WO2019007891A1 - Insektizide wirkstoffkombinationen - Google Patents
Insektizide wirkstoffkombinationen Download PDFInfo
- Publication number
- WO2019007891A1 WO2019007891A1 PCT/EP2018/067781 EP2018067781W WO2019007891A1 WO 2019007891 A1 WO2019007891 A1 WO 2019007891A1 EP 2018067781 W EP2018067781 W EP 2018067781W WO 2019007891 A1 WO2019007891 A1 WO 2019007891A1
- Authority
- WO
- WIPO (PCT)
- Prior art keywords
- spp
- methyl
- species
- pyrazole
- carboxamide
- Prior art date
- Legal status (The legal status is an assumption and is not a legal conclusion. Google has not performed a legal analysis and makes no representation as to the accuracy of the status listed.)
- Ceased
Links
Classifications
-
- A—HUMAN NECESSITIES
- A01—AGRICULTURE; FORESTRY; ANIMAL HUSBANDRY; HUNTING; TRAPPING; FISHING
- A01N—PRESERVATION OF BODIES OF HUMANS OR ANIMALS OR PLANTS OR PARTS THEREOF; BIOCIDES, e.g. AS DISINFECTANTS, AS PESTICIDES OR AS HERBICIDES; PEST REPELLANTS OR ATTRACTANTS; PLANT GROWTH REGULATORS
- A01N53/00—Biocides, pest repellants or attractants, or plant growth regulators containing cyclopropane carboxylic acids or derivatives thereof
Definitions
- This application relates to mixtures of the compound of formula (Ia) below with at least one further active ingredient, which is preferably an insecticide or an acaricide or a nematicide.
- these mixtures active ingredient combinations are suitable for controlling animal pests and as a plant tonic.
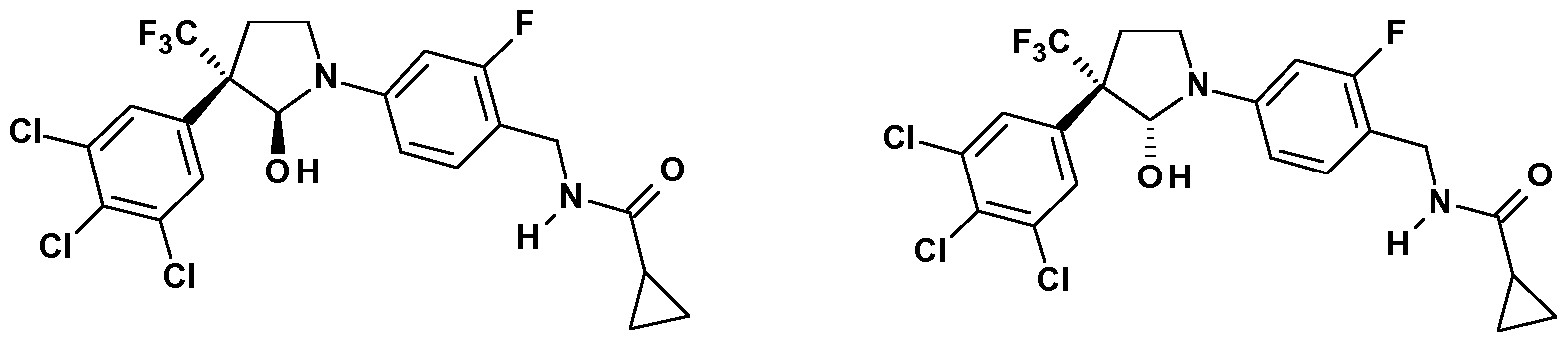
- the following four diastereomers comprise: the (2S, 3S) -diastereomer of formula (Ia), the (2R, 3S) -diastereomer of formula (Ib), which (2S, 1R-diastereomer of the formula (Ic) and the (2R, 1R-diastereomer of the formula (Id) (compare WO 2016/180802 A1):
- the present invention relates to active ingredient combinations comprising the compound of the formula (Ia)
- combinations of active substances comprising the compound of the formula (Ia) and one or more active substances from the groups described below are synergistically active and are suitable for controlling animal pests and as plant strengthening agents.
- the preparation of the compound of the formula (Ia) is described in WO 2016/180802 Al as Example 1. Due to the nature of the preparation process, the end product of formula (Ia) may have different but, compared to the amount of compound of formula (Ia), minor amounts of the compounds of formulas (Ib) and optionally also of formulas (Ic) and (Id ) contain. In general, the compounds of the formulas (Ic) and (Id) occur in this process, if at all, only in small amounts. In a technical production process, in turn, other proportions of the individual diastereomers may be present in the final product.
- the present invention therefore also relates to mixtures which, in addition to the compound of the formula (Ia), contain the compound of the formula (Ib) and mixtures which, in addition to the compounds of the formulas (Ia) and (Ib), optionally contain one or both compounds of the formulas (Ic) and (Id).
- Preference is given to mixtures in which the compound of the formula (Ia) is present in an amount of more than 70%, based on the total amount of compounds of the formulas (Ia), (Ib) and, if appropriate, (Ic) and (Id).
- mixtures in which the compound of the formula (Ia) is present in an amount of more than 90%, based on the total amount of compounds of the formulas (Ia), (Ib) and, if appropriate, (Ic) and (Id).
- a further preferred embodiment of the present invention relates to mixtures in which the compound of the formula (Ia) is present in an amount of more than 95% relative to the total amount of compounds of the formulas (Ia), (Ib) and optionally (Ic) and (Id ) is present.
- the active compound combinations according to the invention preferably contain the compound of the formula (Ia) and the mixing partner (s) in synergistically effective amounts.
- the mixtures according to the invention are preferably suitable for controlling animal and microbial pests.
- the mixtures according to the invention are particularly preferably suitable for controlling animal pests.
- the mixtures according to the invention are furthermore suitable for controlling microbial pests.
- mixtures according to the invention are furthermore suitable as plant strengthening agents.
- the active compound combinations according to the invention contain, in addition to the compound of the formula (Ia), one or more mixed partners from the groups described below.
- acetylcholinesterase (AChE) inhibitors such as carbamates, eg alanycarb, aldicarb, bendocarb, benfuracarb, butocarboxime, butoxycarboxim, carbaryl, carbofuran, carbosulfan, ethiofencarb, fenobucarb, formetanate, furathiocarb, isoprocarb, methiocarb, methomyl, metolcarb, Oxamyl, pirimicarb, propoxur, thiodicarb, thiofanox, triazamates, trimethacarb, XMC and xylylcarb or organophosphates, eg acephates, azamethiphos, azinphos-ethyl, azinphos-methyl, cadusafos, chloroethoxyfos, chlorfenvinphos, chloroforms, chlorpyrifos, chlor
- GABA-controlled chloride channel antagonists such as cyclodiene organochlorines, e.g. Chlordanes and endosulfan or phenylpyrazoles (fiproles), e.g. Ethiprole and fipronil.
- Sodium channel modulators / voltage dependent sodium channel blockers such as pyrethroids, e.g. Acrinathrin, allethrin, d-cis-trans allethrin, d-trans allethrin, bifenthrin, bioallethrin, bioallethrin S-cyclopentenyl isomer, bioresmethrin, cycloprothrin, cyfluthrin, beta-cyfluthrin, cyhalothrin, lambda-cyhalothrin, gamma-cyhalothrin, cypermethrin, alpha- Cypermethrin, beta-cypermethrin, theta-cypermethrin, zeta-cypermethrin, cyphenothrin [(lR) trans isomers], deltamethrin, empenthrin [(EZ) (lR) isomers
- Nicotinergic acetylcholine receptor (nAChR) agonists such as neonicotinoids, e.g. Acetamiprid, clothianidin, dinotefuran, imidacloprid, nitenpyram, thiacloprid and thiamethoxam or nicotine or sulfoxaflor.
- nAChR Nicotinergic acetylcholine receptor
- Nicotinergic acetylcholine receptor (nAChR) allosteric activators such as spinosines, e.g. Spinetoram and spinosad.
- (1-6) chloride channel activators such as avermectins / milbemycins, e.g. Abamectin, Emamectin benzoate, Lepimectin and Milbemectin.
- Juvenile hormone mimics such as juvenile hormone analogs, eg, hydroprene, kinoprenes and methoprenes, or fenoxycarb or pyriproxyfen.
- agents with unknown or nonspecific modes of action such as alkyl halides, eg methyl bromide and other alkyl halides; or chloropicrin or sulfuryl fluoride or borax or tartar emetic.
- Selective feeding inhibitors e.g. Pymetrozine or flonicamide.
- mite growth inhibitors e.g. Clofentezine, hexythiazox and diflovidazine or etoxazole.
- Insect intestinal membrane microbial disruptors e.g. Bacillus thuringiensis subspecies israelensis, Bacillus sphaericus, Bacillus thuringiensis subspecies aizawai, Bacillus thuringiensis subspecies kurstaki, Bacillus thuringiensis subspecies tenebrionis and BT plant proteins: CrylAb, CrylAc, CrylFa, Cry2Ab, mCry3A, Cry3Ab, Cry3Bb, Cry34 / 35Abl.
- Inhibitors of oxidative phosphorylation, ATP disruptors such as diafenthiuron or organotin compounds, e.g. Azocyclotin, Cyhexatin and Fenbutatin-oxide or Propargite or Tetradifon.
- oxidative phosphorylation by interruption of the H proton gradient, such as chlorfenapyr, DNOC, and sulfluramide.
- Nicotinergic acetylcholine receptor antagonists such as Bensultap, Cartap hydrochloride, Thiocyclam, and Thiosultap Sodium.
- Type 0 inhibitors of chitin biosynthesis such as bistrifluron, chlorofluorazuron, diflubenzuron, flucycloxuron, flufenoxuron, hexaflumuron, lufenuron, novaluron, noviflumuron, teflubenzuron and triflumuron.
- Inhibitors of chitin biosynthesis type 1, such as Bupro fezin.
- Ecdysone receptor agonists such as chromafenozides, halofenozides, methoxyfenozides, and tebufenozides.
- Octopaminergic agonists such as amitraz.
- complex III electron transport inhibitors such as hydramethylnone or acequinocyl or fluacrypyrim.
- inhibitors of acetyl-CoA carboxylase such as tetronic and tetramic acid derivatives, e.g. Spirodiclofen, spiromesifen and spirotetramat.
- Complex IV electron transport inhibitors such as phosphines, e.g. Aluminum phosphide, calcium phosphide, phosphine and zinc phosphide or cyanide.
- ryanodine receptor effectors such as diamides, e.g. Chlorantraniliprole (Rynaxypyr), Cyantraniliprole (Cyazypyr) and Flubendiamide,
- the 14 mixing partners listed in the table represent a preferred group of mixing partners.
- Each of the active ingredient combinations (mixtures) Nos. 1 to 14 is a preferred embodiment of the present invention.
- Further preferred mixing ratios in which the mixtures Nos. 1 to 14 given in Table A can be present are 2000: 1 to 1: 2000, 1000: 1 to 1: 1000, 750: 1 to 1: 750, 500: 1 to 1: 500, 250: 1 to 1: 250, 200: 1 to 1: 200, 100: 1 to 1: 100, 95: 1 to 1:95, 90: 1 to 1:90, 85: 1 to 1: 85, 80: 1 to 1:80, 75: 1 to 1:75, 70: 1 to 1:70, 65: 1 to 1:65, 60: 1 to 1:60, 55: 1 to 1:55, 45: 1 to 1:45, 40: 1 to 1:40, 35: 1 to 1:35, 30: 1 to 1:30, 20: 1 to 1:20, 15: 1 to 1:15, 10: 1 to 1:10, 9: 1 to 1: 9, 8: 1 to 1: 8, 7: 1 to 1: 7, 6: 1 to 1: 64: 1 to 1: 4, 3: 1 to 1: 3 , 2: 1 to 1
- the insecticidal and / or acaricidal and / or the plant-strengthening and / or yield-increasing effect of the active compound combinations according to the invention substantially higher than the sum of the effects of the individual active ingredients. There is an unpredictable true synergistic effect and not just an effect supplement.
- the active compound combinations according to the invention in particular the active compound combinations Nos. 1 to 14, can also be mixed with a further active ingredient, for example an insecticide / acaricide / nematicide.
- the compound of formula (Ia) may be mixed with fungicides.
- fungicides The same applies to the mixtures according to the invention, in particular to those listed in Table A, which can also be mixed with fungicides and applied to plants or plant parts. In many cases, these mixtures with fungicides have synergistic effects.
- (F-1) inhibitors of nucleic acid synthesis such as benalaxyl, benalaxyl-M (kiralaxyl),
- (F-3) inhibitors of respiration such as diflumetorim as an inhibitor at complex I of the respiratory chain; Bixafen, boscalid, carboxin, fenfuram, flutolanil, fluopyram, furametpyr, furmecyclox, isopyrazam (mixture of the yn-epimeric racemate ⁇ RS, 4SR, 9RS and the ⁇ ' epimeric racemate ⁇ RS, 4SR, 9SR), isopyrazam (yyne) epimeric racemate ⁇ RS, 4SR, 9RS), isopyrazam (yyn-epimeric enantiomer 1R, 4S, 9R), isopyrazam (yyn-epimeric enantiomer ⁇ S, 4R, 9S), isopyrazam ( ⁇ ' epimeric racemate ⁇ RS, 4SR, 9SR ), Isopyrazam ( ⁇ ' epimeric enantiomer ( ⁇ ' epimeric enanti
- (F-4) decouplers such as binapacryl, dinocap, fluazinam and meptyldinocap, ferimzone,
- (F-5) inhibitors of ATP production such as, for example, fentin acetate, fentin chloride, fentin hydroxide and silthiofam,
- F-6 inhibitors of amino acid and protein biosynthesis such as andoprim, blasticidin-S, cyprodinil, kasugamycin, kasugamycin hydrochloride hydrate, mepanipyrim and pyrimethanil,
- F-7 signal transduction inhibitors such as fenpiclonil, fludioxonil, fluxapyroxad and quinoxyfen, 3- (5-fluoro-3,3,4,4-tetramethyl-3,4-dihydroisoquinolin-1-yl) quinoline, oxytetracycline, streptomycin,
- Inhibitors of lipid and membrane synthesis such as biphenyl, chlozolinate, edifenphos, etridiazole, iodocarb, Iprobenfos, iprodione, isoprothiolane, procymidone, propamocarb, propamocarb hydrochloride, pyrazophos, tolclofos-methyl and vinclozolin, chloroneb, dicloran , Prothiocarb, Quintozen, Tecnazene,
- (F-9) inhibitors of ergosterol biosynthesis such as aldimorph, azaconazole, bitertanol, bromuconazole, cyproconazole, diclobutrazole, difenoconazole, diniconazole, diniconazole-M, dodemorph, dodemorph acetate, epoxiconazole, etaconazole, fenarimol, fenbuconazole, fenhexamide, fenpropidin, Fenpropimorph, fluquinconazole, flurprimidol, flusilazole, flutriafol, furconazole, furconazole cis, hexaconazole, imazalil, imazalil sulfate, imibenconazole, ipconazole, metconazole, myclobutanil, naftifine, nuarimol, oxpoconazole, paclobutrazole
- (F-10) inhibitors of cell wall synthesis such as benthiavalicarb, dimethomorph, flumorph, iprovalicarb, mandipropamide, polyoxins, polyoxorim, validamycin A valefenalate and polyoxin B,
- (Fl l) inhibitors of melanin biosynthesis such as carpropamide, diclocymet, fenoxanil, fthalide, pyroquilone tricyclazole, and 2,2,2-trifluoroethyl ⁇ 3-methyl-1 - [(4-methylbenzoyl) amino] butane-2 yljcarbamate, (F-12) resistance inducers such as acibenzolar-S-methyl, probenazole and tiadinil, isotianil, laminarin,
- the compound of formula (Ia) can be mixed with herbicides.
- Fruit / Vegetable Herbicides Atrazine, Bromacil, Diuron, Glyphosate, Linuron, Metribuzin, Simazine, Trifluralin, Fluazifop, Glufosinate, Halosulfuron Gowan, Paraquat, Propyzamide, Sethoxydim, Butafenacil, Halosulfuron, Indaziflam;
- Therapeutic herbicides isoproturon, bromoxynil, ioxynil, phenoxies, chlorosulfuron, clodinafop, diclofop, diflufenican, fenoxaprop, florasulam, fluroxypyr, metsulfuron, triasulfuron, flucarbazone, iodosulfuron, propoxycarbazone, picolinafen, mesosulfuron, beflubutamide, pinoxaden, amidosulfuron, thifensulfuron, tribenuron, flupyrsulfuron , Sulfosulfuron, pyrasulfotole, pyroxsulam, flufenacet, tralkoxydim, pyroxasulfone;
- Corn herbicides atrazines, alachlor, bromoxynil, acetochlor, dicamba, clopyralid, (S) -dimethenamid, glufosinate, glyphosate, isoxaflutole, (S) -metolachlor, mesotrione, nicosulfuron, primisulfuron, rimsulfuron, sulcotrione, foramsulfuron, toramezone, tembotrione, saflufenacil, Thiencarbazone, flufenacet, pyroxasulfone;
- Rice herbicides Butachlor, Propanil, Azimsulfuron, Bensulfuron, Cyhalofop, Daimuron, Fentrazamide, Imazosulfuron, Mefenacet, Oxaziclomefone, Pyrazosulfuron, Pyributicarb, Quinclorac, Thiobencarb, Indanofan, Flufenacet, Fentrazamide, Halosulfuron, Oxaziclomefone, Benzobicyclone, Pyriftalid, Penoxsulam, Bispyribac, Oxadiargyl, Ethoxysulfuron, pretilachlor, mesotrione, tefuryltrione, oxadiazone, fenoxaprop, pyrimisulfan;
- Woolly herbicides Diuron, Fluometuron, MSMA, Oxyfluorfen, Prometryn, Trifluralin, Carfentrazone, Clethodim, Fluazifop -butyl, Glyphosate, Norflurazon, Pendimethalin, Pyrithiobac-sodium, Trifloxysulfuron, Tepraloxydim, Glufosinate, Flumioxazin, Thidiazuron;
- Soya herbicides alachlor, bentazone, trifluralin, chlorimuron-ethyl, cloransulam-methyl, fenoxaprop, fomesafen, fluazifop, glyphosate, imazamox, imazaquin, imazethapyr, (S) -metolachlor, metribuzin, Pendimethalin, tepraloxydim, glufosinate;
- Sugar beet herbicides Chloridazon, Desmedipham, Ethofumesate, Phenmedipham, Triallate, Clopyralid, Fluazifop, Lenacil, Metamitron, Quinmerac, Cycloxydim, Triflusulfuron, Tepraloxydim, Quizalofop; Rape herbicides: Clopyralid, Diclofop, Fluazifop, Glufosinate, Glyphosate, Metazachlor, Trifluralin Ethametsulfuron, Quinmerac, Quizalofop, Clethodim, Tepraloxydim;
- mixtures of the compound of the formula (Ia) or mixtures of the active compound combinations according to the invention with glyphosate are particularly preferred.
- mixtures of the compound of the formula (Ia) or mixtures of the active compound combinations according to the invention with glufosinate are particularly preferred.
- the active compound combinations according to the invention are suitable for good plant tolerance, favorable toxicity to warm-blooded animals and good environmental compatibility for the protection of plants and plant organs, for increasing crop yields, improving the quality of the crop and for controlling animal pests, in particular insects, arachnids, helminths, nematodes and mollusks in agriculture, horticulture, livestock, forests, gardens and recreational facilities, in the protection of materials and materials and in the hygiene sector. They can preferably be used as crop protection agents. They are effective against normally sensitive and resistant species as well as against all or individual stages of development.
- the pests mentioned above include: pests of the genus Arthropoda, in particular of the genus Arachnida eg Acarus spp., Aceria kuko, Aceria sheldoni, Aculops spp., Aculus spp., Amblyomma spp., Amphitetranychus viennensis, Argas spp.
- Boophilus spp. Brevipalpus spp., Bryobia graminum, Bryobia praetiosa, Centruroides spp., Chorioptes spp., Dermanyssus gallinae, Dermatophagoides pteronyssinus, Dermatophagoides farinae, Dermacentor spp., Eotetranychus spp., Epitrimerus pyri, Eutetranychus spp., Eriophyes spp.
- Apogonia spp. Atomaria spp., Attagenus spp., Baris caerulescens, Bruchidius obtectus, Bruchus spp., Cassida spp., Cerotoma trifurcata, Ceutorrhynchus spp., Chaetocnema spp., Cleonus mendicus, Conoderus spp., Cosmopolites spp., Costelytra zealandica, Ctenicera spp., Curculio spp., Cryptolestes ferruginus, Cryptorhynchus lapathi, Cylindrocopturus spp., Dermestes spp., Diabrotica spp., Dichocrocis spp., Dicladispa armigera, Diloboderus spp., Epicaerus spp., Epilachna spp., Epitrix spp.
- Melanotus spp. Meligethes aeneus, Melolontha spp., Migdolus spp., Monochamus spp., Naupactus xanthographus, Necrobia spp., Neogalerucella spp., Niptus hololeucus, Oryctes rhinoceros, Oryzaephilus surinamensis, Oryzaphagus oryzae, Otiorrhynchus spp., Oulema spp.
- Musca spp. Oestrus spp., Oscmella frit, Paratanytarsus spp., Paralauterborniella subcincta, Pegomyia spp., Phlebotomus spp., Phorbia spp., Phormia spp., Piophila casei, Platyparea poeciloptera, Prodiplosis spp., Psila rosae Rhagoletis spp.
- Sarcophaga spp., Simulium spp., Stomoxys spp., Tabanus spp., Tetanops spp., Tipula spp., Hippoboscoidea ( Pupipara), Toxotrypana curvicauda; from the suborder of the Heteroptera eg Aelia spp., Anasa tristis, Antestiopsis spp., Boisea spp., Blissus spp., Calocoris spp., Campylomma livida, Cavelerius spp., Cimex spp., Collaria spp., Creontiades dilutus, Dasynus piperis, Dichelops furcatus, Diconocoris hewetti, Dysdercus spp., Euschistus spp., Eurydema spp., Eurygaster spp., Halyomorpha ha
- Idioscopus spp. Laodelphax striatellus, Lecanium spp., Lepidosaphes spp., Lipaphis erysimi, Lopholeucaspis japonica, Lycorma americanula, Macrosiphum spp., Macrosteles facifrons, Mahanarva spp., Melanaphis sacchari, Metcalfiella spp., Metealfa pruinosa, Metopolophium dirhodum, Monellia costalis, Monelliopsis pecanis, Myzus spp., Nasonovia ribisnigri, Neomaskellia spp., Nephotettix spp., Nettigoniclla spectra, Nilaparvata lugens, Oncometopia spp., Orthezia praelonga, Oxya chinensis, Pachypsylla spp., Parab
- Paravespula spp. Paravespula spp., Plagiolepis spp., Sirex spp., Solenopsis invicta, Tapinoma spp., Technomyrmex albipes, Urocerus spp., Vespa spp., Wasmannia auropunctata, Xeris spp .; from the order of Isopoda, for example, Armadillidium vulgare, Oniscus asellus, Porcellio scaber; from the order of the Isoptera eg Coptotermes spp., Cornitermes cumulans, Cryptotermes spp., Incisitermes spp., Kalotermes spp., Microtermes obesi, Nasutitermes spp., Odontotermes spp., Porotermes spp., Reticulitermes spp .; from the order of Lepidoptera eg Achroia grisella, Acronica major
- Pests of the Mollusca strain in particular of the bivalve class, e.g. Dreissena spp., As well as from the class Gastropoda e.g. Arion spp., Biomphalaria spp., Bulinus spp., Deroceras spp., Galba spp., Lymnaea spp., Oncomelania spp., Pomacea spp., Succinea spp .;
- Gastropoda e.g. Arion spp., Biomphalaria spp., Bulinus spp., Deroceras spp., Galba spp., Lymnaea spp., Oncomelania spp., Pomacea spp., Succinea spp .;
- Animal parasites from the strains of Plathelminthes and Nematoda eg Aelurostrongylus spp., Amidostomum spp., Ancylostoma duodenale, Ancylostoma ceylanicum, Acylostoma braziliensis, Ancylostoma spp., Angiostrongylus spp., Anisakis spp., Anoplocephala spp., Ascaris spp., Ascaridia spp.
- Baylisascaris spp. Brugia malayi, Brugia timori, Bunostomum spp., Capillaria spp., Chabertia spp., Clonorchis spp., Cooperia spp., Crenosoma spp., Cyathostoma spp., Dicrocoelium spp.
- Dictyocaulus filaria Diphyllobothrium latum, Dipylidium spp., Dirofilaria spp., Dracunculus medinensis, Echinococcus granulosus, Echinococcus multilocularis, Enterobius vermicularis, Eucoleus spp., Fasciola spp., Fascioloides spp., Fasciolopsis spp., Filaroides spp., Gongylonema spp.
- Gyrodactylus spp. Habronema spp., Haemonchus spp., Heligmosomoides spp., Heterakis spp., Hymenolepis nana, Hyostrongulus spp., Litomosoides spp., Loa Loa, Metastrongylus spp., Metorchis spp., Mesocestoides spp., Moniezia spp.
- Trichostrongylus spp. Trichuris trichuria, Uncinaria spp., Wuchereria bancrofti; Plant pests of the Nematoda strain, ie plant parasitic nematodes, in particular Aglenchus spp., Anguina spp., Aphelenchoides spp., Belonolaimus spp., Bursaphelenchus spp., Cacopaurus spp., Criconemella spp., Criconemoides spp., Ditylenchus spp., Dolichodorus spp , Globodera spp., Helicotylenchus spp., Hemicriconemoides spp., Hemicycliophora spp., Heterodera spp., Hoplolaimus spp., Longidorus spp., Meloidogyne spp., Meloinema spp.,
- the order of coccidia can be determined, e.g. Eimeria spp. fight.
- the present invention further relates to formulations and application forms prepared therefrom as crop protection agents and / or pesticides such.
- B. drench, drip and spray comprising at least one of the active compounds according to the invention.
- the use forms contain other crop protection agents and / or pesticides and / or the effect of improving adjuvants such as penetration enhancers, eg.
- vegetative oils such as rapeseed oil, sunflower oil, mineral oils such as paraffin oils, alkyl esters of vegetable fatty acids such as rapeseed oil or soybean oil or alkanol alkoxylates and / or spreading agents such as alkyl siloxanes and / or salts z.
- organic or inorganic ammonium or phosphonium salts such as ammonium sulfate or diammonium hydrogen phosphate and / or retention-promoting agents such.
- organic or inorganic ammonium or phosphonium salts such as ammonium sulfate or diammonium hydrogen phosphate and / or retention-promoting agents such.
- dioctylsulfosuccinate or hydroxypropyl guar polymers and / or Humectants such.
- glycerol and / or fertilizers such as ammonium, potassium or phosphorus-containing fertilizer.
- Typical formulations are, for example, water-soluble liquids (SL), emulsion concentrates (EC), emulsions in water (EW), suspension concentrates (SC, SE, FS, OD), water-dispersible granules (WG), granules (GR) and capsule concentrates (CS). ;
- SL water-soluble liquids
- EC emulsion concentrates
- EW emulsions in water
- SC suspension concentrates
- SC SE, SE, FS, OD
- WG water-dispersible granules
- GR granules
- capsule concentrates CS
- the formulations contain, in addition to one or more active compounds according to the invention, further agrochemical active substances.
