WO2020254493A1 - Thienylhydroxyisoxazolines and derivatives thereof - Google Patents
Thienylhydroxyisoxazolines and derivatives thereof Download PDFInfo
- Publication number
- WO2020254493A1 WO2020254493A1 PCT/EP2020/066944 EP2020066944W WO2020254493A1 WO 2020254493 A1 WO2020254493 A1 WO 2020254493A1 EP 2020066944 W EP2020066944 W EP 2020066944W WO 2020254493 A1 WO2020254493 A1 WO 2020254493A1
- Authority
- WO
- WIPO (PCT)
- Prior art keywords
- alkyl
- halo
- aryl
- group
- heteroaryl
- Prior art date
- Legal status (The legal status is an assumption and is not a legal conclusion. Google has not performed a legal analysis and makes no representation as to the accuracy of the status listed.)
- Ceased
Links
Classifications
-
- C—CHEMISTRY; METALLURGY
- C07—ORGANIC CHEMISTRY
- C07D—HETEROCYCLIC COMPOUNDS
- C07D413/00—Heterocyclic compounds containing two or more hetero rings, at least one ring having nitrogen and oxygen atoms as the only ring hetero atoms
- C07D413/02—Heterocyclic compounds containing two or more hetero rings, at least one ring having nitrogen and oxygen atoms as the only ring hetero atoms containing two hetero rings
- C07D413/04—Heterocyclic compounds containing two or more hetero rings, at least one ring having nitrogen and oxygen atoms as the only ring hetero atoms containing two hetero rings directly linked by a ring-member-to-ring-member bond
-
- A—HUMAN NECESSITIES
- A01—AGRICULTURE; FORESTRY; ANIMAL HUSBANDRY; HUNTING; TRAPPING; FISHING
- A01N—PRESERVATION OF BODIES OF HUMANS OR ANIMALS OR PLANTS OR PARTS THEREOF; BIOCIDES, e.g. AS DISINFECTANTS, AS PESTICIDES OR AS HERBICIDES; PEST REPELLANTS OR ATTRACTANTS; PLANT GROWTH REGULATORS
- A01N43/00—Biocides, pest repellants or attractants, or plant growth regulators containing heterocyclic compounds
- A01N43/72—Biocides, pest repellants or attractants, or plant growth regulators containing heterocyclic compounds having rings with nitrogen atoms and oxygen or sulfur atoms as ring hetero atoms
- A01N43/80—Biocides, pest repellants or attractants, or plant growth regulators containing heterocyclic compounds having rings with nitrogen atoms and oxygen or sulfur atoms as ring hetero atoms five-membered rings with one nitrogen atom and either one oxygen atom or one sulfur atom in positions 1,2
-
- A—HUMAN NECESSITIES
- A01—AGRICULTURE; FORESTRY; ANIMAL HUSBANDRY; HUNTING; TRAPPING; FISHING
- A01N—PRESERVATION OF BODIES OF HUMANS OR ANIMALS OR PLANTS OR PARTS THEREOF; BIOCIDES, e.g. AS DISINFECTANTS, AS PESTICIDES OR AS HERBICIDES; PEST REPELLANTS OR ATTRACTANTS; PLANT GROWTH REGULATORS
- A01N43/00—Biocides, pest repellants or attractants, or plant growth regulators containing heterocyclic compounds
- A01N43/72—Biocides, pest repellants or attractants, or plant growth regulators containing heterocyclic compounds having rings with nitrogen atoms and oxygen or sulfur atoms as ring hetero atoms
- A01N43/84—Biocides, pest repellants or attractants, or plant growth regulators containing heterocyclic compounds having rings with nitrogen atoms and oxygen or sulfur atoms as ring hetero atoms six-membered rings with one nitrogen atom and either one oxygen atom or one sulfur atom in positions 1,4
-
- A—HUMAN NECESSITIES
- A01—AGRICULTURE; FORESTRY; ANIMAL HUSBANDRY; HUNTING; TRAPPING; FISHING
- A01N—PRESERVATION OF BODIES OF HUMANS OR ANIMALS OR PLANTS OR PARTS THEREOF; BIOCIDES, e.g. AS DISINFECTANTS, AS PESTICIDES OR AS HERBICIDES; PEST REPELLANTS OR ATTRACTANTS; PLANT GROWTH REGULATORS
- A01N43/00—Biocides, pest repellants or attractants, or plant growth regulators containing heterocyclic compounds
- A01N43/90—Biocides, pest repellants or attractants, or plant growth regulators containing heterocyclic compounds having two or more relevant hetero rings, condensed among themselves or with a common carbocyclic ring system
-
- C—CHEMISTRY; METALLURGY
- C07—ORGANIC CHEMISTRY
- C07D—HETEROCYCLIC COMPOUNDS
- C07D413/00—Heterocyclic compounds containing two or more hetero rings, at least one ring having nitrogen and oxygen atoms as the only ring hetero atoms
- C07D413/14—Heterocyclic compounds containing two or more hetero rings, at least one ring having nitrogen and oxygen atoms as the only ring hetero atoms containing three or more hetero rings
-
- C—CHEMISTRY; METALLURGY
- C07—ORGANIC CHEMISTRY
- C07D—HETEROCYCLIC COMPOUNDS
- C07D487/00—Heterocyclic compounds containing nitrogen atoms as the only ring hetero atoms in the condensed system, not provided for by groups C07D451/00 - C07D477/00
- C07D487/02—Heterocyclic compounds containing nitrogen atoms as the only ring hetero atoms in the condensed system, not provided for by groups C07D451/00 - C07D477/00 in which the condensed system contains two hetero rings
- C07D487/04—Ortho-condensed systems
Definitions
- the present invention relates to the use of thienylhydroxyisoxazolines and derivatives thereof as fungicides. It also relates to new thienylhydroxyisoxazolines derivatives, their use as fungicides and compositions comprising thereof.
- Isoxazole derivatives are known to be useful as crop protection agents to combat or prevent microorganisms’ infestations.
- WO2015/129773 discloses isoxazole derivatives that may be used as fungicides.
- W02006/031631 discloses substituted isoxazoles that may be used for the control of microbial pests, particularly fungal pests, on plants. More recently, hydroxy isoxazoles were disclosed as useful for controlling phytopathogenic fungi (WO2018/202487).
- a benzothiophene-hydroxyisoxazole compound is known from JP6049352 B2.
- fungicidal agents Numerous fungicidal agents have been developed until now. However, the need remains for the development of new fungicidal compounds in order to address the ever increasing environmental and economic requirements imposed on modern-day crop protection agents and compositions. This includes, for example, improvement to the spectrum of action, safety profile, selectivity, application rate, formation of residues, and favourable preparation ability. It may also be desired to have new compounds to prevent the emergence of fungicides resistance.
- the present invention provides new fungicidal compounds which have advantages over known compounds and compositions in at least some of these aspects.
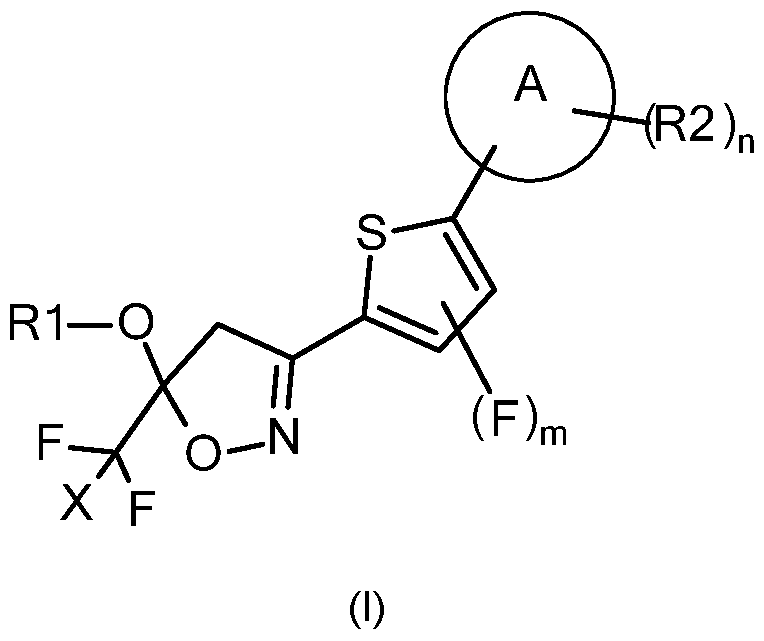
- the present invention relates to compounds of the formula (I):
- R1 , R2, X, m, n and A are as recited herein as well as their salts, N-oxides and solvates.
- the present invention relates to a composition comprising at least one compound of formula (I) as defined herein and at least one agriculturally suitable carrier.
- the present invention relates to a method for controlling phytopathogenic fungi which comprises the step of applying at least one compound of formula (I) as defined herein or a composition as defined herein to the plants, plant parts, seeds, fruits or to the soil in which the plants grow.
- alkyl as used herein in the context of alkyl or alkylsulfonyl, alkylsulfinyl, alkylthio, alkylamino, for example, is to be understood as preferably meaning branched and unbranched alkyl, meaning e.g. methyl, ethyl, n-propyl, /so-propyl, n-butyl, /so-butyl, fe/ -butyl, sec-butyl, pentyl, /so-pentyl, hexyl, heptyl, octyl, nonyl and decyl and the isomers thereof.
- haloalkyl as used herein is to be understood as preferably meaning branched and unbranched alkyl, as defined supra, in which one or more of the hydrogen substituents is replaced in the same way or differently with halogen.
- said haloalkyl is, e.g. chloromethyl, fluoropropyl, fluoromethyl, difluoromethyl, trichloromethyl, 2,2 ,2-trifluoroethyl , pentafluoroethyl, bromobutyl, trifluoromethyl, iodoethyl, and isomers thereof.
- alkoxy as used herein is to be understood as preferably meaning branched and unbranched alkoxy, meaning e.g. methoxy, ethoxy, propyloxy, /so-propyloxy, butyloxy, /so-butyloxy, ferf-butyloxy, sec-butyloxy, pentyloxy, /so-pentyloxy, hexyloxy, heptyloxy, octyloxy, nonyloxy, decyloxy, undecyloxy and dodecyloxy and the isomers thereof.
- haloalkoxy as used herein is to be understood as preferably meaning branched and unbranched alkoxy, as defined supra, in which one or more of the hydrogen substituents is replaced in the same way or differently with halogen, e.g. chloromethoxy, fluoromethoxy, pentafluoroethoxy, fluoropropyloxy, difluoromethyloxy, trichloromethoxy, 2,2,2-trifluoroethoxy, bromobutyloxy, trifluoromethoxy, iodoethoxy, and isomers thereof.
- halogen e.g. chloromethoxy, fluoromethoxy, pentafluoroethoxy, fluoropropyloxy, difluoromethyloxy, trichloromethoxy, 2,2,2-trifluoroethoxy, bromobutyloxy, trifluoromethoxy, iodoethoxy, and isomers thereof.
- carbocyclyl refers to a non-aromatic mono- or polycyclic (fused, spiro or bridged) carbon containing ring, which may be saturated or partially unsaturated, having 3 to 10 ring carbon atoms or 3 to 7 carbon atoms.
- carbocyclyl include cycloalkyl and cycloalkenyl groups.
- saturated carbocyclyl herein also referred to as“cycloalkyl”
- saturated carbocyclyl include but are not limited to cyclopropyl, cyclobutyl, cyclopentyl, cyclohexyl, cycloheptyl, cyclooctyl, cyclononyl and cyclodecyl group.
- Examples of partially unsaturated carbocyclyl group include but are not limited to cyclopropenyl, cyclobutenyl, cyclopentenyl, cyclohexenyl, cycloheptenyl, cyclooctenyl, cyclononenyl, or cyclodecenyl group, wherein the linkage of said cycloalkyl group to the rest of the molecule can be provided to the double or single bond.
- heterocyclyl refers to three- to ten-membered, preferably three- to nine- membered, saturated or partially unsaturated heterocycles (including mono-, bi- or tricyclic heterocycles) containing one to four heteroatoms independently selected from the group of oxygen, nitrogen and sulfur. If the ring contains more than one oxygen atom, they are not directly adjacent.
- a polycyclic heterocyclyl may contain fused, spiro or bridged ring junctions.
- heterocyclyl group examples include but are not limited to oxiranyl, aziridinyl, 2-tetrahydrofuranyl, 3-tetrahydrofuranyl, 2-tetrahydrothienyl, 3- tetrahydrothienyl, 2-pyrrolidinyl, 3-pyrrolidinyl, 3-isoxazolidinyl, 4-isoxazolidinyl, 5-isoxazolidinyl, 3- isothiazolidinyl, 4-isothiazolidinyl, 5-isothiazolidinyl, 3-pyrazolidinyl, 4-pyrazolidinyl, 5-pyrazolidinyl, 2- oxazolidinyl, 4-oxazolidinyl, 5-oxazolidinyl, 2-thiazolidinyl, 4-thiazolidinyl, 5-thiazolidinyl, 2-imidazolidinyl, 4-imidazolidinyl, 1 ,2,4-oxadiazolidin-3-yl,
- halogen or“Hal” as used herein is to be understood as meaning fluorine, chlorine, bromine or iodine.
- brackets designates the optional presence of one or more halogen substituents that may the same or different.
- alkenyl as used herein is to be understood as preferably meaning branched and unbranched alkenyl, e.g. a vinyl, propen-1 -yl, propen-2-yl, but-1 -en-1 -yl, but-1 -en-2-yl, but-2-en-1 -yl, but-2-en-2-yl, but-1-en-3-yl, 2-methyl-prop-2-en-1-yl, or 2-methyl-prop-1-en-1-yl group.
- alkynyl as used herein is to be understood as preferably meaning branched and unbranched alkynyl, e.g. an ethynyl, prop-1 -yn-1-yl, but-1 -yn-1-yl, but-2-yn-1-yl,or but-3-yn-1 -yl group.
- aryl refers to an aromatic, hydrocarbon, ring system, comprising from 6 to 15 carbon atoms, or from 6 to 12 carbon atoms, preferably from 6 to 10 carbon atoms.
- the ring system may be monocyclic or fused polycyclic (e.g. bicyclic or tricyclic) aromatic ring system.
- Examples of aryl include but are not limited to phenyl, azulenyl, naphthyl, biphenyl and fluorenyl. It is further understood that when said aryl group is substituted with one or more substituents, said substituent(s) may be at any positions on said aryl ring(s).
- aryl being a phenyl group
- said substituent(s) may occupy one or both ortho positions, one or both meta positions, or the para position, or any combination of these positions.
- This definition also applies to aryl as part of a composite substituent (e.g. aryloxy).
- heteroaryl refers to an aromatic ring system containing from 5 to 15 member atoms, or from 5 to 12 member atoms, of which carbons and one or more heteroatoms which may be identical or different selected from O, N and S. If the ring contains more than one oxygen atom, they are not directly adjacent. Heteroaryl may be monocyclic or polycyclic (e.g. bicyclic or tricyclic). A monocyclic heteroaryl may have 1 to 4 heteroatoms in the ring, while a polycyclic heteroaryl ring may have 1 to 10 heteroatoms. Bicyclic heteroaryl rings may contain from 8 to 15, or from 8 to 12 member atoms (carbon and heteroatoms).
- Monocyclic heteroaryl may contain from 5 to 8 member atoms.
- heteroaryl include but are not limited to thienyl, furanyl, pyrrolyl, oxazolyl, thiazolyl, imidazolyl, pyrazolyl, isoxazolyl, isothiazolyl, oxadiazolyl, triazolyl, thiadiazolyl, thia-4H-pyrazolyl etc., and benzo derivatives thereof, such as, e.g., benzofuranyl, benzothienyl, benzoxazolyl, benzimidazolyl, benzotriazolyl, indazolyl, indolyl, isoindolyl, etc. ⁇ , or pyridyl, pyridazinyl, pyrimidinyl, pyrazinyl, triazinyl, etc., and benzo derivatives thereof, such as, for example, quinolinyl, isoquinol
- said substituent(s) may occupy any one or more positions on said heteroaryl ring(s).
- said substituent(s) may occupy any one or more of positions 2, 3, 4, 5, and/or 6 with respect to the nitrogen atom in the pyridine ring.
- This definition also applies to heteroaryl as part of a composite substituent (e.g. heteroaryloxy).
- the term“C1-C6”, e.g. in the context of the definition of“Ci-C6-alkyl”, or“Ci-C6-alkoxy”, is to be understood as meaning a group having a finite number of carbon atoms of 1 to 6, i.e. 1 , 2, 3, 4, 5, or 6 carbon atoms.
- acyclic radicals as used herein in the expressions “wherein acyclic radicals may be substituted” designate any of the acyclic groups recited in the paragraph before said expressions, or any acyclic moiety of a composite group (e.g. the Ci-Cs-alkyl moiety of aryl-Ci-Cs-alkyl).
- cyclic radicals as used herein in the expressions“wherein cyclic radicals may be substituted” designate any of the cyclic groups, be it alicyclic or aromatic, recited in the paragraph before said expressions, or any cyclic moiety of a composite group (e.g. the aryl moiety of aryl-Ci-C6-alkyl).
- each of these moieties may be substituted independently of each other.
- leaving group as used herein is to be understood as meaning a group which is displaced from a compound in a substitution or an elimination reaction, for example a halogen atom, a trifluoromethanesulfonate (“triflate”) group, alkoxy, methanesulfonate, p-toluenesulfonate, etc.
