WO2019123196A1 - Fluoralkenyl compounds, process for preparation and use thereof - Google Patents
Fluoralkenyl compounds, process for preparation and use thereof Download PDFInfo
- Publication number
- WO2019123196A1 WO2019123196A1 PCT/IB2018/060164 IB2018060164W WO2019123196A1 WO 2019123196 A1 WO2019123196 A1 WO 2019123196A1 IB 2018060164 W IB2018060164 W IB 2018060164W WO 2019123196 A1 WO2019123196 A1 WO 2019123196A1
- Authority
- WO
- WIPO (PCT)
- Prior art keywords
- trifluorobut
- oxime
- carbaldehyde
- methyl
- thio
- Prior art date
- Legal status (The legal status is an assumption and is not a legal conclusion. Google has not performed a legal analysis and makes no representation as to the accuracy of the status listed.)
- Ceased
Links
- 0 **C1=CP=C(*CCC(*)=C(N)N)*1 Chemical compound **C1=CP=C(*CCC(*)=C(N)N)*1 0.000 description 2
Classifications
-
- C—CHEMISTRY; METALLURGY
- C07—ORGANIC CHEMISTRY
- C07D—HETEROCYCLIC COMPOUNDS
- C07D233/00—Heterocyclic compounds containing 1,3-diazole or hydrogenated 1,3-diazole rings, not condensed with other rings
- C07D233/54—Heterocyclic compounds containing 1,3-diazole or hydrogenated 1,3-diazole rings, not condensed with other rings having two double bonds between ring members or between ring members and non-ring members
- C07D233/66—Heterocyclic compounds containing 1,3-diazole or hydrogenated 1,3-diazole rings, not condensed with other rings having two double bonds between ring members or between ring members and non-ring members with hetero atoms or with carbon atoms having three bonds to hetero atoms with at the most one bond to halogen, e.g. ester or nitrile radicals, directly attached to ring carbon atoms
- C07D233/84—Sulfur atoms
-
- A—HUMAN NECESSITIES
- A01—AGRICULTURE; FORESTRY; ANIMAL HUSBANDRY; HUNTING; TRAPPING; FISHING
- A01C—PLANTING; SOWING; FERTILISING
- A01C1/00—Apparatus, or methods of use thereof, for testing or treating seed, roots, or the like, prior to sowing or planting
- A01C1/06—Coating or dressing seed
-
- A—HUMAN NECESSITIES
- A01—AGRICULTURE; FORESTRY; ANIMAL HUSBANDRY; HUNTING; TRAPPING; FISHING
- A01G—HORTICULTURE; CULTIVATION OF VEGETABLES, FLOWERS, RICE, FRUIT, VINES, HOPS OR SEAWEED; FORESTRY; WATERING
- A01G7/00—Botany in general
-
- A—HUMAN NECESSITIES
- A01—AGRICULTURE; FORESTRY; ANIMAL HUSBANDRY; HUNTING; TRAPPING; FISHING
- A01N—PRESERVATION OF BODIES OF HUMANS OR ANIMALS OR PLANTS OR PARTS THEREOF; BIOCIDES, e.g. AS DISINFECTANTS, AS PESTICIDES OR AS HERBICIDES; PEST REPELLANTS OR ATTRACTANTS; PLANT GROWTH REGULATORS
- A01N25/00—Biocides, pest repellants or attractants, or plant growth regulators, characterised by their forms, or by their non-active ingredients or by their methods of application, e.g. seed treatment or sequential application; Substances for reducing the noxious effect of the active ingredients to organisms other than pests
-
- A—HUMAN NECESSITIES
- A01—AGRICULTURE; FORESTRY; ANIMAL HUSBANDRY; HUNTING; TRAPPING; FISHING
- A01N—PRESERVATION OF BODIES OF HUMANS OR ANIMALS OR PLANTS OR PARTS THEREOF; BIOCIDES, e.g. AS DISINFECTANTS, AS PESTICIDES OR AS HERBICIDES; PEST REPELLANTS OR ATTRACTANTS; PLANT GROWTH REGULATORS
- A01N43/00—Biocides, pest repellants or attractants, or plant growth regulators containing heterocyclic compounds
- A01N43/48—Biocides, pest repellants or attractants, or plant growth regulators containing heterocyclic compounds having rings with two nitrogen atoms as the only ring hetero atoms
- A01N43/50—1,3-Diazoles; Hydrogenated 1,3-diazoles
-
- A—HUMAN NECESSITIES
- A01—AGRICULTURE; FORESTRY; ANIMAL HUSBANDRY; HUNTING; TRAPPING; FISHING
- A01N—PRESERVATION OF BODIES OF HUMANS OR ANIMALS OR PLANTS OR PARTS THEREOF; BIOCIDES, e.g. AS DISINFECTANTS, AS PESTICIDES OR AS HERBICIDES; PEST REPELLANTS OR ATTRACTANTS; PLANT GROWTH REGULATORS
- A01N43/00—Biocides, pest repellants or attractants, or plant growth regulators containing heterocyclic compounds
- A01N43/72—Biocides, pest repellants or attractants, or plant growth regulators containing heterocyclic compounds having rings with nitrogen atoms and oxygen or sulfur atoms as ring hetero atoms
- A01N43/74—Biocides, pest repellants or attractants, or plant growth regulators containing heterocyclic compounds having rings with nitrogen atoms and oxygen or sulfur atoms as ring hetero atoms five-membered rings with one nitrogen atom and either one oxygen atom or one sulfur atom in positions 1,3
- A01N43/76—1,3-Oxazoles; Hydrogenated 1,3-oxazoles
-
- A—HUMAN NECESSITIES
- A01—AGRICULTURE; FORESTRY; ANIMAL HUSBANDRY; HUNTING; TRAPPING; FISHING
- A01N—PRESERVATION OF BODIES OF HUMANS OR ANIMALS OR PLANTS OR PARTS THEREOF; BIOCIDES, e.g. AS DISINFECTANTS, AS PESTICIDES OR AS HERBICIDES; PEST REPELLANTS OR ATTRACTANTS; PLANT GROWTH REGULATORS
- A01N43/00—Biocides, pest repellants or attractants, or plant growth regulators containing heterocyclic compounds
- A01N43/72—Biocides, pest repellants or attractants, or plant growth regulators containing heterocyclic compounds having rings with nitrogen atoms and oxygen or sulfur atoms as ring hetero atoms
- A01N43/74—Biocides, pest repellants or attractants, or plant growth regulators containing heterocyclic compounds having rings with nitrogen atoms and oxygen or sulfur atoms as ring hetero atoms five-membered rings with one nitrogen atom and either one oxygen atom or one sulfur atom in positions 1,3
- A01N43/78—1,3-Thiazoles; Hydrogenated 1,3-thiazoles
-
- A—HUMAN NECESSITIES
- A01—AGRICULTURE; FORESTRY; ANIMAL HUSBANDRY; HUNTING; TRAPPING; FISHING
- A01N—PRESERVATION OF BODIES OF HUMANS OR ANIMALS OR PLANTS OR PARTS THEREOF; BIOCIDES, e.g. AS DISINFECTANTS, AS PESTICIDES OR AS HERBICIDES; PEST REPELLANTS OR ATTRACTANTS; PLANT GROWTH REGULATORS
- A01N43/00—Biocides, pest repellants or attractants, or plant growth regulators containing heterocyclic compounds
- A01N43/72—Biocides, pest repellants or attractants, or plant growth regulators containing heterocyclic compounds having rings with nitrogen atoms and oxygen or sulfur atoms as ring hetero atoms
- A01N43/82—Biocides, pest repellants or attractants, or plant growth regulators containing heterocyclic compounds having rings with nitrogen atoms and oxygen or sulfur atoms as ring hetero atoms five-membered rings with three ring hetero atoms
-
- C—CHEMISTRY; METALLURGY
- C07—ORGANIC CHEMISTRY
- C07D—HETEROCYCLIC COMPOUNDS
- C07D263/00—Heterocyclic compounds containing 1,3-oxazole or hydrogenated 1,3-oxazole rings
- C07D263/02—Heterocyclic compounds containing 1,3-oxazole or hydrogenated 1,3-oxazole rings not condensed with other rings
- C07D263/30—Heterocyclic compounds containing 1,3-oxazole or hydrogenated 1,3-oxazole rings not condensed with other rings having two or three double bonds between ring members or between ring members and non-ring members
- C07D263/34—Heterocyclic compounds containing 1,3-oxazole or hydrogenated 1,3-oxazole rings not condensed with other rings having two or three double bonds between ring members or between ring members and non-ring members with hetero atoms or with carbon atoms having three bonds to hetero atoms with at the most one bond to halogen, e.g. ester or nitrile radicals, directly attached to ring carbon atoms
- C07D263/46—Sulfur atoms
-
- C—CHEMISTRY; METALLURGY
- C07—ORGANIC CHEMISTRY
- C07D—HETEROCYCLIC COMPOUNDS
- C07D277/00—Heterocyclic compounds containing 1,3-thiazole or hydrogenated 1,3-thiazole rings
- C07D277/02—Heterocyclic compounds containing 1,3-thiazole or hydrogenated 1,3-thiazole rings not condensed with other rings
- C07D277/20—Heterocyclic compounds containing 1,3-thiazole or hydrogenated 1,3-thiazole rings not condensed with other rings having two or three double bonds between ring members or between ring members and non-ring members
- C07D277/32—Heterocyclic compounds containing 1,3-thiazole or hydrogenated 1,3-thiazole rings not condensed with other rings having two or three double bonds between ring members or between ring members and non-ring members with hetero atoms or with carbon atoms having three bonds to hetero atoms with at the most one bond to halogen, e.g. ester or nitrile radicals, directly attached to ring carbon atoms
- C07D277/36—Sulfur atoms
-
- C—CHEMISTRY; METALLURGY
- C07—ORGANIC CHEMISTRY
- C07D—HETEROCYCLIC COMPOUNDS
- C07D417/00—Heterocyclic compounds containing two or more hetero rings, at least one ring having nitrogen and sulfur atoms as the only ring hetero atoms, not provided for by group C07D415/00
- C07D417/02—Heterocyclic compounds containing two or more hetero rings, at least one ring having nitrogen and sulfur atoms as the only ring hetero atoms, not provided for by group C07D415/00 containing two hetero rings
- C07D417/04—Heterocyclic compounds containing two or more hetero rings, at least one ring having nitrogen and sulfur atoms as the only ring hetero atoms, not provided for by group C07D415/00 containing two hetero rings directly linked by a ring-member-to-ring-member bond
Definitions
- TITLE FLUORALKENYL COMPOUNDS, PROCESS FOR PREPARATION AND USE
- the present invention relates to novel fluoralkenyl compounds and their use as crop protection agents.
- W0200102378, US 3,518, 172 describes trifluorobutenyl compounds which have nematicidal activity.
- JP500037/1988 (WO 86/07590) describes polyhaloalkene compounds which have nematicidal activity.
- WO95/24403 describes that 4,4-difluorobutenyl compounds have nematicidal activity.
- JP176141/ 1997 mentions thiazole compounds having insecticidal and acaricidal activity.
- W02004005268, W02003049541, W02003029231, W02002006259, W02002006257, W02002006256, W02001066529, US354979, US3891662, US3780050, US3700668, US3697536, US3692912, US3666818, US3654293 also describe polyhaloalkene compounds which have nematicidal activity.
- WO94/06782 discloses benzthiazoles and benzoxazoles having nematicidal, insecticidal, acaricidal and fungicidal properties.
- WO94/06777 discloses pyrimidine derivatives having nematicidal, insecticidal, acaricidal and fungicidal properties.
- the present invention describes compounds of formula (I) which possess the above mentioned effects or advantages.
- Such compounds of formula (I) namely fluoralkenyl compounds wherein the heterocyclic ring is substituted according to the invention, show unexpected and significantly higher activity against undesired microorganisms such as fungal or bacterial pathogens or against pests such as nematodes or insects.
- the present invention provides a fluoralkenyl compound of the general formula (I),
- R, R 1 , R 2 , R 3 , A and integers n, m and k are as defined in detailed description and their use for controlling or preventing agricultural crops and/or horticultural crops against nematodes and phytopathogenic fungi.
- compositions comprising, “comprising”, “includes”, “including”, “has”, “having”, “contains”,“containing”,“characterized by” or any other variation thereof, are intended to cover a non-exclusive inclusion, subject to any limitation explicitly indicated.
- a composition, mixture, process or method that comprises a list of elements is not necessarily limited to only those elements but may include other elements not expressly listed or inherent to such composition, mixture, process or method.
- transitional phrase“consisting essentially of’ is used to define a composition or method that includes materials, steps, features, components or elements, in addition to those literally disclosed, provided that these additional materials, steps, features, components or elements do not materially affect the basic and novel characteristic(s) of the claimed invention.
- the term“consisting essentially of’ occupies a middle ground between“comprising” and“consisting of’.
- “or” refers to an inclusive“or” and not to an exclusive “or”.
- a condition A“or” B is satisfied by any one of the following: A is true (or present) and B is false (or not present), A is false (or not present) and B is true (or present), and both A and B are true (or present).
- indefinite articles“a” and“an” preceding an element or component of the present invention are intended to be nonrestrictive regarding the number of instances (i.e. occurrences) of the element or component. Therefore“a” or“an” should be read to include one or at least one, and the singular word form of the element or component also includes the plural unless the number is obviously meant to be singular.
- the term“pesticide” in each case also always comprises the term “crop protection agent”.
- the term“invertebrate pest” includes arthropods, gastropods and nematodes of economic importance as pests.
- the term“arthropod” includes insects, mites, spiders, scorpions, centipedes, millipedes, pill bugs and symphylans.
- the term“gastropod” includes snails, slugs and other Stylommatophora.
- the term“nematode” refers to a living organism of the Phylum Nematoda.
- the term“helminths” includes roundworms, heartworms, phytophagous nematodes (Nematoda), flukes (Trematoda), acanthocephala and tapeworms (Cestoda).
- undesired microorganisms or “phytopathogenic microorganisms” such as fungal or bacterial pathogens includes Plasmodiophoromycetes, Oomycetes, Chytridiomycetes, Zygomycetes, Ascomycetes, Basidiomycetes and Deuteromycetes and Pseudomonadaceae, Rhizobiaceae, Enterobacteriaceae, Corynebacteriaceae and Streptomycetaceae respectively.
- invertebrate pest control means inhibition of invertebrate pest development (including mortality, feeding reduction, and/or mating disruption), and related expressions are defined analogously.
- agronomic refers to the production of field crops such as for food and fiber and includes the growth of corn, soybeans and other legumes, rice, cereal (e.g., wheat, oats, barley, rye, rice, maize), leafy vegetables (e.g., lettuce, cabbage, and other cole crops), fruiting vegetables (e.g., tomatoes, pepper, eggplant, crucifers and cucurbits), potatoes, sweet potatoes, grapes, cotton, tree fruits (e.g., pome, stone and citrus), small fruit (berries, cherries) and other specialty crops (e.g., canola, sunflower, olives).
- wheat e.g., wheat, oats, barley, rye, rice, maize
- leafy vegetables e.g., lettuce, cabbage, and other cole crops
- fruiting vegetables e.g., tomatoes, pepper, eggplant, crucifers and cucurbits
- potatoes e.g., sweet potatoes, grapes, cotton, tree fruits (e.g.
- nonagronomic refers to other than field crops, such as horticultural crops (e.g., greenhouse, nursery or ornamental plants not grown in a field), residential, agricultural, commercial and industrial structures, turf (e.g., sod farm, pasture, golf course, lawn, sports field, etc.), wood products, stored product, agro-forestry and vegetation management, public health (i.e. human) and animal health (e.g., domesticated animals such as pets, livestock and poultry, undomesticated animals such as wildlife) applications.
- horticultural crops e.g., greenhouse, nursery or ornamental plants not grown in a field
- turf e.g., sod farm, pasture, golf course, lawn, sports field, etc.
- wood products e.g., stored product, agro-forestry and vegetation management
- public health i.e. human
- animal health e.g., domesticated animals such as pets, livestock and poultry, undomesticated animals such as wildlife
- Nonagronomic applications include protecting an animal from an invertebrate parasitic pest by administering a parasiticidally effective (i.e. biologically effective) amount of a compound of the present invention, typically in the form of a composition formulated for veterinary use, to the animal to be protected.
- a parasiticidally effective (i.e. biologically effective) amount of a compound of the present invention typically in the form of a composition formulated for veterinary use, to the animal to be protected.
- the terms“parasiticidal” and “parasiticidally” refers to observable effects on an invertebrate parasite pest to provide protection of an animal from the pest. Parasiticidal effects typically relate to diminishing the occurrence or activity of the target invertebrate parasitic pest.
- Such effects on the pest include necrosis, death, retarded growth, diminished mobility or lessened ability to remain on or in the host animal, reduced feeding and inhibition of reproduction.
- These effects on invertebrate parasite pests provide control (including prevention, reduction or elimination) of parasitic infestation or infection of the animal.
- the compounds of the present disclosure may be present either in pure form or as mixtures of different possible isomeric forms such as stereoisomers or constitutional isomers.
- the various stereoisomers include enantiomers, diastereomers, chiral isomers, atropisomers, conformers, rotamers, tautomers, optical isomers, polymorphs, and geometric isomers. Any desired mixtures of these isomers fall within the scope of the claims of the present disclosure.
- one stereoisomer may be more active and/or may exhibit beneficial effects when enriched relative to the other isomer(s) or when separated from the other isomer(s). Additionally, the person skilled in the art knows processes or methods or technology to separate, enrich, and/or to selectively prepare said isomers.
- the term“alkyl”, used either alone or in compound words such as“alkylthio” or‘3 ⁇ 4aloalkyl” or -N(alkyl) or alkylcarbonylalkyl or alkylsuphonylamino includes straight-chain or branched Ci to C M alkyl, preferably Ci to C15 alkyl, more preferably Ci to C10 alkyl, most preferably Ci to C 6 alkyl.
- Non limiting examples of alkyl include methyl, ethyl, propyl, 1 -methyl ethyl, butyl, 1- methylpropyl, 2-methylpropyl, 1,1 -dimethyl ethyl, pentyl, 1-methylbutyl, 2-methylbutyl, 3- methylbutyl, 2,2-dimethylpropyl, 1-ethylpropyl, hexyl, 1,1-dimethylpropyl, 1,2-dimethylpropyl, 1- methylpentyl, 2-methylpentyl, 3-methylpentyl, 4-methylpentyl, 1,1-dimethylbutyl, 1,2-dimethylbutyl, 1,3-dimethylbutyl, 2,2-dimethylbutyl, 2,3-dimethylbutyl, 3,3-dimethylbutyl, 1 -ethylbutyl, 2- ethylbutyl, 1, 1,2-trimethylpropyl, 1,2,2-trimethylpropyl
- the alkyl is at the end of a composite substituent, as, for example, in alkylcycloalkyl
- the part of the composite substituent at the start for example the cycloalkyl
- other radicals for example alkenyl, alkynyl, hydroxyl, halogen, carbonyl, carbonyloxy and the like, are at the end.
- alkenyl used either alone or in compound words includes straight-chain or branched C2 to C24 alkenes, preferably C2 to C15 alkenes, more preferably C2 to C10 alkenes, most preferably C2 to C 6 alkenes.
- Non limiting examples of alkenes include ethenyl, 1-propenyl, 2-propenyl, 1 -methyl ethenyl, 1-butenyl, 2-butenyl, 3-butenyl, 1 -methyl- 1-propenyl, 2-methyl-l-propenyl, l-methyl-2 -propenyl, 2- methyl-2-propenyl, 1-pentenyl, 2-pentenyl, 3-pentenyl, 4-pentenyl, 1 -methyl- 1-butenyl, 2-methyl- 1- butenyl, 3-methyl-l-butenyl, l-methyl-2-butenyl, 2-methyl-2-butenyl, 3-methyl-2-butenyl, l-methyl-3- butenyl, 2-methyl-3-butenyl, 3-methyl-3-butenyl, l, l-dimethyl-2-propenyl, 1,2-dimethyl- 1-propenyl, l,2-dimethyl-2 -propeny
- Alkenyl also includes polyenes such as 1,2-propadienyl and 2,4-hexadienyl. This definition also applies to alkenyl as a part of a composite substituent, for example haloalkenyl and the like, unless defined specifically elsewhere.
- alkynyl used either alone or in compound words includes branched or straight-chain C2 to C24 alkynes, preferably C2 to C15 alkynes, more preferably C2 to C10 alkynes, most preferably C2 to C 6 alkynes.
- Non limiting examples of alkynes include ethynyl, 1-propynyl, 2-prop ynyl, 1-butynyl, 2- butynyl, 3-butynyl, l-methyl-2-propynyl, 1-pentynyl, 2-pentynyl, 3-pentynyl, 4-pentynyl, l-methyl-2- butynyl, l-methyl-3-butynyl, 2-methyl-3-butynyl, 3-methyl-l-butynyl, 1,1 -dimethyl -2 -prop ynyl, 1- ethyl -2-propynyl, 1-hexynyl, 2-hexynyl, 3-hexynyl, 4-hexynyl, 5-hexynyl, l-methyl-2-pentynyl, 1- methyl-3-pentynyl, l-methyl-4-pentynyl, 2-
- Alkynyl can also include moieties comprised of multiple triple bonds such as 2,5-hexadiynyl.
- cyclic alkyl or“cycloalkyl” means alkyl closed to form a ring.
- Non limiting examples include but are not limited to cyclopropyl, cyclobutyl, cyclopentyl and cyclohexyl. This definition also applies to cycloalkyl as a part of a composite substituent, for example cycloalkylalkyl etc., unless specifically defined elsewhere.
- cycloalkenyl means alkenyl closed to form a ring including monocyclic, partially unsaturated hydrocarbyl groups. Non limiting examples include but are not limited to cyclopentenyl and cyclohexenyl. This definition also applies to cycloalkenyl as a part of a composite substituent, for example cycloalkenylalkyl etc., unless specifically defined elsewhere.
- cycloalkynyl means alkynyl closed to form a ring including monocyclic, partially unsaturated groups. This definition also applies to cycloalkynyl as a part of a composite substituent, for example cycloalkynylalkyl etc., unless specifically defined elsewhere.
- cycloalkoxy cycloalkenyloxy
- cycloalkoxy cycloalkenyloxy
- Non limiting examples of cycloalkoxy include cyclopropyloxy, cyclopentyloxy and cyclohexyloxy. This definition also applies to cycloalkoxy as a part of a composite substituent, for example cycloalkoxy alkyl etc., unless specifically defined elsewhere.
- alkoxy used either alone or in compound words included Ci to CM alkoxy, preferably Ci to C15 alkoxy, more preferably Ci to Cio alkoxy, most preferably Ci to C 6 alkoxy.
