . . After completion of the reaction, the compound (1d) can be isolated by extracting the reaction mixture with an organic solvent and performing post-treatment operations such as concentration of the organic layer by drying. The isolated compound ^ (1-1d) can also be roughly purified by chromatographic τ-: recrystallization or the like. -:-Production method 5 'S--'--,.-Compound (8) can be produced by -reacting compound (7) with: ...
〔式中、 R R2、 R3および (Where RR 2 , R 3 and
は、'前記と同じ意味を表す。〕 · … - ·_— ' - - - . Represents the same meaning as described above. ] ...--_-'---.
• 該反応は、 ¾常溶媒の存在下で行われる。 - - 反応に用いられる溶媒とじては、 例え-ばメタノール、 エタノール、 2—プロパノ • The reaction is usually performed in the presence of a solvent. --The solvents used for the reaction are, for example, methanol, ethanol, 2-propano
5 —ル等のアルコール類、 1 , 4一ジォキサン、 テトラ ドロフテン、. ェチレシグリ コールジ-メチルエーテル、 — t e r t—ブチノレメチルエーテノレ等のェ一テノレ類、 へキー サン、 ヘプタン、 オクタン等の脂肪族炭化水素類:' トルエン、 キシレン等—の芳香族 一 炭化水素類、 7k及びこれらの混合物があげられる.。 ··· : ; : '- — " ー 反応に用いられる還元剤としては、 ' ば氷素化ホウ素チトリウム、 '水素化ホゥ5-alcohols such as 1,4-dioxane, tetradrophthene, ethylesciglycol di-methyl ether,-tert-butylinolemethyl ethers, etc., aliphatics such as hekisan, heptane, octane, etc. Hydrocarbons: 'Aromatic hydrocarbons such as toluene and xylene, 7k and mixtures thereof. ···: ; : '-— "ー Examples of the reducing agent used for the reaction are' titanium borohydride and 'hydrogenated borohydride.
10 素カリウムがあげられる。 · -- ■ ·: : つ' — ' - - 化合物 (7) 1モルに対して、 還元刻が通常 0··' 25〜2乇ルの割合である。. - - 該反応の反応'温度は、 通常一 20〜 1009Cの範囲であり、 :反応時間ば通常瞬時- 〜24時間の範囲である。 Λ ' ' . -: -" - - - - - ^Potassium potassium. · - ■ ·:: One '-' - - Compound (7) with respect to 1 mol of the reducing time is usually a proportion of 0 .. '25-2乇Ru. . - - reaction 'temperature of the reaction is usually in the range one. 20 to 100 9 C,: usually instantaneous if the reaction time - in the range of 24 hours. Λ ''.-:-"-----^
― 反応終了後は、 反応混合物を減圧-下濃縮じ、冰を加えて有機 媒抽出して、- 有機- 15 層を乾燥、 濃縮することにより、—化合物 (8) を単離する ··こ-とが.できる。'単離され だ化合物 (8) は、 クロマ トグラフィ 再結晶等によりさらに精製する—ことも - きる。 '- — '― -: ^ ■ - - ;~ ..: 製造法 6 一 - ' -After the completion of the reaction, the reaction mixture is concentrated under reduced pressure, extracted with an organic medium by adding ice, and the organic 15 layer is dried and concentrated to isolate Compound (8). -You can. 'The isolated compound (8) can be further purified, for example, by chromatographic recrystallization. '-—' ―- : ^ ■--; ~ ..: Manufacturing method 6-
20 化合物 (12) は、 以下の方法により製造することもできる。 20 Compound (12) can also be produced by the following method.
. .
は前記と同じ意味を表す。〕 . - 化合物 (10) は、 化合物 (9) -と塩化メタンスルホニルとを、 ·塩基の存在下で ―. 反応させることにより製造することができる。 , - - :: :-: : —、 - - Represents the same meaning as described above. -Compound (10) can be produced by reacting compound (9)-with methanesulfonyl chloride in the presence of a base. ,--:::-::-,--
. 該反応は、 通常溶媒の存在下で行われる。 ' . - 反応に用いられる溶媒としては、 例えば 1, 4_ジォキサン、 テトラ tドロフラ ン、 エチレングリコールジメチルエーテル、 t e r t—ブチルメチルエーテル等の エーテル類、 へキサン、 ヘプタン、 オクタン等の脂肪族炭化水素類、 トルエン、 キ シレン等の芳香族炭化水素類、 クロ口ベンゼン等のハロゲン化炭化水素類、 酢酸ブ ,チル、 酢酸ェチル等のエステル類、 ァセトニトリル等の二トリル類、 N, N—ジメ チルホルムアミ ド等の酸アミ ド類、 ジメチルスルホキシド等のスルホキシド類及び これらの混合物等があげられる。 - - . 反応に用いられる塩基としては、 例えば炭酸ナトリウム、 炭酸カリウム等の炭酸 塩類、 水素化ナトリゥム等のアル力リ金属水素化物類、 トリェチルァミン、 ジィソ プロピルェチルァミン、 1, 8—ジァザビシクロ [5. 4. 0]ゥンデックー 7—ェ ン、 1, 5—ジァザビシクロ [4. 3. 0]ノン一 5—ェン等の第 3級ァミン類およ びピリジン、 4—ジメチルァミノピリジン等の含窒素芳香族化合物があげられる。 化合物 (9) 1モルに対して、 塩化メタンスルホニル 通常 ι〜3モルの割合で あり、 塩基が 1〜 1 0モルの割合である。 The reaction is usually performed in the presence of a solvent. '.-Examples of the solvent used in the reaction include ethers such as 1,4-dioxane, tetrat-drofuran, ethylene glycol dimethyl ether and tert-butyl methyl ether, and aliphatic hydrocarbons such as hexane, heptane and octane. Aromatic hydrocarbons such as toluene, xylene, halogenated hydrocarbons such as benzene benzene, esters such as butyl, butyl, and ethyl acetate; nitriles such as acetonitrile; N, N-dimethylformamide And the like, sulphoxides such as dimethylsulfoxide, and mixtures thereof. --. Examples of the base used in the reaction include carbonates such as sodium carbonate and potassium carbonate, metal hydrides such as sodium hydride, triethylamine, disopropylethylamine, 1,8-diazabicyclo [ 5.4.0] Pendek 7-ene, tertiary amines such as 1,5-diazabicyclo [4.3.0] non-5-ene and pyridine and 4-dimethylaminopyridine And nitrogen-containing aromatic compounds. Methanesulfonyl chloride is usually in a ratio of l to 3 mol, and a base is in a ratio of 1 to 10 mol per 1 mol of compound (9).
該反応の反応温度は、 通常一 2 0〜1 0 0°Cの範囲であり、 反応時間は通常 p. 1〜24時間の範囲である。 · :.. . - The reaction temperature of the reaction is usually in the range of 120 to 100 ° C, and the reaction time is usually in the range of p. 1 to 24 hours. ·: ...-
5 反応終了後は、 反応混合物を有機溶媒抽 し.、 乾燥、 _獰縮する等の後 ½理操作を J. 行うことにより、 化合物 (1 0)-を単離することができ.る。—単離された化合物 (1 0) は、 クロマトグラフィー、 再結晶等によりさらに精製することもできる。 . ' 化合物 (1—2) は、 化合物 (1 0) ど-化合物 (1 1) とを反応させること り5 After completion of the reaction, the compound (10)-can be isolated by subjecting the reaction mixture to extraction with an organic solvent, drying, and subjecting the mixture to post-hypertrophy processing. — The isolated compound (10) can be further purified by chromatography, recrystallization, or the like. 'Compound (1-2) can be reacted with compound (10) and compound (11).
10 -製造することができる。 ; - 人-— :'- , .. . ― 該反応は、 溶媒の存在下または非存在下、 塩基 ©存在下または 存在下で行われ る。 - - — - -. - : - - /10-Can be manufactured. ; - human -:. '-, .. - the reaction is the presence or absence of a solvent, Ru performed in base © absence or presence. -----.-:--/
- .反応に用いられる溶媒と.しては、 例えば 1, .4 ジォキサン、 テトラヒ ドロ-フラ ン、 .エチレングリコールジ-メチルエーテル、 t e r t—ブチルメチルエーテノレ等の 15 エ テル類、 へキサン、 ヘプタン、 オクタ :等の-脂肪族炭化水素類、 ト..;;レェン、ノキ. . シレン等の芳香族炭化水素類、 グ &口 _- ンせン等のハ口ゲン化炭化水素類、 酢酸ブ チル、 酢酸ェチル等のエステル類 ァセトニトリル等の二トリル類、 N, ..N—ジメ_ チルホルムアミ ド等の酸ァミ:ド類、.^メチルスルホキシド等のスルホキシド類およ : びこれらの混合物等があげられる。 · ■ ' ·-' -- ― - - 20 - 反応に用いられる塩基としては、 例えば炭酸ナトリウム、 炭酸カリウム等の炭酸 - 塩類、 水素化ナト リゥム等のァノレ力 金属水素化物類およびト リェチルァミン、 ジ イソプロピルェチルァミン、 1, 8—ジァザビシク口 [ 5 · 4. 0 ]ゥン-デ:ツクー 7. 一ェン、 1, .5—ジァザビシク口 [ 4. 3. 0 ]ノン— 5—エ^等の第 3級ァ- :ミン類 - およびピリジン、 4ージメチルァミノピ.リジン等 .含窒素芳香族化合物があザられ •25·' る。 - : . ; ' -·+. - - . :?… : ' . - ノ化合物 (1 0) 1モルに対 て、 -化合物 (1 1) が通常 1モル〜過剰量の範囲で .. あり、 塩基が通常 0. :!〜 5モルの割合である。 · · · — -' - - - ■ 該反応の反応温度は、 通常 0〜 1 50 °Cの範囲であり、 -反応.時間は通常 0, . 5〜- , 2 4時間の範囲である。 一 · ·· ·. - , ·■ :¾ -: : --Solvents used for the reaction include, for example, 15 ethers such as 1.4 dioxane, tetrahydro-furan, ethylene glycol di-methyl ether, tert-butyl methyl ether, hexane, -Aliphatic hydrocarbons such as heptane, octa: etc .; aromatic hydrocarbons such as ren, noki ... silene, etc .; acetate Bed chill, nitriles such esters Asetonitoriru such as acetic Echiru, N, ..N- dimethyl _ Chiruhorumuami de like acids § Mi:. earths ^ Oyo sulfoxides such as methyl sulfoxide: beauty of these mixtures Is raised. · ■ '·-'-―--20-Examples of bases used in the reaction include carbonic acid salts such as sodium carbonate and potassium carbonate, anolyte metal hydrides such as sodium hydride, and triethylamine and diethylamine. Isopropylethylamine, 1,8-diazavicik mouth [5 · 4.0] Pin-de: Zuk 7.1, 1, .5-diazavicik mouth [4.3.0] non-5—d These include tertiary amines such as ^ : mins-and pyridine, 4-dimethylaminopyridine, etc. Nitrogen-containing aromatic compounds. -:.; '-· +.--.:?…:'.-Compound (11) is usually in the range of 1 mol to excess in relation to 1 mol of compound (10). The base is usually in a ratio of 0:! To 5 mol. · · · —-'---■ The reaction temperature of the reaction is usually in the range of 0 to 150 ° C, and the -reaction time is usually in the range of 0.5 to-, 24 hours. · · · · · .- , · ■ : ¾ - :: -
30 反応終了後は、 反応混合物を有機溶媒袖出し'、 乾燥 .ΐϋ^する等の後処理操作を 行うことにより、 化合物 (1 2) を単離することができる。 単離された化合物 (1 ' - .2) は、 クロマトグラフィー、 再結晶等によりさらに精製す:ることもで.き-る.。 — - - 次に、—本発明化合物の製造中間体の製造法について説明する。 . · -After completion of the reaction, the compound (12) can be isolated by performing post-treatment operations such as removing the organic solvent from the reaction mixture and drying. The isolated compound (1 '-. 2) can be further purified by chromatography, recrystallization, etc. ——— Next, a method for producing an intermediate for producing the compound of the present invention will be described. ·-
35 - 中間体製造法 1 . - - 35-Intermediate production method 1.--
:' ( 2-a.) :- . . : '(2-a.):-.
- 〔式中、 R8 ばメチル基またはェチル基-を表 、 Ms.はメタンスルホ二ル基を表-し、- R\ R2 -、 R4-1 は前記と同じ意味を.あら:わす 〕 .へ' ノ-: .: - : : 化合物 (22) は、 化合物 (21う と水素 .ホウ素ナト.リウムと ¾反応させる- -とにより製造することができる。 - wherein, R 8 situ methyl group or Echiru group - Table, Ms. is a methanesulfo two Le group table - and, - R \ R 2 -, R 4 - 1 is the same meaning as described above roughness:. Wath The compound (22) can be produced by reacting the compound (21) with hydrogen. Boron sodium and-.
該反応は、 通常溶媒の存在下で行われる。 ': - The reaction is usually performed in the presence of a solvent. ':-
- 反応に用いられる溶媒としては、 例えば: タノール、.- Εタノ-.ール等のアルづ ル '類、 テトラヒ ドロフラン等のエーテル類、 フ級びこれらの混合物があげられる.。 ... 化合物—( 21 )- 1モルに対して、 水素ィ匕ホ:ゥ素ナ リゥムが通常 0. -25〜 2.モ. ルの割合である。 : - - - : .. '- — - : • 該反応の反応温度は、 通常一 20〜 :5.0:°C 範囲であり、 反応時間は通常瞬時 .- 2 ·4時間の範囲である。ノ 一—: ':■ - - - 反応終了後は、反応混合物を濃縮し、水を加えで有機溶媒抽出し、有機層を乾燥、. - 濃縮する等の後処理操作を行うことにより^ヒ合物 (22) を単離する:さ-とができ る。 単離された化合物 (22.) は、 クロマドグラフ 再結晶等の操作に—より;さ—. らに精製することもできる。 . -·· . 化合物 (2'3) は、 化合物 (22)' と塩化:メ-タンズ : ホ-ニルとを、 .塩基の存在下 で反応さぜることにより製造するこ-と力でき · — - - . -.: -Examples of the solvent used in the reaction include: alcohols such as ethanol, ethanol, ethers such as tetrahydrofuran, and mixtures thereof. ... The ratio of hydrogen sulfide / hydrogen sodium is usually from 0. -25 to 2. mol based on 1 mol of compound (21) -1. :---: .. '---: • The reaction temperature of the reaction is usually in the range of 20 to: 5.0: ° C, and the reaction time is usually in the range of instantaneous .-2.4 hours. After the reaction is completed, the reaction mixture is concentrated, water is added, the organic solvent is extracted, and the organic layer is dried and concentrated. Compound (22) is isolated: The isolated compound (22.) can be further purified by an operation such as chromatographic recrystallization. Compound (2'3) can be produced by reacting compound (22) 'with chloride: methans : honyl in the presence of a base. · —--.-.:
: ' -·該反応は、 通常溶媒の存在下で行われる。 ·· -.: .. 反応に用 られる溶媒としては、 例えばテ.トラ—ゼ^;ドロフ チ:レング-リ -コー ェ、•テル、 t e r tーブチノレ -チルェ一テル等のエーテル類、へキサン、: '-The reaction is usually performed in the presence of a solvent. Solvents used in the reaction include, for example, tetrazole; ethers such as tetraphenyl-co-ter, ether, tert-butylin-co-terether, hexane,
-プ—タン、--ォクタシ等の脂肪族炭化水素類、 トルエン、 等の芳香族炭化水 素類、 クロ口ベンゼン等のハ口ゲン化炭化水素類.; N, N-ジメチルホルムァミ ド等 の酸アミ ド類、 ジメチルスルホキシド等?)ス レホキシ. H:類及びこれ 5'の^合 ¾があ - げもれる。 + - ' : : : ' ' _ - ; . 反応に用いられる塩基としでは、 例えば 酸ナトリゥム、 炭酸力リゥム等 <¾アル .5' カリ金属炭酸塩類、 トリェチレアミ ン、 ジィソプロピルェチルァミン、 1 8ージ - - ァザビシクロ 〔5, 4, 0〕—ゥンデッ-ク _· 7 _ェン、 1-, 5: ジァザ:七、、シク— 〔4,ノ - .3, 0〕 ノン— 5—ェン等の第 3級ァミン類友:びピリジン、 :4ニジメチルアミ—ノピ - リ ジン等の含窒素芳香族化合物類力—あ」: f れる。^ - : . ■:_' ^ Aliphatic hydrocarbons such as -butane, -octane, and aromatic hydrocarbons such as toluene N, N-N-dimethylformamide and other acid amides, dimethyl sulfoxide, etc.? ) Slefoxi. H: Kind and the 5 'compound are lost. +-':::''_-; Bases used in the reaction include, for example, sodium acid carbonate, carbonic acid lime, etc. <alkali .5' Potassium metal carbonates, triethyleamine, diisopropylethylamine, 1 8 pages--azabicyclo [5,4,0] —index 7 _ 1, 1-, 5 : diaza: seven, six-[4, no-.3, 0] non — 5 —N-containing aromatic compounds such as tertiary amines such as -ene and pyridine, and: 4-didimethylami-nopi-lysine. ^-:. ■: _ '^
- - 化合物 (22) .1モルに対して、 塩化メタンスルホニルが通常 1〜3モルめ割合 10 - であり、 塩基が通常 1〜 L 0モルの割合である。 ― - - ノ - ·. --Compound (22). The amount of methanesulfonyl chloride is usually 1 to 3 moles per 10 moles, and the base is usually 1 to 0 moles. ―--ノ-
: 該反応の反応温度ば、 通常— 20〜 100 °Cの範囲であ 、 反応時間は通常 1〜- 24時間の範囲である。 -. . へ、.二' ·-,,· -The reaction temperature of the reaction is usually in the range of −20 to 100 ° C., and the reaction time is usually in the range of 1 to −24 hours. -.. To the second. ·-,,--
" ' 反応終了後は、 例えぱ下記の方法で後-処理操作を行うことにより化合物 ( 23.) を単離することができる。. ■ , ,.:. After completion of the reaction, compound (23.) can be isolated, for example, by performing a post-treatment operation by the following method.
15 " .( .i ) 反応混合物を有機溶媒にて抽^し、;.:有機層:を乾燥、 濃縮する友法:^ ^ Extract the 15 ". (.I) reaction mixture with an organic solvent; dry the organic layer: and concentrate it.
. " ( i i ) 反応混合物'を濾過じ; 濾液を濃縮する-方法。...'^ : - -_ .:· -:.-.:.; , -- - 単離された化合物 (1.3) は、 クロアト:グラフ —、. 再結晶.等の.操作によ..り—:さ.ら - .に精製することもできる。 . . : - : . ·· . , - . · 一 - "(ii) Filtration of the reaction mixture '; concentration of the filtrate-method ....' ^:--_.: ·-: .-.:.;,--The isolated compound (1.3 ) Can be refined to Croat: Graph, Recrystallization, etc. by operations such as:-:-:.
20 化合物 (-25) は、 化合物 (23) と化合物—(·2·Φ) と 反応-させる.ことによ-り- 製造することがでぎる。 . : . ' . r ... : ' 二 - : 20 Compound (-25) can be produced by reacting compound (23) with compound ((2ΦΦ). ... '. R ...:' 2-:
: 該反応は「溶媒の存在下または'非存在^行われ . ;--! .,: '.-: , : The reaction is performed in the presence or absence of a solvent.;-!.,: '.-:,
- 反応に用いられる溶媒と—して.は、 例えば 1-,-·4:·一ジォキサン、 -テトラ _ヒ ドロフラ - . ン、 エチレングリ ーノレジメチルエ ノ^ - ,e r ^ブチ^^^ " レエ 等 C¾ 25 エーテノレ類、 へキサン、 ヘプタン、 オクタン等の.脂肪族炭化水素類、 トルエン、 キ シレン等の芳香族炭化水素類、 グ口口-ベンゼン等 ノ: Pゲン化炭化水素類、. ト ..- 二トリル等の二トリル類、 N, . N—ジ' チルホルム ' 等の:酸アミ:ド類:、..;ジェチ : . スルホキシド等のスルホキシ:ド類及びこ-れ _の混合物:力 fあげら—れる。 ニ ノ- ..: -' , 化合物 (23) 1モルに対-して、'化合物- (2.4:) が通常 1·モル〜過剰量である。. 30 該反応の反応温度は 通常' 50 °C〜 1.50 °Cの範囲であり、 反応時間は通常 1-Examples of the solvent used in the reaction include 1-,-· 4 : · dioxane, -tetra_hydrofuran -.- ethylene glycol-dimethyl eno ^-, er ^ buty ^^^ C¾25 Athenoles, hexane, heptane, octane, etc .; aliphatic hydrocarbons, aromatic hydrocarbons such as toluene, xylene, etc .; .- nitriles, such as nitrile; N, .N-di'-tilform ', etc .: acid amides:, ..; jetty:. Sulfoxides, such as sulfoxides, and mixtures of these _: Compound-(2.4 :) is usually in an amount of 1 mol to excess in relation to 1 mol of compound (23). The reaction temperature is usually in the range of 50 ° C to 1.50 ° C, and the reaction time is
24-時間の範囲である。 - 一 ' ノ ; . ; ; : _ : ;;; r-;. - 反応終了後は、 反応混合物を有機溶媒 H^、一有揚層を乾燥 濃縮す:る.等 後 . 理操作を行うことにより化合物 (25 を単離 と: き:る 単離さ'れ 化合 物 (25) は、 クロマトグラフィー、 再結晶等の操作に:よ;り—さ -に精製する とも--- - 35 できる。 … — -" :- 一 -. Range of 24-hours. ; _ : ;;; r- ;.-After the reaction is completed, the reaction mixture is concentrated in organic solvent H ^, and the concentrated layer is dried and concentrated. As a result, the compound (25) can be isolated and purified by an operation such as chromatography and recrystallization. …--":-One-.
- ' + ——一1" ■-- - - ~ ·· — k · . 二— ^ - - --' - 化合物 (26) は、 化合物 (25) を塩基の存在下、 '水と反応させることによ'り一 梨造する事ができる。 - : - τ -. _ 該反応は、 通常水及び有機溶媒の存在: で行われる。 · -- ノ ... 反^に用いられる有機溶媒としては、 例えばメタノール、..エタノール等のアル :コ ール類、 テトラヒ ドロフラン、 Γ, 4—ジ *キサ:ン等のエー:テル類及びこれらの混 合物があげられる。 :+ '- —— - " - ' . - ■ 反応に用いちれる塩基としては、 例えば水酸化リチケム、:水酸化ナトリウム: 酸化力リゥム等のアル力リ金属水酸化物類があ :ちれる。— ··': · · '-—· . -- V.-'+ ——1 1 "■---~ ·· k ·. 2— ^---'- Compound (26) can be prepared by 'reacting compound (25) with water in the presence of a base'. - : -τ-. _ The reaction is usually carried out in the presence of water and an organic solvent. - - Bruno ... The organic solvent used in the anti-^, such as methanol, .. ethanol Al of: co Lumpur acids, as tetrahydrofuran, gamma, 4-di * hexa: such emissions instantiation: ethers And mixtures thereof. : + '- - - "- ' - ■ Examples of the base Chi used in the reaction include hydroxide Richikemu:. Sodium hydroxide: such oxidizing power Riumu Al force Li metal hydroxides there: Chireru .. ··· ': · ·' -—.-V.
― 化合物 (25) 1モルに対して、 塩基が通常:!〜 2; 0:モノ の割合である.。 "0 ― -該反応の反応温度は、 通常 0〜 100 °Cの範囲であり:、 ·反応時間.は通常- 0-:- '5^ -24時間の範囲である。 - -. - - 反応終了後は、 反応混合物に酸 (例えば塩酸等の無機酸) を混合して酸性にした 後、有機溶媒抽出し、乾燥、濃縮する等の後処理操作を行うことにより、化^雜. ( 6) を単離することができる。単離された化合物 '.(26)」は クロマトグラフィー、5- 再結晶等の操作によりさらに精製することおで ·。: ― - - - - —:— -Compound (25) The base is usually: ~ 2; 0: The ratio of things. The reaction temperature of the reaction is usually in the range of 0 to 100 ° C .: The reaction time is usually in the range of -0-:-'5 ^ -24 hours.--.-- After completion of the reaction, the reaction mixture is mixed with an acid (for example, an inorganic acid such as hydrochloric acid) to make the mixture acidic, and then subjected to a post-treatment operation such as extraction with an organic solvent, drying and concentration, thereby obtaining a chemical compound. The isolated compound '. (26)' can be further purified by an operation such as chromatography and 5-recrystallization. :------:-
-:— 化合物 (2— a) は、 化合物 (26) -と.塩化チォ-二ルとを反応させる'ことによ一:り 製造することができる。 ノ —— ——— - -- : -Compound (2-a) can be produced by reacting compound (26)-with thiol chloride. No —— ———--
- 該反応は、 溶媒の存在下または非存在下で行われる。 - ■ . · · . .0- ' 反応に用いられる溶媒としては、例えばクロ:.口:ベンゼン等の-ハロゲン化炭ィヒ水素 類、 トルエン、 キシレン等の芳香族化合物類及び.これらの混合物があげられる。-The reaction is carried out in the presence or absence of a solvent. The solvents used in the reaction include, for example, chloro: .. mouth: -halogenated hydrocarbons such as benzene, aromatic compounds such as toluene and xylene, and mixtures thereof. Is raised.
' - 化合物 (26) 1モルに対して、 塩化チォニノレ-が通常- 1—モル〜過剰量の割合であ- '-Compound (26) 1 mole of compound (26)
- -.:該反応め反応温度は、 通常 20〜 Γ 00 °Cの範囲で-あり、 反応時間は通常 0. · 5:5 .〜24時間の範囲である。 - - --- — .. .. - ; 反応終了後は、 反応混合物を濃縮する等の後処理操作.を行 -うことによ-り、 ·.化合物: (2-a) を単離することができる 5 単離ざれた化合物 (-2— a)-は、 蒸留等に:よ- りさらに精製することができる。 ; - · . - . ノ .ノ : --.: The reaction temperature is usually in the range of 20 to Γ00 ° C., and the reaction time is usually in the range of 0.5 to 5: 5 to 24 hours. ----- — .. ..-; After completion of the reaction, the compound: (2-a) is isolated by performing post-treatment operations such as concentration of the reaction mixture. compound 5 was isolated play that can be (-2-a) - is the distillation: I - can be Risarani purification. -----------------------
(22) (27) 式中、. R R R8 は前記と同じ意味を表す。〕 -. ; (22) (27) In the formula, .RRR 8 has the same meaning as described above. - .;
'化合物 (27) は、 中間体製造法 1 (工程 1 1一 4) に準ずる方法で、 化合物 (25.) め代わりに化合物 (2 2) を用いて反応させる とにより製造する二-とが- :できる。 -—. : . - ·- . · . - 一-.. 中間体製造法 3 'Compound (27) is prepared by reacting compound (25.) with compound (22) instead of compound (25.) according to Intermediate Production Method 1 (Steps 11-14). - :it can. -—.:.-·-. ·.--.. Intermediate production method 3
― : - : - 化合物 (3 3) は、 化合物 (2 Γ) と—化合物 (3 2) とを反^きせることにより- 製造することができる。 : : -— - —- - - -·· - :'-― : -:-Compound (33) can be produced by reacting compound (2 () with-compound (32). ::----------: '-
― 化合物 (3 2) で表される化合物は、 -例えばその塩酸塩及び硫酸塩等の塩 :と で : - ^在する場合には、 その塩を反応に用いる i-ともできる。 · ' — — -- - 該反応は、 通常溶媒の存在下、 塩基の存在下または非存在下で一行われる。 ― 反応に用いられる溶媒としては、 树えば 1·, 4—ジォキサ^、 テトラヒ ドロフラ ン、 エチレングリコーノレジメチノレエーテノレ、 t e r tーブチノレメチノレエ^"チノレ等め :· i一テル類、 メタノール、 エタノール プロ'パノール等のアルコ ル類 ァセト ノ ト リル等の二トリル類、 N, N—ジメチルホルムアミ ド等の酸アミ 類、' ジメチルズ ノレホキシド等のスルホキシド類、 水及びこれちの混 物があげちれる。 - Compound (3 2) compound represented by the - for example the hydrochloride and salts or sulfate: with D: - ^ when standing can also i- using a salt thereof to reaction. · '— —--The reaction is usually carried out in the presence of a solvent, in the presence or absence of a base. -Solvents used in the reaction include, for example, 1,4-dioxa ^, tetrahydrofuran, ethylene glycolone resin methinooleate, tert-butylinolemethinole, etc. Alcohols such as methanol and ethanol, propanol and the like, nitriles such as acetonitrile, acid amides such as N, N-dimethylformamide, sulphoxides such as dimethylsnorreoxide, water, and mixtures thereof. Give up.
' 反応に用いられる塩基と—しては、 炭酸ナトリウム、 酸カリウム、 炭酸水素ナト リゥム等のアル力リ金属炭酸塩、 リェチルアミン、ジィソプロピルェチルァミン 1, 8—ジァザビシクロ 〔5 4, 0〕 ゥンデッ^— 7 ェン、 1, 5—ジァザビ シクロ 〔4, 3, 0〕 ノン一 5—土ン等の第 アミン類及びピリジン、 二ジメー — チルアミノビリジン等の含窒素芳香族化合物類が げ れる。— — ~ :' ' ' 化合物(2 1) 1モルに対して、化合物(3' 2) が通常 1〜5モルの割合であり、 塩基が通常触媒量〜 1 0モルの割合である。 - 該反応の反応温度は、 通常 0 1 20°Cの範囲であり-、.反応時-間は通常 1 24- 時間の範囲である。 . - ·· · -..― · - . -... - .. .'' Bases used in the reaction include sodium metal carbonate, potassium acid, alkaline metal carbonates such as sodium bicarbonate, lyethylamine, disopropylethylamine 1,8-diazabicyclo [54,0デ 7 7 デ が が が が が が が が が が が が が が が が が が が が が が が が が が が がI can do it. — — ~ : The compound (3 ′ 2) is usually in a proportion of 1 to 5 mol, and the base is usually in a catalytic amount to 10 mol with respect to 1 mol of the compound (21). - The reaction temperature of the reaction is usually in the range of 0 to 120 ° C., and the time between the reactions is usually in the range of 1 to 24 hours. ------------
·· 反応終了後は-、 反応混合物を有機溶媒抽出し、 ·.有機層を必要により酸性水 (例-え ば希塩酸)で洗浄し、乾燥、濃縮する等の後処理操作を行うことにより、化合物(3 3 ) を単離するこ -とができる。単離された化合物(3-3) は、 クロマトグラフィー、 再結晶等によりさらに精製することができる; 化合物 (34) は、 中間体製造法 1の (工程 1 1一 4) に準ずる方法で、.化合物 (25-) の代わりに化合物 (3 3):..を用いて反応させることによ _り-製造する;とが できる。 . ―.— - - - ― - . ·· 化合-物'(2— b) は、 中間体製造法 1の (工程 1 1一 5) に準ずる方法で、 化合 物 (2 6) の代わりに化合物 (34) を用.いて反応させることにより製造するこ-と ができる。 ― - " ― . -. — - . — 中間体製造法 4 After the reaction is completed, the reaction mixture is extracted with an organic solvent, and the organic layer is washed with acidic water (eg, dilute hydrochloric acid) as necessary, followed by post-treatment such as drying and concentration. Compound (33) can be isolated. The isolated compound (3-3) can be further purified by chromatography, recrystallization, or the like; Compound (34) can be purified by a method similar to (Steps 11 to 14) of Intermediate Production Method 1, The reaction can be carried out using compound (33): instead of compound (25-). -.—------.. The compound (2b) can be obtained in place of the compound (2 6) by a method similar to the intermediate production method 1 (Steps 1 1 to 5). The compound can be produced by reacting the compound (34). ―-"―.-. —-. — Intermediate production method 4
• ノレジメチルェ一テル、 t e r tーブチル チル^ー ノ -等の ^ テル類 べキサン、 ヘプタン、 ォクタン等の脂肪族炭化水素類 :トルエン、 キシレン等の芳香族炭化水 素類、 -ク口口ベンゼン等の-ハロゲン化炭化水素類、/.酢酸ブチル、 酢酸エヂル等のェ " ステル類、 ァセトニトリル等の二トリル類:、: N, ジメチルホ.ル_ムァ ド等の酸 ' 5 ' アミ ド類、 ジメチルスルホキシド等のス zレポキシド類及び.これちの混合物があげら れる。. - - - ,: - '7-- - 二 , .— — .:..ニ: 反応に用いられる塩基としては、 例えば炭酸ナトリウム、 炭酸力リゥム等のアル '力リ金属炭酸塩類、 水素化ナトリウム、水素化力リゥム等の.ァ:ルカ..リ金属水素化物: 類があげられる。 • Non-dimethyl ether, tert-butyl tyl ^ -no-, etc. ^ Ters Aliphatic hydrocarbons such as hexane, heptane, and octane: Aromatic hydrocarbons such as toluene and xylene; -Halogenated hydrocarbons / esters such as butyl acetate, ethyl acetate, etc., nitriles such as acetonitrile: etc .: Acids such as N, dimethyl fluoride_mud, etc. '5' amides, dimethyl sulfoxide Examples of such bases include z-repoxides and mixtures thereof.---,:-' 7 --ii,. Alkali metal carbonates such as carbonated lime, sodium hydride, hydrogenated lime, etc.
10 : 化合物(35) 1モルに対して、化合物(36) が通常 1〜- 2モルの割合であ.り、 10: The compound (36) is usually in a ratio of 1 to -2 mol per 1 mol of the compound (35),
- 塩基が通常:!〜 2モルの割合である。 -Normal base :! 22 mol.
: 該反応の反応温度は、 通常.0〜: L00 の範囲であり、 反応時間は通常.: θ 5〜-. -24時間の範囲である。 ■ - The reaction temperature of the reaction is usually in the range of 0.0 to L00, and the reaction time is usually in the range of θ5 to -.24 hours. ■-
- 反応終了後は、 反応混合物を有機溶媒抽出し、 有機層を乾燥、 濃縮する等の後処.. -15 理操作を行うことにより、 化合物 (37--)·.を単離することができる。 単離された化 合物 (37) は、 クロマトグラフィー、焉鋅晶等によりさらに精製することもで:き . る。 : -, .;.;. .. .+- · + · . ■ 工程 14— 2 ;" ノー -. -After the completion of the reaction, the reaction mixture is extracted with an organic solvent, and the organic layer is dried and concentrated. it can. The isolated compound (37) can be further purified by chromatography, crystallization, or the like. .. ... +-· + ·. ■ Step 14-2; "No-.
20 ィ匕合物 (39) は、 化合物 (37)::と化合物 (38) とを、 塩基の存¾下で反応. させることにより製造させることができる。 、': ..:., - 該反応は、 溶媒の存在下または非存在卞で行われる。 - - . The compound (39) can be produced by reacting the compound (37) :: with the compound (38) in the presence of a base. , ': ..:.,-The reaction is carried out in the presence or absence of a solvent in Byone. --.
反応に用いられる溶媒としては、 例えばテ卜ラヒドロフラン、 エチレングリコ一 . ノレジメチルエーテル、 t e x t—ブチルメチルエーテル等のェ テル類、 トノレエ;/、 25 - キシレン等の芳香族炭化水素類、 ク ^!:^ゼン等のハロゲン化炭化水素類、 N, N ジメチルホルムアミ ド等の酸アミ .ド類、 ジメチルスルホキシド等のスルホキシ .. ド類及びこれらの混合物があげられる。 : .. . . Examples of the solvent used in the reaction include tetrahydrofuran, ethers such as ethyleneglycol mono-dimethyl ether and tex-butyl methyl ether; tonnolee; /, aromatic hydrocarbons such as 25-xylene; : Halogenated hydrocarbons such as benzene, acid amides such as N, N dimethylformamide, sulfoxides such as dimethyl sulfoxide, and mixtures thereof. :...
反応に用いられる塩基としては、 例えば水素化力リ ·:ゥ -ム、 水素化ナトリゥム等の. ,アル力リ金属水素化物、 ナトリウムメ トキシド、 ナトリウムェトキシド、—カリウム- 30 t e r t—ブトキシド等のアル力.リ金属アル-コキジド等があげ—られる :δ;,: ..'.― The base used in the reaction includes, for example, hydrogen hydride: sodium hydride, sodium hydride and the like.Alkali metal hydride, sodium methoxide, sodium ethoxide, potassium-30 tert-butoxide, etc. Al power. Li metal al-cochidide and the like are mentioned : δ ;,: .. '.
化合物 (37) 1モルに対して、 化合物-. (3.8 ) が通常 1モル〜過剰量の割合で あり、 塩基が通常:!〜 5モルの割合である。 -. : ノ」 . -. Compound-. (3.8) is usually in a proportion of 1 mol to excess amount per 1 mol of compound (37), and the base is usually :! ~ 5 moles. -.: No ".-.
. - 該反応の反応温度は、 通常 20〜:!: Θ- :0 °Cの範囲であ _ 、:反応時 は通.常.;!〜 24時間の範囲である。, ;' ,: ― 」. :- - ..: . ':· ... ' --The reaction temperature of the reaction is usually 20 ~ :! : Θ-: within the range of 0 ° C _,: Normal during reaction. ~ 24 hours range. ,; ',: ― ”.:--..:.': · ... '-
35 反応終了後は、 反応混合物に希塩酸等の酸を加えて酸性と _した後、 有機溶媒抽出 1 し、 有機層を乾燥、 濃縮する等の後処理操作を行う,:こ.-とにより、 化合物:(39う- を: 単離すること.ができる。 単儺された-化合物- ( 3::9 )- は、 .グ口マ' kグラフイ一、,:再結 晶等によりさらに; it することもできる- . - - - ■· ^ - 」 一 程 14— 3 - ■ —. - : - - - . —: :- . ·■: 化合物 (40) は、 化合物— (3- 9·) とヒ .ドロキシレアミンまた.はその埠酸塩.、-.硫. .酸塩等の塩とを反応させることによ-.り製造することができる。— 一 35 After the completion of the reaction, the reaction mixture is acidified by adding an acid such as dilute hydrochloric acid, and then subjected to a post-treatment operation such as extraction with an organic solvent 1, drying and concentration of the organic layer. Compound: (39- Can be isolated. The singular -compound- (3 :: 9)-can be further refined by...---------------------------- Step 14— 3-■ —.-:---. —::-. · ■: Compound (40) is composed of compound (3-9) and hydroxyreamine or its folate. It can be produced by reacting with sulfuric acid and other salts. — One
該反応は、 通常溶媒の存在下、 塩基の存在 または非存在下で行われる。 - -—-- . 反応に用いられる溶媒としては-、例えば:トゾレ .ン、:..キシ:レン等の芳香族炭化水素 類、- N, N—ジメチルホルムアミ ド の酸アミ.ド類、 メタノール、 エタノール等の アルコ-—ル類及びこれらの混合物があげられる。.一 ' : . - : -. -- ; --. ,― '- The reaction is usually performed in the presence of a solvent, in the presence or absence of a base. ------. Examples of the solvent used in the reaction are-, for example, aromatic hydrocarbons such as tosolene, xylene: lene, and acid amides such as -N, N-dimethylformamide. And alcohols such as methanol, methanol and ethanol, and mixtures thereof. .- ':.-:-.-;-.,-'-
. 反応に用いられる塩基としては、 例えば酢酸ナトリウム、 酢酸カリ—ゥム等のアル' 力リ金属酢酸塩類、 炭酸力リウム、 炭酸ナトリウム、 炭酸水素ナトリゥム等のァレ.— - 力リ金属炭酸塩類、 ナトリウムメ トキシド、'ナト -リゥムェトキシド、 カリウム t e - r t—ブトキシド等のアルカリ金属ァレコキシ..ド類があげ れる。 - -- ^ Bases used in the reaction include, for example, alkali metal acetates such as sodium acetate and potassium acetate, potassium carbonate, sodium carbonate, sodium hydrogen carbonate and the like. Alkoxides such as sodium methoxide, sodium methoxide, potassium te-rt-butoxide and the like. --^
化合物 (39) 1モルに対 ϋて、―ヒ: '— 口 シルァミンまたゆそ.—の塩が.通常 1〜 〜 モルの割合であり、 塩基が触媒量べ ¾3モノレの割合である. :■ --;;' - Compound (39) per mole of -H: '-Mouth is a salt of silamine or liquor.-Usually in a ratio of 1 to-mole, and a base is a catalyst in a catalytic amount of about 3 moles. ■-;; '-
,該反応の反応温度は、 通常 20〜ニ.100 °Cの範囲であり、 反応時間は通常 0. 5- 〜24時間の範囲である。 - .. The reaction temperature of the reaction is usually in the range of 20 to 2.100 ° C, and the reaction time is usually in the range of 0.5 to 24 hours. -..
反応終了後は、反応混合物を濃縮し、.濾過する等の後処理操作を行う _ことにより、 化合物 (40) を単離することができる。 単離された化合物- - (40) 1ま、 ク:ロマ十 グラフィ一、 再結晶等によりさちに精製す:る. ;と..もできる。 - ·'..: : 」:.. : - , - After completion of the reaction, the compound (40) can be isolated by concentrating the reaction mixture and performing post-treatment operations such as filtration. The isolated compound--(40) 1 can be further purified by chromatography, recrystallization and the like. -· '..:: ":: ..:-,-
(中間体製造法 5) (Intermediate production method 5)
〔式中、 βηはベンジル基を表し、 L ば塩素原子または臭素原子を表し、 Ri、. R 2、 R8、 X Y1 は前記と同じ意味を表す。〕 . . :— 工程 15 1〜1.5— 3- - 一 化合物 (46) は、 中間体製造法 4の工程 14 1〜工程 14— 3に準じて、 化 合物 (36) の代わりに化合物 (42) を用いて反応させることにより製造するこ とができる n - - - 工程 15— 4 : - -- · - - - 化合物 (47) は、 化合物 ::(46) と水素とをパラジウム炭素の存在下で反応さ せることにより製造することができる。 -. ― - . 該反応は、 通常溶媒の存在下で行われる。 - - 反応に用いられる溶媒と-しては、 例えばメタノール、 エタノール等のアルコ一ノレ 類、 テドラヒ ドロフラン等のエーテル類、 酢酸ェチル等のエステル類、 卜-ルェン等- — の芳香族炭化水素類、 - '水及びごれ-らの混合物があげられる。 一- 一 - 化合物 (4.6) 1モルに対して、 パラジウム炭素が通常 0、 .001〜0. 1モノレ の割合である。 +— - + — : ―. . " ; 該反応の反応温度は、 通常 20〜 100°C 範囲であ 、 反応時間は通常 1〜'2 4.時間の範囲である。 . — . - ' - - ニー. . 反応終了後は、 反応混合物に必要に.応じて有機溶媒を加え、 濾過して、 濾液を減 圧下濃縮する等の後処理操作を行うことにより—、 化合物 (47) を単離することが できる。 単離された化合物 (.47). は、 ク マト'グラフィ 、 再結晶等によりさら に精製することもできる . : :: " - — 工程 15— 5 . ". 「: · - . [In the formula, βη represents a benzyl group, L represents a chlorine atom or a bromine atom, and Ri, .R 2, R 8 , and XY 1 have the same meanings as described above. : — Step 15 1 to 1.5— 3-— One compound (46) is prepared in place of compound (36) according to Steps 141 to 14-3 of Intermediate Production Method 4. 42) can manufacturing child by reacting with the n - - - step 15 4: - - - - - - compound (47) compound :: (46) and a palladium on carbon and hydrogen It can be produced by reacting in the presence. -.--The reaction is usually performed in the presence of a solvent. --Examples of the solvent used in the reaction include alcohols such as methanol and ethanol, ethers such as tedrohydrofuran, esters such as ethyl acetate, and aromatic hydrocarbons such as toluene. ,-'Mixtures of water and dirt. One-one -The ratio of palladium carbon is usually 0, 0.001 to 0.1 monole per mole of compound (4.6). The reaction temperature of the reaction is usually in the range of 20 to 100 ° C, and the reaction time is usually in the range of 1 to '24 hours. -Knee. After completion of the reaction, compound (47) is isolated by post-treatment such as adding an organic solvent to the reaction mixture as necessary, filtering and concentrating the filtrate under reduced pressure. The isolated compound (.47) can be further purified by chromatography, recrystallization, etc.: :: "-—Step 15-5.". -.
化合物(48) は、 製造法 3に準ずる-方'法で、 化合物 (3) の代わりに化合物 (4 7) を用いて反応させることにより製造する · -ができる。 - " :- - : Compound (48) can be produced by reacting the compound (47) in place of the compound (3) by the-'method according to the production method 3. -":--:
(中間体製造法 6) · — ■ - - - . -:- ' ■ ·-: (Intermediate manufacturing method 6) · — ■---.-:-'■ ·-:
〔式中、 R11及び R12 はそれぞれメチル基またはェチル基を表し、 R3、 R6 は前 ,記と同じ意味を表す。〕 [In the formula, R 11 and R 12 each represent a methyl group or an ethyl group, and R 3 and R 6 represent the same meaning as described above. ]
— 工程 16一 1 ― ― 化合物 (51) は、 化合物 (49-) と、 化合物 (50) とを、 金属ナトリ-ゥムの 存在下で反応さ.せることにより製造することができる。 - — - 該反応は、 .溶媒の存在下または非存在下で行われる。 · ·,.· 反応に用いられる溶媒としては、. 例えば 1, 4—ジォキサン、 テトラ t ドロフラ · . ン、 エチレングリコーノレジメチノレエーテノレ、 t e r t—ブチノレメチノレエーテノレ等の エーテル類、 へキサン、 ヘプタン、 オクタン等の脂肪族炭化水素類、 小ル;^ン—、 キ z等の芳香族炭化水素類及びこれらの混合物があげられる。 ..:. - -· — Step 161-1 — Compound (51) can be produced by reacting compound (49-) with compound (50) in the presence of sodium metal. -The reaction is carried out in the presence or absence of a solvent. Solvents used in the reaction include, for example, ethers such as 1,4-dioxane, tetra-t-drofuran, ethylene glycolone resin methinolate ether, tert-butynolemethinolate ether, and the like. Aliphatic hydrocarbons such as xane, heptane and octane; and aromatic hydrocarbons such as z and mixtures thereof. ..:.--·
-. 化合物(49—) 1モルに対して、金属ナトリゥムが通常 1〜 2モノレの割—合であり、 - 化合物 (50) が通常 2モル〜過剰量 ,割食であ.る。 '—.·-,— .;. - 該反応の反応温度は.、 通常 100〜 150 の範囲であり、—反応時間'は通常 1〜 •24時間の範囲で.ある。 — .「, -·'- . -― . '· .—— 反応終了後は、 反応混合物に酢酸水溶液等の 酸を加えて酸性とし 後 有機溶 媒袖出し、 有機層を乾燥、 濃縮する等の後処理操作を行うことにより、 化合物 (5-_ .1 ):を単離す-ることができる。—単離された化合物( 5.1 ) は、 ク口—マトグ.ラフィ-一、 ' 再結晶等によ:り-ざらに精製することもでぎる。 ' 、 - : -. 1 mole of compound (49-) is usually 1 to 2 moles of metal sodium, and-Compound (50) is usually 2 moles to an excess amount, and is undereating. -The reaction temperature of the reaction is usually in the range of 100 to 150, and the "reaction time" is usually in the range of 1 to 24 hours. — After completion of the reaction, the reaction mixture is acidified by adding an acid such as aqueous acetic acid, and then the organic solvent is removed. The organic layer is dried and concentrated. The compound (5-_ .1): can be isolated by carrying out the post-treatment operation of the compound.—The isolated compound (5.1) can be isolated by Kuguchi-Matog. According to et al: Can be refined roughly.
::、 ― . 工程: Τ6 -2 "- - 化合物 (53) は、化合物 (51) 化合物 (5.2) を反応させること,により、 - 製造することができる。 - Step: Τ6-2 "--Compound (53) can be produced by reacting compound (51) with compound (5.2).
• 該反応は、 通常溶媒の存在下で行われる。. ' - 一…― • The reaction is usually performed in the presence of a solvent. . '-One ...-
反応に用いられる溶媒としては、 .1, 4 -ジォキ. ヌ、 ·テ下ラヒ ドロフラン、 ェ チレングリ ールジメチノレエ一テル、 t e r ブチルメチルエーテノレ等の工^ *テ ル類, へキサン、 ヘプタン、 ォクタ X_等の脂肪族炭化水素類、 ジメチルホルムアミ ド等の酸アミ ド類、 無水酢酸等の酸無水物及びこれら..の混合物があげられる。 Examples of the solvent used for the reaction include: 1,4-dioxane, tertiary hydrofuran, ethylene glycol dimethinol ether, terbutyl methyl ether, and the like; hexane, heptane, octa X _______________________________________________ include aliphatic hydrocarbons such as _, acid amides such as dimethylformamide, acid anhydrides such as acetic anhydride, and mixtures of these.
