WO2013113782A1 - Fungicidal pyrimidine compounds - Google Patents
Fungicidal pyrimidine compounds Download PDFInfo
- Publication number
- WO2013113782A1 WO2013113782A1 PCT/EP2013/051849 EP2013051849W WO2013113782A1 WO 2013113782 A1 WO2013113782 A1 WO 2013113782A1 EP 2013051849 W EP2013051849 W EP 2013051849W WO 2013113782 A1 WO2013113782 A1 WO 2013113782A1
- Authority
- WO
- WIPO (PCT)
- Prior art keywords
- alkyl
- individualized compound
- alkoxy
- compounds
- compound
- Prior art date
- Legal status (The legal status is an assumption and is not a legal conclusion. Google has not performed a legal analysis and makes no representation as to the accuracy of the status listed.)
- Ceased
Links
Classifications
-
- C—CHEMISTRY; METALLURGY
- C07—ORGANIC CHEMISTRY
- C07D—HETEROCYCLIC COMPOUNDS
- C07D401/00—Heterocyclic compounds containing two or more hetero rings, having nitrogen atoms as the only ring hetero atoms, at least one ring being a six-membered ring with only one nitrogen atom
- C07D401/02—Heterocyclic compounds containing two or more hetero rings, having nitrogen atoms as the only ring hetero atoms, at least one ring being a six-membered ring with only one nitrogen atom containing two hetero rings
- C07D401/12—Heterocyclic compounds containing two or more hetero rings, having nitrogen atoms as the only ring hetero atoms, at least one ring being a six-membered ring with only one nitrogen atom containing two hetero rings linked by a chain containing hetero atoms as chain links
Definitions
- the present invention relates to fungicidal pyrimidine compounds, to their use and to methods for combating phytopathogenic fungi.
- the present invention also relates to seeds treated with at least one such compound. Furthermore the invention relates to processes for preparing compounds of formula I.
- WO 9803272 A1 describes a process for the preparation of 4-amino-5-chloro-6- (l-fluoroethyl)pyrimidine compounds, which are pest controlling agents for agricultural and horticultural use.
- WO 9728133 A1 discloses acylated 4-amino and 4-hydrazinopyrimidines and their use as pesticides.
- WO 9518795 A1 relates to N-(4-pyrimidinyl)amide pesticides and EP 665225 A1 relates to 4-phenethylamino pyrimidine derivatives useful for chemical control of noxious organisms.
- EP 264217 A2 relates to N-(4-pyrimidinyl)arylalkylamine pesticides with halogen or lower alkyl in 6- position of the pyrimidine, inter alia disclosing N-(4-pyrim dinyl)phenylethylamines.
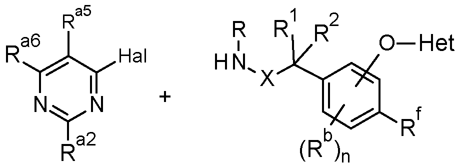
- R A2 , R A5 , R A6 independently of each other are hydrogen, halogen, CN , NO2, OH , SH , C1-C4- alkyl, Ci-C4-haloalkyl, Ci-C4-alkoxy, Ci-C4-haloalkoxy, Ci-C4-alkylthio, Ci-C4-haloalkylthio, Ci C4-alkylsulfinyl, Ci-C4-haloalkylsulfinyl, Ci-C4-alkylsulfonyl, Ci-C4-haloalkylsulfonyl, C1-C4- alkoxy-Ci-C4-alkyl, Ci-C4-alkoxy-Ci-C4-alkoxy, C2-C4-alkenyl, C2-C4-alkynyl,
- R A , R B independently of each other are hydrogen, Ci-C4-alkyl, C2-C4-alkenyl, C2-C4- alkynyl, phenyl, benzyl, Cs-Cs-cycloalkyl, Cs-Cs-cycloalkenyl or
- R' is hydrogen, OH, NH 2 , Ci-C 4 -alkyl, Ci-C 4 -haloalkyl, C 2 -C 4 -alkenyl, C 2 -C 4 -alkynyl, Ci-C 4 -alkoxy, Ci-C 4 -haloalkoxy, Ci-C 4 -alkylamino or di(Ci-C 4 -alkyl)amino;
- R" is hydrogen, Ci-C 4 -alkyl, Ci-C 4 -haloalkyl, C2-C 4 -alkenyl, C2-C 4 -alkynyl or Ci-C 4 -alkoxy- Ci-C 4 -alkyl,
- R'" is hydrogen or Ci-C 4 -alkyl
- R is hydrogen, Ci-C 4 -alkyl, Ci-C 4 -haloalkyl, Ci-C 4 -alkoxy, Ci-C 4 -haloalkoxy, Ci-C 4 -alkoxy-Ci-C 4 - alkyl, Ci-C 4 -haloalkoxy-Ci-C 4 -alkyl, C2-C 4 -alkenyl,
- R b is halogen, CN, N0 2 , Ci-C 4 -alkyl, Ci-C 4 -haloalkyl, Ci-C 4 -alkoxy, Ci-C 4 -haloalkoxy,
- Het is a 5- or 6-membered heteroaryl, wherein the ring member atoms of the heteroaryl include besides carbon atoms 1 , 2, 3 or 4 heteroatoms selected from the group of N, O and S and wherein the heteroaryl is unsubstituted or carries 1 , 2, 3 or 4 identical or different groups R c : R c is halogen, CN, N0 2 , NH 2 , Ci-C 6 -alkyl, Ci-C 6 -haloalkyl, Ci-C 6 -alkoxy, Ci-C 6 -haloalkoxy,
- C3-C8-cycloalkyl Ci-C 4 -alkyl-C3-C8-cycloalkyl, phenyl, phenoxy, phenoxy-Ci-C 4 -alkyl or a 5- or 6-membered heteroaryl, wherein the ring member atoms of the heteroaryl include besides carbon atoms 1 , 2, 3 or 4 heteroatoms selected from the group of N, O and S, and wherein the aforementioned cyclic radicals are unsubstituted or carry 1 , 2, 3 or 4 identical or different substituents R d :
- R d is halogen, CN, Ci-C 4 -alkyl, Ci-C 4 -haloalkyl, Ci-C 4 -alkoxy or Ci-C 4 -haloalkoxy; and/or two radicals R c that are bound to adjacent ring member atoms of the Het group form together with said ring member atoms a fused
- the present invention furthermore relates to processes for preparing compounds of formula I.
- this reaction is carried out at temperatures of from 0 to 200°C, preferably from 50 to 170°C, in an inert organic solvent preferably in the presence of a base or a catalyst or a combination of a base and a catalyst.
- Suitable catalysts are e.g. halides such as NaF, KF, LiF, NaBr, KBr, LiBr, Nal, Kl, Lil; ionic liquids, such as imidazolium catalysts; transition metal catalysts like palladium, rhodium, ruthenium, iron, copper in the form of halides, pseudohalides, alkoxides, carboxylates (preferred acetate), complexes with dibenzylidene acetone and ligands like phosphine, phosphites, phosphoramidate ligands.
- halides such as NaF, KF, LiF, NaBr, KBr, LiBr, Nal, Kl, Lil
- ionic liquids such as imidazolium catalysts
- transition metal catalysts like palladium, rhodium, ruthenium, iron, copper in the form of halides, pseudohalides, alkoxides, carboxylates (
- Preferred ligands are bidentate and sterically demanding phosphorous ligands, even more preferably the catalysts are selected from 2,2'-bis(diphenylphosphanyl)-1 ,1'-binaphthyl,
- Suitable solvents are aromatic hydrocarbons such as toluene, o-, m- and p-xylene; halogenated hydrocarbons such as chlorobenzene, dichlorobenzene; ethers such as dioxane, anisole and THF; nitriles such as acetonitrile and propionitrile; ketones such as acetone, methyl ethyl ketone, diethyl ketone and tert.-butyl methyl ketone; alcohols such as ethanol, n-propanol, isopropanol, n-butanol and tert.-butanol; and also DMSO, DMF, dimethyl acetamide, NMP, NEP and acetic acid ethyl ester.
- THF, DMSO, DMF, dimethyl acetamide, NMP or NEP are used; even more preferably THF, DMF or NMP are used. It is also possible to use mixture
- Suitable bases are, in general, inorganic compounds, such as alkali metal and alkaline earth metal hydroxides such as lithium hydroxide, sodium hydroxide, potassium hydroxide and calcium hydroxide; alkali metal and alkaline earth metal oxides such as lithium oxide, sodium oxide, potassium oxide and calcium oxide; alkali metal and alkaline earth metal phosphates such as lithium phosphate, sodium phosphate, potassium phosphate and calcium phosphate; alkali metal amides such as lithium amide, sodium amide and potassium amide; alkali metal and alkaline earth metal hydrides lithium hydride, sodium hydride, potassium hydride and calcium hydride; alkali metal and alkaline earth metal carbonates such as lithium carbonate, potassium carbonate and calcium carbonate, caesium carbonate; moreover organic bases, for example tertiary amines such as trimethyl-amine (TMA), triethylamine (TEA), tributylamine (TBA), diisopropylethylamine
- the bases are generally employed in equimolar amounts, in excess or, if appropriate, as solvent.
- the amount of base is typically 1.1 to 5.0 molar equivalents relative to 1 mole of compounds II.
- the starting materials are generally reacted with one another in equimolar amounts. In terms of yields, it may be advantageous to employ an excess of compounds III, based on 1.1 to 2.5 equivalents, preferred 1.1 to 1.5 equivalents of compounds II.
- the compounds II are known from the literature or are commercially available or they can be prepared for example in analogy to methods described in: Heterocycles (2009) 78(7), 1627-1665; New J. Chem. (1994) 18(6), 701-8; WO 2005/095357; Science of Synthesis (2004) 16, 379-572; WO 2008/156726; WO 2006/072831 ; Organic Reactions (Hoboken, NJ, United States) (2000), 56; or Targets in Heterocyclic Systems (2008) 12, 59-84.
- phenyl acetic acid amide compounds III are known from the literature or are commercially available or they can be prepared for example in analogy to methods described in Organometallics (201 1 ), 30(20), 5442-5451 , WO 2010058030 A1 20100527, Journal of Organic Chemistry (1987), 52(21 ), 4689-93; GB 2016466 A.
- Compounds I and intermediates, wherein R is hydrogen, can be converted by conventional processes such as alkylation.
- suitable alkylating agents include alkyl halides, such as alkyl chloride, alkyl bromide or alkyl iodide, examples being methyl chloride, methyl bromide or methyl iodide, or dialkyl sulfates such as dimethyl sulfate or diethyl sulfate.
- the reaction with the alkylating agent is carried out advantageously in the presence of a solvent.
- Solvents used for these reactions are - depending on temperature range - aliphatic, cycloaliphatic or aromatic hydrocarbons such as hexane, cyclohexane, toluene, xylene, chlorinated aliphatic and aromatic hydrocarbons such as DCM, chlorobenzene, open-chain dialkyl ethers such as diethyl ether, di-n-propyl ether, MTBE, cyclic ethers such as THF, 1 ,4-dioxane, glycol ethers such as dimethyl glycol ether, and also DMSO, DMF, dimethyl acetamide, NMP, NEP and acetic acid ethyl ester, preferably DMF, DMSO, NMP or NEP, or mixtures of these solvents.
- aliphatic, cycloaliphatic or aromatic hydrocarbons such as hexane, cyclohexane, toluene, xylene, chlor
- N-oxides may be prepared from the compounds I according to conventional oxidation methods, e. g. by treating compounds I with an organic peracid such as metachloroperbenzoic acid (cf. WO 03/64572 or J. Med. Chem. (1995), 38(1 1 ), 1892- 1903,); or with inorganic oxidizing agents such as hydrogen peroxide (cf. J. Heterocyc. Chem.
- the oxidation may lead to pure mono-N-oxides or to a mixture of different N-oxides, which can be separated by conventional methods such as chromatography.
- reaction mixtures are worked up in a customary manner, for example by mixing with water, separating the phases and, if appropriate, chromatic purification of the crude products.
- the intermediates and end products are obtained in the form of colorless or slightly viscous oils which can be freed from volatile components or purified under reduced pressure and at moderately elevated temperatures. If the intermediates and end products are obtained as solids, purification can also be carried out by recrystallization or digestion.
- the compounds of the present invention are useful for combating harmful fungi. Therefore the present invention furthermore relates to a method for combating harmful fungi, which process comprises treating the fungi or the materials, plants, the soil or seeds to be protected against fungal attack, with an effective amount of at least one compound of formula I or of an N-oxide or an agriculturally acceptable salt thereof.
- the present invention also relates to seed comprising a compound of formula I, or an N-oxide or an agriculturally acceptable salt thereof, in an amount of from 0.1 g to 10 kg per 100 kg of seed.
- the compounds of formula I and their N-oxides may have one or more centers of chirality, in which case they are present as pure enantiomers or pure
- Agriculturally useful salts of the compounds I encompass especially the salts of those cations or the acid addition salts of those acids whose cations and anions, respectively, have no adverse effect on the fungicidal action of the compounds I.
- Suitable cations are thus in particular the ions of the alkali metals, preferably sodium and potassium, of the alkaline earth metals, preferably calcium, magnesium and barium, of the transition metals, preferably manganese, copper, zinc and iron, and also the ammonium ion which, if desired, may carry one to four Ci-C4-alkyl substituents and/or one phenyl or benzyl substituent, preferably diisopropylammonium, tetramethylammonium, tetrabutylammonium, trimethylbenzylammonium, furthermore phosphonium ions, sulfonium ions, preferably tri(Ci-C4-alkyl)sulfonium, and sulfoxonium ions, preferably tri(Ci-C4-alkyl)sulfoxonium.
- Anions of useful acid addition salts are primarily chloride, bromide, fluoride, hydrogensulfate, sulfate,
- Ci-C4-alkanoic acids preferably formate, acetate, propionate and butyrate.
- They can be formed by reacting a compound I with an acid of the corresponding anion, preferably of hydrochloric acid, hydrobromic acid, sulfuric acid, phosphoric acid or nitric acid.
- Compounds I can be present in different crystal modifications whose biological activity may differ. They also form part of the subject matter of the present invention.
- the compounds of formula I can be present in atropisomers arising from restricted rotation about a single bond of asymmetric groups. They also form part of the subject matter of the present invention.
- the embodiments of the intermediates correspond to the embodiments of the compounds of formula I.
- the term "compounds I" refers to compounds of formula I.
- the term “compounds I la” refers to compounds of formula Ma.
- C n -C m indicates the number of carbon atoms possible in each case in the substituent or substituent moiety in question.
- halogen refers to fluorine, chlorine, bromine and iodine.
- Ci-C4-alkyl refers to a straight-chained or branched saturated hydrocarbon group having 1 to 4 carbon atoms, for example methyl, ethyl, propyl, 1-methylethyl, butyl, 1-methylpropyl, 2- methylpropyl, and 1 , 1-dimethylethyl.
- Ci-C6-alkyl refers to a straight-chained or branched saturated hydrocarbon group having 1 to 6 carbon atoms.
- Ci-C4-haloalkyl refers to a straight-chained or branched alkyl group having 1 to 4 carbon atoms (as defined above), wherein some or all of the hydrogen atoms in these groups may be replaced by halogen atoms as mentioned above, for example chloromethyl, bromomethyl, dichloromethyl, trichloromethyl, fluoromethyl, difluoromethyl, trifluoromethyl, chlorofluoromethyl, dichlorofluoromethyl, chlorodifluoromethyl, 1-chloroethyl, 1-bromoethyl, 1-fluoroethyl, 2-fluoroethyl, 2,2-difluoroethyl, 2,2,2-trifluoroethyl, 2-chloro-2-fluoroethyl, 2-chloro-2,2-difluoroethyl, 2,2-dichloro-2- fluoroethyl, 2,2,2-trichloroeth
- Ci-C4-alkoxy refers to a straight-chain or branched alkyl group having 1 to 4 carbon atoms (as defined above) which is bonded via an oxygen, at any position in the alkyl group, for example methoxy, ethoxy, n-propoxy, 1-methylethoxy, butoxy, 1-methyhpropoxy, 2-methylpropoxy or 1 , 1-dimethylethoxy.
- Ci-C6-alkoxy refers to a straight-chain or branched alkyl group having 1 to 6 carbon atoms.
- Ci-C4-hydroxyalkyl refers to a straight-chained or branched alkyl group having 2 to 4 carbon atoms (as defined above), wherein one hydrogen atom in these groups may be replaced by one hydroxy group, for example hydroxymethyl, 2-hydroxyethyl, 3-hydroxy ⁇ propyl, 4-hydroxy-butyl.
- Ci-C4-haloalkoxy refers to a Ci-C4-alkoxy group as defined above, wherein some or all of the hydrogen atoms may be replaced by halogen atoms as mentioned above, for example, OCH2F, OCHF2, OCF3, OCH2CI, OCHCI2, OCC , chlorofluoromethoxy, dichlorofluoromethoxy,
- C1-C6- haloalkoxy refers to a Ci-C6-alkoxy group as defined above, wherein some or all of the hydrogen atoms may be replaced by halogen atoms as mentioned above.
- Ci-C4-alkoxy-Ci-C4-alkyl refers to alkyl having 1 to 4 carbon atoms (as defined above), wherein one hydrogen atom of the alkyl radical is replaced by a Ci-C4-alkoxy group (as defined above).
- Ci-C6-alkoxy-Ci-C4-alkyl refers to alkyl having 1 to 4 carbon atoms (as defined above), wherein one hydrogen atom of the alkyl radical is replaced by a Ci-C6-alkoxy group (as defined above).
- Ci-C4-haloalkoxy-Ci-C4-alkyl refers to alkyl having 1 to 4 carbon atoms (as defined above), wherein one hydrogen atom of the alkyl radical is replaced by a Ci-C4-haloalkoxy group (as defined above).
- Ci-C4-haloalkoxy-Ci-C4-alkyl refers to alkyl having 1 to 4 carbon atoms (as defined above), wherein one hydrogen atom of the alkyl radical is replaced by a Ci-C6-alkoxy group (as defined above).
- Ci-C4-alkylthio refers to straight-chain or branched alkyl groups having 1 to 4 carbon atoms (as defined above) bonded via a sulfur atom, at any position in the alkyl group, for example methylthio, ethylthio, propylthio, isopropylthio, and n butylthio.
- C1-C6- alkylthio refers to straight-chain or branched alkyl groups having 1 to 6 carbon atoms (as defined above) bonded via a sulfur atom.
- Ci-C4-haloalkylthio and “Ci-C6-haloalkylthio” as used herein refer to straight-chain or branched haloalkyl groups having 1 to 4 or 1 to 6 carbon atoms (as defined above) bonded through a sulfur atom, at any position in the haloalkyl group.
- Ci-C4-alkylamino refers to an amino radical carrying one Ci-C4-alkyl group (as defined above) as substituent, for example methylamino, ethylamino, propylamino, 1-methylethylamino, butylamino, 1-methylpropylamino, 2-methylpropylamino, 1 ,1-dimethylethylamino and the like.
- Ci-C6-alkylamino refers to an amino radical carrying one Ci-C6-alkyl group (as defined above) as substituent.
- di(Ci-C4-alkyl)amino refers to an amino radical carrying two identical or different C1-C4- alkyl groups (as defined above) as substituents, for example dimethylamino, diethylamino, di-n- propylamino, diisopropylamino, N-ethyl-N-methylamino, N-(n-propyl)-N-methylamino, N-(isopropyl)- N methylamino, N-(n-butyl)-N-methylamino, N-(n-pentyl)-N-methylamino, N-(2-butyl)-N methylamino, N-(isobutyl)-N-methylamino, and the like.
- (Ci-C4-alkoxy)carbonyl refers to a Ci-C4-alkoxy radical (as defined above) which is attached via a carbonyl group.
- di(Ci-C4-alkyl)aminocarbonyl refers to a di(Ci-C4)alkylamino radical as defined above which is attached via a carbonyl group.
- phenoxy and refers to a phenyl radical which is attached via an oxygen atom.
- phenoxy-Ci-C4-alkyl and refers to a phenoxy radical which is attached via a Ci-C4-alkyl group (as defined above).
- C2-C4-alkenyl refers to a straight-chain or branched unsaturated hydrocarbon radical having 2 to 4 carbon atoms and a double bond in any position, such as ethenyl, 1-propenyl, 2- propenyl (allyl), 1-methylethenyl, 1-butenyl, 2-butenyl, 3-butenyl, 1-methyl-1-propenyl, 2-methyl-1- propenyl, 1-methyl-2-propenyl, 2-methyl-2-propenyl.
- C2-C6-alkenyl refers to a straight-chain or branched unsaturated hydrocarbon radical having 2 to 6 carbon atoms and a double bond in any position.
- C2-C4-alkynyl refers to a straight-chain or branched unsaturated hydrocarbon radical having 2 to 4 carbon atoms and containing at least one triple bond, such as ethynyl, 1-propynyl, 2- propynyl, 1-butynyl, 2-butynyl, 3-butynyl, 1-methyl-2-propynyl.
- C2-C6-alkynyl refers to a straight-chain or branched unsaturated hydrocarbon radical having 2 to 6 carbon atoms and at least one triple bond.
- Cs-Cs-cycloalkyl refers to monocyclic saturated hydrocarbon radicals having 3 to 8 carbon ring members, such as cyclopropyl (C3H5), cyclobutyl, cyclopentyl, cyclohexyl, cycloheptyl or cyclooctyl.
- Ci-C4-alkyl-C3-C8-cycloalkyl refers to a cycloalkyi radical having 3 to 8 carbon atoms (as defined above), wherein one hydrogen atom of the cycloalkyi radical is replaced by a Ci-C4-alkyl group (as defined above).
- Cs-Cs-cycloalkyloxy refers to a cycloalkyi radical having 3 to 8 carbon atoms (as defined above), which is bonded via an oxygen.
- saturated or partially unsaturated 3-, 4- 5-, 6- or 7-membered carbocycle is to be understood as meaning both saturated or partially unsaturated carbocycles having 3, 4, 5, 6 or 7 ring members.
- Examples include cyclopropyl, cyclopentyl, cyclopentenyl, cyclopentadienyl, cyclohexyl, cyclohexenyl, cyclohexadienyl, cycloheptyl, cycloheptenyl, cycloheptadienyl, and the like.
- saturated or partially unsaturated 3-, 4-, 5-, 6-, or 7-membered heterocycle, wherein the ring member atoms of the heterocycle include besides carbon atoms 1 , 2, 3 or 4 heteroatoms selected from the group of N, O and S is to be understood as meaning both saturated and partially unsaturated heterocycles, for example: a 3- or 4-membered saturated heterocycle which contains 1 or 2 heteroatoms from the group consisting of N, O and S as ring members such as oxirane, aziridine, thiirane, oxetane, azetidine, thiethane, [1 ,2]dioxetane, [1 ,2]dithietane, [1 ,2]diazetidine; and a 5- or 6-membered saturated or partially unsaturated heterocycle which contains 1 , 2 or
- heteroatoms from the group consisting of N, O and S as ring members such as 2- tetrahydrofuranyl, 3-tetrahydrofuranyl, 2-tetrahydrothienyl, 3-tetrahydrothienyl, 2- pyrrolidinyl, 3-pyrrolidinyl, 3-isoxazolidinyl, 4-isoxazolidinyl, 5-isoxazolidinyl, 3- isothiazolidinyl, 4-isothiazolidinyl, 5-isothiazolidinyl, 3-pyrazolidinyl, 4-pyrazolidinyl, 5-pyrazolidinyl, 2-oxazolidinyl, 4-oxazolidinyl, 5-oxazolidinyl, 2-thiazolidinyl, 4- thiazolidinyl, 5-thiazolidinyl, 2-imidazolidinyl, 4-imidazolidinyl, 1 ,2,4-oxadiazolidin-3-yl, 1 ,
- hexahydroazepinyl such as 2,3,4,5-tetrahydro[1 H]azepin-1-,-2-,-3-,-4-,-5-,-6- or-7-yl, 3,4,5,6- tetrahydro[2H]azepin-2-,-3-,-4-,-5-,-6- or-7-yl, 2,3,4,7-tetrahydro[1 H]azepin-1-,-2-,-3-,-4-,-5-,-6- or-7-yl, 2,3,6,7-tetrahydro[1 H]azepin-1-,-2-,-3-,-4-,-5-,-6- or-7-yl, hexahydroazepin-1-,-2-,-3- or- 4-yl, tetra- and hexahydrooxepinyl such as 2,3,4,5-tetrahydro[1 H]oxepin-2-,-3-,-4-,-5-,-6- or-7- yl, 2,3,4,
- 5-membered heteroaryl wherein the ring member atoms of the heteroaryl include besides carbon atoms 1 , 2, 3 or 4 heteroatoms selected from the group of N, O and S
- a 5-membered heteroaryl such as pyrrol-1-yl, pyrrol-2-yl, pyrrol-3-yl, thien-2-yl, thien-3-yl, furan-2-yl, furan-3-yl, pyrazol-1-yl, pyrazol-3-yl, pyrazol-4-yl, pyrazol-5-yl, imidazol-1-yl, imidazol-2-yl, imidazol-4-yl, imidazol-5-yl, oxazol-2-yl, oxazol-4-yl, oxazol-5-yl, isoxazol-3-yl, isoxazol-4-yl, isoxazol-3-yl, isoxazol-4-
- two radicals R c that are bound to adjacent ring member atoms form together with said ring member atoms a fused cycle refers to a condensed bicyclic ring system, wherein 5- or 6-membered heteroaryl carries a fused-on 5-, 6- or 7-membered carbocyclic or heterocyclic ring it being possible that these rings are saturated or partially saturated or aromatic.
- cyclopentanone cyclopropanethione, cyclopentanethione, 5-oxazolone, cyclohexane-1 ,4-dione, cyclohexane-1 ,4-dithione, cyclohex-2-ene-1 ,4-dione or cyclohex-2-ene-1 ,4-dithione.
- fungicidal activity of the compounds I preference is given to those compounds I and where applicable also to compounds of all sub-formulae provided herein, for example formulae I .A and I.B, and to the intermediates such as compounds II, III, lla and Ilia, wherein the substituents and variables (e.g. R a2 , R a5 , R a6 , R, X, R , R 2 , R b , R c , R', R", R'", R A , R B , R f , n and Het) have
- Preferred embodiments of the invention relate to compounds I wherein R a2 , R a5 and R a6
- Ci-C4-alkyl independently of each other are preferably selected from the group consisting of hydrogen, halogen, CN, Ci-C4-alkyl, Ci-C4-haloalkyl, Ci-C4-alkoxy, Ci-C4-haloalkoxy, Ci-C4-alkoxy-Ci-C4-alkyl, C1-C4- alkoxy-Ci-C4-alkoxy, Ci-C4-alkylthio, Ci-C4-haloalkylthio, C2-C4-alkenyl, C2-C4-alkynyl, C3-C8- cycloalkyl, Cs-Cs-cycloalkyloxy and (Ci-C4-alkoxy)carbonyl.
- Preferred embodiments of the invention relate to compounds I wherein R a2 , R a5 and R a6
- halogen CN
- R a2 , R a5 and R a6 independently of each other are preferably selected from the group consisting of hydrogen, CI, F, CH3, CH2CH3, OCH3, OCF3, CH2OCH3, CN, OCH2OCH3, CF 3 , CHFCH3, COOCH 3 or COOCH 2 CH 3 .
- R a2 , R a5 and R a6 independently of each other are preferably selected from the group consisting of CI, F, CH3, CH2CH3, OCH3, OCF3, CH2OCH3, CN, OCH2OCH3, CF 3 , CHFCH3, COOCHs or COOCH2CH3.
- R a2 , R a5 and R a6 independently of each other are hydrogen, CI, CH 3 , OCH 3 , CN or COOCH3.
- R a2 , R a5 and R a6 independently of each other are CI, CH 3 , OCH 3 , CN or COOCH3.
- a particularly preferred embodiment relates to compounds wherein a5 is CI.
- a particularly preferred embodiment relates to compounds wherein Ra5 is F.
- a particularly preferred embodiment relates to compounds wherein Ra5 is CH3.
- a particularly preferred embodiment relates to compounds wherein Ra5 is OCHs.
- a particularly preferred embodiment relates to compounds wherein Ra5 is CO2CH3.
- a particularly preferred embodiment relates to compounds wherein Ra5 is CO2CH2CH3
- a particularly preferred embodiment relates to compounds wherein Ra6 is CI.
- a particularly preferred embodiment relates to compounds wherein Ra6 is F.
- a particularly preferred embodiment relates to compounds wherein Ra6 is CH 3 .
- a particularly preferred embodiment relates to compounds wherein Ra6 is OCH3.
- a particularly preferred embodiment relates to compounds wherein Ra6 is CO2CH3.
- a particularly preferred embodiment relates to compounds wherein Ra6 is CO2CH2CH3
- Further preferred embodiments relate to compounds I wherein R a2 and R a5 in each case are one of the following combinations in Iine1 to line 196 in table A
- R A , R B in radicals R a2 , R a5 and R a6 independently of one another preferably are hydrogen, Ci-C4-alkyl.
- R' in radicals R a2 , R a5 and R a6 preferably is hydrogen, NH 2 , Ci-C 4 -alkyl, Ci-C 4 -alkoxy.
- R" in radicals R a2 , R a5 and R a6 preferably is hydrogen, Ci-C 4 -alkyl.
- R'" in radicals R a2 , R a5 and R a6 preferably is hydrogen.
- Another particularly preferred embodiment relates to compounds I wherein R is hydrogen; yet another preferred embodiment relates to compounds I wherein R is CH3.
- R 1 and R 2 independently of each other are preferably selected from the group consisting of hydrogen, CN, Ci-C 4 -alkyl, Ci-C 4 -haloalkyl, Ci-C 4 -alkoxy, Ci- C 4 -haloalkoxy and Cs-Cs-cycloalkyl; more preferably R 1 and R 2 independently of each other are hydrogen, CN, CH3, CH2CH3, F, CI or OCH3; another more preferred embodiment relates to compounds I wherein R 1 and R 2 independently of each other are hydrogen or CH3; more preferably R 1 and R 2 are hydrogen.
- R b is preferably selected from the group consisting of halogen, CN, NO2, Ci-C4-alkyl, Ci-C4-haloalkyl, Ci-C4-alkoxy, Ci-C4-haloalkoxy and Ci-C4-alkoxy- Ci-C4-alkyl; more preferably R b is selected from the group consisting of halogen, CN, Ci-C4-alkyl, Ci-C4-haloalkyl and Ci-C4-alkoxy; most preferably R b is halogen, CN, CH3, CF3, OCH3.
- n is preferably 0.
- a further embodiment relates to compounds I wherein n is preferably 1.
- a further embodiment relates to compounds I wherein n is preferably 2.
- a further embodiment relates to compounds I wherein n is preferably 3.
- Het is preferably selected from the group consisting of pyrimidin-2-yl, pyrimidin-3-yl, pyrimidin-4-yl, pyridin-2-yl, pyridin-3-yl, pyridin-4-yl, thiazol-2-yl, thiazol-4-yl, thiazol-5-yl, isothiazol-3-yl, isothiazol-4-yl, isothiazol-5-yl, pyrazin-2-yl, pyridazin-3-yl, 1 ,3,5-triazin-2-yl, and 1 ,2,4-triazin-3-yl.
- a further embodiment relates to compounds I wherein Het is selected from pyrimidin-2-yl, pyrimidin- 3-yl, pyrimidin-4-yl, pyridin-2-yl, pyridin-3-yl, pyridin-4-yl, thiazol-2-yl, pyrazin-2-yl, pyridazin-3-yl, 1 ,3,5-triazin-2-yl, and 1 ,2,4-triazin-3-yl; more preferably Het is pyrimidin-2-yl, pyridin-2-yl, pyridin-3- yl, pyridin-4-yl, thiazol-2-yl.
- Preferred embodiments of the invention relate to compounds I, in which the group Het is one of the following radicals H-1 to H-38 in table H:
- the radical Het is preferably unsubstituted; a further preferred embodiment relates to compounds I wherein Het is preferably substituted by 1 radical R c ; another preferred embodiment relates to compounds I wherein Het is substituted by 2 radicals R c ; yet another preferred embodiment relates to compounds I wherein Het is substituted by 3 radicals R c ; another preferred embodiment relates to compounds I wherein Het is substituted by 4 radicals
- R c is preferably selected from the group consisting of halogen, CN, Ci-C6-alkyl, Ci-C6-haloalkyl, Ci-C6-alkoxy, Ci-C6-haloalkoxy, C2-C6-alkenyl,
- a further embodiment relates to compounds I wherein R c is F, CI, CN, CH3, OCH3, CF3, OCF3 or COOCH3.
- a further embodiment relates to compounds I wherein R c is preferably selected from the group consisting of CI, CN, CF3.
- R f is preferably selected from the group consisting of hydrogen, halogen, CN, NO2, NH2, Ci-C6-alkyl, Ci-C6-haloalkyl, Ci-C6-alkoxy, Ci-C6-haloalkoxy, C2-C6-alkenyl, C2-C6-alkynyl, (Ci-C4-alkoxy)carbonyl and Cs-Cs-cycloalkyl.
- a further embodiment relates to compounds I wherein R f preferably is hydrogen, F, CI, CN, CH3, OCH3, CF 3 , OCF3 or COOCH3; most preferably R f is hydrogen, CI, CN or CF 3 .
- R a2 , R a5 , R a6 independently of each other are hydrogen, halogen, Ci-C4-alkyl, Ci-C4-haloalkyl,
- Het is a pyridinyl, which is unsubstituted or carries 1 or 2 identical or different groups
- R c is halogen, Ci-C6-alkyl, Ci-C6-haloalkyl;
- the compounds I and the compositions according to the invention, respectively, are suitable as fungicides. They are distinguished by an outstanding effectiveness against a broad spectrum of phytopathogenic fungi, including soil-borne fungi, which derive especially from the classes of the
- Plasmodiophoromycetes Peronosporomycetes (syn. Oomycetes), Chytridiomycetes, Zygomycetes, Ascomycetes, Basidiomycetes and Deuteromycetes (syn. Fungi imperfecti).
- Some are systemically effective and they can be used in crop protection as foliar fungicides, fungicides for seed dressing and soil fungicides. Moreover, they are suitable for controlling harmful fungi, which inter alia occur in wood or roots of plants.
- the compounds I and the compositions according to the invention are particularly important in the control of a multitude of phytopathogenic fungi on various cultivated plants, such as cereals, e. g. wheat, rye, barley, triticale, oats or rice; beet, e. g. sugar beet or fodder beet; fruits, such as pomes, stone fruits or soft fruits, e. g.
- compounds I and compositions thereof are used for controlling a multitude of fungi on field crops, such as potatoes sugar beets, tobacco, wheat, rye, barley, oats, rice, corn, cotton, soybeans, rape, legumes, sunflowers, coffee or sugar cane; fruits; vines; ornamentals; or vegetables, such as cucumbers, tomatoes, beans or squashes.
