WO2016005276A1 - Process for preparing fluorinated iminopyridine compounds - Google Patents
Process for preparing fluorinated iminopyridine compounds Download PDFInfo
- Publication number
- WO2016005276A1 WO2016005276A1 PCT/EP2015/065169 EP2015065169W WO2016005276A1 WO 2016005276 A1 WO2016005276 A1 WO 2016005276A1 EP 2015065169 W EP2015065169 W EP 2015065169W WO 2016005276 A1 WO2016005276 A1 WO 2016005276A1
- Authority
- WO
- WIPO (PCT)
- Prior art keywords
- group
- formula
- compound
- alkyl
- iii
- Prior art date
- Legal status (The legal status is an assumption and is not a legal conclusion. Google has not performed a legal analysis and makes no representation as to the accuracy of the status listed.)
- Ceased
Links
Classifications
-
- C—CHEMISTRY; METALLURGY
- C07—ORGANIC CHEMISTRY
- C07D—HETEROCYCLIC COMPOUNDS
- C07D213/00—Heterocyclic compounds containing six-membered rings, not condensed with other rings, with one nitrogen atom as the only ring hetero atom and three or more double bonds between ring members or between ring members and non-ring members
- C07D213/02—Heterocyclic compounds containing six-membered rings, not condensed with other rings, with one nitrogen atom as the only ring hetero atom and three or more double bonds between ring members or between ring members and non-ring members having three double bonds between ring members or between ring members and non-ring members
- C07D213/04—Heterocyclic compounds containing six-membered rings, not condensed with other rings, with one nitrogen atom as the only ring hetero atom and three or more double bonds between ring members or between ring members and non-ring members having three double bonds between ring members or between ring members and non-ring members having no bond between the ring nitrogen atom and a non-ring member or having only hydrogen or carbon atoms directly attached to the ring nitrogen atom
- C07D213/60—Heterocyclic compounds containing six-membered rings, not condensed with other rings, with one nitrogen atom as the only ring hetero atom and three or more double bonds between ring members or between ring members and non-ring members having three double bonds between ring members or between ring members and non-ring members having no bond between the ring nitrogen atom and a non-ring member or having only hydrogen or carbon atoms directly attached to the ring nitrogen atom with hetero atoms or with carbon atoms having three bonds to hetero atoms with at the most one bond to halogen, e.g. ester or nitrile radicals, directly attached to ring carbon atoms
- C07D213/72—Nitrogen atoms
- C07D213/75—Amino or imino radicals, acylated by carboxylic or carbonic acids, or by sulfur or nitrogen analogues thereof, e.g. carbamates
-
- C—CHEMISTRY; METALLURGY
- C07—ORGANIC CHEMISTRY
- C07D—HETEROCYCLIC COMPOUNDS
- C07D401/00—Heterocyclic compounds containing two or more hetero rings, having nitrogen atoms as the only ring hetero atoms, at least one ring being a six-membered ring with only one nitrogen atom
- C07D401/02—Heterocyclic compounds containing two or more hetero rings, having nitrogen atoms as the only ring hetero atoms, at least one ring being a six-membered ring with only one nitrogen atom containing two hetero rings
- C07D401/06—Heterocyclic compounds containing two or more hetero rings, having nitrogen atoms as the only ring hetero atoms, at least one ring being a six-membered ring with only one nitrogen atom containing two hetero rings linked by a carbon chain containing only aliphatic carbon atoms
Definitions
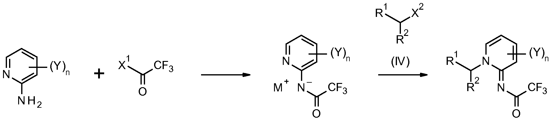
- the present invention discloses the efficient preparation of alkali metal azanide salts of N-pyridyl- trifluoroacetamide derivatives from readily available starting materials and their reaction with alkylating agents to prepare iminopyridine compounds.
- Iminopyridine derivatives containing a trifluoroacetamide group have proven to be useful pest control agents (DE 3639877 Al, EP 2633756 Al).
- Trifluoroacetylated derivatives of 2-aminopyridine are important and versatile intermediates in the preparation of these pest control agents (WO 2013/031671 Al).
- the tri- fluoroacetyl-residue in such compounds is generally introduced via acylation of a derivative of 2- aminopyridine with trifluoroacetic anhydride in the presence of an amine base to give a neutral derivative (EP 1820504 Al).
- This procedure suffers from moderate yields (70-80%) and the use of an expensive acyl- ating agent.
- This procedure is also inefficient, since the anhydride contains two valuable CF3-acetate residues, of which one is then lost as an acetate salt after the reaction as waste.
- Esters of trifluoroacetic acid are attractive sources of the trifluoroacetate group, since they are more active in amidation reactions than the corresponding acid and easier to handle than the acid chloride.
- Unfortunately, reported examples of reactions with these esters are not yet efficient enough for use in large-scale, technical production since acceptable yields are only available using a wasteful excess of the ester in the presence of a dipolar, aprotic solvent like DMF (WO 2013/031671 Al, EP 2631235 A2).
- Such solvents are expensive and difficult to recycle, leading to high disposal costs. Furthermore these solvents are becoming decreasingly appropriate for use in commercial productions because of tightening regulatory restrictions.
- the first step of the process according to the present invention is a surprisingly straightforward synthesis of the previously unreported azanide salts of formula (III) in the presence of an alcohol-derived base of formula (VI) starting from 2-aminopyridine derivatives of formula (I) and esters of trifluoroacetic acid of formula (II), both of which are readily available and easily handled.
- X 1 is OR 3 ;
- n O
- the second step of the process according to the present invention alkylation of the azanide salts of formula (III) with compounds of formula (IV), proceeds in the absence of added base, and smoothly leads to the desired compounds of formula (V) in high yield without generating large amounts of waste.
- Compounds of formula (IV) can be acquired either commercially or by preparation according to literature procedures (e.g., EP 0 421 210 A2, US 5756497, WO 2014/057078 Al).
- R 1 is selected from the group consisting of hydrogen and G-6 alkyl
- X 2 is halogen; is hydrogen; is scaffolds of formula (Vni) where # marks its attachment point wherein
- reaction stoichiometry between compounds of formulae (I) and compounds of formulae (II), as well as the stoichiometry between compounds of formulae (I) and compounds of formulae (VI), may range from 0.1 equiv. to 5 equiv., although a range from 0.5-1.5 equiv. is preferred.
- the reaction may be carried out between 0.1 bar and 10 bar pressure, and is preferably carried out between 0.8 bar and 1.2 bar.
- acylation and alkylation steps can be carried out in a convenient tandem operation, allowing an efficient and rapid access to the desired compounds of formula (V), c.f. Example 3.
- the present invention is illustrated in detail by the following examples, although the examples should not be interpreted in a manner that restricts the invention.
Landscapes
- Chemical & Material Sciences (AREA)
- Organic Chemistry (AREA)
- Pyridine Compounds (AREA)
Abstract
The present invention discloses the efficient preparation of alkali metal azanide salts of N-pyridyl-trifluoroacetamide derivatives from readilyavailable starting materialsand their reaction with alkylating agents to prepare iminopyridine compounds.
Description
Process for preparing fluorinated iminopyridine compounds
The present invention discloses the efficient preparation of alkali metal azanide salts of N-pyridyl- trifluoroacetamide derivatives from readily available starting materials and their reaction with alkylating agents to prepare iminopyridine compounds. Iminopyridine derivatives containing a trifluoroacetamide group have proven to be useful pest control agents (DE 3639877 Al, EP 2633756 Al). Trifluoroacetylated derivatives of 2-aminopyridine are important and versatile intermediates in the preparation of these pest control agents (WO 2013/031671 Al). The tri- fluoroacetyl-residue in such compounds is generally introduced via acylation of a derivative of 2- aminopyridine with trifluoroacetic anhydride in the presence of an amine base to give a neutral derivative (EP 1820504 Al). This procedure suffers from moderate yields (70-80%) and the use of an expensive acyl- ating agent. This procedure is also inefficient, since the anhydride contains two valuable CF3-acetate residues, of which one is then lost as an acetate salt after the reaction as waste.
While CF3CO2H and CF3COCI are more effective sources of the CF3-acetate group, amidation with these reagents is more complicated than with the anhydride: the acid needs to be activated with another reagent before amide coupling, and the acid chloride is a corrosive gas at room temperature.