■ ィ匕合物 (51) 1モルに対して、- J匕合物 (5' 2')· が通常 Γ〜― Ϊ" モノ 'の割合-であ る。 - — - - . 該反応の反応温度は、 通常 50〜150 の範囲であり.、 反応時間は通常 1'^ 2 4時間の範囲である。 '一' The ratio of -J ligated product (5 '2') · is usually Γ to-Ϊ "mono"-per mole of -did product (51). The reaction temperature is usually in the range of 50 to 150. The reaction time is usually in the range of 1 '^ 24 hours.
反応終了後は、 反応混合物を濃縮する等の後処理操作を行うことにより、 化合物 After completion of the reaction, the compound is subjected to a post-treatment operation such as concentration of the reaction mixture to obtain the compound.
(53) を単離することができる。 卑離された化合物-' (53) は、 クロマトグラフ ィー、 再結晶等により精製するこおもできる。 - 工程 1.6— 3 (53) can be isolated. The isolated compound- '(53) can be purified by chromatography, recrystallization or the like. -Process 1.6-3
化合物 (55) は、 化合物 (53) -と化合物 5A) またはその塩酸塩、 硫酸塩 ,等の塩とを反応させることにより、 '製造する jこ.とが-できる。 Compound (55) can be produced by reacting compound (53)-with compound 5A) or a salt thereof such as hydrochloride, sulfate and the like.
該反応は、 通常溶媒の存 下、 -—塩基の存在下'または非存在下で行われる。 The reaction is usually carried out in the presence of a solvent, in the presence or absence of a base.
該反応に用いられる溶媒とじては、 例えばメ Γタソール、 エタノール等の—アルコー ル類、 トルェン、ーキシレ,ン等の芳香族炭化水素類:、. -N, .N -ジメチスレ:ホル ァ. 'ミ- ·ド · 等の酸アミ ド類、 水及びこれらの混合物があげら-れる。. ' -: . - --■-■■ 7 · :. 反応に用-いられる塩基として.は、 例えば炭酸水素丈トリ-ゥム、 炭酸ナ-トリ:ゥム、 炭酸力リゥム等の炭酸塩類、 水酸化ナトリウム; 水酸化力リゥム等のアル力リ金属 水酸化物類、 ナト -リヴムメノトキシド'、 -ナト ゥムェ キシド、 ガリウム t-e r t一— - ブトキシド等の金属アルコキシド類があげおれる ϊ'. ' · 」 ^. :: :: . : · ι:■■■Examples of the solvent used in the reaction include alcohols such as methanol and ethanol, and aromatic hydrocarbons such as toluene, xylene, and the like: .-N, .N-dimethyles: phor. Acid amides such as mead, water, and mixtures thereof. '-:.--■-■■ 7 ·: As a base used in the reaction, for example, carbon dioxide such as hydrogen carbonate, sodium carbonate: aluminum, carbonated lime, etc. Salts, sodium hydroxide; hydroxides such as hydroxides, hydroxides, sodium-rivum menotoxide, sodium hydroxide, gallium te rt- -Metal alkoxides such as butoxide あ げ '.' · '^. ::: :::. : Ι : ■■■
- 化合物( 53 ) .1モルに対して-、化合物 (.54 )が通常 1— ·3モルの割合であり、一. 塩基を用いる場合には、 その量は通常- 0. 〜 モノ 割合でぁる^ : , ' - 該反応の反応温 は、 通常 Q〜 150 °C.の範囲であり-、 反応時間は通常 il〜 2 -4-The compound (.54) is usually in a ratio of 1 to 3 mol per mol of the compound (53). 1. When a base is used, the amount is usually in the range of -0.1 to mono. The reaction temperature of the reaction is usually in the range of Q to 150 ° C. The reaction time is usually il to 2 -4.
5 時間の範囲である。 - -— 5 hours range. --—
反応終了後は、例えば下記の方法で後処理操作を行 こ によ-り -、化合物 (¾- 5 )' :を単離することができる。 - · .-— :' い. - . - - , :. After completion of the reaction, the compound (¾-5) ′: can be isolated, for example, by performing a post-treatment operation by the following method. -· .-—: 'Yes.-.--,:.
- ( i ) 反応^;合物に必要に応じて有機溶媒を加えて濃縮する方法。 - ; :. -(i) Reaction ^; a method of adding an organic solvent to the mixture, if necessary, and concentrating the mixture. -;
( i i ) 反応混合物に必要に応じて有機溶媒を加えて、:濾過し、 濾液を濃縮する 10 :方法。 . " - - . (ii) If necessary, an organic solvent is added to the reaction mixture, the mixture is filtered, and the filtrate is concentrated. "--.
単離された化合物 55) は、 グロマ-卜グラフィー、 再結晶等によりさらに精製 The isolated compound 55) is further purified by chromatography, recrystallization, etc.
-- . すること.もできる。 - - -^. : ..- ■ - '' .二 .. - . : 工程 16 4 - v 二 . .: - · - ·'- :-You can do it. - - - ^: ..- ■ - '.' Two .. -:.. Process 16 4 - v two: -.. - - - '-:
15 化合物 (56) は、 化合物 (55) を塩基め存在下-で水-と-反応させること:によ -り ——製造することができる。 - - 該反応は、 通常水及び有機溶媒の― : -- :" 15 Compound (56) can be produced by reacting compound (55) with water in the presence of a base. --The reaction is usually carried out with water and an organic solvent.
存在下で fi1われる。一一 - - .: --— . ..:· -.. - -·¥' ·--.·- 反応に用いられる有機溶媒としては、 例えば—メタノ ル、 エタ—ノー-ル等のァ―ルコ:: - ― ール類、 テ.トラヒ ドロフラン、 1 , 4ージオギサン等のェ.一テル類及びこれらの混 20— —合物があげられる。 」. " ■ " -' Fi 1 in the presence. --.: ---. ..:-..--\ '· --..- Examples of organic solvents used in the reaction include methanol, ethanol, and the like. ―Ruco :: -―, teretrahydrofuran, 1,4-digiosan, etc., and mixtures thereof. "■"-'
- 反応に用いられる塩基としては、 例ぇぱ水酸ィ匕—リ -ヶム、冰酸化力リ:ゥム、 /水酸' 化ナトリウム等のアル力リ金属水酸化物等がおげられる。 -Examples of the base used in the reaction include, but are not limited to, hydroxyl, potassium hydroxide, aluminum hydroxide, and metal hydroxides such as sodium hydroxide. .
反応に用いられる塩基の量は、 化合物: 5) --1モルに対して、 通常 1 - Ό.モル, The amount of the base used in the reaction is usually 1-Ό.mol,
- の割合である。 : -.. :-The ratio of :-..:
25 該反^の反応温度は、 通常 0〜120°Cの範囲であり、 反応時-間は 0· 5 '4 時間の範囲である。 , · — _ . 'The reaction temperature of the reaction is usually in the range of 0 to 120 ° C., and the reaction time is in the range of 0.5 · 4 hours. , · — _. '
• 反応終了後は、反応混合物に塩酸等の酸を加えて酸性とした後、有機溶媒抽出し、 " 有機層を乾燥、 濃縮する等の後処理操作を行 ことにより—、 化合物 (5 を:単離 ,することができる。 単離された化合物 (5·_6·.) は; ·ク- :ロマ上グラフ.ィー :.再結晶筝: 30 によりさらに精製することもできる。 ' .· -.. : :': . 工程 16— 5 :-- ·' 一 一 - . ' - - ;二 .::::^^ 化合物 (57) は、 化合物 (.56) 塩素化剤-とを反応させる 'と ::り:製造す: - ることができる。 ― - - 二 : 一 二• After completion of the reaction, the reaction mixture is acidified by adding an acid such as hydrochloric acid, and then extracted with an organic solvent, followed by a post-treatment operation such as drying and concentrating the organic layer to obtain the compound (5: . isolation, can be isolated compound to the; - click (5-_6-.) -:.. Roma on the graph I over recrystallization koto: can be further purified by 30 ',.. -..:: ':. Step 16-5:-· '11-.'--; 2.:::: ^^ Compound (57) is converted to compound (.56) chlorinating agent- React with ':: r : produce:-can---2: 1-2
35 該反応は、 溶媒の存在下または非存在下で行われる^一 ; へ r. -' -. 35 The reaction is carried out in the presence or absence of a solvent.
反応に用いちれる溶媒と"^ては:例えば レエ :ン、.キ レジ等の芳香族炭化水素 穎、 クロ口ベンゼン等のハロゲン化炭化水素類及び れらの混合物があげられる。 : 反応に用いられる塩素化剤として-は、.例えば塩化チォ-ニル、 ォキシ塩化.リ-ン等が あげられる。 - - . . . . - - : - ; - 化合物(111) 1モルに ¾·して、塩素化剤が通常 1モル〜過剰量の割合:である¾ 該反応の反応温度は、 通常一 20-1 C O°Cの範囲でありい反応時間は通常瞬時―The solvent and "^ Te is that Chi used in the reaction: for example, is milled by wet:. Emissions, key register, etc. aromatic hydrocarbons Halogenated hydrocarbons such as benzene and black benzene, and mixtures thereof. : Examples of the chlorinating agent used in the reaction include, for example, thionyl chloride, oxychloride, and lean. .... - - - -: -; - Compound (111) was ¾ · 1 mole ratio chlorinating agent is usually 1 mole to excess: the reaction temperature of ¾ the reaction is usually one 20 Reaction time is usually instantaneous in the range of -1 CO ° C
〜24時間の範囲である。 . ' -:: - - ..+ :. - 反応終了後は、 反応混合物を濃縮する等の後処理操作を行うことにより、 化台物 : (57) を単離すること-ができる。.単離された化合物 (57)-は、 蒸留等によ り;さ;~ 24 hours range. '-::--.. +:.-After completion of the reaction, compound (57) can be isolated by performing post-treatment operations such as concentration of the reaction mixture. The isolated compound (57)-is obtained by distillation or the like;
-らに精製することもでぎる。 : ' - : -: . . - = -Can be refined. : '-:-:..-=
—工程 16— 6 —Process 16— 6
化合物 (58) は、 化合物 (.57) ·と了ンモ二-ァ.と-を反応させることにより..製造 することができる。 - ' Compound (58) can be produced by reacting compound (.57). -'
該反応は; 溶媒の存在下または非存在下で行われる。 ' The reaction is performed in the presence or absence of a solvent. '
反応に用いられる溶媒としては 1, 4—一、 ォ.キサン、 テトラヒ ド:口フラン、 -.: ^チレングリコーノレ-ジメチノレエーテル、 - 1 e,r t ブチノレメチノレエーテル等のエーテル 類、 へキサン、 ヘプタン、 オクタン等の脂肪族炭化水素類、 ク Pロ^ン ン等のノヽ ロゲン化炭化水素類、 酢酸プチル、 酢酸ェチル等のエステル類、 ァセ小二トリクレ等 二卜.リル類、 N, N—ジメチルホルムアミ卞等の酸アミ .ド類、 ジメチレスノレホキ- シド等のスルホキシド類、 水及び-これらの混合物があげられる。 _ Solvents used for the reaction include 1,4--1, oxane, tetrahydrofuran, -furan,-.: ^ thylene glycolone-dimethinoleether, -1 e , rt ethers such as butynolemethinoleether, Aliphatic hydrocarbons such as hexane, heptane, and octane; hydrogenated hydrocarbons such as chloroplone; esters such as butyl acetate and ethyl acetate; Acid amides such as N, N-dimethylformamide Byone; sulfoxides such as dimethylesnolefoxyside; water; and mixtures thereof. _
' 反応に用いられるアンモニアとしては、 例えばアンモニアガス、 アンモニア水等— があげられる。 ... - 「 - .: ■' . .. ;. - :. -:: :-. 化合物(5—7) 1モルに対して、アンモ が通常.1モル〜過剰量 割合であ ·る。 '- 該反応の反応温度は、 通常— 20〜 100°Cの範囲であり、 反応時間は通常瞬時 〜 24時間の範囲である。 - . ·.. . - . - ' ノ '.」 . 反応終了後は、 反応混合物を濃縮する等 後処理操作を行うことにより、 化合物 (58) を単離することができる。 単離ざれた化合物 (5:.8- ) は、 クロマ小 ラフ. ィ一、 '再結晶等によりさらに精製することも":できる。 - い . '. - ··.:.. - 工程 16— 7 : . — . — : - 化合物 (59) は、 化合物 (58) を、 塩基の存在下で臭素と反応させること.に? より.製造することができる。 ·. · — ·· . -'Examples of the ammonia used in the reaction include ammonia gas and aqueous ammonia. ...-[-.: ■ '. ..;.-:.-:::-. The amount of ammo is usually 0.1 mol to excess per 1 mol of compound (5-7). '-The reaction temperature of the reaction is usually in the range of −20 to 100 ° C., and the reaction time is usually in the range of instantaneous to 24 hours. After completion of the reaction, compound (58) can be isolated by performing post-treatment operations such as concentration of the reaction mixture. The isolated compound (5: .8-) can be further purified by chromatographic chromatography. — 7:. —. —:-Compound (59) can be produced by reacting compound (58) with bromine in the presence of a base.
- 該反応は通常水及び有機溶媒の存在下で行われる。 . . · · - -··· .: -The reaction is usually carried out in the presence of water and an organic solvent. · · ·--· · ·:
—反応に用いられる有機溶媒としては、.例えば; U 4—ジォキサン、 テトラヒ ドロ フラン、 エチレングリコーノレジメチノレエ テノレ、 -t e r t ブチ -人レメチノレエ テ;; k. 等のエーテル類、へキサン、ヘプタン、オダタン等の脂肪族炭化水素類、 トル : ·■ '等の芳香族炭化水素類、 ク:口口ベンゼン等のハロゲン化炭化水素類及びこ れらの混合物があげられる。 — ·'... ' —',。. . 二- 反応に用いられる塩基のと'レては.;. :例えば水酸化リチウム、 水酸化力 I ゥム、 水 酸化ナトリウム等のアルカリ金属水酸化物があげられる。 - . ' - 化合物 (5 8) 1-モノレに対して、 塩基が通常.1 : 1.0.モルの割合であ'り、 臭素が —通常 1 - 2モルの割合である。- '. -:∑,-■ - .. :. ..;■ - ―-Examples of the organic solvent used in the reaction include: U4-dioxane, tetrahydrofuran, ethylene glycolone resin methinolle tenoré, -tert buty-human lemethinolete te; ethers such as k., Hexane, heptane , Odatan and other aliphatic hydrocarbons, Torr: · ■ And aromatic hydrocarbons such as benzene, and benzene and the like, and mixtures thereof. — · '...' — ',. .... Two - is Te base capital 'Les used in the reaction;: such as lithium hydroxide, hydroxide force I © beam, alkali metal hydroxides, sodium water oxidation, and the like. -. '-Compound (58) 1-Monole, base is usually at a ratio of 1: 1.0. Mol, and bromine is usually at a ratio of 1-2 mol. -'.-: ∑,-■-..:. ..; ■-―
. -- 該反応の反応温度は、 通常一 2ひ .Q.O °Gの範囲であり:、 - 反応時間は通常瞬時 _ 〜— 24時間の範囲である。 :—' 一 ' - :: ニ'.」 ,. ― ': . ·- ".; - : . --:■-The reaction temperature of the reaction is usually in the range of 12 QO ° G: the reaction time is usually instantaneous _ to 24 hours. : - 'single' -:: 1 - '",..':.. · -"; -: -: ■.
- 反応終了後は、 反応混合物を有機溶媒抽出レ、〜有機層を乾燥、 濃縮する等の後処 理操作を行うことにより化合物 (5 9) を単離することができる。 単離された化合 物.(5 9)·は、クロマトグラフィー、再結晶等によりさらに精製すること できる。 -After completion of the reaction, compound (59) can be isolated by performing post-treatment operations such as extraction of the reaction mixture with an organic solvent, and drying and concentration of the organic layer. The isolated compound (59) · can be further purified by chromatography, recrystallization, or the like.
(中間体製造法 7) (Intermediate production method 7)
, - (63) - — . . : "— 一- , 〔式中、 L 2 は塩素原子、 臭素原子またはヨウ素原子を表し、 R3、 R6お よ び,-(63)-—.. : “— One-, [wherein L 2 represents a chlorine, bromine or iodine atom, and R 3 , R 6 and
R 10 は前記'と同じ意味を表す..。〕 : :. -: -- ― - 工程 1 7— 1および工程 1 7— 2 R 10 has the same meaning as in the above '. ]::.-:---Step 17-1 and Step 17-7-2
- 化合物 (3 9) は、 中間体製造法 4·と同様 製造する と—ができる。 ― ·,: - 工程 1 7— 3 . -.·. 一 - - .: · ' :-— , :.、 - -. -Compound (39) can be produced in the same manner as in Intermediate Production Method 4. ― · ,:-Process 1 7― 3. -... I--.: · ': -—,:.,--.
— 化合物 (6 3) は、 -化合物 (-3:-9:-). -と—化合物: 5 -4 ) またはその-塩 (例え 1 、 塩: 酸塩、.酢酸塩) とを反応-させる-こ.とによ.り製造-する:ことができる。 … · . ... • 該反応は、 通常溶媒め存在下:、 塩基の存在下まおは非存在下で行わ^ tる。 · - - 反応に用いられる溶媒とし-ては、 例えば: -ドルェン、 キシ ン等の芳香族炭化水素 ' 類、 N, N—ジメチルホルムアミ. K等 酸ァ.ミ ·Κ類 メタノール、 -ェ-タ ル等の- 5- 'アルコール類及びこれらの混合物があば れる。 .. · ~ : .ノ :- -;: 〜 : ― -反応に用いられる塩基とじては、:例-え-ば酢酸す-トリゥム:、 酢酸力リゥム等のアル: 〜· カリ金属酢酸塩類、 炭酸カリヴム、 炭酸ホ—トリ-ゥ:ム 炭酸水素ナ-トリ、ゥム等のアル カリ金属炭酸塩類、 ナトリ'ヴムメ キ -シド ゥ エトキシド、 カリウム t e . r t—ブトキシ K等のアル力リ金属 ノ コキ:シ Ηί類があばちれる έ -'.- ~:^ ' ― 10 - 化合物 (39) ίモルに対して、:化合物 (·5'4) またはぞの塩が通常 1〜- 3モル の割合であり、 塩基が触媒量〜 3モルの割合である。 - - - -、 -. : —-該反応の反応温度は、 通常 _20〜10_0°Cの範囲であり、 反応時間は通常ひ. 5 〜 24時間の範囲である。 -— ::— . ― - 反応終了後は、反応混合物を濃縮し、寧,過する等の後処理操作を行うことによ 、 15 化合物 (63—) を単離することができる'。 単鳞 れ ^イ^^物 (6-3)-は、 クロマ グラフ 一、 再結晶等によりざらに精製することもできる。 - - ? :' : — Compound (63) is -compound (-3: -9 :-). -And—compound: 5 -4) or its -salt (eg, 1, salt: Acid salt, acetate) to produce: … ·. ... • The reaction is usually performed in the presence of a solvent: in the presence or absence of a base. ·--Examples of the solvent used in the reaction include:-aromatic hydrocarbons such as dolene and xinine; N, N-dimethylformamid. K and the like; -Tall and other 5--5 'alcohols and mixtures thereof. .. ~ ~: .no:--;: ~:--The bases used in the reaction are: eg-acetic acid acetate-trim:, such as acetic acid rim: ~-potassium metal acetates Alkali metal carbonates such as sodium bicarbonate, sodium carbonate, sodium carbonate, sodium carbonate, sodium carbonate, sodium carbonate, sodium carbonate Roh Jobs: shea Ηί class is Abachireru έ -'.- ~: ^ '- 10 - relative to the compound (39) ί mol,: compound (· 5'4) or a salt of each usually 1~- The ratio is 3 moles, and the base is a catalyst amount to 3 moles. ----,-.:--The reaction temperature of the reaction is usually in the range of -20 to 10 ° C, and the reaction time is usually in the range of 5 to 24 hours. --::-.--After completion of the reaction, 15 compounds (63-) can be isolated by concentrating the reaction mixture and performing post-treatment operations such as filtration. The simple ^ a ^^ product (6-3)-can also be roughly purified by chromatography, recrystallization, or the like. --? : ':
20. 〔式中、 R11 は C 1一 C4アルキル基を表—し、 R3、 R 6は前記と同じ意味を-表す。〕 工程 18一 1 - · _Π ― - 1 .:·;. — : 一 . - -: ― 化合物 (6·6_) は、 化合物 - (64-) アジ化剤-と.化合物' お: 5 ;ま 反 ;させ ことにより、 製造すること.がで,きる'。 . -:. - -20. [In the formula, R 11 represents a C 1 -C 4 alkyl group, and R 3 and R 6 have the same meaning as described above. Step 18-1-· _Π--1.: · ;. —: 1.--:-Compound (6.6 · 6_) is a compound-(64-) azide agent-. In other words, it is possible to manufacture by making .-:.--
.該反応は、 通常溶媒の存在下で行われる。 - . - +一The reaction is usually performed in the presence of a solvent. -.-+ One
-25- -- 化合物- Γ65) は、 溶媒とじても用い'-られる; 化合物 (;6.5) ど ϋて、 -具体.的.に は、 例えばメタノール、 エタノール プロノヽ ° ル、 ブチルアル - ル、.. t-e r.-:t: 一ブチルアルコールがあげら.れる。. :. -■" : へ: ■ - 二 -- "- 反応に用いられるアジ化剤としては、::例えばジフ -ェ ル:ホスホリ ·ルァ「ジド、二ナト リウム トキシド等があげられる。 . . - - ■ , .: - - r-25--Compound- Γ65) can also be used in combination with a solvent '-; Compound (; 6.5) Examples include methanol, ethanol propylene, butyl alcohol, .. ter .-: t: monobutyl alcohol. ..-■ ": to: ■----The azide used in the reaction is, for example: diphenyl: phosphoryl lua" zide, dinatrium toxide and the like. .--■,.:--R
- -該反応の反応温度は、 通常 0〜 1· Θ 0 °Cの範囲であり、 .反応時間 瞬時 : 2 時 間の範囲である。 - ' -::—■.— · :' · . - -:: _..-· - · :.;. ·.: · ·:-: 反応終了後は、 反^混合物を濃縮する等の後処理操作に: 'り.、 化合物:. (「6 .) を 単離することができる。 · - ■ - - ― - - , - -. - : - 工程 18— 2 - : ノ :.—' 一 二 - -.: :ー: ノー--The reaction temperature of the reaction is usually in the range of 0 to 1.1 ° C, and the reaction time is in the range of 2 hours. -'-:: — ■ .— ·:' ·.--:: _..- ·-·:.;. · .: · ·:-: After the reaction is completed, concentrate the anti- ^ mixture. In the post-treatment operation, the compound :. ("6.") can be isolated. ·-■-----,--.-:-Step 18-2- : no:. 'One two--.:: ー: No
- 化合物 (63) は 化合物 (6-6).を、 ·酸 存在下で水と反応させること よ.り- 製造することができる。 、—:— — - . .… . ' . - 該反応は通常水及び有機酸類の存在下で 'われる。' . - ― - - ―-Compound (63) can be produced by reacting compound (6-6) with water in the presence of an acid. , —: — —-.... '.-The reaction is usually carried out in the presence of water and organic acids. '.-----
- 反応に用いられる有機酸類としては リフルォロ.酢酸;酢酸; プロピオ ^酸及:び. · —· これらの混合物があげられる。:: .— ;: -: -' . - — . ..— ;' ": -;■: : 該反応の反応温度は、 通常.40〜 120 °Cの範囲であ 、. -反応時間は通常 0 5 : 〜 24時間の範囲である。 - — — -· · . -Examples of the organic acids used in the reaction include trifluoroacetic acid; acetic acid; propionic acid; and mixtures thereof. :: .—;:-:-'.-—. ..—;' ":-; ■:: The reaction temperature of the reaction is usually in the range of 40 to 120 ° C. Normally 0 5: Up to 24 hours-----.
(67) (63) (68) (67) (63) (68)
〔式中、 R1 R2、 R3、 R7、 L2—は前記ど同じ意味を表 。 Γ-. - - . ■ : = 該反応は、 通常溶媒の存在下で行われる。 - ■ 」— ' — ·: .. : ': [In the formula, R 1 R 2 , R 3 , R 7 and L 2 — have the same meanings as described above. Γ-.--. ■: = The reaction is usually performed in the presence of a solvent. -■ ”— '— · ·: ..:':
反応に用いられる溶媒としては、 例えば- -1, 4 -ジォキサン、 テトテヒドロフラ ン、 ェチレ グリコールジメチ:ルエー ¾ル : t. "e r t―ブチルメ ルエ^テル等の エーテル類、 へキサン、 ヘプタン、 オクタン等の脂肪族炭化水素類、 トル- ン、 キー シ-レン等の芳香族炭化水素類、 クロ.口べ--ンゼン等のハ口-ゲ-ン化炭化水素類、 酢酸ェ チル、 酢酸ブチル等のエステル類、 ア-r. -卜-リル等の二トリル類、 ^メ-チフ .:スル ホキシド等のスルホキシド類及びこれらの混合物が.あげられる。 . - - : Solvents used in the reaction include, for example, -1,4-dioxane, tetotehydrofuran, ethyl glycol dimethyl: ruel: t. "Ert-butyl methyl ether, etc. Aliphatic hydrocarbons such as ethers, hexane, heptane and octane; aromatic hydrocarbons such as toluene and keylene; Examples include hydrogens, esters such as ethyl acetate and butyl acetate, nitriles such as a-r.-tolyl, sulfites such as methifif: sulfoxide, and mixtures thereof. .--:
- 反応に用いられる塩基としで-は、 例えば炭酸ナ -V .ゥム、 炭酸-力-リゥム等の炭 塩類、 ド ェチルァミン-; ジィソプ口 ノレ.ェチルァミン、 1, 8—ジァザ:ビシ久ロ 〔5, 4,: 0] ゥンデックー 7—エ - - 1, -、5:—·ジァザビシ; ロ,〔4, --3,.一 0〕 ノ -- 'ン一- 5—ェン等の第 3級アミン類及び^リ: ン;_、 4 ジメチルアミノピ.リジン等の 含窒素芳香族化合物類があげられる。 - ' 化合物 (6 7) 1モルに対 で、 化合物.. (.6:3) が通常 0. 5 2モルの割合で あ-り、 塩基が通常 1〜 1 0モルの割合である。 - . --; ; : .- : - -. -Examples of the base used in the reaction include: carbonates such as sodium carbonate -V.Pharma and carbonic acid-force-ream, etc., dotylamine-; disop-opene-noreth.ethylamine, 1,8-diaza: bishikuro [ 5, 4, 0] Pendek 7-d--1,-, 5:-diazabishi; b, [4, --3, .1 0] no Nitrogen-containing aromatic compounds such as tertiary amines and phenylamine; _, 4 dimethylaminopyridine. -'Compound (.6: 3) is usually 0.52 mol, and base is usually 1 to 10 mol, per 1 mol of compound (67). -.-;;: .-:--.
- 該反応の反応温度は、 通常 0〜- 5O°Cの _範囲:であり、 反応時間は通常 0. 1〜 24時間の範囲である。, 二 ' , ,. . - . - .人ヽ -,-The reaction temperature of the reaction is usually in the range of 0 to -5O 0 C, and the reaction time is usually in the range of 0.1 to 24 hours. , Two ',,......
: 反応終了後.は、 反応混合物を有機溶媒棘出し、 ·.必要こ応^ :水 ^加えて.濃縮して: - 水を加え、 有機溶媒抽出し、 乾燥、 -: _濃縮する.等 褒処理操作を行うことにより、 化 合物 (6.8) を単離する-ことができる。 :単離さ- たィ匕食物 6. ) は、 ク マ.,小グ. ラフィ ー、 再結晶等によりさらに精製する 'ことも^きる。 - - - 次に、 本発明化合物の具体例を以下 4こ:示.す-。 : After completion of the reaction, the reaction mixture is spiked with an organic solvent, and required.: Add water: Add water. Concentrate:-Add water, extract with organic solvent, dry,-: _ Concentrate. By performing the reward processing operation, the compound (6.8) can be isolated. : Isolated foods 6.) can be further purified by bears, small grains, recrystallization, etc. ---Next, four specific examples of the compound of the present invention are shown below.
式 (A— 1) で示されるァ ド化合物: · Ad compound represented by formula (A-1):
〔式中の R R2、 R R4 は、 表 1に'記載の置換基である。〕 [Wherein RR 2 and RR 4 are the substituents described in Table 1 ′. ]
式.(A— 2) で示されるアミ ド化合物 - - - OCHつ Amide compound represented by formula (A-2)--- OCH
(A-2) (A-2)
- 〔式中の R R2、 R3\ R4 は、 表 1に記载め置換基である。〕 - 式 (A— 3) で示されるアミ-ド化合物. --. · - . . ' 二 ; -[Wherein RR 2 and R 3 \ R 4 are the substituents described in Table 1. -An amide compound represented by the formula (A-3).
〔式中の R R2、 R3、 R4 は、 表 1に記載の置換基である。〕 式 (A— 4) で示されるアミ:ド化合物 . .、 -: -'. '_— ニー - 基である。〕 式 (A— 5) で示されるアミ ド化合物.. - : : . - ;: 一 - [Wherein RR 2 , R 3 , and R 4 are the substituents shown in Table 1. An amide compound represented by the formula (A-4)...,-:-'. Group. An amide compound represented by the formula (A-5) ..-::.
〔式中の R- —; R2、__=R-3、 R は、 表 1に記載の置換基で—ある。〕 式 (A— 6) で示されるアミド化合物- Wherein the R- -; R 2, __ = R- 3, R is a substituent described in Table 1 - is. ] Amide compound represented by the formula (A-6)
〔式中の R1 R2、 R3、 R4 は、—表 1に記載の置換基である 〕 式 (Α—— 7) で示されるアミド化合物 : 一一 -, ' - [R 1 R 2 , R 3 and R 4 in the formula are —substituents described in Table 1] Amide compound represented by the formula (Α——7): 11-, '-
〔式中の R R2、 R3、 R は、 表 1に記載の置換.基である。〕 ;- [Wherein RR 2 , R 3 , and R are substituents described in Table 1. ];-
(表 1の続き) (Continuation of Table 1)
(表 1の続き) (Continuation of Table 1)
(表 1の続き) (Continuation of Table 1)
(表 1の続き) (Continuation of Table 1)
式 (B— 1) で示されるアミ ド化合物 である。〕 Amide compound represented by formula (B-1) It is. ]
- -
〔式中の R1 R2、 R3、 R5 は、 表 2に記載の置換基である。〕 式 (B— 3) で示されるアミ ド化合物 '一 ::— - [R 1 R 2 , R 3 and R 5 in the formula are the substituents shown in Table 2. An amide compound represented by the formula (B-3) :
基である。〕 Group. ]
〔式中の R1 R2、 R3、— R5 は、 表 2に記載の置換基である。〕 式 (B— 5) で示されるアミ ド化合物 [Wherein R 1 R 2 , R 3 , and —R 5 are the substituents described in Table 2. ] Amide compound represented by formula (B-5)
〔式中の R R2、 R R5 は、 表.2に記載の置換基である。〕 式 (B— 6Γで示されるアミ ド化合物 ― [Wherein RR 2 and RR 5 are substituents described in Table 2. The amide compound represented by the formula (B-6Γ)
〔式中の R1 R2、 R3、 R5 ほ、 表 2に記載の置換基である。.〕 式 (B— 7) で示されるアミ ド化合物 · ·.---- -' — · [In the formulas, R 1 R 2 , R 3 , and R 5 are the substituents described in Table 2. .) Amide compound represented by formula (B-7) ·· -----'-·
〔式中の R R2、 R3\ R5 は、 表 2に記載の置換基である。〕 (表 2の続き) [Wherein RR 2 and R 3 \ R 5 are substituents shown in Table 2. ] (Continuation of Table 2)
〔表 2の続き) [Continuation of Table 2]
本発明化合物が防除効力を有する植物病害としては、 例えば藻菌類によ 植物病 害があげられ、 具体的には例えば次の病害があげられる。 ' '' ' - " 蔬菜類、 ダイ コンのベと病 (Peronospora -brassicae)-、 ·ホ.ヴレンソ "ゥのべと病 (Peronospora spinaciae)、 タノ ^ fのへと病 (Peronospor.a 'ノ リ ¾|の ベと (Pseudoperonospora cuDensis)、 フ r "ゥのべと炳 (Plasmopara yiticola)、. リ ンゴ、 イチゴ、 ャクヨウニンジンの疫病 (Phytophthora cactorum)、 トマト、 キ ユウジの灰色疫病 (Phytophora capsici)、 ノヽ0イナップノレの疫病 (Phytophthora cinnamomi) , シャガイモ、 卜マ 卜の疫病 (Phytophthora inf estans)、 'ダパ 、 'ソ ラマメ、 ネキの投炳 (Phytophthora nicotianae var. nicoti裏 e)、 ゥ,レン:ソゥ の立枯病 (Pythium sp. ) , キュゥリ-田 AL枯病 (Pythium aphanidermatura) Λ コムギ '掲色雪腐病(Pythium sp. )、タバコ苗立枯病 (Pythium debaryanum)、ダイズの Pythium rot (Pythium aphanidermatum, P. debaryanum, P. irregulare, P. mvr iotylum , P. ultimum)0 ·--■■' .. 本発明化合物を有効成分として含有する殺菌剤組成物は、.本発明化合物と:担体 (carrier) とを含有する。 担体は本発明化合物に対して不活性であり— Γ¾殺菌剤 糸且成物の施用形態等に応じて適宜選択される。 該殺菌剤組成物は、 必要に応じて界 面活性剤等の製剤用補助剤を更に含有していてもよい。 該殺菌剤組成物は、 乳剤、 —水和剤、 顆粒水和剤、 フロアブル剤、.粉剤、 -粒剤等の製剤形態を含む。 該殺菌剤組 成物は、 本発明化合物を通常 0 . 1〜9 0重量%含有する。 :. ' - " 製剤化の際に用いられる固体担体としては、 例えばカオリンクレー、 アツタパル ジャィ トクレー、ベントナイ ト、モンモリロナイ ト、酸性白土、パイロフィライ ト、- 5 タルク、 珪藻土、 方解石等の鉱物、 トウモ '口コシ穂軸粉、 クルミ殻粉等の天然有機- - Examples of the plant disease in which the compound of the present invention has a controlling effect include plant diseases caused by algae, and specific examples include the following diseases. ''''-"Vegetables, Radish Downy Mildew (Peronospora -brassicae)-, Ho. Vrenzo" ゥ Downy Mildew (Peronospora spinaciae), Tano ^ f Downy Mildew Pseudoperonospora cuDensis, Pseudoperonospora cuDensis, Plasmopara yiticola, Phytophthora cactorum, Phytophthora cactorum, Tomato and Phytophora capsici ), Nono 0 Inappunore of late blight (Phytophthora cinnamomi), Shagaimo, Bokuma Bok of late blight (Phytophthora inf estans), 'da path,' the Soviet Union Ramame, To炳of Neki (Phytophthora nicotianae var. nicoti back e), ©, Ren : Soybean wilt (Pythium sp.), Cucumber field AL wilt (Pythium aphanidermatura) Λ Wheat 'Snow color rot (Pythium sp.), Tobacco seedling wilt (Pythium debaryanum), Pythium rot of soybean (Pythium aphanidermatum, P. debaryanum, P. irregulare, P. mvr iotylum, P. ultimum) 0 : A carrier, which is inert to the compound of the present invention. Γ¾ Disinfectant The disinfectant composition is appropriately selected depending on the application form of the yarn and the like, etc. The disinfectant composition may further contain a formulation auxiliary such as a surfactant, if necessary. The fungicide composition comprises an emulsion, -Includes formulation forms such as wettable powders, wettable powders, flowables, powders, and -granules. The fungicide composition usually contains 0.1 to 90% by weight of the compound of the present invention. : '-"Examples of solid carriers used in the formulation include kaolin clay, attapar jacto clay, bentonite, montmorillonite, acid clay, pyrophyllite, -5 talc, diatomaceous earth, calcite and other minerals, and corn. Natural organics such as mouth cob flour and walnut shell flour--
- 物、 尿素等の合成有機物、 炭酸カルシゥ · .、 硫酸アンモニゥム等の塩類、 合成含水 酸化珪素等の合成無機物等からなる微粉末あるいは粒状物等があげられ、 液体担体 と しては、 例えばキシレン、 アルキルベンゼン、 メチルナフタレン等の芳善族炭化 水素類、 2—プロパノール、 ェチレシグリ'コール、 プロピレングリコー-ル'、 セロソ 10 ノレブ等のアルコール類、 アセトン、 シク.口べキサノン、 イソホロン等のケ.! ÷ン類、 - ダイズ油、 綿実油等の植物油、 石油系脂肪族炭化水素類、 エステル類 メチルス ノレホキシド、 ァセトニト リ/レ、 7J があげられる。 „ 界面活性剤としては、 例えばアルキル硫酸土ステル塩、 アルキルァリールズルホ ン酸塩、 ジアルキルスルホコハク酸塩、 'ポ —"ォキシエチレンアルキルァ'リールエー 15 テルリン酸エステル塩、 リグニンスルホン酸塩、 ナフタレンスルホネートホルムァ - ルデヒ ド重縮合物等の陰イオン界面. 性剤及びポリオキシエチレンアルキルァリ 一ノレエーテノレ、 ポリォキシエチレンァノレキノレポリォキシプロピレンプロックコポリ マー、 ソルビタン脂肪酸エステル等の非 オン界面活性剤があげられる。'— --Synthetic organic substances such as urea, calcium carbonate, salts such as ammonium sulfate, synthetic hydrous powders and granular substances made of synthetic inorganic substances such as silicon oxide, etc., and the liquid carrier is, for example, xylene. , Alkylbenzene, methyl naphthalene, etc., and aromatic alcohols such as 2-propanol, ethylesiglycol 'chol, propylene glycol', and cello 10 noreb, acetone, syrup, kebexanone and isophorone. Cosmetics,-Vegetable oils such as soybean oil and cottonseed oil, petroleum-based aliphatic hydrocarbons, esters methylsnorreoxide, acetonitrile, and 7J. „Surfactants include, for example, alkyl sulfate earth salts, alkylarylsulfonates, dialkylsulfosuccinates, 'polyethylenealkyla'arylates 15 tellurates, ligninsulfonates, Anionic interfaces such as naphthalene sulfonate formaldehyde- aldehyde polycondensate. Nonionic agents such as surfactants and polyoxyethylene alkyl acrylates, polyoxyethylene annalequinole polyoxypropylene block copolymers, sorbitan fatty acid esters, etc. Surfactants. '—-
"." - その他の製剤用補助剤としては、 例えばポリビニルアルコール、 ポリビエル i 口-"."-Other pharmaceutical adjuvants include, for example, polyvinyl alcohol, Polyviel i
20一-リ ドン等の水溶性高分子、 アラビアガム、 アルギン酸及びその塩、 CMC (力 レボ . キシメチルセルロース)、 ザンサンガム等の多糖類、 ァノレミニゥムマグネシウムシ リケ一ト、 アルミナゾル等の無機物、 防腐剤、 着色剤、 P A—P (酸性リン酸ィ プ 口ピル)、 B H T等の安定化剤があげられる。: 20 Water-soluble polymers such as 1-lidone, gum arabic, alginic acid and its salts, polysaccharides such as CMC (forced methoxymethylcellulose), xanthan gum, and inorganic substances such as anolemminium magnesium silicate and alumina sol , Preservatives, colorants, stabilizers such as PA-P (acidic acid mouth pill) and BHT. :
- 本発明の殺菌剤組成物は、例えば植物体に'処理することにより S該榼杨を植物病 25 害から保護するために用いられ、 また、 土壌に処理することに り当該土: に生育 -する植物を植物病害から保護するために用いられる。 ' ' . -The fungicide composition of the present invention is used to protect S from plant diseases by, for example, treating plants, and growing on the soil by treating the soil. -Used to protect plants from plant diseases. ''.
本発明の殺菌剤組成物を植物体に茎葉処理することにより用いる場合または土 連に処理することにより用いる場合、'その処理量は、 防除対象植物'である.作物等 ,種類、 防除対象病害の種類、 防除対象病害の §生程度、 製剤形態、 処理時期、 気象 30 条件等によって変化させ得るが、 O O O O m2 あたり本発明化合—物として通常 1When the fungicide composition of the present invention is used by applying foliar treatment to plants or by applying it to soil, the treatment amount is a plant to be controlled. type, § raw about control target disease, formulation form, treatment period, but may be varied depending meteorological 30 conditions, OOOO m 2 per the present invention compounds - generally 1 as an object
〜5 0 0 0 g、 好ましくは 5 ^ 1 0 0 0 gである。 ' ' ■ 5500 g, preferably 5 ^ 100 g. '' ■
. - .乳剤、 水和剤、 フロアブル剤等は 通常水で希釈レて散布することにより処理す - る.。この場合、本発明化合物の濃度は 3常 0 . 0 0 0 1 3重量%、好ましくは Ό .; •Ό 0 0 5〜 1重量%の範囲である。 粉剤、 粒剤等ば通常希釈することなくそのまま- 35 . 処理する。 _ -Emulsions, wettable powders, flowables, etc. are usually processed by diluting with water and spraying. In this case, the concentration of the compound of the present invention is usually 0.0013 to 13% by weight, preferably Ό. Powders, granules, etc. are usually treated without dilution. _
また、 本発明の殺菌剤組成物は種子消毒等の処理方法で用いることもできる。 そ : ·.——の方法としては、例えば本発明化合物の濃度が- _1〜 1: 0 0ひ p P mとなる-ように調 製した本発明の殺菌剤組成物に植物の種子を浸漬する ·方-法、 植物の種子に本発明^: • 合物の濃度が 1〜 1 0 0—O p p mの本発明の殺菌剤铒成物を噴霧もしくは塗沫す ' —る方法及び植物の種子に本発明の殺菌剤組成物を粉衣する方法があげられる。 - " 5 本発明の植物病害防除方法は、 通常本発明の殺菌剤組成物の有効量を、 病害の発 -生が予測される植物若しくはその植物が生育—する土壌に処理する、 及-び または病 害の発生が確認された植物若しぐはその植物が生育する:土壌に処理するこ.とによFurther, the fungicide composition of the present invention can be used in a treatment method such as seed disinfection. So For example, the method of the present invention is to immerse plant seeds in the fungicidal composition of the present invention prepared so that the concentration of the compound of the present invention is-1 to 1: 100 pPm. Spraying or spraying the seeds of the present invention on plant seeds ^: • Spraying or smearing the fungicide composition of the present invention with a compound concentration of 1 to 100-O ppm A method for dressing the fungicide composition of the present invention is described below. The method for controlling plant diseases of the present invention generally comprises treating an effective amount of the fungicidal composition of the present invention with a plant in which the occurrence of a disease is predicted or a soil in which the plant grows, and Alternatively, if the disease has been confirmed, the plant will grow if it is found: treating it with soil.
. —ϋ行われる。 . · -- , . - . -一.. —Ϋ is done. ·-,.
—- - 本発明の殺菌剤組成物は通常、 農園芸用植物病害防除 ; 即ち畑地、 '水田、 :臬樹: 10— 園、 茶園、 牧草地、 芝生地等の植物病害を防除するための植物病害防除剤として用- - レヽられる。 . -ノ :,;. - . :— ' - - -. . 本発明の殺菌剤組成物剤は他の植物病害防除剤剤、殺虫剤、殺ダニ剤 殺線虫剤、—--The fungicide composition of the present invention is generally used for controlling plant diseases for agricultural and horticultural use; that is, for controlling plant diseases such as upland fields, 'paddy fields: 臬 trees: 10- orchards, tea fields, pastures, lawns, etc. Used as a plant disease control agent. The fungicidal composition of the present invention may be used for other plant disease controlling agents, insecticides, acaricides, nematicides,
·· 除草剤、 植物生長調節剤及び Ζまたは肥 # と共に用いることもできる。 ·' ::二.· Can also be used with herbicides, plant growth regulators and Ζ or fertilizers. · ':: two.
" かかる植物病害防除剤の有効成分と::しては、 例えば、 -ク -口ロタ口 -ル、 ブルアジ-"The active ingredients of such plant disease control agents are:
15 ナム、 ジク口フルァニド、 ホセチル— A 1、 _環状ィ-ミ ド誘導体 ·(キヤプダン、 キ プタホーノレ、 フォノレペット等)、 ジチォカーバメー.ト誘導体 (マンネブ、 マンコゼ- . ブ、 チラム、 ジラム、 ジネブ、 プロゼネブ等)、 無機も-しぐは有機の銅誘導体 (-塩 基性硫酸銅、 塩基性塩化銅、 水酸化銅、 ォキシン銅等)、 ァ:ンルァラニン誘導体 (メ. - ― タラキシル、 フララキシル、 オフレー-ス、 シプロ:フラ.ン、 ベナラキシノレ、 :ォキサジー 20 キシル等)、 スト口ビル—リ ン_系化合物(クレソキ、 ムメチ.ル-、 .ァ—ゾキシス ト口ビン、 .. ト リフロキシスト口ビン、 ピコキシス ト口ビン.、 ピラク口ス 卜口ビン、 ·.ジモキシス:—: ト 口ビン等)、 ァニリズピリ ミジン誘導体.(シプロジニル、 ピリ.メタニル; メパ二- ピリム等)、 フエ二ルビロール誘導体.(フヱ^ピクロ二ル、 フルジォキソニル等)、 イミ ド誘導体 (プロシミ ドン、 イブ ジオン. ^ンク口.ゾリン等)、 ベンズィミダ-.15 Nam, Zikuguchi Fluanide, Josetyl-A1, _Cyclic imide derivatives (capyad, capitahonore, phonorepet, etc.), dithiocarbamate derivatives (manneb, mancozebu, thiram, ziram, zineb, prozeneb) Etc.), inorganic copper salts are organic copper derivatives (-basic copper sulfate, basic copper chloride, copper hydroxide, oxine copper, etc.), and a: n-alanine derivatives (me. , Cypro: furan, benalaxinole,: oxazine, 20xyl, etc.), stoline bil-lin _ compounds (cresoki, methethyl-,.口 ビ ン ス · ピ ピ ピ ピ ジ ジ ジ ジ ジ ジ ビ ン ビ ン ビ ン 口 ビ ンTwo -... Pirimu etc.), phenylene Rubiroru derivative (full We ^ Pikuro alkenyl, Furujiokisoniru etc.), imide derivatives (Puroshimi Don, Eve dione ^ link port ethylbenzthiazoline etc.), Benzuimida -.
25. ゾール誘導体 (カルベンダジム、 べソミル、 チアベンダゾール、 チオファネー小メ ... チル等)、 アミン誘導体(フェンプロピモノレフ.、 小リデモルフ、 -フエ:ンプロピジン、-— . . . スピロキサミン等)、 ァゾール誘導体 '· (プ口ピコナ -ゾ.ール; トリ 7:ジメノ一ノ-&、一プ 口クロラズ、ペンコナゾーノレ、テブ' 33.ナゾ一-ノレ、' .フソレシーラゾ一ノレ、ジニコナ-ゾ一ノレ、 ,ブロムコナゾーノレ、エポキシコナゾ ノレ、ジフェノユナゾ ノレ、シプ口コ-ナゾーノレ.、 -25. Zole derivatives (carbendazim, besomyl, thiabendazole, thiophane small methyl, etc.), amine derivatives (fenpropimoneolef, small lidemorph, -phen: npropidine, ----... Spiroxamine), azole Derivative '· (Pico Picona-Zole; Tri 7: Dimeno-No- &, Ipe-Chloraz, Penconazonole, Teb' 33.Nazo-Nore, '. ,, Bromconazonore, Epoxyconazonore, Difenounazonore, Ship mouth co-nazonore.,-
30 メ トコナゾール、 トリフノレミゾーノレ、 - ラ -コナゾ :ル-、 --マイク口ブタニル、 フエ ンブコナゾール、 へキサコナゾール-、 ·フノレキ ^.コナ ^一ノレ、 .トリティ.コナ ール、:30 Methoconazole, Trinole mizonole,-La-Conazo: Le-,-Mike mouth butanyl, Fenbuconazole, Hexaconazole-, Funoleki ^.
