WO2018116072A1 - Heterocyclic compounds - Google Patents
Heterocyclic compounds Download PDFInfo
- Publication number
- WO2018116072A1 WO2018116072A1 PCT/IB2017/057870 IB2017057870W WO2018116072A1 WO 2018116072 A1 WO2018116072 A1 WO 2018116072A1 IB 2017057870 W IB2017057870 W IB 2017057870W WO 2018116072 A1 WO2018116072 A1 WO 2018116072A1
- Authority
- WO
- WIPO (PCT)
- Prior art keywords
- dihydroisoquinolin
- dimethyl
- tetramethyl
- difluoro
- fluoro
- Prior art date
- Legal status (The legal status is an assumption and is not a legal conclusion. Google has not performed a legal analysis and makes no representation as to the accuracy of the status listed.)
- Ceased
Links
- 0 CNC1(N=C(C2CCC2)C(*)=C(*)C1(*)*)[U] Chemical compound CNC1(N=C(C2CCC2)C(*)=C(*)C1(*)*)[U] 0.000 description 4
- WURLCFWNAIWPPR-UHFFFAOYSA-N C(C1)C=CC2=C1CON=C2c1cnc(cccc2)c2c1 Chemical compound C(C1)C=CC2=C1CON=C2c1cnc(cccc2)c2c1 WURLCFWNAIWPPR-UHFFFAOYSA-N 0.000 description 1
- COMFMGFIAXVJFN-UHFFFAOYSA-N CC1(C)ON=C(c2cnc(cccc3)c3c2)c2c1cccc2 Chemical compound CC1(C)ON=C(c2cnc(cccc3)c3c2)c2c1cccc2 COMFMGFIAXVJFN-UHFFFAOYSA-N 0.000 description 1
- DULZVFFGUXLRSB-UHFFFAOYSA-N CCC1(C)NC1 Chemical compound CCC1(C)NC1 DULZVFFGUXLRSB-UHFFFAOYSA-N 0.000 description 1
Classifications
-
- C—CHEMISTRY; METALLURGY
- C07—ORGANIC CHEMISTRY
- C07D—HETEROCYCLIC COMPOUNDS
- C07D401/00—Heterocyclic compounds containing two or more hetero rings, having nitrogen atoms as the only ring hetero atoms, at least one ring being a six-membered ring with only one nitrogen atom
- C07D401/02—Heterocyclic compounds containing two or more hetero rings, having nitrogen atoms as the only ring hetero atoms, at least one ring being a six-membered ring with only one nitrogen atom containing two hetero rings
- C07D401/04—Heterocyclic compounds containing two or more hetero rings, having nitrogen atoms as the only ring hetero atoms, at least one ring being a six-membered ring with only one nitrogen atom containing two hetero rings directly linked by a ring-member-to-ring-member bond
-
- C—CHEMISTRY; METALLURGY
- C07—ORGANIC CHEMISTRY
- C07D—HETEROCYCLIC COMPOUNDS
- C07D217/00—Heterocyclic compounds containing isoquinoline or hydrogenated isoquinoline ring systems
- C07D217/02—Heterocyclic compounds containing isoquinoline or hydrogenated isoquinoline ring systems with only hydrogen atoms or radicals containing only carbon and hydrogen atoms, directly attached to carbon atoms of the nitrogen-containing ring; Alkylene-bis-isoquinolines
-
- C—CHEMISTRY; METALLURGY
- C07—ORGANIC CHEMISTRY
- C07D—HETEROCYCLIC COMPOUNDS
- C07D217/00—Heterocyclic compounds containing isoquinoline or hydrogenated isoquinoline ring systems
- C07D217/22—Heterocyclic compounds containing isoquinoline or hydrogenated isoquinoline ring systems with hetero atoms or with carbon atoms having three bonds to hetero atoms with at the most one bond to halogen, e.g. ester or nitrile radicals, directly attached to carbon atoms of the nitrogen-containing ring
-
- C—CHEMISTRY; METALLURGY
- C07—ORGANIC CHEMISTRY
- C07D—HETEROCYCLIC COMPOUNDS
- C07D405/00—Heterocyclic compounds containing both one or more hetero rings having oxygen atoms as the only ring hetero atoms, and one or more rings having nitrogen as the only ring hetero atom
- C07D405/02—Heterocyclic compounds containing both one or more hetero rings having oxygen atoms as the only ring hetero atoms, and one or more rings having nitrogen as the only ring hetero atom containing two hetero rings
- C07D405/04—Heterocyclic compounds containing both one or more hetero rings having oxygen atoms as the only ring hetero atoms, and one or more rings having nitrogen as the only ring hetero atom containing two hetero rings directly linked by a ring-member-to-ring-member bond
-
- C—CHEMISTRY; METALLURGY
- C07—ORGANIC CHEMISTRY
- C07D—HETEROCYCLIC COMPOUNDS
- C07D409/00—Heterocyclic compounds containing two or more hetero rings, at least one ring having sulfur atoms as the only ring hetero atoms
- C07D409/02—Heterocyclic compounds containing two or more hetero rings, at least one ring having sulfur atoms as the only ring hetero atoms containing two hetero rings
- C07D409/04—Heterocyclic compounds containing two or more hetero rings, at least one ring having sulfur atoms as the only ring hetero atoms containing two hetero rings directly linked by a ring-member-to-ring-member bond
-
- C—CHEMISTRY; METALLURGY
- C07—ORGANIC CHEMISTRY
- C07D—HETEROCYCLIC COMPOUNDS
- C07D413/00—Heterocyclic compounds containing two or more hetero rings, at least one ring having nitrogen and oxygen atoms as the only ring hetero atoms
- C07D413/02—Heterocyclic compounds containing two or more hetero rings, at least one ring having nitrogen and oxygen atoms as the only ring hetero atoms containing two hetero rings
- C07D413/04—Heterocyclic compounds containing two or more hetero rings, at least one ring having nitrogen and oxygen atoms as the only ring hetero atoms containing two hetero rings directly linked by a ring-member-to-ring-member bond
-
- C—CHEMISTRY; METALLURGY
- C07—ORGANIC CHEMISTRY
- C07D—HETEROCYCLIC COMPOUNDS
- C07D471/00—Heterocyclic compounds containing nitrogen atoms as the only ring hetero atoms in the condensed system, at least one ring being a six-membered ring with one nitrogen atom, not provided for by groups C07D451/00 - C07D463/00
- C07D471/02—Heterocyclic compounds containing nitrogen atoms as the only ring hetero atoms in the condensed system, at least one ring being a six-membered ring with one nitrogen atom, not provided for by groups C07D451/00 - C07D463/00 in which the condensed system contains two hetero rings
- C07D471/04—Ortho-condensed systems
-
- C—CHEMISTRY; METALLURGY
- C07—ORGANIC CHEMISTRY
- C07D—HETEROCYCLIC COMPOUNDS
- C07D491/00—Heterocyclic compounds containing in the condensed ring system both one or more rings having oxygen atoms as the only ring hetero atoms and one or more rings having nitrogen atoms as the only ring hetero atoms, not provided for by groups C07D451/00 - C07D459/00, C07D463/00, C07D477/00 or C07D489/00
- C07D491/02—Heterocyclic compounds containing in the condensed ring system both one or more rings having oxygen atoms as the only ring hetero atoms and one or more rings having nitrogen atoms as the only ring hetero atoms, not provided for by groups C07D451/00 - C07D459/00, C07D463/00, C07D477/00 or C07D489/00 in which the condensed system contains two hetero rings
- C07D491/04—Ortho-condensed systems
- C07D491/044—Ortho-condensed systems with only one oxygen atom as ring hetero atom in the oxygen-containing ring
- C07D491/048—Ortho-condensed systems with only one oxygen atom as ring hetero atom in the oxygen-containing ring the oxygen-containing ring being five-membered
-
- C—CHEMISTRY; METALLURGY
- C07—ORGANIC CHEMISTRY
- C07D—HETEROCYCLIC COMPOUNDS
- C07D495/00—Heterocyclic compounds containing in the condensed system at least one hetero ring having sulfur atoms as the only ring hetero atoms
- C07D495/02—Heterocyclic compounds containing in the condensed system at least one hetero ring having sulfur atoms as the only ring hetero atoms in which the condensed system contains two hetero rings
- C07D495/04—Ortho-condensed systems
-
- C—CHEMISTRY; METALLURGY
- C07—ORGANIC CHEMISTRY
- C07D—HETEROCYCLIC COMPOUNDS
- C07D498/00—Heterocyclic compounds containing in the condensed system at least one hetero ring having nitrogen and oxygen atoms as the only ring hetero atoms
- C07D498/02—Heterocyclic compounds containing in the condensed system at least one hetero ring having nitrogen and oxygen atoms as the only ring hetero atoms in which the condensed system contains two hetero rings
- C07D498/04—Ortho-condensed systems
-
- C—CHEMISTRY; METALLURGY
- C07—ORGANIC CHEMISTRY
- C07D—HETEROCYCLIC COMPOUNDS
- C07D513/00—Heterocyclic compounds containing in the condensed system at least one hetero ring having nitrogen and sulfur atoms as the only ring hetero atoms, not provided for in groups C07D463/00, C07D477/00 or C07D499/00 - C07D507/00
- C07D513/02—Heterocyclic compounds containing in the condensed system at least one hetero ring having nitrogen and sulfur atoms as the only ring hetero atoms, not provided for in groups C07D463/00, C07D477/00 or C07D499/00 - C07D507/00 in which the condensed system contains two hetero rings
- C07D513/04—Ortho-condensed systems
-
- C—CHEMISTRY; METALLURGY
- C07—ORGANIC CHEMISTRY
- C07D—HETEROCYCLIC COMPOUNDS
- C07D519/00—Heterocyclic compounds containing more than one system of two or more relevant hetero rings condensed among themselves or condensed with a common carbocyclic ring system not provided for in groups C07D453/00 or C07D455/00
- C07D519/04—Dimeric indole alkaloids, e.g. vincaleucoblastine
Definitions
- the present invention relates to compounds intended to protect crops by fighting undesired phytopathogenic microorganisms. More precisely, the subject of the present invention relates to heterocyclic compounds used to protect crops by fighting undesired phytopathogenic microorganisms. BACKGROUND OF THE INVENTION
- the control of damages to crops caused by phytopathogenic microorganisms is extremely important in achieving high crop efficiency. For instance, plant disease damage to ornamental, vegetable, field, cereal, and fruit crops can cause significant reduction in productivity and thereby result in increased costs to the consumer. Many products are commercially available to control such damages. The need continues for new compounds which are more effective, less costly, less toxic, and environmentally safer and/or have different modes of action. Certain substituted quinolone and isoquinoline derivatives are disclosed in literature as microbiocidal active ingredients in pesticides.
- 3-Quinoline compounds are disclosed as active compounds having control against phytopathogenic fungi in several patent applications such as WO2005070917, JP20071944, WO2007011022, JP2007217353, JP2014221747, WO2016156129 and WO2017090664.
- Control of phytopathogenic fungi can be achieved by applying compounds disclosed in these patent applications by various methods such as seed disinfection, foliar spray treatment and the like.
- the present invention envisages the compounds that satisfy or overcomes at least one drawback associated with the prior art.
- the present invention relates to compounds of Formula (I), as active ingredients, which have microbiocidal activity, in particular phytopathogenic fungicidal activity.
- the present invention also relates to agriculturally acceptable salts, structural isomers, stereo- isomers, diastereoisomers, enantiomers, tautomers, metal complexes, polymorphs, compositions or N-oxides of the compound of formula I.
- the present invention also relates to a composition
- a composition comprising at least one compound of the present invention; optionally at least one other active compound selected from fungicides, insecticides, nematicides, acaricides, biopesticides, herbicides, plant growth regulators, antibiotics, nutrients and fertilizers; and one or more inert carriers.
- the present invention further relates to the use of the compound, the combination or the composition of the present invention and method of using the same, particularly in the field of agriculture mainly for protecting plants.
- the compounds of the present invention are novel and have enhanced activity against microbials, particularly phytopathogenic fungi.
- the compounds of the present invention have application in the field of agriculture or may be used as intermediates for synthesizing compounds having wider applications. DETAILED DESCRIPTION OF THE INVENTION
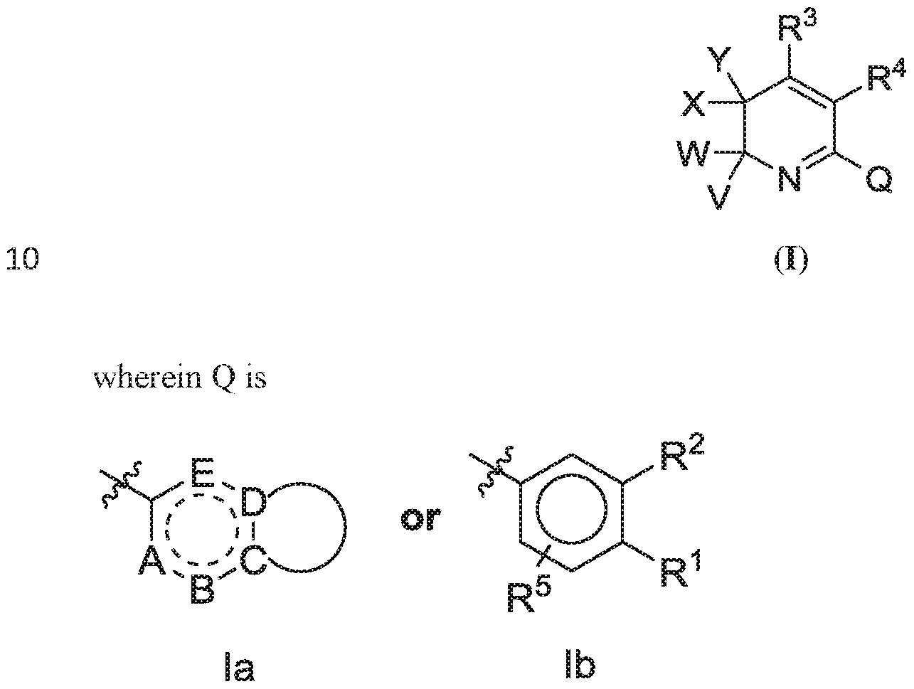
- the present invention relates to a compound of general formula (I), agriculturally acceptable salts, structural isomers, stereo-isomers, diastereoisomers, enantiomers, tautomers, metal complexes, polymorphs, or N-oxides thereof;
- A, B, C, D and E represent nitrogen or carbon which may be optionally substituted with R a, R b , R c , R d and R e respectively, at least one of A, B, C, D & E is nitrogen, and provided when B is nitrogen then at least one of A, C, D and E is nitrogen.
- B and E are nitrogens.
- B and D are nitrogens.
- B and C are nitrogens.
- B and E are nitrogens.
- A, B and E are nitrogens.
- a and E are nitrogens.
- E is nitrogen. In still another embodiment D is nitrogen.
- A is nitrogen.
- the substituents R a , R b, R e , R f , R h, R i and R 5 are independently selected from hydrogen, halogen, OH, CN, SH, NH 2 , NH(C 1 -C 3 -alkyl), N(C 1 -C 3 -alkyl) 2 , C 1 -C 6 -alkyl, C 1 -C 3 -alkoxy, C 1 -C 3 - haloalkoxy, C 1 -C 3 -haloalkyl, C 1 -C 3 -alkylthio, C 1 -C 3 -haloalkylthio, C 1 -C 3 -alkylsulphinyl, C 1 -C 3 - haloalkylsulphinyl, C 1 -C 3 -alkylsulphonyl, C 1 -C 3 -haloalkylsulphonyl, C 3 -C 6 -
- the substituents V, W, X and Y are independently selected from hydrogen, halogen, OH, CN, NO 2 , SH, NH 2 , NH(C 1 -C 6 -alkyl), N(C 1 -C 6 -alkyl) 2 , NH-SO 2 -R x , C 1 -C 6 -alkyl, C 2 -C 6 -alkenyl, C 2 -C 6 - alkynyl, C 1 -C 6 -alkoxy, C 1 -C 6 -haloalkoxy, C 1 -C 6 -alkylthio C 1 -C 6 -haloalkylthio a saturated or partially unsaturated three- to ten-membered carbocycle or heterocycle
- the substituents V, W, X and Y are independently selected from hydrogen, halogen, CN, C 1 -C 3 -alkyl, C 1 -C 3 -alkoxy, C 1 -C 3 -haloalkoxy, C 1 -C 3 -alkylthio C 1 -C 3 -haloalkylthio, C 3 -C 6 - cycloalkyl.
- R v ' optionally may be a ring or a part of ring system formed by V and W or X and Y.
- R j and R k is hydrogen, halogen, C 1 -C 6 alkyl, C 1 -C 6 haloalkyl.
- the compounds of Formula A or its salt are excluded from the scope and the definition of Formula I,
- the substituents R 11 and R 12 are independently selected from a group of hydrogen, an optionally substituted C 1 -C 6 alkyl group, an optionally substituted aryl group, or an optionally substituted heteroaryl group. Alternatively, R 11 and R 12 together with the carbon atom to which they are attached form an optionally substituted C 3 -C 7 cycloalkyl group.
- the substituents R 13 and R 14 are independently selected from a group of hydrogen, halogen, an optionally substituted C 1 -C 6 alkyl group, an optionally substituted C 2 -C 6 alkenyl group or an optionally substituted C 2 -C 6 alkynyl group.
- the substituent R 15 is selected from a group of halogen, an optionally substituted C 1 -C 6 alkyl group, an optionally substituted C 2 -C 6 alkenyl group, an optionally substituted C 2 -C 6 alkynyl group, an optionally substituted aryl group, an optionally substituted heteroaryl group, an optionally substituted C 1 -C 6 alkoxy group, an optionally substituted amino group, an acyl group or a cyano group.
- the substituent R 16 is a halogen atom or an optionally substituted C 1 -C 6 alkyl group.
- n and m are integers ranging from 0 to 4 and 0 to 5 respectively. More particularly, the present invention relates to at least one compound selected from the group comprising of:
- the present invention also provides agriculturally acceptable salts, structural isomers, stereo- isomers, diastereoisomers, enantiomers, tautomers, metal complexes, polymorphs, compositions or N-oxides thereof of Formula I.
- any of the compounds according to the invention can exist in one or more optical, geometric or chiral isomer forms depending on the number of asymmetric centres in the compound.
- the invention thus relates equally to all the optical isomers and to their racemic or scalemic mixtures (the term "scalemic” denotes a mixture of enantiomers in different proportions), and to the mixtures of all the possible stereoisomers, in all proportions.
- the diastereoisomers and/or the optical isomers can be separated according to the methods which are known per se by a person ordinary skilled in the art.
- Any of the compounds according to the invention can also exist in one or more geometric isomer forms depending on the number of double bonds in the compound.
- the invention thus relates equally to all geometric isomers and to all possible mixtures, in all proportions.
- the geometric isomers can be separated according to general methods, which are known per se by a person ordinary skilled in the art.
- any of the compounds according to the invention can also exist in one or more amorphic or isomorphic or polymorphic forms, depending on their preparation, purification storage and various other influencing factors.
- the invention thus relates all the possible amorphic, isomorphic and polymorphic forms, in all proportions.
- the amorphic, isomorphic and polymorphic forms can be prepared and/or separated and/or purified according to general methods, which are known per se by a person ordinary skilled in the art.
- hetero for the purpose of the present invention refers to nitrogen, sulphur and oxygen.
- heterocyclic compound includes but is not limited to pyridine, morpholine, piperidine, thiazole and the like, wherein the hetero atom is present in the ring.
- C 1 -C 6 -alkyl refers to a straight-chained or branched saturated hydrocarbon group having 1 to 6 carbon atoms, e.g. methyl, ethyl, propyl, 1-methylethyl, butyl, 1-methylpropyl, 2- methylpropyl, 1,1-dimethylethyl, pentyl, 1-methylbutyl, 2-methylbutyl, 3-methylbutyl, 2,2- dimethylpropyl, 1-ethylpropyl, 1,1-dimethylpropyl, 1,2-dimethylpropyl, hexyl, 1-methylpentyl, 2- methylpentyl, 3-methylpentyl, 4-methylpentyl, 1,1-dimethylbutyl, 1,2-dimethylbutyl, 1,3- dimethylbutyl, 2,2-dimethylbutyl, 2,3-dimethylbutyl, 3,3-dimethylbutyl, 1-ethylbutyl,
- C 1 -C 6 -haloalkyl refers to an alkyl group having 1 or 6 carbon atoms as defined above, wherein some or all of the hydrogen atoms in these groups may be replaced by halogen atoms as mentioned above.
- C 1 -C 2 -haloalkyl such as chloromethyl, bromomethyl, dichloromethyl, trichloromethyl, fluoromethyl, difluoromethyl, trifluoromethyl, chlorofluoromethyl, dichlorofluoromethyl, chlorodifluoromethyl, 1-chloroethyl, 1-bromoethyl, 1-fluoroethyl, 2- fluoroethyl, 2,2-difluoroethyl, 2,2,2-trifluoroethyl, 2-chloro-2-fluoroethyl, 2-chloro- 2,2- difluoroethyl, 2,2-dichloro-2-fluoroethyl, 2,2,2-trichloroethyl or pentafluoroethyl.
- C 1 -C 2 -haloalkyl such as chloromethyl, bromomethyl, dichloromethyl, trichloromethyl, fluoromethyl, difluoromethyl
- C 1 -C 6 -hydroxyalkyl refers to an alkyl group having 1 or 6 carbon atoms as defined above, wherein some or all of the hydrogen atoms in these groups may be replaced by OH groups.
- C 2 -C 6 -alkenyl refers to a straight-chain or branched unsaturated hydrocarbon radical having 2 to 6 carbon atoms and a double bond in any position.
- C 2 -C 4 -alkenyl groups such as ethenyl, 1-propenyl, 2-propenyl (allyl), 1-methylethenyl, 1-butenyl, 2-butenyl, 3-butenyl, 1- methyl-1-propenyl, 2-methyl-1-propenyl, 1-methyl-2-propenyl, 2-methyl-2-propenyl.
- C 2 -C 6 -alkynyl refers to a straight-chain or branched unsaturated hydrocarbon radical having 2 to 6 carbon atoms and containing at least one triple bond.
- Examples are "C 2 -C 4 -alkynyl” groups, such as ethynyl, prop-1-ynyl, prop-2-ynyl (propargyl), but-1-ynyl, but-2-ynyl, but-3-ynyl, 1- methyl-prop-2-ynyl.
- C 1 -C 6 -alkoxy refers to a straight-chain or branched alkyl group having 1 to 6 carbon atoms which is bonded via oxygen, at any position in the alkyl group.
- Examples are “C 1 -C 4 -alkoxy” groups, such as methoxy, ethoxy, n-propoxy, 1-methylethoxy, butoxy, 1-methyhpropoxy, 2- methylpropoxy or 1,1-dimethylethoxy.
- C 1 -C 6 -haloalkyl refers to a C 1 -C 6 -alkyl as defined above, wherein one or more of the alkyl group’s hydrogen atoms have been replaced with a halogen.
- C 1 -C 6 -haloalkoxy refers to a C 1 -C 6 -alkoxy radical as defined above, wherein some or all of the hydrogen atoms in these groups may be replaced by halogen atoms as mentioned above.
- C 1 -C 6 -haloalkoxy groups, such as OCH 2 F, OCHF 2 , OCF 3 , OCH 2 CI, OCHCI 2 , OCCI 3 , chlorofluoromethoxy, dichlorofluoromethoxy, chlorodifluoromethoxy, 2-fluoroethoxy, 2- chloroethoxy, 2-bromoethoxy, 2-iodoethoxy, 2,2-difluoroethoxy, 2,2,2-tri-fluoroethoxy, 2-chloro-2- fluoroethoxy, 2-chloro-2,2-difluoroethoxy, 2,2-dichloro-2-fluoroethoxy, 2,2,2-trichloro-"ethoxy, OC 2 F 5 , 2-fluoropropoxy, 3-fluoropropoxy, 2,2-difluoropropoxy, 2,3-difluoro-propoxy, 2- chloropropoxy, 3-chloropropoxy, 2,3-dichloro-
- C 2 -C 6 -alkenyloxy refers to a straight-chain or branched alkenyl group having 2 to 6 carbon atoms which is bonded via oxygen, at any position in the alkenyl group. Examples are “C 2 - C 6 -alkenyloxy” groups.
- C 2 -C 6 -alkynyloxy refers to a straight-chain or branched alkynyl group having 2 to 6 carbon atoms which is bonded via oxygen, at any position in the alkynyl group. Examples are “C 2 - C 6 -alkynyloxy” groups.
- C 1 -C 6 -alkylthio refers to straight-chain or branched alkyl groups having 1 to 6 carbon atoms (as defined above) bonded via a sulfur atom.
- C 1 -C 6 - haloalkylthio refers to straight-chain or branched haloalkyl group having 1 to 6 carbon atoms (as defined above) bonded through a sulfur atom, at any position in the haloalkyl group.
- C 1 -C 6 -alkylsulphinyl refers to the group -S(O)-C 1 -C 6 alkyl, wherein alkyl is as defined above. Accordingly, the term "C 1 -C 6 -haloalkylsulphinyl" as used herein refers to straight-chain or branched alkylsulphinyl wherein some or all of the hydrogen atoms in these groups may be replaced by halogen.
- C 1 -C 6 -alkylsulphonyl refers to the group -S(O) 2 -C 1 -C 6 alkyl, wherein alkyl is as defined above. Accordingly, the term "C 1 -C 6 -haloalkylsulphonyl" as used herein refers to straight-chain or branched alkylsulphonyl wherein some or all of the hydrogen atoms in these groups may be replaced by halogen.
- C 3 -C 6 -cycloalkyl refers to monocyclic saturated hydrocarbon radicals having 3 to 6 carbon ring members, such as cyclopropyl, cyclobutyl, cyclopentyl, cyclohexyl. Accordingly, the term C 3 -C 6 -halocycloalkyl refers to "C 3 -C 6 -cycloalkyl" as defined here, wherein some or all of the hydrogen atoms in these groups may be replaced by halogen atoms.
- C 3 -C 6 -cycloalkenyl refers to a monocyclic partially unsaturated 3-, 4-, 5- or 6-membered carbocycle having 3 to 6 carbon ring members and at least one double bond, such as cyclopentenyl, cyclopentadienyl, cyclohexadienyl. Accordingly, the term C 3 -C 6 -halocycloalkenyl refers to "C 3 -C 6 - cycloalkenyl" as defined here, wherein some or all of the hydrogen atoms in these groups may be replaced by halogen atoms.
- saturated, unsaturated or partially unsaturated three-, four-, five- or six membered heterocycle, wherein the heterocycle contains one, two or three heteroatoms selected from N, O and S is to be understood as meaning both saturated and partially unsaturated heterocycles, wherein the ring member atoms of the heterocycle include besides carbon atoms one, two or three heteroatoms independently selected from the group of O, N and S.
- saturated, unsaturated or partially unsaturated three-, four-, five- or six membered heterocycle, wherein the heterocycle contains one, two or three heteroatoms selected from N, O and S is to be understood as meaning both saturated and partially unsaturated heterocycles, wherein the ring member atoms of the heterocycle include besides carbon atoms one, two or three heteroatoms independently selected from the group of O, N and S.
- a 3- or 4-membered saturated heterocycle which contains 1 or 2 heteroatoms from the group consisting of O, N and S as ring members such as oxirane, aziridine, thiirane, oxetane, azetidine, thiethane, [1,2]dioxetane, [1,2]dithietane, [1,2]diazetidine; and a 5- or 6-membered saturated or partially unsaturated heterocycle which contains 1, 2 or 3 heteroatoms from the group consisting of O, N and S as ring members such as 2-tetrahydrofuranyl, 3-tetrahydrofuranyl, 2-tetrahydrothienyl, 3- tetrahydrothienyl, 2-pyrrolidinyl, 3-pyrrolidinyl, 3-isoxazolidinyl, 4-isoxazolidinyl, 5-isoxazolidinyl, 3-isothiazolidinyl, 4-isothiazo
- 5-membered heteroaryl refers to aromatic ring systems including besides carbon atoms, 1, 2, 3 or 4 heteroatoms independently selected from the group consisting of N, O and S, for example, a 5-membered heteroaryl such as pyrrol-1-yl, pyrrol-2-yl, pyrrol-3-yl, thien-2-yl, thien-3- yl, furan-2-yl, furan-3-yl, pyrazol-1-yl, pyrazol-3-yl, pyrazol-4-yl, pyrazol-5-yl, imidazol-1-yl, imidazol-2-yl, imidazol-4-yl, imidazol-5-yl, oxazol-2-yl, oxazol-4-yl, oxazol-5-yl, isoxazol-3-yl, isoxazol-4-yl, isoxazol-5-yl, thia
- aryl refers to aromatic groups containing 6 to 10 carbons, preferably phenyl, 1-naphthyl, and 2-naphthyl, which may optionally contain one, two or three substituents selected from alkyl, alkoxy, alkylthio, halo, hydroxy, trifluoromethyl,—SO 2 NH 2 , amino,—NH(lower alkyl), or— N(lower alkyl) 2 , di- and tri-substituted phenyl, 1-naphthyl, or 2-naphthyl, wherein said substituents are preferably selected from methyl, methoxy, methylthio, halo, hydroxy, and amino.
- the total number of carbon atoms in a substituent group is indicated by the"Ci-Cj" prefix where i and j are numbers from 1 to 21.
- C 1 -C 3 alkoxy designates methoxy through propoxy.
- substituents When a compound is substituted with a substituent bearing a subscript that indicates the number of said substituents can exceed 1, said substituents (when they exceed 1) are independently selected from the group of defined substituents. Further, when the subscript indicates a range, e. g. (R) i-j , then the number of substituents may be selected from the integers between i and j inclusive.
- the present invention further relates to a composition for controlling or preventing against phytopathogenic microorganisms, comprising the compound of general formula (I) and one or more inert carriers.
- the inert carrier further comprises agriculturally suitable auxiliaries, solvents, diluents, surfactants and/or extenders and the like.
- the present invention also relates to composition comprising the compound of general formula (I); one or more active compatible compounds selected from fungicides, insecticides, nematicides, acaricides, biopesticides, herbicides, plant growth regulators, antibiotics, nutrients, and fertilizers; and one or more inert carriers..
- the concentration of the compound of general formula (I) in the compositions of the present invention ranges from 1 to 90% by weight with respect to the total weight of the composition, preferably from 5 to 50% by weight with respect to the total weight of the composition.
- the present invention also relates to a combination comprising the compound of general formula (I) as claimed in claims 1 to 3 and one or more active compatible compound selected from fungicides, insecticides, nematicides, acaricides, biopesticides, herbicides, plant growth regulators, antibiotics, neutrients and fertilizers.
- the present invention further relates to use of the compound of general formula (I), or the composition or the combination comprising the compound of general formula (I) for the control of phytopathogenic fungi, bacteria, insects, nematodes, mites of agricultural crops and or horticultural crops.
- the present invention also relates to use of the compound of general formula (I), or the composition or the combination comprising the compound of general formula (I) for controlling of or preventing against phytopathogenic fungi of agricultural crops and or horticultural crops.
- the present invention also relates to use of the compound of general formula (I), or the composition or the combination comprising the compound of general formula (I), wherein the agricultural crops are cereals, corn, rice, soybean and other leguminous crops, fruit crops, nut crops, citrus crops, any horticultural crops, vegetables crops e.g. cucurbits, cruciferous, tomato, onions, peppers, potato, oleaginous crops, tobacco, coffee, tea, cacao, sugar beet, sugar cane, cotton, and ornamentals.
- the agricultural crops are cereals, corn, rice, soybean and other leguminous crops, fruit crops, nut crops, citrus crops, any horticultural crops, vegetables crops e.g. cucurbits, cruciferous, tomato, onions, peppers, potato, oleaginous crops, tobacco, coffee, tea, cacao, sugar beet, sugar cane, cotton, and ornamentals.
- the present invention further relates to a method of controlling or preventing infestation of plants with phytopathogenic microorganisms in agricultural crops and or horticultural crops wherein the compound of general formula (I), or the composition or the combination comprising the compound of general formula (I) is applied to the plants, to seeds or other parts thereof or the locus thereof.
- the present invention further relates to a method of controlling of or preventing against phytopathogenic microorganisms in agricultural crops and or horticultural crops using the compound of general formula (I), or the composition or the combination comprising the compound of general formula (I), which consists of applying effective dosages of compounds or compositions in amounts ranging from 1 g to 5 kg per hectare of agricultural or horticultural crops.
- the compounds of the formula (I) and the compositions according to the invention, respectively, are suitable as fungicides. They are distinguished by an outstanding effectiveness against a broad spectrum of phytopathogenic fungi, including soil-borne fungi, which derive especially from the classes of the Plasmodiophoromycetes, Peronosporomycetes (syn. Oomycetes), Chytridiomycetes, Zygomycetes, Ascomycetes, Basidiomycetes and Deuteromycetes (syn. Fungi imperfecti). Some are systemically effective and they can be used in crop protection as foliar fungicides, fungicides for seed dressing and soil fungicides. Moreover, they are suitable for controlling harmful fungi, which inter alia occur in wood or roots of plants.
- the compounds of the formula (I) and the compositions according to the invention are particularly important in the control of a multitude of phytopathogenic fungi on various cultivated plants, such as cereals, e.g. wheat, rye, barley, triticale, oats or rice; beet, e.g. sugar beet or fodder beet; fruits, such as pomes, stone fruits or soft fruits, e.g.
- compounds of the formula (I) and compositions thereof, respectively are used for controlling a multitude of fungi on field crops, such as potatoes sugar beets, tobacco, wheat, rye, barley, oats, rice, corn, cotton, soybeans, rape, legumes, sunflowers, coffee or sugar cane; fruits; vines; ornamentals; or vegetables, such as cucumbers, tomatoes, beans or squashes.
- field crops such as potatoes sugar beets, tobacco, wheat, rye, barley, oats, rice, corn, cotton, soybeans, rape, legumes, sunflowers, coffee or sugar cane; fruits; vines; ornamentals; or vegetables, such as cucumbers, tomatoes, beans or squashes.
- the compounds of the formula (I) can be used as bactericides in crop protection, for example, for control of Pseudomonadaceae, Rhizobiaceae, Enterobacteriaceae, Corynebacteriaceae and Streptomycetaceae.
- the compounds of the formula (I) can be used as nematicides in crop protection, for example, for control of Rhabditida, Dorylaimida, and Tryplonchida.
- plant propagation material is to be understood to denote all the generative parts of the plant such as seeds and vegetative plant material such as cuttings and tubers (e.g. potatoes), which can be used for the multiplication of the plant. This includes seeds, roots, fruits, tubers, bulbs, rhizomes, shoots, sprouts and other parts of plants, including seedlings and young plants, which are to be transplanted after germination or after emergence from soil.
- These young plants may also be protected before transplantation by a total or partial treatment by immersion or pouring.
- treatment of plant propagation materials with compounds of formula (I) and compositions thereof, respectively, is used for controlling a multitude of fungi on cereals, such as wheat, rye, barley and oats; rice, corn, cotton and soybeans.
- cultiva plants is to be understood as including plants which have been modified by breeding, mutagenesis or genetic engineering including but not limiting to agricultural biotech products on the market or in development (c.f. http://cera-gmc.org/, see GM crop database therein).
- Genetically modified plants are plants, which genetic material has been so modified by the use of recombinant DNA techniques that under natural circumstances cannot readily be obtained by cross breeding, mutations or natural recombination.
- one or more genes have been integrated into the genetic material of a genetically modified plant in order to improve certain properties of the plant.
- Such genetic modifications also include but are not limited to targeted post-translational modification of protein(s), oligo- or polypeptides e.g. by glycosylation or polymer additions such as prenylated, acetylated or farnesylated moieties or PEG moieties.
- auxin herbicides
- bromoxynil or ioxynil herbicides as a result of conventional methods of breeding or genetic engineering. Furthermore, plants have been made resistant to multiple classes of herbicides through multiple genetic modifications, such as resistance to both glyphosate and glufosinate or to both glyphosate and an herbicide from another class such as ALS inhibitors, HPPD inhibitors, auxin herbicides, or ACCase inhibitors.
- herbicide resistance technologies are e.g. described in Pest Managem. Sci.61, 2005, 246; 61, 2005, 258; 61, 2005, 277; 61, 2005, 269; 61, 2005, 286; 64, 2008, 326; 64, 2008, 332; Weed Sci.
- mutagenesis e.g. Clearfield® summer rape (Canola, BASF SE, Germany) being tolerant to imidazolinones, e.g. imazamox, or ExpressSun® sunflowers (DuPont, USA) being tolerant to sulfonyl ureas, e.g. tribenuron.
- mutagenesis e.g. Clearfield® summer rape (Canola, BASF SE, Germany) being tolerant to imidazolinones, e.g. imazamox, or ExpressSun® sunflowers (DuPont, USA) being tolerant to sulfonyl ureas, e.g. tribenuron.
- plants are also covered that are by the use of recombinant DNA techniques capable to synthesize one or more insecticidal proteins, especially those known from the bacterial genus Bacillus, particularly from Bacillus thuringiensis, such as ⁇ -endotoxins, e.g. CrylA(b), CrylA(c), CrylF, CrylF(a2), CryllA(b), CrylllA, CrylllB(bl) or Cry9c; vegetative insecticidal proteins (VIP), e.g. VIP1 , VIP2, VIP3 or VIP3A; insecticidal proteins of bacteria colonizing nematodes, e.g. Photorhabdus spp.
- VIP1 , VIP2, VIP3 or VIP3A vegetative insecticidal proteins
- toxins produced by animals such as scorpion toxins, arachnid toxins, wasp toxins, or other insect-specific neurotoxins
- toxins produced by fungi such Streptomycetes toxins, plant lectins, such as pea or barley lectins; agglutinins
- proteinase inhibitors such as trypsin inhibitors, serine protease inhibitors, patatin, cystatin or papain inhibitors
- ribosome- inactivating proteins (RIP) such as ricin, maize-RIP, abrin, luffin, saporin or bryodin
- steroid metabolism enzymes such as 3-hydroxysteroid oxidase, ecdysteroid-IDP-glycosyl-transferase, cholesterol oxidases, ecdysone inhibitors or HMG-CoA-reductase
- ion channel blockers such as blockers of sodium or calcium channels
- these insecticidal proteins or toxins are to be understood expressly also as pre-toxins, hybrid proteins, truncated or otherwise modified proteins.
- Hybrid proteins are characterized by a new combination of protein domains, (see, e.g. WO2002015701).
- Further examples of such toxins or genetically modified plants capable of synthesizing such toxins are disclosed, e.g., in EP374753, WO1993007278, WO 199534656, EP427529, EP451878, WO200318810 und WO200352073.
- the methods for producing such genetically modified plants are generally known to the person skilled in the art and are described, e.g. in the publications mentioned above.
- insecticidal proteins contained in the genetically modified plants impart to the plants producing these proteins tolerance to harmful pests from all taxonomic groups of arthropods, especially to beetles (Coelop-tera), two-winged insects (Diptera), and moths (Lepidoptera) and to nematodes (Nematoda).
- WO 2003018810 MON 863 from Monsanto Europe S.A., Belgium (corn cultivars producing the Cry3Bb1 toxin), IPC 531 from Monsanto Europe S.A., Belgium (cotton cultivars producing a modified version of the CrylAc toxin) and 1507 from Pioneer Overseas Corporation, Belgium (corn cultivars producing the Cry1 F toxin and PAT enzyme).
- plants are also covered that are by the use of recombinant DNA techniques capable to synthesize one or more proteins to increase the resistance or tolerance of those plants to bacterial, viral or fungal pathogens.
- proteins are the so-called "pathogenesis-related proteins" (PR proteins, see, e.g. EP392225), plant disease resistance genes (e.g. potato cultivars, which express resistance genes acting against Phytophthora infestans derived from the Mexican wild potato Solanum bulbocastanum) or T4-lysozym (e.g. potato cultivars capable of synthesizing these proteins with increased resistance against bacteria such as Erwinia amylvora).
- PR proteins pathogenesis-related proteins
- plant disease resistance genes e.g. potato cultivars, which express resistance genes acting against Phytophthora infestans derived from the Mexican wild potato Solanum bulbocastanum
- T4-lysozym e.g. potato cultivars capable of synthesizing these proteins with increased resistance against
- plants are also covered that are by the use of recombinant DNA techniques capable to synthesize one or more proteins to increase the productivity (e.g. bio mass production, grain yield, starch content, oil content or protein content), tolerance to drought, salinity or other growth-limiting environmental factors or tolerance to pests and fungal, bacterial or viral pathogens of those plants.
- plants are also covered that contain by the use of recombinant DNA techniques a modified amount of substances of content or new substances of content, specifically to improve human or animal nutrition, e.g. oil crops that produce health-promoting long-chain omega-3 fatty acids or unsaturated omega-9 fatty acids (e.g. Nexera® rape, DOW Agro Sciences, Canada).
- plants are also covered that contain by the use of recombinant DNA techniques a modified amount of substances of content or new substances of content, specifically to improve raw material production, e.g. potatoes that produce increased amounts of amylopectin (e.g. Amflora® potato, BASF SE, Germany).
- a modified amount of substances of content or new substances of content specifically to improve raw material production, e.g. potatoes that produce increased amounts of amylopectin (e.g. Amflora® potato, BASF SE, Germany).
- the compounds of formula (I) and compositions thereof, respectively, are particularly suitable for controlling the following plant diseases:
- Albugo spp. white rust on ornamentals, vegetables (e.g. A. Candida) and sunflowers (e.g. A. tragopogonis); Alternaria spp. (Alternaria leaf spot) on vegetables, rape (A. brassicola or brassi-cae), sugar beets (A tenuis), fruits, rice, soybeans, potatoes (e.g. A. so/an/ or A. alternata), tomatoes (e.g. A. solani or A. alternata) and wheat; Aphanomyces spp. on sugar beets and vegetables; Ascochyta spp. on cereals and vegetables, e.g. A.
- Bipolaris and Drechslera spp. (teleomorph: Cochliobolus spp.), e.g. Southern leaf blight (D. maydisj or Northern leaf blight (B. zeicola) on corn, e.g. spot blotch (B. sorokiniana) on cereals and e.g. B. oryzae on rice and turfs; Blumeria (formerly Erysiphe) graminis (powdery mildew) on cereals (e.g.
- Botrytis cinerea (teleomorph: Botryotinia fuckeliana: grey mold) on fruits and berries (e.g. strawberries), vegetables (e.g. lettuce, carrots, celery and cabbages), rape, flowers, vines, forestry plants and wheat; Bremia lactucae (downy mildew) on lettuce; Ceratocystis (syn. Ophiostoma) spp. (rot or wilt) on broad-leaved trees and evergreens, e.g. C. ulmi (Dutch elm disease) on elms; Cercospora spp. (Cercospora leaf spots) on corn (e.g.
- Gray leaf spot C. zeaemaydis
- rice sugar beets (e.g. C beticola), sugar cane, vegetables, coffee, soybeans (e.g. C sojina or C kikuchii) and rice
- Cladosporium spp. on tomatoes e.g. C. fulvum. leaf mold
- cereals e.g. C. herbarum (black ear) on wheat
- Cochliobolus anamorph: Helmin-thosporium of Bipolaris
- spp. (leaf spots) on corn (C carbonum)
- cereals e.g. C sativus, anamorph: B.
- sorokiniana and rice (e.g. C. miyabeanus, anamorph: H. oryzae); Colletotrichum (teleomorph: Glomerella) spp. (anthracnose) on cotton (e.g. C. gossypii), corn (e.g. C. gramini-cols.' Anthracnose stalk rot), soft fruits, potatoes (e.g. C coccodes. black dot), beans (e.g. C. lindemuthianum) and soybeans (e.g. C. truncatum or C. gloeosporioides); Corticium spp., e.g.
- C sasakii sheath blight
- Corynespora cassiicola leaf spots
- Cycloconium spp. e.g. C oleaginum on olive trees
- Cylindrocarpon spp. e.g. fruit tree canker or young vine decline, teleomorph: Nectria or Neonectria spp.
- vines e.g. C. liriodendri, teleomorph: Neonectria liriodendri.
- Phaeomoniella chlamydospora (earlier Phaeoacremonium chlamydosporum), Phaeoacremonium aleophilum and/or Botryosphaeria obtusa
- pisl such as cucurbits (e.g. E. cichoracearum), cabbages, rape (e.g. E. cruciferarum); Eutypa lata (Eutypa canker or dieback, anamorph: Cytosporina lata, syn. Libertella blepharis) on fruit trees, vines and ornamental woods; Exserohilum (syn. Helminthosporium) spp. on corn (e.. E turci-cum); Fusarium (teleomorph: Gibberella) spp. (wilt, root or stem rot) on various plants, such as F. graminearum or F.
- Bakanae disease Glomerella cingulata on vines, pome fruits and other plants and G. gossypil on cotton; Grainstaining complex on rice; G uignardia bidwellii (black rot) on vines; Gymnosporangium spp. on rosaceous plants and junipers, e.g. G. sabinae (rust) on pears; Helminthosporium spp. (syn. Drechslera, teleomorph: Cochliobolus) on corn, cereals and rice; Hemileia spp., e.g. H.
- fructigena (bloom and twig blight, brown rot) on stone fruits and other rosaceous plants
- Mycosphaerella spp. on cereals, bananas, soft fruits and ground nuts, such as e.g. M. graminicola (anamorph: Septoria tritici, Septoria blotch) on wheat or M. fijiensis (black Sigatoka disease) on bananas
- Peronospora spp. downy mildew) on cabbage (e.g. P. brassicae), rape (e.g. P. parasitica), onions (e.g. P. destructor), tobacco (P. tabacina) and soybeans (e.g. P.
- Phakopsora pachyrhizi and P. meibomiae on soybeans
- Phialophora spp. e.g. on vines (e.g. P. tracheiphila and P. tetraspora) and soybeans (e.g. P. gregata. stem rot); Phoma lingam (root and stem rot) on rape and cabbage and P. betae (root rot, leaf spot and damping-off) on sugar beets
- phaseoli, teleomorph Diaporthe phaseolorum
- Physoderma maydis brown spots
- Phytophthora spp. wilt, root, leaf, fruit and stem root
- various plants such as paprika and cucurbits (e.g. P. capsici), soybeans (e.g. P. megasperma, syn. P. sojae), potatoes and tomatoes (e.g. P. infestans: late blight) and broad-leaved trees (e.g. P. ramorurrr.
- Plasmodiophora brassicae club root
- P/asmopara spp. e.g. P. viticola (grapevine downy mildew) on vines and P. halstedii on sunflowers
- Podosphaera spp. powdery mildew on rosaceous plants, hop, pome and soft fruits, e.g. P. leucotricha on apples
- Polymyxa spp. e.g. on cereals, such as barley and wheat (P. graminis) and sugar beets (P.
- Pseudocercosporella herpotrichoides eyespot, teleomorph: Tapesla yallundae
- Pseudoperonospora downy mildew
- Pseudopezicula tracheiphila red fire disease or rotbrenner, anamorph: Phialophora
- Puccinia spp. rusts on various plants, e.g. P. triticina (brown or leaf rust), P.
- striiformis stripe or yellow rust
- P. hordel dwarf rust
- P. graminis seed or black rust
- P. recondita brown or leaf rust
- cereals such as e.g. wheat, barley or rye
- P. kuehnii range rust
- Pyrenophora anamorph: Drechslera
- tritici-repentis tan spot
- P. teres net blotch
- oryzae (teleomorph: Magnaporthe grisea, rice blast) on rice and P. grisea on turf and cereals; Pythium spp. (damping-off) on turf, rice, corn, wheat, cotton, rape, sunflowers, soybeans, sugar beets, vegetables and various other plants (e.g. P. ultimum or P. aphanidermatum); Ramularia spp., e.g. R. colio-cygni (Ramularia leaf spots, Physiological leaf spots) on barley and R. beticola on sugar beets; Rhizoctonia spp.
- R. solani root and stem rot
- S. solani silk and stem rot
- S. solani silk blight
- R. cerealis Rhizoctonia spring blight
- Rhizopus stolonifer black mold, soft rot
- Rhynchosporium secalis scald
- seed rot or white mold on vegetables and field crops, such as rape, sunflowers (e.g. S. sclerotiorum) and soybeans (e.g. S. rolfsii or S. sclerotiorum); Septoria spp. on various plants, e.g. S. glycines (brown spot) on soybeans, S. tritici (Septoria blotch) on wheat and S. (syn. Stagonospora) no-dorum (Stagonospora blotch) on cereals; Uncinula (syn.
- Erysiphe necator prowdery mildew, anamorph: Oidium tuckeri
- Setospaeria spp. leaf blight
- corn e.g. S. turcicum, syn. Helminthosporium turcicum
- turf e.g. Sphacelotheca spp. (smut) on corn, (e.g. S. reiliana: head smut), sorghum und sugar cane
- Sphaerotheca fuliginea prowdery mildew
- Spongospora subterranea powdery scab
- S. nodorum Stagonospora blotch, teleomorph: Leptosphaeria [syn. Phaeosphaeria] nodorum
- wheat Synchytrium endobioticum on potatoes (potato wart disease)
- Taphrina spp. e.g. T. deformans (leaf curl disease) on peaches and T. pruni (plum pocket) on plums
- Thielaviopsis spp. black root rot
- tobacco, pome fruits, vegetables, soybeans and cotton e.g. T. basicola (syn. Chalara elegans); Tilletia spp.
- U. nuda and U. avaenae corn (e.g. U. maydis: corn smut) and sugar cane; Venturia spp. (scab) on apples (e.g. V. inaequalis) and pears; and Verticillium spp. (wilt) on various plants, such as fruits and ornamentals, vines, soft fruits, vegetables and field crops, e.g. V. dahliae on strawberries, rape, potatoes and tomatoes.
- the compounds of the formula (I) and compositions thereof, respectively, are also suitable for controlling harmful fungi in the protection of stored products or harvest and in the protection of materials.
- protection of materials is to be understood to denote the protection of technical and non-living materials, such as adhesives, glues, wood, paper and paperboard, textiles, leather, paint dispersions, plastics, cooling lubricants, fiber or fabrics, against the infestation and destruction by harmful microorganisms, such as fungi and bacteria.
- Ascomycetes such as Ophiostoma spp., Ceratocystis spp., Aureobasidium pullulans, Sclerophoma spp., Chaetomium spp., Humicola spp., Petriella spp., Trichurus spp.; Basidiomycetes such as Coni-ophora spp., Coriolus spp., Gloeophyllum spp., Lentinus spp., Pleurotus spp., Poria spp., Ser-pula spp.
- Ascomycetes such as Ophiostoma spp., Ceratocystis spp., Aureobasidium pullulans, Sclerophoma spp., Chaetomium spp., Humicola spp., Petriella spp., Trichurus spp.
- Basidiomycetes such as Coni-ophor
- Candida spp. and Saccharomyces cerevisae Deuteromycetes such as Aspergillus spp., Cladosporium spp., Penicillium spp., Trichoderma spp., Alternaria spp., Paecilomyces spp. and Zygomycetes such as Mucorspp., and in addition in the protection of stored products and harvest the following yeast fungi are worthy of note: Candida spp. and Saccharomyces cerevisae.
- the method of treatment according to the invention can also be used in the field of protecting stored products or harvest against attack of fungi and microorganisms.
- the term "stored products” is understood to denote natural substances of plant or animal origin and their processed forms, which have been taken from the natural life cycle and for which long-term protection is desired.
- Stored products of crop plant origin such as plants or parts thereof, for example stalks, leafs, tubers, seeds, fruits or grains, can be protected in the freshly harvested state or in processed form, such as pre-dried, moistened, comminuted, ground, pressed or roasted, which process is also known as post-harvest treatment.
- stored products are timber, whether in the form of crude timber, such as construction timber, electricity pylons and barriers, or in the form of finished articles, such as furniture or objects made from wood.
- Stored products of animal origin are hides, leather, furs, hairs and the like.
- the combinations according the present invention can prevent disadvantageous effects such as decay, discoloration or mold.
- Preferably "stored products” is understood to denote natural substances of plant origin and their processed forms, more preferably fruits and their processed forms, such as pomes, stone fruits, soft fruits and citrus fruits and their processed forms.
- the compounds of the formula (I) and compositions thereof, respectively, may be used for improving the health of a plant.
- the invention also relates to a method for improving plant health by treating a plant, its propagation material and/or the locus where the plant is growing or is to grow with an effective amount of compounds I and compositions thereof, respectively.
- plant health is to be understood to denote a condition of the plant and/or its products which is determined by several indicators alone or in combination with each other such as yield (e.g. increased biomass and/or increased content of valuable ingredients), plant vigor (e.g. improved plant growth and/or greener leaves ("greening effect")), quality (e.g. improved content or composition of certain ingredients) and tolerance to abiotic and/or biotic stress.
- yield e.g. increased biomass and/or increased content of valuable ingredients
- plant vigor e.g. improved plant growth and/or greener leaves (“greening effect")
- quality e.g. improved content or composition of certain ingredients
- tolerance to abiotic and/or biotic stress e.g. improved content or composition of certain ingredients
- the compounds of the formula (I) can be present in different crystal modifications whose biological activity may differ. They are likewise subject matter of the present invention.
- the compounds of the formula (I) are employed as such or in form of compositions by treating the fungi or the plants, plant propagation materials, such as seeds, soil, surfaces, materials or rooms to be protected from fungal attack with a fungicidally effective amount of the active substances.
- the application can be carried out both before and after the infection of the plants, plant propagation materials, such as seeds, soil, surfaces, materials or rooms by the fungi.
- Plant propagation materials may be treated with compounds of the formula (I) as such or a composition comprising at least one compound of the formula (I) prophylactically either at or before planting or transplanting.
- the invention also relates to agrochemical compositions comprising an auxiliary and at least one compound of formula (I) according to the invention.
- An agrochemical composition comprises a fungicidally effective amount of a compound of the formula (I).
- effective amount denotes an amount of the composition or of the compounds of the formula (I), which is sufficient for controlling harmful fungi on cultivated plants or in the protection of materials and which does not result in a substantial damage to the treated plants. Such an amount can vary in a broad range and is dependent on various factors, such as the fungal species to be controlled, the treated cultivated plant or material, the climatic conditions and the specific compound of the formula (I) used.
- compositions e.g. solutions, emulsions, suspensions, dusts, powders, pastes, granules, pressings, capsules, and mixtures thereof.
- composition types are suspensions (e.g. SC, OD, FS), emulsifiable concentrates (e.g. EC), emulsions (e.g. EW, EO, ES, ME), cap-sules (e.g. CS, ZC), pastes, pastilles, wettable powders or dusts (e.g. WP, SP, WS, DP, DS), pressings (e.g.
- compositions types are defined in the "Catalogue of pesticide formulation types and international coding system", Technical Monograph No. 2, 6th Ed. May 2008, CropLife International.
- compositions comprising compounds of the formula (I) are prepared in a known manner, such as described by Mollet and Grubemann, Formulation technology, Wiley VCH, Weinheim, 2001; or Knowles, New developments in crop protection product formulation, Agrow Reports DS243, T&F Informa, London, 2005.
- Suitable auxiliaries are solvents, liquid carriers, solid carriers or fillers, surfactants, dispersants, emulsifiers, wetters, adjuvants, solubilizers, penetration enhancers, protective colloids, adhesion agents, thickeners, humectants, repellents, attractants, feeding stimulants, compatibilizers, bactericides, anti-freezing agents, anti-foaming agents, colorants, tackifiers and binders.
- Suitable solvents and liquid carriers are water and organic solvents, such as mineral oil fractions of medium to high boiling point, e.g. kerosene, diesel oil; oils of vegetable or animal origin; aliphatic, cyclic and aromatic hydrocarbons, e.g. toluene, paraffin, tetrahydronaphthalene, alkylated naphthalenes; alcohols, e.g. ethanol, propanol, butanol, benzyl alcohol, cyclohexanol; glycols; DMSO; ketones, e.g. cyclohexanone; esters, e.g.
- mineral oil fractions of medium to high boiling point e.g. kerosene, diesel oil
- oils of vegetable or animal origin oils of vegetable or animal origin
- aliphatic, cyclic and aromatic hydrocarbons e.g. toluene, paraffin, tetrahydronaphthalene, alkylated naphthal
- lactates carbonates, fatty acid esters, gamma- butyrolactone; fatty acids; phosphonates; amines; amides, e.g. N-methyl pyrrolidone, fatty acid dimethyl amides; and mixtures thereof.
- Suitable solid carriers or fillers are mineral earths, e.g. silicates, silica gels, talc, kaolins, lime-stone, lime, chalk, clays, dolomite, diatomaceous earth, bentonite, calcium sulfate, magnesium sulfate, magnesium oxide; polysaccharides, e.g. cellulose, starch; fertilizers, e.g. ammonium sulfate, ammonium phosphate, ammonium nitrate, ureas; products of vegetable origin, e.g. cereal meal, tree bark meal, wood meal, nutshell meal, and mixtures thereof.
- mineral earths e.g. silicates, silica gels, talc, kaolins, lime-stone, lime, chalk, clays, dolomite, diatomaceous earth, bentonite, calcium sulfate, magnesium sulfate, magnesium oxide
- polysaccharides e.g. cellulose, starch
- Suitable surfactants are surface-active compounds, such as anionic, cationic, nonionic and amphoteric surfactants, block polymers, polyelectrolytes, and mixtures thereof. Such surfactants can be used as emulsifier, dispersant, solubilizer, wetter, penetration enhancer, protective colloid, or adjuvant. Examples of surfactants are listed in McCutcheon's, Vol.1: Emulsifiers & Detergents, McCutcheon's Directories, Glen Rock, USA, 2008 (International Ed. or North American Ed.).
- Suitable anionic surfactants are alkali, alkaline earth or ammonium salts of sulfonates, sulfates, phosphates, carboxylates, and mixtures thereof.
- sulfonates are alkylaryl sulfonates, diphenyl sulfonates, alpha-olefin sulfonates, lignin sulfonates, sulfonates of fatty acids and oils, sulfonates of ethoxylated alkylphenols, sulfonates of alkoxylated arylphenols, sulfonates of condensed naphthalenes, sulfonates of dodecyl- and tridecylbenzenes, sulfonates of naphthalenes and alkyl naphthalenes, sulfosuccinates or sulfosuccinamates.
- Examples of sulfates are sulfates of fatty acids and oils, of ethoxylated alkylphenols, of alcohols, of ethoxylated alcohols, or of fatty acid esters.
- Examples of phosphates are phosphate esters.
- Examples of carboxylates are alkyl carboxylates, and carboxylated alcohol or alkylphenol ethoxylates.
- Suitable nonionic surfactants are alkoxylates, N-substituted fatty acid amides, amine oxides, esters, sugar-based surfactants, polymeric surfactants, and mixtures thereof.
- alkoxylates are compounds such as alcohols, alkylphenols, amines, amides, arylphenols, fatty acids or fatty acid esters which have been alkoxylated with 1 to 50 equivalents.
- Ethylene oxide and/or propylene oxide may be employed for the alkoxylation, preferably ethylene oxide.
- N-substituted fatty acid amides are fatty acid glucamides or fatty acid alkanolamides.
- esters are fatty acid esters, glycerol esters or monoglycerides.
- sugar-based surfactants are sorbitans, ethoxylated sorbitans, sucrose and glucose esters or al-kylpolyglucosides.
- polymeric surfactants are home- or copolymers of vinyl pyrrolidone, vinyl alcohols, or vinyl acetate.
- Suitable cationic surfactants are quaternary surfactants, for example quaternary ammonium compounds with one or two hydrophobic groups, or salts of long-chain primary amines.
- Suitable amphoteric surfactants are alkylbetains and imidazolines.
- Suitable block polymers are block polymers of the A-B or A-B-A type comprising blocks of polyethylene oxide and polypropylene oxide, or of the A-B-C type comprising alkanol, polyethylene oxide and polypropylene oxide.
- Suitable polyelectrolytes are polyacids or polybases. Examples of polyacids are alkali salts of polyacrylic acid or polyacid comb polymers. Examples of polybases are polyvinyl amines or polyethylene amines.
- Suitable adjuvants are compounds, which have a negligible or even no pesticidal activity themselves, and which improve the biological performance of the compound of formula (I) on the target.
- Examples are surfactants, mineral or vegetable oils, and other auxiliaries. Further examples are listed by Knowles, Adjuvants and additives, Agrow Reports DS256, T&F Informa UK, 2006, chapter 5.
- Suitable thickeners are polysaccharides (e.g. xanthan gum, carboxymethyl cellulose), inorganic clays (organically modified or unmodified), polycarboxylates, and silicates.
- Suitable bactericides are bronopol and isothiazolinone derivatives such as alkylisothiazolinones and benzisothiazolinones.
- Suitable anti-freezing agents are ethylene glycol, propylene glycol, urea and glycerin.
- Suitable anti-foaming agents are silicones, long chain alcohols, and salts of fatty acids.
- Suitable colorants are pigments of low water solubility and water-soluble dyes.
- examples are inorganic colorants (e.g. iron oxide, titan oxide, iron hexacyanofer-rate) and organic colorants (e.g. alizarin-, azo- and phthalocyanine colorants).
- Suitable tackifiers or binders are polyvinyl pyrrolidones, polyvinyl acetates, polyvinyl alcohols, polyacrylates, biological or synthetic waxes, and cellulose ethers.
- composition types and their preparation are:
- a compound of the formula (I) and 5-15 wt% wetting agent e.g. alcohol alkoxylates
- a water-soluble solvent e.g. alcohols
- emulsifiers e.g. calcium dodecylbenzenesulfonate and castor oil ethoxylate
- water-insoluble organic solvent e.g. aromatic hydrocarbon
- Emulsions (EW, EO, ES)
- emulsifiers e.g. calcium dodecylbenzenesulfonate and castor oil ethoxylate
- 20-40 wt% water-insoluble organic solvent e.g. aromatic hydrocarbon
- This mixture is introduced into water ad 100 wt% by means of an emulsifying machine and made into a homogeneous emulsion. Dilution with water gives an emulsion.
- a compound of the formula (I) In an agitated ball mill, 20-60 wt% of a compound of the formula (I) are comminuted with addition of 2-10 wt% dispersants and wetting agents (e.g. sodium lignosulfonate and alcohol ethoxylate), 0.1 -2 wt% thickener (e.g. xanthan gum) and water ad 100 wt% to give a fine active substance suspension. Dilution with water gives a stable suspension of the active substance. For FS type composition up to 40 wt% binder (e.g. polyvinyl alcohol) is added.
- dispersants and wetting agents e.g. sodium lignosulfonate and alcohol ethoxylate
- 0.1 -2 wt% thickener e.g. xanthan gum
- a compound of the formula (I) 50-80 wt% of a compound of the formula (I) are ground finely with addition of dispersants and wetting agents (e.g. sodium lignosulfonate and alcohol ethoxylate) ad 100 wt% and prepared as water-dispersible or water-soluble granules by means of technical appliances (e.g. extrusion, spray tower, fluidized bed). Dilution with water gives a stable dispersion or solution of the active substance.
- dispersants and wetting agents e.g. sodium lignosulfonate and alcohol ethoxylate
- wt% of a compound of the formula (I) are ground in a rotor-stator mill with addition of 1-5 wt% dispersants (e.g. sodium lignosulfonate), 1 -3 wt% wetting agents (e.g. alcohol ethoxylate) and solid carrier (e.g. silica gel) ad 100 wt%. Dilution with water gives a stable dispersion or solution of the active substance.
- dispersants e.g. sodium lignosulfonate
- wetting agents e.g. alcohol ethoxylate
- solid carrier e.g. silica gel
- a compound of the formula (I) In an agitated ball mill, 5-25 wt% of a compound of the formula (I) are comminuted with addition of 3-10 wt% dispersants (e.g. sodium lignosulfonate), 1 -5 wt% thickener (e.g. carboxymethyl cellulose) and water ad 100 wt% to give a fine suspension of the active substance. Dilution with water gives a stable suspension of the active substance.
- dispersants e.g. sodium lignosulfonate
- 1 wt% thickener e.g. carboxymethyl cellulose
- wt% of a compound of the formula (I) are added to 5-30 wt% organic solvent blend (e.g. fatty acid dimethyl amide and cyclohexanone), 10-25 wt% surfactant blend (e.g. alcohol ethoxylate and arylphenol ethoxylate), and water ad 100 %. This mixture is stirred for 1 h to produce spontaneously a thermodynamically stable microemulsion.
- organic solvent blend e.g. fatty acid dimethyl amide and cyclohexanone
- surfactant blend e.g. alcohol ethoxylate and arylphenol ethoxylate
- An oil phase comprising 5-50 wt% of a compound of the formua (I), 0-40 wt% water insoluble organic solvent (e.g. aromatic hydrocarbon), 2-15 wt% acrylic monomers (e.g. methylmethacrylate, methacrylic acid and a di- or triacrylate) are dispersed into an aqueous solution of a protective colloid (e.g. polyvinyl alcohol). Radical polymerization results in the formation of poly(meth)acrylate microcapsules.
- an oil phase comprising 5-50 wt% of a compound of the formua (I) according to the invention, 0-40 wt% water insoluble organic solvent (e.g.
- an isocya-nate monomer e.g. diphenylmethene-4,4'-diisocyanatae
- a protective colloid e.g. polyvinyl alcohol
- the addition of a polyamine results in the formation of polyurea microcapsules.
- the monomers amount to 1-10 wt%. The wt% relate to the total CS composition.
- Dustable powders (DP, DS)
- a compound of the formula (I) 1-10 wt% are ground finely and mixed intimately with solid carrier (e.g. finely divided kaolin) ad 100 wt%.
- solid carrier e.g. finely divided kaolin
- a compound of the formula (I) is ground finely and associated with solid carrier (e.g. silicate) ad 100 wt%.
- solid carrier e.g. silicate
- organic solvent e.g. aromatic hydrocarbon
- compositions of the types i) to xiii) may optionally comprise further auxiliaries, such as 0.1-1 wt% bactericides, 5-15 wt% anti-freezing agents, 0.1-1 wt% anti-foaming agents, and 0.1-1 wt% colorants.
- auxiliaries such as 0.1-1 wt% bactericides, 5-15 wt% anti-freezing agents, 0.1-1 wt% anti-foaming agents, and 0.1-1 wt% colorants.
- the agrochemical compositions generally comprise between 0.01% and 95%, preferably between 0.1% and 90%, more preferably between 1% and 70%, and in particular between 10% and 60%, by weight of active substance.
- the active substances are employed in a purity of from 90% to 100%, preferably from 95% to 100% (according to NMR spectrum).
- compositions in question give, after two-to-tenfold dilution, active substance concentrations of from 0.01 to 60% by weight, preferably from 0.1 to 40%, in the ready-to-use preparations. Application can be carried out before or during sowing.
- Methods for applying compound of formula (I) and compositions thereof, respectively, onto plant propagation material, especially seeds include dressing, coating, pelleting, dusting, and soaking as well as in-furrow application methods.
- compound of formula (I) or the compositions thereof, respectively are applied on to the plant propagation material by a method such that germination is not induced, e.g. by seed dressing, pelleting, coating and dusting.
- the amounts of active substances applied are, depending on the kind of effect desired, from 0.001 to 2 kg per ha, preferably from 0.005 to 2 kg per ha, more preferably from 0.05 to 0.9 kg per ha, and in particular from 0.1 to 0.75 kg per ha.
- amounts of active substance of from 0.1 to 1000 g, preferably from 1 to 1000 g, more preferably from 1 to 100 g and most preferably from 5 to 100 g, per 100 kg of plant propagation material (preferably seeds) are generally required.
- the amount of active substance applied depends on the kind of application area and on the desired effect. Amounts customarily applied in the protection of materials are 0.001 g to 2 kg, preferably 0.005 g to 1 kg, of active substance per cubic meter of treated material.
- oils, wetters, adjuvants, fertilizer, or micronutrients, and further pesticides may be added to the active substances or the compositions comprising them as premix or, if appropriate not until immediately prior to use (tank mix).
- pesticides e.g. herbicides, insecticides, fungicides, growth regulators, safeners, biopesticides
- These agents can be admixed with the compositions according to the invention in a weight ratio of 1:100 to 100:1, preferably 1:10 to 10:1.
- a pesticide is generally a chemical or biological agent (such as pesticidal active ingredient, compound, composition, virus, bacterium, antimicrobial or disinfectant) that through its effect deters, incapacitates, kills or otherwise discourages pests.
- Target pests can include insects, plant pathogens, weeds, mollusks, birds, mammals, fish, nematodes (roundworms), and microbes that destroy property, cause nuisance, spread disease or are vectors for disease.
- pesticide includes also plant growth regulators that alter the expected growth, flowering, or reproduction rate of plants; defoliants that cause leaves or other foliage to drop from a plant, usually to facilitate harvest; desiccants that promote drying of living tissues, such as unwanted plant tops; plant activators that activate plant physiology for defense of against certain pests; safeners that reduce unwanted herbicidal action of pesticides on crop plants; and plant growth promoters that affect plant physiology e.g. to increase plant growth, biomass, yield or any other quality parameter of the harvestable goods of a crop plant.
- the user applies the composition according to the invention usually from a predosage device, a knapsack sprayer, a spray tank, a spray plane, or an irrigation system.
- the agrochemical composition is made up with water, buffer, and/or further auxiliaries to the desired application concentration and the ready-to-use spray liquor or the agrochemical composition according to the invention is thus obtained.
- 20 to 2000 liters, preferably 50 to 400 liters, of the ready-to-use spray liquor are applied per hectare of agricultural useful area.
- composition according to the invention such as parts of a kit or parts of a binary or ternary mixture may be mixed by the user himself in a spray tank or any other kind of vessel used for applications (e.g. seed treater drums, seed pelleting machinery, knapsack sprayer) and further auxiliaries may be added, if appropriate.
- a spray tank or any other kind of vessel used for applications (e.g. seed treater drums, seed pelleting machinery, knapsack sprayer) and further auxiliaries may be added, if appropriate.
- Compounds of the formula (I) according to this invention, as well as salts, N-oxides, metal complexes, stereoisomers or polymorphs can be used as such or in formulations thereof and can be mixed with known mixing partners in order to broaden, for example, the activity spectrum or to prevent development of resistance.
- Useful mixing partners include, for example, known fungicides, insecticides, acaricides, nematicides, biopesticides and bactericides.
- Non limiting names of mixing partners of the classes (A) to (O) as described below can, if their functional groups enable this, optionally form salts with suitable bases or acids, appear as stereoisomers, even if not specifically mentioned in each case, or as polymorphs. They are also understood as being included herein. These examples are
- A) Inhibitors of the ergosterol biosynthesis for example (A01) aldimorph, (A02) azaconazole, (A03) bitertanol, (A04) bromuconazole, (A05) cyproconazole, (A06) diclobutrazole, (A07) difenoconazole, (A08) diniconazole, (A09) diniconazole-M, (A10) dodemorph, (A11) dodemorph acetate, (A12) epoxiconazole, (A13) etaconazole, (A14) fenarimol, (A15) fenbuconazole, (A16) fenhexamid, (A17) fenpropidin, (A18) fenpropimorph, (A19) fluquinconazole, (A20) flurprimidol, (A21) flusilazole, (A22) flutriafo
- B) Inhibitors of the respiratory chain at complex I or II for example (B01) bixafen, (B02) boscalid, (B03) carboxin, (B04) cypropamide, (B05) diflumetorim, (B06) fenfuram, (B07) fluopyram, (B08) flutolanil, (B09) fluxapyroxad, (B10) furametpyr, (B11) furmecyclox, (B12) isopyrazam (mixture of syn-epimeric racemate 1RS,4SR,9RS and anti-epimeric racemate 1RS,4SR,9SR), (B13) isopyrazam (anti-epimeric racemate 1RS,4SR,9SR), (B14) isopyrazam (anti-epimeric enantiomer 1R,4S,9S), (B15) isopyrazam (anti-epimeric enantiomer 1S,4R,9R
- D) Inhibitors of the mitosis and cell division for example (D01) benomyl, (D02) carbendazim, (D03) chlorfenazole, (D04) diethofencarb, (D05) ethaboxam, (D06) fluopicolide, (D07) fiiberidazole, (D08) pencycuron, (D09) thiabendazole, (D10) thiophanate-methyl, (D11) thiophanate, (D12) zoxamide, (D13) 5-chloro-7-(4-methylpiperidin-1-yl)-6-(2,4,6- trifluorophenyl)[1,2,4]triazolo[1,5-a]pyrimidine, (D14) 3-chloro-5-(6-chloropyridin-3-yl)-6-methyl- 4-(2,4,6- trifluorophenyl) pyridazine.
- D01 benomyl
- E) Compounds capable to have a multisite action for example (E01) bordeaux mixture, (E02) captafol, (E03) captan, (E04) chlorothalonil, (E05) copper hydroxide, (E06) copper naphthenate, (E07) copper oxide, (E08) copper oxychloride, (E09) copper(2+) sulfate, (E10) dichlofluanid, (E11) dithianon, (E12) dodine, (E13) dodine free base, (E14) ferbam, (E15) fluorofolpet, (E16) folpet, (E17) guazatine, (E18) guazatine acetate, (E19) iminoctadine, (E20) iminoctadine albesilate, (E21) iminoctadine triacetate, (E22) mancopper, (E23) mancozeb, (E24) man
- F Compounds capable to induce a host defence, for example (F01) acibenzolar-S-methyl, (F02) isotianil, (F03) probenazole, (F04) tiadinil, (F05) laminarin.
- G Inhibitors of the amino acid and/or protein biosynthesis, for example (G01) andoprim, (G02) blasticidin-S, (G03) cyprodinil, (G04) kasugamycin, (G05) kasugamycin hydrochloride hydrate, (G06) mepanipyrim, (G07) pyrimethanil, (G08) 3-(5-fluoro-3,3,4,4-tetramethyl-3,4- dihydroisoquinolin-1-yl)quinoline, (G09)oxytetracycline,(G10)streptomycin.
- G01 andoprim for example (G01) andoprim, (G02) blasticidin-S, (G03) cyprodinil, (G04) kasugamycin, (G05) kasugamycin hydrochloride hydrate, (G06) mepanipyrim, (G07) pyrimethanil, (G08) 3-(5-fluoro-3,3,4,4-
- H Inhibitors of the ATP production, for example (H01) fentin acetate, (H02) fentin chloride, (H03) fentinhydroxide, (H04) silthiofam.
- I) Inhibitors of the cell wall synthesis for example (I01) benthiavalicarb, (I02) dimethomorph, (I03) flumorph, (I04) iprovalicarb, (I05) mandipropamid, (I06) polyoxins, (I07) polyoxorim, (I08) validamycin A, (I09) valifenalate, (I10) polyoxin B, (I11) (2E)-3-(4-tert-butylphenyl)-3-(2- chloropyridin-4-yl)-1-(morpholin-4-yl)prop-2-en-1-one, (I12) (2Z)-3-(4-tert-butylphenyl)-3-(2- chloropyridin-4-yl)-1-(morpholin-4-yl)prop-2-en-1-one.
- J) Inhibitors of the lipid and membrane synthesis for example (J01) biphenyl, (J02) chloroneb, (J03) dicloran, (J04) edifenphos, (J05) etridiazole, (J06) iodocarb, (J07) iprobenfos, (J08) isoprothiolane, (J09) propamocarb, (J10) propamocarb hydrochloride, (J11) prothiocarb, (J12) pyrazophos, (J13) quintozene, (J14) tecnazene, (J15) toclofos-methyl.
- K) Inhibitors of the melanin biosynthesis for example (K01) carpropamid, (K02) diclocymet, (K03) fenoxanil, (K04) phthalide, (K05) pyroquilon, (K06) tolprocarb, (K07)tricyclazole.
- L) Inhibitors of the nucleic acid synthesis for example (L01) benalaxyl, (L02) benalaxyl-M (kiralaxyl), (L03) bupirimate, (L04) clozylacon, (L05) dimethirimol, (L06) ethirimol, (L07) furalaxyl, (L08) hymexazol, (L09) metalaxyl, (L10) metalaxyl-M (mefenoxam), (L11) ofurace, (L12) oxadixyl, (L13) oxolinic acid, (L14)octhilinone.
- Inhibitors of the nucleic acid synthesis for example (L01) benalaxyl, (L02) benalaxyl-M (kiralaxyl), (L03) bupirimate, (L04) clozylacon, (L05) dimet
- M Inhibitors of the signal transduction, for example (M01) chlozolinate, (M02) fenpiclonil, (M03) fludioxonil, (M04) iprodione, (M05) procymidone, (M06) quinoxyfen, (M07) vinclozolin, (M08) proquinazid.
