WO2019057660A1 - Indole and azaindole compounds with substituted 6-membered aryl and heteroaryl rings as agrochemical fungicides - Google Patents
Indole and azaindole compounds with substituted 6-membered aryl and heteroaryl rings as agrochemical fungicides Download PDFInfo
- Publication number
- WO2019057660A1 WO2019057660A1 PCT/EP2018/075063 EP2018075063W WO2019057660A1 WO 2019057660 A1 WO2019057660 A1 WO 2019057660A1 EP 2018075063 W EP2018075063 W EP 2018075063W WO 2019057660 A1 WO2019057660 A1 WO 2019057660A1
- Authority
- WO
- WIPO (PCT)
- Prior art keywords
- alkyl
- aryl
- group
- alkenyl
- alkynyl
- Prior art date
- Legal status (The legal status is an assumption and is not a legal conclusion. Google has not performed a legal analysis and makes no representation as to the accuracy of the status listed.)
- Ceased
Links
- 0 CC*1=C(C(C2=C3C=CC=CC=C2)=C(*)*3NCC)C(O)=**C*1 Chemical compound CC*1=C(C(C2=C3C=CC=CC=C2)=C(*)*3NCC)C(O)=**C*1 0.000 description 6
- PBMFSQRYOILNGV-UHFFFAOYSA-N c1ccnnc1 Chemical compound c1ccnnc1 PBMFSQRYOILNGV-UHFFFAOYSA-N 0.000 description 3
- CIMHJPRRDVEYJK-UHFFFAOYSA-N O=C(CC1)N/C1=[O]\c1cnccc1 Chemical compound O=C(CC1)N/C1=[O]\c1cnccc1 CIMHJPRRDVEYJK-UHFFFAOYSA-N 0.000 description 1
- KYQCOXFCLRTKLS-UHFFFAOYSA-N c1cnccn1 Chemical compound c1cnccn1 KYQCOXFCLRTKLS-UHFFFAOYSA-N 0.000 description 1
- CZPWVGJYEJSRLH-UHFFFAOYSA-N c1cncnc1 Chemical compound c1cncnc1 CZPWVGJYEJSRLH-UHFFFAOYSA-N 0.000 description 1
Classifications
-
- C—CHEMISTRY; METALLURGY
- C07—ORGANIC CHEMISTRY
- C07D—HETEROCYCLIC COMPOUNDS
- C07D471/00—Heterocyclic compounds containing nitrogen atoms as the only ring hetero atoms in the condensed system, at least one ring being a six-membered ring with one nitrogen atom, not provided for by groups C07D451/00 - C07D463/00
- C07D471/02—Heterocyclic compounds containing nitrogen atoms as the only ring hetero atoms in the condensed system, at least one ring being a six-membered ring with one nitrogen atom, not provided for by groups C07D451/00 - C07D463/00 in which the condensed system contains two hetero rings
- C07D471/04—Ortho-condensed systems
-
- C—CHEMISTRY; METALLURGY
- C07—ORGANIC CHEMISTRY
- C07D—HETEROCYCLIC COMPOUNDS
- C07D209/00—Heterocyclic compounds containing five-membered rings, condensed with other rings, with one nitrogen atom as the only ring hetero atom
- C07D209/02—Heterocyclic compounds containing five-membered rings, condensed with other rings, with one nitrogen atom as the only ring hetero atom condensed with one carbocyclic ring
- C07D209/04—Indoles; Hydrogenated indoles
- C07D209/10—Indoles; Hydrogenated indoles with substituted hydrocarbon radicals attached to carbon atoms of the hetero ring
-
- C—CHEMISTRY; METALLURGY
- C07—ORGANIC CHEMISTRY
- C07D—HETEROCYCLIC COMPOUNDS
- C07D401/00—Heterocyclic compounds containing two or more hetero rings, having nitrogen atoms as the only ring hetero atoms, at least one ring being a six-membered ring with only one nitrogen atom
- C07D401/02—Heterocyclic compounds containing two or more hetero rings, having nitrogen atoms as the only ring hetero atoms, at least one ring being a six-membered ring with only one nitrogen atom containing two hetero rings
- C07D401/04—Heterocyclic compounds containing two or more hetero rings, having nitrogen atoms as the only ring hetero atoms, at least one ring being a six-membered ring with only one nitrogen atom containing two hetero rings directly linked by a ring-member-to-ring-member bond
-
- C—CHEMISTRY; METALLURGY
- C07—ORGANIC CHEMISTRY
- C07D—HETEROCYCLIC COMPOUNDS
- C07D487/00—Heterocyclic compounds containing nitrogen atoms as the only ring hetero atoms in the condensed system, not provided for by groups C07D451/00 - C07D477/00
- C07D487/02—Heterocyclic compounds containing nitrogen atoms as the only ring hetero atoms in the condensed system, not provided for by groups C07D451/00 - C07D477/00 in which the condensed system contains two hetero rings
- C07D487/04—Ortho-condensed systems
-
- C—CHEMISTRY; METALLURGY
- C07—ORGANIC CHEMISTRY
- C07D—HETEROCYCLIC COMPOUNDS
- C07D491/00—Heterocyclic compounds containing in the condensed ring system both one or more rings having oxygen atoms as the only ring hetero atoms and one or more rings having nitrogen atoms as the only ring hetero atoms, not provided for by groups C07D451/00 - C07D459/00, C07D463/00, C07D477/00 or C07D489/00
- C07D491/02—Heterocyclic compounds containing in the condensed ring system both one or more rings having oxygen atoms as the only ring hetero atoms and one or more rings having nitrogen atoms as the only ring hetero atoms, not provided for by groups C07D451/00 - C07D459/00, C07D463/00, C07D477/00 or C07D489/00 in which the condensed system contains two hetero rings
- C07D491/04—Ortho-condensed systems
-
- C—CHEMISTRY; METALLURGY
- C07—ORGANIC CHEMISTRY
- C07D—HETEROCYCLIC COMPOUNDS
- C07D495/00—Heterocyclic compounds containing in the condensed system at least one hetero ring having sulfur atoms as the only ring hetero atoms
- C07D495/02—Heterocyclic compounds containing in the condensed system at least one hetero ring having sulfur atoms as the only ring hetero atoms in which the condensed system contains two hetero rings
- C07D495/04—Ortho-condensed systems
-
- C—CHEMISTRY; METALLURGY
- C07—ORGANIC CHEMISTRY
- C07D—HETEROCYCLIC COMPOUNDS
- C07D513/00—Heterocyclic compounds containing in the condensed system at least one hetero ring having nitrogen and sulfur atoms as the only ring hetero atoms, not provided for in groups C07D463/00, C07D477/00 or C07D499/00 - C07D507/00
- C07D513/02—Heterocyclic compounds containing in the condensed system at least one hetero ring having nitrogen and sulfur atoms as the only ring hetero atoms, not provided for in groups C07D463/00, C07D477/00 or C07D499/00 - C07D507/00 in which the condensed system contains two hetero rings
- C07D513/04—Ortho-condensed systems
Definitions
- the present invention relates to heteroaryl compounds of formula (la) or a compound in the form of a stereoisomer, an agriculturally acceptable salt, a tautomer, an isotopic form, a N-oxide or a S-oxide thereof.
- the present invention further relates to the use of a compound of formula (I) or an agriculturally acceptable salt, a stereoisomer, a tautomer, an isotopic form, a derivative or mixture thereof, as fungicide.
- EP 0,697,172 A1 relates to a method for the control of insect or acarid pests by contacting said pests with a pesticidally effective amount of an indole compound.
- US 201 1207732 A1 discloses azaindole derivatives which are useful as medicaments.
- novel heteroaryl compounds of formula (I) have im- proved antifungal activity.
- the compounds are particularly effective as agrochemical fungicides and effective against a broad spectrum of phytopathogenic fungi.
- A is selected from the group consisting of a C 5 -C 6 -aryl, C 5 -C 6 - heterocycloalkenyl and C 5 -C 6 -heteroaryl; wherein, heterocycloalkenyl and heteroaryl contain besides carbon atoms as ring members, 1 , 2, 3 or 4 atoms independently selected from O, N or S as ring members; whereby A is unsubstituted or further substituted by 1 , 2, 3 or 4 identical or different groups R 12a which are independently selected from the group consisting of F, CI, Br, I, OH, SH, CN, N0 2 , NR 4 R 5 , oxo, -0-C 1 -C 6 -alkyl, -0-C 2 -C 10 -alkenyl, -O- C 2 -C 10 -alkynyl, C 1 -C 6 -alkyl, C 2
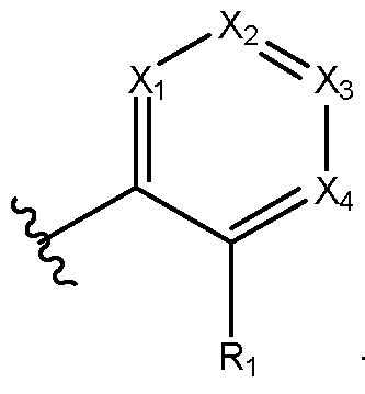
- X1 , X2 and X3, identical or different, are selected from the group consisting of CR 3 and N, whereby R 3 is selected from the group consisting of H, F, CI, Br and I;
- X4 is CR 2 or N, wherein R 2 is selected from the group consisting of H, F, CI, Br and I or R 2 together with R 1 forms a Cs-Ce-aryl, Cs-Ce-heterocycloalkenyl, heterocycloalkyl or Cs-Ce- heteroaryl; wherein heterocycloalkenyl, heterocycloalkyl or heteroaryl contain besides carbon atoms as ring members, 1 , 2 or 3 heteroatoms independently selected from O, N or S as ring members; wherein Cs-Ce-aryl, Cs-Ce-heterocycloalkenyl or Cs-Ce-heteroaryl are unsubstituted or further substituted by 1 , 2 or 3 identical or different groups which are independently selected from the group consisting of F, CI, Br, I, OH, SH, CN, N0 2 , oxo, and NR 4 R 5 ;
- G1 is unsubstituted or further substituted by 1 , 2 or 3 identical or different groups R 12c which are independently selected from the group consisting of F, CI, Br, I, OH, SH, CN, N0 2 , NR 4 R 5 , -O-C 1 -C 6 -alkyl, -0-C 2 -C 10 -alkenyl, -0-C 2 -C 10 -alkynyl, C 1 -C 6 -alkyl, C 2 -C 6 -alkenyl and C 2 - di-alkynyl;
- G2 is selected from the group consisting of H, F, CI, Br, I, CN, N0 2 , NR 4 R 5 , O-C 1 -C 6 -alkyl, O-C2- C 10 -alkenyl, 0-C 2 -C 10 -alkynyl, C 1 -C 6 -alkyl, C 2 -C 6 -al
- the present invention relates to the method of protecting a crop of useful plants susceptible to and/or under attack by fungi, which method comprises applying to said crop, treating a plant propagation material of said crop with, and/or applying to said fungi, the composition comprising at least one compound of formula (I).
- the present invention relates to the use of compound of formula (I) as fungicide, which comprises treating the fungi, the plant, or the plant propagation material selected from the group consisting of seeds, roots, fruits, tubers, bulbs, rhizomes, shoots, sprouts and other parts of plants, including seedlings and young plants to be protected against fungi attack, the stored materials or harvest, or alternately, the locus or soil or soil substituents or surfaces therefrom, with an effective amount of at least one compound of formula (I).
- a group is defined to comprise at least a certain number of embodiments, this is meant to also encompass a group which preferably consists of these embodiments only.
- the terms “first”, “second”, “third” or “(a)”, “(b)”, “(c)”, “(d)” etc. and the like in the description and in the claims, are used for distinguishing between similar elements and not neces- sarily for describing a sequential or chronological order. It is to be understood that the terms so used are interchangeable under appropriate circumstances and that the embodiments of the invention described herein are capable of operation in other sequences than described or illustrated herein.
- C 1 -C 6 -alkyl refers to a straight-chained or branched saturated hydrocarbon group having 1 to 6 carbon atoms, for example, methyl, ethyl, propyl, 1 -methylethyl, butyl, 1 - methylpropyl, 2-methylpropyl, 1 ,1 -dimethylethyl, pentyl, 1 -methylbutyl, 2-methylbutyl, 3- methylbutyl, 2,2-dimethylpropyl, 1 -ethylpropyl, 1 ,1 -dimethylpropyl, 1 ,2-dimethylpropyl, hexyl, 1 - methylpentyl, 2-methylpentyl, 3-methylpentyl, 4-methylpentyl, 1 ,1 -dimethylbutyl, 1 ,2- dimethylbutyl, 1 ,3-dimethylbutyl, 2,2-dimethylbutyl, 2,3-d
- C2-C 6 -alkenyl refers to a straight-chain or branched unsaturated hydrocarbon radical having 2 to 6 carbon atoms and a double bond in any position.
- Examples are “C2-C4-alkenyl” groups, such as ethenyl, 1 -propenyl, 2-propenyl, 1 -methylethenyl, 1 -butenyl, 2-butenyl, 3- butenyl, 1 -methyl-1 -propenyl, 2-methyl-1 -propenyl, 1 -methyl-2-propenyl, 2-methyl-2-propenyl.
- C2-C 6 -alkynyl refers to a straight-chain or branched unsaturated hydrocarbon radical having 2 to 6 carbon atoms and containing at least one triple bond.
- Examples are "C2-C4 al- kynyl” groups, such as ethynyl, prop-1 -ynyl, prop-2-ynyl, but-1 -ynyl, but-2-ynyl, but-3-ynyl, 1 - methyl-prop-2-ynyl .
- Cs-Cs-cycloalkyl refers to monocyclic saturated hydrocarbon radicals having 3 to 8 carbon ring members, such as cyclopropyl, cyclobutyl, cyclopentyl, cyclohexyl, cycloheptyl or cyclooctyl.
- C 5 -C 6 -aryl refers to represents C 5 -C 6 -aryl radicals, for example phenyl or cyclopenta- 1 ,3-diene.
- C 5 -C 6 -heteroaryl means an aryl group where at least one carbon atom on the hydrocarbon chain normally carrying 5 to 6 carbon atoms is substituted by another atom selected from N, O or S, for example, pyridyl, pyridinone, pyrimidyl, pyrazinyl, pyridazinyl, triazinyl, thienyl, furanyl, pyrrolyl, pyrazolyl, thiazolyl, isothiazolyl, oxazolyl, isoxazolyl, imidazolyl, triazol- yl, thiadiazolyl, oxadiazolyl and tetrazolyl rings. Any monocyclic which has the characteristics of aromaticity in terms of electron distribution throughout the ring system is included in this definition.
- C 5 -C 6 -membered heterocycloalkenyl refers to 5 to 6 membered monocyclic ring system having one or more heteroatoms, such as O, N, S as ring members and one or more double bonds.
- C 5 -C 6 -heterocycloalkenyl refers to a cyclic unsaturated hydrocarbon residue with preferably 5 or 6 carbon atoms, which comprises at least one double bond, and wherein, one or more C atoms are replaced by heteroatoms independently selected from O, N or S, for example, (2,3)-dihydrofuranyl, (2,3)-dihydrothienyl, (2,3)-dihydropyrrolyl, (2,5)-dihydropyrrolyl, (2,5)- dihydropyrrolyl, (2,3)-dihydroisoxazolyl, (1 ,4)-dihydropyridin-1 -yl, dihydropyranyl, 2,3- dihydropyrazol-1 -yl, 2,3-dihydropyrazol-2-yl, 2,3-dihydropyrazol-3-yl, 2,3-dihydropyrazol-4-yl, 2,3-dihydropyra
- Heterocycloalkenyl residues may preferably comprise 1 , 2, or 3 heteroatom(s) mutually independently selected from the group consisting of O, S and N as ring members.
- the “compounds of the present invention” include all the stereoisomeric and tautomeric forms and mixtures thereof in all ratios, prodrugs, isotopic forms, their agriculturally acceptable salts, N-oxides and S-oxides thereof.
- the term "stereoisomer” is a general term used for all isomers of individual compounds that differ only in the orientation of their atoms in space.
- stereoisomer includes mirror image isomers (enantiomers), mixtures of mirror image isomers (racemates, racemic mixtures), geometric (cis/trans or E/Z) isomers, and isomers of compounds with more than one chiral center that are not mirror images of one another (diastereoisomers).
- tautomer refers to the coexistence of two (or more) compounds that differ from each other only in the position of one (or more) mobile atoms and in electron distribution, for example, keto-enol tautomers.
- agriculturally acceptable salts includes salts of the active com- pounds which are prepared with acids or bases, depending on the particular substituents found on the compounds described herein.
- isotopic forms or “isotopically labeled forms” is a general term used for isotopic forms of compounds of formula, wherein one or more atoms of compounds of formula (I); l(a) are replaced by their respective isotopes. All isotopes of any particular atom or element as specified are contemplated within the scope of the compounds of the invention.
- isotopes examples include, but are not limited to, isotopes of hydrogen such as 2 H (deuterium or D) and 3 H, carbon such as 11 C, 13 C and 14 C, nitrogen such as 13 N and 15 N, oxygen such as 15 0, 17 0 and 18 0, chlorine such as 36 CI, fluorine such as 18 F and sulphur such as 35 S.
- N-oxide refers to the oxide of the nitrogen atom of a nitrogen-containing heteroaryl or heterocycle. N-oxide can be formed in the presence of an oxidizing agent for example peroxide such as m-chloro-perbenzoic acid or hydrogen peroxide.
- N-oxide refers to an amine oxide, also known as amine-N-oxide, and is a chemical compound that contains N ⁇ 0 bond.
- S-oxide refers to the oxide of the sulfur atom (S-oxide) or dioxide of the sulfur atom (S, S-dioxide) of a sulfur-containing heteroaryl or heterocycle.
- S-oxide and S, S-dioxides can be in the presence of an oxidizing agent for example peroxide such as m-chloro-perbenzoic acid or oxone.
- the present invention relates to the use of compound of formula (I)
- A is selected from the group consisting of a C 5 -C 6 -aryl, C 5 -C 6 - heterocycloalkenyl and C 5 -C 6 -heteroaryl; wherein, heterocycloalkenyl and heteroaryl contain besides carbon atoms as ring members, 1 , 2, 3 or 4 atoms independently selected from O, N or S as ring members; whereby A is unsubstituted or further substituted by 1 , 2, 3 or 4 identical or different groups R 12a which are independently selected from the group consisting of F, CI, Br, I, OH, SH, CN, N0 2 , NR 4 R 5 , oxo, -O-C 1 -C 6 -alkyl, -0-C 2 -C 10 -alkenyl, -O- C 2 -C 10 -alkynyl, C 1 -C 6 -alkyl, C
- X1 , X2 and X3, identical or different, are selected from the group consisting of CR 3 and N , whereby R 3 is selected from the group consisting of H , F, CI, Br and I ; X4 is CR 2 or N , wherein R 2 is selected from the group consisting of H , F, CI, Br and I or R 2 together with R 1 forms a C 5 -C 6 -aryl, C 5 -C 6 -heterocycloalkenyl, heterocycloalkyl or C 5 -C 6 - heteroaryl; wherein heterocycloalkenyl, heterocycloalkyl or heteroaryl contain besides carbon atoms as ring members, 1 , 2 or 3 heteroatoms independently selected from O, N or S as ring members; wherein C 5 -C 6 -aryl, C 5 -C 6 -heterocycloalkenyl or C 5 -C 6 -heteroaryl are unsubstituted or
- G1 is unsubstituted or further substituted by 1 , 2 or 3 identical or different groups R 12c which are independently selected from the group consisting of F, CI, Br, I , OH , SH , CN , N0 2 , N R 4 R 5 , -O-C 1 -C 6 -alkyl, -0-C 2 -C 10 -alkenyl, -0-C 2 -C 10 -alkynyl, C 1 -C 6 -alkyl, C 2 -C 6 -alkenyl and C 2 - C 6 -alkynyl;
- G2 is selected from the group consisting of H , F, CI, Br, I , CN , N R 4 R 5 , O-C 1 -C 6 -alkyl, 0-C 2 -C 10 - alkenyl, 0-C 2 -C 10 -alkynyl, C 1 -C 6 -alkyl, C 2
- R 4 , R 5 , R 7 , R 8 , R 9 , R 10 and R 1 1 are selected from the group consisting of H , OH , SH , C 1 -C 6 -alkyl, C 2 -C 6 -alkenyl, C 2 -C 6 -alkynyl, C 5 -C 6 -aryl and C 3 -C 8 -cycloalkyl;
- R 13 is H , C 1 - C 6 -alkyl, C 2 -C 6 -alkenyl or C 2 -C 6 -alkynyl; and n is 0, 1 , 2, 3 or 4; or an agriculturally acceptable salt, a stereoisomer, a tautomer, an isotopic form, a derivative or mixture thereof, as fungicide.
- the present invention relates to the use of compound of formula (I) as fungicide, wherein
- A together with the two carbon atoms of the pyrrole ring, is selected from the group consisting of
- R 4 , R 5 , R 9 , R 10 and R 11 are selected from the group consisting of H and C 1 - C 6 -alkyl; and n is 0, 1 , 2 or 3.
- the present invention encompasses the use of the compound of formula (I),
- A together with the two carbon atoms of the pyrrole ring, is selected from
- R 1 is CFs or CHF 2 .
- examples of A, together with the two carbon atoms of the pyrrole ring, is formula (I")
- examples of A together with the two carbon atoms of the pyrrole ring, are the radicals A.1 to A.1374.
- the present invention encompasses the use of the compounds of formula (I), wherein A is
- R 1 is F, CI, Br, C 1 -C 6 -alkyl or C 5 -C 6 -aryl, in particular C1-C 6 - alkyl, in particular fluorinated C 1 -C 3 -alkyl such as CH 2 F, CHF 2 , CF 3 , CH 2 CF 3 , CF 2 CHF 2 , C 2 F 5 , CH 2 CH 2 CF 3 , CH 2 CF 2 CHF 2 or CH 2 CF 2 CF 3 .
- the present invention encompasses the use of the compounds of formula (I), wherein the X1 , X2 and X3, identical or different, are selected from the group consisting of CR 3 and N, whereby R 3 is selected from the group consisting of H, F, CI and Br, in particular R 3 is H or F.
- the present invention encompasses use of the compounds of formula (I), wherein X4 is CR 2 or N, wherein R 2 is H.
- X1 , X2, X3 and X4 along with ring carbon atoms form the 6-membered ring radical "P" of formula (I'"),
- the present invention relates to the use of the compounds of formula (I), wherein G1 is H and G2 is H or F.
- the G1 and G2 can have combinations T.1 to T.96
- R 4 , R 5 , R 7 , R 8 , R 9 , R 10 and R 11 preferably have one of the following meanings:
- R 4 , R 5 , R 7 , R 8 are selected from the group consisting of H, OH, SH, C 1 -C 6 -alkyl, C 2 -C 6 -alkenyl, C 2 -C 6 -alkynyl, Cs-Ce-aryl and C 3 -C8-cycloalkyl, in particular H, C 1 -C 6 -alkyl, C 2 -C 6 -alkenyl or C 2 -C 6 -alkynyl.
- R 9 , R 10 and R 11 are selected from the group consisting of H, OH, SH, C 1 -C 6 -alkyl, C 2 -C 6 -alkenyl, C 2 -C 6 -alkynyl, Cs-Ce-aryl and C 3 -C8-cycloalkyl, in particular H and C 1 -C 6 -alkyl.
- R 13 is H, C 1 -C 6 -alkyl, C 2 -C 6 -alkenyl or C 2 -C 6 -alkynyl, in particular, H or C 1 -Ce-alkyl.
- the present invention encompasses the use of compounds of formula (I), wherein A, together with the two carbon atoms of the pyrrole ring, is selected from
- R 12a is F, ethynyl or CN; R 1 is CF 3 or CHF 2 ;
- X1 , X2 and X3, each, is CR 3 , whereby R 3 is H;
- X4 is CR 2 , wherein R 2 is H;
- G1 is H
- G2 is H or F.
- the present invention encompasses the use of compounds of formula (I), wherein the compound of formula (I) is:
- the present invention relates to the method of protecting a crop of useful plants susceptible to and/or under attack by fungi, which method comprises applying to said crop, treating a plant propagation material of said crop with, and/or applying to said fungi, the composition comprising at least one compound of formula (I).
- the present invention relates to the use, which comprises treating the fungi, the plant, or the plant propagation material selected from the group consisting of seeds, roots, fruits, tubers, bulbs, rhizomes, shoots, sprouts and other parts of plants, including seed- lings and young plants to be protected against fungi attack, the stored materials or harvest, or alternately, the locus or soil or soil substituents or surfaces therefrom, with an effective amount of at least one compound of formula (I).
- prodrug refers to compounds of formula (I), that are compound precursors, which following applica- tion, release the active ingredient or the parent compound via a chemical or metabolic process, for example, a prodrug on being brought to the physiological pH or through an enzyme action is converted to the desired active ingredient having the fungicidal effect.
- the present invention relates to a compound of formula (la)
- A is selected from the group consisting of a C 5 -C 6 -aryl, C 5 -C 6 -heterocycloalkenyl and C 5 -C 6 -heteroaryl; wherein heterocycloalkyl, heter- ocycloalkenyl and heteroaryl contain besides carbon atoms as ring members, 1 , 2, 3 or 4 atoms independently selected from O, N or S as ring members; whereby A is unsubstituted or further substituted by 1 , 2, 3 or 4 identical or different groups R 12a which are independently selected from the group consisting of F, CI, I, OH, SH, CN, N0 2 , NR 4 R 5 , oxo, -O-C 1 -C 6 -alkyl, -0-C 2 -C 6 - alkenyl, -0-C 2 -C 6 -alkynyl, C 1
- X4 is CR 2 or N, wherein R 2 is selected from the group consisting of H, F, CI, Br and I or R 2 together with R 1 forms a Cs-Ce-aryl Cs-Ce-heterocycloalkenyl or Cs-Ce-heteroaryl; wherein hetero- cycloalkenyl or heteroaryl contain besides carbon atoms as ring members, 1 , 2 or 3 heteroa- toms independently selected from O or N as ring members; wherein Cs-Ce-aryl, Cs-Ce- heterocycloalkenyl or Cs-Ce-heteroaryl are unsubstituted or further substituted by 1 , 2 or 3 identical or different groups which are independently selected from the group consisting of F, CI, Br, I, OH, SH, CN, N0 2 and NR 4 R 5 ;
- G1 is unsubstituted or further substituted by 1 , 2 or 3 identical or different groups R 12c which are independently selected from the group consisting of F, CI, Br, I, OH, SH, CN, NO2, NR 4 R 5 , C 1 -C 6 -alkyloxy, C 2 -C 10 -alkenyloxy, C 2 -C 10 -alkynyloxy, C 1 -Ce-alkyl, C 2 -C 6 -alkenyl and C 2 - dralkynyl;
- R 4 , R 5 R 7 , R 8 , R 9 , R 10 and R 11 are selected from the group consisting of H, OH, SH, C 1 -Ce-alkyl, C 2 -C 6 -alkenyl, C 2 -C 6 -alkynyl, C 5 -C 6 -aryl and C 3 -C 8 -cycloalkyl;
- R 13 is H, C 1 - C 6 -alkyl, d-Gs-alkenyl or C2-C 6 -alkynyl; and n is 0, 1 , 2, 3 or 4; or each compound in the form of a stereoisomer, an agriculturally acceptable salt, a derivative, a tautomer, an isotopic form, a N-oxide, a S-oxide or a mixture thereof;
- the present invention further relates to the compound of formula (la), wherein
- A together with the two carbon atoms of the pyrrole ring, is selected from:
- X1 , X2 and X3, identical or different, are selected from the group consisting of CR 3 and N, whereby R 3 is H; X4 is CR 2 or N, wherein R 2 is H; or R 2 together with R 1 forms a C 5 -C 6 -aryl, C 5 -C 6 - heterocycloalkenyl or C 5 -C 6 -heteroaryl; wherein heterocycloalkenyl or heteroaryl contain besides carbon atoms as ring members, 1 or 2 heteroatoms independently selected from O or N as ring members; wherein C 5 -C 6 -aryl, C 5 -C 6 -heterocycloalkenyl or C 5 -C 6 -heteroaryl are unsubstituted or further substituted by 1 or 2 identical or different groups which are independently se- lected from the group consisting of F and CI;
- the present invention relates to the compound of formula (la), wherein the compound of formula (la) is
- A together with the two carbon atoms of the pyrrole ring, is selected from
- R 1 is CF 3 or CHF 2 .
- R 1 is F, CI, Br, CH 3 , C 3 -C 6 -alkyl or C 5 -C 6 -aryl, in particular F, CH 3 , C 3 -C 6 -alkyl, in particular fluorinated such as CH 2 F, CHF 2 , CF 3 , CH 2 CH 2 CF 3 , CH 2 CF 2 CHF 2 or CH 2 CF 2 CF 3 .
- the present invention encompasses the compounds of formula (la), wherein the X1 , X2 and X3, identical or different, are selected from the group consisting of CR 3 and N, whereby R 3 is selected from the group consisting of H, F, CI and Br, in particular R 3 is H or F.
- the present invention encompasses the compounds of formula (la), wherein X4 is CR 2 or N, wherein R 2 is H.
- R 12d which are independently selected from the group consisting of F, CI, Br and I
- G2 is H, F, C 1 -C 6 -alkyl, OCH 3 .
- the present invention relates to the compounds of formula (la), wherein G1 is H and G2 is H or F.
- R 4 , R 5 , R 7 , R 8 , R 9 , R 10 and R 11 identical or different, preferably have one of the following meanings:
- R 4 , R 5 , R 7 , R 8 are selected from the group consisting of H, OH, SH, C 1 -C 6 -alkyl, C 2 -C 6 -alkenyl, C 2 -C 6 -alkynyl, C 5 -C 6 -aryl and C 3 -C8-cycloalkyl, in particular H, C 1 -C 6 -alkyl, C 2 -C 6 -alkenyl or C 2 -C 6 -alkynyl.
- R 9 , R 10 and R 11 are selected from the group consisting of H, OH, SH, C 1 -C 6 -alkyl, C 2 -C 6 -alkenyl, C 2 -C 6 -alkynyl, C 5 -C 6 -aryl and C 3 -C8-cycloalkyl, in particular H and C 1 -C 6 -alkyl.
- R 13 is H, C 1 -C 6 -alkyl, C 2 -C 6 -alkenyl or C 2 -C 6 -alkynyl.
- the present invention relates to the compound of formula
- A is selected from
- R 12a is F, ethynyl or CN; R 1 is CF 3 or CHF 2 ;
- X1 , X2 and X3, each, is CR 3 , whereby R 3 is H;
- X4 is CR 2 , wherein R 2 is H;
- G1 is H
- G2 is H or F.
- the present invention relates to the compound of formula (la), wherein the compound of formula (la) is:
- the present invention also relates to an agrochemical mixture comprising at least one compound of formula (la), or in the form of a stereoisomer or an agriculturally acceptable salt or a tautomer or an isotopic form or a N-oxide or a S-oxide or a prodrug thereof.
- the present invention also relates to a composition comprising at least one compound of formula (la), or in the form of a stereoisomer or an agriculturally acceptable salt or a tautomer or an isotopic form of a N-oxide or a S-oxide or a prodrug thereof, and an auxiliary.
- the present invention provides the use of compound of formula (I)
- X1 , X2 and X3, identical or different, are selected from the group consisting of CR 3 and N, whereby R 3 is selected from the group consisting of H , CF3, CHF2, F, CI, Br and I; X4 is CR 2 or N, wherein R 2 is selected from the group consisting of H, F, CI, Br and I or
- R 2 together with R 1 forms a C 5 -C 6 -aryl, C 5 -C 6 -heterocycloalkenyl, heterocycloalkyi or C 5 - C 6 -heteroaryl; wherein heterocycloalkenyl, heterocycloalkyi or heteroaryl contain besides carbon atoms as ring members, 1 , 2 or 3 heteroatoms independently selected from O, N or S as ring members; wherein C 5 -C 6 -aryl, C 5 -C 6 -heterocycloalkenyl or C 5 -C 6 -heteroaryl are unsubstituted or further substituted by 1 , 2 or 3 identical or different groups which are independently selected from the group consisting of F, CI, Br, I, OH, SH, CN , NO2, oxo and NR 4 R 5 ;
- R 4 , R 5 , R 7 , R 8 , R 9 , R 10 and R 11 are selected from the group consisting of H, OH, SH, C 1 -C 6 -alkyl, C 2 -C 6 -alkenyl, C 2 -C 6 -alkynyl, C 5 -C 6 -aryl and C 3 -C 8 - cycloalkyl;
- R 13 is H, C 1 -C 6 -alkyl, C2-C 6 -alkenyl or C2-C 6 -alkynyl; and n is 0, 1 , 2, 3 or 4;
- X1 , X2 and X3, identical or different, are selected from the group consisting of CR 3 and N, whereby R 3 is H;
- X4 is CR 2 or N, wherein R 2 is selected from the group consisting of H, F, CI or R 2 together with R 1 forms a C 5 -heteroaryl; wherein heteroaryl contain besides carbon atoms as ring members, 1 or 2 heteroatoms independently selected from O or N as ring members; wherein C 5 -C 6 -heteroaryl are unsubstituted or further substituted by 1 or 2, identical or different groups, which are independently selected from the group consisting of F, CI and Br;
- G2 is unsubstituted or further substituted by 1 , 2 or 3 identical or different groups R 12d which are independently selected from the group consisting of F, CI, Br and I;
- R 4 , R 5 , R 9 , R 10 and R 11 are selected from the group consisting of H, and C 1 -C 6 -alkyl;
- n 0, 1 , 2 or 3.
- the present invention provides the use of compound of formula (I), wherein A, together with the two carbon atoms of the pyrrole ring, is selected from the group consisting of
- X1 , X2 and X3, identical or different, are selected from the group consisting of CR 3 and N, whereby R 3 is H;
- X4 is CR 2 or N, wherein R 2 is H;
- G2 is unsubstituted or further substituted by 1 , 2 or 3 identical or different groups R 12d which are independently selected from the group consisting of F, CI, Br and I; R 4 , R 5 , R 9 , R 10 and R 11 , identical or different, are selected from the group consisting of H and C 1 -C 6 -alkyl; and n is 0, 1 , 2 or 3.
- the present invention provides the use of compound of formula (I), wherei the compound of formula (I) is
- A together with the two carbon atoms of the pyrrole ring, is selected from
- A is unsubstituted or further substituted by 1 , 2 or 3 identical or different groups R 12a which are independently selected from the group consisting of F, CI, Br, I, CN,
- R 1 is CFs or CHF 2 .
- R 1 is unsubstituted or further substituted by 1 , 2 or 3 iden- tical or different groups
- R 12b is selected from the group consisting of F, CI and Br.
- the present invention provides the use of compound of formula (I), wherein the X1 , X2 and X3, identical or different, are selected from the group consisting of CR 3 and N, whereby R 3 is selected from the group consisting of H, F, CI and Br.
- the present invention provides the use of compound of formula (I), wherein the X1 , X2 and X3, identical or different, are selected from the group consisting of CR 3 and N, whereby R 3 is selected from the group consisting of H, CF3, CHF 2 , F, CI and Br.
- the present invention provides the use of compound of formula (I), wherein X4 is CR 2 or N, wherein R 2 is H.
- the present invention provides the use of compound of formula (I), wherein
- A together with the two carbon atoms of the pyrrole ring, is selected from
- R 12a is F, ethynyl, CI or CN;
- R 1 is CFs or CHF 2 ;
- X1 , X2 and X3, each, is CR 3 , whereby R 3 is H;
- X4 is CR 2 , wherein R 2 is H;
- G1 is H
- G2 is H or F.
- the present invention provides the use of compound of formula (I), wherein compound of formula (I) is:
- the present invention provides the method of protecting a crop of useful plants susceptible to and/or under attack by fungi, which method comprises applying to said crop, treating a plant propagation material of said crop with, and/or applying to said fungi, the composition comprising at least one compound of formula (I).
- the present invention provides the use of compound of formula (I), which comprises treating the fungi, the plant, or the plant propagation material selected from the group consisting of seeds, roots, fruits, tubers, bulbs, rhizomes, shoots, sprouts and other parts of plants, including seedlings and young plants to be protected against fungi attack, the stored materials or harvest, or alternately, the locus or soil or soil substituents or surfaces therefrom, with an effective amount of at least one compound of formula (I).
- compound of formula (I) comprises treating the fungi, the plant, or the plant propagation material selected from the group consisting of seeds, roots, fruits, tubers, bulbs, rhizomes, shoots, sprouts and other parts of plants, including seedlings and young plants to be protected against fungi attack, the stored materials or harvest, or alternately, the locus or soil or soil substituents or surfaces therefrom, with an effective amount of at least one compound of formula (I).
- the present invention provides the compound of formula (la)
- A is selected from the group con- sisting of a Cs-Ce-aryl, Cs-Ce-heterocycloalkenyl and Cs-Ce-heteroaryl; wherein heterocy- cloalkyl, heterocycloalkenyl and heteroaryl contain besides carbon atoms as ring members, 1 , 2, 3 or 4 atoms independently selected from O, N or S as ring members; whereby A is unsubstituted or further substituted by 1 , 2, 3 or 4 identical or different groups R 12a which are independently selected from the group consisting of F, CI, I, SH, CN, N0 2 , NR 4 R 5 , oxo, -0-C 2 -C 6 -alkyl, -0-C 2 -C 6 -alkenyl, -0-C 2 -C 6 -alkynyl, C 2 -C 6 -alkyl, C
- X1 , X2 and X3, identical or different, are selected from the group consisting of CR 3 and N, whereby R 3 is selected from the group consisting of H, F, CI, CF3, CHF 2 , CH 2 F, Br and I;
- X4 is CR 2 or N, wherein R 2 is selected from the group consisting of H, F, CI, Br and I or
- R 2 together with R 1 forms a C 5 -C 6 -aryl C 5 -C 6 -heterocycloalkenyl or C 5 -C 6 -heteroaryl; wherein heterocycloalkenyl or heteroaryl contain besides carbon atoms as ring members, 1 , 2 or 3 heteroatoms independently selected from O or N as ring members;
- C 5 -C 6 -aryl, C 5 -C 6 -heterocycloalkenyl or C 5 -C 6 -heteroaryl are unsubstituted or further substituted by 1 , 2 or 3 identical or different groups which are independently selected from the group consisting of F, CI, Br, I, OH, SH, CN, N0 2 and NR 4 R 5 ; whereby when G2 is H and A, together with the two carbon atoms of the pyrrole ring, is
- R 12a is F, CI, Br, I, C 2 -C 4 -alkyl, CN or -0-C 2 -C 6 -alkyl; then R 1 is selected from CHF 2 and CH 2 F;
- R 12d which are independently selected from the group consisting of F, CI, Br, I, OH, SH, CN, N0 2 , NR 4 R 5 , -0-C 1 -C 6 -alkyl, -0-C 2 -C 10 - alkenyl, -0-C 2 -C 10 -alkynyl, C 1 -C 6 -alkyl, C 2 -C 6 -alkenyl and C 2 -C 6 -alkynyl;
- R 4 , R 5 R 7 , R 8 , R 9 , R 10 and R 11 are selected from the group consisting of H, OH, SH, C 1 -C 6 -alkyl, C 2 -C 6 -alkenyl, C 2 -C 6 -alkynyl, C 5 -C 6 -aryl and C 3 -C 8 - cycloalkyl;
- R 13 is H, C 1 -C 6 -alkyl, C 2 -C 6 -alkenyl or C 2 -C 6 -alkynyl; and n is 0, 1 , 2, 3 or 4; or each compound in the form of a stereoisomer, an agriculturally acceptable salt, a derivative, a tautomer, an isotopic form, a N-oxide, a S-oxide or a mixture thereof;
- the present invention provides the compound of formula (la), wherein A, together with the two carbon atoms of the pyrrole ring, is selected from:
- R 1 is selected from the group consisting of F, CH3, CI, Br, I, N0 2 , C3-C 6 -alkyl,
- R 1 is unsubstituted or further substituted by 1 , 2 or 3 identical or different groups R 12b which are independently selected from the group consisting of F, CI and Br;
- X1 , X2 and X3, identical or different, are selected from the group consisting of CR 3 and N, whereby R 3 is H;
- X4 is CR 2 or N, wherein R 2 is H; or R 2 together with R 1 forms a C 5 -C 6 -aryl, C 5 -C 6 - heterocycloalkenyl or C 5 -C 6 -heteroaryl; wherein heterocycloalkenyl or heteroaryl contain besides carbon atoms as ring members, 1 or 2 heteroatoms independently selected from O or N as ring members; wherein C 5 -C 6 -aryl, C 5 -C 6 -heterocycloalkenyl or C 5 -C 6 - heteroaryl are unsubstituted or further substituted by 1 or 2 identical or different groups which are independently selected from the group consisting of F and CI; whereby when
- G2 is H and A, together with the two carbon atoms of the pyrrole ring, is wherein R 12a is F, CI, Br, I, C 2 -C 4 -alkyl, CN or -0-C 2 -C 6 -alkyl; then R 1 is selected from
- C 0(0)(C3-C 6 -alkyl); wherein G2 is unsubstituted or further substituted by 1 , 2 or 3 identical or different groups R 12d which are independently selected from the group consisting of F, CI, Br and I;
- R 4 , R 5 R 7 , R 8 , R 9 , R 10 and R 11 are selected from the group consisting of H and C 1 -C 6 -alkyl;
- n 0, 1 , 2 or 3.
- the present invention provides the compound of formula (la), wherein the compound of formula (la) is
- A together with the two carbon atoms of the pyrrole ring, is selected from
- R 1 is CF3, CH 2 F or CHF 2 ; whereby when A, together with the two carbon atoms of the
- pyrrole ring is , wherein R 12a is F, CI, Br, I, C 2 -C 4 -alkyl, CN or -0-C 2 -Ce-alkyl; then R 1 is selected from CHF 2 and CH 2 F.
- the present invention provides the compound of formula (la), wherein
- A is selected from
- R 12a is F, ethynyl, CI or CN;
- R 1 is CFs or CHF 2 ;
- X1 , X2 and X3, each, is CR 3 , whereby R 3 is H;
- X4 is CR 2 , wherein R 2 is H;
- G1 is H; and G2 is H or F.
- the present invention provides the compound of formula (la), wherein A is selected from
- R 12a is F, ethynyl, CI or CN;
- X1 , X2 and X3, each, is CR 3 , whereby R 3 is H;
- X4 is CR 2 , wherein R 2 is H;
- G1 is H; and G2 is H.
- the present invention provides the compound of formula (la), wherein A is selected from
- R 12a is ethynyl
- R 1 is CFs, CHF 2 or CHF 2 ;
- X1 , X2 and X3, each, is CR 3 , whereby R 3 is H;
- X4 is CR 2 , wherein R 2 is H;
- G1 is H; and G2 is H.
- the present invention provides the compound of formula (la), wherein compound of formula (la) is:
- the invention provides an agrochemical mixture comprising at least one compound of formula (la), or in the form of a stereoisomer or an agriculturally acceptable salt or a tautomer or an isotopic form or a N-oxide or a S-oxide or a prodrug thereof.
- the invention provides a composition comprising at least one compound of formula (la), or in the form of a stereoisomer or an agriculturally acceptable salt or a tautomer or an isotopic form of a N-oxide or a S-oxide or a prodrug thereof, and an auxiliary.
- the invention provides the use of the compound of formula (I) in a method of protecting a crop of useful plants susceptible to and/or under attack by fungi, which method comprises applying to said crop, treating a plant propagation material of said crop with, and/or applying to said fungi, the composition comprising at least one compound of formula (I).
- the invention provides the use of the compound of formula (I), which comprises treating the fungi, the plant, or the plant propagation material selected from the group consisting of seeds, roots, fruits, tubers, bulbs, rhizomes, shoots, sprouts and other parts of plants, including seedlings and young plants to be protected against fungi attack, the stored materials or harvest, or alternately, the locus or soil or soil substituents or surfaces therefrom, with an effective amount of at least one compound of formula (I)
- the compounds of formula (I) can be prepared by standard processes of organic chemistry.
- the compounds of formula (I) can be prepared according to methods or in analogy to standard techniques that are described in the state of art.
- the synthetic procedure utilises the starting materials that are either commercially available or that may be prepared according to conventional procedures starting from readily available compounds.
- the halogenation agent is, for example, Iodine, bromine, N-bromosuccinimide, N- iodosuccinimide.
- the coupled product from the previous step in aq. inorganic acid such as 2N HCI was refluxed for 2-10 h. Completion of the reaction was monitored by using TLC and LCMS. The mixture was then extracted with ethyl acetate, dried over Na2S0 4 , filtered, concentrated and purified by col- umn chromatography to obtain the desired cydized product. Depending on the acid-lability of the protecting group, the group may be cleaved or retained in the final cydized product after the reaction completion.
- the halide source for example, is iodine, bromine, N-bromosuccinimide, N-iodosuccinimide. Protection of the (aza)indole or 5,5-ring NH group
- the base for example, is triethylamine, sodium methoxide, sodium fe/7-butoxide, sodium carbonate, potassium carbonate and likes.
- the compounds of formula (I) and the compositions according to the invention, respectively, are suitable as fungicides. They are distinguished by an outstanding effectiveness against a broad spectrum of phytopathogenic fungi, including soil-borne fungi, which derive especially from the classes of the Plasmodiophoromycetes, Peronosporomycetes (syn. Oomycetes), Chytridiomy- cetes, Zygomycetes, Ascomycetes, Basidiomycetes and Deuteromycetes (syn. Fungi imperfec- ti). Some are systemically effective and they can be used in crop protection as foliar fungicides, fungicides for seed dressing and soil fungicides. Moreover, they are suitable for controlling harmful fungi, which inter alia occur in wood or roots of plants.
- the compounds of formula (I) and the compositions according to the invention are particularly important in the control of a multitude of phytopathogenic fungi on various cultivated plants, such as cereals, e. g. wheat, rye, barley, triticale, oats or rice; beet, e. g. sugar beet or fodder beet; fruits, such as pomes, stone fruits or soft fruits, e. g.
- compounds of formula (I) and compositions thereof, respectively are used for controlling a multitude of fungi on field crops, such as potatoes sugar beets, tobacco, wheat, rye, barley, oats, rice, corn, cotton, soybeans, rape, legumes, sunflowers, coffee or sugar cane; fruits; vines; ornamentals; or vegetables, such as cucumbers, tomatoes, beans or squashes.
- field crops such as potatoes sugar beets, tobacco, wheat, rye, barley, oats, rice, corn, cotton, soybeans, rape, legumes, sunflowers, coffee or sugar cane; fruits; vines; ornamentals; or vegetables, such as cucumbers, tomatoes, beans or squashes.
- plant propagation material is to be understood to denote all the generative parts of the plant such as seeds and vegetative plant material such as cuttings and tubers (e. g. potatoes), which can be used for the multiplication of the plant. This includes seeds, roots, fruits, tubers, bulbs, rhizomes, shoots, sprouts and other parts of plants, including seedlings and young plants, which are to be transplanted after germination or after emergence from soil.
- These young plants may also be protected before transplantation by a total or partial treatment by immersion or pouring.
- treatment of plant propagation materials with compounds of formula (I) and compositions thereof, respectively, is used for controlling a multitude of fungi on cereals, such as wheat, rye, barley and oats; rice, corn, cotton and soybeans.
- cultiva plants is to be understood as including plants which have been modified by breeding, mutagenesis or genetic engineering including but not limiting to agricultural biotech products on the market or in development (cf. http://cera-gmc.org/, see GM crop database therein).
- Genetically modified plants are plants, which genetic material has been so modified by the use of recombinant DNA techniques that under natural circumstances cannot readily be obtained by cross breeding, mutations or natural recombination.
- one or more genes have been integrated into the genetic material of a genetically modified plant in order to improve certain properties of the plant.
- Such genetic modifications also include but are not limited to targeted post-translational modification of protein(s), oligo- or polypeptides e. g.
- herbicides e. bromoxynil or ioxynil herbicides as a result of conventional methods of breeding or genetic engineering. Furthermore, plants have been made resistant to multiple classes of herbicides through multiple genetic modifications, such as resistance to both glyphosate and glufosinate or to both glyphosate and a herbicide from another class such as ALS inhibitors, HPPD inhibitors, auxin herbicides, or ACCase inhibitors.
- ALS inhibitors e.g. described in Pest Managem. Sci.
- cultivated plants have been rendered tolerant to herbicides by conventional methods of breeding (mutagenesis), e. g. Clearfield ® summer rape (Canola, BASF SE, Germany) being tolerant to imidazolinones, e. g.
- plants are also covered that are by the use of recombinant DNA techniques capable to synthesize one or more insecticidal proteins, especially those known from the bacterial genus Bacillus, particularly from Bacillus thuringiensis, such as ⁇ -endotoxins, e. g. CrylA(b), CrylA(c), CrylF, CrylF(a2), CryllA(b), CrylllA, CrylllB(bl ) or Cry9c; vegetative insecticidal pro- teins (VIP), e. g. VIP1 , VIP2, VIP3 or VIP3A; insecticidal proteins of bacteria colonizing nematodes, e. g. Photorhabdus spp.
- VIP vegetative insecticidal pro- teins
- toxins produced by animals such as scorpion toxins, arachnid toxins, wasp toxins, or other insect-specific neurotoxins
- toxins produced by fungi such Streptomycetes toxins, plant lectins, such as pea or barley lectins; agglutinins
- proteinase inhibitors such as trypsin inhibitors, serine protease inhibitors, patatin, cystatin or papain inhibitors
- ribosome-inactivating proteins (RIP) such as ricin, maize-RIP, abrin, luffin, saporin or bryodin
- steroid metabolism enzymes such as 3-hydroxysteroid oxidase, ecdyster- oid-IDP-glycosyl-transferase, cholesterol oxidases or HMG-CoA-reductase
- ion channel blockers such as blockers of sodium or calcium channels
- juvenile hormonese such as scorpion toxins, arachn
- these insecticidal proteins or toxins are to be understood expressly also as pre-toxins, hybrid proteins, truncated or otherwise modified proteins.
- Hybrid proteins are characterized by a new combination of protein domains, (see, e. g. WO 02/015701 ).
- Further examples of such toxins or genetically modified plants capable of synthesizing such toxins are disclosed, e. g., in EP-A 374 753, WO 93/007278, WO 95/34656, EP-A 427 529, EP-A 451 878, WO 03/18810 und WO 03/52073.
- the methods for producing such genetically modified plants are generally known to the person skilled in the art and are described, e. g.
- insecticidal proteins contained in the genetically modified plants impart to the plants producing these proteins tolerance to harmful pests from all taxonomic groups of arthropods, especially to beetles (Coeloptera), two- winged insects (Diptera), and moths (Lepidoptera) and to nematodes (Nematoda).
- Genetically modified plants capable to synthesize one or more insecticidal proteins are, e.
- WO 03/018810 MON 863 from Monsanto Europe S.A., Belgium (corn cultivars producing the Cry3Bb1 toxin), IPC 531 from Monsanto Europe S.A., Belgium (cotton cultivars producing a modified version of the CrylAc toxin) and 1507 from Pioneer Overseas Corporation, Belgium (corn cultivars producing the Cry1 F toxin and PAT enzyme).
- plants are also covered that are by the use of recombinant DNA techniques capa- ble to synthesize one or more proteins to increase the resistance or tolerance of those plants to bacterial, viral or fungal pathogens.
- proteins are the so-called "pathogenesis- related proteins" (PR proteins, see, e. g. EP-A 392 225), plant disease resistance genes (e. g. potato cultivars, which express resistance genes acting against Phytophthora infestans derived from the Mexican wild potato Solanum bulbocastanum) or T4-lysozym (e. g. potato cultivars capable of synthesizing these proteins with increased resistance against bacteria such as Er- winia amylvora).
- PR proteins pathogenesis- related proteins
- plant disease resistance genes e. g. potato cultivars, which express resistance genes acting against Phytophthora infestans derived from the Mexican wild potato Solanum bulbocastanum
- T4-lysozym e. g. potato cultivar
- plants are also covered that are by the use of recombinant DNA techniques capa- ble to synthesize one or more proteins to increase the productivity (e. g. bio mass production, grain yield, starch content, oil content or protein content), tolerance to drought, salinity or other growth-limiting environmental factors or tolerance to pests and fungal, bacterial or viral pathogens of those plants.
- productivity e. g. bio mass production, grain yield, starch content, oil content or protein content
- plants are also covered that contain by the use of recombinant DNA techniques a modified amount of substances of content or new substances of content, specifically to improve human or animal nutrition, e. g. oil crops that produce health-promoting long-chain omega-3 fatty acids or unsaturated omega-9 fatty acids (e. g. Nexera ® rape, DOW Agro Sciences, Canada).
- plants are also covered that contain by the use of recombinant DNA techniques a modified amount of substances of content or new substances of content, specifically to improve raw material production, e. g. potatoes that produce increased amounts of amylopectin (e. g. Amflora ® potato, BASF SE, Germany).
- a modified amount of substances of content or new substances of content specifically to improve raw material production, e. g. potatoes that produce increased amounts of amylopectin (e. g. Amflora ® potato, BASF SE, Germany).
- the compounds of formula (I) and compositions thereof, respectively, are particularly suitable for controlling the following plant diseases: Albugo spp. (white rust) on ornamentals, vegetables (e. g. A Candida) and sunflowers (e. g. A tragopogonis); Alternaria spp. (Alternaria leaf spot) on vegetables, rape (A brassicola or brassi- cae), sugar beets (A tenuis), fruits, rice, soybeans, potatoes (e. g. A so/an/ or A. alternata), tomatoes (e. g. A solani or A alternata) and wheat; Aphanomyces spp. on sugar beets and vegetables; As ⁇ %>c/7 /s spp.
- Botrytis cinerea (teleomorph: Botryotinia fuckeliana. grey mold) on fruits and berries (e. g. strawberries), vegetables (e. g. lettuce, carrots, celery and cabbages), rape, flowers, vines, forestry plants and wheat; Bremia lactucae (downy mildew) on lettuce; Ceratocystis (syn. Ophiostoma) spp. (rot or wilt) on broad- leaved trees and evergreens, e. g. C. iy/ 7/ ' (Dutch elm disease) on elms; Cercospora spp. (Cer- cospora leaf spots) on corn (e.
- Botrytis cinerea teleomorph: Botryotinia fuckeliana. grey mold
- fruits and berries e. g. strawberries
- vegetables e. g. lettuce, carrots, celery and cabbages
- rape flowers, vines,
- Gray leaf spot C. zeae-maydis
- rice sugar beets (e. g. C. beticola), sugar cane, vegetables, coffee, soybeans (e. g. C. sojina or C. kikuchii) and rice
- Cladosporium spp. on tomatoes e. g. C. fulvum. leaf mold
- cereals e. g. C. herbarum (black ear) on wheat
- Cochliobolus anamorph: Helminthosporium oft Bipolaris
- spp. (leaf spots) on corn (C. carbonum), cereals (e. g. C.
- Cylindrocarpon spp. e. g. fruit tree canker or young vine decline, teleomorph: Nectria or Neonectria spp.
- vines e. g. C. liriodendri, teleomorph: Neonectria liriodendri.
- Phellinus punctata, F. mediterranea, Phaeomoniella chlamydospora (earlier Phaeoacremonium chlamydosporum), Phaeoacremonium aleophilum and/or Botryosphaeria obtusa, Elsinoe spp. on pome fruits (E. pyri), soft fruits (E. veneta: anthracnose) and vines (E. ampe/ina: anthracnose); Enty/oma oryzae (leaf smut) on rice; Epicoccum spp. (black mold) on wheat; Erysiphe spp. (powdery mildew) on sugar beets (E.
- betae vegetables (e. g. E. pisi), such as cucurbits (e. g. E. cichoracearum), cabbages, rape (e. g. E. cruciferarum); Eutypa lata (Eutypa canker or dieback, anamorph: Cytosporina lata, syn. Libertella blepharis) on fruit trees, vines and ornamental woods; Exserohilum (syn. Helminthosporium) spp. on corn (e. g. E. turci- cum); Fusarium (teleomorph: Gibberella) spp. (wilt, root or stem rot) on various plants, such as F. graminearum or F.
- vegetables e. g. E. pisi
- cucurbits e. g. E. cichoracearum
- cabbages rape (e. g. E. cruciferarum)
- Eutypa lata Eutyp
- Bakanae disease Giomereiia cingulata on vines, pome fruits and other plants and G. gossypii on cotton; Grainstaining complex on rice; Guignardia bidwellii ' (black rot) on vines; Gymnosporangium spp. on rosaceous plants and junipers, e. g. G. sabinae (rust) on pears; Helminthosporium spp. (syn. Drechslera, teleomorph: Cochiioboius) on corn, cereals and rice; Hemileia spp., e. g. H.
- fructigena (bloom and twig blight, brown rot) on stone fruits and other rosaceous plants
- Mycosphaerella spp. on cereals, bananas, soft fruits and ground nuts, such as e. g. M. graminicola (anamorph: Septoria tritici, Septoria blotch) on wheat or M. fijiensis (black Sigatoka disease) on bananas
- Peronospora spp. downy mildew) on cabbage (e. g. P. brassicae), rape (e. g. P. parasitica), onions (e. g. P. destructor), tobacco ⁇ P. tabacina) and soybeans (e. g. P. manshurica);
- Phakopsora pachyrhizi and P. meibomiae (soybean rust) on soybeans; Phialophora spp. e. g. on vines (e. g. P. tracheiphila and P. tetraspora) and soybeans (e. g. P. gregata. stem rot); Phoma lingam (root and stem rot) on rape and cabbage and P. betae (root rot, leaf spot and damping-off) on sugar beets; Phomopsis spp. on sunflowers, vines (e. g. P. vitico/a: can and leaf spot) and soybeans (e. g. stem rot: P.
- phaseoli, teleomorph Diaporthe phaseolorum
- Phy- soderma maydis brown spots
- Phytophthora SOO. wilt, root, leaf, fruit and stem root
- paprika and cucurbits e. g. P. capsicl
- soybeans e. g. P.
- Plasmodiophora brassicae club root
- Plasmopara spp. e. g. P. viticola (grapevine downy mildew) on vines and P. halstedii on sunflowers
- Podosphaera spp. powdery mildew
- Po/ymyxa spp. e. g. on cereals, such as barley and wheat (P. graminis) and sugar beets ⁇ P. betae) and thereby transmitted viral diseases; Pseudocercosporella herpotrichoides (eyespot, teleomorph: Tapes/a yal- lundae) on cereals, e. g. wheat or barley; Pseudoperonospora (downy mildew) on various plants, e. g. P. cubensis on cucurbits or P.
- cereals such as barley and wheat (P. graminis) and sugar beets ⁇ P. betae
- Pseudocercosporella herpotrichoides eyespot, teleomorph: Tapes/a yal- lundae
- Pseudoperonospora downy mildew
- hum/lion hop Pseudopezicula tracheiphila (red fire disease or .rotbrenner', anamorph: Phialophora) on vines; Puccinia spp. (rusts) on various plants, e. g. P. triticina (brown or leaf rust), P. striiformis (stripe or yellow rust), P. horde! (dwarf rust), P. graminis (stem or black rust) or P. recondita (brown or leaf rust) on cereals, such as e. g. wheat, barley or rye, P. kuehn// ' (orange rust) on sugar cane and P.
- Puccinia spp. rusts
- P. triticina brown or leaf rust
- P. striiformis stripe or yellow rust
- P. horde! dwarf rust
- Pyrenophora anamorph: Drechslera
- tritici-repentis tan spot
- P. teres net blotch
- Pyricularia spp. e. g. P. oryzae (teleomorph: Magnaporthe grisea, rice blast) on rice and P. grisea on turf and cereals
- Pythium spp. (damping-off) on turf, rice, corn, wheat, cotton, rape, sunflowers, soybeans, sugar beets, vegetables and various other plants (e. g. P. ultimum or P. aphanidermatum); Ramularia spp., e. g. R.
- Rhizoctonia spring blight on wheat or barley
- Rh/zopus sto/on/fer black mold, soft rot
- strawberries carrots, cabbage, vines and tomatoes
- Rhynchospor/um seca/is scald
- Sa- roc/ad/um oryzae and S. attenuatum (sheath rot) on rice
- Sclerotinia spp. stem rot or white mold
- vegetables and field crops such as rape, sunflowers (e. g. S. sclerotiorum) and soybeans (e. g. S. ro/fsiior S.
- Septoria spp. on various plants, e. g. S. glycines (brown spot) on soybeans, S. tritici (Septoria blotch) on wheat and S. (syn. Stagonospora) no- dorum (Stagonospora blotch) on cereals; Uncinula (syn. Erysiphe) necator (powdery mildew, anamorph: Oidium tucker!) on vines; Setospaeria spp. (leaf blight) on corn (e. g. S. turcicum, syn. Helminthosporium turcicum) and turf; Sphacelotheca spp.
- smut on corn, (e. g. S. reiliana. head smut), sorghum und sugar cane; Sphaerotheca fuliginea (powdery mildew) on cucurbits; Spongospora subterranea (powdery scab) on potatoes and thereby transmitted viral diseases; Stagonospora spp. on cereals, e. g. S. nodorum (Stagonospora blotch, teleomorph: Lepto- sphaeria [syn. Phaeosphaeria] nodorum) on wheat; Synchytrium endobioticum on potatoes (potato wart disease); Taphrina spp., e.
- T. deformans leaf curl disease
- T. pruni plum pocket
- Thielaviopsis spp. black root rot
- tobacco, pome fruits, vegetables, soybeans and cotton e. g. T. basicola (syn. Chalara elegans)
- Tilletia spp. common bunt or stinking smut
- cereals such as e. g. T. tritici ⁇ syn. T. caries, wheat bunt) and T. controversa (dwarf bunt) on wheat
- Typhula incarnata grey snow mold
- Urocystis spp. e. g.
- U. occulta stem smut
- Uromyces spp. rust
- vegetables such as beans (e. g. U. appendicu/atus, syn. U. phaseoli) and sugar beets (e. g. U. betae)
- Ustilago spp. loose smut) on cereals (e. g. U. nuda and U. avaenae), corn (e. g. U. maydis. corn smut) and sugar cane
- Venturia spp. scab
- apples e. g. V. inaequalis
- pears Verticillium spp. (wilt) on various plants, such as fruits and ornamentals, vines, soft fruits, vegetables and field crops, e. g. V. dahliae on strawberries, rape, potatoes and tomatoes.
- the compounds of formula (I) and compositions thereof, respectively, are also suitable for controlling harmful fungi in the protection of stored products or harvest and in the protection of ma- terials.
- protection of materials is to be understood to denote the protection of technical and non-living materials, such as adhesives, glues, wood, paper and paperboard, textiles, leather, paint dispersions, plastics, cooling lubricants, fiber or fabrics, against the infestation and de- struction by harmful microorganisms, such as fungi and bacteria.
- Ascomycetes such as Ophiostoma spp., Ceratocystis spp., Aureobasidium pullulans, Sclerophoma spp., Chaetomium spp., Hum/cola spp., Petriella spp., Trichurus spp:, Basidiomycetes such as Coni- ophora spp., Coriolus spp., Gloeophyllum spp., Lentinus spp., Pleurotus spp., Poria spp., Ser- pu/a spp.
- Ascomycetes such as Ophiostoma spp., Ceratocystis spp., Aureobasidium pullulans, Sclerophoma spp., Chaetomium spp., Hum/cola spp., Petriella spp., Trichurus spp:, Basidiomycetes such as Coni-
- Candida spp. and Saccharomyces cerevisae Deuteromycetes such as Aspergillus spp., Cladosporium spp., Penicillium spp., Trichoderma spp., Alternaria spp., Paecilomyces spp. and Zygomycetes such as Mucorspp., and in addition in the protection of stored products and harvest the following yeast fungi are worthy of note: Candida spp. and Saccharomyces cerevisae.
- the method of treatment according to the invention can also be used in the field of protecting stored products or harvest against attack of fungi and microorganisms.
- the term "stored products” is understood to denote natural substances of plant or animal origin and their processed forms, which have been taken from the natural life cycle and for which long-term protection is desired.
- Stored products of crop plant origin such as plants or parts thereof, for example stalks, leafs, tubers, seeds, fruits or grains, can be protected in the freshly harvested state or in processed form, such as pre-dried, moistened, comminuted, ground, pressed or roasted, which process is also known as post-harvest treatment.
