WO2019154665A1 - New pyridine carboxamides - Google Patents
New pyridine carboxamides Download PDFInfo
- Publication number
- WO2019154665A1 WO2019154665A1 PCT/EP2019/052033 EP2019052033W WO2019154665A1 WO 2019154665 A1 WO2019154665 A1 WO 2019154665A1 EP 2019052033 W EP2019052033 W EP 2019052033W WO 2019154665 A1 WO2019154665 A1 WO 2019154665A1
- Authority
- WO
- WIPO (PCT)
- Prior art keywords
- alkyl
- halogen
- alkoxy
- halogenalkyl
- alkynyl
- Prior art date
- Legal status (The legal status is an assumption and is not a legal conclusion. Google has not performed a legal analysis and makes no representation as to the accuracy of the status listed.)
- Ceased
Links
- MPMWIEADNIIYME-HOEBFWFUSA-N CC(C)CC(C)(Cc1ccccc1)N/C(/c1cc(C)c(C)nc1)=C\C Chemical compound CC(C)CC(C)(Cc1ccccc1)N/C(/c1cc(C)c(C)nc1)=C\C MPMWIEADNIIYME-HOEBFWFUSA-N 0.000 description 1
- YMLQLOJBTXCKCZ-UHFFFAOYSA-N CC(C)CC(C)(Cc1ccccc1)O Chemical compound CC(C)CC(C)(Cc1ccccc1)O YMLQLOJBTXCKCZ-UHFFFAOYSA-N 0.000 description 1
- ZHDQKAYKKPQSEW-UHFFFAOYSA-N CCC(C)CC(C)(Cc1ccccc1)O Chemical compound CCC(C)CC(C)(Cc1ccccc1)O ZHDQKAYKKPQSEW-UHFFFAOYSA-N 0.000 description 1
- WKGURDJVSXADDE-UHFFFAOYSA-N Cc1c(C)ncc(C#N)c1 Chemical compound Cc1c(C)ncc(C#N)c1 WKGURDJVSXADDE-UHFFFAOYSA-N 0.000 description 1
Classifications
-
- C—CHEMISTRY; METALLURGY
- C07—ORGANIC CHEMISTRY
- C07D—HETEROCYCLIC COMPOUNDS
- C07D213/00—Heterocyclic compounds containing six-membered rings, not condensed with other rings, with one nitrogen atom as the only ring hetero atom and three or more double bonds between ring members or between ring members and non-ring members
- C07D213/02—Heterocyclic compounds containing six-membered rings, not condensed with other rings, with one nitrogen atom as the only ring hetero atom and three or more double bonds between ring members or between ring members and non-ring members having three double bonds between ring members or between ring members and non-ring members
- C07D213/04—Heterocyclic compounds containing six-membered rings, not condensed with other rings, with one nitrogen atom as the only ring hetero atom and three or more double bonds between ring members or between ring members and non-ring members having three double bonds between ring members or between ring members and non-ring members having no bond between the ring nitrogen atom and a non-ring member or having only hydrogen or carbon atoms directly attached to the ring nitrogen atom
- C07D213/60—Heterocyclic compounds containing six-membered rings, not condensed with other rings, with one nitrogen atom as the only ring hetero atom and three or more double bonds between ring members or between ring members and non-ring members having three double bonds between ring members or between ring members and non-ring members having no bond between the ring nitrogen atom and a non-ring member or having only hydrogen or carbon atoms directly attached to the ring nitrogen atom with hetero atoms or with carbon atoms having three bonds to hetero atoms with at the most one bond to halogen, e.g. ester or nitrile radicals, directly attached to ring carbon atoms
- C07D213/78—Carbon atoms having three bonds to hetero atoms, with at the most one bond to halogen, e.g. ester or nitrile radicals
- C07D213/81—Amides; Imides
- C07D213/82—Amides; Imides in position 3
Definitions
- the present invention relates to pyridine compounds and the N-oxides and the salts thereof for combating phytopathogenic fungi, and to the use and methods for combating phytopathogenic fungi and to seeds coated with at least one such compound.
- the invention also relates to pro- Waits for preparing these compounds, intermediates, processes for preparing such intermedi- ates, and to compositions comprising at least one compound I.
- the fungicidal activity of the known fungi- cidal compounds is unsatisfactory. Based on this, it was an object of the present invention to provide compounds having improved activity and/or a broader activity spectrum against phyto- pathogenic harmful fungi.
- the present invention relates to use of the compounds of formula I
- X is O, S, NH
- R 1 is in each case independently selected from hydrogen, halogen, OH, CN, COOH,
- R x is Ci-C4-alkyl, Ci-C4-halogenalkyl, unsubstituted aryl or aryl that is substituted by 1 , 2, 3, 4 or 5 substituents R x1 independently selected from Ci-C4-alkyl, halogen, OH, CN, Ci-C4-halogenalkyl, Ci-C4-alkoxy and Ci-C4-halogenalkoxy; wherein the acyclic moieties of R 1 are unsubstituted or substituted with identical or differ- ent groups R 1a which independently of one another are selected from:
- R 1a halogen, OH, CN, COOH, CONH2, Ci-C 6 -alkoxy, C3-C6-cycloalkyl, C3-C6- halogencycloalkyl, Ci-C4-halogenalkoxy, Ci-C 6 -alkylthio, aryl and phenoxy, wherein the aryl group is unsubstituted or carries 1 , 2, 3, 4 or 5 substituents R 11a selected from the group consisting of halogen, OH, Ci-C4-alkyl, Ci-C4-halogen- alkyl, Ci-C4-alkoxy and Ci-C4-halogenalkoxy; wherein the carbocyclic, heteroaryl and aryl moieties of R 1 are not further substituted or carry 1 , 2, 3, 4, 5 or up to the maximum number of identical or different groups R 1b which independently of one another are selected from:
- R 1b halogen, OH, CN, COOH, CONH2, Ci-C4-alkyl, Ci-C4-alkoxy, Ci-C4-halogenalkyl, C3-C6-cycloalkyl, C3-C6-halogencycloalkyl, Ci-C4-halogenalkoxy and Ci-C 6 -al- kylthio;
- R 2 is in each case independently selected from halogen, OH, CN, COOH, CONH2, NO2, SH, NH 2, NH(Ci-C 4 -alkyl), N(Ci-C 4 -alkyl) 2 , NH(C 2 -C 4 -alkenyl), N(C 2 -C 4 -alkenyl) 2 , NH(C 2 -C 4 -al- kynyl), N(C2-C4-alkynyl)2, NH(C3-C6-cycloalkyl), N(C3-C6-cycloalkyl)2, N(Ci-C4-alkyl)(C2-C4- alkenyl), N(Ci-C4-alkyl)(C2-C4-alkynyl), N(Ci-C4-alkyl)(C3-C6-cycloalkyl), N(C 2 -C 4 - alkenyl), N(Ci-C4-
- R x is as defined above;
- R Y is Ci-C 6 -alkyl, Ci-C 6 -halogenalkyl, C2-C6-alkenyl, C2-C6-halogenalkenyl, C2-C6- alkynyl, C2-C6-halogenalkynyl, C3-C6-cycloalkyl, C3-C6-halogencycloalkyl, phenyl and phenyl-Ci-C 6 -alkyl; wherein the phenyl groups are unsubstituted or carry one, two, three, four or five substituents selected from the group consisting of CN, halogen, OH, Ci-C4-alkyl, Ci-C4-halogenalkyl, Ci-C4-alkoxy and Ci-C4-halo- genalkoxy;
- R 2 wherein the acyclic moieties of R 2 are unsubstituted or substituted by groups R 2a which independently of one another are selected from:
- R 2a halogen, OH, CN, COOH, CONH2, Ci-C 6 -alkoxy, C3-C6-cycloalkyl, C3-C6- halogencycloalkyl, Ci-C4-halogenalkoxy, Ci-C 6 -alkylthio and phenoxy, wherein the phenyl group is unsubstituted or substituted by substituents R 91a selected from the group consisting of halogen, OH, Ci-C4-alkyl, Ci-C4-halogenalkyl, C1-C4- alkoxy and Ci-C4-halogenalkoxy;
- R 2 wherein the carbocyclic, heteroaryl and aryl moieties of R 2 are unsubstituted or substituted by groups R 3b which independently of one another are selected from:
- R 2b halogen, OH, CN, COOH, CONH2, Ci-C4-alkyl, Ci-C4-alkoxy, Ci-C4-halogenalkyl, C3-C6-cycloalkyl, C3-C6-halogencycloalkyl, Ci-C4-halogenalkoxy and Ci-C 6 -al- kylthio; and wherein n is defined as above
- R 3 is in each case independently selected from the substituents as defined for R 2 , wherein the possible substituents for R 3 are R 3a and R 3b , respectively, which correspond to R 2a and R 2b , respectively;
- R 4 is in each case independently selected from hydrogen, halogen, OH, CN, COOH,
- R x is as defined above
- R 4 are unsubstituted or substituted with identical or dif- ferent groups R 2a which independently of one another are selected from:
- R 4a halogen, OH, CN, COOH, CONH 2 , Ci-C 6 -alkoxy, C 3 -C 6 -cycloalkyl, C 3 -C 6 - halogencycloalkyl, Ci-C 4 -halogenalkoxy, Ci-C 6 -alkylthio, aryl and phenoxy, wherein the aryl group is unsubstituted or carries 1 , 2, 3, 4 or 5 substituents R 41a selected from the group consisting of halogen, OH, Ci-C 4 -alkyl, Ci-C 4 -halogen- alkyl, Ci-C 4 -alkoxy and Ci-C 4 -halogenalkoxy;
- R 4 wherein the cycloalkyl, heteroaryl and aryl moieties of R 4 are not further substituted or carry 1 , 2, 3, 4, 5 or up to the maximum number of identical or different groups R 4b which independently of one another are selected from:
- R 4b halogen, OH, CN, COOH, CONH 2 , Ci-C 4 -alkyl, Ci-C 4 -alkoxy, Ci-C 4 -halogenalkyl, C 3 -C 6 -cycloalkyl, C 3 -C 6 -halogencycloalkyl, Ci-C 4 -halogenalkoxy and Ci-C6-al- kylthio;
- R 10 , and R 11 are independently not further substituted or carry 1 , 2, 3, 4, 5 or up to the maximum number of identical or different groups R 6b , respectively, which independently of one another are selected from:
- n 0, 1 , 2
- R 6 , R 7 together with the carbon atom to which they are bound form a saturated or partially un- saturated three-, four-, five-, six-, seven-, eight-, nine-, or ten-membered carbocycle or heterocycle; wherein the heterocycle contains 1 , 2, 3 or 4 heteroatoms selected from N, O and S, wherein N may carry one substituent R N selected from Ci-C4-alkyl, Ci-C4-halo- genalkyl and S0 2 Ph, wherein Ph is unsubstituted phenyl or phenyl that is substituted by 1 , 2 or 3 substituents selected from CN, Ci-C4-alkyl, halogen, Ci-C4-halogenalkyl, C1-C4- alkoxy and Ci-C4-halogenalkoxy; and wherein S may be in the form of its oxide SO or SO2, and wherein the carbocycle or heterocycle is unsubstituted or carries one, two, three or four substituents
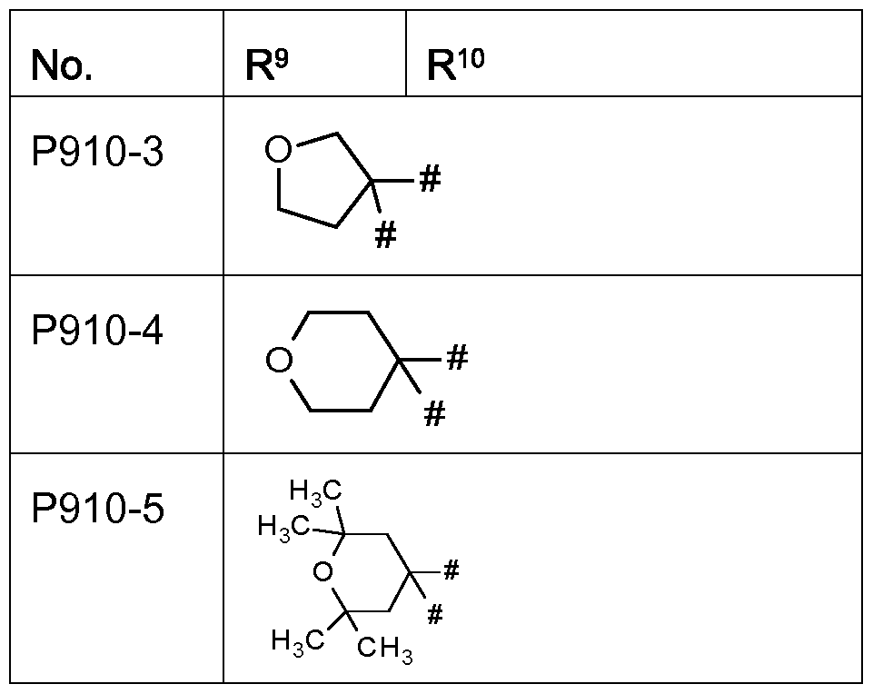
- R 9 , R 10 together with the carbon atom to which they are bound form a saturated or partially unsaturated three-, four-, five-, six-, seven-, eight-, nine-, or ten-membered carbocycle or heterocycle; wherein the heterocycle contains 1 , 2, 3 or 4 heteroatoms selected from N, O and S, wherein N may carry one substituent R N selected from Ci-C4-alkyl, Ci-C4-halo- genalkyl and S0 2 Ph, wherein Ph is unsubstituted phenyl or phenyl that is substituted by 1 , 2 or 3 substituents selected from CN, Ci-C4-alkyl, halogen, Ci-C4-halogenalkyl, C1-C4- alkoxy and Ci-C4-halogenalkoxy; and wherein S may be in the form of its oxide SO or SO2, and wherein the carbocycle or heterocycle is unsubstituted or carries one, two, three or four substituents
- target molecules of type I can be accessed by starting from compounds of the for- mula IV and V upon treatment with a Bronstedt acid like sulphuric acid or trifluoromethane sulfonic acid in solvents like dichloromethane or acetic acid at room temperature or at 50 °C (see: Eur. J. Org. Chem. 2015, 2727-2732, or Synthesis 2000, 1709-1712).
- a Bronstedt acid like sulphuric acid or trifluoromethane sulfonic acid in solvents like dichloromethane or acetic acid at room temperature or at 50 °C
- Amines of type III can be obtained from alcohols of type V upon treatment with a Bronstedt acid like sulphuric acid in the presence of chloroacetonitrile at temperatures between -10 °C and 50 °C to give amides of type VI as intermediates, which can be deprotected using thiourea in an organic solvent like ethanol at temperatures between 20 °C and 100 °C (see: Synthesis 2000, 1709-1712).
- the N-oxides may be prepared from the inventive compounds according to conventional oxida- tion methods, e. g. by treating compounds I with an organic peracid such as metachloroper- benzoic acid (cf. WO 03/64572 or J. Med. Chem. 38(1 1 ), 1892-903, 1995); or with inorganic oxi- dizing agents such as hydrogen peroxide (cf. J. Heterocyc. Chem. 18(7), 1305-8, 1981 ) or ox- one (cf. J. Am. Chem. Soc. 123(25), 5962-5973, 2001 ).
- the oxidation may lead to pure mono- N-oxides or to a mixture of different N-oxides, which can be separated by conventional methods such as chromatography.
- C n -C m indicates the number of carbon atoms possible in each case in the substituent or substituent moiety in question.
- halogen refers to fluorine, chlorine, bromine and iodine.
- Ci-C 6 -alkyl refers to a straight-chained or branched saturated hydrocarbon group having 1 to 6 carbon atoms, e.g. methyl, ethyl, propyl, 1-methylethyl, butyl, 1-methylpropyl, 2- methylpropyl, 1 ,1-dimethylethyl, pentyl, 1-methylbutyl, 2-methylbutyl, 3-methylbutyl, 2,2-dime- thylpropyl, 1-ethylpropyl, 1 ,1-dimethylpropyl, 1 ,2-dimethylpropyl, hexyl, 1-methylpentyl, 2- methylpentyl, 3-methylpentyl, 4-methylpentyl, 1 , 1 -dimethylbutyl, 1 ,2-dimethylbutyl, 1 ,3-dimethyl- butyl, 2,2-dimethylbutyl, 2,3-dimethylbutyl,
- C2-C4-alkyl refers to a straight-chained or branched alkyl group having 2 to 4 carbon atoms, such as ethyl, propyl (n-propyl), 1-methylethyl (iso-propoyl), butyl, 1-methylpropyl (sec.- butyl), 2-methylpropyl (iso-butyl), 1 ,1-dimethylethyl (tert. -butyl).
- Ci-C 6 -halogenalkyl refers to an alkyl group having 1 or 6 carbon atoms as defined above, wherein some or all of the hydrogen atoms in these groups may be replaced by halogen atoms as mentioned above.
- Ci-C2-halogenalkyl such as chloromethyl, bromomethyl, dichloromethyl, trichloromethyl, fluoromethyl, difluoromethyl, trifluoromethyl, chlor- ofluoromethyl, dichlorofluoromethyl, chlorodifluoromethyl, 1-chloroethyl, 1-bromoethyl, 1-fluoro- ethyl, 2-fluoroethyl, 2,2-difluoroethyl, 2,2,2-trifluoroethyl, 2-chloro-2-fluoroethyl, 2-chloro- 2,2-difluoroethyl, 2,2-dichloro-2-fluoroethyl, 2,2,2-trichloroethyl or pentafluoroethyl.
- Ci-C 6 -hydroxyalkyl refers to an alkyl group having 1 or 6 carbon atoms as defined above, wherein some or all of the hydrogen atoms in these groups may be replaced by OH groups.
- Ci-C4-alkoxy-Ci-C4-alkyl refers to alkyl having 1 to 4 carbon atoms (as defined above), whereAccording to one hydrogen atom of the alkyl radical is replaced by a Ci-C4-alkoxy group (as defined above).
- Ci-C4-alkoxy-Ci-C4-alkyl refers to alkyl having 1 to 4 carbon atoms (as defined above), whereAccording to one hydrogen atom of the alkyl radi- cal is replaced by a Ci-C 6 -alkoxy group (as defined above).
- C2-C6-alkenyl refers to a straight-chain or branched unsaturated hydrocarbon radical having 2 to 6 carbon atoms and a double bond in any position.
- Examples are “C2-C4-alkenyl” groups, such as ethenyl, 1-propenyl, 2-propenyl (allyl), 1-methylethenyl, 1-butenyl, 2-butenyl, 3-butenyl, 1 -methyl-1 -propenyl, 2-methyl-1-propenyl, 1-methyl-2-propenyl, 2-methyl-2-propenyl.
- C2-C6-alkynyl refers to a straight-chain or branched unsaturated hydrocarbon radical having 2 to 6 carbon atoms and containing at least one triple bond.
- Examples are "C2-C4-al- kynyl” groups, such as ethynyl, prop-1 -ynyl, prop-2-ynyl (propargyl), but-1-ynyl, but-2-ynyl, but- 3-ynyl, 1 -methyl-prop-2 -ynyl.
- Ci-C 6 -alkoxy refers to a straight-chain or branched alkyl group having 1 to 6 carbon atoms which is bonded via an oxygen, at any position in the alkyl group.
- Examples are “C1-C4- alkoxy” groups, such as methoxy, ethoxy, n-propoxy, 1-methylethoxy, butoxy, 1-methyhprop- oxy, 2-methylpropoxy or 1 ,1-dimethylethoxy.
- Ci-C 6 -halogenalkoxy refers to a Ci-C 6 -alkoxy radical as defined above, wherein some or all of the hydrogen atoms in these groups may be replaced by halogen atoms as men- tioned above.
- Ci-C4-halogenalkoxy groups, such as OCH2F, OCHF2, OCF 3 , OCH2CI, OCHC , OCCI 3 , chlorofluoromethoxy, dichlorofluoromethoxy, chlorodifluoromethoxy, 2-fluoroethoxy, 2-chlorothoxy, 2-bromoethoxy, 2-iodoethoxy, 2,2-difluoroethoxy, 2,2,2-trifluoro- ethoxy, 2-chloro-2-fluoroethoxy, 2-chloro-2,2-difluoroethoxy, 2,2-dichloro-2-fluoroethoxy, 2,2,2- trichloroethoxy, OC2F 5 , 2-fluoropropoxy, 3-fluoropropoxy, 2,2-difluoropropoxy,
- C2-C6-alkenyloxy refers to a straight-chain or branched alkenyl group having 2 to 6 carbon atoms which is bonded via an oxygen, at any position in the alkenyl group. Examples are “C2-C4-alkenyloxy” groups.
- C2-C6-alkynyloxy refers to a straight-chain or branched alkynyl group having 2 to 6 carbon atoms which is bonded via an oxygen, at any position in the alkynyl group. Examples are “C2-C4-alkynyloxy” groups.
- C3-C6-cycloalkyl refers to monocyclic saturated hydrocarbon radicals having 3 to 6 carbon ring members, such as cyclopropyl, cyclobutyl, cyclopentyl, cyclohexyl. Accordingly, a saturated three-, four-, five-, six-, seven-, eight-, nine or ten-membered carbocyclyl or carbo- cycle is a "C3-Cio-cycloalkyl".
- C3-C6-cycloalkenyl refers to a monocyclic partially unsaturated 3-, 4- 5- or 6-mem- bered carbocycle having 3 to 6 carbon ring members and at least one double bond, such as cy- clopentenyl, cyclopentadienyl, cyclohexadienyl. Accordingly, a partially unsaturated three-, four- , five-, six-, seven-, eight-, nine or ten-membered carbocyclyl or carbocycle is a "C3-Cio-cycloal- kenyl".
- C3-C8-cycloalkyl-Ci-C4-alkyl refers to alkyl having 1 to 4 carbon atoms (as defined above), whereAccording to one hydrogen atom of the alkyl radical is replaced by a cycloalkyl radical having 3 to 8 carbon atoms (as defined above).
- Ci-C 6 -alkylthio refers to straight-chain or branched alkyl groups hav- ing 1 to 6 carbon atoms (as defined above) bonded via a sulfur atom.
- C1- C 6 -halogenalkylthio refers to straight-chain or branched halogenalkyl group hav- ing 1 to 6 carbon atoms (as defined above) bonded through a sulfur atom, at any position in the halogenalkyl group.
- the number of va- lence of carbon is 4, that of nitrogen is 3.
- heterocyclyl or heterocycle contains 1 , 2, 3 or 4 heteroatoms selected from N, O and S
- the ring member atoms of the heterocycle include besides carbon atoms 1 , 2, 3 or 4 heteroatoms independently selected from the group of O, N and S.
- a 3- or 4-membered saturated heterocycle which contains 1 or 2 heteroatoms from the group consisting of O, N and S as ring members such as oxirane, aziridine, thiirane, oxetane, azet- idine, thiethane, [1 ,2]dioxetane, [1 ,2]dithietane, [1 ,2]diazetidine; and
- a 5- or 6-membered saturated or partially unsaturated heterocycle which contains 1 , 2 or 3 het- eroatoms from the group consisting of O, N and S as ring members such as 2-tetrahydrofuranyl, 3-tetrahydrofuranyl, 2-tetrahydrothienyl, 3-tetrahydrothienyl, 2-pyrrolidinyl, 3-pyrrolidinyl, 3-isox- azolidinyl, 4-isoxazolidinyl, 5-isoxazolidinyl, 3-isothiazolidinyl, 4-isothiazolidinyl, 5-isothiazoli- dinyl, 3-pyrazolidinyl, 4-pyrazolidinyl, 5-pyrazolidinyl, 2-oxazolidinyl, 4-oxazolidinyl, 5-oxazoli- dinyl, 2-thiazolidinyl, 4-thiazolidinyl, 5-thiazolidinyl, 2-imidazolid
- a 7-membered saturated or partially unsaturated heterocycle such as tetra- and hexahydroaze- pinyl, such as 2,3,4,5-tetrahydro[1 H]azepin-1-,-2-,-3-,-4-,-5-,-6- or-7-yl, 3,4,5,6-tetrahy- dro[2H]azepin-2-,-3-,-4-,-5-,-6- or-7-yl, 2,3,4,7-tetrahydro[1 H]azepin-1-,-2-,-3-,-4-,-5-,-6- or-7-yl,
- substituted refers to substitued with 1 , 2, 3 or up to the maximum possible number of substituents.
- substituted refers to substitued with 1 , 2, 3 or up to the maximum possible number of substituents.
- substituted heteroaryl or“5-or 6-membered heteroaromatic” refers to aromatic ring systems incuding besides carbon atoms, 1 , 2, 3 or 4 heteroatoms independently selected from the group consisting of N, O and S, for example,
- a 5-membered heteroaryl such as pyrrol-1 -yl, pyrrol-2 -yl, pyrrol-3-yl, thien-2-yl, thien-3-yl, furan- 2-yl, furan-3-yl, pyrazol-1-yl, pyrazol-3-yl, pyrazol-4-yl, pyrazol-5-yl, imidazol-1-yl, imidazol-2-yl, imidazol-4-yl, imidazol-5-yl, oxazol-2-yl, oxazol-4-yl, oxazol-5-yl, isoxazol-3-yl, isoxazol-4-yl, isoxazol-5-yl, thiazol-2-yl, thiazol-4-yl, thiazol-5-yl, isothiazol-3-yl, isothiazol-4-yl, isothiazol-5-y
- a 6-membered heteroaryl such as pyridin-2-yl, pyridin-3-yl, pyridin-4-yl, pyridazin-3-yl, pyri- dazin-4-yl, pyrimidin-2-yl, pyrimidin-4-yl, pyrimidin-5-yl, pyrazin-2-yl and 1 , 3 , 5-triazi n-2-yl and
- Agriculturally acceptable salts of the inventive compounds encompass especially the salts of those cations or the acid addition salts of those acids whose cations and anions, respectively, have no adverse effect on the fungicidal action of said compounds.
- Suitable cations are thus in particular the ions of the alkali metals, preferably sodium and potassium, of the alkaline earth metals, preferably calcium, magnesium and barium, of the transition metals, preferably manga- nese, copper, zinc and iron, and also the ammonium ion which, if desired, may carry one to four Ci-C 4 -alkyl substituents and/or one phenyl or benzyl substituent, preferably diisopropylammo- nium, tetramethylammonium, tetrabutylammonium, trimethylbenzylammonium, furthermore phosphonium ions, sulfonium ions, preferably tri(Ci-C4-alkyl)sulfonium, and
- Anions of useful acid addition salts are primarily chloride, bromide, fluoride, hydrogensulfate, sulfate, dihydrogenphosphate, hydrogenphosphate, phos- phate, nitrate, bicarbonate, carbonate, hexafluorosilicate, hexafluorophosphate, benzoate, and the anions of Ci-C4-alkanoic acids, preferably formate, acetate, propionate and butyrate. They can be formed by reacting such inventive compound with an acid of the corresponding anion, preferably of hydrochloric acid, hydrobromic acid, sulfuric acid, phosphoric acid or nitric acid.
- inventive compounds can be present in atropisomers arising from restricted rotation about a single bond of asymmetric groups. They also form part of the subject matter of the present in- vention.
- the compounds of formula I and their N-oxides may have one or more centers of chirality, in which case they are present as pure enantiomers or pure di- astereomers or as enantiomer or diastereomer mixtures. Both, the pure enantiomers or dia- stereomers and their mixtures are subject matter of the present invention.
- R 1 is in each case independently selected from hydrogen, halogen, OH, CN, N0 2 , SH, NH 2, NH(Ci-C 4 -alkyl), N(Ci-C 4 -alkyl) 2 , NH-S0 2 -R x , Ci-C 6 -alkyl, C 2 -C 6 -alkenyl, C 2 -C 6 -alkynyl, Ci-C6-alkoxy, C 3 -C 6 -cycloalkyl, five- or six-membered heteroaryl and aryl;
- heteroaryl contains one, two or three heteroatoms selected from N, O and S; and wherein
- R x is Ci-C 4 -alkyl, Ci-C 4 -halogenalkyl, unsubstituted aryl or aryl that is substituted with one, two, three, four or five substituents R x1 independently selected from Ci-C 4 -alkyl, halogen, OH, CN, Ci-C 4 -halogenalkyl, Ci-C 4 -alkoxy and Ci-C 4 -halogenalkoxy;
- R 1 wherein the acyclic moieties of R 1 are unsubstituted or substituted with identical or different groups R 1a which independently of one another are selected from:
- R 1a halogen, OH, CN, Ci-C6-alkoxy, C 3 -C 6 -cycloalkyl, C 3 -C 6 -halogencycloalky, Ci-C 4 -halogen- alkoxy, Ci-C6-alkylthio, aryl and phenoxy, wherein the aryl and phenoxy group is unsubstituted or unsubstituted or substituted with R 11a selected from the group consisting of halogen, OH, C 1 - C 4 -alkyl, Ci-C 4 -halogenalkyl, Ci-C 4 -alkoxy and Ci-C 4 -halogenalkoxy;
- R 1 wherein the carbocyclic, heteroaryl and aryl moieties of R 1 are unsubstituted or substituted with identical or different groups R 1b which independently of one another are selected from:
- R 1b halogen, OH, CN, Ci-C 4 -alkyl, Ci-C 4 -alkoxy, Ci-C 4 -halogenalkyl, C 3 -C 6 -cycloalkyl, C 3 -C 6 - halogencycloalkyl, Ci-C 4 -halogenalkoxy and Ci-C6-alkylthio.
- R 1 is H, halogen or Ci-C6-alkyl, in particular H, CH 3 , Et, F, Cl, more specifically H, CH 3 , F or Cl most preferred H, F or Cl.
- R 1 is hydrogen
- R 1 is halogen, in particular Br, F or Cl, more specifically F or Cl.
- R 1 is F
- R 1 is Cl
- R 1 is Br.
- R 1 is OH
- R 1 is COOH
- R 1 is CONH 2 .
- R 1 is CN
- R 1 is NO 2 .
- R 1 is SH.
- R 1 is NH 2, NH(Ci-C 4 -alkyl), N(Ci-C4-alkyl)2 or NH-S02-R x , wherein R x is Ci-C 4 -alkyl, Ci-C 4 -halogenalkyl, unsubstituted aryl or aryl that is sub- stituted with one, two, three, four or five substituents R x1 independently selected from Ci-C 4 -al- kyl, halogen, OH, CN, Ci-C4-halogenalkyl, Ci-C 4 -alkoxy, or Ci-C 4 -halogenalkoxy.
- Ci-C 4 -alkyl such as NHCH 3 and N(CHs) 2 .
- R x is Ci-C 4 -alkyl, and phenyl that is sub- stituted with one CH 3 , more specifically S0 2 -R x is CH 3 and tosyl group (“Ts”).
- R 1 is Ci-C 6 -alkyl, in particular Ci-C 4 -alkyl, such as CH3 or CH2CH3.
- R 1 is Ci-C 6 -halogenalkyl, in particular Ci-C 4 - halogenalkyl, such as CF 3 , CHF 2 , CH 2 F, CCI 3 , CHCI 2 , CH 2 CI, CF 3 CH 2 , CCI 3 CH 2 or CF 2 CHF 2 .
- R 1 is C 2 -C 6 -alkynyl or C 2 -C 6 -halogenalkynyl, in particular C 2 -C 4 -alkynyl or C 2 -C 4 -halogenalkynyl, such as C CH, C CCI, C CF.
- CH 2 C CH, CH 2 CoCCI, or CH 2 CoCF.
- R 1 is Ci-C 6 -alkoxy, in particular Ci-C 4 -alkoxy, more specifically Ci-C 2 -alkoxy such as OCH 3 or OCH 2 CH3.
- R 1 is Ci-C 6 -halogenalkoxy, in particular C1- C 4 -halogenalkoxy, more specifically Ci-C 2 -halogenalkoxy such as OCF 3 , OCHF 2 , OCH 2 F,
- OCCI 3 OCHC or OCH 2 CI, in particular OCF 3 , OCHF 2 , OCCI 3 or OCHC .
- R 1 is C3-C6-cycloalkyl, in particular cyclopro- pyi-
- R 1 is C3-C6-cycloalkyl, for example cyclopro- pyl, substituted with one, two, three or up to the maximum possible number of identical or differ- ent groups R 1b as defined and preferably herein.
- R 1 is C3-C6-halogencycloalkyl.
- R 1 is fully or partially halogenated cyclopropyl.
- R 1 is unsubstituted aryl or aryl that is substituted with one, two, three or four R 1b , as defined herein.
- R 1 is unsubstituted phenyl or phenyl that is substituted with one, two, three or four R 1b , as defined herein.
- R 1 is unsubstituted 5- or 6-membered heteroaryl. According to still a further embodiment, R 1 is 5- or 6-membered heteroaryl that is substituted with one, two or three R 1b , as defined herein.
- R 1 is in each case independently selected from hydrogen, halogen, OH, CN, N0 2 , SH, NH 2, NH(Ci-C 4 -alkyl), N(Ci-C 4 -alkyl) 2 , NH-S0 2 -R x , Ci-C 6 -alkyl, C 2 -C 6 -alkenyl, C 2 -C 6 -alkynyl, Ci-C 6 -alkoxy and C3-C6-cycloalkyl; wherein the acyclic moieties of R 1 are not further substituted or carry one, two, three, four or five identical or differ- ent groups R 1a as defined below and wherein the carbocyclic, heteroaryl and aryl moieties of R 1 are not further substituted or carry one, two, three, four or five identical or different groups R 1b as defined below.
- R 1 is independently selected from hydrogen, halogen, CN, OH, Ci-C 6 -alkyl,Ci-C 6 -alkoxy, C 6 -alkenyl, C 2 -C 6 -alkynyl, C 3 -C 6 -cycloalkyl, wherein the acyclic and cyclic moieties of R 1 are unsubtitted or substituted by halogen.
- R 1 is independently selected from hydrogen, halogen, CN, OH, Ci-C 6 -alkyl, Ci-C 6 -halogenalkyl, Ci-C 6 -alkoxy and Ci-C 6 -halogenalkoxy, in particular independently selected from H, F, Cl, Br, CN, OH, Ci-C 4 -alkyl, Ci-C 4 -halogenalkyl, Ci- C 4 -alkoxy and Ci-C 4 -halogenalkoxy.
- R 1 is independently selected from H, CN, halogen or Ci-C 6 -alkyl, in particular H, CN, CH 3 , Et, F, Cl, more specifically H, CN, CH 3 , F or Cl most preferred H, CH 3, F or Cl.
- R 1a are the possible substituents for the acyclic moieties of R 1 .
- R 1a is independently selected from halogen, OH, CN, Ci-C 6 -alkoxy, C 3 -C 6 -cycloalkyl, C 3 -C 6 -halogencycloalkyl, Ci-C 4 -halogenalkoxy, Ci-C 6 -alkylthio, aryl and phe- noxy, wherein the aryl group is unsubstituted or unsubstituted or substituted with R 11a selected from the group consisting of halogen, OH, Ci-C 4 -alkyl, Ci-C 4 -halogenalkyl, Ci-C 4 -alkoxy and C 1 - C 4 -halogenalkoxy, in particular selected from halogen, Ci-C 2 -alkyl, Ci-C 2 -halogenalkyl, C 1 -C 2 - alkoxy and Ci-C 2 -halogenalkoxy, more specifically selected from halogen, such as F, Cl and Br.
- R 1a is independently selected from halogen, OH, CN, Ci-C 2 -alkoxy, C 3 - C 6 -cycloalkyl, C 3 -C 6 -halogencycloalkyl and Ci-C 2 -halogenalkoxy. Specifically, R 1a is
- R 1a is independently selected from halogen, such as F, Cl, Br and I, more specifically F, Cl and Br.
- R 1a is independently selected from OH, C 3 - C 6 -cycloalkyl, C 3 -C 6 -halogencycloalkyl and Ci-C 2 -halogenalkoxy. Specifically, R 1a is
- R 1a is independently selected from aryl and phenoxy, wherein the aryl group is unsubstituted or substituted with R 11a selected from the group consisting of halogen, OH, Ci-C 4 -alkyl, Ci-C 4 -halogenalkyl, Ci-C 4 -alkoxy and Ci-C 4 -halo- genalkoxy, in particular selected from halogen, Ci-C 2 -alkyl, Ci-C 2 -halogenalkyl, Ci-C 2 -alkoxy and Ci-C 2 -halogenalkoxy, more specifically selected from halogen, such as F, Cl and Br.
- R 11a selected from the group consisting of halogen, OH, Ci-C 4 -alkyl, Ci-C 4 -halogenalkyl, Ci-C 4 -alkoxy and Ci-C 4 -halo- genalkoxy, in particular selected from halogen, Ci-C 2 -alkyl, Ci-C 2
- R 1b are the possible substituents for the carbocyclic, heteroaryl and aryl moieties of R 1 .
- R 1b according to the invention is independently selected from halogen, OH, CN, Ci-C 4 -alkyl, C 1 - C 4 -alkoxy, Ci-C 4 -halogenalkyl, C 3 -C 6 -cycloalkyl, C 3 -C 6 -halogencycloalkyl, Ci-C 4 -halogenalkoxy and Ci-C6-alkylthio;
- R 1b is independently selected from halogen, CN, C 1 -C 2 - alkyl, Ci-C 2 -alkoxy, Ci-C 2 -halogenalkyl, C 3 -C 6 -cycloalkyl, C 3 -C 6 -halogencycloalkyl and C 1 -C 2 - halogenalkoxy.
- R 1b is independently selected from F, Cl, Br, OH, CN, CH 3 , OCH 3, CHF 2 , OCHF 2 , cyclopropyl, 1 -F-cyclopropyl, 1 -CI-cyclopropyl, 1 ,1 -F 2 -cyclopropyl, 1 , 1 -CI 2 - cyclopropyl, OCF 3 , and OCHF 2 .
- R 1b is independently selected from halogen, Ci- C2-alkyl, Ci-C2-alkoxy, Ci-C2-halogenalkyl, C3-C6-cycloalkyl, C3-C6-halogencycloalkyl and C1-C2- halogenalkoxy.
- R 1b is independently selected from halogen, CN, OH, CH3, CHF2, OCHF2, OCF3, OCH3, cyclopropyl, 1 -F-cyclopropyl, 1 -CI-cyclopropyl, 1 ,1 -F 2 -cyclopropyl, 1 , 1 -CI2- cyclopropyl and halogenmethoxy, more specifically independently selected from F, Cl, OH, CH3, OCH3 , CHF2, OCH3, cyclopropyl, 1 -F-cyclopropyl, 1 -CI-cyclopropyl, 1 ,1 -F 2 -cyclopropyl, 1 , 1 -CI2- cyclopropyl, OCHF2 and OCF3.
- R x in the substituent NH-S0 2 -R X is in each case independently selected from Ci-C 4 -alkyl, C1-C4- halogenalkyl, unsubstituted aryl and aryl that is substituted with one, two, three, four or five substituents R x1 independently selected from Ci-C 4 -alkyl, halogen, OH, CN, Ci-C 4 -halogenalkyl, Ci-C 4 -alkoxy and Ci-C 4 -halogenalkoxy.
- R x is in each case independently selected from Ci-C 4 -alkyl, halogen, OH, CN and phenyl that is substituted with one, two or three R x1 independently selected from Ci-C2-alkyl, more specifically R x is in each case independently selected from Ci-C 4 -alkyl and phenyl that is substituted with one CH 3 , more specifically S0 2 -R x is the tosyl group (“Ts”).
- R 1 Particularly preferred embodiments of R 1 according to the invention are in Table P1 below, wherein each line of lines P1 -1 to P1 -16 corresponds to one particular embodiment of the inven- tion. Thereby, for every R 1 that is present in the inventive compounds, these specific
- Ts in the table stands for the tosylgroup S0 2 -(p-CH 3 )phenyl.
- R 2 is in each case independently selected from halogen, COOH, CONH2, OH, CN, NO2, SH, NH 2, NH(Ci-C 4 -alkyl), N(Ci-C 4 -alkyl) 2 , NH(C 2 -C 4 -alkenyl), N(C 2 -C 4 -alkenyl) 2 , NH(C 2 -C 4 -alkynyl), N(C2-C 4 -alkynyl)2, NH(C3-C6-cycloalkyl), N(C 3 -C 6 -cycloalkyl) 2 , N(C2-C 4 -alkyl)(C2-C 4 -alkenyl), N(C2-C 4 -alkyl)(C2-C 4 -alkynyl), N(C2-C 4 -alkyl)(C3-C6-cycloalkyl), N(C2-C 4 -alkenyl), N(C2-C
- R x is as defined above;
- R Y is Ci-C 6 -alkyl, Ci-C 6 -halogenalkyl, C 2 -C 6 -alkenyl, C 2 -C 6 -halogenalkenyl, C 2 -C 6 - alkynyl, C 2 -C 6 -halogenalkynyl, C 3 -C 6 -cycloalkyl, C 3 -C 6 -halogencycloalkyl; phenyl and phenyl-Ci-C 6 -alkyl; wherein the phenyl group is unsubstituted or substituted with substituents selected from the group consisting of halogen, CN, OH, C 1 -C 6 - alkyl, Ci-C 6 -halogenalkyl, Ci-C 6 -alkoxy and Ci-C 6 -halogenalkoxy; wherein the acyclic moieties of R 2 are unsubstituted or substituted with groups R 2a which independently of one another are
- R 2a halogen, OH, CN, Ci-C 6 -alkoxy, C 3 -C 6 -cycloalkyl, C 3 -C 6 -halogencycloalkyl, C 1 -C 4 - halogenalkoxy, Ci-C 6 -alkylthio, aryl and phenoxy, wherein the aryl and phenoxy group is unsubstituted or substituted with substituents R 21a selected from the group consisting of halogen, OH, Ci-C 4 -alkyl, Ci-C 4 -halogenalkyl, Ci-C 4 -alkoxy and Ci-C 4 -halogenalkoxy;
- R 2b halogen, OH, CN, Ci-C 4 -alkyl, Ci-C 4 -alkoxy, Ci-C 4 -halogenalkyl, C 3 -C 6 -cycloalkyl, C 3 -C 6 -halogencycloalkyl, Ci-C 4 -halogenalkoxy and Ci-C6-alkylthio.
- R 2 is selected from the group consisting of H, halo- gen, CN, Ci-C 6 -alkyl, Ci-C 6 -halogenalkyl, C 2 -C 6 -alkenyl, C 2 -C 6 -halogenalkenyl, C 2 -C 6 -alkynyl, C 2 -C 6 -halogenalkynyl, Ci-C 6 -alkoxy, Ci-C 6 -halogenalkoxy, C 3 -C 6 -cycloalkyl, C 3 -C 6 -halogency- cloalkyl, and OR Y .
- R 2 is halogen, in particular F, Cl, Br or I, more specifically F, Cl or Br, in particular F or Cl.
- R 2 is F.
- R 2 is Cl
- R 2 is Br.
- R 2 is COOH
- R 2 is CONH 2 .
- R 2 is OH
- R 2 is CN
- R 2 is N0 2 .
- R 2 is SH.
- R 2 is NH 2 .
- R 2 is , NH(Ci-C 4 -alkyl), in particular NH(CH3), NH(C 2 H 5 ).
- R 2 is , N(Ci-C4-alkyl)2, in particular NH(CH 3 ) 2 , NH(C 2 H 5 ) 2 .
- R 2 is , NH(C 3 -C 6 -cycloalkyl), in particular NH(C 3 H 7 ), NH(C 4 H 2 ).
- R 2 is , N(C3-C6-cycloalkyl)2, in particular N(C 3 H 7 ) 2 , N(C 4 H 2 ) 2 .
- R 2 is N(Ci-C 4 -alkyl)(C 2 -C 4 -alkynyl), in particular N(CH 3 )(CoCH), N(CH 3 )(CH 2 CoCH), N(C 2 H 5 )(CoCH), N(C 2 H 5 )(CH 2 CoCH).
- R 2 is N(Ci-C 4 -alkyl)(C 3 -C 6 -cycloalkyl), in particular N(CH 3 )(C 3 H 7 ), N(CH 3 )(C 4 H 2 ), N(C 2 H 5 )(C 3 H 7 ), N(CH 3 )(C 4 H 2 ).
- R 2 is N(C 2 -C 4 -alkynyl)(C 3 -C 6 -cycloalkyl), in particular N(CoCH)(C 3 H 7 ), N(CH 2 CoCH)(C 4 H 2 ), N(CoCH)(C 3 H 7 ), N(CH 2 CoCH)(C 4 H 2 ).
- R 2 is NH-S0 2 -R X such as NH-SO 2 -CH 3 , NH-SO2-CH2-CH3, NH-SO2-CF3, NH-S0 2 -TS.
- R 2 is S(0)n-C 2 -C 6 -alkenyl such as
- R 2 is Ci-C 6 -alkyl, in particular Ci-C 4 -alkyl, such as CH 3 . or C2H 5 , in particular CH 3 or CH2CH 3 .
- R 2 is Ci-C 6 -halogenalkyl, in particular C1-C4- halogenalkyl, such as CF 3 , CCI 3 , FCH 2 , CICH 2 , F 2 CH, CI 2 CH, CF3CH2, CCI3CH2 or CF 2 CHF 2 .
- R 2 is C 2 -C 6 -alkynyl or C 2 -C 6 -halogenalkynyl, in particular C 2 -C 4 -alkynyl or C 2 -C 4 -halogenalkynyl, such as C CH, CFhC CH, C CCI,
- R 2 is OR Y wherein R Y is Ci-C6-alkyl, Ci- C6-halogenalkyl, C 2 -C 6 -alkenyl, C 2 -C 6 -halogenalkenyl, C 2 -C 6 -alkynyl, C 2 -C 6 -halogenalkynyl, C 3 - C6-cycloalkyl, C 3 -C 6 -halogencycloalkyl.
- R 2 is OR Y wherein R Y is Ci-C6-alkyl, in particular Ci-C 4 -alkyl, more specifically Ci-C 2 -alkoxy.
- R 2 is such as OCH 3 or OCH 2 CH 3 .
- R 2 is OR Y wherein R Y is Ci-C6-halogen- alkyl, in particular Ci-C 4 -halogenalkyl, more specifically Ci-C 2 -halogenalkyl.
- R 2 is such as OCF 3 , OCHF2, OCH2F, OCCI3, OCHC or OCH2CI, in particular OCF 3 , OCHF 2 , OCCI 3 or OCHC .
- R 2 is OR Y wherein R Y C 2 -C 6 -alkenyl, in particular C 2 -C 4 -alkenyl, more specifically Ci-C 2 -alkenyl.
- R 2 is OR Y wherein R Y C 2 -C 6 -halogen- alkenyl, in particular C 2 -C 4 -halogenalkenyl, more specifically Ci-C 2 -halogenalkenyl.
- R 2 is OR Y wherein R Y C 2 -C 6 -alkynyl, in particular C 2 -C 6 -alkynyl, in particular C 2 -C 4 -alkynyl, more specifically Ci-C 2 -alkynyl.
- R 2 is such as OC CH,
- R 2 is OR Y wherein R Y C 2 -C 6 -halogen- alkynyl, in particular C 2 -C 6 -halogenalkynyl, in particular C 2 -C 4 -halogenalkynyl, more specifically Ci-C 2 -halogenalkynyl.
- R 2 is such as OC CCI, OCFhC CCI, or OCChC CCI.
- R 2 is is OR Y wherein R Y C 3 -C 6 -cycloalkenyl, in particular cyclopropenyl.
- R 2 is C 3 -C 6 -cycloalkyl, in particular cyclopro- pyi-
- R 2 is C 3 -C 6 -halogencycloalkyl.
- R 2b is fully or partially halogenated cyclopropyl, such as 1-F-cyclopropyl, 1-CI- cyclopropyl, 1 ,1-F2-cyclopropyl, 1 ,1-Cl2-cyclopropyl .
- R 2 is phenyl-Ci-C 6 -alkyl, such as phenyl- CH 2 , wherein the phenyl moiety in each case is unsubstituted or substituted by one, two or three identical or different groups R 2b which independently of one another are selected from halogen, Ci-C2-alkyl, Ci-C 2 -alkoxy, Ci-C 2 -halogenalkyl and Ci-C 2 -halogenalkoxy, in particular F, Cl, Br, CHs, OCH3, CFs and OCF 3 .
- R 2 is aryl, in particular phenyl, wherein the aryl or phenyl moiety in each case is unsubstituted or substituted with identical or different groups R 2b which independently of one another are selected from CN, halogen, Ci-C2-alkyl, Ci- C2-alkoxy, Ci-C2-halogenalkyl and Ci-C2-halogenalkoxy, in particular CN, F, Cl, Br, CH3, OCH3, CHF2, OCHF2 , CF3 and OCF3.
- R 2 is unsubstituted phenyl.
- R 2 is phenyl, that is substituted with one, two or three, in partic- ular one, halogen, in particular selected from F, Cl and Br, more specifically selected from F and Cl.
- R 2 is a 5-membered heteroaryl such as pyr- rol-1 -yl, pyrrol-2 -yl, pyrrol-3-yl, thien-2-yl, thien-3-yl, furan-2-yl, furan-3-yl, pyrazol-1 -yl, pyrazol- 3-yl, pyrazol-4-yl, pyrazol-5-yl, imidazol-1 -yl, imidazol-2-yl, imidazol-4-yl, imidazol-5-yl, oxazol-2- yl, oxazol-4-yl, oxazol-5-yl, isoxazol-3-yl, isoxazol-4-yl, isoxazol-5-yl, thiazol-2-yl, thiazol-4-yl, thiazol-5-yl, isothiazol-3-yl, isoxazol-4-yl,
- R 2 is a 6-membered heteroaryl such as pyri- din-2-yl, pyridin-3-yl, pyridin-4-yl, pyridazin-3-yl, pyridazin-4-yl, pyrimidin-2-yl, pyrimidin-4-yl, py- rimidin-5-yl, pyrazin-2-yl and 1 ,3,5-triazin-2-yl and 1 ,2,4-triazin-3-yl.
- R 2 is in each case independently selected from halogen, CN, Ci-C 6 -alkyl, Ci-C 6 -halogenalkyl, C2-C6-alkenyl, C2-C6-alkynyl, Ci-C 6 -alkoxy, Ci-C 6 -halogenalkoxy, C3-C6-alkenyloxy, C3-C6-alkynyloxy, C3-C6-cycloalkyl and C3-C6-halogen- cycloalkyl, wherein the acyclic moieties of R 2 are unsubstituted or substituted with identical or different groups R 2a as defined and preferably defined herein, and wherein the carbocyclic, phe- nyl and heteroaryl moieties of R 2 are unsubstituted or substituted with identical or different groups R 2b as defined and preferably defined herein.
- R 2 is in each case independently selected from halogen, CN, Ci-C 6 -alkyl, Ci-C 6 -halogenalkyl, C2-C6-alkenyl, C2-C6-alkynyl, Ci-C 6 -alkoxy, Ci-C 6 -halogenalkoxy; wherein the acyclic moieties of R 2 are unsubstituted or substituted with identical or different groups R 2a as defined and preferably defined herein.
- R 2 is in each case independently selected from CN, halogen, Ci-C 6 -alkyl, Ci-C 6 -halogenalkyl, C2-C6-alkynyl, OR Y , C3-C6-cycloalkyl;
- R Y is Ci-C 6 -alkyl, Ci-C 6 -halogenalkyl, C2-C6-alkenyl or C2-C6-alkynyl.
- R 2a are the possible substituents for the acyclic moieties of R 2 .
- R 2a is independently selected from halogen, OH, CN, C1-C6- alkoxy, C3-C6-cycloalkyl, C3-C6-halogencycloalkyl, Ci-C 4 -halogenalkoxy, Ci-C 6 -alkylthio, aryl and phenoxy, wherein the aryl and phenyl group is unsubstituted or substituted with substitu- ents R 21a selected from the group consisting of halogen, OH, Ci-C 4 -alkyl, Ci-C 4 -halogenalkyl, Ci-C 4 -alkoxy and Ci-C 4 -halogenalkoxy.
- R 2a is independently selected from halogen, Ci-C 6 -alkoxy, C3-C6- cycloalkyl, C3-C6-halogencycloalkyl and Ci-C 4 -halogenalkoxy.
- R 2a is independently selected from F, Cl, Br, I, Ci-C2-alkoxy, cyclopropyl, 1 -F-cyclopropyl, 1 -CI-cyclopropyl, 1 , 1 -F2- cyclopropyl, 1 ,1 -Cl 2 -cyclopropyl and Ci-C2-halogenalkoxy.
- R 2a is independently halogen, in particular selected from F, Cl, Br and I, more specifically F, Cl and Br.
- R 2b are the possible substituents for the carbocyclic, heteroaryl and phenyl moieties of R 2 .
- R 2b according to the invention is independently selected from halogen, OH, CN, Ci-C 4 -alkyl, C1-C4- alkoxy, Ci-C 4 -halogenalkyl, C3-C6-cycloalkyl, C3-C6-halogencycloalkyl, Ci-C 4 -halogenalkoxy and Ci-C 6 -alkylthio.
- R 2b is independently selected from halogen, CN, Ci-C 4 - alkyl, Ci-C 4 -alkoxy, Ci-C 4 -halogenalkyl and Ci-C 4 -halogenalkoxy, in particular halogen, Ci-C 4 - alkyl and Ci-C 4 -alkoxy.
- R 2b is independently selected from F, Cl, CN, CH 3 , OCH 3 and halogenmethoxy.
- R 2 Particularly preferred embodiments of R 2 according to the invention are in Table P2 below, wherein each line of lines P2-1 to P2-42 corresponds to one particular embodiment of the inven- tion, wherein P2-1 to P2-42 are also in any combination with one another a preferred embodi- ment of the present invention.
- the connection point to the carbon atom, to which R 2 is bound is marked with“#” in the drawings.
- R 3 is in each case independently selected from halogen, OH, COOH, CONH 2 , CN, NO 2 , SH, NH 2, NH(Ci-C 4 -alkyl), N(Ci-C 4 -alkyl) 2 , NH(C 2 -C 4 -alkenyl), N(C 2 -C 4 -alkenyl) 2 , NH(C 2 -C 4 -alkynyl), N(C 2 -C 4 -alkynyl) 2 , NH(C 3 -C 6 -cycloalkyl), N(C 3 -C 6 -cycloalkyl) 2 , N(C 2 -C 4 -alkyl)(C 2 -C 4 -alkenyl), N(C 2 -C 4 -alkyl)(C 2 -C 4 -alkynyl), N(C 2 -C 4 -alkyl)(C 3 -C 6 -cyclo
- R x is as defined above;
- R Y is as defined above;
- R 3 wherein the acyclic moieties of R 3 are unsubstituted or substituted with groups R 3a which independently of one another are selected from:
- R 3a halogen, OH, CN, Ci-C 6 -alkoxy, C 3 -C 6 -cycloalkyl, C 3 -C 6 -halogencycloalkyl, Ci-C 4 - halogenalkoxy, Ci-C 6 -alkylthio, aryl and phenoxy, wherein the aryl and phenyl group is unsubstituted or substituted with substituents R 31a selected from the group consisting of halogen, OH, Ci-C 4 -alkyl, Ci-C 4 -halogenalkyl, Ci-C 4 -alkoxy and Ci-C 4 -halogenalkoxy;
- R 3b halogen, OH, CN, Ci-C 4 -alkyl, Ci-C 4 -alkoxy, Ci-C 4 -halogenalkyl, C 3 -C 6 -cycloalkyl, C 3 -C 6 -halogencycloalkyl, Ci-C 4 -halogenalkoxy and Ci-C 6 -alkylthio.
- R 3 is selected from the group consisting of halogen, CN, Ci-C 6 -alkyl, Ci-C 6 -halogenalkyl, C 2 -C 6 -alkenyl, C 2 -C 6 -halogenalkenyl, C 2 -C 6 -alkynyl, C 2 -C 6 - halogenalkynyl, Ci-C 6 -alkoxy, Ci-C 6 -halogenalkoxy and OR Y .
- R 3 is secected from the group consisting of halogen, CN, Ci-C6-alkyl, Ci-C6-halogenalkyl, C 2 -C 6 - alkenyl, C 2 -C 6 -halogenalkenyl, C 2 -C 6 -alkynyl, C 2 -C 6 -halogenalkynyl, Ci-C6-alkoxy, Ci-C6-halo- genalkoxy and OR Y .
- R 3 is halogen, in particular F, Cl, Br or I, more specifically F, Cl or Br, in particular F or Cl.
- R 3 is F.
- R 3 is Cl
- R 3 is Br.
- R 3 is OH.
- R 2 is COOH
- R 2 is CONH 2 .
- R 3 is CN
- R 3 is NO 2 .
- R 3 is SH.
- R 3 is NH 2 .
- R 3 is , NH(Ci-C 4 -alkyl), in particular NH(CHs), NH(C 2 H 5 ).
- R 3 is , N(Ci-C4-alkyl)2, in particular NH(CHs) 2 , NH(C 2 H 5 ) 2 .
- R 3 is , NH(C 3 -C 6 -cycloalkyl), in particular NH(C 3 H 7 ), NH(C 4 H 9 ).
- R 3 is , N(C3-C6-cycloalkyl)2, in particular N(C 3 H 7 ) 2 , N(C 4 H 9 ) 2 .
- R 3 is N(Ci-C 4 -alkyl)(C 2 -C 4 -alkynyl), in particular N(CH 3 )(CoCH), N(CH 3 )(CH 2 CoCH), N(C 2 H 5 )(CoCH), N(C 2 H 5 )(CH 2 CoCH).
- R 3 is N(Ci-C 4 -alkyl)(C 3 -C 6 -cycloalkyl), in particular N(CH 3 )(C 3 H 7 ), N(CH 3 )(C 4 H 9 ), N(C 2 H 5 )(C 3 H 7 ), N(CH 3 )(C 4 H 9 ).
- R 3 is N(C2-C 4 -alkynyl)(C 3 -C6-cycloalkyl), in particular N(CoCH)(C 3 H 7 ), N(CH 2 CoCH)(C 4 H 9 ), N(CoCH)(C 3 H 7 ), N(CH 2 CoCH)(C 4 H 9 ).
- R 3 is NH-S0 2 -R X such as NH-S0 2 -CH 3 , NH-S0 2 -CH 2 -CH 3 , NH-S0 2 -CF 3 , NH-S0 2 -TS.
- R 3 is S(0)n-C 2 -C 6 -alkenyl such as
- R 3 is Ci-C 6 -alkyl, in particular Ci-C4-alkyl, such as CH 3 . or C 2 H 5 , in particular CH 3 or CH 2 CH 3 .
- R 3 is Ci-C 6 -halogenalkyl, in particular C 1 -C 4 - halogenalkyl, such as CF 3 , CCI 3 , FCH 2 , CICH 2 , F 2 CH, CI 2 CH, CF3CH2, CCI3CH2 or CF 2 CHF 2 .
- R 3 is OR Y wherein R Y is Ci-C6-alkyl, Ci-C6-halogenalkyl, C 2 -C 6 -alkenyl, C 2 -C 6 -halogenalkenyl, C 2 -C 6 -alkynyl, C 2 -C 6 -halogenalkynyl, C 3 -C 6 -cycloalkyl, C 3 -C 6 -halogencycloalkyl.
- R 3 is OR Y wherein R Y is Ci-C6-alkyl, in particular Ci-C 4 -alkyl, more specifically Ci-C 2 -alkoxy. R 3 is such as OCH 3 or OCH 2 CH 3 .
- R 3 is OR Y wherein R Y is Ci-C6-halogen- alkyl, in particular Ci-C 4 -halogenalkyl, more specifically Ci-C 2 -halogenalkyl.
- R 3 is such as OCF 3 , OCHF2, OCH2F, OCCI3, OCHC or OCH2CI, in particular OCF 3 , OCHF 2 , OCCI 3 or OCHC .
- R 3 is OR Y wherein R Y C 2 -C 6 -alkenyl, in particular C 2 -C 4 -alkenyl, more specifically Ci-C 2 -alkenyl.
- R 3 is OR Y wherein R Y C 2 -C 6 -alkynyl, in particular C 2 -C 6 -alkynyl, in particular C 2 -C 4 -alkynyl, more specifically Ci-C 2 -alkynyl.
- R 3 is such as OCoCH, OCoCCI, OCH 2 CoCCI, or OCCI 2 CoCCI
- R 3 is OR Y wherein R Y is C3-C6-cycloalkyl, in particular cyclopropyl.
- R 3 is OR Y wherein R Y is C3-C6-halogencyclo- alkyl.
- R 1 is fully or partially halogenated cyclopropyl.
- R 3 is is OR Y wherein R Y C3-C6-cycloalkenyl, in particular cyclopropenyl.
- R 3 is C3-C6-cycloalkyl, in particular cyclopro- pyl.
- R 3 is C3-C6-halogencycloalkyl.
- R 3b is fully or partially halogenated cyclopropyl, such as 1 -F-cyclopropyl, 1 -CI- cyclopropyl, 1 ,1 -F2-cyclopropyl, 1 ,1 -Cl2-cyclopropyl
- R 3 is phenyl-Ci-C 6 -alkyl, such as phenyl- CH 2 , wherein the phenyl moiety in each case is unsubstituted or substituted by one, two or three identical or different groups R 3b which independently of one another are selected from halogen, Ci-C2-alkyl, Ci-C2-alkoxy, Ci-C2-halogenalkyl and Ci-C2-halogenalkoxy, in particular F, Cl, Br, CHs, OCHS, CFS and OCF 3 .
- R 3 is aryl, in particular phenyl, wherein the aryl or phenyl moiety in each case is unsubstituted or substituted with identical or different groups R 3b which independently of one another are selected from CN, halogen, Ci-C2-alkyl, Ci- C2-alkoxy, Ci-C2-halogenalkyl and Ci-C2-halogenalkoxy, in particular CN, F, Cl, Br, CH3, OCH3, CHF2, OCHF2 , CF3 and OCF3.
- R 3 is unsubstituted phenyl.
- R 3 is phenyl, that is substituted with one, two or three, in partic- ular one, halogen, in particular selected from F, Cl and Br, more specifically selected from F and Cl.
- R 3 is a 5-membered heteroaryl such as pyr- rol-1 -yl, pyrrol-2 -yl, pyrrol-3-yl, thien-2-yl, thien-3-yl, furan-2-yl, furan-3-yl, pyrazol-1 -yl, pyrazol- 3-yl, pyrazol-4-yl, pyrazol-5-yl, imidazol-1 -yl, imidazol-2-yl, imidazol-4-yl, imidazol-5-yl, oxazol-2- yl, oxazol-4-yl, oxazol-5-yl, isoxazol-3-yl, isoxazol-4-yl, isoxazol-5-yl, thiazol-2-yl, thiazol-4-yl, thiazol-5-yl, isothiazol-3-yl, isoxazol-4-yl,
- R 9 is a 6-membered heteroaryl such as pyri- din-2-yl, pyridin-3-yl, pyridin-4-yl, pyridazin-3-yl, pyridazin-4-yl, pyrimidin-2-yl, pyrimidin-4-yl, py- rimidin-5-yl, pyrazin-2-yl and 1 ,3,5-triazin-2-yl and 1 ,2,4-triazin-3-yl.
- R 3 is in each case independently selected from H, halogen, CN, Ci-C 6 -alkyl, Ci-C 6 -halogenalkyl, C2-C6-alkenyl, C2-C6-alkynyl, C1-C6- alkoxy, Ci-C6-halogenalkoxy,C3-C6-alkenyloxy, C3-C6-alkynyloxy, C3-C6-cycloalkyl and C3-C6- halogencycloalkyl, wherein the acyclic moieties of R 3 are unsubstituted or substituted with iden- tical or different groups R 3a as defined and preferably defined herein, and wherein the carbocy-rod, phenyl and heteroaryl moieties of R 3 are unsubstituted or substituted with identical or differ- ent groups R 3b as defined and preferably defined herein.
- R 3 is in each case independently selected from halogen, CN, Ci-C 6 -alkyl, Ci-C 6 -halogenalkyl, C2-C6-alkenyl, C2-C6-alkynyl, Ci-C 6 -alkoxy, Ci-C 6 -halogenalkoxy; wherein the acyclic moieties of R 3 are unsubstituted or substituted with identical or different groups R 3a as defined and preferably defined herein.
- R 3 is in each case independently selected from CN, halogen, Ci-C 6 -alkyl, Ci-C 6 -halogenalkyl, C2-C6-alkynyl, OR Y , C3-C6-cycloalkyl;
- R Y is Ci-C 6 -alkyl, Ci-C 6 -halogenalkyl, C2-C6-alkenyl or C2-C6-alkynyl.
- R 3a are the possible substituents for the acyclic moieties of R 3 .
- R 3a is independently selected from halogen, OH, CN, C1-C6- alkoxy, C3-C6-cycloalkyl, C3-C6-halogencycloalkyl, Ci-C 4 -halogenalkoxy, Ci-C 6 -alkylthio, aryl and phenoxy, wherein the aryl and phenyl group is unsubstituted or substituted with substitu- ents R 31a selected from the group consisting of halogen, OH, Ci-C 4 -alkyl, Ci-C 4 -halogenalkyl, Ci-C 4 -alkoxy and Ci-C 4 -halogenalkoxy.
- R 3a is independently selected from halogen, Ci-C 6 -alkoxy, C3-C6- cycloalkyl, C3-C6-halogencycloalkyl and Ci-C 4 -halogenalkoxy.
- R 3a is independently selected from F, Cl, Br, I, Ci-C2-alkoxy, cyclopropyl, 1-F-cyclopropyl, 1-CI-cyclopropyl, 1 , 1 -F2- cyclopropyl, 1 ,1-Cl 2 -cyclopropyl and Ci-C2-halogenalkoxy.
- R 3a is independently halogen, in particular selected from F, Cl, Br and I, more specifically F, Cl and Br.
- R 3b are the possible substituents for the carbocyclic, heteroaryl and phenyl moieties of R 3 .
- R 3b according to the invention is independently selected from halogen, OH, CN, Ci-C 4 -alkyl, Ci-C 4 - alkoxy, Ci-C 4 -halogenalkyl, C3-C6-cycloalkyl, C3-C6-halogencycloalkyl, Ci-C 4 -halogenalkoxy and Ci-C 6 -alkylthio.
- R 3b is independently selected from halogen, CN, Ci-C 4 - alkyl, Ci-C 4 -alkoxy, Ci-C 4 -halogenalkyl and Ci-C 4 -halogenalkoxy, in particular halogen, Ci-C 4 - alkyl and Ci-C 4 -alkoxy.
- R 3b is independently selected from F, Cl, CN, CH 3 , OCH 3 and halogenmethoxy.
- R 3 Particularly preferred embodiments of R 3 according to the invention are in Table P3 below, wherein each line of lines P3-1 to P3-42 corresponds to one particular embodiment of the inven- tion, wherein P3-1 to P3-42 are also in any combination with one another a preferred embodi- ment of the present invention.
- the connection point to the carbon atom, to which R 3 is bound is marked with“#” in the drawings.
- R 4 is in each case independently selected from hydrogen, halogen, OH, CN, N0 2 , SH, NH 2, NH(Ci-C 4 -alkyl), N(Ci-C 4 -alkyl) 2 , NH-S0 2 -R x , Ci-C 6 -alkyl, C 2 -C 6 -alkenyl, C 2 -C 6 -alkynyl, Ci-C 6 -alkoxy, C 3 -C 6 -cycloalkyl, five- or six-membered heteroaryl and aryl;
- heteroaryl contains one, two or three heteroatoms selected from N, O and S; and wherein
- R x is Ci-C 4 -alkyl, Ci-C 4 -halogenalkyl, unsubstituted aryl or aryl that is substituted with one, two, three, four or five substituents R x4 independently selected from Ci-C 4 -alkyl, halogen, OH, CN, Ci-C 4 -halogenalkyl, Ci-C 4 -alkoxy and Ci-C 4 -halogenalkoxy;
- R 4 wherein the acyclic moieties of R 4 are unsubstituted or substituted with identical or different groups R 4a which independently of one another are selected from:
- R 4a halogen, OH, CN, Ci-C 6 -alkoxy, C 3 -C 6 -cycloalkyl, C 3 -C 6 -halogencycloalky, Ci-C 4 -halogen- alkoxy, Ci-C 6 -alkylthio, aryl and phenoxy, wherein the aryl and phenoxy group is unsubstituted or unsubstituted or substituted with R 44a selected from the group consisting of halogen, OH, C 1 - C 4 -alkyl, Ci-C 4 -halogenalkyl, Ci-C 4 -alkoxy and Ci-C 4 -halogenalkoxy;
- R 4 wherein the carbocyclic, heteroaryl and aryl moieties of R 4 are unsubstituted or substituted with identical or different groups R 4b which independently of one another are selected from:
- R 4b halogen, OH, CN, Ci-C 4 -alkyl, Ci-C 4 -alkoxy, Ci-C 4 -halogenalkyl, C 3 -C 6 -cycloalkyl, C 3 -C 6 - halogencycloalkyl, Ci-C 4 -halogenalkoxy and Ci-C6-alkylthio.
- R 4 is H, halogen or Ci-C6-alkyl, in particular H, CH 3 , Et, F, Cl, more specifically H, CH 3 , F or Cl most preferred H, F or Cl.
- R 4 is hydrogen
- R 4 is halogen, in particular Br, F or Cl, more specifically F or Cl.
- R 4 is F
- R 4 is Cl
- R 4 is Br.
- R 4 is OH.
- R 4 is COOH
- R 4 is CONH 2 .
- R 4 is CN
- R 4 is NO 2 .
- R 4 is SH.
- R 4 is NH 2, NH(Ci-C 4 -alkyl), N(Ci-C 4 -alkyl) 2 or NH-S0 2 -R x , wherein R x is Ci-C 4 -alkyl, Ci-C 4 -halogenalkyl, unsubstituted aryl or aryl that is sub- stituted with one, two, three, four or five substituents R x4 independently selected from Ci-C 4 -al- kyl, halogen, OH, CN, Ci-C 4 -halogenalkyl, Ci-C 4 -alkoxy, or Ci-C 4 -halogenalkoxy.
- Ci-C 4 -alkyl such as NHCH 3 and N(CH 3 ) 2 .
- R x is Ci-C 4 -alkyl, and phenyl that is sub- stituted with one CH 3 , more specifically S0 2 -R x is CH 3 and tosyl group (“Ts”).
- R 4 is Ci-C 6 -alkyl, in particular Ci-C4-alkyl, such as CH3 or CH2CH3.
- R 4 is Ci-C6-halogenalkyl, in particular C 1 -C 4 - halogenalkyl, such as CF 3 , CHF 2 , CH 2 F, CCI 3 , CHCI 2 , CH 2 CI, CF3CH2, CCI3CH2 or CF 2 CHF 2 .
- R 4 is C 2 -C 6 -alkynyl or C 2 -C 6 -halogenalkynyl, in particular C2-C4-alkynyl or C2-C 4 -halogenalkynyl, such as CECH, CECCI, CECF. CI-hC CH, CH 2 CoCCI, or CH 2 CoCF.
- R 4 is Ci-C6-alkoxy, in particular Ci-C 4 -alkoxy, more specifically Ci-C 2 -alkoxy such as OCH 3 or OCH 2 CH 3 .
- R 4 is Ci-C 6 -halogenalkoxy, in particular C1- C 4 -halogenalkoxy, more specifically Ci-C2-halogenalkoxy such as OCF3, OCHF2, OCH2F,
- OCCI3, OCHC or OCH2CI in particular OCF 3 , OCHF 2 , OCCI 3 or OCHC .
- R 4 is C 3 -C 6 -cycloalkyl, in particular cyclopro- pyi-
- R 4 is C3-C6-cycloalkyl, for example cyclopro- pyl, substituted with one, two, three or up to the maximum possible number of identical or differ- ent groups R 4b as defined and preferably herein.
- R 4 is C3-C6-halogencycloalkyl.
- R 4 is fully or partially halogenated cyclopropyl.
- R 4 is unsubstituted aryl or aryl that is substituted with one, two, three or four R 4b , as defined herein.
- R 4 is unsubstituted phenyl or phenyl that is substituted with one, two, three or four R 4b , as defined herein.
- R 4 is unsubstituted 5- or 6-membered heteroaryl. According to still a further embodiment, R 4 is 5- or 6-membered heteroaryl that is substituted with one, two or three R 4b , as defined herein.
- R 4 is in each case independently selected from hydrogen, halogen, OH, CN, N0 2 , SH, NH 2, NH(Ci-C 4 -alkyl), N(Ci-C 4 -alkyl) 2 , NH-S0 2 -R x , Ci-C 6 -alkyl, C2-C6-alkenyl, C2-C6-alkynyl, Ci-C 6 -alkoxy and C3-C6-cycloalkyl; wherein the acyclic moieties of R 4 are not further substituted or carry one, two, three, four or five identical or differ- ent groups R 4a as defined below and wherein the carbocyclic, heteroaryl and aryl moieties of R 4 are not further substituted or carry one, two, three, four or five identical or different groups R 4b as defined below.
- R 4 is independently selected from hydrogen, halogen, CN, OH, Ci-C 6 -alkyl,Ci-C 6 -alkoxy, C 6 -alkenyl, C2-C6-alkynyl, C3-C6-cycloalkyl, wherein the acyclic and cyclic moieties of R 4 are unsubtitted or substituted by halogen.
- R 4 is independently selected from hydrogen, halogen, CN, OH, Ci-C 6 -alkyl, Ci-C 6 -halogenalkyl, Ci-C 6 -alkoxy and Ci-C 6 -halogenalkoxy, in particular independently selected from H, F, Cl, Br, CN, OH, Ci-C 4 -alkyl, Ci-C 4 -halogenalkyl, C1- C 4 -alkoxy and Ci-C 4 -halogenalkoxy.
- R 4 is independently selected from H, CN, halogen or Ci-C 6 -alkyl, in particular H, CN, CH 3 , Et, F, Cl, more specifically H, CN, CH 3 , F or Cl most preferred H, CH 3, F or Cl.
- R 4a are the possible substituents for the acyclic moieties of R 4 .
- R 4a is independently selected from halogen, OH, CN, Ci-C 6 -alkoxy, C 3 -C 6 -cycloalkyl, C 3 -C 6 -halogencycloalkyl, Ci-C 4 -halogenalkoxy, Ci-C 6 -alkylthio, aryl and phe- noxy, wherein the aryl group is unsubstituted or unsubstituted or substituted with R 44a selected from the group consisting of halogen, OH, Ci-C 4 -alkyl, Ci-C 4 -halogenalkyl, Ci-C 4 -alkoxy and Ci- C 4 -halogenalkoxy, in particular selected from halogen, Ci-C 2 -alkyl, Ci-C 2 -halogenalkyl, C 1 -C 2 - alkoxy and Ci-C 2 -halogenalkoxy, more specifically selected from halogen, such as F, Cl and Br.
- halogen
- R 4a is independently selected from halogen, OH, CN, Ci-C 2 -alkoxy, C 3 - C 6 -cycloalkyl, C 3 -C 6 -halogencycloalkyl and Ci-C 2 -halogenalkoxy. Specifically, R 4a is
- R 4a is independently selected from halogen, such as F, Cl, Br and I, more specifically F, Cl and Br.
- R 4a is independently selected from OH, C 3 - C 6 -cycloalkyl, C 3 -C 6 -halogencycloalkyl and Ci-C 2 -halogenalkoxy. Specifically, R 4a is
- R 4a is independently selected from aryl and phenoxy, wherein the aryl group is unsubstituted or substituted with R 44a selected from the group consisting of halogen, OH, Ci-C 4 -alkyl, Ci-C 4 -halogenalkyl, Ci-C 4 -alkoxy and Ci-C 4 -halo- genalkoxy, in particular selected from halogen, Ci-C 2 -alkyl, Ci-C 2 -halogenalkyl, Ci-C 2 -alkoxy and Ci-C 2 -halogenalkoxy, more specifically selected from halogen, such as F, Cl and Br.
- R 44a selected from the group consisting of halogen, OH, Ci-C 4 -alkyl, Ci-C 4 -halogenalkyl, Ci-C 4 -alkoxy and Ci-C 4 -halo- genalkoxy, in particular selected from halogen, Ci-C 2 -alkyl, Ci-C 2
- R 4b are the possible substituents for the carbocyclic, heteroaryl and aryl moieties of R 4 .
- R 4b is independently selected from halogen, OH, CN, Ci-C 4 -alkyl, C 1 - C 4 -alkoxy, Ci-C 4 -halogenalkyl, C 3 -C 6 -cycloalkyl, C 3 -C 6 -halogencycloalkyl, Ci-C 4 -halogenalkoxy and Ci-C6-alkylthio;
- R 4b is independently selected from halogen, CN, C 1 -C 2 - alkyl, Ci-C 2 -alkoxy, Ci-C 2 -halogenalkyl, C 3 -C 6 -cycloalkyl, C 3 -C 6 -halogencycloalkyl and C 1 -C 2 - halogenalkoxy.
- R 4b is independently selected from F, Cl, Br, OH, CN, CH 3 , OCH 3, CHF 2 , OCHF 2 , cyclopropyl, 1-F-cyclopropyl, 1-CI-cyclopropyl, 1 ,1-F 2 -cyclopropyl, 1 , 1 -CI 2 - cyclopropyl, OCF 3 , and OCHF 2 .
- R 4b is independently selected from halogen, C 1 - C 2 -alkyl, Ci-C 2 -alkoxy, Ci-C 2 -halogenalkyl, C 3 -C 6 -cycloalkyl, C 3 -C 6 -halogencycloalkyl and C 1 -C 2 - halogenalkoxy.
- R 4b is independently selected from halogen, CN, OH, CH 3 , CHF 2 , OCHF 2 , OCF 3 , OCH 3 , cyclopropyl, 1 -F-cyclopropyl, 1 -CI-cyclopropyl, 1 ,1 -F 2 -cyclopropyl, 1 , 1 -CI 2 - cyclopropyl and halogenmethoxy, more specifically independently selected from F, Cl, OH, CH 3 , OCH 3, CHF 2 , OCH 3 , cyclopropyl, 1 -F-cyclopropyl, 1 -CI-cyclopropyl, 1 ,1 -F 2 -cyclopropyl, 1 , 1 -CI 2 - cyclopropyl, OCHF 2 and OCF 3 .
- R x in the substituent NH-S0 2 -R X is in each case independently selected from Ci-C 4 -alkyl, Ci-C 4 - halogenalkyl, unsubstituted aryl and aryl that is substituted with one, two, three, four or five substituents R x4 independently selected from Ci-C 4 -alkyl, halogen, OH, CN, Ci-C 4 -halogenalkyl, Ci-C 4 -alkoxy and Ci-C 4 -halogenalkoxy.
- R x is in each case independently selected from Ci-C 4 -alkyl, halogen, OH, CN and phenyl that is substituted with one, two or three R x4 independently selected from Ci-C 2 -alkyl, more specifically R x is in each case independently selected from Ci-C 4 -alkyl and phenyl that is substituted with one CH 3 , more specifically SC>2-R X is the tosyl group (“Ts”).
- R 4 Particularly preferred embodiments of R 4 according to the invention are in Table P4 below, wherein each line of lines P4-1 to P4-16 corresponds to one particular embodiment of the inven- tion. Thereby, for every R 4 that is present in the inventive compounds, these specific
- Ts in the table stands for the tosylgroup S0 2 -(p-CH 3 )phenyl.
- R 5 , R 6 , R 7 , R 8 , R 9 , R 10 and R 11 are independently selected from H, halogen, OH, CN, NO2,
- R are independently unsubstituted or substituted with R’” which is independently se- lected from halogen, OH, CN, N0 2 , SH, NH 2, NH(Ci-C 4 -alkyl), N(Ci-C 4 -alkyl) 2 , NH-SO2- R x , Ci-C 6 -alkyl, Ci-C 6 -halogenalkyl, C2-C6-alkenyl, C2-C6-halogenalkenyl, C2-C6-alkynyl, C2-C6-halogenalkynyl, Ci-C 6 -alkoxy, Ci-C 6 -halogenalkoxy, C3-C6-cycloalkyl, C3-C6- halogencycloalkyl and phenyl; wherein R x is as defined above;
- R 5 , R 6 , R 7 , R 8 , R 9 , R 10 and R 11 are independently not further sub- stituted or carry one, two, three or up to the maximum possible number of identical or different groups R 5a , R 6a , R 7a , R 8a , R 9a , R 10a and R 11a , which independently of one another are selected from:
- R 5 , R 6 , R 7 , R 8 , R 9 , R 10 and R 11 are independently unsubstituted or substituted with identical or different groups R 5b , R 6b , R 7b ,
- R 8b , R 9b , R 10b and R 11b which independently of one another are selected from:
- R’ and R are independently unsubstituted or substituted by R’” which is independently selected from halogen, OH, CN, NO2, SH, NH2 , NH(Ci-C4-alkyl), N(Ci-C 4 -alkyl) 2 , NH-S0 2 -R x , Ci-C 6 -alkyl, Ci-C 6 -halogenalkyl, C2-C6-alkenyl, C2-C6-halogenalkenyl, C2-C6-alkynyl, C2-C6-halogenalkynyl, Ci-C 6 -alkoxy, Ci-C 6 -halogenalkoxy, C3-C6-cycloalkyl, C3-C6-halogency- cloalkyl and phenyl; or
- R 5 , R 6 , R 7 , R 8 , R 9 , R 10 and R 11 are independently not further substituted or carry 1 , 2, 3 or up to the maximum possible number of identical or different groups R 5a , R 6a , R 7a , R 8a , R 9a , R 10a , and R 11a , respectively, which independently of one another are selected from:
- R 10 and R 11 are independently not further substituted or carry 1 , 2, 3, 4, 5 or up to the maximum number of identical or different groups R 5b , R 6b , R 7b , R 8b , R 9b , R 10b and R 11b , respectively, which independently of one another are selected from:
- R 5 , R 6 , R 7 , R 8 , R 9 , R 10 and R 11 are independently H. Accordinging to another embodiment of formula I, R 5 , R 6 , R 7 , R 8 , R 9 , R 10 and R 11 are inde- pendently F.
