WO2018202737A1 - Fungicidal mixtures comprising triazole compounds - Google Patents
Fungicidal mixtures comprising triazole compounds Download PDFInfo
- Publication number
- WO2018202737A1 WO2018202737A1 PCT/EP2018/061249 EP2018061249W WO2018202737A1 WO 2018202737 A1 WO2018202737 A1 WO 2018202737A1 EP 2018061249 W EP2018061249 W EP 2018061249W WO 2018202737 A1 WO2018202737 A1 WO 2018202737A1
- Authority
- WO
- WIPO (PCT)
- Prior art keywords
- methyl
- phenyl
- chloro
- ethyl
- carboxamide
- Prior art date
- Legal status (The legal status is an assumption and is not a legal conclusion. Google has not performed a legal analysis and makes no representation as to the accuracy of the status listed.)
- Ceased
Links
Classifications
-
- A—HUMAN NECESSITIES
- A01—AGRICULTURE; FORESTRY; ANIMAL HUSBANDRY; HUNTING; TRAPPING; FISHING
- A01N—PRESERVATION OF BODIES OF HUMANS OR ANIMALS OR PLANTS OR PARTS THEREOF; BIOCIDES, e.g. AS DISINFECTANTS, AS PESTICIDES OR AS HERBICIDES; PEST REPELLANTS OR ATTRACTANTS; PLANT GROWTH REGULATORS
- A01N43/00—Biocides, pest repellants or attractants, or plant growth regulators containing heterocyclic compounds
- A01N43/64—Biocides, pest repellants or attractants, or plant growth regulators containing heterocyclic compounds having rings with three nitrogen atoms as the only ring hetero atoms
- A01N43/647—Triazoles; Hydrogenated triazoles
- A01N43/653—1,2,4-Triazoles; Hydrogenated 1,2,4-triazoles
Definitions
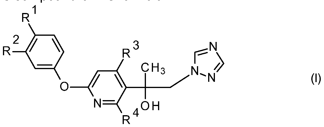
- the present invention relates to fungicidal mixtures comprising, as active components, 1 ) at least one triazole compound of the formula I
- R 1 is hydrogen, chlorine, methyl, difluoromethyl or SFs:
- R 2 is hydrogen or chlorine
- R 3 is hydrogen, chlorine or trifuoromethyl
- R 4 is hydrogen, chlorine or trifluoromethyl, or an N-oxide, or an agriculturally useful salt thereof;
- Inhibitors of complex III at Q 0 site azoxystrobin (A.1 .1 ), coumethoxystrobin (A.1 .2), coumoxystrobin (A.1.3), dimoxystrobin (A.1 .4), enestroburin (A.1 .5), fenaminstrobin (A.1.6), fenoxystrobin/flufenoxystrobin (A.1 .7), fluoxastrobin (A.1 .8), kresoxim-methyl (A.1.9), mandestrobin (A.1.10), metominostrobin (A.1 .1 1 ), orysastrobin (A.1.12), picoxystrobin (A.1 .13), pyraclostrobin (A.1 .14),
- pyrametostrobin (A.1.15), pyraoxystrobin (A.1.16), trifloxystrobin (A.1 .17), 2-(2-(3- (2,6-dichlorophenyl)-1-methyl-allylideneaminooxymethyl)-phenyl)-2-methoxyimino- N-methyl-acetamide (A.1 .18), pyribencarb (A.1.19), triclopyricarb/chlorodincarb (A.1 .20), famoxadone (A.1.21 ), fenamidone (A.1 .22), methyl-/V-[2-[(1 ,4-dimethyl- 5-phenyl-pyrazol-3-yl)oxylmethyl]phenyl]-N-methoxy-carbamate (A.1.23), 1-[3- chloro-2-[[1 -(4-chlorophenyl)-1 H-pyrazol-3-yl]
- binapacryl A.4.2
- dinobuton A.4.3
- dinocap A.4.4
- fluazinam A.4.5
- fentin salts e. g. fentin-acetate (A.4.8), fentin chloride (A.4.9) or fentin hydroxide (A.4.10);
- ametoctradin (A.4.1 1 ); silthiofam (A.4.12);
- C14 demethylase inhibitors triazoles: azaconazole (B.1 .1 ), bitertanol (B.1.2), bromuconazole (B.1 .3), cyproconazole (B.1.4), difenoconazole (B.1 .5), diniconazole (B.1 .6), diniconazole-M (B.1 .7), epoxiconazole (B.1.8), fenbuconazole (B.1.9), fluquinconazole (B.1.10), flusilazole (B.1.1 1 ), flutriafol (B.1 .12), hexaconazole (B.1 .13), imibenconazole (B.1 .14), ipconazole (B.1 .15), metconazole (B.1.17), myclobutanil (B.1.18), oxpoconazole (B.1.19), paclobutrazole (
- Delta 14-reductase inhibitors aldimorph (B.2.1 ), dodemorph (B.2.2), dodemorph-acetate (B.2.3), fenpropimorph (B.2.4), tridemorph (B.2.5), fenpropidin (B.2.6), piperalin (B.2.7), spiroxamine (B.2.8);
- Inhibitors of 3-keto reductase fenhexamid (B.3.1 );
- Sterol biosynthesis inhibitors chlorphenomizole (B.4.1 );
- phenylamides or acyl amino acid fungicides benalaxyl (C.1 .1 ), benalaxyl-M (C.1.2), kiralaxyl (C.1.3), metalaxyl (C.1.4), metalaxyl-M (C.1 .5), ofurace (C.1.6), oxadixyl (C.1 .7);
- nucleic acid synthesis inhibitors hymexazole (C.2.1 ), octhilinone (C.2.2), oxolinic acid (C.2.3), bupirimate (C.2.4), 5-fluorocytosine (C.2.5), 5-fluoro-2- (p-tolylmethoxy)pyrimidin-4-amine (C.2.6), 5-fluoro-2-(4- fluorophenylmethoxy)pyrimidin-4-amine (C.2.7), 5-fluoro- 2-(4-chlorophenylmethoxy)pyrimidin-4 amine (C.2.8);
- tubulin inhibitors benomyl (D.1 .1 ), carbendazim (D.1.2), fuberidazole (D1.3), thiabendazole (D.1.4), thiophanate-methyl (D.1.5), 3-chloro-4-(2,6-difluorophenyl)-6- methyl-5-phenyl-pyridazine (D.1.6), 3-chloro-6-methyl-5-phenyl-4-(2,4,6- trifluorophenyl)pyridazine (D.1 .7), N-ethyl-2-[(3-ethynyl-8-methyl-6- quinolyl)oxy]butanamide (D.1 .8), N-ethyl-2-[(3-ethynyl-8-methyl-6-quinolyl)oxy]-2- methylsulfanyl-acetamide (D.1 .9), 2-[(3-ethynyl-8-methyl-6-quinolyl)oxy]-
- diethofencarb (D.2.1 ), ethaboxam (D.2.2), pencycuron (D.2.3), fluopicolide (D.2.4), zoxamide (D.2.5), metrafenone (D.2.6), pyriofenone (D.2.7);
- methionine synthesis inhibitors cyprodinil (E.1.1 ), mepanipyrim (E.1 .2), pyrimethanil (E.1.3);
- blasticidin-S (E.2.1 ), kasugamycin (E.2.2), kasugamycin hydrochloride-hydrate (E.2.3), mildiomycin (E.2.4), streptomycin (E.2.5), oxytetracyclin (E.2.6);
- MAP / histidine kinase inhibitors fluoroimid (F.1.1 ), iprodione (F.1.2), procymidone (F.1.3), vinclozolin (F.1 .4), fludioxonil (F.1 .5);
- G protein inhibitors quinoxyfen (F.2.1 );
- Phospholipid biosynthesis inhibitors edifenphos (G.1 .1 ), iprobenfos (G.1 .2), pyrazophos (G.1.3), isoprothiolane (G.1 .4);
- lipid peroxidation dicloran (G.2.1 ), quintozene (G.2.2), tecnazene (G.2.3), tolclofos-methyl (G.2.4), biphenyl (G.2.5), chloroneb (G.2.6), etridiazole (G.2.7); phospholipid biosynthesis and cell wall deposition: dimethomorph (G.3.1 ), flumorph (G.3.2), mandipropamid (G.3.3), pyrimorph (G.3.4), benthiavalicarb (G.3.5), iprovalicarb (G.3.6), valifenalate (G.3.7);
- propamocarb (G.4.1 );
- oxathiapiprolin G.5.1
- 2- ⁇ 3-[2-(1- ⁇ [3,5- bis(difluoromethyl-1 H-pyrazol-1-yl]acetyl ⁇ piperidin-4-yl)-1 ,3-thiazol-4-yl]-4,5-dihydro- 1 ,2-oxazol-5-yl ⁇ phenyl methanesulfonate G.5.2
- 2- ⁇ 3-[2-(1- ⁇ [3,5-bis(difluoromethyl)- 1 H-pyrazol-1 -yl]acetyl ⁇ piperidin-4-yl) 1 ,3-thiazol-4-yl]-4,5-dihydro-1 ,2-oxazol-5-yl ⁇ -3- chlorophenyl methanesulfonate G.5.3
- thio- and dithiocarbamates ferbam (H.2.1 ), mancozeb (H.2.2), maneb (H.2.3), metam (H.2.4), metiram (H.2.5), propineb (H.2.6), thiram (H.2.7), zineb (H.2.8), ziram (H.2.9);
- organochlorine compounds anilazine (H.3.1 ), chlorothalonil (H.3.2), captafol (H.3.3), captan (H.3.4), folpet (H.3.5), dichlofluanid (H.3.6), dichlorophen (H.3.7), hexachlorobenzene (H.3.8), pentachlorphenole (H.3.9) and its salts, phthalide (H.3.10), tolylfluanid (H.3.1 1 );
- guanidine H.4.1
- dodine H.4.2
- inhibitors of glucan synthesis validamycin (1.1 .1 ), polyoxin B (1.1 .2); melanin synthesis inhibitors: pyroquilon (1.2.1 ), tricyclazole (1.2.2), carpropamid (1.2.3), dicyclomet (1.2.4), fenoxanil (1.2.5);
- bronopol K.1 .1
- chinomethionat K.1.2
- cyflufenamid K.1.3
- cymoxanil K.1 .4
- dazomet K.1.5
- debacarb K.1 .6
- diclocymet K.1.7
- diclomezine K.1.8
- difenzoquat K.1.9
- difenzoquat-methylsulfate K.1.10, diphenylamin (K.1 .1 1 ), fenitropan (K.1.12), fenpyrazamine (K.1 .13), flumetover (K.1.14), flusulfamide (K.1 .15), flutianil (K.1.16), harpin (K.1 .17), methasulfocarb (K.1.18), nitrapyrin
- activator activity Ampelomyces quisqualis, Aspergillus flavus, Aureobasidium pullulans, Bacillus altitudinis, B. amyloliquefaciens, B. megaterium, B. mojavensis, B. mycoides, B. pumilus, B. simplex, B. solisalsi, B. subtilis, B. subtilis var.
- amyloliquefaciens Candida oleophila, C. saitoana, Clavibacter michiganensis (bacteriophages), Coniothyrium minitans, Cryphonectria parasitica, Cryptococcus albidus, DHophosphora alopecuri, Fusarium oxysporum, Clonostachys rosea f .
- catenulate also named Gliocladium catenulatum
- Gliocladium roseum also named Lysobacter antibioticus, L. enzymogenes, Metschnikowia fructicola, Microdochium dimerum, Microsphaeropsis ochracea, Muscodor a/bus
- Paenibacillus alvei Paenibacillus polymyxa
- Pantoea vagans Penicillium bilaiae
- Phlebiopsis gigantea Pseudomonas sp.
- Pseudomonas ch/oraphis Pseudozyma flocculosa
- Pichia a noma la Pythium oligandrum
- Sphaerodes mycoparasitica Streptomyces griseoviridis, S.
- T. asperellum T. atroviride
- T. fertile T. gamsii
- T. harmatum T. harzianum
- T. polysporum T.
- Biochemical pesticides with fungicidal, bactericidal, viricidal and/or plant defense activator activity harpin protein, Reynoutria sachalinensis extract;
- Agrobacterium radiobacter Bacillus cereus, B. firmus, B. thuringiensis, B. thuringiensis ssp. aizawai, B. t. ssp. israelensis, B. t. ssp. galleriae, B. t. ssp.
- Cryptoph/ebia leucotreta granu ⁇ ov ⁇ rus (CrleGV), Flavobacterium spp., Helicoverpa nucleopolyhedrovirus (HearNPV), Helicoverpa zea nucleopolyhedrovirus (HzNPV), Helicoverpa zea single capsid nucleopolyhedrovirus (HzSNPV),
- Heterorhabditis bacteriophora Isaria fumosorosea, Lecanicillium longisporum, L. muscarium, Metarhizium anisopliae, Metarhizium anisopliae var. anisopliae, M. anisopliae var. acrid um, Nomuraea rileyi, Paecilomyces fumosoroseus, P. niacin us, Paenibacillus popilliae, Pasteur/a spp., P. nishizawae, P. penetrans, P. ramosa, P. thornea, P.
