WO2021255091A1 - 1,3,4-oxadiazoles and their derivatives as fungicides - Google Patents
1,3,4-oxadiazoles and their derivatives as fungicides Download PDFInfo
- Publication number
- WO2021255091A1 WO2021255091A1 PCT/EP2021/066237 EP2021066237W WO2021255091A1 WO 2021255091 A1 WO2021255091 A1 WO 2021255091A1 EP 2021066237 W EP2021066237 W EP 2021066237W WO 2021255091 A1 WO2021255091 A1 WO 2021255091A1
- Authority
- WO
- WIPO (PCT)
- Prior art keywords
- alkyl
- group
- substituents
- cycloalkyl
- substituted
- Prior art date
- Legal status (The legal status is an assumption and is not a legal conclusion. Google has not performed a legal analysis and makes no representation as to the accuracy of the status listed.)
- Ceased
Links
- 0 CC(C(*)(C(*)CN)S)N(C(*)(*)*C(C1=*=C)=I=C)C1=O Chemical compound CC(C(*)(C(*)CN)S)N(C(*)(*)*C(C1=*=C)=I=C)C1=O 0.000 description 2
- LPBMUVIUUQRSRP-UHFFFAOYSA-N C=CC(c1nnn[nH]1)=C Chemical compound C=CC(c1nnn[nH]1)=C LPBMUVIUUQRSRP-UHFFFAOYSA-N 0.000 description 1
- SLGKSZLTLSZDMX-UHFFFAOYSA-N O=C(c1cc(-c2nnc(C(F)F)[o]2)cnc1C1)N1c(cccc1)c1-c(c(F)ccc1)c1F Chemical compound O=C(c1cc(-c2nnc(C(F)F)[o]2)cnc1C1)N1c(cccc1)c1-c(c(F)ccc1)c1F SLGKSZLTLSZDMX-UHFFFAOYSA-N 0.000 description 1
Classifications
-
- C—CHEMISTRY; METALLURGY
- C07—ORGANIC CHEMISTRY
- C07D—HETEROCYCLIC COMPOUNDS
- C07D413/00—Heterocyclic compounds containing two or more hetero rings, at least one ring having nitrogen and oxygen atoms as the only ring hetero atoms
- C07D413/02—Heterocyclic compounds containing two or more hetero rings, at least one ring having nitrogen and oxygen atoms as the only ring hetero atoms containing two hetero rings
- C07D413/04—Heterocyclic compounds containing two or more hetero rings, at least one ring having nitrogen and oxygen atoms as the only ring hetero atoms containing two hetero rings directly linked by a ring-member-to-ring-member bond
-
- C—CHEMISTRY; METALLURGY
- C07—ORGANIC CHEMISTRY
- C07D—HETEROCYCLIC COMPOUNDS
- C07D471/00—Heterocyclic compounds containing nitrogen atoms as the only ring hetero atoms in the condensed system, at least one ring being a six-membered ring with one nitrogen atom, not provided for by groups C07D451/00 - C07D463/00
- C07D471/12—Heterocyclic compounds containing nitrogen atoms as the only ring hetero atoms in the condensed system, at least one ring being a six-membered ring with one nitrogen atom, not provided for by groups C07D451/00 - C07D463/00 in which the condensed system contains three hetero rings
- C07D471/14—Ortho-condensed systems
Definitions
- the present invention relates to the use of 1,3,4-oxadiazole compounds for controlling harmful microorganisms, in particular phytopathogenic fungi, in crop protection.
- 1.2.4-oxadiazoles derivatives are well known to be useful as crop protection agents to combat or prevent microorganisms’ infestations.
- WO-2018/118781 and WO-2018/080859 disclose 1,2,4- oxadiazol-3-ylpyrimidines and l,2,4-oxadiazol-3-ylpyridines derivatives that may be used for the control of microbial pests, particularly fungal pests, on plants.
- Fungicidally active 1,2,4-oxadiazoles are further known from US 2018/317490, WO-2017/076740 and WO 2019/155066.
- 1.3.4-oxadiazoles derivatives are far less common and seldomly used for the control of microbial pests.
- WO-2019/027054 and WO-2020/158762 disclose 1,3,4-oxadiazol compounds comprising a bicyclic partly aromatic heterocycle that have a HDAC inhibitory action and may be used for the treatment of central nervous diseases in humans.
- Some fungicidally active 1,3,4-oxadiazoles are disclosed in WO2020127974 and EP 0 152 021.
- fungicidal agents Numerous fungicidal agents have been developed until now. However, the need remains for the development of further fungicidal compounds, so as to provide compounds being effective against a broad spectrum of fungi, having lower toxicity, higher selectivity, being used at lower dosage rate to reduce or avoid unfavorable environmental or toxicological effects whilst still allowing effective pest control. It may also be desired to identify further fungicidal compounds to prevent the emergence of fungicides resistances.
- the present invention provides a new use of 1,3,4-oxadiazole compounds for controlling phytopathogenic fungi in crop protection, which has advantages over known uses of fungicidal compounds in at least some of these aspects.
- the present invention relates to the use of compounds of formula (I) for controlling harmful microorganisms, in particular phytopathogenic fungi, in crop protection: (I) wherein R 1 , R 2 , R 3 , R 4 , R 5 , X, W 1 , W 2 , W 3 , m and n are as recited herein, as well as their salts, N-oxides and solvates.
- the present invention also relates to a composition
- a composition comprising at least one compound of formula (I) as defined herein and at least one agriculturally suitable auxiliary.
- the present invention relates to a method for controlling harmful microorganisms in crop protection which comprises the step of applying at least one compound of formula (I) as defined herein or a composition as defined herein to the harmful microorganisms and/or their habitat.
- halogen refers to fluorine, chlorine, bromine or iodine atom.
- oxo refers to an oxygen atom which is bound to a carbon atom or sulfur atom via a double bound.
- C 1 -C 8 -alkyl refers to a saturated, branched or straight hydrocarbon chain having 1, 2, 3, 4, 5, 6, 7 or 8 carbon atoms.
- Examples of Ci -Cx-alkyl include but are not limited to methyl, ethyl, propyl (n-propyl), 1-methylethyl (iso-propyl), butyl (n-butyl), 1-methylpropyl (sec-butyl), 2-methylpropyl (iso-butyl), 1,1-dimethylethyl (tert-butyl), pentyl, 1-methylbutyl, 2-methylbutyl, 3-methylbutyl, 2,2- dimethylpropyl, 1-ethylpropyl, 1,1-dimethylpropyl, 1,2-dimethylpropyl, hexyl, 1-methylpentyl, 2- methylpentyl, 3-methylpentyl, 4-methylpentyl, 1,1-dimethylbutyl, 1,
- said hydrocarbon chain has 1, 2, 3, 4, 5 or 6 carbon atoms (“C 1 -C 6 -alkyl”).
- said hydrocarbon chain has 1, 2, 3 or 4 carbon atoms (“C 1 -C 4 -alkyl”), e.g. methyl, ethyl, propyl, iso-propyl, butyl, sec-butyl, iso-butyl or tert-butyl.
- C 2 -C 8 -alkenyl refers to an unsaturated, branched or straight hydrocarbon chain having 2, 3, 4, 5, 6, 7 or 8 carbon atoms and comprising at least one double bond.
- Examples of CVCx- alkenyl include but are not limited to ethenyl (or "vinyl"), prop-2-en-l-yl (or “allyl”), prop-l-en-l-yl, but- 3-enyl, but-2-enyl, but-l-enyl, pent-4-enyl, pent-3-enyl, pent-2-enyl, pent-l-enyl, hex-5 -enyl, hex-4-enyl, hex-3-enyl, hex-2-enyl, hex- 1 -enyl, prop-l-en-2-yl (or “isopropenyl”), 2-methylprop-2-enyl, 1- methylprop-2-enyl
- C 2 -C 8 -alkynyl refers to a branched or straight hydrocarbon chain having 2, 3, 4, 5, 6, 7 or 8 carbon atoms and comprising at least one triple bond.
- Examples of C 2 -C 8 -alkynyl include but are not limited to ethynyl, prop-l-ynyl, prop-2-ynyl (or "propargyl"), but-l-ynyl, but-2-ynyl, but-3- ynyl, pent-l-ynyl, pent-2-ynyl, pent-3-ynyl, pent-4-ynyl, hex-l-ynyl, hex-2 -ynyl, hex-3 -ynyl, hex-4-ynyl, hex-5-ynyl, l-methylprop-2-ynyl, 2-methylbut-3-ynyl, l-methylbut-3-ynyn
- C 1 -C 8 -haloalkyl refers to a C 1 -C 8 -alkyl group as defined above in which one or more hydrogen atoms are replaced with halogen atoms that may be the same or different.
- C 1 - C 8 -haloalkyl comprises up to 9 halogen atoms that can be the same or different.
- C 2 -C 8 -haloalkenyl refers to a C 2 -C 8 -alkenyl group as defined above in which one or more hydrogen atoms are replaced with one or more halogen atoms that may be the same or different.
- C 2 -C 8 -haloalkenyl comprises up to 9 halogen atoms that can be the same or different.
- C 2 -C 8 -haloalkynyl refers to a C 2 -C 8 -alkynyl group as defined above in which one or more hydrogen atoms are replaced with one or more halogen atoms that may be the same or different.
- C 2 -C 8 -haloalkynyl comprises up to 9 halogen atoms that can be the same or different.
- C 1 -C 6 -alkoxy refers to a group of formula (C 1 -C 6 -alkyl)-O-. in which the term "C 1 -C 6 -alkyl" is as defined herein.
- C 1 -C 6 -alkoxy examples include but are not limited to methoxy, ethoxy, n-propoxy, 1-methylethoxy, n-butoxy, 1-methylpropoxy, 2-methylpropoxy, 1,1-dimethylethoxy, n-pentoxy, 1-methylbutoxy, 2-methylbutoxy, 3-methylbutoxy, 2,2-dimethylpropoxy, 1-ethylpropoxy, 1,1-dimethylpropoxy, 1,2-dimethylpropoxy, n-hexyloxy, 1-methylpentoxy, 2-methylpentoxy, 3- methylpentoxy, 4-methylpentoxy, 1,1-dimethylbutoxy, 1,2-dimethylbutoxy, 1,3-dimethylbutoxy, 2,2- dimethylbutoxy, 2,3-dimethylbutoxy, 3,3-dimethylbutoxy, 1-ethylbutoxy, 2-ethylbutoxy, 1,1,2- trimethylpropoxy, 1,2,2-trimethylpropoxy, 1 -ethyl- 1-methylpropoxy and l-e
- C 1 -C 6 -haloalkoxy refers to a C 1 -C 6 -alkoxy group as defined above in which one or more hydrogen atoms are replaced with halogen atoms that may be the same or different.
- C 1 -C 6 -haloalkoxy examples include but are not limited to chloromethoxy, bromomethoxy, dichloromethoxy, trichloromethoxy, fluoromethoxy, difluoromethoxy, trifluoromethoxy, chlorofluoromethoxy, dichlorofluoromethoxy, chlorodifluoromethoxy, 1-chloroethoxy, 1-bromoethoxy, 1-fluoroethoxy, 2- fluoroethoxy, 2,2-difluoroethoxy, 2,2,2-trifluoroethoxy, 2-chloro-2-fluoroethoxy, 2-chloro-2,2- difluoroethoxy, 2,2-dichloro-2-fluoroethoxy, 2,2,2-trichloroethoxy, pentafluoroethoxy and 1,1,1- trifluoroprop-2-oxy.
- C 1 -C 6 -hydroxyalkyl refers to a C 1 -C 6 -alkyl group as defined above in which at least one hydrogen atom is replaced with a hydroxyl group.
- Examples of C 1 -C 6 -hydroxyalkyl include but are not limited to hydroxymethyl, 1-hydroxyethyl, 2-hydroxyethyl,l,2-dihydroxyethyl, 3-hydroxypropyl, 2-hydroxypropyl, 1-hydroxypropyl, l-hydroxypropan-2-yl, 2-hydroxypropan-2-yl, 2,3-dihydroxypropyl and l,3-dihydroxypropan-2-yl.
- C 1 -C 6 -cyanoalkyl refers to a C 1 -C 6 -alkyl group as defined above in which at least one hydrogen atom is replaced with a cyano group.
- C 1 -C 8 -alkylsulfanyl refers to a saturated, linear or branched group of formula (C 1 -C 8 -alkyl)-S-, in which the term “C 1 -C 8 -alkyl” is as defined herein.
- Examples of C 1 -C 8 -alkylsulfanyl include but are not limited to methylsulfanyl, ethylsulfanyl, propylsulfanyl, isopropylsulfanyl, butylsulfanyl, .sec-butylsulfanyl. isobutylsulfanyl, tert-butylsulfanyl, pentylsulfanyl, isopentylsulfanyl, hexylsulfanyl group.
- C 1 -C 8 -haloalkylsulfanyl refers to a C 1 -C 8 -alkylsulfanyl as defined above in which one or more hydrogen atoms are replaced with halogen atoms that may be the same or different.
- arylsulfanyl refers to a group of formula aryl-S-, in which the term “aryl” is as defined herein.
- C 1 -C 8 - alkylsulfinyl examples include but are not limited to saturated, straight-chain or branched alkylsulfinyl radicals having 1 to 8, preferably 1 to 6 and more preferably 1 to 4 carbon atoms, for example (but not limited to) methylsulfmyl, ethylsulfmyl, propylsulfmyl, 1-methylethylsulfinyl, butylsulfmyl, 1-methylpropyl- sulfmyl, 2-methylpropylsulfmyl, 1,1-dimethylethylsulfmyl, pentylsulfmyl, 1-methylbutylsulfinyl, 2- methylbutylsulfmyl, 3-methylbutylsulfmyl, 2,2-dimethylpropylsulfmyl, 1-ethylpropylsulfinyl, 1,1- dimethylpropylsulfmyl, 1,2-d
- C 1 -C 8 -haloalkylsulfmyl refers to a C 1 -C 8 -alkylsulfmyl as defined above in which one or more hydrogen atoms are replaced with halogen atoms that may be the same or different.
- C 1 -C 8 - alkylsulfonyl examples include but are not limited to methylsulfonyl, ethylsulfonyl, propylsulfonyl, 1 -methyl - ethylsulfonyl, butylsulfonyl, 1-methylpropylsulfonyl, 2-methylpropylsulfonyl, 1,1- dimethylethylsulfonyl, pentylsulfonyl, 1-methylbutylsulfonyl, 2-methylbutylsulfonyl, 3- methylbutylsulfonyl, 2,2-dimethylpropylsulfonyl, 1-ethylpropylsulfonyl, 1, 1-dimethylpropylsulfonyl,
- C 1 -C 8 -haloalkylsulfonyl refers to a C 1 -C 8 -alkylsulfonyl as defined above in which one or more hydrogen atoms are replaced with halogen atoms that may be the same or different.
- C 1 -C 8 -haloalkylsulfonylamino refers to a C 1 -C 8 -alkylsulfonylamino as defined above in which one or more hydrogen atoms are replaced with halogen atoms that may be the same or different.
- C 1 -C 8 -alkylsulfamoyl refers to a sulfamoyl radical having one C 1 -C 8 -alkyl group as defined herein.
- di-(C 1 -C 8 -alkyl)sulfamoyl refers to a sulfamoyl radical having two independently selected C 1 -C 8 -alkyl groups as defined herein.
- C 1 -C 6 -alkylcarbamoyl refers to a carbamoyl radical having one C 1 -C 6 -alkyl group as defined herein.
- di-(C 1 -C 6 -alkyl)carbamoyl refers to a carbamoyl radical having two independently selected C 1 -C 6 -alkyl groups as defined herein.
- C 1 -C 6 -haloalkylcarbonyl refers to a C 1 -C 6 -alkylcarbonyl as defined above in which one or more hydrogen atoms are replaced with halogen atoms that may be the same or different.
- C 1 -C 6 -haloalkylcarbonyloxy refers to a C 1 -C 6 -alkylcarbonyloxy as defined above in which one or more hydrogen atoms are replaced with halogen atoms that may be the same or different.
- C 1 -C 6 -haloalkylcarbonylamino refers to a C 1 -C 6 -alkylcarbonylamino as defined above in which one or more hydrogen atoms are replaced with halogen atoms that may be the same or different.
- C 1 -C 6 -haloalkoxycarbonyl refers to a C 1 -C 6 -alkoxycarbonyl as defined above in which one or more hydrogen atoms are replaced with halogen atoms that may be the same or different.
- C 1 -C 6 -alkylamino refers to an amino radical having one C 1 -C 6 -alkyl group as defined herein.
- Examples of C 1 -C 6 -alkylamino include but are not limited to N-methylamino. N-cthyl- amino, N-isopropylamino. N-n-propylamino. N-isopropylamino and N-tert-butylamino.
- di-(C 1 -C 6 -alkyl)amino refers to an amino radical having two independently selected C 1 -C 6 -alkyl groups as defined herein.
- di-(C 1 -C 6 -dialkyl)amino include but are not limited to N, N-dimethylamino, N, N-diethylamino. N, N-d i i so p ro p y l am i n o .
- N-ethyl-N-methylamino N-methyl-N-n-propylamino. N-isopropyl-N-n-propylamino and N-tert-butyl-N-methylamino.
- C 3 -C 10 -carbocyclyl refers to a non-aromatic, saturated or partially unsaturated, hydrocarbon ring system in which all of the ring members, which vary from 3 to 10, are carbon atoms.
- the ring system may be monocyclic orbicyclic (fused, spiro or bridged).
- C 3 -C 10 -carbocycles include but are not limited to C 3 -C 10 -cycloalkyl (mono or bicyclic), C 3 -C 10 -cycloalkenyl (mono or bicyclic), bicylic system comprising an aryl (e.g.
- phenyl fused to a monocyclic C 3 -C 6 -cycloalkyl (e.g. tetrahydronaphthalenyl, indanyl) and bicylic system comprising an aryl (e.g. phenyl) fused to a monocyclic C 3 -C 6 -cycloalkenyl (e.g. indenyl, dihydronaphthalenyl).
- the C 3 -C 10 -carbocycle can be attached to the parent molecular moiety through any carbon atom.
- C 3 -C 10 -cycloalkyl refers to a saturated, monovalent, mono- or bicylic hydrocarbon ring which contains 3, 4, 5, 6, 7, 8, 9 or 10 carbon atoms.
- C 3 -C 7 -cycloalkyl designates monocyclic C 3 -C 7 -cycloalkyls which include cyclopropyl, cyclobutyl, cyclopentyl, cyclohexyl and cycloheptyl.
- C 3 -C 5 -cycloalkyl designates monocyclic C 3 -C 5 -cycloalkyls which include cyclopropyl, cyclobutyl and cyclopentyl.
- bicyclic CVCm-cycloalkyls include but are not limited to bicyclo[3.1.1]heptane, bicyclo[2.2.1 ]heptane, bicyclo[2.2.2]octane, bicyclo[3.2.2]nonane, bicyclo[3.3.1]nonane, bicyclo[4.2.0]octyl, octahydropentalenyl and bicyclo[4.2.1 ]nonane.
- C 3 -C 7 -halocycloalkyl refers to a C 3 -C 7 -cycloalkyl group as defined above in which one or more hydrogen atoms are replaced with halogen atoms that may be the same or different.
- C 3 -C 10 -halocarbocyclyl refers to a C 3 -C 10 -carbocyclyl group as defined above in which one or more hydrogen atoms are replaced with halogen atoms that may be the same or different.
- aryl refers to an aromatic hydrocarbon ring system in which all of the ring members, which vary from 6 to 14, preferably from 6 to 10, are carbon atoms.
- the ring system may be monocyclic or fused polycyclic (e.g. bicyclic or tricyclic). Examples of aryl include but are not limited to phenyl, azulenyl, naphthyl and fluorenyl.
- the aryl can be attached to the parent molecular moiety through any carbon atom. It is further understood that when said aryl group is substituted with one or more substituents, said substituent(s) may be at any positions on said aryl ring(s). Particularly, in the case of aryl being a phenyl group, said substituent(s) may occupy one or both ortho positions, one or both meta positions, or the para position, or any combination of these positions.
- 3- to 10-membered heterocyclyl refers to a non-aromatic, saturated or partially unsaturated non-aromatic ring system comprising 1 to 4, or 1 to 3 heteroatoms independently selected from the group consisting of oxygen, nitrogen and sulfur. If the ring system contains more than one oxygen atoms, they are not directly adjacent.
- 3- to 10-membered heterocycles include but are not limited to 3- to 7-membered monocyclic non-aromatic heterocycles (“3- to 7- membered heterocyclyl”) and 6- to 10-membered polycyclic (e.g. bicyclic or tricyclic) non-aromatic heterocycles.
- the 3- to 10-membered heterocyclyl can be connected to the parent molecular moiety through any carbon atom or nitrogen atom contained within the heterocycle.
- heterocycle refers to a 3-, 4-, 5-, 6- or 7-membered monocyclic ring system containing 1, 2 or 3 heteroatoms independently selected from the group consisting of oxygen, nitrogen and sulfur where the ring system is saturated or unsaturated but not aromatic.
- the heterocycle may comprise one to three nitrogen atoms, or one or two oxygen atoms, or one or two sulfur atoms, or one to three nitrogen atoms and one oxygen atom, or one to three nitrogen atoms and a sulfur atom or one sulfur atom and one oxygen atom.
- saturated non-aromatic heterocycles include but are not limited to 3-membered ring such as oxiranyl, aziridinyl, 4-membered ring such as azetidinyl, oxetanyl, thietanyl, 5-membered ring such as tetrahydrof iranyl, 1,3-dioxolanyl, tetrahydrothienyl, pyrrolidinyl, pyrazolidinyl, imidazolidinyl, triazolidinyl, isoxazolidinyl, oxazolidinyl, oxadiazolidinyl, thiazolidinyl, isothiazolidinyl, thiadiazolidinyl, 6-membered ring such as piperidinyl, hexahydropyridazinyl, hexahydropyrimidinyl, piperazinyl, triazinanyl, hexahydro
- unsaturated non-aromatic hererocyles include but are not limited to 5-membered ring such as dihydrof iranyl, 1,3-dioxolyl, dihydrothienyl, pyrrolinyl, dihydroimidazolyl, dihydropyrazolyl, isoxazolinyl, dihydrooxazolyl, dihydrothiazolyl or 6-membered ring such as pyranyl, thiopyranyl, thiazinyl and thiadiazinyl.
- 5-membered ring such as dihydrof iranyl, 1,3-dioxolyl, dihydrothienyl, pyrrolinyl, dihydroimidazolyl, dihydropyrazolyl, isoxazolinyl, dihydrooxazolyl, dihydrothiazolyl or 6-membered ring such as pyranyl, thiopyranyl, thiazinyl and
- non-aromatic 6- to 10-membered polycyclic heterocycle refers to a 6-, 7-, 8-, 9-, 10-membered polycyclic (e.g. bicyclic or tricyclic) ring system containing 1, 2 or 3 heteroatoms independently selected from the group consisting of oxygen, nitrogen and sulfur where the ring system is saturated or unsaturated but not aromatic.
- Non-aromatic bicyclic heterocycles may consist of a monocyclic heteroaryl as defined herein fused to a monocyclic C 3 -C 7 -cycloalkyl, a monocyclic C 3 -C 8 -cycloalkenyl or a monocyclic non-aromatic heterocycle or may consist of a monocyclic non-aromatic heterocycle fused either to an aryl (e.g. phenyl), a monocyclic C 3 -C 7 -cycloalkyl, a monocyclic C 3 -C 8 -cycloalkenyl or a monocyclic non-aromatic heterocycle.
- aryl e.g. phenyl
- nitrogen atom may be at the bridgehead (e.g. 4, 5,6,7- tetrahydropyrazolo[l,5-a]pyridinyl, 5,6,7,8-tetrahydro-[l,2,4]triazolo[l,5-a]pyridinyl, 5, 6, 7, 8- tetrahydroimidazo[l,2-a]pyridinyl).
- Non-aromatic tricyclic heterocycles may consist of a monocyclic cycloalkyl connected through one common atom to a non-aromatic bicyclic heterocycle.
- aromatic 5- to 14-membered heterocycle or “heteroaryl” as used herein refers to an aromatic ring system comprising 1 to 4 heteroatoms independently selected from the group consisting of oxygen, nitrogen and sulfur. If the ring system contains more than one oxygen atom, they are not directly adjacent.
- Aromatic heterocycles include aromatic 5- or 6-membered monocyclic heterocycles and 6- to 14- membered polycyclic (e.g. bicyclic or tricyclic) aromatic heterocycles.
- the 5- to 14-membered aromatic heterocycle can be connected to the parent molecular moiety through any carbon atom or nitrogen atom contained within the heterocycle.
- aromatic 5- or 6-membered monocyclic heterocycle or “monocyclic heteroaryl” as used herein refers to a 5- or 6-membered monocyclic ring system containing 1, 2, 3 or 4 heteroatoms independently selected from the group consisting of oxygen, nitrogen and sulfur.
- Examples of 5-membered monocyclic heteroaryl include but are not limited to furyl (furanyl), thienyl, pyrrolyl, pyrazolyl, imidazolyl, triazolyl, tetrazolyl, isoxazolyl, oxazolyl, oxadiazolyl, oxatriazolyl, isothiazolyl, thiazolyl, thiadiazolyl and thiatriazolyl.
- Examples of 6-membered monocyclic heteroaryl include but are not limited to pyridinyl, pyridazinyl, pyrimidinyl, pyrazinyl, triazinyl, tetrazinyl.
- 6- to 14-membered polycyclic aromatic heterocycle or “polycyclic heteroaryl” as used herein refers to a 6-, 7-, 8-, 9-, 10-, 11-,12-, 13- or 14-membered polycyclic (e.g. bicyclic or tricyclic) ring system containing 1, 2 or 3 heteroatoms independently selected from the group consisting of oxygen, nitrogen and sulfur.
- Aromatic bicyclic heterocycles may consist of a monocyclic heteroaryl as defined herein fused to an aryl (e.g. phenyl) or to a monocyclic heteroaryl.
- bicyclic aromatic heterocycle examples include but are not limited to 9-membered ring such as indolyl, indolizinyl, isoindolyl, benzimadozolyl, imidazopyridinyl, indazolyl, benzotriazolyl, purinyl, benzofuranyl, benzothiophenyl, benzothiazolyl, benzoxazolyl and benzisoxazolyl or 10-membered ring such as quinolinyl, isoquinolinyl, cinnolinyl, quinazolinyl, quinoxalinyl, phthalazinyl, naphthyridinyl, pteridinal and benzodioxinyl.
- 9-membered ring such as indolyl, indolizinyl, isoindolyl, benzimadozolyl, imidazopyridinyl, indazolyl, benzotriazolyl,
- nitrogen atom may be at the bridgehead (e.g. imidazo[l,2-a]pyridinyl, [l,2,4]triazolo[4,3- a]pyridinyl, imidazo[l,2-a]pyridinyl, imidazo [2, 1-b] oxazolyl, furo[2,3-d]isoxazolyl).
- Examples of tricyclic aromatic heterocyle include but are not limited to carbazolyl, acridinyl and phenazinyl.
- aryl-C 1 -C 6 -alkyl designate a group of formula “-C 1 -C 6 -alkyl-R”, wherein R is respectively an aryl, 3- to 10-membered heterocyclyl, heteroaryl or C 3 -C 10 -carbocyclyl as defined herein, “C 1 -C 6 -alkyl” is a saturated, branched or straight hydrocarbon chain having 1, 2, 3, 4, 5 or 6 carbon atoms and wherein the group “-C 1 -C 6 -alkyl-R” is attached to the parent moiety via the “C 1 -C 6 - alkyl” group.
- substituents refers to a number of substituents that ranges from one to the maximum number of substituents possible based on the number of available bonding sites, provided that the conditions of stability and chemical feasibility are met.
- leaving group as used herein is to be understood as meaning a group which is displaced from a compound in a substitution or an elimination reaction, for example a halogen atom, a trifluoromethanesulfonate (“triflate”) group, alkoxy, methanesulfonate, p-toluenesulfonate, etc.
- variable xxxx incorporates by reference the broad definition of the variable as well as preferred, more preferred and even more preferred definitions, if any.
- the present invention relates to the use of compounds of formula (I) for controlling harmful microorganisms, in particular phytopathogenic fungi, in crop protection: wherein
- X is hydrogen or fluorine; W 1 , W 2 and W 3 are independently CH, CF or N, wherein W 1 and W 3 cannot both be N; n is 1 or 2, wherein if n is 2, the two [CR 2 R 3 ] groups may be the same or different; m is 0, 1 or 2, wherein if m is 2, the two [CR 4 R 5 ] groups may be the same or different;
- R 1 is aryl, heteroaryl, C 3 -C 10 -carbocyclyl or 3- to 10-membered heterocyclyl, each of which may be substituted with one or more R 1c substituents;
- R 2 and R 3 form, together with the carbon atom to which they are linked, a C 3 -C 6 -cycloalkyl wherein said C 3 -C 6 -cycloalkyl may be substituted with one or more R 2c substituents;
- R 4 and R 5 are independently selected from the group consisting of hydrogen, C 1 -C 8 -haloalkyl and C 1 -C 8 -alkyl, wherein the C 1 -C 8 -alkyl may be substituted with one or more R 4a substituents,
- R 1c substituents are independently selected from the group consisting of halogen, cyano, hydroxyl, carboxyl, formyl, carbamoyl, carbamate, sulfanyl, sulfinyl, sulfonyl, amino, nitro, pentafluoro-l 6 - sulfanyl, C 1 -C 6 -alkyl, C 1 -C 6 -haloalkyl, C 1 -C 6 -hydroxyalkyl, C 1 -C 6 -cyanoalkyl, C 1 -C 6 -alkoxy, C 1 - C 6 -haloalkoxy, C 2 -C 6 -alkenyl, C 2 -C 6 -alkynyl, C 1 -C 6 -alkylsulfanyl, CVC g -haloalkylsulfanyl.
- C 1 -C 6 - haloalkyl C 3 -C 10 -carbocyclyl, 3- to 10-membered-heterocyclyl, aryl and heteroaryl; wherein the C 1 -C 6 -alkyl may be substituted with one or more R a substituents and wherein the C 3 -C 10 -carbocyclyl, 3- to 10-membered-heterocyclyl, aryl and heteroaryl may be substituted with one or more R c substituents;
- R 2a , R 4a and R a are independently selected from the group consisting of halogen atom, nitro, hydroxyl, cyano, carboxyl, amino, sulfanyl, pentafluoro- ⁇ 6 -sulfanyl, formyl, carbamoyl, carbamate, sulfamoyl, C 3 -C 7 -cycloalkyl, C 3 -C 8 -halocycloalkyl, C 1 -C 6 -alkylamino, di-(C 1 -C 6 - alkyl)amino, -Si(C 1 -C 6 -alkyl) 3 , -Si(aryl)(C 1 -C 6 -alkyl) 2 , C 1 -C 6 -alkoxy, C 1 -C 6 -haloalkoxy, C 1 -C 6 - alkylsulfanyl, C 1 -C 6 -alkylcarbony
- R 2c and R c are independently selected from the group consisting of C 1 -C 6 -alkyl, C 1 -C 6 -haloalkyl, C 2 -
- C 1 -C 6 - haloalkylcarbonyl C 1 -C 6 -alkylcarbamoyl. di-(C 1 -C 6 -alkyl)carbamoyl, C 1 -C 6 -alkoxycarbonyl. C 1 - C 6 -haloalkoxycarbonyl, aryloxy, C 1 -C 6 -alkylcarbonyloxy. C 1 -C 6 -alkylcarbonylam ino. C 1 -C 6 - haloalkylcarbonylamino, C 1 -C 8 -alkylsulfanyl. C 1 -C 8 -alkylsiilfinyl.