- R 5 , R 6 , R 7 , R 8 , R 9 , R 10 and R 11 are independently Cl.
- R 5 , R 6 , R 7 , R 8 , R 9 , R 10 and R 11 are independently Br.
- R 5 , R 6 , R 7 , R 8 , R 9 , R 10 and R 11 are inde- pendently OH.
- R 5 , R 6 , R 7 , R 8 , R 9 , R 10 and R 11 are inde- pendently CN.
- R 5 , R 6 , R 7 , R 8 , R 9 , R 10 and R 11 are inde- pendently N0 2 .
- R 5 , R 6 , R 7 , R 8 , R 9 , R 10 and R 11 are inde- pendently SH.
- R 5 , R 6 , R 7 , R 8 , R 9 , R 10 and R 11 are inde- pendently Ci-C 6 -alkylthio, such as SCH3, SC 2 H 5 , Sn-propyl, Si-propyl, Sn-butyl, Si-butyl, Stert- butyl, Sn-pentyl, Si-pentyl, CH 2 SCH 3 or CH 2 SCH 2 CH 3 .
- R 5 , R 6 , R 7 , R 8 , R 9 , R 10 and R 11 are inde- pendently Ci-C 6 -halogenalkylthio, such as SCF3, SCCI3, CH 2 SCF3 or CH 2 SCF3.
- R 5 , R 6 , R 7 , R 8 , R 9 , R 10 and R 11 are inde- pendently selected from CN, substituted Ci-C 6 -alkyl, Ci-C 6 -halogenalkyl or Ci-C 6 -alkyl which is substituted, Ci-C 6 -halogenalkyl, phenyl, halogenphenyl and three-, four-, five- or six-membered carbo- and heterocycle, wherein the carbo- and heterocycle is unsubstituted or is substituted with substituents R 5b , R 6b , R 7b , R 8b , R 9b , R 10b , and R 11b as defined below. According to one em- bodiment thereof, the carbocycle is unsubstituted. In a particular embodiment, R 5 , R 6 , R 7 , R 8 ,
- R 9 , R 10 and R 11 is selected from Ci-C 6 -halogenalkyl, phenyl-Chh, halogenphenyl-CH2, phenyl, halogenphenyl and three-, four-, five- or six-membered carbo- and heterocycle, wherein the carbo- and heterocycle is unsubstituted or is substituted with substituents R 5b , R 6b , R 7b , R 8b , R 9b , R 10b , and R 11b as defined below.
- R 5 , R 6 , R 7 , R 8 , R 9 , R 10 and R 11 are inde- pendently selected from CN, substituted Ci-C 6 -alkyl, Ci-C 6 -halogenalkyl or Ci-C 6 -alkyl which is substituted, Ci-C 6 -halogenalkyl, phenyl, halogenphenyl and three-, four-, five- or six-membered carbo- and heterocycle, wherein the carbo- and heterocycle is unsubstituted or substituted bysubstituents R 5b , R 6b , R 7b , R 8b , R 9b , R 10b , and R 11b as defined below. According to one embodi- ment thereof, the carbo- and heterocycle is unsubstituted. In a particular embodiment, R 5 , R 6 ,
- R 7 , R 8 , R 9 , R 10 and R 11 are independently selected from substituted Ci-C 6 -halogenalkyl, phenyl, halogenphenyl and three-, four-, five- or six-membered carbo- and heterocycle, wherein the carbo- and heterocycle is unsubstituted or substituted bysubstituents R 5b , R 6b , R 7b , R 8b , R 9b ,
- R 10b and R 11b b as defined below.
- R 5 , R 6 , R 7 , R 8 , R 9 , R 10 and R 11 are independently selected from CN, substituted Ci-C 6 -alkyl, Ci-C 6 -halogenalkyl, C2-C6-alkenyl, C2-C6-halogen- alkenyl, C2-C6-alkynyl, C2-C6-halogenalkynyl, C3-C6-cycloalkyl, C3-C6-halogencycloalkyl, C1-C6- alkylaryl, five- or six-membered heteroaryl or aryl which is unsubstituted or substituted with halo- gen or Ci-C 6 -halogenalkyl, and wherein the acyclic moieties of R 5 , R 6 , R 7 , R 8 , R 9 , R 10 and R 11 are independently unsubstituted or substituted with identical or different groups R 5a , R 6a
- R 8a , R 9a , R 10a , and R 11a as defined below and wherein wherein the carbocycle, heterocycle and heteroaryl and aryl moieties are unsubstituted or substituted with substituents R 5b , R 6b , R 7b , R 8b , R 9b , R 10b , and R 11b as defined below.
- R 4 R 5 , R 6 , R 7 , R 8 , R 9 , R 10 and R 11 are inde- pendently selected from CN, substituted Ci-C 6 -alkyl, Ci-C 6 -halogenalkyl, CN, C2-C6-alkenyl, C2- C 6 -halogenalkenyl, C2-C6-alkynyl, C2-C6-halogenalkynyl, C3-C6-cycloalkyl, C3-C6-halogencycloal- kyl, Ci-C 6 -alkylaryl, phenyl, pyridine, pyrimidine, thiophene, imidazole, triazol, oxadiazol wherein the acyclic moieties of R 5 , R 6 , R 7 , R 8 , R 9 , R 10 , and R 11 are unsubstituted or substituted with iden- tical or different groups
- R 5 , R 6 , R 7 , R 8 , R 9 , R 10 and R 11 are inde- pendently Ci-C 6 -alkyl such as CH 3 , C2H 5 , n-propyl, i-propyl, n-butyl, i-butyl, tert-butyl, n-pentyl or i-pentyl.
- R 5 , R 6 , R 7 , R 8 , R 9 , R 10 and R 11 are inde- pendently Ci-C 6 -alkyl such as CH 3 .
- R 5 , R 6 , R 7 , R 8 , R 9 , R 10 and R 11 are inde- pendently Ci-C 6 -alkyl such as C2H 5 .
- R 5 , R 6 , R 7 , R 8 , R 9 , R 10 and R 11 are inde- pendently Ci-C 6 -alkyl such as n-C 3 H 7. According to still another embodiment of formula I, R 5 , R 6 , R 7 , R 8 , R 9 , R 10 and R 11 are inde- pendently Ci-C 6 -alkyl such as i-C 3 H 7.
- R 5 , R 6 , R 7 , R 8 , R 9 , R 10 and R 11 are inde- pendently Ci-C 6 -alkyl such as CH 3 , C2H 5 , n-propyl, i-propyl, n-butyl, i-butyl, tert-butyl, n-pentyl or i-pentyl which is substituted with at least one group R 5a , R 6a , R 7a , R 8a , R 9a , R 10a , and R 11a , which independently of one another are selected from:
- R 5 , R 6 , R 7 , R 8 , R 9 , R 10 and R 11 are inde- pendently CH 3 is substituted with at least one group R 5a , R 6a , R 7a , R 8a , R 9a , R 10a , and R 11a , which independently of one another are selected from:
- R 5 , R 6 , R 7 , R 8 , R 9 , R 10 and R 11 are inde- pendently C2H 5 is substituted with at least one group R 5a , R 6a , R 7a , R 8a , R 9a , R 10a , and R 11a , which independently of one another are selected from:
- R 5 , R 6 , R 7 , R 8 , R 9 , R 10 and R 11 are inde- pendently CH 2 CN.
- R 5 , R 6 , R 7 , R 8 , R 9 , R 10 and R 11 are inde- pendently CH 2 OH.
- R 5 , R 6 , R 7 , R 8 , R 9 , R 10 and R 1 1 are inde- pendently Ci-C6-halogenalkyl, in particular Ci-C 4 -halogenalkyl, more specifically Ci-C 2 -halogen- alkyl, such as CF 3 , CCI 3 , FCH 2 , CICH 2 , F 2 CH, CI 2 CH, CF3CH2, CCI3CH2 or CF 2 CHF 2 .
- R 5 , R 6 , R 7 , R 8 , R 9 , R 10 and R 1 1 are inde- pendently CH 2 F.
- R 5 , R 6 , R 7 , R 8 , R 9 , R 10 and R 1 1 are inde- pendently CHF 2 .
- R 5 , R 6 , R 7 , R 8 , R 9 , R 10 and R 1 1 are inde- pendently CF 3 .
- R 5 , R 6 , R 7 , R 8 , R 9 , R 10 and R 1 1 are inde- pendently C 2 -C 6 -alkynyl or C 2 -C 6 -halogenalkynyl, in particular C 2 -C 4 -alkynyl or C 2 -C 4 -halogen- alkynyl, such as CoCH, CoC-CI, CoC-CH 3 , CH 2 -CoCH, CH 2 -CoCCI or CH 2 - CoC-CH 3 .
- R 5 , R 6 , R 7 , R 8 , R 9 , R 10 and R 1 1 are inde- pendently C 2 -C 6 -cycloalkynyl in particular C 2 -C 4 -cycloalkynyl, such as C C-cPr.
- R 5 , R 6 , R 7 , R 8 , R 9 , R 10 and R 11 are inde- pendently Ci-C 6 -alkoxy, in particular Ci-C 4 -alkoxy, more specifically Ci-C 2 -alkoxy such as OCHs, CH2CH3 or CH2OCH3.
- R 5 , R 6 , R 7 , R 8 , R 9 , R 10 and R 11 are inde- pendently Ci-C6-alkyl-Ci-C6-alkoxy, in particular Ci-C 4 -alkyl-Ci-C 4 -alkoxy, more specifically C 1 - C2-alkyl-Ci-C2-alkoxy, such as CH2OCH3 or CH2OCH2CH3.
- R 5 , R 6 , R 7 , R 8 , R 9 , R 10 and R 11 are inde- pendently C2-C6-alkynyloxy, in particular C2-C4-alkynyloxy, more specifically Ci-C2-alkynyloxy such as OCoCH, OCH 2 CoCH or CH 2 OCoCH
- R 5 , R 6 , R 7 , R 8 , R 9 , R 10 and R 11 are inde- pendently Ci-C 6 -halogenalkoxy, in particular Ci-C4-halogenalkoxy, more specifically C1-C2- halogenalkoxy such as OCF 3 , OCHF2, OCH2F, OCCI 3 , OCHCI2 or OCH2CI, in particular OCF 3 , OCHF2, OCCI3 or OCHC .
- R 5 , R 6 , R 7 , R 8 , R 9 , R 10 and R 11 are inde- pendently Ci-C6-alkyl-Ci-C6-halogenalkoxy, in particular Ci-C 4 -alkyl-Ci-C 4 -halogenalkoxy, more specifically Ci-C 2 -alkyl-Ci-C 2 -halogenalkoxy such as CH 2 OCF 3 , CH 2 OCHF 2 , CH 2 OCH 2 F, CH2OCCI3, CH2OCHCI2 or CH2OCH2CI, in particular CH2OCF3, CH 2 OCHF 2 , CH2OCCI3 or CH2OCHCI2.
- alkyl is CH3, C2H5, n-propyl, i-propyl, n-butyl, i-butyl, tert-butyl, n- pentyl or i-pentyl.
- R 5 , R 6 , R 7 , R 8 , R 9 , R 10 and R 11 are inde- pendently Ci-C6-alkyl-NH(Ci-C4-alkyl) orCi-C6-alkyl-N(Ci-C4-alkyl)2, wherein alkyl is CH3, C2H5, n-propyl, i-propyl, n-butyl, i-butyl, tert-butyl, n-pentyl or i-pentyl.
- R 5 , R 6 , R 7 , R 8 , R 9 , R 10 and R 11 are inde- pendently C 1 -C6-a I ky Ith i o , in particular Ci-C 4 -alkoxy, more specifically Ci-C 3 -alkylthio such as CH 2 SCH 3 or CH 2 SCH 2 CH 3.
- R 5 , R 6 , R 7 , R 8 , R 9 , R 10 and R 11 are inde- pendently Ci-C 6 -alkyl-S(0) n -Ci-C 6 -alkyl, wherein alkyl is CH 3 , C2H 5 , n-propyl, i-propyl, n-butyl, i- butyl, tert-butyl, n-pentyl or i-pentyl and n is 1 , 2 or 3.
- R 5 , R 6 , R 7 , R 8 , R 9 , R 10 and R 11 are inde- pendently Ci-C 6 -alkyl-S(0) n -Ci-C 6 -halogenalkyl, wherein halogenalkyl is CF3 or CHF2 and n is 1 , 2 or 3.
- R 5 , R 6 , R 7 , R 8 , R 9 , R 10 and R 11 are inde- pendently Ci-C 6 -alkyl-S(0) n -aryl, wherein the aryl or phenyl moiety in each case is unsubsti- tuted or substituted with identical or different groups R 5b , R 6b , R 7b , R 8b , R 9b , R 10b , and R 11b which independently of one another are selected from halogen, Ci-C2-alkyl, Ci-C2-alkoxy, Ci-C2-halo- genalkyl, Ci-C2-halogenalkoxy and S(0) n -Ci-C 6 -alkyl, in particular F, Cl, Br, CH3, OCH3, CF3, CHF2, OCHF2, OCF3.
- R 5 , R 6 , R 7 , R 8 , R 9 , R 10 and R 11 are unsub- stituted phenyl. According to another embodiment, R 5 , R 6 , R 7 , R 8 , R 9 , R 10 and R 11 are phenyl, that is substituted with one, two or three, in particular one, halogen, in particular selected from F, Cl and Br, more specifically selected from F and Cl.
- R 5 , R 6 , R 7 , R 8 , R 9 , R 10 and R 1 1 are inde- pendentlyCi-C 6 -alkyl-NH-S0 2 -R x wherein R x is Ci-C 4 -alkyl, Ci-C 4 -halogenalkyl, unsubstituted aryl or aryl that is substituted with one, two, three, four or five substituents R x2 independently se- lected from Ci-C 4 -alkyl, halogen, OH, CN, Ci-C 4 -halogenalkyl, Ci-C 4 -alkoxy, or Ci-C 4 -halogen- alkoxy, such as CH 2 NHS0 2 CF 3 or CH2NHSO2CH3.
- R x is Ci-C 4 -alkyl, Ci-C 4 -halogenalkyl, unsubstituted aryl or aryl that is substituted with one, two, three, four or five substitu
- R 5 , R 6 , R 7 , R 8 , R 9 , R 10 and R 11 are inde- pendently selected from Ci-C 6 -alkyl which is substituted, a saturated three-, four-, five-, six-, seven-, eight-, nine-, or ten-membered carbocycle, in particular three-, four-, five- or six-mem- bered, wherein the carbocycle is unsubstituted or substituted with substituents R 5b , R 6b , R 7b , R 8b , R 9b , R 10b , and R 11b as defined below. According to one embodiment thereof, the carbocycle is unsubstituted.
- R 5 , R 6 , R 7 , R 8 , R 9 , R 10 and R 11 are independently selected from Ci-C 6 -alkyl, especially CH2 which is substituted with a 3-membered saturated carbocycle.
- the carbocycle is unsubstituted, i.e. it does not carry any substituent R 5b , R 6b , R 7b , R 8b , R 9b , R 10b , and R 11b .
- R 5b , R 6b , R 7b , R 8b , R 9b , R 10b , and R 11b it is substituted with R 5b , R 6b , R 7b , R 8b , R 9b , R 10b , and R 11b .
- R 5 , R 6 , R 7 , R 8 , R 9 , R 10 and R 11 are independently selected from Ci-C 6 -alkyl, especially CH2 which is substituted with a 4-membered saturated carbocycle.
- the carbocycle is unsubstituted, i.e. it does not carry any substituent R 5b , R 6b , R 7b , R 8b , R 9b , R 10b , and R 11b .
- R 5b , R 6b , R 7b , R 8b , R 9b , R 10b , and R 11b it is substituted with R 5b , R 6b , R 7b , R 8b , R 9b , R 10b , and R 11b .
- R 5 , R 6 , R 7 , R 8 , R 9 , R 10 and R 11 are independently selected from Ci-C 6 -alkyl, especially CH2 which is substituted with a 5-membered saturated carbocycle.
- the carbocycle is unsubstituted, i.e. it does not carry any substituent R 5b , R 6b , R 7b , R 8b , R 9b , R 10b , and R 11b .
- R 5b , R 6b , R 7b , R 8b , R 9b , R 10b , and R 11b it is substituted with R 5b , R 6b , R 7b , R 8b , R 9b , R 10b , and R 11b .
- R 5 , R 6 , R 7 , R 8 , R 9 , R 10 and R 1 1 are independently selected from Ci-C 6 -alkyl, especially CH2 which is substituted with a 6-membered saturated carbocycle.
- the carbocycle is unsubstituted, i.e. it does not carry any substituent R 5b , R 6b , R 7b , R 8b , R 9b , R 10b , and R 11b .
- R 5b , R 6b , R 7b , R 8b , R 9b , R 10b , and R 11b it is substituted with R 5b , R 6b , R 7b , R 8b , R 9b , R 10b , and R 11b .
- R 5 , R 6 , R 7 , R 8 , R 9 , R 10 and R 11 are inde- pendently Ci-C 6 -alkylheterocycle, especially CH2 substituted with a 4-membered saturated het- erocycle which contains 1 or 2 heteroatoms, in particular 1 heteroatom, from the group consist- ing of N, O and S, as ring members.
- the heterocycle contains one O as heteroatom.
- the formed heterocycle is oxetane.
- the heterocycle is unsubstituted, i.e.
- R 5b , R 6b , R 7b , R 8b , R 9b , R 10b , and R 11b it is substi- tuted with R 5b , R 6b , R 7b , R 8b , R 9b , R 10b , and R 11b .
- R 5 , R 6 , R 7 , R 8 , R 9 , R 10 and R 11 are inde- pendently Ci-C 6 -alkylheterocycle, especially CH2 substituted with a 5-membered saturated het- erocycle which contains 1 , 2 or 3, in particular 1 or 2, heteroatoms from the group consisting of N, O and S, as ring members.
- the heterocycle contains one O as heteroatom.
- the heterocycle is unsubstituted, i.e. it does not carry any substituent R 5b , R 6b , R 7b , R 8b , R 9b , R 10b , and R 11b .
- it is substituted with R 5b , R 6b , R 7b , R 8b , R 9b , R 10b , and R 11b .
- R 5 , R 6 , R 7 , R 8 , R 9 , R 10 and R 11 are inde- pendently Ci-C 6 -alkylheterocycle, especially CH2 subsitited by a 6-membered saturated hetero- cycle which contains 1 , 2 or 3, in particular 1 or 2, heteroatoms from the group consisting of N,
- the heterocycle is
- said 6-membered saturated heterocycle contains 1 or 2, in particu- lar 1 , heteroatom(s) O.
- the respective 6-membered heterocycle is unsubstituted, i.e. it does not carry any substituent R 5b , R 6b , R 7b , R 8b , R 9b , R 10b , and R 11b .
- it is substituted with R 5b , R 6b , R 7b , R 8b , R 9b , R 10b , and R 11b .
- R 5 , R 6 , R 7 , R 8 , R 9 , R 10 and R 11 are inde- pendently a partially unsaturated three-, four-, five-, six-, seven-, eight-, nine-, or ten-membered carbocycle, in particular three-, four-, five- or six-membered, wherein the carbocycle is unsubsti- tuted or substituted with substituents R 5b , R 6b , R 7b , R 8b , R 9b , R 10b , and R 11b as defined below.
- the carbocycle is unsubstituted.
- R 5 , R 6 , R 7 , R 8 , R 9 , R 10 and R 11 are inde- pendently a partially unsaturated three-, four-, five-, six-, seven-, eight-, nine-, or ten-membered carbocycle or heterocycle, in particular three-, four-, five- or six-membered, wherein the hetero- cycle contains one, two, three or four heteroatoms selected from N, O and S, and wherein the carbocycle and heterocycle are unsubstituted or substituted with substituents R 5b , R 6b , R 7b , R 8b , R 9b , R 10b , and R 11b as defined below.
- the carbocycle or heterocycle is unsubstituted.
- R 5 , R 6 , R 7 , R 8 , R 9 , R 10 and R 11 are independently a satu- rated three-, four-, five-, six-, seven-, eight-, nine-, or ten-membered carbocycle or heterocycle, in particular three-, four-, five- or six-membered, wherein the heterocycle contains one, two, three or four heteroatoms selected from N, O and S, and wherein the carbocycle and heterocy- cle are unsubstituted or substituted with substituents R 5b , R 6b , R 7b , R 8b , R 9b , R 10b , and R 11b as de- fined below.
- the carbocycle or heterocycle is unsubsti- tuted.
- R 5 , R 6 , R 7 , R 8 , R 9 , R 10 and R 11 are inde- pendently a saturated three-, four-, five-, six-, seven-, eight-, nine-, or ten-membered carbocy- cle, in particular three-, four-, five- or six-membered, wherein the carbocycle is unsubstituted or substituted with substituents R 5b , R 6b , R 7b , R 8b , R 9b , R 10b , and R 11b as defined below. According to one embodiment thereof, the carbocycle is unsubstituted.
- R 5 , R 6 , R 7 , R 8 , R 9 , R 10 and R 11 are independently a 3-membered saturated carbocycle.
- the carbocycle is unsubstituted, i.e. it does not carry any substituent R 5b , R 6b , R 7b , R 8b , R 9b , R 10b , and R 11b .
- it is substituted with R 5b , R 6b , R 7b , R 8b , R 9b , R 10b , and R 11b .
- R 5 , R 6 , R 7 , R 8 , R 9 , R 10 and R 11 are independently a 3-membered saturated carbocycle, which is unsubstituted such as cyclopropyl.
- R 5 , R 6 , R 7 , R 8 , R 9 , R 10 and R 11 are independently a 3-membered saturated carbocycle, which is substituted with halogen, more specifically by F, such as C 3 H 3 F2.
- R 5 , R 6 , R 7 , R 8 , R 9 , R 10 and R 11 are independently a 3-membered saturated carbocycle, which is substituted with halogen. More specifically by Cl, such as C3H3CI2.
- R 5 , R 6 , R 7 , R 8 , R 9 , R 10 and R 11 are independently a 4-membered saturated carbocycle. According to one embodiment thereof, the carbocycle is unsubstituted, i.e. it does not carry any substituent R 4b . According to still another embodiment of formula I, it is substituted with R 5b , R 6b , R 7b , R 8b , R 9b , R 10b , and R 11b .
- R 5 , R 6 , R 7 , R 8 , R 9 , R 10 and R 11 are independently a 5-membered saturated carbocycle.
- the carbocycle is unsubstituted, i.e. it does not carry any substituent R 5b , R 6b , R 7b , R 8b , R 9b , R 10b , and R 11b .
- it is substituted with R 5b , R 6b , R 7b , R 8b , R 9b , R 10b , and R 11b .
- R 5 , R 6 , R 7 , R 8 , R 9 , R 10 and R 11 are independently a 6-membered saturated carbocycle.
- the carbocycle is unsubstituted, i.e. it does not carry any substituent R 5b , R 6b , R 7b , R 8b , R 9b , R 10b , and R 11b .
- it is substituted with R 5b , R 6b , R 7b , R 8b , R 9b , R 10b , and R 11b .
- R 5 , R 6 , R 7 , R 8 , R 9 , R 10 and R 11 are inde- pendently a partially unsaturated three-, four-, five-, six-, seven-, eight-, nine-, or ten-membered heterocycle, in particular three-, four-, five- or six-membered, wherein the heterocycle contains one, two, three or four heteroatoms selected from N, O and S, and wherein the heterocycle is unsubstituted or substituted with substituents R 5b , R 6b , R 7b , R 8b , R 9b , R 10b , and R 11b as defined below. According to one embodiment thereof, the heterocycle is unsubstituted.
- R 5 , R 6 , R 7 , R 8 , R 9 , R 10 and R 11 are inde- pendently a saturated three-, four-, five-, six-, seven-, eight-, nine-, or ten-membered heterocy- cle, in particular three-, four-, five- or six-membered, wherein the heterocycle contains one, two, three or four heteroatoms selected from N, O and S, and wherein the heterocycle is unsubsti- tuted or substituted with substituents R 5b , R 6b , R 7b , R 8b , R 9b , R 10b , and R 11b as defined below.
- the heterocycle is unsubstituted.
- the heterocycle contains preferably one, two or three, more specifi- cally one or two heteroatoms selected from N, O and S. More specifically, the hetereocycle con- tains one heteroatom selected from N, O and S. In particular, the heterocycle contains one or two, in particular one O.
- R 5 , R 6 , R 7 , R 8 , R 9 , R 10 and R 11 are independently a 4-membered saturated heterocycle which contains 1 or 2 heteroatoms, in particular 1 heteroatom, from the group consisting of N, O and S, as ring members.
- the heterocy- cle contains one O as heteroatom.
- the formed heterocycle is oxetane.
- the heterocycle is unsubstituted, i.e. it does not carry any substituent R 5b , R 6b , R 7b , R 8b , R 9b , R 10b , and R 11b .
- it is substituted with R 5b , R 6b , R 7b , R 8b , R 9b , R 10b , and R 11b .
- R 5 , R 6 , R 7 , R 8 , R 9 , R 10 and R 11 are inde- pendently a 5-membered saturated heterocycle which contains 1 , 2 or 3, in particular 1 or 2, heteroatoms from the group consisting of N, O and S, as ring members.
- the heterocycle contains one O as heteroatom.
- the heterocycle is unsubstituted, i.e. it does not carry any substituent R 5b , R 6b , R 7b , R 8b , R 9b , R 10b , and R 11b .
- it is substituted with R 5b , R 6b , R 7b , R 8b , R 9b , R 10b , and R 11b .
- R 5 , R 6 , R 7 , R 8 , R 9 , R 10 and R 11 are inde- pendently a 6-membered saturated heterocycle which contains 1 , 2 or 3, in particular 1 or 2, heteroatoms from the group consisting of N, O and S as ring members.
- the heterocycle is unsubstituted, i.e. it does not carry any substituent R 5b , R 6b , R 7b , R 8b , R 9b , R 10b , and R 11b .
- said 6-membered saturated heterocycle contains 1 or 2, in particular 1 , heteroatom(s) O.
- the respective 6-membered heterocycle is unsubstituted, i.e. it does not carry any substituent R 5b , R 6b , R 7b , R 8b , R 9b , R 10b , and R 11b .
- R 5b , R 6b , R 7b , R 8b , R 9b , R 10b , and R 11b it is substituted with R 5b , R 6b , R 7b , R 8b , R 9b , R 10b , and R 11b .
- R 5 , R 6 , R 7 , R 8 , R 9 , R 10 and R 11 are inde- pendently phenyl-Ci-C 6 -alkyl, such as phenyl-CFh, wherein the phenyl moiety in each case is unsubstituted or substituted with one, two or three identical or different groups R 5b , R 6b , R 7b , R 8b , R 9b , R 10b , and R 11b which independently of one another are selected from CN, halogen, C1-C2- alkyl, Ci-C2-alkoxy, Ci-C2-halogenalkyl, Ci-C2-halogenalkoxy and S(0) n -Ci-C 6 -alkyl, in particular from CN, F, Cl, Br, CH 3 , OCH 3 , CF 3 , CHF 2 , OCHF 2 , OCF 3 and S(0) 2 CH 3 .
- R 5 , R 6 , R 7 , R 8 , R 9 , R 10 and R 11 are inde- pendently aryl, in particular phenyl, wherein the aryl or phenyl moiety in each case is unsubsti- tuted or substituted with identical or different groups R 5b , R 6b , R 7b , R 8b , R 9b , R 10b , and R 11b which independently of one another are selected from CN, halogen, Ci-C2-alkyl, Ci-C2-alkoxy, C1-C2- halogenalkyl, Ci-C2-halogenalkoxy and S(0) n -Ci-C 6 -alkyl, in particular from CN, F, Cl, Br, CH 3 , OCH 3 , CF 3 , CHF2, OCHF2, OCF 3 .
- R 5 , R 6 , R 7 , R 8 , R 9 , R 10 , and R 11 are unsubstituted phenyl.
- R 5a , R 6a , R 7a , R 8a , R 9a , R 10a , and R 11a are independently phenyl, that is substituted with one, two or three, in particular one, halo- gen, in particular selected from F, Cl and Br, more specifically selected from F and Cl.
- R 5 , R 6 , R 7 , R 8 , R 9 , R 10 and R 11 are inde- pendently a 5-membered heteroaryl such as pyrrol-1 -yl, pyrrol-2 -yl, pyrrol-3-yl, thien-2-yl, thien- 3-yl, furan-2-yl, furan-3-yl, pyrazol-1 -yl, pyrazol-3-yl, pyrazol-4-yl, pyrazol-5-yl, imidazol-1 -yl, im- idazol-2-yl, imidazol-4-yl, imidazol-5-yl, oxazol-2-yl, oxazol-4-yl, oxazol-5-yl, isoxazol-3-yl, isoxa- zol-4-yl, isoxazol-5-yl, thiazol-2-yl, isoxazol-5
- R 5 , R 6 , R 7 , R 8 , R 9 , R 10 and R 11 are inde- pendently a 6-membered heteroaryl, such as pyridin-2-yl, pyridin-3-yl, pyridin-4-yl, pyridazin- 3-yl, pyridazin-4-yl, pyrimidin-2-yl, pyrimidin-4-yl, pyrimidin-5-yl, pyrazin-2-yl and 1 ,3,5-triazin-2- yl and 1 ,2,4-triazin-3-yl.
- a 6-membered heteroaryl such as pyridin-2-yl, pyridin-3-yl, pyridin-4-yl, pyridazin- 3-yl, pyridazin-4-yl, pyrimidin-2-yl, pyrimidin-4-yl, pyrimidin-5-yl, pyrazin-2-
- R 5 , R 6 , R 7 , R 8 , R 9 , R 10 and R 11 are inde- pendently Ci-C 6 -alkyl, especially CH2 subsitited by a 5-membered saturated heteroaryl which contains 1 , 2 or 3, in particular 1 or 2, heteroatoms from the group consisting of N, O and S as ring members.
- the heteroaryl is unsubstituted, i.e. it does not carry any substituent R 5b , R 6b , R 7b , R 8b , R 9b , R 10b , and R 11b .
- it is substituted by R 5b , R 6b , R 7b , R 8b , R 9b , R 10b , and R 11b .
- R 5 , R 6 , R 7 , R 8 , R 9 , R 10 and R 11 are inde- pendently Ci-C 6 -alkyl, especially CH2 subsitited by a 5-membered saturated heteroaryl which contains one N as ring member.
- the heteroaryl is unsubstituted, i.e. it does not carry any substituent R 5b , R 6b , R 7b , R 8b , R 9b , R 10b , and R 11b .
- R 5 , R 6 , R 7 , R 8 , R 9 , R 10 and R 11 are inde- pendently Ci-C 6 -alkyl, especially CH2 subsitited by a 5-membered saturated heteroaryl which contains two N as ring members.
- the heteroaryl is unsubstituted, i.e. it does not carry any substituent R 5b , R 6b , R 7b , R 8b , R 9b , R 10b , and R 11b .
- R 5 , R 6 , R 7 , R 8 , R 9 , R 10 and R 11 are inde- pendently Ci-C 6 -alkyl, especially CH2 subsitited by a 5-membered saturated heteroaryl which contains three N as ring members.
- the heteroaryl is unsubstituted, i.e. it does not carry any substituent R 5b , R 6b , R 7b , R 8b , R 9b , R 10b , and R 11b .
- said 5-membered saturated het- erocycle contains 1 or 2, in particular 1 , heteroatom(s) O.
- R 5 , R 6 , R 7 , R 8 , R 9 , R 10 and R 11 are inde- pendently Ci-C 6 -alkyl, especially Chh subsitited by a 5-membered saturated heteroaryl which contains one S as ring member.
- the heteroaryl is unsubstituted, i.e. it does not carry any substituent R 5b , R 6b , R 7b , R 8b , R 9b , R 10b , and R 11b .
- R 5 , R 6 , R 7 , R 8 , R 9 , R 10 and R 11 are inde- pendently Ci-C 6 -alkyl, especially Chh subsitited by a 5-membered saturated heteroaryl which contains one S and one N as ring members.
- the heteroaryl is unsubstituted, i.e. it does not carry any substituent R 5b , R 6b , R 7b , R 8b , R 9b , R 10b , and R 11b .
- it is substituted by R 5b , R 6b , R 7b , R 8b ,
- R 5 , R 6 , R 7 , R 8 , R 9 , R 10 and R 11 are inde- pendently Ci-C 6 -alkyl, especially Chh subsitited by a 5-membered saturated heteroaryl which contains one S and two N as ring members.
- the heteroaryl is unsubstituted, i.e. it does not carry any substituent R 5b , R 6b , R 7b , R 8b , R 9b , R 10b , and R 11b .
- it is substituted by R 5b , R 6b , R 7b , R 8b ,
- R 5 , R 6 , R 7 , R 8 , R 9 , R 10 and R 11 are inde- pendently Ci-C 6 -alkyl, especially Chh subsitited by a 5-membered saturated heteroaryl which contains one oxygen and one N as ring members.
- the heteroaryl is unsubstituted, i.e. it does not carry any substituent R 5b , R 6b , R 7b , R 8b , R 9b , R 10b , and R 11b .
- it is substituted by R 5b , R 6b , R 7b , R 8b ,
- R 5 , R 6 , R 7 , R 8 , R 9 , R 10 and R 11 are inde- pendently Ci-C 6 -alkyl, especially Chh subsitited by a 5-membered saturated heteroaryl which contains one oxygen and two N as ring members.
- the heteroaryl is unsubstituted, i.e. it does not carry any substituent R 5b , R 6b , R 7b , R 8b , R 9b , R 10b , and R 11b .
- it is substituted by R 5b , R 6b , R 7b , R 8b ,
- R 5 , R 6 , R 7 , R 8 , R 9 , R 10 and R 11 are inde- pendently Ci-C 6 -alkyl, especially Chh subsitited by a 6-membered saturated heteroaryl which contains 1 , 2 or 3, in particular 1 or 2, heteroatoms from the group consisting of N, O and S as ring members.
- the heteroaryl is unsubstituted, i.e. it does not carry any substituent R 5b , R 6b , R 7b , R 8b , R 9b , R 10b , and R 11b .
- R 5b , R 6b , R 7b , R 8b , R 9b , R 10b , and R 11b are inde- pendently Ci-C 6 -alkyl, especially CH2 subsitited by a 6-membered saturated heteroaryl which one N as ring member.
- the heteroaryl is unsubstituted, i.e.
- R 5b , R 6b , R 7b , R 8b , R 9b , R 10b , and R 11b it is substituted by R 5b , R 6b , R 7b , R 8b , R 9b , R 10b , and R 11b .
- R 5 , R 6 , R 7 , R 8 , R 9 , R 10 and R 11 are inde- pendently Ci-C 6 -alkyl, especially CH2 subsitited by a 6-membered saturated heteroaryl which two N as ring members.
- the heteroaryl is unsubstituted, i.e. it does not carry any substituent R 5b , R 6b , R 7b , R 8b , R 9b , R 10b , and R 11b .
- it is substituted by R 5b , R 6b , R 7b , R 8b , R 9b , R 10b , and R 11b .
- R 5 , R 6 , R 7 , R 8 , R 9 , R 10 and R 11 are inde- pendently Ci-C 6 -alkyl, especially CH2 subsitited by a 10-membered saturated heteroaryl which contains 1 , 2 or 3, in particular 1 or 2, heteroatoms from the group consisting of N, O and S as ring members.
- the heteroaryl is unsubstituted, i.e. it does not carry any substituent R 5b , R 6b , R 7b , R 8b , R 9b , R 10b , and R 11b .
- said 10-membered saturated heterocycle contains 1 or 2, in particular 1 , heteroatom(s) N.
- R 5 , R 6 , R 7 , R 8 , R 9 , R 10 and R 11 are inde- pendently Ci-C 6 -alkyl, especially CH2 subsitited by a 10-membered saturated heteroaryl which one N as ring members.
- the heteroaryl is unsubstituted, i.e. it does not carry any substituent R 5b , R 6b , R 7b , R 8b , R 9b , R 10b , and R 11b .
- it is substituted by R 5b , R 6b , R 7b , R 8b , R 9b , R 10b , and R 11b .
- R 5 , R 6 , R 7 , R 8 , R 9 , R 10 and R 11 are independently CH2 substituted by a 5-membered heteroaryl such as pyrrol-1 -yl, pyrrol-2 -yl, pyrrol-3-yl, thien-2-yl, thien-3-yl, furan-2-yl, furan-3-yl, pyrazol-1 -yl, pyrazol-3-yl, pyrazol-4-yl, pyrazol-5-yl, imidazol-1 -yl, imidazol-2-yl, imidazol-4-yl, imidazol-5-yl, oxazol-2-yl, oxazol-4-yl, oxazol-5-yl, isoxazol-3-yl, isoxazol-4-yl, isoxazol-5-yl, thiazol-2-yl, thiazol
- R 5 , R 6 , R 7 , R 8 , R 9 , R 10 and R 11 are inde- pendently CH2 substituted by a 6-membered heteroaryl, such as pyridin-2-yl, pyridin-3-yl, pyri- din-4-yl, pyridazin-3-yl, pyridazin-4-yl, pyrimidin-2-yl, pyrimidin-4-yl, pyrimidin-5-yl, pyrazin-2-yl and 1 ,3,5-triazin-2-yl and 1 ,2,4-triazin-3-yl.
- a 6-membered heteroaryl such as pyridin-2-yl, pyridin-3-yl, pyri- din-4-yl, pyridazin-3-yl, pyridazin-4-yl, pyrimidin-2-yl, pyrimidin-4-yl, pyrimidin-5-yl,
- R 5 , R 6 , R 7 , R 8 , R 9 , R 10 , and R 11 are selected from CN, Ci-C 6 -alkyl, Ci-C 6 -halo- genalkyl, C2-C6-alkenyl, C2-C6-halogenalkenyl, C2-C6-alkynyl, C2-C6-halogenalkynyl, C1-C6- alkoxy, a saturated three-, four-, five-, six-, membered carbocycle or heterocycle, a five- or six- membered heteroaryl or aryl; and Ci-C 6 -alkyl substituted by a saturated three-, four-, five-, six-, membered carbocycle, heterocycle, aryl or heteroaryl; wherein the carbocycle, heterocycle, heterocycle, aryl or heteroaryl; wherein the carbocycle, heterocycle, heterocycle, aryl or heteroaryl; wherein the carbocycle, heterocycle
- the carbocycle, heterocycle, het- eroaryl and aryl are unsubstituted.
- R 5 , R 6 , R 7 , R 8 , R 9 , R 10 and R 11 are selected from CN, Ci-C 6 -alkyl, Ci-C 6 -halogenalkyl, C2-C6-alkenyl, C2-C6-halogenalkenyl, C2- C 6 -alkynyl, C2-C6-halogenalkynyl, Ci-C 6 -alkoxy, a saturated three-, four-, five-, six-, membered carbocycle or heterocycle, a five- or six-membered heteroaryl or aryl; and Ci-C 6 -alkyl substi- tuted by a saturated three-, four-, five-, six-, membered carbocycle, heterocycle, aryl or het- eroaryl; where
- R 5 , R 6 , R 7 , R 8 , R 9 , R 10 and R 11 are independently accord- ing to the invention are in Table P4 below, wherein each line of lines P4-1 to P4-182 corre- sponds to one particular embodiment of the invention, wherein P4-1 to P4-182 are also in any combination with one another a preferred embodiment of the present invention.
- the connection point to the carbon atom, to which R 5 , R 6 , R 7 , R 8 , R 9 , R 10 and R 11 is bound is marked with“#” in the drawings.
- R 6 , R 7 together with the carbon atom to which they are bound form a saturated or partially unsaturated three-, four-, five-, six-, seven-, eight-, nine-, or ten-membered carbocycle or heterocycle; wherein the heterocycle contains 1 , 2, 3 or 4 heteroatoms selected from N, O and S, wherein N may carry one substituent R N selected from Ci-C4-alkyl, Ci-C4-halogenalkyl and S0 2 Ph, wherein Ph is unsubstituted phenyl or phenyl that is substituted by 1 , 2 or 3 substituents selected from CN, Ci-C4-alkyl, halogen, Ci-C4-halo- genalkyl, Ci-C4-alkoxy and Ci-C4-halogenalkoxy; and wherein S may be in the form of its oxide SO or SO2, and wherein the carbocycle or heterocycle is unsubstituted or carries one, two
- R 6 and R 7 form a 3-membered saturated carbocycle.
- the carbocycle is unsubstituted, i.e. it does not carry any substituent R 67 .
- R 67 is substituted with R 67 .
- R 6 and R 7 form a 4-membered saturated carbocycle. According to one embodiment thereof, the carbocycle is unsubstituted, i.e. it does not carry any substituent R 67 . According to still another embodiment of formula I, it is substituted with R 67 . According to one embodiment, R 6 and R 7 form a 5-membered saturated carbocycle. According to one embodiment thereof, the carbocycle is unsubstituted, i.e. it does not carry any substituent R 67 . According to still another embodiment of formula I, it is substituted with R 67 .
- R 6 and R 7 form a 6-membered saturated carbocycle.
- the carbocycle is unsubstituted, i.e. it does not carry any substituent R 67 .
- R 67 is substituted with R 67 .
- R 6 and R 7 form a 7-membered saturated carbocycle.
- the carbocycle is unsubstituted, i.e. it does not carry any substituent R 67 .
- R 67 is substituted with R 67 .
- R 6 and R 7 together with the carbon atom to which they are bound form a saturated or partially unsaturated three-, four-, five-, six-, seven-, eight-, nine-, or ten-membered heterocycle that is unsubstituted or substituted.
- the heterocycle formed by R 6 and R 7 is saturated.
- this saturated heterocycle is unsubstituted.
- the saturated heter- ocycle carries one, two, three or four substituents R 67 .
- said heterocycle is four- or six-membered.
- said heterocycle is four- or six-membered.
- the heterocycle formed by R 6 and R 7 contains one, two or three, more specifically one or two, heteroatoms selected from NH and NR N , wherein R N is as defined and preferably defined below, more particularly selected from Ci-C2-alkyl, Ci-C2-halo- genalkyl and S0 2 Ph, wherein Ph is unsubstituted phenyl or phenyl that is substituted by one methyl.
- R N is as defined and preferably defined below, more particularly selected from Ci-C2-alkyl, Ci-C2-halo- genalkyl and S0 2 Ph, wherein Ph is unsubstituted phenyl or phenyl that is substituted by one methyl.
- it contains one or two heteroatoms NH, in particular one NH.
- it contains one or two heteroatoms NR N , in particular one NR N , wherein R N in each case is as defined and preferably defined above.
- it contains one or two heteroatoms S, in particular one S.
- the heterocycle formed by R 6 and R 7 contains one or two heteroatoms O. In one embodiment thereof, it contains one heteroatom O. In another embodi- ment, it contains two heteroatoms O. According to a further embodiment, the heterocycle formed by R 6 and R 7 is unsubstituted, i.e. it does not carry any substituent R 67 . According to a further embodiment, it carries one, two, three or four R 67 .
- the heterocycle contains one O as heteroatom.
- the formed heterocycle is oxetane.
- the heterocycle is unsubstituted, i.e. it does not carry any substituent R 67 .
- it carries one, two, three or four R 67 .
- the heterocycle is unsubstituted, i.e. it does not carry any substituent R 67 .
- it carries one, two, three or four R 67 .
- the heterocycle is unsubstituted, i.e. it does not carry any substituent R 67 .
- it carries one, two, three or four R 67 .
- said 6-membered saturated hetero- cycle contains 1 or 2 heteroatoms selected from NH and NR N .
- R 6 together with R 7 and with the carbon atom to which they are bound form a saturated three-, four-, five-, six-, seven-, eight-, nine-, or ten-membered carbocycle, in particular three-, four-, five- or six-membered carbocycle, more specifically five- or six-membered carbocycle, that is unsubstituted or carries one, two, three or four substituents R 67 as defined below.
- R 6 and R 7 form a cyclopropyl, that is unsubstituted or carries one, two, three or four substituents R 67 as defined below.
- R 6 and R 7 form a cyclobutyl, that is unsubstituted or carries one, two, three or four substituents R 67 as defined below.
- R 6 and R 7 form a cyclopentyl, that is unsubstituted or carries one, two, three or four substituents R 67 as defined below.
- R 6 and R 7 form a cyclohexyl, that is unsubstituted or carries one, two, three or four substituents R 67 as defined below.
- R 6 and R 7 form a cycloheptyl, that is unsubstituted or carries one, two, three or four substituents R 67 as defined below.
- R 67 are the possible substituents for the carbo- or heterocycle formed by R 6 and R 7 and are in- dependently selected from halogen, OH, CN, NO2, SH, NH2, Ci-C 6 -alkyl, Ci-C 6 -halogenalkyl, Ci-C 6 -alkoxy, Ci-C 6 -halogenalkoxy, Ci-C 6 -alkylthio, Ci-C 6 -halogenalkylthio, Ci-C 4 -a I koxy-Ci -0 4 - alkyl, phenyl and phenoxy, wherein the phenyl groups are unsubstituted or carry one, two, three, four or five substituents R 67a selected from the group consisting of halogen, OH, C1-
- R 67 is in each case independently selected from halogen, OH,
- R 67 is in each case independently selected from halogen, Ci-C 6 -alkyl and Ci-C 6 -halogenalkyl. In one further particular embodiment, R 67 is in each case independently selected from Ci-C 6 -alkyl, such as methyl and ethyl.
- R N is the substituent of the heteroatom NR N that is contained in the heterocycle formed by R 6 and R 7 in some of the inventive compounds.
- R N is selected from Ci-C4-alkyl, Ci-C4-halogenalk and S0 2 Ph, wherein Ph is unsubstituted phenyl or phenyl that is substituted by one, two or three substituents selected from Ci-C4-alkyl.
- R N is in each case independently selected from Ci-C2-alkyl, Ci-C2-halogenalkyl and S0 2 Ph, wherein Ph is unsub- stituted phenyl or phenyl that is substituted by one methyl substituents.
- R N is in each case independently selected from Ci-C2-alkyl, more particularly methyl. In one particular embodiment, R N is in each case independently selected from S0 2 Ph, wherein Ph is unsubstituted phenyl or phenyl that is substituted by one methyl.
- R 6 , R 7 together with the carbon atom to which they are bound form a saturated or partially unsaturated three-, four-, five-, six-, seven-, eight-, nine-, or ten-membered carbo- or heterocycle; wherein the carbocycle or heterocycle is unsubstituted or carries one, two, three or four substituents R 67 independently selected from hal- ogen, OH, CN, NO2, SH, NH2, Ci-C 6 -alkyl, Ci-C 6 -halogenalkyl, Ci-C 6 -alkoxy, Ci-C 6 -halogen- alkoxy, Ci-C 6 -alkylthio, Ci-C 6 -halogenalkylthio, Ci-C4-alkoxy-Ci-C4-alkyl, phenyl and phenoxy, wherein the phenyl groups are unsubstituted or carry one, two, three, four or five substituents R 67
- R 6 , R 7 together with the carbon atom to which they are bound form a saturated or partially unsaturated four-, five-, six-membered carbo- or heterocycle; wherein the carbocycle or heterocycle is unsubstituted or carries one, two, three or four substituents R 67 independently selected from halogen, Ci-C 6 -alkyl, Ci-C 6 -halogenalkyl, Ci-C 6 -alkoxy, Ci-C 6 -halogenalkoxy.
- R 6 , R 7 together with the carbon atom to which they are bound form a group N-OR, wherein R is independently selected from H, C1- C 4 -alkyl, C 2 -C 6 -alkenyl, C 2 -C 6 -alkynyl, saturated or partially unsaturated three-, four-, five-, six-, seven-, eight-, nine-, or ten-membered carbo- and heterocycle, five- or six-membered heteroaryl or aryl; wherein the heterocycle or heteroaryl contains one, two or three heteroatoms selected from N, O and S, and wherein R is unsubstituted or substituted by halogen, OH, CN, N0 2 , SH, NH 2, NH(Ci-C 4 -alkyl), N(Ci-C 4 -alkyl) 2 , NH-S0 2 -R x , Ci-C 6 -alkyl, Ci-
- R is H.
- R is Ci-C 4 -alkyl in particular Ci-C 4 -alkyl, such as CH 3 or CH 2 CH 3 .
- R is Ci-C 6 -halogenalkyl, in particular C1-C4- halogenalkyl, such as CF 3 , CHF 2 , CH 2 F, CCI 3 , CHCI 2 , CH 2 CI, CF 3 CH 2 , CCI 3 CH 2 or CF 2 CHF 2 .
- R is unsubstituted 5- or 6-membered heteroaryl.
- R is 5- or 6-membered heteroaryl that is substituted with one, two or three substituents, as defined herein.
- R 9 , R 10 together with the carbon atom to which they are bound form a saturated or partially unsaturated three-, four-, five-, six-, seven-, eight-, nine-, or ten-membered carbocycle or heterocycle; wherein the heterocycle contains 1 , 2, 3 or 4 heteroatoms selected from N, O and S, wherein N may carry one substituent R N selected from Ci-C4-alkyl, Ci-C4-halogenalkyl and S0 2 Ph, wherein Ph is unsubstituted phenyl or phenyl that is substituted by 1 , 2 or 3 substituents selected from CN, Ci-C4-alkyl, halogen, Ci-C4-halo- genalkyl, Ci-C4-alkoxy and Ci-C4-halogenalkoxy; and wherein S may be in the form of its oxide SO or SO2, and wherein the carbocycle or heterocycle is unsubstituted or carries one, two
- R 9 and R 10 form a 3-membered saturated carbocycle.
- the carbocycle is unsubstituted, i.e. it does not carry any substituent R 910 .
- R 910 it is substituted with R 910 .
- R 9 and R 10 form a 4-membered saturated carbocycle.
- the carbocycle is unsubstituted, i.e. it does not carry any substituent R 910 .
- R 910 it is substituted with R 910 .
- R 9 and R 10 form a 5-membered saturated carbocycle.
- the carbocycle is unsubstituted, i.e. it does not carry any substituent R 910 .
- R 910 it is substituted with R 910 .
- R 9 and R 10 form a 6-membered saturated carbocycle.
- the carbocycle is unsubstituted, i.e. it does not carry any substituent R 910 .
- R 910 it is substituted with R 910 .
- R 9 and R 10 form a 7-membered saturated carbocycle.
- the carbocycle is unsubstituted, i.e. it does not carry any substituent R 910 .
- R 910 it is substituted with R 910 .
- R 9 and R 10 together with the carbon atom to which they are bound form a saturated or partially unsaturated three-, four-, five-, six-, seven-, eight-, nine-, or ten-membered heterocycle that is unsubstituted or substituted.
- the heterocycle formed by R 9 and R 10 is saturated.
- this saturated heterocycle is unsubstituted.
- the saturated heter- ocycle carries one, two, three or four substituents R 910 .
- said heterocycle is four- or six-membered.
- said heterocycle is four- or six-membered.
- the heterocycle formed by R 9 and R 10 contains one, two or three, more specifically one or two, heteroatoms selected from NH and NR N , wherein R N is as defined and preferably defined below, more particularly selected from Ci-C2-alkyl, Ci-C2-halo- genalkyl and S0 2 Ph, wherein Ph is unsubstituted phenyl or phenyl that is substituted by one methyl.
- R N is as defined and preferably defined below, more particularly selected from Ci-C2-alkyl, Ci-C2-halo- genalkyl and S0 2 Ph, wherein Ph is unsubstituted phenyl or phenyl that is substituted by one methyl.
- it contains one or two heteroatoms NH, in particular one NH.
- it contains one or two heteroatoms NR N , in particular one NR N , wherein R N in each case is as defined and preferably defined above.
- it contains one or two heteroatoms S, in particular one S.
- the heterocycle formed by R 9 and R 10 contains one or two heteroatoms O. In one embodiment thereof, it contains one heteroatom O. In another embodi- ment, it contains two heteroatoms O.
- the heterocycle formed by R 9 and R 10 is unsubstituted, i.e. it does not carry any substituent R 910 . According to a further embodiment, it carries one, two, three or four R 910 .
- the heterocycle contains one O as heteroatom.
- the formed heterocycle is oxetane.
- the heterocycle is unsubstituted, i.e. it does not carry any substituent R 910 .
- it carries one, two, three or four R 910 .
- the heterocycle is unsubstituted, i.e. it does not carry any substituent R 910 .
- it carries one, two, three or four R 910 .
- the heterocycle is unsubstituted, i.e. it does not carry any substituent R 910 .
- it carries one, two, three or four R 910 .
- said 6-membered saturated heterocycle contains 1 or 2 heteroatoms selected from NH and NR N .
- said 6-membered saturated heterocycle contains 1 or 2 heteroa- toms O.
- the respective 6-membered heterocycle is unsubstituted, i.e. it does not carry any substituent R 910 .
- it carries one, two, three or four
- R 9 together with R 10 and with the carbon atom to which they are bound form a saturated three-, four-, five-, six-, seven-, eight-, nine-, or ten-membered carbocycle, in particular three-, four-, five- or six-membered carbocycle, more specifically five- or six-membered carbocycle, that is unsubstituted or carries one, two, three or four substituents R 910 as defined below.
- R 9 and R 10 form a cyclopropyl, that is unsubstituted or carries one, two, three or four substituents R 910 as defined below.
- R 9 and R 10 form a cyclobutyl, that is unsubstituted or carries one, two, three or four substituents R 910 as defined below.
- R 9 and R 10 form a cyclopentyl, that is unsubstituted or carries one, two, three or four substituents R 910 as defined below.
- R 9 and R 10 form a cyclohexyl, that is unsubstituted or carries one, two, three or four substituents R 910 as defined below.
- R 9 and R 10 form a cycloheptyl, that is unsubstituted or carries one, two, three or four substituents R 910 as defined below.
- R 910 are the possible substituents for the carbo- or heterocycle formed by R 9 and R 10 and are independently selected from halogen, OH, CN, NO2, SH, NH2, Ci-C 6 -alkyl, Ci-C 6 -halogenalkyl, Ci-C 6 -alkoxy, Ci-C 6 -halogenalkoxy, Ci-C 6 -alkylthio, Ci-C 6 -halogenalkylthio, Ci-C 4 -alkoxy-Ci-C 4 - alkyl, phenyl and phenoxy, wherein the phenyl groups are unsubstituted or carry one, two, three, four or five substituents R 910a selected from the group consisting of halogen, OH, C1-C4- alkyl, Ci-C4-halogenalkyl, Ci-C4-alkoxy and Ci-C4-halogenalkoxy; and wherein in each case one or two CH2 groups of the carbo- or heterocycle
- R 910 is in each case independently selected from halogen, OH, CN, SH, Ci-C 6 -alkyl, Ci-C 6 -halogenalkyl, Ci-C 6 -alkoxy, Ci-C 6 -halogenalkoxy and Ci-C 6 -al- kylthio. In one further preferred embodiment, R 910 is in each case independently selected from halogen, Ci-C 6 -alkyl and Ci-C 6 -halogenalkyl. In one further particular embodiment, R 910 is in each case independently selected from Ci-C 6 -alkyl, such as methyl and ethyl.
- R N is the substituent of the heteroatom NR N that is contained in the heterocycle formed by R 9 and R 10 in some of the inventive compounds.
- R N is selected from Ci-C 4 -alkyl, Ci-C 4 -halogenalk and S0 2 Ph, wherein Ph is unsubstituted phenyl or phenyl that is substituted by one, two or three substituents selected from Ci-C 4 -alkyl.
- R N is in each case independently selected from Ci-C2-alkyl, Ci-C2-halogenalkyl and S0 2 Ph, wherein Ph is unsub- stituted phenyl or phenyl that is substituted by one methyl substituents.
- R N is in each case independently selected from Ci-C2-alkyl, more particularly methyl. In one particular embodiment, R N is in each case independently selected from S0 2 Ph, wherein Ph is unsubstituted phenyl or phenyl that is substituted by one methyl.
- R 9 , R 10 together with the carbon atom to which they are bound form a saturated or partially unsaturated three-, four-, five-, six-, seven-, eight-, nine-, or ten-membered carbo- or heterocycle; wherein the carbocycle or heterocycle is unsubstituted or carries one, two, three or four substituents R 910 independently selected from halogen, OH, CN, NO2, SH, NH2, Ci-C 6 -alkyl, Ci-C 6 -halogenalkyl, Ci-C 6 -alkoxy, Ci-C 6 -halogen- alkoxy, Ci-C 6 -alkylthio, Ci-C 6 -halogenalkylthio, Ci-C 4 -alkoxy-Ci-C 4 -alkyl, phenyl and phenoxy, wherein the phenyl groups are unsubstituted or carry one, two, three, four or five substituents R 910
- R 9 , R 10 together with the carbon atom to which they are bound form a saturated or partially unsaturated four-, five-, six-membered carbo- or heterocycle; wherein the carbocycle or heterocycle is unsubstituted or carries one, two, three or four substituents R 910 independently selected from halogen, Ci-C 6 -alkyl, Ci-C 6 -halogenalkyl, Ci-C 6 -alkoxy, Ci-C 6 -halogenalkoxy.
- R is H.
- R is Ci-C 4 -alkyl in particular Ci-C 4 -alkyl, such as CH 3 or CH 2 CH 3 .
- R is Ci-C 6 -halogenalkyl, in particular C1-C4- halogenalkyl, such as CF 3 , CHF 2 , CH 2 F, CCI 3 , CHCI 2 , CH 2 CI, CF 3 CH 2 , CCI 3 CH 2 or CF 2 CHF 2 .
- R is saturated or partially unsaturated three-, four-, five-, six-, seven-, eight-, nine-, or ten-membered carbo- and heterocycle, five- or six-membered heteroaryl or aryl.
- R is unsubstituted 5- or 6-membered heteroaryl.
- R is 5- or 6-membered heteroaryl that is substituted with one, two or three substituents, as defined herein.
- Preferred embodiments of the present invention are the following compounds I.A-1 , I.A-2, I.A-3, I.A-4, I.A-5, I.A-6, I.A-7, I.A-8, I.A-9, I.A-10, I.A-1 1 , I.A-12, I.A-13, I.A-14, I.A-15, I.B-1 , I.B-2, I.B- 3, I.B-4, I.B-5, I.B-6, I.B-7, I.B-8, I.B-9, I.B-10, I.B-1 1 , I.B-12, I.B-13, I.B-14, I.B-15, and I.C-1 , I.C-2, I.C-3, I.C-4, I.C-5, I.C-6, I.C-7, I.C-8, I.C-9 I.C-10, I.C-1 1 , I.C-12, I.C-13, I.C-14, I.C-15.
- the substituents I.
- Table 1a Compounds of the formula I.A-1, I.A-2, I.A-3, I.A-4, I.A-5, I.A-6, I.A-7, I.A-8, I.A-9, I.A-10, I.A-11 , I.A-12, I.A-13, I.A-14, I.A-15, I.B-1, I.B-2, I.B-3, I.B-4, I.B-5, I.B-6, I.B-7, I.B-8, I.B- 9, I.B-10, I.B-11 , I.B-12, I.B-13, I.B-14, I.B-15, and I.C-1, I.C-2, I.C-3, I.C-4, I.C-5, I.C-6, I.C-7, I.C-8, I.C-9 I.C-10, I.C-11, I.C-12, I.C-13, I.C-14, I.C-15 in which R 2 is CH 3 and the meaning for the combination of R 1 , R
- Table 2a Compounds of the formula I.A-1, I.A-2, I.A-3, I.A-4, I.A-5, I.A-6, I.A-7, I.A-8, I.A-9, I.A-10, I.A-11 , I.A-12, I.A-13, I.A-14, I.A-15, I.B-1, I.B-2, I.B-3, I.B-4, I.B-5, I.B-6, I.B-7, I.B-8, I.B- 9, I.B-10, I.B-11 , I.B-12, I.B-13, I.B-14, I.B-15, and I.C-1, I.C-2, I.C-3, I.C-4, I.C-5, I.C-6, I.C-7, I.C-8, I.C-9 I.C-10, I.C-11, I.C-12, I.C-13, I.C-14, I.C-15 in which R 2 is OCH3 and the meaning for the combination of R 1 ,
- B-432 I.C-4.2a.B-1 to I.C- 4.2a. B-432, I.C-5.2a.B-1 to I.C-5.2a. B-432; I.C-6.2a.B-1 to I.C-6.2a. B-432, I.C-7.2a.B-1 to I.C- 7.2a. B-432, I.C-8.2a.B-1 to I.C-8.2a. B-432, I.C-9.2a.B-1 to I.C-9.2a. B-432, I.C-10.2a.B-1 to I.C- 10.2a. B-432, I.C-1 1 2a.B-1 to I.C-1 1 .2a.
- B-432 I.C-12.2a.B-1 to I.C-12.2a.
- B-432 I.C-13.2a.B-1 to I.C-13.2a.
- B-432 I.C-14.2a.B-1 to I.C-14.2a.B-432, I.C-15.2a.B-1 to I.C-15.2a. B-432).
- Table 3a Compounds of the formula I.A-1 , I.A-2, I.A-3, I.A-4, I 7, I.A-8, I.A-9, I.A-10, I.A-1 1 , I.A-12, I.A-13, I.A-14, I.A-15, I. B-1 , I.B-2, I.B-3, I. , I.B-7, I.B-8, I.B- 9, I .B-10, I. B-1 1 , I .
- B-432 I.A-4.3a.B-1 to I.A-4.3a.B-432, I.A-5.3a.B-1 to I.A- 5.3a. B-432; I.A-6.3a.B-1 to I.A-6.3a. B-432, I.A-7.3a.B-1 to I.A-7.3a.B-432, I.A-8.3a.B-1 to I.A- 8.3a.
- B-432 I.A-9.3a.B-1 to I.A-9.3a. B-432, I.A-10.3a.B-1 to I.A-10.3a.B-432, I.A-1 1 3a. B-1 to I.A-1 1 .3a.
- B-432 I.A-12.3a.B-1 to I.A-12.3a.
- B-432 I.A-13.3a.B-1 to I.A-13.3a.
- B-432 I.A- 14.3a.
- B-432 I.A-15.3a.B-1 to I.A-15.3a.B-432; I.B-1 .3a.B-1 to I. B-1 3a.
- B-432 I.B-5.3a.
- B-432 I.C-5.3a.B-1 to I.C-5.3a. B-432; I.C-6.3a.B-1 to I.C-6.3a. B-432, I.C-7.3a.B-1 to I.C- 7.3a. B-432, I.C-8.3a.B-1 to I.C-8.3a. B-432, I.C-9.3a.B-1 to I.C-9.3a. B-432, I.C-10.3a.B-1 to I.C- 10.3a. B-432, I.C-1 1 3a.B-1 to I.C-1 1 .3a. B-432, I.C-12.3a.B-1 to I.C-12.3a.
- B-432 I.C-13.3a.B-1 to I.C-13.3a.
- B-432 I.C-14.3a.B-1 to I.C-14.3a.B-432, I.C-15.3a.B-1 to I.C-15.3a. B-432).
- Table 4a Compounds of the formula I.A-1 , I.A-2, I.A-3, I.A-4, I.A-5, I.A-6, I.A-7, I.A-8, I.A-9, I.A-10, I.A-1 1 , I.A-12, I.A-13, I.A-14, I.A-15, I. B-1 , I.B-2, I.B-3, I.B-4, I.B-5, I.B-6, I.B-7, I.B-8, I.B- 9, I .B-10, I. B-1 1 , I .
- B-1 to I.A-11 4a B-432, I.A-12.4a.B-1 to I.A-12.4a.B-432, I.A-13.4a.B-1 to I.A-13.4a. B-432, I.A- 14.4a. B-1 to I.A-14.4a. B-432, I.A-15.4a.B-1 to I.A-15.4a.B-432; I.B-1.4a.B-1 to I. B-1 4a.
- B-432 I.B-2.4a.B-1 to I.B-2.4a.B-432, I.B-3.4a.B-1 to I.B-3.4a.B-432, I.B-4.4a.B-1 to I.B-4.4a.B-432, I.B-5.4a.B-1 to I.B-5.4a.B-432; I.B-6.4a.B-1 to I.B-6.4a.B-432, I.B-7.4a.B-1 to I.B-7.4a.B-432, I.B-8.4a.B-1 to I.B-8.4a.B-432, I.B-9.4a.B-1 to I.B-9.4a.B-432, I.B-10.4a.B-1 to I. B-10.4a.B-1 to I. B-10.4a.B-1 to I. B-10.4a.B-432,
- B-432 I.C-5.4a.B-1 to I.C-5.4a. B-432; I.C-6.4a.B-1 to I.C-6.4a. B-432, I.C-7.4a.B-1 to I.C- 7.4a. B-432, I.C-8.4a.B-1 to I.C-8.4a. B-432, I.C-9.4a.B-1 to I.C-9.4a. B-432, I.C-10.4a.B-1 to I.C- 10.4a. B-432, I.C-1 1 4a.B-1 to I.C-11.4a. B-432, I.C-12.4a.B-1 to I.C-12.4a.
- B-432 I.C-13.4a.B-1 to I.C-13.4a.
- B-432 I.C-14.4a.B-1 to I.C-14.4a.B-432, I.C-15.4a.B-1 to I.C-15.4a. B-432).
- the compounds I and the compositions according to the invention, respectively, are suitable as fungicides. They are distinguished by an outstanding effectiveness against a broad spectrum of phytopathogenic fungi, including soil-borne fungi, which derive especially from the classes of the Plasmodiophoromycetes, Peronosporomycetes (syn. Oomycetes), Chytridiomycetes, Zygo- mycetes, Ascomycetes, Basidiomycetes, and Deuteromycetes (syn. Fungi imperfecti). Some are systemically effective and they can be used in crop protection as foliar fungicides, fungi- cides for seed dressing, and soil fungicides. Moreover, they are suitable for controlling harmful fungi, which inter alia occur in wood or roots of plants.
- the compounds I and the compositions according to the invention are particularly important in the control of a multitude of phytopathogenic fungi on various cultivated plants, such as cere- als, e. g. wheat, rye, barley, triticale, oats, or rice; beet, e. g. sugar beet or fodder beet; fruits, e. g. pomes (apples, pears, etc.), stone fruits (plums, peaches, almonds, cherries, etc.), or soft fruits, which are also called berries (strawberries, raspberries, blackberries, gooseberries, etc.); leguminous plants, e. g. lentils, peas, alfalfa, or soybeans; oil plants, e. g.
- cere- als e. g. wheat, rye, barley, triticale, oats, or rice
- beet e. g. sugar beet or fodder beet
- fruits e. g.
- rape mustard, olives, sunflowers, coconut, cocoa beans, castor oil plants, oil palms, ground nuts, or soybeans; cucur- bits, e. g. squashes, cucumber, or melons; fiber plants, e. g. cotton, flax, hemp, or jute; citrus fruits, e. g. oranges, lemons, grapefruits, or mandarins; vegetables, e. g. spinach, lettuce, aspa- ragus, cabbages, carrots, onions, tomatoes, potatoes, cucurbits, or paprika; lauraceous plants, e. g. avocados, cinnamon, or camphor; energy and raw material plants, e. g.
- corn, soybean, rape, sugar cane, or oil palm corn; tobacco; nuts; coffee; tea; bananas; vines (table grapes and grape juice grape vines); hop; turf; sweet leaf (also called Stevia); natural rubber plants; or orna- mental and forestry plants, e. g. flowers, shrubs, broad-leaved trees, or evergreens (conifers, eucalypts, etc.); and on the plant propagation material, such as seeds; and on the crop material of these plants.
- compounds I and compositions thereof are used for controlling a multitude of fungi on field crops, such as potatoes, sugar beets, tobacco, wheat, rye, barley, oats, rice, corn, cotton, soybeans, rape, legumes, sunflowers, coffee or sugar cane; fruits; vines; ornamentals; or vegetables, such as cucumbers, tomatoes, beans or squashes.
- field crops such as potatoes, sugar beets, tobacco, wheat, rye, barley, oats, rice, corn, cotton, soybeans, rape, legumes, sunflowers, coffee or sugar cane; fruits; vines; ornamentals; or vegetables, such as cucumbers, tomatoes, beans or squashes.
- plant propagation material is to be understood to denote all the generative parts of the plant, such as seeds; and vegetative plant materials, such as cuttings and tubers (e. g. potatoes), which can be used for the multiplication of the plant. This includes seeds, roots, fruits, tubers, bulbs, rhizomes, shoots, sprouts and other parts of plants; including seedlings and young plants, which are to be transplanted after germination or after emergence from soil.
- These young plants may also be protected before transplantation by a total or partial treatment by immersion or pouring.
- treatment of plant propagation materials with compounds I and compositions thereof, respectively is used for controlling a multitude of fungi on cereals, such as wheat, rye, barley and oats; rice, corn, cotton and soybeans.
- cultivagenesis includes techniques of random mutagenesis using X-rays or mutagenic chemicals, but also techniques of targeted mutagenesis, to create mutations at a specific locus of a plant genome.
- Targeted mutagenesis techniques frequently use oligonucleo- tides or proteins like CRISPR/Cas, zinc-finger nucleases, TALENs or meganucleases to achieve the targeting effect.
- Genetic engineering usually uses recombinant DNA techniques to create modifications in a plant genome which under natural circumstances cannot readily be ob- tained by cross breeding, mutagenesis or natural recombination.
- one or more genes are integrated into the genome of a plant to add a trait or improve a trait.
- These integrated genes are also referred to as transgenes in the art, while plant comprising such transgenes are referred to as transgenic plants.
- the process of plant transformation usually produces several transformation events, wich differ in the genomic locus in which a transgene has been inte- grated. Plants comprising a specific transgene on a specific genomic locus are usually de- scribed as comprising a specific“event”, which is referred to by a specific event name. Traits which have been introduced in plants or have been modified include herbicide tolerance, insect resistance, increased yield and tolerance to abiotic conditions, like drought.
- Herbicide tolerance has been created by using mutagenesis as well as using genetic engi- neering. Plants which have been rendered tolerant to acetolactate synthase (ALS) inhibitor herbicides by mutagenesis and breeding comprise plant varieties commercially available under the name Clearfield®.
- ALS acetolactate synthase
- Herbicide tolerance has been created via the use of transgenes to glyphosate, glufosinate, 2,4-D, dicamba, oxynil herbicides, like bromoxynil and ioxynil, sulfonylurea herbicides, ALS in- hibitors and 4-hydroxyphenyl pyruvate dioxygenase (HPPD) inhibitors, like isoxaflutole and mes- otrione.
- transgenes to glyphosate, glufosinate, 2,4-D, dicamba, oxynil herbicides, like bromoxynil and ioxynil, sulfonylurea herbicides, ALS in- hibitors and 4-hydroxyphenyl pyruvate dioxygenase (HPPD) inhibitors, like isoxaflutole and mes- otrione.
- HPPD 4-hydroxyphenyl pyruvate dioxygenase
- Transgenes wich have been used to provide herbicide tolerance traits comprise: for toler- ance to glyphosate: cp4 epsps, epsps grg23ace5, mepsps, 2mepsps, gat4601 , gat4621 , goxv247; for tolerance to glufosinate: pat and bar, for tolerance to 2,4-D: aad-1 , aad-12; for tol erance to dicamba: dmo; for tolerance to oxynil herbicies: bxn; for tolerance to sulfonylurea herbicides: zm-hra, csr1-2, gm-hra, S4-HrA; for tolerance to ALS inhibitors: csr1-2; and for toler- ance to HPPD inhibitors: hppdPF, W336, avhppd-03.
- Transgenic corn events comprising herbicide tolerance genes include, but are not limited to, DAS40278, MON801 , MON802, MON809, MON810, MON832, MON8741 1 , MON87419, MON87427, MON88017, MON89034, NK603, GA21 , MZHG0JG, HCEM485, VCO-01981-5, 676, 678, 680, 33121 , 4114, 59122, 98140, Bt10, Bt176, CBH-351 , DBT418, DLL25, MS3, MS6, MZIR098, T25, TC1507 and TC6275.
- Transgenic soybean events comprising herbicide tolerance genes include, but are not limited to, GTS 40-3-2, MON87705, MON87708,
- Transgenic cotton events comprising herbicide tolerance genes include, but are not limited to, 19-51 a, 31707, 42317, 81910, 281-24-236, 3006-210-23, BXN1021 1 , BXN10215, BXN10222, BXN10224, MON1445, MON1698, MON88701 , MON88913, GHB119, GHB614, LLCotton25, T303-3 and T304-40.
- Transgenic canola events comprising herbicide tolerance genes are for example, but not excluding others, MON88302, HCR-1 , HCN10, HCN28, HCN92, MS1 , MS8, PHY14, PHY23, PHY35, PHY36, RF1 , RF2 and RF3.
- Transgenes which have most frequently been used are toxin genes of Bacil lus spp. and synthetic variants thereof, like cry1A, crylAb, cry1Ab-Ac, crylAc, cry1A.105, cry1 F, cry1 Fa2, cry2Ab2, cry2Ae, mcry3A, ecry3.1Ab, cry3Bb1 , cry34Ab1 , cry35Ab1 , cry9C, vip3A(a), vip3Aa20.
- genes of plant origin such as genes coding for protease inhibitors, like CpTI and pinll, have been transferred to other plants.
- a further approach uses transgenes such as dvsnf7 to produce double-stranded RNA in plants.
- Transgenic corn events comprising genes for insecticidal proteins or double stranded RNA include, but are not limited to, Bt10, Bt1 1 , Bt176, MON801 , MON802, MON809, MON810, MON863, MON87411 , MON88017, MON89034, 33121 , 41 14, 5307, 59122, TC1507, TC6275, CBH-351 , MIR162, DBT418 and MZIR098.
- Transgenic soybean events comprising genes for insecticidal proteins include, but are not limited to, MON87701 , MON87751 and DAS-81419.
- Transgenic cotton events comprising genes for insecticidal proteins include, but are not limited to, SGK321 , MON531 , MON757, MON1076, MON15985, 31707, 31803, 31807, 31808, 42317, BN LA-601 , Eventl , COT67B, COT102, T303-3, T304-40, GFM Cry1A, GK12, MLS 9124, 281- 24-236, 3006-210-23, GHB119 and SGK321.
- transgene athb17 being present for example in corn event MON87403, or by using the transgene bbx32, being present for example in the soybean event MON87712.
- Cultivated plants comprising a modified oil content have been created by using the transgenes: gm-fad2-1 , Pj.D6D, Nc.Fad3, fad2-1A and fatb1-A. Soybean events comprising at least one of these genes are: 260-05, MON87705 and MON87769.
- transgene cspB comprised by the corn event MON87460 and by using the transgene Hahb-4, comprised by soybean event IND-00410-5.
- Preferred combinations of traits are combinations of herbicide tolerance traits to different groups of herbicides, combinations of insect tolerance to different kind of insects, in particular tolerance to lepidopteran and coleopteran insects, combinations of herbicide tolerance with one or several types of insect resistance, combinations of herbicide tolerance with increased yield as well as combinations of herbicide tolerance and tolerance to abiotic conditions.
- Plants comprising singular or stacked traits as well as the genes and events providing these traits are well known in the art.
- detailed information as to the mutagenized or inte- grated genes and the respective events are available from websites of the organizations“Inter- national Service for the Acquisition of Agri-biotech Applications (ISAAA)”
- effects which are specific to a cultivated plant comprising a certain gene or event may result in effects which are specific to a cultivated plant comprising a certain gene or event. These effects might involve changes in growth behavior or changed resistance to biotic or abiotic stress factors. Such effects may in particular comprise enhanced yield, en- hanced resistance or tolerance to insects, nematodes, fungal, bacterial, mycoplasma, viral or viroid pathogens as well as early vigour, early or delayed ripening, cold or heat tolerance as well as changed amino acid or fatty acid spectrum or content.
- the compounds I and compositions thereof, respectively, are particularly suitable for control- ling the following plant diseases:
- Albugo spp. white rust on ornamentals, vegetables (e. g. A. Candida) and sunflowers (e. g. A. tragopogonis), A Hern aria spp. (Alternaria leaf spot) on vegetables, rape ⁇ A. brassicoia or brassi- cae), sugar beets ⁇ A. tenuis ), fruits, rice, soybeans, potatoes (e. g. A. soianio’c A. alternate), to- matoes (e. g. A. soiani or A. aiternata) and wheat; Aphanomyces spp. on sugar beets and vege- tables; Ascochyta spp.
- Botrytis cinerea (teleomorph: Botryotinia fuckeiianar. grey mold) on fruits and berries (e. g. strawberries), vegetables (e. g. lettuce, car- rots, celery and cabbages), rape, flowers, vines, forestry plants and wheat; Bremia lactucae (downy mildew) on lettuce; Ceratocystis (syn. Ophiostoma) spp. (rot or wilt) on broad-leaved trees and evergreens, e. g. C. ulmi (Dutch elm disease) on elms; Cercospora spp.
- Botrytis cinerea teleomorph: Botryotinia fuckeiianar. grey mold
- fruits and berries e. g. strawberries
- vegetables e. g. lettuce, car- rots, celery and cabbages
- rape flowers, vines, forestry plants and wheat
- Crocospora leaf spots on corn (e. g. Gray leaf spot: C. zeae-maydis ), rice, sugar beets (e. g. C. beticola ), sugar cane, vegetables, coffee, soybeans (e. g. C. sojina or C. kikuchh ) and rice; Cladosporium spp. on tomatoes (e. g. C. fulvum. leaf mold) and cereals, e. g. C. herbarum (black ear) on wheat; Claviceps purpurea (ergot) on cereals; Cochliobolus (anamorph: Helminthosporium of Bipolaris) spp.
- tomatoes e. g. C. fulvum. leaf mold
- cereals e. g. C. herbarum (black ear) on wheat
- Cochliobolus anamorph: Helmintho
- Corticium spp. e. g. C. sasakii (sheath blight) on rice; Corynespora cassiicola (leaf spots) on soybeans and ornamentals; Cy- doconium spp., e. g. C. oieaginumox ⁇ olive trees; Cyiindrocarpon spp. (e. g. fruit tree canker or young vine decline, teleomorph: Nedria or Neonedria spp.) on fruit trees, vines (e. g. C.
- iirio- dendri teleomorph: Neonedria Hriodendri. Black Foot Disease) and ornamentals; Dematophora (teleomorph: RoseWnia) necatrix (root and stem rot) on soybeans; Diaporthe spp., e. g. D.
- phaseolorum (damping off) on soybeans; Drechslera (syn. Helminthosporium, teleomorph: Pyr- enophora) spp. on corn, cereals, such as barley (e. g. D. teres, net blotch) and wheat (e. g. D. tritici-repentis. tan spot), rice and turf; Esca (dieback, apoplexy) on vines, caused by Formiti- poria (syn. Pheiiinus) punctata, F.
- betae vegetables
- vegetables e. g. E. pisi
- cu- curbits e. g. E. cichoracearum
- cabbages rape (e. g. E. cruciferarum) ⁇
- Eutypa iata Eutypa canker or dieback, anamorph: Cytosporina iata, syn. Liberteiia biepharis) on fruit trees, vines and ornamental woods
- Exserohiium syn. Helminthosporium
- corn e. g. E. turcicum
- Fusarium teleomorph: Gibbereiia
- spp. wilt, root or stem rot
- G. fujikuroi. Bakanae disease Giomereiia cinguiata on vines, pome fruits and other plants and G. gossypii on cotton; Grainstaining com- plex on rice; Guignardia bidweiiii (black rot) on vines; Gymnosporangium spp. on rosaceous plants and junipers, e. g. G. sabinae (rust) on pears; Helminthosporium spp. (syn. Drechslera, teleomorph: Cochliobolus) on corn, cereals and rice; Hemiieia spp., e. g. H.
- fructigena (bloom and twig blight, brown rot) on stone fruits and other rosaceous plants
- Mycosphaerella spp. on cereals, bananas, soft fruits and ground nuts, such as e. g. M. graminico/a (anamorph: Septoria tritici, Septoria blotch) on wheat or M. fijiensis (black Sigatoka disease) on bananas
- Peronospora spp. downy mildew) on cabbage (e. g. P. brassicae ), rape (e. g. P. parasitica), onions (e. g. P. destructor), tobacco ⁇ P. tabacina) and soybeans (e. g. P. manshurica),
- phaseoii, teleomorph Diaporthe phaseoiorum
- Phy- soderma maydis brown spots
- Phytophthora spp. wilt, root, leaf, fruit and stem root
- paprika and cucurbits e. g. P. capsici
- soybeans e. g. P.
- Poiymyxa spp. e. g. on cereals, such as barley and wheat ( P '. graminis) and sugar beets ( P '. betae) and thereby trans- mitted viral diseases;
- Puccinia s . rusts
- P. triticina brown or leaf rust
- P. striiformis stripe or yellow rust
- P. hordei dwarf rust
- P. graminis stem or black rust
- P. recondite brown or leaf rust
- cereals such as e. g. wheat, barley or rye
- P. kuehnii range rust
- Pyrenophora anamorph: Drechsiera
- tritici-repentis tan spot
- P. teres net blotch
- Pyricuiaria spp. e. g. P. oryzae (teleomorph: Magnaporthe grisea, rice blast) on rice and P. grisea on turf and cereals
- Pythium s . (damping-off) on turf, rice, corn, wheat, cotton, rape, sunflowers, soybeans, sugar beets, vegetables and various other plants (e. g. P. uitimum or P. aphanidermatum)-, Ramuiaria spp., e.