- auxiliaries such as extenders, solvents, spontaneity promoters, carriers, emulsifiers, dispersants, antifreeze agents, biocides, thickeners and / or further auxiliaries, such as adjuvants.
- An adjuvant in this context is a component that enhances the biological effect of the formulation without the component itself having a biological effect. Examples of adjuvants are agents that promote retention, spreading behavior, adherence to the leaf surface, or penetration.
- formulations are prepared in a known manner, e.g. by mixing the active ingredients with excipients such as extenders, solvents and / or solid carriers and / or other excipients such as surfactants.
- excipients such as extenders, solvents and / or solid carriers and / or other excipients such as surfactants.
- the preparation of the formulations is carried out either in suitable systems or before or during use.
- excipients there may be used those substances which are suitable for conferring special properties, such as certain physical, technical and / or biological properties, to the formulation of the active substance or to the forms of use prepared from these formulations (for example usable plant protection agents such as spray or seed dressing).
- polar and non-polar organic chemical liquids e.g. from the classes of aromatic and non-aromatic hydrocarbons (such as paraffins, alkylbenzenes, alkylnaphthalenes, chlorobenzenes), alcohols and polyols (which may also be substituted, etherified and / or esterified), ketones (such as acetone, cyclohexanone), Esters (including fats and oils) and (poly) ethers, simple and substituted amines, amides, lactams (such as N-alkylpyrrolidones) and lactones, sulfones and sulfoxides (such as dimethylsulfoxide).
- aromatic and non-aromatic hydrocarbons such as paraffins, alkylbenzenes, alkylnaphthalenes, chlorobenzenes
- alcohols and polyols which may also be substituted, etherified and / or esterified
- ketones such as
- organic solvents can also be used as auxiliary solvents.
- liquid solvents are essentially in question: aromatics, such as xylene, toluene or alkylnaphthalenes, chlorinated aromatic or chlorinated aliphatic hydrocarbons such as chlorobenzenes, chloroethylenes or methylene chloride, aliphatic hydrocarbons such as cyclohexane or paraffins, eg petroleum fractions, mineral and vegetable oils, alcohols such as butanol or glycol and their ethers and esters, ketones , such as acetone, methyl ethyl ketone, methyl isobutyl ketone or cyclohexanone, strongly polar solvents such as dimethylformamide and dimethyl sulfoxide, and water.
- aromatics such as xylene, toluene or alkylnaphthalenes
- chlorinated aromatic or chlorinated aliphatic hydrocarbons such as chlorobenzenes, chlor
- Suitable solvents are, for example, aromatic hydrocarbons, e.g. Xylene, toluene or alkylnaphthalenes, chlorinated aromatic or aliphatic hydrocarbons, e.g. Chlorobenzene, chloroethylene, or methylene chloride, aliphatic hydrocarbons, e.g. Cyclohexane, paraffins, petroleum fractions, mineral and vegetable oils, alcohols, e.g. Methanol, ethanol, iso-propanol, butanol or glycol and their ethers and esters, ketones such as e.g. Acetone, methyl ethyl ketone, methyl isobutyl ketone or cyclohexanone, strong polar solvents, such as dimethyl sulfoxide, and water.
- aromatic hydrocarbons e.g. Xylene, toluene or alkylnaphthalenes
- chlorinated aromatic or aliphatic hydrocarbons
- Suitable carriers are, in particular: Ammonium salts and ground natural minerals, such as kaolins, clays, talc, chalk, quartz, attapulgite, montmorillonite or diatomaceous earth, and ground synthetic minerals, such as fumed silica, alumina and natural or synthetic silicates, resins, waxes and / or solid fertilizers. Mixtures of such carriers can also be used.
- Suitable carriers for granules are: e.g.
- Cracked and fractionated natural rocks such as calcite, marble, pumice, sepiolite, dolomite and synthetic granules of inorganic and organic flours and granules of organic material such as sawdust, paper, coconut shells, corn cobs and tobacco stems.
- liquefied gaseous diluents or solvents can be used.
- Examples of emulsifying and / or foaming agents, dispersants or wetting agents having ionic or non-ionic properties or mixtures of these surfactants are salts of polyacrylic acid, salts of lignosulphonic acid, salts of phenolsulphonic acid or naphthalenesulphonic acid, polycondensates of ethylene oxide with fatty alcohols or with fatty acids or with fatty amines, with substituted phenols (preferably alkylphenols or arylphenols), salts of sulphosuccinic acid esters, taurine derivatives (preferably alkyltaurates), phosphoric acid esters of polyethoxylated alcohols or phenols, fatty acid esters of polyols, and derivatives of the compounds containing sulphates, sulphonates and phosphates, for example alkylarylpolyglycol ethers, alkylsulphonates, alkyl sulfates, arylsulfonates, protein hydro
- dyes such as inorganic pigments, e.g. Iron oxide, titanium oxide, ferrocyan blue and organic dyes such as alizarin, azo and metal phthalocyanine dyes, and nutrient and trace nutrients such as salts of iron, manganese, boron, copper, cobalt, molybdenum and zinc.
- inorganic pigments e.g. Iron oxide, titanium oxide, ferrocyan blue and organic dyes such as alizarin, azo and metal phthalocyanine dyes
- nutrient and trace nutrients such as salts of iron, manganese, boron, copper, cobalt, molybdenum and zinc.
- Stabilizers such as cold stabilizers, preservatives, antioxidants, light stabilizers or other chemical and / or physical stability-improving agents may also be present. It may also contain foam-forming agents or defoamers.
- formulations and applications derived therefrom may also contain, as additional auxiliaries, adhesives such as carboxymethyl cellulose, natural and synthetic powdery, granular or latex polymers such as gum arabic, polyvinyl alcohol, polyvinyl acetate, and natural phospholipids such as cephalins and lecithins, and synthetic phospholipids.
- additional auxiliaries may be mineral and vegetable oils.
- auxiliaries may be present in the formulations and in the use forms derived therefrom.
- additives are, for example, fragrances, protective colloids, binders, adhesives, thickeners, thixotropic substances, penetration promoters, retention promoters, stabilizers, sequestrants, complexing agents, humectants, spreading agents.
- the active ingredients can be combined with any solid or liquid additive commonly used for formulation purposes.
- Suitable penetration promoters in the present context are all those substances which are usually used to improve the penetration of agrochemical active substances into plants.
- Penetration promoters are in this context defined by the fact that they can penetrate from the (usually aqueous) application broth and / or from the spray coating into the cuticle of the plant and thereby increase the material mobility (mobility) of the active ingredients in the cuticle. The method described in the literature (Baur et al., 1997, Pesticide Science 51, 131-152) can be used to determine this property.
- Examples include alcohol alkoxylates such as coconut oil ethoxylate (10) or isotridecyl ethoxylate (12), fatty acid esters such as rapeseed oil or soybean oil, fatty amine alkoxylates such as For example Tallowamine ethoxylate (15) or ammonium and / or phosphonium salts such as ammonium sulfate or diammonium hydrogen phosphate.
- alcohol alkoxylates such as coconut oil ethoxylate (10) or isotridecyl ethoxylate (12)
- fatty acid esters such as rapeseed oil or soybean oil
- fatty amine alkoxylates such as For example Tallowamine ethoxylate (15) or ammonium and / or phosphonium salts such as ammonium sulfate or diammonium hydrogen phosphate.
- plants and parts of plants can be treated.
- plants are understood as meaning all plants and plant populations, such as desired and undesired wild plants or crop plants (including naturally occurring crop plants).
- Crop plants can be plants which can be obtained by conventional breeding and optimization methods or by biotechnological and genetic engineering methods or combinations of these methods, including the transgenic plants and including the plant varieties which can or can not be protected by plant breeders' rights.
- the plants which can be treated with the active compound combinations according to the invention include, for.
- turf vines, cereals, for example wheat, barley, rye, oats, rice, corn and millet, triticale
- Beets for example sugar beets and fodder beets
- Fruits such as pome fruit, stone fruit and soft fruit, such as apples, pears, plums, peaches, almonds, cherries and berries, eg.
- Plant parts are to be understood as meaning all aboveground and underground parts and organs of the plants, such as shoot, leaf, flower and root, by way of example, leaves, needles, stems, stems, flowers, fruiting bodies, fruits and seeds and roots, tubers and rhizomes .
- the plant parts also include crops as well as vegetative and generative propagation material, for example cuttings, tubers, rhiomes, offshoots and seeds.
- the treatment according to the invention of the plants and plant parts with the active ingredient combinations takes place directly or by acting on their environment, habitat or storage space according to the usual treatment methods, eg by dipping, spraying, spraying, sprinkling, evaporation, sputtering, casting , Spraying, spreading, injecting, pouring, drip irrigation and, in the case of propagation material, in particular in the case of seeds, further by dry pickling, wet pickling, slurry pickling, encrusting, single or multi-layer coating.
- a preferred direct treatment of the plants is foliar application, ie the active compound combinations according to the invention are applied to the foliage, wherein the frequency of treatment and the rate of application can be adapted to the infestation pressure of the respective pest.
- the active compound combinations according to the invention reach the plants via the root system.
- the treatment of the plants is then carried out by the action of the active compound combinations according to the invention on the habitat of the plant.
- This may be, for example, by drenching, mixing into the soil or the nutrient solution, i. the location of the plant (e.g., soil or hydroponic systems) is impregnated with a liquid form of the active compound combinations of the invention, or by the soil application, i.
- the active compound combinations according to the invention are introduced in solid form (for example in the form of granules) into the location of the plants. In water rice crops this may also be by metering the invention in a solid application form (e.g., as granules) into a flooded paddy field.
- the present invention therefore more particularly relates to a method of protecting seeds and germinating plants from attack by pests by treating the seeds with the active compound combinations according to the invention.
- the method according to the invention for the protection of seeds and germinating plants from attack by pests comprises a method in which the seed is treated simultaneously in one operation with the active ingredient of the formula (Ia) and mixed partner. It also includes a method in which the seed is treated at different times with the active ingredient of formula (Ia) and mixing partners.
- the invention also relates to the use of the active compound combinations according to the invention for the treatment of seed for the protection of the seed and the resulting plant from animal pests.
- the invention relates to seed which has been treated for protection against animal pests with the active compound combinations according to the invention.
- the invention also relates to seed treated at the same time with the active ingredient of formula (Ia) and mixed partner.
- the invention further relates to seed which has been treated at different times with the active ingredient of the formula (Ia) and mixed partner.
- the individual active ingredients of the agent according to the invention may be present in different layers on the seed.
- the layers containing the active ingredient of the formula (Ia) and mixing partner may optionally be separated by an intermediate layer.
- the invention also relates to seed in which the active compound of the formula (Ia) and mixing partner are applied as a constituent of a coating or as a further layer or further layers in addition to a coating.
- the invention relates to seed, which after treatment with the Combinations of the invention are subjected to a film coating process in order to avoid dust abrasion on the seed.
- One of the advantages of the present invention is that because of the particular systemic properties of the compositions of the invention, treatment of the seeds with these agents not only protects the seed itself but also the resulting plants after emergence from animal pests. In this way, the immediate treatment of the culture at the time of sowing or shortly afterwards can be omitted.
- a further advantage is the fact that germination and emergence of the treated seed can be promoted by treating the seed with the active compound combinations according to the invention.
- active compound combinations according to the invention can be used in particular also in transgenic seed.
- wild-type or plant species obtained by conventional biological breeding methods such as crossing or protoplast fusion, and plant cultivars and their parts are treated.
- Traditional propagation and breeding methods may be supported or supplemented by one or more biotechnological methods, such as the use of double haploids, random and directed mutagenesis, molecular or genetic markers, or bioengineering methods and genetic engineering methods.
- transgenic plants and plant cultivars which have been obtained by genetic engineering methods if appropriate in combination with conventional methods (Genetically Modified Organisms), and parts thereof are treated.
- heterologous gene essentially means a gene that is provided or assembled outside the plant or plant cell and that when introduced into the nuclear genome, the chloroplast genome or the mitochondrial genome, provides the transformed plant with new or improved agronomic or other features in that it expresses a protein or polypeptide of interest, or that it downregulates or shuts down another gene present in the plant or other genes present in the plant (eg, by antisense technology, cosuppression technology , RNA interference technology (RNAi technology) or microRNA technology (miRNA technology)).
- RNAi technology RNA interference technology
- miRNA technology microRNA technology
- a transgene that has been integrated into the plant genome is called a transformation event or transgenic event.
- the terms “parts” or “parts of plants” or “plant parts” have been explained above. It is particularly preferred according to the invention to treat plants of the respective commercially available or in use plant cultivars.
- the treatment according to the invention may also give rise to superadditive ("synergistic") effects.
- superadditive for example, reduced application rates and / or extensions of the spectrum of action and / or an increase in the effect of the substances and agents usable in the invention, better plant growth, increased tolerance to high or low temperatures, increased tolerance to drought or to water or soil salt content, increased flowering power facilitated harvesting, acceleration of ripeness, higher crop yields, larger fruits, greater plant height, more intense green color of the leaf, earlier flowering, higher quality and / or higher nutritional value of the harvested products, higher sugar concentration in the fruits, higher shelf life and / or workability of the crop Harvest products possible that go beyond the expected effects.
- the preferred plants or plant varieties to be treated according to the invention to be treated include all plants which, as a result of the genetic engineering modification, obtained genetic material which gives these plants particularly advantageous valuable properties ("traits").
- traits are better plant growth, increased tolerance to high or low temperatures, increased tolerance to dryness or to bottoms salt, increased flowering, easier harvesting, acceleration of ripeness, higher crop yields, higher quality and / or higher nutritional value of the harvested products , higher shelf life and / or workability of the harvested products.
- Further and particularly emphasized examples of such properties are an increased defense of the plants against animal and microbial pests, as against insects, mites, phytopathogenic fungi, bacteria and / or viruses as well as an increased tolerance of the plants against certain herbicidal active substances.
- transgenic plants include the important crops such as cereals (wheat, rice), corn, soy, potato, cotton, rapeseed and fruit plants (with the fruits apples, pears, citrus fruits and grapes), with corn, soy, potato, cotton and rapeseed should be highlighted.
- Traits which are particularly emphasized are the increased defense of the plants against insects by toxins which are formed in the plants, in particular those which are produced by the genetic material from Bacillus thuringiensis (for example by the genes CrylA (a), CrylA (b), CrylA (c), CryllA, CrylllA, CryIIIB2, Cry9c Cry2Ab, Cry3Bb and CrylF and combinations thereof) are produced in the plants (hereinafter "Bt plants”).
- trasits which are furthermore particularly emphasized are the increased tolerance of the plants to certain herbicidal active compounds, for example imidazolinones, sulfonylureas, glyphosate or phosphinotricin (eg "PAT" gene).
- herbicidal active compounds for example imidazolinones, sulfonylureas, glyphosate or phosphinotricin (eg "PAT" gene).
- the genes which confer the desired properties can also occur in combinations with one another in the transgenic plants.
- Bt plants are maize varieties, cotton varieties, soya bean varieties and potato varieties which are sold under the trade names YIELD GARD ® (for example maize, cotton, soya beans), KnockOut ® (for example maize), StarLink ® (for example maize), Bollgard ® (cotton), NuCOTN ® (cotton ) and NewLeaf ® (potato).
- herbicide-tolerant plants are maize varieties, cotton varieties and soybean varieties which are resistant under the trade names Roundup Ready ® (tolerance to glyphosate, for example maize, cotton, soya bean), Liberty Link ® (tolerance to phosphinotricin, for example oilseed rape), IMI ® (tolerance Imidazolinone) and STS ® (tolerance to sulfonylureas such as corn) are sold.
- Herbicide-resistant (conventionally grown on herbicide tolerance) plants are also the varieties marketed under the name Clearfield ® (eg corn) mentioned. Of course, these statements also apply to future or future marketed plant varieties with these or future developed genetic traits.
- the listed plants can be treated particularly advantageously according to the invention with the active substance mixtures according to the invention.
- the preferred ranges given above for the active substance combinations also apply to the treatment of these plants.
- Particularly emphasized is the plant treatment with the active ingredient combinations specifically mentioned in the present text.
- the resulting mixtures have an increased microbicidal action (in comparison to the microbially active compounds within the groups F1 to Fl4) and can be used to combat unwanted microorganisms, such as fungi and bacteria, are used in crop protection and material protection.
- Fungicides can be used in crop protection to combat Plasmodiophoromycetes, Oomycetes, Chytridiomycetes, Zygomycetes, Ascomycetes, Basidiomycetes and Deuteromycetes.
- Bactericides can be used in crop protection for controlling Pseudomonadaceae, Rhizobiaceae, Enterobacteriaceae, Corynebacteriaceae and Streptomycetaceae.
- Pseudomonadaceae Rhizobiaceae
- Enterobacteriaceae Enterobacteriaceae
- Corynebacteriaceae and Streptomycetaceae.
- some pathogens of fungal and bacterial diseases which fall under the above-enumerated generic terms, are named:
- Blumeria species such as Blumeria graminis
- Podosphaera species such as Podosphaera leucotricha
- Sphaerotheca species such as Sphaerotheca fuliginea
- Uncinula species such as Uncinula necator
- Diseases caused by pathogens of rust diseases such as Gymnosporangium species, such as Gymnosporangium sabinae
- Hemileia species such as Hemileia vastatrix
- Phakopsora species such as Phakopsora pachyrhizi and Phakopsora meibomiae
- Puccinia species such as Puccinia recondita
- Uromyces species such as Uromyces appendiculatus
- Bremia species such as Bremia lactucae
- Peronospora species such as Peronospora pisi or P. brassicae;
- Phytophthora species such as Phytophthora infestans
- Plasmopara species such as Plasmopara viticola
- Pseudoperonospora species such as Pseudoperonospora humuli or
- Pythium species such as Pythium ultimum
- Alternaria species such as Alternaria solani;
- Cercospora species such as Cercospora beticola
- Cladosporium species such as Cladosporium cucumerinum
- Cochliobolus species such as Cochliobolus sativus
- Colletotrichum species such as Colletotrichum lindemuthanium
- Cycloconium species such as cycloconium oleaginum
- Gloeosporium species such as, for example, Gloeosporium laeticolor
- Glomerella species such as Glomerella cingulata
- Guignardia species such as Guignardia bidwelli;
- Leptosphaeria species such as Leptosphaeria maculans
- Magnaporthe species such as Magnaporthe grisea
- Mycosphaerella species such as Mycosphaerella graminicola and Mycosphaerella fijiensis;
- Phaeosphaeria species such as Phaeosphaeria nodorum
- Pyrenophora species such as, for example, Pyrenophora teres
- Ramularia species such as Ramularia collo-cygni
- Rhynchosporium species such as Rhynchosporium secalis
- Septoria species such as Septoria apii
- Typhula species such as Typhula incarnata
- Venturia species such as Venturia inaequalis
- Corticium species such as Corticium graminearum
- Fusarium species such as Fusarium oxysporum
- Gaeumannomyces species such as Gaeumannomyces graminis
- Rhizoctonia species such as Rhizoctonia solani
- Tapesia species such as Tapesia acuformis
- Thielaviopsis species such as Thielaviopsis basicola
- Ear and panicle diseases caused by e.g.
- Alternaria species such as Alternaria spp .
- Aspergillus species such as Aspergillus flavus
- Cladosporium species such as Cladosporium cladosporioides
- Claviceps species such as Claviceps purpurea
- Fusarium species such as Fusarium culmorum
- Gibberella species such as Gibberella zeae
- Monographella species such as Monographella nivalis
- Sphacelotheca species such as Sphacelotheca reiliana
- Tilletia species such as Tilletia caries
- Urocystis species such as Urocystis occulta
- Ustilago species such as Ustilago nuda
- Aspergillus species such as Aspergillus flavus
- Botrytis species such as Botrytis cinerea
- Penicillium species such as Penicillium expansum and Penicillium purpurogenum
- Sclerotinia species such as Sclerotinia sclerotiorum
- Verticilium species such as Verticilium alboatrum
- Phytophthora species such as Phytophthora cactorum
- Pythium species such as Pythium ultimum
- Rhizoctonia species such as Rhizoctonia solani
- Sclerotium species such as Sclerotium rolfsii; Cancers, bile and witch brooms, caused by eg Nectria species, such as Nectria galligena; Wilting diseases caused by, for example, Monilinia species, such as Monilinia laxa; Deformations of leaves, flowers and fruits caused by, for example, Taphrina species such as, for example, Taphrina deformans; Degenerative diseases of woody plants, caused by eg
- Esca species such as Phaeomoniella chlamydospora and Phaeoacremonium aleophilum and Fomitiporia mediterranea; Flower and seed diseases caused by e.g.
- Botrytis species such as Botrytis cinerea
- Rhizoctonia species such as Rhizoctonia solani
- Helminthosporium species such as Helminthosporium solani
- Diseases caused by bacterial agents such as e.g.
- Xanthomonas species such as Xanthomonas campestris pv. Oryzae;
- Pseudomonas species such as Pseudomonas syringae pv. Lachrymans;
- Erwinia species such as Erwinia amylovora
- the following diseases of soybean beans can be controlled: fungal diseases on leaves, stems, pods and seeds caused by e.g.
- Alternaria leaf spot (Alternaria spec. Atrans tenuissima), Anthracnose (Colletotrichum gloeosporoides dematium var. Truncatum), Brown spot (Septoria glycines), Cercospora leaf spot and blight (Cercospora kikuchii), Choanephora leaf blight (Choanephora infundibulifera trispora (Syn.)) , Dactuliophora leaf spot (Dactuliophora glycines), Downy Mildew (Peronospora manshurica), Drechslera blight (Drechslera glycini), Frogeye leaf spot (Cercospora sojina), Leptosphaerulina leaf spot (Leptosphaerulina trifolii), Phyllostica Leaf Spot (Phyllosticta sojaecola), Pod and Stem Blight (Phomopsis sojae), Powdery Mil
- Black Root Red (Calonectria crotalariae), Charcoal Red (Macrophomina phaseolina), Fusarium Blight or Wilt, Root Red, and Pod and Collar Red (Fusarium oxysporum, Fusarium orthoceras, Fusarium semitectum, Fusarium equiseti), Mycoleptodiscus Root Red (Mycoleptodiscus terrestris), Neocosmospora (Neocosmopspora vasinfecta), Pod and Stem Blight (Diaporthe phaseolorum), Stem Canker (Diaporthe phaseolorum var.
- a synergistic effect is always present when the effect of the active ingredient combinations is the sum of the effects of the individually applied active ingredients.
- X means the degree of killing, expressed in% of the untreated control, when using the active substance A at a rate of m g / ha or in a concentration of m ppm,
- Y means the degree of killing, expressed in% of the untreated control, when using the active ingredient B in an application rate of n g / ha or in a concentration of n ppm
- E is the killing degree, expressed in% of the untreated control, when using the active compounds A and B in application rates of m and n g / ha or in a concentration of m and n ppm, then is
- the combination is over-additive in its kill, i. there is a synergistic effect.
- Emulsifier alkylaryl polyglycol ether To prepare a suitable preparation of active compound, 1 part by weight of active compound is dissolved with the stated parts by weight of solvent and filled with water which contains an emulsifier concentration of 1000 ppm until the desired concentration is reached. Further test concentrations are obtained by dilution with emulsifier-containing water.
- Cotton plants which are heavily affected by the cotton aphid ⁇ Aphis gossypii), are sprayed with an active compound preparation of the desired concentration.
- the kill is determined in%. 100% means that all aphids have been killed and 0% that no aphids have been killed.
- the determined mortality values are calculated according to the Colby formula (see page 39).
- Emulsifier alkylaryl polyglycol ether To prepare a suitable preparation of active compound, 1 part by weight of active compound is dissolved with the stated parts by weight of solvent and filled with water which contains an emulsifier concentration of 1000 ppm until the desired concentration is reached. Further test concentrations are obtained by dilution with emulsifier-containing water.
- Cotton leaves (Gossypium hirsutum) are sprayed with an active compound preparation of the desired concentration and populated with caterpillars of the armyworm ⁇ Spodoptera frugiperda).
- the kill is determined in%. 100% means that all caterpillars have been killed; 0% means that none of the caterpillars have been killed.
- the determined mortality values are calculated according to the Colby formula (see page 39).
- Emulsifier alkylaryl polyglycol ether
- a suitable preparation of active compound 1 part by weight of active compound is dissolved with the stated parts by weight of solvent and filled with water containing an emulsifier concentration of 1000 ppm until reaching the desired concentration.
- the spores are diluted with emulsifier-containing water to the desired concentration. Further test concentrations are obtained by dilution with emulsifier-containing water.
- Bean leaf discs Phaseolus vulgaris infected by all stages of the common spider mite (Tetranychus urticae) are sprayed with an active compound preparation of the desired concentration. After the desired time, the effect is determined in%. 100% means that all spider mites have been killed and 0% that no spider mites have been killed. The determined mortality values are calculated according to the Colby formula (see page 39).
- Table C-2 Tetranychus urticae - spray test
Landscapes
- Life Sciences & Earth Sciences (AREA)
- Agronomy & Crop Science (AREA)
- Pest Control & Pesticides (AREA)
- Plant Pathology (AREA)
- Health & Medical Sciences (AREA)
- Engineering & Computer Science (AREA)
- Dentistry (AREA)
- General Health & Medical Sciences (AREA)
- Wood Science & Technology (AREA)
- Zoology (AREA)
- Environmental Sciences (AREA)
- Agricultural Chemicals And Associated Chemicals (AREA)
Abstract
Die vorliegende Erfindung betrifft Wirkstoffkombinationen, die eine bekannte Verbindung der Formel (Ia) einerseits und einen oder mehrere weitere pestizide Wirkstoffe andererseits enthalten und zur Bekämpfung von tierischen Schädlingen geeignet sind.
Description
Insektizide Wirkstoffkombinationen
Diese Anmeldung betrifft Mischungen der Verbindung der unten stehenden Formel (la) mit mindestens einem weiteren Wirkstoff, welcher bevorzugt ein Insektizid oder ein Akarizid oder ein Nematizid ist. Diese Mischungen (Wirkstoffkombinationen) eignen sich zur Bekämpfung tierischer Schädlinge sowie als Pflanzenstärkungsmittel.
Die Verbindung der Formel (la) und Verfahren zu ihrer Herstellung sind aus WO 2016/180802 AI bekannt, dort wird auch ihre Verwendung zur Bekämpfung tierischer Schädlinge beschrieben. Die Wirksamkeit und / oder Wirkungsbreite und / oder die Pflanzenverträglichkeit dieser Verbindung, insbesondere gegenüber Kulturpflanzen, ist jedoch nicht immer ausreichend. Es wurde nun gefunden, dass Wirkstoffkombinationen (gleichbedeutend mit„Wirkstoffkombinationen" werden in der vorliegenden Anmeldung die Begriffe „Wirkstoffmischungen" und „Mischungen" verwendet) enthaltend die Verbindung der Formel (la) und einen oder mehrere Wirkstoffe aus den weiter unten beschriebenen Gruppen synergistisch wirksam sind und sich zur Bekämpfung tierischer Schädlinge sowie als Pflanzenstärkungsmittel eignen. Die aus WO 2012/035011 AI bekannte Verbindung der Formel (I)
(i) in welcher stereogene Kohlenstoffatome mit * gekennzeichnet sind, umfasst die folgenden vier Diastereomeren: das (2S,3S)-Diastereomer der Formel (la), das (2R,3S)-Diastereomer der Formel (Ib), das (2S,lR -Diastereomer der Formel (Ic) und das (2R,lR -Diastereomer der Formel (Id) (vgl. WO 2016/180802 AI):
(la) (Ib)
(lc) (Id)
(2S, 3R)-Diastereomer (2R, 3R)-Diastereomer.