- alkoxy include methoxy, ethoxy, propoxy, 1-methylethoxy, butoxy, 1-methylpropoxy, 2-methylpropoxy, 1,1- dimethyl ethoxy, pentoxy, 1-methylbutoxy, 2-methylbutoxy, 3-methylbutoxy, 2,2-dimethylpropoxy, 1- ethylpropoxy, hexoxy, 1,1-dimethylpropoxy, 1,2-dimethylpropoxy, 1-methylpentoxy, 2- methylpentoxy, 3-methylpentoxy, 4-methylpentoxy, 1,1-dimethylbutoxy, 1,2-dimethylbutoxy, 1,3- dimethylbutoxy, 2,2-dimethylbutoxy, 2,3-dimethylbutoxy, 3,3-dimethylbutoxy, 1-ethylbutoxy, 2- ethylbutoxy, 1,1,
- alkylthio includes branched or straight-chain alkylthio moieties such as methylthio, ethylthio, propylthio, 1-methylethylthio, butylthio, 1-methylpropylthio, 2-methylpropylthio, 1,1- dimethylethylthio, pentylthio, 1-methylbutylthio, 2-methylbutylthio, 3-methylbutylthio, 2,2- dimethylpropylthio, 1 -ethylpropylthio, hexylthio, 1,1-dimethylpropylthio, 1,2-dimethylpropylthio, 1- methylpentylthio, 2-methylpentylthio, 3-methylpentylthio, 4-methylpentylthio, 1,1-dimethylbutylthio,
- “hydroxy” means -OH,“amino” means -NRR, wherein R can be H or any possible substituent such as alkyl;“carbonyl” means -C(O)- ,“carbonyloxy” means -OC(O)-,“sulfinyl” means SO,“sulfonyl” means S(0) 2 -
- halogen either alone or in compound words such as “haloalkyl”, includes fluorine, chlorine, bromine or iodine. Further, when used in compound words such as“haloalkyl”, said alkyl may be partially or fully substituted with halogen atoms which may be the same or different.
- haloalkyl include chloromethyl, bromomethyl, dichloromethyl, trichloromethyl, fluoromethyl, difluoromethyl, trifluoromethyl, chlorofluoromethyl, dichlorofluoromethyl, chlorodifluoromethyl, 1-chloroethyl, 1-bromoethyl, 1-fluoroethyl, 2- fluoroethyl, 2,2-difluoroethyl, 2,2,2-trifluoroethyl, 2-chloro-2-fluoroethyl, 2-chloro-2,2-difluoroethyl,
- haloalkenyl and“haloalkynyl” are defined analogously except that, instead of alkyl groups, alkenyl and alkynyl groups are present as a part of the substituent.
- haloalkoxy means straight-chain or branched alkoxy groups where some or all of the hydrogen atoms in these groups may be replaced by halogen atoms as specified above.
- Non-limiting examples of haloalkoxy include chloromethoxy, bromomethoxy, dichloromethoxy, trichloromethoxy, fluoromethoxy, difluoromethoxy, trifluoromethoxy, chlorofluoromethoxy, dichlorofluoromethoxy, chlorodifluoromethoxy, 1-chloroethoxy, 1-bromoethoxy, 1 -fluoroethoxy, 2-fluoroethoxy, 2,2- difluoroethoxy, 2,2,2-trifluoroethoxy, 2-chloro-2-fluoroethoxy, 2-chloro-2,2-difluoroethoxy, 2,2- dichloro-2-fluoroethoxy, 2,2,2-trichloroethoxy, pentafluoroethoxy and l,l,l-trifluoroprop-2-oxy.
- This definition also applies to haloalkoxy as a part of a composite substituent, for example haloalkoxyalkyl
- haloalkylthio or“haloalkylsulfanyl” means straight-chain or branched alkylthio groups where some or all of the hydrogen atoms in these groups may be replaced by halogen atoms as specified above.
- Non-limiting examples of haloalkylthio include chloromethylthio, bromomethylthio, dichloromethylthio, trichloromethylthio, fluoromethylthio, difluoromethylthio, trifluoromethylthio, chlorofluoromethylthio, dichloro fluoromethylthio, chlorodifluoromethylthio, 1 -chloroethylthio, 1- bromoethylthio, 1- fluoroethylthio, 2-fluoroethylthio, 2,2-difluoroethylthio, 2,2,2-trifluoroethylthio, 2- chloro-2- fluoroethylthio, 2-chloro-2,2-difluoroethylthio, 2,2-dichloro-2-fluoroethylthio, 2,2,2- trichloroethylthio, pentafluoroethylthio and l,l
- Non limiting examples of “haloalkylsulfinyl” include CF 3 S(0), CChS(O), CFsCFbS/O) and CF 3 CF 2 S(0).
- Non limiting examples of “haloalkylsulfonyl” include CF 3 S(0) 2 , CCl 3 S(0) 2 , CF 3 CH 2 S(0) 2 and CF 3 CF 2 S(0) 2 .
- alkylthioalkyl denotes alkylthio substitution on alkyl.
- alkylthioalkyl include -CH2SCH2, -CH2SCH2CH2, CH3CH2SCH2, CH3CH2CH2CH2SCH2 and CH3CH2SCH2CH2.
- alkylthioalkoxy denotes alkylthio substitution on alkoxy.
- cycloalkylalkylamino denotes cycloalkyl substitution on alkyl amino.
- alkoxyalkoxyalkyl alkylaminoalkyl, dialkylaminoalkyl, cycloalkylaminoalkyl, cycloalkylaminocarbonyl and the like, are defined analogously to “alkylthioalkyl” or cycloalkylalkylamino.
- alkoxycarbonyl is an alkoxy group bonded to a skeleton via a carbonyl group (-CO-). This definition also applies to alkoxycarbonyl as a part of a composite substituent, for example cycloalkylalkoxycarbonyl and the like, unless specifically defined elsewhere.
- alkoxycarbonylalkylamino denotes alkoxy carbonyl substitution on alkyl amino.
- Alkylcarbonylalkylamino denotes alkyl carbonyl substitution on alkyl amino.
- alkylthioalkoxycarbonyl, cycloalkylalkylaminoalkyl and the like are defined analogously.
- alkylsulfinyl include but are not limited to methylsulphinyl, ethylsulphinyl, propylsulphinyl, 1 -methyl ethylsulphinyl, butylsulphinyl, 1-methylpropylsulphinyl, 2- methylpropylsulphinyl, 1, 1-dimethylethylsulphinyl, pentylsulphinyl, 1-methylbutylsulphinyl, 2- methylbutylsulphinyl, 3-methylbutylsulphinyl, 2,2-dimethylpropylsulphinyl, 1 -ethylpropylsulphinyl, hexylsulphinyl, 1, 1-dimethylpropylsulphinyl, 1,2-dimethylpropylsulphinyl,
- arylsulf yl includes Ar-S(O), wherein Ar can be any carbocyle or heterocylcle. This definition also applies to alkylsulphinyl as a part of a composite substituent, for example haloalkylsulphinyl etc., unless specifically defined elsewhere.
- alkylsulfonyl include but are not limited to methylsulphonyl, ethylsulphonyl, propylsulphonyl, 1-methylethylsulphonyl, butylsulphonyl, 1-methylpropylsulphonyl, 2-methylpropylsulphonyl, 1,1 -dimethyl ethylsulphonyl, pentylsulphonyl, 1-methylbutylsulphonyl, 2- methylbutylsulphonyl, 3-methylbutylsulphonyl, 2,2-dimethylpropylsulphonyl, 1- ethylpropylsulphonyl, hexylsulphonyl, 1, 1-dimethylpropylsulphonyl, 1,2-dimethylpropylsulphonyl, 1- methylpentylsulphonyl, 2-methylpentylsulphonyl, 3-methylpentyls
- arylsulfonyl includes Ar-S(0) 2 , wherein Ar can be any carbocyle or heterocylcle. This definition also applies to alkylsulphonyl as a part of a composite substituent, for example alkylsulphonylalkyl etc., unless defined elsewhere.
- the term“Alkylamino”,“dialkylamino”, and the like, are defined analogously to the above examples.
- the term“ring” or“ring system” or“Cy” as a component of formula I is carbocyclyl or heterocyclyl.
- the term“ring system” denotes one or more rings.
- bicyclic ring or ring system denotes a ring system consisting of two or more common atom.
- “carbocycle” or“carbocyclic” or“carbocyclyl” include“aromatic carbocyclic ring system” and“nonaromatic carbocylic ring system” or polycyclic or bicyclic (spiro, fused, bridged, nonfused) ring compounds in which the ring may be aromatic or non-aromatic (where aromatic indicates that the Huckel rule is satisfied and non-aromatic indicates that the Huckel rule is not satisfied).
- Non limiting examples of non-aromatic carbocyclic ring system are cyclopropyl, cyclobutyl, cyclopentyl, norbornyl and the like.
- Non limiting examples of aromatic carbocyclic ring system are phenyl, naphthyl and the like.
- aryl as used herein is a group that contains any carbon-based aromatic group including, but not limited to phenyl, naphthalene, biphenyl, anthracene, and the like.
- the aryl group can be substituted or unsubstituted.
- the aryl group can be a single ring structure or comprise multiple ring structures that are either fused ring structures or attached via one or more bridging groups such as a carbon-carbon bond.
- aralkyl refers to aryl hydrocarbon radicals including an alkyl portion as defined above. Examples include benzyl, phenylethyl, and 6-napthylhexyl.
- aralkenyl refers to aryl hydrocarbon radicals including an alkenyl portion, as defined above, and an aryl portion, as defined above. Examples include styryl, 3-(benzyl) prop-2-enyl, and 6-napthylhex-2-enyl.
- hetero in connection with rings refers to a ring in which at least one ring atom is not carbon and which can contain 1 to 4 heteroatoms independently selected from the group consisting of nitrogen, oxygen and sulfur, provided that each ring contains no more than 4 nitrogens, no more than 2 oxygens and no more than 2 sulfurs.
- non-aromatic heterocycle or “non-aromatic heterocyclic” means three- to fifteen- membered, preferably three- to twelve-membered, saturated or partially unsaturated heterocycle containing one to four heteroatoms from the group of oxygen, nitrogen and sulphur: mono, bi- or tricyclic heterocycles which contain, in addition to carbon ring members, one to three nitrogen atoms and/or one oxygen or sulphur atom or one or two oxygen and/or sulphur atoms; if the ring contains more than one oxygen atom, they are not directly adj acent; for example (but not limited to) oxiranyl, aziridinyl, oxetanyl, azetidinyl, thietanyl, 2-tetrahydrofuranyl, 3-tetrahydrofuranyl, 2- tetrahydrothienyl, 3-tetrahydrothienyl, 1-pyrrolidinyl, 2-pyrrolidinyl
- heteroaryl means 5 or 6-membered, fully unsaturated monocyclic ring system containing one to four heteroatoms from the group of oxygen, nitrogen and sulphur; if the ring contains more than one oxygen atom, they are not directly adjacent; 5-membered heteroaryl containing one to four nitrogen atoms or one to three nitrogen atoms and one sulphur or oxygen atom: 5-membered heteroaryl groups which, in addition to carbon atoms, may contain one to four nitrogen atoms or one to three nitrogen atoms and one sulphur or oxygen atom as ring members, for example (but not limited thereto) furyl, thienyl, pyrrol yl, isoxazolyl, isothiazolyl, pyrazolyl, oxazolyl, thiazolyl, imidazolyl, 1,2,4-oxadiazolyl, 1,2,4-thiadiazolyl, 1,2,4-triazolyl, 1,3,4-oxadiazoly
- 6-membered heteroaryl which contains one to four nitrogen atoms: 6-membered heteroaryl groups which, in addition to carbon atoms, may contain, respectively, one to three and one to four nitrogen atoms as ring members, for example (but not limited thereto) 2-pyridinyl, 3-pyridinyl, 4-pyridinyl, 3- pyridazinyl, 4-pyridazinyl, 2-pyrimidinyl, 4-pyrimidinyl, 5-pyrimidinyl, 2-pyrazinyl, l,3,5-triazin-2- yl, l,2,4-triazin-3-yl and l,2,4,5-tetrazin-3-yl; benzofused 5-membered heteroaryl containing one to three nitrogen atoms or one nitrogen atom and one oxygen or sulphur atom: for example (but not limited to) indol-l-yl, indol-2-yl, indol-3-yl, indol-4
- Non-limiting examples of fused 6-5-membered heteroaryl include Indolizinyl; pyrazolo[l,5- ajpyridinyl; imidazo[l,2-a]pyridinyl; pyrrolo[l,2-a]pyrimidinyl; pyrazolo[l,5-a]pyrimidinyl; imidazo[l,2-a]pyrimidinyl; pyrrolo[l,2-a]pyrazinyl; pyrazolo[l,5-a]pyrazinyl; imidazo[l,2- ajpyrazinyl and the like.
- heteroaryl as a part of a composite substituent, for example heteroarylalkyl etc., unless specifically defined elsewhere.
- Trialkylsilyl includes 3 branched and/or straight-chain alkyl radicals attached to and linked through a silicon atom such as trimethylsilyl, triethylsilyl and t-butyl-dimethylsilyl.
- the term“Halotrialkylsilyl” denotes at least one of the three alkyl radicals is partially or fully substituted with halogen atoms which may be the same or different.
- Alkoxytrialkylsilyl denotes at least one of the three alkyl radicals is substituted with one or more alkoxy radicals which may be the same or different.
- Trialkylsilyloxy denotes a trialkylsilyl moiety attached through oxygen.
- Non limiting examples of“alkylcarbonyl” include C(0)CH 3 , C(0)CH 2 CH 2 CH 3 and C(0)CH(CH 3 ) 2 .
- haloalkylsufonylaminocarbonyl, alkylsulfonylaminocarbonyl, alkylthioalkoxycarbonyl, alkoxycarbonylalkyl amino and the like are defined analogously.
- the total number of carbon atoms in a substituent group is indicated by the“Ci-C j ” prefix where i and j are numbers from 1 to 21.
- Ci-C 3 alkoxy designates methoxy through propoxy.
- substituents When a compound is substituted with a substituent bearing a subscript that indicates the number of said substituents can exceed 1, said substituents (when they exceed 1) are independently selected from the group of defined substituents. Further, when the subscript indicates a range, e. g. (R)i- j , then the number of substituents may be selected from the integers between i and j inclusive.
- the present invention provides a compound of general formula (I);
- A represent O, NR 4 or S
- R is selected from the group consisting of hydrogen, halogen and Ci-C 3 -alkyl
- R 2 represent following fragment G
- R 5 is selected from the group consisting of hydrogen, X, CN, Ci-Ci 2 -alkyl, C 2 -C 12 - alkenyl, C 2 -Ci 2 -alkynyl, Ci-Ci 2 -haloalkyl, C 2 -Ci 2 -haloalkenyl, C 2 -Ci 2 -haloalkynyl, C 3 -C 10 - cycloalkyl, C 3 -Cio-halocycloalkyl, C 4 -Cio-cycloalkenyl, Cs-Cio-cycloalkynyl, C 4 -C 10 - halocycloalkylalkyl, C 6 -Cio-aryl and C 7 -Ci 9 -aralkyl; R 5 may be optionally substituted by one or more groups selected from the group consisting of X, R 4a , OR 4a , SR 4a , N(R 4a)
- R 4 is selected from the group consisting of hydrogen, OR 4a , N(R 4a ) 2 , Ci-Ce-alkyl, Ci-C6-alkenyl, Ci- C6-alkynyl, Ci-C6-haloalkyl, C 2 -C6-haloalkenyl, C 2 -C6-haloalkynyl, C 3 -Ci 2 -cycloalkyl, C 3 -C 10 - halocycloalkyl, C 4 -Ci 2 -cycloalkenyl, C 5 -Ci 2 -cycloalkynyl, Ce-Cio-aryl, C 7 -Ci 9 -aralkyl and C 3 -Ci 2 - heterocyclyl; R 4 may be optionally substituted by one or more groups selected from the group consisting of X, R 4a , OR 4a , SR 4a , N(R 4a ) 2 , Si(R 4a
- X represents halogen
- the compound of formula (I) is represented by formula la;
- A represent O or S
- R 4 is selected from the group consisting of hydrogen, OR 4a , N(R 4a ) 2 , Ci-C 6 -alkyl, Ci-C 6 -alkenyl, Ci- C 6 -alkynyl, Ci-C 6 -haloalkyl, C 2 -C 6 -haloalkenyl, C 3 -Ci 2 -cycloalkyl, C 3 -Cio-halocycloalkyl, C4-C12- cycloalkenyl, C 6 -Cio-aryl, C 7 -Ci 9 -aralkyl and C 3 -Ci 2 -heterocyclyl; R 4 may be optionally substituted by one or more groups selected from the group consisting of X, R 4a , OR 4a , SR 4a , N(R 4a ) 2 , Si(R 4a ) 3 , COOR 4a , CN and CON(R 4a ) 2 ;
- R 4a is selected from the group consisting of hydrogen, Ci-C6-alkyl and C 3 -C 6 -cycloalkyl;
- R 5 is selected from the group consisting of hydrogen, X, CN, Ci-Ci 2 -alkyl, C 2 -Ci 2 -alkenyl, C 2 -C 12 - alkynyl, Ci-Ci 2 -haloalkyl, C 2 -Ci 2 -haloalkenyl, C 3 -Cio-cycloalkyl, C 3 -Cio-halocycloalkyl, C4-C10- cycloalkylalkyl, C 6 -Cio-aryl and C 7 -Ci 9 -aralkyl; R 5 may be optionally substituted by one or more groups selected from the group consisting of X, R 4a , OR 4a , SR 4a , N(R 4a ) 2 , Si(R 4a ) 3 , COOR 4a , CN and CON(R 4a ) 2 ;
- X represents halogen
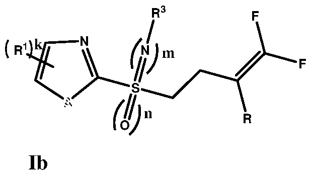
- the compound of formula (I) is represented by formula lb;
- A represent O, NR 4 or S
- R 4 is selected from the group consisting of hydrogen; OR 4a , N(R 4a ) 2 , Ci-C 6 -alkyl, Ci-C 6 -alkenyl, Ci- C 6 -alkynyl, Ci-C 6 -haloalkyl, C 2 -C 6 -haloalkenyl, C 2 -C 6 -haloalkynyl, C 3 -Ci 2 -cycloalkyl, C 3 -C 10 - halocycloalkyl, C 4 -C 6 -cycloalkenyl, C 6 -Cio-aryl, C 7 -Ci 9 -aralkyl and C 3 -C 6 -heterocyclyl; R 4 may be optionally substituted by one or more groups selected from the group consisting of X, R 4a , OR 4a , SR 4a , N(R 4a ) 2 , Si(R 4a ) 3 , COOR 4a
- R 4a is selected from the group consisting of hydrogen, Ci-C 6 -alkyl and C 3 -C 6 -cycloalkyl;
- X represents halogen
- the compound of formula (I) is represented by formula Ic;
- A represent O, NR 4 or S
- n integers of 0-2;
- R 1 is selected from the group consisting of CN, C2-Ci2-alkynyl, Ci-C 6 -haloalkyl, C2-C6-haloalkenyl, C2-C6-haloalkynyl, C3-C6-cycloalkyl, C3-C6-halocycloalkyl, C t -Ce-cycloalkenyl, Ci-C 6 -haloalkyloxy, Ci-C 6 -haloalkylthio, Ci-C 6 -haloalkylamino, Ci-C 6 -dihaloalkylamino, Ci-C 6 -haloalkyloxy-Ci-C 6 -alkyl, Ci-C 6 -haloalkylamino-Ci-C 6 -alkyl, Ci-C 6 -haloalkylamino-Ci-C 6 -alkyl, Ci-C 6 -dihaloalkylamino-Ci-C 6
- R 4 is selected from the group consisting of hydrogen, OR 4a , N(R 4a )2, Ci-C 6 -alkyl, Ci-C 6 -alkenyl, Ci- C 6 -alkynyl, Ci-C 6 -haloalkyl, C2-C6-haloalkenyl, C2-C6-haloalkynyl, C3-Ci2-cycloalkyl, C3-C10- halocycloalkyl, C4-C6-cycloalkenyl, C 6 -Cio-aryl, C7-Ci9-aralkyl and C3-C6-heterocyclyl; R 4 may be optionally substituted by one or more groups selected from the group consisting of X, R 4a , OR 4a , SR 4a , N(R 4a ) 2 , Si(R 4a ) 3 , COOR 4a , CN and CON(R 4a ) 2,
- R 4a is selected from the group consisting of hydrogen, Ci-C 6 -alkyl and C3-C6-cycloalkyl;
- X represents halogen
- the compound of formula (I) is selected from (E)-2-((3,4,4- trifluorobut-3-en-l-yl)thio)thiazole-5-carbaldehyde O-methyl oxime, (E)-2-((3,4,4-trifluorobut-3-en- 1 -yl)thio)thiazole-5 -carbaldehyde O-methyl oxime, (Z)-2-((3,4,4-trifluorobut-3 -en- 1 -yl)thio)oxazole- 5-carbaldehyde O-methyl oxime, (E)-2-((3,4,4-trifluorobut-3-en-l-yl)sulfinyl)thiazole-5-carbaldehyde O-methyl oxime, (Z)-2-((3,4,4-trifluorobut-3-en-l-yl)sulfinyl)thiazole-5-carbaldehyde O-methyl oxime, (
- 6 -sul fanonc (5-bromothiazol-2- yl)(ethylimino)(3,4,4-trifluorobut-3-en-l-yl)- .
- 6 -sul fanonc (5-(difluoromethyl)thiazol-2- yl)(imino)(3,4,4-trifluorobut-3-en-l-yl)- .
- 6 -sul f nonc N-((4-(tert-butyl)thiazol-2- yl )( 3,4,4-lri P uorobut-3-cn- 1 -yl )- .
- 4 -sul fancylidcnc)cyan amide (4-(tert-butyl)thiazol-2- yl)(imino)(3,4,4-trifluorobut-3-en-l-yl)- .
- 6 -sul fanonc (4-(tert-butyl)thiazol-2-yl)(methylimino)(3,4,4- trifluorobut-3-en-l-yl)- .
- 6 -su I fanonc (4-(tert-butyl)-5-chlorothiazol- 2-yl)(methylimino)(3,4,4-trifluorobut-3-en-l-yl)- ' /.
- 6 -sul fanonc (4-(tert-butyl)-5-chlorothiazol-2- yl)(ethylimino)(3,4,4-trifluorobut-3-en-l-yl)- ' /.
- the compounds of formula (I) and wherever appropriate, the tautomers thereof, in each case in free form or in salt form, can, if appropriate, also be obtained in the form of hydrates and/or include other solvents, for example those which may have been used for the crystallization of compounds which are present in solid form.
- the present invention provides use of compound of general formula (I), stereoisomers, agriculturally acceptable salts, tuatomers or N-oxides thereof or composition or combination thereof for controlling or preventing agricultural crops and/or horticultural crops against phytopathogenic fungi, bacteria, insects, nematodes or mites.
- the present invention provides use of compound of general formula (I), stereoisomers, agriculturally acceptable salts, tuatomers or N-oxides thereof or composition or combination thereof for controlling or preventing agricultural crops and/or horticultural crops against nematodes and phytopathogenic fungi.
- the agricultural crops are selected from cereals, corn, rice, soybean and other leguminous plants, fruits and fruit trees, nuts and nut trees, citrus and citrus trees, any horticultural plants, cucurbitaceae, oleaginous plants, tobacco, coffee, tea, cacao, sugar beet, sugar cane, cotton, potato, tomato, onions, peppers, other vegetables or ornamentals.