- R. coiio-cygni Ra m u I a ri a leaf spots, Physiological leaf spots
- R. beticoia on sugar beets
- Rhizoctonia spp. on cotton, rice, potatoes, turf, corn, rape, potatoes, sugar beets, vegetables and various other plants, e. g. R. soiani ⁇ xooi and stem rot) on soybeans, R. soiani (sheath blight) on rice or R.
- Rhizoctonia spring blight on wheat or barley
- Rhizopus stoionifer black mold, soft rot
- strawberries brown mold, soft rot
- Rhynchosporium seca/is on barley, rye and triticale
- Saro- ciadium oryzae and S. attenuatum (sheath rot) on rice
- Scierotinia spp. stem rot or white mold
- vegetables and field crops such as rape, sunflowers (e. g. S. scierotiorum) and soybeans (e. g. S. roifsiiox S.
- deformans leaf curl disease
- T. pruni plum pocket
- plums Thielaviopsiss . (black root rot) on tobacco, pome fruits, vegetables, soybeans and cotton, e. g. T. basicola (syn. Chalara elegans), TiHetia spp. (common bunt or stinking smut) on cereals, such as e. g. T. tritici (syn. T. caries, wheat bunt) and T. controversa (dwarf bunt) on wheat; Typhu/a incarnata (grey snow mold) on barley or wheat; Urocystis spp., e. g. U.
- Uromyces s . rust
- vegetables such as beans (e. g. U. appendicu/atus, syn. U. phased ⁇ ) and sugar beets (e. g. U. betae)
- UstHago spp. loose smut) on cereals (e. g. U. nuda an U. avaenae ), corn (e. g. U. maydis. corn smut) and sugar cane; Venturia spp. (scab) on apples (e. g. V. inaequa/is) and pears; and VerticiHium spp. (wilt) on var- ious plants, such as fruits and ornamentals, vines, soft fruits, vegetables and field crops, e. g. 14 dah/iae on strawberries, rape, potatoes and tomatoes.
- the compounds I and compositions thereof, respectively, are also suitable for controlling harmful microorganisms in the protection of stored products or harvest, and in the protection of materials.
- stored products or harvest is understood to denote natural substances of plant or animal origin and their processed forms, which have been taken from the natural life cycle and for which long-term protection is desired.
- Stored products of crop plant origin such as plants or parts thereof, for example stalks, leafs, tubers, seeds, fruits or grains, can be protected in the freshly harvested state or in processed form, such as pre-dried, moistened, comminuted, ground, pressed or roasted, which process is also known as post-harvest treatment.
- timber whether in the form of crude timber, such as construction timber, electricity pylons and barriers, or in the form of finished articles, such as fur- niture or objects made from wood.
- Stored products of animal origin are hides, leather, furs, hairs and the like.
- "stored products” is understood to denote natural substances of plant origin and their processed forms, more preferably fruits and their processed forms, such as pomes, stone fruits, soft fruits and citrus fruits and their processed forms.
- the compounds I and compositions thereof according the present invention can prevent disadvantageous effects such as decay, discoloration or mold.
- protection of materials is to be understood to denote the protection of technical and non-living materials, such as adhesives, glues, wood, paper, paperboard, textiles, leather, paint dispersions, plastics, cooling lubricants, fiber, or fabrics; against the infestation and de- struction by harmful microorganisms, such as fungi and bacteria.
- Ascomycetes such as Ophiostoma spp., Ceratocystis spp., Aureobasidium pu Hu la ns, Sderophoma spp., Chaetomium spp., Humi- c a spp., Petrie I la spp., Trichurus s ., Basidiomycetes, such as Coniophora spp., Coridus spp., Gloeophyllum spp., Lentinus s ., Pleurotuss ., Poria spp., Serpula spp.
- Deuteromycetes such as Aspergillus spp., Cladosporium spp., PeniciHium spp., Trichoderma spp., Alternaria spp., PaecHomyces spp.; and Zygomycetes, such as Mucor spp..
- Candida spp. and Saccharomyces cerevisae are worthy of note: Candida spp. and Saccharomyces cerevisae.
- the compounds I and compositions thereof, respectively, may be used for improving the health of a plant.
- the invention also relates to a method for improving plant health by treating a plant, its propagation material, and/or the locus where the plant is growing or is to grow with an effective amount of compounds I and compositions thereof, respectively.
- plant health is to be understood to denote a condition of the plant and/or its prod- ucts which is determined by several indicators alone or in combination with each other, such as yield (e. g. increased biomass and/or increased content of valuable ingredients), plant vigor (e. g. improved plant growth and/or greener leaves (“greening effect”)), quality (e. g. improved content or composition of certain ingredients), and tolerance to abiotic and/or biotic stress.
- yield e. g. increased biomass and/or increased content of valuable ingredients
- plant vigor e. g. improved plant growth and/or greener leaves (“greening effect”)
- quality e. g. improved content or composition of certain ingredients
- tolerance to abiotic and/or biotic stress e. g. improved content or composition of certain ingredients
- the compounds of formula I can be present in different crystal modifications whose biologi cal activity may differ. They are likewise subject matter of the present invention.
- the compounds I are employed as such or in form of compositions by treating the fungi, the plants, plant propagation materials, such as seeds; soil, surfaces, materials, or rooms to be pro- tected from fungal attack with a fungicidally effective amount of the active substances.
- the ap- plication can be carried out both before and after the infection of the plants, plant propagation materials, such as seeds; soil, surfaces, materials or rooms by the fungi.
- Plant propagation materials may be treated with compounds I as such or a composition corn- prising at least one compound I prophylactically either at or before planting or transplanting.
- the invention also relates to agrochemical compositions comprising an auxiliary and at least one compound I according to the invention.
- An agrochemical composition comprises a fungicidally effective amount of a compound I.
- fungicidally effective amount denotes an amount of the composition or of the corn- pounds I, which is sufficient for controlling harmful fungi on cultivated plants or in the protection of stored products or harvest or of materials and which does not result in a substantial damage to the treated plants, the treated stored products or harvest, or to the treated materials. Such an amount can vary in a broad range and is dependent on various factors, such as the fungal spe- cies to be controlled, the treated cultivated plant, stored product, harvest or material, the cli matic conditions and the specific compound I used.
- compositions e. g. solutions, emulsions, suspensions, dusts, powders, pastes, gran- ules, pressings, capsules, and mixtures thereof.
- composition types are suspen- sions (e. g. SC, OD, FS), emulsifiable concentrates (e. g. EC), emulsions (e. g. EW, EO, ES, ME), capsules (e. g. CS, ZC), pastes, pastilles, wettable powders or dusts (e. g. WP, SP, WS, DP, DS), pressings (e.
- suspen- sions e. g. SC, OD, FS
- emulsifiable concentrates e. g. EC
- emulsions e. g. EW, EO, ES, ME
- capsules e. g. CS, ZC
- pastes pastilles, wettable powder
- compositions types are defined in the“Catalogue of pesticide formulation types and international coding system”, Technical Monograph No. 2, 6 th Ed. May 2008, CropLife International.
- compositions are prepared in a known manner, such as described by Mollet and Grube- mann, Formulation technology, Wiley VCH, Weinheim, 2001 ; or by Knowles, New develop- ments in crop protection product formulation, Agrow Reports DS243, T&F Informa, London, 2005.
- Suitable auxiliaries are solvents, liquid carriers, solid carriers or fillers, surfactants, disper- sants, emulsifiers, wetters, adjuvants, solubilizers, penetration enhancers, protective colloids, adhesion agents, thickeners, humectants, repellents, attractants, feeding stimulants, compatibil- izers, bactericides, anti-freezing agents, anti-foaming agents, colorants, tackifiers, and binders.
- Suitable solvents and liquid carriers are water and organic solvents, such as mineral oil frac- tions of medium to high boiling point, e. g. kerosene, diesel oil; oils of vegetable or animal origin; aliphatic, cyclic and aromatic hydrocarbons, e. g. toluene, paraffin, tetrahydronaphthalene, and alkylated naphthalenes; alcohols, e. g. ethanol, propanol, butanol, benzyl alcohol, cyclohexanol, glycols; DMSO; ketones, e. g. cyclohexanone; esters, e. g.
- mineral oil frac- tions of medium to high boiling point e. g. kerosene, diesel oil
- oils of vegetable or animal origin oils of vegetable or animal origin
- aliphatic, cyclic and aromatic hydrocarbons e. g. toluene, paraffin, tetrahydr
- lactates carbonates, fatty acid es- ters, gamma-butyrolactone; fatty acids; phosphonates; amines; amides, e. g. /V-methyl pyrroli- done, fatty acid dimethyl amides; and mixtures thereof.
- Suitable solid carriers or fillers are mineral earths, e. g. silicates, silica gels, talc, kaolins, limestone, lime, chalk, clays, dolomite, diatomaceous earth, bentonite, calcium sulfate, magne- sium sulfate, magnesium oxide; polysaccharides, e. g. cellulose, starch; fertilizers, e. g. ammo- nium sulfate, ammonium phosphate, ammonium nitrate, ureas; products of vegetable origin, e. g. cereal meal, tree bark meal, wood meal, nutshell meal, and mixtures thereof.
- mineral earths e. g. silicates, silica gels, talc, kaolins, limestone, lime, chalk, clays, dolomite, diatomaceous earth, bentonite, calcium sulfate, magne- sium sulfate, magnesium oxide
- Suitable surfactants are surface-active compounds, such as anionic, cationic, nonionic and amphoteric surfactants, block polymers, polyelectrolytes, and mixtures thereof. Such surfactants can be used as emulsifier, dispersant, solubilizer, wetter, penetration enhancer, protective col- loid, or adjuvant. Examples of surfactants are listed in McCutcheon’s, Vol.1 : Emulsifiers & De- tergents, McCutcheon’s Directories, Glen Rock, USA, 2008 (International Ed. or North American Ed.).
- Suitable anionic surfactants are alkali, alkaline earth or ammonium salts of sulfonates, sul- fates, phosphates, carboxylates, and mixtures thereof.
- sulfonates are alkylaryl sul- fonates, diphenyl sulfonates, alpha-olefin sulfonates, lignin sulfonates, sulfonates of fatty acids and oils, sulfonates of ethoxylated alkylphenols, sulfonates of alkoxylated arylphenols, sul- fonates of condensed naphthalenes, sulfonates of dodecyl- and tridecylbenzenes, sulfonates of naphthalenes and of alkyl naphthalenes, sulfosuccinates, or sulfosuccinamates.
- Examples of sulfates are sulfates of fatty acids, of oils, of ethoxylated alkylphenols, of alcohols, of ethoxy- lated alcohols, or of fatty acid esters.
- Examples of phosphates are phosphate esters.
- Examples of carboxylates are alkyl carboxylates, and carboxylated alcohol or alkylphenol ethoxylates.
- Suitable nonionic surfactants are alkoxylates, /V-substituted fatty acid amides, amine oxides, esters, sugar-based surfactants, polymeric surfactants, and mixtures thereof.
- alkoxylates are compounds such as alcohols, alkylphenols, amines, amides, arylphenols, fatty acids or fatty acid esters which have been alkoxylated with 1 to 50 equivalents.
- Ethylene oxide and/or propylene oxide may be employed for the alkoxylation, preferably ethylene oxide.
- Exam- pies of /V-substituted fatty acid amides are fatty acid glucamides or fatty acid alkanolamides.
- esters are fatty acid esters, glycerol esters, or monoglycerides.
- sugar- based surfactants are sorbitans, ethoxylated sorbitans, sucrose and glucose esters, or al- kylpolyglucosides.
- polymeric surfactants are home- or copolymers of vinyl pyrroli- done, vinyl alcohols, or vinyl acetate.
- Suitable cationic surfactants are quaternary surfactants, for example quaternary ammonium compounds with one or two hydrophobic groups, or salts of long-chain primary amines.
- Suitable amphoteric surfactants are alkylbetains and imidazolines.
- Suitable block polymers are block pol- ymers of the A-B or A-B-A type comprising blocks of polyethylene oxide and polypropylene ox ide, or of the A-B-C type comprising alkanol, polyethylene oxide, and polypropylene oxide.
- Suit- able polyelectrolytes are polyacids or polybases. Examples of polyacids are alkali salts of poly- acrylic acid or polyacid comb polymers. Examples of polybases are polyvinyl amines or polyeth- ylene amines.
- Suitable adjuvants are compounds, which have a negligible or even no pesticidal activity themselves, and which improve the biological performance of the compound I on the target. Ex- amples are surfactants, mineral or vegetable oils, and other auxiliaries. Further examples are listed by Knowles, Adjuvants and additives, Agrow Reports DS256, T&F Informa UK, 2006, chapter 5.
- Suitable thickeners are polysaccharides (e. g. xanthan gum, carboxymethyl cellulose), inor- ganic clays (organically modified or unmodified), polycarboxylates, and silicates.
- Suitable bactericides are bronopol and isothiazolinone derivatives, such as alkylisothiazoli- nones and benzisothiazolinones.
- Suitable anti-freezing agents are ethylene glycol, propylene glycol, urea and glycerin.
- Suitable anti-foaming agents are silicones, long chain alcohols, and salts of fatty acids.
- Suitable colorants are pigments of low water solubility and wa- ter-soluble dyes.
- examples are inorganic colorants (e. g. iron oxide, titan oxide, iron hexacy- anoferrate) and organic colorants (e. g. alizarin-, azo- and phthalocyanine colorants).
- Suitable tackifiers or binders are polyvinyl pyrrolidones, polyvinyl acetates, polyvinyl alco- hols, polyacrylates, biological or synthetic waxes, and cellulose ethers.
- composition types and their preparation are:
- a compound I and 5-15 wt% wetting agent e. g. alcohol alkoxylates
- a water-soluble solvent e. g. alcohols
- a compound I and 1-10 wt% dispersant e. g. polyvinyl pyrrolidone
- organic solvent e. g. cyclohexanone
- emulsifiers e. g. calcium dodecylbenzenesul- fonate and castor oil ethoxylate
- water-insoluble organic solvent e. g. aromatic hydrocarbon
- Emulsions (EW, EO, ES)
- emulsifiers e. g. calcium dodecylbenzenesulfonate and castor oil ethoxylate
- water-insoluble organic solvent e. g. aro- matic hydrocarbon
- a compound I In an agitated ball mill, 20-60 wt% of a compound I are comminuted with addition of 2-10 wt% dispersants and wetting agents (e. g. sodium lignosulfonate and alcohol ethoxylate), 0.1- 2 wt% thickener (e. g. xanthan gum) and water ad 100 wt% to give a fine active substance sus- pension. Dilution with water gives a stable suspension of the active substance.
- dispersants and wetting agents e. g. sodium lignosulfonate and alcohol ethoxylate
- 0.1- 2 wt% thickener e. g. xanthan gum
- water ad 100 wt% to give a fine active substance sus- pension. Dilution with water gives a stable suspension of the active substance.
- binder e. g. polyvinyl alcohol
- a compound I 50-80 wt% of a compound I are ground finely with addition of dispersants and wetting agents (e. g. sodium lignosulfonate and alcohol ethoxylate) ad 100 wt% and prepared as water-dis- persible or water-soluble granules by means of technical appliances (e. g. extrusion, spray tower, fluidized bed). Dilution with water gives a stable dispersion or solution of the active sub- stance.
- dispersants and wetting agents e. g. sodium lignosulfonate and alcohol ethoxylate
- wt% of a compound I are ground in a rotor-stator mill with addition of 1-5 wt% disper- sants (e. g. sodium lignosulfonate), 1-3 wt% wetting agents (e. g. alcohol ethoxylate) and solid carrier (e. g. silica gel) ad 100 wt%. Dilution with water gives a stable dispersion or solution of the active substance.
- disper- sants e. g. sodium lignosulfonate
- wetting agents e. g. alcohol ethoxylate
- solid carrier e. g. silica gel
- a compound I In an agitated ball mill, 5-25 wt% of a compound I are comminuted with addition of 3-10 wt% dispersants (e. g. sodium lignosulfonate), 1-5 wt% thickener (e. g. carboxymethyl cellulose) and water ad 100 wt% to give a fine suspension of the active substance. Dilution with water gives a stable suspension of the active substance.
- dispersants e. g. sodium lignosulfonate
- 1-5 wt% thickener e. g. carboxymethyl cellulose
- 5-20 wt% of a compound I are added to 5-30 wt% organic solvent blend (e. g. fatty acid di- methyl amide and cyclohexanone), 10-25 wt% surfactant blend (e. g. alcohol ethoxylate and ar- ylphenol ethoxylate), and water ad 100 %. This mixture is stirred for 1 h to produce spontane- ously a thermodynamically stable microemulsion.
- organic solvent blend e. g. fatty acid di- methyl amide and cyclohexanone
- surfactant blend e. g. alcohol ethoxylate and ar- ylphenol ethoxylate
- An oil phase comprising 5-50 wt% of a compound I, 0-40 wt% water insoluble organic solvent (e. g. aromatic hydrocarbon), 2-15 wt% acrylic monomers (e. g. methylmethacrylate, methacrylic acid and a di- or triacrylate) are dispersed into an aqueous solution of a protective colloid (e. g. polyvinyl alcohol). Radical polymerization results in the formation of poly(meth)acrylate micro- capsules.
- an oil phase comprising 5-50 wt% of a compound I according to the in- vention, 0-40 wt% water insoluble organic solvent (e. g. aromatic hydrocarbon), and an isocya- nate monomer (e.
- g. diphenylmethene-4,4’-diisocyanatae are dispersed into an aqueous solu- tion of a protective colloid (e. g. polyvinyl alcohol).
- a protective colloid e. g. polyvinyl alcohol.
- the addition of a polyamine results in the formation of polyurea microcapsules.
- the monomers amount to 1- 10 wt%.
- the wt% relate to the total CS composition.
- Dustable powders (DP, DS)
- 1-10 wt% of a compound I are ground finely and mixed intimately with solid carrier (e. g. finely divided kaolin) ad 100 wt%.
- solid carrier e. g. finely divided kaolin
- a compound I 0.5-30 wt% of a compound I is ground finely and associated with solid carrier (e. g. silicate) ad 100 wt%.
- solid carrier e. g. silicate
- Granulation is achieved by extrusion, spray-drying or fluidized bed.
- compositions types i) to xiii) may optionally comprise further auxiliaries, such as 0.1-1 wt% bactericides, 5-15 wt% anti-freezing agents, 0.1-1 wt% anti-foaming agents, and 0.1-1 wt% colorants.
- the agrochemical compositions generally comprise between 0.01 and 95 %, preferably be- tween 0.1 and 90%, more preferably between 1 and 70 %, and in particular between 10 and 60 %, by weight of active substance.
- the active substances are employed in a purity of from 90 % to 100 %, preferably from 95-% to 100 % (according to NMR spectrum).
- solutions for seed treatment (LS), Suspoemulsions (SE), flowable concentrates (FS), powders for dry treat- ment (DS), water-dispersible powders for slurry treatment (WS), water-soluble powders (SS), emulsions (ES), emulsifiable concentrates (EC), and gels (GF) are usually employed.
- the corn- positions in question give, after two-to-tenfold dilution, active substance concentrations of from 0.01 to 60 % by weight, preferably from 0.1 to 40 %, in the ready-to-use preparations. Applica- tion can be carried out before or during sowing.
- Methods for applying compound I and composi- tions thereof, respectively, onto plant propagation material, especially seeds include dressing, coating, pelleting, dusting, soaking, as well as in-furrow application methods.
- corn- pound I or the compositions thereof, respectively are applied on to the plant propagation mate- rial by a method such that germination is not induced, e. g. by seed dressing, pelleting, coating, and dusting.
- the amounts of active substances applied are, depend- ing on the kind of effect desired, from 0.001 to 2 kg per ha, preferably from 0.005 to 2 kg per ha, more preferably from 0.05 to 0.9 kg per ha, and in particular from 0.1 to 0.75 kg per ha.
- amounts of active substance of from 0.1 to 1000 g, preferably from 1 to 1000 g, more preferably from 1 to 100 g and most preferably from 5 to 100 g, per 100 kg of plant propa- gation material (preferably seeds) are generally required.
- the amount of active substance applied depends on the kind of application area and on the desired effect. Amounts customarily applied in the protection of materials are 0.001 g to 2 kg, preferably 0.005 g to 1 kg, of active substance per cubic meter of treated material.
- oils, wetters, adjuvants, fertilizer, or micronutrients, and further pesticides may be added to the active substances or the compositions comprising them as premix, or, if appropri- ate, not until immediately prior to use (tank mix).
- pesticides e. g. herbicides, insecticides, fungicides, growth regulators, safeners, biopesticides
- These agents can be admixed with the compo- sitions according to the invention in a weight ratio of 1 :100 to 100:1 , preferably 1 :10 to 10:1.
- a pesticide is generally a chemical or biological agent (such as pestidal active ingredient, compound, composition, virus, bacterium, antimicrobial, or disinfectant) that through its effect deters, incapacitates, kills or otherwise discourages pests.
- Target pests can include insects, plant pathogens, weeds, mollusks, birds, mammals, fish, nematodes (roundworms), and mi- crobes that destroy property, cause nuisance, spread disease or are vectors for disease.
- pesticide includes also plant growth regulators that alter the expected growth, flowering, or reproduction rate of plants; defoliants that cause leaves or other foliage to drop from a plant, usually to facilitate harvest; desiccants that promote drying of living tissues, such as unwanted plant tops; plant activators that activate plant physiology for defense of against certain pests; safeners that reduce unwanted herbicidal action of pesticides on crop plants; and plant growth promoters that affect plant physiology e.g. to increase plant growth, biomass, yield or any other quality parameter of the harvestable goods of a crop plant.
- Biopesticides have been defined as a form of pesticides based on microorganisms (bacteria, fungi, viruses, nematodes, etc.) or natural products (compounds, such as metabolites, proteins, or extracts from biological or other natural sources) (U.S. Environmental Protection Agency: http://www.epa.gov/pesticides/biopesticides/). Biopesticides fall into two major classes, micro- bial and biochemical pesticides:
- Microbial pesticides consist of bacteria, fungi or viruses (and often include the metabo- lites that bacteria and fungi produce). Entomopathogenic nematodes are also classified as microbial pesticides, even though they are multi-cellular.
- Biochemical pesticides are naturally occurring substances that control pests or provide other crop protection uses as defined below, but are relatively non-toxic to mammals.
- the user applies the composition according to the invention usually from a predosage de- vice, a knapsack sprayer, a spray tank, a spray plane, or an irrigation system.
- the agro- chemical composition is made up with water, buffer, and/or further auxiliaries to the desired ap- plication concentration and the ready-to-use spray liquor or the agrochemical composition ac- cording to the invention is thus obtained.
- 20 to 2000 liters, preferably 50 to 400 liters, of the ready-to-use spray liquor are applied per hectare of agricultural useful area.
- composition according to the invention such as parts of a kit or parts of a binary or ternary mixture may be mixed by the user himself in a spray tank or any other kind of vessel used for applications (e. g. seed treater drums, seed pelleting machinery, knapsack sprayer) and further auxiliaries may be added, if ap- intestinalte.
- one embodiment of the invention is a kit for preparing a usable pesticidal composition, the kit comprising a) a composition comprising component 1) as defined herein and at least one auxiliary; and b) a composition comprising component 2) as defined herein and at least one auxiliary; and optionally c) a composition comprising at least one auxiliary and op- tionally a further active component 3) as defined herein.
- pesticides II e. g. pesticidally-active substances and biopesticides
- the compounds I in conjunction with which the compounds I can be used, is intended to illustrate the possible com- binations but does not limit them:
- respiration inhibitors diflumetorim (A.4.1); nitrophenyl derivates: binapacryl (A.4.2), di- nobuton (A.4.3), dinocap (A.4.4), fluazinam (A.4.5), meptyldinocap (A.4.6), ferimzone (A.4.7); organometal compounds: fentin salts, e. g. fentin-acetate (A.4.8), fentin chloride (A.4.9) or fentin hydroxide (A.4.10); ametoctradin (A.4.1 1); silthiofam (A.4.12);
- - C14 demethylase inhibitors triazoles: azaconazole (B.1.1 ), bitertanol (B.1.2), bromucona- zole (B.1.3), cyproconazole (B.1.4), difenoconazole (B.1.5), diniconazole (B.1.6), dinicona- zole-M (B.1.7), epoxiconazole (B.1.8), fenbuconazole (B.1.9), fluquinconazole (B.1.10), flusi- lazole (B.1.1 1), flutriafol (B.1.12), hexaconazole (B.1.13), imibenconazole (B.1.14), ipcona- zole (B.1.15), metconazole (B.1.17), myclobutanil (B.1.18), oxpoconazole (B.1.19), paclobu- trazole (B.1.20), penconazole
- benalaxyl (C.1.1 ), benalaxyl-M (C.1.2), kiralaxyl (C.1.3), metalaxyl (C.1.4), metalaxyl-M (C.1.5), ofurace (C.1.6), oxadixyl (C.1.7);
- nucleic acid synthesis inhibitors hymexazole (C.2.1 ), octhilinone (C.2.2), oxolinic acid (C.2.3), bupirimate (C.2.4), 5-fluorocytosine (C.2.5), 5-fluoro-2-(p-tolylmethoxy)pyrimidin- 4-amine (C.2.6), 5-fluoro-2-(4-fluorophenylmethoxy)pyrimidin-4-amine (C.2.7), 5-fluoro- 2-(4-chlorophenylmethoxy)pyrimidin-4 amine (C.2.8);
- tubulin inhibitors benomyl (D.1.1), carbendazim (D.1.2), fuberidazole (D1.3), thiabendazole (D.1.4), thiophanate-methyl (D.1.5), pyridachlometyl (D.1.6), /V-ethyl-2-[(3-ethynyl-8-methyl- 6-quinolyl)oxy]butanamide (D.1.8), /V-ethyl-2-[(3-ethynyl-8-methyl-6-quinolyl)oxy]-2-methyl- sulfanyl-acetamide (D.1.9), 2-[(3-ethynyl-8-methyl-6-quinolyl)oxy]-/V-(2-fluoroethyl)bu- tanamide (D.1.10), 2-[(3-ethynyl-8-methyl-6-quinolyl)oxy]-/V-(2-fluoroethyl)-2-methoxy-acet-
- diethofencarb (D.2.1 ), ethaboxam (D.2.2), pencycuron (D.2.3), fluopicolide (D.2.4), zoxamide (D.2.5), metrafenone (D.2.6), pyriofenone (D.2.7);
- cyprodinil E.1.1
- mepanipyrim E.1.2
- pyrimethanil E.1.3
- blasticidin-S (E.2.1), kasugamycin (E.2.2), kasugamycin hydro- chloride-hydrate (E.2.3), mildiomycin (E.2.4), streptomycin (E.2.5), oxytetracyclin (E.2.6);
- fluoroimid F.1.1
- iprodione F.1.2
- procymidone F.1.3
- vinclozolin F.1.4
- fludioxonil F.1.5
- quinoxyfen F.2.1 ;
- edifenphos (G .1.1), iprobenfos (G.1.2), pyrazophos (G.1.3), isoprothiolane (G.1.4);
- dimethomorph G.3.1
- flumorph G.3.2
- mandipropamid G.3.3
- pyhmorph G.3.4
- benthiavalicarb G.3.5
- iprovalicarb G.3.6
- valifenalate G.3.7
- propamocarb (G.4.1 );
- oxathiapiprolin G.5.1
- 2- ⁇ 3-[2-(1- ⁇ [3,5-bis(difluorome- thyl-1 H- pyrazol-1 -yl]acetyl ⁇ piperidin-4-yl)-1 ,3-thiazol-4-yl]-4,5-dihyd ro-1 ,2-oxazol-5-yl ⁇ phenyl methanesulfonate G.5.2
- 2- ⁇ 3-[2-(1- ⁇ [3,5-bis(difluoromethyl)-177-pyrazol-1-yl]acetyl ⁇ piperi- din-4-yl) 1 ,3-thiazol-4-yl]-4,5-dihyd ro-1 ,2-oxazol-5-yl ⁇ -3-chlorophenyl methanesulfonate G.5.3
- organochlorine compounds anilazine (H.3.1 ), chlorothalonil (H.3.2), captafol (H.3.3), captan (H.3.4), folpet (H.3.5), dichlofluanid (H.3.6), dichlorophen (H.3.7), hexachlorobenzene (H.3.8), pentachlorphenole (H.3.9) and its salts, phthalide (H.3.10), tolylfluanid (H.3.11 );
- guanidine H.4.1
- dodine H.4.2
- dodine free base H.4.3
- guazatine H.4.4
- guazatine-acetate H.4.5
- iminoctadine H.4.6
- iminoctadine-triacetate H.4.7
- iminoctadine-tris(albesilate) H.4.8
- dithianon H.4.9
- 2,6-dimethyl-1 A/,5A L [1 ,4]di- thiino[2,3-c:5,6-c']dipyrrole-1 ,3,5,7(2A/,6A7)-tetraone (H.4.10);
- - melanin synthesis inhibitors pyroquilon (1.2.1), tricyclazole (1.2.2), carpropamid (1.2.3), dicy- clomet (1.2.4), fenoxanil (I.2.5);
- abscisic acid (M.1.1 ), amidochlor, ancymidol, 6-benzylaminopurine, brassinolide, butralin, chlormequat, chlormequat chloride, choline chloride, cyclanilide, daminozide, dikegulac, dime- thipin, 2,6-dimethylpuridine, ethephon, flumetralin, flurprimidol, fluthiacet, forchlorfenuron, gib- berellic acid, inabenfide, indole-3-acetic acid , maleic hydrazide, mefluidide, mepiquat, mepiquat chloride, naphthaleneacetic acid, /V-6-benzyl adenine, paclobutrazol, prohexadione, prohexadi- one-calcium, prohydrojasmon, thidiazuron, triapenthenol, tributyl
- Lipid biosynthesis inhibitors alloxydim, alloxydim-sodium, butroxydim, clethodim,
- clodinafop clodinafop-propargyl, cycloxydim, cyhalofop, cyhalofop-butyl, diclofop, diclofop- methyl, fenoxaprop, fenoxaprop-ethyl, fenoxaprop-P, fenoxaprop-P-ethyl, fluazifop, fluazifop- butyl, fluazifop-P, fluazifop-P-butyl, haloxyfop, haloxyfop-methyl, haloxyfop-P, haloxyfop-P- methyl, metamifop, pinoxaden, profoxydim, propaquizafop, quizalofop, quizalofop-ethyl, quizalofop-tefuryl, quizalofop-P, quizalofop-P-ethyl,
- N.2 ALS inhibitors amidosulfuron, azimsulfuron, bensulfuron, bensulfuron-methyl, chlorimuron, chlorimuron-ethyl, chlorsulfuron, cinosulfuron, cyclosulfamuron, ethametsulfuron, ethamet- sulfuron-methyl, ethoxysulfuron, flazasulfuron, flucetosulfuron, flupyrsulfuron, flupyrsulfuron- methyl-sodium, foramsulfuron, halosulfuron, halosulfuron-methyl, imazosulfuron, iodosulfu- ron, iodosulfuron-methyl-sodium, iofensulfuron, iofensulfuron-sodium, mesosulfuron, meta- zosulfuron, metsulfuron, metsulfuron-methyl, nic
- Photosynthesis inhibitors amicarbazone; chlorotriazine; ametryn, atrazine, chloridazone, cyanazine, desmetryn, dimethametryn,hexazinone, metribuzin, prometon, prometryn, pro- pazine, simazine, simetryn, terbumeton, terbuthylazin, terbutryn, trietazin; chlorobromuron, chlorotoluron, chloroxuron, dimefuron, diuron, fluometuron, isoproturon, isouron, linuron, metamitron, methabenzthiazuron, metobenzuron, metoxuron, monolinuron, neburon, sidu- ron, tebuthiuron, thiadiazuron, desmedipham, karbutilat, phenmedipham, phenmedipham- ethyl, bromofenoxim, brom
- N.4 protoporphyrinogen-IX oxidase inhibitors acifluorfen, acifluorfen-sodium, azafenidin, ben- carbazone, benzfendizone, bifenox, butafenacil, carfentrazone, carfentrazone-ethyl, chlor- methoxyfen, cinidon-ethyl, fluazolate, flufenpyr, flufenpyr-ethyl, flumiclorac, flumiclorac-pen- tyl, flumioxazin, fluoroglycofen, fluoroglycofen-ethyl, fluthiacet, fluthiacet-methyl, fomesafen, halosafen, lactofen, oxadiargyl, oxadiazon, oxyfluorfen, pentoxazone, profluazol, pyraclonil, pyraflufen, pyraflufen
- N.5 Bleacher herbicides beflubutamid, diflufenican, fluridone, flurochloridone, flurtamone,
- norflurazon picolinafen, 4-(3-trifluoromethyhphenoxy)-2-(4-trifluoromethylphenyl)pyrimidine (180608-33-7); benzobicyclon, benzofenap, bicyclopyrone, clomazone, fenquintrione, isoxaflutole, mesotrione, pyrasulfotole, pyrazolynate, pyrazoxyfen, sulcotrione, tefuryltrione, tembotrione, tolpyralate, topramezone; aclonifen, amitrole, flumeturon;
- N.6 EPSP synthase inhibitors glyphosate, glyphosate-isopropylammonium, glyposate-potas- sium, glyphosate-trimesium (sulfosate);
- Glutamine synthase inhibitors bilanaphos (bialaphos), bilanaphos-sodium, glufosinate, glufosinate-P, glufosinate-ammonium;
- Mitosis inhibitors benfluralin, butralin, dinitramine, ethalfluralin, fluchloralin, oryzalin, pendi- methalin, prodiamine, trifluralin; amiprophos, amiprophos-methyl, butamiphos; chlorthal, chlorthal-dimethyl, dithiopyr, thiazopyr, propyzamide, tebutam; carbetamide, chlorpropham, flamprop, flamprop-isopropyl, flamprop-methyl, flamprop-M-isopropyl, flamprop-M-methyl, propham;
- N.10 VLCFA inhibitors acetochlor, alachlor, butachlor, dimethachlor, dimethenamid, dimethena- mid-P, metazachlor, metolachlor, metolachlor-S, pethoxamid, pretilachlor, propachlor, prop- isochlor, thenylchlor, flufenacet, mefenacet, diphenamid, naproanilide, napropamide, napro- pamide-M, fentrazamide, anilofos, cafenstrole, fenoxasulfone, ipfencarbazone, piperophos, pyroxasulfone, isoxazoline compounds of the formulae 11.1 , II.2, II.3, II.4, II.5, II.6, II.7, II.8 and II.9
- N.1 1 Cellulose biosynthesis inhibitors: chlorthiamid, dichlobenil, flupoxam, indaziflam, isoxaben, triaziflam, 1 -cyclohexyl-5-pentafluorphenyloxy-14-[1 ,2,4,6]thiatriazin-3-ylamine (175899-01 - 1 );
- N.12 Decoupler herbicides dinoseb, dinoterb, DNOC and its salts
- N.13 Auxinic herbicides 2,4-D and its salts and esters, clacyfos, 2,4-DB and its salts and es- ters, aminocyclopyrachlor and its salts and esters, aminopyralid and its salts such as amino- pyralid-dimethylammonium, aminopyralid-tris(2-hydroxypropyl)ammonium and its esters, benazolin, benazolin-ethyl, chloramben and its salts and esters, clomeprop, clopyralid and its salts and esters, dicamba and its salts and esters, dichlorprop and its salts and esters, dichlorprop-P and its salts and esters, fluroxypyr, fluroxypyr-butometyl, fluroxypyr-meptyl, halauxifen and its salts and esters (943832-60-8); MCPA and its salts and esters, MCPA- thioethy
- N.14 Auxin transport inhibitors diflufenzopyr, diflufenzopyr-sodium, naptalam, naptalam- sodium;
- Acetylcholine esterase (AChE) inhibitors aldicarb, alanycarb, bendiocarb, benfuracarb, bu- tocarboxim, butoxycarboxim, carbaryl, carbofuran, carbosulfan, ethiofencarb, fenobucarb, formetanate, furathiocarb, isoprocarb, methiocarb, methomyl, metolcarb, oxamyl, pirimicarb, propoxur, thiodicarb, thiofanox, trimethacarb, XMC, xylylcarb, triazamate; acephate, aza- methiphos, azinphos-ethyl, azinphosmethyl, cadusafos, chlorethoxyfos, chlorfenvinphos, chlormephos, chlorpyrifos, chlorpyrifos-methyl, coumaphos, cyano
- GABA-gated chloride channel antagonists endosulfan, chlordane; ethiprole, fipronil,
- Sodium channel modulators acrinathrin, allethrin, d-cis-trans allethrin, d-trans allethrin, bifenthrin, kappa-bifenthrin, bioallethrin, bioallethrin S-cylclopentenyl, bioresmethrin, cyclo- prothrin, cyfluthrin, beta-cyfluthrin, cyhalothrin, lambda-cyhalothrin, gamma-cyhalothrin, cy- permethrin, alpha-cypermethrin, beta-cypermethrin, theta-cypermethrin, zeta-cypermethrin, cyphenothrin, deltamethrin, empenthrin, esfenvalerate, etofenprox, fenpropathrin, f
- Nicotinic acetylcholine receptor agonists acetamiprid, clothianidin, cycloxaprid, dinotefuran, imidacloprid, nitenpyram, thiacloprid, thiamethoxam; 4,5-dihydro-/V-nitro- 1 -(2-oxiranylmethyl)-1 TT-imidazol ⁇ -amine, (2£)-1 -[(6-chloropyridin-3-yl)methyl]-/V : -nitro-2- pentylidenehydrazinecarboximidamide; 1-[(6-chloropyridin-3-yl)methyl]-7-methyl-8-nitro-5- propoxy-1 ,2,3,5,6,7-hexahydroimidazo[1 ,2-a]pyridine; nicotine; sulfoxaflor, flupyradifurone, triflumezopyrim;
- Nicotinic acetylcholine receptor allosteric activators spinosad, spinetoram; 0.6 Chloride channel activators: abamectin, emamectin benzoate, ivermectin, lepimectin, milbe- mectin;
- Juvenile hormone mimics hydroprene, kinoprene, methoprene; fenoxycarb, pyriproxyfen;
- miscellaneous non-specific (multi-site) inhibitors methyl bromide and other alkyl halides; chloropicrin, sulfuryl fluoride, borax, tartar emetic;
- Mite growth inhibitors clofentezine, hexythiazox, diflovidazin; etoxazole;
- Bacillus thuringiensis Bacillus sphaeri- cus and the insecticdal proteins they produce: Bacillus thuringiensis subsp. israe/ensis, Ba cillus sphaericus, Bacillus thuringiensis subsp. aizawai, Bacillus thuringiensis subsp.
- israeltaki Bacillus thuringiensis subsp. tenebrionis, the Bt crop proteins: CrylAb, CrylAc, Cryl Fa, Cry2Ab, mCry3A, Cry3Ab, Cry3Bb, Cry34/35Ab1 ;
- Inhibitors of mitochondrial ATP synthase diafenthiuron; azocyclotin, cyhexatin, fenbutatin oxide, propargite, tetradifon;
- Nicotinic acetylcholine receptor (nAChR) channel blockers bensultap, cartap hydrochlo- ride, thiocyclam, thiosultap sodium;
- Inhibitors of the chitin biosynthesis type 0 bistrifluron, chlorfluazuron, diflubenzuron, flu- cycloxuron, flufenoxuron, hexaflumuron, lufenuron, novaluron, noviflumuron, teflubenzuron, triflumuron;
- Ecdyson receptor agonists methoxyfenozide, tebufenozide, halofenozide, fufenozide, chromafenozide;
- Octopamin receptor agonists amitraz
- Mitochondrial complex I electron transport inhibitors fenazaquin, fenpyroximate, pyrim- idifen, pyridaben, tebufenpyrad, tolfenpyrad; rotenone;
- Inhibitors of the of acetyl CoA carboxylase spirodiclofen, spiromesifen, spirotetramat, spi- ropidion;
- Mitochondrial complex II electron transport inhibitors cyenopyrafen, cyflumetofen
- insecticidal active compounds of unknown or uncertain mode of action afidopyropen, afoxolaner, azadirachtin, amidoflumet, benzoximate, broflanilide, bromopropylate, chinome- thionat, cryolite, dicloromezotiaz, dicofol, flufenerim, flometoquin, fluensulfone, fluhexafon, fluopyram, fluralaner, metoxadiazone, piperonyl butoxide, pyflubumide, pyridalyl, tioxazafen,
- component 2 The active substances referred to as component 2, their preparation and their activity e. g. against harmful fungi is known (cf.: http://www.alanwood.net/pesticides/); these substances are commercially available.
- the compounds described by IUPAC nomenclature, their preparation and their pesticidal activity are also known (cf. Can. J. Plant Sci. 48(6), 587-94, 1968;
- WO 13/116251 WO 08/013622, WO 15/65922, WO 94/01546, EP 2865265, WO 07/129454, WO 12/16551 1 , WO 11/081174, WO 13/47441 ).
- Some compounds are identified by their CAS Registry Number which is separated by hyphens into three parts, the first consisting from two up to seven digits, the second consisting of two digits, and the third consisting of a single digit.
- the present invention furthermore relates to agrochemical compositions comprising a mix- ture of at least one compound I (component 1) and at least one further active substance useful for plant protection, e. g. selected from the groups A) to O) (component 2), in particular one fur- ther fungicide, e. g. one or more fungicide from the groups A) to K), as described above, and if desired one suitable solvent or solid carrier.
- agrochemical compositions comprising a mix- ture of at least one compound I (component 1) and at least one further active substance useful for plant protection, e. g. selected from the groups A) to O) (component 2), in particular one fur- ther fungicide, e. g. one or more fungicide from the groups A) to K), as described above, and if desired one suitable solvent or solid carrier.
- Those mixtures are of particular interest, since many of them at the same application rate show higher efficiencies against harmful fungi.
- the order of application is not essential for working of the present invention.
- the time between both applications may vary e. g. between 2 hours to 7 days. Also a broader range is possible ranging from 0.25 hour to 30 days, preferably from 0.5 hour to 14 days, particularly from 1 hour to 7 days or from 1.5 hours to 5 days, even more preferred from 2 hours to 1 day.
- the pesticide II is applied as last treat- ment.
- the solid material (dry matter) of the biopesticides (with the ex- ception of oils such as Neem oil) are considered as active components (e. g. to be obtained af- ter drying or evaporation of the extraction or suspension medium in case of liquid formulations of the microbial pesticides).
- the weight ratios and percentages used herein for a biological extract such as Quillay extract are based on the total weight of the dry content (solid material) of the respective extract(s).
- the total weight ratios of compositions comprising at least one microbial pesticide in the form of viable microbial cells including dormant forms can be determined using the amount of CFU of the respective microorganism to calculate the total weight of the respective active component with the following equation that 1 x 10 10 CFU equals one gram of total weight of the respective active component.
- Colony forming unit is measure of viable microbial cells, in particular fungal and bacterial cells.
- CFU may also be understood as the number of (juvenile) individual nematodes in case of (entomopathogenic) nematode biopesticides, such as
- the weight ratio of the component 1) and the component 2) generally depends from the properties of the active com- ponents used, usually it is in the range of from 1 :10,000 to 10,000:1 , often it is in the range of from 1 :100 to 100:1 , regularly in the range of from 1 :50 to 50:1 , preferably in the range of from 1 :20 to 20:1 , more preferably in the range of from 1 :10 to 10:1 , even more preferably in the range of from 1 :4 to 4:1 and in particular in the range of from 1 :2 to 2:1.
- the weight ratio of the component 1 ) and the component 2) usually is in the range of from 1000:1 to 1 :1 , often in the range of from 100: 1 to 1 :1 , regularly in the range of from 50:1 to 1 :1 , preferably in the range of from 20:1 to 1 :1 , more preferably in the range of from 10:1 to 1 :1 , even more preferably in the range of from 4:1 to 1 :1 and in particular in the range of from 2:1 to 1 :1.
- the weight ratio of the component 1) and the component 2) usually is in the range of from 20,000:1 to 1 :10, often in the range of from 10,000:1 to 1 :1 , regularly in the range of from 5,000:1 to 5:1 , preferably in the range of from 5,000:1 to 10:1 , more preferably in the range of from 2,000:1 to 30:1 , even more preferably in the range of from 2,000:1 to 100:1 and in particular in the range of from 1 ,000:1 to 100:1.
- the weight ratio of the component 1 ) and the component 2) usually is in the range of from 1 :1 to 1 :1000, often in the range of from 1 :1 to 1 :100, regularly in the range of from 1 :1 to 1 :50, preferably in the range of from 1 :1 to 1 :20, more preferably in the range of from 1 :1 to 1 :10, even more preferably in the range of from 1 :1 to 1 :4 and in particular in the range of from 1 :1 to 1 :2.
- the weight ratio of the component 1 ) and the component 2) usually is in the range of from 10:1 to 1 :20,000, often in the range of from 1 :1 to 1 :10,000, regularly in the range of from 1 :5 to 1 :5,000, preferably in the range of from 1 :10 to 1 :5,000, more preferably in the range of from 1 :30 to 1 :2,000, even more preferably in the range of from 1 :100 to 1 :2,000 to and in particular in the range of from 1 :100 to 1 :1 ,000.
- the weight ratio of component 1 ) and component 2) depends from the properties of the active substances used, usually it is in the range of from 1 :100 to 100:1 , regularly in the range of from 1 :50 to 50:1 , preferably in the range of from 1 :20 to 20:1 , more preferably in the range of from 1 :10 to 10:1 and in particular in the range of from 1 :4 to 4: 1 , and the weight ratio of component 1 ) and component 3) usually it is in the range of from 1 :100 to 100:1 , regularly in the range of from 1 :50 to 50:1 , preferably in the range of from 1 :20 to 20:1 , more preferably in the range of from 1 :10 to 10:1 and in particular in the range of from 1 :4 to 4:1.
- any further active components are, if desired, added in a ratio of from 20:1 to 1 :20 to the component 1 ).
- the applica- tion rates preferably range from about 1 x 10 6 to 5 x 10 16 (or more) CFU/ha, preferably from about 1 x 10 8 to about 1 x 10 13 CFU/ha, and even more preferably from about 1 x 10 9 to 5 x 10 15 CFU/ha and particularly preferred even more preferably from 1 x 10 12 to 5 x 10 14 CFU/ha.
- (entomopathogenic) nematodes as microbial pesticides (e. g.
- the application rates preferably range inform about 1 x 10 5 to 1 x 10 12 (or more), more preferably from 1 x 10 8 to 1 x 10 11 , even more preferably from 5 x 10 8 to 1 x 10 10 individuals (e. g. in the form of eggs, juvenile or any other live stages, preferably in an infetive juvenile stage) per ha.
- the applica- tion rates with respect to plant propagation material preferably range from about 1 x 10 6 to 1 x 10 12 (or more) CFU/seed.
- the concentration is about 1 x 10 6 to about 1 x 10 9 CFU/seed.
- the application rates with respect to plant propagation material also preferably range from about 1 x 10 7 to 1 x 10 14 (or more) CFU per 100 kg of seed, preferably from 1 x 10 9 to about 1 x 10 12 CFU per 100 kg of seed.
- mixtures comprising as component 2) at least one active sub- stance selected from inhibitors of complex III at Q 0 site in group A), more preferably selected from compounds (A.1.1 ), (A.1.4), (A.1.8), (A.1.9), (A.1.10), (A.1 .12), (A.1.13), (A.1 .14), (A.1.17), (A.1.21 ), (A.1 .25), (A.1.34) and (A.1.35); particularly selected from (A.1 .1 ), (A.1 .4), (A.1.8), (A.1.9), (A.1.13), (A.1 .14), (A.1 .17), (A.1.25), (A.1 .34) and (A.1.35).
- mixtures comprising as component 2) at least one active sub- stance selected from inhibitors of complex III at Q, site in group A), more preferably selected from compounds (A.2.1 ), (A.2.3) and (A.2.4); particularly selected from (A.2.3) and (A.2.4).
- mixtures comprising as component 2) at least one active sub- stance selected from inhibitors of complex II in group A), more preferably selected from corn- pounds (A.3.2), (A.3.3), (A.3.4), (A.3.7), (A.3.9), (A.3.1 1 ), (A.3.12), (A.3.15), (A.3.16), (A.3.17), (A.3.18), (A.3.19), (A.3.20), (A.3.21 ), (A.3.22), (A.3.23), (A.3.28), (A.3.31 ), (A.3.32), (A.3.33), (A.3.34), (A.3.35), (A.3.36), (A.3.37), (A.3.38) and (A.3.39); particularly selected from (A.3.2), (A.3.3), (A.3.4), (A.3.7), (A.3.9), (A.3.12), (A.3.15), (A.3.17), (A.3.19), (A.3.22), (A.
- mixtures comprising as component 2) at least one active sub- stance selected from other respiration nhibitors in group A), more preferably selected from corn- pounds (A.4.5) and (A.4.1 1 ); in particular (A.4.1 1 ).
- mixtures comprising as component 2) at least one active sub- stance selected from C14 demethylase inhibitors in group B), more preferably selected from compounds (B.1 .4), (B.1 .5), (B.1 .8), (B.1 .10), (B.1.1 1 ), (B.1 .12), (B.1.13), (B.1 .17), (B.1.18),
- mixtures comprising as component 2) at least one active sub- stance selected from Deltal 4-reductase inhibitors in group B), more preferably selected from compounds (B.2.4), (B.2.5), (B.2.6) and (B.2.8); in particular (B.2.4).
- mixtures comprising as component 2) at least one active sub- stance selected from phenylamides and acyl amino acid fungicides in group C), more preferably selected from compounds (C.1.1 ), (C.1 .2), (C.1.4) and (C.1 .5); particularly selected from (C.1 .1 ) and (C.1.4).
- mixtures comprising as component 2) at least one active sub- stance selected from other nucleic acid synthesis inhibitors in group C), more preferably se- lected from compounds (C.2.6),(C.2.7) and (C.2.8).
- mixtures comprising as component 2) at least one active sub- stance selected from group D), more preferably selected from compounds (D.1.1 ), (D.1 .2),
- mixtures comprising as component 2) at least one active sub- stance selected from group E), more preferably selected from compounds (E.1 .1 ), (E.1 .3), (E.2.2) and (E.2.3); in particular (E.1 .3).
- mixtures comprising as component 2) at least one active sub- stance selected from group F), more preferably selected from compounds (F.1 .2), (F.1.4) and (F.1 .5).
- mixtures comprising as component 2) at least one active sub- stance selected from group G), more preferably selected from compounds (G.3.1 ), (G.3.3), (G.3.6), (G.5.1 ), (G.5.2), (G.5.3), (G.5.4), (G.5.5), G.5.6), G.5.7), (G.5.8), (G.5.9), (G.5.10) and (G.5.1 1 ); particularly selected from (G.3.1 ), (G.5.1 ), (G.5.2) and (G.5.3).
- mixtures comprising as component 2) at least one active sub- stance selected from group H), more preferably selected from compounds (H.2.2), (H.2.3), (H.2.5), (H.2.7), (H.2.8), (H.3.2), (H.3.4), (H.3.5), (H.4.9) and (H.4.10); particularly selected from (H.2.2), (H.2.5), (H.3.2), (H.4.9) and (H.4.10).
- mixtures comprising as component 2) at least one active sub- stance selected from group I), more preferably selected from compounds (1.2.2) and (1.2.5).
- mixtures comprising as component 2) at least one active sub- stance selected from group J), more preferably selected from compounds (J.1.2), (J.1 .5),
- mixtures comprising as component 2) at least one active sub- stance selected from group K), more preferably selected from compounds (K.1 .41 ), (K.1.42), (K.1 .44) and (K.1.47); particularly selected from (K.1 .41 ), (K.1.44) and (K.1 .47).
- HPLC-MS HPLC-column Kinetex XB C18 1 ,7m (50 x 2,1 mm); eluent: acetonitrile / water + 0.1 % TFA (5 gradient from 5:95 to 100 : 0 in 1.5 min at 60°C, flow gradient from 0.8 to 1.0 ml/min in 1.5 min).
- MS Quadrupol Electrospray Ionisation, 80 V (positive mode).
- the active compounds were formulated separately as a stock solution having a concentration of 10000 ppm in dimethyl sulfoxide.
- Example 1 Activity against the grey mold Botrytis cinerea in the microtiterplate test
- the stock solutions were mixed according to the ratio, pipetted onto a micro titer plate (MTP) and diluted with water to the stated concentrations.
- MTP micro titer plate
- a spore suspension of Botrci cinerea in an aqueous biomalt or yeast-bactopeptone-sodiumacetate or DOB solution was then added.
- the plates were placed in a water vapor-saturated chamber at a temperature of 18°C. Using an ab- sorption photometer, the MTPs were measured at 405 nm 7 days after the inoculation.
- the stock solutions were mixed according to the ratio, pipetted onto a micro titer plate (MTP) and diluted with water to the stated concentrations.
- MTP micro titer plate
- a spore suspension of Fusarium cuimorum in an aqueous biomalt or yeast-bactopeptone-glycerine or DOB solution was then added.
- the plates were placed in a water vapor-saturated chamber at a temperature of 18°C. Using an ab- sorption photometer, the MTPs were measured at 405 nm 7 days after the inoculation.
- Example - 3 Activity against rice blast Pyricularia oryzae in the microtiterplate test
- the stock solutions were mixed according to the ratio, pipetted onto a micro titer plate (MTP) and diluted with water to the stated concentrations.
- MTP micro titer plate
- a spore suspension of Pyricularia oryzae in an aqueous biomalt or yeast-bactopeptone-glycerine or DOB solution was then added.
- the plates were placed in a water vapor-saturated chamber at a temperature of 18°C. Using an ab- sorption photometer, the MTPs were measured at 405 nm 7 days after the inoculation.
- the measured parameters were compared to the growth of the active compound-free control variant (100%) and the fungus-free and active compound-free blank value to determine the rela- tive growth in % of the pathogens in the respective active compounds.
- the spray solutions were prepared in several steps:
- the stock solution was prepared: a mixture of acetone and/or dimethylsulfoxide and the wetting agent/emulsifier Wettol, which is based on ethoxylated alkylphenoles, in a relation (volume) sol- vent-emulsifier of 99 to 1 was added to the initial weight of the compound to give a total of 5 ml. Water was then added to total volume of 100 ml.
- Wettol which is based on ethoxylated alkylphenoles
- Example 1 Preventative fungicidal control of Botrytis cinerea on leaves of green pepper
- Young seedlings of green pepper were grown in pots to the 4 to 5 leaf stage. These plants were sprayed to run-off with an aqueous suspension, containing the concentration of active ingredient or their mixture mentioned in the table below. The next day the plants were inoculated with an aqueous biomalt or DOB solution containing the spore suspension of Botrytis cinerea. Then the plants were immediately transferred to a humid chamber. After 5 days at 22 to 24°C and a relative humidity close to 100 % the extent of fungal attack on the leaves was visually assessed as % diseased leaf area.
- Young seedlings of green pepper were grown in pots to the 4 to 5 leaf stage. These plants were sprayed to run-off with an aqueous suspension, containing the concentration of active ingredient or their mixture mentioned in the table below. The plants were then cultivated in the greenhouse for 7 days and then inoculated with an aqueous biomalt solution containing the spore suspension of Botrytis cinerea. Then the plants were immediately transferred to a humid chamber. After 5 days at 22 to 24 ⁇ C and a relative humidity close to 100 % the extent of fungal attack on the leaves was visually assessed as % diseased leaf area.
- Example 3 Control of culm rot on pearl millet caused by Fusarium cutmorum
- Pot-grown pearl millet seedlings were sprayed to run-off with an aqueous suspension, containing the concentration of active ingredient or their mixture as described below.
- the plants could air-dry.
- the plants were inoculated with a spore suspension of Fusarium cuimorum in an aqueous biomalt or DOB solution.
- the trial plants were immediately transferred to a humid chamber. After 6 days at 23-25°C and a relative humidity close to 100 % the extent of fungal attack on the leaves was visually assessed as % diseased leaf area.
- Example 4 Control of culm rot on pearl millet caused by Fusarium cuimorum
- Pot-grown pearl millet seedlings were sprayed to run-off with an aqueous suspension, containing the concentration of active ingredient or their mixture as described below.
- the plants could air-dry. Seven days later the plants were inoculated with a spore suspension of Fusarium cuimorum in an aqueous biomalt or DOB solution. Then the trial plants were immediately transferred to a humid chamber. After 6 days at 23-25°C and a relative humidity close to 100 % the extent of fungal attack on the leaves was visually assessed as % diseased leaf area. In this test, the samples which had been treated with 63 ppm of the active substance from example Ex-4, showed up to at most 7 % growth of the pathogen whereas the untreated plants were 90% infected.
Landscapes
- Chemical & Material Sciences (AREA)
- Organic Chemistry (AREA)
- Plural Heterocyclic Compounds (AREA)
- Agricultural Chemicals And Associated Chemicals (AREA)
Abstract
The present invention relates to the use of compounds of formula I, wherein the variables are defined as given in the description and claims. The invention further relates to the compounds I and composition for compounds of formula I.
Description
New pyridine carboxamides
The present invention relates to pyridine compounds and the N-oxides and the salts thereof for combating phytopathogenic fungi, and to the use and methods for combating phytopathogenic fungi and to seeds coated with at least one such compound. The invention also relates to pro- cesses for preparing these compounds, intermediates, processes for preparing such intermedi- ates, and to compositions comprising at least one compound I.
In many cases, in particular at low application rates, the fungicidal activity of the known fungi- cidal compounds is unsatisfactory. Based on this, it was an object of the present invention to provide compounds having improved activity and/or a broader activity spectrum against phyto- pathogenic harmful fungi.
Surprisingly, this object is achieved by the use of the inventive pyridine compounds of formula I having favorable fungicidal activity against phytopathogenic fungi.
Accordingly, the present invention relates to use of the compounds of formula I
I I
wherein
X is O, S, NH
R1 is in each case independently selected from hydrogen, halogen, OH, CN, COOH,
CONH2, N02, SH, NH2, NH(Ci-C4-alkyl), N(Ci-C4-alkyl)2, NH-S02-Rx, Ci-C6-alkyl, C2-C6- alkenyl, C2-C6-alkynyl, Ci-C6-alkoxy, C3-C6-cycloalkyl, five- or six-membered heteroaryl and aryl; wherein the heteroaryl contains one, two or three heteroatoms selected from N, O and S; and wherein
Rx is Ci-C4-alkyl, Ci-C4-halogenalkyl, unsubstituted aryl or aryl that is substituted by 1 , 2, 3, 4 or 5 substituents Rx1 independently selected from Ci-C4-alkyl, halogen, OH, CN, Ci-C4-halogenalkyl, Ci-C4-alkoxy and Ci-C4-halogenalkoxy; wherein the acyclic moieties of R1 are unsubstituted or substituted with identical or differ- ent groups R1a which independently of one another are selected from:
R1a halogen, OH, CN, COOH, CONH2, Ci-C6-alkoxy, C3-C6-cycloalkyl, C3-C6- halogencycloalkyl, Ci-C4-halogenalkoxy, Ci-C6-alkylthio, aryl and phenoxy, wherein the aryl group is unsubstituted or carries 1 , 2, 3, 4 or 5 substituents R11a selected from the group consisting of halogen, OH, Ci-C4-alkyl, Ci-C4-halogen- alkyl, Ci-C4-alkoxy and Ci-C4-halogenalkoxy;
wherein the carbocyclic, heteroaryl and aryl moieties of R1 are not further substituted or carry 1 , 2, 3, 4, 5 or up to the maximum number of identical or different groups R1b which independently of one another are selected from:
R1b halogen, OH, CN, COOH, CONH2, Ci-C4-alkyl, Ci-C4-alkoxy, Ci-C4-halogenalkyl, C3-C6-cycloalkyl, C3-C6-halogencycloalkyl, Ci-C4-halogenalkoxy and Ci-C6-al- kylthio;
R2 is in each case independently selected from halogen, OH, CN, COOH, CONH2, NO2, SH, NH2, NH(Ci-C4-alkyl), N(Ci-C4-alkyl)2, NH(C2-C4-alkenyl), N(C2-C4-alkenyl)2, NH(C2-C4-al- kynyl), N(C2-C4-alkynyl)2, NH(C3-C6-cycloalkyl), N(C3-C6-cycloalkyl)2, N(Ci-C4-alkyl)(C2-C4- alkenyl), N(Ci-C4-alkyl)(C2-C4-alkynyl), N(Ci-C4-alkyl)(C3-C6-cycloalkyl), N(C2-C4- alkenyl)(C2-C4-alkynyl), N(C2-C4-alkenyl)(C3-C6-cycloalkyl), N(C2-C4-alkynyl)(C3-C6-cyclo- alkyl), NH(C(=0)Ci-C4-alkyl), N (C(=0)Ci-C4-alkyl)2, NH-S02-Rx, S(0)n-Ci-C6-alkyl, S(0)„- aryl, Ci-C6-cycloalkylthio, S(0)n-C2-C6-alkenyl, S(0)n-C2-C6-alkynyl, CH(=0), C(=0)Ci-C6- alkyl, C(=0)C2-C6-alkenyl, C(=0)C2-C6-alkynyl, C(=0)C3-C6-cycloalkyl, C(=0)N H(CI-C6- alkyl), C(=0)N(Ci-C6-alkyl)2, C(=0)N(C2-C6-alkenyl)2, C(=0)N(C2-C6-alkynyl)2, C(=0)N(C3- C7-cycloalkyl)2, CH(=S), C(=S)Ci-C6-alkyl, C(=S)C2-C6-alkenyl, C(=S)C2-C6-alkynyl, C(=S)C3-C6-cycloalkyl, C(=S)0(C2-C6-alkenyl), C(=S)0(C2-C6-alkynyl), C(=S)0(C3-C7-cy- cloalkyl), C(=S)NH(Ci-C6-alkyl), C(=S)NH(C2-C6-alkenyl), C(=S)NH(C2-C6-alkynyl), C(=S)NH(C3-C7-cycloalkyl),C(=S)N(Ci-C6-alkyl)2, C(=S)N(C2-C6-alkenyl)2, C(=S)N(C2-C6- alkynyl)2, C(=S)N(C3-C7-cycloalkyl)2, Ci-C6-alkyl, Ci-C6-halogenalkyl, C2-C6-alkenyl, C2-C6- alkynyl, ORY, C3-C6-cycloalkyl, five- or six-membered heteroaryl and aryl; wherein the het- eroaryl contains one, two or three heteroatoms selected from N, O and S; wherein
Rx is as defined above;
RY is Ci-C6-alkyl, Ci-C6-halogenalkyl, C2-C6-alkenyl, C2-C6-halogenalkenyl, C2-C6- alkynyl, C2-C6-halogenalkynyl, C3-C6-cycloalkyl, C3-C6-halogencycloalkyl, phenyl and phenyl-Ci-C6-alkyl; wherein the phenyl groups are unsubstituted or carry one, two, three, four or five substituents selected from the group consisting of CN, halogen, OH, Ci-C4-alkyl, Ci-C4-halogenalkyl, Ci-C4-alkoxy and Ci-C4-halo- genalkoxy;
wherein the acyclic moieties of R2 are unsubstituted or substituted by groups R2a which independently of one another are selected from:
R2a halogen, OH, CN, COOH, CONH2, Ci-C6-alkoxy, C3-C6-cycloalkyl, C3-C6- halogencycloalkyl, Ci-C4-halogenalkoxy, Ci-C6-alkylthio and phenoxy, wherein the phenyl group is unsubstituted or substituted by substituents R91a selected from the group consisting of halogen, OH, Ci-C4-alkyl, Ci-C4-halogenalkyl, C1-C4- alkoxy and Ci-C4-halogenalkoxy;
wherein the carbocyclic, heteroaryl and aryl moieties of R2 are unsubstituted or substituted by groups R3b which independently of one another are selected from:
R2b halogen, OH, CN, COOH, CONH2, Ci-C4-alkyl, Ci-C4-alkoxy, Ci-C4-halogenalkyl, C3-C6-cycloalkyl, C3-C6-halogencycloalkyl, Ci-C4-halogenalkoxy and Ci-C6-al- kylthio;
and wherein n is defined as above
R3 is in each case independently selected from the substituents as defined for R2, wherein the possible substituents for R3 are R3a and R3b, respectively, which correspond to R2a and R2b, respectively;
R4 is in each case independently selected from hydrogen, halogen, OH, CN, COOH,
CONH2, N02, SH, NH2, NH(Ci-C4-alkyl), N(Ci-C4-alkyl)2, NH-S02-Rx, Ci-C6-alkyl, C2-C6- alkenyl, C2-C6-alkynyl, Ci-C6-alkoxy, C3-C6-cycloalkyl, five- or six-membered heteroaryl and aryl; wherein the heteroaryl contains one, two or three heteroatoms selected from N, O and S; and wherein
Rx is as defined above
wherein the aliphatic moieties of R4 are unsubstituted or substituted with identical or dif- ferent groups R2a which independently of one another are selected from:
R4a halogen, OH, CN, COOH, CONH2, Ci-C6-alkoxy, C3-C6-cycloalkyl, C3-C6- halogencycloalkyl, Ci-C4-halogenalkoxy, Ci-C6-alkylthio, aryl and phenoxy, wherein the aryl group is unsubstituted or carries 1 , 2, 3, 4 or 5 substituents R41a selected from the group consisting of halogen, OH, Ci-C4-alkyl, Ci-C4-halogen- alkyl, Ci-C4-alkoxy and Ci-C4-halogenalkoxy;
wherein the cycloalkyl, heteroaryl and aryl moieties of R4 are not further substituted or carry 1 , 2, 3, 4, 5 or up to the maximum number of identical or different groups R4b which independently of one another are selected from:
R4b halogen, OH, CN, COOH, CONH2, Ci-C4-alkyl, Ci-C4-alkoxy, Ci-C4-halogenalkyl, C3-C6-cycloalkyl, C3-C6-halogencycloalkyl, Ci-C4-halogenalkoxy and Ci-C6-al- kylthio;
R5, R6, R7, R8, R9, R10 and R11
are independently selected from hydrogen, halogen, OH, CN, COOH, CONH2, NO2, SH, C1-C6- alkylthio, NH2, NH(Ci-C4-alkyl), N(Ci-C4-alkyl)2, NH-S02-RX, Ci-C6-alkyl, Ci-C6-halogen- alkyl, C2-C6-alkenyl, C2-C6-halogenalkenyl, C2-C6-alkynyl, C2-C6-halogenalkynyl, C1-C6- alkoxy, Ci-C6-halogenalkoxy, C2-C6-alkenyloxy, C2-C6-alkynyloxy, CH(=0), C(=0)Ci-C6- alkyl, C(=0)0(Ci-C6-alkyl), C(=0)NH(Ci-C6-alkyl), C(=0)N(Ci-C6-alkyl)2, CR’=NOR”, a saturated or partially unsaturated three-, four-, five-, six-, seven-, eight-, nine-, or ten- membered carbocycle or heterocycle, a five- or six-membered heteroaryl or aryl; wherein in each case one or two CH2 groups of the carbo- and heterocycle may be replaced by a group independently selected from C(=0) and C(=S), and wherein the heterocycle and the heteroaryl contain independently one, two, three or four heteroatoms selected from N, O and S; and wherein R’ and R” are independently selected from H, Ci-C4-alkyl, C2- C6-alkenyl, C2-C6-alkynyl, saturated or partially unsaturated three-, four-, five-, six-, seven-, eight-, nine-, or ten-membered carbo- and heterocycle, five- or six-membered heteroaryl or aryl; wherein the heterocycle or heteroaryl contains one, two or three het- eroatoms selected from N, O and S, and wherein R’ and R” are independently unsubsti- tuted or substituted by R’” which is independently selected from halogen, OH, CN, NO2, SH, NH2, NH(Ci-C4-alkyl), N(Ci-C4-alkyl)2, NH-S02-Rx, Ci-C6-alkyl, Ci-C6-halogenalkyl,
C2-C6-alkenyl, C2-C6-halogenalkenyl, C2-C6-alkynyl, C2-C6-halogenalkynyl, Ci-C6-alkoxy, Ci-C6-halogenalkoxy, C3-C6-cycloalkyl, C3-C6-halogencycloalkyl and phenyl; or wherein the aliphatic moieties of R5, R6, R7, R8, R9, R10, and R11 are independently not further substituted or carry 1 , 2, 3 or up to the maximum possible number of identical or different groups R6a, respectively, which independently of one another are selected from:
R5a, R6a, R7a, R8a, R9a, R10a, and R11a
halogen, OH, CN, COOH, CONH2, N02, SH, NH2, NH(Ci-C4-alkyl), N(Ci-C4-al- kyl)2, NH(C(=0)Ci-C4-alkyl), N (C(=0)Ci-C4-alkyl)2, NH-S02-Rx, Ci-C6-alkoxy, C3-C6-halogencycloalkyl, Ci-C4-halogenalkoxy, Ci-C6-alkylthio, Ci-C6-halogen- alkylthio, S(0)n-Ci-C6-alkyl, S(0)n-aryl, CH(=0), C(=0)Ci-C6-aikyl, C(=0)0(Cr Ce-alkyl), C(=0)NH(Ci-C6-alkyl), C(=0)N(Ci-C6-alkyl)2, CR’=NOR”, a saturated or partially unsaturated three-, four-, five-, six-, seven-, eight-, nine-, or ten-mem- bered carbocycle or heterocycle, aryl, phenoxy, a five-, six- or ten-membered het- eroaryl; wherein in each case one or two CH2 groups of the carbo- and heterocy- cle may be replaced by a group independently selected from C(=0) and C(=S), five- or six-membered heteroaryl and aryl; wherein the heterocycle and the het- eroaryl contain independently 1 , 2, 3 or 4 heteroatoms selected from N, O and S; wherein in each case one or two CH2 groups of the carbo- and heterocycle may be replaced by a group independently selected from C(=0) and C(=S); wherein the carbocyclic, heterocyclic, aryl and phenyl groups are independently unsubsti- tuted or carry one, two, three, four or five substituents selected from the group consisting of halogen, OH, CN, NO2, SH, NH2, NH(Ci-C4-alkyl), N(Ci-C4-alkyl)2, NH(C(=0)Ci-C4-alkyl), N (C(=0)Ci-C4-alkyl)2, NH-S02-Rx, Ci-C6-alkylthio, C1-C4- alkyl, Ci-C4-halogenalkyl, Ci-C4-alkoxy, Ci-C4-halogenalkoxy, and S(0)n-C-i-C6- alkyl; and wherein Rx, R’, R” and R” are as defined above
wherein the carbocyclic, heterocyclic, heteroaryl and aryl moieties of R5, R6, R7, R8, R9,
R10, and R11 are independently not further substituted or carry 1 , 2, 3, 4, 5 or up to the maximum number of identical or different groups R6b, respectively, which independently of one another are selected from:
R5b, R6b, R7b, R8b, R9b, R10b, and R11b
halogen, OH, CN, COOH, CONH2, N02, SH, NH2, NH(Ci-C4-alkyl), N(Ci-C4-al- kyl)2, NH(C(=0)Ci-C4-alkyl), N (C(=0)Ci-C4-alkyl)2, NH-S02-Rx, Ci-C4-alkyl, Cr C4-alkoxy, Ci-C4-halogenalkyl, C3-C6-cycloalkyl, C3-C6-halogencycloalkyl, C1-C4- halogenalkoxy, Ci-C6-alkylthio, Ci-C6-halogenalkylthio, S(0)n-Ci-C6-alkyl, C1-C4- alkoxy-Ci-C4-alkyl, phenyl and phenoxy, wherein the phenyl groups are unsubsti- tuted or substituted with substituents selected from the group consisting of halo- gen, OH, Ci-C4-alkyl, Ci-C4-halogenalkyl, Ci-C4-alkoxy and Ci-C4-halogenalkoxy; and wherein Rx is as defined above;
n is 0, 1 , 2
R6, R7 together with the carbon atom to which they are bound form a saturated or partially un- saturated three-, four-, five-, six-, seven-, eight-, nine-, or ten-membered carbocycle or
heterocycle; wherein the heterocycle contains 1 , 2, 3 or 4 heteroatoms selected from N, O and S, wherein N may carry one substituent RN selected from Ci-C4-alkyl, Ci-C4-halo- genalkyl and S02Ph, wherein Ph is unsubstituted phenyl or phenyl that is substituted by 1 , 2 or 3 substituents selected from CN, Ci-C4-alkyl, halogen, Ci-C4-halogenalkyl, C1-C4- alkoxy and Ci-C4-halogenalkoxy; and wherein S may be in the form of its oxide SO or SO2, and wherein the carbocycle or heterocycle is unsubstituted or carries one, two, three or four substituents R67 independently selected from halogen, OH, CN, NO2, SH, NH2, Ci-C6-alkyl, Ci-C6-halogenalkyl, Ci-C6-alkoxy, Ci-C6-halogenalkoxy, Ci-C6-al- kylthio, Ci-C6-halogenalkylthio, Ci-C4-alkoxy-Ci-C4-alkyl, phenyl and phenoxy, wherein the phenyl groups are unsubstituted or substituted with substituents R67a selected from the group consisting of CN, halogen, OH, Ci-C4-alkyl, Ci-C4-halogenalkyl, Ci-C4-alkoxy and Ci-C4-halogenalkoxy; and wherein in each case one or two CH2 groups of the carbo- or heterocycle may be replaced by a group independently selected from C(=0) and C(=S);
or
R6, R7 together with the carbon atom to which they are bound form a group =N-OR, wherein R is independently selected from H, Ci-C4-alkyl, C2-C6-alkenyl, C2-C6-alkynyl, saturated or partially unsaturated three-, four-, five-, six-, seven-, eight-, nine-, or ten-membered carbo- and heterocycle, five- or six-membered heteroaryl or aryl; wherein the heterocycle or heteroaryl contains one, two or three heteroatoms selected from N, O and S, and wherein R is unsubstituted or substituted by halogen, OH, CN, NO2, SH, NH2, NH(CI-C4- alkyl), N(Ci-C4-alkyl)2, NH-S02-RX, Ci-C6-alkyl, Ci-C6-halogenalkyl, C2-C6-alkenyl, C2-C6- halogenalkenyl, C2-C6-alkynyl, C2-C6-halogenalkynyl, Ci-C6-alkoxy, Ci-C6-halogen- alkoxy, C3-C6-cycloalkyl, C3-C6-halogencycloalkyl and phenyl;
R9, R10 together with the carbon atom to which they are bound form a saturated or partially unsaturated three-, four-, five-, six-, seven-, eight-, nine-, or ten-membered carbocycle or heterocycle; wherein the heterocycle contains 1 , 2, 3 or 4 heteroatoms selected from N, O and S, wherein N may carry one substituent RN selected from Ci-C4-alkyl, Ci-C4-halo- genalkyl and S02Ph, wherein Ph is unsubstituted phenyl or phenyl that is substituted by 1 , 2 or 3 substituents selected from CN, Ci-C4-alkyl, halogen, Ci-C4-halogenalkyl, C1-C4- alkoxy and Ci-C4-halogenalkoxy; and wherein S may be in the form of its oxide SO or SO2, and wherein the carbocycle or heterocycle is unsubstituted or carries one, two, three or four substituents R910 independently selected from halogen, OH, CN, NO2, SH, NH2, Ci-C6-alkyl, Ci-C6-halogenalkyl, Ci-C6-alkoxy, Ci-C6-halogenalkoxy, Ci-C6-al- kylthio, Ci-C6-halogenalkylthio, Ci-C4-alkoxy-Ci-C4-alkyl, phenyl and phenoxy, wherein the phenyl groups are unsubstituted or substituted with substituents R910a selected from the group consisting of CN, halogen, OH, Ci-C4-alkyl, Ci-C4-halogenalkyl, Ci-C4-alkoxy and Ci-C4-halogenalkoxy; and wherein in each case one or two CH2 groups of the carbo- or heterocycle may be replaced by a group independently selected from C(=0) and C(=S); or
R9, R10 together with the carbon atom to which they are bound form a group =N-OR, wherein R is independently selected from H, Ci-C4-alkyl, C2-C6-alkenyl, C2-C6-alkynyl, saturated or partially unsaturated three-, four-, five-, six-, seven-, eight-, nine-, or ten-membered carbo- and heterocycle, five- or six-membered heteroaryl or aryl; wherein the heterocycle or heteroaryl contains one, two or three heteroatoms selected from N, O and S, and wherein R is unsubstituted or substituted by halogen, OH, CN, NO2, SH, NH2, NH(C-i-C4- alkyl), N(Ci-C4-alkyl)2, NH-S02-RX, Ci-C6-alkyl, Ci-C6-halogenalkyl, C2-C6-alkenyl, C2-C6- halogenalkenyl, C2-C6-alkynyl, C2-C6-halogenalkynyl, Ci-C6-alkoxy, Ci-C6-halogen- alkoxy, C3-C6-cycloalkyl, C3-C6-halogencycloalkyl and phenyl;
and the N-oxides and the agriculturally acceptable salts thereof as fungicides.
The numbering of the ring members and substituents in the compounds of the present invention is as given in formula I above.
A skilled person will realize that compounds of formula I can be accessed via an amide coupling reaction of carboxylic acids of type II with amines of type III. Among various reported methods for such amide coupling reactions, a robust method involves the treatment of carboxylic acids of type II with thionyl chloride or oxalyl chloride or dicyclohexylcarbodiimide in solvents like tetrahydrofu- rane, dimethylformamide or dichloromethane at room temperature. Subsequent addition of amines of type III in the presence of a base like triethylamine at room temperature gives the target compounds of type I (see: Chem. Soc. Rev. 2009, 606-631 , or Tetrahedron 2005, 10827-10852).
II IN I
Alternatively, target molecules of type I can be accessed by starting from compounds of the for- mula IV and V upon treatment with a Bronstedt acid like sulphuric acid or trifluoromethane sulfonic acid in solvents like dichloromethane or acetic acid at room temperature or at 50 °C (see: Eur. J. Org. Chem. 2015, 2727-2732, or Synthesis 2000, 1709-1712).
IV v i
Intermediates of type V can be prepared in aprotic solvents like diethylether or tetrahydrofurane at temperatures between -78 °C and room temperature starting from aldehydes or ketones of type V(b) or V(c) upon treatment with an organometallic reagent of type V(a) or V(d), respectively, where X is lithium or a magnesium salt (see: March’s Advanced Organic Chemistry, Smith and March, 6th edition, Wiley 2007)).
Amines of type III can be obtained from alcohols of type V upon treatment with a Bronstedt acid like sulphuric acid in the presence of chloroacetonitrile at temperatures between -10 °C and 50 °C to give amides of type VI as intermediates, which can be deprotected using thiourea in an organic solvent like ethanol at temperatures between 20 °C and 100 °C (see: Synthesis 2000, 1709-1712).
The N-oxides may be prepared from the inventive compounds according to conventional oxida- tion methods, e. g. by treating compounds I with an organic peracid such as metachloroper- benzoic acid (cf. WO 03/64572 or J. Med. Chem. 38(1 1 ), 1892-903, 1995); or with inorganic oxi- dizing agents such as hydrogen peroxide (cf. J. Heterocyc. Chem. 18(7), 1305-8, 1981 ) or ox- one (cf. J. Am. Chem. Soc. 123(25), 5962-5973, 2001 ). The oxidation may lead to pure mono- N-oxides or to a mixture of different N-oxides, which can be separated by conventional methods such as chromatography.
In the following, the intermediate compounds are further described. A skilled person will readily understand that the preferences for the substituents, also in particular the ones given in the ta- bles below for the respective substituents, given herein in connection with compounds I apply for the intermediates accordingly. Thereby, the substituents in each case have independently of each other or more preferably in combination the meanings as defined herein.
If the synthesis yields mixtures of isomers, a separation is generally not necessarily required since in some cases the individual isomers can be interconverted during work-up for use or dur- ing application (e. g. under the action of light, acids or bases). Such conversions may also take place after use, e. g. in the treatment of plants in the treated plant, or in the harmful fungus to be controlled.
In the definitions of the variables given above, collective terms are used which are generally representative for the substituents in question. The term "Cn-Cm" indicates the number of carbon
atoms possible in each case in the substituent or substituent moiety in question.
The term "halogen" refers to fluorine, chlorine, bromine and iodine.
The term "Ci-C6-alkyl" refers to a straight-chained or branched saturated hydrocarbon group having 1 to 6 carbon atoms, e.g. methyl, ethyl, propyl, 1-methylethyl, butyl, 1-methylpropyl, 2- methylpropyl, 1 ,1-dimethylethyl, pentyl, 1-methylbutyl, 2-methylbutyl, 3-methylbutyl, 2,2-dime- thylpropyl, 1-ethylpropyl, 1 ,1-dimethylpropyl, 1 ,2-dimethylpropyl, hexyl, 1-methylpentyl, 2- methylpentyl, 3-methylpentyl, 4-methylpentyl, 1 , 1 -dimethylbutyl, 1 ,2-dimethylbutyl, 1 ,3-dimethyl- butyl, 2,2-dimethylbutyl, 2,3-dimethylbutyl, 3,3-dimethylbutyl, 1-ethylbutyl, 2-ethylbutyl, 1 ,1 ,2-tri- methylpropyl, 1 ,2,2-trimethylpropyl, 1 -ethyl-1 -methylpropyl and 1-ethyl-2-methylpropyl. Likewise, the term "C2-C4-alkyl" refers to a straight-chained or branched alkyl group having 2 to 4 carbon atoms, such as ethyl, propyl (n-propyl), 1-methylethyl (iso-propoyl), butyl, 1-methylpropyl (sec.- butyl), 2-methylpropyl (iso-butyl), 1 ,1-dimethylethyl (tert. -butyl).