- the present invention relates to compounds of formula (I):
- X is a hydrogen, fluorine or chlorine atom
- n 0, 1 or 2;
- A is an aryl, fused bicyclic Cg-Cio-carbocyclyl, heteroaryl or fused bicyclic 8- 9- or 10- membered heterocyclyl;
- n 0, 1 , 2, 3 or 4;
- R2 is a substituent independently selected from the group consisting of halogen, cyano, hydroxy, sulfanyl, sulfinyl, sulfonyl, amino, nitro, oxo, Ci-C6-alkyl, Ci-C6-haloalkyl, C1-C6- hydroxyalkyl, Ci-C6-cyanoalkyl, Ci-C6-alkoxy, Ci-C6-haloalkoxy, Ci-C6-alkylamino, di-Ci- C6-alkylamino, C2-C6-alkenyl, C2-C6-haloalkenyl, C2-C6-hydroxyalkenyl, C2-C6- cyanoalkenyl, C2-C6-alkynyl, C2-C6-haloalkynyl, C2-C6-hydroxyalkynyl, C2-C6- cyanoalkynyl, Ci-C6-alkylsulf
- R1 a , R 22a , R1 c and R 22c are independently selected from the group consisting of halogen atom, nitro, hydroxyl, cyano, carboxyl, amino, sulfanyl, pentafluoro-l 6 - sulfanyl, formyl, carbamoyl, carbamate, Ci-C6-alkyl, C3-C7-cycloalkyl, C1-C6- haloalkyl, C3-C8-halocycloalkyl, C2-C6-(halo)alkenyl, C2-C6-(halo)alkynyl, C1-C6- alkylamino, di-Ci-C6-alkylamino, -Si(Ci-C6-alkyl)3, Ci-C6-(halo)alkoxyCi-C6- (halo)alkylsulfanyl, Ci-C6-(halo)alkylcarbony
- (halo)alkylsulfanyl Ci-Cs-(halo)alkylsulfinyl, Ci-C8-(halo)alkylsulfonyl, Ci-Cs- alkylsulfonylamino, Ci-Cs-haloalkylsulfonylamino, sulfamoyl, Ci-Cs- alkylsulfamoyl and di-Ci-Cs-alkylsulfamoyl;
- the invention encompasses pure stereoisomers of the compound of formula (I) and any mixture of these isomers.
- the compound of formula (I) may be present in the form of different stereoisomers. These stereoisomers are, for example, enantiomers, diastereomers, atropisomers or geometric isomers. Accordingly, the invention encompasses both pure stereoisomers and any mixture of these isomers. Where a compound can be present in two or more tautomer forms in equilibrium, reference to the compound by means of one tautomeric description is to be considered to include all tautomer forms.
- the compound of formula (I) can suitably be in its free form, salt form, N-oxide form or solvate form (e.g. hydrate).
- the compound of formula (I) may be present in the form of the free compound and/or a salt thereof, such as an agrochemically active salt.
- Agrochemically active salts include acid addition salts of inorganic and organic acids well as salts of customary bases.
- inorganic acids are hydrohalic acids, such as hydrogen fluoride, hydrogen chloride, hydrogen bromide and hydrogen iodide, sulfuric acid, phosphoric acid and nitric acid, and acidic salts, such as sodium bisulfate and potassium bisulfate.
- Useful organic acids include, for example, formic acid, carbonic acid and alkanoic acids such as acetic acid, trifluoroacetic acid, trichloroacetic acid and propionic acid, and also glycolic acid, thiocyanic acid, lactic acid, succinic acid, citric acid, benzoic acid, cinnamic acid, oxalic acid, saturated or mono- or diunsaturated fatty acids having 6 to 20 carbon atoms, alkylsulfuric monoesters, alkylsulfonic acids (sulfonic acids having straight- chain or branched alkyl radicals having 1 to 20 carbon atoms), arylsulfonic acids or aryldisulfonic acids (aromatic radicals, such as phenyl and naphthyl, which bear one or two sulfonic acid groups), alkylphosphonic acids (phosphonic acids having straight-chain or branched alkyl radicals having 1 to 20 carbon atoms), arylphosphonic
- Solvates of the compounds of formula (I) or their salts are stoichiometric compositions of the compounds with solvents.
- the compounds of formula (I) may exist in multiple crystalline and/or amorphous forms. Crystalline forms include unsolvated crystalline forms, solvates and hydrates.
- Acyclic or cyclic R1 or R a radicals may be substituted as described herein.
- R a is a Ci-C6-alkyl (e.g. methyl).
- Acyclic R1 or R a radicals may be substituted as described herein.
- R1 is a hydrogen atom.
- m represents 0 or 1 .
- m 0.
- A is an aryl, preferably a monocyclic aryl or a bicyclic aryl (e.g. phenyl or naphthyl).
- A is a phenyl
- A is a bicyclic aryl (e.g. naphthyl) or a fused bicyclic partially unsaturated Cg-Cio-carbocyclyl.
- A is A84, A91 or A114:
- A is a heteroaryl, preferably a monocyclic heteroaryl (e.g. 5- or 6-membered heteroaryl) or a bicyclic heteroaryl (e.g. bicyclic 8-, 9- or 10-membered heteroaryl).
- A is 5-membered or 6-membered heteroaryl.
- A is a heteroaryl selected from the group consisting of furyl, thienyl, pyrrolyl, isoxazolyl, isothiazolyl, pyrazolyl, oxazolyl, thiazolyl, imidazolyl, oxadiazolyl, thiadiazolyl, triazolyl, tetrazolyl, pyridinyl, pyridazinyl, pyrimidinyl and pyrazinyl.
- A is a heteroaryl selected from the group consisting of furyl, thienyl, isoxazolyl, pyrazolyl, pyridinyl and pyrimidinyl.
- A is a heteroaryl selected from the group consisting of furan-3-yl, thien-2-yl, thien-3-yl, pyrazol-4-yl, isoxazol-4-yl, isoxazol-5-yl, pyridine-2-yl, pyridine-3-yl, pyridine-4-yl, pyrimidin-3-yl and pyrimidin-5-yl.
- A is 5-membered heteroaryl.
- A is a 5-membered heteroaryl selected from the group consisting of furyl, thienyl, pyrrolyl, isoxazolyl, isothiazolyl, pyrazolyl, oxazolyl, thiazolyl, imidazolyl, oxadiazolyl, thiadiazolyl, triazolyl and tetrazolyl.
- A may be attached to the phenyl via one of the carbon ring atoms or via a nitrogen ring member of A (if any).
- Examples of 5-membered heteroaryl groups which are attached to the phenyl ring via one of the carbon ring members are fur-2-yl, fur-3-yl, thien-2-yl, thien-3-yl, pyrrol-2-yl, pyrrol-3-yl, isoxazol-3-yl, isoxazol-4-yl, isoxazol-5-yl, isothiazol-3-yl, isothiazol-4-yl, isothiazol-5-yl, pyrazol-3-yl, pyrazol-4-yl, pyrazol-5-yl, oxazol-2-yl, oxazol-4-yl, oxazol-5-yl, thiazol-2-yl, thiazol-4-yl, thiazol-5-yl, imidazol-2-yl, imidazole-4-yl, 1 ,2,4-oxadiazol-3-yl, 1 ,
- Examples of 5-membered heteroaryl groups which are attached to the phenyl ring via a nitrogen ring member are pyrrol-1 -yl, pyrazol-1-yl, 1 ,2,4-triazol-1-yl, imidazol-1-yl, 1 ,2,3-triazol-1-yl and 1 ,3,4-triazol-1-yl.
- A is a 5-membered heteroaryl selected from the group consisting of furyl, thienyl, isoxazolyl, pyrazolyl, thiazolyl, imidazolyl, oxadiazolyl, triazolyl and tetrazolyl. In some embodiments, in the above formula (I), A is a 5-membered heteroaryl selected from the group consisting of furyl, thienyl, isoxazolyl, pyrazolyl.
- A is 6-membered heteroaryl comprising one, two or three nitrogen atoms.
- A is pyridinyl, pyridazinyl, pyrimidinyl or pyrazinyl.
- A is pyridinyl or pyrimidinyl.
- A is bicyclic 8-, 9- or 10-membered heteroaryl or a fused bicyclic 8-, 9- or 10-membered partially unsaturated heterocyclyl.
- Non-limiting examples of A include the followings:
- A is a benzofused 9- or 10-membered heteroaryl.
- benzofused 9-membered heteroaryl include indol-1 -yl, indol-2-yl, indol-3-yl, indol-4-yl, indol-5-yl, indol-6-yl, indol-7-yl, benzimidazol-1 -yl, benzimidazol-2-yl, benzimidazol-4-yl, benzimidazol-5- yl, indazol-1 -yl, indazol-3-yl, indazol-4-yl, indazol-5-yl, indazol-6-yl, indazol-7-yl, indazol-2-yl, 1 - benzofuran-2-yl, 1 -benzofuran-3-yl, 1 -benzofuran-4-yl
- Examples of benzofused 10-membered heteroaryl include quinolin-2-yl, quinolin-3-yl, quinolin-4-yl, quinolin-5-yl, quinolin-6-yl, quinolin-7-yl, quinolin-8-yl, isoquinolin-1 -yl, isoquinolin-3-yl, isoquinolin-4-yl, isoquinolin-5-yl, isoquinolin-6-yl, isoquinolin-7-yl and isoquinolin-8-yl.
- A is selected from the group consisting of A1 , A19, A20 and A90 as disclosed herein. In some embodiments, in the above formula (I), A is selected from the group consisting of A1 and A90 as disclosed herein.
- A is selected from the group consisting of phenyl, furyl, thienyl, pyrrolyl, isoxazolyl, isothiazolyl, pyrazolyl, oxazolyl, thiazolyl, imidazolyl, oxadiazolyl, thiadiazolyl, triazolyl, tetrazolyl, pyridinyl, pyridazinyl, pyrimidinyl, pyrazinyl, indolyl and pyrazolopyrimidinyl.
- A is selected from the group consisting of phenyl, furan- 3-yl, thien-2-yl, thien-3-yl, pyrazol-4-yl, isoxazol-4-yl, isoxazol-5-yl, pyridine-2-yl, pyridine-3-yl, pyridine-4- yl, pyrimidin-3-yl, pyrimidin-5-yl, 1 H-indol-6-yl and pyrazolo[1 ,5-a]pyrimidin-3-yl.
- A is selected from phenyl, 5-membered heteroaryl and 6-membered heteroaryl.
- X is a fluorine atom, a chlorine atom or a hydrogen atom.
- X is a fluorine atom or a chlorine atom.
- X is a hydrogen atom.
- X is a chlorine atom.
- X is a fluorine atom
- R1 is a hydrogen atom and X is a fluorine atom or a chlorine atom.
- n 0, 1 or 2.
- n 0 or 1 .
- n 0.
- R2 is independently selected from the group consisting of halogen, cyano, hydroxy, sulfanyl, amino, Ci-C6-alkyl, Ci-C6-haloalkyl, Ci-C6-hydroxyalkyl, C1-C6- cyanoalkyl, Ci-C6-alkoxy, Ci-C6-haloalkoxy, Ci-C6-alkylamino, di-Ci-C6-alkylamino, C2-C6-alkenyl, C2- C6-haloalkenyl, C2-C6-alkynyl, C2-C6-haloalkynyl, Ci-C6-alkylsulfanyl, arylsulfanyl, Ci-Ce-alkylsulfinyl, arylsulfinyl, Ci-C6-alkylsulfonyl, arylsulfonyl, C3-Ci
- the “aryl” in “arylsulfanyl”, “arylsulfinyl”, “arylsulfonyl”, “aryl”, “aryloxy”,“-0-Ci-C6-(halo)alkyl-aryl” and“-Ci-C6-(halo)alkyl-aryl” R2 and R 21 substituents is phenyl and that“heteroaryl” in“heteroaryl”, “heteroaryloxy”, “-Ci-C6-(halo)alkyl-heteroaryl” and “-Ci-C6-(halo)alkyl- heteroaryloxy” R2 substituents is 5 or 6-membered heteroaryl comprising one or two heteroatoms.
- the“aryl” in“aryl” and“aryloxy” R2 and R 21 substituents is phenyl and that the“heteroaryl” in“-Ci-C6-(halo)alkyl-heteroaryl” R2 substituents is 5 or 6-membered heteroaryl comprising one or two heteroatoms.
- R2 is independently selected from the group consisting halogen, cyano, Ci-C6-alkyl (e.g. methyl, ethyl, propyl, isopropyl, butyl, isobutyl), Ci-C6-haloalkyl (e.g. trifluoromethyl, difluoromethyl), Ci-C6-alkoxy (e.g. methoxy), Ci-C6-alkylamino (e.g.methylamino), di-Ci- C6-alkylamino (e.g. dimethylamino), Ci-C6-alkylsulfanyl (e.g.
- C3-Cio-carbocyclyl preferably C3-C6-carbocyclyl, e.g. cyclopropyl, cyclopentyl
- aryl e.g. phenyl
- heteroaryl preferably 5 or 6-membered heteroaryl comprising one or two heteroatoms, e.g.
- Suitable -N(R 21 )2 radicals include -NH-Ci-C6-(halo)alkyl-aryl (preferably -NH-C1-C6- (halo)alkyl-phenyl, e.g. -NH-Chh-phenyl).
- suitable -0-Ci-C6-(halo)alkyl-aryl examples include -0-Ci-C6-(halo)alkyl-phenyl (e.g. -0-CH 2 -phenyl).
- suitable -Ci-C6-(halo)alkyl-aryl examples include -Ci-C6-(halo)alkyl-phenyl (e.g. -Chh-phenyl).
- suitable -Ci-C6-(halo)alkyl-heteroaryl include Ci-C6-(halo)alkyl-heteroaryl wherein said heteroaryl is a 5 or 6-membered heteroaryl comprising one or two heteroatoms (e.g. thienyl, pyridinyl).
- suitable -Ci-C6-(halo)alkyl-OR 21 include -Ci-C6-(halo)alkyl-0-Ci-C6-(halo)alkyl (e.g. methoxyethoxy).
- R2 is independently selected from the group consisting of fluoro, chloro, cyano, methyl, ethyl, difluoromethyl, trifluoromethyl, methoxy, ethoxy, methylsulfanyl, ethylsulfanyl, methylsulfinyl, ethylsulfinyl, phenoxy, anilinocarbonyl, dimethylamino, diethylamino, acetylamino, methylsulfamoyl, ethylsulfamoyl, thiophen-2-ylmethyl, methoxyethyl, methoxymethyl, ethoxyethyl, ethoxymethyl and thiomorpholine-4-ylcarbonyl.
- R1 , R2, X, m, n and A can be combined in various manners to provide sub-classes of compounds according to the invention.
- compounds of the present invention are compounds of formula (I)
- acyclic R1 or R a radicals may be substituted with one or more R1 a substituents and wherein cyclic R1 or R a radicals may be substituted with one or more R1 c substituents;
- n 0 or 1 ;
- A is selected from the group consisting of monocyclic aryl and bicyclic aryl (e.g. phenyl or naphthyl);
- X is hydrogen, fluorine or chlorine atom
- n 0, 1 or 2, preferably 0 or 1 ;
- R2 is independently selected from the group consisting of halogen, cyano, hydroxy, sulfanyl, amino, Ci-C6-alkyl, Ci-C6-haloalkyl, Ci-C6-hydroxyalkyl, Ci-C6-cyanoalkyl, Ci-C6-alkoxy, C1-C6- haloalkoxy, Ci-C6-alkylamino, di-Ci-C6-alkylamino, C2-C6-alkenyl, C2-C6-haloalkenyl, C2-C6- alkynyl, C2-C6-haloalkynyl, Ci-C6-alkylsulfanyl, arylsulfanyl, Ci-Ce-alkylsulfinyl, arylsulfinyl, Ci- C6-alkylsulfonyl, arylsulfonyl, C3-Cio-carbocyclyl, 3- to
- acyclic R2 and R 21 radicals may be substituted with one or more R 22a substituents and cyclic R2 and R 21 radicals may be substituted with one or more R 22c substituents, R 22a and R 22c being as described herein.
- A may be as described herein.
- A is phenyl
- R1 is hydrogen
- n 0;
- A is phenyl
- X is fluorine
- n 0, 1 or 2;
- compounds of the present invention are compounds of formula (I)
- acyclic R1 or R a radicals may be substituted with one or more R1 a substituents and wherein cyclic R1 or R a radicals may be substituted with one or more R1 c substituents;
- n 0 or 1 ;
- A is selected from the group consisting of monocyclic heteroaryl (e.g. 5- or 6-membered heteroaryl) and bicyclic heteroaryl (e.g. bicyclic 8-, 9- or 10-membered heteroaryl);
- X is hydrogen, fluorine or chlorine atom
- n 0, 1 or 2, preferably 0 or 1 ;
- R2 is independently selected from the group consisting of halogen, cyano, hydroxy, sulfanyl, amino, Ci-C6-alkyl, Ci-C6-haloalkyl, Ci-C6-hydroxyalkyl, Ci-C6-cyanoalkyl, C1-C6- alkoxy, Ci-C6-haloalkoxy, Ci-C6-alkylamino, di-Ci-C6-alkylamino, C2-C6-alkenyl, C2-C6- haloalkenyl, C2-C6-alkynyl, C2-C6-haloalkynyl, Ci-C6-alkylsulfanyl, arylsulfanyl, C1-C6- alkylsulfinyl, arylsulfinyl, Ci-C6-alkylsulfonyl, arylsulfonyl, C3-Cio-carbocyclyl, 3-
- A may be as described herein.