- timber whether in the form of crude timber, such as construction timber, electricity pylons and barriers, or in the form of finished articles, such as furniture or objects made from wood.
- Stored products of animal origin are hides, leather, furs, hairs and the like.
- the combinations according the present invention can prevent disadvantageous effects such as decay, discoloration or mold.
- stored products is understood to denote natural substances of plant origin and their processed forms, more preferably fruits and their processed forms, such as pomes, stone fruits, soft fruits and citrus fruits and their processed forms.
- the compounds of formula (I) and compositions thereof, respectively, may be used for improving the health of a plant.
- the invention also relates to a method for improving plant health by treating a plant, its propagation material and/or the locus where the plant is growing or is to grow with an effective amount of compounds of formula (I) and compositions thereof, respectively.
- plant health is to be understood to denote a condition of the plant and/or its products which is determined by several indicators alone or in combination with each other such as yield (e. g. increased biomass and/or increased content of valuable ingredients), plant vigor (e. g. improved plant growth and/or greener leaves ("greening effect")), quality (e. g. improved content or composition of certain ingredients) and tolerance to abiotic and/or biotic stress.
- yield e. g. increased biomass and/or increased content of valuable ingredients
- plant vigor e. g. improved plant growth and/or greener leaves ("greening effect")
- quality e. g. improved content or composition of certain ingredients
- tolerance to abiotic and/or biotic stress e. g. improved content or composition of certain ingredients.
- the above identified indicators for the health condition of a plant may be interdependent or may result from each other.
- the compounds of formula I can be present in different crystal modifications whose biological activity may differ. They are likewise subject matter of the present invention.
- the compounds of formula (I) are employed as such or in form of compositions by treating the fungi or the plants, plant propagation materials, such as seeds, soil, surfaces, materials or rooms to be protected from fungal attack with a fungicidally effective amount of the active sub- stances.
- the application can be carried out both before and after the infection of the plants, plant propagation materials, such as seeds, soil, surfaces, materials or rooms by the fungi.
- Plant propagation materials may be treated with compounds of formula (I) as such or a composition comprising at least one compound of formula (I) prophylactically either at or before planting or transplanting.
- the Invention also relates to agrochemical compositions comprising an auxiliary and at least one compound of formula (I) according to the invention.
- An agrochemical composition comprises a fungicidally effective amount of a compound of formula (I).
- the term "effective amount” denotes an amount of the composition or of the compounds of formula (I), which is sufficient for controlling harmful fungi on cultivated plants or in the protection of materials and which does not result in a substantial damage to the treated plants. Such an amount can vary in a broad range and is dependent on various factors, such as the fungal species to be controlled, the treated cultivated plant or material, the climatic conditions and the specific compound of formula (I) used.
- compositions e. g. solutions, emulsions, suspensions, dusts, powders, pastes, granules, pressings, capsules, and mixtures thereof.
- composition types are suspensions (e. g. SC, OD, FS), emulsifiable concentrates (e. g. EC), emulsions (e. g. EW, EO, ES, ME), capsules (e. g. CS, ZC), pastes, pastilles, wettable powders or dusts (e. g. WP, SP, WS, DP, DS), pressings (e. g.
- compositions types are defined in the "Catalogue of pesticide formulation types and international coding system", Technical Monograph No. 2, 6 th Ed. May 2008, CropLife International.
- compositions are prepared in a known manner, such as described by Mollet and
- Suitable auxiliaries are solvents, liquid carriers, solid carriers or fillers, surfactants, dispersants, emulsifiers, wetters, adjuvants, solubilizers, penetration enhancers, protective colloids, adhesion agents, thickeners, humectants, repellents, attractants, feeding stimulants, compatibilizers, bactericides, anti-freezing agents, anti-foaming agents, colorants, tackifiers and binders.
- Suitable solvents and liquid carriers are water and organic solvents, such as mineral oil fractions of medium to high boiling point, e. g. kerosene, diesel oil; oils of vegetable or animal origin; aliphatic, cyclic and aromatic hydrocarbons, e. g. toluene, paraffin, tetrahydronaphthalene, alkylated naphthalenes; alcohols, e. g. ethanol, propanol, butanol, benzyl alcohol, cyclohexanol; glycols; DMSO; ketones, e. g. cyclohexanone; esters, e. g.
- mineral oil fractions of medium to high boiling point e. g. kerosene, diesel oil
- oils of vegetable or animal origin oils of vegetable or animal origin
- aliphatic, cyclic and aromatic hydrocarbons e. g. toluene, paraffin, tetrahydronaphthalene, al
- lactates carbonates, fatty acid esters, gamma-butyrolactone; fatty acids; phosphonates; amines; amides, e. g. N-methyl pyrroli- done, fatty acid dimethyl amides; and mixtures thereof.
- Suitable solid carriers or fillers are mineral earths, e. g. silicates, silica gels, talc, kaolins, limestone, lime, chalk, clays, dolomite, diatomaceous earth, bentonite, calcium sulfate, magnesium sulfate, magnesium oxide; polysaccharides, e. g. cellulose, starch; fertilizers, e. g. ammonium sulfate, ammonium phosphate, ammonium nitrate, ureas; products of vegetable origin, e. g. cereal meal, tree bark meal, wood meal, nutshell meal, and mixtures thereof.
- mineral earths e. g. silicates, silica gels, talc, kaolins, limestone, lime, chalk, clays, dolomite, diatomaceous earth, bentonite, calcium sulfate, magnesium sulfate, magnesium oxide
- polysaccharides e. g. cellulose, star
- Suitable surfactants are surface-active compounds, such as anionic, cationic, nonionic and amphoteric surfactants, block polymers, polyelectrolytes, and mixtures thereof. Such surfactants can be used as emulsifier, dispersant, solubilizer, wetter, penetration enhancer, protective colloid, or adjuvant. Examples of surfactants are listed in McCutcheon's, Vol.1 : Emulsifiers & Detergents, McCutcheon's Directories, Glen Rock, USA, 2008 (International Ed. or North American Ed.).
- Suitable anionic surfactants are alkali, alkaline earth or ammonium salts of sulfonates, sulfates, phosphates, carboxylates, and mixtures thereof.
- sulfonates are alkylaryl sulfonates, diphenyl sulfonates, alpha-olefin sulfonates, lignin sulfonates, sulfonates of fatty acids and oils, sulfonates of ethoxylated alkylphenols, sulfonates of alkoxylated arylphenols, sul- fonates of condensed naphthalenes, sulfonates of dodecyl- and tridecylbenzenes, sulfonates of naphthalenes and alkyl naphthalenes, sulfosuccinates or sulfosuccinamates.
- sulfates are sulfates of fatty acids and oils, of ethoxylated alkylphenols, of alcohols, of ethoxylated alcohols, or of fatty acid esters.
- phosphates are phosphate esters.
- carboxylates are alkyl carboxylates, and carboxylated alcohol or alkylphenol ethoxylates.
- Suitable nonionic surfactants are alkoxylates, N-substituted fatty acid amides, amine oxides, esters, sugar-based surfactants, polymeric surfactants, and mixtures thereof.
- alkoxylates are compounds such as alcohols, alkylphenols, amines, amides, arylphenols, fatty acids or fatty acid esters which have been alkoxylated with 1 to 50 equivalents.
- Ethylene oxide and/or propylene oxide may be employed for the alkoxylation, preferably ethylene oxide.
- N-substituted fatty acid amides are fatty acid glucamides or fatty acid alkanolamides.
- esters are fatty acid esters, glycerol esters or monoglycerides.
- sugar- based surfactants are sorbitans, ethoxylated sorbitans, sucrose and glucose esters or al- kylpolyglucosides.
- polymeric surfactants are home- or copolymers of vinyl pyrroli- done, vinyl alcohols, or vinyl acetate.
- Suitable cationic surfactants are quaternary surfactants, for example quaternary ammonium compounds with one or two hydrophobic groups, or salts of long-chain primary amines.
- Suitable amphoteric surfactants are alkylbetains and imidazolines.
- Suitable block polymers are block polymers of the A-B or A-B-A type comprising blocks of polyethylene oxide and polypropylene oxide, or of the A-B-C type comprising alkanol, polyethylene oxide and polypropylene oxide.
- Suitable polyelectrolytes are polyacids or polybases. Examples of polyacids are alkali salts of polyacrylic acid or polyacid comb polymers. Examples of polybases are polyvinyl amines or polyethylene amines.
- Suitable adjuvants are compounds, which have a negligible or even no pesticidal activity them- selves, and which improve the biological performance of the compound of formula (I) on the target.
- examples are surfactants, mineral or vegetable oils, and other auxiliaries. Further examples are listed by Knowles, Adjuvants and additives, Agrow Reports DS256, T&F Informa UK, 2006, chapter 5.
- Suitable thickeners are polysaccharides (e. g. xanthan gum, carboxymethyl cellulose), inorganic clays (organically modified or unmodified), polycarboxylates, and silicates.
- Suitable bactericides are bronopol and isothiazolinone derivatives such as alkylisothiazolinones and benzisothiazolinones.
- Suitable anti-freezing agents are ethylene glycol, propylene glycol, urea and glycerin.
- Suitable anti-foaming agents are silicones, long chain alcohols, and salts of fatty acids.
- Suitable colorants are pigments of low water solubility and water- soluble dyes.
- examples are inorganic colorants (e. g. iron oxide, titan oxide, iron hexacyanofer- rate) and organic colorants (e. g. alizarin-, azo- and phthalocyanine colorants).
- Suitable tackifiers or binders are polyvinyl pyrrolidones, polyvinyl acetates, polyvinyl alcohols, polyacrylates, biological or synthetic waxes, and cellulose ethers.
- composition types and their preparation are:
- a compound of formula (I) and 5-15 wt% wetting agent e. g. alcohol alkoxylates
- a water-soluble solvent e. g. alcohols
- a compound of formula (I) and 1 -10 wt% dispersant e. g. polyvinyl pyrrolidone
- organic solvent e. g. cyclohexanone
- Emulsifiable concentrates 15-70 wt% of a compound of formula (I) and 5-10 wt% emulsifiers (e. g. calcium dodecylben- zenesulfonate and castor oil ethoxylate) are dissolved in water-insoluble organic solvent (e. g. aromatic hydrocarbon) ad 100 wt%. Dilution with water gives an emulsion,
- emulsifiers e. g. calcium dodecylben- zenesulfonate and castor oil ethoxylate
- Emulsions (EW, EO, ES)
- emulsifiers e. g. calcium dodecylben- zenesulfonate and castor oil ethoxylate
- 20-40 wt% water-insoluble organic solvent e. g. aromatic hydrocarbon
- This mixture is introduced into water ad 100 wt% by means of an emulsifying machine and made into a homogeneous emulsion. Dilution with water gives an emulsion.
- a compound of formula (I) 20-60 wt% of a compound of formula (I) are comminuted with addition of 2-10 wt% dispersants and wetting agents (e. g. sodium lignosulfonate and alcohol ethoxylate), 0.1 -2 wt% thickener (e. g. xanthan gum) and water ad 100 wt% to give a fine active substance suspension. Dilution with water gives a stable suspension of the active substance.
- dispersants and wetting agents e. g. sodium lignosulfonate and alcohol ethoxylate
- 0.1 -2 wt% thickener e. g. xanthan gum
- a compound of formula (I) 50-80 wt% of a compound of formula (I) are ground finely with addition of dispersants and wetting agents (e. g. sodium lignosulfonate and alcohol ethoxylate) ad 100 wt% and prepared as water-dispersible or water-soluble granules by means of technical appliances (e. g. extru- sion, spray tower, fluidized bed). Dilution with water gives a stable dispersion or solution of the active substance.
- dispersants and wetting agents e. g. sodium lignosulfonate and alcohol ethoxylate
- wt% of a compound of formula (I) are ground in a rotor-stator mill with addition of 1 -5 wt% dispersants (e. g. sodium lignosulfonate), 1 -3 wt% wetting agents (e. g. alcohol ethoxylate) and solid carrier (e. g. silica gel) ad 100 wt%. Dilution with water gives a stable dispersion or solution of the active substance.
- dispersants e. g. sodium lignosulfonate
- 1 wt% wetting agents e. g. alcohol ethoxylate
- solid carrier e. g. silica gel
- a compound of formula (I) In an agitated ball mill, 5-25 wt% of a compound of formula (I) are comminuted with addition of 3-10 wt% dispersants (e. g. sodium lignosulfonate), 1 -5 wt% thickener (e. g. carboxymethyl cellulose) and water ad 100 wt% to give a fine suspension of the active substance. Dilution with water gives a stable suspension of the active substance.
- dispersants e. g. sodium lignosulfonate
- 1 wt% thickener e. g. carboxymethyl cellulose
- wt% of a compound of formula (I) are added to 5-30 wt% organic solvent blend (e. g. fatty acid dimethyl amide and cyclohexanone), 10-25 wt% surfactant blend (e. g. alcohol ethox- ylate and arylphenol ethoxylate), and water ad 100 %. This mixture is stirred for 1 h to produce spontaneously a thermodynamically stable microemulsion.
- organic solvent blend e. g. fatty acid dimethyl amide and cyclohexanone
- surfactant blend e. g. alcohol ethox- ylate and arylphenol ethoxylate
- An oil phase comprising 5-50 wt% of a compound of formula (I), 0-40 wt% water insoluble organic solvent (e. g. aromatic hydrocarbon), 2-15 wt% acrylic monomers (e. g. methylmethac- rylate, methacrylic acid and a di- or triacrylate) are dispersed into an aqueous solution of a protective colloid (e. g. polyvinyl alcohol). Radical polymerization results in the formation of poly(meth)acrylate microcapsules.
- an oil phase comprising 5-50 wt% of a compound of formula (I) according to the invention, 0-40 wt% water insoluble organic solvent (e. g.
- an isocyanate monomer e. g. diphenylmethene-4,4'-diisocyanatae
- a protective colloid e. g. polyvinyl alcohol
- the addition of a polyamine results in the formation of polyurea microcapsules.
- the monomers amount to 1 -10 wt%. The wt% relate to the total CS composition.
- Dustable powders (DP, DS)
- a compound of formula (I) are ground finely and mixed intimately with solid carrier (e. g. finely divided kaolin) ad 100 wt%.
- solid carrier e. g. finely divided kaolin
- a compound of formula (I) is ground finely and associated with solid carrier (e. g. silicate) ad 100 wt%.
- solid carrier e. g. silicate
- Granulation is achieved by extrusion, spray-drying or fluidized bed.
- organic solvent e. g. aromatic hydrocarbon
- compositions types i) to xiii) may optionally comprise further auxiliaries, such as 0.1 -1 wt% bactericides, 5-15 wt% anti-freezing agents, 0.1 -1 wt% anti-foaming agents, and 0.1 -1 wt% col- orants.
- auxiliaries such as 0.1 -1 wt% bactericides, 5-15 wt% anti-freezing agents, 0.1 -1 wt% anti-foaming agents, and 0.1 -1 wt% col- orants.
- the agrochemical compositions generally comprise between 0.01 and 95%, preferably between 0.1 and 90%, more preferably between 1 and 70%, and in particular between 10 and 60%, by weight of active substance.
- the active substances are employed in a purity of from 90% to 100%, preferably from 95% to 100% (according to NMR spectrum).
- compositions in question give, after two-to-tenfold dilution, active substance concentrations of from 0.01 to 60% by weight, preferably from 0.1 to 40%, in the ready-to-use preparations. Application can be carried out before or during sowing.
- Methods for applying compound of formula (I) and compositions thereof, respectively, onto plant propagation material, especially seeds include dressing, coating, pelleting, dusting, and soaking as well as in-furrow application methods.
- compound of formula (I) or the compositions thereof, respectively are applied on to the plant propagation material by a method such that germination is not induced, e. g. by seed dressing, pelleting, coating and dusting.
- the amounts of active substances applied are, depending on the kind of effect desired, from 0.001 to 2 kg per ha, preferably from 0.005 to 2 kg per ha, more preferably from 0.05 to 0.9 kg per ha, and in particular from 0.1 to 0.75 kg per ha.
- amounts of active substance of from 0.1 to 1000 g, preferably from 1 to 1000 g, more preferably from 1 to 100 g and most preferably from 5 to 100 g, per 100 kilogram of plant propagation material (preferably seeds) are generally required.
- the amount of active substance applied depends on the kind of application area and on the desired effect. Amounts customarily applied in the protection of materials are 0.001 g to 2 kg, preferably 0.005 g to 1 kg, of active substance per cubic meter of treated material.
- oils, wetters, adjuvants, fertilizer, or micronutrients, and further pesticides may be added to the active substances or the compositions comprising them as premix or, if appropriate not until immediately prior to use (tank mix).
- pesticides e. g. herbicides, insecticides, fungicides, growth regulators, safeners, biopesticides
- These agents can be admixed with the compositions according to the invention in a weight ratio of 1 :100 to 100:1 , preferably 1 :10 to 10:1.
- a pesticide is generally a chemical or biological agent (such as pestidal active ingredient, com- pound, composition, virus, bacterium, antimicrobial or disinfectant) that through its effect deters, incapacitates, kills or otherwise discourages pests.
- Target pests can include insects, plant pathogens, weeds, mollusks, birds, mammals, fish, nematodes (roundworms), and microbes that destroy property, cause nuisance, spread disease or are vectors for disease.
- pesticide includes also plant growth regulators that alter the expected growth, flowering, or repro- duction rate of plants; defoliants that cause leaves or other foliage to drop from a plant, usually to facilitate harvest; desiccants that promote drying of living tissues, such as unwanted plant tops; plant activators that activate plant physiology for defense of against certain pests; safen- ers that reduce unwanted herbicidal action of pesticides on crop plants; and plant growth promoters that affect plant physiology e.g. to increase plant growth, biomass, yield or any other quality parameter of the harvestable goods of a crop plant.
- Biopesticides have been defined as a form of pesticides based on microorganisms (bacteria, fungi, viruses, nematodes, etc.) or natural products (compounds, such as metabolites, proteins, or extracts from biological or other natural sources) (U.S. Environmental Protection Agency: http://www.epa.gov/pesticides/biopesticides/). Biopesticides fall into two major classes, microbi- al and biochemical pesticides:
- Microbial pesticides consist of bacteria, fungi or viruses (and often include the metabolites that bacteria and fungi produce). Entomopathogenic nematodes are also classified as microbial pesticides, even though they are multi-cellular.
- Biochemical pesticides are naturally occurring substances that control pests or provide other crop protection uses as defined below, but are relatively non-toxic to mammals.
- the user applies the composition according to the invention usually from a predosage device, a knapsack sprayer, a spray tank, a spray plane, or an irrigation system.
- the agrochemical composition is made up with water, buffer, and/or further auxiliaries to the desired application concentration and the ready-to-use spray liquor or the agrochemical composition according to the invention is thus obtained.
- 20 to 2000 liters, preferably 50 to 400 liters, of the ready-to-use spray liquor are applied per hectare of agricultural useful area.
- composition according to the invention such as parts of a kit or parts of a binary or ternary mixture may be mixed by the user himself in a spray tank or any other kind of vessel used for applications (e. g. seed treater drums, seed pelleting machinery, knapsack sprayer) and further auxiliaries may be added, if appropriate.
- a spray tank or any other kind of vessel used for applications (e. g. seed treater drums, seed pelleting machinery, knapsack sprayer) and further auxiliaries may be added, if appropriate.
- one embodiment of the invention is a kit for preparing a usable pesticidal composition, the kit comprising a) a composition comprising component 1 ) as defined herein and at least one auxiliary; and b) a composition comprising component 2) as defined herein and at least one auxiliary; and optionally c) a composition comprising at least one auxiliary and optionally a further active component 3) as defined herein.
- pesticides II e. g. pesticidally-active substances and biopesticides
- biopesticides in conjunction with which the compounds of formula (I) can be used, is intended to illustrate the possible combinations but does not limit them:
- Inhibitors of complex III at Q 0 site azoxystrobin (A.1 .1 ), coumethoxystrobin (A.1 .2), coumoxystrobin (A.1 .3), dimoxystrobin (A.1 .4), enestroburin (A.1 .5), fenaminstrobin (A.1 .6), fenoxystrobin/flufenoxystrobin (A.1 .7), fluoxastrobin (A.1 .8), kresoxim-methyl (A.1 .9), mande- strobin (A.1 .10), metominostrobin (A.1.1 1 ), orysastrobin (A.1 .12), picoxystrobin (A.1 .13), pyra- clostrobin (A.1.14), pyrametostrobin (A.1.15), pyraoxystrobin (A.1.16), trifloxystrobin (A.1 .17), 2-(
- inhibitors of complex II benodanil (A.3.1 ), benzovindiflupyr (A.3.2), bixafen (A.3.3), bos- calid (A.3.4), carboxin (A.3.5), fenfuram (A.3.6), fluopyram (A.3.7), flutolanil (A.3.8), fluxapyrox- ad (A.3.9), furametpyr (A.3.10), isofetamid (A.3.1 1 ), isopyrazam (A.3.12), mepronil (A.3.13), oxycarboxin (A.3.14), penflufen (A.3.15), penthiopyrad (A.3.16), pydiflumetofen (A.3.17), pyra- ziflumid (A.3.18), sedaxane (A.3.19), tecloftalam (A.3.20), thifluzamide (A.3.21 ), inpyrfluxam N-[(2Z)-2-[3-ch
- fentin-acetate A.4.8
- fentin chloride A.4.9
- fentin hydroxide A.4.10
- ametoctradin A.4.1 1
- silthiofam A.4.12
- C14 demethylase inhibitors triazoles: azaconazole (B.1.1 ), bitertanol (B.1 .2), bro- mu-"Conazole (B.1 .3), cyproconazole (B.1 .4), difenoconazole (B.1.5), diniconazole (B.1 .6), dini- conazole-M (B.1.7), epoxiconazole (B.1.8), fenbuconazole (B.1 .9), fluquinconazole (B.1 .10), flusilazole (B.1.1 1 ), flutriafol (B.1 .12), hexaconazole (B.1 .13), imibenconazole (B.1 .14), ipcona- zole (B.1.15), metconazole (B.1.17), myclobutanil (B.1.18), oxpoconazole (B.1.19), pa
- Delta14-reductase inhibitors aldimorph (B.2.1 ), dodemorph (B.2.2), dodemorph-acetate (B.2.3), fenpropimorph (B.2.4), tridemorph (B.2.5), fenpropidin (B.2.6), piperalin (B.2.7), spirox- amine (B.2.8); - Inhibitors of 3-keto reductase: fenhexamid (B.3.1 );
- Sterol biosynthesis inhibitors chlorphenomizole (B.4.1 );
- phenylamides or acyl amino acid fungicides benalaxyl (C.1 .1 ), benalaxyl-M (C.1 .2), kiral- axyl (C.1.3), metalaxyl (C.1.4), metalaxyl-M (C.1 .5), ofurace (C.1 .6), oxadixyl (C.1 .7);
- nucleic acid synthesis inhibitors hymexazole (C.2.1 ), octhilinone (C.2.2), oxolinic acid (C.2.3), bupirimate (C.2.4), 5-fluorocytosine (C.2.5), 5-fluoro-2-(p-tolylmethoxy)pyrimidin-4 amine (C.2.6), 5-fluoro-2-(4-fluorophenylmethoxy)pyrimidin-4 amine (C.2.7), 5-fluoro-2 (4 chlo- rophenylmethoxy)pyrimidin-4 amine (C.2.8);
- tubulin inhibitors benomyl (D.1 .1 ), carbendazim (D.1.2), fuberidazole (D1 .3), thiabendazole (D.1.4), thiophanate-methyl (D.1.5), 3-chloro-4-(2,6-difluorophenyl)-6-methyl-5- phenyl-pyr da-zine (D.1 .6), 3-chloro-6-methyl-5-phenyl-4-(2,4,6-trifluorophenyl)pyridazine (D.1.7), N eth->yl-2-[(3-ethynyl-8-methyl-6-quinolyl)oxy]butanamide (D.1.8), N-ethyl-2-[(3- ethynyl-8 methyl-6 quinolyl)oxy]-2-methylsulfanyl-acetamide (D.1 .9), 2-[(3-ethynyl-8-methyl-6- quinohyl)oxy]
- methionine synthesis inhibitors cyprodinil (E.1 .1 ), mepan pyrim (E.1.2), pyrimethanil (E.1.3);
- blasticidin-S (E.2.1 ), kasugamycin (E.2.2), kasugamycin hy- drochloride-hydrate (E.2.3), mildiomycin (E.2.4), streptomycin (E.2.5), oxytetracyclin (E.2.6);
- MAP / histidine kinase inhibitors fluoroimid (F.1 .1 ), iprodione (F.1 .2), procymidone (F.1 .3), vinclozolin (F.1.4), fludioxonil (F.1 .5);
- G protein inhibitors quinoxyfen (F.2.1 );
- Phospholipid biosynthesis inhibitors edifenphos (G.1.1 ), iprobenfos (G.1.2), pyrazophos (G.1.3), isoprothiolane (G.1 .4);
- dicloran G.2.1
- quintozene G.2.2
- tecnazene G.2.3
- tolclofos-methyl G.2.4
- biphenyl G.2.5
- chloroneb G.2.6
- etridiazole G.2.7
- dimethomorph G.3.1
- flumorph G.3.2
- mandipropamid G.3.3
- pyrimorph G.3.4
- benthiavalicarb G.3.5
- iprovalicarb G.3.6
- valifenalate G.3.7
- inorganic active substances Bordeaux mixture (H.1 .1 ), copper (H.1 .2), copper acetate (H.1 .3), copper hydroxide (H.1.4), copper oxychloride (H.1.5), basic copper sulfate (H.1.6), sulfur (H.1.7);
- ferbam H.2.1
- mancozeb H.2.2
- maneb H.2.3
- metam H.2.4
- metiram H.2.5
- propineb H.2.6
- thiram H.2.7
- zineb H.2.8
- ziram H.2.9
- organochlorine compounds anilazine (H.3.1 ), chlorothalonil (H.3.2), captafol (H.3.3), cap- tan (H.3.4), folpet (H.3.5), dichlofluanid (H.3.6), dichlorophen (H.3.7), hexachloro-'benzene (H.3.8), pentachlorphenole (H.3.9) and its salts, phthalide (H.3.10), tolylfluanid (H.3.1 1 ); guanidines and others: guanidine (H.4.1 ), dodine (H.4.2), dodine free base (H.4.3), guaza- tine (H.4.4), guazatine-acetate (H.4.5), iminoctadine (H.4.6), iminoctadine-triacetate (H.4.7), iminoctadine-tris(albesilate) (H.4.8), dithianon (H.4.9), 2,6-d methyl-1 H,5H
- inhibitors of glucan synthesis validamycin (1.1.1 ), polyoxin B (1.1 .2);
- melanin synthesis inhibitors pyroquilon (1.2.1 ), tricyclazole (1.2.2), carpropamid (1.2.3), dicyclomet (I.2.4), fenoxanil (1.2.5);
- bronopol K.1 .1
- chinomethionat K.1 .2
- cyflufenamid K.1.3
- cymoxanil K.1.4
- dazomet K.1.5
- debacarb K.1 .6
- diclocymet K.1 .7
- diclo->mezine K.1 .8
- difenzoquat K.1 .9
- di- fenzoquat-methylsulfate K.1.10
- diphenylamin K.1.1 1
- fenitropan K.1 .12
- fenpyrazamine K.1 .13
- flumetover K.1 .14
- flusulfamide K.1 .15
- flutianil K.1.16)
- harpin K.1.17)
- metha- sulfocarb K.1 .18
- nitrapyrin K.1 .19
- Microbial pesticides with fungicidal, bactericidal, viricidal and/or plant defense activator activity Ampelomyces quisqualis, Aspergillus flavus, Aureobasidium pullulans, Bacillus altitudi- nis, B. amyloliquefaciens, B. megaterium, B. mojavensis, B. mycoides, B. pumilus, B. simplex, B. solisalsi, B. subtilis, B. subtilis var. amyloliquefaciens, Candida oleophila, C.
- Biochemical pesticides with fungicidal, bactericidal, viricidal and/or plant defense activator activity harpin protein, Reynoutria sachalinensis extract;
- Microbial pesticides with insecticidal, acaricidal, molluscidal and/or nematicidal activity Agrobacterium radiobacter, Bacillus cereus, B. firmus, B. thuringiensis, B. thuringiensis ssp. aizawai, B. t. ssp. israelensis, B. t. ssp. galleriae, B. t. ssp. kurstaki, B. t. ssp. tenebrionis, Beau- veria bassiana, B.
- Agrobacterium radiobacter Bacillus cereus, B. firmus, B. thuringiensis, B. thuringiensis ssp. aizawai, B. t. ssp. israelensis, B. t. ssp. galleriae, B. t. ssp. kurstaki, B. t. ssp. ten
- brongniartii Burkholderia spp., Chromobacterium subtsugae, Cydia pomonel- la granulovirus (CpGV), Cryptophlebia leucotreta granulovirus (CrleGV), Flavobacterium spp., Helicoverpa armigera nucleopolyhedrovirus (HearNPV), Helicoverpa zea nucleopolyhedrovirus (HzNPV), Helicoverpa zea single capsid nucleopolyhedrovirus (HzSNPV), Heterorhabditis bac- teriophora, Isaria fumosorosea, Lecanicillium longispo-rum, L.
- HearNPV Helicoverpa armigera nucleopolyhedrovirus
- HzNPV Helicoverpa zea nucleopolyhedrovirus
- HzSNPV Helicoverpa zea single capsid
- Microbial pesticides with plant stress reducing, plant growth regulator, plant growth promoting and/or yield enhancing activity Azospirillum amazonense, A. brasilense, A. lipoferum, A. irakense, A. halopraeferens, Bradyrhizobium spp., B. elkanii, B. japo-'n cum, B. liaoningense, B. lupini, Delftia acidovorans, Glomus intraradices, Mesorhizo ⁇ bium spp., Rhizobium legumi- nosarum bv. pha-'seoli, R. I. bv. trifolii, R. I. bv. viciae, R. tropici, Sinorhizobium meliloti;
- abscisic acid (M.1.1 ), amidochlor, ancymidol, 6-benzylaminopurine, brassinolide, butralin, chlormequat, chlormequat chloride, choline chloride, cyclanilide, daminozide, dike ⁇ gulac, dime- thipin, 2,6-dimethylpuridine, ethephon, flumetralin, flurprimidol, fluth acet, forchlorfenuron, gib- berellic acid, inabenfide, indole-3-acetic acid , maleic hydrazide, mefluidide, mepiquat, mepiquat chloride, naphthaleneacetic acid, N 6 benzyladenine, paclobutrazol, prohexadione, prohexadi- one-calcium, prohydrojasmon, thidiazuron, triapenthenol, tributyl phosphoro
- Lipid biosynthesis inhibitors alloxydim, alloxydim-sodium, butroxydim, clethodim, clodinafop, clodinafop-propargyl, cycloxydim, cyhalofop, cyhalofop-butyl, diclofop, diclofop- methyl, fenoxaprop, fenoxaprop-ethyl, fenoxaprop-P, fenoxaprop-P-ethyl, fluazifop, fluazifop- butyl, fluazifop-P, fluazifop-P-butyl, haloxyfop, haloxyfop-methyl, haloxyfop-P, haloxyfop-P- methyl, metamifop, pinoxaden, profoxydim, propaquizafop, quizalofop, quizalofop-e
- N.2 ALS inhibitors amidosulfuron, azimsulfuron, bensulfuron, bensuhfuron-methyl, chlo- rimuron, chlorimuron-ethyl, chlorsulfuron, cinosulfuron, cyclosulfamuron, ethametsulfuron, ethametsulfuron-methyl, ethoxysulfuron, flazasulfuron, flucetosulfuron, flupyrsulfuron, flupyrsul- furon-methyl-sodium, foramsulfuron, halosulfuron, halosulfuron-methyl, imazosulfuron, iodosul- furon, iodosulfuron-methyl-sodium, iofensulfuron, iofensuhfuron-sodium, mesosulfuron, met- azosulfuron, metsulfuron-
- Photosynthesis inhibitors amicarbazone; chlorotriazine; ametryn, atrazine, chloridazone, cyanazine, desmetryn, dimethametryn,hexazinone, metribuzin, prometon, prometryn, pro- pazine, simazine, simetryn, terbumeton, terbuthylazin, terbutryn, trietazin; chlorobrormuron, chlorotoluron, chloroxuron, dimefuron, diuron, fluometuron, isoproturon, isouron, linuron, met- amitron, methabenzthiazuron, metobenzuron, metoxuron, monolinuron, neburon, sidmron, tebuthiuron, thiadiazuron, desmedipham, karbutilat, phenmedipham, phenmedipham-ethyl, bromofenoxim, bro
- N.4 protoporphyrinogen-IX oxidase inhibitors acifluorfen, acifluorfen-sodium, azafenidin, ben- carbazone, benzfendizone, bifenox, butafenacil, carfentrazone, carfentrazone-ethyl, chlor- methoxyfen, cinidon-ethyl, fluazolate, flufenpyr, flufenpyr-ethyl, flumiclorac, flumiclorac-pentyl, flumioxazin, fluoroglycofen, fluoroglycofen-ethyl, fluthiacet, fluthiacet-methyl, fome-'safen, halosafen, lactofen, oxadiargyl, oxadiazon, oxyfluorfen, pentoxazone, profluazol, pyraclonil, pyraflufen, pyraflufen
- N.5 Bleacher herbicides beflubutamid, diflufenican, fluridone, flurochloridone, flurtamone, norflurazon, picolinafen, 4-(3-trifluoromethyhphenoxy)-2-(4-trifluoromethylphen _, yl)- , pyrimidine (CAS 180608-33-7); benzobicyclon, benzofenap, bicyclopyrone, clomazone, fenquintrione, isoxaflutole, mesotrione, pyrasulfotole, pyrazolynate, pyrazoxyfen, sulcotrione, tefuryltrione, tembotrione, tolpyralate, topramezone; aclonifen, amitrole, flumeturon;
- N.6 EPSP synthase inhibitors glyphosate, glyphosate-isopropylammonium, glyposate- potassium, glyphosate-trimesium (sulfosate);
- Glutamine synthase inhibitors bilanaphos (bialaphos), bilanaphos-sodium, glufosinate, glufosinate-P, glufosinate-ammonium;
- Mitosis inhibitors benfluralin, butralin, dinitramine, ethalfluralin, fluchloralin, oryzalin, pendimethalin, prodiamine, trifluralin; amiprophos, amiprophos-methyl, butamiphos; chlorthal, chlorthal-dimethyl, dithiopyr, thiazopyr, propyzamide, tebutam; carbetamide, chlorpropham, flamprop, flamprop-isopropyl, flamprop-methyl, flamprop-M-isopropyl, flamprop-M-methyl, prop- ham;
- N.10 VLCFA inhibitors acetochlor, alachlor, butachlor, dimethachlor, dimethenamid, dimethen- amid-P, metazachlor, metolachlor, metolachlor-S, pethoxamid, pretilachlor, propachlor, prop- isochlor, thenylchlor, flufenacet, mefenacet, diphenamid, naproanilide, napropamide, napro- pamide-M, fentrazamide, anilofos, cafenstrole, fenoxasulfone, ipfencarbazone, piperophos, py- roxasulfone, isoxazoline compounds of the formulae 11.1 , II.2, II.3, II.4, II.5, II.6, II.7, II.8 and II.9
- N.1 1 Cellulose biosynthesis inhibitors: chlorthiamid, dichlobenil, flupoxam, indaziflam, isoxaben, triaziflam, 1 -cyclohexyl-5-pentafluorphenyloxy-14-[1 ,2,4,6]thiatriazin-3-ylamine (CAS 175899- 01 -1 );
- N.12 Decoupler herbicides dinoseb, dinoterb, DNOC and its salts
- N.13 Auxinic herbicides 2,4-D and its salts and esters, clacyfos, 2,4-DB and its salts and esters, aminocyclopyrachlor and its salts and esters, aminopyralid and its salts such as amino- pyralid-dimethylammonium, aminopyralid-tris(2-hydroxypropyl)ammonium and its esters, bena- zolin, benazolin-ethyl, chloramben and its salts and esters, clomeprop, clopyralid and its salts and esters, dicamba and its salts and esters, dichlorprop and its salts and esters, dichlorprop-P and its salts and esters, fluroxypyr, fluroxypyr-butometyl, fluroxypyr-meptyl, halauxifen and its salts and esters (CAS 943832-60-8); MCPA and its salts and esters, MCPA-thioethyl
- N.14 Auxin transport inhibitors diflufenzopyr, diflufenzopyr-sodium, naptalam and naptalam- sodium;
- Acetylcholine esterase (AChE) inhibitors aldicarb, alanycarb, bendiocarb, benfuracarb, butocarboxim, butoxycarboxim, carbaryl, carbofuran, carbosulfan, ethiofencarb, fenobucarb, formetanate, furathiocarb, isoprocarb, methiocarb, methomyl, metolcarb, oxamyl, pirimicarb, propoxur, thiodicarb, thiofanox, trimethacarb, XMC, xylylcarb and triazamate; acephate, aza- methiphos, azinphos-ethyl, azinphosmethyl, cadusafos, chlorethoxyfos, chlorfenvinphos, chlormephos, chlorpyrifos, chlorpyrifos-methyl, coumaphos, cyanophos,
- GABA-gated chloride channel antagonists endosulfan, chlordane; ethiprole, fipronil, flufiprole, pyrafluprole, pyriprole;
- Sodium channel modulators acrinathrin, allethrin, d-cis-trans allethrin, d-trans allethrin, bifenthrin, bioallethrin, bioallethrin S-cylclopentenyl, bioresmethrin, cycloprothrin, cyfluthrin, be- ta-cyfluthrin, cyhalothrin, lambda-cyhalothrin, gamma-cyhalothrin, cypermethrin, alpha- cypermethrin, beta-cypermethrin, theta-cypermethrin, zeta-cypermethrin, cyphenothrin, del- tamethrin, empenthrin, esfenvalerate, etofenprox, fenpropathrin, fenvaler
- Nicotinic acetylcholine receptor agonists acetamiprid, clothianidin, cycloxaprid, dinotefuran, imidacloprid, nitenpyram, thiacloprid, thiamethoxam; 4,5-dihydro-N-nitro-1 (2 oxiranylmethyl)-1 H-imidazol-2-amine, (2E)-1 -[(6-chloropyridin-3-yl)methyl]-N'-nitro-2- pentylidene-'hydrazinecarboximidamide; 1 -[(6-chloropyridin-3-yl)methyl]-7-methyl-8-nitro-5- propoxy-1 ,2,3,5,6,7-hexahydroimidazo[1 ,2-a]pyridine ; nicotine; sulfoxaflor, flupyradifurone, tritium ezopyrim;
- Nicotinic acetylcholine receptor allosteric activators spinosad, spinetoram;
- Chloride channel activators abamectin, emamectin benzoate, ivermectin, lepimectin, mil- bemectin;
- Juvenile hormone mimics hydroprene, kinoprene, methoprene; fenoxycarb, pyriproxyfen;
- miscellaneous non-specific (multi-site) inhibitors methyl bromide and other alkyl halides; chloropicrin, sulfuryl fluoride, borax, tartar emetic;
- Mite growth inhibitors clofentezine, hexythiazox, diflovidazin; etoxazole;
- 0.1 1 Microbial disruptors of insect midgut membranes Bacillus thuringiensis, Bacillus sphaeri- cus and the insecticdal proteins they produce: Bacillus thuringiensis subsp. israelensis, Bacillus sphaericus, Bacillus thuringiensis subsp. aizawai, Bacillus thuringiensis subsp. kurstaki, Bacillus thuringiensis subsp. tenebrionis, the Bt crop proteins: CrylAb, CrylAc, Cryl Fa, Cry2Ab, mCry3A, Cry3Ab, Cry3Bb, Cry34/35Ab1 ;
- Inhibitors of mitochondrial ATP synthase diafenthiuron; azocyclotin, cyhexatin, fenbutatin oxide, propargite, tetradifon;
- Nicotinic acetylcholine receptor (nAChR) channel blockers bensultap, cartap hydrochloride, thiocyclam, thiosultap sodium;
- Inhibitors of the chitin biosynthesis type 0 bistrifluron, chlorfluazuron, diflubenzuron, flu- cycloxuron, flufenoxuron, hexaflumuron, lufenuron, novaluron, noviflumuron, teflubenzuron, tri- flumuron;
- Moulting disruptors cyromazine; 0.18 Ecdyson receptor agonists: methoxyfenozide, tebufenozide, halofenozide, fufenozide, chromafenozide;
- Octopamin receptor agonists amitraz
- Mitochondrial complex III electron transport inhibitors hydramethylnon, acequinocyl, fluacrypyrim, bifenazate;
- Mitochondrial complex I electron transport inhibitors fenazaquin, fenpyroximate, pyrimidif- en, pyridaben, tebufenpyrad, tolfenpyrad; rotenone;
- Inhibitors of the of acetyl CoA carboxylase spirodiclofen, spiromesifen, spirotetramat, spi- ropidion;
- Mitochondrial complex IV electron transport inhibitors aluminium phosphide, calcium phosphide, phosphine, zinc phosphide, cyanide;
- Mitochondrial complex II electron transport inhibitors cyenopyrafen, cyflumetofen
- insecticidal active compounds of unknown or uncertain mode of action afidopyropen , afoxolaner, azadirachtin, amidoflumet, benzoximate, broflanilide, bromopropylate, chi- no-rnethionat, cryolite, dicloromezotiaz , dicofol, flufenerim, flometoquin, fluensulfone, fluhex- afon, fluopyram, fluralaner , metoxadiazone, piperonyl butoxide, pyflu-'bumide, pyridalyl, tioxa- zafen, 1 1 (4-chloro-2,6 dimethylphenyl)-12-hydroxy-1 ,4-dioxa-9-azadispiro[4.2.4.2]-tetradec-1 1 - en-10 one , 3 (4'-fluoro-2,4-dimethylbiphenyl-3
- component 2 The active substances referred to as component 2, their preparation and their activity e. g. against harmful fungi is known (cf.: http://www.alanwood.net/pesticides/); these substances are commercially available.
- the compounds described by lUPAC nomenclature, their preparation and their pesticidal activity are also known (cf. Can. J. Plant Sci.
- the present invention furthermore relates to agrochemical compositions comprising a mixture of at least one compound of formula I (compound) and at least one further active substance useful for plant protection, e. g. selected from the groups A) to O) (cormponent 2), in particular one further fungicide, e. g. one or more fungicide from the groups A) to K), as described above, and if desired one suitable solvent or solid carrier.
- agrochemical compositions comprising a mixture of at least one compound of formula I (compound) and at least one further active substance useful for plant protection, e. g. selected from the groups A) to O) (cormponent 2), in particular one further fungicide, e. g. one or more fungicide from the groups A) to K), as described above, and if desired one suitable solvent or solid carrier.
- fungicide e. g. one or more fungicide from the groups A) to K
- combating harmful fungi with a mixture of compounds of formula (I) and at least one fungicide from groups A) to K), as described above, is more efficient than combating those fungi with individual compounds of formula (I) or individual fungicides from groups A) to K).
- the order of application is not essential for work- ing of the present invention.
- the time between both applications may vary e. g. between 2 hours to 7 days. Also a broader range is possible ranging from 0.25 hour to 30 days, preferably from 0.5 hour to 14 days, particularly from 1 hour to 7 days or from 1 .5 hours to 5 days, even more preferred from 2 hours to 1 day.
- the pesticide II is applied as last treatment.
- the solid material (dry matter) of the biopesticides (with the exception of oils such as Neem oil) are considered as active components (e. g. to be obtained after drying or evaporation of the extraction or suspension medium in case of liquid formulations of the microbial pesticides).
- the weight ratios and percentages used herein for a biological extract such as Quillay extract are based on the total weight of the dry content (solid material) of the respective extract(s).
- the total weight ratios of compositions comprising at least one microbial pesticide in the form of viable microbial cells including dormant forms can be determined using the amount of CFU of the respective microorganism to calculate the total weight of the respective active component with the following equation that 1 x 1010 CFU equals one gram of total weight of the respective active component.
- Colony forming unit is measure of viable microbial cells, in particular fungal and bacterial cells.
- CFU may also be understood as the number of (juvenile) individual nematodes in case of (entomopathogenic) nematode biopesticides, such as Stei- nernema feltiae.
- the weight ratio of the component 1 ) and the component 2) generally depends from the properties of the active components used, usually it is in the range of from 1 :10,000 to 10,000:1 , often it is in the range of from 1:100 to 100:1, regularly in the range of from 1:50 to 50:1, preferably in the range of from 1:20 to 20:1, more preferably in the range of from 1:10 to 10:1, even more preferably in the range of from 1:4 to 4:1 and in particular in the range of from 1:2 to 2:1.
- the weight ratio of the component 1) and the component 2) usually is in the range of from 1000:1 to 1:1, often in the range of from 100: 1 to 1:1, regularly in the range of from 50:1 to 1:1, preferably in the range of from 20:1 to 1:1, more preferably in the range of from 10:1 to 1:1, even more preferably in the range of from 4:1 to 1:1 and in particular in the range of from 2:1 to 1:1.
- the weight ratio of the component 1) and the component 2) usually is in the range of from 20,000:1 to 1:10, often in the range of from 10,000:1 to 1:1, regularly in the range of from 5,000:1 to 5:1, preferably in the range of from 5,000:1 to 10:1, more preferably in the range of from 2,000:1 to 30:1, even more preferably in the range of from 2,000:1 to 100:1 and in particular in the range of from 1,000:1 to 100:1.
- the weight ratio of the component 1) and the component 2) usually is in the range of from 1:1 to 1:1000, often in the range of from 1:1 to 1:100, regularly in the range of from 1:1 to 1:50, preferably in the range of from 1:1 to 1:20, more preferably in the range of from 1:1 to 1:10, even more preferably in the range of from 1:1 to 1:4 and in particular in the range of from 1:1 to 1:2.
- the weight ratio of the component 1) and the component 2) usually is in the range of from 10:1 to 1 :20,000, often in the range of from 1:1 to 1:10,000, regularly in the range of from 1:5 to 1:5,000, preferably in the range of from 1:10 to 1:5,000, more preferably in the range of from 1:30 to 1:2,000, even more preferably in the range of from 1:100 to 1:2,000 to and in particular in the range of from 1:100 to 1:1,000.
- the weight ratio of component 1) and component 2) depends from the properties of the active substances used, usually it is in the range of from 1:100 to 100:1, regularly in the range of from 1:50 to 50:1, preferably in the range of from 1:20 to 20:1, more preferably in the range of from 1:10 to 10:1 and in particular in the range of from 1:4 to 4:1, and the weight ratio of component 1) and component 3) usually it is in the range of from 1:100 to 100:1, regularly in the range of from 1:50 to 50:1, preferably in the range of from 1:20 to 20:1, more preferably in the range of from 1:10 to 10:1 and in particular in the range of from 1 :4 to 4: 1.
- any further active components are, if desired, added in a ratio of from 20:1 to 1:20 to the component 1).
- the application rates preferably range from about 1 x 106 to 5 x 1016 (or more) CFU/ha, preferably from about 1 x 108 to about 1 x 1013 CFU/ha, and even more preferably from about 1 x 109 to 5 x 1015 CFU/ha and particularly preferred even more preferably from 1 x 1012 to 5 x 1014 CFU/ha.
- (entomopathogenic) nematodes as microbial pesticides (e. g.
- the application rates preferably range inform about 1 x 105 to 1 x 1012 (or more), more preferably from 1 x 108 to 1 x 1011 , even more preferably from 5 x 108 to 1 x 1010 individuals (e. g. in the form of eggs, juvenile or any other live stages, preferably in an infetive juvenile stage) per ha.
- the application rates with respect to plant propagation material preferably range from about 1 x 106 to 1 x 1012 (or more) CFU/seed.
- the concentration is about 1 x 106 to about 1 x 109 CFU/seed.
- the application rates with respect to plant propagation material also preferably range from about 1 x 107 to 1 x 1014 (or more) CFU per 100 kg of seed, preferably from 1 x 109 to about 1 x 1012 CFU per 100 kg of seed.
- mixtures comprising as component 2) at least one active substance selected from inhibitors of complex III at Qo site in group A), more preferably selected from compounds (A.1 .1 ), (A.1 .4), (A.1 .8), (A.1 .9), (A.1.10), (A.1 .12), (A.1.13), (A.1 .14), (A.1 .17), (A.1.21 ), (A.1.25), (A.1.34) and (A.1 .35); particularly selected from (A.1 .1 ), (A.1 .4), (A.1 .8), (A.1.9), (A.1.13), (A.1 .14), (A.1 .17), (A.1.25), (A.1 .34) and (A.1.35).
- mixtures comprising as component 2) at least one active substance selected from inhibitors of complex III at Qi site in group A), more preferably selected from compounds (A.2.1 ), (A.2.3) and (A.2.4); particularly selected from (A.2.3) and (A.2.4).
- mixtures comprising as component 2) at least one active substance selected from inhibitors of complex II in group A), more preferably selected from compounds (A.3.2), (A.3.3), (A.3.4), (A.3.7), (A.3.9), (A.3.1 1 ), (A.3.12), (A.3.15), (A.3.16), (A.3.17), (A.3.18), (A.3.19), (A.3.20), (A.3.21 ), (A.3.22), (A.3.23), (A.3.28), (A.3.31 ), (A.3.32), (A.3.33), (A.3.34), (A.3.35), (A.3.36), (A.3.37), (A.3.38) and (A.3.39); particularly selected from (A.3.2), (A.3.3), (A.3.4), (A.3.7), (A.3.9), (A.3.12), (A.3.15), (A.3.17), (A.3.19), (A.3.22), (A.3.23), (A.
- mixtures comprising as component 2) at least one active substance selected from other respiration nhibitors in group A), more preferably selected from compounds (A.4.5) and (A.4.1 1 ); in particular (A.4.1 1 ).
- mixtures comprising as component 2) at least one active substance selected from C14 demethylase inhibitors in group B), more preferably selected from compounds (B.1 .4), (B.1.5), (B.1 .8), (B.1.10), (B.1 .1 1 ), (B.1 .12), (B.1 .13), (B.1.17), (B.1 .18), (B.1.21 ), (B.1.22), (B.1 .23), (B.1.25), (B.1 .26), (B.1 .29), (B.1.34), (B.1 .37), (B.1 .38), (B.1.43) and (B.1.46); particularly selected from (B.1.5), (B.1 .8), (B.1.10), (B.1 .17), (B.1.22), (B.1 .23), (B.1.25), (B.1 .33), (B.1 .34), (B.1.37),
- mixtures comprising as component 2) at least one active substance selected from Delta14-reductase inhibitors in group B), more preferably selected from com- pounds (B.2.4), (B.2.5), (B.2.6) and (B.2.8); in particular (B.2.4).
- mixtures comprising as component 2) at least one active substance selected from phenylamides and acyl amino acid fungicides in group C), more preferably selected from compounds (C.1 .1 ), (C.1 .2), (C.1 .4) and (C.1 .5); particularly selected from (C.1 .1 ) and (C.1.4).
- mixtures comprising as component 2) at least one active substance selected from group E), more preferably selected from compounds (E.1 .1 ), (E.1 .3), (E.2.2) and (E.2.3); in particular (E.1.3).
- mixtures comprising as component 2) at least one active substance selected from group H), more preferably selected from compounds (H.2.2), (H.2.3), (H.2.5), (H.2.7), (H.2.8), (H.3.2), (H.3.4), (H.3.5), (H.4.9) and (H.4.10); particularly selected from (H.2.2), (H.2.5), (H.3.2), (H.4.9) and (H.4.10).
- mixtures comprising as component 2) at least one active substance selected from group I), more preferably selected from compounds (1.2.2) and (1.2.5).
- mixtures comprising as component 2) at least one active substance selected from group J), more preferably selected from compounds (J.1.2), (J.1.5), (J.1.8), (J.1.1 1 ) and (J.1 .12); in particular (J.1 .5).
- mixtures comprising as component 2) at least one active substance selected from group K), more preferably selected from compounds (K.1 .41 ), (K.1.42), (K.1 .44), (K.1.45), (K.1 .47) and (K.1 .49); particularly selected from (K.1 .41 ), (K.1 .44), (K.1 .45), (K.1.47) and (K.1 .49).
- the biopesticides from group L1 ) and/or L2) may also have insecticidal, acaricidal, molluscidal, pheromone, nematicidal, plant stress reducing, plant growth regulator, plant growth promoting and/or yield enhancing activity.
- the biopesticides from group L3) and/or L4) may also have fungicidal, bactericidal, viricidal, plant defense activator, plant stress reducing, plant growth regula- tor, plant growth promoting and/or yield enhancing activity.
- the biopesticides from group L5) may also have fungicidal, bactericidal, viricidal, plant defense activator, insecticidal, acaricidal, molluscidal, pheromone and/or nematicidal activity.
- plantarum MBI600 isolated from faba bean in Sutton Bonington, Nottinghamshire, U.K. at least before 1988 (also called 1430; NRRL B 50595; US 2012/0149571 A1 ; e. g. Integral® from BASF Corp., USA), B. amyloliquefaciens spp. plantarum QST-713 isolated from peach orchard in 1995 in California, U.S.A. (NRRL B 21661 ; e. g. Serenade® MAX from Bayer Crop Science LP, USA), B. amyloliquefaciens spp. plantarum TJ1000 isolated in 1992 in South Dakoda, U.S.A.
- B. simplex ABU 288 (NRRL B-50304; US 8,445,255), B. subtilis FB17 also called UD 1022 or UD10-22 isolated from red beet roots in North America (ATCC PTA-1 1857; System. Appl. Mi- crobiol. 27, 372-379, 2004; US 2010/0260735; WO 201 1/109395); B. thurin->giensis ssp. aiza- wai ABTS-1857 isolated from soil taken from a lawn in Ephraim, Wisconsin, U.S.A., in 1987 (also called ABG 6346; ATCC SD-1372; e. g.
- tenebrionis NB-176-1 a mutant of strain NB-125, a wild type strain isolated in 1982 from a dead pupa of the beetle Tenebrio molitor (DSM 5480; EP 585 215 B1 ; e. g. Novodor® from Valent Biosciences, Switzerland), Beauveria bassiana GHA (ATCC 74250; e. g. BotaniGard® 22WGP from Laverlam Int. Corp., USA), B. bassiana JW-1 (ATCC 74040; e. g. Naturalis® from CBC (Europe) S.r.l., Italy), B.
- DSM 5480 Tenebrio molitor
- EP 585 215 B1 e. g. Novodor® from Valent Biosciences, Switzerland
- Beauveria bassiana GHA ATCC 74250; e. g. BotaniGard® 22WGP from Laverlam Int. Corp., USA
- bassiana PPRI 5339 isolated from the larva of the tortoise beetle Con- chyloctenia punctata (NRRL 50757; e. g. Broad Band® from BASF Agricultural Specialities (Pty) Ltd., South Africa), Brady-rhizobium elkanii strains SEMIA 5019 (also called 29W) isolated in Rio de Janeiro, Brazil and SEMIA 587 isolated in 1967 in the State of Rio Grande do Sul, from an area previously inoculated with a North American isolate, and used in commercial inoculants since 1968 (Appl. Environ. Microbiol. 73(8), 2635, 2007; e. g. GELFIX 5 from BASF Agricultural Specialties Ltd., Brazil), B.
- japonicum 532c isolated from Wisconsin field in U.S.A. (Nitragin 61A152; Can. J. Plant. Sci. 70, 661 -666, 1990; e. g. in Rhizoflo®, Histick®, Hicoat® Super from BASF Agricultural Specialties Ltd., Canada), B. japonicum E-109 variant of strain USDA 138 (INTA E109, SEMIA 5085; Eur. J. Soil Biol. 45, 28-35, 2009; Biol. Fertil. Soils 47, 81-89, 201 1 ); B. japonicum strains deposited at SEMIA known from Appl. Environ. Microbiol.
- SEMIA 5079 isolated from soil in Cerrados region, Brazil by Embrapa-Cerrados used in commercial inoculants since 1992 (CPAC 15; e. g. GELFIX 5 or ADHERE 60 from BASF Agri- cultural Specialties Ltd., Brazil), B. japonicum SEMIA 5080 obtained under lab condtions by Embrapa-Cerrados in Brazil and used in commercial inoculants since 1992, being a natural variant of SEMIA 586 (CB1809) originally isolated in U.S.A. (CPAC 7; e. g. GELFIX 5 or ADHERE 60 from BASF Agricultural Specialties Ltd., Brazil); Burkholderia sp.
- CPAC 15 e. g. GELFIX 5 or ADHERE 60 from BASF Agri- cultural Specialties Ltd., Brazil
- B. japonicum SEMIA 5080 obtained under lab condtions by Embrapa-Cerrados in Brazil and used in commercial inoculants since 1992, being
- 107, 1 12-126, 201 1 ; e. g. Helicovex® from Adermatt Biocontrol, Switzerland; Diplomata® from Koppert, Brazil; Vivus® Max from AgBiTech Pty Ltd., Queensland, Australia), Helicoverpa zea single capsid nucleopolyhedrovirus (HzSNPV) (e. g. Gemstar® from Certis LLC, USA), Helicoverpa zea nucleopolyhedrovirus ABA-NPV-U (e. g. Heligen® from AgBiTech Pty Ltd., Queensland, Australia), Heterorhabditis bacteriophora (e. g.
- Met52® Novozymes Biologicals BioAg Group, Canada Metschnikowia fructicola 277 isolated from grapes in the central part of Israel (US 6,994,849; NRRL Y-30752; e. g. formerly Shem- er® from Agrogreen, Israel), Paecilomyces ilacinus 251 isolated from infected nematode eggs in the Philippines (AGAL 89/030550; W01991/02051 ; Crop Protection 27, 352-361 , 2008; e. g.
- the at least one pesticide II is selected from the groups L1 ) to L5):
- L1 Microbial pesticides with fungicidal, bactericidal, viricidal and/or plant defense activator activity: Aureobasidium pullulans DSM 14940 and DSM 14941 (L1.1 ), Bacillus amylolique- faciens AP-188 (L.1 .2), B. amyloliquefaciens ssp. plantarum D747 (L.1 .3), B. amylo-'lique- faciens ssp. plantarum FZB24 (L.1.4), B. amyloliquefaciens ssp. plantarum FZB42 (L.1 .5), B. amyloliquefaciens ssp.
- subtilis FB17 (L.1.15), Coniothyrium mini- tans CON/M/91 -08 (L.1 .16), Metschnikowia fructicola NRRL Y 30752 (L.1 .17), Paenibacillus alvei NAS6G6 (L.1.18), P. epiphyticus Lu17015 (L.1 .25), P. polymyxa ssp. plantarum Lu16774 (L.1.26), P. p. ssp. plantarum strain Lu17007 (L.1 .27), Penicillium bilaiae ATCC 22348 (L.1 .19), P.
- Microbial pesticides with insecticidal, acaricidal, molluscidal and/or nematicidal activity Bacillus firmus I 1582 (L.3.1 ); B. thuringiensis ssp. aizawai ABTS-1857 (L.3.2), B. t. ssp. kurstaki ABTS-351 (L.3.3), B. t. ssp. kurstaki SB4 (L.3.4), B. t. ssp. tenebrionis NB-176-1 (L.3.5), Beauveria bassiana GHA (L.3.6), B. bassiana JW-1 (L.3.7), B.
- bassiana PPRI 5339 (L.3.8), Burkholderia sp. A396 (L.3.9), Helicoverpa armigera nucleopolyhedrovirus (HearNPV) (L.3.10), Helicoverpa zea nucleopolyhedrovirus (HzNPV) ABA-NPV-U (L.3.1 1 ), Helicoverpa zea single capsid nucleopolyhedrovirus (HzSNPV) (L.3.12), Heterohabditis bacteriophora (L.3.13), Isaria fumosorosea Apopka-97 (L.3.14), Metarhizium anisopliae var.
- anisopliae F52 (L.3.15), Paecilomyces lilacinus 251 (L.3.16), Pasteuria nishizawae Pn1 (L.3.17), Steinernema car- pocapsae (L.3.18), S. feltiae (L.3.19);
- Microbial pesticides with plant stress reducing, plant growth regulator, plant growth promoting and/or yield enhancing activity Azospirillum brasilense Ab-V5 and Ab-V6 (L.5.1 ), A. bra- silense Sp245 (L.5.2), Bradyrhizobium elkanii SEMIA 587 (L.5.3), B. elkanii SEMIA 5019 (L.5.4), B. japonicum 532c (L.5.5), B. japonicum E-109 (L.5.6), B. japonicum SEMIA 5079 (L.5.7), B. japonicum SEMIA 5080 (L.5.8).
- the present invention furthermore relates to agrochemical compositions comprising a mixture of compound of formula (I) (component 1 ) and at least one biopesticide selected from the group L) (component 2), in particular at least one biopesticide selected from the groups L1 ) and L2), as described above, and if desired at least one suitable auxiliary.
- the present invention furthermore relates to agrochemical compositions comprising a mixture of compound of formula (I) (component 1 ) and at least one biopesticide selected from the group L) (component 2), in particular at least one biopesticide selected from the groups L3) and L4), as described above, and if desired at least one suitable auxiliary.
- mixtures comprising as pesticide II (component 2) a biopesticide selected from the groups L1 ), L3) and L5), preferably selected from strains denoted above as (L.1.2), (L.1 .3), (L.1 .4), (L.1.5), (L.1.6), (L.1 .7), (L.1.8), (L.1.10), (L.1 .1 1 ), (L.1.12), (L.1 .13), (L.1 .14), (L.1 .15), (L.1.17), (L.1 .18), (L.1.19), (L.1 .20), (L.1.21 ), (L.1 .25), (L.1.26), (L.1 .27), (L.3.1 ); (L.3.9), (L.3.16), (L.3.17), (L.5.1 ), (L.5.2), (L.5.3), (L.5.4), (L.5.5), (L.5.6), (L.5.7),
- mixtures comprising as pesticide II (component 2) a biopesticide selected from the groups L1 ), L3) and L5), preferably selected from strains denoted above as (L1.1 ), (L.1.2), (L.1 .3), (L.1 .6), (L.1 .7), (L.1.9), (L.1.1 1 ), (L.1 .12), (L.1.13), (L.1 .14), (L.1 .15), (L.1.17), (L.1.18), (L.1 .22), (L.1.23), (L.1 .24), (L.1.25), (L.1 .26), (L.1.27), (L.2.2); (L.3.2), (L.3.3), (L.3.4), (L.3.5), (L.3.6), (L.3.7), (L.3.8), (L.3.10), (L.3.1 1 ), (L.3.12), (L.3.13), (L.3.14), (L.3.15)
- the mixtures of active substances can be prepared as compositions comprising besides the active ingredients at least one inert ingredient (auxiliary) by usual means, e. g. by the means given for the compositions of compounds of formula (I). Concerning usual ingredients of such compositions reference is made to the explanations given for the compositions containing com- pounds of formula (I).
- the microbial pesticides selected from groups L1 ), L3) and L5) embrace not only the isolated, pure cultures of the respective microorganism as defined herein, but also its cell-free extract, its suspensions in a whole broth culture or as a metabolite- containing culture medium or a purified metabolite obtained from a whole broth culture of the microorganism.
- compositions When living microorganisms, such as pesticides II from groups L1 ), L3) and L5), form part of the compositions, such compositions can be prepared as compositions comprising besides the active ingredients at least one auxiliary by usual means (e. g. H.D. Burges: Formulation of Micobi- al Biopesticides, Springer, 1998).
- Suitable customary types of such compositions are suspen- sions, dusts, powders, pastes, granules, pressings, capsules, and mixtures thereof.
- composition types are suspensions, capsules, pastes, pastilles, wettable powders or dusts, pressings, granules, insecticidal articles, as well as gel formulations.
- each formulation type or choice of auxiliary should not influence the viability of the microorganism during storage of the composition and when finally applied to the soil, plant or plant propagation material.
- Suitable formulations are e. g. mentioned in WO 2008/002371 , US 6955,912, US 5,422,107.
- Compounds can be characterized e.g. by Liquid Chromatography Mass spectroscopy (LCMS), and/or by their melting points.