- C 1 -C 8 -alkylsiilfonyl C 1 -C 8 - alkylsulfonylamino, C 1 -C 8 -haloalkylsulfonylamino, C 1 -C 8 -alkylsulfamoyl and di-(C 1 -C 8 - alkyl)sulfamoyl; as well as their salts, N-oxides and solvates.
- the compounds of formula (I) are used for controlling harmful microorganisms, in particular phytopathogenic fungi, in crop protection.
- the phytopathogenic fungi are selected from the group consisting of the Puccinia species, for example Puccinia recondita, Puccinia graminis or Puccinia striiformis ; the Uromyces species, for example Uromyces appendiculatus and the rust disease pathogens, in particular selected from the group consisting of the Gymnosporangium species, for example Gymnosporangium sabinae Hemileia species, for example Hemileia vastatrix, and Phakopsora species, for example Phakopsora pachyrhizi or Phakopsora meibomiae .
- the rust disease pathogens in particular Phakopsora pachyrhizi and Phakopsora meibomiae.
- the compounds of formula (I) can suitably be in their free form, salt form, N-oxide form or solvate form (e.g. hydrate).
- the compound of formula (I) may be present in the form of different stereoisomers. These stereoisomers are, for example, enantiomers, diastereomers, atropisomers or geometric isomers. Accordingly, the invention encompasses both pure stereoisomers and any mixture of these isomers. Where a compound can be present in two or more tautomer forms in equilibrium, reference to the compound by means of one tautomeric description is to be considered to include all tautomer forms.
- the compound of formula (I) may be present in the form of the free compound and/or a salt thereof, such as an agrochemically active salt.
- Agrochemically active salts include acid addition salts of inorganic and organic acids well as salts of customary bases.
- inorganic acids are hydrohalic acids, such as hydrogen fluoride, hydrogen chloride, hydrogen bromide and hydrogen iodide, sulfuric acid, phosphoric acid and nitric acid, and acidic salts, such as sodium bisulfate and potassium bisulfate.
- Useful organic acids include, for example, formic acid, carbonic acid and alkanoic acids such as acetic acid, trifluoroacetic acid, trichloroacetic acid and propionic acid, and also glycolic acid, thiocyanic acid, lactic acid, succinic acid, citric acid, benzoic acid, cinnamic acid, oxalic acid, saturated or mono- or diunsaturated fatty acids having 6 to 20 carbon atoms, alkylsulfuric monoesters, alkylsulfonic acids (sulfonic acids having straight-chain or branched alkyl radicals having 1 to 20 carbon atoms), arylsulfonic acids or aryldisulfonic acids (aromatic radicals, such as phenyl and naphthyl, which bear one or two sulfonic acid groups), alkylphosphonic acids (phosphonic acids having straight-chain or branched alkyl radicals having 1 to 20 carbon atoms), arylphosphonic
- the compounds of the invention may exist in multiple crystalline and/or amorphous forms.
- Crystalline forms include unsolvated crystalline forms, solvates and hydrates.
- Solvates of the compounds of the invention or their salts are stoichiometric compositions of the compounds with solvents.
- X is hydrogen
- At most one of W 1 , W 2 and W 3 is N.
- W 1 is N, CH or CF, and W 2 and W 3 are independently selected from CH and CF.
- W 1 is N
- W 2 and W 3 are independently selected from CH and CF, preferably, W 2 and W 3 are CH.
- W 1 , W 2 and W 3 are each independently selected from CH and CF, preferably W 1 , W 2 and W 3 are CH.
- n 1
- m is 0 or 1.
- m is 1.
- R 1 is an aryl selected from phenyl and naphthyl, a heteroaryl selected from the group consisting of furyl (furanyl), thienyl, pyrrolyl, pyrazolyl, imidazolyl, triazolyl, isoxazolyl, oxazolyl, oxadiazolyl, isothiazolyl, thiazolyl, pyridinyl, pyridazinyl, pyrimidinyl, pyrazinyl, indolyl, isoindolyl, quinolinyl and isoquinolinyl, a C 3 -C 7 -cycloalkyl or a 3- to 7-membered heterocyclyl selected from the group consisting of selected from the group consisting of tetrahydrofuranyl, 1,3-dioxolanyl, tetrahydrothienyl, pyrrolidinyl,
- R 1 is phenyl or C 3 -C 7 -cycloalkyl, wherein the phenyl and C 3 - C 7 -cycloalkyl may be substituted with one to three R 1c substituents as defined herein.
- R 1 is aryl, preferably phenyl or naphthyl, more preferably phenyl, wherein the aryl may be substituted with one to three R 1c substituents as defined herein.
- R 1 is heteroaryl, preferably selected from the group consisting of furyl (furanyl), thienyl, pyrrolyl, pyrazolyl, imidazolyl, triazolyl, isoxazolyl, oxazolyl, oxadiazolyl, isothiazolyl, thiazolyl, pyridinyl, pyridazinyl, pyrimidinyl, pyrazinyl, indolyl, isoindolyl, quinolinyl and isoquinolinyl, more preferably a 5 - or 6-membered heteroaryl selected from the group consisting of furyl (furanyl), thienyl, pyrrolyl, pyrazolyl, imidazolyl, triazolyl, isoxazolyl, oxazolyl, oxadiazolyl, isothiazolyl, thiazolyl, pyr
- R 1 is C 3 -C 10 -carbocyclyl, preferably C 3 -C 7 -cycloalkyl, which may be substituted with one to three R 1c substituents as defined herein.
- the C 3 -C 10 -carbocyclyl is substituted with one phenyl R 1c substituent and optionally one or two non-cyclic R 1c substituents selected from the group consisting of halogen, cyano, C 1 -C 6 -alkyl, C 1 -C 6 -haloalkyl, C 1 -C 6 -alkoxy and C 1 -C 6 -haloalkoxy, wherein the phenyl may be substituted with one to three R c substituents selected from the group consisting of halogen, cyano, C 1 -C 6 -alkyl, C 3 -C 7 -cycloalkyl, C 1 -C 6 -haloalkyl, C 1 -C 6 -alkoxy, C 1 -C 6 -haloalkoxy and C 1 -C 6 - alkoxy carbonyl. More
- R 1 is 3- to 10-membered-heterocyclyl, preferably a 3 - to 7-membered heterocyclyl selected from the group consisting of selected from the group consisting of tetrahydrofuranyl, 1,3-dioxolanyl, tetrahydrothienyl, pyrrolidinyl, pyrazolidinyl, imidazolidinyl, triazolidinyl, isoxazolidinyl, oxazolidinyl, oxadiazolidinyl, thiazolidinyl, isothiazolidinyl, thiadiazolidinyl, piperidinyl, hexahydropyridazinyl, hexahydropyrimidinyl, piperazinyl, triazinanyl, hexahydrotriazinyl, tetrahydropyranyl, dioxanyl, t
- R 1 is phenyl, C 3 -C 7 -cycloalkyl, a 6-membered heteroaryl, preferably selected from the group consisting of pyridinyl, pyridazinyl, pyrimidinyl and pyrazinyl, or a 5-membered heteroaryl, preferably selected from the group consisting of ftiryl (furanyl), thienyl, pyrrolyl, pyrazolyl, imidazolyl, triazolyl, isoxazolyl, oxazolyl, oxadiazolyl, isothiazolyl and thiazolyl, wherein the phenyl, C 3 -C 6 -cycloalkyl, 6-membered heteroaryl and 5-membered heteroaryl may be substituted with one to three R 1c substituents as defined herein.
- R 1 is phenyl, a 6-membered heteroaryl, preferably selected from the group consisting of pyridinyl, pyridazinyl, pyrimidinyl and pyrazinyl, or a 5- membered heteroaryl, preferably selected from the group consisting of ftiryl (furanyl), thienyl, pyrrolyl, pyrazolyl, imidazolyl, triazolyl, isoxazolyl, oxazolyl, oxadiazolyl, isothiazolyl and thiazolyl, wherein the phenyl, 6-membered heteroaryl and 5-membered heteroaryl may be substituted with one to three R 1c substituents as defined herein.
- the R 1c substituents are selected from the group consisting of halogen, cyano, C 1 -C 6 -alkyl, C 1 -C 6 -haloalkyl, C 1 -C 6 -alkoxy. C 1 -C 6 -haloalkoxy. C 3 -G-cycloalkyl.
- 3- to 7-membered-heterocyclyl, aryl and heteroaryl may be substituted with one to three R c substituents as described herein; and wherein each R 21 is independently selected from the group consisting of hydrogen, C 1 -C 6 -alkyl, C 1 -C 6 - haloalkyl and C 3 -C 7 -cycloalkyl.
- the R c substituents are selected from the group consisting of halogen, cyano, C 1 -C 6 -alkyl, C 3 - G-cycloalkyl.
- the R 1c substituents are selected from the group consisting of halogen, cyano, C1-C 6 - alkyl, C 1 -C 6 -haloalkyl, C 1 -C 6 -alkoxy, C 1 -C 6 -haloalkoxy, C 3 -C 6 -cycloalkyl, phenyl, 5- to 6-membered heteroaryl selected from the group consisting of ftiryl (furanyl), thienyl, pyrrolyl, pyrazolyl, imidazolyl, triazolyl, isoxazolyl, oxazolyl, oxadiazolyl, isothiazolyl, thiazolyl, pyridinyl, pyridazinyl, pyrimidinyl and pyrazinyl, 3- to 7-membered heterocyclyl selected from the group consisting of tetrahydrofuranyl, 1,3- dioxolanyl
- each R 21 is independently selected from the group consisting of hydrogen, C 1 -C 6 -alkyl.
- the R c substituents are selected from the group consisting of halogen, cyano, C 1 -C 6 -alkyl, C 3 - Cvcycloalkyl, C 1 -C 6 -haloalkyl, C 1 -C 6 -alkoxy, C 1 -C 6 -haloalkoxy and C 1 -C 6 -alkoxycarbonyl.
- R 1 is selected from aryl, heteroaryl, C 3 -C 7 - cycloalkyl and 3- to 7-membered heterocyclyl, which is substituted with one cyclic R 1c substituent selected from the group consisting of C 3 -C 7 -cycloalkyl, aryl, heteroaryl and 3- to 7-membered heterocyclyl and may additionally be substituted with one or two non-cyclic R 1c substituents selected from the group consisting of halogen, cyano, C 1 -C 6 -alkyl. C 1 -C 6 -haloalkyl.
- the C 3 -C 7 -cycloalkyl, 3- to 7-membered-heterocyclyl, aryl and heteroaryl may be substituted with one to three R c substituents as described herein.
- the R c substituents are selected from the group consisting of halogen, cyano, C 1 -C 6 -alkyl, C 3 -C 7 -cycloalkyl, C 1 -C 6 -haloalkyl, C 1 -C 6 -alkoxy, C 1 -C 6 - haloalkoxy and C 1 -C 6 -alkoxycarbonyl.
- R 2 and R 3 are independently selected from hydrogen and C 1 -C 8 - alkyl.
- R 2 and R 3 are hydrogen.
- R 4 and R 5 are independently selected from the group consisting of hydrogen, C 1 -C t -haloalkyl and C1-C4- alkyl, wherein the C 1 - C 4 -alkyl may be substituted with one to three R 4a substituents as described herein.
- the R 4a substituents are selected from the group consisting of halogen atom, cyano, carboxyl, formyl, carbamoyl, carbamate, C 3 -C 7 -cycloalkyl, C 1 -C 6 -alkylcarbonyl.
- R 4 and R 5 are independently selected from hydrogen and C 1 - C 4 -alkyl.
- W 1 with one or more preferred features of X, W 2 , W 3 , n, m, R 1 , R 2 , R 3 , R 4 and R 5 ;
- W 2 with one or more preferred features of X, W 1 , W 3 , n, m, R 1 , R 2 , R 3 , R 4 and R 5 ;
- W 3 with one or more preferred features of X, W 1 , W 2 , n, m, R 1 , R 2 , R 3 , R 4 and R 5 ;
- n with one or more preferred features of X, W 1 , W 2 , W 3 , m, R 1 , R 2 , R 3 , R 4 and R 5 ;
- R 1 with one or more preferred features of X, W 1 , W 2 , W 3 , n, m, R 2 , R 3 , R 4 and R 5 ;
- R 2 with one or more preferred features of X, W 1 , W 2 , W 3 , n, m, R 1 , R 3 , R 4 and R 5 ;
- R 3 with one or more preferred features of X, W 1 , W 2 , W 3 , n, m, R 1 , R 2 , R 4 and R 5 ;
- R 4 with one or more preferred features of X, W 1 , W 2 , W 3 , n, m, R 1 , R 2 , R 3 and R 5 ;
- R 5 with one or more preferred features of X, W 1 , W 2 , W 3 , n, m, R 1 , R 2 , R 3 and R 4 .
- the compounds used according to the present invention are compounds of the formula (I) or salts, N-oxides or solvates thereof: wherein
- X is hydrogen or fluorine, preferably hydrogen; W 1 is CH, CF or N, preferably W 1 is N; W 2 and W 3 are each independently selected from CH and CF; n is 1 or 2, wherein if n is 2, the two [CR 2 R 3 ] groups may be the same or different; preferably n is 1 ; m is 0, 1 or 2, wherein if m is 2, the two [CR 4 R 5 ] groups may be the same or different;
- R 1 is aryl, heteroaryl, C 3 -C 10 -carbocyclyl or 3- to 10-membered-heterocyclyl, each of which may be substituted with one or more R 1c substituents;
- R 2 and R 3 are hydrogen
- R 4 and R 5 are independently selected from the group consisting of hydrogen, C 1 -C 8 -haloalkyl and C 1 -C 8 -alkyl, wherein the C 1 -C 8 -alkyl may be substituted with one or more R 4a substituents, R 1c substituents are independently selected from the group consisting of halogen, cyano, hydroxyl, carboxyl, formyl, carbamoyl, carbamate, sulfanyl, sulfmyl, sulfonyl, amino, nitro, pentafluoro-l 6 - sulfanyl, C 1 -C 6 -alkyl, C 1 -C 6 -haloalkyl, C 1 -C 6 -hydroxyalkyl, C 1 -C 6 -cyanoalkyl, C 1 -C 6 -alkoxy, C 1 - C 6 -haloalkoxy, C 2 -C 6 -alkenyl, C
- R c substituents are each independently selected from the group consisting of C 1 -C 6 -alkyl, C 1 -C 6 - haloalkyl, C 2 -C 6 -alkenyl, C 2 -C 6 -alkynyl, halogen atom, nitro, hydroxyl, cyano, carboxyl, amino, sulfanyl, pentafluoro- ⁇ 6 -sulfanyl, formyl, carbamoyl, carbamate, sulfamoyl, C 3 -C 7 -cycloalkyl, C 3 - C 8 -halocycloalkyl, C 1 -C 6 -alkylamino, di-(C 1 -C 6 -alkyl)amino, -Si(C 1 -C 6 -alkyl)3, -Si(aryl)(C 1 -C 6 - alkyl) 2 , C 1 -C 6 -al
- R 1 is an aryl selected from phenyl and naphthyl, a heteroaryl selected from the group consisting of furyl (furanyl), thienyl, pyrrolyl, pyrazolyl, imidazolyl, triazolyl, isoxazolyl, oxazolyl, oxadiazolyl, isothiazolyl, thiazolyl, pyridinyl, pyridazinyl, pyrimidinyl, pyrazinyl, indolyl, isoindolyl, quinolinyl and isoquinobnyl, a C 3 -C 7 -cycloalkyl or a 3- to 7-membered heterocyclyl selected from the group consisting of selected from the group consisting of tetrahydrofuranyl, 1,3-dioxolanyl, tetrahydrothienyl, pyrrolidiny
- R 1 is an aryl selected from phenyl and naphthyl or a heteroaryl selected from the group consisting of furyl (furanyl), thienyl, pyrrolyl, pyrazolyl, imidazolyl, triazolyl, isoxazolyl, oxazolyl, oxadiazolyl, isothiazolyl, thiazolyl, pyridinyl, pyridazinyl, pyrimidinyl, pyrazinyl, indolyl, isoindolyl, quinolinyl and isoquinolinyl, wherein the aryl and heteroaryl may be substituted with one to three R 1c substituents as defined herein.
- the compounds used according to the present invention are compounds of the formula (I) or salts, N-oxides or solvates thereof: wherein
- X is hydrogen or fluorine, preferably hydrogen; W 1 is CH, CF or N, preferably W 1 is N; W 2 and W 3 are each independently selected from CH and CF; n is 1 or 2, wherein if n is 2, the two [CR 2 R 3 ] groups may be the same or different, preferably n is 1 ; m is 0, 1 or 2, wherein if m is 2, the two [CR 4 R 5 ] groups may be the same or different;
- R 1 is aryl, preferably phenyl, which may be substituted with one or more R 1c substituents;
- R 2 and R 3 are hydrogen
- R 4 and R 5 are independently selected from the group consisting of hydrogen, C 1 -C 8 -haloalkyl and C 1 -C 8 -alkyl, wherein the C 1 -C 8 -alkyl may be substituted with one or more R 4a substituents, R 1c substituents are independently selected from the group consisting of halogen, cyano, hydroxyl, carboxyl, formyl, carbamoyl, carbamate, sulfanyl, sulfinyl, sulfonyl, amino, nitro, pentafluoro-l 6 - sulfanyl, C 1 -C 6 -alkyl, C 1 -C 6 -haloalkyl, C 1 -C 6 -hydroxyalkyl, C 1 -C 6 -cyanoalkyl, C 1 -C 6 -alkoxy, C 1 - C 6 -haloalkoxy, C 2 -C 6 -alkenyl,
- R 4a and R a are independently selected from the group consisting of halogen atom, nitro, hydroxyl, cyano, carboxyl, amino, sulfanyl, pentafluoroG 6 -sulfanyl, formyl, carbamoyl, carbamate, sulfamoyl, C 3 -C 7 -cycloalkyl, C 3 -C 8 -halocycloalkyl, C 1 -C 6 -alkylamino. di-(C 1 -CValkyl)amino.
- R c substituents are each independently selected from the group consisting of C 1 -C 6 -alkyl, C 1 -C 6 - haloalkyl, C 2 -C 6 -alkenyl, C 2 -C 6 -alkynyl, halogen atom, nitro, hydroxyl, cyano, carboxyl, amino, sulfanyl, pentafluoro- ⁇ 6 -sulfanyl, formyl, carbamoyl, carbamate, sulfamoyl, C 3 -C 7 -cycloalkyl, C 3 - C 8 -halocycloalkyl, C 1 -C 6 -alkylamino, di-(C 1 -C 6 -alkyl)amino, -Si(C 1 -C 6 -alkyl)3, -Si(aryl)(C 1 -C 6 - alkyl) 2 , C 1 -C 6 -al
- the compounds used according to the present invention are compounds of the formula (I) or salts, N-oxides or solvates thereof: wherein
- X is hydrogen or fluorine, preferably hydrogen; W 1 is CH, CF or N, preferably W 1 is N; W 2 and W 3 are each independently selected from CH and CF; n is 1 or 2, wherein if n is 2, the two [CR 2 R 3 ] groups may be the same or different, preferably n is 1 ; m is 0, 1 or 2, wherein if m is 2, the two [CR 4 R 5 ] groups may be the same or different;
- R 1 is heteroaryl, preferably selected from the group consisting of furyl (furanyl), thienyl, pyrrolyl, pyrazolyl, imidazolyl, triazolyl, isoxazolyl, oxazolyl, oxadiazolyl, isothiazolyl, thiazolyl, pyridinyl, pyridazinyl, pyrimidinyl, pyrazinyl, indolyl, isoindolyl, quinolinyl and isoquinolinyl, wherein the heteroaryl may be substituted with one or more R 1c substituents;
- R 2 and R 3 are hydrogen
- R 4 and R 5 are independently selected from the group consisting of hydrogen, C 1 -C 8 -haloalkyl and C 1 -C 8 -alkyl, wherein the C 1 -C 8 -alkyl may be substituted with one or more R 4a substituents, R 1c substituents are independently selected from the group consisting of halogen, cyano, hydroxyl, carboxyl, formyl, carbamoyl, carbamate, sulfanyl, sulfmyl, sulfonyl, amino, nitro, pentafluoro-l 6 - sulfanyl, C 1 -C 6 -alkyl, C 1 -C 6 -haloalkyl, C 1 -C 6 -hydroxyalkyl, C 1 -C 6 -cyanoalkyl, C 1 -C 6 -alkoxy, C 1 - C 6 -haloalkoxy, C 2 -C 6 -alkenyl, C
- C 2 -G,-alkcnyl and C 2 -G,-alkynyl may be substituted with one or more R a substituents; wherein the C 3 -C 10 -carbocyclyl, 3- to 10-membered-heterocyclyl, aryl, heteroaryl, arylsulfanyl and arylsulfmyl may be substituted with one or more R c substituents; and wherein R 21 is independently selected from the group consisting of hydrogen, C 1 -C 6 -alkyl, C 1 -C 6 - haloalkyl, C 3 -C 10 -carbocyclyl, 3- to 10-membered-heterocyclyl, aryl and heteroaryl; wherein the C 1 -C 6 -alkyl may be substituted with one or more R a substituents and wherein the C 3 -C 10 -carbocyclyl, 3-
- R 4a and R a are independently selected from the group consisting of halogen atom, nitro, hydroxyl, cyano, carboxyl, amino, sulfanyl, pentafluoroG 6 -sulfanyl, formyl, carbamoyl, carbamate, sulfamoyl, C 3 -C 7 -cycloalkyl, C 3 -C 8 -halocycloalkyl, C 1 -C 6 -alkylamino, di-(C 1 -C 6 -alkyl)amino, -Si(C 1 -C 6 -alkyl) 3 , -Si(aryl)(C 1 -C 6 -alkyl) 2 , C 1 -C 6 -alkoxy, C 1 -C 6 -haloalkoxy, C 1 -C 6 -alkylsulfanyl, C 1 -C 6 -alkylcarbonyl, C 1 -
- C 1 -C 6 -haloalkylcarbonylamino C 1 -C 8 - alkylsulfanyl, C 1 -C 8 -alkylsulfmyl, C 1 -C 8 -alkylsulfonyl. C 1 -C 8 -alkylsulfonylamino. C 1 -C 8 - haloalkylsulfonylamino, C 1 -C 8 -alkylsiilfamoyl and di-(C 1 -C 8 -alkyl)sulfamoyl;
- R c substituents are each independently selected from the group consisting of C 1 -C 6 -alkyl, C 1 -C 6 - haloalkyl, C 2 -C 6 -alkenyl, C 2 -C 6 -alkynyl, halogen atom, nitro, hydroxyl, cyano, carboxyl, amino, sulfanyl, pentafluoro- ⁇ 6 -sulfanyl, formyl, carbamoyl, carbamate, sulfamoyl, C 3 -C 7 -cycloalkyl, C 3 - C 8 -halocycloalkyl, C 1 -C 6 -alkylamino, di-(C 1 -C 6 -alkyl)amino, -Si(C 1 -C 6 -alkyl) 3 , -Si(aryl)(C 1 -C 6 - alkyl) 2 , C 1 -C 6
- the compounds used according to the present invention are compounds of the formula (I) or salts, N-oxides or solvates thereof: wherein
- X is hydrogen or fluorine, preferably hydrogen; W 1 is CH, CF or N, preferably W 1 is N; W 2 and W 3 are each independently selected from CH and CF; n is 1 or 2, wherein if n is 2, the two [CR 2 R 3 ] groups may be the same or different, preferably n is 1 ; m is 0, 1 or 2, wherein if m is 2, the two [CR 4 R 5 ] groups may be the same or different;
- R 1 is C 3 -C 10 -carbocyclyl, preferably C 3 -C 7 -cycloalkyl, which may be substituted with one or more R 1c substituents;
- R 2 and R 3 are hydrogen
- R 4 and R 5 are independently selected from the group consisting of hydrogen, C 1 -C 8 -haloalkyl and C 1 -C 8 -alkyl, wherein the C 1 -C 8 -alkyl may be substituted with one or more R 4a substituents, R 1c substituents are independently selected from the group consisting of halogen, cyano, hydroxyl, carboxyl, formyl, carbamoyl, carbamate, sulfanyl, sulfmyl, sulfonyl, amino, nitro, pentafluoro-l 6 - sulfanyl, C 1 -C 6 -alkyl, C 1 -C 6 -haloalkyl, C 1 -C 6 -hydroxyalkyl, C 1 -C 6 -cyanoalkyl, C 1 -C 6 -alkoxy, C 1 - C 6 -haloalkoxy, C 2 -C 6 -alkenyl, C
- arylsulfmyl C 3 -C 10 -carbocyclyl, C 3 - C 10 -halocarbocyclyl, 3- to 10-membered-heterocyclyl, aryl, heteroaryl, aryl-C 1 -C 6 -alkyl. 3- to 10- membered-heterocyclyl-C 1 -C 6 -alkyl, heteroaryl -C 1 -C 6 -alkyl.
- R 4a and R a are independently selected from the group consisting of halogen atom, nitro, hydroxyl, cyano, carboxyl, amino, sulfanyl, pentafluoroG 6 -sulfanyl, formyl, carbamoyl, carbamate, sulfamoyl, C 3 -C 7 -cycloalkyl, C 3 -C 8 -halocycloalkyl, C 1 -C 6 -alkylamino. di-(C 1 -CValkyl)amino. -Si(C 1 -C 6 -alkyl)3, -Si (aryl )(C 1 - ,-alky l ) 2 .
- R c substituents are each independently selected from the group consisting of C 1 -C 6 -alkyl, C 1 -C 6 - haloalkyl, C 2 -C 6 -alkenyl, C 2 -C 6 -alkynyl, halogen atom, nitro, hydroxyl, cyano, carboxyl, amino, sulfanyl, pentafluoro- ⁇ 6 -sulfanyl, formyl, carbamoyl, carbamate, sulfamoyl, C 3 -C 7 -cycloalkyl, C 3 - C 8 -halocycloalkyl, C 1 -C 6 -alkylamino, di-(C 1 -C 6 -alkyl)amino, -Si(C 1 -C 6 -alkyl)3, -Si(aryl)(C 1 -C 6 - alkyl)2, C 1 -C 6 -alkoxy
- X is hydrogen
- W 1 is N
- W 2 and W 3 are each independently selected from CH and CF. More preferably, W 1 is N, and W 2 and W 3 are CH.
- n is 1.
- m is 0 or 1.
- the R c substituents are selected from the group consisting of halogen, cyano, C 1 -C 6 -alkyl, C 3 - C 7 -cycloalkyl, C 1 -C 6 -haloalkyl, C 1 -C 6 -alkoxy, C 1 -C 6 -haloalkoxy and C 1 -C 6 -alkoxycarbonyl.
- the R 1c substituents are selected from the group consisting of halogen, cyano, C 1 -C 6 -alkyl, C 1 -C 6 -haloalkyl, C 1 -C 6 -alkoxy, C 1 -C 6 - haloalkoxy, C 3 -C 6 -cycloalkyl, phenyl, 5- to 6-membered heteroaryl selected from the group consisting of ftiryl (furanyl), thienyl, pyrrolyl, pyrazolyl, imidazolyl, triazolyl, isoxazolyl, oxazolyl, oxadiazolyl, isothiazolyl, thiazolyl, pyridinyl, pyridazinyl, pyrimidinyl and pyrazinyl, 3- to 7-membered heterocyclyl selected from the group consisting of halogen, cyano, C 1 -C 6 -alkyl, C
- the R c substituents are selected from the group consisting of halogen, cyano, C 1 -C 6 -alkyl, C 3 - C 7 -cycloalkyl.
- R 4 and R 5 are independently selected from the group consisting of hydrogen, C 1 -Crhaloalkyl and C1-C4- alkyl, wherein the C 1 -C 4 -alkyl may be substituted with one to three R 4a substituents as described herein.
- the R 4a substituents are selected from the group consisting of halogen atom, cyano, carboxyl, formyl, carbamoyl, carbamate, C 3 -C 7 -cycloalkyl, C 1 -CValkylcarbonyl.
- m is 0.
- m is 1 or 2, preferably 1.
- one to three R 1c substituent are present in residue R 1 : one cyclic R 1c substituent selected from the group consisting of C 3 -C 7 -cycloalkyl.
- the R c substituents are selected from the group consisting of halogen, cyano, C 1 -C 6 -alkyl, C 3 -C 7 -cycloalkyl, C 1 - C 6 -haloalkyl, C 1 -C 6 -alkoxy, C 1 -C 6 -haloalkoxy and C 1 -C 6 -alkoxycarbonyl.
- the cyclic R 1c substituent is C 3 -C 6 -cycloalkyl, phenyl, a 5- to 6- membered heteroaryl selected from the group consisting of furyl (furanyl), thienyl, pyrrolyl, pyrazolyl, imidazolyl, triazolyl, isoxazolyl, oxazolyl, oxadiazolyl, isothiazolyl, thiazolyl, pyridinyl, pyridazinyl, pyrimidinyl and pyrazinyl, or a 3- to 7-membered heterocyclyl selected from the group consisting of tetrahydrofuranyl, 1,3-dioxolanyl, tetrahydrothienyl, pyrrolidinyl, pyrazolidinyl, imidazolidinyl, triazolidinyl, isoxazolidinyl, oxazolid
- the R c substituents are selected from the group consisting of halogen, cyano, C 1 -C 6 -alkyl, C 3 -C 7 -cycloalkyl, C 1 -C 6 -haloalkyl, C 1 -C 6 -alkoxy, C 1 -C 6 -haloalkoxy and C 1 -C 6 -alkoxycarbonyl.
- embodiments in accordance with embodiment (la), (lb), (Ic) or (Id) (referred herein as embodiments (la*), (lb*), (Ic*) and (Id*)),
- X is hydrogen; W 1 is N or CH, W 2 and W 3 are CH; n is 1; m is 0 or 1;
- R 1 contains one cyclic R 1c substituent selected from the group consisting of C 3 -C 7 -cycloalkyl, aryl, heteroaryl and 3- to 7-membered heterocyclyl and optionally one or two non-cyclic R 1c substituents selected from the group consisting of halogen, cyano, C 1 -C 6 -alkyl, C 1 -C 6 -haloalkyl.
- C 1 -C 6 -alkoxy and C 1 - C 6 -haloalkoxy wherein the C 3 -C 7 -cycloalkyl, 3- to 7-membered-heterocyclyl, aryl and heteroaryl may be substituted with one to three R c substituents; and R 2 and R 3 are hydrogen.