- A is selected from the group consisting of furyl, thienyl, pyrrolyl, isoxazolyl, isothiazolyl, pyrazolyl, oxazolyl, thiazolyl, imidazolyl, oxadiazolyl, thiadiazolyl, triazolyl, tetrazolyl, pyridinyl, pyridazinyl, pyrimidinyl, pyrazinyl, indolyl and pyrazolopyrimidinyl.
- R1 is hydrogen
- n 0;
- A is selected from the group consisting of furyl, thienyl, pyrrolyl, isoxazolyl, isothiazolyl, pyrazolyl, oxazolyl, thiazolyl, imidazolyl, oxadiazolyl, thiadiazolyl, triazolyl, tetrazolyl, pyridinyl, pyridazinyl, pyrimidinyl, pyrazinyl, indolyl and pyrazolopyrimidinyl;
- X is fluorine
- n 0, 1 or 2;
- A is selected from the group consisting of furyl, thienyl, isoxazolyl, pyrazolyl, pyridinyl, pyrimidinyl, indolyl and pyrazolopyrimidinyl.
- A is selected from the group consisting of furan-3-yl, thien-2-yl, thien-3-yl, pyrazol-4-yl, isoxazol-4-yl, isoxazol-5-yl, pyridine-2-yl, pyridine-3-yl, pyridine-4-yl, pyrimidin-3-yl, pyrimidin-5-yl, 1 H-indol-6-yl and pyrazolo[1 ,5-a]pyrimidin-3-yl.
- compounds of the present invention are compounds of formula (I)
- acyclic R1 or R a radicals may be substituted with one or more R1 a substituents and wherein cyclic R1 or R a radicals may be substituted with one or more R1 c substituents;
- n 0 or 1 ;
- A is a fused bicyclic 8-, 9- or 10-membered partially unsaturated heterocyclyl
- X is hydrogen, fluorine or chlorine atom
- n 0, 1 or 2, preferably 0 or 1 ;
- R2 is independently selected from the group consisting of halogen, cyano, hydroxy, sulfanyl, amino, Ci-C6-alkyl, Ci-C6-haloalkyl, Ci-C6-hydroxyalkyl, Ci-C6-cyanoalkyl, Ci-C6-alkoxy, C1-C6- haloalkoxy, Ci-C6-alkylamino, di-Ci-C6-alkylamino, C2-C6-alkenyl, C2-C6-haloalkenyl, C2-C6- alkynyl, C2-C6-haloalkynyl, Ci-C6-alkylsulfanyl, arylsulfanyl, Ci-Ce-alkylsulfinyl, arylsulfinyl, Ci- C6-alkylsulfonyl, arylsulfonyl, C3-Cio-carbocyclyl, 3- to
- acyclic R2 and R 21 radicals may be substituted with one or more R 22a substituents and cyclic R2 and R 21 radicals may be substituted with one or more R 22c substituents, R 22a and R 22c being as described herein.
- A may be as described herein.
- compounds of the present invention are compounds of formula (I)
- acyclic R1 or R a radicals may be substituted with one or more R1 a substituents and wherein cyclic R1 or R a radicals may be substituted with one or more R1 c substituents;
- n 0 or 1 ;
- A is a fused bicyclic 8- 9- or 10-membered heterocyclyl
- X is hydrogen, fluorine or chlorine atom
- n 0, 1 or 2, preferably 0 or 1 ;
- R2 is independently selected from the group consisting of halogen, cyano, hydroxy, sulfanyl, amino, Ci-C6-alkyl, Ci-C6-haloalkyl, Ci-C6-hydroxyalkyl, Ci-C6-cyanoalkyl, C1-C6- alkoxy, Ci-C6-haloalkoxy, Ci-C6-alkylamino, di-Ci-C6-alkylamino, C2-C6-alkenyl, C2-C6- haloalkenyl, C2-C6-alkynyl, C2-C6-haloalkynyl, Ci-C6-alkylsulfanyl, arylsulfanyl, C1-C6- alkylsulfinyl, arylsulfinyl, Ci-C6-alkylsulfonyl, arylsulfonyl, C3-Cio-carbocyclyl, 3-
- A may be as described herein.
- compounds of the present invention are compounds of formula (I)
- acyclic R1 or R a radicals may be substituted with one or more R1 a substituents and wherein cyclic R1 or R a radicals may be substituted with one or more R1 c substituents; R1 a and R1 C being as disclosed herein,
- n 0 or 1 ;
- A is as described in embodiments la, lb, lc or Id;
- X is hydrogen, fluorine or chlorine atom
- n 0, 1 or 2, preferably 0 or 1 ;
- R2 is independently selected from the group consisting of halogen, cyano, hydroxy, sulfanyl, amino, Ci-C6-alkyl, Ci-C6-haloalkyl, Ci-C6-hydroxyalkyl, Ci-C6-cyanoalkyl, Ci-C6-alkoxy, C1-C6- haloalkoxy, Ci-C6-alkylamino, di-Ci-C6-alkylamino, C2-C6-alkenyl, C2-C6-haloalkenyl, C2-C6- alkynyl, C2-C6-haloalkynyl, Ci-C6-alkylsulfanyl, arylsulfanyl, Ci-Ce-alkylsulfinyl, arylsulfinyl, Ci- C6-alkylsulfonyl, arylsulfonyl, C3-Cio-carbocyclyl, 3- to
- compounds of the present invention are compounds of formula (I)
- n 0 or 1 ;
- A is as described in embodiments la, lb, lc or Id;
- X is hydrogen, fluorine or chlorine atom
- n 0, 1 or 2, preferably 0 or 1 ;
- R2 is independently selected from the group consisting of halogen, cyano, hydroxy, sulfanyl, amino, Ci-C6-alkyl, Ci-C6-haloalkyl, Ci-C6-hydroxyalkyl, Ci-C6-cyanoalkyl, Ci-C6-alkoxy, C1-C6- haloalkoxy, Ci-C6-alkylamino, di-Ci-C6-alkylamino, C 2 -C6-alkenyl, C 2 -C6-haloalkenyl, C 2 -C6- alkynyl, C 2 -C6-haloalkynyl, Ci-C6-alkylsulfanyl, arylsulfanyl, Ci-Ce-alkylsulfinyl, arylsulfinyl, Ci- C6-alkylsulfonyl, arylsulfonyl, C3-Cio-car
- acyclic R2 and R 21 radicals may be substituted with one or more R 22a substituents and cyclic R2 and R 21 radicals may be substituted with one or more R 22c substituents, R 22a and R 22c being as described herein.
- R1 is a hydrogen atom.
- X is fluorine
- R1 is a hydrogen atom and X is a chlorine atom.
- R1 is a hydrogen atom and X is a fluorine atom.
- n is 1 .
- n 1 and m is 0.
- X is fluorine
- R1 is hydrogen
- m is 0
- n is 0, 1 or 2.
- R2 is independently selected from the group consisting halogen, cyano, Ci-C6-alkyl (e.g. methyl, ethyl, propyl, isopropyl, butyl, isobutyl), Ci-C6-haloalkyl, Ci-C6-alkoxy, Ci-C6-alkylamino (e.g.methylamino), di-Ci-C6- alkylamino, Ci-C6-alkylsulfanyl, C3-Cio-carbocyclyl, aryl (e.g.
- phenyl phenyl
- Acyclic and cyclic R2 and R 21 radicals may be substituted as described herein, preferably substituted with halogen or Ci-C6-(halo)alkyl.
- the“aryl” in“aryl” and “aryloxy” R2 and R 21 substituents is phenyl and that the “heteroaryl” in “-Ci-C6-(halo)alkyl- heteroaryl” R2 substituents is 5 or 6-membered heteroaryl comprising one or two heteroatoms.
- the“aryl” in“aryl” and“aryloxy” R2 and R 21 substituents is phenyl and that the“heteroaryl” in“-Ci-C6-(halo)alkyl-heteroaryl” R2 substituents is 5 or 6-membered heteroaryl comprising one or two heteroatoms.
- R2 is independently selected from the group consisting of fluoro, chloro, cyano, methyl, ethyl, difluoromethyl, trifluoromethyl, methoxy, ethoxy, methylsulfanyl, ethylsulfanyl, methylsulfinyl, ethylsulfinyl, phenoxy, anilinocarbonyl, dimethylamino, diethylamino, acetylamino, methylsulfamoyl, ethylsulfamoyl, thiophen-2- ylmethyl, methoxyethyl, methoxymethyl, ethoxyethyl, ethoxymethyl and thiomorpholine-4-ylcarbonyl.
- A is a 5- or 6-membered heteroaryl as described herein above in details, preferably selected from the group consisting of furyl, thienyl, pyrrolyl, isoxazolyl, isothiazolyl, pyrazolyl, oxazolyl, thiazolyl, imidazolyl, oxadiazolyl, thiadiazolyl, triazolyl, tetrazolyl, pyridinyl, pyridazinyl, pyrimidinyl and pyrazinyl.
- A is a 5- or 6-membered heteroaryl selected from the group consisting of furyl, thienyl, isoxazolyl, pyrazolyl, pyridinyl and pyrimidinyl.
- A is a 5- or 6-membered heteroaryl selected from the group consisting of furan-3-yl, thien-2-yl, thien-3-yl, pyrazol-4-yl, isoxazol-4- yl, isoxazol-5-yl, pyridine-2-yl, pyridine-3-yl, pyridine-4-yl, pyrimidin-3-yl and pyrimidin-5-yl.
- A is selected from the group consisting of A1 to A90 as disclosed herein.
- A is selected from the group consisting of A1 , A3, A9, A10, A51 , A56, A89 and A90 as disclosed herein. In some embodiments in accordance with embodiments (lc), (le) and (If), A is selected from the group consisting of A92 to A148 as disclosed herein.
- the compounds of formula (I) according to the present invention may be used as fungicides (i.e. for controlling phytopathogenic fungi, in particular fungi causing rust diseases, or Oomycetes in crop protection).
- W is a chlorine atom, a bromine atom, an iodine atom, a mesylate group, a tosylate group, a triflate group or a boron derivative such as a boronic acid, a boronic ester derivative, a potassium trifluoroborate derivative,
- the present invention further relates to a composition, in particular a composition for controlling unwanted microorganisms, comprising one or more compounds of formula (I).
- the composition is preferably is a fungicidal composition.
- the composition typically comprises one or more compounds of formula (I) and one or more acceptable carriers, in particular one or more agriculturally acceptable carriers.
- a carrier is a solid or liquid, natural or synthetic, organic or inorganic substance that is generally inert.
- the carrier generally improves the application of the compounds, for instance, to plants, plants parts or seeds.
- suitable solid carriers include, but are not limited to, ammonium salts, natural rock flours, such as kaolins, clays, talc, chalk, quartz, attapulgite, montmorillonite and diatomaceous earth, and synthetic rock flours, such as finely divided silica, alumina and silicates.
- typically useful solid carriers for preparing granules include, but are not limited to crushed and fractionated natural rocks such as calcite, marble, pumice, sepiolite and dolomite, synthetic granules of inorganic and organic flours and granules of organic material such as paper, sawdust, coconut shells, maize cobs and tobacco stalks.
- suitable liquid carriers include, but are not limited to, water, organic solvents and combinations thereof.
- suitable solvents include polar and nonpolar organic chemical liquids, for example from the classes of aromatic and nonaromatic hydrocarbons (such as cyclohexane, paraffins, alkylbenzenes, xylene, toluene alkylnaphthalenes, chlorinated aromatics or chlorinated aliphatic hydrocarbons such as chlorobenzenes, chloroethylenes or methylene chloride), alcohols and polyols (which may optionally also be substituted, etherified and/or esterified, such as butanol or glycol), ketones (such as acetone, methyl ethyl ketone, methyl isobutyl ketone or cyclohexanone), esters (including fats and oils) and (poly)ethers, unsubstituted and substituted amines, amides (such as dimethylformamide), lactams (such as N- alkylpyrrolidones) and lactones, sulf
- the carrier may also be a liquefied gaseous extender, i.e. liquid which is gaseous at standard temperature and under standard pressure, for example aerosol propellants such as halohydrocarbons, butane, propane, nitrogen and carbon dioxide.
- the amount of carrier typically ranges from 1 to 99.99%, preferably from 5 to 99.9%, more preferably from 10 to 99.5%, and most preferably from 20 to 99 % by weight of the composition.
- composition may further comprise one or more acceptable auxiliaries which are customary for formulating compositions (e.g. agrochemical compositions), such as one or more surfactants.
- acceptable auxiliaries which are customary for formulating compositions (e.g. agrochemical compositions), such as one or more surfactants.
- the surfactant can be an ionic (cationic or anionic) or non-ionic surfactant, such as ionic or non-ionic emulsifier(s), foam former(s), dispersant(s), wetting agent(s) and any mixtures thereof.
- surfactants include, but are not limited to, salts of polyacrylic acid, salts of lignosulfonic acid, salts of phenolsulfonic acid or naphthalenesulfonic acid, polycondensates of ethylene and/or propylene oxide with fatty alcohols, fatty acids or fatty amines (polyoxyethylene fatty acid esters, polyoxyethylene fatty alcohol ethers, for example alkylaryl polyglycol ethers), substituted phenols (preferably alkylphenols or arylphenols), salts of sulfosuccinic esters, taurine derivatives (preferably alkyl taurates), phosphoric esters of polyethoxylated alcohols or phenols, fatty esters of polyols and derivatives of compounds containing sulfates, sulfonates, phosphates (for example, alkylsulfonates, alkyl sulfates, arylsulfonates) and protein hydroly
- a surfactant is typically used when the compound of the formula (I) and/or the carrier is insoluble in water and the application is made with water. Then, the amount of surfactants typically ranges from 5 to 40 % by weight of the composition.
- auxiliaries which are customary for formulating agrochemical compositions include water repellents, siccatives, binders (adhesive, tackifier, fixing agent, such as carboxymethylcellulose, natural and synthetic polymers in the form of powders, granules or latices, such as gum arabic, polyvinyl alcohol and polyvinyl acetate, natural phospholipids such as cephalins and lecithins and synthetic phospholipids, polyvinylpyrrolidone, polyvinyl acetate, polyvinyl alcohol and tylose), thickeners, stabilizers (e.g.
- dyes or pigments such as inorganic pigments, e.g. iron oxide, titanium oxide and Prussian Blue ; organic dyes, e.g. alizarin, azo and metal phthalocyanine dyes), antifoams (e.g. silicone antifoams and magnesium stearate), preservatives (e.g.
- dichlorophene and benzyl alcohol hemiformal secondary thickeners (cellulose derivatives, acrylic acid derivatives, xanthan, modified clays and finely divided silica), stickers, gibberellins and processing auxiliaries, mineral and vegetable oils, perfumes, waxes, nutrients (including trace nutrients, such as salts of iron, manganese, boron, copper, cobalt, molybdenum and zinc), protective colloids, thixotropic substances, penetrants, sequestering agents and complex formers.
- secondary thickeners cellulose derivatives, acrylic acid derivatives, xanthan, modified clays and finely divided silica
- stickers gibberellins and processing auxiliaries
- mineral and vegetable oils perfumes
- waxes including trace nutrients, such as salts of iron, manganese, boron, copper, cobalt, molybdenum and zinc
- protective colloids including trace nutrients, such as salts of iron, manganese, boron, copper, cobalt, molyb
- auxiliaries are related to the intended mode of application of the compound of the formula (I) and/or on the physical properties. Furthermore, the auxiliaries may be chosen to impart particular properties (technical, physical and/or biological properties) to the compositions or use forms prepared therefrom. The choice of auxiliaries may allow customizing the compositions to specific needs.
- the composition may be in any customary form, such as solutions (e.g.
- the compound of formula (I) may be present in a suspended, emulsified or dissolved form.
- compositions may be provided to the end user as ready-for-use formulation, i.e. the compositions may be directly applied to the plants or seeds by a suitable device, such as a spraying or dusting device.
- a suitable device such as a spraying or dusting device.
- the composition may be provided to the end user in the form of concentrates which have to be diluted, preferably with water, prior to use.
- composition can be prepared in conventional manners, for example by mixing the compound formula (I) with one or more suitable auxiliaries, such as disclosed herein above.
- the composition contains generally from 0.01 to 99% by weight, from 0.05 to 98% by weight, preferably from 0.1 to 95% by weight, more preferably from 0.5 to 90% by weight, most preferably from 1 to 80 % by weight of the compound of formula (I).
- the compound(s) and composition(s) comprising thereof can be mixed with other active ingredients like fungicides, bactericides, acaricides, nematicides, insecticides, herbicides, fertilizers, growth regulators, safeners or semiochemicals. This may allow to broaden the activity spectrum or to prevent development of resistance. Examples of known fungicides, insecticides, acaricides, nematicides and bactericides are disclosed in the Pesticide Manual, 17th Edition.