The term "Ci-C6-halogenalkyl" refers to an alkyl group having 1 or 6 carbon atoms as defined above, wherein some or all of the hydrogen atoms in these groups may be replaced by halogen atoms as mentioned above. Examples are "Ci-C2-halogenalkyl" groups such as chloromethyl, bromomethyl, dichloromethyl, trichloromethyl, fluoromethyl, difluoromethyl, trifluoromethyl, chlor- ofluoromethyl, dichlorofluoromethyl, chlorodifluoromethyl, 1-chloroethyl, 1-bromoethyl, 1-fluoro- ethyl, 2-fluoroethyl, 2,2-difluoroethyl, 2,2,2-trifluoroethyl, 2-chloro-2-fluoroethyl, 2-chloro- 2,2-difluoroethyl, 2,2-dichloro-2-fluoroethyl, 2,2,2-trichloroethyl or pentafluoroethyl.
The term "Ci-C6-hydroxyalkyl" refers to an alkyl group having 1 or 6 carbon atoms as defined above, wherein some or all of the hydrogen atoms in these groups may be replaced by OH groups.
The term "Ci-C4-alkoxy-Ci-C4-alkyl" refers to alkyl having 1 to 4 carbon atoms (as defined above), whereAccording to one hydrogen atom of the alkyl radical is replaced by a Ci-C4-alkoxy group (as defined above). Likewise, the term "Ci-C6-alkoxy-Ci-C4-alkyl" refers to alkyl having 1 to 4 carbon atoms (as defined above), whereAccording to one hydrogen atom of the alkyl radi- cal is replaced by a Ci-C6-alkoxy group (as defined above).
The term "C2-C6-alkenyl" refers to a straight-chain or branched unsaturated hydrocarbon radical having 2 to 6 carbon atoms and a double bond in any position. Examples are "C2-C4-alkenyl" groups, such as ethenyl, 1-propenyl, 2-propenyl (allyl), 1-methylethenyl, 1-butenyl, 2-butenyl, 3-butenyl, 1 -methyl-1 -propenyl, 2-methyl-1-propenyl, 1-methyl-2-propenyl, 2-methyl-2-propenyl.
The term "C2-C6-alkynyl" refers to a straight-chain or branched unsaturated hydrocarbon radical having 2 to 6 carbon atoms and containing at least one triple bond. Examples are "C2-C4-al- kynyl" groups, such as ethynyl, prop-1 -ynyl, prop-2-ynyl (propargyl), but-1-ynyl, but-2-ynyl, but- 3-ynyl, 1 -methyl-prop-2 -ynyl.
The term "Ci-C6-alkoxy" refers to a straight-chain or branched alkyl group having 1 to 6 carbon atoms which is bonded via an oxygen, at any position in the alkyl group. Examples are "C1-C4- alkoxy" groups, such as methoxy, ethoxy, n-propoxy, 1-methylethoxy, butoxy, 1-methyhprop- oxy, 2-methylpropoxy or 1 ,1-dimethylethoxy.
The term "Ci-C6-halogenalkoxy" refers to a Ci-C6-alkoxy radical as defined above, wherein
some or all of the hydrogen atoms in these groups may be replaced by halogen atoms as men- tioned above. Examples are "Ci-C4-halogenalkoxy" groups, such as OCH2F, OCHF2, OCF3, OCH2CI, OCHC , OCCI3, chlorofluoromethoxy, dichlorofluoromethoxy, chlorodifluoromethoxy, 2-fluoroethoxy, 2-chlorothoxy, 2-bromoethoxy, 2-iodoethoxy, 2,2-difluoroethoxy, 2,2,2-trifluoro- ethoxy, 2-chloro-2-fluoroethoxy, 2-chloro-2,2-difluoroethoxy, 2,2-dichloro-2-fluoroethoxy, 2,2,2- trichloroethoxy, OC2F5, 2-fluoropropoxy, 3-fluoropropoxy, 2,2-difluoropropoxy,
2,3-difluoro~,propoxy, 2 chloropropoxy, 3-chloropropoxy, 2,3-dichloropropoxy, 2-bromopropoxy,
3 bromopropoxy, 3,3,3-trifluoropropoxy, 3,3,3-trichloropropoxy, OCH2-C2F5, OCF2-C2F5, 1 -fluo- romethyl-2-fluoroethoxy, 1 -chloromethyl-2-chloroethoxy, 1 -bromomethyl-2-bromoethoxy, 4-fluorobutoxy, 4-chlorobutoxy, 4-bromobutoxy or nonafluorobutoxy.
The term "C2-C6-alkenyloxy" refers to a straight-chain or branched alkenyl group having 2 to 6 carbon atoms which is bonded via an oxygen, at any position in the alkenyl group. Examples are "C2-C4-alkenyloxy" groups.
The term "C2-C6-alkynyloxy" refers to a straight-chain or branched alkynyl group having 2 to 6 carbon atoms which is bonded via an oxygen, at any position in the alkynyl group. Examples are "C2-C4-alkynyloxy" groups.
The term "C3-C6-cycloalkyl" refers to monocyclic saturated hydrocarbon radicals having 3 to 6 carbon ring members, such as cyclopropyl, cyclobutyl, cyclopentyl, cyclohexyl. Accordingly, a saturated three-, four-, five-, six-, seven-, eight-, nine or ten-membered carbocyclyl or carbo- cycle is a "C3-Cio-cycloalkyl".
The term "C3-C6-cycloalkenyl" refers to a monocyclic partially unsaturated 3-, 4- 5- or 6-mem- bered carbocycle having 3 to 6 carbon ring members and at least one double bond, such as cy- clopentenyl, cyclopentadienyl, cyclohexadienyl. Accordingly, a partially unsaturated three-, four- , five-, six-, seven-, eight-, nine or ten-membered carbocyclyl or carbocycle is a "C3-Cio-cycloal- kenyl".
The term "C3-C8-cycloalkyl-Ci-C4-alkyl" refers to alkyl having 1 to 4 carbon atoms (as defined above), whereAccording to one hydrogen atom of the alkyl radical is replaced by a cycloalkyl radical having 3 to 8 carbon atoms (as defined above).
The term "Ci-C6-alkylthio" as used herein refers to straight-chain or branched alkyl groups hav- ing 1 to 6 carbon atoms (as defined above) bonded via a sulfur atom. Accordingly, the term "C1- C6-halogenalkylthio" as used herein refers to straight-chain or branched halogenalkyl group hav- ing 1 to 6 carbon atoms (as defined above) bonded through a sulfur atom, at any position in the halogenalkyl group.
The term "C(=0)-Ci-C6-alkyl” refers to a radical which is attached through the carbon atom of the group C(=0) as indicated by the number valence of the carbon atom. The number of va- lence of carbon is 4, that of nitrogen is 3. Likewise the following terms are to be construed: NH(Ci-C4-alkyl), N(Ci-C4-alkyl)2, NH(C3-C6-cycloalkyl), N(C3-C6-cycloalkyl)2, C(=0)-NH(Ci-C6- alkyl), C(=0)-N(Ci-C6-alkyi)2.
The term“saturated or partially unsaturated three-, four-, five-, six-, seven-, eight-, nine or ten- membered heterocyclyl or heterocycle, wherein the heterocyclyl or heterocycle contains 1 , 2, 3 or 4 heteroatoms selected from N, O and S” is to be understood as meaning both saturated and
partially unsaturated heterocycles, wherein the ring member atoms of the heterocycle include besides carbon atoms 1 , 2, 3 or 4 heteroatoms independently selected from the group of O, N and S. For example:
a 3- or 4-membered saturated heterocycle which contains 1 or 2 heteroatoms from the group consisting of O, N and S as ring members such as oxirane, aziridine, thiirane, oxetane, azet- idine, thiethane, [1 ,2]dioxetane, [1 ,2]dithietane, [1 ,2]diazetidine; and
a 5- or 6-membered saturated or partially unsaturated heterocycle which contains 1 , 2 or 3 het- eroatoms from the group consisting of O, N and S as ring members such as 2-tetrahydrofuranyl, 3-tetrahydrofuranyl, 2-tetrahydrothienyl, 3-tetrahydrothienyl, 2-pyrrolidinyl, 3-pyrrolidinyl, 3-isox- azolidinyl, 4-isoxazolidinyl, 5-isoxazolidinyl, 3-isothiazolidinyl, 4-isothiazolidinyl, 5-isothiazoli- dinyl, 3-pyrazolidinyl, 4-pyrazolidinyl, 5-pyrazolidinyl, 2-oxazolidinyl, 4-oxazolidinyl, 5-oxazoli- dinyl, 2-thiazolidinyl, 4-thiazolidinyl, 5-thiazolidinyl, 2-imidazolidinyl, 4-imidazolidinyl,
1 ,2,4-oxadiazolidin-3-yl, 1 ,2,4-oxadiazolidin-5-yl, 1 ,2,4-thiadiazolidin-3-yl, 1 ,2,4-thiadiazolidin-5- yl, 1 ,2,4-triazolidin-3-yl, 1 ,3,4-oxadiazolidin-2-yl, 1 ,3,4-thiadiazolidin-2-yl, 1 ,3,4-triazolidin-2-yl, 2,3-dihydrofur-2-yl, 2,3-dihydrofur-3-yl, 2,4-dihydrofur-2-yl, 2,4-dihydrofur-3-yl, 2,3-dihydrothien-
2-yl, 2,3-dihydrothien-3-yl, 2,4-dihydrothien-2-yl, 2,4-dihydrothien-3-yl, 2-pyrrolin-2-yl, 2-pyrrolin-
3-yl, 3-pyrrol in-2 -yl, 3-pyrrolin-3-yl, 2-isoxazolin-3-yl, 3-isoxazolin-3-yl, 4-isoxazolin-3-yl, 2-isoxa- zolin-4-yl, 3-isoxazolin-4-yl, 4-isoxazolin-4-yl, 2-isoxazolin-5-yl, 3-isoxazolin-5-yl, 4-isoxazolin-5- yl, 2-isothiazolin-3-yl, 3-isothiazolin-3-yl, 4-isothiazolin-3-yl, 2-isothiazolin-4-yl, 3-isothiazolin-4- yl, 4-isothiazolin-4-yl, 2-isothiazolin-5-yl, 3-isothiazolin-5-yl, 4-isothiazolin-5-yl, 2,3-dihydropyra- zol-1-yl, 2,3-dihydropyrazol-2-yl, 2,3-dihydropyrazol-3-yl, 2,3-dihydropyrazol-4-yl, 2,3-dihydropy- razol-5-yl, 3,4-dihydropyrazol-1-yl, 3,4-dihydropyrazol-3-yl, 3,4-dihydropyrazol-4-yl, 3,4-dihydro- pyrazol-5-yl, 4,5-dihydropyrazol-1-yl, 4,5-dihydropyrazol-3-yl, 4,5-dihydropyrazol-4-yl, 4,5-dihy- dropyrazol-5-yl, 2,3-dihydrooxazol-2-yl, 2,3-dihydrooxazol-3-yl, 2,3-dihydrooxazol-4-yl, 2,3-dihy- drooxazol-5-yl, 3,4-dihydrooxazol-2-yl, 3,4-dihydrooxazol-3-yl, 3,4-dihydrooxazol-4-yl, 3,4-dihy- drooxazol-5-yl, 3,4-dihydrooxazol-2-yl, 3,4-dihydrooxazol-3-yl, 3,4-dihydrooxazol-4-yl, 2-piperidi- nyl, 3-piperidinyl, 4-piperidinyl, 1 ,3-dioxan-5-yl, 2-tetrahydropyranyl, 4-tetrahydropyranyl, 2-tet- ra hydrothienyl, 3-hexahydropyridazinyl, 4-hexahydropyridazinyl, 2-hexahydropyrimidinyl, 4-hex- ahydropyrimidinyl, 5-hexahydropyrimidinyl, 2-piperazinyl, 1 ,3,5-hexahydrotriazin-2-yl and 1 ,2,4- hexahydrotriazin-3-yl and also the corresponding -ylidene radicals; and
a 7-membered saturated or partially unsaturated heterocycle such as tetra- and hexahydroaze- pinyl, such as 2,3,4,5-tetrahydro[1 H]azepin-1-,-2-,-3-,-4-,-5-,-6- or-7-yl, 3,4,5,6-tetrahy- dro[2H]azepin-2-,-3-,-4-,-5-,-6- or-7-yl, 2,3,4,7-tetrahydro[1 H]azepin-1-,-2-,-3-,-4-,-5-,-6- or-7-yl,
2.3.6.7-tetrahydro[1 H]azepin-1-,-2-,-3-,-4-,-5-,-6- or-7-yl, hexahydroazepin-1-,-2-,-3- or-4-yl, tetra- and hexahydrooxepinyl such as 2,3,4,5-tetrahydro[1 H]oxepin-2-,-3-,-4-,-5-,-6- or-7-yl,
2.3.4.7-tetrahydro[1 H]oxepin-2-,-3-,-4-,-5-,-6- or-7-yl, 2,3,6,7-tetrahydro[1 H]oxepin-2-, -3-, -4-, -5- ,-6- or-7-yl, hexahydroazepin-1-,-2-,-3- or-4-yl, tetra- and hexahydro-1 ,3-diazepinyl, tetra- and hexahydro-1 ,4-diazepinyl, tetra- and hexahydro-1 ,3-oxazepinyl, tetra- and hexahydro-1 ,4-oxa- zepinyl, tetra- and hexahydro-1 ,3-dioxepinyl, tetra- and hexahydro-1 ,4-dioxepinyl and the corre- sponding -ylidene radicals.
The term“substituted” refers to substitued with 1 , 2, 3 or up to the maximum possible number of substituents.
The term“5-or 6-membered heteroaryl” or“5-or 6-membered heteroaromatic” refers to aromatic ring systems incuding besides carbon atoms, 1 , 2, 3 or 4 heteroatoms independently selected from the group consisting of N, O and S, for example,
a 5-membered heteroaryl such as pyrrol-1 -yl, pyrrol-2 -yl, pyrrol-3-yl, thien-2-yl, thien-3-yl, furan- 2-yl, furan-3-yl, pyrazol-1-yl, pyrazol-3-yl, pyrazol-4-yl, pyrazol-5-yl, imidazol-1-yl, imidazol-2-yl, imidazol-4-yl, imidazol-5-yl, oxazol-2-yl, oxazol-4-yl, oxazol-5-yl, isoxazol-3-yl, isoxazol-4-yl, isoxazol-5-yl, thiazol-2-yl, thiazol-4-yl, thiazol-5-yl, isothiazol-3-yl, isothiazol-4-yl, isothiazol-5-yl,
1.2.4-triazolyl-1-yl, 1 ,2,4-triazol-3-yl 1 ,2,4-triazol-5-yl, 1 ,2,4-oxadiazol-3-yl, 1 ,2,4-oxadiazol-5-yl and 1 ,2,4-thiadiazol-3-yl, 1 ,2,4-thiadiazol-5-yl; or
a 6-membered heteroaryl, such as pyridin-2-yl, pyridin-3-yl, pyridin-4-yl, pyridazin-3-yl, pyri- dazin-4-yl, pyrimidin-2-yl, pyrimidin-4-yl, pyrimidin-5-yl, pyrazin-2-yl and 1 , 3 , 5-triazi n-2-yl and
1.2.4-triazin-3-yl.
Agriculturally acceptable salts of the inventive compounds encompass especially the salts of those cations or the acid addition salts of those acids whose cations and anions, respectively, have no adverse effect on the fungicidal action of said compounds. Suitable cations are thus in particular the ions of the alkali metals, preferably sodium and potassium, of the alkaline earth metals, preferably calcium, magnesium and barium, of the transition metals, preferably manga- nese, copper, zinc and iron, and also the ammonium ion which, if desired, may carry one to four Ci-C4-alkyl substituents and/or one phenyl or benzyl substituent, preferably diisopropylammo- nium, tetramethylammonium, tetrabutylammonium, trimethylbenzylammonium, furthermore phosphonium ions, sulfonium ions, preferably tri(Ci-C4-alkyl)sulfonium, and sulfoxonium ions, preferably tri(Ci-C4-alkyl)sulfoxonium. Anions of useful acid addition salts are primarily chloride, bromide, fluoride, hydrogensulfate, sulfate, dihydrogenphosphate, hydrogenphosphate, phos- phate, nitrate, bicarbonate, carbonate, hexafluorosilicate, hexafluorophosphate, benzoate, and the anions of Ci-C4-alkanoic acids, preferably formate, acetate, propionate and butyrate. They can be formed by reacting such inventive compound with an acid of the corresponding anion, preferably of hydrochloric acid, hydrobromic acid, sulfuric acid, phosphoric acid or nitric acid.
The inventive compounds can be present in atropisomers arising from restricted rotation about a single bond of asymmetric groups. They also form part of the subject matter of the present in- vention.
Depending on the substitution pattern, the compounds of formula I and their N-oxides may have one or more centers of chirality, in which case they are present as pure enantiomers or pure di- astereomers or as enantiomer or diastereomer mixtures. Both, the pure enantiomers or dia- stereomers and their mixtures are subject matter of the present invention.
In the following, particular embodiments of the inventive compounds are described. Therein, specific meanings of the respective substituents are further detained, wherein the meanings are in each case on their own but also in any combination with one another, particular embodiments of the present invention.
Furthermore, in respect of the variables, generally, the embodiments of the compounds I also apply to the intermediates.
R1 according to the invention is in each case independently selected from hydrogen, halogen, OH, CN, N02, SH, NH2, NH(Ci-C4-alkyl), N(Ci-C4-alkyl)2, NH-S02-Rx, Ci-C6-alkyl, C2-C6-alkenyl, C2-C6-alkynyl, Ci-C6-alkoxy, C3-C6-cycloalkyl, five- or six-membered heteroaryl and aryl;
wherein the heteroaryl contains one, two or three heteroatoms selected from N, O and S; and wherein
Rx is Ci-C4-alkyl, Ci-C4-halogenalkyl, unsubstituted aryl or aryl that is substituted with one, two, three, four or five substituents Rx1 independently selected from Ci-C4-alkyl, halogen, OH, CN, Ci-C4-halogenalkyl, Ci-C4-alkoxy and Ci-C4-halogenalkoxy;
wherein the acyclic moieties of R1 are unsubstituted or substituted with identical or different groups R1a which independently of one another are selected from:
R1a halogen, OH, CN, Ci-C6-alkoxy, C3-C6-cycloalkyl, C3-C6-halogencycloalky, Ci-C4-halogen- alkoxy, Ci-C6-alkylthio, aryl and phenoxy, wherein the aryl and phenoxy group is unsubstituted or unsubstituted or substituted with R11a selected from the group consisting of halogen, OH, C1- C4-alkyl, Ci-C4-halogenalkyl, Ci-C4-alkoxy and Ci-C4-halogenalkoxy;
wherein the carbocyclic, heteroaryl and aryl moieties of R1 are unsubstituted or substituted with identical or different groups R1b which independently of one another are selected from:
R1b halogen, OH, CN, Ci-C4-alkyl, Ci-C4-alkoxy, Ci-C4-halogenalkyl, C3-C6-cycloalkyl, C3-C6- halogencycloalkyl, Ci-C4-halogenalkoxy and Ci-C6-alkylthio.
For every R1 that is present in the inventive compounds, the following embodiments and preferences apply independently of the meaning of any other R1 that may be present in the ring.
According to one embodiment of formula I, R1 is H, halogen or Ci-C6-alkyl, in particular H, CH3, Et, F, Cl, more specifically H, CH3, F or Cl most preferred H, F or Cl.
According to another embodiment of formula I, R1 is hydrogen.
According to still another embodiment of formula I, R1 is halogen, in particular Br, F or Cl, more specifically F or Cl.
According to another embodiment of formula I, R1 is F
According to another embodiment of formula I, R1 is Cl
According to another embodiment of formula I, R1 is Br.
According to still another embodiment of formula I, R1 is OH.
According to still another embodiment of formula I, R1 is COOH.
According to still another embodiment of formula I, R1 is CONH2.
According to still another embodiment of formula I, R1 is CN.
According to still another embodiment of formula I, R1 is NO2.
According to still another embodiment of formula I, R1 is SH.
According to still another embodiment of formula I R1 is NH2, NH(Ci-C4-alkyl), N(Ci-C4-alkyl)2 or NH-S02-Rx, wherein Rx is Ci-C4-alkyl, Ci-C4-halogenalkyl, unsubstituted aryl or aryl that is sub-
stituted with one, two, three, four or five substituents Rx1 independently selected from Ci-C4-al- kyl, halogen, OH, CN, Ci-C4-halogenalkyl, Ci-C4-alkoxy, or Ci-C4-halogenalkoxy. In particular Ci-C4-alkyl, such as NHCH3 and N(CHs)2. In particular Rx is Ci-C4-alkyl, and phenyl that is sub- stituted with one CH3, more specifically S02-Rx is CH3 and tosyl group (“Ts”).
According to still another embodiment of formula I, R1 is Ci-C6-alkyl, in particular Ci-C4-alkyl, such as CH3 or CH2CH3.
According to still another embodiment of formula I, R1 is Ci-C6-halogenalkyl, in particular Ci-C4- halogenalkyl, such as CF3, CHF2, CH2F, CCI3, CHCI2, CH2CI, CF3CH2, CCI3CH2 or CF2CHF2.
According to still another embodiment of formula I, R1 is C2-C6-alkenyl or C2-C6-halogenalkenyl, in particular C2-C4-alkenyl or C2-C4-halogenalkenyl, such as CH=CH2, C(CH3)=CH2, CH=CCI2,
CH=CF2, CCI=CCI2, CF=CF2, CH=CH2, CH2CH=CCI2, CH2CH=CF2, CH2CCI=CCI2, CH2CF=CF2,
CCI2CH=CCI2, CF2CH=CF2, CCI2CCI=CCI2, or CF2CF=CF2.
According to still another embodiment of formula I, R1 is C2-C6-alkynyl or C2-C6-halogenalkynyl, in particular C2-C4-alkynyl or C2-C4-halogenalkynyl, such as C CH, C CCI, C CF. CH2C=CH, CH2CºCCI, or CH2CºCF.
According to still another embodiment of formula I, R1 is Ci-C6-alkoxy, in particular Ci-C4-alkoxy, more specifically Ci-C2-alkoxy such as OCH3 or OCH2CH3.
According to still another embodiment of formula I, R1 is Ci-C6-halogenalkoxy, in particular C1- C4-halogenalkoxy, more specifically Ci-C2-halogenalkoxy such as OCF3, OCHF2, OCH2F,
OCCI3, OCHC or OCH2CI, in particular OCF3, OCHF2, OCCI3 or OCHC .
According to still another embodiment of formula I R1 is C3-C6-cycloalkyl, in particular cyclopro- pyi-
According to still another embodiment of formula I, R1 is C3-C6-cycloalkyl, for example cyclopro- pyl, substituted with one, two, three or up to the maximum possible number of identical or differ- ent groups R1b as defined and preferably herein.
According to still another embodiment of formula I, R1 is C3-C6-halogencycloalkyl. In a special embodiment R1 is fully or partially halogenated cyclopropyl.
According to still another embodiment of formula I, R1 is unsubstituted aryl or aryl that is substituted with one, two, three or four R1b, as defined herein. In particular, R1 is unsubstituted phenyl or phenyl that is substituted with one, two, three or four R1b, as defined herein.
According to still another embodiment of formula I, R1 is unsubstituted 5- or 6-membered heteroaryl. According to still a further embodiment, R1 is 5- or 6-membered heteroaryl that is substituted with one, two or three R1b, as defined herein.
According to still another embodiment of formula l,R1 is in each case independently selected from hydrogen, halogen, OH, CN, N02, SH, NH2, NH(Ci-C4-alkyl), N(Ci-C4-alkyl)2, NH-S02-Rx, Ci-C6-alkyl, C2-C6-alkenyl, C2-C6-alkynyl, Ci-C6-alkoxy and C3-C6-cycloalkyl; wherein the acyclic moieties of R1 are not further substituted or carry one, two, three, four or five identical or differ- ent groups R1a as defined below and wherein the carbocyclic, heteroaryl and aryl moieties of R1 are not further substituted or carry one, two, three, four or five identical or different groups R1b as defined below.
According to still another embodiment of formula I, R1 is independently selected from hydrogen, halogen, CN, OH, Ci-C6-alkyl,Ci-C6-alkoxy, C6-alkenyl, C2-C6-alkynyl, C3-C6-cycloalkyl, wherein the acyclic and cyclic moieties of R1 are unsubtitted or substituted by halogen.
According to still another embodiment of formula I, R1 is independently selected from hydrogen, halogen, CN, OH, Ci-C6-alkyl, Ci-C6-halogenalkyl, Ci-C6-alkoxy and Ci-C6-halogenalkoxy, in particular independently selected from H, F, Cl, Br, CN, OH, Ci-C4-alkyl, Ci-C4-halogenalkyl, Ci- C4-alkoxy and Ci-C4-halogenalkoxy.
According to still another embodiment of formula I, R1 is independently selected from H, CN, halogen or Ci-C6-alkyl, in particular H, CN, CH3, Et, F, Cl, more specifically H, CN, CH3, F or Cl most preferred H, CH3, F or Cl.
R1a are the possible substituents for the acyclic moieties of R1.
R1a according to the invention is independently selected from halogen, OH, CN, Ci-C6-alkoxy, C3-C6-cycloalkyl, C3-C6-halogencycloalkyl, Ci-C4-halogenalkoxy, Ci-C6-alkylthio, aryl and phe- noxy, wherein the aryl group is unsubstituted or unsubstituted or substituted with R11a selected from the group consisting of halogen, OH, Ci-C4-alkyl, Ci-C4-halogenalkyl, Ci-C4-alkoxy and C1- C4-halogenalkoxy, in particular selected from halogen, Ci-C2-alkyl, Ci-C2-halogenalkyl, C1-C2- alkoxy and Ci-C2-halogenalkoxy, more specifically selected from halogen, such as F, Cl and Br.
In to one embodiment R1a is independently selected from halogen, OH, CN, Ci-C2-alkoxy, C3- C6-cycloalkyl, C3-C6-halogencycloalkyl and Ci-C2-halogenalkoxy. Specifically, R1a is
independently selected from F, Cl, OH, CN, Ci-C2-alkoxy, cyclopropyl, 1 -F-cyclopropyl, 1 -CI- cyclopropyl, 1 ,1 -F2-cyclopropyl, 1 ,1 -Cl2-cyclopropyl and Ci-C2-halogenalkoxy.
According to one embodiment R1a is independently selected from halogen, such as F, Cl, Br and I, more specifically F, Cl and Br.
According to still another embodiment of formula I, R1a is independently selected from OH, C3- C6-cycloalkyl, C3-C6-halogencycloalkyl and Ci-C2-halogenalkoxy. Specifically, R1a is
independently selected from OH, cyclopropyl and Ci-C2-halogenalkoxy.
According to still another embodiment of formula I, R1a is independently selected from aryl and phenoxy, wherein the aryl group is unsubstituted or substituted with R11a selected from the group consisting of halogen, OH, Ci-C4-alkyl, Ci-C4-halogenalkyl, Ci-C4-alkoxy and Ci-C4-halo- genalkoxy, in particular selected from halogen, Ci-C2-alkyl, Ci-C2-halogenalkyl, Ci-C2-alkoxy and Ci-C2-halogenalkoxy, more specifically selected from halogen, such as F, Cl and Br.
R1b are the possible substituents for the carbocyclic, heteroaryl and aryl moieties of R1.
R1b according to the invention is independently selected from halogen, OH, CN, Ci-C4-alkyl, C1- C4-alkoxy, Ci-C4-halogenalkyl, C3-C6-cycloalkyl, C3-C6-halogencycloalkyl, Ci-C4-halogenalkoxy and Ci-C6-alkylthio;
According to one embodiment thereof R1b is independently selected from halogen, CN, C1-C2- alkyl, Ci-C2-alkoxy, Ci-C2-halogenalkyl, C3-C6-cycloalkyl, C3-C6-halogencycloalkyl and C1-C2- halogenalkoxy. Specifically, R1b is independently selected from F, Cl, Br, OH, CN, CH3, OCH3, CHF2, OCHF2, cyclopropyl, 1 -F-cyclopropyl, 1 -CI-cyclopropyl, 1 ,1 -F2-cyclopropyl, 1 , 1 -CI2- cyclopropyl, OCF3, and OCHF2.
According to still another embodiment thereof R1b is independently selected from halogen, Ci- C2-alkyl, Ci-C2-alkoxy, Ci-C2-halogenalkyl, C3-C6-cycloalkyl, C3-C6-halogencycloalkyl and C1-C2- halogenalkoxy. Specifically, R1b is independently selected from halogen, CN, OH, CH3, CHF2, OCHF2, OCF3, OCH3, cyclopropyl, 1 -F-cyclopropyl, 1 -CI-cyclopropyl, 1 ,1 -F2-cyclopropyl, 1 , 1 -CI2- cyclopropyl and halogenmethoxy, more specifically independently selected from F, Cl, OH, CH3, OCH3, CHF2, OCH3, cyclopropyl, 1 -F-cyclopropyl, 1 -CI-cyclopropyl, 1 ,1 -F2-cyclopropyl, 1 , 1 -CI2- cyclopropyl, OCHF2 and OCF3.
Rx in the substituent NH-S02-RX is in each case independently selected from Ci-C4-alkyl, C1-C4- halogenalkyl, unsubstituted aryl and aryl that is substituted with one, two, three, four or five substituents Rx1 independently selected from Ci-C4-alkyl, halogen, OH, CN, Ci-C4-halogenalkyl, Ci-C4-alkoxy and Ci-C4-halogenalkoxy. In particular, Rx is in each case independently selected from Ci-C4-alkyl, halogen, OH, CN and phenyl that is substituted with one, two or three Rx1 independently selected from Ci-C2-alkyl, more specifically Rx is in each case independently selected from Ci-C4-alkyl and phenyl that is substituted with one CH3, more specifically S02-Rx is the tosyl group (“Ts”).
Particularly preferred embodiments of R1 according to the invention are in Table P1 below, wherein each line of lines P1 -1 to P1 -16 corresponds to one particular embodiment of the inven- tion. Thereby, for every R1 that is present in the inventive compounds, these specific
embodiments and preferences apply independently of the meaning of any other R1 that may be present in the ring:
Table P1 :
“Ts” in the table stands for the tosylgroup S02-(p-CH3)phenyl.
R2 is in each case independently selected from halogen, COOH, CONH2, OH, CN, NO2, SH, NH2, NH(Ci-C4-alkyl), N(Ci-C4-alkyl)2, NH(C2-C4-alkenyl), N(C2-C4-alkenyl)2, NH(C2-C4-alkynyl), N(C2-C4-alkynyl)2, NH(C3-C6-cycloalkyl), N(C3-C6-cycloalkyl)2, N(C2-C4-alkyl)(C2-C4-alkenyl), N(C2-C4-alkyl)(C2-C4-alkynyl), N(C2-C4-alkyl)(C3-C6-cycloalkyl), N(C2-C4-alkenyl)(C2-C4-alkynyl), N(C2-C4-alkenyl)(C3-C6-cycloalkyl), N(C2-C4-alkynyl)(C3-C6-cycloalkyl), NH(C(=0)Ci-C4-alkyl), N(C(=0)Ci-C4-alkyl)2, NH-S02-Rx, S(0)n-Ci-C6-alkyl, S(0)n-aryl, Ci-C6-cycloalkylthio, S(0)n-C2- C6-alkenyl, S(0)n-C2-C6-alkynyl, CH(=0), C(=0)Ci-C6-alkyl, C(=0)C2-C6-alkenyl, C(=0)C2-C6- alkynyl, C(=0)C3-C6-cycloalkyl, C(=0)NH(Ci-C6-alkyl), C(=0)N(Ci-C6-alkyl)2, C(=0)N(C2-C6- alkenyl)2, C(=0)N(C2-C6-alkynyl)2, C(=0)N(C3-C7-cycloalkyl)2, CH(=S), C(=S)Ci-C6-alkyl,
C(=S)C2-C6-alkenyl, C(=S)C2-C6-alkynyl, C(=S)C3-C6-cycloalkyl, (=S)0(C2-C6-alkenyl),
C(=S)0(C2-C6-alkynyl), C(=S)0(C3-C7-cycloalkyl), C(=S)NH(Ci-C6-alkyl), C(=S)NH(C2-C6-
alkenyl), C(=S)NH(C2-C6-alkynyl), C(=S)NH(C3-C7-cycloalkyl),C(=S)N(Ci-C6-alkyl)2, C(=S)N(C2- C6-alkenyl)2, C(=S)N(C2-C6-alkynyl)2, C(=S)N(C3-C7-cycloalkyl)2, Ci-C6-alkyl, C2-C6-alkenyl, C2- C6-alkynyl, ORY, C3-C6-cycloalkyl, five- or six-membered heteroaryl and aryl; wherein the heteroaryl contains one, two or three heteroatoms selected from N, O and S; wherein
Rx is as defined above;
RY is Ci-C6-alkyl, Ci-C6-halogenalkyl, C2-C6-alkenyl, C2-C6-halogenalkenyl, C2-C6- alkynyl, C2-C6-halogenalkynyl, C3-C6-cycloalkyl, C3-C6-halogencycloalkyl; phenyl and phenyl-Ci-C6-alkyl; wherein the phenyl group is unsubstituted or substituted with substituents selected from the group consisting of halogen, CN, OH, C1-C6- alkyl, Ci-C6-halogenalkyl, Ci-C6-alkoxy and Ci-C6-halogenalkoxy; wherein the acyclic moieties of R2 are unsubstituted or substituted with groups R2a which independently of one another are selected from:
R2a halogen, OH, CN, Ci-C6-alkoxy, C3-C6-cycloalkyl, C3-C6-halogencycloalkyl, C1-C4- halogenalkoxy, Ci-C6-alkylthio, aryl and phenoxy, wherein the aryl and phenoxy group is unsubstituted or substituted with substituents R21a selected from the group consisting of halogen, OH, Ci-C4-alkyl, Ci-C4-halogenalkyl, Ci-C4-alkoxy and Ci-C4-halogenalkoxy;
wherein the carbocycle, heteroaryl and aryl moieties of R2 are unsubstituted or substituted with groups R2b which independently of one another are selected from:
R2b halogen, OH, CN, Ci-C4-alkyl, Ci-C4-alkoxy, Ci-C4-halogenalkyl, C3-C6-cycloalkyl, C3-C6-halogencycloalkyl, Ci-C4-halogenalkoxy and Ci-C6-alkylthio.
According to one embodiment of formula I, R2 is selected from the group consisting of H, halo- gen, CN, Ci-C6-alkyl, Ci-C6-halogenalkyl, C2-C6-alkenyl, C2-C6-halogenalkenyl, C2-C6-alkynyl, C2-C6-halogenalkynyl, Ci-C6-alkoxy, Ci-C6-halogenalkoxy, C3-C6-cycloalkyl, C3-C6-halogency- cloalkyl, and ORY.
According to still another embodiment of formula R2 is halogen, in particular F, Cl, Br or I, more specifically F, Cl or Br, in particular F or Cl.
According to still another embodiment of formula R2 is F.
According to still another embodiment of formula R2 is Cl.
According to still another embodiment of formula R2 is Br.
According to still another embodiment of formula R2 is COOH.
According to still another embodiment of formula R2 is CONH2.
According to still another embodiment of formula R2 is OH.
According to still another embodiment of formula R2 is CN.
According to still another embodiment of formula R2 is N02.
According to still another embodiment of formula R2 is SH.
According to still another embodiment of formula R2 is NH2.
According to still another embodiment of formula I, R2 is , NH(Ci-C4-alkyl), in particular NH(CH3), NH(C2H5).
According to still another embodiment of formula I, R2 is , N(Ci-C4-alkyl)2, in particular NH(CH3)2, NH(C2H5)2.
According to still another embodiment of formula I, R2 is , NH(C2-C4-alkenyl), in particular NH(CH=CH2), NH(CH2CH=CH2).
According to still another embodiment of formula I, R2 is , N(C2-C4--alkenyl)2, in particular N(CH=CH2)2, N(CH2CH=CH2)2.
According to still another embodiment of formula I, R2 is , NH(C2-C4-alkynyl), in particular NH(C= CH), NH(CH2CºCH).
According to still another embodiment of formula I, R2 is , N(C2-C4-alkynyl)2, in particular N(C= CH)2I N(CH2CºCH)2.
According to still another embodiment of formula I, R2 is , NH(C3-C6-cycloalkyl), in particular NH(C3H7), NH(C4H2).
According to still another embodiment of formula I, R2 is , N(C3-C6-cycloalkyl)2, in particular N(C3H7)2, N(C4H2)2.
According to still another embodiment of formula I, R2 is N(Ci-C4-alkyl)(C2-C4-alkenyl), in particular N(CH3)(CH=CH2), N(CH3)(CH2CH=CH2), N(C2H5)(CH=CH2), N(C2H5)(CH2CH=CH2).
According to still another embodiment of formula I, R2 is N(Ci-C4-alkyl)(C2-C4-alkynyl), in particular N(CH3)(CºCH), N(CH3)(CH2CºCH), N(C2H5)(CºCH), N(C2H5)(CH2CºCH).
According to still another embodiment of formula I, R2 is N(Ci-C4-alkyl)(C3-C6-cycloalkyl), in particular N(CH3)(C3H7), N(CH3)(C4H2), N(C2H5)(C3H7), N(CH3)(C4H2).
According to still another embodiment of formula I, R2 is N(C2-C4-alkenyl)(C2-C4-alkynyl), in particular N(CH=CH2)(CºCH), N(CH2CH=CH2)(CH2CºCH), N(CH=CH2)(CºCH),
N(CH2CH=CH2)(CH2CºCH).
According to still another embodiment of formula I, R2 is N(C2-C4-alkenyl)(C3-C6-cycloalkyl), in particular N(CH=CH2)(C3H7), N(CH2CH=CH2)(C4H2), N(CH=CH2)(C3H7), N(CH2CH=CH2)(C4H2).
According to still another embodiment of formula I, R2 is N(C2-C4-alkynyl)(C3-C6-cycloalkyl), in particular N(CºCH)(C3H7), N(CH2CºCH)(C4H2), N(CºCH)(C3H7), N(CH2CºCH)(C4H2).
According to still another embodiment of formula I, R2 is , NH(C(=0)(Ci-C4-alkyl), in particular NH(C(=0)(CH3), NH(C(=0)(C2H5).
According to still another embodiment of formula I, R2 is N(C(=0)(Ci-C4-alkyl)2, in particular N(C(=0)(CH3)2I N(C(=0)(C2H5)2.
According to a further specific embodiment of formula I, R2 is NH-S02-RX such as NH-SO2-CH3, NH-SO2-CH2-CH3, NH-SO2-CF3, NH-S02-TS.
According to still another embodiment of formula I, R2 is S(0)n-Ci-C6-alkyl such as SCH3, S(=0) CH3I S(0)2CH3.
According to still another embodiment of formula I, R2 is S(0)n-aryl such as S-phenyl, S(=0) phenyl, S(0)2phenyl.
According to still another embodiment of formula I, R2 is S(0)n-C2-C6-alkenyl such as
SCH=CH2, S(=0)CH=CH2, S(0)2CH=CH2, SCH2CH=CH2, S(=0)CH2CH=CH2,
S(0)2CH2CH=CH2 .
According to still another embodiment of formula I, R2 is S(0)n-C2-C6-alkynyl such as SC CH, S(=0)CºCH, S(0)2CºCH, SCH2CºCH, S(=0)CH2CºCH, S(0)2CH2CºCH.
According to a further specific embodiment of formula I, R2 is CH(=0).
According to a further specific embodiment of formula I, R2 is C(=0)Ci-C6-alkyl, C(=0)0(Ci-C6- alkyl), C(=0)NH(Ci-C6-alkyl) or C(=0)N(Ci-C6-alkyl)2, wherein alkyl is CH3, C2H5, n-propyl, i-pro- pyl, n-butyl, i-butyl, tert-butyl, n-pentyl or i-pentyl.
According to a further specific embodiment of formula I, R2 is C(=0)C2-C6-alkenyl, C(=0)0(C2- C6-alkenyl), (=0)NH(C2-C6-alkenyl) or C(=0)N(C2-C6-alkenyl)2, wherein alkenyl is CH=CH2, CH2CH=CH2.
According to a further specific embodiment of formula I, R2 is C(=0)C2-C6-alkynyl, C(=0)0(C2- C6-alkynyl), C(=0)NH(C2-C6-alkynyl) or C(=0)N(C2-C6-alkynyl)2, wherein alkynyl is C CH CH2C ºCH.
According to a further specific embodiment of formula I, R2 is C(=0)C3-C6-cycloalkyl,
C(=0)0(C3-C6-cycloalkyl), C(=0)NH(C3-C6-cycloalkyl) or C(=0)N(C3-C7-cycloalkyl)2, wherein cycloalkyl is cyclopropyl (C3H7) or cyclobutyl (C4H2).
According to a further specific embodiment of formula I, R2 is CH(=S).
According to a further specific embodiment of formula I, R2 is C(=S)Ci-C6-alkyl, C(=S)OCi-C6- alkyl, C(=S)NH(Ci-C6-alkyl) or C(=S)NH(Ci-C6-alkyl), wherein alkyl is CH3, C2H5, n-propyl, i-pro- pyl, n-butyl, i-butyl, tert-butyl, n-pentyl or i-pentyl.
According to a further specific embodiment of formula I, R2 is C(=S)C2-C6-alkenyl, C(=S)OC2-C6- alkenyl, C(=S)NH(C2-C6-alkenyl) or C(=S)N(C2-C6-alkenyl)2, wherein alkenyl is CH=CH2, CH2CH=CH2.
According to a further specific embodiment of formula I, R2 is C(=S)C2-C6-alkynyl, , C(=S)0(C2- C6-alkynyl), C(=S)NH(C2-C6-alkynyl) or C(=S)N(C2-C6-alkynyl)2, wherein alkynyl is C CH, CFhC CH.
According to a further specific embodiment of formula I, R2 is C(=S)C3-C6-cycloalkyl, ,
C(=S)0(C3-C7-cycloalkyl), C(=S)NH(C3-C7-cycloalkyl) or , C(=S)N(C3-C7-cycloalkyl)2, wherein cycloalkyl is cyclopropyl (C3H7) or cyclobutyl (C4H2).
According to still another embodiment of formula I, R2 is Ci-C6-alkyl, in particular Ci-C4-alkyl, such as CH3. or C2H5, in particular CH3 or CH2CH3.
According to still another embodiment of formula I, R2 is Ci-C6-halogenalkyl, in particular C1-C4- halogenalkyl, such as CF3, CCI3, FCH2, CICH2, F2CH, CI2CH, CF3CH2, CCI3CH2 or CF2CHF2. According to still a further embodiment of formula I, R2 is C2-C6-alkenyl, in particular C2-C4-alk- enyl, such as CH=CH2, C(CH3)=CH2, CH2CH=CH2.
According to a further specific embodiment of formula I, R2 is C2-C6-halogenalkenyl, in particular C2-C4-halogenalkenyl, more specifically C2-C3-halogenalkenyl such as CH=CHF, CH=CHCI,
According to still a further embodiment of formula I, R2 is C2-C6-alkynyl or C2-C6-halogenalkynyl, in particular C2-C4-alkynyl or C2-C4-halogenalkynyl, such as C CH, CFhC CH, C CCI,
CH2CºCCI, or CCI2CºCCI.
According to a further specific embodiment of formula I, R2 is ORY wherein RY is Ci-C6-alkyl, Ci- C6-halogenalkyl, C2-C6-alkenyl, C2-C6-halogenalkenyl, C2-C6-alkynyl, C2-C6-halogenalkynyl, C3- C6-cycloalkyl, C3-C6-halogencycloalkyl.
According to a further specific embodiment of formula I, R2 is ORY wherein RY is Ci-C6-alkyl, in particular Ci-C4-alkyl, more specifically Ci-C2-alkoxy. R2 is such as OCH3 or OCH2CH3.
According to a further specific embodiment of formula I, R2 is ORY wherein RY is Ci-C6-halogen- alkyl, in particular Ci-C4-halogenalkyl, more specifically Ci-C2-halogenalkyl. R2 is such as OCF3, OCHF2, OCH2F, OCCI3, OCHC or OCH2CI, in particular OCF3, OCHF2, OCCI3 or OCHC .
According to a further specific embodiment of formula I, R2 is ORY wherein RY C2-C6-alkenyl, in particular C2-C4-alkenyl, more specifically Ci-C2-alkenyl. R2 is such as OCH=CH2,
OCH2CH=CH2.
According to a further specific embodiment of formula I, R2 is ORY wherein RY C2-C6-halogen- alkenyl, in particular C2-C4-halogenalkenyl, more specifically Ci-C2-halogenalkenyl.
According to a further specific embodiment of formula I, R2 is ORY wherein RY C2-C6-alkynyl, in particular C2-C6-alkynyl, in particular C2-C4-alkynyl, more specifically Ci-C2-alkynyl. R2 is such as OC CH,
According to a further specific embodiment of formula I, R2 is ORY wherein RY C2-C6-halogen- alkynyl, in particular C2-C6-halogenalkynyl, in particular C2-C4-halogenalkynyl, more specifically Ci-C2-halogenalkynyl. R2 is such as OC CCI, OCFhC CCI, or OCChC CCI.
According to still another embodiment of formula I, R2 is is ORY wherein RY C3-C6-cycloalkenyl, in particular cyclopropenyl.
According to still another embodiment of formula I, R2 is C3-C6-cycloalkyl, in particular cyclopro- pyi-
According to still another embodiment of formula I, R2 is C3-C6-halogencycloalkyl. In a special embodiment R2b is fully or partially halogenated cyclopropyl, such as 1-F-cyclopropyl, 1-CI- cyclopropyl, 1 ,1-F2-cyclopropyl, 1 ,1-Cl2-cyclopropyl .
According to still another embodiment of formula I, R2 is phenyl-Ci-C6-alkyl, such as phenyl- CH2, wherein the phenyl moiety in each case is unsubstituted or substituted by one, two or three identical or different groups R2b which independently of one another are selected from halogen, Ci-C2-alkyl, Ci-C2-alkoxy, Ci-C2-halogenalkyl and Ci-C2-halogenalkoxy, in particular F, Cl, Br, CHs, OCH3, CFs and OCF3.
According to still another embodiment of formula I, R2 is aryl, in particular phenyl, wherein the aryl or phenyl moiety in each case is unsubstituted or substituted with identical or different groups R2b which independently of one another are selected from CN, halogen, Ci-C2-alkyl, Ci- C2-alkoxy, Ci-C2-halogenalkyl and Ci-C2-halogenalkoxy, in particular CN, F, Cl, Br, CH3, OCH3, CHF2, OCHF2, CF3 and OCF3. According to one embodiment, R2 is unsubstituted phenyl. Ac- cording to another embodiment, R2 is phenyl, that is substituted with one, two or three, in partic- ular one, halogen, in particular selected from F, Cl and Br, more specifically selected from F and Cl.
According to still another embodiment of formula I, R2 is a 5-membered heteroaryl such as pyr- rol-1 -yl, pyrrol-2 -yl, pyrrol-3-yl, thien-2-yl, thien-3-yl, furan-2-yl, furan-3-yl, pyrazol-1 -yl, pyrazol- 3-yl, pyrazol-4-yl, pyrazol-5-yl, imidazol-1 -yl, imidazol-2-yl, imidazol-4-yl, imidazol-5-yl, oxazol-2- yl, oxazol-4-yl, oxazol-5-yl, isoxazol-3-yl, isoxazol-4-yl, isoxazol-5-yl, thiazol-2-yl, thiazol-4-yl, thiazol-5-yl, isothiazol-3-yl, isothiazol-4-yl, isothiazol-5-yl, 1 ,2,4-triazolyl-1 -yl, 1 ,2,4-triazol-3-yl 1 ,2,4-triazol-5-yl, 1 ,2,4-oxadiazol-3-yl, 1 ,2,4-oxadiazol-5-yl and 1 ,2,4-thiadiazol-3-yl, 1 ,2,4-thia- diazol-5-yl.
According to still another embodiment of formula I, R2 is a 6-membered heteroaryl such as pyri- din-2-yl, pyridin-3-yl, pyridin-4-yl, pyridazin-3-yl, pyridazin-4-yl, pyrimidin-2-yl, pyrimidin-4-yl, py- rimidin-5-yl, pyrazin-2-yl and 1 ,3,5-triazin-2-yl and 1 ,2,4-triazin-3-yl.
According to still another embodiment of formula I, R2 is in each case independently selected from halogen, CN, Ci-C6-alkyl, Ci-C6-halogenalkyl, C2-C6-alkenyl, C2-C6-alkynyl, Ci-C6-alkoxy, Ci-C6-halogenalkoxy, C3-C6-alkenyloxy, C3-C6-alkynyloxy, C3-C6-cycloalkyl and C3-C6-halogen- cycloalkyl, wherein the acyclic moieties of R2 are unsubstituted or substituted with identical or different groups R2a as defined and preferably defined herein, and wherein the carbocyclic, phe- nyl and heteroaryl moieties of R2 are unsubstituted or substituted with identical or different groups R2b as defined and preferably defined herein.
According to still another embodiment of formula I, R2 is in each case independently selected from halogen, CN, Ci-C6-alkyl, Ci-C6-halogenalkyl, C2-C6-alkenyl, C2-C6-alkynyl, Ci-C6-alkoxy, Ci-C6-halogenalkoxy; wherein the acyclic moieties of R2 are unsubstituted or substituted with identical or different groups R2a as defined and preferably defined herein.
According to still another embodiment of formula I, R2 is in each case independently selected from CN, halogen, Ci-C6-alkyl, Ci-C6-halogenalkyl, C2-C6-alkynyl, ORY, C3-C6-cycloalkyl;
wherein RY is Ci-C6-alkyl, Ci-C6-halogenalkyl, C2-C6-alkenyl or C2-C6-alkynyl.
R2a are the possible substituents for the acyclic moieties of R2.
According to one embodiment R2a is independently selected from halogen, OH, CN, C1-C6- alkoxy, C3-C6-cycloalkyl, C3-C6-halogencycloalkyl, Ci-C4-halogenalkoxy, Ci-C6-alkylthio, aryl and phenoxy, wherein the aryl and phenyl group is unsubstituted or substituted with substitu- ents R21a selected from the group consisting of halogen, OH, Ci-C4-alkyl, Ci-C4-halogenalkyl, Ci-C4-alkoxy and Ci-C4-halogenalkoxy.
According to one embodiment R2a is independently selected from halogen, Ci-C6-alkoxy, C3-C6- cycloalkyl, C3-C6-halogencycloalkyl and Ci-C4-halogenalkoxy. Specifically, R2a is independently selected from F, Cl, Br, I, Ci-C2-alkoxy, cyclopropyl, 1 -F-cyclopropyl, 1 -CI-cyclopropyl, 1 , 1 -F2- cyclopropyl, 1 ,1 -Cl2-cyclopropyl and Ci-C2-halogenalkoxy.
According to still another embodiment of formula I, R2a is independently halogen, in particular selected from F, Cl, Br and I, more specifically F, Cl and Br.
R2b are the possible substituents for the carbocyclic, heteroaryl and phenyl moieties of R2. R2b according to the invention is independently selected from halogen, OH, CN, Ci-C4-alkyl, C1-C4- alkoxy, Ci-C4-halogenalkyl, C3-C6-cycloalkyl, C3-C6-halogencycloalkyl, Ci-C4-halogenalkoxy and Ci-C6-alkylthio.
According to one embodiment thereof R2b is independently selected from halogen, CN, Ci-C4- alkyl, Ci-C4-alkoxy, Ci-C4-halogenalkyl and Ci-C4-halogenalkoxy, in particular halogen, Ci-C4- alkyl and Ci-C4-alkoxy. Specifically, R2b is independently selected from F, Cl, CN, CH3, OCH3 and halogenmethoxy.
Particularly preferred embodiments of R2 according to the invention are in Table P2 below, wherein each line of lines P2-1 to P2-42 corresponds to one particular embodiment of the inven- tion, wherein P2-1 to P2-42 are also in any combination with one another a preferred embodi- ment of the present invention. The connection point to the carbon atom, to which R2 is bound is marked with“#” in the drawings.
Table P2:
R3 is in each case independently selected from halogen, OH, COOH, CONH2, CN, NO2, SH, NH2, NH(Ci-C4-alkyl), N(Ci-C4-alkyl)2, NH(C2-C4-alkenyl), N(C2-C4-alkenyl)2, NH(C2-C4-alkynyl), N(C2-C4-alkynyl)2, NH(C3-C6-cycloalkyl), N(C3-C6-cycloalkyl)2, N(C2-C4-alkyl)(C2-C4-alkenyl), N(C2-C4-alkyl)(C2-C4-alkynyl), N(C2-C4-alkyl)(C3-C6-cycloalkyl), N(C2-C4-alkenyl)(C2-C4-alkynyl), N(C2-C4-alkenyl)(C3-C6-cycloalkyl), N(C2-C4-alkynyl)(C3-C6-cycloalkyl), NH(C(=0)Ci-C4-aikyl), N(C(=0)Ci-C4-alkyl)2, NH-S02-Rx, S(0)n-Ci-C6-alkyl, S(0)n-aryl, Ci-C6-cycloalkylthio, S(0)n-C2- C6-alkenyl, S(0)n-C2-C6-alkynyl, CH(=0), C(=0)Ci-C6-alkyl, C(=0)C2-C6-alkenyl, C(=0)C2-C6- alkynyl, C(=0)C3-C6-cyclpalkyl, C(=0)NH(Ci-C6-aikyl), C(=0)N(Ci-C6-alkyl)2, C(=0)N(C2-C6- alkenyl)2, C(=0)N(C2-C6-alkynyl)2, C(=0)N(C3-C7-cycloalkyl)2, CH(=S), C(=S)Ci-C6-alkyl, C(=S)C2-C6-alkenyl, C(=S)C2-C6-alkynyl, C(=S)C3-C6-cyclpalkyl, C(=S)0(C2-C6-alkenyl), C(=S)0(C2-C6-alkynyl), C(=S)0(C3-C7-cycloalkyl), C(=S)NH(Ci-C6-alkyl), C(=S)NH(C2-C6- alkenyl), C(=S)NH(C2-C6-alkynyl), C(=S)NH(C3-C7-cycloalkyl),C(=S)N(Ci-C6-alkyl)2, C(=S)N(C2- C6-alkenyl)2, C(=S)N(C2-C6-alkynyl)2, C(=S)N(C3-C7-cycloalkyl)2, Ci-C6-alkyl, C2-C6-alkenyl, C2- C6-alkynyl, ORY, C3-C6-cycloalkyl, five- or six-membered heteroaryl and aryl; wherein the heteroaryl contains one, two or three heteroatoms selected from N, O and S; wherein
Rx is as defined above;
RY is as defined above;
wherein the acyclic moieties of R3 are unsubstituted or substituted with groups R3a which independently of one another are selected from:
R3a halogen, OH, CN, Ci-C6-alkoxy, C3-C6-cycloalkyl, C3-C6-halogencycloalkyl, Ci-C4- halogenalkoxy, Ci-C6-alkylthio, aryl and phenoxy, wherein the aryl and phenyl group is unsubstituted or substituted with substituents R31a selected from the group consisting of halogen, OH, Ci-C4-alkyl, Ci-C4-halogenalkyl, Ci-C4-alkoxy and Ci-C4-halogenalkoxy;
wherein the carbocyclic, heteroaryl and aryl moieties of R3 are unsubstituted or
substituted with groups R3b which independently of one another are selected from:
R3b halogen, OH, CN, Ci-C4-alkyl, Ci-C4-alkoxy, Ci-C4-halogenalkyl, C3-C6-cycloalkyl, C3-C6-halogencycloalkyl, Ci-C4-halogenalkoxy and Ci-C6-alkylthio.
According to one embodiment of formula I, R3 is selected from the group consisting of halogen, CN, Ci-C6-alkyl, Ci-C6-halogenalkyl, C2-C6-alkenyl, C2-C6-halogenalkenyl, C2-C6-alkynyl, C2-C6- halogenalkynyl, Ci-C6-alkoxy, Ci-C6-halogenalkoxy and ORY.
R3 is secected from the group consisting of halogen, CN, Ci-C6-alkyl, Ci-C6-halogenalkyl, C2-C6- alkenyl, C2-C6-halogenalkenyl, C2-C6-alkynyl, C2-C6-halogenalkynyl, Ci-C6-alkoxy, Ci-C6-halo- genalkoxy and ORY.
According to still another embodiment of formula I, R3 is halogen, in particular F, Cl, Br or I, more specifically F, Cl or Br, in particular F or Cl.
According to still another embodiment of formula I, R3 is F.
According to still another embodiment of formula I, R3 is Cl.
According to still another embodiment of formula I, R3 is Br.
According to still another embodiment of formula I, R3 is OH.
According to still another embodiment of formula I, R2 is COOH.
According to still another embodiment of formula I, R2 is CONH2.
According to still another embodiment of formula I, R3 is CN.
According to still another embodiment of formula I, R3 is NO2.
According to still another embodiment of formula I, R3 is SH.
According to still another embodiment of formula I, R3 is NH2.
According to still another embodiment of formula I, R3 is , NH(Ci-C4-alkyl), in particular NH(CHs), NH(C2H5).
According to still another embodiment of formula I, R3 is , N(Ci-C4-alkyl)2, in particular NH(CHs)2, NH(C2H5)2.
According to still another embodiment of formula I, R3 is , NH(C2-C4-alkenyl), in particular NH(CH=CH2), NH(CH2CH=CH2).
According to still another embodiment of formula I, R3 is , N(C2-C4--alkenyl)2, in particular N(CH=CH2)2, N(CH2CH=CH2)2.
According to still another embodiment of formula I, R3 is , NH(C2-C4-alkynyl), in particular NH(C= CH), NH(CH2CºCH).
According to still another embodiment of formula I, R3 is , N(C2-C4-alkynyl)2, in particular N(C= CH)2, N(CH2CºCH)2.
According to still another embodiment of formula I, R3 is , NH(C3-C6-cycloalkyl), in particular NH(C3H7), NH(C4H9).
According to still another embodiment of formula I, R3 is , N(C3-C6-cycloalkyl)2, in particular N(C3H7)2, N(C4H9)2.
According to still another embodiment of formula I, R3 is N(Ci-C4-alkyl)(C2-C4-alkenyl), in particular N(CH3)(CH=CH2), N(CH3)(CH2CH=CH2), N(C2H5)(CH=CH2), N(C2H5)(CH2CH=CH2).
According to still another embodiment of formula I, R3 is N(Ci-C4-alkyl)(C2-C4-alkynyl), in particular N(CH3)(CºCH), N(CH3)(CH2CºCH), N(C2H5)(CºCH), N(C2H5)(CH2CºCH).
According to still another embodiment of formula I, R3 is N(Ci-C4-alkyl)(C3-C6-cycloalkyl), in
particular N(CH3)(C3H7), N(CH3)(C4H9), N(C2H5)(C3H7), N(CH3)(C4H9).
According to still another embodiment of formula I, R3 is N(C2-C4-alkenyl)(C2-C4-alkynyl), in particular N(CH=CH2)(CºCH), N(CH2CH=CH2)(CH2CºCH), N(CH=CH2)(CºCH),
N(CH2CH=CH2)(CH2CºCH).
According to still another embodiment of formula I, R3 is N(C2-C4-alkenyl)(C3-C6-cycloalkyl), in particular N(CH=CH2)(C3H7), N(CH2CH=CH2)(C4H9), N(CH=CH2)(C3H7), N(CH2CH=CH2)(C4H9).
According to still another embodiment of formula I, R3 is N(C2-C4-alkynyl)(C3-C6-cycloalkyl), in particular N(CºCH)(C3H7), N(CH2CºCH)(C4H9), N(CºCH)(C3H7), N(CH2CºCH)(C4H9).
According to still another embodiment of formula I, R3 is , NH(C(=0)(Ci-C4-aikyl), in particular NH(C(=0)(CH3), NH(C(=0)(C2H5).
According to still another embodiment of formula I, R3 is N(C(=0)(Ci-C4-alkyl)2, in particular N(C(=0)(CH3)2I N(C(=0)(C2H5)2.
According to a further specific embodiment of formula I, R3 is NH-S02-RX such as NH-S02-CH3, NH-S02-CH2-CH3, NH-S02-CF3, NH-S02-TS.
According to still another embodiment of formula I, R3 is S(0)n-Ci-C6-alkyl such as SCH3, S(=0) CH3, S(0)2CH3.
According to still another embodiment of formula I, R3 is S(0)n-aryl such as S-phenyl, S(=0) phenyl, S(0)2phenyl.
According to still another embodiment of formula I, R3 is S(0)n-C2-C6-alkenyl such as
SCH=CH2, S(=0)CH=CH2, S(0)2CH=CH2, SCH2CH=CH2, S(=0)CH2CH=CH2,
S(0)2CH2CH=CH2 .
According to still another embodiment of formula I, R3 is S(0)n-C2-C6-alkynyl such as SC CH, S(=0)CºCH, S(0)2CºCH, SCH2CºCH, S(=0)CH2CºCH, S(0)2CH2CºCH.
According to a further specific embodiment of formula I, R3 is CH(=0).
According to a further specific embodiment of formula I, R3 is C(=0)Ci-C6-alkyl, C(=0)0(Ci-C6- alkyl), C(=0)NH(Ci-C6-alkyl) or C(=0)N(Ci-C6-alkyl)2, wherein alkyl is CH3, C2H5, n-propyl, i-pro- pyl, n-butyl, i-butyl, tert-butyl, n-pentyl or i-pentyl.
According to a further specific embodiment of formula I, R3 is C(=0)C2-C6-alkenyl, C(=0)0(C2- C6-alkenyl), C(=0)NH(C2-C6-alkenyl) or C(=0)N(C2-C6-alkenyl)2, wherein alkenyl is CH=CH2,
C(CH3)=CH2, CH2CH=CH2.
According to a further specific embodiment of formula I, R3 is C(=0)C2-C6-alkynyl, C(=0)0(C2- C6-alkynyl), C(=0)NH(C2-C6-alkynyl) or C(=0)N(C2-C6-alkynyl)2), wherein alkynyl is C CH CH2CºCH,
According to a further specific embodiment of formula I, R3 is C(=0)C3-C6-cycloalkyl,
C(=0)0(C3-C6-cycloalkyl), C(=0)NH(C3-C6-cycloalkyl) or C(=0)N(C3-C7-cycloalkyl)2, wherein cycloalkyl is cyclopropyl (C3H7) or cyclobutyl (C4H9).
According to a further specific embodiment of formula I, R3 is CH(=S).
According to a further specific embodiment of formula I, R3 is C(=S)Ci-C6-alkyl, C(=S)OCi-C6- alkyl, C(=S)NH(Ci-C6-alkyl) or C(=S)NH(Ci-C6-alkyl), wherein alkyl is CH3, C2H5, n-propyl, i-pro- pyl, n-butyl, i-butyl, tert-butyl, n-pentyl or i-pentyl.
According to a further specific embodiment of formula I, R3 is C(=S)C2-C6-alkenyl, C(=S)OC2-C6- alkenyl, C(=S)NH(C2-C6-alkenyl) or C(=S)N(C2-C6-alkenyl)2, wherein alkenyl is CH=CH2, CH2CH=CH2.
According to a further specific embodiment of formula I, R3 is C(=S)C2-C6-alkynyl, C(=S)0(C2- C6-alkynyl), C(=S)NH(C2-C6-alkynyl) or C(=S)N(C2-C6-alkynyl), wherein alkynyl is C CH, CFhC CH.
According to a further specific embodiment of formula I, R3 is C(=S)C3-C6-cycloalkyl,
C(=S)0(C3-C7-cycloalkyl), C(=S)NH(C3-C7-cycloalkyl) or , C(=S)N(C3-C7-cycloalkyl)2, wherein cy- cloalkyl is cyclopropyl (C3H7) or cyclobutyl (C4H9).
According to still another embodiment of formula I, R3 is Ci-C6-alkyl, in particular Ci-C4-alkyl, such as CH3. or C2H5, in particular CH3 or CH2CH3.
According to still another embodiment of formula I, R3 is Ci-C6-halogenalkyl, in particular C1-C4- halogenalkyl, such as CF3, CCI3, FCH2, CICH2, F2CH, CI2CH, CF3CH2, CCI3CH2 or CF2CHF2. According to still a further embodiment of formula I, R3 is C2-C6-alkenyl, in particular C2-C4-alk- enyl, such as CH=CH2.
According to a further specific embodiment of formula I, R3 is C2-C6-halogenalkenyl, in particular C2-C4-halogenalkenyl, more specifically C2-C3-halogenalkenyl such as CH=CHF, CH=CHCI,
According to still a further embodiment of formula I, R3 is C2-C6-alkynyl or C2-C6-halogen- alkynyl, in particular C2-C4-alkynyl or C2-C4-halogenalkynyl, such as C CH, CH2 C CH, C=CCI, CH2CºCCI, or CCI2CºCCI.
According to a further specific embodiment of formula I, R3 is ORY wherein RY is Ci-C6-alkyl, Ci-C6-halogenalkyl, C2-C6-alkenyl, C2-C6-halogenalkenyl, C2-C6-alkynyl, C2-C6-halogenalkynyl, C3-C6-cycloalkyl, C3-C6-halogencycloalkyl.
According to a further specific embodiment of formula I, R3 is ORY wherein RY is Ci-C6-alkyl, in particular Ci-C4-alkyl, more specifically Ci-C2-alkoxy. R3 is such as OCH3 or OCH2CH3.
According to a further specific embodiment of formula I, R3 is ORY wherein RY is Ci-C6-halogen- alkyl, in particular Ci-C4-halogenalkyl, more specifically Ci-C2-halogenalkyl. R3 is such as OCF3, OCHF2, OCH2F, OCCI3, OCHC or OCH2CI, in particular OCF3, OCHF2, OCCI3 or OCHC .
According to a further specific embodiment of formula I, R3 is ORY wherein RY C2-C6-alkenyl, in particular C2-C4-alkenyl, more specifically Ci-C2-alkenyl. R3 is such as OCH=CH2,
OCH2CH=CH2.
According to a further specific embodiment of formula I, R3 is ORY wherein RY C2-C6-alkynyl, in particular C2-C6-alkynyl, in particular C2-C4-alkynyl, more specifically Ci-C2-alkynyl. R3 is such as OCºCH, OCºCCI, OCH2CºCCI, or OCCI2CºCCI
According to still another embodiment of formula I R3 is ORY wherein RY is C3-C6-cycloalkyl, in particular cyclopropyl.
According to still another embodiment of formula I, R3 is ORY wherein RY is C3-C6-halogencyclo- alkyl. In a special embodiment R1 is fully or partially halogenated cyclopropyl.
According to still another embodiment of formula I, R3 is is ORY wherein RY C3-C6-cycloalkenyl, in particular cyclopropenyl.
According to still another embodiment of formula I, R3 is C3-C6-cycloalkyl, in particular cyclopro- pyl.
According to still another embodiment of formula I, R3 is C3-C6-halogencycloalkyl. In a special embodiment R3b is fully or partially halogenated cyclopropyl, such as 1 -F-cyclopropyl, 1 -CI- cyclopropyl, 1 ,1 -F2-cyclopropyl, 1 ,1 -Cl2-cyclopropyl
According to still another embodiment of formula I, R3 is phenyl-Ci-C6-alkyl, such as phenyl- CH2, wherein the phenyl moiety in each case is unsubstituted or substituted by one, two or three identical or different groups R3b which independently of one another are selected from halogen, Ci-C2-alkyl, Ci-C2-alkoxy, Ci-C2-halogenalkyl and Ci-C2-halogenalkoxy, in particular F, Cl, Br, CHs, OCHS, CFS and OCF3.
According to still another embodiment of formula I, R3 is aryl, in particular phenyl, wherein the aryl or phenyl moiety in each case is unsubstituted or substituted with identical or different groups R3b which independently of one another are selected from CN, halogen, Ci-C2-alkyl, Ci- C2-alkoxy, Ci-C2-halogenalkyl and Ci-C2-halogenalkoxy, in particular CN, F, Cl, Br, CH3, OCH3, CHF2, OCHF2, CF3 and OCF3. According to one embodiment, R3 is unsubstituted phenyl. Ac- cording to another embodiment, R3 is phenyl, that is substituted with one, two or three, in partic- ular one, halogen, in particular selected from F, Cl and Br, more specifically selected from F and Cl.
According to still another embodiment of formula I, R3 is a 5-membered heteroaryl such as pyr- rol-1 -yl, pyrrol-2 -yl, pyrrol-3-yl, thien-2-yl, thien-3-yl, furan-2-yl, furan-3-yl, pyrazol-1 -yl, pyrazol- 3-yl, pyrazol-4-yl, pyrazol-5-yl, imidazol-1 -yl, imidazol-2-yl, imidazol-4-yl, imidazol-5-yl, oxazol-2- yl, oxazol-4-yl, oxazol-5-yl, isoxazol-3-yl, isoxazol-4-yl, isoxazol-5-yl, thiazol-2-yl, thiazol-4-yl, thiazol-5-yl, isothiazol-3-yl, isothiazol-4-yl, isothiazol-5-yl, 1 ,2,4-triazolyl-1 -yl, 1 ,2,4-triazol-3-yl 1 ,2,4-triazol-5-yl, 1 ,2,4-oxadiazol-3-yl, 1 ,2,4-oxadiazol-5-yl and 1 ,2,4-thiadiazol-3-yl, 1 ,2,4-thia- diazol-5-yl.
According to still another embodiment of formula I, R9 is a 6-membered heteroaryl such as pyri- din-2-yl, pyridin-3-yl, pyridin-4-yl, pyridazin-3-yl, pyridazin-4-yl, pyrimidin-2-yl, pyrimidin-4-yl, py- rimidin-5-yl, pyrazin-2-yl and 1 ,3,5-triazin-2-yl and 1 ,2,4-triazin-3-yl.
According to still another embodiment of formula I, R3 is in each case independently selected from H, halogen, CN, Ci-C6-alkyl, Ci-C6-halogenalkyl, C2-C6-alkenyl, C2-C6-alkynyl, C1-C6- alkoxy, Ci-C6-halogenalkoxy,C3-C6-alkenyloxy, C3-C6-alkynyloxy, C3-C6-cycloalkyl and C3-C6- halogencycloalkyl, wherein the acyclic moieties of R3 are unsubstituted or substituted with iden- tical or different groups R3a as defined and preferably defined herein, and wherein the carbocy- clic, phenyl and heteroaryl moieties of R3 are unsubstituted or substituted with identical or differ- ent groups R3b as defined and preferably defined herein.
According to still another embodiment of formula I, R3 is in each case independently selected from halogen, CN, Ci-C6-alkyl, Ci-C6-halogenalkyl, C2-C6-alkenyl, C2-C6-alkynyl, Ci-C6-alkoxy, Ci-C6-halogenalkoxy; wherein the acyclic moieties of R3 are unsubstituted or substituted with identical or different groups R3a as defined and preferably defined herein.
According to still another embodiment of formula I, R3 is in each case independently selected from CN, halogen, Ci-C6-alkyl, Ci-C6-halogenalkyl, C2-C6-alkynyl, ORY, C3-C6-cycloalkyl;
wherein RY is Ci-C6-alkyl, Ci-C6-halogenalkyl, C2-C6-alkenyl or C2-C6-alkynyl.
R3a are the possible substituents for the acyclic moieties of R3.
According to one embodiment R3a is independently selected from halogen, OH, CN, C1-C6- alkoxy, C3-C6-cycloalkyl, C3-C6-halogencycloalkyl, Ci-C4-halogenalkoxy, Ci-C6-alkylthio, aryl and phenoxy, wherein the aryl and phenyl group is unsubstituted or substituted with substitu- ents R31a selected from the group consisting of halogen, OH, Ci-C4-alkyl, Ci-C4-halogenalkyl, Ci-C4-alkoxy and Ci-C4-halogenalkoxy.
According to one embodiment R3a is independently selected from halogen, Ci-C6-alkoxy, C3-C6- cycloalkyl, C3-C6-halogencycloalkyl and Ci-C4-halogenalkoxy. Specifically, R3a is independently selected from F, Cl, Br, I, Ci-C2-alkoxy, cyclopropyl, 1-F-cyclopropyl, 1-CI-cyclopropyl, 1 , 1 -F2- cyclopropyl, 1 ,1-Cl2-cyclopropyl and Ci-C2-halogenalkoxy.
According to still another embodiment of formula I, R3a is independently halogen, in particular selected from F, Cl, Br and I, more specifically F, Cl and Br.
R3b are the possible substituents for the carbocyclic, heteroaryl and phenyl moieties of R3. R3b according to the invention is independently selected from halogen, OH, CN, Ci-C4-alkyl, Ci-C4- alkoxy, Ci-C4-halogenalkyl, C3-C6-cycloalkyl, C3-C6-halogencycloalkyl, Ci-C4-halogenalkoxy and Ci-C6-alkylthio.
According to one embodiment thereof R3b is independently selected from halogen, CN, Ci-C4- alkyl, Ci-C4-alkoxy, Ci-C4-halogenalkyl and Ci-C4-halogenalkoxy, in particular halogen, Ci-C4- alkyl and Ci-C4-alkoxy. Specifically, R3b is independently selected from F, Cl, CN, CH3, OCH3 and halogenmethoxy.
Particularly preferred embodiments of R3 according to the invention are in Table P3 below, wherein each line of lines P3-1 to P3-42 corresponds to one particular embodiment of the inven- tion, wherein P3-1 to P3-42 are also in any combination with one another a preferred embodi- ment of the present invention. The connection point to the carbon atom, to which R3 is bound is marked with“#” in the drawings.
Table P3:
R4 according to the invention is in each case independently selected from hydrogen, halogen, OH, CN, N02, SH, NH2, NH(Ci-C4-alkyl), N(Ci-C4-alkyl)2, NH-S02-Rx, Ci-C6-alkyl, C2-C6-alkenyl, C2-C6-alkynyl, Ci-C6-alkoxy, C3-C6-cycloalkyl, five- or six-membered heteroaryl and aryl;
wherein the heteroaryl contains one, two or three heteroatoms selected from N, O and S; and wherein
Rx is Ci-C4-alkyl, Ci-C4-halogenalkyl, unsubstituted aryl or aryl that is substituted with one, two, three, four or five substituents Rx4 independently selected from Ci-C4-alkyl, halogen, OH, CN, Ci-C4-halogenalkyl, Ci-C4-alkoxy and Ci-C4-halogenalkoxy;
wherein the acyclic moieties of R4 are unsubstituted or substituted with identical or different groups R4a which independently of one another are selected from:
R4a halogen, OH, CN, Ci-C6-alkoxy, C3-C6-cycloalkyl, C3-C6-halogencycloalky, Ci-C4-halogen- alkoxy, Ci-C6-alkylthio, aryl and phenoxy, wherein the aryl and phenoxy group is unsubstituted
or unsubstituted or substituted with R44a selected from the group consisting of halogen, OH, C1- C4-alkyl, Ci-C4-halogenalkyl, Ci-C4-alkoxy and Ci-C4-halogenalkoxy;
wherein the carbocyclic, heteroaryl and aryl moieties of R4 are unsubstituted or substituted with identical or different groups R4b which independently of one another are selected from:
R4b halogen, OH, CN, Ci-C4-alkyl, Ci-C4-alkoxy, Ci-C4-halogenalkyl, C3-C6-cycloalkyl, C3-C6- halogencycloalkyl, Ci-C4-halogenalkoxy and Ci-C6-alkylthio.
For every R4 that is present in the inventive compounds, the following embodiments and preferences apply independently of the meaning of any other R4 that may be present in the ring.
According to one embodiment of formula I, R4 is H, halogen or Ci-C6-alkyl, in particular H, CH3, Et, F, Cl, more specifically H, CH3, F or Cl most preferred H, F or Cl.
According to another embodiment of formula I, R4 is hydrogen.
According to still another embodiment of formula I, R4 is halogen, in particular Br, F or Cl, more specifically F or Cl.
According to another embodiment of formula I, R4 is F
According to another embodiment of formula I, R4 is Cl
According to another embodiment of formula I, R4 is Br.
According to still another embodiment of formula I, R4 is OH.
According to still another embodiment of formula I, R4 is COOH.
According to still another embodiment of formula I, R4 is CONH2.
According to still another embodiment of formula I, R4 is CN.
According to still another embodiment of formula I, R4 is NO2.
According to still another embodiment of formula I, R4 is SH.
According to still another embodiment of formula I R4 is NH2, NH(Ci-C4-alkyl), N(Ci-C4-alkyl)2 or NH-S02-Rx, wherein Rx is Ci-C4-alkyl, Ci-C4-halogenalkyl, unsubstituted aryl or aryl that is sub- stituted with one, two, three, four or five substituents Rx4 independently selected from Ci-C4-al- kyl, halogen, OH, CN, Ci-C4-halogenalkyl, Ci-C4-alkoxy, or Ci-C4-halogenalkoxy. In particular Ci-C4-alkyl, such as NHCH3 and N(CH3)2. In particular Rx is Ci-C4-alkyl, and phenyl that is sub- stituted with one CH3, more specifically S02-Rx is CH3 and tosyl group (“Ts”).
According to still another embodiment of formula I, R4 is Ci-C6-alkyl, in particular Ci-C4-alkyl, such as CH3 or CH2CH3.
According to still another embodiment of formula I, R4 is Ci-C6-halogenalkyl, in particular C1-C4- halogenalkyl, such as CF3, CHF2, CH2F, CCI3, CHCI2, CH2CI, CF3CH2, CCI3CH2 or CF2CHF2.
According to still another embodiment of formula I, R4 is C2-C6-alkenyl or C2-C6-halogenalkenyl, in particular C2-C4-alkenyl or C2-C4-halogenalkenyl, such as CH=CH2, C(CH3)=CH2, CH=CCl2,
CH=CF2, CCI=CCI2, CF=CF2, CH=CH2, CH2CH=CCI2, CH2CH=CF2, CH2CCI=CCI2, CH2CF=CF2,
CCI2CH=CCI2, CF2CH=CF2, CCI2CCI=CCI2, or CF2CF=CF2.
According to still another embodiment of formula I, R4 is C2-C6-alkynyl or C2-C6-halogenalkynyl,
in particular C2-C4-alkynyl or C2-C4-halogenalkynyl, such as CECH, CECCI, CECF. CI-hC CH, CH2CºCCI, or CH2CºCF.
According to still another embodiment of formula I, R4 is Ci-C6-alkoxy, in particular Ci-C4-alkoxy, more specifically Ci-C2-alkoxy such as OCH3 or OCH2CH3.
According to still another embodiment of formula I, R4 is Ci-C6-halogenalkoxy, in particular C1- C4-halogenalkoxy, more specifically Ci-C2-halogenalkoxy such as OCF3, OCHF2, OCH2F,
OCCI3, OCHC or OCH2CI, in particular OCF3, OCHF2, OCCI3 or OCHC .
According to still another embodiment of formula I R4 is C3-C6-cycloalkyl, in particular cyclopro- pyi-
According to still another embodiment of formula I, R4 is C3-C6-cycloalkyl, for example cyclopro- pyl, substituted with one, two, three or up to the maximum possible number of identical or differ- ent groups R4b as defined and preferably herein.
According to still another embodiment of formula I, R4 is C3-C6-halogencycloalkyl. In a special embodiment R4 is fully or partially halogenated cyclopropyl.
According to still another embodiment of formula I, R4 is unsubstituted aryl or aryl that is substituted with one, two, three or four R4b, as defined herein. In particular, R4 is unsubstituted phenyl or phenyl that is substituted with one, two, three or four R4b, as defined herein.
According to still another embodiment of formula I, R4 is unsubstituted 5- or 6-membered heteroaryl. According to still a further embodiment, R4 is 5- or 6-membered heteroaryl that is substituted with one, two or three R4b, as defined herein.
According to still another embodiment of formula l,R4 is in each case independently selected from hydrogen, halogen, OH, CN, N02, SH, NH2, NH(Ci-C4-alkyl), N(Ci-C4-alkyl)2, NH-S02-Rx, Ci-C6-alkyl, C2-C6-alkenyl, C2-C6-alkynyl, Ci-C6-alkoxy and C3-C6-cycloalkyl; wherein the acyclic moieties of R4 are not further substituted or carry one, two, three, four or five identical or differ- ent groups R4a as defined below and wherein the carbocyclic, heteroaryl and aryl moieties of R4 are not further substituted or carry one, two, three, four or five identical or different groups R4b as defined below.
According to still another embodiment of formula I, R4 is independently selected from hydrogen, halogen, CN, OH, Ci-C6-alkyl,Ci-C6-alkoxy, C6-alkenyl, C2-C6-alkynyl, C3-C6-cycloalkyl, wherein the acyclic and cyclic moieties of R4 are unsubtitted or substituted by halogen.
According to still another embodiment of formula I, R4 is independently selected from hydrogen, halogen, CN, OH, Ci-C6-alkyl, Ci-C6-halogenalkyl, Ci-C6-alkoxy and Ci-C6-halogenalkoxy, in particular independently selected from H, F, Cl, Br, CN, OH, Ci-C4-alkyl, Ci-C4-halogenalkyl, C1- C4-alkoxy and Ci-C4-halogenalkoxy.