- the compounds according to the invention can be used for controlling or destroying pests such as nematodes and/or fungi which occur in particular on plants, especially on useful plants and ornamentals in agriculture, in horticulture and in forests, or on organs, such as fruits, flowers, foliage, stalks, tubers, seeds or roots, of such plants, and in some cases even plant organs which are formed at a later point in time remain protected against these pests.
- pests such as nematodes and/or fungi which occur in particular on plants, especially on useful plants and ornamentals in agriculture, in horticulture and in forests, or on organs, such as fruits, flowers, foliage, stalks, tubers, seeds or roots, of such plants, and in some cases even plant organs which are formed at a later point in time remain protected against these pests.
- the compounds of formula (I) according to the invention are preventively and/or curatively valuable active ingredients in the field of pest control, even at low rates of application, which can be used against pesticide resistant pests such as insects and fungi, which compounds of formula (I) have a very favorable biocidal spectrum and are well tolerated by warm-blooded species, fish and plants. Accordingly, the present invention also makes available a pesticidal composition comprising compounds of the invention, such as formula (I). It has now been found that the compounds of formula (I) according to the invention have, for practical purposes, a very advantageous spectrum of activities for protecting animals and useful plants against attack and damage by nematodes and phytopathogenic microorganisms like fungi or bacteria.
- the present invention also makes available a nematicidal composition comprising compounds of the invention, such as formula (I). It has also now been found that the compounds of formula I according to the invention have, for practical purposes, a very advantageous spectrum of activities for protecting animals and useful plants against attack and damage by fungi. Accordingly, the present invention also makes available a fungicidal composition comprising compounds of the invention, such as formula (I).
- the compounds of the formula (I) can possess potent microbicidal activity and can be used for the control of unwanted microorganisms, such as fungi, insects, mites, nematodes and bacteria, in agricultural or horticultural crop protection and in the protection of such materials.
- the compounds of the formula (I) can possess very good fungicidal properties and can be used in crop protection, for example for control of Plasmodiophoromycetes, Oomycetes, Chytridiomycetes, Zygomycetes, Ascomycetes, Basidiomycetes and Deuteromycetes.
- the compounds of the formula (I) can be used as nematicides in crop protection, for example, for control of Tylenchida, Rhabditida, Dorylaimida, and Tryplonchida.
- the compounds of the formula (I) can be used as insecticides in crop protection, for example, for control of Lepidoptera, Coleoptera, Hemiptera, Homoptera, Thysanoptera, Diptera, Orthoptera & Isoptera.
- the compounds of the formula (I) can be used as acaricides in crop protection, for example, for control of Eriophyoidea, Tetranychoidea, Eupodoidea and Tarsonemidae.
- the compounds of the formula (I) can be used as bactericides in crop protection, for example, for control of Pseudomonadaceae, Rhizobiaceae, Enterobacteriaceae, Corynebacteriaceae and S treptomycetaceae.
- the compounds of the formula (I) can be used for curative or protective control of phytopathogenic fungi.
- the invention therefore also relates to curative and protective methods for controlling phytopathogenic fungi by the use of the inventive active ingredients or compositions, which are applied to the seed, the plant or plant parts, the fruit or the soil in which the plants grow.
- the compounds of the formula (I) can be used for controlling or preventing against phytopathogenic fungi, bacteria, insects, nematodes, mites of agricultural crops and or horticultural crops.
- the compounds of the formula (I) can be used in crop protection, wherein the agricultural crops are cereals, corn, rice, soybean and other leguminous plants, fruits and fruit trees, nuts and nut trees, citrus and citrus trees, any horticultural plants, cucurbitaceae, oleaginous plants, tobacco, coffee, tea, cacao, sugar beet, sugar cane, cotton, potato, tomato, onions, peppers and other vegetables, and ornamentals.
- the agricultural crops are cereals, corn, rice, soybean and other leguminous plants, fruits and fruit trees, nuts and nut trees, citrus and citrus trees, any horticultural plants, cucurbitaceae, oleaginous plants, tobacco, coffee, tea, cacao, sugar beet, sugar cane, cotton, potato, tomato, onions, peppers and other vegetables, and ornamentals.
- the invention also relates to a method of controlling damage to plant and parts thereof by plant parasitic nematodes (Endoparasitic, Semiendoparasitic and Ectoparasitic nematodes), especially plant parasitic nematodes such as root knot nematodes, Meloidogyne hapla, Meloidogyne incognita, Meloidogyne javanica, Meloidogyne arenaria and other Meloidogyne species; cyst-forming nematodes, Globodera rostochiensis and other Globodera species; Heterodera avenae, Heterodera glycines, Heterodera schachtii, Heterodera trifolii, and other Heterodera species; Seed gall nematodes, Anguina species; Stem and foliar nematodes, Ap
- the nematode species Meloidogyne spp., Heterodera spp., Rotylenchus spp., Pratylenchus spp. and Radopholus spp. can be controlled by compounds of the invention.
- the compound of formula (I) and compositions thereof, respectively, are also suitable for controlling harmful fungi in the protection of stored products or harvest and in the protection of materials.
- the compound of formula (I) and compositions thereof, respectively, are particularly suitable for controlling the following plant diseases:
- Albugo spp. white rust on ornamentals, vegetables (e.g. A Candida) and sunflowers (e.g. A. tragopogonis); Alternaria spp. (Alternaria leaf spot) on vegetables, rape (A. brassicola or brassicae), sugar beets (A. tenuis), fruits, rice, soybeans, potatoes (e. g. A. solanior A. alternata), tomatoes (e.g. A. solanior A. alternata) and wheat; Aphanomyces spp. on sugar beets and vegetables; Ascochyta spp. on cereals and vegetables, e.g. A. tritici(anthracnose) on wheat and A.
- Bipolaris and Drechslera spp. (teleomorph: Cochliobolus spp.), e.g. Southern leaf blight (D. maydis) or Northern leaf blight (B. zeicola) on corn, e. g. spot blotch (B. sorokiniana) on cereals and e. g. B. oryzae on rice and turfs; Blumeria (formerly Erysiphe) graminis (powdery mildew) on cereals (e.g. on wheat or barley); Botrytis cinerea (teleomorph: Botryotinia fuckeliana: grey mold) on fruits and berries (e. g.
- strawberries strawberries
- vegetables eg. lettuce, carrots, celery and cabbages
- rape flowers, vines, forestry plants and wheat
- Bremialactucae downy mildew
- Cemtocystis syn. Ophiostoma
- spp. rot or wilt
- C. ulmi Dutch elm disease
- Cercospora spp. Cercospora leaf spots
- corn e. g. Gray leaf spot: C. zeae-maydis
- sugar beets e. g. C.beticola
- sugar cane vegetables, coffee, soybeans
- Colletotrichum teleomorph: Glomerella
- spp. anthracnose
- cotton e. g. C. gossypil
- corn e. g. C. graminicola: Anthracnose stalk rot
- soft fruits e. g. C. coccodes: black dot
- beans e. g. C.lindemuthianum
- soybeans e.g. C. truncatum or C. gloeosporioides
- Corticium spp. e.g. C. C.
- Cylindrocarpon spp. e.g. fruit tree canker or young vine decline, teleomorph: Nectria or Neonectria spp.
- vines e.g. C. liriodendri, teleomorph: Neonectria liriodendrf.
- Phaeomoniella chlamydospora (earlier Phaeoacremonium chlamydosporum), Phaeoacremonium aleophilum and/or Botryosphaeria obtusa
- pis such as cucurbits (e.g. E. cichoracearum), cabbages, rape (e.g. E. cruciferarum); Eutypa lata (Eutypa canker or dieback, anamorph: Cytosporina lata, syn. Libertella blepharis) on fruit trees, vines and ornamental woods; Exserohilum (syn. Helminthosporium) spp. on corn (e. g. E. turcicum); Fusarium (teleomorph: Gibberella) spp. (wilt, root or stem rot) on various plants, such as F. graminearum or F.
- cucurbits e.g. E. cichoracearum
- cabbages rape (e.g. E. cruciferarum)
- Eutypa lata Eutypa canker or dieback, anamorph: Cytosporina lata, syn. Libertella blepharis) on
- Bakanae disease Glomerella cingulata on vines, pome fruits and other plants and G. gossypii on cotton; Grainstaining complex on rice; Guignardia bidwellii (black rot) on vines; Gymnosporangium spp. on rosaceous plants and junipers, e.g. G. sabinae (rust) on pears; Helminthosporium spp. (syn. Drechslera, teleomorph: Cochliobolus) on corn, cereals and rice; Hemileia spp., e.g. H.
- M graminicola anamorph: Septoria tritici, Septoria blotch
- M fijiensis black Sigatoka disease
- Peronospora spp. downy mildew
- cabbage e.g. P. brassicae
- rape e.g. P. parasitica
- onions e.g. P. destructor
- tobacco e.g. P. tabacina
- soybeans e.g. P. manshurica
- vines e.g. P. tracheiphila and P. tetraspora
- soybeans e.g. P. gregata stem rot
- Phoma lingam root and stem rot
- rape and cabbage and P. betae
- Phomopsis spp. on sunflowers, vines (e.g. P. viticola: can and leaf spot)
- soybeans e.g. stem rot: P. phaseoli, teleomorph: Diaporthe phaseolorum
- Physoderma maydis brown spots
- Podosphaera spp. (powdery mildew) on rosaceous plants, hop, pome and soft fruits, e.g. P. leucotricha on apples; Polymyxa spp., e.g. on cereals, such as barley and wheat (P. graminis) and sugar beets (P. betae) and thereby transmitted viral diseases; Pseudocercosporella herpotrichoides (eyespot, teleomorph: Tapesia yaAundae) on cereals, e.g. wheat or barley; Pseudoperonospora (downy mildew) on various plants, e. g. P.
- P. humili on hop
- Pseudopezicula tracheiphila red fire disease or, rotbrenner', anamorph: Phialophora
- Puccinia spp. rusts on various plants, e. g. P. triticina (brown or leaf rust), P. striiformis (stripe or yellow rust), P. hordei (dwarf rust), P. graminis (stem or black rust) or P. recondita (brown or leaf rust) on cereals, such as e.g. wheat, barley or rye, P.
- kuehnii(orange rust) on sugar cane and P. asparagion asparagus Pyrenophora (anamorph: Drechslera) tritici-repentis (tan spot) on wheat or P. teres (net blotch) on barley; Pyricularia spp., e.g. P. oryzae (teleomorph: Magnaporthe grisea, rice blast) on rice and P. grisea on turf and cereals; Pythium spp. (damping-off) on turf, rice, corn, wheat, cotton, grape, sunflowers, soybeans, sugar beets, vegetables and various other plants (e. g. P. ultimum or P.
- Ramu/aria spp. e.g. R. collo-cygni(Ramularia leaf spots, Physiological leaf spots) on barley and R. beticola on sugar beets; Rhizoctonia spp. on cotton, rice, potatoes, turf, corn, rape, potatoes, sugar beets, vegetables and various other plants, e. g. R. solani (root and stem rot) on soybeans, R. solani ( sheath blight) on rice or R.
- Thielaviopsis spp. black root rot
- tobacco, pome fruits, vegetables, soybeans and cotton e.g. T. basicola (syn. Chalara elegans)
- Tilletia spp. common bunt or stinking smut
- cereals such as e. g. T. tritici (syn. T. caries, wheat bunt) and T. controversa( m‘dr ⁇ ' bunt) on wheat
- Typhula incarnata grey snow mold
- Urocystis spp. e.g. U.
- occulta stem smut
- Uromyces spp. rust
- vegetables such as beans (e.g. U. appendiculatus, syn. U. phaseo/J) and sugar beets (e. g. U. betae);
- Ustilago spp. loose smut)on cereals (e.g. U. nuda and U. avaenae), corn (e. g. U. maydis: corn smut) and sugar cane; Venturia spp. (scab) on apples (e. g. V. inaequalis) and pears; and Verticillium spp. (wilt) on various plants, such as fruits and ornamentals, vines, soft fruits, vegetables and field crops, e. g. V. dahliae on strawberries, rape, potatoes and tomatoes.
- the present invention provides a composition for controlling or preventing phytopathogenic microorganisms comprising a compound of general formula (I), stereoisomer, agriculturally acceptable salts, tautomers or N-oxides thereof and one or more inert carriers.
- the composition may additionally comprises one or more active compatible compounds selected from fungicides, insecticides, nematicides, acaricides, biopesticides, herbicides, plant growth regulators, antibiotics, nutrients or fertilizers.
- active compatible compounds selected from fungicides, insecticides, nematicides, acaricides, biopesticides, herbicides, plant growth regulators, antibiotics, nutrients or fertilizers.
- the concentration of the compound of general formula (I) ranges from 1 to 90% by weight with respect to the total weight of the composition, preferably from 5 to 50% by weight with respect to the total weight of the composition.
- the present invention further relates to a composition for controlling unwanted microorganisms comprising at least one of the compounds of the formula (I) and one or more inert carrier.
- the inert carrier further comprises agriculturally suitable auxiliaries, solvents, diluents, surfactants and/or extenders and the like.
- the present invention further relates to a composition for controlling unwanted microorganisms, comprising at least one of the compounds of the formula (I) and/or one or more active compatible compound selected from fungicides, bactericides, acaricides, insecticides, nematicides, herbicides, biopesticides, plant growth regulators, antibiotics, fertilizers and/or mixtures thereof.
- a compound of the present invention is used in the form of a composition (e.g.formulation) containing a carrier.
- a compound of the invention and compositions thereof can be used in various forms such as aerosol dispenser, capsule suspension, cold fogging concentrate, dustable powder, emulsifrable concentrate, emulsion oil in water, emulsion water in oil, encapsulated granule, fine granule, flowable concentrate for seed treatment, gas (under pressure), gas generating product, granule, hot fogging concentrate, macrogranule, microgranule, oil dispersible powder, oil miscible flowable concentrate, oil miscible liquid, paste, plant rodlet, powder for dry seed treatment, seed coated with a pesticide, soluble concentrate, soluble powder, solution for seed treatment, suspension concentrate (flowable concentrate), ultra-low volume (ulv) liquid, ultra-low volume (ulv) suspension, water dispersible granules or tablets, water dispersible powder for slurry treatment, water soluble granules or tablets, water soluble powder for seed treatment and wettable powder.
- aerosol dispenser capsule suspension, cold fogging concentrate
- dustable powder
- a formulation typically comprises a liquid or solid carrier and optionally one or more customary formulation auxiliaries, which may be solid or liquid auxiliaries, for example unepoxidized or epoxidized vegetable oils (for example epoxidized coconut oil, rapeseed oil or soya oil), antifoams, for example silicone oil, preservatives, clays, inorganic compounds, viscosity regulators, surfactant, binders and/or tackifiers.
- auxiliaries for example unepoxidized or epoxidized vegetable oils (for example epoxidized coconut oil, rapeseed oil or soya oil), antifoams, for example silicone oil, preservatives, clays, inorganic compounds, viscosity regulators, surfactant, binders and/or tackifiers.
- composition may also further comprise a fertilizer, a micronutrient donor or other preparations which influence the growth of plants as well as comprising a combination containing the compound of the invention with one or more other biologically active agents, such as bactericides, fungicides, nematicides, plant activators, acaricides, and insecticides.
- a fertilizer such as bactericides, fungicides, nematicides, plant activators, acaricides, and insecticides.
- the present invention also makes available a composition
- a composition comprising a compound of the invention and an agronomical carrier and optionally one or more customary formulation auxiliaries.
- the compositions are prepared in a manner known per se, in the absence of auxiliaries for example by grinding, screening and/or compressing a solid compound of the present invention and in the presence of at least one auxiliary for example by intimately mixing and/or grinding the compound of the present invention with the auxiliary (auxiliaries).
- the grinding/milling of the compounds is to ensure specific particle size.
- compositions for use in agriculture are emulsifiable concentrates, suspension concentrates, microemulsions, oil dispersibles, directly sprayable or dilutable solutions, spreadable pastes, dilute emulsions, soluble powders, dispersible powders, wettable powders, dusts, granules or encapsulations in polymeric substances, which comprise - at least - a compound according to the invention and the type of composition is to be selected to suit the intended aims and the prevailing circumstances.
- suitable liquid carriers are unhydrogenated or partially hydrogenated aromatic hydrocarbons, preferably the fractions Cs to C 12 of alkylbenzenes, such as xylene mixtures, alkylated naphthalenes or tetrahydronaphthalene, aliphatic or cycloaliphatic hydrocarbons, such as paraffins or cyclohexane, alcohols such as ethanol, propanol or butanol, glycols and their ethers and esters such as propylene glycol, dipropylene glycol ether, ethylene glycol or ethylene glycol monomethyl ether or ethylene glycol monoethyl ether, ketones, such as cyclohexanone, isophorone or diacetone alcohol, strongly polar solvents, such as N-methylpyrrolid-2-one, dimethyl sulfoxide or N,N- dimethylformamide, water, unepoxidized or epoxidized vegetable oils, such as unexpodized or epoxid
- solid carriers which are used for example for dusts and dispersible powders are, as a rule, ground natural minerals such as calcite, talc, kaolin, montmorillonite or attapulgite.
- ground natural minerals such as calcite, talc, kaolin, montmorillonite or attapulgite.
- highly disperse silicas or highly disperse absorbtive polymers are also possible to add highly disperse silicas or highly disperse absorbtive polymers.
- Suitable particulate adsorptive carriers for granules are porous types, such as pumice, brick grit, sepiolite or bentonite, and suitable non-sorptive carrier materials are calcite or sand.
- a large number of granulated materials of inorganic or organic nature can be used, in particular dolomite or comminuted plant residues.
- Suitable surface-active compounds are, depending on the type of the active ingredient to be formulated, non-ionic, cationic and/or anionic surfactants or surfactant mixtures which have good emulsifying, dispersing and wetting properties.
- the surfactants mentioned below are only to be considered as examples; a large number of further surfactants which are conventionally used in the art of formulation and suitable according to the invention are described in the relevant literature.
- Suitable non-ionic surfactants are, especially, polyglycol ether derivatives of aliphatic or (cyclo)aliphatic alcohols, of saturated or unsaturated fatty acids or of alkyl phenols which may contain approximately 3 to approximately 30 glycol ether groups and approximately 8 to approximately 20 carbon atoms in the (cyclo)aliphatic hydrocarbon radical or approximately 6 to approximately 18 carbon atoms in the alkyl moiety of the alkyl phenols.
- water-soluble polyethylene oxide adducts with polypropylene glycol, ethylenediaminopolypropylene glycol or alkyl polypropylene glycol having 1 to approximately 10 carbon atoms in the alkyl chain and approximately 20 to approximately 250 ethylene glycol ether groups and approximately 10 to approximately 100 propylene glycol ether groups.
- the abovementioned compounds contain 1 to approximately 5 ethylene glycol units per propylene glycol unit.
- nonylphenoxypolyethoxyethanol castor oil polyglycol ether, polypropylene glycol/polyethylene oxide adducts, tributylphenoxypolyethoxyethanol, polyethylene glycol or octylphenoxypolyethoxyethanol.
- fatty acid esters of polyoxyethylene sorbitan such as polyoxyethylene sorbitan trioleate.
- the cationic surfactants are, especially, quarternary ammonium salts which generally have at least one alkyl radical of approximately 8 to approximately 22 Carbon atoms as substituents and as further substituents (unhalogenated or halogenated) lower alkyl or hydroxyalkyl or benzyl radicals.
- the salts are preferably in the form of halides, methylsulfates or ethylsulfates. Examples are stearyltrimethylammonium chloride and benzylbis(2-chloroethyl)ethylammonium bromide.
- Suitable anionic surfactants are water-soluble soaps or water-soluble synthetic surface- active compounds.
- suitable soaps are the alkali, alkaline earth or (unsubstituted or substituted) ammonium salts of fatty acids having approximately 10 to approximately 22 Carbon atoms, such as the sodium or potassium salts of oleic or stearic acid, or of natural fatty acid mixtures which are obtainable for example from coconut or tall oil; mention must also be made of the fatty acid methyl taurates.
- synthetic surfactants are used more frequently, in particular fatty sulfonates, fatty sulfates, sulfonated benzimidazole derivatives or alkylaryl sulfonates.
- the fatty sulfonates and fatty sulfates are present as alkali, alkaline earth or (substituted or unsubstituted) ammonium salts and they generally have an alkyl radical of approximately 8 to approximately 22 Carbon atoms, alkyl also to be understood as including the alkyl moiety of acyl radicals; examples which may be mentioned are the sodium or calcium salts of lignosulfonic acid, of the dodecylsulphuric ester or of a fatty alcohol sulfate mixture prepared from natural fatty acids. This group also includes the salts of the sulphuric esters and sulfonic adds of fatty alcohol/ethylene oxide adducts.
- the sulfonated benzimidazole derivatives preferably contain 2 sulphonyl groups and a fatty acid radical of approximately 8 to approximately 22 Carbon atoms.
- alkylarylsulfonates are the sodium, calcium or triethanolammonium salts of decylbenzenesulfonic acid, of dibutylnaphthalenesulfonic acid or of a naphthalene sulfonic add/formaldehyde condensate.
- suitable phosphates such as salts of the phosphoric ester of a p- nonylphenol/(4-14)ethylene oxide adduct, or phospholipids.
- the compositions comprise 0.1 to 99%, especially 0.1 to 95%, of compound according to the present invention and 1 to 99.9%, especially 5 to 99.9%, of at least one solid or liquid carrier, it being possible as a rule for 0 to 25%, espedally 0.1 to 20%, of the composition to be surfactants (% in each case meaning percent by weight).
- surfactants % in each case meaning percent by weight.
- foliar formulation types for pre-mix compositions are:
- WP wettable powders
- ME micro-emulsion
- WG water dispersable granules (powders)
- SC aqueous suspension concentrate
- EC emulsifiable concentrate
- SE aqueous suspo-emulsion.
- examples of seed treatment formulation types for pre-mix compositions are:
- WS wettable powders for seed treatment slurry
- FS suspension concentrates for seed treatment
- LS solution for seed treatment
- WG water dispersible granules
- ES emulsions for seed treatment
- CS aqueous capsule suspension.
- formulation types suitable for tank-mix compositions are solutions, dilute emulsions, suspensions, or a mixture thereof, and dusts.
- the methods of application such as foliar, drench, spraying, atomizing, dusting, scattering, coating or pouring, are chosen in accordance with the intended objectives and the prevailing circumstances.
- the tank-mix compositions are generally prepared by diluting with a solvent (for example, water) the one or more pre-mix compositions containing different pesticides, and optionally further auxiliaries.
- a solvent for example, water
- Suitable carriers and adjuvants can be solid or liquid and are the substances ordinarily employed in formulation technology, e.g. natural or regenerated mineral substances, solvents, dispersants, wetting agents, tackifiers, thickeners, binders or fertilizers.
- a tank- mix formulation for foliar or soil application comprises 0.1 to 20%, especially 0.1 to 15%, of the desired ingredients, and 99.9 to 80%, especially 99.9 to 85%, of a solid or liquid auxiliaries (including, for example, a solvent such as water), where the auxiliaries can be a surfactant in an amount of 0 to 20%, especially 0.1 to 15%, based on the tank-mix formulation.