- Inhibitors of the ergosterol biosynthesis for example (1 .001) cyproconazole, (1 .002) difenoconazole, (1 .003) epoxiconazole, (1 .004) fenhexamid, (1 .005) fenpropidin, (1 .006) fenpropimorph, (1 .007) fenpyrazamine, (1 .008) fluquinconazole, (1 .009) flutriafol, (1 .010) imazalil, (1 .01 1) imazalil sulfate, (1 .012) ipconazole, (1 .013) metconazole, (1 .014) myclobutanil, (1 .015) paclobutrazol, (1 .016) prochloraz, (1 .017) propiconazole, (1 .018) prothioconazole, (1 .019) pyrisoxazole, (1 .020) spiroxamine, (1 .021) te
- Inhibitors of the respiratory chain at complex I or II for example (2.001) benzovindiflupyr, (2.002) bixafen, (2.003) boscalid, (2.004) carboxin, (2.005) fluopyram, (2.006) flutolanil, (2.007) fluxapyroxad, (2.008) furametpyr, (2.009) Isofetamid, (2.010) isopyrazam (anti-epimeric enantiomer 1 R,4S,9S), (2.01 1) isopyrazam (anti-epimeric enantiomer 1 S,4R,9R), (2.012) isopyrazam (anti-epimeric racemate 1 RS,4SR,9SR), (2.013) isopyrazam (mixture of syn-epimeric racemate 1 RS,4SR,9RS and anti-epimeric racemate 1 RS,4SR,9SR), (2.014) isopyrazam (syn-epimeric enantiomer 1 R,
- Inhibitors of the respiratory chain at complex III for example (3.001) ametoctradin, (3.002) amisulbrom, (3.003) azoxystrobin, (3.004) coumethoxystrobin, (3.005) coumoxystrobin, (3.006) cyazofamid, (3.007) dimoxystrobin, (3.008) enoxastrobin, (3.009) famoxadone, (3.010) fenamidone, (3.01 1) flufenoxystrobin, (3.012) fluoxastrobin, (3.013) kresoxim-methyl, (3.014) metominostrobin, (3.015) orysastrobin, (3.016) picoxystrobin, (3.017) pyraclostrobin, (3.018) pyrametostrobin, (3.019) pyraoxystrobin, (3.020) trifloxystrobin, (3.021) (2E)-2- ⁇ 2-[( ⁇ [(1 E)-1 -(3- ⁇ [(3-
- Inhibitors of the mitosis and cell division for example (4.001) carbendazim, (4.002) diethofencarb,
- Inhibitors of the amino acid and/or protein biosynthesis for example (7.001) cyprodinil, (7.002) kasugamycin, (7.003) kasugamycin hydrochloride hydrate, (7.004) oxytetracycline, (7.005) pyrimethanil, (7.006) 3-(5-fluoro-3,3,4,4-tetramethyl-3,4-dihydroisoquinolin-1-yl)quinoline.
- Inhibitors of the ATP production for example (8.001) silthiofam.
- Inhibitors of the cell wall synthesis for example (9.001) benthiavalicarb, (9.002) dimethomorph, (9.003) flumorph, (9.004) iprovalicarb, (9.005) mandipropamid, (9.006) pyrimorph, (9.007) valifenalate, (9.008) (2E)-3-(4-tert-butylphenyl)-3-(2-chloropyridin-4-yl)-1 -(morpholin-4-yl)prop-2-en-1 -one, (9.009) (2Z)-3-(4-tert-butylphenyl)-3-(2-chloropyridin-4-yl)-1-(morpholin-4-yl)prop-2-en-1-one.
- Inhibitors of the lipid and membrane synthesis for example (10.001) propamocarb, (10.002) propamocarb hydrochloride, (10.003) tolclofos-methyl.
- Inhibitors of the melanin biosynthesis for example (1 1.001) tricyclazole, (1 1.002) tolprocarb.
- Inhibitors of the nucleic acid synthesis for example (12.001) benalaxyl, (12.002) benalaxyl-M (kiralaxyl), (12.003) metalaxyl, (12.004) metalaxyl-M (mefenoxam).
- Inhibitors of the signal transduction for example (13.001) fludioxonil, (13.002) iprodione, (13.003) procymidone, (13.004) proquinazid, (13.005) quinoxyfen, (13.006) vinclozolin.
- Compounds capable to act as an uncoupler for example (14.001) fluazinam, (14.002) meptyldinocap.
- fungicides selected from the group consisting of (15.001 ) abscisic acid, (15.002) benthiazole, (15.003) bethoxazin, (15.004) capsimycin, (15.005) carvone, (15.006) chinomethionat, (15.007) cufraneb, (15.008) cyflufenamid, (15.009) cymoxanil, (15.010) cyprosulfamide, (15.01 1) flutianil, (15.012) fosetyl-aluminium, (15.013) fosetyl-calcium, (15.014) fosetyl-sodium, (15.015) methyl isothiocyanate, (15.016) metrafenone, (15.017) mildiomycin, (15.018) natamycin, (15.019) nickel dimethyldithiocarbamate, (15.020) nitrothal-isopropyl, (15.021) oxamocarb, (15.022) oxathiapiprolin,
- the compounds of formula (I) and compositions comprising thereof may be combined with one or more biological control agents.
- biological control agents which may be combined with the compounds of formula (I) and compositions comprising thereof are:
- Antibacterial agents selected from the group of:
- (A1) bacteria such as (A1 .1) Bacillus subtilis, in particular strain QST713/AQ713 (available as SERENADE OPTI or SERENADE ASO from Bayer CropScience LP, US, having NRRL Accession No. B21661 and described in U.S. Patent No. 6,060,051);
- amyloliquefaciens strain FZB24 (available as Taegro® from Novozymes, US); (A1.5) a Paenibacillus sp. strain having Accession No. NRRL B-50972 or Accession No. NRRL B-67129 and described in International Patent Publication No. WO 2016/154297; and
- (A2) fungi such as (A2.1) Aureobasidium pullulans, in particular blastospores of strain DSM14940; (A2.2) Aureobasidium pullulans blastospores of strain DSM 14941 ; (A2.3) Aureobasidium pullulans, in particular mixtures of blastospores of strains DSM14940 and DSM14941 ;
- (B1) bacteria for example (B1.1) Bacillus subtilis, in particular strain QST713/AQ713 (available as SERENADE OPTI or SERENADE ASO from Bayer CropScience LP, US, having NRRL Accession No. B21661 and described in U.S. Patent No. 6,060,051); (B1 .2) Bacillus pumilus, in particular strain QST2808 (available as SONATA® from Bayer CropScience LP, US, having Accession No. NRRL B- 30087 and described in U.S. Patent No.
- Bacillus pumilus in particular strain GB34 (available as Yield Shield® from Bayer AG, DE); (B1 .4) Bacillus pumilus, in particular strain BU F-33 (having NRRL Accession No. 50185); (B1.5) Bacillus amyloliquefaciens, in particular strain D747 (available as Double NickelTM from Certis, US, having accession number FERM BP-8234 and disclosed in US Patent No. 7,094,592); (B1.6) Bacillus subtilis Y1336 (available as BIOBAC ® WP from Bion-Tech, Taiwan, registered as a biological fungicide in Taiwan under Registration Nos.
- Bacillus amyloliquefaciens strain MBI 600 (available as SUBTILEX from BASF SE); (B1 .8) Bacillus subtilis strain GB03 (available as Kodiak® from Bayer AG, DE); (B1 .9) Bacillus subtilis var. amyloliquefaciens strain FZB24 (available from Novozymes Biologicals Inc., Salem, Virginia or Syngenta Crop Protection, LLC, Greensboro, North Carolina as the fungicide TAEGRO ® or TAEGRO ® ECO (EPA Registration No.
- Bacillus mycoides, isolate J available as BmJ TGAI or WG from Certis USA
- Bacillus licheniformis in particular strain SB3086 (available as EcoGuard TM Biofungicide and Green Releaf from Novozymes)
- Bacillus licheniformis in particular strain SB3086 (available as EcoGuard TM Biofungicide and Green Releaf from Novozymes)
- B1 .12 a Paenibacillus sp. strain having Accession No. NRRL B-50972 or Accession No. NRRL B-67129 and described in International Patent Publication No. WO 2016/154297.
- the biological control agent is a Bacillus subtilis or Bacillus amyloliquefaciens strain that produces a fengycin or plipastatin-type compound, an iturin-type compound, and/or a surfactin-type compound.
- Bacillus subtilis or Bacillus amyloliquefaciens strain that produces a fengycin or plipastatin-type compound, an iturin-type compound, and/or a surfactin-type compound.
- Bacillus strains capable of producing lipopeptides include Bacillus subtilis QST713 (available as SERENADE OPTI or SERENADE ASO from Bayer CropScience LP, US, having NRRL Accession No. B21661 and described in U.S. Patent No. 6,060,051), Bacillus amyloliquefaciens strain D747 (available as Double NickelTM from Certis, US, having accession number FERM BP-8234 and disclosed in US Patent No. 7,094,592); Bacillus subtilis MBI600 (available as SUBTILEX ® from Becker Underwood, US EPA Reg. No.
- Bacillus subtilis Y1336 (available as BIOBAC ® WP from Bion-Tech, Taiwan, registered as a biological fungicide in Taiwan under Registration Nos. 4764, 5454, 5096 and 5277); Bacillus amyloliquefaciens, in particular strain FZB42 (available as RHIZOVITAL ® from ABiTEP, DE); and Bacillus subtilis var. amyloliquefaciens FZB24 (available from Novozymes Biologicals Inc., Salem, Virginia or Syngenta Crop Protection, LLC, Greensboro, North Carolina as the fungicide TAEGRO ® or TAEGRO ® ECO (EPA Registration No. 70127-5); and
- (B2) fungi for example: (B2.1) Coniothyrium minitans, in particular strain CON/M/91-8 (Accession No. DSM-9660; e.g. Contans ® from Bayer); (B2.2) Metschnikowia fructicola, in particular strain NRRL Y- 30752 (e.g. Shemer®); (B2.3) Microsphaeropsis ochracea (e.g. Microx® from Prophyta); (B2.5) Trichoderma spp., including Trichoderma atroviride, strain SC1 described in International Application No.
- Trichoderma atroviride from Kumiai Chemical Industry
- Trichoderma atroviride strain CNCM 1-1237 (e.g. Esquive® WP from Agrauxine, FR);
- Trichoderma atroviride strain no. V08/002387;
- B2.40 Trichoderma atroviride, strain NMI no. V08/002388;
- B2.41 Trichoderma atroviride, strain NMI no. V08/002389;
- B2.42 Trichoderma atroviride, strain NMI no. V08/002390;
- Trichoderma atroviride strain LC52 (e.g.
- Trichoderma atroviride strain ATCC 20476 (IMI 206040); (B2.45) Trichoderma atroviride, strain T11 (IMI352941 / CECT20498); (B2.46) Trichoderma harmatum ; (B2.47) Trichoderma harzianum ; (B2.48) Trichoderma harzianum rifai T39 (e.g. Trichodex® from Makhteshim, US); (B2.49) Trichoderma harzianum, in particular, strain KD (e.g.
- Trichoplus from Biological Control Products, SA (acquired by Becker Underwood)); (B2.50) Trichoderma harzianum, strain ITEM 908 (e.g. Trianum-P from Koppert); (B2.51) Trichoderma harzianum, strain TH35 (e.g. Root-Pro by Mycontrol); (B2.52) Trichoderma virens (also known as Gliocladium virens), in particular strain GL-21 (e.g. SoilGard 12G by Certis, US); (B2.53) Trichoderma viride, strain TV1 (e.g. Trianum-P by Koppert); (B2.54) Ampelomyces quisqualis, in particular strain AQ 10 (e.g.
- Botector® by bio-ferm, CH (B2.64) Cladosporium cladosporioides, strain H39 (by Stichting Divichting Diviching Diviching Diviching Diviching Diviching Divichoek); (B2.69) Gliocladium catenulatum (Synonym: Clonostachys rosea f. catenuiate) strain J1446 (e.g. Prestop ® by AgBio Inc. and also e.g. Primastop® by Kemira Agro Oy); (B2.70) Lecanicillium lecanii (formerly known as Verticillium lecanii ) conidia of strain KV01 (e.g.
- Vertalec® by Koppert/Arysta (B2.71) PeniciIHum vermiculatum ⁇ , (B2.72) Pichia anomala, strain WRL-076 (NRRL Y-30842); (B2.75) Trichoderma atroviride, strain SKT-1 (FERM P-16510); (B2.76) Trichoderma atroviride, strain SKT-2 (FERM P-16511); (B2.77) Trichoderma atroviride, strain SKT-3 (FERM P-17021); (B2.78) Trichoderma gamsii (formerly T. viride), strain ICC080 (IMI CC 392151 CABI, e.g. BioDerma by AGROBIOSOL DE MEXICO, S.A.
- strain WCS850 CBS 276.92; e.g. Dutch Trig by Tree Care Innovations
- Verticillium chlamydosporium ⁇ Verticillium chlamydosporium ⁇
- mixtures of Trichoderma asperellum strain ICC 012 and Trichoderma gamsii strain ICC 080 product known as e.g. BIO-TAMTMfrom Bayer CropScience LP, US).
- biological control agents which may be combined with the compounds of formula (I) and compositions comprising thereof are:
- Bacillus cereus in particular B. cereus strain CNCM I- 1562 and Bacillus ftrmus, strain 1-1582 (Accession number CNCM 1-1582), Bacillus subtilis strain OST 30002 (Accession No. NRRL B-50421), Bacillus thuringiensis, in particular B. thuringiensis subspecies israelensis (serotype H-14), strain AM65-52 (Accession No. ATCC 1276), B. thuringiensis subsp. aizawai, in particular strain ABTS-1857 (SD-1372), B. thuringiensis subsp. kurstaki strain HD-1 , B. thuringiensis subsp.
- tenebrionis strain NB 176 SD-5428
- Pasteuria penetrans Pasteuria spp.
- Pasteuria spp. (Rotylenchulus reniformis nematode)-PR3 (Accession Number ATCC SD-5834)
- Streptomyces galbus strain AQ 6047 (Acession Number NRRL 30232)
- fungi and yeasts selected from the group consisting of Beauveria bassiana, in particular strain ATCC 74040, Lecanicillium spp., in particular strain HRO LEC 12, Metarhizium anisopliae, in particular strain F52 (DSM3884 or ATCC 90448), Paecilomyces fumosoroseus (now.
- Isaria fumosorosea in particular strain IFPC 200613, or strain Apopka 97 (Accesion No. ATCC 20874), and Paecilomyces lilacinus, in particular P. lilacinus strain 251 (AGAL 89/030550);
- viruses selected from the group consisting of Adoxophyes orana (summer fruit tortrix) granulosis virus (GV), Cydia pomonella (codling moth) granulosis virus (GV), Helicoverpa armigera (cotton bollworm) nuclear polyhedrosis virus (NPV), Spodoptera exigua (beet armyworm) mNPV, Spodoptera frugiperda (fall armyworm) mNPV, and Spodoptera littoralis (African cotton leafworm) NPV.
- bacteria and fungi which can be added as 'inoculant' to plants or plant parts or plant organs and which, by virtue of their particular properties, promote plant growth and plant health.
- Examples are: Agrobacterium spp., Azorhizobium caulinodans, Azospirillum spp., Azotobacter spp., Bradyrhizobium spp., Burkholderia spp., in particular Burkholderia cepacia (formerly known as Pseudomonas cepacia), Gigaspora spp., or Gigaspora monosporum, Glomus spp., Laccaria spp., Lactobacillus buchneri, Paraglomus spp., Pisolithus tinctorus, Pseudomonas spp., Rhizobium spp., in particular Rhizobium trifolii, Rhizopogon spp., Scleroderma spp., Suill
- plant extracts and products formed by microorganisms including proteins and secondary metabolites which can be used as biological control agents such as Allium sativum, Artemisia absinthium, azadirachtin, Biokeeper WP, Cassia nigricans, Celastrus angulatus, Chenopodium anthelminticum, chitin, Armour-Zen, Dryopteris filix-mas, Equisetum arvense, Fortune Aza, Fungastop, Heads Up ( ' Chenopodium quinoa saponin extract), Pyrethrum/Pyrethrins, Quassia amara, Quercus, Quillaja, Regalia, "Requiem TM Insecticide", rotenone, ryanial ryanodine, Symphytum officinale, Tanacetum vulgare, thymol, Triact 70, TriCon, Tropaeulum majus, Urtica dioica, Veratrin, Viscum album, Brassica
- insecticides examples include insecticides, acaricides and nematicides, respectively, which could be mixed with the compounds of formula (I) and compositions comprising thereof are:
- Acetylcholinesterase (AChE) inhibitors such as, for example, carbamates, for example alanycarb, aldicarb, bendiocarb, benfuracarb, butocarboxim, butoxycarboxim, carbaryl, carbofuran, carbosulfan, ethiofencarb, fenobucarb, formetanate, furathiocarb, isoprocarb, methiocarb, methomyl, metolcarb, oxamyl, pirimicarb, propoxur, thiodicarb, thiofanox, triazamate, trimethacarb, XMC and xylylcarb; or organophosphates, for example acephate, azamethiphos, azinphos-ethyl, azinphos-methyl, cadusafos, chlorethoxyfos, chlorfenvinphos, chlormephos, chlorpyrifo
- GABA-gated chloride channel blockers such as, for example, cyclodiene-organochlorines, for example chlordane and endosulfan or phenylpyrazoles (fiproles), for example ethiprole and fipronil.
- Sodium channel modulators such as, for example, pyrethroids, e.g. acrinathrin, allethrin, d-cis-trans allethrin, d-trans allethrin, bifenthrin, bioallethrin, bioallethrin s-cyclopentenyl isomer, bioresmethrin, cycloprothrin, cyfluthrin, beta-cyfluthrin, cyhalothrin, lambda-cyhalothrin, gamma-cyhalothrin, cypermethrin, alpha-cypermethrin, beta-cypermethrin, theta-cypermethrin, zeta-cypermethrin, cyphenothrin [(I R)-trans-isomer], deltamethrin, empenthrin [(EZ)-(1 R)-i
- Nicotinic acetylcholine receptor (nAChR) competitive modulators such as, for example, neonicotinoids, e.g. acetamiprid, clothianidin, dinotefuran, imidacloprid, nitenpyram, thiacloprid and thiamethoxam or nicotine or sulfoxaflor or flupyradifurone.