- field crops such as potatoes sugar beets, tobacco, wheat, rye, barley, oats, rice, corn, cotton, soybeans, rape, legumes, sunflowers, coffee or sugar cane; fruits; vines; ornamentals; or vegetables, such as cucumbers, tomatoes, beans or squashes.
- plant propagation material is to be understood to denote all the generative parts of the plant such as seeds and vegetative plant material such as cuttings and tubers (e. g. potatoes), which can be used for the multiplication of the plant. This includes seeds, roots, fruits, tubers, bulbs, rhizomes, shoots, sprouts and other parts of plants, including seedlings and young plants, which are to be transplanted after germination or after emergence from soil. These young plants may also be protected before transplantation by a total or partial treatment by immersion or pouring.
- cultivación of plant propagation materials with compounds I and compositions thereof, respectively is used for controlling a multitude of fungi on cereals, such as wheat, rye, barley and oats; rice, corn, cotton and soybeans.
- cultivated plants is to be understood as including plants which have been modified by breeding, mutagenesis or genetic engineering including but not limiting to agricultural biotech products on the market or in development (cf.
- Genetically modified plants are plants, which genetic material has been so modified by the use of recombinant DNA techniques that under natural circumstances cannot readily be obtained by cross breeding, mutations or natural recombination. Typically, one or more genes have been integrated into the genetic material of a genetically modified plant in order to improve certain properties of the plant.
- Such genetic modifications also include but are not limited to targeted post-translational modification of protein(s), oligo- or polypeptides e. g. by glycosylation or polymer additions such as prenylated, acetylated or farnesylated moieties or PEG moieties.
- the compounds I and compositions thereof, respectively, are particularly suitable for controlling the following plant diseases:
- Albugo spp. white rust on ornamentals, vegetables (e. g. A. Candida) and sunflowers (e. g. A. tragopogonis); Alternaria spp. (Alternaria leaf spot) on vegetables, rape (A. brassicola or brassicae), sugar beets (A. tenuis), fruits, rice, soybeans, potatoes (e. g. A. solani or A. alternata), tomatoes (e. g. A. solani or A. alternata) and wheat; Aphanomyces spp. on sugar beets and vegetables;
- Ascochyta spp. on cereals and vegetables e. g. A. tritici (anthracnose) on wheat and A. hordei on barley; Bipolaris and Drechslera spp. (teleomorph: Cochliobolus spp.), e. g. Southern leaf blight (D. maydis) or Northern leaf blight (B. zeicola) on corn, e. g. spot blotch (B. sorokiniana) on cereals and e.g. B. oryzae on rice and turfs; Blumeria (formerly Erysiphe) graminis (powdery mildew) on cereals (e. g.
- Botrytis cinerea (teleomorph: Botryotinia fuckeliana: grey mold) on fruits and berries (e. g. strawberries), vegetables (e. g. lettuce, carrots, celery and cabbages), rape, flowers, vines, forestry plants and wheat; Bremia lactucae (downy mildew) on lettuce; Ceratocystis (syn. Ophiostoma) spp. (rot or wilt) on broad-leaved trees and evergreens, e. g. C. ulmi (Dutch elm disease) on elms; Cercospora spp. (Cercospora leaf spots) on corn (e.g.
- tomatoes e. g. C. fulvum: leaf mold
- cereals
- Colletotrichum teleomorph: Glomerella
- spp. anthracnose on cotton (e. g. C. gossypii), corn (e. g. C. graminicola: Anthracnose stalk rot), soft fruits, potatoes (e. g. C. coccodes: black dot), beans (e. g. C. lindemuthianum) and soybeans (e. g. C. truncatum or C. gloeosporioides); Corticium spp., e. g. C. C.
- Cylindrocarpon spp. e. g. fruit tree canker or young vine decline, teleomorph: Nectria or Neonectria spp.
- vines e. g. C. liriodendri, teleomorph: Neonectria liriodendri: Black Foot Disease
- ornamentals e. g. C. liriodendri, teleomorph: Neonectria liriodendri: Black Foot Disease
- Dematophora teleomorph: Rosellinia necatrix (root and stem rot) on soybeans; Diaporthe spp., e. g. D. phaseolorum (damping off) on soybeans; Drechslera (syn. Helminthosporium, teleomorph: Pyrenophora) spp. on corn, cereals, such as barley (e. g. D. teres, net blotch) and wheat (e. g. D. tritici-repentis: tan spot), rice and turf; Esca (dieback, apoplexy) on vines, caused by Formitiporia (syn. Phellinus) punctata, F.
- Phaeomoniella chlamydospora (earlier Phaeo- acremonium chlamydosporum), Phaeoacremonium aleophilum and/or Botryosphaeria obtusa;
- Eutypa lata (Eutypa canker or dieback, anamorph: Cytosporina lata, syn. Libertella blepharis) on fruit trees, vines and ornamental woods; Exserohilum (syn. Helminthosporium) spp. on corn (e. g. E. turcicum); Fusarium (teleomorph:
- Gibberella spp. (wilt, root or stem rot) on various plants, such as F. graminearum or F. culmorum (root rot, scab or head blight) on cereals (e. g. wheat or barley), F. oxysporum on tomatoes, F. solani on soybeans and F. verticillioides on corn; Gaeumannomyces graminis (take-all) on cereals (e. g. wheat or barley) and corn; Gibberella spp. on cereals (e. g. G. zeae) and rice (e. g. G.
- fujikuroi Bakanae disease
- G. gossypii Gossypii on cotton
- Grainstaining complex on rice Guignardia bidwellii (black rot) on vines
- Helminthosporium spp. (syn. Drechslera, teleomorph: Cochliobolus) on corn, cereals and rice; Hemileia spp., e. g. H.
- Fusarium) nivale pink snow mold
- cereals e. g. wheat or barley
- Microsphaera diffusa powdery mildew
- Monilinia spp. e. g. M. laxa, M. fructicola and M. fructigena (bloom and twig blight, brown rot) on stone fruits and other rosaceous plants
- fijiensis black Sigatoka disease
- Peronospora spp. downy mildew
- cabbage e. g. P. brassicae
- rape e. g. P. parasitica
- onions e. g. P.
- viticola can and leaf spot
- soybeans e. g. stem rot: P. phaseoli, teleomorph: Diaporthe phaseolorum
- Physoderma maydis brown spots
- Phytophthora spp. wilt, root, leaf, fruit and stem root
- paprika and cucurbits e. g. P. capsici
- soybeans e. g. P. megasperma, syn. P. sojae
- potatoes and tomatoes e. g. P. infestans: late blight
- broad-leaved trees e. g. P.
- Plasmodiophora brassicae club root
- Plasmopara spp. e. g. P. viticola (grapevine downy mildew) on vines and P. halstedii on sunflowers
- Podosphaera spp. powdery mildew on rosaceous plants, hop, pome and soft fruits, e. g. P. leucotricha on apples
- Polymyxa spp. e. g. on cereals, such as barley and wheat (P. graminis) and sugar beets (P.
- oryzae (teleomorph: Magnaporthe grisea, rice blast) on rice and P. grisea on turf and cereals; Pythium spp. (damping-off) on turf, rice, corn, wheat, cotton, rape, sunflowers, soybeans, sugar beets, vegetables and various other plants (e. g. P. ultimum or P. aphanidermatum);
- Ramularia spp. e. g. R. collo-cygni (Ramularia leaf spots, Physiological leaf spots) on barley and R. beticola on sugar beets; Rhizoctonia spp. on cotton, rice, potatoes, turf, corn, rape, potatoes, sugar beets, vegetables and various other plants, e. g. R. solani (root and stem rot) on soybeans, R. solani (sheath blight) on rice or R. cerealis (Rhizoctonia spring blight) on wheat or barley; Rhizopus stolonifer (black mold, soft rot) on strawberries, carrots, cabbage, vines and tomatoes;
- Rhynchosporium secalis (scald) on barley, rye and triticale; Sarocladium oryzae and S. attenuatum (sheath rot) on rice; Sclerotinia spp. (stem rot or white mold) on vegetables and field crops, such as rape, sunflowers (e. g. S. sclerotiorum) and soybeans (e. g. S. rolfsii or S. sclerotiorum); Septoria spp. on various plants, e. g. S. glycines (brown spot) on soybeans, S. tritici (Septoria blotch) on wheat and S. (syn. Stagonospora) nodorum (Stagonospora blotch) on cereals; Uncinula (syn.
- Erysiphe) necator prowdery mildew, anamorph: Oidium tuckeri
- Setospaeria spp. (leaf blight) on corn (e. g. S. turcicum, syn. Helminthosporium turcicum) and turf; Sphacelotheca spp. (smut) on corn, (e. g. S. reiliana: head smut), sorghum und sugar cane; Sphaerotheca fuliginea (powdery mildew) on cucurbits; Spongospora subterranea (powdery scab) on potatoes and thereby transmitted viral diseases; Stagonospora spp.
- controversa dwarf bunt
- Typhula incarnata grey snow mold
- Uro- cystis spp. e. g. U. occulta (stem smut) on rye
- Uromyces spp. rust
- vegetables such as beans (e. g. U. appendiculatus, syn. U. phaseoli) and sugar beets (e. g. U. betae)
- Ustilago spp. loose smut) on cereals (e. g. U. nuda and U. avaenae), corn (e. g. U. maydis: corn smut) and sugar cane; Venturia spp.
- the compounds I and compositions thereof, respectively, are also suitable for controlling harmful fungi in the protection of stored products or harvest and in the protection of materials.
- the term "protection of materials” is to be understood to denote the protection of technical and non-living materials, such as adhesives, glues, wood, paper and paperboard, textiles, leather, paint dispersions, plastics, colling lubricants, fiber or fabrics, against the infestation and destruction by harmful microorganisms, such as fungi and bacteria.
- Ascomycetes such as Ophiostoma spp., Ceratocystis spp., Aureobasidium pullulans, Sclerophoma spp., Chaetomium spp., Humicola spp., Petriella spp., Trichurus spp.; Basidiomycetes such as Coniophora spp., Coriolus spp., Gloeophyllum spp., Lentinus spp., Pleurotus spp., Poria spp., Serpula spp.
- Tyromyces spp. Deuteromycetes such as Aspergillus spp., Cladosporium spp., Penicillium spp., Trichorma spp., Alternaria spp., Paecilomyces spp. and Zygomycetes such as Mucor spp., and in addition in the protection of stored products and harvest the following yeast fungi are worthy of note: Candida spp. and Saccharomyces cerevisae.
- the compounds I and compositions thereof, respectively, may be used for improving the health of a plant.
- the invention also relates to a method for improving plant health by treating a plant, its propagation material and/or the locus where the plant is growing or is to grow with an effective amount of compounds I and compositions thereof, respectively.
- plant health is to be understood to denote a condition of the plant and/or its products which is determined by several indicators alone or in combination with each other such as yield (e. g. increased biomass and/or increased content of valuable ingredients), plant vigor (e. g. improved plant growth and/or greener leaves ("greening effect")), quality (e. g. improved content or composition of certain ingredients) and tolerance to abiotic and/or biotic stress.
- yield e. g. increased biomass and/or increased content of valuable ingredients
- plant vigor e. g. improved plant growth and/or greener leaves ("greening effect")
- quality e. g. improved content or composition of certain ingredients
- the compounds of the formula (I) can be present in different crystal modifications whose biological activity may differ. They are likewise subject matter of the present invention.
- the compounds I are employed as such or in form of compositions by treating the fungi or the plants, plant propagation materials, such as seeds, soil, surfaces, materials or rooms to be protected from fungal attack with a fungicidally effective amount of the active substances.
- the application can be carried out both before and after the infection of the plants, plant propagation materials, such as seeds, soil, surfaces, materials or rooms by the fungi.
- Plant propagation materials may be treated with compounds I as such or a composition comprising at least one compound I prophylactically either at or before planting or transplanting.
- the invention also relates to agrochemical compositions comprising an auxiliary and at least one compound I according to the invention.
- An agrochemical composition comprises a fungicidally effective amount of a compound I.
- effective amount denotes an amount of the composition or of the compounds I, which is sufficient for controlling harmful fungi on cultivated plants or in the protection of materials and which does not result in a substantial damage to the treated plants. Such an amount can vary in a broad range and is dependent on various factors, such as the fungal species to be controlled, the treated cultivated plant or material, the climatic conditions and the specific compound I used.
- compositions e.g. solutions, emulsions, suspensions, dusts, powders, pastes, granules, pressings, capsules, and mixtures thereof.
- composition types are suspensions (e.g. SC, OD, FS), emulsifiable concentrates (e.g. EC), emulsions (e.g. EW, EO, ES, ME), capsules (e.g. CS, ZC), pastes, pastilles, wettable powders or dusts (e.g. WP, SP, WS, DP, DS), pressings (e.g.
- compositions types are defined in the "Catalogue of pesticide formulation types and international coding system", Technical Monograph No. 2, 6th Ed. May 2008, CropLife International.
- the compositions are prepared in a known manner, such as described by Mollet and Grubemann, Formulation technology, Wiley VCH, Weinheim, 2001 ; or Knowles, New developments in crop protection product formulation, Agrow Reports DS243, T&F Informa, London, 2005.
- auxiliaries are solvents, liquid carriers, solid carriers or fillers, surfactants, dispersants, emulsifiers, wetters, adjuvants, solubilizers, penetration enhancers, protective colloids, adhesion agents, thickeners, humectants, repellents, attractants, feeding stimulants, compatibilizers, bactericides, anti-freezing agents, anti-foaming agents, colorants, tackifiers and binders.
- Suitable solvents and liquid carriers are water and organic solvents, such as mineral oil fractions of medium to high boiling point, e.g. kerosene, diesel oil; oils of vegetable or animal origin; aliphatic, cyclic and aromatic hydrocarbons, e. g. toluene, paraffin, tetrahydronaphthalene, alkylated naphthalenes; alcohols, e.g. ethanol, propanol, butanol, benzylalcohol, cyclohexanol; glycols; dimethyl sulfoxide (DMSO); ketones, e.g. cyclohexanone; esters, e.g.
- mineral oil fractions of medium to high boiling point e.g. kerosene, diesel oil
- oils of vegetable or animal origin oils of vegetable or animal origin
- aliphatic, cyclic and aromatic hydrocarbons e. g. toluene, paraffin, tetrahydronaphthal
- lactates carbonates, fatty acid esters, gamma-butyrolactone; fatty acids; phosphonates; amines; amides, e.g. N-methylpyrrolidone, fatty acid dimethylamides; and mixtures thereof.
- Suitable solid carriers or fillers are mineral earths, e.g. silicates, silica gels, talc, kaolins, limestone, lime, chalk, clays, dolomite, diatomaceous earth, bentonite, calcium sulfate, magnesium sulfate, magnesium oxide; polysaccharide powders, e.g. cellulose, starch; fertilizers, e.g. ammonium sulfate, ammonium phosphate, ammonium nitrate, ureas; products of vegetable origin, e.g. cereal meal, tree bark meal, wood meal, nutshell meal, and mixtures thereof.
- mineral earths e.g. silicates, silica gels, talc, kaolins, limestone, lime, chalk, clays, dolomite, diatomaceous earth, bentonite, calcium sulfate, magnesium sulfate, magnesium oxide
- polysaccharide powders e.g. cellulose, starch
- Suitable surfactants are surface-active compounds, such as anionic, cationic, nonionic and amphoteric surfactants, block polymers, polyelectrolytes, and mixtures thereof. Such surfactants can be used as emusifier, dispersant, solubilizer, wetter, penetration enhancer, protective colloid, or adjuvant. Examples of surfactants are listed in McCutcheon's, Vol.1 : Emulsifiers & Detergents, McCutcheon's Directories, Glen Rock, USA, 2008 (International Ed. or North American Ed.).
- Suitable anionic surfactants are alkali, alkaline earth or ammonium salts of sulfonates, sulfates, phosphates, carboxylates, and mixtures thereof.
- sulfonates are alkylarylsulfonates, diphenylsulfonates, alpha-olefin sulfonates, lignine sulfonates, sulfonates of fatty acids and oils, sulfonates of ethoxylated alkylphenols, sulfonates of alkoxylated arylphenols, sulfonates of condensed naphthalenes, sulfonates of dodecyl- and tridecylbenzenes, sulfonates of naphthalenes and alkylnaphthalenes, sulfosuccinates or sulfosuccinamates.
- Examples of sulfates are sulfates of fatty acids and oils, of ethoxylated alkylphenols, of alcohols, of ethoxylated alcohols, or of fatty acid esters.
- Examples of phosphates are phosphate esters.
- Examples of carboxylates are alkyl carboxylates, and carboxylated alcohol or alkylphenol ethoxylates.
- Suitable nonionic surfactants are alkoxylates, N-subsituted fatty acid amides, amine oxides, esters, sugar-based surfactants, polymeric surfactants, and mixtures thereof.
- alkoxylates are compounds such as alcohols, alkylphenols, amines, amides, arylphenols, fatty acids or fatty acid esters which have been alkoxylated with 1 to 50 equivalents.
- Ethylene oxide and/or propylene oxide may be employed for the alkoxylation, preferably ethylene oxide.
- N-subsititued fatty acid amides are fatty acid glucamides or fatty acid alkanolamides.
- esters are fatty acid esters, glycerol esters or monoglycerides.
- sugar-based surfactants are sorbitans, ethoxylated sorbitans, sucrose and glucose esters or alkylpolyglucosides.
- polymeric surfactants are home- or copolymers of vinylpyrrolidone, vinylalcohols, or vinylacetate.
- Suitable cationic surfactants are quaternary surfactants, for example quaternary ammonium compounds with one or two hydrophobic groups, or salts of long-chain primary amines.
- Suitable amphoteric surfactants are alkylbetains and imidazolines.
- Suitable block polymers are block polymers of the A-B or A-B-A type comprising blocks of polyethylene oxide and polypropylene oxide, or of the A-B-C type comprising alkanol, polyethylene oxide and polypropylene oxide.
- Suitable polyelectrolytes are polyacids or polybases. Examples of polyacids are alkali salts of polyacrylic acid or polyacid comb polymers. Examples of polybases are polyvinylamines or polyethyleneamines.
- Suitable adjuvants are compounds, which have a neglectable or even no pesticidal activity themselves, and which improve the biological performance of the compound I on the target.
- Suitable thickeners are polysaccharides (e.g. xanthan gum, carboxymethylcellulose), anorganic clays (organically modified or unmodified), polycarboxylates, and silicates.
- Suitable bactericides are bronopol and isothiazolinone derivatives such as alkylisothiazolinones and benzisothiazolinones.
- Suitable anti-freezing agents are ethylene glycol, propylene glycol, urea and glycerin.
- Suitable anti-foaming agents are silicones, long chain alcohols, and salts of fatty acids.
- Suitable colorants are pigments of low water solubility and water-soluble dyes.
- examples are inorganic colorants (e.g. iron oxide, titan oxide, iron hexacyanoferrate) and organic colorants (e.g. alizarin-, azo- and phthalocyanine colorants).
- Suitable tackifiers or binders are polyvinylpyrrolidons, polyvinylacetates, polyvinyl alcohols, polyacrylates, biological or synthetic waxes, and cellulose ethers.
- the agrochemical compositions generally comprise between 0.01 and 95%, preferably between 0.1 and 90%, and most preferably between 0.5 and 75%, by weight of active substance.
- the active substances are employed in a purity of from 90% to 100%, preferably from 95% to 100% (according to NMR spectrum).
- Water-soluble concentrates (LS), Suspoemulsions (SE), flowable concentrates (FS), powders for dry treatment (DS), water-dispersible powders for slurry treatment (WS), water-soluble powders (SS), emulsions (ES), emulsifiable concentrates (EC) and gels (GF) are usually employed for the purposes of treatment of plant propagation materials, particularly seeds.
- the compositions in question give, after two-to-tenfold dilution, active substance concentrations of from 0.01 to 60% by weight, preferably from 0.1 to 40%, in the ready-to-use preparations. Application can be carried out before or during sowing.
- Methods for applying or treating compound I and compositions thereof, respectively, on to plant propagation material, especially seeds include dressing, coating, pelleting, dusting, soaking and in-furrow application methods of the propagation material.
- compound I or the compositions thereof, respectively are applied on to the plant propagation material by a method such that germination is not induced, e. g. by seed dressing, pelleting, coating and dusting.
- the amounts of active substances applied are, depending on the kind of effect desired, from 0.001 to 2 kg per ha, preferably from 0.005 to 2 kg per ha, more preferably from 0.05 to 0.9 kg per ha, in particular from 0.1 to 0.75 kg per ha.
- amounts of active substance of from 0.1 to 1000 g, preferably from 1 to 1000 g, more preferably from 1 to 100 g and most preferably from 5 to 100 g, per 100 kilogram of plant propagation material (preferably seed) are generally required.
- the amount of active substance applied depends on the kind of application area and on the desired effect. Amounts customarily applied in the protection of materials are 0.001 g to 2 kg, preferably 0.005 g to 1 kg, of active substance per cubic meter of treated material.
- oils, wetters, adjuvants, fertilizer, or micronutrients, and other pesticides may be added to the active substances or the compositions comprising them as premix or, if appropriate not until immediately prior to use (tank mix).
- pesticides e.g. herbicides, insecticides, fungicides, growth regulators, safeners
- These agents can be admixed with the compositions according to the invention in a weight ratio of 1 : 100 to 100: 1 , preferably 1 : 10 to 10:1.
- the user applies the composition according to the invention usually from a predosage device, a knapsack sprayer, a spray tank, a spray plane, or an irrigation system.
- the agrochemical composition is made up with water, buffer, and/or further auxiliaries to the desired application concentration and the ready-to-use spray liquor or the agrochemical composition according to the invention is thus obtained.
- 20 to 2000 liters, preferably 50 to 400 liters, of the ready-to-use spray liquor are applied per hectare of agricultural useful area.
- composition according to the invention such as parts of a kit or parts of a binary or ternary mixture may be mixed by the user himself in a spray tank and further auxiliaries may be added, if appropriate.
- strobilurins e.g. strobilurins: azoxystrobin, coumethoxystrobin, coumoxystrobin, dimoxystrobin, enestroburin, fenaminstrobin, fenoxystrobin/flufenoxystrobin, fluoxastrobin, kresoxim-methyl, metominostrobin, orysastrobin, picoxystrobin, pyraclostrobin, pyrametostrobin, pyraoxystrobin, trifloxystrobin, 2-[2-(2,5-dimethyl-phenoxymethyl)-phenyl]-3- methoxy-acrylic acid methyl ester and 2-(2-(3-(2,6-dichlorophenyl)-1-methyl-allylidene- aminooxymethyl)-phenyl)-2-methoxyimino-N-methyl-acetamide, pyribencarb,
- inhibitors of complex III at Qi site cyazofamid, amisulbrom, [(3S,6S,7R,8R)-8-benzyl-3- [(3-acetoxy-4-methoxy-pyridine-2-carbonyl)amino]-6-methyl-4,9-dioxo-1 ,5-dioxonan-7-yl] 2-methylpropanoate, [(3S,6S,7R,8R)-8-benzyl-3-[[3-(acetoxymethoxy)-4-methoxy-pyridine- 2-carbonyl]amino]-6-methyl-4,9-dioxo-1 ,5-dioxonan-7-yl] 2-methylpropanoate, [(3S,6S,7R,8R)-
- - inhibitors of complex II e. g. carboxamides: benodanil, bixafen, boscalid, carboxin, fen- furam, fluopyram, flutolanil, fluxapyroxad, furametpyr, isopyrazam, mepronil, oxycarboxin, penflufen, penthiopyrad, sedaxane, tecloftalam, thifluzamide, N-(4'-trifluoromethylthiobiphenyl- 2-yl)-3-difluoromethyl-1-methyl-1 H-pyrazole-4-carboxamide, N-(2-(1 ,3,3-trimethyl-butyl)- phenyl)-1 ,3-dimethyl-5-fluoro-1 H-pyrazole-4-carboxamide, N-[9-(dichloromethylene)-1 ,2,3,4- tetrahydro-1 ,4-methanonaphthalen-5-yl]-3
- respiration inhibitors e.g. complex I, uncouplers: diflumetorim, (5,8-difluoro- quinazolin-4-yl)- ⁇ 2-[2-fluoro-4-(4-trifluoromethylpyridin-2-yloxy)-phenyl]-ethyl ⁇ -amine;
- nitrophenyl derivates binapacryl, dinobuton, dinocap, fluazinam; ferimzone; organometal compounds: fentin salts, such as fentin-acetate, fentin chloride or fentin hydroxide;
- C14 demethylase inhibitors (DMI fungicides): triazoles: azaconazole, bitertanol, bromuconazole, cyproconazole, difenoconazole, diniconazole, diniconazole-M, epoxiconazole, fenbuconazole, fluquinconazole, flusilazole, flutriafol, hexaconazole, imibenconazole, ipconazole, metconazole, myclobutanil, oxpoconazole, paclobutrazole, penconazole, propiconazole, prothioconazole, simeconazole, tebuconazole, tetraconazole, triadimefon, triadimenol, triticonazole, uniconazole; imidazoles: imazalil, pefurazoate, prochloraz, triflumizol; pyrimidine
- Delta 14-reductase inhibitors aldimorph, dodemorph, dodemorph-acetate, fenpropimorph, tridemorph, fenpropidin, piperalin, spiroxamine;
- phenylamides or acyl amino acid fungicides benalaxyl, benalaxyl-M, kiralaxyl, metalaxyl, metalaxyl-M (mefenoxam), ofurace, oxadixyl;
- tubulin inhibitors such as benzimidazoles, thiophanates: benomyl, carbendazim, fuberidazole, thiabendazole, thiophanate-methyl; triazolopyrimidines: 5-chloro-7-(4-methyl- piperidin-1-yl)-6-(2,4,6-trifluorophenyl)-[1 ,2,4]triazolo[1 ,5-a]pyrimidine
- diethofencarb diethofencarb, ethaboxam, pencycuron, fluopicolide, zoxamide, metrafenone, pyriofenone;
- methionine synthesis inhibitors anilino-pyrimidines: cyprodinil, mepanipyrim, pyrimethanil;
- protein synthesis inhibitors blasticidin-S, kasugamycin, kasugamycin hydrochloride- hydrate, mildiomycin, streptomycin, oxytetracyclin, polyoxine, validamycin A;
- MAP / histidine kinase inhibitors fluoroimid, iprodione, procymidone, vinclozolin, fenpiclonil, fludioxonil;
- G protein inhibitors quinoxyfen
- Phospholipid biosynthesis inhibitors edifenphos, iprobenfos, pyrazophos, isoprothiolane;
- lipid peroxidation dicloran, quintozene, tecnazene, tolclofos-methyl, biphenyl, chloroneb, etridiazole;
- phospholipid biosynthesis and cell wall deposition dimethomorph, flumorph, mandipropamid, pyrimorph, benthiavalicarb, iprovalicarb, valifenalate and N-(1-(1-(4-cyano- phenyl)ethanesulfonyl)-but-2-yl) carbamic acid-(4-fluorophenyl) ester;
- inorganic active substances Bordeaux mixture, copper acetate, copper hydroxide, copper oxychloride, basic copper sulfate, sulfur;
- organochlorine compounds e.g. phthalimides, sulfamides, chloronitriles: anilazine, chlorothalonil, captafol, captan, folpet, dichlofluanid, dichlorophen, flusulfamide,
- guanidines and others guanidine, dodine, dodine free base, guazatine, guazatine- acetate, iminoctadine, iminoctadine-triacetate, iminoctadine-tris(albesilate), dithianon;
- inhibitors of glucan synthesis validamycin, polyoxin B; melanin synthesis inhibitors: pyroquilon, tricyclazole, carpropamid, dicyclomet, fenoxanil;
- phosphonates fosetyl, fosetyl-aluminum, phosphorous acid and its salts;
- bronopol chinomethionat, cyflufenamid, cymoxanil, dazomet, debacarb, diclomezine, difenzoquat, difenzoquat-methylsulfate, diphenylamin, fenpyrazamine, flumetover, flusulfamide, flutianil, methasulfocarb, nitrapyrin, nitrothal-isopropyl, oxin-copper, proquinazid, tebufloquin, tecloftalam, triazoxide, 2-butoxy-6-iodo-3-propylchromen-4-one, N-(cyclo- propylmethoxyimino-(6-difluoro-methoxy-2,3-difluoro-phenyl)-methyl)-2-phenyl acetamide, N'- (4-(4-chloro-3-trifluoromethyl-phenoxy)-2,
- Antifungal biocontrol agents plant bioactivators: Ampelomyces quisqualis (e.g. AQ 10® from Intrachem Bio GmbH & Co. KG, Germany), Aspergillus flavus (e.g. AFLAGUARD® from Syngenta, CH), Aureobasidium pullulans (e.g. BOTECTOR® from bio-ferm GmbH, Germany), Bacillus pumilus (e.g. NRRL Accession No.
- Bacillus subtilis e.g. isolate NRRL-Nr. B-21661 in RHAPSODY®, SERENADE® MAX and SERENADE® ASO from AgraQuest Inc., USA
- Bacillus subtilis var. amyloliquefaciens FZB24 e.g. TAEGRO® from Novozyme Biologicals, Inc., USA
- Candida oleophila I-82 e.g. ASPIRE® from Ecogen Inc., USA
- Candida saitoana e.g.
- BIOCURE® in mixture with lysozyme
- BIOCOAT® from Micro Flo Company, USA (BASF SE) and Arysta
- Chitosan e.g. ARMOUR-ZEN from BotriZen Ltd., NZ
- catenulata also named Gliocladium catenulatum (e.g. isolate J1446: PRESTOP® from Verdera, Finland), Coniothyrium minitans (e.g. CONTANS® from Prophyta, Germany), Cryphonectria parasitica (e.g. Endothia parasitica from CNICM, France), Cryptococcus albidus (e.g. YIELD PLUS® from Anchor Bio-Technologies, South Africa), Fusarium oxysporum (e.g. BIOFOX® from S.I.A.P.A., Italy, FUSACLEAN® from Natural Plant Protection, France), Metschnikowia fructicola (e.g. SHEMER® from Agrogreen, Israel), Microdochium dimerum (e.g. ANTIBOTO from Agrauxine, France), Phlebiopsis gigantea (e.g. ROTSOP® from Verdera, Finland), Coniothyrium minitans (e.g. CONTANS®
- Pseudozyma flocculosa e.g. SPORODEX® from Plant Products Co. Ltd., Canada
- Pythium oligandrum DV74 e.g. POLYVERSUM® from Remeslo SSRO
- Reynoutria sachlinensis e.g. REGALIA® from Marrone
- Talaromyces flavus V117b e.g. PROTUS® from Prophyta, Germany
- Trichoderma asperellum SKT-1 e.g. ECO-HOPE® from Kumiai Chemical Industry Co., Ltd., Japan
- T. atroviride LC52 e.g. SENTINEL® from Agrimm Technologies Ltd, NZ
- T-22 e.g. PLANTSHIELD® der Firma BioWorks Inc., USA
- T. harzianum TH 35 e.g. ROOT PRO® from Mycontrol Ltd., Israel
- T. harzianum T-39 e.g. TRICHODEX® and
- T. harzianum and T. viride e.g. TRICHOPEL from Agrimm Technologies Ltd, NZ
- T. harzianum ICC012 and T. viride ICC080 e.g. REMEDIER® WP from Isagro Ricerca, Italy
- T. polysporum and T. harzianum e.g. BINAB® from BINAB Bio-Innovation AB, Sweden
- T. stromaticum e.g.