Esters of trifluoroacetic acid are attractive sources of the trifluoroacetate group, since they are more active in amidation reactions than the corresponding acid and easier to handle than the acid chloride. Unfortunately, reported examples of reactions with these esters are not yet efficient enough for use in large-scale, technical production since acceptable yields are only available using a wasteful excess of the ester in the presence of a dipolar, aprotic solvent like DMF (WO 2013/031671 Al, EP 2631235 A2). Such solvents are expensive and difficult to recycle, leading to high disposal costs. Furthermore these solvents are becoming decreasingly appropriate for use in commercial productions because of tightening regulatory restrictions.
Subsequent alk lation of these neutral, acylated intermediates then proceeds with modest yields by treatment with an appropriate electrophile (e.g., 2-chloro-5-(chloromethyl)pyridine) and a super-stoichiometric amount of added base (WO 2013/031671 Al).
The present invention discloses the efficient preparation of alkali metal azanide salts of N-pyridyl- trifluoroacetamide derivatives of formula (III) from readily available starting materials of formulae (I) and (II), and the subsequent reaction of these salts with alkylating agents of formula (IV) to prepare compounds of formula (V).
(I) (II) (in) (V)
The first step of the process according to the present invention is a surprisingly straightforward synthesis of the previously unreported azanide salts of formula (III) in the presence of an alcohol-derived base of formula (VI) starting from 2-aminopyridine derivatives of formula (I) and esters of trifluoroacetic acid of formula (II), both of which are readily available and easily handled.
(I) (II) (ill) wherein
Y is selected from the group consisting of halogen, Ci-6 alkyl and Ci-6 alkoxy; n is chosen from 0, 1 and 2; X1 is selected from the group consisting of OR3 and SR3;
R3 is selected from the group consisting of Ci-8 alkyl (which may be branched and/or contain ether, thi- oether, ester, alcohol, ketone, nitrile or amide groups), phenyl (which may be substituted with a Ci-8 alkyl group, halogens, or nitro groups), a 2-pyridyl group (which may be substituted with Ci-4 alkyl groups or halogens), a succinimidyl group, a benzotriazole group, a 7-azabenzotriazole group, an NN'-phosphoryl(bis(l ,3 -oxazolidin-2-one) group, or a tri(pyrrolidin- 1 -yl)phosphonium group;
R4 is C 1-8 alkyl (which may be branched), -(CH2)n-OH (n = 2-4), or -(CH2)n-OCH3 (n = 2-4);
M is an alkali metal, such as Li, Na or K.
In a preferred embodiment
Y is a halogen atom selected from the group consisting of F, CI, Br, and I; n is chosen from 0 and 1 ;
X1 is OR3;
R3 is Ci-8 alkyl (which may be branched); R4 is Ci-8 alkyl (which may be branched); M is an alkali metal, such as Na or K. In an especially preferred embodiment
n is O; is OR3; is CM alkyl (which may be branched); is CM alkyl (which may be branched);
M is an alkali metal, such as Na or K.
In another especially preferred embodiment n is O;
X1 is OR3;
R3 is CM alkyl (which may be branched); R4 is CM alkyl (which may be branched); M is Na.
This high yielding process occurs at ambient temperatures in common, inexpensive organic solvents that are easily recycled, and introduces the trifluoroacetyl residue in an efficient manner without the need for special activation agents or corrosive, gaseous reagents. Depending on the reaction medium chosen for the preparation, the product is isolated after reaction either by filtration or by removal of the solvents.
The second step of the process according to the present invention, alkylation of the azanide salts of formula (III) with compounds of formula (IV), proceeds in the absence of added base, and smoothly leads to the desired compounds of formula (V) in high yield without generating large amounts of waste. Compounds of formula (IV) can be acquired either commercially or by preparation according to literature procedures (e.g., EP 0 421 210 A2, US 5756497, WO 2014/057078 Al).
(ill) (iv) (V)
Wherein Y, n and M have the same definitions as provided above for the compounds of formula (III);
X2 is selected from the group consisting of halogen and sulfonate (e.g., mesylate, tolsylate, triflate, no- naflate) groups;
R1 is selected from the group consisting of hydrogen, Ci-6 alkyl, Ci-6haloalkyl, phenyl, pyridyl; R2 is selected from the group of following scaffolds where # marks its attachment point
A is CH or N;
Z is independently selected from the group consisting of F, CI, Br, I, and CF3; m is 0, 1 or 2.
In a preferred embodiment of the invention Y, n and M have the same definitions as above in the preferred embodiment of the first step of the process;
X2 is halogen, in particular F, CI, Br, or I;
R1 is selected from the group consisting of hydrogen and G-6 alkyl;
R2 is selected from the group of scaffolds of formulae (VII) and (Vffl) where # marks its attachment point wherein
A is N;
Z is independently selected from the group consisting of F, CI, Br, I and CF3; m is 1 or 2.
In an especially preferred embodiment of the invention Y, n and M have the same definitions as above in the especially preferred embodiments of the first step of the process;
X2 is halogen;
is hydrogen; is scaffolds of formula (Vni) where # marks its attachment point wherein
A is N;
Z is selected from the group consisting of F, CI and Br; m is 1.
Depending of the nature of the substituents, the compounds of formula (V) may be present as geometrical isomers, e.g. as indicated in the following formula with regard to the N-C(0)-bond:
o
The present invention includes such isomeric forms. For the sake of clarity in the text, only one of such potential isomers is shown for compounds of formula (V).
The acylation reaction between a compound of formula (I) and a compound of formula (II) in the presence of a compound of formula (VI) may be performed neat or in the presence of a solvent. In reactions where a solvent is used, solvents such as amides (e.g., DMF, DMAC), nitriles (e.g., MeCN, PrCN), alcohols (e.g., MeOH, (z)-PrOH, (n)-BuOH), ethers (e.g., Et20, 2-methyltetrahydrofuran, THF, MTBE), esters (e.g., EtOAc, BuOAc), aromatic hydrocarbons or halogenated derivatives thereof (e.g., toluene, xylene, chloro- benzene), hydrocarbons or halogenated derivatives thereof (e.g., methylcyclohexane, dichloromethane, di- chloroethane), sulfoxides (e.g., dimethylsulfoxide, sulfolane), or ketones (e.g., acetone, methylisobutylke- tone) may be used either singly or as a mixture of two or more thereof. The use of nitriles, ethers, or mix- tures thereof with aromatic hydrocarbons is preferred.
The reaction stoichiometry between compounds of formulae (I) and compounds of formulae (II), as well as the stoichiometry between compounds of formulae (I) and compounds of formulae (VI), may range from 0.1 equiv. to 5 equiv., although a range from 0.5-1.5 equiv. is preferred.
The reaction may be carried out between -30 °C and 150 °C, and is preferably carried out between 20 °C and 60 °C.
The reaction may be carried out between 0.1 bar and 10 bar pressure, and is preferably carried out between 0.8 bar and 1.2 bar.
The alkylation reaction between compounds of formulae (III) and (IV) may be performed neat or in the presence of a solvent. In reactions where a solvent is used, solvents such as amides (e.g., DMF, DMAC), nitriles (e.g., MeCN, PrCN), alcohols (e.g., MeOH, (z)-PrOH, (n)-BuOH), ethers (e.g., Et20, 2- methyltetrahydrofuran, THF, MTBE), esters (e.g., EtOAc, BuOAc), aromatic hydrocarbons or halogenated derivatives thereof (e.g., toluene, xylene, chlorobenzene, pyridine, 2-chloropyridine, 3-methylpyridine, 2- chloro-5-methylpyridine), hydrocarbons or halogenated derivatives thereof (e.g., methylcyclohexane, di- chloromethane, dichloroethane), sulfoxides (e.g., dimethylsulfoxide, sulfolane), ketones (e.g., acetone, me- thylisobutylketone), or water may be used either singly or as a mixture of two or more thereof. The use of nitriles, ethers, or mixtures thereof with aromatic hydrocarbons is preferred.
The reaction stoichiometry between compounds of formulae (III) and (IV) may range from 0.1 equiv. to 4 equiv., although a range from 0.5-1.5 equiv. is preferred.
The reaction may be carried out between 0 °C and 150 °C, and is preferably carried out between 20 °C and 80 °C.
The reaction may be carried out between 0.1 bar and 10 bar pressure, and is preferably carried out between 0.8 bar and 1.2 bar.
Furthermore, the acylation and alkylation steps can be carried out in a convenient tandem operation, allowing an efficient and rapid access to the desired compounds of formula (V), c.f. Example 3. The present invention is illustrated in detail by the following examples, although the examples should not be interpreted in a manner that restricts the invention.