- LCMS Liquid Chromatography Mass spectroscopy
- Method C Mobile Phase: A: Wasser + 0,1 % T FA; B: Acetonitril Gradient: 5% B auf 100% B in 1 ,5min FluB: 0,8ml/min auf 1 ,0ml/min in 1 ,5min Temperatur: 60°C Saule: Kinetex XB C18 1 ,7 ⁇ 50 x 2,1 mm MS-Methode: ESI-positiv; Massen Suite (m/z): 100-700 Gerat: Shimadzu Nexera LC-30 LCMS-2020.
- Method D Column: YMC -PACK ODS-A , 50mm * 3.0 mm ID,3um 12nm
- Step 1 5-fluoro-3-iodo-1 H-pyrrolo[2,3-b]pyridine
- Step 2 5-fluoro-3-iodo-1 -(p-tolylsulfonyl)pyrrolo[2,3-b]pyridine
- Step 3 5-fluoro-1 -(p-tolylsulfonyl)-3-[2-(trifluoromethyl)phenyl]pyrrolo[2,3-b]pyridine
- Dioxane water (60:200 ml) mixture was added to a round bottom flask containing compound 3 (5 g). Added the boronic acid (3.1 g) and K2CO3 (4.89 g) to the flask. Allowed it to degas for 15 min. Then added the Palladium catalyst (438 mg) to the reaction mixture. Allowed it to degas again for 5 min. Refluxed the reaction mixture at 1 10°C for 2 hrs. Reaction progress was monitored by TLC and LCMS. Once complete, the reaction mixture was filtered through celite. Washed thoroughly with ethyl acetate (EA). Extracted the crude compound with EA from aqueous phase.
- EA ethyl acetate
- Dioxane water (10:2.5 ml) mixture was added to a round bottom flask containing compound 3 (1 g). Added the boronic acid (504 mg) and K2CO3 (995 mg) to the flask. Allowed it to degas for 15 minutes. Then added the Palladium catalyst (88 mg) to the reaction mixture. Allowed it to degas again for 5 minutes. Refluxed the reaction mixture at 1 10°C for 2 h. Reaction progress was monitored by TLC and LCMS. Once complete, the reaction mixture was filtered through celite. Washed thoroughly with ethyl acetate (EA). Extracted the crude compound with EA from aqueous phase.
- EA ethyl acetate
- Step 4 3-[2-(difluoromethyl)phenyl]-5-fluoro-1 -(p-tolylsulfonyl)pyrrolo[2,3-b]pyridine
- reaction can also be carried out in dimethyformamide (DMF).
- DMF dimethyformamide
- Step 3 1 -(p-tolylsulfonyl)-3-[2-(trifluoromethyl)phenyl]pyrrolo[2,3-b]pyridine-5-carbonitrile
- Step 1 3-iodo-1 H-indole-5-carbonitrile
- Dioxane water (2.4:0.6 ml) mixture was added to a round bottom flask containing compound 15 (250 mg). Added the boronic acid (248 mg) and K 2 C0 3 (386 mg) to the flask. Allowed it to degas for 15 min. Then added the Palladium catalyst (37 mg) to the reaction mixture. Allowed it to degas again for 5 min. Refluxed the reaction mixture at 1 10°C for 2 hrs. Reaction progress was monitored by TLC and LCMS. Once complete, the reaction mixture was filtered through celite. Washed thoroughly with ethyl acetate (EA). Extracted the crude compound with EA from aqueous phase.
- EA ethyl acetate
- Step 1 tert-butyl N-thiazol-4-ylcarbamate
- Step 3 tert-butyl N-[5- -2-ethoxyvinyl]thiazol-4-yl]carbamate
- Step 5 (1 ,1 -diisopropyl-2-meth l-propyl)-pyrrolo[2,3-d]thiazol-4-yloxy-silane
- Step 6 (1 ,1 -diisopropyl-2-methyl-propyl)-(6-iodopyrrolo[2,3-d]thiazol-4-yloxy-silane
- Step 8 (1 ,1 -diisopropyl-2-methyl-propyl)-[6-[2-(trifluoromethyl)phenyl]pyrrolo[2,3-d]thiazol-4- yl]oxy-silane
- Step 9 [2-chloro-6-[2-(trifluoromethyl)phenyl]pyrrolo[2,3-d]thiazol-4-yl]oxy-(1 ,1 -diisopropyl-2- methyl-propyl)silane
- Step 1 2-methoxy- -[2-(trifluoromethyl)phenyl]-4H-pyrrolo[2,3-d]thiazole
- Step 1 tert-butyl N-(4-iodothiadiazol-5-yl)carbamate
- Step 2 tert-butyl N-[4-[(E)-2-ethoxyvinyl]thiadiazol-5-yl]carbamate
- Step 6 tert-butyl 6-[2-(trifluoromethyl)phenyl]pyrrolo[3,2-d]thiadiazole-4-carboxylate
- Step 1 ethyl (Z)-2-azido-3-(3-thienyl)prop-2-enoate
- Step 4 ethyl 2-bromo-4-iodo-6H-thieno[2,3-b]pyrrole-5-carboxylate
- Step 6 O-6-tert-butyl O-5-ethyl 2-bromo-4-iodo-thieno[2,3-b]pyrrole-5,6-dicarboxylate
- Step 8 bromo-4-[2-(trifluoromethyl)phenyl]-6H-thieno[2,3-b]pyrrole
- Step 6 2-chloro-N, -dimethyl-7-[2-(trifluoromethyl)phenyl]pyrrolo[2,3-b]pyrazine-5-sulfonamide
- Step 7 N,N-dimethyl-7-[2-(trifluoromethyl)phenyl]-2-trimethylstannyl-pyrrolo[2,3-b]pyrazine-5- sulfonamide
- the spray solutions were prepared in several steps:
- the stock solution was prepared: a mixture of acetone and/or dimethylsulfoxide and the wetting agent/emulsifier Wettol, which is based on ethoxylated alkylphenoles, in a relation (volume) sol- vent-emulsifier of 99 to 1 was added to 25 mg of the compound to give a total of 5 ml.
- This stock solution was diluted with the described solvent-emulsifier-water mixture to the given concentration.
- Young seedlings of green pepper were grown in pots to the 4 to 5 leaf stage. These plants were sprayed to run-off with an aqueous suspension, containing the concentration of active ingredient or their mixture mentioned in the table below. Three days later the plants were inoculated with an aqueous biomalt solution containing the spore suspension of Botrytis cinerea. Then the plants were immediately transferred to a humid chamber. After 5 days at 22 to 24 ⁇ C and a relative humidity close to 100 % the extent of fungal attack on the leaves was visually assessed as % diseased leaf area.
- Pot-grown pearl millet seedlings were sprayed to run-off with an aqueous suspension, containing the concentration of active ingredient or their mixture as described below.
- the plants could air-dry.
- the plants were inoculated with a spore suspension of Fusarium culmorum in an aqueous biomalt solution.
- the trial plants were immediately transferred to a humid chamber. After 6 days at 23-25°C and a relative humidity close to 100 % the extent of fungal attack on the leaves was visually assessed as % diseased leaf area.
- Pot-grown pearl millet seedlings were sprayed to run-off with an aqueous suspension, containing the concentration of active ingredient or their mixture as described below.
- the plants could air-dry.
- Leaves of pot-grown soy bean seedlings were inoculated with spores of Phakopsora pachyrhizi. To ensure the success of the artificial inoculation, the plants were transferred to a humid chamber with a relative humidity of about 95 % and 20 to 24 ⁇ C for 24 h. The next day the plants were sprayed to run-off with an aqueous suspension, containing the concentration of active ingredient or their mixture as described below. The plants could air-dry. Then the trial plants were cultivated for 14 days in a greenhouse chamber at 23-27°C and a relative humidity between 60 and 80 %. The extent of fungal attack on the leaves was visually assessed as % diseased leaf area.
- Leaves of pot-grown soy bean seedlings were sprayed to run-off with an aqueous suspension, containing the concentration of active ingredient as described below.
- the plants could air-dry.
- the trial plants were cultivated for 2 days in a greenhouse chamber at 23-27°C and a relative humidity between 60 and 80 %. Then the plants were inoculated with spores of Phakopsora pachyrhizi. To ensure the success the artificial inoculation, the plants were transferred to a humid chamber with a relative humidity of about 95 % and 23 to 27 ⁇ C for 24 h.
- the trial plants were cultivated for fourteen days in a greenhouse chamber at 23-27°C and a relative humidity between 60 and 80 %. The extent of fungal attack on the leaves was visually assessed as % diseased leaf area.
- Rye and millet grains were infected with Sclerotinia sclerotiorum. After the infection, the grains were air dried for a week. The grains were powdered with a mixer.
- trial plants were cultivated for 7 days in a greenhouse chamber at 23°C and a relative humidity between 80 and 85%.
- Young seedlings of soy beans were grown in pots. These plants were sprayed to run-off with an aqueous suspension, containing the concentration of active ingredient or mixture mentioned in the table below. The next day the treated plants were inoculated with a biomalt suspension, containing the mycel of Sclerotinia sclerotiorum. Then the trial plants were cultivated for 6 days in a greenhouse chamber at 23°C and a relative humidity between 80 and 85%. The extent of fungal attack on the leaves was visually assessed as % diseased leaf area.
- the first fully developed leaves of pot grown barley plants were sprayed to run-off with an aqueous suspension, containing the concentration of active ingredient or their mixture mentioned in the table below. Seven days later the treated plants were inoculated with an aqueous spore suspension of Pyrenophora (syn. Drechslera) teres. After 6 days of cultivation at 20-24°C and a relative humidity close to 70 %, the extent of fungal attack on the leaves was visually assessed as % leaf area.
- Young seedlings of apple plants were sprayed to run-off with an aqueous suspension, containing the concentration of active ingredient or their mixture mentioned in the table below. The next day the plants were inoculated with an aqueous solution containing the spore suspension of Venturia inaequalis. Then the plants were immediately transferred to a humid chamber. After 1 day at 22 to 24 ⁇ C and a relative humidity close to 100 % the plants were transferred to a chamber with 22- 24°C and a relative humidity of 70%. After 12 days, the extent of fungal attack on the leaves was visually assessed as % diseased leaf area.
- Young seedlings of tomato plants were grown in pots. These plants were sprayed to run-off with an aqueous suspension, containing the concentration of active ingredient or their mixture mentioned in the table below. The next day, the treated plants were inoculated with an aqueous suspension of sporangia of Phytophthora infestans. After inoculation, the trial plants were immediately transferred to a humid chamber. After 6 days at 18 to 20°C and a relative humidity close to 100 % the extent of fungal attack on the leaves was visually assessed as % diseased leaf area.
- the active compounds were formulated separately as a stock solution having a concentration of 10000 ppm in dimethyl sulfoxide.
- the stock solutions were mixed according to the ratio, pipetted onto a micro titer plate (MTP) and diluted with water to the stated concentrations.
- MTP micro titer plate
- a spore suspension of Botrci cinerea in an aqueous biomalt or yeast-bactopeptone-sodiumacetate solution was then added.
- the plates were placed in a water vapor-saturated chamber at a temperature of 18°C. Using an absorption photometer, the MTPs were measured at 405 nm 7 days after the inoculation. 2.
- the stock solutions were mixed according to the ratio, pipetted onto a micro titer plate (MTP) and diluted with water to the stated concentrations.
- MTP micro titer plate
- a spore suspension of Septoria an aqueous biomalt or yeast-bactopeptone-glycerine solution was then added.
- the plates were placed in a water vapor-saturated chamber at a temperature of 18°C. Using an absorption pho- tometer, the MTPs were measured at 405 nm 7 days after the inoculation.
- the stock solutions were mixed according to the ratio, pipetted onto a micro titer plate (MTP) and diluted with water to the stated concentrations.
- MTP micro titer plate
- a spore suspension of Pyricularia oryzae in an aqueous biomalt or yeast-bactopeptone-glycerine solution was then added.
- the plates were placed in a water vapor-saturated chamber at a temperature of 18°C. Using an absorption photometer, the MTPs were measured at 405 nm 7 days after the inoculation.
- the stock solutions were mixed according to the ratio, pipetted onto a micro titer plate (MTP) and diluted with water to the stated concentrations.
- MTP micro titer plate
- a spore suspension of Phytophtora infestans containing a pea juice-based aqueous nutrient medium or DDC medium was then added.
- the plates were placed in a water vapor-saturated chamber at a temperature of 18°C. Using an absorption photometer, the MTPs were measured at 405 nm 7 days after the inoculation.
- the stock solutions were mixed according to the ratio, pipetted onto a micro titer plate (MTP) and diluted with water to the stated concentrations.
- MTP micro titer plate
- a spore suspension of Fusarium culmorum in an aqueous biomalt or yeast-bactopeptone-sodiumacetate solution was then added.
- the plates were placed in a water vapor-saturated chamber at a temperature of 18°C. Using an absorption photometer, the MTPs were measured at 405 nm 7 days after the inoculation.
Landscapes
- Chemical & Material Sciences (AREA)
- Organic Chemistry (AREA)
- Agricultural Chemicals And Associated Chemicals (AREA)
- Plural Heterocyclic Compounds (AREA)
Abstract
The present invention relates to heteroaryl compounds of formula (Ia) or a compound in the form of a stereoisomer, an agriculturally acceptable salt, a tautomer,an isotopic form, a N-oxide or a S-oxide thereof. The present invention further relates to the use of a compound of formula (I) or an agriculturally acceptable salt, a stereoisomer, a tautomer, an isotopic form, a derivative or mixture thereof, as fungicide.
Description
INDOLE AND AZAINDOLE COMPOUNDS WITH SUBSTITUTED 6-MEMBERED ARYL AND HETEROARYL RINGS AS AG ROC HEM I CAL FUNGICIDES
FIELD OF THE INVENTION
The present invention relates to heteroaryl compounds of formula (la) or a compound in the form of a stereoisomer, an agriculturally acceptable salt, a tautomer, an isotopic form, a N-oxide or a S-oxide thereof. The present invention further relates to the use of a compound of formula (I) or an agriculturally acceptable salt, a stereoisomer, a tautomer, an isotopic form, a derivative or mixture thereof, as fungicide.
BACKGROUND OF THE INVENTION
Fungal phytopathogens infect many crops worldwide and therefore pose a serious threat to agriculture. The control of plant diseases and crop damage caused by fungal plant pathogens is extremely pertinent to achieve high crop yield and efficiency.
EP 0,697,172 A1 relates to a method for the control of insect or acarid pests by contacting said pests with a pesticidally effective amount of an indole compound.
US 201 1207732 A1 discloses azaindole derivatives which are useful as medicaments.
There is a continuous need for developing new fungicidal compounds which are effective in terms of activity spectrum, selectivity, sites of action, application rate, environmental safety and to retard or combat resistance development. In many cases, in particular at low application rates, the fungicidal activity of known fungicidal compounds is unsatisfactory
The inventors surprisingly found that the novel heteroaryl compounds of formula (I) have im- proved antifungal activity. The compounds are particularly effective as agrochemical fungicides and effective against a broad spectrum of phytopathogenic fungi.
DETAILED DESCRIPTION OF THE INVENTION
Accordingly, the present invention relates to the use of compound of formula (I)
Formula (I) wherein
A, together with the two carbon atoms of the pyrrole ring, is selected from the group consisting of a C5-C6-aryl, C5-C6- heterocycloalkenyl and C5-C6-heteroaryl; wherein, heterocycloalkenyl
and heteroaryl contain besides carbon atoms as ring members, 1 , 2, 3 or 4 atoms independently selected from O, N or S as ring members; whereby A is unsubstituted or further substituted by 1 , 2, 3 or 4 identical or different groups R12a which are independently selected from the group consisting of F, CI, Br, I, OH, SH, CN, N02, NR4R5, oxo, -0-C1-C6-alkyl, -0-C2-C10-alkenyl, -O- C2-C10-alkynyl, C1-C6-alkyl, C2-C6-alkenyl, C2-C10-alkynyl, C=0(OH), C=0(NR7R8), C=0(H), O(CH2)n-SiR9R10R11, OC=0(C1-C6-alkyl), C=0(0)(C1-C6-alkyl), C=(NOR13), OC=0(C3-C8- cycloalkyl), C=0(0)(C3-C8-cycloalkyl), OC=0(C2-C6-alkenyl), C=0(0)(C2-C6-alkenyl), OC=0(C5- Ce-aryl, C=0(0)C5-C6-aryl, C3-C8-cycloalkyl, 0-C3-C8-cycloalkyl, C=0(C1-C6-alkyl), C=0(C5-C6- aryl), C5-C6-aryl, 0-C5-C6-aryl, C5-C6-heteroaryl; S-(C5-C6-aryl), S(02)(C5-C6-aryl), S-(C1-C6- alkyl) and S(02)(C1-C6-alkyl); wherein R12a is unsubstituted or further substituted by 1 , 2 or 3 identical or different groups which are independently selected from the group consisting of F, CI, Br, I, OH, SH, CN, N02, NR4R5, -0-C1-C6-alkyl, -0-C2-C10-alkeny, -0-C2-C10-alkynyl, C1-C6-alkyl, C2-C6-alkenyl and C2-C6-alkynyl;
R1 is selected from the group consisting of H, F, CI, Br, I, CN, NR4R5, -0-C1-C6-alkyl, -0-C2-C10- alkenyl, -0-C2-C10-alkynyl, C1-C6-alkyl, C2-C6-alkenyl, C2-C6-alkynyl, C=0(NR7R8), C=0(H), OC=0(C1-C6-alkyl), C=0(0)(C1-C6-alkyl), OC=0(C3-C8-cycloalkyl), C=0(0)(C3-C8-cycloalkyl), OC=0(C2-C6-alkenyl), C=0(0)(C2-C6-alkenyl), OC=0(C5-C6-aryl), C=0(0)C5-C6-aryl, C3-C8- cycloalkyl, 0-C3-C8-cycloalkyl, C=0(C1-C6-alkyl), C=0(C5-C6-aryl), C5-C6-aryl, 0-C5-C6-aryl, Cs- Ce-heteroaryl; S-(C5-C6-aryl), S(02)(C5-C6-aryl), S-(C1-C6-alkyl) and S(02)(C1-C6-alkyl); whereby R1 is unsubstituted or further substituted by 1 , 2 or 3 identical or different groups R12b which are independently selected from the group consisting of F, CI, Br, I, OH, SH, CN, N02, NR4R5, -O- C1-C6-alkyl, -0-C2-C10-alkenyl, -0-C2-C10-alkynyl, C1-C6-alkyl, C2-C6-alkenyl, C2-C6-alkynyl, C=0(NR7R8), OC=0(C1-C6-alkyl), C=0(C1-C6-alkyl) and C=0(0)( C1-C6-alkyl);
X1 , X2 and X3, identical or different, are selected from the group consisting of CR3 and N, whereby R3 is selected from the group consisting of H, F, CI, Br and I;
X4 is CR2 or N, wherein R2 is selected from the group consisting of H, F, CI, Br and I or R2 together with R1 forms a Cs-Ce-aryl, Cs-Ce-heterocycloalkenyl, heterocycloalkyl or Cs-Ce- heteroaryl; wherein heterocycloalkenyl, heterocycloalkyl or heteroaryl contain besides carbon atoms as ring members, 1 , 2 or 3 heteroatoms independently selected from O, N or S as ring members; wherein Cs-Ce-aryl, Cs-Ce-heterocycloalkenyl or Cs-Ce-heteroaryl are unsubstituted or further substituted by 1 , 2 or 3 identical or different groups which are independently selected from the group consisting of F, CI, Br, I, OH, SH, CN, N02, oxo, and NR4R5;
G1 is selected from the group consisting of H, C=0(C1-C10-alkyl), C=0(Cs-Ce-aryl), C=0(C3-C8- cycloalkyl), C=O(O)-C1-C10-alkyl, C=0(0)-C3-C8-cycloalkyl and C=0(0)-(CH2)nC5-C6-aryl;
whereby G1 is unsubstituted or further substituted by 1 , 2 or 3 identical or different groups R12c which are independently selected from the group consisting of F, CI, Br, I, OH, SH, CN, N02, NR4R5, -O-C1-C6-alkyl, -0-C2-C10-alkenyl, -0-C2-C10-alkynyl, C1-C6-alkyl, C2-C6-alkenyl and C2- di-alkynyl;
G2 is selected from the group consisting of H, F, CI, Br, I, CN, N02, NR4R5, O-C1-C6-alkyl, O-C2- C10-alkenyl, 0-C2-C10-alkynyl, C1-C6-alkyl, C2-C6-alkenyl, C2-C6-alkynyl, C=0(NR7R8), OC=0(C1- Ce-alkyl), C=0(0)(C1-C6-alkyl), OC=0(C3-C8-cycloalkyl), C=0(0)(C3-C8-cycloalkyl), OC=0(C2- Ce-alkenyl), C=0(0)(C2-C6-alkenyl), OC=0(C5-C6-aryl, C=0(0)C5-C6-aryl, C3-C8-cycloalkyl, O- C3-C8-cycloalkyl, C=0(C1-C6-alkyl), C=0(C5-C6-aryl); whereby G2 is unsubstituted or further substituted by 1 , 2 or 3 identical or different groups R12d which are independently selected from the group consisting of F, CI, Br, I, CN, NR4R5, -0-C1-C6-alkyl, -0-C2-C10-alkenyl, -0-C2-C10- alkynyl, C1-C6-alkyl, C2-C6-alkenyl and C2-C6-alkynyl; R4, R5, R7, R8, R9, R10 and R11, identical or different, are selected from the group consisting of H, OH, SH, C1-C6-alkyl, C2-C6-alkenyl, C2-C6-alkynyl, C5-C6-aryl and C3-C8-cycloalkyl; R13 is H, C1- C6-alkyl, C2-C6-alkenyl or C2-C6-alkynyl; and n is 0, 1 , 2, 3 or 4;
or an agriculturally acceptable salt, a stereoisomer, a tautomer, an isotopic form, a derivative or mixture thereof, as fungicide.
In one aspect, the present invention relates to the method of protecting a crop of useful plants susceptible to and/or under attack by fungi, which method comprises applying to said crop, treating a plant propagation material of said crop with, and/or applying to said fungi, the composition comprising at least one compound of formula (I).
In particular, the present invention relates to the use of compound of formula (I) as fungicide, which comprises treating the fungi, the plant, or the plant propagation material selected from the group consisting of seeds, roots, fruits, tubers, bulbs, rhizomes, shoots, sprouts and other parts of plants, including seedlings and young plants to be protected against fungi attack, the stored materials or harvest, or alternately, the locus or soil or soil substituents or surfaces therefrom, with an effective amount of at least one compound of formula (I).
Although the present invention will be described with respect to particular embodiments, this description is not to be construed in a limiting sense.
Before describing in detail exemplary embodiments of the present invention, definitions important for understanding the present invention are given. As used in this specification and in the appended claims, the singular forms of "a" and "an" also include the respective plurals unless the context clearly dictates otherwise. In the context of the present invention, the terms "about" and "approximately" denote an interval of accuracy that a person skilled in the art will understand to still ensure the technical effect of the feature in question. The term typically indicates a deviation from the indicated numerical value of ±20 %, preferably ±15 %, more preferably ±10 %, and even more preferably ±5 %. It is to be understood that the term "comprising" is not limiting. For the purposes of the present invention the term "consisting of" is considered to be a preferred embodiment of the term "comprising of".
If hereinafter a group is defined to comprise at least a certain number of embodiments, this is meant to also encompass a group which preferably consists of these embodiments only. Furthermore, the terms "first", "second", "third" or "(a)", "(b)", "(c)", "(d)" etc. and the like in the description and in the claims, are used for distinguishing between similar elements and not neces-
sarily for describing a sequential or chronological order. It is to be understood that the terms so used are interchangeable under appropriate circumstances and that the embodiments of the invention described herein are capable of operation in other sequences than described or illustrated herein. In case the terms "first", "second", "third" or "(a)", "(b)", "(c)", "(d)", "i", "ii" etc. re- late to steps of a method or use or assay there is no time or time interval coherence between the steps, that is, the steps may be carried out simultaneously or there may be time intervals of seconds, minutes, hours, days, weeks, months or even years between such steps, unless otherwise indicated in the application as set forth herein above or below. It is to be understood that this invention is not limited to the particular methodology, protocols, reagents etc. described herein as these may vary. It is also to be understood that the terminology used herein is for the purpose of describing particular embodiments only, and is not intended to limit the scope of the present invention that will be limited only by the appended claims. Unless defined otherwise, all technical and scientific terms used herein have the same meanings as commonly understood by one of ordinary skill in the art.
Unless otherwise indicated, the following definitions are set forth to illustrate and define the meaning and scope of the various terms used to describe the invention herein and the appended claims. These definitions should not be interpreted in the literal sense as they are not intended to be general definitions and are relevant only for this application.
The term "independently" when used in the context of selection of substituents for a variable, it means that where more than one substituent is selected from a number of possible substituents, those substituents may be the same or different.
The organic moieties or groups mentioned in the above definitions of the variables are collective terms for individual listings of the individual group members. The term "Cv-Cw" indicates the number of carbon atom possible in each case.
The term "C1-C6-alkyl" refers to a straight-chained or branched saturated hydrocarbon group having 1 to 6 carbon atoms, for example, methyl, ethyl, propyl, 1 -methylethyl, butyl, 1 - methylpropyl, 2-methylpropyl, 1 ,1 -dimethylethyl, pentyl, 1 -methylbutyl, 2-methylbutyl, 3- methylbutyl, 2,2-dimethylpropyl, 1 -ethylpropyl, 1 ,1 -dimethylpropyl, 1 ,2-dimethylpropyl, hexyl, 1 - methylpentyl, 2-methylpentyl, 3-methylpentyl, 4-methylpentyl, 1 ,1 -dimethylbutyl, 1 ,2- dimethylbutyl, 1 ,3-dimethylbutyl, 2,2-dimethylbutyl, 2,3-dimethylbutyl, 3,3-dimethylbutyl, 1 - ethylbutyl, 2-ethylbutyl, 1 ,1 ,2-trimethylpropyl, 1 ,2,2-trimethylpropyl, 1 -ethyl-1 -methylpropyl and 1 -ethyl-2-methylpropyl.
The term "C2-C6-alkenyl" refers to a straight-chain or branched unsaturated hydrocarbon radical having 2 to 6 carbon atoms and a double bond in any position. Examples are "C2-C4-alkenyl" groups, such as ethenyl, 1 -propenyl, 2-propenyl, 1 -methylethenyl, 1 -butenyl, 2-butenyl, 3- butenyl, 1 -methyl-1 -propenyl, 2-methyl-1 -propenyl, 1 -methyl-2-propenyl, 2-methyl-2-propenyl. The term "C2-C6-alkynyl" refers to a straight-chain or branched unsaturated hydrocarbon radical having 2 to 6 carbon atoms and containing at least one triple bond. Examples are "C2-C4 al- kynyl" groups, such as ethynyl, prop-1 -ynyl, prop-2-ynyl, but-1 -ynyl, but-2-ynyl, but-3-ynyl, 1 - methyl-prop-2-ynyl .
The term "Cs-Cs-cycloalkyl" refers to monocyclic saturated hydrocarbon radicals having 3 to 8 carbon ring members, such as cyclopropyl, cyclobutyl, cyclopentyl, cyclohexyl, cycloheptyl or cyclooctyl.
The term "C5-C6-aryl" refers to represents C5-C6-aryl radicals, for example phenyl or cyclopenta- 1 ,3-diene.
The term "C5-C6-heteroaryl" means an aryl group where at least one carbon atom on the hydrocarbon chain normally carrying 5 to 6 carbon atoms is substituted by another atom selected from N, O or S, for example, pyridyl, pyridinone, pyrimidyl, pyrazinyl, pyridazinyl, triazinyl, thienyl, furanyl, pyrrolyl, pyrazolyl, thiazolyl, isothiazolyl, oxazolyl, isoxazolyl, imidazolyl, triazol- yl, thiadiazolyl, oxadiazolyl and tetrazolyl rings. Any monocyclic which has the characteristics of aromaticity in terms of electron distribution throughout the ring system is included in this definition.
The term "C5-C6-membered heterocycloalkenyl" refers to 5 to 6 membered monocyclic ring system having one or more heteroatoms, such as O, N, S as ring members and one or more double bonds.
The term "C5-C6-heterocycloalkenyl" refers to a cyclic unsaturated hydrocarbon residue with preferably 5 or 6 carbon atoms, which comprises at least one double bond, and wherein, one or more C atoms are replaced by heteroatoms independently selected from O, N or S, for example, (2,3)-dihydrofuranyl, (2,3)-dihydrothienyl, (2,3)-dihydropyrrolyl, (2,5)-dihydropyrrolyl, (2,5)- dihydropyrrolyl, (2,3)-dihydroisoxazolyl, (1 ,4)-dihydropyridin-1 -yl, dihydropyranyl, 2,3- dihydropyrazol-1 -yl, 2,3-dihydropyrazol-2-yl, 2,3-dihydropyrazol-3-yl, 2,3-dihydropyrazol-4-yl, 2,3-dihydropyrazol-5-yl, 3,4-dihydropyrazol-1 -yl, 3,4-dihydropyrazol-3-yl, 3,4-dihydropyrazol-4- yl, 3,4-dihydropyrazol-5-yl, 4,5-dihydropyrazol-1 -yl, 4,5-dihydropyrazol-3-yl, 4,5-dihydropyrazol- 4-yl, 4,5-dihydropyrazol-5-yl, 2,3-dihydrooxazol-2-yl, 2,3-dihydrooxazol-3-yl, 2,3-dihydrooxazol-
4- yl, 2,3-dihydrooxazol-5-yl, 3,4-dihydrooxazol-2-yl, 3,4-dihydrooxazol-3-yl, 3,4-dihydrooxazol-4- yl, 4,5-dihydropyrazol-2-yl, 4,5-dihydropyrazol-3-yl, 4,5-dihydropyrazol-4-yl, 4,5-dihydropyrazol-
5- yl, 2,5-dihydrothienyl and (1 ,2,3,4)-tetrahydropyridin-1 -yl. Heterocycloalkenyl residues may preferably comprise 1 , 2, or 3 heteroatom(s) mutually independently selected from the group consisting of O, S and N as ring members.
Within the context of the present invention and as used herein, the "compounds of the present invention" include all the stereoisomeric and tautomeric forms and mixtures thereof in all ratios, prodrugs, isotopic forms, their agriculturally acceptable salts, N-oxides and S-oxides thereof. Within the context of the present invention and as used herein, the term "stereoisomer" is a general term used for all isomers of individual compounds that differ only in the orientation of their atoms in space. The term stereoisomer includes mirror image isomers (enantiomers), mixtures of mirror image isomers (racemates, racemic mixtures), geometric (cis/trans or E/Z) isomers, and isomers of compounds with more than one chiral center that are not mirror images of one another (diastereoisomers).
Within the context of the present invention and as used herein, the term "tautomer" refers to the coexistence of two (or more) compounds that differ from each other only in the position of one (or more) mobile atoms and in electron distribution, for example, keto-enol tautomers.
The term "agriculturally acceptable salts" as used herein, includes salts of the active com- pounds which are prepared with acids or bases, depending on the particular substituents found on the compounds described herein.
Within the context of this present application and as used herein, the term "isotopic forms" or "isotopically labeled forms" is a general term used for isotopic forms of compounds of formula, wherein one or more atoms of compounds of formula (I); l(a) are replaced by their respective
isotopes. All isotopes of any particular atom or element as specified are contemplated within the scope of the compounds of the invention. Examples of isotopes that may be incorporated into the compounds disclosed herein include, but are not limited to, isotopes of hydrogen such as 2H (deuterium or D) and 3H, carbon such as 11C, 13C and 14C, nitrogen such as 13N and 15N, oxygen such as 150, 170 and 180, chlorine such as 36CI, fluorine such as 18F and sulphur such as 35S. Within the context of the present invention and as used herein, "N-oxide" refers to the oxide of the nitrogen atom of a nitrogen-containing heteroaryl or heterocycle. N-oxide can be formed in the presence of an oxidizing agent for example peroxide such as m-chloro-perbenzoic acid or hydrogen peroxide. N-oxide refers to an amine oxide, also known as amine-N-oxide, and is a chemical compound that contains N→0 bond.
Within the context of the present invention and as used herein, "S-oxide" refers to the oxide of the sulfur atom (S-oxide) or dioxide of the sulfur atom (S, S-dioxide) of a sulfur-containing heteroaryl or heterocycle. S-oxide and S, S-dioxides can be in the presence of an oxidizing agent for example peroxide such as m-chloro-perbenzoic acid or oxone.
In one embodiment, the present invention relates to the use of compound of formula (I)
Formula (I)
wherein
A, together with the two carbon atoms of the pyrrole ring, is selected from the group consisting of a C5-C6-aryl, C5-C6- heterocycloalkenyl and C5-C6-heteroaryl; wherein, heterocycloalkenyl and heteroaryl contain besides carbon atoms as ring members, 1 , 2, 3 or 4 atoms independently selected from O, N or S as ring members; whereby A is unsubstituted or further substituted by 1 , 2, 3 or 4 identical or different groups R12a which are independently selected from the group consisting of F, CI, Br, I, OH, SH, CN, N02, NR4R5, oxo, -O-C1-C6 -alkyl, -0-C2-C10-alkenyl, -O- C2-C10-alkynyl, C1-C6-alkyl, C2-C6-alkenyl, C2-C10-alkynyl, C=0(OH), C=(NOR13), C=0(NR7R8), C=0(H), O(CH2)n-SiR9R10R11, OC=0(C1-C6-alkyl), C=0(0)(C1-C6-alkyl), OC=0(C3-C8- cycloalkyl), C=0(0)(C3-C8-cycloalkyl), OC=0(C2-C6-alkenyl), C=0(0)(C2-C6-alkenyl), OC=0(C5- Ce-aryl, C=0(0)C5-C6-aryl, C3-C8-cycloalkyl, 0-C3-C8-cycloalkyl, C=0(C1-C6-alkyl), C=0(C5-C6- aryl), C5-C6-aryl, 0-C5-C6-aryl, C5-C6-heteroaryl; S-(C5-C6-aryl), S(02)(C5-C6-aryl), S-(C1-C6- alkyl) and S(02)(C1-C6-alkyl); wherein R12a is unsubstituted or further substituted by 1 , 2 or 3 identical or different groups which are independently selected from the group consisting of F, CI, Br, I, OH, SH, CN, N02, NR4R5, -0-C1-C6-alkyl, -0-C2-C10-alkeny, -0-C2-C10-alkynyl, C1-C6-alkyl, C2-C6-alkenyl and C2-C6-alkynyl;
R1 is selected from the group consisting of H , F, CI, Br, I , CN , N R4R5, -O-C1-C6-alkyl, -O-C2-C10- alkenyl, -0-C2-C10-alkynyl, C1-C6-alkyl, C2-C6-alkenyl, C2-C6-alkynyl, C=0(N R7R8), C=0(H), OC=0(C1-C6-alkyl), C=0(0)(C1-C6-alkyl), OC=0(C3-C8-cycloalkyl), C=0(0)(C3-C8-cycloalkyl), OC=0(C2-C6-alkenyl), C=0(0)(C2-C6-alkenyl), OC=0(C5-C6-aryl), C=0(0)C5-C6-aryl, C3-C8- cycloalkyl, 0-C3-C8-cycloalkyl, C=0(C1-C6-alkyl), C=0(C5-C6-aryl), C5-C6-aryl, 0-C5-C6-aryl, C5- Ce-heteroaryl; S-(C5-C6-aryl), S(02)(C5-C6-aryl), S-(C1-C6-alkyl) and S(02)(C1-C6-alkyl); whereby R1 is unsubstituted or further substituted by 1 , 2 or 3 identical or different groups R12b which are independently selected from the group consisting of F, CI , Br, I , OH , SH , CN , N02, N R4R5, -O- C1-C6-alkyl, -0-C2-C10-alkenyl, -0-C2-C10-alkynyl, C1-C6-alkyl, C2-C6-alkenyl, C2-C6-alkynyl, C=0(N R7R8), OC=0(C1-C6-alkyl), C=0(C1-C6-alkyl) and C=0(0)(C1-C6-alkyl);
X1 , X2 and X3, identical or different, are selected from the group consisting of CR3 and N , whereby R3 is selected from the group consisting of H , F, CI, Br and I ; X4 is CR2 or N , wherein R2 is selected from the group consisting of H , F, CI, Br and I or R2 together with R1 forms a C5-C6-aryl, C5-C6-heterocycloalkenyl, heterocycloalkyl or C5-C6- heteroaryl; wherein heterocycloalkenyl, heterocycloalkyl or heteroaryl contain besides carbon atoms as ring members, 1 , 2 or 3 heteroatoms independently selected from O, N or S as ring members; wherein C5-C6-aryl, C5-C6-heterocycloalkenyl or C5-C6-heteroaryl are unsubstituted or further substituted by 1 , 2 or 3 identical or different groups which are independently selected from the group consisting of F, CI, Br, I , OH , SH , CN , N02, oxo, and N R4R5;
G1 is selected from the group consisting of H , C=0(C1-C10-alkyl), C=0(C5-C6-aryl), C=0(C3-C8- cycloalkyl), C=O(O)-C1-C10-alkyl, C=0(0)-C3-C8-cycloalkyl and C=0(0)-(CH2)nC5-C6-aryl;
whereby G1 is unsubstituted or further substituted by 1 , 2 or 3 identical or different groups R12c which are independently selected from the group consisting of F, CI, Br, I , OH , SH , CN , N02, N R4R5, -O-C1-C6-alkyl, -0-C2-C10-alkenyl, -0-C2-C10-alkynyl, C1-C6-alkyl, C2-C6-alkenyl and C2- C6-alkynyl; G2 is selected from the group consisting of H , F, CI, Br, I , CN , N R4R5, O-C1-C6-alkyl, 0-C2-C10- alkenyl, 0-C2-C10-alkynyl, C1-C6-alkyl, C2-C6-alkenyl, C2-C6-alkynyl, C=0(N R7R8), OC=0(C1-C6 - alkyl), C=0(0)(C1-C6-alkyl), OC=0(C3-C8-cycloalkyl), C=0(0)(C3-C8-cycloalkyl), OC=0(C2-C6- alkenyl), C=0(0)(C2-C6-alkenyl), OC=0(C5-C6-aryl, C=0(0)C5-C6-aryl, C3-C8-cycloalkyl, 0-C3- C8-cycloalkyl, C=0(C1-C6-alkyl), C=0( C5-C6-aryl); whereby G2 is unsubstituted or further substi- tuted by 1 , 2 or 3 identical or different groups R12d which are independently selected from the group consisting of F, CI, Br, I , CN , N R4R5, -O-C1-C6-alkyl, -0-C2-C10-alkenyl, -0-C2-C10-alkynyl, C1-C6-alkyl, C2-C6-alkenyl and C2-C6-alkynyl;
R4, R5, R7, R8, R9, R10 and R1 1 , identical or different, are selected from the group consisting of H , OH , SH , C1-C6-alkyl, C2-C6-alkenyl, C2-C6-alkynyl, C5-C6-aryl and C3-C8-cycloalkyl; R13 is H , C1- C6-alkyl, C2-C6-alkenyl or C2-C6-alkynyl; and n is 0, 1 , 2, 3 or 4;
or an agriculturally acceptable salt, a stereoisomer, a tautomer, an isotopic form, a derivative or mixture thereof, as fungicide.
In a preferred embodiment, the present invention relates to the use of compound of formula (I) as fungicide, wherein
A, together with the two carbon atoms of the pyrrole ring, is selected from the group consisting of
whereby A is unsubstituted or further substituted by 1 or 2 identical or different groups R12a which are independently selected from the group consisting of F, CI, CN, NR4R5, C1-C6-alkyl, - O-C1-C6-alkyl, C2-C6-alkenyl, C2-C6-alkynyl, O(CH2)n-SiR9R10R11, C=0(0)(C1-C6-alkyl), C=0(C5- C6-aryl) and C5-C6-aryl; wherein R12a is unsubstituted or further substituted by CN;
R1 is selected from the group consisting of F, CI, Br, C1-C6-alkyl, C=0(0)(C1-C6-alkyl) and C=0(C1-C6-alkyl); whereby R1 is unsubstituted or further substituted by 1 or 2 identical or different groups R12b which are independently selected from the group consisting of F, CI and Br; X1 , X2 and X3, identical or different, are selected from the group consisting of CR3 and N, whereby R3 is H;
X4 is CR2 or N, wherein R2 is H; G1 is H or C=O(O)-C1-C10-alkyl;
G2 is selected from the group consisting of H, F, C1-C6-alkyl, C=0(0)(C1-C6-alkyl); wherein G2 is unsubstituted or further substituted by 1 , 2 or 3 identical or different groups R12d which are independently selected from the group consisting of F, CI, Br and I;
R4, R5, R9, R10 and R11, identical or different, are selected from the group consisting of H and C1- C6-alkyl; and n is 0, 1 , 2 or 3.
In another preferred embodiment, the present invention encompasses the use of the compound of formula (I),
wherein A, together with the two carbon atoms of the pyrrole ring, is selected from
whereby A is unsubstituted or further substituted by 1 , 2 or 3 identical or different groups R12a which are independently selected from the group consisting of F, CI, Br, I, CN, NR4R5, C1-C6- alkyl, -0-C1-C6-alkyl, C2-C6-alkenyl, C2-C6-alkynyl, O(CH2)n-SiR9R10R11, C=0(0)(C1-C6-alkyl), C=0(C1-C6-alkyl), C=0(C5-C6-aryl) and C5-C6-aryl; wherein R12a is unsubstituted or further substituted by CN; and
R1 is CFs or CHF2. In particular, examples of A, together with the two carbon atoms of the pyrrole ring, is formula (I")
In particular, examples of A, together with the two carbon atoms of the pyrrole ring, are the radicals A.1 to A.1374.
In particularly preferred embodiment, the present invention encompasses the use of the compounds of formula (I), wherein A is
In another embodiment, the present invention encompasses the use of the compounds of formula (I), wherein R1 is selected from group consisting of F, CI, Br, C1-C6-alkyl, C=0(C1-C6-alkyl), C=0(0)(C1-C6-alkyl), C5-C6-aryl, 0-C5-C6-aryl, S(02)(C5-C6-aryl), S-(C1-C6-alkyl), S(02)(C1-C6- alkyl) and C=0(C1-C6-alkyl); whereby R1 is unsubstituted or further substituted by 1 , 2 or 3 identical or different groups R12b is selected from the group consisting of F, CI and Br.
In anothor preferred embodiments, R1 is F, CI, Br, C1-C6-alkyl or C5-C6-aryl, in particular C1-C6- alkyl, in particular fluorinated C1-C3-alkyl such as CH2F, CHF2, CF3, CH2CF3, CF2CHF2, C2F5, CH2CH2CF3, CH2CF2CHF2 or CH2CF2CF3.
In yet another embodiment, the present invention encompasses the use of the compounds of formula (I), wherein the X1 , X2 and X3, identical or different, are selected from the group consisting of CR3 and N, whereby R3 is selected from the group consisting of H, F, CI and Br, in particular R3 is H or F.
In another preferred embodiment, the present invention encompasses use of the compounds of formula (I), wherein X4 is CR2 or N, wherein R2 is H. In particular, the X1 , X2, X3 and X4 along with ring carbon atoms form the 6-membered ring radical "P" of formula (I'"),
formula (I'") In particular, the X1 , X2, X3 and X4 along with ring carbon atoms form the 6-membered ring radical "P", preferably as P.1 to P.2880
In yet another preferred embodiment, the present invention relates to the use of the compounds of formula (I), wherein G1 is H and G2 is H or F. In particular, the G1 and G2 can have combinations T.1 to T.96
Apart from that, R4, R5, R7, R8, R9, R10 and R11, identical or different, preferably have one of the following meanings: Preferably, R4, R5, R7, R8, identical or different, are selected from the group consisting of H, OH, SH, C1-C6-alkyl, C2-C6-alkenyl, C2-C6-alkynyl, Cs-Ce-aryl and C3-C8-cycloalkyl, in particular H, C1-C6-alkyl, C2-C6-alkenyl or C2-C6-alkynyl.
Preferably, R9, R10 and R11, identical or different, are selected from the group consisting of H, OH, SH, C1-C6-alkyl, C2-C6-alkenyl, C2-C6-alkynyl, Cs-Ce-aryl and C3-C8-cycloalkyl, in particular H and C1-C6-alkyl.
In another embodiment, R13 is H, C1-C6-alkyl, C2-C6-alkenyl or C2-C6-alkynyl, in particular, H or C1-Ce-alkyl.
In more preferred embodiment, the present invention encompasses the use of compounds of formula (I), wherein A, together with the two carbon atoms of the pyrrole ring, is selected from
R12a is F, ethynyl or CN;
R1 is CF3 or CHF2;
X1 , X2 and X3, each, is CR3, whereby R3 is H;
X4 is CR2, wherein R2 is H;
G1 is H; and
G2 is H or F.
In yet another more preferred embodiment, the present invention encompasses the use of compounds of formula (I), wherein the compound of formula (I) is:
In one embodiment, the present invention relates to the method of protecting a crop of useful plants susceptible to and/or under attack by fungi, which method comprises applying to said crop, treating a plant propagation material of said crop with, and/or applying to said fungi, the composition comprising at least one compound of formula (I).
In another embodiment, the present invention relates to the use, which comprises treating the fungi, the plant, or the plant propagation material selected from the group consisting of seeds, roots, fruits, tubers, bulbs, rhizomes, shoots, sprouts and other parts of plants, including seed- lings and young plants to be protected against fungi attack, the stored materials or harvest, or alternately, the locus or soil or soil substituents or surfaces therefrom, with an effective amount of at least one compound of formula (I).
Within the context of the present invention and as used herein, the term "prodrug" as used herein refers to compounds of formula (I), that are compound precursors, which following applica- tion, release the active ingredient or the parent compound via a chemical or metabolic process, for example, a prodrug on being brought to the physiological pH or through an enzyme action is converted to the desired active ingredient having the fungicidal effect.
In one embodiment, the present invention relates to a compound of formula (la)
A, together with the two carbon atoms of the pyrrole ring, is selected from the group consisting of a C5-C6-aryl, C5-C6-heterocycloalkenyl and C5-C6-heteroaryl; wherein heterocycloalkyl, heter- ocycloalkenyl and heteroaryl contain besides carbon atoms as ring members, 1 , 2, 3 or 4 atoms independently selected from O, N or S as ring members; whereby A is unsubstituted or further substituted by 1 , 2, 3 or 4 identical or different groups R12a which are independently selected from the group consisting of F, CI, I, OH, SH, CN, N02, NR4R5, oxo, -O-C1-C6-alkyl, -0-C2-C6- alkenyl, -0-C2-C6-alkynyl, C1-C6-alkyl, C2-C6-alkenyl, C2-C6-alkynyl, C=(NOR13), C=0(OH), C=0(NR7R8), C=0(H), O(CH2)n-SiR9R10R11, OC=0(C1-C6-alkyl), C=0(0)(C1-C6-alkyl),
OC=0(C3-C8-cycloalkyl), C=0(0)(C3-C8-cycloalkyl), OC=0(C2-C6-alkenyl), C=0(0)(C2-C6- alkenyl), OC=0(C5-C6-aryl, C=0(0)C5-C6-aryl, C3-C8-cycloalkyl, 0-C3-C8-cycloalkyl, C=0(C1-C6- alkyl), C=0(C5-C6-aryl), C5-C6-aryl, 0-C5-C6-aryl, C5-C6-heteroaryl; S-C5-C6-aryl, S(02)(C5-C6- aryl), S- C1-C6-alkyl and S(02)(C1-C6-alkyl); wherein R12a is unsubstituted or further substituted by 1 , 2 or 3 identical or different groups which are independently selected from the group con-
sisting of F, CI, Br, I, OH, SH, CN, N02, NR4R5, -0-C1-C6-alkyl, -0-C2-C10-alkenyl, -O-C2-C10- alkynyl, C1-C6-alkyl, C2-C6-alkenyl and C2-C6-alkynyl;
R1 is selected from the group consisting of H, F, CI, Br, I, CH3, CN, -0-C2-C6-alkyl, -O-C2-C10- alkenyl, -0-C2-C10-alkynyl, C3-C6-alkyl, C2-C6-alkenyl, C2-C6-alkynyl, C=0(NR7R8), C=0(H), OC=0(C1-C6-alkyl), C=0(0)(C1-C6-alkyl), OC=0(C3-C8-cycloalkyl), C=0(0)(C3-C8-cycloalkyl), OC=0(C2-C6-alkenyl), C=0(0)(C2-C6-alkenyl), OC=0(C5-C6-aryl), C=0(0)C5-C6-aryl, C3-C8- cycloalkyl, 0-C3-C8-cycloalkyl, C=0(C1-C6-alkyl), C=0(C5-C6-aryl), C5-C6-aryl, 0-C5-C6-aryl, Cs- Ce-heteroaryl; S-(C5-C6-aryl), S(02)(C5-C6-aryl), S-(C1-C6-alkyl) and S(02)(C1-C6-alkyl); whereby R1 is unsubstituted or further substituted by 1 , 2 or 3 identical or different groups R12b which are independently selected from the group consisting of F, CI, Br, I, OH, SH, CN, NO2, NR4R5, -O- C1-C6-alkyl, -0-C2-C10-alkenyl, -0-C2-C10-alkynyl, C1-C6-alkyl, C2-C6-alkenyl, C2-C6-alkynyl, C=0(NR7R8), OC=0(C1-C6-alkyl) and C=0(0)(C1-C6-alkyl); X1 , X2 and X3, identical or different, are selected from the group consisting of CR3 and N, whereby R3 is selected from the group consisting of H, F, CI, Br and I;
X4 is CR2 or N, wherein R2 is selected from the group consisting of H, F, CI, Br and I or R2 together with R1 forms a Cs-Ce-aryl Cs-Ce-heterocycloalkenyl or Cs-Ce-heteroaryl; wherein hetero- cycloalkenyl or heteroaryl contain besides carbon atoms as ring members, 1 , 2 or 3 heteroa- toms independently selected from O or N as ring members; wherein Cs-Ce-aryl, Cs-Ce- heterocycloalkenyl or Cs-Ce-heteroaryl are unsubstituted or further substituted by 1 , 2 or 3 identical or different groups which are independently selected from the group consisting of F, CI, Br, I, OH, SH, CN, N02 and NR4R5;
G1 is selected from the group consisting of H, C=0(C1-C10-alkyl), C=0(Cs-Ce-aryl), C=0(C3-C8- cycloalkyl), C=O(O)-C1-C10-alkyl, C=0(0)-C3-C8 cycloalkyi and C=0(0)-(CH2)nC5-C6-aryl;
whereby G1 is unsubstituted or further substituted by 1 , 2 or 3 identical or different groups R12c which are independently selected from the group consisting of F, CI, Br, I, OH, SH, CN, NO2, NR4R5, C1-C6-alkyloxy, C2-C10-alkenyloxy, C2-C10-alkynyloxy, C1-Ce-alkyl, C2-C6-alkenyl and C2- dralkynyl;
G2 is selected from the group consisting of H, F, CI, Br, I, OCH3, C=0(OCH3), CN, N02, NR4R5, -O-Cs-Ce-alkyl, -0-C2-C10-alkenyl, -0-C2-C10-alkynyl, C1-Ce-alkyl, C2-C6-alkenyl, C2-C6-alkynyl, C=0(NR7R8), OC=0(C1-C6-alkyl), C=0(0)(C3-C6-alkyl), OC=0(C3-C8-cycloalkyl), C=0(0)(C3-C8- cycloalkyl), OC=0(C2-C6-alkenyl), C=0(0)(C2-C6-alkenyl), OC=0(C5-C6-aryl, C=0(0)C5-C6-aryl, C3-C8-cycloalkyl, 0-C3-C8-cycloalkyl, C=0(C1-C6-alkyl), C=0(C5-C6-aryl); whereby G2 is unsubstituted or further substituted by 1 , 2 or 3 identical or different groups R12d which are independently selected from the group consisting of F, CI, Br, I, CN, NR4R5, -O-C1-dralkyl, -O-C2- C10-alkenyl, -O-d-do-alkynyl, C1-dralkyl, d-Gs-alkenyl and C2-C6-alkynyl;
R4, R5 R7, R8, R9, R10 and R11, identical or different, are selected from the group consisting of H, OH, SH, C1-Ce-alkyl, C2-C6-alkenyl, C2-C6-alkynyl, C5-C6-aryl and C3-C8-cycloalkyl; R13 is H, C1- C6-alkyl, d-Gs-alkenyl or C2-C6-alkynyl; and
n is 0, 1 , 2, 3 or 4; or each compound in the form of a stereoisomer, an agriculturally acceptable salt, a derivative, a tautomer, an isotopic form, a N-oxide, a S-oxide or a mixture thereof;
whereby the following compounds are excluded 3-(2-bromophenyl)-6-chloro-1 H-indole, 6- bromo-3-(2-bromophenyl)-1 H-indole, 5-fluoro-3-(4-methyl-3-pyridyl)-1 H-indole, 6-bromo-3-(2- chloro-5-fluoro-pyrimidin-4-yl)-1 H-pyrrolo[3,2-c]pyridine and fe/7-butyl 6-bromo-3-(2-chloro-5- fluoro-pyrimidin-4-yl)pyrrolo[3,2-c]pyridine-1 -carboxylate.
In another embodiment, the present invention further relates to the compound of formula (la), wherein
A, together with the two carbon atoms of the pyrrole ring, is selected from:
whereby A is unsubstituted or further substituted by 1 or 2 identical or different groups R12a which are independently selected from the group consisting of F, CI, CN, NR4R5, C1-C6-alkyl, - O-C1-C6-alkyl, C2-C6-alkenyl, C2-C6-alkynyl, O(CH2)n-SiR9R10R11, C=0(0)(C1-C6-alkyl), C=0(C5- C6-aryl) and C5-C6-aryl; wherein R12a is unsubstituted or further substituted by CN;
R1 is selected from the group consisting of F, CH3, CI, Br, I, C3-C6-alkyl, C=0(0)(C1-C6-alkyl), C5-C6-aryl, S-(C1-C6-alkyl), 0-C5-C6-aryl, S(02)(C1-C6-alkyl), and C=0(C1-C6-alkyl) whereby R1 is unsubstituted or further substituted by 1 , 2 or 3 identical or different groups R12b which are independently selected from the group consisting of F, CI and Br;
X1 , X2 and X3, identical or different, are selected from the group consisting of CR3 and N, whereby R3 is H; X4 is CR2 or N, wherein R2 is H; or R2 together with R1 forms a C5-C6-aryl, C5-C6- heterocycloalkenyl or C5-C6-heteroaryl; wherein heterocycloalkenyl or heteroaryl contain besides carbon atoms as ring members, 1 or 2 heteroatoms independently selected from O or N as ring members; wherein C5-C6-aryl, C5-C6-heterocycloalkenyl or C5-C6-heteroaryl are unsubstituted or further substituted by 1 or 2 identical or different groups which are independently se- lected from the group consisting of F and CI;
G1 is H or C=0(0)-C1-C10-alkyl;
G2 is selected from the group consisting of H , F, C-1a-Clk6yl, OCH3, C=0(OCH3), C=0(0)(C3- C6-alkyl); wherein G2 is unsubstituted or further substituted by 1 , 2 or 3 identical or different groups R12d which are independently selected from the group consisting of F, CI, Br and I; R4, R5 R7, R8, R9, R10 and R11, identical or different, are selected from the group consisting of H and C1-C6-alkyl; and n is 0, 1 , 2 or 3. In a preferred embodiment, the present invention relates to the compound of formula (la), wherein the compound of formula (la) is
Formula (la)
wherein A, together with the two carbon atoms of the pyrrole ring, is selected from
whereby A is unsubstituted or further substituted by 1 , 2 or 3 identical or different groups R12a which are independently selected from the group consisting of F, CI, Br, I, CN, NR4R5, C1-C6- alkyl, -0-C1-C6-alkyl, C2-C6-alkenyl, C2-C6-alkynyl, O(CH2)n-SiR9R10R11, C=0(0)(C1-C6-alkyl), C=0(C1-C6-alkyl), C=0(C5-C6-aryl) and C5-C6-aryl; wherein R12a is unsubstituted or further substituted by CN; and
R1 is CF3 or CHF2. In another embodiment, the present invention encompasses the compounds of formula (la), wherein R1 is selected from group consisting of F, CH3, CI, Br, I, C3-C6-alkyl, C=0(C1-C6-alkyl), C=0(0)(C1-C6-alkyl), C5-C6-aryl, 0-C5-C6-aryl, S(02)(C5-C6-aryl), S-(C1-C6-alkyl), S(02)(C1-C6- alkyl) and C=0(C1-C6-alkyl); whereby R1 is unsubstituted or further substituted by 1 , 2 or 3 identical or different groups R12b is selected from the group consisting of F, CI and Br.
In anothor preferred embodiments, R1 is F, CI, Br, CH3, C3-C6-alkyl or C5-C6-aryl, in particular F, CH3, C3-C6-alkyl, in particular fluorinated such as CH2F, CHF2, CF3, CH2CH2CF3, CH2CF2CHF2 or CH2CF2CF3.
In yet another embodiment, the present invention encompasses the compounds of formula (la), wherein the X1 , X2 and X3, identical or different, are selected from the group consisting of CR3 and N, whereby R3 is selected from the group consisting of H, F, CI and Br, in particular R3 is H or F.
In another preferred embodiment, the present invention encompasses the compounds of formula (la), wherein X4 is CR2 or N, wherein R2 is H.
Preferably G1 is selected from the group consisting of H, C=0(C1-C10-alkyl), C=0(C5-C6-aryl), C=0(0)-C1-C10-alkyl and C=0(0)-(CH2)nC5-C6-aryl, in particular G1 is H, C=0(C1-C10-alkyl) and C=0(0)-C1-C10-alkyl.
Preferably G2 is selected from the group consisting of H, F, CI, Br, I, OCH3, C=0(OCH3), CN, NR4R5, -O-C5-C6-alkyl, -0-C2-C10-alkenyl, -0-C2-C10-alkynyl, C1-C6-alkyl, C2-C6-alkenyl, C2-C6- alkynyl, C=0(NR7R8), OC=0(C1-C6-alkyl), C=0(0)(C3-C6-alkyl), OC=0(C2-C6-alkenyl),
C=0(0)(C2-C6-alkenyl), OC=0(C5-C6-aryl, C=0(0)C5-C6-aryl, C3-C8-cycloalkyl; wherein G2 is unsubstituted or further substituted by 1 , 2 or 3 identical or different groups R12d which are independently selected from the group consisting of F, CI, Br and I, in particular G2 is selected from the group consisting of H, F, C1-C6-alkyl, OCH3, C=0(OCH3), C=0(0)(C3-C6-alkyl). In particular, G2 is H, F, C1-C6-alkyl, OCH3.
In yet another preferred embodiment, the present invention relates to the compounds of formula (la), wherein G1 is H and G2 is H or F.
Apart from that, R4, R5, R7, R8, R9, R10 and R11, identical or different, preferably have one of the following meanings:
Preferably, R4, R5, R7, R8, identical or different, are selected from the group consisting of H, OH, SH, C1-C6-alkyl, C2-C6-alkenyl, C2-C6-alkynyl, C5-C6-aryl and C3-C8-cycloalkyl, in particular H, C1-C6-alkyl, C2-C6-alkenyl or C2-C6-alkynyl. Preferably, R9, R10 and R11, identical or different, are selected from the group consisting of H, OH, SH, C1-C6-alkyl, C2-C6-alkenyl, C2-C6-alkynyl, C5-C6-aryl and C3-C8-cycloalkyl, in particular H and C1-C6-alkyl.
In another embodiment, R13 is H, C1-C6-alkyl, C2-C6-alkenyl or C2-C6-alkynyl.
In yet more preferred embodiment, the present invention relates to the compound of formula
(la), wherein
A is selected from
R12a is F, ethynyl or CN;
R1 is CF3 or CHF2;
X1 , X2 and X3, each, is CR3, whereby R3 is H;
X4 is CR2, wherein R2 is H;
G1 is H; and
G2 is H or F.
In yet another more preferred embodiment, the present invention relates to the compound of formula (la), wherein the compound of formula (la) is:
In one embodiment, the present invention also relates to an agrochemical mixture comprising at least one compound of formula (la), or in the form of a stereoisomer or an agriculturally acceptable salt or a tautomer or an isotopic form or a N-oxide or a S-oxide or a prodrug thereof.
In another embodiment, the present invention also relates to a composition comprising at least one compound of formula (la), or in the form of a stereoisomer or an agriculturally acceptable salt or a tautomer or an isotopic form of a N-oxide or a S-oxide or a prodrug thereof, and an auxiliary.