- neonicotinoids e.g. acetamiprid, clothianidin, dinotefuran, imidacloprid, nitenpyram, thiacloprid and thiamethoxam or nicotine or sulfoxaflor or flupyradifurone.
- Nicotinic acetylcholine receptor (nAChR) allosteric modulators such as, for example, spinosyns, e.g. spinetoram and spinosad.
- Glutamate-gated chloride channel (GluCI) allosteric modulators such as, for example, avermectins/milbemycins, for example abamectin, emamectin benzoate, lepimectin and milbemectin.
- Juvenile hormone mimics such as, for example, juvenile hormone analogues, e.g. hydroprene, kinoprene and methoprene or fenoxycarb or pyriproxyfen.
- Miscellaneous non-specific (multi-site) inhibitors such as, for example, alkyl halides, e.g. methyl bromide and other alkyl halides; or chloropicrine or sulfuryl fluoride or borax or tartar emetic or methyl isocyanate generators, e.g. diazomet and metam.
- alkyl halides e.g. methyl bromide and other alkyl halides
- chloropicrine or sulfuryl fluoride or borax or tartar emetic or methyl isocyanate generators e.g. diazomet and metam.
- Mite growth inhibitors such as, for example clofentezine, hexythiazox and diflovidazin or etoxazole.
- Microbial disruptors of the insect gut membrane such as, for example Bacillus thuringiensis subspecies israelensis, Bacillus sphaericus, Bacillus thuringiensis subspecies aizawai, Bacillus thuringiensis subspecies kurstaki, Bacillus thuringiensis subspecies tenebrionis, and B.t. plant proteins: CrylAb, CrylAc, Cryl Fa, Cry1A.105, Cry2Ab, Vip3A, mCry3A, Cry3Ab, Cry3Bb, Cry34Ab1/35Ab1 .
- Inhibitors of mitochondrial ATP synthase such as, ATP disruptors such as, for example, diafenthiuron or organotin compounds, for example azocyclotin, cyhexatin and fenbutatin oxide or propargite or tetradifon.
- ATP disruptors such as, for example, diafenthiuron or organotin compounds, for example azocyclotin, cyhexatin and fenbutatin oxide or propargite or tetradifon.
- Nicotinic acetylcholine receptor channel blockers such as, for example, bensultap, cartap hydrochloride, thiocylam, and thiosultap-sodium.
- Inhibitors of chitin biosynthesis type 0, such as, for example, bistrifluron, chlorfluazuron, diflubenzuron, flucycloxuron, flufenoxuron, hexaflumuron, lufenuron, novaluron, noviflumuron, teflubenzuron and triflumuron.
- Inhibitors of chitin biosynthesis type 1 , for example buprofezin.
- Moulting disruptor in particular for Diptera, i.e. dipterans
- Moulting disruptor such as, for example, cyromazine.
- Ecdysone receptor agonists such as, for example, chromafenozide, halofenozide, methoxyfenozide and tebufenozide.
- Octopamine receptor agonists such as, for example, amitraz.
- Mitochondrial complex III electron transport inhibitors such as, for example, hydramethylnone or acequinocyl or fluacrypyrim.
- Mitochondrial complex I electron transport inhibitors such as, for example from the group of the METI acaricides, e.g. fenazaquin, fenpyroximate, pyrimidifen, pyridaben, tebufenpyrad and tolfenpyrad or rotenone (Derris).
- METI acaricides e.g. fenazaquin, fenpyroximate, pyrimidifen, pyridaben, tebufenpyrad and tolfenpyrad or rotenone (Derris).
- Voltage-dependent sodium channel blockers such as, for example indoxacarb or metaflumizone.
- Inhibitors of acetyl CoA carboxylase such as, for example, tetronic and tetramic acid derivatives, e.g. spirodiclofen, spiromesifen and spirotetramat.
- Mitochondrial complex IV electron transport inhibitors such as, for example, phosphines, e.g. aluminium phosphide, calcium phosphide, phosphine and zinc phosphide or cyanides, e.g. calcium cyanide, potassium cyanide and sodium cyanide.
- Mitochondrial complex II electron transport inhibitors such as, for example, befa-ketonitrile derivatives, e.g. cyenopyrafen and cyflumetofen and carboxanilides, such as, for example, pyflubumide.
- Ryanodine receptor modulators such as, for example, diamides, e.g. chlorantraniliprole, cyantraniliprole and flubendiamide,
- further active compounds such as, for example, Afidopyropen, Afoxolaner, Azadirachtin, Benclothiaz, Benzoximate, Bifenazate, Broflanilide, Bromopropylate, Chinomethionat, Chloroprallethrin, Cryolite, Cyclaniliprole, Cycloxaprid, Cyhalodiamide, Dicloromezotiaz, Dicofol, epsilon-Metofluthrin, epsilon- Momfluthrin, Flometoquin, Fluazaindolizine, Fluensulfone, Flufenerim, Flufenoxystrobin, Flufiprole, Fluhexafon, Fluopyram, Fluralaner, Fluxametamide, Fufenozide, Guadipyr, Heptafluthrin, Imidaclothiz, Iprodione, kappa-Bifenthr
- WO 201 1/085575 A1 (CAS 1233882-22-8), 4-[3-[2,6-dichloro-4-[(3,3-dichloro-2-propen-1 -yl)oxy] phenoxy]propoxy]-2-methoxy-6-(trifluoromethyl)-pyrimidine (known from CN 101337940 A) (CAS 1 108184-52-6); (2 £)- and 2(Z)-2-[2-(4-cyanophenyl)-1 -[3-(trifluoromethyl)phenyl]ethylidene]-A/-[4-
- safeners which could be mixed with the compounds of formula (I) and compositions comprising thereof are, for example, benoxacor, cloquintocet (-mexyl), cyometrinil, cyprosulfamide, dichlormid, fenchlorazole (-ethyl), fenclorim, flurazole, fluxofenim, furilazole, isoxadifen (-ethyl), mefenpyr
- herbicides which could be mixed with the compounds of formula (I) and compositions comprising thereof are:
- plant growth regulators are:
- the compounds of formula (I) and the compositions comprising thereof have potent microbicidal activity. They can be used for controlling unwanted microorganisms, such as unwanted fungi and bacteria. They can be particularly useful in crop protection (they control microorganisms that cause plants diseases) or for protecting materials (e.g. industrial materials, timber, storage goods) as described in more details herein below. More specifically, the compounds of formula (I) and the compositions comprising thereof can be used to protect seeds, germinating seeds, emerged seedlings, plants, plant parts, fruits, harvest goods and/or the soil in which the plants grow from unwanted microorganisms.
- Control or controlling as used herein encompasses protective, curative and eradicative treatment of unwanted microorganisms.
- Unwanted microorganisms may be pathogenic bacteria, pathogenic virus, pathogenic oomycetes or pathogenic fungi, more specifically phytopathogenic bacteria phytopathogenic virus, phytopathogenic oomycetes or phytopathogenic fungi. As detailed herein below, these phytopathogenic microorganims are the causal agents of a broad spectrum of plants diseases.
- the compounds of formula (I) and compositions comprising thereof can be used as fungicides.
- fungicide refers to a compound or composition that can be used in crop protection for the control of unwanted fungi, such as Plasmodiophoromycetes, Chytridiomycetes, Zygomycetes, Ascomycetes, Basidiomycetes and Deuteromycetes and/or for the control of Oomycetes, more preferably for the control of Basidiomycetes (causing rust diseases).
- the present invention also relates to a method for controlling unwanted microorganisms, such as phytopathogenic fungi, oomycetes and bacteria, comprising the step of applying at least one compound of formula (I) or at least one composition comprising thereof to the microorganisms and/or their habitat (to the plants, plant parts, seeds, fruits or to the soil in which the plants grow).
- unwanted microorganisms such as phytopathogenic fungi, oomycetes and bacteria
- Suitable substrates that may be used for cultivating plants include inorganic based substrates, such as mineral wool, in particular stone wool, perlite, sand or gravel; organic substrates, such as peat, pine bark or sawdust; and petroleum based substrates such as polymeric foams or plastic beads.
- Effective and plant-compatible amount means an amount that is sufficient to control or destroy the fungi present or liable to appear on the cropland and that does not entail any appreciable symptom of phytotoxicity for said crops. Such an amount can vary within a wide range depending on the fungus to be controlled, the type of crop, the crop growth stage, the climatic conditions and the respective compound or composition of the invention used. This amount can be determined by systematic field trials that are within the capabilities of a person skilled in the art.
- the compounds of formula (I) and compositions comprising thereof may be applied to any plants or plant parts.
- Plants mean all plants and plant populations, such as desired and undesired wild plants or crop plants (including naturally occurring crop plants).
- Crop plants may be plants which can be obtained by conventional breeding and optimization methods or by biotechnological and genetic engineering methods or combinations of these methods, including the genetically modified plants (GMO or transgenic plants) and the plant cultivars which are protectable and non-protectable by plant breeders’ rights.
- Plant parts are understood to mean all parts and organs of plants above and below the ground, such as shoot, leaf, flower and root, examples of which include leaves, needles, stalks, stems, flowers, fruit bodies, fruits and seeds, and also roots, tubers and rhizomes.
- the plant parts also include harvested material and vegetative and generative propagation material, for example cuttings, tubers, rhizomes, slips and seeds.
- Plants which may be treated in accordance with the methods of the invention include the following: cotton, flax, grapevine, fruit, vegetables, such as Rosaceae sp. (for example pome fruits such as apples and pears, but also stone fruits such as apricots, cherries, almonds and peaches, and soft fruits such as strawberries), Ribesioidae sp., Juglandaceae sp., Betulaceae sp., Anacardiaceae sp., Fagaceae sp., Moraceae sp., Oleaceae sp., Actinidaceae sp., Lauraceae sp., Musaceae sp.
- Rosaceae sp. for example pome fruits such as apples and pears, but also stone fruits such as apricots, cherries, almonds and peaches, and soft fruits such as strawberries
- Rosaceae sp. for example pome fruits such as apples and pears, but also
- Rubiaceae sp. for example coffee
- Theaceae sp. Sterculiceae sp.
- Rutaceae sp. for example lemons, oranges and grapefruit
- Solanaceae sp. for example tomatoes
- Liliaceae sp. for example lettuce
- Umbelliferae sp. for example lettuce
- Alliaceae sp. for example leek, onion
- peas for example peas
- major crop plants such as Gramineae sp. (for example maize, turf, cereals such as wheat, rye, rice, barley, oats, millet and triticale), Asteraceae sp. (for example sunflower), Brassicaceae sp. (for example white cabbage, red cabbage, broccoli, cauliflower, Brussels sprouts, pak choi, kohlrabi, radishes, and oilseed rape, mustard, horseradish and cress), Fabacae sp. (for example bean, peanuts), Papilionaceae sp. (for example soya bean), Solanaceae sp. (for example potatoes), Chenopodiaceae sp. (for example sugar beet, fodder beet, swiss chard, beetroot); useful plants and ornamental plants for gardens and wooded areas; and genetically modified varieties of each of these plants.
- wild plant species and plant cultivars or those obtained by conventional biological breeding methods, such as crossing or protoplast fusion, and also parts thereof, are treated in accordance with the methods of the invention.
- transgenic plants and plant cultivars obtained by genetic engineering methods if appropriate in combination with conventional methods (Genetically Modified Organisms), and parts thereof are treated in accordance with the methods of the invention. More preferably, plants of the plant cultivars which are commercially available or are in use are treated in accordance with the invention.
- Plant cultivars are understood to mean plants which have new properties ("traits") and have been obtained by conventional breeding, by mutagenesis or by recombinant DNA techniques. They can be cultivars, varieties, bio- or genotypes.
- GMOs genetically modified organisms
- Genetically modified plants are plants of which a heterologous gene has been stably integrated into genome.
- the expression“heterologous gene” essentially means a gene which is provided or assembled outside the plant and when introduced in the nuclear, chloroplastic or mitochondrial genome gives the transformed plant new or improved agronomic or other properties by expressing a protein or polypeptide of interest or by down regulating or silencing other gene(s) which are present in the plant (using for example, antisense technology, cosuppression technology, RNA interference - RNAi - technology or microRNA - miRNA - technology).
- a heterologous gene that is located in the genome is also called a transgene.
- a transgene that is defined by its particular location in the plant genome is called a transformation or transgenic event.
- Plants and plant cultivars which can be treated by the above disclosed methods include all plants which have genetic material which impart particularly advantageous, useful traits to these plants (whether obtained by breeding and/or biotechnological means).
- Plants and plant cultivars which can be treated by the above disclosed methods include plants and plant cultivars which are resistant against one or more biotic stresses, i.e. said plants show a better defense against animal and microbial pests, such as against nematodes, insects, mites, phytopathogenic fungi, bacteria, viruses and/or viroids.
- Plants and plant cultivars which can be treated by the above disclosed methods include those plants which are resistant to one or more abiotic stresses.
- Abiotic stress conditions may include, for example, drought, cold temperature exposure, heat exposure, osmotic stress, flooding, increased soil salinity, increased mineral exposure, ozone exposure, high light exposure, limited availability of nitrogen nutrients, limited availability of phosphorus nutrients, shade avoidance.
- Plants and plant cultivars which can be treated by the above disclosed methods include those plants characterized by enhanced yield characteristics. Increased yield in said plants can be the result of, for example, improved plant physiology, growth and development, such as water use efficiency, water retention efficiency, improved nitrogen use, enhanced carbon assimilation, improved photosynthesis, increased germination efficiency and accelerated maturation. Yield can furthermore be affected by improved plant architecture (under stress and non-stress conditions), including but not limited to, early flowering, flowering control for hybrid seed production, seedling vigor, plant size, internode number and distance, root growth, seed size, fruit size, pod size, pod or ear number, seed number per pod or ear, seed mass, enhanced seed filling, reduced seed dispersal, reduced pod dehiscence and lodging resistance. Further yield traits include seed composition, such as carbohydrate content and composition for example cotton or starch, protein content, oil content and composition, nutritional value, reduction in anti-nutritional compounds, improved processability and better storage stability.
- Plants and plant cultivars which can be treated by the above disclosed methods include plants and plant cultivars which are hybrid plants that already express the characteristic of heterosis or hybrid vigor which results in generally higher yield, vigor, health and resistance towards biotic and abiotic stresses.
- Plants and plant cultivars obtained by plant biotechnology methods such as genetic engineering
- plants and plant cultivars which can be treated by the above disclosed methods include plants and plant cultivars which are herbicide- tolerant plants, i.e. plants made tolerant to one or more given herbicides.
- Such plants can be obtained either by genetic transformation, or by selection of plants containing a mutation imparting such herbicide tolerance.
- Plants and plant cultivars obtained by plant biotechnology methods such as genetic engineering
- plants and plant cultivars which are insect- resistant transgenic plants i.e. plants made resistant to attack by certain target insects.
- Such plants can be obtained by genetic transformation, or by selection of plants containing a mutation imparting such insect resistance.
- Plants and plant cultivars obtained by plant biotechnology methods such as genetic engineering which can be treated by the above disclosed methods include plants and plant cultivars which are tolerant to abiotic stresses. Such plants can be obtained by genetic transformation, or by selection of plants containing a mutation imparting such stress resistance. Plants and plant cultivars (obtained by plant biotechnology methods such as genetic engineering) which can be treated by the above disclosed methods include plants and plant cultivars which show altered quantity, quality and/or storage-stability of the harvested product and/or altered properties of specific ingredients of the harvested product.
- Plants and plant cultivars obtained by plant biotechnology methods such as genetic engineering which can be treated by the above disclosed methods include plants and plant cultivars, such as cotton plants, with altered fiber characteristics. Such plants can be obtained by genetic transformation, or by selection of plants contain a mutation imparting such altered fiber characteristics.
- Plants and plant cultivars obtained by plant biotechnology methods such as genetic engineering
- plants and plant cultivars which can be treated by the above disclosed methods include plants and plant cultivars, such as oilseed rape or related Brassica plants, with altered oil profile characteristics.
- Such plants can be obtained by genetic transformation, or by selection of plants contain a mutation imparting such altered oil profile characteristics.
- Plants and plant cultivars obtained by plant biotechnology methods such as genetic engineering which can be treated by the above disclosed methods include plants and plant cultivars, such as oilseed rape or related Brassica plants, with altered seed shattering characteristics.
- Such plants can be obtained by genetic transformation, or by selection of plants contain a mutation imparting such altered seed shattering characteristics and include plants such as oilseed rape plants with delayed or reduced seed shattering.
- Plants and plant cultivars obtained by plant biotechnology methods such as genetic engineering which can be treated by the above disclosed methods include plants and plant cultivars, such as Tobacco plants, with altered post-translational protein modification patterns.