- Microbial pesticides with plant stress reducing, plant growth regulator, plant growth promoting and/or yield enhancing activity Azospirillum amazonense, A. brasilense, A. lipoferum, A. irakense, A. halopraeferens, Bradyrhizobium spp., B. elkanii, B. japonicum, B. liaoningense, B. lupini, Delftia acidovorans, Glomus intraradices, Mesorhizobium spp., Rhizobium leguminosarum bv. phaseoli, R. I. bv. trifolii, R. I. bv. viciae, R. tropici, Sinorhizobium melilotr,
- abscisic acid M.1 .1
- amidochlor amidochlor
- ancymidol 6-benzylaminopurine
- brassinolide butralin
- chlormequat chlormequat chloride
- choline chloride cyclanilide
- daminozide dikegulac, dimethipin, 2,6-dimethylpuridine, ethephon, flumetralin, flurprimidol, fluthiacet, forchlorfenuron, gibberellic acid, inabenfide, indole-3-acetic acid , maleic hydrazide, mefluidide, mepiquat, mepiquat chloride, naphthaleneacetic acid, N-6-benzyladenine, paclobutrazol, prohexadione, prohexadione-calcium, prohydrojasmon, thidiazuron, triapenthenol, tributyl phosphorotrithioate,
- Lipid biosynthesis inhibitors alloxydim, alloxydim-sodium, butroxydim, clethodim, clodinafop, clodinafop-propargyl, cycloxydim, cyhalofop, cyhalofop-butyl, diclofop, diclofop-methyl, fenoxaprop, fenoxaprop-ethyl, fenoxaprop-P, fenoxaprop-P-ethyl, fluazifop, fluazifop-butyl, fluazifop-P, fluazifop-P-butyl, haloxyfop, haloxyfop-methyl, haloxyfop-P, haloxyfop-P-methyl, metamifop, pinoxaden, profoxydim, propaquizafop, quizalofop, quizalofop-ethy
- N.2 ALS inhibitors amidosulfuron, azimsulfuron, bensulfuron, bensulfuron-methyl,
- flucetosulfuron flupyrsulfuron, flupyrsulfuron-methyl-sodium, foramsulfuron, halosulfuron, halosulfuron-methyl, imazosulfuron, iodosulfuron, iodosulfuron-methyl- sodium, iofensulfuron, iofensulfuron-sodium, mesosulfuron, metazosulfuron, metsulfuron, metsulfuron-methyl, nicosulfuron, orthosulfamuron, oxasulfuron, primisulfuron, primisulfuron-methyl, propyrisulfuron, prosulfuron, pyrazosulfuron, pyrazosulfuron-ethyl, rimsulfuron, sulfometuron, sulfometuron-methyl, sulfosulfuron, thifensulfuron, thifensulfuron
- N-(4-bromophenyl)-2-[(4,6-dimethoxy-2-pyrimidinyl)oxy]benzenemethanamine (CAS 420138-01-8); flucarbazone, flucarbazone-sodium, propoxycarbazone, propoxycarbazone-sodium, thiencarbazone, thiencarbazone-methyl; triafamone; N.3 Photosynthesis inhibitors: amicarbazone; chlorotriazine; ametryn, atrazine,
- N.4 protoporphyrinogen-IX oxidase inhibitors acifluorfen, acifluorfen-sodium, azafenidin, bencarbazone, benzfendizone, bifenox, butafenacil, carfentrazone, carfentrazone- ethyl, chlormethoxyfen, cinidon-ethyl, fluazolate, flufenpyr, flufenpyr-ethyl, flumiclorac, flumiclorac-pentyl, flumioxazin, fluoroglycofen, fluoroglycofen-ethyl, fluthiacet, fluthiacet-methyl, fomesafen, halosafen, lactofen, oxadiargyl, oxadiazon, oxyfluorfen, pentoxazone, profluazol, pyraclonil, pyraflufen, pyraflufen-eth
- N.5 Bleacher herbicides beflubutamid, diflufenican, fluridone, flurochloridone,
- N.6 EPSP synthase inhibitors glyphosate, glyphosate-isopropylammonium, glyposate- potassium, glyphosate-trimesium (sulfosate);
- Glutamine synthase inhibitors bilanaphos (bialaphos), bilanaphos-sodium,
- glufosinate glufosinate-P, glufosinate-ammonium
- Mitosis inhibitors benfluralin, butralin, dinitramine, ethalfluralin, fluchloralin, oryzalin, pendimethalin, prodiamine, trifluralin; amiprophos, amiprophos-methyl, butamiphos; chlorthal, chlorthal-dimethyl, dithiopyr, thiazopyr, propyzamide, tebutam;
- N.10 VLCFA inhibitors acetochlor, alachlor, butachlor, dimethachlor, dimethenamid, dimethenamid-P, metazachlor, metolachlor, metolachlor-S, pethoxamid, pretilachlor, propachlor, propisochlor, thenylchlor, flufenacet, mefenacet, diphenamid, naproanilide, napropamide, napropamide-M, fentrazamide, anilofos, cafenstrole, fenoxasulfone, ipfencarbazone, piperophos, pyroxasulfone, isoxazoline compounds of the formulae 11.1 , II.2, 11.3, II.4, II.5, II.6, II.7, II.8 and II.9
- Cellulose biosynthesis inhibitors chlorthiamid, dichlobenil, flupoxam, indaziflam, isoxaben, triaziflam, 1 -cyclohexyl-5-pentafluorphenyloxy-14-[1 ,2,4,6]thiatriazin-3- ylamine (CAS 175899-01 -1 );
- Decoupler herbicides dinoseb, dinoterb, DNOC and its salts
- Auxinic herbicides 2,4-D and its salts and esters, clacyfos, 2,4-DB and its salts and esters, aminocyclopyrachlor and its salts and esters, aminopyralid and its salts such as aminopyralid-dimethylammonium, aminopyralid-tris(2-hydroxypropyl)ammonium and its esters, benazolin, benazolin-ethyl, chloramben and its salts and esters, clomeprop, clopyralid and its salts and esters, dicamba and its salts and esters, dichlorprop and its salts and esters, dichlorprop-P and its salts and esters, fluroxypyr, fluroxypyr-butometyl, fluroxypyr-meptyl, halauxifen and its salts and esters (CAS 943832-60-8); MCPA and its salts and esters, MCPA-thioethyl, MCPB and its salt
- N.14 Auxin transport inhibitors diflufenzopyr, diflufenzopyr-sodium, naptalam and
- Acetylcholine esterase (AChE) inhibitors aldicarb, alanycarb, bendiocarb,
- EPN EPN, ethion, ethoprophos, famphur, fenamiphos, fenitrothion, fenthion, fosthiazate, heptenophos, imicyafos, isofenphos, isopropyl O-(methoxyaminothio-phosphoryl) salicylate, isoxathion, malathion, mecarbam, methamidophos, methidathion, mevinphos, monocrotophos, naled, omethoate, oxydemeton-methyl, parathion, parathion-methyl, phenthoate, phorate, phosalone, phosmet, phosphamidon, phoxim, pirimiphos- methyl, profenofos, propetamphos, prothiofos, pyraclofos, pyridaphenthion, quinalphos, sulfotep,
- GABA-gated chloride channel antagonists endosulfan, chlordane; ethiprole, fipronil, flufiprole, pyrafluprole, pyriprole;
- Sodium channel modulators acrinathrin, allethrin, d-cis-trans allethrin, d-trans
- Nicotinic acetylcholine receptor agonists acetamiprid, clothianidin,
- Nicotinic acetylcholine receptor allosteric activators spinosad, spinetoram;
- Chloride channel activators abamectin, emamectin benzoate, ivermectin, lepimectin, milbemectin;
- miscellaneous non-specific (multi-site) inhibitors methyl bromide and other alkyl halides; chloropicrin, sulfuryl fluoride, borax, tartar emetic;
- Bacillus thuringiensis Bacillus sphaericus and the insecticdal proteins they produce: Bacillus thuringiensis subsp. israelensis, Bacillus sphaericus, Bacillus thuringiensis subsp. aizawai, Bacillus thuringiensis subsp. kurstaki, Bacillus thuringiensis subsp. tenebrionis, the Bt crop proteins: CrylAb, CrylAc, Cryl Fa, Cry2Ab, mCry3A, Cry3Ab, Cry3Bb,
- Inhibitors of mitochondrial ATP synthase diafenthiuron; azocyclotin, cyhexatin, fenbutatin oxide, propargite, tetradifon;
- Nicotinic acetylcholine receptor (nAChR) channel blockers bensultap, cartap
- Inhibitors of the chitin biosynthesis type 0 bistrifluron, chlorfluazuron,
- Ecdyson receptor agonists methoxyfenozide, tebufenozide, halofenozide,
- fufenozide chromafenozide
- Octopamin receptor agonists amitraz
- Mitochondrial complex I electron transport inhibitors fenazaquin, fenpyroximate, pyrimidifen, pyridaben, tebufenpyrad, tolfenpyrad; rotenone;
- Mitochondrial complex IV electron transport inhibitors aluminium phosphide, calcium phosphide, phosphine, zinc phosphide, cyanide;
- Mitochondrial complex II electron transport inhibitors cyenopyrafen, cyflumetofen;
- Ryanodine receptor-modulators flubendiamide, chlorantraniliprole, cyantraniliprole, cyclaniliprole, tetraniliprole;
- R -3-chloro-N1 - ⁇ 2-methyl-4-[1 ,2,2,2 -tetrafluoro-1- (trifluoromethyl)ethyl]phenyl ⁇ -N2-(1-methyl-2-methylsulfonylethyl)phthalamide
- S -3- chloro-N1- ⁇ 2-methyl-4-[1 ,2,2,2-tetrafluoro-1-(trifluoromethyl)ethyl]phenyl ⁇ -N2-(1 - methyl-2-methylsulfonylethyl)phthalamide, methyl-2-[3,5-dibromo-2-( ⁇ [3-bromo-1-(3- chloropyri
- afidopyropen afoxolaner, azadirachtin, amidoflumet, benzoximate, bifenazate, broflanilide, bromopropylate, chinomethionat, cryolite, dicloromezotiaz, dicofol, flufenerim, flometoquin, fluensulfone, fluhexafon, fluopyram, flupyradifurone, fluralaner, metoxadiazone, piperonyl butoxide, pyflubumide, pyridalyl,
- cyclopropanecarboxylate in a weight ratio of from 100:1 to 1 :100.
- the invention also relates to a method for controlling phytopathogenic harmful fungi using mixtures of at least one compound I and at least one compound I I; to the use of compounds I and compounds II for controlling phytopathogenic harmful fungi; to agrochemical
- compositions comprising these mixtures; and to agrochemical compositions further comprising seed.
- Compounds I and their preparation and their use as fungicidally active compounds have been described in WO 2017/029179. Practical agricultural experience has shown that the repeated and exclusive application of an individual active compound in the control of harmful fungi leads in many cases to a rapid selection of those fungus strains which have developed natural or adapted resistance against the active compound in question. Effective control of these fungi with the active compound in question is then no longer possible.
- mixtures of different active compounds are conventionally employed for controlling harmful fungi.
- active compounds having different mechanisms of action it is possible to ensure successful control over a relatively long period of time.
- compositions comprising at least one compound I and at least one compound II .
- Agriculturally acceptable salts of the compounds I encompass especially the salts of those cations or the acid addition salts of those acids whose cations and anions, respectively, have no adverse effect on the fungicidal action of the compounds I.
- Suitable cations are thus in particular the ions of the alkali metals, preferably sodium and potassium, of the alkaline earth metals, preferably calcium, magnesium and barium, of the transition metals, preferably manganese, copper, zinc and iron, and also the ammonium ion which, if desired, may carry 1 to 4 Ci-C4-alkyl substituents and/or one phenyl or benzyl substituent, preferably
- trimethylbenzylammonium furthermore phosphonium ions, sulfonium ions, preferably tri(Ci- C4-alkyl)sulfonium, and sulfoxonium ions, preferably tri(Ci-C4-alkyl)sulfoxonium.
- Anions of useful acid addition salts are primarily chloride, bromide, fluoride, hydrogensulfate, sulfate, dihydrogenphosphate, hydrogenphosphate, phosphate, nitrate, bicarbonate, carbonate, hexafluorosilicate, hexafluorophosphate, benzoate, and the anions of Ci-C4-alkanoic acids, preferably formate, acetate, propionate and butyrate. They can be formed by reacting a compound I with an acid of the corresponding anion, preferably of hydrochloric acid, hydrobromic acid, sulfuric acid, phosphoric acid or nitric acid.
- the scope of the present invention includes mixtures of the (R)- and (S)-isomers and the racemates of compounds I and/or II having one or more chiral centers.
- atrope isomers of compounds I and/or II may be present. They also form part of the subject matter of the invention.
- the active substances referred to as compounds II, their preparation and their activity e. g. against harmful fungi is known (cf.: http://www.alanwood.net/pesticides/); these substances are commercially available.
- the compounds described by lUPAC nomenclature, their preparation and their pesticidal activity are also known (cf. Can. J. Plant Sci.
- Particularly preferred compounds I are those with R 2 being hydrogen and either R 3 is hydrogen and R 4 is trifluoromethyl or R 3 is trifluoromethyl and R 4 is hydrogen.
- mixtures and compositions thereof according to the invention can, in the use form as fungicides, also be present together with other active substances, e. g. with herbicides, insecticides, growth regulators, fungicides or else with fertilizers, as pre-mix or, if appropriate, not until immeadiately prior to use (tank mix).
- active substances e. g. with herbicides, insecticides, growth regulators, fungicides or else with fertilizers, as pre-mix or, if appropriate, not until immeadiately prior to use (tank mix).
- the mixtures comprise a compound I and a compound II and, as component 3), a further active compound II, resulting in a ternary mixtures, preferably in a synergistically effective amount.
- One embodiment of the invention relates to those ternary mixtures of a compound I and two different compounds (II).
- the components 1 ) and 2) in these mixtures are present in a synergistically effective amount.
- the invention also relates to a method for controlling phytopathogenic harmful fungi using the abovementioned ternary mixtures; to agrochemical compositions comprising these ternary mixtures; and to agrochemical compositions further comprising seed comprising these mixtures.
- compositions only two active compounds as defined are present in these compositions (herein also called “binary compositions").
- the composition may, of course, contain any kind of additive or the like as detailed below in order to provide a formulation suitable for use in agriculture.
- the weight ratio of component I to component II depends from the properties of the active substances used and is usually in the range of from 1 :1000 to 1000:1 , more particularly 1 :500 to 500:1.
- the weight ratio of component I to component II generally depends from the properties of the active substances used and is usually in the range of from 1 :100 to 100:1 , frequently in the range of from 1 :50 to 50:1 , preferably in the range of from 1 :20 to 20:1 , particularly preferably in the range of from 1 :10 to 10:1 , in particular in the range of from 1 :3 to 3:1. It may also be preferable for the weight ratio to be in the range of from 1 :2 to 2:1.
- the weight ratio of component I to component II usually is in the range of from 100:1 to 1 :1 , regularly in the range of from 50:1 to 1 :1 , preferably in the range of from 20:1 to 1 :1 , more preferably in the range of from 10:1 to 1 :1 , even more preferably in the range of from 4:1 to 1 :1 and in particular in the range of from 2:1 to 1 :1 .
- the weight ratio of component I to component II usually is in the range of from 1 :1 to 1 :100, regularly in the range of from 1 :1 to 1 :50, preferably in the range of from 1 :1 to 1 :20, more preferably in the range of from 1 :1 to 1 :10, even more preferably in the range of from 1 :1 to 1 :4 and in particular in the range of from 1 :1 to 1 :2.
- component I is as defined above and component II is selected from any one of groups A) to K).
- component I is as defined above, in particular selected from compounds I.A, I.B, I.C, I.D, I.E and I.F or any group of compounds I detained above, and component II is selected from group A) of the respiration inhibitors.
- component II is selected from the group of inhibitors of complex III at Q 0 site, in e.g. the strobilurins.
- component II is selected from the group consisting of azoxystrobin, dimoxystrobin, fluoxastrobin, kresoxim-methyl, orysastrobin, picoxystrobin, pyraclostrobin, trifloxystrobin, famoxadone, fenamidone, 1 -[2-[[1 -(4-chlorophenyl)pyrazol-3-yl]oxymethyl]-3-methyl-phenyl]- 4-methyl-tetrazol-5-one, (2 ⁇ 2 )-5-[1-(2,4-dichlorophenyl)pyrazol-3-yl]-oxy-2-methoxyiminc>- /V3-dimethyl-pent-3-enamide and (Z ⁇ 2 )-5-[1 ⁇ (4-chlorophenyl)pyrazol ⁇ 3-yl]oxy-2- methoxyimino- V,3-dimethyl-pent-3-enamide.
- azoxystrobin dim
- component II is selected from the group of inhibitors of complex II, e.g. carboxamides.
- component II is selected from the group consisting of benzovindiflupyr, bixafen, boscalid, fluopyram, fluxapyroxad, isopyrazam, penflufen, penthiopyrad and sedaxane.
- component II is selected from the group of ametotradin, cyazofamid, fluazinam, fentin salts such as fentin acetate.
- these are binary compositions which, as active compounds, comprise in each case only the mentioned two active components.
- component I is as defined above, in particular selected from compounds I .A, I.B, I.C, I.D, I.E and I.F or any group of compounds I detailed above, and component II is selected from group B) of the sterol biosynthesis inhibitors (SBI fungicides).
- component II is selected from the group of the C14 demethylase inhibitors (DMI fungicides), selected from cyproconazole, difenoconazole, epoxiconazole, fluquinconazole, flusilazole, flutriafol, metconazole, myclobutanil, penconazole, propiconazole, prothioconazole, triadi- mefon, triadimenol, tebuconazole, tetraconazole, triticonazole, prochloraz, fenarimol and triforine.
- DI fungicides selected from cyproconazole, difenoconazole, epoxiconazole, fluquinconazole, flusilazole, flutriafol, metconazole, myclobutanil, penconazole, propiconazole, prothioconazole, triadi- mefon, triadi
- component II is selected from the group of the delta14-reductase inhibitors, in particular dodemorph, fenpropimorph, tridemorph, fenpropidin and spiroxamine. According to a further embodiment thereof, component II is selected from the group of Inhibitors of 3-keto reductase such as fenhexamid.
- component I is as defined above, in particular selected from compounds I.A, I.B, I.C, I.D, I.E and I.F or any group of compounds I detailed above, and component II is selected from group C) of the Nucleic acid synthesis inhibitors and particularly selected from metalaxyl, (metalaxyl-M) mefenoxam, ofurace.
- component I is as defined above, in particular selected from compounds I.A, I.B, I.C, I.D, I.E and I.F or any group of compounds I detailed above, and component II is selected from group D) of the inhibitors of cell division and cytoskeleton, such as benomyl, carbendazim, thiophanate- methyl, ethaboxam, fluopicolide, zoxamide, metrafenone, pyriofenone, in particular ethaboxam, zoxamide and metrafenone.
- the inhibitors of cell division and cytoskeleton such as benomyl, carbendazim, thiophanate- methyl, ethaboxam, fluopicolide, zoxamide, metrafenone, pyriofenone, in particular ethaboxam, zoxamide and metrafenone.
- component I is as defined above, in particular selected from compounds I.A, I.B, I.C, I.D, I.E and I.F or any group of compounds I detailed above, and component II is selected from group E) of the inhibitors of amino acid and protein synthesis, in particular selected from cyprodinil, mepanipyrim and pyrimethanil.
- component I is as defined above, in particular selected from compounds I .A, I.B, I.C, I.D, I.E and I.F or any group of compounds I detailed above, and component II is selected from group F) of the signal transduction inhibitors, in particular selected from iprodione, fludioxonil, vinclozolin and quinoxyfen.
- component I is as defined above, in particular selected from compounds I.A, I.B, I.C, I.D, I.E and I.F or any group of compounds I detailed above, and component II is selected from group G) of the lipid and membrane synthesis inhibitors, such as dimethomorph, flumorph, iprovalicarb, benthiavalicarb, mandipropamid and propamocarb.
- component I is as defined above, in particular selected from compounds I.A, I.B, I.C, I.D, I.E and I.F or any group of compounds I detailed above, and component II is selected from group H) of the inhibitors with Multi Site Action, in particular selected from captan, Bordeaux mixture, copper acetate, copper hydroxide, copper oxychloride, copper sulfate, sulfur, (tri)basic copper sulfate, mancozeb, maneb, metiram, propineb, thiram, captafol, folpet, chlorothalonil, dichlofluanid, dithianon, dodine and 2,6-dimethyl-1 H,5H-[1 ,4]dithiino[2,3-c:5,6-c']dipyrrole- 1 ,3,5,7(2H,6H)-tetraone, more particularly selected from captan, Bordeaux mixture, copper hydroxide
- component I is as defined above, in particular selected from compounds I.A, I.B, I.C, I.D, I.E and I.F or any group of compounds I detailed above, and component II is selected from group I) of the cell wall synthesis inhibitors, in particular selected from carpropamid and fenoxanil.
- component I is as defined above, in particular selected from compounds I.A, I.B, I.C, I.D, I.E and I.F or any group of compounds I detailed above, and component II is selected from group J) of the plant defence inducers, in particular selected from acibenzolar-S-methyl, probenazole, tiadinil, fosetyl, fosetyl-aluminium, phosphorous acid and salts thereof such as potassium salt of phosphorous acid, sodium salt of phosphorous acid, calcium salt of phosphorous acid, lithium salt of phosphorous acid and aluminium salt of phosphorous acid.