- T. virens GL-21 e.g. SOILGARD® from Certis LLC
- T. viride e.g. TRIECO® from Ecosense Labs. (India) Pvt. Ltd., Indien, BIO-CURE® F from T. Stanes & Co. Ltd., Indien
- T. viride TV1 e.g. T. viride TV1 from Agribiotec srl, Italy
- Ulocladium oudemansii HRU3 e.g. BOTRY-ZEN® from Botry-Zen Ltd, NZ
- BOTRY-ZEN® from Botry-Zen Ltd, NZ
- chlormequat chloride choline chloride, cyclanilide, daminozide, dikegulac, dimethipin, 2,6- dimethylpuridine, ethephon, flumetralin, flurprimidol, fluthiacet, forchlorfenuron, gibberellic acid, inabenfide, indole-3-acetic acid , maleic hydrazide, mefluidide, mepiquat (mepiquat chloride), naphthaleneacetic acid, N-6-benzyladenine, paclobutrazol, prohexadione
- acetamides acetochlor, alachlor, butachlor, dimethachlor, dimethenamid, flufenacet, mefenacet, metolachlor, metazachlor, napropamide, naproanilide, pethoxamid, pretilachlor, propachlor, thenylchlor;
- amino acid derivatives bilanafos, glyphosate, glufosinate, sulfosate;
- aryloxyphenoxypropionates clodinafop, cyhalofop-butyl, fenoxaprop, fluazifop, haloxyfop, metamifop, propaquizafop, quizalofop, quizalofop-P-tefuryl;
- Bipyridyls diquat, paraquat;
- EPTC esprocarb, molinate, orbencarb, phenmedipham, prosulfocarb, pyributicarb, thiobencarb, triallate;
- cyclohexanediones butroxydim, clethodim, cycloxydim, profoxydim, sethoxydim, tepraloxydim, tralkoxydim;
- dinitroanilines benfluralin, ethalfluralin, oryzalin, pendimethalin, prodiamine, trifluralin; diphenyl ethers: acifluorfen, aclonifen, bifenox, diclofop, ethoxyfen, fomesafen, lactofen, oxyfluorfen;
- hydroxybenzonitriles bomoxynil, dichlobenil, ioxynil;
- imidazolinones imazamethabenz, imazamox, imazapic, imazapyr, imazaquin, imazethapyr;
- phenoxy acetic acids clomeprop, 2,4-dichlorophenoxyacetic acid (2,4-D), 2,4-DB, dichlorprop, MCPA, MCPA-thioethyl, MCPB, Mecoprop;
- pyrazines chloridazon, flufenpyr-ethyl, fluthiacet, norflurazon, pyridate;
- pyridines aminopyralid, clopyralid, diflufenican, dithiopyr, fluridone, fluroxypyr, picloram, picolinafen, thiazopyr;
- sulfonyl ureas amidosulfuron, azimsulfuron, bensulfuron, chlorimuron-ethyl, chlorsulfuron, cinosulfuron, cyclosulfamuron, ethoxysulfuron, flazasulfuron, flucetosulfuron, flupyrsulfuron, foramsulfuron, halosulfuron, imazosulfuron, iodosulfuron, mesosulfuron, metazosulfuron, metsulfuron-methyl, nicosulfuron, oxasulfuron, primisulfuron, prosulfuron, pyrazosulfuron, rimsulfuron, sulfometuron, sulfosulfuron, thifensulfuron, triasulfuron, tribenuron, trifloxysulfuron, triflusulfuron, tritosulfuron, 1-
- triazines ametryn, atrazine, cyanazine, dimethametryn, ethiozin, hexazinone, metamitron, metribuzin, prometryn, simazine, terbuthylazine, terbutryn, triaziflam;
- acetolactate synthase inhibitors bispyribac-sodium, cloransulam-methyl, diclosulam, florasulam, flucarbazone, flumetsulam, metosulam, ortho-sulfamuron,
- penoxsulam propoxycarbazone, pyribambenz-propyl, pyribenzoxim, pyriftalid, pyriminobac- methyl, pyrimisulfan, pyrithiobac, pyroxasulfone, pyroxsulam;
- amicarbazone aminotriazole, anilofos, beflubutamid, benazolin,
- organo(thio)phosphates acephate, azamethiphos, azinphos-methyl, chlorpyrifos, chlorpyrifos-methyl, chlorfenvinphos, diazinon, dichlorvos, dicrotophos, dimethoate, disulfoton, ethion, fenitrothion, fenthion, isoxathion, malathion, methamidophos, methidathion, methyl- parathion, mevinphos, monocrotophos, oxydemeton-methyl, paraoxon, parathion, phenthoate, phosalone, phosmet, phosphamidon, phorate, phoxim, pirimiphos-methyl, profenofos, prothiofos, sulprophos, tetrachlorvinphos, terbufos, triazophos, trichlorfon;
- carbamates alanycarb, aldicarb, bendiocarb, benfuracarb, carbaryl, carbofuran, carbosulfan, fenoxycarb, furathiocarb, methiocarb, methomyl, oxamyl, pirimicarb, propoxur, thiodicarb, triazamate;
- pyrethroids allethrin, bifenthrin, cyfluthrin, cyhalothrin, cyphenothrin, cypermethrin, alpha-cypermethrin, beta-cypermethrin, zeta-cypermethrin, deltamethrin, esfenvalerate, etofenprox, fenpropathrin, fenvalerate, imiprothrin, lambda-cyhalothrin, permethrin, prallethrin, pyre
- insect growth regulators a) chitin synthesis inhibitors: benzoylureas: chlorfluazuron, cyramazin, diflubenzuron, flucycloxuron, flufenoxuron, hexaflumuron, lufenuron, novaluron, teflubenzuron, triflumuron; buprofezin, diofenolan, hexythiazox, etoxazole, clofentazine; b) ecdysone antagonists: halofenozide, methoxyfenozide, tebufenozide, azadirachtin; c) juvenoids: pyriproxyfen, methoprene, fenoxycarb; d) lipid biosynthesis inhibitors: spirodiclofen, spiromesifen, spirotetramat;
- nicotinic receptor agonists/antagonists compounds clothianidin, dinotefuran, imidacloprid, thiamethoxam, nitenpyram, acetamiprid, thiacloprid, 1-(2-chloro-thiazol-5- ylmethyl)-2-nitrimino-3,5-dimethyl-[1 ,3,5]triazinane;
- - GABA antagonist compounds endosulfan, ethiprole, fipronil, vaniliprole, pyrafluprole, pyriprole, 5-amino-1-(2,6-dichloro-4-methyl-phenyl)-4-sulfinamoyl-1 H-pyrazole-3-carbothioic acid amide;
- macrocyclic lactone insecticides abamectin, emamectin, milbemectin, lepimectin, spinosad, spinetoram;
- - mitochondrial electron transport inhibitor I acaricides: fenazaquin, pyridaben, tebufenpyrad, tolfenpyrad, flufenerim;
- METI II and III compounds acequinocyl, fluacyprim, hydramethylnon;
- oxidative phosphorylation inhibitors cyhexatin, diafenthiuron, fenbutatin oxide, propargite;
- moulting disruptor compounds cryomazine
- mixed function oxidase inhibitors piperonyl butoxide
- sodium channel blockers indoxacarb, metaflumizone;
- the present invention furthermore relates to agrochemical compositions comprising a mixture of at least one compound I (component 1) and at least one further active substance useful for plant protection, e. g. selected from the groups A) to O) (component 2), in particular one further fungicide, e. g. one or more fungicide from the groups A) to L), as described above, and if desired one suitable solvent or solid carrier.
- agrochemical compositions comprising a mixture of at least one compound I (component 1) and at least one further active substance useful for plant protection, e. g. selected from the groups A) to O) (component 2), in particular one further fungicide, e. g. one or more fungicide from the groups A) to L), as described above, and if desired one suitable solvent or solid carrier.
- Those mixtures are of particular interest, since many of them at the same application rate show higher efficiencies against harmful fungi.
- a synergistic effect can be obtained, i.e. more then simple addition of the individual effects is obtained (synergistic mixtures).
- This can be obtained by applying the compounds I and at least one further active substance simultaneously, either jointly (e. g. as tank-mix) or separately, or in succession, wherein the time interval between the individual applications is selected to ensure that the active substance applied first still occurs at the site of action in a sufficient amount at the time of application of the further active substance(s).
- the order of application is not essential for working of the present invention.
- binary mixtures i.e. compositions according to the invention comprising one compound I
- component 1 component 1
- component 2 component 2
- the weight ratio of component 1 and component 2 generally depends from the properties of the active substances used, usually it is in the range of from 1 :100 to 100:1 , regularly in the range of from 1 :50 to 50:1 , preferably in the range of from 1 :20 to 20:1 , more preferably in the range of from 1 :10 to 10:1 and in particular in the range of from 1 :3 to 3: 1.
- the weight ratio of component 1 and component 2 depends from the properties of the active substances used, preferably it is in the range of from 1 :50 to 50:1 and particularly in the range of from 1 :10 to 10: 1
- the weight ratio of component 1 and component 3 preferably is in the range of from 1 :50 to 50:1 and particularly in the range of from 1 : 10 to 10: 1.
- mixtures comprising a compound I (component 1) and at least one active substance selected from group A) (component 2) and particularly selected from azoxystrobin, dimoxystrobin, fluoxastrobin, kresoxim-methyl, orysastrobin, picoxystrobin, pyraclostrobin, trifloxystrobin; famoxadone, fenamidone; bixafen, boscalid, fluopyram, fluxapyroxad, isopyrazam, penflufen, penthiopyrad, sedaxane; ametoctradin, cyazofamid, fluazinam, fentin salts, such as fentin acetate.
- azoxystrobin dimoxystrobin, fluoxastrobin, kresoxim-methyl, orysastrobin, picoxystrobin, pyraclostrobin, trifloxystrobin
- famoxadone fen
- mixtures comprising a compound I (component 1) and at least one active substance selected from group B) (component 2) and particularly selected from cyproconazole, difenoconazole, epoxiconazole, fluquinconazole, flusilazole, flutriafol, metconazole, myclobutanil, penconazole, propiconazole, prothioconazole, triadimefon, triadimenol, tebuconazole, tetraconazole, triticonazole, prochloraz, fenarimol, triforine; dodemorph, fenpropimorph, tridemorph, fenpropidin, spiroxamine; fenhexamid.
- mixtures comprising a compound I (component 1) and at least one active substance selected from group C) (component 2) and particularly selected from metalaxyl,
- mixtures comprising a compound I (component 1) and at least one active substance selected from group D) (component 2) and particularly selected from benomyl, carbendazim, thiophanate-methyl, ethaboxam, fluopicolide, zoxamide, metrafenone, pyriofenone.
- mixtures comprising a compound I (component 1) and at least one active substance selected from group E) (component 2) and particularly selected from cyprodinil, mepanipyrim, pyrimethanil.
- mixtures comprising a compound I (component 1) and at least one active substance selected from group F) (component 2) and particularly selected from iprodione, fludioxonil, vinclozolin, quinoxyfen.
- mixtures comprising a compound I (component 1 ) and at least one active substance selected from group G) (component 2) and particularly selected from dimethomorph, flumorph, iprovalicarb, benthiavalicarb, mandipropamid, propamocarb.
- Preference is also given to mixtures comprising a compound I (component 1) and at least one active substance selected from group H) (component 2) and particularly selected from copper acetate, copper hydroxide, copper oxychloride, copper sulfate, sulfur, mancozeb, metiram, propineb, thiram, captafol, folpet, chlorothalonil, dichlofluanid, dithianon.
- mixtures comprising a compound I (component 1) and at least one active substance selected from group I) (component 2) and particularly selected from carpropamid and fenoxanil.
- mixtures comprising a compound I (component 1) and at least one active substance selected from group J) (component 2) and particularly selected from acibenzolar-S- methyl, probenazole, tiadinil, fosetyl, fosetyl-aluminium, H3PO3 and salts thereof.
- mixtures comprising a compound I (component 1) and at least one active substance selected from group K) (component 2) and particularly selected from cymoxanil, proquinazid and N-methyl-2- ⁇ 1-[(5-methyl-3-trifluoromethyl-1 H-pyrazol-1-yl)-acetyl]-piperidin-4-yl ⁇ -N- [(1 R)-1 ,2,3,4-tetrahydronaphthalen-1-yl]-4-thiazolecarboxamide.
- mixtures comprising a compound I (component 1) and at least one active substance selected from group L) (component 2) and particularly selected from Bacillus subtilis strain NRRL No. B-21661 , Bacillus pumilus strain NRRL No. B-30087 and Ulocladium oudemansii.
- the present invention furthermore relates to compositions comprising one compound I (component 1 ) and one further active substance (component 2), which further active substance is selected from the column "Component 2" of the lines D-1 to D-370 of Table D.
- a further embodiment relates to the compositions D-1 to D-370 listed in Table D, where a row of Table D corresponds in each case to a fungicidal composition comprising one of the in the present specification individualized compounds of formula I (component 1) and the respective further active substance from groups A) to O) (component 2) stated in the row in question.
- the compositions described comprise the active substances in synergistically effective amounts.
- Table D Composition comprising one indiviualized compound I and one further active substance from groups A) to O)
- component 2 The active substances referred to as component 2, their preparation and their activity against harmful fungi is known (cf.: http://www.alanwood.net/pesticides/); these substances are commercially available.
- the compounds described by lUPAC nomenclature, their preparation and their fungicidal activity are also known (cf. Can. J. Plant Sci.
- the mixtures of active substances can be prepared as compositions comprising besides the active ingridients at least one inert ingredient by usual means, e. g. by the means given for the compositions of compounds I.
- mixtures of active substances according to the present invention are suitable as fungicides, as are the compounds of formula I. They are distinguished by an outstanding effectiveness against a broad spectrum of phytopathogenic fungi, especially from the classes of the Ascomycetes,
- Basidiomycetes Basidiomycetes, Deuteromycetes and Peronosporomycetes (syn. Oomycetes).
- Basidiomycetes Deuteromycetes
- Peronosporomycetes se. Oomycetes
- Table V Compounds V-1 to V-11 of formula I.B as defined herein.
- the spray solutions were prepared in several steps:
- the stock solution were prepared: a mixture of acetone and/or dimethylsulfoxide and the wetting agent/emulsifier Wettol, which is based on ethoxylated alkylphenoles, in a relation (volume) solvent-emulsifier of 99 to 1 was added to 25 mg of the compound to give a total of 5 ml. Water was then added to total volume of 100 ml.
- This stock solution was diluted with the described solvent-emulsifier-water mixture to the given concentration.
- Use example 1 Protective control of soy bean rust on soy beans caused by Phakopsora pachyrhizi Leaves of pot-grown soybean seedlings were sprayed to run-off with an aqueous suspension, containing the concentration of active ingredient or their mixture as described below. The plants were allowed to air-dry. The trial plants were cultivated for 1 day in a greenhouse chamber at 23 to 27 ° C and a relative humidity between 60 and 80%. Then the plants were inoculated with spores of Phakopsora pachyrhizi. To ensure the success the artificial inoculation, the plants were transferred to a humid chamber with a relative humidity of about 95% and 20-24°C for 24 h. The trial plants were cultivated for fourteen days in a greenhouse chamber at 23 to 27°C and a relative humidity between 60 and 80%.
- Use example 2 Preventative control of leaf blotch on wheat caused by Septoria tritici
- Leaves of pot-grown wheat seedling were sprayed to run-off with an aqueous suspension of the active compound or their mixture, prepared as described. The plants were allowed to air-dry. At the following day the plants were inoculated with an aqueous spore suspension of Septoria tritici. Then the trial plants were immediately transferred to a humid chamber at 18 to 22°C and a relative humidity close to 100%. After 4 days the plants were transferred to a chamber with 18 to 22°C and a relative humidity close to 70% and kept there for 4 weeks.
- V-4, V-5, V-6, V-7, V-8, V-10 or V-1 1 showed a diseased leaf area of at most 20%, whereas the untreated plants showed 92% diseased leaf area.
- Young seedlings of tomato plants were grown in pots. These plants were sprayed to run-off with an aqueous suspension, containing the concentration of active ingredient or their mixture mentioned in the table below. The next day, the treated plants were inoculated with an aqueous suspension of sporangia of Phytophthora infestans. After inoculation, the trial plants were immediately transferred to a humid chamber and kept for 6 days at 18 to 20°C and a relative humidity close to 100%.
- Use example 4 Preventative fungicidal control of Botrytis cinerea on leaves of green pepper
- Young seedlings of green pepper were grown in pots to the 4 to 5 leaf stage. These plants were sprayed to run-off with an aqueous suspension, containing the concentration of active ingredient or their mixture mentioned in the table below. The next day the plants were inoculated with a aqueous biomalt solution containing the spore suspension of Botrytis cinerea. Then the plants were immediately transferred to a humid chamber and kept for 5 days at 22 to 24°C and a relative humidity close to 100 %.
Landscapes
- Chemical & Material Sciences (AREA)
- Organic Chemistry (AREA)
- Agricultural Chemicals And Associated Chemicals (AREA)
- Plural Heterocyclic Compounds (AREA)
Description
Fungicidal pyrimidine compounds
Description
The present invention relates to fungicidal pyrimidine compounds, to their use and to methods for combating phytopathogenic fungi. The present invention also relates to seeds treated with at least one such compound. Furthermore the invention relates to processes for preparing compounds of formula I.
WO 9803272 A1 describes a process for the preparation of 4-amino-5-chloro-6- (l-fluoroethyl)pyrimidine compounds, which are pest controlling agents for agricultural and horticultural use. WO 9728133 A1 discloses acylated 4-amino and 4-hydrazinopyrimidines and their use as pesticides. WO 9518795 A1 relates to N-(4-pyrimidinyl)amide pesticides and EP 665225 A1 relates to 4-phenethylamino pyrimidine derivatives useful for chemical control of noxious organisms. EP 264217 A2 relates to N-(4-pyrimidinyl)arylalkylamine pesticides with halogen or lower alkyl in 6- position of the pyrimidine, inter alia disclosing N-(4-pyrim dinyl)phenylethylamines.
The compounds according to the present invention differ from those described in the
abovementioned publications in that the heteroaryloxy residue is attached to the phenyl ring in ortho- and metha-position. In many cases, in particular at low application rates, the fungicidal activity of known fungicidal compounds is unsatisfactory. Based on this, it was an object of the present invention to provide compounds having improved activity and/or a broader activity spectrum against phytopathogenic fungi. This objective is achieved by the use of substituted pyrimidine compounds of formula I having good fungicidal activity against phytopathogenic harmful fungi.
Accordingly, the present invention relates to compounds of the formula I
wherein:
RA2, RA5 , RA6 independently of each other are hydrogen, halogen, CN , NO2, OH , SH , C1-C4- alkyl, Ci-C4-haloalkyl, Ci-C4-alkoxy, Ci-C4-haloalkoxy, Ci-C4-alkylthio, Ci-C4-haloalkylthio, Ci C4-alkylsulfinyl, Ci-C4-haloalkylsulfinyl, Ci-C4-alkylsulfonyl, Ci-C4-haloalkylsulfonyl, C1-C4- alkoxy-Ci-C4-alkyl, Ci-C4-alkoxy-Ci-C4-alkoxy, C2-C4-alkenyl, C2-C4-alkynyl,
C2-C4-haloalkenyl, C2-C4-haloalkynyl, Cs-Cs-cycloalkyl, Cs-Cs-cycloalkyloxy, Ci-C4-alkyl-C3- Ce-cycloalkyl, N RARB, C(=0)R', C(=N0R")R"' or -C(=N H)-0-R"';
RA, RB independently of each other are hydrogen, Ci-C4-alkyl, C2-C4-alkenyl, C2-C4- alkynyl, phenyl, benzyl, Cs-Cs-cycloalkyl, Cs-Cs-cycloalkenyl or
-(C=0)-R';
R' is hydrogen, OH, NH2, Ci-C4-alkyl, Ci-C4-haloalkyl, C2-C4-alkenyl, C2-C4-alkynyl, Ci-C4-alkoxy, Ci-C4-haloalkoxy, Ci-C4-alkylamino or di(Ci-C4-alkyl)amino;
R" is hydrogen, Ci-C4-alkyl, Ci-C4-haloalkyl, C2-C4-alkenyl, C2-C4-alkynyl or Ci-C4-alkoxy- Ci-C4-alkyl,
R'" is hydrogen or Ci-C4-alkyl;
R is hydrogen, Ci-C4-alkyl, Ci-C4-haloalkyl, Ci-C4-alkoxy, Ci-C4-haloalkoxy, Ci-C4-alkoxy-Ci-C4- alkyl, Ci-C4-haloalkoxy-Ci-C4-alkyl, C2-C4-alkenyl,
C2-C4-haloalkenyl, C2-C4-alkynyl, C2-C4-haloalkynyl, CN, CH2CN, NRARB or CH2-0-C(=0)R';
R1, R2 independently of each other are hydrogen, halogen, CN, OH, Ci-C4-alkyl, Ci-C4-halo- alkyl, Ci-C4-alkoxy, Ci-C4-haloalkoxy, Ci-C4-alkoxy-Ci-C4-alkyl, Ci-C4-haloalkoxy-Ci-C4-alkyl, C2-C4-alkenyl, C2-C4-haloalkenyl, C2-C4-alkynyl, C2-C4-haloalkynyl, Cs-Cs-cycloalkyl, C1-C4- alkyl-Cs-Cs-cycloalkyl, C3-C8-cycloalkyloxy, Ci-C4-alkyl-C3-C8-cycloalkyl, NRARB, C(=0)R', C(=NOR")R"'
-C(=NH)-0-R"' or benzyl wherein the phenyl moiety of benzyl is unsubstituted or carries 1 , 2 , 3, 4, or 5 substituents selected from the group consisting of CN, halogen, Ci-C4-alkyl, C1-C4- haloalkyl, Ci-C4-alkoxy, Ci-C4-haloalkoxy, (Ci-C4-alkoxy)carbonyl and di(Ci-C4-alkyl)amino- carbonyl; or two radicals R1 and R2 that are bound to the same carbon atom form together with said carbon atom a saturated or partially unsaturated
3-, 4-, 5-, 6-, or 7-membered carbocycle or a saturated or partially unsaturated 3-, 4-, 5-, 6-, or 7-membered heterocycle, wherein the ring member atoms of the abovementioned heterocycle include beside carbon atoms 1 , 2, 3 or 4 heteroatoms selected from the group of N, O and S, and wherein the abovementioned cycle is unsubstituted or carries 1 , 2, 3 or 4 substituents selected from halogen, CN, OH, SH, Ci-C4-alkyl, Ci-C4-alkoxy or Ci-C4-alkylthio; and one or two CH2 groups of the abovementioned cycles may be respectively be replaced by one or two C=0 or C=S groups;
X is a divalent group selected from -C(=0)- and -C(=S)-; n indicates the number of substituents Rb on the phenyl ring and n is 0, 1 , 2 or 3;
Rb is halogen, CN, N02, Ci-C4-alkyl, Ci-C4-haloalkyl, Ci-C4-alkoxy, Ci-C4-haloalkoxy,
C2-C4-alkenyl, C2-C4-haloalkenyl, C2-C4-alkynyl, C2-C4-haloalkynyl, NRARB, C(=NOR")R"' or - C(=NH)-0-R"', it being possible for n = 2 or 3 that Rb are identical or different;
Het is a 5- or 6-membered heteroaryl, wherein the ring member atoms of the heteroaryl include besides carbon atoms 1 , 2, 3 or 4 heteroatoms selected from the group of N, O and S and wherein the heteroaryl is unsubstituted or carries 1 , 2, 3 or 4 identical or different groups Rc:
Rc is halogen, CN, N02, NH2, Ci-C6-alkyl, Ci-C6-haloalkyl, Ci-C6-alkoxy, Ci-C6-haloalkoxy,
Ci-C6-alkylamino, di(Ci-C6-alkyl)amino, Ci-C6-alkylthio, Ci-C6-haloalkylthio, Ci-C6-alkylsulfinyl, Ci-C6-haloalkylsulfinyl, Ci-C6-alkylsulfonyl, Ci-C6-haloalkylsulfonyl, Ci-C6-alkoxy-Ci-C4-alkyl, Ci-C6-haloalkoxy-Ci-C4-alkyl, C2-C6-alkenyl, C2-C6-alkynyl, C(=0)R', C(=NOR")R"',
C3-C8-cycloalkyl, Ci-C4-alkyl-C3-C8-cycloalkyl, phenyl, phenoxy, phenoxy-Ci-C4-alkyl or a 5- or 6-membered heteroaryl, wherein the ring member atoms of the heteroaryl include besides carbon atoms 1 , 2, 3 or 4 heteroatoms selected from the group of N, O and S, and wherein the aforementioned cyclic radicals are unsubstituted or carry 1 , 2, 3 or 4 identical or different substituents Rd:
Rd is halogen, CN, Ci-C4-alkyl, Ci-C4-haloalkyl, Ci-C4-alkoxy or Ci-C4-haloalkoxy; and/or two radicals Rc that are bound to adjacent ring member atoms of the Het group form together with said ring member atoms a fused
5-, 6- or 7-membered saturated, partially unsaturated or aromatic carbocycle or heterocycle, wherein the ring member atoms of the fused heterocycle include besides carbon atoms 1 , 2, 3 or 4 heteroatoms selected from the group of N, O and S, and wherein the fused carbocycle or heterocycle is unsubstituted or carries 1 , 2, 3 or 4 identical or different radicals groups Re:
Re is halogen, CN, Ci-C4-alkyl, Ci-C4-haloalkyl, Ci-C4-alkoxy or Ci-C4-haloalkoxy; is hydrogen, halogen, CN, N02, Ci-C4-alkyl, Ci-C4-haloalkyl, Ci-C4-alkoxy, Ci-C4-haloalkoxy, C2-C4-alkenyl, C2-C4-haloalkenyl, C2-C4-alkynyl, C2-C4-haloalkynyl, NRARB, C(=0)R',
C(=NOR")R"' or -C(=NH)-0-R"'; or two radicals Rc and Rf that are bound to adjacent ring member atoms of the Het group form together with said ring member atoms a fused
5-, 6- or 7-membered saturated, partially unsaturated or aromatic carbocycle or heterocycle, wherein the ring member atoms of the fused heterocycle include besides carbon atoms 1 , 2, 3 or 4 heteroatoms selected from the group of N, O and S, and wherein the fused carbocycle or heterocycle is unsubstituted or carries 1 , 2, 3 or 4 identical or different radicals groups Re; and the N-oxides and the agriculturally acceptable salts of the compounds of formula I.
The present invention furthermore relates to processes for preparing compounds of formula I.
Accordingly a 4-halopyrimidine compound II, wherein Hal is halogen, preferably CI or F, can be reacted with a suitable phenethyl amine compound III, wherein X is -CR3R4-, to obtain a compound I according to the present invention, wherein X is -CR3R4-, as shown in Scheme 1 :
Scheme 1 solvent, base
II III
Generally, this reaction is carried out at temperatures of from 0 to 200°C, preferably from 50 to 170°C, in an inert organic solvent preferably in the presence of a base or a catalyst or a combination of a base and a catalyst.
Suitable catalysts are e.g. halides such as NaF, KF, LiF, NaBr, KBr, LiBr, Nal, Kl, Lil; ionic liquids, such as imidazolium catalysts; transition metal catalysts like palladium, rhodium, ruthenium, iron, copper in the form of halides, pseudohalides, alkoxides, carboxylates (preferred acetate), complexes with dibenzylidene acetone and ligands like phosphine, phosphites, phosphoramidate ligands.
Preferred ligands are bidentate and sterically demanding phosphorous ligands, even more preferably the catalysts are selected from 2,2'-bis(diphenylphosphanyl)-1 ,1'-binaphthyl,
2,2'-bis(diphenylphosphino)-1 ,1'-biphenyl, 2,4',6'-diisopropyl-1 , 1'-biphenyl-2- yldicyclohexylphosphine, 2-(dicyclohexylphosphino)-2',6'-dimethoxy-1 ,1'-biphenyl,
1 ,1-bis(diphenylphosphino)ferrocene, 9,9-dimethyl-4,5-bis(diphenylphosphino)xanthene, 1 ,2- bis(diphenylphosphino)ethane (dppe), 1 ,3-propanediylbis[diphenylphosphine], 1 ,4-butanediylbis[di- phenylphosphine] and 1 ,1'-(1 ,2-ethanediyl)bis[1-(2-methoxyphenyl)-1-phenyl-diposphine.
Suitable solvents are aromatic hydrocarbons such as toluene, o-, m- and p-xylene; halogenated hydrocarbons such as chlorobenzene, dichlorobenzene; ethers such as dioxane, anisole and THF; nitriles such as acetonitrile and propionitrile; ketones such as acetone, methyl ethyl ketone, diethyl ketone and tert.-butyl methyl ketone; alcohols such as ethanol, n-propanol, isopropanol, n-butanol and tert.-butanol; and also DMSO, DMF, dimethyl acetamide, NMP, NEP and acetic acid ethyl ester. Preferably THF, DMSO, DMF, dimethyl acetamide, NMP or NEP are used; even more preferably THF, DMF or NMP are used. It is also possible to use mixtures of the solvents mentioned.
Suitable bases are, in general, inorganic compounds, such as alkali metal and alkaline earth metal hydroxides such as lithium hydroxide, sodium hydroxide, potassium hydroxide and calcium hydroxide; alkali metal and alkaline earth metal oxides such as lithium oxide, sodium oxide, potassium oxide and calcium oxide; alkali metal and alkaline earth metal phosphates such as lithium phosphate, sodium phosphate, potassium phosphate and calcium phosphate; alkali metal amides such as lithium amide, sodium amide and potassium amide; alkali metal and alkaline earth metal hydrides lithium hydride, sodium hydride, potassium hydride and calcium hydride; alkali metal and alkaline earth metal carbonates such as lithium carbonate, potassium carbonate and calcium carbonate, caesium carbonate; moreover organic bases, for example tertiary amines such as trimethyl-amine (TMA), triethylamine (TEA), tributylamine (TBA), diisopropylethylamine (DIPEA) and N-methyl-2-pyrrolidone (NMP), pyridine, substituted pyridines such as collidine, lutidine and 4 dimethylaminopyridine (DMAP), and also bicyclic amines. Preference is given to sodium hydride, potassium hydride, lithium carbonate, potassium carbonate, caesium carbonate, TEA, TBA and DIPEA, in particular DIPEA. The bases are generally employed in equimolar amounts, in excess or, if appropriate, as solvent. The amount of base is typically 1.1 to 5.0 molar equivalents relative to 1 mole of compounds II.
The starting materials are generally reacted with one another in equimolar amounts. In terms of yields, it may be advantageous to employ an excess of compounds III, based on 1.1 to 2.5 equivalents, preferred 1.1 to 1.5 equivalents of compounds II. The compounds II are known from the literature or are commercially available or they can be prepared for example in analogy to methods described in: Heterocycles (2009) 78(7), 1627-1665; New J. Chem. (1994) 18(6), 701-8; WO 2005/095357; Science of Synthesis (2004) 16, 379-572; WO 2008/156726; WO 2006/072831 ; Organic Reactions (Hoboken, NJ, United States) (2000), 56; or Targets in Heterocyclic Systems (2008) 12, 59-84.
The phenyl acetic acid amide compounds III are known from the literature or are commercially available or they can be prepared for example in analogy to methods described in Organometallics (201 1 ), 30(20), 5442-5451 , WO 2010058030 A1 20100527, Journal of Organic Chemistry (1987), 52(21 ), 4689-93; GB 2016466 A.
Alternatively, amide compounds I, wherein X is -C(=0)-, can be synthesized by reacting 4-amino- pyrimidine compounds lla [available by reaction of a chloropyrimidine II with excess of ammonia in analogy to methods described in WO 201 1/147066, WO 2006/135719, US 2005/0245530 A1 , J. Chem. Soc. (1951 ), 3439-44; Helv. Chim. Act. (1951 ), 34, 835-40] with the corresponding phenyl acetic acids Il ia in which Z is hydrogen or Ci-C4-alkyl, which are commercially available, preferably in presence of AIMe3 (1 to 3 equivalents) as stoichiometric reagent preferably in an inert organic solvent such as toluene (in analogy to US 2010/0063063 A1 ; WO 2005/01 1601 ; WO 2006/074884) as outlined in scheme 2. Scheme 2
lla Ilia
Compounds I , wherein X is -C(=S)-, can be prepared for example in analogy to methods described in US 20100022538 A1 , J. Med. Chem. (201 1 ), 54(9), 3241-3250, J. Org. Chem. (201 1 ), 76(6), 1546-1553, Org. Lett. (2010), 12(23), 5570-5572.
Compounds I and intermediates, wherein R is hydrogen, can be converted by conventional processes such as alkylation. Examples of suitable alkylating agents include alkyl halides, such as alkyl chloride, alkyl bromide or alkyl iodide, examples being methyl chloride, methyl bromide or methyl iodide, or dialkyl sulfates such as dimethyl sulfate or diethyl sulfate. The reaction with the alkylating agent is carried out advantageously in the presence of a solvent. Solvents used for these reactions are - depending on temperature range - aliphatic, cycloaliphatic or aromatic hydrocarbons such as hexane, cyclohexane, toluene, xylene, chlorinated aliphatic and aromatic hydrocarbons such as DCM, chlorobenzene, open-chain dialkyl ethers such as diethyl ether, di-n-propyl ether, MTBE, cyclic ethers such as THF, 1 ,4-dioxane, glycol ethers such as dimethyl glycol ether, and also
DMSO, DMF, dimethyl acetamide, NMP, NEP and acetic acid ethyl ester, preferably DMF, DMSO, NMP or NEP, or mixtures of these solvents.
If individual compounds I cannot be obtained by the routes described above, they can be prepared by derivatization of other compounds I. The N-oxides may be prepared from the compounds I according to conventional oxidation methods, e. g. by treating compounds I with an organic peracid such as metachloroperbenzoic acid (cf. WO 03/64572 or J. Med. Chem. (1995), 38(1 1 ), 1892- 1903,); or with inorganic oxidizing agents such as hydrogen peroxide (cf. J. Heterocyc. Chem.
(1981 ), 18 (7), 1305-1308) or oxone (cf. J. Am. Chem. Soc. (2001 ), 123 (25), 5962-5973). The oxidation may lead to pure mono-N-oxides or to a mixture of different N-oxides, which can be separated by conventional methods such as chromatography.
If the synthesis yields mixtures of isomers, a separation is generally not necessarily required since in some cases the individual isomers can be interconverted during work-up for use or during application (e. g. under the action of light, acids or bases). Such conversions may also take place after use, e. g. in the treatment of plants in the treated plant, or in the harmful fungus to be controlled.
The reaction mixtures are worked up in a customary manner, for example by mixing with water, separating the phases and, if appropriate, chromatic purification of the crude products. In some cases, the intermediates and end products are obtained in the form of colorless or slightly viscous oils which can be freed from volatile components or purified under reduced pressure and at moderately elevated temperatures. If the intermediates and end products are obtained as solids, purification can also be carried out by recrystallization or digestion.
The compounds of the present invention are useful for combating harmful fungi. Therefore the present invention furthermore relates to a method for combating harmful fungi, which process comprises treating the fungi or the materials, plants, the soil or seeds to be protected against fungal attack, with an effective amount of at least one compound of formula I or of an N-oxide or an agriculturally acceptable salt thereof.
Furthermore, the present invention also relates to seed comprising a compound of formula I, or an N-oxide or an agriculturally acceptable salt thereof, in an amount of from 0.1 g to 10 kg per 100 kg of seed. Depending on the substitution pattern, the compounds of formula I and their N-oxides may have one or more centers of chirality, in which case they are present as pure enantiomers or pure
diastereomers or as enantiomer or diastereomer mixtures. Both, the pure enantiomers or diastereomers and their mixtures are subject matter of the present invention. Agriculturally useful salts of the compounds I encompass especially the salts of those cations or the acid addition salts of those acids whose cations and anions, respectively, have no adverse effect on the fungicidal action of the compounds I. Suitable cations are thus in particular the ions of the alkali metals, preferably sodium and potassium, of the alkaline earth metals, preferably calcium, magnesium and barium, of the transition metals, preferably manganese, copper, zinc and iron, and also the ammonium ion which, if desired, may carry one to four Ci-C4-alkyl substituents and/or one phenyl or benzyl substituent, preferably diisopropylammonium, tetramethylammonium,
tetrabutylammonium, trimethylbenzylammonium, furthermore phosphonium ions, sulfonium ions, preferably tri(Ci-C4-alkyl)sulfonium, and sulfoxonium ions, preferably tri(Ci-C4-alkyl)sulfoxonium. Anions of useful acid addition salts are primarily chloride, bromide, fluoride, hydrogensulfate, sulfate, dihydrogenphosphate, hydrogenphosphate, phosphate, nitrate, bicarbonate, carbonate,
hexafluorosilicate, hexafluorophosphate, benzoate, and the anions of Ci-C4-alkanoic acids, preferably formate, acetate, propionate and butyrate. They can be formed by reacting a compound I with an acid of the corresponding anion, preferably of hydrochloric acid, hydrobromic acid, sulfuric acid, phosphoric acid or nitric acid. Compounds I can be present in different crystal modifications whose biological activity may differ. They also form part of the subject matter of the present invention. The compounds of formula I can be present in atropisomers arising from restricted rotation about a single bond of asymmetric groups. They also form part of the subject matter of the present invention. In respect of the variables, the embodiments of the intermediates correspond to the embodiments of the compounds of formula I. The term "compounds I" refers to compounds of formula I. Likewise, the term "compounds I la" refers to compounds of formula Ma.
In the definitions of the variables given above, collective terms are used which are generally representative for the substituents in question. The term "Cn-Cm" indicates the number of carbon atoms possible in each case in the substituent or substituent moiety in question.