- the cyclic R 1c substituent is C 3 - C 6 -cycloalkyl, phenyl, a 5- or 6-membered heteroaryl selected from the group consisting of furyl (furanyl), thienyl, pyrrolyl, pyrazolyl, imidazolyl, triazolyl, isoxazolyl, oxazolyl, oxadiazolyl, isothiazolyl, thiazolyl, pyridinyl, pyridazinyl, pyrimidinyl and pyrazinyl, or a 3- to 7-membered heterocyclyl selected from the group consisting of tetrahydrofuranyl, 1,3-dioxolanyl, tetrahydrothienyl, pyrrolidinyl, pyrazolidinyl, imidazolidinyl
- the cyclic R 1c substituent is selected from phenyl and 5- to 6-membered heteroaryl, preferably selected from the group consisting of furyl (furanyl), thienyl, pyrrolyl, pyrazolyl, imidazolyl, triazolyl, isoxazolyl, oxazolyl, oxadiazolyl, isothiazolyl, thiazolyl, pyridinyl, pyridazinyl, pyrimidinyl and pyrazinyl, wherein the phenyl and 5- to 6-membered heteroaryl may be substituted with one to three R c substituents, preferably selected from the group consisting of halogen, cyano, C 1 -C 6 -alkyl, C 3 -C 7 -cycloalkyl, C 1 -C 6 -haloalkyl
- the cyclic R 1c substituent is phenyl, which may be substituted with one to three R c substituents, preferably selected from the group consisting ofhalogen, cyano, C 1 -C 6 -alkyl, C 3 -C 7 -cycloalkyl, C 1 -C 6 -haloalkyl, C 1 -C 6 -alkoxy, C 1 - C 6 -haloalkoxy and C 1 -C 6 -alkoxycarbonyl.
- X is hydrogen; W 1 is N or CH, preferably N; W 2 and W 3 are CH; n is 1; m is 0;
- R 1 is C 3 -C 10 -carbocyclyl, preferably C 3 -C 7 -cycloalkyl, which is substituted with one phenyl (as cyclic R 1c substituent) and optionally one or two non-cyclic R 1c substituents selected from the group consisting of halogen, cyano, C 1 -C 6 -alkyl. C 1 -C 6 -haloalkyl. C 1 -C 6 -alkoxy and C 1 -C 6 - haloalkoxy, wherein the phenyl may be substituted with one to three R c substituents selected from the group consisting of halogen, cyano, C 1 -C 6 -alkyl.
- C 1 -C 6 - alkoxy, C 1 -C 6 -haloalkoxy and C 1 -C 6 -alkoxycarbonyl, and R 2 and R 3 are hydrogen.
- R 1 is cyclopropyl, which is substituted with phenyl, wherein the phenyl is substituted with one or two halogen, preferably fluorine substituents.
- W 1 is N
- W 2 and W 3 are CH.
- m is 0. In some other preferred embodiments in accordance with embodiments (la*), (lb*), (Ic*) and (Id*), m is 1 or 2, preferably 1.
- R 4 and R 5 are independently selected from the group consisting of hydrogen, C 1 -Crhaloalkyl and C 1 -C 4 -alkyl, wherein the C 1 -C 4 -alkyl may be substituted with one to three R 4a substituents as described herein.
- the R 4a substituents are selected from the group consisting of halogen atom, cyano, carboxyl, formyl, carbamoyl, carbamate, C 3 -C 7 -cycloalkyl, C 1 -C 6 -alkylcarbonyl, C 1 -C 6 -alkylcarbamoyl, di-(C 1 -C 6 -alkyl)carbamoyl, C 1 -C 6 - alkoxycarbonyl and C 1 -C 6 -haloalkoxycarbonyl.
- the compounds used according to the present invention are compounds of the formula (I) or salts, N-oxides or solvates thereof: wherein
- X is hydrogen or fluorine; W 1 , W 2 and W 3 are independently CH, CF or N, wherein W 1 and W 3 cannot both be N; n is 1 or 2, wherein if n is 2, the two [CR 2 R 3 ] groups may be the same or different; m is 0 or 1;
- R 1 is phenyl or C 3 -C 7 -cycloalkyl, each of which may be substituted with one or more R 1c substituents;
- R 2 and R 3 form, together with the carbon atom to which they are linked, a C 3 -C 6 -cycloalkyl wherein said C 3 -C 6 -cycloalkyl may be substituted with one or more R 2c substituents;
- R 2a and R 4a are independently selected from the group consisting of halogen atom, nitro, hydroxyl, cyano, carboxyl, amino, sulfanyl, pentafluoro- ⁇ 6 -sulfanyl, formyl, carbamoyl, carbamate, sulfamoyl, C 3 -C 7 -cycloalkyl, C 3 -C 8 -halocycloalkyl, C 1 -C 6 -alkylamino, di-(C 1 -C 6 -alkyl)amino, - Si(C 1 -C 6 -alkyl) 3 , -Si(aryl)(C 1 -C 6 -alkyl) 2 , C 1 -C 6 -alkoxy, C 1 -C 6 -haloalk
- R 2c is selected from the group consisting of C 1 -C 6 -alkyl, C 1 -C 6 -haloalkyl, C 2 -C 6 -alkenyl, CVC 6 - alkynyl, halogen atom, nitro, hydroxyl, cyano, carboxyl, amino, sulfanyl, pentafluoro- ⁇ 6 -sulfanyl, formyl, carbamoyl, carbamate, sulfamoyl, C 3 -C 7 -cycloalkyl, C 3 -C 8 -halocycloalkyl, C 1 -C 6 - alkylamino, di-(C 1 -C 6 -alkyl)amino, -Si(C 1 -C 6 -alkyl) 3 , -Si(aryl)(C 1 -C 6 -alkyl) 2 , C 1 -C 6 -alkoxy, C 1 -
- R 2 , R 3 , R 4 and R 5 are independently selected from the group consisting of hydrogen and C 1 -C 8 -alkyl. in particular hydrogen, methyl and ethyl.
- At most one of W 1 , W 2 and W 3 is N.
- the present invention also relates to the use of any compounds of formula (I) disclosed in Table 1.
- the present invention also relates to compounds of formula (G) wherein
- X is fluorine; W 1 , W 2 and W 3 are independently CH, CF or N, wherein W 1 and W 3 cannot both be N; n is 1 or 2, wherein if n is 2, the two [CR 2 R 3 ] groups may be the same or different; m is 0, 1 or 2, wherein if m is 2, the two [CR 4 R 5 ] groups may be the same or different;
- R 1 is aryl, heteroaryl, C 3 -C 10 -carbocyclyl or 3- to 10-membered-heterocyclyl, each of which may be substituted with one or more R 1c substituents;
- R 2 and R 3 form, together with the carbon atom to which they are linked, a C 3 -C 6 -cycloalkyl wherein said C 3 -C 6 -cycloalkyl may be substituted with one or more R 2c substituents;
- R 4 and R 5 are independently selected from the group consisting of hydrogen, C 1 -C 8 -haloalkyl and C 1 -C 8 -alkyl, wherein the C 1 -C 8 -alkyl may be substituted with one or more R 4a substituents, R 1c substituents are independently selected from the group consisting of halogen, cyano, hydroxyl, carboxyl, formyl, carbamoyl, carbamate, sulfanyl, sulfmyl, sulfonyl, amino, nitro, pentafluoro-l 6 - sulfanyl, C 1 -C 6 -alkyl. C 1 -C 6 -haloalkyl.
- R 2a , R 4a and R a are independently selected from the group consisting of halogen atom, nitro, hydroxyl, cyano, carboxyl, amino, sulfanyl, pentafluoro- ⁇ 6 -sulfanyl, formyl, carbamoyl, carbamate, sulfamoyl, C 3 -C 7 -cycloalkyl, C 3 -C 8 -halocycloalkyl, C 1 -C 6 -alkylamino, di-(C 1 -C 6 - alkyl)amino, -Si(C 1 -C 6 -alkyl)3, -Si(aryl)(C 1 -C 6 -alkyl)2, C 1 -C 6 -alkoxy, C 1 -C 6 -haloalkoxy, C 1 -C 6 - alkylsulfanyl, C 1 -C 6 -alkylcarbonyl, C 1
- C 1 -C 6 -haloalkylcarbonylamino C 1 -C 8 - alkylsulfanyl, C 1 -C 8 -alkylsulfmyl, C 1 -C 8 -alkylsulfonyl. C 1 -C 8 -alkylsulfonylamino. C 1 -C 8 - haloalkylsulfonylamino, C 1 -C 8 -alkylsulfamoyl and di-(C 1 -C 8 -alkyl)sulfamoyl;
- R 2c and R c are independently selected from the group consisting of C 1 -C 6 -alkyl, C 1 -C 6 -haloalkyl.
- C 1 -C 8 -alkylsulfonyl C 1 -C 8 -alkylsulfonyl. C 1 -C 8 - alkylsulfonylamino, C 1 -C 8 -haloalkylsulfonylamino, C 1 -C 8 -alkylsulfamoyl and di-(C 1 -C 8 - alkyl)sulfamoyl; as well as their salts, N-oxides and solvates.
- the present invention also relates to compounds of formula (I”) wherein
- X is hydrogen or fluorine;
- W 1 , W 2 and W 3 are independently CH, CF or N, wherein W 1 and W 3 cannot both be N;
- n is 2, wherein the two [CR 2 R 3 ] groups may be the same or different;
- m is 0, 1 or 2, wherein if m is 2, the two [CR 4 R 5 ] groups may be the same or different;
- R 1 is aryl, heteroaryl, C 3 -C 10 -carbocyclyl or 3- to 10-membered-heterocyclyl, each of which may be substituted with one or more R 1c substituents;
- R 2 and R 3 form, together with the carbon atom to which they are linked, a C 3 -C 6 -cycloalkyl wherein said C 3 -C 6 -cycloalkyl may be substituted with one or more R 2c substituents;
- R 4 and R 5 are independently selected from the group consisting of hydrogen, C 1 -C 8 -haloalkyl and C 1 -C 8 -alkyl, wherein the C 1 -C 8 -alkyl may be substituted with one or more R 4a substituents, R 1c substituents are independently selected from the group consisting of halogen, cyano, hydroxyl, carboxyl, formyl, carbamoyl, carbamate, sulfanyl, sulfmyl, sulfonyl, amino, nitro, pentafluoro-l 6 - sulfanyl, C 1 -C 6 -alkyl. C 1 -C 6 -haloalkyl.
- C 1 -C 6 -hydroxyalkyl C 1 -C 6 -cyanoalkyl.
- C 1 -C 6 -alkoxy C 1 - C 6 -haloalkoxy, C 2 -C 6 -alkenyl, C 2 -C 6 -alkynyl.
- R 2a , R 4a and R a are independently selected from the group consisting of halogen atom, nitro, hydroxyl, cyano, carboxyl, amino, sulfanyl, pentafluoro- ⁇ 6 -sulfanyl, formyl, carbamoyl, carbamate, sulfamoyl, C 3 -C 7 -cycloalkyl, C 3 -C 8 -halocycloalkyl, C 1 -C 6 -alkylamino, di-(C 1 -C 6 - alkyl)amino, -Si(C 1 -C 6 -alkyl)3, -Si(aryl)(C 1 -C 6 -alkyl) 2 , C 1 -C 6 -alkoxy, C 1 -C 6 -haloalkoxy, C 1 -C 6 - alkylsulfanyl, C 1 -C 6 -alkylcarbonyl,
- C 1 -C 6 -haloalkylcarbonylamino C 1 -C 8 - alkylsulfanyl, C 1 -C 8 -alkylsulfinyl, C 1 -C 8 -alkylsulfonyl. C 1 -C 8 -alkylsulfonylamino, C 1 -C 8 - haloalkylsulfonylamino, C 1 -C 8 -alkylsulfamoyl and di-(C 1 -C 8 -alkyl)sulfamoyl;
- R 2c and R c are independently selected from the group consisting of C 1 -C 6 -alkyl, C 1 -C 6 -haloalkyl.
- C 1 -C 8 -alkylsulfonyl C 1 -C 8 -alkylsulfonyl. C 1 -C 8 - alkylsulfonylamino, C 1 -C 8 -haloalkylsulfonylamino, C 1 -C 8 -alkylsulfamoyl and di-(C 1 -C 8 - alkyl)sulfamoyl; as well as their salts, N-oxides and solvates.
- the present invention relates to processes for the preparation of compounds of formula (I) and their intermediates.
- the radicals and indices R 1 , R 2 , R 3 , R 4 , R 5 , X, W 1 , W 2 , W 3 , m and n have the meanings given above for the compounds of formula (I). These definitions apply not only to the end products of formula (I) but also to all intermediates.
- Compounds of formula (I) can be prepared, according to process PI, by reacting intermediates of formula (II) with a dehydrating agent, such as methyl N-(triethylammoniumsulfonyl)carbamate (Burgess reagent) or 4-toluenesulfonyl chloride, in a suitable solvent such as tetrahydrofurane, as previously described in WO2017065473.
- a dehydrating agent such as methyl N-(triethylammoniumsulfonyl)carbamate (Burgess reagent) or 4-toluenesulfonyl chloride
- Carbohydrazides of formula (III) can be prepared, according to process P3, by reacting a compound of formula (IV), wherein LG1 is a leaving group as for example ethoxy with hydrazine hydrate in a suitable solvent such as ethanol, as previously described in WO2017065473.
- Compounds of formula (IV) can be commercially available or may be prepared starting from readily available compounds according to known procedures.
- compounds of formula IV can be prepared by carbonylation as described for example in W02017040449, US20160122318 or WO2018218051.
- carbohydrazides of formula (III) can be prepared, according to process P4, by reacting a compound of formula (V) with an acid such as trifluoroacetic acid in a suitable solvent such as dichloromethane, preferably at room temperature, as previously described in Bioorganic & Medicinal Chemistry, 20(1), 487-497; 2012.
- Compounds of formula (V) may be prepared, according to process P5, by reacting a compound of formula (IV), wherein LG1 is a leaving group, as for example hydroxy with tert- butyl carbazate, optionally in presence of a coupling agent like for example ( 1 -[bis(dimethylamino)methylene]- 1 H- 1 2,3-triazolo
- a coupling agent like for example ( 1 -[bis(dimethylamino)methylene]- 1 H-
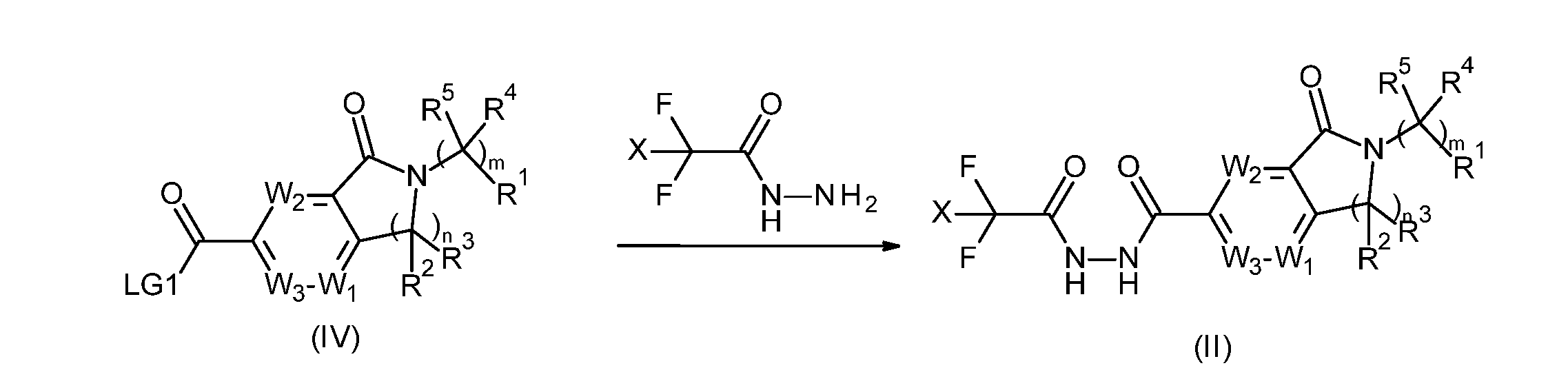
- intermediates of formula (II) can be prepared according to process P6, by reacting a compound of formula (IV), wherein LG1 is a leaving group as for example chlorine with 2,2- difluoroacetohydrazide or 2,2,2-trifluoroacetohydrazide in a suitable solvent such as tetrahydrofuran, acetonitrile or dichloromethane optionally in presence of a base such as triethylamine, as previously described in Russian Journal of Organic Chemistry, 43(11), 1686-1695; 2007 or Yingyong Huaxue, 13(5), 5-9; 1996.
- a suitable solvent such as tetrahydrofuran, acetonitrile or dichloromethane
- a base such as triethylamine
- 2,2-Difluoroacetohydrazide and 2,2,2-trifluoroacetohydrazide can be commercially available or may be prepared, according to known processes, as previously described in Synlett, (12), 1939-1941; 2005, Journal of Organic Chemistry, 78(16), 8054-8064; 2013, Chemistry of Heterocyclic Compounds (New York, NY, United States), 52(2), 133-139; 2016 or WO 2018233633.
- compounds of formula (VII) can be commercially available or may be prepared starting from readily available compounds according to known procedures.
- compounds of formula (VII) can be prepared, according to process P8, by reacting a compound of formula (VIII), wherein LG1 is a leaving group as for example ethoxy and wherein LG3 is a leaving group like for example ethoxy or methoxy with an halogenating agent like for example isocyanuric chloride, as described for example in W02019027054 or with N-bromosuccinimide, as described for examples in Journal of Medicinal Chemistry, 60(19), 8027-8054; 2017.
- Process P8 Compounds of formula (VIII) can be commercially available or may be prepared starting from readily available compounds according to known procedures.
- compounds of formula (I) can be prepared, according to process P9, from a compound of formula (IX), by reaction with a compound of formula (X), wherein LG4 is a leaving group like for example bromine, as described for example in Journal of the American Chemical Society, 142(16), 7379- 7385; 2020, Organic Letters, 22(8), 2999-3003; 2020 or European Journal of Medicinal Chemistry, 138,
- Compounds of formula (IX) may be prepared starting from readily available compounds analogously to process PI and P2 or P3 and P4 or P6.
- compounds of formula (X) can be commercially available or may be prepared starting from readily available compounds according to known procedures.
- compounds of formula (IX) can be prepared, according to process P10, from a compound of formula (XI), wherein PG is a protecting group like for example 4-methoxybenzyl, by state of the art deprotection method such as for example trifluoroacetic acid in a solvent such as dichloromethane as described in Journal of Medicinal Chemistry, 63(2), 656-675; 2020.
- Process P10 Compounds of formula (XI) may be prepared starting from readily available compounds analogously to process PI and P2 or P3 and P4 or P6.
- Intermediates of formula (XIV) can be prepared, according to process P14, by reacting a compound of formula (XV), wherein LG1 is a leaving group as for example ethoxy and LG2 is a leaving group like for example bromine by nucleophilic substitution, optionally in presence of a base, like for example N,N- diisopropylethylamine or potassium carbonate, in a solvent such as for example acetonitrile or N,N- dimethylformamide as previously described in Tetrahedron 2006, 62, 8707-8714.
- a base like for example N,N- diisopropylethylamine or potassium carbonate
- Process P14 Intermediates of formula (XV), can be prepared, according to process P15, by reacting a compound of formula (XVI), wherein LG1 is a leaving group as for example ethoxy with an halogenating agent like for example isocyanuric chloride, as described for example in WO2015173035.
- LG1 is a leaving group as for example ethoxy
- an halogenating agent like for example isocyanuric chloride
- Intermediates of formula (XVII) can be prepared, according to process PI 7, from a compound of formula (XVIII), by reaction with a compound of formula (X), wherein LG4 is a leaving group like for example bromine, in presence of a catalyst like for example copper iodide, optionally in presence of a base such as potassium phosphate, in a solvent such as for example dimethyl sulfoxide as described in WO2014210255.
- Alternatively intermediates of formula (XVII) can be prepared by substitution nucleophile in presence of a base like sodium hydride in a solvent such as DMF as described in US201134450.
- processes PI to P17 can be performed if appropriate in the presence of a solvent and if appropriate in the presence of a base.
- Suitable solvents for carrying out processes PI to P17 according to the invention are customary inert organic solvents. Preference is given to using optionally halogenated aliphatic, alicyclic or aromatic hydrocarbons, such as petroleum ether, hexane, heptane, cyclohexane, methylcyclohexane, benzene, toluene, xylene or decalin ; chlorobenzene, dichlorobenzene, dichloromethane, chloroform, carbon tetrachloride, dichloroethane or trichloroethane ; ethers, such as diethyl ether, diisopropyl ether, methyl tert-butyl ether, methyl tert-amyl ether, dioxane, tetrahydrofuran
- N,N-dimethylacetamide N-methylform anilide.
- Suitable bases for carrying out processes PI to P17 according to the invention are inorganic and organic bases which are customary for such reactions.
- pyridine N-methylpiperidine, N,N-dimethyl- aminopyridine, l,4-diazabicyclo[2.2.2]octane (DABCO), l,5-diazabicyclo[4.3.0]non-5-ene (DBN) or 1 , 8 -diazabicyclo [5.4.0]undec-7 -ene (DBU) .
- DABCO diazabicyclo[2.2.2]octane
- DBN l,5-diazabicyclo[4.3.0]non-5-ene
- DBU 8 -diazabicyclo [5.4.0]undec-7 -ene
- reaction temperature can independently be varied within a relatively wide range.
- processes according to the invention are carried out at temperatures between -20°C and 160°C.
- a way to control the temperature for the processes is to use microwave technology.
- Processes PI to P17 according to the invention are generally independently carried out under atmospheric pressure. However, it is also possible to operate under elevated or reduced pressure.
- reaction mixture is treated with water and the organic phase is separated off and, after drying, concentrated under reduced pressure. If appropriate, the remaining residue can be freed by customary methods, such as chromatography or recrystallization, from any impurities that can still be present.
- compositions and formulations are provided.
- the present invention further relates to compositions, in particular compositions for controlling unwanted microorganisms.
- the composition may be applied to the microorganisms and/or in their habitat.
- composition comprises at least one compound of the invention and at least one agriculturally suitable auxiliary, e.g. carrier(s) and/or surfactant(s).
- a carrier is a solid or liquid, natural or synthetic, organic or inorganic substance that is generally inert.
- the carrier generally improves the application of the compounds, for instance, to plants, plants parts or seeds.
- suitable solid carriers include, but are not limited to, ammonium salts, in particular ammonium sulfates, ammonium phosphates and ammonium nitrates, natural rock flours, such as kaolins, clays, talc, chalk, quartz, attapulgite, montmorillonite and diatomaceous earth, silica gel and synthetic rock flours, such as finely divided silica, alumina and silicates.
- ammonium salts in particular ammonium sulfates, ammonium phosphates and ammonium nitrates
- natural rock flours such as kaolins, clays, talc, chalk, quartz, attapulgite, montmorillonite and diatomaceous earth
- silica gel and synthetic rock flours such as finely divided silica, alumina and silicates.
- typically useful solid carriers for preparing granules include, but are not limited to crushed and fractionated natural rocks such as calcite, marble, pumice, sepiolite and dolomite, synthetic granules of inorganic and organic flours and granules of organic material such as paper, sawdust, coconut shells, maize cobs and tobacco stalks.
- suitable liquid carriers include, but are not limited to, water, organic solvents and combinations thereof.
- suitable solvents include polar and nonpolar organic chemical liquids, for example from the classes of aromatic and nonaromatic hydrocarbons (such as cyclohexane, paraffins, alkylbenzenes, xylene, toluene, tetrahydronaphthalene, alkylnaphthalenes, chlorinated aromatics or chlorinated aliphatic hydrocarbons such as chlorobenzenes, chloroethylenes or methylene chloride), alcohols and polyols (which may optionally also be substituted, etherified and/or esterified, such as ethanol, propanol, butanol, benzylalcohol, cyclohexanol or glycol), ketones (such as acetone, methyl ethyl ketone, methyl isobutyl ketone or cyclohexanone), esters (including fats and oils) and (poly)ethers, unsubstituted and substituted amines, amide
- the carrier may also be a liquefied gaseous extender, i.e. liquid which is gaseous at standard temperature and under standard pressure, for example aerosol propellants such as halohydrocarbons, butane, propane, nitrogen and carbon dioxide.
- a liquefied gaseous extender i.e. liquid which is gaseous at standard temperature and under standard pressure
- aerosol propellants such as halohydrocarbons, butane, propane, nitrogen and carbon dioxide.
- Preferred solid carriers are selected from clays, talc and silica.
- Preferred liquid carriers are selected from water, fatty acid amides and esters thereof, aromatic and nonaromatic hydrocarbons, lactams and carbonic acid esters.
- the amount of carrier typically ranges from 1 to 99.99%, preferably from 5 to 99.9%, more preferably from 10 to 99.5%, and most preferably from 20 to 99% by weight of the composition.
- Liquid carriers are typically present in a range of from 20 to 90%, for example 30 to 80% by weight of the composition.
- Solid carriers are typically present in a range of from 0 to 50%, preferably 5 to 45%, for example 10 to 30% by weight of the composition.
- composition comprises two or more carriers, the outlined ranges refer to the total amount of carriers.
- the surfactant can be an ionic (cationic or anionic), amphoteric or non-ionic surfactant, such as ionic or non-ionic emulsifier(s), foam former(s), dispersant(s), wetting agent(s), penetration enhancer(s) and any mixtures thereof.
- Suitable surfactants include, but are not limited to, salts of polyacrylic acid, salts of bgnosulfonic acid (such as sodium lignosulfonate), salts of phenolsulfonic acid or naphthalenesulfonic acid, polycondensates of ethylene oxide and/or propylene oxide with fatty alcohols, fatty acids or fatty amines (for example, polyoxyethylene fatty acid esters such as castor oil ethoxylate, polyoxyethylene fatty alcohol ethers, for example alkylaryl polyglycol ethers), substituted phenols (preferably alkylphenols or arylphenols) and ethoxylates thereof (such as tristyrylphenol ethoxylate), salts of sulfosuccinic esters, taurine derivatives (preferably alkyl taurates), phosphoric esters of polyethoxylated alcohols or phenols, fatty esters of polyols (such a fatty acid esters of
- Preferred surfactants are selected from polyoxyethylene fatty alcohol ethers, polyoxyethylene fatty acid esters, alkylbenzene sulfonates, such as calcium dodecylbenzenesulfonate, castor oil ethoxylate, sodium lignosulfonate and arylphenol ethoxylates, such as tristyrylphenol ethoxylate.
- the amount of surfactants typically ranges from 5 to 40%, for example 10 to 20%, by weight of the composition.
- auxiliaries include water repellents, siccatives, binders (adhesive, tackifier, fixing agent, such as carboxymethylcellulose, natural and synthetic polymers in the form of powders, granules or latices, such as gum arabic, polyvinyl alcohol and polyvinyl acetate, natural phospholipids such as cephalins and lecithins and synthetic phospholipids, polyvinylpyrrolidone and tylose), thickeners and secondary thickeners (such as cellulose ethers, acrylic acid derivatives, xanthan gum, modified clays, e.g. the products available under the name Bentone, and finely divided silica), stabilizers (e.g.
- cold stabilizers preservatives (e.g. dichlorophene and benzyl alcohol hemiformal), antioxidants, light stabilizers, in particular UV stabilizers, or other agents which improve chemical and/or physical stability), dyes or pigments (such as inorganic pigments, e.g. iron oxide, titanium oxide and Prussian Blue; organic dyes, e.g. alizarin, azo and metal phthalocyanine dyes), antifoams (e.g.
- silicone antifoams and magnesium stearate silicone antifoams and magnesium stearate
- antifreezes stickers, gibberellins and processing auxiliaries, mineral and vegetable oils, perfumes, waxes, nutrients (including trace nutrients, such as salts of iron, manganese, boron, copper, cobalt, molybdenum and zinc), protective colloids, thixotropic substances, penetrants, sequestering agents and complex formers.
- auxiliaries depends on the intended mode of application of the compound of the invention and/or on the physical properties of the compound(s). Furthermore, the auxiliaries may be chosen to impart particular properties (technical, physical and/or biological properties) to the compositions or use forms prepared therefrom. The choice of auxiliaries may allow customizing the compositions to specific needs.
- composition of the invention may be provided to the end user as ready-for-use formulation, i.e. the compositions may be directly applied to the plants or seeds by a suitable device, such as a spraying or dusting device.
- a suitable device such as a spraying or dusting device.
- the compositions may be provided to the end user in the form of concentrates which have to be diluted, preferably with water, prior to use.
- composition of the invention can be prepared in conventional manners, for example by mixing the compound of the invention with one or more suitable auxiliaries, such as disclosed herein above.
- the composition comprises a f mgicidally effective amount of the compound(s) of the invention.
- effective amount denotes an amount, which is sufficient for controlling harmful fungi on cultivated plants or in the protection of materials and which does not result in a substantial damage to the treated plants. Such an amount can vary in a broad range and is dependent on various factors, such as the f ingal species to be controlled, the treated cultivated plant or material, the climatic conditions and the specific compound of the invention used.
- the composition according to the invention contains from 0.01 to 99% by weight, preferably from 0.05 to 98% by weight, more preferred from 0.1 to 95% by weight, even more preferably from 0.5 to 90% by weight, most preferably from 1 to 80% by weight of the compound of the invention. It is possible that a composition comprises two or more compounds of the invention. In such case the outlined ranges refer to the total amount of compounds of the present invention.
- composition of the invention may be in any customary composition type such as solutions (e.g. aqueous solutions), emulsions, water- and oil-based suspensions, powders (e.g. wettable powders, soluble powders), dusts, pastes, granules (e.g. soluble granules, granules for broadcasting), suspoemulsion concentrates, natural or synthetic products impregnated with the compound of the invention, fertilizers and also microencapsulations in polymeric substances.
- the compound of the invention may be present in a suspended, emulsified or dissolved form. Examples of particular suitable composition types are solutions, water-soluble concentrates (e.g.
- SL LS
- dispersible concentrates DC
- suspensions and suspension concentrates e.g. SC, OD, OF, FS
- emulsifiable concentrates e.g. EC
- emulsions e.g. EW, EO, ES, ME, SE
- capsules e.g. CS, ZC
- pastes pastilles
- wettable powders or dusts e.g. WP, SP, WS, DP, DS
- pressings e.g. BR, TB, DT
- granules e.g. WG, SG, GR, FG, GG, MG
- insecticidal articles e.g.
- compositions types are defined by the Food and Agriculture Organization of the United Nations (FAO). An overview is given in the "Catalogue of pesticide formulation types and international coding system", Technical Monograph No. 2, 6th Ed. May 2008, CropLife International.
- the composition of the invention is in form of one of the following types: EC, SC, FS, SE, OD and WG, more preferred EC, SC, OD and WG. Further details about examples of composition types and their preparation are given below. If two or more compounds of the invention are present, the outlined amount of compound of the invention refers to the total amount of compounds of the present invention. This applies mutatis mutandis for any further component of the composition, if two or more representatives of such component, e.g. wetting agent, binder, are present. i) Water-soluble concentrates (SL, LS)
- ком ⁇ онент 5-40 % by weight of at least one compound of the invention and 1-10 % by weight surfactant (e.g. amixture of calcium dodecylbenzenesulfonate and castor oil ethoxylate) are dissolved in 20-40 % by weight water- insoluble organic solvent (e.g. aromatic hydrocarbon).
