WO2018188962A1 - Substituted oxadiazoles for combating phytopathogenic fungi - Google Patents
Substituted oxadiazoles for combating phytopathogenic fungi Download PDFInfo
- Publication number
- WO2018188962A1 WO2018188962A1 PCT/EP2018/058066 EP2018058066W WO2018188962A1 WO 2018188962 A1 WO2018188962 A1 WO 2018188962A1 EP 2018058066 W EP2018058066 W EP 2018058066W WO 2018188962 A1 WO2018188962 A1 WO 2018188962A1
- Authority
- WO
- WIPO (PCT)
- Prior art keywords
- alkyl
- group
- compounds
- methyl
- phenyl
- Prior art date
- Legal status (The legal status is an assumption and is not a legal conclusion. Google has not performed a legal analysis and makes no representation as to the accuracy of the status listed.)
- Ceased
Links
- 0 CC(C)(*)*c1n[o]c(C(F)(F)F)n1 Chemical compound CC(C)(*)*c1n[o]c(C(F)(F)F)n1 0.000 description 1
Classifications
-
- C—CHEMISTRY; METALLURGY
- C07—ORGANIC CHEMISTRY
- C07D—HETEROCYCLIC COMPOUNDS
- C07D271/00—Heterocyclic compounds containing five-membered rings having two nitrogen atoms and one oxygen atom as the only ring hetero atoms
- C07D271/02—Heterocyclic compounds containing five-membered rings having two nitrogen atoms and one oxygen atom as the only ring hetero atoms not condensed with other rings
- C07D271/06—1,2,4-Oxadiazoles; Hydrogenated 1,2,4-oxadiazoles
-
- A—HUMAN NECESSITIES
- A01—AGRICULTURE; FORESTRY; ANIMAL HUSBANDRY; HUNTING; TRAPPING; FISHING
- A01N—PRESERVATION OF BODIES OF HUMANS OR ANIMALS OR PLANTS OR PARTS THEREOF; BIOCIDES, e.g. AS DISINFECTANTS, AS PESTICIDES OR AS HERBICIDES; PEST REPELLANTS OR ATTRACTANTS; PLANT GROWTH REGULATORS
- A01N43/00—Biocides, pest repellants or attractants, or plant growth regulators containing heterocyclic compounds
- A01N43/72—Biocides, pest repellants or attractants, or plant growth regulators containing heterocyclic compounds having rings with nitrogen atoms and oxygen or sulfur atoms as ring hetero atoms
- A01N43/82—Biocides, pest repellants or attractants, or plant growth regulators containing heterocyclic compounds having rings with nitrogen atoms and oxygen or sulfur atoms as ring hetero atoms five-membered rings with three ring hetero atoms
-
- C—CHEMISTRY; METALLURGY
- C07—ORGANIC CHEMISTRY
- C07D—HETEROCYCLIC COMPOUNDS
- C07D413/00—Heterocyclic compounds containing two or more hetero rings, at least one ring having nitrogen and oxygen atoms as the only ring hetero atoms
- C07D413/02—Heterocyclic compounds containing two or more hetero rings, at least one ring having nitrogen and oxygen atoms as the only ring hetero atoms containing two hetero rings
- C07D413/04—Heterocyclic compounds containing two or more hetero rings, at least one ring having nitrogen and oxygen atoms as the only ring hetero atoms containing two hetero rings directly linked by a ring-member-to-ring-member bond
Definitions
- the present invention relates to novel trifluoromethyloxadiazoles of the formula I, or the
- N-oxides, or the agriculturally useful salts thereof and to intermediates that are useful for their preparation; and to the use of compounds of the formula I for controlling phyto-pathogenic fungi; and to a method for combating phytopathogenic harmful fungi, which process comprises treating the fungi, the plants, the soil or seeds to be protected against fungal attack, with an effective amount of at least one compound of the formula I, or an N-oxide, or an agriculturally acceptable salt thereof; to agrochemical compositions comprising at least one compound of the formula I; and to agrochemical compositions further comprising seeds.
- EP 276432 A2 relates to 3-phenyl-5-trifluoromethyloxadiazole derivatives and to their use to combat phytopathogenic microorganisms.
- WO 2015/185485 A1 WO 2017/055469 A1 and WO 2017/055473 A1 describe other derivatives of trifluoromethyloxadiazoles and their use to combat phytopathogenic microorganisms.
- WO 2005/051932 A1 discloses trifluoromethyloxadiazoles and their use as agricultural fungicides besides their use as bactericides and insecticides; also descripbed are intermediates for their synthesis.
- the fungicidal activity of known fungicidal compounds is unsatisfactory. Based on this, it was an objective of the present invention to provide compounds having improved activity and/or a broader activity spectrum against phytopathogenic fungi. This objective is achieved by the oxadiazoles of the formula I or their agriculturally useful salts for controlling phytopathogenic fungi.
- the present invention relates to compounds of the formula I, or the N-oxides, or the agriculturally acceptable salts thereof,
- A is phenyl or a 5- or 6-membered aromatic heterocycle, wherein the ring member atoms of the aromatic heterocycles include besides carbon atoms 1 , 2, 3 or 4 heteroatoms selected from N, O and S as ring member atoms; and wherein the phenyl ring or the aromatic heterocycles are unsubstituted or substituted with 1 or 2 identical or different groups R A ; wherein
- R A is halogen, cyano, Ci-C6-alkyl, Ci-C6-haloalkyl, Ci-C6-alkoxy or
- V is -NR2-NR2-
- p 0, 1 or 2;
- W is R 1 , -N R 5 -R 1 or -N R2-N R 5 -R ;
- R 1a is halogen, oxo, cyano, N0 2 , OH, SH, NH 2 , d-Ce-alkyl, d-Ce-haloalkyl,
- C a and C b are bridgehead carbon atoms
- X is a direct single bond or a divalent group selected from the group consisting of
- Y and Z independently of each other are a divalent group selected from the group
- R 1 is a tricyclic carbocycle of the formula R b ,
- C a and C b are bridgehead carbon atoms
- Y and Z independently of each other are a divalent group selected from the group
- T is a divalent group selected from the group consisting of -CH2-, -CH2-CH2-, -(CH2)3-,
- R a and R b independently of each other are unsubstituted or substituted with 1 , 2, 3, 4 or up to the maximum possible number of radicals selected from the group consisting of oxo, hydroxy, halogen, Ci-C3-alkyl, Ci-C3-haloalkyl, C3-C6- cycloalkyl, vinylidene and dichlorovinylidene;
- R 2 , R 5 independently of each other are selected from the group consisting of hydrogen, C1-C6- alkyl, C2-C6-alkenyl, C2-C6-alkynyl, Ci-C6-alkoxy, Cs-Cs-cycloalkyl, Cs-Cs-cycloalkenyl, C3-C8-cycloalkyl-Ci-C6-alkyl, phenyl-Ci-C4-alkyl, phenyl,
- any of the aliphatic or cyclic groups are unsubstituted or substituted with 1 , 2, 3 or up to the maximum possible number of identical or different radicals selected from the group consisting of halogen, cyano, Ci-C6-alkyl and Ci-C6-alkoxy; or
- n 0 or 1 ;
- R 3 , R 4 independently of each other are selected from the group consisting of hydrogen,
- halogen cyano, Ci-C4-alkyl, Ci-C4-alkenyl, Ci-C4-alkynyl, Ci-C4-haloalkyl and
- R 3 and R 4 together with the carbon atom to which they are bound form a saturated 3- to
- Ci-C6-alkoxy and Cs-Cs-cycloalkyl Agriculturally acceptable salts of the compounds of the formula I encompass especially the salts of those cations or the acid addition salts of those acids whose cations and anions, respectively, have no adverse effect on the fungicidal action of the compounds I.
- Suitable cations are thus in particular the ions of the alkali metals, preferably sodium and potassium, of the alkaline earth metals, preferably calcium, magnesium and barium, of the transition metals, preferably manganese, copper, zinc and iron, and also the ammonium ion which, if desired, may be substituted with one to four Ci-C4-alkyl substituents and/or one phenyl or benzyl substituent, preferably diisopropylammonium, tetramethylammonium, tetrabutylammonium,
- trimethylbenzylammonium furthermore phosphonium ions, sulfonium ions, preferably tri(Ci-C4- alkyl)sulfonium, and sulfoxonium ions, preferably tri(Ci-C4-alkyl)sulfoxonium.
- Anions of acceptable acid addition salts are primarily chloride, bromide, fluoride,
- Ci-C4-alkanoic acids preferably formate, acetate, propionate and butyrate. They can be formed by reacting a compound I with an acid of the corresponding anion, preferably of hydrochloric acid, hydrobromic acid, sulfuric acid, phosphoric acid or nitric acid.
- Stereoisomers of the formula I can exist as one or more stereoisomers.
- the various stereoisomers include enantiomers, diastereomers, atropisomers arising from restricted rotation about a single bond of asymmetric groups and geometric isomers. They also form part of the subject matter of the present invention.
- one stereoisomer may be more active and/or may exhibit beneficial effects when enriched relative to the other stereoisomer(s) or when separated from the other stereoisomer(s). Additionally, the skilled artisan knows how to separate, enrich, and/or to selectively prepare said stereoisomers.
- the compounds of the invention may be present as a mixture of stereoisomers, e.g. a racemate, individual
- C n -C m indicates the number of carbon atoms possible in each case in the substituent or substituent moiety in question.
- halogen refers to fluorine, chlorine, bromine and iodine.
- Ci-C6-alkyl refers to a straight-chained or branched saturated hydrocarbon group having 1 to 6 carbon atoms, for example methyl, ethyl, propyl, 1 -methylethyl, butyl, 1 - methylpropyl, 2-methylpropyl, and 1 ,1 -dimethylethyl.
- C2-C6-alkenyl refers to a straight-chain or branched unsaturated hydrocarbon radical having 2 to 6 carbon atoms and a double bond in any position, such as ethenyl, 1 -propenyl, 2- propenyl (allyl), 1 -methylethenyl, 1 -butenyl, 2-butenyl, 3-butenyl, 1 -methyl-1 -propenyl, 2-methyl-
- C2-C6-alkynyl refers to a straight-chain or branched unsaturated hydrocarbon radical having 2 to 6 carbon atoms and containing at least one triple bond, such as ethynyl, 1 -propynyl,
- Ci-C6-haloalkyl refers to a straight-chained or branched alkyl group having 1 to 6 carbon atoms (as defined above), wherein some or all of the hydrogen atoms in these groups may be replaced by halogen atoms as mentioned above, for example chloromethyl,
- Ci-C6-alkoxy refers to a straight-chain or branched alkyl group having 1 to 6 carbon atoms (as defined above) which is bonded via an oxygen, at any position in the alkyl group, for example methoxy, ethoxy, n-propoxy, 1 -methylethoxy, butoxy, 1 -methylpropoxy, 2- methylpropoxy or 1 ,1 -dimethylethoxy.
- Ci-C6-haloalkoxy refers to a Ci-C6-alkoxy group as defined above, wherein some or all of the hydrogen atoms may be replaced by halogen atoms as mentioned above, for example, OCH 2 F, OCHF 2 , OCFs, OCH 2 CI, OCHCI 2 , OCCI 3 , chlorofluoromethoxy, dichlorofluoromethoxy, chlorodifluoromethoxy, 2-fluoroethoxy, 2-chloroethoxy, 2-bromoethoxy, 2-iodoethoxy, 2,2- difluoroethoxy, 2,2,2-trifluoroethoxy, 2-chloro-2-fluoroethoxy, 2-chloro-2,2-difluoroethoxy, 2,2- dichloro-2-fluoroethoxy, 2,2,2-trichloroethoxy, OC 2 F 5 , 2-fluoropropoxy, 3-fluoropropoxy, 2,2- difluor
- phenyl-Ci-C4-alkyl or heteroaryl-Ci-C4-alkyl refer to alkyl having 1 to 4 carbon atoms (as defined above), wherein one hydrogen atom of the alkyl radical is replaced by a phenyl or hetereoaryl radical respectively.
- Ci-C4-alkoxy-Ci-C4-alkyl refers to alkyl having 1 to 4 carbon atoms (as defined above), wherein one hydrogen atom of the alkyl radical is replaced by a Ci-C4-alkoxy group (as defined above).
- Ci-C4-alkoxy group refers to alkyl having 1 to 4 carbon atoms (as defined above), wherein one hydrogen atom of the alkyl radical is replaced by a Ci-C4-alkylthio group.
- Ci-C6-alkylthio refers to straight-chain or branched alkyl groups having 1 to 6 carbon atoms (as defined above) bonded via a sulfur atom. Accordingly, the term “Ci-C6-haloalkylthio” as used herein refers to straight-chain or branched haloalkyi group having 1 to 6 carbon atoms (as defined above) bonded through a sulfur atom, at any position in the haloalkyi group.
- C3-C8-cycloalkyl-Ci-C6-alkyl refers to alkyl having 1 to 6 carbon atoms, wherein one hydrogen atom of the alkyl radical is replaced by a Cs-Cs-cycloalkyl group.
- hydroxyCi-C4-alkyl refers to alkyl having 1 to 4 carbon atoms, wherein one hydrogen atom of the alkyl radical is replaced by a OH group.
- aminoCi-C4-alkyl refers to alkyl having 1 to 4 carbon atoms, wherein one hydrogen atom of the alkyl radical is replaced by a NH2 group.
- diCi-C6-alkylamino refers to an amino group, which is substituted with two residues independently selected from the group that is defined by the term Ci-C6-alkyl.
- Ci-C4-alkylamino-Ci-C4-alkyl refers to refers to alkyl having 1 to 4 carbon atoms (as defined above), wherein one hydrogen atom of the alkyl radical is replaced by a Ci-C4-alkyl-NH- group which is bound through the nitrogen.
- diCi-C4-alkylamino-Ci-C4-alkyl refers to refers to alkyl having 1 to 4 carbon atoms (as defined above), wherein one hydrogen atom of the alkyl radical is replaced by a (Ci-C4-alkyl)2N- group which is bound through the nitrogen.
- C2-C6-alkenyl refers to a straight-chain or branched unsaturated hydrocarbon radical having 2 to 6 carbon atoms and a double bond in any position, such as ethenyl, 1 -propenyl, 2- propenyl (allyl), 1 -methylethenyl, 1 -butenyl, 2-butenyl, 3-butenyl, 1 -methyl-1 -propenyl, 2-methyl-
- C2-C6-alkynyl refers to a straight-chain or branched unsaturated hydrocarbon radical having 2 to 6 carbon atoms and containing at least one triple bond, such as ethynyl, 1 -propynyl,
- Cs-Cs-cycloalkyl refers to monocyclic saturated hydrocarbon radicals having 3 to 8 carbon ring members such as cyclopropyl (C3H5), cyclobutyl, cyclopentyl, cyclohexyl, cycloheptyl or cyclooctyl.
- Cs-Cs-cycloalkyl refers to monocyclic saturated hydrocarbon radicals having 3 to 8 carbon ring members such as cyclopropyl (C3H5), cyclobutyl, cyclopentyl, cyclohexyl, cycloheptyl or cyclooctyl.
- aliphatic refers to compounds or radicals composed of carbon and hydrogen and which are non-aromatic compounds.
- An "alicyclic” compound or radical is an organic compound that is both aliphatic and cyclic. They contain one or more all-carbon rings which may be either saturated or unsaturated, but do not have aromatic character.
- cyclic moiety or "cyclic group” refer to a radical which is an alicyclic ring or an aromatic ring, such as, for example, phenyl or heteroaryl.
- aliphatic groups, cyclic groups and groups which contain an aliphatic and a cyclic moiety in one group, such as in, for example, C3-C8-cycloalkyl-Ci-C4-alkyl; therefore a group which contains an aliphatic and a cyclic moiety both of these moieties may be substituted or unsubstituted independently of each other.
- phenyl refers to an aromatic ring systems incuding six carbon atoms (commonly referred to as benzene ring. In association with the group A the term “phenyl” is to be interpreted as a benzene ring or phenylene ring, which is attached to both, the oxadiazole moiety and the -CR 3 R 4 - group.
- saturated 3- to 7-membered carbocycle is to be understood as meaning monocyclic saturated carbocycles having 3, 4 or 5 carbon ring members. Examples include cyclopropyl, cyclopentyl, cyclohexyl, cycloheptyl, and the like.
- heteroaromatic ring systems and also saturated and partially unsaturated heterocycles, for example:
- a 3- or 4-membered saturated heterocycle which contains 1 or 2 heteroatoms from the group consisting of N, O and S as ring members such as oxirane, aziridine, thiirane, oxetane, azetidine, thiethane, [1 ,2]dioxetane, [1 ,2]dithietane, [1 ,2]diazetidine;
- a 5- or 6-membered saturated or partially unsaturated heterocycle which contains 1 , 2 or 3 heteroatoms from the group consisting of N, O and S as ring members such as 2-tetrahydro- furanyl, 3-tetrahydrofuranyl, 2-tetrahydrothienyl, 3-tetrahydrothienyl, 2-pyrrolidinyl, 3-pyrrolidinyl, 3-isoxazolidinyl, 4-isoxazolidinyl, 5-isoxazolidinyl, 3-isothiazolidinyl, 4-isothiazolidinyl,
- hexahydroazepinyl such as 2,3,4,5-tetrahydro[1 H]azepin-1 -,-2-,-3-,-4-,-5-,-6- or-7-yl, 3,4,5,6- tetrahydro[2H]azepin-2-,-3-,-4-,-5-,-6- or-7-yl, 2,3,4,7-tetrahydro[1 H]azepin-1 -,-2-,-3-,-4-,-5-,-6- or-7-yl, 2,3,6,7-tetrahydro[1 H]azepin-1 -,-2-,-3-,-4-,-5-,-6- or-7-yl, hexahydroazepin-1 -,-2-,-3- or- 4-yl, tetra- and hexahydrooxepinyl such as 2,3,4,5-tetrahydro[1 H]oxepin-2-,-3-,-4-,-5-,-6- or-7-yl,
- 5- or 6-membered heteroaryl or the term “5- or 6-membered aromatic heterocycle” refer to aromatic ring systems incuding besides carbon atoms, 1 , 2, 3 or 4 heteroatoms independently selected from the group consisting of N, O and S, for example, a 5-membered heteroaryl such as pyrrol-1 -yl, pyrrol-2-yl, pyrrol-3-yl, thien-2-yl, thien-3-yl, furan-2-yl, furan-3-yl, pyrazol-1 -yl, pyrazol-3-yl, pyrazol-4-yl, pyrazol-5-yl, imidazol-1 -yl, imidazol-2-yl, imidazol-4-yl, imidazol-5-yl, oxazol-2-yl, oxazol-4-yl, oxazol-5-yl, isoxazol-3-yl, isoxazol
- a 6-membered heteroaryl such as pyridin-2-yl, pyridin-3-yl, pyridin-4-yl, pyridazin-3-yl, pyridazin-4-yl, pyrimidin-2-yl, pyrimidin-4-yl, pyrimidin-5-yl, pyrazin-2-yl and 1 ,3,5-triazin-2-yl and 1 ,2,4-triazin-3-yl.
- A is phenyl which is unsubstituted or substituted with 1 , 2, 3 or 4 identical or different groups R A as defined or preferably defined herein and wherein the group - (CR 3 R 4 )m-V-L-W is attached to the phenyl ring in para-pos ⁇ t ⁇ on with regard to the
- A is phenyl which is unsubstituted or substituted with 1 , 2, 3 or 4 identical or different groups R A as defined or preferably defined herein and wherein the group - (CR 3 R 4 )m-V-L-W is attached to the phenyl ring in / ⁇ e/s-position with regard to the
- A is phenyl which is substituted with 1 or 2 identical or different groups R A as defined or preferably defined herein and wherein the group
- A is phenyl which is unsubstituted and wherein the
- A is a 6-membered aromatic heterocycle, wherein the ring member atoms of the aromatic heterocycle include besides carbon atoms 1 or 2 nitrogen atoms as ring member atoms; and wherein the aromatic heterocycle is unsubstituted or substituted with 1 or 2 identical or different groups R A as defined or preferably defined herein; particularly R A is chlorine, fluorine or methyl.
- A is a 6-membered aromatic heterocycle, wherein the ring member atoms of the aromatic heterocycle include besides carbon atoms 1 or 2 nitrogen atoms as ring member atoms; and wherein the aromatic heterocycle is unsubstituted or substituted with 1 or 2 identical or different groups R A as defined or preferably defined herein; particularly R A is chlorine, fluorine or methyl; and wherein the group -(CR 3 R 4 ) m -V-L-W is attached to the 6- membered aromatic heterocycle in para-pos ⁇ t ⁇ on with regard to the trifluoromethyloxadiazole group.
- A is a 5-membered aromatic heterocycle, in particular a thiophene ring, more particularly a 2,5-thiophenyl ring, wherein the ring member atoms of the heterocycle include besides carbon atoms 1 , 2, 3 or 4 heteroatoms selected from N, O and S as ring member atoms; and wherein the cyclic groups A are unsubstituted or substituted with 1 or 2 identical or different groups R A as defined or preferably defined herein; particularly R A is chlorine, fluorine or methyl.
- the invention relates to compounds of the formula I, wherein the cyclic moiety A is defined as in subformulae (A.1 ) to (A.30),
- #1 denotes the position which is bound to the trifluoromethyloxadiazole moiety and #2 denotes the position, which is connected to the -(CR 3 R 4 ) m -V-L-W group of compounds of the formula I; and wherein the cyclic moiety A is unsubstituted or substituted with 1 or 2 identical or different groups R A and wherein R A is as defined or preferably defined herein.
- the cyclic moieties A as defined in any one of subformulae (A.1 ) to (A.30) is unsubstituted or substituted with 1 or 2 identical or different groups R A ; and wherein R A is chlorine, fluorine or methyl.
- the cyclic moiety A as defined in any one of subformulae (A.1 ) to (A.30) is unsubstituted.
- R A is independently selected from the group consisting of halogen, Ci-C6-alkyl or C 3 -C8-cycloalkyl. In another preferred embodiment R A is independently selected from the group consisting of halogen, methyl or ethyl. More preferably R A is independently selected from the group consisting of halogen, in particular R A is fluorine.
- Embodiment 1 .1 R 1 is d-Ce-alkyl, C2-Ce-alkenyl, C2-Ce-alkynyl, Cs-Cs-cycloalkyl, C 3 -C 3 - cycloalkenyl, phenyl-Ci-C4-alkyl, heteroaryl-Ci-C4-alkyl, phenyl or heteroaryl; and wherein the heteroaryl group is a 5- or 6-membered aromatic heterocycle, wherein the ring includes besides carbon atoms 1 , 2, 3 or 4 heteroatoms selected from N, O and S as ring member atoms; and wherein any of the aliphatic or cyclic groups are unsubstituted or substituted with 1 , 2, 3 or up to the maximum possible number of identical or different radicals R 1a as defined or preferably defined herein.
- Embodiment 1 .2 R 1 is phenyl or heteroaryl; and wherein the heteroaryl group is a 5- or 6- membered aromatic heterocycle, wherein the ring includes besides carbon atoms 1 , 2, 3 or 4 heteroatoms selected from N, O and S as ring member atoms; and wherein any of the cyclic groups are unsubstituted or substituted with 1 , 2, 3 or up to the maximum possible number of identical or different radicals R 1a as defined or preferably defined herein.
- Embodiment 1 .3 R 1 is Cs-Cs-cycloalkyl or Cs-Cs-cycloalkenyl; and wherein the cyclic group is unsubstituted or substituted with 1 , 2, 3 or up to the maximum possible number of identical or different radicals R 1a as defined or preferably defined herein.
- Embodiment 1 .4 R 1 is Ci-C6-alkyl; and wherein the alkyl group is unsubstituted or substituted with 1 , 2, 3 or up to the maximum possible number of identical or different radicals R 1a as defined or preferably defined herein.
- Embodiment 1 .5 R 1 is difluoromethyl, trifluoromethyl, 2,2-difluoroethyl, 2,2,2-trifluoroethyl, 2- chloro-2-fluoroethyl, 2-chloro-2,2-difluoroethyl, 2,2,2-trichloroethyl and pentafluoroethyl, 3,3,3- trifluoropropyl, CH2CF2CF3 or CF 2 CF 2 CF 5 , CH(CH 3 )CF 3 , CH 2 CF 2 CH 3 , CH 2 C(CH 3 ) 2 F,
- Embodiment 1 .6 R 1 is 2,2,2-trifluoroethyl.
- C a and C b are bridgehead carbon atoms;
- X is a direct single bond or a divalent group selected from the group consisting of -CH2- or - CH2-CH2-;
- Y and Z independently of each other are a divalent group selected from the group consisting of -CH2- or -CH2-CH2-;
- R a is connected to the remainder of the compounds of formula I through one of the ring carbon atoms of the groups R a ; and wherein R a is unsubstituted or substituted with 1 , 2, 3, 4 or up to the maximum possible number of radicals selected from the group consisting of oxo, hydroxy, halogen, Ci-C3-alkyl.
- C a and C b are bridgehead carbon atoms
- X is a direct single bond or a divalent group selected from the group consisting of -CH2- or - CH2-CH2-;
- Y and Z independently of each other are a divalent group selected from the group consisting of -CH2- or -CH2-CH2-; and wherein groups Y and Z are attached to the bridgehead carbon atoms C a and C b ;
- T is a divalent group selected from the group consisting of -CH2- or -CH2-CH2-; and wherein the group T is attached to one carbon atom in each of the groups Y and Z;
- Z independently of each other are a divalent group -CH2-CH2-;
- R b is connected to the remainder of the compounds of formula I through one of the ring carbon atoms of the groups R b ; and wherein R b is unsubstituted or substituted with 1 , 2, 3, 4 or up to the maximum possible number of radicals selected from the group consisting of oxo, hydroxy, halogen, Ci-C3-alkyl.
- Embodiment 1 .9 R 1 is a bicyclic or tricyclic carbocycle selected from the group consisting of radicals R 1 .1 to R 1 .31 below; wherein each radical may be connected to the remainder of the compounds of formula I through one of the ring carbon atoms by substitution of one hydrogen atom; and wherein R 1 is unsubstituted or substituted with 1 or 2 radicals selected from the group consisting of oxo, hydroxy, halogen and Ci-C3-alkyl.
- R 1 is selected from the group consisting of R 1 .32 to R 1 .57 below, particularly from R 1 .32 to R 1 .49, which are further unsubstituted, and wherein "#C" indicates the carbon atom, which is attached to the remainder of the compounds of formula I.
- R 1a is selected from the group consisting of halogen, cyano, Ci-C6-alkyl, Ci-C6-haloalkyl, Ci-C6-alkoxy, Ci-C6-haloalkoxy and Cs-Cs-cycloalkyl.
- R 1a is selected from the group consisting of fluorine, chlorine, cyano, methyl, ethyl, methoxy, trifluoromethyl, trifluoromethoxy, difluoromethyl, difluoromethoxy or cyclopropyl.
- R 1a is selected from the group consisting of halogen, Ci-C6-alkyl and Cs-Cs-cycloalkyl; particularly from methyl, ethyl, fluorine and chlorine; more particularly from fluorine and chlorine.
- R 2 and R 5 independently of each other are hydrogen, Ci-C6-alkyl, C2-C6-alk- enyl, propargyl, Cs-Cs-cycloalkyl, Cs-Cs-cycloalkenyl, C3-Cs-cycloalkyl-Ci-C4-alkyl or phenyl; and wherein any of the aliphatic or cyclic groups are unsubstituted or substituted with 1 , 2, 3, 4 or up to the maximum possible number of identical or different radicals selected from the group consisting of halogen, cyano, Ci-C6-alkyl and Ci-C6-alkoxy; more preferably from halogen, in particular the radical is fluorine.
- Embodiment 25.2 R 2 and R 5 independently of each other are hydrogen, methyl, ethyl, iso- propyl, cyclopropyl, cyclopropyl-Chb-, allyl, phenyl, 4-F-phenyl or 2-F-phenyl.
- Embodiment 25.3 R 2 and R 5 independently of each other are hydrogen, Ci-C6-alkyl, C2-C6-alk- enyl, propargyl or Cs-Cs-cycloalkyl.
- Embodiment 25.4 R 2 and R 5 independently of each other are hydrogen, methyl, ethyl, /7-propyl, /so-propyl, cyclopropyl, cyclopropyl-Chb- or allyl.
- Embodiment 25.5 R 2 and R 5 independently of each other are hydrogen, Ci-C6-alkyl, C2-C6-alk- enyl or propargyl.
- Embodiment 25.6 R 2 and R 5 independently of each other are hydrogen, methy or ethyl.
- Embodiment 25.7 R 2 and R 5 are hydrogen.
- R 2 independently of each other are selected from the group consisting of hydrogen, methy or ethyl; and, if R 5 is present, R 5 is hydrogen, Ci-C6-alkyl, C2-C6-alkenyl, propargyl, Cs-Cs-cycloalkyl, Cs-Cs-cycloalkenyl, C3-Cs-cycloalkyl-Ci-C4-alkyl or phenyl; and wherein any of the aliphatic or cyclic groups in R 5 are unsubstituted or substituted with 1 , 2, 3, 4 or up to the maximum possible number of identical or different radicals selected from the group consisting of halogen, cyano, Ci-C6-alkyl and Ci-C6-alkoxy.
- Embodiment 5.2 R 2 independently of each other are selected from the group consisting of hydrogen, methy or ethyl; and, if R 5 is present, R 5 is hydrogen, Ci-C6-alkyl, C2-C6-alkenyl, propargyl or Cs-Cs-cycloalkyl; and wherein any of the aliphatic or cyclic groups in R 5 are unsubstituted or substituted with 1 , 2, 3, 4 or up to the maximum possible number of identical or different radicals selected from the group consisting of halogen and Ci-C6-alkyl.
- Embodiment 5.3 R 2 independently of each other are selected from the group consisting of hydrogen, methy or ethyl; and, if R 5 is present, R 5 is hydrogen, methyl, ethyl, /7-propyl, iso- propyl, cyclopropyl, cyclopropyl-Chb-, allyl, phenyl, 4-F-phenyl or 2-F-phenyl.
- radical R 5 in embodiments 5.1 , 5.2 and 5.3 is unsubstituted or substituted with 1 , 2, 3, 4 or up to the maximum possible number of identical or different radicals selected from the group consisting of halogen and Ci-C6-alkyl; particularly from methyl, ethyl, fluorine and chlorine; more particularly from fluorine and chlorine.
- R 2 and R 5 independently of each other are selected from the group consisting of hydrogen, Ci-C6-alkyl, C2-C6-alkenyl, Cs-Cs-cycloalkyl, C3-C8-cycloalkyl-Ci-C4-alkyl; and R 1 is
- R 2 and R 5 independently of each other are selected from the group consisting of hydrogen, methyl, ethyl, /7-propyl, /so-propyl, cyclopropyl, cyclopropyl-Chb- or allyl; and R 1 is Ci-C6-alkyl, Cs-Cs-cycloalkyl, C3-Cs-cycloalkenyl, C2-C6-alkenyl or C2-C6-alkynyl; and wherein any of the aliphatic or cyclic groups in R 1 are unsubstituted or substituted with 1 , 2, 3, 4 or up to the maximum possible number of identical or different radicals selected from the group
- Ci-C6-alkyl consisting of halogen or Ci-C6-alkyl.
- W is R 1 , -NR 5 -R 1 ; more preferably R 1 .
- L is -S02- and W is R 1 or -NR 5 -R 1 ; in particular W is R 1 .
- embodiments E.1 to E.243 listed in Table E represent preferred combinations of the embodiments, which are defined above for each of the variables V, L, W, R 1 , R 2 and/or R 5 .
- m is 1 and group -V-L-W is as defined or preferably defined herein;
- m is 1 and W is R 1 or -NR 5 -R 1 ; in particular W is R 1 .
- m is 1
- m is 0 and group -V-L-W is as defined or preferably defined herein;
- m is 0; W is R 1 ; R 2 is independently selected from the group consisting of hydrogen, Ci-C6-alkyl, C2-C6-alkenyl or propargyl; and R 1 is Ci-C6-alkyl, C3-C8- cycloalkyl, Cs-Cs-cycloalkenyl, C2-C6-alkenyl, C2-C6-alkynyl, phenyl-Ci-C4-alkyl, heteroaryl- Ci-C4-alkyl, phenyl or heteroaryl; and wherein the heteroaryl group is a 5- or 6-membered aromatic heterocycle, wherein the ring includes besides carbon atoms 1 , 2, 3 or 4 heteroatoms selected from N, O and S as ring member atoms; and wherein any of the aliphatic or cyclic groups in R 1 are unsubstituted or substituted with 1 , 2, 3, 4 or up to the maximum possible number of identical or different
- the invention relates to compounds of the formula I, wherein R 3 and R 4 independently of each other are hydrogen, halogen, Ci-C6-alkyl or Ci-C6-haloalkyl.
- the invention relates to compounds of the formula I, wherein R 3 and R 4 independently of each other are hydrogen or Ci-C4-alkyl; preferably hydrogen, methyl or ethyl. In a further embodiment R 3 and R 4 are independently of each other hydrogen, fluorine, chlorine, methyl or trifluoromethyl. In another aspect R 3 and R 4 are both hydrogen.
- R 3 is hydrogen and R 4 is methyl. In yet another aspect R 3 and R 4 are both methyl. In a further aspect R 3 and R 4 are both fluorine. In another embodiment R 3 is hydrogen and R 4 is trifluoromethyl. In one embodiment R 3 and R 4 are both trifluoromethyl.
- R 3 and R 4 together with the carbon atom to which they are bound a saturated monocyclic 3- to 5-membered saturated heterocycle or saturated carbocycle; and wherein the saturated heterocycle includes beside one or more carbon atoms no heteroatoms or 1 or 2 heteroatoms independently selected from N, O and S as ring member atoms; and wherein the heterocycle or the carbocycle is unsubstituted or substituted 1 , 2, 3, 4 or up to the maximum possible number of identical or different radicals selected from the group consisting of halogen, cyano and Ci-C2-alkyl.
- R 3 and R 4 together with the carbon atom to which they are bound form a 3- or 4-membered carbocylic ring; and wherein the carbocylic ring is unsubstituted.
- R 3 and R 4 together with the carbon atom to which they are bound form a cyclopropyl ring, wherein the cyclopropyl ring is unsubstituted.
- R 3 and R 4 together with the carbon atom to which they are bound form a saturated 3-membered heterocycle; wherein the heterocycle includes beside two carbon atoms one heteroatom selected from N, O and S as ring member atoms; and wherein the heterocycle is unsubstituted or substituted 1 , 2, 3, 4 or up to the maximum possible number of identical or different radicals selected from the group consisting of halogen, cyano and
- Ci-C 2 -alkyl Ci-C 2 -alkyl
- the invention relates to compounds of the formulae 1.1 or 1.2, or the N- oxides, or the agriculturally acceptable salts thereof,
- n 0, 1 or 2; and wherein the meaning of the variables V, L, p, W, R 1 , R 2 and R 5 are as defined or preferably defined herein for compounds of the formula I, in particular as defined in embodiments E.1 to E.243 in Table E; and wherein R A , R 3 and R 4 are as defined or preferably defined herein for compounds of the formula I; more preferably R 3 and R 4 are independently selected from hydrogen, halogen, Ci-C6-alkyl, Ci-C6-haloalkyl; or R 3 and R 4 together with the carbon atom to which they are bound form a cyclopropyl ring; in a particularly preferred embodiment R 3 and R 4 are hydrogen.
- the invention relates to compounds of the group 1.1 a of formula 1.1 , or the N-oxides, or the agriculturally acceptable salts thereof, wherein:
- R A is halogen, Ci-C6-alkyl or Cs-Cs-cycloalkyl
- n O or l ;
- V is -NR2-NR2-;
- W is R 1 or -NR 5 -R 1 ;
- R 1 is Ci-C6-alkyl, C2-C6-alkenyl, C2-C6-alkynyl, Cs-Cs-cycloalkyl, Cs-Cs-cycloalkenyl; and wherein the aliphatic and cyclic groups are unsubstituted or substituted with 1 , 2, 3 or up to the maximum possible number of identical or different radials selected from the group consisting of halogen, Ci-C6-alkyl and Cs-Cs-cycloalkyl; or
- R 2 and R 5 independently of each other are selected from the group consisting of hydrogen
- Ci-C6-alkyl C2-C6-alkenyl, propargyl and Cs-Cs-cycloalkyl
- R 3 and R 4 are independently selected from the group consisting of hydrogen, fluorine, chlorine, methyl or trifluoromethyl;
- R 3 and R 4 together with the carbon atom to which they are bound form a cyclopropyl ring.
- the invention relates to compounds of the group 1.1 a, wherein n is 0, and wherein R 3 and R 4 are independently selected from the group consisting of hydrogen, halogen, Ci-C6-alkyl and Ci-C6-haloalkyl; or R 3 and R 4 together with the carbon atom to which they are bound form a cyclopropyl ring.
- the invention relates to compounds of the group 1.1 a, wherein R 3 and R 4 are hydrogen.
- the invention relates to compounds of the group 1.1 b of formula 1.2, or the N-oxides, or the agriculturally acceptable salts thereof, wherein:
- R A is halogen, Ci-C6-alkyl or Cs-Cs-cycloalkyl
- n O or l ;
- V is -NR2-NR2-
- W is R 1 or -NR 5 -R 1 ;
- R 1 is Ci-C6-alkyl, C2-C6-alkenyl, C2-C6-alkynyl, Cs-Cs-cycloalkyl, Cs-Cs-cycloalkenyl; and wherein the aliphatic and cyclic groups are unsubstituted or substituted with 1 , 2, 3 or up to the maximum possible number of identical or different radials selected from the group consisting of halogen, Ci-C6-alkyl and Cs-Cs-cycloalkyl; or
- R 2 and R 5 independently of each other are selected from the group consisting of hydrogen, Ci-C6-alkyl, C2-C6-alkenyl, propargyl and Cs-Cs-cycloalkyl.
- the invention relates to compounds of the group 1.1 c of formula 1.2, or the N-oxides, or the agriculturally acceptable salts thereof, wherein:
- n 0;
- V is -N R2-N R2-;
- W is R 1 ;
- R 1 is Ci-C6-alkyl, Cs-Cs-cycloalkyl, Cs-Cs-cycloalkenyl, C2-C6-alkenyl, C2-C6-alkynyl or phenyl; and wherein any of the aliphatic or cyclic groups in R 1 are unsubstituted or substituted with 1 , 2, 3, 4 or up to the maximum possible number of identical or different radicals selected from the group consisting of halogen; and
- R 2 independently of each other are selected from the group consisting hydrogen, methy and ethyl.
- the present invention relates to compounds of the formulae I.A, I.B, I.C, I.D, I.E, I.F, I.G, I.H, I.J, I.K, I.L, I.M, I.N, I.O, I , I.Q, I.R, I.S, I , I.U and I.V and to their use for controlling phytopathogenic fungi, wherein the variables R 1 and R 2 are as defined or preferably defined herein; and whereas radicals R 2a and R 2b herein shall represent independently selected radicals R 2 as defined herein.
- Table 1 Compounds of the formula I. A, in which R 1 , R 2a and R 2b for each individual compound corresponds in each case to one line A-1 to A-1360 of Table A (compounds I.A.A-1 to I.A.A- 1360).
- R 1 is /so-propyl and R 2a and R 2b are hydrogen (corresponding to the definition A-4 in Table A) is named I.A.A-4.
- Table 2 Compounds of the formula I.B, in which R 1 , R 2a and R 2b for each individual compound corresponds in each case to one line A-1 to A-1360 of Table A (compounds I.B.A-1 to I.B.A- 1360).
- R 1 is /so-propyl
- R 2a is methyl
- R 2b is hydrogen
- Table 3 Compounds of the formula I.C, in which R 1 , R 2a and R 2b for each individual compound corresponds in each case to one line A-1 to A-1360 of Table A (compounds I.C.A-1 to I.C.A- 1360)
- Table 4 Compounds of the formula I.D, in which R 1 , R 2a and R 2b for each individual compound corresponds in each case to one line A-1 to A-1360 of Table A (compounds I.D.A-1 to I.D.A- 1360).
- Table 5 Compounds of the formula I.E, in which R 1 , R 2a and R 2b for each individual compound corresponds in each case to one line A-1 to A-1360 of Table A (compounds I.E.A-1 to I.E.A- 1360).
- Table 6 Compounds of the formula I.F, in which R 1 , R 2a and R 2b for each individual compound corresponds in each case to one line A-1 to A-1360 of Table A (compounds I.F.A-1 to I.F.A- 1360).
- Table 7 Compounds of the formula I.G, in which R 1 , R 2a and R 2b for each individual compound corresponds in each case toone line A-1 to A-1360 of Table A (compounds I.G.A-1 to I.G.A- 1360).
- Table 8 Compounds of the formula I.H, in which R 1 , R 2a and R 2b for each individual compound corresponds in each case to one line A-1 to A-1360 of Table A (compounds I.H. A-1 to I.H.A- 1360)
- Table 9 Compounds of the formula I.J, in which R 1 , R 2a and R 2b for each individual compound corresponds in each case to one line A-1 to A-1360 of Table A (compounds I.J. A-1 to I. J. A- 1360).
- Table 10 Compounds of the formula I.K, in which R 1 , R 2a and R 2b for each individual compound corresponds in each case to one line A-1 to A-1360 of Table A (compounds I.K.A-1 to I.K.A- 1360).
- Table 1 1 Compounds of the formula I.L, in which R 1 , R 2a and R 2b for each individual compound corresponds in each case to one line A-1 to A-1360 of Table A (compounds I.L.A-1 to I.L.A- 1360).
- Table 12 Compounds of the formula I.M, in which R 1 , R 2a and R 2b for each individual compound corresponds in each case to one line A-1 to A-1360 of Table A (compounds I.M.A-1 to I.M.A- 1360).
- Table 13 Compounds of the formula I.N, in which R 1 , R 2a and R 2b for each individual compound corresponds in each case to one line A-1 to A-1360 of Table A (compounds I.N.A-1 to I.N.A- 1360).
- Table 14 Compounds of the formula I.O, in which R 1 , R 2a and R 2b for each individual compound corresponds in each case to one line A-1 to A-1360 of Table A (compounds I.O.A-1 to I.O.A- 1360).
- Table 15 Compounds of the formula I.P, in which R 1 , R 2a and R 2b for each individual compound corresponds in each case to one line A-1 to A-1360 of Table A (compounds I.P.A-1 to I.P.A- 1360).
- Table 16 Compounds of the formula I.Q, in which R 1 , R 2a and R 2b for each individual compound corresponds in each case to one line A-1 to A-1360 of Table A (compounds I.Q.A-1 to I.Q.A- 1360).
- Table 17 Compounds of the formula I.R, in which R 1 , R 2a and R 2b for each individual compound corresponds in each case to one line A-1 to A-1360 of Table A (compounds I.R.A-1 to I.R.A- 1360).
- Table 18 Compounds of the formula I.S, in which R 1 , R 2a and R 2b for each individual compound corresponds in each case to one line A-1 to A-1360 of Table A (compounds I.S.A-1 to I.S.A- 1360).
- Table 19 Compounds of the formula I.T, in which R 1 , R 2a and R 2b for each individual compound corresponds in each case to one line A-1 to A-1360 of Table A (compounds I.T.A-1 to I.T.A- 1360).
- Table 20 Compounds of the formula I.U, in which R 1 , R 2a and R 2b for each individual compound corresponds in each case to one line A-1 to A-1360 of Table A (compounds I. U.A-1 to I.U.A- 1360).
- Table 21 Compounds of the formula I.V, in which R 1 , R 2a and R 2b for each individual compound corresponds in each case to one line A-1 to A-1360 of Table A (compounds I.V.A-1 to I.V.A- 1360).
- the compounds of the formula I can be prepared according to methods or in analogy to methods that are described in the prior art.
- the synthesis takes advantage of starting materials that are commercially available or may be prepared according to conventional procedures starting from readily available compounds.
- LG chlorine or acetate
- compounds of type IV can be accessed by treating nitriles of type V with hydroxylamine (or its hydrochloric acid salt) in an organic solvent and in the presence of a base (for precedents see for example WO 2009/074950, WO 2006/013104), preferably in ethanol and in the presence of potassium carbonate. If appropriate, water may be added to enhance solubility of the reactants.
- the reaction is best performed at elevated temperatures, most preferably in the range between 60°C and 80°C.
- R 2 is hydrogen
- the nitrogen atoms of the hydrazide group need to be protected with protecting groups before cyclization reactions preferable with tert.-butyloxycarbonyl anhydrid.
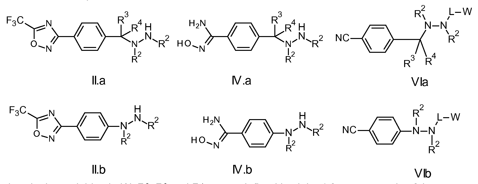
- Another embodiment of the invention relates to intermediate compounds of the formulae II, IV or VI, wherein the variables L, W, A, R 2 , m, R 3 and R 4 are as defined or preferably defined herein for compounds of the formula I; preferably A is phenyl.
- the invention relates to intermediate compounds of the formulae II. a, II. b, IV.a, IV.b, Vl.a or Vl.b,
- variables L, W, R 2 , R 3 and R 4 are as defined or preferably defined herein for compounds of the formula I.
- the compounds of the formula I or compositions comprising said compounds according to the invention and the mixtures comprising said compounds and compositions, respectively, are suitable as fungicides. They are distinguished by an outstanding effectiveness against a broad spectrum of phytopathogenic fungi, including soil-borne fungi, which derive especially from the following classes or are closely related to any of them: Ascomycota (Ascomycetes), for example, but not limited to the genus Cocholiobolus, Colletotrichum, Fusarium, Microdochium, Penicillium, Phoma, Magnaporte, Zymoseptoria, and Pseudocercosporella; Basdiomycota
- Baseidiomycetes for example, but not limited to the genus Phakospora, Puccinia, Rhizoctonia, Sphacelotheca, Tilletia, Typhula, and Ustilago; Chytridiomycota (Chytridiomycetes), for example, but not limited to the genus Chytridiales, and Synchytrium; Deuteromycetes (syn. Fungi imperfecti), for example, but not limited to the genus Ascochyta, Diplodia, Erysiphe, Fusarium, Phomopsis, and Pyrenophora; Peronosporomycetes (syn.
- Oomycetes for example but not limited to the genus Peronospora, Pythium, Phytophthora; Plasmodiophoromycetes, for example but not limited to the genus Plasmodiophora; Zygomycetes, for example, but not limited to the genus Rhizopus.
- Some of the compounds of the formula I and the compositions according to the invention are systemically effective and they can be used in crop protection as foliar fungicides, fungicides for seed dressing and soil fungicides. Moreover, they are suitable for controlling harmful fungi, which inter alia occur in wood or roots of plants.
- the compounds I and the compositions according to the invention are particularly important in the control of a multitude of phytopathogenic fungi on various cultivated plants, such as cereals, e. g. wheat, rye, barley, triticale, oats or rice; beet, e. g. sugar beet or fodder beet; fruits, such as pomes, stone fruits or soft fruits, e. g.
- compounds I and compositions thereof, respectively are used for controlling a multitude of fungi on field crops, such as potatoes sugar beets, tobacco, wheat, rye, barley, oats, rice, corn, cotton, soybeans, rape, legumes, sunflowers, coffee or sugar cane; fruits; vines; ornamentals; or vegetables, such as cucumbers, tomatoes, beans or squashes.
- field crops such as potatoes sugar beets, tobacco, wheat, rye, barley, oats, rice, corn, cotton, soybeans, rape, legumes, sunflowers, coffee or sugar cane; fruits; vines; ornamentals; or vegetables, such as cucumbers, tomatoes, beans or squashes.
- plant propagation material is to be understood to denote all the generative parts of the plant such as seeds and vegetative plant material such as cuttings and tubers (e. g.
- potatoes which can be used for the multiplication of the plant. This includes seeds, roots, fruits, tubers, bulbs, rhizomes, shoots, sprouts and other parts of plants, including seedlings and young plants, which are to be transplanted after germination or after emergence from soil.
- These young plants may also be protected before transplantation by a total or partial treatment by immersion or pouring.
- treatment of plant propagation materials with compounds I and compositions thereof, respectively is used for controlling a multitude of fungi on cereals, such as wheat, rye, barley and oats; rice, corn, cotton and soybeans.
- cultivagenesis includes techniques of random mutagenesis using X-rays or mutagenic chemicals, but also techniques of targeted mutagenesis, to create mutations at a specific locus of a plant genome. Targeted mutagenesis techniques frequently use
- oligonucleotides or proteins like CRISPR/Cas, zinc-finger nucleases, TALENs or mega- nucleases to achieve the targeting effect.
- Genetic engineering usually uses recombinant DNA techniques to create modifications in a plant genome which under natural circumstances cannot readily be obtained by cross breeding, mutagenesis or natural recombination.
- one or more genes are integrated into the genome of a plant to add a trait or improve a trait. These integrated genes are also referred to as transgenes in the art, while plant comprising such transgenes are referred to as transgenic plants.
- the process of plant transformation usually produces several transformation events, wich differ in the genomic locus in which a transgene has been integrated.
- Plants comprising a specific transgene on a specific genomic locus are usually described as comprising a specific "event", which is referred to by a specific event name.
- Traits which have been introduced in plants or have been modified include herbicide tolerance, insect resistance, increased yield and tolerance to abiotic conditions, like drought. Herbicide tolerance has been created by using mutagenesis as well as using genetic
- Plants which have been rendered tolerant to acetolactate synthase (ALS) inhibitor herbicides by mutagenesis and breeding comprise plant varieties commercially available under the name Clearfield®.
- ALS acetolactate synthase
- Herbicide tolerance has been created via the use of transgenes to glyphosate, glufosinate, 2,4- D, dicamba, oxynil herbicides, like bromoxynil and ioxynil, sulfonylurea herbicides, ALS inhibitors and 4-hydroxyphenylpyruvate dioxygenase (HPPD) inhibitors, like isoxaflutole and mesotrione.
- transgenes to glyphosate, glufosinate, 2,4- D, dicamba, oxynil herbicides, like bromoxynil and ioxynil, sulfonylurea herbicides, ALS inhibitors and 4-hydroxyphenylpyruvate dioxygenase (HPPD) inhibitors, like isoxaflutole and mesotrione.