In one embodiment, the present invention provides the use of compound of formula (I)
Formula (I) wherein
A, together with the two carbon atoms of the pyrrole ring, is selected from the group consisting of a C5-C6-aryl, C5-C6- heterocycloalkenyl and C5-C6-heteroaryl; wherein, hetero- cycloalkenyl and heteroaryl contain besides carbon atoms as ring members, 1 , 2, 3 or 4 atoms independently selected from O, N or S as ring members; whereby A is unsubsti- tuted or further substituted by 1 , 2, 3 or 4 identical or different groups R12a which are independently selected from the group consisting of F, CI, Br, I, SH, CN, NO2, NR4R5, oxo, -0-C2-C6-alkyl, -0-C2-C10-alkenyl, -0-C2-C10-alkynyl, C2-C6-alkyl, C=(NOR13), C2-C6- alkenyl, C2-C10-alkynyl, C=0(OH), C=0(NR7R8), C=0(H), CF3, CHF2, CH2F, 0(CH2)n- SiR9R10R11, OC=0(C1-C6-alkyl), C=0(0)(C1-C6-alkyl), OC=0(C3-C8-cycloalkyl),
C=0(0)(C3-C8-cycloalkyl), -OCN, -N-CN, -S-CN, OC=0(C2-C6-alkenyl), C=0(0)(C2-C6- alkenyl), OC=0(C5-C6-aryl, C=0(0)C5-C6-aryl, C3-C8-cycloalkyl, 0-C3-C8-cycloalkyl, C=0(C1-C6-alkyl), C=0(C5-C6-aryl), C5-C6-aryl, 0-C5-C6-aryl, C5-C6-heteroaryl; S-(C5-C6- aryl), S(02)(C5-C6-aryl), S-(C1-C6-alkyl) and S(02)(C1-C6-alkyl); wherein R12a is unsubsti- tuted or further substituted by 1 , 2 or 3 identical or different groups which are independently selected from the group consisting of F, CI, Br, I, OH, SH, CN, N02, NR4R5, - O-C1-C6-alkyl, -0-C2-C10-alkeny, -0-C2-C10-alkynyl, C1-C6-alkyl, C2-C6-alkenyl and C2-C6- alkynyl; R1 is selected from the group consisting of F, CI, Br, I , SH , CN , N02, N R4R5, -0-C1-C6 - alkyl, -0-C2-C10-alkenyl, -0-C2-C10-alkynyl, C1-C6-alkyl, C2-C6-alkenyl, C2-C6-alkynyl, C=0(OH), C=0(N R7R8), C=0(H), OC=0(C1-C6-alkyl), C=0(0)(C1-C6-alkyl), OC=0(C3- C8-cycloalkyl), C=0(0)(C3-C8-cycloalkyl), OC=0(C2-C6-alkenyl), C=0(0)(C2-C6-alkenyl), OC=0(C5-C6-aryl), C=0(0)C5-C6-aryl, C3-C8-cycloalkyl, 0-C3-C8-cycloalkyl, C=0(C1-C6 - alkyl), C=0(C5-C6-aryl), C5-C6-aryl, 0-C5-C6-aryl, C5-C6-heteroaryl; S-(C5-C6-aryl),
S(02)(C5-C6-aryl), S-(C1-C6-alkyl) and S(02)(C1-C6-alkyl); whereby R1 is unsubstituted or
further substituted by 1 , 2 or 3 identical or different groups R12b which are independently selected from the group consisting of F, CI, Br, I , OH, SH , CN, N02, NR4R5, -0-C1-C6- alkyl, -0-C2-C10-alkenyl, -0-C2-C10-alkynyl, C1-C6-alkyl, C2-C6-alkenyl, C2-C6-alkynyl, C=0(OH), C=0(NR7R8), C=0(H), OC=0(C1-C6-alkyl), C=0(C1-C6-alkyl) and C=0(0)(C1- Ce-alkyl);
X1 , X2 and X3, identical or different, are selected from the group consisting of CR3 and N, whereby R3 is selected from the group consisting of H , CF3, CHF2, F, CI, Br and I; X4 is CR2 or N, wherein R2 is selected from the group consisting of H, F, CI, Br and I or
R2 together with R1 forms a C5-C6-aryl, C5-C6-heterocycloalkenyl, heterocycloalkyi or C5- C6-heteroaryl; wherein heterocycloalkenyl, heterocycloalkyi or heteroaryl contain besides carbon atoms as ring members, 1 , 2 or 3 heteroatoms independently selected from O, N or S as ring members; wherein C5-C6-aryl, C5-C6-heterocycloalkenyl or C5-C6-heteroaryl are unsubstituted or further substituted by 1 , 2 or 3 identical or different groups which are independently selected from the group consisting of F, CI, Br, I, OH, SH, CN , NO2, oxo and NR4R5;
G1 is selected from the group consisting of H, C=0(C1-C10-alkyl), C=0(C5-C6-aryl), C=0(C3-C8- cycloalkyl), C=O(O)-C1-C10-alkyl, C=0(0)-C3-C8-cycloalkyl, -(CH2)0-C1-6 alkyl; -(CH2)C(=0)-Ci-6 alkyl; -0-C(=0)-0-(CH2)-Ci-6 alkyl; -C(=0)-NR4R5; -(CH2)-0-C(=0)-Ci-6 alkyl; -(CH2)-C(=0)-0- C1-6 alkyland C=0(0)-(CH2)nC5-C6-aryl; whereby G1 is unsubstituted or further substituted by 1 , 2 or 3 identical or different groups R12c which are independently selected from the group consisting of F, CI, Br, I , OH , SH, CN , N02, NR4R5, -0-C1-C6-alkyl, -0-C2-C10-alkenyl, -O-C2-C10- alkynyl, C1-C6-alkyl, C2-C6-alkenyl and C2-C6-alkynyl;
G2 is selected from the group consisting of H, F, CI, Br, I, OH, SH, CN, N02, NR4R5, C1- C6-alkyloxy, C2-C10-alkenyloxy, C2-C10-alkynyloxy, C1-C6-alkyl, C2-C6-alkenyl, C2-C6- alkynyl, C=0(OH), C=0(NR7R8), C=0(H), O(CH2)n-SiR9R10R11, OC=0(C1-C6-alkyl), C=0(0)(C1-C6-alkyl), OC=0(C3-C8-cycloalkyl), C=0(0)(C3-C8-cycloalkyl), C=(NOR13),
OC=0(C2-C6-alkenyl), C=0(0)(C2-C6-alkenyl), OC=0(C5-C6-aryl, C=0(0)C5-C6-aryl, C3- Cs-cycloalkyl, 0-C3-C8-cycloalkyl, C=0(C1-C6-alkyl), C=0(C5-C6-aryl), C5-C6-aryl, O-C5- C6-aryl and C5-C6-heteroaryl; whereby G2 is unsubstituted or further substituted by 1 , 2 or 3 identical or different groups R12d which are independently selected from the group consisting of F, CI, Br, I, OH, SH, CN, N02, NR4R5, -0-C1-C6-alkyl, -0-C2-C10-alkenyl, -O-
C2-C10-alkynyl, C1-C6-alkyl, C2-C6-alkenyl and C2-C6-alkynyl;
R4, R5, R7, R8, R9, R10 and R11, identical or different, are selected from the group consisting of H, OH, SH, C1-C6-alkyl, C2-C6-alkenyl, C2-C6-alkynyl, C5-C6-aryl and C3-C8- cycloalkyl; R13 is H, C1-C6-alkyl, C2-C6-alkenyl or C2-C6-alkynyl; and n is 0, 1 , 2, 3 or 4;
or an agriculturally acceptable salt or derivative thereof, as agrochemical fungicide.
one embodiment, the present invention provides the use of compound of formula (I), wherein A, together with the two carbon atoms of the pyrrole ring, is C5-C6-aryl or C5-C6- heteroaryl; wherein heteroaryl contain besides carbon atoms as ring members 1 , 2 or 3 atoms independently selected from N or S as ring members; whereby A is unsubstituted or further substituted by 1 , 2 or 3 identical or different groups R12a which are independently selected from the group consisting of F, CI, Br, I, CN, NR4R5, C2-C6-alkyl, oxo, -0-C2-C6-alkyl, C2-C6-alkenyl, C2-C6-alkynyl, O(CH2)n-SiR9R10R11, C=0(0)(C1-C6-alkyl), C=0(C1-C6-alkyl), CF3, CHF2, CH2F, C=0(C5-C6-aryl) and C5-C6-aryl; wherein R12a is unsubstituted or further substituted by 1 , 2 or 3 identical or different groups which are independently selected from the group consisting of F, CI, Br, I, CN, NR4R5, -0-C1-C6-alkyl, - 0-C2-C10-alkenyl and C1-C6-alkyl;
R1 is selected from the group consisting of H, F, CI, Br, I, N02, -0-C1-C6-alkyl, C1-C6- alkyl, C=0(0)(C1-C6-alkyl), C=0(C1-C6-alkyl), 0-C5-C6-aryl, C5-C6-aryl, S-(C1-C6-alkyl) and S(02)(C1-C6-alkyl); whereby R1 is unsubstituted or further substituted by 1 , 2 or 3 identical or different groups R12b which are independently selected from the group consisting of F, CI and Br;
X1 , X2 and X3, identical or different, are selected from the group consisting of CR3 and N, whereby R3 is H;
X4 is CR2 or N, wherein R2 is selected from the group consisting of H, F, CI or R2 together with R1 forms a C5-heteroaryl; wherein heteroaryl contain besides carbon atoms as ring members, 1 or 2 heteroatoms independently selected from O or N as ring members; wherein C5-C6-heteroaryl are unsubstituted or further substituted by 1 or 2, identical or different groups, which are independently selected from the group consisting of F, CI and Br;
G1 is H or C=0(0)-C1-C10-alkyl;
G2 is selected from the group consisting of H, F, C1-C6-alkyl, C=0(0)(C1-C6-alkyl);
wherein G2 is unsubstituted or further substituted by 1 , 2 or 3 identical or different groups R12d which are independently selected from the group consisting of F, CI, Br and I;
R4, R5, R9, R10 and R11, identical or different, are selected from the group consisting of H, and C1-C6-alkyl; and
n is 0, 1 , 2 or 3. one embodiment, the present invention provides the use of compound of formula (I), wherein A, together with the two carbon atoms of the pyrrole ring, is selected from the group consisting of
whereby A is unsubstituted or further substituted by 1 or 2 identical or different groups R12a which are independently selected from the group consisting of F, CI, CN, NR4R5, C2- Ce-alkyl, -0-C2-C6-alkyl, C2-C6-alkenyl, C2-C6-alkynyl, O(CH2)n-SiR9R10R11, C=0(0)(C1- Ce-alkyl), CF3, CHF2, CH2F, C=0(C5-C6-aryl) and C5-C6-aryl; wherein R12a is unsubstituted or further substituted by CN;
R1 is selected from the group consisting of F, CI, Br, C1-C6-alkyl, C=0(0)(C1-C6-alkyl) and C=0(C1-C6-alkyl); whereby R1 is unsubstituted or further substituted by 1 or 2 identi- cal or different groups R12b which are independently selected from the group consisting of F, CI and Br;
X1 , X2 and X3, identical or different, are selected from the group consisting of CR3 and N, whereby R3 is H;
X4 is CR2 or N, wherein R2 is H;
G1 is H or C=0(0)-C1-C10-alkyl; G2 is selected from the group consisting of H, F, C1-C6-alkyl, C=0(0)(C1-C6-alkyl);
wherein G2 is unsubstituted or further substituted by 1 , 2 or 3 identical or different groups R12d which are independently selected from the group consisting of F, CI, Br and I; R4, R5, R9, R10 and R11, identical or different, are selected from the group consisting of H and C1-C6-alkyl; and n is 0, 1 , 2 or 3.
In one embodiment, the present invention provides the use of compound of formula (I), wherei the compound of formula (I) is
whereby A is unsubstituted or further substituted by 1 , 2 or 3 identical or different groups R12a which are independently selected from the group consisting of F, CI, Br, I, CN,
NR4R5, C2-C6-alkyl, -0-C2-C6-alkyl, C2-C6-alkenyl, C2-C6-alkynyl, O(CH2)n-SiR9R10R11, C=0(0)(C1-C6-alkyl), C=0(C1-C6-alkyl), CF3, CHF2, CH2F, C=0(C5-C6-aryl) and C5-C6- aryl; wherein R12a is unsubstituted or further substituted by CN; and
R1 is CFs or CHF2.
In one embodiment, the present invention provides the use of compound of formula (I), wherein R1 is selected from group consisting of F, CI, Br, N02, C1-C6-alkyl, C=0(C1-C6-alkyl),
C=0(0)(C1-C6-alkyl), C5-C6-aryl, 0-C5-C6-aryl, S(02)(C5-C6-aryl), S-(C1-C6-alkyl), S(02)(C1-C6- alkyl) and C=0(C1-C6-alkyl); whereby R1 is unsubstituted or further substituted by 1 , 2 or 3 iden- tical or different groups R12b is selected from the group consisting of F, CI and Br.
In one embodiment, the present invention provides the use of compound of formula (I), wherein the X1 , X2 and X3, identical or different, are selected from the group consisting of CR3 and N, whereby R3 is selected from the group consisting of H, F, CI and Br.
In one embodiment, the present invention provides the use of compound of formula (I), wherein the X1 , X2 and X3, identical or different, are selected from the group consisting of CR3 and N, whereby R3 is selected from the group consisting of H, CF3, CHF2, F, CI and Br. In one embodiment, the present invention provides the use of compound of formula (I), wherein X4 is CR2 or N, wherein R2 is H.
In one embodiment, the present invention provides the use of compound of formula (I), wherein
R12a is F, ethynyl, CI or CN;
R1 is CFs or CHF2;
X1 , X2 and X3, each, is CR3, whereby R3 is H;
X4 is CR2, wherein R2 is H;
G1 is H; and
G2 is H or F. In one embodiment, the present invention provides the use of compound of formula (I), wherein compound of formula (I) is:
one embodiment, the present invention provides the method of protecting a crop of useful plants susceptible to and/or under attack by fungi, which method comprises applying to said crop, treating a plant propagation material of said crop with, and/or applying to said fungi, the composition comprising at least one compound of formula (I).
In one embodiment, the present invention provides the use of compound of formula (I), which comprises treating the fungi, the plant, or the plant propagation material selected from the group consisting of seeds, roots, fruits, tubers, bulbs, rhizomes, shoots, sprouts and other parts of plants, including seedlings and young plants to be protected against fungi attack, the stored materials or harvest, or alternately, the locus or soil or soil substituents or surfaces therefrom, with an effective amount of at least one compound of formula (I).
In one embodiment, the present invention provides the compound of formula (la)
Formula (la) wherein
A, together with the two carbon atoms of the pyrrole ring, is selected from the group con- sisting of a Cs-Ce-aryl, Cs-Ce-heterocycloalkenyl and Cs-Ce-heteroaryl; wherein heterocy- cloalkyl, heterocycloalkenyl and heteroaryl contain besides carbon atoms as ring members, 1 , 2, 3 or 4 atoms independently selected from O, N or S as ring members; whereby A is unsubstituted or further substituted by 1 , 2, 3 or 4 identical or different groups R12a which are independently selected from the group consisting of F, CI, I, SH, CN, N02, NR4R5, oxo, -0-C2-C6-alkyl, -0-C2-C6-alkenyl, -0-C2-C6-alkynyl, C2-C6-alkyl, C2-C6- alkenyl, C2-C6-alkynyl, C=0(OH), C=0(NR7R8), C=(NOR13), C=0(H), 0(CH2)n- SiR9R10R11, OC=0(C1-C6-alkyl), C=0(0)(C1-C6-alkyl), OC=0(C3-C8-cycloalkyl),
C=0(0)(C3-C8-cycloalkyl), OC=0(C2-C6-alkenyl), C=0(0)(C2-C6-alkenyl), OC=0(C5-C6- aryl, C=0(0)C5-C6-aryl, OCN, NCN, SCN, OCF3, OCHF2, OCH2F, CF3, CHF2, CH2F, SCF3, SCHF2, SCH2F, S02CF3, C=0(C1-C6-alkyl), C=0(C5-C6-aryl) wherein R 2a is unsubstituted or further substituted by 1 , 2 or 3 identical or different groups which are independently selected from the group consisting of F, CI, Br, I, OH, SH, CN, N02, NR4R5, - O-C1-C6-alkyl, -0-C2-C10-alkenyl, -0-C2-C10-alkynyl, C1-C6-alkyl, C2-C6-alkenyl and C2- C6-alkynyl;
R1 is selected from the group consisting of F, CI, Br, I, SH, CH3, CN, -0-C2-C6-alkyl, -O- C2-C10-alkenyl, -0-C2-C10-alkynyl, C3-C6-alkyl, C2-C6-alkenyl, C2-C6-alkynyl, C=0(NR7R8), C=0(H), OC=0(C1-C6-alkyl), C=0(0)(C1-C6-alkyl), OC=0(C3-C8-cycloalkyl), C=0(0)(C3- Cs-cycloalkyl), OC=0(C2-C6-alkenyl), C=0(0)(C2-C6-alkenyl), OC=0(C5-C6-aryl), C=0(0)C5-C6-aryl, C3-C8-cycloalkyl, 0-C3-C8-cycloalkyl, C=0(C1-C6-alkyl), C=0(C5-C6- aryl), C5-C6-aryl, 0-C5-C6-aryl, C5-C6-heteroaryl; S-(C5-C6-aryl), S(02)(C5-C6-aryl), S-(C1-
C6-alkyl) and S(02)(C1-C6-alkyl); whereby R1 is unsubstituted or further substituted by 1 , 2 or 3 identical or different groups R12b which are independently selected from the group consisting of F, CI, Br, I, OH, SH, CN, N02, NR4R5, -0-C1-C6-alkyl, -0-C2-C10-alkenyl, -O- C2-C10-alkynyl, C1-C6-alkyl, C2-C6-alkenyl, C2-C6-alkynyl, C=0(OH), C=0(NR7R8), C=0(H), OC=0(C1-C6-alkyl) and C=0(0)(C1-C6-alkyl);
X1 , X2 and X3, identical or different, are selected from the group consisting of CR3 and N, whereby R3 is selected from the group consisting of H, F, CI, CF3, CHF2, CH2F, Br and I;
X4 is CR2 or N, wherein R2 is selected from the group consisting of H, F, CI, Br and I or
R2 together with R1 forms a C5-C6-aryl C5-C6-heterocycloalkenyl or C5-C6-heteroaryl; wherein heterocycloalkenyl or heteroaryl contain besides carbon atoms as ring members, 1 , 2 or 3 heteroatoms independently selected from O or N as ring members;
wherein C5-C6-aryl, C5-C6-heterocycloalkenyl or C5-C6-heteroaryl are unsubstituted or further substituted by 1 , 2 or 3 identical or different groups which are independently selected from the group consisting of F, CI, Br, I, OH, SH, CN, N02 and NR4R5; whereby when G2 is H and A, together with the two carbon atoms of the pyrrole ring, is
, wherein R12a is F, CI, Br, I, C2-C4-alkyl, CN or -0-C2-C6-alkyl; then R1 is selected from CHF2 and CH2F;
G1 is selected from the group consisting of H, C=0(C1-C10-alkyl), C=0(C3-C8-cycloalkyl), C=0(C5-Ce-aryl), C=O(O)-C1-C10-alkyl, C=0(0)-C3-C8-cycloalkyl, -(CH2)0-Ci-6 alkyl; - (CH2)C(=0)-C1-6 alkyl; -0-C(=0)-0-(CH2)-C1-6 alkyl; -C(=0)-NR4R5; -(CH2)-0-C(=0)-C1-6 alkyl; - (CH2)-C(=0)-0-C1-6 alkyl and C=0(0)-(CH2)nC5-C6-aryl; whereby G1 is unsubstituted or further substituted by 1 , 2 or 3 identical or different groups R12c which are independently selected from the group consisting of F, CI, Br, I, OH, SH, CN, N02, NR4R5, C1-C6-alkyloxy, C2-C10-alkenyloxy, C2-C10-alkynyloxy, C1-C6-alkyl, C2-C6-alkenyl and C2-C6-alkynyl;
G2 is selected from the group consisting of H, F, CI, Br, I, OH, SH, OCH3, C=0(OCH3), CN, N02, NR4R5, -0-C3-C6-alkyl, -0-C2-C10-alkenyl, -0-C2-C10-alkynyl, C1-C6-alkyl, C2-
Ce-alkenyl, C2-C6-alkynyl, C=0(OH), C=0(H), O(CH2)n-SiR9R10R11, OC=0(C1-C6-alkyl), C=0(0)(C3-C6-alkyl), OC=0(C3-C8-cycloalkyl), C=0(0)(C3-C8-cycloalkyl), OC=0(C2-C6- alkenyl), C=0(0)(C2-C6-alkenyl), OC=0(C5-C6-aryl, C=0(0)C5-C6-aryl, C3-C8-cycloalkyl, 0-C3-C8-cycloalkyl, C=0(C1-C6-alkyl), C=0(C5-C6-aryl), C5- C6aryl, 0-C5-C6-aryl, C=(NOR13), and C5-C6-heteroaryl; whereby G2 is unsubstituted or further substituted by
1 , 2 or 3 identical or different groups R12d which are independently selected from the group consisting of F, CI, Br, I, OH, SH, CN, N02, NR4R5, -0-C1-C6-alkyl, -0-C2-C10- alkenyl, -0-C2-C10-alkynyl, C1-C6-alkyl, C2-C6-alkenyl and C2-C6-alkynyl;
R4, R5 R7, R8, R9, R10 and R11, identical or different, are selected from the group consisting of H, OH, SH, C1-C6-alkyl, C2-C6-alkenyl, C2-C6-alkynyl, C5-C6-aryl and C3-C8- cycloalkyl; R13 is H, C1-C6-alkyl, C2-C6-alkenyl or C2-C6-alkynyl; and
n is 0, 1 , 2, 3 or 4; or each compound in the form of a stereoisomer, an agriculturally acceptable salt, a derivative, a tautomer, an isotopic form, a N-oxide, a S-oxide or a mixture thereof;
whereby the following compounds are excluded 3-(2-bromophenyl)-6-chloro-1 H-indole, 6-bromo-3-(2-bromophenyl)-1 H-indole, 5-fluoro-3-(4-methyl-3-pyridyl)-1 H-indole, 6- bromo-3-(2-chloro-5-fluoro-pyrimidin-4-yl)-1 H-pyrrolo[3,2-c]pyridine, 3-(2-chloro-5- methyl-pyrimidin-4-yl)-1 H-indole, 3-(2,5-dichloro-pyrimidin-4-yl)-1 H-indole and fe/7-butyl 6-bromo-3-(2-chloro-5-fluoro-pyrimidin-4-yl)pyrrolo[3,2-c]pyridine-1 -carboxylate.
In one embodiment, the present invention provides the compound of formula (la), wherein A, together with the two carbon atoms of the pyrrole ring, is selected from:
whereby A is unsubstituted or further substituted by 1 or 2 identical or different groups R12a which are independently selected from the group consisting of F, CI, CN, NR4R5, C2- Ce-alkyl, -0-C2-C6-alkyl, C2-C6-alkenyl, CF3, CHF2, CH2F, C2-C6-alkynyl, 0(CH2)n- SiR9R10R11, C=0(0)(C1-C6-alkyl) and C=0(C5-C6-aryl); wherein R 2a is unsubstituted or further substituted by CN;
R1 is selected from the group consisting of F, CH3, CI, Br, I, N02, C3-C6-alkyl,
C=0(0)(C1-C6-alkyl), C5-C6-aryl, S-(C1-C6-alkyl), 0-C5-C6-aryl, S(02)(C1-C6-alkyl), and C=0(C1-C6-alkyl) whereby R1 is unsubstituted or further substituted by 1 , 2 or 3 identical or different groups R12b which are independently selected from the group consisting of F, CI and Br;
X1 , X2 and X3, identical or different, are selected from the group consisting of CR3 and N, whereby R3 is H;
X4 is CR2 or N, wherein R2 is H; or R2 together with R1 forms a C5-C6-aryl, C5-C6- heterocycloalkenyl or C5-C6-heteroaryl; wherein heterocycloalkenyl or heteroaryl contain besides carbon atoms as ring members, 1 or 2 heteroatoms independently selected from O or N as ring members; wherein C5-C6-aryl, C5-C6-heterocycloalkenyl or C5-C6- heteroaryl are unsubstituted or further substituted by 1 or 2 identical or different groups which are independently selected from the group consisting of F and CI; whereby when
G2 is H and A, together with the two carbon atoms of the pyrrole ring, is
wherein R12a is F, CI, Br, I, C2-C4-alkyl, CN or -0-C2-C6-alkyl; then R1 is selected from
CHF2 and CH2F;
G1 is H or C=0(0)-C1-C10-alkyl; G2 is selected from the group consisting of H, F, C1-C6-alkyl, OCH3, C=0(OCH3),
C=0(0)(C3-C6-alkyl); wherein G2 is unsubstituted or further substituted by 1 , 2 or 3 identical or different groups R12d which are independently selected from the group consisting of F, CI, Br and I;
R4, R5 R7, R8, R9, R10 and R11, identical or different, are selected from the group consisting of H and C1-C6-alkyl; and
n is 0, 1 , 2 or 3.
In one embodiment, the present invention provides the compound of formula (la), wherein the compound of formula (la) is
wherein A, together with the two carbon atoms of the pyrrole ring, is selected from
whereby A is unsubstituted or further substituted by 1 , 2 or 3 identical or different groups R12a which are independently selected from the group consisting of F, CI, Br, I, CN, NR4R5, C2-C6-alkyl, -0-C2-C6-alkyl, C2-C6-alkenyl, C2-C6-alkynyl, O(CH2)n-SiR9R10R11, C=0(0)(C1-C6-alkyl), C=0(C1-C6-alkyl), CF3, CHF2, CH2F and C=0(C5-C6-aryl); wherein R12a is unsubstituted or further substituted by CN; and
R1 is CF3, CH2F or CHF2; whereby when A, together with the two carbon atoms of the
pyrrole ring, is
, wherein R12a is F, CI, Br, I, C2-C4-alkyl, CN or -0-C2-Ce-alkyl; then R1 is selected from CHF2 and CH2F. one embodiment, the present invention provides the compound of formula (la), wherein
R12a is F, ethynyl, CI or CN;
R1 is CFs or CHF2;
X1 , X2 and X3, each, is CR3, whereby R3 is H;
X4 is CR2, wherein R2 is H;
G1 is H; and G2 is H or F.
In one embodiment, the present invention provides the compound of formula (la), wherein A is selected from
R12a is F, ethynyl, CI or CN;
X1 , X2 and X3, each, is CR3, whereby R3 is H;
X4 is CR2, wherein R2 is H;
G1 is H; and G2 is H.
In one embodiment, the present invention provides the compound of formula (la), wherein A is selected from
R12a is ethynyl;
R1 is CFs, CHF2 or CHF2;
X1 , X2 and X3, each, is CR3, whereby R3 is H;
X4 is CR2, wherein R2 is H;
G1 is H; and G2 is H.
In one embodiment, the present invention provides the compound of formula (la), wherein compound of formula (la) is:
In another embodiment, the invention provides an agrochemical mixture comprising at least one compound of formula (la), or in the form of a stereoisomer or an agriculturally acceptable salt or a tautomer or an isotopic form or a N-oxide or a S-oxide or a prodrug thereof.
In another embodiment, the invention provides a composition comprising at least one compound of formula (la), or in the form of a stereoisomer or an agriculturally acceptable salt or a tautomer or an isotopic form of a N-oxide or a S-oxide or a prodrug thereof, and an auxiliary. In another embodiment, the invention provides the use of the compound of formula (I) in a method of protecting a crop of useful plants susceptible to and/or under attack by fungi, which method comprises applying to said crop, treating a plant propagation material of said crop with, and/or applying to said fungi, the composition comprising at least one compound of formula (I). In another embodiment, the invention provides the use of the compound of formula (I), which comprises treating the fungi, the plant, or the plant propagation material selected from the group consisting of seeds, roots, fruits, tubers, bulbs, rhizomes, shoots, sprouts and other parts of plants, including seedlings and young plants to be protected against fungi attack, the stored materials or harvest, or alternately, the locus or soil or soil substituents or surfaces therefrom, with an effective amount of at least one compound of formula (I)
With respect to their use, particular preference is given to compounds of formula (I) compiled in the tables below. Moreover, the groups mentioned for a substituent in the tables are, by them- seleves and independently of the combination in which they are mentioned, a particularly preferred embodiment of the substituent in question.
In one embodiment, the compound of formula (I), in which the combination of G1 and G2 is as in T.1 ; A is A.9 and P is P.8, is
For example, in one embodiment, the compounds of formula (I) in which the combination of G1 andG2 is T.14; the A is A.1 and P is P. 10 Is
The compounds of formula (I) can be prepared by standard processes of organic chemistry. The compounds of formula (I) can be prepared according to methods or in analogy to standard techniques that are described in the state of art. The synthetic procedure utilises the starting materials that are either commercially available or that may be prepared according to conventional procedures starting from readily available compounds.
General procedure for the construction of the 5-membered ring:
Route 1 :
To a stirred solution of protected (eg: PG = Boc) amino compound in a polar aprotic solvent such as dichloroethane was added a halogenating agent portion wise at 0°C - 30°C and stirred for 2-14 h. After the completion of the reaction, the mixture was washed with brine, aq. Na2S03, dried over Na2S04, filtered, concentrated and purified by column to obtain the desired halogen- ated product.
The halogenation agent is, for example, Iodine, bromine, N-bromosuccinimide, N- iodosuccinimide.
Step 2: Coupling
Base
To a mixture of the N-protected halogenated compound in a non-polar aprotic solvent such as dioxane or a polar aprotic solvent like Acetonitrile, dimethylformamide or tetrahydrofuran or a solvent mixture such as Dioxane-water or CI- CN-water was added the boronate ester/boronic acid and a base such as K2CO3 in the same solvent. Then the Pd-catalyst such as Pd(dppf)C or similar was added to the reaction mixture and heated to higher temperatures for 4-16 h. Additional Pd-catalyst was added in case of incompletion of the reaction and the mixture was stirred for another 6-10 h. The reaction was monitored by TLC and LCMS. After the completion of the reaction, the mixture was concentrated and purified by column chromatography to obtain a cis and trans isomeric mixture of the coupled product.
Step 3: Cyclization
The coupled product from the previous step in aq. inorganic acid such as 2N HCI was refluxed for 2-10 h. Completion of the reaction was monitored by using TLC and LCMS. The mixture was then extracted with ethyl acetate, dried over Na2S04, filtered, concentrated and purified by col- umn chromatography to obtain the desired cydized product. Depending on the acid-lability of the protecting group, the group may be cleaved or retained in the final cydized product after the reaction completion.
Subsequent functionalization of the ring:
To a solution of protected or unprotected (aza)indoles or the 5,5-ring system in a polar aprotic solvent such as DMF or a protic solvent like methanol or a polar solvent mixture such as meth- anol-water system at 25°C was added the halide source portion wise over a period of 15-30 minutes. Reaction mixture was stirred for 2 - 16 h at 30°C. The reaction progress was monitored by TLC and LCMS. After completion of the reaction, the solvent was evaporated and the residue was diluted in ethyl acetate and washed with H2O followed by brine wash. Organic layer
was separated and dried over Na2S04 and concentrated to afford the crude compound which was used for the next step without further purification.
The halide source, for example, is iodine, bromine, N-bromosuccinimide, N-iodosuccinimide. Protection of the (aza)indole or 5,5-ring NH group
To a solution of substituted (aza)indole in a polar aprotic solvent such as tetrahydrofuran was added the base over period of 10 - 20 minutes at 0°C under an inert gas. Reaction mixture was stirred at the same temperature for 30 minutes and to this reaction mixture was added the hal- ide of the protecting group (for example tosyl chloride) over a period of 15 minutes. Reaction was continued for 2 - 16 h at 25°C and the completion was monitored by TLC and LCMS. Reaction mixture was cooled to 0°C and quenched with sat. NH4CI solution and diluted with ethyl acetate. Organic layer was separated and washed first with water followed by a brine wash. Organic layer was dried over Na2S04 and concentrated under vacuum. The crude compound was further purified by chromatography or by trituration with ethyl acetate/heptane mixture.
The base, for example, is triethylamine, sodium methoxide, sodium fe/7-butoxide, sodium carbonate, potassium carbonate and likes.
Coupling of halo(aza)indole/5,5-ring system with boronic acid/boronate ester:
To a solution of halo(aza)indole or similar 5,5-ring system in a commonly used polar solvent such as tetrahydrofuran or dimethylformamide or solvent mixture (for example: Dioxane: H2O, 4:1 ) was added the boronic acid/boronate ester followed by the addition of a base at rt. The re- action mixture was degassed followed by addition of the palladium catalyst such as Pd(dppf)2C or similar other catalysts. Reaction mixture was heated at 1 10°C for 2 - 14 h. The reaction completion was monitored by TLC and LCMS. Reaction mixture was cooled to 25°C, diluted with ethyl acetate and filtered through celite. Organic layer was separated and washed with water, followed by washing with brine. Organic layer was separated, dried over Na2S04 and concen-
trated to afford crude product which was further purified by chromatography to afford the pure compound.
N-deprotection:
The N-deprotection is based on literature known procedures based on the protecting group. Protecting group-free coupling:
To a solution of halo(aza)indole in a polar solvent such as tetrahydrofuran or dimethylformamide or solvent mixture such as dioxane:water, was added boronic acid/boronate ester followed by the addition of a base at rt. The solution was degassed followed by the addition of Xphos-Pd-G2 or similar kind of Pd-catalyst. Reaction mixture was heated at 1 10°C for 2 - 14 h. The reaction was monitored by TLC and LCMS. Reaction mixture was cooled to rt, diluted with ethyl acetate and filtered through celite. Organic layer was separated and washed with water, followed by washing with brine solution. Organic layer was then dried over Na2S04 and concentrated to afford crude product which was further purified by chromatography to afford pure compound.
The compounds of formula (I) and the compositions according to the invention, respectively, are suitable as fungicides. They are distinguished by an outstanding effectiveness against a broad spectrum of phytopathogenic fungi, including soil-borne fungi, which derive especially from the classes of the Plasmodiophoromycetes, Peronosporomycetes (syn. Oomycetes), Chytridiomy- cetes, Zygomycetes, Ascomycetes, Basidiomycetes and Deuteromycetes (syn. Fungi imperfec- ti). Some are systemically effective and they can be used in crop protection as foliar fungicides, fungicides for seed dressing and soil fungicides. Moreover, they are suitable for controlling harmful fungi, which inter alia occur in wood or roots of plants.
The compounds of formula (I) and the compositions according to the invention are particularly important in the control of a multitude of phytopathogenic fungi on various cultivated plants, such as cereals, e. g. wheat, rye, barley, triticale, oats or rice; beet, e. g. sugar beet or fodder beet; fruits, such as pomes, stone fruits or soft fruits, e. g. apples, pears, plums, peaches, almonds, cherries, strawberries, raspberries, blackberries or gooseberries; leguminous plants,
such as lentils, peas, alfalfa or soybeans; oil plants, such as rape, mustard, olives, sunflowers, coconut, cocoa beans, castor oil plants, oil palms, ground nuts or soybeans; cucurbits, such as squashes, cucumber or melons; fiber plants, such as cotton, flax, hemp or jute; citrus fruit, such as oranges, lemons, grapefruits or mandarins; vegetables, such as spinach, lettuce, asparagus, cabbages, carrots, onions, tomatoes, potatoes, cucurbits or paprika; lauraceous plants, such as avocados, cinnamon or camphor; energy and raw material plants, such as corn, soybean, rape, sugar cane or oil palm; corn; tobacco; nuts; coffee; tea; bananas; vines (table grapes and grape juice grape vines); hop; turf; sweet leaf (also called Stevia); natural rubber plants or ornamental and forestry plants, such as flowers, shrubs, broad-leaved trees or evergreens, e. g. conifers; and on the plant propagation material, such as seeds, and the crop material of these plants.
Preferably, compounds of formula (I) and compositions thereof, respectively are used for controlling a multitude of fungi on field crops, such as potatoes sugar beets, tobacco, wheat, rye, barley, oats, rice, corn, cotton, soybeans, rape, legumes, sunflowers, coffee or sugar cane; fruits; vines; ornamentals; or vegetables, such as cucumbers, tomatoes, beans or squashes.
The term "plant propagation material" is to be understood to denote all the generative parts of the plant such as seeds and vegetative plant material such as cuttings and tubers (e. g. potatoes), which can be used for the multiplication of the plant. This includes seeds, roots, fruits, tubers, bulbs, rhizomes, shoots, sprouts and other parts of plants, including seedlings and young plants, which are to be transplanted after germination or after emergence from soil.
These young plants may also be protected before transplantation by a total or partial treatment by immersion or pouring. Preferably, treatment of plant propagation materials with compounds of formula (I) and compositions thereof, respectively, is used for controlling a multitude of fungi on cereals, such as wheat, rye, barley and oats; rice, corn, cotton and soybeans.
The term "cultivated plants" is to be understood as including plants which have been modified by breeding, mutagenesis or genetic engineering including but not limiting to agricultural biotech products on the market or in development (cf. http://cera-gmc.org/, see GM crop database therein). Genetically modified plants are plants, which genetic material has been so modified by the use of recombinant DNA techniques that under natural circumstances cannot readily be obtained by cross breeding, mutations or natural recombination. Typically, one or more genes have been integrated into the genetic material of a genetically modified plant in order to improve certain properties of the plant. Such genetic modifications also include but are not limited to targeted post-translational modification of protein(s), oligo- or polypeptides e. g. by glycosylation or polymer additions such as prenylated, acetylated or farnesylated moieties or PEG moieties. Plants that have been modified by breeding, mutagenesis or genetic engineering, e. g. have been rendered tolerant to applications of specific classes of herbicides, such as auxin herbicides such as dicamba or 2,4-D; bleacher herbicides such as hydroxylphenylpyruvate dioxy- genase (HPPD) inhibitors or phytoene desaturase (PDS) inhibitors; acetolactate synthase (ALS) inhibitors such as sulfonyl ureas or imidazolinones; enolpyruvylshikimate-3-phosphate synthase
(EPSPS) inhibitors, such as glyphosate; glutamine synthetase (GS) inhibitors such as glufosinate; protoporphyrinogen-IX oxidase inhibitors; lipid biosynthesis inhibitors such as acetyl CoA carboxylase (ACCase) inhibitors; or oxynil (i. e. bromoxynil or ioxynil) herbicides as a result of conventional methods of breeding or genetic engineering. Furthermore, plants have been made resistant to multiple classes of herbicides through multiple genetic modifications, such as resistance to both glyphosate and glufosinate or to both glyphosate and a herbicide from another class such as ALS inhibitors, HPPD inhibitors, auxin herbicides, or ACCase inhibitors. These herbicide resistance technologies are e. g. described in Pest Managem. Sci. 61 , 2005, 246; 61 , 2005, 258; 61 , 2005, 277; 61 , 2005, 269; 61 , 2005, 286; 64, 2008, 326; 64, 2008, 332; Weed Sci. 57, 2009, 108; Austral. J. Agricult. Res. 58, 2007, 708; Science 316, 2007, 1 185; and references quoted therein. Several cultivated plants have been rendered tolerant to herbicides by conventional methods of breeding (mutagenesis), e. g. Clearfield® summer rape (Canola, BASF SE, Germany) being tolerant to imidazolinones, e. g. imazamox, or ExpressSun® sunflowers (DuPont, USA) being tolerant to sulfonyl ureas, e. g. tribenuron. Genetic engineering methods have been used to render cultivated plants such as soybean, cotton, corn, beets and rape, tolerant to herbicides such as glyphosate and glufosinate, some of which are commercially available under the trade names RoundupReady® (glyphosate-tolerant, Monsanto, U.S.A.), Cul- tivance® (imidazolinone tolerant, BASF SE, Germany) and LibertyLink® (glufosinate-tolerant, Bayer CropScience, Germany).
Furthermore, plants are also covered that are by the use of recombinant DNA techniques capable to synthesize one or more insecticidal proteins, especially those known from the bacterial genus Bacillus, particularly from Bacillus thuringiensis, such as δ-endotoxins, e. g. CrylA(b), CrylA(c), CrylF, CrylF(a2), CryllA(b), CrylllA, CrylllB(bl ) or Cry9c; vegetative insecticidal pro- teins (VIP), e. g. VIP1 , VIP2, VIP3 or VIP3A; insecticidal proteins of bacteria colonizing nematodes, e. g. Photorhabdus spp. or Xenorfiabdus spp.; toxins produced by animals, such as scorpion toxins, arachnid toxins, wasp toxins, or other insect-specific neurotoxins; toxins produced by fungi, such Streptomycetes toxins, plant lectins, such as pea or barley lectins; agglutinins; proteinase inhibitors, such as trypsin inhibitors, serine protease inhibitors, patatin, cystatin or papain inhibitors; ribosome-inactivating proteins (RIP), such as ricin, maize-RIP, abrin, luffin, saporin or bryodin; steroid metabolism enzymes, such as 3-hydroxysteroid oxidase, ecdyster- oid-IDP-glycosyl-transferase, cholesterol oxidases or HMG-CoA-reductase; ion channel blockers, such as blockers of sodium or calcium channels; juvenile hormone esterase; diuretic hormone receptors (helicokinin receptors); stilbene synthase, bibenzyl synthase, chitinases or glu- canases. In the context of the present invention these insecticidal proteins or toxins are to be understood expressly also as pre-toxins, hybrid proteins, truncated or otherwise modified proteins. Hybrid proteins are characterized by a new combination of protein domains, (see, e. g. WO 02/015701 ). Further examples of such toxins or genetically modified plants capable of synthesizing such toxins are disclosed, e. g., in EP-A 374 753, WO 93/007278, WO 95/34656, EP-A 427 529, EP-A 451 878, WO 03/18810 und WO 03/52073. The methods for producing such genetically modified plants are generally known to the person skilled in the art and are described, e. g. in the publications mentioned above. These insecticidal proteins contained in the genetically modified plants impart to the plants producing these proteins tolerance to harmful pests from all taxonomic groups of arthropods, especially to beetles (Coeloptera), two-
winged insects (Diptera), and moths (Lepidoptera) and to nematodes (Nematoda). Genetically modified plants capable to synthesize one or more insecticidal proteins are, e. g., described in the publications mentioned above, and some of which are commercially available such as YieldGard® (corn cultivars producing the CrylAb toxin), YieldGard® Plus (corn cultivars produc- ing CrylAb and Cry3Bb1 toxins), Starlink® (corn cultivars producing the Cry9c toxin), Herculex® RW (corn cultivars producing Cry34Ab1 , Cry35Ab1 and the enzyme phosphinothricin-N- acetyltransferase [PAT]); NuCOTN® 33B (cotton cultivars producing the CrylAc toxin), Bollgard<i I (cotton cultivars producing the CrylAc toxin), Bollgard® II (cotton cultivars producing CrylAc and Cry2Ab2 toxins); VIPCOT® (cotton cultivars producing a VIP-toxin); NewLeaf® (potato culti- vars producing the Cry3A toxin); Bt-Xtra®, NatureGard®, KnockOut®, BiteGard®, Protecta®, Bt1 1 (e. g. Agrisure® CB) and Bt176 from Syngenta Seeds SAS, France, (corn cultivars producing the CrylAb toxin and PAT enyzme), MIR604 from Syngenta Seeds SAS, France (corn cultivars producing a modified version of the Cry3A toxin, c.f. WO 03/018810), MON 863 from Monsanto Europe S.A., Belgium (corn cultivars producing the Cry3Bb1 toxin), IPC 531 from Monsanto Europe S.A., Belgium (cotton cultivars producing a modified version of the CrylAc toxin) and 1507 from Pioneer Overseas Corporation, Belgium (corn cultivars producing the Cry1 F toxin and PAT enzyme).
Furthermore, plants are also covered that are by the use of recombinant DNA techniques capa- ble to synthesize one or more proteins to increase the resistance or tolerance of those plants to bacterial, viral or fungal pathogens. Examples of such proteins are the so-called "pathogenesis- related proteins" (PR proteins, see, e. g. EP-A 392 225), plant disease resistance genes (e. g. potato cultivars, which express resistance genes acting against Phytophthora infestans derived from the Mexican wild potato Solanum bulbocastanum) or T4-lysozym (e. g. potato cultivars capable of synthesizing these proteins with increased resistance against bacteria such as Er- winia amylvora). The methods for producing such genetically modified plants are generally known to the person skilled in the art and are described, e. g. in the publications mentioned above.
Furthermore, plants are also covered that are by the use of recombinant DNA techniques capa- ble to synthesize one or more proteins to increase the productivity (e. g. bio mass production, grain yield, starch content, oil content or protein content), tolerance to drought, salinity or other growth-limiting environmental factors or tolerance to pests and fungal, bacterial or viral pathogens of those plants.
Furthermore, plants are also covered that contain by the use of recombinant DNA techniques a modified amount of substances of content or new substances of content, specifically to improve human or animal nutrition, e. g. oil crops that produce health-promoting long-chain omega-3 fatty acids or unsaturated omega-9 fatty acids (e. g. Nexera® rape, DOW Agro Sciences, Canada).
Furthermore, plants are also covered that contain by the use of recombinant DNA techniques a modified amount of substances of content or new substances of content, specifically to improve raw material production, e. g. potatoes that produce increased amounts of amylopectin (e. g. Amflora® potato, BASF SE, Germany).
The compounds of formula (I) and compositions thereof, respectively, are particularly suitable for controlling the following plant diseases:
Albugo spp. (white rust) on ornamentals, vegetables (e. g. A Candida) and sunflowers (e. g. A tragopogonis); Alternaria spp. (Alternaria leaf spot) on vegetables, rape (A brassicola or brassi- cae), sugar beets (A tenuis), fruits, rice, soybeans, potatoes (e. g. A so/an/ or A. alternata), tomatoes (e. g. A solani or A alternata) and wheat; Aphanomyces spp. on sugar beets and vegetables; As<%>c/7 /s spp. on cereals and vegetables, e. g. A /r/¾e/ (anthracnose) on wheat and A horde/ on barley; Bipolaris and Drechslera pp. (teleomorph: Cochliobolus spp.), e. g. Southern leaf blight (/9. maydis) or Northern leaf blight (.?. zeicola) on corn, e. g. spot blotch (.?. sorokiniana) on cereals and e. g. z?. oryzae on rice and turfs; Blumeria (formerly Erysiphe) graminis (powdery mildew) on cereals (e. g. on wheat or barley); Botrytis cinerea (teleomorph: Botryotinia fuckeliana. grey mold) on fruits and berries (e. g. strawberries), vegetables (e. g. lettuce, carrots, celery and cabbages), rape, flowers, vines, forestry plants and wheat; Bremia lactucae (downy mildew) on lettuce; Ceratocystis (syn. Ophiostoma) spp. (rot or wilt) on broad- leaved trees and evergreens, e. g. C. iy/ 7/'(Dutch elm disease) on elms; Cercospora spp. (Cer- cospora leaf spots) on corn (e. g. Gray leaf spot: C. zeae-maydis), rice, sugar beets (e. g. C. beticola), sugar cane, vegetables, coffee, soybeans (e. g. C. sojina or C. kikuchii) and rice; Cladosporium spp. on tomatoes (e. g. C. fulvum. leaf mold) and cereals, e. g. C. herbarum (black ear) on wheat; Claviceps purpurea (ergot) on cereals; Cochliobolus (anamorph: Helminthosporium oft Bipolaris) spp. (leaf spots) on corn (C. carbonum), cereals (e. g. C. sativus, anamorph: B. sorokiniana) and rice (e. g. C. miyabeanus, anamorph: H. oryzae); Colletotrichum (teleomorph: Giomereiia) spp. (anthracnose) on cotton (e. g. C. gossypii), corn (e. g. C. gramini- co/a/Anthracnose stalk rot), soft fruits, potatoes (e. g. C. coccodes. black dot), beans (e. g. C. lindemuthianum) and soybeans (e. g. C. truncatum or C. gloeosporioides); Corticium spp., e. g. C. sasakii (sheath blight) on rice; Corynespora cassiicola (leaf spots) on soybeans and ornamentals; Cycloconium spp., e. g. C. oleaginum on olive trees; Cylindrocarpon spp. (e. g. fruit tree canker or young vine decline, teleomorph: Nectria or Neonectria spp.) on fruit trees, vines (e. g. C. liriodendri, teleomorph: Neonectria liriodendri. Black Foot Disease) and ornamentals; Dematophora (teleomorph: Rosellinia) necatrix (root and stem rot) on soybeans; Diaporthe spp., e. g. D. phaseolorum (damping off) on soybeans; Drechslera {syn. Helminthosporium, teleomorph: Pyrenophora) spp. on corn, cereals, such as barley (e. g. D. teres, net blotch) and wheat (e. g. D. tritici-repentis. tan spot), rice and turf; Esca (dieback, apoplexy) on vines, caused by Formitiporia (syn. Phellinus) punctata, F. mediterranea, Phaeomoniella chlamydospora (earlier Phaeoacremonium chlamydosporum), Phaeoacremonium aleophilum and/or Botryosphaeria obtusa, Elsinoe spp. on pome fruits (E. pyri), soft fruits (E. veneta: anthracnose) and vines (E. ampe/ina: anthracnose); Enty/oma oryzae (leaf smut) on rice; Epicoccum spp. (black mold) on wheat; Erysiphe spp. (powdery mildew) on sugar beets (E. betae), vegetables (e. g. E. pisi), such as cucurbits (e. g. E. cichoracearum), cabbages, rape (e. g. E. cruciferarum); Eutypa lata (Eutypa canker or dieback, anamorph: Cytosporina lata, syn. Libertella blepharis) on fruit trees, vines and ornamental woods; Exserohilum (syn. Helminthosporium) spp. on corn (e. g. E. turci- cum); Fusarium (teleomorph: Gibberella) spp. (wilt, root or stem rot) on various plants, such as F. graminearum or F. culmorum (root rot, scab or head blight) on cereals (e. g. wheat or barley), F. oxysporum on tomatoes, F. solani '(f. sp. glycines new syn. F. virguliforme ) and F. tucumani- se and F. brasiliense each causing sudden death syndrome on soybeans, and F. verticillioides on corn; Gaeumannomyces graminis (take-all) on cereals (e. g. wheat or barley) and corn; Gibberella spp. on cereals (e. g. G zeae) and rice (e. g. G fujikuror. Bakanae disease); Giomereiia
cingulata on vines, pome fruits and other plants and G. gossypii on cotton; Grainstaining complex on rice; Guignardia bidwellii '(black rot) on vines; Gymnosporangium spp. on rosaceous plants and junipers, e. g. G. sabinae (rust) on pears; Helminthosporium spp. (syn. Drechslera, teleomorph: Cochiioboius) on corn, cereals and rice; Hemileia spp., e. g. H. vastatrix (coffee leaf rust) on coffee; Isariopsis clavispora (syn. Cladosporium vitis) on vines; Macrophomina phaseolina (syn. phaseoll) (root and stem rot) on soybeans and cotton; Microdochium (syn. Fusarium) nivale (pink snow mold) on cereals (e. g. wheat or barley); Microsphaera diffusa (powdery mildew) on soybeans; Monilinia spp., e. g. M. laxa, M. fructicola and M. fructigena (bloom and twig blight, brown rot) on stone fruits and other rosaceous plants; Mycosphaerella spp. on cereals, bananas, soft fruits and ground nuts, such as e. g. M. graminicola (anamorph: Septoria tritici, Septoria blotch) on wheat or M. fijiensis (black Sigatoka disease) on bananas; Peronospora spp. (downy mildew) on cabbage (e. g. P. brassicae), rape (e. g. P. parasitica), onions (e. g. P. destructor), tobacco {P. tabacina) and soybeans (e. g. P. manshurica);
Phakopsora pachyrhizi and P. meibomiae (soybean rust) on soybeans; Phialophora spp. e. g. on vines (e. g. P. tracheiphila and P. tetraspora) and soybeans (e. g. P. gregata. stem rot); Phoma lingam (root and stem rot) on rape and cabbage and P. betae (root rot, leaf spot and damping-off) on sugar beets; Phomopsis spp. on sunflowers, vines (e. g. P. vitico/a: can and leaf spot) and soybeans (e. g. stem rot: P. phaseoli, teleomorph: Diaporthe phaseolorum); Phy- soderma maydis (brown spots) on corn; Phytophthora SOO. (wilt, root, leaf, fruit and stem root) on various plants, such as paprika and cucurbits (e. g. P. capsicl), soybeans (e. g. P.
megasperma, syn. P. sojae), potatoes and tomatoes (e. g. P. infestans. late blight) and broad- leaved trees (e. g. P. ramorum. sudden oak death); Plasmodiophora brassicae (club root) on cabbage, rape, radish and other plants; Plasmopara spp., e. g. P. viticola (grapevine downy mildew) on vines and P. halstedii on sunflowers; Podosphaera spp. (powdery mildew) on rosa- ceous plants, hop, pome and soft fruits, e. g. P. leucotricha on apples; Po/ymyxa spp., e. g. on cereals, such as barley and wheat (P. graminis) and sugar beets {P. betae) and thereby transmitted viral diseases; Pseudocercosporella herpotrichoides (eyespot, teleomorph: Tapes/a yal- lundae) on cereals, e. g. wheat or barley; Pseudoperonospora (downy mildew) on various plants, e. g. P. cubensis on cucurbits or P. hum/lion hop; Pseudopezicula tracheiphila (red fire disease or .rotbrenner', anamorph: Phialophora) on vines; Puccinia spp. (rusts) on various plants, e. g. P. triticina (brown or leaf rust), P. striiformis (stripe or yellow rust), P. horde! (dwarf rust), P. graminis (stem or black rust) or P. recondita (brown or leaf rust) on cereals, such as e. g. wheat, barley or rye, P. kuehn// '(orange rust) on sugar cane and P. asparag/ on asparagus; Pyrenophora (anamorph: Drechslera) tritici-repentis (tan spot) on wheat or P. teres (net blotch) on barley; Pyricularia spp., e. g. P. oryzae (teleomorph: Magnaporthe grisea, rice blast) on rice and P. grisea on turf and cereals; Pythium spp. (damping-off) on turf, rice, corn, wheat, cotton, rape, sunflowers, soybeans, sugar beets, vegetables and various other plants (e. g. P. ultimum or P. aphanidermatum); Ramularia spp., e. g. R. co/lo-cygni (Ramu\ar\a leaf spots, Physiological leaf spots) on barley and R. beticola on sugar beets; Rhizoctonia spp. on cotton, rice, potatoes, turf, corn, rape, potatoes, sugar beets, vegetables and various other plants, e. g. R. so/ani (root and stem rot) on soybeans, R. so/ani (sheath blight) on rice or R. cerea/is (Rhizoctonia spring blight) on wheat or barley; Rh/zopus sto/on/fer (black mold, soft rot) on strawberries, carrots, cabbage, vines and tomatoes; Rhynchospor/um seca/is (scald) on barley, rye and triticale; Sa- roc/ad/um oryzae and S. attenuatum (sheath rot) on rice; Sclerotinia spp. (stem rot or white
mold) on vegetables and field crops, such as rape, sunflowers (e. g. S. sclerotiorum) and soybeans (e. g. S. ro/fsiior S. sclerotiorum); Septoria spp. on various plants, e. g. S. glycines (brown spot) on soybeans, S. tritici (Septoria blotch) on wheat and S. (syn. Stagonospora) no- dorum (Stagonospora blotch) on cereals; Uncinula (syn. Erysiphe) necator (powdery mildew, anamorph: Oidium tucker!) on vines; Setospaeria spp. (leaf blight) on corn (e. g. S. turcicum, syn. Helminthosporium turcicum) and turf; Sphacelotheca spp. (smut) on corn, (e. g. S. reiliana. head smut), sorghum und sugar cane; Sphaerotheca fuliginea (powdery mildew) on cucurbits; Spongospora subterranea (powdery scab) on potatoes and thereby transmitted viral diseases; Stagonospora spp. on cereals, e. g. S. nodorum (Stagonospora blotch, teleomorph: Lepto- sphaeria [syn. Phaeosphaeria] nodorum) on wheat; Synchytrium endobioticum on potatoes (potato wart disease); Taphrina spp., e. g. T. deformans (leaf curl disease) on peaches and T. pruni (plum pocket) on plums; Thielaviopsis spp. (black root rot) on tobacco, pome fruits, vegetables, soybeans and cotton, e. g. T. basicola (syn. Chalara elegans); Tilletia spp. (common bunt or stinking smut) on cereals, such as e. g. T. tritici {syn. T. caries, wheat bunt) and T. controversa (dwarf bunt) on wheat; Typhula incarnata (grey snow mold) on barley or wheat; Urocystis spp., e. g. U. occulta (stem smut) on rye; Uromyces spp. (rust) on vegetables, such as beans (e. g. U. appendicu/atus, syn. U. phaseoli) and sugar beets (e. g. U. betae); Ustilago spp. (loose smut) on cereals (e. g. U. nuda and U. avaenae), corn (e. g. U. maydis. corn smut) and sugar cane; Venturia spp. (scab) on apples (e. g. V. inaequalis) and pears; and Verticillium spp. (wilt) on various plants, such as fruits and ornamentals, vines, soft fruits, vegetables and field crops, e. g. V. dahliae on strawberries, rape, potatoes and tomatoes.
The compounds of formula (I) and compositions thereof, respectively, are also suitable for controlling harmful fungi in the protection of stored products or harvest and in the protection of ma- terials.
The term "protection of materials" is to be understood to denote the protection of technical and non-living materials, such as adhesives, glues, wood, paper and paperboard, textiles, leather, paint dispersions, plastics, cooling lubricants, fiber or fabrics, against the infestation and de- struction by harmful microorganisms, such as fungi and bacteria. As to the protection of wood and other materials, the particular attention is paid to the following harmful fungi: Ascomycetes such as Ophiostoma spp., Ceratocystis spp., Aureobasidium pullulans, Sclerophoma spp., Chaetomium spp., Hum/cola spp., Petriella spp., Trichurus spp:, Basidiomycetes such as Coni- ophora spp., Coriolus spp., Gloeophyllum spp., Lentinus spp., Pleurotus spp., Poria spp., Ser- pu/a spp. and Tyromyces spp., Deuteromycetes such as Aspergillus spp., Cladosporium spp., Penicillium spp., Trichoderma spp., Alternaria spp., Paecilomyces spp. and Zygomycetes such as Mucorspp., and in addition in the protection of stored products and harvest the following yeast fungi are worthy of note: Candida spp. and Saccharomyces cerevisae. The method of treatment according to the invention can also be used in the field of protecting stored products or harvest against attack of fungi and microorganisms. According to the present invention, the term "stored products" is understood to denote natural substances of plant or animal origin and their processed forms, which have been taken from the natural life cycle and for which long-term protection is desired. Stored products of crop plant origin, such as plants or
parts thereof, for example stalks, leafs, tubers, seeds, fruits or grains, can be protected in the freshly harvested state or in processed form, such as pre-dried, moistened, comminuted, ground, pressed or roasted, which process is also known as post-harvest treatment. Also falling under the definition of stored products is timber, whether in the form of crude timber, such as construction timber, electricity pylons and barriers, or in the form of finished articles, such as furniture or objects made from wood. Stored products of animal origin are hides, leather, furs, hairs and the like. The combinations according the present invention can prevent disadvantageous effects such as decay, discoloration or mold. Preferably "stored products" is understood to denote natural substances of plant origin and their processed forms, more preferably fruits and their processed forms, such as pomes, stone fruits, soft fruits and citrus fruits and their processed forms.
The compounds of formula (I) and compositions thereof, respectively, may be used for improving the health of a plant. The invention also relates to a method for improving plant health by treating a plant, its propagation material and/or the locus where the plant is growing or is to grow with an effective amount of compounds of formula (I) and compositions thereof, respectively.
The term "plant health" is to be understood to denote a condition of the plant and/or its products which is determined by several indicators alone or in combination with each other such as yield (e. g. increased biomass and/or increased content of valuable ingredients), plant vigor (e. g. improved plant growth and/or greener leaves ("greening effect")), quality (e. g. improved content or composition of certain ingredients) and tolerance to abiotic and/or biotic stress. The above identified indicators for the health condition of a plant may be interdependent or may result from each other. The compounds of formula I can be present in different crystal modifications whose biological activity may differ. They are likewise subject matter of the present invention.
The compounds of formula (I) are employed as such or in form of compositions by treating the fungi or the plants, plant propagation materials, such as seeds, soil, surfaces, materials or rooms to be protected from fungal attack with a fungicidally effective amount of the active sub- stances. The application can be carried out both before and after the infection of the plants, plant propagation materials, such as seeds, soil, surfaces, materials or rooms by the fungi. Plant propagation materials may be treated with compounds of formula (I) as such or a composition comprising at least one compound of formula (I) prophylactically either at or before planting or transplanting.
The Invention also relates to agrochemical compositions comprising an auxiliary and at least one compound of formula (I) according to the invention.
An agrochemical composition comprises a fungicidally effective amount of a compound of formula (I). The term "effective amount" denotes an amount of the composition or of the compounds of formula (I), which is sufficient for controlling harmful fungi on cultivated plants or in the protection of materials and which does not result in a substantial damage to the treated plants. Such an amount can vary in a broad range and is dependent on various factors, such as the fungal species to be controlled, the treated cultivated plant or material, the climatic conditions and the specific compound of formula (I) used.
The compounds of formula (I), their N-oxides and salts can be converted into customary types
of agrochemical compositions, e. g. solutions, emulsions, suspensions, dusts, powders, pastes, granules, pressings, capsules, and mixtures thereof. Examples for composition types are suspensions (e. g. SC, OD, FS), emulsifiable concentrates (e. g. EC), emulsions (e. g. EW, EO, ES, ME), capsules (e. g. CS, ZC), pastes, pastilles, wettable powders or dusts (e. g. WP, SP, WS, DP, DS), pressings (e. g. BR, TB, DT), granules (e. g. WG, SG, GR, FG, GG, MG), insecticidal articles (e. g. LN), as well as gel formulations for the treatment of plant propagation materials such as seeds (e. g. GF). These and further compositions types are defined in the "Catalogue of pesticide formulation types and international coding system", Technical Monograph No. 2, 6th Ed. May 2008, CropLife International.
The compositions are prepared in a known manner, such as described by Mollet and
Grubemann, Formulation technology, Wiley VCH, Weinheim, 2001 ; or Knowles, New developments in crop protection product formulation, Agrow Reports DS243, T&F Informa, London, 2005.
Suitable auxiliaries are solvents, liquid carriers, solid carriers or fillers, surfactants, dispersants, emulsifiers, wetters, adjuvants, solubilizers, penetration enhancers, protective colloids, adhesion agents, thickeners, humectants, repellents, attractants, feeding stimulants, compatibilizers, bactericides, anti-freezing agents, anti-foaming agents, colorants, tackifiers and binders.
Suitable solvents and liquid carriers are water and organic solvents, such as mineral oil fractions of medium to high boiling point, e. g. kerosene, diesel oil; oils of vegetable or animal origin; aliphatic, cyclic and aromatic hydrocarbons, e. g. toluene, paraffin, tetrahydronaphthalene, alkylated naphthalenes; alcohols, e. g. ethanol, propanol, butanol, benzyl alcohol, cyclohexanol; glycols; DMSO; ketones, e. g. cyclohexanone; esters, e. g. lactates, carbonates, fatty acid esters, gamma-butyrolactone; fatty acids; phosphonates; amines; amides, e. g. N-methyl pyrroli- done, fatty acid dimethyl amides; and mixtures thereof.
Suitable solid carriers or fillers are mineral earths, e. g. silicates, silica gels, talc, kaolins, limestone, lime, chalk, clays, dolomite, diatomaceous earth, bentonite, calcium sulfate, magnesium sulfate, magnesium oxide; polysaccharides, e. g. cellulose, starch; fertilizers, e. g. ammonium sulfate, ammonium phosphate, ammonium nitrate, ureas; products of vegetable origin, e. g. cereal meal, tree bark meal, wood meal, nutshell meal, and mixtures thereof.
Suitable surfactants are surface-active compounds, such as anionic, cationic, nonionic and amphoteric surfactants, block polymers, polyelectrolytes, and mixtures thereof. Such surfactants can be used as emulsifier, dispersant, solubilizer, wetter, penetration enhancer, protective colloid, or adjuvant. Examples of surfactants are listed in McCutcheon's, Vol.1 : Emulsifiers & Detergents, McCutcheon's Directories, Glen Rock, USA, 2008 (International Ed. or North American Ed.).
Suitable anionic surfactants are alkali, alkaline earth or ammonium salts of sulfonates, sulfates, phosphates, carboxylates, and mixtures thereof. Examples of sulfonates are alkylaryl sulfonates, diphenyl sulfonates, alpha-olefin sulfonates, lignin sulfonates, sulfonates of fatty acids and oils, sulfonates of ethoxylated alkylphenols, sulfonates of alkoxylated arylphenols, sul- fonates of condensed naphthalenes, sulfonates of dodecyl- and tridecylbenzenes, sulfonates of naphthalenes and alkyl naphthalenes, sulfosuccinates or sulfosuccinamates. Examples of sulfates are sulfates of fatty acids and oils, of ethoxylated alkylphenols, of alcohols, of ethoxylated alcohols, or of fatty acid esters. Examples of phosphates are phosphate esters. Examples of carboxylates are alkyl carboxylates, and carboxylated alcohol or alkylphenol ethoxylates.
Suitable nonionic surfactants are alkoxylates, N-substituted fatty acid amides, amine oxides, esters, sugar-based surfactants, polymeric surfactants, and mixtures thereof. Examples of alkoxylates are compounds such as alcohols, alkylphenols, amines, amides, arylphenols, fatty acids or fatty acid esters which have been alkoxylated with 1 to 50 equivalents. Ethylene oxide and/or propylene oxide may be employed for the alkoxylation, preferably ethylene oxide. Examples of N-substituted fatty acid amides are fatty acid glucamides or fatty acid alkanolamides. Examples of esters are fatty acid esters, glycerol esters or monoglycerides. Examples of sugar- based surfactants are sorbitans, ethoxylated sorbitans, sucrose and glucose esters or al- kylpolyglucosides. Examples of polymeric surfactants are home- or copolymers of vinyl pyrroli- done, vinyl alcohols, or vinyl acetate.
Suitable cationic surfactants are quaternary surfactants, for example quaternary ammonium compounds with one or two hydrophobic groups, or salts of long-chain primary amines. Suitable amphoteric surfactants are alkylbetains and imidazolines. Suitable block polymers are block polymers of the A-B or A-B-A type comprising blocks of polyethylene oxide and polypropylene oxide, or of the A-B-C type comprising alkanol, polyethylene oxide and polypropylene oxide. Suitable polyelectrolytes are polyacids or polybases. Examples of polyacids are alkali salts of polyacrylic acid or polyacid comb polymers. Examples of polybases are polyvinyl amines or polyethylene amines.
Suitable adjuvants are compounds, which have a negligible or even no pesticidal activity them- selves, and which improve the biological performance of the compound of formula (I) on the target. Examples are surfactants, mineral or vegetable oils, and other auxiliaries. Further examples are listed by Knowles, Adjuvants and additives, Agrow Reports DS256, T&F Informa UK, 2006, chapter 5.
Suitable thickeners are polysaccharides (e. g. xanthan gum, carboxymethyl cellulose), inorganic clays (organically modified or unmodified), polycarboxylates, and silicates.
Suitable bactericides are bronopol and isothiazolinone derivatives such as alkylisothiazolinones and benzisothiazolinones.
Suitable anti-freezing agents are ethylene glycol, propylene glycol, urea and glycerin.
Suitable anti-foaming agents are silicones, long chain alcohols, and salts of fatty acids.
Suitable colorants (e. g. in red, blue, or green) are pigments of low water solubility and water- soluble dyes. Examples are inorganic colorants (e. g. iron oxide, titan oxide, iron hexacyanofer- rate) and organic colorants (e. g. alizarin-, azo- and phthalocyanine colorants).