The term "halogen" refers to fluorine, chlorine, bromine and iodine. The term "Ci-C4-alkyl" refers to a straight-chained or branched saturated hydrocarbon group having 1 to 4 carbon atoms, for example methyl, ethyl, propyl, 1-methylethyl, butyl, 1-methylpropyl, 2- methylpropyl, and 1 , 1-dimethylethyl. Likewise, the term "Ci-C6-alkyl" refers to a straight-chained or branched saturated hydrocarbon group having 1 to 6 carbon atoms. The term "Ci-C4-haloalkyl" refers to a straight-chained or branched alkyl group having 1 to 4 carbon atoms (as defined above), wherein some or all of the hydrogen atoms in these groups may be replaced by halogen atoms as mentioned above, for example chloromethyl, bromomethyl, dichloromethyl, trichloromethyl, fluoromethyl, difluoromethyl, trifluoromethyl, chlorofluoromethyl, dichlorofluoromethyl, chlorodifluoromethyl, 1-chloroethyl, 1-bromoethyl, 1-fluoroethyl, 2-fluoroethyl, 2,2-difluoroethyl, 2,2,2-trifluoroethyl, 2-chloro-2-fluoroethyl, 2-chloro-2,2-difluoroethyl, 2,2-dichloro-2- fluoroethyl, 2,2,2-trichloroethyl and pentafluoroethyl, 2-fluoropropyl, 3-fluoropropyl, 2,2-difluoro- propyl, 2,3-difluoropropyl, 2-chloropropyl, 3-chloropropyl, 2,3-dichloropropyl, 2-bromopropyl, 3- bromopropyl, 3,3,3-trifluoropropyl, 3,3,3-trichloropropyl, CH2-C2F5, CF2-C2F5, CF(CF3)2, 1- (fluoromethyl)-2-fluoroethyl, 1-(chloromethyl)-2-chloroethyl, 1-(bromomethyl)-2-bromoethyl, 4- fluorobutyl, 4-chlorobutyl, 4-bromobutyl or nonafluorobutyl. Likewise, the term "Ci-C6-haloalkyl" refers to a straight-chained or branched alkyl group having 1 to 6 carbon atoms.
The term "Ci-C4-alkoxy" refers to a straight-chain or branched alkyl group having 1 to 4 carbon atoms (as defined above) which is bonded via an oxygen, at any position in the alkyl group, for example methoxy, ethoxy, n-propoxy, 1-methylethoxy, butoxy, 1-methyhpropoxy, 2-methylpropoxy or 1 , 1-dimethylethoxy. Likewise, the term "Ci-C6-alkoxy" refers to a straight-chain or branched alkyl
group having 1 to 6 carbon atoms.
The term "Ci-C4-hydroxyalkyl" refers to a straight-chained or branched alkyl group having 2 to 4 carbon atoms (as defined above), wherein one hydrogen atom in these groups may be replaced by one hydroxy group, for example hydroxymethyl, 2-hydroxyethyl, 3-hydroxy~propyl, 4-hydroxy-butyl.
The term "Ci-C4-haloalkoxy" refers to a Ci-C4-alkoxy group as defined above, wherein some or all of the hydrogen atoms may be replaced by halogen atoms as mentioned above, for example, OCH2F, OCHF2, OCF3, OCH2CI, OCHCI2, OCC , chlorofluoromethoxy, dichlorofluoromethoxy,
chlorodifluoromethoxy, 2-fluoroethoxy, 2-chloroethoxy, 2-bromoethoxy, 2-iodoethoxy, 2,2- difluoroethoxy, 2,2,2-trifluoroethoxy, 2-chloro-2-fluoroethoxy, 2-chloro-2,2-difluoroethoxy, 2,2- dichloro-2-fluoroethoxy, 2,2,2-trichloroethoxy, OC2F5, 2-fluoropropoxy, 3-fluoropropoxy, 2,2- difluoropropoxy, 2,3-difluoropropoxy, 2-chloropropoxy, 3-chloropropoxy, 2,3-dichloropropoxy, 2-bromopropoxy, 3-bromopropoxy, 3,3,3-trifluoropropoxy, 3,3,3-trichloropropoxy, OCH2-C2F5, OCF2-C2F5, 1-(CH2F)-2-fluoroethoxy, 1-(CH2CI)-2-chloroethoxy, 1-(CH2Br)-2-bromo-'ethoxy, 4-fluorobutoxy, 4-chlorobutoxy, 4-bromobutoxy or nonafluorobutoxy. Likewise, the term "C1-C6- haloalkoxy" refers to a Ci-C6-alkoxy group as defined above, wherein some or all of the hydrogen atoms may be replaced by halogen atoms as mentioned above. The term "Ci-C4-alkoxy-Ci-C4-alkyl" refers to alkyl having 1 to 4 carbon atoms (as defined above), wherein one hydrogen atom of the alkyl radical is replaced by a Ci-C4-alkoxy group (as defined above). Likewise, the term "Ci-C6-alkoxy-Ci-C4-alkyl" refers to alkyl having 1 to 4 carbon atoms (as defined above), wherein one hydrogen atom of the alkyl radical is replaced by a Ci-C6-alkoxy group (as defined above).
The term "Ci-C4-haloalkoxy-Ci-C4-alkyl" refers to alkyl having 1 to 4 carbon atoms (as defined above), wherein one hydrogen atom of the alkyl radical is replaced by a Ci-C4-haloalkoxy group (as defined above). Likewise, the term "Ci-C6-haloalkoxy-Ci-C4-alkyl" refers to alkyl having 1 to 4 carbon atoms (as defined above), wherein one hydrogen atom of the alkyl radical is replaced by a Ci-C6-alkoxy group (as defined above).
The term "Ci-C4-alkylthio" as used herein refers to straight-chain or branched alkyl groups having 1 to 4 carbon atoms (as defined above) bonded via a sulfur atom, at any position in the alkyl group, for example methylthio, ethylthio, propylthio, isopropylthio, and n butylthio. Likewise, the term "C1-C6- alkylthio" as used herein refers to straight-chain or branched alkyl groups having 1 to 6 carbon atoms (as defined above) bonded via a sulfur atom. Accordingly, the terms "Ci-C4-haloalkylthio" and "Ci-C6-haloalkylthio" as used herein refer to straight-chain or branched haloalkyl groups having 1 to 4 or 1 to 6 carbon atoms (as defined above) bonded through a sulfur atom, at any position in the haloalkyl group.
The terms "Ci-C4-alkylsulfinyl" or "Ci-C6-alkylsulfinyl" refer to straight-chain or branched alkyl groups having 1 to 4 or 1 to 6 carbon atoms (as defined above) bonded through a -S(=0)- moiety, at any position in the alkyl group, for example methylsulfinyl and ethylsulfinyl, and the like. Accordingly, the terms "Ci-C4-haloalkylsulfinyl" and "Ci-C6-haloalkylsulfinyl", respectively, refer to straight-chain or branched haloalkyl groups having 1 to 4 and 1 to 6 carbon atoms (as defined above), respectively, bonded through a -S(=0)- moiety, at any position in the haloalkyl group.
The terms "Ci-C4-alkylsulfonyl" and "Ci-C6-alkylsulfonyl", respectively, refer to straight-chain or branched alkyl groups having 1 to 4 and 1 to 6 carbon atoms (as defined above), respectively, bonded through a -S(=0)2- moiety, at any position in the alkyl group, for example methylsulfonyl. Accordingly, the terms "Ci-C4-haloalkylsulfonyl" and "Ci-C6-haloalkylsulfonyl", respectively, refer to straight-chain or branched haloalkyl groups having 1 to 4 and 1 to 6 carbon atoms (as defined above), respectively, bonded through a -S(=0)2- moiety, at any position in the haloalkyl group.
The term "Ci-C4-alkylamino" refers to an amino radical carrying one Ci-C4-alkyl group (as defined above) as substituent, for example methylamino, ethylamino, propylamino, 1-methylethylamino, butylamino, 1-methylpropylamino, 2-methylpropylamino, 1 ,1-dimethylethylamino and the like.
Likewise, the term "Ci-C6-alkylamino" refers to an amino radical carrying one Ci-C6-alkyl group (as defined above) as substituent. The term "di(Ci-C4-alkyl)amino" refers to an amino radical carrying two identical or different C1-C4- alkyl groups (as defined above) as substituents, for example dimethylamino, diethylamino, di-n- propylamino, diisopropylamino, N-ethyl-N-methylamino, N-(n-propyl)-N-methylamino, N-(isopropyl)- N methylamino, N-(n-butyl)-N-methylamino, N-(n-pentyl)-N-methylamino, N-(2-butyl)-N methylamino, N-(isobutyl)-N-methylamino, and the like. Likewise, the term "di(Ci-C6-alkyl)amino" refers to an amino radical carrying two identical or different Ci-C6-alkyl groups (as defined above) as
substituents.
The term "(Ci-C4-alkoxy)carbonyl" refers to a Ci-C4-alkoxy radical (as defined above) which is attached via a carbonyl group.
The term "di(Ci-C4-alkyl)aminocarbonyl" refers to a di(Ci-C4)alkylamino radical as defined above which is attached via a carbonyl group.
The term "phenoxy" and refers to a phenyl radical which is attached via an oxygen atom. Likewise, the term "phenoxy-Ci-C4-alkyl" and refers to a phenoxy radical which is attached via a Ci-C4-alkyl group (as defined above).
The term "C2-C4-alkenyl" refers to a straight-chain or branched unsaturated hydrocarbon radical having 2 to 4 carbon atoms and a double bond in any position, such as ethenyl, 1-propenyl, 2- propenyl (allyl), 1-methylethenyl, 1-butenyl, 2-butenyl, 3-butenyl, 1-methyl-1-propenyl, 2-methyl-1- propenyl, 1-methyl-2-propenyl, 2-methyl-2-propenyl. Likewise, the term "C2-C6-alkenyl" refers to a straight-chain or branched unsaturated hydrocarbon radical having 2 to 6 carbon atoms and a double bond in any position. The term "C2-C4-alkynyl" refers to a straight-chain or branched unsaturated hydrocarbon radical having 2 to 4 carbon atoms and containing at least one triple bond, such as ethynyl, 1-propynyl, 2- propynyl, 1-butynyl, 2-butynyl, 3-butynyl, 1-methyl-2-propynyl. Likewise, the term "C2-C6-alkynyl" refers to a straight-chain or branched unsaturated hydrocarbon radical having 2 to 6 carbon atoms and at least one triple bond.
The term "Cs-Cs-cycloalkyl" refers to monocyclic saturated hydrocarbon radicals having 3 to 8
carbon ring members, such as cyclopropyl (C3H5), cyclobutyl, cyclopentyl, cyclohexyl, cycloheptyl or cyclooctyl.
The term "Ci-C4-alkyl-C3-C8-cycloalkyl" refers to a cycloalkyi radical having 3 to 8 carbon atoms (as defined above), wherein one hydrogen atom of the cycloalkyi radical is replaced by a Ci-C4-alkyl group (as defined above).
The term "Cs-Cs-cycloalkyloxy" refers to a cycloalkyi radical having 3 to 8 carbon atoms (as defined above), which is bonded via an oxygen.
The term "saturated or partially unsaturated 3-, 4- 5-, 6- or 7-membered carbocycle" is to be understood as meaning both saturated or partially unsaturated carbocycles having 3, 4, 5, 6 or 7 ring members. Examples include cyclopropyl, cyclopentyl, cyclopentenyl, cyclopentadienyl, cyclohexyl, cyclohexenyl, cyclohexadienyl, cycloheptyl, cycloheptenyl, cycloheptadienyl, and the like.
The term " saturated or partially unsaturated 3-, 4-, 5-, 6-, or 7-membered heterocycle, wherein the ring member atoms of the heterocycle include besides carbon atoms 1 , 2, 3 or 4 heteroatoms selected from the group of N, O and S", is to be understood as meaning both saturated and partially unsaturated heterocycles, for example: a 3- or 4-membered saturated heterocycle which contains 1 or 2 heteroatoms from the group consisting of N, O and S as ring members such as oxirane, aziridine, thiirane, oxetane, azetidine, thiethane, [1 ,2]dioxetane, [1 ,2]dithietane, [1 ,2]diazetidine; and a 5- or 6-membered saturated or partially unsaturated heterocycle which contains 1 , 2 or
3 heteroatoms from the group consisting of N, O and S as ring members such as 2- tetrahydrofuranyl, 3-tetrahydrofuranyl, 2-tetrahydrothienyl, 3-tetrahydrothienyl, 2- pyrrolidinyl, 3-pyrrolidinyl, 3-isoxazolidinyl, 4-isoxazolidinyl, 5-isoxazolidinyl, 3- isothiazolidinyl, 4-isothiazolidinyl, 5-isothiazolidinyl, 3-pyrazolidinyl, 4-pyrazolidinyl, 5-pyrazolidinyl, 2-oxazolidinyl, 4-oxazolidinyl, 5-oxazolidinyl, 2-thiazolidinyl, 4- thiazolidinyl, 5-thiazolidinyl, 2-imidazolidinyl, 4-imidazolidinyl, 1 ,2,4-oxadiazolidin-3-yl, 1 ,2,4-oxadiazolidin-5-yl, 1 ,2,4-thiadiazolidin-3-yl, 1 ,2,4-thiadiazolidin-5-yl,
1 ,2,4-triazolidin-3-yl, 1 ,3,4-oxadiazolidin-2-yl, 1 ,3,4-thiadiazolidin-2-yl, 1 ,3,4-triazolidin-2- yl, 2,3-dihydrofur-2-yl, 2,3-dihydrofur-3-yl, 2,4-dihydrofur-2-yl, 2,4-dihydrofur-3-yl, 2,3-dihydrothien-2-yl, 2,3-dihydrothien-3-yl, 2,4-dihydrothien-2-yl, 2,4-dihydrothien-3-yl,
2-pyrrolin-2-yl, 2-pyrrolin-3-yl, 3-pyrrolin-2-yl, 3-pyrrolin-3-yl, 2-isoxazolin-3-yl, 3- isoxazolin-3-yl, 4-isoxazolin-3-yl, 2-isoxazolin-4-yl, 3-isoxazolin-4-yl, 4-isoxazolin-4-yl, 2-isoxazolin-5-yl, 3-isoxazolin-5-yl, 4-isoxazolin-5-yl, 2-isothiazolin-3-yl, 3-isothiazolin-3- yl, 4-isothiazolin-3-yl, 2-isothiazolin-4-yl, 3-isothiazolin-4-yl, 4-isothiazolin-4-yl, 2- isothiazolin-5-yl, 3-isothiazolin-5-yl, 4-isothiazolin-5-yl, 2,3-dihydropyrazol-1-yl,
2,3-dihydropyrazol-2-yl, 2,3-dihydropyrazol-3-yl, 2,3-dihydropyrazol-4-yl, 2,3- dihydropyrazol-5-yl, 3,4-dihydropyrazol-1-yl, 3,4-dihydropyrazol-3-yl, 3,4-dihydropyrazol- 4-yl, 3,4-dihydropyrazol-5-yl, 4,5-dihydropyrazol-1-yl, 4,5-dihydropyrazol-3-yl, 4,5- dihydropyrazol-4-yl, 4,5-dihydropyrazol-5-yl, 2,3-dihydrooxazol-2-yl, 2,3-dihydrooxazol- 3-yl, 2,3-dihydrooxazol-4-yl, 2,3-dihydrooxazol-5-yl, 3,4-dihydrooxazol-2-yl, 3,4- dihydrooxazol-3-yl, 3,4-dihydrooxazol-4-yl, 3,4-dihydrooxazol-5-yl, 3,4-dihydrooxazol-2-
yl, 3,4-dihydrooxazol-3-yl, 3,4-dihydrooxazol-4-yl, 2-piperidinyl, 3-piperidinyl, 4- piperidinyl, 1 ,3-dioxan-5-yl, 2-tetrahydropyranyl, 4-tetrahydropyranyl,
2-tetrahydrothienyl, 3-hexahydropyridazinyl, 4-hexahydropyridazinyl,
2-hexahydropyrimidinyl, 4-hexahydropyrimidinyl, 5-hexahydropyrimidinyl, 2-piperazinyl, 1 ,3,5-hexahydrotriazin-2-yl and 1 ,2,4-hexahydrotriazin-3-yl and also the corresponding - ylidene radicals; and a 7-membered saturated or partially unsaturated heterocycle such as tetra- and
hexahydroazepinyl, such as 2,3,4,5-tetrahydro[1 H]azepin-1-,-2-,-3-,-4-,-5-,-6- or-7-yl, 3,4,5,6- tetrahydro[2H]azepin-2-,-3-,-4-,-5-,-6- or-7-yl, 2,3,4,7-tetrahydro[1 H]azepin-1-,-2-,-3-,-4-,-5-,-6- or-7-yl, 2,3,6,7-tetrahydro[1 H]azepin-1-,-2-,-3-,-4-,-5-,-6- or-7-yl, hexahydroazepin-1-,-2-,-3- or- 4-yl, tetra- and hexahydrooxepinyl such as 2,3,4,5-tetrahydro[1 H]oxepin-2-,-3-,-4-,-5-,-6- or-7- yl, 2,3,4,7-tetrahydro[1 H]oxepin-2-,-3-,-4-,-5-,-6- or-7-yl, 2,3,6,7-tetrahydro[1 H]oxepin-2-, -3-,- 4-, -5-, -6- or-7-yl, hexahydroazepin-1-,-2-,-3- or-4-yl, tetra- and hexahydro-1 ,3-diazepinyl, tetra- and hexahydro-1 ,4-diazepinyl, tetra- and hexahydro-1 ,3-oxazepinyl, tetra- and hexahydro-1 ,4- oxazepinyl, tetra- and hexahydro-1 ,3-dioxepinyl, tetra- and hexahydro-1 ,4-dioxepinyl and the corresponding -ylidene radicals; and
The term "5-or 6-membered heteroaryl, wherein the ring member atoms of the heteroaryl include besides carbon atoms 1 , 2, 3 or 4 heteroatoms selected from the group of N, O and S", refers to, for example, a 5-membered heteroaryl such as pyrrol-1-yl, pyrrol-2-yl, pyrrol-3-yl, thien-2-yl, thien-3-yl, furan-2-yl, furan-3-yl, pyrazol-1-yl, pyrazol-3-yl, pyrazol-4-yl, pyrazol-5-yl, imidazol-1-yl, imidazol-2-yl, imidazol-4-yl, imidazol-5-yl, oxazol-2-yl, oxazol-4-yl, oxazol-5-yl, isoxazol-3-yl, isoxazol-4-yl, isoxazol-5-yl, thiazol-2-yl, thiazol-4-yl, thiazol-5-yl, isothiazol-3-yl, isothiazol-4-yl, isothiazol-5-yl, 1 ,2,4-triazolyl-1-yl, 1 ,2,4-triazol-3-yl 1 ,2,4-triazol-5-yl, 1 ,2,4-oxadiazol-3-yl, 1 ,2,4-oxadiazol-5-yl and 1 ,2,4-thiadiazol-3-yl, 1 ,2,4-thiadiazol-5-yl; or a 6-membered heteroaryl, such as pyridin-2-yl, pyridin-3-yl, pyridin-4-yl, pyridazin-3-yl, pyridazin-4-yl, pyrimidin-2-yl, pyrimidin-4-yl, pyrimidin-5-yl, pyrazin-2-yl and 1 ,3,5-triazin-2-yl and 1 ,2,4-triazin-3-yl.
The term "two radicals Rc that are bound to adjacent ring member atoms form together with said ring member atoms a fused cycle" refers to a condensed bicyclic ring system, wherein 5- or 6-membered heteroaryl carries a fused-on 5-, 6- or 7-membered carbocyclic or heterocyclic ring it being possible that these rings are saturated or partially saturated or aromatic.
The term "one or two CH2 groups of the abovementioned cycles may be respectively replaced by one or two C(=0) or C(=S) groups" refers to an exchange of carbon atoms from a saturated or partially unsaturated 3-, 4-, 5-, 6- or 7-membered carbocycle or a saturated or partially unsaturated 3-, 4-, 5-, 6- or 7-membered heterocycle, resulting in cycles such as cyclopropanone,
cyclopentanone, cyclopropanethione, cyclopentanethione, 5-oxazolone, cyclohexane-1 ,4-dione, cyclohexane-1 ,4-dithione, cyclohex-2-ene-1 ,4-dione or cyclohex-2-ene-1 ,4-dithione.
As regards the fungicidal activity of the compounds I, preference is given to those compounds I and
where applicable also to compounds of all sub-formulae provided herein, for example formulae I .A and I.B, and to the intermediates such as compounds II, III, lla and Ilia, wherein the substituents and variables (e.g. Ra2, Ra5, Ra6, R, X, R , R2, Rb, Rc, R', R", R'", RA, RB, Rf, n and Het) have
independently of each other or more preferably in combination the following meanings:
Preferred embodiments of the invention relate to compounds I wherein Ra2, Ra5 and Ra6
independently of each other are preferably selected from the group consisting of hydrogen, halogen, CN, Ci-C4-alkyl, Ci-C4-haloalkyl, Ci-C4-alkoxy, Ci-C4-haloalkoxy, Ci-C4-alkoxy-Ci-C4-alkyl, C1-C4- alkoxy-Ci-C4-alkoxy, Ci-C4-alkylthio, Ci-C4-haloalkylthio, C2-C4-alkenyl, C2-C4-alkynyl, C3-C8- cycloalkyl, Cs-Cs-cycloalkyloxy and (Ci-C4-alkoxy)carbonyl.
Preferred embodiments of the invention relate to compounds I wherein Ra2, Ra5 and Ra6
independently of each other are preferably selected from the group consisting of halogen, CN, Ci- C4-alkyl, Ci-C4-haloalkyl, Ci-C4-alkoxy, Ci-C4-haloalkoxy, Ci-C4-alkoxy-Ci-C4-alkyl, Ci-C4-alkoxy-Ci- C4-alkoxy, Ci-C4-alkylthio, Ci-C4-haloalkylthio, C2-C4-alkenyl, C2-C4-alkynyl, Cs-Cs-cycloalkyl, Cs-Cs- cycloalkyloxy and (Ci-C4-alkoxy)carbonyl, and it being possible that one or two of Ra2, Ra5 or Ra6 can in addition be hydrogen.
Further preferred embodiments relate to compounds I wherein Ra2, Ra5 and Ra6 independently of each other are preferably selected from the group consisting of hydrogen, CI, F, CH3, CH2CH3, OCH3, OCF3, CH2OCH3, CN, OCH2OCH3, CF3, CHFCH3, COOCH3 or COOCH2CH3.
Further preferred embodiments relate to compounds I wherein Ra2, Ra5 and Ra6 independently of each other are preferably selected from the group consisting of CI, F, CH3, CH2CH3, OCH3, OCF3, CH2OCH3, CN, OCH2OCH3, CF3, CHFCH3, COOCHs or COOCH2CH3.
Further preferred embodiments relate to compounds I wherein Ra2, Ra5 and Ra6 independently of each other are hydrogen, CI, CH3, OCH3, CN or COOCH3.
Further preferred embodiments relate to compounds I wherein Ra2, Ra5 and Ra6 independently of each other are CI, CH3, OCH3, CN or COOCH3.
A particularly preferred embodiment relates to compounds wherein a5 is CI.
A particularly preferred embodiment relates to compounds wherein Ra5 is F.
A particularly preferred embodiment relates to compounds wherein Ra5 is CH3.
A particularly preferred embodiment relates to compounds wherein Ra5 is OCHs.
A particularly preferred embodiment relates to compounds wherein Ra5 is CO2CH3.
A particularly preferred embodiment relates to compounds wherein Ra5 is CO2CH2CH3
A particularly preferred embodiment relates to compounds wherein Ra6 is CI.
A particularly preferred embodiment relates to compounds wherein Ra6 is F.
A particularly preferred embodiment relates to compounds wherein Ra6 is CH3.
A particularly preferred embodiment relates to compounds wherein Ra6 is OCH3.
A particularly preferred embodiment relates to compounds wherein Ra6 is CO2CH3.
A particularly preferred embodiment relates to compounds wherein Ra6 is CO2CH2CH3
Further preferred embodiments relate to compounds I wherein Ra2 and Ra5 in each case are one of the following combinations in Iine1 to line 196 in table A
169 H COOCH2CH3 183 H OCF3
170 CH3 COOCH2CH3 184 CH3 OCF3
171 CH2CH3 COOCH2CH3 185 CH2CH3 OCF3
172 OCH3 COOCH2CH3 186 OCH3 OCF3
173 CH2OCH3 COOCH2CH3 187 CH2OCH3 OCF3
174 OCH2OCH3 COOCH2CH3 188 OCH2OCH3 OCF3
175 CF3 COOCH2CH3 189 CF3 OCF3
176 CHFCH3 COOCH2CH3 190 CHFCH3 OCF3
177 CN COOCH2CH3 191 CN OCF3
178 F COOCH2CH3 192 F OCF3
179 CI COOCH2CH3 193 CI OCF3
180 COOCH3 COOCH2CH3 194 COOCH3 OCF3
181 COOCH2CH3 COOCH2CH3 195 COOCH2CH3 OCF3
182 OCF3 COOCH2CH3 196 OCF3 OCF3
In the compounds I according to the invention, RA, RB in radicals Ra2, Ra5 and Ra6 independently of one another preferably are hydrogen, Ci-C4-alkyl.
In the compounds I according to the invention, R' in radicals Ra2, Ra5 and Ra6 preferably is hydrogen, NH2, Ci-C4-alkyl, Ci-C4-alkoxy.
In the compounds I according to the invention, R" in radicals Ra2, Ra5 and Ra6 preferably is hydrogen, Ci-C4-alkyl.
In the compounds I according to the invention, R'" in radicals Ra2, Ra5 and Ra6 preferably is hydrogen.
In the compounds I according to the invention, R is preferably selected from the group consisting of hydrogen, Ci-C4-alkyl, Ci-C4-alkoxy, Ci-C4-alkoxy-Ci-C4-alkyl, C2-C4-alkenyl, C2-C4-alkynyl, CN, CH2CN or CH2-0-C(=0)R', wherein R' is hydrogen, Ci-C4-alkyl, Ci-C4-alkoxy; more preferably R is selected from the group consisting of hydrogen, Ci-C4-alkyl, Ci-C4-alkoxy-Ci-C4-alkyl, C2-C4-alkenyl and C2-C4-alkynyl; most preferably R is hydrogen or Ci-C4-alkyl. Another particularly preferred embodiment relates to compounds I wherein R is hydrogen; yet another preferred embodiment relates to compounds I wherein R is CH3.
In the compounds I according to the invention, X is preferably -C(=0)-.
In the compounds I according to the invention, R1 and R2 independently of each other are preferably selected from the group consisting of hydrogen, CN, Ci-C4-alkyl, Ci-C4-haloalkyl, Ci-C4-alkoxy, Ci- C4-haloalkoxy and Cs-Cs-cycloalkyl; more preferably R1 and R2 independently of each other are hydrogen, CN, CH3, CH2CH3, F, CI or OCH3; another more preferred embodiment relates to compounds I wherein R1 and R2 independently of each other are hydrogen or CH3; more preferably R1 and R2 are hydrogen.
Further preferred embodiments relate to compounds I wherein R, X, R1 and R2 in each case are one of the following combinations B-1 to B-14 in table B:
Table B:
In the compounds I according to the invention, Rb is preferably selected from the group consisting of halogen, CN, NO2, Ci-C4-alkyl, Ci-C4-haloalkyl, Ci-C4-alkoxy, Ci-C4-haloalkoxy and Ci-C4-alkoxy- Ci-C4-alkyl; more preferably Rb is selected from the group consisting of halogen, CN, Ci-C4-alkyl, Ci-C4-haloalkyl and Ci-C4-alkoxy; most preferably Rb is halogen, CN, CH3, CF3, OCH3.
In the compounds I according to the invention, n is preferably 0.
A further embodiment relates to compounds I wherein n is preferably 1.
A further embodiment relates to compounds I wherein n is preferably 2.
A further embodiment relates to compounds I wherein n is preferably 3.
In the compounds I according to the invention, Het is preferably selected from the group consisting of pyrimidin-2-yl, pyrimidin-3-yl, pyrimidin-4-yl, pyridin-2-yl, pyridin-3-yl, pyridin-4-yl, thiazol-2-yl, thiazol-4-yl, thiazol-5-yl, isothiazol-3-yl, isothiazol-4-yl, isothiazol-5-yl, pyrazin-2-yl, pyridazin-3-yl, 1 ,3,5-triazin-2-yl, and 1 ,2,4-triazin-3-yl.
A further embodiment relates to compounds I wherein Het is selected from pyrimidin-2-yl, pyrimidin- 3-yl, pyrimidin-4-yl, pyridin-2-yl, pyridin-3-yl, pyridin-4-yl, thiazol-2-yl, pyrazin-2-yl, pyridazin-3-yl, 1 ,3,5-triazin-2-yl, and 1 ,2,4-triazin-3-yl; more preferably Het is pyrimidin-2-yl, pyridin-2-yl, pyridin-3- yl, pyridin-4-yl, thiazol-2-yl.
Preferred embodiments of the invention relate to compounds I, in which the group Het is one of the following radicals H-1 to H-38 in table H:
In the compounds I according to the invention, the radical Het is preferably unsubstituted; a further preferred embodiment relates to compounds I wherein Het is preferably substituted by 1 radical Rc; another preferred embodiment relates to compounds I wherein Het is substituted by 2 radicals Rc; yet another preferred embodiment relates to compounds I wherein Het is substituted by 3 radicals Rc; another preferred embodiment relates to compounds I wherein Het is substituted by 4 radicals
In the compounds I according to the invention, Rc is preferably selected from the group consisting of halogen, CN, Ci-C6-alkyl, Ci-C6-haloalkyl, Ci-C6-alkoxy, Ci-C6-haloalkoxy, C2-C6-alkenyl,
C2-C6-alkynyl, C(=0)R', C(=NOR")R"', C3-C8-cycloalkyl, phenyl and phenoxy.
A further embodiment relates to compounds I wherein Rc is F, CI, CN, CH3, OCH3, CF3, OCF3 or COOCH3.
A further embodiment relates to compounds I wherein Rc is preferably selected from the group consisting of CI, CN, CF3.
In the compounds I according to the invention, Rf is preferably selected from the group consisting of hydrogen, halogen, CN, NO2, NH2, Ci-C6-alkyl, Ci-C6-haloalkyl, Ci-C6-alkoxy, Ci-C6-haloalkoxy, C2-C6-alkenyl, C2-C6-alkynyl, (Ci-C4-alkoxy)carbonyl and Cs-Cs-cycloalkyl.
A further embodiment relates to compounds I wherein Rf preferably is hydrogen, F, CI, CN, CH3, OCH3, CF3, OCF3 or COOCH3; most preferably Rf is hydrogen, CI, CN or CF3.
Further preferred embodiments relate to compounds I wherein Het, as defined in table H, and Rf in each case are one of the following combinations C-1 to C-266 in table C:
C-37 H-6 CHF2 C-81 H-12 F
C-38 H-6 CN C-82 H-12 CI
C-39 H-6 F C-83 H-12 CHs
C-40 H-6 CI C-84 H-12 OCHs
C-41 H-6 CH3 C-85 H-13 CFs
C-42 H-6 OCHs C-86 H-13 CHF2
C-43 H-7 CFs C-87 H-13 CN
C-44 H-7 CHF2 C-88 H-13 F
C-45 H-7 CN C-89 H-13 CI
C-46 H-7 F C-90 H-13 CHs
C-47 H-7 CI C-91 H-13 OCHs
C-48 H-7 CHs C-92 H-14 CFs
C-49 H-7 OCHs C-93 H-14 CHF2
C-50 H-8 CFs C-94 H-14 CN
C-51 H-8 CHF2 C-95 H-14 F
C-52 H-8 CN C-96 H-14 CI
C-53 H-8 F C-97 H-14 CHs
C-54 H-8 CI C-98 H-14 OCHs
C-55 H-8 CHs C-99 H-15 CFs
C-56 H-8 OCHs C-100 H-15 CHF2
C-57 H-9 CFs C-101 H-15 CN
C-58 H-9 CHF2 C-102 H-15 F
C-59 H-9 CN C-103 H-15 CI
C-60 H-9 F C-104 H-15 CHs
C-61 H-9 CI C-105 H-15 OCHs
C-62 H-9 CHs C-106 H-16 CFs
C-63 H-9 OCHs C-107 H-16 CHF2
C-64 H-10 CFs C-108 H-16 CN
C-65 H-10 CHF2 C-109 H-16 F
C-66 H-10 CN C-110 H-16 CI
C-67 H-10 F C-111 H-16 CHs
C-68 H-10 CI C-112 H-16 OCHs
C-69 H-10 CHs C-113 H-17 CFs
C-70 H-10 OCHs C-114 H-17 CHF2
C-71 H-11 CFs C-115 H-17 CN
C-72 H-11 CHF2 C-116 H-17 F
C-73 H-11 CN C-117 H-17 CI
C-74 H-11 F C-118 H-17 CHs
C-75 H-11 CI C-119 H-17 OCHs
C-76 H-11 CHs C-120 H-18 CFs
C-77 H-11 OCHs C-121 H-18 CHF2
C-78 H-12 CFs C-122 H-18 CN
C-79 H-12 CHF2 C-123 H-18 F
C-80 H-12 CN C-124 H-18 CI
Het Rf No. Het Rf
C-125 H-18 CH3 C-169 H-25 CFs
C-126 H-18 OCHs C-170 H-25 CHF2
C-127 H-19 CFs C-171 H-25 CN
C-128 H-19 CHF2 C-172 H-25 F
C-129 H-19 CN C-173 H-25 CI
C-130 H-19 F C-174 H-25 CHs
C-131 H-19 CI C-175 H-25 OCHs
C-132 H-19 CHs C-176 H-26 CFs
C-133 H-19 OCHs C-177 H-26 CHF2
C-134 H-20 CFs C-178 H-26 CN
C-135 H-20 CHF2 C-179 H-26 F
C-136 H-20 CN C-180 H-26 CI
C-137 H-20 F C-181 H-26 CHs
C-138 H-20 CI C-182 H-26 OCHs
C-139 H-20 CHs C-183 H-27 CFs
C-140 H-20 OCHs C-184 H-27 CHF2
C-141 H-21 CFs C-185 H-27 CN
C-142 H-21 CHF2 C-186 H-27 F
C-143 H-21 CN C-187 H-27 CI
C-144 H-21 F C-188 H-27 CHs
C-145 H-21 CI C-189 H-27 OCHs
C-146 H-21 CHs C-190 H-28 CFs
C-147 H-21 OCHs C-191 H-28 CHF2
C-148 H-22 CFs C-192 H-28 CN
C-149 H-22 CHF2 C-193 H-28 F
C-150 H-22 CN C-194 H-28 CI
C-151 H-22 F C-195 H-28 CHs
C-152 H-22 CI C-196 H-28 OCHs
C-153 H-22 CHs C-197 H-29 CFs
C-154 H-22 OCHs C-198 H-29 CHF2
C-155 H-23 CFs C-199 H-29 CN
C-156 H-23 CHF2 C-200 H-29 F
C-157 H-23 CN C-201 H-29 CI
C-158 H-23 F C-202 H-29 CHs
C-159 H-23 CI C-203 H-29 OCHs
C-160 H-23 CHs C-204 H-30 CFs
C-161 H-23 OCHs C-205 H-30 CHF2
C-162 H-24 CFs C-206 H-30 CN
C-163 H-24 CHF2 C-207 H-30 F
C-164 H-24 CN C-208 H-30 CI
C-165 H-24 F C-209 H-30 CHs
C-166 H-24 CI C-210 H-30 OCHs
C-167 H-24 CHs C-211 H-31 CFs
C-168 H-24 OCHs C-212 H-31 CHF2
No. Het Rf No. Het Rf
C-213 H-31 CN C-240 H-35 CHF2
C-214 H-31 F C-241 H-35 CN
C-215 H-31 CI C-242 H-35 F
C-216 H-31 CH3 C-243 H-35 CI
C-217 H-31 OCHs C-244 H-35 CHs
C-218 H-32 CFs C-245 H-35 OCHs
C-219 H-32 CHF2 C-246 H-36 CFs
C-220 H-32 CN C-247 H-36 CHF2
C-221 H-32 F C-248 H-36 CN
C-222 H-32 CI C-249 H-36 F
C-223 H-32 CHs C-250 H-36 CI
C-224 H-32 OCHs C-251 H-36 CHs
C-225 H-33 CFs C-252 H-36 OCHs
C-226 H-33 CHF2 C-253 H-37 CFs
C-227 H-33 CN C-254 H-37 CHF2
C-228 H-33 F C-255 H-37 CN
C-229 H-33 CI C-256 H-37 F
C-230 H-33 CHs C-257 H-37 CI
C-231 H-33 OCHs C-258 H-37 CHs
C-232 H-34 CFs C-259 H-37 OCHs
C-233 H-34 CHF2 C-260 H-38 CFs
C-234 H-34 CN C-261 H-38 CHF2
C-235 H-34 F C-262 H-38 CN
C-236 H-34 CI C-263 H-38 F
C-237 H-34 CHs C-264 H-38 CI
C-238 H-34 OCHs C-265 H-38 CHs
C-239 H-35 CFs C-266 H-38 OCHs
With respect to their use, particular preference is given to the compounds I. A:
With respect to their use, particular preference is also given to the compounds I.B:
Accordingly, the present invention relates to compounds of the formula I.B, wherein:
Ra2, Ra5, Ra6 independently of each other are hydrogen, halogen, Ci-C4-alkyl, Ci-C4-haloalkyl,
Ci-C4-alkoxy or Ci-C4-haloalkoxy;
Het is a pyridinyl, which is unsubstituted or carries 1 or 2 identical or different groups Rc is halogen, Ci-C6-alkyl, Ci-C6-haloalkyl;
and the N-oxides and the agriculturally acceptable salts thereof.