- HPPD 4-hydroxyphenylpyruvate dioxygenase
- Transgenes wich have been used to provide herbicide tolerance traits comprise: for tolerance to glyphosate: cp4 epsps, epsps grg23ace5, mepsps, 2mepsps, gat4601 , gat4621 , goxv247; for tolerance to glufosinate: pat and bar, for tolerance to 2,4-D: aad-1 , aad-12; for tolerance to dicamba: dmo; for tolerance to oxynil herbicies: bxn; for tolerance to sulfonylurea herbicides: zm-hra, csr1 -2, gm-hra, S4-HrA; for tolerance to ALS inhibitors: csr1 -2; and for tolerance to HPPD inhibitors: hppdPF, W336, avhppd-03.
- Transgenic corn events comprising herbicide tolerance genes include, but are not limited to, DAS40278, MON801 , MON802, MON809, MON810, MON832, MON8741 1 , MON87419, MON87427, MON88017, MON89034, NK603, GA21 , MZHGOJG, HCEM485, VCO-01981 -5, 676, 678, 680, 33121 , 41 14, 59122, 98140, Bt10, Bt176, CBH-351 , DBT418, DLL25, MS3, MS6, MZIR098, T25, TC1507 and TC6275.
- Transgenic soybean events comprising herbicide tolerance genes include, but are not limited to, GTS 40-3-2, MON87705, MON87708, MON87712, MON87769, MON89788, A2704-12, A2704- 21 , A5547-127, A5547-35, DP356043, DAS44406-6, DAS68416-4, DAS-81419-2, GU262, SYHT0H2, W62, W98, FG72 and CV127.
- Transgenic cotton events comprising herbicide tolerance genes include, but are not limited to, 19-51 a, 31707, 42317, 81910, 281 -24-236, 3006-210-23, BXN1021 1 , BXN10215, BXN10222, BXN10224, MON1445, MON1698, MON88701 , MON88913, GHB1 19, GHB614, LLCotton25, T303-3 and T304-40.
- Transgenic canola events comprising herbicide tolerance genes are for example, but not excluding others, MON88302, HCR-1 , HCN10, HCN28, HCN92, MS1 , MS8, PHY14, PHY23, PHY35, PHY36, RF1 , RF2 and RF3.
- Transgenes which have most frequently been used are toxin genes of Bac/7/us spp. and synthetic variants thereof, like cry1A, crylAb, cry1Ab-Ac, crylAc, cry1A.105, cry1 F, cry1 Fa2, cry2Ab2, cry2Ae, mcry3A, ecry3.1Ab, cry3Bb1 , cry34Ab1 , cry35Ab1 , cry9C, vip3A(a), vip3Aa20.
- genes of plant origin such as genes coding for protease inhibitors, like CpTI and pinll, have been transferred to other plants.
- a further approach uses transgenes such as dvsnf7 to produce double-stranded RNA in plants.
- Transgenic corn events comprising genes for insecticidal proteins or double stranded RNA include, but are not limited to, Bt10, Bt1 1 , Bt176, MON801 , MON802, MON809, MON810, MON863, MON8741 1 , MON88017, MON89034, 33121 , 41 14, 5307, 59122, TC1507, TC6275, CBH-351 , MIR162, DBT418 and MZIR098.
- Transgenic soybean events comprising genes for insecticidal proteins include, but are not limited to, MON87701 , MON87751 and DAS-81419.
- Transgenic cotton events comprising genes for insecticidal proteins include, but are not limited to, SGK321 , MON531 , MON757, MON1076, MON15985, 31707, 31803, 31807, 31808, 42317, BNLA-601 , Eventl , COT67B, COT102, T303-3, T304-40, GFM Cry1A, GK12, MLS 9124, 281 - 24-236, 3006-210-23, GHB1 19 and SGK321.
- transgene athb17 being present for example in corn event MON87403, or by using the transgene bbx32, being present for example in the soybean event MON87712.
- Cultivated plants comprising a modified oil content have been created by using the transgenes: gm-fad2-1 , Pj.D6D, Nc.Fad3, fad2-1A and fatb1 -A. Soybean events comprising at least one of these genes are: 260-05, MON87705 and MON87769.
- transgene cspB comprised by the corn event MON87460 and by using the transgene Hahb-4, comprised by soybean event IND-00410-5.
- Preferred combinations of traits are combinations of herbicide tolerance traits to different groups of herbicides, combinations of insect tolerance to different kind of insects, in particular tolerance to lepidopteran and coleopteran insects, combinations of herbicide tolerance with one or several types of insect resistance, combinations of herbicide tolerance with increased yield as well as combinations of herbicide tolerance and tolerance to abiotic conditions.
- CERA Cera-gmc.org/GMCropDatabase
- effects which are specific to a cultivated plant comprising a certain gene or event may result in effects which are specific to a cultivated plant comprising a certain gene or event. These effects might involve changes in growth behavior or changed resistance to biotic or abiotic stress factors. Such effects may in particular comprise enhanced yield, enhanced resistance or tolerance to insects, nematodes, fungal, bacterial, mycoplasma, viral or viroid pathogens as well as early vigour, early or delayed ripening, cold or heat tolerance as well as changed amino acid or fatty acid spectrum or content.
- the compounds I and compositions thereof, respectively, are particularly suitable for controlling the following plant diseases:
- Albugo spp. white rust
- vegetables e. g. A Candida
- sunflowers e. g. A tragopogonis
- Alternaria spp. Alternaria leaf spot) on vegetables, rape (A brassicola or brassicae), sugar beets (A tenuis), fruits, rice, soybeans, potatoes (e. g. A so/an/or A.
- Cercospora spp. (Cercospora leaf spots) on corn (e. g. Gray leaf spot: C. zeae-maydis), rice, sugar beets (e. g. C. beticola), sugar cane, vegetables, coffee, soybeans (e. g. C. sojina or C. kikuchii) and rice; Cladosporium spp. on tomatoes (e. g. C. fulvurrr. leaf mold) and cereals, e. g. C. herbarum (black ear) on wheat; Claviceps purpurea (ergot) on cereals; Cochliobolus
- anamorph Helminthosporium of Bipolaris
- spp. leaf spots
- corn C. carbonum
- cereals e. g. C. sativus, anamorph: B. sorokiniana
- rice e. g. C. miyabeanus, anamorph: H.
- gossypii corn (e. g. C. graminico/a: Anthracnose stalk rot), soft fruits, potatoes (e. g. C.
- teleomorph Nectria or Neonectria spp.
- fruit trees canker or young vine decline
- teleomorph Nectria or Neonectria spp.
- fruit trees canker or young vine decline
- teleomorph Nectria or Neonectria spp.
- vines e. g. C liriodendri, teleomorph: Neonectria liriodendri. Black Foot Disease
- Dematophora teleomorph: Rosellinia necatrix (root and stem rot) on soybeans
- Diaporthe spp. e. g. D. phaseolorum (damping off) on soybeans
- D. phaseolorum damage off
- Drechslera (syn. Helminthosporium, teleomorph: Pyrenophora) spp. on corn, cereals, such as barley (e. g. D. teres, net blotch) and wheat (e. g. D. tritici-repentis. tan spot), rice and turf; Esca (dieback, apoplexy) on vines, caused by Formitiporia (syn. Phellinus) punctata, F. mediterranea, Phaeomoniella chlamydospora (earlier Phaeoacremonium chlamydosporum),
- spp. wilt, root or stem rot
- various plants such as F. graminearum or F. culmorum (root rot, scab or head blight) on cereals (e. g. wheat or barley), F. oxysporum on tomatoes, F. so/ani( sp. glycines now syn. F. virguliforme ) and F. tucumaniae and F.
- Microsphaera diffusa (powdery mildew) on soybeans; Monilinia spp., e. g. M. laxa, M. fructicola and M. fructigena (bloom and twig blight, brown rot) on stone fruits and other rosaceous plants; Mycosphaerella spp. on cereals, bananas, soft fruits and ground nuts, such as e. g. M. graminicola (anamorph: Septoria tritici, Septoria blotch) on wheat or M. fijiensis (black Sigatoka disease) on bananas; Peronospora spp. (downy mildew) on cabbage (e. g. P. brassicae), rape (e. g. P. parasitica), onions (e. g. P. destructor), tobacco ⁇ P. tabacina) and soybeans (e. g. P. manshurica);
- Monilinia spp. e. g.
- Physoderma maydis (brown spots) on corn; Phytophthora spp. (wilt, root, leaf, fruit and stem root) on various plants, such as paprika and cucurbits (e. g. P. capsici), soybeans (e. g. P.
- Plasmodiophora brassicae club root
- Plasmopara spp. e. g. P. viticola (grapevine downy mildew) on vines and P. halstedii on sunflowers
- Podosphaera spp. powdery mildew
- Po/ymyxa spp. e. g. on cereals, such as barley and wheat (P. graminis) and sugar beets (P. betae) and thereby transmitted viral diseases; Pseudocercosporella herpotrichoides (eyespot, teleomorph: Tapes/a yallundae) on cereals, e. g. wheat or barley; Pseudoperonospora (downy mildew) on various plants, e. g. P. cubensis on cucurbits or P.
- cereals such as barley and wheat (P. graminis) and sugar beets (P. betae) and thereby transmitted viral diseases; Pseudocercosporella herpotrichoides (eyespot, teleomorph: Tapes/a yallundae) on cereals, e. g. wheat or barley; Pseudoperonospora (downy mildew) on
- Puccinia spp. rusts on various plants, e. g. P. triticina (brown or leaf rust), P. striiformis (stripe or yellow rust), P. horde/ (dwarf rust), P. graminis (stem or black rust) or P. recondita (brown or leaf rust) on cereals, such as e. g. wheat, barley or rye, P. kuehnii (orange rust) on sugar cane and P.
- Pyrenophora anamorph: Drechslera
- tritici-repentis tan spot
- P. teres net blotch
- Pyricularia spp. e. g. P. oryzae (teleomorph: Magnaporthe grisea, rice blast) on rice and P. grisea on turf and cereals
- Pythium spp. (damping-off) on turf, rice, corn, wheat, cotton, rape, sunflowers, soybeans, sugar beets, vegetables and various other plants (e. g. P. ultimum or P. aphanidermatum); Ramularia spp., e. g. R.
- co/io-cygni (Ramu ⁇ ar ⁇ a leaf spots, Physiological leaf spots) on barley and R. beticola on sugar beets; Rhizoctonia spp. on cotton, rice, potatoes, turf, corn, rape, potatoes, sugar beets, vegetables and various other plants, e. g. R. so/ani (root and stem rot) on soybeans, R. so/ani (sheath blight) on rice or R.
- Rhizoctonia spring blight on wheat or barley
- Rhizopus stolonifer black mold, soft rot
- Rhynchosporium secalis scald
- Stagonospora nodorum (Stagonospora blotch) on cereals; Uncinula (syn. Erysiphe) necator (powdery mildew, anamorph: Oidium tucker! on vines; Setospaeria spp. (leaf blight) on corn (e. g. S. turcicum, syn. Helminthosporium turcicum) and turf; Sphacelotheca spp. (smut) on corn, (e. g. S. reiliana.
- Leptosphaeria [syn. Phaeosphaeria] nodorum) on wheat; Synchytrium endobioticum on potatoes (potato wart disease); Taphrina spp., e. g. T. deformans (leaf curl disease) on peaches and T. pruni (plum pocket) on plums; Thielaviopsis spp. (black root rot) on tobacco, pome fruits, vegetables, soybeans and cotton, e. g. T. basicola (syn. Chalara elegans); THIetia spp.
- the compounds I, their mixtures with other active compounds as defined herein and compositions thereof, respectively, are particularly suitable for controlling the following plant diseases: Puccinia spp. (rusts) on various plants, for example, but not limited to P. triticina (brown or leaf rust), P. striiformis (stripe or yellow rust), P. horde/ (dwarf rust), P. graminis (stem or black rust) or P. recondita (brown or leaf rust) on cereals, such as e. g.
- Puccinia sorghi common rust
- Puccinia polysora sinosporin
- Phakopsoraceae spp. on various plants, in particular Phakopsora pachyrhizi ' and P. meibomiae (soybean rust) on soybeans.
- the compounds I and compositions thereof, respectively, are also suitable for controlling harmful fungi in the protection of stored products or harvest and in the protection of materials.
- the term "protection of materials” is to be understood to denote the protection of technical and non-living materials, such as adhesives, glues, wood, paper and paperboard, textiles, leather, paint dispersions, plastics, cooling lubricants, fiber or fabrics, against the infestation and destruction by harmful microorganisms, such as fungi and bacteria.
- Ascomycetes such as Ophiostoma spp., Ceratocystis spp., Aureobasidium pullulans, Sclerophoma spp., Chaetomium pp., Humicola pp., Petriella spp., Trichurus spp.; Basidiomycetes such as Coniophora spp., Coriolus spp., Gloeophyllum spp., Lentinus spp., Pleurotus spp., Poria spp., Serpula spp.
- Candida spp. and Saccharomyces cerevisae Deuteromycetes such as Aspergillus spp., Cladosporium spp., Penicillium spp., Trichoderma spp., Alternaria spp., Paecilomyces spp. and Zygomycetes such as Mucorspp., and in addition in the protection of stored products and harvest the following yeast fungi are worthy of note: Candida spp. and Saccharomyces cerevisae.
- the method of treatment according to the invention can also be used in the field of protecting stored products or harvest against attack of fungi and microorganisms.
- the term "stored products” is understood to denote natural substances of plant or animal origin and their processed forms, which have been taken from the natural life cycle and for which long-term protection is desired.
- Stored products of crop plant origin such as plants or parts thereof, for example stalks, leafs, tubers, seeds, fruits or grains, can be protected in the freshly harvested state or in processed form, such as pre-dried, moistened, comminuted, ground, pressed or roasted, which process is also known as post-harvest treatment.
- Also falling under the definition of stored products is timber, whether in the form of crude timber, such as construction timber, electricity pylons and barriers, or in the form of finished articles, such as furniture or objects made from wood.
- Stored products of animal origin are hides, leather, furs, hairs and the like. The combinations according the present invention can prevent
- stored products is understood to denote natural substances of plant origin and their processed forms, more preferably fruits and their processed forms, such as pomes, stone fruits, soft fruits and citrus fruits and their processed forms.
- the compounds of formula I can be present in different crystal modifications whose biological activity may differ. They are likewise subject matter of the present invention.
- the compounds I are employed as such or in form of compositions by treating the fungi or the plants, plant propagation materials, such as seeds, soil, surfaces, materials or rooms to be protected from fungal attack with a fungicidally effective amount of the active substances.
- the application can be carried out both before and after the infection of the plants, plant propagation materials, such as seeds, soil, surfaces, materials or rooms by the fungi.
- Plant propagation materials may be treated with compounds I as such or a composition comprising at least one compound I prophylactically either at or before planting or transplanting.
- the invention also relates to agrochemical compositions comprising an auxiliary and at least one compound I according to the invention.
- An agrochemical composition comprises a fungicidally effective amount of a compound I.
- the term "effective amount" denotes an amount of the composition or of the compounds I, which is sufficient for controlling harmful fungi on cultivated plants or in the protection of materials and which does not result in a substantial damage to the treated plants. Such an amount can vary in a broad range and is dependent on various factors, such as the fungal species to be controlled, the treated cultivated plant or material, the climatic conditions and the specific compound I used.
- compositions e. g. solutions, emulsions, suspensions, dusts, powders, pastes, granules, pressings, capsules, and mixtures thereof.
- composition types are suspensions (e. g. SC, OD, FS), emulsifiable concentrates (e. g. EC), emulsions (e. g. EW, EO, ES, ME), capsules (e. g. CS, ZC), pastes, pastilles, wettable powders or dusts (e. g. WP, SP, WS, DP, DS), pressings (e. g.
- compositions types are defined in the "Catalogue of pesticide formulation types and international coding system", Technical
- compositions are prepared in a known manner, such as described by Mollet and
- Suitable auxiliaries are solvents, liquid carriers, solid carriers or fillers, surfactants, dispersants, emulsifiers, wetters, adjuvants, solubilizers, penetration enhancers, protective colloids, adhesion agents, thickeners, humectants, repellents, attractants, feeding stimulants, compatibilizers, bactericides, anti-freezing agents, anti-foaming agents, colorants, tackifiers and binders.
- Suitable solvents and liquid carriers are water and organic solvents, such as mineral oil fractions of medium to high boiling point, e. g. kerosene, diesel oil; oils of vegetable or animal origin; aliphatic, cyclic and aromatic hydrocarbons, e. g. toluene, paraffin,
- tetrahydronaphthalene alkylated naphthalenes
- alcohols e. g. ethanol, propanol, butanol, benzyl alcohol, cyclohexanol
- glycols DMSO; ketones, e. g. cyclohexanone; esters, e. g.
- lactates carbonates, fatty acid esters, gamma-butyrolactone; fatty acids; phosphonates;
- Suitable solid carriers or fillers are mineral earths, e. g. silicates, silica gels, talc, kaolins, limestone, lime, chalk, clays, dolomite, diatomaceous earth, bentonite, calcium sulfate, magnesium sulfate, magnesium oxide; polysaccharides, e. g. cellulose, starch; fertilizers, e. g. ammonium sulfate, ammonium phosphate, ammonium nitrate, ureas; products of vegetable origin, e. g. cereal meal, tree bark meal, wood meal, nutshell meal, and mixtures thereof.
- mineral earths e. g. silicates, silica gels, talc, kaolins, limestone, lime, chalk, clays, dolomite, diatomaceous earth, bentonite, calcium sulfate, magnesium sulfate, magnesium oxide
- polysaccharides e. g. cellulose, star
- Suitable surfactants are surface-active compounds, such as anionic, cationic, nonionic and amphoteric surfactants, block polymers, polyelectrolytes, and mixtures thereof. Such surfactants can be used as emulsifier, dispersant, solubilizer, wetter, penetration enhancer, protective colloid, or adjuvant. Examples of surfactants are listed in McCutcheon's, Vol.1 : Emulsifiers & Detergents, McCutcheon's Directories, Glen Rock, USA, 2008 (International Ed. or North American Ed.).
- Suitable anionic surfactants are alkali, alkaline earth or ammonium salts of sulfonates, sulfates, phosphates, carboxylates, and mixtures thereof.
- sulfonates are alkylaryl sulfonates, diphenyl sulfonates, alpha-olefin sulfonates, lignin sulfonates, sulfonates of fatty acids and oils, sulfonates of ethoxylated alkylphenols, sulfonates of alkoxylated arylphenols, sulfonates of condensed naphthalenes, sulfonates of dodecyl- and tridecylbenzenes, sulfonates of naphthalenes and alkyl naphthalenes, sulfosuccinates or sulfosuccinamates.
- Examples of sulfates are sulfates of fatty acids and oils, of ethoxylated alkylphenols, of alcohols, of ethoxylated alcohols, or of fatty acid esters.
- Examples of phosphates are phosphate esters.
- Examples of carboxylates are alkyl carboxylates, and carboxylated alcohol or alkylphenol ethoxylates.
- Suitable nonionic surfactants are alkoxylates, N-substituted fatty acid amides, amine oxides, esters, sugar-based surfactants, polymeric surfactants, and mixtures thereof.
- alkoxylates are compounds such as alcohols, alkylphenols, amines, amides, arylphenols, fatty acids or fatty acid esters which have been alkoxylated with 1 to 50 equivalents.
- Ethylene oxide and/or propylene oxide may be employed for the alkoxylation, preferably ethylene oxide.
- N-substituted fatty acid amides are fatty acid glucamides or fatty acid
- esters are fatty acid esters, glycerol esters or monoglycerides.
- sugar-based surfactants are sorbitans, ethoxylated sorbitans, sucrose and glucose esters or alkylpolyglucosides.
- polymeric surfactants are home- or copolymers of vinyl pyrrolidone, vinyl alcohols, or vinyl acetate.
- Suitable cationic surfactants are quaternary surfactants, for example quaternary ammonium compounds with one or two hydrophobic groups, or salts of long-chain primary amines.
- Suitable amphoteric surfactants are alkylbetains and imidazolines.
- Suitable block polymers are block polymers of the A-B or A-B-A type comprising blocks of polyethylene oxide and polypropylene oxide, or of the A-B-C type comprising alkanol, polyethylene oxide and polypropylene oxide.
- Suitable polyelectrolytes are polyacids or polybases. Examples of polyacids are alkali salts of polyacrylic acid or polyacid comb polymers. Examples of polybases are polyvinyl amines or polyethylene amines.
- Suitable adjuvants are compounds, which have a negligible or even no pesticidal activity themselves, and which improve the biological performance of the compound I on the target.
- Suitable thickeners are polysaccharides (e. g. xanthan gum, carboxymethyl cellulose), inorganic clays (organically modified or unmodified), polycarboxylates, and silicates.
- Suitable bactericides are bronopol and isothiazolinone derivatives such as alkylisothiazolinones and benzisothiazolinones.
- Suitable anti-freezing agents are ethylene glycol, propylene glycol, urea and glycerin.
- Suitable anti-foaming agents are silicones, long chain alcohols, and salts of fatty acids.
- Suitable colorants are pigments of low water solubility and water- soluble dyes.
- examples are inorganic colorants (e. g. iron oxide, titan oxide, iron
- Suitable tackifiers or binders are polyvinyl pyrrolidones, polyvinyl acetates, polyvinyl alcohols, polyacrylates, biological or synthetic waxes, and cellulose ethers. Examples for composition types and their preparation are:
- a compound I and 5-15 wt% wetting agent e. g. alcohol alkoxylates
- a water-soluble solvent e. g. alcohols
- a compound I and 1 -10 wt% dispersant e. g. polyvinyl pyrrolidone
- organic solvent e. g. cyclohexanone
- emulsifiers e. g. calcium dodecylbenzenesulfonate and castor oil ethoxylate
- water-insoluble organic solvent e. g. aromatic hydrocarbon
- Emulsions (EW, EO, ES)
- emulsifiers e. g. calcium dodecylbenzenesulfonate and castor oil ethoxylate
- 20-40 wt% water-insoluble organic solvent e. g. aromatic hydrocarbon
- This mixture is introduced into water ad 100 wt% by means of an emulsifying machine and made into a homogeneous emulsion. Dilution with water gives an emulsion.
- a compound I In an agitated ball mill, 20-60 wt% of a compound I are comminuted with addition of 2-10 wt% dispersants and wetting agents (e. g. sodium lignosulfonate and alcohol ethoxylate), 0.1 -2 wt% thickener (e. g. xanthan gum) and water ad 100 wt% to give a fine active substance suspension. Dilution with water gives a stable suspension of the active substance. For FS type composition up to 40 wt% binder (e. g. polyvinyl alcohol) is added.
- dispersants and wetting agents e. g. sodium lignosulfonate and alcohol ethoxylate
- 0.1 -2 wt% thickener e. g. xanthan gum
- a compound I 50-80 wt% of a compound I are ground finely with addition of dispersants and wetting agents (e. g. sodium lignosulfonate and alcohol ethoxylate) ad 100 wt% and prepared as water-dispersible or water-soluble granules by means of technical appliances (e. g. extrusion, spray tower, fluidized bed). Dilution with water gives a stable dispersion or solution of the active substance.
- dispersants and wetting agents e. g. sodium lignosulfonate and alcohol ethoxylate
- wt% of a compound I are ground in a rotor-stator mill with addition of 1 -5 wt% dispersants (e. g. sodium lignosulfonate), 1 -3 wt% wetting agents (e. g. alcohol ethoxylate) and solid carrier (e. g. silica gel) ad 100 wt%. Dilution with water gives a stable dispersion or solution of the active substance.
- dispersants e. g. sodium lignosulfonate
- 1 -3 wt% wetting agents e. g. alcohol ethoxylate
- solid carrier e. g. silica gel
- a compound I In an agitated ball mill, 5-25 wt% of a compound I are comminuted with addition of 3-10 wt% dispersants (e. g. sodium lignosulfonate), 1 -5 wt% thickener (e. g. carboxymethyl cellulose) and water ad 100 wt% to give a fine suspension of the active substance. Dilution with water gives a stable suspension of the active substance.
- dispersants e. g. sodium lignosulfonate
- 1 -5 wt% thickener e. g. carboxymethyl cellulose
- wt% of a compound I are added to 5-30 wt% organic solvent blend (e. g. fatty acid dimethyl amide and cyclohexanone), 10-25 wt% surfactant blend (e. g. alcohol ethoxylate and arylphenol ethoxylate), and water ad 100 %. This mixture is stirred for 1 h to produce
- organic solvent blend e. g. fatty acid dimethyl amide and cyclohexanone
- surfactant blend e. g. alcohol ethoxylate and arylphenol ethoxylate
- An oil phase comprising 5-50 wt% of a compound I, 0-40 wt% water insoluble organic solvent (e. g. aromatic hydrocarbon), 2-15 wt% acrylic monomers (e. g. methylmethacrylate, methacrylic acid and a di- or triacrylate) are dispersed into an aqueous solution of a protective colloid (e. g. polyvinyl alcohol). Radical polymerization results in the formation of poly(meth)acrylate microcapsules.
- an oil phase comprising 5-50 wt% of a compound I according to the invention, 0-40 wt% water insoluble organic solvent (e. g. aromatic hydrocarbon), and an isocyanate monomer (e. g. diphenylmethene-4,4'-diisocyanatae) are dispersed into an aqueous solution of a protective colloid (e. g. polyvinyl alcohol).
- a polyamine e. g.
- hexamethylenediamine results in the formation of polyurea microcapsules.
- the monomers amount to 1 -10 wt%.
- the wt% relate to the total CS composition.
- Dustable powders (DP, DS)
- a compound I 1 -10 wt% of a compound I are ground finely and mixed intimately with solid carrier (e. g. finely divided kaolin) ad 100 wt%.
- solid carrier e. g. finely divided kaolin
- a compound I 0.5-30 wt% of a compound I is ground finely and associated with solid carrier (e. g. silicate) ad 100 wt%.
- solid carrier e. g. silicate
- Granulation is achieved by extrusion, spray-drying or fluidized bed.
- organic solvent e. g. aromatic hydrocarbon
- compositions types i) to xiii) may optionally comprise further auxiliaries, such as 0.1 -1 wt% bactericides, 5-15 wt% anti-freezing agents, 0.1 -1 wt% anti-foaming agents, and 0.1 -1 wt% colorants.
- auxiliaries such as 0.1 -1 wt% bactericides, 5-15 wt% anti-freezing agents, 0.1 -1 wt% anti-foaming agents, and 0.1 -1 wt% colorants.
- the agrochemical compositions generally comprise between 0.01 and 95%, preferably between 0.1 and 90%, more preferably between 1 and 70%, and in particular between 10 and 60%, by weight of active substance.
- the active substances are employed in a purity of from 90% to 100%, preferably from 95% to 100% (according to NMR spectrum).
- LS solutions for seed treatment
- SE Suspoemulsions
- FS flowable concentrates
- DS powders for dry treatment
- WS water-dispersible powders for slurry treatment
- compositions in question give, after two-to-tenfold dilution, active substance concentrations of from 0.01 to 60% by weight, preferably from 0.1 to 40%, in the ready-to-use preparations.
- Methods for applying compound I and compositions thereof, respectively, onto plant propagation material, especially seeds include dressing, coating, pelleting, dusting, and soaking as well as in-furrow application methods.
- compound I or the compositions thereof, respectively are applied on to the plant propagation material by a method such that germination is not induced, e. g. by seed dressing, pelleting, coating and dusting.
- the amounts of active substances applied are, depending on the kind of effect desired, from 0.001 to 2 kg per ha, preferably from 0.005 to 2 kg per ha, more preferably from 0.05 to 0.9 kg per ha, and in particular from 0.1 to 0.75 kg per ha.
- amounts of active substance of from 0.1 to 1000 g, preferably from 1 to 1000 g, more preferably from 1 to 100 g and most preferably from 5 to 100 g, per 100 kilogram of plant propagation material (preferably seeds) are generally required.
- the amount of active substance applied depends on the kind of application area and on the desired effect. Amounts customarily applied in the protection of materials are 0.001 g to 2 kg, preferably 0.005 g to 1 kg, of active substance per cubic meter of treated material.
- oils, wetters, adjuvants, fertilizer, or micronutrients, and further pesticides may be added to the active substances or the compositions comprising them as premix or, if appropriate not until immediately prior to use (tank mix).
- pesticides e. g. herbicides, insecticides, fungicides, growth regulators, safeners, biopesticides
- These agents can be admixed with the compositions according to the invention in a weight ratio of 1 :100 to 100:1 , preferably 1 :10 to 10:1.
- a pesticide is generally a chemical or biological agent (such as pestidal active ingredient, compound, composition, virus, bacterium, antimicrobial or disinfectant) that through its effect deters, incapacitates, kills or otherwise discourages pests.
- Target pests can include insects, plant pathogens, weeds, mollusks, birds, mammals, fish, nematodes (roundworms), and microbes that destroy property, cause nuisance, spread disease or are vectors for disease.
- pesticide includes also plant growth regulators that alter the expected growth, flowering, or reproduction rate of plants; defoliants that cause leaves or other foliage to drop from a plant, usually to facilitate harvest; desiccants that promote drying of living tissues, such as unwanted plant tops; plant activators that activate plant physiology for defense of against certain pests; safeners that reduce unwanted herbicidal action of pesticides on crop plants; and plant growth promoters that affect plant physiology e.g. to increase plant growth, biomass, yield or any other quality parameter of the harvestable goods of a crop plant.
- composition according to the invention usually from a predosage device, a knapsack sprayer, a spray tank, a spray plane, or an irrigation system.
- a predosage device usually from a knapsack sprayer, a spray tank, a spray plane, or an irrigation system.
- agrochemical composition is made up with water, buffer, and/or further auxiliaries to the desired application concentration and the ready-to-use spray liquor or the agrochemical composition according to the invention is thus obtained.
- 20 to 2000 liters, preferably 50 to 400 liters, of the ready-to-use spray liquor are applied per hectare of agricultural useful area.
- composition according to the invention such as parts of a kit or parts of a binary or ternary mixture may be mixed by the user himself in a spray tank or any other kind of vessel used for applications (e. g. seed treater drums, seed pelleting machinery, knapsack sprayer) and further auxiliaries may be added, if appropriate.
- a spray tank or any other kind of vessel used for applications (e. g. seed treater drums, seed pelleting machinery, knapsack sprayer) and further auxiliaries may be added, if appropriate.
- one embodiment of the invention is a kit for preparing a usable pesticidal composition, the kit comprising a) a composition comprising component 1 ) as defined herein and at least one auxiliary; and b) a composition comprising component 2) as defined herein and at least one auxiliary; and optionally c) a composition comprising at least one auxiliary and optionally a further active component 3) as defined herein.
- pesticides II e. g. pesticidally-active substances and biopesticides
- the compounds I in conjunction with which the compounds I can be used, is intended to illustrate the possible combinations but does not limit them:
- Inhibitors of complex III at Q 0 site azoxystrobin (A.1 .1 ), coumethoxystrobin (A.1 .2), coumoxystrobin (A.1.3), dimoxystrobin (A.1 .4), enestroburin (A.1 .5), fenaminstrobin (A.1.6), fenoxystrobin/flufenoxystrobin (A.1 .7), fluoxastrobin (A.1 .8), kresoxim-methyl (A.1 .9), mandestrobin (A.1 .10), metominostrobin (A.1 .1 1 ), orysastrobin (A.1 .12), picoxystrobin (A.1.13), pyraclostrobin (A.1 .14), pyrametostrobin (A.1 .15), pyraoxystrobin (A.1 .16), trifloxy- strobin (A.1 .17), 2-(2-
- respiration inhibitors diflumetorim (A.4.1 ); nitrophenyl derivates: binapacryl (A.4.2), dinobuton (A.4.3), dinocap (A.4.4), fluazinam (A.4.5), meptyldinocap (A.4.6), ferimzone (A.4.7); organometal compounds: fentin salts, e. g. fentin-acetate (A.4.8), fentin chloride (A.4.9) or fentin hydroxide (A.4.10); ametoctradin (A.4.1 1 ); silthiofam (A.4.12);
- - C14 demethylase inhibitors triazoles: azaconazole (B.1.1 ), bitertanol (B.1.2), bromu- conazole (B.1 .3), cyproconazole (B.1.4), difenoconazole (B.1 .5), diniconazole (B.1 .6), diniconazole-M (B.1 .7), epoxiconazole (B.1.8), fenbuconazole (B.1 .9), fluquinconazole (B.1.10), flusilazole (B.1 .1 1 ), flutriafol (B.1.12), hexaconazole (B.1 .13), imibenconazole (B.1.14), ipconazole (B.1 .15), metconazole (B.1 .17), myclobutanil (B.1 .18), oxpoconazole (B.1.19), pa
- benalaxyl (C.1.1 ), benalaxyl-M (C.1 .2), kiralaxyl (C.1 .3), metalaxyl (C.1.4), metalaxyl-M (C.1 .5), ofurace (C.1 .6), oxadixyl (C.1 .7);
- nucleic acid synthesis inhibitors hymexazole (C.2.1 ), octhilinone (C.2.2), oxolinic acid (C.2.3), bupirimate (C.2.4), 5-fluorocytosine (C.2.5), 5-fluoro-2-(p-tolylmethoxy)pyrimidin- 4-amine (C.2.6), 5-fluoro-2-(4-fluorophenylmethoxy)pyrimidin-4-amine (C.2.7), 5-fluoro-
- tubulin inhibitors benomyl (D.1.1 ), carbendazim (D.1.2), fuberidazole (D1.3), thiabendazole (D.1 .4), thiophanate-methyl (D.1.5), pyridachlometyl (D.1 .6), V-ethyl-2-[(3-ethynyl-8-methyl- 6-quinolyl)oxy]butanamide (D.1 .8), AAethyl-2-[(3-ethynyl-8-methyl-6-quinolyl)oxy]-2- methylsulfanyl-acetamide (D.1.9), 2-[(3-ethynyl-8-methyl-6-quinolyl)oxy]- V-(2- fluoroethyl)butanamide (D.1 .10), 2-[(3-ethynyl-8-methyl-6-quinolyl)oxy]-AA(2-fluoroethyl)-2- methoxy-acetamide
- diethofencarb (D.2.1 ), ethaboxam (D.2.2), pencycuron (D.2.3), fluopicolide (D.2.4), zoxamide (D.2.5), metrafenone (D.2.6), pyriofenone (D.2.7);
- cyprodinil E.1 .1
- mepanipyrim E.1 .2
- pyrimethanil E.1.3
- blasticidin-S (E.2.1 ), kasugamycin (E.2.2), kasugamycin hydro- chloride-hydrate (E.2.3), mildiomycin (E.2.4), streptomycin (E.2.5), oxytetracyclin (E.2.6);
- fluoroimid F.1 .1
- iprodione F.1.2
- procymidone F.1 .3
- vinclozolin F.1.4
- fludioxonil F.1 .5
- quinoxyfen F.2.1 ;
- edifenphos G.1.1
- iprobenfos G.1.2
- pyrazophos G.1.3
- isoprothiolane G.1 .4
- dicloran G.2.1
- quintozene G.2.2
- tecnazene G.2.3
- tolclofos-methyl G.2.4
- biphenyl G.2.5
- chloroneb G.2.6
- etridiazole G.2.7
- dimethomorph G.3.1
- flumorph G.3.2
- mandipropamid G.3.3
- pyrimorph G.3.4
- benthiavalicarb G.3.5
- iprovalicarb G.3.6
- valifenalate G.3.7
- propamocarb (G.4.1 );
- oxathiapiprolin G.5.1
- 2- ⁇ 3-[2-(1 - ⁇ [3,5-bis(difluoro- methyl-1 A pyrazol-l -yl]acetyl ⁇ piperidin-4-yl)-1 ,3-thiazol-4-yl]-4,5-dihydro-1 ,2-oxazol-5-yl ⁇ - phenyl methanesulfonate G.5.2
- 2- ⁇ 3-[2-(1 - ⁇ [3,5-bis(difluoromethyl)-1 pyrazol-1 -yl]- acetyl ⁇ piperidin-4-yl) 1 ,3-thiazol-4-yl]-4,5-dihydro-1 ,2-oxazol-5-yl ⁇ -3-chlorophenyl methanesulfonate G.5.3
- organochlorine compounds anilazine (H.3.1 ), chlorothalonil (H.3.2), captafol (H.3.3), captan (H.3.4), folpet (H.3.5), dichlofluanid (H.3.6), dichlorophen (H.3.7), hexachlorobenzene (H.3.8), pentachlorphenole (H.3.9) and its salts, phthalide (H.3.10), tolylfluanid (H.3.1 1 );
- guanidine H.4.1
- dodine H.4.2
- dodine free base H.4.3
- guazatine H.4.4
- guazatine-acetate H.4.5
- iminoctadine H.4.6
- iminoctadine-triacetate H.4.7
- iminoctadine-tris(albesilate) H.4.8
- dithianon H.4.9
- 2,6-dimethyl-1 ,5 ⁇ [1 ,4]di- thiino[2,3-c:5,6-c']dipyrrole-1 , 3,5,7(2 A ,6 )-tetraone H.4.10);
- abscisic acid (M.1.1 ), amidochlor, ancymidol, 6-benzylaminopurine, brassinolide, butralin, chlormequat, chlormequat chloride, choline chloride, cyclanilide, daminozide, dikegulac, dimethipin, 2,6-dimethylpuridine, ethephon, flumetralin, flurprimidol, fluthiacet, forchlorfenuron, gibberellic acid, inabenfide, indole-3-acetic acid , maleic hydrazide, mefluidide, mepiquat, mepiquat chloride, naphthaleneacetic acid, /V-6-benzyl adenine, paclobutrazol, prohexadione, prohexadione-calcium, prohydrojasmon, thidiazuron, triapenthenol, tributyl phosphorotrithio
- Lipid biosynthesis inhibitors alloxydim, alloxydim-sodium, butroxydim, clethodim,
- clodinafop clodinafop-propargyl, cycloxydim, cyhalofop, cyhalofop-butyl, diclofop, diclofop- methyl, fenoxaprop, fenoxaprop-ethyl, fenoxaprop-P, fenoxaprop-P-ethyl, fluazifop, fluazifop- butyl, fluazifop-P, fluazifop-P-butyl, haloxyfop, haloxyfop-methyl, haloxyfop-P, haloxyfop-P- methyl, metamifop, pinoxaden, profoxydim, propaquizafop, quizalofop, quizalofop-ethyl, quizalofop-tefuryl, quizalofop-P, quizalofop-P-ethyl,
- N.2 ALS inhibitors amidosulfuron, azimsulfuron, bensulfuron, bensulfuron-methyl, chlorimuron, chlorimuron-ethyl, chlorsulfuron, cinosulfuron, cyclosulfamuron, ethametsulfuron, ethamet- sulfuron-methyl, ethoxysulfuron, flazasulfuron, flucetosulfuron, flupyrsulfuron, flupyrsulfuron- methyl-sodium, foramsulfuron, halosulfuron, halosulfuron-methyl, imazosulfuron, iodosulfu- ron, iodosulfuron-methyl-sodium, iofensulfuron, iofensulfuron-sodium, mesosulfuron, meta- zosulfuron, metsulfuron, metsulfuron-methyl, nic
- Photosynthesis inhibitors amicarbazone; chlorotriazine; ametryn, atrazine, chloridazone, cyanazine, desmetryn, dimethametryn,hexazinone, metribuzin, prometon, prometryn, pro- pazine, simazine, simetryn, terbumeton, terbuthylazin, terbutryn, trietazin; chlorobromuron, chlorotoluron, chloroxuron, dimefuron, diuron, fluometuron, isoproturon, isouron, linuron, metamitron, methabenzthiazuron, metobenzuron, metoxuron, monolinuron, neburon, sidu- ron, tebuthiuron, thiadiazuron, desmedipham, karbutilat, phenmedipham, phenmedipham- ethyl, bromofenoxim, brom
- N.5 Bleacher herbicides beflubutamid, diflufenican, fluridone, flurochloridone, flurtamone,
- norflurazon picolinafen, 4-(3-trifluoromethyhphenoxy)-2-(4-trifluoromethylphenyl)pyrimidine (180608-33-7); benzobicyclon, benzofenap, bicyclopyrone, clomazone, fenquintrione, isoxaflutole, mesotrione, pyrasulfotole, pyrazolynate, pyrazoxyfen, sulcotrione, tefuryltrione, tembotrione, tolpyralate, topramezone; aclonifen, amitrole, flumeturon;
- N.6 EPSP synthase inhibitors glyphosate, glyphosate-isopropylammonium, glyposate- potassium, glyphosate-trimesium (sulfosate);
- Glutamine synthase inhibitors bilanaphos (bialaphos), bilanaphos-sodium, glufosinate, glufosinate-P, glufosinate-ammonium;
- Mitosis inhibitors benfluralin, butralin, dinitramine, ethalfluralin, fluchloralin, oryzalin, pen- dimethalin, prodiamine, trifluralin; amiprophos, amiprophos-methyl, butamiphos; chlorthal, chlorthal-dimethyl, dithiopyr, thiazopyr, propyzamide, tebutam; carbetamide, chlorpropham, flamprop, flamprop-isopropyl, flamprop-methyl, flamprop-M-isopropyl, flamprop-M-methyl, propham; N.10 VLCFA inhibitors: acetochlor, alachlor, butachlor, dimethachlor, dimethenamid, dimethen- amid-P, metazachlor, metolachlor, metolachlor-S, pethoxamid, pretilachlor, propachlor, prop- isochlor, thenylchlor, fluf
- N.1 Cellulose biosynthesis inhibitors: chlorthiamid, dichlobenil, flupoxam, indaziflam, isoxaben, triaziflam, 1 -cyclohexyl-5-pentafluorphenyloxy-14-[1 ,2,4,6]thiatriazin-3-ylamine (175899-01 -
- N.12 Decoupler herbicides dinoseb, dinoterb, DNOC and its salts
- N.13 Auxinic herbicides 2,4-D and its salts and esters, clacyfos, 2,4-DB and its salts and
- esters aminocyclopyrachlor and its salts and esters, aminopyralid and its salts such as aminopyralid-dimethylammonium, aminopyralid-tris(2-hydroxypropyl)ammonium and its esters, benazolin, benazolin-ethyl, chloramben and its salts and esters, clomeprop, clopy- ralid and its salts and esters, dicamba and its salts and esters, dichlorprop and its salts and esters, dichlorprop-P and its salts and esters, fluroxypyr, fluroxypyr-butometyl, fluroxypyr- meptyl, halauxifen and its salts and esters (943832-60-8); MCPA and its salts and esters, MCPA-thioethyl, MCPB and its salts and esters, mecoprop and its salts and esters, meco- prop-P and its salts and esters, picloram and
- N.14 Auxin transport inhibitors diflufenzopyr, diflufenzopyr-sodium, naptalam, naptalam- sodium;
- Acetylcholine esterase (AChE) inhibitors aldicarb (0.1 .1 ), alanycarb (0.1.2), bendiocarb (0.1.3), benfuracarb (0.1 .4), butocarboxim (0.1.5), butoxycarboxim (0.1.6), carbaryl (0.1.7), carbofuran (0.1.8), carbosulfan (0.1.9), ethiofencarb (0.1 .10), fenobucarb (0.1 .1 1 ), formetanate (0.1.12), furathiocarb (0.1.13), isoprocarb (0.1.14), methiocarb (0.1.15), methomyl (0.1 .16), metolcarb (0.1.17), oxamyl (0.1 .18), pirimicarb (0.1 .19), propoxur (0.1.20), thiodicarb (0.1.21 ), thiofanox (0.1.22), trimethacarb (0.1 .23),
- GABA-gated chloride channel antagonists endosulfan (0.2.1 ), chlordane (0.2.2), ethiprole (0.2.3), fipronil (0.2.4), flufiprole (0.2.5), pyrafluprole (0.2.6), pyriprole (0.2.7);
- Nicotinic acetylcholine receptor agonists acetamiprid (0.4.1 ), clothianidin (0.4.2), cycloxaprid (0.4.3), dinotefuran (0.4.4), imidacloprid (0.4.5), nitenpyram (0.4.6), thiacloprid (0.4.7), thiamethoxam (0.4.8), 4,5-dihydro-AAnitro-1 -(2-oxiranylmethyl)-1 A imidazol ⁇ -amine (0.4.9), (2£)-1 -[(6-chloropyridin-3-yl)methyl]-/V-nitro-2-pentylidene- hydrazinecarboximidamide (0.4.10), 1 -[(6-chloropyridin-3-yl)methyl]-7-methyl-8-nitro-5- propoxy-1 ,2,3,5,6,7-hexahydroimidazo[1 ,2-a]pyridine (0.4.1 1 ), nicotine (0.4.
- Nicotinic acetylcholine receptor allosteric activators spinosad (0.5.1 ), spinetoram (0.5.2); 0.6 Chloride channel activators: abamectin (0.6.1 ), emamectin benzoate (0.6.2), ivermectin (0.6.3), lepimectin (0.6.4), milbemectin (0.6.5);
- 0.8 miscellaneous non-specific (multi-site) inhibitors methyl bromide (0.8.1 ) and other alkyl halides, chloropicrin (0.8.2), sulfuryl fluoride (0.8.3), borax (0.8.4), tartar emetic (0.8.5);
- 0.9 Chordotonal organ TRPV channel modulators pymetrozine (0.9.1 ), pyrifluquinazon (0.9.2), flonicamid (0.9.3);
- O.10 Mite growth inhibitors clofentezine (O.10.1 ), hexythiazox (O.10.2), diflovidazin (O.10.3), etoxazole (0.10.4);
- 0.1 1 Microbial disruptors of insect midgut membranes Bacillus thuringiensis, Bacillus
- Cry1 Ab (0.1 1.6), Cry1 Ac (0.1 1 .7), Cry1 Fa (0.1 1 .8), Cry2Ab (0.1 1 .9), mCry3A (0.1 1.10), Cry3Ab (0.1 1.1 1 ), Cry3Bb (0.1 1.12),
- Inhibitors of mitochondrial ATP synthase diafenthiuron (0.12.1 ), azocyclotin (0.12.2), cyhexatin (0.12.3), fenbutatin oxide (0.12.4), propargite (0.12.5), tetradifon (0.12.6);
- Nicotinic acetylcholine receptor (nAChR) channel blockers bensultap (0.14.1 ), cartap hydrochloride (0.14.2), thiocyclam (0.14.3), thiosultap sodium (0.14.4);
- Inhibitors of the chitin biosynthesis type 0 bistrifluron (0.15.1 ), chlorfluazuron (0.15.2), diflubenzuron (0.15.3), flucycloxuron (0.15.4), flufenoxuron (0.15.5), hexaflumuron (0.15.6), lufenuron (0.15.7), novaluron (0.15.8), noviflumuron (0.15.9), teflubenzuron
- Inhibitors of the chitin biosynthesis type 1 buprofezin (0.16.1 );
- Ecdyson receptor agonists methoxyfenozide (0.18.1 ), tebufenozide (0.18.2),
- halofenozide (0.18.3), fufenozide (0.18.4), chromafenozide (0.18.5);
- Octopamin receptor agonists amitraz (0.19.1 );
- Inhibitors of the of acetyl CoA carboxylase spirodiclofen (0.23.1 ), spiromesifen (0.23.2), spirotetramat (0.23.3), spiropidion (0.23.4);
- Mitochondrial complex IV electron transport inhibitors aluminium phosphide (0.24.1 ), calcium phosphide (0.24.2), phosphine (0.24.3), zinc phosphide (0.24.4), cyanide (0.24.5); 0.25 Mitochondrial complex II electron transport inhibitors: cyenopyrafen (0.25.1 ), cyflumetofen
- insecticidal active compounds of unknown or uncertain mode of action afidopyropen (0.28.1 ), afoxolaner (0.28.2), azadirachtin (0.28.3), amidoflumet (0.28.4), benzoximate (0.28.5), broflanilide (0.28.6), bromopropylate (0.28.7), chinomethionat (0.28.8), cryolite (0.28.9), dicloromezotiaz (0.28.10), dicofol (0.28.1 1 ), flufenerim (0.28.12), flometoquin (0.28.13), fluensulfone (0.28.14), fluhexafon (0.28.15), fluopyram (0.28.16), fluralaner (0.28.17), metoxadiazone (0.28.18), piperonyl butoxide (0.28.19), pyflubumide (O.28.20), pyridalyl (0.28.21 ), tiox
- component 2 The active substances referred to as component 2, their preparation and their activity e. g. against harmful fungi is known (cf.: http://www.alanwood.net/pesticides/); these substances are commercially available.
- the compounds described by lUPAC nomenclature, their preparation and their pesticidal activity are also known (cf. Can. J. Plant Sci. 48(6), 587-94, 1968;
- the present invention furthermore relates to agrochemical compositions comprising a mixture of at least one compound I (component 1 ) and at least one further active substance useful for plant protection, e. g. selected from the groups A) to O) (component 2), in particular one further fungicide, e. g. one or more fungicide from the groups A) to K), as described above, and if desired one suitable solvent or solid carrier.
- agrochemical compositions comprising a mixture of at least one compound I (component 1 ) and at least one further active substance useful for plant protection, e. g. selected from the groups A) to O) (component 2), in particular one further fungicide, e. g. one or more fungicide from the groups A) to K), as described above, and if desired one suitable solvent or solid carrier.
- fungicide e. g. one or more fungicide from the groups A) to K
- combating harmful fungi with a mixture of compounds I and at least one fungicide from groups A) to K), as described above, is more efficient than combating those fungi with individual compounds I or individual fungicides from groups A) to K).
- the order of application is not essential for working of the present invention.
- the time between both applications may vary e. g. between 2 hours to 7 days. Also a broader range is possible ranging from 0.25 hour to 30 days, preferably from 0.5 hour to 14 days, particularly from 1 hour to 7 days or from 1 .5 hours to 5 days, even more preferred from 2 hours to 1 day.
- the weight ratio of the component 1 ) and the component 2) generally depends from the properties of the active components used, usually it is in the range of from 1 :10,000 to 10,000:1 , often it is in the range of from 1 :100 to 100:1 , regularly in the range of from 1 :50 to 50:1 , preferably in the range of from 1 :20 to 20: 1 , more preferably in the range of from 1 : 10 to 10: 1 , even more preferably in the range of from 1 :4 to 4:1 and in particular in the range of from 1 :2 to 2:1 .
- the weight ratio of the component 1 ) and the component 2) usually is in the range of from 1000:1 to 1 :1 , often in the range of from 100: 1 to 1 :1 , regularly in the range of from 50:1 to 1 :1 , preferably in the range of from 20:1 to 1 :1 , more preferably in the range of from 10:1 to 1 :1 , even more preferably in the range of from 4:1 to 1 :1 and in particular in the range of from 2:1 to 1 :1 .
- the weight ratio of the component 1 ) and the component 2) usually is in the range of from 1 :1 to 1 :1000, often in the range of from 1 :1 to 1 :100, regularly in the range of from 1 :1 to 1 :50, preferably in the range of from 1 :1 to 1 :20, more preferably in the range of from 1 :1 to 1 :10, even more preferably in the range of from 1 :1 to 1 :4 and in particular in the range of from 1 :1 to 1 :2.