Gegenstand der vorliegenden Erfindung sind Wirkstoffkombinationen enthaltend die Verbindung der Formel (la)
(la) und einen oder mehrere Wirkstoffe aus den weiter unten beschriebenen Gruppen.
Es wurde weiter gefunden, dass Wirkstoffkombinationen (Wirkstoffmischungen) enthaltend die Verbindung der Formel (la) und einen oder mehrere Wirkstoffe aus den weiter unten beschriebenen Gruppen synergistisch wirksam sind und sich zur Bekämpfung tierischer Schädlinge sowie als Pflanzenstärkungsmittel eignen.
Die Herstellung der Verbindung der Formel (la) ist in WO 2016/180802 AI als Beispiel 1 beschrieben. Aufgrund der Art des Herstellverfahrens kann das Endprodukt der Formel (la) unterschiedliche, aber, verglichen mit der Menge an Verbindung der Formel (la), kleinere Mengen an den Verbindungen der Formeln (Ib) und gegebenenfalls auch der Formeln (Ic) und (Id) enthalten. In der Regel treten bei diesem Verfahren die Verbindungen der Formeln (Ic) und (Id), wenn überhaupt, nur noch in geringen Mengen auf. Bei einem technischen Produktionsprozess können im Endprodukt wiederum andere Mengenverhältnisse der einzelnen Diastereomeren vorliegen.
Gegenstand der vorliegenden Erfindung sind daher auch Mischungen, die neben der Verbindung der Formel (la) die Verbindung der Formel (Ib) enthalten und Mischungen, die gegebenenfalls zusätzlich zu den Verbindungen der Formeln (la) und (Ib) eine oder beide Verbindungen der Formeln (Ic) und (Id) enthalten.
Bevorzugt sind Mischungen, in denen die Verbindung der Formel (Ia) in einer Menge von mehr als 70 % bezogen auf die Gesamtmenge an Verbindungen der Formeln (Ia), (Ib) und gegebenenfalls (Ic) und (Id) vorliegt.
Besonders bevorzugt sind Mischungen, in denen die Verbindung der Formel (Ia) in einer Menge von mehr als 80 % bezogen auf die Gesamtmenge an Verbindungen der Formeln (Ia), (Ib) und gegebenenfalls (Ic) und (Id) vorliegt.
Ganz besonders bevorzugt sind Mischungen, in denen die Verbindung der Formel (Ia) in einer Menge von mehr als 90 % bezogen auf die Gesamtmenge an Verbindungen der Formeln (Ia), (Ib) und gegebenenfalls (Ic) und (Id) vorliegt. Eine weitere bevorzugte Ausführungsform der vorliegenden Erfindung betrifft Mischungen, in denen die Verbindung der Formel (Ia) in einer Menge von mehr als 95 % bezogen auf die Gesamtmenge an Verbindungen der Formeln (Ia), (Ib) und gegebenenfalls (Ic) und (Id) vorliegt.
Bevorzugt sind auch Mischungen, in denen das Verhältnis von Verbindung der Formel (Ia) zu Verbindung der Formel (Ib) 51 :49 bis 61 :39, bevorzugt 71 :29 bis 81 :19 und besonders bevorzugt 91 :9 bis 99: 1 beträgt.
Vorzugsweise enthalten die erfindungsgemäßen Wirkstoffkombinationen die Verbindung der Formel (Ia) und den oder die Mischpartner in synergistisch wirksamen Mengen.
Bevorzugt eignen sich die erfindungsgemäßen Mischungen zur Bekämpfung tierischer und mikrobieller Schädlinge.
Besonders bevorzugt eignen sich die erfindungsgemäßen Mischungen zur Bekämpfung tierischer Schädlinge.
Besonders bevorzugt eignen sich die erfindungsgemäßen Mischungen weiterhin zur Bekämpfung mikrobieller Schädlinge.
Besonders bevorzugt eignen sich die erfindungsgemäßen Mischungen weiterhin als Pflanzenstärkungsmittel.
Die erfindungsgemäßen Wirkstoffkombinationen enthalten in einer Ausführungsform neben der Verbindung der Formel (Ia) eine oder mehrere Mischpartner aus den im Folgenden beschriebenen Gruppen.
(1-1) Acetylcholinesterase (AChE) Inhibitoren, wie beispielsweise Carbamate, z.B. Alanycarb, Aldicarb, Bendiocarb, Benfuracarb, Butocarboxim, Butoxycarboxim, Carbaryl, Carbofuran, Carbosulfan, Ethiofencarb, Fenobucarb, Formetanate, Furathiocarb, Isoprocarb, Methiocarb, Methomyl, Metolcarb,
Oxamyl, Pirimicarb, Propoxur, Thiodicarb, Thiofanox, Triazamate, Trimethacarb, XMC und Xylylcarb oder organophosphate, z.B. Acephate, Azamethiphos, Azinphos-ethyl, Azinphos-methyl, Cadusafos, Chlorethoxyfos, Chlorfenvinphos, Chlormephos, Chlorpyrifos, Chlorpyrifos-methyl, Coumaphos, Cyanophos, Demeton-S-methyl, Diazinon, Dichlorvos/DDVP, Dicrotophos, Dimethoate, Dimethylvinphos, Disulfoton, EPN, Ethion, Ethoprophos, Famphur, Fenamiphos, Fenitrothion, Fenthion, Fosthiazate, Heptenophos, Imicyafos, Isofenphos, Isopropyl 0-(methoxyaminothio- phosphoryl) salicylat, Isoxathion, Malathion, Mecarbam, Methamidophos, Methidathion, Mevinphos, Monocrotophos, Naled, Omethoate, Oxydemeton-methyl, Parathion, Parathion-methyl, Phenthoate, Phorate, Phosalone, Phosmet, Phosphamidon, Phoxim, Pirimiphos-methyl, Profenofos, Propetamphos, Prothiofos, Pyraclofos, Pyridaphenthion, Quinalphos, Sulfotep, Tebupirimfos, Temephos, Terbufos, Tetrachlorvinphos, Thiometon, Triazophos, Triclorfon und Vamidothion.
(1-2) GABA-gesteuerte Chlorid-Kanal- Antagonisten, wie beispielsweise Cyclodien-organochlorine, z.B. Chlordane und Endosulfan oder Phenylpyrazole (Fiprole), z.B. Ethiprole und Fipronil.
(1-3) Natrium-Kanal-Modulatoren / Spannungsabhängige Natrium-Kanal-Blocker, wie beispielsweise Pyrethroide, z.B. Acrinathrin, Allethrin, d-cis-trans Allethrin, d-trans Allethrin, Bifenthrin, Bioallethrin, Bioallethrin S-cyclopentenyl Isomer, Bioresmethrin, Cycloprothrin, Cyfluthrin, beta-Cyfluthrin, Cyhalothrin, lambda-Cyhalothrin, gamma-Cyhalothrin, Cypermethrin, alpha-Cypermethrin, beta- Cypermethrin, theta-Cypermethrin, zeta-Cypermethrin, Cyphenothrin [(lR)-trans-Isomere], Deltamethrin, Empenthrin [(EZ)-(lR)-Isomere), Esfenvalerate, Etofenprox, Fenpropathrin, Fenvalerate, Flucythrinate, Flumethrin, tau-Fluvalinate, Halfenprox, Imiprothrin, Kadethrin, Permethrin, Phenothrin [(lR)-trans-Isomer), Prallethrin, Pyrethrine (pyrethrum), Resmethrin, Silafluofen, Tefluthrin, Tetramethrin, Tetramethrin [(1R)- Isomere)], Tralomethrin und Transfluthrin oder DDT oder Methoxychlor.
(1-4) Nikotinerge Acetylcholin-Rezeptor (nAChR) Agonisten, wie beispielsweise Neonikotinoide, z.B. Acetamiprid, Clothianidin, Dinotefuran, Imidacloprid, Nitenpyram, Thiacloprid und Thiamethoxam oder Nikotin oder Sulfoxaflor.
(1-5) Nikotinerge Acetylcholin-Rezeptor (nAChR) allosterische Aktivatoren, wie beispielsweise Spinosine, z.B. Spinetoram und Spinosad.
(1-6) Chlorid-Kanal-Aktivatoren, wie beispielsweise Avermectine/Milbemycine, z.B. Abamectin, Emamectin-benzoat, Lepimectin und Milbemectin.
(1-7) Juvenilhormon-Imitatoren, wie beispielsweise Juvenilhormon-Analoge, z.B. Hydroprene, Kinoprene und Methoprene oder Fenoxycarb oder Pyriproxyfen.
(1-8) Wirkstoffe mit unbekannten oder nicht spezifischen Wirkmechanismen, wie beispielsweise Alkylhalide, z.B. Methylbromid und andere Alkylhalide; oder Chloropicrin oder Sulfurylfluorid oder Borax oder Brechweinstein.
(1-9) Selektive Fraßhemmer, z.B. Pymetrozine oder Flonicamid. (1-10) Milbenwachstumsinhibitoren, z.B. Clofentezine, Hexythiazox und Diflovidazin oder Etoxazole.
(11) Mikrobielle Disruptoren der Insektendarmmembran, z.B. Bacillus thuringiensis Subspezies israelensis, Bacillus sphaericus, Bacillus thuringiensis Subspezies aizawai, Bacillus thuringiensis Subspezies kurstaki, Bacillus thuringiensis Subspezies tenebrionis und BT Pflanzenproteine: CrylAb, CrylAc, CrylFa, Cry2Ab, mCry3A, Cry3Ab, Cry3Bb, Cry34/35Abl . (1-12) Inhibitoren der oxidativen Phosphorylierung, ATP-Disruptoren, wie beispielsweise Diafenthiuron oder Organozinnverbindungen, z.B. Azocyclotin, Cyhexatin und Fenbutatin-oxid oder Propargite oder Tetradifon.
(1-13) Entkoppler der oxidativen Phoshorylierung durch Unterbrechung des H-Protongradienten, wie beispielsweise Chlorfenapyr, DNOC und Sulfluramid. (1-14) Nikotinerge Acetylcholin-Rezeptor- Antagonisten, wie beispielsweise Bensultap, Cartap- hydrochlorid, Thiocyclam und Thiosultap-Natrium.
(1-15) Inhibitoren der Chitinbiosynthese, Typ 0, wie beispielsweise Bistrifluron, Chlorfluazuron, Diflubenzuron, Flucycloxuron, Flufenoxuron, Hexaflumuron, Lufenuron, Novaluron, Noviflumuron, Teflubenzuron und Triflumuron. (1-16) Inhibitoren der Chitinbiosynthese, Typ 1, wie beispielsweise Bupro fezin.
(1-17) Häutungsstörende Wirkstoffe, Dipteran, wie beispielsweise Cyromazine.
(1-18) Ecdyson-Rezeptor Agonisten, wie beispielsweise Chromafenozide, Halofenozide, Methoxyfenozide und Tebufenozide.
(1-19) Oktopaminerge Agonisten, wie beispielsweise Amitraz. (1-20) Komplex-III-Elektronentransportinhibitoren, wie beispielsweise Hydramethylnon oder Acequinocyl oder Fluacrypyrim.
(1-21) Komplex-I-Elektronentransportinhibitoren, beispielsweise METI-Akarizide, z.B. Fenazaquin, Fenpyroximate, Pyrimidifen, Pyridaben, Tebufenpyrad und Tolfenpyrad oder Rotenone (Derris).
(1-22) Spannungsabhängige Natriurnkanal-Blocker, z.B. Indoxacarb oder Metaflumizone.
(1-23) Inhibitoren der Acetyl-CoA-Carboxylase, wie beispielsweise Tetron- und Tetramsäurederivate, z.B. Spirodiclofen, Spiromesifen und Spirotetramat.
(1-24) Komplex-IV-Elektronentransportinhibitoren, wie beispielsweise Phosphine, z.B. Aluminiumphosphid, Calciumphosphid, Phosphin und Zinkphosphid oder Cyanid.
(1-25) Komplex-II-Elektronentransportinhibitoren, wie beispielsweise Cyenopyrafen und Cyflumetofen.
(1-28) Ryanodinrezeptor-Effektoren, wie beispielsweise Diamide, z.B. Chlorantraniliprole (Rynaxypyr), Cyantraniliprole (Cyazypyr) und Flubendiamide,
(1-29) Weitere Wirkstoffe wie beispielsweise Afidopyropen, Azadirachtin, Benclothiaz, Benzoximate, Bifenazate, Bromopropylate, Chinomethionat, Cryolite, Dicofol, Diflovidazin, Fluensulfone, Flometoquin, Flufenerim, Flufenoxystrobin, Flufiprole, Fluopyram, Flupyradifurone, Fufenozide, Heptafluthrin, Imidaclothiz, Iprodione, Meperfluthrin, Paichongding, Pyflubumide, Pyrifluquinazon, Pyriminostrobin, Tetramethylfluthrin und lodmethan; desweiteren Präparate auf Basis von Bacillus firmus (1-1582, BioNeem, Votivo) , sowie folgende Verbindungen: 3 -Brom-N- {2-brom-4-chlor-6-[(l- cyclopropylethyl)carbamoyl]phenyl} - 1 -(3-chlorpyridin-2-yl)- 1 H-pyrazol-5-carboxamid (bekannt aus WO2005/077934) und 1 - {2-Fluor-4-methyl-5-[(2,2,2-trifluorethyl)sulfmyl]phenyl} -3-(trifluormethyl)- lH-l,2,4-triazol-5-amin (bekannt aus WO2006/043635), {l'-[(2E)-3-(4-Chlorphenyl)prop-2-en-l-yl]-5- fluorspiro[indol-3,4'-piperidin]-l(2H)-yl}(2-chlorpyridin-4-yl)methanon (bekannt aus
WO2003/106457), 2-Chlor-N-[2- { 1 - [(2E)-3 -(4-chlorphenyl)prop-2-en- 1 -yl]piperidin-4-yl} -4- (trifluormethyl)phenyl]isonicotinamid (bekannt aus WO2006/003494), 3-(2,5-Dimethylphenyl)-4- hydroxy-8-methoxy-l,8-diazaspiro[4.5]dec-3-en-2-on (bekannt aus WO2009/049851), 3-(2,5- Dimethylphenyl)-8-methoxy-2-oxo-l,8-diazaspiro[4.5]dec-3-en-4-yl-ethylcarbonat (bekannt aus WO2009/049851), 4-(But-2-in-l -yloxy)-6-(3,5-dimethylpiperidin-l -yl)-5-fluorpyrimidin (bekannt aus WO2004/099160), 4-(But-2-in-l -yloxy)-6-(3-chlorphenyl)pyrimidin (bekannt aus WO2003/076415), PF1364 (CAS-Reg.No. 1204776-60-2), 4-[5-(3,5-Dichlorphenyl)-5-(trifluormethyl)-4,5-dihydro-l,2- oxazol-3-yl]-2-methyl-N- {2-oxo-2-[(2,2,2-trifluorethyl)amino]ethyl}benzamid (bekannt aus WO2005/085216), 4- {5-[3-Chlor-5-(trifluormethyl)phenyl]-5-(trifluormethyl)-4,5-dihydro-l,2-oxazol- 3-yl}-N- {2-oxo-2-[(2,2,2-trifluorethyl)amino]ethyl} -l-naphthamid (bekannt aus WO2009/002809), Methyl-2-[2-( { [3-brom- 1 -(3 -chlorpyridin-2-yl)- 1 H-pyrazol-5-yl]carbonyl} amino)-5-chlor-3- methylbenzoyl]-2-methylhydrazincarboxylat (bekannt aus WO2005/085216), Methyl-2-[2-({[3-brom-l- (3-chlorpyridin-2-yl)-lH-pyrazol-5-yl]carbonyl}amino)-5-cyan-3-methylbenzoyl]-2- ethylhydrazincarboxylat (bekannt aus WO2005/085216), Methyl-2-[2-( {[3-brom- 1 -(3 -chlorpyridin-2- yl)-lH-pyrazol-5-yl]carbonyl}amino)-5-cyan-3-methylbenzoyl]-2-methylhydrazincarboxylat (bekannt aus WO2005/085216), Methyl-2-[3,5-dibrom-2-({[3-brom-l-(3-chlorpyridin-2-yl)-lH-pyrazol-5-
yl]carbonyl}amino)benzoyl]-2-ethylhydrazincarboxylat (bekannt aus WO2005/085216), l-(3- Chlo^yridin-2-yl)-N-[4-cyan-2-methyl-6-(methylcarbamoyl)phenyl]-3- {[5-(trifluormethyl)-2H- tetrazol-2-yl]methyl}-lH-pyrazol-5-carboxamid (bekannt aus WO2010/069502), N-[2-(5-Amino-l,3,4- thiadiazol-2-yl)-4-chlor-6-methylphenyl]-3-brom-l-(3-chlo^yridin-2-yl)-lH-pyrazol-5-carboxami (bekannt aus CN102057925), 3-Chlor-N-(2-cyanpropan-2-yl)-N-[4-(l,l,l,2,3,3,3-heptafluorpropan-2- yl)-2-methylphenyl]phthalamid (bekannt aus WO2012/034472), 8-Chlor-N-[(2-chlor-5- methoxyphenyl)sulfonyl]-6-(trifluormethyl)imidazo[l ,2-a]pyridin-2-carboxamid (bekannt aus WO2010/129500), 4-[5-(3,5-Dichlo^henyl)-5-(trifluormethyl)-4,5-dihydro-l,2-oxazol-3-yl]-2-methyl- N-(l-oxidothietan-3-yl)benzamid (bekannt aus WO2009/080250), 4-[5-(3,5-Dichlorphenyl)-5- (trifluormethyl)-4,5-dihydro- 1 ,2-oxazol-3-yl] -2-methyl-N-(l -oxidothietan-3 -yl)benzamid (bekannt aus WO2012/029672), l-[(2-Chlor ,3 hiazol-5-yl)methyl]-4-oxo-3-phenyl-4H-pyrido[l,2-a]pyrimidin-l- ium-2-olat (bekannt aus WO2009/099929), l-[(6-Chlorpyridin-3-yl)methyl]-4-oxo-3-phenyl-4H- pyrido[l,2-a]pyrimidin-l-ium-2-olat (bekannt aus WO2009/099929), (5S,8R)-l-[(6-Chlorpyridin-3- yl)methyl]-9-nitro-2,3,5,6,7,8-hexahydro-lH-5,8-epoxyimidazo[l,2-a]azepin (bekannt aus WO2010/069266), (2E)- 1 - [(6-Chlorpyridin-3 -yl)methyl] -N'-nitro-2-pentylidenhydrazincarboximidamid (bekannt aus WO2010/060231), 4-(3- {2,6-Dichlor-4-[(3,3-dichlorprop-2-en-l- yl)oxy]phenoxy}propoxy)-2-methoxy-6-(trifluormethyl)pyrimidin (bekannt aus CN101337940), N-[2- (tert-Butylcarbamoyl)-4-chlor-6-methylphenyl] - 1 -(3 -chlorpyridin-2-yl)-3 -(fluormethoxy)- 1 H-pyrazol-5- carboxamid (bekannt aus WO2008/134969). Die hier mit ihrem „common name" genannten Wirkstoffe sind bekannt und beispielsweise im Pestizidhandbuch („The Pesticide Manual" 16th Ed., British Crop Protection Council 2011) beschrieben oder im Internet recherchierbar (z.B. http://www.alanwood.net pesticides).
Bevorzugt sind die in der Tabelle A angegebenen Wirkstoffkombinationen Nr. 1 bis 14.
Die 14 in der Tabelle genannten Mischpartner stellen eine bevorzugte Gruppe von Mischpartnern dar. Jede einzelne der Wirkstoffkombinationen (Mischungen) Nr. 1 bis 14 ist eine bevorzugte Ausführungsform der vorliegenden Erfindung.
In der Tabelle steht„(Ia)" für die Verbindung der Formel (Ia). Die in der Tabelle angegebenen bevorzugten, besonders bevorzugten und ganz besonders bevorzugten Mischungsverhältnisse sind Gewichtsverhältnisse. Das Verhältnis ist jeweils zu verstehen als Menge an Verbindung der Formel (Ia) zu Menge des jeweils angegebenen Mischpartners.
Tabelle A:
Weitere bevorzugte Mischungsverhältnisse, in denen die in der Tabelle A angegebenen Mischungen Nr. 1 bis 14 vorliegen können, sind 2000:1 bis 1:2000, 1000:1 bis 1:1000, 750:1 bis 1:750, 500:1 bis 1:500, 250 : 1 bis 1 : 250, 200 : 1 bis 1 : 200, 100 : 1 bis 1 : 100, 95:1 bis 1:95, 90:1 bis 1:90, 85:1 bis 1:85, 80:1 bis 1:80, 75:1 bis 1:75, 70:1 bis 1:70, 65:1 bis 1:65, 60:1 bis 1:60, 55:1 bis 1:55, 45:1 bis 1:45, 40:1 bis 1:40, 35:1 bis 1:35, 30:1 bis 1:30, 20:1 bisl:20, 15:1 bis 1:15, 10:1 bis 1:10, 9:1 bis 1:9, 8:1 bis 1:8, 7:1 bis 1:7, 6:1 bis 1:64:1 bis 1:4, 3:1 bis 1:3, 2:1 bis 1:2, 1:1.
Wenn im Rahmen dieser Beschreibung die Kurzform des„common name" eines Wirkstoffes verwendet wird, so sind damit jeweils alle gängigen Derivate, wie die Ester und Salze, und Isomere, insbesondere optische Isomere umfasst, insbesondere die handelsübliche Form bzw. Formen. Wird mit dem„common name" ein Ester oder Salz bezeichnet, so sind damit auch jeweils alle anderen gängigen Derivate wie andere Ester und Salze, die freien Säuren und Neutralverbindungen, und Isomere, insbesondere optische Isomere umfasst, insbesondere die handelsübliche Form bzw. Formen. Die angegebenen chemischen Verbindungsnamen bezeichnen zumindest eine der von dem„common name" umfassten Verbindungen, häufig eine bevorzugte Verbindung.
Überraschenderweise ist die msektizide und / oder akarizide und / oder die pflanzenstärkende und / oder
ertragssteigernde Wirkung der erfindungsgemäßen Wirkstoffkombinationen wesentlich höher als die Summe der Wirkungen der einzelnen Wirkstoffe. Es liegt ein nicht vorhersehbarer echter synergistischer Effekt vor und nicht nur eine Wirkungsergänzung.
Die erfindungsgemäßen Wirkstoffkombinationen, insbesondere die Wirkstoffkombinationen Nr. 1 bis 14, können auch mit einem weiteren Wirkstoff, beispielsweise einem Insektizid/Akarizid/Nematizid gemischt werden.
Ferner kann die Verbindung der Formel (Ia) mit Fungiziden gemischt werden. Gleiches gilt für die erfindungsgemäßen Mischungen, insbesondere für solche, die in Tabelle A aufgeführt sind, welche ebenfalls mit Fungiziden gemischt und auf Pflanzen oder Pflanzenteile angewandt werden können. In vielen Fällen weisen diese Mischungen mit Fungiziden synergistische Wirkungen auf.