Examples:
Example 1: Preparation of sodium pyridin-2-yl(trifluoroacetyl)azanide
50.0 g 2-aminopyridine and 81.6 g methyl trifluoroacetate were dissolved in 150 mL toluene. 95.7 g Na- OMe (30 % in MeOH) were added dropwise at room temperature. The reaction mixture was stirred for 2 h at room temperature and concentrated under reduced pressure to give 111.2 g of sodium pyridin-2- yl(trifluoroacetyl)azanide as an off-white solid in 94.8 % yield and 96.1 % purity. fZ-NMR (600 MHz, DMSO-Λ): δ = 8.17 (dd, 1H), 7.53-7.47 (m, 2H), 6.75 (m, 1H).
Example 2: Preparation of A-[(2£')-l-[(6-chloropyridin-3-yl)methyl]pyridin-2(l/ )-ylidene]-2^^- trifluoroacetamide
11.3 g sodium pyridin-2-yl(trifluoroacetyl)azanide were suspended in a solution of 8.1 g 2-chloro-5- (chloromethyl)pyridine in 15 mL acetonitrile at room temperature. The reaction mixture was stirred for 18 h at 50 °C. After this time 75 mL ¾0 were added at room temperature and the product was filtered off, washed with water, and dried under reduced pressure. Following this procedure 14.2 g N-[(2£)-l -[(6- chloropyridin-3-yl)methyl]pyridin-2(lH)-ylidene]-2,2,2-trifluoroacetamide could be isolated in 88.5 % yield and 97.9 % purity.
!H-NMR (600 MHz, DMSO- 6) δ = 8.71 (dd, 1H), 8.53 (d, 1H), 8.32 (dd, 1H), 8.08 (m, 1H), 7.88 (dd, 1H), 7.53 (d, 1H), 7.21 (m, 1H), 5.61 (s, 2H).
Example 3: Preparation of A-[(2£')-l-[(6-chloropyridin-3-yl)methyl]pyridin-2(l/ )-ylidene]-2^^- trifluoroacetamide following a one-pot procedure
5.0 g 2-aminopyridine, 8.2 g methyl trifluoroacetate and 8.6 g 2-chloro-5-(chloromethyl)pyridine were dissolved in 15 mL acetonitrile. 11.5 g NaOMe (30 % in MeOH) were added dropwise at room temperature and the reaction mixture was stirred for 18 h at 50 °C. After this time 75 mL ¾0 were added at room tem- perature and the product was filtered off, washed with water and dried under reduced pressure. Following this procedure 13.5 g N-[(2i?)-l-[(6-chloropyridin-3-yl)methyl]pyridin-2(lH)-ylidene]-2,2,2- trifluoroacetamide could be isolated as an off-white solid in 77.9 % yield and 96.9 % purity. This product gave a ¾ NMR spectrum that was identical to the spectrum obtained from the product in Example 2.
Claims
(V)
in which
Y is selected from the group consisting of halogen, Ci-6 alkyl and Ci-6 alkoxy;
n is chosen from 0, 1 and 2;
R1 is selected from the group consisting of hydrogen, Ci-6 alkyl, Ci-6haloalkyl, phenyl, pyridyl; R2 is selected from the group of following scaffolds where # marks its attacliment point
(VII) (VIII)
wherein
A is CH or N;
Z is independently selected from the group consisting of F, CI, Br, I, CF3;
m is 0, 1 or 2,
(III)
in which M is an alkali metal, and Y and n have the meanings given above, is reacted with a compound of formula (IV)
(IV)
wherein
X2 is selected from the group consisting of halogen and sulfonate groups; and R1 and R2 have the meanings given above,
optionally in the presence of a solvent.
(III)
wherein a compound of formula (I)
N H 2
(I) in which
Y, and n are defined as in claim 1, is reacted with a compound of formula (II)
X^CF3
O
(II) in which
X1 is selected from the group consisting of OR3 and SR3;
R3 is selected from the group consisting of Ci-8 alkyl (which may be branched and/or contain ether, thioether, ester, alcohol, ketone, nitrile or amide groups), phenyl (which may be substituted with a Ci-s alkyl group, halogens, or nitro groups), a 2-pyridyl group (which may be substituted with Ci-4 alkyl groups or halogens), a succinimidyl group, a benzotriazole group, a 7-azabenzotriazole group, an N,N'-phosphoryl(bis(l ,
3-oxazolidin-2-one) group, or a tri(pyrrolidin-l -yl)-phosphonium group; in the presence of a compound of formula (VI)
R— OM
(VI) in which
R4 is Ci-g alkyl (which may be branched), -(CH2)n-OH (n = 2-4), or -(CH2)n-OCH3 (n = 2-4) and M is defined as in claim 1 , optionally in the presence of a solvent.
Process for the preparation of a compound of formula (V)
(V) in which
Y, n, Pv1 and R2 are defined as in claim I, wherein a compound of formula (I)
N H 2
(I) in which
X1 is defined as in claim 2, in the presence of a compound of formula (VI)
R— OM
(VI)
in which
R4 and M are defined as in claim 2,
(IV)
wherein
R1 and R2 are defined as above and
X2 is defined as in claim I,
optionally in the presence of a solvent.
4. A compound of formula (III)
(III)
in which M, Y, and n are defined as in claim 1.
Applications Claiming Priority (2)
| Application Number | Priority Date | Filing Date | Title |
|---|---|---|---|
| EP14175971 | 2014-07-07 | ||
| EP14175971.2 | 2014-07-07 |
Publications (1)
| Publication Number | Publication Date |
|---|---|
| WO2016005276A1 true WO2016005276A1 (en) | 2016-01-14 |
Family
ID=51063340
Family Applications (1)
| Application Number | Title | Priority Date | Filing Date |
|---|---|---|---|
| PCT/EP2015/065169 Ceased WO2016005276A1 (en) | 2014-07-07 | 2015-07-03 | Process for preparing fluorinated iminopyridine compounds |
Country Status (2)
| Country | Link |
|---|---|
| TW (1) | TW201613866A (en) |
| WO (1) | WO2016005276A1 (en) |
Cited By (104)
| Publication number | Priority date | Publication date | Assignee | Title |
|---|---|---|---|---|
| EP3284739A1 (en) | 2017-07-19 | 2018-02-21 | Bayer CropScience Aktiengesellschaft | Substituted (het) aryl compounds as pesticides |
| WO2018052115A1 (en) | 2016-09-16 | 2018-03-22 | Meiji Seikaファルマ株式会社 | Optimized production method for pest control agent |
| WO2018087036A1 (en) | 2016-11-11 | 2018-05-17 | Bayer Animal Health Gmbh | New anthelmintic quinoline-3-carboxamide derivatives |
| WO2018108791A1 (en) | 2016-12-16 | 2018-06-21 | Bayer Cropscience Aktiengesellschaft | Thiadiazole derivatives as pesticides |
| WO2018197692A1 (en) | 2017-04-27 | 2018-11-01 | Bayer Aktiengesellschaft | Heteroarylphenylaminoquinolines and analogues |
| WO2018202712A1 (en) | 2017-05-03 | 2018-11-08 | Bayer Aktiengesellschaft | Trisubstitutedsilylmethylphenoxyquinolines and analogues |
| WO2018202706A1 (en) | 2017-05-03 | 2018-11-08 | Bayer Aktiengesellschaft | Trisubstitutedsilylheteroaryloxyquinolines and analogues |
| WO2018202715A1 (en) | 2017-05-03 | 2018-11-08 | Bayer Aktiengesellschaft | Trisubstitutedsilylbenzylbenzimidazoles and analogues |
| WO2019002132A1 (en) | 2017-06-30 | 2019-01-03 | Bayer Animal Health Gmbh | New azaquinoline derivatives |
| WO2019025341A1 (en) | 2017-08-04 | 2019-02-07 | Bayer Animal Health Gmbh | Quinoline derivatives for treating infections with helminths |
| WO2019035881A1 (en) | 2017-08-17 | 2019-02-21 | Bayer Cropscience Lp | Liquid fertilizer-dispersible compositions and methods thereof |