Suitable tackifiers or binders are polyvinyl pyrrolidones, polyvinyl acetates, polyvinyl alcohols, polyacrylates, biological or synthetic waxes, and cellulose ethers.
Examples for composition types and their preparation are:
i) Water-soluble concentrates (SL, LS)
10-60 wt% of a compound of formula (I) and 5-15 wt% wetting agent (e. g. alcohol alkoxylates) are dissolved in water and/or in a water-soluble solvent (e. g. alcohols) ad 100 wt%. The active substance dissolves upon dilution with water.
ii) Dispersible concentrates (DC)
5-25 wt% of a compound of formula (I) and 1 -10 wt% dispersant (e. g. polyvinyl pyrrolidone) are dissolved in organic solvent (e. g. cyclohexanone) ad 100 wt%. Dilution with water gives a dispersion.
iii) Emulsifiable concentrates (EC)
15-70 wt% of a compound of formula (I) and 5-10 wt% emulsifiers (e. g. calcium dodecylben- zenesulfonate and castor oil ethoxylate) are dissolved in water-insoluble organic solvent (e. g. aromatic hydrocarbon) ad 100 wt%. Dilution with water gives an emulsion,
iv) Emulsions (EW, EO, ES)
5-40 wt% of a compound of formula (I) and 1 -10 wt% emulsifiers (e. g. calcium dodecylben- zenesulfonate and castor oil ethoxylate) are dissolved in 20-40 wt% water-insoluble organic solvent (e. g. aromatic hydrocarbon). This mixture is introduced into water ad 100 wt% by means of an emulsifying machine and made into a homogeneous emulsion. Dilution with water gives an emulsion.
v) Suspensions (SC, OD, FS)
In an agitated ball mill, 20-60 wt% of a compound of formula (I) are comminuted with addition of 2-10 wt% dispersants and wetting agents (e. g. sodium lignosulfonate and alcohol ethoxylate), 0.1 -2 wt% thickener (e. g. xanthan gum) and water ad 100 wt% to give a fine active substance suspension. Dilution with water gives a stable suspension of the active substance. For FS type composition up to 40 wt% binder (e. g. polyvinyl alcohol) is added.
vi) Water-dispersible granules and water-soluble granules (WG, SG)
50-80 wt% of a compound of formula (I) are ground finely with addition of dispersants and wetting agents (e. g. sodium lignosulfonate and alcohol ethoxylate) ad 100 wt% and prepared as water-dispersible or water-soluble granules by means of technical appliances (e. g. extru- sion, spray tower, fluidized bed). Dilution with water gives a stable dispersion or solution of the active substance.
vii) Water-dispersible powders and water-soluble powders (WP, SP, WS)
50-80 wt% of a compound of formula (I) are ground in a rotor-stator mill with addition of 1 -5 wt% dispersants (e. g. sodium lignosulfonate), 1 -3 wt% wetting agents (e. g. alcohol ethoxylate) and solid carrier (e. g. silica gel) ad 100 wt%. Dilution with water gives a stable dispersion or solution of the active substance.
viii) Gel (GW, GF)
In an agitated ball mill, 5-25 wt% of a compound of formula (I) are comminuted with addition of 3-10 wt% dispersants (e. g. sodium lignosulfonate), 1 -5 wt% thickener (e. g. carboxymethyl cellulose) and water ad 100 wt% to give a fine suspension of the active substance. Dilution with water gives a stable suspension of the active substance.
ix) Microemulsion (ME)
5-20 wt% of a compound of formula (I) are added to 5-30 wt% organic solvent blend (e. g. fatty acid dimethyl amide and cyclohexanone), 10-25 wt% surfactant blend (e. g. alcohol ethox- ylate and arylphenol ethoxylate), and water ad 100 %. This mixture is stirred for 1 h to produce spontaneously a thermodynamically stable microemulsion.
x) Microcapsules (CS)
An oil phase comprising 5-50 wt% of a compound of formula (I), 0-40 wt% water insoluble organic solvent (e. g. aromatic hydrocarbon), 2-15 wt% acrylic monomers (e. g. methylmethac- rylate, methacrylic acid and a di- or triacrylate) are dispersed into an aqueous solution of a protective colloid (e. g. polyvinyl alcohol). Radical polymerization results in the formation of poly(meth)acrylate microcapsules. Alternatively, an oil phase comprising 5-50 wt% of a compound of formula (I) according to the invention, 0-40 wt% water insoluble organic solvent (e. g. aromatic hydrocarbon), and an isocyanate monomer (e. g. diphenylmethene-4,4'-diisocyanatae)
are dispersed into an aqueous solution of a protective colloid (e. g. polyvinyl alcohol). The addition of a polyamine (e. g. hexamethylenediamine) results in the formation of polyurea microcapsules. The monomers amount to 1 -10 wt%. The wt% relate to the total CS composition.
xi) Dustable powders (DP, DS)
1 -10 wt% of a compound of formula (I) are ground finely and mixed intimately with solid carrier (e. g. finely divided kaolin) ad 100 wt%.
xii) Granules (GR, FG)
0.5-30 wt% of a compound of formula (I) is ground finely and associated with solid carrier (e. g. silicate) ad 100 wt%. Granulation is achieved by extrusion, spray-drying or fluidized bed. xiii) Ultra-low volume liquids (UL)
1 -50 wt% of a compound of formula (I) are dissolved in organic solvent (e. g. aromatic hydrocarbon) ad 100 wt%.
The compositions types i) to xiii) may optionally comprise further auxiliaries, such as 0.1 -1 wt% bactericides, 5-15 wt% anti-freezing agents, 0.1 -1 wt% anti-foaming agents, and 0.1 -1 wt% col- orants.
The agrochemical compositions generally comprise between 0.01 and 95%, preferably between 0.1 and 90%, more preferably between 1 and 70%, and in particular between 10 and 60%, by weight of active substance. The active substances are employed in a purity of from 90% to 100%, preferably from 95% to 100% (according to NMR spectrum).
For the purposes of treatment of plant propagation materials, particularly seeds, solutions for seed treatment (LS), Suspoemulsions (SE), flowable concentrates (FS), powders for dry treatment (DS), water-dispersible powders for slurry treatment (WS), water-soluble powders (SS), emulsions (ES), emulsifiable concentrates (EC), and gels (GF) are usually employed. The compositions in question give, after two-to-tenfold dilution, active substance concentrations of from 0.01 to 60% by weight, preferably from 0.1 to 40%, in the ready-to-use preparations. Application can be carried out before or during sowing. Methods for applying compound of formula (I) and compositions thereof, respectively, onto plant propagation material, especially seeds, include dressing, coating, pelleting, dusting, and soaking as well as in-furrow application methods. Preferably, compound of formula (I) or the compositions thereof, respectively, are applied on to the plant propagation material by a method such that germination is not induced, e. g. by seed dressing, pelleting, coating and dusting.
When employed in plant protection, the amounts of active substances applied are, depending on the kind of effect desired, from 0.001 to 2 kg per ha, preferably from 0.005 to 2 kg per ha, more preferably from 0.05 to 0.9 kg per ha, and in particular from 0.1 to 0.75 kg per ha.
In treatment of plant propagation materials such as seeds, e. g. by dusting, coating or drenching seed, amounts of active substance of from 0.1 to 1000 g, preferably from 1 to 1000 g, more preferably from 1 to 100 g and most preferably from 5 to 100 g, per 100 kilogram of plant propagation material (preferably seeds) are generally required.
When used in the protection of materials or stored products, the amount of active substance applied depends on the kind of application area and on the desired effect. Amounts customarily applied in the protection of materials are 0.001 g to 2 kg, preferably 0.005 g to 1 kg, of active substance per cubic meter of treated material.
Various types of oils, wetters, adjuvants, fertilizer, or micronutrients, and further pesticides (e. g. herbicides, insecticides, fungicides, growth regulators, safeners, biopesticides) may be added to
the active substances or the compositions comprising them as premix or, if appropriate not until immediately prior to use (tank mix). These agents can be admixed with the compositions according to the invention in a weight ratio of 1 :100 to 100:1 , preferably 1 :10 to 10:1.
A pesticide is generally a chemical or biological agent (such as pestidal active ingredient, com- pound, composition, virus, bacterium, antimicrobial or disinfectant) that through its effect deters, incapacitates, kills or otherwise discourages pests. Target pests can include insects, plant pathogens, weeds, mollusks, birds, mammals, fish, nematodes (roundworms), and microbes that destroy property, cause nuisance, spread disease or are vectors for disease. The term "pesticide" includes also plant growth regulators that alter the expected growth, flowering, or repro- duction rate of plants; defoliants that cause leaves or other foliage to drop from a plant, usually to facilitate harvest; desiccants that promote drying of living tissues, such as unwanted plant tops; plant activators that activate plant physiology for defense of against certain pests; safen- ers that reduce unwanted herbicidal action of pesticides on crop plants; and plant growth promoters that affect plant physiology e.g. to increase plant growth, biomass, yield or any other quality parameter of the harvestable goods of a crop plant.
Biopesticides have been defined as a form of pesticides based on microorganisms (bacteria, fungi, viruses, nematodes, etc.) or natural products (compounds, such as metabolites, proteins, or extracts from biological or other natural sources) (U.S. Environmental Protection Agency: http://www.epa.gov/pesticides/biopesticides/). Biopesticides fall into two major classes, microbi- al and biochemical pesticides:
(1 ) Microbial pesticides consist of bacteria, fungi or viruses (and often include the metabolites that bacteria and fungi produce). Entomopathogenic nematodes are also classified as microbial pesticides, even though they are multi-cellular.
(2) Biochemical pesticides are naturally occurring substances that control pests or provide other crop protection uses as defined below, but are relatively non-toxic to mammals.
The user applies the composition according to the invention usually from a predosage device, a knapsack sprayer, a spray tank, a spray plane, or an irrigation system. Usually, the agrochemical composition is made up with water, buffer, and/or further auxiliaries to the desired application concentration and the ready-to-use spray liquor or the agrochemical composition according to the invention is thus obtained. Usually, 20 to 2000 liters, preferably 50 to 400 liters, of the ready-to-use spray liquor are applied per hectare of agricultural useful area.
According to one embodiment, individual components of the composition according to the invention such as parts of a kit or parts of a binary or ternary mixture may be mixed by the user himself in a spray tank or any other kind of vessel used for applications (e. g. seed treater drums, seed pelleting machinery, knapsack sprayer) and further auxiliaries may be added, if appropriate.
When living microorganisms, such as microbial pesticides from groups L1 ), L3) and L5), form part of such kit, it must be taken care that choice and amounts of the components (e. g. chemical pesticides) and of the further auxiliaries should not influence the viability of the microbial pesticides in the composition mixed by the user. Especially for bactericides and solvents, compatibility with the respective microbial pesticide has to be taken into account.
Consequently, one embodiment of the invention is a kit for preparing a usable pesticidal composition, the kit comprising a) a composition comprising component 1 ) as defined herein and at least one auxiliary; and b) a composition comprising component 2) as defined herein and at
least one auxiliary; and optionally c) a composition comprising at least one auxiliary and optionally a further active component 3) as defined herein.
Mixing the compounds of formula (I) or the compositions comprising them in the use form as fungicides with other fungicides results in many cases in an expansion of the fungicidal spec- trum of activity being obtained or in a prevention of fungicide resistance development. Furthermore, in many cases, synergistic effects are obtained.
The following list of pesticides II (e. g. pesticidally-active substances and biopesticides), in conjunction with which the compounds of formula (I) can be used, is intended to illustrate the possible combinations but does not limit them:
A) Respiration inhibitors
Inhibitors of complex III at Q0 site: azoxystrobin (A.1 .1 ), coumethoxystrobin (A.1 .2), coumoxystrobin (A.1 .3), dimoxystrobin (A.1 .4), enestroburin (A.1 .5), fenaminstrobin (A.1 .6), fenoxystrobin/flufenoxystrobin (A.1 .7), fluoxastrobin (A.1 .8), kresoxim-methyl (A.1 .9), mande- strobin (A.1 .10), metominostrobin (A.1.1 1 ), orysastrobin (A.1 .12), picoxystrobin (A.1 .13), pyra- clostrobin (A.1.14), pyrametostrobin (A.1.15), pyraoxystrobin (A.1.16), trifloxystrobin (A.1 .17), 2-(2-(3-(2,6-dichlorophenyl)-1 -methyl-allylideneaminooxymethyl)-phenyl)-2-methoxyimino- N-methyl-acetamide (A.1.18), pyribencarb (A.1.19), triclopyricarb/chlorodincarb (A.1.20), fa- moxadone (A.1.21 ), fenamidone (A.1.21 ), methyl- V-[2-[(1 ,4-dimethyl-5-phenyl-pyrazol-3- yl)oxylmethyl]phenyl]-N-methoxy-carbamate (A.1 .22), ), 1 -[2-[[1 -(4-chlorophenyl)pyrazol-3- yl]oxy->methyl]-3-methyl-phenyl]-4-methyl-tetra-'zol-5-one (A.1.25), (Z,2E) 5 [1 -(2,4- dichloro-'pheny pyrazol-S-y -oxy^-methoxyimino-N^-dimethyl-pent-S-en-'amide (A.1.34), (Z,2E) 5 [1 (4-chlorophenyl)pyrazol-3-yl]oxy-2-methoxyimino-N,3-dimethyl-pent-3-enamide (A.1 .35), pyriminostrobin (A.1.36), bifujunzhi (A.1 .37), 2-(ortho-((2,5-dimetrnylphenyl- oxy-,methylen)phenyl)-3-methoxy-acrylic acid methylester (A.1.38) ;
- inhibitors of complex III at Qi site: cyazofamid (A.2.1 ), amisulbrom (A.2.2), [(6S,7R,8R) 8 benzyl-3-[(3-hydroxy-4-methoxy-pyridine-2-carbonyl)amino]-6-methyl-4,9-di-Oxo-1 ,5-dioxonan- 7-yl] 2-methylpropanoate (A.2.3), fenpicoxamid (A.2.4);
inhibitors of complex II: benodanil (A.3.1 ), benzovindiflupyr (A.3.2), bixafen (A.3.3), bos- calid (A.3.4), carboxin (A.3.5), fenfuram (A.3.6), fluopyram (A.3.7), flutolanil (A.3.8), fluxapyrox- ad (A.3.9), furametpyr (A.3.10), isofetamid (A.3.1 1 ), isopyrazam (A.3.12), mepronil (A.3.13), oxycarboxin (A.3.14), penflufen (A.3.15), penthiopyrad (A.3.16), pydiflumetofen (A.3.17), pyra- ziflumid (A.3.18), sedaxane (A.3.19), tecloftalam (A.3.20), thifluzamide (A.3.21 ), inpyrfluxam N-[(2Z)-2-[3-chloro-5-(2-cyclopropylethynyl)-2-pyridyl]-2-isopropoxyimino-ethyl]-3- (difluoromethyl)-1 -methyl-pyrazole-4-carboxamide (A.3.23), fluindapyr (A.3.28) , methyl (E)-2- [2-[(5-cyano-2-methyl-phenoxy)methyl]phenyl]-3-methoxy-prop-2 enoate (A.3.30), isoflucypram (A.3.31 ) , 2-(difluoromethyl)-N-(1 ,1 ,3-trimethyl-indan-4-yl)pyridine-3-carboxamide (A.3.32), 2- (difluoromethyl)-N-[(3R)-1 ,1 ,3-trimethylindan-4-yl]pyridine-3-carboxamide (A.3.33), 2- (difluoromethyl)-N-(3-ethyl-1 ,1 -dimethyl-indan-4-yl)-pyridine-3-carboxamide (A.3.34), 2- (difluoromethyl)-N-[(3R)-3-ethyl-1 ,1 -dimethyl-indan-4-yl]-pyridine-3-carboxamide (A.3.35), 2- (difluoromethyl)-N-(l ,1 -dimethyl-3-propyl-indan-4-yl)-"py-ridine-3-carboxamide (A.3.36), 2- (difluoromethyl)-N-[(3R)-1 ,1 -dimethyl-3-propyl-indan-4-yl]-pyridine-3-carboxamide (A.3.37), 2- (difluoromethyl)-N-(3-isobutyl-1 ,1 -dimethyl-indan-4-yl)-pyridine-3-carboxamide (A.3.38), 2- (difluoromethyl)-N-[(3R)-3-isobutyl-1 ,1 -dimethyl-indan-4 yl]pyridine-3-carboxamide (A.3.39) ;
other respiration inhibitors: diflumetorim (A.4.1 ); nitrophenyl derivates: binapacryl (A.4.2), dinobuton (A.4.3), dinocap (A.4.4), fluazinam (A.4.5), meptyldinocap (A.4.6), ferimzone (A.4.7); organometal compounds: fentin salts, e. g. fentin-acetate (A.4.8), fentin chloride (A.4.9) or fentin hydroxide (A.4.10); ametoctradin (A.4.1 1 ); silthiofam (A.4.12);
B) Sterol biosynthesis inhibitors (SBI fungicides)
C14 demethylase inhibitors: triazoles: azaconazole (B.1.1 ), bitertanol (B.1 .2), bro- mu-"Conazole (B.1 .3), cyproconazole (B.1 .4), difenoconazole (B.1.5), diniconazole (B.1 .6), dini- conazole-M (B.1.7), epoxiconazole (B.1.8), fenbuconazole (B.1 .9), fluquinconazole (B.1 .10), flusilazole (B.1.1 1 ), flutriafol (B.1 .12), hexaconazole (B.1 .13), imibenconazole (B.1 .14), ipcona- zole (B.1.15), metconazole (B.1.17), myclobutanil (B.1.18), oxpoconazole (B.1.19), paclobutra- zole (B.1.20), penconazole (B.1.21 ), propiconazole (B.1 .22), prothio-"Conazole (B.1.23), sime- conazole (B.1.24), tebuconazole (B.1 .25), tetraconazole (B.1.26), triadimefon (B.1 .27), triad- imenol (B.1.28), triticonazole (B.1.29), uniconazole (B.1.30), 2-(2,4-difluorophenyl)-1 ,1 -difluoro- 3-(tetrazol-1 -yl)-1 -[5-[4-(2,2,2-trifluoroethoxy)phenyl]-2-pyridyl]propan-2-ol (B.1 .31 ), 2-(2,4- difluorophenyl)-1 ,1 -difluoro-3-(tetrazol-1 -yl)-1 -[5-[4-(trifluoromethoxy)phenyl]-2-pyridyl]propan-2- ol (B.1 .32) , ipfentrifluconazole , (B.1 .37), mefentrifluconazole (B.1 .38), 2-(chloromethyl)-2- methyl-5-(p-tolylmethyl)-1 (1 ,2,4-triazol-1 ylmethyl)cyclopentanol (B.1 .43); imidazoles: imazalil (B.1 .44), pefurazoate (B.1.45), prochloraz (B.1 .46), triflumizol (B.1.47); pyrimidines, pyridines and piperazines: fe^narimol (B.1 .49), pyrifenox (B.1.50), triforine (B.1 .51 ), [3-(4-chloro-2-fluoro- phenyl)-5-(2,4-di-"fluoro-phenyl)isoxazol-4-yl]-(3-pyridyl)methanol (B.1 .52);
Delta14-reductase inhibitors: aldimorph (B.2.1 ), dodemorph (B.2.2), dodemorph-acetate (B.2.3), fenpropimorph (B.2.4), tridemorph (B.2.5), fenpropidin (B.2.6), piperalin (B.2.7), spirox- amine (B.2.8); - Inhibitors of 3-keto reductase: fenhexamid (B.3.1 );
Other Sterol biosynthesis inhibitors: chlorphenomizole (B.4.1 );
C) Nucleic acid synthesis inhibitors
phenylamides or acyl amino acid fungicides: benalaxyl (C.1 .1 ), benalaxyl-M (C.1 .2), kiral- axyl (C.1.3), metalaxyl (C.1.4), metalaxyl-M (C.1 .5), ofurace (C.1 .6), oxadixyl (C.1 .7);
other nucleic acid synthesis inhibitors: hymexazole (C.2.1 ), octhilinone (C.2.2), oxolinic acid (C.2.3), bupirimate (C.2.4), 5-fluorocytosine (C.2.5), 5-fluoro-2-(p-tolylmethoxy)pyrimidin-4 amine (C.2.6), 5-fluoro-2-(4-fluorophenylmethoxy)pyrimidin-4 amine (C.2.7), 5-fluoro-2 (4 chlo- rophenylmethoxy)pyrimidin-4 amine (C.2.8);
D) Inhibitors of cell division and cytoskeleton
tubulin inhibitors: benomyl (D.1 .1 ), carbendazim (D.1.2), fuberidazole (D1 .3), thiabendazole (D.1.4), thiophanate-methyl (D.1.5), 3-chloro-4-(2,6-difluorophenyl)-6-methyl-5- phenyl-pyr da-zine (D.1 .6), 3-chloro-6-methyl-5-phenyl-4-(2,4,6-trifluorophenyl)pyridazine (D.1.7), N eth->yl-2-[(3-ethynyl-8-methyl-6-quinolyl)oxy]butanamide (D.1.8), N-ethyl-2-[(3- ethynyl-8 methyl-6 quinolyl)oxy]-2-methylsulfanyl-acetamide (D.1 .9), 2-[(3-ethynyl-8-methyl-6- quinohyl)oxy]-N (2-fluoroethyl)butanamide (D.1 .10), 2-[(3-ethynyl-8-methyl-6-quinolyl)oxy]-N-(2- flu^oroeth^yl)-2-methoxy-acetamide (D.1.1 1 ), 2-[(3-ethynyl-8-methyl-6-quinolyl)oxy]-N-propyl- butanarmide (D.1.12), 2-[(3-ethynyl-8-methyl-6-quinolyl)oxy]-2-methoxy-N-propyl-acetamide (D.1 .13), 2-[(3-ethynyl-8-methyl-6-quinolyl)oxy]-2-methylsulfanyl-N-propyl-acetamide (D.1 .14), 2 [(3 ethynyl-8-methyl-6-quinolyl)oxy]-N-(2-fluoroethyl)-2-methylsulfanyl-acetamide (D.1.15), 4-(2- bromo-4-fluoro-phenyl)-N-(2-chloro-6-fluoro-phenyl)-2,5-dimethyl-pyrazol-3 amine (D.1 .16);
other cell division inhibitors: diethofencarb (D.2.1 ), ethaboxam (D.2.2), pencycuron (D.2.3), fluopicolide (D.2.4), zoxamide (D.2.5), metrafenone (D.2.6), pyriofenone (D.2.7);
E) Inhibitors of amino acid and protein synthesis
methionine synthesis inhibitors: cyprodinil (E.1 .1 ), mepan pyrim (E.1.2), pyrimethanil (E.1.3);
protein synthesis inhibitors: blasticidin-S (E.2.1 ), kasugamycin (E.2.2), kasugamycin hy- drochloride-hydrate (E.2.3), mildiomycin (E.2.4), streptomycin (E.2.5), oxytetracyclin (E.2.6);
F) Signal transduction inhibitors
MAP / histidine kinase inhibitors: fluoroimid (F.1 .1 ), iprodione (F.1 .2), procymidone (F.1 .3), vinclozolin (F.1.4), fludioxonil (F.1 .5);
G protein inhibitors: quinoxyfen (F.2.1 );
G) Lipid and membrane synthesis inhibitors
Phospholipid biosynthesis inhibitors: edifenphos (G.1.1 ), iprobenfos (G.1.2), pyrazophos (G.1.3), isoprothiolane (G.1 .4);
- lipid peroxidation: dicloran (G.2.1 ), quintozene (G.2.2), tecnazene (G.2.3), tolclofos-methyl (G.2.4), biphenyl (G.2.5), chloroneb (G.2.6), etridiazole (G.2.7);
phospholipid biosynthesis and cell wall deposition: dimethomorph (G.3.1 ), flumorph (G.3.2), mandipropamid (G.3.3), pyrimorph (G.3.4), benthiavalicarb (G.3.5), iprovalicarb (G.3.6), valifenalate (G.3.7);
- compounds affecting cell membrane permeability and fatty acides: propamocarb (G.4.1 ); inhibitors of oxysterol binding protein: oxathiapiprolin (G.5.1 ), 2-{3-[2-(1 -{[3,5-bis(d fluoro- methyl-1 H-pyrazol-1 -yl]acetyl}piperidin-4-yl)-1 ,3-thiazol-4-yl]-4,5-dihydro-1 ,2 oxazol-5-yl}-phenyl methanesulfonate (G.5.2) , 2-{3-[2-(1 -{[3,5-bis(difluoro->methyl)-1 H-pyrazol-1 -yl]- acetyl}piperidin-4-yl) 1 ,3-thiazol-4-yl]-4,5-dihydro-1 ,2-oxazol-5 yl}-3-chlorophenyl methane- sulfonate (G.5.3), 4-[1 -[2-[3-(difluoromethyl)-5-methyl-pyrazol-1 -yl]acetyl]-4-piperidyl]-N- te^tralin-1 -yl-pyridine-2-carboxamide (G.5.4), 4-[1-[2-[3,5-bis(difluoromethyl)pyrazol-1 -yl]acetyl]- 4-piperidyl]-N-tetralin-1 -yl-pyridine-2-carboxamide (G.5.5), 4-[1 -[2-[3-(difluoromethyl)-5-(tri- fluoromethyl)pyrazol-1 -yl]acetyl]-4-piperidyl]-N-tetralin-1 -yl-pyridine-2-carboxamide (G.5.6), 4-[1 - [2-[5-cyclopropyl-3-(difluoromethyl)pyrazol-1 -yl]acetyl]-4-piperidyl]-N-tetralin-1 -yl-pyridine-2- carboxamide (G.5.7), 4-[1 -[2-[5-methyl-3-(trifluoromethyl)pyrazol-1 -yl]acetyl]-4-pi->peridyl]-N- tetralin-1 -yl-pyridine-2-carboxamide (G.5.8), 4-[1 -[2-[5-(difluoromethyl)-3-(trifluoro- methyl)pyrazol-1 -yl]acetyl]-4-piperidyl]-N-tetralin-1-yl-pyridine-2-carboxamide (G.5.9), 4 [1 [2- [3,5-bis(trifluoromethyl)pyrazol-1 -yl]acetyl]-4-piperidyl]-N-tetralin-1 -yl-pyridine-2-canboxamide (G.5.10), (4-[1 -[2-[5-cyclopropyl-3-(trifluoromethyl)pyrazol-1 -yl]acetyl]-4-piperidyl]-N-tetralin-1 -yl- pyridine-2-carboxamide (G.5.1 1 ) ;
H) Inhibitors with Multi Site Action
inorganic active substances: Bordeaux mixture (H.1 .1 ), copper (H.1 .2), copper acetate (H.1 .3), copper hydroxide (H.1.4), copper oxychloride (H.1.5), basic copper sulfate (H.1.6), sulfur (H.1.7);
- thio- and dithiocarbamates: ferbam (H.2.1 ), mancozeb (H.2.2), maneb (H.2.3), metam (H.2.4), metiram (H.2.5), propineb (H.2.6), thiram (H.2.7), zineb (H.2.8), ziram (H.2.9);
organochlorine compounds: anilazine (H.3.1 ), chlorothalonil (H.3.2), captafol (H.3.3), cap- tan (H.3.4), folpet (H.3.5), dichlofluanid (H.3.6), dichlorophen (H.3.7), hexachloro-'benzene (H.3.8), pentachlorphenole (H.3.9) and its salts, phthalide (H.3.10), tolylfluanid (H.3.1 1 );
guanidines and others: guanidine (H.4.1 ), dodine (H.4.2), dodine free base (H.4.3), guaza- tine (H.4.4), guazatine-acetate (H.4.5), iminoctadine (H.4.6), iminoctadine-triacetate (H.4.7), iminoctadine-tris(albesilate) (H.4.8), dithianon (H.4.9), 2,6-d methyl-1 H,5H-[1 ,4]dithiino[2,3- c:5,6-c']dipyrrole-1 ,3,5,7(2H,6H)-tetraone (H.4.10);
I) Cell wall synthesis inhibitors
inhibitors of glucan synthesis: validamycin (1.1.1 ), polyoxin B (1.1 .2);
melanin synthesis inhibitors: pyroquilon (1.2.1 ), tricyclazole (1.2.2), carpropamid (1.2.3), dicyclomet (I.2.4), fenoxanil (1.2.5);
J) Plant defence inducers
- acibenzolar-S-methyl (J.1 .1 ), probenazole (J.1.2), isotianil (J.1 .3), tiadinil (J.1.4), prohexa- dione-calcium (J.1.5); phosphonates: fosetyl (J.1 .6), fosetyl-aluminum (J.1 .7), phosphorous acid and its salts (J.1.8), calcium phosphonate (J.1.1 1 ), potassium phosphonate (J.1 .12), potassium or sodium bicarbonate (J.1.9), 4 cyclopropyl-N-(2,4-dimethoxyphenyl)thiadiazole-5-carboxamide (J.1 .10);
K) Unknown mode of action
bronopol (K.1 .1 ), chinomethionat (K.1 .2), cyflufenamid (K.1.3), cymoxanil (K.1.4), dazomet (K.1.5), debacarb (K.1 .6), diclocymet (K.1 .7), diclo->mezine (K.1 .8), difenzoquat (K.1 .9), di- fenzoquat-methylsulfate (K.1.10), diphenylamin (K.1.1 1 ), fenitropan (K.1 .12), fenpyrazamine (K.1 .13), flumetover (K.1 .14), flusulfamide (K.1 .15), flutianil (K.1.16), harpin (K.1.17), metha- sulfocarb (K.1 .18), nitrapyrin (K.1 .19), nitrothal-isopropyl (K.1.20), tolprocarb (K.1.21 ), oxin- copper (K.1 .22), proquinazid (K.1 .23), tebufloquin (K.1.24), tecloftalam (K.1 .25), triazoxide (K.1 .26), N'-(4-(4-chloro-3-trifluoro-,methyl-phen-,oxy)-2,5-dimethyl-phenyl)-N-ethyl-N methyl formamidine (K.1.27), N' (4-(4-fluoro-3-trifluoro-,methyl-phenoxy)-2,5-dimethyl-phenyl)-N-eth-,yl- N-methyl formamidine (K.1 .28), N'-[4-[[3-[(4-chlorophenyl)methyl]-1 ,2,4-thiadiazol-5-yl]-"Oxy]- 2,5-dimethyl-phenyl]-N-ethyl-N-methyl-formamidine (K.1.29), N'-(5-bromo-6-indan-2-yhoxy-2- methyl-3-pyridyl)-N-ethyl-N-methyl-formamidine (K.1 .30), N'-[5-bromo-6-[1 -(3,5-diflu- orophenyl)ethoxy]-2-methyl-3-pyridyl]-N-ethyl-N-methyl-formamidine (K.1 .31 ), N'-[5-bromo-6-(4- isopropylcyclohexoxy)-2-methyl-3-pyridyl]-N-ethyl-N-methyl-formamidine (K.1.32), N' [5 bromo- 2-methyl-6-(1 -phenylethoxy)-3-pyridyl]-N-ethyl-N-methyl-formamidine (K.1.33), N'-(2-methyl-5- trifluoromethyl-4-(3-trimethyhsilanyl-prop-Oxy)-phenyl)-N-ethyl-N-methyl forma-midine (K.1 .34), N'-(5-difluoromethyl-2 methyl-4-(3-tri-"methylsilanyl-propoxy)-phenyl)-N-ethyl-N-methyl formamidine (K.1 .35), 2-(4-chloro-phenyl)-N-[4-(3,4-dimeth-"oxy-phenyl)-isoxazol-5 yl]-2-prop-2- ynyloxy-acetamide (K.1.36), 3 [5-(4-chloro-phenyl)-2,3-dimethyl-isoxazolidin-3-yl]-pyridine (pyrisoxazole) (K.1.37), 3-[5-(4-methylphenyl)-2,3-dimethyl-isoxazolidin-3 yl]-pyridine (K.1.38), 5-chloro-1 (4,6-di-"methoxy-pynmidin-2-yl)-2-methyl-1 H-benzoimidazole (K.1.39), ethyl (Z) 3 amino-2-cyano-3-phenyl-prop-2-enoate (K.1 .40), picarbutrazox (K.1 .41 ), pentyl N-[6-[[(Z)-[(1 - methyltetrazol-S-y -phenyl-methylenelaminoloxymethy ^-pyridy carba-mate (K.1.42), but-3- ynyl N-[6-[[(Z)-[(1 -methyltetrazol-5-yl)-phenyl-methylene]amino]oxy-methyl]-2-pyridyl]carbamate (K.1 .43), 2-[2-[(7,8-difluoro-2-methyl-3-quinolyl)oxy]-6-fluoro-phenyl]propan-2-ol (K.1 .44), 2-[2- fluoro-e-tie-fluoro^-methyl-S-quinoly oxyj-'phen-y propan^-ol (K.1.45), quinofumelin (K.1 .47) , 9-fluoro-2,2-dimethyl-5-(3-quinohyl)-3H 1 ,4 benzoxazepine (K.1.49), 2-(6-benzyl-2- pyridyl)quinazoline (K.1 .50), 2-[6-(3-fluoro-4 methoxy-phenyl)-5-methyl-2-pyridyl]quinazoline (K.1.51 ), dichlobentiazox (K.1 .52), N'-(2,5-dimethyl-4-phenoxy-phenyl)-N-ethyl-N-methyl- formamidine (K.1.53), py rifenamine (K.1 .54);
L) Biopesticides
L1 ) Microbial pesticides with fungicidal, bactericidal, viricidal and/or plant defense activator activity: Ampelomyces quisqualis, Aspergillus flavus, Aureobasidium pullulans, Bacillus altitudi- nis, B. amyloliquefaciens, B. megaterium, B. mojavensis, B. mycoides, B. pumilus, B. simplex, B. solisalsi, B. subtilis, B. subtilis var. amyloliquefaciens, Candida oleophila, C. saitoana, Clavi- bacter michiga^nensis (bacteriophages), Coniothyrium minitans, Cryphonectria parasitica, Cryptococcus albidus, Dilophosphora alopecuri, Fusarium oxysporum, Clonostachys rosea f. catenulate (also named Gliocladium catenulatum), Gliocladium roseum, Lysobacter antibioticus, L. enzymogenes, Metschnikowia fructicola, Microdochium dimerum, Microsphaeropsis ochracea, Muscodor albus, Paenibacillus alvei, Paenibacillus epiphyticus, Paenibacillus poly- myxa, Pantoea vagans, Penicillium bilaiae, Phlebiopsis gigantea, Pseudomonas sp., Pseudo- monas chloraphis, Pseudozyma flocculosa, Pichia anomala, Pythium oligandrum, Sphaerodes myco-'parasitica, Streptomyces griseoviridis, S. lydicus, S. violaceusniger, Talaromyces flavus, Trichoderma asperelloides, T. asperellum, T. atroviride, T. fertile, T. gamsii, T. harmatum, T. harzianum, T. polysporum, T. stromaticum, T. virens, T. viride, Typhula phacorrhiza, Ulocladium oudemansii, Verticillium dahlia, zucchini yellow mosaic virus (avirulent strain);
L2) Biochemical pesticides with fungicidal, bactericidal, viricidal and/or plant defense activator activity: harpin protein, Reynoutria sachalinensis extract;
L3) Microbial pesticides with insecticidal, acaricidal, molluscidal and/or nematicidal activity: Agrobacterium radiobacter, Bacillus cereus, B. firmus, B. thuringiensis, B. thuringiensis ssp. aizawai, B. t. ssp. israelensis, B. t. ssp. galleriae, B. t. ssp. kurstaki, B. t. ssp. tenebrionis, Beau- veria bassiana, B. brongniartii, Burkholderia spp., Chromobacterium subtsugae, Cydia pomonel- la granulovirus (CpGV), Cryptophlebia leucotreta granulovirus (CrleGV), Flavobacterium spp., Helicoverpa armigera nucleopolyhedrovirus (HearNPV), Helicoverpa zea nucleopolyhedrovirus (HzNPV), Helicoverpa zea single capsid nucleopolyhedrovirus (HzSNPV), Heterorhabditis bac- teriophora, Isaria fumosorosea, Lecanicillium longispo-rum, L. muscarium, Metarhizium an- isopliae, Metarhizium anisopliae var. anisopliae, M. anisopliae var. acridum, Nomuraea rileyi, Paecilomyces fumosoroseus, P. lilacinus, Paenibacillus popilliae, Pasteuria spp., P. nishizawae, P. penetrans, P. ramosa, P. thornea, P. usgae, Pseudomonas fluorescens, Spodoptera littoralis nucleopolyhedrovirus (SpliNPV), Steinernema carpocapsae, S. feltiae, S. kraussei, Streptomyces galbus, S. microflavus;
L4) Biochemical pesticides with insecticidal, acaricidal, molluscidal, pheromone and/or nematicidal activity: L-carvone, citral, (E,Z)-7,9-dodecadien-1 -yl acetate, ethyl formate, (E,Z)-2,4-ethyl decadienoate (pear ester), (Z,Z,E)-7,1 1 ,13-hexadecatrienal, heptyl butyrate, isopropyl myristate, lavanulyl senecioate, cis-jasmone, 2-methyl 1 -butanol, methyl eugenol, methyl jasmonate, (E,Z)-2,13-octadecadien-1 -ol, (E,Z)-2,13-octadeca-dien-1 -ol acetate, (E,Z)-3,13-octadecadien- 1 -ol, R-1 -octen-3-ol, pentatermanone, (E,Z,Z)-3,8,1 1 -tetradecatrienyl acetate, (Z,E) 9,12- tetradecadien-1 -yl acetate, Z-7-tetradecen-2-one, Z-9-tetradecen-1 -yl acetate, Z-1 1 - tetradecenal, Z-1 1 -tetradecen-1 -ol, extract of Chenopodium ambrosiodes, Neem oil, Quillay extract;
L5) Microbial pesticides with plant stress reducing, plant growth regulator, plant growth promoting and/or yield enhancing activity: Azospirillum amazonense, A. brasilense, A. lipoferum, A. irakense, A. halopraeferens, Bradyrhizobium spp., B. elkanii, B. japo-'n cum, B. liaoningense,
B. lupini, Delftia acidovorans, Glomus intraradices, Mesorhizo^bium spp., Rhizobium legumi- nosarum bv. pha-'seoli, R. I. bv. trifolii, R. I. bv. viciae, R. tropici, Sinorhizobium meliloti;
M) Growth regulators
abscisic acid (M.1.1 ), amidochlor, ancymidol, 6-benzylaminopurine, brassinolide, butralin, chlormequat, chlormequat chloride, choline chloride, cyclanilide, daminozide, dike^gulac, dime- thipin, 2,6-dimethylpuridine, ethephon, flumetralin, flurprimidol, fluth acet, forchlorfenuron, gib- berellic acid, inabenfide, indole-3-acetic acid , maleic hydrazide, mefluidide, mepiquat, mepiquat chloride, naphthaleneacetic acid, N 6 benzyladenine, paclobutrazol, prohexadione, prohexadi- one-calcium, prohydrojasmon, thidiazuron, triapenthenol, tributyl phosphoro-'trithioate, 2,3,5 tri iodobenzoic acid , trinexapac-ethyl and uniconazole;
N) Herbicides from classes N.1 to N.15
N.1 Lipid biosynthesis inhibitors: alloxydim, alloxydim-sodium, butroxydim, clethodim, clodinafop, clodinafop-propargyl, cycloxydim, cyhalofop, cyhalofop-butyl, diclofop, diclofop- methyl, fenoxaprop, fenoxaprop-ethyl, fenoxaprop-P, fenoxaprop-P-ethyl, fluazifop, fluazifop- butyl, fluazifop-P, fluazifop-P-butyl, haloxyfop, haloxyfop-methyl, haloxyfop-P, haloxyfop-P- methyl, metamifop, pinoxaden, profoxydim, propaquizafop, quizalofop, quizalofop-ethyl, quizalo- fop-tefuryl, quizalofop-P, quizalofop-P-ethyl, quizalofop-P-tefuryl, sethoxydim, tepraloxydim, tralkoxydim, 4-(4'-chloro-4-cyclo-,propyl-2'-fluoro[1 ,1 '-biphenyl]-3-yl)-5-hydroxy-2,2,6,6-te- tramethyl-2H-pyran-3(6H)-one (CAS 1312337-72-6); 4-(2',4'-dichloro-4-cyclopropyl[1 ,1 '-bi- phenyl]-3-yl)-5-hydroxy-2,2,6,6-tetramethyl-2H-pyran-3(6H)-one (CAS 1312337-45-3); 4 (4' chloro-4-ethyl-2'-fluoro[1 ,1 '-biphenyl]-3-yl)-5-hydroxy-2,2,6,6-tetramethyl-2H-pyran-3(6H)-one (CAS 1033757-93-5); 4-(2',4'-Dichloro-4-ethyl[1 ,1 '-biphenyl]-3-yl)-2,2,6,6-tetra^methyl-2H- pyran-3,5(4H,6H)-dione (CAS 1312340-84-3); 5-(acetyloxy)-4-(4'-chloro-4-cyclo->propyl-2'- fluoro[1 ,1 '-biphenyl]-3-yl)-3,6-dihydro-2,2,6,6-tetramethyl-2H-pyran-3-one (CAS 1312337-48-6); 5-(acetyloxy)-4-(2',4'-dichloro-4-cyclopropyl- [1 ,1 '-biphenyl]-3-yl)-3,6-dihy->dro-2,2,6,6- tetramethyl-2H-pyran-3-one; 5-(acetyloxy)-4-(4'-chloro-4-ethyl-2'-fluoro[1 ,1 '-b phenyl]-3-yl)-3,6- dihydro-2,2,6,6-tetramethyl-2H-pyran-3-one (CAS 1312340-82-1 ); 5-(acet"-yloxy)-4-(2',4'- dichloro-4-ethyl[1 ,1 '-biphenyl]-3-yl)-3,6-dihydro-2,2,6,6-tetramethyl-2H-pyran-3-one (CAS 1033760-55-2); 4-(4'-chloro-4-cyclopropyl-2'-fluoro[1 ,1 '-biphenyl]-3-yl)-5,6-di--hydro-2,2,6,6- tetramethyl-5-oxo-2H-pyran-3-yl carbonic acid methyl ester (CAS 1312337-51 -1 ); 4-(2',4'- dichloro -4-cyclopropyl- [1 ,1 '-biphenyl]-3-yl)-5,6-dihydro-2,2,6,6-tetramethyl-5-oxo-2H-pyran-3-yl carbonic acid methyl ester; 4-(4'-chloro-4-ethyl-2'-fluoro[1 ,1 '-biphenyl]-3 yl)-5,6-dihydro-2,2,6,6- tetramethyl-5-oxo-2H-pyran-3-yl carbonic acid methyl ester (CAS 1312340-83-2); 4-(2',4'- dichloro-4-ethyh[1 ,1 '-biphenyl]-3-yl)-5,6-dihydro-2,2,6,6-tetramethyl-5-oxo-2H-pyran-3-yl car- bonic acid methyl ester (CAS 1033760-58-5); benfuresate, butylate, cycloate, dalapon, dimepiperate, EPTC, esprocarb, ethofumesate, flupropanate, molinate, orbencarb, pebulate, prosulfocarb, TCA, thiobencarb, tiocarbazil, triallate and vernolate;
N.2 ALS inhibitors: amidosulfuron, azimsulfuron, bensulfuron, bensuhfuron-methyl, chlo- rimuron, chlorimuron-ethyl, chlorsulfuron, cinosulfuron, cyclosulfamuron, ethametsulfuron, ethametsulfuron-methyl, ethoxysulfuron, flazasulfuron, flucetosulfuron, flupyrsulfuron, flupyrsul- furon-methyl-sodium, foramsulfuron, halosulfuron, halosulfuron-methyl, imazosulfuron, iodosul- furon, iodosulfuron-methyl-sodium, iofensulfuron, iofensuhfuron-sodium, mesosulfuron, met- azosulfuron, metsulfuron, metsulfuron-methyl, nicosulfuron, orthosulfamuron, oxasulfuron, primisulfuron, primisulfuron-methyl, propyrisulfuron, prosuhfuron, pyrazosulfuron, pyrazosulfu-
ron-ethyl, rimsulfuron, sulfometuron, sulfometuron-methyl, sulfosulfuron, thifensulfuron, thifen- sulfuron-methyl, triasulfuron, tribenuron, tribenuron-methyl, trifloxysulfuron, triflusulfuron, tri- flusulfuron-methyl, tritosulfuron, imazametha-'benz, imazamethabenz-methyl, imazamox, ima- zapic, imazapyr, imazaquin, imazethapyr; cloransulam, cloransulam-methyl, diclosulam, flumetsulam, florasulam, metosulam, penoxsulam, pyrimisulfan and pyroxsulam; bispyribac, bispyribac-sodium, pyribenzoxim, pyriftalid, pyriminobac, pyriminobac-methyl, pyrithiobac, pyri- thiobac-sodium, 4-[[[2-[(4,6-di-methoxy-2-pynmidinyl)oxy]phenyl]methyl]amino]-benzoic acid-1 - methyhethyl ester (CAS 420138-41 -6), 4-[[[2-[(4,6-dimethoxy-2- pyrimidinyl)oxy]phenyl]^methyl]amino]-benzoic acid propyl ester (CAS 420138-40-5), N-(4- bromophenyl)-2-[(4,6-dimethoxy-2-pyrimidinyl)oxy]-benzenemethanamine (CAS 420138-01 -8); flucarbazone, flucarbazone-sodium, propoxy-carbazone, propoxycarbazone-sodium, thien- carbazone, thiencarbazone-methyl; triafamone;
N.3 Photosynthesis inhibitors: amicarbazone; chlorotriazine; ametryn, atrazine, chloridazone, cyanazine, desmetryn, dimethametryn,hexazinone, metribuzin, prometon, prometryn, pro- pazine, simazine, simetryn, terbumeton, terbuthylazin, terbutryn, trietazin; chlorobrormuron, chlorotoluron, chloroxuron, dimefuron, diuron, fluometuron, isoproturon, isouron, linuron, met- amitron, methabenzthiazuron, metobenzuron, metoxuron, monolinuron, neburon, sidmron, tebuthiuron, thiadiazuron, desmedipham, karbutilat, phenmedipham, phenmedipham-ethyl, bromofenoxim, bromoxynil and its salts and esters, ioxynil and its salts and esters, bromacil, lenacil, terbacil, bentazon, bentazon-sodium, pyridate, pyridafol, pentanochlor, propanil; diquat, diquat-dibromide, paraquat, paraquat-dichloride, paraquat-dimetilsulfate;
N.4 protoporphyrinogen-IX oxidase inhibitors: acifluorfen, acifluorfen-sodium, azafenidin, ben- carbazone, benzfendizone, bifenox, butafenacil, carfentrazone, carfentrazone-ethyl, chlor- methoxyfen, cinidon-ethyl, fluazolate, flufenpyr, flufenpyr-ethyl, flumiclorac, flumiclorac-pentyl, flumioxazin, fluoroglycofen, fluoroglycofen-ethyl, fluthiacet, fluthiacet-methyl, fome-'safen, halosafen, lactofen, oxadiargyl, oxadiazon, oxyfluorfen, pentoxazone, profluazol, pyraclonil, pyraflufen, pyraflufen-ethyl, saflufenacil, sulfentrazone, thidiazimin, tiafenacil, trifludimoxazin, ethyl [3-[2-chloro-4-fluoro-5-(1 -methyl-6-trifluoromethyl-2,4-dioxo-1 ^^^-te-'trahydropyrimidin- 3-yl)phenoxy]-2-pyridyloxy]acetate (CAS 353292-31 -6), N-ethyl-3-(2,6-d chloro-4-trifluoro- methylphenoxy)-5-methyl-1 H-pyrazole-1 -carboxamide (CAS 452098-92-9), N tetrahydrofurfuryl- 3-(2,6-dichloro-4-trifluoromethylphenoxy)-5-methyl-1 H-pyrazole-1 -car-boxamide (CAS 915396- 43-9), N-ethyl-3-(2-chloro-6-fluoro-4-trifluoromethyhphenoxy)-5 methyl-1 H-pyrazole-1 - carboxamide (CAS 452099-05-7), N tetrahydro->furfuryl-3-(2-chloro-6-fluoro-4- trifluoro-,methylphenoxy)-5-methyl-1 H-pyrazole-1 -carboxamide (CAS 452100-03-7), 3-[7-fluoro- 3-oxo-4-(prop-2-ynyl)-3,4-dihydro-2H-benzo[1 ,4]oxazin-6-yl]-1 ,5-dimethyl-6 thioxo- [1 ,3,5]triazinan-2,4-dione (CAS 451484-50-7), 2-(2,2,7-trifluoro-3-oxo-4-prop-2-ynyl-3,4-dihydro- 2H-benzo[1 ,4]oxazin-6-yl)-4,5,6,7-tetrahydro-isoindole-1 ,3-dione (CAS 13001 18-96-0), 1 - methyl-6-trifluoro-,methyl-3-(2,2,7-tri-fluoro-3-oxo-4-prop-2-ynyl-3,4-dihydro-2H-ben- zo[1 ,4]oxazin-6-yl)-1 H-pyrimidine-2,4-dione (CAS 13041 13-05-0), methyl (E)-4-[2-chloro-5 [4- chloro-5-(difluoromethoxy)-1 H-methyl-pyrazol-3-yl]-4-fluoro-phenoxy]-3-methoxy-but-2 enoate (CAS 948893-00-3), 3-[7-chloro-5-fluoro-2-(trifluoromethyl)-1 H-benzimidazol-4-yl]-1 -methyl-6- (trifluoromethyl)-1 H-pyrimidine-2,4-dione (CAS 212754-02-4);
N.5 Bleacher herbicides: beflubutamid, diflufenican, fluridone, flurochloridone, flurtamone, norflurazon, picolinafen, 4-(3-trifluoromethyhphenoxy)-2-(4-trifluoromethylphen_,yl)-,pyrimidine
(CAS 180608-33-7); benzobicyclon, benzofenap, bicyclopyrone, clomazone, fenquintrione, isoxaflutole, mesotrione, pyrasulfotole, pyrazolynate, pyrazoxyfen, sulcotrione, tefuryltrione, tembotrione, tolpyralate, topramezone; aclonifen, amitrole, flumeturon;
N.6 EPSP synthase inhibitors: glyphosate, glyphosate-isopropylammonium, glyposate- potassium, glyphosate-trimesium (sulfosate);
N.7 Glutamine synthase inhibitors: bilanaphos (bialaphos), bilanaphos-sodium, glufosinate, glufosinate-P, glufosinate-ammonium;
N.8 DHP synthase inhibitors: asulam;
N.9 Mitosis inhibitors: benfluralin, butralin, dinitramine, ethalfluralin, fluchloralin, oryzalin, pendimethalin, prodiamine, trifluralin; amiprophos, amiprophos-methyl, butamiphos; chlorthal, chlorthal-dimethyl, dithiopyr, thiazopyr, propyzamide, tebutam; carbetamide, chlorpropham, flamprop, flamprop-isopropyl, flamprop-methyl, flamprop-M-isopropyl, flamprop-M-methyl, prop- ham;
N.10 VLCFA inhibitors: acetochlor, alachlor, butachlor, dimethachlor, dimethenamid, dimethen- amid-P, metazachlor, metolachlor, metolachlor-S, pethoxamid, pretilachlor, propachlor, prop- isochlor, thenylchlor, flufenacet, mefenacet, diphenamid, naproanilide, napropamide, napro- pamide-M, fentrazamide, anilofos, cafenstrole, fenoxasulfone, ipfencarbazone, piperophos, py- roxasulfone, isoxazoline compounds of the formulae 11.1 , II.2, II.3, II.4, II.5, II.6, II.7, II.8 and II.9
N.1 1 Cellulose biosynthesis inhibitors: chlorthiamid, dichlobenil, flupoxam, indaziflam, isoxaben, triaziflam, 1 -cyclohexyl-5-pentafluorphenyloxy-14-[1 ,2,4,6]thiatriazin-3-ylamine (CAS 175899- 01 -1 );
N.12 Decoupler herbicides: dinoseb, dinoterb, DNOC and its salts;
N.13 Auxinic herbicides: 2,4-D and its salts and esters, clacyfos, 2,4-DB and its salts and esters, aminocyclopyrachlor and its salts and esters, aminopyralid and its salts such as amino- pyralid-dimethylammonium, aminopyralid-tris(2-hydroxypropyl)ammonium and its esters, bena- zolin, benazolin-ethyl, chloramben and its salts and esters, clomeprop, clopyralid and its salts and esters, dicamba and its salts and esters, dichlorprop and its salts and esters, dichlorprop-P and its salts and esters, fluroxypyr, fluroxypyr-butometyl, fluroxypyr-meptyl, halauxifen and its salts and esters (CAS 943832-60-8); MCPA and its salts and esters, MCPA-thioethyl, MCPB and its salts and esters, mecoprop and its salts and esters, mecoprop-P and its salts and esters, picloram and its salts and esters, quinclorac, quin^merac, TBA (2,3,6) and its salts and esters, triclopyr and its salts and esters, 4-amino-3 chloro-6-(4-chloro-2-fluoro-3-meth- oxyphenyl)-5-fluoropyridine-2-carboxylic acid, benzyl 4 amino-3-chloro-6-(4-chloro-2-fluoro-3- methoxyphenyl)-5-fluoropyridine-2-carboxylate (CAS 1390661 -72-9);
N.14 Auxin transport inhibitors: diflufenzopyr, diflufenzopyr-sodium, naptalam and naptalam- sodium;
N.15 Other herbicides: bromobutide, chlorflurenol, chlorflurenol-methyl, cinmethylin, cumyluron, cyclopyrimorate (CAS 499223-49-3) and its salts and esters, dalapon, dazomet, difenzoquat, difenzoquat-metilsulfate, dimethipin, DSMA, dymron, endothal and its salts, etobenzanid, flurenol, flurenol-butyl, flurprimidol, fosamine, fosamine-ammonium, indanofan, maleic hydra- zide, mefluidide, metam, methiozolin (CAS 403640-27-7), methyl azide, methyl bromide, methyl- dymron, methyl iodide, MSMA, oleic acid, oxaziclomefone, pelargonic acid, pyributicarb, quinoc- lamine, tridiphane;
O) Insecticides from classes 0.1 to 0.29
0.1 Acetylcholine esterase (AChE) inhibitors: aldicarb, alanycarb, bendiocarb, benfuracarb, butocarboxim, butoxycarboxim, carbaryl, carbofuran, carbosulfan, ethiofencarb, fenobucarb, formetanate, furathiocarb, isoprocarb, methiocarb, methomyl, metolcarb, oxamyl, pirimicarb, propoxur, thiodicarb, thiofanox, trimethacarb, XMC, xylylcarb and triazamate; acephate, aza- methiphos, azinphos-ethyl, azinphosmethyl, cadusafos, chlorethoxyfos, chlorfenvinphos, chlormephos, chlorpyrifos, chlorpyrifos-methyl, coumaphos, cyanophos, demeton-S-methyl, diazinon, dichlorvos/ DDVP, dicrotophos, dimethoate, dimethylvinphos, disulfoton, EPN, ethion, ethoprophos, famphur, fenamiphos, fenitrothion, fenthion, fosthiazate, heptenophos, imicyafos, isofenphos, isopropyl O-(methoxyaminothio-phosphoryl) salicylate, isoxathion, malathion, me- carbam, methamidophos, methidathion, mevinphos, monocrotophos, naled, omethoate, oxyde- meton-methyl, parathion, parathion-methyl, phenthoate, phorate, phosa-"lone, phosmet, phos- phamidon, phoxim, pirimiphos- methyl, profenofos, propetamphos, prcnthiofos, pyraclofos, pyri-
daphenthion, quinalphos, sulfotep, tebupirimfos, temephos, terbufos, tetrachlorvinphos, thi- ometon, triazophos, trichlorfon, vamidothion;
0.2 GABA-gated chloride channel antagonists: endosulfan, chlordane; ethiprole, fipronil, flufiprole, pyrafluprole, pyriprole;
0.3 Sodium channel modulators: acrinathrin, allethrin, d-cis-trans allethrin, d-trans allethrin, bifenthrin, bioallethrin, bioallethrin S-cylclopentenyl, bioresmethrin, cycloprothrin, cyfluthrin, be- ta-cyfluthrin, cyhalothrin, lambda-cyhalothrin, gamma-cyhalothrin, cypermethrin, alpha- cypermethrin, beta-cypermethrin, theta-cypermethrin, zeta-cypermethrin, cyphenothrin, del- tamethrin, empenthrin, esfenvalerate, etofenprox, fenpropathrin, fenvalerate, flucythrinate, flumethrin, tau-fluvalinate, halfenprox, heptafluthrin, imiprothrin, meperfluthrin, metofluthrin, momfluorothrin, permethrin, phenothrin, prallethrin, profluthrin, pyrethrin (pyrethrum), resmethrin, silafluofen, tefluthrin, tetramethylfluthrin, tetramethrin, tralomethrin and transfluthrin; DDT, methoxychlor;
0.4 Nicotinic acetylcholine receptor agonists (nAChR): acetamiprid, clothianidin, cycloxaprid, dinotefuran, imidacloprid, nitenpyram, thiacloprid, thiamethoxam; 4,5-dihydro-N-nitro-1 (2 oxiranylmethyl)-1 H-imidazol-2-amine, (2E)-1 -[(6-chloropyridin-3-yl)methyl]-N'-nitro-2- pentylidene-'hydrazinecarboximidamide; 1 -[(6-chloropyridin-3-yl)methyl]-7-methyl-8-nitro-5- propoxy-1 ,2,3,5,6,7-hexahydroimidazo[1 ,2-a]pyridine ; nicotine; sulfoxaflor, flupyradifurone, tritium ezopyrim;
0.5 Nicotinic acetylcholine receptor allosteric activators: spinosad, spinetoram;
0.6 Chloride channel activators: abamectin, emamectin benzoate, ivermectin, lepimectin, mil- bemectin;
0.7 Juvenile hormone mimics: hydroprene, kinoprene, methoprene; fenoxycarb, pyriproxyfen;
0.8 miscellaneous non-specific (multi-site) inhibitors: methyl bromide and other alkyl halides; chloropicrin, sulfuryl fluoride, borax, tartar emetic;
0.9 Chordotonal organ TRPV channel modulators: pymetrozine, pyrifluquinazon; flonicamid;
0.10 Mite growth inhibitors: clofentezine, hexythiazox, diflovidazin; etoxazole;
0.1 1 Microbial disruptors of insect midgut membranes: Bacillus thuringiensis, Bacillus sphaeri- cus and the insecticdal proteins they produce: Bacillus thuringiensis subsp. israelensis, Bacillus sphaericus, Bacillus thuringiensis subsp. aizawai, Bacillus thuringiensis subsp. kurstaki, Bacillus thuringiensis subsp. tenebrionis, the Bt crop proteins: CrylAb, CrylAc, Cryl Fa, Cry2Ab, mCry3A, Cry3Ab, Cry3Bb, Cry34/35Ab1 ;
0.12 Inhibitors of mitochondrial ATP synthase: diafenthiuron; azocyclotin, cyhexatin, fenbutatin oxide, propargite, tetradifon;
0.13 Uncouplers of oxidative phosphorylation via disruption of the proton gradient: chlorfenapyr, DNOC, sulfluramid;
0.14 Nicotinic acetylcholine receptor (nAChR) channel blockers: bensultap, cartap hydrochloride, thiocyclam, thiosultap sodium;
0.15 Inhibitors of the chitin biosynthesis type 0: bistrifluron, chlorfluazuron, diflubenzuron, flu- cycloxuron, flufenoxuron, hexaflumuron, lufenuron, novaluron, noviflumuron, teflubenzuron, tri- flumuron;
0.16 Inhibitors of the chitin biosynthesis type 1 : buprofezin;
0.17 Moulting disruptors: cyromazine;
0.18 Ecdyson receptor agonists: methoxyfenozide, tebufenozide, halofenozide, fufenozide, chromafenozide;
0.19 Octopamin receptor agonists: amitraz;
O.20 Mitochondrial complex III electron transport inhibitors: hydramethylnon, acequinocyl, fluacrypyrim, bifenazate;
0.21 Mitochondrial complex I electron transport inhibitors: fenazaquin, fenpyroximate, pyrimidif- en, pyridaben, tebufenpyrad, tolfenpyrad; rotenone;
0.22 Voltage-dependent sodium channel blockers: indoxacarb, metaflumizone, 2-[2-(4-cy-"ano- phenyl)-1 -[3-(trifluoromethyl)phenyl]_,ethylidene]-N-[4-(difluoromethoxy)phenyl]-hydra-,zine- carboxamide, N-(3-chloro-2-methylphenyl)-2-[(4-chlorophenyl)-[4
amino]phenyl]-"methylene]-hydrazinecarboxamide;
0.23 Inhibitors of the of acetyl CoA carboxylase: spirodiclofen, spiromesifen, spirotetramat, spi- ropidion;
0.24 Mitochondrial complex IV electron transport inhibitors: aluminium phosphide, calcium phosphide, phosphine, zinc phosphide, cyanide;
0.25 Mitochondrial complex II electron transport inhibitors: cyenopyrafen, cyflumetofen;
0.26 Ryanodine receptor-modulators: flubendiamide, chlorantraniliprole, cyantraniliprole, cycla- niliprole, tetraniliprole; (R)-3-chloro-N1 -{2-methyl-4-[1 ,2,2,2 -tetrafluoro-1 -(trifluorometh- yl)-"ethyl]phenyl}-N2-(1 -methyl-2-methylsulfonylethyl)phthalamide, (S)-3-chloro-N1 -{2-methyl-4- [1 ,2,2,2-te->trafluoro-1 -(trifluoromethyl)ethyl]phenyl}-N2-(1 -methyl-2-methylsulfonylethyl)- phthalamide, methyl-2-[3,5-dibromo-2-({[3-bromo-1 -(3-chloropyridin-2-yl)-1 H-pyrazol-5-yl]- carbonyl}-"amino)benzoyl]-1 ,2-dimethylhydrazinecarboxylate; N-[4,6-dichloro-2-[(diethyl-lambda- 4-sulfanylidene)-,carbamoyl]-phenyl]-2-(3-chloro-2-pyridyl)-5-(trifluoromethyl)pyrazole-3- carboxamide; N-[4-chloro-2-[(diethyl-lambda-4-sulfanylidene)carbamoyl]-6-methyl-phenyl]-2-(3- chloro-2-pyridyl)-5-(trifluoromethyl)pyrazole-3-carboxamide ; N-[4-chloro-2-[(di-2-propyl-lambda- 4-sulfanylidene)carbamoyl]-6-methyl-phenyl]-2-(3-chloro-2-pyridyl)-5-(trifluorometh_,yl)pyrazole- 3-carboxamide; N-[4,6-dichloro-2-[(di-2-propyl-lambda-4-sulfanylidene)-,carba-,moyl]-phenyl]-2- (3-chloro-2-pyridyl)-5-(trifluoromethyl)pyrazole-3-carboxamide; N-[4,6-di-"bromo-2-[(diethyl- lambda-4-sulfanylidene)carbamoyl]-phenyl]-2-(3-chloro-2-pyridyl)-5-(tri_,fluoromethyl)pyrazole-3- carboxamide; N-[2-(5-amino-1 ,3,4-thiadiazol-2-yl)-4-chloro-6-meth-"ylphenyl]-3-bromo-1 -(3- chloro-2-pyridinyl)-1 H-pyrazole-5-carboxamide; 3-chloro-1 -(3-chloro-2-pyridinyl)-N-[2,4-dichloro- 6-[[(1 -cyano-1 -methylethyl)amino]carbonyl]phenyl]-1 H-pyrazole-5-carboxamide; 3-bromo-N- [2,4-dichloro-6-(methylcarbamoyl)phenyl]-1 -(3,5-dichloro-2-pyri-"dyl)-1 H-pyrazole-5- carboxamide; N-[4-chloro-2-[[(1 ,1 -dimethylethyl)amino]carbonyl]-6-meth-"ylphenyl]-1 -(3-chloro- 2-pyridinyl)-3-(fluoromethoxy)-1 H-pyrazole-5-carboxamide; cyhalodi^amide ;
0.27: Chordotonal organ Modulators - undefined target site: flonicamid;
0.28. insecticidal active compounds of unknown or uncertain mode of action: afidopyropen , afoxolaner, azadirachtin, amidoflumet, benzoximate, broflanilide, bromopropylate, chi- no-rnethionat, cryolite, dicloromezotiaz , dicofol, flufenerim, flometoquin, fluensulfone, fluhex- afon, fluopyram, fluralaner , metoxadiazone, piperonyl butoxide, pyflu-'bumide, pyridalyl, tioxa- zafen, 1 1 (4-chloro-2,6 dimethylphenyl)-12-hydroxy-1 ,4-dioxa-9-azadispiro[4.2.4.2]-tetradec-1 1 - en-10 one , 3 (4'-fluoro-2,4-dimethylbiphenyl-3-yl)-4-hydroxy-8-oxa-1 -azaspiro[4.5]dec-3-en-2- one , 1 [2 fluoro-4-methyl-5-[(2,2,2-trifluoroethyl)sulfinyl]phenyl]-3-(trifluoromethyl)-1 H-1 ,2,4- tri-"azole-5-amine, Bacillus firmus 1-1582; flupyrimin; fluazaindolizine ; 4 [5-(3,5-dichlorophenyl)-
5- (tri-fluoromethyl)-4H-isoxazol-3-yl]-2-methyl-N-(1 -oxothietan-3-yl)benzamide ; fluxamet-amide ; 5 [3 [2,6-dichloro-4-(3,3-dichloroallyloxy)phenoxy]propoxy]-1 H-pyrazole; 3- (benzoyhmethyhamino)-N-[2-bromo-4-[1 ,2,2,3,3,3-hexafluoro-1 -(trifluoromethyl)propyl]-6- (trifluoro-methyOphe-'nyO^-fluoro-benzamide; 3-(benzoylmethylamino)-2-fluoro-N-[2-iodo-4 [1 ,2,2,2 te-trafluoro-1 (trifluoromethyl)ethyl]-6-(trifluoromethyl)phenyl]-benzamide; N [3 [[[2 iodo- 4 [1 ,2,2,2-tetra->fluoro-1 -(trifluoromethyl)ethyl]-6-
(trifluoromethyl)phenyl]amino]^carbonyl]^phenyl]-N-methyl-benzamide; N-[3-[[[2-bromo-4- [1 ,2,2,2-tetrafluoro-1 -(trifluoro^methyl)ethyl]-6-(trifluoromethyl)-phenyl]amin
fluorophenyl]-4-fluoro-N-methyl-benzamide; 4 fluoro-N-[2-fluoro-3[[[2 iodo-4-[1 ,2,2,2-tetrafluoro- 1 -(trifluoromethyl)-"ethyl]-6 (trifluoro^methylJphenylJaminoJcarbo^nylJ-phenylJ-N-methyl- benzamide; 3-fluoro-N-[2-fluoro-3-[[[2-iodo-4-[1 ,2,2,2-tetrafluoro-1 -(tri-fluoromethyl)->ethyl]- 6^(trifluoromethyl)phenyl]amino]^carbonyl]phen^yl]-N-methyl-benzamide; 2 chloro-N-[3-[[[2- iodo-4-[1 ,2,2,2-tetra^fluoro-1 -(tri^fluoromethyl)^ethyl]-6-(trifluoromethyl)phenyl]- aminolcarbonyOphenyO-S-pyridine-Oarboxamide; 4-cyano-N [2-cyano-5-[[2,6-dibromo-4 [1 ,2,2,3,3,3-hexafluoro-1 -(trifluorometh-'yOpropyOphen-'yO-'carba-'moyOphenyO^-methyl- benzamide; 4-cyano-3-[(4-cyano-2-methyl-benzoyl)amino]-N [2,6-dhchloro-4-[1 ,2,2,3,3,3- he-'xafluoro-l -itrifluoromethy^-'propyOphenyO^-fluoro-benzamide; N [5 [[2-chloro-6-cyano-4 [1 ,2,2,3,3,3-hexafluoro-1 -(trifluoromethyl)propyl]^^
2-methyl-benzamide; N-[5-[[2-bromo-6-chloro-4-[2,2,2-trhfluoro-1 -hydroxy-1 -(trifluoro- methyOethyOphenyOcarbamoyO^-cyano-phenyO^-cyano^ methyl-benzamide; N-[5-[[2-bromo-
6- chloro-4-[1 ,2,2,3,3,3-hexafluoro-1 -(trifluoro^methyl)^propyl]phenyl]carbamoyl]-2-cyano- phenyl]-4-cyano-2-methyl-benzamide; 4-cyano-N [2-cy-"ano-5-[[2,6-dichloro-4-[1 ,2,2,3,3,3- hexafluoro-1 -(trifluoromethyl)^propyl]phenyl]^carbamoyl]^phenyl]-2-methyl-benzam 4- cyano-N-p-cyano-S-EP^-dichloro^-fl ^^^-te-'trafluoro-l (trifluorome- thyQethyllphenyllcarbamoyO-'phenyO^-methyl-benzamide; N [5 [[2 bromo-6 chloro-4-[1 , 2,2,2- tetrafluoro-1 -(trifluoromethyl)ethyl]phenyl]carbamoyl]-2 cyano-phenyl]-4 cyano-2-methyl- benzamide; 2-(1 ,3-dioxan-2-yl)-6-[2-(3-pyridinyl)-5 thiazolyl]-pyridine; 2 [6 [2-(5-fluoro-3- pyridinyl)-5-thiazolyl]-2-pyridinyl]-pyrimidine; 2 [6 [2 (3-pyridinyl)-5-thhazolyl]-2-pyridinyl]- pyrimidine; N-methylsulfonyl-6-[2-(3-pyridyl)thiazol-5-yl]pyri-,dine-2-canboxamide; N- methylsulfonyl-6-[2-(3-pyridyl)thiazol-5-yl]pyridine-2-carboxamide ; N-ethyl-N [4 methyl-2-(3- pyridyl)thiazol-5-yl]-3-methylthio-propanamide; N-methyl-N-[4-methyl-2 (3 pyridyl)thiazol-5-yl]-3- methylthio-propanamide; N,2-dimethyl-N-[4-methyl-2-(3-pyridyl)-,thiazol-5-yl]-3-methylthio- propanamide; N-ethyl-2-methyl-N-[4-methyl-2-(3-pyridyl)thiazol-5 yl]-3-methylthio-propanamide; N-[4-chloro-2-(3-pyridyl)thiazol-5-yl]-N-ethyl-2-methyl-3 methylthio-propanamide; N-[4-chloro-2- (3-pyridyl)thiazol-5-yl]-N,2-dimethyl-3-methylthio-propanamide; N-[4-chloro-2-(3-pyridyl)thiazol- 5-yl]-N-methyl-3-methylthio-propanamide; N [4-chloro-2-(3-pyridyl)thiazol-5-yl]-N-ethyl-3- methylthio-propanamide ; 1 -[(6-chloro-3-py^rhdinyl)methyl]-1 ,2,3,5,6,7-hexahydro-5-methoxy-
7- methyl-8-nitro-imidazo[1 ,2-a]pyridine; 1 [(6-chloropyridin-3-yl)methyl]-7-methyl-8-nitro- 1 ,2,3,5,6,7-hexahydroimidazo[1 ,2-a]pyridin-5-ol; 1 -isopropyl-N,5-dimethyl-N-pyridazin-4-yl- pyrazole-4-carboxamide; 1 -(1 ^-dimeth-'yhpropyO-N-ethyl-S-methyl-N-pyridazin^-yl-pyrazole^- carboxamide; N,5-dimethyl-N-pyridazin-4-yl-1 -(2,2,2-trifluoro-1 -methyl-ethyl)pyrazole-4- carboxamide; 1 -[1 -(1 -cyano-'cyclopropyO-'eth-'yO-N-ethyl-S-methyl-N-pyridazin^-yl-pyrazole^- carboxamide; N-ethyl-1 (2 fluoro-1 -methyl-propyl)-5-methyl-N-pyridazin-4-yl-pyrazole-4- carboxamide; 1 -(1 ^-dimethylpropyO-N^-di-'methyl-N-pyridazin^-yl-pyrazole^-carboxamide;
1 - [1 -(1 -cyanocyclopropyl)^ethyl]-N,5-di^methyl-N-pyridazin-4-yl-pyrazole-4-carboxamide; N- methyl-1 -(2-flu-Oro-1 -methyl-propyl]-5 methyl-N-pyridazin-4-yl-pyrazole-4-carboxamide; 1 -(4,4- difluorocyclohexyl)-N ethyl-5 methyl-N-pyridazin-4-yl-pyrazole-4-carboxamide; 1 -(4,4- difluorocyclohexyl)-N,5-di^methyl-N-pyndazin-4-yl-pyrazole-4-carboxamide, N-(l -methylethyl)- 2-(3-pyridinyl)-2H-inda-,zole-4 carboxamide; N-cyclopropyl-2-(3-pyridinyl)-2H-indazole-4- carboxamide; N-cyclohexyl-2 (3 pyridinyl)-2H-indazole-4-carboxamide; 2-(3-pyridinyl)-N-(2,2,2- trifluoroethyl)-2H-inda^zole-4-carboxamide; 2-(3-pyridinyl)-N-[(tetrahydro-2-furanyl)methyl]-2H- indazole-S-carbox-'amide; methyl 2-[[2-(3-pyridinyl)-2H-indazol-5- yl]carbonyl]hydrazinecarboxylate; N [(2,2-di-,fluorocyclopropyl)methyl]-2-(3-pyridinyl)-2H- indazole-5-carboxamide; N-(2,2-di-,flu-,oropropyl)-2-(3-pyridinyl)-2H-indazole-5-carboxamide; 2- (3-pyridinyl )-N-(2-pyrimhdinylmethyl )-2H-in_,dazole-5-carboxamide; N-[(5-methyl-2- pyrazinyl)methyl]-2 (3 pyridinyl^H-indazole-S-canboxamide, tyclopyrazoflor; N-[3-chloro-1 -(3- pyridyl)pyrazol-4-yl]-N-ethyl-3 (S^^-trifluoropropylsulfiny^propanamide; N-[3-chloro-1 -(3- pyridyl)pyrazol-4-yl]-3-[(2,2-dhfluorocyclopropyl)methyhsulfanyl]-N-ethyl-propanamide; N-[3- chloro-1 -(3-pyridyl)pyrazol-4 yl]-3-[(2,2-difluorocyclo-,propyl)methylsulfinyl]-N-ethyl- propanamide; sarolaner , lotilaner , N-[4-chloro-3-[[(phenylmethyl)amino]carbonyl]phenyl]-1 - methyl-3-(1 ,1 ,2,2,2-pentafluoroethyl)-4-(trifluoromethyl)-1 H-pyrazole-5-carboxamide ; M. UN.22a
2- (3-ethylsulfonyl-2 pyridyl)-3-methyl-6-(trifluoromethyl)imidazo[4,5-b]pyridine, 2-[3- ethylsulfonyl-5-(trifluorometh^yl)-2-pyndyl]-3-methyl-6-(trifluoromethyl)imidazo[4,5-b]pyridine , 4- [5-(3,5-dichlorophenyl)-5-(trhfluoromethyl)-4H-isoxazol-3-yl]-N-[(4R)-2-ethyl-3-oxo-isoxazolidin- 4-yl]-2-methyl-benzamide, 4 [5-(3,5-dichloro-4-fluoro-phenyl)-5-(trifluoromethyl)-4H-isoxazol-3- yl]-N-[(4R)-2-ethyl-3-oxo-isoxazolidin-4-yl]-2-methyl-benzamide ; N-[4-chloro-3-
(cyclopropylcarbamoyl)phenyl]-2-methyl-5 (1 ,1 ,2,2,2-pentafluoroethyl)-4-
(trifluoromethyl)pyrazole-3-carboxamide, N-[4-chloro-3-[(1 -cy- anocyclopropyl)carbamoyl]phenyl]-2-methyl-5-(1 ,1 ,2,2,2-pentafluoroethyl)-4-(trifluoro^methyl)- pyrazole-3-carboxamide ; acynonapyr ; benzpyrimoxan ; chloro-N-(1 -cyanocyclopropyl)-5-[1 -[2- methyl-5-(1 ,1 ,2,2,2-pentafluoroethyl)-4-(trifluoromethyl)pyrazol-3-yl]pyrazol-4-yl]benzamide . The active substances referred to as component 2, their preparation and their activity e. g. against harmful fungi is known (cf.: http://www.alanwood.net/pesticides/); these substances are commercially available. The compounds described by lUPAC nomenclature, their preparation and their pesticidal activity are also known (cf. Can. J. Plant Sci. 48(6), 587-94, 1968; EP A 141 317; EP-A 152 031 ; EP-A 226 917; EP A 243 970; EP A 256 503; EP-A 428 941 ; EP A 532 022; EP-A 1 028 125; EP-A 1 035 122; EP A 1 201 648; EP A 1 122 244, JP 2002316902; DE 19650197; DE 10021412; DE 102005009458; US 3,296,272; US 3,325,503; WO 98/46608; WO 99/14187; WO 99/24413; WO 99/27783; WO 00/29404; WO 00/46148; WO 00/65913; WO 01/54501 ; WO 01/56358; WO 02/22583; WO 02/40431 ; WO 03/10149; WO 03/1 1853; WO 03/14103; WO 03/16286; WO 03/53145; WO 03/61388; WO 03/66609; WO 03/74491 ; WO 04/49804; WO 04/83193; WO 05/120234; WO 05/123689; WO 05/123690; WO 05/63721 ; WO 05/87772; WO 05/87773; WO 06/15866; WO 06/87325; WO 06/87343; WO 07/82098; WO 07/90624, WO 10/139271 , WO 1 1/028657, WO 12/168188, WO 07/006670, WO 1 1/77514; WO 13/047749, WO 10/069882, WO 13/047441 , WO 03/16303, WO 09/90181 , WO 13/007767, WO 13/010862, WO 13/127704, WO 13/024009, WO 13/24010, WO 13/047441 , WO 13/162072, WO 13/092224, WO 1 1/135833, CN 1907024, CN 1456054, CN 103387541 , CN 1309897, WO 12/84812, CN 1907024, WO 09094442, WO 14/60177, WO 13/1 16251 , WO 08/013622, WO
15/65922, WO 94/01546, EP 2865265, WO 07/129454, WO 12/16551 1 , WO 1 1/081 174, WO 13/47441 ).