- N Compounds capable to act as an uncoupler, for example (N01) binapacryl, (N02) dinocap, (N03) ferimzone, (N04) fluazinam, (N05) meptyldinocap.
- compound of formula (I) can be mixed with one or more active compatible compound selected from the following non limiting class (es), which are specified herein by their common names that are known and described, for example in The Pesticide Manual 17th Ed., or can be searched in the internet (e.g. under www.alanwood.net/pesticides).
- active compatible compound selected from the following non limiting class (es), which are specified herein by their common names that are known and described, for example in The Pesticide Manual 17th Ed., or can be searched in the internet (e.g. under www.alanwood.net/pesticides).
- Acetylcholinesterase (AChE) inhibitors such as carbamates, for example alanycarb, aldicarb, bendiocarb, benfuracarb, butocarboxim, butoxycarboxim, carbaryl, carbofuran, carbosulfan, ethiofencarb, fenobucarb, formetanate, furathiocarb, isoprocarb, methiocarb, methomyl, metolcarb, oxamyl, pirimicarb, propoxur, thiodicarb, thiofanox, triazamate, trimethacarb, XMC and xylylcarb or organophosphates, such as acephate, azamethiphos, azinphos-ethyl, azinphos-methyl, cadusafos, chlorethoxyfos, chlorfenvinphos, chlormephos, chlorpyrifos, chlorpyrifo
- GABA-gated chloride channel antagonists such as cyclodiene organochlorines, for example chlordane and endosulfan or phenylpyrazoles (fiproles), for example ethiprole and fipronil.
- Sodium channel modulators / voltage-dependent sodium channel blockers such as pyrethroids, for example acrinathrin, allethrin, d-cis-trans allethrin, d-trans allethrin, bifenthrin, bioallethrin, bioallethrin S-cyclopentenyl isomer, bioresmethrin, cycloprothrin, cyfluthrin, beta-cyfluthrin, cyhalothrin, lambda-cyhalothrin, gamma-cyhalothrin, cypermethrin, alpha-cypermethrin, beta- cypermethrin, theta-cypermethrin, zeta-cypermethrin, cyphenothrin [(1R)-trans-isomers], deltamethrin, empenthrin [(EZ)-(1R)
- Nicotinic acetylcholine receptor (nAChR) competitive modulators such as neonicotinoids, for example acetamiprid, clothianidin, dinotefuran, imidacloprid, nitenpyram, thiacloprid and thiamethoxam or nicotine or sulfoxaflor or flupyradifurone.
- nAChR Nicotinic acetylcholine receptor
- Nicotinic acetylcholine receptor (nAChR) allosteric modulators such as spinosyns, for example spinetoram and spinosad.
- Glutamate-gated chloride channel (GluCl) allosteric modulators such as avermectins / milbemycins, for example abamectin, emamectin benzoate, lepimectin and milbemectin.
- Juvenile hormone mimics such as juvenile hormone analogues, for example hydroprene, kinoprene and methoprene or fenoxycarb or pyriproxyfen.
- Active compounds with unknown or non-specific mechanisms of action such as alkyl halides for example as methyl bromide and other alkyl halides or chloropicrin or fluorides or borates or tartar emetic or methyl isocyanate generators.
- Chordotonal organ TRPV channel modulators such as pyridine azomethine derivatives, for example pymetrozine and pyrifluquinazon or flonicamid.
- Mite growth inhibitors for example clofentezine, hexythiazox and diflovidazin or etoxazole.
- Microbial disruptors of insect gut midgut for example Bacillus thuringiensis subspecies israelensis, Bacillus thuringiensis subspecies aizawai, Bacillus thuringiensis subspecies kurstaki, Bacillus thuringiensis subspecies tenebrionis and Bacillus sphaericus and BT crop proteins: Cry1Ab, Cry1Ac, Cry1Fa, Cry1A 105, Cry2Ab, Vip3a, mCry3A, Cry3Ab, Cry3Bb, Cry34Ab1 / Cry35Ab1.
- Inhibitors of mitochondrial ATP synthase such as organotin miticides, for example azocyclotin, cyhexatin and fenbutatin oxide or diafenthiuron or propargite or tetradifon.
- organotin miticides for example azocyclotin, cyhexatin and fenbutatin oxide or diafenthiuron or propargite or tetradifon.
- Nicotinic acetylcholine receptor (nAChR) channel blockers such as bensultap, cartap- hydrochloride, thiocyclam and thiosultap-sodium.
- Inhibitors of chitin biosynthesis, type 0, such as bistrifluoron, chlorfluazuron, diflubenzuron, flucycloxuron, flufenoxuron, hexaflumuron, lufenuron, novaluron, noviflumuron, teflubenzuron and triflumuron.
- Inhibitors of chitin biosynthesis type 1, such as buprofezin.
- Ecdysone receptor agonists such as chromafenozide, halofenozide, methoxyfenozide and tebufenozide.
- Octopamine receptor agonists such as amitraz.
- Mitochondrial complex III electron transport inhibitors such as hydramethylnon or acequinocyl or fluacrypyrim or bifenazate.
- Mitochondrial complex I electron transport inhibitors for example, METI acaricides and insecticides, for example fenazaquin, fenpyroximate, pyrimidifen, pyridaben, tebufenpyrad and tolfenpyrad or rotenone (Derris).
- Inhibitors of acetyl CoA carboxylase such as tetronic and tetramic acid derivatives, for example spirodiclofen, spiromesifen and spirotetramat.
- Mitochondrial complex IV electron transport inhibitors such as phosphides, for example aluminum phosphide, calcium phosphide, zinc phosphide and phosphine or cyanides.
- Mitochondrial complex II electron transport inhibitors such as beta-ketonitrile derivatives, for example cyenopyrafen and cyflumetofen or carboxanilides.
- Ryanodine receptor modulators such as diamides, for example chlorantraniliprole, cyantraniliprole and flubendiamide.
- Compounds of formula III can be obtained from corresponding alcohols I and nitriles II in the presence of an acid in an organic solvent or neat in acid (see for example US20080275242 or WO2005070917).
- an acid in an organic solvent or neat in acid (see for example US20080275242 or WO2005070917).
- reactions were performed in sulfuric acid and in some cases particularly triflic acid, was used as acid.
- Most suitable solvents were hydrocarbons, preferably toluene or dichloromethane.
- Derivatives of alcohols of I can be prepared as described. Generally, most of the examples describe synthesis starting from acid IV and converting into methyl ester V in acidic condition. To obtain compound VI, intermediate V was treated under basic condition and reacted with alkyl halides. Compound of type VI can be reacted with organometallic reagents, preferably alkyl Grignard or alkyl-Lithium reagents, in ethereal solvents, preferably THF at low temperatures and under inert conditions to furnish compounds of type I. Alternatively, compound I could be synthesized from X treating with organometallic reagents (alkyl Grignard or alkyl-Lithium reagents).
- organometallic reagents preferably alkyl Grignard or alkyl-Lithium reagents
- Nitriles of type II and VIII were either commercially available or could be prepared from the corresponding commercial halides X and XI respectively, using zinc cyanide or copper cyanide in presence of suitable Pd catalyst and ligands by heating at polar aprotic solvent like DMF, DMA (Journal of the Chinese Chemical Society (Taipei, Taiwan), 29(1), 29-37; 1982). Particularly in some of the cases, reactions were performed in microwave condition (100-150 °C in 0.5 h to 2 h). In few instances, like 2-cyano quinoxaline kind of compounds are synthesized starting from corresponding acid or ester (Chemical & Pharmaceutical Bulletin, 32(9), 3361-5; 1984). Few bromo precursor of quinoline derivatives are prepared by Skraup quinoline synthesis (Journal of the American Chemical Society, 127(1), 74-75; 2005). Scheme 6:
- Compounds 1B can be prepared from compounds 1A (where V and W are both hydrogen) by reaction with a halide source, preferably N-bromosuccinimide or 1,3-dibromo-5,5- dimethylhydantoin, in an organic solvent, preferably carbon tetrachloride, in the presence of an initiator, preferably azo-bis-isobutyronitrile, at elevated temperatures (see for example JP2013139427A).
- a halide source preferably N-bromosuccinimide or 1,3-dibromo-5,5- dimethylhydantoin
- organic solvent preferably carbon tetrachloride
- an initiator preferably azo-bis-isobutyronitrile
- Compounds of type 1C can be accessed by reacting compounds of type IB under hydrolysis condition either room temperature or heating with a mixture of organic solvent preferable dioxane or acetone and water in the presence or absence of inorganic acid such as hydrochloric acid or inorganic base such as sodium hydroxide.
- compounds 1D can be prepared directly from compounds 1B by reaction with hydrogen fluoride tri-ethyl amine complex (HF-NEt 3 ) in an organic solvent, preferably toluene at elevated temperatures.
- HF-NEt 3 hydrogen fluoride tri-ethyl amine complex
- 1D can be prepared from compound 1C based on a literature precedent (US20080275242) using a suitable halogenations reagent, preferably diethyl aminosulfur trifluoride (DAST) or Bis(2-methoxyethyl)aminosulfur trifluoride (BAST) in an organic solvent, preferably a chlorinated hydrocarbon such as dichloromethane at room temperature. If appropriate, the reaction could be performed at elevated temperatures.
- a suitable halogenations reagent preferably diethyl aminosulfur trifluoride (DAST) or Bis(2-methoxyethyl)aminosulfur trifluoride (BAST) in an organic solvent, preferably a chlorinated hydrocarbon such as dichloromethane at room temperature.
- DAST diethyl aminosulfur trifluoride
- BAST Bis(2-methoxyethyl)aminosulfur trifluoride
- Compounds 1E could be prepared from compounds 1A (where V and W are both hydrogen) by reaction with a halide source, preferably N-bromosuccinimide in an organic solvent, preferably carbon tetrachloride, in the presence of an initiator, preferably azo-bis-isobutyronitrile, at elevated temperatures.
- a halide source preferably N-bromosuccinimide in an organic solvent, preferably carbon tetrachloride
- an initiator preferably azo-bis-isobutyronitrile
- Compounds of type 1F could be accessed by reacting compounds of type IE under hydrolysis condition either room temperature or heating with a mixture of organic solvent preferable dioxane or acetone and water in the presence or absence of inorganic acid such as hydrochloric acid or inorganic base such as sodium hydroxide.
- 1G could be prepared from compound 1F based on a literature precedent (US20080275242 and EP1736471A1) using a suitable halogenation agent, preferably diethyl aminosulfur trifluoride (DAST) or Bis(2-methoxyethyl)aminosulfur trifluoride (BAST) in an organic solvent, preferably a chlorinated hydrocarbon such as dichloromethane at room temperature. If appropriate, the reaction could be performed at elevated temperatures.
- DAST diethyl aminosulfur trifluoride
- BAST Bis(2-methoxyethyl)aminosulfur trifluoride
- Phosphorus oxychloride 35 ml, 376 mmol was added to quinoxaline-2-carboxamide (3.4 g, 19.63 mmol) at 0 °C and the reaction mixture was heated at 100 °C for 3h. The solvent was evaporated under reduced pressure and the residue was suspended in ice water. Aqueous layer was neutralized by saturated sodium bicarbonate solution and extracted with ethyl acetate (2 x 200 ml).
- Step A Methyl 2-methyl-2-phenylpropanoate To a stirred solution of 2-methyl-2-phenylpropanoic acid (2 g, 12.18 mmol) in methanol (30ml) at 0 °C was added drop wise solution of H 2 SO 4 (2 ml, 37.5 mmol). The reaction mixture was heated to reflux for overnight. After completion of reaction, methanol was evaporated under reduced pressure and the residue was diluted with dichloromethane. The organic portion was washed with saturated sodium bicarbonate solution, brine and evaporated under reduced pressure to give methyl 2-methyl- 2-phenylpropanoate (2 g) as oil. Step B: 2,3-dimethyl-3-phenylbutan-2-ol
- Triethylamine trihydrofluoride (0.676 ml, 4.15 mmol)) was added to a solution of 4,4-dibromo-5,5- dimethyl-7-(quinoxalin-2-yl)-4,5-dihydrothieno[2,3-c]pyridine (312 mg, 0.692 mmol)in Toluene (20 ml). The reaction mixture was heated at 90 0 C for 3h. Reaction mixture was cooled to room temperature , water was added and extracted with Ethyl acetate(2x150ml).
Landscapes
- Chemical & Material Sciences (AREA)
- Organic Chemistry (AREA)
- Pharmaceuticals Containing Other Organic And Inorganic Compounds (AREA)
Abstract
The present invention relates to compounds of the general formula (1) wherein the variables are defined as given in the description and claims. The invention further relates to uses of and to, processes and intermediates related to compounds of the general formula (I), wherein Q is wherein the substituents of I, Ia and Ib are as defined in description and claims.
Description
HETEROCYCLIC COMPOUNDS FIELD OF THE INVENTION The present invention relates to compounds intended to protect crops by fighting undesired phytopathogenic microorganisms. More precisely, the subject of the present invention relates to heterocyclic compounds used to protect crops by fighting undesired phytopathogenic microorganisms. BACKGROUND OF THE INVENTION The control of damages to crops caused by phytopathogenic microorganisms is extremely important in achieving high crop efficiency. For instance, plant disease damage to ornamental, vegetable, field, cereal, and fruit crops can cause significant reduction in productivity and thereby result in increased costs to the consumer. Many products are commercially available to control such damages. The need continues for new compounds which are more effective, less costly, less toxic, and environmentally safer and/or have different modes of action. Certain substituted quinolone and isoquinoline derivatives are disclosed in literature as microbiocidal active ingredients in pesticides.
3-Quinoline compounds are disclosed as active compounds having control against phytopathogenic fungi in several patent applications such as WO2005070917, JP20071944, WO2007011022, JP2007217353, JP2014221747, WO2016156129 and WO2017090664. Control of phytopathogenic fungi can be achieved by applying compounds disclosed in these patent applications by various methods such as seed disinfection, foliar spray treatment and the like.
The drawback associated with these compounds is that the effectiveness of these compounds particularly at low application rates in controlling phytopathogenic fungi is unsatisfactory.
Therefore, there is a continuous need for new compounds which are more effective, less costly, less toxic, and environmentally safer and/or have different modes of action.
In view of the above, the present invention envisages the compounds that satisfy or overcomes at least one drawback associated with the prior art.
Considering this, it is an object of the present invention to provide compounds having enhanced
activity and/or a broader activity spectrum against phytopathogenic harmful fungi.
Surprisingly, this objective is achieved by the use of the novel class of heterocyclic compounds of formula (I) having favorable fungicidal activity against phytopathogenic fungi. SUMMARY OF THE INVENTION
The present invention relates to compounds of Formula (I), as active ingredients, which have microbiocidal activity, in particular phytopathogenic fungicidal activity.
wherein the substituents of I, Ia and Ib are as defined in the description and claims.
The present invention also relates to agriculturally acceptable salts, structural isomers, stereo- isomers, diastereoisomers, enantiomers, tautomers, metal complexes, polymorphs, compositions or N-oxides of the compound of formula I.
The present invention also relates to a composition comprising at least one compound of the present invention; optionally at least one other active compound selected from fungicides, insecticides, nematicides, acaricides, biopesticides, herbicides, plant growth regulators, antibiotics, nutrients and fertilizers; and one or more inert carriers. The present invention further relates to the use of the compound, the combination or the composition of the present invention and method of using the same, particularly in the field of agriculture mainly for protecting plants.
The compounds of the present invention are novel and have enhanced activity against microbials, particularly phytopathogenic fungi. The compounds of the present invention have application in the field of agriculture or may be used as intermediates for synthesizing compounds having wider applications. DETAILED DESCRIPTION OF THE INVENTION
Accordingly, the present invention relates to a compound of general formula (I), agriculturally acceptable salts, structural isomers, stereo-isomers, diastereoisomers, enantiomers, tautomers, metal complexes, polymorphs, or N-oxides thereof;
(I) wherein Q is
A, B, C, D and E represent nitrogen or carbon which may be optionally substituted with Ra, Rb, Rc, Rd and Re respectively, at least one of A, B, C, D & E is nitrogen, and provided when B is nitrogen then at least one of A, C, D and E is nitrogen. In one embodiment B and E are nitrogens.
In another embodiment B and D are nitrogens.
In yet another embodiment B and C are nitrogens.
In yet another embodiment B and E are nitrogens.
In yet another embodiment A, B and E are nitrogens.
In still another embodiment A and E are nitrogens.
In still another embodiment E is nitrogen.
In still another embodiment D is nitrogen.
In still another embodiment A is nitrogen. The substituents Ra, Rb, Re, Rf, Rh, Ri and R5 are independently selected from hydrogen, halogen, OH, CN, NO2, SH, NH2, =O, =S, NH(C1-C6-alkyl), N(C1-C6-alkyl)2, NH(C(=O)C1-C6-alkyl), N(C(=O)C1-C6-alkyl)2, NH-SO2-Rx, NRx=S(O)0-1-Rx, P(=O)-(ORz)2, CH(=O), C(=O)C1-C6-alkyl, C(=O)NH(C1-C6-alkyl), C(=O)N(C1-C6-alkyl)2, CR'=NOR", C1-C6-alkyl, C2-C6-alkenyl, C2-C6- alkynyl, C1-C6-alkoxy, C1-C6-haloalkoxy, C1-C6-haloalkyl, C2-C6-alkenyloxy, C2-C6-alkynyloxy, C1- C6-alkylthio, C1-C6-haloalkylthio, C1-C6-alkylsulphinyl, C1-C6-haloalkylsulphinyl, C1-C6- alkylsulphonyl, C1-C6-haloalkylsulphonyl, C3-C6-cycloalkyl, C3-C6-cycloalkenyl, three-, four-, five- or six-membered saturated, unsaturated or partially unsaturated carbocycle, heterocycle, five- or six- membered heteroaryl and aryl; wherein one or more carbon atom/s of the carbocycle and the heterocycle may be independently replaced by a group selected from C(=O), C(=S), C(=CRjRk), C(=NR'), C(=NOR') and the heterocycle and the heteroaryl contain at least one heteroatom selected from N, O and S(O)0-2; wherein R' and R" are independently selected from C1-C6-alkyl, C2-C6-alkenyl, C2- C6-alkynyl, C3-C6-cycloalkyl, and wherein R' and/or R" are optionally substituted with at least one R'" independently selected from halogen, OH, CN, NO2, SH, NH2, NH(C1-C6-alkyl), N(C1-C6-alkyl)2, NH-SO2-Rx, C1-C6-alkyl, C1-C6-haloalkyl, C2-C6- alkenyl, C2-C6-haloalkenyl, C2-C6-alkynyl, C2-C6-haloalkynyl, C1-C6-alkoxy, C1-C6- haloalkoxy, C1-C6-alkylthio, C1-C6-haloalkylthio, C3-C6-cycloalkyl, C3-C6- halocycloalkyl and aryl; wherein Rx is C1-C6-alkyl, C1-C6-haloalkyl, aryl optionally substituted with one or more Ry independently selected from halogen and C1-C6-alkyl; and Rz is H or C1-C6-alkyl; wherein the aliphatic groups of the substituents Ra, Rb, Re, Rf, Rh, Ri and R5 are optionally substituted with one or more Ra', Rb' Re', Rf', Rh' Ri' and R5' respectively, which are independently selected from halogen, OH, NH2, CN, C1-C6-alkyl, C1-C6-haloalkyl, C1-C6-
alkoxy, C1-C6-haloalkoxy, C1-C6-alkylthio, C1-C6-haloalkylthio, C3-C6-cycloalkyl, C3-C6- cycloalkenyl, C3-C6-halocycloalkyl, C3-C6-halocycloalkenyl, five- or six-membered heteroaryl, phenyl, phenoxy, phenylamino, phenylsulfanyl and phenylmethylene; wherein the heteroaryl, phenyl, phenoxy, phenylamino, phenylsulfanyl and phenylmethylene groups are optionally substituted with one or more Raa', Rba', Rea', Rfa', Rha', Ria' and R5a', selected from the group consisting of halogen, OH, C1-C6- alkyl, C1-C6-haloalkyl, C1-C6-alkoxy and C1-C6-haloalkoxy; wherein the carbocyclic, aryl, heterocyclic and heteroaryl groups of substituents Ra, Rb, Re, Rf, Ri, Rh and R5 are optionally substituted with one or more groups of Ra", Rb", Re'', Rf'', Ri'', Rh'' and R5'', respectively which independently are selected from halogen, OH, CN, C1-C6-alkyl, C1-C6-alkoxy, C1-C6-haloalkoxy and C1-C6-alkylthio, C1-C6-haloalkylthio, C1-C6-haloalkyl, C3-C6-cycloalkyl and C3-C6-halocycloalkyl. Particularly, the substituents Ra, Rb, Re, Rf, Rh, Ri and R5 are independently selected from hydrogen, halogen, OH, CN, SH, NH2, NH(C1-C3-alkyl), N(C1-C3-alkyl)2, C1-C6-alkyl, C1-C3-alkoxy, C1-C3- haloalkoxy, C1-C3-haloalkyl, C1-C3-alkylthio, C1-C3-haloalkylthio, C1-C3-alkylsulphinyl, C1-C3- haloalkylsulphinyl, C1-C3-alkylsulphonyl, C1-C3-haloalkylsulphonyl, C3-C6-cycloalkyl, three-, four-, five- or six-membered saturated, unsaturated or partially unsaturated carbocycle, heterocycle, five- or six-membered heteroaryl and aryl. The substituents Rc and Rd together with the atoms to which they are bound form or C and D together form a part of a five- or six-membered carbocycle, heterocycle, aryl, or heteroaryl; wherein one or more carbon atom/s of the carbocycle and the heterocycle optionally may be independently replaced by a group selected from C(=O), C(=S), C(=CRjRk), C(=NR'), C(=NOR'); the heterocycle and the heteroaryl contain at least one heteroatom selected from N, O and S(O)0-2; and the carbocycle, heterocycle, aryl, and heteroaryl carries zero, one, two, three or four substituents Rf.
Particularly, the substituents Rc and Rd together with the atoms to which they are bound form or C and D together form a part of a five- or six-membered heterocycle, aryl or heteroaryl. The substituents R1 and R2; the substituents R3 and R4 together with the carbon atoms to which they are bound form five- to eight-membered carbocycle, heterocycle, aryl, or heteroaryl; wherein one or more carbon atom/s of the carbocycle and the heterocycle optionally may be independently replaced by a group selected from C(=O), C(=S), C(=CRjRk), C(=NR'), C(=NOR'); the heterocycle and the heteroaryl contain at least one heteroatom selected from N, O and S(O)0-2; and the carbocycle, heterocycle, aryl, and heteroaryl formed by R1 and R2; and R3 and R4 together with the carbon atoms to which they are bound carries zero, one, two, three or four substituents Rh and Ri respectively, provided that when C or D is nitrogen, R3 and R4 does not form phenyl ring. Particularly, the substituents R1 and R2; the substituents R3 and R4 together with the carbon atoms to which they are bound form five- or six-membered heterocycle, aryl or heteroaryl. The substituents V, W, X and Y are independently selected from hydrogen, halogen, OH, CN, NO2, SH, NH2, NH(C1-C6-alkyl), N(C1-C6-alkyl)2, NH-SO2-Rx, C1-C6-alkyl, C2-C6-alkenyl, C2-C6- alkynyl, C1-C6-alkoxy, C1-C6-haloalkoxy, C1-C6-alkylthio C1-C6-haloalkylthio a saturated or partially unsaturated three- to ten-membered carbocycle or heterocycle, five- or six-membered heteroaryl and aryl; wherein one or more carbon atom/s of the carbocycle and the heterocycle optionally may be independently replaced by a group selected from C(=O), C(=S), C(=CRjRk), C(=NR'), C(=NOR'),; and the heterocycle and the heteroaryl contain independently at least one heteroatom selected from N, O and S(O)0-2; wherein the aliphatic groups of substituents of V, W, X and Y are optionally substituted with Va, Wa, Xa and Ya independently selected from halogen, OH, CN, NO2, SH, NH2, NH(C1-C6- alkyl), N(C1-C6-alkyl)2, NH(C(=O)C1-C6-alkyl), N(C(=O)C1-C6-alkyl)2, C1-C6-alkoxy, C3- C6-cycloalkyl, C3-C6-halocycloalkyl, C1-C6-haloalkoxy, C1-C6-alkylthio, C1-C6-
haloalkylthio, aryl and phenoxy, wherein the aryl and the phenoxy groups are optionally substituted with substituents selected from the group consisting of halogen, OH, CN, NO2, SH, NH2, NH(C1-C6-alkyl), N(C1-C6-alkyl)2, NH(C(=O)C1-C6-alkyl), N(C(=O)C1-C6-alkyl)2, NH-SO2-Rx, C1-C6-alkylthio, C1-C6-alkyl, C1-C6-haloalkyl, C1-C6-alkoxy and C1-C6- haloalkoxy; wherein the carbocyclic, heterocyclic, heteroaryl and aryl groups of substituents of V, W, X and Y are optionally substituted with Vb, Wb, Xb and Yb independently selected from halogen, OH, CN, NO2, SH, NH2, NH(C1-C6-alkyl), N(C1-C6-alkyl)2, NH(C(=O)C1-C6- alkyl), N(C(=O)C1-C6-alkyl)2, NH-SO2-Rx, C1-C6-alkyl, C1-C6-alkoxy, C1-C6-haloalkyl, C1- C6-haloalkoxy, C1-C6-alkylthio, C1-C6-haloalkylthio, C1-C6-alkoxy-C1-C6-alkyl, C3-C6- cycloalkyl, C3-C6-halocycloalkyl, aryl and phenoxy, wherein the aryl and the phenoxy groups are optionally substituted with one or more halogen, OH, C1-C6-alkyl, C1-C6-haloalkyl, C1- C6-alkoxy and C1-C6-haloalkoxy. Particularly, the substituents V, W, X and Y are independently selected from hydrogen, halogen, CN, C1-C3-alkyl, C1-C3-alkoxy, C1-C3-haloalkoxy, C1-C3-alkylthio C1-C3-haloalkylthio, C3-C6- cycloalkyl. Alternatively, the substituents V and W together with the carbon atom to which they are bound, and the substituents X and Y together with the carbon atom to which they are bound, form a saturated or partially unsaturated three- to ten-membered carbocycle or heterocycle; wherein one or more carbon atom/s of the carbocycle and the heterocycle optionally may be independently replaced by a group selected from C(=O), C(=S), C(=CRjRk), C(=NR'), C(=NOR'); and the heterocycle contains at least one heteroatom selected from N, O and S(O)0-2,wherein the heteroatom N may carry one substituent RN selected from C1-C6-alkyl, C1-C6-haloalkyl, C1-C6-alkoxy, C1-C6-haloalkoxy and SO2Ph, wherein Ph is optionally substituted with substituents selected from halogen, OH, C1-C6-alkyl, C1-C6-haloalkyl, C1- C6-alkoxy and C1-C6-haloalkoxy; and
the carbocycle or heterocycle is optionally substituted with one or more substituents Rv' independently selected from halogen, OH, CN, NO2, SH, NH2, C1-C6-alkyl, C1-C6-haloalkyl, C1-C6-alkoxy, C1-C6-haloalkoxy, C1-C6-alkylthio, C1-C6-haloalkylthio, C1-C6-alkoxy, C1-C6- alkyl, C1-C6 cycloalkyl, aryl and phenoxy, wherein the aryl and the phenoxy groups are optionally substituted with one or more substituents Rva selected from the group consisting of halogen, OH, C1-C6-alkyl, C1-C6-haloalkyl, C1-C6-alkoxy and C1-C6-haloalkoxy; or
Rv' optionally may be a ring or a part of ring system formed by V and W or X and Y. Particularly, the substituents V and W together with the carbon atom to which they are bound, and the substituents X and Y together with the carbon atom to which they are bound, form a saturated or partially unsaturated three- to six-membered carbocycle or heterocycle ring or ring system. Alternatively, the substituents V and W together with the carbon atom to which they are bound and X and Y together with the carbon atom to which they are bound represents C(=O), C(=S), C(=CRjRk), C(=NR'), C(=NOR'); wherein Rj and Rk is hydrogen, halogen, C1-C6 alkyl, C1-C6 haloalkyl. Particularly, the substituents V and W together with the carbon atom to which they are bound and X and Y together with the carbon atom to which they are bound represents C(=O), C(=S), C(=CRjRk). However, the compounds of Formula A or its salt are excluded from the scope and the definition of Formula I,
The substituents R11 and R12 are independently selected from a group of hydrogen, an optionally substituted C1-C6 alkyl group, an optionally substituted aryl group, or an optionally substituted heteroaryl group. Alternatively, R11 and R12 together with the carbon atom to which they are attached form an optionally substituted C3-C7 cycloalkyl group. The substituents R13 and R14 are independently selected from a group of hydrogen, halogen, an optionally substituted C1-C6 alkyl group, an optionally substituted C2-C6 alkenyl group or an optionally substituted C2-C6 alkynyl group. The substituent R15 is selected from a group of halogen, an optionally substituted C1-C6 alkyl group, an optionally substituted C2-C6 alkenyl group, an optionally substituted C2-C6 alkynyl group, an optionally substituted aryl group, an optionally substituted heteroaryl group, an optionally substituted C1-C6 alkoxy group, an optionally substituted amino group, an acyl group or a cyano group. The substituent R16 is a halogen atom or an optionally substituted C1-C6 alkyl group. n and m are integers ranging from 0 to 4 and 0 to 5 respectively. More particularly, the present invention relates to at least one compound selected from the group comprising of:
5,5-dimethyl-7-(quinoxalin-2-yl)-4,5-dihydrothieno[2,3-c]pyridine;
3,3-dimethyl-1-(quinoxalin-2-yl)isoquinolin-4(3H)-one;
4,4,5,5-tetramethyl-7-(quinoxalin-2-yl)-4,5-dihydrothieno[2,3-c]pyridine;
3-ethyl-3-methyl-1-(quinoxalin-2-yl)isoquinolin-4(3H)-one;
5,5-diethyl-7-(quinoxalin-2-yl)-4,5-dihydrothieno[2,3-c]pyridine;
4,4-difluoro-5,5-dimethyl-7-(quinoxalin-2-yl)-4,5-dihydrothieno[2,3-c]pyridine;
5,5-dimethyl-7-(quinoxalin-2-yl)thieno[2,3-c]pyridin-4(5H)-one;
3-(3,3-dimethyl-3,4-dihydroisoquinolin-1-yl)quinoxalin-2(1H)-one;
2-(3,3-dimethyl-3,4-dihydroisoquinolin-1-yl)quinoline;
2-(3,3,4,4-tetramethyl-3,4-dihydroisoquinolin-1-yl)quinoline;
2-(4,4-difluoro-3,3-dimethyl-3,4-dihydroisoquinolin-1-yl)quinoline;
2-(4-fluoro-3,3-dimethyl-3,4-dihydroisoquinolin-1-yl)quinoline;
4,4,5,5-tetramethyl-7-(quinolin-2-yl)-4,5-dihydrothieno[2,3-c]pyridine;
2-(3-ethyl-3-methyl-3,4-dihydroisoquinolin-1-yl)quinoline;
3,3-dimethyl-1-(quinolin-2-yl)isoquinolin-4(3H)-one;
2-(3,3,4-trimethyl-3,4-dihydroisoquinolin-1-yl)quinoline;
2-(3,3-dimethyl-4-methylene-3,4-dihydroisoquinolin-1-yl)quinoxaline;
2-(5-fluoro-3,3-dimethyl-4-methylene-3,4-dihydroisoquinolin-1-yl)quinoxaline; 3-ethyl-5-fluoro-3-methyl-1-(quinoxalin-2-yl)isoquinolin-4(3H)-one;
6,6-dimethyl-4-(quinoxalin-2-yl)-6,7-dihydrothieno[3,2-c]pyridine;
2-(3,3-dimethyl-4-methylene-3,4-dihydroisoquinolin-1-yl)quinoline;
2-(4-methoxy-3,3-dimethyl-3,4-dihydroisoquinolin-1-yl)quinoline;
2-(5-fluoro-3,3-dimethyl-3,4-dihydroisoquinolin-1-yl)quinoline;
2-(3,3,4,5-tetramethyl-3,4-dihydroisoquinolin-1-yl)quinoline;
2-(3,3-diethyl-3,4-dihydroisoquinolin-1-yl)quinoline;
2-(5-chloro-3,3,4,4-tetramethyl-3,4-dihydroisoquinolin-1-yl)quinoline;
2-(3,3,4,4,5-pentamethyl-3,4-dihydroisoquinolin-1-yl)quinoline;
3-ethyl-5-fluoro-3-methyl-1-(quinolin-2-yl)isoquinolin-4(3H)-one;
2-(5,6-difluoro-3,3-dimethyl-3,4-dihydroisoquinolin-1-yl)quinoline;
2-(5,7-difluoro-3,3-dimethyl-3,4-dihydroisoquinolin-1-yl)quinoline;
2-(3,3-dimethyl-5-(methylthio)-3,4-dihydroisoquinolin-1-yl)quinoline;
2-(5-methoxy-3,3-dimethyl-3,4-dihydroisoquinolin-1-yl)quinoline;
2-(3,3,5-trimethyl-3,4-dihydroisoquinolin-1-yl)quinoline;
2-(5-chloro-3,3-dimethyl-3,4-dihydroisoquinolin-1-yl)quinoline;
2-(5-bromo-3,3-dimethyl-3,4-dihydroisoquinolin-1-yl)quinoline;
3,3-dimethyl-1-(quinolin-2-yl)-3,4-dihydroisoquinoline-5-carbonitrile;
2-(6,7-dimethoxy-3,3-dimethyl-3,4-dihydroisoquinolin-1-yl)quinoline;
2-(7-bromo-3,3-dimethyl-3,4-dihydroisoquinolin-1-yl)quinoline;
2-(7-chloro-3,3,4-trimethyl-3,4-dihydroisoquinolin-1-yl)quinoline;
2-(7-fluoro-3,3-dimethyl-3,4-dihydroisoquinolin-1-yl)quinoline;
2-(3,3-dimethyl-5-(trifluoromethyl)-3,4-dihydroisoquinolin-1-yl)quinoline; 2-(7-chloro-3,3-dimethyl-3,4-dihydroisoquinolin-1-yl)quinoline;
2-(5-fluoro-3,3,4-trimethyl-3,4-dihydroisoquinolin-1-yl)quinoline;
2-(3-ethyl-7-fluoro-3-methyl-3,4-dihydroisoquinolin-1-yl)quinoline;
2-(7-chloro-4,4-difluoro-3,3-dimethyl-3,4-dihydroisoquinolin-1-yl)quinoline; 2-(6-fluoro-3,3,4,4-tetramethyl-3,4-dihydroisoquinolin-1-yl)quinoline;
2-(6-fluoro-3,3,4,5-tetramethyl-3,4-dihydroisoquinolin-1-yl)quinoline;
2-(6-fluoro-3,3,5-trimethyl-3,4-dihydroisoquinolin-1-yl)quinoline;
2-(7-fluoro-3,3,4,4-tetramethyl-3,4-dihydroisoquinolin-1-yl)quinoline;
2-(6-chloro-3,3-dimethyl-3,4-dihydroisoquinolin-1-yl)quinoline;
2-(6-fluoro-3,3,4-trimethyl-3,4-dihydroisoquinolin-1-yl)quinoline;
2-(3,3,4-trimethyl-5-(trifluoromethyl)-3,4-dihydroisoquinolin-1-yl)quinoline; 2-(5,6-difluoro-3,3,4-trimethyl-3,4-dihydroisoquinolin-1-yl)quinoline;
2-(3,3,6-trimethyl-3,4-dihydroisoquinolin-1-yl)quinoline;
2-(5-chloro-3,3,4-trimethyl-3,4-dihydroisoquinolin-1-yl)quinoline;
2-(3,3-dimethyl-6-(trifluoromethoxy)-3,4-dihydroisoquinolin-1-yl)quinoline; 2-(3,3-dimethyl-3,4-dihydroisoquinolin-1-yl)-4-methoxyquinoline;
4-methoxy-2-(3,3,4,4-tetramethyl-3,4-dihydroisoquinolin-1-yl)quinoline;
2-(3,3,4,4-tetramethyl-3,4-dihydroisoquinolin-1-yl)quinolin-4-ol;
2-(6-bromo-3,3,4,4-tetramethyl-3,4-dihydroisoquinolin-1-yl)quinoline;
2-(3,3,4,4,6-pentamethyl-3,4-dihydroisoquinolin-1-yl)quinoline;
2-(6-bromo-3,3-dimethyl-3,4-dihydroisoquinolin-1-yl)quinoline;
2-(6-fluoro-3,3-dimethyl-3,4-dihydroisoquinolin-1-yl)-4-methoxyquinoline;
2-(6-bromo-3,3-diethyl-3,4-dihydroisoquinolin-1-yl)quinoline;
2-(6-(difluoromethyl)-3,3,4,4-tetramethyl-3,4-dihydroisoquinolin-1-yl)quinoline;
2-(5-chloro-3-ethyl-3-methyl-3,4-dihydroisoquinolin-1-yl)quinoline;
2-(3,3,7-trimethyl-3,4-dihydroisoquinolin-1-yl)quinoline;
6,6-dimethyl-4-(quinolin-2-yl)-6,7-dihydrothieno[3,2-c]pyridine;
3,3-dimethyl-1-(quinolin-2-yl)-3,4-dihydrobenzo[h]isoquinoline;
2-(5-fluoro-3,3,4,4-tetramethyl-3,4-dihydroisoquinolin-1-yl)quinoline;
1-(imidazo[1,2-a]pyridin-6-yl)-3,3-dimethyl-3,4-dihydroisoquinoline;
7-(imidazo[1,2-a]pyrimidin-6-yl)-5,5-dimethyl-4,5-dihydrothieno[2,3-c]pyridine;
7-(imidazo[1,2-a]pyrimidin-6-yl)-4,4,5,5-tetramethyl-4,5-dihydrothieno[2,3-c]pyridine;
7-(imidazo[1,2-a]pyrimidin-6-yl)-4,5,5-trimethyl-4,5-dihydrothieno[2,3-c]pyridine;
5,5-dimethyl-7-(pyrrolo[1,2-b]pyridazin-3-yl)-4,5-dihydrothieno[2,3-c]pyridine;
4,4,5,5-tetramethyl-7-(pyrrolo[1,2-b]pyridazin-3-yl)-4,5-dihydrothieno[2,3-c]pyridine;
4,5,5-trimethyl-7-(pyrrolo[1,2-b]pyridazin-3-yl)-4,5-dihydrothieno[2,3-c]pyridine;
5,5-diethyl-7-(pyrrolo[1,2-b]pyridazin-3-yl)-4,5-dihydrothieno[2,3-c]pyridine;
5-ethyl-4,4-dimethyl-7-(pyrrolo[1,2-b]pyridazin-3-yl)-4,5-dihydrothieno[2,3-c]pyridine;
7-(7-fluoropyrrolo[1,2-b]pyridazin-3-yl)-4,4,5,5-tetramethyl-4,5-dihydrothieno[2,3-c]pyridine; 7-(7-fluoropyrrolo[1,2-b]pyridazin-3-yl)-4,5,5-trimethyl-4,5-dihydrothieno[2,3-c]pyridine; 7-(5,7-difluoropyrrolo[1,2-b]pyridazin-3-yl)-4,4,5,5-tetramethyl-4,5-dihydrothieno[2,3- c]pyridine;
7-(7-fluoropyrrolo[1,2-b]pyridazin-3-yl)-5,5-dimethyl-4,5-dihydrothieno[2,3-c]pyridine;
7-(7-bromopyrrolo[1,2-b]pyridazin-3-yl)-4,4,5,5-tetramethyl-4,5-dihydrothieno[2,3-c]pyridine; 7-(5-bromopyrrolo[1,2-b]pyridazin-3-yl)-4,4,5,5-tetramethyl-4,5-dihydrothieno[2,3-c]pyridine; 7-(5,7-dibromopyrrolo[1,2-b]pyridazin-3-yl)-4,4,5,5-tetramethyl-4,5-dihydrothieno[2,3- c]pyridine;
7-(5,7-dimethylpyrrolo[1,2-b]pyridazin-3-yl)-4,5,5-trimethyl-4,5-dihydrothieno[2,3-c]pyridine; 7-(5,7-dimethylpyrrolo[1,2-b]pyridazin-3-yl)-4,4,5,5-tetramethyl-4,5-dihydrothieno[2,3- c]pyridine;
7-(5,7-dichloropyrrolo[1,2-b]pyridazin-3-yl)-5,5-dimethyl-4,5-dihydrothieno[2,3-c]pyridine; 7-(7-chloropyrrolo[1,2-b]pyridazin-3-yl)-5,5-dimethyl-4,5-dihydrothieno[2,3-c]pyridine;
7-(7-chloropyrrolo[1,2-b]pyridazin-3-yl)-4,4,5,5-tetramethyl-4,5-dihydrothieno[2,3-c]pyridine; 7-(5,7-dichloropyrrolo[1,2-b]pyridazin-3-yl)-4,5,5-trimethyl-4,5-dihydrothieno[2,3-c]pyridine; 7-(5,7-dicyclopropylpyrrolo[1,2-b]pyridazin-3-yl)-5,5-dimethyl-4,5-dihydrothieno[2,3- c]pyridine;
5,5-dimethyl-7-(pyrrolo[1,2-a]pyrimidin-3-yl)-4,5-dihydrothieno[2,3-c]pyridine;
4,4,5,5-tetramethyl-7-(pyrrolo[1,2-a]pyrimidin-3-yl)-4,5-dihydrothieno[2,3-c]pyridine;
5,5-dimethyl-7-(pyrazolo[1,5-a]pyrimidin-6-yl)-4,5-dihydrothieno[2,3-c]pyridine;
4,4,5,5-tetramethyl-7-(pyrazolo[1,5-a]pyrimidin-6-yl)-4,5-dihydrothieno[2,3-c]pyridine;
7-(3-iodopyrazolo[1,5-a]pyrimidin-6-yl)-4,4,5,5-tetramethyl-4,5-dihydrothieno[2,3-c]pyridine; 7-(3-chloropyrazolo[1,5-a]pyrimidin-6-yl)-4,4,5,5-tetramethyl-4,5-dihydrothieno[2,3-c]pyridine; 7-(3-bromopyrazolo[1,5-a]pyrimidin-6-yl)-4,4,5,5-tetramethyl-4,5-dihydrothieno[2,3-c]pyridine; 3,3-dimethyl-3,4-dihydro-1,3'-biisoquinoline;
3,3,4,4-tetramethyl-3,4-dihydro-1,3'-biisoquinoline;
3-(6-fluoro-3,3,4,4-tetramethyl-3,4-dihydroisoquinolin-1-yl)cinnoline;
3-(3,3,6-trimethyl-3,4-dihydroisoquinolin-1-yl)cinnoline;
3-(6-fluoro-3,3,5-trimethyl-3,4-dihydroisoquinolin-1-yl)cinnoline;
3-(4-ethyl-3,3-dimethyl-3,4-dihydroisoquinolin-1-yl)cinnoline;
3-(3,3-dimethyl-3,4-dihydroisoquinolin-1-yl)cinnoline;
3-(6-bromo-3,3,4,4-tetramethyl-3,4-dihydroisoquinolin-1-yl)cinnoline;
3-(6-fluoro-3,3-dimethyl-3,4-dihydroisoquinolin-1-yl)cinnoline;
3-(6-bromo-3,3-dimethyl-3,4-dihydroisoquinolin-1-yl)cinnoline;
3-(3,3,4,4-tetramethyl-3,4-dihydroisoquinolin-1-yl)cinnoline;
3-(4-bromo-6-fluoro-3,3-dimethyl-3,4-dihydroisoquinolin-1-yl)cinnoline;
3-(3,3,4,4,6-pentamethyl-3,4-dihydroisoquinolin-1-yl)cinnoline;
3-(5-bromo-3-ethyl-3-methyl-3,4-dihydroisoquinolin-1-yl)cinnoline;
3-(4-bromo-3,3-dimethyl-3,4-dihydroisoquinolin-1-yl)cinnoline;
3-(4-bromo-6-fluoro-3,3,5-trimethyl-3,4-dihydroisoquinolin-1-yl)cinnoline; 3-(5-fluoro-3,3-dimethyl-3,4-dihydroisoquinolin-1-yl)cinnoline;
3-(4,4-difluoro-3,3-dimethyl-3,4-dihydroisoquinolin-1-yl)cinnoline;
3-(6-fluoro-4-methoxy-3,3,5-trimethyl-3,4-dihydroisoquinolin-1-yl)cinnoline; 3-(6-bromo-3,3-diethyl-3,4-dihydroisoquinolin-1-yl)cinnoline;
3-(5-bromo-3,3-dimethyl-3,4-dihydroisoquinolin-1-yl)cinnoline;
3-(4,6-dibromo-3,3-dimethyl-3,4-dihydroisoquinolin-1-yl)cinnoline;
3-(4-bromo-5-fluoro-3,3-dimethyl-3,4-dihydroisoquinolin-1-yl)cinnoline;
7-(cinnolin-3-yl)-5,5-dimethyl-4,5-dihydrothieno[2,3-c]pyridine;
7-(cinnolin-3-yl)-4,5,5-trimethyl-4,5-dihydrothieno[2,3-c]pyridine;
7-(cinnolin-3-yl)-4,4,5,5-tetramethyl-4,5-dihydrothieno[2,3-c]pyridine;
3-(4,5-dibromo-3-ethyl-3-methyl-3,4-dihydroisoquinolin-1-yl)cinnoline;
3-(3-ethyl-3-methyl-3,4-dihydroisoquinolin-1-yl)cinnoline;
3-(3,3,4-trimethyl-3,4-dihydroisoquinolin-1-yl)cinnoline;
3-(5-chloro-3-ethyl-3-methyl-3,4-dihydroisoquinolin-1-yl)cinnoline;
3-(3,3-dimethyl-5-(trifluoromethyl)-3,4-dihydroisoquinolin-1-yl)cinnoline; 3-(5-fluoro-3,3,4-trimethyl-3,4-dihydroisoquinolin-1-yl)cinnoline;
3-(3,3-dimethyl-6-(trifluoromethyl)-3,4-dihydroisoquinolin-1-yl)cinnoline; 3-(5-chloro-3,3,4-trimethyl-3,4-dihydroisoquinolin-1-yl)cinnoline;
3-(5-fluoro-3,3,4,4-tetramethyl-3,4-dihydroisoquinolin-1-yl)cinnoline;
3-(6-fluoro-3,3,4,5-tetramethyl-3,4-dihydroisoquinolin-1-yl)cinnoline;
3-(6-chloro-3,3-dimethyl-3,4-dihydroisoquinolin-1-yl)cinnoline;
3-(3,3-dimethyl-6-(trifluoromethoxy)-3,4-dihydroisoquinolin-1-yl)cinnoline; 3-(3,3-dimethyl-3,4-dihydroisoquinolin-1-yl)cinnolin-4-amine;
3-(5-chloro-3,3-dimethyl-3,4-dihydroisoquinolin-1-yl)cinnolin-4-amine;
3-(5-fluoro-3,3-dimethyl-3,4-dihydroisoquinolin-1-yl)cinnolin-4-amine;
3-(5-fluoro-3,3-dimethyl-3,4-dihydroisoquinolin-1-yl)-7-methylcinnoline;
7-methyl-3-(3,3,4,4-tetramethyl-3,4-dihydroisoquinolin-1-yl)cinnoline;
3-(5-chloro-3,3-dimethyl-3,4-dihydroisoquinolin-1-yl)-7-methylcinnoline; 3-(6-fluoro-3,3,4,4-tetramethyl-3,4-dihydroisoquinolin-1-yl)cinnolin-4-amine; 3-(6-chloro-3,3-dimethyl-3,4-dihydroisoquinolin-1-yl)-7-methylcinnoline; 3-(3-ethyl-3-methyl-3,4-dihydroisoquinolin-1-yl)-7-methylcinnoline;
3-(6-fluoro-3,3,4,4-tetramethyl-3,4-dihydroisoquinolin-1-yl)-7-methylcinnoline; 3-(3,3-dimethyl-3,4-dihydroisoquinolin-1-yl)-7-methylcinnoline;
3-(3-ethyl-3-methyl-3,4-dihydroisoquinolin-1-yl)-7-fluorocinnoline;
3-(3-ethyl-4,4-difluoro-3-methyl-3,4-dihydroisoquinolin-1-yl)cinnoline;
7-fluoro-3-(5-fluoro-3,3-dimethyl-3,4-dihydroisoquinolin-1-yl)cinnoline;
3-(3,3-dimethyl-3,4-dihydroisoquinolin-1-yl)-7-fluorocinnoline;
7-fluoro-3-(3,3,4,4-tetramethyl-3,4-dihydroisoquinolin-1-yl)cinnoline;
3-(6-bromo-3,3,4-trimethyl-3,4-dihydroisoquinolin-1-yl)cinnoline;
3-(6-bromo-3,3-dimethyl-3,4-dihydroisoquinolin-1-yl)-7-fluorocinnoline;
3-(6-bromo-3,3,4,4-tetramethyl-3,4-dihydroisoquinolin-1-yl)-7-fluorocinnoline;
3-(5-chloro-3-ethyl-3-methyl-3,4-dihydroisoquinolin-1-yl)cinnolin-4-amine;
3-(3,3,4-trimethyl-6-(trifluoromethyl)-3,4-dihydroisoquinolin-1-yl)cinnolin-4-amine;
8-methyl-3-(3,3,5-trimethyl-3,4-dihydroisoquinolin-1-yl)cinnoline;
3-(6-fluoro-3,3,4,4-tetramethyl-3,4-dihydroisoquinolin-1-yl)-8-methylcinnoline;
8-methyl-3-(3,3,4,4-tetramethyl-3,4-dihydroisoquinolin-1-yl)cinnoline;
3-(5-fluoro-3,3,4-trimethyl-3,4-dihydroisoquinolin-1-yl)-8-methylcinnoline;
3-(5-chloro-3,3,4-trimethyl-3,4-dihydroisoquinolin-1-yl)cinnolin-4-amine;
3-(3,3-dimethyl-6-(trifluoromethyl)-3,4-dihydroisoquinolin-1-yl)cinnolin-4-amine;
3-(4,4-difluoro-3,3-dimethyl-3,4-dihydroisoquinolin-1-yl)-7-fluorocinnoline;
3-(6-fluoro-3,3-dimethyl-3,4-dihydroisoquinolin-1-yl)-8-methylcinnoline;
3-(5-fluoro-3,3-dimethyl-3,4-dihydroisoquinolin-1-yl)-8-methylcinnoline;
3-(3,3-dimethyl-3,4-dihydroisoquinolin-1-yl)-8-methylcinnoline;
3-(3-ethyl-4,4-difluoro-3-methyl-3,4-dihydroisoquinolin-1-yl)-7-fluorocinnoline;
3-(3,3-dimethyl-3,4-dihydroisoquinolin-1-yl)benzo[e][1,2,4]triazine;
3-(5-chloro-3,3,4-trimethyl-3,4-dihydroisoquinolin-1-yl)benzo[e][1,2,4]triazine;
3-(5-fluoro-3,3,4-trimethyl-3,4-dihydroisoquinolin-1-yl)benzo[e][1,2,4]triazine;
3-(3,3,4,4-tetramethyl-3,4-dihydroisoquinolin-1-yl)benzo[e][1,2,4]triazine;
3-(6-fluoro-3,3,5-trimethyl-3,4-dihydroisoquinolin-1-yl)benzo[e][1,2,4]triazine;
3-(6-chloro-3,3-dimethyl-3,4-dihydroisoquinolin-1-yl)benzo[e][1,2,4]triazine;
3-(6-bromo-3,3-dimethyl-3,4-dihydroisoquinolin-1-yl)benzo[e][1,2,4]triazine;
3-(3-ethyl-3-methyl-3,4-dihydroisoquinolin-1-yl)benzo[e][1,2,4]triazine;
3-(3,3-dimethyl-6-(trifluoromethoxy)-3,4-dihydroisoquinolin-1-yl)benzo[e][1,2,4]triazine; 3-(3,3,4,4-tetramethyl-6-(trifluoromethyl)-3,4-dihydroisoquinolin-1-yl)benzo[e][1,2,4]triazine; 3-(3,3-dimethyl-5-(trifluoromethyl)-3,4-dihydroisoquinolin-1-yl)benzo[e][1,2,4]triazine;
3-(3,3,6-trimethyl-3,4-dihydroisoquinolin-1-yl)benzo[e][1,2,4]triazine;
3-(6-bromo-3,3,4,4-tetramethyl-3,4-dihydroisoquinolin-1-yl)benzo[e][1,2,4]triazine;
3-(5-bromo-3,3-dimethyl-3,4-dihydroisoquinolin-1-yl)benzo[e][1,2,4]triazine;
3-(5-fluoro-3,3,4,4-tetramethyl-3,4-dihydroisoquinolin-1-yl)benzo[e][1,2,4]triazine;
3-(4,4-difluoro-3,3-dimethyl-3,4-dihydroisoquinolin-1-yl)benzo[e][1,2,4]triazine;
3-(3-ethyl-4,4-difluoro-3-methyl-3,4-dihydroisoquinolin-1-yl)benzo[e][1,2,4]triazine;
3-(6-bromo-3,3,4-trimethyl-3,4-dihydroisoquinolin-1-yl)benzo[e][1,2,4]triazine;
3-(5-bromo-3-ethyl-3-methyl-3,4-dihydroisoquinolin-1-yl)benzo[e][1,2,4]triazine;
7-(benzo[e][1,2,4]triazin-3-yl)-5,5-dimethyl-4,5-dihydrothieno[2,3-c]pyridine;
3-(5-fluoro-3,3-dimethyl-3,4-dihydroisoquinolin-1-yl)benzo[e][1,2,4]triazine;
3-(5-chloro-3,3-dimethyl-3,4-dihydroisoquinolin-1-yl)benzo[e][1,2,4]triazine;
3-(3,3-dimethyl-3,4-dihydroisoquinolin-1-yl)-8-methylbenzo[e][1,2,4]triazine;
8-methyl-3-(3,3,4,4-tetramethyl-3,4-dihydroisoquinolin-1-yl)benzo[e][1,2,4]triazine;
3-(6-chloro-3,3,4,4-tetramethyl-3,4-dihydroisoquinolin-1-yl)-8-methylbenzo[e][1,2,4]triazine; 8-methyl-3-(3,3,6-trimethyl-3,4-dihydroisoquinolin-1-yl)benzo[e][1,2,4]triazine;
8-methyl-3-(3,3,4,5-tetramethyl-3,4-dihydroisoquinolin-1-yl)benzo[e][1,2,4]triazine;
3-(6-fluoro-3,3,5-trimethyl-3,4-dihydroisoquinolin-1-yl)-8-methylbenzo[e][1,2,4]triazine; 3-(7-fluoro-3,3,4,4-tetramethyl-3,4-dihydroisoquinolin-1-yl)-8-methylbenzo[e][1,2,4]triazine; 3-(5-chloro-3,3,4-trimethyl-3,4-dihydroisoquinolin-1-yl)-8-methylbenzo[e][1,2,4]triazine; 3-(6-fluoro-3,3,4,5-tetramethyl-3,4-dihydroisoquinolin-1-yl)-8-methylbenzo[e][1,2,4]triazine;
3-(6-fluoro-3,3-dimethyl-3,4-dihydroisoquinolin-1-yl)-8-methylbenzo[e][1,2,4]triazine;
3-(3,3-dimethyl-6-(trifluoromethoxy)-3,4-dihydroisoquinolin-1-yl)-8- methylbenzo[e][1,2,4]triazine;
3-(5-fluoro-3,3,4-trimethyl-3,4-dihydroisoquinolin-1-yl)-8-methylbenzo[e][1,2,4]triazine; 3-(6-fluoro-3,3,4-trimethyl-3,4-dihydroisoquinolin-1-yl)-8-methylbenzo[e][1,2,4]triazine; 5,6-dimethyl-3-(3,3,4,4-tetramethyl-3,4-dihydroisoquinolin-1-yl)benzo[e][1,2,4]triazine; 3-(3-ethyl-3-methyl-3,4-dihydroisoquinolin-1-yl)-5,6-dimethylbenzo[e][1,2,4]triazine;
3-(5-chloro-3,3,4-trimethyl-3,4-dihydroisoquinolin-1-yl)-5,6-dimethylbenzo[e][1,2,4]triazine; 3-(5-fluoro-3,3-dimethyl-3,4-dihydroisoquinolin-1-yl)-8-methylbenzo[e][1,2,4]triazine;
3-(3-ethyl-3-methyl-3,4-dihydroisoquinolin-1-yl)-8-methylbenzo[e][1,2,4]triazine;
4,4,5,5-tetramethyl-7-(8-methylbenzo[e][1,2,4]triazin-3-yl)-3a,4,5,7a-tetrahydrothieno[2,3- c]pyridine;
2-(3,3-dimethyl-3,4-dihydroisoquinolin-1-yl)quinazoline;
2-(5-fluoro-3,3-dimethyl-3,4-dihydroisoquinolin-1-yl)quinazoline;
2-(4,4-difluoro-3,3-dimethyl-3,4-dihydroisoquinolin-1-yl)quinazoline;
4-chloro-2-(3,3-dimethyl-3,4-dihydroisoquinolin-1-yl)quinazoline;
2-(6-chloro-3,3-dimethyl-3,4-dihydroisoquinolin-1-yl)quinazoline;
2-(6-fluoro-3,3,4,4-tetramethyl-3,4-dihydroisoquinolin-1-yl)quinazoline;
4-chloro-2-(6-fluoro-3,3,4,4-tetramethyl-3,4-dihydroisoquinolin-1-yl)quinazoline;
2-(6-bromo-3,3-dimethyl-3,4-dihydroisoquinolin-1-yl)quinazoline;
2-(6-fluoro-3,3,5-trimethyl-3,4-dihydroisoquinolin-1-yl)quinazoline;
2-(3,3-dimethyl-6-(trifluoromethyl)-3,4-dihydroisoquinolin-1-yl)quinazoline;
2-(6-chloro-3,3,4,4-tetramethyl-3,4-dihydroisoquinolin-1-yl)quinazoline;
4-chloro-2-(3,3,5-trimethyl-3,4-dihydroisoquinolin-1-yl)quinazoline;
4-chloro-2-(6-chloro-3,3-dimethyl-3,4-dihydroisoquinolin-1-yl)quinazoline;
7-(4-chloroquinazolin-2-yl)-4,4,5,5-tetramethyl-4,5-dihydrothieno[2,3-c]pyridine;
4-chloro-2-(3,3-dimethyl-5-(trifluoromethyl)-3,4-dihydroisoquinolin-1-yl)quinazoline;
4-chloro-2-(6-chloro-3,3,4,4-tetramethyl-3,4-dihydroisoquinolin-1-yl)quinazoline;
4-chloro-2-(3,3,4,4,6-pentamethyl-3,4-dihydroisoquinolin-1-yl)quinazoline;
4-chloro-2-(3,3-dimethyl-6-(trifluoromethyl)-3,4-dihydroisoquinolin-1-yl)quinazoline;
2-(6-chloro-3,3,4,4-tetramethyl-3,4-dihydroisoquinolin-1-yl)-4-(methylthio)quinazoline; 2-(3,3-dimethyl-6-(trifluoromethyl)-3,4-dihydroisoquinolin-1-yl)quinazolin-4-ol;
2-(6-fluoro-3,3,4,4-tetramethyl-3,4-dihydroisoquinolin-1-yl)-4-(methylthio)quinazoline; 4-bromo-2-(3,3,4,4-tetramethyl-3,4-dihydroisoquinolin-1-yl)quinazoline;
4-chloro-2-(3,3,4,4-tetramethyl-3,4-dihydroisoquinolin-1-yl)quinazoline;
4-methyl-2-(3,3,4,4-tetramethyl-3,4-dihydroisoquinolin-1-yl)quinazoline;
4-cyclopropyl-2-(3,3,4,4-tetramethyl-3,4-dihydroisoquinolin-1-yl)quinazoline;
4-phenyl-2-(3,3,4,4-tetramethyl-3,4-dihydroisoquinolin-1-yl)quinazoline;
N,N-dimethyl-2-(3,3,4,4-tetramethyl-3,4-dihydroisoquinolin-1-yl)quinazolin-4-amine;
2-(3,3,4,4-tetramethyl-3,4-dihydroisoquinolin-1-yl)quinazolin-4-amine;
2-(3,3,4,4-tetramethyl-3,4-dihydroisoquinolin-1-yl)quinazoline-4(3H)-thione;
4-(methylthio)-2-(3,3,4,4-tetramethyl-3,4-dihydroisoquinolin-1-yl)quinazoline;
2-(3,3,4,4-tetramethyl-3,4-dihydroisoquinolin-1-yl)quinazolin-4(3H)-one;
2-(3,3-dimethyl-3,4-dihydroisoquinolin-1-yl)-4-(methylthio)quinazoline;
2-(4,4-difluoro-3,3-dimethyl-3,4-dihydroisoquinolin-1-yl)quinazolin-4(3H)-one;
2-(3,3,4,4-tetramethyl-3,4-dihydroisoquinolin-1-yl)quinazoline-4-carbonitrile;
4-methoxy-2-(3,3,4,4-tetramethyl-3,4-dihydroisoquinolin-1-yl)quinazoline;
2-(4,4-difluoro-3,3-dimethyl-3,4-dihydroisoquinolin-1-yl)-4-(methylthio)quinazoline;
2-(4,4-difluoro-3,3-dimethyl-3,4-dihydroisoquinolin-1-yl)quinazolin-4-amine;
7-(benzo[e][1,2,4]triazin-3-yl)-4,5,5-trimethyl-4,5-dihydrothieno[2,3-c]pyridine;
3-(3-ethyl-5-fluoro-3-methyl-3,4-dihydroisoquinolin-1-yl)benzo[e][1,2,4]triazine;
7-(benzo[e][1,2,4]triazin-3-yl)-4,4,5,5-tetramethyl-4,5-dihydrothieno[2,3-c]pyridine;
3-(6-chloro-3,3,4,4-tetramethyl-3,4-dihydroisoquinolin-1-yl)benzo[e][1,2,4]triazine;
3-(6-fluoro-3,3,4-trimethyl-3,4-dihydroisoquinolin-1-yl)benzo[e][1,2,4]triazine;
3-(3,3,4,5-tetramethyl-3,4-dihydroisoquinolin-1-yl)benzo[e][1,2,4]triazine;
3-(6-fluoro-3,3-dimethyl-3,4-dihydroisoquinolin-1-yl)benzo[e][1,2,4]triazine;
3-(5-bromo-3,3,4-trimethyl-3,4-dihydroisoquinolin-1-yl)benzo[e][1,2,4]triazine;
3-(7-bromo-3,3-dimethyl-3,4-dihydroisoquinolin-1-yl)benzo[e][1,2,4]triazine;
3-(3,3-dimethyl-3,4-dihydroisoquinolin-1-yl)-5,6-dimethylbenzo[e][1,2,4]triazine;
5,6-dimethyl-3-(3,3,4,5-tetramethyl-3,4-dihydroisoquinolin-1-yl)benzo[e][1,2,4]triazine; 3-(6-chloro-3,3-dimethyl-3,4-dihydroisoquinolin-1-yl)-5,6-dimethylbenzo[e][1,2,4]triazine; 3-(5-chloro-3,3-dimethyl-3,4-dihydroisoquinolin-1-yl)-5,6-dimethylbenzo[e][1,2,4]triazine; 3-(6-fluoro-3,3-dimethyl-3,4-dihydroisoquinolin-1-yl)-5,6-dimethylbenzo[e][1,2,4]triazine; 1'-(benzo[e][1,2,4]triazin-3-yl)-4'H-spiro[cyclobutane-1,3'-isoquinoline];
3-(3-ethyl-5-fluoro-3-methyl-3,4-dihydroisoquinolin-1-yl)cinnoline;
3-(3,3,4,4-tetramethyl-6-(trifluoromethyl)-3,4-dihydroisoquinolin-1-yl)cinnoline;
3-(5-chloro-3,3-dimethyl-3,4-dihydroisoquinolin-1-yl)cinnoline;
3-(6-chloro-3,3,4,4-tetramethyl-3,4-dihydroisoquinolin-1-yl)cinnoline;
3-(6-fluoro-3,3,4-trimethyl-3,4-dihydroisoquinolin-1-yl)cinnoline;
3-(3,3,4,5-tetramethyl-3,4-dihydroisoquinolin-1-yl)cinnoline;
3-(7-bromo-3,3-dimethyl-3,4-dihydroisoquinolin-1-yl)cinnoline;
3-(5-bromo-3,3,4-trimethyl-3,4-dihydroisoquinolin-1-yl)cinnoline;
8-methyl-3-(3,3,4,4-tetramethyl-6-(trifluoromethyl)-3,4-dihydroisoquinolin-1-yl)cinnoline; 3-(3,3-dimethyl-5-(trifluoromethyl)-3,4-dihydroisoquinolin-1-yl)-8-methylcinnoline;
8-methyl-3-(3,3,4-trimethyl-6-(trifluoromethyl)-3,4-dihydroisoquinolin-1-yl)cinnoline;
3-(3-ethyl-3-methyl-3,4-dihydroisoquinolin-1-yl)-8-methylcinnoline;
8-methyl-3-(3,3,4-trimethyl-5-(trifluoromethyl)-3,4-dihydroisoquinolin-1-yl)cinnoline;
7-fluoro-3-(6-fluoro-3,3-dimethyl-3,4-dihydroisoquinolin-1-yl)cinnoline;
3-(6-fluoro-3,3-dimethyl-3,4-dihydroisoquinolin-1-yl)-7-methylcinnoline;
1'-(8-methylcinnolin-3-yl)-4'H-spiro[cyclobutane-1,3'-isoquinoline];
8-methyl-3-(3,3,4,5-tetramethyl-3,4-dihydroisoquinolin-1-yl)cinnoline;
4,5,5-trimethyl-7-(pyrazolo[1,5-a]pyrimidin-6-yl)-4,5-dihydrothieno[2,3-c]pyridine;
7-(5,7-dibromopyrrolo[1,2-b]pyridazin-3-yl)-4,4-difluoro-5,5-dimethyl-4,5-dihydrothieno[2,3- c]pyridine;
6,6,7,7-tetramethyl-4-(quinoxalin-2-yl)-6,7-dihydrothieno[3,4-c]pyridine;
7,7-difluoro-6,6-dimethyl-4-(quinoxalin-2-yl)-6,7-dihydrothieno[3,4-c]pyridine;