- J ―ビテルタノール、 ィマザリル、 フルト..リァホ ル等)、 シモキ-サ-ニソレ、 ジ; ^ド ル」 フ、 ファモキサドン、 フエナミ ドン、 - ィプ ダ了—リ:カルブ、—ベンチアノや:リ:^ノレブ: - シァゾフアミ ド、 ゾキサミ ド、 タボキサム、. :ニコ-ビフエ 、 フエンへキサミ -ド、 --J-bitertanol, imazalil, furth .. liarol, etc.), simoki-sa-nisole, di; ^ Noreb: -Cyazofuamide, Zoxamide, Taboxam,. : Nico-bihue, Fuenhexamid,-
35 キノキシフェン、 ジエトフェンカノレブ及びァシベンゾラール Sメチルがあげられる。 以下、 本発明を製造例、 製斉例及び試験例等によりさら.に詳.レく説明するが、.本 明はこれらの例のみに限定されるものではない。 .— :. ... - ·,, まず、 本発明化合物の製造例を示す。 :· - 製造例 1— 1 · - . - ·- ■ ' 35 Quinoxifene, dietofencanoleb and acibenzolar S-methyl. Hereinafter, the present invention will be described in more detail with reference to Production Examples, Production Examples, Test Examples, and the like, but the present invention is not limited to these Examples. First, production examples of the compound of the present invention will be described. :--Production example 1— 1 ·-.-·-■ '
5 ァミノ一 4— (3, 4 ジ-メ'トキシフェ.ニル) -イソキサゾール -0 , 37 gと - トリェチルアミン Ό-. "50 g-とをテトラヒ ドロフラン 1 -Om 1に溶解-し、 こ. に 2 一 (2—プロピニルォキシ) 2— ( 4 クロ フエ二ル)-酢酸塩化物.0. 4-Q g を滴下して、 室温で 3時間攪拌した。 その後、 反応混合物に酢酸ェチルを加えて濾 過し、 濾液を減圧下濃縮し、 残渣をシリカゲルク^マトグラフィー (展開溶媒.: ^へ キサン 酢酸ェチル = 1/1)-に付-し、 N { .( 3 , 4—ジメ—ドキシフ :ニル) イソキサゾール— 5 ィル } — 2— (·2 プロピエルォキシ) 2— (4—クロ口: フェニル) ァセトアミ ド (以下、 生成物— 1— 1と.記す) .0. 049 gを得た。 5 Amino 4- (3,4-di-methoxyphenyl) -isoxazole -0, 37 g and -triethylamine Ό-. 50 g- is dissolved in tetrahydrofuran 1 -Om 1 and 0.2- (4-chlorophenyl) -acetic acid chloride (0.4.4-Q g) was added dropwise, and the mixture was stirred at room temperature for 3 hours, and then ethyl acetate was added to the reaction mixture. The filtrate was concentrated under reduced pressure, and the residue was subjected to silica gel chromatography (developing solvent: ^ hexane ethyl acetate = 1/1)-to give N {. (3,4-dimension). Doxyf: nil) isoxazole-5yl} —2- (· 2propieroxy) 2- (4-chloroacetate: phenyl) acetamide (hereinafter referred to as product—1-1) .0.049 g was obtained. Was.
生成物 1— 1 - ■ r Product 1— 1-■ r
— NMR (CDC 13, T S) δ ( ρ ρ m) : 2-. 5 6 (1 Η, -t , -J = 2 r . · Η ζ 3. 7 1 (3 Η, - s ):、:' 3.-—8 8 (3 Η, s ) -4. 1 2 - (-1 Η, -d d d :- J = 2. 4H z , 1 5. 8H z 4. 38- (Ι Η,- d d-r J = 2. 4 H z , 1-5. — NMR (CDC 13, TS) δ (ρ ρ m): 2-. 5 6 (1 Η, -t, -J = 2 r . · Η ζ 3.7 1 (3 Η,-s):,: '3 .-— 8 8 (3 Η, s) -4. 1 2-(-1 Η, -ddd:-J = 2.4 Hz, 15.8 Hz 4.38- (Ι Η,-d d- r J = 2.4 Hz, 1-5.
.7 7 -.6. .80 (3H m)、 7. .22 - 7. s)、 - 8 7 5 (tH, -s) ― .7 7 -.6. .80 (3H m), 7. .22-7.s), -87 5 (tH, -s) ―
製造例 2 1— ^ ■ ·;- - - - -- - - - - ■ トルエン 1 50m 1に 4 メチルスェニルダリオキシル酸 1 0.. _0 gと塩化チォ ニル 7. 2 m 1 と N, N—ジメチルホルムアミ ド 0:. 2 gを加えて、 80 °Cで 1時—: 間攪拌した。 その後、 反応混合物を室温付近まで放冷してから減圧下濃縮じ f粗 4 ·. 〜メチルフエニルダリォキシル酸塩化物 1 2. 1 gを得た。 ·· 二 :-■: . .- . テトラヒ ドロフラン 50 m l:に生成物 Π— 6- aの 2.. 1 gと.トリ チル ミ-ン 2 - m 1 とを混合し、 この混合液に 0 5°Cで、 上記の粗 4· -メ.チルフェ ル -グ:リォ—キ: -シル酸塩化物 1. · 8 gをカ卩え、 -室温で 2時間攪拌した。 -その後、 反応混-合物に水を -: カロえて减圧下濃縮して、 クロロホルムで &回抽出-した。.有機;!を乾燥し、減圧. 濃 : 縮して、残渣をシリカゲルクロマトグラフ-ィ一に付し、下記の物性の生成物 (以下、 _一 生成物 2 1と記す) 1. 4 gを得た。 - - —- — ·... Production Example 2 1— ^ ■ · ; ---------■ Toluene 1 50 m 1 in 4 methylsenyldalioxylic acid 10 .. _0 g and thionyl chloride 7.2 m 1 and N, N-dimethylformamide (0: 0.2 g) was added, and the mixture was stirred at 80 ° C for 1 hour :. Thereafter, the reaction mixture was allowed to cool to around room temperature, and concentrated under reduced pressure to obtain 12.1 g of f crude 4 · -methylphenyldaloxyl chloride. ··· Two:-■: .-. Tetrahydrofuran 50 ml: Mix product 2.1-g of 6-a with Tritylamine 2-m1 and add this mixture At 0.5 ° C., 1.8 g of the above crude 4-methylthiol-g: lyochloride-silicic acid chloride was added, and the mixture was stirred at room temperature for 2 hours. -After that, water was added to the reaction mixture-: concentrated, concentrated under reduced pressure, and extracted with chloroform & times. .Organic ;! The residue was subjected to silica gel chromatography to obtain 1.4 g of a product having the following physical properties (hereinafter, referred to as _-product 21). -----...
生成物 2— 1 — 一- -1 H-NMR- (CDC 13 , TMS) δ .( p p.m) .2. -45 .( 3 H-, 一- s )、 3. -9 " 4- (3 H-, · s ) , 3. 97- ( 3 H;: s ); 3. .9 -9 ( 3 H, s )、. 7. 00- 7 1 8 (-3H, m)、 7.- 31 (2H; d, J 8 H )、— 8 ·, 26 : (-1 :,-一 s )、 8 —3 6- (2H, d, J = 8H z)、 .9. 1 6 (1 H, b r s ) " Product 2—1—One- -1 H-NMR- (CDC 13, TMS) δ. (P pm) .2. -45. (3 H-, 1- s), 3. -9 "4- (3 H-, · s), 3.97- (3H;: s); 3.9.-9 (3H, s) ,. 7.00-718 (-3H, m), 7.-31 (2H; d, J 8 H), — 8, 26: (-1:,-1 s), 8 — 3 6- (2H, d, J = 8 Hz), .9.16 (1 H, brs) "
-- -
製造例 2— 2· .· -: … … ―' 一 .·: - 生成物 ·2— 1の 1 · 1 gをェタノ一/レニ20 m 1に混合:し、-.ここに 0〜 5. で7|素- 化ホウ素ナトリウム 33 m gを加え;-室温で 5時間攪拌した。 その後、 反応混合物 を減圧下濃縮し、 水を加えてクロ口ホルみで_3.回抽出,した。 有機層を乾燥し、 .減圧 ' 下濃縮して、 下記の物性の生成物 (-以下、 生成物 2 2と.記す) 1 l_gを得た ό 生成物 2 2 - ― -: : - . - '-. .·■ . - -: .Production Example 2—2...-:……-'1.:-Product 1-1 g of 2-1 is mixed with Etano-1 / Leni 20 ml:-, where 0 to 5 Then, 33 mg of sodium 7-borohydride was added thereto; and the mixture was stirred at room temperature for 5 hours. Thereafter, the reaction mixture was concentrated under reduced pressure, water was added, and the mixture was extracted three times with a black hole. . The organic layer was dried, vacuum 'and lower concentrated product of the physical properties of the following (-. Or less, the product 2 2 referred) 1 L_g give the ό product 2 2 - - -:: - -. .. '- · ■ - - .:.
— NMR (CDC 13 , TMS) δ (ρ ρ m") : 2..3.6 (3 Η, s)、- 3..3 : 1 H, d)、 3. 88 (6H, s)、 3. 92 ( 3 H, s)、 5.. 2 ( 1— H, d )-、 · 6. · 86— 7. 21 (5-H, m)、 . 33 (2H, d, J =8H z)v'8. 06 (1 H, s-)、 8. 2 (1H, b r s) - :— - - - — NMR (CDC 13, TMS) δ (ρ ρ m "): 2..3.6 (3 Η, s),-3..3: 1 H, d), 3.88 (6H, s), 3. 92 (3 H, s), 5. 2 (1—H, d)-, · 6. · 86—7.21 (5-H, m),. 33 (2H, d, J = 8 Hz) v'8. 06 (1H, s-), 8.2 (1H, brs)- : ----
製造例 2— 3 - 二 - . ヘ : ノ . ' ■ ,,: Production example 2-3-2-. F: no. '■ ,,:
- '生成物 2— 1の 20 gをメタノール 5 m 1に混合し、 - 0-メチレ :ドロキシ― ,ルァミン塩酸塩 57 m gとピリジン 0 · G 5 1 m 1を加えて ·、 室温で 6:時間攪拌し 'た。 その後、 反応混合物を減圧下濃縮-して Γ残渣を薄層クロマトグラフ-ィ一で分取-. :憎製して、 下記の物性の生成物 (以下:、 生成物- 2— 3:と記す) .0-, l、4-.-g.を得た。 ^成物 2— 3 .. .:: · - . 、: , - - ,二:.;: . " H一 NM-R ( C D C 13, - TM S ) δ ( p p m) :—2" .3" 7 (3H, s) -、 .3 ,.,:8-7-. (:3H, s)、 3. 9 1 (3H, s)、了 3. 95 (3H, ' S.)、 4. Θ 4 (-3H;' s)、 二. 6. 92 (1H, d, J 8. 4Hz)、 7. 09 (1、H, d d J = 8 4, 2. -'20 g of product 2-1 is mixed with 5 ml of methanol, and-0-methylene: droxy-, 57 mg of luminamine hydrochloride and pyridine 0 · G5 1 ml are added. Stir for hours. Thereafter, the reaction mixture was concentrated under reduced pressure - to Γ residue was purified by thin-layer chromatography - preparative I one minute -:. Hatred made to the product of the following physical properties (hereinafter: the product - 2-3: and 0.0-, l, 4 -.- g. ^ Narubutsu 2 3 .. ::. -,:, - -, Two:;:.... " H one NM-R (CDC 1 3, - TM S) δ (ppm): -2". 3 "7 (3H, s)-, .3,.,: 8-7-. (: 3H, s), 3.91 (3H, s), 3.95 (3H, ' S. ), 4.Θ4 (-3H; 's), 2.6.92 (1H, d, J 8.4 Hz), 7.09 (1, H, dd J = 84, 2.
0H z)、 7. 14 (1 H, d, J =2 ::QHz)、 7. 19 (2H, d, J = 8. 4Ή ζ)·、 7. 45 ( 2Ή, d p=:8. 4 H zう 、 -8·· 1-5 (ΙΗ, b r s)\ 8. "2 3- (1Η, s) 0H z), 7.14 (1 H, d, J = 2 :: QHz), 7.19 (2H, d, J = 8. 4Ή ζ), 7.45 (2Ή, dp =: 8.4 Hz, -8 · 1-5 (ΙΗ, brs) \ 8. "2 3- (1Η, s)
製造例 :2— 4 :- " , . ― : ,. Production example: 2-4:-", .- ::,.
' テトラヒドロフラン ·20 m l-に生成物 2—' 2の 0—· 71 gとトリェチルァミン 0.'Tetrahydrofuran · 20 ml of product 2-' 0-71 g of 2 and triethylamine 0.
5 2m lとを混合し、 .ここに 0 °C付近:で塩化メタンスルホニノレ 0. 21m lを滴下 —-し: 室温で 2時間攪拌した。、.反応混合物に水を加えて、 酢酸ェチルで抽出レた。.有 機層を 3 %塩酸および水で順次洗浄.じ、 乾燥し、 減圧:下濃縮:した。我渣に Λ2―プ:口 ' - ピン— 1—オール 3 m 1を加えて、 約- '8 °C:で :2時間攪拌 た。.その後、 反応混合,」 物を室温付近まで放冷ーレてから水を加え、:.酢酸ェチ.ルで抽出した。 ,·有機層を水、.飽— 和炭酸水素ナトリウム水溶液および飽和食塩水で順次洗浄した後、 _乾燥レ、 減圧下- 濃縮し、残渣をシリ力ゲルクロマトダラス 、に付 、下記の物性の生成物 (以下.; - 生成物 2— と記す) -0. 50 gを得た:。 - . . — - - 生成物 2— 4 -:: . -Then, 0.21 ml of methanesulfoninol chloride was added dropwise at around 0 ° C .: The mixture was stirred at room temperature for 2 hours. Water was added to the reaction mixture, and the mixture was extracted with ethyl acetate. The organic layer was washed successively with 3% hydrochloric acid and water, dried, and concentrated under reduced pressure. To the residue, 3 ml of Λ2-loop: mouth'-pin-1-ol was added, and the mixture was stirred at about −8 ° C .: for 2 hours. Then, the reaction mixture was allowed to cool to near room temperature, water was added, and the mixture was extracted with ethyl acetate. The organic layer was washed successively with water, saturated aqueous sodium bicarbonate solution and saturated saline, then dried, concentrated under reduced pressure, and the residue was subjected to silica gel chromatography to obtain the following physical properties. The product (hereinafter referred to as.;-Product 2—)-0.50 g was obtained: -.. —--Product 2— 4-::.-
1 H-NMR (CDC 13, TM S ) - δ (p p m) : 2 •35 (3H, s)、 2 4. 8 -2. 49 (1 H, m)、 3. 89 (3 H, s), 3 95 "( 3 H, s)、 3 9 1 H-NMR (CDC 1 3 , TM S) - δ (ppm):. 2 • 35 (3H, s), 2 4. 8 -2 49 (1 H, m), 3. 89 (3 H, s ), 3 95 "(3 H, s), 3 9
6 (3H, s)、 4. 01 -4. 30 (2-H, m)、 5 14 ( 1 ¾ s )、 6 96 (3H, s), 4.01 -4.30 (2-H, m), 514 (1 ¾s), 6 9
H, m)、 8. 08 ( H, m), 8.08 (
2. 4 gとジフエニルホ スホリルアジド.2. 6 g-と h -ェチルアミン 1 0 gとを混合し、. 還流下 6時間攪- 拌した。 反応混合物を減圧下濃縮し; 残渣をシリ力ゲルク口マトダラフイ一に付し- た。 得られた精製物と トリフルォロ酢酸 lm 1と酢酸 3 m 1と水- lm 1とを混合し、 60°Cで 3時間攪拌した。 室温付近まで放.冷した反応混合物に水を加え、二酢酸ェチ ノレで抽出し、 有機層..を飽和炭酸水素-ナトリウム水溶液で洗浄後、 減圧下濃縮した。 - られた残渣と トリェ-チノレア.ミ-ン 0. 50 g-とをテトラヒ ド t?フラン 10m に混 合し、 ここに 2— < 2—プロ-ピオ-ルォキジ) —2— (4 グロ口フエニル) 酉乍酸 塩化物 0. 50 gを加え、 室温で 4時間攪拌した。 その後反応混合物を減圧下 ¾S縮 • し、 残渣をシリカゲルク口マトダラフイ一に付:し、.下記の物性の生成物 (以下、 生 成物 2— 5と記す) 0 43 gを得た。 . ·' " - 生-成物 2— 5 · - -:, - . ' - iH— NMR (CDC 13,. TMS) δ (P P— in) : 1. 46 (9H, s)、 2. 43 (1"H, t , J =2. 4H zゥ.、 3. 8 -4. 00 (7H,—m)、. 4. 08— 4. .1.6 (1-H, m)ゝ 4. 98 ( 1 H, s ) 6. -7: 5— 6 · · 9 & (3 . m)、 7. 1 6 - 7. 30 (4H, m)、 7. 12 ( 1 Η,ν s.)v 7. _95— ( 1Ή,- s:) - .— - : ' ~ ':" - - " — 2.4 g of diphenylphosphoryl azide, 2.6 g- and 10 g of h-ethylamine were mixed, and the mixture was stirred under reflux for 6 hours. The reaction mixture was concentrated under reduced pressure; the residue was applied to a matting agent. The obtained purified product, trifluoroacetic acid lm1, acetic acid 3 ml, and water-lm1 were mixed and stirred at 60 ° C for 3 hours. Water was added to the cooled reaction mixture, and the mixture was allowed to cool to near room temperature. The mixture was extracted with a paste, and the organic layer was washed with a saturated aqueous solution of sodium hydrogen carbonate and concentrated under reduced pressure. -The obtained residue and 0.55 g of trie-tinolea. The mixture was mixed with 10 m of furan, and 0.50 g of 2- <2-propio-loxodi) -2- (4 glo-mouth phenyl) acid chloride was added thereto, followed by stirring at room temperature for 4 hours. Thereafter, the reaction mixture was subjected to 縮 S reduction under reduced pressure, and the residue was subjected to a silica gel gel. To obtain a product having the following physical properties (hereinafter referred to as product 2-5) 043 g. . · '"- Raw - Narubutsu 2- 5 · - - :, -. ' - iH- NMR (CDC 1 3, TMS.) Δ (PP- in): 1. 46 (9H, s), 2. 43 (1 "H, t, J = 2.4 Hz ゥ., 3.8 -4.00 (7H,-m), .4.08— 4..1.6 (1-H, m) ゝ 4. 98 (1 H, s) 6.-7: 5-6 · 9 & (3.m), 7.16-7.30 (4H, m), 7.12 (1 Η, ν s.) v 7. _95— (1Ή,-s :)-.—-: '~': "--" —
製造例 2— 6 -.- . - . 一 Production example 2—6 -.-.-.
生成物 2 _ 5の 0. 43 gと希塩酸 1 O m:lとを混合し、還流下 3時間攪拌した。. 室温付近まで放冷した反応混合物に水を加え、 酢酸 チルで抽出した。 有機層を乾 燥、 減圧下濃縮して、 .残渣をシ-リ力ゲルク'口.マ小グラフィ に付し、.下記の物性の- - 生成物 0. o i ogを得た。 - : : - . 一 ― . . - 生成物 2— 6 " 0.43 g of the product 2-5 was mixed with dilute hydrochloric acid 1 Om: l, and the mixture was stirred under reflux for 3 hours. Water was added to the reaction mixture that had been allowed to cool to near room temperature, and extracted with tyl acetate. The organic layer was dried and concentrated under reduced pressure, and the residue was subjected to a series of gel chromatography to obtain a product having the following physical properties: 0-iog. -::------Product 2-6 "
1お _NMR (CDC 13, TMS) 8 ( p p m) : 2. 5 (1 H, t, J - 2. 4Hz)、 3. 92 (3H, -s)、 .3. 95 (3H, s -)、 4, 05 —(1H, d d, J =2. 4H z , 15. 8Hz)、 4. 31. ( 1 H, d d, J =2. 4 H z 1 5.1 Contact _NMR (CDC 1 3, TMS) 8 (ppm):. 2. 5 (1 H, t, J - 2. 4Hz), 3. 92 (3H, -s), .3 95 (3H, s - ), 4, 05 — (1H, dd, J = 2.4 Hz, 15.8 Hz), 4.31. (1 H, dd, J = 2.4 Hz 15.
8 H z ), 5. 17 (1 H, s )、 6. 98.(1 H, d'; J = 8. 7 H z)、 7.. 1 1 (.1 H, s )、 7. 11 (1 H,- d J = 8. 7 H- z )、 7. 34- 7. 38 (4. H, m)、 8. 21 s)、 8:. 60 (1 H,. s ) 一. 8 Hz), 5.17 (1 H, s), 6.98. (1 H, d '; J = 8.7 Hz), 7.11 (.1 H, s), 7. 11 (1 H,-d J = 8.7 H-z), 7.34-7.38 (4. H, m), 8.21 s), 8: .60 (1 H, .s) .
OCM, 製造例 2一 7 - - . . -- . ,:· · - 一OCM, Production example 2 7--..-.,:
2 - (2—プロピニルォキシ) 2— (:.4 クロルフエ-ニル) 酢酸 0.: 35 g、: 生成物 Π— 6 aの 0. 34 g、 WS C 0. 33 g及び上。リジン S m l.を混合し、 7 0°Cで 3時間攪拌した。 その後、 室温まで冷却して反応混合物に水を加え、 酢酸ェ チルで抽出した。 有機層.を 5 %塩酸で 3·回.; -飽和重曹.7k及び飽和食塩水で順次 浄 し、 硫酸マグネシゥムで乾燥した後、- .減圧下濃縮した。 残渣をシリ力.ゲル力ラムダ 口マトグラフィ一に付し、 下記物性-を示す生成物'(以下、 生成物- 2— · 7と記す。) 0. 21 gを得た。 一 ... — . . . ' · 、 ― . :. 生成物 2— 7 - :. - : - : - -2- (2-propynyloxy) 2-(:. 4 chlorophenyl) acetic acid 0: 35 g ,: 0.34 g of product Π-6a, 0.33 g of WS C and above. Lysine S ml. Was mixed and stirred at 70 ° C for 3 hours. Thereafter, the mixture was cooled to room temperature, water was added to the reaction mixture, and the mixture was extracted with ethyl acetate. The organic layer was washed three times with 5% hydrochloric acid; -saturated sodium bicarbonate (0.7 k) and saturated brine in that order; dried over magnesium sulfate; and-concentrated under reduced pressure. The residue was subjected to gel force lambda mouth chromatography to obtain 0.21 g of a product ′ having the following physical properties (hereinafter, referred to as product-2-7). One ... —... '·, ―.:. Product 2— 7-:.-:-:--
!H-NMR (CDC 13 , TMS) δ- (ρ pm);: 2. 47 ( 1 Η, t, — J = 2 · - 4 H z )、 - 3. 89 (3H, s .)、 3. 95 (3 H, s ), 3. .96 (_3 H, s )、 4.. 0 5 (1 H, d d, J = 16. OH z,- 2. 4H z), 4,..31 (1H, d d, J = 16. OH z,- 2. 4 Hz), 5. 16 (1H, s)、 6 98 CI H,― d , J =-! H-NMR (CDC 13, TMS) δ- (ρ pm);: (. 3H, s) 2. 47 (1 Η, t, - J = 2 · - - 4 H z), 3. 89, 3 .95 (3H, s), 3. .96 (_3H, s), 4..05 (1H, dd, J = 16.OHz, -2.4Hz), 4, .. 31 (1H, dd, J = 16.OH z,-2.4 Hz), 5.16 (1H, s), 698 CI H,-d, J =-
8. ΌΗ z)、 7 13 (1 , d d, J =8.. OH z, . 6H ζ) 7. 17 (1 H, d, J = 1. 6 H z )、 7. .37 (4H, s )、 8 06 (1H, s)、. 8. 6 2 (1 H, b r . s) ― - "- 8.ΌΗz), 713 (1, dd, J = 8..OH z, .6H ζ) 7.17 (1 H, d, J = 1.6 Hz), 7..37 (4H, s), 806 (1H, s), .8.62 (1H, br.s)--"-
2 - ( 2—プロピニルォキシ) — 2 (.4 -ブ:口—ムフエニル)—酢酸 0. 2.6·: g .く 生成物 Π— 6 aの 0. 27 g、'WS:C0. 26 g及びピリジン ·8 m 1を混合し、 7 0°Cで 3時間攪拌した。 その後、 室温ま.で冷却レて反応混合物に^を加え、 酢.酸^ チルで抽出した。 有機層を- 5 %塩酸で 3回、 飽和重曹水及び飽和食埠水で順次洗浄 ' し、 硫酸マグネシウムで乾燥した後—、 減圧下濃縮した。 残渣をシリ,力ゲルカラムク 口マトグラフィ一に付し、 下記物性を示す生成物.(以下; 生成物 2—- ·8:と記ず。) - 0. 25 gを得た。 ― 2-(2-propynyloxy)-2 (.4-butane-m-phenyl)-acetic acid 0.2.6 g: g. Product Π-0.27 g of 6a, 'WS: C 0.26 g And 8 ml of pyridine were mixed and stirred at 70 ° C. for 3 hours. Then, the mixture was cooled to room temperature, and ^ was added to the reaction mixture, followed by extraction with acetic acid. The organic layer was washed three times with -5% hydrochloric acid, sequentially with saturated sodium bicarbonate water and saturated salt water, dried over magnesium sulfate, and then concentrated under reduced pressure. The residue was subjected to silica gel chromatography to obtain a product having the following physical properties (hereinafter, referred to as product 2--8 :)-0.25 g. ―
生成物 2— 8 Product 2-8
^-NMR (CDG l—3, TMS) δ (ρ ρ m) : 2. 51 (1 Η, t:, J = 2τ 4H¾)、- 3. 89 (3H, s)、 .3. 9 B ,( 3 H, s );': 3. 96 (3H, s)、 4.. ひ3. (1 H, d d, J = 1 6 H z , 2. 4H z 4. 3 1 (1 H, d d ,■ J = 1- 6 H z , 2. 4H z)、 5. Γ 4 (1::H, s), 6. 97 ' ( 1 H, d, J =7. 9H z )、 7. 13 (1 H, -d d , J .= T 9 H z , 2. OH z)、 7. .1 7 (1 H, - d, — J = 2r 0Hz)、 7. 3 1 (2H, d, J = 8: -3H z)、 7.— 52 - (2H,- . d- J =8. 3Hz)、 8. 06 (1H, . s ), 8. 6 . (1 H, .b. r . s-) ^ -NMR (CDG l- 3 , TMS) δ (ρ ρ m): 2.51 (1 Η, t :, J = 2τ 4H¾), -3.89 (3H, s), .3.9 B, (3H, s); ': 3.96 (3H, s), 4 .. HI 3. (1H, dd, J = 16Hz, 2.4Hz 4.31 (1H, dd) , ■ J = 1- 6 H z , 2. 4H z), 5. Γ 4 (1::. H, s), 6. 97 '(1 H, d, J = 7 9H z), 7.13 (1 H, -dd, J. = T 9 H z, 2. OH z), 7.1.7 (1 H,-d, — J = 2r 0 Hz), 7.3 1 (2H, d, J = 8: -3Hz), 7.-52-(2H, -.d-J = 8.3Hz), 8.06 (1H, .s), 8.6.6 (1H , .b.r.s-)
製造例 3—1 - . : . : 一 生成物 ΠΙ— 3 aの 1. 08 gをエタソール 1: 0 m l:に混合し、 ここに 0 5 °Gで '水素化ホウ素ナトリウム 32mgを加え、 室温で 2時間攪拌した。 反応混合物を減- 圧下濃縮し、 残渣に水を加えた混合物を 0°C.にした。 濾過して得られた固体を減圧 乾燥し、 下記の物性の生成物 (以-下、 生成物 3— 1と記す). 0. 7-5-gを得た。 生成物 3— 1 ' Preparation Example 3-1-. : .: One product ΠΙ-3a 1.08 g was mixed with etasol 1: 0 ml: and added with sodium borohydride 32 mg at 0 5 ° G at room temperature. For 2 hours. The reaction mixture was concentrated under reduced pressure, and the mixture obtained by adding water to the residue was brought to 0 ° C. The solid obtained by filtration was dried under reduced pressure to obtain 0.7-5-g of a product having the following physical properties (hereinafter, referred to as product 3-1). Product 3—1 '
1 H-NMR (CDC 13, TMS) δ (p pm) : 2. 36 .(.3 H,- s -)、 3. 71 (3H, s)、 3. 86 - 3. 88 (7 H, m)-、 5. 1 8 (1H, s)、 6. 65 - 6. 78 (3— H, m)、 "7 17. (2-H, ' d, -J - 7. ,6Hz)、 7 , 34 (2H, d,ノ J = 7. 6 H z―)、 7. 38 (1 H, s ')、、丁く 85': (1 ¾, s ) . 1 H-NMR (CDC 1 3, TMS) δ (p pm): 2. 36 (. 3 H, - s -), 3. 71 (3H, s), 3. 86 - 3. 88 (7 H , m)-, 5.18 (1H, s), 6.65-6.78 (3-H, m), "7 17. (2-H, 'd, -J-7,, 6Hz) , 7, 34 (2H, d, no J = 7.6 Hz), 7.38 (1 H, s '), just 85': (1¾, s)
" J; - "J;-
製造例 3— 2 +·. : - - - ; : - . Production example 3-2 + ·.:---;:-.
• . M—3 bの 0.· 92 gとェタノ一-ル 10m 1に混合し、 ここに」 0〜 5 、水素化 ホウ素ナドリゥム 28mgを加え、 室温で 2fl寺間攪拌した。 反応混合物を減圧下濃 縮し、残渣に水を加えた混合物を 0°Cにした 5濾過して得られた固体を減圧乾燥し、 下:記の-物性の生成物 Ό . 93 g.を得た。 へ ヽ - .: - . - :. - - 生成物 3一 2 - - . · . . : - - - . ' -• .92 g of M-3b was mixed with 10 ml of ethanol, and “0 to 5” and 28 mg of sodium borohydride were added, and the mixture was stirred at room temperature for 2 fl. The reaction mixture was vacuum Shimono reduced, the residue mixture was added water 5 filtered to obtained solid was dried under reduced pressure to 0 ° C, the bottom:.. Symbol of - product properties Ό 93 g of Obtained.ヽ-.:-.-:.--Product 3 2--. ·.:---. '-
-^-NMR (CDC 13 , TMS) δ (ρ pm) : 2. 38 (3Η, s -)、 3. 36 - -(1 H, d, J =-3. 2H z)、- 3. 67. (3H,- s -)、 3. 79 (3H,:- s) -、 3. .8 9 (.3 H -, " s. -)、 5. 28 (1 H, .d, J.=—3 - . :2 H z )、 .6. .74— 6. .8- 4 -( 3 -H, -m)、 7—·: 22' (2Η,· d, J 8 Hzつ、 7. 36 (2 H, d, J. = 8 H z - - 7 .5.9 (1 H, s)、 7.--87 (1 H, s) — - ' . -— : . ' 製造例 3:3· -^-NMR (CDC 13, TMS) δ (ρ pm): 2.38 (3Η, s-), 3.36--(1 H, d, J = -3.2 Hz), -3.67 (3H, -s-), 3.79 (3H,:-s)-, 3. .8 9 (.3 H-, "s.-), 5.28 (1 H, .d, J. = — 3-.: 2 H z), .6. .74— 6. .8-4 -(3 -H, -m), 7-: 22 '(2Η, d, J 8 Hz, 7.36 (2 H, d, J. = 8 Hz--7.5.9 (1 H , S), 7 .-- 87 (1 H, s) —-'. -—:.' Production example 3: 3 ·
テトラヒ ドロフラン 1 Om 1に生成物 3—1の 0. 5-5 gと 卜リエチルァ.ミン 3 Om l -とを混合し、 ここに約 0°Cで塩化メタンスルホニル 0 13 gを滴下し、 室温で .30分間攪拌した。 反応混合物に水を加;^、 酢酸ェチル 抽出した。 有機層 を水で 2回洗浄し、乾燥し、減圧下濃縮し 。残渣.と _2,プロ ン— 1—オール 1 ·- 7 m l とを混合し、 80°C付近で 1時間攪拌した。 その後; 反 混合物を室温付近 まで放冷してから氷を加え、 -酢酸ェチルで抽出した。 有機層を水、 飽和炭酸水素ナ ドリゥム水溶液および飽和食塩水で順次洗浄し、.乾燥し、—減圧下濃縮した。 残渣を クロマトグラフィーに付し、 下記の物性の.生成物 (以下、 生成物 3—- 3と記す) -2 0.5-5 g of the product 3-1 and trimethylamine 3 Om l-are mixed with 1 Om 1 of tetrahydrofuran, and 0.13 g of methanesulfonyl chloride is added dropwise at about 0 ° C, and the mixture is added For 30 minutes. Water was added to the reaction mixture; ^, ethyl acetate was extracted. The organic layer was washed twice with water, dried, and concentrated under reduced pressure. The residue was mixed with _2, pron-1-ol 1 · -7 ml and stirred at around 80 ° C for 1 hour. Thereafter; the mixture was allowed to cool to about room temperature, ice was added, and extracted with ethyl acetate. The organic layer was washed successively with water, a saturated aqueous solution of sodium hydrogen carbonate and saturated saline, dried, and concentrated under reduced pressure. The residue was subjected to chromatography to obtain the following physical properties. Product (hereinafter referred to as product 3-3) -2
29mgを得た。 - - ' . — .·- - - : - 生成物 3— 3 . - : .. ·ノ . , : :-29 mg were obtained. --'. — .---:-Product 3-3.-: .. · no.,::-
1 H-NMR (CDC 13, TMS) δ (p-p.m)::.. 2. 37 ( 3 H", s)、 .2. .5- 1 (1H, t , J =2. 5Hz)、 3· 66 (3 H, - s )^- 3. - 78 (3H, s ), 1 H-NMR (CDC 1 3 , TMS) δ (pp.m) :: .. 2. 37 (3 H ", s), .2. .5- 1 (1H, t, J = 2. 5Hz) , 3.66 (3 H,-s) ^-3.-78 (3H, s),
3. 89 (3 H, s)、 4. 01—4. 33 (2H, m)、 5. 21 ( 1 H, s ), 6. 79 - 6. 85 (3H, m)、 7. 21 (2H, d, J =8.Hz)、 7: 33 (2H,3.89 (3 H, s), 4.01—4.33 (2H, m), 5.21 (1 H, s), 6.79-6.85 (3H, m), 7.21 ( 2H, d, J = 8.Hz), 7:33 (2H,
-d, J =8H z)、 7. 59 (1H,. s)、 8..22. (1H, s.) :. . - , ■-·' -: " - 一 : ... -d, J = 8Hz), 7.59 (1H, s), 8..22. (1H, s.):..-, ■-· '-: "-one: ...
•製造例 3— 4 · .. ' : :: ---■ - . • Production example 3—4 · .. '::: --- ■-.
-テトラヒ ドロフラン 10 m lに生成物 3— 2の 0. 6— 3 gと トリェチルァミン 0. , 3 9m lとを混合し、ここに約 0°Cで塩化メタンスルホニル 0. 15m lを滴下-し、 室温で 30分間攪拌した。.反応混合物に水を加え、.酢酸;チルで抽出した-。 有機層' を水で 2回洗浄し、 乾燥し、 減圧下濃縮した。-—得られた残渣.と 2- プロ:ビ ー.1- オール 1. 9 m 1と.を混合し、— 80 付近:で 時間.攪拌し 。 H後 反応混合物 を室温付近まで放冷してから水を加えく.酢酸 チノ kで抽出した。 -有機:層を水、 飽和 炭酸水素ナトリウム水溶液および飽和食塩水で順次洗浄し、 乾燥し、 減压下濃縮し た。 残渣をクロマトグラフィ一に付し、 下記 物性の生成物 (以下:; 生成物, 3 と記す)— 264 mgを得た。 - - - 生成物 3— 4-0.6-3 g of product 3-2 and 0.3 and 39 ml of triethylamine are mixed in 10 ml of tetrahydrofuran, and 0.15 ml of methanesulfonyl chloride is added dropwise at about 0 ° C. Stirred at room temperature for 30 minutes. Water was added to the reaction mixture and extracted with acetic acid; The organic layer was washed twice with water, dried, and concentrated under reduced pressure. --The resulting residue was mixed with 2-Pro: Be.1-ol 1.9 ml and stirred at around -80 for about hours. After H, the reaction mixture was allowed to cool to around room temperature, and then water was added. -Organic: The layer was washed successively with water, a saturated aqueous solution of sodium hydrogencarbonate and saturated saline, dried, and concentrated under reduced pressure. The residue was subjected to chromatography to obtain 264 mg of a product having the following physical properties (hereinafter, referred to as "product, 3"). --- Product 3—4
H-NMR ( C D C 13 , TM-S) δ (p p m) : 2". 34 (3H, s -)、 2_ 4 H-NMR (CDC13, TM-S) δ (ppm): 2 ". 34 (3H, s-), 2_4
7 (1 H, t , J = 2. 4H z)、 3. -53 (3 H, s)、 3. 88 (6H, s )、 7 (1 H, t, J = 2.4 Hz), 3.-53 (3 H, s), 3.88 (6H, s),
4. 03 -4. 28 (2Ή, m)、 5. .14 (1 H, s)、 6. 7— 6. 89 (3 4.03 -4.28 (2Ή, m), 5..14 (1 H, s), 6.7—6.99 (3
H, m)、 7.- 15 (2H, d, J = 8Ή z ), 7 · '32 ( 2 H d, J = 8 H z ) -、 H, m), 7.-15 (2H, d, J = 8Ήz), 7 · '32 (2Hd, J = 8Hz)-,
7. 39 (1 H, s)ヽ 8. 38 (1 H, s ) 一- . - 7.39 (1 H, s) ヽ 8.38 (1 H, s)
製造例 3— 5 - Production example 3-5-
' ピリジン 15m 1に生成物 ΠΓ_δ aの 2·:— 0 gと 2— ( 4—クロ口フエエル).一 'The product in 15m 1 of pyridine 1_δ a 2 ·: 0 g and 2-(4-black mouth fuel).
2 - (2—プロピニルォキシ) 酢酸 1. 6 と.1—ェチル—3「 (3—ジメチノレア ミノプロピル) カルボジィミ ド塩酸塩 1. 7 gとを混合し、 100°Cで 2時間携拌. 1.6 g of 2- (2-propynyloxy) acetic acid and 1.7 g of .1-ethyl-3 "(3-dimethinorea minopropyl) carbodiimide hydrochloride were mixed and stirred at 100 ° C for 2 hours.
した。 室温付近まで放冷した反応混合物に希塩酸を加え、 酢酸ェチルで抽出した。 did. Dilute hydrochloric acid was added to the reaction mixture that had been allowed to cool to near room temperature, and extracted with ethyl acetate.
有機層を乾燥し、 濃縮した。 得られた結晶をへ:キサン洗浄じて、 下記の物性の生成: The organic layer was dried and concentrated. The obtained crystals are washed with Hexane to produce the following physical properties:
' 物 (以下/生成物 3— 5と記す) 2. 7 gを得た。 '(Hereinafter referred to as / product 3-5) 2.7 g was obtained.
生成物 3— 5 - ^-NMR ( C D C 13 , TMS) δ (p pm) : 1. 61 (9H, s)、 2. 51 Product 3-5-^-NMR (CDC13, TMS) δ (ppm): 1.61 (9H, s), 2.51
(1 H, t , J =2. 4Hz)ゝ 3. 68 (3H., s)、- .3. 88 (3H, s)、 4. (1 H, t, J = 2.4 Hz) ゝ 3.68 (3H., S),-.3.88 (3H, s), 4.
0 5 (1 H, d d, J = 2. 4H z, 15. 8 H z )、 4. 3.2 (1 H, d d, J 0 5 (1 H, d d, J = 2.4 H z, 15.8 H z), 4.3.2 (1 H, d d, J
=2. 4H z , 15. 8Hz)、 5. -1 7_ (1H, s)、 6. 67— 6. 73 (2 Η,· m)、 6. 81 (1H, d, J = 1. 6H z), 7. 30 -7. 37 (4H, m)、 = 2.4Hz, 15.8Hz), 5.-17 _ (1H, s), 6.67--6.73 (2Η, m), 6.81 (1H, d, J = 1. 6H z), 7.30 -7. 37 (4H, m),
7. 55 (1 H, s)、 7. 98 ( 1 H , s ) -. 7.55 (1 H, s), 7.98 (1 H, s)-.
-二 - -Two-
製造例 3-6 -" ェタノール 6 m 1と塩酸 ( 3モル Z 1 ) 10 m 1と.1, 4——ジォキサン 3 m 1.と -の混合液に、 生成物 3— 5の 1. 0 gを加え、 還流下 2時間攪拌した。 -反応混合物- に'水を加え、 酢酸ェチルで抽出した。 有機層を飽和炭酸水素ナトリゥム水溶液で 浄し、 乾燥し、 減圧下濃縮した。 残渣をシリカゲルクロマト-グラフィ一に付し、一下: 記の物性の生成物 (以下、 生成物 3— 6と記す) · S lmgを得た。 ノ - - . 一 生成物 3—-6 - . Production Example 3-6 -"1.0 g of product 3-5 is added to a mixture of 6 ml of ethanol and 10 ml of hydrochloric acid (3 mol Z1) and 3 ml of 1,1,4-dioxane 3-and reflux. Water was added to the -reaction mixture and extracted with ethyl acetate.The organic layer was washed with a saturated aqueous solution of sodium hydrogen carbonate, dried and concentrated under reduced pressure.The residue was subjected to silica gel chromatography. The product having the following physical properties (hereinafter referred to as product 3-6) · S lmg was obtained.
1 H-NMR (CDC 13 TMS) - δ (p p m) : 2. 53 ( 1せ Γ t, J 2· O H ζ), 3.- 90 (3 Η, s)、 3. " 93 (3Η, s)、 4. -05 ,( 1 Η, d d, - J =2. 0 H z , 15. 8Hz)、 4. 32 (1— H, d d, J = 2. 0 Hz , 15"; - 一 8Hz)、 5. 20 (1 H, s)、 -6. 87— 6. 95 ( H, m)、 7. 3.3— 7· — 1 H-NMR (CDC 1 3 TMS) - δ (ppm): 2. 53 (1 so Γ t, J 2 · OH ζ ), 3.- 90 (3 Η, s), 3. "93 (3Η, s), 4. -05, (1Η, dd,-J = 2.0 Hz, 15.8 Hz), 4.32 (1-H, dd, J = 2.0 Hz, 15 ";- 8Hz), 5.20 (1 H, s), -6.87—6.95 (H, m), 7.3.3—7
一 One
製造例 3—7 - 一 . .— 一 . ;. ― Production example 3-7-1.
生成物 ΠΙ— 9の 1. 6 gとトリェチルァミン: 1. 0 gとをテトラヒ-ドロフラン 2 Om.lに溶解し、 ここに 2— (4—クロ口フエニル) 一2— (2—プロビュルォキ -シ) 酢酸塩化物 1. 6 ¾を加え、 室温で 4時間攪拌した。 反応混合物に酢酸ェチル を加えて濾過し、 濾液を減圧下濃縮-した。 残渣をクロマトグラフィーに付し、'—下記 の物性を示す生成物 1. 5 g (以下、 生成物 3 -.7 aと記す。) ど下記の物性を示 す生成物 0. 38 g (以下、 生成物- 3— 7 b-と記す; とをそれぞれ得た。 ― 生成物 3— 7 a } -- - 1.6 g of the product ΠΙ-9 and 1.0 g of triethylamine are dissolved in 2 Om.l of tetrahydrofuran, and then 2- (4-chlorophenyl) 1-2- (2-probutyloxy) ) 1.6 mL of acetic chloride was added, and the mixture was stirred at room temperature for 4 hours. Ethyl acetate was added to the reaction mixture, the mixture was filtered, and the filtrate was concentrated under reduced pressure. The residue was subjected to chromatography, and the product 0.35 g (hereinafter referred to as “-1.5 g of the product having the following physical properties” (hereinafter referred to as “product 3 -.7a”) , And product-3-7 b-, respectively.— Product 3—7a} ——
1 H-NMR (CDC 13, TMS) δ (p pm) : 2. 49 ( 1 H, t, J = 2. 4Hz)、 3. 74 (3H, s)、 3. 88 (6 H, s)、 4. 0,9 (1 H, cTd, , J = 2. 4 H z , 15. 8Hz)、 4. 30 (1 H, d d, J =2.、4Hz, 15. 8 H z), 5. 15 (1 H, s ) 6. 47 ( 1 H, d, J = 8. 3 H z ) 6. -7 "7 (1 H, d d, J = 1; 6Hz,- 8. 3Hz) 6 84 ( 1 H, d, J = 1 , - 1 H-NMR (CDC 1 3 , TMS) δ (p pm): 2. 49 (1 H, t, J = 2. 4Hz), 3. 74 (3H, s), 3. 88 (6 H, s ), 4.0,9 (1 H, cTd,, J = 2.4 Hz, 15.8 Hz), 4.30 (1 H, dd, J = 2., 4 Hz, 15.8 Hz), 5.15 (1 H, s) 6.47 (1 H, d, J = 8.3 Hz) 6. -7 "7 (1 H, dd, J = 1; 6 Hz, -8.3 Hz) 6 84 (1 H, d, J = 1,-
6 H z)\ 7. 31-7. 40 (5H, m)、 -8. 35 (1Ή, s) - 生成物 3 7 b - - - ·· . .. - -. お一 MR (CDC 13, TMS) δ (p pm) : 2、 54 (1 H, t, —J =2. .4 Hz )、 3. 65 (3H, .s)、 3. 78 (3H, s), 3. 89 (3H,. s)、 —4—. 08 (1H, dd, J = 2. 4H ζ·, 15. 8Hz)、 4·.33 (1H, d d,. J 4H z , 8 H z)、 5 2.2 (1 H, s..)、 6. -:7 5— 6. 7 8 (2 ΎΛ,6 H z) \ 7.31-7. 40 (5H, m), -8.35 (1Ή, s)-Product 3 7 b---.....--. One MR (CDC 1 3 , TMS) δ (p pm): 2, 54 (1 H, t, —J = 2. .4 Hz), 3.65 (3H, .s), 3.78 (3H, s), 3. 89 (3H, s), —4—.08 (1H, dd, J = 2.4H ζ ·, 15.8 Hz), 4 · 33 (1H, dd,. J 4H z, 8 H z), 5 2.2 (1 H, s ..), 6 .-: 7 5—6.7 8 (2 ΎΛ,
H, m -)、 7. 5 8 (1 ϊί, H, m-), 7.5 8 (1 ϊί,
5 · 製造例 3— 8. —- - -, : - . - . - 5 · Production example 3— 8. —---,:-.-.-
- メタソ ル 5 0 m 1 に 4 メチルベンズアルデヒ ド 1 2 g及びブロモホルム 3 0 gを加えた後、 水酸化力リウムメタノール溶液 (水酸化力リウム 2 8 gとメタノ ール 1 1 0 m 1 との混合溶液) を氷冷下で滴下した。 室温で 1日 ^¾拌した後 V反 応混合物に水及びグロ口ホルムを加えて抽出し、 得られた永層に塩酸を加えて酸性 10 : にしてク口口ホルムで抽出した-。有機層を減圧下で濃縮し、 · 2—メ+キシ— 2—(4 ——メチルフエニル) 酢酸 1 l gを得た。 . - ·.··.. -After adding 12 g of 4-methylbenzaldehyde and 30 g of bromoform to 50 ml of methanol, a methanol solution of hydroxide hydroxide (28 g of hydroxide hydroxide and 110 ml of methanol) was added. Was added dropwise under ice-cooling. After stirring at room temperature for 1 day, the V-reaction mixture was extracted by adding water and gross mouth form, and the obtained permanent layer was added with hydrochloric acid to make it 10:10 acidic and extracted with kuguchi mouth form-. The organic layer was concentrated under reduced pressure to obtain 1 l g of 2-mexy-2- (4-methylphenyl) acetic acid. .-.....
