KR20200006061A - 항 cdh6 항체 및 항 cdh6 항체-약물 콘주게이트 - Google Patents
항 cdh6 항체 및 항 cdh6 항체-약물 콘주게이트 Download PDFInfo
- Publication number
- KR20200006061A KR20200006061A KR1020197033607A KR20197033607A KR20200006061A KR 20200006061 A KR20200006061 A KR 20200006061A KR 1020197033607 A KR1020197033607 A KR 1020197033607A KR 20197033607 A KR20197033607 A KR 20197033607A KR 20200006061 A KR20200006061 A KR 20200006061A
- Authority
- KR
- South Korea
- Prior art keywords
- amino acid
- antibody
- acid sequence
- seq
- light chain
- Prior art date
- Legal status (The legal status is an assumption and is not a legal conclusion. Google has not performed a legal analysis and makes no representation as to the accuracy of the status listed.)
- Granted
Links
Images
Classifications
-
- A—HUMAN NECESSITIES
- A61—MEDICAL OR VETERINARY SCIENCE; HYGIENE
- A61K—PREPARATIONS FOR MEDICAL, DENTAL OR TOILETRY PURPOSES
- A61K39/00—Medicinal preparations containing antigens or antibodies
- A61K39/395—Antibodies; Immunoglobulins; Immune serum, e.g. antilymphocytic serum
-
- A—HUMAN NECESSITIES
- A61—MEDICAL OR VETERINARY SCIENCE; HYGIENE
- A61K—PREPARATIONS FOR MEDICAL, DENTAL OR TOILETRY PURPOSES
- A61K31/00—Medicinal preparations containing organic active ingredients
- A61K31/33—Heterocyclic compounds
- A61K31/395—Heterocyclic compounds having nitrogen as a ring hetero atom, e.g. guanethidine or rifamycins
- A61K31/435—Heterocyclic compounds having nitrogen as a ring hetero atom, e.g. guanethidine or rifamycins having six-membered rings with one nitrogen as the only ring hetero atom
- A61K31/47—Quinolines; Isoquinolines
- A61K31/4738—Quinolines; Isoquinolines ortho- or peri-condensed with heterocyclic ring systems
- A61K31/4745—Quinolines; Isoquinolines ortho- or peri-condensed with heterocyclic ring systems condensed with ring systems having nitrogen as a ring hetero atom, e.g. phenantrolines
-
- A—HUMAN NECESSITIES
- A61—MEDICAL OR VETERINARY SCIENCE; HYGIENE
- A61K—PREPARATIONS FOR MEDICAL, DENTAL OR TOILETRY PURPOSES
- A61K47/00—Medicinal preparations characterised by the non-active ingredients used, e.g. carriers or inert additives; Targeting or modifying agents chemically bound to the active ingredient
- A61K47/06—Organic compounds, e.g. natural or synthetic hydrocarbons, polyolefins, mineral oil, petrolatum or ozokerite
- A61K47/08—Organic compounds, e.g. natural or synthetic hydrocarbons, polyolefins, mineral oil, petrolatum or ozokerite containing oxygen, e.g. ethers, acetals, ketones, quinones, aldehydes, peroxides
- A61K47/10—Alcohols; Phenols; Salts thereof, e.g. glycerol; Polyethylene glycols [PEG]; Poloxamers; PEG/POE alkyl ethers
-
- A—HUMAN NECESSITIES
- A61—MEDICAL OR VETERINARY SCIENCE; HYGIENE
- A61K—PREPARATIONS FOR MEDICAL, DENTAL OR TOILETRY PURPOSES
- A61K47/00—Medicinal preparations characterised by the non-active ingredients used, e.g. carriers or inert additives; Targeting or modifying agents chemically bound to the active ingredient
- A61K47/06—Organic compounds, e.g. natural or synthetic hydrocarbons, polyolefins, mineral oil, petrolatum or ozokerite
- A61K47/26—Carbohydrates, e.g. sugar alcohols, amino sugars, nucleic acids, mono-, di- or oligo-saccharides; Derivatives thereof, e.g. polysorbates, sorbitan fatty acid esters or glycyrrhizin
-
- A—HUMAN NECESSITIES
- A61—MEDICAL OR VETERINARY SCIENCE; HYGIENE
- A61K—PREPARATIONS FOR MEDICAL, DENTAL OR TOILETRY PURPOSES
- A61K47/00—Medicinal preparations characterised by the non-active ingredients used, e.g. carriers or inert additives; Targeting or modifying agents chemically bound to the active ingredient
- A61K47/50—Medicinal preparations characterised by the non-active ingredients used, e.g. carriers or inert additives; Targeting or modifying agents chemically bound to the active ingredient the non-active ingredient being chemically bound to the active ingredient, e.g. polymer-drug conjugates
- A61K47/51—Medicinal preparations characterised by the non-active ingredients used, e.g. carriers or inert additives; Targeting or modifying agents chemically bound to the active ingredient the non-active ingredient being chemically bound to the active ingredient, e.g. polymer-drug conjugates the non-active ingredient being a modifying agent
- A61K47/68—Medicinal preparations characterised by the non-active ingredients used, e.g. carriers or inert additives; Targeting or modifying agents chemically bound to the active ingredient the non-active ingredient being chemically bound to the active ingredient, e.g. polymer-drug conjugates the non-active ingredient being a modifying agent the modifying agent being an antibody, an immunoglobulin or a fragment thereof, e.g. an Fc-fragment
-
- A—HUMAN NECESSITIES
- A61—MEDICAL OR VETERINARY SCIENCE; HYGIENE