Beispiele für solche fungiziden Mischungspartner sind:
(F-l) Inhibitoren der Nukleinsäuresynthese, wie beispielsweise Benalaxyl, Benalaxyl-M (Kiralaxyl),
Bupirimat, Clozylacon, Dimethirimol, Ethirimol, Furalaxyl, Hymexazol, Metalaxyl, Metalaxyl-M (Mefenoxam), Ofurace, Oxadixyl, Oxolinsäure und Octhilinone, (F-2) Inhibitoren der Mitose und Zellteilung, wie beispielsweise Benomyl, Carbendazim, Chlorfenazol, Diethofencarb, Ethaboxam, Fuberidazol, Pencycuron, Thiabendazol, Thiophanat, Thiophanat-Methyl, Zoxamid, Fluopicolid, 5-Chlor-7-(4-methylpiperidin-l-yl)-6-(2,4,6-trifluorphenyl)[l,2,4]triazolo[l,5- a]pyrimidin,
(F-3) Inhibitoren der Respiration (Atmungsketten-Inhibitoren), wie beispielsweise Diflumetorim als Inhibitor am Komplex I der Atmungskette; Bixafen, Boscalid, Carboxin, Fenfuram, Flutolanil, Fluopyram, Furametpyr, Furmecyclox, Isopyrazam (Mischung aus dem yn-epimeren Razemat \RS,4SR,9RS und dem αηίζ'-epimeren Razemat \RS,4SR,9SR), Isopyrazam (yyn-epimeres Razemat \RS,4SR,9RS), Isopyrazam (yyn-epimeres Enantiomer 1R,4S,9R), Isopyrazam (yyn-epimeres Enantiomer \S,4R,9S), Isopyrazam (αηίζ'-epimeres Razemat \RS,4SR,9SR), Isopyrazam (αηίζ'-epimeres Enantiomer \R,4S,9S), Isopyrazam (αηίζ'-epimeres Enantiomer \S,4R,9R),
Mepronil, Oxycarboxin, Penflufen, Penthiopyrad, Sedaxane, Thifluzamid, 3-(Difluormethyl)-l-methyl- N- [2-( 1 , 1 ,2,2-tetrafluorethoxy)phenyl] - 1 H-pyrazol-4-carboxamid, 3 -(Difluormethyl)- 1 -methyl-N- [2- (l,l,2,2-tetrafluorethoxy)phenyl]-lH-pyrazol-4-carboxamid, 3-(Difluormethyl)-l-methyl-N-[2-(l , 1,2,2- tetrafluorethoxy)phenyl]-lH-pyrazol-4-carboxamid, Benzovindiflupyr, Benodanil, 2-Chlor-N-(l ,l,3- trimethyl-2,3-dihydro-lH-inden-4-yl)pyridin-3-carboxamid, Isofetamid, N-[l-(2,4-Dichlorphenyl)-l- methoxypropan-2-yl]-3-(difluormethyl)-l-methyl-lH-pyrazol-4-carboxamid, 5,8-Difluor-N-[2-(2-fluor- 4- {[4-(trifluormethyl)pyridin-2-yl]oxy}phenyl)ethyl]quinazolin-4-amin, Benzovindiflupyr, N-[(l S,4R)-
9-(dichlormethylen)- 1 ,2,3 ,4-tetrahydro- 1 ,4-methanonaphthalen-5-yl] -3 -(difluormethyl)- 1 -methyl- 1 H- pyrazol-4-carboxamid, N-[(lR,4S)-9-(dichlormethylen)-l,2,3,4-terrahydro-l,4-methanonaphthalen-5- yl] -3 -(difluormethyl)- 1 -methyl- 1 H-pyrazol-4-carboxamid, 3 -(Difluormethyl)- 1 -methyl-N-( 1 ,1,3- trimethyl-2,3-dihydro-lH-inden-4-yl)-lH-pyrazol-4-carboxamid, l,3,5-Trimethyl-N-(l ,l,3-trimethyl- 2,3 -dihydro- 1 H-inden-4-yl)- 1 H-pyrazol-4-carboxamid, 1 -Methyl-3 -(trifluormethyl)-N-( 1 , 1 ,3 -trimethyl- 2,3 -dihydro- 1 H-inden-4-yl)- 1 H-pyrazol-4-carboxamid, 1 -Methyl-3 -(trifluormethyl)-N- [(3R)- 1 , 1 ,3 - trimethyl-2,3 -dihydro- 1 H-inden-4-yl] - 1 H-pyrazol-4-carboxamid, 1 -Methyl-3 -(trifluormethyl)-N- [(3 S)- 1 , 1 ,3 -trimethyl-2,3 -dihydro- 1 H-inden-4-yl] - 1 H-pyrazole-4-carboxamid, 3 -(Difluormethyl)- 1 -methyl-N- [(3 S)- 1 , 1 ,3 -trimethyl-2,3 -dihydro- 1 H-inden-4-yl] - 1 H-pyrazol-4-carboxamid, 3 -(Difluormethyl)- 1 - methyl-N-[(3R)-l,l,3-trimethyl-2,3-dihydro-lH-inden-4-yl]-lH-pyrazole-4-carboxamid, 1,3,5- Trimethyl-N-[(3R)-l,l,3-trimethyl-2,3-dihydro-lH-inden-4-yl]-lH-pyrazol-4-carboxamid, 1,3,5- Trimethyl-N- [(3 S)- 1 , 1 ,3 -trimethyl-2,3 -dihydro- 1 H-inden-4-yl] - 1 H-pyrazole-4-carboxamid, als Inhibitoren am Komplex II der Atmungskette ; Amisulbrom, Azoxystrobin, Cyazofamid, Dimoxystrobin, Enestroburin, Famoxadon, Fenamidon, Fluoxastrobin, Kresoxim-Methyl, Metominostrobin, Orysastrobin, Picoxystrobin, Pyraclostrobin, Pyraoxystrobin, Pyrametostrobin, Pyribencarb, Trifloxystrobin, Ametoctradin, Coumethoxystrobin, Coumoxystrobin, Enoxastrobin, Flufenoxystrobin, Triclopyricarb, (2E)-2-(2- {[6-(3-chlor-2-methylphenoxy)-5-fluorpyrimidin-4- yl]oxy}phenyl)-2-(methoxyimino)-N-methylacetamid, (2E)-2-(methoxyimino)-N-methyl-2-(2- {[( {(lE)- l-[3-(trifluormethyl)phenyl]ethyliden}amino)oxy]methyl}phenyl)acetamid, (2E)-2-(methoxyimino)-N- methyl-2- {2-[(E)-({l-[3-(trifluormethyl)phenyl]ethoxy}imino)methyl]phenyl} acetamid, (2E)-2- {2- [( { [( 1 E)- 1 -(3 - { [(E)- 1 -fluor-2-phenylvinyl] oxy } phenyl)ethyliden] amino} oxy) methyljphenyl} -2-
(methoxyimino)-N-methylacetamid, Fenaminostrobin, 5-Methoxy-2-methyl-4-(2- {[( {(lE)-l-[3- (trifluormethyl)phenyl]ethyliden}amino)oxy]methyl}phenyl)-2,4-dihydro-3H-l,2,4-triazol-3-one, Methyl(2E)-2- {2-[({cyclopropyl[(4-methoxyphenyl)imino]methyl}sulfanyl)methyl]phenyl} -3- methoxyacrylate, N-(3-ethyl-3,5,5-trimethylcyclohexyl)-3-formamido-2-hydroxybenzamid, 2- {2-[(2,5- Dimethylphenoxy)methyl]phenyl} -2-methoxy-N-methylacetamid, 2- {2-[(2,5-dimethylphenoxy) methyl]phenyl} -2-methoxy-N-methylacetamid als Inhibitoren am Komplex III der Atmungskette,
(F-4) Entkoppler, wie beispielsweise Binapacryl, Dinocap, Fluazinam und Meptyldinocap, Ferimzon,
(F-5) Inhibitoren der ATP Produktion, wie beispielsweise Fentin Acetat, Fentin Chlorid, Fentin Hydroxid und Silthiofam,
(F-6) Inhibitoren der Aminosäure- und Protein-Biosynthese, wie beispielsweise Andoprim, Blasticidin- S, Cyprodinil, Kasugamycin, Kasugamycin Hydrochlorid Hydrat, Mepanipyrim und Pyrimethanil,
(F-7) Inhibitoren der Signaltransduktion, wie beispielsweise Fenpiclonil, Fludioxonil, Fluxapyroxad und Quinoxyfen, 3-(5-Fluor-3,3,4,4-tetramethyl-3,4-dihydroisoquinolin-l-yl)quinolin, Oxytetracyclin,
Streptomycin,
(F-8) Inhibitoren der Lipid- und Membran-Synthese, wie beispielsweise Biphenyl, Chlozolinat, Edifenphos, Etridiazol, Iodocarb, Iprobenfos, Iprodion, Isoprothiolan, Procymidon, Propamocarb, Propamocarb Hydrochlorid, Pyrazophos, Tolclofos-Methyl und Vinclozolin, Chloroneb, Dicloran, Prothiocarb, Quintozen, Tecnazene,
(F-9) Inhibitoren der Ergosterol-Biosynthese, wie beispielsweise Aldimorph, Azaconazol, Bitertanol, Bromuconazol, Cyproconazol, Diclobutrazol, Difenoconazol, Diniconazol, Diniconazol-M, Dodemorph, Dodemorph Acetat, Epoxiconazol, Etaconazol, Fenarimol, Fenbuconazol, Fenhexamid, Fenpropidin, Fenpropimorph, Fluquinconazol, Flurprimidol, Flusilazol, Flutriafol, Furconazol, Furconazol-Cis, Hexaconazol, Imazalil, Imazalil Sulfat, Imibenconazol, Ipconazol, Metconazol, Myclobutanil, Naftifin, Nuarimol, Oxpoconazol, Paclobutrazol, Pefurazoat, Penconazol, Piperalin, Prochloraz, Propiconazol, Prothioconazol, Pyributicarb, Pyrifenox, Quinconazol, Simeconazol, Spiroxamin, Tebuconazol, Terbinafin, Tetraconazol, Triadimefon, Triadimenol, Tridemorph, Triflumizol, Triforin, Triticonazol, Uniconazol, Viniconazol und Voriconazol, Uniconazole-P, l-(4-chlorphenyl)-2-(lH-l,2,4-triazol-l- yl)cycloheptanol, Methyl l-(2,2-dimethyl-2,3-dihydro-lH-inden-l -yl)-lH-imidazol-5-carboxylat, N'- {5- (Difluormethyl)-2-methyl-4-[3-(trimethylsilyl)propoxy]phenyl}-N-ethyl-N-methylimidoformamid, N- Ethyl-N-methyl-N'- {2-methyl-5-(trifluormethyl)-4-[3-(trimethylsilyl)propoxy]phenyl}imidoformamid, 0-[l-(4-methoxyphenoxy)-3,3-dimethylbutan-2-yl] lH-imidazol-l-carbothioat, Pyrisoxazol,
(F-10) Inhibitoren der Zellwandsynthese, wie beispielsweise Benthiavalicarb, Dimethomorph, Flumorph, Iprovalicarb, Mandipropamid, Polyoxins, Polyoxorim, , Validamycin A Valefenalat und Polyoxin B,
(F-l l) Inhibitoren der Melanin-Biosynthese, wie beispielsweise Carpropamid, Diclocymet, Fenoxanil, Fthalid, Pyroquilon Tricyclazol, und 2,2,2-Trifluorethyl {3-methyl-l-[(4-methylbenzoyl)amino]butan-2- yljcarbamat, (F-12) Resistenzinduktoren, wie beispielsweise Acibenzolar-S-Methyl, Probenazol und Tiadinil, Isotianil, Laminarin,
(F-13) Verbindungen mit Multisite- Aktivität, wie beispielsweise Bordeauxmischung, Captafol, Captan, Chlorothalonil, Kupfernaphthenat, Kupferoxid, Kupferoxychlorid, Kupferzubereitungen, wie Kupferhydroxid, Kupfersulfat, Dichlofluanid, Dithianon, Dodine und dessen freie Base, Ferbam, Fluorofolpet, Folpet, Guazatin, Guazatinacetat, Iminoctadin, Iminoctadinalbesilat, Iminoctadintriacetat, Mankupfer, Mancozeb, Maneb, Metiram, Zinkmetiram, Kupfer-Oxin, Propamidin, Propineb, Schwefel und Schwefelzubereitungen wie beispielsweise Calciumpolysulfid, Thiram, Tolylfluanid, Zineb und Ziram, Anilazin,
(F-14) Weitere Verbindungen, wie beispielsweise 2,3-Dibutyl-6-chlorthieno[2,3-d]pyrimidin-4(3H)-on, (2Z)-3 -Amino-2-cyano-3 -phenylprop-2-ensäureethylester, N- [2-( 1 ,3 -Dimethylbutyl)phenyl] -5 -fluor- 1 ,3- dimethyl- lH-pyrazol-4-carboxamid, 3-(Difluormethyl)- 1 -methyl-N-(3 ',4',5'-trifluorbiphenyl-2-yl)- 1H- pyrazol-4-carboxamid, 3-(Difluormethyl)-N-[4-fluor-2-(l , 1 ,2,3,3, 3-hexafluorpropoxy)phenyl]-l -me- thyl-lH-pyrazol-4-carboxamid, (2£)-2-(2- {[6-(3-Chlor-2-methylphenoxy)-5-fluorpyrimidin-4- yl]oxy}phenyl)-2-(methoxyimino)-N-methylethanamid, (2£)-2- {2-[( {[(2£',3£)-4-(2,6-Dichlor- phenyl)but-3-en-2-yliden]amino} oxy)methyl]phenyl} -2-(methoxyimino)-N-methylethanamid, N-(3- Ethyl-3,5,5-trimethylcyclohexyl)-3-(formylamino)-2-hydroxybenzamid, 5-Methoxy-2-methyl-4-(2- { [( {( IE)- 1 - [3 -(trifluormethyl)phenyl] ethyliden} amino)oxy]methyl} phenyl)-2,4-dihydro-3H- 1 ,2,4- triazol-3-οη, (2£)-2-(Methoxyimino)-N-methyl-2-(2- {[( {(l£')-l -[3-(trifluormethyl)phenyl]ethyl- iden} amino)oxy]methyl}phenyl)ethanamid, (2is)-2-(Methoxyimino)-N-methyl-2- {2-[E-( { 1 -[3-
(trifluormethyl)phenyl]ethoxy} imino)methyl]phenyl} ethanamid, (2E)-2- {2- [( { [(IE)- 1 -(3 - { [(E)- 1 -Fluor- 2-phenylethenyl]oxy}phenyl)ethyliden]amino} oxy)methyl]phenyl} -2-(methoxyimino)-N-methyl- ethanamid, 1 -(2,2-Dimethyl-2,3-dihydro- 1 Η-inden- 1 -yl)- lH-imidazol-5-carbonsaeuremethylester, N'- {5-(Difluormethyl)-2-methyl-4-[3-(trimethylsilyl)propoxy]phenyl} -N-ethyl-N-methylimidoformamid, 0- { l -[(4-Methoxyphenoxy)methyl]-2,2-dimethylpropyl} lH-imidazol-l -carbothioat, N-[2-(4- {[3-(4- Chlorphenyl)prop-2-yn-l -yl]oxy} -3-methoxyphenyl)ethyl]-N2-(methylsulfonyl)valinamid, 5-Amino- 1 ,3,4-thiadiazol-2-thiol, Propamocarb-Fosetyl, 1 -[(4-Methoxyphenoxy)methyl]-2,2-dimethylpropyl 1H- imidazol-l -carboxylat, 2,3,5, 6-Tetrachlor-4-(methylsulfonyl)pyridin, 2-Butoxy-6-iod-3-propyl-4H- chromen-4-οη, 2-Phenylphenol und dessen Salze, 3,4,5-Trichlorpyridin-2,6-dicarbonitril, 3-[5-(4- Chlorphenyl)-2,3-dimethylisoxazolidin-3-yl]pyridin, 3-Chlor-5-(4-chlorphenyl)-4-(2,6-difluorphenyl)-6- methylpyridazin, 4-(4-Chlorphenyl)-5-(2,6-difluorphenyl)-3,6-dimethylpyridazin, 8-Hydroxychinolin, 8- Hydroxychinolinsulfat, Tebufloquin, 5-Methyl-6-octyl-3,7-dihydro[l ,2,4]triazolo[l ,5-a]pyrimidin-7- amin, 5-Ethyl-6-octyl-3,7-dihydro[l ,2,4]triazolo[l ,5-a]pyrimidin-7-amin, Ametoctradin, Benthiazol, Bethoxazin, Capsimycin, Carvon, Chinomethionat, Cufraneb, Cyflufenamid, Cymoxanil, Cyprosulfamide, Dazomet, Debacarb, Dichlorophen, Diclomezin, Difenzoquat, Difenzoquat Methylsulphat, Diphenylamin, Ecomat, Flumetover, Fluoromid, Flusulfamid, Flutianil, Fosetyl- Aluminium, Fosetyl-Calcium, Fosetyl-Natrium, Hexachlorbenzol, Irumamycin, Methasulfocarb, (2£")-2- {2-[( {Cyclopropyl[(4-methoxyphenyl)imino]methyl}thio)methyl]phenyl} -3-methoxyacrylsaeure- methylester, Methylisothiocyanat, Metrafenon, (5-Chlor-2-methoxy-4-methylpyridin-3-yl)(2,3,4- trimethoxy-6-methylphenyl)methanon, Mildiomycin, Tolnifanid, N-(4-Chlorbenzyl)-3-[3-methoxy-4- (prop-2-yn-l -yloxy)phenyl]propanamid, N-[(4-Chlorphenyl)(cyano)methyl]-3-[3-methoxy-4-(prop-2- yn-l -yloxy)phenyl]propanamid, N-[(5-Brom-3-chlorpyridin-2-yl)methyl]-2,4-dichlorpyridin-3- carboxamid, N-[l -(5-Brom-3-chlorpyridin-2-yl)ethyl]-2,4-dichlorpyridin-3-carboxamid, N-[l -(5-Brom- 3-chlorpyridin-2-yl)ethyl]-2-fluor-4-iodpyridin-3-carboxamid, N- {(Z)-[(Cyclopropylmethoxy)imino] [6- (difluormethoxy)-2,3-difluorphenyl]methyl} -2-phenylacetamid, N- {(£')-[(Cyclopropylmethoxy)imino] [6-(difluormethoxy)-2,3-difluorphenyl]methyl} -2-phenylacetamid, Natamycin, Nickel Dimethyl-
dithiocarbamat, Nitrothal-Isopropyl, Octhilmone, Oxamocarb, Oxyfenthiin, Pentachlorphenol und dessen Salze, Phenazin-1 -carbonsäure, Phenothrin, Phosphorsäure und deren Salze, Propamocarb Fosetylat, Propanosin-Natrium, Proquinazid, Pyrrolnitrin, S-Prop-2-en-l-yl 5-amino-2-(l-methylethyl)- 4-(2-methylphenyl)-3-oxo-2,3-dihydro-lH-pyrazol-l-carbothioat, Tecloftalam, Triazoxid, Trichlamid, 5-Chlor-N'-phenyl-N'-prop-2-yn-l-ylthiophen-2-sulfonohydrazid, Zarilamid, N-Methyl-2-(l- {[5- methyl-3-(trifluormethyl)-lH-pyrazol-l-yl]acetyl}piperidin-4-yl)-N-[(lR)-l,2,3,4-tetrahydronaphthalen- l-yl]-l,3-thiazol-4-carboxamid, N-Methyl-2-(l- {[5-methyl-3-(trifluormethyl)-lH-pyrazol-l- yl]acetyl}piperidin-4-yl)-N-(l ,2,3,4-tetrahydronaphthalen-l-yl)-l,3-thiazol-4-carboxamid, 3-(Difluor- methyl)-N- [4-fluor-2-( 1 , 1 ,2,3 ,3 ,3 -hexafluorpropoxy)phenyl] - 1 -methyl- lH-pyrazol-4-carboxamid und Pentyl- {6-[( { [(1 -methyl-lH-tetrazol-5-yl)(phenyl)methyliden]amino} oxy)methyl]pyridin-2- yljcarbamat, Pyriofenon (Chlazafenon), Fenpyrazamin, Pyrimorph, (2E)-3-(4-ert-butylphenyl)-3-(2- chloropyridin-4-yl)-l-(morpholin-4-yl)prop-2-en-l-one, (2Z)-3-(4-tert-butylphenyl)-3-(2-chloropyridin-
4- yl)-l -(morpholin-4-yl)prop-2-en-l-one, (3S,6S,7R,8R)-8-benzyl-3-[({3-[(iso-butyryloxy)methoxy]-4- methoxypyridin-2-yl}carbonyl)amino]-6-methyl-4,9-dioxo-l,5-dioxonan-7-yl 2-methylpropanoate, l-(4- {4-[(5R)-5-(2,6-difluorophenyl)-4,5-dihydro-l,2-oxazol-3-yl]-l,3-thiazol-2-yl}piperidin-l -yl)-2-[5- methyl-3-(trifluoromethyl)-lH-pyrazol-l -yl]ethanone, l-(4- {4-[(5S)-5-(2,6-difluorophenyl)-4,5- dihydro- 1 ,2-oxazol-3 -yl] - 1 ,3 -thiazol-2-yl} piperidin- 1 -yl)-2- [5-methyl-3 -(trifluoromethyl)- 1 H-pyrazol- l-yl]ethanone, l-(4- {4-[5-(2,6-difluorophenyl)-4,5-dihydro-l,2-oxazol-3-yl]-l,3-thiazol-2-yl}piperidin- 1 -yl)-2- [5-methyl-3 -(trifluoromethyl)- 1 H-pyrazol- 1 -yl] ethanone, 1 -(4-methoxyphenoxy)-3 ,3 - dimethylbutan-2-yl lH-imidazole-l-carboxylate, 2,3,5,6-tetrachloro-4-(methylsulfonyl)pyridine, 2,3- dibutyl-6-chlorothieno[2,3-d]pyrimidin-4(3H)-one, 2,6-dimethyl-lH,5H-[l,4]dithiino[2,3-c:5,6- c']dipyrrole-l,3,5,7(2H,6H)-tetrone, 2-[5-methyl-3-(trifluoromethyl)-lH-pyrazol-l-yl]-l-(4- {4-[(5R)-5- phenyl-4,5-dihydro-l,2-oxazol-3-yl]-l,3-thiazol-2-yl}piperidin-l-yl)ethanone, 2-[5-methyl-3- (trifluoromethyl)-lH-pyrazol-l-yl]-l-(4- {4-[(5S)-5-phenyl-4,5-dihydro-l,2-oxazol-3-yl]-l,3-thiazol-2- yl}piperidin-l -yl)ethanone, 2-[5-methyl-3-(trifluoromethyl)-lH-pyrazol-l-yl]-l- {4-[4-(5-phenyl-4,5- dihydro-l,2-oxazol-3-yl)-l,3-thiazol-2-yl]piperidin-l -yl} ethanone, 2-butoxy-6-iodo-3-propyl-4H- chromen-4-one, 2-chloro-5-[2-chloro-l-(2,6-difluoro-4-methoxyphenyl)-4-methyl-lH-imidazol-5- yl]pyridine, 2-phenylphenol und Salze, 3-(4,4,5-trifluoro-3,3-dimethyl-3,4-dihydroisoquinolin-l- yl)quinoline, 3,4,5-trichloropyridine-2,6-dicarbonitrile, 3-chloro-5-(4-chlorophenyl)-4-(2,6- difluorophenyl)-6-methylpyridazine, 4-(4-chlorophenyl)-5-(2,6-difluorophenyl)-3,6-dimethylpyridazine,
5- amino-l,3,4-thiadiazole-2-thiol, 5-chloro-N'-phenyl-N'-(prop-2-yn-l-yl)thiophene-2- sulfonohydrazide, 5-fluoro-2-[(4-fluorobenzyl)oxy]pyrimidin-4-amine, 5-fluoro-2-[(4- methylbenzyl)oxy]pyrimidin-4-amine, 5-methyl-6-octyl[l,2,4]triazolo[l,5-a]pyrimidin-7-amine, ethyl (2Z)-3-amino-2-cyano-3-phenylacrylate, N'-(4- {[3-(4-chlorobenzyl)-l,2,4-thiadiazol-5-yl]oxy}-2,5- dimethylphenyl)-N-ethyl-N-methylimidoformamide, N-(4-chlorobenzyl)-3-[3-methoxy-4-(prop-2-yn-l- yloxy)phenyl]propanamide, N- [(4-chlorophenyl)(cyano)methyl] -3 - [3 -methoxy-4-(prop-2-yn- 1 - yloxy)phenyl]propanamide, N- [(5-bromo-3 -chloropyridin-2-yl)methyl] -2,4-dichloronicotinamide, N- [ 1 -
(5-bromo-3-chloropyridin-2-yl)ethyl]-2,4-dichloronicotinamide, N-[l-(5-bromo-3-chloropyridin-2- yl)ethyl]-2-fluoro-4-iodonicotinamide, N- {(E)-[(cyclopropylmethoxy)imino][6-(difluoromethoxy)-2,3- difluorophenyl]methyl} -2-phenylacetamide, N- {(Z)-[(cyclopropylmethoxy)imino] [6-(difluoromethoxy)- 2,3-difluorophenyl]methyl} -2-phenylacetamide, N'- {4-[(3-tert-butyl-4-cyano-l,2-thiazol-5-yl)oxy]-2- chloro-5-methylphenyl}-N-ethyl-N-methylimidoformamide, N-methyl-2-(l- {[5-methyl-3-(trifluoro- methyl)- 1 H-pyrazol- 1 -yl] acetyl} piperidin-4-yl)-N-( 1 ,2,3 ,4-tetrahydronaphthalen- 1 -yl)- 1 ,3 -thiazole-4- carboxamide, N-methyl-2-( 1 - { [5-methyl-3 -(trifluoromethyl)- 1 H-pyrazol- 1 -yl] acetyl} piperidin-4-yl)-N- [( 1 R)- 1 ,2,3 ,4-tetrahydronaphthalen- 1 -yl] - 1 ,3 -thiazole-4-carboxamide, N-methyl-2-( 1 - { [5-methyl-3 - (trifluoromethyl)- 1 H-pyrazol- 1 -yl] acetyl} piperidin-4-yl)-N- [(1S)-1 ,2,3 ,4-tetrahydronaphthalen- 1 -yl] - l,3-thiazole-4-carboxamide, pentyl {6-[({[(l -methyl-lH-tetrazol-5-yl)(phenyl)methylene]amino} oxy)methyl]pyridin-2-yl}carbamate, phenazine-l-carboxylic acid, quinolin-8-ol, quinolin-8-ol sulfate (2: 1), tert-butyl {6- [( { [( 1 -methyl- 1 H-tetrazol-5-yl)(phenyl)methylene] amino } oxy)methyl]pyridin-2- yl}carbamate, l-methyl-3-(trifluoromethyl)-N-[2'-(trifluoromethyl)biphenyl-2-yl]-lH-pyrazole-4- carboxamide, N-(4'-chlorobiphenyl-2-yl)-3 -(difluoro-methyl)- 1 -methyl- 1 H-pyrazole-4-carboxamide, N- (2',4'-dichlorobiphenyl-2-yl)-3-(difluoromethyl)-l -methyl- lH-pyrazole-4-carboxamide, 3 -(difluoro- methyl)- l-methyl-N-[4'-(trifluoromethyl)biphenyl-2-yl]-lH-pyrazole-4-carboxamide, N-(2',5'-difluoro- biphenyl-2-yl)-l-methyl-3-(trifluoromethyl)-lH-pyrazole-4-carboxamide, 3-(difluoromethyl)-l-methyl- N- [4'-(prop- 1 -yn- 1 -yl)biphenyl-2-yl] - 1 H-pyrazole-4-carboxamide, 5-fluoro- 1 ,3 -dimethyl-N- [4'-(prop- 1 - yn- 1 -yl)biphenyl-2-yl] - 1 H-pyrazole-4-carboxamide, 2-chloro-N- [4'-(prop- 1 -yn- 1 -yl)biphenyl-2- yl]nicotinamide, 3 -(difluoromethyl)-N- [4'-(3 ,3 -dimethylbut- 1 -yn- 1 -yl)biphenyl-2-yl] - 1 -methyl- 1 H- pyrazole-4-carboxamide, N-[4'-(3,3-dimethylbut-l-yn-l-yl)biphenyl-2-yl]-5-fluoro-l,3-dimethyl-lH- pyrazole-4-carboxamide, 3-(difluoromethyl)-N-(4'-ethynylbiphenyl-2-yl)-l-methyl-lH-pyrazole-4- carboxamide, N-(4'-ethynylbiphenyl-2-yl)-5-fluoro-l,3-dimethyl-lH-pyrazole-4-carboxamide, 2-chloro- N-(4'-ethynylbiphenyl-2-yl)nicotinamide, 2-chloro-N-[4'-(3,3-dimethylbut-l-yn-l-yl)biphenyl-2- yl]nicotinamide, 4-(difluoromethyl)-2-methyl-N-[4'-(trifluoromethyl)biphenyl-2-yl]-l,3-thiazole-5- carboxamide, 5-fluoro-N- [4'-(3 -hydroxy-3 -methylbut- 1 -yn- 1 -yl)biphenyl-2-yl] - 1 ,3-dimethyl- 1 H- pyrazole-4-carboxamide, 2-chloro-N- [4'-(3 -hydroxy-3 -methylbut- l-yn-l -yl)biphenyl-2-yl]nicotinamide, 3 -(difluoromethyl)-N- [4'-(3 -methoxy-3 -methylbut- 1 -yn- 1 -yl)biphenyl-2-yl] - 1 -methyl- 1 H-pyrazole-4- carboxamide, 5-fluoro-N- [4'-(3 -methoxy-3 -methylbut- 1 -yn- 1 -yl)biphenyl-2-yl] - 1 ,3-dimethyl- 1 H- pyrazole-4-carboxamide, 2-chloro-N- [4'-(3 -methoxy-3 -methylbut- 1 -yn- 1 -yl)biphenyl-2-yl]nicotinamide, (5-bromo-2-methoxy-4-methylpyridin-3-yl)(2,3,4-trimethoxy-6-methylphenyl)methanone, N-[2-(4- {[3- (4-chlorophenyl)prop-2-yn- 1 -yl] oxy } -3 -methoxyphenyl)ethyl] -N2-(methylsulfonyl)valinamide, 4-oxo- 4-[(2-phenylethyl)amino]butanoic acid, but-3-yn-l -yl {6-[({[(Z)-(l-methyl-lH-tetrazol-5- yl)(phenyl)methylene]amino}oxy)methyl]pyridin-2-yl}carbamate, 4-amino-5-fluoropyrimidin-2-ol (tautomeric form: 4-amino-5-fluoropyrimidin-2(lH)-one), propyl 3,4,5-trihydroxybenzoate, 1,3- dimethyl-N-(l ,l,3-trimethyl-2,3-dihydro-lH-inden-4-yl)-lH-pyrazole-4-carboxamide, 1,3-dimethyl-N- [(3R)-l,l,3-trimethyl-2,3-dihydro-lH-inden-4-yl]-lH-pyrazole-4-carboxamide, l,3-dimethyl-N-[(3S)-