•2—メ トキシ一 2— (4—メチルフエニル) 酢酸 • 2-Methoxy-1- (4-methylphenyl) acetic acid
-- 1 H-NMR (CDC 13, TMS). δ: (P P m) : 2. 3 4 (3 H, s)、 3. 3 " 9 (3 H, s)、 4. 7 4 — ( 1 H, s )、-' 7 1 7 ( 2—H, d,' J = .7 9 H z )、 15; 7. 3 1 (2 H, d , J. = 7. 9 H z ) : .: . . — — . - . ..:. — : - 2—メ トギシー 2—— ( 4—メチルフェ-ニル): -酢酸 0、 2 7. g、生成物 HI— 9:の- 0..'. - :3 5 g、 1—ェチル— 3, ( 3—ジメチルアミノプロピル) カルポジイミ ド塩酸塩 _ - (以下、 WS Cと記载する。) 0. 3 2 g及びピリジン 8 mレを混合し、 .1 l. °C . ' で 6時間攪拌した。 その後、 室温まで冷却'して反応混合物に水を加え、 酢酸ェチル- 20 で抽出した。 有機層を 5%塩酸、 飽和重曹水、 -水及び飽和食塩水で順次洗浄し、 硫 . .. 酸マグネシウムで乾燥した後、 減圧下濃縮した。 残渣をシリカゲルカラムク Pマ.ト グラフィ一に付し、 下記物性の生成物 (以下、 生成物 3— 8 aと記す)— 9.1 m gお .よび下記物性を示す生成物(以下、本発明化合物 3— 8 bと記す) 8 0 m gを得た。 生成物 3— 8 a ' - - ' - 1 H-NMR (CDC 1 3, TMS) δ:. (PP m): 2. 3 4 (3 H, s), 3. 3 "9 (3 H, s), 4. 7 4 - ( 1 H, s),-'7 17 (2—H, d,' J = .79 Hz), 15; 7.31 (2 H, d, J. = 7.9 Hz): .:.. — —.-. ..:. —:-2—Metguisy 2—— (4-Methylphenyl): -acetic acid 0, 27 g, product HI—9: -0. . '.-: 35 g, 1-ethyl-3, (3-dimethylaminopropyl) carbodiimide hydrochloride _-(hereinafter referred to as WSC) 0.32 g and pyridine 8 m The mixture was stirred for 6 hours at .1 l. ° C. After cooling to room temperature, water was added to the reaction mixture, and the mixture was extracted with ethyl acetate-20.The organic layer was diluted with 5% hydrochloric acid and saturated aqueous sodium hydrogencarbonate. , -Water and saturated brine, dried over magnesium sulfate and concentrated under reduced pressure.The residue was subjected to silica gel column chromatography, and the product having the following physical properties was obtained. , Product 3-8 a ) —9.1 mg and 80 mg of a product having the following physical properties (hereinafter, referred to as the present compound 3-8 b) was obtained.
-25 1 H-NMR ( C D C 13 , TMS)"¾ (p-.p m): 8. 3 9 ( 1 H b r s )V'7. - 3 8 ( 1 H, s)、 7. 3 1- (2Ή, d , J = 8. Q H )、 — .7. 1:4 (.2. H, d, J = 7. 8 H z ), 6. 8 3 ( 1-Η,· -d^ J:.^ 1": 7 H z)、 6. 7 8'. ( 1 H, d d , - - J = 8. OH z 1. 7 H z ), 6·. 7 4 ( l.H, d J = 8 ··. 2'H z ).ゝ 4.. .7—2 - (1 H, s 、 3. 8 7 (3H, s ).、 3. 8 6 (3 H, s)、 3. 6 4' ( 3 H , s )r 30 3. 3 9 (3Ή, s)、 2. 3 3 (3 H, s ) - - ,: -- . ' 生成物: 3—- 8 b - - - -- - - - - - : -25 1 H-NMR (CDC 13, TMS) "¾ (p-.pm): 8.39 (1 H brs) V'7.-38 (1 H, s), 7.3 1- ( 2Ή, d, J = 8. QH), — .7. 1: 4 (.2. H, d, J = 7.8 H z), 6.83 (1-Η, · -d ^ J : . ^ 1 ": 7 H z), 6.78 '. (1 H, dd,--J = 8. OH z 1.7 H z), 6 · 7 4 (lH, d J = 8 · ·. 2'H z). ゝ 4 .. .7−2-(1 H, s, 3.87 (3H, s)., 3.86 (3 H, s), 3.64 ′) (3H, s) r 30 3.39 (3Ή, s), 2.33 (3H, s)--,:-. ' Product: 3—- 8 b---------:
^H -NMR CCDC 13, T-M-S)-一 δ ( p p m) : 8 - 1 6 (ΊΉ, b r . s-)\ 7. 5 8へ ( 1 H, -s)、 7. 3 2- (2 Ή, d, J = 8;. 3 H z -)、 7. 2 0 (2 H, d 一 J =-7. 8 H z)、 6. 8 0〜6. 8 8 ( 3 H, m)、一- 4· 8 0 — (1 H, s ); 3. 8 9 (3 H, s ), 3. 7 7- (3 H, s ) -、 3. -6 6 ( 3 H ,: s)、 3.. 40. (3 H, s ), 2. 3 7 (3 H, s ) ノ - — - -: ": - —-- . - · :へ - ; ^ H -NMR CCDC 1 3, TMS ) - one δ (ppm):. 8 - 1 6 (ΊΉ, br s -) \ 7. into 5 8 (1 H, -s) , 7. 3 2- (2 Ή, d, J = 8; 3 Hz-), 7.20 (2 H, d-1 J = -7.8 Hz), 6.80 to 6.88 (3 H, m) one - 4 · 8 0 - (1 H, s); 3. 8 9 (3 H, s), 3. 7 7- (3 H, s) -, 3. -6 6 (3 H,: s ), 3 .. 40. (3 H, s), 2. 37 (3 H, s) no----: ":---.-
製造例 3— 9 - - - . '· —. '― - ― .■ ' ― Production example 3— 9---. '· —.' ―-―. ■ '―
2 - (· 2—プロピニノレ一才キシ) - 2, (.4-—ブ口ムフエ二ノレ)—酢酸 0 & 4 g 生成物 ΠΙ— 9の 0. 47 g、 WS CO, 4.2. g -及-びピリジ-ン, 8 m.lを.混合レ; ΐ 1 1 5 °Cで 5時間攪拌した。 その後、 室温まで冷却して反応混合物に水—を加え、 酢酸ェ- チルで抽出した。有機層を 5 %塩酸、'飽和重曹水;水及び飽和食塩水で順次洗浄し、 . 硫酸マグネシゥムで乾燥した後、 減圧下濃縮した。 残渣をシリカ'ゲル.力ラムク .口:ヌ 2-(· 2 -propininole)-2, (.4--buffine fuenoinole)-acetic acid 0 & 4 g Product ΠΙ-0.47 g of 9, WS CO, 4.2. G- The mixture was stirred at 8115 ° C for 5 hours. Thereafter, the reaction mixture was cooled to room temperature, water was added to the reaction mixture, and the mixture was extracted with ethyl acetate. The organic layer was washed successively with 5% hydrochloric acid, 'saturated aqueous sodium bicarbonate; water and saturated saline, dried over magnesium sulfate, and concentrated under reduced pressure. Residue is silica 'gel.
—:トグラフィ に付し、 下記物性の生成物 (以下、 生成物 3— 9— ' a.と;記す)- 0. 2 :7— gおよび下記物性の生成物 (以下、 本発明化合物 3― 9 bと記す) 0. 3 1 gを得 †こ。- . - . , - -. :— : The product of the following physical properties (hereinafter referred to as “product 3—9— 'a.”)-0.2: 7—g and the product of the following physical properties (hereinafter, the compound of the present invention 3— 9 b) 0.3 1 g was obtained. -.-.,--.:
-生成物 3— 9 a -- -■ 1 H-NMR (CDC 13 , TMS) δ ( p p m) : 8.. - 3.4 (1 H, b r— . · s ) 、 7. 4 8 (-2 H, d, J = 8. 3 H z )ゝ 'Ψ - 3 9 ( 1 H, s )、;:-— .7 · : 3 3 .(2 H, . d , J = 8. 5 H z)、 6. 8— '2〜 6 8 2 ;(1 H, m).、 6. .7:2〜 6V 7,6 ( 2 H, m)、 5. 1 3 ( 1 H, s )、 4: 3 0. ( 1 H,.— d d., J..=.1 5. 9Ή-ζ 2. 4 H z)、 4. 1 0 ( 1 H, d d, J : 1 5 ; .9-H z-, 2, Ή z ):—、 3 :, 8 9一- ( 3 H, s)、 3. 8 8 (3 H, s ), 3. 7 3 (3 H,. s〉、-. ;2 , .4.9 (1 H t, ,J = 2. 4H z ) - - - 生成物 3— 9 b 一 - - . : -Product 3-9 a--■ 1 H-NMR (CDC 13, TMS) δ (ppm): 8 ..- 3.4 (1 H, br-- .s), 7.48 (-2 H , d, J = 8.3 H z) ゝ '3-39 (1 H, s),;: -— .7 ·: 3 3. (2 H,. d, J = 8.5 H z) , 6.8—'2 to 682; (1H, m)., 6.0.7: 2 to 6V 7,6 (2H, m), 5.13 (1H, s), 4 : 3 0. (1 H, .— d d., J .. =. 15.9Ή-ζ 2.4 Hz), 4.10 (1 H, dd, J: 15; .9- H z-, 2, Ή z): —, 3:, 89 9- (3 H, s), 3.88 (3 H, s), 3.73 (3 H ,. s>,- ; 2, .4.9 (1 H t,, J = 2.4H z)---Product 3-9 b i--.
1 H-NMR (CDC 13," TMS) δ (p p m) : 1 H-NMR (CDC 1 3 , "TMS) δ (ppm):
5 9 ( 1 H, s ), 7. 5 5 (2 H, .d, J ; 8 .2 H z )、: 7、 5 9 (1 H, s), 7.55 (2 H, .d, J; 8.2 Hz): 7,
J = 8. 3 H z)、 6. 8 5 ( 1-H, s -) 6. 7 7 (2 H; .a 、二 5 : 2 2 (JLH s ), 4. 3 5 ("1 H, d d -, J = 1 5 9 H z , 2. 2 H-z )、 4. Ό.'- 9 ( 1 H; d d, J = 1 5. 9 H z , 2. 2 H z )^3. ( 3 H,: s )、 3. 7 9 ( 3 H, s )、 3. 68 (3Ή, s)、 2. 5.3 (1H, t , J = 2. 4H z) J = 8.3 Hz), 6.85 (1-H, s-) 6.77 (2 H; .a, 2 5: 2 2 (JLH s), 4.35 ("1 H , dd-, J = 159 Hz, 2.2 Hz), 4.Ό .'- 9 (1 H; dd, J = 15.9 Hz, 2.2 Hz) ^ 3. 3H ,: s), 3.79 (3H, s), 3.68 (3Ή, s), 2.5.3 (1H, t, J = 2.4H z)
製造例 3—1ひ - 一 : . . - Production example 3-1H-I:...-
- - 製造例 '3 _ 8と同様の方法で、 4—メチル ンズアルデヒ ド' 0代わりに 4—ブ口 5 モベンズアルデヒ ド :を用いて、 2—メ トキジ一.2- _(4—ブ フエニスレ) 酢酸を 得た。 2—メ .トキシ— 2—-( 4一ブロモフエ二:/レ) 酢酸 0. ,4;;9' g、 生成物 ΙΠ:-- 9 の 0. 46 g、 WSC0. 42 g及—び'ピリジン 8 m 1を混合じ、 · 115でで 5時間 攪拌した。 その後、 室温まで冷却して反応混合物に水を加え、 酢酸ェチルで抽出し •た。 有機層を 5%塩酸、 飽和重曹水、 水及び飽和食塩水で順次洗浄し、 硫酸マグネ- 1ひ -シゥムで乾燥した後、 減圧下濃縮した 残渣をシリカゲルカラムク,口.々トグラ」フィ ' - - 一-—に付し、―下記物性の生成物 (以下-、 生成物 3— 10 a -と記す) 0. - 20 gおよび— 下記物性の生成物 (以下、 生成物 3— 1ひ. b-と記す): 0 , 13 gを得た。 一 ' . 生成物 3—10 a - :· - _ - - - 二 : + ―--In the same manner as in Production Example '3 _ 8', use 4-methylsaldehyde 'instead of 4-methylsaldehyde' 0 'instead of Mobenzaldehyde : 2-methodyl-1.2- _ (4-bufenisle) Acetic acid was obtained. 2-Methoxy. 2- (4-Bromophene: / re) acetic acid 0.4,4 ;; 9 'g, product ΙΠ: 0.46 g of --9, 0.42 g of WSC and 0.4' 8 ml of pyridine was mixed and stirred at 115 for 5 hours. After cooling to room temperature, water was added to the reaction mixture, and extracted with ethyl acetate. The organic layer was washed successively with 5% hydrochloric acid, saturated aqueous sodium bicarbonate, water and saturated saline, dried over magnesium sulfate, dried and concentrated under reduced pressure, and the residue concentrated under reduced pressure was subjected to silica gel column chromatography. --The product of the following physical properties (hereinafter referred to as-, product 3-10a-) 0-20 g and-The product of the following physical properties (hereinafter, product 3-1 b-): 0 and 13 g were obtained. 1 '. Product 3-10 a-: ·-_---2: + ―
— 1 H— NMR- (CDC 13, TMS) δ (p pm) :.— 8. 3,4 (1-H, .b-r ..s)、 7—. 15 48 (2H, d, J =8. 3Hz) 7. 39 _(— 1:H, s)、 7. 3.3 (2 H, .d J- = 8. 5Hz)、 6. 80 (1 H, s)、 6. 70〜 6. 72 (2 H, m)、 4. - 1 H- NMR- (CDC 1 3 , TMS) δ (p pm):. .- 8. 3,4 (1-H, .br ..s), 7- 15 48 (2H, d, J = 8.3 Hz) 7.39 _ (-1: H, s), 7.3.3 (2 H, .d J- = 8.5 Hz), 6.80 (1 H, s), 6.70 to 6. 72 (2 H, m), 4.
7 2 (1H, s)、 3. 88 ( 6 H-,— - s )、- 3. 70 (3 H, s)、 3. 44 (3H,. ― ; s ) . - ■ '. - . 7 2 (1H, s), 3.88 (6H-,--s), -3.70 (3H, s), 3.44 (3H, .- ; s).
- 生 3— 10 b , . . 一 -Raw 3—10 b,.
20' ^H-NMR (CDC 13, TMS) δ (p pm.) : 8. 11 (1 Η, b r . - s) J. - :. 58 (1H, s)、 7. 54 (2H, d,- J. = 8. 5 H z )、 7. 34 (2 H, d., . J = 8. 3 H z )、 6. 83 ( 1 H, d , J = 1..7 H z ).、. -6. 75 - (1 H,— d,一 , J = 8. 3Hz), 6. 71 (1H, d d , . J = 8. 3 H z , 1 7H.z); 4;.:. -8 0 (1H, s)、 3. 90 (3 H, s)、 3. 78 (3 H, s)、 3. 67 (3 H, 25 s―)、 3. 44 (3H, s) ノ ― - . -(. P pm) 20 '^ H-NMR (CDC 1 3, TMS) δ: 8. 11 (1 Η, br - s.) J. -:. 58 (1H, s), 7. 54 (2H, d,-J. = 8.5 Hz, 7.34 (2 H, d.,. J = 8.3 Hz), 6.83 (1 H, d, J = 1..7 Hz) -6.75-(1 H,-d, one, J = 8.3 Hz), 6.71 (1H, dd, .J = 8.3 Hz, 17 H.z); 4; .:. -80 (1H, s), 3.90 (3H, s), 3.78 (3H, s), 3.67 (3H, 25s-), 3.44 (3H, s) s) ノ ―- . -
. . 2— (ナフタレン一 2—ィル) 一2 (2,プロピニルォキシ)酢酸 0. 54 g、 生成物 ΙΠ— 9の 0. 47 g、 WS C 0. 4-2 g及びピリ.ジン.8 m 1を混合し、 1 'l^ " 5- 5でで 5時間攪拌した。 ·その後、 室温まで冷却して反応混合物に水を加え、 酉乍酸ェ - - チルで抽出した。有機層を 5 %塩酸、—飽和重曹水、水及び飽和食塩水で順次洗浄し ' :硫酸マグネシゥムで乾燥した後; 減圧下濃縮した。 .·残渣をシリ力'ゲル— ラムクロマ -- ' トグラフィ.一に付し、 下記物性を示す生成物 0·. .11 g: (以下—、 生成物 3— l:l.--a' と記-す。) および下記物性を示す生成物 0:.15 g (以下、 生成物 3-— 11— bと-記 10 .す。) を得た。 - ' - ... , . -ι ' ... 2- (Naphthalene-1-yl) 1-2 (2, propynyloxy) acetic acid 0.54 g, 0.47 g of product ΙΠ-9, 0.4-2 g of WS C and pyridin .8 ml was mixed and stirred with 1'l ^ "5-5 for 5 hours. · After that, the mixture was cooled to room temperature, water was added to the reaction mixture, and the mixture was extracted with ethyl acetate. 5% hydrochloric acid, the layers - a saturated aqueous sodium bicarbonate solution, washed sequentially with water and brine. ':.. after drying with sulfuric acid Maguneshiumu; and concentrated under reduced pressure, the residue silica force' gel - Ramukuroma - 'Togurafi one ..11 g: (hereinafter referred to as —, product 3—l: l .-- a ′) and products having the following physical properties 0: .15 g (hereinafter referred to as product 3-—11—b.)-'-...,. -ι'
生成物 3 1 l a - ― Product 3 1 l a--
1 H-NMR (CDC 13, TMS) δ (p m).: 8. 43 (1 H, b r . s)、 7. ··-'" 94 (1H, &)、 .7. 78一〜 7.- 95 (3 H, m)、 マ. 45〜7. 5—7 (3H-; . m)、 7. -40 (1 H, s)、 6. 85 (:1H, d, J ;2. 0Hz)、 6. 74 (1 15 H, d d,. J =8. 0 Hzゝ 2.. 0 Hz), 6. 57 (l.H,: d, J:=8. 0H z)、 . 1 H-NMR (CDC 13, TMS) δ (pm) .: 8.43 (1 H, br.s), 7. ·-'”94 (1H, &), .7.78 1 to 7. -95 (3 H, m), MA.45 to 7.5-7 (3H-; .m), 7.-40 (1 H, s), 6.85 (: 1H, d, J; 2. 0 Hz), 6.74 (1 15 H, dd,. J = 8.0 Hz ゝ 2.0 Hz), 6.57 (lH,: d, J: = 8.0 Hz),.
5-. 34 (1H, s)、 4. 33 ( 1 H, d d, · J = 15. ' 8-H z_,; 2. - 4Ή z ), 4. 13 (1 H, -d d, J = 15. 8 H z , 2. 4Hz)、 3. 87— :—( 3 H, s) ; 3. 77" (3H, s), 3. 62 (3Ή, s)、 2. 49 (1 H, t , J = 2. 4H "z) ― - 5-.34 (1H, s), 4.33 (1H, dd, · J = 15. '8-H z_ ,; 2.-4Ήz), 4.13 (1H, -dd, J = 15.8 Hz, 2.4 Hz), 3.87— :—( 3 H, s); 3.77 ”(3H, s), 3.62 (3Ή, s), 2.49 (1 H, s) t, J = 2.4H "z) ―-
20 生成物 3— l i b . ― ' ' - . 20 Product 3— l i b. ― ''-.
.. Ή-NMR (CDC 13 , TMS) δ . (p p m): 8. 25 ( 1 H,― b- r . s)、 .7 - - 9 5 (1H, s)、 7.- 8.0〜7. 91 (3H, m)、 7. 59 (l.H, s)、 7; • , 50〜7. 56 (3H, m)、 &. 87 (.1 H, — d, J = l.. 9.Hz)、 6. 76 (.1 - H, d d, J = 7. 9Hz, 1. 9 H z ), 6. 62 ( 1 H, d, J =:7.. 9Hz)、 25 5. 42 ( 1 H, s)、 4v :38 ( 1 H, d d , . J = 15. - 8 H z, 2. .4 H z ), 4. 12 (1 H, d— d, J = 15. 4H z , 2 4H z ), 3. 82 (3H,. s:)、 ' 3. 74 (3H, s)、 -3. 69 (3H, s)、. 2. 54 (1 H, t , J = 2._ 4H ' z ) "' - - -- · — .. Ή-NMR (CDC 13, TMS) δ. (Ppm): 8.25 (1 H,-b-r. S), .7--95 (1H, s), 7.- 8.0 to 7 91 (3H, m), 7.59 (lH, s), 7; •, 50 to 7.56 (3H, m), &. 87 (.1H, —d, J = l .. 9. Hz), 6.76 (.1-H, dd, J = 7.9 Hz, 1.9 Hz), 6.62 (1 H, d, J =: 7..9 Hz), 25 5.42 ( 1 H, s), 4v: 38 (1 H, dd,. J = 15.-8 H z, 2. .4 H z), 4.12 (1 H, d-d, J = 15.4 H z , 24Hz), 3.82 (3H, .s :), '3.74 (3H, s), -3.69 (3H, s), .2.54 (1H, t, J = 2 ._ 4H 'z) "'---
製造例 3 - 12 - " -- - - ノ Production Example 3-12-"---ノ
2— (2—プロピニルォキシ) 一2— -フエニル酢酸 0.—41 g、 生成物 ΙΠ— 9の 〇-, 50 g、 WSC0. 456 g及びピリ.ジン 8 m 1を混合し、 11- 5 °Cで- 5 寺-間- ; "5 攪拌した。 その後、 室温まで冷却して反応混合物に水を加え、 酢酸ェチルで抽出し た。 有機層を.5 %塩酸、 飽和重曹水; ·水及び飽和食塩水で順次洗浄.じ、 硫酸マグネ シゥムで乾燥した後、 減圧下濃縮しだ。.残渣をシリカゲノレ力ラムクロマトグラワ.ィ- ― ― —に付し、 下記物性を示す生成物 0. 26 g - (以下、..生成物 3— Haと記す。) 一 および下記物性を示す生成物 0. 05.8 g - (以下、. 生成物 3-1- 2 bと ·記す。; Γ;を 10 得た。 - — . ノ , - - : . 生—成物 3 ·— 12 a " · , -: - - -" ; -"0.2-41 g of 2- (2-propynyloxy) -1-phenylacetic acid, 〇- of the product ΙΠ-9, 50 g, 0.456 g of WSC and 8 ml of pyridine. After stirring at 5 ° C, the mixture was cooled to room temperature, water was added to the reaction mixture, and the mixture was extracted with ethyl acetate. The organic layer was extracted with 0.5% hydrochloric acid, saturated aqueous sodium hydrogen carbonate; Washed sequentially with water and saturated saline, dried over magnesium sulfate, and concentrated under reduced pressure.The residue was subjected to silica gel chromatography, and the product having the following physical properties was obtained. 26 g-(hereinafter, referred to as ..product 3—Ha) 1 and a product exhibiting the following physical properties 0.05.8 g-(hereinafter, referred to as .product 3-1-b); Γ ; -10.--. ノ,--:. Raw-adult 3 ·-12 a "·,-:---";-"
^H-NMR (CDC 13 , TMS) δ (ρ ρ m) :.8. 38 ( 1 Η, b r— . — s.)、-: 7.. ― 30〜7. 46 (6 H, m)、 6\ 74〜6 90 ( 3 H, - m)、-— 5· 16 (1 H, s )、 4. 28 — (1H, d d, J = 15.-、—6Ηζ, 2·- 4Hz)、— 4. 07;(1 H, 15 d-d, J = 15. 6—Hz, 2. 4Hz)、 ,3. ,87 (6H, s)、. 3. - .6.8 (3.H, s )、 2. 47 - (1Ή, t, J =2.— 4 Hzう ― ; 二 -^ H-NMR (CDC 13, TMS) δ (ρ ρ m): 8.38 (1 Η, br—. — S.),-: 7 ..— 30 to 7.46 (6 H, m) , 6 \ 74 ~ 690 (3H, -m),--516 (1H, s), 4.28-(1H, dd, J = 15.-, -6Ηζ, 2-4Hz) , — 4.07; (1 H, 15 dd, J = 15.6—Hz, 2.4 Hz),, 3., 87 (6H, s), .3-.6.8 (3.H, s) , 2.47-(1Ή, t, J = 2.
- -' 生成物 3 -12 b — - - - , ■- . .· : - ---'Product 3 -12 b —---, ■-...:--
XH-NMR (CDC 13 , TMS) δ (p pm) : '8. :17 ( 1 Η, - r.,s)、 7. . 一 5 (1 H, s)、 7. 36〜7. 50 (5 H, m)、 6. 79〜&. 90. (3 H, 20 m)、 5. 25 (1 H, s)、 4. 3-2 (l.H, d—d, J = 15_. 7H-z, 2. 4 H z ), 4 07 (1 H, d d, J = 15. 7 Hz , 2. 4 H z )、· 3.. 8— 9. ( 3Ή, s )、 3. 77 (3 H, s)、 3 -. 67 (-3H, ..s)、 2/ 5-1 " (1H, tに. J二 2 4 H z) X H-NMR (CDC 13, TMS) δ (p pm): '8 .: 17 (1Η, -r., S), 7.1.5 (1H, s), 7.36 to 7. 50 (5 H, m), 6.79 to &. 90. (3 H, 20 m), 5.25 (1 H, s), 4.3-2 (lH, d--d, J = 15_. 7H-z, 2.4 Hz), 407 (1 H, dd, J = 15.7 Hz, 2.4 Hz), 3..8—9 (3Ή, s), 3.77 (3 H, s), 3-. 67 (-3H, ..s), 2 / 5-1 "(1H, t. J-2 24 Hz)
製造例 3— 1 3 . - . . ■■ :-· Production example 3—1 3 .-..
. -製造例 3— 8と同様の方法で、 4—メ.チルベジ.ズアルデヒ ドの代おり」に z ノレデヒ ドを用いて、 2—メ トキシ一 .2—フエ ル酢酸を得た。 2—メ .トキ;シ— 2— フエニル酢酸 0. 42 g、 生成物 ΙΠ— 9·の- 0.'ノ5' 8-g、- W.S C O. 5 3 g及びピリ ジン 8 m 1を混合し、 1 1 5 °Cで 5 ,時間攪拌した その接、..室 まで冷却して 応. 混合物に水を加え、 酢酸ェチルで抽出した。.有機層を' -5%塩酸、 飽和重曹水、 7 及 び飽和食塩水で順次洗浄し、 硫酸マグネシウムで乾燥した後;:減圧下濃縮した。 残. 渣をシリカゲルカラムクロマトグラフ.ィ一に付し、 下記物性を示す生成物 _0... 1-2 g (以下、 生成物 3— 1 3 aと記す。)— および下記物性を示す生成物 0. 0.9-G g ' (以下、 生成物 3— 1 3 bと記す。)— を得た。—. - ... - -: ;. -:.; :ノ一 . 生成物 3— 1 3 a 一- - .. . -: -ゝ ' ' :- -In the same manner as in Production Example 3-8, 2-methoxy1-2-phenylacetic acid was obtained using z-noraldehyde in 4-methylthiobenzyl aldehyde. 0.42 g of 2-phenylphenylacetic acid, 0.49 g of the product ΙΠ-9 · -0.'no5 '8-g, -53 g of -WSCO.3 and 8 ml of pyridine The mixture was mixed and stirred at 115 ° C. for 5 hours. The mixture was cooled to room temperature and water was added to the mixture, followed by extraction with ethyl acetate. The organic layer was washed sequentially with '-5% hydrochloric acid, saturated aqueous sodium hydrogen carbonate, 7 and saturated saline, and dried over magnesium sulfate; and concentrated under reduced pressure. The residue was subjected to silica gel column chromatography, and the product _0 ... 1-2 g (hereinafter, referred to as product 3-13 a) having the following physical properties and a product having the following physical properties were obtained. 0.9-G g '(hereinafter referred to as product 3-13 b). —.-...--: ;.-:.; : ノ 一. Product 3― 1 3 a 1--...-:-ゝ '':-
^H-NMR- (CDC 13, TMS) δ (p p m) ,: 8. ,39 (.1 HfL^b r . s)、 7 3 0〜7. 44 (6 H, m)、 6. 7 2〜 6、 8.5 :( 3 H, m)、¾4 · 7;5: 1:- H, s );— -3: 8 8 (3 H, s)、 3: 8.7— (3.H, s)、二 3. 6.5- :(3H, s)、 3-— .4: - 2 (3H, s) . · -— ― . ·... -■ -: ' -- - . ;- 生成物 3— 1 3 b - - - - ― —- '. ―. — - ^ H-NMR- (CDC 1 3 , TMS) δ (ppm),:. 8., 39 (. .1 HfL ^ br s), 7 3 0~7 44 (6 H, m), 6. 7 2 ~ 6, 8.5: (3H, m), ¾4 · 7; 5: 1: -H, s); — -3: 88 (3H, s), 3: 8.7— (3.H, s) , 2 3.6.5-: (3H, s), 3-- .4:-2 (3H, s). ·---. · ...-■-: '--.;-Product 3 — 1 3 b----― —- '. ―. —-
^-NMR (CDC 13, TMS) δ" (ρ ρ ϊη).: 8. 1 5 ( 1 Η, b r r s》、 Ί-、— 5 8 (1 H, s)、 7. 3 6- 7, 50 (5;H, m), .6 7 9~6. 8 7 (S Ή, )、- 4. 8 3 (1 H, s)、 3.. 89 (3H, s ):、 3. 7 6 (3Ή,- s)、 :3:-— 6 5 (3H, s)、 3. 42 (-3H s) — ' . : : :ー. . - - - - . 一 - ^ -NMR (CDC 13, TMS) δ "(ρ ρ ϊη) .: 8.15 (1 Η, brrs), Ί-, — 58 (1 H, s), 7.36-7, 50 (5 ; H, m), .6 7 9 to 6.87 (S Ή,), -4.83 (1 H, s), 3..89 (3H, s) :, 3.76 (3Ή, - s),: 3: - 6 5 (3H, s), 3. 42 (-3H s) - ':.::... over - - - - A -
製造例 3— 1 4 + . ノ - : ノ 製造例 3— 8と同様の方法で、 4—メチルベンズアルデヒ ドの代わりに 4一 トリ フルォロメチルベンズアルデヒ ドを用いて、 2—メ トキシ一 2-— (.4—トリフノレオ ロメチルフエニル) 酢酸を得た。 2—メ トキシ一 2— (4—卜. ラ オロメチノレフ ェニル) 酢酸 7 0 g、 生成物 ΙΠ— 9の 0. 7 0 g、 WS C 0. 6 3 g及びピ-リ. ジン 1 0m lを混合し、 1 1 5°Cで ·6Β争間 ¾拌 :した。 その後: 室温まで冷却し: X反 ^混合物に水を加え、 酢酸ェチルで抽出した。.有機層を 5 。塩酸、 飽和重曹水、 水- - 及び飽和食塩水で順次洗浄し、 硫酸マグネシウムで乾燥した舞、 減圧下濃縮した。 殘渣をシリ力ゲル力ラムクロマトグラフィ一に付し、 下記物性を示す生成物 0 、· ..3 1 g (以下、 生成物 3— 1 4 aと記す。) および下記物性-を示す生成物 0. 3 9 g (以下、 生成物 3—1 4 bと記す。) を得た。 一 - · 生成物 3— 1 4 a - - —- ' 一- .Production Example 3—14 +. No-: No In the same manner as in Production Example 3—8, using 4-trifluoromethylbenzaldehyde instead of 4-methylbenzaldehyde, 2-methoxy One 2 -— (. 4-triphnoreolomethylphenyl) acetic acid was obtained. 70 g of 2-methoxy-2- (4-triol-la-methinorefenyl) acetic acid, 0.70 g of the product ΙΠ-9, 0.63 g of WS C and 10 ml of pyridine mixed, 1 1 5 ° C in · 6.beta争間¾ 拌: the. Then: cooled to room temperature: water was added to the X anti-mixture and extracted with ethyl acetate. 5 Organic layer. The extract was washed successively with hydrochloric acid, saturated aqueous sodium hydrogen carbonate, water-and saturated saline, dried over magnesium sulfate, and concentrated under reduced pressure. The residue was subjected to silica gel gel chromatography, and the products having the following physical properties were obtained. 1 g (hereinafter, referred to as product 3-14a) and 0.39 g of a product exhibiting the following physical properties (hereinafter, referred to as product 3-14b) were obtained. 1- · Product 3— 1 4 a--—- 'I-.
1 H-NMR (CDC 1 a, TMS) δ· (p p m) : 8. 3 7, (l.H b r . — s )、 7. - 一' 5 8〜7, 65 (4H, m)、 7:. 39. (1 H, s)、: 6. 8 0 (1 H, d , J -= 1. 1 H-NMR (CDC 1 a, TMS) δ · (ppm): 8.37, (lH br. — S), 7.- 1 ′ 58 to 7, 65 (4H, m), 7 :. 39. (1 H, s) ,: 6.80 (1 H, d, J-= 1.
5 H z ), 6. 6 5〜6. 7 3 (-.2 H-,- m)、- 4.— 8 2 1 H,- s )、 3. 8 8 (3一 H, s) 3. 8 6 (3H, s)、 3. ' 70 (3H, s)、- 3. 47 (3Ή, s) ' 生成物 S— 1 4 b ― . . - . - ·- :.·.·· . - ·.. .1 H--NMR (CDC 13,- TMS) - δ (p pm):: 8. 1.5 ( 1 Η,. b: r ·.— s )、 7.5 H z), 6.6 5 to 6.7.3 (-.2 H-,-m),-4.—82 1 H,-s), 3.88 (3-1 H, s) 3 8 6 (3H, s), 3. '70 (3H, s), -3.47 (3Ή, s) 'Product S—1 4 b —...... . - · .. 1 H - NMR (CDC 1 3, - TMS) - δ (p pm) :: 8. 1.5. (1 Η ,. b: r · .- s), 7.
6 8 (:2Ή,- d, J -= 8- . 3H:'z:)、 7-. 6 0 _(2H, -d., j = 8. 0H z); .7. -5 8 (l H, s―)、 6 - ,8 3. ( 1 Η,' d , J. = 1. 4H z), 6. 6 8〜&: - 7 5 (2 6 8 (: 2Ή, -d, J-= 8- .3H: 'z :), 7-. 6 0 _ (2H, -d., J = 8.0H z); .7. -5 8 ( l H, s-), 6-, 8 3. (1 Η, 'd, J. = 1.4 Hz), 6.68 ~ &:-7 5 (2
. 製造例 3— 1 5 - -;; . ' : -- - --Production example 3—1 5--;; ':---
- 2— (2,プロピニルォキシ) ,一—2— (5, 6, 7, .8—デ:ドラ—'ヒ ドロ一ナフタ レン一 2—ィ -ル) 酢酸: 0. 6 1 g、- 生成物 ΠΙ-_ 9の 0:, 58. g、 W S C 0. 5 3 g 及びピリジン 8 m 1を混合し、 1 1 5 で 6時間攪拌した。 ·その後、'室温まで冷却 して反応混合物に水を加え、 酢酸ェチノレで抽出し^。 -有機層を 5 %塩酸、 -飽和重曹 水、—冰及び飽和食塩水で順次洗浄し、 硫酸マグネシウムで乾燥した後、 減圧下濃縮 した。 残渣をシリカゲルカラムク マトグラフィ一に付 b 下記物性を示す生成物 0. 2 7 g (以下、 生成物 ·3— 1 5 aと記す。) および下記物性を示す生成物 0. 46 g (以下:'生成物 ·3— 1 5 b:と記す。 を得た。 : ;. . -2- (2, propynyloxy), 1--2- (5,6,7, .8-de: dora-'hydro-naphthalene-1-yl) acetic acid: 0.61 g, -0 :, 58. g of the product ΠΙ-_9, 0.53 g of WSC and 8 ml of pyridine were mixed and stirred at 115 for 6 hours. · After that, 'cool to room temperature, add water to the reaction mixture, and extract with ethinol acetate ^. -The organic layer was washed successively with 5% hydrochloric acid,-saturated aqueous sodium bicarbonate,-ice and saturated saline, dried over magnesium sulfate, and concentrated under reduced pressure. The residue was subjected to silica gel column chromatography. B 0.27 g of a product having the following physical properties (hereinafter, referred to as product 3-15a) and 0.46 g of a product having the following physical properties (hereinafter: 'Product · 3-15b : was obtained.
生成物 3— 1 5 a ' · · · - Product 3—1 5 a '· · ·-
1 H-NMR" (CDC 13, TM-S) δ (p p-rh ::-8. 3 6 し 1 H, b .r: s)、—7. 3 9 (1 H; s)、 7. 00〜7. :1 4 (3.H . m)/ 6. 7 5~-6., 8 8 (3 H, m)、 5.' 08 (1 H, s -)、 4,: 25 (1 H, d , J = 1.5. .7 z,—¾ H . 一 z )、' '4: Ό 6. ( ΪΗ, d d, J = 1 5.- 7H z ; 2. 4-H z-)、.- 3. 8 8 (-3 H,- ' s )、 3· 8 7 (3.H, s), 3. 6 7 (3:H,;..s)、 2· 6 7〜2. 7 9. (4H, m)、 2. .45 (1 H, t , J = 2·. · 4.H z)、— 1 : :7.5〜: I . -8 1 (4H, m) - 生成物 3-— 1- 5七 . . .. -- - --- . · ... 1 H-NMR "(CDC 1 3, TM-S) δ. (. P p-rh :: - 8 3 6 teeth 1 H, b .r: s) , - 7 3 9 (1 H; s), .. 7. 00~7: 1 4 ( . 3.H m) / 6. 7 5 ~ -6, 8 8 (3 H, m), 5. '08 (1 H, s -), 4,: 25 (1 H, d, J = 1.5. .7 z, --¾ H. One z), '' 4: Ό 6. (ΪΗ, dd, J = 1 5.-7Hz; 2.4-Hz -), .-3.88 (-3H, -'s), 3.87 (3.H, s), 3.67 (3: H,; .. s), 2.67 -2.7 9 (4H, m), 2..45 (1 H, t, J = 2 ·· 4Hz),-1:: 7.5 ~: I. -8 1 (4H, m )- Product 3-- 1-57...-----.
1 H-NMR (GDC 13, TMS) δ (p p m)-:--8. 17 ( 1 Η, b r . :s ). 7. 5 '9 ( 1 H7 s ) 7. 05〜 7 · 16 ( 3 H, m) 6. 80〜 6. 91 (3 H, m); 5.— 16 (1H s)、 4. 29· (1 H, d-d, J = 15. 7 H z , 2. 4Ή z ) 4-· 04- ( 1 H d d, J = 15. 7 H z , 2. 4 H ¾ ) - 3..89 ( 3 H, ,s ). 3. 77 -(.3 H, s)、 3. 7—0 (3 H, s )" 2. 70〜2. 81. (4H, m)、: 2v 50 (lH - -t, J =2. 4H'z)、 1· 75〜1. 84 (4H, m) ' 1 H-NMR (GDC 1 3 , TMS) δ (ppm) -: -.. 8 17 (. 1 Η, br: s) 7. 5 '9 (1 H7 s) 7. 05~ 7 · 16 ( 3 H, m) 6.80 to 6.91 (3 H, m); 5 .-- 16 (1H s), 4.29 29 (1 H, dd, J = 15.7 Hz, 2.4 2.z ) 4- ・ 04- (1 H dd, J = 15.7 H z, 2.4 H ¾)-3..89 (3 H,, s). 3.77-(. 3 H, s), 3. 7-0 (3 H, s) "2.70 to 2.81. (4H, m), 2v 50 (lH--t, J = 2.4H'z), 1.75 to 1. 84 (4H, m) ''
製造例 3— 8と同様の方法で、 4一メチルベンズアルデ^ド 伏わり-に 4ーメ ト - キシベンズアルデヒ ドを用いて、 2—メ トキシ一 2— (4—メ '· 'トキシフエニル) 酢 酸を得た。 2——メ 卜-キシ— 2— (4—メ トキ-シフェニル) 酢酸 Ό,— 49 g、 生成物 IE— 9の 0. 58 g WSC0. 53 g及びピ :リジン: 8 m 1:'を 合し、 115でで 4時間攪拌した。 その後、 室温まで^却して反応混合物に水を加え、 酢酸ェチルで.— · 抽出した-。 有機層を 5 %塩酸、 飽和重曹水、 -水及び飽和食塩水で順次.洗浄し、 硫酸 マグネシウムで乾燥した後、 減圧下濃縮した。:残渣をシリカゲルカラムクロマ >グー ラフィ一に付し、 下記物性を示す生成物 0._ 2.8 g- (以下、 生成物 3— .16 'a:と.記'. -— す。) および下記物性を示す生成物 0. 26 g . (以下、 -生成物 3— 16 bと記す In the same manner as in Preparation Example 3-8, 4-methyl-benzaldehyde was used to produce 2-methoxy-1- (4-methyl-toxylphenyl). ) Acetic acid was obtained. 2-—Methoxy-2— (4-Methoxy-phenyl) acetic acid Ό, —49 g, 0.58 g of product IE-9, 0.53 g of WSC and pi : lysine: 8 m 1: ′ The mixture was stirred at 115 at 4 hours. After cooling to room temperature, water was added to the reaction mixture, and extracted with ethyl acetate. The organic layer was washed successively with 5% hydrochloric acid, saturated aqueous sodium hydrogen carbonate, -water and saturated saline, dried over magnesium sulfate, and concentrated under reduced pressure. : The residue is applied to silica gel column chromatography> Graphy, and the product has the following physical properties: 0._ 2.8 g- (hereinafter, product 3— .16 'a: and. 0.26 g of product showing physical properties (hereinafter referred to as -product 3-16 b)
を得た。— ■ +—· .- . ' · . ' 〜生成物 3—16 a - - — . — . . . — Λ - Got. — ■ + — · .-. '·.' ~ Product 3-16 a--—.
.. ^H-NMR (CDC 13 , TMS) δ (ρ ρ m): 8. 38 ( 1 Η b r . s)、:マ. .. ^ H-NMR (CDC 13 , TMS) δ (ρ ρ m): 8. 38 (. 1 Η br s),: Ma.
3 8 (1H, s), 7. 33. (2H, d J =8. 7Hz)、 6. 74 6. 89 (5 ,H m)、 4. 70 (1 H, .s)、 3. 87 (6H, s.)、 3:— · 69 (3 H,「 s )、 3. . 39 (3H, s) - . - . — - · ― 3 8 (1H, s), 7.33. (2H, d J = 8.7 Hz), 6.74 6.89 (5, H m), 4.70 (1 H, .s), 3.87 (6H, s.), 3: -69 (3H, "s"), 3..39 (3H, s)-.-.----
生成物 3— 16 b ' - Product 3— 16 b '-
1 H-NMR (CDC 13, TMS) δ/ -( p p m): 8. 15 ( 1 H b r,. .s)、 .7:、, " 5 8 (lH, s)、 7. 35 (-2 H :d, J. = 8 . -9Ή-ζ ) 6. 91_ ( 2 H d - J = 8. 7 H .z ) , 6. 8— 5〜 6. 88 (lH; .m)、:6. 80〜 . 83 (2 H; m)、 4. 7-8- (1H- -s)、 3. & 9 ( 3.H" s-) . 3. 82. ( 3 H .s ) 3..— .7 9 (3 H,- s -)、 3. 66 (3H, s)、 3. 39 ( 3 H— s) ." — -: 1 H-NMR (CDC 1 3 , TMS) δ / - (ppm): 8. 15 (1 H br ,. .s), .7: ,, "5 8 (lH, s), 7. 35 (- 2 H: d, J. = 8. -9Ή-ζ) 6.91_ (2 H d-J = 8.7 H .z), 6.8—5 to 6.88 (lH; .m), 6.80 to .83 (2 H; m), 4.7-8- (1H- -s), 3. & 9 (3H "s-). 3.82. (3H.s) 3 ..— .7 9 (3 H,-s-), 3.66 (3H, s), 3.39 (3 H—s). "—-:
• 製造例 3— 1 7 - - 製造 — 8と同様の方法で、 4-一メチノレベンズアルデヒ-ド 代わ' こ 3 4 - : ジクロロべンズアルデヒ ドを用いて、 2—メ トキシー 2— (3 4—ジクロ フエ 5 ニル) 酢酸を得た。 2—メ トキシ— 2— (3, 4 -ジク _ロロラエニル) 酢酸 0. 5 ニ9 g、生成物 ΙΠ_9の 0. 58" g WS C 0.;'5..3 g及びピリジ 8 m.lを混合し、— 1 15°Cで 4時間攪拌した。 その後、 室温まそ、冷却 Lて反^混合物に水を加え、:酢 酸ェチルで抽出した。 有機層を 5%塩酸 飽和重曹水; 水及び飽和食塩水で順次洗 浄し、 硫酸マグネシゥムで乾燥した後、 減圧下濃縮した。 残渣をシリ力ゲル力.ラム 10 クロマトグラブィ一に付し、 下記物性を示す生成物ひ · · 24 g (以下、 生成物 3^ 1- 7 aと記す。) および下記物性を示す生成物 0. ·1—2 g (以下、 生成物 3— 1 7 bと記す。) を得た。 - - ·:. . . ' - 生成物 3— 1 7 a ■ .. 、 ― : • Production example 3—1 7--Production — In the same manner as in 8, use 4-methinolevenzaldehyde instead. 3 4-: Using 2-chlorobenzaldehyde, 2-methoxy 2— (3 4-Dichlorophenyl) acetic acid was obtained. 2-Methoxy-2- (3,4-dic-lororaenyl) acetic acid 0.5 g 9 g, product ΙΠ_9 0.58 "g WS C 0 .; '5.3.3 g and pyridi 8 ml Then, the mixture was stirred for 4 hours at −115 ° C. Then, the mixture was stirred at room temperature, cooled, and the mixture was added with water, and extracted with ethyl acetate: The organic layer was diluted with 5% hydrochloric acid saturated aqueous sodium bicarbonate; The residue was washed successively with brine, dried over magnesium sulfate, and concentrated under reduced pressure.The residue was subjected to gel chromatography.Ram 10 chromatography, 24 g of the product having the following physical properties , Product 3 ^ 1-7 a) and a product 0.1-1-2 g (hereinafter, referred to as product 3--17 b) having the following physical properties were obtained. . '-Product 3—17 a ■ ..,-:
- 1 H-NMR (CDC 13, TMS) δ (p pm) ::8. 10 (1 b r— s)、 7.· 15 5 8 ( 1 H s )、 . 57. ( 1 H d, J =- 1- :9 H z ) 7. ;48' (;; H - d ,- "J = 8. 2H z) 7. 29〜7. -3-3 (1 H .m): 6.· 83 ( 1 Ή d, J. = 1 9 Hz.)、 6. 7-6 (l-H, d , - J = 8. 2 H z ) 6. 59 U—H d d J ; 8. " - 3 H z, 2. 0Hz)、 4.-79- (1 H, s)、 3 · 89 .(.3 H, : sう、 3. _81 (3 -.. 1 H-NMR ( CDC 1 3, TMS) δ (p pm) :: 8 10 (1 br- s), 7. · 15 5 8 (1 H s), 57. (1 H d, J =-1-: 9 H z) 7.; 48 '(;;H-d,-"J = 8.2 H z) 7. 29 to 7. -3-3 (1 H .m): 6. 83 (1 Ή d, J. = 19 Hz.), 6.7-6 (lH, d,-J = 8.2 Hz) 6.59 U--Hdd J; 8. "-3 Hz , 2.0 Hz), 4.-79- (1 H, s), 3 89. (. 3 H,: s, 3._81 (3
H s)、 3. 69 (3H ¾)、 3,- 4 T (3H, s) '-' -H s), 3.69 (3H ¾), 3,-4 T (3H, s) '-'-
20 生成物 3— 17 b - —. 20 product 3— 17 b-—.
;. ^H-NMR (CDC 13 , TMS) δ (p pm) : 8.. 33 (ΙΗ,.-b r . s )v..7. ^ H-NMR (CDC 13, TMS) δ (p pm): 8..33 (ΙΗ, .- br.s) v..7.
56 (1 H, s)、 7..38 7. 4.4 ('2Ή m) - 7.- 30 ·( 1Ή ' d d J = , 8. 3Hz, 1. 7Hz)、 6. 80 (lH,—d J = 1.— 5 H z ) 6. 7TG~'6 , 74 (2H, m)、 4. 71 ( 1 H, s)、.3_: 8-9 (6H, s)、 3. .75. (3H 25 s ), 3. 45 (3H, s) - , 56 (1 H, s), 7..38 7.4.4 ('2Ή m)-7.-30 (1Ή' dd J =, 8.3 Hz, 1.7 Hz), 6.80 (lH, --d J = 1 .-- 5 Hz) 6.7TG ~ '6, 74 (2H, m), 4.71 (1H, s), .3_: 8-9 (6H, s), 3..75. (3H 25 s), 3.45 (3H, s)-,
-,ュ -' - 次に、 本発明化合物の製造中間体の製造について参考製造例.を示す。 -,--- Next, reference production examples for producing intermediates for producing the compound of the present invention will be described.