- auxiliaries including, for example, a solvent such as water
- a pre mix formulation for foliar application comprises 0.1 to 99.9%, especially 1 to 95%, of the desired ingredients, and 99.9 to 0.1%, especially 99 to 5%, of a solid or liquid adjuvant (including, for example, a solvent such as water), where the auxiliaries can be a surfactant in an amount of 0 to 50%, especially 0.5 to 40%, based on the pre-mix formulation.
- a solid or liquid adjuvant including, for example, a solvent such as water
- a tank-mix formulation for seed treatment application comprises 0.25 to 80%, especially 1 to 75%, of the desired ingredients, and 99.75 to 20%, especially 99 to 25%, of a solid or liquid auxiliaries (including, for example, a solvent such as water), where the auxiliaries can be a surfactant in an amount of 0 to 40%, especially 0.5 to 30%, based on the tank-mix formulation.
- auxiliaries including, for example, a solvent such as water
- a pre-mix formulation for seed treatment application comprises 0.5 to 99.9%, especially 1 to 95%, of the desired ingredients, and 99.5 to 0.1%, especially 99 to 5%, of a solid or liquid adjuvant (including, for example, a solvent such as water), where the auxiliaries can be a surfactant in an amount of 0 to 50%, especially 0.5 to 40%, based on the pre-mix formulation whereas commercial products will preferably be formulated as concentrates (e.g., pre-mix composition (formulation)), the end user will normally employ dilute formulations (e.g., tank mix composition).
- a solid or liquid adjuvant including, for example, a solvent such as water
- Preferred seed treatment pre-mix formulations are aqueous suspension concentrates.
- the formulation can be applied to the seeds using conventional treating techniques and machines, such as fluidized bed techniques, the roller mill method, roto static seed treaters, and drum coaters. Other methods, such as spouted beds may also be useful.
- the seeds may be pre sized before coating. After coating, the seeds are typically dried and then transferred to a sizing machine for sizing. Such procedures are known in the art.
- the compounds of the present invention are particularly suited for use in soil and seed treatment applications.
- the pre-mix compositions of the invention contain 0.5 to 99.9% especially 1 to 95%, advantageously 1 to 50%, by mass of the desired ingredients, and 99.5 to 0.1%, especially 99 to 5%, by mass of a solid or liquid adjuvant (including, for example, a solvent such as water), where the auxiliaries (or adjuvant) can be a surfactant in an amount of 0 to 50%, especially 0.5 to 40%, by mass based on the mass of the pre-mix formulation.
- a solid or liquid adjuvant including, for example, a solvent such as water
- a compound of the formula (I) in a preferred embodiment, independent of any other embodiments, is in the form of a plant propagation material treating (or protecting) composition, wherein said plant propagation material protecting composition may comprises additionally a coloring agent.
- the plant propagation material protecting composition or mixture may also comprise at least one polymer from water-soluble and water-dispersible film-forming polymers that improve the adherence of the active ingredients to the treated plant propagation material, which polymer generally has an average molecular weight of at least 10,000 to about 100,000.
- the present invention provides a method of controlling or preventing infestation of useful plants by phytopathogenic microorganisms in agricultural crops and/or horticultural crops, wherein the compound of general formula (I) and/or stereoisomers or agriculturally acceptable salts or tuatomers or N-oxides thereof or composition or combination thereof, is applied to the plants, to parts thereof or a locus thereof.
- the present invention provides a method of controlling or preventing infestation of useful plants by phytopathogenic microorganisms in agricultural crops and/or horticultural crops, wherein the compound of general formula (I) and/or stereoisomers or agriculturally acceptable salts or tuatomers or N-oxides thereof or composition or combination thereof is applied to a seeds of plants.
- the present invention provides a method of controlling or preventing phytopathogenic microorganisms in agricultural crops and/or horticultural crops using the compound of general formula (I) and/or stereoisomers or agriculturally acceptable salts or tuatomers or N-oxides thereof or composition or combination thereof comprises a step of applying an effective dosage of the compound or the composition or the combination, in amounts ranging from 1 g to 5 kg per hectare of agricultural and/or horticultural crops.
- Examples of application methods for the compounds of the invention and compositions thereof, that is the methods of controlling pests in the agriculture, are spraying, atomizing, dusting, brushing on, dressing, scattering or pouring - which are to be selected to suit the intended aims of the prevailing circumstances.
- foliar application One method of application in agriculture is application to the foliage of the plants (foliar application), it being possible to select frequency and rate of application to match the danger of infestation with the pest or fungi in question.
- the active ingredient can reach the plants via the root system (systemic action), by applying the compound to the locus of the plants, for example by application of a liquid composition of the compound into the soil (by drenching), or by applying a solid form of the compound in the form of granules to the soil (soil application). In the case of paddy rice plants, such granules can be metered into the flooded paddy-field.
- the application of the compounds of the present invention to the soil is a preferred application method.
- Typical rates of application per hectare is generally 1 to 2000 g of active ingredient per hectare, in particular 10 to 1000 g/ha, preferably 10 to 600 g/ha, such as 50 to 300 g/ha.
- the present invention provides a seed comprising compound of formula (I) and/or stereoisomers, agriculturally acceptable salts, tuatomers, N-oxides thereof or composition or combination thereof, wherein the amount of the compound of the formula (I) or an N-oxide or an agriculturally acceptable salt thereof is ranging from 0.1 g to 10 kg per 100 kg of seed.
- the compounds of the invention and compositions thereof are also suitable for the protection of plant propagation material, for example seeds, such as fruit, tubers or kernels, or nursery plants, against pests of the abovementioned type.
- the propagation material can be treated with the compound prior to planting, for example seed can be treated prior to sowing.
- the compound can be applied to seed kernels (coating), either by soaking the kernels in a liquid composition or by applying a layer of a solid composition. It is also possible to apply the compositions when the propagation material is planted to the site of application, for example into the seed furrow during drilling.
- Typical treatment rates would depend on the plant and pest/fungi to be controlled and are generally between 1 to 200 grams per 100 kg of seeds, preferably between 5 to 150 grams per 100 kg of seeds, such as between 10 to 100 grams per 100 kg of seeds.
- the application of the compounds of the present invention to seeds is a preferred application method.
- seed embraces seeds and plant propagules of all kinds including but not limited to true seeds, seed pieces, suckers, corns, bulbs, fruit, tubers, grains, rhizomes, cuttings, cut shoots and the like and means in a preferred embodiment true seeds.
- the present invention also comprises seeds coated or treated with or containing a compound of formula I.
- the term“coated or treated with and/or containing” generally signifies that the active ingredient is for the most part on the surface of the seed at the time of application, although a greater or lesser part of the ingredient may penetrate into the seed material, depending on the method of application.
- the said seed product When the said seed product is (re)planted, it may absorb the active ingredient.
- the present invention makes available a plant propagation material adhered thereto with a compound of formula (I). Further, it is hereby made available, a composition comprising a plant propagation material treated with a compound of formula (I).
- Seed treatment comprises all suitable seed treatment techniques known in the art, such as seed dressing, seed coating, seed dusting, seed soaking and seed pelleting.
- the seed treatment application of the compound formula I which is a preferred application method, can be carried out by any known methods, such as spraying or by dusting the seeds before sowing or during the sowing/planting of the seeds.
- Suitable target plants are, in particular, cereals, such as wheat, barley, rye, oats, rice, maize or sorghum; beet, such as sugar or fodder beet; fruit, for example pomaceous fruit, stone fruit or soft fruit, such as apples, pears, plums, peaches, almonds, cherries or berries, for example strawberries, raspberries or blackberries; leguminous plants, such as beans, lentils, peas or soya; oil plants, such as oilseed rape, mustard, poppies, olives, sunflowers, coconut, castor, cocoa or ground nuts; cucurbits, such as pumpkins, cucumbers or melons; fibre plants, such as cotton, flax, hemp or jute; citrus fruit, such as oranges, lemons, grapefruit or tangerines; vegetables, such as spinach, lettuce, asparagus, cabbages, carrots, onions, tomatoes, potatoes or bell peppers; Lauraceae, such as avocado, Cinnamonium or camphor; and also tobacco, nuts,
- plant is to be understood as including also plants which have been so transformed by the use of recombinant DNA techniques that they are capable of synthesizing one or more selectively acting toxins, such as are known, for example, from toxin-producing bacteria, especially those of the genus Bacillus and also plants which have been selected or hybridized to preserve and / or attain a desired trait, such as insect, fungi and /or nematode resistance.
- Toxins that can be expressed by such transgenic plants include, for example, insecticidal proteins from Bacillus cereus or Bacillus popilliae ; or insecticidal proteins from Bacillus thuringiensis , such as 8-endotoxins, e.g.
- Vip vegetative insecticidal proteins
- Vipl e.g. Vipl, Vip2, Vip3 or Vip3A
- insecticidal proteins of bacteria colonising nematodes for example Photorhabdus spp.
- Xenorhabdus spp. such as Photorhabdus luminescens, Xenorhabdus nematophilus ; toxins produced by animals, such as scorpion toxins, arachnid toxins, wasp toxins and other insect-specific neurotoxins; toxins produced by fungi, such as Streptomycetes toxins, plant lectins, such as pea lectins, barley lectins or snowdrop lectins; agglutinins; proteinase inhibitors, such as trypsin inhibitors, serine protease inhibitors, patatin, cystatin, papain inhibitors; ribosome inactivating proteins (RIP), such as ricin, maize-RIP, abrin, luffin, saporin or bryodin; steroid metabolism enzymes, such as 3-hydroxysteroidoxidase, ecdysteroid-UDP-glycosyl- transferase, cholesterol oxidases, ecdyl
- 8-endotoxins for example CrylAb, CrylAc, CrylF, CrylFa2, Cry2Ab, Cry3A, Cry3Bbl or Cry9C, or vegetative insecticidal proteins (Vip), for example Vipl, Vip2, Vip3 or Vip3A, expressly also hybrid toxins, truncated toxins and modified toxins.
- Hybrid toxins are produced recombinantly by a new combination of different domains of those proteins (see, for example, WO 02/15701).
- Truncated toxins for example a truncated CrylAb, are known.
- modified toxins one or more amino acids of the naturally occurring toxin are replaced.
- preferably non-naturally present protease recognition sequences are inserted into the toxin, such as, for example, in the case of Cry3A055, a cathepsin-G- recognition sequence is inserted into a Cry3A toxin (see WO 03/018810).
- Examples of such toxins or transgenic plants capable of synthesising such toxins are disclosed, for example, in EP-A-0 374 753, WO 93/07278, WO 95/34656, EP-A-0 427 529, EP-A-451 878 and WO 03/052073.
- Cryl-type deoxyribonucleic acids and their preparation are known, for example, from WO 95/34656, EP-A-0 367474, EP-A-0 401 979 and WO 90/13651.
- the toxin contained in the transgenic plants imparts to the plants tolerance to harmful insects.
- Such insects can occur in any taxonomic group of insects, but are especially commonly found in the beetles (Coleoptera), two-winged insects (Diptera) and butterflies (Lepidoptera).
- Transgenic plants containing one or more genes that code for an insecticidal resistance and express one or more toxins are known and some of them are commercially available. Examples of such plants are: YieldGard® (maize variety that expresses a CrylAb toxin); YieldGard Rootworm® (maize variety that expresses a Cry3Bbl toxin); YieldGard Plus® (maize variety that expresses a CrylAb and a Cry3Bbl toxin); Starlink® (maize variety that expresses a Cry9C toxin); Herculexl® (maize variety that expresses a CrylFa2 toxin and the enzyme phosphinothricine N-acetyltransferase(PAT) to achieve tolerance to the herbicide glufosinate ammonium); NuCOTN 33B® (cotton variety that expresses a CrylAc toxin); Bollgard I® (cotton variety that expresses a
- transgenic plants are: i) Btl l Maize from Syngenta Seeds SAS, Chemin de l'Hobit 27, F-31 790 St. Sauveur, France, registration number C/FR/96/05/10. Genetically modified Zea mays which has been rendered resistant to attack by the European corn borer (Ostrinia nubi/alis and Sesamia nonagrioides) by transgenic expression of a truncated CrylAb toxin. Btl l maize also transgenically expresses the enzyme PAT to achieve tolerance to the herbicide glufosinate ammonium; ii)Btl76 Maize from Syngenta Seeds SAS, Chemin de l'Hobit 27, F-31 790 St.
- This toxin is Cry3A055 modified by insertion of a cathepsin-G-protease recognition sequence.
- the preparation of such transgenic maize plants is described in WO 03/018810; iv)MON 863 Maize from Monsanto Europe S.A. 270-272 Avenue de Tervuren, B-1150 Brussels, Belgium, registration number C/DE/02/9.
- MON 863 expresses a Cry3Bbl toxin and has resistance to certain Coleoptera insects; v) IPC 531 Cotton from Monsanto Europe S.A.
- NK603 x MON 810 Maize transgenically expresses the protein CP4 EPSPS, obtained from Agrobacterium sp. strain CP4, which imparts tolerance to the herbicide Roundup® (contains glyphosate), and also a Cry lAb toxin obtained from Bacillus thuringiensis subsp. kurstaki which brings about tolerance to certain Lepidoptera, include the European corn borer.
- CP4 EPSPS obtained from Agrobacterium sp. strain CP4
- Roundup® contains glyphosate
- Cry lAb toxin obtained from Bacillus thuringiensis subsp. kurstaki which brings about tolerance to certain Lepidoptera, include the European corn borer.
- the present invention provides a combination comprising the compound of general formula (I), stereoisomer, agriculturally acceptable salts, tautomers or N-oxides thereof and one or more active compatible compound selected from fungicides, insecticides, nematicides, acaricides, biopesticides, herbicides, plant growth regulators, antibiotics, nutrients or fertilizers.
- Compounds of this invention are effective for controlling nematodes, acarine pests and/or fungal pathogens of agronomic plants, both growing and harvested, when employed alone, they may also be used in combination with other biological active agents used in agriculture, such as one or more nematicides, insecticides, acaricides, fungicides, bactericides, plant activator, molluscicide, and pheromones (whether chemical or biological). Mixing the compounds of the invention or the compositions thereof in the use form as pesticides with other pesticides frequently results in a broader pesticidal spectrum of action.
- formula (I) compounds of this invention may be used effectively in conjunction or combination with pyrethroids, neonicotinoids, macrolides, diamides, phosphates, carbamates, cyclodienes, formamidines, phenol tin compounds, chlorinated hydrocarbons, benzoylphenyl ureas, pyrroles and the like.
- compositions according to the invention can be broadened considerably, and adapted to prevailing circumstances, by adding, for example, one or more insecticidally, acaricidally, nematicidally and/or fimgicidally active agents.
- the combinations compounds of formula (I) with other insecticidally, acaricidally, nematicidally and/or fimgicidally active agents may also have further surprising advantages. For example, better tolerance by plants, reduced phytotoxicity, pests or fungi can be controlled in their different development stages or better behavior during their production, for example during grinding or mixing, during their storage or during their use.
- A) Inhibitors of the ergosterol biosynthesis for example (A01) aldimorph, (A02) azaconazole, (A03) bitertanol, (A04) bromuconazole, (A05) cyproconazole, (A06) diclobutrazole, (A07) difenoconazole, (A08) diniconazole, (A09) diniconazole-M, (A10) dodemorph, (All) dodemorph acetate, (A12) epoxiconazole, (A13) etaconazole, (A14) fenarimol, (A15) fenbuconazole, (A16) fenhexamid, (A17) fenpropidin, (A18) fenpropimorph, (A19) fluquinconazole, (A20) flurprimidol, (A21) flusilazole, (A22) flutriafol
- B) Inhibitors of the respiratory chain at complex I or II for example (B01) bixafen, (B02) boscalid, (B03) carboxin, (B04) cypropamide, (B05) diflumetorim, (B06) fenfuram, (B07) fluopyram, (B08) flutolanil, (B09) fluxapyroxad, (BIO) furametpyr, (Bl l) furmecyclox, (B12) isopyrazam (mixture of syn-epimeric racemate 1RS,4SR,9RS and anti-epimeric racemate 1RS,4SR,9SR), (B13) isopyrazam (anti-epimeric racemate 1RS,4SR,9SR), (B14) isopyrazam (anti-epimeric enantiomer 1R,4S,9S), (B15) isopyrazam (anti-epimeric enantiomer 1S,4R
- C) Inhibitors of the respiratory chain at complex III for example (C01) ametoctradin, (C02) amisulbrom, (C03) azoxystrobin, (C04) cyazofamid, (C05) coumethoxystrobin, (C06) coumoxystrobin, (C07) dimoxystrobin, (C08) enoxastrobin, (C09) famoxadone, (CIO) fenamidone, (Cl l) fenaminstrobin, (C12) flufenoxystrobin, (C13) fluoxastrobin, (C14) kresoxim-methyl, (C15) metominostrobin, (C16) mandestrobin, (Cl 7) orysastrobin, (Cl 8) picoxystrobin, (C19) pyraclostrobin, (C20) pyrametostrobin, (C21) pyraoxystrobin, (C22) p
- D) Inhibitors of the mitosis and cell division for example (D01) benomyl, (D02) carbendazim,
- F Compounds capable to induce a host defence, for example (F01) acibenzolar-S-methyl, (F02) isotianil, (F03) probenazole, (F04) tiadinil, (F05) laminarin, (F06) 4-cyclopropyl-N-(2,4- dimethoxyphenyl)thiadiazole-5-carboxamide.
- G Inhibitors of the amino acid and/or protein biosynthesis, for example (G01) andoprim, (G02) blasticidin-S, (G03) cyprodinil, (G04) kasugamycin, (G05) kasugamycin hydrochloride hydrate, (G06) mepanipyrim, (G07) pyrimethanil, (G08) 3-(5-fluoro-3,3,4,4-tetramethyl-3,4- dihydroisoquinolin-l-yl)quinoline, (G09)oxytetracycline,(G10)streptomycin.
- G01 andoprim
- G02 blasticidin-S
- G03 cyprodinil
- G04 kasugamycin
- G05 kasugamycin hydrochloride hydrate
- G06 mepanipyrim
- G07 pyrimethanil
- G08 3-(5-fluoro-3,3,4,4-tetramethyl-3,4- dihydroisoquinol
- H Inhibitors of the ATP production, for example (HOI) fentin acetate, (H02) fentin chloride, (H03) fentinhydroxide, (H04) silthiofam.
- Inhibitors of the cell wall synthesis for example (101) benthiavalicarb, (102) dimethomorph,
- J) Inhibitors of the lipid and membrane synthesis for example (J01) biphenyl, (J02) chloroneb, (J03) dicloran, (J04) edifenphos, (J05) etridiazole, (J06) iodocarb, (J07) iprobenfos, (J08) isoprothiolane, (J09) propamocarb, (J10) propamocarb hydrochloride, (Jll) prothiocarb, (J12) pyrazophos, (J13) quintozene, (J14) tecnazene, (J15) toclofos-methyl.
- K) Inhibitors of the melanin biosynthesis for example (KOI) carpropamid, (K02) diclocymet, (K03) fenoxanil, (K04) phthalide, (K05) pyroquilon, (K06) tolprocarb, (K07)tricyclazole.
- L) Inhibitors of the nucleic acid synthesis for example (L01) benalaxyl, (L02) benalaxyl-M (kiralaxyl), (L03) bupirimate, (L04) clozylacon, (L05) dimethirimol, (L06) ethirimol, (L07) furalaxyl, (L08) hymexazol, (L09) metalaxyl, (L10) metalaxyl-M (mefenoxam), (Lll) ofurace, (L12) oxadixyl, (L13) oxolinic acid, (L14)octhilinone.
- Inhibitors of the nucleic acid synthesis for example (L01) benalaxyl, (L02) benalaxyl-M (kiralaxyl), (L03) bupirimate, (L04) clozylacon, (L05) dimet
- M Inhibitors of the signal transduction, for example (M01) chlozolinate, (M02) fenpiclonil, (M03) fludioxonil, (M04) iprodione, (M05) procymidone, (M06) quinoxyfen, (M07) vinclozolin, (M08) proquinazid.
- N Compounds capable to act as an uncoupler, for example (N01) binapacryl, (N02) dinocap, (N03) ferimzone, (N04) fluazinam, (N05) meptyldinocap.
- growth regulators for example abscisic acid, amidochlor, ancymidol, 6-benzylaminopurine, brassinolide, butralin, chlormequat, chlormequat chloride, choline chloride, cyclanilide, daminozide, dikegulac, dimethipin, 2,6-dimethylpuridine, ethephon, flumetralin, flurprimidol, fluthiacet, forchlorfenuron, gibberellic acid, inabenfide, indole-3-acetic acid , maleic hydrazide, mefluidide, mepiquat, mepiquat chloride, naphthaleneacetic acid, N-6-benzyladenine, paclobutrazol, prohexadione, prohexadione-calcium, prohydrojasmon, thidiazuron, triapenthenol, tributyl phosphorotrithioate, 2,
- the compound of formula (I) can be mixed with one or more active compatible compound selected from insecticides/acaricides/nematicides class which are specified herein by their common names that are known and described, for example in The Pesticide Manual 17th Ed., or can be searched in the internet (e.g. under www.alanwood.net/pesticides).
- Acetylcholinesterase (AChE) inhibitors such as carbamates, for example alanycarb, aldicarb, bendiocarb, benfuracarb, butocarboxim, hutoxycarboxim, earbaryl, carbofuran, carbosulfan, ethiofencarb, fenobucarb, formetanate, furathiocarb, isoprocarb, methiocarb, methomyl, metolcarb, oxamyl, pirimicarb, propoxur, thiodicarb, thiofanox, iiiazamate, trirnethacarb, XMC and xylylcarb or organophosphates, such as acephate, azamethiphos, azinphos-ethyl, azinphos-methyl, cadusafos, chlorethoxyfos, chlorfenvinphos, chlormephos, chlorpyrifos
- GABA-gated chloride channel antagonists such as cyclodiene organ oehlorines, for example chlordane and endosulfan or phenylpyrazoles (fiproles), for example ethiprole and fipronil
- Sodium channel modulators/voltage dependent sodium channel blockers such as pyrethroids, for example acrinathrin, allethrin, d-cis-trans allethrin, A-trans allethrin, bifenthrin, bioallethrin, bioallethrin S-cyclopentenyl isomer, bioresmethrin, cycloprothrin, cyfluthrin, beta-cyfluthrin, cyhalothrin, lambda cyhalothrin, gamma-cyhalothrin, cypermethrin, alpha-cypermethrin, beta- ⁇ cypermethrin, theta-cypermethrin, zeta-cypermethrin, cyphenothrin [( lR)-imfW-isomers], deltamethrin, empenthrin [(EZ)-(l)
- Nicotinic acetylcholine receptor (nAChR) competitive modulators such as neonicotinoids, for example acetamiprid, clothianidin, dinoteluran, imidacloprid, nitenpyram, thiacloprid and tlriamethoxam or nicotine or sulfoxaflor or flupyradifurone.
- neonicotinoids for example acetamiprid, clothianidin, dinoteluran, imidacloprid, nitenpyram, thiacloprid and tlriamethoxam or nicotine or sulfoxaflor or flupyradifurone.