- phytopathogenic microorganisms such as phytopathogenic fungi, causing diseases, such as:
- Blumeria species e.g. Blumeria graminis
- Podosphaera species e.g. Podosphaera leucotricha
- Sphaerotheca species e.g. Sphaerotheca fuliginea
- Uncinula species e.g. Uncinula necator
- Gymnosporangium species e.g. Gymnosporangium sabinae
- Hemileia species e.g. Hemileia vastatrix
- Phakopsora species e.g. Phakopsora pachyrhizi or Phakopsora meibomiae
- Puccinia species e.g. Puccinia recondita, Puccinia graminis or Puccinia striiformis
- Uromyces species e.g. Uromyces appendiculatus
- Albugo species e.g. Albugo Candida
- Bremia species e.g. Bremia lactucae
- Peronospora species e.g. Peronospora pisi or P. brassicae
- Phytophthora species e.g. Phytophthora infestans
- Plasmopara species e.g. Plasmopara viticola
- Pseudoperonospora species e.g. Pseudoperonospora humuli or Pseudoperonospora cubensis
- Pythium species e.g. Pythium ultimum
- Pythium species e.g. Pythium ultimum
- leaf blotch diseases and leaf wilt diseases caused, for example, by Alternaria species (e.g. Alternaria solani), Cercospora species (e.g. Cercospora beticola), Cladiosporium species (e.g. Cladiosporium cucumerinum), Cochliobolus species (e.g. Cochliobolus sativus (conidial form: Drechslera, syn: Helminthosporium) or Cochliobolus miyabeanus), Colletotrichum species (e.g. Colletotrichum lindemuthanium), Cycloconium species (e.g. Cycloconium oleaginum), Diaporthe species (e.g.
- Diaporthe citri Elsinoe species (e.g. Elsinoe fawcettii), Gloeosporium species (e.g. Gloeosporium laeticolor), Glomerella species (e.g. Glomerella cingulate), Guignardia species (e.g. Guignardia bidwelli), Leptosphaeria species (e.g. Leptosphaeria maculans), Magnaporthe species (e.g. Magnaporthe grisea), Microdochium species (e.g. Microdochium nivale), Mycosphaerella species (e.g.
- Phaeosphaeria species e.g. Phaeosphaeria nodorum
- Corticium species e.g. Corticium graminearum
- Fusarium species e.g. Fusarium oxysporum
- Gaeumannomyces species e.g. Gaeumannomyces graminis
- Plasmodiophora species e.g. Plasmodiophora brassicae
- Rhizoctonia species e.g. Rhizoctonia solani
- Sarocladium species e.g. Sarocladium oryzae
- Sclerotium species e.g. Sclerotium oryzae
- Tapesia species e.g. Tapesia acuformis
- Thielaviopsis species e.g. Thielaviopsis basicola
- Thielaviopsis species e.g. Thielaviopsis basicola
- ear and panicle diseases caused, for example, by Alternaria species, (e.g. Alternaria spp.), Aspergillus species (e.g. Aspergillus flavus), Cladosporium species (e.g. Cladosporium cladosporioides, Claviceps species (e.g. Claviceps purpurea), Fusarium species, (e.g. Fusarium culmorum), Gibberella species (e.g. Gibberella zeae), Monographella species, (e.g. Monographella nivalis), Stagnospora species, (e.g. Stagnospora nodorum);
- Alternaria species e.g. Alternaria spp.
- Aspergillus species e.g. Aspergillus flavus
- Cladosporium species e.g. Cladosporium cladosporioides
- Claviceps species e.g. Clavic
- Sphacelotheca species e.g. Sphacelotheca reiliana
- Tilletia species e.g. Tilletia caries or Tilletia controversa
- Urocystis species e.g. Urocystis occulta
- Ustilago species e.g. Ustilago nuda
- fruit rot caused, for example, by Aspergillus species (e.g. Aspergillus flavus), Botrytis species (e.g. Botrytis cinerea), Penicillium species (e.g. Penicillium expansum or Penicillium purpurogenum), Rhizopus species (e.g. Rhizopus stolonifer), Sclerotinia species (e.g. Sclerotinia sclerotiorum), Verticilium species (e.g. Verticilium alboatrum) ;
- Alternaria species e.g. Alternaria brassicicola
- Aphanomyces species e.g. Aphanomyces euteiches
- Ascochyta species e.g. Ascochyta lentis
- Aspergillus species e.g. Aspergillus flavus
- Cladosporium species e.g. Cladosporium herbarum
- Cochliobolus species e.g. Cochliobolus sativus (conidial form: Drechslera, Bipolaris Syn: Helminthosporium)
- Colletotrichum species e.g.
- Fusarium species e.g. Fusarium culmorum
- Gibberella species e.g. Gibberella zeae
- Macrophomina species e.g. Macrophomina phaseolina
- Microdochium species e.g. Microdochium nivale
- Monographella species e.g. Monographella nivalis
- Penicillium species e.g. Penicillium expansum
- Phoma species e.g. Phoma lingam
- Phomopsis species e.g. Phomopsis sojae
- Phytophthora species e.g. Phytophthora cactorum
- Pyrenophora species e.g.
- Pyrenophora graminea Pyricularia species (e.g. Pyricularia oryzae), Pythium species (e.g. Pythium ultimum), Rhizoctonia species (e.g. Rhizoctonia solani), Rhizopus species (e.g. Rhizopus oryzae), Sclerotium species (e.g. Sclerotium rolfsii), Septoria species (e.g. Septoria nodorum), Typhula species (e.g. Typhula incarnate), Verticillium species (e.g. Verticillium dahlia);
- Pyricularia species e.g. Pyricularia oryzae
- Pythium species e.g. Pythium ultimum
- Rhizoctonia species e.g. Rhizoctonia solani
- Rhizopus species e.g. Rhizopus oryzae
- Sclerotium species e.g. Sclerotium rolfsi
- Nectria species e.g. Nectria galligena
- Monilinia species e.g. Monilinia laxa
- Exobasidium species e.g. Exobasidium vexans
- Taphrina species e.g. Taphrina deformans
- degenerative diseases in woody plants caused, for example, by Esca species (e.g. Phaeomoniella chlamydospora, Phaeoacremonium aleophilum or Fomitiporia mediterranea), Ganoderma species (e.g. Ganoderma boninense);
- Esca species e.g. Phaeomoniella chlamydospora, Phaeoacremonium aleophilum or Fomitiporia mediterranea
- Ganoderma species e.g. Ganoderma boninense
- Botrytis species e.g. Botrytis cinerea
- Rhizoctonia species e.g. Rhizoctonia solani
- Helminthosporium species e.g. Helminthosporium solani
- Xanthomonas species e.g. Xanthomonas campestris pv. Oryzae
- Pseudomonas species e.g. Pseudomonas syringae pv. Lachrymans
- Erwinia species e.g. Erwinia amylovora
- the compounds of formula (I) and compositions comprising thereof are efficient in controlling phythopathogenic fungi causing rust diseases.
- the method for controlling unwanted microorganisms may be used to protect seeds from phytopathogenic microorganisms, such as fungi.
- seed(s) include dormant seed, primed seed, pregerminated seed and seed with emerged roots and leaves.
- the present invention also relates to a method for protecting seeds and/or crops from unwanted microorganisms, such as bacteria or fungi, which comprises the step of treating the seeds with one or more compounds of formula (I) or a composition comprising thereof.
- the treatment of seeds with the compound(s) of formula (I) or a composition comprising thereof not only protects the seeds from phytopathogenic microorganisms, but also the germinating plants, the emerged seedlings and the plants after emergence.
- the seeds treatment may be performed prior to sowing, at the time of sowing or shortly thereafter.
- the seeds treatment may be performed as follows: the seeds may be placed into a mixer with a desired amount of compound(s) of formula (I) or a composition comprising thereof (either as such or after dilution), the seeds and the compound(s) of formula (I) or the composition comprising thereof are mixed until a homogeneous distribution on seeds is achieved. If appropriate, the seeds may then be dried.
- the invention also relates to seeds treated with one or more compounds of formula (I) or a composition comprising thereof.
- treated seeds allows not only protecting the seeds before and after sowing from unwanted microorganisms, such as phytopathogenic fungi, but also allows protecting the germinating plants and young seedlings emerging from said treated seeds.
- a large part of the damage to crop plants caused by harmful organisms is triggered by the infection of the seeds before sowing or after germination of the plant. This phase is particularly critical since the roots and shoots of the growing plant are particularly sensitive, and even small damage may result in the death of the plant.
- the present invention also relates to a method for protecting seeds, germinating plants and emerged seedlings, more generally to a method for protecting crop from phytopathogenic microorganisms, which comprises the step of using seeds treated by one or more compounds of formula (I) or a composition comprising thereof.
- the seed is treated in a state in which it is sufficiently stable for no damage to occur in the course of treatment.
- seeds can be treated at any time between harvest and shortly after sowing. It is customary to use seeds which have been separated from the plant and freed from cobs, shells, stalks, coats, hairs or the flesh of the fruits. For example, it is possible to use seeds which have been harvested, cleaned and dried down to a moisture content of less than 15% by weight. Alternatively, it is also possible to use seeds which, after drying, for example, have been treated with water and then dried again, or seeds just after priming, or seeds stored in primed conditions or pre-germinated seeds, or seeds sown on nursery trays, tapes or paper.
- the amount of compound(s) of formula (I) or composition comprising thereof applied to the seed is typically such that the germination of the seed is not impaired, or that the resulting plant is not damaged. This must be ensured particularly in case the active ingredients would exhibit phytotoxic effects at certain application rates.
- the intrinsic phenotypes of transgenic plants should also be taken into consideration when determining the amount of compound(s) of formula (I) or composition comprising thereof to be applied to the seed in order to achieve optimum seed and germinating plant protection with a minimum amount of compound(s) of formula (I) or composition comprising thereof being employed.
- the compounds of the formula (I) can be applied, as such, directly to the seeds, i.e. without the use of any other components and without having been diluted, or a composition comprising the compounds of formula (I) can be applied.
- the compositions are applied to the seed in any suitable form.
- suitable formulations include solutions, emulsions, suspensions, powders, foams, slurries or combined with other coating compositions for seed, such as film forming materials, pelleting materials, fine iron or other metal powders, granules, coating material for inactivated seeds, and also ULV formulations.
- the formulations may be ready-to-use formulations or may be concentrates that need to be diluted prior to use.
- formulations are prepared in a known manner, for instance by mixing the active ingredient or mixture thereof with customary additives, for example customary extenders and solvents or diluents, dyes, wetting agents, dispersants, emulsifiers, antifoams, preservatives, secondary thickeners, adhesives, gibberellins, and also water.
- customary additives for example customary extenders and solvents or diluents, dyes, wetting agents, dispersants, emulsifiers, antifoams, preservatives, secondary thickeners, adhesives, gibberellins, and also water.
- formulations are prepared in a known manner, by mixing the active ingredients or active ingredient combinations with customary additives, for example customary extenders and solvents or diluents, dyes, wetting agents, dispersants, emulsifiers, antifoams, preservatives, secondary thickeners, adhesives, gibberellins, and also water.
- customary additives for example customary extenders and solvents or diluents, dyes, wetting agents, dispersants, emulsifiers, antifoams, preservatives, secondary thickeners, adhesives, gibberellins, and also water.
- Useful dyes which may be present in the seed dressing formulations are all dyes which are customary for such purposes. It is possible to use either pigments, which are sparingly soluble in water, or dyes, which are soluble in water. Examples include the dyes known by the names Rhodamine B, C.l. Pigment Red 112 and C.l. Solvent Red 1 .
- Useful wetting agents which may be present in the seed dressing formulations are all substances which promote wetting and which are conventionally used for the formulation of active agrochemical ingredients. Usable with preference are alkylnaphthalenesulfonates, such as diisopropyl- or diisobutylnaphthalenesulfonates.
- Useful dispersants and/or emulsifiers which may be present in the seed dressing formulations are all nonionic, anionic and cationic dispersants conventionally used for the formulation of active agrochemical ingredients. Usable with preference are nonionic or anionic dispersants or mixtures of nonionic or anionic dispersants.
- Useful nonionic dispersants include especially ethylene oxide/propylene oxide block polymers, alkylphenol polyglycol ethers and tristryrylphenol polyglycol ether, and the phosphated or sulfated derivatives thereof.
- Suitable anionic dispersants are especially lignosulfonates, polyacrylic acid salts and arylsulfonate/formaldehyde condensates.
- Antifoams which may be present in the seed dressing formulations are all foam-inhibiting substances conventionally used for the formulation of active agrochemical ingredients. Silicone antifoams and magnesium stearate can be used with preference.
- Preservatives which may be present in the seed dressing formulations are all substances usable for such purposes in agrochemical compositions. Examples include dichlorophene and benzyl alcohol hemiformal.
- Secondary thickeners which may be present in the seed dressing formulations are all substances usable for such purposes in agrochemical compositions. Preferred examples include cellulose derivatives, acrylic acid derivatives, xanthan, modified clays and finely divided silica.
- Adhesives which may be present in the seed dressing formulations are all customary binders usable in seed dressing products. Preferred examples include polyvinylpyrrolidone, polyvinyl acetate, polyvinyl alcohol and tylose.
- the compounds of the formula (I) and the compositions comprising thereof are suitable for protecting seeds of any plant variety which is used in agriculture, in greenhouses, in forests or in horticulture. More particularly, the seed is that of cereals (such as wheat, barley, rye, millet, triticale, and oats), oilseed rape, maize, cotton, soybean, rice, potatoes, sunflower, beans, coffee, peas, beet (e.g. sugar beet and fodder beet), peanut, vegetables (such as tomato, cucumber, onions and lettuce), lawns and ornamental plants. Of particular significance is the treatment of the seed of wheat, soybean, oilseed rape, maize and rice.
- the compounds of formula (I) or the compositions comprising thereof can be used for treating transgenic seeds, in particular seeds of plants capable of expressing a protein which acts against pests, herbicidal damage or abiotic stress, thereby increasing the protective effect. Synergistic effects may also occur in interaction with the substances formed by expression.
- the compound of formula (I) can be applied as such, or for example in the form of as ready-to-use solutions, emulsions, water- or oil-based suspensions, powders, wettable powders, pastes, soluble powders, dusts, soluble granules, granules for broadcasting, suspoemulsion concentrates, natural products impregnated with the compound of formula (I), synthetic substances impregnated with the compound of formula (I), fertilizers or microencapsulations in polymeric substances.
- Application is accomplished in a customary manner, for example by watering, spraying, atomizing, broadcasting, dusting, foaming, spreading-on and the like. It is also possible to deploy the compound of formula (I) by the ultra-low volume method, via a drip irrigation system or drench application, to apply it infurrow or to inject it into the soil stem or trunk. It is further possible to apply the compound of formula (I) by means of a wound seal, paint or other wound dressing.
- the effective and plant-compatible amount of the compound of formula (I) which is applied to the plants, plant parts, fruits, seeds or soil will depend on various factors, such as the compound/composition employed, the subject of the treatment (plant, plant part, fruit, seed or soil), the type of treatment (dusting, spraying, seed dressing), the purpose of the treatment (curative and protective), the type of microorganisms, the development stage of the microorganisms, the sensitivity of the microorganisms, the crop growth stage and the environmental conditions.
- the application rates can vary within a relatively wide range, depending on the kind of application.
- the application rate may range from 0.1 to 10 000 g/ha, preferably from 10 to 1000 g/ha, more preferably from 50 to 300 g/ha (in the case of application by watering or dripping, it is even possible to reduce the application rate, especially when inert substrates such as rockwool or perlite are used).
- the application rate may range from 0.1 to 200 g per 100 kg of seeds, preferably from 1 to 150 g per 100 kg of seeds, more preferably from 2.5 to 25 g per 100 kg of seeds, even more preferably from 2.5 to 12.5 g per 100 kg of seeds.
- the application rate may range from 0.1 to 10 000 g/ha, preferably from 1 to 5000 g/ha.
- the compound and the composition of the invention may also be used in the protection of materials, especially for the protection of industrial materials against attack and destruction by unwanted microorganisms.
- the compound and the composition of the invention may be used as antifouling compositions, alone or in combinations with other active ingredients.
- Industrial materials in the present context are understood to mean inanimate materials which have been prepared for use in industry.
- industrial materials which are to be protected from microbial alteration or destruction may be adhesives, glues, paper, wallpaper and board/cardboard, textiles, carpets, leather, wood, fibers and tissues, paints and plastic articles, cooling lubricants and other materials which can be infected with or destroyed by microorganisms.
- Parts of production plants and buildings, for example cooling-water circuits, cooling and heating systems and ventilation and air-conditioning units, which may be impaired by the proliferation of microorganisms may also be mentioned within the scope of the materials to be protected.
- Industrial materials within the scope of the present invention preferably include adhesives, sizes, paper and card, leather, wood, paints, cooling lubricants and heat transfer fluids, more preferably wood.
- the compound and the composition of the invention may prevent adverse effects, such as rotting, decay, discoloration, decoloration or formation of mould.
- the compound and the composition of the invention may also be used against fungal diseases liable to grow on or inside timber.
- Timber means all types of species of wood, and all types of working of this wood intended for construction, for example solid wood, high-density wood, laminated wood, and plywood.
- the compound and the composition of the invention may be used to protect objects which come into contact with saltwater or brackish water, especially hulls, screens, nets, buildings, moorings and signaling systems, from fouling.
- Storage goods are understood to mean natural substances of vegetable or animal origin or processed products thereof which are of natural origin, and for which long-term protection is desired.
- Storage goods of vegetable origin for example plants or plant parts, such as stems, leaves, tubers, seeds, fruits, grains, may be protected freshly harvested or after processing by (pre)drying, moistening, comminuting, grinding, pressing or roasting.
- Storage goods also include timber, both unprocessed, such as construction timber, electricity poles and barriers, or in the form of finished products, such as furniture.