6,6,7,7-tetramethyl-4-(quinoxalin-2-yl)-6,7-dihydrothieno[3,2-c]pyridine;
7,7-difluoro-6,6-dimethyl-4-(quinoxalin-2-yl)-6,7-dihydrothieno[3,2-c]pyridine;
4,4,5,5-tetramethyl-7-(quinoxalin-2-yl)-4,5-dihydrofuro[2,3-c]pyridine;
4,4-difluoro-5,5-dimethyl-7-(quinoxalin-2-yl)-4,5-dihydrofuro[2,3-c]pyridine;
6,6,7,7-tetramethyl-4-(quinoxalin-2-yl)-6,7-dihydrofuro[3,4-c]pyridine;
7,7-difluoro-6,6-dimethyl-4-(quinoxalin-2-yl)-6,7-dihydrofuro[3,4-c]pyridine;
6,6,7,7-tetramethyl-4-(quinoxalin-2-yl)-6,7-dihydrofuro[3,2-c]pyridine;
7,7-difluoro-6,6-dimethyl-4-(quinoxalin-2-yl)-6,7-dihydrofuro[3,2-c]pyridine;
2-(4,4,5,5-tetramethyl-4,5-dihydro-1H-pyrrolo[2,3-c]pyridin-7-yl)quinoxaline;
2-(1,4,4,5,5-pentamethyl-4,5-dihydro-1H-pyrrolo[2,3-c]pyridin-7-yl)quinoxaline;
2-(6,6,7,7-tetramethyl-6,7-dihydro-3H-imidazo[4,5-c]pyridin-4-yl)quinoxaline;
2-(3,6,6,7,7-pentamethyl-6,7-dihydro-3H-imidazo[4,5-c]pyridin-4-yl)quinoxaline;
2-(4,4,5,5-tetramethyl-4,5-dihydro-1H-pyrazolo[3,4-c]pyridin-7-yl)quinoxaline;
2-(1,4,4,5,5-pentamethyl-4,5-dihydro-1H-pyrazolo[3,4-c]pyridin-7-yl)quinoxaline;
2-(4,4-difluoro-5,5-dimethyl-4,5-dihydro-1H-pyrrolo[2,3-c]pyridin-7-yl)quinoxaline;
2-(4,4-difluoro-1,5,5-trimethyl-4,5-dihydro-1H-pyrrolo[2,3-c]pyridin-7-yl)quinoxaline; 2-(7,7-difluoro-6,6-dimethyl-6,7-dihydro-3H-imidazo[4,5-c]pyridin-4-yl)quinoxaline;
2-(7,7-difluoro-3,6,6-trimethyl-6,7-dihydro-3H-imidazo[4,5-c]pyridin-4-yl)quinoxaline; 2-(4,4-difluoro-5,5-dimethyl-4,5-dihydro-1H-pyrazolo[3,4-c]pyridin-7-yl)quinoxaline; 2-(4,4-difluoro-1,5,5-trimethyl-4,5-dihydro-1H-pyrazolo[3,4-c]pyridin-7-yl)quinoxaline; 2-(6,6,7,7-tetramethyl-6,7-dihydro-2H-pyrrolo[3,4-c]pyridin-4-yl)quinoxaline;
2-(7,7-difluoro-6,6-dimethyl-6,7-dihydro-2H-pyrrolo[3,4-c]pyridin-4-yl)quinoxaline;
2-(2,6,6,7,7-pentamethyl-6,7-dihydro-2H-pyrrolo[3,4-c]pyridin-4-yl)quinoxaline;
2-(7,7-difluoro-2,6,6-trimethyl-6,7-dihydro-2H-pyrrolo[3,4-c]pyridin-4-yl)quinoxaline; 2-(6,6,7,7-tetramethyl-6,7-dihydro-1H-pyrrolo[3,2-c]pyridin-4-yl)quinoxaline;
2-(1,6,6,7,7-pentamethyl-6,7-dihydro-1H-pyrrolo[3,2-c]pyridin-4-yl)quinoxaline;
2-(7,7-difluoro-6,6-dimethyl-6,7-dihydro-1H-pyrrolo[3,2-c]pyridin-4-yl)quinoxaline;
2-(7,7-difluoro-1,6,6-trimethyl-6,7-dihydro-1H-pyrrolo[3,2-c]pyridin-4-yl)quinoxaline; 2-(6,6,7,7-tetramethyl-6,7-dihydro-1H-pyrazolo[4,3-c]pyridin-4-yl)quinoxaline;
2-(1,6,6,7,7-pentamethyl-6,7-dihydro-1H-pyrazolo[4,3-c]pyridin-4-yl)quinoxaline;
2-(7,7-difluoro-6,6-dimethyl-6,7-dihydro-1H-pyrazolo[4,3-c]pyridin-4-yl)quinoxaline; 2-(7,7-difluoro-1,6,6-trimethyl-6,7-dihydro-1H-pyrazolo[4,3-c]pyridin-4-yl)quinoxaline; 2-(6,6,7,7-tetramethyl-6,7-dihydro-2H-pyrazolo[4,3-c]pyridin-4-yl)quinoxaline;
2-(2,6,6,7,7-pentamethyl-6,7-dihydro-2H-pyrazolo[4,3-c]pyridin-4-yl)quinoxaline;
2-(7,7-difluoro-6,6-dimethyl-6,7-dihydro-2H-pyrazolo[4,3-c]pyridin-4-yl)quinoxaline; 2-(7,7-difluoro-2,6,6-trimethyl-6,7-dihydro-2H-pyrazolo[4,3-c]pyridin-4-yl)quinoxaline; 2-(4,4,5,5-tetramethyl-4,5-dihydro-2H-pyrazolo[3,4-c]pyridin-7-yl)quinoxaline;
2-(2,4,4,5,5-pentamethyl-4,5-dihydro-2H-pyrazolo[3,4-c]pyridin-7-yl)quinoxaline;
2-(4,4-difluoro-5,5-dimethyl-4,5-dihydro-2H-pyrazolo[3,4-c]pyridin-7-yl)quinoxaline; 2-(4,4-difluoro-2,5,5-trimethyl-4,5-dihydro-2H-pyrazolo[3,4-c]pyridin-7-yl)quinoxaline; 2-(5,5,6,6-tetramethyl-5,6-dihydro-1,7-naphthyridin-8-yl)quinoxaline;
2-(5,5-difluoro-6,6-dimethyl-5,6-dihydro-1,7-naphthyridin-8-yl)quinoxaline;
2-(3,3,4,4-tetramethyl-3,4-dihydro-2,7-naphthyridin-1-yl)quinoxaline;
2-(4,4-difluoro-3,3-dimethyl-3,4-dihydro-2,7-naphthyridin-1-yl)quinoxaline;
2-(3,3,4,4-tetramethyl-3,4-dihydro-2,6-naphthyridin-1-yl)quinoxaline;
2-(4,4-difluoro-3,3-dimethyl-3,4-dihydro-2,6-naphthyridin-1-yl)quinoxaline;
2-(7,7,8,8-tetramethyl-7,8-dihydro-1,6-naphthyridin-5-yl)quinoxaline;
2-(8,8-difluoro-7,7-dimethyl-7,8-dihydro-1,6-naphthyridin-5-yl)quinoxaline;
7-(5-fluoroquinoxalin-2-yl)-4,4,5,5-tetramethyl-4,5-dihydrothieno[2,3-c]pyridine;
4,4-difluoro-7-(5-fluoroquinoxalin-2-yl)-5,5-dimethyl-4,5-dihydrothieno[2,3-c]pyridine; 5-ethyl-5-methyl-7-(quinoxalin-2-yl)-4,5-dihydrothieno[2,3-c]pyridine;
5-ethyl-4,4-difluoro-5-methyl-7-(quinoxalin-2-yl)-4,5-dihydrothieno[2,3-c]pyridine;
5,5-diethyl-4,4-difluoro-7-(quinoxalin-2-yl)-4,5-dihydrothieno[2,3-c]pyridine;
5-ethyl-7-(5-fluoroquinoxalin-2-yl)-5-methyl-4,5-dihydrothieno[2,3-c]pyridine;
5-ethyl-4,4-difluoro-7-(5-fluoroquinoxalin-2-yl)-5-methyl-4,5-dihydrothieno[2,3-c]pyridine; 5,5-diethyl-7-(5-fluoroquinoxalin-2-yl)-4,5-dihydrothieno[2,3-c]pyridine;
5,5-diethyl-4,4-difluoro-7-(5-fluoroquinoxalin-2-yl)-4,5-dihydrothieno[2,3-c]pyridine; 7-(5,6-difluoroquinoxalin-2-yl)-4,4,5,5-tetramethyl-4,5-dihydrothieno[2,3-c]pyridine;
7-(5,6-difluoroquinoxalin-2-yl)-4,4-difluoro-5,5-dimethyl-4,5-dihydrothieno[2,3-c]pyridine; 7-(5,6-difluoroquinoxalin-2-yl)-5,5-diethyl-4,5-dihydrothieno[2,3-c]pyridine;
7-(5,6-difluoroquinoxalin-2-yl)-5,5-diethyl-4,4-difluoro-4,5-dihydrothieno[2,3-c]pyridine; 4,4,5,5-tetramethyl-7-(3-methylquinoxalin-2-yl)-4,5-dihydrothieno[2,3-c]pyridine;
4,4-difluoro-5,5-dimethyl-7-(3-methylquinoxalin-2-yl)-4,5-dihydrothieno[2,3-c]pyridine;
7-(5-fluoro-3-methylquinoxalin-2-yl)-4,4,5,5-tetramethyl-4,5-dihydrothieno[2,3-c]pyridine; 7-(5,6-difluoro-3-methylquinoxalin-2-yl)-4,4,5,5-tetramethyl-4,5-dihydrothieno[2,3-c]pyridine; 2-(3,3,4,4-tetramethyl-3,4-dihydroisoquinolin-1-yl)thieno[2,3-b]pyrazine;
2-(4,4-difluoro-3,3-dimethyl-3,4-dihydroisoquinolin-1-yl)thieno[2,3-b]pyrazine;
2-(3-ethyl-3-methyl-3,4-dihydroisoquinolin-1-yl)thieno[2,3-b]pyrazine;
2-(3-ethyl-4,4-difluoro-3-methyl-3,4-dihydroisoquinolin-1-yl)thieno[2,3-b]pyrazine;
3-(3,3,4,4-tetramethyl-3,4-dihydroisoquinolin-1-yl)pyrido[2,3-b]pyrazine;
3-(4,4-difluoro-3,3-dimethyl-3,4-dihydroisoquinolin-1-yl)pyrido[2,3-b]pyrazine;
2-(3,3,4,4-tetramethyl-3,4-dihydroisoquinolin-1-yl)pyrido[2,3-b]pyrazine;
2-(4,4-difluoro-3,3-dimethyl-3,4-dihydroisoquinolin-1-yl)pyrido[2,3-b]pyrazine;
6,6,7,7-tetramethyl-4-(quinoxalin-2-yl)-6,7-dihydrothiazolo[5,4-c]pyridine;
6,6,7,7-tetramethyl-4-(quinoxalin-2-yl)-6,7-dihydrooxazolo[5,4-c]pyridine;
4,4,5,5-tetramethyl-7-(quinoxalin-2-yl)-4,5-dihydroisoxazolo[5,4-c]pyridine;
4,4,5,5-tetramethyl-7-(quinoxalin-2-yl)-4,5-dihydroisothiazolo[5,4-c]pyridine;
5,5,6,6-tetramethyl-8-(quinoxalin-2-yl)-5,6-dihydropyrido[3,4-c]pyridazine;
5,5,6,6-tetramethyl-8-(quinoxalin-2-yl)-5,6-dihydropyrido[3,4-d]pyrimidine
7,7,8,8-tetramethyl-5-(quinoxalin-2-yl)-7,8-dihydropyrido[3,4-b]pyrazine;
2-(3,3,4,4-tetramethyl-3,4-dihydroisoquinolin-1-yl)furo[2,3-b]pyrazine;
2-(3,3,4,4-tetramethyl-3,4-dihydroisoquinolin-1-yl)-5,6,7,8-tetrahydroquinoxaline;
2-(3,3,4,4-tetramethyl-3,4-dihydroisoquinolin-1-yl)-5,8-dihydroquinoxaline;
1-(5H-cyclopenta[b]pyrazin-2-yl)-3,3,4,4-tetramethyl-3,4-dihydroisoquinoline;
3-(3,3,4,4-tetramethyl-3,4-dihydroisoquinolin-1-yl)thieno[2,3-b]pyrazine;
2-(5-bromo-3,3,4,4-tetramethyl-3,4-dihydroisoquinolin-1-yl)quinoline;
2-(3,3,4,4-tetramethyl-5-(trifluoromethyl)-3,4-dihydroisoquinolin-1-yl)quinoline;
2-(4,4,6-trifluoro-3,3-dimethyl-3,4-dihydroisoquinolin-1-yl)quinoline;
2-(4,6-difluoro-3,3-dimethyl-3,4-dihydroisoquinolin-1-yl)quinoline;
6-fluoro-3,3-dimethyl-1-(quinolin-2-yl)isoquinolin-4(3H)-one;
2-(6-chloro-3,3,4-trimethyl-3,4-dihydroisoquinolin-1-yl)quinoline;
2-(6-chloro-3,3,4,4-tetramethyl-3,4-dihydroisoquinolin-1-yl)quinoline;
2-(3,3,4,6-tetramethyl-3,4-dihydroisoquinolin-1-yl)quinoline;
2-(5,6-difluoro-3,3,4,4-tetramethyl-3,4-dihydroisoquinolin-1-yl)quinoline;
2-(6-chloro-4,4-difluoro-3,3-dimethyl-3,4-dihydroisoquinolin-1-yl)quinoline;
2-(6-bromo-4,4-difluoro-3,3-dimethyl-3,4-dihydroisoquinolin-1-yl)quinoline;
2-(6-bromo-3,3,4-trimethyl-3,4-dihydroisoquinolin-1-yl)quinoline;
2-(3,3-dimethyl-3,4-dihydroisoquinolin-1-yl)-5-fluoroquinoline;
5-fluoro-2-(3,3,4,4-tetramethyl-3,4-dihydroisoquinolin-1-yl)quinoline;
2-(4,4-difluoro-3,3-dimethyl-3,4-dihydroisoquinolin-1-yl)-5-fluoroquinoline;
5-fluoro-2-(5-fluoro-3,3,4,4-tetramethyl-3,4-dihydroisoquinolin-1-yl)quinoline;
5-fluoro-2-(6-fluoro-3,3,4,4-tetramethyl-3,4-dihydroisoquinolin-1-yl)quinoline;
2-(5-chloro-3,3,4,4-tetramethyl-3,4-dihydroisoquinolin-1-yl)-5-fluoroquinoline;
2-(5-chloro-3,3,4-trimethyl-3,4-dihydroisoquinolin-1-yl)-5-fluoroquinoline;
5-fluoro-2-(5-fluoro-3,3-dimethyl-3,4-dihydroisoquinolin-1-yl)quinoline;
5-fluoro-2-(5-fluoro-3,3,4-trimethyl-3,4-dihydroisoquinolin-1-yl)quinoline;
2-(4,4,5-trifluoro-3,3-dimethyl-3,4-dihydroisoquinolin-1-yl)quinoline;
2-(5-chloro-4,4-difluoro-3,3-dimethyl-3,4-dihydroisoquinolin-1-yl)quinoline;
2-(4,4-difluoro-3,3-dimethyl-5-(trifluoromethyl)-3,4-dihydroisoquinolin-1-yl)quinoline;
2-(5-bromo-4,4-difluoro-3,3-dimethyl-3,4-dihydroisoquinolin-1-yl)quinoline;
2-(4,4-difluoro-3,3,5-trimethyl-3,4-dihydroisoquinolin-1-yl)quinoline;
5-fluoro-2-(6-fluoro-3,3,4-trimethyl-3,4-dihydroisoquinolin-1-yl)quinoline;
2-(3-ethyl-4,4-difluoro-3-methyl-3,4-dihydroisoquinolin-1-yl)quinoline;
2-(6-fluoro-3,3,4,4,5-pentamethyl-3,4-dihydroisoquinolin-1-yl)quinoline;
2-(5,6-difluoro-3,3,4,4-tetramethyl-3,4-dihydroisoquinolin-1-yl)quinoline;
2-(5-fluoro-3,3,4,4-tetramethyl-3,4-dihydroisoquinolin-1-yl)-4-methoxyquinoline;
2-(4,4-difluoro-3,3-dimethyl-3,4-dihydroisoquinolin-1-yl)-4-methoxyquinoline;
2-(4,4-difluoro-3,3-dimethyl-3,4-dihydroisoquinolin-1-yl)quinolin-4-ol;
4,4-difluoro-5,5-dimethyl-7-(pyrrolo[1,2-b]pyridazin-3-yl)-4,5-dihydrothieno[2,3-c]pyridine; 4-fluoro-5,5-dimethyl-7-(pyrrolo[1,2-b]pyridazin-3-yl)-4,5-dihydrothieno[2,3-c]pyridine;
4,4-difluoro-7-(7-fluoropyrrolo[1,2-b]pyridazin-3-yl)-5,5-dimethyl-4,5-dihydrothieno[2,3- c]pyridine;
7-(7-chloropyrrolo[1,2-b]pyridazin-3-yl)-4,4-difluoro-5,5-dimethyl-4,5-dihydrothieno[2,3- c]pyridine;
7-(7-chloropyrrolo[1,2-b]pyridazin-3-yl)-4-fluoro-5,5-dimethyl-4,5-dihydrothieno[2,3- c]pyridine;
7-(7-bromopyrrolo[1,2-b]pyridazin-3-yl)-4,4-difluoro-5,5-dimethyl-4,5-dihydrothieno[2,3- c]pyridine;
7-(7-bromopyrrolo[1,2-b]pyridazin-3-yl)-4-fluoro-5,5-dimethyl-4,5-dihydrothieno[2,3- c]pyridine;
4-fluoro-5,5-dimethyl-7-(7-methylpyrrolo[1,2-b]pyridazin-3-yl)-4,5-dihydrothieno[2,3- c]pyridine;
4,4-difluoro-5,5-dimethyl-7-(7-methylpyrrolo[1,2-b]pyridazin-3-yl)-4,5-dihydrothieno[2,3- c]pyridine;
4,4-difluoro-5,5-dimethyl-7-(pyrrolo[1,2-a]pyrimidin-3-yl)-4,5-dihydrothieno[2,3-c]pyridine; 4-fluoro-5,5-dimethyl-7-(pyrrolo[1,2-a]pyrimidin-3-yl)-4,5-dihydrothieno[2,3-c]pyridine;
4,4-difluoro-5,5-dimethyl-7-(pyrazolo[1,5-a]pyrimidin-6-yl)-4,5-dihydrothieno[2,3-c]pyridine; 4,4-difluoro-7-(8-fluoropyrrolo[1,2-a]pyrimidin-3-yl)-5,5-dimethyl-4,5-dihydrothieno[2,3- c]pyridine;
7-(8-fluoropyrrolo[1,2-a]pyrimidin-3-yl)-4,4,5,5-tetramethyl-4,5-dihydrothieno[2,3-c]pyridine; 7-(8-fluoropyrrolo[1,2-a]pyrimidin-3-yl)-4,5,5-trimethyl-4,5-dihydrothieno[2,3-c]pyridine;
4,4-difluoro-7-(imidazo[1,2-a]pyrimidin-6-yl)-5,5-dimethyl-4,5-dihydrothieno[2,3-c]pyridine; 7-(imidazo[1,5-a]pyrimidin-3-yl)-4,4,5,5-tetramethyl-4,5-dihydrothieno[2,3-c]pyridine;
4,4-difluoro-7-(imidazo[1,5-a]pyrimidin-3-yl)-5,5-dimethyl-4,5-dihydrothieno[2,3-c]pyridine; 7-(8-fluoroimidazo[1,5-a]pyrimidin-3-yl)-4,4,5,5-tetramethyl-4,5-dihydrothieno[2,3-c]pyridine; 4,4,5,5-tetramethyl-7-(pyrazolo[1,5-b]pyridazin-5-yl)-4,5-dihydrothieno[2,3-c]pyridine;
4,4-difluoro-5,5-dimethyl-7-(pyrazolo[1,5-b]pyridazin-5-yl)-4,5-dihydrothieno[2,3-c]pyridine; 5-ethyl-5-methyl-7-(pyrrolo[1,2-b]pyridazin-3-yl)-4,5-dihydrothieno[2,3-c]pyridine;
5-ethyl-4,4-difluoro-5-methyl-7-(pyrrolo[1,2-b]pyridazin-3-yl)-4,5-dihydrothieno[2,3-c]pyridine; 3-(5-chloro-3,3,4,4-tetramethyl-3,4-dihydroisoquinolin-1-yl)cinnoline;
3-(5-bromo-3,3,4,4-tetramethyl-3,4-dihydroisoquinolin-1-yl)cinnoline;
3-(3,3,4,4,5-pentamethyl-3,4-dihydroisoquinolin-1-yl)cinnoline;
3-(3,3,4,4-tetramethyl-5-(trifluoromethyl)-3,4-dihydroisoquinolin-1-yl)cinnoline;
3-(3,3-dimethyl-3,4-dihydroisoquinolin-1-yl)-8-fluorocinnoline;
8-fluoro-3-(4-fluoro-3,3-dimethyl-3,4-dihydroisoquinolin-1-yl)cinnoline;
3-(4,4-difluoro-3,3-dimethyl-3,4-dihydroisoquinolin-1-yl)-8-fluorocinnoline;
8-fluoro-3-(5-fluoro-3,3-dimethyl-3,4-dihydroisoquinolin-1-yl)cinnoline;
8-fluoro-3-(5-fluoro-3,3,4,4-tetramethyl-3,4-dihydroisoquinolin-1-yl)cinnoline;
8-fluoro-3-(5-fluoro-3,3,4-trimethyl-3,4-dihydroisoquinolin-1-yl)cinnoline;
3-(4,5-difluoro-3,3-dimethyl-3,4-dihydroisoquinolin-1-yl)-8-fluorocinnoline;
8-fluoro-3-(4,4,5-trifluoro-3,3-dimethyl-3,4-dihydroisoquinolin-1-yl)cinnoline;
3-(5-chloro-3,3-dimethyl-3,4-dihydroisoquinolin-1-yl)-8-fluorocinnoline;
3-(5-chloro-3,3,4-trimethyl-3,4-dihydroisoquinolin-1-yl)-8-fluorocinnoline;
3-(5-chloro-3,3,4,4-tetramethyl-3,4-dihydroisoquinolin-1-yl)-8-fluorocinnoline;
3-(5-chloro-4,4-difluoro-3,3-dimethyl-3,4-dihydroisoquinolin-1-yl)-8-fluorocinnoline;
3-(3-ethyl-3-methyl-3,4-dihydroisoquinolin-1-yl)-8-fluorocinnoline;
3-(3-ethyl-4,4-difluoro-3-methyl-3,4-dihydroisoquinolin-1-yl)-8-fluorocinnoline;
3-(5-bromo-3,3-dimethyl-3,4-dihydroisoquinolin-1-yl)-8-fluorocinnoline;
3-(5-bromo-3,3,4-trimethyl-3,4-dihydroisoquinolin-1-yl)-8-fluorocinnoline;
3-(5-bromo-3,3,4,4-tetramethyl-3,4-dihydroisoquinolin-1-yl)-8-fluorocinnoline;
3-(5-bromo-4,4-difluoro-3,3-dimethyl-3,4-dihydroisoquinolin-1-yl)-8-fluorocinnoline;
8-fluoro-3-(3,3,5-trimethyl-3,4-dihydroisoquinolin-1-yl)cinnoline;
8-fluoro-3-(3,3,4,4,5-pentamethyl-3,4-dihydroisoquinolin-1-yl)cinnoline;
8-fluoro-3-(6-fluoro-3,3-dimethyl-3,4-dihydroisoquinolin-1-yl)cinnoline;
8-fluoro-3-(6-fluoro-3,3,4,4-tetramethyl-3,4-dihydroisoquinolin-1-yl)cinnoline;
8-fluoro-3-(6-fluoro-3,3,4-trimethyl-3,4-dihydroisoquinolin-1-yl)cinnoline;
8-fluoro-3-(4,4,6-trifluoro-3,3-dimethyl-3,4-dihydroisoquinolin-1-yl)cinnoline;
3-(6-chloro-3,3-dimethyl-3,4-dihydroisoquinolin-1-yl)-8-fluorocinnoline;
3-(6-chloro-3,3,4-trimethyl-3,4-dihydroisoquinolin-1-yl)-8-fluorocinnoline;
3-(6-chloro-3,3,4,4-tetramethyl-3,4-dihydroisoquinolin-1-yl)-8-fluorocinnoline;
3-(6-chloro-4,4-difluoro-3,3-dimethyl-3,4-dihydroisoquinolin-1-yl)-8-fluorocinnoline;
3-(6-bromo-3,3-dimethyl-3,4-dihydroisoquinolin-1-yl)-8-fluorocinnoline;
3-(6-bromo-3,3,4-trimethyl-3,4-dihydroisoquinolin-1-yl)-8-fluorocinnoline;
3-(6-bromo-3,3,4,4-tetramethyl-3,4-dihydroisoquinolin-1-yl)-8-fluorocinnoline;
3-(6-bromo-4,4-difluoro-3,3-dimethyl-3,4-dihydroisoquinolin-1-yl)-8-fluorocinnoline;
8-fluoro-3-(3,3,6-trimethyl-3,4-dihydroisoquinolin-1-yl)cinnoline;
8-fluoro-3-(3,3,4,6-tetramethyl-3,4-dihydroisoquinolin-1-yl)cinnoline;
8-fluoro-3-(3,3,4,4,6-pentamethyl-3,4-dihydroisoquinolin-1-yl)cinnoline;
3-(3,3-dimethyl-6-(trifluoromethyl)-3,4-dihydroisoquinolin-1-yl)-8-fluorocinnoline;
8-fluoro-3-(3,3,4-trimethyl-6-(trifluoromethyl)-3,4-dihydroisoquinolin-1-yl)cinnoline;
8-fluoro-3-(3,3,4,4-tetramethyl-6-(trifluoromethyl)-3,4-dihydroisoquinolin-1-yl)cinnoline;
3-(4,4-difluoro-3,3-dimethyl-6-(trifluoromethyl)-3,4-dihydroisoquinolin-1-yl)-8-fluorocinnoline; 3-(4,4,5-trifluoro-3,3-dimethyl-3,4-dihydroisoquinolin-1-yl)cinnoline;
3-(5-chloro-4,4-difluoro-3,3-dimethyl-3,4-dihydroisoquinolin-1-yl)cinnoline;
3-(5-bromo-4,4-difluoro-3,3-dimethyl-3,4-dihydroisoquinolin-1-yl)cinnoline;
3-(4,4-difluoro-3,3-dimethyl-5-(trifluoromethyl)-3,4-dihydroisoquinolin-1-yl)cinnoline;
3-(4,4-difluoro-3,3,5-trimethyl-3,4-dihydroisoquinolin-1-yl)cinnoline;
3-(4,4,6-trifluoro-3,3-dimethyl-3,4-dihydroisoquinolin-1-yl)cinnoline;
3-(6-chloro-4,4-difluoro-3,3-dimethyl-3,4-dihydroisoquinolin-1-yl)cinnoline;
3-(6-bromo-4,4-difluoro-3,3-dimethyl-3,4-dihydroisoquinolin-1-yl)cinnoline;
3-(4,4-difluoro-3,3,6-trimethyl-3,4-dihydroisoquinolin-1-yl)cinnoline;
3-(4,4-difluoro-3,3-dimethyl-6-(trifluoromethyl)-3,4-dihydroisoquinolin-1-yl)cinnoline;
3-(3,3-dimethyl-3,4-dihydroisoquinolin-1-yl)-7,8-difluorocinnoline;
8-fluoro-3-(3,3,4-trimethyl-3,4-dihydroisoquinolin-1-yl)cinnoline;
7,8-difluoro-3-(3,3,4-trimethyl-3,4-dihydroisoquinolin-1-yl)cinnoline;
7,8-difluoro-3-(3,3,4,4-tetramethyl-3,4-dihydroisoquinolin-1-yl)cinnoline;
7,8-difluoro-3-(4-fluoro-3,3-dimethyl-3,4-dihydroisoquinolin-1-yl)cinnoline;
3-(4,4-difluoro-3,3-dimethyl-3,4-dihydroisoquinolin-1-yl)-7,8-difluorocinnoline;
1-(7,8-difluorocinnolin-3-yl)-3,3-dimethylisoquinolin-4(3H)-one;
1-(8-fluorocinnolin-3-yl)-3,3-dimethylisoquinolin-4(3H)-one;
7,8-difluoro-3-(5-fluoro-3,3-dimethyl-3,4-dihydroisoquinolin-1-yl)cinnoline;
7,8-difluoro-3-(5-fluoro-3,3,4-trimethyl-3,4-dihydroisoquinolin-1-yl)cinnoline;
7,8-difluoro-3-(5-fluoro-3,3,4,4-tetramethyl-3,4-dihydroisoquinolin-1-yl)cinnoline;
7,8-difluoro-3-(4,4,5-trifluoro-3,3-dimethyl-3,4-dihydroisoquinolin-1-yl)cinnoline;
3-(5-chloro-3,3-dimethyl-3,4-dihydroisoquinolin-1-yl)-7,8-difluorocinnoline;
3-(5-chloro-3,3,4-trimethyl-3,4-dihydroisoquinolin-1-yl)-7,8-difluorocinnoline;
3-(5-chloro-3,3,4,4-tetramethyl-3,4-dihydroisoquinolin-1-yl)-7,8-difluorocinnoline;
3-(5-chloro-4,4-difluoro-3,3-dimethyl-3,4-dihydroisoquinolin-1-yl)-7,8-difluorocinnoline; 3-(5-bromo-3,3-dimethyl-3,4-dihydroisoquinolin-1-yl)-7,8-difluorocinnoline;
3-(5-bromo-3,3,4-trimethyl-3,4-dihydroisoquinolin-1-yl)-7,8-difluorocinnoline;
3-(5-bromo-3,3,4,4-tetramethyl-3,4-dihydroisoquinolin-1-yl)-7,8-difluorocinnoline;
3-(5-bromo-4,4-difluoro-3,3-dimethyl-3,4-dihydroisoquinolin-1-yl)-7,8-difluorocinnoline; 3-(3,3-dimethyl-5-(trifluoromethyl)-3,4-dihydroisoquinolin-1-yl)-7,8-difluorocinnoline;
7,8-difluoro-3-(3,3,4-trimethyl-5-(trifluoromethyl)-3,4-dihydroisoquinolin-1-yl)cinnoline; 7,8-difluoro-3-(3,3,4,4-tetramethyl-5-(trifluoromethyl)-3,4-dihydroisoquinolin-1-yl)cinnoline; 3-(4,4-difluoro-3,3-dimethyl-5-(trifluoromethyl)-3,4-dihydroisoquinolin-1-yl)-7,8- difluorocinnoline;
7,8-difluoro-3-(3,3,5-trimethyl-3,4-dihydroisoquinolin-1-yl)cinnoline;
7,8-difluoro-3-(3,3,4,5-tetramethyl-3,4-dihydroisoquinolin-1-yl)cinnoline;
7,8-difluoro-3-(3,3,4,4,5-pentamethyl-3,4-dihydroisoquinolin-1-yl)cinnoline;
3-(4,4-difluoro-3,3,5-trimethyl-3,4-dihydroisoquinolin-1-yl)-7,8-difluorocinnoline;
3-(3,3-dimethyl-3,4-dihydroisoquinolin-1-yl)-8-fluorobenzo[e][1,2,4]triazine;
8-fluoro-3-(3,3,4-trimethyl-3,4-dihydroisoquinolin-1-yl)benzo[e][1,2,4]triazine;
8-fluoro-3-(3,3,4,4-tetramethyl-3,4-dihydroisoquinolin-1-yl)benzo[e][1,2,4]triazine;
8-fluoro-3-(4-fluoro-3,3-dimethyl-3,4-dihydroisoquinolin-1-yl)benzo[e][1,2,4]triazine;
3-(4,4-difluoro-3,3-dimethyl-3,4-dihydroisoquinolin-1-yl)-8-fluorobenzo[e][1,2,4]triazine; 1-(8-fluorobenzo[e][1,2,4]triazin-3-yl)-3,3-dimethylisoquinolin-4(3H)-one;
8-fluoro-3-(5-fluoro-3,3-dimethyl-3,4-dihydroisoquinolin-1-yl)benzo[e][1,2,4]triazine;
8-fluoro-3-(5-fluoro-3,3,4-trimethyl-3,4-dihydroisoquinolin-1-yl)benzo[e][1,2,4]triazine; 8-fluoro-3-(5-fluoro-3,3,4,4-tetramethyl-3,4-dihydroisoquinolin-1-yl)benzo[e][1,2,4]triazine; 8-fluoro-3-(4,4,5-trifluoro-3,3-dimethyl-3,4-dihydroisoquinolin-1-yl)benzo[e][1,2,4]triazine; 3-(5-chloro-3,3-dimethyl-3,4-dihydroisoquinolin-1-yl)-8-fluorobenzo[e][1,2,4]triazine;
3-(5-chloro-3,3,4-trimethyl-3,4-dihydroisoquinolin-1-yl)-8-fluorobenzo[e][1,2,4]triazine; 3-(5-chloro-3,3,4,4-tetramethyl-3,4-dihydroisoquinolin-1-yl)-8-fluorobenzo[e][1,2,4]triazine; 3-(5-chloro-4,4-difluoro-3,3-dimethyl-3,4-dihydroisoquinolin-1-yl)-8- fluorobenzo[e][1,2,4]triazine;
3-(5-bromo-3,3-dimethyl-3,4-dihydroisoquinolin-1-yl)-8-fluorobenzo[e][1,2,4]triazine;
3-(5-bromo-3,3,4-trimethyl-3,4-dihydroisoquinolin-1-yl)-8-fluorobenzo[e][1,2,4]triazine; 3-(5-bromo-3,3,4,4-tetramethyl-3,4-dihydroisoquinolin-1-yl)-8-fluorobenzo[e][1,2,4]triazine;
3-(5-bromo-4,4-difluoro-3,3-dimethyl-3,4-dihydroisoquinolin-1-yl)-8- fluorobenzo[e][1,2,4]triazine;
3-(3,3-dimethyl-5-(trifluoromethyl)-3,4-dihydroisoquinolin-1-yl)-8- fluorobenzo[e][1,2,4]triazine;
8-fluoro-3-(3,3,4-trimethyl-5-(trifluoromethyl)-3,4-dihydroisoquinolin-1- yl)benzo[e][1,2,4]triazine;
8-fluoro-3-(3,3,4,4-tetramethyl-5-(trifluoromethyl)-3,4-dihydroisoquinolin-1- yl)benzo[e][1,2,4]triazine;
3-(4,4-difluoro-3,3-dimethyl-5-(trifluoromethyl)-3,4-dihydroisoquinolin-1-yl)-8- fluorobenzo[e][1,2,4]triazine;
8-fluoro-3-(3,3,5-trimethyl-3,4-dihydroisoquinolin-1-yl)benzo[e][1,2,4]triazine;
8-fluoro-3-(3,3,4,5-tetramethyl-3,4-dihydroisoquinolin-1-yl)benzo[e][1,2,4]triazine;
8-fluoro-3-(3,3,4,4,5-pentamethyl-3,4-dihydroisoquinolin-1-yl)benzo[e][1,2,4]triazine;
3-(4,4-difluoro-3,3,5-trimethyl-3,4-dihydroisoquinolin-1-yl)-8-fluorobenzo[e][1,2,4]triazine; 8-fluoro-3-(6-fluoro-3,3-dimethyl-3,4-dihydroisoquinolin-1-yl)benzo[e][1,2,4]triazine;
8-fluoro-3-(6-fluoro-3,3,4-trimethyl-3,4-dihydroisoquinolin-1-yl)benzo[e][1,2,4]triazine;
8-fluoro-3-(6-fluoro-3,3,4,4-tetramethyl-3,4-dihydroisoquinolin-1-yl)benzo[e][1,2,4]triazine; 8-fluoro-3-(4,4,6-trifluoro-3,3-dimethyl-3,4-dihydroisoquinolin-1-yl)benzo[e][1,2,4]triazine; 3-(6-chloro-3,3-dimethyl-3,4-dihydroisoquinolin-1-yl)-8-fluorobenzo[e][1,2,4]triazine;
3-(6-chloro-3,3,4-trimethyl-3,4-dihydroisoquinolin-1-yl)-8-fluorobenzo[e][1,2,4]triazine;
3-(6-chloro-3,3,4,4-tetramethyl-3,4-dihydroisoquinolin-1-yl)-8-fluorobenzo[e][1,2,4]triazine; 3-(6-chloro-4,4-difluoro-3,3-dimethyl-3,4-dihydroisoquinolin-1-yl)-8- fluorobenzo[e][1,2,4]triazine;
3-(6-bromo-3,3-dimethyl-3,4-dihydroisoquinolin-1-yl)-8-fluorobenzo[e][1,2,4]triazine;
3-(6-bromo-3,3,4-trimethyl-3,4-dihydroisoquinolin-1-yl)-8-fluorobenzo[e][1,2,4]triazine;
3-(6-bromo-3,3,4,4-tetramethyl-3,4-dihydroisoquinolin-1-yl)-8-fluorobenzo[e][1,2,4]triazine; 3-(6-bromo-4,4-difluoro-3,3-dimethyl-3,4-dihydroisoquinolin-1-yl)-8- fluorobenzo[e][1,2,4]triazine;
3-(3,3-dimethyl-6-(trifluoromethyl)-3,4-dihydroisoquinolin-1-yl)-8- fluorobenzo[e][1,2,4]triazine;
8-fluoro-3-(3,3,4-trimethyl-6-(trifluoromethyl)-3,4-dihydroisoquinolin-1- yl)benzo[e][1,2,4]triazine;
3-(4,4-difluoro-3,3-dimethyl-6-(trifluoromethyl)-3,4-dihydroisoquinolin-1-yl)-8- fluorobenzo[e][1,2,4]triazine;
8-fluoro-3-(3,3,4,4-tetramethyl-6-(trifluoromethyl)-3,4-dihydroisoquinolin-1- yl)benzo[e][1,2,4]triazine;
8-fluoro-3-(3,3,6-trimethyl-3,4-dihydroisoquinolin-1-yl)benzo[e][1,2,4]triazine;
8-fluoro-3-(3,3,4,6-tetramethyl-3,4-dihydroisoquinolin-1-yl)benzo[e][1,2,4]triazine;
8-fluoro-3-(3,3,4,4,6-pentamethyl-3,4-dihydroisoquinolin-1-yl)benzo[e][1,2,4]triazine;
3-(4,4-difluoro-3,3,6-trimethyl-3,4-dihydroisoquinolin-1-yl)-8-fluorobenzo[e][1,2,4]triazine; 3-(3-ethyl-3-methyl-3,4-dihydroisoquinolin-1-yl)-8-fluorobenzo[e][1,2,4]triazine;
3-(3-ethyl-4,4-difluoro-3-methyl-3,4-dihydroisoquinolin-1-yl)-8-fluorobenzo[e][1,2,4]triazine; 3-(3-ethyl-5-fluoro-3-methyl-3,4-dihydroisoquinolin-1-yl)-8-fluorobenzo[e][1,2,4]triazine; 3-(3-ethyl-4,4,5-trifluoro-3-methyl-3,4-dihydroisoquinolin-1-yl)-8-fluorobenzo[e][1,2,4]triazine; 3-(3,3-dimethyl-3,4-dihydroisoquinolin-1-yl)-7,8-difluorobenzo[e][1,2,4]triazine;
7,8-difluoro-3-(3,3,4-trimethyl-3,4-dihydroisoquinolin-1-yl)benzo[e][1,2,4]triazine;
7,8-difluoro-3-(3,3,4,4-tetramethyl-3,4-dihydroisoquinolin-1-yl)benzo[e][1,2,4]triazine;
7,8-difluoro-3-(5-fluoro-3,3-dimethyl-3,4-dihydroisoquinolin-1-yl)benzo[e][1,2,4]triazine;
7,8-difluoro-3-(5-fluoro-3,3,4-trimethyl-3,4-dihydroisoquinolin-1-yl)benzo[e][1,2,4]triazine; 7,8-difluoro-3-(5-fluoro-3,3,4,4-tetramethyl-3,4-dihydroisoquinolin-1-yl)benzo[e][1,2,4]triazine; 7,8-difluoro-3-(4,4,5-trifluoro-3,3-dimethyl-3,4-dihydroisoquinolin-1-yl)benzo[e][1,2,4]triazine; 3-(4,5-difluoro-3,3-dimethyl-3,4-dihydroisoquinolin-1-yl)-7,8-difluorobenzo[e][1,2,4]triazine; 3-(5-chloro-3,3-dimethyl-3,4-dihydroisoquinolin-1-yl)-7,8-difluorobenzo[e][1,2,4]triazine;
3-(5-chloro-3,3,4-trimethyl-3,4-dihydroisoquinolin-1-yl)-7,8-difluorobenzo[e][1,2,4]triazine; 3-(5-chloro-3,3,4,4-tetramethyl-3,4-dihydroisoquinolin-1-yl)-7,8-difluorobenzo[e][1,2,4]triazine; 3-(5-chloro-4,4-difluoro-3,3-dimethyl-3,4-dihydroisoquinolin-1-yl)-7,8- difluorobenzo[e][1,2,4]triazine;
3-(5-bromo-3,3-dimethyl-3,4-dihydroisoquinolin-1-yl)-7,8-difluorobenzo[e][1,2,4]triazine;
3-(5-bromo-3,3,4-trimethyl-3,4-dihydroisoquinolin-1-yl)-7,8-difluorobenzo[e][1,2,4]triazine; 3-(5-bromo-3,3,4,4-tetramethyl-3,4-dihydroisoquinolin-1-yl)-7,8-difluorobenzo[e][1,2,4]triazine; 3-(5-bromo-4,4-difluoro-3,3-dimethyl-3,4-dihydroisoquinolin-1-yl)-7,8- difluorobenzo[e][1,2,4]triazine;
3-(3,3-dimethyl-5-(trifluoromethyl)-3,4-dihydroisoquinolin-1-yl)-7,8- difluorobenzo[e][1,2,4]triazine;
7,8-difluoro-3-(3,3,4-trimethyl-5-(trifluoromethyl)-3,4-dihydroisoquinolin-1- yl)benzo[e][1,2,4]triazine;
7,8-difluoro-3-(3,3,4,4-tetramethyl-5-(trifluoromethyl)-3,4-dihydroisoquinolin-1- yl)benzo[e][1,2,4]triazine;
3-(4,4-difluoro-3,3-dimethyl-5-(trifluoromethyl)-3,4-dihydroisoquinolin-1-yl)-7,8- difluorobenzo[e][1,2,4]triazine;
7,8-difluoro-3-(3,3,5-trimethyl-3,4-dihydroisoquinolin-1-yl)benzo[e][1,2,4]triazine;
7,8-difluoro-3-(3,3,4,5-tetramethyl-3,4-dihydroisoquinolin-1-yl)benzo[e][1,2,4]triazine;
7,8-difluoro-3-(3,3,4,4,5-pentamethyl-3,4-dihydroisoquinolin-1-yl)benzo[e][1,2,4]triazine;
3-(4,4-difluoro-3,3,5-trimethyl-3,4-dihydroisoquinolin-1-yl)-7,8-difluorobenzo[e][1,2,4]triazine; 7,8-difluoro-3-(6-fluoro-3,3-dimethyl-3,4-dihydroisoquinolin-1-yl)benzo[e][1,2,4]triazine;
7,8-difluoro-3-(6-fluoro-3,3,4-trimethyl-3,4-dihydroisoquinolin-1-yl)benzo[e][1,2,4]triazine; 7,8-difluoro-3-(6-fluoro-3,3,4,4-tetramethyl-3,4-dihydroisoquinolin-1-yl)benzo[e][1,2,4]triazine; 7,8-difluoro-3-(4,4,6-trifluoro-3,3-dimethyl-3,4-dihydroisoquinolin-1-yl)benzo[e][1,2,4]triazine; 3-(6-chloro-3,3-dimethyl-3,4-dihydroisoquinolin-1-yl)-7,8-difluorobenzo[e][1,2,4]triazine;
3-(6-chloro-3,3,4-trimethyl-3,4-dihydroisoquinolin-1-yl)-7,8-difluorobenzo[e][1,2,4]triazine; 3-(6-chloro-3,3,4,4-tetramethyl-3,4-dihydroisoquinolin-1-yl)-7,8-difluorobenzo[e][1,2,4]triazine; 3-(6-chloro-4,4-difluoro-3,3-dimethyl-3,4-dihydroisoquinolin-1-yl)-7,8- difluorobenzo[e][1,2,4]triazine;
3-(6-bromo-3,3-dimethyl-3,4-dihydroisoquinolin-1-yl)-7,8-difluorobenzo[e][1,2,4]triazine;
3-(6-bromo-3,3,4-trimethyl-3,4-dihydroisoquinolin-1-yl)-7,8-difluorobenzo[e][1,2,4]triazine; 3-(6-bromo-3,3,4,4-tetramethyl-3,4-dihydroisoquinolin-1-yl)-7,8-difluorobenzo[e][1,2,4]triazine; 3-(6-bromo-4,4-difluoro-3,3-dimethyl-3,4-dihydroisoquinolin-1-yl)-7,8- difluorobenzo[e][1,2,4]triazine;
3-(3,3-dimethyl-6-(trifluoromethyl)-3,4-dihydroisoquinolin-1-yl)-7,8- difluorobenzo[e][1,2,4]triazine;
7,8-difluoro-3-(3,3,4-trimethyl-6-(trifluoromethyl)-3,4-dihydroisoquinolin-1- yl)benzo[e][1,2,4]triazine;
7,8-difluoro-3-(3,3,4,4-tetramethyl-6-(trifluoromethyl)-3,4-dihydroisoquinolin-1- yl)benzo[e][1,2,4]triazine;
3-(4,4-difluoro-3,3-dimethyl-6-(trifluoromethyl)-3,4-dihydroisoquinolin-1-yl)-7,8- difluorobenzo[e][1,2,4]triazine;
7,8-difluoro-3-(3,3,6-trimethyl-3,4-dihydroisoquinolin-1-yl)benzo[e][1,2,4]triazine;
7,8-difluoro-3-(3,3,4,6-tetramethyl-3,4-dihydroisoquinolin-1-yl)benzo[e][1,2,4]triazine;
7,8-difluoro-3-(3,3,4,4,6-pentamethyl-3,4-dihydroisoquinolin-1-yl)benzo[e][1,2,4]triazine; 3-(4,4-difluoro-3,3,6-trimethyl-3,4-dihydroisoquinolin-1-yl)-7,8-difluorobenzo[e][1,2,4]triazine; 3-(5,6-difluoro-3,3-dimethyl-3,4-dihydroisoquinolin-1-yl)benzo[e][1,2,4]triazine;
3-(5,6-difluoro-3,3,4-trimethyl-3,4-dihydroisoquinolin-1-yl)benzo[e][1,2,4]triazine;
3-(5,6-difluoro-3,3,4,4-tetramethyl-3,4-dihydroisoquinolin-1-yl)benzo[e][1,2,4]triazine;
3-(4,4,5,6-tetrafluoro-3,3-dimethyl-3,4-dihydroisoquinolin-1-yl)benzo[e][1,2,4]triazine;
3-(5,7-difluoro-3,3-dimethyl-3,4-dihydroisoquinolin-1-yl)benzo[e][1,2,4]triazine;
3-(5,7-difluoro-3,3,4-trimethyl-3,4-dihydroisoquinolin-1-yl)benzo[e][1,2,4]triazine;
3-(5,7-difluoro-3,3,4,4-tetramethyl-3,4-dihydroisoquinolin-1-yl)benzo[e][1,2,4]triazine;
3-(4,4,5,7-tetrafluoro-3,3-dimethyl-3,4-dihydroisoquinolin-1-yl)benzo[e][1,2,4]triazine;
3-(5,8-difluoro-3,3-dimethyl-3,4-dihydroisoquinolin-1-yl)benzo[e][1,2,4]triazine;
3-(5,8-difluoro-3,3,4-trimethyl-3,4-dihydroisoquinolin-1-yl)benzo[e][1,2,4]triazine;
3-(5,8-difluoro-3,3,4,4-tetramethyl-3,4-dihydroisoquinolin-1-yl)benzo[e][1,2,4]triazine;
3-(4,4,5,8-tetrafluoro-3,3-dimethyl-3,4-dihydroisoquinolin-1-yl)benzo[e][1,2,4]triazine;
3-(5,6-difluoro-3,3-dimethyl-3,4-dihydroisoquinolin-1-yl)cinnoline;
3-(5,6-difluoro-3,3,4-trimethyl-3,4-dihydroisoquinolin-1-yl)cinnoline;
3-(5,6-difluoro-3,3,4,4-tetramethyl-3,4-dihydroisoquinolin-1-yl)cinnoline;
3-(4,4,5,6-tetrafluoro-3,3-dimethyl-3,4-dihydroisoquinolin-1-yl)cinnoline;
3-(5,7-difluoro-3,3-dimethyl-3,4-dihydroisoquinolin-1-yl)cinnoline;
3-(5,7-difluoro-3,3,4-trimethyl-3,4-dihydroisoquinolin-1-yl)cinnoline;
3-(5,7-difluoro-3,3,4,4-tetramethyl-3,4-dihydroisoquinolin-1-yl)cinnoline;
3-(4,4,5,7-tetrafluoro-3,3-dimethyl-3,4-dihydroisoquinolin-1-yl)cinnoline;
3-(5,8-difluoro-3,3-dimethyl-3,4-dihydroisoquinolin-1-yl)cinnoline;
3-(5,8-difluoro-3,3,4-trimethyl-3,4-dihydroisoquinolin-1-yl)cinnoline;
3-(5,8-difluoro-3,3,4,4-tetramethyl-3,4-dihydroisoquinolin-1-yl)cinnoline;
3-(4,4,5,8-tetrafluoro-3,3-dimethyl-3,4-dihydroisoquinolin-1-yl)cinnoline;
3-(5-chloro-3,3,4,4-tetramethyl-3,4-dihydroisoquinolin-1-yl)pyrido[2,3-c]pyridazine;
3-(5-bromo-3,3,4,4-tetramethyl-3,4-dihydroisoquinolin-1-yl)-4-chlorocinnoline;
4-fluoro-3-(3,3,4,4,5-pentamethyl-3,4-dihydroisoquinolin-1-yl)pyrido[2,3-c]pyridazine;
3-(3,3,4,4-tetramethyl-3,4-dihydroisoquinolin-1-yl)pyrido[3,2-c]pyridazine;
4,4,5,5-tetramethyl-7-(pyrido[3,2-c]pyridazin-3-yl)-4,5-dihydrothieno[2,3-c]pyridine;
3-(4-fluoro-3,3-dimethyl-3,4-dihydroisoquinolin-1-yl)pyrido[3,2-c]pyridazine;
3-(4,4-difluoro-3,3-dimethyl-3,4-dihydroisoquinolin-1-yl)pyrido[3,2-c]pyridazine;
3-(5-fluoro-3,3-dimethyl-3,4-dihydroisoquinolin-1-yl)thieno[2,3-c]pyridazine;
3-(5-fluoro-3,3-dimethyl-3,4-dihydroisoquinolin-1-yl)thieno[3,2-c]pyridazine;
3-(5-fluoro-3,3-dimethyl-4-methylene-3,4-dihydroisoquinolin-1-yl)pyrido[3,2-c]pyridazine; 5,5-dimethyl-7-(pyrido[3,2-c]pyridazin-3-yl)-4,5-dihydrothieno[2,3-c]pyridine;
3-(4,4,5,5-tetramethyl-4,5-dihydrothieno[2,3-c]pyridin-7-yl)thieno[2,3-c]pyridazine;
3-(4,4-difluoro-5,5-dimethyl-4,5-dihydrothieno[2,3-c]pyridin-7-yl)thieno[2,3-c]pyridazine; 3-(5-chloro-3,3,4-trimethyl-3,4-dihydroisoquinolin-1-yl)pyrido[3,4-c]pyridazine;
3-(5-chloro-3,3,4,4-tetramethyl-3,4-dihydroisoquinolin-1-yl)pyrido[3,2-c]pyridazine;
3-(5-chloro-4,4-difluoro-3,3-dimethyl-3,4-dihydroisoquinolin-1-yl)pyrido[3,2-c]pyridazine; 5-ethyl-7-(8-fluorocinnolin-3-yl)-5-methyl-4,5-dihydrothieno[2,3-c]pyridine;
6-ethyl-7,7-difluoro-4-(8-fluorocinnolin-3-yl)-6-methyl-6,7-dihydrothieno[3,2-c]pyridine;
3-(5-bromo-3,3-dimethyl-3,4-dihydroisoquinolin-1-yl)pyrido[4,3-c]pyridazine;
7-(8-fluorocinnolin-3-yl)-4,5,5-trimethyl-4,5-dihydrofuro[2,3-c]pyridine;
8-fluoro-3-(4,4,5,5-tetramethyl-4,5-dihydro-1H-pyrrolo[2,3-c]pyridin-7-yl)cinnoline;
3-(4,4-difluoro-1,5,5-trimethyl-4,5-dihydro-1H-pyrazolo[3,4-c]pyridin-7-yl)-8-fluorocinnoline; 3,3,5-trimethyl-1-(5-methyl-5H-pyrrolo[3,2-c]pyridazin-3-yl)-3,4-dihydroisoquinoline;
8-fluoro-3-(3,3,4,4,5,8-hexamethyl-3,4-dihydroisoquinolin-1-yl)cinnoline;
3-(3-benzyl-3-methyl-3,4-dihydroisoquinolin-1-yl)-8-fluorocinnoline;
1'-(8-fluorocinnolin-3-yl)dispiro[cyclopropane-1,3'-isoquinoline-4',1''-cyclopropane];
8-fluoro-3-(3-isobutyl-4,4-dimethyl-3,4-dihydroisoquinolin-1-yl)cinnoline;
8-fluoro-3-(4-fluoro-3,3,4-trimethyl-3,4-dihydroisoquinolin-1-yl)cinnoline;
1-(8-fluorocinnolin-3-yl)-3,3,4-trimethyl-3,4-dihydroisoquinolin-4-ol;
7-(8-fluorocinnolin-3-yl)-4,5,5-trimethyl-4,5-dihydrothieno[2,3-c]pyridin-4-ol;
7-(cinnolin-3-yl)-4-fluoro-4,5,5-trimethyl-4,5-dihydrothieno[2,3-c]pyridine;
4-fluoro-7-(8-fluorocinnolin-3-yl)-4,5,5-trimethyl-4,5-dihydrothieno[2,3-c]pyridine;
7-(benzo[e][1,2,4]triazin-3-yl)-4,5,5-trimethyl-4,5-dihydrothieno[2,3-c]pyridin-4-ol;
3-(4-fluoro-3,3,4-trimethyl-3,4-dihydroisoquinolin-1-yl)benzo[e][1,2,4]triazine;
1-(benzo[e][1,2,4]triazin-3-yl)-3,3,4-trimethyl-3,4-dihydroisoquinolin-4-ol;
3-(4-methoxy-3,3,4-trimethyl-3,4-dihydroisoquinolin-1-yl)benzo[e][1,2,4]triazine;
3-(5-fluoro-3,3,4,4-tetramethyl-3,4-dihydroisoquinolin-1-yl)thieno[3,2-e][1,2,4]triazine;
3-(3,3,4,4-tetramethyl-3,4-dihydroisoquinolin-1-yl)pyrido[4,3-e][1,2,4]triazine;
6,6,7,7-tetramethyl-4-(pyrido[4,3-e][1,2,4]triazin-3-yl)-6,7-dihydrothieno[3,2-c]pyridine;
7-(benzo[e][1,2,4]triazin-3-yl)-4,4,5,5-tetramethyl-4,5-dihydrofuro[2,3-c]pyridine;
3-(4,4,5,5-tetramethyl-4,5-dihydro-1H-pyrrolo[2,3-c]pyridin-7-yl)benzo[e][1,2,4]triazine; 7,8-difluoro-3-(1,4,4,5,5-pentamethyl-4,5-dihydro-1H-pyrrolo[2,3-c]pyridin-7- yl)benzo[e][1,2,4]triazine;
7,8-difluoro-3-(1,4,4,5,5-pentamethyl-4,5-dihydro-1H-pyrazolo[3,4-c]pyridin-7- yl)benzo[e][1,2,4]triazine;
3-(4,4-difluoro-1,5,5-trimethyl-4,5-dihydro-1H-pyrazolo[3,4-c]pyridin-7-yl)-7,8- difluorobenzo[e][1,2,4]triazine;
7-(7,8-difluorobenzo[e][1,2,4]triazin-3-yl)-4,4-difluoro-5,5-dimethyl-4,5-dihydrothieno[2,3- c]pyridine;
3-(5-bromo-4,4-difluoro-3,3-dimethyl-3,4-dihydroisoquinolin-1-yl)pyrido[3,2-e][1,2,4]triazine; 1'-(benzo[e][1,2,4]triazin-3-yl)-4',4'-difluoro-4'H-spiro[cyclopropane-1,3'-isoquinoline];
3-(4,4-difluoro-3,3,5-trimethyl-3,4-dihydroisoquinolin-1-yl)pyrido[2,3-e][1,2,4]triazine;
3-(4,4-difluoro-3-isobutyl-3,4-dihydroisoquinolin-1-yl)benzo[e][1,2,4]triazine;
7-(benzo[e][1,2,4]triazin-3-yl)-4,4-difluoro-5-isobutyl-4,5-dihydrothieno[2,3-c]pyridine;
3-(8,8-difluoro-7,7-dimethyl-7,8-dihydro-1,6-naphthyridin-5-yl)pyrido[2,3-c]pyridazine;
3-(8,8-difluoro-7,7-dimethyl-7,8-dihydro-1,6-naphthyridin-5-yl)benzo[e][1,2,4]triazine;
4-(benzo[e][1,2,4]triazin-3-yl)-6,6,7,7-tetramethyl-6,7-dihydrothieno[3,4-c]pyridine;
7-fluoro-8-methoxy-3-(3,3,4,4-tetramethyl-3,4-dihydroisoquinolin-1-yl)benzo[e][1,2,4]triazine; 7-(6,7-dichlorobenzo[e][1,2,4]triazin-3-yl)-4,5,5-trimethyl-4,5-dihydrothieno[2,3-c]pyridine; 7-(5-fluorobenzo[e][1,2,4]triazin-3-yl)-4,5,5-trimethyl-4,5-dihydrothieno[2,3-c]pyridine;
7,8-difluoro-3-(7,7,8,8-tetramethyl-7,8-dihydro-1,6-naphthyridin-5-yl)pyrido[2,3- e][1,2,4]triazine;
1'-(7,8-difluorobenzo[e][1,2,4]triazin-3-yl)-3',3'-dimethyl-3'H-spiro[cyclopentane-1,4'- isoquinoline];
1'-(7,8-difluorocinnolin-3-yl)-3',3'-dimethyl-3'H-spiro[cyclopentane-1,4'-isoquinoline];
7,8-difluoro-3-(5,5,6,6-tetramethyl-5,6-dihydro-1,7-naphthyridin-8-yl)cinnoline;
diethyl (1-(benzo[e][1,2,4]triazin-3-yl)-3,3-dimethyl-3,4-dihydroisoquinolin-5-yl)phosphonate;
ethyl hydrogen (1-(benzo[e][1,2,4]triazin-3-yl)-3,3-dimethyl-3,4-dihydroisoquinolin-5- yl)phosphonate;
(1-(benzo[e][1,2,4]triazin-3-yl)-3,3,4-trimethyl-3,4-dihydroisoquinolin-5-yl)phosphonic acid; diethyl (2-(3,3,4,4-tetramethyl-3,4-dihydroisoquinolin-1-yl)quinolin-7-yl)phosphonate;
diethyl (2-(3,3,4,4-tetramethyl-3,4-dihydroisoquinolin-1-yl)quinolin-4-yl)phosphonate;
6-(3,3-dimethyl-3,4-dihydroisoquinolin-1-yl)quinoline;
6-(3,3,4,4-tetramethyl-3,4-dihydroisoquinolin-1-yl)quinoline;
6-(4-fluoro-3,3-dimethyl-3,4-dihydroisoquinolin-1-yl)quinoline;
3,3-dimethyl-1-(quinolin-6-yl)isoquinolin-4(3H)-one;
6-(4,4-difluoro-3,3-dimethyl-3,4-dihydroisoquinolin-1-yl)quinoline;
5,5-dimethyl-7-(quinolin-6-yl)-4,5-dihydrothieno[2,3-c]pyridine;
8-fluoro-6-(3,3,4,4-tetramethyl-3,4-dihydroisoquinolin-1-yl)quinoline;
6-(5-fluoro-3,3-dimethyl-3,4-dihydroisoquinolin-1-yl)quinoline;
6-(3,3-dimethyl-3,4-dihydroisoquinolin-1-yl)-2-methylquinoline;
6-(3,3-dimethyl-3,4-dihydroisoquinolin-1-yl)-8-fluoroquinoline;
6-(3,3-dimethyl-3,4-dihydroisoquinolin-1-yl)-4-methylquinoline;
6-(3,3-dimethyl-3,4-dihydroisoquinolin-1-yl)-8-methoxyquinoline;
6-(3,3-dimethyl-3,4-dihydroisoquinolin-1-yl)quinolin-8-ol;
6-(6-fluoro-3,3,4,4-tetramethyl-3,4-dihydroisoquinolin-1-yl)-4-methylquinoline;
4-methyl-6-(3,3,6-trimethyl-3,4-dihydroisoquinolin-1-yl)quinoline;
4,8-dimethyl-6-(3,3,4,4-tetramethyl-3,4-dihydroisoquinolin-1-yl)quinoline;
4-chloro-6-(3,3,4,4-tetramethyl-3,4-dihydroisoquinolin-1-yl)quinoline;
N-methyl-6-(3,3,4,4-tetramethyl-3,4-dihydroisoquinolin-1-yl)quinolin-4-amine;
4-ethoxy-6-(3,3,4,4-tetramethyl-3,4-dihydroisoquinolin-1-yl)quinoline;
4-chloro-6-(5-fluoro-3,3-dimethyl-3,4-dihydroisoquinolin-1-yl)quinoline;
7-(3,3-dimethyl-3,4-dihydroisoquinolin-1-yl)quinoline;
7-(3,3,4,4-tetramethyl-3,4-dihydroisoquinolin-1-yl)quinoline;
7-(4,4-difluoro-3,3-dimethyl-3,4-dihydroisoquinolin-1-yl)quinoline;
7-(4-fluoro-3,3-dimethyl-3,4-dihydroisoquinolin-1-yl)quinoline;
3,3-dimethyl-1-(quinolin-7-yl)isoquinolin-4(3H)-one;
7-(6-bromo-3,3,4,4-tetramethyl-3,4-dihydroisoquinolin-1-yl)quinoline;
7-(3,3,4-trimethyl-3,4-dihydroisoquinolin-1-yl)quinoline;
7-(5-fluoro-3,3-dimethyl-3,4-dihydroisoquinolin-1-yl)quinoline;
7-(5-fluoro-3,3,4-trimethyl-3,4-dihydroisoquinolin-1-yl)quinoline;
7-(5-chloro-3,3-dimethyl-3,4-dihydroisoquinolin-1-yl)quinoline;
7-(5-chloro-3,3,4-trimethyl-3,4-dihydroisoquinolin-1-yl)quinoline;
7-(6-fluoro-3,3-dimethyl-3,4-dihydroisoquinolin-1-yl)quinoline;
7-(3,3-dimethyl-5-(trifluoromethyl)-3,4-dihydroisoquinolin-1-yl)quinoline;
8-methyl-7-(3,3,4,4-tetramethyl-3,4-dihydroisoquinolin-1-yl)quinoline;
8-methyl-7-(3,3,4-trimethyl-3,4-dihydroisoquinolin-1-yl)quinoline;
7-(3,3-dimethyl-3,4-dihydroisoquinolin-1-yl)-8-methylquinoline;
7-(6-fluoro-3,3,4,4-tetramethyl-3,4-dihydroisoquinolin-1-yl)quinoline;
7-(6-fluoro-3,3,4-trimethyl-3,4-dihydroisoquinolin-1-yl)quinoline;
7-(3-ethyl-3-methyl-3,4-dihydroisoquinolin-1-yl)quinoline;
7-(5-fluoro-3,3,4,4-tetramethyl-3,4-dihydroisoquinolin-1-yl)quinoline;
7-(3,3,4,5-tetramethyl-3,4-dihydroisoquinolin-1-yl)quinoline;
4-chloro-7-(3,3-dimethyl-3,4-dihydroisoquinolin-1-yl)quinoline;
6-(3,3-dimethyl-3,4-dihydroisoquinolin-1-yl)quinoxaline;
6-(5-chloro-3-ethyl-3-methyl-3,4-dihydroisoquinolin-1-yl)quinoxaline;
6-(4,4-difluoro-3,3-dimethyl-3,4-dihydroisoquinolin-1-yl)quinoxaline;
6-(3,3,4,4,6-pentamethyl-3,4-dihydroisoquinolin-1-yl)quinoxaline;
6-(3,3,6-trimethyl-3,4-dihydroisoquinolin-1-yl)quinoxaline;
6-(6-chloro-3,3-dimethyl-3,4-dihydroisoquinolin-1-yl)quinoxaline;
6-(4-ethyl-3,3-dimethyl-3,4-dihydroisoquinolin-1-yl)quinoxaline;
6-(3,3,5-trimethyl-3,4-dihydroisoquinolin-1-yl)quinoxaline;
6-(3,3,4,4-tetramethyl-3,4-dihydroisoquinolin-1-yl)quinoxaline;
6-(3,3-dimethyl-6-(trifluoromethoxy)-3,4-dihydroisoquinolin-1-yl)quinoxaline;
6-(6-fluoro-3,3,5-trimethyl-3,4-dihydroisoquinolin-1-yl)quinoxaline;
6-(6-fluoro-3,3-dimethyl-3,4-dihydroisoquinolin-1-yl)quinoxaline;
6-(7-fluoro-3,3-dimethyl-3,4-dihydroisoquinolin-1-yl)quinoxaline;
6-(6-fluoro-3,3,4,4-tetramethyl-3,4-dihydroisoquinolin-1-yl)quinoxaline;
6-(3-ethyl-4,4-difluoro-3-methyl-3,4-dihydroisoquinolin-1-yl)quinoxaline;
6-(3-ethyl-3-methyl-3,4-dihydroisoquinolin-1-yl)quinoxaline;
6-(5-chloro-3,3-dimethyl-3,4-dihydroisoquinolin-1-yl)quinoxaline;
6-(6-fluoro-3,3,4,5-tetramethyl-3,4-dihydroisoquinolin-1-yl)quinoxaline;
6-(3,3,4,5-tetramethyl-3,4-dihydroisoquinolin-1-yl)quinoxaline;
6-(6-bromo-3,3-dimethyl-3,4-dihydroisoquinolin-1-yl)quinoxaline;
3,3-dimethyl-1-(naphthalen-2-yl)-3,4-dihydroisoquinoline;
3,3,4,4-tetramethyl-1-(naphthalen-2-yl)-3,4-dihydroisoquinoline;
5-(3,3-dimethyl-3,4-dihydroisoquinolin-1-yl)isobenzofuran-1(3H)-one;
5-(3,3,4,4-tetramethyl-3,4-dihydroisoquinolin-1-yl)isobenzofuran-1(3H)-one;
5-(3,3,4-trimethyl-3,4-dihydroisoquinolin-1-yl)isobenzofuran-1(3H)-one;
5-(5-fluoro-3,3-dimethyl-3,4-dihydroisoquinolin-1-yl)isobenzofuran-1(3H)-one;
5-(5-fluoro-3,3,4-trimethyl-3,4-dihydroisoquinolin-1-yl)isobenzofuran-1(3H)-one; 5-(6-fluoro-3,3,4-trimethyl-3,4-dihydroisoquinolin-1-yl)isobenzofuran-1(3H)-one; 5-(6-fluoro-3,3,4,4-tetramethyl-3,4-dihydroisoquinolin-1-yl)isobenzofuran-1(3H)-one; 5-(5-chloro-3,3,4-trimethyl-3,4-dihydroisoquinolin-1-yl)isobenzofuran-1(3H)-one; 5-(6-fluoro-3,3-dimethyl-3,4-dihydroisoquinolin-1-yl)isobenzofuran-1(3H)-one;
5-(5-fluoro-3,3,4,4-tetramethyl-3,4-dihydroisoquinolin-1-yl)isobenzofuran-1(3H)-one; 3,3-dimethyl-1-(1-methyl-1H-indol-5-yl)-3,4-dihydroisoquinoline;
5,5-dimethyl-7-(naphthalen-2-yl)-4,5-dihydrothieno[2,3-c]pyridine;
4,4-difluoro-3,3-dimethyl-1-(naphthalen-2-yl)-3,4-dihydroisoquinoline;
3,3-dimethyl-1-(naphthalen-2-yl)isoquinolin-4(3H)-one;
3,3-dimethyl-1-(naphthalen-2-yl)-3,4-dihydrobenzo[h]isoquinoline;
6-(3,3,4,4-tetramethyl-3,4-dihydroisoquinolin-1-yl)-4H-chromen-4-one;
6-(3,3-dimethyl-3,4-dihydroisoquinolin-1-yl)-4H-chromen-4-one;
6-(5-chloro-3,3-dimethyl-3,4-dihydroisoquinolin-1-yl)-4H-chromen-4-one;
6-(3,3-dimethyl-3,4-dihydroisoquinolin-1-yl)-2H-chromen-2-one;
6-(5-chloro-3,3-dimethyl-3,4-dihydroisoquinolin-1-yl)-2H-chromen-2-one;
6-(5-fluoro-3,3,4-trimethyl-3,4-dihydroisoquinolin-1-yl)quinoline;
6-(5-fluoro-3,3,4,4-tetramethyl-3,4-dihydroisoquinolin-1-yl)quinoline;
6-(4,4,5-trifluoro-3,3-dimethyl-3,4-dihydroisoquinolin-1-yl)quinoline;
6-(5-chloro-3,3-dimethyl-3,4-dihydroisoquinolin-1-yl)quinoline;
6-(5-chloro-3,3,4-trimethyl-3,4-dihydroisoquinolin-1-yl)quinoline;
6-(5-chloro-3,3,4,4-tetramethyl-3,4-dihydroisoquinolin-1-yl)quinoline;
6-(5-chloro-4,4-difluoro-3,3-dimethyl-3,4-dihydroisoquinolin-1-yl)quinoline;
6-(5-bromo-3,3-dimethyl-3,4-dihydroisoquinolin-1-yl)quinoline;
6-(5-bromo-3,3,4-trimethyl-3,4-dihydroisoquinolin-1-yl)quinoline;
6-(5-bromo-3,3,4,4-tetramethyl-3,4-dihydroisoquinolin-1-yl)quinoline;
6-(5-bromo-4,4-difluoro-3,3-dimethyl-3,4-dihydroisoquinolin-1-yl)quinoline;
6-(3,3-dimethyl-5-(trifluoromethyl)-3,4-dihydroisoquinolin-1-yl)quinoline;
6-(3,3,4-trimethyl-5-(trifluoromethyl)-3,4-dihydroisoquinolin-1-yl)quinoline;
6-(3,3,4,4-tetramethyl-5-(trifluoromethyl)-3,4-dihydroisoquinolin-1-yl)quinoline;
6-(4,4-difluoro-3,3-dimethyl-5-(trifluoromethyl)-3,4-dihydroisoquinolin-1-yl)quinoline;
6-(3,3,5-trimethyl-3,4-dihydroisoquinolin-1-yl)quinoline;
6-(3,3,4,5-tetramethyl-3,4-dihydroisoquinolin-1-yl)quinoline;
6-(3,3,4,4,5-pentamethyl-3,4-dihydroisoquinolin-1-yl)quinoline;
6-(4,4-difluoro-3,3,5-trimethyl-3,4-dihydroisoquinolin-1-yl)quinoline;
6-(5,6-difluoro-3,3-dimethyl-3,4-dihydroisoquinolin-1-yl)quinoline;
6-(5,6-difluoro-3,3,4-trimethyl-3,4-dihydroisoquinolin-1-yl)quinoline;
6-(5,6-difluoro-3,3,4,4-tetramethyl-3,4-dihydroisoquinolin-1-yl)quinoline;
6-(5,7-difluoro-3,3,4,4-tetramethyl-3,4-dihydroisoquinolin-1-yl)quinoline;
6-(5,8-difluoro-3,3,4,4-tetramethyl-3,4-dihydroisoquinolin-1-yl)quinoline;
7-(4,4,5-trifluoro-3,3-dimethyl-3,4-dihydroisoquinolin-1-yl)quinoline;
7-(5-chloro-3,3,4,4-tetramethyl-3,4-dihydroisoquinolin-1-yl)quinoline;
7-(5-bromo-3,3,4,4-tetramethyl-3,4-dihydroisoquinolin-1-yl)quinoline;
7-(3,3,4,4-tetramethyl-5-(trifluoromethyl)-3,4-dihydroisoquinolin-1-yl)quinoline;
7-(3,3,4,4,5-pentamethyl-3,4-dihydroisoquinolin-1-yl)quinoline;
7-(3-ethyl-4,4-difluoro-3-methyl-3,4-dihydroisoquinolin-1-yl)quinoline;
4-chloro-7-(3,3,4,4-tetramethyl-3,4-dihydroisoquinolin-1-yl)quinoline;
4-chloro-7-(5-fluoro-3,3,4-trimethyl-3,4-dihydroisoquinolin-1-yl)quinoline;
4-chloro-7-(5-chloro-3,3-dimethyl-3,4-dihydroisoquinolin-1-yl)quinoline;
4-chloro-7-(4,4-difluoro-3,3-dimethyl-3,4-dihydroisoquinolin-1-yl)quinoline;
6-(3,3,4,4-tetramethyl-3,4-dihydroisoquinolin-1-yl)quinolin-4-ol;
6-(4,4-difluoro-3,3-dimethyl-3,4-dihydroisoquinolin-1-yl)quinolin-4-ol;
4-(1-methylhydrazineyl)-6-(3,3,4,4-tetramethyl-3,4-dihydroisoquinolin-1-yl)quinoline;
6-(4,4-difluoro-3,3-dimethyl-3,4-dihydroisoquinolin-1-yl)-4-(1-methylhydrazineyl)quinoline; 4-(1-methylhydrazineyl)-6-(3,3,4,4,5-pentamethyl-3,4-dihydroisoquinolin-1-yl)quinoline;
N,N-dimethyl-6-(3,3,4,4,5-pentamethyl-3,4-dihydroisoquinolin-1-yl)quinolin-4-amine;
4-isopropoxy-6-(3,3,4,4,5-pentamethyl-3,4-dihydroisoquinolin-1-yl)quinoline;
6-(4,4-difluoro-3,3-dimethyl-3,4-dihydroisoquinolin-1-yl)-4-isopropoxyquinoline;
4,4-difluoro-7-(4-isopropoxyquinolin-6-yl)-5,5-dimethyl-4,5-dihydrothieno[2,3-c]pyridine; 4,4-difluoro-5,5-dimethyl-7-(4-(1-methylhydrazineyl)quinolin-6-yl)-4,5-dihydrothieno[2,3- c]pyridine;
4,4,5,5-tetramethyl-7-(4-(1-methylhydrazineyl)quinolin-6-yl)-4,5-dihydrothieno[2,3-c]pyridine; 6-(4,4-difluoro-3,3-dimethyl-3,4-dihydroisoquinolin-1-yl)-4-(methylthio)quinoline;
(6-(4,4-difluoro-3,3-dimethyl-3,4-dihydroisoquinolin-1-yl)quinolin-4-yl)(imino)(methyl)-l6- sulfanone;
(6-(4,4-difluoro-3,3-dimethyl-3,4-dihydroisoquinolin-1-yl)quinolin-4-yl)(methyl)(methylimino)- l6-sulfanone;
6-(4,4-difluoro-3,3-dimethyl-3,4-dihydroisoquinolin-1-yl)-4-(methylsulfonyl)quinoline;
imino(methyl)(6-(3,3,4,4-tetramethyl-3,4-dihydroisoquinolin-1-yl)quinolin-4-yl)-l6-sulfanone;
imino(methyl)(6-(3,3,4,4,5-pentamethyl-3,4-dihydroisoquinolin-1-yl)quinolin-4-yl)-l6- sulfanone;
imino(methyl)(6-(4,4,5,5-tetramethyl-4,5-dihydrothieno[2,3-c]pyridin-7-yl)quinolin-4-yl)-l6- sulfanone;
6-(4,4-difluoro-3,3-dimethyl-3,4-dihydroisoquinolin-1-yl)quinoline-4-carboxylic acid;
6-(4,4-difluoro-3,3-dimethyl-3,4-dihydroisoquinolin-1-yl)quinoline-4-carboxamide;
6-(4,4-difluoro-3,3-dimethyl-3,4-dihydroisoquinolin-1-yl)-N-methylquinoline-4-carboxamide; N-methyl-6-(3,3,4,4-tetramethyl-3,4-dihydroisoquinolin-1-yl)quinoline-4-carboxamide;
N-methyl-6-(4,4,5,5-tetramethyl-4,5-dihydrothieno[2,3-c]pyridin-7-yl)quinoline-4-carboxamide; N-methyl-6-(4,4,5,5-tetramethyl-4,5-dihydrothieno[2,3-c]pyridin-7-yl)quinoline-4-carboxamide; (6-(5-fluoro-3,3,4,4-tetramethyl-3,4-dihydroisoquinolin-1-yl)quinolin-4-yl)(imino)(methyl)-l6- sulfanone;
(6-(6-fluoro-3,3,4,4-tetramethyl-3,4-dihydroisoquinolin-1-yl)quinolin-4-yl)(imino)(methyl)-l6- sulfanone;
1-(4-aminoquinolin-6-yl)-3,3,4,4-tetramethyl-3,4-dihydroisoquinoline-5-carbonitrile;
6-(5-ethynyl-3,3,4,4-tetramethyl-3,4-dihydroisoquinolin-1-yl)quinolin-4-amine;
6-(5-ethynyl-3,3,4,4-tetramethyl-3,4-dihydroisoquinolin-1-yl)quinoline-4-thiol;
imino(methyl)(3,3,4,4-tetramethyl-1-(quinolin-6-yl)-3,4-dihydroisoquinolin-5-yl)-l6-sulfanone; 6-(3,3,4,4-tetramethyl-5-(S-methylsulfonimidoyl)-3,4-dihydroisoquinolin-1-yl)-4H-chromen-4- one;
6-(3,3,4,4,5-pentamethyl-3,4-dihydroisoquinolin-1-yl)-4H-chromen-4-one;
6-(4,4-difluoro-3,3-dimethyl-3,4-dihydroisoquinolin-1-yl)-4H-chromen-4-one;
6-(4,4-difluoro-3,3-dimethyl-3,4-dihydroisoquinolin-1-yl)-2-methyl-4H-chromen-4-one;
6-(4,4-difluoro-3,3-dimethyl-3,4-dihydroisoquinolin-1-yl)-3-methyl-4H-chromen-4-one;
6-(4,4-difluoro-3,3-dimethyl-3,4-dihydroisoquinolin-1-yl)-2,3-dimethyl-4H-chromen-4-one; 6-(4,4-difluoro-3,3-dimethyl-3,4-dihydroisoquinolin-1-yl)-2-methyl-4H-thiochromen-4-one; 6-(4,4-difluoro-3,3-dimethyl-3,4-dihydroisoquinolin-1-yl)-3-methyl-4H-chromen-4-one;
6-(4,4-difluoro-3,3-dimethyl-3,4-dihydroisoquinolin-1-yl)-2,3-dimethyl-4H-chromen-4-one; 6-(5-fluoro-3,3,4,4-tetramethyl-3,4-dihydroisoquinolin-1-yl)-4H-chromen-4-one;
6-(6-fluoro-3,3,4,4-tetramethyl-3,4-dihydroisoquinolin-1-yl)-4H-chromen-4-one;
6-(3,3,4,4-tetramethyl-3,4-dihydroisoquinolin-1-yl)-4H-chromene-4-thione;
6-(4,4,5,5-tetramethyl-4,5-dihydrothieno[2,3-c]pyridin-7-yl)-4H-chromene-4-thione;
6-(4,4-difluoro-3,3-dimethyl-3,4-dihydroisoquinolin-1-yl)-4H-chromene-4-thione;
6-(3,3,4,4-tetramethyl-5-(S-methylsulfonimidoyl)-3,4-dihydroisoquinolin-1-yl)-2H-chromen-2- one;
6-(3,3,4,4,5-pentamethyl-3,4-dihydroisoquinolin-1-yl)-2H-chromen-2-one;
6-(4,4-difluoro-3,3-dimethyl-3,4-dihydroisoquinolin-1-yl)-2H-chromen-2-one;
6-(4,4-difluoro-3,3-dimethyl-3,4-dihydroisoquinolin-1-yl)-4-methyl-2H-chromen-2-one;
6-(4,4-difluoro-3,3-dimethyl-3,4-dihydroisoquinolin-1-yl)-3-methyl-2H-chromen-2-one;
6-(4,4-difluoro-3,3-dimethyl-3,4-dihydroisoquinolin-1-yl)-3,4-dimethyl-2H-chromen-2-one; 6-(4,4-difluoro-3,3-dimethyl-3,4-dihydroisoquinolin-1-yl)-2H-chromene-2-thione;
6-(4,4-difluoro-3,3-dimethyl-3,4-dihydroisoquinolin-1-yl)-3-methyl-2H-chromene-2-thione; 6-(4,4-difluoro-3,3-dimethyl-3,4-dihydroisoquinolin-1-yl)-4-methyl-2H-chromen-2-one;
6-(5-fluoro-3,3,4,4-tetramethyl-3,4-dihydroisoquinolin-1-yl)-2H-chromen-2-one;
6-(6-fluoro-3,3,4,4-tetramethyl-3,4-dihydroisoquinolin-1-yl)-2H-chromen-2-one;
6-(3,3,4,4-tetramethyl-3,4-dihydroisoquinolin-1-yl)-2H-chromene-2-thione;
6-(4,4,5,5-tetramethyl-4,5-dihydrothieno[2,3-c]pyridin-7-yl)-2H-chromene-2-thione;
6-(5,5-dimethyl-4-methylene-4,5-dihydrothieno[2,3-c]pyridin-7-yl)-2H-chromene-2-thione;
6-(4,4-difluoro-3,3-dimethyl-3,4-dihydroisoquinolin-1-yl)-8-hydroxy-2H-chromen-2-one;
6-(4,4-difluoro-3,3-dimethyl-3,4-dihydroisoquinolin-1-yl)-8-methoxy-2H-chromen-2-one;
8-hydroxy-6-(3,3,4,4-tetramethyl-3,4-dihydroisoquinolin-1-yl)-2H-chromen-2-one;
8-methyl-6-(3,3,4,4-tetramethyl-3,4-dihydroisoquinolin-1-yl)-2H-chromen-2-one;
8-amino-6-(3,3,4,4-tetramethyl-3,4-dihydroisoquinolin-1-yl)-2H-chromen-2-one;
7-methyl-6-(3,3,4,4-tetramethyl-3,4-dihydroisoquinolin-1-yl)-2H-chromen-2-one;
7-mercapto-6-(3,3,4,4-tetramethyl-3,4-dihydroisoquinolin-1-yl)-2H-chromen-2-one;
5-chloro-6-(3,3,4,4-tetramethyl-3,4-dihydroisoquinolin-1-yl)-2H-chromen-2-one;
5-chloro-8-methyl-6-(3,3,4,4-tetramethyl-3,4-dihydroisoquinolin-1-yl)-2H-chromen-2-one; 5-chloro-6-(5-methoxy-3,3,4,4-tetramethyl-3,4-dihydroisoquinolin-1-yl)-2H-chromen-2-one; 8-(methylthio)-6-(3,3,4,4,5-pentamethyl-3,4-dihydroisoquinolin-1-yl)-2H-chromen-2-one;
8-hydroxy-6-(3,3,4,4-tetramethyl-3,4-dihydroisoquinolin-1-yl)-4H-chromen-4-one;
8-methyl-6-(3,3,4,4-tetramethyl-3,4-dihydroisoquinolin-1-yl)-4H-chromen-4-one;
8-amino-6-(3,3,4,4-tetramethyl-3,4-dihydroisoquinolin-1-yl)-4H-chromen-4-one;
7-methyl-6-(3,3,4,4-tetramethyl-3,4-dihydroisoquinolin-1-yl)-4H-chromen-4-one;
7-mercapto-6-(3,3,4,4-tetramethyl-3,4-dihydroisoquinolin-1-yl)-4H-chromen-4-one;
5-chloro-6-(3,3,4,4-tetramethyl-3,4-dihydroisoquinolin-1-yl)-4H-chromen-4-one;
5-chloro-8-methyl-6-(3,3,4,4-tetramethyl-3,4-dihydroisoquinolin-1-yl)-4H-chromen-4-one; 5-chloro-6-(5-methoxy-3,3,4,4-tetramethyl-3,4-dihydroisoquinolin-1-yl)-4H-chromen-4-one; 8-(methylthio)-6-(3,3,4,4,5-pentamethyl-3,4-dihydroisoquinolin-1-yl)-4H-chromen-4-one;
6-(5-bromo-3,3,4,4-tetramethyl-3,4-dihydroisoquinolin-1-yl)-8-(methylthio)-4H-chromen-4-one; 6-(2,4,4,5,5-pentamethyl-4,5-dihydrothieno[2,3-c]pyridin-7-yl)-2H-chromen-2-one; and diethyl (7-(4,4-difluoro-3,3-dimethyl-3,4-dihydroisoquinolin-1-yl)quinolin-4-yl)phosphonate. The chemical names provided herein the specification and the claims are generated using
ChemDraw Professional 16.0. The present invention also provides agriculturally acceptable salts, structural isomers, stereo- isomers, diastereoisomers, enantiomers, tautomers, metal complexes, polymorphs, compositions or N-oxides thereof of Formula I.