- Nicotinic acetylcholine receptor (nAChR) allosteric modulators such as spinosyns, for example spinetoram and spinosad.
- Glutamate- gated chloride channel (GluCl) allosteric modulators such as avermectins / milbemycins, for example abamectin, emamectin benzoate, lepimectin and milbemectin
- Juvenile hormone mimics such as juvenile hormone analogues, for example hydroprene, kinoprene and methoprene or fenoxycarb or pyriproxyfen.
- Active compounds with unknown or non-specific mechanisms of action such as alkyl halides for example as methyl bromide and other alkyl halides or chioropicrin or fluorides or borates or tartar emetic or methyl isocyanate generators.
- Chordotonal organ TRPV channel modulators such as pyridine azomethine derivatives, for example pymetrozine and pyrifluquinazon or flonicamid.
- Mite growth inhibitors for example clofentezine, hexythiazox and diflovidazin or etoxazole.
- Microbial disrupters of insect gut midgut for example Bacillus thuringiensis subspecies israelensis, Bacillus thuringiensis subspecies aizawai, Bacillus thuringiensis subspecies kurstaki, Bacillus thuringiensis subspecies tenebrionis and Bacillus sphaericus and BT crop proteins: CrylAb, CrylAe, Cry 1 Fa, CrylA 105, Cry2Ab, Vip3a, mCry3A, Cry3Ab, Cry3Bb, Cry34Abl / Cry35Abl.
- Inhibitors of mitochondrial ATP synthase such as organotin miticides, for example azocyclotin, cyhexatin and fenbutatin oxide or diafenthiuron or propargite or tetradifon.
- organotin miticides for example azocyclotin, cyhexatin and fenbutatin oxide or diafenthiuron or propargite or tetradifon.
- Nicotinic acetylcholine receptor (nAChR) channel blockers such as bensultap, cartap- hydrochloride, thiocyclam and thiosultap-sodium.
- Inhibitors of chitin biosynthesis, type 0, such as bistrifluoron, chlorfluazuron, diflubenzuron, fiucycloxuron, flufenoxuron, hexaflumuron, lufenuron, novaluron, noviffumuron, teflubenzuron and triflumuron.
- Ecdysone receptor agonists such as chromafenozide, halofenozide, methoxyfenozide and tebufenozide.
- Octopamine receptor agonists such as amitraz.
- Mitochondrial complex III electron transport inhibitors such as hydramethylnon or acequinocyl or fluacrypyrim or bifenazate.
- Mitochondrial complex I electron transport inhibitors for example, MET! acaricides and insecticides, for example fenazaquin, fenpyroximate, pyrimidifen, pyridaben, tebufenpyrad and tolfenpyrad or rotenone (Derris).
- Inhibitors of acetyl Co A carboxylase such as tetronic and tetramic acid derivatives, for example spirodiclofen, spiromesifen and spirotetramat.
- Mitochondrial complex IV electron transport inhibitors such as phosphides, for example aluminum phosphide, calcium phosphide, zinc phosphide and phosphine or cyanides.
- Mitochondrial complex II electron transport inhibitors such as beta-ketonitrile derivatives, for example cyenopyrafen and cyflumetofen or carboxanilides.
- Ryanodine receptor modulators such as diamides, for example chloramraniliprole, cyantraniliprole, fiubendiamide, tetraniliprole, (R)-3-chloro-N- l- ⁇ 2-methyl-4-[l,2,2,2-tetrafluoro-l - (trifluoromethyl)ethyl]phenyl ⁇ -N2-(l-methyl-2-melhy ⁇ sulfonylethyl)phthalamide, (S)-3-chloro-Nl- ⁇ 2- methyl-4- 1 1,2,2, 2-tetrafluoro-l-(triilu romethyl)ethyl]phenyl ⁇ -N2-(l -methyl -2- methylsulfonylethyljphthalamide, methyl
- insecticidal active compounds of unknown or uncertain mode of action afidopyropen, afoxolaner, azadirachtin, amidoflumet, benzoximate, bifenazate, broflanilide, bromopropylate, chinomethionat, cryolite, dicloromezotiaz, dicofol, flufenerim, flometoquin, fluensulfone, fluhexafon, fluopyram, flupyradifurone, fluralaner, metoxadiazone, piperonyl butoxide, pyflubumide, pyridalyl, pyrifhiquinazon, sulfoxaflor, tioxazafen, triflumezopyrim, 1 l-(4-chloro-2,6-dimethylphenyl)- 12- hydroxy- l,4-dioxa-9-azadispiro[4.2.4.2] -t
- the mass ratio of any two ingredients in each combination is selected as to give the desired effect, for example, enhanced activity. In general, the mass ratio would vary depending on the specific ingredient and how many ingredients are present in the combination. Generally, the mass ratio between any two ingredients in any combination of the present invention, independently of one another, is from 100: 1 to 1: 100, including from 99: 1, 98:2, 97:3, 96:4, 95:5, 94:6, 93:7, 92:8, 91:9, 90: 10, 89: 11, 88:12, 87: 13, 86:14, 85: 15, 84: 16, 83:17, 82: 18, 81:19, 80:20, 79:21, 78:22, 77:23,
- Preferred mass ratios between any two components of present invention are from 75: 1 to 1:75, more preferably, 50: 1 to 1.50, especially 25: 1 to 1:25, advantageously 10: 1 to 1: 10, such as 5: 1 to 1:5, for example 1:3 to 3: 1.
- the mixing ratios are understood to include, on the one hand, ratios by mass and also, on other hand, molar ratios.
- combinations of the present invention i.e. those comprising a compound of the present invention and one or more other biological active agents
- the ingredients of a combination are applied sequentially (i.e., one after the other), the ingredients are applied sequentially within a reasonable period of each other to attain the biological performance, such as within a few hours or days.
- the order of applying the ingredients in the combination i.e., whether the compounds of formula (I) should be applied first or not is not essential for working the present invention.
- ingredients of the combinations may be applied as a composition containing the combination, in which case (A) the compound of formula (I) and the one or more other ingredients in the combinations can be obtained from separate formulation sources and mixed together (known as a tank-mix, ready-to-apply, spray broth, or slurry), or (B) the compound of formula (I) and the one or more other ingredients can be obtained as single formulation mixture source (known as a pre-mix, ready-mix, concentrate, or formulated product). In an embodiment, independent of other embodiments, a compound according to the present invention is applied as a combination.
- the present invention also provides a composition
- a composition comprising a compound according to the invention as herein described and one or more other biological active agents, and optionally one or more customary formulation auxiliaries; which may be in the form of a tank-mix or pre-mix composition.
- the compounds of formula (I) are particularly useful for controlling and preventing helminth and nematode endo and ecto-parasitic infestations and infections in warm-blooded animals such as cattle, sheep, swine, camels, deer, horses, poultry, fish, rabbits, goats, mink, fox, chinchillas, dogs and cats as well as humans.
- compounds of invention are especially useful for the control of helminths and nematodes.
- helminths are members of the class Trematoda, commonly known as flukes or flatworms, especially members of the genera Fasciola, Fascioloides, Paramphistomu, Dicrocoelium, Eurytrema, Ophisthorchis, Fasciolopsis, Echinostoma and Paragonimus.
- Nematodes which can be controlled by the formula (I) compounds include the genera Haemonchus, Ostertagia, Cooperia, Oesphagastomu, Nematodirus, Dictyocaulus, Trichuris, Dirofilaria, Ancyclostoma, Ascaria and the like.
- the compounds of the invention may be formulated as animal feeds, animal feed premixes, animal feed concentrates, pills, solutions, pastes, suspensions, drenches, gels, tablets, boluses and capsules.
- the compounds of the invention may be administered to the animals in their drinking water.
- the dosage form chosen should provide the animal with about 0.01 mg/kg to 100 g/kg of animal body weight per day of the compound of the invention.
- the compounds of the invention may be administered to animals parenterally, for example, by intraruminal, intramuscular, intravenous or subcutaneous injection.
- the compounds of the invention may be dispersed or dissolved in a physiologically acceptable carrier for subcutaneous injection.
- the compounds of the invention may be formulated into an implant for subcutaneous administration.
- the compounds of the invention may be transdermally administered to animals.
- the dosage form chosen should provide the animal with about 0.01 mg/kg to 100 mg/kg of animal body weight per day of the compound of the invention.
- the compounds of the invention may also be applied topically to the animals in the form of dips, dusts, powders, collars, medallions, sprays and pour-on formulations.
- dips and sprays usually contain about 0.5 ppm to 5,000 ppm and preferably about 1 ppm to 3,000 ppm of the compound of the invention.
- the compounds of the invention may be formulated as ear tags for animals, particularly quadrupeds such as cattle and sheep.
- a compound of formula (I) is an anti-helminth compound.
- a compound of formula (I) is a pesticidal compound, preferably a nematicidal compound.
- the compounds of the present invention not only control insect pests effectively but also show positive crop response such as plant growth enhancement effects like enhanced crop vigor, enhanced root growth, enhanced tolerant to drought, high salt, high temperature, chill, frost or light radiation, improved flowering, efficient water & nutrient utilization (such as improved nitrogen assimilation), enhanced quality plant product, more number of productive tillers, enhanced resistance to fungi, insects, pests and the like, which results in higher yields.
- plant growth enhancement effects like enhanced crop vigor, enhanced root growth, enhanced tolerant to drought, high salt, high temperature, chill, frost or light radiation, improved flowering, efficient water & nutrient utilization (such as improved nitrogen assimilation), enhanced quality plant product, more number of productive tillers, enhanced resistance to fungi, insects, pests and the like, which results in higher yields.
- any of the compounds according to the invention can exist in one or more optical, geometric or chiral isomer forms depending on the number of asymmetric centres in the compound.
- the invention thus relates equally to all the optical isomers and to their racemic or scalemic mixtures (the term “scalemic” denotes a mixture of enantiomers in different proportions), and to the mixtures of all the possible stereoisomers, in all proportions.
- the diastereoisomers and/or the optical isomers can be separated according to the methods which are known per se by a person ordinary skilled in the art.
- any of the compounds according to the invention can also exist in one or more geometric isomer forms depending on the number of double bonds in the compound.
- the invention thus relates equally to all geometric isomers and to all possible mixtures, in all proportions.
- the geometric isomers can be separated according to general methods, which are known per se by a person ordinary skilled in the art.
- any of the compounds according to the invention can also exist in one or more amorphic or isomorphic or polymorphic forms, depending on their preparation, purification storage and various other influencing factors.
- the invention thus relates all the possible amorphic, isomorphic and polymorphic forms, in all proportions.
- the amorphic, isomorphic and polymorphic forms can be prepared and/or separated and/or purified according to general methods, which are known per se by a person ordinary skilled in the art.
- the present invention provides a process for preparing a compound of formula (I) and/or a salt thereof which comprises at least one of the following steps (a) to (p):
- suitable bases are alkali metal or alkaline earth metal hydroxides, alkali metal or alkaline earth metal hydrides, alkali metal or alkaline earth metal amides, alkali metal or alkaline earth metal alkoxides, alkali metal or alkaline earth metal acetates, alkali metal or alkaline earth metal carbonates, alkali metal or alkaline earth metal dialkylamides or alkali metal or alkaline earth metal alkylsilylamides, alkylamines, alkylenediamines, free or N-alkylated saturated or unsaturated cycloalkylamines, basic heterocycles, ammonium hydroxides and carbocyclic amines.
- Examples which may be mentioned are sodium hydroxide, sodium hydride, sodium amide, sodium methoxide, sodium acetate, sodium carbonate, potassium tert-butoxide, potassium hydroxide, potassium carbonate, potassium hydride, lithium diisopropylamide, potassium bis(trimethylsilyl) amide, calcium hydride, triethyl amine, diisopropylethylamine, triethylenediamine, cyclohexylamine, N-cyclohexyl-N,N-dimethylamine, ;V,;V-dicthylanilinc, pyridine, 4-( ;V, L'-di met hyl ami no)pyri di ne, quinuclidine, N-methylmorpholine, benzyltrimethylammonium hydroxide and l,8-diazabicyclo[5.4.0]undec-7-ene (DBU).
- DBU diazabicyclo[5.4.0]undec-7-en
- the reaction according to Scheme- 1 to 13 is preferably carried out in a solvent selected from standard solvents which are inert under the prevailing reaction conditions.
- a solvent selected from standard solvents which are inert under the prevailing reaction conditions.
- aliphatic, alicyclic or aromatic hydrocarbons such as, petroleum ether, hexane, toluene; halogenated hydrocarbons, such as, chlorobenzene, dichloromethane, chloroform, carbon tetrachloride or dichloroethane ; ethers, such as, diethyl ether, diisopropyl ether, methyl f-butyl ether (MTBE), dioxane, tetrahydrofuran or 1,2-dimethoxyethane; nitriles, such as, acetonitrile or propionitrile, or; amides, such as, ;V, ;V-d i met h yl for m a m i
- the reactants can be reacted with each other as such, i.e. without adding a solvent or diluent.
- the reaction is advantageously carried out in a temperature range from approximately -80 °C to approximately +140 °C, preferably from approximately -30 °C to approximately +100 °C, in many cases in the range between ambient temperature and approximately +80 °C.
- a compound of formula (I) can be converted in a manner known per se into another compound of formula (I) by replacing one or more substituents of the starting compound of formula (I) in the customary manner by (an)other substituent/ s) according to the invention.
- substituents of the starting compound of formula (I) in the customary manner by (an)other substituent/ s) according to the invention.
- Salts of compounds of formula (I) can be prepared in a manner known per se.
- acid addition salts of compounds of formula (I) are obtained by treatment with a suitable acid or a suitable ion exchanger reagent and salts with bases are obtained by treatment with a suitable base or with a suitable ion exchanger reagent.
- a salt is chosen depending on its tolerances for compound's use, such as agricultural or physiological tolerance.
- Salts of compounds of formula (I) can be converted in the customary manner into the free compounds I, add addition salts, for example, by treatment with a suitable basic compound or with a suitable ion exchanger reagent and salts with bases, for example, by treatment with a suitable acid or with a suitable ion exchanger reagent.
- Salts of compounds of formula (I) can be converted in a manner known per se into other salts of compounds of formula (I), acid addition salts, for example, into other add addition salts, for example by treatment of a salt of inorganic acid such as hydrochloride with a suitable metal salt such as a sodium, barium or silver salt, of an add, for example with silver acetate, in a suitable solvent in which an inorganic salt which forms, for example silver chloride, is insoluble and thus predpitates from the reaction mixture.
- a salt of inorganic acid such as hydrochloride
- a suitable metal salt such as a sodium, barium or silver salt
- the present invention provides a compound of general formula (II),
- A represent O, NR 4 or S
- R is selected from the group consisting of hydrogen, halogen and Ci-C 3 -alkyl
- R 4 is selected from the group consisting of hydrogen, OR 4a , N(R 4a ) 2 , Ci-C 6 -alkyl, Ci-C 6 -alkenyl, Ci- C 6 -alkynyl, Ci-C 6 -haloalkyl, C 2 -C 6 -haloalkenyl, C 2 -C 6 -haloalkynyl, C 3 -Ci 2 -cycloalkyl, C3-C10- halocycloalkyl, C4-C 12 -cycloalkenyl, C 5 -Ci 2 -cycloalkynyl and C 3 -Ci 2 -heterocyclyl; R 4 may be optionally substituted by one or more groups selected from the group consisting of X, R 4a , OR 4a , SR 4a , N(R 4a ) 2 , Si(R 4a ) 3 , COOR 4a , CN and CON(R 4a
- X represents halogen
- compounds of formula 1 can be prepared by a reaction of thioether of formula 4 in the presence of imidating agent (e.g. ammonium carbamate and iodobenzene diacetate) in suitable solvents (e.g. dichloromethane or methanol) at 0-50 °C to get the intermediate 2.
- imidating agent e.g. ammonium carbamate and iodobenzene diacetate
- suitable solvents e.g. dichloromethane or methanol
- compounds of formula 1 can also be prepared by a reaction of sulfoxide of formula 5 in the presence of imidating agent (e.g. sodium azide and sulfuric acid) to get the compound of formula 2.
- imidating agent e.g. sodium azide and sulfuric acid
- R 3 group can be introduced by alkylation or acylation using suitable reagent.
- Compound of formula 3 and 1 can be prepared by following scheme 3.
- Intermediate of formula 4 can be converted to 3 by using imidating agent (e.g. cyanamide) with oxidizing reagent (e.g. iodobenzene diacetate) in suitable solvents (e.g. acetonitrile, tetrahydrofuran) at temperature between 0 °C to 25 °C.
- oxidizing reagent e.g. iodobenzene diacetate
- suitable solvents e.g. acetonitrile, tetrahydrofuran
- compound of formula 3 can be oxidized to compound of formula 1 in the presence of oxidizing reagents (e.g. m-chloroperbenzoic add, oxone) in suitable solvents (e.g. dichloromethane, chloroform or methanol) at 25 °C.
- oxidizing reagents e.g. m-chloroperbenzoic
- compounds of formula 5 and 6 can be prepared by the oxidation of substituted thioether compounds of formula 4 with appropriate equivalents of suitable oxidizing reagent (e.g. oxone or m-chloroperbenzoic acid) in solvents (e.g. dichloromethane or methanol).
- suitable oxidizing reagent e.g. oxone or m-chloroperbenzoic acid
- solvents e.g. dichloromethane or methanol
- compounds of formula 8 can be prepared by following process 1 and 2.
- suitable solvents e.g. methanol, ethanol or pyridine
- suitable solvents e.g. methanol, ethanol or pyridine
- the compound of formula 8 can also be synthesized from compound of formula 4a, b following process 2 using suitably substituted hydroxyl amine hydrochloride salt.
- compound of formula 8 can be converted to compound of formula la following synthetic protocol given in schemes 1 and 3.
- compounds of formula 11 can be prepared by the condensation of hydroxyl amine hydrochloride salt with ketone of formula 10 in suitable solvents (e.g. methanol, ethanol or pyridine) at a temperature between 25 °C to 100 °C.
- suitable solvents e.g. methanol, ethanol or pyridine
- the resultant oxime derivatives of formula 11 can be converted into a compound of formula 12 using corresponding alkyl halide optionally in the presence of organic or inorganic bases (e.g. potassium carbonate, silver carbonate, N,N- diisopropylethylamine or sodium hydroxide etc.) in suitable solvents (e.g. toluene, acetonitrile or N,N- dimethylformamide etc.).
- compound of formula 12 can be converted to compound of formula la following synthetic protocol given in schemes 1 and 3.
- compounds of formula 4a, b can be converted to compound of formula 9 by addition of Grignard reagent R 5 MgX in a suitable solvents (e.g. tetrahydrofuran, diethyl ether, methyl tertiary butylether etc).
- a suitable solvents e.g. tetrahydrofuran, diethyl ether, methyl tertiary butylether etc.
- the compound of formula 9 can be oxidized to compound of formula 10 using oxidizing agents (e.g. Dess-martin periodinane or manganese dioxide) in suitable solvents (e.g. dichloromethane, acetonitrile chloroform etc.) at a temperature between 0 °C to 25 °C.
- compounds of formula 4a, b can be prepared by a reaction sequence starting with alkylation of thiol of formula 13 with alkenyl halide 14 in the presence of organic or inorganic bases (e.g. N,N-diisopropyl ethylamine, triethylamine, potassium carbonate, silver carbonate, sodium hydroxide, & sodium hydride etc.) in suitable solvents (acetonitrile, acetone, toluene and N,N- dimethylformamide etc.) under heating condition.
- organic or inorganic bases e.g. N,N-diisopropyl ethylamine, triethylamine, potassium carbonate, silver carbonate, sodium hydroxide, & sodium hydride etc.
- suitable solvents acetonitrile, acetone, toluene and N,N- dimethylformamide etc.
- the resulting compound of formula 15 can be reduced to alcohol of formula 16 using reducing reagents (e.g sodium borohydride, diisobutylaluminium hydride etc) in suitable solvents (e.g. methanol, tetrahydrofuran, diethyl ether etc).
- reducing reagents e.g sodium borohydride, diisobutylaluminium hydride etc
- suitable solvents e.g. methanol, tetrahydrofuran, diethyl ether etc.
- the compound of formula 16 can be oxidized to the corresponding aldehyde derivatives of formula 4a, b by using oxidizing reagent (e.g. Dess Martin periodinane or manganese dioxide) in suitable solvents (e.g. dichloromethane, acetonitrile chloroform etc.) at temperature between 0 °C to 35 °C.
- oxidizing reagent e.g. Dess Martin periodinan
- compounds of formula 4b can be prepared by a reaction sequence starting with alkylation of thiol of formula 17 with alkenyl halide 14 in the presence of organic or inorganic base (e.g. N,N-diisopropyl ethylamine, triethylamine, potassium carbonate, silver carbonate, sodium hydroxide, & sodium hydride etc.) in suitable solvents (acetonitrile, acetone, toluene and N,N- dimethylformamide etc.) under heating condition.
- the compound of formula 18 can be converted in to compound of formula 4b through Vilsmeier-Haack formylation using phosphorus oxychloride and N,N-dimethylformamide.
- Compounds of formula 4a, b can be prepared by following synthetic scheme 10.
- the compound of formula 19 can be converted in to formula of 20 through sandmayer reaction using diazotizing agents (e.g. tertiary butylnitrite, sodium nitrite etc) and copper halide in suitable solvents (e.g. acetonitrile acetone etc.).
- diazotizing agents e.g. tertiary butylnitrite, sodium nitrite etc
- suitable solvents e.g. acetonitrile acetone etc.
- compound of formula 21 can be converted to compound of formula 22 by reacting with suitable thiolating reagent (e.g.
- thiourea sodium sulphide, or potassium thioacetate
- suitable solvents e.g methanol, ethanol and isopropanol etc.
- the resulting compound of formula 22 can be alkylated with compound of formula 14 in the presence of organic or inorganic base (e.g. N,N-diisopropyl ethylamine, triethylamine, potassium carbonate, silver carbonate, sodium hydroxy, & sodium hydride etc.) in suitable solvents (e.g. acetonitrile or N, N- dimethylformamide etc.) under heating conditions to afford compound of formula 4a, b.
- organic or inorganic base e.g. N,N-diisopropyl ethylamine, triethylamine, potassium carbonate, silver carbonate, sodium hydroxy, & sodium hydride etc.
- suitable solvents e.g. acetonitrile or N, N- dimethylformamide etc.
- compound of formula 24 can be prepared by reacting compound of formula 7 with substituted styrene of formula 23 in suitable solvents (e.g. ;V,;V-di methyl Ibrmamide, dichloromethane or ethyl acetate) using suitable chlorinating agents (e.g. N-chlorosuccinimide or sodium hypochlorite etc.) at suitable temperature. Further, compound of formula 24 can be converted to compound of formula la following synthetic protocol given in schemes 1 and 3.
- suitable solvents e.g. ;V,;V-di methyl Ibrmamide, dichloromethane or ethyl acetate
- suitable chlorinating agents e.g. N-chlorosuccinimide or sodium hypochlorite etc.