- surfactant e.g. amixture of calcium dodecylbenzenesulfonate and castor oil ethoxylate
- water- insoluble organic solvent e.g. aromatic hydrocarbon
- This mixture is added to such amount of water by means of an emulsifying machine to result in a total amount of 100 % by weight.
- the resulting composition is a homogeneous emulsion. Before application the emulsion may be further diluted with water.
- a suitable grinding equipment e.g. an agitated ball mill
- 20-60 % by weight of at least one compound of the invention are comminuted with addition of 2-10 % by weight surfactant (e.g. sodium lignosulfonate and polyoxyethylene fatty alcohol ether), 0.1 -2 % by weight thickener (e.g. xanthan gum) and water to give a fine active substance suspension.
- surfactant e.g. sodium lignosulfonate and polyoxyethylene fatty alcohol ether
- thickener e.g. xanthan gum
- water e.g. xanthan gum
- the water is added in such amount to result in a total amount of 100 % by weight. Dilution with water gives a stable suspension of the active substance.
- binder e.g. polyvinylalcohol
- a suitable grinding equipment e.g. an agitated ball mill
- 20-60 % by weight of at least one compound of the invention are comminuted with addition of 2-10 % by weight surfactant (e.g. sodium lignosulfonate and polyoxyethylene fatty alcohol ether), 0.1-2 % by weight thickener (e.g. modified clay, in particular Bentone, or silica) and an organic carrier to give a fine active substance oil suspension.
- the organic carrier is added in such amount to result in a total amount of 100 % by weight. Dilution with water gives a stable dispersion of the active substance.
- 50-80 % by weight of at least one compound of the invention are ground finely with addition of surfactant (e.g. sodium lignosulfonate and polyoxyethylene fatty alcohol ether) and converted to water-dispersible or water-soluble granules by means of technical appliances (e. g. extrusion, spray tower, fluidized bed).
- surfactant e.g. sodium lignosulfonate and polyoxyethylene fatty alcohol ether
- the surfactant is used in such amount to result in a total amount of 100 % by weight. Dilution with water gives a stable dispersion or solution of the active substance.
- WP, SP, WS Water-dispersible powders and water-soluble powders
- % by weight of at least one compound of the invention are ground in a rotor-stator mill with addition of 1-8 % by weight surfactant (e.g. sodium lignosulfonate, polyoxyethylene fatty alcohol ether) and such amount of solid carrier, e.g. silica gel, to result in a total amount of 100 % by weight. Dilution with water gives a stable dispersion or solution of the active substance.
- surfactant e.g. sodium lignosulfonate, polyoxyethylene fatty alcohol ether
- solid carrier e.g. silica gel
- agitated ball mill 5-25 % by weight of at least one compound of the invention are comminuted with addition of 3-10 % by weight surfactant (e.g. sodium lignosulfonate), 1-5 % by weight binder (e.g. carboxymethylcellulose) and such amount of water to result in a total amount of 100 % by weight.
- surfactant e.g. sodium lignosulfonate
- binder e.g. carboxymethylcellulose
- 5-20 % by weight of at least one compound of the invention are added to 5-30 % by weight organic solvent blend (e.g. fatty acid dimethylamide and cyclohexanone), 10-25 % by weight surfactant blend (e.g. polyoxyethylene fatty alcohol ether and arylphenol ethoxylate), and such amount of water to result in a total amount of 100 % by weight.
- organic solvent blend e.g. fatty acid dimethylamide and cyclohexanone
- surfactant blend e.g. polyoxyethylene fatty alcohol ether and arylphenol ethoxylate
- An oil phase comprising 5-50 % by weight of at least one compound of the invention, 0-40 % by weight water-insoluble organic solvent (e.g. aromatic hydrocarbon), 2-15 % by weight acrylic monomers (e.g. methylmethacrylate, methacrylic acid and a di- or triacrylate) are dispersed into an aqueous solution of a protective colloid (e.g. polyvinyl alcohol). Radical polymerization initiated by a radical initiator results in the formation of poly(meth)acrylate microcapsules.
- an oil phase comprising 5-50 % by weight of at least one compound of the invention, 0-40 % by weight water-insoluble organic solvent (e.g.
- At least one compound of the invention are ground finely and associated with such amount of solid carrier (e.g. silicate) to result in atotal amount of 100 % by weight.
- Granulation is achieved by extrusion, spray-drying or the fluidized bed.
- compositions types i) to xiii) may optionally comprise further auxiliaries, such as 0.1-1 % by weight preservatives, 0.1-1 % by weight antifoams, 0.1-1 % by weight dyes and/or pigments, and 5-10% by weight antifreezes.
- the compound and the composition of the invention can be mixed with other active ingredients like fungicides, bactericides, acaricides, nematicides, insecticides, biological control agents or herbicides. Mixtures with fertilizers, growth regulators, safeners, nitrification inhibitors, semiochemicals and/or other agriculturally beneficial agents are also possible. This may allow to broaden the activity spectrum or to prevent development of resistance. Examples of known fungicides, insecticides, acaricides, nematicides and bactericides are disclosed in the Pesticide Manual, 17th Edition.
- fungicides which could be mixed with the compound and the composition of the invention are:
- Inhibitors of the ergosterol biosynthesis for example (1.001) cyproconazole, (1.002) difenoconazole, (1.003) epoxiconazole, (1.004) fenhexamid, (1.005) fenpropidin, (1.006) fenpropimorph, (1.007) fenpyrazamine, (1.008) fluquinconazole, (1.009) flutriafol, (1.010) imazalil, (1.011) imazalil sulfate, (1.012) ipconazole, (1.013) metconazole, (1.014) myclobutanil, (1.015) paclobutrazol, (1.016) prochloraz, (1.017) propiconazole, (1.018) prothioconazole, (1.019) pyrisoxazole, (1.020) spiroxamine, (1.021) tebuconazole, (1.022) tetraconazole, (1.023) t
- Inhibitors of the respiratory chain at complex I or II for example (2.001) benzovindiflupyr, (2.002) bixafen, (2.003) boscalid, (2.004) carboxin, (2.005) fluopyram, (2.006) flutolanil, (2.007) fluxapyroxad, (2.008) furametpyr, (2.009) Isofetamid, (2.010) isopyrazam (anti-epimeric enantiomer 1R,4S,9S), (2.011) isopyrazam (anti-epimeric enantiomer 1S,4R,9R), (2.012) isopyrazam (anti-epimeric racemate 1RS,4SR,9SR), (2.013) isopyrazam (mixture of syn-epimeric racemate 1RS,4SR,9RS and anti-epimeric racemate 1RS,4SR,9SR), (2.014) isopyrazam (syn-epimeric enantiomer 1R,4S
- Inhibitors of the respiratory chain at complex III for example (3.001) ametoctradin, (3.002) amisulbrom, (3.003) azoxystrobin, (3.004) coumethoxystrobin, (3.005) coumoxystrobin, (3.006) cyazofamid, (3.007) dimoxystrobin, (3.008) enoxastrobin, (3.009) famoxadone, (3.010) fenamidone, (3.011) flufenoxystrobin, (3.012) fluoxastrobin, (3.013) kresoxim-methyl, (3.014) metominostrobin, (3.015) orysastrobin, (3.016) picoxystrobin, (3.017) pyraclostrobin, (3.018) pyrametostrobin, (3.019) pyraoxystrobin, (3.020) trifloxystrobin, (3.021) (2E)-2- ⁇ 2-[( ⁇ [(lE)-l-(3- ⁇ [((l
- Inhibitors of the mitosis and cell division for example (4.001) carbendazim, (4.002) diethofencarb,
- Inhibitors of the amino acid and/or protein biosynthesis for example (7.001) cyprodinil, (7.002) kasugamycin, (7.003) kasugamycin hydrochloride hydrate, (7.004) oxytetracycline, (7.005) pyrimethanil, (7.006) 3-(5-fluoro-3,3,4,4-tetramethyl-3,4-dihydroisoquinolin-l-yl)quinoline.
- Inhibitors of the ATP production for example (8.001) silthiofam.
- Inhibitors of the cell wall synthesis for example (9.001) benthiavalicarb, (9.002) dimethomorph, (9.003) flumorph, (9.004) iprovalicarb, (9.005) mandipropamid, (9.006) pyrimorph, (9.007) valifenalate, (9.008) (2E)-3 -(4-tert-butylphenyl)-3 -(2-chloropyridin-4-yl)- 1 -(morphobn-4-yl)prop-2-en- 1 -one, (9.009) (2Z)-3-(4-tert-butylphenyl)-3-(2-chloropyridin-4-yl)-l-(morpholin-4-yl)prop-2-en-l-one.
- Inhibitors of the lipid and membrane synthesis for example (10.001) propamocarb, (10.002) propamocarb hydrochloride, (10.003) tolclofos-methyl.
- Inhibitors of the melanin biosynthesis for example (11.001) tricyclazole, (11.002) tolprocarb.
- Inhibitors of the nucleic acid synthesis for example (12.001) benalaxyl, (12.002) benalaxyl-M (kiralaxyl), (12.003) metalaxyl, (12.004) metalaxyl-M (mefenoxam).
- Inhibitors of the signal transduction for example (13.001) fludioxonil, (13.002) iprodione, (13.003) procymidone, (13.004) proquinazid, (13.005) quinoxyfen, (13.006) vinclozolin.
- fungicides selected from the group consisting of (15.001) abscisic acid, (15.002) benthiazole, (15.003) bethoxazin, (15.004) capsimycin, (15.005) carvone, (15.006) chinomethionat, (15.007) cufraneb, (15.008) cyflufenamid, (15.009) cymoxanil, (15.010) cyprosulfamide, (15.011) flutianil, (15.012) fosetyl- aluminium, (15.013) fosetyl-calcium, (15.014) fosetyl-sodium, (15.015) methyl isothiocyanate, (15.016) metrafenone, (15.017) mildiomycin, (15.018) natamycin, (15.019) nickel dimethyldithiocarbamate, (15.020) nitrothal-isopropyl, (15.021) oxamocarb, (15.022) oxathiapiprolin, (15.023)
- the compound and the composition of the invention may also be combined with one or more biological control agents.
- biological control is defined as control of harmful organisms such as a phytopathogenic fungi and/or insects and/or acarids and/or nematodes by the use or employment of a biological control agent.
- biological control agent is defined as an organism other than the harmful organisms and / or proteins or secondary metabolites produced by such an organism for the purpose of biological control. Mutants of the second organism shall be included within the definition of the biological control agent.
- mutant refers to a variant of the parental strain as well as methods for obtaining a mutant or variant in which the pesticidal activity is greater than that expressed by the parental strain.
- the ’’parent strain“ is defined herein as the original strain before mutagenesis.
- the parental strain may be treated with a chemical such as N-methyl-N'-nitro-N-nitrosoguanidine, ethylmethanesulfone, or by irradiation using gamma, x-ray, or UV-irradiation, or by other means well known to those skilled in the art.
- a chemical such as N-methyl-N'-nitro-N-nitrosoguanidine, ethylmethanesulfone, or by irradiation using gamma, x-ray, or UV-irradiation, or by other means well known to those skilled in the art.
- Known mechanisms of biological control agents comprise enteric bacteria that control root rot by out-competing fungi for space on the surface of the root.
- Bacterial toxins, such as antibiotics have been used to control pathogens.
- the toxin can be isolated and applied directly to the plant or the bacterial species may be administered so it produces the toxin in situ.
- a ’’variant is a strain having all the identifying characteristics of the NRRL or ATCC Accession Numbers as indicated in this text and can be identified as having a genome that hybridizes under conditions of high stringency to the genome of the NRRL or ATCC Accession Numbers.
- Hybridization refers to a reaction in which one or more polynucleotides react to form a complex that is stabilized via hydrogen bonding between the bases of the nucleotide residues.
- the hydrogen bonding may occur by Watson-Crick base pairing, Hoogstein binding, or in any other sequence-specific manner.
- the complex may comprise two strands forming a duplex structure, three or more strands forming a multi- stranded complex, a single self-hybridizing strand, or any combination of these.
- Hybridization reactions can be performed under conditions of different “stringency”. In general, a low stringency hybridization reaction is carried out at about 40 °C in 10 X SSC or a solution of equivalent ionic strength/temperature. A moderate stringency hybridization is typically performed at about 50 °C in 6 X SSC, and a high stringency hybridization reaction is generally performed at about 60 °C in 1 X SSC.
- a variant of the indicated NRRL or ATCC Accession Number may also be defined as a strain having a genomic sequence that is greater than 85%, more preferably greater than 90% or more preferably greater than 95% sequence identity to the genome of the indicated NRRL or ATCC Accession Number.
- a polynucleotide or polynucleotide region (or a polypeptide or polypeptide region) has a certain percentage (for example, 80%, 85%, 90%, or 95%) of “sequence identity” to another sequence means that, when aligned, that percentage of bases (or amino acids) are the same in comparing the two sequences. This alignment and the percent homology or sequence identity can be determined using software programs known in the art, for example, those described in Current Protocols in Molecular Biology (F. M. Ausubel et al., eds., 1987).
- NRRL is the abbreviation for the Agricultural Research Service Culture Collection, an international depositary authority for the purposes of deposing microorganism strains under the Budapest treaty on the international recognition of the deposit of microorganisms for the purposes of patent procedure, having the address National Center for Agricultural Utilization Research, Agricultural Research service, U.S. Department of Agriculture, 1815 North university Street, Peroira, Illinois 61604 USA.
- ATCC is the abbreviation for the American Type Culture Collection, an international depositary authority for the purposes of deposing microorganism strains under the Budapest treaty on the international recognition of the deposit of microorganisms for the purposes of patent procedure, having the address ATCC Patent Depository, 10801 University Boulevard., Manassas, VA 10110 USA.
- biological control agents which may be combined with the compound and the composition of the invention are:
- Antibacterial agents selected from the group of:
- (Al) bacteria such as (ATI) Bacillus subtilis, in particular strain QST713/AQ713 (available as SERENADE OPTI or SERENADE ASO from Bayer CropScience LP, US, having NRRL Accession No. B21661, U.S. Patent No. 6,060,051);
- Bacillus subtilis strain BU1814 (available as VELONDIS ® PLUS, VELONDIS ® FLEX and VELONDIS ® EXTRA from BASF SE);
- Bacillus mojavensis strain R3B (Accession No. NCAIM (P) B001389) (WO 2013/034938) from Certis USA LLC, a subsidiary of Mitsui & Co.;
- Paenibacillus polymyxa in particular strain AC-1 (e.g.
- Pseudomonas proradix e.g. PRORADIX ® from Sourcon Padena
- Al.l l Pantoea agglomerans, in particular strain E325 (Accession No. NRRL B-21856) (available as BLOOMTIME BIOLOGICALTM FD BIOPESTICIDE from Northwest Agri Products); and
- (A2) fungi such as (A2.1) Aureobasidium pullulans, in particular blastospores of strain DSM14940, blastospores of strain DSM 14941 ormixtures of blastospores of strains DSM14940 and DSM14941 (e.g., BOTECTOR ® and BLOSSOM PROTECT ® from bio-ferm, CH); (A2.2) Pseudozyma aphidis (as disclosed in WO2011/151819 by Yissum Research Development Company of the Hebrew University of Jerusalem); (A2.3) Saccharomyces cerevisiae, in particular strains CNCM No. 1-3936, CNCM No. 1-3937, CNCM No. 1-3938 or CNCM No. 1-3939 (WO 2010/086790) from Lesaffre et Compagnie, FR;
- (Bl) bacteria for example (Bl.l) Bacillus subtilis, in particular strain QST713/AQ713 (available as SERENADE OPTI or SERENADE ASO from Bayer CropScience LP, US, having NRRL Accession No. B21661 and described in U.S. Patent No. 6,060,051); (B1.2) Bacillus pumilus, in particular strain QST2808 (available as SONATA® from Bayer CropScience LP, US, having Accession No. NRRL B- 30087 and described in U.S. Patent No.
- Bacillus pumilus in particular strain GB34 (available as Yield Shield® from Bayer AG, DE);
- Bacillus amyloliquefaciens in particular strain D747 (available as Double NickelTM from Kumiai Chemical Industry Co., Ltd., having accession number FERM BP-8234, US Patent No.
- Bacillus subtilis Y1336 (available as BIOBAC ® WP from Bion-Tech, Taiwan, registered as a biological fungicide in Taiwan under Registration Nos. 4764, 5454, 5096 and 5277); (B 1.7) Bacillus subtilis strain MBI 600 (available as SUBTILEX from BASF SE), having Accession Number NRRL B-50595, U.S. Patent No. 5,061,495; (B1.8) Bacillus subtilis strain GB03 (available as Kodiak® from Bayer AG, DE); (B 1.9) Bacillus subtilis var. amyloliquefaciens strain FZB24 having Accession No.
- DSM 10271 (available from Novozymes as TAEGRO ® or TAEGRO ® ECO (EPA Registration No. 70127- 5)); (B1.10) Bacillus mycoides, isolate J , having Accession No. B-30890 (available as BMJ TGAI ® or WG and LifeGardTM from Certis USA LLC, a subsidiary of Mitsui & Co.); (Bl.l 1) Bacillus licheniformis, in particular strain SB3086 , having Accession No. ATCC 55406, WO 2003/000051 (available as ECOGUARD ® Biofungicide and GREEN RELEAFTM from Novozymes); (B1.12) a Paenibacillus sp. strain having Accession No.
- Bacillus amyloliquefaciens strain FZB42 Bacillus amyloliquefaciens strain FZB42, Accession No. DSM 23117 (available as RHIZOVITAL ® from ABiTEP, DE); (B1.17) Bacillus licheniformis FMCHOOl and Bacillus subtilis FMCH002 (QUARTZO ® (WG) and PRESENCE ® (WP) from FMC Corporation); (Bl.l 8) Bacillus mojavensis strain R3B (Accession No.
- NCAIM (P) B001389) (WO 2013/034938) from Certis USA LLC, a subsidiary of Mitsui & Co.; (B1.19) Paenibacillus polymyxa ssp. plantarum (WO 2016/020371) from BASF SE; (B1.20) Paenibacillus epiphyticus (WO 2016/020371) from BASF SE; (B.1.21) Pseudomonas chlororaphis strain AFS009, having Accession No.
- NRRL B-50897, WO 2017/019448 e.g., HOWLERTM and ZIO ® from AgBiome Innovations, US
- B1.22 Pseudomonas chlororaphis, in particular strain MA342 (e.g. CEDOMON ® , CERALL ® , and CEDRESS ® by Bioagri and Koppert);
- B1.23 Streptomyces lydicus strain WYEC108 (also known as Streptomyces lydicus strain WYCD108US) (ACTINO-IRON ® and ACTINOVATE ® from Novozymes);
- B1.24 Agrobacterium radiobacter strain K84 (e.g.
- (B2) fungi for example: (B2.1) Coniothyrium minitans, in particular strain CON/M/91-8 (Accession No. DSM-9660; e.g. Contans ® from Bayer CropScience Biologies GmbH); (B2.2) Metschnikowia fructicola, in particular strain NRRL Y-30752; (B2.3) Microsphaeropsis ochracea; (B2.5) Trichoderma atroviride, in particular strain SCI (having Accession No. CBS 122089, WO 2009/116106 and U.S. Patent No. 8,431,120 (from Bi-PA)), strain 77B (T77 from Andermatt Biocontrol) or strain LU132 (e.g.
- Trichoderma harzianum strain T-22 e.g. Trianum-P from Andermatt Biocontrol or Koppert
- strain Cepa Simb-T5 from Simbiose Agro
- Gliocladium roseum also known as Clonostachys rosea f. rosea
- strain 321U from Adjuvants Plus
- strain ACM941 as disclosed in Xue (Efficacy of Clonostachys rosea strain ACM941 and fungicide seed treatments for controlling the root tot complex of field pea, Can Jour Plant Sci 83(3): 519-524), or strain IK726 (Jensen DF, et al.
- Trichoderma atroviride strain ATCC 20476 (IMI 206040); (B2.45) Trichoderma atroviride, strain Til (IMI352941/ CECT20498); (B2.46) Trichoderma harmatum, (B2.47) Trichoderma harzianum, (B2.48) Trichoderma harzianum rifai T39 (e.g. Trichodex® from Makhteshim, US); (B2.49) Trichoderma asperellum, in particular, strain kd (e.g. T-Gro from Andermatt Biocontrol); (B2.50) Trichoderma harzianum, strain ITEM 908 (e.g.
- Trianum-P Trianum-P from Koppert
- B2.51 Trichoderma harzianum, strain TH35 (e.g. Root-Pro by Mycontrol);
- Trichoderma virens also known as Gliocladium virens), in particular strain GL-21 (e.g. SoilGard by Certis, US);
- B2.53 Trichoderma viride, strain TVl(e.g. Trianum-P by Koppert);
- Ampelomyces quisqualis in particular strain AQ 10 (e.g.
- NM 99/06216 e.g., BOTRY- ZEN ® by Botry-Zen Ltd, New Zealand and BOTRYSTOP ® from BioWorks, Inc.
- Verticillium albo-atrum (formerly V dahliae), strain WCS850 having Accession No. WCS850, deposited at the Central Bureau for Fungi Cultures (e.g., DUTCH TRIG ® by Tree Care Innovations);
- Verticillium chlamydosporium B2.87) mixtures of Trichoderma asperellum strain ICC 012 (also known as Trichoderma harzianum ICC012), having Accession No.
- CABI CC IMI 392716 and Trichoderma gamsii (formerly T. viride) strain ICC 080 having Accession No. IMI 392151 (e.g., BIO-TAMTM from Isagro USA, Inc. and BIODERMA ® by Agrobiosol de Mexico, S.A. de C.V.); (B2.88) Trichoderma asperelloides IM41R (Accession No. NRRL B-50759) (TRICHO PUUS ® from BASF SE); (B2.89) Aspergillus flavus strain NRRL 21882 (products known as AFLA-GUARD ® from Syngenta/ChemChina); (B2.90) Chaetomium cupreum (Accession No.
- CABI 353812 (e.g. BIOKUPRUMTM by AgriLife); (B2.91) Saccharomyces cerevisiae, in particular strain LAS02 (from Agro-Levures et Derives), strain LAS 117 cell walls (CEREVISANE ® from Lesaffre; ROMEO ® from BASF SE), strains CNCM No. I- 3936, CNCM No. 1-3937, CNCM No. 1-3938, CNCM No. 1-3939 (WO 2010/086790) from Lesaffre et Compagnie, FR; (B2.92) Trichoderma virens strain G-41, formerly known as Gliocladium virens (Accession No.
- ATCC 20906 (e.g., ROOTSHIELD ® PLUS WP and TURFSHIELD ® PLUS WP from BioWorks, US); (B2.93) Trichoderma hamatum, having Accession No. ATCC 28012; (B2.94) Ampelomyces quisqualis strain AQ 10, having Accession No.
- CNCMI-807 e.g., AQ 10 ® by IntrachemBio Italia
- B2.95 Phlebiopsis gigantea strain VRA 1992 (ROTSTOP ® C from Danstar Ferment);
- B2.96 Penicillium steckii (DSM 27859; WO 2015/067800) from BASF SE;
- B2.97 Chaetomium glohosum (available as RIVADIOM ® by Rivale);
- B2.99) Dactylaria Candida (B2.100) Dilophosphora alopecuri (available as TWIST FUNGUS ® );
- B2.101 Fusarium oxysporum, strain Fo47 (available as FUSACLEAN ® by Natural Plant Protection);
- B2.102 Pseudozyma flocculosa, strain PF-A22 UL (available as SPORODEX ® L by Plant
- strain ICC 080 IMI CC 392151 CABI
- BIODERMA ® AGROBIOSOL DE MEXICO, S .A. DE C.V.
- B2.104 Trichoderma fertile (e.g. product TrichoPlus from BASF);
- B2.105 Muscodor roseus, in particular strain A3-5 (Accession No. NRRL 30548);
- B2.106 Simplicillium lanosoniveum; biological control agents having an effect for improving plant growth and/or plant health which may be combined in the compound combinations according to the invention including
- (Cl) bacteria selected from the group consisting of Bacillus pumilus, in particular strain QST2808 (having Accession No. NRRL No. B-30087); Bacillus suhtilis, in particular strain QST713/AQ713 (having NRRL Accession No. B-21661and described in U.S. Patent No. 6,060,051; available as SERENADE ® OPTI or SERENADE ® ASO from Bayer CropScience LP, US); Bacillus suhtilis, in particular strain AQ30002 (having Accession Nos. NRRL B-50421 and described in U.S. Patent Application No.
- Bacillus mycoides EE118 (NRRL No. B-50918), Bacillus mycoides EE141 (NRRL No. B-50916), Bacillus mycoides BT46-3 (NRRL No. B-50922), Bacillus cereus family member EE128 (NRRL No. B-50917), Bacillus thuringiensis BT013A (NRRL No. B-50924) also known as Bacillus thuringiensis 4Q7, Bacillus cereus family member EE349 (NRRL No.
- Bacillus amyloliquefaciens SB3281 ATCC # PTA- 7542; WO 2017/205258
- Bacillus amyloliquefaciens TJ1000 available as QUIKROOTS ® from Novozymes
- Bacillus firmus in particular strain CNMC 1-1582 (e.g. VOTIVO ® from BASL SE)
- Bacillus pumilus in particular strain GB34 (e.g. YIELD SHIELD ® from Bayer Crop Science, DE); Bacillus amyloliquefaciens, in particular strain IN937a; Bacillus amyloliquefaciens, in particular strain FZB42 (e.g.
- RHIZOVITAL ® from ABiTEP, DE
- Bacillus amyloliquefaciens BS27 (Accession No. NRRL B-5015); a mixture of Bacillus licheniformis FMCHOOl and Bacillus subtilis FMCH002 (available as QUARTZO ® (WG), PRESENCE ® (WP) from FMC Corporation); Bacillus cereus, in particular strain BP01 (ATCC 55675; e.g. MEPICHLOR ® from Arysta Lifescience, US); Bacillus subtilis, in particular strain MBI 600 (e.g. SUBTILEX ® from BASF SE); Bradyrhizobium japonicum (e.g.
- OPTIMIZE ® from Novozymes Mesorhizobium cicer (e.g., NODULATOR from BASF SE); Rhizobium leguminosarium biovar viciae (e.g., NODULATOR from BASF SE); Delftia acidovorans, in particular strain RAY209 (e.g. BIOBOOST ® from Brett Young Seeds); Lactobacillus sp. (e.g. LACTOPLANT ® from LactoPAFI); Paenibacillus polymyxa, in particular strain AC-1 (e.g. TOPSEED ® from Green Biotech Company Ltd.); Pseudomonas proradix (e.g.
- PRORADIX ® from Sourcon Padena
- Azospirillum brasilense e.g., VIGOR ® from KALO, Inc.
- Azospirillum lipoferum e.g., VERTEX-IFTM from TerraMax, Inc.
- a mixture of Azotobacter vinelandii and Clostridium pasteurianum available as INVIGORATE ® from Agrinos
- Pseudomonas aeruginosa in particular strain PN 1 ; Rhizobium leguminosarum, in particular bv. viceae strain Z25 (Accession No.
- C2 fungi selected from the group consisting of Purpureoci Ilium lilacinum (previously known as Paecilomyces lilacinus) strain 251 (AGAL 89/030550; e.g. BioAct from Bayer CropScience Biologies GmbH)Penicillium bilaii, strain ATCC 22348 (e.g. JumpStart ® from Acceleron BioAg), Talaromyces flavus, strain VI 17b; Trichoderma atroviride strain CNCM 1-1237 (e.g. Esquive® WP from Agrauxine, FR), Trichoderma viride, e.g.
- Trichoderma atroviride strain LC52 also known as Trichoderma atroviride strain LU132; e.g. Sentinel from Agrimm Technologies Limited
- Trichoderma asperellum strain kd e.g. T-Gro from Andermatt Biocontrol
- Trichoderma asperellum strain Eco-T Plantt Health Products, ZA
- Trichoderma harzianum strain T-22 e.g.
- Trianum-P from Andermatt Biocontrol or Koppert Myrothecium verrucaria strain AARC-0255 (e.g. DiTeraTM from Valent Biosciences); Penicillium bilaii strain ATCC ATCC20851; Pythium oligandrum strain Ml (ATCC 38472; e.g. Polyversum from Bioprepraty, CZ); Trichoderma virens strain GL-21 (e.g. SoilGard® from Certis, USA); Verticillium albo-atrum (formerly V dahliae) strain WCS850 (CBS 276.92; e.g. Dutch Trig from Tree Care Innovations); Trichoderma atroviride, in particular strain no.
- AARC-0255 e.g. DiTeraTM from Valent Biosciences
- Penicillium bilaii strain ATCC ATCC20851 e.g. Polyversum from Bioprepraty, CZ
- (Dl) bacteria selected from the group consisting of Bacillus thuringiensis subsp. aizawai, in particular strain ABTS-1857 (SD-1372; e.g. XENTARI ® from Valent BioSciences); Bacillus mycoides, isolate J. (e.g. BmJ from Certis USA LLC, a subsidiary of Mitsui & Co.); Bacillus sphaericus, in particular Serotype H5a5b strain 2362 (strain ABTS-1743) (e.g. VECTOLEX ® from Valent BioSciences, US); Bacillus thuringiensis subsp.
- israelensis strain BMP 144 (e.g.
- Burkholderia spp. in particular Burkholderia rinojensis strain A396 (also known as Burkholderia rinojensis strain MBI 305) (Accession No. NRRL B-50319; WO 2011/106491 and WO 2013/032693; e.g. MBI-206 TGAI and ZELTO ® from Marrone Bio Innovations); Chromobacterium subtsugae, in particular strain PRAA4-1T (MBI-203; e.g.
- GRANDEVO GRANDEVO ® from Marrone Bio Innovations
- Paenibacillus popilliae (formerly Bacillus popilliae, ⁇ e.g. MILKY SPORE POWDERTM and MILKY SPORE GRANULARTM from St. Gabriel Laboratories);
- Bacillus thuringiensis subsp. israelensis (serotype H-14) strain AM65-52 (Accession No. ATCC 1276) (e.g. VECTOBAC ® by Valent BioSciences, US); Bacillus thuringiensis var. kurstaki strain EVB-113-19 (e.g., BIOPROTEC ® from AEF Global); Bacillus thuringiensis subsp.
- tenebrionis strain NB 176 SD-5428; e.g. NOVODOR ® FC from BioFa DE
- Bacillus thuringiensis var. japonensis strain Buibui Bacillus thuringiensis subsp. kurstaki strain ABTS 351; Bacillus thuringiensis subsp. kurstaki strain PB 54; Bacillus thuringiensis subsp. kurstaki strain SA 11; Bacillus thuringiensis subsp. kurstaki strain SA 12; Bacillus thuringiensis subsp. kurstaki strain EG 2348; Bacillus thuringiensis var. Colmeri (e.g.