- group J of the plant defence inducers, in particular selected from acibenzolar-S-methyl, probenazole, tiadinil, fosetyl, fosetyl-aluminium, phosphorous acid and salts thereof such as potassium salt of phosphorous acid, sodium salt of phosphorous acid, calcium salt of phosphorous acid, lithium salt of phosphorous acid and aluminium salt of phosphorous acid
- component I is as defined above, in particular selected from compounds I.A, I.B, I.C, I.D, I.E and I.F or any group of compounds I detailed above, and component II is selected from group K), in particular selected from cymoxanil, proquinazid, /V-methyl-2- ⁇ 1 -[(5-methyl-3-trifluoromethyl- 1 H-pyrazol-1 -yl)-acetyl]-piperidin-4-yl ⁇ -/V-[(1 R)-1 ,2,3,4-tetrahydronaphthalen-1-yl]- 4-thiazolecarboxamide, N-methyl-4-[5-(trifluoromethyl)-1 ,2,4-oxadiazol-3-yl]benzamide, N- [(E)-methoxyiminomethyl]-4-[5-(trifluoromethyl)-1 ,2,4-oxadiazol-3-yl]benzamide,
- component I is as defined above, in particular selected from compounds I .A, I.B, I.C, I.D, I.E and I.F or any group of compounds I detailed above, and component II is selected from any one of group L) (antifungal biocontrol agents and plant bioactivators), in particular selected from Bacillus subtilis strain NRRL No. B-21661 , Bacillus umilus strain NRRL No. B-30087 and Ulocladium oudemansii .
- group L antifungal biocontrol agents and plant bioactivators
- component I is as defined above, in particular selected from compounds I.A, I.B, I.C, I.D, I.E and I.F or any group of compounds I detailed above, and component II is selected from any one of group M) (growth regulators).
- the growth regulator is selected from chlormequat (chlormequat chloride), mepiquat (mepiquat chloride),
- paclobutrazole prohexadione (prohexadione-calcium), trinexapac-ethyl and uniconazole.
- the composition comprises i.e in particular a compound selected from compounds I.A, I.B, I.C, I.D, I.E and I.F (component I), and a component II selected from pyraclostrobin, fluxapyroxad, fenpropimorph, prothioconazole and chlorothalonil in a weight ratio from 1 :20 to 20:1 , particularly preferably in the range of from 1 :10 to 10:1 , in particular in the range of from 1 :3 to 3:1 . It may also be preferable that the weight ratio is in the range of from 1 :2 to 2:1.
- these compositions are "binary composition” that is, in the sense of the present invention, a composition, wherein only the said two active compounds are present.
- the composition may, of course contain any kind of additive or the like as detailed below in order to provide a formulation suitable for use in agriculture.
- Said two-component compositions comprising two fungicides as components I and II are in particular suitable as fungicides as detailed below.
- said compositions are used for the control of cereal pathogens.
- said compositions are suitable for controlling wheat pathogens.
- especially preferred weight ratios of the active ingredients are 20:1 to 1 :20, in particular 2:1 to 1 :2, wherein it may be especially preferred if component I to II is present 1 :1 to 2:1.
- Said compositios are particularly suitable for controlling the wheat pathogens selected from Septoria tritici, Stagonospora nodorum, Pyrenophora tritici repentis, Puccinia recondita, Puccinia striiformis and Blumeria graminis.
- composition is useful for the control of the pathogens selected from Fusarium culmorum, Fusarium graminearum and Pseudocercosporella herpotrichoides.
- said compositions are used for controlling barley pathogens.
- especially preferred weight ratios of the active ingredients are 20:1 to 1 :20, in particular 2:1 to 1 :2, wherein it may be especially preferred if component I to II is present 1 :1 to 2:1.
- Said compositions are particularly suitable for controlling the barley pathogens, selected from Pyrenophera teres, Rhychosporium secalis, Puccinia hordei and Blumeria graminis.
- said compositions are useful for controlling the barley pathogens, selected from Ramularia collo-cygni and Pseudocercosporella herpotrichoides.
- said compositions are used for the control of soy pathogens.
- soy pathogens especially preferred weight ratios of the active ingredients are 20:1 to 1 :20, in particular 3:1 to 1 :3, wherein it may be especially preferred if component I to II is present 3:1 to 2:1.
- said compositions are suitable for controlling soy pathogens selected from phakopsora pachyrizi, P. meibomiae and Microsphaera diffusa.
- said compositions may also be effectively used for the control of the so-called FDC (Foliar Disease Complex), e.g. against Septoria glycines, Cercospora kikuchii, C. sojina, Corynespora cassiicola and/or Alternaria spp..
- said compositions are used for the control of corn pathogens.
- especially preferred weight ratios of the active ingredients are 20:1 to 1 :20, in particular 2:1 to 1 :2, wherein it may be especially preferred if component I to II is present 2:1 to 1 :1.
- said compositions are suitable for controlling corn pathogens selected from Cercospora zeae-maydis, Puccinia sorghi and Helminthosporium maydis.
- said compositions are used for the control of sugar beet pathogens.
- especially preferred weight ratios of the active ingredients are 20:1 to 1 :20, in particular 2:1 to 1 :2, wherein it may be especially preferred if component I to II is present 2:1 to 1 :1.
- said compositions are suitable for controlling corn pathogens selected from Cercospora beticola, Erysiphe betae, Ramularia betae and Uromyces betae.
- especially preferred weight ratios of the active ingredients are 20:1 to 1 :20, in particular 2:1 to 1 :2, wherein it may be especially preferred if component I to II is present 2:1 to 1 :1.
- compositions are used for the control of oil seed rape and canola pathogens, in particular selected from Sclerotinia sclerotiorum, Leptosphearia maculans and Alternaria alternate.
- canola pathogens in particular selected from Sclerotinia sclerotiorum, Leptosphearia maculans and Alternaria alternate.
- especially preferred weight ratios of the active ingredients are 20:1 to 1 :20, in particular 2:1 to 1 :2, wherein it may be especially preferred if component I to II is present 2:1 to 1 :1.
- said compositions are used for the control of rice pathogens, in particular selected from Rhizoctonia solani and Pyricularia oryzae.
- rice pathogens in particular selected from Rhizoctonia solani and Pyricularia oryzae.
- especially preferred weight ratios of the active ingredients are 20:1 to 1 :20, in particular 2:1 to 1 :2, wherein it may be especially preferred if component I to II is present 2:1 to 1 :1.
- Said compositions of component I and II is also suitable for the control of pathogens in specialty crops, such as turf, potato, tomato, cucurbits, grapes, apples, ornamentals and bananas.
- Turf pathogens that may be controlled according to the present invention are selected from Sclerotinia homeocarpa and Rhizoctonia solani. When used in turf, especially preferred weight ratios of the active ingredients are 20:1 bis 1 :20, in particular 2:1 bis 1 :2, wherein it may be especially preferred if component I to II is present 1 :1 to 1 :2.
- Potato and tomato pathogens that may be controlled according to the present invention are in particular selected from Alternaria solani, A. alternata and Rhizoctonia solani.
- a cucurbit pathogen that may be controlled according to the present invention is in particular Sphaerotheca fuliginea.
- a grape pathogen that may be controlled according to the present invention is in particular Uncinula necator and Botrytis cinerea.
- An apple pathogen that may be controlled according to the present invention is in particular Podosphaera leucotricha and Venturia inaequalis.
- Ornamental pathogens that may be controlled according to the present invention are in particular selected from Sphaerotheca fuliginea, Diplocarpon spp., Alternaria spp. and Sclerotinia spp.
- Banana pathogens that may be controlled according to the present invention are in particular selected from Mycosphaerella fijiensis and Mycosphaerella musicola.
- a specific embodiment of the above embodiment relates to the composition, comprising component I and fluxapyroxad as component II in a weight ratio of 20:1 to 1 :20, more specifically 5:1 to 1 :5, in particular 3:1 to 1 :3, more specifically 2:1 to 1 :2.
- this composition shows synergistical effects and the components are in particular used in synergistically effective amounts.
- compositions comprising component I and as component II pyraclostrobin in a weight ratio of 20:1 to 1 :20, more specifically 5:1 to 1 :5, in particular 3:1 to 1 :3, more specifically 2:1 to 1 :2.
- this composition shows synergistical effects and the components are in particular used in synergistically effective amounts.
- compositions comprising component I and as component II fenpropimorph in a weight ratio of 20:1 to 1 :20, more specifically 5:1 to 1 :5, in particular 3:1 to 1 :3, more specifically 2:1 to 1 :2.
- this composition shows synergistical effects and the components are in particular used in synergistically effective amounts.
- a further specific embodiment of the above two-component ompositions relates to the composition, comprising component I and as component II chlorothalonil in a weight ratio of 20:1 to 1 :20, more specifically 5:1 to 1 :5, in particular 3:1 to 1 :3, more specifically 2:1 to 1 :2.
- this composition shows synergistical effects and the components are in particular used in synergistically effective amounts.
- component I is as defined above, in particular selected from compounds I .A, I.B, I.C, I.D, I.E and I.F or any group of compounds I detailed above, and component II is selected from any one of group N) (herbicides).
- component I is as defined above, in particular selected from compounds I.A, I.B, I.C, I.D, I.E and I.F or any group of compounds I detailed above, and component II is selected from any one of group O) (insecticides).
- the insecticide is selected from the group of the organo(thio)phosphates, in particular selected from the group consisting of acephate, chlorpyrifos, diazinon, dichlorvos, dimethoate, fenitrothion, methamidophos, methidathion, methyl-parathion, monocrotophos, phorate, profenofos and terbufos.
- the insecticide is selected from the group of the carbamates, in particular selected from the group consisting of aldicarb, carbaryl, carbofuran, carbosulfan, methomyl and thiodicarb.
- the insecticide is selected from the group of the pyrethroids, in particular selected from the group consisting of: bifenthrin, cyfluthrin, cypermethrin, alpha-cypermethrin, zeta-cypermethrin, deltamethrin, esfenvalerate, lambda-cyhalothrin and tefluthrin.
- the insecticide is selected from the group of insect growth regulators, in particular selected from the group consisting of lufenuron and spirotetramat.
- the insecticide is selected from the group of the nicotine receptor agonists/antagonists, in particular selected from the group consisting of:
- the insecticide is selected from the group of the GABA antagonists, in particular selected from the group consisting of: endosulfan and fipronil.
- the insecticide is selected from the group of the macrocyclic lactones, in particular selected from the group consisting of: abamectin, emamectin, spinosad and spinetoram.
- the insecticide is hydramethylnon.
- the insecticide is fenbutatin oxide.
- the insecticide is selected from the group consisting of chlorfenapyr, indoxacarb, metaflumizone, flonicamid, flubendiamide, cyazypyr (HGW86) and cyflumetofen.
- component II is selected from the following fungicide compounds: azoxystrobin (A.1 .1 ), dimoxystrobin (A.1 .4), famoxadone (A.1 .21 ), fenamidone (A.1.22), 1-[2-[[1-(4-chlorophenyl)pyrazol-3-yl]oxymethyl]-3-methyl- phenyl]-4-methyl-tetrazol-5-one (A.1.26), (Z,2£)-5-[1-(2,4-dichlorophenyl)pyrazol-3-yl]-oxy-2- methoxyimino-/Vi3-dirnethyl-pent-3-enamide (A.1 .34), (Zi2iE)-5-[1 -(4-chlorophenyl)pyrazol-3- yl]oxy-2-methoxyimino- V,3-dimethyl-pent-3-enamide
- compositions according to the invention are compiled in Table B, wherein each row corresponds to one embodiment of the compositions according to the invention, i.e. one specific individualized composition. According to one specific aspect, these are binary compositions which each only contain these two components as active compounds. Furthermore, also every combination of the compositions individualized in this table represent embodiments of the present invention.
- Table B Two-component compositions comprising one component I and one component II, in particular binary compositions containing the respective component I and II as only active ingredients.
- component II is selected from the following fungicide compounds: fluoxastrobin (A.1 .8), kresoxim-methyl (A.1 .9), orysastrobin (A.1 .12), pyraclostrobin (A.1.14), fluopyram (A.3.7), flutolanil (A.3.8), fluxapyroxad (A.3.9), isopyrazam (A.3.12), meptyldinocap (A.4.6), fluquinconazole (B.1 .10), flusilazole (B.1.1 1 ), flutriafol (B.1.12), ipconazole (B.1.15), metconazole (B.1.17),
- compositions according to the invention i.e. one specific individualized composition.
- these are binary compositions which each only contain these two components as the active compounds.
- every combination of the compositions individualized in this table represent embodiments of the present invention.
- Table B1 Two-component compositions comprising one component I and one component II, in particular binary compositions containing the respective component I and II as only active ingredients.
- component II is selected from the following fungicide compounds: picoxystrobin (A.1 .13), trifloxystrobin (A.1 .17), penflufen (A.3.15), penthiopyrad (A.3.16), sedaxane (A.3.19), silthiofam (A.4.12), penconazole
- compositions according to the invention i.e. one specific individualized composition.
- these are binary compositions which each only contain these two components as the active compounds.
- every combination of the compositions individualized in this table represent embodiments of the present invention.
- Table B2 Two-component compositions comprising one component I and one component II, in particular binary compositions containing the respective component I and II as only active ingredients. compoI II compoI II compoI II sition sition sition sition
- component II is selected from the following fungicide compounds: Bordeaux mixture (H.1.1 ), copper oxychloride (H.1.5), basic copper sulfate (H.1.6), maneb (H.2.3), 2,6-dimethyl-1 H,5H-[1 ,4]dithiino[2,3- c:5,6-c']dipyrrole-1 ,3,5,7(2H,6H)-tetraone (H.4.10). Consequently, further particularly preferred two-component compositions are compiled in Table B2a, wherein each row corresponds to one embodiment of the compositions according to the invention, i.e. one specific individualized composition. According to one specific aspect, these are binary compositions which each only contain these two components as the active compounds. Furthermore, also every combination of the compositions individualized in this table represent embodiments of the present invention.
- Table B2a Two-component compositions comprising one component I and one component II, in particular binary compositions containing the respective component I and II as only active ingredients.
- the components I contain chirality centers and may, therefore, be present as racemic mixtures, as pure enantiomers or in the two enantiomers of one component I may be present in any ration (S):(R).
- the respective component I is present as (S) enantiomer.
- the respective component I is present as (R) enantiomer.
- component II is selected from the following fungicides: azoxystrobin (A.1.1 ), fluoxastrobin (A.1 .8), kresoxim-methyl (A.1.9), pyraclostrobin (A.1.14), trifloxystrobin (A.1.17), benzovindiflupyr (A.3.2), bixafen (A.3.3), boscalid (A.3.4), fluxapyroxad (A.3.9), isopyrazam (A.3.12), penthiopyrad (A.3.16), fluazinam (A.4.5), difenoconazole (B.1.5), epoxiconazole (B.1.8), flusilazole (B.1 .1 1 ), metconazole (B.1 .17), propiconazole (B.1 .22), prothioconazole (B.1 .23), tebuconazole (B.1.25), prochloraz (B
- component II is selected from the following fungicides: fluoxastrobin (A.1 .8), kresoxim-methyl (A.1 .9), pyraclostrobin (A.1 .14), trifloxystrobin (A.1.17),
- component II is selected from the following growth regulators: mepiquat chloride, chlormequat chloride, trinexapac-ethyl, prohexadione-calcium, ethephon. Consequently, particularly preferred two-component compositions are compiled in Table B3, wherein each row corresponds to one embodiment of the compositions according to the invention. According to one specific aspect, these are binary compositions which each only contain these two components as the active compounds. Furthermore, also every combination of the compositions individualized in this table represent embodiments of the present invention.
- Table B3 Two-component compositions comprising one component I and one growth regulator as component II, in particular binary compositions containing the respective component I and II as only active ingredients.
- the components I contain chirality centers and may, therefore, be present as racemic mixtures, as pure enantiomers or in the two enantiomers of one component I may be present in any ratio (S):(R).
- the respective component I is present as (S) enantiomer.
- component I is present as (R) enantiomer.
- component II is selected from the following herbicides: glyphosate, imazamox, dicamba, glufosinate, imazapic, imazapyr, imazethapyr.
- compositions according to the invention are compiled in Table B4, wherein each row corresponds to one embodiment of the compositions according to the invention, i.e. one specific individualized composition. According to one specific aspect, these are binary compositions which each only contain these two components as the active compounds. Furthermore, also every combination of the compositions individualized in this table represent embodiments of the present invention.
- Table B4 Two-component compositions comprising one component I and one herbicide as component II, in particular binary compositions containing the respective component I and II as only active ingredients.
- the components I contain chirality centers and may, therefore, be present as racemic mixtures, as pure enantiomers or in the two enantiomers of one component I may be present in any ratio (S):(R).
- the respective component I is present as (S) enantiomer. According to a further particular embodiments of the invention, the respective component I is present as (R) enantiomer.
- component II is selected from the following insecticides: abamectin, acephate, acetamiprid, aldicarb, alpha-cypermethrin, betacyfluthrin, bifenthrin, carbofuran, chlorfenapyr, chlorpyrifos, clothianidin, cyazypyr, cyflumetofen, deltamethrin, dimethoate, dinotefuran, endosulfan, esfenvalerate, fenbutatin oxide, fipronil, flonicamid, flubendiamide, hydramethylnon, imidacloprid, indoxacarb, lambda- cyhalothrin, metaflumizon, methamidophos, metoxyfenozide, nitenpyram, pirimicarb, pymetrozine, pyridabene, rynaxapyr,
- component II is selected from the following insecticides: abamectin, acetamiprid, alpha-cypermethrin, betacyfluthrin, b
- compositions according to the invention are compiled in Table B5, wherein each row corresponds to one embodiment of the compositions according to the invention, i.e. one specific individualized composition. According to one specific aspect, these are binary compositions which each only contain these two components as the active compounds. Furthermore, also every combination of the compositions individualized in this table represent embodiments of the present invention.