- compounds of formula 26 can be prepared by reacting compound of formula 7 with substituted alkyne of formula 25 in suitable solvents (e.g. ;V,;V-di methyl Ibrmamide, dichloromethane or ethyl acetate) using suitable chlorinating agents (e.g. N-chlorosuccinimide or sodium hypochlorite etc.) at 10-35 °C. Further, compound of formula 26 can be converted to compound of formula 1 a following synthetic protocol given in schemes 1 and 3.
- suitable solvents e.g. ;V,;V-di methyl Ibrmamide, dichloromethane or ethyl acetate
- suitable chlorinating agents e.g. N-chlorosuccinimide or sodium hypochlorite etc.
- compounds of formula 30 can be prepared by a reaction sequence starting with dehydration of oxime 7 with dehydrating agent (e.g propylphosphonic anhydride (T 3 P) solution in A, /V-di methyl formamide ) under heating condition.
- dehydrating agent e.g propylphosphonic anhydride (T 3 P) solution in A, /V-di methyl formamide
- the resulting compound of formula 27 treated with hydroxyl amine hydrochloride salt in suitable solvents (e.g methanol, ethanol or pyridine) at a temperature between 25 °C to 100 °C afford compound of formula 28.
- suitable solvents e.g methanol, ethanol or pyridine
- suitable solvents e.g. toluene, dimethyl sulfoxide or acetic acid
- compound of formula 30 can be converted to compound of formula la following synthetic protocol given in schemes 1 and 3.
- compounds of formula 31 can be prepared by reaction of compounds of formula 28 with suitable reagent (eg. triphosgene or carbonyldiimidazole) in suitable solvents (e.g. dichloromethane or tetrahydrofuran) at 10-35 °C. Further, compound of formula 31 can be converted to compound of formula la following synthetic protocol given in schemes 1 and 3.
- suitable reagent eg. triphosgene or carbonyldiimidazole
- suitable solvents e.g. dichloromethane or tetrahydrofuran
- compounds of formula 32 can be prepared by reaction of compound of formula 4a, b with fluorinating reagent (e.g. diethylaminosulfur trifluoride) in a suitable solvent. Further, compound of formula 32 can be converted to compound of formula lb following synthetic protocol given in schemes 1 and 3.
- fluorinating reagent e.g. diethylaminosulfur trifluoride
- Step A Preparation of 2-((3, 4, 4-trifluorobut-3-en-l-yl)thio)thiazole:
- Step B Preparation of 2-((3,4,4-trifluorobut-3-en-l-yl)thio)thiazole-5-carbaldehyde: Phosphorus oxychloride (5.1 g, 33.3 mmol) was added dropwise to ice cooled dry L',L'- dimethylformamide (2.4 g, mmol) and stirred for 30 min. The solution of 2-((3,4,4-trifluorobut-3-en- l-yl)thio)thiazole (1.5 g, 6.66 mmol) in 10 mL of ;V,;V-di methyl formamide was added dropwise to the reaction mixture and stirred for 20 min. The reaction mixture was heated to 80 °C for 12 h.
- Step B (Alternative Method): Preparation of 2-((3,4,4-Trifluorobut-3-en-l-yl)thio)thiazole-5- carbaldehyde:
- the ethyl acetate layer was separated and the aqueous layer was extracted again with ethyl acetate (30 mL x 3). The combined ethyl acetate layers were dried over anhydrous sodium sulphate, filtered and the filtrate was concentrated under reduced pressure to get the crude product.
- the crude product was purified by column chromatography using a 10% ethyl acetate in hexane to obtain 2-((3,4,4-trifluorobut-3-en-l- yl)thio)thiazole-5-carbaldehyde (1.23 g, 72% yield).
- Step C Preparation of (Z)-2-((3,4,4-trifluorobut-3-en-l-yl)thio)thiazole-5-carbaldehyde O-ethyl oxime
- Example 9 Preparation of 5-(difluoromethyl)-2-((3,4,4-trilluorobut-3-en-l-yl)sulfonyl)thiazole Step A: 5-(difluoromethyl)-2-((3,4,4-trifluorobut-3-en-l-yl)thio)thiazole (Compd No 1):
- the crude product was purified by column chromatography using a 20% ethyl acetate in hexane mixture to obtain 5-(difluoromethyl)-2-((3,4,4-trifluorobut-3-en- l-yl)thio)thiazole (0.43 g, 60% yield).
- Step B 5-(Difluoromethyl)-2-((3,4,4-trifluorobut-3-en-l-yl)sulfmyl)thiazole:
- Step C 5-(Difluoromethyl)-2-((3,4,4-trifluorobut-3-en-l-yl)sulfonyl)thiazole
- Example 12 Preparation of N-((5-chlorothiazol-2-yl)(3,4,4-trifluorobut-3-en-l -yl)->. 4 - sulfaneylidene)cyanamide
- 5-chloro-2-((3,4,4-trifluorobut-3-en-l-yl)thio)thiazole (0.50 g, 1.92 mmol) in acetonitrile (10 mL) at 0 °C was added iodobenzene diacetate (0.92 g, 2.88 mmol) followed by cyanamide (0.24 g, 5.77 mmol), the reaction mixture was slowly allowed to reach 25 °C and stirred for 4 h.
- reaction mixture was evaporated, diluted with water (30 mL) and extracted with ethyl acetate (30 mL x 2). The combined organic layer was dried over anhydrous sodium sulfate and concentrated under reduced pressure to get the crude product.
- the crude product was purified by column chromatography using 80% ethyl acetate in hexane to get the title compound (0.30 g, 53% yield).
- 'H-NMR 400 MHz, CDCL
- 5-phenyl-3-(2-((3,4,4-trifluorobut-3-en-l-yl)sulfonyl)thiazol-5-yl)-4,5-dihydroisoxazole was synthesized by following the same procedure as described in example-3, using 5-phenyl-3-(2-((3,4,4- trifluorobut-3-en-l-yl)thio)thiazol-5-yl)-4,5-dihydroisoxazole.
- reaction mixture was diluted with ethyl acetate (30 mL) and washed with water (30 mL x 2). The combined ethyl acetate layers were washed with brine solution (30 mL) and dried over anhydrous sodium sulphate, filtered and concentrated under reduced pressure to give a crude product.
- the crude product was purified by column chromatography using 20% ethyl acetate in hexane mixture to obtain 5-(difluoromethyl)-2-((3,4,4-trifluorobut-3-en-l-yl)thio)thiazole (155 mg, 78% yield).
- Step A N-hydroxy-2-((3,4,4-trifluorobut-3-en-l-yl)thio)thiazole-5-carboximidamide
- Step B N'-((cyclopropanecarbonyl)oxy)-2-((3,4,4-trilluorobut-3-en-l-yl)thio) thiazole-5- carboximidamide
- N-hydroxy-2-((3,4,4-trifluorobut-3-en-l-yl)thio)thiazole-5-carboximidamide (1.2 g, 4.24 mmol) was dissolved in ;V,;V-di methyl formamide (8 mL).
- Triethyl amine (0.590 ml, 4.24 mmol) and cyclopropanecarboxylic add chloride (0.443 ml, 4.66 mmol) were added at 0 °C and stirred for 2 h.
- Step C 5-cyclopropyl-3-(2-((3,4,4-trifluorobut-3-en-l-yl)thio)thiazol-5-yl)-l,2,4-oxadiazole
- N'-((cyclopropanecarbonyl)oxy)-2-((3,4,4-trifluorobut-3-en-l-yl)thio)thiazole-5-carboxi midamide (0.8 g, 2.28 mmol) was dissolved in dimethyl sulfoxide (5 ml) and potassium hydroxide (0.13 g, 2.28 mmol) was added. The reaction mixture was stirred at 25 °C for 1 h. The reaction mixture was poured into ice water and extracted with ethyl acetate.
- Step A 2-((3,4,4-trifluorobut-3-en-l-yl)thio)oxazole-5-carbaldehyde:
- Phosphorous oxychloride (5.1 g, 33.3 mmol) was added drop-wise to ice cooled dry N,N- dimethylformamide (2.4 g, mmol) and stirred for 30 min.
- a solution of 2-((3,4,4-trifluorobut-3-en-l- yl)thio)thiazole (1.5 g, 6.6 mmol) in dry ;V, /V-di met hyl formami de (10 mL) was added drop-wise to the reaction mixture and stirring was continued for another 20 min. The reaction mixture was allowed to reach 25 °C and heated to 80 °C under stirring for 12 h.
- Step B (Z)-2-((3,4,4-trifluorobut-3-en-l-yl)thio)oxazole-5-carbaldehyde O-methyl oxime
- tetramethylsilane For calibrating chemical shift for H spectra, we use tetramethylsilane and/or the chemical shift of the solvent used, especially in the case of spectra measured in DMSO. Therefore in NMR peak lists, tetramethylsilane peak can occur but not necessarily.
- the compounds of formula (I) shows an extremely high nematicidal activity which is exerted with respect to nematodes which attack on important agricultural crops.
- the compounds of the present invention were also showing extremely high fungicidal activity which is exerted with respect to numerous phytopathogenic fungi which attack on important agricultural crops.
- the compounds of the present invention were assessed for their activity against one or more of the following nematodes and fungal diseases. Biological examples:
- Example 1 Meloidogyne incognita ( Root-knot nematode ): IN VITRO TEST
- Cucumber plants were grown in seedling tray containing mixture of Sand:Soil:FYM:Cocopeat in ratio of 1: 1: 1: 1.
- One mL of test compound at tested concentration was applied into the soil mixture with the help of micropipette when the cucumber seedlings ten days old.
- Approximately 2000 freshly hatched second-stage juveniles of Meloidogyne incognita were inoculated.
- the treated plants were allowed to grow at 27 °C temperature in greenhouse. Observation of gall rating was recorded after 15 days of application. Plants were carefully uprooted and roots were washed thoroughly. The gall rating was observed on 0-10 scale as described by Zeck (1971) as mentioned below:
- Rhizoctonia solani (Rice sheath blight/Potato black scurf):
- Example 7 Septoria ly coper sici (Leaf spot of tomato):
Landscapes
- Life Sciences & Earth Sciences (AREA)
- Organic Chemistry (AREA)
- Chemical & Material Sciences (AREA)
- Environmental Sciences (AREA)
- Health & Medical Sciences (AREA)
- General Health & Medical Sciences (AREA)
- Dentistry (AREA)
- Engineering & Computer Science (AREA)
- Wood Science & Technology (AREA)
- Zoology (AREA)
- Plant Pathology (AREA)
- Pest Control & Pesticides (AREA)
- Agronomy & Crop Science (AREA)
- Biodiversity & Conservation Biology (AREA)
- Soil Sciences (AREA)
- Botany (AREA)
- Ecology (AREA)
- Forests & Forestry (AREA)
- Toxicology (AREA)
- Agricultural Chemicals And Associated Chemicals (AREA)
- Plural Heterocyclic Compounds (AREA)
- Heterocyclic Carbon Compounds Containing A Hetero Ring Having Nitrogen And Oxygen As The Only Ring Hetero Atoms (AREA)
- Pharmaceuticals Containing Other Organic And Inorganic Compounds (AREA)
- Nitrogen And Oxygen Or Sulfur-Condensed Heterocyclic Ring Systems (AREA)
- Pretreatment Of Seeds And Plants (AREA)
- Thiazole And Isothizaole Compounds (AREA)
Abstract
Description
Claims
Priority Applications (9)
| Application Number | Priority Date | Filing Date | Title |
|---|---|---|---|
| KR1020207018084A KR20200112816A (en) | 2017-12-20 | 2018-12-17 | Preparation and use of fluorine alkyl compounds |
| AU2018389186A AU2018389186A1 (en) | 2017-12-20 | 2018-12-17 | Fluoralkenyl compounds, process for preparation and use thereof |
| US16/955,809 US20200337311A1 (en) | 2017-12-20 | 2018-12-17 | Fluoralkenyl compounds, process for preparation and use thereof |
| JP2020534459A JP2021507911A (en) | 2017-12-20 | 2018-12-17 | Fluoralkenyl compounds, their production methods and their use |
| EP18840049.3A EP3728204A1 (en) | 2017-12-20 | 2018-12-17 | Fluoralkenyl compounds, process for preparation and use thereof |
| CA3085651A CA3085651A1 (en) | 2017-12-20 | 2018-12-17 | Fluoralkenyl compounds, process for preparation and use thereof |
| CN201880081587.XA CN111670180A (en) | 2017-12-20 | 2018-12-17 | Fluoroalkenyl compound, preparation method and use thereof |
| BR112020012614-4A BR112020012614A2 (en) | 2017-12-20 | 2018-12-17 | fluoralkenyl compounds, preparation process and use |
| ZA2020/04349A ZA202004349B (en) | 2017-12-20 | 2020-07-15 | Fluoralkenyl compounds, process for preparation and use thereof |
Applications Claiming Priority (2)
| Application Number | Priority Date | Filing Date | Title |
|---|---|---|---|
| IN201711045940 | 2017-12-20 | ||
| IN201711045940 | 2017-12-20 |
Publications (1)
| Publication Number | Publication Date |
|---|---|
| WO2019123196A1 true WO2019123196A1 (en) | 2019-06-27 |
Family
ID=65237076
Family Applications (1)
| Application Number | Title | Priority Date | Filing Date |
|---|---|---|---|
| PCT/IB2018/060164 Ceased WO2019123196A1 (en) | 2017-12-20 | 2018-12-17 | Fluoralkenyl compounds, process for preparation and use thereof |
Country Status (13)
| Country | Link |
|---|---|
| US (1) | US20200337311A1 (en) |
| EP (1) | EP3728204A1 (en) |
| JP (1) | JP2021507911A (en) |
| KR (1) | KR20200112816A (en) |
| CN (1) | CN111670180A (en) |
| AR (1) | AR113991A1 (en) |
| AU (1) | AU2018389186A1 (en) |
| BR (1) | BR112020012614A2 (en) |
| CA (1) | CA3085651A1 (en) |
| TW (1) | TW201930277A (en) |
| UY (1) | UY38024A (en) |
| WO (1) | WO2019123196A1 (en) |
| ZA (1) | ZA202004349B (en) |
Cited By (2)
| Publication number | Priority date | Publication date | Assignee | Title |
|---|---|---|---|---|
| WO2020095161A1 (en) * | 2018-11-05 | 2020-05-14 | Pi Industries Ltd. | Nitrone compounds and use thereof |
| JP2023508907A (en) * | 2019-12-20 | 2023-03-06 | テナヤ セラピューティクス, インコーポレイテッド | Fluoroalkyl-oxadiazoles and uses thereof |
Families Citing this family (1)
| Publication number | Priority date | Publication date | Assignee | Title |
|---|---|---|---|---|
| AR116506A1 (en) * | 2018-09-26 | 2021-05-12 | Adama Makhteshim Ltd | PROCESS AND INTERMEDIARIES FOR THE PREPARATION OF FLUENSULFONE |
Citations (135)
| Publication number | Priority date | Publication date | Assignee | Title |
|---|---|---|---|---|
| US354979A (en) | 1886-12-28 | Carriage-seat | ||
| US3296272A (en) | 1965-04-01 | 1967-01-03 | Dow Chemical Co | Sulfinyl- and sulfonylpyridines |
| US3325503A (en) | 1965-02-18 | 1967-06-13 | Diamond Alkali Co | Polychloro derivatives of mono- and dicyano pyridines and a method for their preparation |
| US3518172A (en) | 1967-02-24 | 1970-06-30 | Dow Chemical Co | Process for the electrolysis of aluminum chloride |
| US3654293A (en) | 1969-11-20 | 1972-04-04 | Stauffer Chemical Co | 2- and 4-(3 4 4-trifluoro-3-butenyl-thio)pyridines |
| US3666818A (en) | 1965-09-27 | 1972-05-30 | Stauffer Chemical Co | Trifluorobutenyl sulfides |
| US3692912A (en) | 1969-11-20 | 1972-09-19 | Stauffer Chemical Co | Bis (3,4,4-trifluoro-3-butenyl) sulfide as a nematocide |
| US3697536A (en) | 1969-11-20 | 1972-10-10 | Stauffer Chemical Co | Composition of matter |
| US3700668A (en) | 1969-11-20 | 1972-10-24 | Stauffer Chemical Co | 2-(3,4,4-trifluoro-3-butenylthio)-4,4,6-trimethyldihydropyrimidine |
| US3780050A (en) | 1969-11-20 | 1973-12-18 | Stauffer Chemical Co | 2-thiobenzoxazolyl and 2-thiobenzothiazolyl trifluoro butenyl compounds |
| US3891662A (en) | 1971-12-08 | 1975-06-24 | Stauffer Chemical Co | N-(3,4,4-trifluorobutene-3)thiazalodine dione |
| EP0035122A1 (en) | 1980-02-22 | 1981-09-09 | Hoechst Aktiengesellschaft | Test method for determining the magnetic properties of ferromagnetic powders |
| EP0122244A2 (en) | 1983-04-08 | 1984-10-17 | Besam Security Aktiebolag | A lock system |
| EP0141317A2 (en) | 1983-10-21 | 1985-05-15 | BASF Aktiengesellschaft | 7-Amino-azolo[1,5-a]pyrimidines and fungicides containing them |
| EP0152031A2 (en) | 1984-02-03 | 1985-08-21 | Shionogi & Co., Ltd. | Azolyl cycloalkanol derivatives and agricultural fungicides |
| EP0201648A1 (en) | 1983-11-25 | 1986-11-20 | Kawasaki Steel Corporation | Steel strip heating furnace |
| WO1986007590A1 (en) | 1985-06-20 | 1986-12-31 | Fmc Corporation | Pesticidal polyhaloalkene derivatives |
| EP0226917A1 (en) | 1985-12-20 | 1987-07-01 | BASF Aktiengesellschaft | Acrylic acid esters and fungicides containing these compounds |
| EP0243970A1 (en) | 1986-05-02 | 1987-11-04 | Stauffer Chemical Company | Fungicidal pyridyl imidates |
| EP0256503A2 (en) | 1986-08-12 | 1988-02-24 | Mitsubishi Kasei Corporation | Pyridinecarboxamide derivatives and their use as fungicide |
| EP0367474A1 (en) | 1988-11-01 | 1990-05-09 | Mycogen Corporation | Novel bacillus thuringiensis isolate denoted b.t. ps81gg, active against lepidopteran pests, and a gene encoding a lepidopteran-active toxin |
| EP0374753A2 (en) | 1988-12-19 | 1990-06-27 | American Cyanamid Company | Insecticidal toxines, genes coding therefor, antibodies binding them, transgenic plant cells and plants expressing these toxines |
| WO1990013651A1 (en) | 1989-05-09 | 1990-11-15 | Imperial Chemical Industries Plc | Bacterial genes |
| EP0401979A2 (en) | 1989-05-18 | 1990-12-12 | Mycogen Corporation | Novel bacillus thuringiensis isolates active against lepidopteran pests, and genes encoding novel lepidopteran-active toxins |
| EP0427529A1 (en) | 1989-11-07 | 1991-05-15 | Pioneer Hi-Bred International, Inc. | Larvicidal lectins and plant insect resistance based thereon |
| EP0428941A1 (en) | 1989-11-10 | 1991-05-29 | Agro-Kanesho Co., Ltd. | Hexahydrotriazine compounds and insecticides |
| EP0451878A1 (en) | 1985-01-18 | 1991-10-16 | Plant Genetic Systems, N.V. | Modifying plants by genetic engineering to combat or control insects |
| EP0532022A1 (en) | 1991-09-13 | 1993-03-17 | Ube Industries, Ltd. | Acrylate compound, preparation process thereof and fungicide using the same |
| WO1993007278A1 (en) | 1991-10-04 | 1993-04-15 | Ciba-Geigy Ag | Synthetic dna sequence having enhanced insecticidal activity in maize |
| WO1994001546A1 (en) | 1992-07-01 | 1994-01-20 | Cornell Research Foundation, Inc. | Elicitor of the hypersensitive response in plants |
| WO1994006777A1 (en) | 1992-09-16 | 1994-03-31 | Zeneca Limited | Heterocyclic compounds wiht parasitical activity |
| WO1994006782A1 (en) | 1992-09-16 | 1994-03-31 | Zeneca Limited | Benzoxazole and bezothiazole derivatives |
| WO1995024403A1 (en) | 1994-03-10 | 1995-09-14 | Zeneca Limited | (4,4-difluorobut-3-enylthio)-substituted heterocyclic or carbocyclic ring compounds having pesticidal activity |
| WO1995034656A1 (en) | 1994-06-10 | 1995-12-21 | Ciba-Geigy Ag | Novel bacillus thuringiensis genes coding toxins active against lepidopteran pests |
| DE19650197A1 (en) | 1996-12-04 | 1998-06-10 | Bayer Ag | 3-thiocarbamoylpyrazole derivatives |
| WO1998046608A1 (en) | 1997-04-14 | 1998-10-22 | American Cyanamid Company | Fungicidal trifluoromethylalkylamino-triazolopyrimidines |
| WO1999014187A1 (en) | 1997-09-18 | 1999-03-25 | Basf Aktiengesellschaft | Benzamidoxim derivatives, intermediate products and methods for preparing and using them as fungicides |
| WO1999024413A2 (en) | 1997-11-12 | 1999-05-20 | Bayer Aktiengesellschaft | Isothiazole carboxylic acid amides and the application thereof in order to protect plants |
| WO1999027783A1 (en) | 1997-12-04 | 1999-06-10 | Dow Agrosciences Llc | Fungicidal compositions and methods, and compounds and methods for the preparation thereof |
| WO2000029404A1 (en) | 1998-11-17 | 2000-05-25 | Kumiai Chemical Industry Co., Ltd. | Pyrimidinylbenzimidazole and triazinylbenzimidazole derivatives and agricultura/horticultural bactericides |
| WO2000046148A1 (en) | 1999-02-02 | 2000-08-10 | Sintokogio, Ltd. | Silica gel carrying titanium oxide photocatalyst in high concentration and method for preparation thereof |
| EP1028125A1 (en) | 1998-11-30 | 2000-08-16 | Isagro Ricerca S.r.l. | Dipeptide compounds having fungicidal activity and their agronomic use |
| WO2000065913A1 (en) | 1999-04-28 | 2000-11-09 | Takeda Chemical Industries, Ltd. | Sulfonamide derivatives |
| WO2001002378A1 (en) | 1999-07-06 | 2001-01-11 | Nihon Bayer Agrochem K.K. | Nematicidal trifluorobutenes |
| DE10021412A1 (en) | 1999-12-13 | 2001-06-21 | Bayer Ag | Fungicidal active ingredient combinations |
| WO2001054501A2 (en) | 2000-01-25 | 2001-08-02 | Syngenta Participations Ag | Herbicidal composition |
| WO2001056358A2 (en) | 2000-01-28 | 2001-08-09 | Rohm And Haas Company | Enhanced propertied pesticides |
| CN1309897A (en) | 2000-02-24 | 2001-08-29 | 沈阳化工研究院 | Unsaturated oximino ether bactericide |