The compounds I and the compositions according to the invention, respectively, are suitable as fungicides. They are distinguished by an outstanding effectiveness against a broad spectrum of phytopathogenic fungi, including soil-borne fungi, which derive especially from the classes of the
Plasmodiophoromycetes, Peronosporomycetes (syn. Oomycetes), Chytridiomycetes, Zygomycetes, Ascomycetes, Basidiomycetes and Deuteromycetes (syn. Fungi imperfecti). Some are systemically effective and they can be used in crop protection as foliar fungicides, fungicides for seed dressing and soil fungicides. Moreover, they are suitable for controlling harmful fungi, which inter alia occur in wood or roots of plants.
The compounds I and the compositions according to the invention are particularly important in the control of a multitude of phytopathogenic fungi on various cultivated plants, such as cereals, e. g. wheat, rye, barley, triticale, oats or rice; beet, e. g. sugar beet or fodder beet; fruits, such as pomes, stone fruits or soft fruits, e. g. apples, pears, plums, peaches, almonds, cherries, strawberries, raspberries, blackberries or gooseberries; leguminous plants, such as lentils, peas, alfalfa or soybeans; oil plants, such as rape, mustard, olives, sunflowers, coconut, cocoa beans, castor oil plants, oil palms, ground nuts or soybeans; cucurbits, such as squashes, cucumber or melons; fiber plants, such as cotton, flax, hemp or jute; citrus fruit, such as oranges, lemons, grapefruits or mandarins; vegetables, such as spinach, lettuce, asparagus, cabbages, carrots, onions, tomatoes, potatoes, cucurbits or paprika; lauraceous plants, such as avocados, cinnamon or camphor; energy and raw material plants, such as corn, soybean, rape, sugar cane or oil palm; corn; tobacco; nuts; coffee; tea; bananas; vines (table grapes and grape juice grape vines); hop; turf; sweet leaf (also called Stevia); natural rubber plants or ornamental and forestry plants, such as flowers, shrubs, broad-leaved trees or evergreens, e. g. conifers; and on the plant propagation material, such as seeds, and the crop material of these plants.
Preferably, compounds I and compositions thereof, respectively are used for controlling a multitude of fungi on field crops, such as potatoes sugar beets, tobacco, wheat, rye, barley, oats, rice, corn, cotton, soybeans, rape, legumes, sunflowers, coffee or sugar cane; fruits; vines; ornamentals; or vegetables, such as cucumbers, tomatoes, beans or squashes.
The term "plant propagation material" is to be understood to denote all the generative parts of the plant such as seeds and vegetative plant material such as cuttings and tubers (e. g. potatoes), which can be used for the multiplication of the plant. This includes seeds, roots, fruits, tubers, bulbs, rhizomes, shoots, sprouts and other parts of plants, including seedlings and young plants, which are to be transplanted after germination or after emergence from soil. These young plants may also be protected before transplantation by a total or partial treatment by immersion or pouring.
Preferably, treatment of plant propagation materials with compounds I and compositions thereof, respectively, is used for controlling a multitude of fungi on cereals, such as wheat, rye, barley and oats; rice, corn, cotton and soybeans.
The term "cultivated plants" is to be understood as including plants which have been modified by breeding, mutagenesis or genetic engineering including but not limiting to agricultural biotech products on the market or in development (cf.
http://www.bio.org/speeches/pubs/er/agri_products.asp). Genetically modified plants are plants, which genetic material has been so modified by the use of recombinant DNA techniques that under natural circumstances cannot readily be obtained by cross breeding, mutations or natural recombination. Typically, one or more genes have been integrated into the genetic material of a genetically modified plant in order to improve certain properties of the plant. Such genetic modifications also include but are not limited to targeted post-translational modification of protein(s), oligo- or polypeptides e. g. by glycosylation or polymer additions such as prenylated, acetylated or farnesylated moieties or PEG moieties.
The compounds I and compositions thereof, respectively, are particularly suitable for controlling the following plant diseases:
Albugo spp. (white rust) on ornamentals, vegetables (e. g. A. Candida) and sunflowers (e. g. A. tragopogonis); Alternaria spp. (Alternaria leaf spot) on vegetables, rape (A. brassicola or brassicae), sugar beets (A. tenuis), fruits, rice, soybeans, potatoes (e. g. A. solani or A. alternata), tomatoes (e. g. A. solani or A. alternata) and wheat; Aphanomyces spp. on sugar beets and vegetables;
Ascochyta spp. on cereals and vegetables, e. g. A. tritici (anthracnose) on wheat and A. hordei on barley; Bipolaris and Drechslera spp. (teleomorph: Cochliobolus spp.), e. g. Southern leaf blight (D. maydis) or Northern leaf blight (B. zeicola) on corn, e. g. spot blotch (B. sorokiniana) on cereals and e.g. B. oryzae on rice and turfs; Blumeria (formerly Erysiphe) graminis (powdery mildew) on cereals (e. g. on wheat or barley); Botrytis cinerea (teleomorph: Botryotinia fuckeliana: grey mold) on fruits and berries (e. g. strawberries), vegetables (e. g. lettuce, carrots, celery and cabbages), rape, flowers, vines, forestry plants and wheat; Bremia lactucae (downy mildew) on lettuce; Ceratocystis (syn. Ophiostoma) spp. (rot or wilt) on broad-leaved trees and evergreens, e. g. C. ulmi (Dutch elm disease) on elms; Cercospora spp. (Cercospora leaf spots) on corn (e.g. Gray leaf spot: C. zeae- maydis), rice, sugar beets (e. g. C. beticola), sugar cane, vegetables, coffee, soybeans (e. g. C. sojina or C. kikuchii) and rice; Cladosporium spp. on tomatoes (e. g. C. fulvum: leaf mold) and cereals, e. g. C. herbarum (black ear) on wheat; Claviceps purpurea (ergot) on cereals; Cochliobolus (anamorph: Helminthosporium of Bipolaris) spp. (leaf spots) on corn (C. carbonum), cereals (e. g. C. sativus, anamorph: B. sorokiniana) and rice (e. g. C. miyabeanus, anamorph: H. oryzae);
Colletotrichum (teleomorph: Glomerella) spp. (anthracnose) on cotton (e. g. C. gossypii), corn (e. g. C. graminicola: Anthracnose stalk rot), soft fruits, potatoes (e. g. C. coccodes: black dot), beans (e. g. C. lindemuthianum) and soybeans (e. g. C. truncatum or C. gloeosporioides); Corticium spp., e. g. C. sasakii (sheath blight) on rice; Corynespora cassiicola (leaf spots) on soybeans and ornamentals; Cycloconium spp., e. g. C. oleaginum on olive trees; Cylindrocarpon spp. (e. g. fruit tree canker or young vine decline, teleomorph: Nectria or Neonectria spp.) on fruit trees, vines (e. g. C. liriodendri, teleomorph: Neonectria liriodendri: Black Foot Disease) and ornamentals;
Dematophora (teleomorph: Rosellinia) necatrix (root and stem rot) on soybeans; Diaporthe spp., e. g. D. phaseolorum (damping off) on soybeans; Drechslera (syn. Helminthosporium, teleomorph: Pyrenophora) spp. on corn, cereals, such as barley (e. g. D. teres, net blotch) and wheat (e. g. D. tritici-repentis: tan spot), rice and turf; Esca (dieback, apoplexy) on vines, caused by Formitiporia (syn. Phellinus) punctata, F. mediterranea, Phaeomoniella chlamydospora (earlier Phaeo- acremonium chlamydosporum), Phaeoacremonium aleophilum and/or Botryosphaeria obtusa;
Elsinoe spp. on pome fruits (E. pyri), soft fruits (E. veneta: anthracnose) and vines (E. ampelina:
anthracnose); Entyloma oryzae (leaf smut) on rice; Epicoccum spp. (black mold) on wheat; Erysiphe spp. (powdery mildew) on sugar beets (E. betae), vegetables (e. g. E. pisi), such as cucurbits (e. g. E. cichoracearum), cabbages, rape (e. g. E. cruciferarum); Eutypa lata (Eutypa canker or dieback, anamorph: Cytosporina lata, syn. Libertella blepharis) on fruit trees, vines and ornamental woods; Exserohilum (syn. Helminthosporium) spp. on corn (e. g. E. turcicum); Fusarium (teleomorph:
Gibberella) spp. (wilt, root or stem rot) on various plants, such as F. graminearum or F. culmorum (root rot, scab or head blight) on cereals (e. g. wheat or barley), F. oxysporum on tomatoes, F. solani on soybeans and F. verticillioides on corn; Gaeumannomyces graminis (take-all) on cereals (e. g. wheat or barley) and corn; Gibberella spp. on cereals (e. g. G. zeae) and rice (e. g. G. fujikuroi: Bakanae disease); Glomerella cingulata on vines, pome fruits and other plants and G. gossypii on cotton; Grainstaining complex on rice; Guignardia bidwellii (black rot) on vines; Gymnosporangium spp. on rosaceous plants and junipers, e. g. G. sabinae (rust) on pears; Helminthosporium spp. (syn. Drechslera, teleomorph: Cochliobolus) on corn, cereals and rice; Hemileia spp., e. g. H. vastatrix (coffee leaf rust) on coffee; Isariopsis clavispora (syn. Cladosporium vitis) on vines; Macrophomina phaseolina (syn. phaseoli) (root and stem rot) on soybeans and cotton; Microdochium (syn.
Fusarium) nivale (pink snow mold) on cereals (e. g. wheat or barley); Microsphaera diffusa (powdery mildew) on soybeans; Monilinia spp., e. g. M. laxa, M. fructicola and M. fructigena (bloom and twig blight, brown rot) on stone fruits and other rosaceous plants; Mycosphaerella spp. on cereals, bananas, soft fruits and ground nuts, such as e. g. M. graminicola (anamorph: Septoria tritici, Septoria blotch) on wheat or M. fijiensis (black Sigatoka disease) on bananas; Peronospora spp. (downy mildew) on cabbage (e. g. P. brassicae), rape (e. g. P. parasitica), onions (e. g. P.
destructor), tobacco (P. tabacina) and soybeans (e. g. P. manshurica); Phakopsora pachyrhizi and P. meibomiae (soybean rust) on soybeans; Phialophora spp. e. g. on vines (e. g. P. tracheiphila and P. tetraspora) and soybeans (e. g. P. gregata: stem rot); Phoma lingam (root and stem rot) on rape and cabbage and P. betae (root rot, leaf spot and damping-off) on sugar beets; Phomopsis spp. on sunflowers, vines (e. g. P. viticola: can and leaf spot) and soybeans (e. g. stem rot: P. phaseoli, teleomorph: Diaporthe phaseolorum); Physoderma maydis (brown spots) on corn; Phytophthora spp. (wilt, root, leaf, fruit and stem root) on various plants, such as paprika and cucurbits (e. g. P. capsici), soybeans (e. g. P. megasperma, syn. P. sojae), potatoes and tomatoes (e. g. P. infestans: late blight) and broad-leaved trees (e. g. P. ramorum: sudden oak death); Plasmodiophora brassicae (club root) on cabbage, rape, radish and other plants; Plasmopara spp., e. g. P. viticola (grapevine downy mildew) on vines and P. halstedii on sunflowers; Podosphaera spp. (powdery mildew) on rosaceous plants, hop, pome and soft fruits, e. g. P. leucotricha on apples; Polymyxa spp., e. g. on cereals, such as barley and wheat (P. graminis) and sugar beets (P. betae) and thereby transmitted viral diseases; Pseudocercosporella herpotrichoides (eyespot, teleomorph: Tapesia yallundae) on cereals, e. g. wheat or barley; Pseudoperonospora (downy mildew) on various plants, e. g. P.
cubensis on cucurbits or P. humili on hop; Pseudopezicula tracheiphila (red fire disease or
.rotbrenner', anamorph: Phialophora) on vines; Puccinia spp. (rusts) on various plants, e. g. P.
triticina (brown or leaf rust), P. striiformis (stripe or yellow rust), P. hordei (dwarf rust), P. graminis (stem or black rust) or P. recondita (brown or leaf rust) on cereals, such as e. g. wheat, barley or rye, P. kuehnii (orange rust) on sugar cane and P. asparagi on asparagus; Pyrenophora (anamorph: Drechslera) tritici-repentis (tan spot) on wheat or P. teres (net blotch) on barley; Pyricularia spp., e. g. P. oryzae (teleomorph: Magnaporthe grisea, rice blast) on rice and P. grisea on turf and cereals; Pythium spp. (damping-off) on turf, rice, corn, wheat, cotton, rape, sunflowers, soybeans, sugar beets, vegetables and various other plants (e. g. P. ultimum or P. aphanidermatum);
Ramularia spp., e. g. R. collo-cygni (Ramularia leaf spots, Physiological leaf spots) on barley and R.
beticola on sugar beets; Rhizoctonia spp. on cotton, rice, potatoes, turf, corn, rape, potatoes, sugar beets, vegetables and various other plants, e. g. R. solani (root and stem rot) on soybeans, R. solani (sheath blight) on rice or R. cerealis (Rhizoctonia spring blight) on wheat or barley; Rhizopus stolonifer (black mold, soft rot) on strawberries, carrots, cabbage, vines and tomatoes;
Rhynchosporium secalis (scald) on barley, rye and triticale; Sarocladium oryzae and S. attenuatum (sheath rot) on rice; Sclerotinia spp. (stem rot or white mold) on vegetables and field crops, such as rape, sunflowers (e. g. S. sclerotiorum) and soybeans (e. g. S. rolfsii or S. sclerotiorum); Septoria spp. on various plants, e. g. S. glycines (brown spot) on soybeans, S. tritici (Septoria blotch) on wheat and S. (syn. Stagonospora) nodorum (Stagonospora blotch) on cereals; Uncinula (syn.
Erysiphe) necator (powdery mildew, anamorph: Oidium tuckeri) on vines; Setospaeria spp. (leaf blight) on corn (e. g. S. turcicum, syn. Helminthosporium turcicum) and turf; Sphacelotheca spp. (smut) on corn, (e. g. S. reiliana: head smut), sorghum und sugar cane; Sphaerotheca fuliginea (powdery mildew) on cucurbits; Spongospora subterranea (powdery scab) on potatoes and thereby transmitted viral diseases; Stagonospora spp. on cereals, e. g. S. nodorum (Stagonospora blotch, teleomorph: Leptosphaeria [syn. Phaeosphaeria] nodorum) on wheat; Synchytrium endobioticum on potatoes (potato wart disease); Taphrina spp., e. g. T. deformans (leaf curl disease) on peaches and T. pruni (plum pocket) on plums; Thielaviopsis spp. (black root rot) on tobacco, pome fruits, vegetables, soybeans and cotton, e. g. T. basicola (syn. Chalara elegans); Tilletia spp. (common bunt or stinking smut) on cereals, such as e. g. T. tritici (syn. T. caries, wheat bunt) and T.
controversa (dwarf bunt) on wheat; Typhula incarnata (grey snow mold) on barley or wheat; Uro- cystis spp., e. g. U. occulta (stem smut) on rye; Uromyces spp. (rust) on vegetables, such as beans (e. g. U. appendiculatus, syn. U. phaseoli) and sugar beets (e. g. U. betae); Ustilago spp. (loose smut) on cereals (e. g. U. nuda and U. avaenae), corn (e. g. U. maydis: corn smut) and sugar cane; Venturia spp. (scab) on apples (e. g. V. inaequalis) and pears; and Verticillium spp. (wilt) on various plants, such as fruits and ornamentals, vines, soft fruits, vegetables and field crops, e. g. V. dahliae on strawberries, rape, potatoes and tomatoes.
The compounds I and compositions thereof, respectively, are also suitable for controlling harmful fungi in the protection of stored products or harvest and in the protection of materials. The term "protection of materials" is to be understood to denote the protection of technical and non-living materials, such as adhesives, glues, wood, paper and paperboard, textiles, leather, paint dispersions, plastics, colling lubricants, fiber or fabrics, against the infestation and destruction by harmful microorganisms, such as fungi and bacteria. As to the protection of wood and other materials, the particular attention is paid to the following harmful fungi: Ascomycetes such as Ophiostoma spp., Ceratocystis spp., Aureobasidium pullulans, Sclerophoma spp., Chaetomium spp., Humicola spp., Petriella spp., Trichurus spp.; Basidiomycetes such as Coniophora spp., Coriolus spp., Gloeophyllum spp., Lentinus spp., Pleurotus spp., Poria spp., Serpula spp. and Tyromyces spp., Deuteromycetes such as Aspergillus spp., Cladosporium spp., Penicillium spp., Trichorma spp., Alternaria spp., Paecilomyces spp. and Zygomycetes such as Mucor spp., and in addition in the protection of stored products and harvest the following yeast fungi are worthy of note: Candida spp. and Saccharomyces cerevisae.
The compounds I and compositions thereof, respectively, may be used for improving the health of a plant. The invention also relates to a method for improving plant health by treating a plant, its propagation material and/or the locus where the plant is growing or is to grow with an effective amount of compounds I and compositions thereof, respectively.
The term "plant health" is to be understood to denote a condition of the plant and/or its products which is determined by several indicators alone or in combination with each other such as yield (e. g. increased biomass and/or increased content of valuable ingredients), plant vigor (e. g. improved plant growth and/or greener leaves ("greening effect")), quality (e. g. improved content or composition of certain ingredients) and tolerance to abiotic and/or biotic stress. The above identified indicators for the health condition of a plant may be interdependent or may result from each other.
The compounds of the formula (I) can be present in different crystal modifications whose biological activity may differ. They are likewise subject matter of the present invention.
The compounds I are employed as such or in form of compositions by treating the fungi or the plants, plant propagation materials, such as seeds, soil, surfaces, materials or rooms to be protected from fungal attack with a fungicidally effective amount of the active substances. The application can be carried out both before and after the infection of the plants, plant propagation materials, such as seeds, soil, surfaces, materials or rooms by the fungi.
Plant propagation materials may be treated with compounds I as such or a composition comprising at least one compound I prophylactically either at or before planting or transplanting.
The invention also relates to agrochemical compositions comprising an auxiliary and at least one compound I according to the invention.
An agrochemical composition comprises a fungicidally effective amount of a compound I. The term "effective amount" denotes an amount of the composition or of the compounds I, which is sufficient for controlling harmful fungi on cultivated plants or in the protection of materials and which does not result in a substantial damage to the treated plants. Such an amount can vary in a broad range and is dependent on various factors, such as the fungal species to be controlled, the treated cultivated plant or material, the climatic conditions and the specific compound I used.
The compounds I, their N-oxides and salts can be converted into customary types of agrochemical compositions, e. g. solutions, emulsions, suspensions, dusts, powders, pastes, granules, pressings, capsules, and mixtures thereof. Examples for composition types are suspensions (e.g. SC, OD, FS), emulsifiable concentrates (e.g. EC), emulsions (e.g. EW, EO, ES, ME), capsules (e.g. CS, ZC), pastes, pastilles, wettable powders or dusts (e.g. WP, SP, WS, DP, DS), pressings (e.g. BR, TB, DT), granules (e.g. WG, SG, GR, FG, GG, MG), insecticidal articles (e.g. LN), as well as gel formulations for the treatment of plant propagation materials such as seeds (e.g. GF). These and further compositions types are defined in the "Catalogue of pesticide formulation types and international coding system", Technical Monograph No. 2, 6th Ed. May 2008, CropLife International. The compositions are prepared in a known manner, such as described by Mollet and Grubemann, Formulation technology, Wiley VCH, Weinheim, 2001 ; or Knowles, New developments in crop protection product formulation, Agrow Reports DS243, T&F Informa, London, 2005.
Examples for suitable auxiliaries are solvents, liquid carriers, solid carriers or fillers, surfactants, dispersants, emulsifiers, wetters, adjuvants, solubilizers, penetration enhancers, protective colloids, adhesion agents, thickeners, humectants, repellents, attractants, feeding stimulants, compatibilizers, bactericides, anti-freezing agents, anti-foaming agents, colorants, tackifiers and binders.
Suitable solvents and liquid carriers are water and organic solvents, such as mineral oil fractions of medium to high boiling point, e.g. kerosene, diesel oil; oils of vegetable or animal origin; aliphatic, cyclic and aromatic hydrocarbons, e. g. toluene, paraffin, tetrahydronaphthalene, alkylated naphthalenes; alcohols, e.g. ethanol, propanol, butanol, benzylalcohol, cyclohexanol; glycols;
dimethyl sulfoxide (DMSO); ketones, e.g. cyclohexanone; esters, e.g. lactates, carbonates, fatty acid esters, gamma-butyrolactone; fatty acids; phosphonates; amines; amides, e.g. N-methylpyrrolidone, fatty acid dimethylamides; and mixtures thereof.
Suitable solid carriers or fillers are mineral earths, e.g. silicates, silica gels, talc, kaolins, limestone, lime, chalk, clays, dolomite, diatomaceous earth, bentonite, calcium sulfate, magnesium sulfate, magnesium oxide; polysaccharide powders, e.g. cellulose, starch; fertilizers, e.g. ammonium sulfate, ammonium phosphate, ammonium nitrate, ureas; products of vegetable origin, e.g. cereal meal, tree bark meal, wood meal, nutshell meal, and mixtures thereof.
Suitable surfactants are surface-active compounds, such as anionic, cationic, nonionic and amphoteric surfactants, block polymers, polyelectrolytes, and mixtures thereof. Such surfactants can be used as emusifier, dispersant, solubilizer, wetter, penetration enhancer, protective colloid, or adjuvant. Examples of surfactants are listed in McCutcheon's, Vol.1 : Emulsifiers & Detergents, McCutcheon's Directories, Glen Rock, USA, 2008 (International Ed. or North American Ed.).
Suitable anionic surfactants are alkali, alkaline earth or ammonium salts of sulfonates, sulfates, phosphates, carboxylates, and mixtures thereof. Examples of sulfonates are alkylarylsulfonates, diphenylsulfonates, alpha-olefin sulfonates, lignine sulfonates, sulfonates of fatty acids and oils, sulfonates of ethoxylated alkylphenols, sulfonates of alkoxylated arylphenols, sulfonates of condensed naphthalenes, sulfonates of dodecyl- and tridecylbenzenes, sulfonates of naphthalenes and alkylnaphthalenes, sulfosuccinates or sulfosuccinamates. Examples of sulfates are sulfates of fatty acids and oils, of ethoxylated alkylphenols, of alcohols, of ethoxylated alcohols, or of fatty acid esters. Examples of phosphates are phosphate esters. Examples of carboxylates are alkyl carboxylates, and carboxylated alcohol or alkylphenol ethoxylates.
Suitable nonionic surfactants are alkoxylates, N-subsituted fatty acid amides, amine oxides, esters, sugar-based surfactants, polymeric surfactants, and mixtures thereof. Examples of alkoxylates are compounds such as alcohols, alkylphenols, amines, amides, arylphenols, fatty acids or fatty acid esters which have been alkoxylated with 1 to 50 equivalents. Ethylene oxide and/or propylene oxide may be employed for the alkoxylation, preferably ethylene oxide. Examples of N-subsititued fatty acid amides are fatty acid glucamides or fatty acid alkanolamides. Examples of esters are fatty acid esters, glycerol esters or monoglycerides. Examples of sugar-based surfactants are sorbitans, ethoxylated sorbitans, sucrose and glucose esters or alkylpolyglucosides. Examples of polymeric surfactants are home- or copolymers of vinylpyrrolidone, vinylalcohols, or vinylacetate.
Suitable cationic surfactants are quaternary surfactants, for example quaternary ammonium compounds with one or two hydrophobic groups, or salts of long-chain primary amines. Suitable amphoteric surfactants are alkylbetains and imidazolines. Suitable block polymers are block polymers of the A-B or A-B-A type comprising blocks of polyethylene oxide and polypropylene oxide, or of the A-B-C type comprising alkanol, polyethylene oxide and polypropylene oxide. Suitable polyelectrolytes are polyacids or polybases. Examples of polyacids are alkali salts of polyacrylic acid or polyacid comb polymers. Examples of polybases are polyvinylamines or polyethyleneamines. Suitable adjuvants are compounds, which have a neglectable or even no pesticidal activity themselves, and which improve the biological performance of the compound I on the target.
Examples are surfactants, mineral or vegetable oils, and other auxilaries. Further examples are listed by Knowles, Adjuvants and additives, Agrow Reports DS256, T&F Informa UK, 2006, chapter 5.
Suitable thickeners are polysaccharides (e.g. xanthan gum, carboxymethylcellulose), anorganic clays (organically modified or unmodified), polycarboxylates, and silicates.
Suitable bactericides are bronopol and isothiazolinone derivatives such as alkylisothiazolinones and benzisothiazolinones.
Suitable anti-freezing agents are ethylene glycol, propylene glycol, urea and glycerin.
Suitable anti-foaming agents are silicones, long chain alcohols, and salts of fatty acids.
Suitable colorants (e.g. in red, blue, or green) are pigments of low water solubility and water-soluble dyes. Examples are inorganic colorants (e.g. iron oxide, titan oxide, iron hexacyanoferrate) and organic colorants (e.g. alizarin-, azo- and phthalocyanine colorants).
Suitable tackifiers or binders are polyvinylpyrrolidons, polyvinylacetates, polyvinyl alcohols, polyacrylates, biological or synthetic waxes, and cellulose ethers.
The agrochemical compositions generally comprise between 0.01 and 95%, preferably between 0.1 and 90%, and most preferably between 0.5 and 75%, by weight of active substance. The active substances are employed in a purity of from 90% to 100%, preferably from 95% to 100% (according to NMR spectrum).
Water-soluble concentrates (LS), Suspoemulsions (SE), flowable concentrates (FS), powders for dry treatment (DS), water-dispersible powders for slurry treatment (WS), water-soluble powders (SS), emulsions (ES), emulsifiable concentrates (EC) and gels (GF) are usually employed for the purposes of treatment of plant propagation materials, particularly seeds. The compositions in question give, after two-to-tenfold dilution, active substance concentrations of from 0.01 to 60% by weight, preferably from 0.1 to 40%, in the ready-to-use preparations. Application can be carried out before or during sowing. Methods for applying or treating compound I and compositions thereof, respectively, on to plant propagation material, especially seeds include dressing, coating, pelleting, dusting, soaking and in-furrow application methods of the propagation material. Preferably, compound I or the compositions thereof, respectively, are applied on to the plant propagation material by a method such that germination is not induced, e. g. by seed dressing, pelleting, coating and dusting.
When employed in plant protection, the amounts of active substances applied are, depending on the kind of effect desired, from 0.001 to 2 kg per ha, preferably from 0.005 to 2 kg per ha, more preferably from 0.05 to 0.9 kg per ha, in particular from 0.1 to 0.75 kg per ha.
In treatment of plant propagation materials such as seeds, e. g. by dusting, coating or drenching seed, amounts of active substance of from 0.1 to 1000 g, preferably from 1 to 1000 g, more preferably from 1 to 100 g and most preferably from 5 to 100 g, per 100 kilogram of plant propagation material (preferably seed) are generally required.
When used in the protection of materials or stored products, the amount of active substance applied depends on the kind of application area and on the desired effect. Amounts customarily applied in the protection of materials are 0.001 g to 2 kg, preferably 0.005 g to 1 kg, of active substance per cubic meter of treated material.
Various types of oils, wetters, adjuvants, fertilizer, or micronutrients, and other pesticides (e.g. herbicides, insecticides, fungicides, growth regulators, safeners) may be added to the active substances or the compositions comprising them as premix or, if appropriate not until immediately prior to use (tank mix). These agents can be admixed with the compositions according to the invention in a weight ratio of 1 : 100 to 100: 1 , preferably 1 : 10 to 10:1.
The user applies the composition according to the invention usually from a predosage device, a knapsack sprayer, a spray tank, a spray plane, or an irrigation system. Usually, the agrochemical composition is made up with water, buffer, and/or further auxiliaries to the desired application
concentration and the ready-to-use spray liquor or the agrochemical composition according to the invention is thus obtained. Usually, 20 to 2000 liters, preferably 50 to 400 liters, of the ready-to-use spray liquor are applied per hectare of agricultural useful area.
According to one embodiment, individual components of the composition according to the invention such as parts of a kit or parts of a binary or ternary mixture may be mixed by the user himself in a spray tank and further auxiliaries may be added, if appropriate.
Mixing the compounds I or the compositions comprising them in the use form as fungicides with other fungicides results in many cases in an expansion of the fungicidal spectrum of activity being obtained or in a prevention of fungicide resistance development. Furthermore, in many cases, synergistic effects are obtained.