- Table B5 Two-component compositions comprising one component I and one insecticide as component II, in particular binary compositions containing the respective component I and II as only active ingredients.
- the components I contain chirality centers and may, therefore, be present as racemic mixtures, as pure enantiomers or in the two enantiomers of one component I may be present in any ratio (S):(R). According to particular embodiments of the invention, the respective component I is present as (S) enantiomer.
- the respective component I is present as (R) enantiomer.
- the present invention relates to three-component compositions, i.e. compositions comprising component I, i.e a compound I, in particular a compound selected from compounds I.A, I.B, I.C, I.D, I.E and I.F or any group of compounds I detailed above, one component II selected from groups A) to O) and the other component II also selected from groups A) to O), wherein both components II are not identical.
- component II in each case is selected from the preferred groups or preferred active compounds as given above for component II.
- compositions comprising exactly three active compounds as defined are present in these compositions (herein also called “ternary compositions").
- the composition may, of course, contain any kind of additive or the like as detained below in order to provide a formulation suitable for use in agriculture.
- the weight ratio of component I to the 1 st further active compound II depends on the properties of the active compounds in question and may particularly be 1000:1 to 1 :1000, specifically 500:1 to 1 :500. Preferably, it is in the range of from 1 :100 to 100:1 , preferably in the range of from 1 :50 to 50:1 and in particular in the range of from 1 :20 to 20:1 . It may be preferable for the weight ratio to be in the region of from 1 :10 to 10:1 , preferably from 1 :3 to 3:1 , in particular from 1 :2 to 2:1 .
- the weight ratio of component I to the 2 nd further active compound II may particularly be 1000:1 to 1 :1000, specifically 500:1 to 1 :500. It is preferably in the range of from 1 :100 to 100:1 , preferably in the range of from 1 :50 to 50:1 and in particular in the range of from 1 :20 to 20:1. It may be preferable for the weight ratio to be in the region of from 1 :10 to 10:1 , preferably from 1 :3 to 3:1 , in particular from 1 :2 to 2:1.
- the weight ratio of 1 st further active compound II to 2 nd further active compound II is preferably in the range of from 1 :100 to 100:1 , frequently in the range of from 1 :50 to 50:1 , preferably in the range of from 1 :20 to 20:1 , and in particular in the range of from 1 :10 to 10:1 . It may be preferable for the weight to be in the range of from 1 :3 to 3:1 , in particular from 1 :2 to 2:1.
- the present invention relates to three-component compositions, comprising a component I, i.e a compound I, in particular a compound selected from
- One specific embodiment relates to three-component compositions, wherein component I is as defined above and one component II is selected from group A) of the respiration inhibitors of complex III at Q 0 site and the second component II is selected from the group of B) of the sterol biosynthesis inhibitors (SBI fungicides).
- one component II is selected from the group of strobilurins.
- component II is selected from the group consisting of azoxystrobin, dimoxystrobin, fluoxastrobin, kresoxim-methyl, orysastrobin, picoxystrobin, pyraclostrobin and trifloxystrobin.
- the second component II is selected from the group of the C14
- DMI fungicides in particular selected from cyproconazole,
- compositions which, as active compounds, comprise in each case only the mentioned three active components I, II and II.
- a further specific embodiment relates to three-component compositions, wherein component I is as defined above and both components II are selected from the respiration inhibitors of complex III at Qo site, wherein components II are not the same.
- both components II are selected from the group of the strobilurins.
- components II are selected from the group consisting of azoxystrobin, dimoxystrobin, fluoxastrobin, kresoxim-methyl, orysastrobin, picoxystrobin, pyraclostrobin and trifloxystrobin.
- these are ternary compositions which, as active compounds, comprise in each case only the mentioned three active components I, II and II.
- compositions wherein component I is as defined above, one component II is selected from the sterol biosynthesis inhibitors (SBI fungicides) and the second component II is selected from the respiration inhibitors of complex II.
- component I is as defined above
- one component II is selected from the sterol biosynthesis inhibitors (SBI fungicides)
- the second component II is selected from the respiration inhibitors of complex II.
- one component II is selected from the group of the C14 demethylase inhibitors (DMI fungicides), in particular selected from cyproconazole, difenoconazole, epoxiconazole, fluquinconazole, flusilazole, flutriafol, metconazole, myclobutanil, penconazole, propiconazole, prothioconazole, triadimefon, triadimenol, tebuconazole, tetraconazole, triticonazole and prochloraz.
- DI fungicides C14 demethylase inhibitors
- the second component II is selected from the group of the carboxamides, in particular selected from benodanil, benzovindiflupyr, bixafen, boscalid, carboxin, fenfuram, fluopyram, flutolanil, fluxapyroxad, furametpyr, isopyrazam, mepronil, oxycarboxin, penflufen, penthiopyrad, sedaxane, tecloftalam, thifluzamide, N-(4'-trifluoromethylthiobiphenyl-2-yl)- 3-difluoromethyl-1-methyl-1 H-pyrazole-4-carboxamide, N-(2-(1 ,3,3-trimethyl-butyl)-phenyl)-1 ,3- dimethyl-5-fluoro-1 H-pyrazole-4-carboxamide, 3-(difluoromethyl)-1-methyl-N-(1 ,1 ,3-trimethyl- indan-4
- component I is as defined above, one component II is selected the respiration inhibitors of complex III at Q 0 site and the second component II is selected from the respiration inhibitors of complex II.
- the first component II is selected from the group of the strobilurins.
- the first component II is selected from the group consisting of azoxystrobin, dimoxystrobin, fluoxastrobin, kresoxim-methyl, orysastrobin, picoxystrobin, pyraclostrobin and trifloxystrobin.
- the second component II is selected from the group of the carboxamides, in particular selected from benodanil, benzovindiflupyr, bixafen, boscalid, carboxin, fenfuram, fluopyram, flutolanil, fluxapyroxad, furametpyr, isopyrazam, mepronil, oxycarboxin, penflufen, penthiopyrad, sedaxane, tecloftalam, thifluz- amide, N-(4'-trifluoromethylthiobiphenyl-2-yl)-3-difluoromethyl-1-methyl-1 H-pyrazole-4- carboxamide, N-(2-(1 ,3,3-trimethyl-butyl)-phenyl)-1 ,3-dimethyl-5-fluoro-1 H-pyrazole- 4-carboxamide, 3-(difluoromethyl)-1-methyl-N-(1 ,1 ,3-trimethylin
- Still a further specific embodiment relates to three-component compositions, wherein
- component I is as defined above, one component II is selected from the respiration inhibitors of complex III at Q 0 site and the second component II is selected from the sterol biosynthesis inhibitors (SBI fungicides), in particular Delta 14-reductase inhibitors.
- the first component II is selected from the group of the strobilurins.
- component II is selected from the group consisting of azoxystrobin, dimoxystrobin, fluoxastrobin, kresoxim- methyl, orysastrobin, picoxystrobin, pyraclostrobin and trifloxystrobin.
- the second component II is fenpropimorph. According to a further specific embodiment, these are ternary compositions which, as active compounds, comprise in each case only the mentioned three active components I, II and II.
- Still a further specific embodiment relates to three-component compositions, wherein
- component I is as defined above, one component II is selected the respiration inhibitors of complex III at Q 0 site and the second component II is selected from the inhibitors of cell division and cytoskeleton.
- one component II is selected from the group of the strobilurins.
- the first component II is selected from the group consisting of azoxystrobin, dimoxystrobin, fluoxastrobin, kresoxim-methyl, orysastrobin, picoxystrobin, pyraclostrobin and trifloxystrobin.
- the second component II is selected from tubulin inhibitors such as carbendazim.
- the second component II is selected from sell division inhibitors such as tubulin inhibitors such as metrafenone.
- sell division inhibitors such as tubulin inhibitors such as metrafenone.
- these are ternary compositions which, as active compounds, comprise in each case only the mentioned three active components I, II and II.
- Still a further specific embodiment relates to three-component compositions, wherein
- component I is as defined above, one component II is selected from the respiration inhibitors of complex III at Q 0 site and the second component II is selected from the inhibitors with Multi Site Action.
- the first component II is selected from the group of
- the first component II is selected from the group consisting of azoxystrobin, dimoxystrobin, fluoxastrobin, kresoxim-methyl, orysastrobin, picoxystrobin, pyraclostrobin and trifloxystrobin.
- the second component II is selected from captan, Bordeaux mixture, copper acetate, copper hydroxide, copper oxychloride, copper sulfate, sulfur, (tri)basic copper sulfate, mancozeb, maneb, metiram, propineb, thiram, captafol, folpet, chlorothalonil, dichlofluanid, dithianon, dodine and 2,6-dimethyl-1 H,5H- [1 ,4]dithiino[2,3-c:5,6-c']dipyrrole-1 ,3,5,7(2H,6H)-tetraone, in particular captan, Bordeaux mixture, copper hydroxide, copper oxychloride, copper sulfate, (tri)basic copper sulfate, mancozeb, maneb, metiram, folpet, chlorothalonil, dithianon, dodine and 2,6-dimethyl-1 H,5H
- Still a further specific embodiment relates to three-component compositions, wherein
- component I is as defined above, one component II is selected from the sterol biosynthesis inhibitors (SBI fungicides), in particular from the C14 demethylase inhibitors (DMI fungicides), and the second component II is selected from the inhibitors with Multi Site Action.
- the first component II is selected from cyproconazole, fluquinconazole,
- One particularly suitable component II is fluquinconazole.
- the second component II is specifically selected from captan, Bordeaux mixture, copper acetate, copper hydroxide, copper oxychloride, copper sulfate, sulfur, (tri)basic copper sulfate, mancozeb, maneb, metiram, propineb, thiram, captafol, folpet, chlorothalonil, dichlofluanid, dithianon, dodine and 2,6-dimethyl-1 H,5H-[1 ,4]dithiino[2,3-c:5,6-c']dipyrrole- 1 ,3,5,7(2H,6H)-tetraone, in particular captan, Bordeaux mixture, copper hydroxide, copper oxychloride, copper sulfate, (tri)basic copper sulfate, mancozeb, maneb, metiram, folpet,
- Still a further specific embodiment relates to three-component compositions, wherein
- component I is as defined above, one component II is selected from the sterol biosynthesis inhibitors (SBI fungicides), in particular from the C14 demethylase inhibitors (DMI fungicides), and the second component II is selected from the signal transduction inhibitors.
- SBI fungicides sterol biosynthesis inhibitors
- DMI fungicides C14 demethylase inhibitors
- the first component II is triticonazole and the second component II is fludioxonil.
- the present invention relates to three-component compositions, comprising a component I, in particular a compound selected from compounds I .A, I.B, I.C, I.D, I.E and I.F or any group of compounds I detailed above, one component II selected from groups groups A) to K) and a second component II selected from groups A) to K).
- a component I in particular a compound selected from compounds I .A, I.B, I.C, I.D, I.E and I.F or any group of compounds I detailed above, one component II selected from groups groups A) to K) and a second component II selected from groups A) to K).
- the composition comprises compound I, in particular a compound selected from compounds I.A, I.B, I.C, I.D, I.Eand I.F as component I, fluxapyroxad as component II and pyraclostrobin or fenpropimorph as second component II.
- the inventive three-component compositions comprise compound I, in particular a compound selected from compounds I.A, I.B, I.C, I.D, I.E and I.F or any group of compounds I detained above, as component I, prothioconazole as component II and fluxapyroxad, bixafen, pyraclostrobin, dimoxystrobin, picoxystrobin, fluoxastrobin, fluopyram or penflufen as second component II.
- the compounds of the formula I or compositions comprising said compounds according to the invention and the mixtures comprising said compounds and compositions, respectively, are suitable as fungicides. They are distinguished by an outstanding effectiveness against a broad spectrum of phytopathogenic fungi, including soil-borne fungi, which derive especially from the following classes or are closely related to any of them: Ascomycota (Ascomycetes), for example, but not limited to the genus Cocholiobolus, Colletotrichum, Fusarium, Microdochium, Penicillium, Phoma, Magnaporte, Zymoseptoria, and Pseudocercosporella; Basdiomycota (Basidiomycetes), for example, but not limited to the genus Phakospora, Puccinia, Rhizoctonia, Sphacelotheca, Tilletia, Typhula, and Ustilago; Chytridiomycota (Chytridiomycetes), for example, but not limited to the
- Fungi imperfect! for example, but not limited to the genus Ascochyta, Diplodia, Erysiphe, Fusarium, Phomopsis, and Pyrenophora
- Peronosporomycetes for example but not limited to the genus Peronospora, Pythium, Phytophthora
- Plasmodiophoromycetes for example but not limited to the genus Plasmodiophora
- Zygomycetes for example, but not limited to the genus Rhizopus.
- Some of the compounds of the formula I and the compositions according to the invention are systemically effective and they can be used in crop protection as foliar fungicides, fungicides for seed dressing and soil fungicides. Moreover, they are suitable for controlling harmful fungi, which inter alia occur in wood or roots of plants.
- the compounds I and the compositions according to the invention are particularly important in the control of a multitude of phytopathogenic fungi on various cultivated plants, such as cereals, e. g. wheat, rye, barley, triticale, oats or rice; beet, e. g. sugar beet or fodder beet; fruits, such as pomes, stone fruits or soft fruits, e. g.
- compounds I and compositions thereof, respectively are used for controlling a multitude of fungi on field crops, such as potatoes sugar beets, tobacco, wheat, rye, barley, oats, rice, corn, cotton, soybeans, rape, legumes, sunflowers, coffee or sugar cane; fruits; vines; ornamentals; or vegetables, such as cucumbers, tomatoes, beans or squashes.
- field crops such as potatoes sugar beets, tobacco, wheat, rye, barley, oats, rice, corn, cotton, soybeans, rape, legumes, sunflowers, coffee or sugar cane; fruits; vines; ornamentals; or vegetables, such as cucumbers, tomatoes, beans or squashes.
- plant propagation material is to be understood to denote all the generative parts of the plant such as seeds and vegetative plant material such as cuttings and tubers (e. g.
- potatoes which can be used for the multiplication of the plant. This includes seeds, roots, fruits, tubers, bulbs, rhizomes, shoots, sprouts and other parts of plants, including seedlings and young plants, which are to be transplanted after germination or after emergence from soil.
- These young plants may also be protected before transplantation by a total or partial treatment by immersion or pouring.
- treatment of plant propagation materials with compounds I and compositions thereof, respectively is used for controlling a multitude of fungi on cereals, such as wheat, rye, barley and oats; rice, corn, cotton and soybeans.
- cultiva plants is to be understood as including plants which have been modified by breeding, mutagenesis or genetic engineering including but not limiting to agricultural biotech products on the market or in development (cf. http://cera-gmc.org/, see GM crop database therein).
- the compounds I, and mixtures comprising them, and agrochemical compositions thereof, respectively, are particularly suitable for controlling the following plant diseases:
- Albugo spp. (white rust) on ornamentals, vegetables (e. g. A. Candida) and sunflowers (e. g. A tragopogonis); Alternaria spp. (Alternaria leaf spot) on vegetables, rape (A brassicola or brassicae), sugar beets (A tenuis), fruits, rice, soybeans, potatoes (e. g. A solan/ or A alternata), tomatoes (e. g. A so/an/ or A. alternata) and wheat; Aphanomyces spp. on sugar beets and vegetables; Ascochyta spp. on cereals and vegetables, e. g.
- a fotf/c/(anthracnose) on wheat and A horde/ on barley; B/po/ar/s and Drechslera spp. (teleomorph: Cochliobolus spp.), e. g. Southern leaf blight (D. maydis) or Northern leaf blight (B. zeicoia) on corn, e. g. spot blotch (B. sorokiniana) on cereals and e. g. B. oryzae on rice and turfs; Blumeria (formerly Erysiphe) graminis (powdery mildew) on cereals (e. g.
- Botrytis cinerea (teleomorph: Botryotinia fuckeliana. grey mold) on fruits and berries (e. g. strawberries), vegetables (e. g. lettuce, carrots, celery and cabbages), rape, flowers, vines, forestry plants and wheat; Bremia lactucae (downy mildew) on lettuce; Ceratocystis (syn. Ophiostoma) spp. (rot or wilt) on broad-leaved trees and evergreens, e. g. C. ulmi (Dutch elm disease) on elms;
- Botrytis cinerea teleomorph: Botryotinia fuckeliana. grey mold
- fruits and berries e. g. strawberries
- vegetables e. g. lettuce, carrots, celery and cabbages
- rape flowers, vines, forestry plants and wheat
- Bremia lactucae downy mildew
- Cercospora spp. (Cercospora leaf spots) on corn (e. g. Gray leaf spot: C. zeae-maydis), rice, sugar beets (e. g. C. bet/cola), sugar cane, vegetables, coffee, soybeans (e. g. C. sojina or C. kikuchit) and rice; Cladosporium spp. on tomatoes (e. g. C. fulvum. leaf mold) and cereals, e. g. C. herbarum (black ear) on wheat; Claviceps purpurea (ergot) on cereals; Cochiioboius
- anamorph Helminthosporium of Bipolaris
- spp. leaf spots
- corn C. carbonum
- cereals e. g. C. sativus, anamorph: B. sorokiniana
- rice e. g. C. miyabeanus, anamorph: H.
- gossypii corn (e. g. C. gramlnlco/a: Anthracnose stalk rot), soft fruits, potatoes (e. g. C.