| WO2019038195A1 (en) | 2017-08-22 | 2019-02-28 | Bayer Aktiengesellschaft | HETEROCYCLEN DERIVATIVES AS PESTICIDES |
| WO2019068572A1 (en) | 2017-10-04 | 2019-04-11 | Bayer Aktiengesellschaft | HETEROCYCLEN DERIVATIVES AS PESTICIDES |
| EP3473100A1 (en) | 2017-10-18 | 2019-04-24 | Bayer Aktiengesellschaft | Active compound combinations having insecticidal/acaricidal properties |
| WO2019076754A1 (en) | 2017-10-18 | 2019-04-25 | Bayer Aktiengesellschaft | Active compound combinations having insecticidal/acaricidal properties |
| WO2019076750A1 (en) | 2017-10-18 | 2019-04-25 | Bayer Aktiengesellschaft | Active compound combinations having insecticidal/acaricidal properties |
| WO2019076752A1 (en) | 2017-10-18 | 2019-04-25 | Bayer Aktiengesellschaft | Active compound combinations having insecticidal/acaricidal properties |
| WO2019076751A1 (en) | 2017-10-18 | 2019-04-25 | Bayer Aktiengesellschaft | Active compound combinations having insecticidal/acaricidal properties |
| WO2019076749A1 (en) | 2017-10-18 | 2019-04-25 | Bayer Aktiengesellschaft | Active compound combinations having insecticidal/acaricidal properties |
| WO2019092086A1 (en) | 2017-11-13 | 2019-05-16 | Bayer Aktiengesellschaft | Tetrazolylpropyl derivatives and their use as fungicides |
| WO2019105875A1 (en) | 2017-11-28 | 2019-06-06 | Bayer Aktiengesellschaft | Heterocyclic compounds as pesticides |
| WO2019122319A1 (en) | 2017-12-21 | 2019-06-27 | Bayer Aktiengesellschaft | Trisubstitutedsilylmethylheteroaryloxyquinolines and analogues |
| WO2019155066A1 (en) | 2018-02-12 | 2019-08-15 | Bayer Aktiengesellschaft | Fungicidal oxadiazoles |
| WO2019162228A1 (en) | 2018-02-21 | 2019-08-29 | Bayer Aktiengesellschaft | 1-(5-substituted imidazol-1-yl)but-3-en derivatives and their use as fungicides |
| WO2019162174A1 (en) | 2018-02-21 | 2019-08-29 | Bayer Aktiengesellschaft | Condensed bicyclic heterocyclic derivatives as pest control agents |
| WO2019175046A1 (en) | 2018-03-12 | 2019-09-19 | Bayer Aktiengesellschaft | Condensed bicyclic heterocyclic derivatives as pest control agents |
| WO2019197371A1 (en) | 2018-04-10 | 2019-10-17 | Bayer Aktiengesellschaft | Oxadiazoline derivatives |
| WO2019197623A1 (en) | 2018-04-13 | 2019-10-17 | Bayer Aktiengesellschaft | Active ingredient combinations with insecticidal, fungicidal and acaricidal properties |
| WO2019197615A1 (en) | 2018-04-13 | 2019-10-17 | Bayer Aktiengesellschaft | Active ingredient combinations with fungicides, insecticides and acaricidal properties |
| WO2019201921A1 (en) | 2018-04-20 | 2019-10-24 | Bayer Aktiengesellschaft | Heterocyclene derivatives as pest control agents |
| WO2019201835A1 (en) | 2018-04-17 | 2019-10-24 | Bayer Aktiengesellschaft | Heteroaryl-triazole and heteroaryl-tetrazole compounds as pesticides |
| WO2019202077A1 (en) | 2018-04-20 | 2019-10-24 | Bayer Aktiengesellschaft | Heteroaryl-triazole and heteroaryl-tetrazole compounds as pesticides |
| WO2019215182A1 (en) | 2018-05-09 | 2019-11-14 | Bayer Animal Health Gmbh | New quinoline derivatives |
| WO2019224143A1 (en) | 2018-05-24 | 2019-11-28 | Bayer Aktiengesellschaft | Active ingredient combinations with insecticidal, nematicidal and acaricidal properties |
| WO2020005678A1 (en) | 2018-06-25 | 2020-01-02 | Bayer Cropscience Lp | Seed treatment method |
| WO2020007904A1 (en) | 2018-07-05 | 2020-01-09 | Bayer Aktiengesellschaft | Substituted thiophenecarboxamides and analogues as antibacterials agents |
| WO2020020816A1 (en) | 2018-07-26 | 2020-01-30 | Bayer Aktiengesellschaft | Novel triazole derivatives |
| WO2020020813A1 (en) | 2018-07-25 | 2020-01-30 | Bayer Aktiengesellschaft | Fungicidal active compound combinations |
| EP3620052A1 (en) | 2018-12-12 | 2020-03-11 | Bayer Aktiengesellschaft | Use of phenoxypyridinyl-substituted (1h-1,2,4-triazol-1-yl)alcohols for controlling fungicidal diseases in maize |
| WO2020053282A1 (en) | 2018-09-13 | 2020-03-19 | Bayer Aktiengesellschaft | Heterocyclene derivatives as pest control agents |
| WO2020057939A1 (en) | 2018-09-17 | 2020-03-26 | Bayer Aktiengesellschaft | Use of the fungicide isoflucypram for controlling claviceps purpurea and reducing sclerotia in cereals |
| WO2020070050A1 (en) | 2018-10-01 | 2020-04-09 | Bayer Aktiengesellschaft | Fungicidal 5-substituted imidazol-1-yl carbinol derivatives |
| WO2020079232A1 (en) | 2018-10-20 | 2020-04-23 | Bayer Aktiengesellschaft | Oxetanylphenoxyquinolines and analogues |
| WO2020079167A1 (en) | 2018-10-18 | 2020-04-23 | Bayer Aktiengesellschaft | Heteroarylaminoquinolines and analogues |
| WO2020079173A1 (en) | 2018-10-18 | 2020-04-23 | Bayer Aktiengesellschaft | Pyridylphenylaminoquinolines and analogues |
| EP3643711A1 (en) | 2018-10-24 | 2020-04-29 | Bayer Animal Health GmbH | New anthelmintic compounds |
| WO2020109391A1 (en) | 2018-11-28 | 2020-06-04 | Bayer Aktiengesellschaft | Pyridazine (thio)amides as fungicidal compounds |
| EP3669652A1 (en) | 2018-12-21 | 2020-06-24 | Bayer AG | Active compound combination |
| WO2020127780A1 (en) | 2018-12-20 | 2020-06-25 | Bayer Aktiengesellschaft | Heterocyclyl pyridazine as fungicidal compounds |
| WO2020126980A1 (en) | 2018-12-18 | 2020-06-25 | Bayer Aktiengesellschaft | Active compound combinations having insecticidal/acaricidal properties |
| WO2020127974A1 (en) | 2018-12-21 | 2020-06-25 | Bayer Aktiengesellschaft | 1,3,4-oxadiazoles and their derivatives as new antifungal agents |
| EP3679789A1 (en) | 2019-01-08 | 2020-07-15 | Bayer AG | Active compound combinations |
| EP3679791A1 (en) | 2019-01-08 | 2020-07-15 | Bayer AG | Active compound combinations |
| EP3679793A1 (en) | 2019-01-08 | 2020-07-15 | Bayer AG | Active compound combinations |
| EP3679790A1 (en) | 2019-01-08 | 2020-07-15 | Bayer AG | Active compound combinations |
| EP3679792A1 (en) | 2019-01-08 | 2020-07-15 | Bayer AG | Active compound combinations |
| WO2020178307A1 (en) | 2019-03-05 | 2020-09-10 | Bayer Aktiengesellschaft | Active compound combination |
| WO2020178067A1 (en) | 2019-03-01 | 2020-09-10 | Bayer Aktiengesellschaft | Active compound combinations having insecticidal/acaricidal properties |
| EP3708565A1 (en) | 2020-03-04 | 2020-09-16 | Bayer AG | Pyrimidinyloxyphenylamidines and the use thereof as fungicides |
| WO2020182929A1 (en) | 2019-03-13 | 2020-09-17 | Bayer Aktiengesellschaft | Substituted ureas and derivatives as new antifungal agents |
| WO2020187656A1 (en) | 2019-03-15 | 2020-09-24 | Bayer Aktiengesellschaft | Active compound combinations having insecticidal/acaricidal properties |
| WO2020231751A1 (en) | 2019-05-10 | 2020-11-19 | Bayer Cropscience Lp | Active compound combinations |
| WO2020254490A1 (en) | 2019-06-21 | 2020-12-24 | Bayer Aktiengesellschaft | Phenoxyphenyl hydroxyisoxazolines and analogues as new antifungal agents |