Any of the compounds according to the invention can exist in one or more optical, geometric or chiral isomer forms depending on the number of asymmetric centres in the compound. The invention thus relates equally to all the optical isomers and to their racemic or scalemic mixtures (the term "scalemic" denotes a mixture of enantiomers in different proportions), and to the mixtures of all the possible stereoisomers, in all proportions. The diastereoisomers and/or the optical isomers can be separated according to the methods which are known per se by a person ordinary skilled in the art. Any of the compounds according to the invention can also exist in one or more geometric isomer forms depending on the number of double bonds in the compound. The invention thus relates equally to all geometric isomers and to all possible mixtures, in all proportions. The geometric isomers can be separated according to general methods, which are known per se by a person ordinary skilled in
the art.
Any of the compounds according to the invention, can also exist in one or more amorphic or isomorphic or polymorphic forms, depending on their preparation, purification storage and various other influencing factors. The invention thus relates all the possible amorphic, isomorphic and polymorphic forms, in all proportions. The amorphic, isomorphic and polymorphic forms can be prepared and/or separated and/or purified according to general methods, which are known per se by a person ordinary skilled in the art.
In the definitions of the variables given above, collective terms are used which are generally representative for the substituents in question. The term "(R)m" indicates the number of carbon atoms possible in each case in the substituent or substituent moiety in question.
The expression as represented in“a” below for the purpose of the present invention would mean that the unsaturated bond may be present or absent depending upon the number of valency of the carbon or nitrogen atoms of the ring after considering the possible substituent/s, whereas the expression as represent in“b” for the purpose of the present invention would mean that the pi bonds of the ring takes the position depending upon the substituent/s of the carbon atoms of the ring after considering the possible substituent/s.
The term "halogen" refers to fluorine, chlorine, bromine and iodine.
The term“hetero” for the purpose of the present invention refers to nitrogen, sulphur and oxygen. For instance, heterocyclic compound includes but is not limited to pyridine, morpholine, piperidine, thiazole and the like, wherein the hetero atom is present in the ring.
The term "C1-C6-alkyl" refers to a straight-chained or branched saturated hydrocarbon group having 1 to 6 carbon atoms, e.g. methyl, ethyl, propyl, 1-methylethyl, butyl, 1-methylpropyl, 2- methylpropyl, 1,1-dimethylethyl, pentyl, 1-methylbutyl, 2-methylbutyl, 3-methylbutyl, 2,2- dimethylpropyl, 1-ethylpropyl, 1,1-dimethylpropyl, 1,2-dimethylpropyl, hexyl, 1-methylpentyl, 2- methylpentyl, 3-methylpentyl, 4-methylpentyl, 1,1-dimethylbutyl, 1,2-dimethylbutyl, 1,3- dimethylbutyl, 2,2-dimethylbutyl, 2,3-dimethylbutyl, 3,3-dimethylbutyl, 1-ethylbutyl, 2-ethylbutyl, 1,1,2-trimethylpropyl, 1,2,2-trimethylpropyl, 1-ethyl-1-methylpropyl and 1-ethyl-2-methylpropyl.
The term "C1-C6-haloalkyl" refers to an alkyl group having 1 or 6 carbon atoms as defined above, wherein some or all of the hydrogen atoms in these groups may be replaced by halogen atoms as mentioned above. Examples are "C1-C2-haloalkyl" groups such as chloromethyl, bromomethyl, dichloromethyl, trichloromethyl, fluoromethyl, difluoromethyl, trifluoromethyl, chlorofluoromethyl, dichlorofluoromethyl, chlorodifluoromethyl, 1-chloroethyl, 1-bromoethyl, 1-fluoroethyl, 2- fluoroethyl, 2,2-difluoroethyl, 2,2,2-trifluoroethyl, 2-chloro-2-fluoroethyl, 2-chloro- 2,2- difluoroethyl, 2,2-dichloro-2-fluoroethyl, 2,2,2-trichloroethyl or pentafluoroethyl.
The term "C1-C6-hydroxyalkyl" refers to an alkyl group having 1 or 6 carbon atoms as defined above, wherein some or all of the hydrogen atoms in these groups may be replaced by OH groups. The term "C2-C6-alkenyl" refers to a straight-chain or branched unsaturated hydrocarbon radical having 2 to 6 carbon atoms and a double bond in any position. Examples are "C2-C4-alkenyl" groups, such as ethenyl, 1-propenyl, 2-propenyl (allyl), 1-methylethenyl, 1-butenyl, 2-butenyl, 3-butenyl, 1- methyl-1-propenyl, 2-methyl-1-propenyl, 1-methyl-2-propenyl, 2-methyl-2-propenyl.
The term "C2-C6-alkynyl" refers to a straight-chain or branched unsaturated hydrocarbon radical having 2 to 6 carbon atoms and containing at least one triple bond. Examples are "C2-C4-alkynyl" groups, such as ethynyl, prop-1-ynyl, prop-2-ynyl (propargyl), but-1-ynyl, but-2-ynyl, but-3-ynyl, 1- methyl-prop-2-ynyl.
The term "C1-C6-alkoxy" refers to a straight-chain or branched alkyl group having 1 to 6 carbon atoms which is bonded via oxygen, at any position in the alkyl group. Examples are "C1-C4-alkoxy" groups, such as methoxy, ethoxy, n-propoxy, 1-methylethoxy, butoxy, 1-methyhpropoxy, 2- methylpropoxy or 1,1-dimethylethoxy.
The term C1-C6-haloalkyl refers to a C1-C6-alkyl as defined above, wherein one or more of the alkyl group’s hydrogen atoms have been replaced with a halogen.
The term "C1-C6-haloalkoxy" refers to a C1-C6-alkoxy radical as defined above, wherein some or all of the hydrogen atoms in these groups may be replaced by halogen atoms as mentioned above. Examples are "C1-C6-haloalkoxy" groups, such as OCH2F, OCHF2, OCF3, OCH2CI, OCHCI2, OCCI3, chlorofluoromethoxy, dichlorofluoromethoxy, chlorodifluoromethoxy, 2-fluoroethoxy, 2- chloroethoxy, 2-bromoethoxy, 2-iodoethoxy, 2,2-difluoroethoxy, 2,2,2-tri-fluoroethoxy, 2-chloro-2- fluoroethoxy, 2-chloro-2,2-difluoroethoxy, 2,2-dichloro-2-fluoroethoxy, 2,2,2-trichloro-"ethoxy, OC2F5, 2-fluoropropoxy, 3-fluoropropoxy, 2,2-difluoropropoxy, 2,3-difluoro-propoxy, 2- chloropropoxy, 3-chloropropoxy, 2,3-dichloropropoxy, 2-bromo-propoxy, 3- bromopropoxy, 3,3,3- trifluoropropoxy, 3,3,3-trichloropropoxy, OCH2-C2F5, OCF2-C2F5, 1-fluoromethyl-2-fluoroethoxy,
1-chloromethyl-2-chloroethoxy, 1-bromomethyl-2-bromo-ethoxy, 4-fluorobutoxy, 4-chlorobutoxy, 4-bromobutoxy or nonafluorobutoxy.
The term "C2-C6-alkenyloxy" refers to a straight-chain or branched alkenyl group having 2 to 6 carbon atoms which is bonded via oxygen, at any position in the alkenyl group. Examples are "C2- C6-alkenyloxy" groups.
The term "C2-C6-alkynyloxy" refers to a straight-chain or branched alkynyl group having 2 to 6 carbon atoms which is bonded via oxygen, at any position in the alkynyl group. Examples are "C2- C6-alkynyloxy" groups.
The term "C1-C6-alkylthio" as used herein refers to straight-chain or branched alkyl groups having 1 to 6 carbon atoms (as defined above) bonded via a sulfur atom. Accordingly, the term "C1-C6- haloalkylthio" as used herein refers to straight-chain or branched haloalkyl group having 1 to 6 carbon atoms (as defined above) bonded through a sulfur atom, at any position in the haloalkyl group.
The term C1-C6-alkylsulphinyl refers to the group -S(O)-C1-C6alkyl, wherein alkyl is as defined above. Accordingly, the term "C1-C6-haloalkylsulphinyl" as used herein refers to straight-chain or branched alkylsulphinyl wherein some or all of the hydrogen atoms in these groups may be replaced by halogen.
The term C1-C6-alkylsulphonyl refers to the group -S(O)2-C1-C6alkyl, wherein alkyl is as defined above. Accordingly, the term "C1-C6-haloalkylsulphonyl" as used herein refers to straight-chain or branched alkylsulphonyl wherein some or all of the hydrogen atoms in these groups may be replaced by halogen.
The term "C3-C6-cycloalkyl" refers to monocyclic saturated hydrocarbon radicals having 3 to 6 carbon ring members, such as cyclopropyl, cyclobutyl, cyclopentyl, cyclohexyl. Accordingly, the term C3-C6-halocycloalkyl refers to "C3-C6-cycloalkyl" as defined here, wherein some or all of the hydrogen atoms in these groups may be replaced by halogen atoms.
The term "C3-C6-cycloalkenyl" refers to a monocyclic partially unsaturated 3-, 4-, 5- or 6-membered carbocycle having 3 to 6 carbon ring members and at least one double bond, such as cyclopentenyl, cyclopentadienyl, cyclohexadienyl. Accordingly, the term C3-C6-halocycloalkenyl refers to "C3-C6- cycloalkenyl" as defined here, wherein some or all of the hydrogen atoms in these groups may be replaced by halogen atoms.
The term "saturated, unsaturated or partially unsaturated three-, four-, five- or six membered heterocycle, wherein the heterocycle contains one, two or three heteroatoms selected from N, O and
S" is to be understood as meaning both saturated and partially unsaturated heterocycles, wherein the ring member atoms of the heterocycle include besides carbon atoms one, two or three heteroatoms independently selected from the group of O, N and S. For example:
a 3- or 4-membered saturated heterocycle which contains 1 or 2 heteroatoms from the group consisting of O, N and S as ring members such as oxirane, aziridine, thiirane, oxetane, azetidine, thiethane, [1,2]dioxetane, [1,2]dithietane, [1,2]diazetidine; and a 5- or 6-membered saturated or partially unsaturated heterocycle which contains 1, 2 or 3 heteroatoms from the group consisting of O, N and S as ring members such as 2-tetrahydrofuranyl, 3-tetrahydrofuranyl, 2-tetrahydrothienyl, 3- tetrahydrothienyl, 2-pyrrolidinyl, 3-pyrrolidinyl, 3-isoxazolidinyl, 4-isoxazolidinyl, 5-isoxazolidinyl, 3-isothiazolidinyl, 4-isothiazolidinyl, 5-isothiazolidinyl, 3-pyrazolidinyl, 4-pyrazolidinyl, 5- pyrazolidinyl, 2-oxazolidinyl, 4-oxazolidinyl, 5-oxazolidinyl, 2-thiazolidinyl, 4-thiazolidinyl, 5- thiazolidinyl, 2-imidazolidinyl, 4-imidazolidinyl, 1,2,4-oxadiazolidin-3-yl, 1,2,4-oxadiazolidin-5-yl, 1,2,4-thiadiazolidin-3-yl, 1,2,4-thiadiazolidin-5-yl, 1,2,4-triazolidin-3-yl, 1,3,4-oxadiazolidin-2-yl, 1,3,4-thiadiazolidin-2-yl, 1,3,4-triazolidin-2-yl, 2,3-dihydrofur-2-yl, 2,3-dihydrofur-3-yl, 2,4- dihydrofur-2-yl, 2,4-dihydrofur-3-yl, 2,3-dihydrothien-2-yl, 2,3-dihydrothien-3-yl, 2,4-dihydrothien- 2-yl, 2,4-dihydrothien-3-yl, 2-pyrrolin-2-yl, 2-pyrrolin-3-yl, 3-pyrrolin-2-yl, 3-pyrrolin-3-yl, 2- isoxazolin-3-yl, 3-isoxazolin-3-yl, 4-isoxazolin-3-yl, 2-isoxazolin-4-yl, 3-isoxazolin-4-yl, 4- isoxazolin-4-yl, 2-isoxazolin-5-yl, 3-isoxazolin-5-yl, 4-isoxazolin-5-yl, 2-isothiazolin-3-yl, 3- isothiazolin-3-yl, 4-isothiazolin-3-yl, 2-isothiazolin-4-yl, 3-isothiazolin-4-yl, 4-isothiazolin-4-yl, 2- isothiazolin-5-yl, 3-isothiazolin-5-yl, 4-isothiazolin-5-yl, 2,3-dihydropyrazol-1-yl, 2,3- dihydropyrazol-2-yl, 2,3-dihydropyrazol-3-yl, 2,3-dihydropyrazol-4-yl, 2,3-dihydropyrazol-5-yl, 3,4-dihydropyrazol-1-yl, 3,4-dihydropyrazol-3-yl, 3,4-dihydropyrazol-4-yl, 3,4-dihydropyrazol-5-yl, 4,5-dihydropyrazol-1-yl, 4,5-dihydropyrazol-3-yl, 4,5-dihydropyrazol-4-yl, 4,5-dihydropyrazol-5-yl, 2,3-dihydrooxazol-2-yl, 2,3-dihydrooxazol-3-yl, 2,3-dihydrooxazol-4-yl, 2,3-dihydrooxazol-5-yl, 3,4-dihydrooxazol-2-yl, 3,4-dihydrooxazol-3-yl, 3,4-dihydrooxazol-4-yl, 3,4-dihydrooxazol-5-yl, 3,4-dihydrooxazol-2-yl, 3,4-dihydrooxazol-3-yl, 3,4-dihydrooxazol-4-yl, 2-piperidinyl, 3- piperidinyl, 4-piperidinyl, 1,3-dioxan-5-yl, 2-tetrahydropyranyl, 4-tetrahydropyranyl, 2- tetrahydrothienyl, 3-hexahydropyridazinyl, 4-hexahydropyridazinyl, 2-hexahydropyrimidinyl, 4- hexahydropyrimidinyl, 5-hexahydropyrimidinyl, 2-piperazinyl, 1,3,5-hexahydrotriazin-2-yl and 1,2,4-hexahydrotriazin-3-yl and also the corresponding -ylidene radicals; and a 7-membered saturated or partially unsaturated heterocycle such as tetra- and hexahydroazepinyl, such as 2,3,4,5- tetrahydro[1H]azepin-1-,-2-,-3-,-4-,-5-,-6- or-7-yl, 3,4,5,6-tetra-hydro[2H]azepin-2-,-3-,-4-,-5-,-6-
or-7-yl, 2,3,4,7-tetrahydro[1H]azepin-1-,-2-,-3-,-4-,-5-,-6- or-7-yl, 2,3,6,7-tetrahydro[1H]azepin-1-,- 2-,-3-,-4-,-5-,-6- or-7-yl, hexahydroazepin-1-,-2-,-3- or-4-yl, tetra- and hexahydrooxepinyl such as 2,3,4,5-tetrahydro[1H]oxepin-2-,-3-,-4-,-5-,-6- or-7-yl, 2,3,4,7-tetrahydro[1H]oxepin-2-,-3-,-4-,-5-,- 6- or -7-yl, 2,3,6,7-tetrahydro[1H]oxepin-2-,-3-,-4-,-5-,-6- or-7-yl, hexahydroazepin-1-,-2-,-3- or-4- yl, tetra- and hexahydro-1,3-diazepinyl, tetra- and hexahydro-1,4-diazepinyl, tetra- and hexahydro- 1,3-oxazepinyl, tetra- and hexahydro-1,4-oxazepinyl, tetra- and hexahydro-1,3-dioxepinyl, tetra- and hexahydro-1,4-dioxepinyl and the corresponding -ylidene radicals.
The term "5-or 6-membered heteroaryl" refers to aromatic ring systems including besides carbon atoms, 1, 2, 3 or 4 heteroatoms independently selected from the group consisting of N, O and S, for example, a 5-membered heteroaryl such as pyrrol-1-yl, pyrrol-2-yl, pyrrol-3-yl, thien-2-yl, thien-3- yl, furan-2-yl, furan-3-yl, pyrazol-1-yl, pyrazol-3-yl, pyrazol-4-yl, pyrazol-5-yl, imidazol-1-yl, imidazol-2-yl, imidazol-4-yl, imidazol-5-yl, oxazol-2-yl, oxazol-4-yl, oxazol-5-yl, isoxazol-3-yl, isoxazol-4-yl, isoxazol-5-yl, thiazol-2-yl, thiazol-4-yl, thiazol-5-yl, isothiazol-3-yl, isothiazol-4-yl, isothiazol-5-yl, 1,2,4-triazolyl-1-yl, 1,2,4-triazol-3-yl 1,2,4-triazol-5-yl, 1,2,4-oxadiazol-3-yl, 1,2,4- oxadiazol-5-yl and 1,2,4-thiadiazol-3-yl, 1,2,4-thiadiazol-5-yl; or a 6-membered heteroaryl, such as pyridin-2-yl, pyridin-3-yl, pyridin-4-yl, pyridazin-3-yl, pyridazin-4-yl, pyrimidin-2-yl, pyrimidin-4- yl, pyrimidin-5-yl, pyrazin-2-yl and 1,3,5-triazin-2-yl and 1,2,4-triazin-3-yl.
The term“aryl” refers to aromatic groups containing 6 to 10 carbons, preferably phenyl, 1-naphthyl, and 2-naphthyl, which may optionally contain one, two or three substituents selected from alkyl, alkoxy, alkylthio, halo, hydroxy, trifluoromethyl,—SO2NH2, amino,—NH(lower alkyl), or— N(lower alkyl)2, di- and tri-substituted phenyl, 1-naphthyl, or 2-naphthyl, wherein said substituents are preferably selected from methyl, methoxy, methylthio, halo, hydroxy, and amino.
The total number of carbon atoms in a substituent group is indicated by the"Ci-Cj" prefix where i and j are numbers from 1 to 21. For example, C1-C3 alkoxy designates methoxy through propoxy. In the above recitations, when a compound of formula (I) is comprised of one or more heterocyclic rings, all substituents are attached to these rings through any available carbon or nitrogen by replacement of a hydrogen on said carbon or nitrogen.
When a compound is substituted with a substituent bearing a subscript that indicates the number of said substituents can exceed 1, said substituents (when they exceed 1) are independently selected from the group of defined substituents. Further, when the subscript indicates a range, e. g. (R)i-j, then the number of substituents may be selected from the integers between i and j inclusive.
When a group contains a substituent which can be hydrogen, for example R1 or R2, then, when this
substituent is taken as hydrogen, it is recognized that this is equivalent to said group being unsubstituted.
The foregoing definitions are for illustration purpose only and do not construe the scope of the invention.
The present invention further relates to a composition for controlling or preventing against phytopathogenic microorganisms, comprising the compound of general formula (I) and one or more inert carriers. The inert carrier further comprises agriculturally suitable auxiliaries, solvents, diluents, surfactants and/or extenders and the like. The present invention also relates to composition comprising the compound of general formula (I); one or more active compatible compounds selected from fungicides, insecticides, nematicides, acaricides, biopesticides, herbicides, plant growth regulators, antibiotics, nutrients, and fertilizers; and one or more inert carriers..
The concentration of the compound of general formula (I) in the compositions of the present invention ranges from 1 to 90% by weight with respect to the total weight of the composition, preferably from 5 to 50% by weight with respect to the total weight of the composition. The present invention also relates to a combination comprising the compound of general formula (I) as claimed in claims 1 to 3 and one or more active compatible compound selected from fungicides, insecticides, nematicides, acaricides, biopesticides, herbicides, plant growth regulators, antibiotics, neutrients and fertilizers. The present invention further relates to use of the compound of general formula (I), or the composition or the combination comprising the compound of general formula (I) for the control of phytopathogenic fungi, bacteria, insects, nematodes, mites of agricultural crops and or horticultural crops. Particularly, the present invention also relates to use of the compound of general formula (I), or the composition or the combination comprising the compound of general formula (I) for controlling of or preventing against phytopathogenic fungi of agricultural crops and or horticultural crops. The present invention also relates to use of the compound of general formula (I), or the composition
or the combination comprising the compound of general formula (I), wherein the agricultural crops are cereals, corn, rice, soybean and other leguminous crops, fruit crops, nut crops, citrus crops, any horticultural crops, vegetables crops e.g. cucurbits, cruciferous, tomato, onions, peppers, potato, oleaginous crops, tobacco, coffee, tea, cacao, sugar beet, sugar cane, cotton, and ornamentals. The present invention further relates to a method of controlling or preventing infestation of plants with phytopathogenic microorganisms in agricultural crops and or horticultural crops wherein the compound of general formula (I), or the composition or the combination comprising the compound of general formula (I) is applied to the plants, to seeds or other parts thereof or the locus thereof. The present invention further relates to a method of controlling of or preventing against phytopathogenic microorganisms in agricultural crops and or horticultural crops using the compound of general formula (I), or the composition or the combination comprising the compound of general formula (I), which consists of applying effective dosages of compounds or compositions in amounts ranging from 1 g to 5 kg per hectare of agricultural or horticultural crops. The compounds of the formula (I) and the compositions according to the invention, respectively, are suitable as fungicides. They are distinguished by an outstanding effectiveness against a broad spectrum of phytopathogenic fungi, including soil-borne fungi, which derive especially from the classes of the Plasmodiophoromycetes, Peronosporomycetes (syn. Oomycetes), Chytridiomycetes, Zygomycetes, Ascomycetes, Basidiomycetes and Deuteromycetes (syn. Fungi imperfecti). Some are systemically effective and they can be used in crop protection as foliar fungicides, fungicides for seed dressing and soil fungicides. Moreover, they are suitable for controlling harmful fungi, which inter alia occur in wood or roots of plants.
The compounds of the formula (I) and the compositions according to the invention are particularly important in the control of a multitude of phytopathogenic fungi on various cultivated plants, such as cereals, e.g. wheat, rye, barley, triticale, oats or rice; beet, e.g. sugar beet or fodder beet; fruits, such as pomes, stone fruits or soft fruits, e.g. apples, pears, plums, peaches, almonds, cherries, strawberries, raspberries, blackberries or gooseberries; leguminous plants, such as lentils, peas, alfalfa or soybeans; oil plants, such as rape, mustard, olives, sunflowers, coconut, cocoa beans, castor oil plants, oil palms, ground nuts or soybeans; cucurbits, such as squashes, cucumber or melons; fiber plants, such as cotton, flax, hemp or jute; citrus fruit, such as oranges, lemons,
grapefruits or mandarins; vegetables, such as spinach, lettuce, asparagus, cabbages, carrots, onions, tomatoes, potatoes, cucurbits, peppers or paprika; lauraceous plants, such as avocados, cinnamon or camphor; energy and raw material plants, such as corn, soybean, rape, sugar cane or oil palm; corn; tobacco; nuts; coffee; tea; bananas; vines (table grapes and grape juice grape vines); hop; turf; sweet leaf (also called Stevia); natural rubber plants or ornamental and forestry plants, such as flowers, shrubs, broad-leaved trees or evergreens, e.g. conifers; and on the plant propagation material, such as seeds, and the crop material of these plants.
Preferably, compounds of the formula (I) and compositions thereof, respectively are used for controlling a multitude of fungi on field crops, such as potatoes sugar beets, tobacco, wheat, rye, barley, oats, rice, corn, cotton, soybeans, rape, legumes, sunflowers, coffee or sugar cane; fruits; vines; ornamentals; or vegetables, such as cucumbers, tomatoes, beans or squashes.
The compounds of the formula (I) can be used as bactericides in crop protection, for example, for control of Pseudomonadaceae, Rhizobiaceae, Enterobacteriaceae, Corynebacteriaceae and Streptomycetaceae.
The compounds of the formula (I) can be used as nematicides in crop protection, for example, for control of Rhabditida, Dorylaimida, and Tryplonchida.
The term "plant propagation material" is to be understood to denote all the generative parts of the plant such as seeds and vegetative plant material such as cuttings and tubers (e.g. potatoes), which can be used for the multiplication of the plant. This includes seeds, roots, fruits, tubers, bulbs, rhizomes, shoots, sprouts and other parts of plants, including seedlings and young plants, which are to be transplanted after germination or after emergence from soil.
These young plants may also be protected before transplantation by a total or partial treatment by immersion or pouring.
Preferably, treatment of plant propagation materials with compounds of formula (I) and compositions thereof, respectively, is used for controlling a multitude of fungi on cereals, such as wheat, rye, barley and oats; rice, corn, cotton and soybeans.
The term "cultivated plants" is to be understood as including plants which have been modified by breeding, mutagenesis or genetic engineering including but not limiting to agricultural biotech products on the market or in development (c.f. http://cera-gmc.org/, see GM crop database therein). Genetically modified plants are plants, which genetic material has been so modified by the use of recombinant DNA techniques that under natural circumstances cannot readily be obtained by cross breeding, mutations or natural recombination. Typically, one or more genes have been integrated
into the genetic material of a genetically modified plant in order to improve certain properties of the plant. Such genetic modifications also include but are not limited to targeted post-translational modification of protein(s), oligo- or polypeptides e.g. by glycosylation or polymer additions such as prenylated, acetylated or farnesylated moieties or PEG moieties.
Plants that have been modified by breeding, mutagenesis or genetic engineering, e.g. have been rendered tolerant to applications of specific classes of herbicides, such as auxin herbicides such as dicamba or 2,4-D; bleacher herbicides such as hydroxylphenylpyruvate dioxy-genase (HPPD) inhibitors or phytoene desaturase (PDS) inhibitors; acetolactate synthase (ALS) inhibitors such as sulfonyl ureas or imidazolinones; enolpyruvylshikimate-3-phosphate synthase (EPSPS) inhibitors, such as glyphosate; glutamine synthetase (GS) inhibitors such as glufosinate; protoporphyrinogen-IX oxidase inhibitors; lipid biosynthesis inhibitors such as acetyl CoA carboxylase (ACCase) inhibitors; or oxynil (i.e. bromoxynil or ioxynil) herbicides as a result of conventional methods of breeding or genetic engineering. Furthermore, plants have been made resistant to multiple classes of herbicides through multiple genetic modifications, such as resistance to both glyphosate and glufosinate or to both glyphosate and an herbicide from another class such as ALS inhibitors, HPPD inhibitors, auxin herbicides, or ACCase inhibitors. These herbicide resistance technologies are e.g. described in Pest Managem. Sci.61, 2005, 246; 61, 2005, 258; 61, 2005, 277; 61, 2005, 269; 61, 2005, 286; 64, 2008, 326; 64, 2008, 332; Weed Sci. 57, 2009, 108; Austral. J. Agricult. Res. 58, 2007, 708; Science 316, 2007,1, 185; and references quoted therein. Several cultivated plants have been rendered tolerant to herbicides by conventional methods of breeding (mutagenesis), e.g. Clearfield® summer rape (Canola, BASF SE, Germany) being tolerant to imidazolinones, e.g. imazamox, or ExpressSun® sunflowers (DuPont, USA) being tolerant to sulfonyl ureas, e.g. tribenuron. Genetic engineering methods have been used to render cultivated plants such as soybean, cotton, corn, beets and rape, tolerant to herbicides such as glyphosate and glufosinate, some of which are commercially available under the trade names RoundupReady® (glyphosate-tolerant, Monsanto, U.S.A.), Cul-tivance® (imidazolinone tolerant, BASF SE, Germany) and LibertyLink® (glufosinate-tolerant, Bayer CropScience, Germany).
Furthermore, plants are also covered that are by the use of recombinant DNA techniques capable to synthesize one or more insecticidal proteins, especially those known from the bacterial genus Bacillus, particularly from Bacillus thuringiensis, such as δ-endotoxins, e.g. CrylA(b), CrylA(c), CrylF, CrylF(a2), CryllA(b), CrylllA, CrylllB(bl) or Cry9c; vegetative insecticidal proteins (VIP), e.g. VIP1 , VIP2, VIP3 or VIP3A; insecticidal proteins of bacteria colonizing nematodes, e.g.
Photorhabdus spp. or Xenorhabdus spp.; toxins produced by animals, such as scorpion toxins, arachnid toxins, wasp toxins, or other insect-specific neurotoxins; toxins produced by fungi, such Streptomycetes toxins, plant lectins, such as pea or barley lectins; agglutinins; proteinase inhibitors, such as trypsin inhibitors, serine protease inhibitors, patatin, cystatin or papain inhibitors; ribosome- inactivating proteins (RIP), such as ricin, maize-RIP, abrin, luffin, saporin or bryodin; steroid metabolism enzymes, such as 3-hydroxysteroid oxidase, ecdysteroid-IDP-glycosyl-transferase, cholesterol oxidases, ecdysone inhibitors or HMG-CoA-reductase; ion channel blockers, such as blockers of sodium or calcium channels; juvenile hormone esterase; diuretic hormone receptors (helicokinin receptors); stilbene synthase, bibenzyl synthase, chitinases or glucanases. In the context of the present invention these insecticidal proteins or toxins are to be understood expressly also as pre-toxins, hybrid proteins, truncated or otherwise modified proteins. Hybrid proteins are characterized by a new combination of protein domains, (see, e.g. WO2002015701). Further examples of such toxins or genetically modified plants capable of synthesizing such toxins are disclosed, e.g., in EP374753, WO1993007278, WO 199534656, EP427529, EP451878, WO200318810 und WO200352073. The methods for producing such genetically modified plants are generally known to the person skilled in the art and are described, e.g. in the publications mentioned above. These insecticidal proteins contained in the genetically modified plants impart to the plants producing these proteins tolerance to harmful pests from all taxonomic groups of arthropods, especially to beetles (Coelop-tera), two-winged insects (Diptera), and moths (Lepidoptera) and to nematodes (Nematoda). Genetically modified plants capable to synthesize one or more insecticidal proteins are, e.g., described in the publications mentioned above, and some of which are commercially available such as YieldGard® (corn cultivars producing the CrylAb toxin), YieldGard® Plus (corn cultivars producing CrylAb and Cry3Bb1 toxins), Starlink® (corn cultivars producing the Cry9c toxin), Herculex® RW (corn cultivars producing Cry34Ab1 , Cry35Ab1 and the enzyme phosphinothri-cin-N-acetyltransferase [PAT]); NuCOTN® 33B (cotton cultivars producing the CrylAc toxin), Bollgard® I (cotton cultivars producing the CrylAc toxin), Bollgard® II (cotton cultivars producing CrylAc and Cry2Ab2 toxins); VIPCOT® (cotton cultivars producing a VIP-toxin); NewLeaf® (potato cultivars producing the Cry3A toxin); Bt-Xtra®, NatureGard®, KnockOut®, BiteGard®, Pro-tecta®, Bt1 1 (e. g. Agrisure® CB) and Bt176 from Syngenta Seeds SAS, France, (corn cultivars producing the CrylAb toxin and PAT enyzme), MIR604 from Syngenta Seeds SAS, France (corn cultivars producing a modified version of the Cry3A toxin, c.f. WO 2003018810), MON 863 from Monsanto Europe S.A., Belgium (corn cultivars producing the
Cry3Bb1 toxin), IPC 531 from Monsanto Europe S.A., Belgium (cotton cultivars producing a modified version of the CrylAc toxin) and 1507 from Pioneer Overseas Corporation, Belgium (corn cultivars producing the Cry1 F toxin and PAT enzyme).
Furthermore, plants are also covered that are by the use of recombinant DNA techniques capable to synthesize one or more proteins to increase the resistance or tolerance of those plants to bacterial, viral or fungal pathogens. Examples of such proteins are the so-called "pathogenesis-related proteins" (PR proteins, see, e.g. EP392225), plant disease resistance genes (e.g. potato cultivars, which express resistance genes acting against Phytophthora infestans derived from the Mexican wild potato Solanum bulbocastanum) or T4-lysozym (e.g. potato cultivars capable of synthesizing these proteins with increased resistance against bacteria such as Erwinia amylvora). The methods for producing such genetically modified plants are generally known to the person skilled in the art and are described, e.g. in the publications mentioned above.
Furthermore, plants are also covered that are by the use of recombinant DNA techniques capable to synthesize one or more proteins to increase the productivity (e.g. bio mass production, grain yield, starch content, oil content or protein content), tolerance to drought, salinity or other growth-limiting environmental factors or tolerance to pests and fungal, bacterial or viral pathogens of those plants. Furthermore, plants are also covered that contain by the use of recombinant DNA techniques a modified amount of substances of content or new substances of content, specifically to improve human or animal nutrition, e.g. oil crops that produce health-promoting long-chain omega-3 fatty acids or unsaturated omega-9 fatty acids (e.g. Nexera® rape, DOW Agro Sciences, Canada).
Furthermore, plants are also covered that contain by the use of recombinant DNA techniques a modified amount of substances of content or new substances of content, specifically to improve raw material production, e.g. potatoes that produce increased amounts of amylopectin (e.g. Amflora® potato, BASF SE, Germany).
The compounds of formula (I) and compositions thereof, respectively, are particularly suitable for controlling the following plant diseases:
Albugo spp. (white rust) on ornamentals, vegetables (e.g. A. Candida) and sunflowers (e.g. A. tragopogonis); Alternaria spp. (Alternaria leaf spot) on vegetables, rape (A. brassicola or brassi-cae), sugar beets (A tenuis), fruits, rice, soybeans, potatoes (e.g. A. so/an/ or A. alternata), tomatoes (e.g. A. solani or A. alternata) and wheat; Aphanomyces spp. on sugar beets and vegetables; Ascochyta spp. on cereals and vegetables, e.g. A. ir/f/c/(anthracnose) on wheat and A. horde/ on barley; Bipolaris and Drechslera spp. (teleomorph: Cochliobolus spp.), e.g. Southern leaf blight (D. maydisj
or Northern leaf blight (B. zeicola) on corn, e.g. spot blotch (B. sorokiniana) on cereals and e.g. B. oryzae on rice and turfs; Blumeria (formerly Erysiphe) graminis (powdery mildew) on cereals (e.g. on wheat or barley); Botrytis cinerea (teleomorph: Botryotinia fuckeliana: grey mold) on fruits and berries (e.g. strawberries), vegetables (e.g. lettuce, carrots, celery and cabbages), rape, flowers, vines, forestry plants and wheat; Bremia lactucae (downy mildew) on lettuce; Ceratocystis (syn. Ophiostoma) spp. (rot or wilt) on broad-leaved trees and evergreens, e.g. C. ulmi (Dutch elm disease) on elms; Cercospora spp. (Cercospora leaf spots) on corn (e.g. Gray leaf spot: C. zeaemaydis), rice, sugar beets (e.g. C beticola), sugar cane, vegetables, coffee, soybeans (e.g. C sojina or C kikuchii) and rice; Cladosporium spp. on tomatoes (e.g. C. fulvum. leaf mold) and cereals, e.g. C. herbarum (black ear) on wheat; Claviceps purpurea (ergot) on cereals; Cochliobolus (anamorph: Helmin-thosporium of Bipolaris) spp. (leaf spots) on corn (C carbonum), cereals (e.g. C sativus, anamorph: B. sorokiniana) and rice (e.g. C. miyabeanus, anamorph: H. oryzae); Colletotrichum (teleomorph: Glomerella) spp. (anthracnose) on cotton (e.g. C. gossypii), corn (e.g. C. gramini-cols.' Anthracnose stalk rot), soft fruits, potatoes (e.g. C coccodes. black dot), beans (e.g. C. lindemuthianum) and soybeans (e.g. C. truncatum or C. gloeosporioides); Corticium spp., e.g. C sasakii (sheath blight) on rice; Corynespora cassiicola (leaf spots) on soybeans and ornamentals; Cycloconium spp., e.g. C oleaginum on olive trees; Cylindrocarpon spp. (e.g. fruit tree canker or young vine decline, teleomorph: Nectria or Neonectria spp.) on fruit trees, vines (e.g. C. liriodendri, teleomorph: Neonectria liriodendri. Black Foot Disease) and ornamentals; Dematophora (teleomorph: Rosellinia) necatrix (root and stem rot) on soybeans; Diaporthe spp., e.g. D. phaseolorum (damping off) on soybeans; Drechslera (syn. Helminthosporium, teleomorph: Pyrenophora) spp. on corn, cereals, such as barley (e.g. D. teres, net blotch) and wheat (e.g. D. tritici-repentis. tan spot), rice and turf; Esca (dieback, apoplexy) on vines, caused by Formitiporia (syn. Phellinus) punctata, F. mediterranea, Phaeomoniella chlamydospora (earlier Phaeoacremonium chlamydosporum), Phaeoacremonium aleophilum and/or Botryosphaeria obtusa; Elsinoe spp. on pome fruits (E. pyri), soft fruits (E. veneta: anthracnose) and vines (E. ampelina: anthracnose); Entyloma oryzae (leaf smut) on rice; Epicoccum spp. (black mold) on wheat; Erysiphe spp. (powdery mildew) on sugar beets (E. betae), vegetables (e.g. E. pisl), such as cucurbits (e.g. E. cichoracearum), cabbages, rape (e.g. E. cruciferarum); Eutypa lata (Eutypa canker or dieback, anamorph: Cytosporina lata, syn. Libertella blepharis) on fruit trees, vines and ornamental woods; Exserohilum (syn. Helminthosporium) spp. on corn (e.. E turci-cum); Fusarium (teleomorph: Gibberella) spp. (wilt, root or stem rot) on various plants, such as F. graminearum or F. culmorum
(root rot, scab or head blight) on cereals (e.g. wheat or barley), F. oxysporum on tomatoes, F. solani( sp. glycines now syn. F. virguliforme ) and F. tucumaniae and F. brasiliense each causing sudden death syndrome on soybeans, and F. verticillioides on corn; Gaeumannomyces graminis (take-all) on cereals (e. g. wheat or barley) and corn; Gibberella spp. on cereals (e. g. G. zeae) and rice (e. g. G. fujikuror. Bakanae disease); Glomerella cingulata on vines, pome fruits and other plants and G. gossypil on cotton; Grainstaining complex on rice; G uignardia bidwellii (black rot) on vines; Gymnosporangium spp. on rosaceous plants and junipers, e.g. G. sabinae (rust) on pears; Helminthosporium spp. (syn. Drechslera, teleomorph: Cochliobolus) on corn, cereals and rice; Hemileia spp., e.g. H. vastatrix (coffee leaf rust) on coffee; Isariopsis clavispora (syn. Cladosporium vitis) on vines; Macrophomina phaseolina (syn. phaseoli) (root and stem rot) on soybeans and cotton; Microdochium (syn. Fusarium) nivale (pink snow mold) on cereals (e. g. wheat or barley); Microsphaera diffusa (powdery mildew) on soybeans; Monilinia spp., e.g. M. laxa, M. fructicola and M. fructigena (bloom and twig blight, brown rot) on stone fruits and other rosaceous plants; Mycosphaerella spp. on cereals, bananas, soft fruits and ground nuts, such as e.g. M. graminicola (anamorph: Septoria tritici, Septoria blotch) on wheat or M. fijiensis (black Sigatoka disease) on bananas; Peronospora spp. (downy mildew) on cabbage (e.g. P. brassicae), rape (e.g. P. parasitica), onions (e.g. P. destructor), tobacco (P. tabacina) and soybeans (e.g. P. manshurica); Phakopsora pachyrhizi and P. meibomiae (soybean rust) on soybeans; Phialophora spp. e.g. on vines (e.g. P. tracheiphila and P. tetraspora) and soybeans (e.g. P. gregata. stem rot); Phoma lingam (root and stem rot) on rape and cabbage and P. betae (root rot, leaf spot and damping-off) on sugar beets; Phomopsis spp. on sunflowers, vines (e.g. P. viticola: can and leaf spot) and soybeans (e.g. stem rot: P. phaseoli, teleomorph: Diaporthe phaseolorum); Physoderma maydis (brown spots) on corn; Phytophthora spp. (wilt, root, leaf, fruit and stem root) on various plants, such as paprika and cucurbits (e.g. P. capsici), soybeans (e.g. P. megasperma, syn. P. sojae), potatoes and tomatoes (e.g. P. infestans: late blight) and broad-leaved trees (e.g. P. ramorurrr. sudden oak death); Plasmodiophora brassicae (club root) on cabbage, rape, radish and other plants; P/asmopara spp., e.g. P. viticola (grapevine downy mildew) on vines and P. halstedii on sunflowers; Podosphaera spp. (powdery mildew) on rosaceous plants, hop, pome and soft fruits, e.g. P. leucotricha on apples; Polymyxa spp., e.g. on cereals, such as barley and wheat (P. graminis) and sugar beets (P. betae) and thereby transmitted viral diseases; Pseudocercosporella herpotrichoides (eyespot, teleomorph: Tapesla yallundae) on cereals, e.g. wheat or barley; Pseudoperonospora (downy mildew) on various plants, e.g. P. cubensis on cucurbits or P. humilion hop; Pseudopezicula tracheiphila (red fire disease
or rotbrenner, anamorph: Phialophora) on vines; Puccinia spp. (rusts) on various plants, e.g. P. triticina (brown or leaf rust), P. striiformis (stripe or yellow rust), P. hordel (dwarf rust), P. graminis (stem or black rust) or P. recondita (brown or leaf rust) on cereals, such as e.g. wheat, barley or rye, P. kuehnii (orange rust) on sugar cane and P. asparagion asparagus; Pyrenophora (anamorph: Drechslera) tritici-repentis (tan spot) on wheat or P. teres (net blotch) on barley; Pyricularia spp., e.g. P. oryzae (teleomorph: Magnaporthe grisea, rice blast) on rice and P. grisea on turf and cereals; Pythium spp. (damping-off) on turf, rice, corn, wheat, cotton, rape, sunflowers, soybeans, sugar beets, vegetables and various other plants (e.g. P. ultimum or P. aphanidermatum); Ramularia spp., e.g. R. colio-cygni (Ramularia leaf spots, Physiological leaf spots) on barley and R. beticola on sugar beets; Rhizoctonia spp. on cotton, rice, potatoes, turf, corn, rape, potatoes, sugar beets, vegetables and various other plants, e.g. R. solani (root and stem rot) on soybeans, R. solani (sheath blight) on rice or R. cerealis (Rhizoctonia spring blight) on wheat or barley; Rhizopus stolonifer (black mold, soft rot) on strawberries, carrots, cabbage, vines and tomatoes; Rhynchosporium secalis (scald) on barley, rye and triticale; Sa-rocladium oryzae and S. attenuatum (sheath rot) on rice; Sclerotinia spp. (stem rot or white mold) on vegetables and field crops, such as rape, sunflowers (e.g. S. sclerotiorum) and soybeans (e.g. S. rolfsii or S. sclerotiorum); Septoria spp. on various plants, e.g. S. glycines (brown spot) on soybeans, S. tritici (Septoria blotch) on wheat and S. (syn. Stagonospora) no-dorum (Stagonospora blotch) on cereals; Uncinula (syn. Erysiphe) necator (powdery mildew, anamorph: Oidium tuckeri) on vines; Setospaeria spp. (leaf blight) on corn (e.g. S. turcicum, syn. Helminthosporium turcicum) and turf; Sphacelotheca spp. (smut) on corn, (e.g. S. reiliana: head smut), sorghum und sugar cane; Sphaerotheca fuliginea (powdery mildew) on cucurbits; Spongospora subterranea (powdery scab) on potatoes and thereby transmitted viral diseases; Stagonospora spp. on cereals, e.g. S. nodorum (Stagonospora blotch, teleomorph: Leptosphaeria [syn. Phaeosphaeria] nodorum) on wheat; Synchytrium endobioticum on potatoes (potato wart disease); Taphrina spp., e.g. T. deformans (leaf curl disease) on peaches and T. pruni (plum pocket) on plums; Thielaviopsis spp. (black root rot) on tobacco, pome fruits, vegetables, soybeans and cotton, e.g. T. basicola (syn. Chalara elegans); Tilletia spp. (common bunt or stinking smut) on cereals, such as e.g. T. tritici (syn. T. caries, wheat bunt) and T. controversa (dwarf bunt) on wheat; Typhula incarnata (grey snow mold) on barley or wheat; Urocystis spp., e.g. U. occulta (stem smut) on rye; Uromyces spp. (rust) on vegetables, such as beans (e. g. U. appendiculatus, syn. U. phaseoll) and sugar beets (e.g. U. betae); Ustilago spp. (loose smut) on cereals (e.g. U. nuda and U. avaenae), corn (e.g. U. maydis: corn smut) and sugar cane; Venturia spp. (scab) on apples (e.g. V. inaequalis)
and pears; and Verticillium spp. (wilt) on various plants, such as fruits and ornamentals, vines, soft fruits, vegetables and field crops, e.g. V. dahliae on strawberries, rape, potatoes and tomatoes.
The compounds of the formula (I) and compositions thereof, respectively, are also suitable for controlling harmful fungi in the protection of stored products or harvest and in the protection of materials.
The term "protection of materials" is to be understood to denote the protection of technical and non- living materials, such as adhesives, glues, wood, paper and paperboard, textiles, leather, paint dispersions, plastics, cooling lubricants, fiber or fabrics, against the infestation and destruction by harmful microorganisms, such as fungi and bacteria. As to the protection of wood and other materials, the particular attention is paid to the following harmful fungi: Ascomycetes such as Ophiostoma spp., Ceratocystis spp., Aureobasidium pullulans, Sclerophoma spp., Chaetomium spp., Humicola spp., Petriella spp., Trichurus spp.; Basidiomycetes such as Coni-ophora spp., Coriolus spp., Gloeophyllum spp., Lentinus spp., Pleurotus spp., Poria spp., Ser-pula spp. and Tyromyces spp., Deuteromycetes such as Aspergillus spp., Cladosporium spp., Penicillium spp., Trichoderma spp., Alternaria spp., Paecilomyces spp. and Zygomycetes such as Mucorspp., and in addition in the protection of stored products and harvest the following yeast fungi are worthy of note: Candida spp. and Saccharomyces cerevisae.
The method of treatment according to the invention can also be used in the field of protecting stored products or harvest against attack of fungi and microorganisms. According to the present invention, the term "stored products" is understood to denote natural substances of plant or animal origin and their processed forms, which have been taken from the natural life cycle and for which long-term protection is desired. Stored products of crop plant origin, such as plants or parts thereof, for example stalks, leafs, tubers, seeds, fruits or grains, can be protected in the freshly harvested state or in processed form, such as pre-dried, moistened, comminuted, ground, pressed or roasted, which process is also known as post-harvest treatment. Also falling under the definition of stored products is timber, whether in the form of crude timber, such as construction timber, electricity pylons and barriers, or in the form of finished articles, such as furniture or objects made from wood. Stored products of animal origin are hides, leather, furs, hairs and the like. The combinations according the present invention can prevent disadvantageous effects such as decay, discoloration or mold. Preferably "stored products" is understood to denote natural substances of plant origin and their processed forms, more preferably fruits and their processed forms, such as pomes, stone fruits, soft fruits and citrus fruits and their processed forms.
The compounds of the formula (I) and compositions thereof, respectively, may be used for improving the health of a plant. The invention also relates to a method for improving plant health by treating a plant, its propagation material and/or the locus where the plant is growing or is to grow with an effective amount of compounds I and compositions thereof, respectively.
The term "plant health" is to be understood to denote a condition of the plant and/or its products which is determined by several indicators alone or in combination with each other such as yield (e.g. increased biomass and/or increased content of valuable ingredients), plant vigor (e.g. improved plant growth and/or greener leaves ("greening effect")), quality (e.g. improved content or composition of certain ingredients) and tolerance to abiotic and/or biotic stress. The above identified indicators for the health condition of a plant may be interdependent or may result from each other.
The compounds of the formula (I) can be present in different crystal modifications whose biological activity may differ. They are likewise subject matter of the present invention.
The compounds of the formula (I) are employed as such or in form of compositions by treating the fungi or the plants, plant propagation materials, such as seeds, soil, surfaces, materials or rooms to be protected from fungal attack with a fungicidally effective amount of the active substances. The application can be carried out both before and after the infection of the plants, plant propagation materials, such as seeds, soil, surfaces, materials or rooms by the fungi.
Plant propagation materials may be treated with compounds of the formula (I) as such or a composition comprising at least one compound of the formula (I) prophylactically either at or before planting or transplanting.
The invention also relates to agrochemical compositions comprising an auxiliary and at least one compound of formula (I) according to the invention.
An agrochemical composition comprises a fungicidally effective amount of a compound of the formula (I). The term "effective amount" denotes an amount of the composition or of the compounds of the formula (I), which is sufficient for controlling harmful fungi on cultivated plants or in the protection of materials and which does not result in a substantial damage to the treated plants. Such an amount can vary in a broad range and is dependent on various factors, such as the fungal species to be controlled, the treated cultivated plant or material, the climatic conditions and the specific compound of the formula (I) used.
The compounds of the formula (I), their N-oxides and salts can be converted into customary types of agrochemical compositions, e.g. solutions, emulsions, suspensions, dusts, powders, pastes, granules, pressings, capsules, and mixtures thereof. Examples for composition types are suspensions (e.g. SC,
OD, FS), emulsifiable concentrates (e.g. EC), emulsions (e.g. EW, EO, ES, ME), cap-sules (e.g. CS, ZC), pastes, pastilles, wettable powders or dusts (e.g. WP, SP, WS, DP, DS), pressings (e.g. BR, TB, DT), granules (e.g. WG, SG, GR, FG, GG, MG), insecticidal articles (e.g. LN), as well as gel formulations for the treatment of plant propagation materials such as seeds (e.g. GF). These and further compositions types are defined in the "Catalogue of pesticide formulation types and international coding system", Technical Monograph No. 2, 6th Ed. May 2008, CropLife International.
The compositions comprising compounds of the formula (I) are prepared in a known manner, such as described by Mollet and Grubemann, Formulation technology, Wiley VCH, Weinheim, 2001; or Knowles, New developments in crop protection product formulation, Agrow Reports DS243, T&F Informa, London, 2005.
Suitable auxiliaries are solvents, liquid carriers, solid carriers or fillers, surfactants, dispersants, emulsifiers, wetters, adjuvants, solubilizers, penetration enhancers, protective colloids, adhesion agents, thickeners, humectants, repellents, attractants, feeding stimulants, compatibilizers, bactericides, anti-freezing agents, anti-foaming agents, colorants, tackifiers and binders.
Suitable solvents and liquid carriers are water and organic solvents, such as mineral oil fractions of medium to high boiling point, e.g. kerosene, diesel oil; oils of vegetable or animal origin; aliphatic, cyclic and aromatic hydrocarbons, e.g. toluene, paraffin, tetrahydronaphthalene, alkylated naphthalenes; alcohols, e.g. ethanol, propanol, butanol, benzyl alcohol, cyclohexanol; glycols; DMSO; ketones, e.g. cyclohexanone; esters, e.g. lactates, carbonates, fatty acid esters, gamma- butyrolactone; fatty acids; phosphonates; amines; amides, e.g. N-methyl pyrrolidone, fatty acid dimethyl amides; and mixtures thereof.
Suitable solid carriers or fillers are mineral earths, e.g. silicates, silica gels, talc, kaolins, lime-stone, lime, chalk, clays, dolomite, diatomaceous earth, bentonite, calcium sulfate, magnesium sulfate, magnesium oxide; polysaccharides, e.g. cellulose, starch; fertilizers, e.g. ammonium sulfate, ammonium phosphate, ammonium nitrate, ureas; products of vegetable origin, e.g. cereal meal, tree bark meal, wood meal, nutshell meal, and mixtures thereof.
Suitable surfactants are surface-active compounds, such as anionic, cationic, nonionic and amphoteric surfactants, block polymers, polyelectrolytes, and mixtures thereof. Such surfactants can be used as emulsifier, dispersant, solubilizer, wetter, penetration enhancer, protective colloid, or adjuvant. Examples of surfactants are listed in McCutcheon's, Vol.1: Emulsifiers & Detergents, McCutcheon's Directories, Glen Rock, USA, 2008 (International Ed. or North American Ed.).
Suitable anionic surfactants are alkali, alkaline earth or ammonium salts of sulfonates, sulfates, phosphates, carboxylates, and mixtures thereof. Examples of sulfonates are alkylaryl sulfonates, diphenyl sulfonates, alpha-olefin sulfonates, lignin sulfonates, sulfonates of fatty acids and oils, sulfonates of ethoxylated alkylphenols, sulfonates of alkoxylated arylphenols, sulfonates of condensed naphthalenes, sulfonates of dodecyl- and tridecylbenzenes, sulfonates of naphthalenes and alkyl naphthalenes, sulfosuccinates or sulfosuccinamates. Examples of sulfates are sulfates of fatty acids and oils, of ethoxylated alkylphenols, of alcohols, of ethoxylated alcohols, or of fatty acid esters. Examples of phosphates are phosphate esters. Examples of carboxylates are alkyl carboxylates, and carboxylated alcohol or alkylphenol ethoxylates.
Suitable nonionic surfactants are alkoxylates, N-substituted fatty acid amides, amine oxides, esters, sugar-based surfactants, polymeric surfactants, and mixtures thereof. Examples of alkoxylates are compounds such as alcohols, alkylphenols, amines, amides, arylphenols, fatty acids or fatty acid esters which have been alkoxylated with 1 to 50 equivalents. Ethylene oxide and/or propylene oxide may be employed for the alkoxylation, preferably ethylene oxide. Examples of N-substituted fatty acid amides are fatty acid glucamides or fatty acid alkanolamides. Examples of esters are fatty acid esters, glycerol esters or monoglycerides. Examples of sugar-based surfactants are sorbitans, ethoxylated sorbitans, sucrose and glucose esters or al-kylpolyglucosides. Examples of polymeric surfactants are home- or copolymers of vinyl pyrrolidone, vinyl alcohols, or vinyl acetate.
Suitable cationic surfactants are quaternary surfactants, for example quaternary ammonium compounds with one or two hydrophobic groups, or salts of long-chain primary amines. Suitable amphoteric surfactants are alkylbetains and imidazolines. Suitable block polymers are block polymers of the A-B or A-B-A type comprising blocks of polyethylene oxide and polypropylene oxide, or of the A-B-C type comprising alkanol, polyethylene oxide and polypropylene oxide. Suitable polyelectrolytes are polyacids or polybases. Examples of polyacids are alkali salts of polyacrylic acid or polyacid comb polymers. Examples of polybases are polyvinyl amines or polyethylene amines.
Suitable adjuvants are compounds, which have a negligible or even no pesticidal activity themselves, and which improve the biological performance of the compound of formula (I) on the target. Examples are surfactants, mineral or vegetable oils, and other auxiliaries. Further examples are listed by Knowles, Adjuvants and additives, Agrow Reports DS256, T&F Informa UK, 2006, chapter 5. Suitable thickeners are polysaccharides (e.g. xanthan gum, carboxymethyl cellulose), inorganic clays (organically modified or unmodified), polycarboxylates, and silicates.
Suitable bactericides are bronopol and isothiazolinone derivatives such as alkylisothiazolinones and benzisothiazolinones.
Suitable anti-freezing agents are ethylene glycol, propylene glycol, urea and glycerin.
Suitable anti-foaming agents are silicones, long chain alcohols, and salts of fatty acids.
Suitable colorants (e.g. in red, blue, or green) are pigments of low water solubility and water-soluble dyes. Examples are inorganic colorants (e.g. iron oxide, titan oxide, iron hexacyanofer-rate) and organic colorants (e.g. alizarin-, azo- and phthalocyanine colorants).
Suitable tackifiers or binders are polyvinyl pyrrolidones, polyvinyl acetates, polyvinyl alcohols, polyacrylates, biological or synthetic waxes, and cellulose ethers.
Examples for composition types and their preparation are:
i) Water-soluble concentrates (SL, LS)
10-60 wt% of a compound of the formula (I) and 5-15 wt% wetting agent (e.g. alcohol alkoxylates) are dissolved in water and/or in a water-soluble solvent (e.g. alcohols) ad 100 wt%. The active substance dissolves upon dilution with water.
ii) Dispersible concentrates (DC)
5-25 wt% of a compound of the formula (I) and 1-10 wt% dispersant (e.g. polyvinyl pyrrolidone) are dissolved in organic solvent (e.g. cyclohexanone) ad 100 wt%. Dilution with water gives dispersion. iii) Emulsifiable concentrates (EC)
15-70 wt% of a compound of the formula (I) and 5-10 wt% emulsifiers (e.g. calcium dodecylbenzenesulfonate and castor oil ethoxylate) are dissolved in water-insoluble organic solvent (e.g. aromatic hydrocarbon) ad 100 wt%. Dilution with water gives an emulsion.
iv) Emulsions (EW, EO, ES)
5-40 wt% of a compound of the formula (I) and 1-10 wt% emulsifiers (e.g. calcium dodecylbenzenesulfonate and castor oil ethoxylate) are dissolved in 20-40 wt% water-insoluble organic solvent (e.g. aromatic hydrocarbon). This mixture is introduced into water ad 100 wt% by means of an emulsifying machine and made into a homogeneous emulsion. Dilution with water gives an emulsion.
v) Suspensions (SC, OD, FS)
In an agitated ball mill, 20-60 wt% of a compound of the formula (I) are comminuted with addition of 2-10 wt% dispersants and wetting agents (e.g. sodium lignosulfonate and alcohol ethoxylate), 0.1 -2 wt% thickener (e.g. xanthan gum) and water ad 100 wt% to give a fine active substance
suspension. Dilution with water gives a stable suspension of the active substance. For FS type composition up to 40 wt% binder (e.g. polyvinyl alcohol) is added.
vi) Water-dispersible granules and water-soluble granules (WG, SG)
50-80 wt% of a compound of the formula (I) are ground finely with addition of dispersants and wetting agents (e.g. sodium lignosulfonate and alcohol ethoxylate) ad 100 wt% and prepared as water-dispersible or water-soluble granules by means of technical appliances (e.g. extrusion, spray tower, fluidized bed). Dilution with water gives a stable dispersion or solution of the active substance.
vii) Water-dispersible powders and water-soluble powders (WP, SP, WS)
50-80 wt% of a compound of the formula (I) are ground in a rotor-stator mill with addition of 1-5 wt% dispersants (e.g. sodium lignosulfonate), 1 -3 wt% wetting agents (e.g. alcohol ethoxylate) and solid carrier (e.g. silica gel) ad 100 wt%. Dilution with water gives a stable dispersion or solution of the active substance.
viii) Gel (GW, GF)
In an agitated ball mill, 5-25 wt% of a compound of the formula (I) are comminuted with addition of 3-10 wt% dispersants (e.g. sodium lignosulfonate), 1 -5 wt% thickener (e.g. carboxymethyl cellulose) and water ad 100 wt% to give a fine suspension of the active substance. Dilution with water gives a stable suspension of the active substance.
ix) Microemulsion (ME)
5-20 wt% of a compound of the formula (I) are added to 5-30 wt% organic solvent blend (e.g. fatty acid dimethyl amide and cyclohexanone), 10-25 wt% surfactant blend (e.g. alcohol ethoxylate and arylphenol ethoxylate), and water ad 100 %. This mixture is stirred for 1 h to produce spontaneously a thermodynamically stable microemulsion.
x) Microcapsules (CS)
An oil phase comprising 5-50 wt% of a compound of the formua (I), 0-40 wt% water insoluble organic solvent (e.g. aromatic hydrocarbon), 2-15 wt% acrylic monomers (e.g. methylmethacrylate, methacrylic acid and a di- or triacrylate) are dispersed into an aqueous solution of a protective colloid (e.g. polyvinyl alcohol). Radical polymerization results in the formation of poly(meth)acrylate microcapsules. Alternatively, an oil phase comprising 5-50 wt% of a compound of the formua (I) according to the invention, 0-40 wt% water insoluble organic solvent (e.g. aromatic hydrocarbon), and an isocya-nate monomer (e.g. diphenylmethene-4,4'-diisocyanatae) are dispersed into an aqueous solution of a protective colloid (e.g. polyvinyl alcohol). The addition of a polyamine
(e.g. hexamethylenediamine) results in the formation of polyurea microcapsules. The monomers amount to 1-10 wt%. The wt% relate to the total CS composition.
xi) Dustable powders (DP, DS)
1-10 wt% of a compound of the formula (I) are ground finely and mixed intimately with solid carrier (e.g. finely divided kaolin) ad 100 wt%.
xii) Granules (GR, FG)
0.5-30 wt% of a compound of the formula (I) is ground finely and associated with solid carrier (e.g. silicate) ad 100 wt%. Granulation is achieved by extrusion, spray-drying or fluidized bed.
xiii) Ultra-low volume liquids (UL)
1-50 wt% of a compound of the formula (I) are dissolved in organic solvent (e.g. aromatic hydrocarbon) ad 100 wt%.
The compositions of the types i) to xiii) may optionally comprise further auxiliaries, such as 0.1-1 wt% bactericides, 5-15 wt% anti-freezing agents, 0.1-1 wt% anti-foaming agents, and 0.1-1 wt% colorants.
The agrochemical compositions generally comprise between 0.01% and 95%, preferably between 0.1% and 90%, more preferably between 1% and 70%, and in particular between 10% and 60%, by weight of active substance. The active substances are employed in a purity of from 90% to 100%, preferably from 95% to 100% (according to NMR spectrum).
For the purposes of treatment of plant propagation materials, particularly seeds, solutions for seed treatment (LS), Suspoemulsions (SE), flowable concentrates (FS), powders for dry treatment (DS), water-dispersible powders for slurry treatment (WS), water-soluble powders (SS), emulsions (ES), emulsifiable concentrates (EC), and gels (GF) are usually employed. The compositions in question give, after two-to-tenfold dilution, active substance concentrations of from 0.01 to 60% by weight, preferably from 0.1 to 40%, in the ready-to-use preparations. Application can be carried out before or during sowing. Methods for applying compound of formula (I) and compositions thereof, respectively, onto plant propagation material, especially seeds, include dressing, coating, pelleting, dusting, and soaking as well as in-furrow application methods. Preferably, compound of formula (I) or the compositions thereof, respectively, are applied on to the plant propagation material by a method such that germination is not induced, e.g. by seed dressing, pelleting, coating and dusting. When employed in plant protection, the amounts of active substances applied are, depending on the kind of effect desired, from 0.001 to 2 kg per ha, preferably from 0.005 to 2 kg per ha, more preferably from 0.05 to 0.9 kg per ha, and in particular from 0.1 to 0.75 kg per ha.
In treatment of plant propagation materials such as seeds, e.g. by dusting, coating or drenching seed, amounts of active substance of from 0.1 to 1000 g, preferably from 1 to 1000 g, more preferably from 1 to 100 g and most preferably from 5 to 100 g, per 100 kg of plant propagation material (preferably seeds) are generally required.
When used in the protection of materials or stored products, the amount of active substance applied depends on the kind of application area and on the desired effect. Amounts customarily applied in the protection of materials are 0.001 g to 2 kg, preferably 0.005 g to 1 kg, of active substance per cubic meter of treated material.
Various types of oils, wetters, adjuvants, fertilizer, or micronutrients, and further pesticides (e.g. herbicides, insecticides, fungicides, growth regulators, safeners, biopesticides) may be added to the active substances or the compositions comprising them as premix or, if appropriate not until immediately prior to use (tank mix). These agents can be admixed with the compositions according to the invention in a weight ratio of 1:100 to 100:1, preferably 1:10 to 10:1.
A pesticide is generally a chemical or biological agent (such as pesticidal active ingredient, compound, composition, virus, bacterium, antimicrobial or disinfectant) that through its effect deters, incapacitates, kills or otherwise discourages pests. Target pests can include insects, plant pathogens, weeds, mollusks, birds, mammals, fish, nematodes (roundworms), and microbes that destroy property, cause nuisance, spread disease or are vectors for disease. The term "pesticide" includes also plant growth regulators that alter the expected growth, flowering, or reproduction rate of plants; defoliants that cause leaves or other foliage to drop from a plant, usually to facilitate harvest; desiccants that promote drying of living tissues, such as unwanted plant tops; plant activators that activate plant physiology for defense of against certain pests; safeners that reduce unwanted herbicidal action of pesticides on crop plants; and plant growth promoters that affect plant physiology e.g. to increase plant growth, biomass, yield or any other quality parameter of the harvestable goods of a crop plant.
The user applies the composition according to the invention usually from a predosage device, a knapsack sprayer, a spray tank, a spray plane, or an irrigation system. Usually, the agrochemical composition is made up with water, buffer, and/or further auxiliaries to the desired application concentration and the ready-to-use spray liquor or the agrochemical composition according to the invention is thus obtained. Usually, 20 to 2000 liters, preferably 50 to 400 liters, of the ready-to-use spray liquor are applied per hectare of agricultural useful area.
According to one embodiment, individual components of the composition according to the invention such as parts of a kit or parts of a binary or ternary mixture may be mixed by the user himself in a spray tank or any other kind of vessel used for applications (e.g. seed treater drums, seed pelleting machinery, knapsack sprayer) and further auxiliaries may be added, if appropriate.
Compounds of the formula (I) according to this invention, as well as salts, N-oxides, metal complexes, stereoisomers or polymorphs can be used as such or in formulations thereof and can be mixed with known mixing partners in order to broaden, for example, the activity spectrum or to prevent development of resistance. Useful mixing partners include, for example, known fungicides, insecticides, acaricides, nematicides, biopesticides and bactericides. A mixture with other known active ingredients, such as herbicides, or with fertilizers and growth regulators, safeners and/or semiochemicals, is also possible.
Examples for such chemical ingredients are given herein in a not limitating way. Some of them are specified herein by their common names that are known and described, for example in The Pesticide Manual 17th Ed., or can be searched in the internet (e.g. under www.alanwood.net/pesticides). Others are described by their systematic name following the IUPAC rules for nomenclature.
Non limiting names of mixing partners of the classes (A) to (O) as described below can, if their functional groups enable this, optionally form salts with suitable bases or acids, appear as stereoisomers, even if not specifically mentioned in each case, or as polymorphs. They are also understood as being included herein. These examples are
A) Inhibitors of the ergosterol biosynthesis, for example (A01) aldimorph, (A02) azaconazole, (A03) bitertanol, (A04) bromuconazole, (A05) cyproconazole, (A06) diclobutrazole, (A07) difenoconazole, (A08) diniconazole, (A09) diniconazole-M, (A10) dodemorph, (A11) dodemorph acetate, (A12) epoxiconazole, (A13) etaconazole, (A14) fenarimol, (A15) fenbuconazole, (A16) fenhexamid, (A17) fenpropidin, (A18) fenpropimorph, (A19) fluquinconazole, (A20) flurprimidol, (A21) flusilazole, (A22) flutriafol, (A23) furconazole, (A24) furconazole-cis, (A25) hexaconazole, (A26) imazalil, (A27) imazalil sulfate, (A28) imibenconazole, (A29) ipconazole, (A30) metconazole, (A31) myclobutanil, (A32) naftifine, (A33) nuarimol, (A34) oxpoconazole, (A35) paclobutrazol, (A36) pefiirazoate, (A37) penconazole, (A38) piperalin, (A39) prochloraz, (A40) propiconazole, (A41) prothioconazole, (A42) pyributicarb, (A43) pyrifenox, (A44) quinconazole, (A45) simeconazole, (A46) spiroxamine, (A47) tebuconazole, (A48) terbinafine, (A49) tetraconazole, (A50) triadimefon, (A51) triadimenol, (A52) tridemorph, (A53) triflumizole, (A54) triforine, (A55) triticonazole, (A56) uniconazole, (A57) uniconazole-p, (A58) viniconazole, (A59) voriconazole, (A60) 1-(4-
chlorophenyl)-2-(1H-1,2,4-triazol-1-yl)cycloheptanol, (A61) methyl 1-(2,2-dimethyl-2,3-dihydro- 1H-inden-1-yl)-1H-imidazole-5-carboxylate, (A62) N'-{5-(difluoromethyl)-2-methyl-4-[3- (trimethylsilyl) propoxy]phenyl}-N-ethyl-N-methylimidoformamide, (A63) N-ethyl-N-methyl-N'- {2-methyl-5-(trifluoromethyl)-4-[3-(trimethylsilyl)propoxy]phenyl} imidoformamide, (A64) O-[1- (4-methoxyphenoxy)-3,3-dimethylbutan-2-yl]-1H-imidazole-1-carbothioate, (A65) Pyrisoxazole, (A66) 2-{[3-(2-chlorophenyl)-2-(2,4-difluorophenyl)oxiran-2-yl]methyl}-2,4-dihydro-3H-1,2,4- triazole-3-thione, (A67) 1-{[3-(2-chlorophenyl)-2-(2,4-difluorophenyl)oxiran-2-yl]methyl}-1H- 1,2,4-triazol-5-yl thiocyanate, (A68) 5-(allylsulfanyl)-1-{[3-(2-chlorophenyl)-2-(2,4- difluorophenyl)oxiran-2-yl]methyl}-1H-1,2,4-triazole, (A69) 2-[1-(2,4-dichlorophenyl)-5-hydroxy- 2,6,6-trimethylheptan-4-yl]-2,4-dihydro-3H-1,2,4-triazole-3-thione, (A70) 2-{[rel(2R,3S)-3-(2- chlorophenyl)-2-(2,4-difluorophenyl) oxiran-2-yl]methyl}-2,4-dihydro-3H-1,2,4-triazole-3-thione, (A71) 2-{[rel(2R,3R)-3-(2-chlorophenyl)-2-(2,4-difluorophenyl)oxiran-2-yl]methyl}-2,4-dihydro- 3H-1,2,4-triazole-3-thione, (A72) 1-{[rel(2R,3S)-3-(2-chlorophenyl)-2-(2,4-difluorophenyl)oxiran- 2-yl]methyl}-1H-1,2,4-triazol-5-yl thiocyanate, (A73) 1-{[rel(2R,3R)-3-(2-chlorophenyl)-2-(2,4- difluorophenyl)oxiran-2-yl]methyl}-1H-1,2,4-triazol-5-yl thiocyanate, (A74) 5-(allylsulfanyl)-1- {[rel(2R,3S)-3-(2-chlorophenyl)-2-(2,4-difluorophenyl)oxiran-2-yl]methyl}-1H-1,2,4-triazole, (A75) 5-(allylsulfanyl)-1-{[rel(2R,3R)-3-(2-chlorophenyl)-2-(2,4-difluorophenyl) oxiran-2- yl]methyl}-1H-1,2,4-triazole, (A76) 2-[(2S,4S,5S)-1-(2,4- dichlorophenyl) -5-hydroxy-2,6,6- trimethylheptan-4-yl]-2,4-dihydro-3H-1,2,4-triazole-3-thione, (A77) 2-[(2R,4S,5 S)-1-(2,4- dichlorophenyl)-5-hydroxy-2,6,6-trimethylheptan-4-yl]-2,4-dihydro-3H-1,2,4-triazole-3-thione, (A78) 2-[(2R,4R,5R)-1-(2,4-dichlorophenyl)-5-hydroxy-2,6,6-trimethylheptan-4-yl]-2,4-dihydro- 3H-1,2,4-triazole-3-thione, (A79) 2-[(2S,4R,5R)-1-(2,4-dichlorophenyl)-5-hydroxy-2,6,6- trimethylheptan-4-yl]-2,4-dihydro-3H-1,2,4-triazole-3-thione, (A80) 2-[(2S,4S,5R)-1-(2,4- dichlorophenyl)-5-hydroxy-2,6,6-trimethylheptan-4-yl]-2,4-dihydro-3H-1,2,4-triazole-3-thione, (A81) 2-[(2R,4S,5R)-1-(2,4-dichlorophenyl)-5-hydroxy-2,6,6-trimethylheptan-4-yl]-2,4-dihydro- 3H-1,2,4-triazole-3-thione, (A82) 2-[(2R,4R,5S)-1-(2,4-dichlorophenyl)-5-hydroxy-2,6,6- trimethylheptan-4-yl]-2,4-dihydro-3H-1,2,4-triazole-3-thione, (A83) 2-[(2S,4R,5S)-1-(2,4- dichlorophenyl)-5-hydroxy-2,6,6-trimethylheptan-4-yl]-2,4-dihydro-3H-1,2,4-triazole-3-thione, (A84) 2-[4-(4-chlorophenoxy)-2-(trifluoromethyl)phenyl]-1-(1H-1,2,4-triazol-1-yl)propan-2-ol, (A85) 2-[4-(4-chlorophenoxy)-2-(trifluoromethyl)phenyl]-1-(1H- 1,2,4-triazol-1-yl)butan-2-ol, (A86) 2-[4-(4-chlorophenoxy)-2-(trifluoromethyl)phenyl]-1-(1H-1,2,4-triazol-1-yl)pentan-2-ol, (A87) 2-[2-chloro-4-(4-chlorophenoxy)phenyl]-1-(1H-1,2,4-triazol-1-yl)butan-2-ol, (A88) 2-[2-
chloro-4-(2,4-dichlorophenoxy)phenyl]-1-(1H-1,2,4-triazol-1-yl)propan-2-ol, (A89) (2R)-2-(1- chlorocyclopropyl)-4-[(1R)-2,2-dichlorocyclopropyl]-1-(1H-1,2,4-triazol-1-yl)butan-2-ol, (A90) (2R)-2-(1-chlorocyclopropyl)-4-[(1S)-2,2-dichlorocyclopropyl]-1-(1H-1,2,4-triazol-1-yl)butan-2-ol, (A91) (2S)-2-(1-chlorocyclopropyl)-4-[(1S)-2,2-dichlorocyclopropyl]-1-(1H-1,2,4-triazol-1- yl)butan-2-ol, (A92) (2S)-2-(1-chlorocyclopropyl)-4-[(1R)-2,2-dichlorocyclopropyl]-1-(1H-1,2,4- triazol-1-yl)butan-2-ol, (A93)^(1S,2R,5R)-5-(4-chlorobenzyl)-2-(chloromethyl)-2-methyl-1-(1H- 1,2,4-triazol-1-ylmethyl)cyclopentanol, (A94) (1R,2S,5S)-5-(4-chlorobenzyl)-2-(chloromethyl)-2- methyl-1-(1H-1,2,4-triazol-1-ylmethyl)cyclopentanol, (A95) 5-(4-chlorobenzyl)-2- (chloromethyl)- 2-methyl-1-(1H-1,2,4-triazol-1-ylmethyl)cyclopentanol. (A96) Quinoline, 3-(4,5-dihydro-5,5- dimethylthieno[2,3-c]pyridin-7-yl)-; (A97) Quinoline, 3-(4,5-dihydro-4,4,5,5-tetramethylthieno[2,3- c]pyridin-7-yl)-.