- A61K—PREPARATIONS FOR MEDICAL, DENTAL OR TOILETRY PURPOSES
- A61K47/00—Medicinal preparations characterised by the non-active ingredients used, e.g. carriers or inert additives; Targeting or modifying agents chemically bound to the active ingredient
- A61K47/50—Medicinal preparations characterised by the non-active ingredients used, e.g. carriers or inert additives; Targeting or modifying agents chemically bound to the active ingredient the non-active ingredient being chemically bound to the active ingredient, e.g. polymer-drug conjugates
- A61K47/51—Medicinal preparations characterised by the non-active ingredients used, e.g. carriers or inert additives; Targeting or modifying agents chemically bound to the active ingredient the non-active ingredient being chemically bound to the active ingredient, e.g. polymer-drug conjugates the non-active ingredient being a modifying agent
- A61K47/68—Medicinal preparations characterised by the non-active ingredients used, e.g. carriers or inert additives; Targeting or modifying agents chemically bound to the active ingredient the non-active ingredient being chemically bound to the active ingredient, e.g. polymer-drug conjugates the non-active ingredient being a modifying agent the modifying agent being an antibody, an immunoglobulin or a fragment thereof, e.g. an Fc-fragment
- A61K47/6801—Drug-antibody or immunoglobulin conjugates defined by the pharmacologically or therapeutically active agent
- A61K47/6803—Drugs conjugated to an antibody or immunoglobulin, e.g. cisplatin-antibody conjugates
- A61K47/68033—Drugs conjugated to an antibody or immunoglobulin, e.g. cisplatin-antibody conjugates the drug being a maytansine
-
- A—HUMAN NECESSITIES
- A61—MEDICAL OR VETERINARY SCIENCE; HYGIENE
- A61K—PREPARATIONS FOR MEDICAL, DENTAL OR TOILETRY PURPOSES
- A61K47/00—Medicinal preparations characterised by the non-active ingredients used, e.g. carriers or inert additives; Targeting or modifying agents chemically bound to the active ingredient
- A61K47/50—Medicinal preparations characterised by the non-active ingredients used, e.g. carriers or inert additives; Targeting or modifying agents chemically bound to the active ingredient the non-active ingredient being chemically bound to the active ingredient, e.g. polymer-drug conjugates
- A61K47/51—Medicinal preparations characterised by the non-active ingredients used, e.g. carriers or inert additives; Targeting or modifying agents chemically bound to the active ingredient the non-active ingredient being chemically bound to the active ingredient, e.g. polymer-drug conjugates the non-active ingredient being a modifying agent
- A61K47/68—Medicinal preparations characterised by the non-active ingredients used, e.g. carriers or inert additives; Targeting or modifying agents chemically bound to the active ingredient the non-active ingredient being chemically bound to the active ingredient, e.g. polymer-drug conjugates the non-active ingredient being a modifying agent the modifying agent being an antibody, an immunoglobulin or a fragment thereof, e.g. an Fc-fragment
- A61K47/6801—Drug-antibody or immunoglobulin conjugates defined by the pharmacologically or therapeutically active agent
- A61K47/6803—Drugs conjugated to an antibody or immunoglobulin, e.g. cisplatin-antibody conjugates
- A61K47/68037—Drugs conjugated to an antibody or immunoglobulin, e.g. cisplatin-antibody conjugates the drug being a camptothecin [CPT] or derivatives
-
- A—HUMAN NECESSITIES
- A61—MEDICAL OR VETERINARY SCIENCE; HYGIENE
- A61K—PREPARATIONS FOR MEDICAL, DENTAL OR TOILETRY PURPOSES
- A61K47/00—Medicinal preparations characterised by the non-active ingredients used, e.g. carriers or inert additives; Targeting or modifying agents chemically bound to the active ingredient
- A61K47/50—Medicinal preparations characterised by the non-active ingredients used, e.g. carriers or inert additives; Targeting or modifying agents chemically bound to the active ingredient the non-active ingredient being chemically bound to the active ingredient, e.g. polymer-drug conjugates
- A61K47/51—Medicinal preparations characterised by the non-active ingredients used, e.g. carriers or inert additives; Targeting or modifying agents chemically bound to the active ingredient the non-active ingredient being chemically bound to the active ingredient, e.g. polymer-drug conjugates the non-active ingredient being a modifying agent
- A61K47/68—Medicinal preparations characterised by the non-active ingredients used, e.g. carriers or inert additives; Targeting or modifying agents chemically bound to the active ingredient the non-active ingredient being chemically bound to the active ingredient, e.g. polymer-drug conjugates the non-active ingredient being a modifying agent the modifying agent being an antibody, an immunoglobulin or a fragment thereof, e.g. an Fc-fragment