| WO2020254488A1 (en) | 2019-06-21 | 2020-12-24 | Bayer Aktiengesellschaft | Hydroxyisoxazolines and use thereof as fungicides |
| WO2020254494A1 (en) | 2019-06-21 | 2020-12-24 | Bayer Aktiengesellschaft | Fungicidal oxadiazoles |
| WO2020254493A1 (en) | 2019-06-21 | 2020-12-24 | Bayer Aktiengesellschaft | Thienylhydroxyisoxazolines and derivatives thereof |
| WO2020254492A1 (en) | 2019-06-21 | 2020-12-24 | Bayer Aktiengesellschaft | Hydroxyisoxazolines and derivatives thereof |
| WO2020254487A1 (en) | 2019-06-21 | 2020-12-24 | Bayer Aktiengesellschaft | Hydroxyisoxazolines and derivatives thereof |
| WO2020254486A1 (en) | 2019-06-21 | 2020-12-24 | Bayer Aktiengesellschaft | Hydroxyisoxazolines and derivatives thereof |
| WO2020254489A1 (en) | 2019-06-21 | 2020-12-24 | Bayer Aktiengesellschaft | Benzylphenyl hydroxyisoxazolines and analogues as new antifungal agents |
| WO2021001331A1 (en) | 2019-07-03 | 2021-01-07 | Bayer Aktiengesellschaft | Substituted thiophene carboxamides and derivatives thereof as microbicides |
| WO2021018839A1 (en) | 2019-07-30 | 2021-02-04 | Bayer Animal Health Gmbh | Isoquinoline derivatives and their use for the treatment of parasitic infections |
| WO2021123051A1 (en) | 2019-12-20 | 2021-06-24 | Bayer Aktiengesellschaft | Substituted thiophene carboxamides, thiophene carboxylic acids and derivatives thereof |
| WO2021122986A1 (en) | 2019-12-20 | 2021-06-24 | Bayer Aktiengesellschaft | Thienyloxazolones and analogues |
| WO2021204930A1 (en) | 2020-04-09 | 2021-10-14 | Bayer Animal Health Gmbh | Substituted condensed azines as anthelmintic compounds |
| WO2021209366A1 (en) | 2020-04-16 | 2021-10-21 | Bayer Aktiengesellschaft | Active compound combinations and fungicide compositions comprising those |
| WO2021209363A1 (en) | 2020-04-16 | 2021-10-21 | Bayer Aktiengesellschaft | Active compound combinations and fungicide compositions comprising those |
| WO2021209368A1 (en) | 2020-04-16 | 2021-10-21 | Bayer Aktiengesellschaft | Active compound combinations and fungicide compositions comprising those |
| WO2021209365A1 (en) | 2020-04-16 | 2021-10-21 | Bayer Aktiengesellschaft | Active compound combinations and fungicide compositions comprising those |
| WO2021209364A1 (en) | 2020-04-16 | 2021-10-21 | Bayer Aktiengesellschaft | Active compound combinations and fungicide compositions comprising those |
| WO2021209490A1 (en) | 2020-04-16 | 2021-10-21 | Bayer Aktiengesellschaft | Cyclaminephenylaminoquinolines as fungicides |
| WO2021224220A1 (en) | 2020-05-06 | 2021-11-11 | Bayer Aktiengesellschaft | Pyridine (thio)amides as fungicidal compounds |
| WO2021228734A1 (en) | 2020-05-12 | 2021-11-18 | Bayer Aktiengesellschaft | Triazine and pyrimidine (thio)amides as fungicidal compounds |
| WO2021233861A1 (en) | 2020-05-19 | 2021-11-25 | Bayer Aktiengesellschaft | Azabicyclic(thio)amides as fungicidal compounds |
| EP3915371A1 (en) | 2020-11-04 | 2021-12-01 | Bayer AG | Active compound combinations and fungicide compositions comprising those |
| EP3915971A1 (en) | 2020-12-16 | 2021-12-01 | Bayer Aktiengesellschaft | Phenyl-s(o)n-phenylamidines and the use thereof as fungicides |
| WO2021245087A1 (en) | 2020-06-04 | 2021-12-09 | Bayer Aktiengesellschaft | Heterocyclyl pyrimidines and triazines as novel fungicides |
| WO2021249995A1 (en) | 2020-06-10 | 2021-12-16 | Bayer Aktiengesellschaft | Azabicyclyl-substituted heterocycles as fungicides |
| WO2021255091A1 (en) | 2020-06-19 | 2021-12-23 | Bayer Aktiengesellschaft | 1,3,4-oxadiazoles and their derivatives as fungicides |
| WO2021255170A1 (en) | 2020-06-19 | 2021-12-23 | Bayer Aktiengesellschaft | 1,3,4-oxadiazole pyrimidines as fungicides |
| WO2021255169A1 (en) | 2020-06-19 | 2021-12-23 | Bayer Aktiengesellschaft | 1,3,4-oxadiazole pyrimidines as fungicides |
| WO2021255089A1 (en) | 2020-06-19 | 2021-12-23 | Bayer Aktiengesellschaft | 1,3,4-oxadiazole pyrimidines and 1,3,4-oxadiazole pyridines as fungicides |
| WO2021255071A1 (en) | 2020-06-18 | 2021-12-23 | Bayer Aktiengesellschaft | 3-(pyridazin-4-yl)-5,6-dihydro-4h-1,2,4-oxadiazine derivatives as fungicides for crop protection |
| WO2022058327A1 (en) | 2020-09-15 | 2022-03-24 | Bayer Aktiengesellschaft | Substituted ureas and derivatives as new antifungal agents |
| WO2022129196A1 (en) | 2020-12-18 | 2022-06-23 | Bayer Aktiengesellschaft | Heterobicycle substituted 1,2,4-oxadiazoles as fungicides |
| WO2022129188A1 (en) | 2020-12-18 | 2022-06-23 | Bayer Aktiengesellschaft | 1,2,4-oxadiazol-3-yl pyrimidines as fungicides |
| WO2022129190A1 (en) | 2020-12-18 | 2022-06-23 | Bayer Aktiengesellschaft | (hetero)aryl substituted 1,2,4-oxadiazoles as fungicides |
| EP4148052A1 (en) | 2021-09-09 | 2023-03-15 | Bayer Animal Health GmbH | New quinoline derivatives |
| WO2023205602A1 (en) | 2022-04-18 | 2023-10-26 | Basf Corporation | High-load agricultural formulations and methods of making same |
| WO2024213752A1 (en) | 2023-04-14 | 2024-10-17 | Elanco Animal Health Gmbh | Long-term prevention and/or treatment of a disease by slo-1 inhibitors |
| WO2025032038A1 (en) | 2023-08-09 | 2025-02-13 | Bayer Aktiengesellschaft | Pyridazin-4-yloxadiazines as novel fungicides |
| WO2025031668A1 (en) | 2023-08-09 | 2025-02-13 | Bayer Aktiengesellschaft | Azaheterobiaryl-substituted 4,5-dihydro-1h-2,4,5-oxadiazines as novel fungicides |
| WO2025078128A1 (en) | 2023-10-11 | 2025-04-17 | Bayer Aktiengesellschaft | Pyridazin-3-one-4-yloxadiazines as novel fungicides |
| WO2025168620A1 (en) | 2024-02-07 | 2025-08-14 | Bayer Aktiengesellschaft | Heteroaryl-substituted 4,5-dihydro-1h-2,4,5-oxadiazines as novel fungicides |
Families Citing this family (1)
| Publication number | Priority date | Publication date | Assignee | Title |
|---|---|---|---|---|
| CN111320573B (en) * | 2018-12-13 | 2022-11-01 | 江苏中旗科技股份有限公司 | Preparation method of pyridylamine compounds |
Citations (3)
| Publication number | Priority date | Publication date | Assignee | Title |
|---|---|---|---|---|
| EP1820504A1 (en) * | 2004-11-15 | 2007-08-22 | Taisho Pharmaceutical Co., Ltd | Imine compound |
| EP2631235A2 (en) * | 2010-08-31 | 2013-08-28 | Meiji Seika Pharma Co., Ltd. | Pest control agent |
| EP2749555A1 (en) * | 2011-08-26 | 2014-07-02 | Meiji Seika Pharma Co., Ltd. | Method for producing pest controlling agent |
-
2015
- 2015-07-03 TW TW104121590A patent/TW201613866A/en unknown
- 2015-07-03 WO PCT/EP2015/065169 patent/WO2016005276A1/en not_active Ceased
Patent Citations (3)
| Publication number | Priority date | Publication date | Assignee | Title |
|---|---|---|---|---|