B) Inhibitors of the respiratory chain at complex I or II, for example (B01) bixafen, (B02) boscalid, (B03) carboxin, (B04) cypropamide, (B05) diflumetorim, (B06) fenfuram, (B07) fluopyram, (B08) flutolanil, (B09) fluxapyroxad, (B10) furametpyr, (B11) furmecyclox, (B12) isopyrazam (mixture of syn-epimeric racemate 1RS,4SR,9RS and anti-epimeric racemate 1RS,4SR,9SR), (B13) isopyrazam (anti-epimeric racemate 1RS,4SR,9SR), (B14) isopyrazam (anti-epimeric enantiomer 1R,4S,9S), (B15) isopyrazam (anti-epimeric enantiomer 1S,4R,9R), (B16) isopyrazam (syn-epimeric racemate 1RS,4SR,9RS), (B17) isopyrazam (syn-epimeric enantiomer 1R,4S,9R), (B18) isopyrazam (syn- epimeric enantiomer 1S,4R,9S), (B19) mepronil, (B20) oxycarboxin, (B21) penflufen, (B22) penthiopyrad, (B23) pydiflumetofen, (B24) sedaxane, (B25) thifluzamide, (B26) 1-methyl-N-[2- (1,1,2,2-tetrafluoroethoxy)phenyl]-3-(trifluoromethyl)-1H-pyrazole-4-carboxamide, (B27) 3- (difluoromethyl)-1-methyl-N-[2-(1,1,2,2-tetrafluoroethoxy)phenyl]-1H-pyrazole-4-carboxamide, (B28) 3-(difluoromethyl)-N-[4-fluoro-2-(1,1,2,3,3,3-hexafluoropropoxy)phenyl]-1-methyl-1H- pyrazole-4-carboxamide, (B29) N-[1-(2,4-dichlorophenyl)-1-methoxypropan-2-yl]-3- (difluoromethyl)-1-methyl-1H-pyrazole-4-carboxamide, (B30) 5,8-difluoro-N-[2-(2-fluoro-4-{[4- (trifluoromethyl)pyridin-2-yl]oxy}pyhenyl)ethyl]quinazolin-4-amine, (B31) benzovindiflupyr, (B32) N-[(1S,4R)-9-(dichloromethylene)-1,2,3,4-tetrahydro-1,4-methanonaphthalen-5-yl]-3- (difluoromethyl)-1-methyl-1H-pyrazole-4-carboxamide, (B33) N-[(1R,4S)-9-(dichloromethylene)- 1,2,3,4-tetrahydro-1,4-methanonaphthalen-5-yl]-3-(difluoromethyl)-1-methyl-1H-pyrazole-4- carboxamide, (B34) 3-(difluoromethyl)-1-methyl-N-(1,1,3-trimethyl-2,3-dihydro-1H-inden-4-yl)- 1H-pyrazole-4-carboxamide, (B35) 1,3,5-trimethyl-N-(1,1,3-trimethyl-2,3-dihydro-1H-inden-4-yl)- 1H-pyrazole-4-carboxamide, (B36) 1-methyl-3-(trifluoromethyl)-N-(1,1,3-trimethyl-2,3-dihydro-
1H-inden-4-yl)-1H-pyrazole-4-carboxamide, (B37) 1-methyl-3-(trifluoromethyl)-N-[(3R)-1,1,3- trimethyl-2,3-dihydro-1H-inden-4-yl]-1H-pyrazole-4-carboxamide, (B38) 1-methyl-3- (trifluoromethyl)-N- [(3S)-1,1,3-trimethyl-2,3-dihydro-1H-inden-4-yl]-1H-pyrazole-4-carboxamide, (B39) 3-(difluoromethyl)-1-methyl-N-[(3S)-1,1,3-trimethyl-2,3-dihydro-1H-inden-4-yl]-1H- pyrazole-4-carboxamide, (B40) 3-(difluoromethyl)-1-methyl-N-[(3R)-1,1,3-trimethyl-2,3-dihydro- 1H-inden-4-yl]-1H-pyrazole-4-carboxamide, (B41) 1,3,5-trimethyl-N-[(3R)-1,1,3-trimethyl-2,3- dihydro-1H-inden-4-yl]-1H-pyrazole-4-carboxamide, (B42) 1,3,5-trimethyl-N-[(3S)-1,1,3- trimethyl-2,3-dihydro-1H-inden-4-yl]-1H-pyrazole-4-carboxamide, (B43) benodanil, (B44) 2- chloro-N-(1,1,3-trimethyl-2,3-dihydro-1H-inden-4-yl)pyridine-3-carboxamide, (B45) Isofetamid, (B46) 1-methyl-3-(trifluoromethyl)-N-[2'-(trifluoromethyl)biphenyl-2-yl]-1H-pyrazole-4- carboxamide, (B47) N-(4'-chlorobiphenyl-2-yl)-3-(difluoromethyl)-1-methyl-1H-pyrazole-4- carboxamide, (B48) N-(2',4'-dichlorobiphenyl-2-yl)-3-(difluoromethyl)-1-methyl-1H-pyrazole-4- carboxamide, (B49) 3-(difluoromethyl)-1-methy1-N-[4'-(trifluoromethyl)biphenyl-2-yl]-1H- pyrazole-4-carboxamide, (B50) N-(2',5 '-difluorobiphenyl-2-yl)-1-methyl-3-(trifluoromethyl)-1H- pyrazole-4-carboxamide, (B51) 3-(difluoromethyl)-1-methyl-N-[4'-(prop-1-yn-1-yl)biphenyl-2-yl]- 1H-pyrazole-4-carboxamide, (B52) 5-fluoro-1,3-dimethyl-N-[4'-(prop-1-yn-1-yl)biphenyl-2-yl]-1H- pyrazole-4-carboxamide, (B53) 2-chloro-N-[4'-(prop-1-yn-1-yl)biphenyl-2-yl]nicotinamide, (B54) 3- (difluoromethyl)-N- [4'-(3,3-dimethylbut-1-yn-1-yl)biphenyl-2-yl]-1-methyl-1H-pyrazole-4- carboxamide, (B55) N-[4'-(3,3-dimethylbut-1-yn-1-yl)biphenyl-2- yl]-5-fluoro-1,3-dimethyl-1H- pyrazole-4-carboxamide, (B56) 3-(difluoromethyl)-N-(4'-ethynylbiphenyl-2-yl)-1-methyl-1H- pyrazole-4-carboxamide, (B57) N-(4‘-ethynylbiphenyl-2-yl)-5-fluoro-1,3-dimethyl-1H-pyrazole-4- carboxamide, (B58) 2-chloro-N-(4'-ethynylbiphenyl-2-yl)nicotinamide, (B59) 2-chloro-N-[4'-(3,3- dimethylbut-1-yn-1-yl)biphenyl-2-yl]nicotinamide, (B60) 4-(difluoromethyl)-2-methyl-N-[4’- (trifluoromethyl)biphenyl-2-yl]-1,3-thiazole-5-carboxamide, (B61) 5-fluoro-N-[4'-(3-hydroxy-3- methylbut-1-yn-1-yl)biphenyl-2-yl]-1,3-dimethyl-1H-pyrazole-4-carboxamide, (B62) 2-chloro-N- [4'-(3-hydroxy-3-methylbut-1-yn-1-yl)biphenyl-2-yl]nicotinamide, (B63) 3-(difluoromethyl)-N-[4'- (3-methoxy-3-methylbut-1-yn-1-yl)biphenyl-2-yl]-1-methyl-1H-pyrazole-4-carboxamide, (B64) 5- fluoro-N-[4'-(3-methoxy-3-methylbut-1-yn-1-yl)biphenyl-2-yl]-1,3-dimethyl-1H-pyrazole-4- carboxamide, (B65) 2-chloro-N-[4'-(3-methoxy-3-methylbut-1-yn-1-yl)biphenyl-2-yl]nicotinamide, (B66) 1,3-dimethyl-N-(1,1,3-trimethyl-2,3-dihydro-1H-inden-4-yl)-1H-pyrazole-4-carboxamide, (B67) 1,3-dimethyl-N-[(3R)-1,1,3-trimethyl-2,3-dihydro-1H-inden-4-yl]-1H-pyrazole-4- carboxamide, (B68) 1,3-dimethyl-N-[(3S)-1,1,3-trimethyl-2,3-dihydro-1H-inden-4-yl]-1H-pyrazole-
4-carboxamide, (B69) 3-(difluoromethyl)-N-methoxy-1-methyl-N-[1-(2,4,6-trichlorophenyl)propan- 2-yl]-1H-pyrazole-4-carboxamide, (B70) 3-(difluoromethyl)-N-(7-fluoro-1,1,3-trimethyl-2,3- dihydro-1H-inden-4-yl)-1-methyl-1H-pyrazole-4-carboxamide, (B71) 3-(difluoromethyl)-N-[(3,R)- 7-fluoro-1,1,3-trimethyl-2,3-dihydro-1H-inden-4-yl]-1-methyl-1H-pyrazole-4-carboxamide, (B72) 3-(difluoromethy1)-N-[(3S)-7-fluoro-1,1,3-trimethyl-2,3-dihydro-1H-inden-4-yl]-1-methyl-1H- pyrazole-4-carboxamide.
C) Inhibitors of the respiratory chain at complex III, for example (C01)
ametoctradin, (C02) amisulbrom, (C03) azoxystrobin, (C04) cyazofamid, (C05) coumethoxystrobin, (C06) coumoxystrobin, (C07) dimoxystrobin, (C08) enoxastrobin, (C09) famoxadone, (C10) fenamidone, (C11) fenaminstrobin, (C12) flufenoxystrobin, (C13) fluoxastrobin, (C14) kresoxim- methyl, (C15) metominostrobin, (C16) mandestrobin, (C17) orysastrobin, (C18) picoxystrobin, (C19) pyraclostrobin, (C20) pyrametostrobin, (C21) pyraoxystrobin, (C22) pyribencarb, (C23) triclopyricarb, (C24) trifloxystrobin, (C25) (2E)-2-(2-{[6-(3-chloro-2-methylphenoxy)-5- fluoropyrimidin-4-yl]oxy}phenyl)-2-(methoxyimino)-N-methylacetamide, (C26) (2E)-2- (methoxyimino)-N-methyl-2-(2-{[({(1E)-1-[3-(trifluoromethyl)phenyl]ethylidene}
amino)oxy]methyl} phenyl) acetamide, (C27) (2E)-2-(methoxyimino)-N-methyl-2-{2-[(E)-({1-[3- (trifluoromethyl)phenyl]ethoxy}imino)methyl]phenyl}acetamide, (C28) (2E)-2-{2-[({[(1E)-1-(3- {[(E)-1-fluoro-2-phenylvinyl]oxy} phenyl)ethylidene] amino}oxy)methyl]phenyl}-2- (methoxyimino)-N-methylacetamide, (C29) Fenaminostrobin, (C30) 5-methoxy-2-methyl-4-(2- {[({(1E)-1-[3-(trifluoromethyl)phenyl]ethylidene}amino)oxy]methyl}phenyl)-2,4-dihydro-3H- 1,2,4-triazol-3-one, (C31) methyl (2E)-2-{2-[({cyclopropyl[(4- methoxyphenyl)imino]methyl}sulfanyl)methyl]phenyl}-3-methoxyacrylate, (C32) N-(3-ethyl-3,5,5- trimethylcyclohexyl)-3-formamido-2-hydroxybenzamide, (C33) 2-{2-[(2,5- dimethylphenoxy)methyl]phenyl}-2-methoxy-N-methylacetamide, (C34) 2-{2-[(2,5- dimethylphenoxy)methyl]phenyl}-2-methoxy-N-methylacetamide, (C35) (2E,3Z)-5-{[1-(4- chlorophenyl)-1H-pyrazol-3-yl]oxy}-2-(methoxyimino)-N,3-dimethylpent-3-enamide.
D) Inhibitors of the mitosis and cell division, for example (D01) benomyl, (D02) carbendazim, (D03) chlorfenazole, (D04) diethofencarb, (D05) ethaboxam, (D06) fluopicolide, (D07) fiiberidazole, (D08) pencycuron, (D09) thiabendazole, (D10) thiophanate-methyl, (D11) thiophanate, (D12) zoxamide, (D13) 5-chloro-7-(4-methylpiperidin-1-yl)-6-(2,4,6- trifluorophenyl)[1,2,4]triazolo[1,5-a]pyrimidine, (D14) 3-chloro-5-(6-chloropyridin-3-yl)-6-methyl- 4-(2,4,6- trifluorophenyl) pyridazine.
E) Compounds capable to have a multisite action, for example (E01) bordeaux mixture, (E02) captafol, (E03) captan, (E04) chlorothalonil, (E05) copper hydroxide, (E06) copper naphthenate, (E07) copper oxide, (E08) copper oxychloride, (E09) copper(2+) sulfate, (E10) dichlofluanid, (E11) dithianon, (E12) dodine, (E13) dodine free base, (E14) ferbam, (E15) fluorofolpet, (E16) folpet, (E17) guazatine, (E18) guazatine acetate, (E19) iminoctadine, (E20) iminoctadine albesilate, (E21) iminoctadine triacetate, (E22) mancopper, (E23) mancozeb, (E24) maneb, (E25) metiram, (E26) metiram zinc, (E27) oxine- copper, (E28) propamidine, (E29) propineb, (E30) sulfur and sulfur preparations including calcium polysulfide, (E31) thiram, (E32) tolylfluanid, (E33) zineb, (E34) ziram, (E35) anilazine.
F) Compounds capable to induce a host defence, for example (F01) acibenzolar-S-methyl, (F02) isotianil, (F03) probenazole, (F04) tiadinil, (F05) laminarin.
G) Inhibitors of the amino acid and/or protein biosynthesis, for example (G01) andoprim, (G02) blasticidin-S, (G03) cyprodinil, (G04) kasugamycin, (G05) kasugamycin hydrochloride hydrate, (G06) mepanipyrim, (G07) pyrimethanil, (G08) 3-(5-fluoro-3,3,4,4-tetramethyl-3,4- dihydroisoquinolin-1-yl)quinoline, (G09)oxytetracycline,(G10)streptomycin.
H) Inhibitors of the ATP production, for example (H01) fentin acetate, (H02) fentin chloride, (H03) fentinhydroxide, (H04) silthiofam.
I) Inhibitors of the cell wall synthesis, for example (I01) benthiavalicarb, (I02) dimethomorph, (I03) flumorph, (I04) iprovalicarb, (I05) mandipropamid, (I06) polyoxins, (I07) polyoxorim, (I08) validamycin A, (I09) valifenalate, (I10) polyoxin B, (I11) (2E)-3-(4-tert-butylphenyl)-3-(2- chloropyridin-4-yl)-1-(morpholin-4-yl)prop-2-en-1-one, (I12) (2Z)-3-(4-tert-butylphenyl)-3-(2- chloropyridin-4-yl)-1-(morpholin-4-yl)prop-2-en-1-one.
J) Inhibitors of the lipid and membrane synthesis, for example (J01) biphenyl, (J02) chloroneb, (J03) dicloran, (J04) edifenphos, (J05) etridiazole, (J06) iodocarb, (J07) iprobenfos, (J08) isoprothiolane, (J09) propamocarb, (J10) propamocarb hydrochloride, (J11) prothiocarb, (J12) pyrazophos, (J13) quintozene, (J14) tecnazene, (J15) toclofos-methyl.
K) Inhibitors of the melanin biosynthesis, for example (K01) carpropamid, (K02) diclocymet, (K03) fenoxanil, (K04) phthalide, (K05) pyroquilon, (K06) tolprocarb, (K07)tricyclazole.
L) Inhibitors of the nucleic acid synthesis, for example (L01) benalaxyl, (L02) benalaxyl-M (kiralaxyl), (L03) bupirimate, (L04) clozylacon, (L05) dimethirimol, (L06) ethirimol, (L07) furalaxyl, (L08) hymexazol, (L09) metalaxyl, (L10) metalaxyl-M (mefenoxam), (L11) ofurace, (L12) oxadixyl, (L13) oxolinic acid, (L14)octhilinone.
M) Inhibitors of the signal transduction, for example (M01) chlozolinate, (M02) fenpiclonil, (M03) fludioxonil, (M04) iprodione, (M05) procymidone, (M06) quinoxyfen, (M07) vinclozolin, (M08) proquinazid.
N) Compounds capable to act as an uncoupler, for example (N01) binapacryl, (N02) dinocap, (N03) ferimzone, (N04) fluazinam, (N05) meptyldinocap.
O) Further compounds, for example (O01) benthiazole, (O02) bethoxazin, (O03) capsimycin, (O04) carvone, (O05) chinomethionat, (O06) pyriofenone (chlazafenone), (O07) cufraneb, (O08) cyflufenamid, (O09) cymoxanil, (O10) cyprosulfamide, (O11) dazomet, (O12) debacarb, (O13) dichlorophen, (O14) dichlobentiazox, (O15) diclomezine, (O16) difenzoquat, (O17) difenzoquat metilsulfate, (O18) diphenylamine, (O19) ecomate, (O20) fenpyrazamine, (O21) fenhexamine, (O22) flumetover, (O23) fluoroimide, (O24) flusulfamide, (O25) flutianil, (O26) fosetyl-aluminium, (O27) fosetyl-calcium, (O28) fosetyl-sodium, (O29) hexachlorobenzene, (O30) irumamycin, (O31) isothianil, (O32) methasulfocarb, (O33) methyl isothiocyanate, (O34) metrafenone, (O35) mildiomycin, (O36) natamycin, (O37) nickel dimethyldithiocarbamate, (O38) nitrothal-isopropyl, (O39) oxamocarb, (O40) oxyfenthiin, (O41) pentachlorophenol and salts, (O42) phenothrin, (O43) picarbutrazox (O44) phosphorous acid and its salts, (O45) propamocarb-fosetylate, (O46) propanosine-sodium, (O47) pyrimorph, (O48) pyraziflumid (O49) pyrrolnitrine, (O50) tebufloquin, (O51) tecloftalam, (O52) tolnifanide, (O53) triazoxide, (O54) trichlamide, (O55) zarilamid, (O56) (3S,6S,7R,8R)-8-benzyl-3-[({3-[(isobutyryloxy)methoxy]-4-methoxypyridin-2-yl}carbonyl)amino]- 6-methyl-4,9-dioxo-1,5-dioxonan-7-yl 2-methylpropanoate, (O57) 1-(4-{4-[(5R)-5-(2,6- difluorophenyl)-4,5-dihydro-1,2-oxazol-3-yl]-1,3-thiazol-2-yl}piperidin-1-yl)-2-[5-methyl-3- (trifluoromethyl)-1H-pyrazol-1-yl]ethanone, (O58) 1-(4-{4-[(5S)-5-(2,6-difluorophenyl)-4,5- dihydro-1,2-oxazol-3-yl]-1,3-thiazol-2-yl}piperidin-1-yl)-2-[5-methyl-3-(trifluoromethyl)-1H- pyrazol-1-yl]ethanone, (O59) oxathiapiprolin, (O60) 1-(4-methoxyphenoxy)-3,3-dimethylbutan-2- yl-1H-imidazole-1-carboxylate, (O61) 2,3,5,6-tetrachloro-4-(methylsulfonyl)pyridine, (O62) 2,3- dibutyl-6-chlorothieno[2,3-d]pyrimidin-4(3H)-one, (O63) 2,6-dimethyl-1H,5H-[1,4]dithiino[2,3- c:5,6-c']dipyrrole-1,3,5,7(2H,6H)-tetrone, (O64) 2-[5-methyl-3-(trifluoromethyl)-1H-pyrazol-1-yl]- 1-(4-{4-[(5R)-5-phenyl-4,5-dihydro-1,2-oxazol-3-yl]-1,3-thiazol-2-yl}piperidin-1-yl)ethanone, (O65) 2-[5-methyl-3-(trifluoromethyl)-1H-pyrazol-1-yl]-1-(4-{4-[(5S)-5-phenyl-4,5-dihydro-1,2- oxazol-3-yl]-1,3-thiazol-2-yl}piperidin-1-yl)ethanone, (O66) 2-[5-methyl-3-(trifluoromethyl)-1H- pyrazol-]-yl]-1-{4-[4-(5-phenyl-4,5-dihydro-1,2-oxazol-3-yl)-1,3- thiazol-2-yl]piperidin-1- yl}ethanone, (O67) 2-butoxy-6-iodo-3-propyl-4H-chromen-4-one, (O68) 2-chloro-5-[2-chloro-1-
(2,6-difluoro-4-methoxyphenyl)-4-methyl-1H-imidazol-5-yl]pyridine, (O69) 2-phenylphenol and salts, (O70) 3-(4,4,5- trifluoro-3,3-dimethyl-3,4-dihydroisoquinolin-1-yl)quinoline, (O71) 3,4,5- trichloropyridine-2,6-dicarbonitrile, (O72) 3-chloro-5-(4-chlorophenyl)-4-(2,6-difluorophenyl)-6- methylpyridazine, (O73) 4-(4-chlorophenyl)-5-(2,6-difluorophenyl)-3,6-dimethylpyridazine, (O74) 3-chloro-4-(2,6-difluorophenyl)-6-methyl-5-phenylpyridazine, (O75) 5-amino-1,3,4-thiadiazole-2- thiol, (O76) 5-chloro-N‘-phenyl-N'-(prop-2-yn-1-yl)thiophene-2-sulfonohydrazide, (O77) 5-fluoro- 2-[(4-fluorobenzyl)oxy]pyrimidin-4-amine, (O78) 5-fluoro-2-[(4-methylbenzyl)oxy]pyrimidin-4- amine, (O79) 5-methyl-6-octyl[1,2,4]triazolo[1,5-a]pyrimidin-7-amine, (O80) ethyl (2Z)-3-amino-2- cyano-3-phenylacrylate, (O81) N'-(4-{[3-(4-chlorobenzyl)-1,2,4-thiadiazol-5-yl]oxy}-2,5- dimethylphenyl)-N-ethyl-N-methylimidoformamide, (O82) N-(4-chlorobenzyl)-3-[3-methoxy-4- (prop-2-yn-1-yloxy)phenyl]propanamide, (O83) N-[(4-chlorophenyl)(cyano)methyl]-3-[3-methoxy- 4-(prop-2-yn-1-yloxy)phenyl]propanamide, (O84) N-[(5-bromo-3-chloropyridin-2-yl)methyl]-2,4- dichloronicotinamide, (O85) N-[1-(5-bromo-3-chloropyridin-2-yl)ethyl]-2,4-dichloronicotinamide, (O86) N-[1-(5-bromo-3-chloropyridin-2-yl)ethyl]-2-fluoro-4-iodonicotinamide, (O87) N-{(E)- [(cyclopropylmethoxy)imino][6-(difluoromethoxy)-2,3-difluorophenyl]methyl}-2-phenylacetamide, (O88) N-{(Z)-[(cyclopropylmethoxy)imino][6-(difluoromethoxy)-2,3-difluorophenyl] methyl}-2- phenylacetamide, (O89) N'-{4-[(3-tert-butyl-4-cyano-1,2-thiazol-5-yl)oxy]-2-chloro-5- methylphenyl}-N-ethyl-N-methylimidoformamide, (O90) N-methyl-2-(1-{[5-methyl-3- (trifluoromethyl)-1H-pyrazol-1-yl]acetyl}piperidin-4-yl)-N-(1,2,3,4-tetrahydronaphthalen-1-yl)-1,3- thiazole-4-carboxamide, (O91) N-methyl-2-(1-{[5-methyl-3-(trifluoromethyl)-1H-pyrazol-1- yl]acetyl}piperidin-4-yl)-N-[(1R)-1,2,3,4-tetrahydronaphthalen-1-yl]-1,3-thiazole-4-carboxamide, (O92) N-methyl-2-(1-{[5-methyl-3-(trifluoromethyl)-1H-pyrazol-1-yl]acetyl}piperidin-4-yl)-N- [(1S)-1,2,3,4- tetrahydronaphthalen-1-yl]-1,3-thiazole-4-carboxamide, (O93) pentyl {6-[({[(1- methyl-1H-tetrazol-5-yl)(phenyl)methylene]amino}oxy)methyl]pyridin-2-yl} carbamate, (O94) phenazine-1-carboxylic acid, (O95) quinolin-8-ol, (O96) quinolin-8-ol sulfate (2:1), (O97) tert-butyl {6-[({[(1-methyl-1H-tetrazol-5-yl)(phenyl) methylene]amino}oxy)methyl]pyridin-2-yl} carbamate, (O98) (5-bromo-2-methoxy-4-methylpyridin-3-yl)(2,3,4-trimethoxy-6-methylphenyl) methanone, (O99) N-[2-(4-{[3-(4-chlorophenyl)prop-2-yn-1-yl]oxy}-3-methoxyphenyl)thyl]-N2- (methylsulfonyl)valinamide, (O100) 4-oxo-4-[(2-phenylethyl)amino]butanoic acid, (O101) but-3-yn- 1-yl {6-[({[(Z)-(1-methyl-1H-tetrazol-5-yl)(phenyl)methylene]amino}oxy)methyl]pyridin-2-yl} carbamate, (O102) 4-amino-5-fluoropyrimidin-2-ol (tautomeric form: 4-amino-5-fluoropyrimidin- 2(1H)-one), (O103) propyl 3,4,5-trihydroxybenzoate, (O104) [3-(4-chloro-2-fluorophenyl)-5-(2,4-
difluorophenyl)-1,2-oxazol-4-yl](pyridin-3-yl)methanol, (O105) (S)-[3-(4-chloro-2-fluorophenyl)-5- (2,4-difluorophenyl)-1,2-oxazol-4-yl](pyridin-3-yl)methanol, (O106) (R)-[3-(4-chloro-2- fluorophenyl)-5-(2,4-difluorophenyl)-1,2-oxazol-4-yl](pyridin-3-yl)methanol, (O107) 2-fluoro-6- (trifluoromethyl)-N-(1,1,3-trimethyl-2,3-dihydro-1H-inden-4-yl)benzamide, (O108) 2-(6- benzylpyridin-2-yl)quinazoline, (O109) 2-[6-(3-fluoro-4-methoxyphenyl)-5-methylpyridin-2- yl]quinazoline, (O110) 3-(4,4-difluoro-3,3-dimethyl-3,4-dihydroisoquinolin-1-yl)quinoline, (O111) Abscisic acid, (O112) N'-[5-bromo-6-(2,3-dihydro-1H-inden-2-yloxy)-2-methylpyridin-3-yl]-N- ethyl-N-methylimidoformamide, (O113) N'-{5-bromo-6-[1-(3,5-difluorophenyl)ethoxy]-2- methylpyridin-3-yl}-N-ethyl-N-methylimidoformamide, (O114) N'-{5-bromo-6-[(1R)-1-(3,5- difluorophenyl)ethoxy]-2-methylpyridin-3-yl}-N-ethyl-N-methylimidoformamide, (O115) N'-{5- bromo-6-[(1S)-1-(3,5-difluorophenyl)ethoxy]-2-methylpyridin-3-yl}-N-ethyl-N- methylimidoformamide, (O116) N'-{5-bromo-6-[(cis-4-isopropylcyclohexyl)oxy] -2-methylpyridin- 3-yl}-N-ethyl-N-methylimidoformamide, (O117) N'-{5-bromo-6-[(trans-4- isopropylcyclohexyl)oxy]-2-methylpyridin-3-yl}-N-ethyl-N-methylimidoformamide, (O118) N- cyclopropyl-3-(difluoromethyl)-5-fluoro-N-(2-isopropylbenzyl)-1-methyl-1H-pyrazole-4- carboxamide, (O119) N-cyclopropyl-N-(2-cyclopropylbenzyl)-3-(difluoromethyl)-5-fluoro-1- methyl-1H-pyrazole-4-carboxamide, (O120) N-(2-tert-butylbenzyl)-N-cyclopropyl-3- (difluoromethyl)-5-fluoro-1-methyl-1H-pyrazole-4-carboxamide, (O121) N-(5-chloro-2- ethylbenzyl)-N-cyclopropyl-3-(difluoromethyl)-5-fluoro-1-methyl-1H-pyrazole-4-carboxamide, (O122) N-(5-chloro-2-isopropylbenzyl)-N-cyclopropyl-3-(difluoromethyl)-5-fluoro-1-methyl-1H- pyrazole-4-carboxamide, (O123) N-cyclopropyl-3-(difluoromethyl)-N-(2-ethyl-5-fluorobenzyl)-5- fluoro-1-methyl-1H-pyrazole-4-carboxamide, (O124) N-cyclopropyl-3-(difluoromethyl)-5-fluoro-N- (5-fluoro-2-isopropylbenzyl)-1-methyl-1H-pyrazole-4-carboxamide, (O125) N-cyclopropyl-N-(2- cyclopropyl-5-fluorobenzyl)-3-(difluoromethyl)-5-fluoro-1-methyl-1H-pyrazole-4-carboxamide, (O126) N-(2-cyclopentyl-5-fluorobenzyl)-N-cyclopropy-3-(difluoromethyl)-5-fluoro-1-methyl-1H- pyrazole-4-carboxamide, (O127) N-cyclopropyl-3-(difluoromethyl)-5-fluoro-N-(2-fluoro-6- isopropylbenzyl)-1-methyl-1H-pyrazole-4-carboxamide, (O128) N-cyclopropyl-3-(difluoromethyl)- N-(2-ethyl-5-methylbenzyl)-5-fluoro-1-methyl-1H-pyrazole-4-carboxamide, (O129) N-cyclopropyl- 3-(difluoromethyl)-5-fluoro-N-(2-isopropyl-5-methylbenzyl)-1-methyl-1H-pyrazole-4-carboxamide, (O130) N-cycIopropyl-N-(2-cyclopropyl-5-methylbenzyl)-3-(difluoromethyl)-5-fluoro-1-methyl- 1H-pyrazole-4-carboxamide, (O131) N-(2-tert-butyl-5-methylbenzyl)-N-cyclopropyl-3- (difluoromethyl)-5-fluoro-1-methyl-1H-pyrazole-4-carboxamide, (O132) N-[5-chloro-2-
(trifluoromethyl)benzyl]-N-cyclopropyl-3-(difluoromethyl)-5-fluoro-1-methyl-1H-pyrazole-4- carboxamide, (O133) N-cyclopropyl-3-(difluoromethyl)-5-fluoro-1-methyl-N-[5-methyl-2- (trifluoromethyl)benzyl]-1H-pyrazole-4-carboxamide, (O134) N-[2-chloro-6- (trifluoromethyl)benzyl]-N-cyclopropyl-3-(difluoromethyl)-5-fluoro-1-methyl-1H-pyrazole-4- carboxamide, (O135) N-[3-chloro-2-fluoro-6-(trifluoromethyl)benzyl]-N-cyclopropyl-3- (difluoromethyl)-5-fluoro-1-methyl-1H-pyrazole-4-carboxamide, (O136) N-cyclopropyl-3- (difluoromethyl)-N-(2-ethyl-4,5-dimethylbenzyl)-5-fluoro-1-methyl-1H-pyrazole-4-carboxamide, (O137) N-cyclopropyl-3-(difluoromethyl)-5-fluoro-N-(2-isopropylbenzyl)-1-methyl-1H-pyrazole-4- carbothioamide, (O138) N'-(2,5-dimethyl-4-phenoxyphenyl)-N-ethyl-N-methylimidoformamide, (O139) N'-{4-[(4,5-dichloro-1,3-thiazol-2-yl)oxy]-2,5-dimethylphenyl}-N-ethyl-N- methylimidoformamide, (O140) N-(4-chloro-2,6-difluorophenyl)-4-(2-chloro-4-fluorophenyl)-1,3- dimethyl-1H-pyrazol-5-amine, (O141) 9-fluoro-2,2-dimethyl-5-(quinolin-3-yl)-2,3-dihydro-1,4- benzoxazepine, (O142) 2-{2-fluoro-6-[(8-fluoro-2-methylquinolin-3-yl)oxy]phenyl}propan-2-ol, (O143) 2-{2-[(7,8-difluoro-2-methylquinolin-3-yl)oxy]-6-fluorophenyl}propan-2-ol, (O144) 4-(2- chloro-4-fluorophenyl)-N-(2-fluorophenyl)-1,3-dimethyl-1H-pyrazol-5-amine, (O145) 4-(2-chloro- 4-fluorophenyl)-N-(2,6-difluorophenyl)-1,3-dimethyl-1H-pyrazol-5-amine, (O146) 4-(2-chloro-4- fluorophenyl)-N-(2-chloro-6-fluorophenyl)-1,3-dimethyl-1H-pyrazol-5-amine, (O147) 4-(2-bromo- 4-fluorophenyl)-N-(2-chloro-6-fluorophenyl)-1,3-dimethyl-1H-pyrazol-5-amine, (O148) N-(2- bromo-6-fluorophenyl)-4-(2-chloro-4-fluorophenyl)-1,3-dimethyl-1H-pyrazol-5-amine, (O149) 4-(2- bromo-4-fluorophenyl)-N-(2-bromophenyl)-1,3-dimethyl-1H-pyrazol-5-amine, (O150) 4-(2-bromo- 4-fluorophenyl)-N-(2-bromo-6-fluorophenyl)-1,3-dimethyl-1H-pyrazol-5-amine, (O151) 4-(2- bromo-4-fluorophenyl)-N-(2-chlorophenyl)-1,3-dimethyl-1H-pyrazol-5-amine, (O152) N-(2- bromophenyl)-4-(2-chloro-4-fluorophenyl)-1,3-dimethyl-1H-pyrazol-5-amine, (O153) 4-(2-chloro- 4-fluorophenyl)-N-(2-chlorophenyl)-1,3-dimethyl-1H-pyrazol-5-amine, (O154) 4-(2-bromo-4- fluorophenyl)-N-(2,6-difluorophenyl)-1,3-dimethyl-1H-pyrazol-5-amine, (O155) 4-(2-bromo-4- fluorophenyl)-N-(2-fluorophenyl)-1,3-dimethyl-1H-pyrazol-5-amine, (O156) N'-(4-{3- [(difluoromethyl)sulfanyl]phenoxy}-2,5-dimethylphenyl)-N-ethyl-N-methylimidoformamide, (O157) N’-(2,5-dimethyl-4-{3-[(1,1,2,2-tetrafluoroethyl)sulfanyl]phenoxy}phenyl)-N-ethyl-N- methylimidoformamide, (O158) N‘-(2,5-dimethyl-4-{3-[(2,2,2- trifluoroethyl)sulfanyl]phenoxy}phenyl)-N-ethyl-N-methylimidoformamide, (O159) N‘-(2,5- dimethyl-4-{3-[(2,2,3,3-tetrafluoropropyl)sulfanyl]phenoxy}phenyl)-N-ethyl-N- methylimidoformamide, (O160) N'-(2,5-dimethyl-4-{3-
[(pentafluoroethyl)sulfanyl]phenoxy}phenyl)-N-ethyl-N-methylimidoformamide, (O161) N'-(4-{[3- (difluoromethoxy)phenyl]sulfanyl}-2,5-dimethylphenyl)-N-ethyl-N-methylimidoformamide, (O162) N'-(2,5-dimethyl-4-{[3-(1,1,2,2-tetrafluoroethoxy)phenyl]sulfanyl}phenyl)-N-ethyl-N- methylimidoformamide, (O163) N'-(2,5-dimethyl-4-{[3-(2,2,2- trifluoroethoxy)phenyl]sulfanyl}phenyl)-N-ethyl-N-methylimidoformamide, (O164) N'-(2,5- dimethyl-4-{[3-(2,2,3,3-tetrafluoropropoxy)phenyl]sulfanyl}phenyl)-N-ethyl-N- methylimidoformamide, (O165) N'-(2,5-dimethyl-4-{[3- (pentafluoroethoxy)phenyl]sulfanyl}phenyl)-N-ethyl-N-methylimidofomiamide, (O166) 2-[3,5- bis(difluoromethyl)-1H-pyrazol-1-yl]-1-[4-(4-{5-[2-(prop-2-yn-1-yloxy)phenyl]-4,5-dihydro-1,2- oxazol-3-yl}-1,3-thiazol-2-yl)piperidin-1-yl]ethanone, (O167) 2-[3,5-bis(difluoromethyl)-1H- pyrazol-1-yl]-1-[4-(4-{5-[2-fluoro-6-(prop-2-yn-1-yloxy)phenyl]-4,5-dihydro-1,2-oxazol-3-yl}-1,3- thiazol-2-yl)piperidin-1-yl]ethanone, (O168) 2-[3,5-bis(difluoromethyl)-1H-pyrazol-1-yl]-1-[4-(4- {5-[2-chloro-6-(prop-2-yn-1-yloxy)phenyl]-4,5-dihydro-1,2-oxazol-3-yl}-1,3-thiazol-2-yl)piperidin- 1-yl]ethanone, (O169) 2-{3-[2-(1-{[3,5-bis(difluoromethyl)-1H-pyrazol-1-yl]acetyl}piperidin-4-yl)- 1,3-thiazol-4-yl]-4,5-dihydro-1,2-oxazol-5-yl}phenyl methanesulfonate, (O170) 2-{3-[2-(1-{[3,5- bis(difluoromethyl)-1H-pyrazol-1-yl]acetyl}piperidin-4-yl)-1,3-thiazol-4-yl]-4,5-dihydro-1,2- oxazol-5-yl}-3-chlorophenyl methanesulfonate, (O171) 2-[3,5-bis(difluoromethyl)-1H-pyrazol-1- yl]-1-[4-(4-{(5S)-5-[2-(prop-2-yn-1-yloxy)phenyl]-4,5-dihydro-1,2-oxazol-3-yl}-1,3-thiazol-2- yl)piperidin-1-yl]ethanone, (O172) 2-[3,5-bis(difluoromethyl)-1H-pyrazol-1-yl]-1-[4-(4-{(5R)-5-[2- (prop-2-yn-1-yloxy)phenyl]-4,5-dihydro-1,2-oxazo1-3-yl}-1,3-thiazol-2-yl)piperidin-1-yl]ethanone, (O173) 2-[3,5-bis(difluoromethyl)-1H-pyrazol-1-yl]-1-[4-(4-{(5S)-5-[2-fluoro-6-(prop-2-yn-1- yloxy)phenyl]-4,5-dihydro-1,2-oxazol-3-yl}-1,3-thiazol-2-yl)piperidin-1-yl]ethanone, (O174) 2-[3,5- bis(difluoromethyl)-1H-pyrazol-1-yl]-1-[4-(4-{(5R)-5-[2-fluoro-6-(prop-2-yn-1-yloxy)phenyl]-4,5- dihydro-1,2-oxazol-3-yl}-1,3-thiazol-2-yl)piperidin-1-yl]ethanone, (O175) 2-[3,5- bis(difluoromethyl)-1H-pyrazol-1-yl]-1-[4-(4-{(5S)-5-[2-chloro-6-(prop-2-yn-1-yloxy)phenyl]-4,5- dihydro-1,2-oxazol-3-yl}-1,3-thiazol-2-yl)piperidin-1-yl]ethanone, (O176) 2-[3,5- bis(difluoromethyl)-1H-pyrazol-1-yl]-1-[4-(4-{(5R)-5-[2-chloro-6-(prop-2-yn-1-yloxy)phenyl]-4,5- dihydro-1,2-oxazol-3-yl}-1,3-thiazol-2-yl)piperidin-1-yl]ethanone, (O177) 2-{(5S)-3-[2-(1-{[3,5- bis(difluoromethyl)-1H-pyrazol-1-yl]acetyl}piperidin-4-yl)-1,3-thiazol-4-yl]-4,5-dihydro-1,2- oxazol-5-yl}phenyl methanesulfonate, (O178) 2-{(5R)-3-[2-(1-{[3,5-bis(difluoromethyl)-1H- pyrazol-1-yl]acetyl}piperidin-4-yl)-1,3-thiazol-4-yl]-4,5-dihydro-1,2-oxazol-5-yl}phenyl methanesulfonate, (O179) 2-{(5S)-3-[2-(1-{[3,5-bis(difluoromethyl)-1H-pyrazol-1-
yl]acetyl}piperidin-4-yl)-1,3-thiazol-4-yl]-4,5-dihydro-1,2-oxazol-5-yl}-3-chlorophenyl methanesulfonate, (O180) 2-{(5R)-3-[2-(1-{[3,5-bis(difluoromethyl)-1H-pyrazol-1- yl]acetyl}piperidin-4-yl)-1,3-thiazol-4-yl]-4,5-dihydro-1,2-oxazol-5-yl}-3-chlorophenyl
methanesulfonate, (O181) (3S,6S,7R,8R)-8-benzyl-3-{3-[(isobutyryloxy)methoxy]-4- methoxypicolinamido} -6-methyl-4,9-dioxo-1,5-dioxonan-7-yl isobutyrate.
Also, compound of formula (I) can be mixed with one or more active compatible compound selected from the following non limiting class (es), which are specified herein by their common names that are known and described, for example in The Pesticide Manual 17th Ed., or can be searched in the internet (e.g. under www.alanwood.net/pesticides).
(1) Acetylcholinesterase (AChE) inhibitors such as carbamates, for example alanycarb, aldicarb, bendiocarb, benfuracarb, butocarboxim, butoxycarboxim, carbaryl, carbofuran, carbosulfan, ethiofencarb, fenobucarb, formetanate, furathiocarb, isoprocarb, methiocarb, methomyl, metolcarb, oxamyl, pirimicarb, propoxur, thiodicarb, thiofanox, triazamate, trimethacarb, XMC and xylylcarb or organophosphates, such as acephate, azamethiphos, azinphos-ethyl, azinphos-methyl, cadusafos, chlorethoxyfos, chlorfenvinphos, chlormephos, chlorpyrifos, chlorpyrifos-methyl, coumaphos, cyanophos, demeton-S-methyl, diazinon, dichlorvos / DDVP, dicrotophos, dimethoate, dimethylvinphos, disulfoton, EPN, ethion, ethoprophos, famphur, fenamiphos, fenitrothion, fenthion, fosthiazate, heptenophos, imicyafos, isofenphos, isopropyl O-(methoxyaminothio-phosphoryl) salicylate, isoxathion, malathion, mecarbam, methamidophos, methidathion, mevinphos, monocrotophos, naled, omethoate, oxydemeton-methyl, parathion, parathion-methyl, phenthoate, phorate, phosalone, phosmet, phosphamidon, phoxim, pirimiphos-methyl, profenofos, propetamphos, prothiofos, pyraclofos, pyridaphenthion, quinalphos, sulfotep, tebupirimfos, temephos, terbufos, tetrachlorvinphos, thiometon, triazophos, triclorfon and vamidothion.
(2) GABA-gated chloride channel antagonists, such as cyclodiene organochlorines, for example chlordane and endosulfan or phenylpyrazoles (fiproles), for example ethiprole and fipronil.
(3) Sodium channel modulators / voltage-dependent sodium channel blockers, such as pyrethroids, for example acrinathrin, allethrin, d-cis-trans allethrin, d-trans allethrin, bifenthrin, bioallethrin, bioallethrin S-cyclopentenyl isomer, bioresmethrin, cycloprothrin, cyfluthrin, beta-cyfluthrin, cyhalothrin, lambda-cyhalothrin, gamma-cyhalothrin, cypermethrin, alpha-cypermethrin, beta- cypermethrin, theta-cypermethrin, zeta-cypermethrin, cyphenothrin [(1R)-trans-isomers], deltamethrin, empenthrin [(EZ)-(1R)-isomers], esfenvalerate, etofenprox, fenpropathrin, fenvalerate, flucythrinate, flumethrin, tau-fluvalinate, halfenprox, imiprothrin, kadethrin, momfluorothrin,
permethrin, phenothrin [(1R)-trans-isomer), prallethrin, pyrethrins (pyrethrum), resmethrin, silafluofen, tefluthrin, tetramethrin, tetramethrin [(1R)-isomers)], tralomethrin and transfluthrin or DDT or methoxychlor.
(4) Nicotinic acetylcholine receptor (nAChR) competitive modulators, such as neonicotinoids, for example acetamiprid, clothianidin, dinotefuran, imidacloprid, nitenpyram, thiacloprid and thiamethoxam or nicotine or sulfoxaflor or flupyradifurone.
(5) Nicotinic acetylcholine receptor (nAChR) allosteric modulators, such as spinosyns, for example spinetoram and spinosad.
(6) Glutamate-gated chloride channel (GluCl) allosteric modulators, such as avermectins / milbemycins, for example abamectin, emamectin benzoate, lepimectin and milbemectin.
(7) Juvenile hormone mimics such as juvenile hormone analogues, for example hydroprene, kinoprene and methoprene or fenoxycarb or pyriproxyfen.
(8) Active compounds with unknown or non-specific mechanisms of action, such as alkyl halides for example as methyl bromide and other alkyl halides or chloropicrin or fluorides or borates or tartar emetic or methyl isocyanate generators.
(9) Chordotonal organ TRPV channel modulators such as pyridine azomethine derivatives, for example pymetrozine and pyrifluquinazon or flonicamid.
(10) Mite growth inhibitors, for example clofentezine, hexythiazox and diflovidazin or etoxazole. (11) Microbial disruptors of insect gut midgut, for example Bacillus thuringiensis subspecies israelensis, Bacillus thuringiensis subspecies aizawai, Bacillus thuringiensis subspecies kurstaki, Bacillus thuringiensis subspecies tenebrionis and Bacillus sphaericus and BT crop proteins: Cry1Ab, Cry1Ac, Cry1Fa, Cry1A 105, Cry2Ab, Vip3a, mCry3A, Cry3Ab, Cry3Bb, Cry34Ab1 / Cry35Ab1. (12) Inhibitors of mitochondrial ATP synthase such as organotin miticides, for example azocyclotin, cyhexatin and fenbutatin oxide or diafenthiuron or propargite or tetradifon.
(13) Uncouplers of oxidative phosphorylation acting via disruption of the proton gradient, for example chlorfenapyr, DNOC and sulfluramid.
(14) Nicotinic acetylcholine receptor (nAChR) channel blockers, such as bensultap, cartap- hydrochloride, thiocyclam and thiosultap-sodium.
(15) Inhibitors of chitin biosynthesis, type 0, such as bistrifluoron, chlorfluazuron, diflubenzuron, flucycloxuron, flufenoxuron, hexaflumuron, lufenuron, novaluron, noviflumuron, teflubenzuron and triflumuron.
(16) Inhibitors of chitin biosynthesis, type 1, such as buprofezin.
(17) Molting disruptors (particularly in Dipteran), such as cyromazine.
(18) Ecdysone receptor agonists, such as chromafenozide, halofenozide, methoxyfenozide and tebufenozide.
(19) Octopamine receptor agonists, such as amitraz.
(20) Mitochondrial complex III electron transport inhibitors such as hydramethylnon or acequinocyl or fluacrypyrim or bifenazate.
(21) Mitochondrial complex I electron transport inhibitors, for example, METI acaricides and insecticides, for example fenazaquin, fenpyroximate, pyrimidifen, pyridaben, tebufenpyrad and tolfenpyrad or rotenone (Derris).
(22) Voltage-dependent sodium channel blockers such as indoxacarb or metaflumizone.
(23) Inhibitors of acetyl CoA carboxylase, such as tetronic and tetramic acid derivatives, for example spirodiclofen, spiromesifen and spirotetramat.
(24) Mitochondrial complex IV electron transport inhibitors, such as phosphides, for example aluminum phosphide, calcium phosphide, zinc phosphide and phosphine or cyanides.
(25) Mitochondrial complex II electron transport inhibitors such as beta-ketonitrile derivatives, for example cyenopyrafen and cyflumetofen or carboxanilides.
(28) Ryanodine receptor modulators such as diamides, for example chlorantraniliprole, cyantraniliprole and flubendiamide.
(29) Chordotonal organ modulators on undefined target site such as flonicamid.
Further active ingredients with unknown or indeterminate mode of action, such as afidopyropen, afoxolaner, azadirachtin, benclothiaz, benzoximate, bifenazate, broflanilide, bromopropylate, chinomethionat, cryolite, cyclaniliprole, cycloxaprid, cyhalodiamide, dicloromezotiaz, dicofol, diflovidazin, flometoquin, fluazaindolizine, fluensulfone, flufenerim, flufenoxystrobin, flufiprole, fluhexafon, fluopyram, fluralaner, fluxametamide, fufenozide, guadipyr, heptafluthrin, imidaclothiz, iprodione, lotilaner, meperfluthrin, paichongding, pyflubumide, pyridalyl, pyrifluquinazon, pyriminostrobin, sarolaner, tetramethylfluthrin, tetraniliprole, tetrachlorantraniliprole, tioxazafen, triflumezopyrim and iodomethane; furthermore, preparations based on Bacillus firmus (I-1582, BioNeem, Votivo), and the following known active compounds: 1-{2-fluoro-4-methyl-5-[(2,2,2- trifluoroethyl)sulfinyl]phenyl}-3-(trifluoromethyl)-1H-1,2,4-triazol-5-amine (known from WO2006043635), {1'-[(2E)-3-(4-chlorophenyl)prop-2-ene-1-yl]-5-fluorospiro[indole-3,4'- piperidine]-1(2H)-yl}(2-chloropyridin-4-yl)methanone (known from WO2003106457), 2-chloro-N- [2-{1-[(2E)-3-(4-chlorophenyl)prop-2-en-1-yl]piperidin-4-yl}-4-
(trifluoromethyl)phenyl]isonicotinamide (known from WO2006003494), 3-(2,5-dimethylphenyl)-4- hydroxy-8-methoxy-1,8-diazaspiro[4.5]dec-3-en-2-one (known from WO2009049851), 3-(2,5- dimethylphenyl)-8-methoxy-2-oxo-1,8-diazaspiro[4.5]dec-3-en-4-yl ethylcarbonate (known from WO2009049851), 4-(but-2-in-1-yloxy)-6-(3,5-dimethylpiperidin-1-yl)-5-fluoropyrimidine (known from WO2004099160), 4-(but-2-in-1-yloxy)-6-(3-chlorophenyl)pyrimidine (known from WO2003076415), PF1364 (CAS-Reg.No. 1204776-60-2), methyl-2-[2-({[3-bromo-1-(3- chloropyridin-2-yl)-1H-pyrazol-5-yl]carbonyl}amino)-5-chloro-3-methylbenzoyl]-2- methylhydrazincarboxylate (known from WO2005085216), methyl-2-[2-({[3-bromo-1-(3- chloropyridin-2-yl)-1H-pyrazol-5-yl]carbonyl}amino)-5-cyano-3-methylbenzoyl]-2- ethylhydrazincarboxylate (known from WO2005085216), methyl-2-[2-({[3-bromo-1-(3-chloro- pyridin-2-yl)-1H-pyrazol-5-yl]carbonyl}amino)-5-cyano-3-methylbenzoyl]-2- methylhydrazincarboxylate (known from WO2005085216), methyl-2-[3,5-dibromo-2-({[3-bromo-1- (3-chloro-pyridin-2-yl)-1H-pyrazol-5-yl]carbonyl}amino)benzoyl]-2-ethylhydrazincarboxylate (known from WO2005085216), N-[2-(5-amino-1,3,4-thiadiazol-2-yl)-4-chloro-6-methylphenyl]-3- bromo-1-(3-chloropyridin-2-yl)-1H-pyrazole-5-carboxamide (known from CN102057925), 4-[5- (3,5-dichlorophenyl)-5-(trifluoromethyl)-4,5-dihydro-1,2-oxazol-3-yl]-2-methyl-N-(1-oxidothietan- 3-yl)benzamide (known from WO2009080250), N-[(2E)-1-[(6-chloropyridine-3-yl)methyl]pyridin- 2(1H)-ylidene]-2,2,2-trifluoroacetamide (known from WO2012029672), 1-[(2-chloro-1,3-thiazol-5- yl)methyl]-4-oxo-3-phenyl-4H-pyrido[1,2-a]pyrimidin-1-ium-2-olate (known from WO2009099929), 1-[(6-chloropyridin-3-yl)methyl]-4-oxo-3-phenyl-4H-pyrido[1,2-a]pyrimidin-1- ium-2-olate (known from WO2009099929), 4-(3-{2,6-dichloro-4-[(3,3-dichloroprop-2-en-1- yl)oxy]phenoxy}propoxy)-2-methoxy-6-(trifluoromethyl)pyrimidine (known from CN101337940), N-[2-(tert-butylcarbamoyl)-4-chloro-6-methylphenyl]-1-(3-chloropyridin-2-yl)-3-(fluoromethoxy)- 1H-pyrazole-5-carboxamide (known from WO2008134969), butyl-[2-(2,4-dichlorophenyl)-3-oxo-4- oxaspiro[4.5]dec-1-en-1-yl]carbonate (disclosed in CN102060818), 3(E)-3-[1-[(6-chloro-3- pyridyl)methyl]-2-pyridyliden]-1,1,1-trifluoropropan-2-one (known from WO2013144213), N- (methylsulfonyl)-6-[2-(pyridin-3-yl)-1,3-thiazol-5-yl]pyridine-2-carboxamide (known from WO2012000896), N-[3-(benzylcarbamoyl)-4-chlorophenyl]-1-methyl-3-(pentafluoroethyl)-4- (trifluoromethyl)-1H-pyrazole-5-carboxamide (known from WO2010051926).
Now the present invention will be elaborated in light of the non-limiting schemes and examples. Compounds of the present invention as defined by general formula in table 1 or table 2 may be prepared, in known manner, in a variety of ways as described in Schemes 1-14.
Scheme 1:
Compounds of formula III can be obtained from corresponding alcohols I and nitriles II in the presence of an acid in an organic solvent or neat in acid (see for example US20080275242 or WO2005070917). Preferably reactions were performed in sulfuric acid and in some cases particularly triflic acid, was used as acid. Most suitable solvents were hydrocarbons, preferably toluene or dichloromethane.
Depending on the nature of the starting materials, the reaction was performed usually at lower or room temperature (0 °C to 25 °C) for 3 to 18 h. Scheme 2:
Compounds of formula IX can be obtained from corresponding alcohols I and nitriles VII as described in scheme 1 above. Scheme 3:
Derivatives of alcohols of I can be prepared as described. Generally, most of the examples describe synthesis starting from acid IV and converting into methyl ester V in acidic condition. To obtain compound VI, intermediate V was treated under basic condition and reacted with alkyl halides. Compound of type VI can be reacted with organometallic reagents, preferably alkyl Grignard or alkyl-Lithium reagents, in ethereal solvents, preferably THF at low temperatures and under inert conditions to furnish compounds of type I. Alternatively, compound I could be synthesized from X treating with organometallic reagents (alkyl Grignard or alkyl-Lithium reagents).
Scheme 4:
Nitriles of type II and VIII were either commercially available or could be prepared from the corresponding commercial halides X and XI respectively, using zinc cyanide or copper cyanide in presence of suitable Pd catalyst and ligands by heating at polar aprotic solvent like DMF, DMA (Journal of the Chinese Chemical Society (Taipei, Taiwan), 29(1), 29-37; 1982). Particularly in some of the cases, reactions were performed in microwave condition (100-150 °C in 0.5 h to 2 h). In few instances, like 2-cyano quinoxaline kind of compounds are synthesized starting from corresponding acid or ester (Chemical & Pharmaceutical Bulletin, 32(9), 3361-5; 1984). Few bromo
precursor of quinoline derivatives are prepared by Skraup quinoline synthesis (Journal of the American Chemical Society, 127(1), 74-75; 2005). Scheme 6:
Nitriles of Cinnoline, Benzotriazine and Fused bicyclic heterocycles synthesized starting from from intermediate XVI (Tetrahedron, 35(17), 2027-33; 1979, Journal of the Chemical Society, Chemical Communications, (11), 550-1; 1981), further it was oxidized to corresponding acid XVII (U.S. Pat. 20140371255, Bioorganic & Medicinal Chemistry Letters, 14(14), 3771-3774; 2004, Journal of the Chemical Society, 1145-9; 1951). Corresponding amides were synthesized from intermediate XVIII and converted into nitriles. XIX PCT Int. Appl., 2014066506, 01 May 2014. Scheme 7:
Intermediate XXIII can be synthesized WO2015/132133, US2011/183983 and WO2015/117563, US2011/183983 and WO2015/117563 WO2015/132133 Scheme 8:
Scheme 9:
Scheme 11:
Compounds 1B can be prepared from compounds 1A (where V and W are both hydrogen) by reaction with a halide source, preferably N-bromosuccinimide or 1,3-dibromo-5,5- dimethylhydantoin, in an organic solvent, preferably carbon tetrachloride, in the presence of an initiator, preferably azo-bis-isobutyronitrile, at elevated temperatures (see for example JP2013139427A).
Compounds of type 1C can be accessed by reacting compounds of type IB under hydrolysis condition either room temperature or heating with a mixture of organic solvent preferable dioxane or acetone and water in the presence or absence of inorganic acid such as hydrochloric acid or inorganic base such as sodium hydroxide. As described elsewhere (WO2013047749), compounds 1D can be prepared directly from compounds 1B by reaction with hydrogen fluoride tri-ethyl amine complex (HF-NEt3) in an organic solvent, preferably toluene at elevated temperatures.
Alternatively, 1D can be prepared from compound 1C based on a literature precedent (US20080275242) using a suitable halogenations reagent, preferably diethyl aminosulfur trifluoride (DAST) or Bis(2-methoxyethyl)aminosulfur trifluoride (BAST) in an organic solvent, preferably a chlorinated hydrocarbon such as dichloromethane at room temperature. If appropriate, the reaction could be performed at elevated temperatures. Scheme 14:
Compounds 1E could be prepared from compounds 1A (where V and W are both hydrogen) by reaction with a halide source, preferably N-bromosuccinimide in an organic solvent, preferably carbon tetrachloride, in the presence of an initiator, preferably azo-bis-isobutyronitrile, at elevated temperatures. Compounds of type 1F could be accessed by reacting compounds of type IE under hydrolysis condition either room temperature or heating with a mixture of organic solvent preferable dioxane or acetone and water in the presence or absence of inorganic acid such as hydrochloric acid or inorganic base such as sodium hydroxide. 1G could be prepared from compound 1F based on a literature precedent (US20080275242 and EP1736471A1) using a suitable halogenation agent, preferably diethyl aminosulfur trifluoride (DAST) or Bis(2-methoxyethyl)aminosulfur trifluoride (BAST) in an organic solvent, preferably a
chlorinated hydrocarbon such as dichloromethane at room temperature. If appropriate, the reaction could be performed at elevated temperatures. The present invention is further illustrated in the following non-limiting examples. Structures of novel compounds were confirmed by NMR and/or other appropriate analysis as given below. EXAMPLE 1
Preparation of 5,5-dimethyl-7-(quinoxalin-2-yl)-4,5-dihydrothieno[2,3-c]pyridine
(Compound 1) Step A: methyl quinoxaline-2-carboxylate
H2SO4 (0.673 ml, 12.63 mmol) was added to a solution of quinoxaline-2-carboxylic acid (1.1 g, 6.32 mmol) in Methanol (20 ml) at 0 °C . The reaction mixture was refluxed for 3h. After completion of reaction, methanol was evaporated under reduced pressure and the residue was diluted with dichloromethane. The organic portion was washed with saturated sodium bicarbonate solution, brine and evaporated under reduced pressure to give methyl quinoxaline-2-carboxylate (1.1 g, 5.85 mmol, 93 %) . Step B: Quinoxaline-2-carboxamide
Methanolic ammonia (10 ml, 7N) was added to a compound methyl quinoxaline-2-carboxylate (1.1 g, 5.85 mmol) at 0 °C and the reaction mixture was allowed to stir at room temperature for overnight. The reaction mixture was concentrated under reduced pressure and the crude material was purified by column chromatography on silica gel using Ethyl acetate/Hexane as an eluent to give the desired product quinoxaline-2-carboxamide (0.98 g, 5.66 mmol, 97 % ) as a solid. Step C: Quinoxaline-2-carbonitrile
Phosphorus oxychloride (35 ml, 376 mmol) was added to quinoxaline-2-carboxamide (3.4 g, 19.63 mmol) at 0 °C and the reaction mixture was heated at 100 °C for 3h. The solvent was evaporated under reduced pressure and the residue was suspended in ice water. Aqueous layer was neutralized by saturated sodium bicarbonate solution and extracted with ethyl acetate (2 x 200 ml). The combined organic phase was washed with brine, dried over anhydrous sodium sulfate and evaporated under reduced pressure to afford crude which was purified by column chromatography
on silica gel using Ethyl acetate/Hexane as an eluent to give quinoxaline-2-carbonitrile (2.5 g, 80%) as solid. Step D: Methyl 2-(thiophen-3-yl)acetate
To a stirred solution of 2-(thiophen-3-yl)acetic acid (5 g, 35.2 mmol) in methanol (60 ml) at 0 °C was added drop wise solution of H2SO4 (6.92 ml, 130 mmol). The reaction mixture was refluxed for 14h. After completion of reaction, methanol was evaporated and residue was further diluted with dichloromethane. An organic layer was washed with saturated sodium bicarbonate solution and evaporated under reduced pressure to afford methyl 2-(thiophen-3-yl)acetate (4.4 g, 80%) as oil. Step E: 2-methyl-1-(thiophen-3-yl)propan-2-ol
To a stirred solution of methyl 2-(thiophen-3-yl)acetate (4.4 g, 28.2 mmol) in THF (50 ml) at 0°C was added methylmagnesium chloride (23.47 ml, 70.4 mmol). The reaction mixture was stirred at room temperature for 14h. The reaction mixture was further diluted with saturated ammonium chloride solution and extracted with ethyl acetate (2x200ml). An organic layer was washed with brine, dried over anhydrous sodium sulfate and evaporated under reduced pressure to afford 2- methyl-1-(thiophen-3-yl)propan-2-ol (4.4 g) as oil. Step F: 5,5-dimethyl-7-(quinoxalin-2-yl)-4,5-dihydrothieno[2,3-c]pyridine
To a stirred solution of quinoxaline-2-carbonitrile (100 mg, 0.644 mmol) in Toluene (8 ml) was added 2-methyl-1-(thiophen-3-yl)propan-2-ol (131 mg, 0.838 mmol) followed by the addition of H2SO4 (0.687 ml, 12.89 mmol) at 0 °C. The reaction mixture was allowed to stir at room temperature for 3h. Solvent was concentrated under reduced pressure and the crude was neutralized by saturated sodium bicarbonate solution and extracted with ethyl acetate (2x100ml). A combined organic layer was concentrated under reduced pressure and crude was purified by reverse phase HPLC to afford desired 5,5-dimethyl-7-(quinoxalin-2-yl)-4,5-dihydrothieno[2,3-c]pyridine (120 mg, 63.5%) as a sticky solid. EXAMPLE 2
Preparation of 3,3-dimethyl-1-(quinoxalin-2-yl)isoquinolin-4(3H)-one
(Compound 2)
Step A: Methyl 2-methyl-2-phenylpropanoate
To a stirred solution of 2-methyl-2-phenylpropanoic acid (2 g, 12.18 mmol) in methanol (30ml) at 0 °C was added drop wise solution of H2SO4 (2 ml, 37.5 mmol). The reaction mixture was heated to reflux for overnight. After completion of reaction, methanol was evaporated under reduced pressure and the residue was diluted with dichloromethane. The organic portion was washed with saturated sodium bicarbonate solution, brine and evaporated under reduced pressure to give methyl 2-methyl- 2-phenylpropanoate (2 g) as oil. Step B: 2,3-dimethyl-3-phenylbutan-2-ol
To a stirred solution of methyl 2-methyl-2-phenylpropanoate (2 g, 11.22 mmol) in THF (30ml) at 0 °C was added methylmagnesium chloride (9.35 ml, 28.10 mmol). The reaction mixture was stirred at room temperature overnight. The reaction mixture was diluted with saturated ammonium chloride solution and extracted with ethyl acetate (2 x 150ml). The combined organic layer was washed with brine, dried over anhydrous sodium sulfate and evaporated under reduced pressure to give 2,3- dimethyl-3-phenylbutan-2-ol (1.5 g) as oil. Step C: 2-(3,3-dimethyl-3,4-dihydroisoquinolin-1-yl)quinoxaline
2-methyl-1-phenylpropan-2-ol (155 mg, 1.031 mmol) was added to a solution of quinoxaline-2- carbonitrile (123 mg, 0.793 mmol) in Toluene (8 ml) . H2SO4 (1 ml, 18.76 mmol) was added at 0 °C and allowed to stir at RT for 3h. Solvent was concentrated under reduced pressure and crude was neutralized by saturated sodium bicarbonate solution and extracted with ethyl acetate(2x100ml). Combined organic portion was washed with brine, dried with anhydrous sodium sulfate and concentrated under vacuum to give crude which was purified by reverse phase HPLC to afford desired 2-(3,3-dimethyl-3,4-dihydroisoquinolin-1-yl)quinoxaline (199 mg, 87%) as solid Step D: 2-(4,4-dibromo-3,3-dimethyl-3,4-dihydroisoquinolin-1-yl)quinoxaline
To a stirred solution of 2-(3,3-dimethyl-3,4-dihydroisoquinolin-1-yl)quinoxaline; 400 mg, 1.392 mmol) in CCl4 (30ml) was added 1,3-dibromo-5,5-dimethylimidazolidine-2,4-dione (597 mg, 2.088 mmol) and AIBN (114 mg, 0.696 mmol). The reaction mixture was heated at 75°C for 2h.The reaction mixture was allowed to cool at room temperature, further diluted with DCM and filtered through celite bed. The filtrate was evaporated under reduced pressure to afford 2-(4,4-dibromo-3,3- dimethyl-3,4-dihydroisoquinolin-1-yl)quinoxaline (580 mg) which was used for next step without purification.
Step E: 3,3-dimethyl-1-(quinoxalin-2-yl)isoquinolin-4(3H)-one
Water (10 ml) was added to a solution of 2-(4,4-dibromo-3,3-dimethyl-3,4-dihydroisoquinolin-1- yl)quinoxaline in Dioxane(10ml). The reaction mixture was heated at 80 0C for 2h. Reaction mixture was allowed to cool, concentarted under reduced pressure and crude was purified by column chromatography (Eluent:Ethyl acetate/ hexane) to afford 3,3-dimethyl-1-(quinoxalin-2- yl)isoquinolin-4(3H)-one as solid. EXAMPLE 3
Preparation of 4,4,5,5-tetramethyl-7-(quinoxalin-2-yl)-4,5-dihydrothieno[2,3-c]pyridine (compound 3)
Step A: Methyl 2-methyl-2-(thiophen-3-yl)propanoate
To a stirred solution of methyl 2-(thiophen-3-yl)acetate (2 g, 12.80 mmol) in DMF (30ml) at 0 °C was added portion-wise sodium hydride (1.178 g, 29.4 mmol) and allowed the reaction mixture to stirred at same temperature for 30 min. Methyl iodide (4.00 ml, 64.0 mmol) was further added drop wise and the reaction mixture was stirred at room temperature for 14h. The reaction mixture was diluted with saturated ammonium chloride solution and extracted with ethyl acetate (2 x 200 ml). A combined organic layer was washed with brine, dried over anhydrous sodium sulfate and evaporated to afford methyl 2-methyl-2-(thiophen-3-yl)propanoate (2.3 g, 97%) as oil. Step B: 2,3-dimethyl-3-(thiophen-3-yl)butan-2-ol
To a stirred solution of methyl 2-methyl-2-(thiophen-3-yl)propanoate (2.3 g, 12.48 mmol) in THF (50ml) at 0 °C was added methylmagnesium chloride (10.40 ml, 31.2 mmol) and the reaction mixture was stirred at room temperature for 14h. The reaction mixture was further diluted with saturated ammonium chloride solution and extracted with ethyl acetate (2 x 200 ml). An organic layer was washed with brine, dried over anhydrous sodium sulfate and evaporated under pressure to afford 2,3-dimethyl-3-(thiophen-3-yl)butan-2-ol (2 g, 87%) as oil. Step C: 4,4,5,5-tetramethyl-7-(quinoxalin-2-yl)-4,5-dihydrothieno[2,3-c]pyridine
To a stirred solution of quinoxaline-2-carbonitrile (150 mg, 0.967 mmol) in toluene (8 ml) was added 2,3-dimethyl-3-(thiophen-3-yl)butan-2-ol (232 mg, 1.257 mmol) followed by the addition of H2SO4 (0.773 ml, 14.50 mmol) at 0 °C. The reaction mixture was allowed to stir at room temperature for 3h. The solvent was concentrated under reduced pressure and the crude was
neutralized by saturated sodium bicarbonate solution and extracted with ethyl acetate (2 x 150ml). The combined organic layer was concentrated under reduced pressure and the crude was purified by reverse phase HPLC to afford desired 4,4,5,5-tetramethyl-7-(quinoxalin-2-yl)-4,5-dihydrothieno[2,3- c]pyridine (233 mg, 75%) as solid. EXAMPLE 4 & 5
Preparation of 4,4-difluoro-5,5-dimethyl-7-(quinoxalin-2-yl)-4,5-dihydrothieno[2,3-c]pyridine & 5,5-dimethyl-7-(quinoxalin-2-yl)thieno[2,3-c]pyridin-4(5H)-one
(Compounds 6 & 7) Step A: 4,4-dibromo-5,5-dimethyl-7-(quinoxalin-2-yl)-4,5-dihydrothieno[2,3-c]pyridine
1,3-dibromo-5,5-dimethylimidazolidine-2,4-dione (322 mg, 1.125 mmol) and (E)-2,2'-(diazene-1,2- diyl)bis(2-methylpropanenitrile) (61.6 mg, 0.375 mmol))was added to a solution of Compound 5,5- dimethyl-7-(quinoxalin-2-yl)-4,5-dihydrothieno[2,3-c]pyridine (220 mg, 0.750 mmol) in CCl4 (30ml). The reaction mixture was heated at 75 0C for 2hrs.Tthe reaction mixture was cooled to room temperature , diluted with DCM and filtered through celite bed. The filtrate was evaporated under vacuum to afford 4,4-dibromo-5,5-dimethyl-7-(quinoxalin-2-yl)-4,5-dihydrothieno[2,3-c]pyridine quinoxaline(315mg) which was used to next step without purification Step B: 4,4-difluoro-5,5-dimethyl-7-(quinoxalin-2-yl)-4,5-dihydrothieno[2,3-c]pyridine & 5,5- dimethyl-7-(quinoxalin-2-yl)thieno[2,3-c]pyridin-4(5H)-one
Triethylamine trihydrofluoride (0.676 ml, 4.15 mmol)) was added to a solution of 4,4-dibromo-5,5- dimethyl-7-(quinoxalin-2-yl)-4,5-dihydrothieno[2,3-c]pyridine (312 mg, 0.692 mmol)in Toluene (20 ml). The reaction mixture was heated at 90 0C for 3h. Reaction mixture was cooled to room temperature , water was added and extracted with Ethyl acetate(2x150ml). Combined organic phase was washed with brine, dried with anhydrous sodium sulfate and evaporated to give crude which was purified by reverse phase HPLC to afford 4,4-difluoro-5,5-dimethyl-7-(quinoxalin-2-yl)-4,5- dihydrothieno[2,3-c]pyridine (137 mg, 0.416 mmol, 60.1 % yield) as solid 5,5-dimethyl-7- (quinoxalin-2-yl)thieno[2,3-c]pyridin-4(5H)-one(50mg) as solid. EXAMPLE 6
Preparation of 3-(3,3-dimethyl-3,4-dihydroisoquinolin-1-yl)quinoxalin-2(1H)-one
(compound 8)
To a stirred solution of 3-oxo-3,4-dihydroquinoxaline-2-carbonitrile (0.342 g, 1.997 mmol)in toluene (10 ml) was added 2-methyl-1-phenylpropan-2-ol (0.300 g, 1.997 mmol)followed by the addition of H2SO4 (2.129 ml, 39.9 mmol)at 0 °C. The reaction mixture was allowed to stir at room temperature for 3h. The reaction mixture was concentrated under reduced pressure and crude was neutralized by saturated sodium bicarbonate solution and extracted with ethyl acetate (2 x 150ml). A combined organic layer was concentrated under reduced pressure and the crude was purified by reverse phase HPLC to afford 3-(3,3-dimethyl-3,4-dihydroisoquinolin-1-yl)quinoxalin-2(1H)-one (0.170 g, 0.560 mmol, 28.1 % ) EXAMPLE 7
Preparation of 2-(3,3-dimethyl-4-methylene-3,4-dihydroisoquinolin-1-yl)quinoxaline
( compound 17) N-bromosuccinimide (149 mg, 0.839 mmol) and AIBN (62.7 mg, 0.382 mmol)was added to a solution of Compound 2-(3,3,4-trimethyl-3,4-dihydroisoquinolin-1-yl)quinoxaline (230 mg, 0.763 mmol) in CCl4 (15ml). The reaction mixture was heated at 75 0C for 5h.The reaction mixture was cooled to room temperature , diluted with DCM and filtered through celite bed. The filtrate was evaporated under vacuum to give crude which was purified by reverse phase HPLC to afford 2-(3,3- dimethyl-4-methylene-3,4-dihydroisoquinolin-1-yl)quinoxaline (165 mg, 0.551 mmol, 72.2 % ). EXAMPLE 8
Preparation of 2-(3,3,4,4-tetramethyl-3,4-dihydroisoquinolin-1-yl)quinoline
(Compound 10) Step A: methyl 2-methyl-2-phenylpropanoate
H2SO4 (2 ml, 37.5 mmol) was added dropwise to a solution of 2-methyl-2-phenylpropanoic acid (2 g, 12.18 mmol) in methanol(30ml) at 0 °C. Reaction mixture was refluxed for ove rnight. After completion of reaction, methanol was evapoarted and residue was diluted with DCM. Organic portion was washed with Saturated sodium bicarbonate solution,brine and evaporated under vacuum to give methyl 2-methyl-2-phenylpropanoate (2 g) as oil. Step B: 2,3-dimethyl-3-phenylbutan-2-ol
methylmagnesium chloride (9.35 ml, 28.1 mmol) was added to a solution of methyl 2-methyl-2- phenylpropanoate (2 g, 11.22 mmol) in THF(30ml) at 0°C. Reaction mixture was stirred at room temperature for over night. Saturated ammonium chloride was added to the reaction mixture and extracted with ethyl acetate(2x150ml). Combined organic phase was washed with brine, dried with anhydrous sodium sulfate and evaporated under vacuum to give 2,3-dimethyl-3-phenylbutan-2-ol (1.5 g) as oil. Step C: 2-(3,3,4,4-tetramethyl-3,4-dihydroisoquinolin-1-yl)quinoline
2,3-dimethyl-3-phenylbutan-2-ol (377 mg, 2.114 mmol)was added to a solution of quinoline-2- carbonitrile (200 mg, 1.297 mmol)in Toluene (10 ml) . H2SO4 (1.3 ml, 24.39 mmol)was added at 0°C and allowed to stir at RT for 3h. Solvent was concentrated under reduced pressure and crude was neutralized by saturated sodium bicarbonate solution and extracted with ethyl acetate(2x150ml). Combined organic phase was concentrated under vacuum and crude was purified by chromatography using silica gel (Eluent:ethyl acetate/Hexane) to afford desired 2-(3,3,4,4-tetramethyl-3,4- dihydroisoquinolin-1-yl)quinoline (328 mg, 1.043 mmol, 64.2 % yield).)as gum. EXAMPLE 9
Preparation of 2-(4,4-difluoro-3,3-dimethyl-3,4-dihydroisoquinolin-1-yl)quinoline
(Compound 11) Step A: 2-(4,4-dibromo-3,3-dimethyl-3,4-dihydroisoquinolin-1-yl)quinoline
1,3-dibromo-5,5-dimethylimidazolidine-2,4-dione (599 mg, 2.095 mmol)and (E)-2,2'-(diazene-1,2- diyl)bis(2-methylpropanenitrile) (115 mg, 0.698 mmol)was added to a solution of 2-(3,3-dimethyl- 3,4-dihydroisoquinolin-1-yl)quinoline(400 mg, 1.397 mmol) in CCl4 (30ml). The reaction mixture was heated at 75 0C for 2h.Tthe reaction mixture was cooled to room temperature , diluted with DCM and filtered through celite bed. The filtrate was evaporated under vacuum to afford 2-(4,4- dibromo-3,3-dimethyl-3,4-dihydroisoquinolin-1-yl)quinoline (451mg) which was used to next step without purification Step B: 2-(4,4-difluoro-3,3-dimethyl-3,4-dihydroisoquinolin-1-yl)quinoline
Triethylamine trihydrofluoride (3 ml, 6.09 mmol)was added to a solution of 2-(4,4-dibromo-3,3- dimethyl-3,4-dihydroisoquinolin-1-yl)quinoline (451 mg, 1.015 mmol)in Toluene (25 ml). The reaction mixture was heated at 90 0C for 3h. Reaction mixture was cooled to room temperature ,
water was added and extracted with Ethyl acetate(2x150ml). Combined organic phase was washed with brine, dried with anhydrous sodium sulfate and evaporated to give crude which was purified by reverse phase HPLC to afford 2-(4,4-difluoro-3,3-dimethyl-3,4-dihydroisoquinolin-1-yl)quinoline (325 mg, 1.008 mmol, 99 % yield) as gum. EXAMPLE 10
Preparation of 2-(4-fluoro-3,3-dimethyl-3,4-dihydroisoquinolin-1-yl)quinoline
(Compound 12)
Step A : 2-(4-bromo-3,3-dimethyl-3,4-dihydroisoquinolin-1-yl)quinoline
N-bromosuccinimide (267 mg, 1.502 mmol) and AIBN (123 mg, 0.751 mmol)was added to a solution of 2-(3,3-dimethyl-3,4-dihydroisoquinolin-1-yl)quinoline (430 mg, 1.502 mmol) in CCl4 (30 ml). The reaction mixture was heated at 75 0C for 2h.Tthe reaction mixture was cooled to room temperature, diluted with DCM and filtered through celite bed. The filtrate was evaporated under vacuum to afford 2-(4-bromo-3,3-dimethyl-3,4-dihydroisoquinolin-1-yl)quinoline (510 mg) . Step B: 3,3-dimethyl-1-(quinolin-2-yl)-3,4-dihydroisoquinolin-4-ol
Water (10 ml) was added to a solution 2-(4-bromo-3,3-dimethyl-3,4-dihydroisoquinolin-1- yl)quinoline (508 mg, 1.391 mmol) in Dioxane (10 ml). The reaction mixture was heated at 80 0C forn 2h. Reaction mixture was allowed to cool, concentarted under reduced pressure and crude was used for next step without purification. Step C: 2-(4-fluoro-3,3-dimethyl-3,4-dihydroisoquinolin-1-yl)quinoline
DAST (1.748 ml, 13.23 mmol)was added to a solution 3,3-dimethyl-1-(quinolin-2-yl)-3,4- dihydroisoquinolin-4-ol (400 mg, 1.323 mmol) in DCM (25 ml) at 0 0C. The reaction mixture was refluxed for 3h. Reaction mixture was cooled, neutralized with Saturated sodium bicarbonate solution and extracted with DCM (2x100ml). Combined organic phase was washed with brine, dried with anhydrous sodium sulfate and evaporated to give crude which was purified by reverse phase HPLC to afford 2-(4-fluoro-3,3-dimethyl-3,4-dihydroisoquinolin-1-yl)quinoline(201mg) as gum. EXAMPLE 11
Preparation of 2-(4-methoxy-3,3-dimethyl-3,4-dihydroisoquinolin-1-yl)quinoline
(Compound 22)
Methanol (10 ml) was added to 2-(4-bromo-3,3-dimethyl-3,4-dihydroisoquinolin-1-yl)quinoline (508 mg, 1.391 mmol)) and reaction mixture was heated at 80 0C for 2h. Reaction mixture was allowed to cool, concentarted under reduced pressure and crude was used purified by reverse phase HPLC to afford 2-(4-methoxy-3,3-dimethyl-3,4-dihydroisoquinolin-1-yl)quinoline. EXAMPLE 12
Preparation of 2-(5-fluoro-3,3-dimethyl-3,4-dihydroisoquinolin-1-yl)quinoline
(Compound 23) 1-(2-fluorophenyl)-2-methylpropan-2-ol (655 mg, 3.89 mmol) was added to a suspension of quinoline-2-carbonitrile (300 mg, 1.946 mmol), in H2SO4 (4 ml, 75 mmol) at 0 0C. The reaction mixture was allowed to stir at same temperature for 3h. Reaction mixture was neutralized by saturated sodium bicarbonate solution and extracted with ethyl acetate (2x150ml). Combined organic portion was concentrated under vacuum and crude was purified by column chromatography using silica gel (Eluent:Ethyl acetate/Hexane) to afford desired 2-(5-fluoro-3,3-dimethyl-3,4- dihydroisoquinolin-1-yl)quinoline (270 mg, 0.887 mmol, 45.6 %) as gum. EXAMPLE 13
Preparation of 7-(imidazo[1,2-a]pyrimidin-6-yl)-5,5-dimethyl-4,5-dihydrothieno[2,3-c]pyridine (Compound 72) Step A: imidazo[1,2-a]pyrimidine-6-carbonitrile
To a solution of sodium (E)-2-cyano-3,3-dimethoxyprop-1-en-1-olate (0.465 g, 2.82 mmol) in 3 ml methanol was added 0.18 ml conc. hydrogen chloride. After the dropwise addition of 1H-imidazol-2- amine (0.13 g, 1.564 mmol) in 7 ml methanol the mixture was refluxed for 4 h. Then additional 0.5 ml conc, hydrogen chloride in 0.6 ml methanol was added and refluxing continued overnight. The reaction mixture was poured into water and sodium hydroxide added until pH 6. The aqueous phase was extracted with dichloromethane, dried over sodium sulfate and concentrated under reduced pressure to give imidazo(1,2-a)pyrimidine-6-carbonitrile (0.1 g, 0.694 mmol, 44.3%). Step B: 7-(imidazo[1,2-a]pyrimidin-6-yl)-5,5-dimethyl-4,5-dihydrothieno[2,3-c]pyridine
2-methyl-1-(thiophen-3-yl)propan-2-ol (0.650 g, 4.16 mmol) was added to a suspension of imidazo[1,2-a]pyrimidine-6-carbonitrile (0.6 g, 4.16 mmol) in H2SO4 (4.44 ml, 83 mmol) at 0 0C. The reaction mixture was allowed to stir at same temperature for 3h. Reaction mixture was
neutralized by saturated sodium bicarbonate solution and extracted with ethyl acetate (2x150ml). Combined organic portion was concentrated under vacuum and crude was purified by column chromatography using silica gel (Eluent:Ethyl acetate/Hexane) to afford desired 7-(imidazo[1,2- a]pyrimidin-6-yl)-5,5-dimethyl-4,5-dihydrothieno[2,3-c]pyridine (0.350 g, 1.240 mmol, 29.8 %). EXAMPLE 14
Preparation of 5,5-dimethyl-7-(pyrrolo[1,2-b]pyridazin-3-yl)-4,5-dihydrothieno[2,3-c]pyridine (Compound 75)
Step A: 2-(1H-pyrrol-1-yl)isoindoline-1,3-dione
A solution of 2-aminoisoindoline-1,3-dione (5.0 g, 30.8 mmol) and 2,5-dimethoxytetrahydrofuran (4.00 ml, 30.8 mmol) in Dioxane (30 ml) was heated at reflux until a yellow solution was obtained.While maintaining heating, 2.5 mL of 5N HCl was carefully added, and the yellow solution became darker. The mixture was cooled, and the resultant precipitate was filtered and washed with a 1:3 mixture of dioxane-water to afford 2-(1H-pyrrol-1-yl)isoindoline-1,3-dione (6.0 g, 28.3 mmol, 92 %). Step B: 1H-pyrrol-1-amine
2-(1H-pyrrol-1-yl)isoindoline-1,3-dione (6.0 g, 28.3 mmol) was dissolved in MeOH (125 ml) and to this solution was added 5 mL of hydrazine (8.87 ml, 283 mmol). The reaction was heated at reflux for 1 h and after cooling was treated with AcOH (3 mL). The mixture was further heated at reflux for 15 min, then it was filtered, and the resultant white precipitate was washed with MeOH. The filtrate was evaporated in Vacuo, and the solid residue was treated with an excess of 40% aq. NaOH until the solid residue dissolved. The aqueous layer was evaporated in Vacuo to give 1H-pyrrol-1-amine which was used for next step without purification. Step C: pyrrolo[1,2-b]pyridazine-3-carbonitrile
Hydrochloric acid (3.68 ml, 121 mmol) was added to a solution of sodium (E)-2-cyano-3,3- dimethoxyprop-1-en-1-olate (2.5 g, 15.14 mmol) and 1H-pyrrol-1-amine (1.367 g, 16.65 mmol) in MeOH (50 ml) at room temperature. The reaction mixture was heated to reflux for 2 h, cooled to room temperature and poured on saturated aquoues sodium carbonate solution. This mixture was extracted with ethyl acetate, the organic phase washed with water and brine, dried over sodium
sulfate and evaporated under reduced pressure to deliver 3, 3-dimethyl-1-pyrrolo [1, 2-b] pyridazin- 3-yl-4H-isoquinoline (0.7 g, 15.14 mmol, 32.3%). Step D: 5,5-dimethyl-7-(pyrrolo[1,2-b]pyridazin-3-yl)-4,5-dihydrothieno[2,3-c]pyridine
2-methyl-1-(thiophen-3-yl)propan-2-ol (0.491 g, 3.14 mmol) was added to a suspension of pyrrolo[1,2-b]pyridazine-3-carbonitrile (0.3 g, 2.096 mmol) in H2SO4 (2.234 ml, 41.9 mmol) at 0 0C. The reaction mixture was allowed to stir at same temperature for 3h. Reaction mixture was neutralized by saturated sodium bicarbonate solution and extracted with ethyl acetate (2x150ml). Combined organic portion was concentrated under vacuum and crude was purified by column chromatography using silica gel (Eluent:Ethyl acetate/Hexane) to afford desired 5,5-dimethyl-7- (pyrrolo[1,2-b]pyridazin-3-yl)-4,5-dihydrothieno[2,3-c]pyridine (0.26 g, 0.924 mmol, 44.1 % ). EXAMPLE 15 & 16
Preparation of 7-(7-fluoropyrrolo[1,2-b]pyridazin-3-yl)-4,4,5,5-tetramethyl-4,5-dihydrothieno[2,3- c]pyridine & 7-(5,7-difluoropyrrolo[1,2-b]pyridazin-3-yl)-4,4,5,5-tetramethyl-4,5- dihydrothieno[2,3-c]pyridine
(Compound 80, Compound 82) Step A: 7-fluoropyrrolo[1,2-b]pyridazine-3-carbonitrile & 5,7-difluoropyrrolo[1,2-b]pyridazine-3- carbonitrile
To a suspension of pyrrolo[1,2-b]pyridazine-3-carbonitrile (1.5 g, 10.48 mmol) was added 1- Chloromethyl-4-fluoro-1,4-diazoniabicyclo[2.2.2]octane bis(tetrafluoroborate) (5.57 g, 15.72 mmol) and the mixture was heated at 50 ^ for 2 h. The reaction mixture was allowed to cool to room temperature and then extracted with DCM. The combined organic phases were dried over Na2SO4, filtered and concentrated under reduced pressure to give of a dark green residue, which was purified by flash chromatography (0-25% EtOAc in cyclohexane) to give 7-fluoropyrrolo[1,2-b]pyridazine-3- carbonitrile (0.7 g, 4.34 mmol, 41.5 % yield) and 5,7-difluoropyrrolo[1,2-b]pyridazine-3-carbonitrile (0.22 g, 1.228 mmol, 11.72 % yield). Step B: 7-(7-fluoropyrrolo[1,2-b]pyridazin-3-yl)-4,4,5,5-tetramethyl-4,5-dihydrothieno[2,3- c]pyridine
2,3-dimethyl-3-(thiophen-3-yl)butan-2-ol (0.343 g, 1.862 mmol) was added to a suspension of 7- fluoropyrrolo[1,2-b]pyridazine-3-carbonitrile (0.2 g, 1.241 mmol) in H2SO4 (1.323 ml, 24.82 mmol)
at 00C. The reaction mixture was allowed to stir at same temperature for 3h. Reaction mixture was neutralized by saturated sodium bicarbonate solution and extracted with ethyl acetate (2x150ml). Combined organic portion was concentrated under vacuum and crude was purified by reverse phase Prep HPLC to afford desired 7-(7-fluoropyrrolo[1,2-b]pyridazin-3-yl)-4,4,5,5-tetramethyl-4,5- dihydrothieno[2,3-c]pyridine (0.250 g, 0.764 mmol, 61.5 % ). Step C: 7-(5,7-difluoropyrrolo[1,2-b]pyridazin-3-yl)-4,4,5,5-tetramethyl-4,5-dihydrothieno[2,3- c]pyridine
2,3-dimethyl-3-(thiophen-3-yl)butan-2-ol (0.278 g, 1.507 mmol) was added to a suspension of 5,7- difluoropyrrolo[1,2-b]pyridazine-3-carbonitrile (0.18 g, 1.005 mmol) in H2SO4 (1.071 ml, 20.10 mmol) at 0 0C. The reaction mixture was allowed to stir at same temperature for 3h. Reaction mixture was neutralized by saturated sodium bicarbonate solution and extracted with ethyl acetate (2x150ml). Combined organic portion was concentrated under vacuum and crude was purified by reverse phase Prep HPLC to afford desired 7-(5,7-difluoropyrrolo[1,2-b]pyridazin-3-yl)-4,4,5,5- tetramethyl-4,5-dihydrothieno[2,3-c]pyridine (0.150 g, 0.434 mmol, 43.2 % ). EXAMPLE 17, 18 & 19
Preparation of 7-(7-bromopyrrolo[1,2-b]pyridazin-3-yl)-4,4,5,5-tetramethyl-4,5-dihydrothieno[2,3- c]pyridine & 7-(5-bromopyrrolo[1,2-b]pyridazin-3-yl)-4,4,5,5-tetramethyl-4,5-dihydrothieno[2,3- c]pyridine & 5,7-dibromopyrrolo[1,2-b]pyridazine-3-carbonitrile
(Compound 84, Compound 85, Compound 86) Step A: 7-bromopyrrolo[1,2-b]pyridazine-3-carbonitrile & 5-bromopyrrolo[1,2-b]pyridazine-3- carbonitrile
To a cooled solution (0 °C) of pyrrolo[1,2-b]pyridazine-3-carbonitrile (5.0 g, 34.9 mmol) in MeCN (0.10 M, 23 mL) was added NBS (6.22 g, 34.9 mmol) and the reaction mixture was stirred at 0 °C for 20 minutes. The reaction mixture was poured on ice water and the aqueous phase was extracted with EtOAc. The combined organic phases were washed with water and brine, dried over Na2SO4, filtered and concentrated. The residue was purified by flash chromatography using ethyl acetate in hexane to give 7-bromopyrrolo[1,2-b]pyridazine-3-carbonitrile (1.0 g, 4.50 mmol, 12.89 % ), 5- bromopyrrolo[1,2-b]pyridazine-3-carbonitrile (0.8 g, 3.60 mmol, 10.31 %), 5,7-dibromopyrrolo[1,2- b]pyridazine-3-carbonitrile (0.45 g, 1.495 mmol, 4.28 %).