- viruses selected from the group consisting of Adoxophyes orana (summer fruit tortrix) granulosis virus (GV), Cydia pomonella (codling moth) granulosis virus (GV), Helicoverpa armigera (cotton bollworm) nuclear polyhedrosis virus (NPV), Spodoptera exigua (beet armyworm) mNPV, Spodoptera frugiperda (fall armyworm) mNPV, and Spodoptera littoralis (African cotton leafworm) NPV;
- (L) bacteria and fungi which can be added as 'inoculanf to plants or plant parts or plant organs and which, by virtue of their particular properties, promote plant growth and plant health.
- Examples are: Agrobacterium spp., Azorhizobium caulinodans, Azospirillum spp., Azotobacter spp., Bradyrhizobium spp., Burkholderia spp., in particular Burkholderia cepacia (formerly known as Pseudomonas cepacia), Gigaspora spp., or Gigaspora monosporum, Glomus spp., Laccaria spp., Lactobacillus buchneri, Paraglomus spp., Pisolithus tinctorus, Pseudomonas spp., Rhizobium spp., in particular Rhizobium trifolii, Rhizopogon spp., Scleroderma spp.
- G plant extracts and products formed by microorganisms including proteins and secondary metabolites which can be used as biological control agents, such as Allium sativum, Artemisia absinthium, azadirachtin, Biokeeper WP, Cassia nigricans, Celastrus angulatus, Chenopodium anthelminticum, chitin, Armour-Zen, Dryopteris filix-mas, Equisetum arvense, Fortune Aza, Fungastop, Heads Up ⁇ Chenopodium quinoa saponin extract), Pyrethrum/Pyrethrins, Quassia amara, Quercus, Quillaja, Regalia, "Requiem TM Insecticide", rotenone, mr/mr/ryanodine.
- Symphytum officinale Tanacetum vulgare, thymol, Triact 70, TriCon, Tropaeulum majus, Urtica dioica, Veratrin, Viscum album, Brassicaceae extract, in particular oilseed rape powder or mustard powder, as well as bioinsecticidal / acaricidal active substances obtained from olive oil, in particular unsaturated fatty/carboxylic acids having carbon chain lengths C16-C20 as active ingredients, such as, for example, contained in the product with the trade name FLiPPER®.
- insects may be combined with one or more active ingredients selected from insecticides, acaricides and nematicides.
- active ingredients selected from insecticides, acaricides and nematicides.
- Insecticides as well as the term “insecticidal” refers to the ability of a substance to increase mortality or inhibit growth rate of insects.
- insects comprises all organisms in the class “Insecta”.
- nematode and “nematicidal” refers to the ability of a substance to increase mortality or inhibit the growth rate of nematodes.
- nematode comprises eggs, larvae, juvenile and mature forms of said organism.
- Acaricide and “acaricidal” refers to the ability of a substance to increase mortality or inhibit growth rate of ectoparasites belonging to the class Arachnida, sub-class Acari.
- insecticides examples include insecticides, acaricides and nematicides, respectively, which could be mixed with the compound and the composition of the invention are:
- Acetylcholinesterase (AChE) inhibitors such as, for example, carbamates, for example alanycarb, aldicarb, bendiocarb, benfuracarb, butocarboxim, butoxycarboxim, carbaryl, carbofuran, carbosulfan, ethiofencarb, fenobucarb, formetanate, furathiocarb, isoprocarb, methiocarb, methomyl, metolcarb, oxamyl, pirimicarb, propoxur, thiodicarb, thiofanox, triazamate, trimethacarb, XMC and xylylcarb; or organophosphates, for example acephate, azamethiphos, azinphos-ethyl, azinphos-methyl, cadusafos, chlorethoxyfos, chlorfenvinphos, chlormephos, chlorpyrifo
- GABA-gated chloride channel blockers such as, for example, cyclodiene-organochlorines, for example chlordane and endosulfan or phenylpyrazoles (fiproles), for example ethiprole and fipronil.
- Sodium channel modulators such as, for example, pyrethroids, e.g. acrinathrin, allethrin, d-cis-trans allethrin, d-trans allethrin, bifenthrin, bioallethrin, bioallethrin s-cyclopentenyl isomer, bioresmethrin, cycloprothrin, cyfluthrin, beta-cyfluthrin, cyhalothrin, lambda-cyhalothrin, gamma-cyhalothrin, cypermethrin, alpha-cypermethrin, beta-cypermethrin, theta-cypermethrin, zeta-cypermethrin, cyphenothrin [(lR)-trans-isomer], deltamethrin, empenthrin [(EZ)-(lR)-i
- Nicotinic acetylcholine receptor (nAChR) competitive modulators such as, for example, neonicotinoids, e.g. acetamiprid, clothianidin, dinotefuran, imidacloprid, nitenpyram, thiacloprid and thiamethoxam or nicotine or sulfoxaflor or flupyradifurone.
- neonicotinoids e.g. acetamiprid, clothianidin, dinotefuran, imidacloprid, nitenpyram, thiacloprid and thiamethoxam or nicotine or sulfoxaflor or flupyradifurone.
- Nicotinic acetylcholine receptor (nAChR) allosteric modulators such as, for example, spinosyns, e.g. spinetoram and spinosad.
- Glutamate -gated chloride channel (GluCl) allosteric modulators such as, for example, avermectins/milbemycins, for example abamectin, emamectin benzoate, lepimectin and milbemectin.
- Juvenile hormone mimics such as, for example, juvenile hormone analogues, e.g. hydroprene, kinoprene and methoprene or fenoxycarb or pyriproxyfen.
- Miscellaneous non-specific (multi-site) inhibitors such as, for example, alkyl halides, e.g. methyl bromide and other alkyl halides; or chloropicrine or sulphuryl fluoride or borax or tartar emetic or methyl isocyanate generators, e.g. diazomet and metam.
- Mite growth inhibitors such as, for example clofentezine, hexythiazox and diflovidazin or etoxazole.
- Microbial disruptors of the insect gut membrane such as, for example Bacillus thuringiensis subspecies israelensis, Bacillus sphaericus, Bacillus thuringiensis subspecies aizawai, Bacillus thuringiensis subspecies kurstaki, Bacillus thuringiensis subspecies tenehrionis, and B.t. plant proteins: CrylAb, CrylAc, CrylFa, CrylA.105, Cry2Ab, Vip3A, mCry3A, Cry3Ab, Cry3Bb, Cry34Abl/35Abl.
- Inhibitors of mitochondrial ATP synthase such as, ATP disruptors such as, for example, diafenthiuron or organotin compounds, for example azocyclotin, cyhexatin and fenbutatin oxide or propargite ortetradifon.
- ATP disruptors such as, for example, diafenthiuron or organotin compounds, for example azocyclotin, cyhexatin and fenbutatin oxide or propargite ortetradifon.
- Nicotinic acetylcholine receptor channel blockers such as, for example, bensultap, cartap hydrochloride, thiocylam, and thiosultap-sodium.
- Inhibitors of chitin biosynthesis type 0, such as, for example, bistrifluron, chlorfluazuron, diflubenzuron, flucycloxuron, flufenoxuron, hexaflumuron, lufenuron, novaluron, noviflumuron, teflubenzuron and triflumuron.
- Inhibitors of chitin biosynthesis type 1, for example buprofezin.
- Moulting disruptor in particular for Diptera, i.e. dipterans, such as, for example, cyromazine.
- Ecdysone receptor agonists such as, for example, chromafenozide, halofenozide, methoxyfenozide and tebufenozide.
- Octopamine receptor agonists such as, for example, amitraz.
- Mitochondrial complex III electron transport inhibitors such as, for example, hydramethylnone or acequinocyl or fluacrypyrim.
- Mitochondrial complex I electron transport inhibitors such as, for example from the group of the METI acaricides, e.g. fenazaquin, fenpyroximate, pyrimidifen, pyridaben, tebufenpyrad and tolfenpyrad or rotenone (Derris).
- METI acaricides e.g. fenazaquin, fenpyroximate, pyrimidifen, pyridaben, tebufenpyrad and tolfenpyrad or rotenone (Derris).
- Voltage-dependent sodium channel blockers such as, for example indoxacarb or metaflumizone.
- Inhibitors of acetyl CoA carboxylase such as, for example, tetronic and tetramic acid derivatives, e.g. spirodiclofen, spiromesifen and spirotetramat.
- Mitochondrial complex IV electron transport inhibitors such as, for example, phosphines, e.g. aluminium phosphide, calcium phosphide, phosphine and zinc phosphide or cyanides, e.g. calcium cyanide, potassium cyanide and sodium cyanide.
- Mitochondrial complex II electron transport inhibitors such as, for example, fteto-ketonitrile derivatives, e.g. cyenopyrafen and cyflumetofen and carboxanilides, such as, for example, pyflubumide.
- Ryanodine receptor modulators such as, for example, diamides, e.g. chlorantraniliprole, cyantraniliprole and flubendiamide, further active compounds such as, for example, Afidopyropen, Afoxolaner, Azadirachtin, Benclothiaz, Benzoximate, Bifenazate, Broflanilide, Bromopropylate, Chinomethionat, Chloroprallethrin, Cryolite, Cyclaniliprole, Cycloxaprid, Cyhalodiamide, Dicloromezotiaz, Dicofol, epsilon-Metofluthrin, epsilon- Momfluthrin, Flometoquin, Fluazaindolizine, Fluensulfone, Flufenerim, Flufenoxystrobin, Flufiprole, Fluhexafon, Fluopyram, Fluralaner, Fluxamet
- - propanamide known from WO 2013/162715 A2, WO 2013/162716 A2, US 2014/0213448 Al
- herbicides which could be mixed with the compound and the composition of the invention are:
- plant growth regulators are:
- safeners which could be mixed with the compound and the composition of the invention are, for example, benoxacor, cloquintocet (-mexyl), cyometrinil, cyprosulfamide, dichlormid, fenchlorazole (- ethyl), fenclorim, flurazole, fluxofenim, furilazole, isoxadifen (-ethyl), mefenpyr (-diethyl), naphthalic anhydride, oxabetrinil, 2-methoxy-N-( ⁇ 4-[(methylcarbamoyl)amino]phenyl ⁇ - sulphonyl)benzamide (CAS 129531-12-0), 4-(dichloroacetyl)-l-oxa-4-azaspiro[4.5]decane (CAS 71526- 07-3), 2,2,5-trimethyl-3-(dichloroacetyl)-l,3-oxazolidine (
- nitrification inhibitors which can be mixed with the compound and the composition of the invention are selected from the group consisting of 2-(3, 4-dimethyl- 1 H-pyrazol-1 -yl)succinic acid, 2- (4,5-dimethyl-l H-pyrazol-1 -yl)succinic acid, 3,4-dimethyl pyrazolium glycolate, 3,4-dimethyl pyrazolium citrate, 3,4-dimethyl pyrazolium lactate, 3,4-dimethyl pyrazolium mandelate, 1 ,2,4-triazole, 4-Chloro-3-methylpyrazole, N-((3(5)-methyl-lH-pyrazole-l-yl)methyl)acetamide, N-((3(5)-methyl-l H- pyrazole-l-yl)methyl)formamide, N-((3(5),4-dimethylpyrazole-l-yl)methyl)formamide, N-((4-chloro- 3(5)-methyl-methyl
- the compound and the composition of the invention may be combined with one or more agriculturally beneficial agents.
- agriculturally beneficial agents include biostimulants, plant growth regulators, plant signal molecules, growth enhancers, microbial stimulating molecules, biomolecules, soil amendments, nutrients, plant nutrient enhancers, etc., such as lipo-chitooligosaccharides (LCO), chitooligosaccharides (CO), chitinous compounds, flavonoids, jasmonic acid or derivatives thereof (e.g., jasmonates), cytokinins, auxins, gibberellins, absiscic acid, ethylene, brassinosteroids, salicylates, macro- and micro-nutrients, linoleic acid or derivatives thereof, linolenic acid or derivatives thereof, karrikins, and beneficial microorganisms (e.g., Rhizobium spp., Bradyrhizobium spp., Sinorhizobium spp., Azorhizobium spp., Glomus spp., Gigaspora
- Arlhrobacler spp. Arthrobotrys spp., Aspergillus spp., Azospirillum spp., Bacillus spp., Burkholderia spp., Candida spp., Chryseomonas spp., Enterobacter spp., Eupenicillium spp., Exiguobacterium spp., Klebsiella spp., Kluyvera spp., Microbacterium spp., Mucor spp., Paecilomyces spp., Paenibacillus spp., Penicillium spp., Pseudomonas spp., Serratia spp., Stenotrophomonas spp., Streptomyces spp., Streptosporangium spp., Swaminathania spp., Thiobacillus spp., Torulospora
- the compound and the composition of the invention have potent microbicidal activity and/or plant defense modulating potential. They can be used for controlling unwanted microorganisms, such as unwanted fungi and bacteria, on plants. They can be particularly useful in crop protection (they control microorganisms that cause plants diseases) or for protecting materials (e.g. industrial materials, timber, storage goods) as described in more details herein below. More specifically, the compound and the composition of the invention can be used to protect seeds, germinating seeds, emerged seedlings, plants, plant parts, fruits, harvest goods and/or the soil in which the plants grow from unwanted microorganisms. Control or controlling as used herein encompasses protective, curative and eradicative treatment of unwanted microorganisms.
- Unwanted microorganisms may be pathogenic bacteria, pathogenic virus, pathogenic oomycetes or pathogenic fungi, more specifically phytopathogenic bacteria, phytopathogenic virus, phytopathogenic oomycetes or phytopathogenic fungi. As detailed herein below, these phytopathogenic microorganims are the causal agents of a broad spectrum of plants diseases.
- the compound and the composition of the invention can be used as fungicides.
- fungicide refers to a compound or composition that can be used in crop protection for the control of unwanted fungi, such as Plasmodiophoromycetes, Chytridiomycetes, Zygomycetes, Ascomycetes, Basidiomycetes and Deuteromycetes and/or for the control of Oomycetes.
- the compound and the composition of the invention may also be used as antibacterial agent.
- they may be used in crop protection, for example for the control of unwanted bacteria, such as Pseudomonadaceae, Rhizobiaceae, Xanthomonadaceae, Enterobacteriaceae, Corynebacteriaceae and Streptomycetaceae .
- the compound and the composition of the invention may also be used as antiviral agent in crop protection.
- the compound and the composition of the invention may have effects on diseases from plant viruses, such as the tobacco mosaic virus (TMV), tobacco rattle virus, tobacco stunt virus (TStuV), tobacco leaf curl virus (VLCV), tobacco nervilia mosaic virus (TVBMV), tobacco necrotic dwarf virus (TNDV), tobacco streak virus (TSV), potato virus X (PVX), potato viruses Y, S, M, and A, potato acuba mosaic virus (PAMV), potato mop-top virus (PMTV), potato leaf-roll virus (PLRV), alfalfa mosaic virus (AMV), cucumber mosaic virus (CMV), cucumber green mottlemosaic virus (CGMMV), cucumber yellows virus (CuYV), watermelon mosaic virus (WMV), tomato spotted wilt virus (TSWV), tomato ringspot virus (TomRSV), sugarcane mosaic virus (SCMV), rice drawf virus, rice stripe virus, rice black- streaked drawf virus, strawberry mo
- the present invention also relates to a method for controlling unwanted microorganisms, such as unwanted fungi, oomycetes and bacteria, on plants comprising the step of applying at least one compound of the invention or at least one composition of the invention to the microorganisms and/or their habitat (to the plants, plant parts, seeds, fruits or to the soil in which the plants grow).
- unwanted microorganisms such as unwanted fungi, oomycetes and bacteria
- Suitable substrates that may be used for cultivating plants include inorganic based substrates, such as mineral wool, in particular stone wool, perlite, sand or gravel; organic substrates, such as peat, pine bark or sawdust; and petroleum based substrates such as polymeric foams or plastic beads.
- Effective and plant-compatible amount means an amount that is sufficient to control or destroy the fungi present or liable to appear on the cropland and that does not entail any appreciable symptom of phytotoxicity for said crops. Such an amount can vary within a wide range depending on the fungus to be controlled, the type of crop, the crop growth stage, the climatic conditions and the respective compound or composition of the invention used. This amount can be determined by systematic field trials that are within the capabilities of a person skilled in the art.
- the compound and the composition of the invention may be applied to any plants or plant parts.
- Plants mean all plants and plant populations, such as desired and undesired wild plants or crop plants (including naturally occurring crop plants).
- Crop plants may be plants which can be obtained by conventional breeding and optimization methods or by biotechnological and genetic engineering methods or combinations of these methods, including the genetically modified plants (GMO or transgenic plants) and the plant cultivars which are protectable and non-protectable by plant breeders’ rights.
- Plant cultivars are understood to mean plants which have new properties ("traits”) and have been obtained by conventional breeding, by mutagenesis or by recombinant DNA techniques. They can be cultivars, varieties, bio- or genotypes.
- Plant parts are understood to mean all parts and organs of plants above and below the ground, such as shoots, leaves, needles, stalks, stems, flowers, fruit bodies, fruits, seeds, roots, tubers and rhizomes.
- the plant parts also include harvested material and vegetative and generative propagation material, for example cuttings, tubers, rhizomes, slips and seeds.
- Plants which may be treated in accordance with the methods of the invention include the following: cotton, flax, grapevine, fruit, vegetables, such as Rosaceae sp. (for example pome fruits such as apples and pears, but also stone fruits such as apricots, cherries, almonds and peaches, and soft fruits such as strawberries), Ribesioidae sp. , Juglandaceae sp., Betulaceae sp. , Anacardiaceae sp., Fagaceae sp.,Moraceae sp., Oleaceae sp. , Actinidaceae sp. , Lauraceae sp. , Musaceae sp.
- Rosaceae sp. for example pome fruits such as apples and pears, but also stone fruits such as apricots, cherries, almonds and peaches, and soft fruits such as strawberries
- Rosaceae sp. for example pome fruits such as apples
- Rubiaceae sp. for example coffee
- Theaceae sp. Sterculiceae sp.
- Rutaceae sp. for example lemons, oranges and grapefruit
- Solanaceae sp. for example tomatoes
- Liliaceae sp. for example lettuce
- Umbelliferae sp. for example lettuce
- Alliaceae sp. for example leek, onion
- peas for example peas
- major crop plants such as Gramineae sp. (for example maize, turf, cereals such as wheat, rye, rice, barley, oats, millet and triticale), Asteraceae sp. (for example sunflower), Brassicaceae sp. (for example white cabbage, red cabbage, broccoli, cauliflower, Brussels sprouts, pak choi, kohlrabi, radishes, and oilseed rape, mustard, horseradish and cress), Fabacae sp. (for example bean, peanuts), Papilionaceae sp. (for example soya bean), Solanaceae sp. (for example potatoes), Chenopodiaceae sp. (for example sugar beet, fodder beet, swiss chard, beetroot); useful plants and ornamental plants for gardens and wooded areas; and genetically modified varieties of each of these plants.
- Plants and plant cultivars which may be treated by the above disclosed methods include plants and plant cultivars which are resistant against one or more biotic stresses, i.e. said plants show a better defense against animal and microbial pests, such as against nematodes, insects, mites, phytopathogenic fungi, bacteria, viruses and/or viroids.
- Plants and plant cultivars which may be treated by the above disclosed methods include those plants which are resistant to one or more abiotic stresses.
- Abiotic stress conditions may include, for example, drought, cold temperature exposure, heat exposure, osmotic stress, flooding, increased soil salinity, increased mineral exposure, ozone exposure, high light exposure, limited availability of nitrogen nutrients, limited availability of phosphorus nutrients, shade avoidance.
- Plants and plant cultivars which may be treated by the above disclosed methods include those plants characterized by enhanced yield characteristics. Increased yield in said plants may be the result of, for example, improved plant physiology, growth and development, such as water use efficiency, water retention efficiency, improved nitrogen use, enhanced carbon assimilation, improved photosynthesis, increased germination efficiency and accelerated maturation. Yield may furthermore be affected by improved plant architecture (under stress and non-stress conditions), including but not limited to, early flowering, flowering control for hybrid seed production, seedling vigor, plant size, intemode number and distance, root growth, seed size, fruit size, pod size, pod or ear number, seed number per pod or ear, seed mass, enhanced seed filling, reduced seed dispersal, reduced pod dehiscence and lodging resistance. Further yield traits include seed composition, such as carbohydrate content and composition for example cotton or starch, protein content, oil content and composition, nutritional value, reduction in anti-nutritional compounds, improved processability and better storage stability.
- Plants and plant cultivars which may be treated by the above disclosed methods include plants and plant cultivars which are hybrid plants that already express the characteristic of heterosis or hybrid vigor which results in generally higher yield, vigor, health and resistance towards biotic and abiotic stresses.
- the compound according to the invention can be advantageously used to treat transgenic plants, plant cultivars or plant parts that received genetic material which imparts advantageous and/or useful properties (traits) to these plants, plant cultivars or plant parts. Therefore, it is contemplated that the present invention may be combined with one or more recombinant traits or transgenic event(s) or a combination thereof.
- a transgenic event is created by the insertion of a specific recombinant DNA molecule into a specific position (locus) within the chromosome of the plant genome.
- the insertion creates a novel DNA sequence referred to as an “event” and is characterized by the inserted recombinant DNA molecule and some amount of genomic DNA immediately adjacent to/flanking both ends of the inserted DNA.
- trait(s) or transgenic event(s) include, but are not limited to, pest resistance, water use efficiency, yield performance, drought tolerance, seed quality, improved nutritional quality, hybrid seed production, and herbicide tolerance, in which the trait is measured with respect to a plant lacking such trait or transgenic event.
- Such advantageous and/or useful properties are better plant growth, vigor, stress tolerance, standability, lodging resistance, nutrient uptake, plant nutrition, and/or yield, in particular improved growth, increased tolerance to high or low temperatures, increased tolerance to drought or to levels of water or soil salinity, enhanced flowering performance, easier harvesting, accelerated ripening, higher yields, higher quality and/or a higher nutritional value of the harvested products, better storage life and/or processability of the harvested products, and increased resistance against animal and microbial pests, such as against insects, arachnids, nematodes, mites, slugs and snails.
- Bt Cry or VIP proteins which include the CrylA, CrylAb, CrylAc, CryllA, CrylllA, CryIIIB2, Cry9c Cry2Ab, Cry3Bb and CrylF proteins or toxic fragments thereof and also hybrids or combinations thereof, especially the CrylF protein or hybrids derived from a CrylF protein (e.g. hybrid CrylA-CrylF proteins or toxic fragments thereof), the CrylA-type proteins or toxic fragments thereof, preferably the CrylAc protein or hybrids derived from the CrylAc protein (e.g.
- hybrid CrylAb-CrylAc proteins or the CrylAb or Bt2 protein or toxic fragments thereof, the Cry2Ae, Cry2Af or Cry2Ag proteins or toxic fragments thereof, the CrylA.105 protein or a toxic fragment thereof, the VIP3Aal9 protein, the VIP3Aa20 protein, the VIP3A proteins produced in the COT202 or COT203 cotton events, the VIP3Aa protein ora toxic fragment thereof as described in Estruch et al. (1996), Proc Natl Acad Sci US A.
- Another and particularly emphasized example of such properties is conferred tolerance to one or more herbicides, for example imidazolinones, sulphonylureas, glyphosate or phosphinothricin.
- herbicides for example imidazolinones, sulphonylureas, glyphosate or phosphinothricin.
- DNA sequences encoding proteins which confer properties of tolerance to certain herbicides on the transformed plant cells and plants mention will be particularly be made to the bar or PAT gene or the Streptomyces coelicolor gene described in WO2009/152359 which confers tolerance to glufosinate herbicides, a gene encoding a suitable EPSPS (5-Enolp ⁇ Tuv ⁇ lshikimat-3-phosphat- nthasc) which confers tolerance to herbicides having EPSPS as a target, especially herbicides such as glyphosate and its salts, a gene encoding glyphosate-
- herbicide tolerance traits include at least one ALS (acetolactate synthase) inhibitor (e.g. W02007/024782), a mutated Arabidopsis ALS/AHAS gene (e.g. U.S. Patent 6,855,533), genes encoding 2,4-D- monooxygenases conferring tolerance to 2,4-D (2,4- dichlorophenoxyacetic acid) and genes encoding Dicamba monooxygenases conferring tolerance to dicamba (3,6-dichloro-2- methoxybenzoic acid).
- ALS acetolactate synthase
- W02007/024782 e.g. W02007/024782
- a mutated Arabidopsis ALS/AHAS gene e.g. U.S. Patent 6,855,533
- Yet another example of such properties is resistance to one or more phytopathogenic fungi, for example Asian Soybean Rust.
- DNA sequences encoding proteins which confer properties of resistance to such diseases mention will particularly be made of the genetic material from glycine tomentella, for example from any one of publically available accession lines PI441001 , PI483224, PI583970, PI446958, PI499939, PI505220, PI499933, PI441008, PI505256 or PI446961 as described in W02019/103918.
- SAR systemic acquired resistance
- phytoalexins phytoalexins
- elicitors resistance genes and correspondingly expressed proteins and toxins.
- Particularly useful transgenic events in transgenic plants or plant cultivars which can be treated with preference in accordance with the invention include Event 531/ PV-GHBK04 (cotton, insect control, described in W02002/040677), Event 1143-14A (cotton, insect control, not deposited, described in WO2006/128569); Event 1143-5 IB (cotton, insect control, not deposited, described in W02006/128570); Event 1445 (cotton, herbicide tolerance, not deposited, described in US-A 2002- 120964 or W02002/034946); Event 17053 (rice, herbicide tolerance, deposited as PTA-9843, described in WO2010/117737); Event 17314 (rice, herbicide tolerance, deposited as PTA-9844, described in WO2010/117735); Event 281-24-236 (cotton, insect control - herbicide tolerance, deposited as PTA-6233, described in W02005/103266 or US-A 2005-216969); Event 3006-210-23 (cotton, insect control - herb
- Event BLR1 (oilseed rape, restoration of male sterility, deposited as NCIMB 41193, described in W02005/074671), Event CE43-67B (cotton, insect control, deposited as DSM ACC2724, described in US-A 2009-217423 or WO2006/128573); Event CE44-69D (cotton, insect control, not deposited, described in US-A 2010- 0024077); Event CE44-69D (cotton, insect control, not deposited, described in WO2006/128571); Event CE46-02A (cotton, insect control, not deposited, described in WO2006/128572); Event COT102 (cotton, insect control, not deposited, described in US-A 2006-130175 or W02004/039986); Event COT202 (cotton, insect control, not deposited, described in US-A 2007-067868 or W02005/054479); Event COT203 (cotton, insect control, not deposited, described, described in US-A 2007-067868 or
- event DP-040416-8 (com, insect control, ATCC Accession N° PTA-11508, WO2011/075593A1), event DP-043A47-3 (com, insect control, ATCC Accession N° PTA-11509, WO2011/075595A1), event DP- 004114-3 (com, insect control, ATCC Accession N° PTA-11506, WO2011/084621A1), event DP-032316-8 (com, insect control, ATCC Accession N° PTA-11507, WO2011/084632A1), event MON-88302-9 (oilseed rape, herbicide tolerance, ATCC Accession N° PTA-10955, WO2011/153186A1), event DAS-21606-3 (soybean, herbicide tolerance, ATCC Accession No.
- transgenic event(s) is provided by the United States Department of Agriculture’s (USDA) Animal and Plant Health Inspection Service (APHIS) and can be found on their website on the world wide web at anhis.usda.gov. For this application, the status of such list as it is/was on the fding date of this application, is relevant.
- USDA United States Department of Agriculture
- APIHIS Animal and Plant Health Inspection Service
- transgenic plants which may be mentioned are the important crop plants, such as cereals (wheat, rice, triticale, barley, rye, oats), maize, soya beans, potatoes, sugar beet, sugar cane, tomatoes, peas and other types of vegetable, cotton, tobacco, oilseed rape and also fruit plants (with the fruits apples, pears, citrus fruits and grapes), with particular emphasis being given to maize, soya beans, wheat, rice, potatoes, cotton, sugar cane, tobacco and oilseed rape.
- Traits which are particularly emphasized are the increased resistance of the plants to insects, arachnids, nematodes and slugs and snails, as well as the increased resistance of the plants to one or more herbicides.
- Non-limiting examples of pathogens of fungal diseases which may be treated in accordance with the invention include: diseases caused by powdery mildew pathogens, for example Blumeria species, for example Blumeria graminis, Podosphaera species, for example Podosphaera leucotricha Sphaerotheca species, for example Sphaerotheca fuliginea ; Uncinula species, for example Uncinula necator ; diseases caused by rust disease pathogens, for example Gymnosporangium species, for example Gymnosporangium sabinae Hemileia species, for example Hemileia vastatrix Phakopsora species, for example Phakopsora pachyrhizi or Phakopsora meibomiae Puccinia species, for example Puccinia recondita, Puccinia graminis oder Puccinia striiformis ; Uromyces species, for example Uromyces appendiculatus
- Pseudomonas species for example Pseudomonas syringae pv. lachrymans
- Erwinia species for example Erwinia amylovora
- Liberibacter species for example Liberibacter asiaticus
- Xyella species for example Xylella fastidiosa
- Ralstonia species for example Ralstonia solanacearum
- Dickeya species for example Dickeya solani, Clavibacter species, for example Clavibacter michiganensis
- Streptomyces species for example Streptomyces scabies. diseases of soya beans:
- Rhizoctonia solani sclerotinia stem decay ( Sclerotinia sclerotiorum), sclerotinia southern blight ( Sclerotinia rolfsii), thielaviopsis root rot ( Thielaviopsis basicola).
- the compound and the composition of the invention may reduce the mycotoxin content in the harvested material and the foods and feeds prepared therefrom.
- Mycotoxins include particularly, but not exclusively, the following: deoxynivalenol (DON), nivalenol, 15-Ac-DON, 3-Ac-DON, T2- and HT2- toxin, fumonisins, zearalenon, moniliformin, fusarin, diaceotoxyscirpenol (DAS), beauvericin, enniatin, fusaroproliferin, fusarenol, ochratoxins, patulin, ergot alkaloids and aflatoxins which can be produced, for example, by the following fungi: Fusarium spec., such as F.
- verticillioides and also by Aspergillus spec., such a A.flavus, A. parasiticus, A. nomius,A. ochraceus, A. clavatus,A. terreus,A. versicolor, Penicillium spec., such asP. verrucosum,P. viridicatum,P. citrinum, P. expansum, P. claviforme, P. roqueforti, Claviceps spec., such as C. purpurea, C. fusiformis, C. paspali, C. africana, Stachybotrys spec and others.
- Penicillium spec. such asP. verrucosum,P. viridicatum,P. citrinum, P. expansum, P. claviforme, P. roqueforti
- Claviceps spec. such as C. purpurea, C. fusiformis, C
- the compound and the composition of the invention may also be used in the protection of materials, especially for the protection of industrial materials against attack and destruction by phytopathogenic fungi.
- the compound and the composition of the invention may be used as antifouling compositions, alone or in combinations with other active ingredients.
- Industrial materials in the present context are understood to mean inanimate materials which have been prepared for use in industry.