- Neonectria spp. on fruit trees, vines (e. g. C liriodendri, teleomorph: Neonectria liriodendri. Black Foot Disease) and ornamentals; Dematophora (teleomorph: Rosellinia) necatrix (root and stem rot) on soybeans; Diaporthe spp., e. g. D. phaseolorum (damping off) on soybeans;
- Drechslera (syn. Helminthosporium, teleomorph: Pyrenophora) spp. on corn, cereals, such as barley (e. g. D. teres, net blotch) and wheat (e. g. D. tritici-repentis: tan spot), rice and turf; Esca (dieback, apoplexy) on vines, caused by Formitiporia (syn. Phellinus) punctata, F. mediterranea, Phaeomoniella chlamydospora (earlier Phaeoacremonium chlamydosporum),
- spp. wilt, root or stem rot
- various plants such as F. graminearum or F. culmorum (root rot, scab or head blight) on cereals (e. g. wheat or barley), F. oxysporum on tomatoes, F. so/ani( sp. glycines now syn. F. virguliforme ) and F. tucumaniae and F.
- Microsphaera diffusa (powdery mildew) on soybeans
- Monilinia spp. e. g. M. laxa, M. fructicola and M. fructigena (bloom and twig blight, brown rot) on stone fruits and other rosaceous plants
- Mycosphaerella spp. on cereals, bananas, soft fruits and ground nuts, such as e. g. M. graminicola (anamorph: Septoria tritici, Septoria blotch) on wheat or M. fijiensis (black Sigatoka disease) on bananas
- Peronospora spp. downy mildew) on cabbage (e. g. P.
- brassicae brassicae
- rape e. g. P. parasitica
- onions e. g. P. destructor
- tobacco ⁇ P. tabacina soybeans
- soybeans e. g. P. manshurica
- Phakopsora pachyrhizi and P. meibomiae soybean rust
- Phialophora spp. e. g. on vines (e. g. P. tracheiphila and P. tetraspora)
- soybeans e. g. P. gregata: stem rot
- Phoma lingam root and stem rot
- betae root rot, leaf spot and damping-off on sugar beets
- Phomopsis spp. on sunflowers, vines e. g. P. viticola: can and leaf spot
- soybeans e. g. stem rot: P. phaseoli, teleomorph: Diaporthe phaseolorum
- Physoderma maydis (brown spots) on corn; Phytophthora spp. (wilt, root, leaf, fruit and stem root) on various plants, such as paprika and cucurbits (e. g. P. capsici), soybeans (e. g. P.
- Plasmodiophora brassicae club root
- Plasmopara spp. e. g. P. viticola (grapevine downy mildew) on vines and P. ha/stediion sunflowers
- Podosphaera spp. powdery mildew
- Puccinia spp. rusts on various plants, e. g. P. triticina (brown or leaf rust), P. striiformis (stripe or yellow rust), P. horde/ (dwarf rust), P. graminis (stem or black rust) or P. recondita (brown or leaf rust) on cereals, such as e. g. wheat, barley or rye, P. kuehnii (orange rust) on sugar cane and P.
- Pyrenophora anamorph: Drechslera
- tritici-repentis tan spot
- P. teres net blotch
- Pyricularia spp. e. g. P. oryzae (teleomorph: Magnaporthe grisea, rice blast) on rice and P. grisea on turf and cereals
- Pythium spp. (damping-off) on turf, rice, corn, wheat, cotton, rape, sunflowers, soybeans, sugar beets, vegetables and various other plants (e. g. P. ultimum or P. aphanidermatum); Ramularia spp., e. g. R.
- collo-cygni Roso-cygni (Ramularia leaf spots, Physiological leaf spots) on barley and R. bet/cola on sugar beets; Rh/zocton/a spp. on cotton, rice, potatoes, turf, corn, rape, potatoes, sugar beets, vegetables and various other plants, e. g. R. so/ani (root and stem rot) on soybeans, R. so/ani (sheath blight) on rice or R.
- Rhizoctonia spring blight on wheat or barley
- Rhizopus sto/on/fer b ⁇ ack mold, soft rot
- Rhynchosporium secalis scald
- Sarocladium oryzae and S. attenuatum (sheath rot) on rice; Sclerotinia spp. (stem rot or white mold) on vegetables and field crops, such as rape, sunflowers (e. g. S. sclerotiorum) and soybeans (e. g. S. ro/fs/ior S. sclerotiorum); Septoria spp. on various plants, e. g. S. glycines (brown spot) on soybeans, S. tritici (Septoria blotch) on wheat and S. (syn.
- Stagonospora nodorum (Stagonospora blotch) on cereals; Uncinula (syn. Erysiphe) necator (powdery mildew, anamorph: Oidium tucker! on vines; Setospaeria spp. (leaf blight) on corn (e. g. S. turcicum, syn. Helminthosporium turcicum) and turf; Sphacelotheca spp. (smut) on corn, (e. g. S.
- Leptosphaeria [syn. Phaeosphaeria] nodorum) on wheat; Synchytrium endobioticum on potatoes (potato wart disease); Taphrina spp., e. g. T. deformans (leaf curl disease) on peaches and T. pruni (p ⁇ um pocket) on plums; Thielaviopsis spp. (black root rot) on tobacco, pome fruits, vegetables, soybeans and cotton, e. g. T. basicola (syn. Chalara elegans); Tilletia spp.
- the compounds I and compositions thereof, respectively, are particularly suitable for controlling the following plant diseases: Puccinia spp. (rusts) on various plants, for example, but not limited to P. triticina (brown or leaf rust), P. striiformis (stripe or yellow rust), P. hordei (dwarf rust), P. graminis (stem or black rust) or P. recondita (brown or leaf rust) on cereals, such as e. g. wheat, barley or rye and Phakopsoraceae spp. on various plants, in particular Phakopsora pachyrhizi and P. meibomiae (soybean rust) on soybeans.
- Puccinia spp. rusts
- rusts rusts
- P. triticina brown or leaf rust
- P. striiformis stripe or yellow rust
- P. hordei dwarf rust
- the compounds I and compositions thereof, respectively, are also suitable for controlling harmful fungi in the protection of stored products or harvest and in the protection of materials.
- the term "protection of materials” is to be understood to denote the protection of technical and non-living materials, such as adhesives, glues, wood, paper and paperboard, textiles, leather, paint dispersions, plastics, cooling lubricants, fiber or fabrics, against the infestation and destruction by harmful microorganisms, such as fungi and bacteria.
- Ascomycetes such as Ophiostoma spp., Ceratocystis spp., Aureobasidium pullulans, Sclerophoma spp., Chaetomium spp., Hum/cola spp., Petriella spp., Trichurus spp.; Basidiomycetes such as
- Coniophora spp. Coriolus spp., Gloeophyllum spp., Lentinus spp., Pleurotus spp., Poria spp., Serpula spp. and Tyromyces spp., Deuteromycetes such as Aspergillus spp., Cladosporium spp., Penicillium spp., Trichoderma spp., Alternaria spp., Paecilomyces spp. and Zygomycetes such as Mucorspp., and in addition in the protection of stored products and harvest the following yeast fungi are worthy of note: Candida spp. and Saccharomyces cerevisae.
- the method of treatment according to the invention can also be used in the field of protecting stored products or harvest against attack of fungi and microorganisms.
- the term "stored products” is understood to denote natural substances of plant or animal origin and their processed forms, which have been taken from the natural life cycle and for which long-term protection is desired.
- Stored products of crop plant origin such as plants or parts thereof, for example stalks, leafs, tubers, seeds, fruits or grains, can be protected in the freshly harvested state or in processed form, such as pre-dried, moistened, comminuted, ground, pressed or roasted, which process is also known as post-harvest treatment.
- stored products are timber, whether in the form of crude timber, such as construction timber, electricity pylons and barriers, or in the form of finished articles, such as furniture or objects made from wood.
- Stored products of animal origin are hides, leather, furs, hairs and the like.
- the combinations according the present invention can prevent disadvantageous effects such as decay, discoloration or mold.
- Preferably "stored products” is understood to denote natural substances of plant origin and their processed forms, more preferably fruits and their processed forms, such as pomes, stone fruits, soft fruits and citrus fruits and their processed forms.
- the compounds I and compositions thereof, respectively, may be used for improving the health of a plant.
- the invention also relates to a method for improving plant health by treating a plant, its propagation material and/or the locus where the plant is growing or is to grow with an effective amount of compounds I and compositions thereof, respectively.
- plant health is to be understood to denote a condition of the plant and/or its products which is determined by several indicators alone or in combination with each other such as yield (e. g. increased biomass and/or increased content of valuable ingredients), plant vigor (e. g. improved plant growth and/or greener leaves ("greening effect")), quality (e. g. improved content or composition of certain ingredients) and tolerance to abiotic and/or biotic stress.
- yield e. g. increased biomass and/or increased content of valuable ingredients
- plant vigor e. g. improved plant growth and/or greener leaves ("greening effect")
- quality e. g. improved content or composition of certain ingredients
- tolerance to abiotic and/or biotic stress e. g. improved content or composition of certain ingredients
- the compounds of formula I can be present in different crystal modifications whose biological activity may differ. They are likewise subject matter of the present invention.
- the compounds I are employed as such or in form of compositions by treating the fungi or the plants, plant propagation materials, such as seeds, soil, surfaces, materials or rooms to be protected from fungal attack with a fungicidally effective amount of the active substances.
- the application can be carried out both before and after the infection of the plants, plant propagation materials, such as seeds, soil, surfaces, materials or rooms by the fungi.
- Plant propagation materials may be treated with compounds I as such or a composition comprising at least one compound I prophylactically either at or before planting or transplanting.
- the invention also relates to agrochemical compositions comprising an auxiliary and at least one compound I according to the invention.
- An agrochemical composition comprises a fungicidally effective amount of a compound I.
- effective amount denotes an amount of the composition or of the compounds I, which is sufficient for controlling harmful fungi on cultivated plants or in the protection of materials and which does not result in a substantial damage to the treated plants. Such an amount can vary in a broad range and is dependent on various factors, such as the fungal species to be controlled, the treated cultivated plant or material, the climatic conditions and the specific compound I used.
- compositions e. g. solutions, emulsions, suspensions, dusts, powders, pastes, granules, pressings, capsules, and mixtures thereof.
- composition types are suspensions (e. g. SC, OD, FS), emulsifiable concentrates (e. g. EC), emulsions (e. g. EW, EO, ES, ME), capsules (e. g. CS, ZC), pastes, pastilles, wettable powders or dusts (e. g. WP, SP, WS, DP, DS), pressings (e. g.
- compositions types are defined in the "Catalogue of pesticide formulation types and international coding system", Technical
- compositions are prepared in a known manner, such as described by Mollet and
- the binary or ternary mixtures of active compounds described herein can be prepared as compositions comprising besides the active ingredients at least one inert ingredient (auxiliary) by usual means, e. g. by the means given herein for the compositions of compounds I.
- Suitable auxiliaries are solvents, liquid carriers, solid carriers or fillers, surfactants, dispersants, emulsifiers, wetters, adjuvants, solubilizers, penetration enhancers, protective colloids, adhesion agents, thickeners, humectants, repellents, attractants, feeding stimulants, compatibilizers, bactericides, anti-freezing agents, anti-foaming agents, colorants, tackifiers and binders.
- Suitable solvents and liquid carriers are water and organic solvents, such as mineral oil fractions of medium to high boiling point, e. g. kerosene, diesel oil; oils of vegetable or animal origin; aliphatic, cyclic and aromatic hydrocarbons, e. g. toluene, paraffin,
- tetrahydronaphthalene alkylated naphthalenes
- alcohols e. g. ethanol, propanol, butanol, benzyl alcohol, cyclohexanol
- glycols DMSO; ketones, e. g. cyclohexanone; esters, e. g.
- lactates carbonates, fatty acid esters, gamma-butyrolactone; fatty acids; phosphonates;
- Suitable solid carriers or fillers are mineral earths, e. g. silicates, silica gels, talc, kaolins, limestone, lime, chalk, clays, dolomite, diatomaceous earth, bentonite, calcium sulfate, magnesium sulfate, magnesium oxide; polysaccharides, e. g. cellulose, starch; fertilizers, e. g. ammonium sulfate, ammonium phosphate, ammonium nitrate, ureas; products of vegetable origin, e. g. cereal meal, tree bark meal, wood meal, nutshell meal, and mixtures thereof.
- mineral earths e. g. silicates, silica gels, talc, kaolins, limestone, lime, chalk, clays, dolomite, diatomaceous earth, bentonite, calcium sulfate, magnesium sulfate, magnesium oxide
- polysaccharides e. g. cellulose, star
- Suitable surfactants are surface-active compounds, such as anionic, cationic, nonionic and amphoteric surfactants, block polymers, polyelectrolytes, and mixtures thereof. Such surfactants can be used as emulsifier, dispersant, solubilizer, wetter, penetration enhancer, protective colloid, or adjuvant. Examples of surfactants are listed in McCutcheon's, Vol.1 : Emulsifiers & Detergents, McCutcheon's Directories, Glen Rock, USA, 2008 (International Ed. or North American Ed.).
- Suitable anionic surfactants are alkali, alkaline earth or ammonium salts of sulfonates, sulfates, phosphates, carboxylates, and mixtures thereof.
- sulfonates are alkylaryl sulfonates, diphenyl sulfonates, alpha-olefin sulfonates, lignin sulfonates, sulfonates of fatty acids and oils, sulfonates of ethoxylated alkylphenols, sulfonates of alkoxylated arylphenols, sulfonates of condensed naphthalenes, sulfonates of dodecyl- and tridecylbenzenes, sulfonates of naphthalenes and alkyl naphthalenes, sulfosuccinates or sulfosuccinamates.
- sulfates are sulfates of fatty acids and oils, of ethoxylated alkylphenols, of alcohols, of ethoxylated alcohols, or of fatty acid esters.
- phosphates are phosphate esters.
- carboxylates are alkyl carboxylates, and carboxylated alcohol or alkylphenol ethoxylates.
- Suitable nonionic surfactants are alkoxylates, N-substituted fatty acid amides, amine oxides, esters, sugar-based surfactants, polymeric surfactants, and mixtures thereof.
- alkoxylates are compounds such as alcohols, alkylphenols, amines, amides, arylphenols, fatty acids or fatty acid esters which have been alkoxylated with 1 to 50 equivalents.
- Ethylene oxide and/or propylene oxide may be employed for the alkoxylation, preferably ethylene oxide.
- N-substituted fatty acid amides are fatty acid glucamides or fatty acid
- esters are fatty acid esters, glycerol esters or monoglycerides.
- sugar-based surfactants are sorbitans, ethoxylated sorbitans, sucrose and glucose esters or alkylpolyglucosides.
- polymeric surfactants are home- or copolymers of vinyl pyrrolidone, vinyl alcohols, or vinyl acetate.
- Suitable cationic surfactants are quaternary surfactants, for example quaternary ammonium compounds with one or two hydrophobic groups, or salts of long-chain primary amines.
- Suitable amphoteric surfactants are alkylbetains and imidazolines.
- Suitable block polymers are block polymers of the A-B or A-B-A type comprising blocks of polyethylene oxide and polypropylene oxide, or of the A-B-C type comprising alkanol, polyethylene oxide and polypropylene oxide.
- Suitable polyelectrolytes are polyacids or polybases. Examples of polyacids are alkali salts of polyacrylic acid or polyacid comb polymers. Examples of polybases are polyvinyl amines or polyethylene amines.
- Suitable adjuvants are compounds, which have a negligible or even no pesticidal activity themselves, and which improve the biological performance of the compound I on the target.
- Suitable thickeners are polysaccharides (e. g. xanthan gum, carboxymethyl cellulose), inorganic clays (organically modified or unmodified), polycarboxylates, and silicates.
- Suitable bactericides are bronopol and isothiazolinone derivatives such as alkylisothiazolinones and benzisothiazolinones.
- Suitable anti-freezing agents are ethylene glycol, propylene glycol, urea and glycerin.
- Suitable anti-foaming agents are silicones, long chain alcohols, and salts of fatty acids.
- Suitable colorants are pigments of low water solubility and water- soluble dyes.
- examples are inorganic colorants (e. g. iron oxide, titan oxide, iron
- Suitable tackifiers or binders are polyvinyl pyrrolidones, polyvinyl acetates, polyvinyl alcohols, polyacrylates, biological or synthetic waxes, and cellulose ethers.
- composition types and their preparation are:
- a compound I and 5-15 wt% wetting agent e. g. alcohol alkoxylates
- a water-soluble solvent e. g. alcohols
- a compound I and 1-10 wt% dispersant e. g. polyvinyl pyrrolidone
- organic solvent e. g. cyclohexanone
- EC Emulsifiable concentrates
- emulsifiers e. g. calcium dodecylbenzenesulfonate and castor oil ethoxylate
- water-insoluble organic solvent e. g. aromatic hydrocarbon
- Emulsions (EW, EO, ES)
- emulsifiers e. g. calcium dodecylbenzenesulfonate and castor oil ethoxylate
- 20-40 wt% water-insoluble organic solvent e. g. aromatic hydrocarbon
- This mixture is introduced into water ad 100 wt% by means of an emulsifying machine and made into a homogeneous emulsion. Dilution with water gives an emulsion.
- a compound I In an agitated ball mill, 20-60 wt% of a compound I are comminuted with addition of 2-10 wt% dispersants and wetting agents (e. g. sodium lignosulfonate and alcohol ethoxylate), 0.1 -2 wt% thickener (e. g. xanthan gum) and water ad 100 wt% to give a fine active substance suspension. Dilution with water gives a stable suspension of the active substance. For FS type composition up to 40 wt% binder (e. g. polyvinyl alcohol) is added.