The present invention furthermore relates to agrochemical compositions comprising a mixture of at least one compound of formula I (compound) and at least one further active substance useful for plant protection, e. g. selected from the groups A) to O) (cormponent 2), in particular one further fungicide, e. g. one or more fungicide from the groups A) to K), as described above, and if desired one suitable solvent or solid carrier. Those mixtures are of particular interest, since many of them at the same application rate show higher efficiencies against harmful fungi. Furthermore, combating harmful fungi with a mixture of compounds of formula (I) and at least one fungicide from groups A) to K), as described above, is more efficient than combating those fungi with individual compounds of formula (I) or individual fungicides from groups A) to K).
By applying compounds of formula (I) together with at least one active substance from groups A) to O) a synergistic effect can be obtained, i.e. more then simple addition of the individual effects is obtained (synergistic mixtures).
This can be obtained by applying the compounds of formula (I) and at least one further active substance simultaneously, either jointly (e. g. as tank-mix) or seperately, or in succession, wherein the time interval between the individual applications is selected to ensure that the active substance applied first still occurs at the site of action in a sufficient amount at the time of application of the further active substance(s). The order of application is not essential for work- ing of the present invention.
When applying compound of formula (I) and a pesticide II sequentially the time between both applications may vary e. g. between 2 hours to 7 days. Also a broader range is possible ranging from 0.25 hour to 30 days, preferably from 0.5 hour to 14 days, particularly from 1 hour to 7 days or from 1 .5 hours to 5 days, even more preferred from 2 hours to 1 day. In case of a mix- ture comprising a pesticide II selected from group L), it is preferred that the pesticide II is applied as last treatment.
According to the invention, the solid material (dry matter) of the biopesticides (with the exception of oils such as Neem oil) are considered as active components (e. g. to be obtained after drying or evaporation of the extraction or suspension medium in case of liquid formulations of the microbial pesticides).
In accordance with the present invention, the weight ratios and percentages used herein for a biological extract such as Quillay extract are based on the total weight of the dry content (solid material) of the respective extract(s).
The total weight ratios of compositions comprising at least one microbial pesticide in the form of viable microbial cells including dormant forms, can be determined using the amount of CFU of the respective microorganism to calculate the total weight of the respective active component with the following equation that 1 x 1010 CFU equals one gram of total weight of the respective active component. Colony forming unit is measure of viable microbial cells, in particular fungal and bacterial cells. In addition, here "CFU" may also be understood as the number of (juvenile) individual nematodes in case of (entomopathogenic) nematode biopesticides, such as Stei- nernema feltiae.
In the binary mixtures and compositions according to the invention the weight ratio of the component 1 ) and the component 2) generally depends from the properties of the active components used, usually it is in the range of from 1 :10,000 to 10,000:1 , often it is in the range of from
1:100 to 100:1, regularly in the range of from 1:50 to 50:1, preferably in the range of from 1:20 to 20:1, more preferably in the range of from 1:10 to 10:1, even more preferably in the range of from 1:4 to 4:1 and in particular in the range of from 1:2 to 2:1.
According to further embodiments of the binary mixtures and compositions, the weight ratio of the component 1) and the component 2) usually is in the range of from 1000:1 to 1:1, often in the range of from 100: 1 to 1:1, regularly in the range of from 50:1 to 1:1, preferably in the range of from 20:1 to 1:1, more preferably in the range of from 10:1 to 1:1, even more preferably in the range of from 4:1 to 1:1 and in particular in the range of from 2:1 to 1:1.
According to further embodiments of the mixtures and compositions, the weight ratio of the component 1) and the component 2) usually is in the range of from 20,000:1 to 1:10, often in the range of from 10,000:1 to 1:1, regularly in the range of from 5,000:1 to 5:1, preferably in the range of from 5,000:1 to 10:1, more preferably in the range of from 2,000:1 to 30:1, even more preferably in the range of from 2,000:1 to 100:1 and in particular in the range of from 1,000:1 to 100:1.
According to a further embodiments of the binary mixtures and compositions, the weight ratio of the component 1) and the component 2) usually is in the range of from 1:1 to 1:1000, often in the range of from 1:1 to 1:100, regularly in the range of from 1:1 to 1:50, preferably in the range of from 1:1 to 1:20, more preferably in the range of from 1:1 to 1:10, even more preferably in the range of from 1:1 to 1:4 and in particular in the range of from 1:1 to 1:2.
According to further embodiments of the mixtures and compositions, the weight ratio of the component 1) and the component 2) usually is in the range of from 10:1 to 1 :20,000, often in the range of from 1:1 to 1:10,000, regularly in the range of from 1:5 to 1:5,000, preferably in the range of from 1:10 to 1:5,000, more preferably in the range of from 1:30 to 1:2,000, even more preferably in the range of from 1:100 to 1:2,000 to and in particular in the range of from 1:100 to 1:1,000.
In the ternary mixtures, i.e. compositions according to the invention comprising the component 1) and component 2) and a compound III (component 3), the weight ratio of component 1) and component 2) depends from the properties of the active substances used, usually it is in the range of from 1:100 to 100:1, regularly in the range of from 1:50 to 50:1, preferably in the range of from 1:20 to 20:1, more preferably in the range of from 1:10 to 10:1 and in particular in the range of from 1:4 to 4:1, and the weight ratio of component 1) and component 3) usually it is in the range of from 1:100 to 100:1, regularly in the range of from 1:50 to 50:1, preferably in the range of from 1:20 to 20:1, more preferably in the range of from 1:10 to 10:1 and in particular in the range of from 1 :4 to 4: 1.
Any further active components are, if desired, added in a ratio of from 20:1 to 1:20 to the component 1).
These ratios are also suitable for inventive mixtures applied by seed treatment.
When mixtures comprising microbial pesticides are employed in crop protection, the application rates preferably range from about 1 x 106 to 5 x 1016 (or more) CFU/ha, preferably from about 1 x 108 to about 1 x 1013 CFU/ha, and even more preferably from about 1 x 109 to 5 x 1015 CFU/ha and particularly preferred even more preferably from 1 x 1012 to 5 x 1014 CFU/ha. In the case of (entomopathogenic) nematodes as microbial pesticides (e. g. Steinernema feltiae), the application rates preferably range inform about 1 x 105 to 1 x 1012 (or more), more preferably from 1 x 108 to 1 x 1011 , even more preferably from 5 x 108 to 1 x 1010 individuals (e. g. in
the form of eggs, juvenile or any other live stages, preferably in an infetive juvenile stage) per ha.
When mixtures comprising microbial pesticides are employed in seed treatment, the application rates with respect to plant propagation material preferably range from about 1 x 106 to 1 x 1012 (or more) CFU/seed. Preferably, the concentration is about 1 x 106 to about 1 x 109 CFU/seed. In the case of the microbial pesticides II, the application rates with respect to plant propagation material also preferably range from about 1 x 107 to 1 x 1014 (or more) CFU per 100 kg of seed, preferably from 1 x 109 to about 1 x 1012 CFU per 100 kg of seed.
Preference is also given to mixtures comprising as component 2) at least one active substance selected from inhibitors of complex III at Qo site in group A), more preferably selected from compounds (A.1 .1 ), (A.1 .4), (A.1 .8), (A.1 .9), (A.1.10), (A.1 .12), (A.1.13), (A.1 .14), (A.1 .17), (A.1.21 ), (A.1.25), (A.1.34) and (A.1 .35); particularly selected from (A.1 .1 ), (A.1 .4), (A.1 .8), (A.1.9), (A.1.13), (A.1 .14), (A.1 .17), (A.1.25), (A.1 .34) and (A.1.35).
Preference is also given to mixtures comprising as component 2) at least one active substance selected from inhibitors of complex III at Qi site in group A), more preferably selected from compounds (A.2.1 ), (A.2.3) and (A.2.4); particularly selected from (A.2.3) and (A.2.4).
Preference is also given to mixtures comprising as component 2) at least one active substance selected from inhibitors of complex II in group A), more preferably selected from compounds (A.3.2), (A.3.3), (A.3.4), (A.3.7), (A.3.9), (A.3.1 1 ), (A.3.12), (A.3.15), (A.3.16), (A.3.17), (A.3.18), (A.3.19), (A.3.20), (A.3.21 ), (A.3.22), (A.3.23), (A.3.28), (A.3.31 ), (A.3.32), (A.3.33), (A.3.34), (A.3.35), (A.3.36), (A.3.37), (A.3.38) and (A.3.39); particularly selected from (A.3.2), (A.3.3), (A.3.4), (A.3.7), (A.3.9), (A.3.12), (A.3.15), (A.3.17), (A.3.19), (A.3.22), (A.3.23), (A.3.31 ), (A.3.32), (A.3.33), (A.3.34), (A.3.35), (A.3.36), (A.3.37), (A.3.38) and (A.3.39).
Preference is also given to mixtures comprising as component 2) at least one active substance selected from other respiration nhibitors in group A), more preferably selected from compounds (A.4.5) and (A.4.1 1 ); in particular (A.4.1 1 ).
Preference is also given to mixtures comprising as component 2) at least one active substance selected from C14 demethylase inhibitors in group B), more preferably selected from compounds (B.1 .4), (B.1.5), (B.1 .8), (B.1.10), (B.1 .1 1 ), (B.1 .12), (B.1 .13), (B.1.17), (B.1 .18), (B.1.21 ), (B.1.22), (B.1 .23), (B.1.25), (B.1 .26), (B.1 .29), (B.1.34), (B.1 .37), (B.1 .38), (B.1.43) and (B.1.46); particularly selected from (B.1.5), (B.1 .8), (B.1.10), (B.1 .17), (B.1.22), (B.1 .23), (B.1.25), (B.1 .33), (B.1 .34), (B.1.37), (B.138), (B.1 .43) and (B.1.46).
Preference is also given to mixtures comprising as component 2) at least one active substance selected from Delta14-reductase inhibitors in group B), more preferably selected from com- pounds (B.2.4), (B.2.5), (B.2.6) and (B.2.8); in particular (B.2.4).
Preference is also given to mixtures comprising as component 2) at least one active substance selected from phenylamides and acyl amino acid fungicides in group C), more preferably selected from compounds (C.1 .1 ), (C.1 .2), (C.1 .4) and (C.1 .5); particularly selected from (C.1 .1 ) and (C.1.4).
Preference is also given to mixtures comprising as component 2) at least one active substance selected from other nucleic acid synthesis inhibitors in group C), more preferably selected from compounds (C.2.6), (C.2.7) and (C.2.8).
Preference is also given to mixtures comprising as component 2) at least one active substance selected from group D), more preferably selected from compounds (D.1.1 ), (D.1 .2), (D.1.5), (D.2.4) and (D.2.6); particularly selected from (D.1 .2), (D.1.5) and (D.2.6).
Preference is also given to mixtures comprising as component 2) at least one active substance selected from group E), more preferably selected from compounds (E.1 .1 ), (E.1 .3), (E.2.2) and (E.2.3); in particular (E.1.3).
Preference is also given to mixtures comprising as component 2) at least one active substance selected from group F), more preferably selected from compounds (F.1.2), (F.1.4) and (F.1 .5). Preference is also given to mixtures comprising as component 2) at least one active substance selected from group G), more preferably selected from compounds (G.3.1 ), (G.3.3), (G.3.6), (G.5.1 ), (G.5.2), (G.5.3), (G.5.4), (G.5.5), G.5.6), G.5.7), (G.5.8), (G.5.9), (G.5.10) and (G.5.1 1 ); particularly selected from (G.3.1 ), (G.5.1 ), (G.5.2) and (G.5.3).
Preference is also given to mixtures comprising as component 2) at least one active substance selected from group H), more preferably selected from compounds (H.2.2), (H.2.3), (H.2.5), (H.2.7), (H.2.8), (H.3.2), (H.3.4), (H.3.5), (H.4.9) and (H.4.10); particularly selected from (H.2.2), (H.2.5), (H.3.2), (H.4.9) and (H.4.10).
Preference is also given to mixtures comprising as component 2) at least one active substance selected from group I), more preferably selected from compounds (1.2.2) and (1.2.5).
Preference is also given to mixtures comprising as component 2) at least one active substance selected from group J), more preferably selected from compounds (J.1.2), (J.1.5), (J.1.8), (J.1.1 1 ) and (J.1 .12); in particular (J.1 .5).
Preference is also given to mixtures comprising as component 2) at least one active substance selected from group K), more preferably selected from compounds (K.1 .41 ), (K.1.42), (K.1 .44), (K.1.45), (K.1 .47) and (K.1 .49); particularly selected from (K.1 .41 ), (K.1 .44), (K.1 .45), (K.1.47) and (K.1 .49).
The biopesticides from group L1 ) and/or L2) may also have insecticidal, acaricidal, molluscidal, pheromone, nematicidal, plant stress reducing, plant growth regulator, plant growth promoting and/or yield enhancing activity. The biopesticides from group L3) and/or L4) may also have fungicidal, bactericidal, viricidal, plant defense activator, plant stress reducing, plant growth regula- tor, plant growth promoting and/or yield enhancing activity. The biopesticides from group L5) may also have fungicidal, bactericidal, viricidal, plant defense activator, insecticidal, acaricidal, molluscidal, pheromone and/or nematicidal activity.
1 ) Many of these biopesticides have been deposited under deposition numbers mentioned herein (the prefices such as ATCC or DSM refer to the acronym of the respective culture collec- tion, for details see e. g. here: http://www. wfcc.info/ccinfo/collection/by_acronym/), are referred to in literature, registered and/or are commercially available: mixtures of Aureobasidium pullu- lans DSM 14940 and DSM 14941 isolated in 1989 in Konstanz, Germany (e. g. blastospores in Blossom Protect® from bio-ferm GmbH, Austria), Azospirillum brasilense Sp245 originally isolated in wheat reagion of South Brazil (Passo Fundo) at least prior to 1980 (BR 1 1005; e. g. GEL- FIX® Gramineas from BASF Agricultural Specialties Ltd., Brazil), A. brasilense strains Ab-V5 and Ab-V6 (e. g. in AzoMax from Novozymes BioAg Produtos papra Agricultura Ltda., Quattro Barras, Brazil or Simbiose-Maiz® from Simbiose-Agro, Brazil; Plant Soil 331 , 413-425, 2010), Bacillus amyloliquefaciens strain AP-188 (NRRL B-50615 and B-50331 ; US 8,445,255); B. amy- loliquefaciens spp. plantarum D747 isolated from air in Kikugawa-shi, Japan (US 20130236522
A1 ; FERM BP 8234; e. g. Double Nickel™ 55 WDG from Certis LLC, USA), B. amyloliquefa- ciens spp. plantarum FZB24 isolated from soil in Brandenburg, Germany (also called SB3615; DSM 96-2; J. Plant Dis. Prot. 105, 181-197, 1998; e. g. Taegro® from Novozyme Biologicals, Inc., USA), B. amyloliquefaciens ssp. plantarum FZB42 isolated from soil in Brandenburg, Ger- many (DSM 231 17; J. Plant Dis. Prot. 105, 181-197, 1998; e. g. RhizoVital® 42 from AbiTEP GmbH, Germany), B. amyloliquefaciens ssp. plantarum MBI600 isolated from faba bean in Sutton Bonington, Nottinghamshire, U.K. at least before 1988 (also called 1430; NRRL B 50595; US 2012/0149571 A1 ; e. g. Integral® from BASF Corp., USA), B. amyloliquefaciens spp. plantarum QST-713 isolated from peach orchard in 1995 in California, U.S.A. (NRRL B 21661 ; e. g. Serenade® MAX from Bayer Crop Science LP, USA), B. amyloliquefaciens spp. plantarum TJ1000 isolated in 1992 in South Dakoda, U.S.A. (also called 1 BE; ATCC BAA-390; CA 2471555 A1 ; e. g. QuickRoots™ from TJ Technologies, Watertown, SD, USA), B. firmus CNCM 1-1582, a variant of parental strain EIP-N1 (CNCM 1-1556) isolated from soil of central plain area of Israel (WO 2009/126473, US 6,406,690; e. g. Votivo® from Bayer CropScience LP, USA), B. pumilus GHA 180 isolated from apple tree rhizosphere in Mexico (IDAC 260707-01 ; e. g. PRO- MIX® BX from Premier Horticulture, Quebec, Canada), B. pumilus INR-7 otherwise referred to as BU F22 and BU-F33 isolated at least before 1993 from cucumber infested by Erwinia tra- cheiphila (NRRL B-50185, NRRL B-50153; US 8,445,255), B. pumilus KFP9F isolated from the rhizosphere of grasses in South Africa at least before 2008 (NRRL B-50754; WO 2014/029697; e. g. BAC-UP or FUSION-P from BASF Agricultural Specialities (Pty) Ltd., South Africa), B. pumilus QST 2808 was isolated from soil collected in Pohnpei, Federated States of Micronesia, in 1998 (NRRL B 30087; e. g. Sonata® or Ballad® Plus from Bayer Crop Science LP, USA), B. simplex ABU 288 (NRRL B-50304; US 8,445,255), B. subtilis FB17 also called UD 1022 or UD10-22 isolated from red beet roots in North America (ATCC PTA-1 1857; System. Appl. Mi- crobiol. 27, 372-379, 2004; US 2010/0260735; WO 201 1/109395); B. thurin->giensis ssp. aiza- wai ABTS-1857 isolated from soil taken from a lawn in Ephraim, Wisconsin, U.S.A., in 1987 (also called ABG 6346; ATCC SD-1372; e. g. XenTari® from BioFa AG, Munsingen, Germany), B. t. ssp. kurstaki ABTS-351 identical to HD-1 isolated in 1967 from diseased Pink Bollworm black larvae in Brownsville, Texas, U.S.A. (ATCC SD-1275; e. g. Dipel® DF from Valent BioSci- ences, IL, USA), B. t. ssp. kurstaki SB4 isolated from E. saccharina larval cadavers (NRRL B- 50753; e. g. Beta Pro® from BASF Agricultural Specialities (Pty) Ltd., South Africa), B. t. ssp. tenebrionis NB-176-1 , a mutant of strain NB-125, a wild type strain isolated in 1982 from a dead pupa of the beetle Tenebrio molitor (DSM 5480; EP 585 215 B1 ; e. g. Novodor® from Valent Biosciences, Switzerland), Beauveria bassiana GHA (ATCC 74250; e. g. BotaniGard® 22WGP from Laverlam Int. Corp., USA), B. bassiana JW-1 (ATCC 74040; e. g. Naturalis® from CBC (Europe) S.r.l., Italy), B. bassiana PPRI 5339 isolated from the larva of the tortoise beetle Con- chyloctenia punctata (NRRL 50757; e. g. Broad Band® from BASF Agricultural Specialities (Pty) Ltd., South Africa), Brady-rhizobium elkanii strains SEMIA 5019 (also called 29W) isolated in Rio de Janeiro, Brazil and SEMIA 587 isolated in 1967 in the State of Rio Grande do Sul, from an area previously inoculated with a North American isolate, and used in commercial inoculants since 1968 (Appl. Environ. Microbiol. 73(8), 2635, 2007; e. g. GELFIX 5 from BASF Agricultural Specialties Ltd., Brazil), B. japonicum 532c isolated from Wisconsin field in U.S.A. (Nitragin 61A152; Can. J. Plant. Sci. 70, 661 -666, 1990; e. g. in Rhizoflo®, Histick®, Hicoat® Super from BASF Agricultural Specialties Ltd., Canada), B. japonicum E-109 variant of strain USDA 138
(INTA E109, SEMIA 5085; Eur. J. Soil Biol. 45, 28-35, 2009; Biol. Fertil. Soils 47, 81-89, 201 1 ); B. japonicum strains deposited at SEMIA known from Appl. Environ. Microbiol. 73(8), 2635, 2007: SEMIA 5079 isolated from soil in Cerrados region, Brazil by Embrapa-Cerrados used in commercial inoculants since 1992 (CPAC 15; e. g. GELFIX 5 or ADHERE 60 from BASF Agri- cultural Specialties Ltd., Brazil), B. japonicum SEMIA 5080 obtained under lab condtions by Embrapa-Cerrados in Brazil and used in commercial inoculants since 1992, being a natural variant of SEMIA 586 (CB1809) originally isolated in U.S.A. (CPAC 7; e. g. GELFIX 5 or ADHERE 60 from BASF Agricultural Specialties Ltd., Brazil); Burkholderia sp. A396 isolated from soil in Nikko, Japan, in 2008 (NRRL B-50319; WO 2013/032693; Marrone Bio Innovations, Inc., USA), Coniothyrium minitans CON/M/91 -08 isolated from oilseed rape (WO 1996/021358; DSM 9660; e. g. Contans® WG, Intercept® WG from Bayer CropScience AG, Germany), harpin (alpha- beta) protein (Science 257, 85-88, 1992; e. g. Messenger™ or HARP-N Tek from Plant Health Care pic, U.K.), Helicoverpa armigera nucleopolyhedrovirus (HearNPV) (J. Invertebrate Pathol. 107, 1 12-126, 201 1 ; e. g. Helicovex® from Adermatt Biocontrol, Switzerland; Diplomata® from Koppert, Brazil; Vivus® Max from AgBiTech Pty Ltd., Queensland, Australia), Helicoverpa zea single capsid nucleopolyhedrovirus (HzSNPV) (e. g. Gemstar® from Certis LLC, USA), Helicoverpa zea nucleopolyhedrovirus ABA-NPV-U (e. g. Heligen® from AgBiTech Pty Ltd., Queensland, Australia), Heterorhabditis bacteriophora (e. g. Nemasys® G from BASF Agricultural Specialities Limited, UK), Isaria fumosorosea Apopka-97 isolated from mealy bug on gynu- ra in Apopka, Florida, U.S.A. (ATCC 20874; Biocontrol Science Technol. 22(7), 747-761 , 2012; e. g. PFR-97™ or PreFeRal® from Certis LLC, USA), Metarhizium anisopliae var. anisopliae F52 also called 275 or V275 isolated from codling moth in Austria (DSM 3884, ATCC 90448; e. g. Met52® Novozymes Biologicals BioAg Group, Canada), Metschnikowia fructicola 277 isolated from grapes in the central part of Israel (US 6,994,849; NRRL Y-30752; e. g. formerly Shem- er® from Agrogreen, Israel), Paecilomyces ilacinus 251 isolated from infected nematode eggs in the Philippines (AGAL 89/030550; W01991/02051 ; Crop Protection 27, 352-361 , 2008; e. g. BioAct®from Bayer CropScience AG, Germany and MeloCon® from Certis, USA), Paenibacillus alvei NAS6G6 isolated from the rhizosphere of grasses in South Africa at least before 2008 (WO 2014/029697; NRRL B-50755; e.g. BAC-UP from BASF Agricultural Specialities (Pty) Ltd., South Africa), Paenibacillus strains isolated from soil samples from a variety of European locations including Germany: P. epiphyticus Lu17015 (WO 2016/020371 ; DSM 26971 ), P. polymyxa ssp. plantarum Lu16774 (WO 2016/020371 ; DSM 26969), P. p. ssp. plantarum strain Lu17007 (WO 2016/020371 ; DSM 26970); Pasteuria nishizawae Pn1 isolated from a soybean field in the mid-2000s in Illinois, U.S.A. (ATCC SD 5833; Federal Register 76(22), 5808, February 2, 201 1 ; e.g. Clariva™ PN from Syngenta Crop Protection, LLC, USA), Penicillium bilaiae (also called P. bilaii) strains ATCC 18309 (= ATCC 74319), ATCC 20851 and/or ATCC 22348 (= ATCC 74318) originally isolated from soil in Alberta, Canada (Fertilizer Res. 39, 97-103, 1994; Can. J. Plant Sci. 78(1 ), 91 -102, 1998; US 5,026,417, WO 1995/017806; e. g. Jump Start®, Provide® from Novozymes Biologicals BioAg Group, Canada), Reynoutria sachalinensis extract (EP 0307510 B1 ; e. g. Regalia® SC from Marrone Biolnnovations, Davis, CA, USA or Milsana® from BioFa AG, Germany), Steinernema carpocapsae (e. g. Millenium® from BASF Agricultural Specialities Limited, UK), S. feltiae (e. g. Nemashield® from BioWorks, Inc., USA; Nemasys® from BASF Agricultural Specialities Limited, UK), Streptomyces microflavus NRRL B-50550 (WO 2014/124369; Bayer CropScience, Germany), Trichoderma asperelloides JM41 R isolated in
South Africa (NRRL 50759; also referred to as T. fertile; e. g. Trichoplus® from BASF Agricultural Specialities (Pty) Ltd., South Africa), T. harzianum T-22 also called KRL-AG2 (ATCC 20847; BioControl 57, 687-696, 2012; e. g. Plantshield® from BioWorks Inc., USA or SabrEx™ from Advanced Biological Marketing Inc., Van Wert, OH, USA).
According to one embodiment of the inventive mixtures, the at least one pesticide II is selected from the groups L1 ) to L5):
L1 ) Microbial pesticides with fungicidal, bactericidal, viricidal and/or plant defense activator activity: Aureobasidium pullulans DSM 14940 and DSM 14941 (L1.1 ), Bacillus amylolique- faciens AP-188 (L.1 .2), B. amyloliquefaciens ssp. plantarum D747 (L.1 .3), B. amylo-'lique- faciens ssp. plantarum FZB24 (L.1.4), B. amyloliquefaciens ssp. plantarum FZB42 (L.1 .5), B. amyloliquefaciens ssp. plantarum MBI600 (L.1.6), B. amyloliquefaciens ssp. plantarum QST- 713 (L.1 .7), B. amyloliquefaciens ssp. plantarum TJ1000 (L.1 .8), B. pumilus GB34 (L.1 .9), B. pumilus GHA 180 (L.1.10), B. pumilus INR-7 (L.1 .1 1 ), B. pumilus KFP9F (L.1.12), B. pumilus QST 2808 (L.1.13), B. simplex ABU 288 (L.1.14), B. subtilis FB17 (L.1.15), Coniothyrium mini- tans CON/M/91 -08 (L.1 .16), Metschnikowia fructicola NRRL Y 30752 (L.1 .17), Paenibacillus alvei NAS6G6 (L.1.18), P. epiphyticus Lu17015 (L.1 .25), P. polymyxa ssp. plantarum Lu16774 (L.1.26), P. p. ssp. plantarum strain Lu17007 (L.1 .27), Penicillium bilaiae ATCC 22348 (L.1 .19), P. bilaiae ATCC 20851 (L.1 .20), Penicillium bilaiae ATCC 18309 (L.1 .21 ), Streptomyces micro- flavus NRRL B-50550 (L.1.22), Trichoderma asperelloides JM41 R (L.1 .23), T. harzianum T-22 (L.1.24);
L2) Biochemical pesticides with fungicidal, bactericidal, viricidal and/or plant defense activator activity: harpin protein (L.2.1 ), Reynoutria sachalinensis extract (L.2.2);
L3) Microbial pesticides with insecticidal, acaricidal, molluscidal and/or nematicidal activity: Bacillus firmus I 1582 (L.3.1 ); B. thuringiensis ssp. aizawai ABTS-1857 (L.3.2), B. t. ssp. kurstaki ABTS-351 (L.3.3), B. t. ssp. kurstaki SB4 (L.3.4), B. t. ssp. tenebrionis NB-176-1 (L.3.5), Beauveria bassiana GHA (L.3.6), B. bassiana JW-1 (L.3.7), B. bassiana PPRI 5339 (L.3.8), Burkholderia sp. A396 (L.3.9), Helicoverpa armigera nucleopolyhedrovirus (HearNPV) (L.3.10), Helicoverpa zea nucleopolyhedrovirus (HzNPV) ABA-NPV-U (L.3.1 1 ), Helicoverpa zea single capsid nucleopolyhedrovirus (HzSNPV) (L.3.12), Heterohabditis bacteriophora (L.3.13), Isaria fumosorosea Apopka-97 (L.3.14), Metarhizium anisopliae var. anisopliae F52 (L.3.15), Paecilomyces lilacinus 251 (L.3.16), Pasteuria nishizawae Pn1 (L.3.17), Steinernema car- pocapsae (L.3.18), S. feltiae (L.3.19);
L4) Biochemical pesticides with insecticidal, acaricidal, molluscidal, pheromone and/or nematicidal activity: cis-jasmone (L.4.1 ), methyl jasmonate (L.4.2), Quillay extract (L.4.3);
L5) Microbial pesticides with plant stress reducing, plant growth regulator, plant growth promoting and/or yield enhancing activity: Azospirillum brasilense Ab-V5 and Ab-V6 (L.5.1 ), A. bra- silense Sp245 (L.5.2), Bradyrhizobium elkanii SEMIA 587 (L.5.3), B. elkanii SEMIA 5019 (L.5.4), B. japonicum 532c (L.5.5), B. japonicum E-109 (L.5.6), B. japonicum SEMIA 5079 (L.5.7), B. japonicum SEMIA 5080 (L.5.8).
The present invention furthermore relates to agrochemical compositions comprising a mixture of compound of formula (I) (component 1 ) and at least one biopesticide selected from the group L) (component 2), in particular at least one biopesticide selected from the groups L1 ) and L2), as described above, and if desired at least one suitable auxiliary.
The present invention furthermore relates to agrochemical compositions comprising a mixture of compound of formula (I) (component 1 ) and at least one biopesticide selected from the group L) (component 2), in particular at least one biopesticide selected from the groups L3) and L4), as described above, and if desired at least one suitable auxiliary.
Preference is also given to mixtures comprising as pesticide II (component 2) a biopesticide selected from the groups L1 ), L3) and L5), preferably selected from strains denoted above as (L.1.2), (L.1 .3), (L.1 .4), (L.1.5), (L.1.6), (L.1 .7), (L.1.8), (L.1.10), (L.1 .1 1 ), (L.1.12), (L.1 .13), (L.1 .14), (L.1 .15), (L.1.17), (L.1 .18), (L.1.19), (L.1 .20), (L.1.21 ), (L.1 .25), (L.1.26), (L.1 .27), (L.3.1 ); (L.3.9), (L.3.16), (L.3.17), (L.5.1 ), (L.5.2), (L.5.3), (L.5.4), (L.5.5), (L.5.6), (L.5.7), (L.5.8); (L.4.2), and (L.4.1 ); even more preferably selected from (L.1.2), (L.1 .6), (L.1.7), (L.1 .8), (L.1.1 1 ), (L.1.12), (L.1 .13), (L.1.14), (L.1 .15), (L.1 .18), (L.1.19), (L.1 .20), (L.1.21 ), (L.3.1 ); (L.3.9), (L.3.16), (L.3.17), (L.5.1 ), (L.5.2), (L.5.5), (L.5.6); (L.4.2), and (L.4.1 ). These mixtures are particularly suitable for treatment of propagation materials, i. e. seed treatment purposes and likewise for soil treatment. These seed treatment mixtures are particularly suitable for crops such as ce- reals, corn and leguminous plants such as soybean.
Preference is also given to mixtures comprising as pesticide II (component 2) a biopesticide selected from the groups L1 ), L3) and L5), preferably selected from strains denoted above as (L1.1 ), (L.1.2), (L.1 .3), (L.1 .6), (L.1 .7), (L.1.9), (L.1.1 1 ), (L.1 .12), (L.1.13), (L.1 .14), (L.1 .15), (L.1.17), (L.1.18), (L.1 .22), (L.1.23), (L.1 .24), (L.1.25), (L.1 .26), (L.1.27), (L.2.2); (L.3.2), (L.3.3), (L.3.4), (L.3.5), (L.3.6), (L.3.7), (L.3.8), (L.3.10), (L.3.1 1 ), (L.3.12), (L.3.13), (L.3.14), (L.3.15), (L.3.18), (L.3.19); (L.4.2), even more preferably selected from (L.1.2), (L.1 .7), (L.1 .1 1 ), (L.1.13), (L.1 .14), (L.1 .15), (L.1.18), (L.1 .23), (L.3.3), (L.3.4), (L.3.6), (L.3.7), (L.3.8), (L.3.10), (L.3.1 1 ), (L.3.12), (L.3.15), and (L.4.2). These mixtures are particularly suitable for foliar treatment. These mixtures for foliar treatment are particularly suitable for vegetables, fruits, vines, cereals, corn, leguminous crops such as soybeans.
The mixtures of active substances can be prepared as compositions comprising besides the active ingredients at least one inert ingredient (auxiliary) by usual means, e. g. by the means given for the compositions of compounds of formula (I). Concerning usual ingredients of such compositions reference is made to the explanations given for the compositions containing com- pounds of formula (I).
According to one embodiment, the microbial pesticides selected from groups L1 ), L3) and L5) embrace not only the isolated, pure cultures of the respective microorganism as defined herein, but also its cell-free extract, its suspensions in a whole broth culture or as a metabolite- containing culture medium or a purified metabolite obtained from a whole broth culture of the microorganism.
When living microorganisms, such as pesticides II from groups L1 ), L3) and L5), form part of the compositions, such compositions can be prepared as compositions comprising besides the active ingredients at least one auxiliary by usual means (e. g. H.D. Burges: Formulation of Micobi- al Biopesticides, Springer, 1998). Suitable customary types of such compositions are suspen- sions, dusts, powders, pastes, granules, pressings, capsules, and mixtures thereof. Examples for composition types are suspensions, capsules, pastes, pastilles, wettable powders or dusts, pressings, granules, insecticidal articles, as well as gel formulations. Herein, it has to be taken into account that each formulation type or choice of auxiliary should not influence the viability of the microorganism during storage of the composition and when finally applied to the soil, plant
or plant propagation material. Suitable formulations are e. g. mentioned in WO 2008/002371 , US 6955,912, US 5,422,107.
Compounds can be characterized e.g. by Liquid Chromatography Mass spectroscopy (LCMS), and/or by their melting points.
LCMS methods:
Method A: Column: YMC Pack ODS-A, 50mm*3.0mm ID,3um (BCIPL/COL/15/LC/018) A=10 mM Amm. Formate (0.1 % Formic Acid) B= Acetonitrile (0.1 % Formic Acid) Flow= 1 .2 ml/min. Column oven : 30 C Gradients 10% B to 100% B - 1 .5min, hold for 1 min, 2.51 min - 10% B. Run Time = 3.50 Min.
Method B: Column: Eclipse Plus C-18, 50mm*4.6mm ID,5um (BCIPL/COL/15/LC/014) A=10 mM Amm. Formate (0.1 % Formic Acid) B= Acetonitrile (0.1 % Formic Acid) Flow= 1.2 ml/min. Column oven : 30 C Gradients 10% B to 100% B - 1 .5min, hold for 1 min, 2.51 min - 10% B. Run Time = 3.50 min.
Method C: Mobile Phase: A: Wasser + 0,1 % T FA; B: Acetonitril Gradient: 5% B auf 100% B in 1 ,5min FluB: 0,8ml/min auf 1 ,0ml/min in 1 ,5min Temperatur: 60°C Saule: Kinetex XB C18 1 ,7μ 50 x 2,1 mm MS-Methode: ESI-positiv; Massenbereich (m/z): 100-700 Gerat: Shimadzu Nexera LC-30 LCMS-2020.
Method D: Column: YMC -PACK ODS-A , 50mm*3.0 mm ID,3um 12nm
(BCIPL/COL/15/LC/019) A=10 mM Amm. Formate (0.1 % Formic Acid) B= Acetonitrile (0.1 % Formic Acid) Flow= 1 .2 ml/min. Column oven : 40 C Gradients 10% B to 100% B - 1 .5min, hold fori min, 1 min - 100% B. Run Time = 3.75 min
Melting Point methods:
Method 1 :
Make: lab India Model: MR-VIS
Description: Visual melting range apparatus. Scanning mode: automatic
Temperature ramp: for scan: 5 degree/min
Temperature ramp: for melting range: 1 degree/min. No. of replicates per run: n=3
Method 2: Firma Buchi 535.
Synthesis examples
Example 1 : 5-fluoro-3-[2-(trifluoromethyl)phenyl]-1 H-pyrrolo[2,3-b]pyridine
Dissolved compound 1 (10 g) in methanol: water (240:12 ml) mixture in a Round Bottom (RB) flask. To this flask was added NaOH (2.94 g). Allowed it to stir at room temperature (RT) for 15 minutes until it gets completely dissolved. Then added potassium Iodide (12.1 g) and Iodine (18.60 g) to reaction mixture. Allowed it to stir at 25°C for 2 h. Reaction progress was monitored by Thin Layer Chromatography (TLC) and LCMS. Methanol was distilled-off from the reaction mixture. Washed the reaction mixture with saturated solution of sodium thiosulfate. Extracted it with ethyl acetate. Washed the ethyl acetate layer with brine solution and dried over Na2S04. Crude material was used for the next step. 18 g of the crude solid compound 2 was obtained.
1 H NMR 300 MHz, DMSO-d6: δ 12.27 (s, 1 H), 8.25 (s, 1 H), 7.82 (s, 1 H), 7.56 (dd, J = 9.0, 2.6 Hz, 1 H).
Step 2: 5-fluoro-3-iodo-1 -(p-tolylsulfonyl)pyrrolo[2,3-b]pyridine
Dissolved compound 2 (18 g) in THF (180 ml). Allowed it to cool to 0°C. Added NaH (3.2 g) to the reaction mixture in portions at 0°C. Allowed it to stir at RT for 20 minutes. Then added p- TSCI (15.7 g) to reaction mixture at 0°C. Allowed it to stir at RT for 2 h. Reaction progress was monitored by TLC and LCMS. Reaction was cooled to 5°C and ice cold water was added to it, and it was then immediately extracted with ethyl acetate. Combined organic layer was washed with brine solution and dried over Na2S04. The solid was triturated with ethyl acetate/heptane to afford the product as a light brown solid. 27 g of the desired solid compound 3 was obtained. 1 H NMR 300 MHz, DMSO-d6: δ 8.43 (s, 1 H), 8.25 (s, 1 H), 8.00 (d, J = 8.4 Hz, 2H), 7.74 (dd, J = 8.5, 2.6 Hz, 1 H), 7.43 (d, J = 8.2 Hz, 2H), 2.35 (s, 3H).
Dioxane : water (60:200 ml) mixture was added to a round bottom flask containing compound 3 (5 g). Added the boronic acid (3.1 g) and K2CO3 (4.89 g) to the flask. Allowed it to degas for 15 min. Then added the Palladium catalyst (438 mg) to the reaction mixture. Allowed it to degas again for 5 min. Refluxed the reaction mixture at 1 10°C for 2 hrs. Reaction progress was monitored by TLC and LCMS. Once complete, the reaction mixture was filtered through celite. Washed thoroughly with ethyl acetate (EA). Extracted the crude compound with EA from aqueous phase. Washed the ethyl acetate layer with brine solution and dried over Na2S04. Crude material was purified by Yamazen purification system using 15% ethylacetate : heptane mixture as eluent. 3.9 g of the desired solid compound 4 was obtained.
Step 4: 5-fluoro-3- 2-(trifluoromethyl)phenyl]-1 H-pyrrolo[2,3-b]pyridine
Methanol (400 ml) was taken in a RB flask containing compound 4 (1 1 g). A turbid solution was formed. Added NaOMe (20 g) to the reaction mixture portion wise. The solution started becoming transparent. Allowed it to stir at RT for 12 hrs. Reaction progress was monitored by TLC and LCMS. After reaction completion, methanol was distilled-off. Water and EA were added to the reaction mixture. Extracted the aqueous phase thoroughly with ethyl acetate. Washed the organic layer with brine and dried over Na2S04. Crude material was purified on Yamazen purification system using 2% methanol in dichloromethane as the eluent.
Yield (g): 6
Example 2: 3-[2-(difluoromethyl)phenyl]-5-fluoro-1 H-pyrrolo[2,3-b]pyridine
Step 3: 2-[5-fluor -1 -(p-tolylsulfonyl)pyrrolo[2,3-b]pyridin-3- l]benzaldehyde
Dioxane : water (10:2.5 ml) mixture was added to a round bottom flask containing compound 3 (1 g). Added the boronic acid (504 mg) and K2CO3 (995 mg) to the flask. Allowed it to degas for 15 minutes. Then added the Palladium catalyst (88 mg) to the reaction mixture. Allowed it to degas again for 5 minutes. Refluxed the reaction mixture at 1 10°C for 2 h. Reaction progress was monitored by TLC and LCMS. Once complete, the reaction mixture was filtered through celite. Washed thoroughly with ethyl acetate (EA). Extracted the crude compound with EA from aqueous phase. Washed the ethyl acetate layer with brine solution and dried over Na2S04. Crude material was purified by Yamazen purification system using 15-20% ethylacetate : heptane mixture as eluent. 700 mg (74%) of the desired solid compound 6 was obtained.
Melting Point: 207-208°C, LCMS retention time - 2.132 (395.1 M+)
Step 4: 3-[2-(difluoromethyl)phenyl]-5-fluoro-1 -(p-tolylsulfonyl)pyrrolo[2,3-b]pyridine
To a stirred solution of compound 6 (800 mg) in dry dichloromethane (20 ml) was added reagent A (Diethylaminosulfur trifluoride; 2.69 g, 6 mL 50% solution in THF) dropwise. The reaction mixture was stirred for 12 h at rt. Reaction progress was monitored by TLC and LCMS. Once complete, the reaction was cooled to 0°C and quenched with water. The layers were separated and the aqueous layer was extracted with DCM (2 x 10 mL). Washed the organic layer with brine solution and dried over Na2S04. Crude material was purified by Yamazen purification system using 15-20% ethylacetate: heptane mixture as eluent. 350 mg (41 %) of the desired solid compound 7 was obtained.
1 H NMR 500 MHz, DMSO-d6: δ 8.5 (s, 1 H), 8.06 (d, 2H), 8.02 (s, 1 H), 7.74 - 7.82 (m, 2H), 7.56 - 7.70 (m, 3H), 7.46 (d, 2H), 7.00 (t, 1 H), 2.38 (s, 3H).
To a solution of compound 7 (340 mg) in THF was added a solution of TBAF (1 M solution in THF - 5 ml.) and was refluxed for 2 hours. Reaction progress was monitored by TLC and LCMS. After completion of the reaction, it was cooled to RT and quenched with water. Organic layer was extracted with ethyl acetate. Washed the organic layer with brine solution and dried over Na2S04. Crude material was purified by Yamazen purification system using 20-25% ethylacetate : heptane mixture as eluent. 180 mg (99.5%) of the desired solid compound 8 was obtained. Melting point 205-206°C.
1 H NMR 500 MHz, DMSO-d6: δ 12.2 (s, 1 H), 8.30 (s, 1 H), 7.78 (d, 1 H), 7.71 (d, 1 H), 7.66 - 7.50 (m, 4H), 6.9 (t, 1 H).
Example 3: 3-[2-(trifluoromethyl)phenyl]-1 H-pyrrolo[2,3-b]pyridine-5-carbonitrile Step 1 : 3-iodo-1 H-pyrrolo[2,3-b]pyridine-5-carbonitrile
To a RB flask was added compound 9 (4 g), Kl (4.6 g), NaOH (1 .1 g) and mixture was dissolved in methanol (80 ml) water (8 ml) mixture. Stirred for 5 minutes and to this mixture, was added iodine granules (7.1 g) portion wise at 25°C. Reaction mixture was stirred at the same tempera- ture for 6 h. Reaction was monitored by TLC. Methanol was evaporated completely and residue obtained was diluted with water and stirred for 10 minutes. Off-white suspension was formed. Filtered it through Buchner funnel. Solid obtained was washed with water. Solid was dried under vacuum at 48°C for 1 h. 6.5 g of the off-white solid 10 was obtained. Alternatively, the reaction can also be carried out in dimethyformamide (DMF). To a RB flask was added compound 6, KOH (3.0 eq) and the mixture was dissolved in DMF (10 vol). Stirred for 5 minutes and to this was added iodine granules (1 .2 eq) portion wise at 25°C. Reaction mixture was stirred at same temperature for 4 h. Reaction was monitored by TLC. After comple-
tion of the reaction, ice water (100 ml) was added. A solid was precipitated. Stirred it for 15 minutes. Filtered it through Buchner funnel and washed with water and heptane. Solid was dried under vacuum at 50°C afforded 7.4 g of white solid compound.
1 H NMR 300 MHz, DMSO-d6: δ 8.63 (d, J = 1.8 Hz, 1 H), 8.24 (d, J = 1 .8 Hz, 1 H), 7.96 (s, 1 H). Step 2: 3-iodo-1 -(p-tolylsulfonyl)pyrrolo[2,3-b]pyridine-5-carbonitrile
To a stirred solution of compound 10 (14 g) in dry THF (300 ml) was added NaH (2.7 g) portion wise at 0°C. Resulting mixture was stirred at the same temperature for 30 min. TsCI (12.8 g) was added portion wise at 0°C. Reaction mixture was warmed to 25°C and stirred for 2 h. 10 was consumed completely as indicated by TLC. Reaction was cooled to 5°C and to this mixture was added ice cold water (30 ml), and it was then immediately extracted with ethyl acetate (long time work up leads to de-tosylation side product). Combined organic layer was washed with brine and dried over Na2S04. Evaporated the organic layer up to volume 75%. To this was n- Heptane added until the solid was precipitated. It was filtered and dried to afford 18 g of the desired compound 11 .
1 H NMR 300 MHz, DMSO-d6: δ 8.83 (d, J = 1 .8 Hz, 1 H), 8.45 - 8.33 (m, 2H), 8.04 (d, J = 8.4 Hz, 2H), 7.46 (d, J = 8.1 Hz, 2H), 2.36 (s, 3H).
Step 3: 1 -(p-tolylsulfonyl)-3-[2-(trifluoromethyl)phenyl]pyrrolo[2,3-b]pyridine-5-carbonitrile
Compound 11 (968 mg), Thiophene boronic acid (652 mg) and K2COs (949 mg) were taken in a mixture of dioxane (4 ml) and water (1 ml) in a RB flask. Resulting mixture was degassed for 10 min. To this was added PdC (dppf) (83.64 mg) and again degassed for 5 minutes. Resulting reaction was stirred and heated at 1 10°C for 2 h under nitrogen atmosphere. Reaction was monitored by TLC. After completion of reaction cooled it to RT. Filtered the reaction through celite bed and washed with DCM. Filtrate was washed with water and brine. Organic layer was dried over Na2S04 and evaporated completely. Crude compound was taken in methanol and
stirred for 10 minutes. Filtered it and the solid was washed with methanol. It was dried under vacuum to afford 150 mg (29%) of compound 12 along with 45 mg de-tosylated product 13. LCMS retention time of 12 - 1.871 (442).
Step 4: 3-[2-(trifluoromethyl)phenyl]-1 H-pyrrolo[2,3-b]pyridine-5-carbonitrile
To a stirred solution of compound 12 (220 mg) in MeOH (20 ml) was added NaOMe (404 mg) portion wise at 25°C and the resulting reaction mixture was stirred at 25°C for 12 h. The reaction was monitored by TLC and LCMS. After completion of the reaction by TLC and LCMS, the solvent was evaporated. The residue obtained was taken in water and was extracted with ethyl acetate (3 x 100 ml). The combined organic layer was washed with brine and dried over Na2S04 and the solvent was evaporated. The crude product was purified by flash column chromatography using Yamazen purification system and the product was eluted in 20-25% ethyl acetate/Heptane. Evaporation of solvent afforded 1 10 mg (76%) of the expected compound 13. 1 H NMR (300 MHz, DMSO-d6) δ 12.66 (bs, 1 H), 8.69 (s, 1 H), 8.30 (d, 1 H), 8.28 (s, 1 H), 7.88 (d,1 H), 7.66 - 7.52 (m, 3H).
Example 4: 3-[2-(trifluoromethyl)phenyl]-1 H-indole-5-carbonitrile
Step 1 : 3-iodo-1 H-indole-5-carbonitrile
Compound 14 (15 g) was taken in methanol (300 ml) and water (30 ml) mixture and NaOH (4.6 g) and Kl (20.89 g) were added. Iodine (30.51 g) was added portion wise at RT. Reaction mixture was stirred at RT for 6 hr. Reaction was monitored using LCMS & TLC. Reaction mixture was diluted with water (1000 ml) and the precipitated solid was filtered-off and dried under vac- uum. Yellow solid obtained was dissolved in DCM and dried over sodium sulphate and concentrated under vacuum. 25 g of pure solid compound 15 was obtained.
1 H NMR 300 MHz, DMSO-d6: δ 12.09 (s, 1 H), 7.82 - 7.73 (m, 2H), 7.64 - 7.47 (m, 2H).
Step 2: 3-[2-(trifluorometh l)phenyl]-1 H-indole-5-carbonitrile
Dioxane : water (2.4:0.6 ml) mixture was added to a round bottom flask containing compound 15 (250 mg). Added the boronic acid (248 mg) and K2C03 (386 mg) to the flask. Allowed it to degas for 15 min. Then added the Palladium catalyst (37 mg) to the reaction mixture. Allowed it to degas again for 5 min. Refluxed the reaction mixture at 1 10°C for 2 hrs. Reaction progress was monitored by TLC and LCMS. Once complete, the reaction mixture was filtered through celite. Washed thoroughly with ethyl acetate (EA). Extracted the crude compound with EA from aqueous phase. Washed the ethyl acetate layer with brine solution and dried over Na2S04. Crude material was purified by Yamazen purification system using 15% ethylacetate : heptane mixture as eluent. 180mg of the desired solid compound 16 was obtained.
1 H NMR (300 MHz, DMSO-d6): ppm δ 1 1.96 (s, 1 H), 7.88 (d, 1 H), 7.73 - 7.78 (m, 2H), 7.52 - 7.66 (m, 4H), 7.50 (d, 1 H). Example 5: 6-[2-(Trifluoromethyl)phenyl]-4H-pyrrolo[2,3-d]thiazole-2-carbonitrile
To a stirred solution of compound 17 (159 g, 1.2 mol) and triethylamine (167 mL, 1 .2 mol) in t- BuOH (1 L) was added DPPA (343 g, 1 .2 mol) drop wise at 10°C and the mixture was heated to reflux for 16 hrs. The mixture was concentrated and purified by column (PE: EtOAc = 20:1 -5:1 ) to give compound 18 (170 g, 69%>) as a white solid.