- the weight ratio of component 1 ) and component 2) depends from the properties of the active substances used, usually it is in the range of from 1 :100 to 100:1 , regularly in the range of from 1 :50 to 50:1 , preferably in the range of from 1 :20 to 20:1 , more preferably in the range of from 1 :10 to 10:1 and in particular in the range of from 1 :4 to 4:1 , and the weight ratio of component 1 ) and component 3) usually it is in the range of from 1 :100 to 100:1 , regularly in the range of from 1 :50 to 50:1 , preferably in the range of from 1 :20 to 20:1 , more preferably in the range of from 1 :10 to 10:1 and in particular in the range of from 1 :4 to 4:1.
- any further active components are, if desired, added in a ratio of from 20:1 to 1 :20 to the component 1 ).
- the present invention furthermore relates to mixtures comprising one compound of the formula I (component 1 , a group represented by the expression "(I)”) and one pesticide II (component 2), wherein pesticide II is an active ingredients selected from the groups A) to O) defined above.
- component 1 a group represented by the expression "(I)”
- component 2 for example, (A.1.1 ) or azoxystrobin, in embodiment B-1
- Further embodiments B-1 to B-683 listed in Table B below relate to the mixtures comprising as active components one of the in the present specification individualized compounds of the formula I, which is selected from the
- compositions described in Table B comprise the active components in synergistically effective amounts.
- B-1 (I) + (A.1 .1 ), B-2: (I) + (A.1.2), B-3: (I) + (A.1 .3), B-4: (I) + (A.1.4), B-5: (I) + (A.1.5), B-6: (I) + (A.1 .6), B-7: (I) + (A.1.7), B-8: (I) + (A.1 .8), B-9: (I) + (A.1.9), B-10: (I) + (A.1 .10), B-1 1 : (I) + (A.1.1 1 ), B-12: (I) + (A.1 .12), B-13: (I) + (A.1 .13), B-14: (I) + (A.1.14), B-15: (I) + (A.1 .15), B-16: (I) + (A.1.16), B-17: (I) + (A.1.17), B-18: (I) + (A.1.18), B-19: (I
- B-412 (I) + (0.1.79), B-413: (I) + (0.1.80), B-414: (I) + (0.1.81), B-415: (I) + (0.1.82), B-416: (I) + (0.1.83), B-417: (I) + (0.1.84), B-418: (I) + (0.1.85), B-419: (I) + (0.1.86), B-420: (I) + (0.1.87), B-421 : (I) + (0.1 .88), B-422: (I) + (0.1 .89), B-423: (I) + (0.1 .90), B-424: (I) +
- B-425 (I) + (0.2.1 ), B-426: (I) + (0.2.2), B-427: (I) + (0.2.3), B-428: (I) + (0.2.4), B- 429: (I) + (0.2.5), B-430: (I) + (0.2.6), B-431 : (I) + (0.2.7), B-432: (I) + (0.3.1 ), B-433: (I) + (0.3.2), B-434: (I) + (0.3.3), B-435: (I) + (0.3.4), B-436: (I) + (0.3.5), B-437: (I) + (0.3.6), B-438: (I) + (0.3.7), B-439: (I) + (0.3.8), B-440: (I) + (0.3.9), B-441 : (I) + (0.3.10), B-442: (I) + (0.3.1 1 ), B-443: (I) + (0.3.12), B-444: (I) + (0.3.13
- B-452 (I) + (0.3.21 ), B-453: (I) + (0.3.22), B-454: (I) + (0.3.23), B-455: (I) + (0.3.24), B-456: (I) + (0.3.25), B-457: (I) + (0.3.26), B-458: (I) + (0.3.27), B-459: (I) + (0.3.28), B-460: (I) + (0.3.29), B-461 : (I) + (O.3.30), B-462: (I) + (0.3.31 ), B-463: (I) + (0.3.32), B-464: (I) +
- B-465 (I) + (0.3.34), B-466: (I) + (0.3.35), B-467: (I) + (0.3.36), B-468: (I) + (0.3.37), B-469: (I) + (0.3.38), B-470: (I) + (0.3.39), B-471 : (I) + (O.3.40), B-472: (I) + (0.3.41 ), B-473: (I) + (0.3.42), B-474: (I) + (0.3.43), B-475: (I) + (0.3.44), B-476: (I) + (0.3.45), B-477: (I) +
- B-478 (I) + (0.3.47), B-479: (I) + (0.3.48), B-480: (I) + (0.3.49), B-481 : (I) + (O.3.50), B-482: (I) + (0.3.51 ), B-483: (I) + (0.3.52), B-484: (I) + (0.4.1 ), B-485: (I) + (0.4.2), B-486: (I) + (0.4.3), B-487: (I) + (0.4.4), B-488: (I) + (0.4.5), B-489: (I) + (0.4.6), B-490: (I) + (0.4.7), B-491 : (I) + (0.4.8), B-492: (I) + (0.4.9), B-493: (I) + (0.4.10), B-494: (I) + (0.4.1 1 ), B-495: (I) +
- B-532 (I) + (0.1 1 .10), B-533: (I) + (0.1 1.1 1 ), B-534: (I) + (0.1 1 .12), B-535: (I) + (0.1 1 .13), B-536: (I) + (0.12.1 ), B-537: (I) + (0.12.2), B-538: (I) + (0.12.3), B-539: (I) + (0.1 1 .9), B-532: (I) + (0.1 1 .10), B-533: (I) + (0.1 1.1 1 ), B-534: (I) + (0.1 1 .12), B-535: (I) + (0.1 1 .13), B-536: (I) + (0.12.1 ), B-537: (I) + (0.12.2), B-538: (I) + (0.12.3), B-539: (I) +
- B-540 (I) + (0.12.5), B-541 : (I) + (0.12.6), B-542: (I) + (0.13.1 ), B-543: (I) + (0.13.2), B-544: (I) + (0.13.3), B-545: (I) + (0.14.1 ), B-546: (I) + (0.14.2), B-547: (I) + (0.14.3), B-548: (I) + (0.14.4), B-549: (I) + (0.15.1 ), B-550: (I) + (0.15.2), B-551 : (I) + (0.15.3), B-552: (I) +
- B-553 (I) + (0.15.5), B-554: (I) + (0.15.6), B-555: (I) + (0.15.7), B-556: (I) + (0.15.8), B-557: (I) + (0.15.9), B-558: (I) + (O.15.10), B-559: (I) + (0.15.1 1 ), B-560: (I) + (0.16.1 ), B-561 : (I) + (0.17.1 ), B-562: (I) + (0.18.1 ), B-563: (I) + (0.18.2), B-564: (I) + (0.18.3), B-565: (I) + (0.18.4), B-566: (I) + (0.18.5), B-567: (I) + (0.19.1 ), B-568: (I) + (O.20.1 ), B-569: (I) + (O.20.2), B-570: (I) + (O.20.3), B-571
- B-592 (I) + (0.25.1 ), B-593: (I) + (0.25.2), B-594: (I) + (0.26.1 ), B-595: (I) + (0.26.2), B-596: (I) + (0.26.3), B-597: (I) + (0.26.4), B-598: (I) + (0.26.5), B-599: (I) + (0.26.6), B-600: (I) + (0.26.7), B-601 : (I) + (0.26.8), B-602: (I) + (0.26.9), B-603: (I) + (0.26.10), B-604: (I) + (0.26.1 1 ), B-605: (I) + (0.26.12), B-606: (I) + (0.26.13), B-607: (I) + (0.26.14), B-608: (I) + (0.26.15), B-609: (I) + (0.26.16), B-610: (I) + (0.26.17), B-61 1 :
- the mixtures of active substances can be prepared as compositions comprising besides the active ingredients at least one inert ingredient (auxiliary) by usual means, e. g. by the means given for the compositions of compounds I.
- mixtures of active substances according to the present invention are suitable as fungicides, as are the compounds of formula I. They are distinguished by an outstanding effectiveness against a broad spectrum of phytopathogenic fungi, especially from the classes of the
- the compounds of the formula I can be prepared according to the methods outlined below.
- Trifluoroacetic anhydride (8.4 g, 40 mmol) was added dropwise to a solution of tert-butyl ⁇ [4- [(Z)-N-hydroxycarbamimidoyl]-AAmethyl-anilino]-N-methyl-carbamate (5.88 g, 20 mmol) in N,N- dimethylacetamide (40 mL) under a nitrogen atmosphere. The mixture was stirred at 18°C for 1 hour. The reaction mixture was diluted with brine, and extracted with ethyl acetate. The organic layer was washed with brine, dried over sodium sulfate and concentrated.
- Trifluoroacetic anhydride (5.9 g, 28.27 mmol) was added dropwise to the solution of tert-butyl AA[bis(tert-butoxycarbonyl)amino]-N-[4-[(Z)-N-hydroxycarbamimidoyl]phenyl]carbamate (6.6 g, 14.14 mmol) in A ,AAdimethylacetamide (60 mL) under a nitrogen atmosphere. The mixture was stirred at 18°C for 1 hour. The reaction mixture was diluted with brine, the aqueous phase extracted with ethyl acetate, the organic layer was washed with brine.
- Table I Compounds Ex-1 to Ex-1 1 of formula I.Q, wherein the meaning of R 1 , R 2a and R 2b are as defined in each line.
- the fungicidal action of the compounds of formula I was demonstrated by the following experiments:
- the spray solutions were prepared in several steps:
- the stock solution were prepared by mixting acetone and/or dimethylsulfoxide and the wetting agent/emulsifier Wettol, which is based on ethoxylated alkylphenoles, in a relation (volume) solvent-emulsifier of 99 to
- Leaves of pot-grown soy bean seedlings were inoculated with spores of Phakopsora pachyrhizi. To ensure the success of the artificial inoculation, the plants were transferred to a humid chamber with a relative humidity of about 95% and 20 to 24°C for 24 hours. The next day the plants were cultivated for 3 days in a greenhouse chamber at 23 to 27°C and a relative humidity between 60 and 80%. Then the plants were sprayed to run-off with an aqueous suspension, containing the concentration of active ingredient or their mixture as described below. The plants were allowed to air-dry. Then the trial plants were cultivated for 14 days in a greenhouse chamber at 23 to 27°C and a relative humidity between 60 and 80%. The extent of fungal attack on the leaves was visually assessed as % diseased leaf area.
- Leaves of pot-grown soy bean seedlings were sprayed to run-off with an aqueous suspension, containing the concentration of active ingredient or their mixture as described below.
- the plants were allowed to air-dry.
- the trial plants were cultivated for 2 day in a greenhouse chamber at 23 to 27°C and a relative humidity between 60 and 80%.
- the plants were inoculated with spores of Phakopsora pachyrhizi.
- the plants were transferred to a humid chamber with a relative humidity of about 95% and 20 to 24°C for 24 hours.
- the trial plants were cultivated for fourteen days in a greenhouse chamber at 23 to 27°C and a relative humidity between 60 and 80%.
- the extent of fungal attack on the leaves was visually assessed as % diseased leaf area.
- the first two developed leaves of pot-grown wheat seedling were sprayed to run-off with an aqueous suspension, containing the concentration of active ingredient or their mixture as described below.
- the next day the plants were inoculated with spores of Puccinia recondita. To ensure the success the artificial inoculation, the plants were transferred to a humid chamber without light and a relative humidity of 95 to 99% and 20 to 24°C for 24 hours. Then the trial plants were cultivated for 6 days in a greenhouse chamber at 20 to 24°C and a relative humidity between 65 and 70%. The extent of fungal attack on the leaves was visually assessed as % diseased leaf area.
Landscapes
- Chemical & Material Sciences (AREA)
- Organic Chemistry (AREA)
- Life Sciences & Earth Sciences (AREA)
- Agronomy & Crop Science (AREA)
- Pest Control & Pesticides (AREA)
- Plant Pathology (AREA)
- Health & Medical Sciences (AREA)
- Engineering & Computer Science (AREA)
- Dentistry (AREA)
- General Health & Medical Sciences (AREA)
- Wood Science & Technology (AREA)
- Zoology (AREA)
- Environmental Sciences (AREA)
- Plural Heterocyclic Compounds (AREA)
- Heterocyclic Carbon Compounds Containing A Hetero Ring Having Nitrogen And Oxygen As The Only Ring Hetero Atoms (AREA)
- Nitrogen Condensed Heterocyclic Rings (AREA)
Abstract
The present invention relates to novel trifluoromethyloxadiazoles of the formula (I), or the N-oxides, or theagriculturally useful salts thereof; and to intermediates that are useful for their preparation; and to the use of compounds of the formula (I) for controlling phyto-pathogenic fungi; andto a method for combating phytopathogenic harmful fungi, which process comprises treating the fungi, the plants, the soil or seeds to be protected against fungal attack, with an effective amount of at least one compound of the formula (I), or an N-oxide, or an agriculturally acceptable salt thereof; to agrochemical compositions comprising at least one compound of the formula (I); and to agrochemical compositions further comprising seeds. (I)
Description
Substituted oxadiazoles for combating phytopathogenic fungi
The present invention relates to novel trifluoromethyloxadiazoles of the formula I, or the
N-oxides, or the agriculturally useful salts thereof; and to intermediates that are useful for their preparation; and to the use of compounds of the formula I for controlling phyto-pathogenic fungi; and to a method for combating phytopathogenic harmful fungi, which process comprises treating the fungi, the plants, the soil or seeds to be protected against fungal attack, with an effective amount of at least one compound of the formula I, or an N-oxide, or an agriculturally acceptable salt thereof; to agrochemical compositions comprising at least one compound of the formula I; and to agrochemical compositions further comprising seeds.
EP 276432 A2 relates to 3-phenyl-5-trifluoromethyloxadiazole derivatives and to their use to combat phytopathogenic microorganisms. WO 2015/185485 A1 , WO 2017/055469 A1 and WO 2017/055473 A1 describe other derivatives of trifluoromethyloxadiazoles and their use to combat phytopathogenic microorganisms. WO 2005/051932 A1 discloses trifluoromethyloxadiazoles and their use as agricultural fungicides besides their use as bactericides and insecticides; also descripbed are intermediates for their synthesis.
In many cases, in particular at low application rates, the fungicidal activity of known fungicidal compounds is unsatisfactory. Based on this, it was an objective of the present invention to provide compounds having improved activity and/or a broader activity spectrum against phytopathogenic fungi. This objective is achieved by the oxadiazoles of the formula I or their agriculturally useful salts for controlling phytopathogenic fungi.
The compounds described herein differ from compounds known in the prior art in the
constitution of the group -(CR3R4)m-V-L-W. Accordingly, the present invention relates to compounds of the formula I, or the N-oxides, or the agriculturally acceptable salts thereof,
wherein:
A is phenyl or a 5- or 6-membered aromatic heterocycle, wherein the ring member atoms of the aromatic heterocycles include besides carbon atoms 1 , 2, 3 or 4 heteroatoms selected from N, O and S as ring member atoms; and wherein the phenyl ring or the aromatic heterocycles are unsubstituted or substituted with 1 or 2 identical or different groups RA; wherein
RA is halogen, cyano, Ci-C6-alkyl, Ci-C6-haloalkyl, Ci-C6-alkoxy or
Ci-C6-haloalkoxy;
V is -NR2-NR2-;
L is -(C=0)-, -(C=S)- or -S(=0)P-;
p is 0, 1 or 2;
W is R1 , -N R5-R1 or -N R2-N R5-R ;
R1 is Ci-C6-alkyl, Cs-Cs-cycloalkyl, Cs-Cs-cycloalkenyl, C2-C6-alkenyl, C2-C6-alkynyl, phenyl-
Ci-C4-alkyl, heteroaryl-Ci-C4-alkyl, phenyl, naphthyl or a 3- to 10-membered saturated, partially unsaturated or aromatic mono- or bicyclic heterocycle, wherein the ring member atoms of said mono- or bicyclic heterocycle include besides carbon atoms further 1 , 2, 3 or 4 heteroatoms selected from N, O and S as ring member atoms and wherein 1 or 2 carbon ring member atoms of the heterocycle may be replaced by 1 or 2 groups independently selected from -C(=0)- and -C(=S)-; and wherein the heteroaryl group in heteroaryl-Ci-C4-alkyl is a 5- or 6-membered aromatic heterocycle, wherein the ring member atoms of the heterocyclic ring include besides carbon atoms 1 , 2, 3 or 4 heteroatoms selected from N, O and S as ring member atoms; and wherein any of the above-mentioned aliphatic or cyclic groups are unsubstituted or substituted with 1 , 2, 3 or up to the maximum possible number of identical or different groups R1a; wherein
R1a is halogen, oxo, cyano, N02, OH, SH, NH2, d-Ce-alkyl, d-Ce-haloalkyl,
Ci-C6-alkoxy, Ci-C6-haloalkoxy, Ci-C6-alkylthio, Ci-C6-haloalkylthio, C3-C3- cycloalkyl, -NHS02-Ci-C4-alkyl, (C=0)-Ci-C4-alkyl, C(=0)-Ci-C4-alkoxy, Ci-C6- alkylsulfonyl, hydroxyCi-C4-alkyl, C(=0)-NH2, C(=0)-NH(Ci-C4-alkyl), C1-C4- alkylthio-Ci-C4-alkyl, aminoCi-C4-alkyl, Ci-C4-alkylamino-Ci-C4-alkyl, diCi-C4- alkylamino-Ci-C4-alkyl, aminocarbonyl-Ci-C4-alkyl or Ci-C4-alkoxy-Ci-C4-alkyl; or R1 is a bicyclic carbocycle of the formula Ra,
wherein
Ca and Cb are bridgehead carbon atoms;
X is a direct single bond or a divalent group selected from the group consisting
of -CH2-, -CH2-CH2-, -(CH2)3-, -(CH2)4-, -CH=CH-, -CH2-CH=CH-, -CH=CH-CH2- and -CH=CH-CH=CH-;
Y and Z independently of each other are a divalent group selected from the group
consisting of -CH2-, -CH2-CH2-, -(CH2)3-, -(CH2)4-, -CH=CH-, -CH2-CH=CH- , -CH=CH-CH2- and -CH=CH-CH=CH-;
or R1 is a tricyclic carbocycle of the formula Rb,
wherein
Ca and Cb are bridgehead carbon atoms;
X is a direct single bond or a divalent group selected from the group consisting of - CH2-, -CH2-CH2-, -(CH2)3-, -(CH2)4-, -CH=CH-, -CH2-CH=CH-,
-CH=CH-CH2- and -CH=CH-CH=CH-;
Y and Z independently of each other are a divalent group selected from the group
consisting of -CH2-, -CH2-CH2-, -(CH2)3-, -(CH2)4-, -CH=CH-,
-CH2-CH=CH-, -CH=CH-CH2- and -CH=CH-CH=CH-; and wherein groups Y and Z are attached to the bridgehead carbon atoms Ca and Cb;
T is a divalent group selected from the group consisting of -CH2-, -CH2-CH2-, -(CH2)3-,
-(CH2)4-, -CH=CH-, -CH2-CH=CH-, -CH=CH-CH2- and
-CH=CH-CH=CH-; and wherein the group T is attached to one carbon atom in each of the groups Y and Z;
and with the provision that, if R1 is a tricyclic carbocycle of the formula Rb, wherein X is a direct single bond or a divalent group -CH2-, the groups T and Z independently of each other are a divalent group selected from the group consisting of -CH2-CH2-, -(CH2)3-, - (CH2)4-, -CH=CH-, -CH2-CH=CH-, -CH=CH-CH2- and -CH=CH-CH=CH-;
and wherein the groups Ra or Rb are connected to the remainder of the compounds of formula I through one of the ring carbon atoms;
and wherein the groups Ra and Rb independently of each other are unsubstituted or substituted with 1 , 2, 3, 4 or up to the maximum possible number of radicals selected from the group consisting of oxo, hydroxy, halogen, Ci-C3-alkyl, Ci-C3-haloalkyl, C3-C6- cycloalkyl, vinylidene and dichlorovinylidene;
R2, R5 independently of each other are selected from the group consisting of hydrogen, C1-C6- alkyl, C2-C6-alkenyl, C2-C6-alkynyl, Ci-C6-alkoxy, Cs-Cs-cycloalkyl, Cs-Cs-cycloalkenyl, C3-C8-cycloalkyl-Ci-C6-alkyl, phenyl-Ci-C4-alkyl, phenyl,
C(=0)-Ci-C6-alkyl and C(=0)-Ci-C6-alkoxy; and wherein any of the aliphatic or cyclic groups are unsubstituted or substituted with 1 , 2, 3 or up to the maximum possible number of identical or different radicals selected from the group consisting of halogen, cyano, Ci-C6-alkyl and Ci-C6-alkoxy; or
R1 and R5 together with the nitrogen atom to which they are bound form a saturated or partially unsaturated mono- or bicyclic 3- to 10-membered heterocycle, wherein the heterocycle includes beside one nitrogen atom and one or more carbon atoms 1 , 2 or 3 heteroatoms independently selected from N, O and S as ring member atoms; and wherein one or two CH2 groups of the heterocycle may be replaced by one or two groups independently selected from the group of -C(=0)- and -C(=S)-; and wherein the heterocycle is unsubstituted or substituted with 1 , 2, 3, 4 or up to the maximum possible number of identical or different radicals selected from the group constisting of halogen, cyano, C1-C6- alkyl, Ci-C6-haloalkyl, Ci-C6-alkoxy and Ci-C6-haloalkoxy;
m is 0 or 1 ;
R3, R4 independently of each other are selected from the group consisting of hydrogen,
halogen, cyano, Ci-C4-alkyl, Ci-C4-alkenyl, Ci-C4-alkynyl, Ci-C4-haloalkyl and
Ci-C4-alkoxy; or
R3 and R4 together with the carbon atom to which they are bound form a saturated 3- to
7-membered carbocycle or a saturated 3- to 6-membered heterocycle; wherein the saturated heterocycle includes beside carbon atoms 1 , 2 or 3 heteroatoms independently selected from the group consisiting of N, O and S as ring member atoms; and wherein said N ring member atom is substituted with the group RN; wherein
RN is hydrogen, Ci-C6-alkyl or halogen;
and wherein said S ring member atom is unsubstituted or substituted with 1 or 2 oxo radicals; and wherein one or two Chb groups of the saturated carbocycle or of the saturated heterocycle may be replaced by one or two groups independently selected from -C(=0)- and -C(=S)-; and wherein the carbon ring member atoms of the saturated carbocycle or of the saturated heterocycle are unsubstituted or substituted with a total number of 1 , 2, 3, 4 or up to the maximum possible number of identical or different radicals selected from the group consisting of halogen, cyano, Ci-C6-alkyl,
Ci-C6-alkoxy and Cs-Cs-cycloalkyl. Agriculturally acceptable salts of the compounds of the formula I encompass especially the salts of those cations or the acid addition salts of those acids whose cations and anions, respectively, have no adverse effect on the fungicidal action of the compounds I. Suitable cations are thus in particular the ions of the alkali metals, preferably sodium and potassium, of the alkaline earth metals, preferably calcium, magnesium and barium, of the transition metals, preferably manganese, copper, zinc and iron, and also the ammonium ion which, if desired, may be substituted with one to four Ci-C4-alkyl substituents and/or one phenyl or benzyl substituent, preferably diisopropylammonium, tetramethylammonium, tetrabutylammonium,
trimethylbenzylammonium, furthermore phosphonium ions, sulfonium ions, preferably tri(Ci-C4- alkyl)sulfonium, and sulfoxonium ions, preferably tri(Ci-C4-alkyl)sulfoxonium.
Anions of acceptable acid addition salts are primarily chloride, bromide, fluoride,
hydrogensulfate, sulfate, dihydrogenphosphate, hydrogenphosphate, phosphate, nitrate, bicarbonate, carbonate, hexafluorosilicate, hexafluorophosphate, benzoate, and the anions of Ci-C4-alkanoic acids, preferably formate, acetate, propionate and butyrate. They can be formed by reacting a compound I with an acid of the corresponding anion, preferably of hydrochloric acid, hydrobromic acid, sulfuric acid, phosphoric acid or nitric acid.
Compounds of the formula I can exist as one or more stereoisomers. The various stereoisomers include enantiomers, diastereomers, atropisomers arising from restricted rotation about a single bond of asymmetric groups and geometric isomers. They also form part of the subject matter of the present invention. One skilled in the art will appreciate that one stereoisomer may be more active and/or may exhibit beneficial effects when enriched relative to the other stereoisomer(s) or when separated from the other stereoisomer(s). Additionally, the skilled artisan knows how to separate, enrich, and/or to selectively prepare said stereoisomers. The compounds of the invention may be present as a mixture of stereoisomers, e.g. a racemate, individual
stereoisomers, or as an optically active form.
Compounds of the formula I can be present in different crystal modifications whose biological activity may differ. They also form part of the subject matter of the present invention.
In respect of the variables, the embodiments of the intermediates obtained during preparation of compounds I correspond to the embodiments of the compounds of formula I. The term " compounds I" refers to compounds of the formula I.
In the definitions of the variables given above, collective terms are used which are generally representative for the substituents in question. The term "Cn-Cm" indicates the number of carbon atoms possible in each case in the substituent or substituent moiety in question.
The term "halogen" refers to fluorine, chlorine, bromine and iodine.
The term "Ci-C6-alkyl" refers to a straight-chained or branched saturated hydrocarbon group
having 1 to 6 carbon atoms, for example methyl, ethyl, propyl, 1 -methylethyl, butyl, 1 - methylpropyl, 2-methylpropyl, and 1 ,1 -dimethylethyl.
The term "C2-C6-alkenyl" refers to a straight-chain or branched unsaturated hydrocarbon radical having 2 to 6 carbon atoms and a double bond in any position, such as ethenyl, 1 -propenyl, 2- propenyl (allyl), 1 -methylethenyl, 1 -butenyl, 2-butenyl, 3-butenyl, 1 -methyl-1 -propenyl, 2-methyl-
1 - propenyl, 1 -methyl-2-propenyl, 2-methyl-2-propenyl.
The term "C2-C6-alkynyl" refers to a straight-chain or branched unsaturated hydrocarbon radical having 2 to 6 carbon atoms and containing at least one triple bond, such as ethynyl, 1 -propynyl,
2- propynyl (propargyl), 1 -butynyl, 2-butynyl, 3-butynyl, 1 -methyl-2-propynyl.
The term "Ci-C6-haloalkyl" refers to a straight-chained or branched alkyl group having 1 to 6 carbon atoms (as defined above), wherein some or all of the hydrogen atoms in these groups may be replaced by halogen atoms as mentioned above, for example chloromethyl,
bromomethyl, dichloromethyl, trichloromethyl, fluoromethyl, difluoromethyl, trifluoromethyl, chlorofluoromethyl, dichlorofluoromethyl, chlorodifluoromethyl, 1 -chloroethyl, 1 -bromoethyl, 1 - fluoroethyl, 2-fluoroethyl, 2,2-difluoroethyl, 2,2,2-trifluoroethyl, 2-chloro-2-fluoroethyl, 2-chloro- 2,2-difluoroethyl, 2,2-dichloro-2-fluoroethyl, 2,2,2-trichloroethyl and pentafluoroethyl, 2- fluoropropyl, 3-fluoropropyl, 2,2-difluoropropyl, 2,3-difluoropropyl, 2-chloropropyl, 3- chloropropyl, 2,3-dichloropropyl, 2-bromopropyl, 3-bromopropyl, 3,3,3-trifluoropropyl, 3,3,3- trichloropropyl, CH2-C2F5, CF2-C2F5, CF(CF3)2, 1 -(fluoromethyl)-2-fluoroethyl, l -(chloromethyl)- 2-chloroethyl, 1 -(bromomethyl)-2-bromoethyl, 4-fluorobutyl, 4-chlorobutyl, 4-bromobutyl or nonafluorobutyl.
The term "Ci-C6-alkoxy" refers to a straight-chain or branched alkyl group having 1 to 6 carbon atoms (as defined above) which is bonded via an oxygen, at any position in the alkyl group, for example methoxy, ethoxy, n-propoxy, 1 -methylethoxy, butoxy, 1 -methylpropoxy, 2- methylpropoxy or 1 ,1 -dimethylethoxy.
The term "Ci-C6-haloalkoxy" refers to a Ci-C6-alkoxy group as defined above, wherein some or all of the hydrogen atoms may be replaced by halogen atoms as mentioned above, for example, OCH2F, OCHF2, OCFs, OCH2CI, OCHCI2, OCCI3, chlorofluoromethoxy, dichlorofluoromethoxy, chlorodifluoromethoxy, 2-fluoroethoxy, 2-chloroethoxy, 2-bromoethoxy, 2-iodoethoxy, 2,2- difluoroethoxy, 2,2,2-trifluoroethoxy, 2-chloro-2-fluoroethoxy, 2-chloro-2,2-difluoroethoxy, 2,2- dichloro-2-fluoroethoxy, 2,2,2-trichloroethoxy, OC2F5, 2-fluoropropoxy, 3-fluoropropoxy, 2,2- difluoropropoxy, 2,3-difluoropropoxy, 2-chloropropoxy, 3-chloropropoxy, 2,3-dichloropropoxy, 2-bromopropoxy, 3-bromopropoxy, 3,3,3-trifluoropropoxy, 3,3,3-trichloropropoxy, OCH2-C2F5, OCF2-C2F5, 1 -(CH2F)-2-fluoroethoxy, 1 -(CH2CI)-2-chloroethoxy, 1 -(CH2Br)-2-bromoethoxy, 4-fluorobutoxy, 4-chlorobutoxy, 4-bromobutoxy or nonafluorobutoxy.
The terms "phenyl-Ci-C4-alkyl or heteroaryl-Ci-C4-alkyl" refer to alkyl having 1 to 4 carbon atoms (as defined above), wherein one hydrogen atom of the alkyl radical is replaced by a phenyl or hetereoaryl radical respectively.
The term "Ci-C4-alkoxy-Ci-C4-alkyl" refers to alkyl having 1 to 4 carbon atoms (as defined above), wherein one hydrogen atom of the alkyl radical is replaced by a Ci-C4-alkoxy group (as defined above). Likewise, the term "Ci-C4-alkylthio-Ci-C4-alkyl" refers to alkyl having 1 to 4 carbon atoms (as defined above), wherein one hydrogen atom of the alkyl radical is replaced by a Ci-C4-alkylthio group.
The term "Ci-C6-alkylthio" as used herein refers to straight-chain or branched alkyl groups
having 1 to 6 carbon atoms (as defined above) bonded via a sulfur atom. Accordingly, the term "Ci-C6-haloalkylthio" as used herein refers to straight-chain or branched haloalkyi group having 1 to 6 carbon atoms (as defined above) bonded through a sulfur atom, at any position in the haloalkyi group.
The term "Ci-C6-alkylsulfinyl" refers to straight-chain or branched alkyl groups having 1 to 6 carbon atoms (as defined above) bonded through a -S(=0)- moiety, at any position in the alkyl group, for example methylsulfinyl and ethylsulfinyl, and the like. Accordingly, the term "C1-C6- haloalkylsulfinyl" refers to straight-chain or branched haloalkyi group having 1 to 6 carbon atoms (as defined above), bonded through a -S(=0)- moiety, at any position in the haloalkyi group. The term "Ci-C6-alkylsulfonyl" refers to straight-chain or branched alkyl groups having 1 to 6 carbon atoms (as defined above), bonded through a -S(=0)2- moiety, at any position in the alkyl group, for example methylsulfonyl. Accordingly, the term "Ci-C6-haloalkylsulfonyl" refers to straight-chain or branched haloalkyi group having 1 to 6 carbon atoms (as defined above), bonded through a -S(=0)2- moiety, at any position in the haloalkyi group.
The term "C3-C8-cycloalkyl-Ci-C6-alkyl" refers to alkyl having 1 to 6 carbon atoms, wherein one hydrogen atom of the alkyl radical is replaced by a Cs-Cs-cycloalkyl group.
The term "hydroxyCi-C4-alkyl" refers to alkyl having 1 to 4 carbon atoms, wherein one hydrogen atom of the alkyl radical is replaced by a OH group.
The term "aminoCi-C4-alkyl" refers to alkyl having 1 to 4 carbon atoms, wherein one hydrogen atom of the alkyl radical is replaced by a NH2 group.
The term "diCi-C6-alkylamino" refers to an amino group, which is substituted with two residues independently selected from the group that is defined by the term Ci-C6-alkyl.
The term "Ci-C4-alkylamino-Ci-C4-alkyl" refers to refers to alkyl having 1 to 4 carbon atoms (as defined above), wherein one hydrogen atom of the alkyl radical is replaced by a Ci-C4-alkyl-NH- group which is bound through the nitrogen. Likewise the term "diCi-C4-alkylamino-Ci-C4-alkyl" refers to refers to alkyl having 1 to 4 carbon atoms (as defined above), wherein one hydrogen atom of the alkyl radical is replaced by a (Ci-C4-alkyl)2N- group which is bound through the nitrogen.
The term "aminocarbonyl-Ci-C4-alkyl" refers to alkyl having 1 to 4 carbon atoms, wherein one hydrogen atom of the alkyl radical is replaced by a -(C=0)-NH2 group.
The term "C2-C6-alkenyl" refers to a straight-chain or branched unsaturated hydrocarbon radical having 2 to 6 carbon atoms and a double bond in any position, such as ethenyl, 1 -propenyl, 2- propenyl (allyl), 1 -methylethenyl, 1 -butenyl, 2-butenyl, 3-butenyl, 1 -methyl-1 -propenyl, 2-methyl-
1 - propenyl, 1 -methyl-2-propenyl, 2-methyl-2-propenyl.
The term "C2-C6-alkynyl" refers to a straight-chain or branched unsaturated hydrocarbon radical having 2 to 6 carbon atoms and containing at least one triple bond, such as ethynyl, 1 -propynyl,
2- propynyl (propargyl), 1 -butynyl, 2-butynyl, 3-butynyl, 1 -methyl-2-propynyl.
The term "Cs-Cs-cycloalkyl" refers to monocyclic saturated hydrocarbon radicals having 3 to 8 carbon ring members such as cyclopropyl (C3H5), cyclobutyl, cyclopentyl, cyclohexyl, cycloheptyl or cyclooctyl.
The term "Cs-Cs-cycloalkyl" refers to monocyclic saturated hydrocarbon radicals having 3 to 8 carbon ring members such as cyclopropyl (C3H5), cyclobutyl, cyclopentyl, cyclohexyl, cycloheptyl or cyclooctyl.
The terms "C(=0)-Ci-C4-alkyl" or "C(=0)-Ci-C4-alkoxy" refer to a radical which is attached
through the carbon atom of the -C(=0)- group as indicated by the number valence of the carbon atom.
The term "aliphatic" refers to compounds or radicals composed of carbon and hydrogen and which are non-aromatic compounds. An "alicyclic" compound or radical is an organic compound that is both aliphatic and cyclic. They contain one or more all-carbon rings which may be either saturated or unsaturated, but do not have aromatic character.
The terms "cyclic moiety" or "cyclic group" refer to a radical which is an alicyclic ring or an aromatic ring, such as, for example, phenyl or heteroaryl.
The term "and wherein any of the aliphatic or cyclic groups are unsubstituted or substituted with..." refers to aliphatic groups, cyclic groups and groups, which contain an aliphatic and a cyclic moiety in one group, such as in, for example, C3-C8-cycloalkyl-Ci-C4-alkyl; therefore a group which contains an aliphatic and a cyclic moiety both of these moieties may be substituted or unsubstituted independently of each other.
The term "vinylidene" refers to a group =CH2, the term "dichlorovinylidene" refers to a group =CCI2.
The term "wherein the groups Ra and Rb are connected to the remainder of the compounds of formula I through one of the ring carbon atoms" in the context of this invention means that one carbon atom of the groups Ra or Rb is connected to the remainder of the compounds of formula I, which includes any carbon atom of X, Y, Z, T and the bridgehead carbon atoms Ca and Cb, thereby substituting a hydrogen atom on said carbon atom.
The term "phenyl" refers to an aromatic ring systems incuding six carbon atoms (commonly referred to as benzene ring. In association with the group A the term "phenyl" is to be interpreted as a benzene ring or phenylene ring, which is attached to both, the oxadiazole moiety and the -CR3R4- group.
The term "saturated 3- to 7-membered carbocycle" is to be understood as meaning monocyclic saturated carbocycles having 3, 4 or 5 carbon ring members. Examples include cyclopropyl, cyclopentyl, cyclohexyl, cycloheptyl, and the like.
The term "3- to 10-membered saturated, partially unsaturated or aromatic mono- or bicyclic heterocycle, wherein the ring member atoms of said mono- or bicyclic heterocycle include besides carbon atoms further 1 , 2, 3 or 4 heteroatoms selected from N, O and S as ring member atoms", is to be understood as meaning both, aromatic mono- and bicyclic
heteroaromatic ring systems, and also saturated and partially unsaturated heterocycles, for example:
a 3- or 4-membered saturated heterocycle which contains 1 or 2 heteroatoms from the group consisting of N, O and S as ring members such as oxirane, aziridine, thiirane, oxetane, azetidine, thiethane, [1 ,2]dioxetane, [1 ,2]dithietane, [1 ,2]diazetidine;
and a 5- or 6-membered saturated or partially unsaturated heterocycle which contains 1 , 2 or 3 heteroatoms from the group consisting of N, O and S as ring members such as 2-tetrahydro- furanyl, 3-tetrahydrofuranyl, 2-tetrahydrothienyl, 3-tetrahydrothienyl, 2-pyrrolidinyl, 3-pyrrolidinyl, 3-isoxazolidinyl, 4-isoxazolidinyl, 5-isoxazolidinyl, 3-isothiazolidinyl, 4-isothiazolidinyl,
5-isothiazolidinyl, 3-pyrazolidinyl, 4-pyrazolidinyl, 5-pyrazolidinyl, 2-oxazolidinyl, 4-oxazolidinyl, 5-oxazolidinyl, 2-thiazolidinyl, 4-thiazolidinyl, 5-thiazolidinyl, 2-imidazolidinyl, 4-imidazolidinyl, 1 ,2,4-oxadiazolidin-3-yl, 1 ,2,4-oxadiazolidin-5-yl, 1 ,2,4-thiadiazolidin-3-yl, 1 ,2,4-thiadiazolidin-5- yl, 1 ,2,4-triazolidin-3-yl, 1 ,3,4-oxadiazolidin-2-yl, 1 ,3,4-thiadiazolidin-2-yl, 1 ,3,4-triazolidin-2-yl,
2,3-dihydrofur-2-yl, 2,3-dihydrofur-3-yl, 2,4-dihydrofur-2-yl, 2,4-dihydrofur-3-yl, 2,3-dihydrothien-
2- yl, 2,3-dihydrothien-3-yl, 2,4-dihydrothien-2-yl, 2,4-dihydrothien-3-yl, 2-pyrrolin-2-yl, 2-pyrrolin-
3- yl, 3-pyrrolin-2-yl, 3-pyrrolin-3-yl, 2-isoxazolin-3-yl, 3-isoxazolin-3-yl, 4-isoxazolin-3-yl, 2- isoxazolin-4-yl, 3-isoxazolin-4-yl, 4-isoxazolin-4-yl, 2-isoxazolin-5-yl, 3-isoxazolin-5-yl,
4-isoxazolin-5-yl, 2-isothiazolin-3-yl, 3-isothiazolin-3-yl, 4-isothiazolin-3-yl, 2-isothiazolin-4-yl, 3- isothiazolin-4-yl, 4-isothiazolin-4-yl, 2-isothiazolin-5-yl, 3-isothiazolin-5-yl, 4-isothiazolin-5-yl, 2,3- dihydropyrazol-1 -yl, 2,3-dihydropyrazol-2-yl, 2,3-dihydropyrazol-3-yl, 2,3-dihydropyrazol-4-yl, 2,3-dihydropyrazol-5-yl, 3,4-dihydropyrazol-1 -yl, 3,4-dihydropyrazol-3-yl, 3,4-dihydropyrazol-4- yl, 3,4-dihydropyrazol-5-yl, 4,5-dihydropyrazol-1 -yl, 4,5-dihydropyrazol-3-yl, 4,5-dihydropyrazol- 4-yl, 4,5-dihydropyrazol-5-yl, 2,3-dihydrooxazol-2-yl, 2,3-dihydrooxazol-3-yl, 2,3-dihydrooxazol-
4- yl, 2,3-dihydrooxazol-5-yl, 3,4-dihydrooxazol-2-yl, 3,4-dihydrooxazol-3-yl, 3,4-dihydrooxazol-4- yl, 3,4-dihydrooxazol-5-yl, 3,4-dihydrooxazol-2-yl, 3,4-dihydrooxazol-3-yl, 3,4-dihydrooxazol-4- yl, 2-piperidinyl, 3-piperidinyl, 4-piperidinyl, 1 ,3-dioxan-5-yl, 2-tetrahydropyranyl, 4- tetrahydropyranyl, 2-tetrahydrothienyl, 3-hexahydropyridazinyl, 4-hexahydropyridazinyl, 2-hexahydropyrimidinyl, 4-hexahydropyrimidinyl, 5-hexahydropyrimidinyl, 2-piperazinyl, 1 ,3,5- hexahydrotriazin-2-yl and 1 ,2,4-hexahydrotriazin-3-yl and also the corresponding -ylidene radicals; and
a 7-membered saturated or partially unsaturated heterocycle such as tetra- and
hexahydroazepinyl, such as 2,3,4,5-tetrahydro[1 H]azepin-1 -,-2-,-3-,-4-,-5-,-6- or-7-yl, 3,4,5,6- tetrahydro[2H]azepin-2-,-3-,-4-,-5-,-6- or-7-yl, 2,3,4,7-tetrahydro[1 H]azepin-1 -,-2-,-3-,-4-,-5-,-6- or-7-yl, 2,3,6,7-tetrahydro[1 H]azepin-1 -,-2-,-3-,-4-,-5-,-6- or-7-yl, hexahydroazepin-1 -,-2-,-3- or- 4-yl, tetra- and hexahydrooxepinyl such as 2,3,4,5-tetrahydro[1 H]oxepin-2-,-3-,-4-,-5-,-6- or-7-yl, 2,3,4,7-tetrahydro[1 H]oxepin-2-,-3-,-4-,-5-,-6- or-7-yl, 2,3,6,7-tetrahydro[1 H]oxepin-2-, -3-,-4-,-5- ,-6- or-7-yl, hexahydroazepin-1 -,-2-,-3- or-4-yl, tetra- and hexahydro-1 ,3-diazepinyl, tetra- and hexahydro-1 ,4-diazepinyl, tetra- and hexahydro-1 ,3-oxazepinyl, tetra- and hexahydro-1 ,4- oxazepinyl, tetra- and hexahydro-1 ,3-dioxepinyl, tetra- and hexahydro-1 ,4-dioxepinyl and the corresponding -ylidene radicals.
The term "5- or 6-membered heteroaryl" or the term "5- or 6-membered aromatic heterocycle" refer to aromatic ring systems incuding besides carbon atoms, 1 , 2, 3 or 4 heteroatoms independently selected from the group consisting of N, O and S, for example, a 5-membered heteroaryl such as pyrrol-1 -yl, pyrrol-2-yl, pyrrol-3-yl, thien-2-yl, thien-3-yl, furan-2-yl, furan-3-yl, pyrazol-1 -yl, pyrazol-3-yl, pyrazol-4-yl, pyrazol-5-yl, imidazol-1 -yl, imidazol-2-yl, imidazol-4-yl, imidazol-5-yl, oxazol-2-yl, oxazol-4-yl, oxazol-5-yl, isoxazol-3-yl, isoxazol-4-yl, isoxazol-5-yl, thiazol-2-yl, thiazol-4-yl, thiazol-5-yl, isothiazol-3-yl, isothiazol-4-yl, isothiazol-5-yl, 1 ,2,4-triazolyl- 1 -yl, 1 ,2,4-triazol-3-yl 1 ,2,4-triazol-5-yl, 1 ,2,4-oxadiazol-3-yl, 1 ,2,4-oxadiazol-5-yl and 1 ,2,4- thiadiazol-3-yl, 1 ,2,4-thiadiazol-5-yl; or
a 6-membered heteroaryl, such as pyridin-2-yl, pyridin-3-yl, pyridin-4-yl, pyridazin-3-yl, pyridazin-4-yl, pyrimidin-2-yl, pyrimidin-4-yl, pyrimidin-5-yl, pyrazin-2-yl and 1 ,3,5-triazin-2-yl and 1 ,2,4-triazin-3-yl.
In respect of the variables, the embodiments of the intermediates correspond to the
embodiments of the compounds I. Preference is given to those compounds I and, where applicable, also to compounds of all subformulae provided herein, e. g. formulae 1.1 , 1.2, 1.1 a,
I .A, I.B, I.C, I.D, I.E, I.F, I.G, I.H, I.J, I.K, I.L, I.M, I.N, I.O, IP, I.Q, I.R, I.S, IT, I.U and I.V, wherein the variables L, p, V, W, R1, R1a, Ra, Rb, X, Y, Z, T, R2, R3, R4, R5, A, n and RA have independently of each other or more preferably in combination (any possible combination of 2 or more substituents as defined herein) the following meanings:
In one aspect of the invention A is phenyl which is unsubstituted or substituted with 1 , 2, 3 or 4 identical or different groups RA as defined or preferably defined herein and wherein the group - (CR3R4)m-V-L-W is attached to the phenyl ring in para-pos\t\on with regard to the
trifluoromethyloxadiazole group.
In one aspect of the invention A is phenyl which is unsubstituted or substituted with 1 , 2, 3 or 4 identical or different groups RA as defined or preferably defined herein and wherein the group - (CR3R4)m-V-L-W is attached to the phenyl ring in /^e/s-position with regard to the
trifluoromethyloxadiazole group.
In a further aspect of the invention A is phenyl which is substituted with 1 or 2 identical or different groups RA as defined or preferably defined herein and wherein the group
-(CR3R4)m-V-L-W is attached to the phenyl ring in para-pos\t\on with regard to the
trifluoromethyloxadiazole group.
In another aspect of the invention A is phenyl which is unsubstituted and wherein the
group -(CR3R4)m-V-L-W is attached to the phenyl ring in para-pos\t\on with regard to the trifluoromethyloxadiazole group.
In one embodiment A is a 6-membered aromatic heterocycle, wherein the ring member atoms of the aromatic heterocycle include besides carbon atoms 1 or 2 nitrogen atoms as ring member atoms; and wherein the aromatic heterocycle is unsubstituted or substituted with 1 or 2 identical or different groups RA as defined or preferably defined herein; particularly RA is chlorine, fluorine or methyl.
In a further embodiment A is a 6-membered aromatic heterocycle, wherein the ring member atoms of the aromatic heterocycle include besides carbon atoms 1 or 2 nitrogen atoms as ring member atoms; and wherein the aromatic heterocycle is unsubstituted or substituted with 1 or 2 identical or different groups RA as defined or preferably defined herein; particularly RA is chlorine, fluorine or methyl; and wherein the group -(CR3R4)m-V-L-W is attached to the 6- membered aromatic heterocycle in para-pos\t\on with regard to the trifluoromethyloxadiazole group.
In a further preferred embodiment A is a 5-membered aromatic heterocycle, in particular a thiophene ring, more particularly a 2,5-thiophenyl ring, wherein the ring member atoms of the heterocycle include besides carbon atoms 1 , 2, 3 or 4 heteroatoms selected from N, O and S as ring member atoms; and wherein the cyclic groups A are unsubstituted or substituted with 1 or 2 identical or different groups RA as defined or preferably defined herein; particularly RA is chlorine, fluorine or methyl. In one embodiment the invention relates to compounds of the formula I, wherein the cyclic moiety A is defined as in subformulae (A.1 ) to (A.30),
wherein #1 denotes the position which is bound to the trifluoromethyloxadiazole moiety and #2 denotes the position, which is connected to the -(CR3R4)m-V-L-W group of compounds of the formula I; and wherein the cyclic moiety A is unsubstituted or substituted with 1 or 2 identical or
different groups RA and wherein RA is as defined or preferably defined herein. In another embodiment the cyclic moieties A as defined in any one of subformulae (A.1 ) to (A.30) is unsubstituted or substituted with 1 or 2 identical or different groups RA; and wherein RA is chlorine, fluorine or methyl. In a preferred embodiment the cyclic moiety A as defined in any one of subformulae (A.1 ) to (A.30) is unsubstituted.
In a preferred embodiment RA is independently selected from the group consisting of halogen, Ci-C6-alkyl or C3-C8-cycloalkyl. In another preferred embodiment RA is independently selected from the group consisting of halogen, methyl or ethyl. More preferably RA is independently selected from the group consisting of halogen, in particular RA is fluorine.
Embodiment 1 .1 : R1 is d-Ce-alkyl, C2-Ce-alkenyl, C2-Ce-alkynyl, Cs-Cs-cycloalkyl, C3-C3- cycloalkenyl, phenyl-Ci-C4-alkyl, heteroaryl-Ci-C4-alkyl, phenyl or heteroaryl; and wherein the heteroaryl group is a 5- or 6-membered aromatic heterocycle, wherein the ring includes besides carbon atoms 1 , 2, 3 or 4 heteroatoms selected from N, O and S as ring member atoms; and wherein any of the aliphatic or cyclic groups are unsubstituted or substituted with 1 , 2, 3 or up to the maximum possible number of identical or different radicals R1a as defined or preferably defined herein.
Embodiment 1 .2: R1 is phenyl or heteroaryl; and wherein the heteroaryl group is a 5- or 6- membered aromatic heterocycle, wherein the ring includes besides carbon atoms 1 , 2, 3 or 4 heteroatoms selected from N, O and S as ring member atoms; and wherein any of the cyclic groups are unsubstituted or substituted with 1 , 2, 3 or up to the maximum possible number of identical or different radicals R1a as defined or preferably defined herein.
Embodiment 1 .3: R1 is Cs-Cs-cycloalkyl or Cs-Cs-cycloalkenyl; and wherein the cyclic group is unsubstituted or substituted with 1 , 2, 3 or up to the maximum possible number of identical or different radicals R1a as defined or preferably defined herein.
Embodiment 1 .4: R1 is Ci-C6-alkyl; and wherein the alkyl group is unsubstituted or substituted with 1 , 2, 3 or up to the maximum possible number of identical or different radicals R1a as defined or preferably defined herein.