| WO2001066529A1 (en) | 2000-03-09 | 2001-09-13 | Nihon Bayer Agrochem K.K. | Nematicidal trifluorobutenes |
| WO2002006257A1 (en) | 2000-07-13 | 2002-01-24 | Bayer Cropscience Ag | Heterocyclic fluoroalkenyl thioethers and the use thereof as pesticides (iii) |
| WO2002006259A1 (en) | 2000-07-13 | 2002-01-24 | Bayer Cropscience Ag | Heterocyclic fluoroalkenyl thioethers and the use thereof as pesticides (iv) |
| WO2002006256A1 (en) | 2000-07-13 | 2002-01-24 | Bayer Cropscience Ag | Heterocyclic fluoroalkenyl thioethers (ii) |
| WO2002015701A2 (en) | 2000-08-25 | 2002-02-28 | Syngenta Participations Ag | Bacillus thuringiensis crystal protein hybrids |
| WO2002022583A2 (en) | 2000-09-18 | 2002-03-21 | E. I. Du Pont De Nemours And Company | Pyridinyl amides and imides for use as fungicides |
| WO2002040431A2 (en) | 2000-11-17 | 2002-05-23 | Dow Agrosciences Llc | Compounds having fungicidal activity and processes to make and use same |
| JP2002316902A (en) | 2001-04-20 | 2002-10-31 | Sumitomo Chem Co Ltd | Plant disease control agent composition |
| WO2003010149A1 (en) | 2001-07-25 | 2003-02-06 | Bayer Cropscience Ag | Pyrazolylcarboxanilides as fungicides |
| WO2003011853A1 (en) | 2001-07-30 | 2003-02-13 | Dow Agrosciences Llc | 6-aryl-4-aminopicolinates and their use as herbicides |
| WO2003014103A1 (en) | 2001-08-03 | 2003-02-20 | Bayer Cropscience S.A. | Iodobenzopyran-4-one derivatives having fungicidal activity |
| WO2003016303A1 (en) | 2001-08-20 | 2003-02-27 | Dainippon Ink And Chemicals, Inc. | Tetrazoyl oxime derivative and agricultural chemical containing the same as active ingredient |
| WO2003016286A1 (en) | 2001-08-17 | 2003-02-27 | Sankyo Agro Company, Limited | 3-phenoxy-4-pyridazinol derivative and herbicide composition containing the same |
| WO2003018810A2 (en) | 2001-08-31 | 2003-03-06 | Syngenta Participations Ag | Modified cry3a toxins and nucleic acid sequences coding therefor |
| WO2003029231A1 (en) | 2001-09-28 | 2003-04-10 | Bayer Cropscience Ag | Nematicidal trifluorobutene derivatives |
| WO2003049541A2 (en) | 2001-12-13 | 2003-06-19 | Bayer Cropscience Ag | Nematicidal trifluorobutenyl imidazole thioether derivatives |
| WO2003052073A2 (en) | 2001-12-17 | 2003-06-26 | Syngenta Participations Ag | Novel corn event |
| WO2003053145A1 (en) | 2001-12-21 | 2003-07-03 | Nissan Chemical Industries, Ltd. | Bactericidal composition |
| WO2003061388A1 (en) | 2002-01-18 | 2003-07-31 | Sumitomo Chemical Takeda Agro Company, Limited | Fused heterocyclic sulfonylurea compound, herbicide containing the same, and method of controlling weed with the same |
| WO2003066609A1 (en) | 2002-02-04 | 2003-08-14 | Bayer Cropscience Aktiengesellschaft | Disubstituted thiazolyl carboxanilides and their use as microbicides |
| WO2003074491A1 (en) | 2002-03-05 | 2003-09-12 | Syngenta Participations Ag | O-cyclopropyl-carboxanilides and their use as fungicides |
| WO2003076415A1 (en) | 2002-03-12 | 2003-09-18 | Sumitomo Chemical Company, Limited | Pyrimidine compounds and their use as pesticides |
| CN1456054A (en) | 2003-03-25 | 2003-11-19 | 浙江省化工研究院 | Methoxy methyl acrylate compounds as bactericidal agent |
| WO2003106457A1 (en) | 2002-06-14 | 2003-12-24 | Syngenta Limited | Spiroindolinepiperidine derivatives |
| WO2004005268A1 (en) | 2002-07-03 | 2004-01-15 | Bayer Cropscience Ag | Method for producing heterocyclic fluoroalkenyl sulfones |
| DE10254876A1 (en) | 2002-11-25 | 2004-06-03 | Bayer Cropscience Ag | Use of 1,1-difluoro-omega-heterocyclylthio-alk-1-ene derivatives as herbicides, for total or selective weed control, pre- or post-emergence |
| WO2004049804A2 (en) | 2002-11-29 | 2004-06-17 | Syngenta Participations Ag | Fungicidal combinations for crop potection |
| WO2004083193A1 (en) | 2003-03-17 | 2004-09-30 | Sumitomo Chemical Company, Limited | Amide compound and bactericide composition containing the same |
| WO2004095930A1 (en) | 2003-05-02 | 2004-11-11 | Bayer Cropscience Aktiengesellschaft | Active substance combination based on trifluorobutinyl compounds and exhibiting nematicidal and insecticidal properties |
| WO2004095929A1 (en) | 2003-05-02 | 2004-11-11 | Bayer Cropscience Aktiengesellschaft | Active substance combinations that have nematicidal, insecticidal, and fungicidal properties and are based on trifluorobutenyl compounds |
| WO2004099160A1 (en) | 2003-05-12 | 2004-11-18 | Sumitomo Chemical Company, Limited | Pyrimidine compounds and pests controlling composition containing the same |
| WO2005063721A1 (en) | 2003-12-19 | 2005-07-14 | E.I. Dupont De Nemours And Company | Herbicidal pyrimidines |
| WO2005085216A1 (en) | 2004-03-05 | 2005-09-15 | Nissan Chemical Industries, Ltd. | Isoxazoline-substituted benzamide compound and noxious organism control agent |
| WO2005087772A1 (en) | 2004-03-10 | 2005-09-22 | Basf Aktiengesellschaft | 5,6-dialkyl-7-amino-triazolopyrimidines, method for their production, their use for controlling pathogenic fungi and agents containing said compounds |
| WO2005087773A1 (en) | 2004-03-10 | 2005-09-22 | Basf Aktiengesellschaft | 5,6-dialkyl-7-amino-triazolopyrimidines, method for their production, their use for controlling pathogenic fungi and agents containing said compounds |
| WO2005120234A2 (en) | 2004-06-03 | 2005-12-22 | E.I. Dupont De Nemours And Company | Fungicidal mixtures of amidinylphenyl compounds |
| WO2005123690A1 (en) | 2004-06-18 | 2005-12-29 | Basf Aktiengesellschaft | 1-methyl-3-difluoromethyl-pyrazol-4-carbonic acid-(ortho-phenyl)-anilides, and use thereof as a fungicide |
| WO2005123689A1 (en) | 2004-06-18 | 2005-12-29 | Basf Aktiengesellschaft | 1-methyl-3-trifluoromethyl-pyrazole-4-carboxylic acid (ortho-phenyl)-anilides and to use thereof as fungicide |
| WO2006003494A2 (en) | 2004-06-28 | 2006-01-12 | Syngenta Participations Ag | Piperidine derivatives and their use as insecticides, acaricides, molluscicides or nematicides |
| WO2006015866A1 (en) | 2004-08-12 | 2006-02-16 | Syngenta Participations Ag | Method for protecting useful plants or plant propagation material |
| WO2006043635A1 (en) | 2004-10-20 | 2006-04-27 | Kumiai Chemical Industry Co., Ltd. | 3-triazolylphenyl sulfide derivative and insecticide/acaricide/nematicide containing the same as active ingredient |
| WO2006087343A1 (en) | 2005-02-16 | 2006-08-24 | Basf Aktiengesellschaft | Pyrazole carboxylic acid anilides, method for the production thereof and agents containing them for controlling pathogenic fungi |
| WO2006087325A1 (en) | 2005-02-16 | 2006-08-24 | Basf Aktiengesellschaft | 5-alkoxyalkyl-6-alkyl-7-amino-azolopyrimidines, method for their production, their use for controlling pathogenic fungi and agents containing said substances |
| DE102005009458A1 (en) | 2005-03-02 | 2006-09-07 | Bayer Cropscience Ag | pyrazolylcarboxanilides |
| WO2007006670A1 (en) | 2005-07-07 | 2007-01-18 | Basf Aktiengesellschaft | N-thio-anthranilamid compounds and their use as pesticides |
| CN1907024A (en) | 2005-08-03 | 2007-02-07 | 浙江化工科技集团有限公司 | Methoxyl group displacement methyl acrylate compound bactericidal agent |
| WO2007082098A2 (en) | 2006-01-13 | 2007-07-19 | Dow Agrosciences Llc | 6-(poly-substituted aryl)-4-aminopicolinates and their use as herbicides |
| WO2007090624A2 (en) | 2006-02-09 | 2007-08-16 | Syngenta Participations Ag | A method of protecting a plant propagation material, a plant, and/or plant organs |
| WO2007129454A1 (en) | 2006-05-08 | 2007-11-15 | Kumiai Chemical Industry Co., Ltd. | 1,2-benzisothiazole derivative, and agricultural or horticultural plant disease-controlling agent |
| WO2008013622A2 (en) | 2006-07-27 | 2008-01-31 | E. I. Du Pont De Nemours And Company | Fungicidal azocyclic amides |
| WO2008134969A1 (en) | 2007-04-30 | 2008-11-13 | Sinochem Corporation | Benzamide compounds and applications thereof |
| CN101337940A (en) | 2008-08-12 | 2009-01-07 | 国家农药创制工程技术研究中心 | Nitrogen heterocyclic ring dichloro allyl ether compound with insecticidal activity |
| WO2009049851A1 (en) | 2007-10-15 | 2009-04-23 | Syngenta Participations Ag | Spiroheterocyclic pyrrolidine dione derivatives useful as pesticides |
| WO2009080250A2 (en) | 2007-12-24 | 2009-07-02 | Syngenta Participations Ag | Insecticidal compounds |
| WO2009090181A2 (en) | 2008-01-15 | 2009-07-23 | Bayer Cropscience Sa | Pesticide composition comprising a tetrazolyloxime derivative and a fungicide or an insecticide active substance |
| WO2009094442A2 (en) | 2008-01-22 | 2009-07-30 | Dow Agrosciences Llc | 5-fluoro pyrimidine derivatives |
| WO2009099929A1 (en) | 2008-02-06 | 2009-08-13 | E. I. Du Pont De Nemours And Company | Mesoionic pesticides |
| WO2010051926A2 (en) | 2008-11-05 | 2010-05-14 | Bayer Cropscience Aktiengesellschaft | New halogen-substituted bonds |
| WO2010069882A1 (en) | 2008-12-17 | 2010-06-24 | Syngenta Participations Ag | Isoxazole derivatives for use as fungicides |
| WO2010139271A1 (en) | 2009-06-05 | 2010-12-09 | 中国中化股份有限公司 | E-type phenyl acrylic ester compounds containing substituted anilino pyrimidine group and uses thereof |
| WO2011028657A1 (en) | 2009-09-01 | 2011-03-10 | Dow Agrosciences Llc | Synergistic fungicidal compositions containing a 5-fluoropyrimidine derivative for fungal control in cereals |
| CN102057925A (en) | 2011-01-21 | 2011-05-18 | 陕西上格之路生物科学有限公司 | Insecticidal composition containing thiacloprid amide and biogenic insecticide |
| CN102060818A (en) | 2011-01-07 | 2011-05-18 | 青岛科技大学 | Novel spirodiclofen compound and preparation method and application thereof |
| WO2011077514A1 (en) | 2009-12-22 | 2011-06-30 | 三井化学アグロ株式会社 | Plant disease control composition and method for controlling plant diseases by applying the composition |
| WO2011081174A1 (en) | 2010-01-04 | 2011-07-07 | 日本曹達株式会社 | Nitrogen-containing heterocyclic compound and agricultural/horticultural germicide |
| WO2011135833A1 (en) | 2010-04-28 | 2011-11-03 | Sumitomo Chemical Company, Limited | Plant disease control composition and its use |
| WO2012000896A2 (en) | 2010-06-28 | 2012-01-05 | Bayer Cropscience Ag | Heterocyclic compounds as agents for pest control |
| WO2012029672A1 (en) | 2010-08-31 | 2012-03-08 | Meiji Seikaファルマ株式会社 | Noxious organism control agent |
| WO2012084812A1 (en) | 2010-12-20 | 2012-06-28 | Isagro Ricerca S.R.L. | Aminoindanes amides having a high fungicidal activity and their phytosanitary compositions |
| WO2012165511A1 (en) | 2011-05-31 | 2012-12-06 | クミアイ化学工業株式会社 | Method for controlling diseases in rice plant |
| WO2012168188A1 (en) | 2011-06-07 | 2012-12-13 | Bayer Intellectual Property Gmbh | Active compound combinations |
| WO2013007767A1 (en) | 2011-07-13 | 2013-01-17 | Basf Se | Fungicidal substituted 2-[2-halogenalkyl-4-(phenoxy)-phenyl]-1-[1,2,4]triazol-1-yl-ethanol compounds |
| WO2013010862A1 (en) | 2011-07-15 | 2013-01-24 | Basf Se | Fungicidal alkyl-substituted 2-[2-chloro-4-(4-chloro-phenoxy)-phenyl]-1-[1,2,4]triazol-1-yl-ethanol compounds |
| WO2013024009A1 (en) | 2011-08-12 | 2013-02-21 | Basf Se | N-thio-anthranilamide compounds and their use as pesticides |
| WO2013024010A1 (en) | 2011-08-12 | 2013-02-21 | Basf Se | N-thio-anthranilamide compounds and their use as pesticides |
| WO2013047441A1 (en) | 2011-09-26 | 2013-04-04 | 日本曹達株式会社 | Agricultural and horticultural bactericide composition |
| WO2013047749A1 (en) | 2011-09-29 | 2013-04-04 | 三井化学アグロ株式会社 | Production method for 4, 4-difluoro-3,4-dihydroisoquinoline derivative |
| WO2013092224A1 (en) | 2011-12-21 | 2013-06-27 | Basf Se | Use of strobilurin type compounds for combating phytopathogenic fungi resistant to qo inhibitors |
| WO2013116251A2 (en) | 2012-02-01 | 2013-08-08 | E. I. Du Pont De Nemours And Company | Fungicidal pyrazole mixtures |
| WO2013127704A1 (en) | 2012-02-27 | 2013-09-06 | Bayer Intellectual Property Gmbh | Active compound combinations containing a thiazoylisoxazoline and a fungicide |
| WO2013144213A1 (en) | 2012-03-30 | 2013-10-03 | Basf Se | N-substituted pyridinylidene compounds and derivatives for combating animal pests |
| WO2013162072A1 (en) | 2012-04-27 | 2013-10-31 | Sumitomo Chemical Company, Limited | Tetrazolinone compounds and its use as pesticides |
| CN103387541A (en) | 2012-05-10 | 2013-11-13 | 中国中化股份有限公司 | Preparation method of substituted pyrazolylether compound |
| WO2014060177A1 (en) | 2012-10-16 | 2014-04-24 | Syngenta Participations Ag | Fungicidal compositions |
| EP2865265A1 (en) | 2014-02-13 | 2015-04-29 | Bayer CropScience AG | Active compound combinations comprising phenylamidine compounds and biological control agents |
| WO2015065922A1 (en) | 2013-10-28 | 2015-05-07 | Dexcom, Inc. | Devices used in connection with continuous analyte monitoring that provide the user with one or more notifications, and related methods |
| WO2017002100A1 (en) | 2015-09-23 | 2017-01-05 | Isagro S.P.A. | Heterocyclic trifluoroalkenyl compounds having a nematocidal activity, their agronomic compositions and use thereof |
Family Cites Families (1)
| Publication number | Priority date | Publication date | Assignee | Title |
|---|---|---|---|---|
| WO2017111152A1 (en) * | 2015-12-25 | 2017-06-29 | 住友化学株式会社 | Oxadiazole compounds and use thereof |
-
2018
- 2018-12-17 CN CN201880081587.XA patent/CN111670180A/en active Pending
- 2018-12-17 WO PCT/IB2018/060164 patent/WO2019123196A1/en not_active Ceased
- 2018-12-17 EP EP18840049.3A patent/EP3728204A1/en not_active Withdrawn
- 2018-12-17 BR BR112020012614-4A patent/BR112020012614A2/en not_active Application Discontinuation
- 2018-12-17 JP JP2020534459A patent/JP2021507911A/en active Pending
- 2018-12-17 US US16/955,809 patent/US20200337311A1/en not_active Abandoned
- 2018-12-17 AU AU2018389186A patent/AU2018389186A1/en not_active Abandoned
- 2018-12-17 CA CA3085651A patent/CA3085651A1/en active Pending
- 2018-12-17 KR KR1020207018084A patent/KR20200112816A/en not_active Ceased
- 2018-12-19 AR ARP180103737A patent/AR113991A1/en unknown
- 2018-12-19 UY UY0001038024A patent/UY38024A/en not_active Application Discontinuation
- 2018-12-20 TW TW107146259A patent/TW201930277A/en unknown
-
2020
- 2020-07-15 ZA ZA2020/04349A patent/ZA202004349B/en unknown
Patent Citations (137)
| Publication number | Priority date | Publication date | Assignee | Title |
|---|---|---|---|---|
| US354979A (en) | 1886-12-28 | Carriage-seat | ||
| US3325503A (en) | 1965-02-18 | 1967-06-13 | Diamond Alkali Co | Polychloro derivatives of mono- and dicyano pyridines and a method for their preparation |
| US3296272A (en) | 1965-04-01 | 1967-01-03 | Dow Chemical Co | Sulfinyl- and sulfonylpyridines |
| US3666818A (en) | 1965-09-27 | 1972-05-30 | Stauffer Chemical Co | Trifluorobutenyl sulfides |
| US3518172A (en) | 1967-02-24 | 1970-06-30 | Dow Chemical Co | Process for the electrolysis of aluminum chloride |
| US3700668A (en) | 1969-11-20 | 1972-10-24 | Stauffer Chemical Co | 2-(3,4,4-trifluoro-3-butenylthio)-4,4,6-trimethyldihydropyrimidine |
| US3692912A (en) | 1969-11-20 | 1972-09-19 | Stauffer Chemical Co | Bis (3,4,4-trifluoro-3-butenyl) sulfide as a nematocide |
| US3697536A (en) | 1969-11-20 | 1972-10-10 | Stauffer Chemical Co | Composition of matter |
| US3780050A (en) | 1969-11-20 | 1973-12-18 | Stauffer Chemical Co | 2-thiobenzoxazolyl and 2-thiobenzothiazolyl trifluoro butenyl compounds |
| US3654293A (en) | 1969-11-20 | 1972-04-04 | Stauffer Chemical Co | 2- and 4-(3 4 4-trifluoro-3-butenyl-thio)pyridines |
| US3891662A (en) | 1971-12-08 | 1975-06-24 | Stauffer Chemical Co | N-(3,4,4-trifluorobutene-3)thiazalodine dione |
| EP0035122A1 (en) | 1980-02-22 | 1981-09-09 | Hoechst Aktiengesellschaft | Test method for determining the magnetic properties of ferromagnetic powders |
| EP0122244A2 (en) | 1983-04-08 | 1984-10-17 | Besam Security Aktiebolag | A lock system |
| EP0141317A2 (en) | 1983-10-21 | 1985-05-15 | BASF Aktiengesellschaft | 7-Amino-azolo[1,5-a]pyrimidines and fungicides containing them |
| EP0201648A1 (en) | 1983-11-25 | 1986-11-20 | Kawasaki Steel Corporation | Steel strip heating furnace |
| EP0152031A2 (en) | 1984-02-03 | 1985-08-21 | Shionogi & Co., Ltd. | Azolyl cycloalkanol derivatives and agricultural fungicides |
| EP0451878A1 (en) | 1985-01-18 | 1991-10-16 | Plant Genetic Systems, N.V. | Modifying plants by genetic engineering to combat or control insects |
| WO1986007590A1 (en) | 1985-06-20 | 1986-12-31 | Fmc Corporation | Pesticidal polyhaloalkene derivatives |
| EP0226917A1 (en) | 1985-12-20 | 1987-07-01 | BASF Aktiengesellschaft | Acrylic acid esters and fungicides containing these compounds |
| EP0243970A1 (en) | 1986-05-02 | 1987-11-04 | Stauffer Chemical Company | Fungicidal pyridyl imidates |
| EP0256503A2 (en) | 1986-08-12 | 1988-02-24 | Mitsubishi Kasei Corporation | Pyridinecarboxamide derivatives and their use as fungicide |
| EP0367474A1 (en) | 1988-11-01 | 1990-05-09 | Mycogen Corporation | Novel bacillus thuringiensis isolate denoted b.t. ps81gg, active against lepidopteran pests, and a gene encoding a lepidopteran-active toxin |
| EP0374753A2 (en) | 1988-12-19 | 1990-06-27 | American Cyanamid Company | Insecticidal toxines, genes coding therefor, antibodies binding them, transgenic plant cells and plants expressing these toxines |
| WO1990013651A1 (en) | 1989-05-09 | 1990-11-15 | Imperial Chemical Industries Plc | Bacterial genes |
| EP0401979A2 (en) | 1989-05-18 | 1990-12-12 | Mycogen Corporation | Novel bacillus thuringiensis isolates active against lepidopteran pests, and genes encoding novel lepidopteran-active toxins |
| EP0427529A1 (en) | 1989-11-07 | 1991-05-15 | Pioneer Hi-Bred International, Inc. | Larvicidal lectins and plant insect resistance based thereon |
| EP0428941A1 (en) | 1989-11-10 | 1991-05-29 | Agro-Kanesho Co., Ltd. | Hexahydrotriazine compounds and insecticides |
| EP0532022A1 (en) | 1991-09-13 | 1993-03-17 | Ube Industries, Ltd. | Acrylate compound, preparation process thereof and fungicide using the same |
| WO1993007278A1 (en) | 1991-10-04 | 1993-04-15 | Ciba-Geigy Ag | Synthetic dna sequence having enhanced insecticidal activity in maize |
| WO1994001546A1 (en) | 1992-07-01 | 1994-01-20 | Cornell Research Foundation, Inc. | Elicitor of the hypersensitive response in plants |
| WO1994006777A1 (en) | 1992-09-16 | 1994-03-31 | Zeneca Limited | Heterocyclic compounds wiht parasitical activity |
| WO1994006782A1 (en) | 1992-09-16 | 1994-03-31 | Zeneca Limited | Benzoxazole and bezothiazole derivatives |
| WO1995024403A1 (en) | 1994-03-10 | 1995-09-14 | Zeneca Limited | (4,4-difluorobut-3-enylthio)-substituted heterocyclic or carbocyclic ring compounds having pesticidal activity |
| WO1995034656A1 (en) | 1994-06-10 | 1995-12-21 | Ciba-Geigy Ag | Novel bacillus thuringiensis genes coding toxins active against lepidopteran pests |
| DE19650197A1 (en) | 1996-12-04 | 1998-06-10 | Bayer Ag | 3-thiocarbamoylpyrazole derivatives |
| WO1998046608A1 (en) | 1997-04-14 | 1998-10-22 | American Cyanamid Company | Fungicidal trifluoromethylalkylamino-triazolopyrimidines |
| WO1999014187A1 (en) | 1997-09-18 | 1999-03-25 | Basf Aktiengesellschaft | Benzamidoxim derivatives, intermediate products and methods for preparing and using them as fungicides |