- dispersants and wetting agents e. g. sodium lignosulfonate and alcohol ethoxylate
- 0.1 -2 wt% thickener e. g. xanthan gum
- a compound I 50-80 wt% of a compound I are ground finely with addition of dispersants and wetting agents (e. g. sodium lignosulfonate and alcohol ethoxylate) ad 100 wt% and prepared as water-dispersible or water-soluble granules by means of technical appliances (e. g. extrusion, spray tower, fluidized bed). Dilution with water gives a stable dispersion or solution of the active substance.
- dispersants and wetting agents e. g. sodium lignosulfonate and alcohol ethoxylate
- wt% of a compound I are ground in a rotor-stator mill with addition of 1-5 wt% dispersants (e. g. sodium lignosulfonate), 1 -3 wt% wetting agents (e. g. alcohol ethoxylate) and solid carrier (e. g. silica gel) ad 100 wt%. Dilution with water gives a stable dispersion or solution of the active substance.
- dispersants e. g. sodium lignosulfonate
- wetting agents e. g. alcohol ethoxylate
- solid carrier e. g. silica gel
- a compound I In an agitated ball mill, 5-25 wt% of a compound I are comminuted with addition of 3-10 wt% dispersants (e. g. sodium lignosulfonate), 1 -5 wt% thickener (e. g. carboxymethyl cellulose) and water ad 100 wt% to give a fine suspension of the active substance. Dilution with water gives a stable suspension of the active substance.
- dispersants e. g. sodium lignosulfonate
- 1 -5 wt% thickener e. g. carboxymethyl cellulose
- wt% of a compound I are added to 5-30 wt% organic solvent blend (e. g. fatty acid dimethyl amide and cyclohexanone), 10-25 wt% surfactant blend (e. g. alcohol ethoxylate and arylphenol ethoxylate), and water ad 100 %. This mixture is stirred for 1 h to produce
- organic solvent blend e. g. fatty acid dimethyl amide and cyclohexanone
- surfactant blend e. g. alcohol ethoxylate and arylphenol ethoxylate
- An oil phase comprising 5-50 wt% of a compound I, 0-40 wt% water insoluble organic solvent (e. g. aromatic hydrocarbon), 2-15 wt% acrylic monomers (e. g. methylmethacrylate, methacrylic acid and a di- or triacrylate) are dispersed into an aqueous solution of a protective colloid (e. g. polyvinyl alcohol). Radical polymerization results in the formation of poly(meth)acrylate microcapsules.
- an oil phase comprising 5-50 wt% of a compound I according to the invention, 0-40 wt% water insoluble organic solvent (e. g. aromatic hydrocarbon), and an isocyanate monomer (e. g. diphenylmethene-4,4'-diisocyanatae) are dispersed into an aqueous solution of a protective colloid (e. g. polyvinyl alcohol).
- a polyamine e. g.
- hexamethylenediamine results in the formation of polyurea microcapsules.
- the monomers amount to 1 -10 wt%.
- the wt% relate to the total CS composition.
- Dustable powders (DP, DS)
- 1-10 wt% of a compound I are ground finely and mixed intimately with solid carrier (e. g. finely divided kaolin) ad 100 wt%.
- solid carrier e. g. finely divided kaolin
- a compound I 0.5-30 wt% of a compound I is ground finely and associated with solid carrier (e. g. silicate) ad 100 wt%.
- solid carrier e. g. silicate
- Granulation is achieved by extrusion, spray-drying or fluidized bed.
- organic solvent e. g. aromatic hydrocarbon
- compositions types i) to xiii) may optionally comprise further auxiliaries, such as 0.1-1 wt% bactericides, 5-15 wt% anti-freezing agents, 0.1 -1 wt% anti-foaming agents, and 0.1 -1 wt% colorants.
- auxiliaries such as 0.1-1 wt% bactericides, 5-15 wt% anti-freezing agents, 0.1 -1 wt% anti-foaming agents, and 0.1 -1 wt% colorants.
- the agrochemical compositions generally comprise between 0.01 and 95%, preferably between 0.1 and 90%, more preferably between 1 and 70%, and in particular between 10 and 60%, by weight of active substance.
- the active substances are employed in a purity of from 90% to 100%, preferably from 95% to 100% (according to NMR spectrum).
- compositions in question give, after two-to-tenfold dilution, active substance concentrations of from 0.01 to 60% by weight, preferably from 0.1 to 40%, in the ready-to-use preparations.
- Methods for applying compound I and compositions thereof, respectively, onto plant propagation material, especially seeds include dressing, coating, pelleting, dusting, and soaking as well as in-furrow application methods.
- compound I or the compositions thereof, respectively are applied on to the plant propagation material by a method such that germination is not induced, e. g. by seed dressing, pelleting, coating and dusting.
- the amounts of active substances applied are, depending on the kind of effect desired, from 0.001 to 2 kg per ha, preferably from 0.005 to 2 kg per ha, more preferably from 0.05 to 0.9 kg per ha, and in particular from 0.1 to 0.75 kg per ha.
- amounts of active substance of from 0.1 to 1000 g, preferably from 1 to 1000 g, more preferably from 1 to 100 g and most preferably from 5 to 100 g, per 100 kilogram of plant propagation material (preferably seeds) are generally required.
- the amount of active substance applied depends on the kind of application area and on the desired effect. Amounts customarily applied in the protection of materials are 0.001 g to 2 kg, preferably 0.005 g to 1 kg, of active substance per cubic meter of treated material.
- oils, wetters, adjuvants, fertilizer, or micronutrients, and further pesticides may be added to the active substances or the compositions comprising them as premix or, if appropriate not until immediately prior to use (tank mix).
- pesticides e. g. herbicides, insecticides, fungicides, growth regulators, safeners, biopesticides
- These agents can be admixed with the compositions according to the invention in a weight ratio of 1 :100 to 100:1 , preferably 1 :10 to 10:1.
- a pesticide is generally a chemical or biological agent (such as pestidal active ingredient, compound, composition, virus, bacterium, antimicrobial or disinfectant) that through its effect deters, incapacitates, kills or otherwise discourages pests.
- Target pests can include insects, plant pathogens, weeds, mollusks, birds, mammals, fish, nematodes (roundworms), and microbes that destroy property, cause nuisance, spread disease or are vectors for disease.
- pesticide includes also plant growth regulators that alter the expected growth, flowering, or reproduction rate of plants; defoliants that cause leaves or other foliage to drop from a plant, usually to facilitate harvest; desiccants that promote drying of living tissues, such as unwanted plant tops; plant activators that activate plant physiology for defense of against certain pests; safeners that reduce unwanted herbicidal action of pesticides on crop plants; and plant growth promoters that affect plant physiology e.g. to increase plant growth, biomass, yield or any other quality parameter of the harvestable goods of a crop plant.
- composition according to the invention usually from a predosage device, a knapsack sprayer, a spray tank, a spray plane, or an irrigation system.
- a predosage device usually from a knapsack sprayer, a spray tank, a spray plane, or an irrigation system.
- agrochemical composition is made up with water, buffer, and/or further auxiliaries to the desired application concentration and the ready-to-use spray liquor or the agrochemical composition according to the invention is thus obtained.
- 20 to 2000 liters, preferably 50 to 400 liters, of the ready-to-use spray liquor are applied per hectare of agricultural useful area.
- composition according to the invention such as parts of a kit or parts of a binary or ternary mixture may be mixed by the user himself in a spray tank or any other kind of vessel used for applications (e. g. seed treater drums, seed pelleting machinery, knapsack sprayer) and further auxiliaries may be added, if appropriate.
- a spray tank or any other kind of vessel used for applications (e. g. seed treater drums, seed pelleting machinery, knapsack sprayer) and further auxiliaries may be added, if appropriate.
- one embodiment of the invention is a kit for preparing a usable pesticidal composition, the kit comprising a) a composition comprising component 1 ) as defined herein and at least one auxiliary; and b) a composition comprising component 2) as defined herein and at least one auxiliary; and optionally c) a composition comprising at least one auxiliary and optionally a further active component 3) as defined herein.
- the present invention furthermore relates to agrochemical compositions comprising a mixture of at least one compound I (component 1 ) and at least one further active substance useful for plant protection, e. g. selected from the groups A) to O) (component 2), in particular one further fungicide, e. g. one or more fungicide from the groups A) to K), as described above, and if desired one suitable solvent or solid carrier.
- agrochemical compositions comprising a mixture of at least one compound I (component 1 ) and at least one further active substance useful for plant protection, e. g. selected from the groups A) to O) (component 2), in particular one further fungicide, e. g. one or more fungicide from the groups A) to K), as described above, and if desired one suitable solvent or solid carrier.
- fungicide e. g. one or more fungicide from the groups A) to K
- combating harmful fungi with a mixture of compounds I and at least one fungicide from groups A) to K), as described above, is more efficient than combating those fungi with individual compounds I or individual fungicides from groups A) to K).
- the order of application is not essential for working of the present invention.
- the time between both applications may vary e. g. between 2 hours to 7 days. Also a broader range is possible ranging from 0.25 hour to 30 days, preferably from 0.5 hour to 14 days, particularly from 1 hour to 7 days or from 1.5 hours to 5 days, even more preferred from 2 hours to 1 day.
- the weight ratio of the component 1 ) and the component 2) generally depends from the properties of the active components used, usually it is in the range of from 1 :10,000 to 10,000:1 , often it is in the range of from 1 :100 to 100:1 , regularly in the range of from 1 :50 to 50:1 , preferably in the range of from 1 :20 to 20:1 , more preferably in the range of from 1 :10 to 10:1 , even more preferably in the range of from 1 :4 to 4:1 and in particular in the range of from 1 :2 to 2:1 .
- the weight ratio of the component 1 ) and the component 2) usually is in the range of from 1000:1 to 1 :1 , often in the range of from 100: 1 to 1 :1 , regularly in the range of from 50:1 to 1 :1 , preferably in the range of from 20:1 to 1 :1 , more preferably in the range of from 10:1 to 1 :1 , even more preferably in the range of from 4:1 to 1 :1 and in particular in the range of from 2:1 to 1 :1 .
- the weight ratio of the component 1 ) and the component 2) usually is in the range of from 1 :1 to 1 :1000, often in the range of from 1 :1 to 1 :100, regularly in the range of from 1 :1 to 1 :50, preferably in the range of from 1 :1 to 1 :20, more preferably in the range of from 1 :1 to 1 :10, even more preferably in the range of from 1 :1 to 1 :4 and in particular in the range of from 1 :1 to 1 :2.
- the weight ratio of component 1 ) and component 2) depends from the properties of the active substances used, usually it is in the range of from 1 :100 to 100:1 , regularly in the range of from 1 :50 to 50:1 , preferably in the range of from 1 :20 to 20:1 , more preferably in the range of from 1 :10 to 10:1 and in particular in the range of from 1 :4 to 4:1 , and the weight ratio of component 1 ) and component 3) usually it is in the range of from 1 :100 to 100:1 , regularly in the range of from 1 :50 to 50:1 , preferably in the range of from 1 :20 to 20:1 , more preferably in the range of from 1 :10 to 10:1 and in particular in the range of from 1 :4 to 4:1.
- any further active components are, if desired, added in a ratio of from 20:1 to 1 :20 to the component 1 ).
- the visually determined percentages of infected leaf areas are converted into efficacies in % of the untreated control.
- the efficacy (E) is calculated as follows using Abbot's formula:
- a corresponds to the fungicidal infection of the treated plants in %
- ⁇ corresponds to the fungicidal infection of the untreated (control) plants in %
- An efficacy of 0 means that the infection level of the treated plants corresponds to that of the untreated control plants; an efficacy of 100 means that the treated plants were not infected.
- the expected efficacies of active compound combinations may be determined using Colby's formula (Colby, S.R. "Calculating synergistic and antagonistic responses of herbicide combinations", Weeds, 1_5, pp. 20-22, 1967) and compared with the observed efficacies.
- y efficacy expressed in % of the untreated control, when using the active compound B at the concentration b.
- the active compounds are prepared as a stock solution comprising 25 mg of active compound which is made up to 10 ml using a mixture of acetone and/or DMSO and the emulsifier Uniperol ® EL (wetting agent having an emulsifying and dispersing action based on ethoxylated alkylphenols) in a ratio by volume of solvent/emulsifier of 99:1 .
- the mixture is then made up to 100 ml with water.
- This stock solution is diluted with the solvent/emulsifier/water mixture described to give the concentration of active compound stated below.