Embodiment 1 .5: R1 is difluoromethyl, trifluoromethyl, 2,2-difluoroethyl, 2,2,2-trifluoroethyl, 2- chloro-2-fluoroethyl, 2-chloro-2,2-difluoroethyl, 2,2,2-trichloroethyl and pentafluoroethyl, 3,3,3- trifluoropropyl, CH2CF2CF3 or CF2CF2CF5, CH(CH3)CF3, CH2CF2CH3, CH2C(CH3)2F,
CH2CH(CH3)CF3 or CH2C(CH3)2CF3.
Embodiment 1 .6: R1 is 2,2,2-trifluoroethyl.
Embodiment 1 .7: R1 is a bicyclic carbocycle of the formula Ra
wherein
Ca and Cb are bridgehead carbon atoms;
X is a direct single bond or a divalent group selected from the group consisting of -CH2- or - CH2-CH2-;
Y and Z independently of each other are a divalent group selected from the group consisting of -CH2- or -CH2-CH2-;
and wherein Ra is connected to the remainder of the compounds of formula I through one of the ring carbon atoms of the groups Ra; and wherein Ra is unsubstituted or substituted with 1 , 2, 3, 4 or up to the maximum possible number of radicals selected from the group consisting of oxo, hydroxy, halogen, Ci-C3-alkyl.
Embodiment 1 .8: R1 is a tricyclic carbocycle of the formula Rb
wherein
Ca and Cb are bridgehead carbon atoms;
X is a direct single bond or a divalent group selected from the group consisting of -CH2- or - CH2-CH2-;
Y and Z independently of each other are a divalent group selected from the group consisting of -CH2- or -CH2-CH2-; and wherein groups Y and Z are attached to the bridgehead carbon atoms Ca and Cb;
T is a divalent group selected from the group consisting of -CH2- or -CH2-CH2-; and wherein the group T is attached to one carbon atom in each of the groups Y and Z;
and with the proviso that, if X is a direct single bond or a divalent group -CH2-, the groups T and
Z independently of each other are a divalent group -CH2-CH2-;
and wherein Rb is connected to the remainder of the compounds of formula I through one of the ring carbon atoms of the groups Rb; and wherein Rb is unsubstituted or substituted with 1 , 2, 3, 4 or up to the maximum possible number of radicals selected from the group consisting of oxo, hydroxy, halogen, Ci-C3-alkyl.
Embodiment 1 .9: R1 is a bicyclic or tricyclic carbocycle selected from the group consisting of radicals R1.1 to R1.31 below; wherein each radical may be connected to the remainder of the compounds of formula I through one of the ring carbon atoms by substitution of one hydrogen atom; and wherein R1 is unsubstituted or substituted with 1 or 2 radicals selected from the group consisting of oxo, hydroxy, halogen and Ci-C3-alkyl.
Embodiment 1.10: R1 is selected from the group consisting of R1.32 to R1.57 below, particularly from R1.32 to R1.49, which are further unsubstituted, and wherein "#C" indicates the carbon atom, which is attached to the remainder of the compounds of formula I.
In one embodiment R1a is selected from the group consisting of halogen, cyano, Ci-C6-alkyl, Ci-C6-haloalkyl, Ci-C6-alkoxy, Ci-C6-haloalkoxy and Cs-Cs-cycloalkyl.
In another aspect of the invention R1a is selected from the group consisting of fluorine, chlorine, cyano, methyl, ethyl, methoxy, trifluoromethyl, trifluoromethoxy, difluoromethyl, difluoromethoxy or cyclopropyl.
In a preferred aspect of the invention R1a is selected from the group consisting of halogen, Ci-C6-alkyl and Cs-Cs-cycloalkyl; particularly from methyl, ethyl, fluorine and chlorine; more particularly from fluorine and chlorine.
Embodiment 25.1 : R2 and R5 independently of each other are hydrogen, Ci-C6-alkyl, C2-C6-alk- enyl, propargyl, Cs-Cs-cycloalkyl, Cs-Cs-cycloalkenyl, C3-Cs-cycloalkyl-Ci-C4-alkyl or phenyl; and wherein any of the aliphatic or cyclic groups are unsubstituted or substituted with 1 , 2, 3, 4 or up to the maximum possible number of identical or different radicals selected from the group consisting of halogen, cyano, Ci-C6-alkyl and Ci-C6-alkoxy; more preferably from halogen, in particular the radical is fluorine.
Embodiment 25.2: R2 and R5 independently of each other are hydrogen, methyl, ethyl, iso- propyl, cyclopropyl, cyclopropyl-Chb-, allyl, phenyl, 4-F-phenyl or 2-F-phenyl.
Embodiment 25.3: R2 and R5 independently of each other are hydrogen, Ci-C6-alkyl, C2-C6-alk- enyl, propargyl or Cs-Cs-cycloalkyl.
Embodiment 25.4: R2 and R5 independently of each other are hydrogen, methyl, ethyl, /7-propyl, /so-propyl, cyclopropyl, cyclopropyl-Chb- or allyl.
Embodiment 25.5: R2 and R5 independently of each other are hydrogen, Ci-C6-alkyl, C2-C6-alk- enyl or propargyl.
Embodiment 25.6: R2 and R5 independently of each other are hydrogen, methy or ethyl.
Embodiment 25.7: R2 and R5 are hydrogen.
Embodiment 5.1 : R2 independently of each other are selected from the group consisting of hydrogen, methy or ethyl; and, if R5 is present, R5 is hydrogen, Ci-C6-alkyl, C2-C6-alkenyl, propargyl, Cs-Cs-cycloalkyl, Cs-Cs-cycloalkenyl, C3-Cs-cycloalkyl-Ci-C4-alkyl or phenyl; and wherein any of the aliphatic or cyclic groups in R5 are unsubstituted or substituted with 1 , 2, 3, 4 or up to the maximum possible number of identical or different radicals selected from the group consisting of halogen, cyano, Ci-C6-alkyl and Ci-C6-alkoxy.
Embodiment 5.2: R2 independently of each other are selected from the group consisting of hydrogen, methy or ethyl; and, if R5 is present, R5 is hydrogen, Ci-C6-alkyl, C2-C6-alkenyl, propargyl or Cs-Cs-cycloalkyl; and wherein any of the aliphatic or cyclic groups in R5 are unsubstituted or substituted with 1 , 2, 3, 4 or up to the maximum possible number of identical or different radicals selected from the group consisting of halogen and Ci-C6-alkyl.
Embodiment 5.3: R2 independently of each other are selected from the group consisting of hydrogen, methy or ethyl; and, if R5 is present, R5 is hydrogen, methyl, ethyl, /7-propyl, iso- propyl, cyclopropyl, cyclopropyl-Chb-, allyl, phenyl, 4-F-phenyl or 2-F-phenyl.
In a more preferred embodiment radical R5 in embodiments 5.1 , 5.2 and 5.3 is unsubstituted or substituted with 1 , 2, 3, 4 or up to the maximum possible number of identical or different radicals selected from the group consisting of halogen and Ci-C6-alkyl; particularly from methyl, ethyl, fluorine and chlorine; more particularly from fluorine and chlorine.
In one aspect R2 and R5 independently of each other are selected from the group consisting of hydrogen, Ci-C6-alkyl, C2-C6-alkenyl, Cs-Cs-cycloalkyl, C3-C8-cycloalkyl-Ci-C4-alkyl; and R1 is
Ci-C6-alkyl, Cs-Cs-cycloalkyl, C3-Cs-cycloalkenyl, C2-C6-alkenyl, C2-C6-alkynyl, phenyl- Ci-C4-alkyl, heteroaryl-Ci-C4-alkyl, phenyl or heteroaryl; and wherein the heteroaryl group is a 5- or 6-membered aromatic heterocycle, wherein the ring includes besides carbon atoms 1 , 2, 3 or 4 heteroatoms selected from N, O and S as ring member atoms; and wherein any of the aliphatic or cyclic groups in R1 are unsubstituted or substituted with 1 , 2, 3, 4 or up to the maximum possible number of identical or different radicals R1a as defined or preferably defined herein.
In another aspect R2 and R5 independently of each other are selected from the group consisting of hydrogen, methyl, ethyl, /7-propyl, /so-propyl, cyclopropyl, cyclopropyl-Chb- or allyl; and R1 is Ci-C6-alkyl, Cs-Cs-cycloalkyl, C3-Cs-cycloalkenyl, C2-C6-alkenyl or C2-C6-alkynyl; and wherein any of the aliphatic or cyclic groups in R1 are unsubstituted or substituted with 1 , 2, 3, 4 or up to the maximum possible number of identical or different radicals selected from the group
consisting of halogen or Ci-C6-alkyl.
In one aspect W is R1, -NR5-R1; more preferably R1.
In one embodiment L is -S(=0)p-, wherein p is 0, 1 or 2; preferably p is 2. In a preferred embodiment L is -C(=0)- or -C(=S)-, in particular L is -C(=0)-.
In a further preferred aspect L is -C(=0)- and W is R1 or -NR5-R1; in particular W is R1.
In still another preferred aspect L is -C(=S)- and W is R1 or -NR5-R1; in particular W is R1.
In yet another preferred aspect L is -S02- and W is R1 or -NR5-R1; in particular W is R1.
In further aspects of the present invention the embodiments E.1 to E.243 listed in Table E represent preferred combinations of the embodiments, which are defined above for each of the variables V, L, W, R1, R2 and/or R5.
Table E
In a further aspect m is 1 and group -V-L-W is as defined or preferably defined herein;
particularly as defined in one of the embodiments E.1 to E.243 of table E.
In a preferred aspect m is 1 and W is R1 or -NR5-R1; in particular W is R1.
In another preferred aspect m is 1 , L is -C(=0)- and W is R1 or -NR5-R1; in particular W is R1. In a further aspect m is 0 and group -V-L-W is as defined or preferably defined herein;
particularly as defined in one of the embodiments E.1 to E.243 of table E.
In yet another preferred aspect m is 0; W is R1; R2 is independently selected from the group consisting of hydrogen, Ci-C6-alkyl, C2-C6-alkenyl or propargyl; and R1 is Ci-C6-alkyl, C3-C8- cycloalkyl, Cs-Cs-cycloalkenyl, C2-C6-alkenyl, C2-C6-alkynyl, phenyl-Ci-C4-alkyl, heteroaryl- Ci-C4-alkyl, phenyl or heteroaryl; and wherein the heteroaryl group is a 5- or 6-membered aromatic heterocycle, wherein the ring includes besides carbon atoms 1 , 2, 3 or 4 heteroatoms selected from N, O and S as ring member atoms; and wherein any of the aliphatic or cyclic groups in R1 are unsubstituted or substituted with 1 , 2, 3, 4 or up to the maximum possible number of identical or different radicals R1a as defined or preferably defined herein.
In a further preferred aspect m is 0; n is 0; W is R1; R2 is independently selected from the group consisting of hydrogen, methy and ethyl; and R1 is Ci-C6-alkyl, C3-Cs-cycloalkyl,
Cs-Cs-cycloalkenyl, C2-C6-alkenyl, C2-C6-alkynyl or phenyl; and wherein any of the aliphatic or cyclic groups in R1 are unsubstituted or substituted with 1 , 2, 3, 4 or up to the maximum possible number of identical or different radicals selected from the group consisting of halogen.
In one embodiment the invention relates to compounds of the formula I, wherein R3 and R4 independently of each other are hydrogen, halogen, Ci-C6-alkyl or Ci-C6-haloalkyl.
In another embodiment the invention relates to compounds of the formula I, wherein R3 and R4 independently of each other are hydrogen or Ci-C4-alkyl; preferably hydrogen, methyl or ethyl.
In a further embodiment R3 and R4 are independently of each other hydrogen, fluorine, chlorine, methyl or trifluoromethyl. In another aspect R3 and R4 are both hydrogen.
In a further aspect R3 is hydrogen and R4 is methyl. In yet another aspect R3 and R4 are both methyl. In a further aspect R3 and R4 are both fluorine. In another embodiment R3 is hydrogen and R4 is trifluoromethyl. In one embodiment R3 and R4 are both trifluoromethyl.
In one embodiment R3 and R4 together with the carbon atom to which they are bound a saturated monocyclic 3- to 5-membered saturated heterocycle or saturated carbocycle; and wherein the saturated heterocycle includes beside one or more carbon atoms no heteroatoms or 1 or 2 heteroatoms independently selected from N, O and S as ring member atoms; and wherein the heterocycle or the carbocycle is unsubstituted or substituted 1 , 2, 3, 4 or up to the maximum possible number of identical or different radicals selected from the group consisting of halogen, cyano and Ci-C2-alkyl.
In another embodiment R3 and R4 together with the carbon atom to which they are bound form a 3- or 4-membered carbocylic ring; and wherein the carbocylic ring is unsubstituted.
In another aspect R3 and R4 together with the carbon atom to which they are bound form a cyclopropyl ring, wherein the cyclopropyl ring is unsubstituted.
In still another embodiment R3 and R4 together with the carbon atom to which they are bound form a saturated 3-membered heterocycle; wherein the heterocycle includes beside two carbon atoms one heteroatom selected from N, O and S as ring member atoms; and wherein the heterocycle is unsubstituted or substituted 1 , 2, 3, 4 or up to the maximum possible number of identical or different radicals selected from the group consisting of halogen, cyano and
Ci-C2-alkyl.
In one embodiment the invention relates to compounds of the formulae 1.1 or 1.2, or the N- oxides, or the agriculturally acceptable salts thereof,
wherein n is 0, 1 or 2; and wherein the meaning of the variables V, L, p, W, R1, R2 and R5 are as defined or preferably defined herein for compounds of the formula I, in particular as defined in embodiments E.1 to E.243 in Table E; and wherein RA, R3 and R4 are as defined or preferably defined herein for compounds of the formula I; more preferably R3 and R4 are independently selected from hydrogen, halogen, Ci-C6-alkyl, Ci-C6-haloalkyl; or R3 and R4 together with the carbon atom to which they are bound form a cyclopropyl ring; in a particularly preferred embodiment R3 and R4 are hydrogen.
In a further embodiment the invention relates to compounds of the group 1.1 a of formula 1.1 , or the N-oxides, or the agriculturally acceptable salts thereof, wherein:
RA is halogen, Ci-C6-alkyl or Cs-Cs-cycloalkyl;
n is O or l ;
V is -NR2-NR2-;
L is -(C=0)-, -C(=S)- or -SO2-;
W is R1 or -NR5-R1;
R1 is Ci-C6-alkyl, C2-C6-alkenyl, C2-C6-alkynyl, Cs-Cs-cycloalkyl, Cs-Cs-cycloalkenyl; and wherein the aliphatic and cyclic groups are unsubstituted or substituted with 1 , 2, 3 or up to the maximum possible number of identical or different radials selected from the group consisting of halogen, Ci-C6-alkyl and Cs-Cs-cycloalkyl; or
R1 and R5 together with the nitrogen atom to which they are bound form a saturated or partially unsaturated mono- or bicyclic 3- to 10-membered heterocycle, wherein the heterocycle includes beside one nitrogen atom and one or more carbon atoms 1 , 2 or 3 heteroatoms independently selected from N, O and S as ring member atoms; and wherein one or two CH2 groups of the heterocycle may be replaced by one or two groups independently selected from the group of -C(=0)- and -C(=S)-; and wherein the heterocycle is unsubstituted or substituted with 1 , 2, 3, 4 or up to the maximum possible number of identical or different radicals selected from the group constisting of halogen, cyano, C1-C6- alkyl, Ci-C6-haloalkyl, Ci-C6-alkoxy and Ci-C6-haloalkoxy;
R2 and R5 independently of each other are selected from the group consisting of hydrogen,
Ci-C6-alkyl, C2-C6-alkenyl, propargyl and Cs-Cs-cycloalkyl;
R3 and R4 are independently selected from the group consisting of hydrogen, fluorine, chlorine, methyl or trifluoromethyl;
or R3 and R4 together with the carbon atom to which they are bound form a cyclopropyl ring.
In a further embodiment the invention relates to compounds of the group 1.1 a, wherein n is 0, and wherein R3 and R4 are independently selected from the group consisting of hydrogen, halogen, Ci-C6-alkyl and Ci-C6-haloalkyl; or R3 and R4 together with the carbon atom to which they are bound form a cyclopropyl ring. In yet another embodiment the invention relates to compounds of the group 1.1 a, wherein R3 and R4 are hydrogen.
In a further embodiment the invention relates to compounds of the group 1.1 b of formula 1.2, or the N-oxides, or the agriculturally acceptable salts thereof, wherein:
RA is halogen, Ci-C6-alkyl or Cs-Cs-cycloalkyl;
n is O or l ;
V is -NR2-NR2-;
L is -(C=0)-, -C(=S)- or -SO2-;
W is R1 or -NR5-R1;
R1 is Ci-C6-alkyl, C2-C6-alkenyl, C2-C6-alkynyl, Cs-Cs-cycloalkyl, Cs-Cs-cycloalkenyl; and wherein the aliphatic and cyclic groups are unsubstituted or substituted with 1 , 2, 3 or up to the maximum possible number of identical or different radials selected from the group consisting of halogen, Ci-C6-alkyl and Cs-Cs-cycloalkyl; or
R1 and R5 together with the nitrogen atom to which they are bound form a saturated or partially unsaturated mono- or bicyclic 3- to 10-membered heterocycle, wherein the heterocycle includes beside one nitrogen atom and one or more carbon atoms 1 , 2 or 3 heteroatoms
independently selected from N, O and S as ring member atoms; and wherein one or two CH2 groups of the heterocycle may be replaced by one or two groups independently selected from the group of -C(=0)- and -C(=S)-; and wherein the heterocycle is unsubstituted or substituted with 1 , 2, 3, 4 or up to the maximum possible number of identical or different radicals selected from the group constisting of halogen, cyano, C1-C6- alkyl, Ci-C6-haloalkyl, Ci-C6-alkoxy and Ci-C6-haloalkoxy;
R2 and R5 independently of each other are selected from the group consisting of hydrogen, Ci-C6-alkyl, C2-C6-alkenyl, propargyl and Cs-Cs-cycloalkyl.
In a preferred embodiment the invention relates to compounds of the group 1.1 c of formula 1.2, or the N-oxides, or the agriculturally acceptable salts thereof, wherein:
n is 0;
V is -N R2-N R2-;
L is -(C=0)-, -C(=S)- or -SO2-;
W is R1;
R1 is Ci-C6-alkyl, Cs-Cs-cycloalkyl, Cs-Cs-cycloalkenyl, C2-C6-alkenyl, C2-C6-alkynyl or phenyl; and wherein any of the aliphatic or cyclic groups in R1 are unsubstituted or substituted with 1 , 2, 3, 4 or up to the maximum possible number of identical or different radicals selected from the group consisting of halogen; and
R2 independently of each other are selected from the group consisting hydrogen, methy and ethyl.
In one embodiment, the present invention relates to compounds of the formulae I.A, I.B, I.C, I.D, I.E, I.F, I.G, I.H, I.J, I.K, I.L, I.M, I.N, I.O, I , I.Q, I.R, I.S, I , I.U and I.V and to their use for controlling phytopathogenic fungi, wherein the variables R1 and R2 are as defined or preferably defined herein; and whereas radicals R2a and R2b herein shall represent independently selected radicals R2 as defined herein.
Preference is given to compounds of the formula I, which are compiled in Tables 1 to 21 below, and which may be used according to the invention.
Table 1 : Compounds of the formula I. A, in which R1, R2a and R2b for each individual compound corresponds in each case to one line A-1 to A-1360 of Table A (compounds I.A.A-1 to I.A.A- 1360). This means, for example, that a compound of formula I. A, wherein R1 is /so-propyl and R2a and R2b are hydrogen (corresponding to the definition A-4 in Table A) is named I.A.A-4. Table 2: Compounds of the formula I.B, in which R1, R2a and R2b for each individual compound corresponds in each case to one line A-1 to A-1360 of Table A (compounds I.B.A-1 to I.B.A- 1360). This means, for example, that a compound of formula I.B, wherein R1 is /so-propyl, R2a is methyl and R2b is hydrogen (corresponding to the definition A-1024 in Table A) is named I.B.A- 1024.
Table 3: Compounds of the formula I.C, in which R1, R2a and R2b for each individual compound corresponds in each case to one line A-1 to A-1360 of Table A (compounds I.C.A-1 to I.C.A- 1360)
Table 4: Compounds of the formula I.D, in which R1, R2a and R2b for each individual compound corresponds in each case to one line A-1 to A-1360 of Table A (compounds I.D.A-1 to I.D.A- 1360).
Table 5: Compounds of the formula I.E, in which R1, R2a and R2b for each individual compound corresponds in each case to one line A-1 to A-1360 of Table A (compounds I.E.A-1 to I.E.A- 1360).
Table 6: Compounds of the formula I.F, in which R1, R2a and R2b for each individual compound corresponds in each case to one line A-1 to A-1360 of Table A (compounds I.F.A-1 to I.F.A- 1360).
Table 7: Compounds of the formula I.G, in which R1, R2a and R2b for each individual compound corresponds in each case toone line A-1 to A-1360 of Table A (compounds I.G.A-1 to I.G.A- 1360).
Table 8: Compounds of the formula I.H, in which R1, R2a and R2b for each individual compound corresponds in each case to one line A-1 to A-1360 of Table A (compounds I.H. A-1 to I.H.A- 1360)
Table 9: Compounds of the formula I.J, in which R1, R2a and R2b for each individual compound corresponds in each case to one line A-1 to A-1360 of Table A (compounds I.J. A-1 to I. J. A-
1360).
Table 10: Compounds of the formula I.K, in which R1, R2a and R2b for each individual compound corresponds in each case to one line A-1 to A-1360 of Table A (compounds I.K.A-1 to I.K.A- 1360).
Table 1 1 : Compounds of the formula I.L, in which R1, R2a and R2b for each individual compound corresponds in each case to one line A-1 to A-1360 of Table A (compounds I.L.A-1 to I.L.A- 1360).
Table 12: Compounds of the formula I.M, in which R1, R2a and R2b for each individual compound corresponds in each case to one line A-1 to A-1360 of Table A (compounds I.M.A-1 to I.M.A- 1360).
Table 13: Compounds of the formula I.N, in which R1, R2a and R2b for each individual compound corresponds in each case to one line A-1 to A-1360 of Table A (compounds I.N.A-1 to I.N.A- 1360).
Table 14: Compounds of the formula I.O, in which R1, R2a and R2b for each individual compound corresponds in each case to one line A-1 to A-1360 of Table A (compounds I.O.A-1 to I.O.A- 1360).
Table 15: Compounds of the formula I.P, in which R1, R2a and R2b for each individual compound corresponds in each case to one line A-1 to A-1360 of Table A (compounds I.P.A-1 to I.P.A- 1360).
Table 16: Compounds of the formula I.Q, in which R1, R2a and R2b for each individual compound corresponds in each case to one line A-1 to A-1360 of Table A (compounds I.Q.A-1 to I.Q.A- 1360).
Table 17: Compounds of the formula I.R, in which R1, R2a and R2b for each individual compound corresponds in each case to one line A-1 to A-1360 of Table A (compounds I.R.A-1 to I.R.A- 1360).
Table 18: Compounds of the formula I.S, in which R1, R2a and R2b for each individual compound corresponds in each case to one line A-1 to A-1360 of Table A (compounds I.S.A-1 to I.S.A- 1360).
Table 19: Compounds of the formula I.T, in which R1, R2a and R2b for each individual compound corresponds in each case to one line A-1 to A-1360 of Table A (compounds I.T.A-1 to I.T.A- 1360).
Table 20: Compounds of the formula I.U, in which R1, R2a and R2b for each individual compound corresponds in each case to one line A-1 to A-1360 of Table A (compounds I. U.A-1 to I.U.A- 1360).
Table 21 : Compounds of the formula I.V, in which R1, R2a and R2b for each individual compound corresponds in each case to one line A-1 to A-1360 of Table A (compounds I.V.A-1 to I.V.A- 1360).
Table A:
The compounds of the formula I can be prepared according to methods or in analogy to methods that are described in the prior art. The synthesis takes advantage of starting materials that are commercially available or may be prepared according to conventional procedures starting from readily available compounds. For example, compounds of the formula I can be prepared in two steps by reacting of oxadiazole hydrazine II with compounds of type III (for example LG = chlorine or acetate) in an organic solvent and in the presence of a base. By thionylation of the obtained hydrazide la with either Lawesson's reagent or diphosphorus
pentasulfide, as previously described (see, for example, Journal of Heterocyclic Chemistry, 2 lc.
Alternatively compounds of formula la' wherein L = -(C=0)- and W is -NR5R1 can be prepared by reacting oxadiazol hydrazide II with a corresponding isocyanate in the presence of a base and organic solvent.
Compounds of the formula II can be prepared by reacting amidoximes of type IV with
trifluoroacetic anhydride in an organic solvent, preferably an ethereal solvent at temperatures between 0 °C and 100 °C, preferably at room temperature, as previously described in WO 2013/00816
A skilled person will recognize that compounds of type IV can be accessed by treating nitriles of type V with hydroxylamine (or its hydrochloric acid salt) in an organic solvent and in the presence of a base (for precedents see for example WO 2009/074950, WO 2006/013104), preferably in ethanol and in the presence of potassium carbonate. If appropriate, water may be added to enhance solubility of the reactants. The reaction is best performed at elevated temperatures, most preferably in the range between 60°C and 80°C.
In cases where R2 is hydrogen, the nitrogen atoms of the hydrazide group need to be protected with protecting groups before cyclization reactions preferable with tert.-butyloxycarbonyl anhydrid.
Compounds V are either commercially available or can be accessed from readily available starting materials through methods that are known to a person skilled in the art.
An alternative synthesis route to obtain compounds of formula I starts from a compound of the formula V, which is reacted with compounds III as described below. The resulting hydrazide or sulfonyl hydrazide compounds VI still bears the cyano group, which is subsequently converted into the oxadiazole ring to produce compounds of the formula I via a two step cyclization reaction with hydroxylamine hydrochloride and trifluoroacetic anhydride as described above. The carboxamide may further be thionylated as described above.
Another embodiment of the invention relates to intermediate compounds of the formulae II, IV or VI, wherein the variables L, W, A, R2, m, R3 and R4 are as defined or preferably defined herein for compounds of the formula I; preferably A is phenyl.
Preferably the invention relates to intermediate compounds of the formulae II. a, II. b, IV.a, IV.b, Vl.a or Vl.b,
wherein the variables L, W, R2, R3 and R4 are as defined or preferably defined herein for compounds of the formula I.
In a further embodiment the invention relates to intermediate compounds of the formulae ll.a, IV.a or Vl.a, wherein R3 and R4 independently of each other are hydrogen, halogen, Ci-C6-alkyl
or Ci-C6-haloalkyl; or R3 and R4 together with the carbon atom to which they are bound form a cyclopropyl ring; in particular R3 and R4 are hydrogen; and R2 independently of each other are selected from the group consisting of hydrogen, Ci-C6-alkyl, C2-C6-alkenyl, C2-C6-alkynyl, C3-C8- cycloalkyl or C3-C8-cycloalkyl-Ci-C4-alky; and wherein in compounds VI. a, L is -C(=0)- or -S(0)2-, and W is as defined herein for compounds of the formula I.
In a further embodiment the invention relates to intermediate compounds of the formulae II. b, IV. b or Vl.b, wherein R2 independently of each other are selected from the group consisting of hydrogen, Ci-C6-alkyl, C2-C6-alkenyl, C2-C6-alkynyl, Cs-Cs-cycloalkyl or C3-Cs-cycloalkyl-Ci-C4- alkyl; and wherein in compounds Vl.b, L is -C(=0)- or -S(0)2-, and W is as defined herein for compounds of the formula I.
Especially preferred intermediates are compounds of the formulae II. a, IV. a or VI. a, wherein R3 and R4 are hydrogen; and R2 independently of each other are selected from the group consisting of hydrogen, methyl, ethyl, /7-propyl, /7-butyl, 1 -methylpropyl, 2-methylpropyl, tert- butyl, cyclopropyl, cyclopropyl-Chb-, allyl or propargyl; and wherein in compounds VI. a, L is -C(=0)- or -S(0)2-, and W is as defined herein for compounds of the formula I.
Especially preferred intermediates are compounds of the formulae II. b, IV. b or Vl.b, wherein R2 independently of each other are selected from the group consisting of hydrogen, methyl, ethyl, /7-propyl, /7-butyl, 1 -methylpropyl, 2-methylpropyl, tert-butyl, cyclopropyl, cyclopropyl-Chb-, allyl or propargyl; and wherein in compounds Vl.b, L is -C(=0)- or -S(0)2-, and W is as defined herein for compounds of the formula I.
Particularly preferred intermediates are compounds of the formulae II. b, IV. b or Vl.b, wherein R2 independently of each other are selected from the group consisting of hydrogen, methyl and ethyl; and wherein in compounds Vl.b, L is -C(=0)-; W is R1; and R1 is Ci-C6-alkyl, Cs-Cs- cycloalkyl, C3-Cs-cycloalkenyl, C2-C6-alkenyl, C2-C6-alkynyl or phenyl; and wherein any of the aliphatic or cyclic groups in R1 are unsubstituted or substituted with 1 , 2, 3, 4 or up to the maximum possible number of identical or different radicals selected from the group consisting of halogen.
The compounds of the formula I or compositions comprising said compounds according to the invention and the mixtures comprising said compounds and compositions, respectively, are suitable as fungicides. They are distinguished by an outstanding effectiveness against a broad spectrum of phytopathogenic fungi, including soil-borne fungi, which derive especially from the following classes or are closely related to any of them: Ascomycota (Ascomycetes), for example, but not limited to the genus Cocholiobolus, Colletotrichum, Fusarium, Microdochium, Penicillium, Phoma, Magnaporte, Zymoseptoria, and Pseudocercosporella; Basdiomycota
(Basidiomycetes), for example, but not limited to the genus Phakospora, Puccinia, Rhizoctonia, Sphacelotheca, Tilletia, Typhula, and Ustilago; Chytridiomycota (Chytridiomycetes), for example, but not limited to the genus Chytridiales, and Synchytrium; Deuteromycetes (syn. Fungi imperfecti), for example, but not limited to the genus Ascochyta, Diplodia, Erysiphe, Fusarium, Phomopsis, and Pyrenophora; Peronosporomycetes (syn. Oomycetes), for example but not limited to the genus Peronospora, Pythium, Phytophthora; Plasmodiophoromycetes, for example but not limited to the genus Plasmodiophora; Zygomycetes, for example, but not limited to the genus Rhizopus.
Some of the compounds of the formula I and the compositions according to the invention are
systemically effective and they can be used in crop protection as foliar fungicides, fungicides for seed dressing and soil fungicides. Moreover, they are suitable for controlling harmful fungi, which inter alia occur in wood or roots of plants.
The compounds I and the compositions according to the invention are particularly important in the control of a multitude of phytopathogenic fungi on various cultivated plants, such as cereals, e. g. wheat, rye, barley, triticale, oats or rice; beet, e. g. sugar beet or fodder beet; fruits, such as pomes, stone fruits or soft fruits, e. g. apples, pears, plums, peaches, almonds, cherries, strawberries, raspberries, blackberries or gooseberries; leguminous plants, such as lentils, peas, alfalfa or soybeans; oil plants, such as rape, mustard, olives, sunflowers, coconut, cocoa beans, castor oil plants, oil palms, ground nuts or soybeans; cucurbits, such as squashes, cucumber or melons; fiber plants, such as cotton, flax, hemp or jute; citrus fruit, such as oranges, lemons, grapefruits or mandarins; vegetables, such as spinach, lettuce, asparagus, cabbages, carrots, onions, tomatoes, potatoes, cucurbits or paprika; lauraceous plants, such as avocados, cinnamon or camphor; energy and raw material plants, such as corn, soybean, rape, sugar cane or oil palm; corn; tobacco; nuts; coffee; tea; bananas; vines (table grapes and grape juice grape vines); hop; turf; sweet leaf (also called Stevia); natural rubber plants or ornamental and forestry plants, such as flowers, shrubs, broad-leaved trees or evergreens, e. g. conifers; and on the plant propagation material, such as seeds, and the crop material of these plants. Preferably, compounds I and compositions thereof, respectively are used for controlling a multitude of fungi on field crops, such as potatoes sugar beets, tobacco, wheat, rye, barley, oats, rice, corn, cotton, soybeans, rape, legumes, sunflowers, coffee or sugar cane; fruits; vines; ornamentals; or vegetables, such as cucumbers, tomatoes, beans or squashes.
The term "plant propagation material" is to be understood to denote all the generative parts of the plant such as seeds and vegetative plant material such as cuttings and tubers (e. g.
potatoes), which can be used for the multiplication of the plant. This includes seeds, roots, fruits, tubers, bulbs, rhizomes, shoots, sprouts and other parts of plants, including seedlings and young plants, which are to be transplanted after germination or after emergence from soil.
These young plants may also be protected before transplantation by a total or partial treatment by immersion or pouring.
Preferably, treatment of plant propagation materials with compounds I and compositions thereof, respectively, is used for controlling a multitude of fungi on cereals, such as wheat, rye, barley and oats; rice, corn, cotton and soybeans.
The term "cultivated plants" is to be understood as including plants which have been modified by mutagenesis or genetic engineering in order to provide a new trait to a plant or to modify an already present trait. Mutagenesis includes techniques of random mutagenesis using X-rays or mutagenic chemicals, but also techniques of targeted mutagenesis, to create mutations at a specific locus of a plant genome. Targeted mutagenesis techniques frequently use
oligonucleotides or proteins like CRISPR/Cas, zinc-finger nucleases, TALENs or mega- nucleases to achieve the targeting effect. Genetic engineering usually uses recombinant DNA techniques to create modifications in a plant genome which under natural circumstances cannot readily be obtained by cross breeding, mutagenesis or natural recombination. Typically, one or more genes are integrated into the genome of a plant to add a trait or improve a trait. These integrated genes are also referred to as transgenes in the art, while plant comprising such transgenes are referred to as transgenic plants. The process of plant transformation usually
produces several transformation events, wich differ in the genomic locus in which a transgene has been integrated. Plants comprising a specific transgene on a specific genomic locus are usually described as comprising a specific "event", which is referred to by a specific event name. Traits which have been introduced in plants or have been modified include herbicide tolerance, insect resistance, increased yield and tolerance to abiotic conditions, like drought. Herbicide tolerance has been created by using mutagenesis as well as using genetic
engineering. Plants which have been rendered tolerant to acetolactate synthase (ALS) inhibitor herbicides by mutagenesis and breeding comprise plant varieties commercially available under the name Clearfield®.
Herbicide tolerance has been created via the use of transgenes to glyphosate, glufosinate, 2,4- D, dicamba, oxynil herbicides, like bromoxynil and ioxynil, sulfonylurea herbicides, ALS inhibitors and 4-hydroxyphenylpyruvate dioxygenase (HPPD) inhibitors, like isoxaflutole and mesotrione.
Transgenes wich have been used to provide herbicide tolerance traits comprise: for tolerance to glyphosate: cp4 epsps, epsps grg23ace5, mepsps, 2mepsps, gat4601 , gat4621 , goxv247; for tolerance to glufosinate: pat and bar, for tolerance to 2,4-D: aad-1 , aad-12; for tolerance to dicamba: dmo; for tolerance to oxynil herbicies: bxn; for tolerance to sulfonylurea herbicides: zm-hra, csr1 -2, gm-hra, S4-HrA; for tolerance to ALS inhibitors: csr1 -2; and for tolerance to HPPD inhibitors: hppdPF, W336, avhppd-03.
Transgenic corn events comprising herbicide tolerance genes include, but are not limited to, DAS40278, MON801 , MON802, MON809, MON810, MON832, MON8741 1 , MON87419, MON87427, MON88017, MON89034, NK603, GA21 , MZHGOJG, HCEM485, VCO-01981 -5, 676, 678, 680, 33121 , 41 14, 59122, 98140, Bt10, Bt176, CBH-351 , DBT418, DLL25, MS3, MS6, MZIR098, T25, TC1507 and TC6275.
Transgenic soybean events comprising herbicide tolerance genes include, but are not limited to, GTS 40-3-2, MON87705, MON87708, MON87712, MON87769, MON89788, A2704-12, A2704- 21 , A5547-127, A5547-35, DP356043, DAS44406-6, DAS68416-4, DAS-81419-2, GU262, SYHT0H2, W62, W98, FG72 and CV127.
Transgenic cotton events comprising herbicide tolerance genes include, but are not limited to, 19-51 a, 31707, 42317, 81910, 281 -24-236, 3006-210-23, BXN1021 1 , BXN10215, BXN10222, BXN10224, MON1445, MON1698, MON88701 , MON88913, GHB1 19, GHB614, LLCotton25, T303-3 and T304-40.
Transgenic canola events comprising herbicide tolerance genes are for example, but not excluding others, MON88302, HCR-1 , HCN10, HCN28, HCN92, MS1 , MS8, PHY14, PHY23, PHY35, PHY36, RF1 , RF2 and RF3.
Insect resistance has mainly been created by transferring bacterial genes for insecticidal proteins to plants: Transgenes which have most frequently been used are toxin genes of Bac/7/us spp. and synthetic variants thereof, like cry1A, crylAb, cry1Ab-Ac, crylAc, cry1A.105, cry1 F, cry1 Fa2, cry2Ab2, cry2Ae, mcry3A, ecry3.1Ab, cry3Bb1 , cry34Ab1 , cry35Ab1 , cry9C, vip3A(a), vip3Aa20. However, also genes of plant origin, such as genes coding for protease inhibitors, like CpTI and pinll, have been transferred to other plants. A further approach uses transgenes such as dvsnf7 to produce double-stranded RNA in plants.
Transgenic corn events comprising genes for insecticidal proteins or double stranded RNA include, but are not limited to, Bt10, Bt1 1 , Bt176, MON801 , MON802, MON809, MON810,
MON863, MON8741 1 , MON88017, MON89034, 33121 , 41 14, 5307, 59122, TC1507, TC6275, CBH-351 , MIR162, DBT418 and MZIR098. Transgenic soybean events comprising genes for insecticidal proteins include, but are not limited to, MON87701 , MON87751 and DAS-81419. Transgenic cotton events comprising genes for insecticidal proteins include, but are not limited to, SGK321 , MON531 , MON757, MON1076, MON15985, 31707, 31803, 31807, 31808, 42317, BNLA-601 , Eventl , COT67B, COT102, T303-3, T304-40, GFM Cry1A, GK12, MLS 9124, 281 - 24-236, 3006-210-23, GHB1 19 and SGK321.
Increased yield has been created by using the transgene athb17, being present for example in corn event MON87403, or by using the transgene bbx32, being present for example in the soybean event MON87712.
Cultivated plants comprising a modified oil content have been created by using the transgenes: gm-fad2-1 , Pj.D6D, Nc.Fad3, fad2-1A and fatb1 -A. Soybean events comprising at least one of these genes are: 260-05, MON87705 and MON87769.
Tolerance to abiotic conditions, such as drought, has been created by using the transgene cspB, comprised by the corn event MON87460 and by using the transgene Hahb-4, comprised by soybean event IND-00410-5.
Traits are frequently combined by combining genes in a transformation event or by combining different events during the breeding process resulting in a cultivated plant with stacked traits. Preferred combinations of traits are combinations of herbicide tolerance traits to different groups of herbicides, combinations of insect tolerance to different kind of insects, in particular tolerance to lepidopteran and coleopteran insects, combinations of herbicide tolerance with one or several types of insect resistance, combinations of herbicide tolerance with increased yield as well as combinations of herbicide tolerance and tolerance to abiotic conditions.
Plants comprising singular or stacked traits as well as the genes and events providing these traits are well known in the art. For example, detailed information as to the mutagenized or integrated genes and the respective events are available from websites of the organizations "International Service for the Acquisition of Agri-biotech Applications (ISAAA)"
(http://www.isaaa.org/gmapprovaldatabase) and the "Center for Environmental Risk
Assessment (CERA)" (http://cera-gmc.org/GMCropDatabase). Further information on specific events and methods to detect them can be found for canola events MS1 , MS8, RF3, GT73, MON88302, KK179 in WO01/031042, WO01/041558, WO01/041558, WO02/036831 ,
W01 1/153186, W013/003558, for cotton events MON 1445, MON 15985, MON531
(MON 15985), LLCotton25, MON88913, COT102, 281 -24-236, 3006-210-23, COT67B,
GHB614, T304-40, GHB1 19, MON88701 , 81910 in WO02/034946, WO02/100163,
WO02/100163, WO03/013224, WO04/072235, WO04/039986, WO05/103266, WO05/103266, WO06/128573, WO07/017186, WO08/122406, WO08/151780, W012/134808, W013/1 12527; for corn events GA21 , MON810, DLL25, TC1507, MON863, MIR604, LY038, MON88017, 3272, 59122, NK603, MIR162, MON89034, 98140, 32138, MON87460, 5307, 41 14, MON87427, DAS40278, MON8741 1 , 33121 , MON87403, MON87419 in WO98/044140, US02/102582, US03/126634, WO04/099447, WO04/01 1601 , WO05/103301 , WO05/061720, WO05/059103, WO06/098952, WO06/039376, US2007/292854, WO07/142840, WO07/140256,
WO08/1 12019, WO09/103049, WO09/1 1 1263, WO10/077816, W01 1/084621 , W01 1/062904, W01 1/022469, W013/169923, W014/1 16854, W015/053998, W015/142571 ; for potato events E12, F10, J3, J55, V1 1 , X17, Y9 in WO14/178910, W014/178913, W014/178941 ,
W014/179276, W016/183445, W017/062831 , W017/062825; for rice events LLRICE06, LLRICE601 , LLRICE62 in WO00/026345, WO00/026356, WO00/026345; and for soybean events H7-1 , MON89788, A2704-12, A5547-127, DP305423, DP356043, MON87701 ,
MON87769, CV127, MON87705, DAS68416-4, MON87708, MON87712, SYHT0H2,
DAS81419, DAS81419 x DAS44406-6, MON87751 in WO04/074492, WO06/130436,
WO06/108674, WO06/108675, WO08/054747, WO08/002872, WO09/064652, WO09/102873, WO10/080829, WO10/037016, W01 1/066384, W01 1/034704, WO12/051 199, WO12/082548, WO13/016527, WO13/016516, WO14/201235.
The use of compounds I and compositions according to the invention, respectively, on cultivated plants may result in effects which are specific to a cultivated plant comprising a certain gene or event. These effects might involve changes in growth behavior or changed resistance to biotic or abiotic stress factors. Such effects may in particular comprise enhanced yield, enhanced resistance or tolerance to insects, nematodes, fungal, bacterial, mycoplasma, viral or viroid pathogens as well as early vigour, early or delayed ripening, cold or heat tolerance as well as changed amino acid or fatty acid spectrum or content.
The compounds I and compositions thereof, respectively, are particularly suitable for controlling the following plant diseases:
Albugo spp. (white rust) on ornamentals, vegetables (e. g. A Candida) and sunflowers (e. g. A tragopogonis); Alternaria spp. (Alternaria leaf spot) on vegetables, rape (A brassicola or brassicae), sugar beets (A tenuis), fruits, rice, soybeans, potatoes (e. g. A so/an/or A.
alternata), tomatoes (e. g. A solani or A. alternata) and wheat; Aphanomyces spp. on sugar beets and vegetables; Ascochyta spp. on cereals and vegetables, e. g. A r/ftc/ (anthracnose) on wheat and A horde/ on barley; Bipolaris and Drechslera spp. (teleomorph: Cochliobolus spp.), e. g. Southern leaf blight (D. maydis) or Northern leaf blight (B. zeicoia) on corn, e. g. spot blotch (B. sorokiniana) on cereals and e. g. B. oryzae on rice and turfs; Blumeria (formerly Erysiphe) graminis (powdery mildew) on cereals (e. g. on wheat or barley); Botrytis cinerea (teleomorph: Botryotinia fuckeliana. grey mold) on fruits and berries (e. g. strawberries), vegetables (e. g. lettuce, carrots, celery and cabbages), rape, flowers, vines, forestry plants and wheat; Bremia lactucae (downy mildew) on lettuce; Ceratocystis (syn. Ophiostoma) spp. (rot or wilt) on broad-leaved trees and evergreens, e. g. C. iy//77/'(Dutch elm disease) on elms;
Cercospora spp. (Cercospora leaf spots) on corn (e. g. Gray leaf spot: C. zeae-maydis), rice, sugar beets (e. g. C. beticola), sugar cane, vegetables, coffee, soybeans (e. g. C. sojina or C. kikuchii) and rice; Cladosporium spp. on tomatoes (e. g. C. fulvurrr. leaf mold) and cereals, e. g. C. herbarum (black ear) on wheat; Claviceps purpurea (ergot) on cereals; Cochliobolus
(anamorph: Helminthosporium of Bipolaris) spp. (leaf spots) on corn (C. carbonum), cereals (e. g. C. sativus, anamorph: B. sorokiniana) and rice (e. g. C. miyabeanus, anamorph: H.
oryzae); Colletotrichum (teleomorph: Glomerella) spp. (anthracnose) on cotton (e. g. C.
gossypii), corn (e. g. C. graminico/a: Anthracnose stalk rot), soft fruits, potatoes (e. g. C.
coccodes. black dot), beans (e. g. C. lindemuthianum) and soybeans (e. g. C. truncatum or C. g/oeosporioides); Corticium spp., e. g. C. sasakii (sheath blight) on rice; Corynespora cassiicoia (leaf spots) on soybeans and ornamentals; Cycloconium spp., e. g. C. oleaginum on olive trees; Cylindrocarpon spp. (e. g. fruit tree canker or young vine decline, teleomorph: Nectria or Neonectria spp.) on fruit trees, vines (e. g. C liriodendri, teleomorph: Neonectria liriodendri. Black Foot Disease) and ornamentals; Dematophora (teleomorph: Rosellinia) necatrix (root and
stem rot) on soybeans; Diaporthe spp., e. g. D. phaseolorum (damping off) on soybeans;
Drechslera (syn. Helminthosporium, teleomorph: Pyrenophora) spp. on corn, cereals, such as barley (e. g. D. teres, net blotch) and wheat (e. g. D. tritici-repentis. tan spot), rice and turf; Esca (dieback, apoplexy) on vines, caused by Formitiporia (syn. Phellinus) punctata, F. mediterranea, Phaeomoniella chlamydospora (earlier Phaeoacremonium chlamydosporum),
Phaeoacremonium aleophilum and/or Botryosphaeria obtusa, Elsinoe spp. on pome fruits (E. pyrl), soft fruits (E. veneta: anthracnose) and vines (E. ampe/ina: anthracnose); Entyloma oryzae (\eaf smut) on rice; Epicoccum spp. (black mold) on wheat; Erysiphe spp. (powdery mildew) on sugar beets (E. betae), vegetables (e. g. E. pisi), such as cucurbits (e. g. E.
cichoracearum), cabbages, rape (e. g. E. cruciferarum); Eutypa lata (Eutypa canker or dieback, anamorph: Cytosporina lata, syn. Libertella blepharis) on fruit trees, vines and ornamental woods; Exserohilum (syn. Helminthosporium) spp. on corn (e. g. E. turcicum); Fusarium
(teleomorph: Gibberella) spp. (wilt, root or stem rot) on various plants, such as F. graminearum or F. culmorum (root rot, scab or head blight) on cereals (e. g. wheat or barley), F. oxysporum on tomatoes, F. so/ani( sp. glycines now syn. F. virguliforme ) and F. tucumaniae and F.
brasiliense each causing sudden death syndrome on soybeans, and F. verticillioides on corn; Gaeumannomyces graminis (take-all) on cereals (e. g. wheat or barley) and corn; Gibberella spp. on cereals (e. g. G. zeae) and rice (e. g. G fujikuroi. Bakanae disease); Glomerella cingulata on vines, pome fruits and other plants and G. gossypii on cotton; Grainstaining complex on rice; Guignardia bidwellii (black rot) on vines; Gymnosporangium spp. on rosaceous plants and junipers, e. g. G. sabinae (rust) on pears; Helminthosporium son. (syn. Drechslera, teleomorph: Cochiioboius) on corn, cereals and rice; Hemileia spp., e. g. H. vastatrix (coffee leaf rust) on coffee; Isariopsis clavispora (syn. Cladosporium vitis) on vines; Macrophomina phaseolina (syn. phaseoli) (root and stem rot) on soybeans and cotton; Microdochium (syn. Fusarium) nivale (pink snow mold) on cereals (e. g. wheat or barley); Microsphaera diffusa (powdery mildew) on soybeans; Monilinia spp., e. g. M. laxa, M. fructicola and M. fructigena (bloom and twig blight, brown rot) on stone fruits and other rosaceous plants; Mycosphaerella spp. on cereals, bananas, soft fruits and ground nuts, such as e. g. M. graminicola (anamorph: Septoria tritici, Septoria blotch) on wheat or M. fijiensis (black Sigatoka disease) on bananas; Peronospora spp. (downy mildew) on cabbage (e. g. P. brassicae), rape (e. g. P. parasitica), onions (e. g. P. destructor), tobacco {P. tabacina) and soybeans (e. g. P. manshurica);
Phakopsora pachyrhizi and P. meibomiae (soybean rust) on soybeans; Phia/ophora spp. e. g. on vines (e. g. P. tracheiphi/a and P. tetraspora) and soybeans (e. g. P. gregata: stem rot); Phoma lingam (root and stem rot) on rape and cabbage and P. betae (root rot, leaf spot and damping-off) on sugar beets; Phomopsis spp. on sunflowers, vines (e. g. P. vitico/a: can and leaf spot) and soybeans (e. g. stem rot: P. phaseoli, teleomorph: Diaporthe phaseolorum);
Physoderma maydis (brown spots) on corn; Phytophthora spp. (wilt, root, leaf, fruit and stem root) on various plants, such as paprika and cucurbits (e. g. P. capsici), soybeans (e. g. P.
megasperma, syn. P. sojae), potatoes and tomatoes (e. g. P. infestans. late blight) and broad- leaved trees (e. g. P. ramorum. sudden oak death); Plasmodiophora brassicae (club root) on cabbage, rape, radish and other plants; Plasmopara spp., e. g. P. viticola (grapevine downy mildew) on vines and P. halstedii on sunflowers; Podosphaera spp. (powdery mildew) on rosaceous plants, hop, pome and soft fruits, e. g. P. leucotricha on apples; Po/ymyxa spp., e. g. on cereals, such as barley and wheat (P. graminis) and sugar beets (P. betae) and thereby
transmitted viral diseases; Pseudocercosporella herpotrichoides (eyespot, teleomorph: Tapes/a yallundae) on cereals, e. g. wheat or barley; Pseudoperonospora (downy mildew) on various plants, e. g. P. cubensis on cucurbits or P. hum/// on hop; Pseudopezicula tracheiphila (red fire disease or .rotbrenner', anamorph: Phialophora) on vines; Puccinia spp. (rusts) on various plants, e. g. P. triticina (brown or leaf rust), P. striiformis (stripe or yellow rust), P. horde/ (dwarf rust), P. graminis (stem or black rust) or P. recondita (brown or leaf rust) on cereals, such as e. g. wheat, barley or rye, P. kuehnii (orange rust) on sugar cane and P. asparag/on asparagus; Pyrenophora (anamorph: Drechslera) tritici-repentis (tan spot) on wheat or P. teres (net blotch) on barley; Pyricularia spp., e. g. P. oryzae (teleomorph: Magnaporthe grisea, rice blast) on rice and P. grisea on turf and cereals; Pythium spp. (damping-off) on turf, rice, corn, wheat, cotton, rape, sunflowers, soybeans, sugar beets, vegetables and various other plants (e. g. P. ultimum or P. aphanidermatum); Ramularia spp., e. g. R. co/io-cygni (Ramu\ar\a leaf spots, Physiological leaf spots) on barley and R. beticola on sugar beets; Rhizoctonia spp. on cotton, rice, potatoes, turf, corn, rape, potatoes, sugar beets, vegetables and various other plants, e. g. R. so/ani (root and stem rot) on soybeans, R. so/ani (sheath blight) on rice or R. cerealis (Rhizoctonia spring blight) on wheat or barley; Rhizopus stolonifer (black mold, soft rot) on strawberries, carrots, cabbage, vines and tomatoes; Rhynchosporium secalis (scald) on barley, rye and triticale;
Sarocladium oryzae and S. a ttenua turn (sheath rot) on rice; Sclerotinia spp. (stem rot or white mold) on vegetables and field crops, such as rape, sunflowers (e. g. S. sclerotiorum) and soybeans (e. g. S. ro/fs/ior S. sclerotiorum); Septoria spp. on various plants, e. g. S. glycines (brown spot) on soybeans, S. tritici (Septoria blotch) on wheat and S. (syn. Stagonospora) nodorum (Stagonospora blotch) on cereals; Uncinula (syn. Erysiphe) necator (powdery mildew, anamorph: Oidium tucker!) on vines; Setospaeria spp. (leaf blight) on corn (e. g. S. turcicum, syn. Helminthosporium turcicum) and turf; Sphacelotheca spp. (smut) on corn, (e. g. S. reiliana. head smut), sorghum und sugar cane; Sphaerotheca fuliginea (powdery mildew) on cucurbits; Spongospora subterranea (powdery scab) on potatoes and thereby transmitted viral diseases; Stagonospora spp. on cereals, e. g. S. nodorum (Stagonospora blotch, teleomorph:
Leptosphaeria [syn. Phaeosphaeria] nodorum) on wheat; Synchytrium endobioticum on potatoes (potato wart disease); Taphrina spp., e. g. T. deformans (leaf curl disease) on peaches and T. pruni (plum pocket) on plums; Thielaviopsis spp. (black root rot) on tobacco, pome fruits, vegetables, soybeans and cotton, e. g. T. basicola (syn. Chalara elegans); THIetia spp.