The following list of active substances, in conjunction with which the compounds I can be used, is intended to illustrate the possible combinations but does not limit them:
A) Respiration inhibitors
- Inhibitors of complex III at Qo site (e.g. strobilurins): azoxystrobin, coumethoxystrobin, coumoxystrobin, dimoxystrobin, enestroburin, fenaminstrobin, fenoxystrobin/flufenoxystrobin, fluoxastrobin, kresoxim-methyl, metominostrobin, orysastrobin, picoxystrobin, pyraclostrobin, pyrametostrobin, pyraoxystrobin, trifloxystrobin, 2-[2-(2,5-dimethyl-phenoxymethyl)-phenyl]-3- methoxy-acrylic acid methyl ester and 2-(2-(3-(2,6-dichlorophenyl)-1-methyl-allylidene- aminooxymethyl)-phenyl)-2-methoxyimino-N-methyl-acetamide, pyribencarb,
triclopyricarb/chlorodincarb, famoxadone, fenamidone;
inhibitors of complex III at Qi site: cyazofamid, amisulbrom, [(3S,6S,7R,8R)-8-benzyl-3- [(3-acetoxy-4-methoxy-pyridine-2-carbonyl)amino]-6-methyl-4,9-dioxo-1 ,5-dioxonan-7-yl] 2-methylpropanoate, [(3S,6S,7R,8R)-8-benzyl-3-[[3-(acetoxymethoxy)-4-methoxy-pyridine- 2-carbonyl]amino]-6-methyl-4,9-dioxo-1 ,5-dioxonan-7-yl] 2-methylpropanoate, [(3S,6S,7R,8R)-
8-benzyl-3-[(3-isobutoxycarbonyloxy-4-methoxy-pyridine-2-carbonyl)amino]-6-methyl-4,9- dioxo-1 ,5-dioxonan-7-yl] 2-methylpropanoate, [(3S,6S,7R,8R)-8-benzyl-3-[[3-(1 ,3-benzodioxol- 5-ylmethoxy)-4-methoxy-pyridine-2-carbonyl]amino]-6-methyl-4,9-dioxo-1 ,5-dioxonan-7-yl] 2- methylpropanoate;
- inhibitors of complex II (e. g. carboxamides): benodanil, bixafen, boscalid, carboxin, fen- furam, fluopyram, flutolanil, fluxapyroxad, furametpyr, isopyrazam, mepronil, oxycarboxin, penflufen, penthiopyrad, sedaxane, tecloftalam, thifluzamide, N-(4'-trifluoromethylthiobiphenyl- 2-yl)-3-difluoromethyl-1-methyl-1 H-pyrazole-4-carboxamide, N-(2-(1 ,3,3-trimethyl-butyl)- phenyl)-1 ,3-dimethyl-5-fluoro-1 H-pyrazole-4-carboxamide, N-[9-(dichloromethylene)-1 ,2,3,4- tetrahydro-1 ,4-methanonaphthalen-5-yl]-3-(difluoromethyl)-1-methyl-1 H-pyrazole-4- carboxamide;
other respiration inhibitors (e.g. complex I, uncouplers): diflumetorim, (5,8-difluoro- quinazolin-4-yl)-{2-[2-fluoro-4-(4-trifluoromethylpyridin-2-yloxy)-phenyl]-ethyl}-amine;
nitrophenyl derivates: binapacryl, dinobuton, dinocap, fluazinam; ferimzone; organometal compounds: fentin salts, such as fentin-acetate, fentin chloride or fentin hydroxide;
ametoctradin; and silthiofam;
B) Sterol biosynthesis inhibitors (SBI fungicides)
C14 demethylase inhibitors (DMI fungicides): triazoles: azaconazole, bitertanol, bromuconazole, cyproconazole, difenoconazole, diniconazole, diniconazole-M, epoxiconazole, fenbuconazole, fluquinconazole, flusilazole, flutriafol, hexaconazole, imibenconazole, ipconazole, metconazole, myclobutanil, oxpoconazole, paclobutrazole, penconazole,
propiconazole, prothioconazole, simeconazole, tebuconazole, tetraconazole, triadimefon, triadimenol, triticonazole, uniconazole; imidazoles: imazalil, pefurazoate, prochloraz, triflumizol; pyrimidines, pyridines and piperazines: fenarimol, nuarimol, pyrifenox, triforine;
Delta 14-reductase inhibitors: aldimorph, dodemorph, dodemorph-acetate, fenpropimorph, tridemorph, fenpropidin, piperalin, spiroxamine;
Inhibitors of 3-keto reductase: fenhexamid;
C) Nucleic acid synthesis inhibitors
phenylamides or acyl amino acid fungicides: benalaxyl, benalaxyl-M, kiralaxyl, metalaxyl, metalaxyl-M (mefenoxam), ofurace, oxadixyl;
- others: hymexazole, octhilinone, oxolinic acid, bupirimate, 5-fluorocytosine, 5-fluoro-2-
(p-tolylmethoxy)pyrimidin-4-amine, 5-fluoro-2-(4-fluorophenylmethoxy)pyrimidin-4-amine;
D) Inhibitors of cell division and cytoskeleton
tubulin inhibitors, such as benzimidazoles, thiophanates: benomyl, carbendazim, fuberidazole, thiabendazole, thiophanate-methyl; triazolopyrimidines: 5-chloro-7-(4-methyl- piperidin-1-yl)-6-(2,4,6-trifluorophenyl)-[1 ,2,4]triazolo[1 ,5-a]pyrimidine
other cell division inhibitors: diethofencarb, ethaboxam, pencycuron, fluopicolide, zoxamide, metrafenone, pyriofenone;
E) Inhibitors of amino acid and protein synthesis
methionine synthesis inhibitors (anilino-pyrimidines): cyprodinil, mepanipyrim, pyrimethanil;
protein synthesis inhibitors: blasticidin-S, kasugamycin, kasugamycin hydrochloride- hydrate, mildiomycin, streptomycin, oxytetracyclin, polyoxine, validamycin A;
F) Signal transduction inhibitors
MAP / histidine kinase inhibitors: fluoroimid, iprodione, procymidone, vinclozolin, fenpiclonil, fludioxonil;
G protein inhibitors: quinoxyfen;
G) Lipid and membrane synthesis inhibitors
Phospholipid biosynthesis inhibitors: edifenphos, iprobenfos, pyrazophos, isoprothiolane;
- lipid peroxidation: dicloran, quintozene, tecnazene, tolclofos-methyl, biphenyl, chloroneb, etridiazole;
phospholipid biosynthesis and cell wall deposition: dimethomorph, flumorph, mandipropamid, pyrimorph, benthiavalicarb, iprovalicarb, valifenalate and N-(1-(1-(4-cyano- phenyl)ethanesulfonyl)-but-2-yl) carbamic acid-(4-fluorophenyl) ester;
- compounds affecting cell membrane permeability and fatty acides: propamocarb, propamocarb-hydrochlorid
H) Inhibitors with Multi Site Action
inorganic active substances: Bordeaux mixture, copper acetate, copper hydroxide, copper oxychloride, basic copper sulfate, sulfur;
- thio- and dithiocarbamates: ferbam, mancozeb, maneb, metam, metiram, propineb, thiram, zineb, ziram;
organochlorine compounds (e.g. phthalimides, sulfamides, chloronitriles): anilazine, chlorothalonil, captafol, captan, folpet, dichlofluanid, dichlorophen, flusulfamide,
hexachlorobenzene, pentachlorphenole and its salts, phthalide, tolylfluanid, N-(4-chloro-2- nitro-phenyl)-N-ethyl-4-methyl-benzenesulfonamide;
guanidines and others: guanidine, dodine, dodine free base, guazatine, guazatine- acetate, iminoctadine, iminoctadine-triacetate, iminoctadine-tris(albesilate), dithianon;
Cell wall synthesis inhibitors
inhibitors of glucan synthesis: validamycin, polyoxin B; melanin synthesis inhibitors: pyroquilon, tricyclazole, carpropamid, dicyclomet, fenoxanil;
Plant defence inducers
acibenzolar-S-methyl, probenazole, isotianil, tiadinil, prohexadione-calcium;
phosphonates: fosetyl, fosetyl-aluminum, phosphorous acid and its salts;
Unknown mode of action
bronopol, chinomethionat, cyflufenamid, cymoxanil, dazomet, debacarb, diclomezine, difenzoquat, difenzoquat-methylsulfate, diphenylamin, fenpyrazamine, flumetover, flusulfamide, flutianil, methasulfocarb, nitrapyrin, nitrothal-isopropyl, oxin-copper, proquinazid, tebufloquin, tecloftalam, triazoxide, 2-butoxy-6-iodo-3-propylchromen-4-one, N-(cyclo- propylmethoxyimino-(6-difluoro-methoxy-2,3-difluoro-phenyl)-methyl)-2-phenyl acetamide, N'- (4-(4-chloro-3-trifluoromethyl-phenoxy)-2,5-dimethyl-phenyl)-N-ethyl-N-methyl formamidine, N'-(4-(4-fluoro-3-trifluoromethyl-phenoxy)-2,5-dimethyl-phenyl)-N-ethyl-N-methyl formamidine, N'-(2-methyl-5-trifluoromethyl-4-(3-trimethylsilanyl-propoxy)-phenyl)-N-ethyl-N-methyl formamidine, N'-(5-difluoromethyl-2-methyl-4-(3-trimethylsilanyl-propoxy)-phenyl)-N-ethyl-N-methyl formamidine, 2-{1-[2-(5-methyl-3-trifluoromethyl-pyrazole-1-yl)-acetyl]-piperidin-4-yl}-thiazole- 4-carboxylic acid methyl-(1 ,2,3,4-tetrahydro-naphthalen-1-yl)-amide, 2-{1-[2-(5-methyl-3- trifluoromethyl-pyrazole-1-yl)-acetyl]-piperidin-4-yl}-thiazole-4-carboxylic acid methyl-(R)- 1 ,2,3,4-tetrahydro-naphthalen-1-yl-amide,
1- [4-[4-[5-(2,6-difluorophenyl)-4,5-dihydro-3-isoxazolyl]-2-thiazolyl]-1-piperidinyl]-
2- [5-methyl-3-(trifluoromethyl)-1 H-pyrazol-1-yl]ethanone, methoxy-acetic acid
6-tert-butyl-8-fluoro-2,3-dimethyl-quinolin-4-yl ester, N-Methyl-2-{1-[(5-methyl-3-trifluoromethyl- 1 H-pyrazol-1-yl)-acetyl]-piperidin-4-yl}-N-[(1 R)-1 ,2,3,4-tetrahydronaphthalen-1-yl]-4-thi- azolecarboxamide, 3-[5-(4-methylphenyl)-2,3-dimethyl-isoxazolidin-3-yl]-pyridine, 3-[5-(4- chloro-phenyl)-2,3-dimethyl-isoxazolidin-3-yl]-pyridine (pyrisoxazole), N-(6-methoxy-pyridin-3- yl) cyclopropanecarboxylic acid amide, 5-chloro-1-(4,6-dimethoxy-pyrimidin-2-yl)-2-methyl-1 H- benzoimidazole,
2-(4-chloro-phenyl)-N-[4-(3,4-dimethoxy-phenyl)-isoxazol-5-yl]-2-prop-2-ynyloxy-acetamide; L) Antifungal biocontrol agents, plant bioactivators: Ampelomyces quisqualis (e.g. AQ 10® from Intrachem Bio GmbH & Co. KG, Germany), Aspergillus flavus (e.g. AFLAGUARD® from Syngenta, CH), Aureobasidium pullulans (e.g. BOTECTOR® from bio-ferm GmbH, Germany), Bacillus pumilus (e.g. NRRL Accession No. B-30087 in SONATA® and BALLAD® Plus from AgraQuest Inc., USA), Bacillus subtilis (e.g. isolate NRRL-Nr. B-21661 in RHAPSODY®, SERENADE® MAX and SERENADE® ASO from AgraQuest Inc., USA), Bacillus subtilis var. amyloliquefaciens FZB24 (e.g. TAEGRO® from Novozyme Biologicals, Inc., USA), Candida oleophila I-82 (e.g. ASPIRE® from Ecogen Inc., USA), Candida saitoana (e.g. BIOCURE® (in mixture with lysozyme) and BIOCOAT® from Micro Flo Company, USA (BASF SE) and Arysta), Chitosan (e.g. ARMOUR-ZEN from BotriZen Ltd., NZ), Clonostachys rosea f.
catenulata, also named Gliocladium catenulatum (e.g. isolate J1446: PRESTOP® from Verdera, Finland), Coniothyrium minitans (e.g. CONTANS® from Prophyta, Germany), Cryphonectria parasitica (e.g. Endothia parasitica from CNICM, France), Cryptococcus albidus (e.g. YIELD PLUS® from Anchor Bio-Technologies, South Africa), Fusarium oxysporum (e.g. BIOFOX® from S.I.A.P.A., Italy, FUSACLEAN® from Natural Plant Protection, France),
Metschnikowia fructicola (e.g. SHEMER® from Agrogreen, Israel), Microdochium dimerum (e.g. ANTIBOTO from Agrauxine, France), Phlebiopsis gigantea (e.g. ROTSOP® from
Verdera, Finland), Pseudozyma flocculosa (e.g. SPORODEX® from Plant Products Co. Ltd., Canada), Pythium oligandrum DV74 (e.g. POLYVERSUM® from Remeslo SSRO,
Biopreparaty, Czech Rep.), Reynoutria sachlinensis (e.g. REGALIA® from Marrone
Biolnnovations, USA), Talaromyces flavus V117b (e.g. PROTUS® from Prophyta, Germany), Trichoderma asperellum SKT-1 (e.g. ECO-HOPE® from Kumiai Chemical Industry Co., Ltd., Japan), T. atroviride LC52 (e.g. SENTINEL® from Agrimm Technologies Ltd, NZ), T.
harzianum T-22 (e.g. PLANTSHIELD® der Firma BioWorks Inc., USA), T. harzianum TH 35 (e.g. ROOT PRO® from Mycontrol Ltd., Israel), T. harzianum T-39 (e.g. TRICHODEX® and
TRICHODERMA 2000® from Mycontrol Ltd., Israel and Makhteshim Ltd., Israel), T. harzianum and T. viride (e.g. TRICHOPEL from Agrimm Technologies Ltd, NZ), T. harzianum ICC012 and T. viride ICC080 (e.g. REMEDIER® WP from Isagro Ricerca, Italy), T. polysporum and T. harzianum (e.g. BINAB® from BINAB Bio-Innovation AB, Sweden), T. stromaticum (e.g.
TRICOVAB® from C.E.P.L.A.C., Brazil), T. virens GL-21 (e.g. SOILGARD® from Certis LLC,
USA), T. viride (e.g. TRIECO® from Ecosense Labs. (India) Pvt. Ltd., Indien, BIO-CURE® F from T. Stanes & Co. Ltd., Indien), T. viride TV1 (e.g. T. viride TV1 from Agribiotec srl, Italy), Ulocladium oudemansii HRU3 (e.g. BOTRY-ZEN® from Botry-Zen Ltd, NZ);
M) Growth regulators
abscisic acid, amidochlor, ancymidol, 6-benzylaminopurine, brassinolide, butralin, chlormequat
(chlormequat chloride), choline chloride, cyclanilide, daminozide, dikegulac, dimethipin, 2,6- dimethylpuridine, ethephon, flumetralin, flurprimidol, fluthiacet, forchlorfenuron, gibberellic acid, inabenfide, indole-3-acetic acid , maleic hydrazide, mefluidide, mepiquat (mepiquat chloride), naphthaleneacetic acid, N-6-benzyladenine, paclobutrazol, prohexadione
(prohexadione-calcium), prohydrojasmon, thidiazuron, triapenthenol, tributyl
phosphorotrithioate, 2,3,5-tri-iodobenzoic acid , trinexapac-ethyl and uniconazole;
N) Herbicides
acetamides: acetochlor, alachlor, butachlor, dimethachlor, dimethenamid, flufenacet, mefenacet, metolachlor, metazachlor, napropamide, naproanilide, pethoxamid, pretilachlor, propachlor, thenylchlor;
amino acid derivatives: bilanafos, glyphosate, glufosinate, sulfosate;
aryloxyphenoxypropionates: clodinafop, cyhalofop-butyl, fenoxaprop, fluazifop, haloxyfop, metamifop, propaquizafop, quizalofop, quizalofop-P-tefuryl;
Bipyridyls: diquat, paraquat;
- (thio)carbamates: asulam, butylate, carbetamide, desmedipham, dimepiperate, eptam
(EPTC), esprocarb, molinate, orbencarb, phenmedipham, prosulfocarb, pyributicarb, thiobencarb, triallate;
cyclohexanediones: butroxydim, clethodim, cycloxydim, profoxydim, sethoxydim, tepraloxydim, tralkoxydim;
- dinitroanilines: benfluralin, ethalfluralin, oryzalin, pendimethalin, prodiamine, trifluralin; diphenyl ethers: acifluorfen, aclonifen, bifenox, diclofop, ethoxyfen, fomesafen, lactofen, oxyfluorfen;
hydroxybenzonitriles: bomoxynil, dichlobenil, ioxynil;
imidazolinones: imazamethabenz, imazamox, imazapic, imazapyr, imazaquin, imazethapyr;
phenoxy acetic acids: clomeprop, 2,4-dichlorophenoxyacetic acid (2,4-D), 2,4-DB, dichlorprop, MCPA, MCPA-thioethyl, MCPB, Mecoprop;
pyrazines: chloridazon, flufenpyr-ethyl, fluthiacet, norflurazon, pyridate;
pyridines: aminopyralid, clopyralid, diflufenican, dithiopyr, fluridone, fluroxypyr, picloram, picolinafen, thiazopyr;
sulfonyl ureas: amidosulfuron, azimsulfuron, bensulfuron, chlorimuron-ethyl, chlorsulfuron, cinosulfuron, cyclosulfamuron, ethoxysulfuron, flazasulfuron, flucetosulfuron, flupyrsulfuron, foramsulfuron, halosulfuron, imazosulfuron, iodosulfuron, mesosulfuron, metazosulfuron, metsulfuron-methyl, nicosulfuron, oxasulfuron, primisulfuron, prosulfuron, pyrazosulfuron, rimsulfuron, sulfometuron, sulfosulfuron, thifensulfuron, triasulfuron, tribenuron, trifloxysulfuron, triflusulfuron, tritosulfuron, 1-((2-chloro-6-propyl-imidazo[1 ,2- b]pyridazin-3-yl)sulfonyl)-3-(4,6-dimethoxy-pyrimidin-2-yl)urea;
triazines: ametryn, atrazine, cyanazine, dimethametryn, ethiozin, hexazinone, metamitron, metribuzin, prometryn, simazine, terbuthylazine, terbutryn, triaziflam;
- ureas: chlorotoluron, daimuron, diuron, fluometuron, isoproturon, linuron, metha- benzthiazuron.tebuthiuron;
other acetolactate synthase inhibitors: bispyribac-sodium, cloransulam-methyl, diclosulam, florasulam, flucarbazone, flumetsulam, metosulam, ortho-sulfamuron,
penoxsulam, propoxycarbazone, pyribambenz-propyl, pyribenzoxim, pyriftalid, pyriminobac- methyl, pyrimisulfan, pyrithiobac, pyroxasulfone, pyroxsulam;
others: amicarbazone, aminotriazole, anilofos, beflubutamid, benazolin,
bencarbazone.benfluresate, benzofenap, bentazone, benzobicyclon, bicyclopyrone, bromacil, bromobutide, butafenacil, butamifos, cafenstrole, carfentrazone, cinidon-ethyl, chlorthal, cinmethylin, clomazone, cumyluron, cyprosulfamide, dicamba, difenzoquat, diflufenzopyr, Drechslera monoceras, endothal, ethofumesate, etobenzanid, fenoxasulfone, fentrazamide, flumiclorac-pentyl, flumioxazin, flupoxam, flurochloridone, flurtamone, indanofan, isoxaben, isoxaflutole, lenacil, propanil, propyzamide, quinclorac, quinmerac, mesotrione, methyl arsonic acid, naptalam, oxadiargyl, oxadiazon, oxaziclomefone, pentoxazone, pinoxaden, pyraclonil, pyraflufen-ethyl, pyrasulfotole, pyrazoxyfen, pyrazolynate, quinoclamine, saflufenacil, sulcotrione, sulfentrazone, terbacil, tefuryltrione, tembotrione, thiencarbazone, topramezone,
(3-[2-chloro-4-fluoro-5-(3-methyl-2,6-dioxo-4-trifluoromethyl-3,6-dihydro-2H-pyrimidin-1-yl)- phenoxy]-pyridin-2-yloxy)-acetic acid ethyl ester, 6-amino-5-chloro-2-cyclopropyl-pyrimidine-4- carboxylic acid methyl ester, 6-chloro-3-(2-cyclopropyl-6-methyl-phenoxy)-pyridazin-4-ol, 4- amino-3-chloro-6-(4-chloro-phenyl)-5-fluoro-pyridine-2-carboxylic acid, 4-amino-3-chloro-6-(4- chloro-2-fluoro-3-methoxy-phenyl)-pyridine-2-carboxylic acid methyl ester, and 4-amino-3- chloro-6-(4-chloro-3-dimethylamino-2-fluoro-phenyl)-pyridine-2-carboxylic acid methyl ester. Insecticides
organo(thio)phosphates: acephate, azamethiphos, azinphos-methyl, chlorpyrifos, chlorpyrifos-methyl, chlorfenvinphos, diazinon, dichlorvos, dicrotophos, dimethoate, disulfoton, ethion, fenitrothion, fenthion, isoxathion, malathion, methamidophos, methidathion, methyl- parathion, mevinphos, monocrotophos, oxydemeton-methyl, paraoxon, parathion, phenthoate, phosalone, phosmet, phosphamidon, phorate, phoxim, pirimiphos-methyl, profenofos, prothiofos, sulprophos, tetrachlorvinphos, terbufos, triazophos, trichlorfon;
carbamates: alanycarb, aldicarb, bendiocarb, benfuracarb, carbaryl, carbofuran, carbosulfan, fenoxycarb, furathiocarb, methiocarb, methomyl, oxamyl, pirimicarb, propoxur, thiodicarb, triazamate;
pyrethroids: allethrin, bifenthrin, cyfluthrin, cyhalothrin, cyphenothrin, cypermethrin, alpha-cypermethrin, beta-cypermethrin, zeta-cypermethrin, deltamethrin, esfenvalerate, etofenprox, fenpropathrin, fenvalerate, imiprothrin, lambda-cyhalothrin, permethrin, prallethrin, pyrethrin I and II, resmethrin, silafluofen, tau-fluvalinate, tefluthrin, tetramethrin, tralomethrin, transfluthrin, profluthrin, dimefluthrin;
insect growth regulators: a) chitin synthesis inhibitors: benzoylureas: chlorfluazuron, cyramazin, diflubenzuron, flucycloxuron, flufenoxuron, hexaflumuron, lufenuron, novaluron, teflubenzuron, triflumuron; buprofezin, diofenolan, hexythiazox, etoxazole, clofentazine; b) ecdysone antagonists: halofenozide, methoxyfenozide, tebufenozide, azadirachtin; c) juvenoids: pyriproxyfen, methoprene, fenoxycarb; d) lipid biosynthesis inhibitors: spirodiclofen, spiromesifen, spirotetramat;
nicotinic receptor agonists/antagonists compounds: clothianidin, dinotefuran, imidacloprid, thiamethoxam, nitenpyram, acetamiprid, thiacloprid, 1-(2-chloro-thiazol-5- ylmethyl)-2-nitrimino-3,5-dimethyl-[1 ,3,5]triazinane;
- GABA antagonist compounds: endosulfan, ethiprole, fipronil, vaniliprole, pyrafluprole, pyriprole, 5-amino-1-(2,6-dichloro-4-methyl-phenyl)-4-sulfinamoyl-1 H-pyrazole-3-carbothioic acid amide;
macrocyclic lactone insecticides: abamectin, emamectin, milbemectin, lepimectin, spinosad, spinetoram;
- mitochondrial electron transport inhibitor (METI) I acaricides: fenazaquin, pyridaben, tebufenpyrad, tolfenpyrad, flufenerim;
METI II and III compounds: acequinocyl, fluacyprim, hydramethylnon;
Uncouplers: chlorfenapyr;
oxidative phosphorylation inhibitors: cyhexatin, diafenthiuron, fenbutatin oxide, propargite;
moulting disruptor compounds: cryomazine;
mixed function oxidase inhibitors: piperonyl butoxide;
sodium channel blockers: indoxacarb, metaflumizone;
others: benclothiaz, bifenazate, cartap, flonicamid, pyridalyl, pymetrozine, sulfur, thiocyclam, flubendiamide, chlorantraniliprole, cyazypyr (HGW86), cyenopyrafen, flupyrazofos, cyflumetofen, amidoflumet, imicyafos, bistrifluron, pyrifluquinazon and 1 ,1'- [(3S,4R,4aR,6S,6aS,12R,12aS,12bS)-4-[[(2-cyclopropylacetyl)oxy]methyl]- 1 ,3,4,4a, 5,6, 6a, 12, 12a, 12b-decahydro-12-hydroxy-4,6a, 12b-trimethyl-11 -oxo-9-(3-pyridinyl)- 21-1,11 H-naphtho[2,1-b]pyrano[3,4-e]pyran-3,6-diyl] cyclopropaneacetic acid ester.
The present invention furthermore relates to agrochemical compositions comprising a mixture of at least one compound I (component 1) and at least one further active substance useful for plant protection, e. g. selected from the groups A) to O) (component 2), in particular one further fungicide, e. g. one or more fungicide from the groups A) to L), as described above, and if desired one suitable solvent or solid carrier. Those mixtures are of particular interest, since many of them at the same application rate show higher efficiencies against harmful fungi. Furthermore, combating harmful fungi with a mixture of compounds I and at least one fungicide from groups A) to L), as described above, is more efficient than combating those fungi with individual compounds I or individual fungicides from groups A) to L). By applying compounds I together with at least one active substance from groups A) to O) a synergistic effect can be obtained, i.e. more then simple addition of the individual effects is obtained (synergistic mixtures).
This can be obtained by applying the compounds I and at least one further active substance simultaneously, either jointly (e. g. as tank-mix) or separately, or in succession, wherein the time interval between the individual applications is selected to ensure that the active substance applied first still occurs at the site of action in a sufficient amount at the time of application of the further active substance(s). The order of application is not essential for working of the present invention. In binary mixtures, i.e. compositions according to the invention comprising one compound I
(component 1) and one further active substance (component 2), e. g. one active substance from groups A) to O), the weight ratio of component 1 and component 2 generally depends from the properties of the active substances used, usually it is in the range of from 1 :100 to 100:1 , regularly in the range of from 1 :50 to 50:1 , preferably in the range of from 1 :20 to 20:1 , more preferably in the range of from 1 :10 to 10:1 and in particular in the range of from 1 :3 to 3: 1.
In ternary mixtures, i.e. compositions according to the invention comprising one compound I (component 1 ) and a first further active substance (component 2) and a second further active substance (component 3), e. g. two active substances from groups A) to O), the weight ratio of component 1 and component 2 depends from the properties of the active substances used, preferably it is in the range of from 1 :50 to 50:1 and particularly in the range of from 1 :10 to 10: 1 , and the weight ratio of component 1 and component 3 preferably is in the range of from 1 :50 to 50:1 and particularly in the range of from 1 : 10 to 10: 1.
Preference is also given to mixtures comprising a compound I (component 1) and at least one active substance selected from group A) (component 2) and particularly selected from azoxystrobin, dimoxystrobin, fluoxastrobin, kresoxim-methyl, orysastrobin, picoxystrobin, pyraclostrobin, trifloxystrobin; famoxadone, fenamidone; bixafen, boscalid, fluopyram, fluxapyroxad, isopyrazam, penflufen, penthiopyrad, sedaxane; ametoctradin, cyazofamid, fluazinam, fentin salts, such as fentin acetate.
Preference is given to mixtures comprising a compound I (component 1) and at least one active substance selected from group B) (component 2) and particularly selected from cyproconazole, difenoconazole, epoxiconazole, fluquinconazole, flusilazole, flutriafol, metconazole, myclobutanil, penconazole, propiconazole, prothioconazole, triadimefon, triadimenol, tebuconazole, tetraconazole, triticonazole, prochloraz, fenarimol, triforine; dodemorph, fenpropimorph, tridemorph, fenpropidin, spiroxamine; fenhexamid.
Preference is given to mixtures comprising a compound I (component 1) and at least one active substance selected from group C) (component 2) and particularly selected from metalaxyl,
(metalaxyl-M) mefenoxam, ofurace.
Preference is given to mixtures comprising a compound I (component 1) and at least one active substance selected from group D) (component 2) and particularly selected from benomyl, carbendazim, thiophanate-methyl, ethaboxam, fluopicolide, zoxamide, metrafenone, pyriofenone.
Preference is also given to mixtures comprising a compound I (component 1) and at least one active substance selected from group E) (component 2) and particularly selected from cyprodinil, mepanipyrim, pyrimethanil.
Preference is also given to mixtures comprising a compound I (component 1) and at least one active substance selected from group F) (component 2) and particularly selected from iprodione, fludioxonil, vinclozolin, quinoxyfen.
Preference is also given to mixtures comprising a compound I (component 1 ) and at least one active substance selected from group G) (component 2) and particularly selected from dimethomorph, flumorph, iprovalicarb, benthiavalicarb, mandipropamid, propamocarb.
Preference is also given to mixtures comprising a compound I (component 1) and at least one active substance selected from group H) (component 2) and particularly selected from copper acetate, copper hydroxide, copper oxychloride, copper sulfate, sulfur, mancozeb, metiram, propineb, thiram, captafol, folpet, chlorothalonil, dichlofluanid, dithianon.
Preference is also given to mixtures comprising a compound I (component 1) and at least one active substance selected from group I) (component 2) and particularly selected from carpropamid and fenoxanil.
Preference is also given to mixtures comprising a compound I (component 1) and at least one active substance selected from group J) (component 2) and particularly selected from acibenzolar-S- methyl, probenazole, tiadinil, fosetyl, fosetyl-aluminium, H3PO3 and salts thereof.
Preference is also given to mixtures comprising a compound I (component 1) and at least one active substance selected from group K) (component 2) and particularly selected from cymoxanil, proquinazid and N-methyl-2-{1-[(5-methyl-3-trifluoromethyl-1 H-pyrazol-1-yl)-acetyl]-piperidin-4-yl}-N- [(1 R)-1 ,2,3,4-tetrahydronaphthalen-1-yl]-4-thiazolecarboxamide.
Preference is also given to mixtures comprising a compound I (component 1) and at least one active substance selected from group L) (component 2) and particularly selected from Bacillus subtilis strain NRRL No. B-21661 , Bacillus pumilus strain NRRL No. B-30087 and Ulocladium oudemansii.
Accordingly, the present invention furthermore relates to compositions comprising one compound I (component 1 ) and one further active substance (component 2), which further active substance is selected from the column "Component 2" of the lines D-1 to D-370 of Table D.
A further embodiment relates to the compositions D-1 to D-370 listed in Table D, where a row of Table D corresponds in each case to a fungicidal composition comprising one of the in the present specification individualized compounds of formula I (component 1) and the respective further active substance from groups A) to O) (component 2) stated in the row in question. Preferably, the compositions described comprise the active substances in synergistically effective amounts.