Step B: 7-(7-bromopyrrolo[1,2-b]pyridazin-3-yl)-4,4,5,5-tetramethyl-4,5-dihydrothieno[2,3- c]pyridine
2,3-dimethyl-3-(thiophen-3-yl)butan-2-ol (0.187 g, 1.013 mmol) was added to a suspension of 7- bromopyrrolo[1,2-b]pyridazine-3-carbonitrile (0.15 g, 0.676 mmol) in H2SO4 (0.720 ml, 13.51 mmol) at 0 0C. The reaction mixture was allowed to stir at same temperature for 3h. Reaction mixture was neutralized by saturated sodium bicarbonate solution and extracted with ethyl acetate (2x150ml). Combined organic portion was concentrated under vacuum and crude was purified by reverse phase Prep HPLC to afford desired 7-(7-bromopyrrolo[1,2-b]pyridazin-3-yl)-4,4,5,5- tetramethyl-4,5-dihydrothieno[2,3-c]pyridine (0.120 g, 0.309 mmol, 45.7 % ). Step C: 7-(5-bromopyrrolo[1,2-b]pyridazin-3-yl)-4,4,5,5-tetramethyl-4,5-dihydrothieno[2,3- c]pyridine
2,3-dimethyl-3-(thiophen-3-yl)butan-2-ol (3 g, 16.28 mmol) was added to a suspension of 5- bromopyrrolo[1,2-b]pyridazine-3-carbonitrile (0.25 g, 1.126 mmol) in H2SO4 (2.89 ml, 54.3 mmol) at 00C. The reaction mixture was allowed to stir at same temperature for 3h. Reaction mixture was neutralized by saturated sodium bicarbonate solution and extracted with ethyl acetate (2x150ml). Combined organic portion was concentrated under vacuum and crude was purified by reverse phase Prep HPLC to afford desired 7-(5-bromopyrrolo[1,2-b]pyridazin-3-yl)-4,4,5,5-tetramethyl-4,5- dihydrothieno[2,3-c]pyridine (0.110 g, 0.283 mmol, 57.3 % ). Step D: 7-(5,7-dibromopyrrolo[1,2-b]pyridazin-3-yl)-4,4,5,5-tetramethyl-4,5-dihydrothieno[2,3- c]pyridine
2,3-dimethyl-3-(thiophen-3-yl)butan-2-ol (0.171 g, 0.930 mmol) was added to a suspension of 5,7- dibromopyrrolo[1,2-b]pyridazine-3-carbonitrile (0.2 g, 0.665 mmol) in H2SO4 (0.177 ml, 3.32 mmol) at 0 0C. The reaction mixture was allowed to stir at same temperature for 3h. Reaction mixture was neutralized by saturated sodium bicarbonate solution and extracted with ethyl acetate (2x150ml). Combined organic portion was concentrated under vacuum and crude was purified by reverse phase Prep HPLC to afford desired 7-(5,7-dibromopyrrolo[1,2-b]pyridazin-3-yl)-4,4,5,5- tetramethyl-4,5-dihydrothieno[2,3-c]pyridine (0.120 g, 0.257 mmol, 38.6 %). EXAMPLE 20
Preparation of 7-(5,7-dimethylpyrrolo[1,2-b]pyridazin-3-yl)-4,4,5,5-tetramethyl-4,5- dihydrothieno[2,3-c]pyridine
(Compound 88) Step A: 5,7-dimethylpyrrolo[1,2-b]pyridazine-3-carbonitrile
To a mixture of 5,7-dibromopyrrolo[1,2-b]pyridazine-3-carbonitrile (1.5 g, 4.98 mmol) in Dioxane (20 ml) was added methylboronic acid (0.597 g, 9.97 mmol) and K2CO3 (2.067 g, 14.95 mmol). The reaction mixture was stirred at room temperature for 30 min under Nitrogen atmosphere. 1,1'- Bis(diphenylphosphino)ferrocenedichloropalladium (II) dichloromethane adduct (0.407 g, 0.498 mmol) was added to this reaction mixture at room temperature, and the reaction mixture was stirred at 100 °C for 18 h under Nitrogen. After completion of the reaction, reaction mixture was allowed to cool to room temperature, water was added, and the mixture was extracted with ethyl acetate. The organic layer was washed with saturated brine, dried over anhydrous sodium sulfate and evaporated under vacuum to give crude which waspurified by combiflash to give 5,7-dimethylpyrrolo[1,2- b]pyridazine-3-carbonitrile (0.42 g, 2.453 mmol, 49.2 %). Step B: 7-(5,7-dimethylpyrrolo[1,2-b]pyridazin-3-yl)-4,4,5,5-tetramethyl-4,5-dihydrothieno[2,3- c]pyridine
2,3-dimethyl-3-(thiophen-3-yl)butan-2-ol (0.431 g, 2.336 mmol) was added to a suspension of 5,7- dimethylpyrrolo[1,2-b]pyridazine-3-carbonitrile (0.2 g, 1.168 mmol) in H2SO4 (0.311 ml, 5.84 mmol) at 0 0C. The reaction mixture was allowed to stir at same temperature for 3h. Reaction mixture was neutralized by saturated sodium bicarbonate solution and extracted with ethyl acetate (2x150ml). Combined organic portion was concentrated under vacuum and crude was purified by reverse phase Prep HPLC to afford desired 7-(5,7-dimethylpyrrolo[1,2-b]pyridazin-3-yl)-4,4,5,5- tetramethyl-4,5-dihydrothieno[2,3-c]pyridine (0.250 g, 0.741 mmol, 63.4 %). EXAMPLE 21 & 22
Preparation of 7-(5,7-dichloropyrrolo[1,2-b]pyridazin-3-yl)-5,5-dimethyl-4,5-dihydrothieno[2,3- c]pyridine & 7-(7-chloropyrrolo[1,2-b]pyridazin-3-yl)-5,5-dimethyl-4,5-dihydrothieno[2,3- c]pyridine
(Compound 89, Compound 90) Step A: 7-chloropyrrolo[1,2-b]pyridazine-3-carbonitrile & 5,7-dichloropyrrolo[1,2-b]pyridazine-3- carbonitrile
To a cooled solution of pyrrolo[1,2-b]pyridazine-3-carbonitrile (1.0 g, 6.99 mmol) in DMF (20 ml) was added N-chlorosuccinimide (0.746 g, 5.59 mmol) and the reaction mixture was stirred at 65 °C for 40 minutes. The reaction mixture was poured on ice water and the aqueous phase was extracted with Ethyl acetate. The combined organic phases were washed with water and brine, dried over Na2SO4, filtered and concentrated. The residue was purified by flash chromatography to give 7- chloropyrrolo[1,2-b]pyridazine-3-carbonitrile (0.5 g, 2.82 mmol, 40.3 %). Step B: 7-(5,7-dichloropyrrolo[1,2-b]pyridazin-3-yl)-5,5-dimethyl-4,5-dihydrothieno[2,3-c]pyridine 2-methyl-1-(thiophen-3-yl)propan-2-ol (0.221 g, 1.415 mmol) was added to a suspension of 5,7- dichloropyrrolo[1,2-b]pyridazine-3-carbonitrile (0.15 g, 0.707 mmol) in H2SO4 (0.189 ml, 3.54 mmol) at 0 0C. The reaction mixture was allowed to stir at same temperature for 3h. Reaction mixture was neutralized by saturated sodium bicarbonate solution and extracted with ethyl acetate (2x150ml). Combined organic portion was concentrated under vacuum and crude was purified by reverse phase Prep HPLC to afford desired 7-(5,7-dichloropyrrolo[1,2-b]pyridazin-3-yl)-5,5- dimethyl-4,5-dihydrothieno[2,3-c]pyridine (0.18 g, 0.514 mmol, 72.6 %). Step C: 7-(7-chloropyrrolo[1,2-b]pyridazin-3-yl)-5,5-dimethyl-4,5-dihydrothieno[2,3-c]pyridine 2-methyl-1-(thiophen-3-yl)propan-2-ol (0.211 g, 1.351 mmol) was added to a suspension of 7- chloropyrrolo[1,2-b]pyridazine-3-carbonitrile (0.120 g, 0.676 mmol) in H2SO4 (0.180 ml, 3.38 mmol) at 0 0C. The reaction mixture was allowed to stir at same temperature for 3h. Reaction mixture was neutralized by saturated sodium bicarbonate solution and extracted with ethyl acetate (2x150ml). Combined organic portion was concentrated under vacuum and crude was purified by reverse phase Prep HPLC to afford desired 7-(7-chloropyrrolo[1,2-b]pyridazin-3-yl)-5,5-dimethyl- 4,5-dihydrothieno[2,3-c]pyridine (0.085 g, 0.269 mmol, 39.8 %). EXAMPLE 23
Preparation of 4,4,5,5-tetramethyl-7-(pyrrolo[1,2-a]pyrimidin-3-yl)-4,5-dihydrothieno[2,3-c]pyridine (Compound 95) Step A: 3-chloropyrrolo[1,2-a]pyrimidine
A solution of 5-chloro-2-(prop-1-yn-1-yl)pyrimidine (13 g, 85 mmol) in DMA (80 ml) and triethylamine (95 ml, 682 mmol) was degassed and copper(I) chloride (21.09 g, 213 mmol) was added at room temperature. The reaction mixture was stirred at 140 °C for 4 hours. The reaction
mixture was diluted with ethyl acetate and washed with saturated aqueous NH4CI solution, water and brine. The organic phase was separated and dried over Sodium sulfate, filtered and concentrated. The residue was purified by flash chromatography to give 3-chloropyrrolo[1,2-a]pyrimidine (1.5 g, 9.83 mmol, 11.54 %). Step B: pyrrolo[1,2-a]pyrimidine-3-carbonitrile
Zinc Cyanide (1.077 g, 9.18 mmol) was added to 3-chloropyrrolo[1,2-a]pyrimidine (0.35 g, 2.294 mmol) in DMF (20 ml) followed by tetrakis (0.053 g, 0.046 mmol) at room temperature. The reaction mixture was stirred at 155 °C for 1.5 h. The reaction mixture was diluted with ethyl acetate and washed with saturated aqueous NH4CI solution, water and brine. The organic phase was separated and dried over Na2S04, filtered and concentrated. The residue was purified by flash chromatography to give pyrrolo[1,2-a]pyrimidine-3-carbonitrile (0.2 g, 1.397 mmol, 60.9 % ). Step C: 4,4,5,5-tetramethyl-7-(pyrrolo[1,2-a]pyrimidin-3-yl)-4,5-dihydrothieno[2,3-c]pyridine To a solution of pyrrolo[1,2-a]pyrimidine-3-carbonitrile (0.2 g, 1.397 mmol) and 2,3-dimethyl-3- (thiophen-3-yl)butan-2-ol (0.772 g, 4.19 mmol) in dichloromethane (15 ml) was added triflicacid (2.481 ml, 27.9 mmol) at 0 °C. The reaction mixture was stirred at room temperature for overnight. The mixture was diluted in dichloromethane (25 ml), neutralized with saturated solution of sodium bicarbonate and extracted in dichloromethane (3x 25 ml). Organic phase was washed with brine solution (30 ml) and dried over sodium sulfate, concentrated to obtain crude which was purified by flash chromatography to obtain 4,4,5,5-tetramethyl-7-(pyrrolo[1,2-a]pyrimidin-3-yl)-4,5- dihydrothieno[2,3-c]pyridine (0.290 g, 0.937 mmol, 67.1 %). EXAMPLE 24
Preparation of 4,4,5,5-tetramethyl-7-(pyrazolo[1,5-a]pyrimidin-6-yl)-4,5-dihydrothieno[2,3- c]pyridine
(Compound 97) Step A: 4,4,5,5,7-pentamethyl-4,5-dihydrothieno[2,3-c]pyridine
Ethyl 2-cyanoacetate (5.0g, 44.2 mmol) was slowly added to H2SO4 (11.78 ml, 221 mmol) in Toluene (20 ml) at 0 °C and allowed to stir for 30 mins at same temperature, then 2,3-dimethyl-3- (thiophen-3-yl)butan-2-ol (9.78 g, 53.0 mmol) was added to this solution at 0 °C and further reflux for 2h. The reaction mixture was allowed to reach room temperature, stirred for 1h at this
temperature and poured on aqueous sodium hydroxide solution of pH 9. The mixture was extracted with ethyl acetate, the organic layer washed with water and brine, dried over sodium sulfate and evaporated under reduced pressure to obtain 4,4,5,5,7-pentamethyl-4,5-dihydrothieno[2,3-c]pyridine (5.37 g, 25.9 mmol, 58.6 % ). Step B: 2-(4,4,5,5-tetramethyl-5,6-dihydrothieno[2,3-c]pyridin-7(4H)-ylidene)malonaldehyde N,N-Dimethylformamide (5.87 g, 80 mmol) was added to Toluene (20 ml) and this mixture was cooled to 0 ^. POCl3 (5.82 ml, 62.4 mmol) was added dropwise, the resulting mixture was stirred for further 30 min at 0 ^ and then allowed to reach room temperature. Subsequently a solution of 4,4,5,5,7-pentamethyl-4,5-dihydrothieno[2,3-c]pyridine (5.37 g, 25.9 mmol) in 2 ml of toluene was added, the resulting mixture was heated to 90 ^ for 6 h and subsequently cooled to room temperature. The reaction mixture was added slowly to 10 ml of a 20% aqueous sodium hydroxide solution under external cooling to remove water and dimethylamine. The resulting suspension is then diluted with water and extracted with ethyl acetate. The organic layer was washed with water and brine, dried over sodium sulfate and evaporated under reduced pressure. The remainder was purified by chromatography on silica gel, using ethyl acetate and hexane as eluents to deliver 2-(4,4,5,5- tetramethyl-5,6-dihydrothieno[2,3-c]pyridin-7(4H)-ylidene)malonaldehyde (4.7 g, 17.85 mmol, 68.9 %). Step C: 4,4,5,5-tetramethyl-7-(pyrazolo[1,5-a]pyrimidin-6-yl)-4,5-dihydrothieno[2,3-c]pyridine HCl (0.104 ml, 3.42 mmol) was added to a solution of 2-(4,4,5,5-tetramethyl-5,6-dihydrothieno[2,3- c]pyridin-7(4H)-ylidene)malonaldehyde (0.3 g, 1.139 mmol) and 1H-pyrazol-3-amine (0.189 g, 2.278 mmol) in Methanol (3 ml) at room temperature. The reaction mixture was heated to 60 °C for 2 h, cooled to room temperature and poured on saturated aquoues sodium carbonate solution. This mixture was extracted with ethyl acetate, the organic phase washed with water and brine, dried over sodium sulfate and evaporated under reduced pressure. The remainder was purified by chromatography on silica gel, using ethyl acetate and heptane as eluents to deliver 4,4,5,5- tetramethyl-7-(pyrazolo[1,5-a]pyrimidin-6-yl)-4,5-dihydrothieno[2,3-c]pyridine (0.15 g, 0.483 mmol, 42.4 %). EXAMPLE 25
Preparation of 7-(3-iodopyrazolo[1,5-a]pyrimidin-6-yl)-4,4,5,5-tetramethyl-4,5-dihydrothieno[2,3- c]pyridine
(Compound 98) N-Iodosuccinimide and AIBN was added to a solution of Compound 4,4,5,5-tetramethyl-7- (pyrazolo[1,5-a]pyrimidin-6-yl)-4,5-dihydrothieno[2,3-c]pyridine (0.3 g, 0.966 mmol) in CCl4 (15ml). The reaction mixture was heated at 75 0C for 3h.Tthe reaction mixture was cooled to room temperature, diluted with DCM and filtered through celite bed. The filtrate was evaporated under vacuum to give crude which was purified by reverse phase HPLC to afford 7-(3-iodopyrazolo[1,5- a]pyrimidin-6-yl)-4,4,5,5-tetramethyl-4,5-dihydrothieno[2,3-c]pyridine (0.110 g, 0.252 mmol, 26.1 %). EXAMPLE 26
Preparation of 3,3,4,4-tetramethyl-3,4-dihydro-1,3'-biisoquinoline
(Compound 102) To a stirred solution of isoquinoline-3-carbonitrile (150 mg, 0.973 mmol) in Toluene (8 ml) was added 2,3-dimethyl-3-phenylbutan-2-ol (260 mg, 1.459 mmol)followed by the addition of H2SO4 (1.037 ml, 19.46 mmol) at 0 °C. The reaction mixture was allowed to stir at room temperature for 3h. Solvent was concentrated under reduced pressure and the crude was neutralized by saturated sodium bicarbonate solution and extracted with ethyl acetate (2x100ml). A combined organic layer was concentrated under reduced pressure and crude was purified by reverse phase HPLC to afford desired 3,3,4,4-tetramethyl-3,4-dihydro-1,3'-biisoquinoline (100 mg, 0.318 mmol, 32.7 % yield) as a sticky solid. EXAMPLE 27
Preparation of 3-(5-fluoro-3,3,4,4-tetramethyl-3,4-dihydroisoquinolin-1-yl)cinnoline
(Compound 135) Step A: methyl 2-(2-fluorophenyl)acetate
H2SO4 (6.92 ml, 130 mmol)was added dropwise to a solution 2-(2-fluorophenyl)acetic acid (10 g, 64.9 mmol)in methanol (60ml) at 0 °C. Reaction mixture was refluxed for over night. After completion of reaction, methanol was evapoarted and residue was diluted with DCM. Organic portion was washed with Saturated sodium bicarbonate solution and evaporated under vacuum to give methyl 2-(2-fluorophenyl)acetate (4.4 g) as oil.
Step B: methyl 2-(2-fluorophenyl)-2-methylpropanoate
Sodium hydride (1.427 g, 35.7 mmol) was added to a solution of methyl 2-(2-fluorophenyl)acetate (2 g, 11.89 mmol) in THF (20ml) at 0 °C and allowed to stir at same temperature for 30 min. Methyl iodide (5.21 ml, 83 mmol) was added dropwise and reaction mixture was stirred at RT for over night. The reaction mixture was neutralized with saturated ammonium chloride and extracted with ethyl acetate (2x150ml). Combined organic phase was washed with brine, dried with anhydrous sodium sulfate and evaporated to give methyl 2-(2-fluorophenyl)-2-methylpropanoate (1.5 g, 7.64 mmol, 64.3 % yield) as oil. Step C: 3-(2-fluorophenyl)-2,3-dimethylbutan-2-ol
methylmagnesium chloride (8.49 ml, 25.5 mmol)) was added to a solution of methyl 2-(2- fluorophenyl)-2-methylpropanoate (2 g, 10.19 mmol) in THF (20ml) at 0 °C. reaction mixture was stirred at room temperature for over night. Saturated ammonium chloride was added to the reaction mixture and extracted with ethyl acetate (2x200ml). Organic portion was washed with brine, dried with anhydrous sodium sulfate and evaporated under vacuum to give 3-(2-fluorophenyl)-2,3- dimethylbutan-2-ol(1.5g) as oil. Step D: 2-phenyl-1-(trifluoro-l5-boranylidene)diazen-1-ium fluoride
Aniline (1.961 ml, 21.48 mmol) was taken in a mixed solvent of H2O (41 ml, 2276 mmol) and HCl (4.6 ml, 151 mmol). Sodium nitrite (1.763 g, 25.6 mmol) in 10 ml water was added under ice cooling. After stirring for 10 min, HCl (7 ml, 230 mmol) and Sodium fluoroborate (9.43 g, 86 mmol) were added. The mixture was stirred for 30 min under ice cooling. The resultant precipitate was collected by filtration and washed successively with water, MeOH to give 2-phenyl-1-(trifluoro- l5-boranylidene)diazen-1-ium fluoride (1.9 g, 9.90 mmol, 46.1 % ) as a colorless solid. Step E: ethyl (E)-3-morpholinoacrylate
Morpholine (4.40 ml, 51.0 mmol) was added dropwise to a solution of ethyl (E)-3- morpholinoacrylate (8.20 g, 44.3 mmol) in dichloromethane (30 ml) under ice cooling. After stirring at room temperature for 1 h, the mixture was concentrated in vacuo and the residue was purified by combiflash to give the ethyl (E)-3-morpholinoacrylate (8.20 g, 44.3 mmol, 87 % ) as a yellow oil.
Step F: ethyl cinnoline-3-carboxylate
Ethyl (E)-3-morpholinoacrylate (19 g, 103 mmol) dissolved in 950 ml of acetonitrile, and to the solution was added 2-phenyl-1-(trifluoro-l5-boranylidene)diazen-1-ium fluoride (19.69 g, 103 mmol). The mixture was stirred at room temperature for 1 h then refluxed for 7 days. The solvent was evaporated and the residue was purified by combiflash to give ethyl cinnoline-3-carboxylate (12.0 g, 59.3 mmol, 57.9 %). Step G: cinnoline-3-carboxamide
Methanolic ammonia (509 ml, 3561 mmol) was added dropwise to Ethyl cinnoline-3-carboxylate (24.0 g, 119 mmol) and stirred at room temperature for 5 h. After reaction completion solids were filterd off , washed with methanol. Solids were dried under vaccum to give cinnoline-3-carboxamide (15.5 g, 90 mmol, 75 % ) as off white solids. Step H: cinnoline-3-carbonitrile
A solution of cinnoline-3-carboxamide (5.0 g, 28.9 mmol), and POCl3 (26.9 ml, 289 mmol) was heated at 100 °C for 4 h. Reaction mixture was added to ice and netralized with saturated sodium bicarbonate solution. Aqueous layer was extracted with ethyl acetate, washed with brine and evaporated under vacuum to give crude which was purified by flash chromatography to give cinnoline-3-carbonitrile (3.5 g, 22.56 mmol, 78 %) as off white solid. Step I: 3-(5-fluoro-3,3,4,4-tetramethyl-3,4-dihydroisoquinolin-1-yl)cinnoline
3-(2-fluorophenyl)-2,3-dimethylbutan-2-ol (506 mg, 2.58 mmol) was added to a suspension of cinnoline-3-carbonitrile (200 mg, 1.289 mmol) in H2SO4 (2.061 ml, 38.7 mmol) at 0 0C. The reaction mixture was allowed to stir at same temperature for 3h. Reaction mixture was neutralized by saturated sodium bicarbonate solution and extracted with ethyl acetate(2x150ml). Combined organic portion was concentrated under vacuum and crude was purified by reverse phase Prep HPLC to afford desired 3-(5-fluoro-3,3,4,4-tetramethyl-3,4-dihydroisoquinolin-1-yl)cinnoline (260 mg, 0.780 mmol, 60.5 % ). EXAMPLE 28
Preparation of 3-(3,3-dimethyl-3,4-dihydroisoquinolin-1-yl)cinnolin-4-amine
(Compound 139)
Step A: N-phenylcarbonohydrazonoyl dicyanide
To an ice-cold solution of the aniline (5.0 g, 53.7 mmol) in H2O (5 mL) were successively added dropwise 37% aq HCl (11 equiv) and sodium nitrite (3.70 g, 53.7 mmol). The mixture was stirred for 30 min and then added dropwise to a solution of Malononitrile (5.32 g, 81 mmol) and sodium acetate (137 g, 1664 mmol) in H2O (8.5 mL)with continuous stirring at 0 °C. After 2 h, the insoluble hydrazone was collected by filtration and washed with H2O. The precipitate was dissolved in EtOAc and washed with brine. The organic layer was dried (Na2SO4) and concentrated under vacuum to give crude which was purified by Flash chromatography to provided N-phenylcarbonohydrazonoyl dicyanide (8 g, 47.0 mmol, 88 %). Step B: 4-aminocinnoline-3-carboxamide
To a mixture of (E)-2-cyano-2-(phenyldiazenyl)acetamide (6.80 g, 36.1 mmol) in toluene (250 ml) under N2 was added TiCl4 (15.94 ml, 145 mmol. The reaction mixture was stirred at 102 °C for 4 hours before being allowed to cool to room temperature. The reaction mixture was carefully poured over an ice cold solution of 3N HCl (~60 ml), the mixture was then allowed to warm to rt, and was then stirred at 900C for 10 minutes. A precipitate formed which was collected via vacuum filtration, washed with water (~200 mL), ethanol (~200 mL), ether (~200 mL), and dried in vacuo to yield the title compound as a brown solid which was used without further purification. Step C: 4-aminocinnoline-3-carbonitrile
To a suspension of 4-aminocinnoline-3-carboxamide (3.5 g, 18.60 mmol) in DCM (10 ml) was added POCl3 (43.3 ml, 465 mmol) followed by triethylamine (7.78 ml, 55.8 mmol). The mixture was refluxed for 7 h. The reaction was then allowed to cool to rt and conc, in vacuo. The crude residue was then carefully treated with saturated aqueous NaHCO3 at 0 0C. A precipitate formed which was collected via vacuum filtration. The filter cake washed with water (~100 mL), collected, and dried in vacuo to provide the title compound as a grey solid 4-aminocinnoline-3-carbonitrile. EXAMPLE 29
Preparation of 3-(3,3-dimethyl-3,4-dihydroisoquinolin-1-yl)benzo[e][1,2,4]triazine
(Compound 171) Step A: ethyl (E)-2-chloro-2-(2-(2-nitrophenyl)hydrazono)acetate
To a stirred mixture of 2-nitroaniline (500 mg, 3.62 mmol) in Methanol (5 ml) was added conc Hydrochloric Acid, 37% (1.35 ml). The mixture was cooled in an ice-water bath and a solution of sodium nitrite (275 mg, 3.98 mmol) in Water (1 ml) was added dropwise with stirring over a 15 minute period. The cold suspension was filtered and Ethyl-2-Chloroacetoacetate (0.551 ml, 3.98 mmol) was immediately added to the filtrate with stirring at room temperature. The reaction mixture was stirred at 30 °C for 1.5 h. The suspension was filtered, and the filtered solid was washed with water. The yellow solid was dried under vacuum to give ethyl (E)-2-chloro-2-(2-(2- nitrophenyl)hydrazono)acetate (670 mg, 2.466 mmol, 68.1 % ). Step B: ethyl 2-imino-2-(2-(2-nitrophenyl)hydrazinyl)acetate To a solution of ethyl (E)-2-chloro-2-(2-(2-nitrophenyl)hydrazono)acetate (400 mg, 1.472 mmol) in THF (5 ml) was added ammonia (0.319 ml, 14.72 mmol). Reaction mixture stirred at room temperature for 24 h. Reaction mixture was concentrate under reduced pressure to give ethyl 2- imino-2-(2-(2-nitrophenyl)hydrazinyl)acetate (300 mg, 1.189 mmol, 81 % ) which was used for next step without purification. Step C: ethyl benzo[e][1,2,4]triazine-3-carboxylate
To a stirred mixture of iron (337 mg, 6.03 mmol) in Water (1.00 ml) and concentrated Hydrochloric Acid, 37% (3.0 ml) was added dropwise a solution of ethyl 2-imino-2-(2-(2- nitrophenyl)hydrazinyl)acetate (400 mg, 1.586 mmol) in a mixture of Acetic Acid (15 ml) and concentrated hydrochloric acid (1.5 ml). The reaction mixture was stirred at room temperature for 18 h. The reaction mixture was diluted with ethyl acetate and water. Organic layer separated, washed with by brine, dried over sodium sulfate, concentrated under reduced pressure to give crude, which was purifiled by column chromatography to give ethyl benzo[e][1,2,4]triazine-3-carboxylate (130 mg, 0.640 mmol, 40.3 % ). Step D: benzo[e][1,2,4]triazine-3-carboxamide
Methonalic ammonia (38.5 ml, 270 mmol) was added to methyl benzo[e][1,2,4]triazine-3- carboxylate (1.7 g, 8.99 mmol)) and the reaction mixture was stirred at RT for overnight. The reaction mixture was concentrated and the crude benzo[e][1,2,4]triazine-3-carboxamide (1.5 g, 8.61 mmol) was used for the next step. Step E: benzo[e][1,2,4]triazine-3-carbonitrile
Phosphorus oxychloride (12.04 ml, 129 mmol) was added to benzo[e][1,2,4]triazine-3-carboxamide (1.5 g, 8.61 mmol) and the reaction mixture was refluxed at 100 °C for overnight. The reaction mixture was poured into ice and basify with saturated solution of NaHCO3. The aqueous layer was extracted with Ethyl acetate, washed with brine solution and dried over sodium sulfate. The evaporation of organic portion was done over rotatory evaporator to obtain crude which was purified by column chromatography using combiflash to give pure benzo[e][1,2,4]triazine-3- carbonitrile (1.0 g, 6.40 mmol, 74.4 % ). Step F: 3-(3,3-dimethyl-3,4-dihydroisoquinolin-1-yl)benzo[e][1,2,4]triazine
To a solution of 2-methyl-1-phenylpropan-2-ol (0.221 ml, 1.441 mmol) and benzo[e][1,2,4]triazine- 3-carbonitrile (150 mg, 0.961 mmol). H2SO4 (1.536 ml, 28.8 mmol) was added drop-wise at 0 °C and stirred for 6h at 0 °C. The mixture was diluted in water (5 ml) , basified with saturated solution of NaHCO3 and extracted with EtOAc (25 ml). After evaporation of solvent crude product was purifiled by column chromatography to give 3-(3,3-dimethyl-3,4-dihydroisoquinolin-1- yl)benzo[e][1,2,4]triazine (170 mg, 0.590 mmol, 61.4 %). EXAMPLE 30
Preparation of 7-(3,3,4,4-tetramethyl-3,4-dihydroisoquinolin-1-yl)quinoline
(Compound 270) Step A: quinoline-7-carbonitrile
7-bromoquinoline (1 g, 4.81 mmol), Zinc cyanide (1.129 g, 9.61 mmol),2-Dicyclohexylphosphino- 2',4',6'-tri-iso-propyl-1,1'-biphenyl (0.115 g, 0.240 mmol), Pd2(dba)3 (0.220 g, 0.240 mmol) was taken in DMF (10 ml)/ Water (0.5 ml). Reaction mixture was heated in microwave at 150 °C for 1h. water was added to the reaction mixture and extracted with ethyl acetate (2x150ml). Combined organic phase was evapoarted under vacuum which was purified by normal column chromatography to give quinoline-7-carbonitrile (500 mg, 3.24 mmol, 67.5 % yield) as solid.
Step B: 7-(3,3,4,4-tetramethyl-3,4-dihydroisoquinolin-1-yl)quinoline
2,3-dimethyl-3-phenylbutan-2-ol (301 mg, 1.686 mmol) was added to a solution of quinoline-7- carbonitrile (200 mg, 1.297 mmol) in Toluene (10 ml). H2SO4 (1.383 ml, 25.9 mmol) was added at 0 °C and allowed to stir at RT for 3 h. Solvent was concentrated under reduced pressure and crude was neutralized by saturated sodium bicarbonate solution and extracted with ethyl acetate(2x150ml). Combined organic portion was concentrated under vacuum and crude was purified by reverse phase
HPLC to afford desired 7-(3,3,4,4-tetramethyl-3,4-dihydroisoquinolin-1-yl)quinoline (270 mg, 0.859 mmol, 66.2 % yield) as gum. EXAMPLE 31
Preparation of 6-(3,3,4,4-tetramethyl-3,4-dihydroisoquinolin-1-yl)quinoline
(compound 250) Step A: quinoline-6-carbonitrile
A mixture of 6-bromoquinoline (1 g, 4.81 mmol), zinc cyanide (0.847 g, 7.21 mmol), copper(I) iodide (0.915 g, 4.81 mmol) and tetrakis(triphenylphosphine)palladium (2.78 g, 2.403 mmol) in acetonitrile (30 ml), were heated to reflux temperature for 18 h. The reaction mixture was allowed to cool down at room temperature and diluted with ethyl acetate and filtered through celite bed, filtrate was washed with water, brine solution and dried over sodium sulfate, concentrated under vacuo. The crude residue was purified by combiflash column chromatography to give title quinoline-6- carbonitrile (550 mg, 3.57 mmol, 74.2 % yield). Step B: 6-(3,3,4,4-tetramethyl-3,4-dihydroisoquinolin-1-yl)quinoline
2,3-dimethyl-3-phenylbutan-2-ol (0.225 g, 1.265 mmol) was added to a solution of quinoline-6- carbonitrile (0.15 g, 0.973 mmol) in Toluene (8 ml). H2SO4 (1.037 ml, 19.46 mmol) slowly at was added at 0 °C and allowed to stirred at room temperature for 3 h. The reaction mixture was concentrated under reduced pressure diluted in ethyl acetate, the crude was neutralized by saturated sodium bicarbonate solution and extracted with ethyl acetate. Combined organic portion dried over sodium sulfate and concentrated under vacuum and the residue was purified by reverse phase HPLC to give 6-(3,3,4,4-tetramethyl-3,4-dihydroisoquinolin-1-yl)quinoline (0.1 g, 32.7 % yield) as gummy compound. EXAMPLE 32
Preparation of 6-(5-fluoro-3,3-dimethyl-3,4-dihydroisoquinolin-1-yl)quinoline
(Compound 258)
Step A: 6-bromo-8-fluoroquinoline
A solution of concentrated H2SO4 (0.63 ml, 11.82 mmol) in H2O (0.48 ml, 26.6 mmol) was treated with 3-Nitrobenzenesulfonic acid, sodium salt ( 0.48g, 2.132 mmol) and glycerol (0.516 ml, 7.06 mmol) to give a thick grey suspension, the mixture was heated to 110 °C. 4-Bromo-2-fluoroaniline
was added portion wise over 10 min, during which the temperature rose to 95 °C. The reaction was heated to 140 °C and stirred overnight. The reaction mixture was cooled and then poured into water and basified to pH 7 with aqueous ammonia. The brown precipitated that formed was collected by filtration and partially dried. This solid (0.63 g) was purified by flash column chromatography give the 6-bromo-8-fluoroquinoline (0.4 g, 1.770 mmol, 88 % yield) compound. Step B: 8-fluoroquinoline-6-carbonitrile
A mixture of 6-bromo-8-fluoroquinoline (0.5 g, 2.212 mmol), Zinc Cyanide (0.649 g, 5.53 mmol), Pd2(dba)3 (0.101 g, 0.111 mmol) and 2-Dicyclohexylphosphino-2',4',6'-tri-iso-propyl-1,1'-biphenyl (0.053 g, 0.111 mmol) in the mixture of DMF (5 ml) and Water (0.5 ml) were taken in microwave vial. The reaction mixture was heated at 150 °C for 1h in Biotage microwave. The reaction mixture was diluted with water, extracted with ethyl acetate and washed with brine solution and dried over sodium sulfate, concentrated under vacuo and the crude residue was purified by combiflash column chromatography to give title 8-fluoroquinoline-6-carbonitrile (0.250 g, 65.6 % yield). Step C: 6-(5-fluoro-3,3-dimethyl-3,4-dihydroisoquinolin-1-yl)quinoline
2-methyl-1-phenylpropan-2-ol (0.230 g, 1.531 mmol) was added to a solution of 8-fluoroquinoline- 6-carbonitrile (0.263 g, 1.528 mmol) in toluene (8 ml). Conc. H2SO4 (1.628 ml, 30.6 mmol) was added slowly at 0 °C and allowed to stirred at room temperature for 10 h. The reaction mixture was concentrated under reduced pressure diluted in ethyl acetate, the crude was neutralized by saturated sodium bicarbonate solution and extracted with ethyl acetate. Combined organic portion dried over sodium sulfate and concentrated under vacuum and the residue was purified by combiflash column chromatography to give 6-(3,3-dimethyl-3,4-dihydroisoquinolin-1-yl)-8-fluoroquinoline (0.170 g, 0.559 mmol, 36.6 % yield) as solid. EXAMPLE 33
Preparation of 6-(3,3-dimethyl-3,4-dihydroisoquinolin-1-yl)quinolin-8-ol
(Compound 261)
A solution of 6-(3,3-dimethyl-3,4-dihydroisoquinolin-1-yl)-8-methoxyquinoline (0.500 g, 1.580 mmol) in 48% hydrobromic acid (20 ml) was heated to reflux for 3 days. The mixture was diluted in water and basified with saturated sodium bicarbonate solution, extracted three times with EtOAc (50 ml), the combined organic portion dried over sodium sulfate. The organic layer was concentrated
and the crude was purified by combiflash column chromatography to give the product of 6-(3,3- dimethyl-3,4-dihydroisoquinolin-1-yl)quinolin-8-ol (0.25g, 22.45%) as solid. EXAMPLE 34
Preparation of 4-chloro-7-(5-chloro-3,3,4-trimethyl-3,4-dihydroisoquinolin-1-yl)quinoline
(Compound 290) Step A: 3-(((2,2-dimethyl-4,6-dioxo-1,3-dioxan-5-ylidene)methyl)amino)benzonitrile
In Ethanol (2.0 ml) was added 3-aminobenzonitrile (200 mg, 1.693 mmol), 2,2-dimethyl-1,3- dioxane-4,6-dione (317 mg, 2.201 mmol), triethyl orthoformate (0.366 ml, 2.201 mmol) and the reaction mixture was refluxed for 2 h. Reaction mixture was cooled to RT and solids were filtered off and washed with cold ethanol. Solids were dried on rotavapor to get 3-(((2,2-dimethyl-4,6-dioxo- 1,3-dioxan-5-ylidene)methyl)amino)benzonitrile (400 mg, 1.469 mmol, 87 %) as white solid. Step B: 4-hydroxyquinoline-7-carbonitrile
3-(((2,2-dimethyl-4,6-dioxo-1,3-dioxan-5-ylidene)methyl)amino)benzonitrile (200.0 mg, 0.735 mmol) was taken in Diphenyl Ether (2.0 ml) and reaction mixture was heated at 265 °C for 30 min. Reaction mixture was allowed to cool and Solid precipitate was filtered off, washed with hexane to get 4-hydroxyquinoline-7-carbonitrile (50 mg, 0.294 mmol, 40.0 % ) as light brown color solid. Step C: 4-chloroquinoline-7-carbonitrile
POCl3 (4382 μl, 47.0 mmol) was added to 4-hydroxyquinoline-7-carbonitrile (400 mg, 2.351 mmol) and reaction mixture was refluxed for 2 h. Reaction mixture was poured to ice water, neutralized with saturated sodium bicarbonate solution and extracted with ethyl acetate. Organic layer was washed with brine, dried over sodium sulfate and evaporated under vacuum to get light brown color solid which was further purified by combiflash to give 4-chloroquinoline-7-carbonitrile (120 mg, 0.636 mmol, 27.1 %) as white solid. Step D: 4-chloro-7-(5-chloro-3,3,4-trimethyl-3,4-dihydroisoquinolin-1-yl)quinoline
3-(2-chlorophenyl)-2-methylbutan-2-ol (527 mg, 2.65 mmol) was added to the suspension of 4- chloroquinoline-7-carbonitrile (200 mg, 1.060 mmol) in H2SO4 (1696 μl, 31.8 mmol) at 0 0C , and reaction mixture was stirred at RT for 2h. Reaction mixture was neutralized with saturated sodium bicarbonate solution and extracted with ethyl acetate. Organic phase was washed with brine, dried with anhydrous sodium sulfate and evaporated to give crude which was purified by reverse phase
prep HPLC to 4-chloro-7-(5-chloro-3,3,4-trimethyl-3,4-dihydroisoquinolin-1-yl)quinoline (100 mg, 0.271 mmol, 25.5 % ) as brown color solid. EXAMPLE 35
Preparation of 6-(3,3-dimethyl-3,4-dihydroisoquinolin-1-yl)quinoxaline
(Compound 292) Step A: Quinoxaline-6-carbonitrile
To a stirred solution of 6-bromoquinoxaline (1.0 g, 4.78 mmol) in DMF (10 ml) and water (0.5 ml) was added zinc cyanide (1.404 g, 11.96 mmol), Pd2(dba)3 (0.219 g, 0.239 mmol) and 2- dicyclohexylphosphino-2',4',6'-tri-iso-propyl-1,1'-biphenyl (0.114 g, 0.239 mmol) in microwave vial. The reaction mixture was degassed under nitrogen and heated in microwave at 150 °C for 1h. The reaction mixture was diluted with water and extracted with ethyl acetate (2 x 150 ml). A combined organic layer was evaporated under reduced pressure. The crude product was purified by column chromatography on silica gel using Ethyl acetate/Hexane as an eluent to afford quinoxaline-6- carbonitrile (0.250 g, 33.7%) as a solid. Step B:6-(3,3-dimethyl-3,4-dihydroisoquinolin-1-yl)quinoxaline
To a stirred solution of quinoxaline-6-carbonitrile (0.259 g, 1.669 mmol) in toluene (10 ml) was added 2-methyl-1-phenylpropan-2-ol (0.300 g, 1.997 mmol) followed by the addition of H2SO4 (1.779 ml, 33.4 mmol) at 0 °C. The reaction mixture was allowed to stir at room temperature for 3h. The reaction mixture was concentrated under reduced pressure and crude was neutralized by saturated sodium bicarbonate solution and extracted with ethyl acetate (2 x 150ml). A combined organic layer was concentrated under reduced pressure and the crude was purified by reverse phase HPLC to afford desired 6-(3,3-dimethyl-3,4-dihydroisoquinolin-1-yl)quinoxaline (220mg) as a sticky solid. EXAMPLE 36
Preparation of 5-(3,3-dimethyl-3,4-dihydroisoquinolin-1-yl)isobenzofuran-1(3H)-one
(Compound 314) 1-oxo-1,3-dihydroisobenzofuran-5-carbonitrile (0.2 g, 1.257 mmol) was taken in tolune (8 ml). 2- methyl-1-phenylpropan-2-ol (0.245 g, 1.634 mmol) was added followed by H2SO4 (1.340 ml, 25.1
mmol) dropwise at 00C. Reaction mixture was allowed to stir at RT for overnight. Reaction mixture was neutralized by sodium bicarbonate and extracted with ethyl acetate. organic portion was washed with brine, dried with anhydrous sodium sulfate and evaporated to give crude which was purified by Reverse phase Prep.HPLC to give pure5-(3,3-dimethyl-3,4-dihydroisoquinolin-1-yl)isobenzofuran- 1(3H)-one (300 mg, 1.030 mmol, 82 %). EXAMPLE 37
Preparation of 6-(3,3,4,4-tetramethyl-3,4-dihydroisoquinolin-1-yl)-4H-chromen-4-one
(Compound 329) Step A: 4-oxo-4H-chromene-6-carbonitrile
Copper(I) cyanide (88 mg, 0.978 mmol) was added to 6-bromo-4H-chromen-4-one (200 mg, 0.889 mmol) in NMP (3.0 ml). The reaction mixture was heated to 200 °C for 3 hr. Reaction mixture was cooled and saturated ammonium chloride was added. Aqueous layer was extracted with ethyl acetate, washed with brine, dried with anhydrous sodium sulfate and evaporated to give crude which was purified by combiflash to afford 4-oxo-4H-chromene-6-carbonitrile (130 mg, 0.760 mmol, 85 % ) as brown color solid. Step B: 6-(3,3,4,4-tetramethyl-3,4-dihydroisoquinolin-1-yl)-4H-chromen-4-one
To a stirred solution of 2,3-dimethyl-3-phenylbutan-2-ol (521 mg, 2.92 mmol) and 4-oxo-4H- chromene-6-carbonitrile (250 mg, 1.461 mmol) in H2SO4 (1168 μl, 21.91 mmol) was added drop- wise at 0 °C and stirred for 1 h at 0 °C. The mixture was diluted in Ice-water (25 ml) and basified with NaHCO3 solution, then extracted with EtOAc (100 ml X 3). After evaporation of solvent a crude product was obtained. Crude product was puriified by reverse prep-HPLC to get 6-(3,3,4,4- tetramethyl-3,4-dihydroisoquinolin-1-yl)-4H-chromen-4-one (0.312 g, 0.941 mmol, 64.5 % ). EXAMPLE 38
Preparation of 6-(3,3-dimethyl-3,4-dihydroisoquinolin-1-yl)-2H-chromen-2-one
(Compound 332)
A 2-oxo-2H-chromene-6-carbonitrile (0.250 g, 1.461 mmol) was taken inToluene (20 ml). Then conc. H2SO4 (1.557 ml, 29.2 mmol) added at 0 °C, 2-methyl-1-phenylpropan-2-ol (0.549 g, 3.65 mmol) was added and stirred for 3 hrs. TLC and LCMS showed presence of product. Water was added to the reaction mixture and bacified with sat. solution of sodium bicarbonate and extracted
with ethyl acetae. Organic portion was washed with brine, dried with anhydrous sodium sulfate and evaporated to give crude which was purified by reverse phase HPLC to afford 6-(3,3-dimethyl-3,4- dihydroisoquinolin-1-yl)-2H-chromen-2-one (0.230 g, 0.758 mmol, 51.9 %). According to the procedures described herein above the representative compounds of the present invention have been or can be prepared and are illustrated in Tables 1 and 2.
Table 1: Representative examples of the compounds of general formula (Ia)
Table 2: Representative examples of the compounds of general formula (Ib)
As described herein the compounds of general formula (I) show an extremely high fungicidal activity which is exerted with respect to numerous phytopathogenic fungi which attacks on important agricultural crops. Compounds of present invention were assessed for activity against one or more of the following:
Biological Test Examples (IN VITRO TEST)
Example 1: Pyricularia oryzae (Rice blast): Compounds were dissolved in 0.3% DMSO & then added to Potato Dextrose Agar medium just prior to dispensing it into Petri dishes.5ml medium with compound in the desired concentration was dispensed into 60mm sterile petri-plates. After solidification each plate was seeded with 5mm size mycelial disc taken form periphery of actively growing virulent culture plate. Plates were incubated in growth chambers at 25^C temperature and 60% relative humidity for seven days and radial growth was measured. Compound No., 1 2 3 4 9 10 12 14 15 16 17 21 22 23 24 25 33 34 35 37 40 41 43 44 46 47 48 50 51 52 53 54 57 58 59 61 62 70 75 76 77 79 80 81 83 84 85 87 88 89 90 91 92 95 101 102 103 104 106 107 109 110 111 112 114 117 118 119 121 123 125 126 127 128 129 130 131 132 133 134 135 136 138 140 142 143 148 149 150 151 154 158 160
161 162 163 165 166 167 169 170 171 172 173 174 175 178 184 185 190 191 193 194 195 197 199 201 202 204 205 206 207 209 210 211 212 213 214 215 216 217 218 219 220 221 222 223 225 228 230 232 233 234 235 236 238 239 241 243 245 246 247 250 251 254 255 259 261 262 263 265 266 267 269 270 271 272 273 275 276 277 278 279 280 281 282 283 285 286 287 288 289 291 295 297 300 301 303 304 305 308 310 313 315 316 322 325 329 330 331 332 at 300ppm gave more than 70% control in these tests when compared to the untreated check which showed extensive disease development.
Example 2: Rhizoctonia solani (Rice sheath blight/Potato black scurf): Compounds were dissolved in 0.3% DMSO & then added to Potato Dextrose Agar medium just prior to dispensing it into Petri dishes. 5ml medium with compound in the desired concentration was dispensed into 60mm sterile petri-plates. After solidification each plate was seeded with 5mm size mycelial disc taken form periphery of actively growing virulent culture plate. Plates were incubated in growth chambers at 25 oC temperature and 60% relative humidity for seven days and radial growth was measured. Compound No., 9 10 11 12 16 17 21 22 23 33 40 47 51 54 78 87 101 125 140 158 160 161 162 163 167 175 190 212 214 223 235 246 256 261 262 263 266 269 272 273 276 277 278 279 280 281 282 283 287 288 293 297 301 302 312 325 331
at 300ppm gave more than 70% control in these tests when compared to the untreated check which showed extensive disease development. Example 3: Botrytis cinerea (Gray mold): Compounds were dissolved in 0.3% DMSO & then added to Potato Dextrose Agar medium just prior to dispensing it into Petri dishes. 5ml medium with compound in the desired concentration was dispensed into 60mm sterile petri-plates. After solidification each plate was seeded with 5mm size mycelial disc taken form periphery of actively growing virulent culture plate. Plates were incubated in growth chambers at 22^C temperature and 90% relative humidity for seven days and radial growth was measured. Compound No., 2 10 11 12 14 16 21 22 23 24 33 34 35 40 41 46 51 52 55 62 66 70 97 107 111 118 127 128
131 132 134 135 138 140 147 148 150 151 154 156 157 158 174 175 190 203 213 214 222 223 225 232 241 246 252 253 256 266 272 273 276 277 278 279 281 286 288 293 301 308 311 321 at 300ppm gave more than 70% in these tests when compared to the untreated check which showed extensive disease development. Example 4: Alternaria solani (early blight of tomato/potato): Compounds were dissolved in 0.3% DMSO & then added to Potato Dextrose Agar medium just prior to dispensing it into Petri dishes. 5ml medium with compound in the desired concentration was dispensed into 60mm sterile petri- plates. After solidification each plate was seeded with 5mm size mycelial disc taken form periphery of actively growing virulent culture plate. Plates were incubated in growth chambers at 25^C temperature and 60% relative humidity for seven days and radial growth was measured. Compound No., 1 2 3 4 5 6 9 10 11 12 13 14 15 16 17 18 21 22 23 24 25 33 34 40 41 43 44 46 47 48 51 52 54 57 59 61 62 64 65 66 70 76 77 78 79 80 81 82 83 84 85 87 88 90 91 95 97 98 99 100 101 102 103 104 105 106 107 108 109 110 111 113 114 115 117 118 123 125 126 129 131 132 133 134 135 136 140 143 149 150 151 154 158 159 160 161 162 163 165 173 174 175 178 179 185 190 191 194 195 197 201 203 204 205 211 212 213 214 217 230 232 233 235 238 241 245 246 250 256 257 258 259 261 262 263 264 265 266 267 269 270 271 272 273 274 275 276 277 278 279 280 281 282 283 284 285 286 287 288 289 291 292 293 294 295 297 298 299 300 301 305 307 308 310 311 312 313 315 324 325 329 330 331 332 at 300ppm gave more than 70% control in these tests when compared to the untreated check which showed extensive disease development. Example 5: Colletotrichum capsici (anthracnose): Compounds were dissolved in 0.3% DMSO & then added to Potato Dextrose Agar medium just prior to dispensing it into Petri dishes.5ml medium with compound in the desired concentration was dispensed into 60mm sterile petri-plates. After
solidification each plate was seeded with 5mm size mycelial disc taken form periphery of actively growing virulent culture plate. Plates were incubated in growth chambers at 25^C temperature and 60% relative humidity for seven days and radial growth was measured. Compound No., 1 2 3 4 5 6 10 11 12 13 14 16 17 18 21 22 23 24 25 33 34 35 40 41 43 46 47 48 50 51 52 53 54 55 58 59 62 66 70 76 77 79 80 81 82 83 84 85 87 88 89 90 91 94 95 99 101 102 103 105 106 107 108 109 111 112 113 114 117 118 119 121 123 125 126 127 128 129 130 131 132 133 134 135 136 138 140 143 147 150 151 152 153 154 158 159 165 166 167 168 169 170 171 172 173 174 175 176 178 179 181 183 184 185 186 187 188 189 190 191 192 193 194 195 199 200 201 204 205 206 209 210 211 213 214 217 225 232 234 235 236 245 246 249 250 251 252 253 254 255 256 257 259 261 262 264 265 266 267 268 270 271 272 273 275 276 277 278 279 280 281 282 283 285 286 288 289 291 293 297 300 301 305 308 310 311 312 313 315 316 318 321 323 326 329 330 331 332 at 300 ppm gave more than 70% control in these tests when compared to the untreated check which showed extensive disease development. Example 6: Septoria lycopersici (Leaf spot of tomato): Compounds were dissolved in 0.3% DMSO & then added to Potato Dextrose Agar medium just prior to dispensing it into Petri dishes. 5ml medium with compound in the desired concentration was dispensed into 60mm sterile petri-plates. After solidification each plate was seeded with 5mm size mycelial disc taken form periphery of actively growing virulent culture plate. Plates were incubated in growth chambers at 25^C temperature and 70% relative humidity for seven days and radial growth was measured. Compound No., 1 2 3 4 10 11 12 14 16 17 22 23 33 34 40 41 46 48 50 52 77 81 87 90 101 102 104 107 109 125 129 131 132 140 175 179 190 191 220 234 249 250 252 253 255 256 259 260 261 266 269 270 271 272 273 276 277 278 279 280 281 285 293 297 299 302
303 304 311 312 313 331 at 300ppm gave more than 70% control in these tests when compared to the untreated check which showed extensive disease development. Example 7: Fusarium culmorum (Foot rot of cereals): Compounds were dissolved in 0.3% DMSO & then added to Potato Dextrose Agar medium just prior to dispensing it into petri dishes. 5ml medium with compound in the desired concentration was dispensed into 60mm sterile petri-plates. After solidification each plate was seeded with 5mm size mycelial disc taken form periphery of actively growing virulent culture plate. Plates were incubated in growth chambers at 25^C temperature and 60% relative humidity for seven days and radial growth was measured. Compound No., 2 10 15 16 17 43 46 51 70 103 107 111 113 128 129 132 134 140 174 175 185 190 191 217 261 266 273 279 281 293 297 301 at 300ppm gave 70% control in these tests when compared to the untreated check which showed extensive disease development.
Example 8: Comparative Biological Analysis
Comparative analysis of compounds of the present invention namely Compound No., 10, 111 and 174 with the compounds 2-1 and 2-2 reported in JP2014221747 was carried out for activity against phytopathogenic fungi as per the above suitable protocols.
Table 3:
From the above results it can be concluded that the compounds of the present invention showed surprisingly unexpected high preventive effect against phytopathogenic fungi as compared to that of 2-1 and 2-2.