According to still another embodiment of formula I, R4 is independently selected from H, CN, halogen or Ci-C6-alkyl, in particular H, CN, CH3, Et, F, Cl, more specifically H, CN, CH3, F or Cl most preferred H, CH3, F or Cl.
R4a are the possible substituents for the acyclic moieties of R4.
R4a according to the invention is independently selected from halogen, OH, CN, Ci-C6-alkoxy,
C3-C6-cycloalkyl, C3-C6-halogencycloalkyl, Ci-C4-halogenalkoxy, Ci-C6-alkylthio, aryl and phe- noxy, wherein the aryl group is unsubstituted or unsubstituted or substituted with R44a selected from the group consisting of halogen, OH, Ci-C4-alkyl, Ci-C4-halogenalkyl, Ci-C4-alkoxy and Ci- C4-halogenalkoxy, in particular selected from halogen, Ci-C2-alkyl, Ci-C2-halogenalkyl, C1-C2- alkoxy and Ci-C2-halogenalkoxy, more specifically selected from halogen, such as F, Cl and Br.
In to one embodiment R4a is independently selected from halogen, OH, CN, Ci-C2-alkoxy, C3- C6-cycloalkyl, C3-C6-halogencycloalkyl and Ci-C2-halogenalkoxy. Specifically, R4a is
independently selected from F, Cl, OH, CN, Ci-C2-alkoxy, cyclopropyl, 1 -F-cyclopropyl, 1 -CI- cyclopropyl, 1 ,1 -F2-cyclopropyl, 1 ,1 -Cl2-cyclopropyl and Ci-C2-halogenalkoxy.
According to one embodiment R4a is independently selected from halogen, such as F, Cl, Br and I, more specifically F, Cl and Br.
According to still another embodiment of formula I, R4a is independently selected from OH, C3- C6-cycloalkyl, C3-C6-halogencycloalkyl and Ci-C2-halogenalkoxy. Specifically, R4a is
independently selected from OH, cyclopropyl and Ci-C2-halogenalkoxy.
According to still another embodiment of formula I, R4a is independently selected from aryl and phenoxy, wherein the aryl group is unsubstituted or substituted with R44a selected from the group consisting of halogen, OH, Ci-C4-alkyl, Ci-C4-halogenalkyl, Ci-C4-alkoxy and Ci-C4-halo- genalkoxy, in particular selected from halogen, Ci-C2-alkyl, Ci-C2-halogenalkyl, Ci-C2-alkoxy and Ci-C2-halogenalkoxy, more specifically selected from halogen, such as F, Cl and Br.
R4b are the possible substituents for the carbocyclic, heteroaryl and aryl moieties of R4.
R4b according to the invention is independently selected from halogen, OH, CN, Ci-C4-alkyl, C1- C4-alkoxy, Ci-C4-halogenalkyl, C3-C6-cycloalkyl, C3-C6-halogencycloalkyl, Ci-C4-halogenalkoxy and Ci-C6-alkylthio;
According to one embodiment thereof R4b is independently selected from halogen, CN, C1-C2- alkyl, Ci-C2-alkoxy, Ci-C2-halogenalkyl, C3-C6-cycloalkyl, C3-C6-halogencycloalkyl and C1-C2- halogenalkoxy. Specifically, R4b is independently selected from F, Cl, Br, OH, CN, CH3, OCH3, CHF2, OCHF2, cyclopropyl, 1-F-cyclopropyl, 1-CI-cyclopropyl, 1 ,1-F2-cyclopropyl, 1 , 1 -CI2- cyclopropyl, OCF3, and OCHF2.
According to still another embodiment thereof R4b is independently selected from halogen, C1- C2-alkyl, Ci-C2-alkoxy, Ci-C2-halogenalkyl, C3-C6-cycloalkyl, C3-C6-halogencycloalkyl and C1-C2- halogenalkoxy. Specifically, R4b is independently selected from halogen, CN, OH, CH3, CHF2, OCHF2, OCF3, OCH3, cyclopropyl, 1 -F-cyclopropyl, 1 -CI-cyclopropyl, 1 ,1 -F2-cyclopropyl, 1 , 1 -CI2- cyclopropyl and halogenmethoxy, more specifically independently selected from F, Cl, OH, CH3, OCH3, CHF2, OCH3, cyclopropyl, 1 -F-cyclopropyl, 1 -CI-cyclopropyl, 1 ,1 -F2-cyclopropyl, 1 , 1 -CI2- cyclopropyl, OCHF2 and OCF3.
Rx in the substituent NH-S02-RX is in each case independently selected from Ci-C4-alkyl, Ci-C4- halogenalkyl, unsubstituted aryl and aryl that is substituted with one, two, three, four or five substituents Rx4 independently selected from Ci-C4-alkyl, halogen, OH, CN, Ci-C4-halogenalkyl, Ci-C4-alkoxy and Ci-C4-halogenalkoxy. In particular, Rx is in each case independently selected from Ci-C4-alkyl, halogen, OH, CN and phenyl that is substituted with one, two or three Rx4 independently selected from Ci-C2-alkyl, more specifically Rx is in each case independently
selected from Ci-C4-alkyl and phenyl that is substituted with one CH3, more specifically SC>2-RX is the tosyl group (“Ts”).
Particularly preferred embodiments of R4 according to the invention are in Table P4 below, wherein each line of lines P4-1 to P4-16 corresponds to one particular embodiment of the inven- tion. Thereby, for every R4 that is present in the inventive compounds, these specific
embodiments and preferences apply independently of the meaning of any other R4 that may be present in the ring:
Table P4:
“Ts” in the table stands for the tosylgroup S02-(p-CH3)phenyl.
10
R5, R6, R7, R8, R9, R10 and R11 are independently selected from H, halogen, OH, CN, NO2,
COOH, CONH2, SH, CrCe-alkylthio, NH2, NH(Ci-C4-alkyl), N(Ci-C4-alkyl)2, NH-S02-Rx, Ci-C6-alkyl, Ci-C6-halogenalkyl, C2-C6-alkenyl, C2-C6-halogenalkenyl, C2-C6-alkynyl, C2- C6-halogenalkynyl, Ci-C6-alkoxy, Ci-C6-halogenalkoxy, C2-C6-alkenyloxy, C2-C6-al- kynyloxy, CH(=0), C(=0)Ci-C6-alkyi, C(=0)0(Ci-C6-alkyi), C(=0)NH(Ci-C6-alkyi),
C(=0)N(Ci-C6-alkyl)2, CR -NOR”, a saturated or partially unsaturated three-, four-, five-, six-, seven-, eight-, nine-, or ten-membered carbocycle or heterocycle, a five- or six- membered heteroaryl or aryl; wherein in each case one or two CH2 groups of the carbo- and heterocycle may be replaced by a group independently selected from C(=0) and C(=S), and wherein the heterocycle and heteroaryl contain independently one, two, three or four heteroatoms selected from N, O and S; and wherein R’ and R” are independently selected from H, Ci-C4-alkyl, C2-C6-alkenyl, C2-C6-alkynyl, saturated or partially unsatu- rated three-, four-, five-, six-, seven-, eight-, nine-, or ten-membered carbo- and hetero- cycle, five- or six-membered heteroaryl or aryl; wherein the heterocycle or heteroaryl contains one, two or three heteroatoms selected from N, O and S, and wherein R’ and
R” are independently unsubstituted or substituted with R’” which is independently se- lected from halogen, OH, CN, N02, SH, NH2, NH(Ci-C4-alkyl), N(Ci-C4-alkyl)2, NH-SO2- Rx, Ci-C6-alkyl, Ci-C6-halogenalkyl, C2-C6-alkenyl, C2-C6-halogenalkenyl, C2-C6-alkynyl, C2-C6-halogenalkynyl, Ci-C6-alkoxy, Ci-C6-halogenalkoxy, C3-C6-cycloalkyl, C3-C6- halogencycloalkyl and phenyl;
wherein Rx is as defined above;
wherein the acyclic moieties of R5, R6, R7, R8, R9, R10 and R11 are independently not further sub- stituted or carry one, two, three or up to the maximum possible number of identical or different groups R5a, R6a, R7a, R8a, R9a, R10a and R11a, which independently of one another are selected from:
halogen, OH, CN, N02, SH, NH2, NH(Ci-C4-alkyl), N(Ci-C4-alkyl)2, NH(C(=0)Ci-C4-aikyl), N(C(=0)Ci-C4-alkyl)2, NH-S02-Rx, Ci-C6-alkoxy, Ci-C4-halogenalkoxy, C3-C6-cycloalkyl, C3-C6- halogencycloalkyl, Ci-C6-alkylthio, Ci-C6-halogenalkylthio, S(0)n-Ci-C6-alkyl, S(0)n-aryl,
CH(=0), C(=0)Ci-C6-aikyl, C(=0)0(Ci-C6-aikyl), C(=0)NH(Ci-C6-aikyl), C(=0)N(Ci-C6-aikyl)2, CR’=NOR”, a saturated or partially unsaturated three-, four-, five-, six-, seven-, eight-, nine-, or ten-membered carbo- or heterocycle, a five-, six- or ten-membered heteroaryl, aryl or phenoxy, wherein in each case one or two CH2 groups of the carbo- and heterocycle may be replaced by a group independently selected from C(=0) and C(=S), and wherein the heterocycle and het- eroaryl contains independently one, two, three or four heteroatoms selected from N, O and S; wherein the carbo-, heterocyclic, heteroaryl and phenyl groups are independently unsubstituted or carry one, two, three, four or five substituents selected from the group consisting of halogen, OH, CN, N02, SH, NH2, NH(Ci-C4-alkyl), N(Ci-C4-alkyl)2, NH(C(=0)Ci-C4-aikyl), N(C(=0)Ci-C4- alkyl)2, NH-S02-Rx, Ci-C6-alkylthio, Ci-C4-alkyl, Ci-C4-halogenalkyl, Ci-C4-alkoxy, Ci-C4-halo- genalkoxy, and S(0)n-Ci-C6-alkyl; and wherein Rx, R’ and R” are as defined above; n is 0, 1 , 2; and
wherein the carbo-, heterocyclic, heteroaryl and aryl moieties of R5, R6, R7, R8, R9, R10 and R11 are independently unsubstituted or substituted with identical or different groups R5b, R6b, R7b,
R8b, R9b, R10b and R11b, which independently of one another are selected from:
halogen, OH, CN, N02, SH, NH2, NH(Ci-C4-alkyl), N(Ci-C4-alkyl)2, NH(C(=0)Ci-C4-aikyl), N(C(=0)Ci-C4-alkyl)2, NH-S02-Rx, Ci-C4-alkyl, Ci-C4-alkoxy, Ci-C4-halogenalkyl, C3-C6-cycloal- kyl, C3-C6-halogencycloalkyl, Ci-C4-halogenalkoxy, Ci-C6-alkylthio, Ci-C6-halogenalkylthio, S(0)n-Ci-C6-alkyl, Ci-C4-alkoxy-Ci-C4-alkyl, phenyl and phenoxy, wherein the phenyl groups are unsubstituted or carry one, two, three, four or five substituents selected from the group consist- ing of halogen, OH, Ci-C4-alkyl, Ci-C4-halogenalkyl, Ci-C4-alkoxy and Ci-C4-halogenalkoxy; and wherein Rx and n are as defined above.
According to one embodiment of formula I, R5, R6, R7, R8, R9, R10 and R11 are independently se- lected from H, halogen, OH, CN, N02, SH, Ci-C6-alkylthio, NH2, NH(Ci-C4-alkyl), N(Ci-C4-alkyl)2, NH-S02-Rx, substituted Ci-C6-alkyl, Ci-C6-halogenalkyl, C2-C6-alkenyl, C2-C6-halogenalkenyl, C2-C6-alkynyl, C2-C6-halogenalkynyl, Ci-C6-alkoxy, Ci-C6-halogenalkoxy, C2-C6-alkenyloxy, C2- Ce-alkynyloxy, CH(=0), C(=0)Ci-C6-aikyl, C(=0)0(Ci-C6-aikyl), C(=0)NH(Ci-C6-aikyl),
C(=0)N(Ci-C6-alkyl)2, CR -NOR”, a saturated or partially unsaturated three-, four-, five-, six-, seven-, eight-, nine-, or ten-membered carbocycle or heterocycle, a five- or six-membered het- eroaryl or aryl; wherein in each case one or two CH2 groups of the carbo- and heterocycle may be replaced by a group independently selected from C(=0) and C(=S), and wherein the hetero- cycle and the heteroaryl contain independently one, two, three or four heteroatoms selected from N, O and S; and wherein R’ and R” are independently selected from H, Ci-C4-alkyl, C2-C&- alkenyl, C2-C6-alkynyl, saturated or partially unsaturated three-, four-, five-, six-, seven-, eight-, nine-, or ten-membered carbo- and heterocycle, five- or six-membered heteroaryl or aryl;
wherein the heterocycle or heteroaryl contains one, two or three heteroatoms selected from N,
O and S, and wherein R’ and R” are independently unsubstituted or substituted by R’” which is independently selected from halogen, OH, CN, NO2, SH, NH2, NH(Ci-C4-alkyl), N(Ci-C4-alkyl)2, NH-S02-Rx, Ci-C6-alkyl, Ci-C6-halogenalkyl, C2-C6-alkenyl, C2-C6-halogenalkenyl, C2-C6-alkynyl, C2-C6-halogenalkynyl, Ci-C6-alkoxy, Ci-C6-halogenalkoxy, C3-C6-cycloalkyl, C3-C6-halogency- cloalkyl and phenyl; or
wherein the aliphatic moieties of R5, R6, R7, R8, R9, R10 and R11 are independently not further substituted or carry 1 , 2, 3 or up to the maximum possible number of identical or different groups R5a, R6a, R7a, R8a, R9a, R10a, and R11a, respectively, which independently of one another are selected from:
halogen, OH, CN, N02, SH, NH2, NH(Ci-C4-alkyl), N(Ci-C4-alkyl)2, NH(C(=0)Ci-C4-aikyl), N(C(=0)Ci-C4-alkyl)2, Ci-C6-alkoxy, C3-C6-halogencycloalkyl, Ci-C4-halogenalkoxy, C1-C6- alkylthio, Ci-C6-halogenalkylthio, S(0)n-Ci-C6-alkyl, S(0)n-aryl, CH(=0), C(=0)Ci-C6-alkyl, C(=0)0(Ci-C6-aikyl), C(=0)NH(Ci-C6-aikyl), C(=0)N(Ci-C6-alkyl)2, CR’=NOR”, a satu- rated or partially unsaturated three-, four-, five-, six-, seven-, eight-, nine-, or ten-mem- bered carbocycle or heterocycle, aryl, phenoxy, a five-, six- or ten-membered heteroaryl; wherein in each case one or two CH2 groups of the carbo- and heterocycle may be re- placed by a group independently selected from C(=0) and C(=S), five- or six-membered heteroaryl and aryl; wherein the heterocycle and the heteroaryl contain independently 1 ,
2, 3 or 4 heteroatoms selected from N, O and S; wherein in each case one or two CH2 groups of the carbo- and heterocycle may be replaced by a group independently selected from C(=0) and C(=S); wherein the carbocyclic, heterocyclic, aryl and phenyl groups are independently unsubstituted or carry one, two, three, four or five substituents selected from the group consisting of halogen, OH, CN, NO2, SH, NH2, NH(Ci-C4-alkyl), N(CI-C4- alkyl)2, NH(C(=0)Ci-C4-aikyl), N(C(=0)Ci-C4-alkyl)2, NH-S02-Rx, Ci-C6-alkylthio, C1-C4- alkyl, Ci-C4-halogenalkyl, Ci-C4-alkoxy, Ci-C4-halogenalkoxy, and S(0)n-Ci-C6-alkyl; and wherein Rx, R’, R” and R” are as defined above
wherein the carbocyclic, heterocyclic, heteroaryl and aryl moieties of R5, R6, R7, R8, R9,
R10 and R11 are independently not further substituted or carry 1 , 2, 3, 4, 5 or up to the maximum number of identical or different groups R5b, R6b, R7b, R8b, R9b, R10b and R11b, respectively, which independently of one another are selected from:
halogen, OH, CN, N02, SH, NH2, NH(Ci-C4-alkyl), N(Ci-C4-alkyl)2, NH(C(=0)Ci-C4-aikyl), N(C(=0)Ci-C4-alkyl)2, NH-S02-RX, Ci-C4-alkyl, Ci-C4-alkoxy, Ci-C4-halogenalkyl, C3-C6- cycloalkyl, C3-C6-halogencycloalkyl, Ci-C4-halogenalkoxy, Ci-C6-alkylthio, Ci-C6-halogen- alkylthio, S(0)n-Ci-C6-alkyl, Ci-C4-alkoxy-Ci-C4-alkyl, phenyl and phenoxy, wherein the phenyl groups are unsubstituted or substituted with substituents selected from the group consisting of halogen, OH, Ci-C4-alkyl, Ci-C4-halogenalkyl, Ci-C4-alkoxy and Ci-C4-halo- genalkoxy.
According to one embodiment of formula I, R5, R6, R7, R8, R9, R10 and R11 are independently se- lected from substituted Ci-C6-alkyl, Ci-C6-halogenalkyl, C2-C6-halogenalkyl, C2-C6-alkenyl, C2- C6-halogenalkenyl, C3-C6-cycloalkenyl, C2-C6-alkynyl, C2-C6-halogenalkynyl, C3-C6-cycloalkynyl, CrCe-alkoxy, CN, CH(=0), C(=0)C2-C6-alkyl, C(=0)0(C2-C6-alkyl), CR’=NOR”, C3-C6-cycloal-
kyl, C3-C6-halogencycloalkyl, Ci-C6-alkyl-five- and six-membered heteroaryl ,a five- or six-mem- bered heteroaryl, benzyl, aryl; wherein R’ and R” are defined below; and wherein the acyclic moieties of R5, R6, R7, R8, R9, R10 and R11 are unsubstituted or substituted with identical or differ- ent groups R5a, R6a, R7a, R8a, R9a, R10a and R11a as defined below and wherein wherein the car- bocycle, heterocycle and heteroaryl and aryl moieties are unsubstituted or substituted with sub- stituents R5b, R6b, R7b, R8b, R9b, R10b, and R11b as defined below.
According to one embodiment of formula I, R5, R6, R7, R8, R9, R10 and R11 are independently se- lected from Ci-C6-alkyl substituted with halogen, CN, Ci-C6-alkoxy, Ci-C4-halogenalkoxy, C1-C6- alkylthio, S(0)n-Ci-C6-aikyl, NH-S02-Rx, N(Ci-C6-alkyl)2, NH-S02-Rx, NH(Ci-C6-alkyl), N(CI-C6- alkyl)2, CH(=0), C(=0)Ci-C6-alkyl, C(=0)0(Ci-C6-alkyl), a saturated three-, four-, five-, six-, membered carbo- or heterocycle, aryl, a five- or six-membered heteroaryl; wherein Rx is defined below; and wherein the acyclic moieties of R5, R6, R7, R8, R9, R10 and R11 are unsubstituted or substituted with identical or different groups R5a, R6a, R7a, R8a, R9a, R10a, and R11a as defined be- low and wherein wherein the carbocycle, heterocycle and heteroaryl and aryl moieties are un- substituted or substituted with substituents R5b, R6b, R7b, R8b, R9b, R10b, and R11b as defined be- low.
According to another embodiment of formula I, R5, R6, R7, R8, R9, R10 and R11 are independently H.According to another embodiment of formula I, R5, R6, R7, R8, R9, R10 and R11 are inde- pendently F.
According to another embodiment of formula I, R5, R6, R7, R8, R9, R10 and R11 are independently Cl.
According to another embodiment of formula I, R5, R6, R7, R8, R9, R10 and R11 are independently Br.
According to still another embodiment of formula I, R5, R6, R7, R8, R9, R10 and R11 are inde- pendently OH.
According to still another embodiment of formula I, R5, R6, R7, R8, R9, R10 and R11 are inde- pendently CN.
According to still another embodiment of formula I, R5, R6, R7, R8, R9, R10 and R11 are inde- pendently N02.
According to still another embodiment of formula I, R5, R6, R7, R8, R9, R10 and R11 are inde- pendently SH.
According to still another embodiment of formula I, R5, R6, R7, R8, R9, R10 and R11 are inde- pendently Ci-C6-alkylthio, such as SCH3, SC2H5, Sn-propyl, Si-propyl, Sn-butyl, Si-butyl, Stert- butyl, Sn-pentyl, Si-pentyl, CH2SCH3 or CH2SCH2CH3.
According to still another embodiment of formula I, R5, R6, R7, R8, R9, R10 and R11 are inde- pendently Ci-C6-halogenalkylthio, such as SCF3, SCCI3, CH2SCF3 or CH2SCF3.
According to still another embodiment of formula I, R5, R6, R7, R8, R9, R10 and R11 are inde- pendently selected from CN, substituted Ci-C6-alkyl, Ci-C6-halogenalkyl or Ci-C6-alkyl which is substituted, Ci-C6-halogenalkyl, phenyl, halogenphenyl and three-, four-, five- or six-membered carbo- and heterocycle, wherein the carbo- and heterocycle is unsubstituted or is substituted
with substituents R5b, R6b, R7b, R8b, R9b, R10b, and R11b as defined below. According to one em- bodiment thereof, the carbocycle is unsubstituted. In a particular embodiment, R5, R6, R7, R8,
R9, R10 and R11 is selected from Ci-C6-halogenalkyl, phenyl-Chh, halogenphenyl-CH2, phenyl, halogenphenyl and three-, four-, five- or six-membered carbo- and heterocycle, wherein the carbo- and heterocycle is unsubstituted or is substituted with substituents R5b, R6b, R7b, R8b, R9b, R10b, and R11b as defined below.
According to still another embodiment of formula I, R5, R6, R7, R8, R9, R10 and R11 are inde- pendently selected from CN, substituted Ci-C6-alkyl, Ci-C6-halogenalkyl or Ci-C6-alkyl which is substituted, Ci-C6-halogenalkyl, phenyl, halogenphenyl and three-, four-, five- or six-membered carbo- and heterocycle, wherein the carbo- and heterocycle is unsubstituted or substituted bysubstituents R5b, R6b, R7b, R8b, R9b, R10b, and R11b as defined below. According to one embodi- ment thereof, the carbo- and heterocycle is unsubstituted. In a particular embodiment, R5, R6,
R7, R8, R9, R10 and R11 are independently selected from substituted Ci-C6-halogenalkyl, phenyl, halogenphenyl and three-, four-, five- or six-membered carbo- and heterocycle, wherein the carbo- and heterocycle is unsubstituted or substituted bysubstituents R5b, R6b, R7b, R8b, R9b,
R10b, and R11b b as defined below.
According to another embodiment of formula I, R5, R6, R7, R8, R9, R10 and R11 are independently selected from CN, substituted Ci-C6-alkyl, Ci-C6-halogenalkyl, C2-C6-alkenyl, C2-C6-halogen- alkenyl, C2-C6-alkynyl, C2-C6-halogenalkynyl, C3-C6-cycloalkyl, C3-C6-halogencycloalkyl, C1-C6- alkylaryl, five- or six-membered heteroaryl or aryl which is unsubstituted or substituted with halo- gen or Ci-C6-halogenalkyl, and wherein the acyclic moieties of R5, R6, R7, R8, R9, R10 and R11 are independently unsubstituted or substituted with identical or different groups R5a, R6a, R7a,
R8a, R9a, R10a, and R11a as defined below and wherein wherein the carbocycle, heterocycle and heteroaryl and aryl moieties are unsubstituted or substituted with substituents R5b, R6b, R7b, R8b, R9b, R10b, and R11b as defined below.
According to still another embodiment of formula I, R4 R5, R6, R7, R8, R9, R10 and R11 are inde- pendently selected from CN, substituted Ci-C6-alkyl, Ci-C6-halogenalkyl, CN, C2-C6-alkenyl, C2- C6-halogenalkenyl, C2-C6-alkynyl, C2-C6-halogenalkynyl, C3-C6-cycloalkyl, C3-C6-halogencycloal- kyl, Ci-C6-alkylaryl, phenyl, pyridine, pyrimidine, thiophene, imidazole, triazol, oxadiazol wherein the acyclic moieties of R5, R6, R7, R8, R9, R10, and R11 are unsubstituted or substituted with iden- tical or different groups R5a, R6a, R7a, R8a, R9a, R10a, and R11a as defined below and wherein wherein the carbocycle, heterocycle and heteroaryl and aryl moieties are unsubstituted or sub- stituted with substituents R5b, R6b, R7b, R8b, R9b, R10b, and R11b as defined below.
According to still another embodiment of formula I, R5, R6, R7, R8, R9, R10 and R11 are inde- pendently Ci-C6-alkyl such as CH3, C2H5, n-propyl, i-propyl, n-butyl, i-butyl, tert-butyl, n-pentyl or i-pentyl.
According to still another embodiment of formula I, R5, R6, R7, R8, R9, R10 and R11 are inde- pendently Ci-C6-alkyl such as CH3.
According to still another embodiment of formula I, R5, R6, R7, R8, R9, R10 and R11 are inde- pendently Ci-C6-alkyl such as C2H5.
According to still another embodiment of formula I, R5, R6, R7, R8, R9, R10 and R11 are inde- pendently Ci-C6-alkyl such as n-C3H7.
According to still another embodiment of formula I, R5, R6, R7, R8, R9, R10 and R11 are inde- pendently Ci-C6-alkyl such as i-C3H7.
According to still another embodiment of formula I, R5, R6, R7, R8, R9, R10 and R11 are inde- pendently Ci-C6-alkyl such as CH3, C2H5, n-propyl, i-propyl, n-butyl, i-butyl, tert-butyl, n-pentyl or i-pentyl which is substituted with at least one group R5a, R6a, R7a, R8a, R9a, R10a, and R11a, which independently of one another are selected from:
halogen, OH, CN, N02, SH, NH2, NH(Ci-C4-alkyl), N(Ci-C4-alkyl)2, NH(C(=0)Ci-C4-aikyl), N(C(=0)Ci-C4-alkyl)2, NH-S02-RX, Ci-C6-alkoxy, Ci-C4-halogenalkoxy, Ci-C6-alkylthio, C1-C6- halogenalkylthio, S(0)n-Ci-C6-alkyl, S(0)n-aryl, CH(=0), C(=0)Ci-C6-alkyl, C(=0)0(Ci-C6-alkyl), C(=0)NH(Ci-C6-alkyl), C(=0)N(Ci-C6-alkyl)2, CR -NOR” a saturated or partially unsaturated three-, four-, five-, six-, seven-, eight-, nine-, or ten-membered carbocycle or heterocycle, five-, six- or ten-membered heteroaryl, aryl or phenoxy, wherein in each case one or two CH2 groups of the carbo- and heterocycle may be replaced by a group independently selected from C(=0) and C(=S), and wherein the heterocycle and heteroaryl contains independently one, two, three or four heteroatoms selected from N, O and S; wherein the carbocyclic, heterocyclic, heteroaryl, aryl groups are independently unsubstituted or carry one, two, three, four or five substituents selected from the group consisting of halogen, OH, CN, NO2, SH, NH2, NH(Ci-C4-alkyl), N(Ci- C4-alkyl)2, NH(C(=0)Ci-C4-alkyl), N (C(=0)Ci-C4-alkyl)2, NH-S02-Rx, Ci-C6-alkylthio, Ci-C4-alkyl, Ci-C4-halogenalkyl, Ci-C4-alkoxy, Ci-C4-halogenalkoxy, and S(0)n-Ci-C6-alkyl.
According to still another embodiment of formula I, R5, R6, R7, R8, R9, R10 and R11 are inde- pendently CH3 is substituted with at least one group R5a, R6a, R7a, R8a, R9a, R10a, and R11a, which independently of one another are selected from:
halogen, OH, CN, N02, SH, NH2, NH(Ci-C4-alkyl), N(Ci-C4-alkyl)2, NH(C(=0)Ci-C4-aikyl), N(C(=0)Ci-C4-alkyl)2, NH-S02-RX, Ci-C6-alkoxy, Ci-C4-halogenalkoxy, Ci-C6-alkylthio, C1-C6- halogenalkylthio, S(0)n-Ci-C6-alkyl, S(0)n-aryl, CH(=0), C(=0)Ci-C6-alkyl, C(=0)0(Ci-C6-alkyl), C(=0)NH(Ci-C6-alkyl), C(=0)N(Ci-C6-alkyl)2, CR -NOR”, a saturated or partially unsaturated three-, four-, five-, six-, seven-, eight-, nine-, or ten-membered carbocycle or heterocycle, five-, six- or ten-membered heteroaryl, an aryl or phenoxy, wherein in each case one or two CH2 groups of the carbo- and heterocycle may be replaced by a group independently selected from C(=0) and C(=S), and wherein the heterocycle and heteroaryl contains independently one, two, three or four heteroatoms selected from N, O and S; wherein the carbocyclic, heterocyclic, het- eroaryl, heteroaryl and phenyl groups are independently unsubstituted or carry one, two, three, four or five substituents selected from the group consisting of halogen, OH, CN, NO2, SH, NH2, NH(Ci-C4-alkyl), N(Ci-C4-alkyl)2, NH(C(=0)Ci-C4-alkyl), N (C(=0)Ci-C4-alkyl)2, NH-S02-Rx, Cr C6-alkylthio, Ci-C4-alkyl, Ci-C4-halogenalkyl, Ci-C4-alkoxy, Ci-C4-halogenalkoxy, and S(0)n-Ci- C6-alkyl.
According to still another embodiment of formula I, R5, R6, R7, R8, R9, R10 and R11 are inde- pendently C2H5 is substituted with at least one group R5a, R6a, R7a, R8a, R9a, R10a, and R11a, which independently of one another are selected from:
halogen, OH, CN, N02, SH, NH2, NH(Ci-C4-alkyl), N(Ci-C4-alkyl)2, NH(C(=0)Ci-C4-aikyl), N(C(=0)Ci-C4-alkyl)2, NH-S02-RX, Ci-C6-alkoxy, Ci-C4-halogenalkoxy, Ci-C6-alkylthio, C1-C6- halogenalkylthio, S(0)n-Ci-C6-alkyl, S(0)n-aryl, CH(=0), C(=0)Ci-C6-alkyl, C(=0)0(Ci-C6-alkyl), C(=0)NH(Ci-C6-alkyl), C(=0)N(Ci-C6-alkyl)2, CR’=NOR”a saturated or partially unsaturated
three-, four-, five-, six-, seven-, eight-, nine-, or ten-membered carbocycle or heterocycle, five-, six- or ten-membered heteroaryl, phenyl or phenoxy; wherein in each case one or two Chh groups of the carbo- and heterocycle may be replaced by a group independently selected from C(=0) and C(=S), and wherein the heterocycle and heteroaryl contains independently one, two, three or four heteroatoms selected from N, O and S; wherein the carbocyclic, heterocyclic, het- eroaryl, aryl and phenyl groups are independently unsubstituted or carry one, two, three, four or five substituents selected from the group consisting of halogen, OH, CN, NO2, SH, NH2, NH(Ci- C4-alkyl), N(Ci-C4-alkyl)2, NH(C(=0)Ci-C4-alkyl), N (C(=0)Ci-C4-aikyl)2, NH-S02-Rx, Ci-C6-al- kylthio, Ci-C4-alkyl, Ci-C4-halogenalkyl, Ci-C4-alkoxy, Ci-C4-halogenalkoxy, and S(0)n-Ci-C6- alkyl.
According to still another embodiment of formula I, R5, R6, R7, R8, R9, R10 and R11 are inde- pendently CH2CN.
According to still another embodiment of formula I, R5, R6, R7, R8, R9, R10 and R11 are inde- pendently CH2OH.
According to still another embodiment of formula I, R5, R6, R7, R8, R9, R10 and R1 1 are inde- pendently Ci-C6-halogenalkyl, in particular Ci-C4-halogenalkyl, more specifically Ci-C2-halogen- alkyl, such as CF3, CCI3, FCH2, CICH2, F2CH, CI2CH, CF3CH2, CCI3CH2 or CF2CHF2.
According to still another embodiment of formula I, R5, R6, R7, R8, R9, R10 and R1 1 are inde- pendently CH2F.
According to still another embodiment of formula I, R5, R6, R7, R8, R9, R10 and R1 1 are inde- pendently CHF2.
According to still another embodiment of formula I, R5, R6, R7, R8, R9, R10 and R1 1 are inde- pendently CF3.
According to still a further embodiment of formula I, R5, R6, R7, R8, R9, R10 and R1 1 are inde- pendently C2-C6-alkenyl, in particular C2-C4-alkenyl, such as CH=CH2, CH2CH=CH2 or
C(CH3)C=CH2.
According to a further specific embodiment of formula I, R5, R6, R7, R8, R9, R10 and R1 1 are inde- pendently C2-C6-halogenalkenyl, in particular C2-C4-halogenalkenyl, more specifically C2-C3-hal- ogenalkenyl such as CH=CHF, CH=CHCI, CH=CF2, CH=CCI2, CF=CF2, CCI=CCI2,
CH2CH=CHF, CH2CH=CHCI, CH2CH=CF2, CH2CH=CCI2, CH2CF=CF2, CH2CCI=CCI2,
CF2CF=CF2 or CCI2CCI=CCl2.
According to still a further embodiment of formula I, R5, R6, R7, R8, R9, R10 and R1 1 are inde- pendently C2-C6-cycloalkenyl, in particular C2-C4-cycloalkenyl, such as CH=CH2-cPr.
According to still a further embodiment of formula I, R5, R6, R7, R8, R9, R10 and R1 1 are inde- pendently C2-C6-alkynyl or C2-C6-halogenalkynyl, in particular C2-C4-alkynyl or C2-C4-halogen- alkynyl, such as CºCH, CºC-CI, CºC-CH3, CH2-CºCH, CH2-CºCCI or CH2- CºC-CH3.
According to still a further embodiment of formula I, R5, R6, R7, R8, R9, R10 and R1 1 are inde- pendently C2-C6-cycloalkynyl in particular C2-C4-cycloalkynyl, such as C C-cPr.
According to a further specific embodiment of formula I, R5, R6, R7, R8, R9, R10 and R11 are inde- pendently Ci-C6-alkoxy, in particular Ci-C4-alkoxy, more specifically Ci-C2-alkoxy such as
OCHs, CH2CH3 or CH2OCH3.
According to a further specific embodiment of formula I, R5, R6, R7, R8, R9, R10 and R11 are inde- pendently Ci-C6-alkyl-Ci-C6-alkoxy, in particular Ci-C4-alkyl-Ci-C4-alkoxy, more specifically C1- C2-alkyl-Ci-C2-alkoxy, such as CH2OCH3 or CH2OCH2CH3.
According to a further specific embodiment of formula I, R5, R6, R7, R8, R9, R10 and R11 are inde- pendently C2-C6-alkenyloxy, in particular C2-C4-alkenyloxy, more specifically Ci-C2-alkenyloxy such as OCH=CH2, OCH2CH=CH2 OC(CH3)CH=CH2, CH2OCH=CH2, or CH2OCH2CH=CH2.
According to a further specific embodiment of formula I, R5, R6, R7, R8, R9, R10 and R11 are inde- pendently C2-C6-alkynyloxy, in particular C2-C4-alkynyloxy, more specifically Ci-C2-alkynyloxy such as OCºCH, OCH2CºCH or CH2OCºCH
According to a further specific embodiment of formula I, R5, R6, R7, R8, R9, R10 and R11 are inde- pendently Ci-C6-halogenalkoxy, in particular Ci-C4-halogenalkoxy, more specifically C1-C2- halogenalkoxy such as OCF3, OCHF2, OCH2F, OCCI3, OCHCI2 or OCH2CI, in particular OCF3, OCHF2, OCCI3 or OCHC .
According to a further specific embodiment of formula I, R5, R6, R7, R8, R9, R10 and R11 are inde- pendently Ci-C6-alkyl-Ci-C6-halogenalkoxy, in particular Ci-C4-alkyl-Ci-C4-halogenalkoxy, more specifically Ci-C2-alkyl-Ci-C2-halogenalkoxy such as CH2OCF3, CH2OCHF2, CH2OCH2F, CH2OCCI3, CH2OCHCI2 or CH2OCH2CI, in particular CH2OCF3, CH2OCHF2, CH2OCCI3 or CH2OCHCI2.
According to a further specific embodiment of formula I, R5, R6, R7, R8, R9, R10 and R11 are inde- pendently CH(=0), C(=0)Ci-C6-aikyl, C(=0)0(Ci-C6-aikyl), C(=0)NH(Ci-C6-aikyl) or
C(=0)N(Ci-C6-alkyl)2, wherein alkyl is CH3, C2H5, n-propyl, i-propyl, n-butyl, i-butyl, tert-butyl, n- pentyl or i-pentyl.
According to a further specific embodiment of formula I, R5, R6, R7, R8, R9, R10 and R11 are inde- pendently Ci-C4-alkyl-CH(=0), Ci-C4-alkyl-C(=0)Ci-C6-alkyl, Ci-C4-alkyl-C(=0)0(Ci-C6-alkyl), Ci-C4-alkyl-C(=0)NH(Ci-C6-alkyl) or Ci-C4-alkyl-C(=0)N(Ci-C6-alkyl)2, especially CH2CH(=0), CH2C(=0)Ci-C6-alkyl, CH2C(=0)0(Ci-C6-alkyl), CH2C(=0)NH(Ci-C6-alkyl) or CH2C(=0)N(Ci- C6-alkyl)2 wherein alkyl is CH3, C2H5, n-propyl, i-propyl, n-butyl, i-butyl, tert-butyl, n-pentyl or i- pentyl.
According to a further specific embodiment of formula I, R5, R6, R7, R8, R9, R10 and R11 are inde- pendently CR’=NOR” such as C(CH3)=NOCH3, C(CH3)=NOCH2CH3 or C(CH3)=NOCF3.
According to a further specific embodiment of formula I, R5, R6, R7, R8, R9, R10 and R11 are inde- pendently Ci-C6-alkyl-NH(Ci-C4-alkyl) orCi-C6-alkyl-N(Ci-C4-alkyl)2, wherein alkyl is CH3, C2H5, n-propyl, i-propyl, n-butyl, i-butyl, tert-butyl, n-pentyl or i-pentyl.
According to a further specific embodiment of formula I, R5, R6, R7, R8, R9, R10 and R11 are inde- pendently C1 -C6-a I ky Ith i o , in particular Ci-C4-alkoxy, more specifically Ci-C3-alkylthio such as CH2SCH3 or CH2SCH2CH3.
According to a further specific embodiment of formula I, R5, R6, R7, R8, R9, R10 and R11 are inde- pendently Ci-C6-alkyl-S(0)n-Ci-C6-alkyl, wherein alkyl is CH3, C2H5, n-propyl, i-propyl, n-butyl, i- butyl, tert-butyl, n-pentyl or i-pentyl and n is 1 , 2 or 3.
According to a further specific embodiment of formula I, R5, R6, R7, R8, R9, R10 and R11 are inde- pendently Ci-C6-alkyl-S(0)n-Ci-C6-halogenalkyl, wherein halogenalkyl is CF3 or CHF2 and n is 1 , 2 or 3.
According to a further specific embodiment of formula I, R5, R6, R7, R8, R9, R10 and R11 are inde- pendently Ci-C6-alkyl-S(0)n-aryl, wherein the aryl or phenyl moiety in each case is unsubsti- tuted or substituted with identical or different groups R5b, R6b, R7b, R8b, R9b, R10b, and R11b which independently of one another are selected from halogen, Ci-C2-alkyl, Ci-C2-alkoxy, Ci-C2-halo- genalkyl, Ci-C2-halogenalkoxy and S(0)n-Ci-C6-alkyl, in particular F, Cl, Br, CH3, OCH3, CF3, CHF2, OCHF2, OCF3. According to one embodiment, R5, R6, R7, R8, R9, R10 and R11 are unsub- stituted phenyl. According to another embodiment, R5, R6, R7, R8, R9, R10 and R11are phenyl, that is substituted with one, two or three, in particular one, halogen, in particular selected from F, Cl and Br, more specifically selected from F and Cl.
According to a further specific embodiment of formula I, R5, R6, R7, R8, R9, R10 and R1 1 are inde- pendentlyCi-C6-alkyl-NH-S02-Rx wherein Rx is Ci-C4-alkyl, Ci-C4-halogenalkyl, unsubstituted aryl or aryl that is substituted with one, two, three, four or five substituents Rx2 independently se- lected from Ci-C4-alkyl, halogen, OH, CN, Ci-C4-halogenalkyl, Ci-C4-alkoxy, or Ci-C4-halogen- alkoxy, such as CH2NHS02CF3 or CH2NHSO2CH3.
According to still another embodiment of formula I, R5, R6, R7, R8, R9, R10 and R11 are inde- pendently selected from Ci-C6-alkyl which is substituted, a saturated three-, four-, five-, six-, seven-, eight-, nine-, or ten-membered carbocycle, in particular three-, four-, five- or six-mem- bered, wherein the carbocycle is unsubstituted or substituted with substituents R5b, R6b, R7b, R8b, R9b, R10b, and R11b as defined below. According to one embodiment thereof, the carbocycle is unsubstituted.
According to one embodiment, R5, R6, R7, R8, R9, R10 and R11 are independently selected from Ci-C6-alkyl, especially CH2 which is substituted with a 3-membered saturated carbocycle.
According to one embodiment thereof, the carbocycle is unsubstituted, i.e. it does not carry any substituent R5b, R6b, R7b, R8b, R9b, R10b, and R11b. According to still another embodiment of formula I, it is substituted with R5b, R6b, R7b, R8b, R9b, R10b, and R11b.
According to one embodiment, R5, R6, R7, R8, R9, R10 and R11 are independently selected from Ci-C6-alkyl, especially CH2 which is substituted with a 4-membered saturated carbocycle.
According to one embodiment thereof, the carbocycle is unsubstituted, i.e. it does not carry any substituent R5b, R6b, R7b, R8b, R9b, R10b, and R11b. According to still another embodiment of formula I, it is substituted with R5b, R6b, R7b, R8b, R9b, R10b, and R11b.
According to one embodiment, R5, R6, R7, R8, R9, R10 and R11 are independently selected from Ci-C6-alkyl, especially CH2 which is substituted with a 5-membered saturated carbocycle.
According to one embodiment thereof, the carbocycle is unsubstituted, i.e. it does not carry any substituent R5b, R6b, R7b, R8b, R9b, R10b, and R11b. According to still another embodiment of formula I, it is substituted with R5b, R6b, R7b, R8b, R9b, R10b, and R11b.
According to one embodiment, R5, R6, R7, R8, R9, R10 and R1 1 are independently selected from Ci-C6-alkyl, especially CH2 which is substituted with a 6-membered saturated carbocycle.
According to one embodiment thereof, the carbocycle is unsubstituted, i.e. it does not carry any
substituent R5b, R6b, R7b, R8b, R9b, R10b, and R11b. According to still another embodiment of formula I, it is substituted with R5b, R6b, R7b, R8b, R9b, R10b, and R11b.
According to a further specific embodiment of formula I, R5, R6, R7, R8, R9, R10 and R11 are inde- pendently Ci-C6-alkylheterocycle, especially CH2 substituted with a 4-membered saturated het- erocycle which contains 1 or 2 heteroatoms, in particular 1 heteroatom, from the group consist- ing of N, O and S, as ring members. According to one embodiment, the heterocycle contains one O as heteroatom. For example, the formed heterocycle is oxetane. According to one embodiment thereof, the heterocycle is unsubstituted, i.e. it does not carry any substituent R5b, R6b, R7b, R8b, R9b, R10b, and R11b. According to still another embodiment of formula I, it is substi- tuted with R5b, R6b, R7b, R8b, R9b, R10b, and R11b.
According to a further specific embodiment of formula I, R5, R6, R7, R8, R9, R10 and R11 are inde- pendently Ci-C6-alkylheterocycle, especially CH2 substituted with a 5-membered saturated het- erocycle which contains 1 , 2 or 3, in particular 1 or 2, heteroatoms from the group consisting of N, O and S, as ring members. According to one embodiment, the heterocycle contains one O as heteroatom. According to one embodiment thereof, the heterocycle is unsubstituted, i.e. it does not carry any substituent R5b, R6b, R7b, R8b, R9b, R10b, and R11b. According to still another embodiment of formula I, it is substituted with R5b, R6b, R7b, R8b, R9b, R10b, and R11b.
According to a further specific embodiment of formula I, R5, R6, R7, R8, R9, R10 and R11 are inde- pendently Ci-C6-alkylheterocycle, especially CH2 subsitited by a 6-membered saturated hetero- cycle which contains 1 , 2 or 3, in particular 1 or 2, heteroatoms from the group consisting of N,
O and S as ring members. According to one embodiment thereof, the heterocycle is
unsubstituted, i.e. it does not carry any substituent R5b, R6b, R7b, R8b, R9b, R10b, and R11b.
According to still another embodiment of formula I, it is substituted with R4b. According to one specific embodiment thereof, said 6-membered saturated heterocycle contains 1 or 2, in particu- lar 1 , heteroatom(s) O. According to one embodiment thereof, the respective 6-membered heterocycle is unsubstituted, i.e. it does not carry any substituent R5b, R6b, R7b, R8b, R9b, R10b, and R11b. According to still another embodiment of formula I, it is substituted with R5b, R6b, R7b, R8b, R9b, R10b, and R11b.
According to a further specific embodiment of formula I, R5, R6, R7, R8, R9, R10 and R11 are inde- pendently Ci-C6-alkylheterocycle, especially CH2 substituted with a 5-membered saturated het- erocycle which contains one N as ring member and optionally one or two groups CH2 are re- placed by C(=0).
According to still another embodiment of formula I, R5, R6, R7, R8, R9, R10 and R11 are inde- pendently a partially unsaturated three-, four-, five-, six-, seven-, eight-, nine-, or ten-membered carbocycle, in particular three-, four-, five- or six-membered, wherein the carbocycle is unsubsti- tuted or substituted with substituents R5b, R6b, R7b, R8b, R9b, R10b, and R11b as defined below. Ac- cording to one embodiment thereof, the carbocycle is unsubstituted.
According to still another embodiment of formula I, R5, R6, R7, R8, R9, R10 and R11 are inde- pendently a partially unsaturated three-, four-, five-, six-, seven-, eight-, nine-, or ten-membered carbocycle or heterocycle, in particular three-, four-, five- or six-membered, wherein the hetero- cycle contains one, two, three or four heteroatoms selected from N, O and S, and wherein the carbocycle and heterocycle are unsubstituted or substituted with substituents R5b, R6b, R7b, R8b,
R9b, R10b, and R11b as defined below. According to one embodiment thereof, the carbocycle or heterocycle is unsubstituted.
According to still a further embodiment, R5, R6, R7, R8, R9, R10 and R11 are independently a satu- rated three-, four-, five-, six-, seven-, eight-, nine-, or ten-membered carbocycle or heterocycle, in particular three-, four-, five- or six-membered, wherein the heterocycle contains one, two, three or four heteroatoms selected from N, O and S, and wherein the carbocycle and heterocy- cle are unsubstituted or substituted with substituents R5b, R6b, R7b, R8b, R9b, R10b, and R11b as de- fined below. According to one embodiment thereof, the carbocycle or heterocycle is unsubsti- tuted.
According to still another embodiment of formula I, R5, R6, R7, R8, R9, R10 and R11 are inde- pendently a saturated three-, four-, five-, six-, seven-, eight-, nine-, or ten-membered carbocy- cle, in particular three-, four-, five- or six-membered, wherein the carbocycle is unsubstituted or substituted with substituents R5b, R6b, R7b, R8b, R9b, R10b, and R11b as defined below. According to one embodiment thereof, the carbocycle is unsubstituted.
According to one embodiment, R5, R6, R7, R8, R9, R10 and R11 are independently a 3-membered saturated carbocycle. According to one embodiment thereof, the carbocycle is unsubstituted, i.e. it does not carry any substituent R5b, R6b, R7b, R8b, R9b, R10b, and R11b. According to still another embodiment of formula I, it is substituted with R5b, R6b, R7b, R8b, R9b, R10b, and R11b.
According to one embodiment, R5, R6, R7, R8, R9, R10 and R11 are independently a 3-membered saturated carbocycle, which is unsubstituted such as cyclopropyl.
According to one embodiment, R5, R6, R7, R8, R9, R10 and R11 are independently a 3-membered saturated carbocycle, which is substituted with halogen, more specifically by F, such as C3H3F2.
According to one embodiment, R5, R6, R7, R8, R9, R10 and R11 are independently a 3-membered saturated carbocycle, which is substituted with halogen. More specifically by Cl, such as C3H3CI2.
According to one embodiment, R5, R6, R7, R8, R9, R10 and R11 are independently a 4-membered saturated carbocycle. According to one embodiment thereof, the carbocycle is unsubstituted, i.e. it does not carry any substituent R4b. According to still another embodiment of formula I, it is substituted with R5b, R6b, R7b, R8b, R9b, R10b, and R11b.
According to one embodiment, R5, R6, R7, R8, R9, R10 and R11 are independently a 5-membered saturated carbocycle. According to one embodiment thereof, the carbocycle is unsubstituted, i.e. it does not carry any substituent R5b, R6b, R7b, R8b, R9b, R10b, and R11b. According to still another embodiment of formula I, it is substituted with R5b, R6b, R7b, R8b, R9b, R10b, and R11b.
According to one embodiment, R5, R6, R7, R8, R9, R10 and R11 are independently a 6-membered saturated carbocycle. According to one embodiment thereof, the carbocycle is unsubstituted, i.e. it does not carry any substituent R5b, R6b, R7b, R8b, R9b, R10b, and R11b. According to still another embodiment of formula I, it is substituted with R5b, R6b, R7b, R8b, R9b, R10b, and R11b.
According to still another embodiment of formula I, R5, R6, R7, R8, R9, R10 and R11 are inde- pendently a partially unsaturated three-, four-, five-, six-, seven-, eight-, nine-, or ten-membered heterocycle, in particular three-, four-, five- or six-membered, wherein the heterocycle contains one, two, three or four heteroatoms selected from N, O and S, and wherein the heterocycle is
unsubstituted or substituted with substituents R5b, R6b, R7b, R8b, R9b, R10b, and R11b as defined below. According to one embodiment thereof, the heterocycle is unsubstituted.
According to still another embodiment of formula I, R5, R6, R7, R8, R9, R10 and R11 are inde- pendently a saturated three-, four-, five-, six-, seven-, eight-, nine-, or ten-membered heterocy- cle, in particular three-, four-, five- or six-membered, wherein the heterocycle contains one, two, three or four heteroatoms selected from N, O and S, and wherein the heterocycle is unsubsti- tuted or substituted with substituents R5b, R6b, R7b, R8b, R9b, R10b, and R11b as defined below. Ac- cording to one embodiment thereof, the heterocycle is unsubstituted.
According to still another embodiment of formula I, in the embodiments of R5, R6, R7, R8, R9, R10 and R11 described above, the heterocycle contains preferably one, two or three, more specifi- cally one or two heteroatoms selected from N, O and S. More specifically, the hetereocycle con- tains one heteroatom selected from N, O and S. In particular, the heterocycle contains one or two, in particular one O.
According to one embodiment, R5, R6, R7, R8, R9, R10 and R11 are independently a 4-membered saturated heterocycle which contains 1 or 2 heteroatoms, in particular 1 heteroatom, from the group consisting of N, O and S, as ring members. According to one embodiment, the heterocy- cle contains one O as heteroatom. For example, the formed heterocycle is oxetane. According to one embodiment thereof, the heterocycle is unsubstituted, i.e. it does not carry any substituent R5b, R6b, R7b, R8b, R9b, R10b, and R11b. According to still another embodiment of formula I, it is substituted with R5b, R6b, R7b, R8b, R9b, R10b, and R11b.
According to still another embodiment of formula I, R5, R6, R7, R8, R9, R10 and R11 are inde- pendently a 5-membered saturated heterocycle which contains 1 , 2 or 3, in particular 1 or 2, heteroatoms from the group consisting of N, O and S, as ring members. According to one em- bodiment, the heterocycle contains one O as heteroatom. According to one embodiment thereof, the heterocycle is unsubstituted, i.e. it does not carry any substituent R5b, R6b, R7b, R8b, R9b, R10b, and R11b. According to still another embodiment of formula I, it is substituted with R5b, R6b, R7b, R8b, R9b, R10b, and R11b.
According to still another embodiment of formula I, R5, R6, R7, R8, R9, R10 and R11 are inde- pendently a 6-membered saturated heterocycle which contains 1 , 2 or 3, in particular 1 or 2, heteroatoms from the group consisting of N, O and S as ring members. According to one embodiment thereof, the heterocycle is unsubstituted, i.e. it does not carry any substituent R5b, R6b, R7b, R8b, R9b, R10b, and R11b. According to still another embodiment of formula I, it is substi- tuted with R5b, R6b, R7b, R8b, R9b, R10b, and R11b. According to one specific embodiment thereof, said 6-membered saturated heterocycle contains 1 or 2, in particular 1 , heteroatom(s) O.
According to one embodiment thereof, the respective 6-membered heterocycle is unsubstituted, i.e. it does not carry any substituent R5b, R6b, R7b, R8b, R9b, R10b, and R11b. According to still another embodiment of formula I, it is substituted with R5b, R6b, R7b, R8b, R9b, R10b, and R11b.
According to still another embodiment of formula I, R5, R6, R7, R8, R9, R10 and R11 are inde- pendently phenyl-Ci-C6-alkyl, such as phenyl-CFh, wherein the phenyl moiety in each case is unsubstituted or substituted with one, two or three identical or different groups R5b, R6b, R7b, R8b, R9b, R10b, and R11b which independently of one another are selected from CN, halogen, C1-C2-
alkyl, Ci-C2-alkoxy, Ci-C2-halogenalkyl, Ci-C2-halogenalkoxy and S(0)n-Ci-C6-alkyl, in particular from CN, F, Cl, Br, CH3, OCH3, CF3, CHF2, OCHF2, OCF3 and S(0)2CH3.
According to still another embodiment of formula I, R5, R6, R7, R8, R9, R10 and R11 are inde- pendently aryl, in particular phenyl, wherein the aryl or phenyl moiety in each case is unsubsti- tuted or substituted with identical or different groups R5b, R6b, R7b, R8b, R9b, R10b, and R11b which independently of one another are selected from CN, halogen, Ci-C2-alkyl, Ci-C2-alkoxy, C1-C2- halogenalkyl, Ci-C2-halogenalkoxy and S(0)n-Ci-C6-alkyl, in particular from CN, F, Cl, Br, CH3, OCH3, CF3, CHF2, OCHF2, OCF3. According to one embodiment, R5, R6, R7, R8, R9, R10, and R11 are unsubstituted phenyl. According to another embodiment, R5a, R6a, R7a, R8a, R9a, R10a, and R11a are independently phenyl, that is substituted with one, two or three, in particular one, halo- gen, in particular selected from F, Cl and Br, more specifically selected from F and Cl.
According to still another embodiment of formula I, R5, R6, R7, R8, R9, R10 and R11 are inde- pendently a 5-membered heteroaryl such as pyrrol-1 -yl, pyrrol-2 -yl, pyrrol-3-yl, thien-2-yl, thien- 3-yl, furan-2-yl, furan-3-yl, pyrazol-1 -yl, pyrazol-3-yl, pyrazol-4-yl, pyrazol-5-yl, imidazol-1 -yl, im- idazol-2-yl, imidazol-4-yl, imidazol-5-yl, oxazol-2-yl, oxazol-4-yl, oxazol-5-yl, isoxazol-3-yl, isoxa- zol-4-yl, isoxazol-5-yl, thiazol-2-yl, thiazol-4-yl, thiazol-5-yl, isothiazol-3-yl, isothiazol-4-yl, isothi- azol-5-yl, 1 ,2,4-triazolyl-1 -yl, 1 ,2,4-triazol-3-yl 1 ,2,4-triazol-5-yl, 1 ,2,4-oxadiazol-3-yl, 1 ,2,4-oxadi- azol-5-yl and 1 ,2,4-thiadiazol-3-yl, 1 ,2,4-thiadiazol-5-yl.
According to still another embodiment of formula I, R5, R6, R7, R8, R9, R10 and R11 are inde- pendently a 6-membered heteroaryl, such as pyridin-2-yl, pyridin-3-yl, pyridin-4-yl, pyridazin- 3-yl, pyridazin-4-yl, pyrimidin-2-yl, pyrimidin-4-yl, pyrimidin-5-yl, pyrazin-2-yl and 1 ,3,5-triazin-2- yl and 1 ,2,4-triazin-3-yl.
According to a further specific embodiment of formula I, R5, R6, R7, R8, R9, R10 and R11 are inde- pendently Ci-C6-alkyl, especially CH2 subsitited by a 5-membered saturated heteroaryl which contains 1 , 2 or 3, in particular 1 or 2, heteroatoms from the group consisting of N, O and S as ring members. According to one embodiment thereof, the heteroaryl is unsubstituted, i.e. it does not carry any substituent R5b, R6b, R7b, R8b, R9b, R10b, and R11b. According to still another embodiment of formula I, it is substituted by R5b, R6b, R7b, R8b, R9b, R10b, and R11b.
According to a further specific embodiment of formula I, R5, R6, R7, R8, R9, R10 and R11 are inde- pendently Ci-C6-alkyl, especially CH2 subsitited by a 5-membered saturated heteroaryl which contains one N as ring member. According to one embodiment thereof, the heteroaryl is unsubstituted, i.e. it does not carry any substituent R5b, R6b, R7b, R8b, R9b, R10b, and R11b.
According to still another embodiment of formula I, it is substituted by R5b, R6b, R7b, R8b, R9b,
R10b, and R11b.
According to a further specific embodiment of formula I, R5, R6, R7, R8, R9, R10 and R11 are inde- pendently Ci-C6-alkyl, especially CH2 subsitited by a 5-membered saturated heteroaryl which contains two N as ring members. According to one embodiment thereof, the heteroaryl is unsubstituted, i.e. it does not carry any substituent R5b, R6b, R7b, R8b, R9b, R10b, and R11b.
According to still another embodiment of formula I, it is substituted by R5b, R6b, R7b, R8b, R9b,
R10b, and R11b.
According to a further specific embodiment of formula I, R5, R6, R7, R8, R9, R10 and R11 are inde- pendently Ci-C6-alkyl, especially CH2 subsitited by a 5-membered saturated heteroaryl which
contains three N as ring members. According to one embodiment thereof, the heteroaryl is unsubstituted, i.e. it does not carry any substituent R5b, R6b, R7b, R8b, R9b, R10b, and R11b.
According to still another embodiment of formula I, it is substituted by R5b, R6b, R7b, R8b, R9b,
R10b, and R11b. According to one specific embodiment thereof, said 5-membered saturated het- erocycle contains 1 or 2, in particular 1 , heteroatom(s) O.
According to a further specific embodiment of formula I, R5, R6, R7, R8, R9, R10 and R11 are inde- pendently Ci-C6-alkyl, especially Chh subsitited by a 5-membered saturated heteroaryl which contains one S as ring member. According to one embodiment thereof, the heteroaryl is unsubstituted, i.e. it does not carry any substituent R5b, R6b, R7b, R8b, R9b, R10b, and R11b.
According to still another embodiment of formula I, it is substituted by R5b, R6b, R7b, R8b, R9b,
R10b, and R11b.
According to a further specific embodiment of formula I, R5, R6, R7, R8, R9, R10 and R11 are inde- pendently Ci-C6-alkyl, especially Chh subsitited by a 5-membered saturated heteroaryl which contains one S and one N as ring members. According to one embodiment thereof, the heteroaryl is unsubstituted, i.e. it does not carry any substituent R5b, R6b, R7b, R8b, R9b, R10b, and R11b. According to still another embodiment of formula I, it is substituted by R5b, R6b, R7b, R8b,
R9b, R10b, and R11b.
According to a further specific embodiment of formula I, R5, R6, R7, R8, R9, R10 and R11 are inde- pendently Ci-C6-alkyl, especially Chh subsitited by a 5-membered saturated heteroaryl which contains one S and two N as ring members. According to one embodiment thereof, the heteroaryl is unsubstituted, i.e. it does not carry any substituent R5b, R6b, R7b, R8b, R9b, R10b, and R11b. According to still another embodiment of formula I, it is substituted by R5b, R6b, R7b, R8b,
R9b, R10b, and R11b.
According to a further specific embodiment of formula I, R5, R6, R7, R8, R9, R10 and R11 are inde- pendently Ci-C6-alkyl, especially Chh subsitited by a 5-membered saturated heteroaryl which contains one oxygen and one N as ring members. According to one embodiment thereof, the heteroaryl is unsubstituted, i.e. it does not carry any substituent R5b, R6b, R7b, R8b, R9b, R10b, and R11b. According to still another embodiment of formula I, it is substituted by R5b, R6b, R7b, R8b,
R9b, R10b, and R11b.
According to a further specific embodiment of formula I, R5, R6, R7, R8, R9, R10 and R11 are inde- pendently Ci-C6-alkyl, especially Chh subsitited by a 5-membered saturated heteroaryl which contains one oxygen and two N as ring members. According to one embodiment thereof, the heteroaryl is unsubstituted, i.e. it does not carry any substituent R5b, R6b, R7b, R8b, R9b, R10b, and R11b. According to still another embodiment of formula I, it is substituted by R5b, R6b, R7b, R8b,
R9b, R10b, and R11b.
According to a further specific embodiment of formula I, R5, R6, R7, R8, R9, R10 and R11 are inde- pendently Ci-C6-alkyl, especially Chh subsitited by a 6-membered saturated heteroaryl which contains 1 , 2 or 3, in particular 1 or 2, heteroatoms from the group consisting of N, O and S as ring members. According to one embodiment thereof, the heteroaryl is unsubstituted, i.e. it does not carry any substituent R5b, R6b, R7b, R8b, R9b, R10b, and R11b. According to still another embodiment of formula I, it is substituted by R5b, R6b, R7b, R8b, R9b, R10b, and R11b.
According to a further specific embodiment of formula I, R5, R6, R7, R8, R9, R10 and R11 are inde- pendently Ci-C6-alkyl, especially CH2 subsitited by a 6-membered saturated heteroaryl which one N as ring member. According to one embodiment thereof, the heteroaryl is unsubstituted, i.e. it does not carry any substituent R5b, R6b, R7b, R8b, R9b, R10b, and R11b. According to still another embodiment of formula I, it is substituted by R5b, R6b, R7b, R8b, R9b, R10b, and R11b.
According to a further specific embodiment of formula I, R5, R6, R7, R8, R9, R10 and R11 are inde- pendently Ci-C6-alkyl, especially CH2 subsitited by a 6-membered saturated heteroaryl which two N as ring members. According to one embodiment thereof, the heteroaryl is unsubstituted, i.e. it does not carry any substituent R5b, R6b, R7b, R8b, R9b, R10b, and R11b. According to still another embodiment of formula I, it is substituted by R5b, R6b, R7b, R8b, R9b, R10b, and R11b.
According to a further specific embodiment of formula I, R5, R6, R7, R8, R9, R10 and R11 are inde- pendently Ci-C6-alkyl, especially CH2 subsitited by a 10-membered saturated heteroaryl which contains 1 , 2 or 3, in particular 1 or 2, heteroatoms from the group consisting of N, O and S as ring members. According to one embodiment thereof, the heteroaryl is unsubstituted, i.e. it does not carry any substituent R5b, R6b, R7b, R8b, R9b, R10b, and R11b. According to still another embodiment of formula I, it is substituted by R5b, R6b, R7b, R8b, R9b, R10b, and R11b. According to one specific embodiment thereof, said 10-membered saturated heterocycle contains 1 or 2, in particular 1 , heteroatom(s) N.
According to a further specific embodiment of formula I, R5, R6, R7, R8, R9, R10 and R11 are inde- pendently Ci-C6-alkyl, especially CH2 subsitited by a 10-membered saturated heteroaryl which one N as ring members. According to one embodiment thereof, the heteroaryl is unsubstituted, i.e. it does not carry any substituent R5b, R6b, R7b, R8b, R9b, R10b, and R11b. According to still another embodiment of formula I, it is substituted by R5b, R6b, R7b, R8b, R9b, R10b, and R11b.
According to still another embodiment of formula I, R5, R6, R7, R8, R9, R10 and R11 are independently CH2 substituted by a 5-membered heteroaryl such as pyrrol-1 -yl, pyrrol-2 -yl, pyrrol-3-yl, thien-2-yl, thien-3-yl, furan-2-yl, furan-3-yl, pyrazol-1 -yl, pyrazol-3-yl, pyrazol-4-yl, pyrazol-5-yl, imidazol-1 -yl, imidazol-2-yl, imidazol-4-yl, imidazol-5-yl, oxazol-2-yl, oxazol-4-yl, oxazol-5-yl, isoxazol-3-yl, isoxazol-4-yl, isoxazol-5-yl, thiazol-2-yl, thiazol-4-yl, thiazol-5-yl, isothiazol-3-yl, isothiazol-4-yl, isothiazol-5-yl, 1 ,2,4-triazolyl-1 -yl, 1 ,2,4-triazol-3-yl 1 ,2,4-triazol-5- yl, 1 ,2,4-oxadiazol-3-yl, 1 ,2,4-oxadiazol-5-yl and 1 ,2,4-thiadiazol-3-yl, 1 ,2,4-thiadiazol-5-yl. According to still another embodiment of formula I, R5, R6, R7, R8, R9, R10 and R11 are inde- pendently CH2 substituted by a 6-membered heteroaryl, such as pyridin-2-yl, pyridin-3-yl, pyri- din-4-yl, pyridazin-3-yl, pyridazin-4-yl, pyrimidin-2-yl, pyrimidin-4-yl, pyrimidin-5-yl, pyrazin-2-yl and 1 ,3,5-triazin-2-yl and 1 ,2,4-triazin-3-yl.
According to a further particular embodiment, R5, R6, R7, R8, R9, R10 and R11 are independently selected from Ci-C6-alkyl, Ci-C6-halogenalkyl, CN, C2-C6-alkenyl, C2-C6-halogenalkenyl, C3-C6- cycloalkenyl, C2-C6-alkynyl, C2-C6-halogenalkynyl, Ci-C6-alkoxy, C3-C6-cycloalkynyl, C(=0)Ci- C6-alkyl, C(=0)0(Ci-C6-alkyl), CR -NOR”, C3-C6-halogencycloalkyl a saturated three-, four-, five-, six-, membered carbocycle or heterocycle, a five- or six-membered heteroaryl or aryl;, and Ci-C6-alkyl substituted by CN, Ci-C6-alkoxy, Ci-C4-halogenalkoxy, Ci-C6-alkylthio, S(0)n-Ci-C6- alkyl, NH-S02-Rx, NH(Ci-C6-alkyl), N(Ci-C6-alkyl)2, C(=0)Ci-C6-aikyl, C(=0)0(Ci-C6-aikyl), a saturated three-, four-, five-, six-, membered carbocycle, heterocycle, aryl or heteroaryl; wherein
the carbocycle, heterocycle, aryl and heteroaryl is unsubstituted or carries one, two, three or four substituents R5b, R6b, R7b, R8b, R9b, R10b, and R11b as defined below. According to one em- bodiment thereof, the carbocycle, heterocycle, heteroaryl and aryl are unsubstituted. In a partic- ular embodiment, R5, R6, R7, R8, R9, R10, and R11 are selected from CN, Ci-C6-alkyl, Ci-C6-halo- genalkyl, C2-C6-alkenyl, C2-C6-halogenalkenyl, C2-C6-alkynyl, C2-C6-halogenalkynyl, C1-C6- alkoxy, a saturated three-, four-, five-, six-, membered carbocycle or heterocycle, a five- or six- membered heteroaryl or aryl; and Ci-C6-alkyl substituted by a saturated three-, four-, five-, six-, membered carbocycle, heterocycle, aryl or heteroaryl; wherein the carbocycle, heterocacle, aryl and heteroaryl are unsubstituted or carries one, two, three or four substituents R5b, R6b, R7b, R8b, R9b, R10b, and R11b as defined below.
According to a further particular embodiment, R5, R6, R7, R8, R9, R10 and R11 are inde- pendently selected from Ci-C6-halogenalkyl, CN, C2-C6-alkenyl, C2-C6-halogen- alkenyl, C3-C6-cycloalkenyl, C2-C6-alkynyl, C2-C6-halogenalkynyl, Ci-C6-alkoxy, Cs-Ce-cycloalkynyl, C(=0)Ci-C6-alkyl, C(=0)0(Ci-C6-alkyl), CR’=NOR”, C3-C6- halogencycloalkyl a saturated three-, four-, five-, six-, membered carbocycle or heterocycle, a five- or six-membered heteroaryl or aryl;, and Ci-C6-alkyl substi- tuted by CN, Ci-C6-alkoxy, Ci-C4-halogenalkoxy, Ci -C6-a I ky Ith i o , S(0)n-Ci-C6-al- kyl, NH-S02-Rx, NH(Ci-Ce-alkyl), N(Ci-C6-alkyl)2, C(=0)Ci-C6-alkyl, C(=0)0(Cr C6-alkyl), a saturated three-, four-, five-, six-, membered carbocycle, heterocycle, aryl or heteroaryl; wherein the carbocycle, heterocycle, aryl and heteroaryl is un- substituted or carries one, two, three or four substituents R5b, R6b, R7b, R8b, R9b, R10b, and R11b
as defined below. According to one embodiment thereof, the carbocycle, heterocycle, het- eroaryl and aryl are unsubstituted. In a particular embodiment, R5, R6, R7, R8, R9, R10 and R11 are selected from CN, Ci-C6-alkyl, Ci-C6-halogenalkyl, C2-C6-alkenyl, C2-C6-halogenalkenyl, C2- C6-alkynyl, C2-C6-halogenalkynyl, Ci-C6-alkoxy, a saturated three-, four-, five-, six-, membered carbocycle or heterocycle, a five- or six-membered heteroaryl or aryl; and Ci-C6-alkyl substi- tuted by a saturated three-, four-, five-, six-, membered carbocycle, heterocycle, aryl or het- eroaryl; wherein the carbocycle, heterocacle, aryl and heteroaryl are unsubstituted or carries one, two, three or four substituents R5b, R6b, R7b, R8b, R9b, R10b, and R11b b as defined below.
Particularly preferred embodiments of R5, R6, R7, R8, R9, R10 and R11 are independently accord- ing to the invention are in Table P4 below, wherein each line of lines P4-1 to P4-182 corre- sponds to one particular embodiment of the invention, wherein P4-1 to P4-182 are also in any combination with one another a preferred embodiment of the present invention. The connection point to the carbon atom, to which R5, R6, R7, R8, R9, R10 and R11 is bound is marked with“#” in the drawings.
Table P5 (py = pyridyl):
According to still another embodiment of formula I, R6, R7 together with the carbon atom to which they are bound form a saturated or partially unsaturated three-, four-, five-, six-, seven-, eight-, nine-, or ten-membered carbocycle or heterocycle; wherein the heterocycle contains 1 , 2, 3 or 4 heteroatoms selected from N, O and S, wherein N may carry one substituent RN selected from Ci-C4-alkyl, Ci-C4-halogenalkyl and S02Ph, wherein Ph is unsubstituted phenyl or phenyl that is substituted by 1 , 2 or 3 substituents selected from CN, Ci-C4-alkyl, halogen, Ci-C4-halo- genalkyl, Ci-C4-alkoxy and Ci-C4-halogenalkoxy; and wherein S may be in the form of its oxide SO or SO2, and wherein the carbocycle or heterocycle is unsubstituted or carries one, two, three or four substituents R67 independently selected from halogen, OH, CN, NO2, SH, NH2, C1- C6-alkyl, Ci-C6-halogenalkyl, Ci-C6-alkoxy, Ci-C6-halogenalkoxy, Ci-C6-alkylthio, Ci-C6-halo- genalkylthio, Ci-C4-alkoxy-Ci-C4-alkyl, phenyl and phenoxy, wherein the phenyl groups are un- substituted or substituted with substituents R67a selected from the group consisting of CN, halo- gen, OH, Ci-C4-alkyl, Ci-C4-halogenalkyl, Ci-C4-alkoxy and Ci-C4-halogenalkoxy; and wherein in each case one or two CH2 groups of the carbo- or heterocycle may be replaced by a group independently selected from C(=0) and C(=S).
According to one embodiment, R6 and R7 form a 3-membered saturated carbocycle. According to one embodiment thereof, the carbocycle is unsubstituted, i.e. it does not carry any substituent R67. According to still another embodiment of formula I, it is substituted with R67.
According to one embodiment, R6 and R7 form a 4-membered saturated carbocycle. According to one embodiment thereof, the carbocycle is unsubstituted, i.e. it does not carry any substituent R67. According to still another embodiment of formula I, it is substituted with R67.
According to one embodiment, R6 and R7 form a 5-membered saturated carbocycle. According to one embodiment thereof, the carbocycle is unsubstituted, i.e. it does not carry any substituent R67. According to still another embodiment of formula I, it is substituted with R67.
According to one embodiment, R6 and R7 form a 6-membered saturated carbocycle. According to one embodiment thereof, the carbocycle is unsubstituted, i.e. it does not carry any substituent R67. According to still another embodiment of formula I, it is substituted with R67.
According to one embodiment, R6 and R7 form a 7-membered saturated carbocycle. According to one embodiment thereof, the carbocycle is unsubstituted, i.e. it does not carry any substituent R67. According to still another embodiment of formula I, it is substituted with R67.
According to one embodiment, R6 and R7 together with the carbon atom to which they are bound form a saturated or partially unsaturated three-, four-, five-, six-, seven-, eight-, nine-, or ten-membered heterocycle that is unsubstituted or substituted. According to a further embodi- ment, the heterocycle formed by R6 and R7 is saturated.
According to a further embodiment, the heterocycle formed by R6 and R7 is a saturated unsub- stituted or substituted heterocycle, wherein the heterocycle contains one, two or three, more particularly one or two, specifically one, heteroatom(s) selected from NH, NRN, O, S, S(=0) and S(=0)2, wherein RN is defined and preferably defined above. According to one embodiment, this saturated heterocycle is unsubstituted. According to a further embodiment, the saturated heter- ocycle carries one, two, three or four substituents R67. In one further particular embodiment, said heterocycle is four- or six-membered.
According to a further embodiment, the unsubstituted or substituted and saturated or partially unsaturated heterocycle is three-, four-, five- or six-membered and contains one, two or three, more particularly one or two, heteroatoms selected from NH, NRN, O, S, S(=0) and S(=0)2, wherein RN is as defined above or preferably selected from Ci-C2-alkyl, Ci-C2-halogenalkyl and S02Ph, wherein Ph is unsubstituted phenyl or phenyl that is substituted by one Ci-C2-alkyl. In one further particular embodiment, said heterocycle is four- or six-membered.
According to a further embodiment, the heterocycle formed by R6 and R7 contains one, two or three, more specifically one or two, heteroatoms selected from NH and NRN, wherein RN is as defined and preferably defined below, more particularly selected from Ci-C2-alkyl, Ci-C2-halo- genalkyl and S02Ph, wherein Ph is unsubstituted phenyl or phenyl that is substituted by one methyl. In one embodiment thereof, it contains one or two heteroatoms NH, in particular one NH. In another embodiment, it contains one or two heteroatoms NRN, in particular one NRN, wherein RN in each case is as defined and preferably defined above.
According to a further embodiment, the heterocycle formed by R6 and R7 contains one, two or three, more specifically one or two, in particular one, heteroatom(s) selected from S, S(=0) and S(=0)2. In one embodiment thereof, it contains one or two heteroatoms S, in particular one S. In another embodiment, it contains one or two heteroatoms S(=0), in particular one S(=0). In still another embodiment, it contains one or two heteroatoms S(=0)2, in particular one S(=0)2.
According to a further embodiment, the heterocycle formed by R6 and R7 contains one or two heteroatoms O. In one embodiment thereof, it contains one heteroatom O. In another embodi- ment, it contains two heteroatoms O.
According to a further embodiment, the heterocycle formed by R6 and R7 is unsubstituted, i.e. it does not carry any substituent R67. According to a further embodiment, it carries one, two, three or four R67.
According to one particular embodiment, R6 and R7 together form a 4-membered saturated het- erocycle which contains 1 or 2 heteroatoms, in particular 1 heteroatom, from the group consist- ing of NH, NRN, O, S, S(=0) and S(=0)2, as ring members, wherein RN is defined and preferably defined above. In one embodiment, the heterocycle contains one O as heteroatom. For exam- pie, the formed heterocycle is oxetane. According to one embodiment thereof, the heterocycle is unsubstituted, i.e. it does not carry any substituent R67. According to a further embodiment, it carries one, two, three or four R67.
According to a further particular embodiment, R6 and R7 together form a 5-membered saturated heterocycle which contains 1 , 2 or 3, in particular 1 or 2, heteroatoms from the group consisting of NH, NRN, O, S, S(=0) and S(=0)2, as ring members, wherein RN is as defined and preferably defined above. According to one embodiment thereof, the heterocycle is unsubstituted, i.e. it does not carry any substituent R67. According to a further embodiment, it carries one, two, three or four R67.
According to a further particular embodiment, R6 and R7 together form a 6-membered saturated heterocycle which contains 1 , 2 or 3, in particular 1 or 2, heteroatoms from the group consisting of NH, NRN, O, S, S(=0) and S(=0)2, as ring members, wherein RN is as defined and preferably defined below. According to one embodiment thereof, the heterocycle is unsubstituted, i.e. it does not carry any substituent R67. According to a further embodiment, it carries one, two, three or four R67. According to one specific embodiment thereof, said 6-membered saturated hetero- cycle contains 1 or 2 heteroatoms selected from NH and NRN. According to a further specific embodiment thereof, said 6-membered saturated heterocycle contains 1 or 2 heteroatoms O. According to a further specific embodiment thereof, said 6-membered saturated heterocycle contains 1 or 2 heteroatoms selected from S, S(=0) and S(=0)2. According to one embodiment thereof, the respective 6-membered heterocycle is unsubstituted, i.e. it does not carry any substituent R67. According to a further embodiment, it carries one, two, three or four R67.
According to one further embodiment R6 together with R7 and with the carbon atom to which they are bound form a saturated three-, four-, five-, six-, seven-, eight-, nine-, or ten-membered carbocycle, in particular three-, four-, five- or six-membered carbocycle, more specifically five- or six-membered carbocycle, that is unsubstituted or carries one, two, three or four substituents R67 as defined below. According to one embodiment thereof, R6 and R7 form a cyclopropyl, that is unsubstituted or carries one, two, three or four substituents R67 as defined below. According to a further embodiment thereof, R6 and R7 form a cyclobutyl, that is unsubstituted or carries one, two, three or four substituents R67 as defined below. According to still a further embodiment thereof, R6 and R7 form a cyclopentyl, that is unsubstituted or carries one, two, three or four substituents R67 as defined below. According to still a further embodiment thereof, R6 and R7 form a cyclohexyl, that is unsubstituted or carries one, two, three or four substituents R67 as defined below. According to still a further embodiment thereof, R6 and R7 form a cycloheptyl, that is unsubstituted or carries one, two, three or four substituents R67 as defined below.
R67 are the possible substituents for the carbo- or heterocycle formed by R6 and R7 and are in- dependently selected from halogen, OH, CN, NO2, SH, NH2, Ci-C6-alkyl, Ci-C6-halogenalkyl, Ci-C6-alkoxy, Ci-C6-halogenalkoxy, Ci-C6-alkylthio, Ci-C6-halogenalkylthio, Ci-C4-a I koxy-Ci -04- alkyl, phenyl and phenoxy, wherein the phenyl groups are unsubstituted or carry one, two, three, four or five substituents R67a selected from the group consisting of halogen, OH, C1-C4- alkyl, Ci-C4-halogenalkyl, Ci-C4-alkoxy and Ci-C4-halogenalkoxy; and wherein in each case one or two CH2 groups of the carbo- or heterocycle may be replaced by a group independently se- lected from C(=0) and C(=S).
In one preferred embodiment, R67 is in each case independently selected from halogen, OH,
CN, SH, Ci-C6-alkyl, Ci-C6-halogenalkyl, Ci-C6-alkoxy, Ci-C6-halogenalkoxy and Ci-C6-al- kylthio. In one further preferred embodiment, R67 is in each case independently selected from halogen, Ci-C6-alkyl and Ci-C6-halogenalkyl. In one further particular embodiment, R67 is in each case independently selected from Ci-C6-alkyl, such as methyl and ethyl.
RN is the substituent of the heteroatom NRN that is contained in the heterocycle formed by R6 and R7 in some of the inventive compounds. RN is selected from Ci-C4-alkyl, Ci-C4-halogenalk and S02Ph, wherein Ph is unsubstituted phenyl or phenyl that is substituted by one, two or three substituents selected from Ci-C4-alkyl. In one preferred embodiment, RN is in each case independently selected from Ci-C2-alkyl, Ci-C2-halogenalkyl and S02Ph, wherein Ph is unsub- stituted phenyl or phenyl that is substituted by one methyl substituents. In one particular embod- iment, RN is in each case independently selected from Ci-C2-alkyl, more particularly methyl. In one particular embodiment, RN is in each case independently selected from S02Ph, wherein Ph is unsubstituted phenyl or phenyl that is substituted by one methyl.