参考製造例 1—1 . . .— , Reference Production Example 1-1
水素化ナトリウム (重量0/。; 60%) 6. 8 g ギ酸ェチル ·50m l ίこ混合し、. ここに 0°Cで 2— (3, 4—ジメ ト :キシフエニル) ァセトニトリルの N, N— ;ジメ - チルホルムアミ ド溶液 (2— (3, 4 ジ:メ:ドギシフエ二ル). ァセトニトリル' 25—' gと N, N—ジメチルホルムアミ ド 30.m.l との混合物) を滴下-し、 室温で ·3時間 攪拌した。 その後、. 反応混合物に希塩酸を加え、 _醉酸ェチ で抽出レ、 有機層.を乾 燥、 濃縮した。 得られた結晶をへキサンで洗浄して 2— (3, 4—ジメ トキ、ンフエ. _ ニル) 一 3—ヒ ドロキシアクリ ロニトリル 22 gを得た。 - - ' -— Sodium hydride (weight 0 / .; 60%) 6.8 g ethyl formate · 50 ml ί This is mixed. At 0 ° C, 2- (3,4-dimethyl : xyphenyl) acetonitrile N, N — ; Dime-tilformamide solution (2- (3,4 di: me: dogisphenil). A mixture of '25-'g of acetonitrile and 30.ml of N, N-dimethylformamide) was added dropwise. The mixture was stirred at room temperature for 3 hours. Thereafter, diluted hydrochloric acid was added to the reaction mixture, and the mixture was extracted with ethyl acetate, and the organic layer was dried and concentrated. The obtained crystals were washed with hexane to obtain 22 g of 2- (3,4-dimethoxy, phenyl._n-yl) -13-hydroxyacrylonitrile. --'-—
2一 (3—, -¾—ジメ トキシフエニル) 一 3—ヒ ド キシァクリ ロニ:トリノレ:— · --. 2- (3-, -¾-dimethoxyphenyl) 1-3-Hydroxyacrylonitrino: Torinole: — ·-.
. .
参考製造例 1— 2 — — 一 - —- 一 — - τ- ' - エタノーノレ 100m 1に、 - 0°C.でヒ ドロキシルァ―ミン塩酸塩 3'. -7.gを混合し、- ナトリウムエトキシドのエタノール溶液- (重量%濃度 .; 20%) 18, を加えた。 0°C付近で 30分間攪拌した後、 2— (3, 4ージメ トキシフエニル) 一 3—ヒ ド— ロキシアクリ ロニトリル 10 gを加え、 室温で 15分間、 75〜 8 (TCで 4日寺間攪' 拌した。その後、室温付近まで放冷してから反応混合物に水を力 0え、減圧下濃縮後、 永冷した。得られた結晶をへキサン洗浄し、減圧乾燥して、 5—ァミノ一 4一(:3, ゾール Reference Production Example 1-2--1---1-- τ -'-Ethananol 100m 1, Hydroxylamine hydrochloride 3'. -7.g mixed at-0 ° C,-Sodium ethoxy Ethanol solution (weight% concentration; 20%) 18, was added. After stirring at around 0 ° C for 30 minutes, 10 g of 2- (3,4-dimethoxyphenyl) -13-hydroxyacrylonitrile is added, and at room temperature for 15 minutes, 75-8 (TC for 4 days at TC). Then, the mixture was allowed to cool to near room temperature, water was added to the reaction mixture, concentrated under reduced pressure, and then cooled forever, and the obtained crystals were washed with hexane, dried under reduced pressure, and dried under reduced pressure. 4 one (: 3, Zol
: :
(3 H, s)、 3. 9 (3H, s) 、 4. 60 (2H, b r)、 6. 84— 6. 9 1 (3H, m)、 8. 1 (3 H, s), 3.9 (3H, s), 4.60 (2H, br), 6.84—6.91 (3H, m), 8.1
— 6. (1 H, s) - . . . ... . · — 6. (1 H, s)-....
....参考製造例 2: 1 .... Reference Production Example 2: 1
炭酸ジェチル 2 1 4 gを約 1 25°Cにして、.金属ナトリウ.ム 6. 3 gを徐々に加 Bring 2 14 g of getyl carbonate to about 125 ° C, and gradually add 6.3 g of metal sodium.
5 " えた。 混合物が均一となるまで攪拌し、 ここに 3', 4'· —ジメ トキシァセトフエ ノ ン 50. 0 gと炭酸ジェチル 5.0 gとの混合物を徐々にカ卩え、 - 1 40°Cで攪拌しStir until the mixture is homogeneous, then slowly add a mixture of 30.0 g of 3 ', 4' · -dimethoxyacetophenone and 5.0 g of getyl carbonate, -140 ° C Stir with
- 1 。 反応混合物を室温付近まで放冷してから 水と酢酸の混合液 (水 酢酸 =4-1. The reaction mixture is allowed to cool to around room temperature, and then a mixture of water and acetic acid (water acetic acid = 4
1.) を加えて分液.し、 水層をジェチルエーテルで 2回抽出した。 有機層 ·を混合してThe mixture was separated by adding 1.), and the aqueous layer was extracted twice with getyl ether. Organic layer
7kで 3回洗浄した。 有機層を乾燥し、 減圧下濃縮した。 残渣をシリカゲルクロマトWashed 3 times at 7k. The organic layer was dried and concentrated under reduced pressure. Silica gel chromatography of the residue
10 グラフィーに付し、 3— (3, 4—ジメ トキシフエ二ル) 一 3—ォキソープ口ピオ10 Attach to 3-(3,4-dimethoxyphenol) 1-3-oxo soap mouth
― ン酸ェチル 5—5 gを得た。—. " - " '- " - " -5-5 g of ethyl ester were obtained. —. "-" '-"-"
: : :::
:: ::
15 15
-, 無水酢酸 6 7 gに 3— (3, 4—ジメ トキシフエ二ル) 一 3—ォキソ一プロピオ 20 ン酸ェチル 5 5 gとオルトギ酸ェチル 4 9 -gとを加え、 1-20°Cで 2時間、 .1 4 . . 0でで 5時間攪拌した。 _その後、 _減圧下濃縮して粗 2— (3, 4—ジメ トキシベン ゾィル) 一 3—ェトキ、:/ァクリル酸ェチル 64 gを得た。 -, 67-g of acetic anhydride, 3-5- (3,4-dimethoxyphenyl) -1-ethyl 3-oxo-propionate 55 g and ethyl 9-g-orthoformate are added, and 1-20 ° C For 2 hours and .14. For 5 hours. _ Thereafter, it was concentrated under reduced pressure to obtain 64 g of crude 2- (3,4-dimethoxybenzyl) -13-ethoxy, // ethyl acrylate.
エトキシアクリル酸ェチル Ethyl ethoxyacrylate
- 一 - one
25 参考製造例 2— 3 . — · .- エタノール 1 50m 1に上記の粗 2— (-3, 4——ジメ トキシベンゾィル) 3 • -■" エトキジアクリル酸ェチルとメチルヒ ドラジンと.を約 0°Cで混合し、 1時間攪拌し ノ. .た後、 40°Cで 1時間攪拌した。 反応混合物を減圧下濃縮.:し、 残渣をシリカゲルク: 口マトダラクイ一に.付し、 下記の物性を示す生成物 (以下、 生成物 Π-— 3と記す) 30 1 1 gを得た。 - . . :.. 25 Reference Production Example 2-3.-· .- Ethanol 1 50m1 was mixed with the above crude 2-(-3,4-dimethoxybenzoyl) 3 •-■ "ethyl ethoxydiacrylate and methylhydrazine. After stirring at 40 ° C for 1 hour, the mixture was stirred at 40 ° C for 1 hour.The reaction mixture was concentrated under reduced pressure, and the residue was applied to silica gel. A product exhibiting physical properties (hereinafter referred to as product Π--3) 30 1 1 g was obtained.
" 生成物 Π— 3 "Product Π— 3
1 H-NMR (CDC 13, TMS) δ (p pm) :— 1-'. 3 0 (3H, t , J = 7.-. - - 2 H z ) , 3. 9 2 (3H, s)、一 3. 94 (3H, s)、 3. 94 (3H, s)、 4. . 2 5 (2H, q, J = 7. ,2H z) 6. 9 :1 (1 H, d, J = 8. 4H z)、 7. 35 4 1 - 7. 43 (2H, m), 7 ,.: 94 (1 H, .s) . . : „.; 参考製造例 2— 4 - . - . - - . ..' - - 生成物 Π— 3の 1 1 gと 2 0 %水酸化ナ hリゥム水溶液 1 1 gとをエタノール 3 0 m lに混合し、 7 0〜 8 0 °Cで 1時間攪拌した。室温付近まで放冷した反応混 合物に 5%塩酸を加えて p H 2付近として、 クロ口ホルムで 3回抽出した。 有機層 を乾燥じ、 減圧下濃縮して下記の物性を示す生成物 (以下、 生成物 Π— 4と記す) 1 H-NMR (CDC 1 3 , TMS) δ (p pm): -. 1- '3 0 (. 3H, t, J = 7.- - - 2 H z), 3. 9 2 (3H, s ), One 3.94 (3H, s), 3.94 (3H, s), 4.2.5 (2H, q, J = 7., 2Hz) 6.9: 1 (1 H, d, J = 8.4Hz), 7.35 4 1-7.43 (2H, m), 7,. : 94 (1H, .s) : „.; Reference Production Example 2—4-.-.--..'--11 g of product III-3 and 1 g of 20% aqueous sodium hydroxide solution in ethanol 3 The mixture was stirred for 1 hour at 70 to 80 ° C. The reaction mixture was allowed to cool to around room temperature, and 5% hydrochloric acid was added to adjust the pH to around 2, and the mixture was extracted three times with chloroform. The organic layer is dried and concentrated under reduced pressure to give a product having the following physical properties (hereinafter referred to as product Π-4)
1 1 gを得た。. ― ' . 一. :- ―.— : . - - 生成物 Π— 4 - - . — . — - - i—H— NMR (CDC 13 , TMS) -δ. (H z ) : 3. : 9 2 (6 H, s)、 3. 9 6 (3 d, J = 8-. 8 H z 、 7. 4 0 - 7. 4 3 (2 H, m)、 " 1 1 g was obtained. -'. I.:--.—:.--Product Π— 4--. —. —--I—H— NMR (CDC 13, TMS) -δ. (H z): 3.: 9 2 (6 H, s), 3.96 (3 d, J = 8-.8 Hz, 7.40-7.43 (2 H, m), "
参考製造例 2— 5 - :- . - -. へキサン 6 Om 1に生成物 Π— 4の 5. - 8 gを混合し、 塩化チォニル 3 m 1を力 g- え、 還流下で 3時間攪拌した。 室温付近まで放冷した反応混合物を減圧下濃縮し、 粗生成物を得た。 ■ ' -: Reference Production Example 2-5-:-.--. Hexane 6 Om 1 was mixed with 5.-8 g of product Π-4, and thionyl chloride 3 m 1 was added. Stirred. The reaction mixture allowed to cool to around room temperature was concentrated under reduced pressure to obtain a crude product. ■ '-:
テトラ tドロフラン 3 O m 1に上記の粗生成物を混合し、 0°じで2 8 %ァンモ ァ水溶液 3. 9 gを加え、 室温で 3ϋき間攪拌 た。-反応混合物を減圧下濃縮して、 下記の物性を示す生成物 (以下、 生成物 Π— 5と記す 4. 8 g 得だ。 - - -- The above crude product was mixed with 3Om1 of tetra-t-drofuran, and 3.9 g of a 28% aqueous ammonia solution was added at 0 ° C, followed by stirring at room temperature for 3 minutes. -The reaction mixture was concentrated under reduced pressure to obtain a product having the following physical properties (4.8 g, hereinafter referred to as product Π-5).
て、 下記の物性を示す生成物 (以下、 生成物 II一 6aと記す) 3. l gを得た。. 生成物 Π-— 6 a - -- -. , : . Thus, a product having the following physical properties (hereinafter, referred to as product II-16a): 3. lg was obtained. Product Π-— 6 a---., : .
- 水 16 m l とテトラヒ ドロフラン 10 m .1 との混合液に、 生成物 Π—マの 4. 5. g-と水酸化リチウム 0. 40 gとを混合じて、'室温で 2時間攪拌しこ。 その ·τΚ酸化 力リウム水溶液 ( 3モル/ 1 ) 10m lを加えて、 還流下 2日 [f撩拌した。:'反応混 合物に希塩酸を加えて酸性にして、 酢酸ェチルで抽出した。 有機層を乾燥し、 減圧 下濃縮した。得られた結晶をへキサンで洗浄 て、下記の.物性を示す生成物(以下、 —生成物 Π— 8 aと記す。) 3.' 5 gを得た。 -: - - 生成物 II一 8a - -- -. : -In a mixture of 16 ml of water and 10 ml of tetrahydrofuran, 4.5 g of the product polymer and 0.40 g of lithium hydroxide are mixed and stirred at room temperature for 2 hours. This. 10 ml of the aqueous solution of τΚ potassium oxide (3 mol / 1) was added, and the mixture was stirred under reflux for 2 days. : 'The reaction mixture was acidified with dilute hydrochloric acid and extracted with ethyl acetate. The organic layer was dried and concentrated under reduced pressure. The obtained crystals were washed with hexane to obtain 3.'5 g of a product having the following physical properties (hereinafter, referred to as -product 8-8a). -:--Product II-1 8a---.:
1 H-NMR ( C D C 1 a , TMS) δ (p p m) : 1. 44 (9H, s)、 3. 85 (3H, s)、 3. 94 (3H, s)、 6 — 77 ( 1 H , d, J = 1— . 6 H z .), 6. 8 4 (1 H, d d, J = 1. 6 H z , 7. 9H z), 6 89 (1H, d, J = 7. 9 H z)、 -7. 95 (1H, s) - 1 H-NMR (CDC 1 a, TMS) δ (ppm): 1.44 (9H, s), 3.85 (3H, s), 3.94 (3H, s), 6 — 77 (1H, d, J = 1— .6 Hz.), 6.84 (1 H, dd, J = 1.6 Hz, 7.9 Hz), 689 (1H, d, J = 7.9 H z), -7. 95 (1H, s)-
CH3O-CH3O-
CH3O '参考製造例 3— 1 - - · - : 、 一- - - -CH3O 'Reference Production Example 3—1--·-:, 1----
4—メチルフエニルダリォキシル酸ェチル 9. 3 g.と水酸化ナトリゥム水溶液 (重量% ; 3 0%) 1 3 m 1 とをェタノール 3 0 m 1に混合し、 還流下 2'時間攪拌: A mixture of 9.3 g of ethyl 4-methylphenyldaloxylate and 13 ml of an aqueous sodium hydroxide solution (wt%; 30%) in 30 ml of ethanol is stirred under reflux for 2 'hours:
= 8. 3 H z ) '-. = 8.3 H z) '-.
参考製造例 3— 2 - ; ― " Reference Production Example 3-2--;-"
(3 4—ジメ トキシフエニル) ァセ h二トリル 4 0. 0 g-とギ酸メチル& 8:g とをジメチルホルムァミ ド 4 0 O m 1.に混合し、 こに 0 5 °Cで水素化ナドリ—ゥ.; -ム (重量。/。パ 6 0 %) 1 1 gを徐々に加え、 室温で 3時間攪拌じた.。 その後、約 0-°C. にした反応混合物に水を加え、 · t e r t —ブチルメチルエーテルで洗浄した。:ヮ ·層 に Ρ_Η 2付近になるまで 5 %塩酸を加えて、 酢酸ェチルで抽出しだ。 有機層を乾燥 —ヒ ド^キシァダリ ロニト リノレ ニ (34-Dimethoxyphenyl) acetonitrile 40.0 g- and methyl formate & 8: g were mixed with dimethylformamide 40 Om 1. -Gum (weight / pa. 60%) 11 g was gradually added, followed by stirring at room temperature for 3 hours. Thereafter, water was added to the reaction mixture at about 0- ° C., and the mixture was washed with t-tert-butyl methyl ether. : 5% hydrochloric acid was added to the 層 layer until it was about Η_Η2, and extracted with ethyl acetate. Dry the organic layer—Hydoxydari Lonito Linoleni
9 1 (6 H, m)、 ;二 9 1 (6 H, m);
0 0 g .と虚化チォ 混合 I ^、 °Cで I 圧下濃縮 、 粗 4— 0 g. And isocyanate mixture I ^, concentrated under I pressure at ° C, crude
2 - (3; 4—ジメ トキシフエニル) 一 3—ヒ ドロキシアタリロ トリル 2· . 5 5 gと .トリェチルァミン 2. 3 m Γと.をテトラヒ ド?フラン 3 Orii 1に混合 l^-こ こに 0 5 °Cで上記の粗.4—メチルフエ二ル―グリォキシル酸塩化物 3 gを加え、.室 温で 3時間 拌した。 その後、 反応混合物に水を加え: 減圧下濃縮して、 クロロホ ノレムで 3回抽出した。 有機層を乾燥し、 減圧下濃縮した。 残渣をクロマトグラフィ 一に付し 下記の物性-を示す生成物-: : 1 8 g ( 下、 生成物 ΠΙ— 3 aと記す)一と 1 . 0 2 g - (以下、 生成物 1 3 bと記す。) とをそれぞれ得た。 2- (3; 4-Dimethoxyphenyl) -1-3-hydroxyatarilotril 2.5.5 g and .triethylamine 2.3 ml and tetrahydro? The mixture was added to furan 3 Orii 1 at a temperature of 0.5 ° C. at 0.5 ° C., and 3 g of the crude 0.4-methylphenyl-glyoxyl acid chloride was added, followed by stirring at room temperature for 3 hours. Thereafter, water was added to the reaction mixture: concentrated under reduced pressure, and extracted three times with chlorophoronelem. The organic layer was dried and concentrated under reduced pressure. The residue was subjected to chromatography to give a product having the following physical properties :: 18 g (below, product ΠΙ-3a) and 1.0 2 g-(hereinafter, product 13 b) ) Were obtained.
生成物 ΙΠ— 3 a . — '· " '- ― 一 NMR - (CDC 13,- TMS) δ (p pm) : 2. 43 (3H, s)、 3. .8.8 (3— Ή,一 s)、 3. 90 — (3-H, s)、 .3. 96 (3H,- s)、 6. 90 - 6.. 96 (3H, m)、 7. 29 ( 2 H, d, J =— 8. 4H z)、 7. 46 (1H, s) 8. 3 6 (2H, d,— J =8. 4H z)、 8. 96 (1H,. s) - " 生成 ΙΙΠ_ 3 b ― - : . · ifi二 NMR (CDC 13, TMS) 8 ( p p m) ·: 2..4-6 (3H, s)、 3. 84 Product ΙΠ— 3 a. — '· "'-― One NMR - (CDC 1 3, - TMS) δ (p pm): 2. 43 (3H, s), 3. .8.8 (3- Ή, one s), 3. 90 - (3H , s) , .3. 96 (3H, -s), 6.90-6 .. 96 (3H, m), 7.29 (2H, d, J = 8.4 Hz), 7.46 (1H, . s) 8. 3 6 (2H , d, - J = 8 4H z), 8. 96 (1H ,. s) - " generated ΙΙΠ_ 3 b - -:. · ifi two NMR (CDC 1 3, TMS) 8 (ppm) ·: 2..4-6 (3H, s), 3.84
1 H-NMR (CDC 13, TMS) δ (p p m).: 2. 47 (1 H, . t., J = 2. 4Hz)、 2. 51 (1 H, t , J =2. 4Hz), .4.-18 (1 H, d-d, J = 2. , 4 H z , 16. 2Hz)、 4. 31 (1 H, -d d-, ] = 2.— 4Ή z,· 16·. :2Hz:) . 1 H-NMR (CDC 1 3 , TMS) δ (ppm) .: 2. 47 (1 H,. T., J = 2. 4Hz), 2. 51 (1 H, t, J = 2. 4Hz) , .4.-18 (1 H, dd, J = 2., 4 H z, 16.2 Hz), 4.31 (1 H, -d d-,] = 2.—4Ή z, · 16 ·. : 2Hz :).
4. 67 ( 1 H, d d, J = 2. 4 H z , 15. 4:jH-z )、 4. 76 ( 1 H, d d一 , J = 2. 4H z , 15. 4-H z ) , 5 , 23 (l.H, 's)、 7. 33 - 7. 42 _(4 H, m) . ノ . . — · · ': 二 参考製造例 3-7 -. " - ,- 2— ( 2—プロピニルォキシ) 一 2— ( 4—クロ口フエニル) 酢酸メチルと: - 2 '-; (2 プロピニルォキシ) —2— (4—クロロフ-ヱニル) 酢酸 (2—プ pピニル). との混合物 64. 6 gをテトラヒ ドロフラン 800mlに溶解し、 0°Cで水酸化リ テゥム水溶液 (水酸化リチウム 6. 74 gと水 28 Om 1 との混合物) を滴下-し: 0—°C〜室温で 3時間攪拌した。 その後、—反応混合物に希塩酸を加え; 酢酸ェチルで 抽出-した。有機層を乾燥し、減圧下濃縮して、得られた結晶をへキサンで洗挣じて、 - 2— (2—プロピニルォキシ) — 2— (4—クロ口フ王-ル) 酢酸 4— 3. 4 gを得 だ。 - ■ 4.67 (1H, dd, J = 2.4Hz, 15.4: jH-z), 4.76 (1H, dd-1, J = 2.4Hz, 15.4-Hz) , 5, 23 (lH, 's), 7.33-7.42 _ (4 H, m). No.. — · ·': Two Reference Production Examples 3-7-. Methyl 2- (4-propynyloxy) -2- (4-chlorophenyl) acetate: -2'-; (2-propynyloxy) —2- (4-chlorofudinyl) acetic acid (2-p-ppinyl). Is dissolved in 800 ml of tetrahydrofuran, and an aqueous solution of lithium hydroxide (a mixture of 6.74 g of lithium hydroxide and 28 Om 1 of water) is added dropwise at 0 ° C .: The mixture was stirred at 0- ° C to room temperature for 3 hours. Thereafter, the reaction mixture was diluted with hydrochloric acid and extracted with ethyl acetate. The organic layer is dried, concentrated under reduced pressure, and the obtained crystals are washed with hexane to give -2- (2-propynyloxy) -2- (4-chlorophenyl) acetic acid 4 — 3.4 g. -■
ニルォキシ) 一 2— '(4 -—クロ口フエ二ル-) 酢酸 ' - ' , - Niloxy) 1 2-'(4--phenyl-)-Acetic acid'-',-
1 H-NMR (CDC 13 , TMS) 8 (p p : 2. .5.1 (1 H, t , J 2' 4H z), 4. 1 5 (1 H," d d, J = 2.- 4 H z , 1 6. 0 H z ) 4.. 3 2 (1 H, d d, J = 2. 4 H z , 1 6. OH-z), 5. 20 Cl H, s ), 7, 3 3 - 7.· -, — 4 4 ( 4 H, m)、 8. 70— 9. 50 ( 1 H' b r ) · - 1 H-NMR (CDC 13, TMS) 8 (pp: 2..5.1 (1 H, t, J 2 '4H z), 4.15 (1 H, "dd, J = 2.- 4 H z , 16.0 H z) 4..32 (1 H, dd, J = 2.4 H z, 16.OH-z), 5.20 Cl H, s), 7, 3 3-7 . ·-, — 4 4 (4 H, m), 8.70—9.50 (1 H 'br) ·-
10 参考製造例 3— 8 . 10 Reference Manufacturing Example 3-8.
2 - (3, 4—ジメ トキシフエ二ル-) 一..3―ヒ ド P.キシァ—クリ ロ二トリル 6... '5 gをエタノールに溶解し、 .t e r t—ブチルヒドラジン塩酸塩 5. 9 gと炭酸水素 'ナトリウム 3 gとを加え、 1時間還流下攪拌じた。 反応混合物を室温付近まで放冷 '― し、 濾過して、 濾液を減圧下濃縮した。 残渣'をシリカゲルクロマトグラフィー (展 15 開溶媒;ヘキサン Z酢酸ェチル = 1/1)に付し、下記の物性を示す生成物(以下、 . . 2-(3,4-Dimethoxyphenyl-) 1 .3 -Hyd P.xia-Chloronitrile 6 ... '5 g is dissolved in ethanol and .tert-Butylhydrazine hydrochloride 5. 9 g and 3 g of sodium hydrogencarbonate were added, and the mixture was stirred under reflux for 1 hour. The reaction mixture was allowed to cool to around room temperature, filtered, and the filtrate was concentrated under reduced pressure. The residue 'was subjected to silica gel chromatography (extended solvent: hexane Z, ethyl acetate = 1/1) to give a product having the following physical properties (hereinafter,...).
. . .
- · 7 5 - 6. 9' 20 - -7 5-6. 9 '20-
-. -.
2 - (3, 4—ジメ トキシフエエル) 一 3—ヒ ドロキシァクリ ロ二トリノ P5. 0 gとメチルヒ ドラジン 1. 35 gとをエタノール 5 0 m 1に混合し、 7 5〜 80-°C 25- で 3時間攪拌した。 その後、 反応混合物を減圧下濃縮し、 得られた残渣にへギサン を加え、 濾過.して得 れた結晶をへキサン洗浄して生成物 (生成物 ΠΙ— .9と記す。) " - . "5. 1 7 gを得た。 -. ·' - 生成物 ΠΙ— 9 " 2-(3,4-Dimethoxyphenyl) 1-3-Hydroxyacrylonitrino P5.0 g and methylhydrazine 1.35 g are mixed with 50 ml of ethanol, and then mixed at 75-80- ° C 25-. Stir for 3 hours. Thereafter, the reaction mixture was concentrated under reduced pressure, and to the resulting residue was added hegisan, followed by filtration. The obtained crystals were washed with hexane to give the product (hereinafter referred to as product ΠΙ.9). "5.17 g were obtained. -. · '-Product ΠΙ— 9 "
1 H— NMR (CDC 13, TMS) δ (p p m) : 1 / 8 2 (2 H, b r: s )、 - OCH3 - - . 一 ; . 1 H- NMR (CDC 1 3 , TMS) δ (ppm): 1/8 2 (2 H, br: s), - OCH 3 - - one;
CH3 ― 3. 73 (1: 8H, s)、 3. .74 (1. 2 H, s)、 -3. 89〜; 3 ; 90 (6 m)、 6. 8"8〜6. 98 (3H, m)、——7. 22 (0. 4H, s)、 7. 4" 1 (0.CH 3 ― 3.73 (1: 8H, s), 3..74 (1.2 H, s), -3.89-; 3; 90 (6 m), 6.8 "8-6.98 (3H, s) m), ——7.22 (0.4 H, s), 7.4 ”1 (0.
6 M, .s) '一 - 参考製造例 3— 10 — 参考製造例 3— 4〜 3— 7と同様の方法で、 4—クロ-口フエニルダリォキシル酸 メチルの代わりに 4一ブロモフエニルグリオキシノレ酸メチルを用いて、 2— (2— (4一ブロモフエニル Γ酢酸を得た。 -. " シ) —2 (4—ブロモフエニル) 酢酸 6 M, .s) '1-Reference production example 3-10-Reference production example 3-In the same manner as in 4 to 3-7, use 4-monobromofurin in place of methyl 4-chloro-mouth phenyldaryloxylate. Methyl enylglyoxynolate was used to obtain 2- (2- (4-bromophenyl acetic acid.-. ")-2 (4-Bromophenyl) acetic acid
TMS) δ (ρ ρ m) : -2. 51 (1 H, t , J = 2 d d, Γ = 2..4 Η ζ 16. OH z)、 4. 3—2— (1 Μ, d d, J =2. 4 Hz, 16-. 0H z)、 5. 一 9 — (1H, ' s):、 7. 52 2.TMS) δ (ρ ρ m): -2.51 (1 H, t, J = 2 dd, Γ = 2..4 Η ζ 16. OH z), 4.3−2— (1 ,, dd, J = 2.4 Hz, 16-. 0Hz), 5.1-9 — (1H, 's) :, 7.52 2.
H, d, J = 8. 3 Hz)―、 7. 3 - (2H, d, - J =8: -3Hz)、- 9. 32. (: H, b r ) H, d, J = 8.3 Hz)-, 7.3-(2H, d,-J = 8: -3 Hz), -9.32. (: H, b r)
ノ マ ス、シヮム 0. 86 gに、 2—プロ ΐナフタレンのテトラヒ ドロフラン溶液(2 ーブロモナ-フタレン 7. 0 gとテトラヒ ド.口フラン 22m 1 との混合溶液) を室温 で滴下し、 30分間撹拌し—た。該混合液を一 0 °Cに冷却し、シュゥ酸ジェチル 9 gおよびテ—トラヒ ドロフランの混合物を徐 .に滴下した。 該混合液-を 2時間かけ -て室温まで昇温し、.飽和塩化アンモニゥム水を加えて、 酢酸ェチルで抽出した。 得 られた有機層を飽和炭酸水素ナトリゥム水および飽和食塩水で洗浄し、 無 ·7_Κ硫酸マ. グネシゥムで乾燥した後、.減圧 Τで濃縮した 得られた残渣をシリ.力ゲルカ ク ,口 トグラフィーに付し、 (ナフタレン一 2—ィル)' ダリオキシル酸ェチル 9. 3 • gを得た。— . " - A solution of 2-propanaphthalene in tetrahydrofuran (a mixture of 7.0 g of 2-bromona-phthalene and 22 ml of tetrahydrofuran) was added dropwise to 0.86 g of nose and shim at room temperature for 30 minutes. Stirred. The mixture was cooled to 10 ° C., and a mixture of 9 g of getyl oxalate and tetrahydrofuran was gradually added dropwise. The mixture was allowed to warm to room temperature over 2 hours, saturated aqueous ammonium chloride was added, and the mixture was extracted with ethyl acetate. The obtained organic layer was washed with saturated sodium bicarbonate water and saturated saline, dried over anhydrous magnesium sulfate, concentrated under reduced pressure, and the resulting residue was dried with silica gel. The resulting mixture was subjected to chromatography to obtain 9.3 • g of (naphthalene-1-yl) 'ethyl dalioxylate. —. "-
(ナフタレン一 2 ^ル)、ク、、リオキ、 ル酸ェチル - ; -(Naphthalene 1 ^ 2 ^),,, rioki, ethyl rulate-;-
XH-NMR (CDC 1 a , TMS) —δ ( ρ ίη) -: 8 56 (1 Η, s ).、 8-. —05 (1 Η, d d, J = 1. 7 Η ζ , 8. 5Η ζ-)、 .7-:. :9.8 (1 Η,· d, J = 8. 2 Η ζ ) : 7. 93 ( 1 Η, d, J = 8: 7-Η·ζ)·、- 7..85 (1 Η, d, J = 8. 2 Η ζ 7. 56 - 7. 60 (1:Η, m)、 Τ .. 03-7. 07 (1 Η, m)、 4. 5 1 (2Η, q, ] = ?. 2Η ζ)、 1. 47:.(3Η, t J =7. 2H z) 参考製造例 3— 12 - - X H-NMR (CDC 1 a, TMS) —δ (ρ ίη)-: 8 56 (1 Η, s)., 8-. —05 (1 Η, dd, J = 1.7 Η ζ, 8. 5Η ζ-), .7- :.: 9.8 (1Η, · d, J = 8.2Η ζ): 7.93 (1Η, d, J = 8: 7-Η · ζ) ·,- 7..85 (1 Η, d, J = 8.2 Η ζ 7.56-7.60 (1: Η, m), Τ .. 03-7.07 (1 Η, m), 4.5 1 (2Η, q,] =?. 2Η ζ), 1.47:. (3Η, t J = 7.2Hz) Reference Manufacturing Example 3-12--
- 参考 例 3 -.4〜 3— 7と同様の方法で、 4ーク口口.フ工: -Reference example 3-In the same way as-.
メチルの代わりに (ナフタレン一 2ニイル) グリオキシル酸ェチルを用いて、 下記 の化合物をそれぞれ得た。 - . - . " The following compounds were obtained using ethyl (naphthalene-2-niyl) glyoxylate instead of methyl. -.-. "
2 - (ナフタレン一 2—ィル) 2—七 ドロ _キシ酢酸ェチル .-'. · 2-(Naphthalene-2-yl) 2-7 dro _ethyl ethyl xyacetate .- '. ·
- · ' , . - ;; -· ',.-;
'H-NMR (; CDC 1 a, TMS) δ (ρ p.m) : 7. 91 (1 Η, s)、 . 82 一 7. 86.(3 H, m)\ 7. 47 - 7%' 53:\(3 H, m―)、 5. 32 ( 1 H, d, 'H-NMR (; CDC 1 a, TMS) δ (ρ pm): 7.91 (1 Η, s), .82-7.86. (3 H, m) \ 7.47-7%' 53 : \ (3H, m-), 5.32 (1H, d,
J =5. 6H z), 4. 13-4. 3 - 2 ( 2 H, m)、■ 3. 56 ( 1 H, d, J = 5.J = 5.6Hz), 4.13-4. 3-2 (2H, m), ■ 3.56 (1H, d, J = 5.
6 Hz), 1. 22 (3H, t, J:=7. 6 Hz) -6 Hz), 1.22 (3H, t, J : = 7.6 Hz)-
2 - (ナフタレン— 2—ィノレ)- 2.—メタン'スルホ二ルォキジ酢酸ェチル ':. 2-(Naphthalene-2-inole)-2. Methane 'ethyl ethyl sulfonylodidiacetate' :.
: . . ノ - - . - ノ - - : -' :. --.-No--:-'
NMR (CDC 13, TMS) ;δ (p p m) : 7. 96 (1 H, s 7. 84" 一 7 90 (3H, m)、 7. .51— 7.' 56 (3 H, m)、 6. 09 (1H, s)、 4. L 9-4. 32 (2H, m):、 -3-. 10 (3.H, s)、 -l. 24 (3H,\ tT"j NMR (CDC 1 3, TMS) ; δ (ppm): 7. 96 (1 H, s 7. 84 " one 7 90 (3H, m), 7. .51- 7. '56 (3 H, m) , 6.09 (1H, s), 4.L 9-4.32 (2H, m) :, -3-. 10 (3.H, s), -l. 24 (3H, \ tT "j
= 7 1 H z) -- . ' :," · ' - ' ..: ヽ : - ; ·, ' -:':, "·'-'..: ヽ:-; ·,'-:
2 - (ナフタレン— 2—ィル) _ 2——· 2'—プロピニルォキシ)、酢酸^チルエステ ルと 2— (ナフタレン _2—ィル) 一2— ·· (2—:ズロビニルォキシ)'酢酸-: ('2 プ- ロピニル) エステルとの混合物 -- . -- - -: _ - - . -.- - : 2-(Naphthalene-2-yl) _ 2--2'-propynyloxy), acetic acid ^ tilester and 2- (naphthalene _2-yl) 1-2--(2-vinyl oxy) 'acetic acid -: ('2 Propinyl) Mixture with ester-.---: _--. -.--:
— NMR - (CDC 13, TMS) δ .(p p-m一)」:— 7 95, ( 1 H, s :)、:7. -83: 一 7. 87 (3 H, m)、 7. 49— 7. .5-8 (3H, m)、 5.. 43. ( 0. :5 H, s )、 5. 39 (0. 5H, s)、 -4: 79' (0. 5 H, d d, J = 2. 4Hz, 1 5Hz)、 4. 66 (0. 5 H, d d J—=2. 4 H z, 15 H z )、一 4: l 2 4:: 38 (3H, m)、 2. 49-2. 52- (l.H, m)、' 2. 43 (0、 5 , t, J- -2. 4Hz)、 1. 22 (1. 5H, t, J =7. -1 Hz) - -. - . - 2— '(ナフタレン一 2 fル) 一2-— (2—プロピニルォキシ) 酢酸 - —.. : 一 · - NMR - (CDC 1 3, TMS) δ (p pm I) ":. -. 7 95, ( 1 H, s :) ,: 7 -83: one 7. 87 (3 H, m) , 7. 49—7.5.8 (3H, m), 5.43. (0.:5H, s), 5.39 (0.5H, s), -4: 79 '(0.5H , dd, J = 2. 4Hz, 1 5Hz), 4. 66 (0. 5 H, dd J- = 2 4 H z, 15 H z), one 4:. l 2 4:: 38 (3H, m ), 2.49-2. 52- (lH, m), '2.43 (0, 5, t, J- -2.4 Hz), 1.22 (1.5 H, t, J = 7.- 1 Hz)--.-.-2 '' (1-naphthalene 2 f) 1- 2- (2-propynyloxy) acetic acid--..: 1 ·
1 H-NMR ズ CDC 13 TMS) δ ( p p m) 8— 10 ( H, b r) - 7. 9 3 1 H, s )\ 7. 83— 7. 88 (3H m)、: 7. 49— 7 53 (3H, m) - 1 H-NMR's CDC 1 3 TMS) δ (ppm ) 8- 10 (H, br) - 7. 9 3 1 H, s) \ 7. 83- 7. 88 (3H m) ,: 7. 49- 7 53 (3H, m)-
5. 4.0 (1 H, s ), 4. 37 (1H d d J = 2: 4Ήζ 16H z) - 4, 1 5 (1H, d d, J =2 4 H z 1"6 H z ) 2. 53 ( 1 H, t , ] =2 :5.4.0 (1 H, s), 4.37 (1H dd J = 2: 4Ήζ16 H z)-4, 1 5 (1 H, dd, J = 24 H z 1 "6 H z) 2.53 ( 1 H, t,] = 2:
. H z ) . Hz).
参考製造例 3 13 ― - - , ― . Reference Production Example 3 13 ―--, ―.
参考製造例 3— 4 3— 7と同様の方法で、 4—ク口口フエ-ルダリ-ォキシノレ酸 メチルの代わりにフエニルダリオキシノレ酸ェチノレ ¾用いて、 下記の化合物をそれぞ れ得た。 ·- - - , : ? Reference Production Example 3-4 In the same manner as in 3-7, the following compounds were obtained, respectively, using phenylidalioxynoleic acid ethinole instead of methyl 4-hydroxyphthalate-oxynoleate. . ·---,:?
-2—ヒ ド.口-キシ一 2—フエ二ノレ酢酸ェチノレ - —..· -. - 一 - - '·■"·.:" -, — -2—Hide.Mouth-Xii-2-Fetinoleacetate--.. ·-.-One--'· ■ ”· .:”-, —
1 H-NMR ( C D C 13 , TMS) δ ( p p m) 7. 29— 7.+ 4-5— ( 5 H m) 5. 15 (1 Η, s 4. 1 1— 4· 30- (2Η, m 3.·· 50. (1 H, b r ) 1. 22 (3H, t , J = 7. OH z) 1 H-NMR (CDC 13, TMS) δ (ppm) 7.29— 7. + 4-5— (5 H m) 5.15 (1 Η, s 4. 1 1—4 · 30- (2Η, m 3 .... 50. (1 H, br) 1.22 (3H, t, J = 7.OH z)
2 _メタンスルホニルォキシ フエ二ノレ酢酸ェチノレ - 2 _ methanesulfonyloxy feninole acetate
1 H-NMR (CDC 13, TMS) δ (p pm) : 7. 28-7; 46 (5Η, m)、 5. 92 (1 H, s)、 -4. 16-4. "3 1 ( 2 H, m)、 3: 08.(3H, s );; 1. 24 ( 3H, t , J = 7. 1 H z ) ' 1 H-NMR (CDC 1 3 , TMS) δ (p pm):.. 7. 28-7; 46 (5Η, m), 5. 92 (1 H, s), -4 16-4 "3 1 (2H, m), 3: 08. (3H, s) ;; 1.24 (3H, t, J = 7.1Hz) '
,2― ( 2—プロピニルォキシ) — 2—フェニル酢酸ェチルと 2 (2—プロピニノレ ォキシ) —2—フエ-二ル酢酸 (2—プロビュル) との混合物' - , 2- (2-Propinyloxy) — a mixture of 2-ethyl phenylacetate and 2 (2-propyninoleoxy) —2-phenyl-2-acetic acid (2-probuyl)
LH-NMR .(CDC 13,- TMS) δ— (p p.m) -: -7 44- 7. 48 (2H,— m 7. 36— 7. 39 (3H, m 5. 29 (0. 5H, s 5. 1 9 (0. 5H, s 4. 78 (0. 5H d d, J = 2. 4Hz 15H z 4. 66 (0. 5 H, d d, J = 2. 4H z , 15H z), 4. 09— 4. 34 (3H, m)、 2..4 7— 2. 50 (1 H,- m)、— 2. 45 (0. 5H, t., J = 2. 4Hz)、 t.' 2,2 (1, 5H, t, J = 7· 1H z : ' ― . LH-NMR (CDC 1 3 , - TMS) δ- (p pm) -: -7 44- 7. 48 (2H, - m 7. 36- 7. 39 (3H, m 5. 29 (0. 5H , s 5.1 9 (0.5H, s 4.78 (0.5H dd, J = 2.4 Hz 15H z 4.66 (0.5 H, dd, J = 2.4 Hz, 15 Hz), 4.09—4.34 (3H, m), 2..47—2.50 (1 H, -m), —2.45 ( 0.5H, t., J = 2.4Hz), t. '2,2 (1, 5H, t, J = 7.1Hz:'-
2— (2—プロピニル-ォキシ) —2—フエ、ニル酢酸 2- (2-propynyl-oxy) -2-phen, nilacetic acid
^H-NMR. (CDC 13, TMS.) δ (p pm) : 8— 10 (1H、 b. r.)、 7. 3 .6— 7. 47 (5 H, m)、 5. 23 (lH., —s,)、 4. 33 (1H, d d, ] =-2. 4-H z, 16H z)、 4· 13 (1H, d d,:- J二 2 · 4Ή z, . 16—H ').、 _ 2. 5, 1 (1H, t , J =2. 4H z) . -. -- -^ H-NMR δ (p pm ). (CDC 1 3, TMS.): 8- 10 (1H, br), 7. 3 .6- 7. 47 (5 H, m), 5. 23 (lH. , —S,), 4.33 (1H, dd,] = -2. 4-Hz, 16Hz), 4 · 13 (1H, dd,: -J2 2 · 4Ήz,. 16—H ' )., _ 2.5, 1 (1H, t, J = 2.4Hz) .-.--
10 Ten
— - 次に製剤例を示す。 なお、 部は重量部を表—す。- : ノ— . 製剤例 1 ―: . - . . —-Examples of preparations are shown below. Here, “parts” indicates “parts by weight”. -: No. Formulation Example 1-:.
- - - 生成物 1一 1、 2 - 1、 2-2,: 2 3-; 2 - 4、 2— 5、 2— 6、 2— 7、 2" 一 8、. 3— 1、 3— 2、 3— 3、 3—4 , ^一 5、 3— 6、 3— 7 a、. 3 _ 7 b、- 15 3— 8 a、 3— 8 b、 3— 9 a、 3_9 b、 3— _ 10 a、 3— 10. b、 3— l l a、 ― 3——l l b、 3— 12 a、 .3— 12 b、 3— 3 a、 3— 13 b、 -3— 1.4 a、 3 ノ 一 14 b、 3— 15 a、 3— :15 b.、 3.— 16. a、 3— 16 b、 3— 17 a及び 3 一 1 J bの 50部、 リグ二ンスルホン酸カルシゥム 3部、 ラウリル硫酸マグネシゥ - . ム 2部及び合成含水酸化珪素 45.部をよぐ粉砕混合することにより、 水和剤を得る。 20 製剤例 2 - - - -; ·'-·- " ' - .'· -. . ---Product 1-1, 2-1, 2-2 ,: 23-; 2-4, 2-5, 2-6, 2-7, 2 "1-8, 3-1, 3- 2, 3-3, 3-4, ^ 1 5, 3-6, 3-7a, 3_7b, -15 3-8a, 3-8b, 3-9a, 3_9b, 3 — _ 10a, 3—10b, 3—lla, —3——llb, 3—12a, .3—12b, 3—3a, 3—13b, -3—1.4a, 3 no 1-14b, 3-15a, 3-: 15b., 3.-16a, 3-16b, 3-17a, and 50 parts of 31Jb, 3 parts of calcium lignesulfonic acid, A wettable powder is obtained by crushing and mixing 2 parts of magnesium lauryl sulfate and 45 parts of synthetic hydrous silicon oxide 20 Formulation Example 2----; ·-.
生成物 1一 1、 2— 1、 2— 2、 2.— 3、 2— 4、 2— 5、 2— 6、 2-7, 2 - 一 8、 3— 1、 3— 2、 3 - 37- 3 -4, 3——5、 3— .6、 3— 7 a、 .3— 7 b、 - 3— 8 a―、 3— 8 b、 3— & a、 3— 9 b、.3— 10 a、 3.— l Q b、 3- 1 1 a;. - .. 3.一 l l b、 3— 12 a、 .3 12 b、— 3一 13 a、 3— - 13 b、一 3— 14 a、 3 -25: 一 14 b、 - 3— 15 a-, 3- 15 、 3—— 16 a、 3— 16 b、 3— 1.7 a及び 3 - , ~ 1 7 bの 20部とソルビタントリオ-レエ一ト 1. 5部とを、 .ポリビニノ kアル—コー ノレ 2部を含む水溶液 28. 5部と混合し、 湿式粉砕法で微粉碎した後、 、この中に、 キサンタンガム 0. 05部及びアル:'ミ二ゥムマグネシクムシリケー ' Ό . 1_部を含 -: む水溶液 40部を加え、 さらに ロピレング'リコール 10部を力 D-えて攪拌混合. L 30 フロアブル製剤を得る。 " Product 1-1-1, 2--1, 2--2, 2 .-- 3, 2--4, 2--5, 2--6, 2-7,2-One-eight, 3--1, 3--2, 3- 37- 3 -4, 3——5, 3—.6, 3—7a, .3—7b, -3—8a—, 3—8b, 3— & a, 3—9b,. 3-10 a, 3.-l Q b, 3- 1 1 a ;.-.. 3. 1 llb, 3-12 a, .3 12 b,-3-13 a, 3--13 b, 1 3-14a, 3-25: 20 parts of 14b, -3-15a-, 3-15, 3-16a, 3-16b, 3-1.7a and 3-17, ~ 17b And 1.5 parts of sorbitan trioleate are mixed with 28.5 parts of an aqueous solution containing 2 parts of polyvinylino alcohol and finely pulverized by a wet pulverization method. 05 parts and Al: 'Medine Magnesium Silicate' Ό. Including 1_ parts-: Add 40 parts of aqueous solution, add 10 parts of ropireng 'recall and mix with stirring. L 30 Flowable formulation obtain. "
. : 製剤例 3 - . - ' : —. ノ . - . . - : . 生成物 1— 1、 2— 1、 2— 2_、 2— 3、 2— 4、' 2— 5、 2-6., 2— 7、 2 一 - 一 8、 3一 1、 3一 2、 3— 3、.: 3一 4.、 3— 5、 3—— &、 3:.ー7 a、: 3一 7- b、 - -.. 3 - 8 -a 3— 8 b 3— 9 a 3 9. b . 3— 10. a- 3— 10 、 3— 1 1 a ; 一 3— 1 1 b 3— 12 a 3 12 b , - 3— 13 a, 3 - 1.3 b 3— 14 a ,3 一 14 b 3— 1 5 a -3— 15 b 3- 16 a, 3— 16 b 3— 17 a及び 3 -ー 17 bの 2部/カオリンクレー 88部及びタルク 10部をよく粉砕混合すること - 5 -により、 粉剤を得る。 - . - . : Formulation example 3-.-':-. No.-.--. Product 1-1, 1, 2-1, 2, 2_, 2-3, 2-4,' 2-5, 2-6 ., 2-7, 2 1-1 8, 3 1 1, 3 1 2, 3-3,.: 3 1 4., 3-5, 3-&& 3: .- 7 a ,: 3 1 7-b, --.. 3-8 -a 3— 8 b 3— 9 a 3 9. b. 3— 10. a- 3—10, 3— 1 1a; 1—3—1 1b 3— 12 a 3 12 b,-3-13 a, 3-1.3 b 3-14 a, 3-14 b 3-15 a-3-15 b 3-16 a, 3-16 b 3-17 a and 3--17 b 2 parts / 88 parts of kaolin clay and 10 parts of talc are mixed well by grinding. -.-.