l,l,3-trimethyl-2,3-dihydro-lH-inden-4-yl]-lH-pyrazole-4-carboxamide, [3-(4-chloro-2-fluorophenyl)-
5- (2,4-difluorophenyl)-l,2-oxazol-4-yl](pyridin-3-yl)methanol, (S)-[3-(4-chloro-2-fluorophenyl)-5-(2,4- difluorophenyl)-l,2-oxazol-4-yl](pyridin-3-yl)methanol, (R)-[3-(4-chloro-2-fluorophenyl)-5-(2,4- difluorophenyl)-l,2-oxazol-4-yl](pyridin-3-yl)methanol, 2- {[3-(2-chlorophenyl)-2-(2,4-difluorophenyl) oxiran-2-yl]methyl}-2,4-dihydro-3H-l,2,4-triazole-3-thione, l- {[3-(2-chlorophenyl)-2-(2,4-difluoro- phenyl)oxiran-2-yl]methyl} - 1 H- 1 ,2,4-triazol-5-yl thiocyanate, 5-(allylsulfanyl)- 1 - { [3 -(2-chlorophenyl)- 2-(2,4-difluorophenyl)oxiran-2-yl]methyl} -lH-l,2,4-triazole, 2-[l-(2,4-dichlorophenyl)-5-hydroxy- 2,6,6-trimethylheptan-4-yl]-2,4-dihydro-3H-l,2,4-triazole-3-thione, 2- {[rel(2R,3S)-3-(2-chlorophenyl)- 2-(2,4-difluorophenyl)oxiran-2-yl]methyl} -2,4-dihydro-3H-l,2,4-triazole-3-thione, 2- {[rel(2R,3R)-3-(2- chlorophenyl)-2-(2,4-difluorophenyl)oxiran-2-yl]methyl} -2,4-dihydro-3H- 1 ,2,4-triazole-3-thione, 1 - { [rel(2R,3 S)-3-(2-chlorophenyl)-2-(2,4-difluorophenyl)oxiran-2-yl]methyl} - 1 H- 1 ,2,4-triazol-5-yl thiocyanate, 1 - { [rel(2R,3R)-3-(2-chlorophenyl)-2-(2,4-difluorophenyl)oxiran-2-yl]methyl} - 1 H- 1 ,2,4- triazol-5-yl thiocyanate, 5-(allylsulfanyl)-l - {[rel(2R,3S)-3-(2-chlorophenyl)-2-(2,4-difluoro- phenyl)oxiran-2-yl]methyl}-lH-l,2,4-triazole, 5-(allylsulfanyl)-l- {[rel(2R,3R)-3-(2-chlorophenyl)-2- (2,4-difluorophenyl)oxiran-2-yl]methyl}-lH-l,2,4-triazole, 2-[(2S,4S,5S)-l-(2,4-dichlorophenyl)-5- hydroxy-2,6,6-trimethylheptan-4-yl]-2,4-dihydro-3H-l,2,4-triazole-3-thione, 2-[(2R,4S,5S)-l-(2,4- dichlorophenyl)-5-hydroxy-2,6,6-trimethylheptan-4-yl] -2,4-dihydro-3H- 1 ,2,4-triazole-3 -thione, 2- [(2R,4R,5R)- 1 -(2,4-dichlorophenyl)-5-hydroxy-2,6,6-trimethylheptan-4-yl] -2,4-dihydro-3H- 1 ,2,4- triazole-3 -thione, 2-[(2S,4R,5R)-l-(2,4-dichlorophenyl)-5-hydroxy-2,6,6-trimethylheptan-4-yl]-2,4- dihydro-3H-l,2,4-triazole-3-thione, 2-[(2S,4S,5R)-l-(2,4-dichlorophenyl)-5-hydroxy-2,6,6-trimethyl- heptan-4-yl]-2,4-dihydro-3H-l,2,4-triazole-3-thione, 2-[(2R,4S,5R)-l-(2,4-dichlorophenyl)-5-hydroxy- 2,6,6-trimethylheptan-4-yl]-2,4-dihydro-3H-l,2,4-triazole-3-thione, 2-[(2R,4R,5S)-l-(2,4-dichloro- phenyl)-5-hydroxy-2,6,6-trimethylheptan-4-yl]-2,4-dihydro-3H-l,2,4-triazole-3-thione, 2-[(2S,4R,5S)- l-(2,4-dichlorophenyl)-5-hydroxy-2,6,6-trimethylheptan-4-yl]-2,4-dihydro-3H-l,2,4-triazole-3-thione, 2-fluoro-6-(trifluoromethyl)-N-(l ,l,3-trimethyl-2,3-dihydro-lH-inden-4-yl)benzamide, 2-(6-benzyl- pyridin-2-yl)quinazoline, 2- [6-(3 -fluoro-4-methoxyphenyl)-5 -methylpyridin-2-yl] quinazoline, 3 -(4,4- difluoro-3,3-dimethyl-3,4-dihydroisoquinolin-l-yl)quinoline, Abscisic acid, 3-(difluoromethyl)-N- methoxy-l-methyl-N-[l-(2,4,6-trichlorophenyl)propan-2-yl]-lH-pyrazole-4-carboxamide, N'-[5-bromo-
6- (2,3-dihydro-lH-inden-2-yloxy)-2-methylpyridin-3-yl]-N-ethyl-N-methylimidoformamide, N'- {5- bromo-6-[l -(3,5-difluorophenyl)ethoxy]-2-methylpyridin-3-yl} -N-ethyl-N-methylimidoformamide, N'-
{5-bromo-6-[(lR)-l-(3,5-difluorophenyl)ethoxy]-2-methylpyridin-3-yl}-N-ethyl-N-methylimidoform- amide, N'- {5-bromo-6-[(l S)-l -(3, 5-difluorophenyl)ethoxy]-2-methylpyridin-3-yl} -N-ethyl-N- methylimidoformamide, N'- {5-bromo-6-[(cis-4-isopropylcyclohexyl)oxy]-2-methylpyridin-3-yl} -N- ethyl-N-methylimidoformamide, N'- {5-bromo-6-[(trans-4-isopropylcyclohexyl)oxy]-2-methylpyridin-3- yl} -N-ethyl-N-methylimidoformamide, N-cyclopropyl-3-(difluoromethyl)-5-fluoro-N-(2-isopropyl- benzyl)-l-methyl-lH-pyrazole-4-carboxamide, N-cyclopropyl-N-(2-cyclopropylbenzyl)-3-(difluoro- methyl)-5-fluoro-l-methyl-lH-pyrazole-4-carboxamide, N-(2-tert-butylbenzyl)-N-cyclopropyl-3-
(difluoromethyl)-5-fluoro- 1 -methyl- 1 H-pyrazole-4-carboxamide, N-(5-chloro-2-ethylbenzyl)-N- cyclopropyl-3-(difluoromethyl)-5-fluoro-l -methyl-lH-pyrazole-4-carboxamide, N-(5-chloro-2- isopropylbenzyl)-N-cyclopropyl-3-(difluoromethyl)-5-fluoro-l-methyl-lH-pyrazole-4-carboxamide, N- cyclopropyl-3-(difluoromethyl)-N-(2-ethyl-5-fluorobenzyl)-5-fluoro-l-methyl-lH-pyrazole-4- carboxamide, N-cyclopropyl-3-(difluoromethyl)-5-fluoro-N-(5-fluoro-2-isopropylbenzyl)-l -methyl-lH- pyrazole-4-carboxamide, N-cyclopropyl-N-(2-cyclopropyl-5-fluorobenzyl)-3-(difluoromethyl)-5-fluoro- 1 -methyl- lH-pyrazole-4-carboxamide, N-(2-cyclopentyl-5-fluorobenzyl)-N-cyclopropyl-3- (difluoromethyl)-5-fluoro-l -methyl- lH-pyrazole-4-carboxamide, N-cyclopropyl-3-(difluoromethyl)-5- fluoro-N-(2-fluoro-6-isopropylbenzyl)-l -methyl- lH-pyrazole-4-carboxamide, N-cyclopropyl-3- (difluoromethyl)-N-(2-ethyl-5-methylbenzyl)-5-fluoro-l-methyl-lH-pyrazole-4-carboxamide, N- cyclopropyl-3-(difluoromethyl)-5-fluoro-N-(2-isopropyl-5-methylbenzyl)-l-methyl-lH-pyrazole-4- carboxamide, N-cyclopropyl-N-(2-cyclopropyl-5-methylbenzyl)-3-(difluoromethyl)-5-fluoro-l-methyl- lH-pyrazole-4-carboxamide, N-(2-tert-butyl-5-methylbenzyl)-N-cyclopropyl-3-(difluoromethyl)-5- fluoro-1 -methyl- lH-pyrazole-4-carboxamide, N-[5-chloro-2-(trifluoromethyl)benzyl]-N-cyclopropyl-3- (difluoromethyl)-5-fluoro- 1 -methyl- 1 H-pyrazole-4-carboxamide, N-cyclopropyl-3-(difluoromethyl)-5- fluoro-l-methyl-N-[5-methyl-2-(trifluoromethyl)benzyl]-lH-pyrazole-4-carboxamide, N-[2-chloro-6- (trifluoromethyl)benzyl]-N-cyclopropyl-3-(difluoromethyl)-5-fluoro-l-methyl-lH-pyrazole-4- carboxamide, N-[3-chloro-2-fluoro-6-(trifluoromethyl)benzyl]-N-cyclopropyl-3-(difluoromethyl)-5- fluoro- 1 -methyl- 1 H-pyrazole-4-carboxamide, N-cyclopropyl-3 -(difluoromethyl)-N-(2-ethyl-4,5- dimethylbenzyl)-5-fluoro- 1 -methyl- 1 H-pyrazole-4-carboxamide, N-cyclopropyl-3-(difluoromethyl)-5- fluoro-N-(2-isopropylbenzyl)-l -methyl- lH-pyrazole-4-carbothioamide, 3-(difluoromethyl)-N-(7-fluoro- 1 , 1 ,3-trimethyl-2,3-dihydro- 1 H-inden-4-yl)- 1 -methyl- 1 H-pyrazole-4-carboxamide, 3-(difluoromethyl)- N- [(3R)-7-fluoro- 1 , 1 ,3 -trimethyl-2,3 -dihydro- 1 H-inden-4-yl] - 1 -methyl- 1 H-pyrazole-4-carboxamide, 3 - (difluoromethyl)-N-[(3 S)-7-fluoro- 1 , 1 ,3-trimethyl-2,3-dihydro- 1 H-inden-4-yl]- 1 -methyl- 1 H-pyrazole-4- carboxamide.
Ferner kann die Verbindung der Formel (Ia) mit Herbiziden gemischt werden. Gleiches gilt für die erfindungsgemäßen Mischungen, insbesondere für solche, die in Tabelle A aufgeführt sind, welche ebenfalls mit Herbiziden gemischt und auf Pflanzen oder Pflanzenteile angewandt werden können. In vielen Fällen weisen diese Mischungen mit Herbiziden synergistische Wirkungen auf. Beispiele für solche herbiziden Mischungspartner sind:
Acetochlor, acifluorfen, acifluorfen-sodium, aclonifen, alachlor, allidochlor, alloxydim, alloxydim- sodium, ametryn, amicarbazone, amidochlor, amidosulfuron, aminocyclopyrachlor, aminocyclo- pyrachlor-potassium, aminocyclopyrachlor-methyl, aminopyralid, amitrole, ammoniumsulfamate, anilofos, asulam, atrazine, azafenidin, azimsulfuron, beflubutamid, benazolin, benazolin-ethyl, benfluralin, benfuresate, bensulfuron, bensulfuron-methyl, bensulide, bentazone, benzobicyclon,
benzofenap, bicyclopyron, bifenox, bilanafos, bilanafos-sodium, bispyribac, bispyribac-sodium, bromacil, bromobutide, bromofenoxim, bromoxynil, bromoxynil-butyrate, -potassium, -heptanoate und - octanoate, busoxinone, butachlor, butafenacil, butamifos, butenachlor, butralin, butroxydim, butylate, cafenstrole, carbetamide, carfentrazone, carfentrazone-ethyl, chloramben, chlorbromuron, chlorfenac, chlorfenac-sodium, chlorfenprop, chlorflurenol, chlorflurenol-methyl, chloridazon, chlorimuron, chlorimuron-ethyl, chlorophthalim, chlorotoluron, chlorthal-dimethyl, chlorsulfuron, cinidon, cinidon- ethyl, cinmethylin, cinosulfuron, clacyfos, clethodim, clodinafop, clodinafop-propargyl, clomazone, clomeprop, clopyralid, cloransulam, cloransulam-methyl, cumyluron, cyanamide, cyanazine, cycloate, cyclopyrimorate, cyclosulfamuron, cycloxydim, cyhalofop, cyhalofop-butyl, cyprazine, 2,4-D, 2,4-D- butotyl, -butyl, -dimethylammonium, -diolamin, -ethyl, 2-ethylhexyl, -isobutyl, -isooctyl, - isopropylammonium, -potassium, -triisopropanolammonium und -trolamine, 2,4-DB, 2,4-DB-butyl, - dimethylammonium, isooctyl, -potassium und -sodium, daimuron (dymron), dalapon, dazomet, n- decanol, desmedipham, detosyl-pyrazolate (DTP), dicamba, dichlobenil, dichlorprop, dichlorprop-P, diclofop, diclofop-methyl, diclofop-P-methyl, diclosulam, difenzoquat, diflufenican, diflufenzopyr, diflufenzopyr-sodium, dimefuron, dimepiperate, dimethachlor, dimethametryn, dimethenamid, dimethenamid-P, dimetrasulfuron, dinitramine, dinoterb, diphenamid, diquat, diquat-dibromid, dithiopyr, diuron, DNOC, endothal, EPTC, esprocarb, ethalfluralin, ethametsulfuron, ethametsulfuron- methyl, ethiozin, ethofumesate, ethoxyfen, ethoxyfen- ethyl, ethoxysulfuron, etobenzanid, F-5231, i.e. N- [2-Chlor-4-fluor-5-[4-(3 -fluorpropyl)-4,5-dihydro-5-oxo- 1 H-tetrazol- 1 -yl]-phenyl] -ethansulfonamid, F- 7967, i.e. 3-[7-Chlor-5-fluor-2-(trifluormethyl)-lH-benzimidazol-4-yl]-l-methyl-6-(trifluor- methyl)pyrimidin-2,4(lH,3H)-dion, fenoxaprop, fenoxaprop-P, fenoxaprop-ethyl, fenoxaprop-P-ethyl, fenoxasulfone, fentrazamide, flamprop, flamprop-M-isopropyl, flamprop-M-methyl, flazasulfuron, florasulam, fluazifop, fluazifop-P, fluazifop -butyl, fluazifop-P-butyl, flucarbazone, flucarbazone- sodium, flucetosulfuron, fluchloralin, flufenacet, flufenpyr, flufenpyr-ethyl, flumetsulam, flumiclorac, flumiclorac-pentyl, flumioxazin, fluometuron, flurenol, flurenol-butyl, -dimethylammonium und - methyl, fluoroglycofen, fluoroglycofen-ethyl, flupropanate, flupyrsulfuron, flupyrsulfuron-methyl- sodium, fluridone, flurochloridone, fluroxypyr, fluroxypyr-meptyl, flurtamone, fluthiacet, fluthiacet- methyl, fomesafen, fomesafen-sodium, foramsulfuron, fosamine, glufosinate, glufosinate-ammonium, glufosinate-P-sodium, glufosinate-P-ammonium, glufosinate-P-sodium, glyphosate, glyphosate- ammonium, -isopropylammonium, -diammonium, -dimethylammonium, -potassium, -sodium und - trimesium, H-9201, i.e. 0-(2,4-Dimethyl-6-nitrophenyl)-0-ethyl-isopropylphosphoramidothioat, halauxifen, halosafen, halosulfuron, halosulfuron-methyl, haloxyfop, haloxyfop-P, haloxyfop- ethoxyethyl, haloxyfop-P-ethoxyethyl, haloxyfop-methyl, haloxyfop-P-methyl, hexazinone, HW-02, i.e. l-(Dimethoxyphosphoryl)-ethyl-(2,4-dichlorphenoxy)acetat, imazamethabenz, Imazamethabenz-methyl, imazamox, imazamox-ammonium, imazapic, imazapic-ammonium, imazapyr, imazapyr- isopropylammonium, imazaquin, imazaquin-ammonium, imazethapyr, imazethapyr-immonium, imazosulfuron, indanofan, indaziflam, iodosulfuron, iodosulfuron-methyl-sodium, ioxynil, ioxynil-
octanoate, -potassium und sodium, ipfencarbazone, isoproturon, isouron, isoxaben, isoxaflutole, karbutilate, KUH-043, i.e. 3-({[5-(Difluormethyl)-l-methyl-3-(trifluormethyl)-lH-pyrazol-4- yl]methyl}sulfonyl)-5,5-dimethyl-4,5-dihydro-l,2-oxazol, ketospiradox, lactofen, lenacil, linuron, MCPA, MCPA-butotyl, -dimethylammonium, -2-ethylhexyl, -isopropylammonium, -potassium und - sodium, MCPB, MCPB-methyl, -ethyl und -sodium, mecoprop, mecoprop-sodium, und -butotyl, mecoprop-P, mecoprop-P-butotyl, -dimethylammonium, -2-ethylhexyl und -potassium, mefenacet, mefluidide, mesosulfuron, mesosulfuron-methyl, mesotrione, methabenzthiazuron, metam, metamifop, metamitron, metazachlor, metazosulfuron, methabenzthiazuron, methiopyrsulfuron, methiozolin, methyl isothiocyanate, metobromuron, metolachlor, S-metolachlor, metosulam, metoxuron, metribuzin, metsulfuron, metsulfuron-methyl, molinat, mono linuron, monosulfuron, monosulfuron-ester, MT-5950, i.e. N-[3-chlor-4-(l-methylethyl)-phenyl]-2-methylpentanamid, NGGC-011, napropamide, NC-310, i.e. 4-(2,4-Dichlorbenzoyl)-l-methyl-5-benzyloxypyrazol, neburon, nicosulfuron, nonanoic acid (Pelargonsäure), norflurazon, oleic acid (fatty acids), orbencarb, orthosulfamuron, oryzalin, oxadiargyl, oxadiazon, oxasulfuron, oxaziclomefon, oxyfluorfen, paraquat, paraquat dichloride, pebulate, pendimethalin, penoxsulam, pentachlorphenol, pentoxazone, pethoxamid, petroleum oils, phenmedipham, picloram, picolinafen, pinoxaden, piperophos, pretilachlor, primisulfuron, primisulfuron-methyl, prodiamine, profoxydim, prometon, prometryn, propachlor, propanil, propaquizafop, propazine, propham, propisochlor, propoxycarbazone, propoxycarbazone-sodium, propyrisulfuron, propyzamide, prosulfocarb, prosulfuron, pyraclonil, pyraflufen, pyraflufen- ethyl, pyrasulfotole, pyrazolynate (pyrazolate), pyrazosulfuron, pyrazosulfuron-ethyl, pyrazoxyfen, pyribambenz, pyribambenz-isopropyl, pyribambenz-propyl, pyribenzoxim, pyributicarb, pyridafol, pyridate, pyriftalid, pyriminobac, pyriminobac-methyl, pyrimisulfan, pyrithiobac, pyrithiobac-sodium, pyroxasulfone, pyroxsulam, quinclorac, quinmerac, quinoclamine, quizalofop, quizalofop- ethyl, quizalofop-P, quizalofop-P-ethyl, quizalofop-P-tefuryl, rimsulfuron, saflufenacil, sethoxydim, siduron, simazine, simetryn, sulcotrion, sulfentrazone, sulfometuron, sulfometuron-methyl, sulfosulfuron, , SYN-523, SYP-249, i.e. l-Ethoxy-3-methyl-l -oxobut-3-en-2-yl-5-[2-chlor-4-(trifluormethyl)phenoxy]- 2-nitrobenzoat, SYP-300, i.e. l-[7-Fluor-3-oxo-4-(prop-2-in-l -yl)-3,4-dihydro-2H-l,4-benzoxazin-6- yl]-3-propyl-2-thioxoimidazolidin-4,5-dion, 2,3,6-TBA, TCA (Trifluoressigsäure), TCA-sodium, tebuthiuron, tefuryltrione, tembotrione, tepraloxydim, terbacil, terbucarb, terbumeton, terbuthylazin, terbutryn, thenylchlor, thiazopyr, thiencarbazone, thiencarbazone-methyl, thifensulfuron, thifensulfuron- methyl, thiobencarb, tiafenacil topramezone, tralkoxydim, triafamone, tri-allate, triasulfuron, triaziflam, tribenuron, tribenuron-methyl, triclopyr, trietazine, trifloxysulfuron, trifloxysulfuron-sodium, trifluralin, triflusulfuron, triflusulfuron-methyl, tritosulfuron, urea sulfate, vernolate, ZJ-0862, i.e. 3,4-Dichlor-N- {2-[(4,6-dimethoxypyrimidin-2-yl)oxy]benzyl}anilin, sowie die folgenden Verbindungen:
Frucht/Gemüse-Herbizide: Atrazine, Bromacil, Diuron, Glyphosate, Linuron, Metribuzin, Simazine, Trifluralin, Fluazifop, Glufosinate, Halosulfuron Gowan, Paraquat, Propyzamide, Sethoxydim, Butafenacil, Halosulfuron, Indaziflam;
Getr eideherbizide : Isoproturon, Bromoxynil, Ioxynil, Phenoxies, Chlorsulfuron, Clodinafop, Diclofop, Diflufenican, Fenoxaprop, Florasulam, Fluroxypyr, Metsulfuron, Triasulfuron, Flucarbazone, Iodosulfuron, Propoxycarbazone, Picolinafen, Mesosulfuron, Beflubutamid, Pinoxaden, Amidosulfuron, Thifensulfuron, Tribenuron, Flupyrsulfuron, Sulfosulfuron, Pyrasulfotole, Pyroxsulam, Flufenacet, Tralkoxydim, Pyroxasulfon;
Maisherbizide: Atrazine, Alachlor, Bromoxynil, Acetochlor, Dicamba, Clopyralid, (S)-Dimethenamid, Glufosinate, Glyphosate, Isoxaflutole, (S)-Metolachlor, Mesotrione, Nicosulfuron, Primisulfuron, Rimsulfuron, Sulcotrione, Foramsulfuron, Topramezone, Tembotrione, Saflufenacil, Thiencarbazone, Flufenacet, Pyroxasulfon;
Reisherbizide: Butachlor, Propanil, Azimsulfuron, Bensulfuron, Cyhalofop, Daimuron, Fentrazamide, Imazosulfuron, Mefenacet, Oxaziclomefone, Pyrazosulfuron, Pyributicarb, Quinclorac, Thiobencarb, Indanofan, Flufenacet, Fentrazamide, Halosulfuron, Oxaziclomefone, Benzobicyclon, Pyriftalid, Penoxsulam, Bispyribac, Oxadiargyl, Ethoxysulfuron, Pretilachlor, Mesotrione, Tefuryltrione, Oxadiazone, Fenoxaprop, Pyrimisulfan;
B aumwollherbizide : Diuron, Fluometuron, MSMA, Oxyfluorfen, Prometryn, Trifluralin, Carfentrazone, Clethodim, Fluazifop -butyl, Glyphosate, Norflurazon, Pendimethalin, Pyrithiobac-sodium, Trifloxysulfuron, Tepraloxydim, Glufosinate, Flumioxazin, Thidiazuron;
Sojaherbizide: Alachlor, Bentazone, Trifluralin, Chlorimuron-Ethyl, Cloransulam-Methyl, Fenoxaprop, Fomesafen, Fluazifop, Glyphosate, Imazamox, Imazaquin, Imazethapyr, (S)-Metolachlor, Metribuzin,
Pendimethalin, Tepraloxydim, Glufosinate;
Zuckerrübenherbizide: Chloridazon, Desmedipham, Ethofumesate, Phenmedipham, Triallate, Clopyralid, Fluazifop, Lenacil, Metamitron, Quinmerac, Cycloxydim, Triflusulfuron, Tepraloxydim, Quizalofop; Rapsherbizide: Clopyralid, Diclofop, Fluazifop, Glufosinate, Glyphosate, Metazachlor, Trifluralin Ethametsulfuron, Quinmerac, Quizalofop, Clethodim, Tepraloxydim;
Insbesondere bevorzugt sind Mischungen der Verbindung der Formel (Ia) bzw. Mischungen der erfindungsgemäßen Wirkstoffkombinationen mit Glyphosate. Ferner bevorzugt sind insbesondere Mischungen der Verbindung der Formel (Ia) bzw. Mischungen der erfindungsgemäßen Wirkstoffkombinationen mit Glufosinate.