According to still another embodiment of formula I, R6, R7 together with the carbon atom to which they are bound form a saturated or partially unsaturated three-, four-, five-, six-, seven-, eight-, nine-, or ten-membered carbo- or heterocycle; wherein the carbocycle or heterocycle is unsubstituted or carries one, two, three or four substituents R67 independently selected from hal- ogen, OH, CN, NO2, SH, NH2, Ci-C6-alkyl, Ci-C6-halogenalkyl, Ci-C6-alkoxy, Ci-C6-halogen- alkoxy, Ci-C6-alkylthio, Ci-C6-halogenalkylthio, Ci-C4-alkoxy-Ci-C4-alkyl, phenyl and phenoxy, wherein the phenyl groups are unsubstituted or carry one, two, three, four or five substituents R67a selected from the group consisting of CN, halogen, OH, Ci-C4-alkyl, Ci-C4-halogenalkyl, Ci-C4-alkoxy, Ci-C4-halogenalkoxy.
According to still another embodiment of formula I, R6, R7 together with the carbon atom to which they are bound form a saturated or partially unsaturated four-, five-, six-membered carbo- or heterocycle; wherein the carbocycle or heterocycle is unsubstituted or carries one, two, three or four substituents R67 independently selected from halogen, Ci-C6-alkyl, Ci-C6-halogenalkyl, Ci-C6-alkoxy, Ci-C6-halogenalkoxy.
Particularly preferred embodiments of combinations of R6 and R7 according to the invention are in Table P67 below, wherein each line of lines P67-1 to P67-34 corresponds to one particular embodiment of the invention, wherein P67-1 to P67-34 are also in any combination with one an- other a preferred embodiment of the present invention. The carbon atom, to which R6 and R7 are bound is marked with * in the drawings.“Ts” in the drawings stands for the tosylgroup SO2- (p-CHs)phenyl.
Table P67
According to still another embodiment of formula I, R6, R7 together with the carbon atom to which they are bound form a group =N-OR, wherein R is independently selected from H, C1- C4-alkyl, C2-C6-alkenyl, C2-C6-alkynyl, saturated or partially unsaturated three-, four-, five-, six-, seven-, eight-, nine-, or ten-membered carbo- and heterocycle, five- or six-membered heteroaryl or aryl; wherein the heterocycle or heteroaryl contains one, two or three heteroatoms selected from N, O and S, and wherein R is unsubstituted or substituted by halogen, OH, CN, N02, SH, NH2, NH(Ci-C4-alkyl), N(Ci-C4-alkyl)2, NH-S02-Rx, Ci-C6-alkyl, Ci-C6-halogenalkyl, C2-C6- alkenyl, C2-C6-halogenalkenyl, C2-C6-alkynyl, C2-C6-halogenalkynyl, Ci-C6-alkoxy, Ci-C6-halo- genalkoxy, C3-C6-cycloalkyl, C3-C6-halogencycloalkyl and phenyl.
According to one embodiment R is H.
According to another embodiment R is Ci-C4-alkyl in particular Ci-C4-alkyl, such as CH3 or CH2CH3.
According to still another embodiment of formula I, R is Ci-C6-halogenalkyl, in particular C1-C4- halogenalkyl, such as CF3, CHF2, CH2F, CCI3, CHCI2, CH2CI, CF3CH2, CCI3CH2 or CF2CHF2.
According to another embodiment R is C2-C6-alkenyl or C2-C6-halogenalkenyl, in particular C2- C4-alkenyl or C2-C4-halogenalkenyl, such as CH=CH2, C(CH3)=CH2, CH=CCI2, CH=CF2,
CCI=CCI2, CF=CF2, CH=CH2, CH2CH=CCI2, CH2CH=CF2, CH2CCI=CCI2, CH2CF=CF2,
CCI2CH=CCI2I CF2CH=CF2I CCI2CCI=CCI2, or CF2CF=CF2.
According to another embodiment R is C2-C6-alkynyl C2-C6-alkynyl or C2-C6-halogenalkynyl, in particular C2-C4-alkynyl or C2-C4-halogenalkynyl, such as C CH, C=CCI, C CF. CH2C=CH, CH2CºCCI, or CH2CºCF.
According to another embodiment R is saturated or partially unsaturated three-, four-, five-, six-, seven-, eight-, nine-, or ten-membered carbo- and heterocycle, five- or six-membered heteroaryl or aryl.
According to still another embodiment of formula I, R is unsubstituted 5- or 6-membered heteroaryl. According to still a further embodiment, R is 5- or 6-membered heteroaryl that is substituted with one, two or three substituents, as defined herein.
According to still another embodiment of formula I, R9, R10 together with the carbon atom to which they are bound form a saturated or partially unsaturated three-, four-, five-, six-, seven-, eight-, nine-, or ten-membered carbocycle or heterocycle; wherein the heterocycle contains 1 , 2, 3 or 4 heteroatoms selected from N, O and S, wherein N may carry one substituent RN selected from Ci-C4-alkyl, Ci-C4-halogenalkyl and S02Ph, wherein Ph is unsubstituted phenyl or phenyl that is substituted by 1 , 2 or 3 substituents selected from CN, Ci-C4-alkyl, halogen, Ci-C4-halo- genalkyl, Ci-C4-alkoxy and Ci-C4-halogenalkoxy; and wherein S may be in the form of its oxide SO or SO2, and wherein the carbocycle or heterocycle is unsubstituted or carries one, two, three or four substituents R910 independently selected from halogen, OH, CN, NO2, SH, NH2, C1- C6-alkyl, Ci-C6-halogenalkyl, Ci-C6-alkoxy, Ci-C6-halogenalkoxy, Ci-C6-alkylthio, Ci-C6-halo- genalkylthio, Ci-C4-alkoxy-Ci-C4-alkyl, phenyl and phenoxy, wherein the phenyl groups are un- substituted or substituted with substituents R910a selected from the group consisting of CN, halo- gen, OH, Ci-C4-alkyl, Ci-C4-halogenalkyl, Ci-C4-alkoxy and Ci-C4-halogenalkoxy; and wherein in each case one or two CH2 groups of the carbo- or heterocycle may be replaced by a group independently selected from C(=0) and C(=S).
According to one embodiment, R9 and R10 form a 3-membered saturated carbocycle. According to one embodiment thereof, the carbocycle is unsubstituted, i.e. it does not carry any substituent R910. According to still another embodiment of formula I, it is substituted with R910.
According to one embodiment, R9 and R10 form a 4-membered saturated carbocycle. According to one embodiment thereof, the carbocycle is unsubstituted, i.e. it does not carry any substituent R910. According to still another embodiment of formula I, it is substituted with R910.
According to one embodiment, R9 and R10 form a 5-membered saturated carbocycle. According to one embodiment thereof, the carbocycle is unsubstituted, i.e. it does not carry any substituent R910. According to still another embodiment of formula I, it is substituted with R910.
According to one embodiment, R9 and R10 form a 6-membered saturated carbocycle. According to one embodiment thereof, the carbocycle is unsubstituted, i.e. it does not carry any substituent R910. According to still another embodiment of formula I, it is substituted with R910.
According to one embodiment, R9 and R10 form a 7-membered saturated carbocycle. According to one embodiment thereof, the carbocycle is unsubstituted, i.e. it does not carry any substituent R910. According to still another embodiment of formula I, it is substituted with R910.
According to one embodiment, R9 and R10 together with the carbon atom to which they are bound form a saturated or partially unsaturated three-, four-, five-, six-, seven-, eight-, nine-, or ten-membered heterocycle that is unsubstituted or substituted. According to a further embodi- ment, the heterocycle formed by R9 and R10 is saturated.
According to a further embodiment, the heterocycle formed by R9 and R10 is a saturated unsub- stituted or substituted heterocycle, wherein the heterocycle contains one, two or three, more particularly one or two, specifically one, heteroatom(s) selected from NH, NRN, O, S, S(=0) and S(=0)2, wherein RN is defined and preferably defined above. According to one embodiment, this saturated heterocycle is unsubstituted. According to a further embodiment, the saturated heter- ocycle carries one, two, three or four substituents R910. In one further particular embodiment, said heterocycle is four- or six-membered.
According to a further embodiment, the unsubstituted or substituted and saturated or partially unsaturated heterocycle is three-, four-, five- or six-membered and contains one, two or three, more particularly one or two, heteroatoms selected from NH, NRN, O, S, S(=0) and S(=0)2, wherein RN is as defined above or preferably selected from Ci-C2-alkyl, Ci-C2-halogenalkyl and S02Ph, wherein Ph is unsubstituted phenyl or phenyl that is substituted by one Ci-C2-alkyl. In one further particular embodiment, said heterocycle is four- or six-membered.
According to a further embodiment, the heterocycle formed by R9 and R10 contains one, two or three, more specifically one or two, heteroatoms selected from NH and NRN, wherein RN is as defined and preferably defined below, more particularly selected from Ci-C2-alkyl, Ci-C2-halo- genalkyl and S02Ph, wherein Ph is unsubstituted phenyl or phenyl that is substituted by one methyl. In one embodiment thereof, it contains one or two heteroatoms NH, in particular one NH. In another embodiment, it contains one or two heteroatoms NRN, in particular one NRN, wherein RN in each case is as defined and preferably defined above.
According to a further embodiment, the heterocycle formed by R9 and R10 contains one, two or three, more specifically one or two, in particular one, heteroatom(s) selected from S, S(=0) and S(=0)2. In one embodiment thereof, it contains one or two heteroatoms S, in particular one S. In another embodiment, it contains one or two heteroatoms S(=0), in particular one S(=0). In still another embodiment, it contains one or two heteroatoms S(=0)2, in particular one S(=0)2.
According to a further embodiment, the heterocycle formed by R9 and R10 contains one or two heteroatoms O. In one embodiment thereof, it contains one heteroatom O. In another embodi- ment, it contains two heteroatoms O.
According to a further embodiment, the heterocycle formed by R9 and R10 is unsubstituted, i.e. it does not carry any substituent R910. According to a further embodiment, it carries one, two, three or four R910.
According to one particular embodiment, R9 and R10 together form a 4-membered saturated het- erocycle which contains 1 or 2 heteroatoms, in particular 1 heteroatom, from the group consist- ing of NH, NRN, O, S, S(=0) and S(=0)2, as ring members, wherein RN is defined and preferably defined above. In one embodiment, the heterocycle contains one O as heteroatom. For exam- pie, the formed heterocycle is oxetane. According to one embodiment thereof, the heterocycle is unsubstituted, i.e. it does not carry any substituent R910. According to a further embodiment, it carries one, two, three or four R910.
According to a further particular embodiment, R9 and R10 together form a 5-membered saturated heterocycle which contains 1 , 2 or 3, in particular 1 or 2, heteroatoms from the group consisting of NH, NRN, O, S, S(=0) and S(=0)2, as ring members, wherein RN is as defined and preferably defined above. According to one embodiment thereof, the heterocycle is unsubstituted, i.e. it
does not carry any substituent R910. According to a further embodiment, it carries one, two, three or four R910.
According to a further particular embodiment, R9 and R10 together form a 6-membered saturated heterocycle which contains 1 , 2 or 3, in particular 1 or 2, heteroatoms from the group consisting of NH, NRN, O, S, S(=0) and S(=0)2, as ring members, wherein RN is as defined and preferably defined below. According to one embodiment thereof, the heterocycle is unsubstituted, i.e. it does not carry any substituent R910. According to a further embodiment, it carries one, two, three or four R910. According to one specific embodiment thereof, said 6-membered saturated heterocycle contains 1 or 2 heteroatoms selected from NH and NRN. According to a further specific embodiment thereof, said 6-membered saturated heterocycle contains 1 or 2 heteroa- toms O. According to a further specific embodiment thereof, said 6-membered saturated hetero- cycle contains 1 or 2 heteroatoms selected from S, S(=0) and S(=0)2. According to one embodiment thereof, the respective 6-membered heterocycle is unsubstituted, i.e. it does not carry any substituent R910. According to a further embodiment, it carries one, two, three or four
R910
According to one further embodiment R9 together with R10 and with the carbon atom to which they are bound form a saturated three-, four-, five-, six-, seven-, eight-, nine-, or ten-membered carbocycle, in particular three-, four-, five- or six-membered carbocycle, more specifically five- or six-membered carbocycle, that is unsubstituted or carries one, two, three or four substituents R910 as defined below. According to one embodiment thereof, R9 and R10 form a cyclopropyl, that is unsubstituted or carries one, two, three or four substituents R910 as defined below.
According to a further embodiment thereof, R9 and R10 form a cyclobutyl, that is unsubstituted or carries one, two, three or four substituents R910 as defined below. According to still a further embodiment thereof, R9 and R10 form a cyclopentyl, that is unsubstituted or carries one, two, three or four substituents R910 as defined below. According to still a further embodiment thereof, R9 and R10 form a cyclohexyl, that is unsubstituted or carries one, two, three or four substituents R910 as defined below. According to still a further embodiment thereof, R9 and R10 form a cycloheptyl, that is unsubstituted or carries one, two, three or four substituents R910 as defined below.
R910 are the possible substituents for the carbo- or heterocycle formed by R9 and R10 and are independently selected from halogen, OH, CN, NO2, SH, NH2, Ci-C6-alkyl, Ci-C6-halogenalkyl, Ci-C6-alkoxy, Ci-C6-halogenalkoxy, Ci-C6-alkylthio, Ci-C6-halogenalkylthio, Ci-C4-alkoxy-Ci-C4- alkyl, phenyl and phenoxy, wherein the phenyl groups are unsubstituted or carry one, two, three, four or five substituents R910a selected from the group consisting of halogen, OH, C1-C4- alkyl, Ci-C4-halogenalkyl, Ci-C4-alkoxy and Ci-C4-halogenalkoxy; and wherein in each case one or two CH2 groups of the carbo- or heterocycle may be replaced by a group independently se- lected from C(=0) and C(=S).
In one preferred embodiment, R910 is in each case independently selected from halogen, OH, CN, SH, Ci-C6-alkyl, Ci-C6-halogenalkyl, Ci-C6-alkoxy, Ci-C6-halogenalkoxy and Ci-C6-al- kylthio. In one further preferred embodiment, R910 is in each case independently selected from halogen, Ci-C6-alkyl and Ci-C6-halogenalkyl. In one further particular embodiment, R910 is in each case independently selected from Ci-C6-alkyl, such as methyl and ethyl.
RN is the substituent of the heteroatom NRN that is contained in the heterocycle formed by R9 and R10 in some of the inventive compounds. RN is selected from Ci-C4-alkyl, Ci-C4-halogenalk and S02Ph, wherein Ph is unsubstituted phenyl or phenyl that is substituted by one, two or three substituents selected from Ci-C4-alkyl. In one preferred embodiment, RN is in each case independently selected from Ci-C2-alkyl, Ci-C2-halogenalkyl and S02Ph, wherein Ph is unsub- stituted phenyl or phenyl that is substituted by one methyl substituents. In one particular embod- iment, RN is in each case independently selected from Ci-C2-alkyl, more particularly methyl. In one particular embodiment, RN is in each case independently selected from S02Ph, wherein Ph is unsubstituted phenyl or phenyl that is substituted by one methyl.
According to still another embodiment of formula I, R9, R10 together with the carbon atom to which they are bound form a saturated or partially unsaturated three-, four-, five-, six-, seven-, eight-, nine-, or ten-membered carbo- or heterocycle; wherein the carbocycle or heterocycle is unsubstituted or carries one, two, three or four substituents R910 independently selected from halogen, OH, CN, NO2, SH, NH2, Ci-C6-alkyl, Ci-C6-halogenalkyl, Ci-C6-alkoxy, Ci-C6-halogen- alkoxy, Ci-C6-alkylthio, Ci-C6-halogenalkylthio, Ci-C4-alkoxy-Ci-C4-alkyl, phenyl and phenoxy, wherein the phenyl groups are unsubstituted or carry one, two, three, four or five substituents R910a selected from the group consisting of CN, halogen, OH, Ci-C4-alkyl, Ci-C4-halogenalkyl, Ci-C4-alkoxy, Ci-C4-halogenalkoxy.
According to still another embodiment of formula I, R9, R10 together with the carbon atom to which they are bound form a saturated or partially unsaturated four-, five-, six-membered carbo- or heterocycle; wherein the carbocycle or heterocycle is unsubstituted or carries one, two, three or four substituents R910 independently selected from halogen, Ci-C6-alkyl, Ci-C6-halogenalkyl, Ci-C6-alkoxy, Ci-C6-halogenalkoxy.
Particularly preferred embodiments of combinations of R9 and R10 according to the invention are in Table P67 below, wherein each line of lines P910-1 to P910-34 corresponds to one particular embodiment of the invention, wherein P910-1 to P910-34 are also in any combination with one another a preferred embodiment of the present invention. The carbon atom, to which R9 and R10 are bound is marked with * in the drawings.“Ts” in the drawings stands for the tosylgroup SO2- (p-CHs)phenyl.
Table P910
According to still another embodiment of formula I, R9, R10 together with the carbon atom to which they are bound form a group =N-OR, wherein R is independently selected from H, C1- C4-alkyl, C2-C6-alkenyl, C2-C6-alkynyl, saturated or partially unsaturated three-, four-, five-, six-, seven-, eight-, nine-, or ten-membered carbo- and heterocycle, five- or six-membered heteroaryl or aryl; wherein the heterocycle or heteroaryl contains one, two or three heteroatoms selected from N, O and S, and wherein R is unsubstituted or substituted by halogen, OH, CN, N02, SH, NH2, NH(Ci-C4-alkyl), N(Ci-C4-alkyl)2, NH-S02-Rx, Ci-C6-alkyl, Ci-C6-halogenalkyl, C2-C6- alkenyl, C2-C6-halogenalkenyl, C2-C6-alkynyl, C2-C6-halogenalkynyl, Ci-C6-alkoxy, Ci-C6-halo- genalkoxy, C3-C6-cycloalkyl, C3-C6-halogencycloalkyl and phenyl.
According to one embodiment R is H.
According to another embodiment R is Ci-C4-alkyl in particular Ci-C4-alkyl, such as CH3 or CH2CH3.
According to still another embodiment of formula I, R is Ci-C6-halogenalkyl, in particular C1-C4- halogenalkyl, such as CF3, CHF2, CH2F, CCI3, CHCI2, CH2CI, CF3CH2, CCI3CH2 or CF2CHF2.
According to another embodiment R is C2-C6-alkenyl or C2-C6-halogenalkenyl, in particular C2- C4-alkenyl or C2-C4-halogenalkenyl, such as CH=CH2, C(CH3)=CH2, CH=CCI2, CH=CF2,
CCI=CCI2, CF=CF2, CH=CH2, CH2CH=CCI2, CH2CH=CF2, CH2CCI=CCI2, CH2CF=CF2,
CCI2CH=CCI2I CF2CH=CF2I CCI2CCI=CCI2, or CF2CF=CF2.
According to another embodiment R is C2-C6-alkynyl C2-C6-alkynyl or C2-C6-halogenalkynyl, in particular C2-C4-alkynyl or C2-C4-halogenalkynyl, such as C CH, C=CCI, C CF. CH2C=CH, CH2CºCCI, or CH2CºCF.
According to another embodiment R is saturated or partially unsaturated three-, four-, five-, six-, seven-, eight-, nine-, or ten-membered carbo- and heterocycle, five- or six-membered heteroaryl or aryl.
According to still another embodiment of formula I, R is unsubstituted 5- or 6-membered heteroaryl. According to still a further embodiment, R is 5- or 6-membered heteroaryl that is substituted with one, two or three substituents, as defined herein.
Preferred embodiments of the present invention are the following compounds I.A-1 , I.A-2, I.A-3,
I.A-4, I.A-5, I.A-6, I.A-7, I.A-8, I.A-9, I.A-10, I.A-1 1 , I.A-12, I.A-13, I.A-14, I.A-15, I.B-1 , I.B-2, I.B- 3, I.B-4, I.B-5, I.B-6, I.B-7, I.B-8, I.B-9, I.B-10, I.B-1 1 , I.B-12, I.B-13, I.B-14, I.B-15, and I.C-1 , I.C-2, I.C-3, I.C-4, I.C-5, I.C-6, I.C-7, I.C-8, I.C-9 I.C-10, I.C-1 1 , I.C-12, I.C-13, I.C-14, I.C-15. In these formulae, the substituents R1, R2, R3, R4, R6, R7 and R8 are independently as defined above or preferably defined herein:
Table B
one embodiment, preference is given to the compounds of the formulae I.A-1, I.A-2, I.A-3, I.A-4, I.A-5, I.A-6, I.A-7, I.A-8, I.A-9, I.A-10, I.A-11, I.A-12, I.A-13, I.A-14, I.A-15, I.B-1, I.B-2, I.B-3, I.B- 4, I.B-5, I.B-6, I.B-7, I.B-8, I.B-9, I.B-10, I.B-11 , I.B-12, I.B-13, I.B-14, I.B-15, and I.C-1, I.C-2, I.C-3, I.C-4, I.C-5, I.C-6, I.C-7, I.C-8, I.C-9 I.C-10, I.C-11, I.C-12, I.C-13, I.C-14, I.C-15 that are compiled in the Tables 1a to 4a. Each of the groups mentioned for a substituent in the tables is furthermore per se, independently of the combination in which it is mentioned, a particularly pre- ferred aspect of the substituent in question.
Table 1a Compounds of the formula I.A-1, I.A-2, I.A-3, I.A-4, I.A-5, I.A-6, I.A-7, I.A-8, I.A-9, I.A-10, I.A-11 , I.A-12, I.A-13, I.A-14, I.A-15, I.B-1, I.B-2, I.B-3, I.B-4, I.B-5, I.B-6, I.B-7, I.B-8, I.B- 9, I.B-10, I.B-11 , I.B-12, I.B-13, I.B-14, I.B-15, and I.C-1, I.C-2, I.C-3, I.C-4, I.C-5, I.C-6, I.C-7, I.C-8, I.C-9 I.C-10, I.C-11, I.C-12, I.C-13, I.C-14, I.C-15 in which R2 is CH3 and the meaning for the combination of R1, R3, R4, R6, R7 and R8 for each individual compound corresponds in each case to one line of Table B (compounds I.A-1.1a. B-1 to I.A-1 1a. B-432, I.A-2.1a. B-1 to I.A- 2.1a.B-432, I.A-3.1a.B-1 to I.A-3.1a. B-432, I.A-4.1a.B-1 to I.A-4.1a. B-432, I.A-5.1a.B-1 to I.A- 5.1a. B-432; I.A-6.1a.B-1 to I.A-6.1a. B-432, I.A-7.1a.B-1 to I.A-7.1a. B-432, I.A-8.1a.B-1 to I.A-
8.1 a. B-432, I.A-9.1a.B-1 to I.A-9.1a. B-432, I.A-10.1a.B-1 to I.A-10.1 a.B-432, I.A-11.1a.B-1 to I.A-11.1a.B-432, I.A-12.1a.B-1 to I.A-12.1a.B-432, I.A-13.1a.B-1 to I.A-13.1a. B-432, I.A-
14.1a.B-1 to I.A-14.1a. B-432, I.A-15.1a.B-1 to I.A-15.1a.B-432; I.B-1.1 a.B-1 to I.B-1 1a.B-432, I.B-2.1a. B-1 to I. B-2.1 a.B-432, I.B-3.1a.B-1 to I. B-3.1 a.B-432, I.B-4.1a.B-1 to I. B-4.1 a.B-432, I.B-5.1a. B-1 to I. B-5.1 a.B-432; I.B-6.1 a.B-1 to I. B-6.1 a.B-432, I.B-7.1 a.B-1 to I. B-7.1 a.B-432, I.B-8.1a. B-1 to I. B-8.1 a.B-432, I.B-9.1a.B-1 to I. B-9.1 a.B-432, I.B-10.1 a.B-1 to I.B-10.1a.B-432, I.B-11 1a. B-1 to I.B-11 1a.B-432, I.B-12.1a.B-1 to I.B-12.1a.B-432 I.B-13.1a.B-1 to I.B-13.1a.B- 432, I.B-14.1a. B-1 to I.B-14.1a.B-432 I.B-15.1a.B-1 to I.B-15.1a.B-432; I.C-1.1 a.B-1 to I.C-
1.1 a.B-432, I.C-2.1 a.B-1 to I.C-2.1 a.B-432, I.C-3.1 a.B-1 to I.C-3.1 a.B-432, I.C-4.1 a.B-1 to I.C-
4.1 a.B-432, I.C-5.1 a.B-1 to I.C-5.1 a.B-432; I.C-6.1 a.B-1 to I.C-6.1 a.B-432, I.C-7.1 a.B-1 to I.C-
7.1 a.B-432, I.C-8.1a.B-1 to I.C-8.1 a.B-432, I.C-9.1a.B-1 to I.C-9.1 a.B-432, I.C-10.1a.B-1 to I.C-
10.1 a.B-432, I.C-11.1a.B-1 to I.C-11 1a.B-432, I.C-12.1a.B-1 to I.C-12.1a.B-432, I.C-13.1a.B-1 to I.C-13.1a. B-432, I.C-14.1a.B-1 to I.C-14.1a.B-432, I.C-15.1a.B-1 to I.C-15.1a.B-432).
Table 2a Compounds of the formula I.A-1, I.A-2, I.A-3, I.A-4, I.A-5, I.A-6, I.A-7, I.A-8, I.A-9, I.A-10, I.A-11 , I.A-12, I.A-13, I.A-14, I.A-15, I.B-1, I.B-2, I.B-3, I.B-4, I.B-5, I.B-6, I.B-7, I.B-8, I.B- 9, I.B-10, I.B-11 , I.B-12, I.B-13, I.B-14, I.B-15, and I.C-1, I.C-2, I.C-3, I.C-4, I.C-5, I.C-6, I.C-7, I.C-8, I.C-9 I.C-10, I.C-11, I.C-12, I.C-13, I.C-14, I.C-15 in which R2 is OCH3 and the meaning for the combination of R1, R3, R4, R6, R7 andR8 for each individual compound corresponds in
each case to one line of Table B (compounds I.A-1 2a. B-1 to I.A-1.2a.B-432, I.A-2.2a.B-1 to I.A- 2.2a.B-432, I.A-3.2a.B-1 to I.A-3.2a.B-432, I.A-4.2a.B-1 to I.A-4.2a.B-432, I.A-5.2a.B-1 to I.A- 5.2a.B-432; I.A-6.2a.B-1 to I.A-6.2a.B-432, I.A-7.2a.B-1 to I.A-7.2a.B-432, I.A-8.2a.B-1 to I.A- 8.2a.B-432, I.A-9.2a.B-1 to I.A-9.2a.B-432, I.A-10.2a.B-1 to I.A-10.2a.B-432, I.A-1 1 2a. B-1 to I.A-1 1 2a.B-432, I.A-12.2a.B-1 to I.A-12.2a.B-432, I.A-13.2a.B-1 to I.A-13.2a. B-432, I.A- 14.2a. B-1 to I.A-14.2a. B-432, I.A-15.2a.B-1 to I.A-15.2a.B-432; I.B-1 .2a.B-1 to I. B-1 2a. B-432, I.B-2.2a.B-1 to I.B-2.2a.B-432, I.B-3.2a.B-1 to I.B-3.2a.B-432, I.B-4.2a.B-1 to I.B-4.2a.B-432, I.B-5.2a.B-1 to I.B-5.2a.B-432; I.B-6.2a.B-1 to I.B-6.2a.B-432, I.B-7.2a.B-1 to I.B-7.2a.B-432, I.B-8.2a.B-1 to I.B-8.2a.B-432, I.B-9.2a.B-1 to I.B-9.2a.B-432, I.B-10.2a.B-1 to I. B-10.2a. B-432, I. B-1 1 .2a. B-1 to I. B-1 1 2a.B-432, I.B-12.2a.B-1 to I.B-12.2a.B-432 I.B-13.2a.B-1 to I.B-13.2a.B- 432, I.B-14.2a.B-1 to I.B-14.2a.B-432 I.B-15.2a.B-1 to I. B-15.2a. B-432; I.C-1 .2a.B-1 to I.C- 1 .2a. B-432, I.C-2.2a.B-1 to I.C-2.2a. B-432, I.C-3.2a.B-1 to I.C-3.2a. B-432, I.C-4.2a.B-1 to I.C- 4.2a. B-432, I.C-5.2a.B-1 to I.C-5.2a. B-432; I.C-6.2a.B-1 to I.C-6.2a. B-432, I.C-7.2a.B-1 to I.C- 7.2a. B-432, I.C-8.2a.B-1 to I.C-8.2a. B-432, I.C-9.2a.B-1 to I.C-9.2a. B-432, I.C-10.2a.B-1 to I.C- 10.2a. B-432, I.C-1 1 2a.B-1 to I.C-1 1 .2a. B-432, I.C-12.2a.B-1 to I.C-12.2a. B-432, I.C-13.2a.B-1 to I.C-13.2a. B-432, I.C-14.2a.B-1 to I.C-14.2a.B-432, I.C-15.2a.B-1 to I.C-15.2a. B-432).).
Table 3a Compounds of the formula I.A-1 , I.A-2, I.A-3, I.A-4, I 7, I.A-8, I.A-9, I.A-10, I.A-1 1 , I.A-12, I.A-13, I.A-14, I.A-15, I. B-1 , I.B-2, I.B-3, I. , I.B-7, I.B-8, I.B- 9, I .B-10, I. B-1 1 , I . B-12, I.B-13, I.B-14, I.B-15, and I.C-1 , I.C-2, -5, I.C-6, I.C-7, I.C-8, I.C-9 I.C-10, I.C-1 1 , I.C-12, I.C-13, I.C-14, I.C-15in which
the meaning for the combination of R1, R3, R4, R6, R7and R8 for each individual compound corresponds in each case to one line of Table B (compounds I.A-1 3a. B-1 to I.A-1 3a. B-432, I.A-2.3a. B-1 to I.A- 2.3a. B-432, I.A-3.3a.B-1 to I.A-3.3a. B-432, I.A-4.3a.B-1 to I.A-4.3a.B-432, I.A-5.3a.B-1 to I.A- 5.3a. B-432; I.A-6.3a.B-1 to I.A-6.3a. B-432, I.A-7.3a.B-1 to I.A-7.3a.B-432, I.A-8.3a.B-1 to I.A- 8.3a. B-432, I.A-9.3a.B-1 to I.A-9.3a. B-432, I.A-10.3a.B-1 to I.A-10.3a.B-432, I.A-1 1 3a. B-1 to I.A-1 1 .3a. B-432, I.A-12.3a.B-1 to I.A-12.3a. B-432, I.A-13.3a.B-1 to I.A-13.3a. B-432, I.A- 14.3a. B-1 to I.A-14.3a. B-432, I.A-15.3a.B-1 to I.A-15.3a.B-432; I.B-1 .3a.B-1 to I. B-1 3a. B-432, I.B-2.3a. B-1 to I.B-2.3a.B-432, I.B-3.3a.B-1 to I.B-3.3a.B-432, I.B-4.3a.B-1 to I.B-4.3a. B-432, I.B-5.3a. B-1 to I.B-5.3a.B-432; I.B-6.3a.B-1 to I.B-6.3a.B-432, I.B-7.3a.B-1 to I.B-7.3a.B-432, I.B-8.3a. B-1 to I.B-8.3a.B-432, I.B-9.3a.B-1 to I.B-9.3a.B-432, I.B-10.3a.B-1 to I. B-10.3a. B-432, I. B-1 1 .3a. B-1 to I. B-1 1 3a.B-432, I.B-12.3a.B-1 to I.B-12.3a.B-432 I.B-13.3a.B-1 to I.B-13.3a.B- 432, I.B-14.3a. B-1 to I.B-14.3a.B-432 I.B-15.3a.B-1 to I. B-15.3a. B-432; I.C-1 .3a. B-1 to I.C- 1 .3a. B-432, I.C-2.3a.B-1 to I.C-2.3a. B-432, I.C-3.3a.B-1 to I.C-3.3a. B-432, I.C-4.3a.B-1 to I.C- 4.3a. B-432, I.C-5.3a.B-1 to I.C-5.3a. B-432; I.C-6.3a.B-1 to I.C-6.3a. B-432, I.C-7.3a.B-1 to I.C- 7.3a. B-432, I.C-8.3a.B-1 to I.C-8.3a. B-432, I.C-9.3a.B-1 to I.C-9.3a. B-432, I.C-10.3a.B-1 to I.C- 10.3a. B-432, I.C-1 1 3a.B-1 to I.C-1 1 .3a. B-432, I.C-12.3a.B-1 to I.C-12.3a. B-432, I.C-13.3a.B-1 to I.C-13.3a. B-432, I.C-14.3a.B-1 to I.C-14.3a.B-432, I.C-15.3a.B-1 to I.C-15.3a. B-432).).
Table 4a Compounds of the formula I.A-1 , I.A-2, I.A-3, I.A-4, I.A-5, I.A-6, I.A-7, I.A-8, I.A-9, I.A-10, I.A-1 1 , I.A-12, I.A-13, I.A-14, I.A-15, I. B-1 , I.B-2, I.B-3, I.B-4, I.B-5, I.B-6, I.B-7, I.B-8, I.B- 9, I .B-10, I. B-1 1 , I . B-12, I.B-13, I.B-14, I.B-15, and I.C-1 , I.C-2, I.C-3, I.C-4, I.C-5, I.C-6, I.C-7, I.C-8, I.C-9 I.C-10, I.C-1 1 , I.C-12, I.C-13, I.C-14, I.C-15in which R2 is CHF2 and the meaning for the combination of R1, R3, R4, R6, R7 and R8 for each individual compound corresponds in each case to one line of Table B (compounds I.A-1 4a. B-1 to I.A-1 4a. B-432, I.A-2.4a. B-1 to I.A-
2.4a.B-432, I.A-3.4a.B-1 to I.A-3.4a.B-432, I.A-4.4a.B-1 to I.A-4.4a.B-432, I.A-5.4a.B-1 to I.A- 5.4a.B-432; I.A-6.4a.B-1 to I.A-6.4a.B-432, I.A-7.4a.B-1 to I.A-7.4a.B-432, I.A-8.4a.B-1 to I.A- 8.4a.B-432, I.A-9.4a.B-1 to I.A-9.4a.B-432, I.A-10.4a.B-1 to I.A-10.4a.B-432, I.A-11 4a. B-1 to I.A-11 4a. B-432, I.A-12.4a.B-1 to I.A-12.4a.B-432, I.A-13.4a.B-1 to I.A-13.4a. B-432, I.A- 14.4a. B-1 to I.A-14.4a. B-432, I.A-15.4a.B-1 to I.A-15.4a.B-432; I.B-1.4a.B-1 to I. B-1 4a. B-432, I.B-2.4a.B-1 to I.B-2.4a.B-432, I.B-3.4a.B-1 to I.B-3.4a.B-432, I.B-4.4a.B-1 to I.B-4.4a.B-432, I.B-5.4a.B-1 to I.B-5.4a.B-432; I.B-6.4a.B-1 to I.B-6.4a.B-432, I.B-7.4a.B-1 to I.B-7.4a.B-432, I.B-8.4a.B-1 to I.B-8.4a.B-432, I.B-9.4a.B-1 to I.B-9.4a.B-432, I.B-10.4a.B-1 to I. B-10.4a. B-432,
I. B-11.4a. B-1 to I. B-1 1 4a.B-432, I.B-12.4a.B-1 to I.B-12.4a.B-432 I.B-13.4a.B-1 to I.B-13.4a.B- 432, I.B-14.4a.B-1 to I.B-14.4a.B-432 I.B-15.4a.B-1 to I. B-15.4a. B-432; I.C-1.4a.B-1 to I.C- 1.4a. B-432, I.C-2.4a.B-1 to I.C-2.4a. B-432, I.C-3.4a.B-1 to I.C-3.4a. B-432, I.C-4.4a.B-1 to I.C- 4.4a. B-432, I.C-5.4a.B-1 to I.C-5.4a. B-432; I.C-6.4a.B-1 to I.C-6.4a. B-432, I.C-7.4a.B-1 to I.C- 7.4a. B-432, I.C-8.4a.B-1 to I.C-8.4a. B-432, I.C-9.4a.B-1 to I.C-9.4a. B-432, I.C-10.4a.B-1 to I.C- 10.4a. B-432, I.C-1 1 4a.B-1 to I.C-11.4a. B-432, I.C-12.4a.B-1 to I.C-12.4a. B-432, I.C-13.4a.B-1 to I.C-13.4a. B-432, I.C-14.4a.B-1 to I.C-14.4a.B-432, I.C-15.4a.B-1 to I.C-15.4a. B-432)..
The compounds I and the compositions according to the invention, respectively, are suitable as fungicides. They are distinguished by an outstanding effectiveness against a broad spectrum of phytopathogenic fungi, including soil-borne fungi, which derive especially from the classes of the Plasmodiophoromycetes, Peronosporomycetes (syn. Oomycetes), Chytridiomycetes, Zygo- mycetes, Ascomycetes, Basidiomycetes, and Deuteromycetes (syn. Fungi imperfecti). Some are systemically effective and they can be used in crop protection as foliar fungicides, fungi- cides for seed dressing, and soil fungicides. Moreover, they are suitable for controlling harmful fungi, which inter alia occur in wood or roots of plants.
The compounds I and the compositions according to the invention are particularly important in the control of a multitude of phytopathogenic fungi on various cultivated plants, such as cere- als, e. g. wheat, rye, barley, triticale, oats, or rice; beet, e. g. sugar beet or fodder beet; fruits, e. g. pomes (apples, pears, etc.), stone fruits (plums, peaches, almonds, cherries, etc.), or soft fruits, which are also called berries (strawberries, raspberries, blackberries, gooseberries, etc.); leguminous plants, e. g. lentils, peas, alfalfa, or soybeans; oil plants, e. g. rape, mustard, olives, sunflowers, coconut, cocoa beans, castor oil plants, oil palms, ground nuts, or soybeans; cucur- bits, e. g. squashes, cucumber, or melons; fiber plants, e. g. cotton, flax, hemp, or jute; citrus fruits, e. g. oranges, lemons, grapefruits, or mandarins; vegetables, e. g. spinach, lettuce, aspa- ragus, cabbages, carrots, onions, tomatoes, potatoes, cucurbits, or paprika; lauraceous plants, e. g. avocados, cinnamon, or camphor; energy and raw material plants, e. g. corn, soybean, rape, sugar cane, or oil palm; corn; tobacco; nuts; coffee; tea; bananas; vines (table grapes and grape juice grape vines); hop; turf; sweet leaf (also called Stevia); natural rubber plants; or orna- mental and forestry plants, e. g. flowers, shrubs, broad-leaved trees, or evergreens (conifers, eucalypts, etc.); and on the plant propagation material, such as seeds; and on the crop material of these plants.
Preferably, compounds I and compositions thereof, respectively are used for controlling a multitude of fungi on field crops, such as potatoes, sugar beets, tobacco, wheat, rye, barley, oats, rice, corn, cotton, soybeans, rape, legumes, sunflowers, coffee or sugar cane; fruits; vines; ornamentals; or vegetables, such as cucumbers, tomatoes, beans or squashes.
The term "plant propagation material" is to be understood to denote all the generative parts
of the plant, such as seeds; and vegetative plant materials, such as cuttings and tubers (e. g. potatoes), which can be used for the multiplication of the plant. This includes seeds, roots, fruits, tubers, bulbs, rhizomes, shoots, sprouts and other parts of plants; including seedlings and young plants, which are to be transplanted after germination or after emergence from soil.
These young plants may also be protected before transplantation by a total or partial treatment by immersion or pouring.
Preferably, treatment of plant propagation materials with compounds I and compositions thereof, respectively, is used for controlling a multitude of fungi on cereals, such as wheat, rye, barley and oats; rice, corn, cotton and soybeans.
The term "cultivated plants" is to be understood as including plants which have been modi- fied by mutagenesis or genetic engineering to provide a new trait to a plant or to modify an al- ready present trait. Mutagenesis includes techniques of random mutagenesis using X-rays or mutagenic chemicals, but also techniques of targeted mutagenesis, to create mutations at a specific locus of a plant genome. Targeted mutagenesis techniques frequently use oligonucleo- tides or proteins like CRISPR/Cas, zinc-finger nucleases, TALENs or meganucleases to achieve the targeting effect. Genetic engineering usually uses recombinant DNA techniques to create modifications in a plant genome which under natural circumstances cannot readily be ob- tained by cross breeding, mutagenesis or natural recombination. Typically, one or more genes are integrated into the genome of a plant to add a trait or improve a trait. These integrated genes are also referred to as transgenes in the art, while plant comprising such transgenes are referred to as transgenic plants. The process of plant transformation usually produces several transformation events, wich differ in the genomic locus in which a transgene has been inte- grated. Plants comprising a specific transgene on a specific genomic locus are usually de- scribed as comprising a specific“event”, which is referred to by a specific event name. Traits which have been introduced in plants or have been modified include herbicide tolerance, insect resistance, increased yield and tolerance to abiotic conditions, like drought.
Herbicide tolerance has been created by using mutagenesis as well as using genetic engi- neering. Plants which have been rendered tolerant to acetolactate synthase (ALS) inhibitor herbicides by mutagenesis and breeding comprise plant varieties commercially available under the name Clearfield®.
Herbicide tolerance has been created via the use of transgenes to glyphosate, glufosinate, 2,4-D, dicamba, oxynil herbicides, like bromoxynil and ioxynil, sulfonylurea herbicides, ALS in- hibitors and 4-hydroxyphenyl pyruvate dioxygenase (HPPD) inhibitors, like isoxaflutole and mes- otrione.
Transgenes wich have been used to provide herbicide tolerance traits comprise: for toler- ance to glyphosate: cp4 epsps, epsps grg23ace5, mepsps, 2mepsps, gat4601 , gat4621 , goxv247; for tolerance to glufosinate: pat and bar, for tolerance to 2,4-D: aad-1 , aad-12; for tol erance to dicamba: dmo; for tolerance to oxynil herbicies: bxn; for tolerance to sulfonylurea herbicides: zm-hra, csr1-2, gm-hra, S4-HrA; for tolerance to ALS inhibitors: csr1-2; and for toler- ance to HPPD inhibitors: hppdPF, W336, avhppd-03.
Transgenic corn events comprising herbicide tolerance genes include, but are not limited to, DAS40278, MON801 , MON802, MON809, MON810, MON832, MON8741 1 , MON87419, MON87427, MON88017, MON89034, NK603, GA21 , MZHG0JG, HCEM485, VCO-01981-5, 676, 678, 680, 33121 , 4114, 59122, 98140, Bt10, Bt176, CBH-351 , DBT418, DLL25, MS3,
MS6, MZIR098, T25, TC1507 and TC6275. Transgenic soybean events comprising herbicide tolerance genes include, but are not limited to, GTS 40-3-2, MON87705, MON87708,
MON87712, MON87769, MON89788, A2704-12, A2704-21 , A5547-127, A5547-35, DP356043, DAS44406-6, DAS68416-4, DAS-81419-2, GU262, SYHT0H2, W62, W98, FG72 and CV127. Transgenic cotton events comprising herbicide tolerance genes include, but are not limited to, 19-51 a, 31707, 42317, 81910, 281-24-236, 3006-210-23, BXN1021 1 , BXN10215, BXN10222, BXN10224, MON1445, MON1698, MON88701 , MON88913, GHB119, GHB614, LLCotton25, T303-3 and T304-40. Transgenic canola events comprising herbicide tolerance genes are for example, but not excluding others, MON88302, HCR-1 , HCN10, HCN28, HCN92, MS1 , MS8, PHY14, PHY23, PHY35, PHY36, RF1 , RF2 and RF3.
Insect resistance has mainly been created by transferring bacterial genes for insecticidal proteins to plants: Transgenes which have most frequently been used are toxin genes of Bacil lus spp. and synthetic variants thereof, like cry1A, crylAb, cry1Ab-Ac, crylAc, cry1A.105, cry1 F, cry1 Fa2, cry2Ab2, cry2Ae, mcry3A, ecry3.1Ab, cry3Bb1 , cry34Ab1 , cry35Ab1 , cry9C, vip3A(a), vip3Aa20. However, also genes of plant origin, such as genes coding for protease inhibitors, like CpTI and pinll, have been transferred to other plants. A further approach uses transgenes such as dvsnf7 to produce double-stranded RNA in plants.
Transgenic corn events comprising genes for insecticidal proteins or double stranded RNA include, but are not limited to, Bt10, Bt1 1 , Bt176, MON801 , MON802, MON809, MON810, MON863, MON87411 , MON88017, MON89034, 33121 , 41 14, 5307, 59122, TC1507, TC6275, CBH-351 , MIR162, DBT418 and MZIR098. Transgenic soybean events comprising genes for insecticidal proteins include, but are not limited to, MON87701 , MON87751 and DAS-81419. Transgenic cotton events comprising genes for insecticidal proteins include, but are not limited to, SGK321 , MON531 , MON757, MON1076, MON15985, 31707, 31803, 31807, 31808, 42317, BN LA-601 , Eventl , COT67B, COT102, T303-3, T304-40, GFM Cry1A, GK12, MLS 9124, 281- 24-236, 3006-210-23, GHB119 and SGK321.
Increased yield has been created by using the transgene athb17, being present for example in corn event MON87403, or by using the transgene bbx32, being present for example in the soybean event MON87712.
Cultivated plants comprising a modified oil content have been created by using the transgenes: gm-fad2-1 , Pj.D6D, Nc.Fad3, fad2-1A and fatb1-A. Soybean events comprising at least one of these genes are: 260-05, MON87705 and MON87769.
Tolerance to abiotic conditions, such as drought, has been created by using the transgene cspB, comprised by the corn event MON87460 and by using the transgene Hahb-4, comprised by soybean event IND-00410-5.
Traits are frequently combined by combining genes in a transformation event or by combin- ing different events during the breeding process resulting in a cultivated plant with stacked traits. Preferred combinations of traits are combinations of herbicide tolerance traits to different groups of herbicides, combinations of insect tolerance to different kind of insects, in particular tolerance to lepidopteran and coleopteran insects, combinations of herbicide tolerance with one or several types of insect resistance, combinations of herbicide tolerance with increased yield as well as combinations of herbicide tolerance and tolerance to abiotic conditions.
Plants comprising singular or stacked traits as well as the genes and events providing these
traits are well known in the art. For example, detailed information as to the mutagenized or inte- grated genes and the respective events are available from websites of the organizations“Inter- national Service for the Acquisition of Agri-biotech Applications (ISAAA)”
(http://www.isaaa.org/gmapprovaldatabase) and the“Center for Environmental Risk Assess- ment (CERA)” (http://cera-gmc.org/GMCropDatabase). Further information on specific events and methods to detect them can be found for canola events MS1 , MS8, RF3, GT73,
MON88302, KK179 in W001/031042, W001/041558, W001/041558, W002/036831 ,
W01 1/153186, W013/003558, for cotton events MON 1445, MON 15985, MON531
(MON 15985), LLCotton25, MON88913, COT102, 281-24-236, 3006-210-23, COT67B,
GHB614, T304-40, GHB119, MON88701 , 81910 in WO02/034946, W002/100163,
W002/100163, WO03/013224, WO04/072235, WO04/039986, WO05/103266, WO05/103266, WO06/128573, W007/017186, WO08/122406, W008/151780, W012/134808, W013/1 12527; for corn events GA21 , MON810, DLL25, TC1507, MON863, MIR604, LY038, MON88017, 3272, 59122, NK603, MIR162, MON89034, 98140, 32138, MON87460, 5307, 4114, MON87427, DAS40278, MON87411 , 33121 , MON87403, MON87419 in W098/044140, US02/102582, US03/126634, WO04/099447, WO04/01 1601 , WO05/103301 , W005/061720, W005/059103, WO06/098952, WO06/039376, US2007/292854, WO07/142840, WO07/140256,
WO08/112019, WO09/103049, WO09/1 11263, W010/077816, W011/084621 , W011/062904, W01 1/022469, W013/169923, W014/1 16854, W015/053998, W015/142571 ; for potato events E12, F10, J3, J55, V1 1 , X17, Y9 in W014/178910, W014/178913, W014/178941 ,
W014/179276, W016/183445, W017/062831 , W017/062825; for rice events LLRICE06, LLRICE601 , LLRICE62 in WO00/026345, WO00/026356, WO00/026345; and for soybean events H7-1 , MON89788, A2704-12, A5547-127, DP305423, DP356043, MON87701 ,
MON87769, CV127, MON87705, DAS68416-4, MON87708, MON87712, SYHT0H2,
DAS81419, DAS81419 x DAS44406-6, MON87751 in WO04/074492, W006/130436,
WO06/108674, WO06/108675, WO08/054747, W008/002872, WO09/064652, WO09/102873, W010/080829, W010/037016, W01 1/066384, W01 1/034704, WO12/051 199, WO12/082548, W013/016527, WO13/016516, W014/201235.
The use of compounds I and compositions according to the invention, respectively, on culti vated plants may result in effects which are specific to a cultivated plant comprising a certain gene or event. These effects might involve changes in growth behavior or changed resistance to biotic or abiotic stress factors. Such effects may in particular comprise enhanced yield, en- hanced resistance or tolerance to insects, nematodes, fungal, bacterial, mycoplasma, viral or viroid pathogens as well as early vigour, early or delayed ripening, cold or heat tolerance as well as changed amino acid or fatty acid spectrum or content.
The compounds I and compositions thereof, respectively, are particularly suitable for control- ling the following plant diseases:
Albugo spp. (white rust) on ornamentals, vegetables (e. g. A. Candida) and sunflowers (e. g. A. tragopogonis), A Hern aria spp. (Alternaria leaf spot) on vegetables, rape {A. brassicoia or brassi- cae), sugar beets {A. tenuis ), fruits, rice, soybeans, potatoes (e. g. A. soianio’c A. alternate), to- matoes (e. g. A. soiani or A. aiternata) and wheat; Aphanomyces spp. on sugar beets and vege- tables; Ascochyta spp. on cereals and vegetables, e. g. A. / 7fay (anthracnose) on wheat and A. horde ion barley; Bipoiaris and Drechsiera spp. (teleomorph: Cochiioboius spp.), e. g. Southern
leaf blight ( D . maydis) ox Northern leaf blight (B. zeicola) on corn, e. g. spot blotch (B. sorokin- iana) on cereals and e. g. B. oryzae on rice and turfs; Blumeria (formerly Erysiphe) graminis (powdery mildew) on cereals (e. g. on wheat or barley); Botrytis cinerea (teleomorph: Botryotinia fuckeiianar. grey mold) on fruits and berries (e. g. strawberries), vegetables (e. g. lettuce, car- rots, celery and cabbages), rape, flowers, vines, forestry plants and wheat; Bremia lactucae (downy mildew) on lettuce; Ceratocystis (syn. Ophiostoma) spp. (rot or wilt) on broad-leaved trees and evergreens, e. g. C. ulmi (Dutch elm disease) on elms; Cercospora spp. (Cercospora leaf spots) on corn (e. g. Gray leaf spot: C. zeae-maydis ), rice, sugar beets (e. g. C. beticola ), sugar cane, vegetables, coffee, soybeans (e. g. C. sojina or C. kikuchh ) and rice; Cladosporium spp. on tomatoes (e. g. C. fulvum. leaf mold) and cereals, e. g. C. herbarum (black ear) on wheat; Claviceps purpurea (ergot) on cereals; Cochliobolus (anamorph: Helminthosporium of Bipolaris) spp. (leaf spots) on corn {C. carbonum ), cereals (e. g. C. sativus, anamorph: B. soro- kiniana) and rice (e. g. C. miyabeanus, anamorph: H. oryzae), Colletotrichum (teleomorph: Gio- merella) spp. (anthracnose) on cotton (e. g. C. gossypii), corn (e. g. C. graminicola: Anthrac- nose stalk rot), soft fruits, potatoes (e. g. C. coccodes. black dot), beans (e. g. C. iindemuthi- anum) and soybeans (e. g. C. truncatumox C. gioeosporioides ); Corticium spp., e. g. C. sasakii (sheath blight) on rice; Corynespora cassiicola (leaf spots) on soybeans and ornamentals; Cy- doconium spp., e. g. C. oieaginumox\ olive trees; Cyiindrocarpon spp. (e. g. fruit tree canker or young vine decline, teleomorph: Nedria or Neonedria spp.) on fruit trees, vines (e. g. C. iirio- dendri, teleomorph: Neonedria Hriodendri. Black Foot Disease) and ornamentals; Dematophora (teleomorph: RoseWnia) necatrix (root and stem rot) on soybeans; Diaporthe spp., e. g. D.
phaseolorum (damping off) on soybeans; Drechslera (syn. Helminthosporium, teleomorph: Pyr- enophora) spp. on corn, cereals, such as barley (e. g. D. teres, net blotch) and wheat (e. g. D. tritici-repentis. tan spot), rice and turf; Esca (dieback, apoplexy) on vines, caused by Formiti- poria (syn. Pheiiinus) punctata, F. mediterranea, Phaeomonieiia chiamydospora (earlier Phaeo- acremonium chiamydosporum), Phaeoacremonium aieophiium and/or Botryosphaeria obtusa, E/sinoe spp. on pome fruits (F. pyri), soft fruits ( E . veneta. anthracnose) and vines ( E . ampeiina anthracnose); Entyioma oryzae (leaf smut) on rice; Epicoccum spp. (black mold) on wheat; Ery siphe s . (powdery mildew) on sugar beets ( E . betae), vegetables (e. g. E. pisi), such as cu- curbits (e. g. E. cichoracearum), cabbages, rape (e. g. E. cruciferarum)·, Eutypa iata (Eutypa canker or dieback, anamorph: Cytosporina iata, syn. Liberteiia biepharis) on fruit trees, vines and ornamental woods; Exserohiium (syn. Helminthosporium) spp. on corn (e. g. E. turcicum), Fusarium (teleomorph: Gibbereiia) spp. (wilt, root or stem rot) on various plants, such as F. gra- minearum or F. cuimorum (root rot, scab or head blight) on cereals (e. g. wheat or barley), F. oxysporum on tomatoes, F. soiani{ . sp. glycines now syn. F. virguiiforme ) and F. tucumaniae and F. brasiiiense each causing sudden death syndrome on soybeans, and F. vertidiiioides on corn; Gaeumannomyces graminis (take-all) on cereals (e. g. wheat or barley) and corn; Gibber- eiia spp. on cereals (e. g. G. zeae) and rice (e. g. G. fujikuroi. Bakanae disease); Giomereiia cinguiata on vines, pome fruits and other plants and G. gossypii on cotton; Grainstaining com- plex on rice; Guignardia bidweiiii (black rot) on vines; Gymnosporangium spp. on rosaceous plants and junipers, e. g. G. sabinae (rust) on pears; Helminthosporium spp. (syn. Drechslera, teleomorph: Cochliobolus) on corn, cereals and rice; Hemiieia spp., e. g. H. vastatrix (coffee leaf rust) on coffee; isariopsis davispora (syn. Cladosporium vitis) on vines; Macrophomina phaseoiina (syn. phased Ί) (root and stem rot) on soybeans and cotton; Microdochium (syn.
Fusarium) nivaie (pink snow mold) on cereals (e. g. wheat or barley); Microsphaera diffusa (powdery mildew) on soybeans; MoniUnia spp., e. g. M. laxa, M. fructico/a and M. fructigena (bloom and twig blight, brown rot) on stone fruits and other rosaceous plants; Mycosphaerella spp. on cereals, bananas, soft fruits and ground nuts, such as e. g. M. graminico/a (anamorph: Septoria tritici, Septoria blotch) on wheat or M. fijiensis (black Sigatoka disease) on bananas; Peronospora spp. (downy mildew) on cabbage (e. g. P. brassicae ), rape (e. g. P. parasitica), onions (e. g. P. destructor), tobacco {P. tabacina) and soybeans (e. g. P. manshurica),
Phakopsora pachyrhizi and P. meibomiae (soybean rust) on soybeans; Phiaiophora spp. e. g. on vines (e. g. P. tracheiphiia and P. tetraspora) and soybeans (e. g. P. gregata. stem rot); Phoma iingam (root and stem rot) on rape and cabbage and P. betae (root rot, leaf spot and damping-off) on sugar beets; Phomopsis s . on sunflowers, vines (e. g. P. viticoia. can and leaf spot) and soybeans (e. g. stem rot: P. phaseoii, teleomorph: Diaporthe phaseoiorum)·, Phy- soderma maydis (brown spots) on corn; Phytophthora spp. (wilt, root, leaf, fruit and stem root) on various plants, such as paprika and cucurbits (e. g. P. capsici), soybeans (e. g. P.
megasperma, syn. P. sojae), potatoes and tomatoes (e. g. P. infestans. late blight) and broad- leaved trees (e. g. P. ramorum sudden oak death); Piasmodiophora brassicae (club root) on cabbage, rape, radish and other plants; Piasmopara s ., e. g. P. viticoia (grapevine downy mil- dew) on vines and P. haistedii on sunflowers; Podosphaera spp. (powdery mildew) on rosa- ceous plants, hop, pome and soft fruits, e. g. P. ieucotricha on apples; Poiymyxa spp., e. g. on cereals, such as barley and wheat ( P '. graminis) and sugar beets ( P '. betae) and thereby trans- mitted viral diseases; Pseudocercosporeiia herpotrichoides {e yespot, teleomorph: Tapesia yai- iundae) on cereals, e. g. wheat or barley; Pseudoperonospora (downy mildew) on various plants, e. g. P. cu ben sis on cucurbits or P. hum Hi on hop; Pseudopezicuia tracheiphiia (red fire disease or .rotbrenner’, anamorph: Phiaiophora) on vines; Puccinia s . (rusts) on various plants, e. g. P. triticina (brown or leaf rust), P. striiformis (stripe or yellow rust), P. hordei (dwarf rust), P. graminis (stem or black rust) or P. recondite (brown or leaf rust) on cereals, such as e. g. wheat, barley or rye, P. kuehnii (orange rust) on sugar cane and P. asparagi on asparagus; Pyrenophora (anamorph: Drechsiera) tritici-repentis (tan spot) on wheat or P. teres (net blotch) on barley; Pyricuiaria spp., e. g. P. oryzae (teleomorph: Magnaporthe grisea, rice blast) on rice and P. grisea on turf and cereals; Pythium s . (damping-off) on turf, rice, corn, wheat, cotton, rape, sunflowers, soybeans, sugar beets, vegetables and various other plants (e. g. P. uitimum or P. aphanidermatum)-, Ramuiaria spp., e. g. R. coiio-cygni ( Ra m u I a ri a leaf spots, Physiological leaf spots) on barley and R. beticoia on sugar beets; Rhizoctonia spp. on cotton, rice, potatoes, turf, corn, rape, potatoes, sugar beets, vegetables and various other plants, e. g. R. soiani {xooi and stem rot) on soybeans, R. soiani (sheath blight) on rice or R. cereaiis (Rhizoctonia spring blight) on wheat or barley; Rhizopus stoionifer (black mold, soft rot) on strawberries, carrots, cabbage, vines and tomatoes; Rhynchosporium seca/is (scald) on barley, rye and triticale; Saro- ciadium oryzae and S. attenuatum (sheath rot) on rice; Scierotinia spp. (stem rot or white mold) on vegetables and field crops, such as rape, sunflowers (e. g. S. scierotiorum) and soybeans (e. g. S. roifsiiox S. scierotiorum)·, Septoria spp. on various plants, e. g. S. glycines (brown spot) on soybeans, S. tritici (Septoria blotch) on wheat and S. (syn. Stagonospora) nodorum
(Stagonospora blotch) on cereals; Uncinuia (syn. Erysiphe) necator (powdery mildew, ana- morph: Oidium tucker!) on vines; Setospaeria spp. (leaf blight) on corn (e. g. S. turcicum, syn. Heiminthosporium turcicum) and turf; Sphaceiotheca spp. (smut) on corn, (e. g. S. re i liana.
head smut), sorghum und sugar cane; Sphaerotheca fuliginea (powdery mildew) on cucurbits; Spongospora subterranea (powdery scab) on potatoes and thereby transmitted viral diseases; Stagonospora spp. on cereals, e. g. S. nodorum (Stagonospora blotch, teleomorph: Lepto- sphaeria [syn. Phaeosphaeria] nodorum) on wheat; Synchytrium endobioticum on potatoes (po- tato wart disease); Taphrina s ., e. g. T. deformans (leaf curl disease) on peaches and T. pruni (plum pocket) on plums; Thielaviopsiss . (black root rot) on tobacco, pome fruits, vegetables, soybeans and cotton, e. g. T. basicola (syn. Chalara elegans), TiHetia spp. (common bunt or stinking smut) on cereals, such as e. g. T. tritici (syn. T. caries, wheat bunt) and T. controversa (dwarf bunt) on wheat; Typhu/a incarnata (grey snow mold) on barley or wheat; Urocystis spp., e. g. U. occulta { stem smut) on rye; Uromyces s . (rust) on vegetables, such as beans (e. g. U. appendicu/atus, syn. U. phased Ί) and sugar beets (e. g. U. betae) UstHago spp. (loose smut) on cereals (e. g. U. nuda an U. avaenae ), corn (e. g. U. maydis. corn smut) and sugar cane; Venturia spp. (scab) on apples (e. g. V. inaequa/is) and pears; and VerticiHium spp. (wilt) on var- ious plants, such as fruits and ornamentals, vines, soft fruits, vegetables and field crops, e. g. 14 dah/iae on strawberries, rape, potatoes and tomatoes.
The compounds I and compositions thereof, respectively, are also suitable for controlling harmful microorganisms in the protection of stored products or harvest, and in the protection of materials.
The term "stored products or harvest" is understood to denote natural substances of plant or animal origin and their processed forms, which have been taken from the natural life cycle and for which long-term protection is desired. Stored products of crop plant origin, such as plants or parts thereof, for example stalks, leafs, tubers, seeds, fruits or grains, can be protected in the freshly harvested state or in processed form, such as pre-dried, moistened, comminuted, ground, pressed or roasted, which process is also known as post-harvest treatment. Also falling under the definition of stored products is timber, whether in the form of crude timber, such as construction timber, electricity pylons and barriers, or in the form of finished articles, such as fur- niture or objects made from wood. Stored products of animal origin are hides, leather, furs, hairs and the like. Preferably, "stored products" is understood to denote natural substances of plant origin and their processed forms, more preferably fruits and their processed forms, such as pomes, stone fruits, soft fruits and citrus fruits and their processed forms. The compounds I and compositions thereof according the present invention can prevent disadvantageous effects such as decay, discoloration or mold.
The term "protection of materials" is to be understood to denote the protection of technical and non-living materials, such as adhesives, glues, wood, paper, paperboard, textiles, leather, paint dispersions, plastics, cooling lubricants, fiber, or fabrics; against the infestation and de- struction by harmful microorganisms, such as fungi and bacteria. As to the protection of materi- als, particular attention is paid to the following harmful fungi: Ascomycetes, such as Ophiostoma spp., Ceratocystis spp., Aureobasidium pu Hu la ns, Sderophoma spp., Chaetomium spp., Humi- c a spp., Petrie I la spp., Trichurus s ., Basidiomycetes, such as Coniophora spp., Coridus spp., Gloeophyllum spp., Lentinus s ., Pleurotuss ., Poria spp., Serpula spp. and Tyromy- ces spp.; Deuteromycetes, such as Aspergillus spp., Cladosporium spp., PeniciHium spp., Trichoderma spp., Alternaria spp., PaecHomyces spp.; and Zygomycetes, such as Mucor spp..
In the protection of stored products and harvest in addition the following yeast fungi are worthy of note: Candida spp. and Saccharomyces cerevisae.
The compounds I and compositions thereof, respectively, may be used for improving the health of a plant. The invention also relates to a method for improving plant health by treating a plant, its propagation material, and/or the locus where the plant is growing or is to grow with an effective amount of compounds I and compositions thereof, respectively.
The term "plant health" is to be understood to denote a condition of the plant and/or its prod- ucts which is determined by several indicators alone or in combination with each other, such as yield (e. g. increased biomass and/or increased content of valuable ingredients), plant vigor (e. g. improved plant growth and/or greener leaves (“greening effect”)), quality (e. g. improved content or composition of certain ingredients), and tolerance to abiotic and/or biotic stress. The above identified indicators for the health condition of a plant may be interdependent or may re- suit from each other.
The compounds of formula I can be present in different crystal modifications whose biologi cal activity may differ. They are likewise subject matter of the present invention.
The compounds I are employed as such or in form of compositions by treating the fungi, the plants, plant propagation materials, such as seeds; soil, surfaces, materials, or rooms to be pro- tected from fungal attack with a fungicidally effective amount of the active substances. The ap- plication can be carried out both before and after the infection of the plants, plant propagation materials, such as seeds; soil, surfaces, materials or rooms by the fungi.
Plant propagation materials may be treated with compounds I as such or a composition corn- prising at least one compound I prophylactically either at or before planting or transplanting.
The invention also relates to agrochemical compositions comprising an auxiliary and at least one compound I according to the invention.
An agrochemical composition comprises a fungicidally effective amount of a compound I.
The term "fungicidally effective amount" denotes an amount of the composition or of the corn- pounds I, which is sufficient for controlling harmful fungi on cultivated plants or in the protection of stored products or harvest or of materials and which does not result in a substantial damage to the treated plants, the treated stored products or harvest, or to the treated materials. Such an amount can vary in a broad range and is dependent on various factors, such as the fungal spe- cies to be controlled, the treated cultivated plant, stored product, harvest or material, the cli matic conditions and the specific compound I used.
The compounds I, their N-oxides and salts can be converted into customary types of agro- chemical compositions, e. g. solutions, emulsions, suspensions, dusts, powders, pastes, gran- ules, pressings, capsules, and mixtures thereof. Examples for composition types are suspen- sions (e. g. SC, OD, FS), emulsifiable concentrates (e. g. EC), emulsions (e. g. EW, EO, ES, ME), capsules (e. g. CS, ZC), pastes, pastilles, wettable powders or dusts (e. g. WP, SP, WS, DP, DS), pressings (e. g. BR, TB, DT), granules (e. g. WG, SG, GR, FG, GG, MG), insecticidal articles (e. g. LN), as well as gel formulations for the treatment of plant propagation materials, such as seeds (e. g. GF). These and further compositions types are defined in the“Catalogue of pesticide formulation types and international coding system”, Technical Monograph No. 2, 6th Ed. May 2008, CropLife International.
The compositions are prepared in a known manner, such as described by Mollet and Grube- mann, Formulation technology, Wiley VCH, Weinheim, 2001 ; or by Knowles, New develop- ments in crop protection product formulation, Agrow Reports DS243, T&F Informa, London, 2005.
Suitable auxiliaries are solvents, liquid carriers, solid carriers or fillers, surfactants, disper- sants, emulsifiers, wetters, adjuvants, solubilizers, penetration enhancers, protective colloids, adhesion agents, thickeners, humectants, repellents, attractants, feeding stimulants, compatibil- izers, bactericides, anti-freezing agents, anti-foaming agents, colorants, tackifiers, and binders.
Suitable solvents and liquid carriers are water and organic solvents, such as mineral oil frac- tions of medium to high boiling point, e. g. kerosene, diesel oil; oils of vegetable or animal origin; aliphatic, cyclic and aromatic hydrocarbons, e. g. toluene, paraffin, tetrahydronaphthalene, and alkylated naphthalenes; alcohols, e. g. ethanol, propanol, butanol, benzyl alcohol, cyclohexanol, glycols; DMSO; ketones, e. g. cyclohexanone; esters, e. g. lactates, carbonates, fatty acid es- ters, gamma-butyrolactone; fatty acids; phosphonates; amines; amides, e. g. /V-methyl pyrroli- done, fatty acid dimethyl amides; and mixtures thereof.
Suitable solid carriers or fillers are mineral earths, e. g. silicates, silica gels, talc, kaolins, limestone, lime, chalk, clays, dolomite, diatomaceous earth, bentonite, calcium sulfate, magne- sium sulfate, magnesium oxide; polysaccharides, e. g. cellulose, starch; fertilizers, e. g. ammo- nium sulfate, ammonium phosphate, ammonium nitrate, ureas; products of vegetable origin, e. g. cereal meal, tree bark meal, wood meal, nutshell meal, and mixtures thereof.
Suitable surfactants are surface-active compounds, such as anionic, cationic, nonionic and amphoteric surfactants, block polymers, polyelectrolytes, and mixtures thereof. Such surfactants can be used as emulsifier, dispersant, solubilizer, wetter, penetration enhancer, protective col- loid, or adjuvant. Examples of surfactants are listed in McCutcheon’s, Vol.1 : Emulsifiers & De- tergents, McCutcheon’s Directories, Glen Rock, USA, 2008 (International Ed. or North American Ed.).
Suitable anionic surfactants are alkali, alkaline earth or ammonium salts of sulfonates, sul- fates, phosphates, carboxylates, and mixtures thereof. Examples of sulfonates are alkylaryl sul- fonates, diphenyl sulfonates, alpha-olefin sulfonates, lignin sulfonates, sulfonates of fatty acids and oils, sulfonates of ethoxylated alkylphenols, sulfonates of alkoxylated arylphenols, sul- fonates of condensed naphthalenes, sulfonates of dodecyl- and tridecylbenzenes, sulfonates of naphthalenes and of alkyl naphthalenes, sulfosuccinates, or sulfosuccinamates. Examples of sulfates are sulfates of fatty acids, of oils, of ethoxylated alkylphenols, of alcohols, of ethoxy- lated alcohols, or of fatty acid esters. Examples of phosphates are phosphate esters. Examples of carboxylates are alkyl carboxylates, and carboxylated alcohol or alkylphenol ethoxylates.
Suitable nonionic surfactants are alkoxylates, /V-substituted fatty acid amides, amine oxides, esters, sugar-based surfactants, polymeric surfactants, and mixtures thereof. Examples of alkoxylates are compounds such as alcohols, alkylphenols, amines, amides, arylphenols, fatty acids or fatty acid esters which have been alkoxylated with 1 to 50 equivalents. Ethylene oxide and/or propylene oxide may be employed for the alkoxylation, preferably ethylene oxide. Exam- pies of /V-substituted fatty acid amides are fatty acid glucamides or fatty acid alkanolamides. Ex- amples of esters are fatty acid esters, glycerol esters, or monoglycerides. Examples of sugar- based surfactants are sorbitans, ethoxylated sorbitans, sucrose and glucose esters, or al- kylpolyglucosides. Examples of polymeric surfactants are home- or copolymers of vinyl pyrroli- done, vinyl alcohols, or vinyl acetate.
Suitable cationic surfactants are quaternary surfactants, for example quaternary ammonium compounds with one or two hydrophobic groups, or salts of long-chain primary amines. Suitable
amphoteric surfactants are alkylbetains and imidazolines. Suitable block polymers are block pol- ymers of the A-B or A-B-A type comprising blocks of polyethylene oxide and polypropylene ox ide, or of the A-B-C type comprising alkanol, polyethylene oxide, and polypropylene oxide. Suit- able polyelectrolytes are polyacids or polybases. Examples of polyacids are alkali salts of poly- acrylic acid or polyacid comb polymers. Examples of polybases are polyvinyl amines or polyeth- ylene amines.
Suitable adjuvants are compounds, which have a negligible or even no pesticidal activity themselves, and which improve the biological performance of the compound I on the target. Ex- amples are surfactants, mineral or vegetable oils, and other auxiliaries. Further examples are listed by Knowles, Adjuvants and additives, Agrow Reports DS256, T&F Informa UK, 2006, chapter 5.
Suitable thickeners are polysaccharides (e. g. xanthan gum, carboxymethyl cellulose), inor- ganic clays (organically modified or unmodified), polycarboxylates, and silicates.
Suitable bactericides are bronopol and isothiazolinone derivatives, such as alkylisothiazoli- nones and benzisothiazolinones.
Suitable anti-freezing agents are ethylene glycol, propylene glycol, urea and glycerin.
Suitable anti-foaming agents are silicones, long chain alcohols, and salts of fatty acids.
Suitable colorants (e. g. in red, blue, or green) are pigments of low water solubility and wa- ter-soluble dyes. Examples are inorganic colorants (e. g. iron oxide, titan oxide, iron hexacy- anoferrate) and organic colorants (e. g. alizarin-, azo- and phthalocyanine colorants).
Suitable tackifiers or binders are polyvinyl pyrrolidones, polyvinyl acetates, polyvinyl alco- hols, polyacrylates, biological or synthetic waxes, and cellulose ethers.
Examples for composition types and their preparation are:
i) Water-soluble concentrates (SL, LS)
10-60 wt% of a compound I and 5-15 wt% wetting agent (e. g. alcohol alkoxylates) are dis solved in water and/or in a water-soluble solvent (e. g. alcohols) ad 100 wt%. The active sub- stance dissolves upon dilution with water.
ii) Dispersible concentrates (DC)
5-25 wt% of a compound I and 1-10 wt% dispersant (e. g. polyvinyl pyrrolidone) are dis solved in organic solvent (e. g. cyclohexanone) ad 100 wt%. Dilution with water gives a disper- sion.
iii) Emulsifiable concentrates (EC)
15-70 wt% of a compound I and 5-10 wt% emulsifiers (e. g. calcium dodecylbenzenesul- fonate and castor oil ethoxylate) are dissolved in water-insoluble organic solvent (e. g. aromatic hydrocarbon) ad 100 wt%. Dilution with water gives an emulsion.
iv) Emulsions (EW, EO, ES)
5-40 wt% of a compound I and 1-10 wt% emulsifiers (e. g. calcium dodecylbenzenesulfonate and castor oil ethoxylate) are dissolved in 20-40 wt% water-insoluble organic solvent (e. g. aro- matic hydrocarbon). This mixture is introduced into water ad 100 wt% by means of an emulsify- ing machine and made into a homogeneous emulsion. Dilution with water gives an emulsion. v) Suspensions (SC, OD, FS)
In an agitated ball mill, 20-60 wt% of a compound I are comminuted with addition of 2-10 wt% dispersants and wetting agents (e. g. sodium lignosulfonate and alcohol ethoxylate), 0.1-
2 wt% thickener (e. g. xanthan gum) and water ad 100 wt% to give a fine active substance sus- pension. Dilution with water gives a stable suspension of the active substance. For FS type composition, up to 40 wt% binder (e. g. polyvinyl alcohol) is added.
vi) Water-dispersible granules and water-soluble granules (WG, SG)
50-80 wt% of a compound I are ground finely with addition of dispersants and wetting agents (e. g. sodium lignosulfonate and alcohol ethoxylate) ad 100 wt% and prepared as water-dis- persible or water-soluble granules by means of technical appliances (e. g. extrusion, spray tower, fluidized bed). Dilution with water gives a stable dispersion or solution of the active sub- stance.
vii) Water-dispersible powders and water-soluble powders (WP, SP, WS)
50-80 wt% of a compound I are ground in a rotor-stator mill with addition of 1-5 wt% disper- sants (e. g. sodium lignosulfonate), 1-3 wt% wetting agents (e. g. alcohol ethoxylate) and solid carrier (e. g. silica gel) ad 100 wt%. Dilution with water gives a stable dispersion or solution of the active substance.
viii) Gel (GW, GF)
In an agitated ball mill, 5-25 wt% of a compound I are comminuted with addition of 3-10 wt% dispersants (e. g. sodium lignosulfonate), 1-5 wt% thickener (e. g. carboxymethyl cellulose) and water ad 100 wt% to give a fine suspension of the active substance. Dilution with water gives a stable suspension of the active substance.
ix) Microemulsion (ME)
5-20 wt% of a compound I are added to 5-30 wt% organic solvent blend (e. g. fatty acid di- methyl amide and cyclohexanone), 10-25 wt% surfactant blend (e. g. alcohol ethoxylate and ar- ylphenol ethoxylate), and water ad 100 %. This mixture is stirred for 1 h to produce spontane- ously a thermodynamically stable microemulsion.
x) Microcapsules (CS)
An oil phase comprising 5-50 wt% of a compound I, 0-40 wt% water insoluble organic solvent (e. g. aromatic hydrocarbon), 2-15 wt% acrylic monomers (e. g. methylmethacrylate, methacrylic acid and a di- or triacrylate) are dispersed into an aqueous solution of a protective colloid (e. g. polyvinyl alcohol). Radical polymerization results in the formation of poly(meth)acrylate micro- capsules. Alternatively, an oil phase comprising 5-50 wt% of a compound I according to the in- vention, 0-40 wt% water insoluble organic solvent (e. g. aromatic hydrocarbon), and an isocya- nate monomer (e. g. diphenylmethene-4,4’-diisocyanatae) are dispersed into an aqueous solu- tion of a protective colloid (e. g. polyvinyl alcohol). The addition of a polyamine (e. g. hexameth- ylenediamine) results in the formation of polyurea microcapsules. The monomers amount to 1- 10 wt%. The wt% relate to the total CS composition.
xi) Dustable powders (DP, DS)
1-10 wt% of a compound I are ground finely and mixed intimately with solid carrier (e. g. finely divided kaolin) ad 100 wt%.
xii) Granules (GR, FG)
0.5-30 wt% of a compound I is ground finely and associated with solid carrier (e. g. silicate) ad 100 wt%. Granulation is achieved by extrusion, spray-drying or fluidized bed.
xiii) Ultra-low volume liquids (UL)
1-50 wt% of a compound I are dissolved in organic solvent (e. g. aromatic hydrocarbon) ad 100 wt%.
The compositions types i) to xiii) may optionally comprise further auxiliaries, such as 0.1-1 wt% bactericides, 5-15 wt% anti-freezing agents, 0.1-1 wt% anti-foaming agents, and 0.1-1 wt% colorants.
The agrochemical compositions generally comprise between 0.01 and 95 %, preferably be- tween 0.1 and 90%, more preferably between 1 and 70 %, and in particular between 10 and 60 %, by weight of active substance. The active substances are employed in a purity of from 90 % to 100 %, preferably from 95-% to 100 % (according to NMR spectrum).
For the purposes of treatment of plant propagation materials, particularly seeds, solutions for seed treatment (LS), Suspoemulsions (SE), flowable concentrates (FS), powders for dry treat- ment (DS), water-dispersible powders for slurry treatment (WS), water-soluble powders (SS), emulsions (ES), emulsifiable concentrates (EC), and gels (GF) are usually employed. The corn- positions in question give, after two-to-tenfold dilution, active substance concentrations of from 0.01 to 60 % by weight, preferably from 0.1 to 40 %, in the ready-to-use preparations. Applica- tion can be carried out before or during sowing. Methods for applying compound I and composi- tions thereof, respectively, onto plant propagation material, especially seeds, include dressing, coating, pelleting, dusting, soaking, as well as in-furrow application methods. Preferably, corn- pound I or the compositions thereof, respectively, are applied on to the plant propagation mate- rial by a method such that germination is not induced, e. g. by seed dressing, pelleting, coating, and dusting.
When employed in plant protection, the amounts of active substances applied are, depend- ing on the kind of effect desired, from 0.001 to 2 kg per ha, preferably from 0.005 to 2 kg per ha, more preferably from 0.05 to 0.9 kg per ha, and in particular from 0.1 to 0.75 kg per ha.
In treatment of plant propagation materials, such as seeds, e. g. by dusting, coating, or drenching, amounts of active substance of from 0.1 to 1000 g, preferably from 1 to 1000 g, more preferably from 1 to 100 g and most preferably from 5 to 100 g, per 100 kg of plant propa- gation material (preferably seeds) are generally required.
When used in the protection of materials or stored products, the amount of active substance applied depends on the kind of application area and on the desired effect. Amounts customarily applied in the protection of materials are 0.001 g to 2 kg, preferably 0.005 g to 1 kg, of active substance per cubic meter of treated material.
Various types of oils, wetters, adjuvants, fertilizer, or micronutrients, and further pesticides (e. g. herbicides, insecticides, fungicides, growth regulators, safeners, biopesticides) may be added to the active substances or the compositions comprising them as premix, or, if appropri- ate, not until immediately prior to use (tank mix). These agents can be admixed with the compo- sitions according to the invention in a weight ratio of 1 :100 to 100:1 , preferably 1 :10 to 10:1.
A pesticide is generally a chemical or biological agent (such as pestidal active ingredient, compound, composition, virus, bacterium, antimicrobial, or disinfectant) that through its effect deters, incapacitates, kills or otherwise discourages pests. Target pests can include insects, plant pathogens, weeds, mollusks, birds, mammals, fish, nematodes (roundworms), and mi- crobes that destroy property, cause nuisance, spread disease or are vectors for disease. The term“pesticide” includes also plant growth regulators that alter the expected growth, flowering, or reproduction rate of plants; defoliants that cause leaves or other foliage to drop from a plant,
usually to facilitate harvest; desiccants that promote drying of living tissues, such as unwanted plant tops; plant activators that activate plant physiology for defense of against certain pests; safeners that reduce unwanted herbicidal action of pesticides on crop plants; and plant growth promoters that affect plant physiology e.g. to increase plant growth, biomass, yield or any other quality parameter of the harvestable goods of a crop plant.
Biopesticides have been defined as a form of pesticides based on microorganisms (bacteria, fungi, viruses, nematodes, etc.) or natural products (compounds, such as metabolites, proteins, or extracts from biological or other natural sources) (U.S. Environmental Protection Agency: http://www.epa.gov/pesticides/biopesticides/). Biopesticides fall into two major classes, micro- bial and biochemical pesticides:
(1 ) Microbial pesticides consist of bacteria, fungi or viruses (and often include the metabo- lites that bacteria and fungi produce). Entomopathogenic nematodes are also classified as microbial pesticides, even though they are multi-cellular.
(2) Biochemical pesticides are naturally occurring substances that control pests or provide other crop protection uses as defined below, but are relatively non-toxic to mammals.