- 製剤例 4 - - .. - -Formulation Example 4--..-
-— 生成物 1— 1 2— 1 2— 2 2— 3 2— 4 2— 5 2— 6 2— 7 2. 一 8 . 3— 1 3— 2 3— 3 - 3— 4 3— 5 3— 6 3— 7 a 3 - 7 b 3 - 8 a , 3— 8 b 3 -9 a, 3— 9 b 3— 1ひ a 3— 10 b 3 - 1 1 a, 10 3— 1— 1 b 3- 12. a\ 3— 12 b -3— 13 a 3— 13 b 3 - 1 a-,; 3.. -— Product 1— 1 2— 1 2— 2 2— 3 2— 4 2—5 2— 6 2—7 2. One 8.3—1—3—2 3—3—3—4 3—5 3 — 6 3— 7 a 3-7 b 3-8 a, 3— 8 b 3 -9 a, 3— 9 b 3— 1 h a 3— 10 b 3-1 1 a, 10 3— 1— 1 b 3- 12. a \ 3— 12 b -3— 13 a 3— 13 b 3-1 a- ,; 3 ..
14 b 3 - 15 a ; 3— 15 b 3 _ 1 6 a 3— 1—6 b 3— 1 7- a,及び.3:. - 17 bの 5部、.ポリオキシエチレンスチ:リルフエニル^—テル 14部、 ·ドデシル- ベンゼンスルホン酸カルシウム 6部及びキ、 レン 75部をよく混合することによ • り-、 乳剤を得る。. : - ― -. 14 b 3-15 a; 3— 15 b 3 _ 16 a 3— 1—6 b 3—1 7-a, and 5 parts of .3: .- 17 b, polyoxyethylene styryl phenyl An emulsion is obtained by well mixing 14 parts of ter, 6 parts of calcium dodecyl-benzenesulfonate and 75 parts of benzene and benzene. .:---.
15 製剤例 5 ' ' - . -15 Formulation example 5 ''-.-
" 生成物 1— 1 2—1 2— 2 - 2— 3 : 2— 4 2— 5 2-6, 2- 7 —-8 3— 1 3— 2 3— 3 —3— -4 3— 5 3— 6 3— 7 a - 3— 715 3— 8 a 3— 8 b 3— 9 a 3-9 b 3— 10—a 3一- 10 b 3- 1 1 a - 3 - 1 1 b. 3— 1—2 a 3— 12 b 3- 13 a , 3— 13 b,;3 - 14 a 3 20 — 14 b 3— 15 a 3—— 15 b 3— 16 a;— 3— 1 6 b' 3— 1 7 a及び: 3 - _— 1マ- bの 2部、 合成含水酸化珪素 1部、 リダニンスルホン酸カルシゥム 2部、,ベ - -ントナイ ト 30部及びカオリンクレー- 63部.をよく粉砕混合した後、 水を加えてよ.. く練り合せ、 造粒乾燥することにより、 粒剤を得る。 . . ·"Product 1—1 2—1 2—2—2—3: 2—4 2—5 2-6, 2-7—-8 3—1 3—2 3—3 —3—-4 3—5 3— 6 3— 7 a-3— 715 3— 8 a 3— 8 b 3— 9 a 3-9 b 3— 10—a 3 1-10 b 3-1 1 a-3-1 1 b. 3 — 1—2 a 3— 12 b 3—13 a, 3—13 b ,; 3—14 a 3 20—14 b 3—15 a 3——15 b 3—16 a; —3—16 b ′ 3--17a and: 2 parts of 3-_- 1-b, 1 part of synthetic hydrous silicon oxide, 2 parts of calcium lydanine sulfonate, 30 parts of beta-tonite and 30 parts of kaolin clay-63 parts After pulverizing and mixing well, add water. Knead, granulate and dry to obtain granules.
- 製剤例 6 - ― -- — - . , -. --Formulation Example 6------.,-.-
25 生成物 1— 1 2 _ ί、 2— 2、 2— 3 2, 4 2— 5 2— -6 2— 7、 .2- ー 8 3 - 1、 3— 2 3— 3—、 3— 4 -3— 5 . 3— 6 3了.7 a 3 - 7 b .. 3— 8 a、· 3— 8 、 3— 9 a、 3— ' 9 b .3— 10- a、 —3— 10— b 3一 1.1 a -. . 3— l l b 3_ 12 a 3— 1 2 b、 3— 1 3-a 3 _ 13 b、 .3— 14 a .— 3 ,— 14 b 3— 15 a 3— 15 b; 3— 16 a 3.—— 16 b, 3- 1 7 a及び 30 - 17 bの 1 Ό部;ポリオキシエチレンアノ キルエーテルサルフェートアンモニゥ. ム塩 50部を含むホワイ トカーボン 35部 ';及び水 55部を混合し 湿式粉砕法で ' 微粉砕することにより、'フロアブノレ製剤 得る。 ::.. .:. . ■ — —- - : 次に、 本発明化合物が植物病害の防除に有用である.ことを試験例で示す。 —- . 35 なお防除効果は、 調査時の供試植物上の病斑の面積を目視観察'し、、無処理区の病 一 ·斑の面積と本発明化合物処理区-の病斑の面積を比較することにより評価した。 - 試験例 1 - . . -- 一 .. . - . . .25 Products 1—1 2 _ ί, 2—2, 2—3 2, 4 2—5 2—-6 2—7, .2- ー 8 3-1, 1, 3—2 3—3—, 3— 4 -3— 5.3. 3 — 6 3 .. 7 a 3-7 b .. 3 — 8 a, · 3 — 8, 3 — 9 a, 3 — '9 b .3 — 10- a, —3 — 10— b 3 1 1.1 a-.. 3— llb 3_ 12 a 3— 12 b, 3— 13 3-a 3 _ 13 b, .3— 14 a .— 3, — 14 b 3— 15 a 3 — 15 b; 3— 16 a 3 .—— 1 part of 16 b, 3-17 a and 30-17 b; polyoxyethylene anoyl ether sulfate ammonium. 35 parts of white carbon containing 50 parts of salt 'And 55 parts of water are mixed and finely pulverized by a wet pulverization method to obtain a' floor veneer preparation '. :: .. ::. ■ — —--: Next, test examples show that the compound of the present invention is useful for controlling plant diseases. —-. 35 The control effect was determined by visually observing the area of the lesion on the test plant at the time of the investigation, and determining the area of the lesion in the untreated plot and the area of the lesion in the plot treated with the compound of the present invention. Were evaluated by comparison. -Test example 1------
. プラスチックポットに砂壌土を詰め、 トマト - (品種: -ポ.ンテローザ) を播種し、 - 温室内で 20日間生育させた。 生成物' 2— 1、.2— 2、 2.^-3、 2— 4、 2— 7、 Plastic pots were filled with sandy loam, tomatoes-(variety: -Ponteroza) were sown, and-grown in a greenhouse for 20 days. Products' 2-1, .2-2, 2. ^-3, 2-4, 2-7,
2— 8、 3— 3、 3— 4、 3— 5、 3— 7 a、 3._ 7 b、- 3— 8 a、 3— 8 b、 3- 了 9 a、 3— 9 b、- 3— 10 a、 3— 1 1 a、 3— l l b、 3— 1 2 a、 3- 12 b、 3- 13 a、 3 - 1 3 b -、 3— 1- 4 a、 3 _ 15 a、 3— 1 5 b、 3— 16 a -、 . 3— 16 b、. 3— 17 a及び 3— 1 7 bの各々を製剤例 6. 準じ-てフ口ァブル製.剤 とした後、水で本発明化合物の濃度が 50.0 p p mとなるよう—な希釈液を調製した; . 該希釈液を上記のトマ 苗の葉面に充_分付着するように茎葉散布した。 散布後植物 を風乾し、 トマト疫病の遊走子嚢の氷懸濁液 (約 10000個 Zm l を噴霧 (植 物 1個体あたり約 2 m- 1の割合) した。 .そ (p後、 ·このトマ卜苗を 23.T:、 相対湿度 90 %以上の条件下で一日栽培し、 さらに昼間 2.4 °G、 夜間 20°Cの温室に移して 4日間栽培した。 植物上の病斑面積^調 _査した。 上記生成物 2— 1、 2— 2 2 _ 2—8, 3—3, 3—4, 3—5, 3—7a, 3._7b, −3—8a, 3—8b, 3—9a, 3—9b, — 3—10a, 3—11a, 3—llb, 3—12a, 3—12b, 3—13a, 3—13b—, 3—1—4a, 3—15a, 3-15b, 3-16a-, .3-16b, .3-17a and 3-17b were prepared according to Formulation Example 6. A diluted solution was prepared such that the concentration of the compound of the present invention was 50.0 ppm in the above procedure. The diluted solution was sprayed on the foliage of the above-described tomato seedlings so as to adhere to the leaves. After spraying, the plants were air-dried and sprayed with an ice suspension of zoospores of tomato late blight (approximately 10,000 Zml) (at a rate of about 2 m-1 per plant). 23.T: Tomato seedlings were cultivated for one day under the condition of relative humidity of 90% or more, and then transferred to a greenhouse at 2.4 ° G in the day and 20 ° C at night for 4 days. The above products 2-1 and 2-2 2 _
3、 2 - 4、 2— 7、 -2— 8、 - 3 - 3、 3 - 4 3— 5、 3— 7 a、 3 - 7 b、 3 _8 a―、 3_8 b、 3— 9 a、 — 3 9 b、 3— 10 a .ゝ 3— l l a、 3— l l b、3, 2-4, 2-7, -2-8, -3-3, 3-4 3-5, 3-7a, 3-7b, 3_8a-, 3_8b, 3-9a, — 3 9 b, 3— 10 a. ゝ 3— lla, 3— llb,
- .3— 12 a、 3_ 12 b、 3_ 13 a、 3— 13 b、 3 - 14 a , 3 - 15 a、 3 - 15 b, 3— 16 a、 3— 16 b、 -3— 1.7 a及び 3— 17 bの希釈液を散布-し た植物上の病斑面積は、 無処理区の病斑面積の 10%以下であった。 -.3—12a, 3_12b, 3_13a, 3—13b, 3-14a, 3-15a, 3-15b, 3—16a, 3—16b, -3—1.7a In addition, the lesion area on the plant to which the diluted solution of 3-17b was sprayed was 10% or less of the lesion area in the untreated plot.
試験例 2 · . · .. . — - - - . Test Example 2 · · · · · ·----.
_プラスチックポットに砂壌土を詰め、 ブドウ (品種:ベリ一 Λ) -を播種し、 温室 内で 40日間生育させた。 生成物 1— 1、 2— 3、 2-4, 2-7, 2— 8、 3 - . 3、 3— 4、 3 _ 5、 3 _ -6、 .3 _ 7 a、 3.— 7 b -.、 3— 8 a、 3— 9 a:、 3,- 9 .· b、 3— 12 a、 3— 15 a及び 3— 15. bを製.剤例 6に準じてフ口ァブル製剤と レた後 ·、 水で本発明化合物の濃度が 200 p pmとなるような希釈液を 製した -。 該希釈液.を前記のブドウ葉面に充分付着するよう'に茎葉散布した。 次いで葉面上の 散布液を風乾させた後、 ブドウべ-と病の遊走子嚢懸濁液を噴霧接瑋した。 接種後 2: . 3 °C、 相対湿度 90%以上の条件下で "^日栽培し、 その後昼間 24 °C、 夜間 2. Q°C の温室に移して 6日間栽培した。 · - -. , - _Plastic pots were filled with sandy loam, and grape (variety: Veri 一)-was sown and grown in a greenhouse for 40 days. Products 1-1, 2-3, 2-4, 2-7, 2-8, 3-0.3, 3-4, 3_5, 3_-6, 0.3_7a, 3.-7 b-., 3-8 a, 3-9 a :, 3, -9 .. b, 3-12 a, 3-15 a, and 3-15 b are prepared. After the preparation, a diluent was prepared with water so that the concentration of the compound of the present invention was 200 ppm. The diluted solution was sprayed on the foliage so as to sufficiently adhere to the grape leaf surface. Next, the sprayed liquid on the leaf surface was air-dried, and then a suspension of zoosporangia of grape downy mildew was spray-contacted. After inoculation: cultivated for 2 days under conditions of 0.3 ° C and a relative humidity of 90% or more, then moved to a greenhouse at 24 ° C in the daytime and at night at 2. Q ° C for 6 days. ,-
, 植物上の病斑面積を目視観察した。植物上の病斑面積を調査した。生成物 1了. :!、 2— 3、 2— 4、 2— 7、 2— 8、ー3— 3、 3— 4、 3— 5、 3— 6、 3— 7 a、- 3— 7 b、 3— 8 a、 3— 9 a、 3 _ 9— b、 - 3—— 12 a、 3—15 a及び.3— 15. . bの希釈液を散布した植物上の病斑面積は、.無処理 の病斑面積の 10%以下:であ つた。 - 一- 産業上の利用可能性 - - - . . . · ·— 本発明化合物は優れた植物病害防除効力を有し、本発明化合物の有効量を植物ま たは土壌に処理することにより植物病 を防除することができる。 ' - -- Then, the lesion area on the plant was visually observed. The lesion area on the plant was investigated. Product 1 Ryo.:! , 2-3, 2-4, 2-7, 2-8, -3-3, 3-4, 3-5, 3-6, 3-7a, -3-7b, 3-8a, 3-9a, 3_9-b, -3—12a, 3-15a, and 3-15. Less than 10% of the area: -I-Industrial applicability---... The compound of the present invention has an excellent plant disease controlling effect, and an effective amount of the compound of the present invention can be applied to plants. Alternatively, plant diseases can be controlled by treating soil or soil. '--
Claims
Applications Claiming Priority (6)
| Application Number | Priority Date | Filing Date | Title |
|---|---|---|---|
| JP2003-071637 | 2003-03-17 | ||
| JP2003071637 | 2003-03-17 | ||
| JP2003085685 | 2003-03-26 | ||
| JP2003-085679 | 2003-03-26 | ||
| JP2003-085685 | 2003-03-26 | ||
| JP2003085679 | 2003-03-26 |
Publications (1)
| Publication Number | Publication Date |
|---|---|
| WO2004083193A1 true WO2004083193A1 (en) | 2004-09-30 |
Family
ID=33033073
Family Applications (1)
| Application Number | Title | Priority Date | Filing Date |
|---|---|---|---|
| PCT/JP2004/003223 Ceased WO2004083193A1 (en) | 2003-03-17 | 2004-03-11 | Amide compound and bactericide composition containing the same |
Country Status (1)
| Country | Link |
|---|---|
| WO (1) | WO2004083193A1 (en) |
Cited By (373)
| Publication number | Priority date | Publication date | Assignee | Title |
|---|---|---|---|---|
| US7749999B2 (en) | 2003-09-11 | 2010-07-06 | Itherx Pharmaceuticals, Inc. | Alpha-ketoamides and derivatives thereof |
| WO2010103065A1 (en) | 2009-03-11 | 2010-09-16 | Basf Se | Fungicidal compositions and their use |
| WO2010115721A2 (en) | 2009-04-02 | 2010-10-14 | Basf Se | Method for reducing sunburn damage in plants |
| WO2010142779A1 (en) | 2009-06-12 | 2010-12-16 | Basf Se | Antifungal 1,2,4-triazolyl derivatives having a 5- sulfur substituent |
| WO2010146112A1 (en) | 2009-06-18 | 2010-12-23 | Basf Se | Antifungal 1, 2, 4-triazolyl derivatives |
| WO2010146114A1 (en) | 2009-06-18 | 2010-12-23 | Basf Se | Triazole compounds carrying a sulfur substituent |
| WO2010146111A1 (en) | 2009-06-18 | 2010-12-23 | Basf Se | Antifungal 1, 2, 4-triazolyl derivatives |
| WO2010146113A1 (en) | 2009-06-18 | 2010-12-23 | Basf Se | Antifungal 1, 2, 4-triazolyl derivatives having a 5- sulfur substituent |
| WO2010146115A1 (en) | 2009-06-18 | 2010-12-23 | Basf Se | Triazole compounds carrying a sulfur substituent |
| WO2010146116A1 (en) | 2009-06-18 | 2010-12-23 | Basf Se | Triazole compounds carrying a sulfur substituent |
| WO2010149758A1 (en) | 2009-06-25 | 2010-12-29 | Basf Se | Antifungal 1, 2, 4-triazolyl derivatives |
| WO2011006886A2 (en) | 2009-07-14 | 2011-01-20 | Basf Se | Azole compounds carrying a sulfur substituent xiv |
| WO2011012493A2 (en) | 2009-07-28 | 2011-02-03 | Basf Se | Pesticidal suspo-emulsion compositions |
| WO2011026796A1 (en) | 2009-09-01 | 2011-03-10 | Basf Se | Synergistic fungicidal mixtures comprising lactylates and method for combating phytopathogenic fungi |
| EP2366289A1 (en) | 2010-03-18 | 2011-09-21 | Basf Se | Synergistic fungicidal mixtures |
| WO2011114280A2 (en) | 2010-03-18 | 2011-09-22 | Basf Se | Fungicidal compositions comprising comprising a phosphate solubilizing microorganism and a fungicidally active compound |
| EP2402339A1 (en) | 2010-06-29 | 2012-01-04 | Basf Se | Pyrazolopyridine compounds |
| EP2402337A1 (en) | 2010-06-29 | 2012-01-04 | Basf Se | Pyrazolopyridine compounds |
| EP2402343A1 (en) | 2010-06-29 | 2012-01-04 | Basf Se | Pyrazole-fused bicyclic compounds |
| EP2402345A1 (en) | 2010-06-29 | 2012-01-04 | Basf Se | Pyrazole fused bicyclic compounds |
| EP2401915A1 (en) | 2010-06-29 | 2012-01-04 | Basf Se | Pyrazolopyridine compounds |
| EP2402340A1 (en) | 2010-06-29 | 2012-01-04 | Basf Se | Pyrazolopyridine compounds |
| EP2402344A1 (en) | 2010-06-29 | 2012-01-04 | Basf Se | Pyrazole fused bicyclic compounds |
| EP2402335A1 (en) | 2010-06-29 | 2012-01-04 | Basf Se | Pyrazolopyridine compounds |
| EP2402336A1 (en) | 2010-06-29 | 2012-01-04 | Basf Se | Pyrazolopyridine compounds |
| EP2402338A1 (en) | 2010-06-29 | 2012-01-04 | Basf Se | Pyrazolopyridine compounds |
| WO2012016989A2 (en) | 2010-08-03 | 2012-02-09 | Basf Se | Fungicidal compositions |
| EP2447261A1 (en) | 2010-10-29 | 2012-05-02 | Basf Se | Pyrrole, furane and thiophene derivatives and their use as fungicides |
| EP2447262A1 (en) | 2010-10-29 | 2012-05-02 | Basf Se | Pyrrole, furane and thiophene derivatives and their use as fungicides |
| WO2012076563A1 (en) | 2010-12-08 | 2012-06-14 | Basf Se | Fungicidal mixtures |
| EP2481284A2 (en) | 2011-01-27 | 2012-08-01 | Basf Se | Pesticidal mixtures |
| WO2012127009A1 (en) | 2011-03-23 | 2012-09-27 | Basf Se | Compositions containing polymeric, ionic compounds comprising imidazolium groups |
| WO2012140001A1 (en) | 2011-04-15 | 2012-10-18 | Basf Se | Use of substituted dithiine-dicarboximides for combating phytopathogenic fungi |
| WO2012139987A1 (en) | 2011-04-15 | 2012-10-18 | Basf Se | Use of substituted dithiine-tetracarboximides for combating phytopathogenic fungi |
| WO2012143468A1 (en) | 2011-04-21 | 2012-10-26 | Basf Se | 3,4-disubstituted pyrrole 2,5-diones and their use as fungicides |
| WO2012172061A1 (en) | 2011-06-17 | 2012-12-20 | Basf Se | Compositions comprising fungicidal substituted dithiines and further actives |
| WO2013007767A1 (en) | 2011-07-13 | 2013-01-17 | Basf Se | Fungicidal substituted 2-[2-halogenalkyl-4-(phenoxy)-phenyl]-1-[1,2,4]triazol-1-yl-ethanol compounds |
| WO2013010894A1 (en) | 2011-07-15 | 2013-01-24 | Basf Se | Fungicidal phenylalkyl-substituted 2-[2-chloro-4-(4-chloro-phenoxy)-phenyl]-1-[1,2,4]triazol-1-yl-ethanol compounds |
| WO2013010885A1 (en) | 2011-07-15 | 2013-01-24 | Basf Se | Fungicidal alkyl- and aryl-substituted 2-[2-chloro-4-(dihalo-phenoxy)-phenyl]-1-[1,2,4]triazol-1-yl-ethanol compounds |
| WO2013010862A1 (en) | 2011-07-15 | 2013-01-24 | Basf Se | Fungicidal alkyl-substituted 2-[2-chloro-4-(4-chloro-phenoxy)-phenyl]-1-[1,2,4]triazol-1-yl-ethanol compounds |
| EP2559688A1 (en) | 2011-08-15 | 2013-02-20 | Basf Se | Fungicidal substituted 1-{2-[2-halo-4-(4-halogen-phenoxy)-phenyl]-2-butoxy-ethyl}-1h [1,2,4]triazole compounds |
| WO2013024076A1 (en) | 2011-08-15 | 2013-02-21 | Basf Se | Fungicidal substituted 1-{2-[2-halo-4-(4-halogen-phenoxy)-phenyl]-2-ethoxy-ethyl}-1h- [1,2,4]triazole compounds |
| WO2013024081A1 (en) | 2011-08-15 | 2013-02-21 | Basf Se | Fungicidal substituted 1-{2-[2-halo-4-(4-halogen-phenoxy)-phenyl]-2-alkoxy-hexyl}-1h [1,2,4]triazole compounds |
| WO2013024083A1 (en) | 2011-08-15 | 2013-02-21 | Basf Se | Fungicidal substituted 1-{2-[2-halo-4-(4-halogen-phenoxy)-phenyl]-2-alkoxy-2-alkynyl/alkenyl-ethyl}-1h-[1,2,4]triazole compounds |
| WO2013024075A1 (en) | 2011-08-15 | 2013-02-21 | Basf Se | Fungicidal substituted 1-{2-[2-halo-4-(4-halogen-phenoxy)-phenyl]-2-alkynyloxy-ethyl}-1h-[1,2,4]triazole compounds |
| WO2013024080A1 (en) | 2011-08-15 | 2013-02-21 | Basf Se | Fungicidal substituted 1-{2-[2-halo-4-(4-halogen-phenoxy)-phenyl ]-2-alkoxy-2-cyclyl-ethyl}-1h [1,2,4]triazole compounds |
| WO2013024082A1 (en) | 2011-08-15 | 2013-02-21 | Basf Se | Fungicidal substituted 1-{2-cyclyloxy-2-[2-halo-4-(4-halogen-phenoxy)-phenyl]-ethyl}-1h-[1,2,4]triazole compounds |
| WO2013024077A1 (en) | 2011-08-15 | 2013-02-21 | Basf Se | Fungicidal substituted 1-{2-[2-halo-4-(4-halogen-phenoxy)-phenyl]-2-alkoxy-3-methyl-butyl}-1h-[1,2,4]triazole compounds |
| WO2013071169A1 (en) | 2011-11-11 | 2013-05-16 | Nimbus Apollo, Inc. | Acc inhibitors and uses thereof |
| WO2013092224A1 (en) | 2011-12-21 | 2013-06-27 | Basf Se | Use of strobilurin type compounds for combating phytopathogenic fungi resistant to qo inhibitors |
| WO2013113715A1 (en) | 2012-02-03 | 2013-08-08 | Basf Se | Fungicidal pyrimidine compounds |
| WO2013113791A1 (en) | 2012-02-03 | 2013-08-08 | Basf Se | Fungicidal pyrimidine compounds |
| WO2013113773A1 (en) | 2012-02-03 | 2013-08-08 | Basf Se | Fungicidal pyrimidine compounds |
| WO2013113863A1 (en) | 2012-02-03 | 2013-08-08 | Basf Se | Fungicidal pyrimidine compounds |
| WO2013113776A1 (en) | 2012-02-03 | 2013-08-08 | Basf Se | Fungicidal pyrimidine compounds |
| WO2013113720A1 (en) | 2012-02-03 | 2013-08-08 | Basf Se | Fungicidal pyrimidine compounds |
| WO2013113719A1 (en) | 2012-02-03 | 2013-08-08 | Basf Se | Fungicidal pyrimidine compounds ii |
| WO2013113781A1 (en) | 2012-02-03 | 2013-08-08 | Basf Se | Fungicidal pyrimidine compounds i |
| WO2013113778A1 (en) | 2012-02-03 | 2013-08-08 | Basf Se | Fungicidal pyrimidine compounds |
| WO2013113716A1 (en) | 2012-02-03 | 2013-08-08 | Basf Se | Fungicidal pyrimidine compounds |
| WO2013113782A1 (en) | 2012-02-03 | 2013-08-08 | Basf Se | Fungicidal pyrimidine compounds |
| WO2013124250A2 (en) | 2012-02-20 | 2013-08-29 | Basf Se | Fungicidal substituted thiophenes |
| WO2013135672A1 (en) | 2012-03-13 | 2013-09-19 | Basf Se | Fungicidal pyrimidine compounds |
| WO2013135671A1 (en) | 2012-03-13 | 2013-09-19 | Basf Se | Fungicidal pyrimidine compounds |
| WO2013144213A1 (en) | 2012-03-30 | 2013-10-03 | Basf Se | N-substituted pyridinylidene compounds and derivatives for combating animal pests |
| WO2013144223A1 (en) | 2012-03-30 | 2013-10-03 | Basf Se | N-substituted pyrimidinylidene compounds and derivatives for combating animal pests |
| WO2013149940A1 (en) | 2012-04-02 | 2013-10-10 | Basf Se | Acrylamide compounds for combating invertebrate pests |
| WO2013149903A1 (en) | 2012-04-03 | 2013-10-10 | Basf Se | N- substituted hetero - bicyclic furanone derivatives for combating animal |
| WO2013150115A1 (en) | 2012-04-05 | 2013-10-10 | Basf Se | N- substituted hetero - bicyclic compounds and derivatives for combating animal pests |
| WO2013164295A1 (en) | 2012-05-04 | 2013-11-07 | Basf Se | Substituted pyrazole-containing compounds and their use as pesticides |
| WO2013174645A1 (en) | 2012-05-24 | 2013-11-28 | Basf Se | N-thio-anthranilamide compounds and their use as pesticides |
| WO2013186089A2 (en) | 2012-06-14 | 2013-12-19 | Basf Se | Pesticidal methods using substituted 3-pyridyl thiazole compounds and derivatives for combating animal pests |
| WO2014009293A1 (en) | 2012-07-13 | 2014-01-16 | Basf Se | New substituted thiadiazoles and their use as fungicides |
| WO2014009137A1 (en) | 2012-07-13 | 2014-01-16 | Basf Se | Substituted thiadiazoles and their use as fungicides |
| WO2014053395A1 (en) | 2012-10-01 | 2014-04-10 | Basf Se | Use of n-thio-anthranilamide compounds on cultivated plants |
| WO2014053403A1 (en) | 2012-10-01 | 2014-04-10 | Basf Se | Method of controlling insecticide resistant insects |
| WO2014053404A1 (en) | 2012-10-01 | 2014-04-10 | Basf Se | Pesticidally active mixtures comprising anthranilamide compounds |
| WO2014053405A1 (en) | 2012-10-01 | 2014-04-10 | Basf Se | Pesticidally active mixtures comprising anthranilamide compounds |
| WO2014053407A1 (en) | 2012-10-01 | 2014-04-10 | Basf Se | N-thio-anthranilamide compounds and their use as pesticides |
| WO2014053401A2 (en) | 2012-10-01 | 2014-04-10 | Basf Se | Method of improving plant health |
| WO2014053406A1 (en) | 2012-10-01 | 2014-04-10 | Basf Se | Method of controlling ryanodine-modulator insecticide resistant insects |
| WO2014056780A1 (en) | 2012-10-12 | 2014-04-17 | Basf Se | A method for combating phytopathogenic harmful microbes on cultivated plants or plant propagation material |
| WO2014079820A1 (en) | 2012-11-22 | 2014-05-30 | Basf Se | Use of anthranilamide compounds for reducing insect-vectored viral infections |
| WO2014082881A1 (en) | 2012-11-27 | 2014-06-05 | Basf Se | Substituted 2-[phenoxy-phenyl]-1-[1,2,4]triazol-1-yl-ethanol compounds and their use as fungicides |
| WO2014082880A1 (en) | 2012-11-27 | 2014-06-05 | Basf Se | Substituted [1,2,4] triazole compounds |
| WO2014082879A1 (en) | 2012-11-27 | 2014-06-05 | Basf Se | Substituted [1,2,4]triazole compounds |
| WO2014082871A1 (en) | 2012-11-27 | 2014-06-05 | Basf Se | Substituted 2-[phenoxy-phenyl]-1-[1,2,4]triazol-1-yl-ethanol compounds and their use as fungicides |
| WO2014086601A1 (en) | 2012-12-04 | 2014-06-12 | Basf Se | New substituted 1,4-dithiine derivatives and their use as fungicides |
| WO2014086856A1 (en) | 2012-12-04 | 2014-06-12 | Basf Agro B.V., Arnhem (Nl) | Compositions comprising a quillay extract and a biopesticide |
| WO2014086854A1 (en) | 2012-12-04 | 2014-06-12 | Basf Agro B.V., Arnhem (Nl) | Compositions comprising a quillay extract and a plant growth regulator |
| WO2014086850A1 (en) | 2012-12-04 | 2014-06-12 | Basf Agro B.V., Arnhem (Nl) | Compositions comprising a quillay extract and a fungicidal inhibitor of respiratory complex ii |
| EP2746263A1 (en) | 2012-12-19 | 2014-06-25 | Basf Se | Alpha-substituted triazoles and imidazoles |
| EP2746264A1 (en) | 2012-12-19 | 2014-06-25 | Basf Se | Substituted [1,2,4]triazole and imidazole compounds |
| EP2746255A1 (en) | 2012-12-19 | 2014-06-25 | Basf Se | Substituted [1,2,4]triazole and imidazole compounds |
| EP2746256A1 (en) | 2012-12-19 | 2014-06-25 | Basf Se | Fungicidal imidazolyl and triazolyl compounds |
| EP2746274A1 (en) | 2012-12-19 | 2014-06-25 | Basf Se | Substituted [1,2,4]triazole compounds |
| EP2745691A1 (en) | 2012-12-19 | 2014-06-25 | Basf Se | Substituted imidazole compounds and their use as fungicides |
| EP2746260A1 (en) | 2012-12-21 | 2014-06-25 | Basf Se | Substituted [1,2,4]triazole and imidazole compounds |
| EP2746258A1 (en) | 2012-12-21 | 2014-06-25 | Basf Se | Substituted [1,2,4]triazole and imidazole compounds |
| EP2746275A1 (en) | 2012-12-19 | 2014-06-25 | Basf Se | New substituted triazoles and imidazoles and their use as fungicides |
| EP2746278A1 (en) | 2012-12-19 | 2014-06-25 | Basf Se | Substituted [1,2,4]triazole and imidazole compounds |
| EP2746262A1 (en) | 2012-12-19 | 2014-06-25 | Basf Se | Substituted [1,2,4]triazole and imidazole compounds for combating phytopathogenic fungi |
| EP2746279A1 (en) | 2012-12-19 | 2014-06-25 | Basf Se | Fungicidal imidazolyl and triazolyl compounds |
| EP2746257A1 (en) | 2012-12-21 | 2014-06-25 | Basf Se | Substituted [1,2,4]triazole and imidazole compounds |
| EP2746259A1 (en) | 2012-12-21 | 2014-06-25 | Basf Se | Substituted [1,2,4]triazole and imidazole compounds |
| EP2746277A1 (en) | 2012-12-19 | 2014-06-25 | Basf Se | Fungicidal imidazolyl and triazolyl compounds |
| EP2746276A1 (en) | 2012-12-19 | 2014-06-25 | Basf Se | New substituted triazoles and imidazoles and their use as fungicides |
| EP2746267A2 (en) | 2012-12-19 | 2014-06-25 | Basf Se | New substituted triazoles and imidazoles and their use as fungicides |
| WO2014095547A1 (en) | 2012-12-19 | 2014-06-26 | Basf Se | New substituted triazoles and imidazoles and their use as fungicides |
| WO2014095381A1 (en) | 2012-12-19 | 2014-06-26 | Basf Se | Fungicidal imidazolyl and triazolyl compounds |
| WO2014095534A1 (en) | 2012-12-19 | 2014-06-26 | Basf Se | New substituted triazoles and imidazoles and their use as fungicides |
| WO2014095994A1 (en) | 2012-12-20 | 2014-06-26 | Basf Se | Compositions comprising a triazole compound |
| WO2014095672A1 (en) | 2012-12-19 | 2014-06-26 | Basf Se | Substituted [1,2,4]triazole compounds and their use as fungicides |
| WO2014095555A1 (en) | 2012-12-19 | 2014-06-26 | Basf Se | New substituted triazoles and imidazoles and their use as fungicides |
| WO2014095548A1 (en) | 2012-12-19 | 2014-06-26 | Basf Se | Substituted [1,2,4]triazole compounds and their use as fungicides |
| WO2014102244A1 (en) | 2012-12-27 | 2014-07-03 | Basf Se | 2-(pyridin-3-yl)-5-hetaryl-thiazole compounds carrying an imine or imine-derived substituent for combating invertebrate pests |
| WO2014118099A1 (en) | 2013-01-30 | 2014-08-07 | Basf Se | Fungicidal naphthoquinones and derivatives |
| WO2014124850A1 (en) | 2013-02-14 | 2014-08-21 | Basf Se | Substituted [1,2,4]triazole and imidazole compounds |
| WO2014147534A1 (en) | 2013-03-20 | 2014-09-25 | Basf Corporation | Synergistic compositions comprising a bacillus subtilis strain and a pesticide |
| WO2014147528A1 (en) | 2013-03-20 | 2014-09-25 | Basf Corporation | Synergistic compositions comprising a bacillus subtilis strain and a biopesticide |
| EP2783569A1 (en) | 2013-03-28 | 2014-10-01 | Basf Se | Compositions comprising a triazole compound |
| WO2014170300A1 (en) | 2013-04-19 | 2014-10-23 | Basf Se | N-substituted acyl-imino-pyridine compounds and derivatives for combating animal pests |
| WO2014182950A1 (en) | 2013-05-10 | 2014-11-13 | Nimbus Apollo, Inc. | Acc inhibitors and uses thereof |
| WO2014182945A1 (en) | 2013-05-10 | 2014-11-13 | Nimbus Apollo, Inc. | Acc inhibitors and uses thereof |
| EP2813499A1 (en) | 2013-06-12 | 2014-12-17 | Basf Se | Substituted [1,2,4]triazole and imidazole compounds |
| EP2815650A1 (en) | 2013-06-18 | 2014-12-24 | Basf Se | Fungicidal mixtures II comprising strobilurin-type fungicides |
| WO2014202751A1 (en) | 2013-06-21 | 2014-12-24 | Basf Se | Methods for controlling pests in soybean |
| EP2815647A1 (en) | 2013-06-18 | 2014-12-24 | Basf Se | Novel strobilurin-type compounds for combating phytopathogenic fungi |
| WO2015007682A1 (en) | 2013-07-15 | 2015-01-22 | Basf Se | Pesticide compounds |
| WO2015011615A1 (en) | 2013-07-22 | 2015-01-29 | Basf Corporation | Mixtures comprising a trichoderma strain and a pesticide |
| EP2835052A1 (en) | 2013-08-07 | 2015-02-11 | Basf Se | Fungicidal mixtures comprising pyrimidine fungicides |
| EP2839745A1 (en) | 2013-08-21 | 2015-02-25 | Basf Se | Agrochemical formulations comprising a 2-ethyl-hexanol alkoxylate |
| WO2015036058A1 (en) | 2013-09-16 | 2015-03-19 | Basf Se | Fungicidal pyrimidine compounds |
| WO2015036059A1 (en) | 2013-09-16 | 2015-03-19 | Basf Se | Fungicidal pyrimidine compounds |
| WO2015040116A1 (en) | 2013-09-19 | 2015-03-26 | Basf Se | N-acylimino heterocyclic compounds |
| WO2015055757A1 (en) | 2013-10-18 | 2015-04-23 | Basf Se | Use of pesticidal active carboxamide derivative in soil and seed application and treatment methods |
| WO2015086462A1 (en) | 2013-12-12 | 2015-06-18 | Basf Se | Substituted [1,2,4]triazole and imidazole compounds |
| WO2015091645A1 (en) | 2013-12-18 | 2015-06-25 | Basf Se | Azole compounds carrying an imine-derived substituent |
| WO2015091649A1 (en) | 2013-12-18 | 2015-06-25 | Basf Se | N-substituted imino heterocyclic compounds |
| WO2015104422A1 (en) | 2014-01-13 | 2015-07-16 | Basf Se | Dihydrothiophene compounds for controlling invertebrate pests |
| EP2924027A1 (en) | 2014-03-28 | 2015-09-30 | Basf Se | Substituted [1,2,4]triazole and imidazole fungicidal compounds |
| WO2015144480A1 (en) | 2014-03-26 | 2015-10-01 | Basf Se | Substituted [1,2,4]triazole and imidazole compounds as fungicides |
| EP2949216A1 (en) | 2014-05-30 | 2015-12-02 | Basf Se | Fungicidal substituted alkynyl [1,2,4]triazole and imidazole compounds |
| EP2949649A1 (en) | 2014-05-30 | 2015-12-02 | Basf Se | Fungicide substituted [1,2,4]triazole and imidazole compounds |
| EP2952506A1 (en) | 2014-06-06 | 2015-12-09 | Basf Se | Substituted [1,2,4]triazole and imidazole compounds |
| EP2952507A1 (en) | 2014-06-06 | 2015-12-09 | Basf Se | Substituted [1,2,4]triazole compounds |
| EP2952512A1 (en) | 2014-06-06 | 2015-12-09 | Basf Se | Substituted [1,2,4]triazole compounds |
| WO2015185708A1 (en) | 2014-06-06 | 2015-12-10 | Basf Se | Substituted [1,2,4]triazole compounds |
| EP2979549A1 (en) | 2014-07-31 | 2016-02-03 | Basf Se | Method for improving the health of a plant |
| WO2016026830A1 (en) * | 2014-08-21 | 2016-02-25 | Bayer Cropscience Aktiengesellschaft | Novel fungicidal pyrazole derivatives |
| WO2016071499A1 (en) | 2014-11-06 | 2016-05-12 | Basf Se | 3-pyridyl heterobicyclic compound for controlling invertebrate pests |
| EP3028573A1 (en) | 2014-12-05 | 2016-06-08 | Basf Se | Use of a triazole fungicide on transgenic plants |
| WO2016128240A1 (en) | 2015-02-11 | 2016-08-18 | Basf Se | Pesticidal mixture comprising a pyrazole compound and two fungicides |
| WO2016128261A2 (en) | 2015-02-11 | 2016-08-18 | Basf Se | Pesticidal mixture comprising a pyrazole compound, an insecticide and a fungicide |
| WO2016162371A1 (en) | 2015-04-07 | 2016-10-13 | Basf Agrochemical Products B.V. | Use of an insecticidal carboxamide compound against pests on cultivated plants |
| WO2016198611A1 (en) | 2015-06-11 | 2016-12-15 | Basf Se | N-(thio)acylimino heterocyclic compounds |
| WO2016198613A1 (en) | 2015-06-11 | 2016-12-15 | Basf Se | N-(thio)acylimino compounds |
| WO2017016883A1 (en) | 2015-07-24 | 2017-02-02 | Basf Se | Process for preparation of cyclopentene compounds |
| WO2017060148A1 (en) | 2015-10-05 | 2017-04-13 | Basf Se | Pyridine derivatives for combating phytopathogenic fungi |
| EP3165094A1 (en) | 2015-11-03 | 2017-05-10 | Basf Se | Substituted oxadiazoles for combating phytopathogenic fungi |
| EP3165093A1 (en) | 2015-11-05 | 2017-05-10 | Basf Se | Substituted oxadiazoles for combating phytopathogenic fungi |
| WO2017076740A1 (en) | 2015-11-04 | 2017-05-11 | Basf Se | Substituted oxadiazoles for combating phytopathogenic fungi |
| WO2017076757A1 (en) | 2015-11-02 | 2017-05-11 | Basf Se | Substituted oxadiazoles for combating phytopathogenic fungi |
| EP3167716A1 (en) | 2015-11-10 | 2017-05-17 | Basf Se | Substituted oxadiazoles for combating phytopathogenic fungi |
| WO2017081312A1 (en) | 2015-11-13 | 2017-05-18 | Basf Se | Substituted oxadiazoles for combating phytopathogenic fungi |
| WO2017081310A1 (en) | 2015-11-13 | 2017-05-18 | Basf Se | Substituted oxadiazoles for combating phytopathogenic fungi |
| WO2017085098A1 (en) | 2015-11-19 | 2017-05-26 | Basf Se | Substituted oxadiazoles for combating phytopathogenic fungi |
| WO2017085100A1 (en) | 2015-11-19 | 2017-05-26 | Basf Se | Substituted oxadiazoles for combating phytopathogenic fungi |
| WO2017091617A1 (en) | 2015-11-25 | 2017-06-01 | Gilead Apollo, Llc | Triazole acc inhibitors and uses thereof |
| WO2017091600A1 (en) | 2015-11-25 | 2017-06-01 | Gilead Apollo, Llc | Pyrazole acc inhibitors and uses thereof |
| WO2017091602A1 (en) | 2015-11-25 | 2017-06-01 | Gilead Apollo, Llc | Ester acc inhibitors and uses thereof |
| WO2017093163A1 (en) | 2015-11-30 | 2017-06-08 | Basf Se | Mixtures of cis-jasmone and bacillus amyloliquefaciens |
| WO2017093120A1 (en) | 2015-12-01 | 2017-06-08 | Basf Se | Pyridine compounds as fungicides |
| WO2017093167A1 (en) | 2015-12-01 | 2017-06-08 | Basf Se | Pyridine compounds as fungicides |
| EP3205208A1 (en) | 2016-02-09 | 2017-08-16 | Basf Se | Mixtures and compositions comprising paenibacillus strains or fusaricidins and chemical pesticides |
| WO2017153200A1 (en) | 2016-03-10 | 2017-09-14 | Basf Se | Fungicidal mixtures iii comprising strobilurin-type fungicides |
| WO2017153218A1 (en) | 2016-03-11 | 2017-09-14 | Basf Se | Method for controlling pests of plants |
| WO2017153217A1 (en) | 2016-03-09 | 2017-09-14 | Basf Se | Spirocyclic derivatives |
| WO2017167832A1 (en) | 2016-04-01 | 2017-10-05 | Basf Se | Bicyclic compounds |
| WO2017178245A1 (en) | 2016-04-11 | 2017-10-19 | Basf Se | Substituted oxadiazoles for combating phytopathogenic fungi |
| WO2017198588A1 (en) | 2016-05-18 | 2017-11-23 | Basf Se | Capsules comprising benzylpropargylethers for use as nitrification inhibitors |
| WO2018050421A1 (en) | 2016-09-13 | 2018-03-22 | Basf Se | Fungicidal mixtures i comprising quinoline fungicides |
| WO2018054723A1 (en) | 2016-09-26 | 2018-03-29 | Basf Se | Pyridine compounds for controlling phytopathogenic harmful fungi |
| WO2018054711A1 (en) | 2016-09-26 | 2018-03-29 | Basf Se | Pyridine compounds for controlling phytopathogenic harmful fungi |
| WO2018054721A1 (en) | 2016-09-26 | 2018-03-29 | Basf Se | Pyridine compounds for controlling phytopathogenic harmful fungi |
| WO2018065182A1 (en) | 2016-10-04 | 2018-04-12 | Basf Se | Reduced quinoline compounds as antifuni agents |
| WO2018073110A1 (en) | 2016-10-20 | 2018-04-26 | Basf Se | Quinoline compounds as fungicides |
| WO2018108671A1 (en) | 2016-12-16 | 2018-06-21 | Basf Se | Pesticidal compounds |
| EP3338552A1 (en) | 2016-12-21 | 2018-06-27 | Basf Se | Use of a tetrazolinone fungicide on transgenic plants |
| EP3339297A1 (en) | 2016-12-20 | 2018-06-27 | Basf Se | Substituted oxadiazoles for combating phytopathogenic fungi |
| WO2018114393A1 (en) | 2016-12-19 | 2018-06-28 | Basf Se | Substituted oxadiazoles for combating phytopathogenic fungi |
| WO2018134127A1 (en) | 2017-01-23 | 2018-07-26 | Basf Se | Fungicidal pyridine compounds |
| WO2018149754A1 (en) | 2017-02-16 | 2018-08-23 | Basf Se | Pyridine compounds |
| WO2018153730A1 (en) | 2017-02-21 | 2018-08-30 | Basf Se | Substituted oxadiazoles for combating phytopathogenic fungi |
| WO2018162312A1 (en) | 2017-03-10 | 2018-09-13 | Basf Se | Spirocyclic derivatives |
| WO2018166855A1 (en) | 2017-03-16 | 2018-09-20 | Basf Se | Heterobicyclic substituted dihydroisoxazoles |
| WO2018177970A1 (en) | 2017-03-31 | 2018-10-04 | Basf Se | Process for preparing chiral 2,3-dihydrothiazolo[3,2-a]pyrimidin-4-ium compounds |
| WO2018177781A1 (en) | 2017-03-28 | 2018-10-04 | Basf Se | Pesticidal compounds |
| WO2018184970A1 (en) | 2017-04-07 | 2018-10-11 | Basf Se | Substituted oxadiazoles for combating phytopathogenic fungi |
| WO2018184882A1 (en) | 2017-04-06 | 2018-10-11 | Basf Se | Pyridine compounds |
| WO2018188962A1 (en) | 2017-04-11 | 2018-10-18 | Basf Se | Substituted oxadiazoles for combating phytopathogenic fungi |
| WO2018193385A1 (en) | 2017-04-20 | 2018-10-25 | Pi Industries Ltd. | Novel phenylamine compounds |
| WO2018192793A1 (en) | 2017-04-20 | 2018-10-25 | Basf Se | Substituted rhodanine derivatives |
| WO2018197466A1 (en) | 2017-04-26 | 2018-11-01 | Basf Se | Substituted succinimide derivatives as pesticides |
| WO2018202737A1 (en) | 2017-05-05 | 2018-11-08 | Basf Se | Fungicidal mixtures comprising triazole compounds |
| WO2018202428A1 (en) | 2017-05-02 | 2018-11-08 | Basf Se | Fungicidal mixture comprising substituted 3-phenyl-5-(trifluoromethyl)-1,2,4-oxadiazoles |
| WO2018202487A1 (en) | 2017-05-04 | 2018-11-08 | Basf Se | Substituted 5-(haloalkyl)-5-hydroxy-isoxazoles for combating phytopathogenic fungi |
| WO2018202491A1 (en) | 2017-05-04 | 2018-11-08 | Basf Se | Substituted trifluoromethyloxadiazoles for combating phytopathogenic fungi |
| WO2018206479A1 (en) | 2017-05-10 | 2018-11-15 | Basf Se | Bicyclic pesticidal compounds |
| WO2018210659A1 (en) | 2017-05-15 | 2018-11-22 | Basf Se | Heteroaryl compounds as agrochemical fungicides |
| WO2018210661A1 (en) | 2017-05-15 | 2018-11-22 | Basf Se | Heteroaryl compounds as agrochemical fungicides |
| WO2018210660A1 (en) | 2017-05-15 | 2018-11-22 | Basf Se | Heteroaryl compounds as agrochemical fungicides |
| WO2018211442A1 (en) | 2017-05-18 | 2018-11-22 | Pi Industries Ltd. | Formimidamidine compounds useful against phytopathogenic microorganisms |
| WO2018210658A1 (en) | 2017-05-15 | 2018-11-22 | Basf Se | Heteroaryl compounds as agrochemical fungicides |
| WO2018219725A1 (en) | 2017-05-30 | 2018-12-06 | Basf Se | Pyridine and pyrazine compounds |
| WO2018219797A1 (en) | 2017-06-02 | 2018-12-06 | Basf Se | Substituted oxadiazoles for combating phytopathogenic fungi |
| US10149477B2 (en) | 2014-10-06 | 2018-12-11 | Basf Se | Substituted pyrimidinium compounds for combating animal pests |
| WO2018224455A1 (en) | 2017-06-07 | 2018-12-13 | Basf Se | Substituted cyclopropyl derivatives |
| WO2018229202A1 (en) | 2017-06-16 | 2018-12-20 | Basf Se | Mesoionic imidazolium compounds and derivatives for combating animal pests |
| WO2018234488A1 (en) | 2017-06-23 | 2018-12-27 | Basf Se | SUBSTITUTED CYCLOPROPYL DERIVATIVES |
| WO2018234139A1 (en) | 2017-06-19 | 2018-12-27 | Basf Se | 2 - [[5- (TRIFLUOROMETHYL) -1,2,4-OXADIAZOL-3-YL] ARYLOXY] (THIO) ACETAMIDES FOR THE CONTROL OF PHYTOPATHOGENIC FUNGI |
| WO2018234202A1 (en) | 2017-06-19 | 2018-12-27 | Basf Se | SUBSTITUTED PYRIMIDINIUM COMPOUNDS AND DERIVATIVES FOR CONTROLLING HARMFUL ANIMALS |
| WO2019002158A1 (en) | 2017-06-30 | 2019-01-03 | Basf Se | Substituted trifluoromethyloxadiazoles for combating phytopathogenic fungi |
| WO2019025250A1 (en) | 2017-08-04 | 2019-02-07 | Basf Se | Substituted trifluoromethyloxadiazoles for combating phytopathogenic fungi |
| CN109369471A (en) * | 2018-12-10 | 2019-02-22 | 石家庄度恩医药科技有限公司 | A kind of preparation method of the chloro- α-of optical activity R-4- (3- 4-trifluoromethylphenopendant) phenylacetic acid |
| WO2019038042A1 (en) | 2017-08-21 | 2019-02-28 | Basf Se | Substituted trifluoromethyloxadiazoles for combating phytopathogenic fungi |
| WO2019042932A1 (en) | 2017-08-31 | 2019-03-07 | Basf Se | Method of controlling rice pests in rice |
| WO2019042800A1 (en) | 2017-08-29 | 2019-03-07 | Basf Se | Pesticidal mixtures |
| EP3453706A1 (en) | 2017-09-08 | 2019-03-13 | Basf Se | Pesticidal imidazole compounds |
| WO2019052932A1 (en) | 2017-09-18 | 2019-03-21 | Basf Se | Substituted trifluoromethyloxadiazoles for combating phytopathogenic fungi |
| WO2019057660A1 (en) | 2017-09-25 | 2019-03-28 | Basf Se | Indole and azaindole compounds with substituted 6-membered aryl and heteroaryl rings as agrochemical fungicides |
| WO2019072906A1 (en) | 2017-10-13 | 2019-04-18 | Basf Se | Imidazolidine pyrimidinium compounds for combating animal pests |
| WO2019101511A1 (en) | 2017-11-23 | 2019-05-31 | Basf Se | Substituted trifluoromethyloxadiazoles for combating phytopathogenic fungi |
| WO2019115343A1 (en) | 2017-12-15 | 2019-06-20 | Basf Se | Fungicidal mixture comprising substituted pyridines |
| WO2019115511A1 (en) | 2017-12-14 | 2019-06-20 | Basf Se | Fungicidal mixture comprising substituted 3-phenyl-5-(trifluoromethyl)-1,2,4-oxadiazoles |
| WO2019121143A1 (en) | 2017-12-20 | 2019-06-27 | Basf Se | Substituted cyclopropyl derivatives |