| WO1999024413A2 (en) | 1997-11-12 | 1999-05-20 | Bayer Aktiengesellschaft | Isothiazole carboxylic acid amides and the application thereof in order to protect plants |
| WO1999027783A1 (en) | 1997-12-04 | 1999-06-10 | Dow Agrosciences Llc | Fungicidal compositions and methods, and compounds and methods for the preparation thereof |
| WO2000029404A1 (en) | 1998-11-17 | 2000-05-25 | Kumiai Chemical Industry Co., Ltd. | Pyrimidinylbenzimidazole and triazinylbenzimidazole derivatives and agricultura/horticultural bactericides |
| EP1028125A1 (en) | 1998-11-30 | 2000-08-16 | Isagro Ricerca S.r.l. | Dipeptide compounds having fungicidal activity and their agronomic use |
| WO2000046148A1 (en) | 1999-02-02 | 2000-08-10 | Sintokogio, Ltd. | Silica gel carrying titanium oxide photocatalyst in high concentration and method for preparation thereof |
| WO2000065913A1 (en) | 1999-04-28 | 2000-11-09 | Takeda Chemical Industries, Ltd. | Sulfonamide derivatives |
| WO2001002378A1 (en) | 1999-07-06 | 2001-01-11 | Nihon Bayer Agrochem K.K. | Nematicidal trifluorobutenes |
| DE10021412A1 (en) | 1999-12-13 | 2001-06-21 | Bayer Ag | Fungicidal active ingredient combinations |
| WO2001054501A2 (en) | 2000-01-25 | 2001-08-02 | Syngenta Participations Ag | Herbicidal composition |
| WO2001056358A2 (en) | 2000-01-28 | 2001-08-09 | Rohm And Haas Company | Enhanced propertied pesticides |
| CN1309897A (en) | 2000-02-24 | 2001-08-29 | 沈阳化工研究院 | Unsaturated oximino ether bactericide |
| WO2001066529A1 (en) | 2000-03-09 | 2001-09-13 | Nihon Bayer Agrochem K.K. | Nematicidal trifluorobutenes |
| WO2002006256A1 (en) | 2000-07-13 | 2002-01-24 | Bayer Cropscience Ag | Heterocyclic fluoroalkenyl thioethers (ii) |
| US20030187259A1 (en) * | 2000-07-13 | 2003-10-02 | Udo Kraatz | Heterocylic fluoroalkenyl thioethers and the use thereof as pesticides (IV) |
| WO2002006257A1 (en) | 2000-07-13 | 2002-01-24 | Bayer Cropscience Ag | Heterocyclic fluoroalkenyl thioethers and the use thereof as pesticides (iii) |
| WO2002006259A1 (en) | 2000-07-13 | 2002-01-24 | Bayer Cropscience Ag | Heterocyclic fluoroalkenyl thioethers and the use thereof as pesticides (iv) |
| WO2002015701A2 (en) | 2000-08-25 | 2002-02-28 | Syngenta Participations Ag | Bacillus thuringiensis crystal protein hybrids |
| WO2002022583A2 (en) | 2000-09-18 | 2002-03-21 | E. I. Du Pont De Nemours And Company | Pyridinyl amides and imides for use as fungicides |
| WO2002040431A2 (en) | 2000-11-17 | 2002-05-23 | Dow Agrosciences Llc | Compounds having fungicidal activity and processes to make and use same |
| JP2002316902A (en) | 2001-04-20 | 2002-10-31 | Sumitomo Chem Co Ltd | Plant disease control agent composition |
| WO2003010149A1 (en) | 2001-07-25 | 2003-02-06 | Bayer Cropscience Ag | Pyrazolylcarboxanilides as fungicides |
| WO2003011853A1 (en) | 2001-07-30 | 2003-02-13 | Dow Agrosciences Llc | 6-aryl-4-aminopicolinates and their use as herbicides |
| WO2003014103A1 (en) | 2001-08-03 | 2003-02-20 | Bayer Cropscience S.A. | Iodobenzopyran-4-one derivatives having fungicidal activity |
| WO2003016286A1 (en) | 2001-08-17 | 2003-02-27 | Sankyo Agro Company, Limited | 3-phenoxy-4-pyridazinol derivative and herbicide composition containing the same |
| WO2003016303A1 (en) | 2001-08-20 | 2003-02-27 | Dainippon Ink And Chemicals, Inc. | Tetrazoyl oxime derivative and agricultural chemical containing the same as active ingredient |
| WO2003018810A2 (en) | 2001-08-31 | 2003-03-06 | Syngenta Participations Ag | Modified cry3a toxins and nucleic acid sequences coding therefor |
| WO2003029231A1 (en) | 2001-09-28 | 2003-04-10 | Bayer Cropscience Ag | Nematicidal trifluorobutene derivatives |
| WO2003049541A2 (en) | 2001-12-13 | 2003-06-19 | Bayer Cropscience Ag | Nematicidal trifluorobutenyl imidazole thioether derivatives |
| WO2003052073A2 (en) | 2001-12-17 | 2003-06-26 | Syngenta Participations Ag | Novel corn event |
| WO2003053145A1 (en) | 2001-12-21 | 2003-07-03 | Nissan Chemical Industries, Ltd. | Bactericidal composition |
| WO2003061388A1 (en) | 2002-01-18 | 2003-07-31 | Sumitomo Chemical Takeda Agro Company, Limited | Fused heterocyclic sulfonylurea compound, herbicide containing the same, and method of controlling weed with the same |
| WO2003066609A1 (en) | 2002-02-04 | 2003-08-14 | Bayer Cropscience Aktiengesellschaft | Disubstituted thiazolyl carboxanilides and their use as microbicides |
| WO2003074491A1 (en) | 2002-03-05 | 2003-09-12 | Syngenta Participations Ag | O-cyclopropyl-carboxanilides and their use as fungicides |
| WO2003076415A1 (en) | 2002-03-12 | 2003-09-18 | Sumitomo Chemical Company, Limited | Pyrimidine compounds and their use as pesticides |
| WO2003106457A1 (en) | 2002-06-14 | 2003-12-24 | Syngenta Limited | Spiroindolinepiperidine derivatives |
| US20060004196A1 (en) * | 2002-07-03 | 2006-01-05 | Alexander Straub | Method for producing heterocyclic fluoroalkenyl sulfones |
| WO2004005268A1 (en) | 2002-07-03 | 2004-01-15 | Bayer Cropscience Ag | Method for producing heterocyclic fluoroalkenyl sulfones |
| DE10254876A1 (en) | 2002-11-25 | 2004-06-03 | Bayer Cropscience Ag | Use of 1,1-difluoro-omega-heterocyclylthio-alk-1-ene derivatives as herbicides, for total or selective weed control, pre- or post-emergence |
| WO2004049804A2 (en) | 2002-11-29 | 2004-06-17 | Syngenta Participations Ag | Fungicidal combinations for crop potection |
| WO2004083193A1 (en) | 2003-03-17 | 2004-09-30 | Sumitomo Chemical Company, Limited | Amide compound and bactericide composition containing the same |
| CN1456054A (en) | 2003-03-25 | 2003-11-19 | 浙江省化工研究院 | Methoxy methyl acrylate compounds as bactericidal agent |
| WO2004095929A1 (en) | 2003-05-02 | 2004-11-11 | Bayer Cropscience Aktiengesellschaft | Active substance combinations that have nematicidal, insecticidal, and fungicidal properties and are based on trifluorobutenyl compounds |
| WO2004095930A1 (en) | 2003-05-02 | 2004-11-11 | Bayer Cropscience Aktiengesellschaft | Active substance combination based on trifluorobutinyl compounds and exhibiting nematicidal and insecticidal properties |
| WO2004099160A1 (en) | 2003-05-12 | 2004-11-18 | Sumitomo Chemical Company, Limited | Pyrimidine compounds and pests controlling composition containing the same |
| WO2005063721A1 (en) | 2003-12-19 | 2005-07-14 | E.I. Dupont De Nemours And Company | Herbicidal pyrimidines |
| WO2005085216A1 (en) | 2004-03-05 | 2005-09-15 | Nissan Chemical Industries, Ltd. | Isoxazoline-substituted benzamide compound and noxious organism control agent |
| WO2005087772A1 (en) | 2004-03-10 | 2005-09-22 | Basf Aktiengesellschaft | 5,6-dialkyl-7-amino-triazolopyrimidines, method for their production, their use for controlling pathogenic fungi and agents containing said compounds |
| WO2005087773A1 (en) | 2004-03-10 | 2005-09-22 | Basf Aktiengesellschaft | 5,6-dialkyl-7-amino-triazolopyrimidines, method for their production, their use for controlling pathogenic fungi and agents containing said compounds |
| WO2005120234A2 (en) | 2004-06-03 | 2005-12-22 | E.I. Dupont De Nemours And Company | Fungicidal mixtures of amidinylphenyl compounds |
| WO2005123689A1 (en) | 2004-06-18 | 2005-12-29 | Basf Aktiengesellschaft | 1-methyl-3-trifluoromethyl-pyrazole-4-carboxylic acid (ortho-phenyl)-anilides and to use thereof as fungicide |
| WO2005123690A1 (en) | 2004-06-18 | 2005-12-29 | Basf Aktiengesellschaft | 1-methyl-3-difluoromethyl-pyrazol-4-carbonic acid-(ortho-phenyl)-anilides, and use thereof as a fungicide |
| WO2006003494A2 (en) | 2004-06-28 | 2006-01-12 | Syngenta Participations Ag | Piperidine derivatives and their use as insecticides, acaricides, molluscicides or nematicides |
| WO2006015866A1 (en) | 2004-08-12 | 2006-02-16 | Syngenta Participations Ag | Method for protecting useful plants or plant propagation material |
| WO2006043635A1 (en) | 2004-10-20 | 2006-04-27 | Kumiai Chemical Industry Co., Ltd. | 3-triazolylphenyl sulfide derivative and insecticide/acaricide/nematicide containing the same as active ingredient |
| WO2006087343A1 (en) | 2005-02-16 | 2006-08-24 | Basf Aktiengesellschaft | Pyrazole carboxylic acid anilides, method for the production thereof and agents containing them for controlling pathogenic fungi |
| WO2006087325A1 (en) | 2005-02-16 | 2006-08-24 | Basf Aktiengesellschaft | 5-alkoxyalkyl-6-alkyl-7-amino-azolopyrimidines, method for their production, their use for controlling pathogenic fungi and agents containing said substances |
| DE102005009458A1 (en) | 2005-03-02 | 2006-09-07 | Bayer Cropscience Ag | pyrazolylcarboxanilides |
| WO2007006670A1 (en) | 2005-07-07 | 2007-01-18 | Basf Aktiengesellschaft | N-thio-anthranilamid compounds and their use as pesticides |
| CN1907024A (en) | 2005-08-03 | 2007-02-07 | 浙江化工科技集团有限公司 | Methoxyl group displacement methyl acrylate compound bactericidal agent |
| WO2007082098A2 (en) | 2006-01-13 | 2007-07-19 | Dow Agrosciences Llc | 6-(poly-substituted aryl)-4-aminopicolinates and their use as herbicides |
| WO2007090624A2 (en) | 2006-02-09 | 2007-08-16 | Syngenta Participations Ag | A method of protecting a plant propagation material, a plant, and/or plant organs |
| WO2007129454A1 (en) | 2006-05-08 | 2007-11-15 | Kumiai Chemical Industry Co., Ltd. | 1,2-benzisothiazole derivative, and agricultural or horticultural plant disease-controlling agent |
| WO2008013622A2 (en) | 2006-07-27 | 2008-01-31 | E. I. Du Pont De Nemours And Company | Fungicidal azocyclic amides |
| WO2008134969A1 (en) | 2007-04-30 | 2008-11-13 | Sinochem Corporation | Benzamide compounds and applications thereof |
| WO2009049851A1 (en) | 2007-10-15 | 2009-04-23 | Syngenta Participations Ag | Spiroheterocyclic pyrrolidine dione derivatives useful as pesticides |
| WO2009080250A2 (en) | 2007-12-24 | 2009-07-02 | Syngenta Participations Ag | Insecticidal compounds |
| WO2009090181A2 (en) | 2008-01-15 | 2009-07-23 | Bayer Cropscience Sa | Pesticide composition comprising a tetrazolyloxime derivative and a fungicide or an insecticide active substance |
| WO2009094442A2 (en) | 2008-01-22 | 2009-07-30 | Dow Agrosciences Llc | 5-fluoro pyrimidine derivatives |
| WO2009099929A1 (en) | 2008-02-06 | 2009-08-13 | E. I. Du Pont De Nemours And Company | Mesoionic pesticides |
| CN101337940A (en) | 2008-08-12 | 2009-01-07 | 国家农药创制工程技术研究中心 | Nitrogen heterocyclic ring dichloro allyl ether compound with insecticidal activity |
| WO2010051926A2 (en) | 2008-11-05 | 2010-05-14 | Bayer Cropscience Aktiengesellschaft | New halogen-substituted bonds |
| WO2010069882A1 (en) | 2008-12-17 | 2010-06-24 | Syngenta Participations Ag | Isoxazole derivatives for use as fungicides |
| WO2010139271A1 (en) | 2009-06-05 | 2010-12-09 | 中国中化股份有限公司 | E-type phenyl acrylic ester compounds containing substituted anilino pyrimidine group and uses thereof |
| WO2011028657A1 (en) | 2009-09-01 | 2011-03-10 | Dow Agrosciences Llc | Synergistic fungicidal compositions containing a 5-fluoropyrimidine derivative for fungal control in cereals |
| WO2011077514A1 (en) | 2009-12-22 | 2011-06-30 | 三井化学アグロ株式会社 | Plant disease control composition and method for controlling plant diseases by applying the composition |
| WO2011081174A1 (en) | 2010-01-04 | 2011-07-07 | 日本曹達株式会社 | Nitrogen-containing heterocyclic compound and agricultural/horticultural germicide |
| WO2011135833A1 (en) | 2010-04-28 | 2011-11-03 | Sumitomo Chemical Company, Limited | Plant disease control composition and its use |
| WO2012000896A2 (en) | 2010-06-28 | 2012-01-05 | Bayer Cropscience Ag | Heterocyclic compounds as agents for pest control |
| WO2012029672A1 (en) | 2010-08-31 | 2012-03-08 | Meiji Seikaファルマ株式会社 | Noxious organism control agent |
| WO2012084812A1 (en) | 2010-12-20 | 2012-06-28 | Isagro Ricerca S.R.L. | Aminoindanes amides having a high fungicidal activity and their phytosanitary compositions |
| CN102060818A (en) | 2011-01-07 | 2011-05-18 | 青岛科技大学 | Novel spirodiclofen compound and preparation method and application thereof |
| CN102057925A (en) | 2011-01-21 | 2011-05-18 | 陕西上格之路生物科学有限公司 | Insecticidal composition containing thiacloprid amide and biogenic insecticide |
| WO2012165511A1 (en) | 2011-05-31 | 2012-12-06 | クミアイ化学工業株式会社 | Method for controlling diseases in rice plant |
| WO2012168188A1 (en) | 2011-06-07 | 2012-12-13 | Bayer Intellectual Property Gmbh | Active compound combinations |
| WO2013007767A1 (en) | 2011-07-13 | 2013-01-17 | Basf Se | Fungicidal substituted 2-[2-halogenalkyl-4-(phenoxy)-phenyl]-1-[1,2,4]triazol-1-yl-ethanol compounds |
| WO2013010862A1 (en) | 2011-07-15 | 2013-01-24 | Basf Se | Fungicidal alkyl-substituted 2-[2-chloro-4-(4-chloro-phenoxy)-phenyl]-1-[1,2,4]triazol-1-yl-ethanol compounds |
| WO2013024009A1 (en) | 2011-08-12 | 2013-02-21 | Basf Se | N-thio-anthranilamide compounds and their use as pesticides |
| WO2013024010A1 (en) | 2011-08-12 | 2013-02-21 | Basf Se | N-thio-anthranilamide compounds and their use as pesticides |
| WO2013047441A1 (en) | 2011-09-26 | 2013-04-04 | 日本曹達株式会社 | Agricultural and horticultural bactericide composition |
| WO2013047749A1 (en) | 2011-09-29 | 2013-04-04 | 三井化学アグロ株式会社 | Production method for 4, 4-difluoro-3,4-dihydroisoquinoline derivative |
| WO2013092224A1 (en) | 2011-12-21 | 2013-06-27 | Basf Se | Use of strobilurin type compounds for combating phytopathogenic fungi resistant to qo inhibitors |
| WO2013116251A2 (en) | 2012-02-01 | 2013-08-08 | E. I. Du Pont De Nemours And Company | Fungicidal pyrazole mixtures |
| WO2013127704A1 (en) | 2012-02-27 | 2013-09-06 | Bayer Intellectual Property Gmbh | Active compound combinations containing a thiazoylisoxazoline and a fungicide |
| WO2013144213A1 (en) | 2012-03-30 | 2013-10-03 | Basf Se | N-substituted pyridinylidene compounds and derivatives for combating animal pests |
| WO2013162072A1 (en) | 2012-04-27 | 2013-10-31 | Sumitomo Chemical Company, Limited | Tetrazolinone compounds and its use as pesticides |
| CN103387541A (en) | 2012-05-10 | 2013-11-13 | 中国中化股份有限公司 | Preparation method of substituted pyrazolylether compound |
| WO2014060177A1 (en) | 2012-10-16 | 2014-04-24 | Syngenta Participations Ag | Fungicidal compositions |
| WO2015065922A1 (en) | 2013-10-28 | 2015-05-07 | Dexcom, Inc. | Devices used in connection with continuous analyte monitoring that provide the user with one or more notifications, and related methods |
| EP2865265A1 (en) | 2014-02-13 | 2015-04-29 | Bayer CropScience AG | Active compound combinations comprising phenylamidine compounds and biological control agents |
| WO2017002100A1 (en) | 2015-09-23 | 2017-01-05 | Isagro S.P.A. | Heterocyclic trifluoroalkenyl compounds having a nematocidal activity, their agronomic compositions and use thereof |
Non-Patent Citations (2)
| Title |
|---|
| "The Pesticide Manual" |
| CAN. J. PLANT SCI., vol. 48, no. 6, 1968, pages 587 - 94 |
Cited By (4)
| Publication number | Priority date | Publication date | Assignee | Title |
|---|---|---|---|---|
| WO2020095161A1 (en) * | 2018-11-05 | 2020-05-14 | Pi Industries Ltd. | Nitrone compounds and use thereof |
| JP2023508907A (en) * | 2019-12-20 | 2023-03-06 | テナヤ セラピューティクス, インコーポレイテッド | Fluoroalkyl-oxadiazoles and uses thereof |
| US12312345B2 (en) | 2019-12-20 | 2025-05-27 | Tenaya Therapeutics, Inc. | Fluoroalkyl-oxadiazoles and uses thereof |
| JP7780202B2 (en) | 2019-12-20 | 2025-12-04 | テナヤ セラピューティクス, インコーポレイテッド | Fluoroalkyl-oxadiazoles and uses thereof |
Also Published As
| Publication number | Publication date |
|---|---|
| KR20200112816A (en) | 2020-10-05 |
| AU2018389186A1 (en) | 2020-07-02 |
| AR113991A1 (en) | 2020-07-08 |
| BR112020012614A2 (en) | 2020-11-24 |
| TW201930277A (en) | 2019-08-01 |
| UY38024A (en) | 2019-07-31 |
| EP3728204A1 (en) | 2020-10-28 |
| ZA202004349B (en) | 2022-01-26 |
| US20200337311A1 (en) | 2020-10-29 |
| CN111670180A (en) | 2020-09-15 |
| JP2021507911A (en) | 2021-02-25 |
| CA3085651A1 (en) | 2019-06-27 |
Similar Documents
| Publication | Publication Date | Title |
|---|---|---|
| AU2020272217B2 (en) | Novel oxadiazole compounds for controlling or preventing phytopathogenic fungi | |
| WO2019171234A9 (en) | Heterocyclic compounds as fungicides | |
| EP3746439A2 (en) | Oxadiazoles for use in controlling phytopathogenic fungi | |
| JP2024519815A (en) | New substituted pyridines as fungicides. | |
| US20210387954A1 (en) | Oxadiazoles as fungicides | |
| WO2019123196A1 (en) | Fluoralkenyl compounds, process for preparation and use thereof | |
| WO2018116073A1 (en) | 1, 2, 3-thiadiazole compounds and their use as crop protecting agent | |
| WO2021090282A1 (en) | Novel oxadiazole compounds containing fused heterocyclyl rings for controlling or preventing phytopathogenic fungi | |
| WO2018116072A1 (en) | Heterocyclic compounds | |
| WO2019150311A1 (en) | 1-3 dithiol compounds and their use for the protection of crops from phytopathogenic microorganisms | |
| EP3612514B1 (en) | Novel phenylamine compounds | |
| RU2818085C2 (en) | Novel oxadiazole-based compounds for controlling phytopathogenic fungi or preventing damage by them | |
| RU2818085C9 (en) | Novel oxadiazole-based compounds for controlling phytopathogenic fungi or preventing damage by them | |
| WO2020035826A1 (en) | 1,2-dithiolone compounds and use thereof | |
| EP3606914A1 (en) | Pyridine compounds | |
| WO2020095161A1 (en) | Nitrone compounds and use thereof | |
| KR20240141768A (en) | 1,2,3-Triazole carbonyl sulfonylamide compound and uses thereof | |
| US20220348567A1 (en) | Novel oxadiazole compounds containing 5- membered heteroaromatic ring for controlling or preventing phytopathogenic fungi | |
| BR112020014474B1 (en) | NEW OXADIAZOLES |
Legal Events
| Date | Code | Title | Description |
|---|---|---|---|
| 121 | Ep: the epo has been informed by wipo that ep was designated in this application |
Ref document number: 18840049 Country of ref document: EP Kind code of ref document: A1 |
|
| ENP | Entry into the national phase |
Ref document number: 3085651 Country of ref document: CA |
|
| WWE | Wipo information: entry into national phase |
Ref document number: NC2020/0007280 Country of ref document: CO |
|
| ENP | Entry into the national phase |
Ref document number: 2020534459 Country of ref document: JP Kind code of ref document: A |
|
| NENP | Non-entry into the national phase |
Ref country code: DE |
|
| ENP | Entry into the national phase |
Ref document number: 2018389186 Country of ref document: AU Date of ref document: 20181217 Kind code of ref document: A |
|
| WWP | Wipo information: published in national office |
Ref document number: NC2020/0007280 Country of ref document: CO |
|
| ENP | Entry into the national phase |
Ref document number: 2018840049 Country of ref document: EP Effective date: 20200720 |
|
| REG | Reference to national code |
Ref country code: BR Ref legal event code: B01A Ref document number: 112020012614 Country of ref document: BR |
|
| ENP | Entry into the national phase |
Ref document number: 112020012614 Country of ref document: BR Kind code of ref document: A2 Effective date: 20200619 |



























































