Claims
We Claim: 1. A compound of general formula (I)
A, B, C, D and E represent nitrogen or carbon which may be optionally substituted with Ra, Rb, Rc, Rd and Re respectively, at least one of A, B, C, D & E is nitrogen, and provided when B is nitrogen then at least one of A, C, D and E is nitrogen; Ra, Rb, Re, Rf, Rh, Ri and R5 are independently selected from hydrogen, halogen, OH, CN, NO2, SH, NH2, =O, =S, NH(C1-C6-alkyl), N(C1-C6-alkyl)2, NH(C(=O)C1-C6-alkyl), N(C(=O)C1-C6-alkyl)2, NH-SO2-Rx, NRx=S(O)0-1-Rx, P(=O)-(ORz)2, CH(=O), C(=O)C1-C6- alkyl, C(=O)NH(C1-C6-alkyl), C(=O)N(C1-C6-alkyl)2, CR'=NOR", C1-C6-alkyl, C2-C6- alkenyl, C2-C6-alkynyl, C1-C6-alkoxy, C1-C6-haloalkoxy, C1-C6-haloalkyl, C2-C6-alkenyloxy, C2-C6-alkynyloxy, C1-C6-alkylthio, C1-C6-haloalkylthio, C1-C6-alkylsulphinyl, C1-C6- haloalkylsulphinyl, C1-C6-alkylsulphonyl, C1-C6-haloalkylsulphonyl, C3-C6-cycloalkyl, C3- C6-cycloalkenyl, three-, four-, five- or six-membered saturated, unsaturated or partially unsaturated carbocycle, heterocycle, five- or six-membered heteroaryl and aryl; wherein one or more carbon atom/s of the carbocycle and the heterocycle optionally may be independently replaced by a group selected from C(=O), C(=S), C(=CRjRk),
C(=NR'), C(=NOR') and the heterocycle and the heteroaryl contain at least one heteroatom selected from N, O and S(O)0-2; wherein R' and R" are independently selected from C1-C6-alkyl, C2-C6-alkenyl, C2- C6-alkynyl, C3-C6-cycloalkyl, and wherein R' and/or R" are optionally substituted with at least one R'" independently selected from halogen, OH, CN, NO2, SH, NH2, NH(C1-C6-alkyl), N(C1-C6-alkyl)2, NH-SO2-Rx, C1-C6-alkyl, C1-C6-haloalkyl, C2-C6- alkenyl, C2-C6-haloalkenyl, C2-C6-alkynyl, C2-C6-haloalkynyl, C1-C6-alkoxy, C1-C6- haloalkoxy, C1-C6-alkylthio, C1-C6-haloalkylthio, C3-C6-cycloalkyl, C3-C6- halocycloalkyl and aryl; wherein Rx is C1-C6-alkyl, C1-C6-haloalkyl, aryl optionally substituted with one or more Ry independently selected from halogen and C1-C6-alkyl; and Rz is H or C1-C6-alkyl; wherein the aliphatic groups of substituents Ra, Rb, Re, Rf, Rh, Ri and R5 are optionally substituted with one or more Ra', Rb' Re', Rf', Rh' Ri' and R5' respectively, which are independently selected from halogen, OH, NH2, CN, C1-C6-alkyl, C1-C6-haloalkyl, C1-C6- alkoxy, C1-C6-haloalkoxy, C1-C6-alkylthio, C1-C6-haloalkylthio, C3-C6-cycloalkyl, C3-C6- cycloalkenyl, C3-C6-halocycloalkyl, C3-C6-halocycloalkenyl, five- or six-membered heteroaryl, phenyl, phenoxy, phenylamino, phenylsulfanyl and phenylmethylene; wherein the heteroaryl, phenyl, phenoxy, phenylamino, phenylsulfanyl and phenylmethylene groups are optionally substituted with one or more Raa', Rba', Rea', Rfa', Rha', Ria' and R5a', respectively selected from the group consisting of halogen, OH, C1-C6-alkyl, C1-C6-haloalkyl, C1-C6-alkoxy and C1-C6-haloalkoxy; wherein the carbocyclic, aryl, heterocyclic and heteroaryl groups of substituents Ra, Rb, Re, Rf, Ri, Rh and R5 are optionally substituted with one or more groups of Ra", Rb", Re'', Rf'', Ri'', Rh'' and R5'', respectively which independently are selected from halogen, OH, CN, C1-C6-alkyl, C1-C6-alkoxy, C1-C6-haloalkoxy and C1-C6-alkylthio, C1-C6-haloalkylthio, C1-C6-haloalkyl, C3-C6-cycloalkyl and C3-C6-halocycloalkyl;
Rc and Rd together with the atoms to which they are bound form or C and D together form a part of a five- or six-membered carbocycle, heterocycle, aryl, or heteroaryl; wherein one or more carbon atom/s of the carbocycle and the heterocycle optionally may be independently replaced by a group selected from C(=O), C(=S), C(=CRjRk), C(=NR'), C(=NOR'); the heterocycle and the heteroaryl contain at least one heteroatom selected from N, O and S(O)0-2; and the carbocycle, heterocycle, aryl, and heteroaryl carries zero, one, two, three or four substituents Rf; R1 and R2; R3 and R4 together with the carbon atoms to which they are bound form five- to eight- membered carbocycle, heterocycle, aryl, or heteroaryl;
wherein one or more carbon atom/s of the carbocycle and the heterocycle optionally may be independently replaced by a group selected from C(=O), C(=S),
C(=NR'), C(=NOR'); the heterocycle and the heteroaryl contain at least one heteroatom selected from N, O and S(O)0-2; and the carbocycle, heterocycle, aryl, and heteroaryl formed by R1 and R2; and R3 and R4 together with the carbon atoms to which they are bound carries zero, one, two, three or four substituents Rh and Ri respectively, provided that when C or D is nitrogen, R3 and R4 does not form phenyl ring; wherein V, W, X and Y are independently selected from hydrogen, halogen, OH, CN, NO2, SH, NH2, NH(C1-C6-alkyl), N(C1-C6-alkyl)2, NH-SO2-Rx, C1-C6-alkyl, C2-C6-alkenyl, C2-C6-alkynyl, C1- C6-alkoxy, C1-C6-haloalkoxy, C1-C6-alkylthio C1-C6-haloalkylthio a saturated or partially unsaturated three- to ten-membered carbocycle or heterocycle, five- or six-membered heteroaryl and aryl;
wherein one or more carbon atom/s of the carbocycle and the heterocycle optionally may be independently replaced by a group selected from C(=O), C(=S), C(=CRjRk), C(=NR'), C(=NOR'),; and the heterocycle and the heteroaryl contain independently at least one heteroatom selected from N, O and S(O)0-2; wherein the aliphatic groups of substituents of V, W, X and Y are optionally substituted with Va, Wa, Xa and Ya independently selected from halogen, OH, CN, NO2, SH, NH2, NH(C1-C6- alkyl), N(C1-C6-alkyl)2, NH(C(=O)C1-C6-alkyl), N(C(=O)C1-C6-alkyl)2, C1-C6-alkoxy, C3-
C6-cycloalkyl, C3-C6-halocycloalkyl, C1-C6-haloalkoxy, C1-C6-alkylthio, C1-C6- haloalkylthio, aryl and phenoxy, wherein the aryl and the phenoxy groups are optionally substituted with substituents selected from the group consisting of halogen, OH, CN, NO2, SH, NH2, NH(C1-C6-alkyl), N(C1-C6-alkyl)2, NH(C(=O)C1-C6-alkyl), N(C(=O)C1-C6-alkyl)2, NH-SO2-Rx, C1-C6-alkylthio, C1-C6-alkyl, C1-C6-haloalkyl, C1-C6-alkoxy and C1-C6- haloalkoxy; wherein the carbocyclic, heterocyclic, heteroaryl and aryl groups of substituents of V, W, X and Y are optionally substituted with Vb, Wb, Xb and Yb independently selected from halogen, OH, CN, NO2, SH, NH2, NH(C1-C6-alkyl), N(C1-C6-alkyl)2, NH(C(=O)C1-C6- alkyl), N(C(=O)C1-C6-alkyl)2, NH-SO2-Rx, C1-C6-alkyl, C1-C6-alkoxy, C1-C6-haloalkyl, C1- C6-haloalkoxy, C1-C6-alkylthio, C1-C6-haloalkylthio, C1-C6-alkoxy-C1-C6-alkyl, C3-C6- cycloalkyl, C3-C6-halocycloalkyl, aryl and phenoxy, wherein the aryl and the phenoxy groups are optionally substituted with one or more halogen, OH, C1-C6-alkyl, C1-C6-haloalkyl, C1- C6-alkoxy and C1-C6-haloalkoxy;
or V and W together with the carbon atom to which they are bound, and X and Y together with the carbon atom to which they are bound, form a saturated or partially unsaturated three- to ten- membered carbocycle or heterocycle; wherein one or more carbon atom/s of the carbocycle and the heterocycle optionally may be independently replaced by a group selected from C(=O), C(=S), C(=CRjRk), C(=NR'), C(=NOR'); and the heterocycle contains at least one heteroatom selected from N, O and S(O)0-2,wherein the heteroatom N may carry one substituent RN selected from C1-C6-alkyl, C1-C6-haloalkyl, C1-C6-alkoxy, C1-C6-haloalkoxy and SO2Ph, wherein Ph is optionally substituted with substituents selected from halogen, OH, C1-C6-alkyl, C1-C6-haloalkyl, C1- C6-alkoxy and C1-C6-haloalkoxy; and
the carbocycle or heterocycle is optionally substituted with one or more substituents Rv' independently selected from halogen, OH, CN, NO2, SH, NH2, C1-C6-alkyl, C1-C6-haloalkyl, C1-C6-alkoxy, C1-C6-haloalkoxy, C1-C6-alkylthio, C1-C6-haloalkylthio, C1-C6-alkoxy, C1-C6- alkyl, C1-C6 cycloalkyl, aryl and phenoxy, wherein the aryl and the phenoxy groups are
optionally substituted with one or more substituents Rva selected from the group consisting of halogen, OH, C1-C6-alkyl, C1-C6-haloalkyl, C1-C6-alkoxy and C1-C6-haloalkoxy;
or
Rv' optionally may be a ring or a part of ring system formed by V and W or X and Y;
or V and W together with the carbon atom to which they are bound and X and Y together with the carbon atom to which they are bound represents C(=O), C(=S), C(=CRjRk), C(=NR'), C(=NOR'); wherein Rj and Rk is hydrogen, halogen, C1-C6 alkyl, C1-C6 haloalkyl;
agriculturally acceptable salts, structural isomers, stereo-isomers, diastereoisomers, enantiomers, tautomers, metal complexes, polymorphs, or N-oxides thereof; provided that the Formula A is excluded from the definition of Formula I;
wherein, R11 and R12 are independently selected from a group of hydrogen, an optionally substituted C1-C6 alkyl group, an optionally substituted aryl group, or an optionally substituted heteroaryl group, or R11 and R12 together with the carbon atom to which they are attached form an optionally substituted C3-C7 cycloalkyl group; R13 and R14 are independently selected from a group of hydrogen, halogen, an optionally substituted C1-C6 alkyl group, an optionally substituted C2-C6 alkenyl group or an optionally substituted C2-C6 alkynyl group; and
R15 is selected from a group of halogen, an optionally substituted C1-C6 alkyl group, an optionally substituted C2-C6 alkenyl group, an optionally substituted C2-C6 alkynyl group, an optionally substituted aryl group, an optionally substituted heteroaryl group, an optionally substituted C1-C6 alkoxy group, an optionally substituted amino group, an acyl group or a cyano group;
n is an integer of 0 to 4;
R16 is a halogen atom or an optionally substituted C1-C6 alkyl group;
m is an integer of 0 to 5;
or a salt of Formula A thereof. 2. The compound as claimed in claim 1, wherein B and E are nitrogens; or B and D are nitrogens; or B and C are nitrogens; or B and E are nitrogens; or A, B and E are nitrogens; or A and E are nitrogens; or E is nitrogen; or D is nitrogen; or A is nitrogen; Ra, Rb, Re, Rf, Rh, Ri and R5 are independently selected from hydrogen, halogen, OH, CN, SH, NH2, NH(C1-C3-alkyl), N(C1-C3-alkyl)2, C1-C6-alkyl, C1-C3-alkoxy, C1-C3-haloalkoxy, C1-C3-haloalkyl, C1-C3-alkylthio, C1-C3-haloalkylthio, C1-C3-alkylsulphinyl, C1-C3- haloalkylsulphinyl, C1-C3-alkylsulphonyl, C1-C3-haloalkylsulphonyl, C3-C6-cycloalkyl, three-, four-, five- or six-membered saturated, unsaturated or partially unsaturated carbocycle, heterocycle, five- or six-membered heteroaryl and aryl; Rc and Rd together with the atoms to which they are bound form or C and D together form a part of a five- or six-membered heterocycle, aryl or heteroaryl; R1 and R2; R3 and R4 together with the carbon atoms to which they are bound form five- or six- membered heterocycle, aryl or heteroaryl; wherein V, W, X and Y are independently selected from hydrogen, halogen, CN, C1-C3-alkyl, C1-C3- alkoxy, C1-C3-haloalkoxy, C1-C3-alkylthio C1-C3-haloalkylthio, C3-C6-cycloalkyl; or
V and W together with the carbon atom to which they are bound, and X and Y together with the carbon atom to which they are bound, form a saturated or partially unsaturated three- to six- membered carbocycle or heterocycle ring or ring system; or
V and W together with the carbon atom to which they are bound and X and Y together with the carbon atom to which they are bound represents C(=O), C(=S) and C(=CRjRk). 3. The compound as claimed in claim 1 is at least one selected from:
5,5-dimethyl-7-(quinoxalin-2-yl)-4,5-dihydrothieno[2,3-c]pyridine;
3,3-dimethyl-1-(quinoxalin-2-yl)isoquinolin-4(3H)-one;
4,4,5,5-tetramethyl-7-(quinoxalin-2-yl)-4,5-dihydrothieno[2,3-c]pyridine;
3-ethyl-3-methyl-1-(quinoxalin-2-yl)isoquinolin-4(3H)-one;
5,5-diethyl-7-(quinoxalin-2-yl)-4,5-dihydrothieno[2,3-c]pyridine;
4,4-difluoro-5,5-dimethyl-7-(quinoxalin-2-yl)-4,5-dihydrothieno[2,3-c]pyridine;
5,5-dimethyl-7-(quinoxalin-2-yl)thieno[2,3-c]pyridin-4(5H)-one;
3-(3,3-dimethyl-3,4-dihydroisoquinolin-1-yl)quinoxalin-2(1H)-one;
2-(3,3-dimethyl-3,4-dihydroisoquinolin-1-yl)quinoline;
2-(3,3,4,4-tetramethyl-3,4-dihydroisoquinolin-1-yl)quinoline;
2-(4,4-difluoro-3,3-dimethyl-3,4-dihydroisoquinolin-1-yl)quinoline;
2-(4-fluoro-3,3-dimethyl-3,4-dihydroisoquinolin-1-yl)quinoline;
4,4,5,5-tetramethyl-7-(quinolin-2-yl)-4,5-dihydrothieno[2,3-c]pyridine;
2-(3-ethyl-3-methyl-3,4-dihydroisoquinolin-1-yl)quinoline;
3,3-dimethyl-1-(quinolin-2-yl)isoquinolin-4(3H)-one;
2-(3,3,4-trimethyl-3,4-dihydroisoquinolin-1-yl)quinoline;
2-(3,3-dimethyl-4-methylene-3,4-dihydroisoquinolin-1-yl)quinoxaline;
2-(5-fluoro-3,3-dimethyl-4-methylene-3,4-dihydroisoquinolin-1-yl)quinoxaline;
3-ethyl-5-fluoro-3-methyl-1-(quinoxalin-2-yl)isoquinolin-4(3H)-one;
6,6-dimethyl-4-(quinoxalin-2-yl)-6,7-dihydrothieno[3,2-c]pyridine;
2-(3,3-dimethyl-4-methylene-3,4-dihydroisoquinolin-1-yl)quinoline;
2-(4-methoxy-3,3-dimethyl-3,4-dihydroisoquinolin-1-yl)quinoline;
2-(5-fluoro-3,3-dimethyl-3,4-dihydroisoquinolin-1-yl)quinoline;
2-(3,3,4,5-tetramethyl-3,4-dihydroisoquinolin-1-yl)quinoline;
2-(3,3-diethyl-3,4-dihydroisoquinolin-1-yl)quinoline;
2-(5-chloro-3,3,4,4-tetramethyl-3,4-dihydroisoquinolin-1-yl)quinoline;
2-(3,3,4,4,5-pentamethyl-3,4-dihydroisoquinolin-1-yl)quinoline;
3-ethyl-5-fluoro-3-methyl-1-(quinolin-2-yl)isoquinolin-4(3H)-one;
2-(5,6-difluoro-3,3-dimethyl-3,4-dihydroisoquinolin-1-yl)quinoline;
2-(5,7-difluoro-3,3-dimethyl-3,4-dihydroisoquinolin-1-yl)quinoline;
2-(3,3-dimethyl-5-(methylthio)-3,4-dihydroisoquinolin-1-yl)quinoline;
2-(5-methoxy-3,3-dimethyl-3,4-dihydroisoquinolin-1-yl)quinoline;
2-(3,3,5-trimethyl-3,4-dihydroisoquinolin-1-yl)quinoline;
2-(5-chloro-3,3-dimethyl-3,4-dihydroisoquinolin-1-yl)quinoline;
2-(5-bromo-3,3-dimethyl-3,4-dihydroisoquinolin-1-yl)quinoline;
3,3-dimethyl-1-(quinolin-2-yl)-3,4-dihydroisoquinoline-5-carbonitrile;
2-(6,7-dimethoxy-3,3-dimethyl-3,4-dihydroisoquinolin-1-yl)quinoline;
2-(7-bromo-3,3-dimethyl-3,4-dihydroisoquinolin-1-yl)quinoline;
2-(7-chloro-3,3,4-trimethyl-3,4-dihydroisoquinolin-1-yl)quinoline;
2-(7-fluoro-3,3-dimethyl-3,4-dihydroisoquinolin-1-yl)quinoline;
2-(3,3-dimethyl-5-(trifluoromethyl)-3,4-dihydroisoquinolin-1-yl)quinoline;
2-(7-chloro-3,3-dimethyl-3,4-dihydroisoquinolin-1-yl)quinoline;
2-(5-fluoro-3,3,4-trimethyl-3,4-dihydroisoquinolin-1-yl)quinoline;
2-(3-ethyl-7-fluoro-3-methyl-3,4-dihydroisoquinolin-1-yl)quinoline;
2-(7-chloro-4,4-difluoro-3,3-dimethyl-3,4-dihydroisoquinolin-1-yl)quinoline;
2-(6-fluoro-3,3,4,4-tetramethyl-3,4-dihydroisoquinolin-1-yl)quinoline;
2-(6-fluoro-3,3,4,5-tetramethyl-3,4-dihydroisoquinolin-1-yl)quinoline;
2-(6-fluoro-3,3,5-trimethyl-3,4-dihydroisoquinolin-1-yl)quinoline;
2-(7-fluoro-3,3,4,4-tetramethyl-3,4-dihydroisoquinolin-1-yl)quinoline;
2-(6-chloro-3,3-dimethyl-3,4-dihydroisoquinolin-1-yl)quinoline;
2-(6-fluoro-3,3,4-trimethyl-3,4-dihydroisoquinolin-1-yl)quinoline;
2-(3,3,4-trimethyl-5-(trifluoromethyl)-3,4-dihydroisoquinolin-1-yl)quinoline;
2-(5,6-difluoro-3,3,4-trimethyl-3,4-dihydroisoquinolin-1-yl)quinoline;
2-(3,3,6-trimethyl-3,4-dihydroisoquinolin-1-yl)quinoline;
2-(5-chloro-3,3,4-trimethyl-3,4-dihydroisoquinolin-1-yl)quinoline;
2-(3,3-dimethyl-6-(trifluoromethoxy)-3,4-dihydroisoquinolin-1-yl)quinoline;
2-(3,3-dimethyl-3,4-dihydroisoquinolin-1-yl)-4-methoxyquinoline;
4-methoxy-2-(3,3,4,4-tetramethyl-3,4-dihydroisoquinolin-1-yl)quinoline;
2-(3,3,4,4-tetramethyl-3,4-dihydroisoquinolin-1-yl)quinolin-4-ol;
2-(6-bromo-3,3,4,4-tetramethyl-3,4-dihydroisoquinolin-1-yl)quinoline;
2-(3,3,4,4,6-pentamethyl-3,4-dihydroisoquinolin-1-yl)quinoline;
2-(6-bromo-3,3-dimethyl-3,4-dihydroisoquinolin-1-yl)quinoline;
2-(6-fluoro-3,3-dimethyl-3,4-dihydroisoquinolin-1-yl)-4-methoxyquinoline;
2-(6-bromo-3,3-diethyl-3,4-dihydroisoquinolin-1-yl)quinoline;
2-(6-(difluoromethyl)-3,3,4,4-tetramethyl-3,4-dihydroisoquinolin-1-yl)quinoline;
2-(5-chloro-3-ethyl-3-methyl-3,4-dihydroisoquinolin-1-yl)quinoline;
2-(3,3,7-trimethyl-3,4-dihydroisoquinolin-1-yl)quinoline;
6,6-dimethyl-4-(quinolin-2-yl)-6,7-dihydrothieno[3,2-c]pyridine;
3,3-dimethyl-1-(quinolin-2-yl)-3,4-dihydrobenzo[h]isoquinoline;
2-(5-fluoro-3,3,4,4-tetramethyl-3,4-dihydroisoquinolin-1-yl)quinoline;
1-(imidazo[1,2-a]pyridin-6-yl)-3,3-dimethyl-3,4-dihydroisoquinoline;
7-(imidazo[1,2-a]pyrimidin-6-yl)-5,5-dimethyl-4,5-dihydrothieno[2,3-c]pyridine;
7-(imidazo[1,2-a]pyrimidin-6-yl)-4,4,5,5-tetramethyl-4,5-dihydrothieno[2,3-c]pyridine;
7-(imidazo[1,2-a]pyrimidin-6-yl)-4,5,5-trimethyl-4,5-dihydrothieno[2,3-c]pyridine;
5,5-dimethyl-7-(pyrrolo[1,2-b]pyridazin-3-yl)-4,5-dihydrothieno[2,3-c]pyridine;
4,4,5,5-tetramethyl-7-(pyrrolo[1,2-b]pyridazin-3-yl)-4,5-dihydrothieno[2,3-c]pyridine;
4,5,5-trimethyl-7-(pyrrolo[1,2-b]pyridazin-3-yl)-4,5-dihydrothieno[2,3-c]pyridine;
5,5-diethyl-7-(pyrrolo[1,2-b]pyridazin-3-yl)-4,5-dihydrothieno[2,3-c]pyridine;
5-ethyl-4,4-dimethyl-7-(pyrrolo[1,2-b]pyridazin-3-yl)-4,5-dihydrothieno[2,3-c]pyridine;
7-(7-fluoropyrrolo[1,2-b]pyridazin-3-yl)-4,4,5,5-tetramethyl-4,5-dihydrothieno[2,3-c]pyridine; 7-(7-fluoropyrrolo[1,2-b]pyridazin-3-yl)-4,5,5-trimethyl-4,5-dihydrothieno[2,3-c]pyridine;
7-(5,7-difluoropyrrolo[1,2-b]pyridazin-3-yl)-4,4,5,5-tetramethyl-4,5-dihydrothieno[2,3- c]pyridine;
7-(7-fluoropyrrolo[1,2-b]pyridazin-3-yl)-5,5-dimethyl-4,5-dihydrothieno[2,3-c]pyridine;
7-(7-bromopyrrolo[1,2-b]pyridazin-3-yl)-4,4,5,5-tetramethyl-4,5-dihydrothieno[2,3-c]pyridine; 7-(5-bromopyrrolo[1,2-b]pyridazin-3-yl)-4,4,5,5-tetramethyl-4,5-dihydrothieno[2,3-c]pyridine; 7-(5,7-dibromopyrrolo[1,2-b]pyridazin-3-yl)-4,4,5,5-tetramethyl-4,5-dihydrothieno[2,3- c]pyridine;
7-(5,7-dimethylpyrrolo[1,2-b]pyridazin-3-yl)-4,5,5-trimethyl-4,5-dihydrothieno[2,3-c]pyridine; 7-(5,7-dimethylpyrrolo[1,2-b]pyridazin-3-yl)-4,4,5,5-tetramethyl-4,5-dihydrothieno[2,3- c]pyridine;
7-(5,7-dichloropyrrolo[1,2-b]pyridazin-3-yl)-5,5-dimethyl-4,5-dihydrothieno[2,3-c]pyridine; 7-(7-chloropyrrolo[1,2-b]pyridazin-3-yl)-5,5-dimethyl-4,5-dihydrothieno[2,3-c]pyridine;
7-(7-chloropyrrolo[1,2-b]pyridazin-3-yl)-4,4,5,5-tetramethyl-4,5-dihydrothieno[2,3-c]pyridine; 7-(5,7-dichloropyrrolo[1,2-b]pyridazin-3-yl)-4,5,5-trimethyl-4,5-dihydrothieno[2,3-c]pyridine; 7-(5,7-dicyclopropylpyrrolo[1,2-b]pyridazin-3-yl)-5,5-dimethyl-4,5-dihydrothieno[2,3- c]pyridine;
5,5-dimethyl-7-(pyrrolo[1,2-a]pyrimidin-3-yl)-4,5-dihydrothieno[2,3-c]pyridine;
4,4,5,5-tetramethyl-7-(pyrrolo[1,2-a]pyrimidin-3-yl)-4,5-dihydrothieno[2,3-c]pyridine;
5,5-dimethyl-7-(pyrazolo[1,5-a]pyrimidin-6-yl)-4,5-dihydrothieno[2,3-c]pyridine;
4,4,5,5-tetramethyl-7-(pyrazolo[1,5-a]pyrimidin-6-yl)-4,5-dihydrothieno[2,3-c]pyridine;
7-(3-iodopyrazolo[1,5-a]pyrimidin-6-yl)-4,4,5,5-tetramethyl-4,5-dihydrothieno[2,3-c]pyridine; 7-(3-chloropyrazolo[1,5-a]pyrimidin-6-yl)-4,4,5,5-tetramethyl-4,5-dihydrothieno[2,3-c]pyridine; 7-(3-bromopyrazolo[1,5-a]pyrimidin-6-yl)-4,4,5,5-tetramethyl-4,5-dihydrothieno[2,3-c]pyridine; 3,3-dimethyl-3,4-dihydro-1,3'-biisoquinoline;
3,3,4,4-tetramethyl-3,4-dihydro-1,3'-biisoquinoline;
3-(6-fluoro-3,3,4,4-tetramethyl-3,4-dihydroisoquinolin-1-yl)cinnoline;
3-(3,3,6-trimethyl-3,4-dihydroisoquinolin-1-yl)cinnoline;
3-(6-fluoro-3,3,5-trimethyl-3,4-dihydroisoquinolin-1-yl)cinnoline;
3-(4-ethyl-3,3-dimethyl-3,4-dihydroisoquinolin-1-yl)cinnoline;
3-(3,3-dimethyl-3,4-dihydroisoquinolin-1-yl)cinnoline;
3-(6-bromo-3,3,4,4-tetramethyl-3,4-dihydroisoquinolin-1-yl)cinnoline;
3-(6-fluoro-3,3-dimethyl-3,4-dihydroisoquinolin-1-yl)cinnoline;
3-(6-bromo-3,3-dimethyl-3,4-dihydroisoquinolin-1-yl)cinnoline;
3-(3,3,4,4-tetramethyl-3,4-dihydroisoquinolin-1-yl)cinnoline;
3-(4-bromo-6-fluoro-3,3-dimethyl-3,4-dihydroisoquinolin-1-yl)cinnoline;
3-(3,3,4,4,6-pentamethyl-3,4-dihydroisoquinolin-1-yl)cinnoline;
3-(5-bromo-3-ethyl-3-methyl-3,4-dihydroisoquinolin-1-yl)cinnoline;
3-(4-bromo-3,3-dimethyl-3,4-dihydroisoquinolin-1-yl)cinnoline;
3-(4-bromo-6-fluoro-3,3,5-trimethyl-3,4-dihydroisoquinolin-1-yl)cinnoline;
3-(5-fluoro-3,3-dimethyl-3,4-dihydroisoquinolin-1-yl)cinnoline;
3-(4,4-difluoro-3,3-dimethyl-3,4-dihydroisoquinolin-1-yl)cinnoline;
3-(6-fluoro-4-methoxy-3,3,5-trimethyl-3,4-dihydroisoquinolin-1-yl)cinnoline;
3-(6-bromo-3,3-diethyl-3,4-dihydroisoquinolin-1-yl)cinnoline;
3-(5-bromo-3,3-dimethyl-3,4-dihydroisoquinolin-1-yl)cinnoline;
3-(4,6-dibromo-3,3-dimethyl-3,4-dihydroisoquinolin-1-yl)cinnoline;
3-(4-bromo-5-fluoro-3,3-dimethyl-3,4-dihydroisoquinolin-1-yl)cinnoline;
7-(cinnolin-3-yl)-5,5-dimethyl-4,5-dihydrothieno[2,3-c]pyridine;
7-(cinnolin-3-yl)-4,5,5-trimethyl-4,5-dihydrothieno[2,3-c]pyridine;
7-(cinnolin-3-yl)-4,4,5,5-tetramethyl-4,5-dihydrothieno[2,3-c]pyridine;
3-(4,5-dibromo-3-ethyl-3-methyl-3,4-dihydroisoquinolin-1-yl)cinnoline;
3-(3-ethyl-3-methyl-3,4-dihydroisoquinolin-1-yl)cinnoline;
3-(3,3,4-trimethyl-3,4-dihydroisoquinolin-1-yl)cinnoline;
3-(5-chloro-3-ethyl-3-methyl-3,4-dihydroisoquinolin-1-yl)cinnoline;
3-(3,3-dimethyl-5-(trifluoromethyl)-3,4-dihydroisoquinolin-1-yl)cinnoline;
3-(5-fluoro-3,3,4-trimethyl-3,4-dihydroisoquinolin-1-yl)cinnoline;
3-(3,3-dimethyl-6-(trifluoromethyl)-3,4-dihydroisoquinolin-1-yl)cinnoline;
3-(5-chloro-3,3,4-trimethyl-3,4-dihydroisoquinolin-1-yl)cinnoline;
3-(5-fluoro-3,3,4,4-tetramethyl-3,4-dihydroisoquinolin-1-yl)cinnoline;
3-(6-fluoro-3,3,4,5-tetramethyl-3,4-dihydroisoquinolin-1-yl)cinnoline;
3-(6-chloro-3,3-dimethyl-3,4-dihydroisoquinolin-1-yl)cinnoline;
3-(3,3-dimethyl-6-(trifluoromethoxy)-3,4-dihydroisoquinolin-1-yl)cinnoline;
3-(3,3-dimethyl-3,4-dihydroisoquinolin-1-yl)cinnolin-4-amine;
3-(5-chloro-3,3-dimethyl-3,4-dihydroisoquinolin-1-yl)cinnolin-4-amine;
3-(5-fluoro-3,3-dimethyl-3,4-dihydroisoquinolin-1-yl)cinnolin-4-amine;
3-(5-fluoro-3,3-dimethyl-3,4-dihydroisoquinolin-1-yl)-7-methylcinnoline;
7-methyl-3-(3,3,4,4-tetramethyl-3,4-dihydroisoquinolin-1-yl)cinnoline;
3-(5-chloro-3,3-dimethyl-3,4-dihydroisoquinolin-1-yl)-7-methylcinnoline;
3-(6-fluoro-3,3,4,4-tetramethyl-3,4-dihydroisoquinolin-1-yl)cinnolin-4-amine;
3-(6-chloro-3,3-dimethyl-3,4-dihydroisoquinolin-1-yl)-7-methylcinnoline;
3-(3-ethyl-3-methyl-3,4-dihydroisoquinolin-1-yl)-7-methylcinnoline;
3-(6-fluoro-3,3,4,4-tetramethyl-3,4-dihydroisoquinolin-1-yl)-7-methylcinnoline; 3-(3,3-dimethyl-3,4-dihydroisoquinolin-1-yl)-7-methylcinnoline;
3-(3-ethyl-3-methyl-3,4-dihydroisoquinolin-1-yl)-7-fluorocinnoline;
3-(3-ethyl-4,4-difluoro-3-methyl-3,4-dihydroisoquinolin-1-yl)cinnoline;
7-fluoro-3-(5-fluoro-3,3-dimethyl-3,4-dihydroisoquinolin-1-yl)cinnoline;
3-(3,3-dimethyl-3,4-dihydroisoquinolin-1-yl)-7-fluorocinnoline;
7-fluoro-3-(3,3,4,4-tetramethyl-3,4-dihydroisoquinolin-1-yl)cinnoline;
3-(6-bromo-3,3,4-trimethyl-3,4-dihydroisoquinolin-1-yl)cinnoline;
3-(6-bromo-3,3-dimethyl-3,4-dihydroisoquinolin-1-yl)-7-fluorocinnoline;
3-(6-bromo-3,3,4,4-tetramethyl-3,4-dihydroisoquinolin-1-yl)-7-fluorocinnoline; 3-(5-chloro-3-ethyl-3-methyl-3,4-dihydroisoquinolin-1-yl)cinnolin-4-amine;
3-(3,3,4-trimethyl-6-(trifluoromethyl)-3,4-dihydroisoquinolin-1-yl)cinnolin-4-amine; 8-methyl-3-(3,3,5-trimethyl-3,4-dihydroisoquinolin-1-yl)cinnoline;
3-(6-fluoro-3,3,4,4-tetramethyl-3,4-dihydroisoquinolin-1-yl)-8-methylcinnoline; 8-methyl-3-(3,3,4,4-tetramethyl-3,4-dihydroisoquinolin-1-yl)cinnoline;
3-(5-fluoro-3,3,4-trimethyl-3,4-dihydroisoquinolin-1-yl)-8-methylcinnoline;
3-(5-chloro-3,3,4-trimethyl-3,4-dihydroisoquinolin-1-yl)cinnolin-4-amine;
3-(3,3-dimethyl-6-(trifluoromethyl)-3,4-dihydroisoquinolin-1-yl)cinnolin-4-amine; 3-(4,4-difluoro-3,3-dimethyl-3,4-dihydroisoquinolin-1-yl)-7-fluorocinnoline;
3-(6-fluoro-3,3-dimethyl-3,4-dihydroisoquinolin-1-yl)-8-methylcinnoline;
3-(5-fluoro-3,3-dimethyl-3,4-dihydroisoquinolin-1-yl)-8-methylcinnoline;
3-(3,3-dimethyl-3,4-dihydroisoquinolin-1-yl)-8-methylcinnoline;
3-(3-ethyl-4,4-difluoro-3-methyl-3,4-dihydroisoquinolin-1-yl)-7-fluorocinnoline; 3-(3,3-dimethyl-3,4-dihydroisoquinolin-1-yl)benzo[e][1,2,4]triazine;
3-(5-chloro-3,3,4-trimethyl-3,4-dihydroisoquinolin-1-yl)benzo[e][1,2,4]triazine; 3-(5-fluoro-3,3,4-trimethyl-3,4-dihydroisoquinolin-1-yl)benzo[e][1,2,4]triazine;
3-(3,3,4,4-tetramethyl-3,4-dihydroisoquinolin-1-yl)benzo[e][1,2,4]triazine;
3-(6-fluoro-3,3,5-trimethyl-3,4-dihydroisoquinolin-1-yl)benzo[e][1,2,4]triazine;
3-(6-chloro-3,3-dimethyl-3,4-dihydroisoquinolin-1-yl)benzo[e][1,2,4]triazine;
3-(6-bromo-3,3-dimethyl-3,4-dihydroisoquinolin-1-yl)benzo[e][1,2,4]triazine;
3-(3-ethyl-3-methyl-3,4-dihydroisoquinolin-1-yl)benzo[e][1,2,4]triazine;
3-(3,3-dimethyl-6-(trifluoromethoxy)-3,4-dihydroisoquinolin-1-yl)benzo[e][1,2,4]triazine; 3-(3,3,4,4-tetramethyl-6-(trifluoromethyl)-3,4-dihydroisoquinolin-1-yl)benzo[e][1,2,4]triazine; 3-(3,3-dimethyl-5-(trifluoromethyl)-3,4-dihydroisoquinolin-1-yl)benzo[e][1,2,4]triazine;
3-(3,3,6-trimethyl-3,4-dihydroisoquinolin-1-yl)benzo[e][1,2,4]triazine;
3-(6-bromo-3,3,4,4-tetramethyl-3,4-dihydroisoquinolin-1-yl)benzo[e][1,2,4]triazine;
3-(5-bromo-3,3-dimethyl-3,4-dihydroisoquinolin-1-yl)benzo[e][1,2,4]triazine;
3-(5-fluoro-3,3,4,4-tetramethyl-3,4-dihydroisoquinolin-1-yl)benzo[e][1,2,4]triazine;
3-(4,4-difluoro-3,3-dimethyl-3,4-dihydroisoquinolin-1-yl)benzo[e][1,2,4]triazine;
3-(3-ethyl-4,4-difluoro-3-methyl-3,4-dihydroisoquinolin-1-yl)benzo[e][1,2,4]triazine;
3-(6-bromo-3,3,4-trimethyl-3,4-dihydroisoquinolin-1-yl)benzo[e][1,2,4]triazine;
3-(5-bromo-3-ethyl-3-methyl-3,4-dihydroisoquinolin-1-yl)benzo[e][1,2,4]triazine;
7-(benzo[e][1,2,4]triazin-3-yl)-5,5-dimethyl-4,5-dihydrothieno[2,3-c]pyridine;
3-(5-fluoro-3,3-dimethyl-3,4-dihydroisoquinolin-1-yl)benzo[e][1,2,4]triazine;
3-(5-chloro-3,3-dimethyl-3,4-dihydroisoquinolin-1-yl)benzo[e][1,2,4]triazine;
3-(3,3-dimethyl-3,4-dihydroisoquinolin-1-yl)-8-methylbenzo[e][1,2,4]triazine;
8-methyl-3-(3,3,4,4-tetramethyl-3,4-dihydroisoquinolin-1-yl)benzo[e][1,2,4]triazine;
3-(6-chloro-3,3,4,4-tetramethyl-3,4-dihydroisoquinolin-1-yl)-8-methylbenzo[e][1,2,4]triazine; 8-methyl-3-(3,3,6-trimethyl-3,4-dihydroisoquinolin-1-yl)benzo[e][1,2,4]triazine;
8-methyl-3-(3,3,4,5-tetramethyl-3,4-dihydroisoquinolin-1-yl)benzo[e][1,2,4]triazine;
3-(6-fluoro-3,3,5-trimethyl-3,4-dihydroisoquinolin-1-yl)-8-methylbenzo[e][1,2,4]triazine; 3-(7-fluoro-3,3,4,4-tetramethyl-3,4-dihydroisoquinolin-1-yl)-8-methylbenzo[e][1,2,4]triazine; 3-(5-chloro-3,3,4-trimethyl-3,4-dihydroisoquinolin-1-yl)-8-methylbenzo[e][1,2,4]triazine; 3-(6-fluoro-3,3,4,5-tetramethyl-3,4-dihydroisoquinolin-1-yl)-8-methylbenzo[e][1,2,4]triazine; 3-(6-fluoro-3,3-dimethyl-3,4-dihydroisoquinolin-1-yl)-8-methylbenzo[e][1,2,4]triazine;
3-(3,3-dimethyl-6-(trifluoromethoxy)-3,4-dihydroisoquinolin-1-yl)-8- methylbenzo[e][1,2,4]triazine;
3-(5-fluoro-3,3,4-trimethyl-3,4-dihydroisoquinolin-1-yl)-8-methylbenzo[e][1,2,4]triazine; 3-(6-fluoro-3,3,4-trimethyl-3,4-dihydroisoquinolin-1-yl)-8-methylbenzo[e][1,2,4]triazine; 5,6-dimethyl-3-(3,3,4,4-tetramethyl-3,4-dihydroisoquinolin-1-yl)benzo[e][1,2,4]triazine; 3-(3-ethyl-3-methyl-3,4-dihydroisoquinolin-1-yl)-5,6-dimethylbenzo[e][1,2,4]triazine;
3-(5-chloro-3,3,4-trimethyl-3,4-dihydroisoquinolin-1-yl)-5,6-dimethylbenzo[e][1,2,4]triazine; 3-(5-fluoro-3,3-dimethyl-3,4-dihydroisoquinolin-1-yl)-8-methylbenzo[e][1,2,4]triazine;
3-(3-ethyl-3-methyl-3,4-dihydroisoquinolin-1-yl)-8-methylbenzo[e][1,2,4]triazine;
4,4,5,5-tetramethyl-7-(8-methylbenzo[e][1,2,4]triazin-3-yl)-3a,4,5,7a-tetrahydrothieno[2,3- c]pyridine;
2-(3,3-dimethyl-3,4-dihydroisoquinolin-1-yl)quinazoline;
2-(5-fluoro-3,3-dimethyl-3,4-dihydroisoquinolin-1-yl)quinazoline;
2-(4,4-difluoro-3,3-dimethyl-3,4-dihydroisoquinolin-1-yl)quinazoline;
4-chloro-2-(3,3-dimethyl-3,4-dihydroisoquinolin-1-yl)quinazoline;
2-(6-chloro-3,3-dimethyl-3,4-dihydroisoquinolin-1-yl)quinazoline;
2-(6-fluoro-3,3,4,4-tetramethyl-3,4-dihydroisoquinolin-1-yl)quinazoline;
4-chloro-2-(6-fluoro-3,3,4,4-tetramethyl-3,4-dihydroisoquinolin-1-yl)quinazoline;
2-(6-bromo-3,3-dimethyl-3,4-dihydroisoquinolin-1-yl)quinazoline;
2-(6-fluoro-3,3,5-trimethyl-3,4-dihydroisoquinolin-1-yl)quinazoline;
2-(3,3-dimethyl-6-(trifluoromethyl)-3,4-dihydroisoquinolin-1-yl)quinazoline;
2-(6-chloro-3,3,4,4-tetramethyl-3,4-dihydroisoquinolin-1-yl)quinazoline;
4-chloro-2-(3,3,5-trimethyl-3,4-dihydroisoquinolin-1-yl)quinazoline;
4-chloro-2-(6-chloro-3,3-dimethyl-3,4-dihydroisoquinolin-1-yl)quinazoline;
7-(4-chloroquinazolin-2-yl)-4,4,5,5-tetramethyl-4,5-dihydrothieno[2,3-c]pyridine;
4-chloro-2-(3,3-dimethyl-5-(trifluoromethyl)-3,4-dihydroisoquinolin-1-yl)quinazoline; 4-chloro-2-(6-chloro-3,3,4,4-tetramethyl-3,4-dihydroisoquinolin-1-yl)quinazoline;
4-chloro-2-(3,3,4,4,6-pentamethyl-3,4-dihydroisoquinolin-1-yl)quinazoline;
4-chloro-2-(3,3-dimethyl-6-(trifluoromethyl)-3,4-dihydroisoquinolin-1-yl)quinazoline; 2-(6-chloro-3,3,4,4-tetramethyl-3,4-dihydroisoquinolin-1-yl)-4-(methylthio)quinazoline; 2-(3,3-dimethyl-6-(trifluoromethyl)-3,4-dihydroisoquinolin-1-yl)quinazolin-4-ol;
2-(6-fluoro-3,3,4,4-tetramethyl-3,4-dihydroisoquinolin-1-yl)-4-(methylthio)quinazoline; 4-bromo-2-(3,3,4,4-tetramethyl-3,4-dihydroisoquinolin-1-yl)quinazoline;
4-chloro-2-(3,3,4,4-tetramethyl-3,4-dihydroisoquinolin-1-yl)quinazoline;
4-methyl-2-(3,3,4,4-tetramethyl-3,4-dihydroisoquinolin-1-yl)quinazoline;
4-cyclopropyl-2-(3,3,4,4-tetramethyl-3,4-dihydroisoquinolin-1-yl)quinazoline;
4-phenyl-2-(3,3,4,4-tetramethyl-3,4-dihydroisoquinolin-1-yl)quinazoline;
N,N-dimethyl-2-(3,3,4,4-tetramethyl-3,4-dihydroisoquinolin-1-yl)quinazolin-4-amine; 2-(3,3,4,4-tetramethyl-3,4-dihydroisoquinolin-1-yl)quinazolin-4-amine;
2-(3,3,4,4-tetramethyl-3,4-dihydroisoquinolin-1-yl)quinazoline-4(3H)-thione;
4-(methylthio)-2-(3,3,4,4-tetramethyl-3,4-dihydroisoquinolin-1-yl)quinazoline;
2-(3,3,4,4-tetramethyl-3,4-dihydroisoquinolin-1-yl)quinazolin-4(3H)-one;
2-(3,3-dimethyl-3,4-dihydroisoquinolin-1-yl)-4-(methylthio)quinazoline;
2-(4,4-difluoro-3,3-dimethyl-3,4-dihydroisoquinolin-1-yl)quinazolin-4(3H)-one;
2-(3,3,4,4-tetramethyl-3,4-dihydroisoquinolin-1-yl)quinazoline-4-carbonitrile;
4-methoxy-2-(3,3,4,4-tetramethyl-3,4-dihydroisoquinolin-1-yl)quinazoline;
2-(4,4-difluoro-3,3-dimethyl-3,4-dihydroisoquinolin-1-yl)-4-(methylthio)quinazoline; 2-(4,4-difluoro-3,3-dimethyl-3,4-dihydroisoquinolin-1-yl)quinazolin-4-amine;
7-(benzo[e][1,2,4]triazin-3-yl)-4,5,5-trimethyl-4,5-dihydrothieno[2,3-c]pyridine;
3-(3-ethyl-5-fluoro-3-methyl-3,4-dihydroisoquinolin-1-yl)benzo[e][1,2,4]triazine;
7-(benzo[e][1,2,4]triazin-3-yl)-4,4,5,5-tetramethyl-4,5-dihydrothieno[2,3-c]pyridine;
3-(6-chloro-3,3,4,4-tetramethyl-3,4-dihydroisoquinolin-1-yl)benzo[e][1,2,4]triazine;
3-(6-fluoro-3,3,4-trimethyl-3,4-dihydroisoquinolin-1-yl)benzo[e][1,2,4]triazine;
3-(3,3,4,5-tetramethyl-3,4-dihydroisoquinolin-1-yl)benzo[e][1,2,4]triazine;
3-(6-fluoro-3,3-dimethyl-3,4-dihydroisoquinolin-1-yl)benzo[e][1,2,4]triazine;
3-(5-bromo-3,3,4-trimethyl-3,4-dihydroisoquinolin-1-yl)benzo[e][1,2,4]triazine;
3-(7-bromo-3,3-dimethyl-3,4-dihydroisoquinolin-1-yl)benzo[e][1,2,4]triazine;
3-(3,3-dimethyl-3,4-dihydroisoquinolin-1-yl)-5,6-dimethylbenzo[e][1,2,4]triazine;
5,6-dimethyl-3-(3,3,4,5-tetramethyl-3,4-dihydroisoquinolin-1-yl)benzo[e][1,2,4]triazine; 3-(6-chloro-3,3-dimethyl-3,4-dihydroisoquinolin-1-yl)-5,6-dimethylbenzo[e][1,2,4]triazine; 3-(5-chloro-3,3-dimethyl-3,4-dihydroisoquinolin-1-yl)-5,6-dimethylbenzo[e][1,2,4]triazine; 3-(6-fluoro-3,3-dimethyl-3,4-dihydroisoquinolin-1-yl)-5,6-dimethylbenzo[e][1,2,4]triazine; 1'-(benzo[e][1,2,4]triazin-3-yl)-4'H-spiro[cyclobutane-1,3'-isoquinoline];
3-(3-ethyl-5-fluoro-3-methyl-3,4-dihydroisoquinolin-1-yl)cinnoline;
3-(3,3,4,4-tetramethyl-6-(trifluoromethyl)-3,4-dihydroisoquinolin-1-yl)cinnoline;
3-(5-chloro-3,3-dimethyl-3,4-dihydroisoquinolin-1-yl)cinnoline;
3-(6-chloro-3,3,4,4-tetramethyl-3,4-dihydroisoquinolin-1-yl)cinnoline;
3-(6-fluoro-3,3,4-trimethyl-3,4-dihydroisoquinolin-1-yl)cinnoline;
3-(3,3,4,5-tetramethyl-3,4-dihydroisoquinolin-1-yl)cinnoline;
3-(7-bromo-3,3-dimethyl-3,4-dihydroisoquinolin-1-yl)cinnoline;
3-(5-bromo-3,3,4-trimethyl-3,4-dihydroisoquinolin-1-yl)cinnoline;
8-methyl-3-(3,3,4,4-tetramethyl-6-(trifluoromethyl)-3,4-dihydroisoquinolin-1-yl)cinnoline; 3-(3,3-dimethyl-5-(trifluoromethyl)-3,4-dihydroisoquinolin-1-yl)-8-methylcinnoline;
8-methyl-3-(3,3,4-trimethyl-6-(trifluoromethyl)-3,4-dihydroisoquinolin-1-yl)cinnoline;
3-(3-ethyl-3-methyl-3,4-dihydroisoquinolin-1-yl)-8-methylcinnoline;
8-methyl-3-(3,3,4-trimethyl-5-(trifluoromethyl)-3,4-dihydroisoquinolin-1-yl)cinnoline;
7-fluoro-3-(6-fluoro-3,3-dimethyl-3,4-dihydroisoquinolin-1-yl)cinnoline;
3-(6-fluoro-3,3-dimethyl-3,4-dihydroisoquinolin-1-yl)-7-methylcinnoline;
1'-(8-methylcinnolin-3-yl)-4'H-spiro[cyclobutane-1,3'-isoquinoline];
8-methyl-3-(3,3,4,5-tetramethyl-3,4-dihydroisoquinolin-1-yl)cinnoline;
4,5,5-trimethyl-7-(pyrazolo[1,5-a]pyrimidin-6-yl)-4,5-dihydrothieno[2,3-c]pyridine;
7-(5,7-dibromopyrrolo[1,2-b]pyridazin-3-yl)-4,4-difluoro-5,5-dimethyl-4,5-dihydrothieno[2,3- c]pyridine;
6,6,7,7-tetramethyl-4-(quinoxalin-2-yl)-6,7-dihydrothieno[3,4-c]pyridine;
7,7-difluoro-6,6-dimethyl-4-(quinoxalin-2-yl)-6,7-dihydrothieno[3,4-c]pyridine;
6,6,7,7-tetramethyl-4-(quinoxalin-2-yl)-6,7-dihydrothieno[3,2-c]pyridine;
7,7-difluoro-6,6-dimethyl-4-(quinoxalin-2-yl)-6,7-dihydrothieno[3,2-c]pyridine;
4,4,5,5-tetramethyl-7-(quinoxalin-2-yl)-4,5-dihydrofuro[2,3-c]pyridine;
4,4-difluoro-5,5-dimethyl-7-(quinoxalin-2-yl)-4,5-dihydrofuro[2,3-c]pyridine;
6,6,7,7-tetramethyl-4-(quinoxalin-2-yl)-6,7-dihydrofuro[3,4-c]pyridine;
7,7-difluoro-6,6-dimethyl-4-(quinoxalin-2-yl)-6,7-dihydrofuro[3,4-c]pyridine;
6,6,7,7-tetramethyl-4-(quinoxalin-2-yl)-6,7-dihydrofuro[3,2-c]pyridine;
7,7-difluoro-6,6-dimethyl-4-(quinoxalin-2-yl)-6,7-dihydrofuro[3,2-c]pyridine;
2-(4,4,5,5-tetramethyl-4,5-dihydro-1H-pyrrolo[2,3-c]pyridin-7-yl)quinoxaline;
2-(1,4,4,5,5-pentamethyl-4,5-dihydro-1H-pyrrolo[2,3-c]pyridin-7-yl)quinoxaline;
2-(6,6,7,7-tetramethyl-6,7-dihydro-3H-imidazo[4,5-c]pyridin-4-yl)quinoxaline;
2-(3,6,6,7,7-pentamethyl-6,7-dihydro-3H-imidazo[4,5-c]pyridin-4-yl)quinoxaline;
2-(4,4,5,5-tetramethyl-4,5-dihydro-1H-pyrazolo[3,4-c]pyridin-7-yl)quinoxaline;
2-(1,4,4,5,5-pentamethyl-4,5-dihydro-1H-pyrazolo[3,4-c]pyridin-7-yl)quinoxaline;
2-(4,4-difluoro-5,5-dimethyl-4,5-dihydro-1H-pyrrolo[2,3-c]pyridin-7-yl)quinoxaline;
2-(4,4-difluoro-1,5,5-trimethyl-4,5-dihydro-1H-pyrrolo[2,3-c]pyridin-7-yl)quinoxaline;
2-(7,7-difluoro-6,6-dimethyl-6,7-dihydro-3H-imidazo[4,5-c]pyridin-4-yl)quinoxaline;
2-(7,7-difluoro-3,6,6-trimethyl-6,7-dihydro-3H-imidazo[4,5-c]pyridin-4-yl)quinoxaline;
2-(4,4-difluoro-5,5-dimethyl-4,5-dihydro-1H-pyrazolo[3,4-c]pyridin-7-yl)quinoxaline;
2-(4,4-difluoro-1,5,5-trimethyl-4,5-dihydro-1H-pyrazolo[3,4-c]pyridin-7-yl)quinoxaline; 2-(6,6,7,7-tetramethyl-6,7-dihydro-2H-pyrrolo[3,4-c]pyridin-4-yl)quinoxaline;
2-(7,7-difluoro-6,6-dimethyl-6,7-dihydro-2H-pyrrolo[3,4-c]pyridin-4-yl)quinoxaline;
2-(2,6,6,7,7-pentamethyl-6,7-dihydro-2H-pyrrolo[3,4-c]pyridin-4-yl)quinoxaline;
2-(7,7-difluoro-2,6,6-trimethyl-6,7-dihydro-2H-pyrrolo[3,4-c]pyridin-4-yl)quinoxaline;
2-(6,6,7,7-tetramethyl-6,7-dihydro-1H-pyrrolo[3,2-c]pyridin-4-yl)quinoxaline;
2-(1,6,6,7,7-pentamethyl-6,7-dihydro-1H-pyrrolo[3,2-c]pyridin-4-yl)quinoxaline;
2-(7,7-difluoro-6,6-dimethyl-6,7-dihydro-1H-pyrrolo[3,2-c]pyridin-4-yl)quinoxaline;
2-(7,7-difluoro-1,6,6-trimethyl-6,7-dihydro-1H-pyrrolo[3,2-c]pyridin-4-yl)quinoxaline;
2-(6,6,7,7-tetramethyl-6,7-dihydro-1H-pyrazolo[4,3-c]pyridin-4-yl)quinoxaline;
2-(1,6,6,7,7-pentamethyl-6,7-dihydro-1H-pyrazolo[4,3-c]pyridin-4-yl)quinoxaline;
2-(7,7-difluoro-6,6-dimethyl-6,7-dihydro-1H-pyrazolo[4,3-c]pyridin-4-yl)quinoxaline;
2-(7,7-difluoro-1,6,6-trimethyl-6,7-dihydro-1H-pyrazolo[4,3-c]pyridin-4-yl)quinoxaline;
2-(6,6,7,7-tetramethyl-6,7-dihydro-2H-pyrazolo[4,3-c]pyridin-4-yl)quinoxaline;
2-(2,6,6,7,7-pentamethyl-6,7-dihydro-2H-pyrazolo[4,3-c]pyridin-4-yl)quinoxaline;
2-(7,7-difluoro-6,6-dimethyl-6,7-dihydro-2H-pyrazolo[4,3-c]pyridin-4-yl)quinoxaline;
2-(7,7-difluoro-2,6,6-trimethyl-6,7-dihydro-2H-pyrazolo[4,3-c]pyridin-4-yl)quinoxaline;
2-(4,4,5,5-tetramethyl-4,5-dihydro-2H-pyrazolo[3,4-c]pyridin-7-yl)quinoxaline;
2-(2,4,4,5,5-pentamethyl-4,5-dihydro-2H-pyrazolo[3,4-c]pyridin-7-yl)quinoxaline;
2-(4,4-difluoro-5,5-dimethyl-4,5-dihydro-2H-pyrazolo[3,4-c]pyridin-7-yl)quinoxaline;
2-(4,4-difluoro-2,5,5-trimethyl-4,5-dihydro-2H-pyrazolo[3,4-c]pyridin-7-yl)quinoxaline;
2-(5,5,6,6-tetramethyl-5,6-dihydro-1,7-naphthyridin-8-yl)quinoxaline;
2-(5,5-difluoro-6,6-dimethyl-5,6-dihydro-1,7-naphthyridin-8-yl)quinoxaline;
2-(3,3,4,4-tetramethyl-3,4-dihydro-2,7-naphthyridin-1-yl)quinoxaline;
2-(4,4-difluoro-3,3-dimethyl-3,4-dihydro-2,7-naphthyridin-1-yl)quinoxaline;
2-(3,3,4,4-tetramethyl-3,4-dihydro-2,6-naphthyridin-1-yl)quinoxaline;
2-(4,4-difluoro-3,3-dimethyl-3,4-dihydro-2,6-naphthyridin-1-yl)quinoxaline;
2-(7,7,8,8-tetramethyl-7,8-dihydro-1,6-naphthyridin-5-yl)quinoxaline;
2-(8,8-difluoro-7,7-dimethyl-7,8-dihydro-1,6-naphthyridin-5-yl)quinoxaline;
7-(5-fluoroquinoxalin-2-yl)-4,4,5,5-tetramethyl-4,5-dihydrothieno[2,3-c]pyridine;
4,4-difluoro-7-(5-fluoroquinoxalin-2-yl)-5,5-dimethyl-4,5-dihydrothieno[2,3-c]pyridine;
5-ethyl-5-methyl-7-(quinoxalin-2-yl)-4,5-dihydrothieno[2,3-c]pyridine;
5-ethyl-4,4-difluoro-5-methyl-7-(quinoxalin-2-yl)-4,5-dihydrothieno[2,3-c]pyridine;
5,5-diethyl-4,4-difluoro-7-(quinoxalin-2-yl)-4,5-dihydrothieno[2,3-c]pyridine;
5-ethyl-7-(5-fluoroquinoxalin-2-yl)-5-methyl-4,5-dihydrothieno[2,3-c]pyridine;
5-ethyl-4,4-difluoro-7-(5-fluoroquinoxalin-2-yl)-5-methyl-4,5-dihydrothieno[2,3-c]pyridine; 5,5-diethyl-7-(5-fluoroquinoxalin-2-yl)-4,5-dihydrothieno[2,3-c]pyridine;
5,5-diethyl-4,4-difluoro-7-(5-fluoroquinoxalin-2-yl)-4,5-dihydrothieno[2,3-c]pyridine;
7-(5,6-difluoroquinoxalin-2-yl)-4,4,5,5-tetramethyl-4,5-dihydrothieno[2,3-c]pyridine;
7-(5,6-difluoroquinoxalin-2-yl)-4,4-difluoro-5,5-dimethyl-4,5-dihydrothieno[2,3-c]pyridine; 7-(5,6-difluoroquinoxalin-2-yl)-5,5-diethyl-4,5-dihydrothieno[2,3-c]pyridine;
7-(5,6-difluoroquinoxalin-2-yl)-5,5-diethyl-4,4-difluoro-4,5-dihydrothieno[2,3-c]pyridine; 4,4,5,5-tetramethyl-7-(3-methylquinoxalin-2-yl)-4,5-dihydrothieno[2,3-c]pyridine;
4,4-difluoro-5,5-dimethyl-7-(3-methylquinoxalin-2-yl)-4,5-dihydrothieno[2,3-c]pyridine;
7-(5-fluoro-3-methylquinoxalin-2-yl)-4,4,5,5-tetramethyl-4,5-dihydrothieno[2,3-c]pyridine; 7-(5,6-difluoro-3-methylquinoxalin-2-yl)-4,4,5,5-tetramethyl-4,5-dihydrothieno[2,3-c]pyridine; 2-(3,3,4,4-tetramethyl-3,4-dihydroisoquinolin-1-yl)thieno[2,3-b]pyrazine;
2-(4,4-difluoro-3,3-dimethyl-3,4-dihydroisoquinolin-1-yl)thieno[2,3-b]pyrazine;
2-(3-ethyl-3-methyl-3,4-dihydroisoquinolin-1-yl)thieno[2,3-b]pyrazine;
2-(3-ethyl-4,4-difluoro-3-methyl-3,4-dihydroisoquinolin-1-yl)thieno[2,3-b]pyrazine;
3-(3,3,4,4-tetramethyl-3,4-dihydroisoquinolin-1-yl)pyrido[2,3-b]pyrazine;
3-(4,4-difluoro-3,3-dimethyl-3,4-dihydroisoquinolin-1-yl)pyrido[2,3-b]pyrazine;
2-(3,3,4,4-tetramethyl-3,4-dihydroisoquinolin-1-yl)pyrido[2,3-b]pyrazine;
2-(4,4-difluoro-3,3-dimethyl-3,4-dihydroisoquinolin-1-yl)pyrido[2,3-b]pyrazine;
6,6,7,7-tetramethyl-4-(quinoxalin-2-yl)-6,7-dihydrothiazolo[5,4-c]pyridine;
6,6,7,7-tetramethyl-4-(quinoxalin-2-yl)-6,7-dihydrooxazolo[5,4-c]pyridine;
4,4,5,5-tetramethyl-7-(quinoxalin-2-yl)-4,5-dihydroisoxazolo[5,4-c]pyridine;
4,4,5,5-tetramethyl-7-(quinoxalin-2-yl)-4,5-dihydroisothiazolo[5,4-c]pyridine;
5,5,6,6-tetramethyl-8-(quinoxalin-2-yl)-5,6-dihydropyrido[3,4-c]pyridazine;
5,5,6,6-tetramethyl-8-(quinoxalin-2-yl)-5,6-dihydropyrido[3,4-d]pyrimidine 7,7,8,8-tetramethyl-5-(quinoxalin-2-yl)-7,8-dihydropyrido[3,4-b]pyrazine;
2-(3,3,4,4-tetramethyl-3,4-dihydroisoquinolin-1-yl)furo[2,3-b]pyrazine;
2-(3,3,4,4-tetramethyl-3,4-dihydroisoquinolin-1-yl)-5,6,7,8-tetrahydroquinoxaline;
2-(3,3,4,4-tetramethyl-3,4-dihydroisoquinolin-1-yl)-5,8-dihydroquinoxaline;
1-(5H-cyclopenta[b]pyrazin-2-yl)-3,3,4,4-tetramethyl-3,4-dihydroisoquinoline;
3-(3,3,4,4-tetramethyl-3,4-dihydroisoquinolin-1-yl)thieno[2,3-b]pyrazine;
2-(5-bromo-3,3,4,4-tetramethyl-3,4-dihydroisoquinolin-1-yl)quinoline;
2-(3,3,4,4-tetramethyl-5-(trifluoromethyl)-3,4-dihydroisoquinolin-1-yl)quinoline;
2-(4,4,6-trifluoro-3,3-dimethyl-3,4-dihydroisoquinolin-1-yl)quinoline;
2-(4,6-difluoro-3,3-dimethyl-3,4-dihydroisoquinolin-1-yl)quinoline;
6-fluoro-3,3-dimethyl-1-(quinolin-2-yl)isoquinolin-4(3H)-one;
2-(6-chloro-3,3,4-trimethyl-3,4-dihydroisoquinolin-1-yl)quinoline;
2-(6-chloro-3,3,4,4-tetramethyl-3,4-dihydroisoquinolin-1-yl)quinoline;
2-(3,3,4,6-tetramethyl-3,4-dihydroisoquinolin-1-yl)quinoline;
2-(5,6-difluoro-3,3,4,4-tetramethyl-3,4-dihydroisoquinolin-1-yl)quinoline;
2-(6-chloro-4,4-difluoro-3,3-dimethyl-3,4-dihydroisoquinolin-1-yl)quinoline;
2-(6-bromo-4,4-difluoro-3,3-dimethyl-3,4-dihydroisoquinolin-1-yl)quinoline;
2-(6-bromo-3,3,4-trimethyl-3,4-dihydroisoquinolin-1-yl)quinoline;
2-(3,3-dimethyl-3,4-dihydroisoquinolin-1-yl)-5-fluoroquinoline;
5-fluoro-2-(3,3,4,4-tetramethyl-3,4-dihydroisoquinolin-1-yl)quinoline;
2-(4,4-difluoro-3,3-dimethyl-3,4-dihydroisoquinolin-1-yl)-5-fluoroquinoline;
5-fluoro-2-(5-fluoro-3,3,4,4-tetramethyl-3,4-dihydroisoquinolin-1-yl)quinoline;
5-fluoro-2-(6-fluoro-3,3,4,4-tetramethyl-3,4-dihydroisoquinolin-1-yl)quinoline;
2-(5-chloro-3,3,4,4-tetramethyl-3,4-dihydroisoquinolin-1-yl)-5-fluoroquinoline;
2-(5-chloro-3,3,4-trimethyl-3,4-dihydroisoquinolin-1-yl)-5-fluoroquinoline;
5-fluoro-2-(5-fluoro-3,3-dimethyl-3,4-dihydroisoquinolin-1-yl)quinoline;
5-fluoro-2-(5-fluoro-3,3,4-trimethyl-3,4-dihydroisoquinolin-1-yl)quinoline;
2-(4,4,5-trifluoro-3,3-dimethyl-3,4-dihydroisoquinolin-1-yl)quinoline;
2-(5-chloro-4,4-difluoro-3,3-dimethyl-3,4-dihydroisoquinolin-1-yl)quinoline;
2-(4,4-difluoro-3,3-dimethyl-5-(trifluoromethyl)-3,4-dihydroisoquinolin-1-yl)quinoline; 2-(5-bromo-4,4-difluoro-3,3-dimethyl-3,4-dihydroisoquinolin-1-yl)quinoline;
2-(4,4-difluoro-3,3,5-trimethyl-3,4-dihydroisoquinolin-1-yl)quinoline;
5-fluoro-2-(6-fluoro-3,3,4-trimethyl-3,4-dihydroisoquinolin-1-yl)quinoline;
2-(3-ethyl-4,4-difluoro-3-methyl-3,4-dihydroisoquinolin-1-yl)quinoline;
2-(6-fluoro-3,3,4,4,5-pentamethyl-3,4-dihydroisoquinolin-1-yl)quinoline;
2-(5,6-difluoro-3,3,4,4-tetramethyl-3,4-dihydroisoquinolin-1-yl)quinoline;
2-(5-fluoro-3,3,4,4-tetramethyl-3,4-dihydroisoquinolin-1-yl)-4-methoxyquinoline;
2-(4,4-difluoro-3,3-dimethyl-3,4-dihydroisoquinolin-1-yl)-4-methoxyquinoline;
2-(4,4-difluoro-3,3-dimethyl-3,4-dihydroisoquinolin-1-yl)quinolin-4-ol;
4,4-difluoro-5,5-dimethyl-7-(pyrrolo[1,2-b]pyridazin-3-yl)-4,5-dihydrothieno[2,3-c]pyridine; 4-fluoro-5,5-dimethyl-7-(pyrrolo[1,2-b]pyridazin-3-yl)-4,5-dihydrothieno[2,3-c]pyridine; 4,4-difluoro-7-(7-fluoropyrrolo[1,2-b]pyridazin-3-yl)-5,5-dimethyl-4,5-dihydrothieno[2,3- c]pyridine;
7-(7-chloropyrrolo[1,2-b]pyridazin-3-yl)-4,4-difluoro-5,5-dimethyl-4,5-dihydrothieno[2,3- c]pyridine;
7-(7-chloropyrrolo[1,2-b]pyridazin-3-yl)-4-fluoro-5,5-dimethyl-4,5-dihydrothieno[2,3- c]pyridine;
7-(7-bromopyrrolo[1,2-b]pyridazin-3-yl)-4,4-difluoro-5,5-dimethyl-4,5-dihydrothieno[2,3- c]pyridine;
7-(7-bromopyrrolo[1,2-b]pyridazin-3-yl)-4-fluoro-5,5-dimethyl-4,5-dihydrothieno[2,3- c]pyridine;
4-fluoro-5,5-dimethyl-7-(7-methylpyrrolo[1,2-b]pyridazin-3-yl)-4,5-dihydrothieno[2,3- c]pyridine;
4,4-difluoro-5,5-dimethyl-7-(7-methylpyrrolo[1,2-b]pyridazin-3-yl)-4,5-dihydrothieno[2,3- c]pyridine;
4,4-difluoro-5,5-dimethyl-7-(pyrrolo[1,2-a]pyrimidin-3-yl)-4,5-dihydrothieno[2,3-c]pyridine; 4-fluoro-5,5-dimethyl-7-(pyrrolo[1,2-a]pyrimidin-3-yl)-4,5-dihydrothieno[2,3-c]pyridine;
4,4-difluoro-5,5-dimethyl-7-(pyrazolo[1,5-a]pyrimidin-6-yl)-4,5-dihydrothieno[2,3-c]pyridine; 4,4-difluoro-7-(8-fluoropyrrolo[1,2-a]pyrimidin-3-yl)-5,5-dimethyl-4,5-dihydrothieno[2,3- c]pyridine;
7-(8-fluoropyrrolo[1,2-a]pyrimidin-3-yl)-4,4,5,5-tetramethyl-4,5-dihydrothieno[2,3-c]pyridine; 7-(8-fluoropyrrolo[1,2-a]pyrimidin-3-yl)-4,5,5-trimethyl-4,5-dihydrothieno[2,3-c]pyridine;
4,4-difluoro-7-(imidazo[1,2-a]pyrimidin-6-yl)-5,5-dimethyl-4,5-dihydrothieno[2,3-c]pyridine; 7-(imidazo[1,5-a]pyrimidin-3-yl)-4,4,5,5-tetramethyl-4,5-dihydrothieno[2,3-c]pyridine;
4,4-difluoro-7-(imidazo[1,5-a]pyrimidin-3-yl)-5,5-dimethyl-4,5-dihydrothieno[2,3-c]pyridine; 7-(8-fluoroimidazo[1,5-a]pyrimidin-3-yl)-4,4,5,5-tetramethyl-4,5-dihydrothieno[2,3-c]pyridine; 4,4,5,5-tetramethyl-7-(pyrazolo[1,5-b]pyridazin-5-yl)-4,5-dihydrothieno[2,3-c]pyridine;
4,4-difluoro-5,5-dimethyl-7-(pyrazolo[1,5-b]pyridazin-5-yl)-4,5-dihydrothieno[2,3-c]pyridine; 5-ethyl-5-methyl-7-(pyrrolo[1,2-b]pyridazin-3-yl)-4,5-dihydrothieno[2,3-c]pyridine;
5-ethyl-4,4-difluoro-5-methyl-7-(pyrrolo[1,2-b]pyridazin-3-yl)-4,5-dihydrothieno[2,3-c]pyridine; 3-(5-chloro-3,3,4,4-tetramethyl-3,4-dihydroisoquinolin-1-yl)cinnoline;
3-(5-bromo-3,3,4,4-tetramethyl-3,4-dihydroisoquinolin-1-yl)cinnoline;
3-(3,3,4,4,5-pentamethyl-3,4-dihydroisoquinolin-1-yl)cinnoline;
3-(3,3,4,4-tetramethyl-5-(trifluoromethyl)-3,4-dihydroisoquinolin-1-yl)cinnoline;
3-(3,3-dimethyl-3,4-dihydroisoquinolin-1-yl)-8-fluorocinnoline;
8-fluoro-3-(4-fluoro-3,3-dimethyl-3,4-dihydroisoquinolin-1-yl)cinnoline;
3-(4,4-difluoro-3,3-dimethyl-3,4-dihydroisoquinolin-1-yl)-8-fluorocinnoline;
8-fluoro-3-(5-fluoro-3,3-dimethyl-3,4-dihydroisoquinolin-1-yl)cinnoline;
8-fluoro-3-(5-fluoro-3,3,4,4-tetramethyl-3,4-dihydroisoquinolin-1-yl)cinnoline;
8-fluoro-3-(5-fluoro-3,3,4-trimethyl-3,4-dihydroisoquinolin-1-yl)cinnoline;
3-(4,5-difluoro-3,3-dimethyl-3,4-dihydroisoquinolin-1-yl)-8-fluorocinnoline;
8-fluoro-3-(4,4,5-trifluoro-3,3-dimethyl-3,4-dihydroisoquinolin-1-yl)cinnoline;
3-(5-chloro-3,3-dimethyl-3,4-dihydroisoquinolin-1-yl)-8-fluorocinnoline;
3-(5-chloro-3,3,4-trimethyl-3,4-dihydroisoquinolin-1-yl)-8-fluorocinnoline;
3-(5-chloro-3,3,4,4-tetramethyl-3,4-dihydroisoquinolin-1-yl)-8-fluorocinnoline;
3-(5-chloro-4,4-difluoro-3,3-dimethyl-3,4-dihydroisoquinolin-1-yl)-8-fluorocinnoline;
3-(3-ethyl-3-methyl-3,4-dihydroisoquinolin-1-yl)-8-fluorocinnoline;
3-(3-ethyl-4,4-difluoro-3-methyl-3,4-dihydroisoquinolin-1-yl)-8-fluorocinnoline;
3-(5-bromo-3,3-dimethyl-3,4-dihydroisoquinolin-1-yl)-8-fluorocinnoline;
3-(5-bromo-3,3,4-trimethyl-3,4-dihydroisoquinolin-1-yl)-8-fluorocinnoline;
3-(5-bromo-3,3,4,4-tetramethyl-3,4-dihydroisoquinolin-1-yl)-8-fluorocinnoline;
3-(5-bromo-4,4-difluoro-3,3-dimethyl-3,4-dihydroisoquinolin-1-yl)-8-fluorocinnoline;
8-fluoro-3-(3,3,5-trimethyl-3,4-dihydroisoquinolin-1-yl)cinnoline;
8-fluoro-3-(3,3,4,4,5-pentamethyl-3,4-dihydroisoquinolin-1-yl)cinnoline;
8-fluoro-3-(6-fluoro-3,3-dimethyl-3,4-dihydroisoquinolin-1-yl)cinnoline;
8-fluoro-3-(6-fluoro-3,3,4,4-tetramethyl-3,4-dihydroisoquinolin-1-yl)cinnoline;
8-fluoro-3-(6-fluoro-3,3,4-trimethyl-3,4-dihydroisoquinolin-1-yl)cinnoline;
8-fluoro-3-(4,4,6-trifluoro-3,3-dimethyl-3,4-dihydroisoquinolin-1-yl)cinnoline;
3-(6-chloro-3,3-dimethyl-3,4-dihydroisoquinolin-1-yl)-8-fluorocinnoline;
3-(6-chloro-3,3,4-trimethyl-3,4-dihydroisoquinolin-1-yl)-8-fluorocinnoline;
3-(6-chloro-3,3,4,4-tetramethyl-3,4-dihydroisoquinolin-1-yl)-8-fluorocinnoline;
3-(6-chloro-4,4-difluoro-3,3-dimethyl-3,4-dihydroisoquinolin-1-yl)-8-fluorocinnoline;
3-(6-bromo-3,3-dimethyl-3,4-dihydroisoquinolin-1-yl)-8-fluorocinnoline;
3-(6-bromo-3,3,4-trimethyl-3,4-dihydroisoquinolin-1-yl)-8-fluorocinnoline;
3-(6-bromo-3,3,4,4-tetramethyl-3,4-dihydroisoquinolin-1-yl)-8-fluorocinnoline;
3-(6-bromo-4,4-difluoro-3,3-dimethyl-3,4-dihydroisoquinolin-1-yl)-8-fluorocinnoline;
8-fluoro-3-(3,3,6-trimethyl-3,4-dihydroisoquinolin-1-yl)cinnoline;
8-fluoro-3-(3,3,4,6-tetramethyl-3,4-dihydroisoquinolin-1-yl)cinnoline;
8-fluoro-3-(3,3,4,4,6-pentamethyl-3,4-dihydroisoquinolin-1-yl)cinnoline;
3-(3,3-dimethyl-6-(trifluoromethyl)-3,4-dihydroisoquinolin-1-yl)-8-fluorocinnoline;
8-fluoro-3-(3,3,4-trimethyl-6-(trifluoromethyl)-3,4-dihydroisoquinolin-1-yl)cinnoline;
8-fluoro-3-(3,3,4,4-tetramethyl-6-(trifluoromethyl)-3,4-dihydroisoquinolin-1-yl)cinnoline;
3-(4,4-difluoro-3,3-dimethyl-6-(trifluoromethyl)-3,4-dihydroisoquinolin-1-yl)-8-fluorocinnoline; 3-(4,4,5-trifluoro-3,3-dimethyl-3,4-dihydroisoquinolin-1-yl)cinnoline;
3-(5-chloro-4,4-difluoro-3,3-dimethyl-3,4-dihydroisoquinolin-1-yl)cinnoline;
3-(5-bromo-4,4-difluoro-3,3-dimethyl-3,4-dihydroisoquinolin-1-yl)cinnoline;
3-(4,4-difluoro-3,3-dimethyl-5-(trifluoromethyl)-3,4-dihydroisoquinolin-1-yl)cinnoline;
3-(4,4-difluoro-3,3,5-trimethyl-3,4-dihydroisoquinolin-1-yl)cinnoline;
3-(4,4,6-trifluoro-3,3-dimethyl-3,4-dihydroisoquinolin-1-yl)cinnoline;
3-(6-chloro-4,4-difluoro-3,3-dimethyl-3,4-dihydroisoquinolin-1-yl)cinnoline;
3-(6-bromo-4,4-difluoro-3,3-dimethyl-3,4-dihydroisoquinolin-1-yl)cinnoline;
3-(4,4-difluoro-3,3,6-trimethyl-3,4-dihydroisoquinolin-1-yl)cinnoline;
3-(4,4-difluoro-3,3-dimethyl-6-(trifluoromethyl)-3,4-dihydroisoquinolin-1-yl)cinnoline;
3-(3,3-dimethyl-3,4-dihydroisoquinolin-1-yl)-7,8-difluorocinnoline;
8-fluoro-3-(3,3,4-trimethyl-3,4-dihydroisoquinolin-1-yl)cinnoline;
7,8-difluoro-3-(3,3,4-trimethyl-3,4-dihydroisoquinolin-1-yl)cinnoline;
7,8-difluoro-3-(3,3,4,4-tetramethyl-3,4-dihydroisoquinolin-1-yl)cinnoline;
7,8-difluoro-3-(4-fluoro-3,3-dimethyl-3,4-dihydroisoquinolin-1-yl)cinnoline;
3-(4,4-difluoro-3,3-dimethyl-3,4-dihydroisoquinolin-1-yl)-7,8-difluorocinnoline;
1-(7,8-difluorocinnolin-3-yl)-3,3-dimethylisoquinolin-4(3H)-one;
1-(8-fluorocinnolin-3-yl)-3,3-dimethylisoquinolin-4(3H)-one;
7,8-difluoro-3-(5-fluoro-3,3-dimethyl-3,4-dihydroisoquinolin-1-yl)cinnoline;
7,8-difluoro-3-(5-fluoro-3,3,4-trimethyl-3,4-dihydroisoquinolin-1-yl)cinnoline;
7,8-difluoro-3-(5-fluoro-3,3,4,4-tetramethyl-3,4-dihydroisoquinolin-1-yl)cinnoline;
7,8-difluoro-3-(4,4,5-trifluoro-3,3-dimethyl-3,4-dihydroisoquinolin-1-yl)cinnoline;
3-(5-chloro-3,3-dimethyl-3,4-dihydroisoquinolin-1-yl)-7,8-difluorocinnoline;
3-(5-chloro-3,3,4-trimethyl-3,4-dihydroisoquinolin-1-yl)-7,8-difluorocinnoline;
3-(5-chloro-3,3,4,4-tetramethyl-3,4-dihydroisoquinolin-1-yl)-7,8-difluorocinnoline;
3-(5-chloro-4,4-difluoro-3,3-dimethyl-3,4-dihydroisoquinolin-1-yl)-7,8-difluorocinnoline;
3-(5-bromo-3,3-dimethyl-3,4-dihydroisoquinolin-1-yl)-7,8-difluorocinnoline;
3-(5-bromo-3,3,4-trimethyl-3,4-dihydroisoquinolin-1-yl)-7,8-difluorocinnoline;
3-(5-bromo-3,3,4,4-tetramethyl-3,4-dihydroisoquinolin-1-yl)-7,8-difluorocinnoline;
3-(5-bromo-4,4-difluoro-3,3-dimethyl-3,4-dihydroisoquinolin-1-yl)-7,8-difluorocinnoline;
3-(3,3-dimethyl-5-(trifluoromethyl)-3,4-dihydroisoquinolin-1-yl)-7,8-difluorocinnoline;
7,8-difluoro-3-(3,3,4-trimethyl-5-(trifluoromethyl)-3,4-dihydroisoquinolin-1-yl)cinnoline; 7,8-difluoro-3-(3,3,4,4-tetramethyl-5-(trifluoromethyl)-3,4-dihydroisoquinolin-1-yl)cinnoline; 3-(4,4-difluoro-3,3-dimethyl-5-(trifluoromethyl)-3,4-dihydroisoquinolin-1-yl)-7,8- difluorocinnoline;
7,8-difluoro-3-(3,3,5-trimethyl-3,4-dihydroisoquinolin-1-yl)cinnoline;
7,8-difluoro-3-(3,3,4,5-tetramethyl-3,4-dihydroisoquinolin-1-yl)cinnoline;
7,8-difluoro-3-(3,3,4,4,5-pentamethyl-3,4-dihydroisoquinolin-1-yl)cinnoline;
3-(4,4-difluoro-3,3,5-trimethyl-3,4-dihydroisoquinolin-1-yl)-7,8-difluorocinnoline;
3-(3,3-dimethyl-3,4-dihydroisoquinolin-1-yl)-8-fluorobenzo[e][1,2,4]triazine;
8-fluoro-3-(3,3,4-trimethyl-3,4-dihydroisoquinolin-1-yl)benzo[e][1,2,4]triazine;
8-fluoro-3-(3,3,4,4-tetramethyl-3,4-dihydroisoquinolin-1-yl)benzo[e][1,2,4]triazine;
8-fluoro-3-(4-fluoro-3,3-dimethyl-3,4-dihydroisoquinolin-1-yl)benzo[e][1,2,4]triazine;
3-(4,4-difluoro-3,3-dimethyl-3,4-dihydroisoquinolin-1-yl)-8-fluorobenzo[e][1,2,4]triazine; 1-(8-fluorobenzo[e][1,2,4]triazin-3-yl)-3,3-dimethylisoquinolin-4(3H)-one;
8-fluoro-3-(5-fluoro-3,3-dimethyl-3,4-dihydroisoquinolin-1-yl)benzo[e][1,2,4]triazine;
8-fluoro-3-(5-fluoro-3,3,4-trimethyl-3,4-dihydroisoquinolin-1-yl)benzo[e][1,2,4]triazine; 8-fluoro-3-(5-fluoro-3,3,4,4-tetramethyl-3,4-dihydroisoquinolin-1-yl)benzo[e][1,2,4]triazine; 8-fluoro-3-(4,4,5-trifluoro-3,3-dimethyl-3,4-dihydroisoquinolin-1-yl)benzo[e][1,2,4]triazine; 3-(5-chloro-3,3-dimethyl-3,4-dihydroisoquinolin-1-yl)-8-fluorobenzo[e][1,2,4]triazine;
3-(5-chloro-3,3,4-trimethyl-3,4-dihydroisoquinolin-1-yl)-8-fluorobenzo[e][1,2,4]triazine; 3-(5-chloro-3,3,4,4-tetramethyl-3,4-dihydroisoquinolin-1-yl)-8-fluorobenzo[e][1,2,4]triazine; 3-(5-chloro-4,4-difluoro-3,3-dimethyl-3,4-dihydroisoquinolin-1-yl)-8- fluorobenzo[e][1,2,4]triazine;
3-(5-bromo-3,3-dimethyl-3,4-dihydroisoquinolin-1-yl)-8-fluorobenzo[e][1,2,4]triazine;
3-(5-bromo-3,3,4-trimethyl-3,4-dihydroisoquinolin-1-yl)-8-fluorobenzo[e][1,2,4]triazine; 3-(5-bromo-3,3,4,4-tetramethyl-3,4-dihydroisoquinolin-1-yl)-8-fluorobenzo[e][1,2,4]triazine; 3-(5-bromo-4,4-difluoro-3,3-dimethyl-3,4-dihydroisoquinolin-1-yl)-8- fluorobenzo[e][1,2,4]triazine;