| WO2019121159A1 (en) | 2017-12-21 | 2019-06-27 | Basf Se | Pesticidal compounds |
| WO2019123196A1 (en) | 2017-12-20 | 2019-06-27 | Pi Industries Ltd. | Fluoralkenyl compounds, process for preparation and use thereof |
| WO2019137995A1 (en) | 2018-01-11 | 2019-07-18 | Basf Se | Novel pyridazine compounds for controlling invertebrate pests |
| WO2019145140A1 (en) | 2018-01-09 | 2019-08-01 | Basf Se | Silylethynyl hetaryl compounds as nitrification inhibitors |
| WO2019150311A1 (en) | 2018-02-02 | 2019-08-08 | Pi Industries Ltd. | 1-3 dithiol compounds and their use for the protection of crops from phytopathogenic microorganisms |
| WO2019150219A2 (en) | 2018-01-30 | 2019-08-08 | Pi Industries Ltd. | Novel oxadiazoles |
| WO2019154663A1 (en) | 2018-02-07 | 2019-08-15 | Basf Se | New pyridine carboxamides |
| WO2019154665A1 (en) | 2018-02-07 | 2019-08-15 | Basf Se | New pyridine carboxamides |
| EP3530116A1 (en) | 2018-02-27 | 2019-08-28 | Basf Se | Fungicidal mixtures comprising xemium |
| EP3530118A1 (en) | 2018-02-26 | 2019-08-28 | Basf Se | Fungicidal mixtures |
| EP3533331A1 (en) | 2018-03-02 | 2019-09-04 | Basf Se | Fungicidal mixtures comprising pydiflumetofen |
| EP3533333A1 (en) | 2018-03-02 | 2019-09-04 | Basf Se | Fungicidal mixtures comprising pydiflumetofen |
| WO2019166252A1 (en) | 2018-02-28 | 2019-09-06 | Basf Se | Fungicidal mixtures comprising fenpropidin |
| WO2019166560A1 (en) | 2018-02-28 | 2019-09-06 | Basf Se | Use of n-functionalized alkoxy pyrazole compounds as nitrification inhibitors |
| WO2019166558A1 (en) | 2018-02-28 | 2019-09-06 | Basf Se | Use of pyrazole propargyl ethers as nitrification inhibitors |
| WO2019166561A1 (en) | 2018-02-28 | 2019-09-06 | Basf Se | Use of alkoxypyrazoles as nitrification inhibitors |
| WO2019166257A1 (en) | 2018-03-01 | 2019-09-06 | BASF Agro B.V. | Fungicidal compositions of mefentrifluconazole |
| EP3536150A1 (en) | 2018-03-06 | 2019-09-11 | Basf Se | Fungicidal mixtures comprising fluxapyroxad |
| WO2019171234A1 (en) | 2018-03-09 | 2019-09-12 | Pi Industries Ltd. | Heterocyclic compounds as fungicides |
| WO2019175713A1 (en) | 2018-03-14 | 2019-09-19 | Basf Corporation | New catechol molecules and their use as inhibitors to p450 related metabolic pathways |
| WO2019175712A1 (en) | 2018-03-14 | 2019-09-19 | Basf Corporation | New uses for catechol molecules as inhibitors to glutathione s-transferase metabolic pathways |
| WO2019185413A1 (en) | 2018-03-27 | 2019-10-03 | Basf Se | Pesticidal substituted cyclopropyl derivatives |
| WO2019202459A1 (en) | 2018-04-16 | 2019-10-24 | Pi Industries Ltd. | Use of 4-substituted phenylamidine compounds for controlling disease rust diseases in plants |
| WO2019219464A1 (en) | 2018-05-15 | 2019-11-21 | Basf Se | Substituted trifluoromethyloxadiazoles for combating phytopathogenic fungi |
| WO2019219529A1 (en) | 2018-05-15 | 2019-11-21 | Basf Se | Mixtures comprising benzpyrimoxan and oxazosulfyl and uses and methods of applying them |
| WO2019224092A1 (en) | 2018-05-22 | 2019-11-28 | Basf Se | Pesticidally active c15-derivatives of ginkgolides |
| WO2020002472A1 (en) | 2018-06-28 | 2020-01-02 | Basf Se | Use of alkynylthiophenes as nitrification inhibitors |
| WO2020020765A1 (en) | 2018-07-23 | 2020-01-30 | Basf Se | Use of a substituted thiazolidine compound as nitrification inhibitor |
| WO2020020777A1 (en) | 2018-07-23 | 2020-01-30 | Basf Se | Use of substituted 2-thiazolines as nitrification inhibitors |
| US10556844B2 (en) | 2015-02-06 | 2020-02-11 | Basf Se | Pyrazole compounds as nitrification inhibitors |
| WO2020035826A1 (en) | 2018-08-17 | 2020-02-20 | Pi Industries Ltd. | 1,2-dithiolone compounds and use thereof |
| EP3613736A1 (en) | 2018-08-22 | 2020-02-26 | Basf Se | Substituted glutarimide derivatives |
| EP3628158A1 (en) | 2018-09-28 | 2020-04-01 | Basf Se | Pesticidal mixture comprising a mesoionic compound and a biopesticide |
| EP3628156A1 (en) | 2018-09-28 | 2020-04-01 | Basf Se | Method for controlling pests of sugarcane, citrus, rapeseed, and potato plants |
| EP3628157A1 (en) | 2018-09-28 | 2020-04-01 | Basf Se | Method of controlling insecticide resistant insects and virus transmission to plants |
| WO2020064492A1 (en) | 2018-09-28 | 2020-04-02 | Basf Se | Method of controlling pests by seed treatment application of a mesoionic compound or mixture thereof |
| WO2020070611A1 (en) | 2018-10-01 | 2020-04-09 | Pi Industries Ltd | Oxadiazoles as fungicides |
| WO2020070610A1 (en) | 2018-10-01 | 2020-04-09 | Pi Industries Ltd. | Novel oxadiazoles |
| EP3643705A1 (en) | 2018-10-24 | 2020-04-29 | Basf Se | Pesticidal compounds |
| WO2020095161A1 (en) | 2018-11-05 | 2020-05-14 | Pi Industries Ltd. | Nitrone compounds and use thereof |
| WO2020109039A1 (en) | 2018-11-28 | 2020-06-04 | Basf Se | Pesticidal compounds |
| EP3670501A1 (en) | 2018-12-17 | 2020-06-24 | Basf Se | Substituted [1,2,4]triazole compounds as fungicides |
| WO2020126591A1 (en) | 2018-12-18 | 2020-06-25 | Basf Se | Substituted pyrimidinium compounds for combating animal pests |
| EP3696177A1 (en) | 2019-02-12 | 2020-08-19 | Basf Se | Heterocyclic compounds for the control of invertebrate pests |
| WO2020208510A1 (en) | 2019-04-08 | 2020-10-15 | Pi Industries Limited | Novel oxadiazole compounds for controlling or preventing phytopathogenic fungi |
| WO2020208509A1 (en) | 2019-04-08 | 2020-10-15 | Pi Industries Limited | Novel oxadiazole compounds for controlling or preventing phytopathogenic fungi |
| WO2020208511A1 (en) | 2019-04-08 | 2020-10-15 | Pi Industries Limited | Novel oxadiazole compounds for controlling or preventing phytopathogenic fungi |
| EP3730489A1 (en) | 2019-04-25 | 2020-10-28 | Basf Se | Heteroaryl compounds as agrochemical fungicides |
| WO2020239517A1 (en) | 2019-05-29 | 2020-12-03 | Basf Se | Mesoionic imidazolium compounds and derivatives for combating animal pests |
| WO2020244968A1 (en) | 2019-06-06 | 2020-12-10 | Basf Se | Fungicidal n-(pyrid-3-yl)carboxamides |
| WO2020244969A1 (en) | 2019-06-06 | 2020-12-10 | Basf Se | Pyridine derivatives and their use as fungicides |
| WO2020244970A1 (en) | 2019-06-06 | 2020-12-10 | Basf Se | New carbocyclic pyridine carboxamides |
| EP3756464A1 (en) | 2014-06-06 | 2020-12-30 | Basf Se | Substituted oxadiazoles for combating phytopathogenic fungi |
| EP3766879A1 (en) | 2019-07-19 | 2021-01-20 | Basf Se | Pesticidal pyrazole derivatives |
| US10899932B2 (en) | 2014-10-24 | 2021-01-26 | Basf Se | Non-amphoteric, quaternisable and water-soluble polymers for modifying the surface charge of solid particles |
| EP3769623A1 (en) | 2019-07-22 | 2021-01-27 | Basf Se | Mesoionic imidazolium compounds and derivatives for combating animal pests |
| WO2021033133A1 (en) | 2019-08-19 | 2021-02-25 | Pi Industries Ltd. | Novel oxadiazole compounds containing 5- membered heteroaromatic ring for controlling or preventing phytopathogenic fungi |
| WO2021063736A1 (en) | 2019-10-02 | 2021-04-08 | Basf Se | Bicyclic pyridine derivatives |
| WO2021063735A1 (en) | 2019-10-02 | 2021-04-08 | Basf Se | New bicyclic pyridine derivatives |
| WO2021090282A1 (en) | 2019-11-08 | 2021-05-14 | Pi Industries Ltd. | Novel oxadiazole compounds containing fused heterocyclyl rings for controlling or preventing phytopathogenic fungi |
| WO2021130143A1 (en) | 2019-12-23 | 2021-07-01 | Basf Se | Enzyme enhanced root uptake of agrochemical active compound |
| US11053175B2 (en) | 2015-05-12 | 2021-07-06 | Basf Se | Thioether compounds as nitrification inhibitors |
| WO2021170463A1 (en) | 2020-02-28 | 2021-09-02 | BASF Agro B.V. | Methods and uses of a mixture comprising alpha-cypermethrin and dinotefuran for controlling invertebrate pests in turf |
| WO2021175669A1 (en) | 2020-03-04 | 2021-09-10 | Basf Se | Use of substituted 1,2,4-oxadiazoles for combating phytopathogenic fungi |
| US11142514B2 (en) | 2015-10-02 | 2021-10-12 | Basf Se | Imino compounds with a 2-chloropyrimidin-5-yl substituent as pest-control agents |
| WO2021209360A1 (en) | 2020-04-14 | 2021-10-21 | Basf Se | Fungicidal mixtures comprising substituted 3-phenyl-5-(trifluoromethyl)-1,2,4-oxadiazoles |
| EP3903584A1 (en) | 2020-04-28 | 2021-11-03 | Basf Se | Use of strobilurin type compounds for combating phytopathogenic fungi containing an amino acid substitution f129l in the mitochondrial cytochrome b protein conferring resistance to qo inhibitors iv |
| EP3903583A1 (en) | 2020-04-28 | 2021-11-03 | Basf Se | Use of strobilurin type compounds for combating phytopathogenic fungi containing an amino acid substitution f129l in the mitochondrial cytochrome b protein conferring resistance to qo inhibitors iii |
| EP3903582A1 (en) | 2020-04-28 | 2021-11-03 | Basf Se | Use of strobilurin type compounds for combating phytopathogenic fungi containing an amino acid substitution f129l in the mitochondrial cytochrome b protein conferring resistance to qo inhibitors ii |
| EP3903581A1 (en) | 2020-04-28 | 2021-11-03 | Basf Se | Use of strobilurin type compounds for combating phytopathogenic fungi containing an amino acid substitution f129l in the mitochondrial cytochrome b protein conferring resistance to qo inhibitors i |
| WO2021219513A1 (en) | 2020-04-28 | 2021-11-04 | Basf Se | Pesticidal compounds |
| EP3909950A1 (en) | 2020-05-13 | 2021-11-17 | Basf Se | Heterocyclic compounds for the control of invertebrate pests |
| WO2021249800A1 (en) | 2020-06-10 | 2021-12-16 | Basf Se | Substituted [1,2,4]triazole compounds as fungicides |
| EP3939961A1 (en) | 2020-07-16 | 2022-01-19 | Basf Se | Strobilurin type compounds and their use for combating phytopathogenic fungi |
| WO2022017836A1 (en) | 2020-07-20 | 2022-01-27 | BASF Agro B.V. | Fungicidal compositions comprising (r)-2-[4-(4-chlorophenoxy)-2-(trifluoromethyl)phenyl]-1- (1,2,4-triazol-1-yl)propan-2-ol |
| EP3945089A1 (en) | 2020-07-31 | 2022-02-02 | Basf Se | Use of strobilurin type compounds for combating phytopathogenic fungi containing an amino acid substitution f129l in the mitochondrial cytochrome b protein conferring resistance to qo inhibitors v |
| WO2022038500A1 (en) | 2020-08-18 | 2022-02-24 | Pi Industries Limited | Novel heterocyclic compounds for combating phytopathogenic fungi |
| EP3960727A1 (en) | 2020-08-28 | 2022-03-02 | Basf Se | Use of strobilurin type compounds for combating phytopathogenic fungi containing an amino acid substitution f129l in the mitochondrial cytochrome b protein conferring resistance to qo inhibitors vi |
| EP3970494A1 (en) | 2020-09-21 | 2022-03-23 | Basf Se | Use of strobilurin type compounds for combating phytopathogenic fungi containing an amino acid substitution f129l in the mitochondrial cytochrome b protein conferring resistance to qo inhibitors viii |
| WO2022058877A1 (en) | 2020-09-15 | 2022-03-24 | Pi Industries Limited | Novel picolinamide compounds for combating phytopathogenic fungi |
| WO2022058878A1 (en) | 2020-09-15 | 2022-03-24 | Pi Industries Limited | Novel picolinamide compounds for combating phytopathogenic fungi |
| WO2022064453A1 (en) | 2020-09-26 | 2022-03-31 | Pi Industries Ltd. | Nematocidal compounds and use thereof |
| WO2022089969A1 (en) | 2020-10-27 | 2022-05-05 | BASF Agro B.V. | Compositions comprising mefentrifluconazole |
| WO2022090071A1 (en) | 2020-11-02 | 2022-05-05 | Basf Se | Use of mefenpyr-diethyl for controlling phytopathogenic fungi |
| WO2022090069A1 (en) | 2020-11-02 | 2022-05-05 | Basf Se | Compositions comprising mefenpyr-diethyl |
| WO2022106304A1 (en) | 2020-11-23 | 2022-05-27 | BASF Agro B.V. | Compositions comprising mefentrifluconazole |
| EP4018830A1 (en) | 2020-12-23 | 2022-06-29 | Basf Se | Pesticidal mixtures |
| WO2022167488A1 (en) | 2021-02-02 | 2022-08-11 | Basf Se | Synergistic action of dcd and alkoxypyrazoles as nitrification inhibitors |
| EP4043444A1 (en) | 2021-02-11 | 2022-08-17 | Basf Se | Substituted isoxazoline derivatives |
| WO2022234470A1 (en) | 2021-05-05 | 2022-11-10 | Pi Industries Ltd. | Novel fused heterocyclic compounds for combating phytopathogenic fungi |
| WO2022238157A1 (en) | 2021-05-11 | 2022-11-17 | Basf Se | Fungicidal mixtures comprising substituted 3-phenyl-5-(trifluoromethyl)-1,2,4-oxadiazoles |
| WO2022243109A1 (en) | 2021-05-18 | 2022-11-24 | Basf Se | New substituted quinolines as fungicides |
| WO2022243111A1 (en) | 2021-05-18 | 2022-11-24 | Basf Se | New substituted pyridines as fungicides |
| WO2022243521A1 (en) | 2021-05-21 | 2022-11-24 | Basf Se | Use of ethynylpyridine compounds as nitrification inhibitors |
| WO2022243523A1 (en) | 2021-05-21 | 2022-11-24 | Basf Se | Use of an n-functionalized alkoxy pyrazole compound as nitrification inhibitor |
| WO2022243107A1 (en) | 2021-05-18 | 2022-11-24 | Basf Se | New substituted pyridines as fungicides |
| EP4094579A1 (en) | 2021-05-28 | 2022-11-30 | Basf Se | Pesticidal mixtures comprising metyltetraprole |
| WO2022249074A1 (en) | 2021-05-26 | 2022-12-01 | Pi Industries Ltd. | Fungicidal composition containing oxadiazole compounds |
| WO2022268810A1 (en) | 2021-06-21 | 2022-12-29 | Basf Se | Metal-organic frameworks with pyrazole-based building blocks |
| EP4119547A1 (en) | 2021-07-12 | 2023-01-18 | Basf Se | Triazole compounds for the control of invertebrate pests |
| WO2023011957A1 (en) | 2021-08-02 | 2023-02-09 | Basf Se | (3-quinolyl)-quinazoline |
| WO2023011958A1 (en) | 2021-08-02 | 2023-02-09 | Basf Se | (3-pirydyl)-quinazoline |
| EP4140986A1 (en) | 2021-08-23 | 2023-03-01 | Basf Se | Pyrazine compounds for the control of invertebrate pests |
| EP4140995A1 (en) | 2021-08-27 | 2023-03-01 | Basf Se | Pyrazine compounds for the control of invertebrate pests |
| EP4151631A1 (en) | 2021-09-20 | 2023-03-22 | Basf Se | Heterocyclic compounds for the control of invertebrate pests |
| WO2023072670A1 (en) | 2021-10-28 | 2023-05-04 | Basf Se | Use of strobilurin type compounds for combating phytopathogenic fungi containing an amino acid substitution f129l in the mitochondrial cytochrome b protein conferring resistance to qo inhibitors x |
| WO2023072671A1 (en) | 2021-10-28 | 2023-05-04 | Basf Se | Use of strobilurin type compounds for combating phytopathogenic fungi containing an amino acid substitution f129l in the mitochondrial cytochrome b protein conferring resistance to qo inhibitors ix |
| EP4194453A1 (en) | 2021-12-08 | 2023-06-14 | Basf Se | Pyrazine compounds for the control of invertebrate pests |
| EP4198023A1 (en) | 2021-12-16 | 2023-06-21 | Basf Se | Pesticidally active thiosemicarbazone compounds |
| WO2023112056A1 (en) | 2021-12-17 | 2023-06-22 | Pi Industries Ltd. | Novel substituted fused bicyclic pyridine carboxamide compounds for combating phytopathogenic fungi |
| EP4238971A1 (en) | 2022-03-02 | 2023-09-06 | Basf Se | Substituted isoxazoline derivatives |
| WO2023203066A1 (en) | 2022-04-21 | 2023-10-26 | Basf Se | Synergistic action as nitrification inhibitors of dcd oligomers with alkoxypyrazole and its oligomers |
| WO2024028243A1 (en) | 2022-08-02 | 2024-02-08 | Basf Se | Pyrazolo pesticidal compounds |
| EP4342885A1 (en) | 2022-09-20 | 2024-03-27 | Basf Se | N-(3-(aminomethyl)-phenyl)-5-(4-phenyl)-5-(trifluoromethyl)-4,5-dihydroisoxazol-3-amine derivatives and similar compounds as pesticides |
| EP4361126A1 (en) | 2022-10-24 | 2024-05-01 | Basf Se | Use of strobilurin type compounds for combating phytopathogenic fungi containing an amino acid substitution f129l in the mitochondrial cytochrome b protein conferring resistance to qo inhibitors xv |
| WO2024104822A1 (en) | 2022-11-16 | 2024-05-23 | Basf Se | Substituted tetrahydrobenzodiazepine as fungicides |
| WO2024104813A1 (en) | 2022-11-14 | 2024-05-23 | Basf Se | Fungicidal mixture comprising substituted pyridines |
| WO2024104815A1 (en) | 2022-11-16 | 2024-05-23 | Basf Se | Substituted benzodiazepines as fungicides |
| WO2024104818A1 (en) | 2022-11-16 | 2024-05-23 | Basf Se | Substituted benzodiazepines as fungicides |
| WO2024104814A1 (en) | 2022-11-16 | 2024-05-23 | Basf Se | Fungicidal mixture comprising substituted pyridines |
| WO2024104823A1 (en) | 2022-11-16 | 2024-05-23 | Basf Se | New substituted tetrahydrobenzoxazepine |
| EP4389210A1 (en) | 2022-12-21 | 2024-06-26 | Basf Se | Heteroaryl compounds for the control of invertebrate pests |
| WO2024165343A1 (en) | 2023-02-08 | 2024-08-15 | Basf Se | New substituted quinoline compounds for combatitng phytopathogenic fungi |
| WO2024194038A1 (en) | 2023-03-17 | 2024-09-26 | Basf Se | Substituted pyridyl/pyrazidyl dihydrobenzothiazepine compounds for combatting phytopathogenic fungi |
| EP4455137A1 (en) | 2023-04-24 | 2024-10-30 | Basf Se | Pyrimidine compounds for the control of invertebrate pests |
| WO2024223034A1 (en) | 2023-04-26 | 2024-10-31 | Basf Se | Use of strobilurin type compounds for combating phytopathogenic fungi containing an amino acid substitution f129l in the mitochondrial cytochrome b protein conferring resistance to qo inhibitors xvi |
| EP4467535A1 (en) | 2023-05-25 | 2024-11-27 | Basf Se | Lactam pesticidal compounds |
| EP4488270A1 (en) | 2023-07-06 | 2025-01-08 | Basf Se | Triazole compounds for the control of invertebrate pests |
| EP4488273A1 (en) | 2023-07-06 | 2025-01-08 | Basf Se | Triazole compounds for the control of invertebrate pests |
| EP4488269A1 (en) | 2023-07-06 | 2025-01-08 | Basf Se | Triazole compounds for the control of invertebrate pests |
| EP4574819A1 (en) | 2023-12-22 | 2025-06-25 | Basf Se | Diazinone compounds for the control of invertebrate pests |
| EP4640052A1 (en) | 2024-04-24 | 2025-10-29 | Basf Se | Mixtures of strobilurin type compounds for combating phytopathogenic fungi containing an amino acid substitution f129l in the mitochondrial cytochrome b protein conferring resistance to qo inhibitors with at least one further pesticide i |
| WO2025223904A1 (en) | 2024-04-24 | 2025-10-30 | Basf Se | Mixtures of strobilurin type compounds for combating phytopathogenic fungi containing an amino acid substitution f129l in the mitochondrial cytochrome b protein conferring resistance to qo inhibitors with at least one further pesticide i |
| WO2026021909A1 (en) | 2024-07-23 | 2026-01-29 | Basf Se | New substituted benzothiazine pyridine compounds for combatting phytopathogenic fungi |
| WO2026021912A1 (en) | 2024-07-23 | 2026-01-29 | Basf Se | New substituted benzothiazine pyridine compounds for combatting phytopathogenic fungi |
| WO2026021911A1 (en) | 2024-07-23 | 2026-01-29 | Basf Se | New substituted benzothiazine pyridine compounds for combatting phytopathogenic fungi |
| WO2026021910A1 (en) | 2024-07-23 | 2026-01-29 | Basf Se | New substituted benzothiazine pyridine compounds for combatting phytopathogenic fungi |
Citations (3)
| Publication number | Priority date | Publication date | Assignee | Title |
|---|---|---|---|---|
| JPH11500713A (en) * | 1995-01-30 | 1999-01-19 | バイエル・アクチエンゲゼルシヤフト | Alkoxyiminoacetic amide |
| JP2001302605A (en) * | 2000-04-20 | 2001-10-31 | Sumitomo Chem Co Ltd | Biphenyl compounds and their uses |
| WO2004016594A1 (en) * | 2002-08-19 | 2004-02-26 | Sumitomo Chemical Company, Limited | Phenylpyridine compound and bactericidal composition containing the same |
-
2004
- 2004-03-11 WO PCT/JP2004/003223 patent/WO2004083193A1/en not_active Ceased
Patent Citations (3)
| Publication number | Priority date | Publication date | Assignee | Title |
|---|---|---|---|---|
| JPH11500713A (en) * | 1995-01-30 | 1999-01-19 | バイエル・アクチエンゲゼルシヤフト | Alkoxyiminoacetic amide |
| JP2001302605A (en) * | 2000-04-20 | 2001-10-31 | Sumitomo Chem Co Ltd | Biphenyl compounds and their uses |
| WO2004016594A1 (en) * | 2002-08-19 | 2004-02-26 | Sumitomo Chemical Company, Limited | Phenylpyridine compound and bactericidal composition containing the same |
Non-Patent Citations (3)
| Title |
|---|
| DATABASE CHEMCATS [online] 19 May 2004 (2004-05-19), XP002980802, accession no. STN Database accession no. 2004:1426211 * |
| DATABASE CHEMCATS [online] 19 May 2004 (2004-05-19), XP002980803, accession no. STN Database accession no. 2004:1426196 * |
| DATABASE CHEMCATS [online] 9 July 2002 (2002-07-09), XP002980801, accession no. STN Database accession no. 2002:1859100 * |
Cited By (402)
| Publication number | Priority date | Publication date | Assignee | Title |
|---|---|---|---|---|
| US7897599B2 (en) | 2003-09-11 | 2011-03-01 | iTherX Pharmaceuticals Inc. | Cytokine inhibitors |
| US7919617B2 (en) | 2003-09-11 | 2011-04-05 | iTherX Pharmaceuticals Inc. | Cytokine inhibitors |
| US7749999B2 (en) | 2003-09-11 | 2010-07-06 | Itherx Pharmaceuticals, Inc. | Alpha-ketoamides and derivatives thereof |
| WO2010103065A1 (en) | 2009-03-11 | 2010-09-16 | Basf Se | Fungicidal compositions and their use |
| WO2010115721A2 (en) | 2009-04-02 | 2010-10-14 | Basf Se | Method for reducing sunburn damage in plants |
| WO2010142779A1 (en) | 2009-06-12 | 2010-12-16 | Basf Se | Antifungal 1,2,4-triazolyl derivatives having a 5- sulfur substituent |
| WO2010146113A1 (en) | 2009-06-18 | 2010-12-23 | Basf Se | Antifungal 1, 2, 4-triazolyl derivatives having a 5- sulfur substituent |
| WO2010146111A1 (en) | 2009-06-18 | 2010-12-23 | Basf Se | Antifungal 1, 2, 4-triazolyl derivatives |
| WO2010146114A1 (en) | 2009-06-18 | 2010-12-23 | Basf Se | Triazole compounds carrying a sulfur substituent |
| WO2010146115A1 (en) | 2009-06-18 | 2010-12-23 | Basf Se | Triazole compounds carrying a sulfur substituent |
| WO2010146116A1 (en) | 2009-06-18 | 2010-12-23 | Basf Se | Triazole compounds carrying a sulfur substituent |
| WO2010146112A1 (en) | 2009-06-18 | 2010-12-23 | Basf Se | Antifungal 1, 2, 4-triazolyl derivatives |
| WO2010149758A1 (en) | 2009-06-25 | 2010-12-29 | Basf Se | Antifungal 1, 2, 4-triazolyl derivatives |
| WO2011006886A2 (en) | 2009-07-14 | 2011-01-20 | Basf Se | Azole compounds carrying a sulfur substituent xiv |
| WO2011012493A2 (en) | 2009-07-28 | 2011-02-03 | Basf Se | Pesticidal suspo-emulsion compositions |
| WO2011026796A1 (en) | 2009-09-01 | 2011-03-10 | Basf Se | Synergistic fungicidal mixtures comprising lactylates and method for combating phytopathogenic fungi |
| US9288996B2 (en) | 2010-03-18 | 2016-03-22 | Basf Se | Fungicidal compositions comprising a phosphate solubilizing microorganism and a fungicidally active compound |
| EP2366289A1 (en) | 2010-03-18 | 2011-09-21 | Basf Se | Synergistic fungicidal mixtures |
| WO2011114280A2 (en) | 2010-03-18 | 2011-09-22 | Basf Se | Fungicidal compositions comprising comprising a phosphate solubilizing microorganism and a fungicidally active compound |
| EP2401915A1 (en) | 2010-06-29 | 2012-01-04 | Basf Se | Pyrazolopyridine compounds |
| EP2402336A1 (en) | 2010-06-29 | 2012-01-04 | Basf Se | Pyrazolopyridine compounds |
| EP2402345A1 (en) | 2010-06-29 | 2012-01-04 | Basf Se | Pyrazole fused bicyclic compounds |
| EP2402337A1 (en) | 2010-06-29 | 2012-01-04 | Basf Se | Pyrazolopyridine compounds |
| EP2402340A1 (en) | 2010-06-29 | 2012-01-04 | Basf Se | Pyrazolopyridine compounds |
| EP2402344A1 (en) | 2010-06-29 | 2012-01-04 | Basf Se | Pyrazole fused bicyclic compounds |
| EP2402335A1 (en) | 2010-06-29 | 2012-01-04 | Basf Se | Pyrazolopyridine compounds |
| EP2402339A1 (en) | 2010-06-29 | 2012-01-04 | Basf Se | Pyrazolopyridine compounds |
| EP2402338A1 (en) | 2010-06-29 | 2012-01-04 | Basf Se | Pyrazolopyridine compounds |
| EP2402343A1 (en) | 2010-06-29 | 2012-01-04 | Basf Se | Pyrazole-fused bicyclic compounds |
| WO2012016989A2 (en) | 2010-08-03 | 2012-02-09 | Basf Se | Fungicidal compositions |
| EP2447261A1 (en) | 2010-10-29 | 2012-05-02 | Basf Se | Pyrrole, furane and thiophene derivatives and their use as fungicides |
| EP2447262A1 (en) | 2010-10-29 | 2012-05-02 | Basf Se | Pyrrole, furane and thiophene derivatives and their use as fungicides |
| WO2012076563A1 (en) | 2010-12-08 | 2012-06-14 | Basf Se | Fungicidal mixtures |
| EP2481284A2 (en) | 2011-01-27 | 2012-08-01 | Basf Se | Pesticidal mixtures |
| EP3378313A1 (en) | 2011-03-23 | 2018-09-26 | Basf Se | Compositions containing polymeric, ionic compounds comprising imidazolium groups |
| WO2012127009A1 (en) | 2011-03-23 | 2012-09-27 | Basf Se | Compositions containing polymeric, ionic compounds comprising imidazolium groups |
| WO2012140001A1 (en) | 2011-04-15 | 2012-10-18 | Basf Se | Use of substituted dithiine-dicarboximides for combating phytopathogenic fungi |
| WO2012139987A1 (en) | 2011-04-15 | 2012-10-18 | Basf Se | Use of substituted dithiine-tetracarboximides for combating phytopathogenic fungi |
| WO2012143468A1 (en) | 2011-04-21 | 2012-10-26 | Basf Se | 3,4-disubstituted pyrrole 2,5-diones and their use as fungicides |
| WO2012172061A1 (en) | 2011-06-17 | 2012-12-20 | Basf Se | Compositions comprising fungicidal substituted dithiines and further actives |
| WO2013007767A1 (en) | 2011-07-13 | 2013-01-17 | Basf Se | Fungicidal substituted 2-[2-halogenalkyl-4-(phenoxy)-phenyl]-1-[1,2,4]triazol-1-yl-ethanol compounds |
| WO2013010894A1 (en) | 2011-07-15 | 2013-01-24 | Basf Se | Fungicidal phenylalkyl-substituted 2-[2-chloro-4-(4-chloro-phenoxy)-phenyl]-1-[1,2,4]triazol-1-yl-ethanol compounds |
| WO2013010885A1 (en) | 2011-07-15 | 2013-01-24 | Basf Se | Fungicidal alkyl- and aryl-substituted 2-[2-chloro-4-(dihalo-phenoxy)-phenyl]-1-[1,2,4]triazol-1-yl-ethanol compounds |
| WO2013010862A1 (en) | 2011-07-15 | 2013-01-24 | Basf Se | Fungicidal alkyl-substituted 2-[2-chloro-4-(4-chloro-phenoxy)-phenyl]-1-[1,2,4]triazol-1-yl-ethanol compounds |
| WO2013024080A1 (en) | 2011-08-15 | 2013-02-21 | Basf Se | Fungicidal substituted 1-{2-[2-halo-4-(4-halogen-phenoxy)-phenyl ]-2-alkoxy-2-cyclyl-ethyl}-1h [1,2,4]triazole compounds |
| EP2559688A1 (en) | 2011-08-15 | 2013-02-20 | Basf Se | Fungicidal substituted 1-{2-[2-halo-4-(4-halogen-phenoxy)-phenyl]-2-butoxy-ethyl}-1h [1,2,4]triazole compounds |
| WO2013024083A1 (en) | 2011-08-15 | 2013-02-21 | Basf Se | Fungicidal substituted 1-{2-[2-halo-4-(4-halogen-phenoxy)-phenyl]-2-alkoxy-2-alkynyl/alkenyl-ethyl}-1h-[1,2,4]triazole compounds |
| WO2013024075A1 (en) | 2011-08-15 | 2013-02-21 | Basf Se | Fungicidal substituted 1-{2-[2-halo-4-(4-halogen-phenoxy)-phenyl]-2-alkynyloxy-ethyl}-1h-[1,2,4]triazole compounds |
| WO2013024076A1 (en) | 2011-08-15 | 2013-02-21 | Basf Se | Fungicidal substituted 1-{2-[2-halo-4-(4-halogen-phenoxy)-phenyl]-2-ethoxy-ethyl}-1h- [1,2,4]triazole compounds |
| WO2013024082A1 (en) | 2011-08-15 | 2013-02-21 | Basf Se | Fungicidal substituted 1-{2-cyclyloxy-2-[2-halo-4-(4-halogen-phenoxy)-phenyl]-ethyl}-1h-[1,2,4]triazole compounds |
| WO2013024077A1 (en) | 2011-08-15 | 2013-02-21 | Basf Se | Fungicidal substituted 1-{2-[2-halo-4-(4-halogen-phenoxy)-phenyl]-2-alkoxy-3-methyl-butyl}-1h-[1,2,4]triazole compounds |
| WO2013024081A1 (en) | 2011-08-15 | 2013-02-21 | Basf Se | Fungicidal substituted 1-{2-[2-halo-4-(4-halogen-phenoxy)-phenyl]-2-alkoxy-hexyl}-1h [1,2,4]triazole compounds |
| WO2013071169A1 (en) | 2011-11-11 | 2013-05-16 | Nimbus Apollo, Inc. | Acc inhibitors and uses thereof |
| EP3628320A1 (en) | 2011-11-11 | 2020-04-01 | Gilead Apollo, LLC | Acc inhibitors and uses thereof |
| EP3329919A1 (en) | 2011-11-11 | 2018-06-06 | Gilead Apollo, LLC | Acc inhibitors and uses thereof |
| WO2013092224A1 (en) | 2011-12-21 | 2013-06-27 | Basf Se | Use of strobilurin type compounds for combating phytopathogenic fungi resistant to qo inhibitors |
| WO2013113863A1 (en) | 2012-02-03 | 2013-08-08 | Basf Se | Fungicidal pyrimidine compounds |
| WO2013113781A1 (en) | 2012-02-03 | 2013-08-08 | Basf Se | Fungicidal pyrimidine compounds i |
| WO2013113776A1 (en) | 2012-02-03 | 2013-08-08 | Basf Se | Fungicidal pyrimidine compounds |
| WO2013113787A1 (en) | 2012-02-03 | 2013-08-08 | Basf Se | Fungicidal pyrimidine compounds |
| WO2013113788A1 (en) | 2012-02-03 | 2013-08-08 | Basf Se | Fungicidal pyrimidine compounds |
| WO2013113720A1 (en) | 2012-02-03 | 2013-08-08 | Basf Se | Fungicidal pyrimidine compounds |
| WO2013113719A1 (en) | 2012-02-03 | 2013-08-08 | Basf Se | Fungicidal pyrimidine compounds ii |
| WO2013113773A1 (en) | 2012-02-03 | 2013-08-08 | Basf Se | Fungicidal pyrimidine compounds |
| WO2013113778A1 (en) | 2012-02-03 | 2013-08-08 | Basf Se | Fungicidal pyrimidine compounds |
| WO2013113716A1 (en) | 2012-02-03 | 2013-08-08 | Basf Se | Fungicidal pyrimidine compounds |
| WO2013113782A1 (en) | 2012-02-03 | 2013-08-08 | Basf Se | Fungicidal pyrimidine compounds |
| WO2013113715A1 (en) | 2012-02-03 | 2013-08-08 | Basf Se | Fungicidal pyrimidine compounds |
| WO2013113791A1 (en) | 2012-02-03 | 2013-08-08 | Basf Se | Fungicidal pyrimidine compounds |
| WO2013124250A2 (en) | 2012-02-20 | 2013-08-29 | Basf Se | Fungicidal substituted thiophenes |
| WO2013135671A1 (en) | 2012-03-13 | 2013-09-19 | Basf Se | Fungicidal pyrimidine compounds |
| WO2013135672A1 (en) | 2012-03-13 | 2013-09-19 | Basf Se | Fungicidal pyrimidine compounds |
| WO2013144223A1 (en) | 2012-03-30 | 2013-10-03 | Basf Se | N-substituted pyrimidinylidene compounds and derivatives for combating animal pests |
| WO2013144213A1 (en) | 2012-03-30 | 2013-10-03 | Basf Se | N-substituted pyridinylidene compounds and derivatives for combating animal pests |
| WO2013149940A1 (en) | 2012-04-02 | 2013-10-10 | Basf Se | Acrylamide compounds for combating invertebrate pests |
| WO2013149903A1 (en) | 2012-04-03 | 2013-10-10 | Basf Se | N- substituted hetero - bicyclic furanone derivatives for combating animal |
| WO2013150115A1 (en) | 2012-04-05 | 2013-10-10 | Basf Se | N- substituted hetero - bicyclic compounds and derivatives for combating animal pests |
| WO2013164295A1 (en) | 2012-05-04 | 2013-11-07 | Basf Se | Substituted pyrazole-containing compounds and their use as pesticides |
| WO2013174645A1 (en) | 2012-05-24 | 2013-11-28 | Basf Se | N-thio-anthranilamide compounds and their use as pesticides |
| WO2013186089A2 (en) | 2012-06-14 | 2013-12-19 | Basf Se | Pesticidal methods using substituted 3-pyridyl thiazole compounds and derivatives for combating animal pests |
| WO2014009293A1 (en) | 2012-07-13 | 2014-01-16 | Basf Se | New substituted thiadiazoles and their use as fungicides |
| WO2014009137A1 (en) | 2012-07-13 | 2014-01-16 | Basf Se | Substituted thiadiazoles and their use as fungicides |
| WO2014053401A2 (en) | 2012-10-01 | 2014-04-10 | Basf Se | Method of improving plant health |
| WO2014053403A1 (en) | 2012-10-01 | 2014-04-10 | Basf Se | Method of controlling insecticide resistant insects |
| WO2014053407A1 (en) | 2012-10-01 | 2014-04-10 | Basf Se | N-thio-anthranilamide compounds and their use as pesticides |
| WO2014053404A1 (en) | 2012-10-01 | 2014-04-10 | Basf Se | Pesticidally active mixtures comprising anthranilamide compounds |
| WO2014053406A1 (en) | 2012-10-01 | 2014-04-10 | Basf Se | Method of controlling ryanodine-modulator insecticide resistant insects |
| WO2014053405A1 (en) | 2012-10-01 | 2014-04-10 | Basf Se | Pesticidally active mixtures comprising anthranilamide compounds |
| WO2014053395A1 (en) | 2012-10-01 | 2014-04-10 | Basf Se | Use of n-thio-anthranilamide compounds on cultivated plants |
| WO2014056780A1 (en) | 2012-10-12 | 2014-04-17 | Basf Se | A method for combating phytopathogenic harmful microbes on cultivated plants or plant propagation material |
| WO2014079820A1 (en) | 2012-11-22 | 2014-05-30 | Basf Se | Use of anthranilamide compounds for reducing insect-vectored viral infections |
| WO2014082880A1 (en) | 2012-11-27 | 2014-06-05 | Basf Se | Substituted [1,2,4] triazole compounds |
| WO2014082879A1 (en) | 2012-11-27 | 2014-06-05 | Basf Se | Substituted [1,2,4]triazole compounds |
| WO2014082871A1 (en) | 2012-11-27 | 2014-06-05 | Basf Se | Substituted 2-[phenoxy-phenyl]-1-[1,2,4]triazol-1-yl-ethanol compounds and their use as fungicides |
| WO2014082881A1 (en) | 2012-11-27 | 2014-06-05 | Basf Se | Substituted 2-[phenoxy-phenyl]-1-[1,2,4]triazol-1-yl-ethanol compounds and their use as fungicides |
| WO2014086601A1 (en) | 2012-12-04 | 2014-06-12 | Basf Se | New substituted 1,4-dithiine derivatives and their use as fungicides |
| WO2014086856A1 (en) | 2012-12-04 | 2014-06-12 | Basf Agro B.V., Arnhem (Nl) | Compositions comprising a quillay extract and a biopesticide |
| WO2014086854A1 (en) | 2012-12-04 | 2014-06-12 | Basf Agro B.V., Arnhem (Nl) | Compositions comprising a quillay extract and a plant growth regulator |
| WO2014086850A1 (en) | 2012-12-04 | 2014-06-12 | Basf Agro B.V., Arnhem (Nl) | Compositions comprising a quillay extract and a fungicidal inhibitor of respiratory complex ii |
| EP2746279A1 (en) | 2012-12-19 | 2014-06-25 | Basf Se | Fungicidal imidazolyl and triazolyl compounds |
| WO2014095555A1 (en) | 2012-12-19 | 2014-06-26 | Basf Se | New substituted triazoles and imidazoles and their use as fungicides |
| EP2746274A1 (en) | 2012-12-19 | 2014-06-25 | Basf Se | Substituted [1,2,4]triazole compounds |
| EP2746263A1 (en) | 2012-12-19 | 2014-06-25 | Basf Se | Alpha-substituted triazoles and imidazoles |
| EP2746275A1 (en) | 2012-12-19 | 2014-06-25 | Basf Se | New substituted triazoles and imidazoles and their use as fungicides |
| EP2746278A1 (en) | 2012-12-19 | 2014-06-25 | Basf Se | Substituted [1,2,4]triazole and imidazole compounds |
| EP2746262A1 (en) | 2012-12-19 | 2014-06-25 | Basf Se | Substituted [1,2,4]triazole and imidazole compounds for combating phytopathogenic fungi |
| EP3181558A1 (en) | 2012-12-19 | 2017-06-21 | Basf Se | Substituted [1,2,4]triazole compounds and their use as fungicides |
| EP3173406A1 (en) | 2012-12-19 | 2017-05-31 | Basf Se | Substituted [1,2,4]triazole compounds and their use as fungicides |
| EP2746264A1 (en) | 2012-12-19 | 2014-06-25 | Basf Se | Substituted [1,2,4]triazole and imidazole compounds |
| EP2746277A1 (en) | 2012-12-19 | 2014-06-25 | Basf Se | Fungicidal imidazolyl and triazolyl compounds |
| EP2746276A1 (en) | 2012-12-19 | 2014-06-25 | Basf Se | New substituted triazoles and imidazoles and their use as fungicides |
| EP2746267A2 (en) | 2012-12-19 | 2014-06-25 | Basf Se | New substituted triazoles and imidazoles and their use as fungicides |
| EP2746266A1 (en) | 2012-12-19 | 2014-06-25 | Basf Se | New substituted triazoles and imidazoles and their use as fungicides |
| WO2014095547A1 (en) | 2012-12-19 | 2014-06-26 | Basf Se | New substituted triazoles and imidazoles and their use as fungicides |
| WO2014095381A1 (en) | 2012-12-19 | 2014-06-26 | Basf Se | Fungicidal imidazolyl and triazolyl compounds |
| WO2014095534A1 (en) | 2012-12-19 | 2014-06-26 | Basf Se | New substituted triazoles and imidazoles and their use as fungicides |
| EP2746255A1 (en) | 2012-12-19 | 2014-06-25 | Basf Se | Substituted [1,2,4]triazole and imidazole compounds |
| WO2014095672A1 (en) | 2012-12-19 | 2014-06-26 | Basf Se | Substituted [1,2,4]triazole compounds and their use as fungicides |
| EP2745691A1 (en) | 2012-12-19 | 2014-06-25 | Basf Se | Substituted imidazole compounds and their use as fungicides |
| WO2014095548A1 (en) | 2012-12-19 | 2014-06-26 | Basf Se | Substituted [1,2,4]triazole compounds and their use as fungicides |
| EP2746256A1 (en) | 2012-12-19 | 2014-06-25 | Basf Se | Fungicidal imidazolyl and triazolyl compounds |
| EP3498098A1 (en) | 2012-12-20 | 2019-06-19 | BASF Agro B.V. | Compositions comprising a triazole compound |
| WO2014095994A1 (en) | 2012-12-20 | 2014-06-26 | Basf Se | Compositions comprising a triazole compound |
| EP2746259A1 (en) | 2012-12-21 | 2014-06-25 | Basf Se | Substituted [1,2,4]triazole and imidazole compounds |
| EP2746260A1 (en) | 2012-12-21 | 2014-06-25 | Basf Se | Substituted [1,2,4]triazole and imidazole compounds |
| EP2746258A1 (en) | 2012-12-21 | 2014-06-25 | Basf Se | Substituted [1,2,4]triazole and imidazole compounds |
| EP2746257A1 (en) | 2012-12-21 | 2014-06-25 | Basf Se | Substituted [1,2,4]triazole and imidazole compounds |
| WO2014102244A1 (en) | 2012-12-27 | 2014-07-03 | Basf Se | 2-(pyridin-3-yl)-5-hetaryl-thiazole compounds carrying an imine or imine-derived substituent for combating invertebrate pests |
| WO2014118099A1 (en) | 2013-01-30 | 2014-08-07 | Basf Se | Fungicidal naphthoquinones and derivatives |
| WO2014124850A1 (en) | 2013-02-14 | 2014-08-21 | Basf Se | Substituted [1,2,4]triazole and imidazole compounds |
| WO2014147534A1 (en) | 2013-03-20 | 2014-09-25 | Basf Corporation | Synergistic compositions comprising a bacillus subtilis strain and a pesticide |
| WO2014147528A1 (en) | 2013-03-20 | 2014-09-25 | Basf Corporation | Synergistic compositions comprising a bacillus subtilis strain and a biopesticide |
| EP2783569A1 (en) | 2013-03-28 | 2014-10-01 | Basf Se | Compositions comprising a triazole compound |
| WO2014170300A1 (en) | 2013-04-19 | 2014-10-23 | Basf Se | N-substituted acyl-imino-pyridine compounds and derivatives for combating animal pests |
| WO2014182945A1 (en) | 2013-05-10 | 2014-11-13 | Nimbus Apollo, Inc. | Acc inhibitors and uses thereof |
| WO2014182950A1 (en) | 2013-05-10 | 2014-11-13 | Nimbus Apollo, Inc. | Acc inhibitors and uses thereof |
| EP2813499A1 (en) | 2013-06-12 | 2014-12-17 | Basf Se | Substituted [1,2,4]triazole and imidazole compounds |
| EP2815647A1 (en) | 2013-06-18 | 2014-12-24 | Basf Se | Novel strobilurin-type compounds for combating phytopathogenic fungi |
| EP2815650A1 (en) | 2013-06-18 | 2014-12-24 | Basf Se | Fungicidal mixtures II comprising strobilurin-type fungicides |