The user applies the composition according to the invention usually from a predosage de- vice, a knapsack sprayer, a spray tank, a spray plane, or an irrigation system. Usually, the agro- chemical composition is made up with water, buffer, and/or further auxiliaries to the desired ap- plication concentration and the ready-to-use spray liquor or the agrochemical composition ac- cording to the invention is thus obtained. Usually, 20 to 2000 liters, preferably 50 to 400 liters, of the ready-to-use spray liquor are applied per hectare of agricultural useful area.
According to one embodiment, individual components of the composition according to the invention such as parts of a kit or parts of a binary or ternary mixture may be mixed by the user himself in a spray tank or any other kind of vessel used for applications (e. g. seed treater drums, seed pelleting machinery, knapsack sprayer) and further auxiliaries may be added, if ap- propriate.
When living microorganisms, such as microbial pesticides from groups L1 ), L3) and L5), form part of such kit, it must be taken care that choice and amounts of the components (e. g. chemical pesticides) and of the further auxiliaries should not influence the viability of the micro- bial pesticides in the composition mixed by the user. Especially for bactericides and solvents, compatibility with the respective microbial pesticide has to be taken into account.
Consequently, one embodiment of the invention is a kit for preparing a usable pesticidal composition, the kit comprising a) a composition comprising component 1) as defined herein and at least one auxiliary; and b) a composition comprising component 2) as defined herein and at least one auxiliary; and optionally c) a composition comprising at least one auxiliary and op- tionally a further active component 3) as defined herein.
Mixing the compounds I or the compositions comprising them in the use form as fungicides with other fungicides results in many cases in an expansion of the fungicidal spectrum of activity being obtained or in a prevention of fungicide resistance development. Furthermore, in many cases, synergistic effects are obtained.
The following list of pesticides II (e. g. pesticidally-active substances and biopesticides), in conjunction with which the compounds I can be used, is intended to illustrate the possible com- binations but does not limit them:
A) Respiration inhibitors
Inhibitors of complex III at Q0 site: azoxystrobin (A.1.1 ), coumethoxystrobin (A.1.2), coumoxystrobin (A.1.3), dimoxystrobin (A.1.4), enestroburin (A.1.5), fenaminstrobin (A.1.6), fenoxystrobin/flufenoxystrobin (A.1.7), fluoxastrobin (A.1.8), kresoxim-methyl (A.1.9), man- destrobin (A.1.10), metominostrobin (A.1.11 ), orysastrobin (A.1.12), picoxystrobin (A.1.13), pyraclostrobin (A.1.14), pyrametostrobin (A.1.15), pyraoxystrobin (A.1.16), trifloxystrobin (A.1.17), 2-(2-(3-(2,6-dichlorophenyl)-1-methyl-allylideneaminooxymethyl)-phenyl)-2-meth- oxyimino-/V-methyl-acetamide (A.1.18), pyribencarb (A.1.19), triclopyricarb/chlorodincarb (A.1.20), famoxadone (A.1.21 ), fenamidone (A.1.21), methyl-/V-[2-[(1 ,4-dimethyl-5-phenyl- pyrazol-3-yl)oxylmethyl]phenyl]-/V-methoxy-carbamate (A.1.22), metyltetrapole (A.1.25), (Z;2£)-5-[1-(2,4-dichlorophenyl)pyrazol-3-yl]-oxy-2-methoxyimino-/V,3-dimethyl-pent-3-en- amide (A.1.34), (Z;2£)-5-[1-(4-chlorophenyl)pyrazol-3-yl]oxy-2-methoxyimino-A/, 3-dimethyl- pent-3-enamide (A.1.35), pyriminostrobin (A.1.36), bifujunzhi (A.1.37), 2-(ortho-((2,5-dimeth- ylphenyl-oxymethylen)phenyl)-3-methoxy-acrylic acid methylester (A.1.38);
- inhibitors of complex III at Q, site: cyazofamid (A.2.1), amisulbrom (A.2.2),
[(65,7/?,8A -8-benzyl-3-[(3-hydroxy-4-methoxy-pyridine-2-carbonyl)amino]-6-methyl-4,9-di- oxo-1 ,5-dioxonan-7-yl] 2-methylpropanoate (A.2.3), fenpicoxamid (A.2.4), florylpicoxamid (A.2.5);
- inhibitors of complex II: benodanil (A.3.1), benzovindiflupyr (A.3.2), bixafen (A.3.3), boscalid (A.3.4), carboxin (A.3.5), fenfuram (A.3.6), fluopyram (A.3.7), flutolanil (A.3.8), fluxapyroxad (A.3.9), furametpyr (A.3.10), isofetamid (A.3.1 1), isopyrazam (A.3.12), mepronil (A.3.13), ox- ycarboxin (A.3.14), penflufen (A.3.15), penthiopyrad (A.3.16), pydiflumetofen (A.3.17), pyra- ziflumid (A.3.18), sedaxane (A.3.19), tecloftalam (A.3.20), thifluzamide (A.3.21), inpyrfluxam (A.3.22), pyrapropoyne (A.3.23), fluindapyr (A.3.28), methyl (£)-2-[2-[(5-cyano-2-methyl-phe- noxy)methyl]phenyl]-3-methoxy-prop-2-enoate (A.3.30), isoflucypram (A.3.31), 2-(difluoro- methyl)-/V-(1 ,1 ,3-trimethyl-indan-4-yl)pyridine-3-carboxamide (A.3.32), 2-(difluoromethyl)-/V- [(3A -1 ,1 ,3-trimethylindan-4-yl]pyridine-3-carboxamide (A.3.33), 2-(difluoromethyl)-/V-(3- ethyl-1 ,1-dimethyl-indan-4-yl)pyridine-3-carboxamide (A.3.34), 2-(difluoromethyl)-/V-[(3/\ -3- ethyl-1 ,1-dimethyl-indan-4-yl]pyridine-3-carboxamide (A.3.35), 2-(difluoromethyl)-/V-(1 ,1-di- methyl-3-propyl-indan-4-yl)pyridine-3-carboxamide (A.3.36), 2-(difluoromethyl)-/V-[(3/\ -1 ,1- dimethyl-3-propyl-indan-4-yl]pyridine-3-carboxamide (A.3.37), 2-(difluoromethyl)-/V-(3-isobu- tyl-1 ,1-dimethyl-indan-4-yl)pyridine-3-carboxamide (A.3.38), 2-(difluoromethyl)-/V-[(3/\ -3-iso- butyl-1 ,1-dimethyl-indan-4-yl]pyridine-3-carboxamide (A.3.39);
- other respiration inhibitors: diflumetorim (A.4.1); nitrophenyl derivates: binapacryl (A.4.2), di- nobuton (A.4.3), dinocap (A.4.4), fluazinam (A.4.5), meptyldinocap (A.4.6), ferimzone (A.4.7); organometal compounds: fentin salts, e. g. fentin-acetate (A.4.8), fentin chloride (A.4.9) or fentin hydroxide (A.4.10); ametoctradin (A.4.1 1); silthiofam (A.4.12);
B) Sterol biosynthesis inhibitors (SBI fungicides)
- C14 demethylase inhibitors: triazoles: azaconazole (B.1.1 ), bitertanol (B.1.2), bromucona- zole (B.1.3), cyproconazole (B.1.4), difenoconazole (B.1.5), diniconazole (B.1.6), dinicona- zole-M (B.1.7), epoxiconazole (B.1.8), fenbuconazole (B.1.9), fluquinconazole (B.1.10), flusi- lazole (B.1.1 1), flutriafol (B.1.12), hexaconazole (B.1.13), imibenconazole (B.1.14), ipcona- zole (B.1.15), metconazole (B.1.17), myclobutanil (B.1.18), oxpoconazole (B.1.19), paclobu- trazole (B.1.20), penconazole (B.1.21), propiconazole (B.1.22), prothioconazole (B.1.23), simeconazole (B.1.24), tebuconazole (B.1.25), tetraconazole (B.1.26), triadimefon (B.1.27),
triadimenol (B.1.28), triticonazole (B.1.29), uniconazole (B.1.30), 2-(2,4-difluorophenyl)-1 ,1- difluoro-3-(tetrazol-1-yl)-1-[5-[4-(2,2,2-trifluoroethoxy)phenyl]-2-pyridyl]propan-2-ol (B.1.31 ), 2-(2,4-difluorophenyl)-1 ,1-difluoro-3-(tetrazol-1-yl)-1-[5-[4-(trifluoromethoxy)phenyl]-2- pyridyl]propan-2-ol (B.1.32), ipfentrifluconazole (B.1.37), mefentrifluconazole (B.1.38), 2- (chloromethyl)-2-methyl-5-(p-tolylmethyl)-1-(1 ,2,4-triazol-1-ylmethyl)cyclopentanol (B.1.43); imidazoles: imazalil (B.1.44), pefurazoate (B.1.45), prochloraz (B.1.46), triflumizol (B.1.47); pyrimidines, pyridines, piperazines: fenarimol (B.1.49), pyrifenox (B.1.50), triforine (B.1.51), [3-(4-chloro-2-fluoro-phenyl)-5-(2,4-difluorophenyl)isoxazol-4-yl]-(3-pyridyl)methanol (B.1.52);
- Deltal 4-reductase inhibitors: aldimorph (B.2.1 ), dodemorph (B.2.2), dodemorph-acetate (B.2.3), fenpropimorph (B.2.4), tridemorph (B.2.5), fenpropidin (B.2.6), piperalin (B.2.7), spi- roxamine (B.2.8);
- Inhibitors of 3-keto reductase: fenhexamid (B.3.1 );
- Other Sterol biosynthesis inhibitors: chlorphenomizole (B.4.1 );
C) Nucleic acid synthesis inhibitors
- phenylamides or acyl amino acid fungicides: benalaxyl (C.1.1 ), benalaxyl-M (C.1.2), kiralaxyl (C.1.3), metalaxyl (C.1.4), metalaxyl-M (C.1.5), ofurace (C.1.6), oxadixyl (C.1.7);
- other nucleic acid synthesis inhibitors: hymexazole (C.2.1 ), octhilinone (C.2.2), oxolinic acid (C.2.3), bupirimate (C.2.4), 5-fluorocytosine (C.2.5), 5-fluoro-2-(p-tolylmethoxy)pyrimidin- 4-amine (C.2.6), 5-fluoro-2-(4-fluorophenylmethoxy)pyrimidin-4-amine (C.2.7), 5-fluoro- 2-(4-chlorophenylmethoxy)pyrimidin-4 amine (C.2.8);
D) Inhibitors of cell division and cytoskeleton
- tubulin inhibitors: benomyl (D.1.1), carbendazim (D.1.2), fuberidazole (D1.3), thiabendazole (D.1.4), thiophanate-methyl (D.1.5), pyridachlometyl (D.1.6), /V-ethyl-2-[(3-ethynyl-8-methyl- 6-quinolyl)oxy]butanamide (D.1.8), /V-ethyl-2-[(3-ethynyl-8-methyl-6-quinolyl)oxy]-2-methyl- sulfanyl-acetamide (D.1.9), 2-[(3-ethynyl-8-methyl-6-quinolyl)oxy]-/V-(2-fluoroethyl)bu- tanamide (D.1.10), 2-[(3-ethynyl-8-methyl-6-quinolyl)oxy]-/V-(2-fluoroethyl)-2-methoxy-acet- amide (D.1.1 1), 2-[(3-ethynyl-8-methyl-6-quinolyl)oxy]-/V-propyl-butanamide (D.1.12), 2-[(3- ethynyl-8-methyl-6-quinolyl)oxy]-2-methoxy-/V-propyl-acetamide (D.1.13), 2-[(3-ethynyl-8- methyl-6-quinolyl)oxy]-2-methylsulfanyl-/V-propyl-acetamide (D.1.14), 2-[(3-ethynyl-8-methyl- 6-quinolyl)oxy]-/V-(2-fluoroethyl)-2-methylsulfanyl-acetamide (D.1.15), 4-(2-bromo-4-fluoro- phenyl)-/V-(2-chloro-6-fluoro-phenyl)-2,5-dimethyl-pyrazol-3-amine (D.1.16);
- other cell division inhibitors: diethofencarb (D.2.1 ), ethaboxam (D.2.2), pencycuron (D.2.3), fluopicolide (D.2.4), zoxamide (D.2.5), metrafenone (D.2.6), pyriofenone (D.2.7);
E) Inhibitors of amino acid and protein synthesis
- methionine synthesis inhibitors: cyprodinil (E.1.1 ), mepanipyrim (E.1.2), pyrimethanil (E.1.3);
- protein synthesis inhibitors: blasticidin-S (E.2.1), kasugamycin (E.2.2), kasugamycin hydro- chloride-hydrate (E.2.3), mildiomycin (E.2.4), streptomycin (E.2.5), oxytetracyclin (E.2.6);
F) Signal transduction inhibitors
- MAP / histidine kinase inhibitors: fluoroimid (F.1.1), iprodione (F.1.2), procymidone (F.1.3), vinclozolin (F.1.4), fludioxonil (F.1.5);
- G protein inhibitors: quinoxyfen (F.2.1 );
G) Lipid and membrane synthesis inhibitors
- Phospholipid biosynthesis inhibitors: edifenphos (G .1.1), iprobenfos (G.1.2), pyrazophos
(G.1.3), isoprothiolane (G.1.4);
- lipid peroxidation: dicloran (G.2.1), quintozene (G.2.2), tecnazene (G.2.3), tolclofos-methyl (G.2.4), biphenyl (G.2.5), chloroneb (G.2.6), ethdiazole (G.2.7);
- phospholipid biosynthesis and cell wall deposition: dimethomorph (G.3.1 ), flumorph (G.3.2), mandipropamid (G.3.3), pyhmorph (G.3.4), benthiavalicarb (G.3.5), iprovalicarb (G.3.6), valifenalate (G.3.7);
- compounds affecting cell membrane permeability and fatty acides: propamocarb (G.4.1 );
- inhibitors of oxysterol binding protein: oxathiapiprolin (G.5.1), 2-{3-[2-(1-{[3,5-bis(difluorome- thyl-1 H- pyrazol-1 -yl]acetyl}piperidin-4-yl)-1 ,3-thiazol-4-yl]-4,5-dihyd ro-1 ,2-oxazol-5-yl}phenyl methanesulfonate (G.5.2), 2-{3-[2-(1-{[3,5-bis(difluoromethyl)-177-pyrazol-1-yl]acetyl}piperi- din-4-yl) 1 ,3-thiazol-4-yl]-4,5-dihyd ro-1 ,2-oxazol-5-yl}-3-chlorophenyl methanesulfonate (G.5.3), 4-[1 -[2-[3-(difluoromethyl)-5-methyl-pyrazol-1 -yl]acetyl]-4-piperidyl]-/V-tetralin-1 -yl- pyridine-2-carboxamide (G.5.4), 4-[1-[2-[3,5-bis(difluoromethyl)pyrazol-1-yl]acetyl]-4-pi- peridyl]-/V-tetralin-1-yl-pyridine-2-carboxamide (G.5.5), 4-[1-[2-[3-(difluoromethyl)-5-(trifluoro- methyl)pyrazol-1-yl]acetyl]-4-piperidyl]-/V-tetralin-1-yl-pyridine-2-carboxamide (G.5.6), 4-[1- [2-[5-cyclopropyl-3-(difluoromethyl)pyrazol-1-yl]acetyl]-4-piperidyl]-/V-tetralin-1-yl-pyridine-2- carboxamide (G.5.7), 4-[1-[2-[5-methyl-3-(trifluoromethyl)pyrazol-1-yl]acetyl]-4-piperidyl]-/V- tetralin-1-yl-pyridine-2-carboxamide (G.5.8), 4-[1-[2-[5-(difluoromethyl)-3-(trifluoromethyl)py- razol-1 -yl]acetyl]-4-piperidyl]-/V-tetralin-1 -yl-pyridine-2-carboxamide (G.5.9), 4-[1 -[2-[3,5- bis(trifluoromethyl)pyrazol-1-yl]acetyl]-4-piperidyl]-/V-tetralin-1-yl-pyridine-2-carboxamide (G.5.10), (4-[1-[2-[5-cyclopropyl-3-(trifluoromethyl)pyrazol-1-yl]acetyl]-4-piperidyl]-/V-tetralin- 1-yl-pyridine-2-carboxamide (G.5.11 );
H) Inhibitors with Multi Site Action
- inorganic active substances: Bordeaux mixture (H.1.1 ), copper (H.1.2), copper acetate
(H.1.3), copper hydroxide (H.1.4), copper oxychloride (H.1.5), basic copper sulfate (H.1.6), sulfur (H.1.7);
- thio- and dithiocarbamates: ferbam (H.2.1 ), mancozeb (H.2.2), maneb (H.2.3), metam
(H.2.4), metiram (H.2.5), propineb (H.2.6), thiram (H.2.7), zineb (H.2.8), ziram (H.2.9);
- organochlorine compounds: anilazine (H.3.1 ), chlorothalonil (H.3.2), captafol (H.3.3), captan (H.3.4), folpet (H.3.5), dichlofluanid (H.3.6), dichlorophen (H.3.7), hexachlorobenzene (H.3.8), pentachlorphenole (H.3.9) and its salts, phthalide (H.3.10), tolylfluanid (H.3.11 );
- guanidines and others: guanidine (H.4.1 ), dodine (H.4.2), dodine free base (H.4.3),
guazatine (H.4.4), guazatine-acetate (H.4.5), iminoctadine (H.4.6), iminoctadine-triacetate (H.4.7), iminoctadine-tris(albesilate) (H.4.8), dithianon (H.4.9), 2,6-dimethyl-1 A/,5AL[1 ,4]di- thiino[2,3-c:5,6-c']dipyrrole-1 ,3,5,7(2A/,6A7)-tetraone (H.4.10);
I) Cell wall synthesis inhibitors
- inhibitors of glucan synthesis: validamycin (1.1.1), polyoxin B (1.1.2);
- melanin synthesis inhibitors: pyroquilon (1.2.1), tricyclazole (1.2.2), carpropamid (1.2.3), dicy- clomet (1.2.4), fenoxanil (I.2.5);
J) Plant defence inducers
- acibenzolar-S-methyl (J.1.1 ), probenazole (J.1.2), isotianil (J.1.3), tiadinil (J.1.4), prohexadi- one-calcium (J.1.5); phosphonates: fosetyl (J.1.6), fosetyl-aluminum (J.1.7), phosphorous acid and its salts (J.1.8), calcium phosphonate (J.1.1 1), potassium phosphonate (J.1.12), potassium or sodium bicarbonate (J.1.9), 4-cyclopropyl-/V-(2,4-dimethoxyphenyl)thiadiazole-
5-carboxamide (J.1.10);
K) Unknown mode of action
- bronopol (K.1.1 ), chinomethionat (K.1.2), cyflufenamid (K.1.3), cymoxanil (K.1.4), dazomet (K.1.5), debacarb (K.1.6), diclocymet (K.1.7), diclomezine (K.1.8), difenzoquat (K.1.9), difen- zoquat-methylsulfate (K.1.10), diphenylamin (K.1.11 ), fenitropan (K.1.12), fenpyrazamine (K.1.13), flumetover (K.1.14), flusulfamide (K.1.15), flutianil (K.1.16), harpin (K.1.17), metha- sulfocarb (K.1.18), nitrapyrin (K.1.19), nitrothal-isopropyl (K.1.20), tolprocarb (K.1.21 ), oxin- copper (K.1.22), proquinazid (K.1.23), tebufloquin (K.1.24), tecloftalam (K.1.25), triazoxide (K.1.26), /Vi(4-(4-chloro-3-trifluoromethyl-phenoxy)-2,5-dimethyl-phenyl)-/V-ethyl-/V-methyl formamidine (K.1.27), /Vi(4-(4-fluoro-3-trifluoromethyl-phenoxy)-2,5-dimethyl-phenyl)-/V-eth- yl-/V-methyl formamidine (K.1.28), /Vi[4-[[3-[(4-chlorophenyl)methyl]-1 ,2,4-thiadiazol-5-yl]- oxy]-2,5-dimethyl-phenyl]-/V-ethyl-/V-methyl-formamidine (K.1.29), /V^S-bromo-e-indan^- yloxy-2-methyl-3-pyridyl)-/V-ethyl-/V-methyl-formamidine (K.1.30), /V^S-bromo-e-ld-^S-diflu- orophenyl)ethoxy]-2-methyl-3-pyridyl]-/V-ethyl-/V-methyl-formamidine (K.1.31), /V^S-bromo-
6-(4-isopropylcyclohexoxy)-2-methyl-3-pyridyl]-/V-ethyl-/V-methyl-formamidine (K.1.32), /Vi[5-bromo-2-methyl-6-(1-phenylethoxy)-3-pyridyl]-/V-ethyl-/V-methyl-formamidine (K.1.33), /Vi(2-methyl-5-trifluoromethyl-4-(3-trimethylsilanyl-propoxy)-phenyl)-/V-ethyl-/V-methyl forma- midine (K.1.34), /Vi(5-difluoromethyl-2-methyl-4-(3-trimethylsilanyl-propoxy)-phenyl)-/V-ethyl- /V-methyl formamidine (K.1.35), 2-(4-chloro-phenyl)-/V-[4-(3,4-dimethoxy-phenyl)-isoxazol- 5-yl]-2-prop-2-ynyloxy-acetamide (K.1.36), 3-[5-(4-chloro-phenyl)-2,3-dimethyl-isoxazolidin- 3-yl]-pyridine (pyrisoxazole) (K.1.37), 3-[5-(4-methylphenyl)-2,3-dimethyl-isoxazolidin-3 yl]- pyridine (K.1.38), 5-chloro-1-(4,6-dimethoxy-pyrimidin-2-yl)-2-methyl-1 A benzoimidazole (K.1.39), ethyl (2)-3-amino-2-cyano-3-phenyl-prop-2-enoate (K.1.40), picarbutrazox (K.1.41), pentyl /V-[6-[[(2)-[(1-methyltetrazol-5-yl)-phenyl-methylene]amino]oxymethyl]-2-pyridyl]carba- mate (K.1.42), but-3-ynyl /V-[6-[[(2)-[(1-methyltetrazol-5-yl)-phenyl-methylene]amino]oxyme- thyl]-2-pyridyl]carbamate (K.1.43), ipflufenoquin (K.1.44), quinofumelin (K.1.47), 2-(6-benzyl- 2-pyridyl)quinazoline (K.1.50), 2-[6-(3-fluoro-4-methoxy-phenyl)-5-methyl-2-pyridyl]quinazo- line (K.1.51 ), dichlobentiazox (K.1.52), /Vi(2,5-dimethyl-4-phenoxy-phenyl)-/V-ethyl-/V-me- thyl-formamidine (K.1.53), pyrifenamine (K.1.54);
M) Growth regulators
abscisic acid (M.1.1 ), amidochlor, ancymidol, 6-benzylaminopurine, brassinolide, butralin, chlormequat, chlormequat chloride, choline chloride, cyclanilide, daminozide, dikegulac, dime- thipin, 2,6-dimethylpuridine, ethephon, flumetralin, flurprimidol, fluthiacet, forchlorfenuron, gib- berellic acid, inabenfide, indole-3-acetic acid , maleic hydrazide, mefluidide, mepiquat, mepiquat chloride, naphthaleneacetic acid, /V-6-benzyl adenine, paclobutrazol, prohexadione, prohexadi- one-calcium, prohydrojasmon, thidiazuron, triapenthenol, tributyl phosphorotrithioate,
2,3,5-tri-iodobenzoic acid , trinexapac-ethyl, uniconazole;
N) Herbicides from classes N.1 to N.15
N.1 Lipid biosynthesis inhibitors: alloxydim, alloxydim-sodium, butroxydim, clethodim,
clodinafop, clodinafop-propargyl, cycloxydim, cyhalofop, cyhalofop-butyl, diclofop, diclofop- methyl, fenoxaprop, fenoxaprop-ethyl, fenoxaprop-P, fenoxaprop-P-ethyl, fluazifop, fluazifop- butyl, fluazifop-P, fluazifop-P-butyl, haloxyfop, haloxyfop-methyl, haloxyfop-P, haloxyfop-P- methyl, metamifop, pinoxaden, profoxydim, propaquizafop, quizalofop, quizalofop-ethyl,
quizalofop-tefuryl, quizalofop-P, quizalofop-P-ethyl, quizalofop-P-tefuryl, sethoxydim, tepra- loxydim, tralkoxydim, 4-(4'-chloro-4-cyclo~,propyl-2'-fluoro[1 ,1 '-biphenyl]-3-yl)-5-hydroxy- 2,2,6,6-tetramethyl-2/7-pyran-3(6A)-one (1312337-72-6); 4-(2',4'-dichloro-4-cyclopropyl[1 ,1'- biphenyl]-3-yl)-5-hydroxy-2,2,6,6-tetramethyl-2/7-pyran-3(6A)-one (1312337-45-3);
4-(4'-chloro-4-ethyl-2'-fluoro[1 '-biphenyll-S-y -S-hydroxy^^^^-tetramethyl^/T-pyran- 3(6A)-one (1033757-93-5); 4-(2',4'-dichloro-4-ethyl[1 ,1'-biphenyl]-3-yl)-2,2,6,6-tetramethyl- 2^ί-pyran-3,5(4A/,6^)-dione (1312340-84-3); 5-(acetyloxy)-4-(4'-chloro-4-cyclopropyl-2'- fluoro[1 ,1 '-biphenyl]-3-yl)-3,6-dihydro-2,2,6,6-tetramethyl-2/7-pyran-3-one (1312337-48-6);
5-(acetyloxy)-4-(2',4'-dichloro-4-cyclopropyl- [1 , 1 '-biphenyl]-3-yl)-3,6-dihydro-2,2,6,6-tetra- methyl-277-pyran-3-one; 5-(acetyloxy)-4-(4'-chloro-4-ethyl-2'-fluoro[1 ,1 '-biphenyl]-3-yl)-3,6-di- hydro^^^^-tetramethyl^/T-pyran-S-one (1312340-82-1); 5-(acetyloxy)-4-(2',4'-dichloro-4- ethyl[1 ,1 '-biphenyl]-3-yl)-3,6-dihydro-2,2,6,6-tetramethyl-2/7-pyran-3-one (1033760-55-2); 4- (4'-chloro-4-cyclopropyl-2'-fluoro[1 ,1 '-biphenyl]-3-yl)-5,6-dihydro-2,2,6,6-tetramethyl-5-oxo- 277-pyran-3-yl carbonic acid methyl ester (1312337-51-1 ); 4-(2',4'-dichloro -4-cyclopropyl- [I '-biphenyll-S-y -S^-dihydro^^^^-tetramethyl-S-oxo^/T-pyran-S-yl carbonic acid me- thyl ester; 4-(4'-chloro-4-ethyl-2'-fluoro[1 ,1 '-biphenyl]-3-yl)-5,6-dihydro-2,2,6,6-tetramethyl-5- oxo-2/7-pyran-3-yl carbonic acid methyl ester (1312340-83-2); 4-(2',4'-dichloro-4-ethyh[1 ,1 '- biphenyll-S-y -S^-dihydro^^^^-tetramethyl-S-oxo^/T-pyran-S-yl carbonic acid methyl es- ter (1033760-58-5); benfuresate, butylate, cycloate, dalapon, dimepiperate, EPTC, espro- carb, ethofumesate, flupropanate, molinate, orbencarb, pebulate, prosulfocarb, TCA, thio- bencarb, tiocarbazil, triallate, vernolate;
N.2 ALS inhibitors: amidosulfuron, azimsulfuron, bensulfuron, bensulfuron-methyl, chlorimuron, chlorimuron-ethyl, chlorsulfuron, cinosulfuron, cyclosulfamuron, ethametsulfuron, ethamet- sulfuron-methyl, ethoxysulfuron, flazasulfuron, flucetosulfuron, flupyrsulfuron, flupyrsulfuron- methyl-sodium, foramsulfuron, halosulfuron, halosulfuron-methyl, imazosulfuron, iodosulfu- ron, iodosulfuron-methyl-sodium, iofensulfuron, iofensulfuron-sodium, mesosulfuron, meta- zosulfuron, metsulfuron, metsulfuron-methyl, nicosulfuron, orthosulfamuron, oxasulfuron, primisulfuron, primisulfuron-methyl, propyrisulfuron, prosulfuron, pyrazosulfuron, pyrazosul- furon-ethyl, rimsulfuron, sulfometuron, sulfometuron-methyl, sulfosulfuron, thifensulfuron, thifensulfuron-methyl, triasulfuron, tribenuron, tribenuron-methyl, trifloxysulfuron, triflusulfu- ron, triflusulfuron-methyl, tritosulfuron, imazamethabenz, imazamethabenz-methyl, imaza- mox, imazapic, imazapyr, imazaquin, imazethapyr; cloransulam, cloransulam-methyl, diclo- sulam, flumetsulam, florasulam, metosulam, penoxsulam, pyrimisulfan, pyroxsulam; bispyri- bac, bispyribac-sodium, pyribenzoxim, pyriftalid, pyriminobac, pyriminobac-methyl, pyrithio- bac, pyrithiobac-sodium, 4-[[[2-[(4,6-dimethoxy-2-pyrimidinyl)oxy]phenyl]methyl]amino]-ben- zoic acid-1 -methyhethyl ester (420138-41-6), 4-[[[2-[(4,6-dimethoxy-2-pyrimidinyl)oxy]phe- nylj-'methyllaminol-benzoic acid propyl ester (420138-40-5), /V-(4-bromophenyl)-2-[(4,6-di- methoxy-2-pyrimidinyl)oxy]benzenemethanamine (420138-01-8); flucarbazone, flucarba- zone-sodium, propoxycarbazone, propoxycarbazone-sodium, thiencarbazone, thiencarba- zone-methyl; triafamone;
N.3 Photosynthesis inhibitors: amicarbazone; chlorotriazine; ametryn, atrazine, chloridazone, cyanazine, desmetryn, dimethametryn,hexazinone, metribuzin, prometon, prometryn, pro- pazine, simazine, simetryn, terbumeton, terbuthylazin, terbutryn, trietazin; chlorobromuron, chlorotoluron, chloroxuron, dimefuron, diuron, fluometuron, isoproturon, isouron, linuron,
metamitron, methabenzthiazuron, metobenzuron, metoxuron, monolinuron, neburon, sidu- ron, tebuthiuron, thiadiazuron, desmedipham, karbutilat, phenmedipham, phenmedipham- ethyl, bromofenoxim, bromoxynil and its salts and esters, ioxynil and its salts and esters, bromacil, lenacil, terbacil, bentazon, bentazon-sodium, pyridate, pyridafol, pentanochlor, pro- panil; diquat, diquat-dibromide, paraquat, paraquat-dichloride, paraquat-dimetilsulfate;
N.4 protoporphyrinogen-IX oxidase inhibitors: acifluorfen, acifluorfen-sodium, azafenidin, ben- carbazone, benzfendizone, bifenox, butafenacil, carfentrazone, carfentrazone-ethyl, chlor- methoxyfen, cinidon-ethyl, fluazolate, flufenpyr, flufenpyr-ethyl, flumiclorac, flumiclorac-pen- tyl, flumioxazin, fluoroglycofen, fluoroglycofen-ethyl, fluthiacet, fluthiacet-methyl, fomesafen, halosafen, lactofen, oxadiargyl, oxadiazon, oxyfluorfen, pentoxazone, profluazol, pyraclonil, pyraflufen, pyraflufen-ethyl, saflufenacil, sulfentrazone, thidiazimin, tiafenacil, trifludimoxazin, ethyl [3-[2-chloro-4-fluoro-5-(1-methyl-6-trifluoromethyl-2,4-dioxo-1 ,2,3,4-tetrahydropyrimi- din-3-yl)phenoxy]-2-pyridyloxy]acetate (353292-31-6), /V-ethyl-3-(2,6-dichloro-4-trifluoro- methylphenoxy)-5-methyl-1 //-pyrazole-1 -carboxamide (452098-92-9), /V-tetrahydrofurfuryl- 3-(2,6-dichloro-4-trifluoromethylphenoxy)-5-methyl-1 //-pyrazole-1 -carboxamide (915396-43- 9), /V-ethyl-3-(2-chloro-6-fluoro-4-trifluoromethyhphenoxy)-5-methyl-1 //-pyrazole-1 -carbox- amide (452099-05-7), /V-tetrahydro ,furfuryl-3-(2-chloro-6-fluoro-4-trifluoro-,methylphenoxy)- 5-methyl-1 //-pyrazole-1 -carboxamide (452100-03-7), 3-[7-fluoro-3-oxo-4-(prop-2-ynyl)-
3.4-dihydro-2//-benzo[1 ,4]oxazin-6-yl]-1 ,5-dimethyl-6-thioxo-[1 ,3,5]triazinan-2,4-dione (451484-50-7), 2-(2,2,7-trifluoro-3-oxo-4-prop-2-ynyl-3,4-dihydro-2//-benzo[1 ,4]oxazin-6-yl)- 4,5,6,7-tetrahydro-isoindole-1 ,3-dione (1300118-96-0), l-methyl-e-trifluoro^methyl- 3-(2,2,7-tri-fluoro-3-oxo-4-prop-2-ynyl-3,4-dihydro-2//-benzo[1 ,4]oxazin-6-yl)-1 //-pyrimidine-
2.4-dione (1304113-05-0), methyl (£)-4-[2-chloro-5-[4-chloro-5-(difluoromethoxy)-1 //-methyl- pyrazol-3-yl]-4-fluoro-phenoxy]-3-methoxy-but-2-enoate (948893-00-3), 3-[7-chloro-5-fluoro- 2-(trifluoromethyl)-1 //-benzimidazol-4-yl]-1 -methyl-6-(trifluoromethyl)-1 //-pyrimidine-2, 4-di- one (212754-02-4);
N.5 Bleacher herbicides: beflubutamid, diflufenican, fluridone, flurochloridone, flurtamone,
norflurazon, picolinafen, 4-(3-trifluoromethyhphenoxy)-2-(4-trifluoromethylphenyl)pyrimidine (180608-33-7); benzobicyclon, benzofenap, bicyclopyrone, clomazone, fenquintrione, isoxaflutole, mesotrione, pyrasulfotole, pyrazolynate, pyrazoxyfen, sulcotrione, tefuryltrione, tembotrione, tolpyralate, topramezone; aclonifen, amitrole, flumeturon;
N.6 EPSP synthase inhibitors: glyphosate, glyphosate-isopropylammonium, glyposate-potas- sium, glyphosate-trimesium (sulfosate);
N.7 Glutamine synthase inhibitors: bilanaphos (bialaphos), bilanaphos-sodium, glufosinate, glufosinate-P, glufosinate-ammonium;
N.8 DHP synthase inhibitors: asulam;
N.9 Mitosis inhibitors: benfluralin, butralin, dinitramine, ethalfluralin, fluchloralin, oryzalin, pendi- methalin, prodiamine, trifluralin; amiprophos, amiprophos-methyl, butamiphos; chlorthal, chlorthal-dimethyl, dithiopyr, thiazopyr, propyzamide, tebutam; carbetamide, chlorpropham, flamprop, flamprop-isopropyl, flamprop-methyl, flamprop-M-isopropyl, flamprop-M-methyl, propham;
N.10 VLCFA inhibitors: acetochlor, alachlor, butachlor, dimethachlor, dimethenamid, dimethena- mid-P, metazachlor, metolachlor, metolachlor-S, pethoxamid, pretilachlor, propachlor, prop-
isochlor, thenylchlor, flufenacet, mefenacet, diphenamid, naproanilide, napropamide, napro- pamide-M, fentrazamide, anilofos, cafenstrole, fenoxasulfone, ipfencarbazone, piperophos, pyroxasulfone, isoxazoline compounds of the formulae 11.1 , II.2, II.3, II.4, II.5, II.6, II.7, II.8 and II.9
N.1 1 Cellulose biosynthesis inhibitors: chlorthiamid, dichlobenil, flupoxam, indaziflam, isoxaben, triaziflam, 1 -cyclohexyl-5-pentafluorphenyloxy-14-[1 ,2,4,6]thiatriazin-3-ylamine (175899-01 - 1 );
N.12 Decoupler herbicides: dinoseb, dinoterb, DNOC and its salts;
N.13 Auxinic herbicides: 2,4-D and its salts and esters, clacyfos, 2,4-DB and its salts and es- ters, aminocyclopyrachlor and its salts and esters, aminopyralid and its salts such as amino- pyralid-dimethylammonium, aminopyralid-tris(2-hydroxypropyl)ammonium and its esters, benazolin, benazolin-ethyl, chloramben and its salts and esters, clomeprop, clopyralid and its salts and esters, dicamba and its salts and esters, dichlorprop and its salts and esters, dichlorprop-P and its salts and esters, fluroxypyr, fluroxypyr-butometyl, fluroxypyr-meptyl, halauxifen and its salts and esters (943832-60-8); MCPA and its salts and esters, MCPA- thioethyl, MCPB and its salts and esters, mecoprop and its salts and esters, mecoprop-P and its salts and esters, picloram and its salts and esters, quinclorac, quinmerac, TBA (2,3,6) and its salts and esters, triclopyr and its salts and esters, 4-amino-3-chloro- 6-(4-chloro-2-fluoro-3-methoxyphenyl)-5-fluoropyridine-2-carboxylic acid, benzyl 4-amino- 3-chloro-6-(4-chloro-2-fluoro-3-methoxyphenyl)-5-fluoropyridine-2-carboxylate (1390661 -72-
9);
N.14 Auxin transport inhibitors: diflufenzopyr, diflufenzopyr-sodium, naptalam, naptalam- sodium;
N.15 Other herbicides: bromobutide, chlorflurenol, chlorflurenol-methyl, cinmethylin, cumyluron, cyclopyrimorate (499223-49-3) and its salts and esters, dalapon, dazomet, difenzoquat, di- fenzoquat-metilsulfate, dimethipin, DSMA, dymron, endothal and its salts, etobenzanid, flu- renol, flurenol-butyl, flurprimidol, fosamine, fosamine-ammonium, indanofan, maleic hydra- zide, mefluidide, metam, methiozolin (403640-27-7), methyl azide, methyl bromide, methyl- dymron, methyl iodide, MSMA, oleic acid, oxaziclomefone, pelargonic acid, pyributicarb, quinoclamine, tridiphane;
O) Insecticides from classes 0.1 to 0.29
O.1 Acetylcholine esterase (AChE) inhibitors: aldicarb, alanycarb, bendiocarb, benfuracarb, bu- tocarboxim, butoxycarboxim, carbaryl, carbofuran, carbosulfan, ethiofencarb, fenobucarb, formetanate, furathiocarb, isoprocarb, methiocarb, methomyl, metolcarb, oxamyl, pirimicarb, propoxur, thiodicarb, thiofanox, trimethacarb, XMC, xylylcarb, triazamate; acephate, aza- methiphos, azinphos-ethyl, azinphosmethyl, cadusafos, chlorethoxyfos, chlorfenvinphos, chlormephos, chlorpyrifos, chlorpyrifos-methyl, coumaphos, cyanophos, demeton-S-methyl, diazinon, dichlorvos/ DDVP, dicrotophos, dimethoate, dimethylvinphos, disulfoton, EPN, ethion, ethoprophos, famphur, fenamiphos, fenitrothion, fenthion, fosthiazate, heptenophos, imicyafos, isofenphos, isopropyl O-(methoxyaminothio-phosphoryl) salicylate, isoxathion, malathion, mecarbam, methamidophos, methidathion, mevinphos, monocrotophos, naled, omethoate, oxydemeton-methyl, parathion, parathion-methyl, phenthoate, phorate, phosa- lone, phosmet, phosphamidon, phoxim, pirimiphos- methyl, profenofos, propetamphos, pro- thiofos, pyraclofos, pyridaphenthion, quinalphos, sulfotep, tebupirimfos, temephos, terbufos, tetrachlorvinphos, thiometon, triazophos, trichlorfon, vamidothion;
0.2 GABA-gated chloride channel antagonists: endosulfan, chlordane; ethiprole, fipronil,
flufiprole, pyrafluprole, pyriprole;
0.3 Sodium channel modulators: acrinathrin, allethrin, d-cis-trans allethrin, d-trans allethrin, bifenthrin, kappa-bifenthrin, bioallethrin, bioallethrin S-cylclopentenyl, bioresmethrin, cyclo- prothrin, cyfluthrin, beta-cyfluthrin, cyhalothrin, lambda-cyhalothrin, gamma-cyhalothrin, cy- permethrin, alpha-cypermethrin, beta-cypermethrin, theta-cypermethrin, zeta-cypermethrin, cyphenothrin, deltamethrin, empenthrin, esfenvalerate, etofenprox, fenpropathrin, fen- valerate, flucythrinate, flumethrin, tau-fluvalinate, halfenprox, heptafluthrin, imiprothrin, me- perfluthrin, metofluthrin, momfluorothrin, epsilon-momfluorothrin, permethrin, phenothrin, prallethrin, profluthrin, pyrethrin (pyrethrum), resmethrin, silafluofen, tefluthrin, kappa-tefluth- rin, tetramethylfluthrin, tetramethrin, tralomethrin, transfluthrin; DDT, methoxychlor;
0.4 Nicotinic acetylcholine receptor agonists (nAChR): acetamiprid, clothianidin, cycloxaprid, dinotefuran, imidacloprid, nitenpyram, thiacloprid, thiamethoxam; 4,5-dihydro-/V-nitro- 1 -(2-oxiranylmethyl)-1 TT-imidazol^-amine, (2£)-1 -[(6-chloropyridin-3-yl)methyl]-/V:-nitro-2- pentylidenehydrazinecarboximidamide; 1-[(6-chloropyridin-3-yl)methyl]-7-methyl-8-nitro-5- propoxy-1 ,2,3,5,6,7-hexahydroimidazo[1 ,2-a]pyridine; nicotine; sulfoxaflor, flupyradifurone, triflumezopyrim;
0.5 Nicotinic acetylcholine receptor allosteric activators: spinosad, spinetoram;
0.6 Chloride channel activators: abamectin, emamectin benzoate, ivermectin, lepimectin, milbe- mectin;
0.7 Juvenile hormone mimics: hydroprene, kinoprene, methoprene; fenoxycarb, pyriproxyfen;
0.8 miscellaneous non-specific (multi-site) inhibitors: methyl bromide and other alkyl halides; chloropicrin, sulfuryl fluoride, borax, tartar emetic;
0.9 Chordotonal organ TRPV channel modulators: pymetrozine, pyrifluquinazon; flonicamid;
0.10 Mite growth inhibitors: clofentezine, hexythiazox, diflovidazin; etoxazole;
0.1 1 Microbial disruptors of insect midgut membranes: Bacillus thuringiensis, Bacillus sphaeri- cus and the insecticdal proteins they produce: Bacillus thuringiensis subsp. israe/ensis, Ba cillus sphaericus, Bacillus thuringiensis subsp. aizawai, Bacillus thuringiensis subsp.
kurstaki, Bacillus thuringiensis subsp. tenebrionis, the Bt crop proteins: CrylAb, CrylAc, Cryl Fa, Cry2Ab, mCry3A, Cry3Ab, Cry3Bb, Cry34/35Ab1 ;
0.12 Inhibitors of mitochondrial ATP synthase: diafenthiuron; azocyclotin, cyhexatin, fenbutatin oxide, propargite, tetradifon;
0.13 Uncouplers of oxidative phosphorylation via disruption of the proton gradient: chlorfenapyr, DNOC, sulfluramid;
0.14 Nicotinic acetylcholine receptor (nAChR) channel blockers: bensultap, cartap hydrochlo- ride, thiocyclam, thiosultap sodium;
0.15 Inhibitors of the chitin biosynthesis type 0: bistrifluron, chlorfluazuron, diflubenzuron, flu- cycloxuron, flufenoxuron, hexaflumuron, lufenuron, novaluron, noviflumuron, teflubenzuron, triflumuron;
0.16 Inhibitors of the chitin biosynthesis type 1 : buprofezin;
0.17 Moulting disruptors: cyromazine;
0.18 Ecdyson receptor agonists: methoxyfenozide, tebufenozide, halofenozide, fufenozide, chromafenozide;
0.19 Octopamin receptor agonists: amitraz;
0.20 Mitochondrial complex III electron transport inhibitors: hydramethylnon, acequinocyl,
fluacrypyrim, bifenazate;
0.21 Mitochondrial complex I electron transport inhibitors: fenazaquin, fenpyroximate, pyrim- idifen, pyridaben, tebufenpyrad, tolfenpyrad; rotenone;
0.22 Voltage-dependent sodium channel blockers: indoxacarb, metaflumizone, 2-[2-(4-cyano- phenyl)-1-[3-(trifluoromethyl)phenyl]ethylidene]-/V-[4-(difluoromethoxy)phenyl]-hydrazinecar- boxamide, /V-(3-chloro-2-methylphenyl)-2-[(4-chlorophenyl)-[4-[methyl(methylsulfonyl)- amino]phenyl]methylene]-hydrazinecarboxamide;
0.23 Inhibitors of the of acetyl CoA carboxylase: spirodiclofen, spiromesifen, spirotetramat, spi- ropidion;
0.24 Mitochondrial complex IV electron transport inhibitors: aluminium phosphide, calcium
phosphide, phosphine, zinc phosphide, cyanide;
0.25 Mitochondrial complex II electron transport inhibitors: cyenopyrafen, cyflumetofen;
0.26 Ryanodine receptor-modulators: flubendiamide, chlorantraniliprole, cyantraniliprole, cycla- niliprole, tetraniliprole; (/\ -3-chloro-/V-{2-methyl-4-[1 ,2,2,2 -tetrafluoro-1 -(trifluoromethyl)- ethyl]phenyl}-Ae-(1-methyl-2-methylsulfonylethyl)phthalamide, (S)-3-chloro-/V-{2-methyl- 4-[1 ,2,2,2-tetrafluoro-1 -(trifluoromethyl)ethyl]phenyl}-Ae-(1 -methyl-2-methylsulfonylethyl)-
phthalamide, methyl-2-[3,5-dibromo-2-({[3-bromo-1 -(3-chloropyridin-2-yl)-1 /7-pyrazol-5-yl]- carbonyl}amino)benzoyl]-1 ,2-dimethylhydrazinecarboxylate; /V-[4,6-dichloro-2-[(diethyl- lambda-4-sulfanylidene)carbamoyl]-phenyl]-2-(3-chloro-2-pyridyl)-5-(trifluoromethyl)pyrazole-
3-carboxamide; /V-[4-chloro-2-[(diethyl-lambda-4-sulfanylidene)carbamoyl]-6-methyl-phenyl]- 2-(3-chloro-2-pyridyl)-5-(trifluoromethyl)pyrazole-3-carboxamide; /V-[4-chloro-2-[(di-2-propyl- lambda-4-sulfanylidene)carbamoyl]-6-methyl-phenyl]-2-(3-chloro-2-pyridyl)-5-(trifluorometh- yl)pyrazole-3-carboxamide; /V-[4,6-dichloro-2-[(di-2-propyl-lambda-4-sulfanylidene)carba- moyl]-phenyl]-2-(3-chloro-2-pyridyl)-5-(trifluoromethyl)pyrazole-3-carboxamide; /V-[4,6-dibro- mo-2-[(diethyl-lambda-4-sulfanylidene)carbamoyl]-phenyl]-2-(3-chloro-2-pyridyl)-5-(trifluoro- methyl)pyrazole-3-carboxamide; /V-[2-(5-amino-1 ,3,4-thiadiazol-2-yl)-4-chloro-6-methylphe- nyl]-3-bromo-1 -(3-chloro-2-pyridinyl)-1 TT-pyrazole-S-carboxamide; 3-chloro-1 -(3-chloro-2-pyr- idinyl)-/V-[2,4-dichloro-6-[[(1 -cyano-1 -methylethyl)amino]carbonyl]phenyl]-1 /7-pyrazole-5-car- boxamide; 3-bromo-/V-[2,4-dichloro-6-(methylcarbamoyl)phenyl]-1-(3,5-dichloro-2-pyridyl)-
1 TT-pyrazole-S-carboxamide; /V-[4-chloro-2-[[(1 ,1-dimethylethyl)amino]carbonyl]-6-meth- ylphenyl]-1 -(3-chloro-2-pyridinyl)-3-(fluoromethoxy)-1 TT-pyrazole-S-carboxamide; cyhalodi- amide;
7: Chordotonal organ Modulators - undefined target site: flonicamid;
8. insecticidal active compounds of unknown or uncertain mode of action: afidopyropen, afoxolaner, azadirachtin, amidoflumet, benzoximate, broflanilide, bromopropylate, chinome- thionat, cryolite, dicloromezotiaz, dicofol, flufenerim, flometoquin, fluensulfone, fluhexafon, fluopyram, fluralaner, metoxadiazone, piperonyl butoxide, pyflubumide, pyridalyl, tioxazafen,
1 1-(4-chloro-2,6-dimethylphenyl)-12-hydroxy-1 ,4-dioxa-9-azadispiro[4.2.4.2]-tetradec-11-en- 10-one, 3-(4’-fluoro-2,4-dimethylbiphenyl-3-yl)-4-hydroxy-8-oxa-1 -azaspiro[4.5]dec-3-en- 2-one, 1-[2-fluoro-4-methyl-5-[(2,2,2-trifluoroethyl)sulfinyl]phenyl]-3-(trifluoromethyl)- 1 H-L ,2,4-triazole-5-amine, Bacillus firm us ^582 flupyrimin; fluazaindolizine; 4-[5-(3,5-di- chlorophenyl)-5-(trifluoromethyl)-4A7Lisoxazol-3-yl]-2-methyl-/V-(1-oxothietan-3-yl)benzamide; fluxametamide; 5-[3-[2,6-dichloro-4-(3,3-dichloroallyloxy)phenoxy]propoxy]-1 A pyrazole;
4-cyano-/V-[2-cyano-5-[[2,6-dibromo-4-[1 ,2,2,3,3,3-hexafluoro-1-(trifluoromethyl)propyl]phen- yl]carbamoyl]phenyl]-2-methyl-benzamide; 4-cyano-3-[(4-cyano-2-methyl-benzoyl)amino]- /V-[2,6-dichloro-4-[1 ,2,2,3,3,3-hexafluoro-1-(trifluoromethyl)propyl]phenyl]-2-fluoro-benz- amide; /V-[5-[[2-chloro-6-cyano-4-[1 ,2,2,3,3,3-hexafluoro-1-(trifluoromethyl)propyl]phenyl]car- bamoyl]-2-cyano-phenyl]-4-cyano-2-methyl-benzamide; /V-[5-[[2-bromo-6-chloro-4-[2,2,2-tri- fluoro-1 -hydroxy-1 -(trifluoromethyl)ethyl]phenyl]carbamoyl]-2-cyano-phenyl]-4-cyano-2-me- thyl-benzamide; /V-[5-[[2-bromo-6-chloro-4-[1 ,2,2,3,3,3-hexafluoro-1 -(trifluoromethyl)pro- pyl]phenyl]carbamoyl]-2-cyano-phenyl]-4-cyano-2-methyl-benzamide; 4-cyano-/V-[2-cyano-5- [[2,6-dichloro-4-[1 ,2,2,3,3,3-hexafluoro-1-(trifluoromethyl)propyl]phenyl]carbamoyl]phenyl]-2- methyl-benzamide; 4-cyano-/V-[2-cyano-5-[[2,6-dichloro-4-[1 ,2,2,2-tetrafluoro-1 -(trifluorome- thyl)ethyl]phenyl]carbamoyl]phenyl]-2-methyl-benzamide; /V-[5-[[2-bromo-6-chloro-4-[1 , 2,2,2- tetrafluoro-1-(trifluoromethyl)ethyl]phenyl]carbamoyl]-2-cyano-phenyl]-4-cyano-2-methyl-ben- zamide; 2-(1 ,3-dioxan-2-yl)-6-[2-(3-pyridinyl)-5-thiazolyl]-pyridine; 2-[6-[2-(5-fluoro-3-pyridi- nyl)-5-thiazolyl]-2-pyridinyl]-pyrimidine; 2-[6-[2-(3-pyridinyl)-5-thiazolyl]-2-pyridinyl]-pyrimi- dine; /V-methylsulfonyl-6-[2-(3-pyridyl)thiazol-5-yl]pyridine-2-carboxamide; /V-methylsulfonyl- 6-[2-(3-pyridyl)thiazol-5-yl]pyridine-2-carboxamide; 1-[(6-chloro-3-pyridinyl)methyl]-
1 ,2,3,5,6,7-hexahydro-5-methoxy-7-methyl-8-nitro-imidazo[1 ,2-a]pyridine; 1 -[(6-chloropyridin-
3-yl)methyl]-7-methyl-8-nitro-1 ,2,3,5,6,7-hexahydroimidazo[1 ,2-a]pyridin-5-ol; 1-isopropyl- /V,5-dimethyl-/V-pyridazin-4-yl-pyrazole-4-carboxamide; 1 -(1 ,2-dimethylpropyl)-/V-ethyl-5-me- thyl-/V-pyridazin-4-yl-pyrazole-4-carboxamide; /V,5-dimethyl-/V-pyridazin-4-yl-1-(2,2,2-tri- fluoro-1 -methyl-ethyl)pyrazole-4-carboxamide; 1 -[1 -(1 -cyanocyclopropyl)ethyl]-/V-ethyl-5-me- thyl-/V-pyridazin-4-yl-pyrazole-4-carboxamide; /V-ethyl-1 -(2-fluoro-1 -methyl-propyl)-5-meth-yl- /V-pyridazin-4-yl-pyrazole-4-carboxamide; 1 -(1 ,2-dimethylpropyl)-/V,5-dimethyl-/V-pyridazin-4- yl-pyrazole-4-carboxamide; 1 -[1 -(1 -cyanocyclopropyl)ethyl]-/V,5-dimethyl-/V-pyridazin-4-yl- pyrazole-4-carboxamide; /V-methyl-1 -(2-fluoro-1 -methyl-propyl]-5-methyl-/V-pyridazin-4-yl-py- razole-4-carboxamide; 1-(4,4-difluorocyclohexyl)-/V-ethyl-5-methyl-/V-pyridazin-4-yl-pyrazole-
4-carboxamide; 1-(4,4-difluorocyclohexyl)-/V,5-dimethyl-/V-pyridazin-4-yl-pyrazole-4-carbox- amide, LA( 1 -methylethyl)-2-(3-pyridinyl)-2 TT-indazole^-carboxamide; /V-cyclopropyl-2-(3-pyri- dinyl^/T-indazole^-carboxamide; /V-cyclohexyl-2-(3-pyridinyl)-2ATLindazole-4-carboxamide;
2-(3-pyridinyl)-/V-(2,2,2-trifluoroethyl)-2ALindazole-4-carboxamide; 2-(3-pyridinyl)-/V-[(tetrahy- dro^-furany^methyll^/T-indazole-S-carboxamide; methyl 2-[[2-(3-pyridinyl)-2ALindazol-5- yl]carbonyl]hydrazinecarboxylate; /V-[(2,2-difluorocyclopropyl)methyl]-2-(3-pyridinyl)-2ATLinda- zole-5-carboxamide; /V-(2,2-difluoropropyl)-2-(3-pyridinyl)-2ATLindazole-5-carboxamide; 2-(3- pyridinyl )-/V-(2-pyrimidinylmethyl )-277-indazole-5-carboxamide; /V-[(5-methyl-2-pyrazinyl)me- thyl]-2-(3-pyridinyl)-2ATLindazole-5-carboxamide, tyclopyrazoflor; sarolaner, lotilaner,
/V-[4-chloro-3-[[(phenylmethyl)amino]carbonyl]phenyl]-1-methyl-3-(1 ,1 ,2,2,2-pentafluoro- ethyl)-4-(trifluoromethyl)-177-pyrazole-5-carboxamide; M. UN.22a 2-(3-ethylsulfonyl-2-pyridyl)-
3-methyl-6-(trifluoromethyl)imidazo[4,5-b]pyridine, 2-[3-ethylsulfonyl-5-(trifluoromethyl)-2- pyridyl]-3-methyl-6-(trifluoromethyl)imidazo[4,5-b]pyridine, 4-[5-(3,5-dichlorophenyl)-5-(trifluo- romethyl)-4ATLisoxazol-3-yl]-/V-[(4/^-2-ethyl-3-oxo-isoxazolidin-4-yl]-2-methyl-benzamide,
4-[5-(3,5-dichloro-4-fluoro-phenyl)-5-(trifluoromethyl)-4ATLisoxazol-3-yl]-/V-[(4/^-2-ethyl-3-oxo- isoxazolidin-4-yl]-2-methyl-benzamide; /V-[4-chloro-3-(cyclopropylcarbamoyl)phenyl]-2-me- thyl-5-(1 ,1 ,2,2,2-pentafluoroethyl)-4-(trifluoromethyl)pyrazole-3-carboxamide, /V-[4-chloro-3- [(1-cyanocyclopropyl)carbamoyl]phenyl]-2-methyl-5-(1 ,1 ,2,2,2-pentafluoroethyl)-4-(trifluoro- methyl)pyrazole-3-carboxamide; acynonapyr; benzpyrimoxan; chloro-/V-(1-cyanocyclopro- pyl)-5-[1-[2-methyl-5-(1 , 1 ,2,2, 2-pentafluoroethyl)-4-(trifluoromethyl)pyrazol-3-yl]pyrazol-4- yl]benzamide, oxazosulfyl, [(25,3/?,4/?,55,6S)-3,5-dimethoxy-6-methyl-4-propoxy-tetrahydro- pyran-2-yl]-/V-[4-[1-[4-(trifluoromethoxy)phenyl]-1 ,2,4-triazol-3-yl]phenyl]carbamate,
[(25,3/?,4/?,55,6S)-3,4,5-trimethoxy-6-methyl-tetrahydropyran-2-yl] N-[4-[1-[4-(trifluorometh- oxy)phenyl]-1 ,2,4-triazol-3-yl]phenyl]carbamate, [(25,3/?,4/?,55,6S)-3,5-dimethoxy-6-methyl- 4-propoxy-tetrahydropyran-2-yl]-/V-[4-[1-[4-(1 ,1 ,2,2,2-pentafluoroethoxy)phenyl]-1 ,2,4-triazol- 3-yl]phenyl]carbamate, [(25,3/?,4/?,55,6S)-3,4,5-trimethoxy-6-methyl-tetrahydropyran-2-yl]- LA[4-[1-[4-(1 ,1 ,2,2,2-pentafluoroethoxy)phenyl]-1 ,2,4-triazol-3-yl]phenyl]carbamate, (22)-3-(2- isopropylphenyl)-2-[(£)-[4-[1-[4-(1 ,1 ,2,2,2-pentafluoroethoxy)phenyl]-1 ,2,4-triazol-3-yl]phe- nyl]methylenehydrazono]thiazolidin-4-one.
a
The active substances referred to as component 2, their preparation and their activity e. g. against harmful fungi is known (cf.: http://www.alanwood.net/pesticides/); these substances are commercially available. The compounds described by IUPAC nomenclature, their preparation and their pesticidal activity are also known (cf. Can. J. Plant Sci. 48(6), 587-94, 1968;
EP-A 141 317; EP-A 152 031 ; EP-A 226 917; EP-A 243 970; EP-A 256 503; EP-A 428 941 ;
EP-A 532 022; EP-A 1 028 125; EP-A 1 035 122; EP-A 1 201 648; EP-A 1 122 244,
JP 2002316902; DE 19650197; DE 10021412; DE 102005009458; US 3,296,272;
US 3,325,503; WO 98/46608; WO 99/14187; WO 99/24413; WO 99/27783; WO 00/29404;
WO 00/46148; WO 00/65913; WO 01/54501 ; WO 01/56358; WO 02/22583; WO 02/40431 ;
WO 03/10149; WO 03/11853; WO 03/14103; WO 03/16286; WO 03/53145; WO 03/61388;
WO 03/66609; WO 03/74491 ; WO 04/49804; WO 04/83193; WO 05/120234; WO 05/123689;
WO 05/123690; WO 05/63721 ; WO 05/87772; WO 05/87773; WO 06/15866; WO 06/87325;
WO 06/87343; WO 07/82098; WO 07/90624, WO 10/139271 , WO 1 1/028657, WO 12/168188, WO 07/006670, WO 11/77514; WO 13/047749, WO 10/069882, WO 13/047441 , WO 03/16303, WO 09/90181 , WO 13/007767, WO 13/010862, WO 13/127704, WO 13/024009, WO 13/24010, WO 13/047441 , WO 13/162072, WO 13/092224, WO 1 1/135833, CN 1907024, CN 1456054,
CN 103387541 , CN 1309897, WO 12/84812, CN 1907024, WO 09094442, WO 14/60177,
WO 13/116251 , WO 08/013622, WO 15/65922, WO 94/01546, EP 2865265, WO 07/129454, WO 12/16551 1 , WO 11/081174, WO 13/47441 ). Some compounds are identified by their CAS Registry Number which is separated by hyphens into three parts, the first consisting from two up to seven digits, the second consisting of two digits, and the third consisting of a single digit.
The present invention furthermore relates to agrochemical compositions comprising a mix- ture of at least one compound I (component 1) and at least one further active substance useful for plant protection, e. g. selected from the groups A) to O) (component 2), in particular one fur- ther fungicide, e. g. one or more fungicide from the groups A) to K), as described above, and if desired one suitable solvent or solid carrier. Those mixtures are of particular interest, since many of them at the same application rate show higher efficiencies against harmful fungi. Fur- thermore, combating harmful fungi with a mixture of compounds I and at least one fungicide from groups A) to K), as described above, is more efficient than combating those fungi with indi- vidual compounds I or individual fungicides from groups A) to K).
By applying compounds I together with at least one active substance from groups A) to O) a synergistic effect can be obtained, i.e. more then simple addition of the individual effects is ob- tained (synergistic mixtures).
This can be obtained by applying the compounds I and at least one further active substance simultaneously, either jointly (e. g. as tank-mix) or seperately, or in succession, wherein the time interval between the individual applications is selected to ensure that the active substance ap- plied first still occurs at the site of action in a sufficient amount at the time of application of the further active substance(s). The order of application is not essential for working of the present invention.
When applying compound I and a pesticide II sequentially the time between both applications may vary e. g. between 2 hours to 7 days. Also a broader range is possible ranging from 0.25 hour to 30 days, preferably from 0.5 hour to 14 days, particularly from 1 hour to 7 days or from 1.5 hours to 5 days, even more preferred from 2 hours to 1 day. In case of a mixture comprising a pesticide II selected from group L), it is preferred that the pesticide II is applied as last treat- ment.
According to the invention, the solid material (dry matter) of the biopesticides (with the ex- ception of oils such as Neem oil) are considered as active components (e. g. to be obtained af- ter drying or evaporation of the extraction or suspension medium in case of liquid formulations
of the microbial pesticides).
In accordance with the present invention, the weight ratios and percentages used herein for a biological extract such as Quillay extract are based on the total weight of the dry content (solid material) of the respective extract(s).
The total weight ratios of compositions comprising at least one microbial pesticide in the form of viable microbial cells including dormant forms, can be determined using the amount of CFU of the respective microorganism to calculate the total weight of the respective active component with the following equation that 1 x 1010 CFU equals one gram of total weight of the respective active component. Colony forming unit is measure of viable microbial cells, in particular fungal and bacterial cells. In addition, here“CFU” may also be understood as the number of (juvenile) individual nematodes in case of (entomopathogenic) nematode biopesticides, such as
Steinernema feltiae.
In the binary mixtures and compositions according to the invention the weight ratio of the component 1) and the component 2) generally depends from the properties of the active com- ponents used, usually it is in the range of from 1 :10,000 to 10,000:1 , often it is in the range of from 1 :100 to 100:1 , regularly in the range of from 1 :50 to 50:1 , preferably in the range of from 1 :20 to 20:1 , more preferably in the range of from 1 :10 to 10:1 , even more preferably in the range of from 1 :4 to 4:1 and in particular in the range of from 1 :2 to 2:1.
According to further embodiments of the binary mixtures and compositions, the weight ratio of the component 1 ) and the component 2) usually is in the range of from 1000:1 to 1 :1 , often in the range of from 100: 1 to 1 :1 , regularly in the range of from 50:1 to 1 :1 , preferably in the range of from 20:1 to 1 :1 , more preferably in the range of from 10:1 to 1 :1 , even more preferably in the range of from 4:1 to 1 :1 and in particular in the range of from 2:1 to 1 :1.
According to further embodiments of the mixtures and compositions, the weight ratio of the component 1) and the component 2) usually is in the range of from 20,000:1 to 1 :10, often in the range of from 10,000:1 to 1 :1 , regularly in the range of from 5,000:1 to 5:1 , preferably in the range of from 5,000:1 to 10:1 , more preferably in the range of from 2,000:1 to 30:1 , even more preferably in the range of from 2,000:1 to 100:1 and in particular in the range of from 1 ,000:1 to 100:1.
According to a further embodiments of the binary mixtures and compositions, the weight ratio of the component 1 ) and the component 2) usually is in the range of from 1 :1 to 1 :1000, often in the range of from 1 :1 to 1 :100, regularly in the range of from 1 :1 to 1 :50, preferably in the range of from 1 :1 to 1 :20, more preferably in the range of from 1 :1 to 1 :10, even more preferably in the range of from 1 :1 to 1 :4 and in particular in the range of from 1 :1 to 1 :2.
According to further embodiments of the mixtures and compositions, the weight ratio of the component 1 ) and the component 2) usually is in the range of from 10:1 to 1 :20,000, often in the range of from 1 :1 to 1 :10,000, regularly in the range of from 1 :5 to 1 :5,000, preferably in the range of from 1 :10 to 1 :5,000, more preferably in the range of from 1 :30 to 1 :2,000, even more preferably in the range of from 1 :100 to 1 :2,000 to and in particular in the range of from 1 :100 to 1 :1 ,000.
In the ternary mixtures, i.e. compositions according to the invention comprising the compo- nent 1 ) and component 2) and a compound III (component 3), the weight ratio of component 1 ) and component 2) depends from the properties of the active substances used, usually it is in the range of from 1 :100 to 100:1 , regularly in the range of from 1 :50 to 50:1 , preferably in the range
of from 1 :20 to 20:1 , more preferably in the range of from 1 :10 to 10:1 and in particular in the range of from 1 :4 to 4: 1 , and the weight ratio of component 1 ) and component 3) usually it is in the range of from 1 :100 to 100:1 , regularly in the range of from 1 :50 to 50:1 , preferably in the range of from 1 :20 to 20:1 , more preferably in the range of from 1 :10 to 10:1 and in particular in the range of from 1 :4 to 4:1.
Any further active components are, if desired, added in a ratio of from 20:1 to 1 :20 to the component 1 ).
These ratios are also suitable for inventive mixtures applied by seed treatment.
When mixtures comprising microbial pesticides are employed in crop protection, the applica- tion rates preferably range from about 1 x 106 to 5 x 1016 (or more) CFU/ha, preferably from about 1 x 108 to about 1 x 1013 CFU/ha, and even more preferably from about 1 x 109 to 5 x 1015 CFU/ha and particularly preferred even more preferably from 1 x 1012 to 5 x 1014 CFU/ha. In the case of (entomopathogenic) nematodes as microbial pesticides (e. g. Steinernema feltiae), the application rates preferably range inform about 1 x 105 to 1 x 1012 (or more), more preferably from 1 x 108 to 1 x 1011, even more preferably from 5 x 108 to 1 x 1010 individuals (e. g. in the form of eggs, juvenile or any other live stages, preferably in an infetive juvenile stage) per ha.
When mixtures comprising microbial pesticides are employed in seed treatment, the applica- tion rates with respect to plant propagation material preferably range from about 1 x 106 to 1 x 1012 (or more) CFU/seed. Preferably, the concentration is about 1 x 106 to about 1 x 109 CFU/seed. In the case of the microbial pesticides II, the application rates with respect to plant propagation material also preferably range from about 1 x 107 to 1 x 1014 (or more) CFU per 100 kg of seed, preferably from 1 x 109 to about 1 x 1012 CFU per 100 kg of seed.
Preference is also given to mixtures comprising as component 2) at least one active sub- stance selected from inhibitors of complex III at Q0 site in group A), more preferably selected from compounds (A.1.1 ), (A.1.4), (A.1.8), (A.1.9), (A.1.10), (A.1 .12), (A.1.13), (A.1 .14), (A.1.17), (A.1.21 ), (A.1 .25), (A.1.34) and (A.1.35); particularly selected from (A.1 .1 ), (A.1 .4), (A.1.8), (A.1.9), (A.1.13), (A.1 .14), (A.1 .17), (A.1.25), (A.1 .34) and (A.1.35).
Preference is also given to mixtures comprising as component 2) at least one active sub- stance selected from inhibitors of complex III at Q, site in group A), more preferably selected from compounds (A.2.1 ), (A.2.3) and (A.2.4); particularly selected from (A.2.3) and (A.2.4).
Preference is also given to mixtures comprising as component 2) at least one active sub- stance selected from inhibitors of complex II in group A), more preferably selected from corn- pounds (A.3.2), (A.3.3), (A.3.4), (A.3.7), (A.3.9), (A.3.1 1 ), (A.3.12), (A.3.15), (A.3.16), (A.3.17), (A.3.18), (A.3.19), (A.3.20), (A.3.21 ), (A.3.22), (A.3.23), (A.3.28), (A.3.31 ), (A.3.32), (A.3.33), (A.3.34), (A.3.35), (A.3.36), (A.3.37), (A.3.38) and (A.3.39); particularly selected from (A.3.2), (A.3.3), (A.3.4), (A.3.7), (A.3.9), (A.3.12), (A.3.15), (A.3.17), (A.3.19), (A.3.22), (A.3.23),
(A.3.31 ), (A.3.32), (A.3.33), (A.3.34), (A.3.35), (A.3.36), (A.3.37), (A.3.38) and (A.3.39).
Preference is also given to mixtures comprising as component 2) at least one active sub- stance selected from other respiration nhibitors in group A), more preferably selected from corn- pounds (A.4.5) and (A.4.1 1 ); in particular (A.4.1 1 ).
Preference is also given to mixtures comprising as component 2) at least one active sub- stance selected from C14 demethylase inhibitors in group B), more preferably selected from
compounds (B.1 .4), (B.1 .5), (B.1 .8), (B.1 .10), (B.1.1 1 ), (B.1 .12), (B.1.13), (B.1 .17), (B.1.18),
(B.1.21 ), (B.1 .22), (B.1.23), (B.1 .25), (B.1.26), (B.1.29), (B.1 .34), (B.1.37), (B.1 .38), (B.1.43) and (B.1.46); particularly selected from (B.1 .5), (B.1 .8), (B.1 .10), (B.1.17), (B.1 .22), (B.1.23), (B.1.25), (B.1 .33), (B.1 .34), (B.1.37), (B.138), (B.1.43) and (B.1 .46).
Preference is also given to mixtures comprising as component 2) at least one active sub- stance selected from Deltal 4-reductase inhibitors in group B), more preferably selected from compounds (B.2.4), (B.2.5), (B.2.6) and (B.2.8); in particular (B.2.4).
Preference is also given to mixtures comprising as component 2) at least one active sub- stance selected from phenylamides and acyl amino acid fungicides in group C), more preferably selected from compounds (C.1.1 ), (C.1 .2), (C.1.4) and (C.1 .5); particularly selected from (C.1 .1 ) and (C.1.4).
Preference is also given to mixtures comprising as component 2) at least one active sub- stance selected from other nucleic acid synthesis inhibitors in group C), more preferably se- lected from compounds (C.2.6),(C.2.7) and (C.2.8).
Preference is also given to mixtures comprising as component 2) at least one active sub- stance selected from group D), more preferably selected from compounds (D.1.1 ), (D.1 .2),
(D.1 .5), (D.2.4) and (D.2.6); particularly selected from (D.1 .2), (D.1.5) and (D.2.6).
Preference is also given to mixtures comprising as component 2) at least one active sub- stance selected from group E), more preferably selected from compounds (E.1 .1 ), (E.1 .3), (E.2.2) and (E.2.3); in particular (E.1 .3).
Preference is also given to mixtures comprising as component 2) at least one active sub- stance selected from group F), more preferably selected from compounds (F.1 .2), (F.1.4) and (F.1 .5).
Preference is also given to mixtures comprising as component 2) at least one active sub- stance selected from group G), more preferably selected from compounds (G.3.1 ), (G.3.3), (G.3.6), (G.5.1 ), (G.5.2), (G.5.3), (G.5.4), (G.5.5), G.5.6), G.5.7), (G.5.8), (G.5.9), (G.5.10) and (G.5.1 1 ); particularly selected from (G.3.1 ), (G.5.1 ), (G.5.2) and (G.5.3).
Preference is also given to mixtures comprising as component 2) at least one active sub- stance selected from group H), more preferably selected from compounds (H.2.2), (H.2.3), (H.2.5), (H.2.7), (H.2.8), (H.3.2), (H.3.4), (H.3.5), (H.4.9) and (H.4.10); particularly selected from (H.2.2), (H.2.5), (H.3.2), (H.4.9) and (H.4.10).
Preference is also given to mixtures comprising as component 2) at least one active sub- stance selected from group I), more preferably selected from compounds (1.2.2) and (1.2.5).
Preference is also given to mixtures comprising as component 2) at least one active sub- stance selected from group J), more preferably selected from compounds (J.1.2), (J.1 .5),
(J.1 .8), (J.1.1 1 ) and (J.1 .12); in particular (J.1 .5).
Preference is also given to mixtures comprising as component 2) at least one active sub- stance selected from group K), more preferably selected from compounds (K.1 .41 ), (K.1.42), (K.1 .44) and (K.1.47); particularly selected from (K.1 .41 ), (K.1.44) and (K.1 .47).
Synthesis example
With due modification of the starting compounds, the procedures shown in the synthesis exam- pies below were used to obtain further compounds I. The resulting compounds, together with physical data, are listed in Table I below.
HPLC-MS: HPLC-column Kinetex XB C18 1 ,7m (50 x 2,1 mm); eluent: acetonitrile / water + 0.1 % TFA (5 gradient from 5:95 to 100 : 0 in 1.5 min at 60°C, flow gradient from 0.8 to 1.0 ml/min in 1.5 min). MS: Quadrupol Electrospray Ionisation, 80 V (positive mode).
1. Synthesis of intermediate 2,4-dimethyl-1-phenyl-pentan-2-ol.
Under inert atmosphere, a solution of 4-methyl-2-pentanon (3.000 g, 30 mmol) in THF (25 ml.) was added dropwise to a 2 M solution of benzene magnesium chloride in THF (22 ml_, 45 mmol) at 25 °C and stirred for 90 min. Aq. 2 M HCI was added and the mixture was extracted with MTBE. The combined organic phases were washed with water and brine, dried over MgS04, and evaporated. Column chromatography (S1O2; cyclohexane/ethyl acetate 2:1 ) yielded 2,4-di- methyl-1-phenyl-pentan-2-ol (4.700 g, 82%) as colorless oil.
2. Synthesis of Ex-4
A mixture of 5,6-dimethyl-3-cyano-pyridine (709 mg, 5 mmol) and 2,4-dimethyl-1-phenyl-pentan- 2-ol (1.000 g, 5 mmol) in HOAc (18 ml.) was treated with cone. H2SO4 at 0 °C and stirred for 1 h. The mixture was poured onto ice water and ethyl acetate was added. pH = 7 was adjusted by slow addition of aq. sat. NaHCOs solution, phases were separated and the aq. phase extracted with ethyl acetate. The combined organic phases were washed with aq. sat. NaHCOs solution, water, and brine, dried over MgS04, and evaporated. Column chromatography (S1O2; cyclohex- ane/ethyl acetate 2:1 ) yielded Target Molecule Ex-4 (1.060 g, 63%) as colorless powder.
Table I:
Compounds Ex-1 to Ex-5 of the formula I
* HPLC: High Performance Liquid Chromatography; HPLC-column Kinetex XB C18 1 ,7m (50 x
2,1 mm); eluent: acetonitrile / water + 0.1 % trifluoroacetic acid (gradient from 5:95 to 100:0 in 1.5 min at 60°C, flow gradient from 0.8 to 1.0 ml/min in 1.5 min). MS: Quadrupol Electrospray Ionisation, 80 V (positive mode). Rt: retention time in minutes. II. Biological trials
Microtest
The active compounds were formulated separately as a stock solution having a concentration of 10000 ppm in dimethyl sulfoxide.
Example 1 - Activity against the grey mold Botrytis cinerea in the microtiterplate test
The stock solutions were mixed according to the ratio, pipetted onto a micro titer plate (MTP) and diluted with water to the stated concentrations. A spore suspension of Botrci cinerea in an aqueous biomalt or yeast-bactopeptone-sodiumacetate or DOB solution was then added. The
plates were placed in a water vapor-saturated chamber at a temperature of 18°C. Using an ab- sorption photometer, the MTPs were measured at 405 nm 7 days after the inoculation.
In this test, the samples which had been treated with 31 ppm of the active substance from ex- ample Ex-4, showed up to at most 0 % growth of the pathogen.
Example 2 - Activity against Fusarium cutmorum in the microtiterplate test
The stock solutions were mixed according to the ratio, pipetted onto a micro titer plate (MTP) and diluted with water to the stated concentrations. A spore suspension of Fusarium cuimorum in an aqueous biomalt or yeast-bactopeptone-glycerine or DOB solution was then added. The plates were placed in a water vapor-saturated chamber at a temperature of 18°C. Using an ab- sorption photometer, the MTPs were measured at 405 nm 7 days after the inoculation.
In this test, the samples which had been treated with 31 ppm of the active substance from ex- ample Ex-4, showed up to at most 0 % growth of the pathogen.
Example - 3 - Activity against rice blast Pyricularia oryzae in the microtiterplate test
The stock solutions were mixed according to the ratio, pipetted onto a micro titer plate (MTP) and diluted with water to the stated concentrations. A spore suspension of Pyricularia oryzae in an aqueous biomalt or yeast-bactopeptone-glycerine or DOB solution was then added. The plates were placed in a water vapor-saturated chamber at a temperature of 18°C. Using an ab- sorption photometer, the MTPs were measured at 405 nm 7 days after the inoculation.
The measured parameters were compared to the growth of the active compound-free control variant (100%) and the fungus-free and active compound-free blank value to determine the rela- tive growth in % of the pathogens in the respective active compounds.
In this test, the samples which had been treated with 31 ppm of the active substance from ex- ample Ex-4, showed up to at most 1 % growth of the pathogen.
Green House
The spray solutions were prepared in several steps:
The stock solution was prepared: a mixture of acetone and/or dimethylsulfoxide and the wetting agent/emulsifier Wettol, which is based on ethoxylated alkylphenoles, in a relation (volume) sol- vent-emulsifier of 99 to 1 was added to the initial weight of the compound to give a total of 5 ml. Water was then added to total volume of 100 ml.
This stock solution was diluted with the described solvent-emulsifier-water mixture to the given concentration.
Example 1 - Preventative fungicidal control of Botrytis cinerea on leaves of green pepper
Young seedlings of green pepper were grown in pots to the 4 to 5 leaf stage. These plants were sprayed to run-off with an aqueous suspension, containing the concentration of active ingredient or their mixture mentioned in the table below. The next day the plants were inoculated with an aqueous biomalt or DOB solution containing the spore suspension of Botrytis cinerea. Then the plants were immediately transferred to a humid chamber. After 5 days at 22 to 24°C and a relative humidity close to 100 % the extent of fungal attack on the leaves was visually assessed as % diseased leaf area.
In this test, the samples which had been treated with 63 ppm of the active substance from examples Ex-1 and Ex-4 respectively, showed up to at most 8 % growth of the pathogen whereas the untreated plants were 90% infected.
Example 2 - Long lasting control of Botrytis cinerea on leaves of green pepper
Young seedlings of green pepper were grown in pots to the 4 to 5 leaf stage. These plants were sprayed to run-off with an aqueous suspension, containing the concentration of active ingredient or their mixture mentioned in the table below. The plants were then cultivated in the greenhouse for 7 days and then inoculated with an aqueous biomalt solution containing the spore suspension of Botrytis cinerea. Then the plants were immediately transferred to a humid chamber. After 5 days at 22 to 24· C and a relative humidity close to 100 % the extent of fungal attack on the leaves was visually assessed as % diseased leaf area.
In this test, the samples which had been treated with 63 ppm of the active substance from example Ex-4, showed up to at most 4 % growth of the pathogen whereas the untreated plants were 90% infected.
Example 3 - Control of culm rot on pearl millet caused by Fusarium cutmorum
Pot-grown pearl millet seedlings were sprayed to run-off with an aqueous suspension, containing the concentration of active ingredient or their mixture as described below. The plants could air-dry. The next day the plants were inoculated with a spore suspension of Fusarium cuimorum in an aqueous biomalt or DOB solution. Then the trial plants were immediately transferred to a humid chamber. After 6 days at 23-25°C and a relative humidity close to 100 % the extent of fungal attack on the leaves was visually assessed as % diseased leaf area.
In this test, the samples which had been treated with 63 ppm of the active substance from example Ex-4, showed up to at most 1 % growth of the pathogen whereas the untreated plants were 90% infected.
Example 4 - Control of culm rot on pearl millet caused by Fusarium cuimorum
Pot-grown pearl millet seedlings were sprayed to run-off with an aqueous suspension, containing the concentration of active ingredient or their mixture as described below. The plants could air-dry. Seven days later the plants were inoculated with a spore suspension of Fusarium cuimorum in an aqueous biomalt or DOB solution. Then the trial plants were immediately transferred to a humid chamber. After 6 days at 23-25°C and a relative humidity close to 100 % the extent of fungal attack on the leaves was visually assessed as % diseased leaf area.