(common bunt or stinking smut) on cereals, such as e. g. T. tritici (syn. T. caries, wheat bunt) and T. controversa (dwarf bunt) on wheat; Typhula incarnata (grey snow mold) on barley or wheat; Urocystis spp., e. g. U. occulta (stem smut) on rye; Uromyces spp. (rust) on vegetables, such as beans (e. g. U. appendicu/atus, syn. U. phaseoli) and sugar beets (e. g. U. betae); Ustilago spp. (loose smut) on cereals (e. g. U. nuda and U. avaenae), corn (e. g. U. maydis. corn smut) and sugar cane; Venturia spp. (scab) on apples (e. g. V. inaequalis) and pears; and Verticillium spp. (wilt) on various plants, such as fruits and ornamentals, vines, soft fruits, vegetables and field crops, e. g. V. dahliae on strawberries, rape, potatoes and tomatoes.
In a preferred embodiment the compounds I, their mixtures with other active compounds as defined herein and compositions thereof, respectively, are particularly suitable for controlling the following plant diseases: Puccinia spp. (rusts) on various plants, for example, but not limited to P. triticina (brown or leaf rust), P. striiformis (stripe or yellow rust), P. horde/ (dwarf rust), P. graminis (stem or black rust) or P. recondita (brown or leaf rust) on cereals, such as e. g. wheat,
barley or rye, and Puccinia sorghi (common rust) on maize, Puccinia polysora (southern rust) on maize; and Phakopsoraceae spp. on various plants, in particular Phakopsora pachyrhizi 'and P. meibomiae (soybean rust) on soybeans.
The compounds I and compositions thereof, respectively, are also suitable for controlling harmful fungi in the protection of stored products or harvest and in the protection of materials. The term "protection of materials" is to be understood to denote the protection of technical and non-living materials, such as adhesives, glues, wood, paper and paperboard, textiles, leather, paint dispersions, plastics, cooling lubricants, fiber or fabrics, against the infestation and destruction by harmful microorganisms, such as fungi and bacteria. As to the protection of wood and other materials, the particular attention is paid to the following harmful fungi: Ascomycetes such as Ophiostoma spp., Ceratocystis spp., Aureobasidium pullulans, Sclerophoma spp., Chaetomium pp., Humicola pp., Petriella spp., Trichurus spp.; Basidiomycetes such as Coniophora spp., Coriolus spp., Gloeophyllum spp., Lentinus spp., Pleurotus spp., Poria spp., Serpula spp. and Tyromyces spp., Deuteromycetes such as Aspergillus spp., Cladosporium spp., Penicillium spp., Trichoderma spp., Alternaria spp., Paecilomyces spp. and Zygomycetes such as Mucorspp., and in addition in the protection of stored products and harvest the following yeast fungi are worthy of note: Candida spp. and Saccharomyces cerevisae.
The method of treatment according to the invention can also be used in the field of protecting stored products or harvest against attack of fungi and microorganisms. According to the present invention, the term "stored products" is understood to denote natural substances of plant or animal origin and their processed forms, which have been taken from the natural life cycle and for which long-term protection is desired. Stored products of crop plant origin, such as plants or parts thereof, for example stalks, leafs, tubers, seeds, fruits or grains, can be protected in the freshly harvested state or in processed form, such as pre-dried, moistened, comminuted, ground, pressed or roasted, which process is also known as post-harvest treatment. Also falling under the definition of stored products is timber, whether in the form of crude timber, such as construction timber, electricity pylons and barriers, or in the form of finished articles, such as furniture or objects made from wood. Stored products of animal origin are hides, leather, furs, hairs and the like. The combinations according the present invention can prevent
disadvantageous effects such as decay, discoloration or mold. Preferably "stored products" is understood to denote natural substances of plant origin and their processed forms, more preferably fruits and their processed forms, such as pomes, stone fruits, soft fruits and citrus fruits and their processed forms.
The compounds of formula I can be present in different crystal modifications whose biological activity may differ. They are likewise subject matter of the present invention.
The compounds I are employed as such or in form of compositions by treating the fungi or the plants, plant propagation materials, such as seeds, soil, surfaces, materials or rooms to be protected from fungal attack with a fungicidally effective amount of the active substances. The application can be carried out both before and after the infection of the plants, plant propagation materials, such as seeds, soil, surfaces, materials or rooms by the fungi.
Plant propagation materials may be treated with compounds I as such or a composition comprising at least one compound I prophylactically either at or before planting or transplanting. The invention also relates to agrochemical compositions comprising an auxiliary and at least one compound I according to the invention.
An agrochemical composition comprises a fungicidally effective amount of a compound I. The term "effective amount" denotes an amount of the composition or of the compounds I, which is sufficient for controlling harmful fungi on cultivated plants or in the protection of materials and which does not result in a substantial damage to the treated plants. Such an amount can vary in a broad range and is dependent on various factors, such as the fungal species to be controlled, the treated cultivated plant or material, the climatic conditions and the specific compound I used.
The compounds I, their N-oxides and salts can be converted into customary types of agrochemical compositions, e. g. solutions, emulsions, suspensions, dusts, powders, pastes, granules, pressings, capsules, and mixtures thereof. Examples for composition types are suspensions (e. g. SC, OD, FS), emulsifiable concentrates (e. g. EC), emulsions (e. g. EW, EO, ES, ME), capsules (e. g. CS, ZC), pastes, pastilles, wettable powders or dusts (e. g. WP, SP, WS, DP, DS), pressings (e. g. BR, TB, DT), granules (e. g. WG, SG, GR, FG, GG, MG), insecticidal articles (e. g. LN), as well as gel formulations for the treatment of plant propagation materials such as seeds (e. g. GF). These and further compositions types are defined in the "Catalogue of pesticide formulation types and international coding system", Technical
Monograph No. 2, 6th Ed. May 2008, CropLife International.
The compositions are prepared in a known manner, such as described by Mollet and
Grubemann, Formulation technology, Wiley VCH, Weinheim, 2001 ; or Knowles, New
developments in crop protection product formulation, Agrow Reports DS243, T&F Informa, London, 2005.
Suitable auxiliaries are solvents, liquid carriers, solid carriers or fillers, surfactants, dispersants, emulsifiers, wetters, adjuvants, solubilizers, penetration enhancers, protective colloids, adhesion agents, thickeners, humectants, repellents, attractants, feeding stimulants, compatibilizers, bactericides, anti-freezing agents, anti-foaming agents, colorants, tackifiers and binders.
Suitable solvents and liquid carriers are water and organic solvents, such as mineral oil fractions of medium to high boiling point, e. g. kerosene, diesel oil; oils of vegetable or animal origin; aliphatic, cyclic and aromatic hydrocarbons, e. g. toluene, paraffin,
tetrahydronaphthalene, alkylated naphthalenes; alcohols, e. g. ethanol, propanol, butanol, benzyl alcohol, cyclohexanol; glycols; DMSO; ketones, e. g. cyclohexanone; esters, e. g.
lactates, carbonates, fatty acid esters, gamma-butyrolactone; fatty acids; phosphonates;
amines; amides, e. g. N-methyl pyrrolidone, fatty acid dimethyl amides; and mixtures thereof. Suitable solid carriers or fillers are mineral earths, e. g. silicates, silica gels, talc, kaolins, limestone, lime, chalk, clays, dolomite, diatomaceous earth, bentonite, calcium sulfate, magnesium sulfate, magnesium oxide; polysaccharides, e. g. cellulose, starch; fertilizers, e. g. ammonium sulfate, ammonium phosphate, ammonium nitrate, ureas; products of vegetable origin, e. g. cereal meal, tree bark meal, wood meal, nutshell meal, and mixtures thereof.
Suitable surfactants are surface-active compounds, such as anionic, cationic, nonionic and amphoteric surfactants, block polymers, polyelectrolytes, and mixtures thereof. Such surfactants can be used as emulsifier, dispersant, solubilizer, wetter, penetration enhancer, protective colloid, or adjuvant. Examples of surfactants are listed in McCutcheon's, Vol.1 : Emulsifiers & Detergents, McCutcheon's Directories, Glen Rock, USA, 2008 (International Ed. or North American Ed.).
Suitable anionic surfactants are alkali, alkaline earth or ammonium salts of sulfonates, sulfates, phosphates, carboxylates, and mixtures thereof. Examples of sulfonates are alkylaryl sulfonates, diphenyl sulfonates, alpha-olefin sulfonates, lignin sulfonates, sulfonates of fatty acids and oils, sulfonates of ethoxylated alkylphenols, sulfonates of alkoxylated arylphenols, sulfonates of condensed naphthalenes, sulfonates of dodecyl- and tridecylbenzenes, sulfonates of naphthalenes and alkyl naphthalenes, sulfosuccinates or sulfosuccinamates. Examples of sulfates are sulfates of fatty acids and oils, of ethoxylated alkylphenols, of alcohols, of ethoxylated alcohols, or of fatty acid esters. Examples of phosphates are phosphate esters. Examples of carboxylates are alkyl carboxylates, and carboxylated alcohol or alkylphenol ethoxylates.
Suitable nonionic surfactants are alkoxylates, N-substituted fatty acid amides, amine oxides, esters, sugar-based surfactants, polymeric surfactants, and mixtures thereof. Examples of alkoxylates are compounds such as alcohols, alkylphenols, amines, amides, arylphenols, fatty acids or fatty acid esters which have been alkoxylated with 1 to 50 equivalents. Ethylene oxide and/or propylene oxide may be employed for the alkoxylation, preferably ethylene oxide.
Examples of N-substituted fatty acid amides are fatty acid glucamides or fatty acid
alkanolamides. Examples of esters are fatty acid esters, glycerol esters or monoglycerides. Examples of sugar-based surfactants are sorbitans, ethoxylated sorbitans, sucrose and glucose esters or alkylpolyglucosides. Examples of polymeric surfactants are home- or copolymers of vinyl pyrrolidone, vinyl alcohols, or vinyl acetate.
Suitable cationic surfactants are quaternary surfactants, for example quaternary ammonium compounds with one or two hydrophobic groups, or salts of long-chain primary amines. Suitable amphoteric surfactants are alkylbetains and imidazolines. Suitable block polymers are block polymers of the A-B or A-B-A type comprising blocks of polyethylene oxide and polypropylene oxide, or of the A-B-C type comprising alkanol, polyethylene oxide and polypropylene oxide. Suitable polyelectrolytes are polyacids or polybases. Examples of polyacids are alkali salts of polyacrylic acid or polyacid comb polymers. Examples of polybases are polyvinyl amines or polyethylene amines.
Suitable adjuvants are compounds, which have a negligible or even no pesticidal activity themselves, and which improve the biological performance of the compound I on the target.
Examples are surfactants, mineral or vegetable oils, and other auxiliaries. Further examples are listed by Knowles, Adjuvants and additives, Agrow Reports DS256, T&F Informa UK, 2006, chapter 5.
Suitable thickeners are polysaccharides (e. g. xanthan gum, carboxymethyl cellulose), inorganic clays (organically modified or unmodified), polycarboxylates, and silicates.
Suitable bactericides are bronopol and isothiazolinone derivatives such as alkylisothiazolinones and benzisothiazolinones.
Suitable anti-freezing agents are ethylene glycol, propylene glycol, urea and glycerin.
Suitable anti-foaming agents are silicones, long chain alcohols, and salts of fatty acids.
Suitable colorants (e. g. in red, blue, or green) are pigments of low water solubility and water- soluble dyes. Examples are inorganic colorants (e. g. iron oxide, titan oxide, iron
hexacyanoferrate) and organic colorants (e. g. alizarin-, azo- and phthalocyanine colorants). Suitable tackifiers or binders are polyvinyl pyrrolidones, polyvinyl acetates, polyvinyl alcohols, polyacrylates, biological or synthetic waxes, and cellulose ethers.
Examples for composition types and their preparation are:
i) Water-soluble concentrates (SL, LS)
10-60 wt% of a compound I and 5-15 wt% wetting agent (e. g. alcohol alkoxylates) are dissolved in water and/or in a water-soluble solvent (e. g. alcohols) ad 100 wt%. The active substance dissolves upon dilution with water.
ii) Dispersible concentrates (DC)
5-25 wt% of a compound I and 1 -10 wt% dispersant (e. g. polyvinyl pyrrolidone) are dissolved in organic solvent (e. g. cyclohexanone) ad 100 wt%. Dilution with water gives a dispersion.
iii) Emulsifiable concentrates (EC)
15-70 wt% of a compound I and 5-10 wt% emulsifiers (e. g. calcium dodecylbenzenesulfonate and castor oil ethoxylate) are dissolved in water-insoluble organic solvent (e. g. aromatic hydrocarbon) ad 100 wt%. Dilution with water gives an emulsion.
iv) Emulsions (EW, EO, ES)
5-40 wt% of a compound I and 1 -10 wt% emulsifiers (e. g. calcium dodecylbenzenesulfonate and castor oil ethoxylate) are dissolved in 20-40 wt% water-insoluble organic solvent (e. g. aromatic hydrocarbon). This mixture is introduced into water ad 100 wt% by means of an emulsifying machine and made into a homogeneous emulsion. Dilution with water gives an emulsion.
v) Suspensions (SC, OD, FS)
In an agitated ball mill, 20-60 wt% of a compound I are comminuted with addition of 2-10 wt% dispersants and wetting agents (e. g. sodium lignosulfonate and alcohol ethoxylate), 0.1 -2 wt% thickener (e. g. xanthan gum) and water ad 100 wt% to give a fine active substance suspension. Dilution with water gives a stable suspension of the active substance. For FS type composition up to 40 wt% binder (e. g. polyvinyl alcohol) is added.
vi) Water-dispersible granules and water-soluble granules (WG, SG)
50-80 wt% of a compound I are ground finely with addition of dispersants and wetting agents (e. g. sodium lignosulfonate and alcohol ethoxylate) ad 100 wt% and prepared as water-dispersible or water-soluble granules by means of technical appliances (e. g. extrusion, spray tower, fluidized bed). Dilution with water gives a stable dispersion or solution of the active substance. vii) Water-dispersible powders and water-soluble powders (WP, SP, WS)
50-80 wt% of a compound I are ground in a rotor-stator mill with addition of 1 -5 wt% dispersants (e. g. sodium lignosulfonate), 1 -3 wt% wetting agents (e. g. alcohol ethoxylate) and solid carrier (e. g. silica gel) ad 100 wt%. Dilution with water gives a stable dispersion or solution of the active substance.
viii) Gel (GW, GF)
In an agitated ball mill, 5-25 wt% of a compound I are comminuted with addition of 3-10 wt% dispersants (e. g. sodium lignosulfonate), 1 -5 wt% thickener (e. g. carboxymethyl cellulose) and water ad 100 wt% to give a fine suspension of the active substance. Dilution with water gives a stable suspension of the active substance.
ix) Microemulsion (ME)
5-20 wt% of a compound I are added to 5-30 wt% organic solvent blend (e. g. fatty acid dimethyl amide and cyclohexanone), 10-25 wt% surfactant blend (e. g. alcohol ethoxylate and arylphenol ethoxylate), and water ad 100 %. This mixture is stirred for 1 h to produce
spontaneously a thermodynamically stable microemulsion.
x) Microcapsules (CS)
An oil phase comprising 5-50 wt% of a compound I, 0-40 wt% water insoluble organic solvent (e. g. aromatic hydrocarbon), 2-15 wt% acrylic monomers (e. g. methylmethacrylate, methacrylic acid and a di- or triacrylate) are dispersed into an aqueous solution of a protective colloid (e. g. polyvinyl alcohol). Radical polymerization results in the formation of poly(meth)acrylate microcapsules. Alternatively, an oil phase comprising 5-50 wt% of a compound I according to the invention, 0-40 wt% water insoluble organic solvent (e. g. aromatic hydrocarbon), and an isocyanate monomer (e. g. diphenylmethene-4,4'-diisocyanatae) are dispersed into an aqueous solution of a protective colloid (e. g. polyvinyl alcohol). The addition of a polyamine (e. g.
hexamethylenediamine) results in the formation of polyurea microcapsules. The monomers amount to 1 -10 wt%. The wt% relate to the total CS composition.
xi) Dustable powders (DP, DS)
1 -10 wt% of a compound I are ground finely and mixed intimately with solid carrier (e. g. finely divided kaolin) ad 100 wt%.
xii) Granules (GR, FG)
0.5-30 wt% of a compound I is ground finely and associated with solid carrier (e. g. silicate) ad 100 wt%. Granulation is achieved by extrusion, spray-drying or fluidized bed.
xiii) Ultra-low volume liquids (UL)
1 -50 wt% of a compound I are dissolved in organic solvent (e. g. aromatic hydrocarbon) ad 100 wt%.
The compositions types i) to xiii) may optionally comprise further auxiliaries, such as 0.1 -1 wt% bactericides, 5-15 wt% anti-freezing agents, 0.1 -1 wt% anti-foaming agents, and 0.1 -1 wt% colorants.
The agrochemical compositions generally comprise between 0.01 and 95%, preferably between 0.1 and 90%, more preferably between 1 and 70%, and in particular between 10 and 60%, by weight of active substance. The active substances are employed in a purity of from 90% to 100%, preferably from 95% to 100% (according to NMR spectrum).
For the purposes of treatment of plant propagation materials, particularly seeds, solutions for seed treatment (LS), Suspoemulsions (SE), flowable concentrates (FS), powders for dry treatment (DS), water-dispersible powders for slurry treatment (WS), water-soluble powders
(SS), emulsions (ES), emulsifiable concentrates (EC), and gels (GF) are usually employed. The compositions in question give, after two-to-tenfold dilution, active substance concentrations of from 0.01 to 60% by weight, preferably from 0.1 to 40%, in the ready-to-use preparations.
Application can be carried out before or during sowing. Methods for applying compound I and compositions thereof, respectively, onto plant propagation material, especially seeds, include dressing, coating, pelleting, dusting, and soaking as well as in-furrow application methods. Preferably, compound I or the compositions thereof, respectively, are applied on to the plant propagation material by a method such that germination is not induced, e. g. by seed dressing, pelleting, coating and dusting.
When employed in plant protection, the amounts of active substances applied are, depending on the kind of effect desired, from 0.001 to 2 kg per ha, preferably from 0.005 to 2 kg per ha, more preferably from 0.05 to 0.9 kg per ha, and in particular from 0.1 to 0.75 kg per ha.
In treatment of plant propagation materials such as seeds, e. g. by dusting, coating or drenching seed, amounts of active substance of from 0.1 to 1000 g, preferably from 1 to 1000 g, more
preferably from 1 to 100 g and most preferably from 5 to 100 g, per 100 kilogram of plant propagation material (preferably seeds) are generally required.
When used in the protection of materials or stored products, the amount of active substance applied depends on the kind of application area and on the desired effect. Amounts customarily applied in the protection of materials are 0.001 g to 2 kg, preferably 0.005 g to 1 kg, of active substance per cubic meter of treated material.
Various types of oils, wetters, adjuvants, fertilizer, or micronutrients, and further pesticides (e. g. herbicides, insecticides, fungicides, growth regulators, safeners, biopesticides) may be added to the active substances or the compositions comprising them as premix or, if appropriate not until immediately prior to use (tank mix). These agents can be admixed with the compositions according to the invention in a weight ratio of 1 :100 to 100:1 , preferably 1 :10 to 10:1.
A pesticide is generally a chemical or biological agent (such as pestidal active ingredient, compound, composition, virus, bacterium, antimicrobial or disinfectant) that through its effect deters, incapacitates, kills or otherwise discourages pests. Target pests can include insects, plant pathogens, weeds, mollusks, birds, mammals, fish, nematodes (roundworms), and microbes that destroy property, cause nuisance, spread disease or are vectors for disease. The term "pesticide" includes also plant growth regulators that alter the expected growth, flowering, or reproduction rate of plants; defoliants that cause leaves or other foliage to drop from a plant, usually to facilitate harvest; desiccants that promote drying of living tissues, such as unwanted plant tops; plant activators that activate plant physiology for defense of against certain pests; safeners that reduce unwanted herbicidal action of pesticides on crop plants; and plant growth promoters that affect plant physiology e.g. to increase plant growth, biomass, yield or any other quality parameter of the harvestable goods of a crop plant.
The user applies the composition according to the invention usually from a predosage device, a knapsack sprayer, a spray tank, a spray plane, or an irrigation system. Usually, the
agrochemical composition is made up with water, buffer, and/or further auxiliaries to the desired application concentration and the ready-to-use spray liquor or the agrochemical composition according to the invention is thus obtained. Usually, 20 to 2000 liters, preferably 50 to 400 liters, of the ready-to-use spray liquor are applied per hectare of agricultural useful area.
According to one embodiment, individual components of the composition according to the invention such as parts of a kit or parts of a binary or ternary mixture may be mixed by the user himself in a spray tank or any other kind of vessel used for applications (e. g. seed treater drums, seed pelleting machinery, knapsack sprayer) and further auxiliaries may be added, if appropriate.
Consequently, one embodiment of the invention is a kit for preparing a usable pesticidal composition, the kit comprising a) a composition comprising component 1 ) as defined herein and at least one auxiliary; and b) a composition comprising component 2) as defined herein and at least one auxiliary; and optionally c) a composition comprising at least one auxiliary and optionally a further active component 3) as defined herein.
Mixing the compounds I or the compositions comprising them in the use form as fungicides with other fungicides results in many cases in an expansion of the fungicidal spectrum of activity being obtained or in a prevention of fungicide resistance development. Furthermore, in many cases, synergistic effects are obtained.
The following list of pesticides II (e. g. pesticidally-active substances and biopesticides), in
conjunction with which the compounds I can be used, is intended to illustrate the possible combinations but does not limit them:
A) Respiration inhibitors
Inhibitors of complex III at Q0 site: azoxystrobin (A.1 .1 ), coumethoxystrobin (A.1 .2), coumoxystrobin (A.1.3), dimoxystrobin (A.1 .4), enestroburin (A.1 .5), fenaminstrobin (A.1.6), fenoxystrobin/flufenoxystrobin (A.1 .7), fluoxastrobin (A.1 .8), kresoxim-methyl (A.1 .9), mandestrobin (A.1 .10), metominostrobin (A.1 .1 1 ), orysastrobin (A.1 .12), picoxystrobin (A.1.13), pyraclostrobin (A.1 .14), pyrametostrobin (A.1 .15), pyraoxystrobin (A.1 .16), trifloxy- strobin (A.1 .17), 2-(2-(3-(2,6-dichlorophenyl)-1 -methyl-allylideneaminooxymethyl)-phenyl)- 2-methoxyimino-Nmethyl-acetamide (A.1.18), pyribencarb (A.1 .19), triclopyricarb/chloro- dincarb (A.1.20), famoxadone (A.1.21 ), fenamidone (A.1.21 a), methyl-N[2-[(1 ,4-dimethyl- 5-phenyl-pyrazol-3-yl)oxylmethyl]phenyl]-Nmethoxy-carbamate (A.1.22), metyltetrapole (A.1.25), (Z;2 )-5-[1 -(2,4-dichlorophenyl)pyrazol-3-yl]-oxy-2-methoxyimino-/V,3-dimethyl- pent-3-enamide (A.1 .34), (Z2 )-5-[1 -(4-chlorophenyl)pyrazol-3-yl]oxy-2-methoxyimino-/V,3- dimethyl-pent-3-enamide (A.1.35), pyriminostrobin (A.1.36), bifujunzhi (A.1 .37), 2-(ortho- ((2,5-dimethylphenyl-oxymethylen)phenyl)-3-methoxy-acrylic acid methylester (A.1.38);
- inhibitors of complex III at Q, site: cyazofamid (A.2.1 ), amisulbrom (A.2.2),
[(65,7/?,8/^-8-benzyl-3-[(3-hydroxy-4-methoxy-pyridine-2-carbonyl)amino]-6-methyl-4,9-di- oxo-1 ,5-dioxonan-7-yl] 2-methylpropanoate (A.2.3). fenpicoxamid (A.2.4), florylpicoxamid (A.2.5);
- inhibitors of complex II: benodanil (A.3.1 ), benzovindiflupyr (A.3.2), bixafen (A.3.3), boscalid (A.3.4), carboxin (A.3.5), fenfuram (A.3.6), fluopyram (A.3.7), flutolanil (A.3.8), fluxapyroxad (A.3.9), furametpyr (A.3.10), isofetamid (A.3.1 1 ), isopyrazam (A.3.12), mepronil (A.3.13), oxycarboxin (A.3.14), penflufen (A.3.15), penthiopyrad (A.3.16), pydiflumetofen (A.3.17), pyraziflumid (A.3.18), sedaxane (A.3.19), tecloftalam (A.3.20), thifluzamide (A.3.21 ), inpyrfluxam (A.3.22), pyrapropoyne (A.3.23), fluindapyr (A.3.28), methyl ( )-2-[2-[(5-cyano- 2-methyl-phenoxy)methyl]phenyl]-3-methoxy-prop-2-enoate (A.3.30), isoflucypram (A.3.31 ), 2-(difluoromethyl)-N(1 ,1 ,3-trimethyl-indan-4-yl)pyridine-3-carboxamide (A.3.32), 2- (difluoromethyl)-/V-[(3 )-1 ,1 ,3-trimethylindan-4-yl]pyridine-3-carboxamide (A.3.33), 2- (difluoromethyl)-N(3-ethyl-1 ,1 -dimethyl-indan-4-yl)pyridine-3-carboxamide (A.3.34), 2-
(difluoromethyl)-N-[(3 )-3-ethyl-1 ,1 -dimethyl-indan-4-yl]pyridine-3-carboxamide (A.3.35), 2- (difluoromethyl)-N(l ,1 -dimethyl-3-propyl-indan-4-yl)pyridine-3-carboxamide (A.3.36), 2- (difluoromethyl)-N[(3 )-1 ,1 -dimethyl-3-propyl-indan-4-yl]pyridine-3-carboxamide (A.3.37), 2- (difluoromethyl)-N(3-isobutyl-1 ,1 -dimethyl-indan-4-yl)pyridine-3-carboxamide (A.3.38), 2- (difluoromethyl)-N[(3 )-3-isobutyl-1 ,1 -dimethyl-indan-4-yl]pyridine-3-carboxamide (A.3.39);
- other respiration inhibitors: diflumetorim (A.4.1 ); nitrophenyl derivates: binapacryl (A.4.2), dinobuton (A.4.3), dinocap (A.4.4), fluazinam (A.4.5), meptyldinocap (A.4.6), ferimzone (A.4.7); organometal compounds: fentin salts, e. g. fentin-acetate (A.4.8), fentin chloride (A.4.9) or fentin hydroxide (A.4.10); ametoctradin (A.4.1 1 ); silthiofam (A.4.12);
B) Sterol biosynthesis inhibitors (SBI fungicides)
- C14 demethylase inhibitors: triazoles: azaconazole (B.1.1 ), bitertanol (B.1.2), bromu- conazole (B.1 .3), cyproconazole (B.1.4), difenoconazole (B.1 .5), diniconazole (B.1 .6), diniconazole-M (B.1 .7), epoxiconazole (B.1.8), fenbuconazole (B.1 .9), fluquinconazole (B.1.10), flusilazole (B.1 .1 1 ), flutriafol (B.1.12), hexaconazole (B.1 .13), imibenconazole
(B.1.14), ipconazole (B.1 .15), metconazole (B.1 .17), myclobutanil (B.1 .18), oxpoconazole (B.1.19), paclobutrazole (B.1 .20), penconazole (B.1.21 ), propiconazole (B.1.22), prothio- conazole (B.1 .23), simeconazole (B.1.24), tebuconazole (B.1 .25), tetraconazole (B.1.26), triadimefon (B.1 .27), triadimenol (B.1 .28), triticonazole (B.1.29), uniconazole (B.1.30), 2-(2,4-difluorophenyl)-1 ,1 -difluoro-3-(tetrazol-1 -yl)-1 -[5-[4-(2,2,2-trifluoroethoxy)phenyl]- 2-pyridyl]propan-2-ol (B.1 .31 ), 2-(2,4-difluorophenyl)-1 ,1 -difluoro-3-(tetrazol-1 -yl)- 1 -[5-[4-(trifluoromethoxy)phenyl]-2-pyridyl]propan-2-ol (B.1 .32), ipfentrifluconazole (B.1.37), mefentrifluconazole (B.1.38), 2-(chloromethyl)-2-methyl-5-(p-tolylmethyl)-1 -(1 ,2,4-triazol-
1 - ylmethyl)cyclopentanol (B.1.43); imidazoles: imazalil (B.1.44), pefurazoate (B.1 .45), prochloraz (B.1 .46), triflumizol (B.1 .47); pyrimidines, pyridines, piperazines: fenarimol
(B.1.49), pyrifenox (B.1 .50), triforine (B.1 .51 ), [3-(4-chloro-2-fluoro-phenyl)-5-(2,4-difluoro- phenyl)isoxazol-4-yl]-(3-pyridyl)methanol (B.1 .52);
- Delta14-reductase inhibitors: aldimorph (B.2.1 ), dodemorph (B.2.2), dodemorph-acetate (B.2.3), fenpropimorph (B.2.4), tridemorph (B.2.5), fenpropidin (B.2.6), piperalin (B.2.7), spiroxamine (B.2.8);
- Inhibitors of 3-keto reductase: fenhexamid (B.3.1 );
- Other Sterol biosynthesis inhibitors: chlorphenomizole (B.4.1 );
C) Nucleic acid synthesis inhibitors
- phenylamides or acyl amino acid fungicides: benalaxyl (C.1.1 ), benalaxyl-M (C.1 .2), kiralaxyl (C.1 .3), metalaxyl (C.1.4), metalaxyl-M (C.1 .5), ofurace (C.1 .6), oxadixyl (C.1 .7);
- other nucleic acid synthesis inhibitors: hymexazole (C.2.1 ), octhilinone (C.2.2), oxolinic acid (C.2.3), bupirimate (C.2.4), 5-fluorocytosine (C.2.5), 5-fluoro-2-(p-tolylmethoxy)pyrimidin- 4-amine (C.2.6), 5-fluoro-2-(4-fluorophenylmethoxy)pyrimidin-4-amine (C.2.7), 5-fluoro-
2- (4-chlorophenylmethoxy)pyrimidin-4 amine (C.2.8);
D) Inhibitors of cell division and cytoskeleton
- tubulin inhibitors: benomyl (D.1.1 ), carbendazim (D.1.2), fuberidazole (D1.3), thiabendazole (D.1 .4), thiophanate-methyl (D.1.5), pyridachlometyl (D.1 .6), V-ethyl-2-[(3-ethynyl-8-methyl- 6-quinolyl)oxy]butanamide (D.1 .8), AAethyl-2-[(3-ethynyl-8-methyl-6-quinolyl)oxy]-2- methylsulfanyl-acetamide (D.1.9), 2-[(3-ethynyl-8-methyl-6-quinolyl)oxy]- V-(2- fluoroethyl)butanamide (D.1 .10), 2-[(3-ethynyl-8-methyl-6-quinolyl)oxy]-AA(2-fluoroethyl)-2- methoxy-acetamide (D.1 .1 1 ), 2-[(3-ethynyl-8-methyl-6-quinolyl)oxy]-AApropyl-butanamide (D.1 .12), 2-[(3-ethynyl-8-methyl-6-quinolyl)oxy]-2-methoxy-Npropyl-acetamide (D.1.13), 2- [(3-ethynyl-8-methyl-6-quinolyl)oxy]-2-methylsulfanyl-AApropyl-acetamide (D.1.14),
2-[(3-ethynyl-8-methyl-6-quinolyl)oxy]-AA(2-fluoroethyl)-2-methylsulfanyl-acetamide (D.1.15), 4-(2-bromo-4-fluoro-phenyl)-AA(2-chloro-6-fluoro-phenyl)-2,5-dimethyl-pyrazol-3-amine (D.1 .16);
- other cell division inhibitors: diethofencarb (D.2.1 ), ethaboxam (D.2.2), pencycuron (D.2.3), fluopicolide (D.2.4), zoxamide (D.2.5), metrafenone (D.2.6), pyriofenone (D.2.7);
E) Inhibitors of amino acid and protein synthesis
- methionine synthesis inhibitors: cyprodinil (E.1 .1 ), mepanipyrim (E.1 .2), pyrimethanil (E.1.3);
- protein synthesis inhibitors: blasticidin-S (E.2.1 ), kasugamycin (E.2.2), kasugamycin hydro- chloride-hydrate (E.2.3), mildiomycin (E.2.4), streptomycin (E.2.5), oxytetracyclin (E.2.6);
F) Signal transduction inhibitors
- MAP / histidine kinase inhibitors: fluoroimid (F.1 .1 ), iprodione (F.1.2), procymidone (F.1 .3),
vinclozolin (F.1.4), fludioxonil (F.1 .5);
- G protein inhibitors: quinoxyfen (F.2.1 );
G) Lipid and membrane synthesis inhibitors
- Phospholipid biosynthesis inhibitors: edifenphos (G.1.1 ), iprobenfos (G.1.2), pyrazophos (G.1.3), isoprothiolane (G.1 .4);
- lipid peroxidation: dicloran (G.2.1 ), quintozene (G.2.2), tecnazene (G.2.3), tolclofos-methyl (G.2.4), biphenyl (G.2.5), chloroneb (G.2.6), etridiazole (G.2.7);
- phospholipid biosynthesis and cell wall deposition: dimethomorph (G.3.1 ), flumorph (G.3.2), mandipropamid (G.3.3), pyrimorph (G.3.4), benthiavalicarb (G.3.5), iprovalicarb (G.3.6), valifenalate (G.3.7);
- compounds affecting cell membrane permeability and fatty acides: propamocarb (G.4.1 );
- inhibitors of oxysterol binding protein: oxathiapiprolin (G.5.1 ), 2-{3-[2-(1 -{[3,5-bis(difluoro- methyl-1 A pyrazol-l -yl]acetyl}piperidin-4-yl)-1 ,3-thiazol-4-yl]-4,5-dihydro-1 ,2-oxazol-5-yl}- phenyl methanesulfonate (G.5.2), 2-{3-[2-(1 -{[3,5-bis(difluoromethyl)-1 pyrazol-1 -yl]- acetyl}piperidin-4-yl) 1 ,3-thiazol-4-yl]-4,5-dihydro-1 ,2-oxazol-5-yl}-3-chlorophenyl methanesulfonate (G.5.3), 4-[1 -[2-[3-(difluoromethyl)-5-methyl-pyrazol-1 -yl]acetyl]-4-piperidyl]-Nte- tralin-1 -yl-pyridine-2-carboxamide (G.5.4), 4-[1 -[2-[3,5-bis(difluoromethyl)pyrazol-1 -yl]acetyl]- 4-piperidyl]-AAtetralin-1 -yl-pyridine-2-carboxamide (G.5.5), 4-[1 -[2-[3-(difluoromethyl)-5-(tri- fluoromethyl)pyrazol-1 -yl]acetyl]-4-piperidyl]-N-tetralin-1 -yl-pyridine-2-carboxamide (G.5.6), 4-[1 -[2-[5-cyclopropyl-3-(difluoromethyl)pyrazol-1 -yl]acetyl]-4-piperidyl]-/V-tetralin-1 -yl-pyri- dine-2-carboxamide (G.5.7), 4-[1 -[2-[5-methyl-3-(trifluoromethyl)pyrazol-1 -yl]acetyl]-4-piperi- dyl]-Ntetralin-1 -yl-pyridine-2-carboxamide (G.5.8), 4-[1 -[2-[5-(difluoromethyl)-3-(trifluoro- methyl)pyrazol-1 -yl]acetyl]-4-piperidyl]-Ntetralin-1-yl-pyridine-2-carboxamide (G.5.9), 4-[1 -[2-[3,5-bis(trifluoromethyl)pyrazol-1 -yl]acetyl]-4-piperidyl]-N-tetralin-1 -yl-pyridine-2-car- boxamide (G.5.10), (4-[1 -[2-[5-cyclopropyl-3-(trifluoromethyl)pyrazol-1 -yl]acetyl]-4-piperidyl]- Ntetralin-1 -yl-pyridine-2-carboxamide (G.5.1 1 );
H) Inhibitors with Multi Site Action
- inorganic active substances: Bordeaux mixture (H.1.1 ), copper (H.1 .2), copper acetate
(H.1 .3), copper hydroxide (H.1 .4), copper oxychloride (H.1.5), basic copper sulfate (H.1 .6), sulfur (H.1.7);
- thio- and dithiocarbamates: ferbam (H.2.1 ), mancozeb (H.2.2), maneb (H.2.3), metam
(H.2.4), metiram (H.2.5), propineb (H.2.6), thiram (H.2.7), zineb (H.2.8), ziram (H.2.9);
- organochlorine compounds: anilazine (H.3.1 ), chlorothalonil (H.3.2), captafol (H.3.3), captan (H.3.4), folpet (H.3.5), dichlofluanid (H.3.6), dichlorophen (H.3.7), hexachlorobenzene (H.3.8), pentachlorphenole (H.3.9) and its salts, phthalide (H.3.10), tolylfluanid (H.3.1 1 );
- guanidines and others: guanidine (H.4.1 ), dodine (H.4.2), dodine free base (H.4.3),
guazatine (H.4.4), guazatine-acetate (H.4.5), iminoctadine (H.4.6), iminoctadine-triacetate (H.4.7), iminoctadine-tris(albesilate) (H.4.8), dithianon (H.4.9), 2,6-dimethyl-1 ,5 ^[1 ,4]di- thiino[2,3-c:5,6-c']dipyrrole-1 , 3,5,7(2 A ,6 )-tetraone (H.4.10);
I) Cell wall synthesis inhibitors
- inhibitors of glucan synthesis: validamycin (1.1.1 ), polyoxin B (1.1 .2);
- melanin synthesis inhibitors: pyroquilon (1.2.1 ), tricyclazole (1.2.2), carpropamid (I.2.3),
dicyclomet (I.2.4), fenoxanil (1.2.5);
J) Plant defence inducers
- acibenzolar-S-methyl (J.1.1 ), probenazole (J.1.2), isotianil (J.1.3), tiadinil (J.1 .4), prohexadione-calcium (J.1.5); phosphonates: fosetyl (J.1.6), fosetyl-aluminum (J.1 .7), phosphorous acid and its salts (J.1 .8), calcium phosphonate (J.1.1 1 ), potassium phosphonate (J.1.12), potassium or sodium bicarbonate (J.1.9), 4-cyclopropyl-N(2,4-dimethoxyphenyl)thiadiazole- 5-carboxamide (J.1 .10);
K) Unknown mode of action
- bronopol (K.1.1 ), chinomethionat (K.1.2), cyflufenamid (K.1 .3), cymoxanil (K.1.4), dazomet (K.1.5), debacarb (K.1.6), diclocymet (K.1.7), diclomezine (K.1 .8), difenzoquat (K.1.9), di- fenzoquat-methylsulfate (K.1 .10), diphenylamin (K.1 .1 1 ), fenitropan (K.1 .12), fenpyrazamine (K.1.13), flumetover (K.1 .14), flusulfamide (K.1 .15), flutianil (K.1 .16), harpin (K.1 .17), metha- sulfocarb (K.1.18), nitrapyrin (K.1.19), nitrothal-isopropyl (K.1.20), tolprocarb (K.1.21 ), oxin- copper (K.1.22), proquinazid (K.1.23), tebufloquin (K.1.24), tecloftalam (K.1 .25), triazoxide (K.1.26), /V-(4-(4-chloro-3-trifluoromethyl-phenoxy)-2,5-dimethyl-phenyl)-Nethyl-N-methyl formamidine (K.1.27), /Vi(4-(4-fluoro-3-trifluoromethyl-phenoxy)-2,5-dimethyl-phenyl)-N-eth- yl-N-methyl formamidine (K.1 .28), /V-[4-[[3-[(4-chlorophenyl)methyl]-1 ,2,4-thiadiazol-5-yl]- oxy]-2,5-dimethyl-phenyl]-Nethyl-N-methyl-formamidine (K.1.29), ^(S-bromo-e-indan^- yloxy-2-methyl-3-pyridyl)-Nethyl-N-methyl-formamidine (K.1.30), /V-[5-bromo-6-[1 -(3,5-diflu- orophenyl)ethoxy]-2-methyl-3-pyridyl]-N-ethyl-N-methyl-formamidine (K.1.31 ), ^[S-bromo- 6-(4-isopropylcyclohexoxy)-2-methyl-3-pyridyl]-Nethyl-N-methyl-formamidine (K.1.32), /V-[5-bromo-2-methyl-6-(1 -phenylethoxy)-3-pyridyl]-Nethyl-N-methyl-formamidine (K.1.33), /Vi(2-methyl-5-trifluoromethyl-4-(3-trimethylsilanyl-propoxy)-phenyl)-N-ethyl-N-methyl formamidine (K.1.34), /Vi(5-difluoromethyl-2-methyl-4-(3-trimethylsilanyl-propoxy)-phenyl)-N-ethyl- /V-methyl formamidine (K.1.35), 2-(4-chloro-phenyl)-N[4-(3,4-dimethoxy-phenyl)-isoxazol- 5-yl]-2-prop-2-ynyloxy-acetamide (K.1 .36), 3-[5-(4-chloro-phenyl)-2,3-dimethyl-isoxazolidin- 3-yl]-pyridine (pyrisoxazole) (K.1 .37), 3-[5-(4-methylphenyl)-2,3-dimethyl-isoxazolidin-3 yl]- pyridine (K.1.38), 5-chloro-1 -(4,6-dimethoxy-pyrimidin-2-yl)-2-methyl-1 A benzoimidazole (K.1.39), ethyl (2)-3-amino-2-cyano-3-phenyl-prop-2-enoate (K.1.40), picarbutrazox (K.1.41 ), pentyl N[6-[[(2)-[(1 -methyltetrazol-5-yl)-phenyl-methylene]amino]oxymethyl]-2-pyridyl]carba- mate (K.1.42), but-3-ynyl N[6-[[(2)-[(1 -methyltetrazol-5-yl)-phenyl-methylene]amino]oxy- methyl]-2-pyridyl]carbamate (K.1.43), ipflufenoquin (K.1.44), quinofumelin (K.1.47), 2-(6- benzyl-2-pyridyl)quinazoline (K.1 .50), 2-[6-(3-fluoro-4-methoxy-phenyl)-5-methyl-2- pyridyl]quinazoline (K.1.51 ), dichlobentiazox (K.1.52), /Vi(2,5-dimethyl-4-phenoxy-phenyl)-N- ethyl-N-methyl-formamidine (K.1.53), pyrifenamine (K.1.54);