- A61K47/6835—Medicinal preparations characterised by the non-active ingredients used, e.g. carriers or inert additives; Targeting or modifying agents chemically bound to the active ingredient the non-active ingredient being chemically bound to the active ingredient, e.g. polymer-drug conjugates the non-active ingredient being a modifying agent the modifying agent being an antibody, an immunoglobulin or a fragment thereof, e.g. an Fc-fragment the modifying agent being an antibody or an immunoglobulin bearing at least one antigen-binding site
- A61K47/6849—Medicinal preparations characterised by the non-active ingredients used, e.g. carriers or inert additives; Targeting or modifying agents chemically bound to the active ingredient the non-active ingredient being chemically bound to the active ingredient, e.g. polymer-drug conjugates the non-active ingredient being a modifying agent the modifying agent being an antibody, an immunoglobulin or a fragment thereof, e.g. an Fc-fragment the modifying agent being an antibody or an immunoglobulin bearing at least one antigen-binding site the antibody targeting a receptor, a cell surface antigen or a cell surface determinant
-
- A—HUMAN NECESSITIES
- A61—MEDICAL OR VETERINARY SCIENCE; HYGIENE
- A61K—PREPARATIONS FOR MEDICAL, DENTAL OR TOILETRY PURPOSES
- A61K47/00—Medicinal preparations characterised by the non-active ingredients used, e.g. carriers or inert additives; Targeting or modifying agents chemically bound to the active ingredient
- A61K47/50—Medicinal preparations characterised by the non-active ingredients used, e.g. carriers or inert additives; Targeting or modifying agents chemically bound to the active ingredient the non-active ingredient being chemically bound to the active ingredient, e.g. polymer-drug conjugates
- A61K47/51—Medicinal preparations characterised by the non-active ingredients used, e.g. carriers or inert additives; Targeting or modifying agents chemically bound to the active ingredient the non-active ingredient being chemically bound to the active ingredient, e.g. polymer-drug conjugates the non-active ingredient being a modifying agent
- A61K47/68—Medicinal preparations characterised by the non-active ingredients used, e.g. carriers or inert additives; Targeting or modifying agents chemically bound to the active ingredient the non-active ingredient being chemically bound to the active ingredient, e.g. polymer-drug conjugates the non-active ingredient being a modifying agent the modifying agent being an antibody, an immunoglobulin or a fragment thereof, e.g. an Fc-fragment
- A61K47/6835—Medicinal preparations characterised by the non-active ingredients used, e.g. carriers or inert additives; Targeting or modifying agents chemically bound to the active ingredient the non-active ingredient being chemically bound to the active ingredient, e.g. polymer-drug conjugates the non-active ingredient being a modifying agent the modifying agent being an antibody, an immunoglobulin or a fragment thereof, e.g. an Fc-fragment the modifying agent being an antibody or an immunoglobulin bearing at least one antigen-binding site
- A61K47/6851—Medicinal preparations characterised by the non-active ingredients used, e.g. carriers or inert additives; Targeting or modifying agents chemically bound to the active ingredient the non-active ingredient being chemically bound to the active ingredient, e.g. polymer-drug conjugates the non-active ingredient being a modifying agent the modifying agent being an antibody, an immunoglobulin or a fragment thereof, e.g. an Fc-fragment the modifying agent being an antibody or an immunoglobulin bearing at least one antigen-binding site the antibody targeting a determinant of a tumour cell
-
- A—HUMAN NECESSITIES
- A61—MEDICAL OR VETERINARY SCIENCE; HYGIENE
- A61K—PREPARATIONS FOR MEDICAL, DENTAL OR TOILETRY PURPOSES
- A61K47/00—Medicinal preparations characterised by the non-active ingredients used, e.g. carriers or inert additives; Targeting or modifying agents chemically bound to the active ingredient
- A61K47/50—Medicinal preparations characterised by the non-active ingredients used, e.g. carriers or inert additives; Targeting or modifying agents chemically bound to the active ingredient the non-active ingredient being chemically bound to the active ingredient, e.g. polymer-drug conjugates
- A61K47/51—Medicinal preparations characterised by the non-active ingredients used, e.g. carriers or inert additives; Targeting or modifying agents chemically bound to the active ingredient the non-active ingredient being chemically bound to the active ingredient, e.g. polymer-drug conjugates the non-active ingredient being a modifying agent