1 H NMR CDCIs, 400 MHz: ppm δ 8.60 (s, 1 H), 8.56 (bs, 1 H), 7.31 (bs, 1 H) 1.56 (s, 9 H).
Step 2: tert-butyl N-(5-iodothiazol-4-yl)carbamate
To a stirred solution of compound 18 (90 g, 1 .35 mol) in DCE (1200 mL) was added NIS (135 g, 1 .74 mol) portion wise at 20°C and stirred for 5 hrs. The mixture was washed with brine (200 mL), aq. Na2S03 (200 mL), dried over Na2S04, filtered, concentrated and purified by column
(petroleum ether (PE):ethyl acetate(EtOAc) = 20:1 -5:1 ) to give compound 19 (1 10 g, 75%) as a white solid.
H NMR CDCIs, 400 MHz: ppm δ 8.79 (s, 1 H), 6.53 (bs, 1 H), 1.54 (s, 9 H).
Step 3: tert-butyl N-[5- -2-ethoxyvinyl]thiazol-4-yl]carbamate
To a mixture of compound 19 (120 g, 0.37 mol), int 5 (109 g, 0.55 mol) and K2C03 (102 g, 0.74 mol) in 500 mL dioxane, 200 mL CH3CN and 200 mL water was added Pd(dppf)CI2 (6 g, 0.037mol) and heated to 90°C for 5 hrs. Additional 2 g of Pd(dppf)C was added and the mixture was stirred for another 8 hrs. The reaction was monitored by LCMS. The mixture was con- centrated and purified by column (PE:EtOAc = 2:1 ) to give a cis and trans isomeric mixture of compound 20 (50 g, 50%) as a yellow oil.
H NMR CDCIs, 400 MHz δ 8.50 (s, 1 H), 8.35 (s, 1 H), 6.84 (d, J=8.4 Hz, 1 H), 6.66 (bs, 1 H), 6.54 (bs, 1 H), 6.31 (d, J=4 Hz, 1 H), 5.86 (d, J=8.4 Hz, 1 H), 5.60 (d, J=4 Hz, 1 H), 4.03 (q, 2 H), 3.89 (q, 2 H), 1 .39 (t, 3 H), 1 .35 (t, 3H), 1 .24 (s, 9 H).
Step 4: 4H-pyrrolo[2,3-d]thiazole
The mixture of compound 20 (50 g, 0.185 mol) in 500 mL aq. 2N HCI was stirred at 90°C for 1 hr. The mixture turned black and some solid appeared. TLC (PE : EtOAc = 3:1 ) showed that the reaction was completed. The mixture was extracted with EtOAc (1 L x 3), dried over Na2S04, filtered, concentrated and purified by column (PE: EtOAc = 10:1 -3:1 ) to give compound 21 (1 1 g, 48%) as a white solid.
H NMR CDCIs, 400 MHz: δ 9.62 (bs, 1 H), 8.54 (s, 1 H), 7.08 (d, J=4.0 Hz, 1 H), 6.46 (d, J=4 Hz, 1 H).
Step 5: (1 ,1 -diisopropyl-2-meth l-propyl)-pyrrolo[2,3-d]thiazol-4-yloxy-silane
To a solution of compound 21 (1 1 g, 0.0887 mol) in 200 ml THF was added NaH (4.26 g, 0.106 mol) portion wise at 0°C under N2 and stirred for 1 hr. Then TIPSCI (20.4 g, 0.106 mol) was added drop wise and stirred at 0°C~20°C for 16 h. TLC (PE: EtOAc =5:1 ) showed the reaction completed. The mixture was quenched with 1 ml water, extracted with EtOAc (40 mL), washed with 20 mL brine, dried over Na2S04, filtered, concentrated and purified by column (PE : EtOAc = 50:1 ) to give compound 22 (23 g, crude) as a white solid.
H NMR CDCIs, 400 MHz: δ 8.48 (s, 1 H), 7.03 (s, 1 H), 6.51 (s, 1 H), 1 .79 (hep, 3 H), 1 .13 (d, J=7.6 Hz, 18 H).
Step 6: (1 ,1 -diisopropyl-2-methyl-propyl)-(6-iodopyrrolo[2,3-d]thiazol-4-yloxy-silane
To a solution of compound 22 (23 g, 0.082 mol) in 300 ml DCE was added NIS (16.4 g, 0.073 mol) portion wise at 0°C and stirred at 0°C ~20°C for 3 hrs. The reaction was monitored by LCMS. The mixture was washed with 50 mL brine, 50 mL aq. Na2S203, dried over Na2S04, filtered, concentrated and purified by column (PE : EtOAc = 50:1 ) to give compound 23 (21 g, 56%) as a yellow oil.
H NMR CDCIs, 400 MHz: δ 8.52 (s, 1 H), 7.03 (s, 1 H), 1.76 (hep, 3 H), 1 .13 (d, J=7.6 Hz, 18 H).
Step 7: 6-[2-(trifluoromethyl)phenyl]-4H-pyrrolo[2,3-d]thiazole
A mixture of compound 23 (330 mg, 0.813mmol), Boronic acid (234 mg, 1.2 mmol), CS2CO3 (795 mg, 2.4 mmol), Pd(dppf)CI2 (98 mg, 0.134 mmol) in Dioxane: MeCN: H20 (3:1 :1 , 10 mL) was heated to 90°C for 2 hrs under N2. The mixture was purified by Prep-TLC to give compound 24 (90 mg, 45%) as a yellow solid.
H NMR DMSO-D6, 400 MHz: · 12.27 (bs, 1 H) 8.90 (d, J=0.88 Hz, 1 H) 7.89 (d, J=7.50 Hz, 1 H) 7.75 - 7.82 (m, 1 H) 7.68 - 7.72 (m, 1 H) 7.56 - 7.63 (m, 1 H) 7.31 (s, 1 H).
Step 8: (1 ,1 -diisopropyl-2-methyl-propyl)-[6-[2-(trifluoromethyl)phenyl]pyrrolo[2,3-d]thiazol-4- yl]oxy-silane
NaH (80 mg, 2 mmol) was added to the solution of compound 24 (468 mg, 2 mmol) in THF (6 mL) in portions at 0°C. Then the mixture was stirred for 1 h under N2. Then TIPSCI (315 mg, 2.2 mmol) was added to the mixture drop-wise at 0°C, the mixture was stirred for 30 mins. TLC (PE:EA=3:1 ) showed the reaction was completed. The reaction was quenched by the addition of H2O (10 mL), extracted with EtOAc (3x10 mL), washed with brine (10 mL), dried over anhydrous Na2SC"4, filtered and concentrated. The residue was purified by column (PE: EA = 100:1 , 50:1 ) to give compound 25 (480 mg, 56%) as a yellow viscous material.
Step 9: [2-chloro-6-[2-(trifluoromethyl)phenyl]pyrrolo[2,3-d]thiazol-4-yl]oxy-(1 ,1 -diisopropyl-2- methyl-propyl)silane
To the solution of compound 25 (2.3 g, 5.4 mmol) in THF (20 mL) was added LDA (2M, 5.4 mmol) drop wise at -70°C under N2 and the mixture was stirred for 1 h. Then C2CI6 (1.5 g, 6.48 mmol) was added to the mixture portion-wise at -70°C, the mixture was stirred for 30 minutes. TLC (PE:EtOAc=10:1 ) showed the reaction was completed. The reaction was quenched by the addition of NH4CI (10 mL), extracted with EtOAc (3x10 mL), washed with brine (10 mL), dried over anhydrous Na2S04, filtered and concentrated. The residue was purified by column (PE: EtOAc = 100:1 , 50:1 ) to give compound 26 (2 g, 83.3%) as a yellow syrup.
H NMR CDCIs 400MHz: 58.82 (bs, 1 H), 7. 68 - 7.78 (m, 1 H), 7.46 - 7.59 (m, 3 H), 7.15 (s, 1 H).
Step 10: 6-[2-(trifluoromethyl)phenyl]-4H-pyrrolo[2,3-d]thiazole-2-carbonitrile
To a stirred solution of compound 26 (0.3 g, 0.67 mmol) in DMF (3 mL), Zn(CN)2 (0.15 g, 1 .3 mmol) was added, Pd2(dba)3(0.015 g) and Xantphos (0.03 g) was added as the catalyst and ligand, the reaction mixture was stirred and heated at 120°C for 16 hrs. The mixture was quenched with water (3 mL), extracted with EtOAc (10 mLx3), the organic phase was separat- ed, dried over Na2S04, filtered and concentrated, purified by pre-TLC (PE: EtOAc=5:1 ) to give 27 (0.04 g, 21 %) as brown solid.
H NMR CDCIs, 400 MHz: δ 9.29 (bs, 1 H) 7.81 (d, J=7.91 Hz, 1 H) 7.60 - 7.66 (m, 1 H) 7.55 - 7.58 (m, 1 H) 7.47 - 7.53 (m, 2 H). Example 6: 2-methoxy-6-[2-(trifluoromethyl)phenyl]-4H-pyrrolo[2,3-d]thiazole
Step 1 : 2-methoxy- -[2-(trifluoromethyl)phenyl]-4H-pyrrolo[2,3-d]thiazole
To a stirred solution of compound 26 (0.3 g, 0.00067mol) in MeOH (30mL), Na2C03 (0.2 g, 0.0019mol) was added, Pd(dppf)Cl2(0.015g) was added as the catalyst, the reaction mixture was stirred and heated for 3 h at 50°C. The mixture was concentrated, diluted with water (30 mL), extracted with EtOAc (30 mLx3), the organic phase was separated, dried over Na2S04, concentrated, purified by pre-TLC (PE:EtOAc=5:1 ) to give 28 (0.05 g, 25%) as brown solid. H NMR CDCIs, 400 MHz: δ 8.76 (bs, 1 H) 7.75 (d, J=7.91 Hz, 1 H) 7.54 - 7.58 (m, 2 H) 7.36 - 7.43 (m, 1 H) 6.92 (d, J=2.13 Hz, 1 H) 4.14 (s, 3 H).
Example 7: 6-[2-(trifluoromethyl)phenyl]-4H-pyrrolo[3,2-d]thiadiazole
Step 1 : tert-butyl N-(4-iodothiadiazol-5-yl)carbamate
To a stirred solution of 29 (15 g, 75 mmol) in DMF (150 mL) was added NIS (25.4 g 1 12 mmol). The solution was stirred at 25°C for 2 h. TLC (petroleum ether: EtOAc = 3:1 , Rf = 0.4) showed the reaction was completed. The reaction was poured into 600 mL water and extracted with (200 mL X 2) EtOAc. The organic layer was washed with H20 (200 mL X 2), sat. Na2S03 (300
mL) and 200 mL brine, dried over Na2S04, filtered and concentrated to give the product 30 (22 g, 90% yield) as a yellow solid which was used for the next step without purification.
1 H NMR 30 CDC : δ 7.49 (s, 1 H) 1.50 (s, 9 H).
Step 2: tert-butyl N-[4-[(E)-2-ethoxyvinyl]thiadiazol-5-yl]carbamate
To a suspension of 30 (14 g, 43 mmol) in 450 mL dioxane and 90 mLhbO was added the boro- nate ester (18 g, 91 mol) and CS2CO3 (42 g, 129 mmol) under N2. Then to the reaction was bubbled with N2 for 30 minutes and added 2 g Pd(dppf)C into the reaction. The reaction suspension was stirred for 16 h at 90°C. TLC (petroleum ether: EtOAc = 3:1 , Rf = 0.4) showed the reaction was completed. Then, the reaction was poured into 400 mL ice water and the 2 batches were combined and extracted with EtOAc (400 mL X 2). The organic layer was washed with H2O (300 mL) and brine (300 mL) and then dried over Na2S04, filtered and concentrated to give the crude product. The crude product was purified by column chromatography eluting with petroleum ether: EtOAc = 5:1 to give the 31 (14 g, 60% yield) as yellow oil.
1 H NMR: 31 CDCI3: δ 9.98 (s, 1 H) 6.20 (d, J= 7.2 Hz 1 H) 6.07 (d, J= 7.2 Hz 1 H) 4.13 - 4.15 (m, 3 H) 1 .56 (s, 9 H) 1 .47 (t, J= 7.2 Hz 3 H).
Step 3: 4H-pyrrolo[3,2-d]thiadiazole
To the solution of 31 (14 g, 51 mmol) in EtOH (150 mL) was added 100 mL 1 N HCI at 25°C un- der N2. Then the reaction solution was stirred for 5 hrs at 80°C. TLC (petroleum ether: EtOAc = 2:1 , Rf = 0.5) showed the reaction was completed. The reaction was quenched with 500 mL water and extracted with EtOAc (100 mL X 3). The organic layer was washed with 100 mL brine, dried over Na2S04, filtered and concentrated to give crude product which was purified by column chromatography eluting with petroleum ether: EtOAc = 10:1 to petroleum ether: EtOAc = 3:1 to give the product 32 (2.1 g, 33% yield) as a yellow solid.
Note: The colour of the product will turn into black in several days, so it should be kept under N2.
1 H NMR: 32 CDCI3: δ 9.02 (s, 1 H) 7.22 -7 .24 (m, 1 H) 6.87 (s, 1 H).
To a solution of 32 (1 .7 g, 14 mmol) in DMF (100 mL) was added KOH (2.67 g, 48 mmol) at 0°C under N2. The reaction mixture was stirred at 0°C for 30 min. Then to the reaction solution was added \2 (6.9 g, 28 mmol) at 0°C. Then the reaction was stirred for 16 hr at 0°C to 25°C. TLC (petroleum ether: EtOAc = 2:1 , Rf = 0.4) showed the reaction was completed. The reaction solution was used for the next step without work up.
Step 5: tert-butyl 6-iodopyrr lo[3,2-d]thiadiazole-4-carboxylate
The reaction solution of 33 was used for this reaction directly.
To the reaction solution of 33 (-3.4 g, 13.6 mmol) was added B0C2O (5.93 g, 27.2 mmol) and then TEA (2.75 g, 27.2 mmol) at 25°C. The brown reaction mixture was stirred at 25°C for 2 hrs. TLC (petroleum ether: EtOAc= 10:1 , Rf = 0.6) showed the reaction was completed. The reaction solution was quenched with 500 mL H2O and extracted with EtOAc (100 mL X 2). The organic layer was washed with H2O (200 mL) and brine (100 mL) and dried over Na2S04, con- centrated, purified by column chromatography eluting with petroleum ether to petroleum ether: EtOAc = 20:1 to give 34 (0.6 g, 13% yield for 2 steps) as white solid.
1 H NMR: 34 CDCI3: δ 7.70 (s, 1 H) 1.68 (s, 1 H).
Step 6: tert-butyl 6-[2-(trifluoromethyl)phenyl]pyrrolo[3,2-d]thiadiazole-4-carboxylate
To a solution of 34 (300 mg, 0.85 mmol) in toluene (400 mL) was added K2CO3 (350 mg, 2.56 mmol) and boronic acid (485 mg, 2.56 mmol) at -70°C under N2. Then to the reaction was bubbled with N2 for 30 min and added 100 mg Pd(PP i3)4 into the reaction. The reaction mixture was stirred at 100°C for 16 h. TLC (petroleum ether: EtOAc = 10:1 , Rf = 0.6) showed the reaction was completed. The reaction mixture and poured into 50 mL water and extracted with EtOAc (20 mL X 2), washed with 100 mL brine and dried over Na2S04, filtered and concentrated
to give the product which was purified by column chromatography eluting with petroleum ether to petroleum ether: EtOAc = 20:1 to give the product 35 (210 mg 57% yield for 2 reactions) as a yellow oil.
1 H NMR: 35 CDCI3: 57.92 - 7.94 (m, 1 H) 7.84 - 7.86 (m, 1 H) 7.69 - 7.71 (m, 1 H) 7.57 - 7.59 (m, 1 H) 7.35 (s, 1 H) 1.72 (s, 9 H).
Step 7: 6-[2-(trifluoromethyl)phenyl]-4H-pyrrolo[3,2-d]thiadiazole
To a solution of 35 (200 mg, 0.54 mmol) in DCM (10 mL) was added TFA (4 mL). The reaction solution was stirred at 25°C for 16 h. TLC (petroleum ether: EtOAc= 10:1 , Rf = 0.6, adjusted pH to 10) showed the reaction was completed. The reaction mixture was quenched with 20 mL NaHC03 to adjust pH to 10 and extracted with 50 mL DCM. The organic layer was dried over Na2S04 and concentrated. The crude product was purified by prep-TLC (petroleum ether: EtOAc = 2:1 ) to give 36 (80 mg, 53% yield for two reactions) as brown solid.
1 H NMR: 36 CDCI3: δ 8.77 (s, 1 H) 7.94 (d, J = 7.6 Hz, 1 H) 7.74 (d, J = 7.6 Hz, 1 H) 7.59 (t, J = 7.6 Hz, 1 H) 7.35 - 7.47 (m, 2 H).
Example 8: 4-[2-(trifluoromethyl)phenyl]-6H-thieno[2,3-b]pyrrole-2-carbonitrile
Step 1 : ethyl (Z)-2-azido-3-(3-thienyl)prop-2-enoate
37 38
To a solution of 2 L ethanol was added Na (17.8 g, 0.775 mol) portion-wise and when the solution turned clear the mixture was cooled to 0°C and a mixture of compound 37 (66 g, 0.596 mol) and the azide (100 g, 0.775 mol) in 200 mL EtOH were added drop wise (maintained the inter- temperature between 0~5°C). Then the mixture was stirred at 0~25°C for 16 h. TLC (PE:EtOAc= 5:1 ) showed most of 37 was consumed. The mixture was added to aq. NH4CI, concentrated and extracted with EtOAc (1 Lx 2), washed with brine (500 mL x 2), dried over Na2S04, filtered and concentrated and purified by silica gel column (pure PE~PE:EtOAc= 100:1 ) to give compound 38 (50 g, 38%) as a yellow oil.
1 H NMR 38 400 MHz, CDCI3: δ ppm 1 .40 (t, J=7.15 Hz, 3 H) 4.37 (q, J=7.15 Hz, 2 H) 6.90 7.05 (m, 1 H) 7.33 (dd, J=5.02, 3.01 Hz, 1 H) 7.47 - 7.57 (m, 1 H) 7.88 (d, J=2.89 Hz, 1 H).
Step 2: ethyl 6H-thieno[2,3-b]pyrrole-5-carboxylate
A solution of compound 38 (80 g, 376 mmol) in 500 mL xylene was heated to 145°C for 2 h (excess gas was evolved) and turned brown. TLC (PE:EtOAc= 5:1 ) showed the reaction completed. The solvent was removed in vacuum and to the solid formed, was added 50 mL MTBE and the solid was collected by filtration, dried under vacuum to give compound 39 (60 g, 82%) as a yellow solid.
1 H NMR 39 400 MHz, CDCI3: δ ppm 1.40 (t, J=7.15 Hz, 3 H) 4.39 (q, J=7.07 Hz, 2 H) 6.92 (d, J=5.40 Hz, 1 H) 7.00 (d, J=5.40 Hz, 1 H) 7.1 1 (d, J=1.76 Hz, 1 H) 9.59 (bs, 1 H).
39 40
To a solution of compound 39 (42 g, 215 mmol) in 400 mL CHCI3 was added NBS (38.1 g, 215 mmol) portion wise at 0°C and stirred at 0-15°C for 2 h. LCMS showed that the reaction was completed. The mixture was extracted with 500 mL DCM, washed with brine (200 mL), dried over Na2S04, filtered and concentrated and purified by column to give compound 40 (30 g, 35.7%) as a yellow solid.
1 H NMR 40 400 MHz, CDCI3: δ ppm 1.36 - 1 .44 (m, 3 H) 4.34 - 4.42 (m, 2 H) 7.02 (d, J=2.01 Hz, 1 H) 7.05 (s, 1 H) 9.63 (bs, 1 H).
40 41
To a solution of compound 40 (30 g, 1 10 mmol) in 400 mL DMF was added KOH (18.5 g, 330 mmol) portion wise at 0°C for 50 mins. Then (30.5 g, 120 mmol) was added portion wise at 0°C and stirred at 0-15°C for 1 h. LCMS showed that the reaction was completed. The mixture was extracted with 500 mL EtOAc (x 2), washed with brine (100 mLx3), Na2S03 (100 mL), dried over Na2S04, filtered and concentrated to give compound 41 (30 g, 75%) as a yellow solid. 1 H NMR 41 400 MHz, CDCI3: δ ppm 1.33 - 1.50 (m, 3 H) 4.41 (q, J=7.20 Hz, 2 H) 6.98 (s, 1 H). Step 5:
To a mixture of compound 41 (30 g, 75 mmol), TEA (22.7 g, 225 mmol) and B0C2O (24.3 g, 1 12.5 mmol) in 500 mL DCM was added DMAP (0.92 g, 7.5 mmol) portion wise at 20°C and stirred for 16 hrs. TLC (PE: EtOAc= 3:1 ) showed that the reaction was completed. The mixture was concentrated and purified by silica gel column (PE: EtOAc = 50:1 -10:1 ) to give compound 42 (34 g, 90.1 %) as a yellow oil.
1 H NMR 42 400 MHz, CDCI3: δ ppm 1 .42 (t, J=7.09 Hz, 3 H) 1.63 (s, 9 H) 4.41 (q, J=7.15 Hz, 2 H) 6.91 - 6.99 (m, 1 H).
Step 6: O-6-tert-butyl O-5-ethyl 2-bromo-4-iodo-thieno[2,3-b]pyrrole-5,6-dicarboxylate
To a mixture of compound 42 (12 g, 24 mmol), Boronic acid (13.7 g, 72 mmol) and K2CO3 (10 g, 72 mmol) in 200 mL toluen was added Pd(PP i3)4 (2.9 g, 2.4 mmol) and the mixture was heated to 1 10°C under N2 for 16 hrs. LCMS showed that 42 was consumed. The mixture was concentrated and passed through silica gel column (PE: EtOAc = 10:1 -3:1 ) to give the product compound 43 (10 g, crude) as yellow solid. The Bromo-compound 43 can be employed in So- nogashira reactions with terminal alkynes to obtain alkynyl substituted derivatives also.
Step 7: 2-bromo-4-[2-(trifluoromethyl)phenyl]-6H-thieno[2,3-b]pyrrole-5-carboxylic acid
43
Crude compound 43 (10 g, 19.3 mmol), 100 mL MeOH, 50 mL THF and 7.7 g NaOH in 50 mL H2O was heated to 90°C for 16 h. LCMS showed -30% of compound 43 remained, then stirred at 90°C for another 24 h, then added another 3 g NaOH and stirred at 90°C for another 16 hrs, LCMS showed that the reaction was completed. The mixture was adjust pH=4 with aq. 6N HCI, extracted with EtOAc (20 mL x 2), washed with brine (10 mL*3), dried over Na2S04, filtered,
concentrated and purified by silica gel column (PE:EtOAc=20:1 ~1 :1 ) to give compound 44 (3 g, 40%) as a grey solid.
1 H NMR 44 400 MHz, DMSO-d6: δ ppm 6.86 - 6.90 (m, 1 H) 7.39 (d, J=7.28 Hz, 1 H) 7.53 - 7.60 (m, 1 H) 7.62 - 7.69 (m, 1 H) 7.78 (d, J=7.72 Hz, 1 H) 12.22 (bs, 1 H) 12.18 - 12.26 (m, 1 H).
Step 8 -bromo-4-[2-(trifluoromethyl)phenyl]-6H-thieno[2,3-b]pyrrole
To a stirred solution of compound 44 (0.5 g*5, 1 .28*5 mmol) in quinoline (4 mL) was added Cu (41 mg*5, 0.64 mmol*5), and the reaction mixture was stirred at 160°C for 1 h. TLC (PE:EtOAc=3:1 ) showed the reaction completion. The mixture was diluted with 20 mL MTBE, treated with aq. 1 N HCI to adjust pH=5, washed with brine (10 mL*2) and dried over Na2S04, filtered, concentrated and purified by silica gel column (PE:EtOAc=20: 1 -5:1 ) to give compound 45 (1 g, 45%) and 46 (180 mg, 8%).
1 H NMR 46 CDCIs, 400 MHz: δ ppm 6.89 (d, J=5.29 Hz, 1 H) 6.97 (d, J=5.29 Hz, 1 H) 7.14 (s, 1 H) 7.41 (bt, J=7.50 Hz, 1 H) 7.54 - 7.64 (m, 2 H) 7.77 (d, J=7.72 Hz, 1 H) 8.41 (bs, 1 H).
Step 9: 4-[2-(trifluoromethyl)phenyl]-6H-thieno[2,3-b]pyrrole-2-carbonitrile
To a stirred solution of compound 45 (0.655 g, 1 .9 mmol) in DMF (10 mL), Zn(CN)2 (1 .1 g, 9.5 mmol) was added, Pd2(dba)3 (283 mg) and Xantphos (120 mg) and the reaction mixture was stirred at 120°C for 16 hrs. TLC (PE:EtOAc=3:1 ) showed the reaction completion. The mixture was extracted with EtOAc (10 mL), washed with brine (5 mL*3), the organic phase was separated, dried over Na2S04, filtered and concentrated, purified by silica gel column (PE:EtOAc=3:1 ) and Prep-HPLC to give 47 (100 mg, 12%) as brown solid.
1 H NMR 47 CDCIs, 400 MHz: δ ppm 1 .26 (s, 2 H) 7.25 (d, J=1 .88 Hz, 1 H) 7.44 - 7.51 (m, 1 H) 7.52 (s, 2 H) 7.57 - 7.64 (m, 1 H) 7.79 (d, J=8.03 Hz, 1 H) 8.61 (bs, 1 H).
Example 9: 2-fluoro-7-[2-(trifluoromethyl)phenyl]-5H-pyrrolo[2,3-b]pyrazine
Step 1 : 5-chloro-3-iodo-pyrazin-2-amine
49
48
To a solution of 48 (20 g, 0.157 mol) in DMF was added NIS (69.2 g, 0.31 mol) at 20°C under N2. The reaction solution was heated to 75°C and stirred for 16 h. TLC (PE: EtOAc =3:1 ) showed the reaction was completed. The reaction solution was extracted with EtOAc (200 ml. x 3) from water (300 ml_). The organic phase was washed with a.q. Na2S203 (300 ml.) and brine (300 ml_). Dried over Na2S04, filtered and purified by silica gel chromatography (gradient EtOAc : PE = from 1 :10 to 1 : 1 ) to give 49 (20 g, 50%).
1 H NMR 49 CDCIs Varian 400MHz: δ 4.83 - 5.23 (m, 2 H) 7.82 - 8.01 (m, 1 H).
49 50
To a solution of 49 (1 1 g, 52.63 mmol) in dioxane\MeCN\H20 (100 ml_\ 100 ml. \ 50 ml.) was added borane (15.5 g, 78.95 mmol), Na2C03 (16.7 g, 157.9 mmol), and Pd (PPh3)4 (1 g), the resulting mixture was stirred under N2 for 26 h at 80°C. TLC (PE: EtOAc=3:1 ) showed most of 49 was consumed. Diluted with EtOAc (400 mL), washed with brine (50 mL x 2), dried Na2S04, concentrated, purified by silica gel chromatography (gradient EtOAc : PE = from 1 :20 to 1 : 4) to give 50 (10.5 g, yield: 99.5%) as a yellow oil.
1 H NMR 50 CDCIs Varian 400MHz: δ 1 .26 - 1.28 (m, 3 H) 1 .37 (t, J=7.06 Hz, 3 H) 4.01 (q, J=7.06 Hz, 1 H) 3.97 - 4.05 (m, 1 H) 4.06 - 4.16 (m, 2 H) 5.45 (d, J=7.50 Hz, 1 H) 5.63 (d, J=12.13 Hz, 1 H) 6.36 (d, J=7.72 Hz, 1 H) 7.60 (d, J=1 1 .91 Hz, 1 H) 7.78 (s, 1 H) 7.88 (s, 1 H). Step 3: 2-chloro-5H-pyrrolo[2,3-b]pyrazine
50 51
To a solution of 50 (8.5 g, 42.5 mmol) in EtOH (42.5 mL) was added aq. HCI (42.5 mL, 3N,
127.5 mmol), and stirred for 1.5 h at 75°C, TLC (PE:EtOAc=3:1 , I2) showed 50 was consumed. Cooled to RT, the solid was formed, filtered, the filtrate cake was dried under vacuo to give the 51 (5.6 g, yield: 69.1 %) as a yellow solid.
1 H NMR 51 DMSO Varian 400MHz: δ 6.62 (dd, J=3.53, 1.76 Hz, 1 H) 7.98 (t, J=3.20 Hz, 1 H)
8.30 (s, 1 H) 12.22 - 12.45 (m, 1 H).
To a solution of 51 (4.4 g, 28.6 mmol) in DMF (60 mL) was added KOH (6.4 g, 1 14.4 mmol) at 0°C, then stirred for 30 min, (8 g, 31.4 mmol) added in portions, and the mixture was stirred for 1 h at 0°C. LCMS showed 51 was consumed, desired MS observed, the reaction solution was quenched with water (80 mL), extracted with EtOAc (100 mL x3), organic phase was washed with brine (50 mL), dried Na2S04, concentrated to give the 52 (7.3 g, yield: 91 .2%) as a yellow solid.
1 H NMR 52 DMSO Bruker 400MHz: δ 8.18 (s, 1 H) 8.31 (s, 1 H).
52 53
To a solution of 52 (7.3 g, 26.07 mmol) in DMF (80 mL) was added NaH (2.6 g, 65.2 mmol) in portions at 0°C, then stirred for 30 min at 0°C, followed by CIS02NMe2 (4.5 g, 31 .3 mmol) in drop-wise, and the resulting mixture was stirred for 2 h at 0°C. LCMS showed 52 was con- sumed, and desired MS was observed, the reaction solution was quenched with ice (-100 g), then extracted with EtOAc (100 mL x 3), organic phase was washed with brine (50 mL), dried Na2S04, concentrated, purified by silica gel chromatography (gradient EtOAc : PE = from 1 :50 to 1 : 10) to give 53 (2.9 g yield: -30%).
1 H NMR 53 CDCIs Bruker 400MHz: δ 3.06 (s, 6 H) 8.05 (s, 1 H) 8.36 (s, 1 H).
Step 6: 2-chloro-N, -dimethyl-7-[2-(trifluoromethyl)phenyl]pyrrolo[2,3-b]pyrazine-5-sulfonamide
To a solution of 53 (1 .25 g, 3.24 mmol) in dioxane\MeCN\H20 (21 mL\ 14 mL \ 7 mL) was added the boronic acid (615 mg, 3.24 mmol), K2C03 (1 .12 g, 8.1 mmol), and Pd (PPh3)4 (100 mg), the resulting mixture was stirred for 48 h under N2 at 85°C. TLC (PE: EtOAc=3:1 ) showed most of 53 was consumed. Diluted with EtOAc (50 mL), washed with brine (15 mL), dried over, con-
centrated, purified by silica gel chromatography (gradient EtOAc: PE = from 1 :50 to 1 : 8) to give 54 (600 mg, yield: 46.0%) as a yellow solid.
1 H NMR 54 CDCIs Bruker 400MHz: δ 3.06 (s, 6 H) 7.51 - 7.59 (m, 1 H) 7.62 - 7.71 (m, 2 H) 7.83 (d, J=7.91 Hz, 1 H) 8.01 (s, 1 H) 8.41 (s, 1 H).
Step 7: N,N-dimethyl-7-[2-(trifluoromethyl)phenyl]-2-trimethylstannyl-pyrrolo[2,3-b]pyrazine-5- sulfonamide
54 55
To a solution of 54 (350 mg, 1 .35 mmol) in dioxane (15 mL) was added the Tin compound (400 mg, 1.21 mmol), and Pd (PP i3)4 (100 mg), the resulting mixture was stirred for 2 h at 100°C. TLC (PE: EtOAc=5:1 ) showed 54 was consumed, concentrated, purified by neutral AI2O3 chromatography (gradient EtOAc: PE = from 1 :100 to 1 : 20) to give 55 (700 mg, yield: 75.5%) as a white solid.
1 H NMR 55 CDCIs Bruker 400MHz: δ 0.30 - 0.44 (m, 9 H) 3.05 (s, 6 H) 7.48 - 7.59 (m, 1 H) 7.66 ( - 8.45 (m, 1 H).
55 56 57
To a solution of 55 (700 mg, 1.31 mmol) in acetone (25 mL) was added silver triflate (673 mg, 2.62 mmol), and selectfluor (650 mg, 1 .83 mmol), the resulting mixture was stirred for 1 h at 25°C. TLC (PE: EtOAc = 4:1 ) showed 55 was consumed. The reaction was diluted withethylacetate (40 mL), washed with water (20 mL), brine (20 mL), dried over Na2S04, concentrated and purified by silica gel chromatography (gradient EtOAc: PE = from 1 :20 to 1 :4) to give 56 (200 mg, yield: 39.4%) as a white solid and 57 (250mg, yield: 51 .5%) as a white solid. 1 H NMR 56 CDCIs Bruker_B_400MHz: δ 3.06 (s, 6 H) 7.49 - 7.59 (m, 1 H) 7.61 - 7.72 (m, 2 H)
7.83 (d, J=8.03 Hz, 1 H) 8.03 (s, 1 H), 8.25 (d, J=6.90 Hz, 1 H).
1 H NMR 57 CDCI3 Bruker_B_400MHz: δ 3.06 (s, 6 H) 7.49 - 7.61 (m, 1 H) 7.65 - 7.72 (m, 2 H)
To a solution of 56 (200 mg, 0.515 mmol) in THF (5 mL) was added TBAF (1 M in THF, 1 .03 mL) and stirred for 6 h at 50°C, TLC (PE:EtOAc = 3:1 ) showed 56 was consumed. The reaction mixture was diluted with EtOAc (50 mL), washed with water (10 mL x 2), brine (10mL), dried over Na2S04, concentrated and purified by Prep-HPLC (neutral) to give 58 (80 mg, yield: 55.2%) as a yellow solid.
1 H NMR 58 CDCIs Bruker_B_400MHz: δ 7.44 - 7.54 (m, 1 H) 7.60 - 7.68 (m, 1 H) 7.69 - 7.75 (m, 1 H) 7.78 - 7.86 (m, 2 H) 8.16 (d, J=6.78 Hz, 1 H). With appropriate modification of the starting materials or intermediates, the procedures as described in the examples above were used to obtain further compounds of formula (I). The compounds obtained in this manner are listed in the Table B that follows, together with physical data. Table B:
Biological examples for fungicidal activity
The fungicidal action of the compounds of formula (I) was demonstrated by the following experiments:
Green House
The spray solutions were prepared in several steps:
The stock solution was prepared: a mixture of acetone and/or dimethylsulfoxide and the wetting agent/emulsifier Wettol, which is based on ethoxylated alkylphenoles, in a relation (volume) sol- vent-emulsifier of 99 to 1 was added to 25 mg of the compound to give a total of 5 ml.
Water was then added to total volume of 100 ml.
This stock solution was diluted with the described solvent-emulsifier-water mixture to the given concentration.
1. Preventative fungicidal control of Botrytis cinereaon leaves of green pepper (Botrci P1)
Young seedlings of green pepper were grown in pots to the 4 to 5 leaf stage. These plants were sprayed to run-off with an aqueous suspension, containing the concentration of active ingredient or their mixture mentioned in the table below. The next day the plants were inoculated with an aqueous biomalt or solution containing the spore suspension of Botrytis cinerea. Then the plants were immediately transferred to a humid chamber. After 5 days at 22 to 24· C and a relative humidity close to 100 % the extent of fungal attack on the leaves was visually assessed as % diseased leaf area. 2. Preventative fungicidal control of Botrytis cinerea on leaves of green pepper (Botrci P3)
Young seedlings of green pepper were grown in pots to the 4 to 5 leaf stage. These plants were sprayed to run-off with an aqueous suspension, containing the concentration of active ingredient or their mixture mentioned in the table below. Three days later the plants were inoculated with an aqueous biomalt solution containing the spore suspension of Botrytis cinerea. Then the plants were immediately transferred to a humid chamber. After 5 days at 22 to 24· C and a relative humidity close to 100 % the extent of fungal attack on the leaves was visually assessed as % diseased leaf area.
3. Control of powdery mildew on wheat caused by Biumeria graminis\. sp. tritici (Erysgt K1) The first fully developed leaves of pot grown wheat were inoculated with spores of Biumeria graminis sp. tritici {= syn. Erysiphe garminis sp. tritici) by shaking heavily infestated stock plants over the treated pots. The plants were transferred to a chamber with 21-23°C and a relative
humidity between 40 to 70 %. The next day the plants were sprayed to run-off with an aqueous suspension, containing the concentration of active ingredient or their mixture mentioned in the table below. After cultivation in the greenhouse for 7 days at 21-23 and a relative humidity between 40 to 70 % the extent of fungal attack on the leaves was visually assessed as % diseased leaf area.
4. Control of culm rot on pearl millet caused by Fusarium culmorum Fusacu P1 )
Pot-grown pearl millet seedlings were sprayed to run-off with an aqueous suspension, containing the concentration of active ingredient or their mixture as described below. The plants could air-dry. The next day the plants were inoculated with a spore suspension of Fusarium culmorum in an aqueous biomalt solution. Then the trial plants were immediately transferred to a humid chamber. After 6 days at 23-25°C and a relative humidity close to 100 % the extent of fungal attack on the leaves was visually assessed as % diseased leaf area.
5. Control of culm rot on pearl millet caused by Fusarium culmorum Fusacu P3^
Pot-grown pearl millet seedlings were sprayed to run-off with an aqueous suspension, containing the concentration of active ingredient or their mixture as described below. The plants could air-dry. Three days later the plants were inoculated with a spore suspension of Fusarium culmorum in an aqueous biomalt solution. Then the trial plants were immediately transferred to a humid chamber. After 6 days at 23-25°C and a relative humidity close to 100 % the extent of fungal attack on the leaves was visually assessed as % diseased leaf area.
6. Curative control of soy bean rust on soy beans caused by Phakopsora pachyrhizi {P akpa K1)
Leaves of pot-grown soy bean seedlings were inoculated with spores of Phakopsora pachyrhizi. To ensure the success of the artificial inoculation, the plants were transferred to a humid chamber with a relative humidity of about 95 % and 20 to 24· C for 24 h. The next day the plants were sprayed to run-off with an aqueous suspension, containing the concentration of active ingredient or their mixture as described below. The plants could air-dry. Then the trial plants were cultivated for 14 days in a greenhouse chamber at 23-27°C and a relative humidity between 60 and 80 %. The extent of fungal attack on the leaves was visually assessed as % diseased leaf area.
7. Protective control of soy bean rust on soy beans caused by Phakopsora pachyrhizi (Phakpa P2)
Leaves of pot-grown soy bean seedlings were sprayed to run-off with an aqueous suspension, containing the concentration of active ingredient as described below. The plants could air-dry. The trial plants were cultivated for 2 days in a greenhouse chamber at 23-27°C and a relative humidity between 60 and 80 %. Then the plants were inoculated with spores of Phakopsora pachyrhizi. To ensure the success the artificial inoculation, the plants were transferred to a humid chamber with a relative humidity of about 95 % and 23 to 27· C for 24 h. The trial plants were cultivated for fourteen days in a greenhouse chamber at 23-27°C and a relative humidity between 60 and 80 %. The extent of fungal attack on the leaves was visually assessed as % diseased leaf area.
8. Preventative fungicidal control of rape stem rot on soy beans caused by {Sc/erotinia sc/erotiorum {Sc\esc P1 Powder)
Young seedlings of soy beans were grown in pots. These plants were sprayed to run-off with an aqueous suspension, containing the concentration of active ingredient or mixture mentioned in the table below. The next day the treated plants were inoculated:
Rye and millet grains were infected with Sclerotinia sclerotiorum. After the infection, the grains were air dried for a week. The grains were powdered with a mixer.
A small amount of powder was brought onto the soy bean (leaves).
Then the trial plants were cultivated for 7 days in a greenhouse chamber at 23°C and a relative humidity between 80 and 85%.
The extent of fungal attack on the leaves was visually assessed with a classification method: 0, 33, 50, 67 and 100% disease of leaf area and stem.
9. Preventative fungicidal control of rape stem rot on soy beans caused by {Sclerotinia sclemtiorum (Sclesc P1 Mycel)
Young seedlings of soy beans were grown in pots. These plants were sprayed to run-off with an aqueous suspension, containing the concentration of active ingredient or mixture mentioned in the table below. The next day the treated plants were inoculated with a biomalt suspension, containing the mycel of Sclerotinia sclerotiorum. Then the trial plants were cultivated for 6 days in a greenhouse chamber at 23°C and a relative humidity between 80 and 85%. The extent of fungal attack on the leaves was visually assessed as % diseased leaf area.
10. Control of net blotch on barley caused by Pyrenophora teres (Pyrnte P7)
The first fully developed leaves of pot grown barley plants were sprayed to run-off with an aqueous suspension, containing the concentration of active ingredient or their mixture mentioned in the table below. Seven days later the treated plants were inoculated with an aqueous spore suspension of Pyrenophora (syn. Drechslera) teres. After 6 days of cultivation at 20-24°C and a relative humidity close to 70 %, the extent of fungal attack on the leaves was visually assessed as % leaf area.
11. Preventative fungicidal control of apple scrab Venturia inaequalis (Ventin P1)
Young seedlings of apple plants were sprayed to run-off with an aqueous suspension, containing the concentration of active ingredient or their mixture mentioned in the table below. The next day the plants were inoculated with an aqueous solution containing the spore suspension of Venturia inaequalis. Then the plants were immediately transferred to a humid chamber. After 1 day at 22 to 24· C and a relative humidity close to 100 % the plants were transferred to a chamber with 22- 24°C and a relative humidity of 70%. After 12 days, the extent of fungal attack on the leaves was visually assessed as % diseased leaf area.
12. Preventative control of brown rust on wheat caused by Puccinia recondita (Puccrt P1)
The first two developed leaves of pot-grown wheat seedling were sprayed to run-off with an aqueous suspension, containing the concentration of active ingredient or their mixture as described below. The next day the plants were inoculated with spores of Puccinia recondita. To ensure the success the artificial inoculation, the plants were transferred to a humid chamber without light and a relative humidity of 95 to 99 % and 20 to 24· C for 24 h. Then the trial plants were cultivated for 6 days in a greenhouse chamber at 20-24°C and a relative humidity between 65 and 70 %. The extent of fungal attack on the leaves was visually assessed as % diseased leaf area.
13. Control of late blight on tomatoes caused by Phytophthora infestans (Phytin P1)
Young seedlings of tomato plants were grown in pots. These plants were sprayed to run-off with an aqueous suspension, containing the concentration of active ingredient or their mixture mentioned in the table below. The next day, the treated plants were inoculated with an aqueous suspension of sporangia of Phytophthora infestans. After inoculation, the trial plants were immediately transferred to a humid chamber. After 6 days at 18 to 20°C and a relative humidity close to 100 % the extent of fungal attack on the leaves was visually assessed as % diseased leaf area.
Microtest: The active compounds were formulated separately as a stock solution having a concentration of 10000 ppm in dimethyl sulfoxide.
1. Activity against the grey mold Botrytis cinerea in the microtiterplate test (Botrci)
The stock solutions were mixed according to the ratio, pipetted onto a micro titer plate (MTP) and diluted with water to the stated concentrations. A spore suspension of Botrci cinerea in an
aqueous biomalt or yeast-bactopeptone-sodiumacetate solution was then added. The plates were placed in a water vapor-saturated chamber at a temperature of 18°C. Using an absorption photometer, the MTPs were measured at 405 nm 7 days after the inoculation. 2. Activity against leaf blotch on wheat caused by Septoria //7¾e (Septtr)
The stock solutions were mixed according to the ratio, pipetted onto a micro titer plate (MTP) and diluted with water to the stated concentrations. A spore suspension of Septoria
an aqueous biomalt or yeast-bactopeptone-glycerine solution was then added. The plates were placed in a water vapor-saturated chamber at a temperature of 18°C. Using an absorption pho- tometer, the MTPs were measured at 405 nm 7 days after the inoculation.
3. Activity against rice blast Pyricularia oryzae in the microtiterplate test (Pyrior)
The stock solutions were mixed according to the ratio, pipetted onto a micro titer plate (MTP) and diluted with water to the stated concentrations. A spore suspension of Pyricularia oryzae in an aqueous biomalt or yeast-bactopeptone-glycerine solution was then added. The plates were placed in a water vapor-saturated chamber at a temperature of 18°C. Using an absorption photometer, the MTPs were measured at 405 nm 7 days after the inoculation.
4. Activity against the late blight pathogen Phytophthora infestans in the microtiter test (Phytin)
The stock solutions were mixed according to the ratio, pipetted onto a micro titer plate (MTP) and diluted with water to the stated concentrations. A spore suspension of Phytophtora infestans containing a pea juice-based aqueous nutrient medium or DDC medium was then added. The plates were placed in a water vapor-saturated chamber at a temperature of 18°C. Using an absorption photometer, the MTPs were measured at 405 nm 7 days after the inoculation.
5. Activity against root rot Fusarium culmorum in the microtiterplate test (Fusacu)
The stock solutions were mixed according to the ratio, pipetted onto a micro titer plate (MTP) and diluted with water to the stated concentrations. A spore suspension of Fusarium culmorum in an aqueous biomalt or yeast-bactopeptone-sodiumacetate solution was then added. The plates were placed in a water vapor-saturated chamber at a temperature of 18°C. Using an absorption photometer, the MTPs were measured at 405 nm 7 days after the inoculation.
The measured parameters were compared to the growth of the active compound-free control variant (100%) and the fungus-free and active compound-free blank value to determine the rela- tive growth in % of the pathogens in the respective active compounds.
Table D below shows Disease (%) after application of compounds from Table B. Table D:
Claims
We claim:
1 . Use of compound of formula (I)
wherein
A, together with the two carbon atoms of the pyrrole ring, is selected from the group consisting of a C5-C6-aryl, C5-C6- heterocycloalkenyl and C5-C6-heteroaryl; wherein, hetero- cycloalkenyl and heteroaryl contain besides carbon atoms as ring members, 1 , 2, 3 or 4 atoms independently selected from O, N or S as ring members; whereby A is unsubstituted or further substituted by 1 , 2, 3 or 4 identical or different groups R12a which are independently selected from the group consisting of F, CI, Br, I, SH, CN, NO2, NR4R5, oxo, -0-C2-C6-alkyl, -0-C2-C10-alkenyl, -0-C2-C10-alkynyl, C2-C6-alkyl, C=(NOR13), C2-C6- alkenyl, C2-C10-alkynyl, C=0(OH), C=0(NR7R8), C=0(H), CF3, CHF2, CH2F, 0(CH2)n- SiR9R10R11, OC=0(C1-C6-alkyl), C=0(0)(C1-C6-alkyl), OC=0(C3-C8-cycloalkyl),
C=0(0)(C3-C8-cycloalkyl), -OCN, -N-CN, -S-CN, OC=0(C2-C6-alkenyl), C=0(0)(C2-C6- alkenyl), OC=0(C5-C6-aryl, C=0(0)C5-C6-aryl, C3-C8-cycloalkyl, 0-C3-C8-cycloalkyl, C=0(C1-C6-alkyl), C=0(C5-C6-aryl), C5-C6-aryl, 0-C5-C6-aryl, C5-C6-heteroaryl; S-(C5-C6- aryl), S(02)(C5-C6-aryl), S-(C1-C6-alkyl) and S(02)(C1-C6-alkyl); wherein R12a is unsubstituted or further substituted by 1 , 2 or 3 identical or different groups which are independently selected from the group consisting of F, CI, Br, I, OH, SH, CN, N02, NR4R5, - O-C1-C6-alkyl, -0-C2-C10-alkeny, -0-C2-C10-alkynyl, C1-C6-alkyl, C2-C6-alkenyl and C2-C6- alkynyl; R1 is selected from the group consisting of F, CI, Br, I , SH , CN , N02, N R4R5, -0-C1-C6 - alkyl, -0-C2-C10-alkenyl, -0-C2-C10-alkynyl, C1-C6-alkyl, C2-C6-alkenyl, C2-C6-alkynyl, C=0(OH), C=0(N R7R8), C=0(H), OC=0(C1-C6-alkyl), C=0(0)(C1-C6-alkyl), OC=0(C3- C8-cycloalkyl), C=0(0)(C3-C8-cycloalkyl), OC=0(C2-C6-alkenyl), C=0(0)(C2-C6-alkenyl), OC=0(C5-C6-aryl), C=0(0)C5-C6-aryl, C3-C8-cycloalkyl, 0-C3-C8-cycloalkyl, C=0(C1-C6 - alkyl), C=0(C5-C6-aryl), C5-C6-aryl, 0-C5-C6-aryl, C5-C6-heteroaryl; S-(C5-C6-aryl),
S(02)(C5-C6-aryl), S-(C1-C6-alkyl) and S(02)(C1-C6-alkyl); whereby R1 is unsubstituted or further substituted by 1 , 2 or 3 identical or different groups R12b which are independently selected from the group consisting of F, CI, Br, I , OH , SH , CN , N02, N R4R5, -0-C1-C6 - alkyl, -0-C2-C10-alkenyl, -0-C2-C10-alkynyl, C1-C6-alkyl, C2-C6-alkenyl, C2-C6-alkynyl,
C=0(OH), C=0(NR7R8), C=0(H), OC=0(C1-C6-alkyl), C=0(C1-C6-alkyl) and C=0(0)(C1- Ce-alkyl);
X1 , X2 and X3, identical or different, are selected from the group consisting of CR3 and N, whereby R3 is selected from the group consisting of H, CF3, CHF2, F, CI, Br and I;
X4 is CR2 or N, wherein R2 is selected from the group consisting of H, F, CI, Br and I or R2 together with R1 forms a C5-C6-aryl, C5-C6-heterocycloalkenyl, heterocycloalkyi or C5- C6-heteroaryl; wherein heterocydoalkenyl, heterocycloalkyi or heteroaryl contain besides carbon atoms as ring members, 1 , 2 or 3 heteroatoms independently selected from O, N or S as ring members; wherein C5-C6-aryl, C5-C6-heterocycloalkenyl or C5-C6-heteroaryl are unsubstituted or further substituted by 1 , 2 or 3 identical or different groups which are independently selected from the group consisting of F, CI, Br, I, OH , SH, CN , NO2, oxo and NR4R5;
G1 is selected from the group consisting of H, C=0(C1-C10-alkyl), C=0(C5-Ce-aryl), C=0(C3-C8- cycloalkyl), C=0(0)-C1-C10-alkyl, C=0(0)-C3-C8-cycloalkyl, -(CH2)0-C1-6 alkyl; -(CH2)C(=0)-Ci-6 alkyl; -0-C(=0)-0-(CH2)-C1-6 alkyl; -C(=0)-NR4R5; -(CH2)-0-C(=0)-C1-6 alkyl; -(CH2)-C(=0)-0- C1-6 alkyland C=0(0)-(CH2)nC5-C6-aryl; whereby G1 is unsubstituted or further substituted by 1 , 2 or 3 identical or different groups R12c which are independently selected from the group consisting of F, CI, Br, I , OH, SH, CN , N02, NR4R5, -0-C1-C6-alkyl, -0-C2-C10-alkenyl, -O-C2-C10- alkynyl, C1-C6-alkyl, C2-C6-alkenyl and C2-C6-alkynyl;
G2 is selected from the group consisting of H, F, CI, Br, I, OH, SH, CN, N02, NR4R5, C1- C6-alkyloxy, C2-C10-alkenyloxy, C2-C10-alkynyloxy, C1-C6-alkyl, C2-C6-alkenyl, C2-C6- alkynyl, C=0(OH), C=0(NR7R8), C=0(H), O(CH2)n-SiR9R10R11, OC=0(C1-C6-alkyl), C=0(0)(C1-C6-alkyl), OC=0(C3-C8-cycloalkyl), C=0(0)(C3-C8-cycloalkyl), C=(NOR13), OC=0(C2-C6-alkenyl), C=0(0)(C2-C6-alkenyl), OC=0(C5-C6-aryl, C=0(0)C5-C6-aryl, C3- Cs-cycloalkyl, 0-C3-C8-cycloalkyl, C=0(C1-C6-alkyl), C=0(C5-C6-aryl), C5-C6-aryl, O-C5- C6-aryl and C5-C6-heteroaryl; whereby G2 is unsubstituted or further substituted by 1 , 2 or 3 identical or different groups R12d which are independently selected from the group consisting of F, CI, Br, I, OH, SH, CN, N02, NR4R5, -0-C1-C6-alkyl, -0-C2-C10-alkenyl, -O- C2-C10-alkynyl, C1-C6-alkyl, C2-C6-alkenyl and C2-C6-alkynyl;
R4, R5, R7, R8, R9, R10 and R11, identical or different, are selected from the group consisting of H, OH, SH, C1-C6-alkyl, C2-C6-alkenyl, C2-C6-alkynyl, C5-C6-aryl and C3-C8- cycloalkyl; R13 is H, C1-C6-alkyl, C2-C6-alkenyl or C2-C6-alkynyl; and n is 0, 1 , 2, 3 or 4;
or an agriculturally acceptable salt or derivative thereof, as agrochemical fungicide.
2. Use of compound of formula (I) as claimed in claim 1 , wherein
A, together with the two carbon atoms of the pyrrole ring, is C5-C6-aryl or C5-C6- heteroaryl; wherein heteroaryl contain besides carbon atoms as ring members 1 , 2 or 3
atoms independently selected from N or S as ring members; whereby A is unsubstituted or further substituted by 1 , 2 or 3 identical or different groups R12a which are independently selected from the group consisting of F, CI, Br, I, CN, NR4R5, C2-C6-alkyl, oxo, -0-C2-C6-alkyl, C2-C6-alkenyl, C2-C6-alkynyl, O(CH2)n-SiR9R10R11, C=0(0)(C1-C6-alkyl), C=0(C1-C6-alkyl), CF3, CHF2, CH2F, C=0(C5-C6-aryl) and C5-C6-aryl; wherein R12a is unsubstituted or further substituted by 1 , 2 or 3 identical or different groups which are independently selected from the group consisting of F, CI, Br, I, CN, NR4R5, -0-C1-C6-alkyl, - 0-C2-C10-alkenyl and C1-C6-alkyl;
R1 is selected from the group consisting of H, F, CI, Br, I, N02, -0-C1-C6-alkyl, C1-C6- alkyl, C=0(0)(C1-C6-alkyl), C=0(C1-C6-alkyl), 0-C5-C6-aryl, C5-C6-aryl, S-(C1-C6-alkyl) and S(02)(C1-C6-alkyl); whereby R1 is unsubstituted or further substituted by 1 , 2 or 3 identical or different groups R12b which are independently selected from the group consisting of F, CI and Br;
X1 , X2 and X3, identical or different, are selected from the group consisting of CR3 and N, whereby R3 is H;
X4 is CR2 or N, wherein R2 is selected from the group consisting of H, F, CI or R2 together with R1 forms a C5-heteroaryl; wherein heteroaryl contain besides carbon atoms as ring members, 1 or 2 heteroatoms independently selected from O or N as ring members; wherein C5-C6-heteroaryl are unsubstituted or further substituted by 1 or 2, identical or different groups, which are independently selected from the group consisting of F, CI and Br;
G1 is H or C=0(0)-C1-C10-alkyl;
G2 is selected from the group consisting of H, F, C1-C6-alkyl, C=0(0)(C1-C6-alkyl);
wherein G2 is unsubstituted or further substituted by 1 , 2 or 3 identical or different groups R12d which are independently selected from the group consisting of F, CI, Br and I;
R4, R5, R9, R10 and R11, identical or different, are selected from the group consisting of H, and C1-C6-alkyl; and
n is 0, 1 , 2 or 3. se of compound of formula (I) as claimed in claim 1 , wherein
A, together with the two carbon atoms of the pyrrole ring, is selected from the group consisting of
whereby A is unsubstituted or further substituted by 1 or 2 identical or different groups R12a which are independently selected from the group consisting of F, CI, CN, NR4R5, C2- Ce-alkyl, -0-C2-C6-alkyl, C2-C6-alkenyl, C2-C6-alkynyl, O(CH2)n-SiR9R10R11,
Ce-alkyl), CF3, CHF2, CH2F, C=0(C5-C6-aryl) and C5-C6-aryl; wherein R12a is unsubstituted or further substituted by CN;
R1 is selected from the group consisting of F, CI, Br, C1-C6-alkyl, C=0(0)(C1-C6-alkyl) and C=0(C1-C6-alkyl); whereby R1 is unsubstituted or further substituted by 1 or 2 identical or different groups R12b which are independently selected from the group consisting of F, CI and Br;
X1 , X2 and X3, identical or different, are selected from the group consisting of CR3 and N, whereby R3 is H;
X4 is CR2 or N, wherein R2 is H;
G1 is H or C=0(0)-C1-C10-alkyl;
G2 is selected from the group consisting of H, F, C1-C6-alkyl, C=0(0)(C1-C6-alkyl);
wherein G2 is unsubstituted or further substituted by 1 , 2 or 3 identical or different groups R12d which are independently selected from the group consisting of F, CI, Br and I;
R4, R5, R9, R10 and R11, identical or different, are selected from the group consisting of H and C1-C6-alkyl; and n is 0, 1 , 2 or 3. se of compound of formula (I) according to claim 1 or 2, wherein the compound of formula (I) is
whereby A is unsubstituted or further substituted by 1 , 2 or 3 identical or different groups R12a which are independently selected from the group consisting of F, CI, Br, I, CN, NR4R5, C2-C6-alkyl, -0-C2-C6-alkyl, C2-C6-alkenyl, C2-C6-alkynyl, O(CH2)n-SiR9R10R11, C=0(0)(C1-C6-alkyl), C=0(C1-C6-alkyl), CF3, CHF2, CH2F, C=0(C5-C6-aryl) and C5-C6- aryl; wherein R12a is unsubstituted or further substituted by CN; and
R1 is CFs or CHF2.
Use of compound of formula (I) according to the claim 1 , wherein R1 is selected from group consisting of F, CI, Br, N02, C1-C6-alkyl, C=0(C1-C6-alkyl), C=0(0)(C1-C6-alkyl), C5- Ce-aryl, 0-C5-C6-aryl, S(02)(C5-C6-aryl), S-(C1-C6-alkyl), S(02)(C1-C6-alkyl) and C=0(C1- C6-alkyl); whereby R1 is unsubstituted or further substituted by 1 , 2 or 3 identical or different groups R12b is selected from the group consisting of F, CI and Br.
Use of compound of formula (I) according to the claim 1 , wherein the X1 , X2 and X3, identical or different, are selected from the group consisting of CR3 and N, whereby R3 is selected from the group consisting of H, F, CI and Br.
Use of compound of formula (I) according to the claim 1 , wherein the X1 , X2 and X3, identical or different, are selected from the group consisting of CR3 and N, whereby R3 is selected from the group consisting of H, CF3, CHF2, F, CI and Br.
Use of compound of formula (I) according to the claim 1 , wherein X4 is CR2 or N, wherein R2 is H.
Use of compound of formula (I) according to any one of the claims 1 to 3, wherein A, together with the two carbon atoms of the pyrrole ring, is selected from
R12a is F, ethynyl, CI or CN;
R1 is CFs or CHF2;
X1 , X2 and X3, each, is CR3, whereby R3 is H;
X4 is CR2, wherein R2 is H;
G1 is H; and
G2 is H or F.
10. Use of compound of formula (I) as claimed in claim 1 , wherein compound of formula (I)
The method of protecting a crop of useful plants susceptible to and/or under attack by fungi, which method comprises applying to said crop, treating a plant propagation material of said crop with, and/or applying to said fungi, the composition comprising at least one compound of formula (I) as defined in claim 1 .
The use as claimed in any one of the preceding claims, which comprises treating the fungi, the plant, or the plant propagation material selected from the group consisting of seeds, roots, fruits, tubers, bulbs, rhizomes, shoots, sprouts and other parts of plants, including seedlings and young plants to be protected against fungi attack, the stored materials or harvest, or alternately, the locus or soil or soil substituents or surfaces therefrom, with an effective amount of at least one compound of formula (I), according to any one of the preceding claims.