M) Growth regulators
abscisic acid (M.1.1 ), amidochlor, ancymidol, 6-benzylaminopurine, brassinolide, butralin, chlormequat, chlormequat chloride, choline chloride, cyclanilide, daminozide, dikegulac, dimethipin, 2,6-dimethylpuridine, ethephon, flumetralin, flurprimidol, fluthiacet, forchlorfenuron, gibberellic acid, inabenfide, indole-3-acetic acid , maleic hydrazide, mefluidide, mepiquat, mepiquat chloride, naphthaleneacetic acid, /V-6-benzyl adenine, paclobutrazol, prohexadione, prohexadione-calcium, prohydrojasmon, thidiazuron, triapenthenol, tributyl phosphorotrithioate, 2,3,5-tri-iodobenzoic acid , trinexapac-ethyl, uniconazole;
N) Herbicides from classes N.1 to N.15
N.1 Lipid biosynthesis inhibitors: alloxydim, alloxydim-sodium, butroxydim, clethodim,
clodinafop, clodinafop-propargyl, cycloxydim, cyhalofop, cyhalofop-butyl, diclofop, diclofop-
methyl, fenoxaprop, fenoxaprop-ethyl, fenoxaprop-P, fenoxaprop-P-ethyl, fluazifop, fluazifop- butyl, fluazifop-P, fluazifop-P-butyl, haloxyfop, haloxyfop-methyl, haloxyfop-P, haloxyfop-P- methyl, metamifop, pinoxaden, profoxydim, propaquizafop, quizalofop, quizalofop-ethyl, quizalofop-tefuryl, quizalofop-P, quizalofop-P-ethyl, quizalofop-P-tefuryl, sethoxydim, tepraloxydim, tralkoxydim, 4-(4'-chloro-4-cyclo-,propyl-2,-fluoro[1 ,1 '-biphenyl]-3-yl)-5-hy- droxy-2,2,6,6-tetramethyl-2 -pyran-3(6 ^-one (1312337-72-6); 4-(2',4'-dichloro-4-cyclo- propyl[1 ,1 '-biphenyl]-3-yl)-5-hydroxy-2,2,6,6-tetramethyl-2 Ti-pyran-3(6 T)-one (1312337-45- 3); 4-(4'-chloro-4-ethyl-2'-fluoro[1 ,1 ,-biphenyl]-3-yl)-5-hydroxy-2,2,6,6-tetramethyl-2 -pyran- 3(6 ^-one (1033757-93-5); 4-(2',4'-dichloro-4-ethyl[1 ,1'-biphenyl]-3-yl)-2,2,6,6-tetramethyl- 2 pyran-3,5(4 /,6 ^-dione (1312340-84-3); 5-(acetyloxy)-4-(4'-chloro-4-cyclopropyl-2'- fluoro[1 ,1 '-biphenyl]-3-yl)-3,6-dihydro-2,2,6,6-tetramethyl-2 Ti-pyran-3-one (1312337-48-6); 5-(acetyloxy)-4-(2',4'-dichloro-4-cyclopropyl- [1 ,1'-biphenyl]-3-yl)-3,6-dihydro-2,2,6,6-tetra- methyl-2 -pyran-3-one; 5-(acetyloxy)-4-(4'-chloro-4-ethyl-2'-fluoro[1 ,1 -biphenyl]-3-yl)- 3,6-dihydro-2,2,6,6-tetramethyl-2 pyran-3-one (1312340-82-1 ); 5-(acetyloxy)-4-(2',4'-di- chloro-4-ethyl[1 ,1 '-biphenyl]-3-yl)-3,6-dihydro-2,2,6,6-tetramethyl-2 -pyran-3-one (1033760- 55-2); 4-(4'-chloro-4-cyclopropyl-2'-fluoro[1 ,1 ,-biphenyl]-3-yl)-5,6-dihydro-2,2,6,6-tetramethyl- 5-0X0-2 -pyran-3-yl carbonic acid methyl ester (1312337-51-1); 4-(2',4'-dichloro -4-cyclo- propyl- [1 ,1'-biphenyl]-3-yl)-5,6-dihydro-2,2,6,6-tetramethyl-5-oxo-2 -pyran-3-yl carbonic acid methyl ester; 4-(4'-chloro-4-ethyl-2'-fluoro[1 ,1 '-biphenyl]-3-yl)-5,6-dihydro-2,2,6,6-tetra- methyl-5-oxo-2 -pyran-3-yl carbonic acid methyl ester (1312340-83-2); 4-(2',4'-dichloro- 4-ethyh[1 ,1 '-biphenyl]-3-yl)-5,6-dihydro-2,2,6,6-tetramethyl-5-oxo-2 -pyran-3-yl carbonic acid methyl ester (1033760-58-5); benfuresate, butylate, cycloate, dalapon, dimepiperate, EPTC, esprocarb, ethofumesate, flupropanate, molinate, orbencarb, pebulate, prosulfocarb, TCA, thiobencarb, tiocarbazil, triallate, vernolate;
N.2 ALS inhibitors: amidosulfuron, azimsulfuron, bensulfuron, bensulfuron-methyl, chlorimuron, chlorimuron-ethyl, chlorsulfuron, cinosulfuron, cyclosulfamuron, ethametsulfuron, ethamet- sulfuron-methyl, ethoxysulfuron, flazasulfuron, flucetosulfuron, flupyrsulfuron, flupyrsulfuron- methyl-sodium, foramsulfuron, halosulfuron, halosulfuron-methyl, imazosulfuron, iodosulfu- ron, iodosulfuron-methyl-sodium, iofensulfuron, iofensulfuron-sodium, mesosulfuron, meta- zosulfuron, metsulfuron, metsulfuron-methyl, nicosulfuron, orthosulfamuron, oxasulfuron, primisulfuron, primisulfuron-methyl, propyrisulfuron, prosulfuron, pyrazosulfuron, pyrazo- sulfuron-ethyl, rimsulfuron, sulfometuron, sulfometuron-methyl, sulfosulfuron, thifensulfuron, thifensulfuron-methyl, triasulfuron, tribenuron, tribenuron-methyl, trifloxysulfuron, triflusul- furon, triflusulfuron-methyl, tritosulfuron, imazamethabenz, imazamethabenz-methyl, imaza- mox, imazapic, imazapyr, imazaquin, imazethapyr; cloransulam, cloransulam-methyl, diclo- sulam, flumetsulam, florasulam, metosulam, penoxsulam, pyrimisulfan, pyroxsulam; bispyri- bac, bispyribac-sodium, pyribenzoxim, pyriftalid, pyriminobac, pyriminobac-methyl, pyrithio- bac, pyrithiobac-sodium, 4-[[[2-[(4,6-dimethoxy-2-pyrimidinyl)oxy]phenyl]methyl]amino]- benzoic acid-1-methyhethyl ester (420138-41-6), 4-[[[2-[(4,6-dimethoxy-2-pyrimidinyl)oxy]- phenyl]-"methyl]amino]-benzoic acid propyl ester (420138-40-5), /\£(4-bromophenyl)-
2-[(4,6-dimethoxy-2-pyrimidinyl)oxy]benzenemethanamine (420138-01-8); flucarbazone, flucarbazone-sodium, propoxycarbazone, propoxycarbazone-sodium, thiencarbazone, thiencarbazone-methyl; triafamone;
N.3 Photosynthesis inhibitors: amicarbazone; chlorotriazine; ametryn, atrazine, chloridazone,
cyanazine, desmetryn, dimethametryn,hexazinone, metribuzin, prometon, prometryn, pro- pazine, simazine, simetryn, terbumeton, terbuthylazin, terbutryn, trietazin; chlorobromuron, chlorotoluron, chloroxuron, dimefuron, diuron, fluometuron, isoproturon, isouron, linuron, metamitron, methabenzthiazuron, metobenzuron, metoxuron, monolinuron, neburon, sidu- ron, tebuthiuron, thiadiazuron, desmedipham, karbutilat, phenmedipham, phenmedipham- ethyl, bromofenoxim, bromoxynil and its salts and esters, ioxynil and its salts and esters, bromacil, lenacil, terbacil, bentazon, bentazon-sodium, pyridate, pyridafol, pentanochlor, propanil; diquat, diquat-dibromide, paraquat, paraquat-dichloride, paraquat-dimetilsulfate; N.4 protoporphyrinogen-IX oxidase inhibitors: acifluorfen, acifluorfen-sodium, azafenidin, ben- carbazone, benzfendizone, bifenox, butafenacil, carfentrazone, carfentrazone-ethyl, chlor- methoxyfen, cinidon-ethyl, fluazolate, flufenpyr, flufenpyr-ethyl, flumiclorac, flumiclorac-pen- tyl, flumioxazin, fluoroglycofen, fluoroglycofen-ethyl, fluthiacet, fluthiacet-methyl, fomesafen, halosafen, lactofen, oxadiargyl, oxadiazon, oxyfluorfen, pentoxazone, profluazol, pyraclonil, pyraflufen, pyraflufen-ethyl, saflufenacil, sulfentrazone, thidiazimin, tiafenacil, trifludimoxazin, ethyl [3-[2-chloro-4-fluoro-5-(1 -methyl-6-trifluoromethyl-2,4-dioxo-1 ,2,3,4-tetrahydropyrimi- din-3-yl)phenoxy]-2-pyridyloxy]acetate (353292-31-6), AAethyl-3-(2,6-dichloro-4-trifluoro- methylphenoxy)-5-methyl-1 A pyrazole-l -carboxamide (452098-92-9), /V-tetrahydrofurfuryl- 3-(2,6-dichloro-4-trifluoromethylphenoxy)-5-methyl-1 A pyrazole-l -carboxamide (915396-43- 9), AAethyl-3-(2-chloro-6-fluoro-4-trifluoromethyhphenoxy)-5-methyl-1 A pyrazole-l -carbox- amide (452099-05-7), Ntetrahydro-,furfuryl-3-(2-chloro-6-fluoro-4-trifluoro-,methylphenoxy)- 5-methyl-1 pyrazole-l -carboxamide (452100-03-7), 3-[7-fluoro-3-oxo-4-(prop-2-ynyl)- 3,4^ίϊ^Γθ-2Ατ¾βηζο[1 ,4]oxazin-6-yl]-1 ,5-dimethyl-6-thioxo-[1 ,3,5]triazinan-2,4-dione (451484-50-7), 2-(2,2,7-trifluoro-3-oxo-4-prop-2-ynyl-3,4-dihydro-2 7i-benzo[1 ,4]oxazin-6-yl)- 4,5,6,7-tetrahydro-isoindole-1 ,3-dione (13001 18-96-0), 1 -methyl-6-trifluoro->methyl- 3-(2,2,7-tri-fluoro-3-oxo-4-prop-2-ynyl-3,4-dihydro-2 7i-benzo[1 ,4]oxazin-6-yl)-1 A pyrimidine- 2,4-dione (13041 13-05-0), methyl ( )-4-[2-chloro-5-[4-chloro-5-(difluoromethoxy)-1 methyl- pyrazol-3-yl]-4-fluoro-phenoxy]-3-methoxy-but-2-enoate (948893-00-3), 3-[7-chloro-5-fluoro- 2-(trifluoromethyl)-1 A benzimidazol^-y -l -methyl-6-(trifluoromethyl)-1 A pyrimidine^^-di- one (212754-02-4);
N.5 Bleacher herbicides: beflubutamid, diflufenican, fluridone, flurochloridone, flurtamone,
norflurazon, picolinafen, 4-(3-trifluoromethyhphenoxy)-2-(4-trifluoromethylphenyl)pyrimidine (180608-33-7); benzobicyclon, benzofenap, bicyclopyrone, clomazone, fenquintrione, isoxaflutole, mesotrione, pyrasulfotole, pyrazolynate, pyrazoxyfen, sulcotrione, tefuryltrione, tembotrione, tolpyralate, topramezone; aclonifen, amitrole, flumeturon;
N.6 EPSP synthase inhibitors: glyphosate, glyphosate-isopropylammonium, glyposate- potassium, glyphosate-trimesium (sulfosate);
N.7 Glutamine synthase inhibitors: bilanaphos (bialaphos), bilanaphos-sodium, glufosinate, glufosinate-P, glufosinate-ammonium;
N.8 DHP synthase inhibitors: asulam;
N.9 Mitosis inhibitors: benfluralin, butralin, dinitramine, ethalfluralin, fluchloralin, oryzalin, pen- dimethalin, prodiamine, trifluralin; amiprophos, amiprophos-methyl, butamiphos; chlorthal, chlorthal-dimethyl, dithiopyr, thiazopyr, propyzamide, tebutam; carbetamide, chlorpropham, flamprop, flamprop-isopropyl, flamprop-methyl, flamprop-M-isopropyl, flamprop-M-methyl, propham;
N.10 VLCFA inhibitors: acetochlor, alachlor, butachlor, dimethachlor, dimethenamid, dimethen- amid-P, metazachlor, metolachlor, metolachlor-S, pethoxamid, pretilachlor, propachlor, prop- isochlor, thenylchlor, flufenacet, mefenacet, diphenamid, naproanilide, napropamide, napro- pamide-M, fentrazamide, anilofos, cafenstrole, fenoxasulfone, ipfencarbazone, piperophos, pyroxasulfone, isoxazoline compounds of the formulae 11.1 , II.2, II.3, II.4, II.5, II.6, II.7, II.8 and II.9
N.1 1 Cellulose biosynthesis inhibitors: chlorthiamid, dichlobenil, flupoxam, indaziflam, isoxaben, triaziflam, 1 -cyclohexyl-5-pentafluorphenyloxy-14-[1 ,2,4,6]thiatriazin-3-ylamine (175899-01 -
1 );
N.12 Decoupler herbicides: dinoseb, dinoterb, DNOC and its salts;
N.13 Auxinic herbicides: 2,4-D and its salts and esters, clacyfos, 2,4-DB and its salts and
esters, aminocyclopyrachlor and its salts and esters, aminopyralid and its salts such as aminopyralid-dimethylammonium, aminopyralid-tris(2-hydroxypropyl)ammonium and its esters, benazolin, benazolin-ethyl, chloramben and its salts and esters, clomeprop, clopy- ralid and its salts and esters, dicamba and its salts and esters, dichlorprop and its salts and esters, dichlorprop-P and its salts and esters, fluroxypyr, fluroxypyr-butometyl, fluroxypyr- meptyl, halauxifen and its salts and esters (943832-60-8); MCPA and its salts and esters, MCPA-thioethyl, MCPB and its salts and esters, mecoprop and its salts and esters, meco- prop-P and its salts and esters, picloram and its salts and esters, quinclorac, quinmerac,
TBA (2,3,6) and its salts and esters, triclopyr and its salts and esters, 4-amino-3-chloro- 6-(4-chloro-2-fluoro-3-methoxyphenyl)-5-fluoropyridine-2-carboxylic acid, benzyl 4-amino- 3-chloro-6-(4-chloro-2-fluoro-3-methoxyphenyl)-5-fluoropyridine-2-carboxylate (1390661 -72-
9);
N.14 Auxin transport inhibitors: diflufenzopyr, diflufenzopyr-sodium, naptalam, naptalam- sodium;
N.15 Other herbicides: bromobutide, chlorflurenol, chlorflurenol-methyl, cinmethylin, cumyluron, cyclopyrimorate (499223-49-3) and its salts and esters, dalapon, dazomet, difenzoquat, di- fenzoquat-metilsulfate, dimethipin, DSMA, dymron, endothal and its salts, etobenzanid, flu- renol, flurenol-butyl, flurprimidol, fosamine, fosamine-ammonium, indanofan, maleic hydra- zide, mefluidide, metam, methiozolin (403640-27-7), methyl azide, methyl bromide, methyl- dymron, methyl iodide, MSMA, oleic acid, oxaziclomefone, pelargonic acid, pyributicarb, quinoclamine, tridiphane;
O) Insecticides from classes 0.1 to 0.29
0.1 Acetylcholine esterase (AChE) inhibitors: aldicarb (0.1 .1 ), alanycarb (0.1.2), bendiocarb (0.1.3), benfuracarb (0.1 .4), butocarboxim (0.1.5), butoxycarboxim (0.1.6), carbaryl (0.1.7), carbofuran (0.1.8), carbosulfan (0.1.9), ethiofencarb (0.1 .10), fenobucarb (0.1 .1 1 ), formetanate (0.1.12), furathiocarb (0.1.13), isoprocarb (0.1.14), methiocarb (0.1.15), methomyl (0.1 .16), metolcarb (0.1.17), oxamyl (0.1 .18), pirimicarb (0.1 .19), propoxur (0.1.20), thiodicarb (0.1.21 ), thiofanox (0.1.22), trimethacarb (0.1 .23), XMC (0.1 .24), xylylcarb (0.1.25), triazamate (0.1.26), acephate (0.1.27), azamethiphos (0.1.28), azinphos-ethyl (0.1 .29), azinphosmethyl (0.1 .30), cadusafos (0.1.31 ), chlorethoxyfos (0.1.32), chlorfenvinphos (0.1 .33), chlormephos (0.1 .34), chlorpyrifos (0.1.35), chlorpyrifos- methyl (0.1 .36), coumaphos (0.1.37), cyanophos (0.1 .38), demeton-S-methyl (0.1 .39), diazinon (0.1 .40), dichlorvos/ DDVP (0.1.41 ), dicrotophos (0.1.42), dimethoate (0.1.43), dimethylvinphos (0.1 .44), disulfoton (0.1.45), EPN (0.1 .46), ethion (0.1 .47), ethoprophos (0.1.48), famphur (0.1 .49), fenamiphos (0.1.50), fenitrothion (0.1.51 ), fenthion (0.1.52), fosthiazate (0.1 .53), heptenophos (0.1 .54), imicyafos (0.1.55), isofenphos (0.1 .56), isopropyl O-(methoxyaminothio-phosphoryl) salicylate (0.1.57), isoxathion (0.1.58), malathion (0.1 .59), mecarbam (0.1.60), methamidophos (0.1 .61 ), methidathion (0.1.62), mevinphos (0.1 .63), monocrotophos (0.1 .64), naled (0.1.65), omethoate (0.1.66), oxydemeton-methyl (0.1 .67), parathion (0.1.68), parathion-methyl (0.1 .69), phenthoate (0.1.70), phorate (0.1.71 ), phosalone (0.1.72), phosmet (0.1.73), phosphamidon (0.1.74), phoxim (0.1.75), pirimiphos- methyl (0.1 .76), profenofos (0.1.77), propetamphos (0.1.78), prothiofos (0.1 .79), pyraclofos (0.1 .80), pyridaphenthion (0.1.81 ), quinalphos (0.1.82), sulfotep (0.1.83), tebupirimfos (0.1.84), temephos (0.1.85), terbufos (0.1.86),
tetrachlorvinphos (0.1 .87), thiometon (0.1 .88), triazophos (0.1 .89), trichlorfon (0.1.90), vamidothion (0.1 .91 );
0.2 GABA-gated chloride channel antagonists: endosulfan (0.2.1 ), chlordane (0.2.2), ethiprole (0.2.3), fipronil (0.2.4), flufiprole (0.2.5), pyrafluprole (0.2.6), pyriprole (0.2.7);
0.3 Sodium channel modulators: acrinathrin (0.3.1 ), allethrin (0.3.2), d-cis-trans allethrin
(0.3.3), d-trans allethrin (0.3.4), bifenthrin (0.3.5), kappa-bifenthrin (0.3.6), bioallethrin (0.3.7), bioallethrin S-cylclopentenyl (0.3.8), bioresmethrin (0.3.9), cycloprothrin (0.3.10), cyfluthrin (0.3.1 1 ), beta-cyfluthrin (0.3.12), cyhalothrin (0.3.13), lambda-cyhalothrin
(0.3.14), gamma-cyhalothrin (0.3.15), cypermethrin (0.3.16), alpha-cypermethrin (0.3.17), beta-cypermethrin (0.3.18), theta-cypermethrin (0.3.19), zeta-cypermethrin (0.3.20), cyphenothrin (0.3.21 ), deltamethrin (0.3.22), empenthrin (0.3.23), esfenvalerate (0.3.24), etofenprox (0.3.25), fenpropathrin (0.3.26), fenvalerate (0.3.27), flucythrinate (0.3.28), flumethrin (0.3.29), tau-fluvalinate (0.3.30), halfenprox (0.3.31 ), heptafluthrin (0.3.32), imiprothrin (0.3.33), meperfluthrin (0.3.34), metofluthrin (0.3.35), momfluorothrin (0.3.36), epsilon-momfluorothrin (0.3.37), permethrin (0.3.38), phenothrin (0.3.39), prallethrin (O.3.40), profluthrin (0.3.41 ), pyrethrin (pyrethrum) (0.3.42), resmethrin (0.3.43), silafluofen (0.3.44), tefluthrin (0.3.45), kappa-tefluthrin (0.3.46), tetramethylfluthrin (0.3.47), tetramethrin (0.3.48), tralomethrin (0.3.49), transfluthrin (O.3.50), DDT (0.3.51 ),
methoxychlor (0.3.52);
0.4 Nicotinic acetylcholine receptor agonists (nAChR): acetamiprid (0.4.1 ), clothianidin (0.4.2), cycloxaprid (0.4.3), dinotefuran (0.4.4), imidacloprid (0.4.5), nitenpyram (0.4.6), thiacloprid (0.4.7), thiamethoxam (0.4.8), 4,5-dihydro-AAnitro-1 -(2-oxiranylmethyl)-1 A imidazol^-amine (0.4.9), (2£)-1 -[(6-chloropyridin-3-yl)methyl]-/V-nitro-2-pentylidene- hydrazinecarboximidamide (0.4.10), 1 -[(6-chloropyridin-3-yl)methyl]-7-methyl-8-nitro-5- propoxy-1 ,2,3,5,6,7-hexahydroimidazo[1 ,2-a]pyridine (0.4.1 1 ), nicotine (0.4.12), sulfoxaflor (0.4.13), flupyradifurone (0.4.14), triflumezopyrim (0.4.15);
0.5 Nicotinic acetylcholine receptor allosteric activators: spinosad (0.5.1 ), spinetoram (0.5.2); 0.6 Chloride channel activators: abamectin (0.6.1 ), emamectin benzoate (0.6.2), ivermectin (0.6.3), lepimectin (0.6.4), milbemectin (0.6.5);
0.7 Juvenile hormone mimics: hydroprene (0.7.1 ), kinoprene (0.7.2), methoprene (0.7.3), fenoxycarb (0.7.4), pyriproxyfen (0.7.5);
0.8 miscellaneous non-specific (multi-site) inhibitors: methyl bromide (0.8.1 ) and other alkyl halides, chloropicrin (0.8.2), sulfuryl fluoride (0.8.3), borax (0.8.4), tartar emetic (0.8.5);
0.9 Chordotonal organ TRPV channel modulators: pymetrozine (0.9.1 ), pyrifluquinazon (0.9.2), flonicamid (0.9.3);
O.10 Mite growth inhibitors: clofentezine (O.10.1 ), hexythiazox (O.10.2), diflovidazin (O.10.3), etoxazole (0.10.4);
0.1 1 Microbial disruptors of insect midgut membranes: Bacillus thuringiensis, Bacillus
sphaericus and the insecticdal proteins they produce: Bacillus thuringiensis subsp.
Israelensis (0.1 1.1 ), Bacillus sphaericus (0.1 1.2), Bacillus thuringiensis subsp. aizawai
(0.1 1.3), Bacillus thuringiensis subsp. kurstakHQA ^ A), Bacillus thuringiensis subsp.
tenebrionis (0.1 1 .5), the Bt crop proteins: Cry1 Ab (0.1 1.6), Cry1 Ac (0.1 1 .7), Cry1 Fa (0.1 1 .8), Cry2Ab (0.1 1 .9), mCry3A (0.1 1.10), Cry3Ab (0.1 1.1 1 ), Cry3Bb (0.1 1.12),
Cry34/35Ab1 (0.1 1 .13);
0.12 Inhibitors of mitochondrial ATP synthase: diafenthiuron (0.12.1 ), azocyclotin (0.12.2), cyhexatin (0.12.3), fenbutatin oxide (0.12.4), propargite (0.12.5), tetradifon (0.12.6);
0.13 Uncouplers of oxidative phosphorylation via disruption of the proton gradient: chlorfenapyr (0.13.1 ), DNOC (0.13.2), sulfluramid (0.13.3);
0.14 Nicotinic acetylcholine receptor (nAChR) channel blockers: bensultap (0.14.1 ), cartap hydrochloride (0.14.2), thiocyclam (0.14.3), thiosultap sodium (0.14.4);
0.15 Inhibitors of the chitin biosynthesis type 0: bistrifluron (0.15.1 ), chlorfluazuron (0.15.2), diflubenzuron (0.15.3), flucycloxuron (0.15.4), flufenoxuron (0.15.5), hexaflumuron
(0.15.6), lufenuron (0.15.7), novaluron (0.15.8), noviflumuron (0.15.9), teflubenzuron
(O.15.10), triflumuron (0.15.1 1 );
0.16 Inhibitors of the chitin biosynthesis type 1 : buprofezin (0.16.1 );
0.17 Moulting disruptors: cyromazine (0.17.1 );
0.18 Ecdyson receptor agonists: methoxyfenozide (0.18.1 ), tebufenozide (0.18.2),
halofenozide (0.18.3), fufenozide (0.18.4), chromafenozide (0.18.5);
0.19 Octopamin receptor agonists: amitraz (0.19.1 );
O.20 Mitochondrial complex III electron transport inhibitors: hydramethylnon (O.20.1 ),
acequinocyl (O.20.2), fluacrypyrim (O.20.3), bifenazate (O.20.4);
0.21 Mitochondrial complex I electron transport inhibitors: fenazaquin (0.21.1 ), fenpyroximate
(0.21 .2), pyrimidifen (0.21 .3), pyridaben (0.21.4), tebufenpyrad (0.21.5), tolfenpyrad
(0.21 .6), rotenone (0.21.7);
0.22 Voltage-dependent sodium channel blockers: indoxacarb (0.22.1 ), metaflumizonev
(0.22.2), 2-[2-(4-cyanophenyl)-1 -[3-(trifluoromethyl)phenyl]ethylidene]-N[4- (difluoromethoxy)phenyl]-hydrazinecarboxamide (0.22.3), N(3-chloro-2-methylphenyl)-2-[(4- chlorophenyl)-[4-[methyl(methylsulfonyl)amino]phenyl]methylene]-hydrazinecarboxamide
(0.22.4);
0.23 Inhibitors of the of acetyl CoA carboxylase: spirodiclofen (0.23.1 ), spiromesifen (0.23.2), spirotetramat (0.23.3), spiropidion (0.23.4);
0.24 Mitochondrial complex IV electron transport inhibitors: aluminium phosphide (0.24.1 ), calcium phosphide (0.24.2), phosphine (0.24.3), zinc phosphide (0.24.4), cyanide (0.24.5); 0.25 Mitochondrial complex II electron transport inhibitors: cyenopyrafen (0.25.1 ), cyflumetofen
(0.25.2);
0.26 Ryanodine receptor-modulators: flubendiamide (0.26.1 ), chlorantraniliprole (0.26.2), cyantraniliprole (0.26.3), cyclaniliprole (0.26.4), tetraniliprole (0.26.5), ( ¾-3-chloro- V-{2- methyl-4-[1 ,2,2,2 -tetrafluoro-1 -(trifluoromethyl)ethyl]phenyl}-/^-(1 -methyl-2- methylsulfonylethyl)phthalamide (0.26.6), (SJ-S-chloro-N^-methyl^-tl ^^^-tetrafluoro-l - (trifluoromethyl)ethyl]phenyl}-Ae-(1 -methyl-2-methylsulfonylethyl)phthalamide (0.26.7), methyl-2-[3,5-dibromo-2-({[3-bromo-1 -(3-chloropyridin-2-yl)-1 pyrazol-S-ylJcarbonyl}- amino)benzoyl]-1 ,2-dimethylhydrazinecarboxylate (0.26.8), N[4,6-dichloro-2-[(diethyl- lambda-4-sulfanylidene)carbamoyl]-phenyl]-2-(3-chloro-2-pyridyl)-5-(trifluoromethyl)pyrazole- 3-carboxamide (0.26.9), N[4-chloro-2-[(diethyl-lambda-4-sulfanylidene)carbamoyl]-6- methyl-phenyl]-2-(3-chloro-2-pyridyl)-5-(trifluoromethyl)pyrazole-3-carboxamide (0.26.10), N[4-chloro-2-[(di-2-propyl-lambda-4-sulfanylidene)carbamoyl]-6-methyl-phenyl]-2-(3-chloro- 2-pyridyl)-5-(trifluoromethyl)pyrazole-3-carboxamide (0.26.1 1 ), N[4,6-dichloro-2-[(di-2- propyl-lambda-4-sulfanylidene)carbamoyl]-phenyl]-2-(3-chloro-2-pyridyl)-5- (trifluoromethyl)pyrazole-3-carboxamide (0.26.12), N[4,6-dibromo-2-[(diethyl-lambda-4- sulfanylidene)carbamoyl]-phenyl]-2-(3-chloro-2-pyridyl)-5-(trifluoromethyl)pyrazole-3- carboxamide (0.26.13), N[2-(5-amino-1 ,3,4-thiadiazol-2-yl)-4-chloro-6-methylphenyl]-3- bromo-1 -(3-chloro-2-pyridinyl)-1 pyrazole-S-carboxamide (0.26.14), 3-chloro-1 -(3-chloro-2- pyridinyl)-/V-[2,4-dichloro-6-[[(1 -cyano-1 -methylethyl)amino]carbonyl]phenyl]-1 A pyrazole- 5-carboxamide (0.26.15), 3-bromo-N[2,4-dichloro-6-(methylcarbamoyl)phenyl]-1 -(3,5- dichloro-2-pyridyl)-1 A£pyrazole-5-carboxamide (0.26.16), N[4-chloro-2-[[(1 ,1 - dimethylethyl)amino]carbonyl]-6-methylphenyl]-1 -(3-chloro-2-pyridinyl)-3-(fluoromethoxy)-
1 pyrazole-S-carboxamide (0.26.17), cyhalodiamide (0.26.18);
7: Chordotonal organ Modulators - undefined target site: flonicamid (0.27.1 );
8. insecticidal active compounds of unknown or uncertain mode of action: afidopyropen (0.28.1 ), afoxolaner (0.28.2), azadirachtin (0.28.3), amidoflumet (0.28.4), benzoximate (0.28.5), broflanilide (0.28.6), bromopropylate (0.28.7), chinomethionat (0.28.8), cryolite (0.28.9), dicloromezotiaz (0.28.10), dicofol (0.28.1 1 ), flufenerim (0.28.12), flometoquin (0.28.13), fluensulfone (0.28.14), fluhexafon (0.28.15), fluopyram (0.28.16), fluralaner (0.28.17), metoxadiazone (0.28.18), piperonyl butoxide (0.28.19), pyflubumide (O.28.20), pyridalyl (0.28.21 ), tioxazafen (0.28.22), 1 1 -(4-chloro-2,6-dimethylphenyl)-12-hydroxy-1 ,4- dioxa-9-azadispiro[4.2.4.2]-tetradec-1 1 -en-10-one, 3-(4'-fluoro-2,4-dimethylbiphenyl-3-yl)-4- hydroxy-8-oxa-1 -azaspiro[4.5]dec-3-en-2-one, 1 -[2-fluoro-4-methyl-5-[(2,2,2- trifluoroethyl)sulfinyl]phenyl]-3-(trifluoromethyl)-1 Η-λ ,2,4-triazole-5-amine (0.28.23), Bacillus firmus 1-1582 (0.28.24), flupyrimin (0.28.25), fluazaindolizine (0.28.26), 4-[5-(3,5-di- chlorophenyl)-5-(trifluoromethyl)-4A7Lisoxazol-3-yl]-2-methyl-N(1 -oxothietan-3-yl)benzamide (0.28.27), fluxametamide (0.28.28), 5-[3-[2,6-dichloro-4-(3,3- dichloroallyloxy)phenoxy]propoxy]-1 A pyrazole (0.28.1 ), 4-cyano-N[2-cyano-5-[[2,6- dibromo-4-[1 ,2,2,3,3,3-hexafluoro-1 -(trifluoromethyl)propyl]phenyl]carbamoyl]phenyl]-2- methyl-benzamide (0.28.29), 4-cyano-3-[(4-cyano-2-methyl-benzoyl)amino]-N[2,6-dichloro- 4-[1 ,2,2,3,3,3-hexafluoro-1 -(trifluoromethyl)propyl]phenyl]-2-fluoro-benzamide (O.28.30), N[5-[[2-chloro-6-cyano-4-[1 ,2,2,3,3,3-hexafluoro-1 -(trifluoromethyl)propyl]phenyl]carbamoyl]- 2-cyano-phenyl]-4-cyano-2-methyl-benzamide (0.28.31 ), N[5-[[2-bromo-6-chloro-4-[2,2,2-tri- fluoro-1 -hydroxy-1 -(trifluoromethyl)ethyl]phenyl]carbamoyl]-2-cyano-phenyl]-4-cyano- 2-methyl-benzamide (0.28.32), N[5-[[2-bromo-6-chloro-4-[1 ,2,2,3,3,3-hexafluoro-1 -(trifluoro- methyl)propyl]phenyl]carbamoyl]-2-cyano-phenyl]-4-cyano-2-methyl-benzamide (0.28.33), 4- cyano-N[2-cyano-5-[[2,6-dichloro-4-[1 ,2,2,3,3,3-hexafluoro-1 -(trifluoromethyl)propyl]phenyl]- carbamoyl]phenyl]-2-methyl-benzamide (0.28.34), 4-cyano-/V-[2-cyano-5-[[2,6-dichloro-4- [1 ,2,2,2-tetrafluoro-1 -(trifluoromethyl)ethyl]phenyl]carbamoyl]phenyl]-2-methyl-benzamide (0.28.35), N[5-[[2-bromo-6-chloro-4-[1 ,2,2,2-tetrafluoro-1 -(trifluoromethyl)ethyl]phenyl]- carbamoyl]-2-cyano-phenyl]-4-cyano-2-methyl-benzamide (0.28.36); 2-(1 ,3-dioxan-2-yl)-6- [2-(3-pyridinyl)-5-thiazolyl]-pyridine (0.28.37), 2-[6-[2-(5-fluoro-3-pyridinyl)-5-thiazolyl]-2- pyridinyl]-pyrimidine (0.28.38), 2-[6-[2-(3-pyridinyl)-5-thiazolyl]-2-pyridinyl]-pyrimidine (0.28.39), Nmethylsulfonyl-6-[2-(3-pyridyl)thiazol-5-yl]pyridine-2-carboxamide (O.28.40), ΛΑ methylsulfonyl-6-[2-(3-pyridyl)thiazol-5-yl]pyridine-2-carboxamide (0.28.41 ), 1 -[(6-chloro-3- pyridinyl)methyl]-1 ,2,3,5,6,7-hexahydro-5-methoxy-7-methyl-8-nitro-imidazo[1 ,2-a]pyridine (0.28.42), 1 -[(6-chloropyridin-3-yl)methyl]-7-methyl-8-nitro-1 ,2,3,5,6,7-hexahydroimidazo[1 ,2- a]pyridin-5-ol (0.28.43), 1 -isopropyl-A ,5-dimethyl-Npyridazin-4-yl-pyrazole-4-carboxamide (0.28.44), 1 -(1 ,2-dimethylpropyl)-N-ethyl-5-methyl-Npyridazin-4-yl-pyrazole-4-carboxamide (0.28.45), /V,5-dimethyl-Npyridazin-4-yl-1 -(2,2,2-trifluoro-1 -methyl-ethyl)pyrazole-4-car- boxamide (0.28.46), 1 -[1 -(1 -cyanocyclopropyl)ethyl]-N-ethyl-5-methyl-Npyridazin-4-yl- pyrazole-4-carboxamide (0.28.47), Nethyl-1 -(2-fluoro-1 -methyl-propyl)-5-meth-yl-N pyridazin-4-yl-pyrazole-4-carboxamide (0.28.48), 1 -(1 ,2-dimethylpropyl)-A ,5-dimethyl- Npyridazin-4-yl-pyrazole-4-carboxamide (0.28.49), 1 -[1 -(1 -cyanocyclopropyl)ethyl]-/V,5-di- methyl-Npyridazin-4-yl-pyrazole-4-carboxamide (0.28.50), Nmethyl-1 -(2-fluoro-1 -methyl-
propyl]-5-methyl-/V-pyridazin-4-yl-pyrazole-4-carboxamide (0.28.51 ), 1 -(4,4-di- fluorocyclohexyl)-Nethyl-5-methyl-/\Apyridazin-4-yl-pyrazole-4-carboxamide (0.28.52), 1 - (4,4-difluorocyclohexyl)-A',5-dimethyl-Npyridazin-4-yl-pyrazole-4-carboxamide (0.28.53), ΛΑ (1 -methylethyl)-2-(3-pyridinyl)-2Mindazole-4-carboxamide (0.28.54), /V-cyclopropyl- 2-(3-pyridinyl)-2Mindazole-4-carboxamide (0.28.55), Ncyclohexyl-2-(3-pyridinyl)-2M indazole-4-carboxamide (0.28.56), 2-(3-pyridinyl)-N(2,2,2-trifluoroethyl)-2Mindazole-4- carboxamide (0.28.57), 2-(3-pyridinyl)-/V-[(tetrahydro-2-furanyl)methyl]-2A7Lindazole- 5-carboxamide (0.28.58), methyl 2-[[2-(3-pyndinyl)-2Mindazol-5- yl]carbonyl]hydrazinecarboxylate (0.28.59), N[(2,2-difluorocyclopropyl)methyl]-2-(3- pyridinyl)-2Mindazole-5-carboxamide (O.28.60), N(2,2-difluoropropyl)-2-(3-pyridinyl)-2M indazole-5-carboxamide (0.28.61 ), 2-(3-pyridinyl )-/V-(2-pyrimidinylmethyl )-2/7Lindazole-5- carboxamide (0.28.62), /V-[(5-methyl-2-pyrazinyl)methyl]-2-(3-pyridinyl)-2/7Lindazole-5-car- boxamide (0.28.63), tyclopyrazoflor (0.28.64), sarolaner (0.28.65), lotilaner (0.28.66), /V-[4-chloro-3-[[(phenylmethyl)amino]carbonyl]phenyl]-1 -methyl-3-(1 ,1 ,2,2,2-penta- fluoroethyl)-4-(trifluoromethyl)-1 Mpyrazole-5-carboxamide (0.28.67), M.UN.22a 2-(3- ethylsulfonyl-2-pyndyl)-3-methyl-6-(trifluoromethyl)imidazo[4,5-b]pyridine (0.28.68), 2-[3- ethylsulfonyl-5-(trifluoromethyl)-2-pyridyl]-3-methyl-6-(trifluoromethyl)imidazo[4,5-b]pyridine (0.28.69), 4-[5-(3,5-dichlorophenyl)-5-(trifluoromethyl)-4/7i-isoxazol-3-yl]-/V-[(4/?)-2-ethyl-
3- oxo-isoxazolidin-4-yl]-2-methyl-benzamide (0.28.70), 4-[5-(3,5-dichloro-4-fluoro-phenyl)-5- (trifluoromethyl)-4AAisoxazol-3-yl]-/V-[(4/?)-2-ethyl-3-oxo-isoxazolidin-4-yl]-2-methyl- benzamide (0.28.71 ), /V-[4-chloro-3-(cyclopropylcarbamoyl)phenyl]-2-methyl-5-(1 ,1 ,2,2,2- pentafluoroethyl)-4-(trifluoromethyl)pyrazole-3-carboxamide (0.28.72), /V-[4-chloro-3-[(1 -cy- anocyclopropyl)carbamoyl]phenyl]-2-methyl-5-(1 ,1 ,2,2,2-pentafluoroethyl)-4-(trifluoromethyl)- pyrazole-3-carboxamide (0.28.73), acynonapyr (0.28.74), benzpyrimoxan (0.28.75), chloro- /V-(1 -cyanocyclopropyl)-5-[1 -[2-methyl-5-(1 ,1 ,2,2,2-pentafluoroethyl)-
4- (trifluoromethyl)pyrazol-3-yl]pyrazol-4-yl]benzamide (0.28.76), oxazosulfyl (0.28.77), [(25,3/?,4/?,55,6S)-3,5-dimethoxy-6-methyl-4-propoxy-tetrahydropyran-2-yl]-/V-[4-[1 -[4-(tri- fluoromethoxy)phenyl]-1 ,2,4-triazol-3-yl]phenyl]carbamate (0.28.78),
[(25,3/?,4/?,55,6S)-3,4,5-trimethoxy-6-methyl-tetrahydropyran-2-yl] N-[4-[1 -[4-(trifluoro- methoxy)phenyl]-1 ,2,4-triazol-3-yl]phenyl]carbamate (0.28.79), [(25,3/?,4/?,55,6S)-3,5- dimethoxy-6-methyl-4-propoxy-tetrahydropyran-2-yl]-/V-[4-[1 -[4-(1 , 1 ,2,2,2- pentafluoroethoxy)phenyl]-1 ,2,4-triazol-3-yl]phenyl]carbamate (O.28.80), [(25,3/?,4/?,55,6S)- 3,4,5-trimethoxy-6-methyl-tetrahydropyran-2-yl]-/V-[4-[1 -[4-(1 ,1 ,2,2,2-penta- fluoroethoxy)phenyl]-1 ,2,4-triazol-3-yl]phenyl]carbamate (0.28.81 ), (22)-3-(2- isopropylphenyl)-2-[(£)-[4-[1 -[4-(1 ,1 ,2,2,2-pentafluoroethoxy)phenyl]-1 ,2,4-triazol-3- yl]phenyl]methylenehydrazono]thiazolidin-4-one (0.28.82).
The active substances referred to as component 2, their preparation and their activity e. g. against harmful fungi is known (cf.: http://www.alanwood.net/pesticides/); these substances are commercially available. The compounds described by lUPAC nomenclature, their preparation and their pesticidal activity are also known (cf. Can. J. Plant Sci. 48(6), 587-94, 1968;
EP-A 141 317; EP-A 152 031 ; EP-A 226 917; EP-A 243 970; EP-A 256 503; EP-A 428 941 ; EP-A 532 022; EP-A 1 028 125; EP-A 1 035 122; EP-A 1 201 648; EP-A 1 122 244,
JP 2002316902; DE 19650197; DE 10021412; DE 102005009458; US 3,296,272;
US 3,325,503; WO 98/46608; WO 99/14187; WO 99/24413; WO 99/27783; WO 00/29404; WO 00/46148; WO 00/65913; WO 01/54501 ; WO 01/56358; WO 02/22583; WO 02/40431 ; WO 03/10149; WO 03/1 1853; WO 03/14103; WO 03/16286; WO 03/53145; WO 03/61388; WO 03/66609; WO 03/74491 ; WO 04/49804; WO 04/83193; WO 05/120234; WO 05/123689; WO 05/123690; WO 05/63721 ; WO 05/87772; WO 05/87773; WO 06/15866; WO 06/87325; WO 06/87343; WO 07/82098; WO 07/90624, WO 10/139271 , WO 1 1/028657, WO 12/168188, WO 07/006670, WO 1 1/77514; WO 13/047749, WO 10/069882, WO 13/047441 , WO 03/16303, WO 09/90181 , WO 13/007767, WO 13/010862, WO 13/127704, WO 13/024009, WO 13/24010, WO 13/047441 , WO 13/162072, WO 13/092224, WO 1 1/135833, CN 1907024, CN 1456054, CN 103387541 , CN 1309897, WO 12/84812, CN 1907024, WO 09094442, WO 14/60177, WO 13/1 16251 , WO 08/013622, WO 15/65922, WO 94/01546, EP 2865265, WO 07/129454, WO 12/16551 1 , WO 1 1/081 174, WO 13/47441 ).
The present invention furthermore relates to agrochemical compositions comprising a mixture of at least one compound I (component 1 ) and at least one further active substance useful for plant protection, e. g. selected from the groups A) to O) (component 2), in particular one further fungicide, e. g. one or more fungicide from the groups A) to K), as described above, and if desired one suitable solvent or solid carrier. Those mixtures are of particular interest, since many of them at the same application rate show higher efficiencies against harmful fungi.
Furthermore, combating harmful fungi with a mixture of compounds I and at least one fungicide from groups A) to K), as described above, is more efficient than combating those fungi with individual compounds I or individual fungicides from groups A) to K).
By applying compounds I together with at least one active substance from groups A) to O) a synergistic effect can be obtained, i.e. more then simple addition of the individual effects is obtained (synergistic mixtures).
This can be obtained by applying the compounds I and at least one further active substance simultaneously, either jointly (e. g. as tank-mix) or seperately, or in succession, wherein the time interval between the individual applications is selected to ensure that the active substance applied first still occurs at the site of action in a sufficient amount at the time of application of the further active substance(s). The order of application is not essential for working of the present invention.
When applying compound I and a pesticide II sequentially the time between both applications may vary e. g. between 2 hours to 7 days. Also a broader range is possible ranging from 0.25 hour to 30 days, preferably from 0.5 hour to 14 days, particularly from 1 hour to 7 days or from 1 .5 hours to 5 days, even more preferred from 2 hours to 1 day.
In the binary mixtures and compositions according to the invention the weight ratio of the component 1 ) and the component 2) generally depends from the properties of the active components used, usually it is in the range of from 1 :10,000 to 10,000:1 , often it is in the range of from 1 :100 to 100:1 , regularly in the range of from 1 :50 to 50:1 , preferably in the range of from 1 :20 to 20: 1 , more preferably in the range of from 1 : 10 to 10: 1 , even more preferably in the range of from 1 :4 to 4:1 and in particular in the range of from 1 :2 to 2:1 .
According to further embodiments of the binary mixtures and compositions, the weight ratio of the component 1 ) and the component 2) usually is in the range of from 1000:1 to 1 :1 , often in the range of from 100: 1 to 1 :1 , regularly in the range of from 50:1 to 1 :1 , preferably in the range
of from 20:1 to 1 :1 , more preferably in the range of from 10:1 to 1 :1 , even more preferably in the range of from 4:1 to 1 :1 and in particular in the range of from 2:1 to 1 :1 .
According to a further embodiments of the binary mixtures and compositions, the weight ratio of the component 1 ) and the component 2) usually is in the range of from 1 :1 to 1 :1000, often in the range of from 1 :1 to 1 :100, regularly in the range of from 1 :1 to 1 :50, preferably in the range of from 1 :1 to 1 :20, more preferably in the range of from 1 :1 to 1 :10, even more preferably in the range of from 1 :1 to 1 :4 and in particular in the range of from 1 :1 to 1 :2.
In the ternary mixtures, i.e. compositions according to the invention comprising the component 1 ) and component 2) and a compound III (component 3), the weight ratio of component 1 ) and component 2) depends from the properties of the active substances used, usually it is in the range of from 1 :100 to 100:1 , regularly in the range of from 1 :50 to 50:1 , preferably in the range of from 1 :20 to 20:1 , more preferably in the range of from 1 :10 to 10:1 and in particular in the range of from 1 :4 to 4:1 , and the weight ratio of component 1 ) and component 3) usually it is in the range of from 1 :100 to 100:1 , regularly in the range of from 1 :50 to 50:1 , preferably in the range of from 1 :20 to 20:1 , more preferably in the range of from 1 :10 to 10:1 and in particular in the range of from 1 :4 to 4:1.
Any further active components are, if desired, added in a ratio of from 20:1 to 1 :20 to the component 1 ).
These ratios are also suitable for inventive mixtures applied by seed treatment.
Accordingly, the present invention furthermore relates to mixtures comprising one compound of the formula I (component 1 , a group represented by the expression "(I)") and one pesticide II (component 2), wherein pesticide II is an active ingredients selected from the groups A) to O) defined above.
Further embodiments B-1 to B-683 listed in Table B below relate to mixtures comprising as active components one of the in the present specification individualized compounds of the formula I, which is selected from the group of compounds I.A.A-1 to I.A.A-1360, I.B.A-1 to I.B.A- 1360, I.C.A-1 to I.C.A-1360, I.D.A-1 to I.D.A-1360, I.E.A-1 to I.E.A-1360, I.F.A-1 to I.F.A-1360, I.G.A-1 to I.G.A-1360, I.H.A-1 to I.H.A-1360, I.J.A-1 to I.J.A-1360, I.K.A-1 to I.K.A-1360, I.L.A-1 to I.L.A-1360, I.M.A-1 to I.M.A-1360, I.N.A-1 to I.N.A-1360, I.O.A-1 to I.O.A-1360, I.P.A-1 to
I.P.A-1360, I.Q.A-1 to I.Q.A-1360, I.R.A-1 to I.R.A-1360, I.S.A-1 to I.S.A-1360, I.T.A-1 to I.T.A- 1360, I.U.A-1 to I.U.A-1360 and I.V.A-1 to I.V.A-1360 as defined in tables 1 to 21 (component 1 , a group represented by the expression "(I)") and one pesticide II selected from the groups A) to O) as defined herein (component 2, for example, (A.1.1 ) or azoxystrobin, in embodiment B-1 ). Further embodiments B-1 to B-683 listed in Table B below relate to the mixtures comprising as active components one of the in the present specification individualized compounds of the formula I, which is selected from the group of compounds Ex-1 to Ex-1 1 as defined in Table I below.
Preferably, the compositions described in Table B comprise the active components in synergistically effective amounts.