| EP2815648A1 (en) | 2013-06-18 | 2014-12-24 | Basf Se | Novel strobilurin-type compounds for combating phytopathogenic fungi |
| EP2815649A1 (en) | 2013-06-18 | 2014-12-24 | Basf Se | Fungicidal mixtures II comprising strobilurin-type fungicides |
| WO2014202751A1 (en) | 2013-06-21 | 2014-12-24 | Basf Se | Methods for controlling pests in soybean |
| WO2015007682A1 (en) | 2013-07-15 | 2015-01-22 | Basf Se | Pesticide compounds |
| WO2015011615A1 (en) | 2013-07-22 | 2015-01-29 | Basf Corporation | Mixtures comprising a trichoderma strain and a pesticide |
| EP2835052A1 (en) | 2013-08-07 | 2015-02-11 | Basf Se | Fungicidal mixtures comprising pyrimidine fungicides |
| EP2839745A1 (en) | 2013-08-21 | 2015-02-25 | Basf Se | Agrochemical formulations comprising a 2-ethyl-hexanol alkoxylate |
| WO2015036059A1 (en) | 2013-09-16 | 2015-03-19 | Basf Se | Fungicidal pyrimidine compounds |
| WO2015036058A1 (en) | 2013-09-16 | 2015-03-19 | Basf Se | Fungicidal pyrimidine compounds |
| WO2015040116A1 (en) | 2013-09-19 | 2015-03-26 | Basf Se | N-acylimino heterocyclic compounds |
| EP3456201A1 (en) | 2013-10-18 | 2019-03-20 | BASF Agrochemical Products B.V. | Use of pesticidal active carboxamide derivative in soil and seed application and treatment meth-ods |
| WO2015055757A1 (en) | 2013-10-18 | 2015-04-23 | Basf Se | Use of pesticidal active carboxamide derivative in soil and seed application and treatment methods |
| WO2015086462A1 (en) | 2013-12-12 | 2015-06-18 | Basf Se | Substituted [1,2,4]triazole and imidazole compounds |
| WO2015091645A1 (en) | 2013-12-18 | 2015-06-25 | Basf Se | Azole compounds carrying an imine-derived substituent |
| WO2015091649A1 (en) | 2013-12-18 | 2015-06-25 | Basf Se | N-substituted imino heterocyclic compounds |
| WO2015104422A1 (en) | 2014-01-13 | 2015-07-16 | Basf Se | Dihydrothiophene compounds for controlling invertebrate pests |
| WO2015144480A1 (en) | 2014-03-26 | 2015-10-01 | Basf Se | Substituted [1,2,4]triazole and imidazole compounds as fungicides |
| EP2924027A1 (en) | 2014-03-28 | 2015-09-30 | Basf Se | Substituted [1,2,4]triazole and imidazole fungicidal compounds |
| EP2949649A1 (en) | 2014-05-30 | 2015-12-02 | Basf Se | Fungicide substituted [1,2,4]triazole and imidazole compounds |
| EP2949216A1 (en) | 2014-05-30 | 2015-12-02 | Basf Se | Fungicidal substituted alkynyl [1,2,4]triazole and imidazole compounds |
| EP2952512A1 (en) | 2014-06-06 | 2015-12-09 | Basf Se | Substituted [1,2,4]triazole compounds |
| WO2015185708A1 (en) | 2014-06-06 | 2015-12-10 | Basf Se | Substituted [1,2,4]triazole compounds |
| EP2952507A1 (en) | 2014-06-06 | 2015-12-09 | Basf Se | Substituted [1,2,4]triazole compounds |
| EP2952506A1 (en) | 2014-06-06 | 2015-12-09 | Basf Se | Substituted [1,2,4]triazole and imidazole compounds |
| EP3756464A1 (en) | 2014-06-06 | 2020-12-30 | Basf Se | Substituted oxadiazoles for combating phytopathogenic fungi |
| EP2979549A1 (en) | 2014-07-31 | 2016-02-03 | Basf Se | Method for improving the health of a plant |
| WO2016026830A1 (en) * | 2014-08-21 | 2016-02-25 | Bayer Cropscience Aktiengesellschaft | Novel fungicidal pyrazole derivatives |
| US10149477B2 (en) | 2014-10-06 | 2018-12-11 | Basf Se | Substituted pyrimidinium compounds for combating animal pests |
| US10899932B2 (en) | 2014-10-24 | 2021-01-26 | Basf Se | Non-amphoteric, quaternisable and water-soluble polymers for modifying the surface charge of solid particles |
| WO2016071499A1 (en) | 2014-11-06 | 2016-05-12 | Basf Se | 3-pyridyl heterobicyclic compound for controlling invertebrate pests |
| EP3028573A1 (en) | 2014-12-05 | 2016-06-08 | Basf Se | Use of a triazole fungicide on transgenic plants |
| US10556844B2 (en) | 2015-02-06 | 2020-02-11 | Basf Se | Pyrazole compounds as nitrification inhibitors |
| WO2016128261A2 (en) | 2015-02-11 | 2016-08-18 | Basf Se | Pesticidal mixture comprising a pyrazole compound, an insecticide and a fungicide |
| WO2016128240A1 (en) | 2015-02-11 | 2016-08-18 | Basf Se | Pesticidal mixture comprising a pyrazole compound and two fungicides |
| US10701937B2 (en) | 2015-02-11 | 2020-07-07 | Basf Se | Pesticidal mixture comprising a pyrazole compound, an insecticide and a fungicide |
| WO2016162371A1 (en) | 2015-04-07 | 2016-10-13 | Basf Agrochemical Products B.V. | Use of an insecticidal carboxamide compound against pests on cultivated plants |
| US11053175B2 (en) | 2015-05-12 | 2021-07-06 | Basf Se | Thioether compounds as nitrification inhibitors |
| WO2016198611A1 (en) | 2015-06-11 | 2016-12-15 | Basf Se | N-(thio)acylimino heterocyclic compounds |
| WO2016198613A1 (en) | 2015-06-11 | 2016-12-15 | Basf Se | N-(thio)acylimino compounds |
| WO2017016883A1 (en) | 2015-07-24 | 2017-02-02 | Basf Se | Process for preparation of cyclopentene compounds |
| US11142514B2 (en) | 2015-10-02 | 2021-10-12 | Basf Se | Imino compounds with a 2-chloropyrimidin-5-yl substituent as pest-control agents |
| WO2017060148A1 (en) | 2015-10-05 | 2017-04-13 | Basf Se | Pyridine derivatives for combating phytopathogenic fungi |
| WO2017076757A1 (en) | 2015-11-02 | 2017-05-11 | Basf Se | Substituted oxadiazoles for combating phytopathogenic fungi |
| EP3165094A1 (en) | 2015-11-03 | 2017-05-10 | Basf Se | Substituted oxadiazoles for combating phytopathogenic fungi |
| WO2017076740A1 (en) | 2015-11-04 | 2017-05-11 | Basf Se | Substituted oxadiazoles for combating phytopathogenic fungi |
| EP3165093A1 (en) | 2015-11-05 | 2017-05-10 | Basf Se | Substituted oxadiazoles for combating phytopathogenic fungi |
| EP3167716A1 (en) | 2015-11-10 | 2017-05-17 | Basf Se | Substituted oxadiazoles for combating phytopathogenic fungi |
| WO2017081312A1 (en) | 2015-11-13 | 2017-05-18 | Basf Se | Substituted oxadiazoles for combating phytopathogenic fungi |
| WO2017081310A1 (en) | 2015-11-13 | 2017-05-18 | Basf Se | Substituted oxadiazoles for combating phytopathogenic fungi |
| WO2017085100A1 (en) | 2015-11-19 | 2017-05-26 | Basf Se | Substituted oxadiazoles for combating phytopathogenic fungi |
| WO2017085098A1 (en) | 2015-11-19 | 2017-05-26 | Basf Se | Substituted oxadiazoles for combating phytopathogenic fungi |
| WO2017091600A1 (en) | 2015-11-25 | 2017-06-01 | Gilead Apollo, Llc | Pyrazole acc inhibitors and uses thereof |
| WO2017091602A1 (en) | 2015-11-25 | 2017-06-01 | Gilead Apollo, Llc | Ester acc inhibitors and uses thereof |
| WO2017091617A1 (en) | 2015-11-25 | 2017-06-01 | Gilead Apollo, Llc | Triazole acc inhibitors and uses thereof |
| WO2017093163A1 (en) | 2015-11-30 | 2017-06-08 | Basf Se | Mixtures of cis-jasmone and bacillus amyloliquefaciens |
| WO2017093167A1 (en) | 2015-12-01 | 2017-06-08 | Basf Se | Pyridine compounds as fungicides |
| WO2017093120A1 (en) | 2015-12-01 | 2017-06-08 | Basf Se | Pyridine compounds as fungicides |
| EP3205208A1 (en) | 2016-02-09 | 2017-08-16 | Basf Se | Mixtures and compositions comprising paenibacillus strains or fusaricidins and chemical pesticides |
| US12239136B2 (en) | 2016-02-09 | 2025-03-04 | Basf Se | Mixtures and compositions comprising Paenibacillus strains or fusaricidins and chemical pesticides |
| EP4292433A2 (en) | 2016-02-09 | 2023-12-20 | Basf Se | Mixtures and compositions comprising paenibacillus strains or fusaricidins and chemical pesticides |
| WO2017153217A1 (en) | 2016-03-09 | 2017-09-14 | Basf Se | Spirocyclic derivatives |
| WO2017153200A1 (en) | 2016-03-10 | 2017-09-14 | Basf Se | Fungicidal mixtures iii comprising strobilurin-type fungicides |
| WO2017153218A1 (en) | 2016-03-11 | 2017-09-14 | Basf Se | Method for controlling pests of plants |
| WO2017167832A1 (en) | 2016-04-01 | 2017-10-05 | Basf Se | Bicyclic compounds |
| WO2017178245A1 (en) | 2016-04-11 | 2017-10-19 | Basf Se | Substituted oxadiazoles for combating phytopathogenic fungi |
| WO2017198588A1 (en) | 2016-05-18 | 2017-11-23 | Basf Se | Capsules comprising benzylpropargylethers for use as nitrification inhibitors |
| WO2018050421A1 (en) | 2016-09-13 | 2018-03-22 | Basf Se | Fungicidal mixtures i comprising quinoline fungicides |
| WO2018054721A1 (en) | 2016-09-26 | 2018-03-29 | Basf Se | Pyridine compounds for controlling phytopathogenic harmful fungi |
| WO2018054711A1 (en) | 2016-09-26 | 2018-03-29 | Basf Se | Pyridine compounds for controlling phytopathogenic harmful fungi |
| WO2018054723A1 (en) | 2016-09-26 | 2018-03-29 | Basf Se | Pyridine compounds for controlling phytopathogenic harmful fungi |
| WO2018065182A1 (en) | 2016-10-04 | 2018-04-12 | Basf Se | Reduced quinoline compounds as antifuni agents |
| WO2018073110A1 (en) | 2016-10-20 | 2018-04-26 | Basf Se | Quinoline compounds as fungicides |
| WO2018108671A1 (en) | 2016-12-16 | 2018-06-21 | Basf Se | Pesticidal compounds |
| WO2018114393A1 (en) | 2016-12-19 | 2018-06-28 | Basf Se | Substituted oxadiazoles for combating phytopathogenic fungi |
| EP3339297A1 (en) | 2016-12-20 | 2018-06-27 | Basf Se | Substituted oxadiazoles for combating phytopathogenic fungi |
| EP3338552A1 (en) | 2016-12-21 | 2018-06-27 | Basf Se | Use of a tetrazolinone fungicide on transgenic plants |
| WO2018134127A1 (en) | 2017-01-23 | 2018-07-26 | Basf Se | Fungicidal pyridine compounds |
| WO2018149754A1 (en) | 2017-02-16 | 2018-08-23 | Basf Se | Pyridine compounds |
| WO2018153730A1 (en) | 2017-02-21 | 2018-08-30 | Basf Se | Substituted oxadiazoles for combating phytopathogenic fungi |
| WO2018162312A1 (en) | 2017-03-10 | 2018-09-13 | Basf Se | Spirocyclic derivatives |
| WO2018166855A1 (en) | 2017-03-16 | 2018-09-20 | Basf Se | Heterobicyclic substituted dihydroisoxazoles |
| WO2018177781A1 (en) | 2017-03-28 | 2018-10-04 | Basf Se | Pesticidal compounds |
| EP3978504A1 (en) | 2017-03-31 | 2022-04-06 | Basf Se | Chiral 2,3-dihydrothiazolo[3,2-a]pyrimidine derivatives for combating animal pests |
| WO2018177970A1 (en) | 2017-03-31 | 2018-10-04 | Basf Se | Process for preparing chiral 2,3-dihydrothiazolo[3,2-a]pyrimidin-4-ium compounds |
| WO2018184882A1 (en) | 2017-04-06 | 2018-10-11 | Basf Se | Pyridine compounds |
| WO2018184970A1 (en) | 2017-04-07 | 2018-10-11 | Basf Se | Substituted oxadiazoles for combating phytopathogenic fungi |
| WO2018188962A1 (en) | 2017-04-11 | 2018-10-18 | Basf Se | Substituted oxadiazoles for combating phytopathogenic fungi |
| WO2018192793A1 (en) | 2017-04-20 | 2018-10-25 | Basf Se | Substituted rhodanine derivatives |
| US11524934B2 (en) | 2017-04-20 | 2022-12-13 | Pi Industries Ltd | Phenylamine compounds |
| WO2018193385A1 (en) | 2017-04-20 | 2018-10-25 | Pi Industries Ltd. | Novel phenylamine compounds |
| WO2018197466A1 (en) | 2017-04-26 | 2018-11-01 | Basf Se | Substituted succinimide derivatives as pesticides |
| WO2018202428A1 (en) | 2017-05-02 | 2018-11-08 | Basf Se | Fungicidal mixture comprising substituted 3-phenyl-5-(trifluoromethyl)-1,2,4-oxadiazoles |
| WO2018202491A1 (en) | 2017-05-04 | 2018-11-08 | Basf Se | Substituted trifluoromethyloxadiazoles for combating phytopathogenic fungi |
| WO2018202487A1 (en) | 2017-05-04 | 2018-11-08 | Basf Se | Substituted 5-(haloalkyl)-5-hydroxy-isoxazoles for combating phytopathogenic fungi |
| WO2018202737A1 (en) | 2017-05-05 | 2018-11-08 | Basf Se | Fungicidal mixtures comprising triazole compounds |
| WO2018206479A1 (en) | 2017-05-10 | 2018-11-15 | Basf Se | Bicyclic pesticidal compounds |
| WO2018210659A1 (en) | 2017-05-15 | 2018-11-22 | Basf Se | Heteroaryl compounds as agrochemical fungicides |
| WO2018210661A1 (en) | 2017-05-15 | 2018-11-22 | Basf Se | Heteroaryl compounds as agrochemical fungicides |
| WO2018210660A1 (en) | 2017-05-15 | 2018-11-22 | Basf Se | Heteroaryl compounds as agrochemical fungicides |
| WO2018210658A1 (en) | 2017-05-15 | 2018-11-22 | Basf Se | Heteroaryl compounds as agrochemical fungicides |
| WO2018211442A1 (en) | 2017-05-18 | 2018-11-22 | Pi Industries Ltd. | Formimidamidine compounds useful against phytopathogenic microorganisms |
| WO2018219725A1 (en) | 2017-05-30 | 2018-12-06 | Basf Se | Pyridine and pyrazine compounds |
| WO2018219797A1 (en) | 2017-06-02 | 2018-12-06 | Basf Se | Substituted oxadiazoles for combating phytopathogenic fungi |
| WO2018224455A1 (en) | 2017-06-07 | 2018-12-13 | Basf Se | Substituted cyclopropyl derivatives |
| WO2018229202A1 (en) | 2017-06-16 | 2018-12-20 | Basf Se | Mesoionic imidazolium compounds and derivatives for combating animal pests |
| WO2018234202A1 (en) | 2017-06-19 | 2018-12-27 | Basf Se | SUBSTITUTED PYRIMIDINIUM COMPOUNDS AND DERIVATIVES FOR CONTROLLING HARMFUL ANIMALS |
| WO2018234139A1 (en) | 2017-06-19 | 2018-12-27 | Basf Se | 2 - [[5- (TRIFLUOROMETHYL) -1,2,4-OXADIAZOL-3-YL] ARYLOXY] (THIO) ACETAMIDES FOR THE CONTROL OF PHYTOPATHOGENIC FUNGI |
| WO2018234488A1 (en) | 2017-06-23 | 2018-12-27 | Basf Se | SUBSTITUTED CYCLOPROPYL DERIVATIVES |
| WO2019002158A1 (en) | 2017-06-30 | 2019-01-03 | Basf Se | Substituted trifluoromethyloxadiazoles for combating phytopathogenic fungi |
| WO2019025250A1 (en) | 2017-08-04 | 2019-02-07 | Basf Se | Substituted trifluoromethyloxadiazoles for combating phytopathogenic fungi |
| WO2019038042A1 (en) | 2017-08-21 | 2019-02-28 | Basf Se | Substituted trifluoromethyloxadiazoles for combating phytopathogenic fungi |
| WO2019042800A1 (en) | 2017-08-29 | 2019-03-07 | Basf Se | Pesticidal mixtures |
| EP3915379A1 (en) | 2017-08-29 | 2021-12-01 | Basf Se | Pesticidal mixtures |
| WO2019042932A1 (en) | 2017-08-31 | 2019-03-07 | Basf Se | Method of controlling rice pests in rice |
| WO2019043183A1 (en) | 2017-08-31 | 2019-03-07 | Basf Se | Method of controlling rice pests in rice |
| EP3453706A1 (en) | 2017-09-08 | 2019-03-13 | Basf Se | Pesticidal imidazole compounds |
| WO2019052932A1 (en) | 2017-09-18 | 2019-03-21 | Basf Se | Substituted trifluoromethyloxadiazoles for combating phytopathogenic fungi |
| WO2019057660A1 (en) | 2017-09-25 | 2019-03-28 | Basf Se | Indole and azaindole compounds with substituted 6-membered aryl and heteroaryl rings as agrochemical fungicides |
| WO2019072906A1 (en) | 2017-10-13 | 2019-04-18 | Basf Se | Imidazolidine pyrimidinium compounds for combating animal pests |
| WO2019101511A1 (en) | 2017-11-23 | 2019-05-31 | Basf Se | Substituted trifluoromethyloxadiazoles for combating phytopathogenic fungi |
| WO2019115511A1 (en) | 2017-12-14 | 2019-06-20 | Basf Se | Fungicidal mixture comprising substituted 3-phenyl-5-(trifluoromethyl)-1,2,4-oxadiazoles |
| WO2019115343A1 (en) | 2017-12-15 | 2019-06-20 | Basf Se | Fungicidal mixture comprising substituted pyridines |
| WO2019121143A1 (en) | 2017-12-20 | 2019-06-27 | Basf Se | Substituted cyclopropyl derivatives |
| WO2019123196A1 (en) | 2017-12-20 | 2019-06-27 | Pi Industries Ltd. | Fluoralkenyl compounds, process for preparation and use thereof |
| WO2019121159A1 (en) | 2017-12-21 | 2019-06-27 | Basf Se | Pesticidal compounds |
| WO2019145140A1 (en) | 2018-01-09 | 2019-08-01 | Basf Se | Silylethynyl hetaryl compounds as nitrification inhibitors |
| WO2019137995A1 (en) | 2018-01-11 | 2019-07-18 | Basf Se | Novel pyridazine compounds for controlling invertebrate pests |
| US11286242B2 (en) | 2018-01-30 | 2022-03-29 | Pi Industries Ltd. | Oxadiazoles for use in controlling phytopathogenic fungi |
| WO2019150219A2 (en) | 2018-01-30 | 2019-08-08 | Pi Industries Ltd. | Novel oxadiazoles |
| WO2019150311A1 (en) | 2018-02-02 | 2019-08-08 | Pi Industries Ltd. | 1-3 dithiol compounds and their use for the protection of crops from phytopathogenic microorganisms |
| WO2019154665A1 (en) | 2018-02-07 | 2019-08-15 | Basf Se | New pyridine carboxamides |
| WO2019154663A1 (en) | 2018-02-07 | 2019-08-15 | Basf Se | New pyridine carboxamides |
| EP3530118A1 (en) | 2018-02-26 | 2019-08-28 | Basf Se | Fungicidal mixtures |
| EP3530116A1 (en) | 2018-02-27 | 2019-08-28 | Basf Se | Fungicidal mixtures comprising xemium |
| WO2019166560A1 (en) | 2018-02-28 | 2019-09-06 | Basf Se | Use of n-functionalized alkoxy pyrazole compounds as nitrification inhibitors |
| WO2019166252A1 (en) | 2018-02-28 | 2019-09-06 | Basf Se | Fungicidal mixtures comprising fenpropidin |
| WO2019166558A1 (en) | 2018-02-28 | 2019-09-06 | Basf Se | Use of pyrazole propargyl ethers as nitrification inhibitors |
| WO2019166561A1 (en) | 2018-02-28 | 2019-09-06 | Basf Se | Use of alkoxypyrazoles as nitrification inhibitors |
| WO2019166257A1 (en) | 2018-03-01 | 2019-09-06 | BASF Agro B.V. | Fungicidal compositions of mefentrifluconazole |
| EP3533331A1 (en) | 2018-03-02 | 2019-09-04 | Basf Se | Fungicidal mixtures comprising pydiflumetofen |
| EP3533333A1 (en) | 2018-03-02 | 2019-09-04 | Basf Se | Fungicidal mixtures comprising pydiflumetofen |
| EP3536150A1 (en) | 2018-03-06 | 2019-09-11 | Basf Se | Fungicidal mixtures comprising fluxapyroxad |
| WO2019171234A1 (en) | 2018-03-09 | 2019-09-12 | Pi Industries Ltd. | Heterocyclic compounds as fungicides |
| WO2019175712A1 (en) | 2018-03-14 | 2019-09-19 | Basf Corporation | New uses for catechol molecules as inhibitors to glutathione s-transferase metabolic pathways |
| WO2019175713A1 (en) | 2018-03-14 | 2019-09-19 | Basf Corporation | New catechol molecules and their use as inhibitors to p450 related metabolic pathways |
| WO2019185413A1 (en) | 2018-03-27 | 2019-10-03 | Basf Se | Pesticidal substituted cyclopropyl derivatives |
| WO2019202459A1 (en) | 2018-04-16 | 2019-10-24 | Pi Industries Ltd. | Use of 4-substituted phenylamidine compounds for controlling disease rust diseases in plants |
| WO2019219464A1 (en) | 2018-05-15 | 2019-11-21 | Basf Se | Substituted trifluoromethyloxadiazoles for combating phytopathogenic fungi |
| WO2019219529A1 (en) | 2018-05-15 | 2019-11-21 | Basf Se | Mixtures comprising benzpyrimoxan and oxazosulfyl and uses and methods of applying them |
| WO2019224092A1 (en) | 2018-05-22 | 2019-11-28 | Basf Se | Pesticidally active c15-derivatives of ginkgolides |
| WO2020002472A1 (en) | 2018-06-28 | 2020-01-02 | Basf Se | Use of alkynylthiophenes as nitrification inhibitors |
| WO2020020777A1 (en) | 2018-07-23 | 2020-01-30 | Basf Se | Use of substituted 2-thiazolines as nitrification inhibitors |
| WO2020020765A1 (en) | 2018-07-23 | 2020-01-30 | Basf Se | Use of a substituted thiazolidine compound as nitrification inhibitor |
| WO2020035826A1 (en) | 2018-08-17 | 2020-02-20 | Pi Industries Ltd. | 1,2-dithiolone compounds and use thereof |
| EP3613736A1 (en) | 2018-08-22 | 2020-02-26 | Basf Se | Substituted glutarimide derivatives |
| WO2020064408A1 (en) | 2018-09-28 | 2020-04-02 | Basf Se | Method of controlling insecticide resistant insects and virus transmission to plants |
| WO2020064480A1 (en) | 2018-09-28 | 2020-04-02 | Basf Se | Pesticidal mixture comprising a mesoionic compound and a biopesticide |
| WO2020064492A1 (en) | 2018-09-28 | 2020-04-02 | Basf Se | Method of controlling pests by seed treatment application of a mesoionic compound or mixture thereof |
| EP3628157A1 (en) | 2018-09-28 | 2020-04-01 | Basf Se | Method of controlling insecticide resistant insects and virus transmission to plants |
| EP3628156A1 (en) | 2018-09-28 | 2020-04-01 | Basf Se | Method for controlling pests of sugarcane, citrus, rapeseed, and potato plants |
| EP3628158A1 (en) | 2018-09-28 | 2020-04-01 | Basf Se | Pesticidal mixture comprising a mesoionic compound and a biopesticide |
| WO2020070610A1 (en) | 2018-10-01 | 2020-04-09 | Pi Industries Ltd. | Novel oxadiazoles |
| WO2020070611A1 (en) | 2018-10-01 | 2020-04-09 | Pi Industries Ltd | Oxadiazoles as fungicides |
| WO2020083733A1 (en) | 2018-10-24 | 2020-04-30 | Basf Se | Pesticidal compounds |
| EP3643705A1 (en) | 2018-10-24 | 2020-04-29 | Basf Se | Pesticidal compounds |
| WO2020095161A1 (en) | 2018-11-05 | 2020-05-14 | Pi Industries Ltd. | Nitrone compounds and use thereof |
| WO2020109039A1 (en) | 2018-11-28 | 2020-06-04 | Basf Se | Pesticidal compounds |
| CN109369471A (en) * | 2018-12-10 | 2019-02-22 | 石家庄度恩医药科技有限公司 | A kind of preparation method of the chloro- α-of optical activity R-4- (3- 4-trifluoromethylphenopendant) phenylacetic acid |
| EP3670501A1 (en) | 2018-12-17 | 2020-06-24 | Basf Se | Substituted [1,2,4]triazole compounds as fungicides |
| WO2020126591A1 (en) | 2018-12-18 | 2020-06-25 | Basf Se | Substituted pyrimidinium compounds for combating animal pests |
| EP3696177A1 (en) | 2019-02-12 | 2020-08-19 | Basf Se | Heterocyclic compounds for the control of invertebrate pests |
| US12486240B2 (en) | 2019-04-08 | 2025-12-02 | Pi Industries Ltd. | Oxadiazole compounds for controlling or preventing phytopathogenic fungi |
| WO2020208511A1 (en) | 2019-04-08 | 2020-10-15 | Pi Industries Limited | Novel oxadiazole compounds for controlling or preventing phytopathogenic fungi |
| WO2020208509A1 (en) | 2019-04-08 | 2020-10-15 | Pi Industries Limited | Novel oxadiazole compounds for controlling or preventing phytopathogenic fungi |
| WO2020208510A1 (en) | 2019-04-08 | 2020-10-15 | Pi Industries Limited | Novel oxadiazole compounds for controlling or preventing phytopathogenic fungi |
| EP3730489A1 (en) | 2019-04-25 | 2020-10-28 | Basf Se | Heteroaryl compounds as agrochemical fungicides |
| WO2020239517A1 (en) | 2019-05-29 | 2020-12-03 | Basf Se | Mesoionic imidazolium compounds and derivatives for combating animal pests |
| WO2020244970A1 (en) | 2019-06-06 | 2020-12-10 | Basf Se | New carbocyclic pyridine carboxamides |
| WO2020244968A1 (en) | 2019-06-06 | 2020-12-10 | Basf Se | Fungicidal n-(pyrid-3-yl)carboxamides |
| WO2020244969A1 (en) | 2019-06-06 | 2020-12-10 | Basf Se | Pyridine derivatives and their use as fungicides |
| EP3766879A1 (en) | 2019-07-19 | 2021-01-20 | Basf Se | Pesticidal pyrazole derivatives |
| WO2021013561A1 (en) | 2019-07-19 | 2021-01-28 | Basf Se | Pesticidal pyrazole and triazole derivatives |
| EP3769623A1 (en) | 2019-07-22 | 2021-01-27 | Basf Se | Mesoionic imidazolium compounds and derivatives for combating animal pests |
| WO2021033133A1 (en) | 2019-08-19 | 2021-02-25 | Pi Industries Ltd. | Novel oxadiazole compounds containing 5- membered heteroaromatic ring for controlling or preventing phytopathogenic fungi |
| WO2021063736A1 (en) | 2019-10-02 | 2021-04-08 | Basf Se | Bicyclic pyridine derivatives |
| WO2021063735A1 (en) | 2019-10-02 | 2021-04-08 | Basf Se | New bicyclic pyridine derivatives |
| WO2021090282A1 (en) | 2019-11-08 | 2021-05-14 | Pi Industries Ltd. | Novel oxadiazole compounds containing fused heterocyclyl rings for controlling or preventing phytopathogenic fungi |
| WO2021130143A1 (en) | 2019-12-23 | 2021-07-01 | Basf Se | Enzyme enhanced root uptake of agrochemical active compound |
| WO2021170463A1 (en) | 2020-02-28 | 2021-09-02 | BASF Agro B.V. | Methods and uses of a mixture comprising alpha-cypermethrin and dinotefuran for controlling invertebrate pests in turf |
| WO2021175669A1 (en) | 2020-03-04 | 2021-09-10 | Basf Se | Use of substituted 1,2,4-oxadiazoles for combating phytopathogenic fungi |
| WO2021209360A1 (en) | 2020-04-14 | 2021-10-21 | Basf Se | Fungicidal mixtures comprising substituted 3-phenyl-5-(trifluoromethyl)-1,2,4-oxadiazoles |
| EP3903583A1 (en) | 2020-04-28 | 2021-11-03 | Basf Se | Use of strobilurin type compounds for combating phytopathogenic fungi containing an amino acid substitution f129l in the mitochondrial cytochrome b protein conferring resistance to qo inhibitors iii |
| EP3903582A1 (en) | 2020-04-28 | 2021-11-03 | Basf Se | Use of strobilurin type compounds for combating phytopathogenic fungi containing an amino acid substitution f129l in the mitochondrial cytochrome b protein conferring resistance to qo inhibitors ii |
| EP3903581A1 (en) | 2020-04-28 | 2021-11-03 | Basf Se | Use of strobilurin type compounds for combating phytopathogenic fungi containing an amino acid substitution f129l in the mitochondrial cytochrome b protein conferring resistance to qo inhibitors i |
| WO2021219513A1 (en) | 2020-04-28 | 2021-11-04 | Basf Se | Pesticidal compounds |
| EP3903584A1 (en) | 2020-04-28 | 2021-11-03 | Basf Se | Use of strobilurin type compounds for combating phytopathogenic fungi containing an amino acid substitution f129l in the mitochondrial cytochrome b protein conferring resistance to qo inhibitors iv |
| EP3909950A1 (en) | 2020-05-13 | 2021-11-17 | Basf Se | Heterocyclic compounds for the control of invertebrate pests |
| WO2021249800A1 (en) | 2020-06-10 | 2021-12-16 | Basf Se | Substituted [1,2,4]triazole compounds as fungicides |
| EP3939961A1 (en) | 2020-07-16 | 2022-01-19 | Basf Se | Strobilurin type compounds and their use for combating phytopathogenic fungi |
| WO2022017836A1 (en) | 2020-07-20 | 2022-01-27 | BASF Agro B.V. | Fungicidal compositions comprising (r)-2-[4-(4-chlorophenoxy)-2-(trifluoromethyl)phenyl]-1- (1,2,4-triazol-1-yl)propan-2-ol |
| EP3945089A1 (en) | 2020-07-31 | 2022-02-02 | Basf Se | Use of strobilurin type compounds for combating phytopathogenic fungi containing an amino acid substitution f129l in the mitochondrial cytochrome b protein conferring resistance to qo inhibitors v |
| WO2022038500A1 (en) | 2020-08-18 | 2022-02-24 | Pi Industries Limited | Novel heterocyclic compounds for combating phytopathogenic fungi |
| EP3960727A1 (en) | 2020-08-28 | 2022-03-02 | Basf Se | Use of strobilurin type compounds for combating phytopathogenic fungi containing an amino acid substitution f129l in the mitochondrial cytochrome b protein conferring resistance to qo inhibitors vi |
| WO2022058877A1 (en) | 2020-09-15 | 2022-03-24 | Pi Industries Limited | Novel picolinamide compounds for combating phytopathogenic fungi |
| WO2022058878A1 (en) | 2020-09-15 | 2022-03-24 | Pi Industries Limited | Novel picolinamide compounds for combating phytopathogenic fungi |
| EP3970494A1 (en) | 2020-09-21 | 2022-03-23 | Basf Se | Use of strobilurin type compounds for combating phytopathogenic fungi containing an amino acid substitution f129l in the mitochondrial cytochrome b protein conferring resistance to qo inhibitors viii |
| WO2022064453A1 (en) | 2020-09-26 | 2022-03-31 | Pi Industries Ltd. | Nematocidal compounds and use thereof |
| WO2022089969A1 (en) | 2020-10-27 | 2022-05-05 | BASF Agro B.V. | Compositions comprising mefentrifluconazole |
| WO2022090069A1 (en) | 2020-11-02 | 2022-05-05 | Basf Se | Compositions comprising mefenpyr-diethyl |
| WO2022090071A1 (en) | 2020-11-02 | 2022-05-05 | Basf Se | Use of mefenpyr-diethyl for controlling phytopathogenic fungi |
| WO2022106304A1 (en) | 2020-11-23 | 2022-05-27 | BASF Agro B.V. | Compositions comprising mefentrifluconazole |
| EP4018830A1 (en) | 2020-12-23 | 2022-06-29 | Basf Se | Pesticidal mixtures |
| WO2022167488A1 (en) | 2021-02-02 | 2022-08-11 | Basf Se | Synergistic action of dcd and alkoxypyrazoles as nitrification inhibitors |
| EP4043444A1 (en) | 2021-02-11 | 2022-08-17 | Basf Se | Substituted isoxazoline derivatives |
| WO2022234470A1 (en) | 2021-05-05 | 2022-11-10 | Pi Industries Ltd. | Novel fused heterocyclic compounds for combating phytopathogenic fungi |
| WO2022238157A1 (en) | 2021-05-11 | 2022-11-17 | Basf Se | Fungicidal mixtures comprising substituted 3-phenyl-5-(trifluoromethyl)-1,2,4-oxadiazoles |
| WO2022243107A1 (en) | 2021-05-18 | 2022-11-24 | Basf Se | New substituted pyridines as fungicides |
| WO2022243111A1 (en) | 2021-05-18 | 2022-11-24 | Basf Se | New substituted pyridines as fungicides |
| WO2022243109A1 (en) | 2021-05-18 | 2022-11-24 | Basf Se | New substituted quinolines as fungicides |
| WO2022243521A1 (en) | 2021-05-21 | 2022-11-24 | Basf Se | Use of ethynylpyridine compounds as nitrification inhibitors |
| WO2022243523A1 (en) | 2021-05-21 | 2022-11-24 | Basf Se | Use of an n-functionalized alkoxy pyrazole compound as nitrification inhibitor |
| WO2022249074A1 (en) | 2021-05-26 | 2022-12-01 | Pi Industries Ltd. | Fungicidal composition containing oxadiazole compounds |
| EP4094579A1 (en) | 2021-05-28 | 2022-11-30 | Basf Se | Pesticidal mixtures comprising metyltetraprole |
| WO2022268810A1 (en) | 2021-06-21 | 2022-12-29 | Basf Se | Metal-organic frameworks with pyrazole-based building blocks |
| EP4119547A1 (en) | 2021-07-12 | 2023-01-18 | Basf Se | Triazole compounds for the control of invertebrate pests |
| WO2023011957A1 (en) | 2021-08-02 | 2023-02-09 | Basf Se | (3-quinolyl)-quinazoline |
| WO2023011958A1 (en) | 2021-08-02 | 2023-02-09 | Basf Se | (3-pirydyl)-quinazoline |
| EP4140986A1 (en) | 2021-08-23 | 2023-03-01 | Basf Se | Pyrazine compounds for the control of invertebrate pests |
| EP4140995A1 (en) | 2021-08-27 | 2023-03-01 | Basf Se | Pyrazine compounds for the control of invertebrate pests |
| EP4151631A1 (en) | 2021-09-20 | 2023-03-22 | Basf Se | Heterocyclic compounds for the control of invertebrate pests |
| WO2023072670A1 (en) | 2021-10-28 | 2023-05-04 | Basf Se | Use of strobilurin type compounds for combating phytopathogenic fungi containing an amino acid substitution f129l in the mitochondrial cytochrome b protein conferring resistance to qo inhibitors x |
| WO2023072671A1 (en) | 2021-10-28 | 2023-05-04 | Basf Se | Use of strobilurin type compounds for combating phytopathogenic fungi containing an amino acid substitution f129l in the mitochondrial cytochrome b protein conferring resistance to qo inhibitors ix |
| EP4194453A1 (en) | 2021-12-08 | 2023-06-14 | Basf Se | Pyrazine compounds for the control of invertebrate pests |
| EP4198023A1 (en) | 2021-12-16 | 2023-06-21 | Basf Se | Pesticidally active thiosemicarbazone compounds |
| WO2023112056A1 (en) | 2021-12-17 | 2023-06-22 | Pi Industries Ltd. | Novel substituted fused bicyclic pyridine carboxamide compounds for combating phytopathogenic fungi |
| EP4238971A1 (en) | 2022-03-02 | 2023-09-06 | Basf Se | Substituted isoxazoline derivatives |
| WO2023203066A1 (en) | 2022-04-21 | 2023-10-26 | Basf Se | Synergistic action as nitrification inhibitors of dcd oligomers with alkoxypyrazole and its oligomers |
| WO2024028243A1 (en) | 2022-08-02 | 2024-02-08 | Basf Se | Pyrazolo pesticidal compounds |
| EP4342885A1 (en) | 2022-09-20 | 2024-03-27 | Basf Se | N-(3-(aminomethyl)-phenyl)-5-(4-phenyl)-5-(trifluoromethyl)-4,5-dihydroisoxazol-3-amine derivatives and similar compounds as pesticides |
| EP4361126A1 (en) | 2022-10-24 | 2024-05-01 | Basf Se | Use of strobilurin type compounds for combating phytopathogenic fungi containing an amino acid substitution f129l in the mitochondrial cytochrome b protein conferring resistance to qo inhibitors xv |
| WO2024088792A1 (en) | 2022-10-24 | 2024-05-02 | Basf Se | Use of strobilurin type compounds for combating phytopathogenic fungi containing an amino acid substitution f129l in the mitochondrial cytochrome b protein conferring resistance to qo inhibitors xv |
| WO2024104813A1 (en) | 2022-11-14 | 2024-05-23 | Basf Se | Fungicidal mixture comprising substituted pyridines |
| WO2024104818A1 (en) | 2022-11-16 | 2024-05-23 | Basf Se | Substituted benzodiazepines as fungicides |
| WO2024104815A1 (en) | 2022-11-16 | 2024-05-23 | Basf Se | Substituted benzodiazepines as fungicides |
| WO2024104823A1 (en) | 2022-11-16 | 2024-05-23 | Basf Se | New substituted tetrahydrobenzoxazepine |
| WO2024104814A1 (en) | 2022-11-16 | 2024-05-23 | Basf Se | Fungicidal mixture comprising substituted pyridines |
| WO2024104822A1 (en) | 2022-11-16 | 2024-05-23 | Basf Se | Substituted tetrahydrobenzodiazepine as fungicides |
| EP4389210A1 (en) | 2022-12-21 | 2024-06-26 | Basf Se | Heteroaryl compounds for the control of invertebrate pests |
| WO2024165343A1 (en) | 2023-02-08 | 2024-08-15 | Basf Se | New substituted quinoline compounds for combatitng phytopathogenic fungi |
| WO2024194038A1 (en) | 2023-03-17 | 2024-09-26 | Basf Se | Substituted pyridyl/pyrazidyl dihydrobenzothiazepine compounds for combatting phytopathogenic fungi |
| EP4455137A1 (en) | 2023-04-24 | 2024-10-30 | Basf Se | Pyrimidine compounds for the control of invertebrate pests |
| WO2024223034A1 (en) | 2023-04-26 | 2024-10-31 | Basf Se | Use of strobilurin type compounds for combating phytopathogenic fungi containing an amino acid substitution f129l in the mitochondrial cytochrome b protein conferring resistance to qo inhibitors xvi |
| EP4467535A1 (en) | 2023-05-25 | 2024-11-27 | Basf Se | Lactam pesticidal compounds |
| EP4488270A1 (en) | 2023-07-06 | 2025-01-08 | Basf Se | Triazole compounds for the control of invertebrate pests |
| EP4488273A1 (en) | 2023-07-06 | 2025-01-08 | Basf Se | Triazole compounds for the control of invertebrate pests |
| EP4488269A1 (en) | 2023-07-06 | 2025-01-08 | Basf Se | Triazole compounds for the control of invertebrate pests |
| EP4574819A1 (en) | 2023-12-22 | 2025-06-25 | Basf Se | Diazinone compounds for the control of invertebrate pests |
| EP4640052A1 (en) | 2024-04-24 | 2025-10-29 | Basf Se | Mixtures of strobilurin type compounds for combating phytopathogenic fungi containing an amino acid substitution f129l in the mitochondrial cytochrome b protein conferring resistance to qo inhibitors with at least one further pesticide i |
| WO2025223904A1 (en) | 2024-04-24 | 2025-10-30 | Basf Se | Mixtures of strobilurin type compounds for combating phytopathogenic fungi containing an amino acid substitution f129l in the mitochondrial cytochrome b protein conferring resistance to qo inhibitors with at least one further pesticide i |
| WO2026021909A1 (en) | 2024-07-23 | 2026-01-29 | Basf Se | New substituted benzothiazine pyridine compounds for combatting phytopathogenic fungi |
| WO2026021912A1 (en) | 2024-07-23 | 2026-01-29 | Basf Se | New substituted benzothiazine pyridine compounds for combatting phytopathogenic fungi |
| WO2026021911A1 (en) | 2024-07-23 | 2026-01-29 | Basf Se | New substituted benzothiazine pyridine compounds for combatting phytopathogenic fungi |
| WO2026021910A1 (en) | 2024-07-23 | 2026-01-29 | Basf Se | New substituted benzothiazine pyridine compounds for combatting phytopathogenic fungi |
Similar Documents
| Publication | Publication Date | Title |
|---|---|---|
| WO2004083193A1 (en) | Amide compound and bactericide composition containing the same | |
| KR100884933B1 (en) | Photoactive (R) -allyloxypropionic acid amide compound and herbicide composition comprising the same | |
| WO2008059948A1 (en) | Haloalkylsulfonanilide derivative or salt thereof, herbicide comprising the derivative as active ingredient, and use of the herbicide | |
| FR2483406A1 (en) | 3-ISOXAZOLIDINONE COMPOUNDS, PROCESS FOR THEIR PREPARATION AND HERBICIDAL COMPOSITIONS CONTAINING SAME | |
| JPS63115870A (en) | 2-phenoxypyrimidine derivative and herbicide | |
| JP2015504889A (en) | Herbicidal isoxazolo [5,4-b] pyridine | |
| JP3734796B2 (en) | Herbicidal pyridinesulfonylurea derivatives | |
| CN101084224B (en) | Thieno-pyrimidine compounds having fungicidal activity | |
| EP0096296A2 (en) | 1-Sulfo-2-oxoazetidine derivatives | |
| CN114478506B (en) | Pyridineoxazole compounds and their applications | |
| JPH0393747A (en) | Substituted acrylic acid ester | |
| FR2537580A1 (en) | NOVEL BENZYLCARBAMOYLPYRIDINE DERIVATIVES, PROCESSES FOR THEIR PREPARATION AND THEIR USE AS HERBICIDES FOR THE WEED CONTROL OF CULTURES | |
| CN115667229A (en) | Triazole sulfonamide derivatives, preparation method and application thereof | |
| KR100399366B1 (en) | Herbicidally active pyridine sulfonyl urea derivatives | |
| JPS63429B2 (en) | ||
| CN114763331A (en) | Trifluoroethyl sulfide (sulfoxide) substituted benzene compound and application thereof | |
| JPH0276846A (en) | Cyanoacetmide derivative, production thereof and plant disease injury controlling agent containing the same as active ingredient | |
| CN109574956B (en) | Thiadiazole amide compound and application thereof | |
| EP3203841B1 (en) | Substituted 5-hydroxy-2-phenyl-3-heteroarylpentanonitrile derivatives, method for their preparation and their use as herbicides and/or plant growth regulators | |
| EP0483027A2 (en) | Triazolopyridazines, methods for their preparation, their use as herbicides and intermediates | |
| KR100193753B1 (en) | Picolinic acid derivatives, preparations thereof and herbicides | |
| AU1435199A (en) | Pyrazolylpyrazoles substituted by 1-methyl-5- alkylsulphonyl, 1-methyl-5- alkylsuphinyl and 1-methyl-5- alkylthio, methods for preparing them and use as herbicides | |
| JPS62201855A (en) | Carboxamide, its preparation and fungicide for agricultural purposes | |
| JPH026472A (en) | 5-(n-3, 4, 5, 6-tetrahydrophthalimide) benzoic thiol ester as selective herbicide | |
| JPS59163363A (en) | Cyclohexenone derivative, its preparation and selective herbicide |
Legal Events
| Date | Code | Title | Description |
|---|---|---|---|
| AK | Designated states |
Kind code of ref document: A1 Designated state(s): AE AG AL AM AT AU AZ BA BB BG BR BW BY BZ CA CH CN CO CR CU CZ DE DK DM DZ EC EE EG ES FI GB GD GE GH GM HR HU ID IL IN IS KE KG KP KR KZ LC LK LR LS LT LU LV MA MD MG MK MN MW MX MZ NA NI NO NZ OM PG PH PL PT RO RU SC SD SE SG SK SL SY TJ TM TN TR TT TZ UA UG US UZ VC VN YU ZA ZM ZW |
|
| AL | Designated countries for regional patents |
Kind code of ref document: A1 Designated state(s): BW GH GM KE LS MW MZ SD SL SZ TZ UG ZM ZW AM AZ BY KG KZ MD RU TJ TM AT BE BG CH CY CZ DE DK EE ES FI FR GB GR HU IE IT LU MC NL PL PT RO SE SI SK TR BF BJ CF CG CI CM GA GN GQ GW ML MR NE SN TD TG |
|
| 121 | Ep: the epo has been informed by wipo that ep was designated in this application | ||
| 122 | Ep: pct application non-entry in european phase |
















































































