Landscapes
- Life Sciences & Earth Sciences (AREA)
- Agronomy & Crop Science (AREA)
- Pest Control & Pesticides (AREA)
- Plant Pathology (AREA)
- Health & Medical Sciences (AREA)
- Engineering & Computer Science (AREA)
- Dentistry (AREA)
- General Health & Medical Sciences (AREA)
- Wood Science & Technology (AREA)
- Zoology (AREA)
- Environmental Sciences (AREA)
- Agricultural Chemicals And Associated Chemicals (AREA)
- Plural Heterocyclic Compounds (AREA)
Abstract
Description
Claims
Priority Applications (2)
| Application Number | Priority Date | Filing Date | Title |
|---|---|---|---|
| EP18721791.4A EP3618628A1 (en) | 2017-05-05 | 2018-05-03 | Fungicidal mixtures comprising triazole compounds |
| BR112019022206-5A BR112019022206A2 (en) | 2017-05-05 | 2018-05-03 | FUNGICIDAL MIXTURES, AGRICULTURAL COMPOSITION, USE OF THE MIXTURE, METHODS FOR CONTROLLING PHYTOPATHOGENIC HARMFUL FUNGI AND PROTECTION OF PLANT PROPAGATION MATERIAL AND PLANT PROPAGATION MATERIAL |
Applications Claiming Priority (2)
| Application Number | Priority Date | Filing Date | Title |
|---|---|---|---|
| EP17169709 | 2017-05-05 | ||
| EP17169709.7 | 2017-05-05 |
Publications (1)
| Publication Number | Publication Date |
|---|---|
| WO2018202737A1 true WO2018202737A1 (en) | 2018-11-08 |
Family
ID=58671523
Family Applications (1)
| Application Number | Title | Priority Date | Filing Date |
|---|---|---|---|
| PCT/EP2018/061249 Ceased WO2018202737A1 (en) | 2017-05-05 | 2018-05-03 | Fungicidal mixtures comprising triazole compounds |
Country Status (3)
| Country | Link |
|---|---|
| EP (1) | EP3618628A1 (en) |
| BR (1) | BR112019022206A2 (en) |
| WO (1) | WO2018202737A1 (en) |
Cited By (4)
| Publication number | Priority date | Publication date | Assignee | Title |
|---|---|---|---|---|
| US20220125050A1 (en) * | 2019-02-20 | 2022-04-28 | Basf Se | Pesticidal mixtures comprising a pyrazole compound |
| WO2022128812A1 (en) | 2020-12-17 | 2022-06-23 | Basf Se | Spore compositions, production and uses thereof |
| CN114835696A (en) * | 2022-05-24 | 2022-08-02 | 贵州医科大学 | Phthalide hydrazide compound, preparation method and application thereof |
| CN116349686A (en) * | 2021-12-27 | 2023-06-30 | 沈阳中化农药化工研发有限公司 | Fungicidal composition containing substituted triazolinone ether compound and application thereof |
Citations (84)
| Publication number | Priority date | Publication date | Assignee | Title |
|---|---|---|---|---|
| US3296272A (en) | 1965-04-01 | 1967-01-03 | Dow Chemical Co | Sulfinyl- and sulfonylpyridines |
| US3325503A (en) | 1965-02-18 | 1967-06-13 | Diamond Alkali Co | Polychloro derivatives of mono- and dicyano pyridines and a method for their preparation |
| EP0141317A2 (en) | 1983-10-21 | 1985-05-15 | BASF Aktiengesellschaft | 7-Amino-azolo[1,5-a]pyrimidines and fungicides containing them |
| EP0152031A2 (en) | 1984-02-03 | 1985-08-21 | Shionogi & Co., Ltd. | Azolyl cycloalkanol derivatives and agricultural fungicides |
| EP0226917A1 (en) | 1985-12-20 | 1987-07-01 | BASF Aktiengesellschaft | Acrylic acid esters and fungicides containing these compounds |
| EP0243970A1 (en) | 1986-05-02 | 1987-11-04 | Stauffer Chemical Company | Fungicidal pyridyl imidates |
| EP0256503A2 (en) | 1986-08-12 | 1988-02-24 | Mitsubishi Kasei Corporation | Pyridinecarboxamide derivatives and their use as fungicide |
| EP0428941A1 (en) | 1989-11-10 | 1991-05-29 | Agro-Kanesho Co., Ltd. | Hexahydrotriazine compounds and insecticides |
| EP0532022A1 (en) | 1991-09-13 | 1993-03-17 | Ube Industries, Ltd. | Acrylate compound, preparation process thereof and fungicide using the same |
| WO1994001546A1 (en) | 1992-07-01 | 1994-01-20 | Cornell Research Foundation, Inc. | Elicitor of the hypersensitive response in plants |
| DE19650197A1 (en) | 1996-12-04 | 1998-06-10 | Bayer Ag | 3-thiocarbamoylpyrazole derivatives |
| WO1998046608A1 (en) | 1997-04-14 | 1998-10-22 | American Cyanamid Company | Fungicidal trifluoromethylalkylamino-triazolopyrimidines |
| WO1999014187A1 (en) | 1997-09-18 | 1999-03-25 | Basf Aktiengesellschaft | Benzamidoxim derivatives, intermediate products and methods for preparing and using them as fungicides |
| WO1999024413A2 (en) | 1997-11-12 | 1999-05-20 | Bayer Aktiengesellschaft | Isothiazole carboxylic acid amides and the application thereof in order to protect plants |
| WO1999027783A1 (en) | 1997-12-04 | 1999-06-10 | Dow Agrosciences Llc | Fungicidal compositions and methods, and compounds and methods for the preparation thereof |
| WO2000029404A1 (en) | 1998-11-17 | 2000-05-25 | Kumiai Chemical Industry Co., Ltd. | Pyrimidinylbenzimidazole and triazinylbenzimidazole derivatives and agricultura/horticultural bactericides |
| WO2000046148A1 (en) | 1999-02-02 | 2000-08-10 | Sintokogio, Ltd. | Silica gel carrying titanium oxide photocatalyst in high concentration and method for preparation thereof |
| EP1028125A1 (en) | 1998-11-30 | 2000-08-16 | Isagro Ricerca S.r.l. | Dipeptide compounds having fungicidal activity and their agronomic use |
| EP1035122A1 (en) | 1999-03-11 | 2000-09-13 | Rohm And Haas Company | Heterocyclic subsituted isoxazolidines and their use as fungicides |
| WO2000065913A1 (en) | 1999-04-28 | 2000-11-09 | Takeda Chemical Industries, Ltd. | Sulfonamide derivatives |
| DE10021412A1 (en) | 1999-12-13 | 2001-06-21 | Bayer Ag | Fungicidal active ingredient combinations |
| WO2001054501A2 (en) | 2000-01-25 | 2001-08-02 | Syngenta Participations Ag | Herbicidal composition |
| EP1122244A1 (en) | 2000-02-04 | 2001-08-08 | Sumitomo Chemical Company, Limited | Uracil compounds and their use |
| WO2001056358A2 (en) | 2000-01-28 | 2001-08-09 | Rohm And Haas Company | Enhanced propertied pesticides |
| CN1309897A (en) | 2000-02-24 | 2001-08-29 | 沈阳化工研究院 | Unsaturated oximino ether bactericide |
| WO2002022583A2 (en) | 2000-09-18 | 2002-03-21 | E. I. Du Pont De Nemours And Company | Pyridinyl amides and imides for use as fungicides |
| EP1201648A1 (en) | 1999-08-05 | 2002-05-02 | Kumiai Chemical Industry Co., Ltd. | Carbamate derivatives and agricultural/horticultural bactericides |
| WO2002040431A2 (en) | 2000-11-17 | 2002-05-23 | Dow Agrosciences Llc | Compounds having fungicidal activity and processes to make and use same |
| JP2002316902A (en) | 2001-04-20 | 2002-10-31 | Sumitomo Chem Co Ltd | Plant disease control agent composition |
| WO2003010149A1 (en) | 2001-07-25 | 2003-02-06 | Bayer Cropscience Ag | Pyrazolylcarboxanilides as fungicides |
| WO2003011853A1 (en) | 2001-07-30 | 2003-02-13 | Dow Agrosciences Llc | 6-aryl-4-aminopicolinates and their use as herbicides |
| WO2003014103A1 (en) | 2001-08-03 | 2003-02-20 | Bayer Cropscience S.A. | Iodobenzopyran-4-one derivatives having fungicidal activity |
| WO2003016286A1 (en) | 2001-08-17 | 2003-02-27 | Sankyo Agro Company, Limited | 3-phenoxy-4-pyridazinol derivative and herbicide composition containing the same |
| WO2003016303A1 (en) | 2001-08-20 | 2003-02-27 | Dainippon Ink And Chemicals, Inc. | Tetrazoyl oxime derivative and agricultural chemical containing the same as active ingredient |
| WO2003053145A1 (en) | 2001-12-21 | 2003-07-03 | Nissan Chemical Industries, Ltd. | Bactericidal composition |
| WO2003061388A1 (en) | 2002-01-18 | 2003-07-31 | Sumitomo Chemical Takeda Agro Company, Limited | Fused heterocyclic sulfonylurea compound, herbicide containing the same, and method of controlling weed with the same |
| WO2003066609A1 (en) | 2002-02-04 | 2003-08-14 | Bayer Cropscience Aktiengesellschaft | Disubstituted thiazolyl carboxanilides and their use as microbicides |
| WO2003074491A1 (en) | 2002-03-05 | 2003-09-12 | Syngenta Participations Ag | O-cyclopropyl-carboxanilides and their use as fungicides |
| CN1456054A (en) | 2003-03-25 | 2003-11-19 | 浙江省化工研究院 | Methoxy methyl acrylate compounds as bactericidal agent |
| WO2004049804A2 (en) | 2002-11-29 | 2004-06-17 | Syngenta Participations Ag | Fungicidal combinations for crop potection |
| WO2004083193A1 (en) | 2003-03-17 | 2004-09-30 | Sumitomo Chemical Company, Limited | Amide compound and bactericide composition containing the same |
| WO2005063721A1 (en) | 2003-12-19 | 2005-07-14 | E.I. Dupont De Nemours And Company | Herbicidal pyrimidines |
| WO2005087773A1 (en) | 2004-03-10 | 2005-09-22 | Basf Aktiengesellschaft | 5,6-dialkyl-7-amino-triazolopyrimidines, method for their production, their use for controlling pathogenic fungi and agents containing said compounds |
| WO2005087772A1 (en) | 2004-03-10 | 2005-09-22 | Basf Aktiengesellschaft | 5,6-dialkyl-7-amino-triazolopyrimidines, method for their production, their use for controlling pathogenic fungi and agents containing said compounds |
| WO2005120234A2 (en) | 2004-06-03 | 2005-12-22 | E.I. Dupont De Nemours And Company | Fungicidal mixtures of amidinylphenyl compounds |
| WO2005123690A1 (en) | 2004-06-18 | 2005-12-29 | Basf Aktiengesellschaft | 1-methyl-3-difluoromethyl-pyrazol-4-carbonic acid-(ortho-phenyl)-anilides, and use thereof as a fungicide |
| WO2005123689A1 (en) | 2004-06-18 | 2005-12-29 | Basf Aktiengesellschaft | 1-methyl-3-trifluoromethyl-pyrazole-4-carboxylic acid (ortho-phenyl)-anilides and to use thereof as fungicide |
| WO2006015866A1 (en) | 2004-08-12 | 2006-02-16 | Syngenta Participations Ag | Method for protecting useful plants or plant propagation material |
| WO2006087325A1 (en) | 2005-02-16 | 2006-08-24 | Basf Aktiengesellschaft | 5-alkoxyalkyl-6-alkyl-7-amino-azolopyrimidines, method for their production, their use for controlling pathogenic fungi and agents containing said substances |
| WO2006087343A1 (en) | 2005-02-16 | 2006-08-24 | Basf Aktiengesellschaft | Pyrazole carboxylic acid anilides, method for the production thereof and agents containing them for controlling pathogenic fungi |
| DE102005009458A1 (en) | 2005-03-02 | 2006-09-07 | Bayer Cropscience Ag | pyrazolylcarboxanilides |
| WO2007006670A1 (en) | 2005-07-07 | 2007-01-18 | Basf Aktiengesellschaft | N-thio-anthranilamid compounds and their use as pesticides |
| CN1907024A (en) | 2005-08-03 | 2007-02-07 | 浙江化工科技集团有限公司 | Methoxyl group displacement methyl acrylate compound bactericidal agent |
| WO2007082098A2 (en) | 2006-01-13 | 2007-07-19 | Dow Agrosciences Llc | 6-(poly-substituted aryl)-4-aminopicolinates and their use as herbicides |
| WO2007090624A2 (en) | 2006-02-09 | 2007-08-16 | Syngenta Participations Ag | A method of protecting a plant propagation material, a plant, and/or plant organs |
| WO2007129454A1 (en) | 2006-05-08 | 2007-11-15 | Kumiai Chemical Industry Co., Ltd. | 1,2-benzisothiazole derivative, and agricultural or horticultural plant disease-controlling agent |
| WO2008013622A2 (en) | 2006-07-27 | 2008-01-31 | E. I. Du Pont De Nemours And Company | Fungicidal azocyclic amides |
| WO2009090181A2 (en) | 2008-01-15 | 2009-07-23 | Bayer Cropscience Sa | Pesticide composition comprising a tetrazolyloxime derivative and a fungicide or an insecticide active substance |
| WO2009094442A2 (en) | 2008-01-22 | 2009-07-30 | Dow Agrosciences Llc | 5-fluoro pyrimidine derivatives |
| WO2010069882A1 (en) | 2008-12-17 | 2010-06-24 | Syngenta Participations Ag | Isoxazole derivatives for use as fungicides |
| WO2010139271A1 (en) | 2009-06-05 | 2010-12-09 | 中国中化股份有限公司 | E-type phenyl acrylic ester compounds containing substituted anilino pyrimidine group and uses thereof |
| WO2011028657A1 (en) | 2009-09-01 | 2011-03-10 | Dow Agrosciences Llc | Synergistic fungicidal compositions containing a 5-fluoropyrimidine derivative for fungal control in cereals |
| WO2011077514A1 (en) | 2009-12-22 | 2011-06-30 | 三井化学アグロ株式会社 | Plant disease control composition and method for controlling plant diseases by applying the composition |
| WO2011081174A1 (en) | 2010-01-04 | 2011-07-07 | 日本曹達株式会社 | Nitrogen-containing heterocyclic compound and agricultural/horticultural germicide |
| WO2011135833A1 (en) | 2010-04-28 | 2011-11-03 | Sumitomo Chemical Company, Limited | Plant disease control composition and its use |
| WO2012084812A1 (en) | 2010-12-20 | 2012-06-28 | Isagro Ricerca S.R.L. | Aminoindanes amides having a high fungicidal activity and their phytosanitary compositions |
| WO2012165511A1 (en) | 2011-05-31 | 2012-12-06 | クミアイ化学工業株式会社 | Method for controlling diseases in rice plant |
| WO2012168188A1 (en) | 2011-06-07 | 2012-12-13 | Bayer Intellectual Property Gmbh | Active compound combinations |
| WO2013007767A1 (en) | 2011-07-13 | 2013-01-17 | Basf Se | Fungicidal substituted 2-[2-halogenalkyl-4-(phenoxy)-phenyl]-1-[1,2,4]triazol-1-yl-ethanol compounds |
| WO2013010862A1 (en) | 2011-07-15 | 2013-01-24 | Basf Se | Fungicidal alkyl-substituted 2-[2-chloro-4-(4-chloro-phenoxy)-phenyl]-1-[1,2,4]triazol-1-yl-ethanol compounds |
| WO2013024010A1 (en) | 2011-08-12 | 2013-02-21 | Basf Se | N-thio-anthranilamide compounds and their use as pesticides |
| WO2013024009A1 (en) | 2011-08-12 | 2013-02-21 | Basf Se | N-thio-anthranilamide compounds and their use as pesticides |
| WO2013047749A1 (en) | 2011-09-29 | 2013-04-04 | 三井化学アグロ株式会社 | Production method for 4, 4-difluoro-3,4-dihydroisoquinoline derivative |
| WO2013047441A1 (en) | 2011-09-26 | 2013-04-04 | 日本曹達株式会社 | Agricultural and horticultural bactericide composition |
| WO2013092224A1 (en) | 2011-12-21 | 2013-06-27 | Basf Se | Use of strobilurin type compounds for combating phytopathogenic fungi resistant to qo inhibitors |
| WO2013116251A2 (en) | 2012-02-01 | 2013-08-08 | E. I. Du Pont De Nemours And Company | Fungicidal pyrazole mixtures |
| WO2013127704A1 (en) | 2012-02-27 | 2013-09-06 | Bayer Intellectual Property Gmbh | Active compound combinations containing a thiazoylisoxazoline and a fungicide |
| WO2013162072A1 (en) | 2012-04-27 | 2013-10-31 | Sumitomo Chemical Company, Limited | Tetrazolinone compounds and its use as pesticides |
| CN103387541A (en) | 2012-05-10 | 2013-11-13 | 中国中化股份有限公司 | Preparation method of substituted pyrazolylether compound |
| WO2014060177A1 (en) | 2012-10-16 | 2014-04-24 | Syngenta Participations Ag | Fungicidal compositions |
| EP2865265A1 (en) | 2014-02-13 | 2015-04-29 | Bayer CropScience AG | Active compound combinations comprising phenylamidine compounds and biological control agents |
| WO2015065922A1 (en) | 2013-10-28 | 2015-05-07 | Dexcom, Inc. | Devices used in connection with continuous analyte monitoring that provide the user with one or more notifications, and related methods |
| US20150344445A1 (en) * | 2012-12-20 | 2015-12-03 | BASF Agro B.V. | Compositions comprising a triazole compound |
| WO2017029179A1 (en) | 2015-08-14 | 2017-02-23 | Bayer Cropscience Aktiengesellschaft | Triazole derivatives, intermediates thereof and their use as fungicides |
-
2018
- 2018-05-03 WO PCT/EP2018/061249 patent/WO2018202737A1/en not_active Ceased
- 2018-05-03 EP EP18721791.4A patent/EP3618628A1/en not_active Withdrawn
- 2018-05-03 BR BR112019022206-5A patent/BR112019022206A2/en not_active Application Discontinuation
Patent Citations (84)
| Publication number | Priority date | Publication date | Assignee | Title |
|---|---|---|---|---|
| US3325503A (en) | 1965-02-18 | 1967-06-13 | Diamond Alkali Co | Polychloro derivatives of mono- and dicyano pyridines and a method for their preparation |
| US3296272A (en) | 1965-04-01 | 1967-01-03 | Dow Chemical Co | Sulfinyl- and sulfonylpyridines |
| EP0141317A2 (en) | 1983-10-21 | 1985-05-15 | BASF Aktiengesellschaft | 7-Amino-azolo[1,5-a]pyrimidines and fungicides containing them |
| EP0152031A2 (en) | 1984-02-03 | 1985-08-21 | Shionogi & Co., Ltd. | Azolyl cycloalkanol derivatives and agricultural fungicides |
| EP0226917A1 (en) | 1985-12-20 | 1987-07-01 | BASF Aktiengesellschaft | Acrylic acid esters and fungicides containing these compounds |
| EP0243970A1 (en) | 1986-05-02 | 1987-11-04 | Stauffer Chemical Company | Fungicidal pyridyl imidates |
| EP0256503A2 (en) | 1986-08-12 | 1988-02-24 | Mitsubishi Kasei Corporation | Pyridinecarboxamide derivatives and their use as fungicide |
| EP0428941A1 (en) | 1989-11-10 | 1991-05-29 | Agro-Kanesho Co., Ltd. | Hexahydrotriazine compounds and insecticides |
| EP0532022A1 (en) | 1991-09-13 | 1993-03-17 | Ube Industries, Ltd. | Acrylate compound, preparation process thereof and fungicide using the same |
| WO1994001546A1 (en) | 1992-07-01 | 1994-01-20 | Cornell Research Foundation, Inc. | Elicitor of the hypersensitive response in plants |