- Storage goods of animal origin are, for example, hides, leather, furs and hairs.
- the compound and the composition of the invention may prevent adverse effects, such as rotting, decay, discoloration, decoloration or formation of mould.
- Microorganisms capable of degrading or altering industrial materials include, for example, bacteria, fungi, yeasts, algae and slime organisms.
- the compound and the composition of the invention preferably act against fungi, especially moulds, wood-discoloring and wood-destroying fungi ( Ascomycetes ,
- Examples include microorganisms of the following genera: Alternaria, such as Altemaria tenuis Aspergillus, such as Aspergillus niger, Chaetomium, such as Chaetomium globosum; Coniophora, such as Coniophora puetana Lentinus, such as Lentinus tigrinus ; Penicillium, such as Penicillium glaucum; Polyporus, such as Polyporus versicolor, Aureobasidium, such as Aureobasidium pullulans ; Sclerophoma, such as Sclerophoma pityophila ; Trichoderma, such as Trichoderma viride Ophiostoma spp., Ceratocystis spp., Humicola spp., Petriella spp., Trichurus spp.,
- Step 1 Preparation of 1 -(5-bromo-2-thienyl)-4,4,4-trifluorobutane-1 ,3-dione
- Step 2 Preparation of 3-(5-bromo-2-thienyl)-5-(trifluoromethyl)-4,5-dihydro-1 ,2-oxazol-5-ol
- Step 3 3-[5-(6-fluoropyridin-3-yl)-2-thienyl]-5-(trifluoromethyl)-4,5-dihydro-1 ,2-oxazol-5-ol (compound 1.038)
- al LogP value is determined by measurement of LC-UV, in an acidic range, with 0.1 % formic acid in water and acetonitrile as eluent (linear gradient from 10% acetonitrile to 95% acetonitrile).
- [bl LogP value is determined by measurement of LC-UV, in a neutral range, with 0.001 molar ammonium acetate solution in water and acetonitrile as eluent (linear gradient from 10% acetonitrile to 95% acetonitrile).
- cl LogP value is determined by measurement of LC-UV, in an acidic range, with 0.1 % phosphoric acid and acetonitrile as eluent (linear gradient from 10% acetonitrile to 95% acetonitrile).
- Table A provides the NMR data ( 1 H) of some compounds disclosed in the above tables.
- 1 H-NMR data of selected examples are written in form of 1 H-NMR-peak lists. To each signal peak are listed the d-value in ppm and the signal intensity in round brackets. Between the 5-value - signal intensity pairs are semicolons as delimiters.
- Intensity of sharp signals correlates with the height of the signals in a printed example of a NMR spectrum in cm and shows the real relations of signal intensities. From broad signals several peaks or the middle of the signal and their relative intensity in comparison to the most intensive signal in the spectrum can be shown.
- tetramethylsilane For calibrating chemical shift for 1 H spectra, we use tetramethylsilane and/or the chemical shift of the solvent used, especially in the case of spectra measured in DMSO. Therefore, in NMR peak lists, tetramethylsilane peak can occur but not necessarily.
- the 1 H-NMR peak lists are similar to classical 1 H-NMR prints and contains therefore usually all peaks, which are listed at classical NMR-interpretation.
- the peaks of stereoisomers of the target compounds and/or peaks of impurities have usually on average a lower intensity than the peaks of target compounds (for example with a purity >90%).
- Such stereoisomers and/or impurities can be typical for the specific preparation process. Therefore, their peaks can help to recognize the reproduction of our preparation process via“side-products-fingerprints”.
- An expert who calculates the peaks of the target compounds with known methods (MestreC, ACD- simulation, but also with empirically evaluated expectation values) can isolate the peaks of the target compounds as needed optionally using additional intensity filters. This isolation would be similar to relevant peak picking at classical 1 H-NMR interpretation.
- the fungicidal efficacy of the compounds of formula (I) according to the present invention may be assessed by performing the below described tests.
- Example A in vivo preventive test on Phakosoora pachyrhizi (soybean rust)
- Emulsifier 1 pi of Tween ® 80 per mg of active ingredient
- the active ingredients were made soluble and homogenized in a mixture of Dimethyl sulfoxide/Acetone/ /Tween ® 80 and then diluted in water to the desired concentration.
- the young plants of soybean were treated by spraying the active ingredient prepared as described above. Control plants were treated only with an aqueous solution of Acetone/Dimethyl sulfoxide/ Tween® 80.
- the plants were contaminated by spraying the leaves with an aqueous suspension of Phakospora pachyrhizi spores.
- the contaminated soybean plants were incubated for 24 hours at 24°C and at 100% relative humidity and then for 11 days at 24°C and at 70-80% relative humidity.
- the test was evaluated 12 days after the inoculation. 0% means an efficacy which corresponds to that of the control plants while an efficacy of 100% means that no disease was observed.
- the following compounds according to the invention showed efficacy between 90% and 100% at a concentration of 250 ppm of active ingredient: 1.001 ; 1.002; 1.004; 1.005; 1.006; 1.007; 1.009; 1.010; 1.015; 1.023; I.024; I.025; I.027; 1.029; 1.030; I.032; 1.033; 1.034; 1.035; 1.036; 1.037; I.038.
- Culture medium 14.6g anhydrous D-glucose (VWR), 7.1 g Mycological Peptone (Oxoid), 1.4g granulated Yeast Extract (Merck), QSP 1 liter
- Inoculum mycelial suspension
- Fungicides were solubilized in DMSO and the solution used to prepare the required range of concentrations.
- the final concentration of DMSO used in the assay was ⁇ D1 %.
- Inoculum was prepared from a pre-culture of R. solani grown in liquid medium by homogenization using a blender. The concentration of ground mycelium in the inoculum was estimated and adjusted to the desired optical density (OD).
- Fungicides were evaluated for their ability to inhibit mycelium growth in liquid culture assay.
- the compounds were added in the desired concentrations to culture medium containing the mycelial suspension. After 5 days of incubation, the fungicidal efficacy of compounds was determined by spectrometric measurement of mycelium growth. Inhibition of fungal growth was determined by comparing the absorbance values in wells containing the fungicides with the absorbance in control wells without fungicides.
- the following compounds according to the invention showed efficacy between 90% and 100% at a concentration of 20 ppm of active ingredient: 1.002; 1.004; 1.005; 1.006; 1.007; 1.017; 1.018; 1.024; 1.028; 1.033; I.036; I.037; 1.039; 1.041 .
- Example C Colletotrichum lindemuthianum in vitro cell test
- Culture medium 14.6g anhydrous D-glucose (VWR), 7.1 g Mycological Peptone (Oxoid), 1 .4g granulated Yeast Extract (Merck), QSP 1 liter
- Inoculum spores suspension
- Fungicides were solubilized in DMSO and the solution used to prepare the required range of concentrations.
- the final concentration of DMSO used in the assay was ⁇ D1 %.
- a spore suspension of C. lindemuthianum was prepared and diluted to the desired spore density.
- Fungicides were evaluated for their ability to inhibit spores germination and mycelium growth in liquid culture assay.
- the compounds were added in the desired concentration to the culture medium with spores. After 6 days incubation, fungi-toxicity of compounds was determined by spectrometric measurement of mycelium growth. Inhibition of fungal growth was determined by comparing the absorbance values in wells containing the fungicides with the absorbance in control wells without fungicides.
- the following compounds according to the invention showed efficacy between 90% and 100% at a concentration of 20 ppm of active ingredient: 1.002; 1.003; 1.004; 1.005; 1.006; 1.007; 1.008; 1.009; 1.010; 1.01 1 ; 1.012; 1.024; 1.027; 1.028; I.030; I.033; 1.034; 1.035; 1.036; 1.037; 1.038; I.039; 1.041 .
- Example D Pyrenoohora teres in vitro cell test
- Culture medium 14.6g anhydrous D-glucose (VWR), 7.1 g Mycological Peptone (Oxoid), 1 .4g granulated Yeast Extract (Merck), QSP 1 liter
- Inoculum spore suspension
- Fungicides were solubilized in DMSO and the solution used to prepare the required range of concentrations.
- the final concentration of DMSO used in the assay was ⁇ D1 %.
- a spore suspension of P. teres was prepared and diluted to the desired spore density. Fungicides were evaluated for their ability to inhibit spore germination and mycelium growth in liquid culture assay. The compounds were added in the desired concentration to the culture medium with spores. After 6 days incubation, fungi-toxicity of compounds was determined by spectrometric measurement of mycelium growth. Inhibition of fungal growth was determined by comparing the absorbance values in wells containing the fungicides with the absorbance in control wells without fungicides.
- the following compounds according to the invention showed efficacy between 90% and 100% at a concentration of 20 ppm of active ingredient: 1.002; 1.004; 1.005; 1.006; 1.017; 1.018; 1.024; 1.028; 1.032; 1.033; I.034; I.036; 1.037; 1.039.
- Example E Septoria tritici in vitro cell test
- Culture medium 1 g KH 2 P0 4 (VWR), 1 g K2HPO4 (VWR), 0.5g Urea (VWR), 3g KNO3
- Inoculum spore suspension
- Fungicides were solubilized in DMSO and the solution used to prepare the required range of concentrations.
- the final concentration of DMSO used in the assay was ⁇ D1 %.
- a spore suspension of S. tritici was prepared and diluted to the desired spore density.
- Fungicides were evaluated for their ability to inhibit spore germination and mycelium growth in liquid culture assay.
- the compounds were added in the desired concentration to the culture medium with spores. After 7 days incubation, fungi-toxicity of compounds was determined by spectrometric measurement of mycelium growth. Inhibition of fungal growth was determined by comparing the absorbance values in wells containing the fungicides with the absorbance in control wells without fungicides.
- Emulsifier 1 part by weight of polyoxyethylene sorbitan monooleate
- the plants remained in the incubation cabinet at approximately 24°C and a relative atmospheric humidity of approximately 80 % and a day / night interval of 12h.
- Emulsifier 1 part by weight of polyoxyethylene sorbitan monooleate
- the plants remained in the incubation cabinet at approximately 24°C and a relative atmospheric humidity of approximately 80 % and a day / night interval of 12h.
- Emulsifier 1 part by weight of polyoxyethylene sorbitan monooleate
- the plants remained in the incubation cabinet at approximately 24°C and a relative atmospheric humidity of approximately 80 % and a day / night interval of 12h.
- the test was evaluated 7 days after the inoculation. 0% means an efficacy which corresponds to that of the untreated control, while an efficacy of 100% means that no disease is observed.
Landscapes
- Life Sciences & Earth Sciences (AREA)
- Organic Chemistry (AREA)
- Chemical & Material Sciences (AREA)
- Dentistry (AREA)
- Health & Medical Sciences (AREA)
- Engineering & Computer Science (AREA)
- Plant Pathology (AREA)
- General Health & Medical Sciences (AREA)
- Wood Science & Technology (AREA)
- Zoology (AREA)
- Environmental Sciences (AREA)
- Pest Control & Pesticides (AREA)
- Agronomy & Crop Science (AREA)
- Plural Heterocyclic Compounds (AREA)
- Agricultural Chemicals And Associated Chemicals (AREA)
Abstract
Description
Claims
Priority Applications (2)
| Application Number | Priority Date | Filing Date | Title |
|---|---|---|---|
| EP20734339.3A EP3986888A1 (en) | 2019-06-21 | 2020-06-18 | Thienylhydroxyisoxazolines and derivatives thereof |
| BR112021025317A BR112021025317A2 (en) | 2019-06-21 | 2020-06-18 | Thienylhydroxyisoxazolines and derivatives thereof |
Applications Claiming Priority (2)
| Application Number | Priority Date | Filing Date | Title |
|---|---|---|---|
| EP19181816 | 2019-06-21 | ||
| EP19181816.0 | 2019-06-21 |
Publications (1)
| Publication Number | Publication Date |
|---|---|
| WO2020254493A1 true WO2020254493A1 (en) | 2020-12-24 |
Family
ID=67001711
Family Applications (1)
| Application Number | Title | Priority Date | Filing Date |
|---|---|---|---|
| PCT/EP2020/066944 Ceased WO2020254493A1 (en) | 2019-06-21 | 2020-06-18 | Thienylhydroxyisoxazolines and derivatives thereof |
Country Status (6)
| Country | Link |
|---|---|
| EP (1) | EP3986888A1 (en) |
| AR (1) | AR119214A1 (en) |
| BR (1) | BR112021025317A2 (en) |
| TW (1) | TW202112771A (en) |
| UY (1) | UY38759A (en) |
| WO (1) | WO2020254493A1 (en) |
Cited By (3)
| Publication number | Priority date | Publication date | Assignee | Title |
|---|---|---|---|---|
| WO2022053803A1 (en) * | 2020-09-11 | 2022-03-17 | MOA Technology Limited | Herbicidal pyrimidine derivatives |
| US11827627B2 (en) | 2021-06-04 | 2023-11-28 | Vertex Pharmaceuticals Incorporated | N-(hydroxyalkyl (hetero)aryl) tetrahydrofuran carboxamides as modulators of sodium channels |
| US11834441B2 (en) | 2019-12-06 | 2023-12-05 | Vertex Pharmaceuticals Incorporated | Substituted tetrahydrofurans as modulators of sodium channels |
Citations (45)
| Publication number | Priority date | Publication date | Assignee | Title |
|---|---|---|---|---|
| JPS6049352B2 (en) | 1978-02-13 | 1985-11-01 | 株式会社日立製作所 | data processing equipment |
| DE3639877A1 (en) | 1986-11-21 | 1988-05-26 | Bayer Ag | HETARYLALKYL SUBSTITUTED 5- AND 6-RINGHETEROCYCLES |
| US6060051A (en) | 1997-05-09 | 2000-05-09 | Agraquest, Inc. | Strain of bacillus for controlling plant diseases and corn rootworm |
| US6245551B1 (en) | 1999-03-30 | 2001-06-12 | Agraquest, Inc. | Strain of Bacillus pumilus for controlling plant diseases caused by fungi |
| WO2003106457A1 (en) | 2002-06-14 | 2003-12-24 | Syngenta Limited | Spiroindolinepiperidine derivatives |
| WO2004099160A1 (en) | 2003-05-12 | 2004-11-18 | Sumitomo Chemical Company, Limited | Pyrimidine compounds and pests controlling composition containing the same |
| WO2006003494A2 (en) | 2004-06-28 | 2006-01-12 | Syngenta Participations Ag | Piperidine derivatives and their use as insecticides, acaricides, molluscicides or nematicides |
| WO2006031631A1 (en) | 2004-09-10 | 2006-03-23 | Syngenta Limited | Substituted isoxazoles as fungicides |
| WO2006043635A1 (en) | 2004-10-20 | 2006-04-27 | Kumiai Chemical Industry Co., Ltd. | 3-triazolylphenyl sulfide derivative and insecticide/acaricide/nematicide containing the same as active ingredient |
| US7094592B2 (en) | 2001-11-26 | 2006-08-22 | Kumiai Chemical Industry Co., Ltd. | Bacillus sp. D747 strain, plant disease controlling agents and insect pest controlling agents using the same and control method using the agents |
| WO2007040280A1 (en) | 2005-10-06 | 2007-04-12 | Nippon Soda Co., Ltd. | Cyclic amine compound and pest control agent |
| WO2008006561A1 (en) | 2006-07-12 | 2008-01-17 | Bayer Schering Pharma Aktiengesellschaft | Substituted isoxalines, pharmaceutical compositions containing same, methods of preparing same, and uses of same |
| CN101337940A (en) | 2008-08-12 | 2009-01-07 | 国家农药创制工程技术研究中心 | Nitrogen heterocyclic ring dichloro allyl ether compound with insecticidal activity |
| CN101337937A (en) | 2008-08-12 | 2009-01-07 | 国家农药创制工程技术研究中心 | N-benz-3-substituted amino pyrazoles compounds with insecticidal activity |