Die erfindungsgemäßen Wirkstoffkombinationen eignen sich bei guter Pflanzenverträglichkeit, günstiger Warmblütertoxizität und guter Umweltverträglichkeit zum Schutz von Pflanzen und Pflanzenorganen, zur Steigerung der Ernteerträge, Verbesserung der Qualität des Erntegutes und zur Bekämpfung von tierischen Schädlingen, insbesondere Insekten, Spinnentieren, Helminthen, Nematoden und Mollusken, die in der Landwirtschaft, im Gartenbau, bei der Tierzucht, in Forsten, in Gärten und Freizeiteinrichtungen, im Vorrats- und Materialschutz sowie auf dem Hygienesektor vorkommen. Sie können vorzugsweise als Pflanzenschutzmittel eingesetzt werden. Sie sind gegen normal sensible und resistente Arten sowie gegen alle oder einzelne Entwicklungs Stadien wirksam. Zu den oben erwähnten Schädlingen gehören: Schädlinge aus dem Stamm der Arthropoda, insbesondere aus der Klasse der Arachnida z.B. Acarus spp., Aceria kuko, Aceria sheldoni, Aculops spp., Aculus spp., Amblyomma spp., Amphitetranychus viennensis, Argas spp., Boophilus spp., Brevipalpus spp., Bryobia graminum, Bryobia praetiosa, Centruroides spp., Chorioptes spp., Dermanyssus gallinae, Dermatophagoides pteronyssinus, Dermatophagoides farinae, Dermacentor spp., Eotetranychus spp., Epitrimerus pyri, Eutetranychus spp., Eriophyes spp., Glycyphagus domesticus, Halotydeus destructor, Hemitarsonemus spp., Hyalomma spp., Ixodes spp., Latrodectus spp., Loxosceles spp., Metatetranychus spp., Neutrombicula autumnalis, Nuphersa spp., Oligonychus spp., Ornithodorus spp., Ornithonyssus spp., Panonychus spp., Phyllocoptruta oleivora, Platytetranychus multidigituli, Polyphagotarsonemus latus, Psoroptes spp., Rhipicephalus spp., Rhizoglyphus spp., Sarcoptes spp., Scorpio maurus, Steneotarsonemus spp., Steneotarsonemus spinki, Tarsonemus spp., Tetranychus spp., Trombicula alfreddugesi, Vaejovis spp., Vasates lycopersici.; aus der Klasse der Chilopoda z.B. Geophilus spp., Scutigera spp.;
aus der Ordnung oder der Klasse der Collembola z.B. Onychiurus armatus, Sminthurus viridis; aus der Klasse der Diplopoda z.B. Blaniulus guttulatus; aus der Klasse der Insecta, z.B. aus der Ordnung der Blattodea z.B. Blattella asahinai, Blattella germanica, Blatta orientalis, Leucophaea maderae (Rhypaobia maderae),, Panchlora spp., Parcoblatta spp., Periplaneta spp., Supella longipalpa, Loboptera decipiens, Neostylopyga rhombifolia, Pycnoscelus surinamensis; aus der Ordnung der Coleoptera z.B. Acalymma vittatum, Acanthoscelides obtectus, Adoretus spp., Aethina tumida, Agelastica alni, Agriotes spp., Alphitobius diaperinus, Amphimallon solstitialis, Anobium punctatum, Anoplophora spp., Anthonomus spp., Anthrenus spp., Apion spp., Apogonia spp., Atomaria spp., Attagenus spp., Baris caerulescens, Bruchidius obtectus, Bruchus spp., Cassida spp., Cerotoma trifurcata, Ceutorrhynchus spp., Chaetocnema spp., Cleonus mendicus, Conoderus spp., Cosmopolites spp., Costelytra zealandica, Ctenicera spp., Curculio spp., Cryptolestes ferrugineus, Cryptorhynchus lapathi, Cylindrocopturus spp., Dermestes spp., Diabrotica spp., Dichocrocis spp., Dicladispa armigera, Diloboderus spp., Epicaerus spp., Epilachna spp., Epitrix spp., Faustinus spp., Gibbium psylloides, Gnathocerus cornutus, Hellula undalis, Heteronychus arator, Heteronyx spp., Hylamorpha elegans, Hylotrupes bajulus, Hypera postica, Hypomeces squamosus, Hypothenemus spp., Lachnosterna consanguinea, Lasioderma serricorne, Latheticus oryzae, Lathridius spp., Lema spp., Leptinotarsa decemlineata, Leucoptera spp., Lissorhoptrus oryzophilus, Listronotus (= Hyperodes) spp., Lixus spp., Luperodes spp., Luperomorpha xanthodera, Lyctus spp., Megascelis spp., Melanotus spp., Meligethes aeneus, Melolontha spp., Migdolus spp., Monochamus spp., Naupactus xanthographus, Necrobia spp., Neogalerucella spp., Niptus hololeucus, Oryctes rhinoceros, Oryzaephilus surinamensis, Oryzaphagus oryzae, Otiorrhynchus spp., Oulema spp., Oulema melanopus, Oulema oryzae, Oxycetonia jucunda, Phaedon cochleariae, Phyllophaga spp., Phyllophaga helleri, Phyllotreta spp., Popillia japonica, Premnotrypes spp., Prostephanus truncatus, Psylliodes spp., Ptinus spp., Rhizobius ventralis, Rhizopertha dominica, Rhynchophorus spp., Rhynchophorus ferrugineus, Rhynchophorus palmarum, Sinoxylon perforans, Sitophilus spp., Sitophilus oryzae, Sphenophorus spp., Stegobium paniceum, Sternechus spp., Symphyletes spp., Tanymecus spp., Tenebrio molitor, Tenebrioides mauretanicus, Tribolium spp., Trogoderma spp., Tychius spp., Xylotrechus spp., Zabrus spp.; aus der Ordnung der Diptera z.B. Aedes spp., Agromyza spp., Anastrepha spp., Anopheles spp., Asphondylia spp., Bactrocera spp., Bibio hortulanus, Calliphora erythrocephala, Calliphora vicina, Ceratitis spp., Ceratitis capitata, Chironomus spp., Chrysomyia spp., Chrysops spp., Chrysozona pluvialis, Cochliomyia spp., Contarinia spp., Cordylobia anthropophaga, Cricotopus sylvestris, Culex spp., Culicoides spp., Culiseta spp., Cuterebra spp., Dacus oleae, Dasyneura spp., Delia spp., Dermatobia hominis, Drosophila spp., Drosophila suzukii, Echinocnemus spp., Euleia heraclei, Fannia
spp., Gasterophilus spp., Glossina spp., Haematopota spp., Hydrellia spp., Hydrellia griseola, Hylemya spp., Hippobosca spp., Hypoderma spp., Liriomyza spp., Lucilla spp., Lutzomyia spp., Mansonia spp., Musca spp., Oestrus spp., Oscmella frit, Paratanytarsus spp., Paralauterborniella subcincta, Pegomyia spp., Phlebotomus spp., Phorbia spp., Phormia spp., Piophila casei, Platyparea poeciloptera, Prodiplosis spp., Psila rosae Rhagoletis spp., Sarcophaga spp., Simulium spp., Stomoxys spp., Tabanus spp., Tetanops spp., Tipula spp., Hippoboscoidea (= Pupipara), Toxotrypana curvicauda; aus der Unterordnung der Heteroptera z.B. Aelia spp., Anasa tristis, Antestiopsis spp., Boisea spp., Blissus spp., Calocoris spp., Campylomma livida, Cavelerius spp., Cimex spp., Collaria spp., Creontiades dilutus, Dasynus piperis, Dichelops furcatus, Diconocoris hewetti, Dysdercus spp., Euschistus spp., Eurydema spp., Eurygaster spp., Halyomorpha halys, Heliopeltis spp., Horcias nobilellus, Leptocorisa spp., Leptocorisa varicornis, Leptoglossus occidentalis, Leptoglossus phyllopus, Lygocoris spp., Lygus spp., Macropes excavatus, Megacopta cribraria, Miridae, Monaionion atratum, Nezara spp., Nysius spp., Oebalus spp., Pentomidae, Piesma quadrata, Piezodorus spp., Psallus spp., Pseudacysta persea, Rhodnius spp., Sahlbergella singularis, Scaptocoris castanea, Scotinophora spp., Stephanitis nashi, Tibraca spp., Triatoma spp.; aus der Ordnung der Hemiptera z.B. Acizzia acaciaebaileyanae, Acizzia dodonaeae, Acizzia uncatoides, Acrida turrita, Acyrthosipon spp., Acrogonia spp., Aeneolamia spp., Agonoscena spp., Aleurocanthus spp., Aleyrodes proletella, Aleurolobus barodensis, Aleurothrixus floccosus, Allocaridara malayensis, Amrasca spp., Anuraphis cardui, Aonidiella spp., Aphanostigma piri, Aphis spp., Arboridia apicalis, Arytainilla spp., Aspidiella spp., Aspidiotus spp., Atanus spp., Aulacorthum solani, Bemisia tabaci, Blastopsylla occidentalis, Boreioglycaspis melaleucae, Brachycaudus helichrysi, Brachycolus spp., Brevicoryne brassicae, Cacopsylla spp., Calligypona marginata, Capulinia spp., Carneocephala fulgida, Ceratovacuna lanigera, Cercopidae, Ceroplastes spp., Chaetosiphon fragaefolii, Chionaspis tegalensis, Chlorita onukii, Chondracris rosea, Chromaphis juglandicola, Chrysomphalus aonidum, Chrysomphalus ficus, Cicadulina mbila, Coccomytilus halli, Coccus spp., Cryptomyzus ribis, Cryptoneossa spp., Ctenarytaina spp., Dalbulus spp., Dialeurodes chittendeni, Dialeurodes citri, Diaphorina citri, Diaspis spp., Diuraphis spp., Drosicha spp., Dysaphis spp., Dysmicoccus spp., Empoasca spp., Eriosoma spp., Erythroneura spp., Eucalyptolyma spp., Euphyllura spp., Euscelis bilobatus, Ferrisia spp., Fiorinia spp., Furcaspis oceanica, Geococcus coffeae, Glycaspis spp., Heteropsylla cubana, Heteropsylla spinulosa, Homalodisca coagulata, Hyalopterus arundinis, Hyalopterus pruni, Icerya spp., Idiocerus spp., Idioscopus spp., Laodelphax striatellus, Lecanium spp., Lepidosaphes spp., Lipaphis erysimi, Lopholeucaspis japonica, Lycorma delicatula, Macrosiphum spp., Macrosteles facifrons, Mahanarva spp., Melanaphis sacchari, Metcalfiella spp., Metealfa pruinosa, Metopolophium dirhodum, Monellia costalis, Monelliopsis pecanis, Myzus spp., Nasonovia ribisnigri, Neomaskellia spp., Nephotettix spp., Nettigoniclla spectra, Nilaparvata lugens, Oncometopia spp., Orthezia praelonga, Oxya chinensis, Pachypsylla spp., Parabemisia myricae, Paratrioza spp., Parlatoria spp., Pemphigus spp., Peregrinus
maidis, Perkinsiella spp., Phenacoccus spp., Phloeomyzus passerinii, Phorodon humuli, Phylloxera spp., Pinnaspis aspidistrae, Planococcus spp., Prosopidopsylla flava, Protopulvinaria pyriformis, Pseudaulacaspis pentagona, Pseudococcus spp., Psyllopsis spp., Psylla spp., Pteromalus spp., Pulvinaria spp., Pyrilla spp., Quadraspidiotus spp., Quesada gigas, Rastrococcus spp., Rhopalosiphum spp., Saissetia spp., Scaphoideus titanus, Schizaphis graminum, Selenaspidus articulatus, Sitobion avenae, Sogata spp., Sogatella furcifera, Sogatodes spp., Stictocephala festina, Siphoninus phillyreae, Tenalaphara malayensis, Tetragonocephela spp., Tinocallis caryaefoliae, Tomaspis spp., Toxoptera spp., Trialeurodes vaporariorum, Trioza spp., Typhlocyba spp., Unaspis spp., Viteus vitifolii, Zygina spp.; aus der Ordnung der Hymenoptera z.B. Acromyrmex spp., Athalia spp., Atta spp., Camponotus spp., Dolichovespula spp., Diprion spp., Hoplocampa spp., Lasius spp., Linepithema (Iridiomyrmex) humile, Monomorium pharaonis, Paratrechina spp., Paravespula spp., Plagiolepis spp., Sirex spp., Solenopsis invicta, Tapinoma spp., Technomyrmex albipes, Urocerus spp., Vespa spp., Wasmannia auropunctata, Xeris spp.; aus der Ordnung der Isopoda z.B. Armadillidium vulgare, Oniscus asellus, Porcellio scaber; aus der Ordnung der Isoptera z.B. Coptotermes spp., Cornitermes cumulans, Cryptotermes spp., Incisitermes spp., Kalotermes spp., Microtermes obesi, Nasutitermes spp., Odontotermes spp., Porotermes spp., Reticulitermes spp.; aus der Ordnung der Lepidoptera z.B. Achroia grisella, Acronicta major, Adoxophyes spp., Aedia leucomelas, Agrotis spp., Alabama spp., Amyelois transitella, Anarsia spp., Anticarsia spp., Argyroploce spp., Autographa spp., Barathra brassicae, Blastodacna atra, Borbo cinnara, Bucculatrix thurberiella, Bupalus piniarius, Busseola spp., Cacoecia spp., Caloptilia theivora, Capua reticulana, Carpocapsa pomonella, Carposina niponensis, Cheimatobia brumata, Chilo spp., Choreutis pariana, Choristoneura spp., Chrysodeixis chalcites, Clysia ambiguella, Cnaphalocerus spp., Cnaphalocrocis medinalis, Cnephasia spp., Conopomorpha spp., Conotrachelus spp., Copitarsia spp., Cydia spp., Dalaca noctuides, Diaphania spp., Diatraea saccharalis, Diparopsis spp., Earias spp., Ecdytolopha aurantium, Elasmopalpus lignosellus, Eidana saccharina, Ephestia spp., Epinotia spp., Epiphyas postvittana, Erannis spp., Erschoviella musculana, Etiella spp., Eudocima spp., Eulia spp., Eupoecilia ambiguella, Euproctis spp., Euxoa spp., Feltia spp., Galleria mellonella, Gracillaria spp., Grapholitha spp., Hedylepta spp., Helicoverpa spp., Heliothis spp., Hofmannophila pseudospretella, Homoeosoma spp., Homona spp., Hyponomeuta padella, Kakivoria flavofasciata, Lampides spp., Laphygma spp., Laspeyresia molesta, Leucinodes orbonalis, Leucoptera spp., Lithocolletis spp., Lithophane antennata, Lobesia spp., Loxagrotis albicosta, Lymantria spp., Lyonetia spp., Malacosoma neustria, Maruca spp., Maruca testulalis, Mamestra brassicae, Melanitis leda, Mocis spp., Monopis obviella, Mythimna separata, Nemapogon cloacellus, Nymphula spp., Oiketicus spp., Omphisa spp., Operophtera spp., Oria spp.,
Orthaga spp., Ostrinia spp., Panolis flammea, Parnara spp., Pectinophora spp., Perileucoptera spp., Phthorimaea spp., Phyllocnistis citrella, Phyllonorycter spp., Pieris spp., Platynota stultana, Plodia interpunctella, Plusia spp., Plutella xylostella, Prays spp., Prodenia spp., Protoparce spp., Pseudaletia spp., Pseudaletia unipuncta, Pseudoplusia includens, Pyrausta nubilalis, Rachiplusia nu, Schoenobius spp., Scirpophaga spp., Scirpophaga innotata, Scotia segetum, Sesamia spp., Sesamia inferens, Sparganothis spp., Spodoptera spp., Spodoptera praefica, Stathmopoda spp., Stenoma spp., Stomopteryx subsecivella, Synanthedon spp., Tecia solanivora, Thaumetopoea spp., Thermesia gemmatalis, Tinea cloacella, Tinea pellionella, Tineola bisselliella, Tortrix spp., Trichophaga tapetzella, Trichoplusia spp., Tryporyza incertulas, Tuta absoluta, Virachola spp.; aus der Ordnung der Orthoptera oder Saltatoria z.B. Acheta domesticus, Dichroplus spp., Gryllotalpa spp., Hieroglyphus spp., Locusta spp., Melanoplus spp., Paratlanticus ussuriensis, Schistocerca gregaria; aus der Ordnung der Phthiraptera z.B. Damalinia spp., Haematopinus spp., Linognathus spp., Pediculus spp., Phylloxera vastatrix, Phtirus pubis, Trichodectes spp.; aus der Ordnung der Psocoptera z.B. Lepinotus spp., Liposcelis spp.; aus der Ordnung der Siphonaptera z.B. Ceratophyllus spp., Ctenocephalides spp., Pulex irritans, Tunga penetrans, Xenopsylla cheopsis; aus der Ordnung der Thysanoptera z.B. Anaphothrips obscurus, Baliothrips biformis, Chaetanaphothrips leeuweni, Drepanothrips reuteri, Enneothrips flavens, Frankliniella spp., Haplothrips spp., Heliothrips spp., Hercinothrips femoralis, Rhipiphorothrips cruentatus, Scirtothrips spp., Taeniothrips cardamomi, Thrips spp.; aus der Ordnung der Zygentoma (= Thysanura), z. B. Ctenolepisma spp., Lepisma saccharina, Lepismodes inquilinus, Thermobia domestica; aus der Klasse der Symphyla z.B. Scutigerella spp.;
Schädlinge aus dem Stamm der Mollusca, insbesondere aus der Klasse der Bivalvia, z.B. Dreissena spp., sowie aus der Klasse der Gastropoda z.B. Arion spp., Biomphalaria spp., Bulinus spp., Deroceras spp., Galba spp., Lymnaea spp., Oncomelania spp., Pomacea spp., Succinea spp.;
Tierparasiten aus den Stämmen der Plathelminthes und Nematoda, z.B. Aelurostrongylus spp., Amidostomum spp., Ancylostoma duodenale, Ancylostoma ceylanicum, Acylostoma braziliensis, Ancylostoma spp., Angiostrongylus spp., Anisakis spp., Anoplocephala spp., Ascaris spp., Ascaridia spp., Baylisascaris spp., Brugia malayi, Brugia timori, Bunostomum spp., Capillaria spp., Chabertia spp., Clonorchis spp., Cooperia spp., Crenosoma spp., Cyathostoma spp., Dicrocoelium spp.,
Dictyocaulus filaria, Diphyllobothrium latum, Dipylidium spp., Dirofilaria spp., Dracunculus medinensis, Echinococcus granulosus, Echinococcus multilocularis, Enterobius vermicularis, Eucoleus spp., Fasciola spp., Fascioloides spp., Fasciolopsis spp., Filaroides spp., Gongylonema spp., Gyrodactylus spp., Habronema spp., Haemonchus spp., Heligmosomoides spp., Heterakis spp., Hymenolepis nana, Hyostrongulus spp., Litomosoides spp., Loa Loa, Metastrongylus spp., Metorchis spp., Mesocestoides spp., Moniezia spp., Muellerius spp., Necator spp., Nematodirus spp., Nippostrongylus spp., Oesophagostomum spp., Ollulanus spp., Onchocerca volvulus, Opisthorchis spp., Oslerus spp., , Ostertagia spp., Oxyuris spp., Paracapillaria spp., Parafilaria spp., Paragonimus spp., Paramphistomum spp., Paranoplocephala spp., Parascaris spp., Passalurus spp., Protostrongylus spp., Schistosom spp., Setaria spp., Spirocerca spp., Stephanofilaria spp., Stephanurus spp., Strongyloides fuelleborni, Strongyloides stercoralis, Strongylus spp., Syngamus spp., Taenia saginata, Taenia solium, Teladorsagia spp., Thelazia spp., Toxascaris spp., Toxocara spp., Trichinella spiralis, Trichinella nativa, Trichinella britovi, Trichinella nelsoni, Trichinella pseudopsiralis, Trichobilharzia spp., Trichostrongylus spp., Trichuris trichuria, Uncinaria spp., Wuchereria bancrofti; Pflanzenschädlinge aus dem Stamm der Nematoda, d.h. pflanzenparasitäre Nematoden, insbesondere Aglenchus spp., Anguina spp., Aphelenchoides spp., Belonolaimus spp., Bursaphelenchus spp., Cacopaurus spp., Criconemella spp., Criconemoides spp., Ditylenchus spp., Dolichodorus spp., Globodera spp., Helicotylenchus spp., Hemicriconemoides spp., Hemicycliophora spp., Heterodera spp., Hoplolaimus spp., Longidorus spp., Meloidogyne spp., Meloinema spp., Nacobbus spp., Neotylenchus spp., Paralongidorus spp., Paraphelenchus spp., Paratrichodorus spp., Pratylenchus spp., Pseudohalenchus spp., Psilenchus spp., Punctodera spp., Quinisulcius spp., Radopholus spp., Rotylenchulus spp., Rotylenchus spp., Scutellonema spp., Subanguina spp., Trichodorus spp., Tylenchulus spp., Tylenchorhynchus spp., Xiphinema spp.;
Weiterhin lässt sich aus dem Unterreich der Protozoa die Ordnung der Coccidia z.B. Eimeria spp. bekämpfen.
Die vorliegende Erfindung betrifft weiterhin Formulierungen und daraus bereitete Anwendungsformen als Pflanzenschutzmittel und/oder Schädlingsbekämpfungsmittel wie z. B. Drench-, Drip- und Spritzbrühen, umfassend mindestens einen der erfindungsgemäßen Wirkstoffe. Gegebenenfalls enthalten die Anwendungsformen weitere Pflanzenschutzmittel und/oder Schädlingsbekämpfungsmittel und/oder die Wirkung verbessernde Adjuvantien wie Penetrationsförderer, z. B. vegetative Öle wie beispielsweise Rapsöl, Sonnenblumenöl, Mineralöle wie beispielsweise Paraffinöle, Alkylester vegetativer Fettsäuren wie beispielsweise Rapsöl- oder Sojaölmethylester oder Alkanol-alkoxylate und/oder Spreitmittel wie beispielsweise Alkylsiloxane und/oder Salze z. B. organische oder anorganische Ammonium- oder Phosphomiumsalze wie beispielsweise Ammoniumsulfat oder Diammonium-hydrogenphosphat und /oder die Retention fördernde Mittel wie z. B. Dioctylsulfosuccinat oder Hydroxypropyl-guar Polymere
und/oder Humectants wie z. B. Glycerin und / oder Dünger wie beispielsweise Ammonium-, Kaliumoder Phosphor-enthaltende Dünger.
Übliche Formulierungen sind beispielsweise wasserlösliche Flüssigkeiten (SL), Emulsionskonzentrate (EC), Emulsionen in Wasser (EW), Suspensionskonzentrate (SC, SE, FS, OD), in Wasser dispergierbare Granulate (WG), Granulate (GR) und Kapselkonzentrate (CS); diese und weitere mögliche Formuliertypen sind beispielsweise durch Crop Life International und in Pesticide Specifications, Manual on development and use of FAO and WHO specifications for pesticides, FAO Plant Production and Protection Papers - 173, prepared by the FAO/WHO Joint Meeting on Pesticide Specifications, 2004, ISBN: 9251048576 beschrieben. Gegebenenfalls enthalten die Formulierungen neben einem oder mehreren erfindungsgemäßen Wirkstoffen weitere agrochemische Wirkstoffe.
Vorzugsweise handelt es sich um Formulierungen oder Anwendungsformen, welche Hilfsstoffe, wie beispielsweise Streckmittel, Lösemittel, Spontanitätsförderer, Trägerstoffe, Emulgiermittel, Dispergiermittel, Frostschutzmittel, Biozide, Verdicker und/oder weitere Hilfsstoffe, wie beispielsweise Adjuvantien enthalten. Ein Adjuvant in diesem Kontext ist eine Komponente, die die biologische Wirkung der Formulierung verbessert, ohne dass die Komponente selbst eine biologische Wirkung hat. Beispiele für Adjuvantien sind Mittel, die die Retention, das Spreitverhalten, das Anhaften an der Blattoberfläche oder die Penetration fördern.
Diese Formulierungen werden in bekannter Weise hergestellt, z.B. durch Vermischen der Wirkstoffe mit Hilfsstoffen wie beispielsweise Streckmitteln, Lösemitteln und/oder festen Trägerstoffen und/oder weiteren Hilfsstoffen wie beispielsweise oberflächenaktive Stoffe. Die Herstellung der Formulierungen erfolgt entweder in geeigneten Anlagen oder auch vor oder während der Anwendung.
Als Hilfsstoffe können solche Stoffe Verwendung finden, die geeignet sind, der Formulierung des Wirkstoffs oder den aus diesen Formulierungen bereiteten Anwendungsformen (wie z.B. gebrauchsfähigen Pflanzenschutzmitteln wie Spritzbrühen oder Saatgutbeizen) besondere Eigenschaften, wie bestimmte physikalische, technische und/oder biologische Eigenschaften, zu verleihen.
Als Streckmittel eignen sich z.B. Wasser, polare und unpolare organische chemische Flüssigkeiten z.B. aus den Klassen der aromatischen und nicht-aromatischen Kohlenwasserstoffe (wie Paraffine, Alkylbenzole, Alkylnaphthaline, Chlorbenzole), der Alkohole und Polyole (die ggf. auch substituiert, verethert und/oder verestert sein können), der Ketone (wie Aceton, Cyclohexanon), Ester (auch Fette und Öle) und (Poly-)Ether, der einfachen und substituierten Amine, Amide, Lactame (wie N- Alkylpyrrolidone) und Lactone, der Sulfone und Sulfoxide (wie Dimethylsulfoxid).
Im Falle der Benutzung von Wasser als Streckmittel können z.B. auch organische Lösemittel als Hilfslösemittel verwendet werden. Als flüssige Lösemittel kommen im Wesentlichen infrage: Aromaten,
wie Xylol, Toluol oder Alkylnaphthaline, chlorierte Aromaten oder chlorierte aliphatische Kohlenwasserstoffe, wie Chlorbenzole, Chlorethylene oder Methylenchlorid, aliphatische Kohlenwasserstoffe, wie Cyclohexan oder Paraffine, z.B. Erdölfraktionen, mineralische und pflanzliche Öle, Alkohole, wie Butanol oder Glykol sowie deren Ether und Ester, Ketone, wie Aceton, Methylethylketon, Meth- ylisobutylketon oder Cyclohexanon, stark polare Lösemittel wie Dimethylformamid und Dimethylsulfoxid, sowie Wasser.
Grundsätzlich können alle geeigneten Lösemittel verwendet werden. Geeignete Lösemittel sind beispielsweise aromatische Kohlenwasserstoffe, wie z.B. Xylol, Toluol oder Alkylnaphthaline, chlorierte aromatische oder aliphatische Kohlenwasserstoffe, wie z.B. Chlorbenzol, Chlorethylen, oder Methylenchlorid, aliphatische Kohlenwasserstoffe, wie z.B. Cyclohexan, Paraffine, Erdölfraktionen, mineralische und pflanzliche Öle, Alkohole, wie z.B. Methanol, Ethanol, iso-Propanol, Butanol oder Glykol sowie deren Ether und Ester, Ketone wie z.B. Aceton, Methylethylketon, Methylisobutylketon oder Cyclohexanon, stark polare Lösemittel, wie Dimethylsulfoxid, sowie Wasser.
Grundsätzlich können alle geeigneten Trägerstoffe eingesetzt werden. Als Trägerstoffe kommen insbesondere infrage: z.B. Ammoniumsalze und natürliche Gesteinsmehle, wie Kaoline, Tonerden, Talkum, Kreide, Quarz, Attapulgit, Montmorillonit oder Diatomeenerde und synthetische Gesteinsmehle, wie hochdisperse Kieselsäure, Aluminiumoxid und natürliche oder synthetische Silikate, Harze, Wachse und /oder feste Düngemittel. Mischungen solcher Trägerstoffe können ebenfalls verwendet werden. Als Trägerstoffe für Granulate kommen infrage: z.B. gebrochene und fraktionierte natürliche Gesteine wie Calcit, Marmor, Bims, Sepiolith, Dolomit sowie synthetische Granulate aus anorganischen und organischen Mehlen sowie Granulate aus organischem Material wie Sägemehl, Papier, Kokosnussschalen, Maiskolben und Tabakstängel.
Auch verflüssigte gasförmige Streckmittel oder Lösemittel können eingesetzt werden. Insbesondere eignen sich solche Streckmittel oder Trägerstoffe, welche bei normaler Temperatur und unter Normaldruck gasförmig sind, z.B. Aerosol-Treibgase, wie Halogenkohlenwasserstoffe, sowie Butan, Propan, Stickstoff und Kohlendioxid.
Beispiele für Emulgier- und/oder Schaum erzeugende Mittel, Dispergiermittel oder Benetzungsmittel mit ionischen oder nicht-ionischen Eigenschaften oder Mischungen dieser oberflächenaktiven Stoffe sind Salze von Polyacrylsäure, Salze von Lignosulphonsäure, Salze von Phenolsulphonsäure oder Naphthalinsulphonsäure, Polykondensate von Ethylenoxid mit Fettalkoholen oder mit Fettsäuren oder mit Fettaminen, mit substituierten Phenolen (vorzugsweise Alkylphenole oder Arylphenole), Salze von Sulphobernsteinsäureestern, Taurinderivate (vorzugsweise Alkyltaurate), Phosphorsäureester von polyethoxylierten Alkoholen oder Phenole, Fettsäureester von Polyolen, und Derivate der Verbindungen enthaltend Sulphate, Sulphonate und Phosphate, z.B. Alkylarylpolyglycolether, Alkylsulfonate, Alkyl-
sulfate, Arylsulfonate, Eiweißhydrolysate, Lignin- Sulfitablaugen und Methylcellulose. Die Anwesenheit einer oberflächenaktiven Substanz ist vorteilhaft, wenn einer der Wirkstoff und/oder einer der inerten Trägerstoffe nicht in Wasser löslich ist und wenn die Anwendung in Wasser erfolgt.