- industrial materials which are to be protected from microbial alteration or destruction may be adhesives, glues, paper, wallpaper and board/cardboard, textiles, carpets, leather, wood, fibers and tissues, paints and plastic articles, cooling lubricants and other materials which can be infected with or destroyed by microorganisms.
- Parts of production plants and buildings, for example cooling-water circuits, cooling and heating systems and ventilation and air-conditioning units, which may be impaired by the proliferation of microorganisms may also be mentioned within the scope of the materials to be protected.
- Industrial materials within the scope of the present invention preferably include adhesives, sizes, paper and card, leather, wood, paints, cooling lubricants and heat transfer fluids, more preferably wood.
- the compound and the composition of the invention may prevent adverse effects, such as rotting, decay, discoloration, decoloration or formation of mould.
- the compound and the composition of the invention may also be used against fungal diseases liable to grow on or inside timber.
- Timber means all types of species of wood, and all types of working of this wood intended for construction, for example solid wood, high-density wood, laminated wood, and plywood.
- the compound and the composition of the invention may be used to protect objects which come into contact with saltwater or brackish water, especially hulls, screens, nets, buildings, moorings and signalling systems, from fouling.
- Storage goods are understood to mean natural substances of vegetable or animal origin or processed products thereof which are of natural origin, and for which long-term protection is desired.
- Storage goods of vegetable origin for example plants or plant parts, such as stems, leaves, tubers, seeds, fruits, grains, may be protected freshly harvested or after processing by (pre)drying, moistening, comminuting, grinding, pressing or roasting.
- Storage goods also include timber, both unprocessed, such as construction timber, electricity poles and barriers, or in the form of finished products, such as furniture.
- Storage goods of animal origin are, for example, hides, leather, furs and hairs.
- the compound and the composition of the invention may prevent adverse effects, such as rotting, decay, discoloration, decoloration or formation of mould.
- Microorganisms capable of degrading or altering industrial materials include, for example, bacteria, fungi, yeasts, algae and slime organisms.
- the compound and the composition of the invention preferably act against fungi, especially moulds, wood-discoloring and wood-destroying fungi (Ascomycetes, Basidiomycetes, Deuteromycetes and Zygomycetes), and against slime organisms and algae.
- microorganisms of the following genera Alternaria, such as Alternaria tenuis, Aspergillus, such as Aspergillus niger; Chaetomium, such as Chaetomium globosum; Coniophora, such as Coniophora puetana; Lentinus, such as Lentinus tigrinus; Penicillium, such as Penicillium glaucum; Polyporus, such as Polyporus versicolor, Aureobasidium, such as Aureobasidium pullulans, Sclerophoma, such as Sclerophoma pityophila, Trichoderma, such as Trichoderma viride; Ophiostoma spp., Ceratocystis spp., Humicola spp., Petriella spp., Trichurus spp., Coriolus spp., Gloeophyllum spp., Pleurotus spp., Poria
- the compound and the composition of the invention may also be used to protect seeds from unwanted microorganisms, such as phytopathogenic microorganisms, for instance phytopathogenic fungi or phytopathogenic oomycetes.
- seedfsf as used herein include dormant seeds, primed seeds, pregerminated seeds and seeds with emerged roots and leaves.
- the present invention also relates to a method for protecting seeds from unwanted microorganisms which comprises the step of treating the seeds with the compound or the composition of the invention.
- the treatment of seeds with the compound or the composition of the invention protects the seeds from phytopathogenic microorganisms, but also protects the germinating seeds, the emerging seedlings and the plants after emergence from the treated seeds. Therefore, the present invention also relates to a method for protecting seeds, germinating seeds and emerging seedlings.
- the seeds treatment may be performed prior to sowing, at the time of sowing or shortly thereafter.
- the seeds treatment may be performed as follows: the seeds may be placed into a mixer with a desired amount of the compound or the composition of the invention, the seeds and the compound or the composition of the invention are mixed until an homogeneous distribution on seeds is achieved. If appropriate, the seeds may then be dried.
- the invention also relates to seeds coated with the compound or the composition of the invention.
- the seeds are treated in a state in which it is sufficiently stable for no damage to occur in the course of treatment.
- seeds can be treated at any time between harvest and shortly after sowing. It is customary to use seeds which have been separated from the plant and freed from cobs, shells, stalks, coats, hairs or the flesh of the fruits. For example, it is possible to use seeds which have been harvested, cleaned and dried down to a moisture content of less than 15% by weight. Alternatively, it is also possible to use seeds which, after drying, for example, have been treated with water and then dried again, or seeds just after priming, or seeds stored in primed conditions or pre -germinated seeds, or seeds sown on nursery trays, tapes or paper.
- the amount of the compound or the composition of the invention applied to the seeds is typically such that the germination of the seed is not impaired, or that the resulting plant is not damaged. This must be ensured particularly in case the compound of the invention would exhibit phytotoxic effects at certain application rates.
- the intrinsic phenotypes of transgenic plants should also be taken into consideration when determining the amount of the compound of the invention to be applied to the seed in order to achieve optimum seed and germinating plant protection with a minimum amount of compound being employed.
- the compound of the invention can be applied as such, directly to the seeds, i.e. without the use of any other components and without having been diluted. Also the composition of the invention can be applied to the seeds.
- the compound and the composition of the invention are suitable for protecting seeds of any plant variety.
- Preferred seeds are that of cereals (such as wheat, barley, rye, millet, triticale, and oats), oilseed rape, maize, cotton, soybean, rice, potatoes, sunflower, beans, coffee, peas, beet (e.g. sugar beet and fodder beet), peanut, vegetables (such as tomato, cucumber, onions and lettuce), lawns and ornamental plants. More preferred are seeds of wheat, soybean, oilseed rape, maize and rice.
- the compound and the composition of the invention may be used for treating transgenic seeds, in particular seeds of plants capable of expressing a polypeptide or protein which acts against pests, herbicidal damage or abiotic stress, thereby increasing the protective effect.
- Seeds of plants capable of expressing a polypeptide or protein which acts against pests, herbicidal damage or abiotic stress may contain at least one heterologous gene which allows the expression of said polypeptide or protein.
- These heterologous genes in transgenic seeds may originate, for example, from microorganisms of the species Bacillus, Rhizobium, Pseudomonas, Serratia, Trichoderma, Clavibacter, Glomus or Gliocladium.
- These heterologous genes preferably originate from Bacillus sp., in which case the gene product is effective against the European com borer and/or the Western com rootworm.
- the heterologous genes originate from Bacillus thuringiensis.
- the compound of the invention can be applied as such, or for example in the form of as ready-to-use solutions, emulsions, water- or oil-based suspensions, powders, wettable powders, pastes, soluble powders, dusts, soluble granules, granules for broadcasting, suspoemulsion concentrates, natural products impregnated with the compound of the invention, synthetic substances impregnated with the compound of the invention, fertilizers or microencapsulations in polymeric substances.
- Application is accomplished in a customary manner, for example by watering, spraying, atomizing, broadcasting, dusting, foaming or spreading -on. It is also possible to deploy the compound of the invention by the ultra-low volume method, via a drip irrigation system or drench application, to apply it in-furrow or to inject it into the soil stem or trunk. It is further possible to apply the compound of the invention by means of a wound seal, paint or other wound dressing.
- the effective and plant-compatible amount of the compound of the invention which is applied to the plants, plant parts, fruits, seeds or soil will depend on various factors, such as the compound/composition employed, the subject of the treatment (plant, plant part, fruit, seed or soil), the type of treatment (dusting, spraying, seed dressing), the purpose of the treatment (curative and protective), the type of microorganisms, the development stage of the microorganisms, the sensitivity of the microorganisms, the crop growth stage and the environmental conditions.
- the application rates can vary within a relatively wide range, depending on the kind of application.
- the application rate may range from 0.1 to 10 000 g/ha, preferably from 10 to 1000 g/ha, more preferably from 50 to 300 g/ha (in the case of application by watering or dripping, it is even possible to reduce the application rate, especially when inert substrates such as rockwool or perlite are used).
- the application rate may range from 0.1 to 200 g per 100 kg of seeds, preferably from 1 to 150 g per 100 kg of seeds, more preferably from 2.5 to 25 g per 100 kg of seeds, even more preferably from 2.5 to 12.5 g per 100 kg of seeds.
- the application rate may range from 0.1 to 10 000 g/ha, preferably from 1 to 5000 g/ha.
- the compound and the composition of the invention can be used in combination with models e.g. embedded in computer programs for site specific crop management, satellite farming, precision farming or precision agriculture.
- models support the site specific management of agricultural sites with data from various sources such as soils, weather, crops (e.g. type, growth stage, plant health), weeds (e.g. type, growth stage), diseases, pests, nutrients, water, moisture, biomass, satellite data, yield etc. with the purpose to optimize profitability, sustainability and protection of the environment.
- crops e.g. type, growth stage, plant health
- weeds e.g. type, growth stage
- diseases, pests, nutrients, water, moisture, biomass, satellite data, yield etc. with the purpose to optimize profitability, sustainability and protection of the environment.
- such models can help to optimize agronomical decisions, control the precision of pesticide applications and record the work performed.
- the compound of the invention can be applied to a crop plant according to appropriate dose regime if a model models the development of a fungal disease and calculates that a threshold has been reached for which it is recommendable to apply the compound of the invention to the crop plant.
- the compound of the invention can also be used in combination with smart spraying equipment such as e.g. spot spraying or precision spraying equipment attached to or housed within a farm vehicle such as a tractor, robot, helicopter, airplane, unmanned aerial vehicle (UAV) such as a drone, etc.
- a farm vehicle such as a tractor, robot, helicopter, airplane, unmanned aerial vehicle (UAV) such as a drone, etc.
- UAV unmanned aerial vehicle
- Such an equipment usually includes input sensors (such as e.g. a camera) and a processing unit configured to analyze the input data and configured to provide a decision based on the analysis of the input data to apply the compound of the invention to the crop plants (respectively the weeds) in a specific and precise manner.
- the use of such smart spraying equipment usually also requires positions systems (e.g. GPS receivers) to localize recorded data and to guide or to control farm vehicles; geographic information systems (GIS) to represent the information on intelligible maps, and appropriate farm vehicles to perform the required farm action such
- fungal diseases can be detected from imagery acquired by a camera.
- fungal diseases can be identified and/or classified based on that imagery.
- identification and/ classification can make use of image processing algorithms.
- image processing algorithms can utilize machine learning algorithms, such as trained neutral networks, decision trees and utilize artificial intelligence algorithms. In this manner, the compounds described herein can be applied only where needed.
- [aI LogP value is determined by measurement of LC-UV, in an acidic range, with 0.1% formic acid in water and acetonitrile as eluent (linear gradient from 10% acetonitrile to 95% acetonitrile).
- [cI LogP value is determined by measurement of LC-UV, in an acidic range, with 0.1% phosphoric acid and acetonitrile as eluent (linear gradient from 10% acetonitrile to 95% acetonitrile).
- 'H-NMR data of selected examples as provided herein are written in form of 'H-N R-pcak lists. To each signal peak are listed the d-value in ppm and the signal intensity in round brackets. Between the d-value - signal intensity pairs are semicolons as delimiters.
- the peak list of an example has therefore the form: di (intensityi); d 2 (intensity2); . ; d ⁇ (intensity ; . ; d h (intensity n )
- Intensity of sharp signals correlates with the height of the signals in a printed example of a NMR spectrum in cm and shows the real relations of signal intensities. From broad signals several peaks or the middle of the signal and their relative intensity in comparison to the most intensive signal in the spectrum can be shown.
- tetramethylsilane and/or the chemical shift of the solvent used especially in the case of spectra measured in dimethyl sulfoxide (DMSO). Therefore in NMR peak lists, tetramethylsilane peak can occur but not necessarily.
- the 1 H-NMR peak lists are similar to classical 1 H-NMR prints and contains therefore usually all peaks, which are listed at classical NMR-interpretation.
- the peaks of stereoisomers of the target compounds and/or peaks of impurities have usually on average a lower intensity than the peaks of target compounds (for example with a purity >90%).
- Such stereoisomers and/or impurities can be typical for the specific preparation process. Therefore their peaks can help to recognize the reproduction of our preparation process via “side-products-fmgerprints”.
- An expert who calculates the peaks of the target compounds with known methods (MestreC, ACD- simulation, but also with empirically evaluated expectation values) can isolate the peaks of the target compounds as needed optionally using additional intensity filters. This isolation would be similar to relevant peak picking at classical 'H-NMR interpretation.
- Table 1 illustrates in a non-limiting manner examples of compounds of formula (I) according to the invention:
- the compounds of formula (I) which are mentioned in table 1 herein below were prepared in accordance with the procedures detailed herein below in connection with specific examples and with the general description of the processes herein disclosed.
- Table 2 provides the NMR data ( 1 H) of a selected number of compounds from table 1 .
- the crude product was purified by reverse phase chromatography with the following conditions (column, C18 silica gel; mobile phase, CH3CN in water, 3% to 100% gradient in 30 minutes; detector, UV 254 nm) to afford 6-[(2- fluorophenyl)methyl]-5-oxo-7H-pyrrolo[3,4-b]pyridine-3-carbohydrazide (400 mg, 84%) as a yellow solid.
- Step 3
- Step 3
- Step 3
- Step 3
- Step 5
- Step 2 In a 25 mL 2-neck round bottom flask, ethyl 5-cyano-2-[[2-(2,6-difluorophenyl)anilino]methyl]pyridine- 3-carboxylate (200 mg, 0.5 mmol) was suspended in 6N aqueous solution of hydrochloric acid (12 mL), heated to 80°C and maintained for 23 hrs.
- Step 3
- reaction mixture was allowed to cool, added to ice/water with stirring, pH adjusted to 2 with 1M aqueous solution of hydrochloric acid.
- the solids were filtered, washed with water and dried, to afford 6- [2-(2,6-difluorophenyl)phenyl]-3-(lH-tetrazol-5-yl)-7H-pyrrolo[3,4-b]pyridin-5-one (55mg, 68%) as a yellow solid.
- Step 3
- Step 5
- N'-(2,2-difluoroacetyl)- l-oxo-2 -phenyl-3, 4-dihydroisoquinoline-7- carbohydrazide (268.2 mg, 0.74 mmol) was suspended in tetrahydrofuran (5 mL) under Argon. The suspension was cooled to 0°C, N, N-d i i s o p ro p y l c th y l am i n c (289.45 mg, 2.24 mmol) was added followed by addition of p-tosylchloride (355.8 mg, 1.86 mmol).
- Emulsifier 1 m ⁇ of polyoxyethylene sorbitan monooleate (Tween ® 80) per mg of active ingredient
- the active ingredients were made soluble and homogenized in a mixture of Dimethyl sulfoxide/Acetone/ /Tween ® 80 and then diluted in water to the desired concentration.
- the young plants of wheat were treated by spraying the active ingredient prepared as described above. Control plants were treated only with an aqueous solution of Acetone/Dimethyl sulfoxide/ Tween ® 80. After 24 hours, the plants were contaminated by spraying the leaves with an aqueous suspension of Puccinia recondita spores. The contaminated wheat plants were incubated for 24 hours at 20°C and at 100% relative humidity and then for 9 days at 20°C and at 70-80% relative humidity.
- the test was evaluated 10 days after the inoculation. 0% means an efficacy which corresponds to that of the control plants while an efficacy of 100% means that no disease was observed.
- Emulsifier Im ⁇ of polyoxyethylene sorbitan monooleate (Tween ® 80) per mg of active ingredient
- the active ingredients were made soluble and homogenized in a mixture of Dimethyl sulfoxide/Acetone/ /Tween ® 80 and then diluted in water to the desired concentration.
- the young plants of soybean were treated by spraying the active ingredient prepared as described above.
- Control plants were treated only with an aqueous solution of Acetone/Dimethyl sulfoxide/ Tween® 80.
- the plants were contaminated by spraying the leaves with an aqueous suspension of Phakospora pachyrhizi spores.
- the contaminated soybean plants were incubated for 24 hours at 24°C and at 100% relative humidity and then for 10 days at 24°C and at 70-80% relative humidity.
- the plants remained in the incubation cabinet at approximately 24°C and a relative atmospheric humidity of approximately 80 % and a day / night interval of 12h.
- the test was evaluated 7 days after the inoculation. 0% means an efficacy which corresponds to that of the untreated control, while an efficacy of 100% means that no disease is observed.
- the plants remained in the incubation cabinet at approximately 24°C and a relative atmospheric humidity of approximately 80 % and a day / night interval of 12h.
- the plants remained in the incubation cabinet at approximately 24°C and a relative atmospheric humidity of approximately 80 % and a day / night interval of 12h.
Landscapes
- Chemical & Material Sciences (AREA)
- Organic Chemistry (AREA)
- Heterocyclic Carbon Compounds Containing A Hetero Ring Having Nitrogen And Oxygen As The Only Ring Hetero Atoms (AREA)
- Plural Heterocyclic Compounds (AREA)
- Agricultural Chemicals And Associated Chemicals (AREA)
Abstract
Description
Claims
Priority Applications (1)
| Application Number | Priority Date | Filing Date | Title |
|---|---|---|---|
| BR112022025692A BR112022025692A2 (en) | 2020-06-19 | 2021-06-16 | 1,3,4-OXADIAZOLES AND THEIR DERIVATIVES AS FUNGICIDES |
Applications Claiming Priority (2)
| Application Number | Priority Date | Filing Date | Title |
|---|---|---|---|
| EP20181240.1 | 2020-06-19 | ||
| EP20181240 | 2020-06-19 |
Publications (1)
| Publication Number | Publication Date |
|---|---|
| WO2021255091A1 true WO2021255091A1 (en) | 2021-12-23 |
Family
ID=71119991
Family Applications (1)
| Application Number | Title | Priority Date | Filing Date |
|---|---|---|---|
| PCT/EP2021/066237 Ceased WO2021255091A1 (en) | 2020-06-19 | 2021-06-16 | 1,3,4-oxadiazoles and their derivatives as fungicides |
Country Status (5)
| Country | Link |
|---|---|
| AR (1) | AR122690A1 (en) |
| BR (1) | BR112022025692A2 (en) |
| TW (1) | TW202214613A (en) |
| UY (1) | UY39282A (en) |
| WO (1) | WO2021255091A1 (en) |
Cited By (2)
| Publication number | Priority date | Publication date | Assignee | Title |
|---|---|---|---|---|
| CN115508484A (en) * | 2022-09-28 | 2022-12-23 | 京博农化科技有限公司 | Separation and analysis method of chloroindole hydrazide chiral isomer |
| WO2023198172A1 (en) * | 2022-04-15 | 2023-10-19 | 勤浩医药(苏州)有限公司 | Oxadiazole compound, pharmaceutical composition comprising same, and use thereof |
Families Citing this family (2)
| Publication number | Priority date | Publication date | Assignee | Title |
|---|---|---|---|---|
| CN115128202B (en) * | 2022-07-28 | 2025-07-15 | 山东京博农化科技股份有限公司 | A method for determining the content of fenpyroxetine intermediate |
| CN116555101B (en) * | 2023-05-05 | 2023-09-19 | 安徽农业大学 | Pantoea agglomerans and application thereof |
Citations (175)
| Publication number | Priority date | Publication date | Assignee | Title |
|---|---|---|---|---|
| US2003A (en) | 1841-03-12 | Improvement in horizontal windivhlls | ||
| US2009A (en) | 1841-03-18 | Improvement in machines for boring war-rockets | ||
| US2010A (en) | 1841-03-18 | Machine foe | ||
| US24077A (en) | 1859-05-17 | Window-sash supporter | ||
| US126634A (en) | 1872-05-14 | Improvement in machines for heading pickets | ||
| US137395A (en) | 1873-04-01 | Improvement in nuts | ||
| EP0152021A2 (en) | 1984-01-31 | 1985-08-21 | Sankyo Company Limited | Phthalimide derivatives, their preparation and their use as agricultural fungicides |
| DE3639877A1 (en) | 1986-11-21 | 1988-05-26 | Bayer Ag | HETARYLALKYL SUBSTITUTED 5- AND 6-RINGHETEROCYCLES |
| US5061495A (en) | 1988-03-07 | 1991-10-29 | Agricultural Genetics Company Limited | Antibiotic derived from b. subtilis |
| WO1997017432A1 (en) | 1995-11-06 | 1997-05-15 | Wisconsin Alumni Research Foundation | Insecticidal protein toxins from photorhabdus |
| WO1998008932A1 (en) | 1996-08-29 | 1998-03-05 | Dow Agrosciences Llc | Insecticidal protein toxins from $i(photorhabdus) |
| WO1998044140A1 (en) | 1997-04-03 | 1998-10-08 | Dekalb Genetics Corporation | Glyphosate resistant maize lines |
| WO1998050427A1 (en) | 1997-05-05 | 1998-11-12 | Dow Agrosciences Llc | INSECTICIDAL PROTEIN TOXINS FROM $i(XENORHABDUS) |
| JPH11253151A (en) | 1997-11-13 | 1999-09-21 | Kumiai Chem Ind Co Ltd | Rice seedling raising disease control agent |
| WO2000015637A1 (en) * | 1998-09-16 | 2000-03-23 | Dow Agrosciences Llc | 2-methoxyimino -2-(pyridinyloxymethyl) phenyl acetamides with 5 membered heterocyclic rings on the pyridine ring as fungicides |
| US6060051A (en) | 1997-05-09 | 2000-05-09 | Agraquest, Inc. | Strain of bacillus for controlling plant diseases and corn rootworm |
| WO2000026356A1 (en) | 1998-11-03 | 2000-05-11 | Aventis Cropscience N. V. | Glufosinate tolerant rice |
| WO2000026345A1 (en) | 1998-11-03 | 2000-05-11 | Aventis Cropscience N.V. | Glufosinate tolerant rice |
| WO2001031042A2 (en) | 1999-10-29 | 2001-05-03 | Aventis Cropscience N.V. | Male-sterile brassica plants and methods for producing same |
| US6245551B1 (en) | 1999-03-30 | 2001-06-12 | Agraquest, Inc. | Strain of Bacillus pumilus for controlling plant diseases caused by fungi |
| WO2001041558A1 (en) | 1999-12-08 | 2001-06-14 | Aventis Cropscience N.V. | Hybrid winter oilseed rape and methods for producing same |
| WO2001047952A2 (en) | 1999-12-28 | 2001-07-05 | Bayer Cropscience N.V. | Insecticidal proteins from bacillus thuringiensis |
| WO2001051654A2 (en) | 2000-01-11 | 2001-07-19 | Bayer Cropscience N.V. | Methods and kits for identifying elite event gat-zm1 in biological samples |
| WO2002027004A2 (en) | 2000-09-29 | 2002-04-04 | Monsanto Technology Llc | Glyphosate tolerant wheat plant 33391 and compositions and methods for detection thereof |
| WO2002034946A2 (en) | 2000-10-25 | 2002-05-02 | Monsanto Technology Llc | Cotton event pv-ghgt07(1445) and compositions and methods for detection thereof |
| WO2002036831A2 (en) | 2000-10-30 | 2002-05-10 | Monsanto Technology Llc | Canola event pv-bngt04(rt73) and compositions and methods for detection thereof |
| WO2002040677A2 (en) | 2000-11-20 | 2002-05-23 | Monsanto Technology Llc | Cotton event pv-ghbk04 (531) and compositions and methods for detection thereof |
| WO2002044407A2 (en) | 2000-11-30 | 2002-06-06 | Ses Europe N.V. | Glyphosate resistant transgenic sugar beet characterised by a specific transgene insertion (t227-1), methods and primers for the detection of said insertion |
| US20020102582A1 (en) | 2000-09-13 | 2002-08-01 | Levine Elaine B. | Corn event MON810 and compositions and methods for detection thereof |
| WO2002100163A2 (en) | 2001-06-11 | 2002-12-19 | Monsanto Technology Llc | Cotton event moni5985 and compositions and methods for detection |
| WO2003000051A2 (en) | 2001-06-22 | 2003-01-03 | Drahos David J | Novel biofungicide |
| WO2003013224A2 (en) | 2001-08-06 | 2003-02-20 | Bayer Bioscience N.V. | Herbicide tolerant cotton plants and methods for producing and identifying same |
| WO2003052073A2 (en) | 2001-12-17 | 2003-06-26 | Syngenta Participations Ag | Novel corn event |
| WO2003106457A1 (en) | 2002-06-14 | 2003-12-24 | Syngenta Limited | Spiroindolinepiperidine derivatives |
| WO2004011601A2 (en) | 2002-07-29 | 2004-02-05 | Monsanto Technology, Llc | Corn event pv-zmir13 (mon863) plants and compositions and methods for detection thereof |
| WO2004039986A1 (en) | 2002-10-29 | 2004-05-13 | Syngenta Participations Ag | Cot102 insecticidal cotton |
| WO2004053062A2 (en) | 2002-12-05 | 2004-06-24 | Monsanto Technology Llc | Bentgrass event asr-368 and compositions and methods for detection thereof |
| WO2004072235A2 (en) | 2003-02-12 | 2004-08-26 | Monsanto Technology Llc | Cotton event mon 88913 and compositions and methods for detection thereof |
| WO2004074492A1 (en) | 2003-02-20 | 2004-09-02 | Kws Saat Ag | Glyphosate tolerant sugar beet |
| US20040172669A1 (en) | 2003-02-28 | 2004-09-02 | Josef Kraus | Glyphosate tolerant sugar beet |
| WO2004099447A2 (en) | 2003-05-02 | 2004-11-18 | Dow Agrosciences Llc | Corn event tc1507 and methods for detection thereof |
| WO2004099160A1 (en) | 2003-05-12 | 2004-11-18 | Sumitomo Chemical Company, Limited | Pyrimidine compounds and pests controlling composition containing the same |
| US6855533B2 (en) | 1995-04-20 | 2005-02-15 | Basf Corporation | Structure-based designed herbicide resistant products |
| WO2005054479A1 (en) | 2003-12-01 | 2005-06-16 | Syngenta Participations Ag | Insect resistant cotton plants and methods of detecting the same |
| WO2005054480A2 (en) | 2003-12-01 | 2005-06-16 | Syngenta Participations Ag | Insect resistant cotton plants and methods of detecting the same |
| WO2005059103A2 (en) | 2003-12-15 | 2005-06-30 | Monsanto Technology Llc | Corn plant mon88017 and compositions and methods for detection thereof |
| WO2005061720A2 (en) | 2003-12-11 | 2005-07-07 | Monsanto Technology Llc | High lysine maize compositions and methods for detection thereof |