| EP1820504A1 (en) * | 2004-11-15 | 2007-08-22 | Taisho Pharmaceutical Co., Ltd | Imine compound |
| EP2631235A2 (en) * | 2010-08-31 | 2013-08-28 | Meiji Seika Pharma Co., Ltd. | Pest control agent |
| EP2749555A1 (en) * | 2011-08-26 | 2014-07-02 | Meiji Seika Pharma Co., Ltd. | Method for producing pest controlling agent |
Cited By (123)
| Publication number | Priority date | Publication date | Assignee | Title |
|---|---|---|---|---|
| WO2018052115A1 (en) | 2016-09-16 | 2018-03-22 | Meiji Seikaファルマ株式会社 | Optimized production method for pest control agent |
| CN109715606A (en) * | 2016-09-16 | 2019-05-03 | 明治制果药业株式会社 | Best way to make pest control agents |
| KR20190051952A (en) | 2016-09-16 | 2019-05-15 | 메이지 세이카 파루마 가부시키가이샤 | Optimized manufacturing method of pesticide |
| JPWO2018052115A1 (en) * | 2016-09-16 | 2019-06-27 | Meiji Seikaファルマ株式会社 | Optimized production method of pest control agent |
| US20190270709A1 (en) * | 2016-09-16 | 2019-09-05 | Meiji Seika Pharma Co., Ltd. | Optimized production method for pest control agent |
| CN109715606B (en) * | 2016-09-16 | 2022-05-10 | 株式会社Mmag | Best way to make pest control agents |
| CN114716369A (en) * | 2016-09-16 | 2022-07-08 | 株式会社Mmag | Optimum method for producing pest control agent |
| EP4089075A1 (en) | 2016-09-16 | 2022-11-16 | MMAG Co., Ltd. | Optimized production method for pest control agent |
| WO2018087036A1 (en) | 2016-11-11 | 2018-05-17 | Bayer Animal Health Gmbh | New anthelmintic quinoline-3-carboxamide derivatives |
| US10889573B2 (en) | 2016-11-11 | 2021-01-12 | Bayer Animal Health Gmbh | Anthelmintic quinoline-3-carboxamide derivatives |
| US11505545B2 (en) | 2016-11-11 | 2022-11-22 | Bayer Animal Health Gmbh | Anthelmintic quinoline-3-carboxamide derivatives |
| WO2018108791A1 (en) | 2016-12-16 | 2018-06-21 | Bayer Cropscience Aktiengesellschaft | Thiadiazole derivatives as pesticides |
| WO2018197692A1 (en) | 2017-04-27 | 2018-11-01 | Bayer Aktiengesellschaft | Heteroarylphenylaminoquinolines and analogues |
| WO2018202715A1 (en) | 2017-05-03 | 2018-11-08 | Bayer Aktiengesellschaft | Trisubstitutedsilylbenzylbenzimidazoles and analogues |
| WO2018202706A1 (en) | 2017-05-03 | 2018-11-08 | Bayer Aktiengesellschaft | Trisubstitutedsilylheteroaryloxyquinolines and analogues |
| WO2018202712A1 (en) | 2017-05-03 | 2018-11-08 | Bayer Aktiengesellschaft | Trisubstitutedsilylmethylphenoxyquinolines and analogues |
| WO2019002132A1 (en) | 2017-06-30 | 2019-01-03 | Bayer Animal Health Gmbh | New azaquinoline derivatives |
| EP3284739A1 (en) | 2017-07-19 | 2018-02-21 | Bayer CropScience Aktiengesellschaft | Substituted (het) aryl compounds as pesticides |
| WO2019025341A1 (en) | 2017-08-04 | 2019-02-07 | Bayer Animal Health Gmbh | Quinoline derivatives for treating infections with helminths |
| WO2019035881A1 (en) | 2017-08-17 | 2019-02-21 | Bayer Cropscience Lp | Liquid fertilizer-dispersible compositions and methods thereof |
| WO2019038195A1 (en) | 2017-08-22 | 2019-02-28 | Bayer Aktiengesellschaft | HETEROCYCLEN DERIVATIVES AS PESTICIDES |
| WO2019068572A1 (en) | 2017-10-04 | 2019-04-11 | Bayer Aktiengesellschaft | HETEROCYCLEN DERIVATIVES AS PESTICIDES |
| WO2019076752A1 (en) | 2017-10-18 | 2019-04-25 | Bayer Aktiengesellschaft | Active compound combinations having insecticidal/acaricidal properties |
| WO2019076749A1 (en) | 2017-10-18 | 2019-04-25 | Bayer Aktiengesellschaft | Active compound combinations having insecticidal/acaricidal properties |
| EP3473100A1 (en) | 2017-10-18 | 2019-04-24 | Bayer Aktiengesellschaft | Active compound combinations having insecticidal/acaricidal properties |
| WO2019076754A1 (en) | 2017-10-18 | 2019-04-25 | Bayer Aktiengesellschaft | Active compound combinations having insecticidal/acaricidal properties |
| WO2019076750A1 (en) | 2017-10-18 | 2019-04-25 | Bayer Aktiengesellschaft | Active compound combinations having insecticidal/acaricidal properties |
| WO2019076751A1 (en) | 2017-10-18 | 2019-04-25 | Bayer Aktiengesellschaft | Active compound combinations having insecticidal/acaricidal properties |
| WO2019092086A1 (en) | 2017-11-13 | 2019-05-16 | Bayer Aktiengesellschaft | Tetrazolylpropyl derivatives and their use as fungicides |
| WO2019105875A1 (en) | 2017-11-28 | 2019-06-06 | Bayer Aktiengesellschaft | Heterocyclic compounds as pesticides |
| WO2019122319A1 (en) | 2017-12-21 | 2019-06-27 | Bayer Aktiengesellschaft | Trisubstitutedsilylmethylheteroaryloxyquinolines and analogues |
| WO2019155066A1 (en) | 2018-02-12 | 2019-08-15 | Bayer Aktiengesellschaft | Fungicidal oxadiazoles |
| WO2019162228A1 (en) | 2018-02-21 | 2019-08-29 | Bayer Aktiengesellschaft | 1-(5-substituted imidazol-1-yl)but-3-en derivatives and their use as fungicides |
| WO2019162174A1 (en) | 2018-02-21 | 2019-08-29 | Bayer Aktiengesellschaft | Condensed bicyclic heterocyclic derivatives as pest control agents |
| WO2019175045A1 (en) | 2018-03-12 | 2019-09-19 | Bayer Aktiengesellschaft | Condensed bicyclic heterocyclic derivatives as pest control agents |
| WO2019175046A1 (en) | 2018-03-12 | 2019-09-19 | Bayer Aktiengesellschaft | Condensed bicyclic heterocyclic derivatives as pest control agents |
| WO2019197371A1 (en) | 2018-04-10 | 2019-10-17 | Bayer Aktiengesellschaft | Oxadiazoline derivatives |
| WO2019197615A1 (en) | 2018-04-13 | 2019-10-17 | Bayer Aktiengesellschaft | Active ingredient combinations with fungicides, insecticides and acaricidal properties |
| WO2019197623A1 (en) | 2018-04-13 | 2019-10-17 | Bayer Aktiengesellschaft | Active ingredient combinations with insecticidal, fungicidal and acaricidal properties |
| EP4670505A2 (en) | 2018-04-13 | 2025-12-31 | Bayer Aktiengesellschaft | Active ingredient combinations with insecticidal, nematicidal and acaricidal properties |
| WO2019201835A1 (en) | 2018-04-17 | 2019-10-24 | Bayer Aktiengesellschaft | Heteroaryl-triazole and heteroaryl-tetrazole compounds as pesticides |
| WO2019201921A1 (en) | 2018-04-20 | 2019-10-24 | Bayer Aktiengesellschaft | Heterocyclene derivatives as pest control agents |
| WO2019202077A1 (en) | 2018-04-20 | 2019-10-24 | Bayer Aktiengesellschaft | Heteroaryl-triazole and heteroaryl-tetrazole compounds as pesticides |
| WO2019215182A1 (en) | 2018-05-09 | 2019-11-14 | Bayer Animal Health Gmbh | New quinoline derivatives |
| WO2019224143A1 (en) | 2018-05-24 | 2019-11-28 | Bayer Aktiengesellschaft | Active ingredient combinations with insecticidal, nematicidal and acaricidal properties |
| WO2020005678A1 (en) | 2018-06-25 | 2020-01-02 | Bayer Cropscience Lp | Seed treatment method |
| US11952359B2 (en) | 2018-07-05 | 2024-04-09 | Bayer Aktiengesellschaft | Substituted thiophenecarboxamides and analogues as antibacterials agents |