| JP2010018586A (en) | 2008-07-14 | 2010-01-28 | Meiji Seika Kaisha Ltd | Substance pf1364, its manufacturing method, producing strain and agricultural/horticultural insecticide having the substance as active ingredient |
| WO2010051926A2 (en) | 2008-11-05 | 2010-05-14 | Bayer Cropscience Aktiengesellschaft | New halogen-substituted bonds |
| WO2010052161A2 (en) | 2008-11-06 | 2010-05-14 | Syngenta Participations Ag | Herbicidal compositions |
| CN101715774A (en) | 2008-10-09 | 2010-06-02 | 浙江化工科技集团有限公司 | Preparation and use of compound having insecticidal activity |
| WO2010066780A1 (en) | 2008-12-12 | 2010-06-17 | Syngenta Participations Ag | Spiroheterocyclic n-oxypiperidines as pesticides |
| WO2011085575A1 (en) | 2010-01-15 | 2011-07-21 | 江苏省农药研究所股份有限公司 | Ortho-heterocyclyl formanilide compounds, their synthesis methods and use |
| WO2011105506A1 (en) | 2010-02-25 | 2011-09-01 | 日本曹達株式会社 | Cyclic amine compound and miticide |
| WO2011151146A1 (en) | 2010-05-31 | 2011-12-08 | Syngenta Participations Ag | Method of crop enhancement |
| WO2012029672A1 (en) | 2010-08-31 | 2012-03-08 | Meiji Seikaファルマ株式会社 | Noxious organism control agent |
| WO2012034403A1 (en) | 2010-09-14 | 2012-03-22 | 中化蓝天集团有限公司 | Fluoromethoxypyrazole anthranilamide compounds, synthesization methods and uses thereof |
| CN102391261A (en) | 2011-10-14 | 2012-03-28 | 上海交通大学 | N-substituted dioxazine compound as well as preparation method and application thereof |
| WO2013050317A1 (en) | 2011-10-03 | 2013-04-11 | Syngenta Limited | Polymorphs of an isoxazoline derivative |
| CN103109816A (en) | 2013-01-25 | 2013-05-22 | 青岛科技大学 | Thiobenzamide compounds and application thereof |
| CN103232431A (en) | 2013-01-25 | 2013-08-07 | 青岛科技大学 | Dihalogenated pyrazole amide compound and its use |
| WO2013115391A1 (en) | 2012-02-01 | 2013-08-08 | 日本農薬株式会社 | Arylalkyloxy pyrimidine derivative, pesticide for agricultural and horticultural use containing arylalkyloxy pyrimidine derivative as active ingredient, and use of same |
| CN103265527A (en) | 2013-06-07 | 2013-08-28 | 江苏省农用激素工程技术研究中心有限公司 | Anthranilamide compound as well as preparation method and application thereof |
| WO2013144213A1 (en) | 2012-03-30 | 2013-10-03 | Basf Se | N-substituted pyridinylidene compounds and derivatives for combating animal pests |
| EP2647626A1 (en) | 2012-04-03 | 2013-10-09 | Syngenta Participations AG. | 1-Aza-spiro[4.5]dec-3-ene and 1,8-diaza-spiro[4.5]dec-3-ene derivatives as pesticides |
| WO2013162715A2 (en) | 2012-04-27 | 2013-10-31 | Dow Agrosciences Llc | Pesticidal compositions and processes related thereto |
| CN103524422A (en) | 2013-10-11 | 2014-01-22 | 中国农业科学院植物保护研究所 | Benzimidazole derivative, and preparation method and purpose thereof |
| US20140213448A1 (en) | 2012-04-27 | 2014-07-31 | Dow Agrosciences Llc | Pesticidal compositions and processes related thereto |
| US20140275503A1 (en) | 2013-03-13 | 2014-09-18 | Dow Agrosciences Llc | Process for the preparation of certain triaryl rhamnose carbamates |
| WO2014187846A1 (en) | 2013-05-23 | 2014-11-27 | Syngenta Participations Ag | Tank-mix formulations |
| WO2015058021A1 (en) | 2013-10-17 | 2015-04-23 | Dow Agrosciences Llc | Processes for the preparation of pesticidal compounds |
| WO2015058028A1 (en) | 2013-10-17 | 2015-04-23 | Dow Agrosciences Llc | Processes for the preparation of pesticidal compounds |
| WO2015129773A1 (en) | 2014-02-28 | 2015-09-03 | クミアイ化学工業株式会社 | Isoxazole derivative and agricultural/horticultural plant disease control agent |
| WO2016005276A1 (en) | 2014-07-07 | 2016-01-14 | Bayer Cropscience Aktiengesellschaft | Process for preparing fluorinated iminopyridine compounds |
| WO2016133011A1 (en) | 2015-02-17 | 2016-08-25 | 日本曹達株式会社 | Agrochemical composition |
| WO2016154297A1 (en) | 2015-03-26 | 2016-09-29 | Bayer Cropscience Lp | A novel paenibacillus strain, antifungal compounds, and methods for their use |
| WO2018202487A1 (en) | 2017-05-04 | 2018-11-08 | Basf Se | Substituted 5-(haloalkyl)-5-hydroxy-isoxazoles for combating phytopathogenic fungi |
| WO2019122393A1 (en) | 2017-12-22 | 2019-06-27 | Bayer Aktiengesellschaft | Hydroxyisoxazolines and derivatives thereof |
-
2020
- 2020-06-18 WO PCT/EP2020/066944 patent/WO2020254493A1/en not_active Ceased
- 2020-06-18 EP EP20734339.3A patent/EP3986888A1/en not_active Withdrawn
- 2020-06-18 BR BR112021025317A patent/BR112021025317A2/en unknown
- 2020-06-19 AR ARP200101753A patent/AR119214A1/en unknown
- 2020-06-19 TW TW109120770A patent/TW202112771A/en unknown
- 2020-06-22 UY UY0001038759A patent/UY38759A/en not_active Application Discontinuation
Patent Citations (47)
| Publication number | Priority date | Publication date | Assignee | Title |
|---|---|---|---|---|
| JPS6049352B2 (en) | 1978-02-13 | 1985-11-01 | 株式会社日立製作所 | data processing equipment |
| DE3639877A1 (en) | 1986-11-21 | 1988-05-26 | Bayer Ag | HETARYLALKYL SUBSTITUTED 5- AND 6-RINGHETEROCYCLES |
| US6060051A (en) | 1997-05-09 | 2000-05-09 | Agraquest, Inc. | Strain of bacillus for controlling plant diseases and corn rootworm |
| US6245551B1 (en) | 1999-03-30 | 2001-06-12 | Agraquest, Inc. | Strain of Bacillus pumilus for controlling plant diseases caused by fungi |
| US7094592B2 (en) | 2001-11-26 | 2006-08-22 | Kumiai Chemical Industry Co., Ltd. | Bacillus sp. D747 strain, plant disease controlling agents and insect pest controlling agents using the same and control method using the agents |
| WO2003106457A1 (en) | 2002-06-14 | 2003-12-24 | Syngenta Limited | Spiroindolinepiperidine derivatives |
| WO2004099160A1 (en) | 2003-05-12 | 2004-11-18 | Sumitomo Chemical Company, Limited | Pyrimidine compounds and pests controlling composition containing the same |
| WO2006003494A2 (en) | 2004-06-28 | 2006-01-12 | Syngenta Participations Ag | Piperidine derivatives and their use as insecticides, acaricides, molluscicides or nematicides |
| WO2006031631A1 (en) | 2004-09-10 | 2006-03-23 | Syngenta Limited | Substituted isoxazoles as fungicides |
| WO2006043635A1 (en) | 2004-10-20 | 2006-04-27 | Kumiai Chemical Industry Co., Ltd. | 3-triazolylphenyl sulfide derivative and insecticide/acaricide/nematicide containing the same as active ingredient |
| WO2007040280A1 (en) | 2005-10-06 | 2007-04-12 | Nippon Soda Co., Ltd. | Cyclic amine compound and pest control agent |
| WO2007040282A1 (en) | 2005-10-06 | 2007-04-12 | Nippon Soda Co., Ltd. | Bridged cyclic amine compound and pest control agent |
| WO2008006561A1 (en) | 2006-07-12 | 2008-01-17 | Bayer Schering Pharma Aktiengesellschaft | Substituted isoxalines, pharmaceutical compositions containing same, methods of preparing same, and uses of same |
| JP2010018586A (en) | 2008-07-14 | 2010-01-28 | Meiji Seika Kaisha Ltd | Substance pf1364, its manufacturing method, producing strain and agricultural/horticultural insecticide having the substance as active ingredient |
| CN101337940A (en) | 2008-08-12 | 2009-01-07 | 国家农药创制工程技术研究中心 | Nitrogen heterocyclic ring dichloro allyl ether compound with insecticidal activity |
| CN101337937A (en) | 2008-08-12 | 2009-01-07 | 国家农药创制工程技术研究中心 | N-benz-3-substituted amino pyrazoles compounds with insecticidal activity |
| CN101715774A (en) | 2008-10-09 | 2010-06-02 | 浙江化工科技集团有限公司 | Preparation and use of compound having insecticidal activity |
| WO2010051926A2 (en) | 2008-11-05 | 2010-05-14 | Bayer Cropscience Aktiengesellschaft | New halogen-substituted bonds |
| WO2010052161A2 (en) | 2008-11-06 | 2010-05-14 | Syngenta Participations Ag | Herbicidal compositions |
| WO2010066780A1 (en) | 2008-12-12 | 2010-06-17 | Syngenta Participations Ag | Spiroheterocyclic n-oxypiperidines as pesticides |
| WO2011085575A1 (en) | 2010-01-15 | 2011-07-21 | 江苏省农药研究所股份有限公司 | Ortho-heterocyclyl formanilide compounds, their synthesis methods and use |
| WO2011105506A1 (en) | 2010-02-25 | 2011-09-01 | 日本曹達株式会社 | Cyclic amine compound and miticide |
| WO2011151146A1 (en) | 2010-05-31 | 2011-12-08 | Syngenta Participations Ag | Method of crop enhancement |
| WO2012029672A1 (en) | 2010-08-31 | 2012-03-08 | Meiji Seikaファルマ株式会社 | Noxious organism control agent |
| WO2012034403A1 (en) | 2010-09-14 | 2012-03-22 | 中化蓝天集团有限公司 | Fluoromethoxypyrazole anthranilamide compounds, synthesization methods and uses thereof |
| WO2013050317A1 (en) | 2011-10-03 | 2013-04-11 | Syngenta Limited | Polymorphs of an isoxazoline derivative |
| CN102391261A (en) | 2011-10-14 | 2012-03-28 | 上海交通大学 | N-substituted dioxazine compound as well as preparation method and application thereof |
| WO2013115391A1 (en) | 2012-02-01 | 2013-08-08 | 日本農薬株式会社 | Arylalkyloxy pyrimidine derivative, pesticide for agricultural and horticultural use containing arylalkyloxy pyrimidine derivative as active ingredient, and use of same |
| WO2013144213A1 (en) | 2012-03-30 | 2013-10-03 | Basf Se | N-substituted pyridinylidene compounds and derivatives for combating animal pests |
| EP2647626A1 (en) | 2012-04-03 | 2013-10-09 | Syngenta Participations AG. | 1-Aza-spiro[4.5]dec-3-ene and 1,8-diaza-spiro[4.5]dec-3-ene derivatives as pesticides |
| WO2013162715A2 (en) | 2012-04-27 | 2013-10-31 | Dow Agrosciences Llc | Pesticidal compositions and processes related thereto |
| WO2013162716A2 (en) | 2012-04-27 | 2013-10-31 | Dow Agrosciences Llc | Pesticidal compositions and processes related thereto |
| US20140213448A1 (en) | 2012-04-27 | 2014-07-31 | Dow Agrosciences Llc | Pesticidal compositions and processes related thereto |
| CN103232431A (en) | 2013-01-25 | 2013-08-07 | 青岛科技大学 | Dihalogenated pyrazole amide compound and its use |
| CN103109816A (en) | 2013-01-25 | 2013-05-22 | 青岛科技大学 | Thiobenzamide compounds and application thereof |
| US20140275503A1 (en) | 2013-03-13 | 2014-09-18 | Dow Agrosciences Llc | Process for the preparation of certain triaryl rhamnose carbamates |
| WO2014187846A1 (en) | 2013-05-23 | 2014-11-27 | Syngenta Participations Ag | Tank-mix formulations |
| CN103265527A (en) | 2013-06-07 | 2013-08-28 | 江苏省农用激素工程技术研究中心有限公司 | Anthranilamide compound as well as preparation method and application thereof |
| CN103524422A (en) | 2013-10-11 | 2014-01-22 | 中国农业科学院植物保护研究所 | Benzimidazole derivative, and preparation method and purpose thereof |
| WO2015058021A1 (en) | 2013-10-17 | 2015-04-23 | Dow Agrosciences Llc | Processes for the preparation of pesticidal compounds |
| WO2015058028A1 (en) | 2013-10-17 | 2015-04-23 | Dow Agrosciences Llc | Processes for the preparation of pesticidal compounds |
| WO2015129773A1 (en) | 2014-02-28 | 2015-09-03 | クミアイ化学工業株式会社 | Isoxazole derivative and agricultural/horticultural plant disease control agent |
| WO2016005276A1 (en) | 2014-07-07 | 2016-01-14 | Bayer Cropscience Aktiengesellschaft | Process for preparing fluorinated iminopyridine compounds |
| WO2016133011A1 (en) | 2015-02-17 | 2016-08-25 | 日本曹達株式会社 | Agrochemical composition |
| WO2016154297A1 (en) | 2015-03-26 | 2016-09-29 | Bayer Cropscience Lp | A novel paenibacillus strain, antifungal compounds, and methods for their use |
| WO2018202487A1 (en) | 2017-05-04 | 2018-11-08 | Basf Se | Substituted 5-(haloalkyl)-5-hydroxy-isoxazoles for combating phytopathogenic fungi |
| WO2019122393A1 (en) | 2017-12-22 | 2019-06-27 | Bayer Aktiengesellschaft | Hydroxyisoxazolines and derivatives thereof |
Non-Patent Citations (4)
| Title |
|---|
| "CAS", Database accession no. 792914-58-0 |
| "Database", Database accession no. 564025 |
| CHEMICAL ABSTRACTS, Columbus, Ohio, US; abstract no. 1332838-17-1 |
| ONGENA, M. ET AL.: "Bacillus Lipopeptides: Versatile Weapons for Plant Disease Biocontrol", TRENDS IN MICROBIOLOGY, vol. 16, no. 3, March 2008 (2008-03-01), pages 115 - 125, XP022509718, DOI: 10.1016/j.tim.2007.12.009 |
Cited By (6)
| Publication number | Priority date | Publication date | Assignee | Title |
|---|---|---|---|---|
| US11834441B2 (en) | 2019-12-06 | 2023-12-05 | Vertex Pharmaceuticals Incorporated | Substituted tetrahydrofurans as modulators of sodium channels |
| US11919887B2 (en) | 2019-12-06 | 2024-03-05 | Vertex Pharmaceuticals Incorporated | Substituted tetrahydrofurans as modulators of sodium channels |
| US12247021B2 (en) | 2019-12-06 | 2025-03-11 | Vertex Pharmaceuticals Incorporated | Substituted tetrahydrofurans as modulators of sodium channels |
| WO2022053803A1 (en) * | 2020-09-11 | 2022-03-17 | MOA Technology Limited | Herbicidal pyrimidine derivatives |
| US11827627B2 (en) | 2021-06-04 | 2023-11-28 | Vertex Pharmaceuticals Incorporated | N-(hydroxyalkyl (hetero)aryl) tetrahydrofuran carboxamides as modulators of sodium channels |
| US12258333B2 (en) | 2021-06-04 | 2025-03-25 | Vertex Pharmaceuticals Incorporated | N-(hydroxyalkyl (hetero)aryl) tetrahydrofuran carboxamides as modulators of sodium channels |
Also Published As
| Publication number | Publication date |
|---|---|
| TW202112771A (en) | 2021-04-01 |
| AR119214A1 (en) | 2021-12-01 |
| EP3986888A1 (en) | 2022-04-27 |
| BR112021025317A2 (en) | 2022-03-15 |
| UY38759A (en) | 2021-01-29 |
Similar Documents
| Publication | Publication Date | Title |
|---|---|---|
| EP3752492B1 (en) | Fungicidal oxadiazoles | |
| WO2021255093A1 (en) | Active compound combination | |
| EP3986889A1 (en) | Fungicidal oxadiazoles | |
| WO2019197371A1 (en) | Oxadiazoline derivatives | |
| EP4077303A1 (en) | Substituted thiophene carboxamides and derivatives thereof as microbicides | |
| WO2020020813A1 (en) | Fungicidal active compound combinations | |
| EP4077304A1 (en) | Substituted thiophene carboxamides and derivatives thereof | |
| WO2020254493A1 (en) | Thienylhydroxyisoxazolines and derivatives thereof | |
| EP3994130B1 (en) | Substituted thiophene carboxamides and derivatives thereof as microbicides | |
| WO2021069707A1 (en) | Active compound combinations | |
| WO2019162228A1 (en) | 1-(5-substituted imidazol-1-yl)but-3-en derivatives and their use as fungicides | |
| WO2020254489A1 (en) | Benzylphenyl hydroxyisoxazolines and analogues as new antifungal agents | |
| WO2020254487A1 (en) | Hydroxyisoxazolines and derivatives thereof | |
| WO2020254488A1 (en) | Hydroxyisoxazolines and use thereof as fungicides | |
| WO2020254492A1 (en) | Hydroxyisoxazolines and derivatives thereof | |
| WO2020254486A1 (en) | Hydroxyisoxazolines and derivatives thereof | |
| EP3619220A1 (en) | Trisubstitutedsilylbenzylbenzimidazoles and analogues | |
| EP3619197A1 (en) | Trisubstitutedsilylmethylphenoxyquinolines and analogues | |
| BR112020016234B1 (en) | FUNGICIDAL OXADIAZOLES, THEIR NON-THERAPEUTIC USE AND THEIR PREPARATION PROCESS, COMPOSITION, AND METHOD FOR CONTROLLING UNWANTED PHYTOPATHOGENIC MICROORGANISMS | |
| BR112021026696B1 (en) | SUBSTITUTED THIOPHEN CARBOXAMIDES AND DERIVATIVES THEREOF |
Legal Events
| Date | Code | Title | Description |
|---|---|---|---|
| 121 | Ep: the epo has been informed by wipo that ep was designated in this application |
Ref document number: 20734339 Country of ref document: EP Kind code of ref document: A1 |
|
| NENP | Non-entry into the national phase |
Ref country code: DE |
|
| REG | Reference to national code |
Ref country code: BR Ref legal event code: B01A Ref document number: 112021025317 Country of ref document: BR |
|
| WWE | Wipo information: entry into national phase |
Ref document number: 2020734339 Country of ref document: EP |
|
| ENP | Entry into the national phase |
Ref document number: 112021025317 Country of ref document: BR Kind code of ref document: A2 Effective date: 20211215 |



