A compound of formula (la)
wherein
A, together with the two carbon atoms of the pyrrole ring, is selected from the group consisting of a C5-C6-aryl, C5-C6-heterocycloalkenyl and C5-C6-heteroaryl; wherein heterocy- cloalkyl, heterocycloalkenyl and heteroaryl contain besides carbon atoms as ring mem- bers, 1 , 2, 3 or 4 atoms independently selected from O, N or S as ring members; whereby A is unsubstituted or further substituted by 1 , 2, 3 or 4 identical or different groups R12a which are independently selected from the group consisting of F, CI, I, SH, CN, N02, NR4R5, oxo, -0-C2-C6-alkyl, -0-C2-C6-alkenyl, -0-C2-C6-alkynyl, C2-C6-alkyl, C2-C6- alkenyl, C2-C6-alkynyl, C=0(OH), C=0(NR7R8), C=(NOR13), C=0(H), 0(CH2)n- SiR9R10R11, OC=0(C1-C6-alkyl), C=0(0)(C1-C6-alkyl), OC=0(C3-C8-cycloalkyl),
C=0(0)(C3-C8-cycloalkyl), OC=0(C2-C6-alkenyl), C=0(0)(C2-C6-alkenyl), OC=0(C5-C6- aryl, C=0(0)C5-C6-aryl, OCN, NCN, SCN, OCF3, OCHF2, OCH2F, CF3, CHF2, CH2F, SCF3, SCHF2, SCH2F, S02CF3, C=0(C1-C6-alkyl), C=0(C5-C6-aryl) wherein R12a is unsubstituted or further substituted by 1 , 2 or 3 identical or different groups which are inde- pendently selected from the group consisting of F, CI, Br, I, OH, SH, CN, N02, NR4R5, -
O-C1-C6-alkyl, -0-C2-C10-alkenyl, -0-C2-C10-alkynyl, C1-C6-alkyl, C2-C6-alkenyl and C2- C6-alkynyl;
R1 is selected from the group consisting of F, CI, Br, I, SH, CH3, CN, -0-C2-C6-alkyl, -O- C2-C10-alkenyl, -0-C2-C10-alkynyl, C3-C6-alkyl, C2-C6-alkenyl, C2-C6-alkynyl, C=0(NR7R8),
C=0(H), OC=0(C1-C6-alkyl), C=0(0)(C1-C6-alkyl), OC=0(C3-C8-cycloalkyl), C=0(0)(C3-
Cs-cycloalkyl), OC=0(C2-C6-alkenyl), C=0(0)(C2-C6-alkenyl), OC=0(C5-C6-aryl), C=0(0)C5-C6-aryl, C3-C8-cycloalkyl, 0-C3-Ce-cycloalkyl, C=0(C1-C6-alkyl), C=0(C5-C6- aryl), C5-C6-aryl, 0-C5-C6-aryl, C5-C6-heteroaryl; S-(C5-C6-aryl), S(02)(C5-C6-aryl), S-(C1- C6-alkyl) and S(02)(C1-C6-alkyl); whereby R1 is unsubstituted or further substituted by 1 , 2 or 3 identical or different groups R12b which are independently selected from the group consisting of F, CI, Br, I, OH, SH, CN, N02, NR4R5, -0-C1-C6-alkyl, -0-C2-C10-alkenyl, -O- C2-C10-alkynyl, C1-C6-alkyl, C2-C6-alkenyl, C2-C6-alkynyl, C=0(OH), C=0(NR7R8), C=0(H), OC=0(C1-C6-alkyl) and C=0(0)(C1-C6-alkyl); X1 , X2 and X3, identical or different, are selected from the group consisting of CR3 and
N, whereby R3 is selected from the group consisting of H, F, CI, CF3, CHF2, CH2F, Br and I;
X4 is CR2 or N, wherein R2 is selected from the group consisting of H, F, CI, Br and I or R2 together with R1 forms a C5-C6-aryl C5-C6-heterocycloalkenyl or C5-C6-heteroaryl; wherein heterocycloalkenyl or heteroaryl contain besides carbon atoms as ring members, 1 , 2 or 3 heteroatoms independently selected from O or N as ring members;
wherein C5-C6-aryl, C5-C6-heterocycloalkenyl or C5-C6-heteroaryl are unsubstituted or further substituted by 1 , 2 or 3 identical or different groups which are independently selected from the group consisting of F, CI, Br, I, OH, SH, CN, N02 and NR4R5; whereby when G2 is H and A, together with the two carbon atoms of the pyrrole ring, is
T)
, wherein R12a is F, CI, Br, I, C2-C4-alkyl, CN or -0-C2-C6-alkyl; then R1 is selected from CHF2 and CH2F;
G1 is selected from the group consisting of H, C=0(C1-C10-alkyl), C=0(C3-C8-cycloalkyl), C=0(C5-Ce-aryl), C=0(0)-C1-C10-alkyl, C=0(0)-C3-C8-cycloalkyl, -(CH2)0-Ci-6 alkyl; -
(CH2)C(=0)-C1-6 alkyl; -0-C(=0)-0-(CH2)-C1-6 alkyl; -C(=0)-NR4R5; -(CH2)-0-C(=0)-C1-6 alkyl; - (CH2)-C(=0)-0-C1-6 alkyl and C=0(0)-(CH2)nC5-C6-aryl; whereby G1 is unsubstituted or further substituted by 1 , 2 or 3 identical or different groups R12c which are independently selected from the group consisting of F, CI, Br, I, OH, SH, CN, N02, NR4R5, C1-C6-alkyloxy, C2-C10-alkenyloxy, C2-C10-alkynyloxy, C1-C6-alkyl, C2-C6-alkenyl and C2-C6-alkynyl;
G2 is selected from the group consisting of H, F, CI, Br, I, OH, SH, OCH3, C=0(OCH3), CN, N02, NR4R5, -O-C5-C6-alkyl, -0-C2-C10-alkenyl, -0-C2-C10-alkynyl, C1-C6-alkyl, C2- Ce-alkenyl, C2-C6-alkynyl, C=0(OH), C=0(H), O(CH2)n-SiR9R10R11, OC=0(C1-C6-alkyl), C=0(0)(C3-C6-alkyl), OC=0(C3-C8-cycloalkyl), C=0(0)(C3-C8-cycloalkyl), OC=0(C2-C6- alkenyl), C=0(0)(C2-C6-alkenyl), OC=0(C5-C6-aryl, C=0(0)C5-C6-aryl, C3-C8-cycloalkyl, 0-C3-C8-cycloalkyl, C=0(C1-C6-alkyl), C=0(C5-C6-aryl), C5- C6aryl, 0-C5-C6-aryl, C=(NOR13), and C5-C6-heteroaryl; whereby G2 is unsubstituted or further substituted by 1 , 2 or 3 identical or different groups R12d which are independently selected from the group consisting of F, CI, Br, I, OH, SH, CN, N02, NR4R5, -0-C1-C6-alkyl, -0-C2-C10- alkenyl, -0-C2-C10-alkynyl, C1-C6-alkyl, C2-C6-alkenyl and C2-C6-alkynyl;
R4, R5 R7, R8, R9, R10 and R11, identical or different, are selected from the group consisting of H, OH, SH, C1-C6-alkyl, C2-C6-alkenyl, C2-C6-alkynyl, C5-C6-aryl and C3-C8- cycloalkyl; R13 is H, C1-C6-alkyl, C2-C6-alkenyl or C2-C6-alkynyl; and n is 0, 1 , 2, 3 or 4; or each compound in the form of a stereoisomer, an agriculturally acceptable salt, a derivative, a tautomer, an isotopic form, a N-oxide, a S-oxide or a mixture thereof;
whereby the following compounds are excluded 3-(2-bromophenyl)-6-chloro-1 H-indole, 6-bromo-3-(2-bromophenyl)-1 H-indole, 5-fluoro-3-(4-methyl-3-pyridyl)-1 H-indole, 6- bromo-3-(2-chloro-5-fluoro-pyrimidin-4-yl)-1 H-pyrrolo[3,2-c]pyridine, 3-(2-chloro-5- methyl-pyrimidin-4-yl)-1 H-indole, 3-(2,5-dichloro-pyrimidin-4-yl)-1 H-indole and fe/7-butyl 6-bromo-3-(2-chloro-5-fluoro-pyrimidin-4-yl)pyrrolo[3,2-c]pyridine-1 -carboxylate. 14. The compound of formula (la) as claimed in claim 13, wherein
A, together with the two carbon atoms of the pyrrole ring, is selected from:
whereby A is unsubstituted or further substituted by 1 or 2 identical or different groups R12a which are independently selected from the group consisting of F, CI, CN, NR4R5, C2- Ce-alkyl, -0-C2-C6-alkyl, C2-C6-alkenyl, CF3, CHF2, CH2F, C2-C6-alkynyl, 0(CH2)n- SiR9R10R11, C=0(0)(C1-C6-alkyl) and C=0(C5-C6-aryl); wherein R 2a is unsubstituted or further substituted by CN;
R1 is selected from the group consisting of F, CH3, CI, Br, I, N02, C3-C6-alkyl,
C=0(0)(C1-C6-alkyl), C5-C6-aryl, S-(C1-C6-alkyl), 0-C5-C6-aryl, S(02)(C1-C6-alkyl), and C=0(C1-C6-alkyl) whereby R1 is unsubstituted or further substituted by 1 , 2 or 3 identical or different groups R12b which are independently selected from the group consisting of F, CI and Br;
X1 , X2 and X3, identical or different, are selected from the group consisting of CR3 and N, whereby R3 is H;
X4 is CR2 or N, wherein R2 is H; or R2 together with R1 forms a C5-C6-aryl, C5-C6- heterocycloalkenyl or C5-C6-heteroaryl; wherein heterocycloalkenyl or heteroaryl contain besides carbon atoms as ring members, 1 or 2 heteroatoms independently selected from O or N as ring members; wherein C5-C6-aryl, C5-C6-heterocycloalkenyl or C5-C6- heteroaryl are unsubstituted or further substituted by 1 or 2 identical or different groups
which are independently selected from the group consisting of F and CI; whereby when
T)
G2 is H and A, together with the two carbon atoms of the pyrrole ring, is
wherein R12a is F, CI, Br, I, C2-C4-alkyl, CN or -0-C2-C6-alkyl; then R1 is selected from
CHF2 and CH2F;
G1 is H or C=0(0)-C1-C10-alkyl;
G2 is selected from the group consisting of H, F, C1-C6-alkyl, OCH3, C=0(OCH3), C=0(0)(C3-C6-alkyl); wherein G2 is unsubstituted or further substituted by 1 , 2 or 3 identical or different groups R12d which are independently selected from the group consisting of F, CI, Br and I;
R4, R5 R7, R8, R9, R10 and R11, identical or different, are selected from the group consisting of H and C1-C6-alkyl; and
n is 0, 1 , 2 or 3.
15. The compound of formula (la) according to claims 13 or 14, wherein the compound of formula (la) is
Formula (la)
wherein A, together with the two carbon atoms of the pyrrole ring, is selected from
whereby A is unsubstituted or further substituted by 1 , 2 or 3 identical or different groups R12a which are independently selected from the group consisting of F, CI, Br, I, CN, NR4R5, C2-C6-alkyl, -0-C2-C6-alkyl, C2-C6-alkenyl, C2-C6-alkynyl, O(CH2)n-SiR9R10R11, C=0(0)(C1-C6-alkyl), C=0(C1-C6-alkyl), CF3, CHF2, CH2F and C=0(C5-C6-aryl); wherein R12a is unsubstituted or further substituted by CN; and
R1 is CF3, CH2F or CHF2; whereby when A, together with the two carbon atoms of the
pyrrole ring, is , wherein R12a is F, CI, Br, I, C2-C4-alkyl, CN or -0-C2-Ce-alkyl; then R1 is selected from CHF2 and CH2F.
The compound of formula (la) as claimed in claims 13 or 14, wherein
R12a is F, ethynyl, CI or CN;
R1 is CFs or CHF2;
X1 , X2 and X3, each, is CR3, whereby R3 is H;
X4 is CR2, wherein R2 is H;
G1 is H; and G2 is H or F.
17. The compound of formula (la) as claimed in claims 13 or 14, wherein A is selected from
R12a is F, ethynyl, CI or CN;
R1 is CHF2 or CHF2;
X1 , X2 and X3, each, is CR3, whereby R3 is H;
X4 is CR2, wherein R2 is H;
G1 is H; and G2 is H.
The compound of formula (la) as claimed in claims 13 or 14, wherein A is selected from
R12a is ethynyl;
R1 is CFs, CHF2 or CHF2;
X1 , X2 and X3, each, is CR3, whereby R3 is H;
X4 is CR2, wherein R2 is H;
G1 is H; and G2 is H.
19. The compound of formula (la) according to any one of the preceding claims, wherein
20. An agrochemical mixture comprising at least one compound according to any one of claims 13 to 19, or in the form of a stereoisomer or an agriculturally acceptable salt or a tautomer or an isotopic form or a N-oxide or a S-oxide or a prodrug thereof.
21 . A composition comprising at least one compound according to any one of claims 13 to 19, or in the form of a stereoisomer or an agriculturally acceptable salt or a tautomer or an isotopic form of a N-oxide or a S-oxide or a prodrug thereof, and an auxiliary. 22. The use of the compound of formula (I) as defined in claim 1 in a method as claimed in any of claims 1 1 or 12.
Applications Claiming Priority (2)
| Application Number | Priority Date | Filing Date | Title |
|---|---|---|---|
| EP17192833 | 2017-09-25 | ||
| EP17192833.6 | 2017-09-25 |
Publications (1)
| Publication Number | Publication Date |
|---|---|
| WO2019057660A1 true WO2019057660A1 (en) | 2019-03-28 |
Family
ID=59966619
Family Applications (1)
| Application Number | Title | Priority Date | Filing Date |
|---|---|---|---|
| PCT/EP2018/075063 Ceased WO2019057660A1 (en) | 2017-09-25 | 2018-09-17 | Indole and azaindole compounds with substituted 6-membered aryl and heteroaryl rings as agrochemical fungicides |
Country Status (1)
| Country | Link |
|---|---|
| WO (1) | WO2019057660A1 (en) |
Cited By (5)
| Publication number | Priority date | Publication date | Assignee | Title |
|---|---|---|---|---|
| CN111471044A (en) * | 2020-05-26 | 2020-07-31 | 西北大学 | A kind of synthetic method of palladium-catalyzed 3-aryl 7-azaindole compound |
| CN113717090A (en) * | 2021-08-31 | 2021-11-30 | 南京林业大学 | Trifluoromethyl-containing all-carbon quaternary carbon center indole acetonitrile compound and preparation method and application thereof |
| CN114230570A (en) * | 2021-11-26 | 2022-03-25 | 浙江工业大学 | A kind of pyrrolo[3,4-b]pyrrole diketo compound and its synthesis method |
| CN115028655A (en) * | 2022-05-20 | 2022-09-09 | 上海大学 | 2-trifluoromethyl-3-iodine-indole compound and preparation method thereof |
| CN116396299A (en) * | 2023-06-06 | 2023-07-07 | 和鼎(南京)医药技术有限公司 | Method for preparing Wu Pa tenib intermediate |
Citations (119)
| Publication number | Priority date | Publication date | Assignee | Title |
|---|---|---|---|---|
| US3296272A (en) | 1965-04-01 | 1967-01-03 | Dow Chemical Co | Sulfinyl- and sulfonylpyridines |
| US3325503A (en) | 1965-02-18 | 1967-06-13 | Diamond Alkali Co | Polychloro derivatives of mono- and dicyano pyridines and a method for their preparation |
| US4122034A (en) * | 1972-12-13 | 1978-10-24 | Schering Corporation | Antimicrobial compositions |
| EP0141317A2 (en) | 1983-10-21 | 1985-05-15 | BASF Aktiengesellschaft | 7-Amino-azolo[1,5-a]pyrimidines and fungicides containing them |
| EP0152031A2 (en) | 1984-02-03 | 1985-08-21 | Shionogi & Co., Ltd. | Azolyl cycloalkanol derivatives and agricultural fungicides |
| EP0226917A1 (en) | 1985-12-20 | 1987-07-01 | BASF Aktiengesellschaft | Acrylic acid esters and fungicides containing these compounds |
| EP0243970A1 (en) | 1986-05-02 | 1987-11-04 | Stauffer Chemical Company | Fungicidal pyridyl imidates |
| EP0256503A2 (en) | 1986-08-12 | 1988-02-24 | Mitsubishi Kasei Corporation | Pyridinecarboxamide derivatives and their use as fungicide |
| EP0374753A2 (en) | 1988-12-19 | 1990-06-27 | American Cyanamid Company | Insecticidal toxines, genes coding therefor, antibodies binding them, transgenic plant cells and plants expressing these toxines |
| EP0392225A2 (en) | 1989-03-24 | 1990-10-17 | Ciba-Geigy Ag | Disease-resistant transgenic plants |
| EP0307510B1 (en) | 1987-09-17 | 1991-02-06 | BASF Aktiengesellschaft | Process for combating fungicides |
| WO1991002051A1 (en) | 1989-08-03 | 1991-02-21 | The Australian Technological Innovation Corporation | Myconematicide |
| EP0427529A1 (en) | 1989-11-07 | 1991-05-15 | Pioneer Hi-Bred International, Inc. | Larvicidal lectins and plant insect resistance based thereon |
| EP0428941A1 (en) | 1989-11-10 | 1991-05-29 | Agro-Kanesho Co., Ltd. | Hexahydrotriazine compounds and insecticides |
| US5026417A (en) | 1987-03-17 | 1991-06-25 | Her Majesty The Queen In Right Of Canada, As Represented By The Minister Of Agriculture | Methods and compositions for increasing the amounts of phosphorus and/or micronutrients available for plant uptake from soils |
| EP0451878A1 (en) | 1985-01-18 | 1991-10-16 | Plant Genetic Systems, N.V. | Modifying plants by genetic engineering to combat or control insects |
| EP0532022A1 (en) | 1991-09-13 | 1993-03-17 | Ube Industries, Ltd. | Acrylate compound, preparation process thereof and fungicide using the same |
| WO1993007278A1 (en) | 1991-10-04 | 1993-04-15 | Ciba-Geigy Ag | Synthetic dna sequence having enhanced insecticidal activity in maize |
| WO1994001546A1 (en) | 1992-07-01 | 1994-01-20 | Cornell Research Foundation, Inc. | Elicitor of the hypersensitive response in plants |
| US5422107A (en) | 1992-12-25 | 1995-06-06 | Hokkaido Green Kosan, Incorporated | Trichoderma harzianum SK-55 fungus, fungicide containing it, and method of manufacture of the same and its use |
| WO1995017806A1 (en) | 1993-12-29 | 1995-07-06 | Philom Bios Inc. | Methods and compositions for increasing the benefits of rhizobium inoculation to legume crop productivity |
| WO1995034656A1 (en) | 1994-06-10 | 1995-12-21 | Ciba-Geigy Ag | Novel bacillus thuringiensis genes coding toxins active against lepidopteran pests |
| EP0697172A1 (en) | 1994-08-19 | 1996-02-21 | American Cyanamid Company | Indoles as insecticides and acaricides |
| WO1996021358A1 (en) | 1995-01-14 | 1996-07-18 | Prophyta Biologischer Pflanzenschutz Gmbh | Fungus isolate, preparation for combatting plant-pathogenic fungi, process for producing it and its use |
| DE19650197A1 (en) | 1996-12-04 | 1998-06-10 | Bayer Ag | 3-thiocarbamoylpyrazole derivatives |
| WO1998046608A1 (en) | 1997-04-14 | 1998-10-22 | American Cyanamid Company | Fungicidal trifluoromethylalkylamino-triazolopyrimidines |
| WO1999014187A1 (en) | 1997-09-18 | 1999-03-25 | Basf Aktiengesellschaft | Benzamidoxim derivatives, intermediate products and methods for preparing and using them as fungicides |
| WO1999024413A2 (en) | 1997-11-12 | 1999-05-20 | Bayer Aktiengesellschaft | Isothiazole carboxylic acid amides and the application thereof in order to protect plants |
| WO1999027783A1 (en) | 1997-12-04 | 1999-06-10 | Dow Agrosciences Llc | Fungicidal compositions and methods, and compounds and methods for the preparation thereof |
| EP0585215B1 (en) | 1989-11-17 | 1999-09-15 | Abbott Laboratories | Mutants or variants of bacillus thuringiensis producing high yields of delta endotoxin |
| WO2000029404A1 (en) | 1998-11-17 | 2000-05-25 | Kumiai Chemical Industry Co., Ltd. | Pyrimidinylbenzimidazole and triazinylbenzimidazole derivatives and agricultura/horticultural bactericides |
| WO2000046148A1 (en) | 1999-02-02 | 2000-08-10 | Sintokogio, Ltd. | Silica gel carrying titanium oxide photocatalyst in high concentration and method for preparation thereof |
| EP1028125A1 (en) | 1998-11-30 | 2000-08-16 | Isagro Ricerca S.r.l. | Dipeptide compounds having fungicidal activity and their agronomic use |
| EP1035122A1 (en) | 1999-03-11 | 2000-09-13 | Rohm And Haas Company | Heterocyclic subsituted isoxazolidines and their use as fungicides |
| WO2000065913A1 (en) | 1999-04-28 | 2000-11-09 | Takeda Chemical Industries, Ltd. | Sulfonamide derivatives |
| DE10021412A1 (en) | 1999-12-13 | 2001-06-21 | Bayer Ag | Fungicidal active ingredient combinations |
| WO2001054501A2 (en) | 2000-01-25 | 2001-08-02 | Syngenta Participations Ag | Herbicidal composition |
| EP1122244A1 (en) | 2000-02-04 | 2001-08-08 | Sumitomo Chemical Company, Limited | Uracil compounds and their use |
| WO2001056358A2 (en) | 2000-01-28 | 2001-08-09 | Rohm And Haas Company | Enhanced propertied pesticides |
| CN1309897A (en) | 2000-02-24 | 2001-08-29 | 沈阳化工研究院 | Unsaturated oximino ether bactericide |
| WO2002015701A2 (en) | 2000-08-25 | 2002-02-28 | Syngenta Participations Ag | Bacillus thuringiensis crystal protein hybrids |
| WO2002022583A2 (en) | 2000-09-18 | 2002-03-21 | E. I. Du Pont De Nemours And Company | Pyridinyl amides and imides for use as fungicides |
| EP1201648A1 (en) | 1999-08-05 | 2002-05-02 | Kumiai Chemical Industry Co., Ltd. | Carbamate derivatives and agricultural/horticultural bactericides |
| WO2002040431A2 (en) | 2000-11-17 | 2002-05-23 | Dow Agrosciences Llc | Compounds having fungicidal activity and processes to make and use same |
| US6406690B1 (en) | 1995-04-17 | 2002-06-18 | Minrav Industries Ltd. | Bacillus firmus CNCM I-1582 or Bacillus cereus CNCM I-1562 for controlling nematodes |
| JP2002316902A (en) | 2001-04-20 | 2002-10-31 | Sumitomo Chem Co Ltd | Plant disease control agent composition |
| WO2003010149A1 (en) | 2001-07-25 | 2003-02-06 | Bayer Cropscience Ag | Pyrazolylcarboxanilides as fungicides |
| WO2003011853A1 (en) | 2001-07-30 | 2003-02-13 | Dow Agrosciences Llc | 6-aryl-4-aminopicolinates and their use as herbicides |
| WO2003014103A1 (en) | 2001-08-03 | 2003-02-20 | Bayer Cropscience S.A. | Iodobenzopyran-4-one derivatives having fungicidal activity |
| WO2003016303A1 (en) | 2001-08-20 | 2003-02-27 | Dainippon Ink And Chemicals, Inc. | Tetrazoyl oxime derivative and agricultural chemical containing the same as active ingredient |
| WO2003016286A1 (en) | 2001-08-17 | 2003-02-27 | Sankyo Agro Company, Limited | 3-phenoxy-4-pyridazinol derivative and herbicide composition containing the same |
| WO2003018810A2 (en) | 2001-08-31 | 2003-03-06 | Syngenta Participations Ag | Modified cry3a toxins and nucleic acid sequences coding therefor |
| WO2003052073A2 (en) | 2001-12-17 | 2003-06-26 | Syngenta Participations Ag | Novel corn event |
| WO2003053145A1 (en) | 2001-12-21 | 2003-07-03 | Nissan Chemical Industries, Ltd. | Bactericidal composition |
| WO2003061388A1 (en) | 2002-01-18 | 2003-07-31 | Sumitomo Chemical Takeda Agro Company, Limited | Fused heterocyclic sulfonylurea compound, herbicide containing the same, and method of controlling weed with the same |
| WO2003066609A1 (en) | 2002-02-04 | 2003-08-14 | Bayer Cropscience Aktiengesellschaft | Disubstituted thiazolyl carboxanilides and their use as microbicides |
| WO2003074491A1 (en) | 2002-03-05 | 2003-09-12 | Syngenta Participations Ag | O-cyclopropyl-carboxanilides and their use as fungicides |
| CN1456054A (en) | 2003-03-25 | 2003-11-19 | 浙江省化工研究院 | Methoxy methyl acrylate compounds as bactericidal agent |
| WO2004049804A2 (en) | 2002-11-29 | 2004-06-17 | Syngenta Participations Ag | Fungicidal combinations for crop potection |
| WO2004083193A1 (en) | 2003-03-17 | 2004-09-30 | Sumitomo Chemical Company, Limited | Amide compound and bactericide composition containing the same |
| WO2005063721A1 (en) | 2003-12-19 | 2005-07-14 | E.I. Dupont De Nemours And Company | Herbicidal pyrimidines |
| WO2005087773A1 (en) | 2004-03-10 | 2005-09-22 | Basf Aktiengesellschaft | 5,6-dialkyl-7-amino-triazolopyrimidines, method for their production, their use for controlling pathogenic fungi and agents containing said compounds |
| WO2005087772A1 (en) | 2004-03-10 | 2005-09-22 | Basf Aktiengesellschaft | 5,6-dialkyl-7-amino-triazolopyrimidines, method for their production, their use for controlling pathogenic fungi and agents containing said compounds |
| US6955912B2 (en) | 2000-03-31 | 2005-10-18 | Yasuharu Sasaki | Process for producing Trichoderma harzianum ferm BP-4346 |
| CA2471555A1 (en) | 2004-06-18 | 2005-12-18 | Thomas D. Johnson | Controlling plant pathogens with fungal/bacterial antagonist combinations comprising trichoderma virens and bacillus amyloliquefaciens |
| WO2005120234A2 (en) | 2004-06-03 | 2005-12-22 | E.I. Dupont De Nemours And Company | Fungicidal mixtures of amidinylphenyl compounds |
| WO2005123690A1 (en) | 2004-06-18 | 2005-12-29 | Basf Aktiengesellschaft | 1-methyl-3-difluoromethyl-pyrazol-4-carbonic acid-(ortho-phenyl)-anilides, and use thereof as a fungicide |
| WO2005123689A1 (en) | 2004-06-18 | 2005-12-29 | Basf Aktiengesellschaft | 1-methyl-3-trifluoromethyl-pyrazole-4-carboxylic acid (ortho-phenyl)-anilides and to use thereof as fungicide |
| US6994849B2 (en) | 2001-03-14 | 2006-02-07 | State Of Israel, Ministry Of Agriculture, Agricultural Research Organization | Yeast Metschnikowia fructicola NRRL Y-30752 for inhibiting deleterious microorganisms on plants |
| US20060030583A1 (en) * | 2004-07-27 | 2006-02-09 | Sgx Pharmaceuticals, Inc. | Pyrrolo-pyridine kinase modulators |
| WO2006015866A1 (en) | 2004-08-12 | 2006-02-16 | Syngenta Participations Ag | Method for protecting useful plants or plant propagation material |
| WO2006087325A1 (en) | 2005-02-16 | 2006-08-24 | Basf Aktiengesellschaft | 5-alkoxyalkyl-6-alkyl-7-amino-azolopyrimidines, method for their production, their use for controlling pathogenic fungi and agents containing said substances |
| WO2006087343A1 (en) | 2005-02-16 | 2006-08-24 | Basf Aktiengesellschaft | Pyrazole carboxylic acid anilides, method for the production thereof and agents containing them for controlling pathogenic fungi |
| DE102005009458A1 (en) | 2005-03-02 | 2006-09-07 | Bayer Cropscience Ag | pyrazolylcarboxanilides |
| WO2007006670A1 (en) | 2005-07-07 | 2007-01-18 | Basf Aktiengesellschaft | N-thio-anthranilamid compounds and their use as pesticides |
| CN1907024A (en) | 2005-08-03 | 2007-02-07 | 浙江化工科技集团有限公司 | Methoxyl group displacement methyl acrylate compound bactericidal agent |
| WO2007082098A2 (en) | 2006-01-13 | 2007-07-19 | Dow Agrosciences Llc | 6-(poly-substituted aryl)-4-aminopicolinates and their use as herbicides |
| WO2007090624A2 (en) | 2006-02-09 | 2007-08-16 | Syngenta Participations Ag | A method of protecting a plant propagation material, a plant, and/or plant organs |
| WO2007129454A1 (en) | 2006-05-08 | 2007-11-15 | Kumiai Chemical Industry Co., Ltd. | 1,2-benzisothiazole derivative, and agricultural or horticultural plant disease-controlling agent |
| WO2008002371A1 (en) | 2006-06-23 | 2008-01-03 | Becker Underwood Inc. | Improved shelf life and on seed stabilization of liquid bacterium inoculants |
| WO2008013622A2 (en) | 2006-07-27 | 2008-01-31 | E. I. Du Pont De Nemours And Company | Fungicidal azocyclic amides |
| WO2008124849A2 (en) * | 2007-04-10 | 2008-10-16 | Sgx Pharmaceuticals, Inc. | Pyrrolo-pyridine kinase modulators |
| US20090005356A1 (en) * | 2007-05-29 | 2009-01-01 | Sgx Pharmaceuticals, Inc. | Substituted pyrrolopyridines and pyrazolopyridines as kinase modulators |
| WO2009090181A2 (en) | 2008-01-15 | 2009-07-23 | Bayer Cropscience Sa | Pesticide composition comprising a tetrazolyloxime derivative and a fungicide or an insecticide active substance |
| WO2009094442A2 (en) | 2008-01-22 | 2009-07-30 | Dow Agrosciences Llc | 5-fluoro pyrimidine derivatives |
| WO2009126473A1 (en) | 2008-04-07 | 2009-10-15 | Bayer Cropscience Lp | Stable aqueous spore-containing formulation |
| WO2010069882A1 (en) | 2008-12-17 | 2010-06-24 | Syngenta Participations Ag | Isoxazole derivatives for use as fungicides |
| US20100260735A1 (en) | 2009-04-13 | 2010-10-14 | University of Delawre | Methods for promoting plant health |
| WO2010139271A1 (en) | 2009-06-05 | 2010-12-09 | 中国中化股份有限公司 | E-type phenyl acrylic ester compounds containing substituted anilino pyrimidine group and uses thereof |
| WO2011028657A1 (en) | 2009-09-01 | 2011-03-10 | Dow Agrosciences Llc | Synergistic fungicidal compositions containing a 5-fluoropyrimidine derivative for fungal control in cereals |
| WO2011077514A1 (en) | 2009-12-22 | 2011-06-30 | 三井化学アグロ株式会社 | Plant disease control composition and method for controlling plant diseases by applying the composition |
| WO2011081174A1 (en) | 2010-01-04 | 2011-07-07 | 日本曹達株式会社 | Nitrogen-containing heterocyclic compound and agricultural/horticultural germicide |
| US20110207732A1 (en) | 2008-10-23 | 2011-08-25 | Merck Patent Gesellschaft Mit Beschrankter Haftung | Azaindole derivatives |
| WO2011109395A2 (en) | 2010-03-01 | 2011-09-09 | University Of Delaware | Compositions and methods for increasing biomass, iron concentration, and tolerance to pathogens in plants |
| WO2011135833A1 (en) | 2010-04-28 | 2011-11-03 | Sumitomo Chemical Company, Limited | Plant disease control composition and its use |
| US20120149571A1 (en) | 2010-12-10 | 2012-06-14 | Auburn University | Inoculants Including Bacillus Bacteria for Inducing Production of Volatile Organic Compounds in Plants |
| WO2012084812A1 (en) | 2010-12-20 | 2012-06-28 | Isagro Ricerca S.R.L. | Aminoindanes amides having a high fungicidal activity and their phytosanitary compositions |
| WO2012165511A1 (en) | 2011-05-31 | 2012-12-06 | クミアイ化学工業株式会社 | Method for controlling diseases in rice plant |
| WO2012168188A1 (en) | 2011-06-07 | 2012-12-13 | Bayer Intellectual Property Gmbh | Active compound combinations |
| WO2013007767A1 (en) | 2011-07-13 | 2013-01-17 | Basf Se | Fungicidal substituted 2-[2-halogenalkyl-4-(phenoxy)-phenyl]-1-[1,2,4]triazol-1-yl-ethanol compounds |
| WO2013010862A1 (en) | 2011-07-15 | 2013-01-24 | Basf Se | Fungicidal alkyl-substituted 2-[2-chloro-4-(4-chloro-phenoxy)-phenyl]-1-[1,2,4]triazol-1-yl-ethanol compounds |
| WO2013024010A1 (en) | 2011-08-12 | 2013-02-21 | Basf Se | N-thio-anthranilamide compounds and their use as pesticides |
| WO2013024009A1 (en) | 2011-08-12 | 2013-02-21 | Basf Se | N-thio-anthranilamide compounds and their use as pesticides |
| WO2013032693A2 (en) | 2011-08-27 | 2013-03-07 | Marrone Bio Innovations, Inc. | Isolated bacterial strain of the genus burkholderia and pesticidal metabolites therefrom-formulations and uses |
| WO2013047441A1 (en) | 2011-09-26 | 2013-04-04 | 日本曹達株式会社 | Agricultural and horticultural bactericide composition |
| WO2013047749A1 (en) | 2011-09-29 | 2013-04-04 | 三井化学アグロ株式会社 | Production method for 4, 4-difluoro-3,4-dihydroisoquinoline derivative |
| WO2013092224A1 (en) | 2011-12-21 | 2013-06-27 | Basf Se | Use of strobilurin type compounds for combating phytopathogenic fungi resistant to qo inhibitors |
| WO2013116251A2 (en) | 2012-02-01 | 2013-08-08 | E. I. Du Pont De Nemours And Company | Fungicidal pyrazole mixtures |
| WO2013127704A1 (en) | 2012-02-27 | 2013-09-06 | Bayer Intellectual Property Gmbh | Active compound combinations containing a thiazoylisoxazoline and a fungicide |
| US20130236522A1 (en) | 2010-11-10 | 2013-09-12 | Kumiai Chemical Industry Co., Ltd. | Microbial pesticidal composition |
| WO2013162072A1 (en) | 2012-04-27 | 2013-10-31 | Sumitomo Chemical Company, Limited | Tetrazolinone compounds and its use as pesticides |
| CN103387541A (en) | 2012-05-10 | 2013-11-13 | 中国中化股份有限公司 | Preparation method of substituted pyrazolylether compound |
| WO2014029697A1 (en) | 2012-08-22 | 2014-02-27 | Basf Se | Fungicidal ternary mixtures comprising fluazinam |
| WO2014060177A1 (en) | 2012-10-16 | 2014-04-24 | Syngenta Participations Ag | Fungicidal compositions |
| WO2014093383A1 (en) * | 2012-12-14 | 2014-06-19 | Arrien Pharmaceuticals Llc | Substituted 1h-pyrrolo [2,3-b] pyridine and 1h-pyrazolo [3, 4-b] pyridine derivatives as salt inducible kinase 2 (sik2) inhibitors |
| WO2014124369A1 (en) | 2013-02-11 | 2014-08-14 | Bayer Cropscience Lp | Compositions comprising a streptomyces-based biological control agent and a fungicide |
| EP2865265A1 (en) | 2014-02-13 | 2015-04-29 | Bayer CropScience AG | Active compound combinations comprising phenylamidine compounds and biological control agents |
| WO2015065922A1 (en) | 2013-10-28 | 2015-05-07 | Dexcom, Inc. | Devices used in connection with continuous analyte monitoring that provide the user with one or more notifications, and related methods |
| WO2016020371A1 (en) | 2014-08-04 | 2016-02-11 | Basf Se | Antifungal paenibacillus strains, fusaricidin-type compounds, and their use |
-
2018
- 2018-09-17 WO PCT/EP2018/075063 patent/WO2019057660A1/en not_active Ceased
Patent Citations (120)
| Publication number | Priority date | Publication date | Assignee | Title |
|---|---|---|---|---|
| US3325503A (en) | 1965-02-18 | 1967-06-13 | Diamond Alkali Co | Polychloro derivatives of mono- and dicyano pyridines and a method for their preparation |
| US3296272A (en) | 1965-04-01 | 1967-01-03 | Dow Chemical Co | Sulfinyl- and sulfonylpyridines |
| US4122034A (en) * | 1972-12-13 | 1978-10-24 | Schering Corporation | Antimicrobial compositions |
| EP0141317A2 (en) | 1983-10-21 | 1985-05-15 | BASF Aktiengesellschaft | 7-Amino-azolo[1,5-a]pyrimidines and fungicides containing them |
| EP0152031A2 (en) | 1984-02-03 | 1985-08-21 | Shionogi & Co., Ltd. | Azolyl cycloalkanol derivatives and agricultural fungicides |
| EP0451878A1 (en) | 1985-01-18 | 1991-10-16 | Plant Genetic Systems, N.V. | Modifying plants by genetic engineering to combat or control insects |
| EP0226917A1 (en) | 1985-12-20 | 1987-07-01 | BASF Aktiengesellschaft | Acrylic acid esters and fungicides containing these compounds |
| EP0243970A1 (en) | 1986-05-02 | 1987-11-04 | Stauffer Chemical Company | Fungicidal pyridyl imidates |
| EP0256503A2 (en) | 1986-08-12 | 1988-02-24 | Mitsubishi Kasei Corporation | Pyridinecarboxamide derivatives and their use as fungicide |
| US5026417A (en) | 1987-03-17 | 1991-06-25 | Her Majesty The Queen In Right Of Canada, As Represented By The Minister Of Agriculture | Methods and compositions for increasing the amounts of phosphorus and/or micronutrients available for plant uptake from soils |
| EP0307510B1 (en) | 1987-09-17 | 1991-02-06 | BASF Aktiengesellschaft | Process for combating fungicides |
| EP0374753A2 (en) | 1988-12-19 | 1990-06-27 | American Cyanamid Company | Insecticidal toxines, genes coding therefor, antibodies binding them, transgenic plant cells and plants expressing these toxines |
| EP0392225A2 (en) | 1989-03-24 | 1990-10-17 | Ciba-Geigy Ag | Disease-resistant transgenic plants |
| WO1991002051A1 (en) | 1989-08-03 | 1991-02-21 | The Australian Technological Innovation Corporation | Myconematicide |
| EP0427529A1 (en) | 1989-11-07 | 1991-05-15 | Pioneer Hi-Bred International, Inc. | Larvicidal lectins and plant insect resistance based thereon |
| EP0428941A1 (en) | 1989-11-10 | 1991-05-29 | Agro-Kanesho Co., Ltd. | Hexahydrotriazine compounds and insecticides |
| EP0585215B1 (en) | 1989-11-17 | 1999-09-15 | Abbott Laboratories | Mutants or variants of bacillus thuringiensis producing high yields of delta endotoxin |
| EP0532022A1 (en) | 1991-09-13 | 1993-03-17 | Ube Industries, Ltd. | Acrylate compound, preparation process thereof and fungicide using the same |
| WO1993007278A1 (en) | 1991-10-04 | 1993-04-15 | Ciba-Geigy Ag | Synthetic dna sequence having enhanced insecticidal activity in maize |
| WO1994001546A1 (en) | 1992-07-01 | 1994-01-20 | Cornell Research Foundation, Inc. | Elicitor of the hypersensitive response in plants |
| US5422107A (en) | 1992-12-25 | 1995-06-06 | Hokkaido Green Kosan, Incorporated | Trichoderma harzianum SK-55 fungus, fungicide containing it, and method of manufacture of the same and its use |
| WO1995017806A1 (en) | 1993-12-29 | 1995-07-06 | Philom Bios Inc. | Methods and compositions for increasing the benefits of rhizobium inoculation to legume crop productivity |
| WO1995034656A1 (en) | 1994-06-10 | 1995-12-21 | Ciba-Geigy Ag | Novel bacillus thuringiensis genes coding toxins active against lepidopteran pests |
| EP0697172A1 (en) | 1994-08-19 | 1996-02-21 | American Cyanamid Company | Indoles as insecticides and acaricides |
| WO1996021358A1 (en) | 1995-01-14 | 1996-07-18 | Prophyta Biologischer Pflanzenschutz Gmbh | Fungus isolate, preparation for combatting plant-pathogenic fungi, process for producing it and its use |
| US6406690B1 (en) | 1995-04-17 | 2002-06-18 | Minrav Industries Ltd. | Bacillus firmus CNCM I-1582 or Bacillus cereus CNCM I-1562 for controlling nematodes |
| DE19650197A1 (en) | 1996-12-04 | 1998-06-10 | Bayer Ag | 3-thiocarbamoylpyrazole derivatives |
| WO1998046608A1 (en) | 1997-04-14 | 1998-10-22 | American Cyanamid Company | Fungicidal trifluoromethylalkylamino-triazolopyrimidines |
| WO1999014187A1 (en) | 1997-09-18 | 1999-03-25 | Basf Aktiengesellschaft | Benzamidoxim derivatives, intermediate products and methods for preparing and using them as fungicides |
| WO1999024413A2 (en) | 1997-11-12 | 1999-05-20 | Bayer Aktiengesellschaft | Isothiazole carboxylic acid amides and the application thereof in order to protect plants |
| WO1999027783A1 (en) | 1997-12-04 | 1999-06-10 | Dow Agrosciences Llc | Fungicidal compositions and methods, and compounds and methods for the preparation thereof |
| WO2000029404A1 (en) | 1998-11-17 | 2000-05-25 | Kumiai Chemical Industry Co., Ltd. | Pyrimidinylbenzimidazole and triazinylbenzimidazole derivatives and agricultura/horticultural bactericides |
| EP1028125A1 (en) | 1998-11-30 | 2000-08-16 | Isagro Ricerca S.r.l. | Dipeptide compounds having fungicidal activity and their agronomic use |
| WO2000046148A1 (en) | 1999-02-02 | 2000-08-10 | Sintokogio, Ltd. | Silica gel carrying titanium oxide photocatalyst in high concentration and method for preparation thereof |
| EP1035122A1 (en) | 1999-03-11 | 2000-09-13 | Rohm And Haas Company | Heterocyclic subsituted isoxazolidines and their use as fungicides |
| WO2000065913A1 (en) | 1999-04-28 | 2000-11-09 | Takeda Chemical Industries, Ltd. | Sulfonamide derivatives |
| EP1201648A1 (en) | 1999-08-05 | 2002-05-02 | Kumiai Chemical Industry Co., Ltd. | Carbamate derivatives and agricultural/horticultural bactericides |
| DE10021412A1 (en) | 1999-12-13 | 2001-06-21 | Bayer Ag | Fungicidal active ingredient combinations |
| WO2001054501A2 (en) | 2000-01-25 | 2001-08-02 | Syngenta Participations Ag | Herbicidal composition |
| WO2001056358A2 (en) | 2000-01-28 | 2001-08-09 | Rohm And Haas Company | Enhanced propertied pesticides |
| EP1122244A1 (en) | 2000-02-04 | 2001-08-08 | Sumitomo Chemical Company, Limited | Uracil compounds and their use |
| CN1309897A (en) | 2000-02-24 | 2001-08-29 | 沈阳化工研究院 | Unsaturated oximino ether bactericide |
| US6955912B2 (en) | 2000-03-31 | 2005-10-18 | Yasuharu Sasaki | Process for producing Trichoderma harzianum ferm BP-4346 |
| WO2002015701A2 (en) | 2000-08-25 | 2002-02-28 | Syngenta Participations Ag | Bacillus thuringiensis crystal protein hybrids |
| WO2002022583A2 (en) | 2000-09-18 | 2002-03-21 | E. I. Du Pont De Nemours And Company | Pyridinyl amides and imides for use as fungicides |
| WO2002040431A2 (en) | 2000-11-17 | 2002-05-23 | Dow Agrosciences Llc | Compounds having fungicidal activity and processes to make and use same |
| US6994849B2 (en) | 2001-03-14 | 2006-02-07 | State Of Israel, Ministry Of Agriculture, Agricultural Research Organization | Yeast Metschnikowia fructicola NRRL Y-30752 for inhibiting deleterious microorganisms on plants |
| JP2002316902A (en) | 2001-04-20 | 2002-10-31 | Sumitomo Chem Co Ltd | Plant disease control agent composition |
| WO2003010149A1 (en) | 2001-07-25 | 2003-02-06 | Bayer Cropscience Ag | Pyrazolylcarboxanilides as fungicides |
| WO2003011853A1 (en) | 2001-07-30 | 2003-02-13 | Dow Agrosciences Llc | 6-aryl-4-aminopicolinates and their use as herbicides |
| WO2003014103A1 (en) | 2001-08-03 | 2003-02-20 | Bayer Cropscience S.A. | Iodobenzopyran-4-one derivatives having fungicidal activity |
| WO2003016286A1 (en) | 2001-08-17 | 2003-02-27 | Sankyo Agro Company, Limited | 3-phenoxy-4-pyridazinol derivative and herbicide composition containing the same |
| WO2003016303A1 (en) | 2001-08-20 | 2003-02-27 | Dainippon Ink And Chemicals, Inc. | Tetrazoyl oxime derivative and agricultural chemical containing the same as active ingredient |
| WO2003018810A2 (en) | 2001-08-31 | 2003-03-06 | Syngenta Participations Ag | Modified cry3a toxins and nucleic acid sequences coding therefor |
| WO2003052073A2 (en) | 2001-12-17 | 2003-06-26 | Syngenta Participations Ag | Novel corn event |
| WO2003053145A1 (en) | 2001-12-21 | 2003-07-03 | Nissan Chemical Industries, Ltd. | Bactericidal composition |
| WO2003061388A1 (en) | 2002-01-18 | 2003-07-31 | Sumitomo Chemical Takeda Agro Company, Limited | Fused heterocyclic sulfonylurea compound, herbicide containing the same, and method of controlling weed with the same |
| WO2003066609A1 (en) | 2002-02-04 | 2003-08-14 | Bayer Cropscience Aktiengesellschaft | Disubstituted thiazolyl carboxanilides and their use as microbicides |
| WO2003074491A1 (en) | 2002-03-05 | 2003-09-12 | Syngenta Participations Ag | O-cyclopropyl-carboxanilides and their use as fungicides |
| WO2004049804A2 (en) | 2002-11-29 | 2004-06-17 | Syngenta Participations Ag | Fungicidal combinations for crop potection |
| WO2004083193A1 (en) | 2003-03-17 | 2004-09-30 | Sumitomo Chemical Company, Limited | Amide compound and bactericide composition containing the same |
| CN1456054A (en) | 2003-03-25 | 2003-11-19 | 浙江省化工研究院 | Methoxy methyl acrylate compounds as bactericidal agent |
| WO2005063721A1 (en) | 2003-12-19 | 2005-07-14 | E.I. Dupont De Nemours And Company | Herbicidal pyrimidines |
| WO2005087772A1 (en) | 2004-03-10 | 2005-09-22 | Basf Aktiengesellschaft | 5,6-dialkyl-7-amino-triazolopyrimidines, method for their production, their use for controlling pathogenic fungi and agents containing said compounds |
| WO2005087773A1 (en) | 2004-03-10 | 2005-09-22 | Basf Aktiengesellschaft | 5,6-dialkyl-7-amino-triazolopyrimidines, method for their production, their use for controlling pathogenic fungi and agents containing said compounds |
| WO2005120234A2 (en) | 2004-06-03 | 2005-12-22 | E.I. Dupont De Nemours And Company | Fungicidal mixtures of amidinylphenyl compounds |
| CA2471555A1 (en) | 2004-06-18 | 2005-12-18 | Thomas D. Johnson | Controlling plant pathogens with fungal/bacterial antagonist combinations comprising trichoderma virens and bacillus amyloliquefaciens |
| WO2005123690A1 (en) | 2004-06-18 | 2005-12-29 | Basf Aktiengesellschaft | 1-methyl-3-difluoromethyl-pyrazol-4-carbonic acid-(ortho-phenyl)-anilides, and use thereof as a fungicide |
| WO2005123689A1 (en) | 2004-06-18 | 2005-12-29 | Basf Aktiengesellschaft | 1-methyl-3-trifluoromethyl-pyrazole-4-carboxylic acid (ortho-phenyl)-anilides and to use thereof as fungicide |
| US20060030583A1 (en) * | 2004-07-27 | 2006-02-09 | Sgx Pharmaceuticals, Inc. | Pyrrolo-pyridine kinase modulators |
| WO2006015866A1 (en) | 2004-08-12 | 2006-02-16 | Syngenta Participations Ag | Method for protecting useful plants or plant propagation material |
| WO2006087325A1 (en) | 2005-02-16 | 2006-08-24 | Basf Aktiengesellschaft | 5-alkoxyalkyl-6-alkyl-7-amino-azolopyrimidines, method for their production, their use for controlling pathogenic fungi and agents containing said substances |
| WO2006087343A1 (en) | 2005-02-16 | 2006-08-24 | Basf Aktiengesellschaft | Pyrazole carboxylic acid anilides, method for the production thereof and agents containing them for controlling pathogenic fungi |
| DE102005009458A1 (en) | 2005-03-02 | 2006-09-07 | Bayer Cropscience Ag | pyrazolylcarboxanilides |
| WO2007006670A1 (en) | 2005-07-07 | 2007-01-18 | Basf Aktiengesellschaft | N-thio-anthranilamid compounds and their use as pesticides |
| CN1907024A (en) | 2005-08-03 | 2007-02-07 | 浙江化工科技集团有限公司 | Methoxyl group displacement methyl acrylate compound bactericidal agent |
| WO2007082098A2 (en) | 2006-01-13 | 2007-07-19 | Dow Agrosciences Llc | 6-(poly-substituted aryl)-4-aminopicolinates and their use as herbicides |
| WO2007090624A2 (en) | 2006-02-09 | 2007-08-16 | Syngenta Participations Ag | A method of protecting a plant propagation material, a plant, and/or plant organs |
| WO2007129454A1 (en) | 2006-05-08 | 2007-11-15 | Kumiai Chemical Industry Co., Ltd. | 1,2-benzisothiazole derivative, and agricultural or horticultural plant disease-controlling agent |
| WO2008002371A1 (en) | 2006-06-23 | 2008-01-03 | Becker Underwood Inc. | Improved shelf life and on seed stabilization of liquid bacterium inoculants |
| WO2008013622A2 (en) | 2006-07-27 | 2008-01-31 | E. I. Du Pont De Nemours And Company | Fungicidal azocyclic amides |
| WO2008124849A2 (en) * | 2007-04-10 | 2008-10-16 | Sgx Pharmaceuticals, Inc. | Pyrrolo-pyridine kinase modulators |
| US20090005356A1 (en) * | 2007-05-29 | 2009-01-01 | Sgx Pharmaceuticals, Inc. | Substituted pyrrolopyridines and pyrazolopyridines as kinase modulators |
| WO2009090181A2 (en) | 2008-01-15 | 2009-07-23 | Bayer Cropscience Sa | Pesticide composition comprising a tetrazolyloxime derivative and a fungicide or an insecticide active substance |
| WO2009094442A2 (en) | 2008-01-22 | 2009-07-30 | Dow Agrosciences Llc | 5-fluoro pyrimidine derivatives |
| WO2009126473A1 (en) | 2008-04-07 | 2009-10-15 | Bayer Cropscience Lp | Stable aqueous spore-containing formulation |
| US20110207732A1 (en) | 2008-10-23 | 2011-08-25 | Merck Patent Gesellschaft Mit Beschrankter Haftung | Azaindole derivatives |
| WO2010069882A1 (en) | 2008-12-17 | 2010-06-24 | Syngenta Participations Ag | Isoxazole derivatives for use as fungicides |
| US20100260735A1 (en) | 2009-04-13 | 2010-10-14 | University of Delawre | Methods for promoting plant health |
| WO2010139271A1 (en) | 2009-06-05 | 2010-12-09 | 中国中化股份有限公司 | E-type phenyl acrylic ester compounds containing substituted anilino pyrimidine group and uses thereof |
| WO2011028657A1 (en) | 2009-09-01 | 2011-03-10 | Dow Agrosciences Llc | Synergistic fungicidal compositions containing a 5-fluoropyrimidine derivative for fungal control in cereals |
| WO2011077514A1 (en) | 2009-12-22 | 2011-06-30 | 三井化学アグロ株式会社 | Plant disease control composition and method for controlling plant diseases by applying the composition |
| WO2011081174A1 (en) | 2010-01-04 | 2011-07-07 | 日本曹達株式会社 | Nitrogen-containing heterocyclic compound and agricultural/horticultural germicide |
| WO2011109395A2 (en) | 2010-03-01 | 2011-09-09 | University Of Delaware | Compositions and methods for increasing biomass, iron concentration, and tolerance to pathogens in plants |
| WO2011135833A1 (en) | 2010-04-28 | 2011-11-03 | Sumitomo Chemical Company, Limited | Plant disease control composition and its use |
| US20130236522A1 (en) | 2010-11-10 | 2013-09-12 | Kumiai Chemical Industry Co., Ltd. | Microbial pesticidal composition |
| US8445255B2 (en) | 2010-12-10 | 2013-05-21 | Auburn University | Inoculants including Bacillus bacteria for inducing production of volatile organic compounds in plants |
| US20120149571A1 (en) | 2010-12-10 | 2012-06-14 | Auburn University | Inoculants Including Bacillus Bacteria for Inducing Production of Volatile Organic Compounds in Plants |
| WO2012084812A1 (en) | 2010-12-20 | 2012-06-28 | Isagro Ricerca S.R.L. | Aminoindanes amides having a high fungicidal activity and their phytosanitary compositions |
| WO2012165511A1 (en) | 2011-05-31 | 2012-12-06 | クミアイ化学工業株式会社 | Method for controlling diseases in rice plant |
| WO2012168188A1 (en) | 2011-06-07 | 2012-12-13 | Bayer Intellectual Property Gmbh | Active compound combinations |
| WO2013007767A1 (en) | 2011-07-13 | 2013-01-17 | Basf Se | Fungicidal substituted 2-[2-halogenalkyl-4-(phenoxy)-phenyl]-1-[1,2,4]triazol-1-yl-ethanol compounds |
| WO2013010862A1 (en) | 2011-07-15 | 2013-01-24 | Basf Se | Fungicidal alkyl-substituted 2-[2-chloro-4-(4-chloro-phenoxy)-phenyl]-1-[1,2,4]triazol-1-yl-ethanol compounds |
| WO2013024010A1 (en) | 2011-08-12 | 2013-02-21 | Basf Se | N-thio-anthranilamide compounds and their use as pesticides |
| WO2013024009A1 (en) | 2011-08-12 | 2013-02-21 | Basf Se | N-thio-anthranilamide compounds and their use as pesticides |
| WO2013032693A2 (en) | 2011-08-27 | 2013-03-07 | Marrone Bio Innovations, Inc. | Isolated bacterial strain of the genus burkholderia and pesticidal metabolites therefrom-formulations and uses |
| WO2013047441A1 (en) | 2011-09-26 | 2013-04-04 | 日本曹達株式会社 | Agricultural and horticultural bactericide composition |
| WO2013047749A1 (en) | 2011-09-29 | 2013-04-04 | 三井化学アグロ株式会社 | Production method for 4, 4-difluoro-3,4-dihydroisoquinoline derivative |
| WO2013092224A1 (en) | 2011-12-21 | 2013-06-27 | Basf Se | Use of strobilurin type compounds for combating phytopathogenic fungi resistant to qo inhibitors |
| WO2013116251A2 (en) | 2012-02-01 | 2013-08-08 | E. I. Du Pont De Nemours And Company | Fungicidal pyrazole mixtures |
| WO2013127704A1 (en) | 2012-02-27 | 2013-09-06 | Bayer Intellectual Property Gmbh | Active compound combinations containing a thiazoylisoxazoline and a fungicide |
| WO2013162072A1 (en) | 2012-04-27 | 2013-10-31 | Sumitomo Chemical Company, Limited | Tetrazolinone compounds and its use as pesticides |
| CN103387541A (en) | 2012-05-10 | 2013-11-13 | 中国中化股份有限公司 | Preparation method of substituted pyrazolylether compound |
| WO2014029697A1 (en) | 2012-08-22 | 2014-02-27 | Basf Se | Fungicidal ternary mixtures comprising fluazinam |
| WO2014060177A1 (en) | 2012-10-16 | 2014-04-24 | Syngenta Participations Ag | Fungicidal compositions |
| WO2014093383A1 (en) * | 2012-12-14 | 2014-06-19 | Arrien Pharmaceuticals Llc | Substituted 1h-pyrrolo [2,3-b] pyridine and 1h-pyrazolo [3, 4-b] pyridine derivatives as salt inducible kinase 2 (sik2) inhibitors |
| WO2014124369A1 (en) | 2013-02-11 | 2014-08-14 | Bayer Cropscience Lp | Compositions comprising a streptomyces-based biological control agent and a fungicide |
| WO2015065922A1 (en) | 2013-10-28 | 2015-05-07 | Dexcom, Inc. | Devices used in connection with continuous analyte monitoring that provide the user with one or more notifications, and related methods |
| EP2865265A1 (en) | 2014-02-13 | 2015-04-29 | Bayer CropScience AG | Active compound combinations comprising phenylamidine compounds and biological control agents |
| WO2016020371A1 (en) | 2014-08-04 | 2016-02-11 | Basf Se | Antifungal paenibacillus strains, fusaricidin-type compounds, and their use |
Non-Patent Citations (37)
| Title |
|---|
| "Technical Monograph", May 2008, CROPLIFE INTERNATIONAL, article "Catalogue of pesticide formulation types and international coding system" |
| APPL. ENVIRON. MICROBIOL., vol. 73, no. 8, 2007, pages 2635 |
| AUSTRAL. J. AGRICULT. RES., vol. 58, 2007, pages 708 |
| BIOCONTROL SCIENCE TECHNOL., vol. 22, no. 7, 2012, pages 747 - 761 |
| BIOCONTROL, vol. 57, 2012, pages 687 - 696 |
| BIOL. FERTIL. SOILS, vol. 47, 2011, pages 81 - 89 |
| CAN. J. PLANT SCI., vol. 48, no. 6, 1968, pages 587 - 94 |
| CAN. J. PLANT SCI., vol. 78, no. 1, 1998, pages 91 - 102 |
| CAN. J. PLANT. SCI., vol. 70, 1990, pages 661 - 666 |
| CROP PROTECTION, vol. 27, 2008, pages 352 - 361 |
| DEKKER W H ET AL: "Structure-activity relationships of some antifungal indoles", JOURNAL OF AGRICULTURAL AND FOOD CHEMISTRY, AMERICAN CHEMICAL SOCIETY, BOOKS AND JOURNALS DIVISION, vol. 23, no. 4, 1 January 1975 (1975-01-01), pages 785 - 791, XP002436082, ISSN: 0021-8561, DOI: 10.1021/JF60200A041 * |
| EUR. J. SOIL BIOL., vol. 45, 2009, pages 28 - 35 |
| FEDERAL REGISTER, vol. 76, no. 22, 2 February 2011 (2011-02-02), pages 5808 |
| FERTILIZER RES., vol. 39, 1994, pages 97 - 103 |
| H.D. BURGES: "Formulation of Micobi-al Biopesticides", 1998, SPRINGER |
| J. INVERTEBRATE PATHOL., vol. 107, 2011, pages 112 - 126 |
| J. PLANT DIS. PROT., vol. 105, 1998, pages 181 - 197 |
| KEITH CHAMBERLAIN ET AL: "Fungitoxicity of Hydroxy- and Methoxy- substituted Phenyl- and Naphthyl-benzofurans, Phenylbenzo[b]thiophenes and Phenylindoles", PESTICIDE SCIENCE, ELSEVIER APPLIED SCIENCE PUBLISHER. BARKING, GB, vol. 12, no. 5, 1 October 1981 (1981-10-01), pages 539 - 547, XP001464928, ISSN: 0031-613X * |
| KNOWLES: "Agrow Reports DS243", 2005, T&F INFORMA, article "New developments in crop protection product formulation" |
| KNOWLES: "Agrow Reports DS256", 2006, T&F INFORMA, article "Adjuvants and additives" |
| LEBOHO T C ET AL: "The synthesis of 2- and 3-aryl indoles and 1,3,4,5-tetrahydropyrano[4,3-b]indoles and their antibacterial and antifungal activity", BIOORGANIC & MEDICINAL CHEMISTRY LETTERS, PERGAMON, AMSTERDAM, NL, vol. 19, no. 17, 1 September 2009 (2009-09-01), pages 4948 - 4951, XP026458532, ISSN: 0960-894X, [retrieved on 20090722] * |
| M. RAYMOND V. FINLAY ET AL: "Discovery of a Potent and Selective EGFR Inhibitor (AZD9291) of Both Sensitizing and T790M Resistance Mutations That Spares the Wild Type Form of the Receptor", JOURNAL OF MEDICINAL CHEMISTRY, vol. 57, no. 20, 23 October 2014 (2014-10-23), pages 8249 - 8267, XP055193649, ISSN: 0022-2623, DOI: 10.1021/jm500973a * |
| MCCUTCHEON: "Emulsifiers & Detergents", vol. 1, 2008, MCCUTCHEON'S DIRECTORIES |
| MOLLET; GRUBEMANN: "Formulation technology", 2001, WILEY VCH |
| PEST MANAGEM. SCI., vol. 61, 2005, pages 246 |
| PEST MANAGEM. SCI., vol. 61, 2005, pages 258 |
| PEST MANAGEM. SCI., vol. 61, 2005, pages 269 |
| PEST MANAGEM. SCI., vol. 61, 2005, pages 277 |
| PEST MANAGEM. SCI., vol. 61, 2005, pages 286 |
| PEST MANAGEM. SCI., vol. 64, 2008, pages 326 |
| PEST MANAGEM. SCI., vol. 64, 2008, pages 332 |
| PLANT SOIL, vol. 331, 2010, pages 413 - 425 |
| SCIENCE, vol. 257, 1992, pages 85 - 88 |
| SCIENCE, vol. 316, 2007, pages 1185 |
| SYSTEM. APPL. MICROBIOL., vol. 27, 2004, pages 372 - 379 |
| WEED SCI., vol. 57, 2009, pages 108 |
| YUSUF M AL-HIARI ET AL: "Synthesis and Antibacterial Activity of Some Substituted 3-(Aryl) and 3-(Heteroaryl)indoles", MONATSHEFTE FÜR CHEMIE - CHEMICAL MONTHLY ; AN INTERNATIONAL JOURNAL OF CHEMISTRY, SPRINGER-VERLAG, AU, vol. 137, no. 2, 1 February 2006 (2006-02-01), pages 243 - 248, XP019378881, ISSN: 1434-4475, DOI: 10.1007/S00706-005-0424-6 * |
Cited By (10)
| Publication number | Priority date | Publication date | Assignee | Title |
|---|---|---|---|---|
| CN111471044A (en) * | 2020-05-26 | 2020-07-31 | 西北大学 | A kind of synthetic method of palladium-catalyzed 3-aryl 7-azaindole compound |
| CN111471044B (en) * | 2020-05-26 | 2021-08-10 | 西北大学 | Synthesis method of palladium-catalyzed 3-aryl 7-azaindole compound |
| CN113717090A (en) * | 2021-08-31 | 2021-11-30 | 南京林业大学 | Trifluoromethyl-containing all-carbon quaternary carbon center indole acetonitrile compound and preparation method and application thereof |
| CN113717090B (en) * | 2021-08-31 | 2022-04-05 | 南京林业大学 | A kind of indole acetonitrile compound containing trifluoromethyl all-carbon quaternary carbon center and preparation method and application thereof |
| CN114230570A (en) * | 2021-11-26 | 2022-03-25 | 浙江工业大学 | A kind of pyrrolo[3,4-b]pyrrole diketo compound and its synthesis method |
| CN114230570B (en) * | 2021-11-26 | 2023-02-28 | 浙江工业大学 | A kind of pyrrolo[3,4-b]pyrrole diketone compound and its synthesis method |
| CN115028655A (en) * | 2022-05-20 | 2022-09-09 | 上海大学 | 2-trifluoromethyl-3-iodine-indole compound and preparation method thereof |
| CN115028655B (en) * | 2022-05-20 | 2024-01-16 | 上海大学 | A kind of 2-trifluoromethyl-3-iodo-indole compound and preparation method thereof |
| CN116396299A (en) * | 2023-06-06 | 2023-07-07 | 和鼎(南京)医药技术有限公司 | Method for preparing Wu Pa tenib intermediate |
| CN116396299B (en) * | 2023-06-06 | 2023-08-29 | 和鼎(南京)医药技术有限公司 | Method for preparing Wu Pa tenib intermediate |
Similar Documents
| Publication | Publication Date | Title |
|---|---|---|
| EP3383180B1 (en) | Substituted oxadiazoles for combating phytopathogenic fungi | |
| CN108347937A (en) | Qu Dai oxadiazoles for preventing and kill off plant pathogenic fungi | |
| AU2017217191A1 (en) | Mixtures and compositions comprising Paenibacillus strains or fusaricidins and chemical pesticides | |
| CN108289449A (en) | Qu Dai oxadiazoles for preventing and kill off plant pathogenic fungi | |
| US20190098899A1 (en) | Fungicidal mixtures iii comprising strobilurin-type fungicides | |
| WO2018184970A1 (en) | Substituted oxadiazoles for combating phytopathogenic fungi | |
| WO2019057660A1 (en) | Indole and azaindole compounds with substituted 6-membered aryl and heteroaryl rings as agrochemical fungicides | |
| WO2018073110A1 (en) | Quinoline compounds as fungicides | |
| AU2023369719A1 (en) | Use of strobilurin type compounds for combating phytopathogenic fungi containing an amino acid substitution f129l in the mitochondrial cytochrome b protein conferring resistance to qo inhibitors xv | |
| WO2018210658A1 (en) | Heteroaryl compounds as agrochemical fungicides | |
| EP3512337A1 (en) | Fungicidal mixtures i comprising quinoline fungicides | |
| US11839214B2 (en) | Fungicidal mixture comprising substituted pyridines | |
| WO2018054711A1 (en) | Pyridine compounds for controlling phytopathogenic harmful fungi | |
| AU2020286573A1 (en) | Fungicidal n-(pyrid-3-yl)carboxamides | |
| WO2019154665A1 (en) | New pyridine carboxamides | |
| JP2021512887A (en) | New pyridine carboxamide | |
| WO2018149754A1 (en) | Pyridine compounds | |
| WO2018210659A1 (en) | Heteroaryl compounds as agrochemical fungicides | |
| EP3630731B1 (en) | Pyridine and pyrazine compounds for combating phytopathogenic fungi | |
| WO2018065182A1 (en) | Reduced quinoline compounds as antifuni agents | |
| WO2018054721A1 (en) | Pyridine compounds for controlling phytopathogenic harmful fungi | |
| EP3730489A1 (en) | Heteroaryl compounds as agrochemical fungicides | |
| WO2018184882A1 (en) | Pyridine compounds | |
| EP3670501A1 (en) | Substituted [1,2,4]triazole compounds as fungicides | |
| EA042940B1 (en) | PYRIDINE AND PYRAZINE COMPOUNDS |
Legal Events
| Date | Code | Title | Description |
|---|---|---|---|
| 121 | Ep: the epo has been informed by wipo that ep was designated in this application |
Ref document number: 18768899 Country of ref document: EP Kind code of ref document: A1 |
|
| NENP | Non-entry into the national phase |
Ref country code: DE |
|
| 122 | Ep: pct application non-entry in european phase |
Ref document number: 18768899 Country of ref document: EP Kind code of ref document: A1 |































































































































































































































































