3-(3,3-dimethyl-5-(trifluoromethyl)-3,4-dihydroisoquinolin-1-yl)-8- fluorobenzo[e][1,2,4]triazine;
8-fluoro-3-(3,3,4-trimethyl-5-(trifluoromethyl)-3,4-dihydroisoquinolin-1- yl)benzo[e][1,2,4]triazine;
8-fluoro-3-(3,3,4,4-tetramethyl-5-(trifluoromethyl)-3,4-dihydroisoquinolin-1- yl)benzo[e][1,2,4]triazine;
3-(4,4-difluoro-3,3-dimethyl-5-(trifluoromethyl)-3,4-dihydroisoquinolin-1-yl)-8- fluorobenzo[e][1,2,4]triazine;
8-fluoro-3-(3,3,5-trimethyl-3,4-dihydroisoquinolin-1-yl)benzo[e][1,2,4]triazine;
8-fluoro-3-(3,3,4,5-tetramethyl-3,4-dihydroisoquinolin-1-yl)benzo[e][1,2,4]triazine;
8-fluoro-3-(3,3,4,4,5-pentamethyl-3,4-dihydroisoquinolin-1-yl)benzo[e][1,2,4]triazine;
3-(4,4-difluoro-3,3,5-trimethyl-3,4-dihydroisoquinolin-1-yl)-8-fluorobenzo[e][1,2,4]triazine; 8-fluoro-3-(6-fluoro-3,3-dimethyl-3,4-dihydroisoquinolin-1-yl)benzo[e][1,2,4]triazine;
8-fluoro-3-(6-fluoro-3,3,4-trimethyl-3,4-dihydroisoquinolin-1-yl)benzo[e][1,2,4]triazine; 8-fluoro-3-(6-fluoro-3,3,4,4-tetramethyl-3,4-dihydroisoquinolin-1-yl)benzo[e][1,2,4]triazine; 8-fluoro-3-(4,4,6-trifluoro-3,3-dimethyl-3,4-dihydroisoquinolin-1-yl)benzo[e][1,2,4]triazine; 3-(6-chloro-3,3-dimethyl-3,4-dihydroisoquinolin-1-yl)-8-fluorobenzo[e][1,2,4]triazine;
3-(6-chloro-3,3,4-trimethyl-3,4-dihydroisoquinolin-1-yl)-8-fluorobenzo[e][1,2,4]triazine; 3-(6-chloro-3,3,4,4-tetramethyl-3,4-dihydroisoquinolin-1-yl)-8-fluorobenzo[e][1,2,4]triazine;
3-(6-chloro-4,4-difluoro-3,3-dimethyl-3,4-dihydroisoquinolin-1-yl)-8- fluorobenzo[e][1,2,4]triazine;
3-(6-bromo-3,3-dimethyl-3,4-dihydroisoquinolin-1-yl)-8-fluorobenzo[e][1,2,4]triazine;
3-(6-bromo-3,3,4-trimethyl-3,4-dihydroisoquinolin-1-yl)-8-fluorobenzo[e][1,2,4]triazine;
3-(6-bromo-3,3,4,4-tetramethyl-3,4-dihydroisoquinolin-1-yl)-8-fluorobenzo[e][1,2,4]triazine; 3-(6-bromo-4,4-difluoro-3,3-dimethyl-3,4-dihydroisoquinolin-1-yl)-8- fluorobenzo[e][1,2,4]triazine;
3-(3,3-dimethyl-6-(trifluoromethyl)-3,4-dihydroisoquinolin-1-yl)-8- fluorobenzo[e][1,2,4]triazine;
8-fluoro-3-(3,3,4-trimethyl-6-(trifluoromethyl)-3,4-dihydroisoquinolin-1- yl)benzo[e][1,2,4]triazine;
3-(4,4-difluoro-3,3-dimethyl-6-(trifluoromethyl)-3,4-dihydroisoquinolin-1-yl)-8- fluorobenzo[e][1,2,4]triazine;
8-fluoro-3-(3,3,4,4-tetramethyl-6-(trifluoromethyl)-3,4-dihydroisoquinolin-1- yl)benzo[e][1,2,4]triazine;
8-fluoro-3-(3,3,6-trimethyl-3,4-dihydroisoquinolin-1-yl)benzo[e][1,2,4]triazine;
8-fluoro-3-(3,3,4,6-tetramethyl-3,4-dihydroisoquinolin-1-yl)benzo[e][1,2,4]triazine;
8-fluoro-3-(3,3,4,4,6-pentamethyl-3,4-dihydroisoquinolin-1-yl)benzo[e][1,2,4]triazine;
3-(4,4-difluoro-3,3,6-trimethyl-3,4-dihydroisoquinolin-1-yl)-8-fluorobenzo[e][1,2,4]triazine; 3-(3-ethyl-3-methyl-3,4-dihydroisoquinolin-1-yl)-8-fluorobenzo[e][1,2,4]triazine;
3-(3-ethyl-4,4-difluoro-3-methyl-3,4-dihydroisoquinolin-1-yl)-8-fluorobenzo[e][1,2,4]triazine; 3-(3-ethyl-5-fluoro-3-methyl-3,4-dihydroisoquinolin-1-yl)-8-fluorobenzo[e][1,2,4]triazine;
3-(3-ethyl-4,4,5-trifluoro-3-methyl-3,4-dihydroisoquinolin-1-yl)-8-fluorobenzo[e][1,2,4]triazine; 3-(3,3-dimethyl-3,4-dihydroisoquinolin-1-yl)-7,8-difluorobenzo[e][1,2,4]triazine;
7,8-difluoro-3-(3,3,4-trimethyl-3,4-dihydroisoquinolin-1-yl)benzo[e][1,2,4]triazine;
7,8-difluoro-3-(3,3,4,4-tetramethyl-3,4-dihydroisoquinolin-1-yl)benzo[e][1,2,4]triazine;
7,8-difluoro-3-(5-fluoro-3,3-dimethyl-3,4-dihydroisoquinolin-1-yl)benzo[e][1,2,4]triazine;
7,8-difluoro-3-(5-fluoro-3,3,4-trimethyl-3,4-dihydroisoquinolin-1-yl)benzo[e][1,2,4]triazine; 7,8-difluoro-3-(5-fluoro-3,3,4,4-tetramethyl-3,4-dihydroisoquinolin-1-yl)benzo[e][1,2,4]triazine; 7,8-difluoro-3-(4,4,5-trifluoro-3,3-dimethyl-3,4-dihydroisoquinolin-1-yl)benzo[e][1,2,4]triazine; 3-(4,5-difluoro-3,3-dimethyl-3,4-dihydroisoquinolin-1-yl)-7,8-difluorobenzo[e][1,2,4]triazine; 3-(5-chloro-3,3-dimethyl-3,4-dihydroisoquinolin-1-yl)-7,8-difluorobenzo[e][1,2,4]triazine;
3-(5-chloro-3,3,4-trimethyl-3,4-dihydroisoquinolin-1-yl)-7,8-difluorobenzo[e][1,2,4]triazine; 3-(5-chloro-3,3,4,4-tetramethyl-3,4-dihydroisoquinolin-1-yl)-7,8-difluorobenzo[e][1,2,4]triazine; 3-(5-chloro-4,4-difluoro-3,3-dimethyl-3,4-dihydroisoquinolin-1-yl)-7,8- difluorobenzo[e][1,2,4]triazine;
3-(5-bromo-3,3-dimethyl-3,4-dihydroisoquinolin-1-yl)-7,8-difluorobenzo[e][1,2,4]triazine;
3-(5-bromo-3,3,4-trimethyl-3,4-dihydroisoquinolin-1-yl)-7,8-difluorobenzo[e][1,2,4]triazine; 3-(5-bromo-3,3,4,4-tetramethyl-3,4-dihydroisoquinolin-1-yl)-7,8-difluorobenzo[e][1,2,4]triazine; 3-(5-bromo-4,4-difluoro-3,3-dimethyl-3,4-dihydroisoquinolin-1-yl)-7,8- difluorobenzo[e][1,2,4]triazine;
3-(3,3-dimethyl-5-(trifluoromethyl)-3,4-dihydroisoquinolin-1-yl)-7,8- difluorobenzo[e][1,2,4]triazine;
7,8-difluoro-3-(3,3,4-trimethyl-5-(trifluoromethyl)-3,4-dihydroisoquinolin-1- yl)benzo[e][1,2,4]triazine;
7,8-difluoro-3-(3,3,4,4-tetramethyl-5-(trifluoromethyl)-3,4-dihydroisoquinolin-1- yl)benzo[e][1,2,4]triazine;
3-(4,4-difluoro-3,3-dimethyl-5-(trifluoromethyl)-3,4-dihydroisoquinolin-1-yl)-7,8- difluorobenzo[e][1,2,4]triazine;
7,8-difluoro-3-(3,3,5-trimethyl-3,4-dihydroisoquinolin-1-yl)benzo[e][1,2,4]triazine;
7,8-difluoro-3-(3,3,4,5-tetramethyl-3,4-dihydroisoquinolin-1-yl)benzo[e][1,2,4]triazine;
7,8-difluoro-3-(3,3,4,4,5-pentamethyl-3,4-dihydroisoquinolin-1-yl)benzo[e][1,2,4]triazine;
3-(4,4-difluoro-3,3,5-trimethyl-3,4-dihydroisoquinolin-1-yl)-7,8-difluorobenzo[e][1,2,4]triazine; 7,8-difluoro-3-(6-fluoro-3,3-dimethyl-3,4-dihydroisoquinolin-1-yl)benzo[e][1,2,4]triazine;
7,8-difluoro-3-(6-fluoro-3,3,4-trimethyl-3,4-dihydroisoquinolin-1-yl)benzo[e][1,2,4]triazine; 7,8-difluoro-3-(6-fluoro-3,3,4,4-tetramethyl-3,4-dihydroisoquinolin-1-yl)benzo[e][1,2,4]triazine; 7,8-difluoro-3-(4,4,6-trifluoro-3,3-dimethyl-3,4-dihydroisoquinolin-1-yl)benzo[e][1,2,4]triazine; 3-(6-chloro-3,3-dimethyl-3,4-dihydroisoquinolin-1-yl)-7,8-difluorobenzo[e][1,2,4]triazine;
3-(6-chloro-3,3,4-trimethyl-3,4-dihydroisoquinolin-1-yl)-7,8-difluorobenzo[e][1,2,4]triazine; 3-(6-chloro-3,3,4,4-tetramethyl-3,4-dihydroisoquinolin-1-yl)-7,8-difluorobenzo[e][1,2,4]triazine; 3-(6-chloro-4,4-difluoro-3,3-dimethyl-3,4-dihydroisoquinolin-1-yl)-7,8- difluorobenzo[e][1,2,4]triazine;
3-(6-bromo-3,3-dimethyl-3,4-dihydroisoquinolin-1-yl)-7,8-difluorobenzo[e][1,2,4]triazine;
3-(6-bromo-3,3,4-trimethyl-3,4-dihydroisoquinolin-1-yl)-7,8-difluorobenzo[e][1,2,4]triazine; 3-(6-bromo-3,3,4,4-tetramethyl-3,4-dihydroisoquinolin-1-yl)-7,8-difluorobenzo[e][1,2,4]triazine; 3-(6-bromo-4,4-difluoro-3,3-dimethyl-3,4-dihydroisoquinolin-1-yl)-7,8- difluorobenzo[e][1,2,4]triazine;
3-(3,3-dimethyl-6-(trifluoromethyl)-3,4-dihydroisoquinolin-1-yl)-7,8- difluorobenzo[e][1,2,4]triazine;
7,8-difluoro-3-(3,3,4-trimethyl-6-(trifluoromethyl)-3,4-dihydroisoquinolin-1- yl)benzo[e][1,2,4]triazine;
7,8-difluoro-3-(3,3,4,4-tetramethyl-6-(trifluoromethyl)-3,4-dihydroisoquinolin-1- yl)benzo[e][1,2,4]triazine;
3-(4,4-difluoro-3,3-dimethyl-6-(trifluoromethyl)-3,4-dihydroisoquinolin-1-yl)-7,8- difluorobenzo[e][1,2,4]triazine;
7,8-difluoro-3-(3,3,6-trimethyl-3,4-dihydroisoquinolin-1-yl)benzo[e][1,2,4]triazine;
7,8-difluoro-3-(3,3,4,6-tetramethyl-3,4-dihydroisoquinolin-1-yl)benzo[e][1,2,4]triazine;
7,8-difluoro-3-(3,3,4,4,6-pentamethyl-3,4-dihydroisoquinolin-1-yl)benzo[e][1,2,4]triazine;
3-(4,4-difluoro-3,3,6-trimethyl-3,4-dihydroisoquinolin-1-yl)-7,8-difluorobenzo[e][1,2,4]triazine; 3-(5,6-difluoro-3,3-dimethyl-3,4-dihydroisoquinolin-1-yl)benzo[e][1,2,4]triazine;
3-(5,6-difluoro-3,3,4-trimethyl-3,4-dihydroisoquinolin-1-yl)benzo[e][1,2,4]triazine;
3-(5,6-difluoro-3,3,4,4-tetramethyl-3,4-dihydroisoquinolin-1-yl)benzo[e][1,2,4]triazine;
3-(4,4,5,6-tetrafluoro-3,3-dimethyl-3,4-dihydroisoquinolin-1-yl)benzo[e][1,2,4]triazine;
3-(5,7-difluoro-3,3-dimethyl-3,4-dihydroisoquinolin-1-yl)benzo[e][1,2,4]triazine;
3-(5,7-difluoro-3,3,4-trimethyl-3,4-dihydroisoquinolin-1-yl)benzo[e][1,2,4]triazine;
3-(5,7-difluoro-3,3,4,4-tetramethyl-3,4-dihydroisoquinolin-1-yl)benzo[e][1,2,4]triazine;
3-(4,4,5,7-tetrafluoro-3,3-dimethyl-3,4-dihydroisoquinolin-1-yl)benzo[e][1,2,4]triazine;
3-(5,8-difluoro-3,3-dimethyl-3,4-dihydroisoquinolin-1-yl)benzo[e][1,2,4]triazine;
3-(5,8-difluoro-3,3,4-trimethyl-3,4-dihydroisoquinolin-1-yl)benzo[e][1,2,4]triazine;
3-(5,8-difluoro-3,3,4,4-tetramethyl-3,4-dihydroisoquinolin-1-yl)benzo[e][1,2,4]triazine;
3-(4,4,5,8-tetrafluoro-3,3-dimethyl-3,4-dihydroisoquinolin-1-yl)benzo[e][1,2,4]triazine;
3-(5,6-difluoro-3,3-dimethyl-3,4-dihydroisoquinolin-1-yl)cinnoline;
3-(5,6-difluoro-3,3,4-trimethyl-3,4-dihydroisoquinolin-1-yl)cinnoline;
3-(5,6-difluoro-3,3,4,4-tetramethyl-3,4-dihydroisoquinolin-1-yl)cinnoline;
3-(4,4,5,6-tetrafluoro-3,3-dimethyl-3,4-dihydroisoquinolin-1-yl)cinnoline;
3-(5,7-difluoro-3,3-dimethyl-3,4-dihydroisoquinolin-1-yl)cinnoline;
3-(5,7-difluoro-3,3,4-trimethyl-3,4-dihydroisoquinolin-1-yl)cinnoline;
3-(5,7-difluoro-3,3,4,4-tetramethyl-3,4-dihydroisoquinolin-1-yl)cinnoline;
3-(4,4,5,7-tetrafluoro-3,3-dimethyl-3,4-dihydroisoquinolin-1-yl)cinnoline;
3-(5,8-difluoro-3,3-dimethyl-3,4-dihydroisoquinolin-1-yl)cinnoline;
3-(5,8-difluoro-3,3,4-trimethyl-3,4-dihydroisoquinolin-1-yl)cinnoline;
3-(5,8-difluoro-3,3,4,4-tetramethyl-3,4-dihydroisoquinolin-1-yl)cinnoline;
3-(4,4,5,8-tetrafluoro-3,3-dimethyl-3,4-dihydroisoquinolin-1-yl)cinnoline;
3-(5-chloro-3,3,4,4-tetramethyl-3,4-dihydroisoquinolin-1-yl)pyrido[2,3-c]pyridazine;
3-(5-bromo-3,3,4,4-tetramethyl-3,4-dihydroisoquinolin-1-yl)-4-chlorocinnoline;
4-fluoro-3-(3,3,4,4,5-pentamethyl-3,4-dihydroisoquinolin-1-yl)pyrido[2,3-c]pyridazine;
3-(3,3,4,4-tetramethyl-3,4-dihydroisoquinolin-1-yl)pyrido[3,2-c]pyridazine;
4,4,5,5-tetramethyl-7-(pyrido[3,2-c]pyridazin-3-yl)-4,5-dihydrothieno[2,3-c]pyridine;
3-(4-fluoro-3,3-dimethyl-3,4-dihydroisoquinolin-1-yl)pyrido[3,2-c]pyridazine;
3-(4,4-difluoro-3,3-dimethyl-3,4-dihydroisoquinolin-1-yl)pyrido[3,2-c]pyridazine;
3-(5-fluoro-3,3-dimethyl-3,4-dihydroisoquinolin-1-yl)thieno[2,3-c]pyridazine;
3-(5-fluoro-3,3-dimethyl-3,4-dihydroisoquinolin-1-yl)thieno[3,2-c]pyridazine;
3-(5-fluoro-3,3-dimethyl-4-methylene-3,4-dihydroisoquinolin-1-yl)pyrido[3,2-c]pyridazine; 5,5-dimethyl-7-(pyrido[3,2-c]pyridazin-3-yl)-4,5-dihydrothieno[2,3-c]pyridine;
3-(4,4,5,5-tetramethyl-4,5-dihydrothieno[2,3-c]pyridin-7-yl)thieno[2,3-c]pyridazine;
3-(4,4-difluoro-5,5-dimethyl-4,5-dihydrothieno[2,3-c]pyridin-7-yl)thieno[2,3-c]pyridazine; 3-(5-chloro-3,3,4-trimethyl-3,4-dihydroisoquinolin-1-yl)pyrido[3,4-c]pyridazine;
3-(5-chloro-3,3,4,4-tetramethyl-3,4-dihydroisoquinolin-1-yl)pyrido[3,2-c]pyridazine;
3-(5-chloro-4,4-difluoro-3,3-dimethyl-3,4-dihydroisoquinolin-1-yl)pyrido[3,2-c]pyridazine; 5-ethyl-7-(8-fluorocinnolin-3-yl)-5-methyl-4,5-dihydrothieno[2,3-c]pyridine;
6-ethyl-7,7-difluoro-4-(8-fluorocinnolin-3-yl)-6-methyl-6,7-dihydrothieno[3,2-c]pyridine; 3-(5-bromo-3,3-dimethyl-3,4-dihydroisoquinolin-1-yl)pyrido[4,3-c]pyridazine;
7-(8-fluorocinnolin-3-yl)-4,5,5-trimethyl-4,5-dihydrofuro[2,3-c]pyridine;
8-fluoro-3-(4,4,5,5-tetramethyl-4,5-dihydro-1H-pyrrolo[2,3-c]pyridin-7-yl)cinnoline;
3-(4,4-difluoro-1,5,5-trimethyl-4,5-dihydro-1H-pyrazolo[3,4-c]pyridin-7-yl)-8-fluorocinnoline; 3,3,5-trimethyl-1-(5-methyl-5H-pyrrolo[3,2-c]pyridazin-3-yl)-3,4-dihydroisoquinoline;
8-fluoro-3-(3,3,4,4,5,8-hexamethyl-3,4-dihydroisoquinolin-1-yl)cinnoline;
3-(3-benzyl-3-methyl-3,4-dihydroisoquinolin-1-yl)-8-fluorocinnoline;
1'-(8-fluorocinnolin-3-yl)dispiro[cyclopropane-1,3'-isoquinoline-4',1''-cyclopropane];
8-fluoro-3-(3-isobutyl-4,4-dimethyl-3,4-dihydroisoquinolin-1-yl)cinnoline;
8-fluoro-3-(4-fluoro-3,3,4-trimethyl-3,4-dihydroisoquinolin-1-yl)cinnoline;
1-(8-fluorocinnolin-3-yl)-3,3,4-trimethyl-3,4-dihydroisoquinolin-4-ol;
7-(8-fluorocinnolin-3-yl)-4,5,5-trimethyl-4,5-dihydrothieno[2,3-c]pyridin-4-ol;
7-(cinnolin-3-yl)-4-fluoro-4,5,5-trimethyl-4,5-dihydrothieno[2,3-c]pyridine;
4-fluoro-7-(8-fluorocinnolin-3-yl)-4,5,5-trimethyl-4,5-dihydrothieno[2,3-c]pyridine;
7-(benzo[e][1,2,4]triazin-3-yl)-4,5,5-trimethyl-4,5-dihydrothieno[2,3-c]pyridin-4-ol;
3-(4-fluoro-3,3,4-trimethyl-3,4-dihydroisoquinolin-1-yl)benzo[e][1,2,4]triazine;
1-(benzo[e][1,2,4]triazin-3-yl)-3,3,4-trimethyl-3,4-dihydroisoquinolin-4-ol;
3-(4-methoxy-3,3,4-trimethyl-3,4-dihydroisoquinolin-1-yl)benzo[e][1,2,4]triazine;
3-(5-fluoro-3,3,4,4-tetramethyl-3,4-dihydroisoquinolin-1-yl)thieno[3,2-e][1,2,4]triazine;
3-(3,3,4,4-tetramethyl-3,4-dihydroisoquinolin-1-yl)pyrido[4,3-e][1,2,4]triazine;
6,6,7,7-tetramethyl-4-(pyrido[4,3-e][1,2,4]triazin-3-yl)-6,7-dihydrothieno[3,2-c]pyridine; 7-(benzo[e][1,2,4]triazin-3-yl)-4,4,5,5-tetramethyl-4,5-dihydrofuro[2,3-c]pyridine;
3-(4,4,5,5-tetramethyl-4,5-dihydro-1H-pyrrolo[2,3-c]pyridin-7-yl)benzo[e][1,2,4]triazine; 7,8-difluoro-3-(1,4,4,5,5-pentamethyl-4,5-dihydro-1H-pyrrolo[2,3-c]pyridin-7- yl)benzo[e][1,2,4]triazine;
7,8-difluoro-3-(1,4,4,5,5-pentamethyl-4,5-dihydro-1H-pyrazolo[3,4-c]pyridin-7- yl)benzo[e][1,2,4]triazine;
3-(4,4-difluoro-1,5,5-trimethyl-4,5-dihydro-1H-pyrazolo[3,4-c]pyridin-7-yl)-7,8- difluorobenzo[e][1,2,4]triazine;
7-(7,8-difluorobenzo[e][1,2,4]triazin-3-yl)-4,4-difluoro-5,5-dimethyl-4,5-dihydrothieno[2,3- c]pyridine;
3-(5-bromo-4,4-difluoro-3,3-dimethyl-3,4-dihydroisoquinolin-1-yl)pyrido[3,2-e][1,2,4]triazine; 1'-(benzo[e][1,2,4]triazin-3-yl)-4',4'-difluoro-4'H-spiro[cyclopropane-1,3'-isoquinoline];
3-(4,4-difluoro-3,3,5-trimethyl-3,4-dihydroisoquinolin-1-yl)pyrido[2,3-e][1,2,4]triazine;
3-(4,4-difluoro-3-isobutyl-3,4-dihydroisoquinolin-1-yl)benzo[e][1,2,4]triazine;
7-(benzo[e][1,2,4]triazin-3-yl)-4,4-difluoro-5-isobutyl-4,5-dihydrothieno[2,3-c]pyridine;
3-(8,8-difluoro-7,7-dimethyl-7,8-dihydro-1,6-naphthyridin-5-yl)pyrido[2,3-c]pyridazine;
3-(8,8-difluoro-7,7-dimethyl-7,8-dihydro-1,6-naphthyridin-5-yl)benzo[e][1,2,4]triazine;
4-(benzo[e][1,2,4]triazin-3-yl)-6,6,7,7-tetramethyl-6,7-dihydrothieno[3,4-c]pyridine;
7-fluoro-8-methoxy-3-(3,3,4,4-tetramethyl-3,4-dihydroisoquinolin-1-yl)benzo[e][1,2,4]triazine; 7-(6,7-dichlorobenzo[e][1,2,4]triazin-3-yl)-4,5,5-trimethyl-4,5-dihydrothieno[2,3-c]pyridine; 7-(5-fluorobenzo[e][1,2,4]triazin-3-yl)-4,5,5-trimethyl-4,5-dihydrothieno[2,3-c]pyridine;
7,8-difluoro-3-(7,7,8,8-tetramethyl-7,8-dihydro-1,6-naphthyridin-5-yl)pyrido[2,3- e][1,2,4]triazine;
1'-(7,8-difluorobenzo[e][1,2,4]triazin-3-yl)-3',3'-dimethyl-3'H-spiro[cyclopentane-1,4'- isoquinoline];
1'-(7,8-difluorocinnolin-3-yl)-3',3'-dimethyl-3'H-spiro[cyclopentane-1,4'-isoquinoline];
7,8-difluoro-3-(5,5,6,6-tetramethyl-5,6-dihydro-1,7-naphthyridin-8-yl)cinnoline;
diethyl (1-(benzo[e][1,2,4]triazin-3-yl)-3,3-dimethyl-3,4-dihydroisoquinolin-5-yl)phosphonate; ethyl hydrogen (1-(benzo[e][1,2,4]triazin-3-yl)-3,3-dimethyl-3,4-dihydroisoquinolin-5- yl)phosphonate;
(1-(benzo[e][1,2,4]triazin-3-yl)-3,3,4-trimethyl-3,4-dihydroisoquinolin-5-yl)phosphonic acid; diethyl (2-(3,3,4,4-tetramethyl-3,4-dihydroisoquinolin-1-yl)quinolin-7-yl)phosphonate;
diethyl (2-(3,3,4,4-tetramethyl-3,4-dihydroisoquinolin-1-yl)quinolin-4-yl)phosphonate; 6-(3,3-dimethyl-3,4-dihydroisoquinolin-1-yl)quinoline;
6-(3,3,4,4-tetramethyl-3,4-dihydroisoquinolin-1-yl)quinoline;
6-(4-fluoro-3,3-dimethyl-3,4-dihydroisoquinolin-1-yl)quinoline;
3,3-dimethyl-1-(quinolin-6-yl)isoquinolin-4(3H)-one;
6-(4,4-difluoro-3,3-dimethyl-3,4-dihydroisoquinolin-1-yl)quinoline;
5,5-dimethyl-7-(quinolin-6-yl)-4,5-dihydrothieno[2,3-c]pyridine;
8-fluoro-6-(3,3,4,4-tetramethyl-3,4-dihydroisoquinolin-1-yl)quinoline;
6-(5-fluoro-3,3-dimethyl-3,4-dihydroisoquinolin-1-yl)quinoline;
6-(3,3-dimethyl-3,4-dihydroisoquinolin-1-yl)-2-methylquinoline;
6-(3,3-dimethyl-3,4-dihydroisoquinolin-1-yl)-8-fluoroquinoline;
6-(3,3-dimethyl-3,4-dihydroisoquinolin-1-yl)-4-methylquinoline;
6-(3,3-dimethyl-3,4-dihydroisoquinolin-1-yl)-8-methoxyquinoline;
6-(3,3-dimethyl-3,4-dihydroisoquinolin-1-yl)quinolin-8-ol;
6-(6-fluoro-3,3,4,4-tetramethyl-3,4-dihydroisoquinolin-1-yl)-4-methylquinoline;
4-methyl-6-(3,3,6-trimethyl-3,4-dihydroisoquinolin-1-yl)quinoline;
4,8-dimethyl-6-(3,3,4,4-tetramethyl-3,4-dihydroisoquinolin-1-yl)quinoline; 4-chloro-6-(3,3,4,4-tetramethyl-3,4-dihydroisoquinolin-1-yl)quinoline;
N-methyl-6-(3,3,4,4-tetramethyl-3,4-dihydroisoquinolin-1-yl)quinolin-4-amine; 4-ethoxy-6-(3,3,4,4-tetramethyl-3,4-dihydroisoquinolin-1-yl)quinoline;
4-chloro-6-(5-fluoro-3,3-dimethyl-3,4-dihydroisoquinolin-1-yl)quinoline;
7-(3,3-dimethyl-3,4-dihydroisoquinolin-1-yl)quinoline;
7-(3,3,4,4-tetramethyl-3,4-dihydroisoquinolin-1-yl)quinoline;
7-(4,4-difluoro-3,3-dimethyl-3,4-dihydroisoquinolin-1-yl)quinoline;
7-(4-fluoro-3,3-dimethyl-3,4-dihydroisoquinolin-1-yl)quinoline;
3,3-dimethyl-1-(quinolin-7-yl)isoquinolin-4(3H)-one;
7-(6-bromo-3,3,4,4-tetramethyl-3,4-dihydroisoquinolin-1-yl)quinoline;
7-(3,3,4-trimethyl-3,4-dihydroisoquinolin-1-yl)quinoline;
7-(5-fluoro-3,3-dimethyl-3,4-dihydroisoquinolin-1-yl)quinoline;
7-(5-fluoro-3,3,4-trimethyl-3,4-dihydroisoquinolin-1-yl)quinoline;
7-(5-chloro-3,3-dimethyl-3,4-dihydroisoquinolin-1-yl)quinoline;
7-(5-chloro-3,3,4-trimethyl-3,4-dihydroisoquinolin-1-yl)quinoline;
7-(6-fluoro-3,3-dimethyl-3,4-dihydroisoquinolin-1-yl)quinoline;
7-(3,3-dimethyl-5-(trifluoromethyl)-3,4-dihydroisoquinolin-1-yl)quinoline; 8-methyl-7-(3,3,4,4-tetramethyl-3,4-dihydroisoquinolin-1-yl)quinoline;
8-methyl-7-(3,3,4-trimethyl-3,4-dihydroisoquinolin-1-yl)quinoline;
7-(3,3-dimethyl-3,4-dihydroisoquinolin-1-yl)-8-methylquinoline;
7-(6-fluoro-3,3,4,4-tetramethyl-3,4-dihydroisoquinolin-1-yl)quinoline;
7-(6-fluoro-3,3,4-trimethyl-3,4-dihydroisoquinolin-1-yl)quinoline;
7-(3-ethyl-3-methyl-3,4-dihydroisoquinolin-1-yl)quinoline;
7-(5-fluoro-3,3,4,4-tetramethyl-3,4-dihydroisoquinolin-1-yl)quinoline;
7-(3,3,4,5-tetramethyl-3,4-dihydroisoquinolin-1-yl)quinoline;
4-chloro-7-(3,3-dimethyl-3,4-dihydroisoquinolin-1-yl)quinoline;
6-(3,3-dimethyl-3,4-dihydroisoquinolin-1-yl)quinoxaline;
6-(5-chloro-3-ethyl-3-methyl-3,4-dihydroisoquinolin-1-yl)quinoxaline;
6-(4,4-difluoro-3,3-dimethyl-3,4-dihydroisoquinolin-1-yl)quinoxaline;
6-(3,3,4,4,6-pentamethyl-3,4-dihydroisoquinolin-1-yl)quinoxaline;
6-(3,3,6-trimethyl-3,4-dihydroisoquinolin-1-yl)quinoxaline;
6-(6-chloro-3,3-dimethyl-3,4-dihydroisoquinolin-1-yl)quinoxaline;
6-(4-ethyl-3,3-dimethyl-3,4-dihydroisoquinolin-1-yl)quinoxaline;
6-(3,3,5-trimethyl-3,4-dihydroisoquinolin-1-yl)quinoxaline;
6-(3,3,4,4-tetramethyl-3,4-dihydroisoquinolin-1-yl)quinoxaline;
6-(3,3-dimethyl-6-(trifluoromethoxy)-3,4-dihydroisoquinolin-1-yl)quinoxaline; 6-(6-fluoro-3,3,5-trimethyl-3,4-dihydroisoquinolin-1-yl)quinoxaline;
6-(6-fluoro-3,3-dimethyl-3,4-dihydroisoquinolin-1-yl)quinoxaline;
6-(7-fluoro-3,3-dimethyl-3,4-dihydroisoquinolin-1-yl)quinoxaline;
6-(6-fluoro-3,3,4,4-tetramethyl-3,4-dihydroisoquinolin-1-yl)quinoxaline;
6-(3-ethyl-4,4-difluoro-3-methyl-3,4-dihydroisoquinolin-1-yl)quinoxaline; 6-(3-ethyl-3-methyl-3,4-dihydroisoquinolin-1-yl)quinoxaline;
6-(5-chloro-3,3-dimethyl-3,4-dihydroisoquinolin-1-yl)quinoxaline;
6-(6-fluoro-3,3,4,5-tetramethyl-3,4-dihydroisoquinolin-1-yl)quinoxaline;
6-(3,3,4,5-tetramethyl-3,4-dihydroisoquinolin-1-yl)quinoxaline;
6-(6-bromo-3,3-dimethyl-3,4-dihydroisoquinolin-1-yl)quinoxaline;
3,3-dimethyl-1-(naphthalen-2-yl)-3,4-dihydroisoquinoline;
3,3,4,4-tetramethyl-1-(naphthalen-2-yl)-3,4-dihydroisoquinoline;
5-(3,3-dimethyl-3,4-dihydroisoquinolin-1-yl)isobenzofuran-1(3H)-one;
5-(3,3,4,4-tetramethyl-3,4-dihydroisoquinolin-1-yl)isobenzofuran-1(3H)-one;
5-(3,3,4-trimethyl-3,4-dihydroisoquinolin-1-yl)isobenzofuran-1(3H)-one;
5-(5-fluoro-3,3-dimethyl-3,4-dihydroisoquinolin-1-yl)isobenzofuran-1(3H)-one;
5-(5-fluoro-3,3,4-trimethyl-3,4-dihydroisoquinolin-1-yl)isobenzofuran-1(3H)-one; 5-(6-fluoro-3,3,4-trimethyl-3,4-dihydroisoquinolin-1-yl)isobenzofuran-1(3H)-one; 5-(6-fluoro-3,3,4,4-tetramethyl-3,4-dihydroisoquinolin-1-yl)isobenzofuran-1(3H)-one; 5-(5-chloro-3,3,4-trimethyl-3,4-dihydroisoquinolin-1-yl)isobenzofuran-1(3H)-one; 5-(6-fluoro-3,3-dimethyl-3,4-dihydroisoquinolin-1-yl)isobenzofuran-1(3H)-one;
5-(5-fluoro-3,3,4,4-tetramethyl-3,4-dihydroisoquinolin-1-yl)isobenzofuran-1(3H)-one; 3,3-dimethyl-1-(1-methyl-1H-indol-5-yl)-3,4-dihydroisoquinoline;
5,5-dimethyl-7-(naphthalen-2-yl)-4,5-dihydrothieno[2,3-c]pyridine;
4,4-difluoro-3,3-dimethyl-1-(naphthalen-2-yl)-3,4-dihydroisoquinoline;
3,3-dimethyl-1-(naphthalen-2-yl)isoquinolin-4(3H)-one;
3,3-dimethyl-1-(naphthalen-2-yl)-3,4-dihydrobenzo[h]isoquinoline;
6-(3,3,4,4-tetramethyl-3,4-dihydroisoquinolin-1-yl)-4H-chromen-4-one;
6-(3,3-dimethyl-3,4-dihydroisoquinolin-1-yl)-4H-chromen-4-one;
6-(5-chloro-3,3-dimethyl-3,4-dihydroisoquinolin-1-yl)-4H-chromen-4-one;
6-(3,3-dimethyl-3,4-dihydroisoquinolin-1-yl)-2H-chromen-2-one;
6-(5-chloro-3,3-dimethyl-3,4-dihydroisoquinolin-1-yl)-2H-chromen-2-one;
6-(5-fluoro-3,3,4-trimethyl-3,4-dihydroisoquinolin-1-yl)quinoline;
6-(5-fluoro-3,3,4,4-tetramethyl-3,4-dihydroisoquinolin-1-yl)quinoline;
6-(4,4,5-trifluoro-3,3-dimethyl-3,4-dihydroisoquinolin-1-yl)quinoline;
6-(5-chloro-3,3-dimethyl-3,4-dihydroisoquinolin-1-yl)quinoline;
6-(5-chloro-3,3,4-trimethyl-3,4-dihydroisoquinolin-1-yl)quinoline;
6-(5-chloro-3,3,4,4-tetramethyl-3,4-dihydroisoquinolin-1-yl)quinoline;
6-(5-chloro-4,4-difluoro-3,3-dimethyl-3,4-dihydroisoquinolin-1-yl)quinoline;
6-(5-bromo-3,3-dimethyl-3,4-dihydroisoquinolin-1-yl)quinoline;
6-(5-bromo-3,3,4-trimethyl-3,4-dihydroisoquinolin-1-yl)quinoline;
6-(5-bromo-3,3,4,4-tetramethyl-3,4-dihydroisoquinolin-1-yl)quinoline;
6-(5-bromo-4,4-difluoro-3,3-dimethyl-3,4-dihydroisoquinolin-1-yl)quinoline;
6-(3,3-dimethyl-5-(trifluoromethyl)-3,4-dihydroisoquinolin-1-yl)quinoline;
6-(3,3,4-trimethyl-5-(trifluoromethyl)-3,4-dihydroisoquinolin-1-yl)quinoline;
6-(3,3,4,4-tetramethyl-5-(trifluoromethyl)-3,4-dihydroisoquinolin-1-yl)quinoline;
6-(4,4-difluoro-3,3-dimethyl-5-(trifluoromethyl)-3,4-dihydroisoquinolin-1-yl)quinoline; 6-(3,3,5-trimethyl-3,4-dihydroisoquinolin-1-yl)quinoline;
6-(3,3,4,5-tetramethyl-3,4-dihydroisoquinolin-1-yl)quinoline;
6-(3,3,4,4,5-pentamethyl-3,4-dihydroisoquinolin-1-yl)quinoline;
6-(4,4-difluoro-3,3,5-trimethyl-3,4-dihydroisoquinolin-1-yl)quinoline;
6-(5,6-difluoro-3,3-dimethyl-3,4-dihydroisoquinolin-1-yl)quinoline;
6-(5,6-difluoro-3,3,4-trimethyl-3,4-dihydroisoquinolin-1-yl)quinoline;
6-(5,6-difluoro-3,3,4,4-tetramethyl-3,4-dihydroisoquinolin-1-yl)quinoline;
6-(5,7-difluoro-3,3,4,4-tetramethyl-3,4-dihydroisoquinolin-1-yl)quinoline;
6-(5,8-difluoro-3,3,4,4-tetramethyl-3,4-dihydroisoquinolin-1-yl)quinoline;
7-(4,4,5-trifluoro-3,3-dimethyl-3,4-dihydroisoquinolin-1-yl)quinoline;
7-(5-chloro-3,3,4,4-tetramethyl-3,4-dihydroisoquinolin-1-yl)quinoline;
7-(5-bromo-3,3,4,4-tetramethyl-3,4-dihydroisoquinolin-1-yl)quinoline;
7-(3,3,4,4-tetramethyl-5-(trifluoromethyl)-3,4-dihydroisoquinolin-1-yl)quinoline;
7-(3,3,4,4,5-pentamethyl-3,4-dihydroisoquinolin-1-yl)quinoline;
7-(3-ethyl-4,4-difluoro-3-methyl-3,4-dihydroisoquinolin-1-yl)quinoline;
4-chloro-7-(3,3,4,4-tetramethyl-3,4-dihydroisoquinolin-1-yl)quinoline;
4-chloro-7-(5-fluoro-3,3,4-trimethyl-3,4-dihydroisoquinolin-1-yl)quinoline;
4-chloro-7-(5-chloro-3,3-dimethyl-3,4-dihydroisoquinolin-1-yl)quinoline;
4-chloro-7-(4,4-difluoro-3,3-dimethyl-3,4-dihydroisoquinolin-1-yl)quinoline;
6-(3,3,4,4-tetramethyl-3,4-dihydroisoquinolin-1-yl)quinolin-4-ol;
6-(4,4-difluoro-3,3-dimethyl-3,4-dihydroisoquinolin-1-yl)quinolin-4-ol;
4-(1-methylhydrazineyl)-6-(3,3,4,4-tetramethyl-3,4-dihydroisoquinolin-1-yl)quinoline;
6-(4,4-difluoro-3,3-dimethyl-3,4-dihydroisoquinolin-1-yl)-4-(1-methylhydrazineyl)quinoline; 4-(1-methylhydrazineyl)-6-(3,3,4,4,5-pentamethyl-3,4-dihydroisoquinolin-1-yl)quinoline;
N,N-dimethyl-6-(3,3,4,4,5-pentamethyl-3,4-dihydroisoquinolin-1-yl)quinolin-4-amine;
4-isopropoxy-6-(3,3,4,4,5-pentamethyl-3,4-dihydroisoquinolin-1-yl)quinoline;
6-(4,4-difluoro-3,3-dimethyl-3,4-dihydroisoquinolin-1-yl)-4-isopropoxyquinoline;
4,4-difluoro-7-(4-isopropoxyquinolin-6-yl)-5,5-dimethyl-4,5-dihydrothieno[2,3-c]pyridine; 4,4-difluoro-5,5-dimethyl-7-(4-(1-methylhydrazineyl)quinolin-6-yl)-4,5-dihydrothieno[2,3- c]pyridine;
4,4,5,5-tetramethyl-7-(4-(1-methylhydrazineyl)quinolin-6-yl)-4,5-dihydrothieno[2,3-c]pyridine; 6-(4,4-difluoro-3,3-dimethyl-3,4-dihydroisoquinolin-1-yl)-4-(methylthio)quinoline;
(6-(4,4-difluoro-3,3-dimethyl-3,4-dihydroisoquinolin-1-yl)quinolin-4-yl)(imino)(methyl)-l6- sulfanone;
(6-(4,4-difluoro-3,3-dimethyl-3,4-dihydroisoquinolin-1-yl)quinolin-4-yl)(methyl)(methylimino)- l6-sulfanone;
6-(4,4-difluoro-3,3-dimethyl-3,4-dihydroisoquinolin-1-yl)-4-(methylsulfonyl)quinoline;
imino(methyl)(6-(3,3,4,4-tetramethyl-3,4-dihydroisoquinolin-1-yl)quinolin-4-yl)-l6-sulfanone; imino(methyl)(6-(3,3,4,4,5-pentamethyl-3,4-dihydroisoquinolin-1-yl)quinolin-4-yl)-l6- sulfanone;
imino(methyl)(6-(4,4,5,5-tetramethyl-4,5-dihydrothieno[2,3-c]pyridin-7-yl)quinolin-4-yl)-l6- sulfanone;
6-(4,4-difluoro-3,3-dimethyl-3,4-dihydroisoquinolin-1-yl)quinoline-4-carboxylic acid;
6-(4,4-difluoro-3,3-dimethyl-3,4-dihydroisoquinolin-1-yl)quinoline-4-carboxamide;
6-(4,4-difluoro-3,3-dimethyl-3,4-dihydroisoquinolin-1-yl)-N-methylquinoline-4-carboxamide; N-methyl-6-(3,3,4,4-tetramethyl-3,4-dihydroisoquinolin-1-yl)quinoline-4-carboxamide;
N-methyl-6-(4,4,5,5-tetramethyl-4,5-dihydrothieno[2,3-c]pyridin-7-yl)quinoline-4-carboxamide; N-methyl-6-(4,4,5,5-tetramethyl-4,5-dihydrothieno[2,3-c]pyridin-7-yl)quinoline-4-carboxamide; (6-(5-fluoro-3,3,4,4-tetramethyl-3,4-dihydroisoquinolin-1-yl)quinolin-4-yl)(imino)(methyl)-l6- sulfanone;
(6-(6-fluoro-3,3,4,4-tetramethyl-3,4-dihydroisoquinolin-1-yl)quinolin-4-yl)(imino)(methyl)-l6- sulfanone;
1-(4-aminoquinolin-6-yl)-3,3,4,4-tetramethyl-3,4-dihydroisoquinoline-5-carbonitrile;
6-(5-ethynyl-3,3,4,4-tetramethyl-3,4-dihydroisoquinolin-1-yl)quinolin-4-amine;
6-(5-ethynyl-3,3,4,4-tetramethyl-3,4-dihydroisoquinolin-1-yl)quinoline-4-thiol;
imino(methyl)(3,3,4,4-tetramethyl-1-(quinolin-6-yl)-3,4-dihydroisoquinolin-5-yl)-l6-sulfanone; 6-(3,3,4,4-tetramethyl-5-(S-methylsulfonimidoyl)-3,4-dihydroisoquinolin-1-yl)-4H-chromen-4- one;
6-(3,3,4,4,5-pentamethyl-3,4-dihydroisoquinolin-1-yl)-4H-chromen-4-one;
6-(4,4-difluoro-3,3-dimethyl-3,4-dihydroisoquinolin-1-yl)-4H-chromen-4-one;
6-(4,4-difluoro-3,3-dimethyl-3,4-dihydroisoquinolin-1-yl)-2-methyl-4H-chromen-4-one;
6-(4,4-difluoro-3,3-dimethyl-3,4-dihydroisoquinolin-1-yl)-3-methyl-4H-chromen-4-one;
6-(4,4-difluoro-3,3-dimethyl-3,4-dihydroisoquinolin-1-yl)-2,3-dimethyl-4H-chromen-4-one; 6-(4,4-difluoro-3,3-dimethyl-3,4-dihydroisoquinolin-1-yl)-2-methyl-4H-thiochromen-4-one; 6-(4,4-difluoro-3,3-dimethyl-3,4-dihydroisoquinolin-1-yl)-3-methyl-4H-chromen-4-one;
6-(4,4-difluoro-3,3-dimethyl-3,4-dihydroisoquinolin-1-yl)-2,3-dimethyl-4H-chromen-4-one; 6-(5-fluoro-3,3,4,4-tetramethyl-3,4-dihydroisoquinolin-1-yl)-4H-chromen-4-one;
6-(6-fluoro-3,3,4,4-tetramethyl-3,4-dihydroisoquinolin-1-yl)-4H-chromen-4-one;
6-(3,3,4,4-tetramethyl-3,4-dihydroisoquinolin-1-yl)-4H-chromene-4-thione;
6-(4,4,5,5-tetramethyl-4,5-dihydrothieno[2,3-c]pyridin-7-yl)-4H-chromene-4-thione;
6-(4,4-difluoro-3,3-dimethyl-3,4-dihydroisoquinolin-1-yl)-4H-chromene-4-thione;
6-(3,3,4,4-tetramethyl-5-(S-methylsulfonimidoyl)-3,4-dihydroisoquinolin-1-yl)-2H-chromen-2- one;
6-(3,3,4,4,5-pentamethyl-3,4-dihydroisoquinolin-1-yl)-2H-chromen-2-one;
6-(4,4-difluoro-3,3-dimethyl-3,4-dihydroisoquinolin-1-yl)-2H-chromen-2-one;
6-(4,4-difluoro-3,3-dimethyl-3,4-dihydroisoquinolin-1-yl)-4-methyl-2H-chromen-2-one;
6-(4,4-difluoro-3,3-dimethyl-3,4-dihydroisoquinolin-1-yl)-3-methyl-2H-chromen-2-one;
6-(4,4-difluoro-3,3-dimethyl-3,4-dihydroisoquinolin-1-yl)-3,4-dimethyl-2H-chromen-2-one; 6-(4,4-difluoro-3,3-dimethyl-3,4-dihydroisoquinolin-1-yl)-2H-chromene-2-thione;
6-(4,4-difluoro-3,3-dimethyl-3,4-dihydroisoquinolin-1-yl)-3-methyl-2H-chromene-2-thione; 6-(4,4-difluoro-3,3-dimethyl-3,4-dihydroisoquinolin-1-yl)-4-methyl-2H-chromen-2-one;
6-(5-fluoro-3,3,4,4-tetramethyl-3,4-dihydroisoquinolin-1-yl)-2H-chromen-2-one;
6-(6-fluoro-3,3,4,4-tetramethyl-3,4-dihydroisoquinolin-1-yl)-2H-chromen-2-one;
6-(3,3,4,4-tetramethyl-3,4-dihydroisoquinolin-1-yl)-2H-chromene-2-thione;
6-(4,4,5,5-tetramethyl-4,5-dihydrothieno[2,3-c]pyridin-7-yl)-2H-chromene-2-thione;
6-(5,5-dimethyl-4-methylene-4,5-dihydrothieno[2,3-c]pyridin-7-yl)-2H-chromene-2-thione; 6-(4,4-difluoro-3,3-dimethyl-3,4-dihydroisoquinolin-1-yl)-8-hydroxy-2H-chromen-2-one;
6-(4,4-difluoro-3,3-dimethyl-3,4-dihydroisoquinolin-1-yl)-8-methoxy-2H-chromen-2-one;
8-hydroxy-6-(3,3,4,4-tetramethyl-3,4-dihydroisoquinolin-1-yl)-2H-chromen-2-one;
8-methyl-6-(3,3,4,4-tetramethyl-3,4-dihydroisoquinolin-1-yl)-2H-chromen-2-one;
8-amino-6-(3,3,4,4-tetramethyl-3,4-dihydroisoquinolin-1-yl)-2H-chromen-2-one;
7-methyl-6-(3,3,4,4-tetramethyl-3,4-dihydroisoquinolin-1-yl)-2H-chromen-2-one;
7-mercapto-6-(3,3,4,4-tetramethyl-3,4-dihydroisoquinolin-1-yl)-2H-chromen-2-one;
5-chloro-6-(3,3,4,4-tetramethyl-3,4-dihydroisoquinolin-1-yl)-2H-chromen-2-one;
5-chloro-8-methyl-6-(3,3,4,4-tetramethyl-3,4-dihydroisoquinolin-1-yl)-2H-chromen-2-one; 5-chloro-6-(5-methoxy-3,3,4,4-tetramethyl-3,4-dihydroisoquinolin-1-yl)-2H-chromen-2-one; 8-(methylthio)-6-(3,3,4,4,5-pentamethyl-3,4-dihydroisoquinolin-1-yl)-2H-chromen-2-one;
8-hydroxy-6-(3,3,4,4-tetramethyl-3,4-dihydroisoquinolin-1-yl)-4H-chromen-4-one;
8-methyl-6-(3,3,4,4-tetramethyl-3,4-dihydroisoquinolin-1-yl)-4H-chromen-4-one;
8-amino-6-(3,3,4,4-tetramethyl-3,4-dihydroisoquinolin-1-yl)-4H-chromen-4-one;
7-methyl-6-(3,3,4,4-tetramethyl-3,4-dihydroisoquinolin-1-yl)-4H-chromen-4-one;
7-mercapto-6-(3,3,4,4-tetramethyl-3,4-dihydroisoquinolin-1-yl)-4H-chromen-4-one;
5-chloro-6-(3,3,4,4-tetramethyl-3,4-dihydroisoquinolin-1-yl)-4H-chromen-4-one;
5-chloro-8-methyl-6-(3,3,4,4-tetramethyl-3,4-dihydroisoquinolin-1-yl)-4H-chromen-4-one; 5-chloro-6-(5-methoxy-3,3,4,4-tetramethyl-3,4-dihydroisoquinolin-1-yl)-4H-chromen-4-one; 8-(methylthio)-6-(3,3,4,4,5-pentamethyl-3,4-dihydroisoquinolin-1-yl)-4H-chromen-4-one;
6-(5-bromo-3,3,4,4-tetramethyl-3,4-dihydroisoquinolin-1-yl)-8-(methylthio)-4H-chromen-4-one;
6-(2,4,4,5,5-pentamethyl-4,5-dihydrothieno[2,3-c]pyridin-7-yl)-2H-chromen-2-one; diethyl (7-(4,4-difluoro-3,3-dimethyl-3,4-dihydroisoquinolin-1-yl)quinolin-4-yl)phosphonate; 4. A composition for controlling or preventing against phytopathogenic microorganisms, comprising a compound of general formula (I) as claimed in claims 1 to 3 and one or more inert carriers. 5. A composition comprising compound of general formula (I) as claimed in claims 1 to 3; one or more active compatible compound selected from fungicides, insecticides, nematicides, acaricides, biopesticides, herbicides, plant growth regulators, antibiotics, nutrients and fertilizers; and one or more inert carriers. 6. The compositions as claimed in claims 4 or 5, wherein the concentration of the compound of general formula (I) ranges from 1 to 90% by weight with respect to the total weight of the composition, preferably from 5 to 50% by weight with respect to the total weight of the composition. 7. A combination comprising the compound of general formula (I) as claimed in claims 1 to 3 and one or more active compatible compound selected from fungicides, insecticides, nematicides, acaricides, biopesticides, herbicides, plant growth regulators, antibiotics, nutrients and fertilizers. 8. Use of compound of general formula (I) according to claims 1 to 3 or the composition as claimed in claim 4 to 6, or the combination as claimed in claim 7, for controlling or preventing against phytopathogenic fungi, bacteria, insects, nematodes, mites of agricultural crops and or horticultural crops. 9. Use of compound of general formula (I) as claimed in claims 1 to 3, or the compositions as claimed in claims 4 to 6, or combination as claimed in claim 7, for controlling or preventing against phytopathogenic fungi of agricultural crops and or horticultural crops. 10. Use of the compounds of general formula (I) as claimed in claims 1 to 3 or the compositions as claimed in claims 4 to 6, or the combination as claimed in claim 7, wherein the agricultural crops are cereals, corn, rice, soybean and other leguminous plants, fruits and fruit trees, nuts and
nut trees, citrus and citrus trees, any horticultural plants, cucurbitaceae, oleaginous plants, tobacco, coffee, tea, cacao, sugar beet, sugar cane, cotton, potato, tomato, onions, peppers and other vegetables, and ornamentals. 11. A method of controlling or preventing infestation of useful plants by phytopathogenic microorganisms in agricultural crops and or horticultural crops wherein the compound of general formula (I) as claimed in claims 1 to 3, or the compositions as claimed in claims 4 to 6, or the combination as claimed in 7, is applied to the plants, to parts thereof or the locus thereof. 12. A method of controlling or preventing infestation of useful plants by phytopathogenic microorganisms in agricultural crops and or horticultural crops wherein the compound of general formula (I) as claimed in claims 1 to 3 or the compositions as claimed in claims 4 to 6, or the combination as claimed in 7 is applied to the seeds of plants. 13. A method of controlling or preventing phytopathogenic microorganisms in agricultural crops and or horticultural crops using the compound of general formula (I) as claimed in claims 1 to 3 or the compositions as claimed in claims 4 to 6, or the combination as claimed in 7, which comprises a step of applying an effective dosage of the compound or the composition or the combination, in amounts ranging from 1 g to 5 kg per hectare of agricultural or horticultural crops.
Applications Claiming Priority (2)
| Application Number | Priority Date | Filing Date | Title |
|---|---|---|---|
| IN201611043525 | 2016-12-20 | ||
| IN201611043525 | 2016-12-20 |
Publications (1)
| Publication Number | Publication Date |
|---|---|
| WO2018116072A1 true WO2018116072A1 (en) | 2018-06-28 |
Family
ID=61005853
Family Applications (1)
| Application Number | Title | Priority Date | Filing Date |
|---|---|---|---|
| PCT/IB2017/057870 Ceased WO2018116072A1 (en) | 2016-12-20 | 2017-12-13 | Heterocyclic compounds |
Country Status (1)
| Country | Link |
|---|---|
| WO (1) | WO2018116072A1 (en) |
Cited By (2)
| Publication number | Priority date | Publication date | Assignee | Title |
|---|---|---|---|---|
| CN113045452A (en) * | 2021-03-09 | 2021-06-29 | 扬州大学 | Preparation method of aromatic amine diazo tetrafluoroborate compound |
| CN113307810A (en) * | 2021-03-31 | 2021-08-27 | 安徽珐诺伊医药科技有限公司 | Synthetic method and application of 2, 4-fluoro-pyrrole [1,2] pyrimidine-7-carbonitrile |
Citations (43)
| Publication number | Priority date | Publication date | Assignee | Title |
|---|---|---|---|---|
| EP0374753A2 (en) | 1988-12-19 | 1990-06-27 | American Cyanamid Company | Insecticidal toxines, genes coding therefor, antibodies binding them, transgenic plant cells and plants expressing these toxines |
| EP0392225A2 (en) | 1989-03-24 | 1990-10-17 | Ciba-Geigy Ag | Disease-resistant transgenic plants |
| EP0427529A1 (en) | 1989-11-07 | 1991-05-15 | Pioneer Hi-Bred International, Inc. | Larvicidal lectins and plant insect resistance based thereon |
| EP0451878A1 (en) | 1985-01-18 | 1991-10-16 | Plant Genetic Systems, N.V. | Modifying plants by genetic engineering to combat or control insects |
| WO1993007278A1 (en) | 1991-10-04 | 1993-04-15 | Ciba-Geigy Ag | Synthetic dna sequence having enhanced insecticidal activity in maize |
| WO1995034656A1 (en) | 1994-06-10 | 1995-12-21 | Ciba-Geigy Ag | Novel bacillus thuringiensis genes coding toxins active against lepidopteran pests |
| WO2002015701A2 (en) | 2000-08-25 | 2002-02-28 | Syngenta Participations Ag | Bacillus thuringiensis crystal protein hybrids |
| WO2003018810A2 (en) | 2001-08-31 | 2003-03-06 | Syngenta Participations Ag | Modified cry3a toxins and nucleic acid sequences coding therefor |
| WO2003052073A2 (en) | 2001-12-17 | 2003-06-26 | Syngenta Participations Ag | Novel corn event |
| WO2003076415A1 (en) | 2002-03-12 | 2003-09-18 | Sumitomo Chemical Company, Limited | Pyrimidine compounds and their use as pesticides |
| WO2003106457A1 (en) | 2002-06-14 | 2003-12-24 | Syngenta Limited | Spiroindolinepiperidine derivatives |
| WO2004099160A1 (en) | 2003-05-12 | 2004-11-18 | Sumitomo Chemical Company, Limited | Pyrimidine compounds and pests controlling composition containing the same |
| WO2005070917A1 (en) | 2004-01-23 | 2005-08-04 | Sankyo Agro Company, Limited | 3-(dihydro(tetrahydro)isoquinolin-1-yl)quinolines |
| WO2005085216A1 (en) | 2004-03-05 | 2005-09-15 | Nissan Chemical Industries, Ltd. | Isoxazoline-substituted benzamide compound and noxious organism control agent |
| WO2006003494A2 (en) | 2004-06-28 | 2006-01-12 | Syngenta Participations Ag | Piperidine derivatives and their use as insecticides, acaricides, molluscicides or nematicides |
| WO2006043635A1 (en) | 2004-10-20 | 2006-04-27 | Kumiai Chemical Industry Co., Ltd. | 3-triazolylphenyl sulfide derivative and insecticide/acaricide/nematicide containing the same as active ingredient |
| JP2007001944A (en) | 2005-06-24 | 2007-01-11 | Sankyo Agro Kk | 3,4-dihydro-1,3'-biquinolin-2-one derivatives |
| WO2007011022A1 (en) | 2005-07-22 | 2007-01-25 | Sankyo Agro Company, Limited | 3-(isoquinoline-1-yl)quinoline derivative |
| JP2007217353A (en) | 2006-02-17 | 2007-08-30 | Sankyo Agro Kk | 1,2,3,4-tetrahydroquinoline compound |
| WO2008134969A1 (en) | 2007-04-30 | 2008-11-13 | Sinochem Corporation | Benzamide compounds and applications thereof |
| CN101337940A (en) | 2008-08-12 | 2009-01-07 | 国家农药创制工程技术研究中心 | Nitrogen heterocyclic ring dichloro allyl ether compound with insecticidal activity |
| WO2009049851A1 (en) | 2007-10-15 | 2009-04-23 | Syngenta Participations Ag | Spiroheterocyclic pyrrolidine dione derivatives useful as pesticides |
| WO2009080250A2 (en) | 2007-12-24 | 2009-07-02 | Syngenta Participations Ag | Insecticidal compounds |
| WO2009099929A1 (en) | 2008-02-06 | 2009-08-13 | E. I. Du Pont De Nemours And Company | Mesoionic pesticides |
| WO2010051926A2 (en) | 2008-11-05 | 2010-05-14 | Bayer Cropscience Aktiengesellschaft | New halogen-substituted bonds |
| CN102057925A (en) | 2011-01-21 | 2011-05-18 | 陕西上格之路生物科学有限公司 | Insecticidal composition containing thiacloprid amide and biogenic insecticide |
| CN102060818A (en) | 2011-01-07 | 2011-05-18 | 青岛科技大学 | Novel spirodiclofen compound and preparation method and application thereof |
| US20110183983A1 (en) | 2008-10-14 | 2011-07-28 | Neopharm Co., Ltd. | Heterocyclic compound as protein kinase inhibitor |
| WO2012000896A2 (en) | 2010-06-28 | 2012-01-05 | Bayer Cropscience Ag | Heterocyclic compounds as agents for pest control |
| WO2012029672A1 (en) | 2010-08-31 | 2012-03-08 | Meiji Seikaファルマ株式会社 | Noxious organism control agent |
| WO2013047749A1 (en) | 2011-09-29 | 2013-04-04 | 三井化学アグロ株式会社 | Production method for 4, 4-difluoro-3,4-dihydroisoquinoline derivative |
| JP2013139427A (en) | 2011-12-09 | 2013-07-18 | Mitsui Chemicals Agro Inc | Method of improving and synthesizing isoquinolin-4(3h)-ones |
| WO2013144213A1 (en) | 2012-03-30 | 2013-10-03 | Basf Se | N-substituted pyridinylidene compounds and derivatives for combating animal pests |
| WO2014066506A2 (en) | 2012-10-23 | 2014-05-01 | Cleave Biosciences, Inc. | Compositions and methods for jamm protein inhibition |
| JP2014221747A (en) | 2013-05-14 | 2014-11-27 | 日本曹達株式会社 | Nitrogen-containing heterocyclic compound and bactericide for agricultural and horticultural use |
| US20140371255A1 (en) | 2009-01-16 | 2014-12-18 | Virginia Commonwealth University | Non-peptidyl, potent, and selective mu opioid receptor antagonists and their use in treating opioid addiction and opioid induced constipation |
| WO2015011166A1 (en) * | 2013-07-24 | 2015-01-29 | Bayer Cropscience Ag | Binary fungicidal composition |
| WO2015117563A1 (en) | 2014-02-07 | 2015-08-13 | Syngenta Participations Ag | Microbiocidal heterobicyclic derivatives |
| WO2015132133A1 (en) | 2014-03-04 | 2015-09-11 | Syngenta Participations Ag | Microbiocidal heterobicyclic derivatives |
| CN105461626A (en) * | 2015-12-17 | 2016-04-06 | 浙江工业大学 | Aromatic ring or fused heterocycle linked 3,4-dihydroisoquinoline conjugated structure compound and application thereof |
| WO2016156085A1 (en) * | 2015-03-27 | 2016-10-06 | Syngenta Participations Ag | Microbiocidal heterobicyclic derivatives |
| WO2016156129A1 (en) | 2015-04-02 | 2016-10-06 | Basf Se | Quinoline compounds |
| WO2017090664A1 (en) | 2015-11-25 | 2017-06-01 | 三井化学アグロ株式会社 | Quinoxalylisoquinoline compound |
-
2017
- 2017-12-13 WO PCT/IB2017/057870 patent/WO2018116072A1/en not_active Ceased
Patent Citations (45)
| Publication number | Priority date | Publication date | Assignee | Title |
|---|---|---|---|---|
| EP0451878A1 (en) | 1985-01-18 | 1991-10-16 | Plant Genetic Systems, N.V. | Modifying plants by genetic engineering to combat or control insects |
| EP0374753A2 (en) | 1988-12-19 | 1990-06-27 | American Cyanamid Company | Insecticidal toxines, genes coding therefor, antibodies binding them, transgenic plant cells and plants expressing these toxines |
| EP0392225A2 (en) | 1989-03-24 | 1990-10-17 | Ciba-Geigy Ag | Disease-resistant transgenic plants |
| EP0427529A1 (en) | 1989-11-07 | 1991-05-15 | Pioneer Hi-Bred International, Inc. | Larvicidal lectins and plant insect resistance based thereon |
| WO1993007278A1 (en) | 1991-10-04 | 1993-04-15 | Ciba-Geigy Ag | Synthetic dna sequence having enhanced insecticidal activity in maize |
| WO1995034656A1 (en) | 1994-06-10 | 1995-12-21 | Ciba-Geigy Ag | Novel bacillus thuringiensis genes coding toxins active against lepidopteran pests |
| WO2002015701A2 (en) | 2000-08-25 | 2002-02-28 | Syngenta Participations Ag | Bacillus thuringiensis crystal protein hybrids |
| WO2003018810A2 (en) | 2001-08-31 | 2003-03-06 | Syngenta Participations Ag | Modified cry3a toxins and nucleic acid sequences coding therefor |
| WO2003052073A2 (en) | 2001-12-17 | 2003-06-26 | Syngenta Participations Ag | Novel corn event |
| WO2003076415A1 (en) | 2002-03-12 | 2003-09-18 | Sumitomo Chemical Company, Limited | Pyrimidine compounds and their use as pesticides |
| WO2003106457A1 (en) | 2002-06-14 | 2003-12-24 | Syngenta Limited | Spiroindolinepiperidine derivatives |
| WO2004099160A1 (en) | 2003-05-12 | 2004-11-18 | Sumitomo Chemical Company, Limited | Pyrimidine compounds and pests controlling composition containing the same |
| WO2005070917A1 (en) | 2004-01-23 | 2005-08-04 | Sankyo Agro Company, Limited | 3-(dihydro(tetrahydro)isoquinolin-1-yl)quinolines |
| EP1736471A1 (en) | 2004-01-23 | 2006-12-27 | Sankyo Agro Company, Limited | 3-(dihydro(tetrahydro)isoquinolin-1-yl)quinolines |
| US20080275242A1 (en) | 2004-01-23 | 2008-11-06 | Hiroyuki Ito | 3-(Dihydro(Tetrahydro)Isoquinolin-1-Yl)Quinoline Compound |
| WO2005085216A1 (en) | 2004-03-05 | 2005-09-15 | Nissan Chemical Industries, Ltd. | Isoxazoline-substituted benzamide compound and noxious organism control agent |
| WO2006003494A2 (en) | 2004-06-28 | 2006-01-12 | Syngenta Participations Ag | Piperidine derivatives and their use as insecticides, acaricides, molluscicides or nematicides |
| WO2006043635A1 (en) | 2004-10-20 | 2006-04-27 | Kumiai Chemical Industry Co., Ltd. | 3-triazolylphenyl sulfide derivative and insecticide/acaricide/nematicide containing the same as active ingredient |
| JP2007001944A (en) | 2005-06-24 | 2007-01-11 | Sankyo Agro Kk | 3,4-dihydro-1,3'-biquinolin-2-one derivatives |
| WO2007011022A1 (en) | 2005-07-22 | 2007-01-25 | Sankyo Agro Company, Limited | 3-(isoquinoline-1-yl)quinoline derivative |
| JP2007217353A (en) | 2006-02-17 | 2007-08-30 | Sankyo Agro Kk | 1,2,3,4-tetrahydroquinoline compound |
| WO2008134969A1 (en) | 2007-04-30 | 2008-11-13 | Sinochem Corporation | Benzamide compounds and applications thereof |
| WO2009049851A1 (en) | 2007-10-15 | 2009-04-23 | Syngenta Participations Ag | Spiroheterocyclic pyrrolidine dione derivatives useful as pesticides |
| WO2009080250A2 (en) | 2007-12-24 | 2009-07-02 | Syngenta Participations Ag | Insecticidal compounds |
| WO2009099929A1 (en) | 2008-02-06 | 2009-08-13 | E. I. Du Pont De Nemours And Company | Mesoionic pesticides |
| CN101337940A (en) | 2008-08-12 | 2009-01-07 | 国家农药创制工程技术研究中心 | Nitrogen heterocyclic ring dichloro allyl ether compound with insecticidal activity |
| US20110183983A1 (en) | 2008-10-14 | 2011-07-28 | Neopharm Co., Ltd. | Heterocyclic compound as protein kinase inhibitor |
| WO2010051926A2 (en) | 2008-11-05 | 2010-05-14 | Bayer Cropscience Aktiengesellschaft | New halogen-substituted bonds |
| US20140371255A1 (en) | 2009-01-16 | 2014-12-18 | Virginia Commonwealth University | Non-peptidyl, potent, and selective mu opioid receptor antagonists and their use in treating opioid addiction and opioid induced constipation |
| WO2012000896A2 (en) | 2010-06-28 | 2012-01-05 | Bayer Cropscience Ag | Heterocyclic compounds as agents for pest control |
| WO2012029672A1 (en) | 2010-08-31 | 2012-03-08 | Meiji Seikaファルマ株式会社 | Noxious organism control agent |
| CN102060818A (en) | 2011-01-07 | 2011-05-18 | 青岛科技大学 | Novel spirodiclofen compound and preparation method and application thereof |
| CN102057925A (en) | 2011-01-21 | 2011-05-18 | 陕西上格之路生物科学有限公司 | Insecticidal composition containing thiacloprid amide and biogenic insecticide |
| WO2013047749A1 (en) | 2011-09-29 | 2013-04-04 | 三井化学アグロ株式会社 | Production method for 4, 4-difluoro-3,4-dihydroisoquinoline derivative |
| JP2013139427A (en) | 2011-12-09 | 2013-07-18 | Mitsui Chemicals Agro Inc | Method of improving and synthesizing isoquinolin-4(3h)-ones |
| WO2013144213A1 (en) | 2012-03-30 | 2013-10-03 | Basf Se | N-substituted pyridinylidene compounds and derivatives for combating animal pests |
| WO2014066506A2 (en) | 2012-10-23 | 2014-05-01 | Cleave Biosciences, Inc. | Compositions and methods for jamm protein inhibition |
| JP2014221747A (en) | 2013-05-14 | 2014-11-27 | 日本曹達株式会社 | Nitrogen-containing heterocyclic compound and bactericide for agricultural and horticultural use |
| WO2015011166A1 (en) * | 2013-07-24 | 2015-01-29 | Bayer Cropscience Ag | Binary fungicidal composition |
| WO2015117563A1 (en) | 2014-02-07 | 2015-08-13 | Syngenta Participations Ag | Microbiocidal heterobicyclic derivatives |
| WO2015132133A1 (en) | 2014-03-04 | 2015-09-11 | Syngenta Participations Ag | Microbiocidal heterobicyclic derivatives |
| WO2016156085A1 (en) * | 2015-03-27 | 2016-10-06 | Syngenta Participations Ag | Microbiocidal heterobicyclic derivatives |
| WO2016156129A1 (en) | 2015-04-02 | 2016-10-06 | Basf Se | Quinoline compounds |
| WO2017090664A1 (en) | 2015-11-25 | 2017-06-01 | 三井化学アグロ株式会社 | Quinoxalylisoquinoline compound |
| CN105461626A (en) * | 2015-12-17 | 2016-04-06 | 浙江工业大学 | Aromatic ring or fused heterocycle linked 3,4-dihydroisoquinoline conjugated structure compound and application thereof |
Non-Patent Citations (26)
| Title |
|---|
| "Technical Monograph", May 2008, CROPLIFE INTERNATIONAL, article "Catalogue of pesticide formulation types and international coding system" |
| "The Pesticide Manual" |
| ALAMEDA: "Studies in the Isoquinoline Series. Part X", PROCEEDINGS OF THE NATIONAL INSTITUTE OF SCIENCES OF INDIA, vol. 7, 1941, pages 215 - 221, XP009505154 * |
| AUSTRAL. J. AGRICULT. RES., vol. 58, 2007, pages 708 |
| BIOORGANIC & MEDICINAL CHEMISTRY LETTERS, vol. 14, no. 14, 2004, pages 3771 - 3774 |
| CHEMICAL & PHARMACEUTICAL BULLETIN, vol. 32, no. 9, 1984, pages 3361 - 5 |
| GRAY N M ET AL: "PHENCYCLIDINE-LIKE EFFECTS OF TETRAHYDROISOQUINOLINES AND RELATED COMPOUNDS", JOURNAL OF MEDICINAL CHEMISTRY, AMERICAN CHEMICAL SOCIETY, vol. 32, no. 6, 1 January 1989 (1989-01-01), pages 1242 - 1248, XP000652263, ISSN: 0022-2623, DOI: 10.1021/JM00126A016 * |
| JOURNAL OF THE AMERICAN CHEMICAL SOCIETY, vol. 127, no. 1, 2005, pages 74 - 75 |
| JOURNAL OF THE CHEMICAL SOCIETY, 1951, pages 1145 - 9 |
| JOURNAL OF THE CHEMICAL SOCIETY, CHEMICAL COMMUNICATIONS, no. 11, 1981, pages 550 - 1 |
| JOURNAL OF THE CHINESE CHEMICAL SOCIETY, vol. 29, no. 1, 1982, pages 29 - 37 |
| KNOWLES: "Adjuvants and additives, Agrow Reports DS256", 2006, T&F INFORMA UK |
| KNOWLES: "Agrow Reports DS243", 2005, T&F INFORMA, article "New developments in crop protection product formulation" |
| MCCUTCHEON'S: "Emulsifiers & Detergents", vol. 1, 2008, MCCUTCHEON'S DIRECTORIES |
| MOLLET; GRUBEMANN: "Formulation technology", 2001, WILEY VCH |
| PEST MANAGEM SCI, vol. 61, 2005, pages 258 |
| PEST MANAGEM SCI, vol. 61, 2005, pages 269 |
| PEST MANAGEM SCI, vol. 61, 2005, pages 277 |
| PEST MANAGEM SCI, vol. 61, 2005, pages 286 |
| PEST MANAGEM SCI, vol. 64, 2008, pages 326 |
| PEST MANAGEM SCI, vol. 64, 2008, pages 332 |
| PEST MANAGEM. SCI., vol. 61, 2005, pages 246 |
| SCIENCE, vol. 316, no. 1, 2007, pages 185 |
| SHIGEHIKO SUGASAWA ET AL: "Studies on the Synthesis of Nitrogen-Ring-Compounds (XIX) : Synthesis of Some Isoquinolines. having N-Hetero-Ring on 1-Position", YAKUGAKU ZASSHI = JOURNAL OF THE PHARMACEUTICAL SOCIETY OF JAPAN, vol. 60, no. 2, 1 January 1940 (1940-01-01), JP, pages 140 - 145, XP055472244, ISSN: 0031-6903, DOI: 10.1248/yakushi1881.60.2_140 * |
| TETRAHEDRON, vol. 35, no. 17, 1979, pages 2027 - 33 |
| WEED SCI., vol. 57, 2009, pages 108 |
Cited By (2)
| Publication number | Priority date | Publication date | Assignee | Title |
|---|---|---|---|---|
| CN113045452A (en) * | 2021-03-09 | 2021-06-29 | 扬州大学 | Preparation method of aromatic amine diazo tetrafluoroborate compound |
| CN113307810A (en) * | 2021-03-31 | 2021-08-27 | 安徽珐诺伊医药科技有限公司 | Synthetic method and application of 2, 4-fluoro-pyrrole [1,2] pyrimidine-7-carbonitrile |
Similar Documents
| Publication | Publication Date | Title |
|---|---|---|
| ES2918016T3 (en) | Pyridine compounds useful to combat phytopathogenic fungi | |
| JP2018536025A (en) | Substituted oxadiazoles for controlling plant pathogens | |
| JP2019502661A (en) | Substituted oxadiazoles for controlling plant pathogens | |
| JP2018537457A (en) | Substituted oxadiazoles for controlling plant pathogens | |
| BR122021017872B1 (en) | USE OF COMPOUNDS, AGROCHEMICAL COMPOSITION AND METHOD TO COMBAT PHYTOPATHOGENIC FUNGI | |
| CA3218900A1 (en) | New substituted pyridines as fungicides | |
| EP3571190A1 (en) | Fungicidal pyridine compounds | |
| WO2018073110A1 (en) | Quinoline compounds as fungicides | |
| EP3980402A1 (en) | Fungicidal n-(pyrid-3-yl)carboxamides | |
| WO2018054711A1 (en) | Pyridine compounds for controlling phytopathogenic harmful fungi | |
| CA3227653A1 (en) | (3-quinolyl)-quinazoline | |
| WO2023011958A1 (en) | (3-pirydyl)-quinazoline | |
| WO2018116072A1 (en) | Heterocyclic compounds | |
| WO2019154663A1 (en) | New pyridine carboxamides | |
| WO2018149754A1 (en) | Pyridine compounds | |
| WO2018065182A1 (en) | Reduced quinoline compounds as antifuni agents | |
| WO2018054721A1 (en) | Pyridine compounds for controlling phytopathogenic harmful fungi | |
| WO2021063736A1 (en) | Bicyclic pyridine derivatives | |
| EP3630731B1 (en) | Pyridine and pyrazine compounds for combating phytopathogenic fungi | |
| WO2019150311A1 (en) | 1-3 dithiol compounds and their use for the protection of crops from phytopathogenic microorganisms | |
| EP3606914A1 (en) | Pyridine compounds | |
| WO2025008226A1 (en) | Substituted quinolyl/quinoxalyl dihydropyrrolotriazine compounds for combatting phyto-pathogenic fungi | |
| WO2026021910A1 (en) | New substituted benzothiazine pyridine compounds for combatting phytopathogenic fungi | |
| WO2024104818A1 (en) | Substituted benzodiazepines as fungicides | |
| WO2025180964A1 (en) | New substituted benzoxazepine compounds for combatting phytopathogenic fungi |
Legal Events
| Date | Code | Title | Description |
|---|---|---|---|
| 121 | Ep: the epo has been informed by wipo that ep was designated in this application |
Ref document number: 17832333 Country of ref document: EP Kind code of ref document: A1 |
|
| NENP | Non-entry into the national phase |
Ref country code: DE |
|
| 122 | Ep: pct application non-entry in european phase |
Ref document number: 17832333 Country of ref document: EP Kind code of ref document: A1 |









































































