| WO2020007902A1 (en) | 2018-07-05 | 2020-01-09 | Bayer Aktiengesellschaft | Substituted thiophenecarboxamides and analogues as antibacterials agents |
| US12516037B2 (en) | 2018-07-05 | 2026-01-06 | Bayer Aktiengesellschaft | Substituted thiophenecarboxamides and analogues as antibacterials agents |
| WO2020007905A1 (en) | 2018-07-05 | 2020-01-09 | Bayer Aktiengesellschaft | Substituted thiophenecarboxamides and analogues as antibacterials agents |
| US11884643B2 (en) | 2018-07-05 | 2024-01-30 | Bayer Aktiengesellschaft | Substituted thiophenecarboxamides and analogues as antibacterials agents |
| WO2020007904A1 (en) | 2018-07-05 | 2020-01-09 | Bayer Aktiengesellschaft | Substituted thiophenecarboxamides and analogues as antibacterials agents |
| WO2020020813A1 (en) | 2018-07-25 | 2020-01-30 | Bayer Aktiengesellschaft | Fungicidal active compound combinations |
| WO2020020816A1 (en) | 2018-07-26 | 2020-01-30 | Bayer Aktiengesellschaft | Novel triazole derivatives |
| WO2020053282A1 (en) | 2018-09-13 | 2020-03-19 | Bayer Aktiengesellschaft | Heterocyclene derivatives as pest control agents |
| WO2020057939A1 (en) | 2018-09-17 | 2020-03-26 | Bayer Aktiengesellschaft | Use of the fungicide isoflucypram for controlling claviceps purpurea and reducing sclerotia in cereals |
| WO2020070050A1 (en) | 2018-10-01 | 2020-04-09 | Bayer Aktiengesellschaft | Fungicidal 5-substituted imidazol-1-yl carbinol derivatives |
| WO2020079173A1 (en) | 2018-10-18 | 2020-04-23 | Bayer Aktiengesellschaft | Pyridylphenylaminoquinolines and analogues |
| WO2020079167A1 (en) | 2018-10-18 | 2020-04-23 | Bayer Aktiengesellschaft | Heteroarylaminoquinolines and analogues |
| WO2020079232A1 (en) | 2018-10-20 | 2020-04-23 | Bayer Aktiengesellschaft | Oxetanylphenoxyquinolines and analogues |
| US12435068B2 (en) | 2018-10-24 | 2025-10-07 | Elanco Animal Health Gmbh | Anthelmintic compounds |
| WO2020083971A2 (en) | 2018-10-24 | 2020-04-30 | Bayer Animal Health Gmbh | New anthelmintic compounds |
| EP3643711A1 (en) | 2018-10-24 | 2020-04-29 | Bayer Animal Health GmbH | New anthelmintic compounds |
| WO2020109391A1 (en) | 2018-11-28 | 2020-06-04 | Bayer Aktiengesellschaft | Pyridazine (thio)amides as fungicidal compounds |
| EP3620052A1 (en) | 2018-12-12 | 2020-03-11 | Bayer Aktiengesellschaft | Use of phenoxypyridinyl-substituted (1h-1,2,4-triazol-1-yl)alcohols for controlling fungicidal diseases in maize |
| WO2020126980A1 (en) | 2018-12-18 | 2020-06-25 | Bayer Aktiengesellschaft | Active compound combinations having insecticidal/acaricidal properties |
| WO2020127780A1 (en) | 2018-12-20 | 2020-06-25 | Bayer Aktiengesellschaft | Heterocyclyl pyridazine as fungicidal compounds |
| WO2020127974A1 (en) | 2018-12-21 | 2020-06-25 | Bayer Aktiengesellschaft | 1,3,4-oxadiazoles and their derivatives as new antifungal agents |
| EP3669652A1 (en) | 2018-12-21 | 2020-06-24 | Bayer AG | Active compound combination |
| EP3679791A1 (en) | 2019-01-08 | 2020-07-15 | Bayer AG | Active compound combinations |
| EP3679792A1 (en) | 2019-01-08 | 2020-07-15 | Bayer AG | Active compound combinations |
| EP3679790A1 (en) | 2019-01-08 | 2020-07-15 | Bayer AG | Active compound combinations |
| EP3679793A1 (en) | 2019-01-08 | 2020-07-15 | Bayer AG | Active compound combinations |
| EP3679789A1 (en) | 2019-01-08 | 2020-07-15 | Bayer AG | Active compound combinations |
| WO2020178067A1 (en) | 2019-03-01 | 2020-09-10 | Bayer Aktiengesellschaft | Active compound combinations having insecticidal/acaricidal properties |
| WO2020178307A1 (en) | 2019-03-05 | 2020-09-10 | Bayer Aktiengesellschaft | Active compound combination |
| WO2020182929A1 (en) | 2019-03-13 | 2020-09-17 | Bayer Aktiengesellschaft | Substituted ureas and derivatives as new antifungal agents |
| WO2020187656A1 (en) | 2019-03-15 | 2020-09-24 | Bayer Aktiengesellschaft | Active compound combinations having insecticidal/acaricidal properties |
| WO2020231751A1 (en) | 2019-05-10 | 2020-11-19 | Bayer Cropscience Lp | Active compound combinations |
| WO2020254487A1 (en) | 2019-06-21 | 2020-12-24 | Bayer Aktiengesellschaft | Hydroxyisoxazolines and derivatives thereof |
| WO2020254490A1 (en) | 2019-06-21 | 2020-12-24 | Bayer Aktiengesellschaft | Phenoxyphenyl hydroxyisoxazolines and analogues as new antifungal agents |
| WO2020254489A1 (en) | 2019-06-21 | 2020-12-24 | Bayer Aktiengesellschaft | Benzylphenyl hydroxyisoxazolines and analogues as new antifungal agents |
| WO2020254486A1 (en) | 2019-06-21 | 2020-12-24 | Bayer Aktiengesellschaft | Hydroxyisoxazolines and derivatives thereof |
| WO2020254492A1 (en) | 2019-06-21 | 2020-12-24 | Bayer Aktiengesellschaft | Hydroxyisoxazolines and derivatives thereof |
| WO2020254493A1 (en) | 2019-06-21 | 2020-12-24 | Bayer Aktiengesellschaft | Thienylhydroxyisoxazolines and derivatives thereof |
| WO2020254494A1 (en) | 2019-06-21 | 2020-12-24 | Bayer Aktiengesellschaft | Fungicidal oxadiazoles |
| WO2020254488A1 (en) | 2019-06-21 | 2020-12-24 | Bayer Aktiengesellschaft | Hydroxyisoxazolines and use thereof as fungicides |
| WO2021001331A1 (en) | 2019-07-03 | 2021-01-07 | Bayer Aktiengesellschaft | Substituted thiophene carboxamides and derivatives thereof as microbicides |
| WO2021018839A1 (en) | 2019-07-30 | 2021-02-04 | Bayer Animal Health Gmbh | Isoquinoline derivatives and their use for the treatment of parasitic infections |
| WO2021123051A1 (en) | 2019-12-20 | 2021-06-24 | Bayer Aktiengesellschaft | Substituted thiophene carboxamides, thiophene carboxylic acids and derivatives thereof |
| WO2021122986A1 (en) | 2019-12-20 | 2021-06-24 | Bayer Aktiengesellschaft | Thienyloxazolones and analogues |
| EP3708565A1 (en) | 2020-03-04 | 2020-09-16 | Bayer AG | Pyrimidinyloxyphenylamidines and the use thereof as fungicides |
| WO2021204930A1 (en) | 2020-04-09 | 2021-10-14 | Bayer Animal Health Gmbh | Substituted condensed azines as anthelmintic compounds |
| WO2021209366A1 (en) | 2020-04-16 | 2021-10-21 | Bayer Aktiengesellschaft | Active compound combinations and fungicide compositions comprising those |
| WO2021209363A1 (en) | 2020-04-16 | 2021-10-21 | Bayer Aktiengesellschaft | Active compound combinations and fungicide compositions comprising those |
| WO2021209368A1 (en) | 2020-04-16 | 2021-10-21 | Bayer Aktiengesellschaft | Active compound combinations and fungicide compositions comprising those |
| WO2021209365A1 (en) | 2020-04-16 | 2021-10-21 | Bayer Aktiengesellschaft | Active compound combinations and fungicide compositions comprising those |
| WO2021209364A1 (en) | 2020-04-16 | 2021-10-21 | Bayer Aktiengesellschaft | Active compound combinations and fungicide compositions comprising those |