Table B:
B-1 : (I) + (A.1 .1 ), B-2: (I) + (A.1.2), B-3: (I) + (A.1 .3), B-4: (I) + (A.1.4), B-5: (I) + (A.1.5), B-6: (I) + (A.1 .6), B-7: (I) + (A.1.7), B-8: (I) + (A.1 .8), B-9: (I) + (A.1.9), B-10: (I) + (A.1 .10), B-1 1 : (I) + (A.1.1 1 ), B-12: (I) + (A.1 .12), B-13: (I) + (A.1 .13), B-14: (I) + (A.1.14), B-15: (I) + (A.1 .15), B-16:
(I) + (A.1.16), B-17: (I) + (A.1.17), B-18: (I) + (A.1.18), B-19: (I) + (A.1.19), B-20: (I) + (A.1.20), B-21: (I) + (A.1.21), B-22: (I) + (A.1.21a), B-23: (I) + (A.1.22), B-24: (I) + (A.1.25), B-25: (I) + (A.1.34), B-26: (I) + (A.1.35), B-27: (I) + (A.1.36), B-28: (I) + (A.1.37), B-29: (I) + (A.1.38), B-30: (I) + (A.2.1), B-31: (I) + (A.2.2), B-32: (I) + (A.2.3), B-33: (I) + (A.2.4), B-34: (I) + (A.2.5), B-35: (I) + (A.3.1), B-36: (I) + (A.3.2), B-37: (I) + (A.3.3), B-38: (I) + (A.3.4), B-39: (I) + (A.3.5), B-40: (I) + (A.3.6), B-41: (I) + (A.3.7), B-42: (I) + (A.3.8), B-43: (I) + (A.3.9), B-44: (I) + (A.3.10), B-45: (I) + (A.3.11), B-46: (I) + (A.3.12), B-47: (I) + (A.3.13), B-48: (I) + (A.3.14), B-49: (I) + (A.3.15), B-50: (I) + (A.3.16), B-51: (I) + (A.3.17), B-52: (I) + (A.3.18), B-53: (I) + (A.3.19), B-54: (I) + (A.3.20), B-55: (I) + (A.3.21), B-56: (I) + (A.3.22), B-57: (I) + (A.3.23), B-58: (I) + (A.3.24), B-59: (I) + (A.3.25), B-60: (I) + (A.3.26), B-61: (I) + (A.3.27), B-62: (I) + (A.3.28), B-63: (I) + (A.3.30), B-64: (I) + (A.3.31), B-65: (I) + (A.3.32), B-66: (I) + (A.3.33), B-67: (I) + (A.3.34), B-68: (I) + (A.3.35), B-69: (I) + (A.3.36), B-70: (I) + (A.3.37), B-71: (I) + (A.3.38), B-72: (I) + (A.3.39), B-73: (I) + (A.4.1), B-74: (I) + (A.4.2), B-75: (I) + (A.4.3), B-76: (I) + (A.4.4), B-77: (I) + (A.4.5), B-78: (I) + (A.4.6), B-79: (I) + (A.4.7), B-80: (I) + (A.4.8), B-81: (I) + (A.4.9), B-82: (I) + (A.4.10), B-83: (I) + (A.4.11), B-84: (I) + (A.4.12), B-85: (I) + (B.1.1), B-86: (I) + (B.1.2), B-87: (I) + (B.1.3), B-88: (I) + (B.1.4), B-89: (I) + (B.1.5), B-90: (I) + (B.1.6), B-91: (I) + (B.1.7), B-92: (I) + (B.1.8), B-93: (I) + (B.1.9), B-94: (I) + (B.1.10), B-95: (I) + (B.1.11), B-96: (I) + (B.1.12), B-97: (I) + (B.1.13), B-98: (I) + (B.1.14), B-99: (I) + (B.1.15), B-100: (I) + (B.1.16), B-101: (I) + (B.1.17), B-102: (I) +
(B.1.18), B-103: (I) + (B.1.19), B-104: (I) + (B.1.20), B-105: (I) + (B.1.21), B-106: (I) + (B.1.22), B-107: (I) + (B.1.23), B-108: (I) + (B.1.24), B-109: (I) + (B.1.25), B-110: (I) + (B.1.26), B-111: (I) + (B.1.27), B-112: (I) + (B.1.28), B-113: (I) + (B.1.29), B-114: (I) + (B.1.30), B-115: (I) + (B.1.31), B-116: (I) + (B.1.32), B-117: (I) + (B.1.37), B-118: (I) + (B.1.38), B-119: (I) + (B.1.39), B-120: (I) + (B.1.40), B-121: (I) + (B.1.41), B-122: (I) + (B.1.42), B-123: (I) + (B.1.43), B-124: (I) + (B.1.44), B-125: (I) + (B.1.45), B-126: (I) + (B.1.46), B-127: (I) + (B.1.47), B-128: (I) + (B.1.48), B-129: (I) + (B.1.49), B-130: (I) + (B.1.50), B-131: (I) + (B.1.51), B-132: (I) + (B.1.52), B-133: (I) + (B.2.1), B-134: (I) + (B.2.2), B-135: (I) + (B.2.3), B-136: (I) + (B.2.4), B-137: (I) + (B.2.5), B-138: (I) + (B.2.6), B-139: (I) + (B.2.7), B-140: (I) + (B.2.8), B-141: (I) + (B.3.1), B-142: (I) + (B.4.1), B-143: (I) + (C.1.1), B-144: (I) + (C.1.2), B-145: (I) + (C.1.3), B-146: (I) + (C.1.4), B-147: (I) + (C.1.5), B- 148: (I) + (C.1.6), B-149: (I) + (C.1.7), B-150: (I) + (C.2.1), B-151: (I) + (C.2.2), B-152: (I) + (C.2.3), B-153: (I) + (C.2.4), B-154: (I) + (C.2.5), B-155: (I) + (C.2.6), B-156: (I) + (C.2.7), B-157: (I) + (C.2.8), B-158: (I) + (D.1.1), B-159: (I) + (D.1.2), B-160: (I) + (D.1.3), B-161: (I) + (D.1.4), B- 162: (I) + (D.1.5), B-163: (I) + (D.1.6), B-164: (I) + (D.1.7), B-165: (I) + (D.1.8), B-166: (I) + (D.1.9), B-167: (I) + (D.1.10), B-168: (I) + (D.1.11), B-169: (I) + (D.1.12), B-170: (I) + (D.1.13), B- 171: (I) + (D.1.14), B-172: (I) + (D.1.15), B-173: (I) + (D.1.16), B-174: (I) + (D.2.1), B-175: (I) + (D.2.2), B-176: (I) + (D.2.3), B-177: (I) + (D.2.4), B-178: (I) + (D.2.5), B-179: (I) + (D.2.6), B-180: (I) + (D.2.7), B-181: (I) + (E.1.1), B-182: (I) + (E.1.2), B-183: (I) + (E.1.3), B-184: (I) + (E.2.1), B- 185: (I) + (E.2.2), B-186: (I) + (E.2.3), B-187: (I) + (E.2.4), B-188: (I) + (E.2.5), B-189: (I) + (E.2.6), B-190: (I) + (F.1.1), B-191: (I) + (F.1.2), B-192: (I) + (F.1.3), B-193: (I) + (F.1.4), B-194: (I) + (F.1.5), B-195: (I) + (F.2.1), B-196: (I) + (G.1.1), B-197: (I) + (G.1.2), B-198: (I) + (G.1.3), B- 199: (I) + (G.1.4), B-200: (I) + (G.2.1), B-201: (I) + (G.2.2), B-202: (I) + (G.2.3), B-203: (I) +
(G.2.4), B-204: (I) + (G.2.5), B-205: (I) + (G.2.6), B-206: (I) + (G.2.7), B-207: (I) + (G.3.1), B-208: (I) + (G.3.2), B-209: (I) + (G.3.3), B-210: (I) + (G.3.4), B-211 : (I) + (G.3.5), B-212: (I) + (G.3.6), B-213: (I) + (G.3.7), B-214: (I) + (G.4.1), B-215: (I) + (G.5.1), B-216: (I) + (G.5.2), B-217: (I) + (G.5.3), B-218: (I) + (G.5.4), B-219: (I) + (G.5.5), B-220: (I) + (G.5.6), B-221: (I) + (G.5.7), B-222:
(I) + (G.5.8), B-223: (I) + (G.5.9), B-224: (I) + (G.5.10), B-225: (I) + (G.5.11), B-226: (I) + (H.1.1), B-227: (I) + (H.1.2), B-228: (I) + (H.1.3), B-229: (I) + (H.1.4), B-230: (I) + (H.1.5), B-231: (I) + (H.1.6), B-232: (I) + (H.1.7), B-233: (I) + (H.2.1), B-234: (I) + (H.2.2), B-235: (I) + (H.2.3), B-236: (I) + (H.2.4), B-237: (I) + (H.2.5), B-238: (I) + (H.2.6), B-239: (I) + (H.2.7), B-240: (I) + (H.2.8), B- 241 : (I) + (H.2.9), B-242: (I) + (H.3.1), B-243: (I) + (H.3.2), B-244: (I) + (H.3.3), B-245: (I) +
(H.3.4), B-246: (I) + (H.3.5), B-247: (I) + (H.3.6), B-248: (I) + (H.3.7), B-249: (I) + (H.3.8), B-250: (I) + (H.3.9), B-251: (I) + (H.3.10), B-252: (I) + (H.3.11), B-253: (I) + (H.4.1), B-254: (I) + (H.4.2), B-255: (I) + (H.4.3), B-256: (I) + (H.4.4), B-257: (I) + (H.4.5), B-258: (I) + (H.4.6), B-259: (I) + (H.4.7), B-260: (I) + (H.4.8), B-261: (I) + (H.4.9), B-262: (I) + (H.4.10), B-263: (I) + (1.1.1), B-264: (I) + (1.1.2), B-265: (I) + (1.2.1), B-266: (I) + (I.2.2), B-267: (I) + (I.2.3), B-268: (I) + (I.2.4), B-269: (I) + (I.2.5), B-270: (I) + (J.1.1), B-271: (I) + (J.1.2), B-272: (I) + (J.1.3), B-273: (I) + (J.1.4), B- 274: (I) + (J.1.5), B-275: (I) + (J.1.6), B-276: (I) + (J.1.7), B-277: (I) + (J.1.8), B-278: (I) + (J.1.9), B-279: (I) + (J.1.10), B-280: (I) + (K.1.1), B-281: (I) + (K.1.2), B-282: (I) + (K.1.3), B-283: (I) + (K.1.4), B-284: (I) + (K.1.5), B-285: (I) + (K.1.6), B-286: (I) + (K.1.7), B-287: (I) + (K.1.8), B-288: (I) + (K.1.9), B-289: (I) + (K.1.10), B-290: (I) + (K.1.11), B-291: (I) + (K.1.12), B-292: (I) +
(K.1.13), B-293: (I) + (K.1.14), B-294: (I) + (K.1.15), B-295: (I) + (K.1.16), B-296: (I) + (K.1.17), B-297: (I) + (K.1.18), B-298: (I) + (K.1.19), B-299: (I) + (K.1.20), B-300: (I) + (K.1.21), B-301: (I) + (K.1.22), B-302: (I) + (K.1.23), B-303: (I) + (K.1.24), B-304: (I) + (K.1.25), B-305: (I) + (K.1.26), B-306: (I) + (K.1.27), B-307: (I) + (K.1.28), B-308: (I) + (K.1.29), B-309: (I) + (K.1.30), B-310: (I) + (K.1.31), B-311: (I) + (K.1.32), B-312: (I) + (K.1.33), B-313: (I) + (K.1.34), B-314: (I) + (K.1.35), B-315: (I) + (K.1.36), B-316: (I) + (K.1.37), B-317: (I) + (K.1.38), B-318: (I) + (K.1.39), B-319: (I) + (K.1.40), B-320: (I) + (K.1.41), B-321: (I) + (K.1.42), B-322: (I) + (K.1.43), B-323: (I) + (K.1.44), B-324: (I) + (K.1.45), B-325: (I) + (K.1.46), B-326: (I) + (K.1.47), B-327: (I) + (K.1.48), B-328: (I) + (K.1.49), B-329: (I) + (K.1.50), B-330: (I) + (K.1.51), B-331: (I) + (K.1.52), B-332: (I) + (K.1.53), B-333: (I) + (K.1.54), B-334: (I) + (0.1.1), B-335: (I) + (0.1.2), B-336: (I) + (0.1.3), B-337: (I) + (0.1.4), B-338: (I) + (0.1.5), B-339: (I) + (0.1.6), B-340: (I) + (0.1.7), B-341: (I) + (0.1.8), B-342: (I) + (0.1.9), B-343: (I) + (0.1.10), B-344: (I) + (0.1.11), B-345: (I) + (0.1.12), B-346: (I) +
(0.1.13), B-347: (I) + (0.1.14), B-348: (I) + (0.1.15), B-349: (I) + (0.1.16), B-350: (I) + (0.1.17), B-351: (I) + (0.1.18), B-352: (I) + (0.1.19), B-353: (I) + (0.1.20), B-354: (I) + (0.1.21), B-355: (I) + (0.1.22), B-356: (I) + (0.1.23), B-357: (I) + (0.1.24), B-358: (I) + (0.1.25), B-359: (I) +
(0.1.26), B-360: (I) + (0.1.27), B-361: (I) + (0.1.28), B-362: (I) + (0.1.29), B-363: (I) + (0.1.30), B-364: (I) + (0.1.31), B-365: (I) + (0.1.32), B-366: (I) + (0.1.33), B-367: (I) + (0.1.34), B-368: (I) + (0.1.35), B-369: (I) + (0.1.36), B-370: (I) + (0.1.37), B-371: (I) + (0.1.38), B-372: (I) +
(0.1.39), B-373: (I) + (0.1.40), B-374: (I) + (0.1.41), B-375: (I) + (0.1.42), B-376: (I) + (0.1.43), B-377: (I) + (0.1.44), B-378: (I) + (0.1.45), B-379: (I) + (0.1.46), B-380: (I) + (0.1.47), B-381 : (I) + (0.1.48), B-382: (I) + (0.1.49), B-383: (I) + (0.1.50), B-384: (I) + (0.1.51), B-385: (I) +
(0.1.52), B-386: (I) + (0.1.53), B-387: (I) + (0.1.54), B-388: (I) + (0.1.55), B-389: (I) + (0.1.56), B-390: (I) + (0.1.57), B-391: (I) + (0.1.58), B-392: (I) + (0.1.59), B-393: (I) + (0.1.60), B-394: (I) + (0.1.61), B-395: (I) + (0.1.62), B-396: (I) + (0.1.63), B-397: (I) + (0.1.64), B-398: (I) +
(0.1.65), B-399: (I) + (0.1.66), B-400: (I) + (0.1.67), B-401 : (I) + (0.1.68), B-402: (I) + (0.1.69), B-403: (I) + (0.1.70), B-404: (I) + (0.1.71), B-405: (I) + (0.1.72), B-406: (I) + (0.1.73), B-407: (I) + (0.1.74), B-408: (I) + (0.1.75), B-409: (I) + (0.1.76), B-410: (I) + (0.1.77), B-411: (I) +
(0.1.78), B-412: (I) + (0.1.79), B-413: (I) + (0.1.80), B-414: (I) + (0.1.81), B-415: (I) + (0.1.82), B-416: (I) + (0.1.83), B-417: (I) + (0.1.84), B-418: (I) + (0.1.85), B-419: (I) + (0.1.86), B-420: (I)
+ (0.1.87), B-421 : (I) + (0.1 .88), B-422: (I) + (0.1 .89), B-423: (I) + (0.1 .90), B-424: (I) +
(0.1.91 ), B-425: (I) + (0.2.1 ), B-426: (I) + (0.2.2), B-427: (I) + (0.2.3), B-428: (I) + (0.2.4), B- 429: (I) + (0.2.5), B-430: (I) + (0.2.6), B-431 : (I) + (0.2.7), B-432: (I) + (0.3.1 ), B-433: (I) + (0.3.2), B-434: (I) + (0.3.3), B-435: (I) + (0.3.4), B-436: (I) + (0.3.5), B-437: (I) + (0.3.6), B-438: (I) + (0.3.7), B-439: (I) + (0.3.8), B-440: (I) + (0.3.9), B-441 : (I) + (0.3.10), B-442: (I) + (0.3.1 1 ), B-443: (I) + (0.3.12), B-444: (I) + (0.3.13), B-445: (I) + (0.3.14), B-446: (I) + (0.3.15), B-447: (I) + (0.3.16), B-448: (I) + (0.3.17), B-449: (I) + (0.3.18), B-450: (I) + (0.3.19), B-451 : (I) +
(O.3.20), B-452: (I) + (0.3.21 ), B-453: (I) + (0.3.22), B-454: (I) + (0.3.23), B-455: (I) + (0.3.24), B-456: (I) + (0.3.25), B-457: (I) + (0.3.26), B-458: (I) + (0.3.27), B-459: (I) + (0.3.28), B-460: (I) + (0.3.29), B-461 : (I) + (O.3.30), B-462: (I) + (0.3.31 ), B-463: (I) + (0.3.32), B-464: (I) +
(0.3.33), B-465: (I) + (0.3.34), B-466: (I) + (0.3.35), B-467: (I) + (0.3.36), B-468: (I) + (0.3.37), B-469: (I) + (0.3.38), B-470: (I) + (0.3.39), B-471 : (I) + (O.3.40), B-472: (I) + (0.3.41 ), B-473: (I) + (0.3.42), B-474: (I) + (0.3.43), B-475: (I) + (0.3.44), B-476: (I) + (0.3.45), B-477: (I) +
(0.3.46), B-478: (I) + (0.3.47), B-479: (I) + (0.3.48), B-480: (I) + (0.3.49), B-481 : (I) + (O.3.50), B-482: (I) + (0.3.51 ), B-483: (I) + (0.3.52), B-484: (I) + (0.4.1 ), B-485: (I) + (0.4.2), B-486: (I) + (0.4.3), B-487: (I) + (0.4.4), B-488: (I) + (0.4.5), B-489: (I) + (0.4.6), B-490: (I) + (0.4.7), B-491 : (I) + (0.4.8), B-492: (I) + (0.4.9), B-493: (I) + (0.4.10), B-494: (I) + (0.4.1 1 ), B-495: (I) +
(0.4.12), B-496: (I) + (0.4.13), B-497: (I) + (0.4.14), B-498: (I) + (0.4.15), B-499: (I) + (0.5.1 ), B-500: (I) + (0.5.2), B-501 : (I) + (0.6.1 ), B-502: (I) + (0.6.2), B-503: (I) + (0.6.3), B-504: (I) + (0.6.4), B-505: (I) + (0.6.5), B-506: (I) + (0.7.1 ), B-507: (I) + (0.7.2), B-508: (I) + (0.7.3), B-509: (I) + (0.7.4), B-510: (I) + (0.7.5), B-51 1 : (I) + (0.8.1 ), B-512: (I) + (0.8.2), B-513: (I) + (0.8.3), B-514: (I) + (0.8.4), B-515: (I) + (0.8.5), B-516: (I) + (0.9.1 ), B-517: (I) + (0.9.2), B-518: (I) + (0.9.3), B-519: (I) + (O.10.1 ), B-520: (I) + (O.10.2), B-521 : (I) + (O.10.3), B-522: (I) + (O.10.4), B-523: (I) + (0.1 1.1 ), B-524: (I) + (0.1 1.2), B-525: (I) + (0.1 1.3), B-526: (I) + (0.1 1.4), B-527: (I) + (0.1 1 .5), B-528: (I) + (0.1 1.6), B-529: (I) + (0.1 1.7), B-530: (I) + (0.1 1.8), B-531 : (I) +
(0.1 1 .9), B-532: (I) + (0.1 1 .10), B-533: (I) + (0.1 1.1 1 ), B-534: (I) + (0.1 1 .12), B-535: (I) + (0.1 1 .13), B-536: (I) + (0.12.1 ), B-537: (I) + (0.12.2), B-538: (I) + (0.12.3), B-539: (I) +
(0.12.4), B-540: (I) + (0.12.5), B-541 : (I) + (0.12.6), B-542: (I) + (0.13.1 ), B-543: (I) + (0.13.2), B-544: (I) + (0.13.3), B-545: (I) + (0.14.1 ), B-546: (I) + (0.14.2), B-547: (I) + (0.14.3), B-548: (I) + (0.14.4), B-549: (I) + (0.15.1 ), B-550: (I) + (0.15.2), B-551 : (I) + (0.15.3), B-552: (I) +
(0.15.4), B-553: (I) + (0.15.5), B-554: (I) + (0.15.6), B-555: (I) + (0.15.7), B-556: (I) + (0.15.8), B-557: (I) + (0.15.9), B-558: (I) + (O.15.10), B-559: (I) + (0.15.1 1 ), B-560: (I) + (0.16.1 ), B-561 : (I) + (0.17.1 ), B-562: (I) + (0.18.1 ), B-563: (I) + (0.18.2), B-564: (I) + (0.18.3), B-565: (I) + (0.18.4), B-566: (I) + (0.18.5), B-567: (I) + (0.19.1 ), B-568: (I) + (O.20.1 ), B-569: (I) + (O.20.2), B-570: (I) + (O.20.3), B-571 : (I) + (O.20.4), B-572: (I) + (0.21.1 ), B-573: (I) + (0.21.2), B-574: (I) + (0.21 .3), B-575: (I) + (0.21.4), B-576: (I) + (0.21.5), B-577: (I) + (0.21.6), B-578: (I) +
(0.21 .7), B-579: (I) + (0.22.1 ), B-580: (I) + (0.22.2), B-581 : (I) + (0.22.3), B-582: (I) + (0.22.4), B-583: (I) + (0.23.1 ), B-584: (I) + (0.23.2), B-585: (I) + (0.23.3), B-586: (I) + (0.23.4), B-587: (I) + (0.24.1 ), B-588: (I) + (0.24.2), B-589: (I) + (0.24.3), B-590: (I) + (0.24.4), B-591 : (I) +
(0.24.5), B-592: (I) + (0.25.1 ), B-593: (I) + (0.25.2), B-594: (I) + (0.26.1 ), B-595: (I) + (0.26.2), B-596: (I) + (0.26.3), B-597: (I) + (0.26.4), B-598: (I) + (0.26.5), B-599: (I) + (0.26.6), B-600: (I) + (0.26.7), B-601 : (I) + (0.26.8), B-602: (I) + (0.26.9), B-603: (I) + (0.26.10), B-604: (I) + (0.26.1 1 ), B-605: (I) + (0.26.12), B-606: (I) + (0.26.13), B-607: (I) + (0.26.14), B-608: (I) + (0.26.15), B-609: (I) + (0.26.16), B-610: (I) + (0.26.17), B-61 1 : (I) + (0.26.18), B-612: (I) +
(0.27.1 ), B-613: (I) + (0.28.1 ), B-614: (I) + (0.28.2), B-615: (I) + (0.28.3), B-616: (I) + (0.28.4), B-617: (I) + (0.28.5), B-618: (I) + (0.28.7), B-619: (I) + (0.28.8), B-620: (I) + (0.28.9), B-621 : (I) + (O.28.10), B-622: (I) + (0.28.1 1 ), B-623: (I) + (0.28.12), B-624: (I) + (0.28.13), B-625: (I) +
(0 28 14), B -626 (I) + (0.28 15), B- -627 (I) + (0 28 16), B- -628 (I) + (0 28 17), B -629 (I) +
(0 28 18), B -630 (I) + (0.28 19), B- -631 (I) + (0 28 20), B- -632 (I) + (0 28 21 ), B -633 (I) +
(0 28 22), B -634 (I) + (0.28 23), B- -635 (I) + (0 28 24), B- -636 (I) + (0 28 25), B -637 (I) +
(0 28 26), B -638 (I) + (0.28 27), B- -639 (I) + (0 28 28), B- -640 (I) + (0 28 29), B -641 (I) +
(0 28 30), B -642 (I) + (0.28 31 ), B- -643 (I) + (0 28 42), B- -644 (I) + (0 28 43), B -645 (I) +
(0 28 44), B -646 (I) + (0.28 45), B- -647 (I) + (0 28 46), B- -648 (I) + (0 28 47), B -649 (I) +
(0 28 48), B -650 (I) + (0.28 49), B- -651 (I) + (0 28 50), B- -652 (I) + (0 28 51 ), B -653 (I) +
(0 28 52), B -654 (I) + (0.28 53), B- -655 (I) + (0 28 54), B- -656 (I) + (0 28 55), B -657 (I) +
(0 28 56), B -658 (I) + (0.28 57), B- -659 (I) + (0 28 58), B- -660 (I) + (0 28 59), B -661 (I) +
(0 28 60), B -662 (I) + (0.28 61 ), B- -663 (I) + (0 28 62), B- -664 (I) + (0 28 63), B -665 (I) +
(0 28 64), B -666 (I) + (0.28 65), B- -667 (I) + (0 28 66), B- -668 (I) + (0 28 67), B -669 (I) +
(0 28 68), B -670 (I) + (0.28 69), B- -671 (I) + (0 28 70), B- -672 (I) + (0 28 71 ), B -673 (I) +
(0 28 72), B -674 (I) + (0.28 73), B- -675 (I) + (0 28 74), B- -676 (I) + (0 28 75), B -677 (I) +
(0 28 76), B -678 (I) + (0.28 77), B- -679 (I) + (0 28 78), B- -680 (I) + (0 28 79), B -681 (I) +
(0 28 80), B -682 (I) + (0.28 81 ), B- -683 (I) + (0 28 82). The mixtures of active substances can be prepared as compositions comprising besides the active ingredients at least one inert ingredient (auxiliary) by usual means, e. g. by the means given for the compositions of compounds I.
Concerning usual ingredients of such compositions reference is made to the explanations given for the compositions containing compounds I.
The mixtures of active substances according to the present invention are suitable as fungicides, as are the compounds of formula I. They are distinguished by an outstanding effectiveness against a broad spectrum of phytopathogenic fungi, especially from the classes of the
Ascomycetes, Basidiomycetes, Deuteromycetes and Peronosporomycetes (syn. Oomycetes). In addition, it is refered to the explanations regarding the fungicidal activity of the compounds and the compositions containing compounds I, respectively.
I. Synthesis examples
The compounds of the formula I can be prepared according to the methods outlined below.
1.1 ) Synthesis of /V,N,2-trimethyl-/V-[4-[5-(trifluoromethyl)-1 ,2,4-oxadiazol-3- yl]phenyl]propanehydrazide (Ex-3)
The solution of 1 ,2-dimethyl-1 -[4-[5-(trifluoromethyl)-1 ,2,4-oxadiazol-3-yl]phenyl]hydrazine (1 g, 3.7 mmol) in dichloromethane (10 ml.) was added triethylamine (1.1 g, 1 1 mmol) under a nitrogen atmosphere. Then 2-methylpropanoyl chloride (471 mg, 4.4 mmol) was added dropwise at 0°C under a nitrogen atmosphere. The mixture was stirred for 16 hours. The reaction mixture was diluted with brine and extracted with dichloromethane, the organic layer was dried over sodium sulfate and concentrated. The residue was purified by flash
chromatography to afford the title compound (892 mg, 70.5%) as a yellow oil.
H NMR (DMSO-de, 400 MHz): δ = 0.92 (d, 3H), 1 .04 (d, 3H), 2.85 (dt, 1 H), 2.95 (s, 3H), 3.24
(s, 3H), 6.90 (d, 2H), 7.98 (d, 2H). 1.2) Synthesis of 1 ,2-dimethyl-1 -[4-[5-(trifluoromethyl)-1 ,2,4-oxadiazol-3-yl]phenyl]hydrazine Tert-buty\ Nmethyl-N[Nmethyl-4-[5-(trifluoromethyl)-1 ,2,4-oxadiazol-3-yl]anilino]carbamate (5 g, 13.4 mmol) in tetrahydrofuran (20 mL) was added a methanolic hydrogen chloride solution (10 mL), the mixture was stirred for 3 hours at 18°C. The reaction mixture was concentrated, the residue was washed with n- exane and filtered to give the title compound (3.98 g, crude) as a yellow solid. 1H NMR (DMSO-de, 400MHz): δ = 2.62 (s, 3H), 3.20 (s, 3H), 7.28 (br d, 2H), 7.97 (d, 2H).
1.3) Synthesis of tert-butyl Nmethyl-N-[N-methyl-4-[5-(trifluoromethyl)-1 ,2,4-oxadiazol-3- yl]anilino]carbamate
Trifluoroacetic anhydride (8.4 g, 40 mmol) was added dropwise to a solution of tert-butyl ΛΑ[4- [(Z)-N-hydroxycarbamimidoyl]-AAmethyl-anilino]-N-methyl-carbamate (5.88 g, 20 mmol) in N,N- dimethylacetamide (40 mL) under a nitrogen atmosphere. The mixture was stirred at 18°C for 1 hour. The reaction mixture was diluted with brine, and extracted with ethyl acetate. The organic layer was washed with brine, dried over sodium sulfate and concentrated. The residue was purified by flash chromatography to give the title compound (5.46 g, 73.4%) as a yellow solid. H NMR (DMSO-de, 400 MHz): δ = 1.18-1 .48 (m, 9H), 3.1 1 (br d, 6H), 6.82 (br, 2H), 7.92 (br d, 2H).
1.4) Synthesis of N-[4-[(Z)-N-hydroxycarbamimidoyl]-AAmethyl-anilino]-N-methyl-carbamate The solution of tert-butyl N(4-cyano-Nmethyl-anilino)-Nmethyl-carbamate (6 g, 22.99 mmol) and hydroxylamine hydrochloride (4.8 g, 68.97 mmol) in ethanol (60 mL) was added
triethylamine (7.0 g, 68.97 mmol). The mixture was heated to 70°C for 16 hours. The reaction mixture was washed with water, filtrated and concentrated with toluene added to give the title compound (5.88 g, 87.0%) as a white solid. 1H NMR (DMSO-de, 400 MHz): δ = 1.19-1.46 (m, 9H), 3.04 (s, 6H), 5.78 (br s, 2H), 6.60 (br d, 2H), 7.54 (br d, 2H), 9.41 (br s, 1 H).
1.5) Synthesis of tert-butyl N(4-cyano-Nmethyl-anilino)-Nmethyl-carbamate
The solution of tert-butyl AA(4-cyanoanilino)carbamate (10 g, 42.9 mmol) in N,N- dimethylformamide (100 mL) was added sodium hydride (5.15 g, 128.7 mmol). The mixture was stirred at 0°C for 0.5 hour. Methyl iodide (24.38 g, 171 .7 mmol) was added and the mixture was stirred for 2 hours. The reaction mixture was diluted with an aqueous ammonium chloride solution. After extraction with ethyl acetate the organic layer was washed with brine, dried over sodium sulfate and concentrated. The residue was purified by flash chromatography to give the
title compound as a yellow solid. 1H NMR (CDCb, 400 MHz): δ = 1 .26-1 .50 (m, 9H), 3.14 (s, 6H), 6.65 (br d, 2H), 7.52 (d, 2H).
1.6) Synthesis of tert-butyl /V-(4-cyanoanilino)carbamate
The solution of 4-Cyanophenylhydrazine hydrochloride (55 g, 0.32 mol) in tetrahydrofuran (500 mL) was added triethylamine (98.6 g, 0.96 mol) and di-tert-butyl dicarbonate (106.8 g, 0.49 mol) dropwise under nitrogen atmosphere at 18°C. The mixture was stirred for 16 hours at 18°C. The reaction mixture was concentrated and the residue was purified flash chromatography to give the title compound (41 g, 55%) as yellow solid. 1H NMR (DMSO-d6, 400 MHz): δ = 1.41 (br s, 9H), 6.70 (d, 2H), 7.54 (d, 2H), 8.46 (s, 1 H), 8.98 (br s, 1 H).
1.7) Synthesis of 2-methyl-N'-[4-[5-(trifluoromethyl)-1 ,2,4-oxadiazol-3- yl]phenyl]propanehydrazide (Ex-4)
The solution of [4-[5-(trifluoromethyl)-1 ,2,4-oxadiazol-3-yl]phenyl]hydrazine (800 mg, 3.3 mmol) in dichloromethane (10 mL) was added triethylamine (1.33 g, 13.2 mmol) under a nitrogen atmosphere. Then 2-methylpropanoyl chloride (321 mg, 3.0 mmol) was added dropwise at 0°C under a nitrogen atmosphere. The mixture was stirred for 16 hours. The reaction mixture was diluted with brine and extracted with dichloromethane. Then, the organic layer was dried over sodium sulfate and concentrated. The residue was purified by flash chromatography to afford the title compound (404 mg, 39%) as a yellow solid. 1H NMR (DMSO-d6, 400MHz): δ = 1 .08 (s, 3H), 1 .10 (s, 3H), 2.51 -2.55 (m, 1 H), 6.81 (d, 2H) 7.84 (d, 2H), 8.46 (d, 1 H), 9.78 (d, 1 H).
1.8) Synthesis of [4-[5-(trifluoromethyl)-1 ,2,4-oxadiazol-3-yl]phenyl]hydrazine
Tert-buty\ AA[bis(tert-butoxycarbonyl)amino]-N-[4-[5-(trifluoromethyl)-1 ,2,4-oxadiazol-3- yl]phenyl]carbamate (6.7 g, 12.3 mmol) in tetrahydrofuran (40 mL) was added methanolic hydrogen chloride (60 mL), the mixture was stirred for 16 hours at 18°C. The reaction mixture concentrated, the residue was washed with n- exane and filtered to give the title compound (4.0 g, crude) as a yellow solid. 1H NMR (DMSO-d6, 400MHz): 5 = 7.1 1 (d, 2H), 7.98 (d, 2 H), 8.96 (br s, 1 H), 10.44 (br s, 2H).
1.9) Synthesis of tert-butyl AA[bis(tert-butoxycarbonyl)amino]-N-[4-[5-(trifluoromethyl)-1 ,2,4- oxadiazol-3-yl]phenyl]carbamate
Trifluoroacetic anhydride (5.9 g, 28.27 mmol) was added dropwise to the solution of tert-butyl AA[bis(tert-butoxycarbonyl)amino]-N-[4-[(Z)-N-hydroxycarbamimidoyl]phenyl]carbamate (6.6 g, 14.14 mmol) in A ,AAdimethylacetamide (60 mL) under a nitrogen atmosphere. The mixture was stirred at 18°C for 1 hour. The reaction mixture was diluted with brine, the aqueous phase extracted with ethyl acetate, the organic layer was washed with brine. The combined organic layers were dried over sodium sulfate and concentrated to give the title compound (7.23 g,
93.9%) as a yellow solid. 1H NMR (CDCI3, 400MHz): δ = 1 .45 (br d, 23H), 7.60 (br d, 2H), 8.01 - 8.13 (m, 2H).
1.10) Synthesis of tert-butyl N[bis(tert-butoxycarbonyl)amino]-/V-[4-[(Z)-N - hydroxycarbamimidoyl]phenyl]carbamate
The solution of N-[bis( tert-butoxycarbonyl)-amino]-N-(4-cyanophenyl)carbamate (6 g, 13.9 mmol) in ethanol (60 ml.) was added hydroxylamine hydrochloride (2.89 g, 41.6 mmol) and triethylamine (4.2 g, 41 .6 mmol) under a nitrogen atmosphere. The mixture was heated to 70°C for 16 hours. The reaction mixture was concentrated, the residue was dissolved in
dichloromethane and the resulting solution was washed with water. The organic layer was dried over sodium sulfate and concentrated to give the title compound (6.6 g, crude) as a white solid. H NMR (DMSO-de, 400MHz): δ = 1.43 (s, 24H), 7.31 (br d, 2H), 7.58-7.68 (m, 2H).
1.1 1 ) Synthesis of tert-butyl N-[bis(tert-butoxycarbonyl)-amino]-N-(4-cyanophenyl)carbamate The solution of tert-butyl N-(4-cyanoanilino)carbamate (10 g, 42.9 mmol) in tertahydrofuran (100 ml.) was added triethylamine (8.67 g, 85.8 mmol) and di-tert-butyldicarbonat (1 1.23 g, 51 .5 mmol) dropwise under a nitrogen atmosphere at 18°C. Then, the mixture was stirred for 16 hours at 18°C. The reaction mixture was concentrated and the residue was purified by flash chromatography to give the title compound (1 1 g, 38.5%) as a yellow solid. 1H NMR (CDC , 400MHz): δ = 1.48 (s, 18H), 6.78 (d, 2H), 7.54 (d, 2H).
Table I: Compounds Ex-1 to Ex-1 1 of formula I.Q, wherein the meaning of R1, R2a and R2b are as defined in each line.
II. Biological examples for fungicidal activity
The fungicidal action of the compounds of formula I was demonstrated by the following experiments: The spray solutions were prepared in several steps: The stock solution were prepared by mixting acetone and/or dimethylsulfoxide and the wetting agent/emulsifier Wettol, which is based on ethoxylated alkylphenoles, in a relation (volume) solvent-emulsifier of 99 to
I . This mixture was added to 25 mg of the compound to give a total of 5 mL. Water was then added to total volume of 100 mL. This stock solution was diluted with the described solvent- emulsifier-water mixture to the given concentration.
II.1 ) Curative control of soy bean rust on soy beans caused by Phakopsora pachyrhizi
Leaves of pot-grown soy bean seedlings were inoculated with spores of Phakopsora pachyrhizi. To ensure the success of the artificial inoculation, the plants were transferred to a humid chamber with a relative humidity of about 95% and 20 to 24°C for 24 hours. The next day the plants were cultivated for 3 days in a greenhouse chamber at 23 to 27°C and a relative humidity between 60 and 80%. Then the plants were sprayed to run-off with an aqueous suspension, containing the concentration of active ingredient or their mixture as described below. The plants were allowed to air-dry. Then the trial plants were cultivated for 14 days in a greenhouse chamber at 23 to 27°C and a relative humidity between 60 and 80%. The extent of fungal attack on the leaves was visually assessed as % diseased leaf area.
In this test, the plants which had been treated with 63 ppm of the active compounds Ex-1 , Ex-3 and Ex-9 showed a diseased leaf area of at most 15%, whereas the untreated plants showed 100% diseased leaf area.
11.2) Protective control of soy bean rust on soy beans caused by Phakopsora pachyrhizi
Leaves of pot-grown soy bean seedlings were sprayed to run-off with an aqueous suspension, containing the concentration of active ingredient or their mixture as described below. The plants were allowed to air-dry. The trial plants were cultivated for 2 day in a greenhouse chamber at 23 to 27°C and a relative humidity between 60 and 80%. Then the plants were inoculated with
spores of Phakopsora pachyrhizi. To ensure the success the artificial inoculation, the plants were transferred to a humid chamber with a relative humidity of about 95% and 20 to 24°C for 24 hours. The trial plants were cultivated for fourteen days in a greenhouse chamber at 23 to 27°C and a relative humidity between 60 and 80%. The extent of fungal attack on the leaves was visually assessed as % diseased leaf area.
In this test, the plants which had been treated with 63 ppm of the active compounds Ex-1 , Ex-3, Ex-5, Ex-6, Ex-7, Ex-8, Ex-9, Ex-10 and Ex-1 1 showed a diseased leaf area of at most 9%, whereas the untreated plants showed 100% diseased leaf area. 11.3) Preventative control of brown rust on wheat caused by Puccinia recondita
The first two developed leaves of pot-grown wheat seedling were sprayed to run-off with an aqueous suspension, containing the concentration of active ingredient or their mixture as described below. The next day the plants were inoculated with spores of Puccinia recondita. To ensure the success the artificial inoculation, the plants were transferred to a humid chamber without light and a relative humidity of 95 to 99% and 20 to 24°C for 24 hours. Then the trial plants were cultivated for 6 days in a greenhouse chamber at 20 to 24°C and a relative humidity between 65 and 70%. The extent of fungal attack on the leaves was visually assessed as % diseased leaf area.
In this test, the plants which had been treated with 63 ppm of the active compounds Ex-1 , Ex-2, Ex-8 and Ex-10 showed a diseased leaf area of at most 12%, whereas the untreated plants showed 90% diseased leaf area.
Claims
1 . Compounds of the formula I, or the N-oxides, or the agriculturally acceptable salts thereof,
wherein:
A is phenyl or a 5- or 6-membered aromatic heterocycle, wherein the ring member atoms of the aromatic heterocycles include besides carbon atoms 1 , 2, 3 or 4 heteroatoms selected from N, O and S as ring member atoms; and wherein the phenyl ring or the aromatic heterocycles are unsubstituted or substituted with 1 or 2 identical or different groups RA; wherein
RA is halogen, cyano, Ci-C6-alkyl, Ci-C6-haloalkyl, Ci-C6-alkoxy or
Ci-C6-haloalkoxy;
V is -NR2-NR2-;
L is -(C=0)-, -(C=S)- or -S(=0)P-;
p is 0, 1 or 2;
W is R1 , -N R5-R1 or -N R2-N R5-R ;
R1 is Ci-C6-alkyl, Cs-Cs-cycloalkyl, Cs-Cs-cycloalkenyl, C2-C6-alkenyl, C2-C6-alkynyl, phenyl-Ci-C4-alkyl, heteroaryl-Ci-C4-alkyl, phenyl, naphthyl or a 3- to 10-membered saturated, partially unsaturated or aromatic mono- or bicyclic heterocycle, wherein the ring member atoms of said mono- or bicyclic heterocycle include besides carbon atoms further 1 , 2, 3 or 4 heteroatoms selected from N, O and S as ring member atoms and wherein 1 or 2 carbon ring member atoms of the heterocycle may be replaced by 1 or 2 groups independently selected from -C(=0)- and -C(=S)-; and wherein the heteroaryl group in heteroaryl-Ci-C4-alkyl is a 5- or 6-membered aromatic heterocycle, wherein the ring member atoms of the heterocyclic ring include besides carbon atoms 1 , 2, 3 or 4 heteroatoms selected from N, O and S as ring member atoms; and wherein any of the above-mentioned aliphatic or cyclic groups are unsubstituted or substituted with 1 , 2, 3 or up to the maximum possible number of identical or different groups R1a; wherein
R1a is halogen, oxo, cyano, N02, OH, SH, NH2, d-Ce-alkyl, d-Ce-haloalkyl,
Ci-C6-alkoxy, Ci-C6-haloalkoxy, Ci-C6-alkylthio, Ci-C6-haloalkylthio, Cs-Cs- cycloalkyl, -NHS02-Ci-C4-alkyl, (C=0)-Ci-C4-alkyl, C(=0)-Ci-C4-alkoxy, Ci-C6- alkylsulfonyl, hydroxyCi-C4-alkyl, C(=0)-NH2, C(=0)-NH(Ci-C4-alkyl), C1-C4- alkylthio-Ci-C4-alkyl, aminoCi-C4-alkyl, Ci-C4-alkylamino-Ci-C4-alkyl, diCi-C4- alkylamino-Ci-C4-alkyl, aminocarbonyl-Ci-C4-alkyl or Ci-C4-alkoxy-Ci-C4-alkyl; or R1 is a bicyclic carbocycle of the formula Ra,
wherein
Ca and Cb are bridgehead carbon atoms;
X is a direct single bond or a divalent group selected from the group consisting of -CH2-, -CH2-CH2-, -(CH2)3-, -(CH2)4-, -CH=CH-,
-CH2-CH=CH-, -CH=CH-CH2- and -CH=CH-CH=CH-;
Y and Z independently of each other are a divalent group selected from the group consisting of -CH2-, -CH2-CH2-, -(CH2)3-, -(CH2)4-, -CH=CH-,
-CH2-CH=CH-, -CH=CH-CH2- and -CH=CH-CH=CH-;
or R1 is a tricyclic carbocycle of the formula Rb,
wherein
Ca and Cb are bridgehead carbon atoms;
X is a direct single bond or a divalent group selected from the group consisting of -CH2-, -CH2-CH2-, -(CH2)3-, -(CH2)4-, -CH=CH-, -CH2-CH=CH-,
-CH=CH-CH2- and -CH=CH-CH=CH-;
Y and Z independently of each other are a divalent group selected from the group consisting of -CH2-, -CH2-CH2-, -(CH2)3-, -(CH2)4-, -CH=CH-,
-CH2-CH=CH-, -CH=CH-CH2- and -CH=CH-CH=CH-; and wherein groups Y and Z are attached to the bridgehead carbon atoms Ca and Cb;
T is a divalent group selected from the group consisting of -CH2-, -CH2-CH2- , -(CH2)3-, -(CH2)4-, -CH=CH-, -CH2-CH=CH-, -CH=CH-CH2- and
-CH=CH-CH=CH-; and wherein the group T is attached to one carbon atom in each of the groups Y and Z;
and with the provision that, if R1 is a tricyclic carbocycle of the formula Rb, wherein X is a direct single bond or a divalent group -CH2-, the groups T and Z independently of each other are a divalent group selected from the group consisting of -CH2-CH2- , -(CH2)3-, -(CH2)4-, -CH=CH-, -CH2-CH=CH-, -CH=CH-CH2- and -CH=CH-CH=CH-; and wherein the groups Ra or Rb are connected to the remainder of the compounds of formula I through one of the ring carbon atoms;
and wherein the groups Ra and Rb independently of each other are unsubstituted or substituted with 1 , 2, 3, 4 or up to the maximum possible number of radicals selected from the group consisting of oxo, hydroxy, halogen, Ci-C3-alkyl, Ci-C3- haloalkyl, C3-C6-cycloalkyl, vinylidene and dichlorovinylidene;
R2, R5 independently of each other are selected from the group consisting of hydrogen, Ci-C6-alkyl, C2-C6-alkenyl, C2-C6-alkynyl, Ci-C6-alkoxy, Cs-Cs-cycloalkyl, C3-C8-cycloalkenyl, C3-C8-cycloalkyl-Ci-C6-alkyl, phenyl-Ci-C4-alkyl, phenyl, C(=0)- Ci-C6-alkyl and C(=0)-Ci-C6-alkoxy; and wherein any of the aliphatic or cyclic groups are unsubstituted or substituted with 1 , 2, 3 or up to the maximum possible number of identical or different radicals selected from the group consisting of halogen, cyano, Ci-C6-alkyl and Ci-C6-alkoxy; or
R1 and R5 together with the nitrogen atom to which they are bound form a saturated or partially unsaturated mono- or bicyclic 3- to 10-membered heterocycle, wherein the heterocycle includes beside one nitrogen atom and one or more carbon atoms 1 , 2 or 3 heteroatoms independently selected from N, O and S as ring member atoms; and wherein one or two Chb groups of the heterocycle may be replaced by one or two groups independently selected from the group of -C(=0)- and -C(=S)-; and wherein the heterocycle is unsubstituted or substituted with 1 , 2, 3, 4 or up to the maximum possible number of identical or different radicals selected from the group constisting of halogen, cyano, Ci-C6-alkyl, Ci-C6-haloalkyl, Ci-C6-alkoxy and C1-C6- haloalkoxy;
m is 0 or 1 ;
R3, R4 independently of each other are selected from the group consisting of hydrogen, halogen, cyano, Ci-C4-alkyl, Ci-C4-alkenyl, Ci-C4-alkynyl, Ci-C4-haloalkyl and
Ci-C4-alkoxy; or
R3 and R4 together with the carbon atom to which they are bound form a saturated 3- to 7-membered carbocycle or a saturated 3- to 6-membered heterocycle; wherein the saturated heterocycle includes beside carbon atoms 1 , 2 or 3 heteroatoms independently selected from the group consisiting of N, O and S as ring member atoms; and wherein said N ring member atom is substituted with the group RN; wherein
RN is hydrogen, Ci-C6-alkyl or halogen;
and wherein said S ring member atom is unsubstituted or substituted with 1 or 2 oxo radicals; and wherein one or two Chb groups of the saturated carbocycle or of the saturated heterocycle may be replaced by one or two groups independently selected from -C(=0)- and -C(=S)-; and wherein the carbon ring member atoms of the saturated carbocycle or of the saturated heterocycle are unsubstituted or substituted with a total number of 1 , 2, 3, 4 or up to the maximum possible number of identical or different radicals selected from the group consisting of halogen, cyano, C1-C6- alkyl, Ci-C6-alkoxy and Cs-Cs-cycloalkyl.
2. Compounds according to claim 1 , wherein A is phenyl.
3. Compounds according to claim 1 or 2, wherein R3 and R4 are hydrogen.
4. Compounds of the formula 1.2, or the N-oxides, or the agriculturally acceptable salts
5. Compounds according to any one of claims 1 to 4, wherein RA is independently selected from the group consisting of fluorine, chlorine or Ci-C6-alkyl.
6. Compounds according to any one of claims 1 to 5, wherein L is -(C=0)- and W is R1
or -NR5-R1.
7. Compounds according to any one of claims 1 to 6, wherein m is 0; L is -(C=0)- and W is R .
8. Compounds according to any one of claims 1 to 7, wherein m is 0; n is 0; W is R1; R2 is independently selected from the group consisting of hydrogen, methy and ethyl; and R1 is Ci-C6-alkyl, Cs-Cs-cycloalkyl, Cs-Cs-cycloalkenyl, C2-C6-alkenyl, C2-C6-alkynyl or phenyl; and wherein any of the aliphatic or cyclic groups in R1 are unsubstituted or substituted with 1 , 2, 3, 4 or up to the maximum possible number of identical or different radicals selected from the group consisting of halogen.
9. Intermediate compounds of the formulae Il.a, Il.b, IV.a, IV. b, VI. a or VI. b,
wherein the variables L, W, R2, R3 and R4 are as defined in claim 1 for compounds of the formula I.
10. An agrochemical composition, which comprises an auxiliary and at least one compound of the formula I, or an N-oxide, or an agriculturally acceptable salt thereof, as defined in any one of claims 1 to 8.
1 1 . An agrochemical composition according to claim 10 comprising at least one further pesticidally active substance selected from the group consisting of herbicides, safeners, fungicides, insecticides, and plant growth regulators.
12. An agrochemical composition according to claim 10 or 1 1 , further comprising seed,
wherein the amount of the compound of the formula I, or an N-oxide, or an agriculturally acceptable salt thereof, is from 0.1 g to 10 kg per 100 kg of seed.
13. The use of compounds according to any one of claims 1 to 8 for combating
phytopathogenic harmful fungi.
14. A method for combating phytopathogenic harmful fungi, which process comprises treating the fungi or the plants, the soil or seeds to be protected against fungal attack, with an effective amount of at least one compound of formula I, or an N-oxide, or an agriculturally acceptable salt thereof, as defined in any one of claims 1 to 8.