| WO2005074671A1 (en) | 2004-01-30 | 2005-08-18 | Syngenta Participations Ag | Improved fertility restoration for ogura cytoplasmic male sterile brassica and method |
| US20050216969A1 (en) | 2004-03-26 | 2005-09-29 | Dow Agrosciences Llc | Cry1F and Cry1AC transgenic cotton lines and event-specific identification thereof |
| WO2005103301A2 (en) | 2004-03-25 | 2005-11-03 | Syngenta Participations Ag | Corn event mir604 |
| WO2006003494A2 (en) | 2004-06-28 | 2006-01-12 | Syngenta Participations Ag | Piperidine derivatives and their use as insecticides, acaricides, molluscicides or nematicides |
| US20060070139A1 (en) | 2004-09-29 | 2006-03-30 | Pioneer Hi-Bred International, Inc. | Corn event DAS-59122-7 and methods for detection thereof |
| WO2006043635A1 (en) | 2004-10-20 | 2006-04-27 | Kumiai Chemical Industry Co., Ltd. | 3-triazolylphenyl sulfide derivative and insecticide/acaricide/nematicide containing the same as active ingredient |
| US7094592B2 (en) | 2001-11-26 | 2006-08-22 | Kumiai Chemical Industry Co., Ltd. | Bacillus sp. D747 strain, plant disease controlling agents and insect pest controlling agents using the same and control method using the agents |
| WO2006098952A2 (en) | 2005-03-16 | 2006-09-21 | Syngenta Participations Ag | Corn event 3272 and methods of detection thereof |
| WO2006108675A2 (en) | 2005-04-11 | 2006-10-19 | Bayer Bioscience N.V. | Elite event a5547-127 and methods and kits for identifying such event in biological samples |
| WO2006108674A2 (en) | 2005-04-08 | 2006-10-19 | Bayer Bioscience N.V. | Elite event a2704-12 and methods and kits for identifying such event in biological samples |
| WO2006128573A2 (en) | 2005-06-02 | 2006-12-07 | Syngenta Participations Ag | Ce43- 67b, insecticidal transgenic cotton expressing cry1ab |
| WO2006128572A1 (en) | 2005-06-02 | 2006-12-07 | Syngenta Participations Ag | Ce46-02a insecticidal cotton |
| WO2006128571A2 (en) | 2005-06-02 | 2006-12-07 | Syngenta Participations Ag | Ce44-69d , insecticidal transgenic cotton expressing cry1ab |
| WO2006128570A1 (en) | 2005-06-02 | 2006-12-07 | Syngenta Participations Ag | 1143-51b insecticidal cotton |
| WO2006128569A2 (en) | 2005-06-02 | 2006-12-07 | Syngenta Participations Ag | 1143-14a, insecticidal transgenic cotton expressing cry1ab |
| WO2006130436A2 (en) | 2005-05-27 | 2006-12-07 | Monsanto Technology Llc | Soybean event mon89788 and methods for detection thereof |
| WO2006128568A2 (en) | 2005-06-02 | 2006-12-07 | Syngenta Participations Ag | T342-142, insecticidal transgenic cotton expressing cry1ab |
| WO2007017186A1 (en) | 2005-08-08 | 2007-02-15 | Bayer Bioscience N.V. | Herbicide tolerant cotton plants and methods for identifying same |
| WO2007024782A2 (en) | 2005-08-24 | 2007-03-01 | Pioneer Hi-Bred International, Inc. | Compositions providing tolerance to multiple herbicides and methods of use thereof |
| WO2007040282A1 (en) | 2005-10-06 | 2007-04-12 | Nippon Soda Co., Ltd. | Bridged cyclic amine compound and pest control agent |
| WO2007071455A1 (en) | 2005-12-22 | 2007-06-28 | Bayer Schering Pharma Aktiengesellschaft | Sulfoximine-substituted pyrimidines , their preparation and use as drugs |
| WO2007091277A2 (en) | 2006-02-10 | 2007-08-16 | Maharashtra Hybrid Seeds Company Limited (Mahyco) | TRANSGENIC BRINJAL (SOLANUM MELONGENA) EXPRESSING THE CRYlAC GENE |
| WO2007140256A1 (en) | 2006-05-26 | 2007-12-06 | Monsanto Technology, Llc | Corn plant and seed corresponding to transgenic event mon89034 and methods for detection and use thereof |
| WO2007142840A2 (en) | 2006-06-03 | 2007-12-13 | Syngenta Participations Ag | Corn event mir162 |
| US20070292854A1 (en) | 2000-06-22 | 2007-12-20 | Behr Carl F | Corn event PV-ZMGT32(nk603) and compositions and methods for detection thereof |
| WO2008002872A2 (en) | 2006-06-28 | 2008-01-03 | Pioneer Hi-Bred International, Inc. | Soybean event 3560.4.3.5 and compositions and methods for the identification and/or detection thereof |
| US20080064032A1 (en) | 2006-09-13 | 2008-03-13 | Syngenta Participations Ag | Polynucleotides and uses thereof |
| WO2008054747A2 (en) | 2006-10-31 | 2008-05-08 | E. I. Du Pont De Nemours And Company | Soybean event dp-305423-1 and compositions and methods for the identification and/or detection thereof |
| WO2008112019A2 (en) | 2006-10-30 | 2008-09-18 | Pioneer Hi-Bred International, Inc. | Maize event dp-098140-6 and compositions and methods for the identification and/or detection thereof |
| WO2008114282A2 (en) | 2007-03-19 | 2008-09-25 | Maharashtra Hybrid Seeds Company Limited | Transgenic rice (oryza sativa) comprising pe-7 event and method of detection thereof |
| WO2008122406A1 (en) | 2007-04-05 | 2008-10-16 | Bayer Bioscience N.V. | Insect resistant cotton plants and methods for identifying same |
| US20080289060A1 (en) | 2006-08-24 | 2008-11-20 | Bayer Bioscience N.V. | Herbicide tolerant rice plants and methods for identifying same |
| WO2008151780A1 (en) | 2007-06-11 | 2008-12-18 | Bayer Bioscience N.V. | Insect resistant cotton plants comprising elite event ee-gh6 and methods for identifying same |
| CN101337940A (en) | 2008-08-12 | 2009-01-07 | 国家农药创制工程技术研究中心 | Nitrogen heterocyclic ring dichloro allyl ether compound with insecticidal activity |
| CN101337937A (en) | 2008-08-12 | 2009-01-07 | 国家农药创制工程技术研究中心 | N-benz-3-substituted amino pyrazoles compounds with insecticidal activity |
| US20090130071A1 (en) | 2007-11-15 | 2009-05-21 | Ai-Guo Gao | Soybean Plant And Seed Corresponding To Transgenic Event MON87701 And Methods For Detection Thereof |
| WO2009100188A2 (en) | 2008-02-08 | 2009-08-13 | Dow Agrosciences Llc | Methods for detection of corn event das-59132 |
| WO2009103049A2 (en) | 2008-02-14 | 2009-08-20 | Pioneer Hi-Bred International, Inc. | Plant genomic dna flanking spt event and methods for identifying spt event |
| WO2009102873A1 (en) | 2008-02-15 | 2009-08-20 | Monsanto Technology Llc | Soybean plant and seed corresponding to transgenic event mon87769 and methods for detection thereof |
| US7579183B1 (en) | 2006-12-01 | 2009-08-25 | The United States Of America As Represented By The Secretary Of Agriculture | Saprophytic yeast, Pichia anomala |
| WO2009111263A1 (en) | 2008-02-29 | 2009-09-11 | Monsanto Technology Llc | Corn plant event mon87460 and compositions and methods for detection thereof |
| WO2009116106A1 (en) | 2008-03-21 | 2009-09-24 | Trentino Sviluppo S.P.A. | Trichoderma atroviride sc1 for biocontrol of fungal diseases in plants |
| WO2009152359A2 (en) | 2008-06-11 | 2009-12-17 | Dow Agrosciences Llc | Constructs for expressing herbicide tolerance genes, related plants, and related trait combinations |
| JP2010018586A (en) | 2008-07-14 | 2010-01-28 | Meiji Seika Kaisha Ltd | Substance pf1364, its manufacturing method, producing strain and agricultural/horticultural insecticide having the substance as active ingredient |
| WO2010024976A1 (en) | 2008-08-29 | 2010-03-04 | Monsanto Technology Llc | Soybean plant and seed corresponding to transgenic event mon87754 and methods for detection thereof |
| WO2010037016A1 (en) | 2008-09-29 | 2010-04-01 | Monsanto Technology Llc | Soybean transgenic event mon87705 and methods for detection thereof |
| WO2010051926A2 (en) | 2008-11-05 | 2010-05-14 | Bayer Cropscience Aktiengesellschaft | New halogen-substituted bonds |
| WO2010052161A2 (en) | 2008-11-06 | 2010-05-14 | Syngenta Participations Ag | Herbicidal compositions |
| CN101715774A (en) | 2008-10-09 | 2010-06-02 | 浙江化工科技集团有限公司 | Preparation and use of compound having insecticidal activity |
| WO2010066780A1 (en) | 2008-12-12 | 2010-06-17 | Syngenta Participations Ag | Spiroheterocyclic n-oxypiperidines as pesticides |
| WO2010077816A1 (en) | 2008-12-16 | 2010-07-08 | Syngenta Participations Ag | Corn event 5307 |
| WO2010076212A1 (en) | 2008-12-19 | 2010-07-08 | Syngenta Participations Ag | Transgenic sugar beet event gm rz13 |
| WO2010080829A1 (en) | 2009-01-07 | 2010-07-15 | Basf Agrochemical Products B.V. | Soybean event 127 and methods related thereto |
| WO2010086790A1 (en) | 2009-01-27 | 2010-08-05 | Lesaffre Et Compagnie | Saccharomyces cerevisiae strains with phytosanitary capabilities |
| WO2010117735A1 (en) | 2009-03-30 | 2010-10-14 | Monsanto Technology Llc | Transgenic rice event17314 and methods of use thereof |
| WO2010117737A1 (en) | 2009-03-30 | 2010-10-14 | Monsanto Technology Llc | Rice transgenic event17053 and methods of use thereof |
| US20100291039A1 (en) | 2007-12-14 | 2010-11-18 | Kohl Jurgen Anton | Novel micro-organisms controlling plant pathogens |
| WO2011022469A2 (en) | 2009-08-19 | 2011-02-24 | Dow Agrosciences Llc | Aad-1 event das-40278-9, related transgenic corn lines, and event-specific identification thereof |
| WO2011034704A1 (en) | 2009-09-17 | 2011-03-24 | Monsanto Technology Llc | Soybean transgenic event mon 87708 and methods of use thereof |
| WO2011062904A1 (en) | 2009-11-23 | 2011-05-26 | Monsanto Technology Llc | Transgenic maize event mon 87427 and the relative development scale |
| WO2011063413A2 (en) | 2009-11-23 | 2011-05-26 | Bayer Bioscience N.V. | Herbicide tolerant soybean plants and methods for identifying same |
| WO2011066360A1 (en) | 2009-11-24 | 2011-06-03 | Dow Agrosciences Llc | Detection of aad-12 soybean event 416 |
| WO2011066384A1 (en) | 2009-11-24 | 2011-06-03 | Dow Agrosciences Llc | Aad-12 event 416, related transgenic soybean lines, and event-specific identification thereof |
| WO2011075595A1 (en) | 2009-12-17 | 2011-06-23 | Pioneer Hi-Bred International, Inc. | Maize event dp-043a47-3 and methods for detection thereof |
| WO2011075593A1 (en) | 2009-12-17 | 2011-06-23 | Pioneer Hi-Bred International, Inc. | Maize event dp-040416-8 and methods for detection thereof |
| WO2011084632A1 (en) | 2009-12-17 | 2011-07-14 | Pioneer Hi-Bred International, Inc. | Maize event dp-032316-8 and methods for detection thereof |
| WO2011084621A1 (en) | 2009-12-17 | 2011-07-14 | Pioneer Hi-Bred International, Inc. | Maize event dp-004114-3 and methods for detection thereof |
| WO2011085575A1 (en) | 2010-01-15 | 2011-07-21 | 江苏省农药研究所股份有限公司 | Ortho-heterocyclyl formanilide compounds, their synthesis methods and use |
| WO2011106491A2 (en) | 2010-02-25 | 2011-09-01 | Marrone Bio Innovations, Inc. | Isolated bacterial strain of the genus burkholderia and pesticidal metabolites therefrom |
| WO2011105506A1 (en) | 2010-02-25 | 2011-09-01 | 日本曹達株式会社 | Cyclic amine compound and miticide |
| WO2011151146A1 (en) | 2010-05-31 | 2011-12-08 | Syngenta Participations Ag | Method of crop enhancement |
| WO2011151819A2 (en) | 2010-06-01 | 2011-12-08 | Yissum Research Development Company Of The Hebrew University Of Jerusalem Ltd. | Pseudozyma aphidis as a biocontrol agent against various plant pathogens |
| WO2011153186A1 (en) | 2010-06-04 | 2011-12-08 | Monsanto Technology Llc | Transgenic brassica event mon 88302 and methods of use thereof |
| WO2012029672A1 (en) | 2010-08-31 | 2012-03-08 | Meiji Seikaファルマ株式会社 | Noxious organism control agent |
| WO2012033794A2 (en) | 2010-09-08 | 2012-03-15 | Dow Agrosciences Llc | Aad-12 event 1606 and related transgenic soybean lines |
| WO2012034403A1 (en) | 2010-09-14 | 2012-03-22 | 中化蓝天集团有限公司 | Fluoromethoxypyrazole anthranilamide compounds, synthesization methods and uses thereof |
| CN102391261A (en) | 2011-10-14 | 2012-03-28 | 上海交通大学 | N-substituted dioxazine compound as well as preparation method and application thereof |
| WO2012051199A2 (en) | 2010-10-12 | 2012-04-19 | Monsanto Technology Llc | Soybean plant and seed corresponding to transgenic event mon87712 and methods for detection thereof |
| US20120131692A1 (en) | 2010-11-24 | 2012-05-24 | Pioneer Hi-Bred International, Inc. | Brassica gat event dp-073496-4 and compositions and methods for the identification and/or detection thereof |
| WO2012071039A1 (en) | 2010-11-24 | 2012-05-31 | Pioner Hi-Bred International, Inc. | Brassica gat event dp-061061-7 and compositions and methods for the identification and/or detection thereof |
| WO2012075429A1 (en) | 2010-12-03 | 2012-06-07 | Dow Agrosciences Llc | Stacked herbicide tolerance event 8291.45.36.2, related transgenic soybean lines, and detection thereof |
| WO2012075426A1 (en) | 2010-12-03 | 2012-06-07 | Dow Agrosciences Llc | Stacked herbicide tolerance event 8264.44.06.1, related transgenic soybean lines, and detection thereof |
| WO2012082548A2 (en) | 2010-12-15 | 2012-06-21 | Syngenta Participations Ag | Soybean event syht0h2 and compositions and methods for detection thereof |
| WO2012134808A1 (en) | 2011-03-30 | 2012-10-04 | Monsanto Technology Llc | Cotton transgenic event mon 88701 and methods of use thereof |
| WO2013003558A1 (en) | 2011-06-30 | 2013-01-03 | Monsanto Technology Llc | Alfalfa plant and seed corresponding to transgenic event kk 179-2 and methods for detection thereof |
| WO2013010094A1 (en) | 2011-07-13 | 2013-01-17 | Dow Agrosciences Llc | Stacked herbicide tolerance event 8264.42.32.1, related transgenic soybean lines, and detection thereof |
| WO2013012775A1 (en) | 2011-07-15 | 2013-01-24 | Syngenta Participations Ag | Corn event mzdt09y |
| WO2013032693A2 (en) | 2011-08-27 | 2013-03-07 | Marrone Bio Innovations, Inc. | Isolated bacterial strain of the genus burkholderia and pesticidal metabolites therefrom-formulations and uses |
| WO2013034938A2 (en) | 2011-09-08 | 2013-03-14 | Szegedi Tudományegyetem | A copper resistant, fengycin-producing bacillus mojavensis strain for controlling vegetable pathogens, its use and compositions containing it |
| WO2013050317A1 (en) | 2011-10-03 | 2013-04-11 | Syngenta Limited | Polymorphs of an isoxazoline derivative |
| CN103109816A (en) | 2013-01-25 | 2013-05-22 | 青岛科技大学 | Thiobenzamide compounds and application thereof |
| CN103232431A (en) | 2013-01-25 | 2013-08-07 | 青岛科技大学 | Dihalogenated pyrazole amide compound and its use |
| WO2013115391A1 (en) | 2012-02-01 | 2013-08-08 | 日本農薬株式会社 | Arylalkyloxy pyrimidine derivative, pesticide for agricultural and horticultural use containing arylalkyloxy pyrimidine derivative as active ingredient, and use of same |
| CN103265527A (en) | 2013-06-07 | 2013-08-28 | 江苏省农用激素工程技术研究中心有限公司 | Anthranilamide compound as well as preparation method and application thereof |
| WO2013144213A1 (en) | 2012-03-30 | 2013-10-03 | Basf Se | N-substituted pyridinylidene compounds and derivatives for combating animal pests |
| EP2647626A1 (en) | 2012-04-03 | 2013-10-09 | Syngenta Participations AG. | 1-Aza-spiro[4.5]dec-3-ene and 1,8-diaza-spiro[4.5]dec-3-ene derivatives as pesticides |
| WO2013162716A2 (en) | 2012-04-27 | 2013-10-31 | Dow Agrosciences Llc | Pesticidal compositions and processes related thereto |
| CN103524422A (en) | 2013-10-11 | 2014-01-22 | 中国农业科学院植物保护研究所 | Benzimidazole derivative, and preparation method and purpose thereof |
| WO2014028521A1 (en) | 2012-08-14 | 2014-02-20 | Marrone Bio Innovations, Inc. | Bacillus sp. strain with antifungal, antibacterial and growth promotion activity |
| US20140213448A1 (en) | 2012-04-27 | 2014-07-31 | Dow Agrosciences Llc | Pesticidal compositions and processes related thereto |
| US20140275503A1 (en) | 2013-03-13 | 2014-09-18 | Dow Agrosciences Llc | Process for the preparation of certain triaryl rhamnose carbamates |
| WO2014187846A1 (en) | 2013-05-23 | 2014-11-27 | Syngenta Participations Ag | Tank-mix formulations |
| WO2014210255A1 (en) | 2013-06-26 | 2014-12-31 | Abbvie Inc. | Primary carboxamides as btk inhibitors |
| WO2015058021A1 (en) | 2013-10-17 | 2015-04-23 | Dow Agrosciences Llc | Processes for the preparation of pesticidal compounds |
| WO2015058028A1 (en) | 2013-10-17 | 2015-04-23 | Dow Agrosciences Llc | Processes for the preparation of pesticidal compounds |
| WO2015067800A1 (en) | 2013-11-11 | 2015-05-14 | Basf Se | Antifungal penicillium strains, fungicidal extrolites thereof, and their use |
| WO2015173035A1 (en) | 2014-05-14 | 2015-11-19 | Syngenta Participations Ag | Herbicidal compounds |
| WO2016005276A1 (en) | 2014-07-07 | 2016-01-14 | Bayer Cropscience Aktiengesellschaft | Process for preparing fluorinated iminopyridine compounds |
| WO2016020371A1 (en) | 2014-08-04 | 2016-02-11 | Basf Se | Antifungal paenibacillus strains, fusaricidin-type compounds, and their use |
| US20160122318A1 (en) | 2014-11-05 | 2016-05-05 | Vitae Pharmaceuticals, Inc. | Isoindoline inhibitors of ror-gamma |
| WO2016133011A1 (en) | 2015-02-17 | 2016-08-25 | 日本曹達株式会社 | Agrochemical composition |
| WO2016154297A1 (en) | 2015-03-26 | 2016-09-29 | Bayer Cropscience Lp | A novel paenibacillus strain, antifungal compounds, and methods for their use |
| WO2017019448A1 (en) | 2015-07-24 | 2017-02-02 | AgBiome, Inc. | Modified biological control agents and their uses |
| WO2017040449A1 (en) | 2015-09-03 | 2017-03-09 | Bristol-Myers Squibb Company | Triazolopyridine inhibitors of myeloperoxidase |
| WO2017065473A1 (en) | 2015-10-12 | 2017-04-20 | Chong Kun Dang Pharmaceutical Corp. | Oxadiazole amine derivative compounds as histone deacetylase 6 inhibitor, and the pharmaceutical composition comprising the same |
| WO2017066094A1 (en) | 2015-10-12 | 2017-04-20 | Pioneer Hi-Bred International, Inc. | Biologicals and their use in plants |
| WO2017076740A1 (en) | 2015-11-04 | 2017-05-11 | Basf Se | Substituted oxadiazoles for combating phytopathogenic fungi |
| WO2017205258A1 (en) | 2016-05-26 | 2017-11-30 | Novozymes Bioag A/S | Bacillus and lipochitooligosaccharide for improving plant growth |
| WO2018080859A1 (en) | 2016-10-24 | 2018-05-03 | E. I. Du Pont De Nemours And Company | Fungicidal oxadiazoles |
| WO2018118781A1 (en) | 2016-12-20 | 2018-06-28 | Fmc Corporation | Fungicidal oxadiazoles |
| WO2018165520A1 (en) | 2017-03-10 | 2018-09-13 | Vps-3, Inc. | Metalloenzyme inhibitor compounds |
| WO2018218051A1 (en) | 2017-05-25 | 2018-11-29 | Enanta Pharmaceuticals, Inc. | Apoptosis signal-regulating kinase 1 inhibitors and methods of use thereof |
| WO2018233633A1 (en) | 2017-06-20 | 2018-12-27 | 南京明德新药研发股份有限公司 | INHIBITOR OF SSAO |
| WO2019027054A1 (en) | 2017-07-31 | 2019-02-07 | Takeda Pharmaceutical Company Limited | Heterocyclic compound |
| WO2019103918A1 (en) | 2017-11-21 | 2019-05-31 | Syngenta Participations Ag | Novel resistance genes associated with disease resistance in soybeans |
| WO2019155066A1 (en) | 2018-02-12 | 2019-08-15 | Bayer Aktiengesellschaft | Fungicidal oxadiazoles |
| WO2020127974A1 (en) | 2018-12-21 | 2020-06-25 | Bayer Aktiengesellschaft | 1,3,4-oxadiazoles and their derivatives as new antifungal agents |
| WO2020158762A1 (en) | 2019-01-30 | 2020-08-06 | 武田薬品工業株式会社 | Heterocyclic compound |
-
2021
- 2021-06-16 BR BR112022025692A patent/BR112022025692A2/en unknown
- 2021-06-16 WO PCT/EP2021/066237 patent/WO2021255091A1/en not_active Ceased
- 2021-06-17 TW TW110122077A patent/TW202214613A/en unknown
- 2021-06-18 AR ARP210101695A patent/AR122690A1/en unknown
- 2021-06-18 UY UY0001039282A patent/UY39282A/en unknown
Patent Citations (217)
| Publication number | Priority date | Publication date | Assignee | Title |
|---|---|---|---|---|
| US2003A (en) | 1841-03-12 | Improvement in horizontal windivhlls | ||
| US2010A (en) | 1841-03-18 | Machine foe | ||
| US24077A (en) | 1859-05-17 | Window-sash supporter | ||
| US126634A (en) | 1872-05-14 | Improvement in machines for heading pickets | ||
| US137395A (en) | 1873-04-01 | Improvement in nuts | ||
| US2009A (en) | 1841-03-18 | Improvement in machines for boring war-rockets | ||
| EP0152021A2 (en) | 1984-01-31 | 1985-08-21 | Sankyo Company Limited | Phthalimide derivatives, their preparation and their use as agricultural fungicides |
| DE3639877A1 (en) | 1986-11-21 | 1988-05-26 | Bayer Ag | HETARYLALKYL SUBSTITUTED 5- AND 6-RINGHETEROCYCLES |
| US5061495A (en) | 1988-03-07 | 1991-10-29 | Agricultural Genetics Company Limited | Antibiotic derived from b. subtilis |
| US6855533B2 (en) | 1995-04-20 | 2005-02-15 | Basf Corporation | Structure-based designed herbicide resistant products |
| WO1997017432A1 (en) | 1995-11-06 | 1997-05-15 | Wisconsin Alumni Research Foundation | Insecticidal protein toxins from photorhabdus |
| WO1998008932A1 (en) | 1996-08-29 | 1998-03-05 | Dow Agrosciences Llc | Insecticidal protein toxins from $i(photorhabdus) |
| WO1998044140A1 (en) | 1997-04-03 | 1998-10-08 | Dekalb Genetics Corporation | Glyphosate resistant maize lines |
| US20060059581A1 (en) | 1997-04-03 | 2006-03-16 | Dekalb Genetics Corporation | Method of breeding glyphosate resistant plants |
| US20050188434A1 (en) | 1997-04-03 | 2005-08-25 | Michael Spencer | Method for plant breeding |
| US20050086719A1 (en) | 1997-04-03 | 2005-04-21 | Michael Spencer | Glyphosate resistant maize lines |
| WO1998050427A1 (en) | 1997-05-05 | 1998-11-12 | Dow Agrosciences Llc | INSECTICIDAL PROTEIN TOXINS FROM $i(XENORHABDUS) |
| US6060051A (en) | 1997-05-09 | 2000-05-09 | Agraquest, Inc. | Strain of bacillus for controlling plant diseases and corn rootworm |
| JPH11253151A (en) | 1997-11-13 | 1999-09-21 | Kumiai Chem Ind Co Ltd | Rice seedling raising disease control agent |
| WO2000015637A1 (en) * | 1998-09-16 | 2000-03-23 | Dow Agrosciences Llc | 2-methoxyimino -2-(pyridinyloxymethyl) phenyl acetamides with 5 membered heterocyclic rings on the pyridine ring as fungicides |
| WO2000026345A1 (en) | 1998-11-03 | 2000-05-11 | Aventis Cropscience N.V. | Glufosinate tolerant rice |
| WO2000026356A1 (en) | 1998-11-03 | 2000-05-11 | Aventis Cropscience N. V. | Glufosinate tolerant rice |
| US6468747B1 (en) | 1998-11-03 | 2002-10-22 | Plant Genetic System, N.V. | Glufosinate tolerant rice |
| US6245551B1 (en) | 1999-03-30 | 2001-06-12 | Agraquest, Inc. | Strain of Bacillus pumilus for controlling plant diseases caused by fungi |
| WO2001031042A2 (en) | 1999-10-29 | 2001-05-03 | Aventis Cropscience N.V. | Male-sterile brassica plants and methods for producing same |
| WO2001041558A1 (en) | 1999-12-08 | 2001-06-14 | Aventis Cropscience N.V. | Hybrid winter oilseed rape and methods for producing same |
| US20030188347A1 (en) | 1999-12-08 | 2003-10-02 | Both Greta De | Hybrid winter oilseed rape and methods for producing same |
| WO2001047952A2 (en) | 1999-12-28 | 2001-07-05 | Bayer Cropscience N.V. | Insecticidal proteins from bacillus thuringiensis |
| WO2001051654A2 (en) | 2000-01-11 | 2001-07-19 | Bayer Cropscience N.V. | Methods and kits for identifying elite event gat-zm1 in biological samples |
| US20010029014A1 (en) | 2000-01-11 | 2001-10-11 | Beuckeleer Marc De | Methods and kits for identifying elite event GAT-ZM1 in biological samples |
| US20070292854A1 (en) | 2000-06-22 | 2007-12-20 | Behr Carl F | Corn event PV-ZMGT32(nk603) and compositions and methods for detection thereof |
| US20020102582A1 (en) | 2000-09-13 | 2002-08-01 | Levine Elaine B. | Corn event MON810 and compositions and methods for detection thereof |
| WO2002027004A2 (en) | 2000-09-29 | 2002-04-04 | Monsanto Technology Llc | Glyphosate tolerant wheat plant 33391 and compositions and methods for detection thereof |
| US20020120964A1 (en) | 2000-10-25 | 2002-08-29 | Rangwala Tasneem S. | Cotton event PV-GHGT07(1445) and compositions and methods for detection thereof |
| WO2002034946A2 (en) | 2000-10-25 | 2002-05-02 | Monsanto Technology Llc | Cotton event pv-ghgt07(1445) and compositions and methods for detection thereof |
| US20080070260A1 (en) | 2000-10-30 | 2008-03-20 | Rachel Krieb | Canola event PV-BNGT04(RT73) and compositions and methods for detection thereof |
| WO2002036831A2 (en) | 2000-10-30 | 2002-05-10 | Monsanto Technology Llc | Canola event pv-bngt04(rt73) and compositions and methods for detection thereof |
| WO2002040677A2 (en) | 2000-11-20 | 2002-05-23 | Monsanto Technology Llc | Cotton event pv-ghbk04 (531) and compositions and methods for detection thereof |
| US20090265817A1 (en) | 2000-11-30 | 2009-10-22 | Ses Europe N.V./S.A. | T227-1 flanking sequence |
| WO2002044407A2 (en) | 2000-11-30 | 2002-06-06 | Ses Europe N.V. | Glyphosate resistant transgenic sugar beet characterised by a specific transgene insertion (t227-1), methods and primers for the detection of said insertion |
| WO2002100163A2 (en) | 2001-06-11 | 2002-12-19 | Monsanto Technology Llc | Cotton event moni5985 and compositions and methods for detection |
| US20040250317A1 (en) | 2001-06-11 | 2004-12-09 | Huber Scott A | Cotton event moni5985 and compositions and methods for detection thereof |
| WO2003000051A2 (en) | 2001-06-22 | 2003-01-03 | Drahos David J | Novel biofungicide |
| US20030097687A1 (en) | 2001-08-06 | 2003-05-22 | Linda Trolinder | Herbicide tolerant cotton plants and methods for producing and identifying same |
| WO2003013224A2 (en) | 2001-08-06 | 2003-02-20 | Bayer Bioscience N.V. | Herbicide tolerant cotton plants and methods for producing and identifying same |
| US7094592B2 (en) | 2001-11-26 | 2006-08-22 | Kumiai Chemical Industry Co., Ltd. | Bacillus sp. D747 strain, plant disease controlling agents and insect pest controlling agents using the same and control method using the agents |
| WO2003052073A2 (en) | 2001-12-17 | 2003-06-26 | Syngenta Participations Ag | Novel corn event |
| WO2003106457A1 (en) | 2002-06-14 | 2003-12-24 | Syngenta Limited | Spiroindolinepiperidine derivatives |
| US20060095986A1 (en) | 2002-07-29 | 2006-05-04 | Cavato Tracey A | Corn event pv-zmir13 (mon863) plants and compositions and methods for detection thereof |
| WO2004011601A2 (en) | 2002-07-29 | 2004-02-05 | Monsanto Technology, Llc | Corn event pv-zmir13 (mon863) plants and compositions and methods for detection thereof |
| WO2004039986A1 (en) | 2002-10-29 | 2004-05-13 | Syngenta Participations Ag | Cot102 insecticidal cotton |
| US20060130175A1 (en) | 2002-10-29 | 2006-06-15 | Ellis Daniel M | Cot102 insecticidal cotton |
| WO2004053062A2 (en) | 2002-12-05 | 2004-06-24 | Monsanto Technology Llc | Bentgrass event asr-368 and compositions and methods for detection thereof |
| US20060162007A1 (en) | 2002-12-05 | 2006-07-20 | Monsanto Technology Llc | Bentgrass event asr-368 and compositions and methods for detection thereof |
| WO2004072235A2 (en) | 2003-02-12 | 2004-08-26 | Monsanto Technology Llc | Cotton event mon 88913 and compositions and methods for detection thereof |
| US20060059590A1 (en) | 2003-02-12 | 2006-03-16 | Monsanto Technology Llc | Cotton event mon 88913 and compositions and methods for detection thereof |
| WO2004074492A1 (en) | 2003-02-20 | 2004-09-02 | Kws Saat Ag | Glyphosate tolerant sugar beet |
| US20040172669A1 (en) | 2003-02-28 | 2004-09-02 | Josef Kraus | Glyphosate tolerant sugar beet |
| US20050039226A1 (en) | 2003-05-02 | 2005-02-17 | Dow Agrosciences Llc | Corn event TC1507 and methods for detection thereof |
| WO2004099447A2 (en) | 2003-05-02 | 2004-11-18 | Dow Agrosciences Llc | Corn event tc1507 and methods for detection thereof |
| WO2004099160A1 (en) | 2003-05-12 | 2004-11-18 | Sumitomo Chemical Company, Limited | Pyrimidine compounds and pests controlling composition containing the same |
| WO2005054479A1 (en) | 2003-12-01 | 2005-06-16 | Syngenta Participations Ag | Insect resistant cotton plants and methods of detecting the same |
| US20070067868A1 (en) | 2003-12-01 | 2007-03-22 | Negrotto David V | Insect resistant cotton plants and methods of detecting the same |
| WO2005054480A2 (en) | 2003-12-01 | 2005-06-16 | Syngenta Participations Ag | Insect resistant cotton plants and methods of detecting the same |
| WO2005061720A2 (en) | 2003-12-11 | 2005-07-07 | Monsanto Technology Llc | High lysine maize compositions and methods for detection thereof |