In this test, the samples which had been treated with 63 ppm of the active substance from example Ex-4, showed up to at most 7 % growth of the pathogen whereas the untreated plants were 90% infected.
Claims
1. Use of the ompounds of formula I
I I
wherein
X is O, S, NH
R1 is in each case independently selected from hydrogen, halogen, OH, CN, COOH,
CONH2, N02, SH, NH2, NH(Ci-C4-alkyl), N(Ci-C4-alkyl)2, NH-S02-Rx, Ci-C6-alkyl, C2-C6- alkenyl, C2-C6-alkynyl, Ci-C6-alkoxy, C3-C6-cycloalkyl, five- or six-membered heteroaryl and aryl; wherein the heteroaryl contains one, two or three heteroatoms selected from N, O and S; and wherein
Rx is Ci-C4-alkyl, Ci-C4-halogenalkyl, unsubstituted aryl or aryl that is substituted by 1 , 2, 3, 4 or 5 substituents Rx1 independently selected from Ci-C4-alkyl, halogen, OH, CN, Ci-C4-halogenalkyl, Ci-C4-alkoxy and Ci-C4-halogenalkoxy; wherein the acyclic moieties of R1 are unsubstituted or substituted with identical or differ- ent groups R1a which independently of one another are selected from:
R1a halogen, OH, CN, COOH, CONH2, Ci-C6-alkoxy, C3-C6-cycloalkyl, C3-C6- halogencycloalkyl, Ci-C4-halogenalkoxy, Ci-C6-alkylthio, aryl and phenoxy, wherein the aryl group is unsubstituted or carries 1 , 2, 3, 4 or 5 substituents R11a selected from the group consisting of halogen, OH, Ci-C4-alkyl, Ci-C4-halogen- alkyl, Ci-C4-alkoxy and Ci-C4-halogenalkoxy;
wherein the carbocyclic, heteroaryl and aryl moieties of R1 are not further substituted or carry 1 , 2, 3, 4, 5 or up to the maximum number of identical or different groups R1b which independently of one another are selected from:
R1b halogen, OH, CN, COOH, CONH2, Ci-C4-alkyl, Ci-C4-alkoxy, Ci-C4-halogenalkyl, C3-C6-cycloalkyl, C3-C6-halogencycloalkyl, Ci-C4-halogenalkoxy and Ci-C6-al- kylthio;
R2 is in each case independently selected from halogen, OH, CN, COOH, CONH2, NO2, SH, NH2, NH(Ci-C4-alkyl), N(Ci-C4-alkyl)2, NH(C2-C4-alkenyl), N(C2-C4-alkenyl)2, NH(C2-C4-al- kynyl), N(C2-C4-alkynyl)2, NH(C3-C6-cycloalkyl), N(C3-C6-cycloalkyl)2, N(Ci-C4-alkyl)(C2-C4- alkenyl), N(Ci-C4-alkyl)(C2-C4-alkynyl), N(Ci-C4-alkyl)(C3-C6-cycloalkyl), N(C2-C4- alkenyl)(C2-C4-alkynyl), N(C2-C4-alkenyl)(C3-C6-cycloalkyl), N(C2-C4-alkynyl)(C3-C6-cyclo- alkyl), NH(C(=0)Ci-C4-alkyl), N (C(=0)Ci-C4-alkyl)2, NH-S02-Rx, S(0)n-Ci-C6-alkyi, S(0)„-
aryl, Ci-C6-cycloalkylthio, S(0)n-C2-C6-alkenyl, S(0)n-C2-C6-alkynyl, CH(=0), C(=0)Ci-C6- alkyl, C(=0)C2-C6-alkenyl, C(=0)C2-C6-alkynyl, C(=0)C3-C6-cycloalkyl, C(=0)N H(CI-C6- alkyl), C(=0)N(Ci-C6-alkyl)2, C(=0)N(C2-C6-alkenyl)2, C(=0)N(C2-C6-alkynyl)2, C(=0)N(C3- C7-cycloalkyl)2, CH(=S), C(=S)Ci-C6-alkyl, C(=S)C2-C6-alkenyl, C(=S)C2-C6-alkynyl, C(=S)C3-C6-cycloalkyl, C(=S)0(C2-C6-alkenyl), C(=S)0(C2-C6-alkynyl), C(=S)0(C3-C7-cy- cloalkyl), C(=S)NH(Ci-C6-alkyl), C(=S)NH(C2-C6-alkenyl), C(=S)NH(C2-C6-alkynyl), C(=S)NH(C3-C7-cycloalkyl),C(=S)N(Ci-C6-alkyl)2, C(=S)N(C2-C6-alkenyl)2, C(=S)N(C2-C6- alkynyl)2, C(=S)N(C3-C7-cycloalkyl)2, Ci-C6-alkyl, Ci-C6-halogenalkyl, C2-C6-alkenyl, C2-C6- alkynyl, ORY, C3-C6-cycloalkyl, five- or six-membered heteroaryl and aryl; wherein the het- eroaryl contains one, two or three heteroatoms selected from N, O and S; wherein
Rx is as defined above;
RY is Ci-C6-alkyl, Ci-C6-halogenalkyl, C2-C6-alkenyl, C2-C6-halogenalkenyl, C2-C6- alkynyl, C2-C6-halogenalkynyl, C3-C6-cycloalkyl, C3-C6-halogencycloalkyl, phenyl and phenyl-Ci-C6-alkyl; wherein the phenyl groups are unsubstituted or carry one, two, three, four or five substituents selected from the group consisting of CN, halogen, OH, Ci-C4-alkyl, Ci-C4-halogenalkyl, Ci-C4-alkoxy and Ci-C4-halo- genalkoxy;
wherein the acyclic moieties of R2 are unsubstituted or substituted by groups R2a which independently of one another are selected from:
R2a halogen, OH, CN, COOH, CONH2, Ci-C6-alkoxy, C3-C6-cycloalkyl, C3-C6- halogencycloalkyl, Ci-C4-halogenalkoxy, Ci-C6-alkylthio and phenoxy, wherein the phenyl group is unsubstituted or substituted by substituents R91a selected from the group consisting of halogen, OH, Ci-C4-alkyl, Ci-C4-halogenalkyl, Ci-C4- alkoxy and Ci-C4-halogenalkoxy;
wherein the carbocyclic, heteroaryl and aryl moieties of R2 are unsubstituted or substituted by groups R3b which independently of one another are selected from:
R2b halogen, OH, CN, COOH, CONH2, Ci-C4-alkyl, Ci-C4-alkoxy, Ci-C4-halogenalkyl, C3-C6-cycloalkyl, C3-C6-halogencycloalkyl, Ci-C4-halogenalkoxy and Ci-C6-al- kylthio;
and wherein n is defined as above
R3 is in each case independently selected from the substituents as defined for R2, wherein the possible substituents for R3 are R3a and R3b, respectively, which correspond to R2a and R2b, respectively;
R4 is in each case independently selected from hydrogen, halogen, OH, CN, COOH,
CONH2, N02, SH, NH2, NH(Ci-C4-alkyl), N(Ci-C4-alkyl)2, NH-S02-Rx, Ci-C6-alkyl, C2-C6- alkenyl, C2-C6-alkynyl, Ci-C6-alkoxy, C3-C6-cycloalkyl, five- or six-membered heteroaryl and aryl; wherein the heteroaryl contains one, two or three heteroatoms selected from N, O and S; and wherein
Rx is as defined above
wherein the aliphatic moieties of R4 are unsubstituted or substituted with identical or dif- ferent groups R2a which independently of one another are selected from:
R4a halogen, OH, CN, COOH, CONH2, Ci-C6-alkoxy, C3-C6-cycloalkyl, C3-C6- halogencycloalkyl, Ci-C4-halogenalkoxy, Ci-C6-alkylthio, aryl and phenoxy, wherein the aryl group is unsubstituted or carries 1 , 2, 3, 4 or 5 substituents R41a selected from the group consisting of halogen, OH, Ci-C4-alkyl, Ci-C4-halogen- alkyl, Ci-C4-alkoxy and Ci-C4-halogenalkoxy;
wherein the cycloalkyl, heteroaryl and aryl moieties of R4 are not further substituted or carry 1 , 2, 3, 4, 5 or up to the maximum number of identical or different groups R4b which independently of one another are selected from:
R4b halogen, OH, CN, COOH, CONH2, Ci-C4-alkyl, Ci-C4-alkoxy, Ci-C4-halogenalkyl, C3-C6-cycloalkyl, C3-C6-halogencycloalkyl, Ci-C4-halogenalkoxy and Ci-C6-al- kylthio;
R5, R6, R7, R8, R9, R10 and R11 are independently selected from H, halogen, OH, CN, NO2,
COOH, CONH2, SH, CrCe-alkylthio, NH2, NH(Ci-C4-alkyl), N(Ci-C4-alkyl)2, NH-S02-Rx, Ci-C6-alkyl, Ci-C6-halogenalkyl, C2-C6-alkenyl, C2-C6-halogenalkenyl, C2-C6-alkynyl, C2- C6-halogenalkynyl, Ci-C6-alkoxy, Ci-C6-halogenalkoxy, C2-C6-alkenyloxy, C2-C6-al- kynyloxy, CH(=0), C(=0)Ci-C6-aikyl, C(=0)0(Ci-C6-aikyl), C(=0)NH(Ci-C6-aikyl), C(=0)N(Ci-C6-alkyl)2, CR -NOR”, a saturated or partially unsaturated three-, four-, five-, six-, seven-, eight-, nine-, or ten-membered carbocycle or heterocycle, a five- or six- membered heteroaryl or aryl; wherein in each case one or two CH2 groups of the carbo- and heterocycle may be replaced by a group independently selected from C(=0) and C(=S), and wherein the heterocycle and heteroaryl contain independently one, two, three or four heteroatoms selected from N, O and S; and wherein R’ and R” are independently selected from H, Ci-C4-alkyl, C2-C6-alkenyl, C2-C6-alkynyl, saturated or partially unsatu- rated three-, four-, five-, six-, seven-, eight-, nine-, or ten-membered carbo- and hetero- cycle, five- or six-membered heteroaryl or aryl; wherein the heterocycle or heteroaryl contains one, two or three heteroatoms selected from N, O and S, and wherein R’ and R” are independently unsubstituted or substituted with R’” which is independently se- lected from halogen, OH, CN, N02, SH, NH2, NH(Ci-C4-alkyl), N(Ci-C4-alkyl)2, NH-SO2- Rx, Ci-C6-alkyl, Ci-C6-halogenalkyl, C2-C6-alkenyl, C2-C6-halogenalkenyl, C2-C6-alkynyl, C2-C6-halogenalkynyl, Ci-C6-alkoxy, Ci-C6-halogenalkoxy, C3-C6-cycloalkyl, C3-C6- halogencycloalkyl and phenyl;
wherein Rx is as defined above;
wherein the acyclic moieties of R5, R6, R7, R8, R9, R10 and R11 are independently not fur- ther substituted or carry one, two, three or up to the maximum possible number of identi- cal or different groups R5a, R6a, R7a, R8a, R9a, R10a and R11a, which independently of one another are selected from:
halogen, OH, CN, N02, SH, NH2, NH(Ci-C4-alkyl), N(Ci-C4-alkyl)2, NH(C(=0)Ci-C4-aikyl), N(C(=0)Ci-C4-alkyl)2, NH-S02-RX, Ci-C6-alkoxy, Ci-C4-halogenalkoxy, C3-C6-cycloalkyl, C3-C6-halogencycloalkyl, Ci-C6-alkylthio, Ci-C6-halogenalkylthio, S(0)n-Ci-C6-alkyl, S(0)n- aryl, CH(=0), C(=0)Ci-C6-aikyl, C(=0)0(Ci-C6-aikyl), C(=0)NH(Ci-C6-aikyl), C(=0)N(Cr
C6-alkyl)2, CR -NOR”, a saturated or partially unsaturated three-, four-, five-, six-, seven-, eight-, nine-, or ten-membered carbo- or heterocycle, a five-, six- or ten-membered het- eroaryl, aryl or phenoxy, wherein in each case one or two Chh groups of the carbo- and heterocycle may be replaced by a group independently selected from C(=0) and C(=S), and wherein the heterocycle and heteroaryl contains independently one, two, three or four heteroatoms selected from N, O and S; wherein the carbo-, heterocyclic, heteroaryl and phenyl groups are independently unsubstituted or carry one, two, three, four or five sub- stituents selected from the group consisting of halogen, OH, CN, NO2, SH, NH2, NH(Ci- C4-alkyl), N(Ci-C4-alkyl)2, NH(C(=0)Ci-C4-alkyl), N (C(=0)Ci-C4-aikyl)2, NH-S02-Rx, Ci-C6- alkylthio, Ci-C4-alkyl, Ci-C4-halogenalkyl, Ci-C4-alkoxy, Ci-C4-halogenalkoxy, and S(0)n- Ci-C6-alkyl; and wherein Rx, R’ and R” are as defined above; n is 0, 1 , 2; and
wherein the carbo-, heterocyclic, heteroaryl and aryl moieties of R5, R6, R7, R8, R9, R10 and R11 are independently unsubstituted or substituted with identical or different groups R5b, R6b, R7b, R8b, R9b, R10b and R11b, which independently of one another are selected from: halogen, OH, CN, N02, SH, NH2, NH(Ci-C4-alkyl), N(Ci-C4-alkyl)2, NH(C(=0)Ci-C4-aikyl), N(C(=0)Ci-C4-alkyl)2, NH-S02-RX, Ci-C4-alkyl, Ci-C4-alkoxy, Ci-C4-halogenalkyl, C3-C6- cycloalkyl, C3-C6-halogencycloalkyl, Ci-C4-halogenalkoxy, Ci-C6-alkylthio, Ci-C6-halogen- alkylthio, S(0)n-Ci-C6-alkyl, Ci-C4-alkoxy-Ci-C4-alkyl, phenyl and phenoxy, wherein the phenyl groups are unsubstituted or carry one, two, three, four or five substituents selected from the group consisting of halogen, OH, Ci-C4-alkyl, Ci-C4-halogenalkyl, Ci-C4-alkoxy and Ci-C4-halogenalkoxy;
n is 0, 1 , 2
R6, R7 together with the carbon atom to which they are bound form a saturated or partially un- saturated three-, four-, five-, six-, seven-, eight-, nine-, or ten-membered carbocycle or heterocycle; wherein the heterocycle contains 1 , 2, 3 or 4 heteroatoms selected from N, O and S, wherein N may carry one substituent RN selected from Ci-C4-alkyl, Ci-C4-halo- genalkyl and S02Ph, wherein Ph is unsubstituted phenyl or phenyl that is substituted by 1 , 2 or 3 substituents selected from CN, Ci-C4-alkyl, halogen, Ci-C4-halogenalkyl, Ci-C4- alkoxy and Ci-C4-halogenalkoxy; and wherein S may be in the form of its oxide SO or SO2, and wherein the carbocycle or heterocycle is unsubstituted or carries one, two, three or four substituents R67 independently selected from halogen, OH, CN, NO2, SH, NH2, Ci-C6-alkyl, Ci-C6-halogenalkyl, Ci-C6-alkoxy, Ci-C6-halogenalkoxy, Ci-C6-al- kylthio, Ci-C6-halogenalkylthio, Ci-C4-alkoxy-Ci-C4-alkyl, phenyl and phenoxy, wherein the phenyl groups are unsubstituted or substituted with substituents R67a selected from the group consisting of CN, halogen, OH, Ci-C4-alkyl, Ci-C4-halogenalkyl, Ci-C4-alkoxy and Ci-C4-halogenalkoxy; and wherein in each case one or two CH2 groups of the carbo- or heterocycle may be replaced by a group independently selected from C(=0) and C(=S); or
R6, R7 together with the carbon atom to which they are bound form a group =N-OR, wherein R is independently selected from H, Ci-C4-alkyl, C2-C6-alkenyl, C2-C6-alkynyl, saturated or partially unsaturated three-, four-, five-, six-, seven-, eight-, nine-, or ten-membered carbo- and heterocycle, five- or six-membered heteroaryl or aryl; wherein the heterocycle or heteroaryl contains one, two or three heteroatoms selected from N, O and S, and
wherein R is unsubstituted or substituted by halogen, OH, CN, NO2, SH, NH2, NH(C-i-C4- alkyl), N(Ci-C4-alkyl)2, NH-S02-RX, Ci-C6-alkyl, Ci-C6-halogenalkyl, C2-C6-alkenyl, C2-C6- halogenalkenyl, C2-C6-alkynyl, C2-C6-halogenalkynyl, Ci-C6-alkoxy, Ci-C6-halogen- alkoxy, C3-C6-cycloalkyl, C3-C6-halogencycloalkyl and phenyl;
R9, R10 together with the carbon atom to which they are bound form a saturated or partially unsaturated three-, four-, five-, six-, seven-, eight-, nine-, or ten-membered carbocycle or heterocycle; wherein the heterocycle contains 1 , 2, 3 or 4 heteroatoms selected from N, O and S, wherein N may carry one substituent RN selected from Ci-C4-alkyl, Ci-C4-halo- genalkyl and S02Ph, wherein Ph is unsubstituted phenyl or phenyl that is substituted by 1 , 2 or 3 substituents selected from CN, Ci-C4-alkyl, halogen, Ci-C4-halogenalkyl, C1-C4- alkoxy and Ci-C4-halogenalkoxy; and wherein S may be in the form of its oxide SO or SO2, and wherein the carbocycle or heterocycle is unsubstituted or carries one, two, three or four substituents R910 independently selected from halogen, OH, CN, NO2, SH, NH2, Ci-C6-alkyl, Ci-C6-halogenalkyl, Ci-C6-alkoxy, Ci-C6-halogenalkoxy, Ci-C6-al- kylthio, Ci-C6-halogenalkylthio, Ci-C4-alkoxy-Ci-C4-alkyl, phenyl and phenoxy, wherein the phenyl groups are unsubstituted or substituted with substituents R910a selected from the group consisting of CN, halogen, OH, Ci-C4-alkyl, Ci-C4-halogenalkyl, Ci-C4-alkoxy and Ci-C4-halogenalkoxy; and wherein in each case one or two CH2 groups of the carbo- or heterocycle may be replaced by a group independently selected from C(=0) and C(=S); or
R9, R10 together with the carbon atom to which they are bound form a group =N-OR, wherein R is independently selected from H, Ci-C4-alkyl, C2-C6-alkenyl, C2-C6-alkynyl, saturated or partially unsaturated three-, four-, five-, six-, seven-, eight-, nine-, or ten-membered carbo- and heterocycle, five- or six-membered heteroaryl or aryl; wherein the heterocycle or heteroaryl contains one, two or three heteroatoms selected from N, O and S, and wherein R is unsubstituted or substituted by halogen, OH, CN, NO2, SH, NH2, NH(C-i-C4- alkyl), N(Ci-C4-alkyl)2, NH-S02-RX, Ci-C6-alkyl, Ci-C6-halogenalkyl, C2-C6-alkenyl, C2-C6- halogenalkenyl, C2-C6-alkynyl, C2-C6-halogenalkynyl, Ci-C6-alkoxy, Ci-C6-halogen- alkoxy, C3-C6-cycloalkyl, C3-C6-halogencycloalkyl and phenyl; and the N-oxides and the agriculturally acceptable salts thereof as fungicides.
2. The use of claim 1 , wherein R1 is H, F, Cl, Br, CN, Ci-C6-alkyl, C2-C6-alkenyl, C2-C6-al- kynyl, Ci-C6-alkoxy, C3-C6-cycloalkyl, wherein the acyclic moieties of R1 are unsubtitted or substituted by halogen.
3. The use of claims 1 or 2, wherein R2 is selected from CN, halogen, Ci-C6-alkyl, Ci-C6-hal- ogenalkyl, C2-C6-alkynyl, ORY, C3-C6-cycloalkyl, wherein
RY is Ci-C6-alkyl, Ci-C6-halogenalkyl, C2-C6-alkenyl or C2-C6-alkynyl.
4. The use of any one of claims 1 to 3, wherein R3 is selected from CN, halogen, Ci-C6-alkyl, Ci-C6-halogenalkyl, C2-C6-alkynyl, ORY, C3-C6-cycloalkyl, wherein
RY is Ci-C6-alkyl, Ci-C6-halogenalkyl, C2-C6-alkenyl or C2-C6-alkynyl.
5. The use of any one of claims 1 to 4, wherein R4 is H, F, Cl, Br, CN, Ci-C6-alkyl, C2-C6- alkenyl, C2-C6-alkynyl, Ci-C6-alkoxy, C3-C6-cycloalkyl, wherein the acyclic moieties of R1 are unsubtitted or substituted by halogen.
6. The use of any one of claims 1 to 5, wherein R5, R6, R7, R8, R9, R10 and R11 are inde- pendently i selected from CN, Ci-C6-alkyl, Ci-C6-halogenalkyl, C2-C6-alkenyl, C2-C6-halo- genalkenyl, C3-C6-cycloalkenyl, C2-C6-alkynyl, C2-C6-halogenalkynyl, Ci-C6-alkoxy, C3-C6- cycloalkynyl, C(=0)Ci-C6-alkyl, C(=0)0(Ci-C6-alkyl), CR -NOR”, C3-C6-halogencycloal- kyl, a saturated three-, four-, five-, six-, membered carbocycle or heterocycle, a five- or six-membered heteroaryl or aryl.
7. The use of any one of claims 1 to 6, wherein R7 and R8 together with the carbon atoms to which they are bound form unsaturated three-, four-, five- and six-membered carbocycle or heterocycle.
8. The use of any one of claims 1 to 7, wherein R9 and R10 together with the carbon atoms to which they are bound form unsaturated three-, four-, five- and six-membered carbocycle or heterocycle.
9. Compounds of the fomula I as defined in claims 1 to 8,
wherein
X is O, and
R4 is not OH.
10. A composition, comprising one compound of formula I, as defined in any of the claims 1 to
9, an N-oxide or an agriculturally acceptable salt thereof.
1 1. A use of a compound of the formula I, as defined in any of the claims 1 to 9, and of an ag- riculturally acceptable salt thereof and of the compositions, as defined in any of the claim
10, for combating phytopathogenic fungi.
12. A method for combating phytopathogenic fungi, comprising treating the fungi or the mate- rials, plants, the soil or seeds to be protected against fungal attack with an effective amount of at least one compound of formula I, as defined in any of the claims 1 to 9 or with a composition, as defined in any of the claim 10.
13. Seed, coated with at least one compound of the formula I, as defined in any of the claims 1 to 9 or an agriculturally acceptable salt thereof or with a composition, as defined in any of the claim 10, in an amount of from 0.1 to 10 kg per 100 kg of seed.
Applications Claiming Priority (2)
| Application Number | Priority Date | Filing Date | Title |
|---|---|---|---|
| EP18155529 | 2018-02-07 | ||
| EP18155529.3 | 2018-02-07 |
Publications (1)
| Publication Number | Publication Date |
|---|---|
| WO2019154665A1 true WO2019154665A1 (en) | 2019-08-15 |
Family
ID=61187176
Family Applications (1)
| Application Number | Title | Priority Date | Filing Date |
|---|---|---|---|
| PCT/EP2019/052033 Ceased WO2019154665A1 (en) | 2018-02-07 | 2019-01-29 | New pyridine carboxamides |
Country Status (2)
| Country | Link |
|---|---|
| AR (1) | AR114247A1 (en) |
| WO (1) | WO2019154665A1 (en) |
Cited By (3)
| Publication number | Priority date | Publication date | Assignee | Title |
|---|---|---|---|---|
| WO2021063736A1 (en) * | 2019-10-02 | 2021-04-08 | Basf Se | Bicyclic pyridine derivatives |
| WO2023112056A1 (en) | 2021-12-17 | 2023-06-22 | Pi Industries Ltd. | Novel substituted fused bicyclic pyridine carboxamide compounds for combating phytopathogenic fungi |
| US11839214B2 (en) | 2017-12-15 | 2023-12-12 | Basf Se | Fungicidal mixture comprising substituted pyridines |
Citations (148)
| Publication number | Priority date | Publication date | Assignee | Title |
|---|---|---|---|---|
| US3296272A (en) | 1965-04-01 | 1967-01-03 | Dow Chemical Co | Sulfinyl- and sulfonylpyridines |
| US3325503A (en) | 1965-02-18 | 1967-06-13 | Diamond Alkali Co | Polychloro derivatives of mono- and dicyano pyridines and a method for their preparation |
| EP0141317A2 (en) | 1983-10-21 | 1985-05-15 | BASF Aktiengesellschaft | 7-Amino-azolo[1,5-a]pyrimidines and fungicides containing them |
| EP0152031A2 (en) | 1984-02-03 | 1985-08-21 | Shionogi & Co., Ltd. | Azolyl cycloalkanol derivatives and agricultural fungicides |
| EP0226917A1 (en) | 1985-12-20 | 1987-07-01 | BASF Aktiengesellschaft | Acrylic acid esters and fungicides containing these compounds |
| EP0243970A1 (en) | 1986-05-02 | 1987-11-04 | Stauffer Chemical Company | Fungicidal pyridyl imidates |
| EP0256503A2 (en) | 1986-08-12 | 1988-02-24 | Mitsubishi Kasei Corporation | Pyridinecarboxamide derivatives and their use as fungicide |
| EP0428941A1 (en) | 1989-11-10 | 1991-05-29 | Agro-Kanesho Co., Ltd. | Hexahydrotriazine compounds and insecticides |
| EP0532022A1 (en) | 1991-09-13 | 1993-03-17 | Ube Industries, Ltd. | Acrylate compound, preparation process thereof and fungicide using the same |
| WO1994001546A1 (en) | 1992-07-01 | 1994-01-20 | Cornell Research Foundation, Inc. | Elicitor of the hypersensitive response in plants |
| DE19650197A1 (en) | 1996-12-04 | 1998-06-10 | Bayer Ag | 3-thiocarbamoylpyrazole derivatives |
| WO1998044140A1 (en) | 1997-04-03 | 1998-10-08 | Dekalb Genetics Corporation | Glyphosate resistant maize lines |
| WO1998046608A1 (en) | 1997-04-14 | 1998-10-22 | American Cyanamid Company | Fungicidal trifluoromethylalkylamino-triazolopyrimidines |
| WO1999014187A1 (en) | 1997-09-18 | 1999-03-25 | Basf Aktiengesellschaft | Benzamidoxim derivatives, intermediate products and methods for preparing and using them as fungicides |
| WO1999024413A2 (en) | 1997-11-12 | 1999-05-20 | Bayer Aktiengesellschaft | Isothiazole carboxylic acid amides and the application thereof in order to protect plants |
| WO1999027783A1 (en) | 1997-12-04 | 1999-06-10 | Dow Agrosciences Llc | Fungicidal compositions and methods, and compounds and methods for the preparation thereof |
| WO2000026345A1 (en) | 1998-11-03 | 2000-05-11 | Aventis Cropscience N.V. | Glufosinate tolerant rice |
| WO2000026356A1 (en) | 1998-11-03 | 2000-05-11 | Aventis Cropscience N. V. | Glufosinate tolerant rice |
| WO2000029404A1 (en) | 1998-11-17 | 2000-05-25 | Kumiai Chemical Industry Co., Ltd. | Pyrimidinylbenzimidazole and triazinylbenzimidazole derivatives and agricultura/horticultural bactericides |
| WO2000046148A1 (en) | 1999-02-02 | 2000-08-10 | Sintokogio, Ltd. | Silica gel carrying titanium oxide photocatalyst in high concentration and method for preparation thereof |
| EP1028125A1 (en) | 1998-11-30 | 2000-08-16 | Isagro Ricerca S.r.l. | Dipeptide compounds having fungicidal activity and their agronomic use |
| EP1035122A1 (en) | 1999-03-11 | 2000-09-13 | Rohm And Haas Company | Heterocyclic subsituted isoxazolidines and their use as fungicides |
| WO2000065913A1 (en) | 1999-04-28 | 2000-11-09 | Takeda Chemical Industries, Ltd. | Sulfonamide derivatives |
| WO2001031042A2 (en) | 1999-10-29 | 2001-05-03 | Aventis Cropscience N.V. | Male-sterile brassica plants and methods for producing same |
| WO2001041558A1 (en) | 1999-12-08 | 2001-06-14 | Aventis Cropscience N.V. | Hybrid winter oilseed rape and methods for producing same |
| DE10021412A1 (en) | 1999-12-13 | 2001-06-21 | Bayer Ag | Fungicidal active ingredient combinations |
| WO2001054501A2 (en) | 2000-01-25 | 2001-08-02 | Syngenta Participations Ag | Herbicidal composition |
| EP1122244A1 (en) | 2000-02-04 | 2001-08-08 | Sumitomo Chemical Company, Limited | Uracil compounds and their use |
| WO2001056358A2 (en) | 2000-01-28 | 2001-08-09 | Rohm And Haas Company | Enhanced propertied pesticides |
| CN1309897A (en) | 2000-02-24 | 2001-08-29 | 沈阳化工研究院 | Unsaturated oximino ether bactericide |
| WO2002022583A2 (en) | 2000-09-18 | 2002-03-21 | E. I. Du Pont De Nemours And Company | Pyridinyl amides and imides for use as fungicides |
| EP1201648A1 (en) | 1999-08-05 | 2002-05-02 | Kumiai Chemical Industry Co., Ltd. | Carbamate derivatives and agricultural/horticultural bactericides |
| WO2002034946A2 (en) | 2000-10-25 | 2002-05-02 | Monsanto Technology Llc | Cotton event pv-ghgt07(1445) and compositions and methods for detection thereof |
| WO2002036831A2 (en) | 2000-10-30 | 2002-05-10 | Monsanto Technology Llc | Canola event pv-bngt04(rt73) and compositions and methods for detection thereof |
| WO2002040431A2 (en) | 2000-11-17 | 2002-05-23 | Dow Agrosciences Llc | Compounds having fungicidal activity and processes to make and use same |
| JP2002316902A (en) | 2001-04-20 | 2002-10-31 | Sumitomo Chem Co Ltd | Plant disease control agent composition |
| WO2002100163A2 (en) | 2001-06-11 | 2002-12-19 | Monsanto Technology Llc | Cotton event moni5985 and compositions and methods for detection |
| WO2003010149A1 (en) | 2001-07-25 | 2003-02-06 | Bayer Cropscience Ag | Pyrazolylcarboxanilides as fungicides |
| WO2003011853A1 (en) | 2001-07-30 | 2003-02-13 | Dow Agrosciences Llc | 6-aryl-4-aminopicolinates and their use as herbicides |
| WO2003014103A1 (en) | 2001-08-03 | 2003-02-20 | Bayer Cropscience S.A. | Iodobenzopyran-4-one derivatives having fungicidal activity |
| WO2003013224A2 (en) | 2001-08-06 | 2003-02-20 | Bayer Bioscience N.V. | Herbicide tolerant cotton plants and methods for producing and identifying same |
| WO2003016303A1 (en) | 2001-08-20 | 2003-02-27 | Dainippon Ink And Chemicals, Inc. | Tetrazoyl oxime derivative and agricultural chemical containing the same as active ingredient |
| WO2003016286A1 (en) | 2001-08-17 | 2003-02-27 | Sankyo Agro Company, Limited | 3-phenoxy-4-pyridazinol derivative and herbicide composition containing the same |
| WO2003053145A1 (en) | 2001-12-21 | 2003-07-03 | Nissan Chemical Industries, Ltd. | Bactericidal composition |
| WO2003061388A1 (en) | 2002-01-18 | 2003-07-31 | Sumitomo Chemical Takeda Agro Company, Limited | Fused heterocyclic sulfonylurea compound, herbicide containing the same, and method of controlling weed with the same |
| WO2003064572A1 (en) | 2002-01-31 | 2003-08-07 | Exxonmobil Research And Engineering Company | Lubricating oil compositions with improved friction properties |
| WO2003066609A1 (en) | 2002-02-04 | 2003-08-14 | Bayer Cropscience Aktiengesellschaft | Disubstituted thiazolyl carboxanilides and their use as microbicides |
| WO2003074491A1 (en) | 2002-03-05 | 2003-09-12 | Syngenta Participations Ag | O-cyclopropyl-carboxanilides and their use as fungicides |
| CN1456054A (en) | 2003-03-25 | 2003-11-19 | 浙江省化工研究院 | Methoxy methyl acrylate compounds as bactericidal agent |
| US20040006047A1 (en) * | 2001-09-29 | 2004-01-08 | Wolfgang Schaper | Heterocyclic amides, a process for their preparation, compositions comprising them and their use |
| WO2004011601A2 (en) | 2002-07-29 | 2004-02-05 | Monsanto Technology, Llc | Corn event pv-zmir13 (mon863) plants and compositions and methods for detection thereof |
| WO2004039986A1 (en) | 2002-10-29 | 2004-05-13 | Syngenta Participations Ag | Cot102 insecticidal cotton |
| WO2004049804A2 (en) | 2002-11-29 | 2004-06-17 | Syngenta Participations Ag | Fungicidal combinations for crop potection |
| WO2004072235A2 (en) | 2003-02-12 | 2004-08-26 | Monsanto Technology Llc | Cotton event mon 88913 and compositions and methods for detection thereof |
| WO2004074492A1 (en) | 2003-02-20 | 2004-09-02 | Kws Saat Ag | Glyphosate tolerant sugar beet |
| WO2004083193A1 (en) | 2003-03-17 | 2004-09-30 | Sumitomo Chemical Company, Limited | Amide compound and bactericide composition containing the same |
| WO2004099447A2 (en) | 2003-05-02 | 2004-11-18 | Dow Agrosciences Llc | Corn event tc1507 and methods for detection thereof |
| US20050009840A1 (en) * | 2003-02-26 | 2005-01-13 | Sugen, Inc. | Aminoheteroaryl compounds as protein kinase inhibitors |
| WO2005059103A2 (en) | 2003-12-15 | 2005-06-30 | Monsanto Technology Llc | Corn plant mon88017 and compositions and methods for detection thereof |
| WO2005061720A2 (en) | 2003-12-11 | 2005-07-07 | Monsanto Technology Llc | High lysine maize compositions and methods for detection thereof |
| WO2005063721A1 (en) | 2003-12-19 | 2005-07-14 | E.I. Dupont De Nemours And Company | Herbicidal pyrimidines |
| WO2005087773A1 (en) | 2004-03-10 | 2005-09-22 | Basf Aktiengesellschaft | 5,6-dialkyl-7-amino-triazolopyrimidines, method for their production, their use for controlling pathogenic fungi and agents containing said compounds |
| WO2005087772A1 (en) | 2004-03-10 | 2005-09-22 | Basf Aktiengesellschaft | 5,6-dialkyl-7-amino-triazolopyrimidines, method for their production, their use for controlling pathogenic fungi and agents containing said compounds |
| WO2005103266A1 (en) | 2004-03-26 | 2005-11-03 | Dow Agrosciences Llc | Cry1f and cry1ac transgenic cotton lines and event-specific identification thereof |
| WO2005103301A2 (en) | 2004-03-25 | 2005-11-03 | Syngenta Participations Ag | Corn event mir604 |
| WO2005120234A2 (en) | 2004-06-03 | 2005-12-22 | E.I. Dupont De Nemours And Company | Fungicidal mixtures of amidinylphenyl compounds |
| WO2005123690A1 (en) | 2004-06-18 | 2005-12-29 | Basf Aktiengesellschaft | 1-methyl-3-difluoromethyl-pyrazol-4-carbonic acid-(ortho-phenyl)-anilides, and use thereof as a fungicide |
| WO2005123689A1 (en) | 2004-06-18 | 2005-12-29 | Basf Aktiengesellschaft | 1-methyl-3-trifluoromethyl-pyrazole-4-carboxylic acid (ortho-phenyl)-anilides and to use thereof as fungicide |
| WO2006015866A1 (en) | 2004-08-12 | 2006-02-16 | Syngenta Participations Ag | Method for protecting useful plants or plant propagation material |
| WO2006039376A2 (en) | 2004-09-29 | 2006-04-13 | Pioneer Hi-Bred International, Inc. | Corn event das-59122-7 and methods for detection thereof |
| US20060100250A1 (en) * | 2002-12-24 | 2006-05-11 | Josef Ehrenfreund | Biphenyl derivatives and their use as fungicides |
| WO2006087343A1 (en) | 2005-02-16 | 2006-08-24 | Basf Aktiengesellschaft | Pyrazole carboxylic acid anilides, method for the production thereof and agents containing them for controlling pathogenic fungi |
| WO2006087325A1 (en) | 2005-02-16 | 2006-08-24 | Basf Aktiengesellschaft | 5-alkoxyalkyl-6-alkyl-7-amino-azolopyrimidines, method for their production, their use for controlling pathogenic fungi and agents containing said substances |
| DE102005009458A1 (en) | 2005-03-02 | 2006-09-07 | Bayer Cropscience Ag | pyrazolylcarboxanilides |
| WO2006098952A2 (en) | 2005-03-16 | 2006-09-21 | Syngenta Participations Ag | Corn event 3272 and methods of detection thereof |
| WO2006108675A2 (en) | 2005-04-11 | 2006-10-19 | Bayer Bioscience N.V. | Elite event a5547-127 and methods and kits for identifying such event in biological samples |
| WO2006108674A2 (en) | 2005-04-08 | 2006-10-19 | Bayer Bioscience N.V. | Elite event a2704-12 and methods and kits for identifying such event in biological samples |
| WO2006130436A2 (en) | 2005-05-27 | 2006-12-07 | Monsanto Technology Llc | Soybean event mon89788 and methods for detection thereof |
| WO2006128573A2 (en) | 2005-06-02 | 2006-12-07 | Syngenta Participations Ag | Ce43- 67b, insecticidal transgenic cotton expressing cry1ab |
| WO2007006670A1 (en) | 2005-07-07 | 2007-01-18 | Basf Aktiengesellschaft | N-thio-anthranilamid compounds and their use as pesticides |
| CN1907024A (en) | 2005-08-03 | 2007-02-07 | 浙江化工科技集团有限公司 | Methoxyl group displacement methyl acrylate compound bactericidal agent |
| WO2007017186A1 (en) | 2005-08-08 | 2007-02-15 | Bayer Bioscience N.V. | Herbicide tolerant cotton plants and methods for identifying same |
| WO2007082098A2 (en) | 2006-01-13 | 2007-07-19 | Dow Agrosciences Llc | 6-(poly-substituted aryl)-4-aminopicolinates and their use as herbicides |
| WO2007090624A2 (en) | 2006-02-09 | 2007-08-16 | Syngenta Participations Ag | A method of protecting a plant propagation material, a plant, and/or plant organs |
| WO2007129454A1 (en) | 2006-05-08 | 2007-11-15 | Kumiai Chemical Industry Co., Ltd. | 1,2-benzisothiazole derivative, and agricultural or horticultural plant disease-controlling agent |
| WO2007140256A1 (en) | 2006-05-26 | 2007-12-06 | Monsanto Technology, Llc | Corn plant and seed corresponding to transgenic event mon89034 and methods for detection and use thereof |
| WO2007142840A2 (en) | 2006-06-03 | 2007-12-13 | Syngenta Participations Ag | Corn event mir162 |
| US20070292854A1 (en) | 2000-06-22 | 2007-12-20 | Behr Carl F | Corn event PV-ZMGT32(nk603) and compositions and methods for detection thereof |
| WO2008002872A2 (en) | 2006-06-28 | 2008-01-03 | Pioneer Hi-Bred International, Inc. | Soybean event 3560.4.3.5 and compositions and methods for the identification and/or detection thereof |
| WO2008013622A2 (en) | 2006-07-27 | 2008-01-31 | E. I. Du Pont De Nemours And Company | Fungicidal azocyclic amides |
| WO2008054747A2 (en) | 2006-10-31 | 2008-05-08 | E. I. Du Pont De Nemours And Company | Soybean event dp-305423-1 and compositions and methods for the identification and/or detection thereof |
| WO2008112019A2 (en) | 2006-10-30 | 2008-09-18 | Pioneer Hi-Bred International, Inc. | Maize event dp-098140-6 and compositions and methods for the identification and/or detection thereof |
| WO2008122406A1 (en) | 2007-04-05 | 2008-10-16 | Bayer Bioscience N.V. | Insect resistant cotton plants and methods for identifying same |
| WO2008151780A1 (en) | 2007-06-11 | 2008-12-18 | Bayer Bioscience N.V. | Insect resistant cotton plants comprising elite event ee-gh6 and methods for identifying same |
| WO2009064652A1 (en) | 2007-11-15 | 2009-05-22 | Monsanto Technology Llc | Soybean plant and seed corresponding to transgenic event mon87701 and methods for detection thereof |
| WO2009090181A2 (en) | 2008-01-15 | 2009-07-23 | Bayer Cropscience Sa | Pesticide composition comprising a tetrazolyloxime derivative and a fungicide or an insecticide active substance |
| WO2009094442A2 (en) | 2008-01-22 | 2009-07-30 | Dow Agrosciences Llc | 5-fluoro pyrimidine derivatives |
| WO2009102873A1 (en) | 2008-02-15 | 2009-08-20 | Monsanto Technology Llc | Soybean plant and seed corresponding to transgenic event mon87769 and methods for detection thereof |
| WO2009103049A2 (en) | 2008-02-14 | 2009-08-20 | Pioneer Hi-Bred International, Inc. | Plant genomic dna flanking spt event and methods for identifying spt event |
| WO2009111263A1 (en) | 2008-02-29 | 2009-09-11 | Monsanto Technology Llc | Corn plant event mon87460 and compositions and methods for detection thereof |
| WO2010037016A1 (en) | 2008-09-29 | 2010-04-01 | Monsanto Technology Llc | Soybean transgenic event mon87705 and methods for detection thereof |
| WO2010069882A1 (en) | 2008-12-17 | 2010-06-24 | Syngenta Participations Ag | Isoxazole derivatives for use as fungicides |
| WO2010077816A1 (en) | 2008-12-16 | 2010-07-08 | Syngenta Participations Ag | Corn event 5307 |
| WO2010080829A1 (en) | 2009-01-07 | 2010-07-15 | Basf Agrochemical Products B.V. | Soybean event 127 and methods related thereto |
| US20100305131A1 (en) * | 2009-05-28 | 2010-12-02 | Gary Mark Coppola | Substituted Aminopropionic Derivatives as Neprilysin inhibitors |
| WO2010139271A1 (en) | 2009-06-05 | 2010-12-09 | 中国中化股份有限公司 | E-type phenyl acrylic ester compounds containing substituted anilino pyrimidine group and uses thereof |
| WO2011022469A2 (en) | 2009-08-19 | 2011-02-24 | Dow Agrosciences Llc | Aad-1 event das-40278-9, related transgenic corn lines, and event-specific identification thereof |
| WO2011028657A1 (en) | 2009-09-01 | 2011-03-10 | Dow Agrosciences Llc | Synergistic fungicidal compositions containing a 5-fluoropyrimidine derivative for fungal control in cereals |
| WO2011034704A1 (en) | 2009-09-17 | 2011-03-24 | Monsanto Technology Llc | Soybean transgenic event mon 87708 and methods of use thereof |
| WO2011062904A1 (en) | 2009-11-23 | 2011-05-26 | Monsanto Technology Llc | Transgenic maize event mon 87427 and the relative development scale |
| WO2011066384A1 (en) | 2009-11-24 | 2011-06-03 | Dow Agrosciences Llc | Aad-12 event 416, related transgenic soybean lines, and event-specific identification thereof |
| WO2011077514A1 (en) | 2009-12-22 | 2011-06-30 | 三井化学アグロ株式会社 | Plant disease control composition and method for controlling plant diseases by applying the composition |
| WO2011081174A1 (en) | 2010-01-04 | 2011-07-07 | 日本曹達株式会社 | Nitrogen-containing heterocyclic compound and agricultural/horticultural germicide |
| WO2011084621A1 (en) | 2009-12-17 | 2011-07-14 | Pioneer Hi-Bred International, Inc. | Maize event dp-004114-3 and methods for detection thereof |
| WO2011135833A1 (en) | 2010-04-28 | 2011-11-03 | Sumitomo Chemical Company, Limited | Plant disease control composition and its use |
| WO2011153186A1 (en) | 2010-06-04 | 2011-12-08 | Monsanto Technology Llc | Transgenic brassica event mon 88302 and methods of use thereof |
| WO2012051199A2 (en) | 2010-10-12 | 2012-04-19 | Monsanto Technology Llc | Soybean plant and seed corresponding to transgenic event mon87712 and methods for detection thereof |
| WO2012082548A2 (en) | 2010-12-15 | 2012-06-21 | Syngenta Participations Ag | Soybean event syht0h2 and compositions and methods for detection thereof |
| WO2012084812A1 (en) | 2010-12-20 | 2012-06-28 | Isagro Ricerca S.R.L. | Aminoindanes amides having a high fungicidal activity and their phytosanitary compositions |
| WO2012134808A1 (en) | 2011-03-30 | 2012-10-04 | Monsanto Technology Llc | Cotton transgenic event mon 88701 and methods of use thereof |
| WO2012165511A1 (en) | 2011-05-31 | 2012-12-06 | クミアイ化学工業株式会社 | Method for controlling diseases in rice plant |
| WO2012168188A1 (en) | 2011-06-07 | 2012-12-13 | Bayer Intellectual Property Gmbh | Active compound combinations |
| WO2013003558A1 (en) | 2011-06-30 | 2013-01-03 | Monsanto Technology Llc | Alfalfa plant and seed corresponding to transgenic event kk 179-2 and methods for detection thereof |
| WO2013007767A1 (en) | 2011-07-13 | 2013-01-17 | Basf Se | Fungicidal substituted 2-[2-halogenalkyl-4-(phenoxy)-phenyl]-1-[1,2,4]triazol-1-yl-ethanol compounds |
| WO2013010862A1 (en) | 2011-07-15 | 2013-01-24 | Basf Se | Fungicidal alkyl-substituted 2-[2-chloro-4-(4-chloro-phenoxy)-phenyl]-1-[1,2,4]triazol-1-yl-ethanol compounds |
| WO2013016516A1 (en) | 2011-07-26 | 2013-01-31 | Dow Agrosciences Llc | Insect resistant and herbicide tolerant breeding stack of soybean event pdab9582.814.19.1 and pdab4468.04.16.1 |
| WO2013024010A1 (en) | 2011-08-12 | 2013-02-21 | Basf Se | N-thio-anthranilamide compounds and their use as pesticides |
| WO2013024009A1 (en) | 2011-08-12 | 2013-02-21 | Basf Se | N-thio-anthranilamide compounds and their use as pesticides |
| WO2013047749A1 (en) | 2011-09-29 | 2013-04-04 | 三井化学アグロ株式会社 | Production method for 4, 4-difluoro-3,4-dihydroisoquinoline derivative |
| WO2013047441A1 (en) | 2011-09-26 | 2013-04-04 | 日本曹達株式会社 | Agricultural and horticultural bactericide composition |
| WO2013092224A1 (en) | 2011-12-21 | 2013-06-27 | Basf Se | Use of strobilurin type compounds for combating phytopathogenic fungi resistant to qo inhibitors |
| WO2013112527A1 (en) | 2012-01-23 | 2013-08-01 | Dow Agrosciences Llc | Herbicide tolerant cotton event pdab4468.19.10.3 |
| WO2013116251A2 (en) | 2012-02-01 | 2013-08-08 | E. I. Du Pont De Nemours And Company | Fungicidal pyrazole mixtures |
| WO2013127704A1 (en) | 2012-02-27 | 2013-09-06 | Bayer Intellectual Property Gmbh | Active compound combinations containing a thiazoylisoxazoline and a fungicide |
| WO2013162072A1 (en) | 2012-04-27 | 2013-10-31 | Sumitomo Chemical Company, Limited | Tetrazolinone compounds and its use as pesticides |
| CN103387541A (en) | 2012-05-10 | 2013-11-13 | 中国中化股份有限公司 | Preparation method of substituted pyrazolylether compound |
| WO2013169923A2 (en) | 2012-05-08 | 2013-11-14 | Monsanto Technology Llc | Corn event mon 87411 |
| WO2014060177A1 (en) | 2012-10-16 | 2014-04-24 | Syngenta Participations Ag | Fungicidal compositions |
| WO2014116854A1 (en) | 2013-01-25 | 2014-07-31 | Pioneer Hi-Bred International, Inc. | Maize event dp-033121-3 and methods for detection thereof |
| WO2014178910A1 (en) | 2013-05-02 | 2014-11-06 | J.R. Simplot Company | Potato cultivar e12 |
| WO2014201235A2 (en) | 2013-06-14 | 2014-12-18 | Monsanto Technology Llc | Soybean transgenic event mon87751 and methods for detection and use thereof |
| WO2015053998A1 (en) | 2013-10-09 | 2015-04-16 | Monsanto Technology Llc | Transgenic corn event mon87403 and methods for detection thereof |
| EP2865265A1 (en) | 2014-02-13 | 2015-04-29 | Bayer CropScience AG | Active compound combinations comprising phenylamidine compounds and biological control agents |
| WO2015065922A1 (en) | 2013-10-28 | 2015-05-07 | Dexcom, Inc. | Devices used in connection with continuous analyte monitoring that provide the user with one or more notifications, and related methods |
| WO2015142571A1 (en) | 2014-03-20 | 2015-09-24 | Monsanto Technology Llc | Transgenic maize event mon 87419 and methods of use thereof |
| WO2016183445A1 (en) | 2015-05-14 | 2016-11-17 | J.R. Simplot Company | Potato cultivar v11 |
| WO2017062831A1 (en) | 2015-10-08 | 2017-04-13 | J.R. Simplot Company | Potato cultivar x17 |
| WO2017062825A1 (en) | 2015-10-08 | 2017-04-13 | J.R. Simplot Company | Potato cultivar y9 |
-
2019
- 2019-01-29 WO PCT/EP2019/052033 patent/WO2019154665A1/en not_active Ceased
- 2019-02-06 AR ARP190100284A patent/AR114247A1/en unknown
Patent Citations (152)
| Publication number | Priority date | Publication date | Assignee | Title |
|---|---|---|---|---|
| US3325503A (en) | 1965-02-18 | 1967-06-13 | Diamond Alkali Co | Polychloro derivatives of mono- and dicyano pyridines and a method for their preparation |
| US3296272A (en) | 1965-04-01 | 1967-01-03 | Dow Chemical Co | Sulfinyl- and sulfonylpyridines |
| EP0141317A2 (en) | 1983-10-21 | 1985-05-15 | BASF Aktiengesellschaft | 7-Amino-azolo[1,5-a]pyrimidines and fungicides containing them |
| EP0152031A2 (en) | 1984-02-03 | 1985-08-21 | Shionogi & Co., Ltd. | Azolyl cycloalkanol derivatives and agricultural fungicides |
| EP0226917A1 (en) | 1985-12-20 | 1987-07-01 | BASF Aktiengesellschaft | Acrylic acid esters and fungicides containing these compounds |
| EP0243970A1 (en) | 1986-05-02 | 1987-11-04 | Stauffer Chemical Company | Fungicidal pyridyl imidates |
| EP0256503A2 (en) | 1986-08-12 | 1988-02-24 | Mitsubishi Kasei Corporation | Pyridinecarboxamide derivatives and their use as fungicide |
| EP0428941A1 (en) | 1989-11-10 | 1991-05-29 | Agro-Kanesho Co., Ltd. | Hexahydrotriazine compounds and insecticides |
| EP0532022A1 (en) | 1991-09-13 | 1993-03-17 | Ube Industries, Ltd. | Acrylate compound, preparation process thereof and fungicide using the same |
| WO1994001546A1 (en) | 1992-07-01 | 1994-01-20 | Cornell Research Foundation, Inc. | Elicitor of the hypersensitive response in plants |
| DE19650197A1 (en) | 1996-12-04 | 1998-06-10 | Bayer Ag | 3-thiocarbamoylpyrazole derivatives |
| WO1998044140A1 (en) | 1997-04-03 | 1998-10-08 | Dekalb Genetics Corporation | Glyphosate resistant maize lines |
| WO1998046608A1 (en) | 1997-04-14 | 1998-10-22 | American Cyanamid Company | Fungicidal trifluoromethylalkylamino-triazolopyrimidines |
| WO1999014187A1 (en) | 1997-09-18 | 1999-03-25 | Basf Aktiengesellschaft | Benzamidoxim derivatives, intermediate products and methods for preparing and using them as fungicides |
| WO1999024413A2 (en) | 1997-11-12 | 1999-05-20 | Bayer Aktiengesellschaft | Isothiazole carboxylic acid amides and the application thereof in order to protect plants |
| WO1999027783A1 (en) | 1997-12-04 | 1999-06-10 | Dow Agrosciences Llc | Fungicidal compositions and methods, and compounds and methods for the preparation thereof |
| WO2000026345A1 (en) | 1998-11-03 | 2000-05-11 | Aventis Cropscience N.V. | Glufosinate tolerant rice |
| WO2000026356A1 (en) | 1998-11-03 | 2000-05-11 | Aventis Cropscience N. V. | Glufosinate tolerant rice |
| WO2000029404A1 (en) | 1998-11-17 | 2000-05-25 | Kumiai Chemical Industry Co., Ltd. | Pyrimidinylbenzimidazole and triazinylbenzimidazole derivatives and agricultura/horticultural bactericides |
| EP1028125A1 (en) | 1998-11-30 | 2000-08-16 | Isagro Ricerca S.r.l. | Dipeptide compounds having fungicidal activity and their agronomic use |
| WO2000046148A1 (en) | 1999-02-02 | 2000-08-10 | Sintokogio, Ltd. | Silica gel carrying titanium oxide photocatalyst in high concentration and method for preparation thereof |
| EP1035122A1 (en) | 1999-03-11 | 2000-09-13 | Rohm And Haas Company | Heterocyclic subsituted isoxazolidines and their use as fungicides |
| WO2000065913A1 (en) | 1999-04-28 | 2000-11-09 | Takeda Chemical Industries, Ltd. | Sulfonamide derivatives |
| EP1201648A1 (en) | 1999-08-05 | 2002-05-02 | Kumiai Chemical Industry Co., Ltd. | Carbamate derivatives and agricultural/horticultural bactericides |
| WO2001031042A2 (en) | 1999-10-29 | 2001-05-03 | Aventis Cropscience N.V. | Male-sterile brassica plants and methods for producing same |
| WO2001041558A1 (en) | 1999-12-08 | 2001-06-14 | Aventis Cropscience N.V. | Hybrid winter oilseed rape and methods for producing same |
| DE10021412A1 (en) | 1999-12-13 | 2001-06-21 | Bayer Ag | Fungicidal active ingredient combinations |
| WO2001054501A2 (en) | 2000-01-25 | 2001-08-02 | Syngenta Participations Ag | Herbicidal composition |
| WO2001056358A2 (en) | 2000-01-28 | 2001-08-09 | Rohm And Haas Company | Enhanced propertied pesticides |
| EP1122244A1 (en) | 2000-02-04 | 2001-08-08 | Sumitomo Chemical Company, Limited | Uracil compounds and their use |
| CN1309897A (en) | 2000-02-24 | 2001-08-29 | 沈阳化工研究院 | Unsaturated oximino ether bactericide |
| US20070292854A1 (en) | 2000-06-22 | 2007-12-20 | Behr Carl F | Corn event PV-ZMGT32(nk603) and compositions and methods for detection thereof |
| WO2002022583A2 (en) | 2000-09-18 | 2002-03-21 | E. I. Du Pont De Nemours And Company | Pyridinyl amides and imides for use as fungicides |
| WO2002034946A2 (en) | 2000-10-25 | 2002-05-02 | Monsanto Technology Llc | Cotton event pv-ghgt07(1445) and compositions and methods for detection thereof |
| WO2002036831A2 (en) | 2000-10-30 | 2002-05-10 | Monsanto Technology Llc | Canola event pv-bngt04(rt73) and compositions and methods for detection thereof |
| WO2002040431A2 (en) | 2000-11-17 | 2002-05-23 | Dow Agrosciences Llc | Compounds having fungicidal activity and processes to make and use same |
| JP2002316902A (en) | 2001-04-20 | 2002-10-31 | Sumitomo Chem Co Ltd | Plant disease control agent composition |
| WO2002100163A2 (en) | 2001-06-11 | 2002-12-19 | Monsanto Technology Llc | Cotton event moni5985 and compositions and methods for detection |
| WO2003010149A1 (en) | 2001-07-25 | 2003-02-06 | Bayer Cropscience Ag | Pyrazolylcarboxanilides as fungicides |
| WO2003011853A1 (en) | 2001-07-30 | 2003-02-13 | Dow Agrosciences Llc | 6-aryl-4-aminopicolinates and their use as herbicides |
| WO2003014103A1 (en) | 2001-08-03 | 2003-02-20 | Bayer Cropscience S.A. | Iodobenzopyran-4-one derivatives having fungicidal activity |
| WO2003013224A2 (en) | 2001-08-06 | 2003-02-20 | Bayer Bioscience N.V. | Herbicide tolerant cotton plants and methods for producing and identifying same |
| WO2003016286A1 (en) | 2001-08-17 | 2003-02-27 | Sankyo Agro Company, Limited | 3-phenoxy-4-pyridazinol derivative and herbicide composition containing the same |
| WO2003016303A1 (en) | 2001-08-20 | 2003-02-27 | Dainippon Ink And Chemicals, Inc. | Tetrazoyl oxime derivative and agricultural chemical containing the same as active ingredient |
| US20040006047A1 (en) * | 2001-09-29 | 2004-01-08 | Wolfgang Schaper | Heterocyclic amides, a process for their preparation, compositions comprising them and their use |
| WO2003053145A1 (en) | 2001-12-21 | 2003-07-03 | Nissan Chemical Industries, Ltd. | Bactericidal composition |
| WO2003061388A1 (en) | 2002-01-18 | 2003-07-31 | Sumitomo Chemical Takeda Agro Company, Limited | Fused heterocyclic sulfonylurea compound, herbicide containing the same, and method of controlling weed with the same |
| WO2003064572A1 (en) | 2002-01-31 | 2003-08-07 | Exxonmobil Research And Engineering Company | Lubricating oil compositions with improved friction properties |
| WO2003066609A1 (en) | 2002-02-04 | 2003-08-14 | Bayer Cropscience Aktiengesellschaft | Disubstituted thiazolyl carboxanilides and their use as microbicides |
| WO2003074491A1 (en) | 2002-03-05 | 2003-09-12 | Syngenta Participations Ag | O-cyclopropyl-carboxanilides and their use as fungicides |
| WO2004011601A2 (en) | 2002-07-29 | 2004-02-05 | Monsanto Technology, Llc | Corn event pv-zmir13 (mon863) plants and compositions and methods for detection thereof |
| WO2004039986A1 (en) | 2002-10-29 | 2004-05-13 | Syngenta Participations Ag | Cot102 insecticidal cotton |
| WO2004049804A2 (en) | 2002-11-29 | 2004-06-17 | Syngenta Participations Ag | Fungicidal combinations for crop potection |
| US20060100250A1 (en) * | 2002-12-24 | 2006-05-11 | Josef Ehrenfreund | Biphenyl derivatives and their use as fungicides |
| WO2004072235A2 (en) | 2003-02-12 | 2004-08-26 | Monsanto Technology Llc | Cotton event mon 88913 and compositions and methods for detection thereof |
| WO2004074492A1 (en) | 2003-02-20 | 2004-09-02 | Kws Saat Ag | Glyphosate tolerant sugar beet |
| US20050009840A1 (en) * | 2003-02-26 | 2005-01-13 | Sugen, Inc. | Aminoheteroaryl compounds as protein kinase inhibitors |
| WO2004083193A1 (en) | 2003-03-17 | 2004-09-30 | Sumitomo Chemical Company, Limited | Amide compound and bactericide composition containing the same |
| CN1456054A (en) | 2003-03-25 | 2003-11-19 | 浙江省化工研究院 | Methoxy methyl acrylate compounds as bactericidal agent |
| WO2004099447A2 (en) | 2003-05-02 | 2004-11-18 | Dow Agrosciences Llc | Corn event tc1507 and methods for detection thereof |
| WO2005061720A2 (en) | 2003-12-11 | 2005-07-07 | Monsanto Technology Llc | High lysine maize compositions and methods for detection thereof |
| WO2005059103A2 (en) | 2003-12-15 | 2005-06-30 | Monsanto Technology Llc | Corn plant mon88017 and compositions and methods for detection thereof |
| WO2005063721A1 (en) | 2003-12-19 | 2005-07-14 | E.I. Dupont De Nemours And Company | Herbicidal pyrimidines |
| WO2005087773A1 (en) | 2004-03-10 | 2005-09-22 | Basf Aktiengesellschaft | 5,6-dialkyl-7-amino-triazolopyrimidines, method for their production, their use for controlling pathogenic fungi and agents containing said compounds |
| WO2005087772A1 (en) | 2004-03-10 | 2005-09-22 | Basf Aktiengesellschaft | 5,6-dialkyl-7-amino-triazolopyrimidines, method for their production, their use for controlling pathogenic fungi and agents containing said compounds |
| WO2005103301A2 (en) | 2004-03-25 | 2005-11-03 | Syngenta Participations Ag | Corn event mir604 |
| WO2005103266A1 (en) | 2004-03-26 | 2005-11-03 | Dow Agrosciences Llc | Cry1f and cry1ac transgenic cotton lines and event-specific identification thereof |
| WO2005120234A2 (en) | 2004-06-03 | 2005-12-22 | E.I. Dupont De Nemours And Company | Fungicidal mixtures of amidinylphenyl compounds |
| WO2005123690A1 (en) | 2004-06-18 | 2005-12-29 | Basf Aktiengesellschaft | 1-methyl-3-difluoromethyl-pyrazol-4-carbonic acid-(ortho-phenyl)-anilides, and use thereof as a fungicide |
| WO2005123689A1 (en) | 2004-06-18 | 2005-12-29 | Basf Aktiengesellschaft | 1-methyl-3-trifluoromethyl-pyrazole-4-carboxylic acid (ortho-phenyl)-anilides and to use thereof as fungicide |
| WO2006015866A1 (en) | 2004-08-12 | 2006-02-16 | Syngenta Participations Ag | Method for protecting useful plants or plant propagation material |
| WO2006039376A2 (en) | 2004-09-29 | 2006-04-13 | Pioneer Hi-Bred International, Inc. | Corn event das-59122-7 and methods for detection thereof |
| WO2006087343A1 (en) | 2005-02-16 | 2006-08-24 | Basf Aktiengesellschaft | Pyrazole carboxylic acid anilides, method for the production thereof and agents containing them for controlling pathogenic fungi |
| WO2006087325A1 (en) | 2005-02-16 | 2006-08-24 | Basf Aktiengesellschaft | 5-alkoxyalkyl-6-alkyl-7-amino-azolopyrimidines, method for their production, their use for controlling pathogenic fungi and agents containing said substances |
| DE102005009458A1 (en) | 2005-03-02 | 2006-09-07 | Bayer Cropscience Ag | pyrazolylcarboxanilides |
| WO2006098952A2 (en) | 2005-03-16 | 2006-09-21 | Syngenta Participations Ag | Corn event 3272 and methods of detection thereof |
| WO2006108674A2 (en) | 2005-04-08 | 2006-10-19 | Bayer Bioscience N.V. | Elite event a2704-12 and methods and kits for identifying such event in biological samples |
| WO2006108675A2 (en) | 2005-04-11 | 2006-10-19 | Bayer Bioscience N.V. | Elite event a5547-127 and methods and kits for identifying such event in biological samples |
| WO2006130436A2 (en) | 2005-05-27 | 2006-12-07 | Monsanto Technology Llc | Soybean event mon89788 and methods for detection thereof |
| WO2006128573A2 (en) | 2005-06-02 | 2006-12-07 | Syngenta Participations Ag | Ce43- 67b, insecticidal transgenic cotton expressing cry1ab |
| WO2007006670A1 (en) | 2005-07-07 | 2007-01-18 | Basf Aktiengesellschaft | N-thio-anthranilamid compounds and their use as pesticides |
| CN1907024A (en) | 2005-08-03 | 2007-02-07 | 浙江化工科技集团有限公司 | Methoxyl group displacement methyl acrylate compound bactericidal agent |
| WO2007017186A1 (en) | 2005-08-08 | 2007-02-15 | Bayer Bioscience N.V. | Herbicide tolerant cotton plants and methods for identifying same |
| WO2007082098A2 (en) | 2006-01-13 | 2007-07-19 | Dow Agrosciences Llc | 6-(poly-substituted aryl)-4-aminopicolinates and their use as herbicides |
| WO2007090624A2 (en) | 2006-02-09 | 2007-08-16 | Syngenta Participations Ag | A method of protecting a plant propagation material, a plant, and/or plant organs |
| WO2007129454A1 (en) | 2006-05-08 | 2007-11-15 | Kumiai Chemical Industry Co., Ltd. | 1,2-benzisothiazole derivative, and agricultural or horticultural plant disease-controlling agent |
| WO2007140256A1 (en) | 2006-05-26 | 2007-12-06 | Monsanto Technology, Llc | Corn plant and seed corresponding to transgenic event mon89034 and methods for detection and use thereof |
| WO2007142840A2 (en) | 2006-06-03 | 2007-12-13 | Syngenta Participations Ag | Corn event mir162 |
| WO2008002872A2 (en) | 2006-06-28 | 2008-01-03 | Pioneer Hi-Bred International, Inc. | Soybean event 3560.4.3.5 and compositions and methods for the identification and/or detection thereof |
| WO2008013622A2 (en) | 2006-07-27 | 2008-01-31 | E. I. Du Pont De Nemours And Company | Fungicidal azocyclic amides |
| WO2008112019A2 (en) | 2006-10-30 | 2008-09-18 | Pioneer Hi-Bred International, Inc. | Maize event dp-098140-6 and compositions and methods for the identification and/or detection thereof |
| WO2008054747A2 (en) | 2006-10-31 | 2008-05-08 | E. I. Du Pont De Nemours And Company | Soybean event dp-305423-1 and compositions and methods for the identification and/or detection thereof |
| WO2008122406A1 (en) | 2007-04-05 | 2008-10-16 | Bayer Bioscience N.V. | Insect resistant cotton plants and methods for identifying same |
| WO2008151780A1 (en) | 2007-06-11 | 2008-12-18 | Bayer Bioscience N.V. | Insect resistant cotton plants comprising elite event ee-gh6 and methods for identifying same |
| WO2009064652A1 (en) | 2007-11-15 | 2009-05-22 | Monsanto Technology Llc | Soybean plant and seed corresponding to transgenic event mon87701 and methods for detection thereof |
| WO2009090181A2 (en) | 2008-01-15 | 2009-07-23 | Bayer Cropscience Sa | Pesticide composition comprising a tetrazolyloxime derivative and a fungicide or an insecticide active substance |
| WO2009094442A2 (en) | 2008-01-22 | 2009-07-30 | Dow Agrosciences Llc | 5-fluoro pyrimidine derivatives |
| WO2009103049A2 (en) | 2008-02-14 | 2009-08-20 | Pioneer Hi-Bred International, Inc. | Plant genomic dna flanking spt event and methods for identifying spt event |
| WO2009102873A1 (en) | 2008-02-15 | 2009-08-20 | Monsanto Technology Llc | Soybean plant and seed corresponding to transgenic event mon87769 and methods for detection thereof |
| WO2009111263A1 (en) | 2008-02-29 | 2009-09-11 | Monsanto Technology Llc | Corn plant event mon87460 and compositions and methods for detection thereof |
| WO2010037016A1 (en) | 2008-09-29 | 2010-04-01 | Monsanto Technology Llc | Soybean transgenic event mon87705 and methods for detection thereof |
| WO2010077816A1 (en) | 2008-12-16 | 2010-07-08 | Syngenta Participations Ag | Corn event 5307 |
| WO2010069882A1 (en) | 2008-12-17 | 2010-06-24 | Syngenta Participations Ag | Isoxazole derivatives for use as fungicides |
| WO2010080829A1 (en) | 2009-01-07 | 2010-07-15 | Basf Agrochemical Products B.V. | Soybean event 127 and methods related thereto |
| US20100305131A1 (en) * | 2009-05-28 | 2010-12-02 | Gary Mark Coppola | Substituted Aminopropionic Derivatives as Neprilysin inhibitors |
| WO2010139271A1 (en) | 2009-06-05 | 2010-12-09 | 中国中化股份有限公司 | E-type phenyl acrylic ester compounds containing substituted anilino pyrimidine group and uses thereof |
| WO2011022469A2 (en) | 2009-08-19 | 2011-02-24 | Dow Agrosciences Llc | Aad-1 event das-40278-9, related transgenic corn lines, and event-specific identification thereof |
| WO2011028657A1 (en) | 2009-09-01 | 2011-03-10 | Dow Agrosciences Llc | Synergistic fungicidal compositions containing a 5-fluoropyrimidine derivative for fungal control in cereals |
| WO2011034704A1 (en) | 2009-09-17 | 2011-03-24 | Monsanto Technology Llc | Soybean transgenic event mon 87708 and methods of use thereof |
| WO2011062904A1 (en) | 2009-11-23 | 2011-05-26 | Monsanto Technology Llc | Transgenic maize event mon 87427 and the relative development scale |
| WO2011066384A1 (en) | 2009-11-24 | 2011-06-03 | Dow Agrosciences Llc | Aad-12 event 416, related transgenic soybean lines, and event-specific identification thereof |
| WO2011084621A1 (en) | 2009-12-17 | 2011-07-14 | Pioneer Hi-Bred International, Inc. | Maize event dp-004114-3 and methods for detection thereof |
| WO2011077514A1 (en) | 2009-12-22 | 2011-06-30 | 三井化学アグロ株式会社 | Plant disease control composition and method for controlling plant diseases by applying the composition |
| WO2011081174A1 (en) | 2010-01-04 | 2011-07-07 | 日本曹達株式会社 | Nitrogen-containing heterocyclic compound and agricultural/horticultural germicide |
| WO2011135833A1 (en) | 2010-04-28 | 2011-11-03 | Sumitomo Chemical Company, Limited | Plant disease control composition and its use |
| WO2011153186A1 (en) | 2010-06-04 | 2011-12-08 | Monsanto Technology Llc | Transgenic brassica event mon 88302 and methods of use thereof |
| WO2012051199A2 (en) | 2010-10-12 | 2012-04-19 | Monsanto Technology Llc | Soybean plant and seed corresponding to transgenic event mon87712 and methods for detection thereof |
| WO2012082548A2 (en) | 2010-12-15 | 2012-06-21 | Syngenta Participations Ag | Soybean event syht0h2 and compositions and methods for detection thereof |
| WO2012084812A1 (en) | 2010-12-20 | 2012-06-28 | Isagro Ricerca S.R.L. | Aminoindanes amides having a high fungicidal activity and their phytosanitary compositions |
| WO2012134808A1 (en) | 2011-03-30 | 2012-10-04 | Monsanto Technology Llc | Cotton transgenic event mon 88701 and methods of use thereof |
| WO2012165511A1 (en) | 2011-05-31 | 2012-12-06 | クミアイ化学工業株式会社 | Method for controlling diseases in rice plant |
| WO2012168188A1 (en) | 2011-06-07 | 2012-12-13 | Bayer Intellectual Property Gmbh | Active compound combinations |
| WO2013003558A1 (en) | 2011-06-30 | 2013-01-03 | Monsanto Technology Llc | Alfalfa plant and seed corresponding to transgenic event kk 179-2 and methods for detection thereof |
| WO2013007767A1 (en) | 2011-07-13 | 2013-01-17 | Basf Se | Fungicidal substituted 2-[2-halogenalkyl-4-(phenoxy)-phenyl]-1-[1,2,4]triazol-1-yl-ethanol compounds |
| WO2013010862A1 (en) | 2011-07-15 | 2013-01-24 | Basf Se | Fungicidal alkyl-substituted 2-[2-chloro-4-(4-chloro-phenoxy)-phenyl]-1-[1,2,4]triazol-1-yl-ethanol compounds |
| WO2013016516A1 (en) | 2011-07-26 | 2013-01-31 | Dow Agrosciences Llc | Insect resistant and herbicide tolerant breeding stack of soybean event pdab9582.814.19.1 and pdab4468.04.16.1 |
| WO2013016527A1 (en) | 2011-07-26 | 2013-01-31 | Dow Agrosciences Llc | Insect resistant and herbicide tolerant soybean event 9582.814.19.1 |
| WO2013024010A1 (en) | 2011-08-12 | 2013-02-21 | Basf Se | N-thio-anthranilamide compounds and their use as pesticides |
| WO2013024009A1 (en) | 2011-08-12 | 2013-02-21 | Basf Se | N-thio-anthranilamide compounds and their use as pesticides |
| WO2013047441A1 (en) | 2011-09-26 | 2013-04-04 | 日本曹達株式会社 | Agricultural and horticultural bactericide composition |
| WO2013047749A1 (en) | 2011-09-29 | 2013-04-04 | 三井化学アグロ株式会社 | Production method for 4, 4-difluoro-3,4-dihydroisoquinoline derivative |
| WO2013092224A1 (en) | 2011-12-21 | 2013-06-27 | Basf Se | Use of strobilurin type compounds for combating phytopathogenic fungi resistant to qo inhibitors |
| WO2013112527A1 (en) | 2012-01-23 | 2013-08-01 | Dow Agrosciences Llc | Herbicide tolerant cotton event pdab4468.19.10.3 |
| WO2013116251A2 (en) | 2012-02-01 | 2013-08-08 | E. I. Du Pont De Nemours And Company | Fungicidal pyrazole mixtures |
| WO2013127704A1 (en) | 2012-02-27 | 2013-09-06 | Bayer Intellectual Property Gmbh | Active compound combinations containing a thiazoylisoxazoline and a fungicide |
| WO2013162072A1 (en) | 2012-04-27 | 2013-10-31 | Sumitomo Chemical Company, Limited | Tetrazolinone compounds and its use as pesticides |
| WO2013169923A2 (en) | 2012-05-08 | 2013-11-14 | Monsanto Technology Llc | Corn event mon 87411 |
| CN103387541A (en) | 2012-05-10 | 2013-11-13 | 中国中化股份有限公司 | Preparation method of substituted pyrazolylether compound |
| WO2014060177A1 (en) | 2012-10-16 | 2014-04-24 | Syngenta Participations Ag | Fungicidal compositions |
| WO2014116854A1 (en) | 2013-01-25 | 2014-07-31 | Pioneer Hi-Bred International, Inc. | Maize event dp-033121-3 and methods for detection thereof |
| WO2014178913A1 (en) | 2013-05-02 | 2014-11-06 | J.R. Simplot Company | Potato cultivar f10 |
| WO2014178941A1 (en) | 2013-05-02 | 2014-11-06 | J.R. Simplot Company | Potato cultivar j3 |
| WO2014178910A1 (en) | 2013-05-02 | 2014-11-06 | J.R. Simplot Company | Potato cultivar e12 |
| WO2014179276A1 (en) | 2013-05-02 | 2014-11-06 | J.R. Simplot Company | Potato cultivar j55 |
| WO2014201235A2 (en) | 2013-06-14 | 2014-12-18 | Monsanto Technology Llc | Soybean transgenic event mon87751 and methods for detection and use thereof |
| WO2015053998A1 (en) | 2013-10-09 | 2015-04-16 | Monsanto Technology Llc | Transgenic corn event mon87403 and methods for detection thereof |
| WO2015065922A1 (en) | 2013-10-28 | 2015-05-07 | Dexcom, Inc. | Devices used in connection with continuous analyte monitoring that provide the user with one or more notifications, and related methods |
| EP2865265A1 (en) | 2014-02-13 | 2015-04-29 | Bayer CropScience AG | Active compound combinations comprising phenylamidine compounds and biological control agents |
| WO2015142571A1 (en) | 2014-03-20 | 2015-09-24 | Monsanto Technology Llc | Transgenic maize event mon 87419 and methods of use thereof |
| WO2016183445A1 (en) | 2015-05-14 | 2016-11-17 | J.R. Simplot Company | Potato cultivar v11 |
| WO2017062831A1 (en) | 2015-10-08 | 2017-04-13 | J.R. Simplot Company | Potato cultivar x17 |
| WO2017062825A1 (en) | 2015-10-08 | 2017-04-13 | J.R. Simplot Company | Potato cultivar y9 |
Non-Patent Citations (14)
| Title |
|---|
| "Technical Monograph", May 2008, CROPLIFE INTERNATIONAL, article "Catalogue of pesticide formulation types and international coding system" |
| CAN. J. PLANT SCI., vol. 48, no. 6, 1968, pages 587 - 94 |
| CHEM. SOC. REV., 2009, pages 606 - 631 |
| EUR. J. ORG. CHEM., 2015, pages 2727 - 2732 |
| J. AM. CHEM. SOC., vol. 123, no. 25, 2001, pages 5962 - 5973 |
| J. HETEROCYC. CHEM., vol. 18, no. 7, 1981, pages 1305 - 8 |
| J. MED. CHEM., vol. 38, no. 11, 1995, pages 1892 - 903 |
| KNOWLES: "Agrow Reports DS243", 2005, T&F INFORMA, article "New developments in crop protection product formulation" |
| KNOWLES: "Agrow Reports DS256", 2006, T&F INFORMA, article "Adjuvants and additives" |
| MCCUTCHEON: "Emulsifiers & Detergents", vol. 1, 2008, MCCUTCHEON'S DIRECTORIES |
| MOLLET; GRUBE-MANN: "Formulation technology", 2001, WILEY VCH |
| SMITH; MARCH: "March's Advanced Organic Chemistry", 2007, WILEY |
| SYNTHESIS, 2000, pages 1709 - 1712 |
| TETRAHEDRON, 2005, pages 10827 - 10852 |
Cited By (3)
| Publication number | Priority date | Publication date | Assignee | Title |
|---|---|---|---|---|
| US11839214B2 (en) | 2017-12-15 | 2023-12-12 | Basf Se | Fungicidal mixture comprising substituted pyridines |
| WO2021063736A1 (en) * | 2019-10-02 | 2021-04-08 | Basf Se | Bicyclic pyridine derivatives |
| WO2023112056A1 (en) | 2021-12-17 | 2023-06-22 | Pi Industries Ltd. | Novel substituted fused bicyclic pyridine carboxamide compounds for combating phytopathogenic fungi |
Also Published As
| Publication number | Publication date |
|---|---|
| AR114247A1 (en) | 2020-08-12 |
Similar Documents
| Publication | Publication Date | Title |
|---|---|---|
| JP7160487B2 (en) | Substituted 5-(haloalkyl)-5-hydroxy-isoxazoles for combating plant pathogens | |
| CN108347937A (en) | Qu Dai oxadiazoles for preventing and kill off plant pathogenic fungi | |
| JP2018536025A (en) | Substituted oxadiazoles for controlling plant pathogens | |
| CN108289449A (en) | Qu Dai oxadiazoles for preventing and kill off plant pathogenic fungi | |
| BR112018009577B1 (en) | Use of formula I compounds, compounds, agrochemical composition and method to combat phytopathogenic harmful fungi | |
| BR112019015338B1 (en) | COMPOUNDS OF FORMULA I, AGROCHEMICAL COMPOSITION, COATED SEED, USE OF THE COMPOUNDS AND METHOD TO COMBAT HARMFUL PHYTOPATHOGENIC FUNGI | |
| WO2018184970A1 (en) | Substituted oxadiazoles for combating phytopathogenic fungi | |
| US20200190043A1 (en) | 2-[[5-(trifluoromethyl)-1,2,4-oxadiazol-3-yl]aryloxy](thio)acetamides for combating phytopathogenic fungi | |
| WO2018073110A1 (en) | Quinoline compounds as fungicides | |
| AU2020286573A1 (en) | Fungicidal n-(pyrid-3-yl)carboxamides | |
| WO2018054711A1 (en) | Pyridine compounds for controlling phytopathogenic harmful fungi | |
| WO2019154665A1 (en) | New pyridine carboxamides | |
| WO2020244970A1 (en) | New carbocyclic pyridine carboxamides | |
| EP3749660A1 (en) | New pyridine carboxamides | |
| WO2018065182A1 (en) | Reduced quinoline compounds as antifuni agents | |
| WO2018054721A1 (en) | Pyridine compounds for controlling phytopathogenic harmful fungi | |
| WO2018149754A1 (en) | Pyridine compounds | |
| US11147275B2 (en) | Substituted trifluoromethyloxadiazoles for combating phytopathogenic fungi | |
| WO2021063736A1 (en) | Bicyclic pyridine derivatives | |
| JP7179777B2 (en) | pyridine compounds and pyrazine compounds | |
| WO2019052932A1 (en) | Substituted trifluoromethyloxadiazoles for combating phytopathogenic fungi | |
| WO2019025250A1 (en) | Substituted trifluoromethyloxadiazoles for combating phytopathogenic fungi | |
| WO2020244969A1 (en) | Pyridine derivatives and their use as fungicides | |
| WO2021063735A1 (en) | New bicyclic pyridine derivatives | |
| EA046573B1 (en) | FUNGICIDAL N-(PYRID-3-YL)CARBOXAMIDES |
Legal Events
| Date | Code | Title | Description |
|---|---|---|---|
| 121 | Ep: the epo has been informed by wipo that ep was designated in this application |
Ref document number: 19702396 Country of ref document: EP Kind code of ref document: A1 |
|
| NENP | Non-entry into the national phase |
Ref country code: DE |
|
| 122 | Ep: pct application non-entry in european phase |
Ref document number: 19702396 Country of ref document: EP Kind code of ref document: A1 |
































