| WO2021209490A1 (en) | 2020-04-16 | 2021-10-21 | Bayer Aktiengesellschaft | Cyclaminephenylaminoquinolines as fungicides |
| WO2021224220A1 (en) | 2020-05-06 | 2021-11-11 | Bayer Aktiengesellschaft | Pyridine (thio)amides as fungicidal compounds |
| WO2021228734A1 (en) | 2020-05-12 | 2021-11-18 | Bayer Aktiengesellschaft | Triazine and pyrimidine (thio)amides as fungicidal compounds |
| WO2021233861A1 (en) | 2020-05-19 | 2021-11-25 | Bayer Aktiengesellschaft | Azabicyclic(thio)amides as fungicidal compounds |
| WO2021245087A1 (en) | 2020-06-04 | 2021-12-09 | Bayer Aktiengesellschaft | Heterocyclyl pyrimidines and triazines as novel fungicides |
| WO2021249995A1 (en) | 2020-06-10 | 2021-12-16 | Bayer Aktiengesellschaft | Azabicyclyl-substituted heterocycles as fungicides |
| WO2021255071A1 (en) | 2020-06-18 | 2021-12-23 | Bayer Aktiengesellschaft | 3-(pyridazin-4-yl)-5,6-dihydro-4h-1,2,4-oxadiazine derivatives as fungicides for crop protection |
| WO2021255091A1 (en) | 2020-06-19 | 2021-12-23 | Bayer Aktiengesellschaft | 1,3,4-oxadiazoles and their derivatives as fungicides |
| WO2021255170A1 (en) | 2020-06-19 | 2021-12-23 | Bayer Aktiengesellschaft | 1,3,4-oxadiazole pyrimidines as fungicides |
| WO2021255089A1 (en) | 2020-06-19 | 2021-12-23 | Bayer Aktiengesellschaft | 1,3,4-oxadiazole pyrimidines and 1,3,4-oxadiazole pyridines as fungicides |
| WO2021255169A1 (en) | 2020-06-19 | 2021-12-23 | Bayer Aktiengesellschaft | 1,3,4-oxadiazole pyrimidines as fungicides |
| WO2022058327A1 (en) | 2020-09-15 | 2022-03-24 | Bayer Aktiengesellschaft | Substituted ureas and derivatives as new antifungal agents |
| EP3915371A1 (en) | 2020-11-04 | 2021-12-01 | Bayer AG | Active compound combinations and fungicide compositions comprising those |
| EP3915971A1 (en) | 2020-12-16 | 2021-12-01 | Bayer Aktiengesellschaft | Phenyl-s(o)n-phenylamidines and the use thereof as fungicides |
| WO2022129190A1 (en) | 2020-12-18 | 2022-06-23 | Bayer Aktiengesellschaft | (hetero)aryl substituted 1,2,4-oxadiazoles as fungicides |
| WO2022129188A1 (en) | 2020-12-18 | 2022-06-23 | Bayer Aktiengesellschaft | 1,2,4-oxadiazol-3-yl pyrimidines as fungicides |
| WO2022129196A1 (en) | 2020-12-18 | 2022-06-23 | Bayer Aktiengesellschaft | Heterobicycle substituted 1,2,4-oxadiazoles as fungicides |
| WO2023036821A1 (en) | 2021-09-09 | 2023-03-16 | Bayer Animal Health Gmbh | New quinoline derivatives |
| EP4148052A1 (en) | 2021-09-09 | 2023-03-15 | Bayer Animal Health GmbH | New quinoline derivatives |
| WO2023205602A1 (en) | 2022-04-18 | 2023-10-26 | Basf Corporation | High-load agricultural formulations and methods of making same |
| WO2024213752A1 (en) | 2023-04-14 | 2024-10-17 | Elanco Animal Health Gmbh | Long-term prevention and/or treatment of a disease by slo-1 inhibitors |
| WO2025032038A1 (en) | 2023-08-09 | 2025-02-13 | Bayer Aktiengesellschaft | Pyridazin-4-yloxadiazines as novel fungicides |
| WO2025031668A1 (en) | 2023-08-09 | 2025-02-13 | Bayer Aktiengesellschaft | Azaheterobiaryl-substituted 4,5-dihydro-1h-2,4,5-oxadiazines as novel fungicides |
| WO2025078128A1 (en) | 2023-10-11 | 2025-04-17 | Bayer Aktiengesellschaft | Pyridazin-3-one-4-yloxadiazines as novel fungicides |
| WO2025168620A1 (en) | 2024-02-07 | 2025-08-14 | Bayer Aktiengesellschaft | Heteroaryl-substituted 4,5-dihydro-1h-2,4,5-oxadiazines as novel fungicides |
Also Published As
| Publication number | Publication date |
|---|---|
| TW201613866A (en) | 2016-04-16 |
Similar Documents
| Publication | Publication Date | Title |
|---|---|---|
| WO2016005276A1 (en) | Process for preparing fluorinated iminopyridine compounds | |
| KR101790305B1 (en) | Process for preparing tetrazole-substituted anthranilamide derivatives and novel crystal polymorph of these derivatives | |
| JP4675318B2 (en) | Process for the preparation of N-heteroaryl-N-aryl-amines by reacting N-arylcarbamates with halo-heteroaryls and similar processes | |
| ES2431618T3 (en) | A process for the preparation of 6- (7 - ((1-aminocyclopropyl) methoxy) -6-methoxyquinolin-4-yloxy) -N-methyl-1-naphthamide and synthetic intermediates thereof | |
| JP2006517235A5 (en) | ||
| KR20170021256A (en) | Method for producing fused heterocyclic compound | |
| CA3005744A1 (en) | 4-((6-(2-(2,4-difluorophenyl)-1,1-difluoro-2-oxoethyl)pyridin-3-yl)oxy)benzonitrile and processes of preparation | |
| CN111032650A (en) | Novel intermediate useful for synthesis of aminopyrimidine derivative, method for preparing same, and method for preparing aminopyrimidine derivative using same | |
| US20140128600A1 (en) | Methods for preparing naphthyridines | |
| WO2022206742A1 (en) | Method for synthesizing thiohydantoin derivative by means of one-step method | |
| WO2018125820A1 (en) | Processes for the preparation of pesticidal compounds | |
| JP6174161B2 (en) | Method for producing 2-aminonicotinic acid benzyl ester derivative | |
| AU2013359247B2 (en) | Process for the preparation of 4-amino-5-fluoro-3-chloro-6-(substituted)picolinates | |
| EP2479166A1 (en) | A process for the preparation of etoricoxib | |
| WO2015137216A1 (en) | Method for producing 2-acyliminopyridine derivative | |
| HRP20020471A2 (en) | Process for the preparation of 6-methyl-2-(4-methyl-phenyl)-imidazo[1,2-a]pyrimidine-3-(n,n-dimethyl-acetamide) and intermediates | |
| CA3036936C (en) | Optimized production method for a 2-acyliminopyridine pest control agent | |
| EP1179532B1 (en) | Process for the production of indole derivatives and intermediates therefor | |
| KAKEHI et al. | Preparation of New Nitrogen-Bridged Heterocycles. XXIV.: Syntheses and Reactions of Pyrazolo [1, 5-a] pyridine-2-thiols.(2) | |
| WO2012052444A1 (en) | Process for the preparation of nicotinamide derivatives | |
| WO2009101432A2 (en) | Process for preparing pyridone derivatives 226 | |
| WO2014126954A1 (en) | Regioselective synthesis of substituted pyrimidines | |
| JP6700292B2 (en) | Method for preparing piperidine-4-carbothioamide hydrochloride | |
| SG187791A1 (en) | Process for the preparation of enantiomeric forms of 2,3-diaminopropionic acid derivatives | |
| JP4381221B2 (en) | Bactericidal pyridine compound |
Legal Events
| Date | Code | Title | Description |
|---|---|---|---|
| 121 | Ep: the epo has been informed by wipo that ep was designated in this application |
Ref document number: 15732285 Country of ref document: EP Kind code of ref document: A1 |
|
| NENP | Non-entry into the national phase |
Ref country code: DE |
|
| 122 | Ep: pct application non-entry in european phase |
Ref document number: 15732285 Country of ref document: EP Kind code of ref document: A1 |
