Table D: Composition comprising one indiviualized compound I and one further active substance from groups A) to O)
Mixture Component 1 Component 2
D-1 one individualized compound I Azoxystrobin
D-2 one individualized compound I Coumethoxystrobin
D-3 one individualized compound I Coumoxystrobin
D-4 one individualized compound I Dimoxystrobin
D-5 one individualized compound I Enestroburin
D-6 one individualized compound I Fenaminstrobin
D-7 one individualized compound I Fenoxystrobin/Flufenoxystrobin
D-8 one individualized compound I Fluoxastrobin
D-9 one individualized compound I Kresoxim-methyl
D-10 one individualized compound I Metominostrobin
D-11 one individualized compound I Orysastrobin
D-12 one individualized compound I Picoxystrobin
D-13 one individualized compound I Pyraclostrobin
D-14 one individualized compound I Pyrametostrobin
D-15 one individualized compound I Pyraoxystrobin
D-16 one individualized compound I Pyribencarb
Mixture Component 1 Component 2
D-17 one individualized compound I Trifloxystrobin
D-18 one individualized compound I Triclopyricarb/Chlorodincarb
2-[2-(2,5-dimethyl-phenoxymethyl)-
D-19 one individualized compound I phenyl]-3-methoxy-acrylic acid methyl ester
2-(2-(3-(2,6-dichlorophenyl)-1-methyl-
D-20 one individualized compound I allylideneaminooxymethyl)-phenyl)-
2-methoxyimino-N-methyl-acetamide
D-21 one individualized compound I Benalaxyl
D-22 one individualized compound I Benalaxyl-M
D-23 one individualized compound I Benodanil
D-24 one individualized compound I Benzovindiflupyr
D-25 one individualized compound I Bixafen
D-26 one individualized compound I Boscalid
D-27 one individualized compound I Carboxin
D-28 one individualized compound I Fenfuram
D-29 one individualized compound I Fenhexamid
D-30 one individualized compound I Flutolanil
D-31 one individualized compound I Fluxapyroxad
D-32 one individualized compound I Furametpyr
D-33 one individualized compound I Isopyrazam
D-34 one individualized compound I Isotianil
D-35 one individualized compound I Kiralaxyl
D-36 one individualized compound I Mepronil
D-37 one individualized compound I Metalaxyl
D-38 one individualized compound I Metalaxyl-M
D-39 one individualized compound I Of u race
D-40 one individualized compound I Oxadixyl
D-41 one individualized compound I Oxycarboxin
D-42 one individualized compound I Penflufen
D-43 one individualized compound I Penthiopyrad
D-44 one individualized compound I Sedaxane
D-45 one individualized compound I Tecloftalam
D-46 one individualized compound I Thifluzamide
D-47 one individualized compound I Tiadinil
2-Amino-4-methyl-thiazole-5-carboxylic
D-48 one individualized compound I
acid anilide
N-(4'-trifluoromethylthiobiphenyl-2-yl)-
D-49 one individualized compound I 3-difluoromethyl- 1 -methyl- 1 H-pyrazole-4- carboxamide
N-(2-(1 ,3,3-trimethyl-butyl)-phenyl)-
D-50 one individualized compound I 1 ,3-dimethyl-5-fluoro-1 H-pyrazole- 4-carboxamide
Mixture Component 1 Component 2
3-(difluoromethyl)-1-methyl-N-(1 ,1 ,3-tri-
D-51 one individualized compound I
methylindan-4-yl)pyrazole-4-carboxamide
3-(trifluoromethyl)-1-methyl-N-(1 ,1 ,3-tri-
D-52 one individualized compound I
methylindan-4-yl)pyrazole-4-carboxamide
1 ,3-dimethyl-N-(1 , 1 ,3-trimethylindan-
D-53 one individualized compound I
4-yl)pyrazole-4-carboxamide
3- (trifluoromethyl)-1 ,5-dimethyl-N-(1 ,1 ,3-
D-54 one individualized compound I trimethylindan-4-yl)pyrazole-
4- carboxamide
3- (difluoromethyl)-1 ,5-dimethyl-N-(1 , 1 ,3-
D-55 one individualized compound I trimethylindan-4-yl)pyrazole-
4- carboxamide
1 ,3,5-trimethyl-N-(1 , 1 ,3-trimethylindan-4-
D-56 one individualized compound I
yl)pyrazole-4-carboxamide
D-57 one individualized compound I Dimethomorph
D-58 one individualized compound I Flumorph
D-59 one individualized compound I Pyrimorph
D-60 one individualized compound I Flumetover
D-61 one individualized compound I Fluopicolide
D-62 one individualized compound I Fluopyram
D-63 one individualized compound I Zoxamide
D-64 one individualized compound I Carpropamid
D-65 one individualized compound I Diclocymet
D-66 one individualized compound I Mandipropamid
D-67 one individualized compound I Oxytetracyclin
D-68 one individualized compound I Silthiofam
N-(6-methoxy-pyridin-3-yl) cyclopropane-
D-69 one individualized compound I
carboxylic acid amide
D-70 one individualized compound I Azaconazole
D-71 one individualized compound I Bitertanol
D-72 one individualized compound I Bromuconazole
D-73 one individualized compound I Cyproconazole
D-74 one individualized compound I Difenoconazole
D-75 one individualized compound I Diniconazole
D-76 one individualized compound I Diniconazole-M
D-77 one individualized compound I Epoxiconazole
D-78 one individualized compound I Fenbuconazole
D-79 one individualized compound I Fluquinconazole
D-80 one individualized compound I Flusilazole
D-81 one individualized compound I Flutriafol
D-82 one individualized compound I Hexaconazol
D-83 one individualized compound I Imibenconazole
D-84 one individualized compound I Ipconazole
D-85 one individualized compound I Metconazole
Mixture Component 1 Component 2
D-86 one individualized compound I Myclobutanil
D-87 one individualized compound I Oxpoconazol
D-88 one individualized compound I Paclobutrazol
D-89 one individualized compound I Penconazole
D-90 one individualized compound I Propiconazole
D-91 one individualized compound I Prothioconazole
D-92 one individualized compound I Simeconazole
D-93 one individualized compound I Tebuconazole
D-94 one individualized compound I Tetraconazole
D-95 one individualized compound I Triadimefon
D-96 one individualized compound I Triadimenol
D-97 one individualized compound I Triticonazole
D-98 one individualized compound I Uniconazole
1-[re/-(2S;3R)-3-(2-chlorophenyl)-2-(2,4-
D-99 one individualized compound I difluorophenyl)-oxiranylmethyl]-5-thio- cyanato-1 H-[1 ,2,4]triazole,
2-[re/-(2S;3R)-3-(2-chlorophenyl)-2-(2,4-
D-100 one individualized compound I difluorophenyl)-oxiranylmethyl]-
2H-[1 ,2,4]triazole-3-thiol
D-101 one individualized compound I Cyazofamid
D-102 one individualized compound I Amisulbrom
D-103 one individualized compound I Imazalil
D-104 one individualized compound I Imazalil-sulfate
D-105 one individualized compound I Pefurazoate
D-106 one individualized compound I Prochloraz
D-107 one individualized compound I Triflumizole
D-108 one individualized compound I Benomyl
D-109 one individualized compound I Carbendazim
D-110 one individualized compound I Fuberidazole
D-111 one individualized compound I Thiabendazole
D-112 one individualized compound I Ethaboxam
D-113 one individualized compound I Etridiazole
D-114 one individualized compound I Hymexazole
2-(4-Chloro-phenyl)-N-[4-(3,4-dimethoxy-
D-115 one individualized compound I phenyl)-isoxazol-5-yl]-2-prop-2-ynyloxy- acetamide
D-116 one individualized compound I Fluazinam
D-117 one individualized compound I Pyrifenox
3-[5-(4-Chloro-phenyl)-2,3-dimethyl-is-
D-118 one individualized compound I
oxazolidin-3-yl]-pyridine (Pyrisoxazole)
3-[5-(4-Methyl-phenyl)-2,3-dimethyl-
D-119 one individualized compound I
isoxazolidin-3-yl]-pyridine
D-120 one individualized compound I Bupirimate
D-121 one individualized compound I Cyprodinil
Mixture Component 1 Component 2
D-122 one individualized compound I 5-Fluorocytosine
5- F I u o ro-2- ( p-toly I m ethoxy) py ri m i d i n-
D-123 one individualized compound I
4-amine
5-Fluoro-2-(4-fluorophenylmethoxy)-
D-124 one individualized compound I
pyrimidin-4-amine
D-125 one individualized compound I Diflumetorim
(5,8-Difluoroquinazolin-4-yl)-{2-[2-fluoro-
D-126 one individualized compound I 4-(4-trifluoromethylpyridin-2-yloxy)- phenyl]-ethyl}-amine
D-127 one individualized compound I Fenarimol
D-128 one individualized compound I Ferimzone
D-129 one individualized compound I Mepanipyrim
D-130 one individualized compound I Nitra pyrin
D-131 one individualized compound I Nuarimol
D-132 one individualized compound I Pyrimethanil
D-133 one individualized compound I Triforine
D-134 one individualized compound I Fenpiclonil
D-135 one individualized compound I Fludioxonil
D-136 one individualized compound I Aldimorph
D-137 one individualized compound I Dodemorph
D-138 one individualized compound I Dodemorph-acetate
D-139 one individualized compound I Fenpropimorph
D-140 one individualized compound I Tridemorph
D-141 one individualized compound I Fenpropidin
D-142 one individualized compound I Fluoroimid
D-143 one individualized compound I Iprodione
D-144 one individualized compound I Procymidone
D-145 one individualized compound I Vinclozolin
D-146 one individualized compound I Famoxadone
D-147 one individualized compound I Fenamidone
D-148 one individualized compound I Flutianil
D-149 one individualized compound I Octhilinone
D-150 one individualized compound I Probenazole
D-151 one individualized compound I Fenpyrazamine
D-152 one individualized compound I Acibenzolar-S-methyl
D-153 one individualized compound I Ametoctradin
D-154 one individualized compound I Amisulbrom
[(3S,6S,7R,8R)-8-benzyl-3-[(3-isobuty- ryloxymethoxy-4-methoxypyridine-
D-155 one individualized compound I
2-carbonyl)amino]-6-methyl-4,9-dioxo- [1 ,5]dioxonan-7-yl] 2-methylpropanoate
Mixture Component 1 Component 2
[(3S,6S,7R,8R)-8-benzyl-3-[(3-acetoxy- 4-methoxy-pyridine-2-carbonyl)amino]-6-
D-156 one individualized compound I
methyl-4,9-dioxo-1 ,5-dioxonan-7-yl] 2-methylpropanoate
[(3S,6S,7R,8R)-8-benzyl-3-[[3-(acet- oxymethoxy)-4-methoxy-pyridine-
D-157 one individualized compound I
2-carbonyl]amino]-6-methyl-4,9-dioxo- 1 ,5-dioxonan-7-yl] 2-methylpropanoate
[(3S,6S,7R,8R)-8-benzyl-3-[(3-isobut- oxycarbonyloxy-4-methoxy-pyridine-
D-158 one individualized compound I
2-carbonyl)amino]-6-methyl-4,9-dioxo- 1 ,5-dioxonan-7-yl] 2-methylpropanoate
[(3S,6S,7R,8R)-8-benzyl-3-[[3-(1 ,3-ben- zodioxol-5-ylmethoxy)-4-methoxy-pyri-
D-159 one individualized compound I dine-2-carbonyl]amino]-6-methyl-4,9-di- oxo-1 ,5-dioxonan-7-yl] 2-methylpropanoate
(3S,6S,7R,8R)-3-[[(3-hydroxy-4-methoxy- 2-pyridinyl)carbonyl]amino]-6-methyl-4,9-
D-160 one individualized compound I
dioxo-8-(phenylmethyl)-1 ,5-dioxonan-7-yl 2-methylpropanoate
D-161 one individualized compound I Anilazin
D-162 one individualized compound I Blasticidin-S
D-163 one individualized compound I Captafol
D-164 one individualized compound I Captan
D-165 one individualized compound I Chinomethionat
D-166 one individualized compound I Dazomet
D-167 one individualized compound I Debacarb
D-168 one individualized compound I Diclomezine
D-169 one individualized compound I Difenzoquat,
D-170 one individualized compound I Difenzoquat-methylsulfate
D-171 one individualized compound I Fenoxanil
D-172 one individualized compound I Folpet
D-173 one individualized compound I Oxolinsaure
D-174 one individualized compound I Piperalin
D-175 one individualized compound I Proquinazid
D-176 one individualized compound I Pyroquilon
D-177 one individualized compound I Quinoxyfen
D-178 one individualized compound I Triazoxid
D-179 one individualized compound I Tricyclazole
D-180 one individualized compound I 2-Butoxy-6-iodo-3-propyl-chromen-4-one
5-Chloro-1-(4,6-dimethoxy-pyrimidin-2-
D-181 one individualized compound I
yl)-2-methyl-1 H-benzoimidazole
Mixture Component 1 Component 2
5- Chloro-7-(4-methyl-piperidin-1-yl)-
D-182 one individualized compound I 6- (2,4,6-trifluoro-phenyl)-[1 ,2,4]tri- azolo[1 ,5-a]pyrimidine
D-183 one individualized compound I Ferbam
D-184 one individualized compound I Mancozeb
D-185 one individualized compound I Maneb
D-186 one individualized compound I Metam
D-187 one individualized compound I Methasulphocarb
D-188 one individualized compound I Metiram
D-189 one individualized compound I Propineb
D-190 one individualized compound I Thiram
D-191 one individualized compound I Zineb
D-192 one individualized compound I Ziram
D-193 one individualized compound I Diethofencarb
D-194 one individualized compound I Benthiavalicarb
D-195 one individualized compound I Iprovalicarb
D-196 one individualized compound I Propamocarb
D-197 one individualized compound I Propamocarb hydrochlorid
D-198 one individualized compound I Valifenalate
N-(1-(1-(4-cyanophenyl)ethanesulfonyl)-
D-199 one individualized compound I but-2-yl) carbamic acid-(4-fluorophenyl) ester
D-200 one individualized compound I Dodine
D-201 one individualized compound I Dodine free base
D-202 one individualized compound I Guazatine
D-203 one individualized compound I Guazatine-acetate
D-204 one individualized compound I Iminoctadine
D-205 one individualized compound I I m i noctadi ne-triacetate
D-206 one individualized compound I Iminoctadine-tris(albesilate)
D-207 one individualized compound I Kasugamycin
D-208 one individualized compound I Kasugamycin-hydrochloride-hydrate
D-209 one individualized compound I Polyoxine
D-210 one individualized compound I Streptomycin
D-211 one individualized compound I Validamycin A
D-212 one individualized compound I Binapacryl
D-213 one individualized compound I Dicloran
D-214 one individualized compound I Dinobuton
D-215 one individualized compound I Dinocap
D-216 one individualized compound I Nitrothal-isopropyl
D-217 one individualized compound I Tecnazen
D-218 one individualized compound I Fentin salts
D-219 one individualized compound I Dithianon
Mixture Component 1 Component 2
2,6-dimethyl-1 H,5H-[1 ,4]dithiino
D-220 one individualized compound I [2,3-c:5,6-c']dipyrrole-
1 ,3,5,7(2H,6H)-tetraone
D-221 one individualized compound I Isoprothiolane
D-222 one individualized compound I Edifenphos
D-223 one individualized compound I Fosetyl, Fosetyl-aluminium
D-224 one individualized compound I Iprobenfos
Phosphorous acid (H3PO3) and
D-225 one individualized compound I
derivatives
D-226 one individualized compound I Pyrazophos
D-227 one individualized compound I Tolclofos-methyl
D-228 one individualized compound I Chlorothalonil
D-229 one individualized compound I Dichlofluanid
D-230 one individualized compound I Dichlorophen
D-231 one individualized compound I Flusulfamide
D-232 one individualized compound I Hexachlorbenzene
D-233 one individualized compound I Pencycuron
D-234 one individualized compound I Pentachlorophenol and salts
D-235 one individualized compound I Phthalide
D-236 one individualized compound I Quintozene
D-237 one individualized compound I Thiophanate Methyl
D-238 one individualized compound I Tolylfluanid
N-(4-chloro-2-nitro-phenyl)-N-ethyl-
D-239 one individualized compound I
4-methyl-benzenesulfonamide
D-240 one individualized compound I Bordeaux mixture
D-241 one individualized compound I Copper acetate
D-242 one individualized compound I Copper hydroxide
D-243 one individualized compound I Copper oxychloride
D-244 one individualized compound I basic Copper sulfate
D-245 one individualized compound I Sulfur
D-246 one individualized compound I Biphenyl
D-247 one individualized compound I Bronopol
D-248 one individualized compound I Cyflufenamid
D-249 one individualized compound I Cymoxanil
D-250 one individualized compound I Diphenylamin
D-251 one individualized compound I Metrafenone
D-252 one individualized compound I Pyriofenone
D-253 one individualized compound I Mildiomycin
D-254 one individualized compound I Oxin-copper
D-255 one individualized compound I Oxathiapiprolin
D-256 one individualized compound I Prohexadione calcium
D-257 one individualized compound I Spiroxamine
D-258 one individualized compound I Tebufloquin
D-259 one individualized compound I Tolylfluanid
Mixture Component 1 Component 2
N-(Cyclopropylmethoxyimino-(6-difluoro-
D-260 one individualized compound I methoxy-2,3-difluoro-phenyl)-methyl)- 2-phenyl acetamide
N'-(4-(4-chloro-3-trifluoromethyl-
D-261 one individualized compound I phenoxy)-2,5-dimethyl-phenyl)-N-ethyl-N- methyl formamidine
N'-(4-(4-fluoro-3-trifluoromethyl-phenoxy)-
D-262 one individualized compound I 2,5-dimethyl-phenyl)-N-ethyl-N-methyl formamidine
N'-(2-methyl-5-trifluoromethyl-4-(3-tri-
D-263 one individualized compound I methylsilanyl-propoxy)-phenyl)-N-ethyl-N- methyl formamidine
N'-(5-difluoromethyl-2-methyl-4-(3-tri-
D-264 one individualized compound I methylsilanyl-propoxy)-phenyl)-N-ethyl-N- methyl formamidine
Methoxy-acetic acid 6-tert-butyl-8-fluoro-
D-265 one individualized compound I
2,3-dimethyl-quinolin-4-yl ester
D-266 one individualized compound I Bacillus subtilis NRRL No. B-21661
D-267 one individualized compound I Bacillus pumilus NRRL No. B-30087
D-268 one individualized compound I Ulocladium oudemansii
D-269 one individualized compound I Carbaryl
D-270 one individualized compound I Carbofuran
D-271 one individualized compound I Carbosulfan
D-272 one individualized compound I Methomylthiodicarb
D-273 one individualized compound I Bifenthrin
D-274 one individualized compound I Cyfluthrin
D-275 one individualized compound I Cypermethrin
D-276 one individualized compound I alpha-Cypermethrin
D-277 one individualized compound I zeta-Cypermethrin
D-278 one individualized compound I Deltamethrin
D-279 one individualized compound I Esfenvalerate
D-280 one individualized compound I Lambda-cyhalothrin
D-281 one individualized compound I Permethrin
D-282 one individualized compound I Tefluthrin
D-283 one individualized compound I Diflubenzuron
D-284 one individualized compound I Flufenoxuron
D-285 one individualized compound I Lufenuron
D-286 one individualized compound I Teflubenzuron
D-287 one individualized compound I Spirotetramate
D-288 one individualized compound I Clothianidin
D-289 one individualized compound I Dinotefuran
D-290 one individualized compound I Imidacloprid
D-291 one individualized compound I Thiamethoxam
D-292 one individualized compound I Flupyradifurone
Mixture Component 1 Component 2
D-293 one individualized compound I Acetamiprid
D-294 one individualized compound I Thiacloprid
D-295 one individualized compound I Endosulfan
D-296 one individualized compound I Fipronil
D-297 one individualized compound I Abamectin
D-298 one individualized compound I Emamectin
D-299 one individualized compound I Spinosad
D-300 one individualized compound I Spinetoram
D-301 one individualized compound I Hydramethylnon
D-302 one individualized compound I Chlorfenapyr
D-303 one individualized compound I Fenbutatin oxide
D-304 one individualized compound I Indoxacarb
D-305 one individualized compound I Metaflumizone
D-306 one individualized compound I Flonicamid
D-307 one individualized compound I Lubendiamide
D-308 one individualized compound I Chlorantraniliprole
D-309 one individualized compound I Cyazypyr (HGW86)
D-310 one individualized compound I Cyflumetofen
D-311 one individualized compound I Acetochlor
D-312 one individualized compound I Dimethenamid
D-313 one individualized compound I metolachlor
D-314 one individualized compound I Metazachlor
D-315 one individualized compound I Glyphosate
D-316 one individualized compound I Glufosinate
D-317 one individualized compound I Sulfosate
D-318 one individualized compound I Clodinafop
D-319 one individualized compound I Fenoxaprop
D-320 one individualized compound I Fluazifop
D-321 one individualized compound I Haloxyfop
D-322 one individualized compound I Paraquat
D-323 one individualized compound I Phenmedipham
D-324 one individualized compound I Clethodim
D-325 one individualized compound I Cycloxydim
D-326 one individualized compound I Profoxydim
D-327 one individualized compound I Sethoxydim
D-328 one individualized compound I Tepraloxydim
D-329 one individualized compound I Pendimethalin
D-330 one individualized compound I Prodiamine
D-331 one individualized compound I Trifluralin
D-332 one individualized compound I Acifluorfen
D-333 one individualized compound I Bromoxynil
D-334 one individualized compound I Imazamethabenz
D-335 one individualized compound I Imazamox
D-336 one individualized compound I Imazapic
Mixture Component 1 Component 2
D-337 one individual ized compound I Imazapyr
D-338 one individual ized compound I Imazaquin
D-339 one individual ized compound I Imazethapyr
D-340 one individual ized compound I 2,4-Dichlorophenoxyacetic acid (2,4-D)
D-341 one individual ized compound I Chloridazon
D-342 one individual ized compound I Clopyralid
D-343 one individual ized compound I Fluroxypyr
D-344 one individual ized compound I Picloram
D-345 one individual ized compound I Picolinafen
D-346 one individual ized compound I Bensulfuron
D-347 one individual ized compound I Chlorimuron-ethyl
D-348 one individual ized compound I Cyclosulfamuron
D-349 one individual ized compound I lodosulfuron
D-350 one individual ized compound I Mesosulfuron
D-351 one individual ized compound I Metsulfuron-methyl
D-352 one individual ized compound I Nicosulfuron
D-353 one individual ized compound I Rimsulfuron
D-354 one individua ized compound I Triflusulfuron
D-355 one individual ized compound I Atrazine
D-356 one individual ized compound I Hexazinone
D-357 one individual ized compound I Diuron
D-358 one individual ized compound I Florasulam
D-359 one individual ized compound I Pyroxasulfone
D-360 one individual ized compound I Bentazone
D-361 one individual ized compound I Cinidon-ethyl
D-362 one individual ized compound I Cinmethylin
D-363 one individual ized compound I Dicamba
D-364 one individual ized compound I Diflufenzopyr
D-365 one individual ized compound I Quinclorac
D-366 one individual ized compound I Quinmerac
D-367 one individual ized compound I Mesotrione
D-368 one individual ized compound I Saflufenacil
D-369 one individual ized compound I Topramezone
1 ,1'-[(3S,4R,4aR,6S,6aS,12R,12aS,
12bS)-4-[[(2-cyclopropylacetyl)oxy]me- thyl]-1 ,3,4,4a,5,6,6a,12,12a,12b-deca-
D-370 one individualized compound I hydro-12-hydroxy-4,6a,12b-trimethyl-11- oxo-9-(3-pyridinyl)-2H,11 H-naphtho[2,1- b]pyrano[3,4-e]pyran-3,6-diyl]
cyclopropaneacetic acid ester
The active substances referred to as component 2, their preparation and their activity against harmful fungi is known (cf.: http://www.alanwood.net/pesticides/); these substances are commercially available. The compounds described by lUPAC nomenclature, their preparation and
their fungicidal activity are also known (cf. Can. J. Plant Sci. 48(6), 587-94, 1968; EP-A 141 317; EP- A 152 031 ; EP-A 226 917; EP-A 243 970; EP-A 256 503; EP-A 428 941 ; EP-A 532 022; EP-A 1 028 125; EP-A 1 035 122; EP-A 1 201 648; EP-A 1 122 244, JP 2002316902; DE 19650197; DE 10021412; DE 102005009458; US 3,296,272; US 3,325,503; WO 98/46608; WO 99/14187; WO 99/24413; WO 99/27783; WO 00/29404; WO 00/46148; WO 00/65913; WO 01/54501 ;
WO 01/56358; WO 02/22583; WO 02/40431 ; WO 03/10149; WO 03/11853; WO 03/14103;
WO 03/16286; WO 03/53145; WO 03/61388; WO 03/66609; WO 03/74491 ; WO 04/49804;
WO 04/83193; WO 05/120234; WO 05/123689; WO 05/123690; WO 05/63721 ; WO 05/87772; WO 05/87773; WO 06/15866; WO 06/87325; WO 06/87343; WO 07/82098; WO 07/90624, WO 11/028657).
The mixtures of active substances can be prepared as compositions comprising besides the active ingridients at least one inert ingredient by usual means, e. g. by the means given for the compositions of compounds I.
Concerning usual ingredients of such compositions reference is made to the explanations given for the compositions containing compounds I.
The mixtures of active substances according to the present invention are suitable as fungicides, as are the compounds of formula I. They are distinguished by an outstanding effectiveness against a broad spectrum of phytopathogenic fungi, especially from the classes of the Ascomycetes,
Basidiomycetes, Deuteromycetes and Peronosporomycetes (syn. Oomycetes). In addition, it is refered to the explanations regarding the fungicidal activity of the compounds and the compositions containing compounds I, respectively.
I. Synthesis examples With appropriate modification of the starting materials, the procedures given in the synthesis examples below were used to obtain further compounds I. The compounds produced in this manner are listed in Table V below.
Example 1 : Preparation of methyl 2-[3-[[2-(trifluoromethyl)-4-pyridyl]oxy]phenyl]acetate
To a solution of methyl 2-(3-hydroxyphenyl)acetate (6 g, 36 mmol), potassium carbonate (5.5 g, 40 mmol) and catalytic amounts of potassium iodide in N-methyl-2-pyrrolidone (NMP, 65 mL) that was stirred for 20 minutes at room temperature was added 4-chloro-2-trifluoromethylpyridine (6.6 g, 36 mmol). The reaction mixture was then heated to 130°C for 5 h, cooled, poured into water and extracted with methyl ferf-butylether (MTBE, 3x). The combined organic layers were washed with succesivly with 3 N NaOH and water, dried over Na2S04, and reduced in vacuo. The crude residue was purified by flash silica gel column chromatography (hexane/ethyl acetate) to afford a 54% (6 g, 19 mmol) yield of the desired product. Example 2: Preparation of N-(2-methylpyrimidin-4-yl)-2-[3-[[2-(trifluoromethyl)-4-pyridyl] oxy]phenyl]acetamide
To a solution of 2-methyl-4-pyrimidinamine (200 mg, 1.83 mmol) in benzene (20 mL) was slowly added trimethylaluminium (132 mg, 1.83 mmol); keeping the temperature below 30°C, the solution was left to stir for 1 h. To this mixture was then added a solution of methyl 2-[3-[[2-
(trifluoromethyl)-4-pyridyl]oxy]phenyl]acetate (570 mg, 1.83 mmol) in benzene (4 mL). The reaction
was heated to reflux for 3 h then stirred at room temperature overnight. The reaction was quenched with the addition of 2N HCI and was brought to
pH 10 with an aqueous solution of NaOH (10%). The product was extracted with dichloromethane (DCM) and the combine organic layers were dried over Na2S04 and concentrated. The residue was purified by flash silica gel column chromatography (1 : 1 to 1 :2 to 0: 100 heptane:ethyl acetate) to afford a 38% (269 g, 0.69 mmol) yield of the desired amide product.
Example 3: Preparation of 2-[3-[[2-(trifluoromethyl)-4-pyridyl]oxy]
phenyl] acetamide
To a solution of methyl 2-[3-[[2-(trifluoromethyl)-4-pyridyl]oxy]phenyl]acetate (126 g, 400 mmol) in 7N NH3 in MeOH (1.5 L) was added NaCN (1.98 g, 0.04 mmol). The reaction was stirred at 35°C for 3 h then at room temperature for 48 h. The solvent was then removed in vacuo. Water was added and the product was extracted with ethyl acetate. The combined organic layers were washed with water, dried with Na2S04 and concentrated to provide 1 10 g of the beige solid product (370 mmol, 92%).
Example 4: Preparation of N-[5-chloro-6-(1-fluoroethyl)pyrimidin-4-yl]-2-[3-[[2-(trifluoroethyl)-4- pyridyl]oxy]phenyl]acetamide (V-3)
A solution of 2-[3-[[2-(trifluoromethyl)-4-pyridyl]oxy]phenyl]acetamide (265 mg, 0.90 mmol), 4,5-dichloro-6-(1-fluoroethyl)pyrimidine (179 mg, 0.91 mmol), cesium carbonate (320 mg, 0.98 mmol), palladium (II) acetate (10 mg, 0.04 mmol), and xantphos (31 mg, 0.05 mmol) in THF (3 imL) was degassed with nitrogen for 2 min then was exposed to microwave radiation at 80°C for 2 h. The reaction was cooled to room temperature, filtered, and concentrated. The crude residue was purified by flash column chromatography to provide 106 mg (26%) of the oily product.
The compounds listed in Table V have been prepared in an analogous manner. Table V: Compounds V-1 to V-11 of formula I.B as defined herein.
* The position of Rb on the phenyl ring is defined relative to the CR1R2-moiety bound to the phenyl ring as being in ortho (o-) or meta (m-) position, n = 0 indicates that no substituent Rb is present on the phenyl ring. m.p. = melting point (°C).
HPLC-MS: HPLC-column Kinetex XB C18 1 ,7μ (50 x 2,1 mm); eluent: acetonitrile / water + 0.1 % TFA (gradient from 5:95 to 100:0 in 1.5 min at 60°C, flow gradient from 0.8 to 1.0 ml/min in 1.5 min). MS: Quadrupol Electrospray lonisation, 80 V (positive mode). II. Biological examples for fungicidal activity
The fungicidal action of the compounds I was demonstrated by the following experiments:
A. Glass house trials
The spray solutions were prepared in several steps: The stock solution were prepared: a mixture of acetone and/or dimethylsulfoxide and the wetting agent/emulsifier Wettol, which is based on ethoxylated alkylphenoles, in a relation (volume) solvent-emulsifier of 99 to 1 was added to 25 mg of the compound to give a total of 5 ml. Water was then added to total volume of 100 ml.
This stock solution was diluted with the described solvent-emulsifier-water mixture to the given concentration.
After the final cultivation period, the extent of fungal attack on the leaves was visually assessed as % diseased leaf area.
Use example 1 : Protective control of soy bean rust on soy beans caused by Phakopsora pachyrhizi Leaves of pot-grown soybean seedlings were sprayed to run-off with an aqueous suspension, containing the concentration of active ingredient or their mixture as described below. The plants were allowed to air-dry. The trial plants were cultivated for 1 day in a greenhouse chamber at 23 to 27°C and a relative humidity between 60 and 80%. Then the plants were inoculated with spores of Phakopsora pachyrhizi. To ensure the success the artificial inoculation, the plants were transferred to a humid chamber with a relative humidity of about 95% and 20-24°C for 24 h. The trial plants were cultivated for fourteen days in a greenhouse chamber at 23 to 27°C and a relative humidity between 60 and 80%.
In this test, the plants which had been treated with 250 ppm of the active compound V-1 or I-2 showed a diseased leaf area of at most 20%, whereas the untreated plants showed 69% diseased leaf area.
Use example 2: Preventative control of leaf blotch on wheat caused by Septoria tritici
Leaves of pot-grown wheat seedling were sprayed to run-off with an aqueous suspension of the active compound or their mixture, prepared as described. The plants were allowed to air-dry. At the following day the plants were inoculated with an aqueous spore suspension of Septoria tritici. Then the trial plants were immediately transferred to a humid chamber at 18 to 22°C and a relative humidity close to 100%. After 4 days the plants were transferred to a chamber with 18 to 22°C and a relative humidity close to 70% and kept there for 4 weeks.
In this test, the plants which had been treated with 250 ppm of the active compound V-1 , V-2, V-
3, V-4, V-5, V-6, V-7, V-8, V-10 or V-1 1 showed a diseased leaf area of at most 20%, whereas the untreated plants showed 92% diseased leaf area.
Use example 3: Control of late blight on tomatoes caused by Phytophthora infestans
Young seedlings of tomato plants were grown in pots. These plants were sprayed to run-off with an aqueous suspension, containing the concentration of active ingredient or their mixture mentioned in the table below. The next day, the treated plants were inoculated with an aqueous suspension of sporangia
of Phytophthora infestans. After inoculation, the trial plants were immediately transferred to a humid chamber and kept for 6 days at 18 to 20°C and a relative humidity close to 100%.
In this test, the plants which had been treated with 250 ppm of the active compound V-1 , V-2, V- 5, V-9 or V-11 showed a diseased leaf area of at most 20%, whereas the untreated plants showed 74% diseased leaf area.
Use example 4: Preventative fungicidal control of Botrytis cinerea on leaves of green pepper
Young seedlings of green pepper were grown in pots to the 4 to 5 leaf stage. These plants were sprayed to run-off with an aqueous suspension, containing the concentration of active ingredient or their mixture mentioned in the table below. The next day the plants were inoculated with a aqueous biomalt solution containing the spore suspension of Botrytis cinerea. Then the plants were immediately transferred to a humid chamber and kept for 5 days at 22 to 24°C and a relative humidity close to 100 %.
In this test, the plants which had been treated with 250 ppm of the active compound V-4, V-5 or V-6 showed a diseased leaf area of at most 10%, whereas the untreated plants showed 94% diseased leaf area.
Claims
We claim:
Compounds of formula I
wherein:
Ra2, Ra5 , Ra6 independently of each other are hydrogen, halogen, CN, NO2, OH, SH, Ci-C4-alkyl, Ci-C4-haloalkyl, Ci-C4-alkoxy, Ci-C4-haloalkoxy, Ci-C4-alkylthio, C1-C4- haloalkylthio, Ci-C4-alkylsulfinyl, Ci-C4-haloalkylsulfinyl, Ci-C4-alkylsulfonyl, C1-C4- haloalkylsulfonyl, Ci-C4-alkoxy-Ci-C4-alkyl, Ci-C4-alkoxy-Ci-C4-alkoxy, C2-C4-alk- enyl, C2-C4-alkynyl, C2-C4-haloalkenyl, C2-C4-haloalkynyl, Cs-Cs-cycloalkyl, C3-C8- cycloalkyloxy, C3-C8-cycloalkyl-Ci-C4-alkyl, NRARB, C(=0)R', C(=NOR")R"' or -C(=NH)-0-R"';
RA,RB independently of each other are hydrogen, Ci-C4-alkyl, C2-C4-alkenyl, C2-C4-alkynyl, phenyl, benzyl, Cs-Cs-cycloalkyl, C3-Cs-cycloalkenyl or -(C=0)- R';
R' is hydrogen, OH, NH2, Ci-C4-alkyl, Ci-C4-haloalkyl, C2-C4-alkenyl, C2-C4-alkynyl, Ci-C4-alkoxy, Ci-C4-haloalkoxy, Ci-C4-alkylamino or di(Ci-C4-alkyl)amino;
R" is hydrogen, Ci-C4-alkyl, Ci-C4-haloalkyl, C2-C4-alkenyl, C2-C4-alkynyl or C 1 -C4-a I koxy-C 1 -C4-a I ky I ,
R'" is hydrogen or Ci-C4-alkyl;
R is hydrogen, Ci-C4-alkyl, Ci-C4-haloalkyl, Ci-C4-alkoxy, Ci-C4-haloalkoxy, C1-C4- alkoxy-Ci-C4-alkyl, Ci-C4-haloalkoxy-Ci-C4-alkyl, C2-C4-alkenyl,
C2-C4-haloalkenyl, C2-C4-alkynyl, C2-C4-haloalkynyl, CN, CH2CN, NRARB or CH2-0- C(=0)R';
R1, R2 independently of each other are hydrogen, halogen, CN, OH, Ci-C4-alkyl, Ci- C4-haloalkyl, Ci-C4-alkoxy, Ci-C4-haloalkoxy, Ci-C4-alkoxy-Ci-C4-alkyl, Ci-C4-halo- alkoxy-Ci-C4-alkyl, C2-C4-alkenyl, C2-C4-haloalkenyl, C2-C4-alkynyl, C2-C4- haloalkynyl, Cs-Cs-cycloalkyl, C3-Cs-cycloalkyl-Ci-C4-alkyl, C3-Cs-cycloalkyloxy, NRARB, C(=0)R', C(=NOR")R"', -C(=NH)-0-R"' or benzyl wherein the phenyl moiety of benzyl is unsubstituted or carries 1 , 2 , 3, 4, or 5 substituents selected from the
group consisting of CN, halogen, Ci-C4-alkyl, Ci-C4-haloalkyl, Ci-C4-alkoxy, C1-C4- haloalkoxy, (Ci-C4-alkoxy)carbonyl and di(Ci-C4-alkyl)aminocarbonyl; or two radicals R1 and R2 that are bound to the same carbon atom form together with said carbon atom a saturated or partially unsaturated
3-, 4-, 5-, 6-, or 7-membered carbocycle or a saturated or partially unsaturated 3-, 4- , 5-, 6-, or 7-membered heterocycle, wherein the ring member atoms of the abovementioned heterocycle include beside carbon atoms 1 , 2, 3 or 4 heteroatoms selected from the group of N, O and S, and wherein the abovementioned cycle is unsubstituted or carries 1 , 2, 3 or 4 substituents selected from halogen, CN, OH,
SH, Ci-C4-alkyl, Ci-C4-alkoxy or Ci-C4-alkylthio; and one or two CH2 groups of the abovementioned cycles may be respectively be replaced by one or two C(=0) or C(=S) groups; X is a divalent group selected from -C(=0)- and -C(=S)-; n indicates the number of substituents Rb on the phenyl ring and n is 0, 1 , 2 or 3;
Rb is halogen, CN, NO2, Ci-C4-alkyl, Ci-C4-haloalkyl, Ci-C4-alkoxy, Ci-C4-haloalkoxy, C2-C4-alkenyl, C2-C4-haloalkenyl, C2-C4-alkynyl, C2-C4-haloalkynyl, NRARB,
C(=NOR")R"' or -C(=NH)-0-R"', it being possible for n = 2 or 3 that Rb are identical or different; Het is a 5- or 6-membered heteroaryl, wherein the ring member atoms of the heteroaryl include besides carbon atoms 1 , 2, 3 or 4 heteroatoms selected from the group of N, O and S and wherein the heteroaryl is unsubstituted or carries 1 , 2, 3 or 4 identical or different groups Rc: Rc is halogen, CN, N02, NH2, d-C6-alkyl, Ci-C6-haloalkyl, Ci-C6-alkoxy,
Ci-C6-haloalkoxy, Ci-C6-alkylamino, di(Ci-C6-alkyl)amino, Ci-C6-alkylthio, Ci-C6-haloalkylthio, Ci-C6-alkylsulfinyl, Ci-C6-haloalkylsulfinyl,
Ci-C6-alkylsulfonyl, Ci-C6-haloalkylsulfonyl, Ci-C6-alkoxy-Ci-C4-alkyl, Ci-C6-haloalkoxy-Ci-C4-alkyl, C2-C6-alkenyl, C2-C6-alkynyl, C(=0)R', C(=NOR")R"', Cs-Cs-cycloalkyl, C3-C8-cycloalkyl-Ci-C4-alkyl, phenyl, phenoxy, phenoxy-Ci-C4-alkyl or a 5- or 6-membered heteroaryl, wherein the ring member atoms of the heteroaryl include besides carbon atoms 1 , 2, 3 or 4 heteroatoms selected from the group of N, O and S, and wherein the aforementioned cyclic radicals are unsubstituted or carry 1 , 2, 3 or 4 identical or different substituents Rd:
Rd is halogen, CN, Ci-C4-alkyl, Ci-C4-haloalkyl, Ci-C4-alkoxy or Ci-C4-haloalkoxy;
and/or two radicals Rc that are bound to adjacent ring member atoms of the Het group form together with said ring member atoms a fused 5-, 6- or 7-membered saturated, partially unsaturated or aromatic carbocycle or heterocycle, wherein the ring member atoms of the fused heterocycle include besides carbon atoms 1 , 2, 3 or 4 heteroatoms selected from the group of N, O and S, and wherein the fused carbocycle or heterocycle is unsubstituted or carries 1 , 2, 3 or 4 identical or different radicals groups Re:
Re is halogen, CN, Ci-C4-alkyl, Ci-C4-haloalkyl, Ci-C4-alkoxy or
Ci-C4-haloalkoxy;
Rf is hydrogen, halogen, CN, NO2, Ci-C4-alkyl, Ci-C4-haloalkyl, Ci-C4-alkoxy,
Ci-C4-haloalkoxy, C2-C4-alkenyl, C2-C4-haloalkenyl, C2-C4-alkynyl,
C2-C4-haloalkynyl, NRARB, C(=0) \ C(=NOR")R"' or -C(=NH)-0-R"'; or two radicals Rc and Rf that are bound to adjacent ring member atoms of the Het group form together with said ring member atoms a fused
5-, 6- or 7-membered saturated, partially unsaturated or aromatic carbocycle or heterocycle, wherein the ring member atoms of the fused heterocycle include besides carbon atoms 1 , 2, 3 or 4 heteroatoms selected from the group of N, O and S, and wherein the fused carbocycle or heterocycle is unsubstituted or carries 1 , 2, 3 or 4 identical or different radicals groups Re; and the N-oxides and the agriculturally acceptable salts of the compounds of formula I.