| US20070028322A1 (en) | 2003-12-11 | 2007-02-01 | Dizigan Mark A | High lysine maize compositions and methods for detection thereof |
| US20080028482A1 (en) | 2003-12-15 | 2008-01-31 | Beazley Kim A | Corn Plant Mon88017 and Compositions and Methods for Detection Thereof |
| WO2005059103A2 (en) | 2003-12-15 | 2005-06-30 | Monsanto Technology Llc | Corn plant mon88017 and compositions and methods for detection thereof |
| WO2005074671A1 (en) | 2004-01-30 | 2005-08-18 | Syngenta Participations Ag | Improved fertility restoration for ogura cytoplasmic male sterile brassica and method |
| US20080167456A1 (en) | 2004-03-25 | 2008-07-10 | Syngenta Participations Ag | Corn Event MIR604 |
| WO2005103301A2 (en) | 2004-03-25 | 2005-11-03 | Syngenta Participations Ag | Corn event mir604 |
| US20050216969A1 (en) | 2004-03-26 | 2005-09-29 | Dow Agrosciences Llc | Cry1F and Cry1AC transgenic cotton lines and event-specific identification thereof |
| US20070143876A1 (en) | 2004-03-26 | 2007-06-21 | Dow Agrosciences Llc | Cry1F and Cry1Ac transgenic cotton lines and event-specific identification thereof |
| WO2005103266A1 (en) | 2004-03-26 | 2005-11-03 | Dow Agrosciences Llc | Cry1f and cry1ac transgenic cotton lines and event-specific identification thereof |
| WO2006003494A2 (en) | 2004-06-28 | 2006-01-12 | Syngenta Participations Ag | Piperidine derivatives and their use as insecticides, acaricides, molluscicides or nematicides |
| US20060070139A1 (en) | 2004-09-29 | 2006-03-30 | Pioneer Hi-Bred International, Inc. | Corn event DAS-59122-7 and methods for detection thereof |
| WO2006043635A1 (en) | 2004-10-20 | 2006-04-27 | Kumiai Chemical Industry Co., Ltd. | 3-triazolylphenyl sulfide derivative and insecticide/acaricide/nematicide containing the same as active ingredient |
| WO2006098952A2 (en) | 2005-03-16 | 2006-09-21 | Syngenta Participations Ag | Corn event 3272 and methods of detection thereof |
| US20060230473A1 (en) | 2005-03-16 | 2006-10-12 | Syngenta Participations Ag | Corn event 3272 and methods for detection thereof |
| WO2006108674A2 (en) | 2005-04-08 | 2006-10-19 | Bayer Bioscience N.V. | Elite event a2704-12 and methods and kits for identifying such event in biological samples |
| US20080320616A1 (en) | 2005-04-08 | 2008-12-25 | Bayer Bioscience N.V. | Elite Event A2407-12 and Methods and Kits for Identifying Such Event in Biological Samples |
| US20080196127A1 (en) | 2005-04-11 | 2008-08-14 | Bayer Bioscience N.V. | Elite Event A5547-127 and Methods and Kits For Identifying Such Event in Biological Samples |
| WO2006108675A2 (en) | 2005-04-11 | 2006-10-19 | Bayer Bioscience N.V. | Elite event a5547-127 and methods and kits for identifying such event in biological samples |
| WO2006130436A2 (en) | 2005-05-27 | 2006-12-07 | Monsanto Technology Llc | Soybean event mon89788 and methods for detection thereof |
| US20060282915A1 (en) | 2005-05-27 | 2006-12-14 | Monsanto Technology Llc | Soybean event MON89788 and methods for detection thereof |
| WO2006128572A1 (en) | 2005-06-02 | 2006-12-07 | Syngenta Participations Ag | Ce46-02a insecticidal cotton |
| WO2006128573A2 (en) | 2005-06-02 | 2006-12-07 | Syngenta Participations Ag | Ce43- 67b, insecticidal transgenic cotton expressing cry1ab |
| US20090217423A1 (en) | 2005-06-02 | 2009-08-27 | Cayley Patricia J | Ce43-67b insecticidal cotton |
| WO2006128569A2 (en) | 2005-06-02 | 2006-12-07 | Syngenta Participations Ag | 1143-14a, insecticidal transgenic cotton expressing cry1ab |
| WO2006128568A2 (en) | 2005-06-02 | 2006-12-07 | Syngenta Participations Ag | T342-142, insecticidal transgenic cotton expressing cry1ab |
| WO2006128570A1 (en) | 2005-06-02 | 2006-12-07 | Syngenta Participations Ag | 1143-51b insecticidal cotton |
| WO2006128571A2 (en) | 2005-06-02 | 2006-12-07 | Syngenta Participations Ag | Ce44-69d , insecticidal transgenic cotton expressing cry1ab |
| US20100050282A1 (en) | 2005-08-08 | 2010-02-25 | Bayer Bioscience N.V. | Herbicide Tolerant Cotton Plants and Methods for Identifying the Same |
| WO2007017186A1 (en) | 2005-08-08 | 2007-02-15 | Bayer Bioscience N.V. | Herbicide tolerant cotton plants and methods for identifying same |
| WO2007024782A2 (en) | 2005-08-24 | 2007-03-01 | Pioneer Hi-Bred International, Inc. | Compositions providing tolerance to multiple herbicides and methods of use thereof |
| WO2007040282A1 (en) | 2005-10-06 | 2007-04-12 | Nippon Soda Co., Ltd. | Bridged cyclic amine compound and pest control agent |
| WO2007040280A1 (en) | 2005-10-06 | 2007-04-12 | Nippon Soda Co., Ltd. | Cyclic amine compound and pest control agent |
| WO2007071455A1 (en) | 2005-12-22 | 2007-06-28 | Bayer Schering Pharma Aktiengesellschaft | Sulfoximine-substituted pyrimidines , their preparation and use as drugs |
| WO2007091277A2 (en) | 2006-02-10 | 2007-08-16 | Maharashtra Hybrid Seeds Company Limited (Mahyco) | TRANSGENIC BRINJAL (SOLANUM MELONGENA) EXPRESSING THE CRYlAC GENE |
| WO2007140256A1 (en) | 2006-05-26 | 2007-12-06 | Monsanto Technology, Llc | Corn plant and seed corresponding to transgenic event mon89034 and methods for detection and use thereof |
| US20080260932A1 (en) | 2006-05-26 | 2008-10-23 | Anderson Heather M | Corn Plant and Seed Corresponding to Transgenic Event MON89034 and Methods For Detection and Use Thereof |
| US20090300784A1 (en) | 2006-06-03 | 2009-12-03 | Syngenta Participations Ag | Corn event mir162 |
| WO2007142840A2 (en) | 2006-06-03 | 2007-12-13 | Syngenta Participations Ag | Corn event mir162 |
| WO2008002872A2 (en) | 2006-06-28 | 2008-01-03 | Pioneer Hi-Bred International, Inc. | Soybean event 3560.4.3.5 and compositions and methods for the identification and/or detection thereof |
| US20100184079A1 (en) | 2006-06-28 | 2010-07-22 | Pioneer Hi-Bred International, Inc. | Soybean event 3560.4.3.5 and compositions and methods for the identification and detection thereof |
| US20080289060A1 (en) | 2006-08-24 | 2008-11-20 | Bayer Bioscience N.V. | Herbicide tolerant rice plants and methods for identifying same |
| US20080064032A1 (en) | 2006-09-13 | 2008-03-13 | Syngenta Participations Ag | Polynucleotides and uses thereof |
| WO2008112019A2 (en) | 2006-10-30 | 2008-09-18 | Pioneer Hi-Bred International, Inc. | Maize event dp-098140-6 and compositions and methods for the identification and/or detection thereof |
| US20080312082A1 (en) | 2006-10-31 | 2008-12-18 | Kinney Anthony J | Soybean event dp-305423-1 and compositions and methods for the identification and/or detection thereof |
| WO2008054747A2 (en) | 2006-10-31 | 2008-05-08 | E. I. Du Pont De Nemours And Company | Soybean event dp-305423-1 and compositions and methods for the identification and/or detection thereof |
| US7579183B1 (en) | 2006-12-01 | 2009-08-25 | The United States Of America As Represented By The Secretary Of Agriculture | Saprophytic yeast, Pichia anomala |
| WO2008114282A2 (en) | 2007-03-19 | 2008-09-25 | Maharashtra Hybrid Seeds Company Limited | Transgenic rice (oryza sativa) comprising pe-7 event and method of detection thereof |
| US20100077501A1 (en) | 2007-04-05 | 2010-03-25 | Bayer Bioscience N.V. | Insect resistant cotton plants and methods for identifying same |
| WO2008122406A1 (en) | 2007-04-05 | 2008-10-16 | Bayer Bioscience N.V. | Insect resistant cotton plants and methods for identifying same |
| WO2008151780A1 (en) | 2007-06-11 | 2008-12-18 | Bayer Bioscience N.V. | Insect resistant cotton plants comprising elite event ee-gh6 and methods for identifying same |
| WO2009064652A1 (en) | 2007-11-15 | 2009-05-22 | Monsanto Technology Llc | Soybean plant and seed corresponding to transgenic event mon87701 and methods for detection thereof |
| US20090130071A1 (en) | 2007-11-15 | 2009-05-21 | Ai-Guo Gao | Soybean Plant And Seed Corresponding To Transgenic Event MON87701 And Methods For Detection Thereof |
| US20100291039A1 (en) | 2007-12-14 | 2010-11-18 | Kohl Jurgen Anton | Novel micro-organisms controlling plant pathogens |
| WO2009100188A2 (en) | 2008-02-08 | 2009-08-13 | Dow Agrosciences Llc | Methods for detection of corn event das-59132 |
| US20090210970A1 (en) | 2008-02-14 | 2009-08-20 | Pioneer Hi-Bred International, Inc. | Plant Genomic DNA Flanking SPT Event and Methods for Identifying SPT Event |
| WO2009103049A2 (en) | 2008-02-14 | 2009-08-20 | Pioneer Hi-Bred International, Inc. | Plant genomic dna flanking spt event and methods for identifying spt event |
| US20110067141A1 (en) | 2008-02-15 | 2011-03-17 | Byron Froman | Soybean plant and seed corresponding to transgenic event mon87769 and methods for detection thereof |
| WO2009102873A1 (en) | 2008-02-15 | 2009-08-20 | Monsanto Technology Llc | Soybean plant and seed corresponding to transgenic event mon87769 and methods for detection thereof |
| US20110138504A1 (en) | 2008-02-29 | 2011-06-09 | Monsanto Technology Llc | Corn plant event mon87460 and compositions and methods for detection thereof |
| WO2009111263A1 (en) | 2008-02-29 | 2009-09-11 | Monsanto Technology Llc | Corn plant event mon87460 and compositions and methods for detection thereof |
| WO2009116106A1 (en) | 2008-03-21 | 2009-09-24 | Trentino Sviluppo S.P.A. | Trichoderma atroviride sc1 for biocontrol of fungal diseases in plants |
| US8431120B2 (en) | 2008-03-21 | 2013-04-30 | Trentino Sviluppo S.P.A. | Trichoderma atroviride SC1 for biocontrol of fungal diseases in plants |
| WO2009152359A2 (en) | 2008-06-11 | 2009-12-17 | Dow Agrosciences Llc | Constructs for expressing herbicide tolerance genes, related plants, and related trait combinations |
| JP2010018586A (en) | 2008-07-14 | 2010-01-28 | Meiji Seika Kaisha Ltd | Substance pf1364, its manufacturing method, producing strain and agricultural/horticultural insecticide having the substance as active ingredient |
| CN101337940A (en) | 2008-08-12 | 2009-01-07 | 国家农药创制工程技术研究中心 | Nitrogen heterocyclic ring dichloro allyl ether compound with insecticidal activity |
| CN101337937A (en) | 2008-08-12 | 2009-01-07 | 国家农药创制工程技术研究中心 | N-benz-3-substituted amino pyrazoles compounds with insecticidal activity |
| WO2010024976A1 (en) | 2008-08-29 | 2010-03-04 | Monsanto Technology Llc | Soybean plant and seed corresponding to transgenic event mon87754 and methods for detection thereof |
| US20100080887A1 (en) | 2008-09-29 | 2010-04-01 | Monsanto Technology Llc | Soybean Transgenic Event MON87705 and Methods for Detection Thereof |
| WO2010037016A1 (en) | 2008-09-29 | 2010-04-01 | Monsanto Technology Llc | Soybean transgenic event mon87705 and methods for detection thereof |
| CN101715774A (en) | 2008-10-09 | 2010-06-02 | 浙江化工科技集团有限公司 | Preparation and use of compound having insecticidal activity |
| WO2010051926A2 (en) | 2008-11-05 | 2010-05-14 | Bayer Cropscience Aktiengesellschaft | New halogen-substituted bonds |
| WO2010052161A2 (en) | 2008-11-06 | 2010-05-14 | Syngenta Participations Ag | Herbicidal compositions |
| WO2010066780A1 (en) | 2008-12-12 | 2010-06-17 | Syngenta Participations Ag | Spiroheterocyclic n-oxypiperidines as pesticides |
| WO2010077816A1 (en) | 2008-12-16 | 2010-07-08 | Syngenta Participations Ag | Corn event 5307 |
| WO2010076212A1 (en) | 2008-12-19 | 2010-07-08 | Syngenta Participations Ag | Transgenic sugar beet event gm rz13 |
| WO2010080829A1 (en) | 2009-01-07 | 2010-07-15 | Basf Agrochemical Products B.V. | Soybean event 127 and methods related thereto |
| WO2010086790A1 (en) | 2009-01-27 | 2010-08-05 | Lesaffre Et Compagnie | Saccharomyces cerevisiae strains with phytosanitary capabilities |
| WO2010117737A1 (en) | 2009-03-30 | 2010-10-14 | Monsanto Technology Llc | Rice transgenic event17053 and methods of use thereof |
| WO2010117735A1 (en) | 2009-03-30 | 2010-10-14 | Monsanto Technology Llc | Transgenic rice event17314 and methods of use thereof |
| WO2011022469A2 (en) | 2009-08-19 | 2011-02-24 | Dow Agrosciences Llc | Aad-1 event das-40278-9, related transgenic corn lines, and event-specific identification thereof |
| WO2011034704A1 (en) | 2009-09-17 | 2011-03-24 | Monsanto Technology Llc | Soybean transgenic event mon 87708 and methods of use thereof |
| WO2011062904A1 (en) | 2009-11-23 | 2011-05-26 | Monsanto Technology Llc | Transgenic maize event mon 87427 and the relative development scale |
| WO2011063413A2 (en) | 2009-11-23 | 2011-05-26 | Bayer Bioscience N.V. | Herbicide tolerant soybean plants and methods for identifying same |
| WO2011066360A1 (en) | 2009-11-24 | 2011-06-03 | Dow Agrosciences Llc | Detection of aad-12 soybean event 416 |
| WO2011066384A1 (en) | 2009-11-24 | 2011-06-03 | Dow Agrosciences Llc | Aad-12 event 416, related transgenic soybean lines, and event-specific identification thereof |
| WO2011075593A1 (en) | 2009-12-17 | 2011-06-23 | Pioneer Hi-Bred International, Inc. | Maize event dp-040416-8 and methods for detection thereof |
| WO2011075595A1 (en) | 2009-12-17 | 2011-06-23 | Pioneer Hi-Bred International, Inc. | Maize event dp-043a47-3 and methods for detection thereof |
| WO2011084621A1 (en) | 2009-12-17 | 2011-07-14 | Pioneer Hi-Bred International, Inc. | Maize event dp-004114-3 and methods for detection thereof |
| WO2011084632A1 (en) | 2009-12-17 | 2011-07-14 | Pioneer Hi-Bred International, Inc. | Maize event dp-032316-8 and methods for detection thereof |
| WO2011085575A1 (en) | 2010-01-15 | 2011-07-21 | 江苏省农药研究所股份有限公司 | Ortho-heterocyclyl formanilide compounds, their synthesis methods and use |
| WO2011106491A2 (en) | 2010-02-25 | 2011-09-01 | Marrone Bio Innovations, Inc. | Isolated bacterial strain of the genus burkholderia and pesticidal metabolites therefrom |
| WO2011105506A1 (en) | 2010-02-25 | 2011-09-01 | 日本曹達株式会社 | Cyclic amine compound and miticide |
| WO2011151146A1 (en) | 2010-05-31 | 2011-12-08 | Syngenta Participations Ag | Method of crop enhancement |
| WO2011151819A2 (en) | 2010-06-01 | 2011-12-08 | Yissum Research Development Company Of The Hebrew University Of Jerusalem Ltd. | Pseudozyma aphidis as a biocontrol agent against various plant pathogens |
| WO2011153186A1 (en) | 2010-06-04 | 2011-12-08 | Monsanto Technology Llc | Transgenic brassica event mon 88302 and methods of use thereof |
| WO2012029672A1 (en) | 2010-08-31 | 2012-03-08 | Meiji Seikaファルマ株式会社 | Noxious organism control agent |
| WO2012033794A2 (en) | 2010-09-08 | 2012-03-15 | Dow Agrosciences Llc | Aad-12 event 1606 and related transgenic soybean lines |
| WO2012034403A1 (en) | 2010-09-14 | 2012-03-22 | 中化蓝天集团有限公司 | Fluoromethoxypyrazole anthranilamide compounds, synthesization methods and uses thereof |
| WO2012051199A2 (en) | 2010-10-12 | 2012-04-19 | Monsanto Technology Llc | Soybean plant and seed corresponding to transgenic event mon87712 and methods for detection thereof |
| US20120131692A1 (en) | 2010-11-24 | 2012-05-24 | Pioneer Hi-Bred International, Inc. | Brassica gat event dp-073496-4 and compositions and methods for the identification and/or detection thereof |
| WO2012071039A1 (en) | 2010-11-24 | 2012-05-31 | Pioner Hi-Bred International, Inc. | Brassica gat event dp-061061-7 and compositions and methods for the identification and/or detection thereof |
| WO2012075429A1 (en) | 2010-12-03 | 2012-06-07 | Dow Agrosciences Llc | Stacked herbicide tolerance event 8291.45.36.2, related transgenic soybean lines, and detection thereof |
| WO2012075426A1 (en) | 2010-12-03 | 2012-06-07 | Dow Agrosciences Llc | Stacked herbicide tolerance event 8264.44.06.1, related transgenic soybean lines, and detection thereof |
| WO2012082548A2 (en) | 2010-12-15 | 2012-06-21 | Syngenta Participations Ag | Soybean event syht0h2 and compositions and methods for detection thereof |
| WO2012134808A1 (en) | 2011-03-30 | 2012-10-04 | Monsanto Technology Llc | Cotton transgenic event mon 88701 and methods of use thereof |
| WO2013003558A1 (en) | 2011-06-30 | 2013-01-03 | Monsanto Technology Llc | Alfalfa plant and seed corresponding to transgenic event kk 179-2 and methods for detection thereof |
| WO2013010094A1 (en) | 2011-07-13 | 2013-01-17 | Dow Agrosciences Llc | Stacked herbicide tolerance event 8264.42.32.1, related transgenic soybean lines, and detection thereof |
| WO2013012775A1 (en) | 2011-07-15 | 2013-01-24 | Syngenta Participations Ag | Corn event mzdt09y |
| WO2013032693A2 (en) | 2011-08-27 | 2013-03-07 | Marrone Bio Innovations, Inc. | Isolated bacterial strain of the genus burkholderia and pesticidal metabolites therefrom-formulations and uses |
| WO2013034938A2 (en) | 2011-09-08 | 2013-03-14 | Szegedi Tudományegyetem | A copper resistant, fengycin-producing bacillus mojavensis strain for controlling vegetable pathogens, its use and compositions containing it |
| WO2013050317A1 (en) | 2011-10-03 | 2013-04-11 | Syngenta Limited | Polymorphs of an isoxazoline derivative |
| CN102391261A (en) | 2011-10-14 | 2012-03-28 | 上海交通大学 | N-substituted dioxazine compound as well as preparation method and application thereof |
| WO2013115391A1 (en) | 2012-02-01 | 2013-08-08 | 日本農薬株式会社 | Arylalkyloxy pyrimidine derivative, pesticide for agricultural and horticultural use containing arylalkyloxy pyrimidine derivative as active ingredient, and use of same |
| WO2013144213A1 (en) | 2012-03-30 | 2013-10-03 | Basf Se | N-substituted pyridinylidene compounds and derivatives for combating animal pests |
| EP2647626A1 (en) | 2012-04-03 | 2013-10-09 | Syngenta Participations AG. | 1-Aza-spiro[4.5]dec-3-ene and 1,8-diaza-spiro[4.5]dec-3-ene derivatives as pesticides |
| WO2013162715A2 (en) | 2012-04-27 | 2013-10-31 | Dow Agrosciences Llc | Pesticidal compositions and processes related thereto |
| US20140213448A1 (en) | 2012-04-27 | 2014-07-31 | Dow Agrosciences Llc | Pesticidal compositions and processes related thereto |
| WO2013162716A2 (en) | 2012-04-27 | 2013-10-31 | Dow Agrosciences Llc | Pesticidal compositions and processes related thereto |
| WO2014028521A1 (en) | 2012-08-14 | 2014-02-20 | Marrone Bio Innovations, Inc. | Bacillus sp. strain with antifungal, antibacterial and growth promotion activity |
| CN103232431A (en) | 2013-01-25 | 2013-08-07 | 青岛科技大学 | Dihalogenated pyrazole amide compound and its use |
| CN103109816A (en) | 2013-01-25 | 2013-05-22 | 青岛科技大学 | Thiobenzamide compounds and application thereof |
| US20140275503A1 (en) | 2013-03-13 | 2014-09-18 | Dow Agrosciences Llc | Process for the preparation of certain triaryl rhamnose carbamates |
| WO2014187846A1 (en) | 2013-05-23 | 2014-11-27 | Syngenta Participations Ag | Tank-mix formulations |
| CN103265527A (en) | 2013-06-07 | 2013-08-28 | 江苏省农用激素工程技术研究中心有限公司 | Anthranilamide compound as well as preparation method and application thereof |
| WO2014210255A1 (en) | 2013-06-26 | 2014-12-31 | Abbvie Inc. | Primary carboxamides as btk inhibitors |
| CN103524422A (en) | 2013-10-11 | 2014-01-22 | 中国农业科学院植物保护研究所 | Benzimidazole derivative, and preparation method and purpose thereof |
| WO2015058021A1 (en) | 2013-10-17 | 2015-04-23 | Dow Agrosciences Llc | Processes for the preparation of pesticidal compounds |
| WO2015058028A1 (en) | 2013-10-17 | 2015-04-23 | Dow Agrosciences Llc | Processes for the preparation of pesticidal compounds |
| WO2015067800A1 (en) | 2013-11-11 | 2015-05-14 | Basf Se | Antifungal penicillium strains, fungicidal extrolites thereof, and their use |
| WO2015173035A1 (en) | 2014-05-14 | 2015-11-19 | Syngenta Participations Ag | Herbicidal compounds |
| WO2016005276A1 (en) | 2014-07-07 | 2016-01-14 | Bayer Cropscience Aktiengesellschaft | Process for preparing fluorinated iminopyridine compounds |
| WO2016020371A1 (en) | 2014-08-04 | 2016-02-11 | Basf Se | Antifungal paenibacillus strains, fusaricidin-type compounds, and their use |
| US20160122318A1 (en) | 2014-11-05 | 2016-05-05 | Vitae Pharmaceuticals, Inc. | Isoindoline inhibitors of ror-gamma |
| WO2016133011A1 (en) | 2015-02-17 | 2016-08-25 | 日本曹達株式会社 | Agrochemical composition |
| WO2016154297A1 (en) | 2015-03-26 | 2016-09-29 | Bayer Cropscience Lp | A novel paenibacillus strain, antifungal compounds, and methods for their use |
| WO2017019448A1 (en) | 2015-07-24 | 2017-02-02 | AgBiome, Inc. | Modified biological control agents and their uses |
| WO2017040449A1 (en) | 2015-09-03 | 2017-03-09 | Bristol-Myers Squibb Company | Triazolopyridine inhibitors of myeloperoxidase |
| WO2017065473A1 (en) | 2015-10-12 | 2017-04-20 | Chong Kun Dang Pharmaceutical Corp. | Oxadiazole amine derivative compounds as histone deacetylase 6 inhibitor, and the pharmaceutical composition comprising the same |
| WO2017066094A1 (en) | 2015-10-12 | 2017-04-20 | Pioneer Hi-Bred International, Inc. | Biologicals and their use in plants |
| US20180317490A1 (en) | 2015-11-04 | 2018-11-08 | Basf Se | Substituted oxadiazoles for combating phytopathogenic fungi |
| WO2017076740A1 (en) | 2015-11-04 | 2017-05-11 | Basf Se | Substituted oxadiazoles for combating phytopathogenic fungi |
| WO2017205258A1 (en) | 2016-05-26 | 2017-11-30 | Novozymes Bioag A/S | Bacillus and lipochitooligosaccharide for improving plant growth |
| WO2018080859A1 (en) | 2016-10-24 | 2018-05-03 | E. I. Du Pont De Nemours And Company | Fungicidal oxadiazoles |
| WO2018118781A1 (en) | 2016-12-20 | 2018-06-28 | Fmc Corporation | Fungicidal oxadiazoles |
| WO2018165520A1 (en) | 2017-03-10 | 2018-09-13 | Vps-3, Inc. | Metalloenzyme inhibitor compounds |
| WO2018218051A1 (en) | 2017-05-25 | 2018-11-29 | Enanta Pharmaceuticals, Inc. | Apoptosis signal-regulating kinase 1 inhibitors and methods of use thereof |
| WO2018233633A1 (en) | 2017-06-20 | 2018-12-27 | 南京明德新药研发股份有限公司 | INHIBITOR OF SSAO |
| WO2019027054A1 (en) | 2017-07-31 | 2019-02-07 | Takeda Pharmaceutical Company Limited | Heterocyclic compound |
| WO2019103918A1 (en) | 2017-11-21 | 2019-05-31 | Syngenta Participations Ag | Novel resistance genes associated with disease resistance in soybeans |
| WO2019155066A1 (en) | 2018-02-12 | 2019-08-15 | Bayer Aktiengesellschaft | Fungicidal oxadiazoles |
| WO2020127974A1 (en) | 2018-12-21 | 2020-06-25 | Bayer Aktiengesellschaft | 1,3,4-oxadiazoles and their derivatives as new antifungal agents |
| WO2020158762A1 (en) | 2019-01-30 | 2020-08-06 | 武田薬品工業株式会社 | Heterocyclic compound |
Non-Patent Citations (24)
| Title |
|---|
| "Current Protocols in Molecular Biology", 1987 |
| "Database", Database accession no. 564025 |
| "Technical Monograph", May 2008, CROPLIFE INTERNATIONAL, article "Catalogue of pesticide formulation types and international coding system" |
| BIOORGANIC & MEDICINAL CHEMISTRY, vol. 20, no. 1, 2012, pages 487 - 497 |
| CAS , no. 1477919-27-9 |
| CAS, no. 1332838-17-1 |
| CHEMISTRY OF HETEROCYCLIC COMPOUNDS, vol. 52, no. 2, 2016, pages 133 - 139 |
| CROP PROTECTION, vol. 25, 2006, pages 468 - 475 |
| ESTRUCH ET AL., PROC NATL ACAD SCI US A., vol. 93, no. 11, 1996, pages 5389 - 94 |
| EUROPEAN JOURNAL OF MEDICINAL CHEMISTRY, vol. 138, 2017, pages 407 - 421 |
| EUROPEAN JOURNAL OF ORGANIC CHEMISTRY, vol. 17, 2020, pages 2565 - 2575 |
| JENSEN DF: "Development of a biocontrol agent for plant disease control with special emphasis on the near commercial fungal antagonist Clonostachys rosea strain 'IK726'", AUSTRALAS PLANT PATHOL., vol. 36, 2007, pages 95 - 101 |
| JOURNAL OF MEDICINAL CHEMISTRY, vol. 60, no. 19, 2017, pages 8027 - 8054 |
| JOURNAL OF MEDICINAL CHEMISTRY, vol. 63, no. 2, 2020, pages 656 - 675 |
| JOURNAL OF ORGANIC CHEMISTRY, vol. 78, no. 16, 2013, pages 8054 - 8064 |
| JOURNAL OF THE AMERICAN CHEMICAL SOCIETY, vol. 142, no. 16, 2020, pages 7379 - 7385 |
| ORGANIC LETTERS, vol. 22, no. 8, 2020, pages 2999 - 3003 |
| PIETR ET AL., ZESZ. NAUK. A R W SZCZECINIE, vol. 161, 1993, pages 125 - 137 |
| RUSSIAN JOURNAL OF ORGANIC CHEMISTRY, vol. 43, no. 11, 2007, pages 1686 - 1695 |
| SYNLETT, vol. 12, 2005, pages 1939 - 1941 |
| TETRAHEDRON, vol. 58, no. 27, 2002, pages 5513 - 5523 |
| TETRAHEDRON, vol. 62, 2006, pages 8707 - 8714 |
| XUE: "Efficacy of Clonostachys rosea strain ACM941 and fungicide seed treatments for controlling the root tot complex of field pea", CAN JOUR PLANT SCI, vol. 83, no. 3, pages 519 - 524 |
| YINGYONG HUAXUE, vol. 13, no. 5, 1996, pages 5 - 9 |
Cited By (2)
| Publication number | Priority date | Publication date | Assignee | Title |
|---|---|---|---|---|
| WO2023198172A1 (en) * | 2022-04-15 | 2023-10-19 | 勤浩医药(苏州)有限公司 | Oxadiazole compound, pharmaceutical composition comprising same, and use thereof |
| CN115508484A (en) * | 2022-09-28 | 2022-12-23 | 京博农化科技有限公司 | Separation and analysis method of chloroindole hydrazide chiral isomer |
Also Published As
| Publication number | Publication date |
|---|---|
| TW202214613A (en) | 2022-04-16 |
| AR122690A1 (en) | 2022-09-28 |
| UY39282A (en) | 2022-01-31 |
| BR112022025692A2 (en) | 2023-02-28 |
Similar Documents
| Publication | Publication Date | Title |
|---|---|---|
| JP7729845B2 (en) | Azabicyclyl-substituted heterocycles as novel fungicides | |
| WO2021255093A1 (en) | Active compound combination | |
| WO2020127974A1 (en) | 1,3,4-oxadiazoles and their derivatives as new antifungal agents | |
| CA3187296A1 (en) | 3-(pyridazin-4-yl)-5,6-dihydro-4h-1,2,4-oxadiazine derivatives as fungicides for crop protection | |
| EP4161914A1 (en) | Heterocyclyl pyridines as novel fungicides | |
| WO2021224220A1 (en) | Pyridine (thio)amides as fungicidal compounds | |
| EP4149929B1 (en) | Triazine and pyrimidine (thio)amides as fungicidal compounds | |
| WO2022129190A1 (en) | (hetero)aryl substituted 1,2,4-oxadiazoles as fungicides | |
| WO2021245087A1 (en) | Heterocyclyl pyrimidines and triazines as novel fungicides | |
| WO2021255091A1 (en) | 1,3,4-oxadiazoles and their derivatives as fungicides | |
| WO2023099445A1 (en) | Bis(hetero)aryl thioether oxadiazines as fungicidal compounds | |
| WO2023078915A1 (en) | Bis(hetero)aryl thioether (thio)amides as fungicidal compounds | |
| WO2021255089A1 (en) | 1,3,4-oxadiazole pyrimidines and 1,3,4-oxadiazole pyridines as fungicides | |
| WO2021255170A1 (en) | 1,3,4-oxadiazole pyrimidines as fungicides | |
| WO2020254489A1 (en) | Benzylphenyl hydroxyisoxazolines and analogues as new antifungal agents | |
| US12543738B2 (en) | 3-(pyridazin-4-yl)-5,6-dihydro-4H-1,2,4-oxadiazine derivatives as fungicides for crop protection | |
| WO2022129196A1 (en) | Heterobicycle substituted 1,2,4-oxadiazoles as fungicides | |
| WO2025031668A1 (en) | Azaheterobiaryl-substituted 4,5-dihydro-1h-2,4,5-oxadiazines as novel fungicides | |
| WO2022129188A1 (en) | 1,2,4-oxadiazol-3-yl pyrimidines as fungicides | |
| WO2025078128A1 (en) | Pyridazin-3-one-4-yloxadiazines as novel fungicides | |
| WO2021255169A1 (en) | 1,3,4-oxadiazole pyrimidines as fungicides | |
| WO2025032038A1 (en) | Pyridazin-4-yloxadiazines as novel fungicides | |
| WO2021209490A1 (en) | Cyclaminephenylaminoquinolines as fungicides | |
| WO2022058327A1 (en) | Substituted ureas and derivatives as new antifungal agents |
Legal Events
| Date | Code | Title | Description |
|---|---|---|---|
| 121 | Ep: the epo has been informed by wipo that ep was designated in this application |
Ref document number: 21731215 Country of ref document: EP Kind code of ref document: A1 |
|
| REG | Reference to national code |
Ref country code: BR Ref legal event code: B01A Ref document number: 112022025692 Country of ref document: BR |
|
| NENP | Non-entry into the national phase |
Ref country code: DE |
|
| ENP | Entry into the national phase |
Ref document number: 112022025692 Country of ref document: BR Kind code of ref document: A2 Effective date: 20221215 |
|
| 122 | Ep: pct application non-entry in european phase |
Ref document number: 21731215 Country of ref document: EP Kind code of ref document: A1 |













