Applications Claiming Priority (2)
| Application Number | Priority Date | Filing Date | Title |
|---|---|---|---|
| EP17165896.6 | 2017-04-11 | ||
| EP17165896 | 2017-04-11 |
Publications (1)
| Publication Number | Publication Date |
|---|---|
| WO2018188962A1 true WO2018188962A1 (en) | 2018-10-18 |
Family
ID=58536837
Family Applications (1)
| Application Number | Title | Priority Date | Filing Date |
|---|---|---|---|
| PCT/EP2018/058066 Ceased WO2018188962A1 (en) | 2017-04-11 | 2018-03-29 | Substituted oxadiazoles for combating phytopathogenic fungi |
Country Status (2)
| Country | Link |
|---|---|
| AR (1) | AR111371A1 (en) |
| WO (1) | WO2018188962A1 (en) |
Cited By (5)
| Publication number | Priority date | Publication date | Assignee | Title |
|---|---|---|---|---|
| US10757941B2 (en) | 2016-07-22 | 2020-09-01 | Syngenta Participations Ag | Microbiocidal oxadiazole derivatives |
| US11147275B2 (en) | 2017-11-23 | 2021-10-19 | Basf Se | Substituted trifluoromethyloxadiazoles for combating phytopathogenic fungi |
| US11192867B2 (en) | 2016-06-03 | 2021-12-07 | Syngenta Participations Ag | Microbiocidal oxadiazole derivatives |
| US11938134B2 (en) | 2017-03-10 | 2024-03-26 | Eikonizo Therapeutics, Inc. | Metalloenzyme inhibitor compounds |
| US12528767B2 (en) | 2019-07-30 | 2026-01-20 | Eikonizo Therapeutics, Inc. | HDAC6 inhibitors and uses thereof |
Citations (142)
| Publication number | Priority date | Publication date | Assignee | Title |
|---|---|---|---|---|
| US2102582A (en) | 1932-04-14 | 1937-12-14 | Scovill Manufacturing Co | Electric induction furnace and method of operating the same |
| US3126634A (en) | 1964-03-31 | Foot measuring device | ||
| US3296272A (en) | 1965-04-01 | 1967-01-03 | Dow Chemical Co | Sulfinyl- and sulfonylpyridines |
| US3325503A (en) | 1965-02-18 | 1967-06-13 | Diamond Alkali Co | Polychloro derivatives of mono- and dicyano pyridines and a method for their preparation |
| EP0276432A2 (en) | 1986-12-12 | 1988-08-03 | Ciba-Geigy Ag | Pesticides |
| WO1994001546A1 (en) | 1992-07-01 | 1994-01-20 | Cornell Research Foundation, Inc. | Elicitor of the hypersensitive response in plants |
| DE19650197A1 (en) | 1996-12-04 | 1998-06-10 | Bayer Ag | 3-thiocarbamoylpyrazole derivatives |
| WO1998044140A1 (en) | 1997-04-03 | 1998-10-08 | Dekalb Genetics Corporation | Glyphosate resistant maize lines |
| WO1998046608A1 (en) | 1997-04-14 | 1998-10-22 | American Cyanamid Company | Fungicidal trifluoromethylalkylamino-triazolopyrimidines |
| WO1999014187A1 (en) | 1997-09-18 | 1999-03-25 | Basf Aktiengesellschaft | Benzamidoxim derivatives, intermediate products and methods for preparing and using them as fungicides |
| WO1999024413A2 (en) | 1997-11-12 | 1999-05-20 | Bayer Aktiengesellschaft | Isothiazole carboxylic acid amides and the application thereof in order to protect plants |
| WO1999027783A1 (en) | 1997-12-04 | 1999-06-10 | Dow Agrosciences Llc | Fungicidal compositions and methods, and compounds and methods for the preparation thereof |
| WO2000026345A1 (en) | 1998-11-03 | 2000-05-11 | Aventis Cropscience N.V. | Glufosinate tolerant rice |
| WO2000026356A1 (en) | 1998-11-03 | 2000-05-11 | Aventis Cropscience N. V. | Glufosinate tolerant rice |
| WO2000029404A1 (en) | 1998-11-17 | 2000-05-25 | Kumiai Chemical Industry Co., Ltd. | Pyrimidinylbenzimidazole and triazinylbenzimidazole derivatives and agricultura/horticultural bactericides |
| WO2000046148A1 (en) | 1999-02-02 | 2000-08-10 | Sintokogio, Ltd. | Silica gel carrying titanium oxide photocatalyst in high concentration and method for preparation thereof |
| WO2000065913A1 (en) | 1999-04-28 | 2000-11-09 | Takeda Chemical Industries, Ltd. | Sulfonamide derivatives |
| WO2001031042A2 (en) | 1999-10-29 | 2001-05-03 | Aventis Cropscience N.V. | Male-sterile brassica plants and methods for producing same |
| WO2001041558A1 (en) | 1999-12-08 | 2001-06-14 | Aventis Cropscience N.V. | Hybrid winter oilseed rape and methods for producing same |
| DE10021412A1 (en) | 1999-12-13 | 2001-06-21 | Bayer Ag | Fungicidal active ingredient combinations |
| WO2001054501A2 (en) | 2000-01-25 | 2001-08-02 | Syngenta Participations Ag | Herbicidal composition |
| WO2001056358A2 (en) | 2000-01-28 | 2001-08-09 | Rohm And Haas Company | Enhanced propertied pesticides |
| CN1309897A (en) | 2000-02-24 | 2001-08-29 | 沈阳化工研究院 | Unsaturated oximino ether bactericide |
| WO2002022583A2 (en) | 2000-09-18 | 2002-03-21 | E. I. Du Pont De Nemours And Company | Pyridinyl amides and imides for use as fungicides |
| WO2002034946A2 (en) | 2000-10-25 | 2002-05-02 | Monsanto Technology Llc | Cotton event pv-ghgt07(1445) and compositions and methods for detection thereof |
| WO2002036831A2 (en) | 2000-10-30 | 2002-05-10 | Monsanto Technology Llc | Canola event pv-bngt04(rt73) and compositions and methods for detection thereof |
| WO2002040431A2 (en) | 2000-11-17 | 2002-05-23 | Dow Agrosciences Llc | Compounds having fungicidal activity and processes to make and use same |
| JP2002316902A (en) | 2001-04-20 | 2002-10-31 | Sumitomo Chem Co Ltd | Plant disease control agent composition |
| WO2002100163A2 (en) | 2001-06-11 | 2002-12-19 | Monsanto Technology Llc | Cotton event moni5985 and compositions and methods for detection |
| WO2003010149A1 (en) | 2001-07-25 | 2003-02-06 | Bayer Cropscience Ag | Pyrazolylcarboxanilides as fungicides |
| WO2003011853A1 (en) | 2001-07-30 | 2003-02-13 | Dow Agrosciences Llc | 6-aryl-4-aminopicolinates and their use as herbicides |
| WO2003013224A2 (en) | 2001-08-06 | 2003-02-20 | Bayer Bioscience N.V. | Herbicide tolerant cotton plants and methods for producing and identifying same |
| WO2003014103A1 (en) | 2001-08-03 | 2003-02-20 | Bayer Cropscience S.A. | Iodobenzopyran-4-one derivatives having fungicidal activity |
| WO2003016303A1 (en) | 2001-08-20 | 2003-02-27 | Dainippon Ink And Chemicals, Inc. | Tetrazoyl oxime derivative and agricultural chemical containing the same as active ingredient |
| WO2003016286A1 (en) | 2001-08-17 | 2003-02-27 | Sankyo Agro Company, Limited | 3-phenoxy-4-pyridazinol derivative and herbicide composition containing the same |
| WO2003053145A1 (en) | 2001-12-21 | 2003-07-03 | Nissan Chemical Industries, Ltd. | Bactericidal composition |
| WO2003061388A1 (en) | 2002-01-18 | 2003-07-31 | Sumitomo Chemical Takeda Agro Company, Limited | Fused heterocyclic sulfonylurea compound, herbicide containing the same, and method of controlling weed with the same |
| WO2003066609A1 (en) | 2002-02-04 | 2003-08-14 | Bayer Cropscience Aktiengesellschaft | Disubstituted thiazolyl carboxanilides and their use as microbicides |
| WO2003074491A1 (en) | 2002-03-05 | 2003-09-12 | Syngenta Participations Ag | O-cyclopropyl-carboxanilides and their use as fungicides |
| CN1456054A (en) | 2003-03-25 | 2003-11-19 | 浙江省化工研究院 | Methoxy methyl acrylate compounds as bactericidal agent |
| WO2004011601A2 (en) | 2002-07-29 | 2004-02-05 | Monsanto Technology, Llc | Corn event pv-zmir13 (mon863) plants and compositions and methods for detection thereof |
| WO2004039986A1 (en) | 2002-10-29 | 2004-05-13 | Syngenta Participations Ag | Cot102 insecticidal cotton |
| WO2004049804A2 (en) | 2002-11-29 | 2004-06-17 | Syngenta Participations Ag | Fungicidal combinations for crop potection |
| WO2004072235A2 (en) | 2003-02-12 | 2004-08-26 | Monsanto Technology Llc | Cotton event mon 88913 and compositions and methods for detection thereof |
| WO2004074492A1 (en) | 2003-02-20 | 2004-09-02 | Kws Saat Ag | Glyphosate tolerant sugar beet |
| WO2004083193A1 (en) | 2003-03-17 | 2004-09-30 | Sumitomo Chemical Company, Limited | Amide compound and bactericide composition containing the same |
| WO2004099447A2 (en) | 2003-05-02 | 2004-11-18 | Dow Agrosciences Llc | Corn event tc1507 and methods for detection thereof |
| WO2005051932A1 (en) | 2003-11-28 | 2005-06-09 | Nippon Soda Co., Ltd. | Arylheterocycle derivative and agricultural or horticulrual bactericide and insecticide |
| WO2005059103A2 (en) | 2003-12-15 | 2005-06-30 | Monsanto Technology Llc | Corn plant mon88017 and compositions and methods for detection thereof |
| WO2005061720A2 (en) | 2003-12-11 | 2005-07-07 | Monsanto Technology Llc | High lysine maize compositions and methods for detection thereof |
| WO2005063721A1 (en) | 2003-12-19 | 2005-07-14 | E.I. Dupont De Nemours And Company | Herbicidal pyrimidines |
| WO2005087772A1 (en) | 2004-03-10 | 2005-09-22 | Basf Aktiengesellschaft | 5,6-dialkyl-7-amino-triazolopyrimidines, method for their production, their use for controlling pathogenic fungi and agents containing said compounds |
| WO2005087773A1 (en) | 2004-03-10 | 2005-09-22 | Basf Aktiengesellschaft | 5,6-dialkyl-7-amino-triazolopyrimidines, method for their production, their use for controlling pathogenic fungi and agents containing said compounds |
| WO2005103266A1 (en) | 2004-03-26 | 2005-11-03 | Dow Agrosciences Llc | Cry1f and cry1ac transgenic cotton lines and event-specific identification thereof |
| WO2005103301A2 (en) | 2004-03-25 | 2005-11-03 | Syngenta Participations Ag | Corn event mir604 |
| WO2005120234A2 (en) | 2004-06-03 | 2005-12-22 | E.I. Dupont De Nemours And Company | Fungicidal mixtures of amidinylphenyl compounds |
| WO2005123690A1 (en) | 2004-06-18 | 2005-12-29 | Basf Aktiengesellschaft | 1-methyl-3-difluoromethyl-pyrazol-4-carbonic acid-(ortho-phenyl)-anilides, and use thereof as a fungicide |
| WO2005123689A1 (en) | 2004-06-18 | 2005-12-29 | Basf Aktiengesellschaft | 1-methyl-3-trifluoromethyl-pyrazole-4-carboxylic acid (ortho-phenyl)-anilides and to use thereof as fungicide |
| WO2006013104A1 (en) | 2004-08-05 | 2006-02-09 | Santhera Pharmaceuticals (Schweiz) Ag | Heterocyclic compounds useful as dpp- iv inhibitors |
| WO2006015866A1 (en) | 2004-08-12 | 2006-02-16 | Syngenta Participations Ag | Method for protecting useful plants or plant propagation material |
| WO2006039376A2 (en) | 2004-09-29 | 2006-04-13 | Pioneer Hi-Bred International, Inc. | Corn event das-59122-7 and methods for detection thereof |
| WO2006087343A1 (en) | 2005-02-16 | 2006-08-24 | Basf Aktiengesellschaft | Pyrazole carboxylic acid anilides, method for the production thereof and agents containing them for controlling pathogenic fungi |
| WO2006087325A1 (en) | 2005-02-16 | 2006-08-24 | Basf Aktiengesellschaft | 5-alkoxyalkyl-6-alkyl-7-amino-azolopyrimidines, method for their production, their use for controlling pathogenic fungi and agents containing said substances |
| DE102005009458A1 (en) | 2005-03-02 | 2006-09-07 | Bayer Cropscience Ag | pyrazolylcarboxanilides |
| WO2006098952A2 (en) | 2005-03-16 | 2006-09-21 | Syngenta Participations Ag | Corn event 3272 and methods of detection thereof |
| WO2006108674A2 (en) | 2005-04-08 | 2006-10-19 | Bayer Bioscience N.V. | Elite event a2704-12 and methods and kits for identifying such event in biological samples |
| WO2006108675A2 (en) | 2005-04-11 | 2006-10-19 | Bayer Bioscience N.V. | Elite event a5547-127 and methods and kits for identifying such event in biological samples |
| WO2006130436A2 (en) | 2005-05-27 | 2006-12-07 | Monsanto Technology Llc | Soybean event mon89788 and methods for detection thereof |
| WO2006128573A2 (en) | 2005-06-02 | 2006-12-07 | Syngenta Participations Ag | Ce43- 67b, insecticidal transgenic cotton expressing cry1ab |
| WO2007006670A1 (en) | 2005-07-07 | 2007-01-18 | Basf Aktiengesellschaft | N-thio-anthranilamid compounds and their use as pesticides |
| CN1907024A (en) | 2005-08-03 | 2007-02-07 | 浙江化工科技集团有限公司 | Methoxyl group displacement methyl acrylate compound bactericidal agent |
| WO2007017186A1 (en) | 2005-08-08 | 2007-02-15 | Bayer Bioscience N.V. | Herbicide tolerant cotton plants and methods for identifying same |
| WO2007082098A2 (en) | 2006-01-13 | 2007-07-19 | Dow Agrosciences Llc | 6-(poly-substituted aryl)-4-aminopicolinates and their use as herbicides |
| WO2007090624A2 (en) | 2006-02-09 | 2007-08-16 | Syngenta Participations Ag | A method of protecting a plant propagation material, a plant, and/or plant organs |
| WO2007129454A1 (en) | 2006-05-08 | 2007-11-15 | Kumiai Chemical Industry Co., Ltd. | 1,2-benzisothiazole derivative, and agricultural or horticultural plant disease-controlling agent |
| WO2007140256A1 (en) | 2006-05-26 | 2007-12-06 | Monsanto Technology, Llc | Corn plant and seed corresponding to transgenic event mon89034 and methods for detection and use thereof |
| WO2007142840A2 (en) | 2006-06-03 | 2007-12-13 | Syngenta Participations Ag | Corn event mir162 |
| US20070292854A1 (en) | 2000-06-22 | 2007-12-20 | Behr Carl F | Corn event PV-ZMGT32(nk603) and compositions and methods for detection thereof |
| WO2008002872A2 (en) | 2006-06-28 | 2008-01-03 | Pioneer Hi-Bred International, Inc. | Soybean event 3560.4.3.5 and compositions and methods for the identification and/or detection thereof |
| WO2008013622A2 (en) | 2006-07-27 | 2008-01-31 | E. I. Du Pont De Nemours And Company | Fungicidal azocyclic amides |
| WO2008054747A2 (en) | 2006-10-31 | 2008-05-08 | E. I. Du Pont De Nemours And Company | Soybean event dp-305423-1 and compositions and methods for the identification and/or detection thereof |
| WO2008112019A2 (en) | 2006-10-30 | 2008-09-18 | Pioneer Hi-Bred International, Inc. | Maize event dp-098140-6 and compositions and methods for the identification and/or detection thereof |
| WO2008122406A1 (en) | 2007-04-05 | 2008-10-16 | Bayer Bioscience N.V. | Insect resistant cotton plants and methods for identifying same |
| WO2008151780A1 (en) | 2007-06-11 | 2008-12-18 | Bayer Bioscience N.V. | Insect resistant cotton plants comprising elite event ee-gh6 and methods for identifying same |
| WO2009064652A1 (en) | 2007-11-15 | 2009-05-22 | Monsanto Technology Llc | Soybean plant and seed corresponding to transgenic event mon87701 and methods for detection thereof |
| WO2009074950A2 (en) | 2007-12-10 | 2009-06-18 | Actelion Pharmaceuticals Ltd | Thiophene derivatives as agonists of s1p1/edg1 |
| WO2009090181A2 (en) | 2008-01-15 | 2009-07-23 | Bayer Cropscience Sa | Pesticide composition comprising a tetrazolyloxime derivative and a fungicide or an insecticide active substance |
| WO2009094442A2 (en) | 2008-01-22 | 2009-07-30 | Dow Agrosciences Llc | 5-fluoro pyrimidine derivatives |
| WO2009102873A1 (en) | 2008-02-15 | 2009-08-20 | Monsanto Technology Llc | Soybean plant and seed corresponding to transgenic event mon87769 and methods for detection thereof |
| WO2009103049A2 (en) | 2008-02-14 | 2009-08-20 | Pioneer Hi-Bred International, Inc. | Plant genomic dna flanking spt event and methods for identifying spt event |
| WO2009111263A1 (en) | 2008-02-29 | 2009-09-11 | Monsanto Technology Llc | Corn plant event mon87460 and compositions and methods for detection thereof |
| WO2010037016A1 (en) | 2008-09-29 | 2010-04-01 | Monsanto Technology Llc | Soybean transgenic event mon87705 and methods for detection thereof |
| WO2010069882A1 (en) | 2008-12-17 | 2010-06-24 | Syngenta Participations Ag | Isoxazole derivatives for use as fungicides |
| WO2010077816A1 (en) | 2008-12-16 | 2010-07-08 | Syngenta Participations Ag | Corn event 5307 |
| WO2010080829A1 (en) | 2009-01-07 | 2010-07-15 | Basf Agrochemical Products B.V. | Soybean event 127 and methods related thereto |
| WO2010139271A1 (en) | 2009-06-05 | 2010-12-09 | 中国中化股份有限公司 | E-type phenyl acrylic ester compounds containing substituted anilino pyrimidine group and uses thereof |
| WO2011022469A2 (en) | 2009-08-19 | 2011-02-24 | Dow Agrosciences Llc | Aad-1 event das-40278-9, related transgenic corn lines, and event-specific identification thereof |
| WO2011028657A1 (en) | 2009-09-01 | 2011-03-10 | Dow Agrosciences Llc | Synergistic fungicidal compositions containing a 5-fluoropyrimidine derivative for fungal control in cereals |
| WO2011034704A1 (en) | 2009-09-17 | 2011-03-24 | Monsanto Technology Llc | Soybean transgenic event mon 87708 and methods of use thereof |
| WO2011062904A1 (en) | 2009-11-23 | 2011-05-26 | Monsanto Technology Llc | Transgenic maize event mon 87427 and the relative development scale |
| WO2011066384A1 (en) | 2009-11-24 | 2011-06-03 | Dow Agrosciences Llc | Aad-12 event 416, related transgenic soybean lines, and event-specific identification thereof |
| WO2011077514A1 (en) | 2009-12-22 | 2011-06-30 | 三井化学アグロ株式会社 | Plant disease control composition and method for controlling plant diseases by applying the composition |
| WO2011081174A1 (en) | 2010-01-04 | 2011-07-07 | 日本曹達株式会社 | Nitrogen-containing heterocyclic compound and agricultural/horticultural germicide |
| WO2011084621A1 (en) | 2009-12-17 | 2011-07-14 | Pioneer Hi-Bred International, Inc. | Maize event dp-004114-3 and methods for detection thereof |
| WO2011135833A1 (en) | 2010-04-28 | 2011-11-03 | Sumitomo Chemical Company, Limited | Plant disease control composition and its use |
| WO2011153186A1 (en) | 2010-06-04 | 2011-12-08 | Monsanto Technology Llc | Transgenic brassica event mon 88302 and methods of use thereof |
| WO2012051199A2 (en) | 2010-10-12 | 2012-04-19 | Monsanto Technology Llc | Soybean plant and seed corresponding to transgenic event mon87712 and methods for detection thereof |
| WO2012082548A2 (en) | 2010-12-15 | 2012-06-21 | Syngenta Participations Ag | Soybean event syht0h2 and compositions and methods for detection thereof |
| WO2012084812A1 (en) | 2010-12-20 | 2012-06-28 | Isagro Ricerca S.R.L. | Aminoindanes amides having a high fungicidal activity and their phytosanitary compositions |
| WO2012134808A1 (en) | 2011-03-30 | 2012-10-04 | Monsanto Technology Llc | Cotton transgenic event mon 88701 and methods of use thereof |
| WO2012165511A1 (en) | 2011-05-31 | 2012-12-06 | クミアイ化学工業株式会社 | Method for controlling diseases in rice plant |
| WO2012168188A1 (en) | 2011-06-07 | 2012-12-13 | Bayer Intellectual Property Gmbh | Active compound combinations |
| WO2013003558A1 (en) | 2011-06-30 | 2013-01-03 | Monsanto Technology Llc | Alfalfa plant and seed corresponding to transgenic event kk 179-2 and methods for detection thereof |
| WO2013007767A1 (en) | 2011-07-13 | 2013-01-17 | Basf Se | Fungicidal substituted 2-[2-halogenalkyl-4-(phenoxy)-phenyl]-1-[1,2,4]triazol-1-yl-ethanol compounds |
| WO2013008162A1 (en) | 2011-07-08 | 2013-01-17 | Novartis Ag | Novel trifluoromethyl-oxadiazole derivatives and their use in the treatment of disease |
| WO2013010862A1 (en) | 2011-07-15 | 2013-01-24 | Basf Se | Fungicidal alkyl-substituted 2-[2-chloro-4-(4-chloro-phenoxy)-phenyl]-1-[1,2,4]triazol-1-yl-ethanol compounds |
| WO2013016516A1 (en) | 2011-07-26 | 2013-01-31 | Dow Agrosciences Llc | Insect resistant and herbicide tolerant breeding stack of soybean event pdab9582.814.19.1 and pdab4468.04.16.1 |
| WO2013024010A1 (en) | 2011-08-12 | 2013-02-21 | Basf Se | N-thio-anthranilamide compounds and their use as pesticides |
| WO2013024009A1 (en) | 2011-08-12 | 2013-02-21 | Basf Se | N-thio-anthranilamide compounds and their use as pesticides |
| WO2013047441A1 (en) | 2011-09-26 | 2013-04-04 | 日本曹達株式会社 | Agricultural and horticultural bactericide composition |
| WO2013047749A1 (en) | 2011-09-29 | 2013-04-04 | 三井化学アグロ株式会社 | Production method for 4, 4-difluoro-3,4-dihydroisoquinoline derivative |
| WO2013092224A1 (en) | 2011-12-21 | 2013-06-27 | Basf Se | Use of strobilurin type compounds for combating phytopathogenic fungi resistant to qo inhibitors |
| WO2013112527A1 (en) | 2012-01-23 | 2013-08-01 | Dow Agrosciences Llc | Herbicide tolerant cotton event pdab4468.19.10.3 |
| WO2013116251A2 (en) | 2012-02-01 | 2013-08-08 | E. I. Du Pont De Nemours And Company | Fungicidal pyrazole mixtures |
| WO2013127704A1 (en) | 2012-02-27 | 2013-09-06 | Bayer Intellectual Property Gmbh | Active compound combinations containing a thiazoylisoxazoline and a fungicide |
| WO2013162072A1 (en) | 2012-04-27 | 2013-10-31 | Sumitomo Chemical Company, Limited | Tetrazolinone compounds and its use as pesticides |
| CN103387541A (en) | 2012-05-10 | 2013-11-13 | 中国中化股份有限公司 | Preparation method of substituted pyrazolylether compound |
| WO2013169923A2 (en) | 2012-05-08 | 2013-11-14 | Monsanto Technology Llc | Corn event mon 87411 |
| WO2014060177A1 (en) | 2012-10-16 | 2014-04-24 | Syngenta Participations Ag | Fungicidal compositions |
| WO2014116854A1 (en) | 2013-01-25 | 2014-07-31 | Pioneer Hi-Bred International, Inc. | Maize event dp-033121-3 and methods for detection thereof |
| WO2014178910A1 (en) | 2013-05-02 | 2014-11-06 | J.R. Simplot Company | Potato cultivar e12 |
| WO2014201235A2 (en) | 2013-06-14 | 2014-12-18 | Monsanto Technology Llc | Soybean transgenic event mon87751 and methods for detection and use thereof |
| WO2015053998A1 (en) | 2013-10-09 | 2015-04-16 | Monsanto Technology Llc | Transgenic corn event mon87403 and methods for detection thereof |
| EP2865265A1 (en) | 2014-02-13 | 2015-04-29 | Bayer CropScience AG | Active compound combinations comprising phenylamidine compounds and biological control agents |
| WO2015065922A1 (en) | 2013-10-28 | 2015-05-07 | Dexcom, Inc. | Devices used in connection with continuous analyte monitoring that provide the user with one or more notifications, and related methods |
| WO2015142571A1 (en) | 2014-03-20 | 2015-09-24 | Monsanto Technology Llc | Transgenic maize event mon 87419 and methods of use thereof |
| WO2015185485A1 (en) | 2014-06-06 | 2015-12-10 | Basf Se | Use of substituted oxadiazoles for combating phytopathogenic fungi |
| WO2016183445A1 (en) | 2015-05-14 | 2016-11-17 | J.R. Simplot Company | Potato cultivar v11 |
| WO2017055473A1 (en) | 2015-10-02 | 2017-04-06 | Syngenta Participations Ag | Microbiocidal oxadiazole derivatives |
| WO2017055469A1 (en) | 2015-10-02 | 2017-04-06 | Syngenta Participations Ag | Microbiocidal oxadiazole derivatives |
| WO2017062825A1 (en) | 2015-10-08 | 2017-04-13 | J.R. Simplot Company | Potato cultivar y9 |
| WO2017062831A1 (en) | 2015-10-08 | 2017-04-13 | J.R. Simplot Company | Potato cultivar x17 |
-
2018
- 2018-03-29 WO PCT/EP2018/058066 patent/WO2018188962A1/en not_active Ceased
- 2018-04-10 AR ARP180100894A patent/AR111371A1/en unknown
Patent Citations (146)
| Publication number | Priority date | Publication date | Assignee | Title |
|---|---|---|---|---|
| US3126634A (en) | 1964-03-31 | Foot measuring device | ||
| US2102582A (en) | 1932-04-14 | 1937-12-14 | Scovill Manufacturing Co | Electric induction furnace and method of operating the same |
| US3325503A (en) | 1965-02-18 | 1967-06-13 | Diamond Alkali Co | Polychloro derivatives of mono- and dicyano pyridines and a method for their preparation |
| US3296272A (en) | 1965-04-01 | 1967-01-03 | Dow Chemical Co | Sulfinyl- and sulfonylpyridines |
| EP0276432A2 (en) | 1986-12-12 | 1988-08-03 | Ciba-Geigy Ag | Pesticides |
| WO1994001546A1 (en) | 1992-07-01 | 1994-01-20 | Cornell Research Foundation, Inc. | Elicitor of the hypersensitive response in plants |
| DE19650197A1 (en) | 1996-12-04 | 1998-06-10 | Bayer Ag | 3-thiocarbamoylpyrazole derivatives |
| WO1998044140A1 (en) | 1997-04-03 | 1998-10-08 | Dekalb Genetics Corporation | Glyphosate resistant maize lines |
| WO1998046608A1 (en) | 1997-04-14 | 1998-10-22 | American Cyanamid Company | Fungicidal trifluoromethylalkylamino-triazolopyrimidines |
| WO1999014187A1 (en) | 1997-09-18 | 1999-03-25 | Basf Aktiengesellschaft | Benzamidoxim derivatives, intermediate products and methods for preparing and using them as fungicides |
| WO1999024413A2 (en) | 1997-11-12 | 1999-05-20 | Bayer Aktiengesellschaft | Isothiazole carboxylic acid amides and the application thereof in order to protect plants |
| WO1999027783A1 (en) | 1997-12-04 | 1999-06-10 | Dow Agrosciences Llc | Fungicidal compositions and methods, and compounds and methods for the preparation thereof |
| WO2000026345A1 (en) | 1998-11-03 | 2000-05-11 | Aventis Cropscience N.V. | Glufosinate tolerant rice |
| WO2000026356A1 (en) | 1998-11-03 | 2000-05-11 | Aventis Cropscience N. V. | Glufosinate tolerant rice |
| WO2000029404A1 (en) | 1998-11-17 | 2000-05-25 | Kumiai Chemical Industry Co., Ltd. | Pyrimidinylbenzimidazole and triazinylbenzimidazole derivatives and agricultura/horticultural bactericides |
| WO2000046148A1 (en) | 1999-02-02 | 2000-08-10 | Sintokogio, Ltd. | Silica gel carrying titanium oxide photocatalyst in high concentration and method for preparation thereof |
| WO2000065913A1 (en) | 1999-04-28 | 2000-11-09 | Takeda Chemical Industries, Ltd. | Sulfonamide derivatives |
| WO2001031042A2 (en) | 1999-10-29 | 2001-05-03 | Aventis Cropscience N.V. | Male-sterile brassica plants and methods for producing same |
| WO2001041558A1 (en) | 1999-12-08 | 2001-06-14 | Aventis Cropscience N.V. | Hybrid winter oilseed rape and methods for producing same |
| DE10021412A1 (en) | 1999-12-13 | 2001-06-21 | Bayer Ag | Fungicidal active ingredient combinations |
| WO2001054501A2 (en) | 2000-01-25 | 2001-08-02 | Syngenta Participations Ag | Herbicidal composition |
| WO2001056358A2 (en) | 2000-01-28 | 2001-08-09 | Rohm And Haas Company | Enhanced propertied pesticides |
| CN1309897A (en) | 2000-02-24 | 2001-08-29 | 沈阳化工研究院 | Unsaturated oximino ether bactericide |
| US20070292854A1 (en) | 2000-06-22 | 2007-12-20 | Behr Carl F | Corn event PV-ZMGT32(nk603) and compositions and methods for detection thereof |
| WO2002022583A2 (en) | 2000-09-18 | 2002-03-21 | E. I. Du Pont De Nemours And Company | Pyridinyl amides and imides for use as fungicides |
| WO2002034946A2 (en) | 2000-10-25 | 2002-05-02 | Monsanto Technology Llc | Cotton event pv-ghgt07(1445) and compositions and methods for detection thereof |
| WO2002036831A2 (en) | 2000-10-30 | 2002-05-10 | Monsanto Technology Llc | Canola event pv-bngt04(rt73) and compositions and methods for detection thereof |
| WO2002040431A2 (en) | 2000-11-17 | 2002-05-23 | Dow Agrosciences Llc | Compounds having fungicidal activity and processes to make and use same |
| JP2002316902A (en) | 2001-04-20 | 2002-10-31 | Sumitomo Chem Co Ltd | Plant disease control agent composition |
| WO2002100163A2 (en) | 2001-06-11 | 2002-12-19 | Monsanto Technology Llc | Cotton event moni5985 and compositions and methods for detection |
| WO2003010149A1 (en) | 2001-07-25 | 2003-02-06 | Bayer Cropscience Ag | Pyrazolylcarboxanilides as fungicides |
| WO2003011853A1 (en) | 2001-07-30 | 2003-02-13 | Dow Agrosciences Llc | 6-aryl-4-aminopicolinates and their use as herbicides |
| WO2003014103A1 (en) | 2001-08-03 | 2003-02-20 | Bayer Cropscience S.A. | Iodobenzopyran-4-one derivatives having fungicidal activity |
| WO2003013224A2 (en) | 2001-08-06 | 2003-02-20 | Bayer Bioscience N.V. | Herbicide tolerant cotton plants and methods for producing and identifying same |
| WO2003016286A1 (en) | 2001-08-17 | 2003-02-27 | Sankyo Agro Company, Limited | 3-phenoxy-4-pyridazinol derivative and herbicide composition containing the same |
| WO2003016303A1 (en) | 2001-08-20 | 2003-02-27 | Dainippon Ink And Chemicals, Inc. | Tetrazoyl oxime derivative and agricultural chemical containing the same as active ingredient |
| WO2003053145A1 (en) | 2001-12-21 | 2003-07-03 | Nissan Chemical Industries, Ltd. | Bactericidal composition |
| WO2003061388A1 (en) | 2002-01-18 | 2003-07-31 | Sumitomo Chemical Takeda Agro Company, Limited | Fused heterocyclic sulfonylurea compound, herbicide containing the same, and method of controlling weed with the same |
| WO2003066609A1 (en) | 2002-02-04 | 2003-08-14 | Bayer Cropscience Aktiengesellschaft | Disubstituted thiazolyl carboxanilides and their use as microbicides |
| WO2003074491A1 (en) | 2002-03-05 | 2003-09-12 | Syngenta Participations Ag | O-cyclopropyl-carboxanilides and their use as fungicides |
| WO2004011601A2 (en) | 2002-07-29 | 2004-02-05 | Monsanto Technology, Llc | Corn event pv-zmir13 (mon863) plants and compositions and methods for detection thereof |
| WO2004039986A1 (en) | 2002-10-29 | 2004-05-13 | Syngenta Participations Ag | Cot102 insecticidal cotton |
| WO2004049804A2 (en) | 2002-11-29 | 2004-06-17 | Syngenta Participations Ag | Fungicidal combinations for crop potection |
| WO2004072235A2 (en) | 2003-02-12 | 2004-08-26 | Monsanto Technology Llc | Cotton event mon 88913 and compositions and methods for detection thereof |
| WO2004074492A1 (en) | 2003-02-20 | 2004-09-02 | Kws Saat Ag | Glyphosate tolerant sugar beet |
| WO2004083193A1 (en) | 2003-03-17 | 2004-09-30 | Sumitomo Chemical Company, Limited | Amide compound and bactericide composition containing the same |
| CN1456054A (en) | 2003-03-25 | 2003-11-19 | 浙江省化工研究院 | Methoxy methyl acrylate compounds as bactericidal agent |
| WO2004099447A2 (en) | 2003-05-02 | 2004-11-18 | Dow Agrosciences Llc | Corn event tc1507 and methods for detection thereof |
| WO2005051932A1 (en) | 2003-11-28 | 2005-06-09 | Nippon Soda Co., Ltd. | Arylheterocycle derivative and agricultural or horticulrual bactericide and insecticide |
| WO2005061720A2 (en) | 2003-12-11 | 2005-07-07 | Monsanto Technology Llc | High lysine maize compositions and methods for detection thereof |
| WO2005059103A2 (en) | 2003-12-15 | 2005-06-30 | Monsanto Technology Llc | Corn plant mon88017 and compositions and methods for detection thereof |
| WO2005063721A1 (en) | 2003-12-19 | 2005-07-14 | E.I. Dupont De Nemours And Company | Herbicidal pyrimidines |
| WO2005087772A1 (en) | 2004-03-10 | 2005-09-22 | Basf Aktiengesellschaft | 5,6-dialkyl-7-amino-triazolopyrimidines, method for their production, their use for controlling pathogenic fungi and agents containing said compounds |
| WO2005087773A1 (en) | 2004-03-10 | 2005-09-22 | Basf Aktiengesellschaft | 5,6-dialkyl-7-amino-triazolopyrimidines, method for their production, their use for controlling pathogenic fungi and agents containing said compounds |
| WO2005103301A2 (en) | 2004-03-25 | 2005-11-03 | Syngenta Participations Ag | Corn event mir604 |
| WO2005103266A1 (en) | 2004-03-26 | 2005-11-03 | Dow Agrosciences Llc | Cry1f and cry1ac transgenic cotton lines and event-specific identification thereof |
| WO2005120234A2 (en) | 2004-06-03 | 2005-12-22 | E.I. Dupont De Nemours And Company | Fungicidal mixtures of amidinylphenyl compounds |
| WO2005123690A1 (en) | 2004-06-18 | 2005-12-29 | Basf Aktiengesellschaft | 1-methyl-3-difluoromethyl-pyrazol-4-carbonic acid-(ortho-phenyl)-anilides, and use thereof as a fungicide |
| WO2005123689A1 (en) | 2004-06-18 | 2005-12-29 | Basf Aktiengesellschaft | 1-methyl-3-trifluoromethyl-pyrazole-4-carboxylic acid (ortho-phenyl)-anilides and to use thereof as fungicide |
| WO2006013104A1 (en) | 2004-08-05 | 2006-02-09 | Santhera Pharmaceuticals (Schweiz) Ag | Heterocyclic compounds useful as dpp- iv inhibitors |
| WO2006015866A1 (en) | 2004-08-12 | 2006-02-16 | Syngenta Participations Ag | Method for protecting useful plants or plant propagation material |
| WO2006039376A2 (en) | 2004-09-29 | 2006-04-13 | Pioneer Hi-Bred International, Inc. | Corn event das-59122-7 and methods for detection thereof |
| WO2006087343A1 (en) | 2005-02-16 | 2006-08-24 | Basf Aktiengesellschaft | Pyrazole carboxylic acid anilides, method for the production thereof and agents containing them for controlling pathogenic fungi |
| WO2006087325A1 (en) | 2005-02-16 | 2006-08-24 | Basf Aktiengesellschaft | 5-alkoxyalkyl-6-alkyl-7-amino-azolopyrimidines, method for their production, their use for controlling pathogenic fungi and agents containing said substances |
| DE102005009458A1 (en) | 2005-03-02 | 2006-09-07 | Bayer Cropscience Ag | pyrazolylcarboxanilides |
| WO2006098952A2 (en) | 2005-03-16 | 2006-09-21 | Syngenta Participations Ag | Corn event 3272 and methods of detection thereof |
| WO2006108674A2 (en) | 2005-04-08 | 2006-10-19 | Bayer Bioscience N.V. | Elite event a2704-12 and methods and kits for identifying such event in biological samples |
| WO2006108675A2 (en) | 2005-04-11 | 2006-10-19 | Bayer Bioscience N.V. | Elite event a5547-127 and methods and kits for identifying such event in biological samples |
| WO2006130436A2 (en) | 2005-05-27 | 2006-12-07 | Monsanto Technology Llc | Soybean event mon89788 and methods for detection thereof |
| WO2006128573A2 (en) | 2005-06-02 | 2006-12-07 | Syngenta Participations Ag | Ce43- 67b, insecticidal transgenic cotton expressing cry1ab |
| WO2007006670A1 (en) | 2005-07-07 | 2007-01-18 | Basf Aktiengesellschaft | N-thio-anthranilamid compounds and their use as pesticides |
| CN1907024A (en) | 2005-08-03 | 2007-02-07 | 浙江化工科技集团有限公司 | Methoxyl group displacement methyl acrylate compound bactericidal agent |
| WO2007017186A1 (en) | 2005-08-08 | 2007-02-15 | Bayer Bioscience N.V. | Herbicide tolerant cotton plants and methods for identifying same |
| WO2007082098A2 (en) | 2006-01-13 | 2007-07-19 | Dow Agrosciences Llc | 6-(poly-substituted aryl)-4-aminopicolinates and their use as herbicides |
| WO2007090624A2 (en) | 2006-02-09 | 2007-08-16 | Syngenta Participations Ag | A method of protecting a plant propagation material, a plant, and/or plant organs |
| WO2007129454A1 (en) | 2006-05-08 | 2007-11-15 | Kumiai Chemical Industry Co., Ltd. | 1,2-benzisothiazole derivative, and agricultural or horticultural plant disease-controlling agent |
| WO2007140256A1 (en) | 2006-05-26 | 2007-12-06 | Monsanto Technology, Llc | Corn plant and seed corresponding to transgenic event mon89034 and methods for detection and use thereof |
| WO2007142840A2 (en) | 2006-06-03 | 2007-12-13 | Syngenta Participations Ag | Corn event mir162 |
| WO2008002872A2 (en) | 2006-06-28 | 2008-01-03 | Pioneer Hi-Bred International, Inc. | Soybean event 3560.4.3.5 and compositions and methods for the identification and/or detection thereof |
| WO2008013622A2 (en) | 2006-07-27 | 2008-01-31 | E. I. Du Pont De Nemours And Company | Fungicidal azocyclic amides |
| WO2008112019A2 (en) | 2006-10-30 | 2008-09-18 | Pioneer Hi-Bred International, Inc. | Maize event dp-098140-6 and compositions and methods for the identification and/or detection thereof |
| WO2008054747A2 (en) | 2006-10-31 | 2008-05-08 | E. I. Du Pont De Nemours And Company | Soybean event dp-305423-1 and compositions and methods for the identification and/or detection thereof |
| WO2008122406A1 (en) | 2007-04-05 | 2008-10-16 | Bayer Bioscience N.V. | Insect resistant cotton plants and methods for identifying same |
| WO2008151780A1 (en) | 2007-06-11 | 2008-12-18 | Bayer Bioscience N.V. | Insect resistant cotton plants comprising elite event ee-gh6 and methods for identifying same |
| WO2009064652A1 (en) | 2007-11-15 | 2009-05-22 | Monsanto Technology Llc | Soybean plant and seed corresponding to transgenic event mon87701 and methods for detection thereof |
| WO2009074950A2 (en) | 2007-12-10 | 2009-06-18 | Actelion Pharmaceuticals Ltd | Thiophene derivatives as agonists of s1p1/edg1 |
| WO2009090181A2 (en) | 2008-01-15 | 2009-07-23 | Bayer Cropscience Sa | Pesticide composition comprising a tetrazolyloxime derivative and a fungicide or an insecticide active substance |
| WO2009094442A2 (en) | 2008-01-22 | 2009-07-30 | Dow Agrosciences Llc | 5-fluoro pyrimidine derivatives |
| WO2009103049A2 (en) | 2008-02-14 | 2009-08-20 | Pioneer Hi-Bred International, Inc. | Plant genomic dna flanking spt event and methods for identifying spt event |
| WO2009102873A1 (en) | 2008-02-15 | 2009-08-20 | Monsanto Technology Llc | Soybean plant and seed corresponding to transgenic event mon87769 and methods for detection thereof |
| WO2009111263A1 (en) | 2008-02-29 | 2009-09-11 | Monsanto Technology Llc | Corn plant event mon87460 and compositions and methods for detection thereof |
| WO2010037016A1 (en) | 2008-09-29 | 2010-04-01 | Monsanto Technology Llc | Soybean transgenic event mon87705 and methods for detection thereof |
| WO2010077816A1 (en) | 2008-12-16 | 2010-07-08 | Syngenta Participations Ag | Corn event 5307 |
| WO2010069882A1 (en) | 2008-12-17 | 2010-06-24 | Syngenta Participations Ag | Isoxazole derivatives for use as fungicides |
| WO2010080829A1 (en) | 2009-01-07 | 2010-07-15 | Basf Agrochemical Products B.V. | Soybean event 127 and methods related thereto |
| WO2010139271A1 (en) | 2009-06-05 | 2010-12-09 | 中国中化股份有限公司 | E-type phenyl acrylic ester compounds containing substituted anilino pyrimidine group and uses thereof |
| WO2011022469A2 (en) | 2009-08-19 | 2011-02-24 | Dow Agrosciences Llc | Aad-1 event das-40278-9, related transgenic corn lines, and event-specific identification thereof |
| WO2011028657A1 (en) | 2009-09-01 | 2011-03-10 | Dow Agrosciences Llc | Synergistic fungicidal compositions containing a 5-fluoropyrimidine derivative for fungal control in cereals |
| WO2011034704A1 (en) | 2009-09-17 | 2011-03-24 | Monsanto Technology Llc | Soybean transgenic event mon 87708 and methods of use thereof |
| WO2011062904A1 (en) | 2009-11-23 | 2011-05-26 | Monsanto Technology Llc | Transgenic maize event mon 87427 and the relative development scale |
| WO2011066384A1 (en) | 2009-11-24 | 2011-06-03 | Dow Agrosciences Llc | Aad-12 event 416, related transgenic soybean lines, and event-specific identification thereof |
| WO2011084621A1 (en) | 2009-12-17 | 2011-07-14 | Pioneer Hi-Bred International, Inc. | Maize event dp-004114-3 and methods for detection thereof |
| WO2011077514A1 (en) | 2009-12-22 | 2011-06-30 | 三井化学アグロ株式会社 | Plant disease control composition and method for controlling plant diseases by applying the composition |
| WO2011081174A1 (en) | 2010-01-04 | 2011-07-07 | 日本曹達株式会社 | Nitrogen-containing heterocyclic compound and agricultural/horticultural germicide |
| WO2011135833A1 (en) | 2010-04-28 | 2011-11-03 | Sumitomo Chemical Company, Limited | Plant disease control composition and its use |
| WO2011153186A1 (en) | 2010-06-04 | 2011-12-08 | Monsanto Technology Llc | Transgenic brassica event mon 88302 and methods of use thereof |
| WO2012051199A2 (en) | 2010-10-12 | 2012-04-19 | Monsanto Technology Llc | Soybean plant and seed corresponding to transgenic event mon87712 and methods for detection thereof |
| WO2012082548A2 (en) | 2010-12-15 | 2012-06-21 | Syngenta Participations Ag | Soybean event syht0h2 and compositions and methods for detection thereof |
| WO2012084812A1 (en) | 2010-12-20 | 2012-06-28 | Isagro Ricerca S.R.L. | Aminoindanes amides having a high fungicidal activity and their phytosanitary compositions |
| WO2012134808A1 (en) | 2011-03-30 | 2012-10-04 | Monsanto Technology Llc | Cotton transgenic event mon 88701 and methods of use thereof |
| WO2012165511A1 (en) | 2011-05-31 | 2012-12-06 | クミアイ化学工業株式会社 | Method for controlling diseases in rice plant |
| WO2012168188A1 (en) | 2011-06-07 | 2012-12-13 | Bayer Intellectual Property Gmbh | Active compound combinations |
| WO2013003558A1 (en) | 2011-06-30 | 2013-01-03 | Monsanto Technology Llc | Alfalfa plant and seed corresponding to transgenic event kk 179-2 and methods for detection thereof |
| WO2013008162A1 (en) | 2011-07-08 | 2013-01-17 | Novartis Ag | Novel trifluoromethyl-oxadiazole derivatives and their use in the treatment of disease |
| WO2013007767A1 (en) | 2011-07-13 | 2013-01-17 | Basf Se | Fungicidal substituted 2-[2-halogenalkyl-4-(phenoxy)-phenyl]-1-[1,2,4]triazol-1-yl-ethanol compounds |
| WO2013010862A1 (en) | 2011-07-15 | 2013-01-24 | Basf Se | Fungicidal alkyl-substituted 2-[2-chloro-4-(4-chloro-phenoxy)-phenyl]-1-[1,2,4]triazol-1-yl-ethanol compounds |
| WO2013016516A1 (en) | 2011-07-26 | 2013-01-31 | Dow Agrosciences Llc | Insect resistant and herbicide tolerant breeding stack of soybean event pdab9582.814.19.1 and pdab4468.04.16.1 |
| WO2013016527A1 (en) | 2011-07-26 | 2013-01-31 | Dow Agrosciences Llc | Insect resistant and herbicide tolerant soybean event 9582.814.19.1 |
| WO2013024009A1 (en) | 2011-08-12 | 2013-02-21 | Basf Se | N-thio-anthranilamide compounds and their use as pesticides |
| WO2013024010A1 (en) | 2011-08-12 | 2013-02-21 | Basf Se | N-thio-anthranilamide compounds and their use as pesticides |
| WO2013047441A1 (en) | 2011-09-26 | 2013-04-04 | 日本曹達株式会社 | Agricultural and horticultural bactericide composition |
| WO2013047749A1 (en) | 2011-09-29 | 2013-04-04 | 三井化学アグロ株式会社 | Production method for 4, 4-difluoro-3,4-dihydroisoquinoline derivative |
| WO2013092224A1 (en) | 2011-12-21 | 2013-06-27 | Basf Se | Use of strobilurin type compounds for combating phytopathogenic fungi resistant to qo inhibitors |
| WO2013112527A1 (en) | 2012-01-23 | 2013-08-01 | Dow Agrosciences Llc | Herbicide tolerant cotton event pdab4468.19.10.3 |
| WO2013116251A2 (en) | 2012-02-01 | 2013-08-08 | E. I. Du Pont De Nemours And Company | Fungicidal pyrazole mixtures |
| WO2013127704A1 (en) | 2012-02-27 | 2013-09-06 | Bayer Intellectual Property Gmbh | Active compound combinations containing a thiazoylisoxazoline and a fungicide |
| WO2013162072A1 (en) | 2012-04-27 | 2013-10-31 | Sumitomo Chemical Company, Limited | Tetrazolinone compounds and its use as pesticides |
| WO2013169923A2 (en) | 2012-05-08 | 2013-11-14 | Monsanto Technology Llc | Corn event mon 87411 |
| CN103387541A (en) | 2012-05-10 | 2013-11-13 | 中国中化股份有限公司 | Preparation method of substituted pyrazolylether compound |
| WO2014060177A1 (en) | 2012-10-16 | 2014-04-24 | Syngenta Participations Ag | Fungicidal compositions |
| WO2014116854A1 (en) | 2013-01-25 | 2014-07-31 | Pioneer Hi-Bred International, Inc. | Maize event dp-033121-3 and methods for detection thereof |
| WO2014178910A1 (en) | 2013-05-02 | 2014-11-06 | J.R. Simplot Company | Potato cultivar e12 |
| WO2014178941A1 (en) | 2013-05-02 | 2014-11-06 | J.R. Simplot Company | Potato cultivar j3 |
| WO2014178913A1 (en) | 2013-05-02 | 2014-11-06 | J.R. Simplot Company | Potato cultivar f10 |
| WO2014179276A1 (en) | 2013-05-02 | 2014-11-06 | J.R. Simplot Company | Potato cultivar j55 |
| WO2014201235A2 (en) | 2013-06-14 | 2014-12-18 | Monsanto Technology Llc | Soybean transgenic event mon87751 and methods for detection and use thereof |
| WO2015053998A1 (en) | 2013-10-09 | 2015-04-16 | Monsanto Technology Llc | Transgenic corn event mon87403 and methods for detection thereof |
| WO2015065922A1 (en) | 2013-10-28 | 2015-05-07 | Dexcom, Inc. | Devices used in connection with continuous analyte monitoring that provide the user with one or more notifications, and related methods |
| EP2865265A1 (en) | 2014-02-13 | 2015-04-29 | Bayer CropScience AG | Active compound combinations comprising phenylamidine compounds and biological control agents |
| WO2015142571A1 (en) | 2014-03-20 | 2015-09-24 | Monsanto Technology Llc | Transgenic maize event mon 87419 and methods of use thereof |
| WO2015185485A1 (en) | 2014-06-06 | 2015-12-10 | Basf Se | Use of substituted oxadiazoles for combating phytopathogenic fungi |
| WO2016183445A1 (en) | 2015-05-14 | 2016-11-17 | J.R. Simplot Company | Potato cultivar v11 |
| WO2017055473A1 (en) | 2015-10-02 | 2017-04-06 | Syngenta Participations Ag | Microbiocidal oxadiazole derivatives |
| WO2017055469A1 (en) | 2015-10-02 | 2017-04-06 | Syngenta Participations Ag | Microbiocidal oxadiazole derivatives |
| WO2017062825A1 (en) | 2015-10-08 | 2017-04-13 | J.R. Simplot Company | Potato cultivar y9 |
| WO2017062831A1 (en) | 2015-10-08 | 2017-04-13 | J.R. Simplot Company | Potato cultivar x17 |
Non-Patent Citations (5)
| Title |
|---|
| CAN. J. PLANT SCI., vol. 48, no. 6, 1968, pages 587 - 94 |
| KNOWLES: "Adjuvants and additives, Agrow Reports DS256", 2006, T&F INFORMA |
| KNOWLES: "Agrow Reports DS243", 2005, T&F INFORMA, article "New developments in crop protection product formulation" |
| MCCUTCHEON'S: "Emulsifiers & Detergents", vol. 1, 2008, MCCUTCHEON'S DIRECTORIES |
| MOLLET; GRUBEMANN: "Formulation technology", 2001, WILEY VCH |
Cited By (6)
| Publication number | Priority date | Publication date | Assignee | Title |
|---|---|---|---|---|
| US11192867B2 (en) | 2016-06-03 | 2021-12-07 | Syngenta Participations Ag | Microbiocidal oxadiazole derivatives |
| US10757941B2 (en) | 2016-07-22 | 2020-09-01 | Syngenta Participations Ag | Microbiocidal oxadiazole derivatives |
| US11938134B2 (en) | 2017-03-10 | 2024-03-26 | Eikonizo Therapeutics, Inc. | Metalloenzyme inhibitor compounds |
| US12370194B2 (en) | 2017-03-10 | 2025-07-29 | Eikonizo Therapeutics, Inc. | Metalloenzyme inhibitor compounds |
| US11147275B2 (en) | 2017-11-23 | 2021-10-19 | Basf Se | Substituted trifluoromethyloxadiazoles for combating phytopathogenic fungi |
| US12528767B2 (en) | 2019-07-30 | 2026-01-20 | Eikonizo Therapeutics, Inc. | HDAC6 inhibitors and uses thereof |
Also Published As
| Publication number | Publication date |
|---|---|
| AR111371A1 (en) | 2019-07-03 |
Similar Documents
| Publication | Publication Date | Title |
|---|---|---|
| EP3619207B1 (en) | Substituted 5-(haloalkyl)-5-hydroxy-isoxazolines for combating phytopathogenic fungi | |
| EP3585773B1 (en) | Substituted oxadiazoles for combating phytopathogenic fungi | |
| EP3370525A1 (en) | Substituted oxadiazoles for combating phytopathogenic fungi | |
| EP3373732A1 (en) | Substituted oxadiazoles for combating phytopathogenic fungi | |
| WO2017085100A1 (en) | Substituted oxadiazoles for combating phytopathogenic fungi | |
| CN108884062A (en) | For preventing and treating the Qu Dai oxadiazole class of plant pathogenic fungi | |
| WO2017085098A1 (en) | Substituted oxadiazoles for combating phytopathogenic fungi | |
| WO2018202491A1 (en) | Substituted trifluoromethyloxadiazoles for combating phytopathogenic fungi | |
| EP3373734A1 (en) | Substituted oxadiazoles for combating phytopathogenic fungi | |
| WO2017076739A1 (en) | Use of substituted oxadiazoles for combating phytopathogenic fungi | |
| EP3371178A1 (en) | Substituted oxadiazoles for combating phytopathogenic fungi | |
| BR112018067426B1 (en) | COMPOUNDS OF FORMULA I, MIXTURE, AGROCHEMICAL COMPOSITION, USE OF COMPOUNDS AND METHOD TO FIGHT HARMFUL PHYTOPATOGENIC FUNGI | |
| WO2018114393A1 (en) | Substituted oxadiazoles for combating phytopathogenic fungi | |
| WO2019038042A1 (en) | Substituted trifluoromethyloxadiazoles for combating phytopathogenic fungi | |
| WO2018188962A1 (en) | Substituted oxadiazoles for combating phytopathogenic fungi | |
| EP3642187A1 (en) | 2-[[5-(trifluoromethyl)-1,2,4-oxadiazol-3-yl]aryloxy](thio)acetamides for combating phytopathogenic fungi | |
| WO2018219797A1 (en) | Substituted oxadiazoles for combating phytopathogenic fungi | |
| WO2019219464A1 (en) | Substituted trifluoromethyloxadiazoles for combating phytopathogenic fungi | |
| US20200354321A1 (en) | New pyridine carboxamides | |
| EP3713936B1 (en) | Substituted trifluoromethyloxadiazoles for combating phytopathogenic fungi | |
| WO2019214979A1 (en) | Substituted trifluoromethyloxadiazoles for combating phytopathogenic fungi | |
| WO2019025250A1 (en) | Substituted trifluoromethyloxadiazoles for combating phytopathogenic fungi | |
| EP3339297A1 (en) | Substituted oxadiazoles for combating phytopathogenic fungi | |
| BR112019026423B1 (en) | COMPOUNDS, AGROCHEMICAL COMPOSITION, USE OF COMPOUNDS OF FORMULA I AND METHOD TO COMBAT HARMFUL PHYTOPATHOGENIC FUNGI | |
| BR112020008601B1 (en) | COMPOUNDS, AGROCHEMICAL COMPOSITION, USE OF COMPOUNDS, METHOD TO COMBAT HARMFUL PHYTOPATHOGENIC FUNGI AND COATED SEED |
Legal Events
| Date | Code | Title | Description |
|---|---|---|---|
| 121 | Ep: the epo has been informed by wipo that ep was designated in this application |
Ref document number: 18715610 Country of ref document: EP Kind code of ref document: A1 |
|
| NENP | Non-entry into the national phase |
Ref country code: DE |
|
| 122 | Ep: pct application non-entry in european phase |
Ref document number: 18715610 Country of ref document: EP Kind code of ref document: A1 |





























