Compounds according to claim 1 , wherein Ra2, Ra5 and Ra6 independently of each other are selected from halogen, CN, Ci-C4-alkyl, Ci-C4-haloalkyl, Ci-C4-alkoxy, C1-C4- haloalkoxy, Ci-C4-alkoxy-Ci-C4-alkyl, Ci-C4-alkoxy-Ci-C4-alkoxy, Ci-C4-alkylthio, C1-C4- haloalkylthio, C2-C4-alkenyl, C2-C4-alkynyl, Cs-Cs-cycloalkyl, Cs-Cs-cycloalkyloxy and (Ci- C4-alkoxy)carbonyl, and it being possible that one or two of Ra2, Ra5 or Ra6 can in addition be hydrogen.
Compounds according to claim 1 or 2, wherein X is -C(=0)-.
Compounds according to any of claims 1 to 3, wherein Het is selected from pyrimidin-2-yl, pyrimidin-3-yl, pyrimidin-4-yl, pyridin-2-yl, pyridin-3-yl, pyridin-4-yl, thiazol-2-yl, thiazol-4-yl, thiazol-5-yl, isothiazol-3-yl, isothiazol-4-yl, isothiazol-5-yl, pyrazin-2-yl, pyridazin-3-yl, 1 ,3,5-triazin-2-yl and 1 ,2,4-triazin-3-yl.
Compounds according to any of claims 1 to 4, wherein Het carries 1 or 2 radicals Rc which are selected from F, CI, Br, CN, Ci-C2-alkylsulfonyl, Ci-C2-alkoxycarbonyl, aminocarbonyl, Ci-C2-alkylaminocarbonyl, di(Ci-C2-alkyl)aminocarbonyl, Ci-C2-alkoxy, CF3, CHF2, OCF3 and OCHF2.
6. Compounds according to any of claims 1 to 5, wherein R is hydrogen. 7. Compounds according to any of claims 1 to 6, wherein R1 and R2 are hydrogen. 8. A process for preparing compounds I as defined in claim 1 , wherein X is -C(=0)-, which comprises reacting a compound of formula II
wherein Ra2, Ra5 and Ra6 are as defined in claim 1 , Hal is fluorine, chlorine or bromine, with a compound of formula
wherein R, R1, R2, Rb, Rf, n and Het are as defined in claim 1 and X is -C(=0)-, as defined in claim 1 , in the presence of a base or a catalyst or a combination of a base and a catalyst in a solvent. 9. A process for preparing compounds I as defined in claim 1 in which X is -C(=0)-, which comprises reacting a compound of formula lla
wherein Z is hydrogen or Ci-C4-alkyl and R1, R2, Rb, Rc, Rf1, Rf2, n, m and Het are as defined in claim 1.
An agrochemical composition which comprises an auxiliary and at least one compound of formula I or an N-oxide or an agriculturally acceptable salt thereof, according to any of claims 1 to 7.
1 1 . An agrochemical composition according to claim 10 comprising at least one further active substance.
12. A method for combating phytopathogenic harmful fungi, which process comprises treating the fungi or the materials, plants, the soil or seeds to be protected against fungal attack, with an effective amount of at least one compound of formula I of an or an N-oxide or an agriculturally acceptable salt thereof, according to any of claims 1 to 7.
13. The use of compounds of formula I, their N-oxides and their agriculturally acceptable salts, according to any of claims 1 to 7 for combating phytopathogenic harmful fungi.
14. Seed treated with a compound of formula I, or an N-oxide or an agriculturally acceptable salt thereof, as defined in any of claims 1 to 7, in an amount of from 0.1 g to 10 kg per 100 kg of seed.
Applications Claiming Priority (4)
| Application Number | Priority Date | Filing Date | Title |
|---|---|---|---|
| EP12153765.8 | 2012-02-03 | ||
| EP12153765 | 2012-02-03 | ||
| EP12154885.3 | 2012-02-10 | ||
| EP12154885 | 2012-02-10 |
Publications (1)
| Publication Number | Publication Date |
|---|---|
| WO2013113782A1 true WO2013113782A1 (en) | 2013-08-08 |
Family
ID=47624096
Family Applications (1)
| Application Number | Title | Priority Date | Filing Date |
|---|---|---|---|
| PCT/EP2013/051849 Ceased WO2013113782A1 (en) | 2012-02-03 | 2013-01-31 | Fungicidal pyrimidine compounds |
Country Status (2)
| Country | Link |
|---|---|
| AR (1) | AR089888A1 (en) |
| WO (1) | WO2013113782A1 (en) |
Citations (70)
| Publication number | Priority date | Publication date | Assignee | Title |
|---|---|---|---|---|
| US3296272A (en) | 1965-04-01 | 1967-01-03 | Dow Chemical Co | Sulfinyl- and sulfonylpyridines |
| US3325503A (en) | 1965-02-18 | 1967-06-13 | Diamond Alkali Co | Polychloro derivatives of mono- and dicyano pyridines and a method for their preparation |
| GB2016466A (en) | 1978-03-01 | 1979-09-26 | Nippon Chemiphar Co | Acetic acid derivatives and processes for producing the same |
| EP0141317A2 (en) | 1983-10-21 | 1985-05-15 | BASF Aktiengesellschaft | 7-Amino-azolo[1,5-a]pyrimidines and fungicides containing them |
| EP0152031A2 (en) | 1984-02-03 | 1985-08-21 | Shionogi & Co., Ltd. | Azolyl cycloalkanol derivatives and agricultural fungicides |
| EP0226917A1 (en) | 1985-12-20 | 1987-07-01 | BASF Aktiengesellschaft | Acrylic acid esters and fungicides containing these compounds |
| EP0243970A1 (en) | 1986-05-02 | 1987-11-04 | Stauffer Chemical Company | Fungicidal pyridyl imidates |
| EP0256503A2 (en) | 1986-08-12 | 1988-02-24 | Mitsubishi Kasei Corporation | Pyridinecarboxamide derivatives and their use as fungicide |
| EP0264217A2 (en) | 1986-10-08 | 1988-04-20 | Ube Industries, Ltd. | Aralkylaminopyrimidine derivative, process for producing thereof and insecticide, acaricide and fungicide containing said derivative as active ingredient |
| EP0428941A1 (en) | 1989-11-10 | 1991-05-29 | Agro-Kanesho Co., Ltd. | Hexahydrotriazine compounds and insecticides |
| EP0519211A1 (en) * | 1991-05-17 | 1992-12-23 | Hoechst Schering AgrEvo GmbH | Substituted 4-aminopyrimidine, process for their preparation and their use as parasiticide |
| EP0532022A1 (en) | 1991-09-13 | 1993-03-17 | Ube Industries, Ltd. | Acrylate compound, preparation process thereof and fungicide using the same |
| WO1995018795A1 (en) | 1994-01-07 | 1995-07-13 | Dowelanco | N-(4-pyrimidinyl)amide pesticides |
| EP0665225A1 (en) | 1994-02-01 | 1995-08-02 | Ube Industries, Ltd. | 4-Phenethylamino pyrimidine derivative, process for preparing the same and agricultural and horticultural chemical for controlling noxious organisms containing the same |
| WO1997028133A1 (en) | 1996-02-01 | 1997-08-07 | Bayer Aktiengesellschaft | Acylated 4-amino- and 4-hydrazinopyrimidines and their use as pesticides |
| WO1998003272A1 (en) | 1996-07-19 | 1998-01-29 | Ube Industries, Ltd. | Processes for the preparation of 4-amino-5-chloro-6-(1-fluoroethyl)pyrimidine compounds |
| DE19650197A1 (en) | 1996-12-04 | 1998-06-10 | Bayer Ag | 3-thiocarbamoylpyrazole derivatives |
| WO1998046608A1 (en) | 1997-04-14 | 1998-10-22 | American Cyanamid Company | Fungicidal trifluoromethylalkylamino-triazolopyrimidines |
| WO1999014187A1 (en) | 1997-09-18 | 1999-03-25 | Basf Aktiengesellschaft | Benzamidoxim derivatives, intermediate products and methods for preparing and using them as fungicides |
| WO1999024413A2 (en) | 1997-11-12 | 1999-05-20 | Bayer Aktiengesellschaft | Isothiazole carboxylic acid amides and the application thereof in order to protect plants |
| WO1999027783A1 (en) | 1997-12-04 | 1999-06-10 | Dow Agrosciences Llc | Fungicidal compositions and methods, and compounds and methods for the preparation thereof |
| WO2000029404A1 (en) | 1998-11-17 | 2000-05-25 | Kumiai Chemical Industry Co., Ltd. | Pyrimidinylbenzimidazole and triazinylbenzimidazole derivatives and agricultura/horticultural bactericides |
| WO2000046148A1 (en) | 1999-02-02 | 2000-08-10 | Sintokogio, Ltd. | Silica gel carrying titanium oxide photocatalyst in high concentration and method for preparation thereof |
| EP1028125A1 (en) | 1998-11-30 | 2000-08-16 | Isagro Ricerca S.r.l. | Dipeptide compounds having fungicidal activity and their agronomic use |
| EP1035122A1 (en) | 1999-03-11 | 2000-09-13 | Rohm And Haas Company | Heterocyclic subsituted isoxazolidines and their use as fungicides |
| WO2000065913A1 (en) | 1999-04-28 | 2000-11-09 | Takeda Chemical Industries, Ltd. | Sulfonamide derivatives |
| DE10021412A1 (en) | 1999-12-13 | 2001-06-21 | Bayer Ag | Fungicidal active ingredient combinations |
| WO2001054501A2 (en) | 2000-01-25 | 2001-08-02 | Syngenta Participations Ag | Herbicidal composition |
| EP1122244A1 (en) | 2000-02-04 | 2001-08-08 | Sumitomo Chemical Company, Limited | Uracil compounds and their use |
| WO2001056358A2 (en) | 2000-01-28 | 2001-08-09 | Rohm And Haas Company | Enhanced propertied pesticides |
| WO2002022583A2 (en) | 2000-09-18 | 2002-03-21 | E. I. Du Pont De Nemours And Company | Pyridinyl amides and imides for use as fungicides |
| EP1201648A1 (en) | 1999-08-05 | 2002-05-02 | Kumiai Chemical Industry Co., Ltd. | Carbamate derivatives and agricultural/horticultural bactericides |
| WO2002040431A2 (en) | 2000-11-17 | 2002-05-23 | Dow Agrosciences Llc | Compounds having fungicidal activity and processes to make and use same |
| JP2002316902A (en) | 2001-04-20 | 2002-10-31 | Sumitomo Chem Co Ltd | Plant disease control agent composition |
| WO2003010149A1 (en) | 2001-07-25 | 2003-02-06 | Bayer Cropscience Ag | Pyrazolylcarboxanilides as fungicides |
| WO2003011853A1 (en) | 2001-07-30 | 2003-02-13 | Dow Agrosciences Llc | 6-aryl-4-aminopicolinates and their use as herbicides |
| WO2003014103A1 (en) | 2001-08-03 | 2003-02-20 | Bayer Cropscience S.A. | Iodobenzopyran-4-one derivatives having fungicidal activity |
| WO2003016286A1 (en) | 2001-08-17 | 2003-02-27 | Sankyo Agro Company, Limited | 3-phenoxy-4-pyridazinol derivative and herbicide composition containing the same |
| WO2003053145A1 (en) | 2001-12-21 | 2003-07-03 | Nissan Chemical Industries, Ltd. | Bactericidal composition |
| WO2003061388A1 (en) | 2002-01-18 | 2003-07-31 | Sumitomo Chemical Takeda Agro Company, Limited | Fused heterocyclic sulfonylurea compound, herbicide containing the same, and method of controlling weed with the same |
| WO2003064572A1 (en) | 2002-01-31 | 2003-08-07 | Exxonmobil Research And Engineering Company | Lubricating oil compositions with improved friction properties |
| WO2003066609A1 (en) | 2002-02-04 | 2003-08-14 | Bayer Cropscience Aktiengesellschaft | Disubstituted thiazolyl carboxanilides and their use as microbicides |
| WO2003074491A1 (en) | 2002-03-05 | 2003-09-12 | Syngenta Participations Ag | O-cyclopropyl-carboxanilides and their use as fungicides |
| WO2004049804A2 (en) | 2002-11-29 | 2004-06-17 | Syngenta Participations Ag | Fungicidal combinations for crop potection |
| WO2004083193A1 (en) | 2003-03-17 | 2004-09-30 | Sumitomo Chemical Company, Limited | Amide compound and bactericide composition containing the same |
| WO2005011601A2 (en) | 2003-08-01 | 2005-02-10 | Pfizer Products, Inc. | 6-menbered heteroaryl compounds for the treatment of neurodegenerative disorders |
| WO2005063721A1 (en) | 2003-12-19 | 2005-07-14 | E.I. Dupont De Nemours And Company | Herbicidal pyrimidines |
| WO2005087772A1 (en) | 2004-03-10 | 2005-09-22 | Basf Aktiengesellschaft | 5,6-dialkyl-7-amino-triazolopyrimidines, method for their production, their use for controlling pathogenic fungi and agents containing said compounds |
| WO2005087773A1 (en) | 2004-03-10 | 2005-09-22 | Basf Aktiengesellschaft | 5,6-dialkyl-7-amino-triazolopyrimidines, method for their production, their use for controlling pathogenic fungi and agents containing said compounds |
| WO2005095357A2 (en) | 2004-03-30 | 2005-10-13 | Taisho Pharmaceutical Co., Ltd. | Pyrimidine derivatives and methods of treatment related to the use thereof |
| US20050245530A1 (en) | 2004-04-23 | 2005-11-03 | Borzilleri Robert M | Monocyclic heterocycles as kinase inhibitors |
| WO2005120234A2 (en) | 2004-06-03 | 2005-12-22 | E.I. Dupont De Nemours And Company | Fungicidal mixtures of amidinylphenyl compounds |
| WO2005123690A1 (en) | 2004-06-18 | 2005-12-29 | Basf Aktiengesellschaft | 1-methyl-3-difluoromethyl-pyrazol-4-carbonic acid-(ortho-phenyl)-anilides, and use thereof as a fungicide |
| WO2005123689A1 (en) | 2004-06-18 | 2005-12-29 | Basf Aktiengesellschaft | 1-methyl-3-trifluoromethyl-pyrazole-4-carboxylic acid (ortho-phenyl)-anilides and to use thereof as fungicide |
| WO2006015866A1 (en) | 2004-08-12 | 2006-02-16 | Syngenta Participations Ag | Method for protecting useful plants or plant propagation material |
| WO2006072831A1 (en) | 2005-01-10 | 2006-07-13 | Pfizer Inc. | Pyrrolopyrazoles, potent kinase inhibitors |
| WO2006074884A1 (en) | 2005-01-14 | 2006-07-20 | F.Hoffmann-La Roche Ag | Thiazole-4-carboxamide derivatives as mglur5 antagonists |
| WO2006087343A1 (en) | 2005-02-16 | 2006-08-24 | Basf Aktiengesellschaft | Pyrazole carboxylic acid anilides, method for the production thereof and agents containing them for controlling pathogenic fungi |
| WO2006087325A1 (en) | 2005-02-16 | 2006-08-24 | Basf Aktiengesellschaft | 5-alkoxyalkyl-6-alkyl-7-amino-azolopyrimidines, method for their production, their use for controlling pathogenic fungi and agents containing said substances |
| DE102005009458A1 (en) | 2005-03-02 | 2006-09-07 | Bayer Cropscience Ag | pyrazolylcarboxanilides |
| WO2006135719A1 (en) | 2005-06-10 | 2006-12-21 | Janssen Pharmaceutica N.V. | Aminopyrimidines as kinase modulators |
| WO2007082098A2 (en) | 2006-01-13 | 2007-07-19 | Dow Agrosciences Llc | 6-(poly-substituted aryl)-4-aminopicolinates and their use as herbicides |
| WO2007090624A2 (en) | 2006-02-09 | 2007-08-16 | Syngenta Participations Ag | A method of protecting a plant propagation material, a plant, and/or plant organs |
| WO2008156726A1 (en) | 2007-06-20 | 2008-12-24 | Merck & Co., Inc. | Inhibitors of janus kinases |
| WO2010000527A1 (en) | 2008-07-04 | 2010-01-07 | Robert Bosch Gmbh | Solenoid valve for a fuel injector and fuel injector |
| US20100022538A1 (en) | 2008-01-22 | 2010-01-28 | Dow Agrosciences Llc | 5-fluoro pyrimidine derivatives |
| US20100063063A1 (en) | 2008-09-11 | 2010-03-11 | Pfizer Inc | Substituted Heteroaryls |
| WO2010058030A1 (en) | 2008-11-24 | 2010-05-27 | Boehringer Ingelheim International Gmbh | New compounds |
| WO2011028657A1 (en) | 2009-09-01 | 2011-03-10 | Dow Agrosciences Llc | Synergistic fungicidal compositions containing a 5-fluoropyrimidine derivative for fungal control in cereals |
| WO2011147066A1 (en) | 2010-05-26 | 2011-12-01 | 四川大学 | Arylamino purine derivatives, preparation method and pharmaceutical use thereof |
-
2013
- 2013-01-31 WO PCT/EP2013/051849 patent/WO2013113782A1/en not_active Ceased
- 2013-02-01 AR ARP130100333 patent/AR089888A1/en unknown
Patent Citations (70)
| Publication number | Priority date | Publication date | Assignee | Title |
|---|---|---|---|---|
| US3325503A (en) | 1965-02-18 | 1967-06-13 | Diamond Alkali Co | Polychloro derivatives of mono- and dicyano pyridines and a method for their preparation |
| US3296272A (en) | 1965-04-01 | 1967-01-03 | Dow Chemical Co | Sulfinyl- and sulfonylpyridines |
| GB2016466A (en) | 1978-03-01 | 1979-09-26 | Nippon Chemiphar Co | Acetic acid derivatives and processes for producing the same |
| EP0141317A2 (en) | 1983-10-21 | 1985-05-15 | BASF Aktiengesellschaft | 7-Amino-azolo[1,5-a]pyrimidines and fungicides containing them |
| EP0152031A2 (en) | 1984-02-03 | 1985-08-21 | Shionogi & Co., Ltd. | Azolyl cycloalkanol derivatives and agricultural fungicides |
| EP0226917A1 (en) | 1985-12-20 | 1987-07-01 | BASF Aktiengesellschaft | Acrylic acid esters and fungicides containing these compounds |
| EP0243970A1 (en) | 1986-05-02 | 1987-11-04 | Stauffer Chemical Company | Fungicidal pyridyl imidates |
| EP0256503A2 (en) | 1986-08-12 | 1988-02-24 | Mitsubishi Kasei Corporation | Pyridinecarboxamide derivatives and their use as fungicide |
| EP0264217A2 (en) | 1986-10-08 | 1988-04-20 | Ube Industries, Ltd. | Aralkylaminopyrimidine derivative, process for producing thereof and insecticide, acaricide and fungicide containing said derivative as active ingredient |
| EP0428941A1 (en) | 1989-11-10 | 1991-05-29 | Agro-Kanesho Co., Ltd. | Hexahydrotriazine compounds and insecticides |
| EP0519211A1 (en) * | 1991-05-17 | 1992-12-23 | Hoechst Schering AgrEvo GmbH | Substituted 4-aminopyrimidine, process for their preparation and their use as parasiticide |
| EP0532022A1 (en) | 1991-09-13 | 1993-03-17 | Ube Industries, Ltd. | Acrylate compound, preparation process thereof and fungicide using the same |
| WO1995018795A1 (en) | 1994-01-07 | 1995-07-13 | Dowelanco | N-(4-pyrimidinyl)amide pesticides |
| EP0665225A1 (en) | 1994-02-01 | 1995-08-02 | Ube Industries, Ltd. | 4-Phenethylamino pyrimidine derivative, process for preparing the same and agricultural and horticultural chemical for controlling noxious organisms containing the same |
| WO1997028133A1 (en) | 1996-02-01 | 1997-08-07 | Bayer Aktiengesellschaft | Acylated 4-amino- and 4-hydrazinopyrimidines and their use as pesticides |
| WO1998003272A1 (en) | 1996-07-19 | 1998-01-29 | Ube Industries, Ltd. | Processes for the preparation of 4-amino-5-chloro-6-(1-fluoroethyl)pyrimidine compounds |
| DE19650197A1 (en) | 1996-12-04 | 1998-06-10 | Bayer Ag | 3-thiocarbamoylpyrazole derivatives |
| WO1998046608A1 (en) | 1997-04-14 | 1998-10-22 | American Cyanamid Company | Fungicidal trifluoromethylalkylamino-triazolopyrimidines |
| WO1999014187A1 (en) | 1997-09-18 | 1999-03-25 | Basf Aktiengesellschaft | Benzamidoxim derivatives, intermediate products and methods for preparing and using them as fungicides |
| WO1999024413A2 (en) | 1997-11-12 | 1999-05-20 | Bayer Aktiengesellschaft | Isothiazole carboxylic acid amides and the application thereof in order to protect plants |
| WO1999027783A1 (en) | 1997-12-04 | 1999-06-10 | Dow Agrosciences Llc | Fungicidal compositions and methods, and compounds and methods for the preparation thereof |
| WO2000029404A1 (en) | 1998-11-17 | 2000-05-25 | Kumiai Chemical Industry Co., Ltd. | Pyrimidinylbenzimidazole and triazinylbenzimidazole derivatives and agricultura/horticultural bactericides |
| EP1028125A1 (en) | 1998-11-30 | 2000-08-16 | Isagro Ricerca S.r.l. | Dipeptide compounds having fungicidal activity and their agronomic use |
| WO2000046148A1 (en) | 1999-02-02 | 2000-08-10 | Sintokogio, Ltd. | Silica gel carrying titanium oxide photocatalyst in high concentration and method for preparation thereof |
| EP1035122A1 (en) | 1999-03-11 | 2000-09-13 | Rohm And Haas Company | Heterocyclic subsituted isoxazolidines and their use as fungicides |
| WO2000065913A1 (en) | 1999-04-28 | 2000-11-09 | Takeda Chemical Industries, Ltd. | Sulfonamide derivatives |
| EP1201648A1 (en) | 1999-08-05 | 2002-05-02 | Kumiai Chemical Industry Co., Ltd. | Carbamate derivatives and agricultural/horticultural bactericides |
| DE10021412A1 (en) | 1999-12-13 | 2001-06-21 | Bayer Ag | Fungicidal active ingredient combinations |
| WO2001054501A2 (en) | 2000-01-25 | 2001-08-02 | Syngenta Participations Ag | Herbicidal composition |
| WO2001056358A2 (en) | 2000-01-28 | 2001-08-09 | Rohm And Haas Company | Enhanced propertied pesticides |
| EP1122244A1 (en) | 2000-02-04 | 2001-08-08 | Sumitomo Chemical Company, Limited | Uracil compounds and their use |
| WO2002022583A2 (en) | 2000-09-18 | 2002-03-21 | E. I. Du Pont De Nemours And Company | Pyridinyl amides and imides for use as fungicides |
| WO2002040431A2 (en) | 2000-11-17 | 2002-05-23 | Dow Agrosciences Llc | Compounds having fungicidal activity and processes to make and use same |
| JP2002316902A (en) | 2001-04-20 | 2002-10-31 | Sumitomo Chem Co Ltd | Plant disease control agent composition |
| WO2003010149A1 (en) | 2001-07-25 | 2003-02-06 | Bayer Cropscience Ag | Pyrazolylcarboxanilides as fungicides |
| WO2003011853A1 (en) | 2001-07-30 | 2003-02-13 | Dow Agrosciences Llc | 6-aryl-4-aminopicolinates and their use as herbicides |
| WO2003014103A1 (en) | 2001-08-03 | 2003-02-20 | Bayer Cropscience S.A. | Iodobenzopyran-4-one derivatives having fungicidal activity |
| WO2003016286A1 (en) | 2001-08-17 | 2003-02-27 | Sankyo Agro Company, Limited | 3-phenoxy-4-pyridazinol derivative and herbicide composition containing the same |
| WO2003053145A1 (en) | 2001-12-21 | 2003-07-03 | Nissan Chemical Industries, Ltd. | Bactericidal composition |
| WO2003061388A1 (en) | 2002-01-18 | 2003-07-31 | Sumitomo Chemical Takeda Agro Company, Limited | Fused heterocyclic sulfonylurea compound, herbicide containing the same, and method of controlling weed with the same |
| WO2003064572A1 (en) | 2002-01-31 | 2003-08-07 | Exxonmobil Research And Engineering Company | Lubricating oil compositions with improved friction properties |
| WO2003066609A1 (en) | 2002-02-04 | 2003-08-14 | Bayer Cropscience Aktiengesellschaft | Disubstituted thiazolyl carboxanilides and their use as microbicides |
| WO2003074491A1 (en) | 2002-03-05 | 2003-09-12 | Syngenta Participations Ag | O-cyclopropyl-carboxanilides and their use as fungicides |
| WO2004049804A2 (en) | 2002-11-29 | 2004-06-17 | Syngenta Participations Ag | Fungicidal combinations for crop potection |
| WO2004083193A1 (en) | 2003-03-17 | 2004-09-30 | Sumitomo Chemical Company, Limited | Amide compound and bactericide composition containing the same |
| WO2005011601A2 (en) | 2003-08-01 | 2005-02-10 | Pfizer Products, Inc. | 6-menbered heteroaryl compounds for the treatment of neurodegenerative disorders |
| WO2005063721A1 (en) | 2003-12-19 | 2005-07-14 | E.I. Dupont De Nemours And Company | Herbicidal pyrimidines |
| WO2005087772A1 (en) | 2004-03-10 | 2005-09-22 | Basf Aktiengesellschaft | 5,6-dialkyl-7-amino-triazolopyrimidines, method for their production, their use for controlling pathogenic fungi and agents containing said compounds |
| WO2005087773A1 (en) | 2004-03-10 | 2005-09-22 | Basf Aktiengesellschaft | 5,6-dialkyl-7-amino-triazolopyrimidines, method for their production, their use for controlling pathogenic fungi and agents containing said compounds |
| WO2005095357A2 (en) | 2004-03-30 | 2005-10-13 | Taisho Pharmaceutical Co., Ltd. | Pyrimidine derivatives and methods of treatment related to the use thereof |
| US20050245530A1 (en) | 2004-04-23 | 2005-11-03 | Borzilleri Robert M | Monocyclic heterocycles as kinase inhibitors |
| WO2005120234A2 (en) | 2004-06-03 | 2005-12-22 | E.I. Dupont De Nemours And Company | Fungicidal mixtures of amidinylphenyl compounds |
| WO2005123690A1 (en) | 2004-06-18 | 2005-12-29 | Basf Aktiengesellschaft | 1-methyl-3-difluoromethyl-pyrazol-4-carbonic acid-(ortho-phenyl)-anilides, and use thereof as a fungicide |
| WO2005123689A1 (en) | 2004-06-18 | 2005-12-29 | Basf Aktiengesellschaft | 1-methyl-3-trifluoromethyl-pyrazole-4-carboxylic acid (ortho-phenyl)-anilides and to use thereof as fungicide |
| WO2006015866A1 (en) | 2004-08-12 | 2006-02-16 | Syngenta Participations Ag | Method for protecting useful plants or plant propagation material |
| WO2006072831A1 (en) | 2005-01-10 | 2006-07-13 | Pfizer Inc. | Pyrrolopyrazoles, potent kinase inhibitors |
| WO2006074884A1 (en) | 2005-01-14 | 2006-07-20 | F.Hoffmann-La Roche Ag | Thiazole-4-carboxamide derivatives as mglur5 antagonists |
| WO2006087343A1 (en) | 2005-02-16 | 2006-08-24 | Basf Aktiengesellschaft | Pyrazole carboxylic acid anilides, method for the production thereof and agents containing them for controlling pathogenic fungi |
| WO2006087325A1 (en) | 2005-02-16 | 2006-08-24 | Basf Aktiengesellschaft | 5-alkoxyalkyl-6-alkyl-7-amino-azolopyrimidines, method for their production, their use for controlling pathogenic fungi and agents containing said substances |
| DE102005009458A1 (en) | 2005-03-02 | 2006-09-07 | Bayer Cropscience Ag | pyrazolylcarboxanilides |
| WO2006135719A1 (en) | 2005-06-10 | 2006-12-21 | Janssen Pharmaceutica N.V. | Aminopyrimidines as kinase modulators |
| WO2007082098A2 (en) | 2006-01-13 | 2007-07-19 | Dow Agrosciences Llc | 6-(poly-substituted aryl)-4-aminopicolinates and their use as herbicides |
| WO2007090624A2 (en) | 2006-02-09 | 2007-08-16 | Syngenta Participations Ag | A method of protecting a plant propagation material, a plant, and/or plant organs |
| WO2008156726A1 (en) | 2007-06-20 | 2008-12-24 | Merck & Co., Inc. | Inhibitors of janus kinases |
| US20100022538A1 (en) | 2008-01-22 | 2010-01-28 | Dow Agrosciences Llc | 5-fluoro pyrimidine derivatives |
| WO2010000527A1 (en) | 2008-07-04 | 2010-01-07 | Robert Bosch Gmbh | Solenoid valve for a fuel injector and fuel injector |
| US20100063063A1 (en) | 2008-09-11 | 2010-03-11 | Pfizer Inc | Substituted Heteroaryls |
| WO2010058030A1 (en) | 2008-11-24 | 2010-05-27 | Boehringer Ingelheim International Gmbh | New compounds |
| WO2011028657A1 (en) | 2009-09-01 | 2011-03-10 | Dow Agrosciences Llc | Synergistic fungicidal compositions containing a 5-fluoropyrimidine derivative for fungal control in cereals |
| WO2011147066A1 (en) | 2010-05-26 | 2011-12-01 | 四川大学 | Arylamino purine derivatives, preparation method and pharmaceutical use thereof |
Non-Patent Citations (21)
| Title |
|---|
| "McCutcheon's, Vol.1: Emulsifiers & Detergents", 2008, MCCUTCHEON'S DIRECTORIES |
| "Technical Monograph No. 2, 6th Ed.", May 2008, CROPLIFE INTERNATIONAL, article "Catalogue of pesticide formulation types and international coding system" |
| CAN. J. PLANT SCI., vol. 48, no. 6, 1968, pages 587 - 94 |
| HELV. CHIM. ACT., vol. 34, 1951, pages 835 - 40 |
| HETEROCYCLES, vol. 78, no. 7, 2009, pages 1627 - 1665 |
| J. AM. CHEM. SOC., vol. 123, no. 25, 2001, pages 5962 - 5973 |
| J. CHEM. SOC., 1951, pages 3439 - 44 |
| J. HETEROCYC. CHEM., vol. 18, no. 7, 1981, pages 1305 - 1308 |
| J. MED. CHEM., vol. 38, no. 11, 1995, pages 1892 - 1903 |
| J. MED. CHEM., vol. 54, no. 9, 2011, pages 3241 - 3250 |
| J. ORG. CHEM., vol. 76, no. 6, 2011, pages 1546 - 1553 |
| JOURNAL OF ORGANIC CHEMISTRY, vol. 52, no. 21, 1987, pages 4689 - 93 |
| KNOWLES: "Agrow Reports DS243", 2005, T&F INFORMA, article "New developments in crop protection product formulation" |
| KNOWLES: "Agrow Reports DS256", 2006, T&F INFORMA UK, article "Adjuvants and additives" |
| MOLLET; GRUBEMANN: "Formulation technology", 2001, WILEY VCH |
| NEW J. CHEM., vol. 18, no. 6, 1994, pages 701 - 8 |
| ORG. LETT., vol. 12, no. 23, 2010, pages 5570 - 5572 |
| ORGANIC REACTIONS, 2000, pages 56 |
| ORGANOMETALLICS, vol. 30, no. 20, 2011, pages 5442 - 5451 |
| SCIENCE OF SYNTHESIS, vol. 16, 2004, pages 379 - 572 |
| TARGETS IN HETEROCYCLIC SYSTEMS, vol. 12, 2008, pages 59 - 84 |
Also Published As
| Publication number | Publication date |
|---|---|
| AR089888A1 (en) | 2014-09-24 |
Similar Documents
| Publication | Publication Date | Title |
|---|---|---|
| US9072301B2 (en) | Fungicidal pyrimidine compounds | |
| WO2014095548A1 (en) | Substituted [1,2,4]triazole compounds and their use as fungicides | |
| WO2014202703A1 (en) | Strobilurin type compounds for combating phytopathogenic fungi | |
| EP2809658B1 (en) | Fungicidal pyrimidine compounds | |
| EP2746259A1 (en) | Substituted [1,2,4]triazole and imidazole compounds | |
| WO2015036058A1 (en) | Fungicidal pyrimidine compounds | |
| EP2935225A1 (en) | Substituted [1,2,4]triazole and imidazole compounds | |
| EP2825533A1 (en) | Fungicidal pyrimidine compounds | |
| WO2013113776A1 (en) | Fungicidal pyrimidine compounds | |
| WO2014095381A1 (en) | Fungicidal imidazolyl and triazolyl compounds | |
| WO2015036059A1 (en) | Fungicidal pyrimidine compounds | |
| WO2013113781A1 (en) | Fungicidal pyrimidine compounds i | |
| WO2013113716A1 (en) | Fungicidal pyrimidine compounds | |
| WO2013113791A1 (en) | Fungicidal pyrimidine compounds | |
| WO2014095637A1 (en) | Substituted [1,2,4]triazole and imidazole compounds | |
| WO2013113773A1 (en) | Fungicidal pyrimidine compounds | |
| WO2013113778A1 (en) | Fungicidal pyrimidine compounds | |
| WO2013135672A1 (en) | Fungicidal pyrimidine compounds | |
| WO2013113719A1 (en) | Fungicidal pyrimidine compounds ii | |
| WO2013113720A1 (en) | Fungicidal pyrimidine compounds | |
| WO2013113782A1 (en) | Fungicidal pyrimidine compounds | |
| EP2746264A1 (en) | Substituted [1,2,4]triazole and imidazole compounds | |
| EP2746258A1 (en) | Substituted [1,2,4]triazole and imidazole compounds | |
| EP2745691A1 (en) | Substituted imidazole compounds and their use as fungicides | |
| EP2746274A1 (en) | Substituted [1,2,4]triazole compounds |
Legal Events
| Date | Code | Title | Description |
|---|---|---|---|
| 121 | Ep: the epo has been informed by wipo that ep was designated in this application |
Ref document number: 13701656 Country of ref document: EP Kind code of ref document: A1 |
|
| NENP | Non-entry into the national phase |
Ref country code: DE |
|
| 122 | Ep: pct application non-entry in european phase |
Ref document number: 13701656 Country of ref document: EP Kind code of ref document: A1 |
