Als weitere Hilfsstoffe können in den Formulierungen und den daraus abgeleiteten Anwendungsformen Farbstoffe wie anorganische Pigmente, z.B. Eisenoxid, Titanoxid, Ferrocyanblau und organische Farbstoffe, wie Alizarin-, Azo- und Metallphthalocyaninfarbstoffe und Nähr- und Spurennährstoffe, wie Salze von Eisen, Mangan, Bor, Kupfer, Kobalt, Molybdän und Zink vorhanden sein.
Weiterhin enthalten sein können Stabilisatoren wie Kältestabilisatoren, Konservierungsmittel, Oxidationsschutzmittel, Lichtschutzmittel oder andere die chemische und / oder physikalische Stabilität verbessernde Mittel. Weiterhin enthalten sein können schaumerzeugende Mittel oder Entschäumer.
Ferner können die Formulierungen und daraus abgeleiteten Anwendungsformen als zusätzliche Hilfsstoffe auch Haftmittel wie Carboxymethylcellulose, natürliche und synthetische pulverige, körnige oder latexförmige Polymere enthalten, wie Gummiarabikum, Polyvinylalkohol, Polyvinylacetat, sowie natürliche Phospholipide, wie Kephaline und Lecithine, und synthetische Phospholipide. Weitere Hilfsstoffe können mineralische und vegetabile Öle sein.
Gegebenenfalls können noch weitere Hilfsstoffe in den Formulierungen und den daraus abgeleiteten Anwendungsformen enthalten sein. Solche Zusatzstoffe sind beispielsweise Duftstoffe, schützende Kolloide, Bindemittel, Klebstoffe, Verdicker, thixotrope Stoffe, Penetrationsförderer, Retentionsförderer, Stabilisatoren, Sequestiermittel, Komplexbildner, Humectans, Spreitmittel. Im Allgemeinen können die Wirkstoffe mit jedem festen oder flüssigen Zusatzstoff, welches für Formulierungszwecke gewöhnlich verwendet wird, kombiniert werden.
Als Retentionsförderer kommen alle diejenigen Substanzen in Betracht, die die dynamische Oberflächenspannung verringern wie beispielsweise Dioctylsulfosuccinat oder die die Visko-Elastizität erhöhen wie beispielsweise Hydroxypropyl-guar Polymere. Als Penetrationsförderer kommen im vorliegenden Zusammenhang alle diejenigen Substanzen in Betracht, die üblicherweise eingesetzt werden, um das Eindringen agrochemischer Wirkstoffe in Pflanzen zu verbessern. Penetrationsförderer werden in diesem Zusammenhang dadurch definiert, dass sie aus der (in der Regel wässerigen) Applikationsbrühe und/oder aus dem Spritzbelag in die Kutikula der Pflanze eindringen und dadurch die Stoffbeweglichkeit (Mobilität) der Wirkstoffe in der Kutikula erhöhen können. Die in der Literatur (Baur et al., 1997, Pesticide Science 51, 131-152) beschriebene Methode kann zur Bestimmung dieser Eigenschaft eingesetzt werden. Beispielhaft werden genannt Alkoholalkoxylate wie beispielsweise Kokosfettethoxylat (10) oder Isotridecylethoxylat (12), Fettsäureester wie beispielsweise Rapsöl- oder Sojaölmethylester, Fettamine Alkoxylate wie
beispielsweise Tallowamine ethoxylat (15) oder Ammonium und / oder Phosphonium-Salze wie beispielsweise Ammoniumsulfat oder Diammonium-hydrogenphosphat.
Erfindungsgemäß können alle Pflanzen und Pflanzenteile behandelt werden. Unter Pflanzen werden hierbei alle Pflanzen und Pflanzenpopulationen verstanden, wie erwünschte und unerwünschte Wildpflanzen oder Kulturpflanzen (einschließlich natürlich vorkommender Kulturpflanzen). Kulturpflanzen können Pflanzen sein, die durch konventionelle Züchtungs- und Optimierungsmethoden oder durch biotechnologische und gentechnologische Methoden oder Kombinationen dieser Methoden erhalten werden können, einschließlich der transgenen Pflanzen und einschließlich der durch Sortenschutzrechte schützbaren oder nicht schützbaren Pflanzensorten. Zu den Pflanzen, die mit den erfindungsgemäßen Wirkstoffkombinationen behandelt werden können, zählen z. B. folgende Pflanzenarten: Turf, Reben, Getreide, beispielsweise Weizen, Gerste, Roggen, Hafer, Reis, Mais und Hirse, Triticale; Rüben, beispielsweise Zuckerrüben und Futterrüben; Früchte, beispielsweise Kernobst, Steinobst und Beerenobst, beispielsweise Äpfel, Birnen, Pflaumen, Pfirsiche, Mandeln, Kirschen und Beeren, z. B. Erdbeeren, Himbeeren, Brombeeren; Hülsenfrüchte, beispielsweise Bohnen, Linsen, Erbsen und Sojabohnen; Ölkulturen, beispielsweise Raps, Senf, Mohn, Oliven, Sonnenblumen, Kokos, Castorölpflanzen, Kakaobohnen und Erdnüsse; Gurkengewächse, beispielsweise Kürbis, Gurken und Melonen; Fasergewächse, beispielsweise Baumwolle, Flachs, Hanf und Jute; Citrusfrüchte, beispielsweise Orangen, Zitronen, Pampelmusen und Mandarinen; Gemüsesorten, beispielsweise Spinat, (Kopf)-Salat, Spargel, Kohlarten, Möhren, Zwiebeln, Tomaten, Kartoffeln und Paprika; Lorbeergewächse, beispielsweise Avocado, Cinnamomum, Kampfer, oder ebenso Pflanzen wie Tabak, Nüsse, Kaffee, Aubergine, Zuckerrohr, Tee, Pfeffer, Weinreben, Hopfen, Bananen, Naturkautschukgewächse sowie Zierpflanzen, beispielsweise Blumen, Sträucher, Laubbäume und Nadelbäume wie Koniferen. Diese Aufzählung stellt keine Limitierung dar.
Unter Pflanzenteilen sollen alle oberirdischen und unterirdischen Teile und Organe der Pflanzen, wie Spross, Blatt, Blüte und Wurzel verstanden werden, wobei beispielhaft, Blätter, Nadeln, Stängel, Stämme, Blüten, Fruchtkörper, Früchte und Samen sowie Wurzeln, Knollen und Rhizome aufgeführt werden. Zu den Pflanzenteilen gehört auch Erntegut sowie vegetatives und generatives Vermehrungsmaterial, beispielsweise Stecklinge, Knollen, Rhiozome, Ableger und Samen.
Die erfindungsgemäße Behandlung der Pflanzen und Pflanzenteile mit den Wirkstoffkombinationen erfolgt direkt oder durch Einwirkung auf deren Umgebung, Lebensraum oder Lagerraum nach den üblichen Behandlungsmethoden, z.B. durch Tauchen, (Ver-) Spritzen, (Ver-) Sprühen, Berieseln, Verdampfen, Zerstäuben, Angießen, Vernebeln, (Ver-) Streuen, Verschäumen, Aufstreichen Verstreichen, Injizieren, Gießen (drenchen), Tröpfchenbewässerung und bei Vermehrungsmaterial, insbesondere bei Samen, weiterhin durch durch Trockenbeizen, Nassbeizen, Schlämmbeizen, Inkrustieren, ein- oder mehrschichtiges Umhüllen.
Eine bevorzugte direkte Behandlung der Pflanzen ist die Blattapplikation, d.h. die erfindungsgemäße Wirkstoffkombinationen werden auf das Blattwerk aufgebracht, wobei die Behandlungsfrequenz und die Aufwandmenge auf den Befallsdruck des jeweiligen Schädlings abgestimmt sein kann.
Bei systemisch wirksamen Verbindungen gelangen die erfindungsgemäßen Wirkstoffkombinationen über das Wurzelwerk in die Pflanzen. Die Behandlung der Pflanzen erfolgt dann durch Einwirkung der erfindungsgemäßen Wirkstoffkombinationen auf den Lebensraum der Pflanze. Das kann beispielsweise durch Drenchen, Einmischen in den Boden oder die Nährlösung sein, d.h. der Standort der Pflanze (z.B. Boden oder hydroponische Systeme) wird mit einer flüssigen Form der erfindungsgemäßen Wirkstoffkombinationen getränkt, oder durch die Bodenapplikation, d.h. die erfindungsgemäßen Wirkstoffkombinationen werden in fester Form, (z.B. in Form eines Granulats) in den Standort der Pflanzen eingebracht. Bei Wasserreiskulturen kann das auch durch Zudosieren der Erfindung in einer festen Anwendungsform (z.B. als Granulat) in ein überflutetes Reisfeld sein.
Die vorliegende Erfindung bezieht sich daher insbesondere auch auf ein Verfahren zum Schutz von Saatgut und keimenden Pflanzen vor dem Befall von Schädlingen, indem das Saatgut mit denerfindungsgemäßen Wirkstoffkombinationen behandelt wird. Das erfindungsgemäße Verfahren zum Schutz von Saatgut und keimenden Pflanzen vor dem Befall von Schädlingen umfasst ein Verfahren, in dem das Saatgut gleichzeitig in einem Vorgang mit dem Wirkstoff der Formel (Ia) und Mischpartner behandelt wird. Es umfasst auch ein Verfahren, in dem das Saatgut zu unterschiedlichen Zeiten mit dem Wirkstoff der Formel (Ia) und Mischpartner behandelt wird. Die Erfindung bezieht sich ebenfalls auf die Verwendung der erfindungsgemäßen Wirkstoffkombinationen zur Behandlung von Saatgut zum Schutz des Saatguts und der daraus entstehenden Pflanze vor tierischen Schädlingen.
Weiterhin bezieht sich die Erfindung auf Saatgut, welches zum Schutz vor tierischen Schädlingen mit den erfindungsgemäßen Wirkstoffkombinationen behandelt wurde. Die Erfindung bezieht sich auch auf Saatgut, welches zur gleichen Zeit mit dem Wirkstoff der Formel (Ia) und Mischpartner behandelt wurde. Die Erfindung bezieht sich weiterhin auf Saatgut, welches zu unterschiedlichen Zeiten mit dem Wirkstoff der Formel (Ia) und Mischpartner behandelt wurde. Bei Saatgut, welches zu unterschiedlichen Zeiten mit dem Wirkstoff der Formel (Ia) und Mischpartner behandelt wurde, können die einzelnen Wirkstoffe des erfindungsgemäßen Mittels in unterschiedlichen Schichten auf dem Saatgut enthalten sein. Dabei können die Schichten, die den Wirkstoff der Formel (Ia) und Mischpartner enthalten, gegebenenfalls durch eine Zwischenschicht getrennt sein. Die Erfindung bezieht sich auch auf Saatgut, bei dem der Wirkstoff der Formel (Ia) und Mischpartner als Bestandteil einer Umhüllung oder als weitere Schicht oder weitere Schichten zusätzlich zu einer Umhüllung aufgebracht sind.
Des Weiteren bezieht sich die Erfindung auf Saatgut, welches nach der Behandlung mit den
erfindungsgemäßen Wirkstoffkombinationen einem Filmcoating - Verfahren unterzogen wird, um Staubabrieb am Saatgut zu vermeiden.
Einer der Vorteile der vorliegenden Erfindung ist es, dass aufgrund der besonderen systemischen Eigenschaften der erfindungsgemäßen Mittel die Behandlung des Saatguts mit diesen Mitteln nicht nur das Saatgut selbst, sondern auch die daraus hervorgehenden Pflanzen nach dem Auflaufen vor tierischen Schädlingen schützt. Auf diese Weise kann die unmittelbare Behandlung der Kultur zum Zeitpunkt der Aussaat oder kurz danach entfallen.
Ein weiterer Vorteil ist darin zu sehen, dass durch die Behandlung des Saatguts mit den erfindungsgemäßen Wirkstoffkombinationen Keimung und Auflauf des behandelten Saatguts gefördert werden können.
Ebenso ist es als vorteilhaft anzusehen, dass erfindungsgemäße Wirkstoffkombinationen insbesondere auch bei transgenem Saatgut eingesetzt werden können.
Wie bereits oben erwähnt, können erfindungsgemäß alle Pflanzen und deren Teile behandelt werden. In einer bevorzugten Ausführungsform werden wild vorkommende oder durch konventionelle biologische Zuchtmethoden, wie Kreuzung oder Protoplastenfusion erhaltenen Pflanzenarten und Pflanzensorten sowie deren Teile behandelt. Die traditionellen Vermehrungs- und Züchtungsmethoden können durch eine oder mehrere biotechnologische Methoden, wie z.B. die Verwendung von Doppelhaploiden, zufälliger und gerichteter Mutagenese, molekularen oder genetischen Markern, oder durch Bioengineering-Methoden und gentechnische Methoden unterstützt oder ergänzt werden. In einer weiteren bevorzugten Ausführungsform werden transgene Pflanzen und Pflanzensorten, die durch gentechnologische Methoden gegebenenfalls in Kombination mit konventionellen Methoden erhalten wurden (Genetic Modified Organisms) und deren Teile behandelt. Bei genetisch modifizierten Pflanzen (oder transgenen Pflanzen) handelt es sich um Pflanzen, bei denen ein heterologes Gen stabil in das Genom integriert wurde. Der Ausdruck "heterologes Gen" bedeutet im Wesentlichen ein Gen, das außerhalb der Pflanze oder der Pflanzenzelle bereitgestellt oder assembliert wird und das, wenn es in das Zellkerngenom, das Chloroplastengenom oder das Mitochondriengenom eingeführt wird, der transformierten Pflanze neue oder verbesserte agronomische oder sonstige Merkmale verleiht, und zwar dadurch, dass es ein Protein oder Polypeptid von Interesse exprimiert oder dass es ein anderes Gen, das in der Pflanze vorliegt, bzw. andere Gene, die in der Pflanze vorliegen, herunterreguliert oder abschaltet (z.B. mittels Antisense-Technologie, Cosuppressionstechnologie, RNA-Interferenz-Technologie (RNAi- Technologie) oder MikroRNA-Technologie (miRNA-Technologie)). Ein heterologes Gen, das in das Genom integriert worden ist, wird auch als Transgen bezeichnet. Ein Transgen, das in das Pflanzengenom integriert worden ist, wird Transformations-Event oder transgenes Event genannt. Die Begriffe "Teile" bzw. "Teile von Pflanzen" oder "Pflanzenteile" wurden oben erläutert.
Besonders bevorzugt werden erfindungsgemäß Pflanzen der jeweils handelsüblichen oder in Gebrauch befindlichen Pflanzensorten behandelt.
Je nach Pflanzenarten bzw. Pflanzensorten, deren Standort und Wachstumsbedingungen (Böden, Klima, Vegetationsperiode, Ernährung) können durch die erfindungsgemäße Behandlung auch überadditive ("synergistische") Effekte auftreten. So sind beispielsweise erniedrigte Aufwandmengen und/oder Erweiterungen des Wirkungsspektrums und/oder eine Verstärkung der Wirkung der erfindungsgemäß verwendbaren Stoffe und Mittel, besseres Pflanzenwachstum, erhöhte Toleranz gegenüber hohen oder niedrigen Temperaturen, erhöhte Toleranz gegen Trockenheit oder gegen Wasser- bzw. Bodensalzgehalt, erhöhte Blühleistung, erleichterte Ernte, Beschleunigung der Reife, höhere Ernteerträge, größere Früchte, größere Pflanzenhöhe, intensivere grüne Farbe, des Blattes, frühere Blüte, höhere Qualität und/oder höherer Ernährungswert der Ernteprodukte, höhere Zuckerkonzentration in den Früchten, höhere Lagerfähigkeit und/oder Bearbeitbarkeit der Ernteprodukte möglich, die über die eigentlich zu erwartenden Effekte hinausgehen.
Zu den bevorzugten erfindungsgemäß zu behandelnden transgenen (gentechnologisch erhaltenen) Pflanzen bzw. Pflanzensorten gehören alle Pflanzen, die durch die gentechnologische Modifikation genetisches Material erhielten, welches diesen Pflanzen besondere vorteilhafte wertvolle Eigenschaften ("Traits") verleiht. Beispiele für solche Eigenschaften sind besseres Pflanzenwachstum, erhöhte Toleranz gegenüber hohen oder niedrigen Temperaturen, erhöhte Toleranz gegen Trockenheit oder gegen Wasser- bzw. Bodensalzgehalt, erhöhte Blühleistung, erleichterte Ernte, Beschleunigung der Reife, höhere Ernteerträge, höhere Qualität und/oder höherer Ernährungswert der Ernteprodukte, höhere Lagerfähigkeit und/oder Bearbeitbarkeit der Ernteprodukte. Weitere und besonders hervorgehobene Beispiele für solche Eigenschaften sind eine erhöhte Abwehr der Pflanzen gegen tierische und mikrobielle Schädlinge, wie gegenüber Insekten, Milben, pflanzenpathogenen Pilzen, Bakterien und/oder Viren sowie eine erhöhte Toleranz der Pflanzen gegen bestimmte herbizide Wirkstoffe. Als Beispiele transgener Pflanzen werden die wichtigen Kulturpflanzen, wie Getreide (Weizen, Reis), Mais, Soja, Kartoffel, Baumwolle, Raps sowie Obstpflanzen (mit den Früchten Äpfel, Birnen, Zitrusfrüchten und Weintrauben) erwähnt, wobei Mais, Soja, Kartoffel, Baumwolle und Raps besonders hervorgehoben werden. Als Eigenschaften ("Traits") werden besonders hervorgehoben die erhöhte Abwehr der Pflanzen gegen Insekten durch in den Pflanzen entstehende Toxine, insbesondere solche, die durch das genetische Material aus Bacillus Thuringiensis (z.B. durch die Gene CrylA(a), CrylA(b), CrylA(c), CryllA, CrylllA, CryIIIB2, Cry9c Cry2Ab, Cry3Bb und CrylF sowie deren Kombinationen) in den Pflanzen erzeugt werden (im folgenden "Bt Pflanzen"). Als Eigenschaften ("Traits") werden weiterhin besonders hervorgehoben die erhöhte Toleranz der Pflanzen gegenüber bestimmten herbiziden Wirkstoffen, beispielsweise Imidazolinonen, Sulfonylharnstoffen, Glyphosate oder Phosphinotricin (z.B. "PAT"- Gen). Die jeweils die gewünschten Eigenschaften ("Traits") verleihenden Gene können auch in Kombinationen miteinander in den transgenen Pflanzen vorkommen. Als Beispiele für "Bt Pflanzen"
seien Maissorten, Baumwollsorten, Sojasorten und Kartoffelsorten genannt, die unter den Handelsbezeichnungen YIELD GARD® (z.B. Mais, Baumwolle, Soja), KnockOut® (z.B. Mais), StarLink® (z.B. Mais), Bollgard® (Baumwolle), Nucotn® (Baumwolle) und NewLeaf® (Kartoffel) vertrieben werden. Als Beispiele für Herbizid tolerante Pflanzen seien Maissorten, Baumwollsorten und Sojasorten genannt, die unter den Handelsbezeichnungen Roundup Ready® (Toleranz gegen Glyphosate z.B. Mais, Baumwolle, Soja), Liberty Link® (Toleranz gegen Phosphinotricin, z.B. Raps), IMI® (Toleranz gegen Imidazolinone) und STS® (Toleranz gegen Sulfonylharnstoffe z.B. Mais) vertrieben werden. Als Herbizid resistente (konventionell auf Herbizid-Toleranz gezüchtete) Pflanzen seien auch die unter der Bezeichnung Clearfield® vertriebenen Sorten (z.B. Mais) erwähnt. Selbstverständlich gelten diese Aussagen auch für in der Zukunft entwickelte bzw. zukünftig auf den Markt kommende Pflanzensorten mit diesen oder zukünftig entwickelten genetischen Eigenschaften ("Traits").
Die aufgeführten Pflanzen können besonders vorteilhaft erfindungsgemäß mit den erfindungsgemäßen Wirkstoffmischungen behandelt werden. Die bei den Wirkstoffkombinationen oben angegebenen Vorzugsbereiche gelten auch für die Behandlung dieser Pflanzen. Besonders hervorgehoben sei die Pflanzenbehandlung mit den im vorliegenden Text speziell aufgeführten Wirkstoffkombinationen.
Wenn zu den erfindungsgemäßen Wirkstoffkombinationen ein Fungizid, insbesondere eines der Gruppen Fl bis F14 zugesetzt wird, weisen die resultierenden Mischungen eine erhöhte mikrobizide Wirkung (im Vergleich zu der oder den mikrobiell wirksamen Verbindungen innerhalb der Gruppen Fl bis Fl 4) auf und können zur Bekämpfung von unerwünschten Mikroorganismen, wie Fungi und Bakterien, im Pflanzenschutz und im Materialschutz eingesetzt werden.
Fungizide lassen sich im Pflanzenschutz zur Bekämpfung von Plasmodiophoromycetes, Oomycetes, Chytridiomycetes, Zygomycetes, Ascomycetes, Basidiomycetes und Deuteromycetes einsetzen.
Bakterizide lassen sich im Pflanzenschutz zur Bekämpfung von Pseudomonadaceae, Rhizobiaceae, Enterobacteriaceae, Corynebacteriaceae und Streptomycetaceae einsetzen. Beispielhaft aber nicht begrenzend seien einige Erreger von pilzlichen und bakteriellen Erkrankungen, die unter die oben aufgezählten Oberbegriffe fallen, genannt:
Erkrankungen, hervorgerufen durch Erreger des Echten Mehltaus wie z.B.
Blumeria- Arten, wie beispielsweise Blumeria graminis;
Podosphaera-Arten, wie beispielsweise Podosphaera leucotricha; Sphaerotheca- Arten, wie beispielsweise Sphaerotheca fuliginea;
Uncinula- Arten, wie beispielsweise Uncinula necator;
Erkrankungen, hervorgerufen durch Erreger von Rostkrankheiten wie z.B. Gymnosporangium- Arten, wie beispielsweise Gymnosporangium sabinae
Hemileia- Arten, wie beispielsweise Hemileia vastatrix;
Phakopsora- Arten, wie beispielsweise Phakopsora pachyrhizi und Phakopsora meibomiae; Puccinia- Arten, wie beispielsweise Puccinia recondita;
Uromyces -Arten, wie beispielsweise Uromyces appendiculatus;
Erkrankungen, hervorgerufen durch Erreger der Gruppe der Oomyceten wie z.B.
Bremia- Arten, wie beispielsweise Bremia lactucae;
Peronospora- Arten, wie beispielsweise Peronospora pisi oder P. brassicae;
Phytophthora- Arten, wie beispielsweise Phytophthora infestans;
Plasmopara- Arten, wie beispielsweise Plasmopara viticola;
Pseudoperonospora- Arten, wie beispielsweise Pseudoperonospora humuli oder
Pseudoperonospora cubensis;
Pythium- Arten, wie beispielsweise Pythium ultimum;
Blattfleckenkrankheiten und Blattwelken, hervorgerufen durch z.B.
Alternaria-Arten, wie beispielsweise Alternaria solani;
Cercospora- Arten, wie beispielsweise Cercospora beticola;
Cladosporium- Arten, wie beispielsweise Cladosporium cucumerinum;
Cochliobolus-Arten, wie beispielsweise Cochliobolus sativus
(Konidienform: Drechslera, Syn: Helminthosporium);
Colletotrichum- Arten, wie beispielsweise Colletotrichum lindemuthanium;
Cycloconium- Arten, wie beispielsweise Cycloconium oleaginum;
Diaporthe- Arten, wie beispielsweise Diaporthe citri;
Elsinoe- Arten, wie beispielsweise Elsinoe fawcettii;
Gloeosporium- Arten, wie beispielsweise Gloeosporium laeticolor;
Glomerella- Arten, wie beispielsweise Glomerella cingulata;
Guignardia- Arten, wie beispielsweise Guignardia bidwelli;
Leptosphaeria- Arten, wie beispielsweise Leptosphaeria maculans;
Magnaporthe- Arten, wie beispielsweise Magnaporthe grisea;
Mycosphaerella- Arten, wie beispielsweise Mycosphaerella graminicola und Mycosphaerella fijiensis;
Phaeosphaeria- Arten, wie beispielsweise Phaeosphaeria nodorum;
Pyrenophora-Arten, wie beispielsweise Pyrenophora teres;
Ramularia- Arten, wie beispielsweise Ramularia collo-cygni;
Rhynchosporium- Arten, wie beispielsweise Rhynchosporium secalis;
Septoria- Arten, wie beispielsweise Septoria apii;
Typhula- Arten, wie beispielsweise Typhula incarnata;
Venturia- Arten, wie beispielsweise Venturia inaequalis;
Wurzel- und Stängelkrankheiten, hervorgerufen durch z.B.
Corticium- Arten, wie beispielsweise Corticium graminearum;
Fusarium- Arten, wie beispielsweise Fusarium oxysporum;
Gaeumannomyces -Arten, wie beispielsweise Gaeumannomyces graminis;
Rhizoctonia- Arten, wie beispielsweise Rhizoctonia solani;
Tapesia- Arten, wie beispielsweise Tapesia acuformis;
Thielaviopsis-Arten, wie beispielsweise Thielaviopsis basicola;
Ähren- und Rispenerkrankungen (inklusive Maiskolben), hervorgerufen durch z.B.
Alternaria-Arten, wie beispielsweise Alternaria spp.;
Aspergillus-Arten, wie beispielsweise Aspergillus flavus;
Cladosporium- Arten, wie beispielsweise Cladosporium cladosporioides;
Claviceps-Arten, wie beispielsweise Claviceps purpurea;
Fusarium- Arten, wie beispielsweise Fusarium culmorum;
Gibberella- Arten, wie beispielsweise Gibberella zeae;
Monographella-Arten, wie beispielsweise Monographella nivalis;
Erkrankungen, hervorgerufen durch Brandpilze wie z.B.
Sphacelotheca- Arten, wie beispielsweise Sphacelotheca reiliana;
Tilletia- Arten, wie beispielsweise Tilletia caries;
Urocystis-Arten, wie beispielsweise Urocystis occulta;
Ustilago-Arten, wie beispielsweise Ustilago nuda;
Fruchtfäule hervorgerufen durch z.B.
Aspergillus-Arten, wie beispielsweise Aspergillus flavus;
Botrytis-Arten, wie beispielsweise Botrytis cinerea;
Penicillium- Arten, wie beispielsweise Penicillium expansum und Penicillium purpurogenum;
Sclerotinia- Arten, wie beispielsweise Sclerotinia sclerotiorum;
Verticilium- Arten, wie beispielsweise Verticilium alboatrum;
Samen- und bodenbürtige Fäulen und Welken, sowie Sämlingserkrankungen, hervorgerufen durch z.B. Fusarium- Arten, wie beispielsweise Fusarium culmorum;
Phytophthora Arten, wie beispielsweise Phytophthora cactorum;
Pythium- Arten, wie beispielsweise Pythium ultimum;
Rhizoctonia- Arten, wie beispielsweise Rhizoctonia solani;
Sclerotium- Arten, wie beispielsweise Sclerotium rolfsii;
Krebserkrankungen, Gallen und Hexenbesen, hervorgerufen durch z.B. Nectria- Arten, wie beispielsweise Nectria galligena; Welkeerkrankungen hervorgerufen durch z.B. Monilinia- Arten, wie beispielsweise Monilinia laxa; Deformationen von Blättern, Blüten und Früchten, hervorgerufen durch z.B. Taphrina- Arten, wie beispielsweise Taphrina deformans; Degenerationserkrankungen holziger Pflanzen, hervorgerufen durch z.B.