| DE19650197A1 (en) | 1996-12-04 | 1998-06-10 | Bayer Ag | 3-thiocarbamoylpyrazole derivatives |
| WO1998046608A1 (en) | 1997-04-14 | 1998-10-22 | American Cyanamid Company | Fungicidal trifluoromethylalkylamino-triazolopyrimidines |
| WO1999014187A1 (en) | 1997-09-18 | 1999-03-25 | Basf Aktiengesellschaft | Benzamidoxim derivatives, intermediate products and methods for preparing and using them as fungicides |
| WO1999024413A2 (en) | 1997-11-12 | 1999-05-20 | Bayer Aktiengesellschaft | Isothiazole carboxylic acid amides and the application thereof in order to protect plants |
| WO1999027783A1 (en) | 1997-12-04 | 1999-06-10 | Dow Agrosciences Llc | Fungicidal compositions and methods, and compounds and methods for the preparation thereof |
| WO2000029404A1 (en) | 1998-11-17 | 2000-05-25 | Kumiai Chemical Industry Co., Ltd. | Pyrimidinylbenzimidazole and triazinylbenzimidazole derivatives and agricultura/horticultural bactericides |
| EP1028125A1 (en) | 1998-11-30 | 2000-08-16 | Isagro Ricerca S.r.l. | Dipeptide compounds having fungicidal activity and their agronomic use |
| WO2000046148A1 (en) | 1999-02-02 | 2000-08-10 | Sintokogio, Ltd. | Silica gel carrying titanium oxide photocatalyst in high concentration and method for preparation thereof |
| EP1035122A1 (en) | 1999-03-11 | 2000-09-13 | Rohm And Haas Company | Heterocyclic subsituted isoxazolidines and their use as fungicides |
| WO2000065913A1 (en) | 1999-04-28 | 2000-11-09 | Takeda Chemical Industries, Ltd. | Sulfonamide derivatives |
| EP1201648A1 (en) | 1999-08-05 | 2002-05-02 | Kumiai Chemical Industry Co., Ltd. | Carbamate derivatives and agricultural/horticultural bactericides |
| DE10021412A1 (en) | 1999-12-13 | 2001-06-21 | Bayer Ag | Fungicidal active ingredient combinations |
| WO2001054501A2 (en) | 2000-01-25 | 2001-08-02 | Syngenta Participations Ag | Herbicidal composition |
| WO2001056358A2 (en) | 2000-01-28 | 2001-08-09 | Rohm And Haas Company | Enhanced propertied pesticides |
| EP1122244A1 (en) | 2000-02-04 | 2001-08-08 | Sumitomo Chemical Company, Limited | Uracil compounds and their use |
| CN1309897A (en) | 2000-02-24 | 2001-08-29 | 沈阳化工研究院 | Unsaturated oximino ether bactericide |
| WO2002022583A2 (en) | 2000-09-18 | 2002-03-21 | E. I. Du Pont De Nemours And Company | Pyridinyl amides and imides for use as fungicides |
| WO2002040431A2 (en) | 2000-11-17 | 2002-05-23 | Dow Agrosciences Llc | Compounds having fungicidal activity and processes to make and use same |
| JP2002316902A (en) | 2001-04-20 | 2002-10-31 | Sumitomo Chem Co Ltd | Plant disease control agent composition |
| WO2003010149A1 (en) | 2001-07-25 | 2003-02-06 | Bayer Cropscience Ag | Pyrazolylcarboxanilides as fungicides |
| WO2003011853A1 (en) | 2001-07-30 | 2003-02-13 | Dow Agrosciences Llc | 6-aryl-4-aminopicolinates and their use as herbicides |
| WO2003014103A1 (en) | 2001-08-03 | 2003-02-20 | Bayer Cropscience S.A. | Iodobenzopyran-4-one derivatives having fungicidal activity |
| WO2003016286A1 (en) | 2001-08-17 | 2003-02-27 | Sankyo Agro Company, Limited | 3-phenoxy-4-pyridazinol derivative and herbicide composition containing the same |
| WO2003016303A1 (en) | 2001-08-20 | 2003-02-27 | Dainippon Ink And Chemicals, Inc. | Tetrazoyl oxime derivative and agricultural chemical containing the same as active ingredient |
| WO2003053145A1 (en) | 2001-12-21 | 2003-07-03 | Nissan Chemical Industries, Ltd. | Bactericidal composition |
| WO2003061388A1 (en) | 2002-01-18 | 2003-07-31 | Sumitomo Chemical Takeda Agro Company, Limited | Fused heterocyclic sulfonylurea compound, herbicide containing the same, and method of controlling weed with the same |
| WO2003066609A1 (en) | 2002-02-04 | 2003-08-14 | Bayer Cropscience Aktiengesellschaft | Disubstituted thiazolyl carboxanilides and their use as microbicides |
| WO2003074491A1 (en) | 2002-03-05 | 2003-09-12 | Syngenta Participations Ag | O-cyclopropyl-carboxanilides and their use as fungicides |
| WO2004049804A2 (en) | 2002-11-29 | 2004-06-17 | Syngenta Participations Ag | Fungicidal combinations for crop potection |
| WO2004083193A1 (en) | 2003-03-17 | 2004-09-30 | Sumitomo Chemical Company, Limited | Amide compound and bactericide composition containing the same |
| CN1456054A (en) | 2003-03-25 | 2003-11-19 | 浙江省化工研究院 | Methoxy methyl acrylate compounds as bactericidal agent |
| WO2005063721A1 (en) | 2003-12-19 | 2005-07-14 | E.I. Dupont De Nemours And Company | Herbicidal pyrimidines |
| WO2005087773A1 (en) | 2004-03-10 | 2005-09-22 | Basf Aktiengesellschaft | 5,6-dialkyl-7-amino-triazolopyrimidines, method for their production, their use for controlling pathogenic fungi and agents containing said compounds |
| WO2005087772A1 (en) | 2004-03-10 | 2005-09-22 | Basf Aktiengesellschaft | 5,6-dialkyl-7-amino-triazolopyrimidines, method for their production, their use for controlling pathogenic fungi and agents containing said compounds |
| WO2005120234A2 (en) | 2004-06-03 | 2005-12-22 | E.I. Dupont De Nemours And Company | Fungicidal mixtures of amidinylphenyl compounds |
| WO2005123690A1 (en) | 2004-06-18 | 2005-12-29 | Basf Aktiengesellschaft | 1-methyl-3-difluoromethyl-pyrazol-4-carbonic acid-(ortho-phenyl)-anilides, and use thereof as a fungicide |
| WO2005123689A1 (en) | 2004-06-18 | 2005-12-29 | Basf Aktiengesellschaft | 1-methyl-3-trifluoromethyl-pyrazole-4-carboxylic acid (ortho-phenyl)-anilides and to use thereof as fungicide |
| WO2006015866A1 (en) | 2004-08-12 | 2006-02-16 | Syngenta Participations Ag | Method for protecting useful plants or plant propagation material |
| WO2006087325A1 (en) | 2005-02-16 | 2006-08-24 | Basf Aktiengesellschaft | 5-alkoxyalkyl-6-alkyl-7-amino-azolopyrimidines, method for their production, their use for controlling pathogenic fungi and agents containing said substances |
| WO2006087343A1 (en) | 2005-02-16 | 2006-08-24 | Basf Aktiengesellschaft | Pyrazole carboxylic acid anilides, method for the production thereof and agents containing them for controlling pathogenic fungi |
| DE102005009458A1 (en) | 2005-03-02 | 2006-09-07 | Bayer Cropscience Ag | pyrazolylcarboxanilides |
| WO2007006670A1 (en) | 2005-07-07 | 2007-01-18 | Basf Aktiengesellschaft | N-thio-anthranilamid compounds and their use as pesticides |
| CN1907024A (en) | 2005-08-03 | 2007-02-07 | 浙江化工科技集团有限公司 | Methoxyl group displacement methyl acrylate compound bactericidal agent |
| WO2007082098A2 (en) | 2006-01-13 | 2007-07-19 | Dow Agrosciences Llc | 6-(poly-substituted aryl)-4-aminopicolinates and their use as herbicides |
| WO2007090624A2 (en) | 2006-02-09 | 2007-08-16 | Syngenta Participations Ag | A method of protecting a plant propagation material, a plant, and/or plant organs |
| WO2007129454A1 (en) | 2006-05-08 | 2007-11-15 | Kumiai Chemical Industry Co., Ltd. | 1,2-benzisothiazole derivative, and agricultural or horticultural plant disease-controlling agent |
| WO2008013622A2 (en) | 2006-07-27 | 2008-01-31 | E. I. Du Pont De Nemours And Company | Fungicidal azocyclic amides |
| WO2009090181A2 (en) | 2008-01-15 | 2009-07-23 | Bayer Cropscience Sa | Pesticide composition comprising a tetrazolyloxime derivative and a fungicide or an insecticide active substance |
| WO2009094442A2 (en) | 2008-01-22 | 2009-07-30 | Dow Agrosciences Llc | 5-fluoro pyrimidine derivatives |
| WO2010069882A1 (en) | 2008-12-17 | 2010-06-24 | Syngenta Participations Ag | Isoxazole derivatives for use as fungicides |
| WO2010139271A1 (en) | 2009-06-05 | 2010-12-09 | 中国中化股份有限公司 | E-type phenyl acrylic ester compounds containing substituted anilino pyrimidine group and uses thereof |
| WO2011028657A1 (en) | 2009-09-01 | 2011-03-10 | Dow Agrosciences Llc | Synergistic fungicidal compositions containing a 5-fluoropyrimidine derivative for fungal control in cereals |
| WO2011077514A1 (en) | 2009-12-22 | 2011-06-30 | 三井化学アグロ株式会社 | Plant disease control composition and method for controlling plant diseases by applying the composition |
| WO2011081174A1 (en) | 2010-01-04 | 2011-07-07 | 日本曹達株式会社 | Nitrogen-containing heterocyclic compound and agricultural/horticultural germicide |
| WO2011135833A1 (en) | 2010-04-28 | 2011-11-03 | Sumitomo Chemical Company, Limited | Plant disease control composition and its use |
| WO2012084812A1 (en) | 2010-12-20 | 2012-06-28 | Isagro Ricerca S.R.L. | Aminoindanes amides having a high fungicidal activity and their phytosanitary compositions |
| WO2012165511A1 (en) | 2011-05-31 | 2012-12-06 | クミアイ化学工業株式会社 | Method for controlling diseases in rice plant |
| WO2012168188A1 (en) | 2011-06-07 | 2012-12-13 | Bayer Intellectual Property Gmbh | Active compound combinations |
| WO2013007767A1 (en) | 2011-07-13 | 2013-01-17 | Basf Se | Fungicidal substituted 2-[2-halogenalkyl-4-(phenoxy)-phenyl]-1-[1,2,4]triazol-1-yl-ethanol compounds |
| WO2013010862A1 (en) | 2011-07-15 | 2013-01-24 | Basf Se | Fungicidal alkyl-substituted 2-[2-chloro-4-(4-chloro-phenoxy)-phenyl]-1-[1,2,4]triazol-1-yl-ethanol compounds |
| WO2013024010A1 (en) | 2011-08-12 | 2013-02-21 | Basf Se | N-thio-anthranilamide compounds and their use as pesticides |
| WO2013024009A1 (en) | 2011-08-12 | 2013-02-21 | Basf Se | N-thio-anthranilamide compounds and their use as pesticides |
| WO2013047441A1 (en) | 2011-09-26 | 2013-04-04 | 日本曹達株式会社 | Agricultural and horticultural bactericide composition |
| WO2013047749A1 (en) | 2011-09-29 | 2013-04-04 | 三井化学アグロ株式会社 | Production method for 4, 4-difluoro-3,4-dihydroisoquinoline derivative |
| WO2013092224A1 (en) | 2011-12-21 | 2013-06-27 | Basf Se | Use of strobilurin type compounds for combating phytopathogenic fungi resistant to qo inhibitors |
| WO2013116251A2 (en) | 2012-02-01 | 2013-08-08 | E. I. Du Pont De Nemours And Company | Fungicidal pyrazole mixtures |
| WO2013127704A1 (en) | 2012-02-27 | 2013-09-06 | Bayer Intellectual Property Gmbh | Active compound combinations containing a thiazoylisoxazoline and a fungicide |
| WO2013162072A1 (en) | 2012-04-27 | 2013-10-31 | Sumitomo Chemical Company, Limited | Tetrazolinone compounds and its use as pesticides |
| CN103387541A (en) | 2012-05-10 | 2013-11-13 | 中国中化股份有限公司 | Preparation method of substituted pyrazolylether compound |
| WO2014060177A1 (en) | 2012-10-16 | 2014-04-24 | Syngenta Participations Ag | Fungicidal compositions |
| US20150344445A1 (en) * | 2012-12-20 | 2015-12-03 | BASF Agro B.V. | Compositions comprising a triazole compound |
| WO2015065922A1 (en) | 2013-10-28 | 2015-05-07 | Dexcom, Inc. | Devices used in connection with continuous analyte monitoring that provide the user with one or more notifications, and related methods |
| EP2865265A1 (en) | 2014-02-13 | 2015-04-29 | Bayer CropScience AG | Active compound combinations comprising phenylamidine compounds and biological control agents |
| WO2017029179A1 (en) | 2015-08-14 | 2017-02-23 | Bayer Cropscience Aktiengesellschaft | Triazole derivatives, intermediates thereof and their use as fungicides |
Non-Patent Citations (7)
| Title |
|---|
| "Technical Monograph", May 2008, CROPLIFE INTERNATIONAL, article "Catalogue of pesticide formulation types and international coding system" |
| CAN. J. PLANT SCI., vol. 48, no. 6, 1968, pages 587 - 594 |
| COLBY, S.R.: "Calculating synergistic and antagonistic responses of herbicide combinations", WEEDS, vol. 15, 1967, pages 20 - 22, XP001112961 |
| KNOWLES: "Adjuvants and additives, Agrow Reports DS256", 2006, T&F INFORMA UK |
| KNOWLES: "Agrow Reports DS243", 2005, T&F INFORMA, article "New developments in crop protection product formulation" |
| MCCUTCHEON'S: "Emulsifiers & Detergents", vol. 1, 2008, MCCUTCHEON'S DIRECTORIES |
| MOLLET; GRUBEMANN: "Formulation technology", 2001, WILEY VCH |
Cited By (6)
| Publication number | Priority date | Publication date | Assignee | Title |
|---|---|---|---|---|
| US20220125050A1 (en) * | 2019-02-20 | 2022-04-28 | Basf Se | Pesticidal mixtures comprising a pyrazole compound |
| US12342821B2 (en) * | 2019-02-20 | 2025-07-01 | Basf Se | Pesticidal mixtures comprising a pyrazole compound |
| WO2022128812A1 (en) | 2020-12-17 | 2022-06-23 | Basf Se | Spore compositions, production and uses thereof |
| CN116349686A (en) * | 2021-12-27 | 2023-06-30 | 沈阳中化农药化工研发有限公司 | Fungicidal composition containing substituted triazolinone ether compound and application thereof |
| CN114835696A (en) * | 2022-05-24 | 2022-08-02 | 贵州医科大学 | Phthalide hydrazide compound, preparation method and application thereof |
| CN114835696B (en) * | 2022-05-24 | 2024-03-05 | 贵州医科大学 | Phthalide hydrazide compound and preparation method and application thereof |
Also Published As
| Publication number | Publication date |
|---|---|
| EP3618628A1 (en) | 2020-03-11 |
| BR112019022206A2 (en) | 2020-05-12 |
Similar Documents
| Publication | Publication Date | Title |
|---|---|---|
| EP3426044A1 (en) | Fungicidal mixtures iii comprising strobilurin-type fungicides | |
| WO2018184970A1 (en) | Substituted oxadiazoles for combating phytopathogenic fungi | |
| US11917995B2 (en) | Fungicidal compositions of mefentrifluconazole | |
| WO2019057660A1 (en) | Indole and azaindole compounds with substituted 6-membered aryl and heteroaryl rings as agrochemical fungicides | |
| WO2018202737A1 (en) | Fungicidal mixtures comprising triazole compounds | |
| WO2024104813A1 (en) | Fungicidal mixture comprising substituted pyridines | |
| WO2022017836A1 (en) | Fungicidal compositions comprising (r)-2-[4-(4-chlorophenoxy)-2-(trifluoromethyl)phenyl]-1- (1,2,4-triazol-1-yl)propan-2-ol | |
| US11839214B2 (en) | Fungicidal mixture comprising substituted pyridines | |
| US20190200612A1 (en) | Fungicidal mixtures i comprising quinoline fungicides | |
| WO2024104814A1 (en) | Fungicidal mixture comprising substituted pyridines | |
| JP2021512887A (en) | New pyridine carboxamide | |
| JP7785003B2 (en) | Enzyme-enhanced root uptake of pesticide compounds. | |
| EP3730489A1 (en) | Heteroaryl compounds as agrochemical fungicides | |
| WO2025078181A1 (en) | Fungicidal mixture comprising substituted pyridines | |
| WO2025078183A1 (en) | Fungicidal mixture comprising substituted quinazolyl quinolines | |
| BR122023004527B1 (en) | FUNGICIDAL COMPOSITIONS, METHODS FOR CONTROLLING HARMFUL PHYTOPATHOGENIC FUNGI, FOR IMPROVING PLANT HEALTH AND FOR PROTECTING PLANT PROPAGATION MATERIAL, COATED SEED AND USE OF A COMPOSITION | |
| BR112020016805B1 (en) | FUNGICIDAL COMPOSITIONS, METHODS FOR CONTROLLING HARMFUL PHYTOPATHOGENIC FUNGI, FOR IMPROVING PLANT HEALTH AND FOR PROTECTING PLANT PROPAGATION MATERIAL, COATED SEED AND USE OF A COMPOSITION | |
| BR122024016921B1 (en) | Fungicidal compositions, methods for controlling harmful phytopathogenic fungi, for improving plant health and for the protection of plant propagation material, coated seed and use of a composition. | |
| BR122024016921A2 (en) | FUNGICIDAL COMPOSITIONS, METHODS FOR CONTROLLING HARMFUL PHYTOPATHOGENIC FUNGI, FOR IMPROVING PLANT HEALTH AND FOR PROTECTING PLANT PROPAGATION MATERIAL, COATED SEED AND USE OF A COMPOSITION | |
| BR122023006510B1 (en) | FUNGICIDAL MIXTURE, AGROCHEMICAL COMPOSITION, USE OF THE FUNGICIDAL MIXTURE AND AGROCHEMICAL COMPOSITION AND METHOD FOR CONTROLING HARMFUL PHYTOPATHOGENIC FUNGI | |
| BR122023006464B1 (en) | FUNGICIDAL MIXTURE, AGROCHEMICAL COMPOSITION, USE OF THE FUNGICIDAL MIXTURE AND AGROCHEMICAL COMPOSITION AND METHOD FOR CONTROLING HARMFUL PHYTOPATHOGENIC FUNGI |
Legal Events
| Date | Code | Title | Description |
|---|---|---|---|
| 121 | Ep: the epo has been informed by wipo that ep was designated in this application |
Ref document number: 18721791 Country of ref document: EP Kind code of ref document: A1 |
|
| REG | Reference to national code |
Ref country code: BR Ref legal event code: B01A Ref document number: 112019022206 Country of ref document: BR |
|
| NENP | Non-entry into the national phase |
Ref country code: DE |
|
| WWE | Wipo information: entry into national phase |
Ref document number: 2018721791 Country of ref document: EP |
|
| ENP | Entry into the national phase |
Ref document number: 2018721791 Country of ref document: EP Effective date: 20191205 |
|
| ENP | Entry into the national phase |
Ref document number: 112019022206 Country of ref document: BR Kind code of ref document: A2 Effective date: 20191023 |