Esca-Arten, wie beispielsweise Phaeomoniella chlamydospora und Phaeoacremonium aleophilum und Fomitiporia mediterranea; Blüten- und Samenerkrankungen, hervorgerufen durch z.B.
Botrytis-Arten, wie beispielsweise Botrytis cinerea;
Erkrankungen von Pflanzenknollen, hervorgerufen durch z.B.
Rhizoctonia- Arten, wie beispielsweise Rhizoctonia solani;
Helminthosporium- Arten, wie beispielsweise Helminthosporium solani; Erkrankungen, hervorgerufen durch bakterielle Erreger wie z.B.
Xanthomonas-Arten, wie beispielsweise Xanthomonas campestris pv. oryzae;
Pseudomonas-Arten, wie beispielsweise Pseudomonas syringae pv. lachrymans;
Erwinia-Arten, wie beispielsweise Erwinia amylovora;
Bevorzugt können die folgenden Krankheiten von Soja-Bohnen bekämpft werden: Pilzkrankheiten an Blättern, Stängeln, Schoten und Samen verursacht durch z.B.
Alternaria leaf spot (Alternaria spec. atrans tenuissima), Anthracnose (Colletotrichum gloeosporoides dematium var. truncatum), Brown spot (Septoria glycines), Cercospora leaf spot and blight (Cercospora kikuchii), Choanephora leaf blight (Choanephora infundibulifera trispora (Syn.)), Dactuliophora leaf spot (Dactuliophora glycines), Downy Mildew (Peronospora manshurica), Drechslera blight (Drechslera glycini), Frogeye Leaf spot (Cercospora sojina), Leptosphaerulina Leaf Spot (Leptosphaerulina trifolii),
Phyllostica Leaf Spot (Phyllosticta sojaecola), Pod and Stem Blight (Phomopsis sojae), Powdery Mildew (Microsphaera diffusa), Pyrenochaeta Leaf Spot (Pyrenochaeta glycines), Rhizoctonia Aerial, Foliage, and Web Blight (Rhizoctonia solani), Rust (Phakopsora pachyrhizi), Scab (Sphaceloma glycines), Stemphylium Leaf Blight (Stemphylium botryosum), Target Spot (Corynespora cassiicola) Pilzkrankheiten an Wurzeln und der Stängelbasis verursacht durch z.B.
Black Root Rot (Calonectria crotalariae), Charcoal Rot (Macrophomina phaseolina), Fusarium Blight or Wilt, Root Rot, and Pod and Collar Rot (Fusarium oxysporum, Fusarium orthoceras, Fusarium semitectum, Fusarium equiseti), Mycoleptodiscus Root Rot (Mycoleptodiscus terrestris), Neocosmo- spora (Neocosmopspora vasinfecta), Pod and Stem Blight (Diaporthe phaseolorum), Stem Canker (Diaporthe phaseolorum var. caulivora), Phytophthora Rot (Phytophthora megasperma), Brown Stem Rot (Phialophora gregata), Pythium Rot (Pythium aphanidermatum, Pythium irreguläre, Pythium debaryanum, Pythium myriotylum, Pythium ultimum), Rhizoctonia Root Rot, Stem Decay, and Damping-Off (Rhizoctonia solani), Sclerotinia Stem Decay (Sclerotinia sclerotiorum), Sclerotinia Southern Blight (Sclerotinia rolfsii), Thielaviopsis Root Rot (Thielaviopsis basicola). Die gute Wirkung der erfindungsgemäßen Wirkstoffkombinationen geht aus den nachfolgenden Beispielen hervor. Während die einzelnen Wirkstoffe in der Wirkung Schwächen aufweisen, zeigen die Kombinationen eine Wirkung, die über eine einfache Wirkungssummierung hinausgeht.
Ein synergistischer Effekt liegt immer dann vor, wenn die Wirkung der Wirkstoffkombinationen ist als die Summe der Wirkungen der einzeln applizierten Wirkstoffe.
Anwendungsbeispiele
Formel für den Abtötungsgrad einer Kombination aus zwei Wirkstoffen
Die zu erwartende Wirkung für eine gegebene Kombination zweier Wirkstoffe kann nach S.R. Colby („Calculating Synergistic and Antagonistic Responses of Herbicide Combinations", Weeds 15, 20-22, 1967) wie folgt berechnet werden:
Wenn
X den Abtötungsgrad, ausgedrückt in % der unbehandelten Kontrolle, beim Einsatz des Wirkstoffes A in einer Aufwandmenge von m g/ha oder in einer Konzentration von m ppm bedeutet,
Y den Abtötungsgrad, ausgedrückt in % der unbehandelten Kontrolle, beim Einsatz des Wirkstoffes B in einer Aufwandmenge von n g/ha oder in einer Konzentration von n ppm bedeutet und
E den Abtötungsgrad, ausgedrückt in % der unbehandelten Kontrolle, beim Einsatz der Wirkstoffe A und B in Aufwandmengen von m und n g/ha oder in einer Konzentration von m und n ppm bedeutet, dann ist
X Y
E=X + Y- 1 00
Ist der tatsächliche Abtötungsgrad größer als der berechnet Abtötungsgrad (E), so ist die Kombination in ihrer Abtötung überadditiv, d.h. es liegt ein synergistischer Effekt vor.
In den Beispielen ist hinter dem Mischpartner die entsprechende Nummer gemäß Tabelle A angegeben. Im Zweifel geht jedoch der Name des Mischpartners vor.
Beispiel A
Aphis ßossyyii - Sprühtest
Lösungsmittel: 7 Gewichtsteile Dimethylformamid
Emulgator: Alkylarylpolyglykolether Zur Herstellung einer zweckmäßigen Wirkstoffzubereitung löst man 1 Gewichtsteil Wirkstoff mit den angegebenen Gewichtsteilen Lösungsmittel und füllt mit Wasser, welches eine Emulgatorkonzentration von 1000 ppm enthält, bis zum Erreichen der gewünschten Konzentration auf. Weitere Testkonzentrationen erhält man durch verdünnen mit emulgatorhaltigem Wasser.
Baumwollpflanzen (Gossypium hirsutum), die stark von der Baumwollblattlaus {Aphis gossypii) befallen sind, werden mit einer Wirkstoffzubereitung der gewünschten Konzentration gespritzt.
Nach der gewünschten Zeit wird die Abtötung in % bestimmt. Dabei bedeuten 100 %, dass alle Blattläuse abgetötet wurden und 0 %, dass keine Blattläuse abgetötet wurden. Die ermittelten Abtötungswerte verrechnet man nach der Colby-Formel (siehe Seite 39).
Bei diesem Test zeigte die folgende Wirkstoffkombination gemäß vorliegender Anmeldung eine synergistisch verstärkte Wirksamkeit im Vergleich zu den einzeln angewendeten Wirkstoffen:
Tabelle A: Aphis gossypii - Sprühtest
*gef. = gefundene Insektizide Wirkung, ** ber. = berechnete Wirkung anhand der Colby-Formel
Beispiel B
Syodoytera frusiverda - Sprühtest
Lösungsmittel: 7 Gewichtsteile Dimethylformamid
Emulgator: Alkylarylpolyglykolether Zur Herstellung einer zweckmäßigen Wirkstoffzubereitung löst man 1 Gewichtsteil Wirkstoff mit den angegebenen Gewichtsteilen Lösungsmittel und füllt mit Wasser, welches eine Emulgatorkonzentration von 1000 ppm enthält, bis zum Erreichen der gewünschten Konzentration auf. Weitere Testkonzentrationen erhält man durch verdünnen mit emulgatorhaltigem Wasser.
Baumwollblätter (Gossypium hirsutum) werden mit einer Wirkstoffzubereitung der gewünschten Konzentration gespritzt und mit Raupen des Heerwurms {Spodoptera frugiperda) besetzt.
Nach der gewünschten Zeit wird die Abtötung in % bestimmt. Dabei bedeutet 100 %, dass alle Raupen abgetötet wurden; 0 % bedeutet, dass keine der Raupen abgetötet wurde. Die ermittelten Abtötungswerte verrechnet man nach der Colby-Formel (siehe Seite 39).
Bei diesem Test zeigte die folgende Wirkstoffkombination gemäß vorliegender Anmeldung eine synergistisch verstärkte Wirksamkeit im Vergleich zu den einzeln angewendeten Wirkstoffen:
Tabelle B: Spodoptera frugiperda - Sprühtest
*gef. = gefundene Insektizide Wirkung, ** ber. = berechnete Wirkung anhand der Colby-Formel
Beispiel C
Tetranychus urticae - Sprühtest, OP-resistent
Lösungsmittel: 78,0 GewichtsteileAceton
1,5 Gewichtsteile Dimethylformamid
Emulgator : Alkylarylpolyglykolether
Zur Herstellung einer zweckmäßigen Wirkstoffzubereitung löst man 1 Gewichtsteil Wirkstoff mit den angegebenen Gewichtsteilen Lösungsmittel und füllt mit Wasser, welches eine Emulgatorkonzentration von 1000 ppm enthält, bis zum Erreichen der gewünschten Konzentration auf. Zur Herstellung einer zweckmäßigen Sporensuspension verdünnt man die Sporen mit emulgatorhaltigem Wasser auf die gewünschte Konzentration. Weitere Testkonzentrationen erhält man durch verdünnen mit emulgatorhaltigem Wasser.
Bohnenblattscheiben (Phaseolus vulgaris), die von allen Stadien der Gemeinen Spinnmilbe (Tetranychus urticae) befallen sind, werden mit einer Wirkstoffzubereitung der gewünschten Konzentration gespritzt. Nach der gewünschten Zeit wird die Wirkung in % bestimmt. Dabei bedeutet 100 %, dass alle Spinnmilben abgetötet wurden und 0 %, dass keine Spinnmilben abgetötet wurden. Die ermittelten Abtötungswerte verrechnet man nach der Colby-Formel (siehe Seite 39).
Bei diesem Test zeigten die folgenden Wirkstoffkombinationen gemäß vorliegender Anmeldung eine synergistisch verstärkte Wirksamkeit im Vergleich zu den einzeln angewendeten Wirkstoffen:
Tabelle C-l : Tetranychus urticae - Sprühtest
Wirkstoff Konzentration Wirkung
in 2 ai/ha in % nach 2 Tagen
(Ia) 0,06 0
Chlorpyrifos 2,4 0
(Ia) + Chlorpyrifos gef.* ber.**
(1 : 40) 0,06 + 2,4 70 0
erfindungsgemäß
Flupyrimin/Pyrifluramide 0,18 0
(Ia) + Flupyrimin/Pyrifluramide gef.* ber.**
(1 : 3) 0,06 + 0,18 70 0
erfindungsgemäß
Lambda-Cyhalothrin 0,06 0
(Ia) + Lambda-Cyhalothrin gef.* ber.**
(1 : 1) 0,06 + 0,06 70 0
erfindungsgemäß
Table C-2: Tetranychus urticae - Sprühtest
Wirkstoff Konzentration Wirkung
in g ai/ha in % nach 6 Tagen
(Ia) 0,24 70
0,06 70
0,015 0
0,00375 0
Beta-Cyfluthrin 0,24 0
0,06 0
0,015 0
0,00375 0
(Ia) + Beta-Cyfluthrin gef.* ber.**
(1 : 1) 0,24 + 0,24 100 70
(1 : 1) 0,06 + 0,06 90 70
(1 : 1) 0,015 + 0,015 70 0
(1 : 1) 0,00375 + 0,00375 70 0
erfindungsgemäß
Chlorpyrifos 9,6 0
2,4 0
0,6 0
(Ia) + Chlorpyrifos gef.* ber.**
(1 : 40) 0,24 + 9,6 100 70
(1 : 40) 0,06 + 2,4 90 70
(1 : 40) 0,015 + 0,6 90 0
erfindungsgemäß
Cypermethrin 0,06 0
(Ia) + Cypermethrin gef.* ber.**
(1 :4) 0,015 + 0,06 70 0 erfindungsgemäß
Deltamethrin 0,24 0
0,06 0
(Ia) + Deltamethrin gef.* ber.**
(1 :1) 0,24 + 0,24 100 70
(1 :1) 0,06 + 0,06 100 70 erfindungsgemäß
Diafenthiuron 1,2 0
0,3 0
(Ia) + Diafenthiuron gef.* ber.**
(1 : 20) 0,06 + 1,2 90 0
(1 : 20) 0,015 + 0,3 70 0 erfindungsgemäß
Flometoquin 0,72 0
0,18 0
(Ia) + Flometoquin gef.* ber.**
(1 :3) 0,24 + 0,72 100 70
(1 :3) 0,06 + 0,18 90 70 erfindungsgemäß
Flupyrimin/Pyrifluramide 0,72 0
0,18 0
0,045 0
(Ia) + Flupyrimin/Pyrifluramide gef.* ber.**
(1 :3) 0,24 + 0,72 100 70
(1 :3) 0,06 + 0,18 90 70
(1 :3) 0,015 + 0,045 70 0 erfindungsgemäß
Lambda-Cyhalothrin 0,24 0
0,06 0
(Ia) + Lambda-Cyhalothrin gef.* per.**
(1 : 1) 0,24 + 0,24 100 70
(1 : 1) 0,06 + 0,06 90 70
erfindungsgemäß
*gef. = gefundene msektizide Wirkung, ** ber. = berechnete Wirkung anhand der Colby-Formel
Claims
1. Wirkstoffkombinationen enthaltend eine Verbindun der Formel (la)
und eine oder mehrere Verbindungen, ausgewählt aus den in der folgenden Tabelle genannten Verbindungen:
Bifenthrin
Sulfoxaflor
Beta-Cyfluthrin
Cypermethrin
Deltamethrin
Lambda-Cyhalothrin
(L-Cyhalothrin)
Flupyrimin/Pyrifluramide
Flometoquin
B enzpyrimoxan
Spiropidion
Afidopyropen
Diafenthiuron
Triflumezopyrim
Chlorpyrifos
2. Wirkstoffkombinationen gemäß Anspuch 1, in denen neben der Verbindung der Formel (la) nur eine (1) Verbindung ausgewählt aus den in der Tabelle genannten Verbindungen vorliegt.
3. Verwendung einer Wirkstoffkombination gemäß einem der Ansprüche 1 oder 2 zur Bekämpfung tierischer Schädlinge.
4. Verwendung einer Wirkstoffkombination gemäß einem der Ansprüche 1 oder 2 zur Behandlung von Saatgut.
5. Verwendung einer Wirkstoffkombination gemäß einem der Ansprüche 1 oder 2 an transgenen Pflanzen.
6. Verfahren zur Herstellung eines Pflanzenschutzmittels, gekennzeichnet dadurch, dass man eine Wirkstoffkombination gemäß einem der Ansprüche 1 oder 2 mit Streckmitteln und/oder oberflächenaktiven Stoffen vermischt.
Applications Claiming Priority (2)
| Application Number | Priority Date | Filing Date | Title |
|---|---|---|---|
| EP17179961.2 | 2017-07-06 | ||
| EP17179961 | 2017-07-06 |
Publications (1)
| Publication Number | Publication Date |
|---|---|
| WO2019007891A1 true WO2019007891A1 (de) | 2019-01-10 |
Family
ID=59295046
Family Applications (1)
| Application Number | Title | Priority Date | Filing Date |
|---|---|---|---|
| PCT/EP2018/067781 Ceased WO2019007891A1 (de) | 2017-07-06 | 2018-07-02 | Insektizide wirkstoffkombinationen |
Country Status (1)
| Country | Link |
|---|---|
| WO (1) | WO2019007891A1 (de) |
Cited By (1)
| Publication number | Priority date | Publication date | Assignee | Title |
|---|---|---|---|---|
| WO2020207870A1 (en) * | 2019-04-12 | 2020-10-15 | Basf Se | Pesticidal mixtures |
Citations (22)
| Publication number | Priority date | Publication date | Assignee | Title |
|---|---|---|---|---|
| WO2003076415A1 (en) | 2002-03-12 | 2003-09-18 | Sumitomo Chemical Company, Limited | Pyrimidine compounds and their use as pesticides |
| WO2003106457A1 (en) | 2002-06-14 | 2003-12-24 | Syngenta Limited | Spiroindolinepiperidine derivatives |
| WO2004099160A1 (en) | 2003-05-12 | 2004-11-18 | Sumitomo Chemical Company, Limited | Pyrimidine compounds and pests controlling composition containing the same |
| WO2005077934A1 (ja) | 2004-02-18 | 2005-08-25 | Ishihara Sangyo Kaisha, Ltd. | アントラニルアミド系化合物、それらの製造方法及びそれらを含有する有害生物防除剤 |
| WO2005085216A1 (ja) | 2004-03-05 | 2005-09-15 | Nissan Chemical Industries, Ltd. | イソキサゾリン置換ベンズアミド化合物及び有害生物防除剤 |
| WO2006003494A2 (en) | 2004-06-28 | 2006-01-12 | Syngenta Participations Ag | Piperidine derivatives and their use as insecticides, acaricides, molluscicides or nematicides |
| WO2006043635A1 (ja) | 2004-10-20 | 2006-04-27 | Kumiai Chemical Industry Co., Ltd. | 3-トリアゾリルフェニルスルフィド誘導体及びそれを有効成分として含有する殺虫・殺ダニ・殺線虫剤 |
| WO2008134969A1 (fr) | 2007-04-30 | 2008-11-13 | Sinochem Corporation | Composés benzamides et leurs applications |
| WO2009002809A2 (en) | 2007-06-26 | 2008-12-31 | E. I. Du Pont De Nemours And Company | Naphthalene isoxazoline invertebrate pest control agents |
| CN101337940A (zh) | 2008-08-12 | 2009-01-07 | 国家农药创制工程技术研究中心 | 具杀虫活性的含氮杂环二氯烯丙醚类化合物 |
| WO2009049851A1 (en) | 2007-10-15 | 2009-04-23 | Syngenta Participations Ag | Spiroheterocyclic pyrrolidine dione derivatives useful as pesticides |
| WO2009080250A2 (en) | 2007-12-24 | 2009-07-02 | Syngenta Participations Ag | Insecticidal compounds |
| WO2009099929A1 (en) | 2008-02-06 | 2009-08-13 | E. I. Du Pont De Nemours And Company | Mesoionic pesticides |
| WO2010060231A1 (zh) | 2008-11-25 | 2010-06-03 | Qin Zhaohai | 硝基缩氨基胍类化合物及其制备方法与其作为杀虫剂的应用 |
| WO2010069502A2 (de) | 2008-12-18 | 2010-06-24 | Bayer Cropscience Ag | Tetrazolsubstituierte anthranilsäureamide als pestizide |
| WO2010069266A1 (zh) | 2008-12-19 | 2010-06-24 | 华东理工大学 | 二醛构建的具有杀虫活性的含氮或氧杂环化合物及其制备方法 |
| WO2010129500A2 (en) | 2009-05-04 | 2010-11-11 | E. I. Du Pont De Nemours And Company | Nematocidal sulfonamides |
| CN102057925A (zh) | 2011-01-21 | 2011-05-18 | 陕西上格之路生物科学有限公司 | 一种含噻虫酰胺和生物源类杀虫剂的杀虫组合物 |
| WO2012029672A1 (ja) | 2010-08-31 | 2012-03-08 | Meiji Seikaファルマ株式会社 | 有害生物防除剤 |
| WO2012035011A1 (en) | 2010-09-15 | 2012-03-22 | Bayer Cropscience Ag | Pesticidal arylpyrrolidines |
| WO2012034472A1 (zh) | 2010-09-13 | 2012-03-22 | 中化蓝天集团有限公司 | 一种含氰基的邻苯二甲酰胺类化合物、制备方法和作为农用化学品杀虫剂的用途 |
| WO2016180802A1 (de) | 2015-05-13 | 2016-11-17 | Bayer Cropscience Aktiengesellschaft | Insektizide arylpyrrolidine, verfahren zu ihrer herstellung und ihre verwendung als wirkstoffe zur bekämpfung tierischer schädlinge |
-
2018
- 2018-07-02 WO PCT/EP2018/067781 patent/WO2019007891A1/de not_active Ceased
Patent Citations (22)
| Publication number | Priority date | Publication date | Assignee | Title |
|---|---|---|---|---|
| WO2003076415A1 (en) | 2002-03-12 | 2003-09-18 | Sumitomo Chemical Company, Limited | Pyrimidine compounds and their use as pesticides |
| WO2003106457A1 (en) | 2002-06-14 | 2003-12-24 | Syngenta Limited | Spiroindolinepiperidine derivatives |
| WO2004099160A1 (en) | 2003-05-12 | 2004-11-18 | Sumitomo Chemical Company, Limited | Pyrimidine compounds and pests controlling composition containing the same |
| WO2005077934A1 (ja) | 2004-02-18 | 2005-08-25 | Ishihara Sangyo Kaisha, Ltd. | アントラニルアミド系化合物、それらの製造方法及びそれらを含有する有害生物防除剤 |
| WO2005085216A1 (ja) | 2004-03-05 | 2005-09-15 | Nissan Chemical Industries, Ltd. | イソキサゾリン置換ベンズアミド化合物及び有害生物防除剤 |
| WO2006003494A2 (en) | 2004-06-28 | 2006-01-12 | Syngenta Participations Ag | Piperidine derivatives and their use as insecticides, acaricides, molluscicides or nematicides |
| WO2006043635A1 (ja) | 2004-10-20 | 2006-04-27 | Kumiai Chemical Industry Co., Ltd. | 3-トリアゾリルフェニルスルフィド誘導体及びそれを有効成分として含有する殺虫・殺ダニ・殺線虫剤 |
| WO2008134969A1 (fr) | 2007-04-30 | 2008-11-13 | Sinochem Corporation | Composés benzamides et leurs applications |
| WO2009002809A2 (en) | 2007-06-26 | 2008-12-31 | E. I. Du Pont De Nemours And Company | Naphthalene isoxazoline invertebrate pest control agents |
| WO2009049851A1 (en) | 2007-10-15 | 2009-04-23 | Syngenta Participations Ag | Spiroheterocyclic pyrrolidine dione derivatives useful as pesticides |
| WO2009080250A2 (en) | 2007-12-24 | 2009-07-02 | Syngenta Participations Ag | Insecticidal compounds |
| WO2009099929A1 (en) | 2008-02-06 | 2009-08-13 | E. I. Du Pont De Nemours And Company | Mesoionic pesticides |
| CN101337940A (zh) | 2008-08-12 | 2009-01-07 | 国家农药创制工程技术研究中心 | 具杀虫活性的含氮杂环二氯烯丙醚类化合物 |
| WO2010060231A1 (zh) | 2008-11-25 | 2010-06-03 | Qin Zhaohai | 硝基缩氨基胍类化合物及其制备方法与其作为杀虫剂的应用 |
| WO2010069502A2 (de) | 2008-12-18 | 2010-06-24 | Bayer Cropscience Ag | Tetrazolsubstituierte anthranilsäureamide als pestizide |
| WO2010069266A1 (zh) | 2008-12-19 | 2010-06-24 | 华东理工大学 | 二醛构建的具有杀虫活性的含氮或氧杂环化合物及其制备方法 |
| WO2010129500A2 (en) | 2009-05-04 | 2010-11-11 | E. I. Du Pont De Nemours And Company | Nematocidal sulfonamides |
| WO2012029672A1 (ja) | 2010-08-31 | 2012-03-08 | Meiji Seikaファルマ株式会社 | 有害生物防除剤 |
| WO2012034472A1 (zh) | 2010-09-13 | 2012-03-22 | 中化蓝天集团有限公司 | 一种含氰基的邻苯二甲酰胺类化合物、制备方法和作为农用化学品杀虫剂的用途 |
| WO2012035011A1 (en) | 2010-09-15 | 2012-03-22 | Bayer Cropscience Ag | Pesticidal arylpyrrolidines |
| CN102057925A (zh) | 2011-01-21 | 2011-05-18 | 陕西上格之路生物科学有限公司 | 一种含噻虫酰胺和生物源类杀虫剂的杀虫组合物 |
| WO2016180802A1 (de) | 2015-05-13 | 2016-11-17 | Bayer Cropscience Aktiengesellschaft | Insektizide arylpyrrolidine, verfahren zu ihrer herstellung und ihre verwendung als wirkstoffe zur bekämpfung tierischer schädlinge |
Non-Patent Citations (3)
| Title |
|---|
| "The Pesticide Manual", 2011, BRITISH CROP PROTECTION COUNCIL |
| CHEMICAL ABSTRACTS, Columbus, Ohio, US; abstract no. 1204776-60-2 |
| S.R. COLBY: "Calculating Synergistic and Antagonistic Responses of Herbicide Combinations", WEEDS, vol. 15, 1967, pages 20 - 22, XP001112961 |
Cited By (1)
| Publication number | Priority date | Publication date | Assignee | Title |
|---|---|---|---|---|
| WO2020207870A1 (en) * | 2019-04-12 | 2020-10-15 | Basf Se | Pesticidal mixtures |
Similar Documents
| Publication | Publication Date | Title |
|---|---|---|
| US11548854B2 (en) | Heterocyclic compounds as pesticides | |
| US9775349B2 (en) | Binary fungicidal or pesticidal mixture | |
| WO2014005982A1 (de) | Insektizide und fungizide wirkstoffkombinationen | |
| WO2012004293A2 (de) | Insektizide und fungizide wirkstoffkombinationen | |
| US9783509B2 (en) | Six-membered C-N-linked aryl sulfide derivatives and aryl sulfoxide derivatives as pest conrol agents | |
| EP2590511A2 (de) | Anthranilsäureamide in kombination mit fungiziden | |
| EP3177607B1 (de) | Halogensubstituierte verbindungen und deren verwendung zur kontrolle tierischer pest | |
| WO2012045680A2 (de) | Insektizide und fungizide wirkstoffkombinationen | |
| WO2019007888A1 (de) | Insektizide wirkstoffkombinationen | |
| CA3032030A1 (en) | Active compound combinations and methods to protect the propagation material of plants | |
| KR20130039331A (ko) | 사이클릭 카보닐아미딘을 포함하는 개량된 살충성 조성물 | |
| WO2016001120A1 (de) | Insektizide wirkstoffkombinationen | |
| WO2019007887A1 (de) | Insektizide und fungizide wirkstoffkombinationen | |
| WO2019007891A1 (de) | Insektizide wirkstoffkombinationen | |
| WO2020002189A1 (de) | Wirkstoffkombinationen | |
| US20160108038A1 (en) | Bicyclic aryl sulfide and aryl sulfoxide derivatives as pest control agent | |
| WO2019197615A1 (de) | Wirkstoffkombinationen mit fungiziden, insektiziden und akariziden eigenschaften | |
| WO2016001124A1 (de) | Insektizide wirkstoffkombinationen | |
| WO2016001119A1 (de) | Insektizide und fungizide wirkstoffkombinationen | |
| US20150284380A1 (en) | Novel heterocyclic compounds as pest control agents |
Legal Events
| Date | Code | Title | Description |
|---|---|---|---|
| 121 | Ep: the epo has been informed by wipo that ep was designated in this application |
Ref document number: 18733646 Country of ref document: EP Kind code of ref document: A1 |
|
| NENP | Non-entry into the national phase |
Ref country code: DE |
|
| 122 | Ep: pct application non-entry in european phase |
Ref document number: 18733646 Country of ref document: EP Kind code of ref document: A1 |