- A61K47/68—Medicinal preparations characterised by the non-active ingredients used, e.g. carriers or inert additives; Targeting or modifying agents chemically bound to the active ingredient the non-active ingredient being chemically bound to the active ingredient, e.g. polymer-drug conjugates the non-active ingredient being a modifying agent the modifying agent being an antibody, an immunoglobulin or a fragment thereof, e.g. an Fc-fragment
- A61K47/6835—Medicinal preparations characterised by the non-active ingredients used, e.g. carriers or inert additives; Targeting or modifying agents chemically bound to the active ingredient the non-active ingredient being chemically bound to the active ingredient, e.g. polymer-drug conjugates the non-active ingredient being a modifying agent the modifying agent being an antibody, an immunoglobulin or a fragment thereof, e.g. an Fc-fragment the modifying agent being an antibody or an immunoglobulin bearing at least one antigen-binding site
- A61K47/6851—Medicinal preparations characterised by the non-active ingredients used, e.g. carriers or inert additives; Targeting or modifying agents chemically bound to the active ingredient the non-active ingredient being chemically bound to the active ingredient, e.g. polymer-drug conjugates the non-active ingredient being a modifying agent the modifying agent being an antibody, an immunoglobulin or a fragment thereof, e.g. an Fc-fragment the modifying agent being an antibody or an immunoglobulin bearing at least one antigen-binding site the antibody targeting a determinant of a tumour cell
- A61K47/6861—Medicinal preparations characterised by the non-active ingredients used, e.g. carriers or inert additives; Targeting or modifying agents chemically bound to the active ingredient the non-active ingredient being chemically bound to the active ingredient, e.g. polymer-drug conjugates the non-active ingredient being a modifying agent the modifying agent being an antibody, an immunoglobulin or a fragment thereof, e.g. an Fc-fragment the modifying agent being an antibody or an immunoglobulin bearing at least one antigen-binding site the antibody targeting a determinant of a tumour cell the tumour determinant being from kidney or bladder cancer cell
-
- A—HUMAN NECESSITIES
- A61—MEDICAL OR VETERINARY SCIENCE; HYGIENE
- A61K—PREPARATIONS FOR MEDICAL, DENTAL OR TOILETRY PURPOSES
- A61K47/00—Medicinal preparations characterised by the non-active ingredients used, e.g. carriers or inert additives; Targeting or modifying agents chemically bound to the active ingredient
- A61K47/50—Medicinal preparations characterised by the non-active ingredients used, e.g. carriers or inert additives; Targeting or modifying agents chemically bound to the active ingredient the non-active ingredient being chemically bound to the active ingredient, e.g. polymer-drug conjugates
- A61K47/51—Medicinal preparations characterised by the non-active ingredients used, e.g. carriers or inert additives; Targeting or modifying agents chemically bound to the active ingredient the non-active ingredient being chemically bound to the active ingredient, e.g. polymer-drug conjugates the non-active ingredient being a modifying agent
- A61K47/68—Medicinal preparations characterised by the non-active ingredients used, e.g. carriers or inert additives; Targeting or modifying agents chemically bound to the active ingredient the non-active ingredient being chemically bound to the active ingredient, e.g. polymer-drug conjugates the non-active ingredient being a modifying agent the modifying agent being an antibody, an immunoglobulin or a fragment thereof, e.g. an Fc-fragment
- A61K47/6835—Medicinal preparations characterised by the non-active ingredients used, e.g. carriers or inert additives; Targeting or modifying agents chemically bound to the active ingredient the non-active ingredient being chemically bound to the active ingredient, e.g. polymer-drug conjugates the non-active ingredient being a modifying agent the modifying agent being an antibody, an immunoglobulin or a fragment thereof, e.g. an Fc-fragment the modifying agent being an antibody or an immunoglobulin bearing at least one antigen-binding site
- A61K47/6851—Medicinal preparations characterised by the non-active ingredients used, e.g. carriers or inert additives; Targeting or modifying agents chemically bound to the active ingredient the non-active ingredient being chemically bound to the active ingredient, e.g. polymer-drug conjugates the non-active ingredient being a modifying agent the modifying agent being an antibody, an immunoglobulin or a fragment thereof, e.g. an Fc-fragment the modifying agent being an antibody or an immunoglobulin bearing at least one antigen-binding site the antibody targeting a determinant of a tumour cell
- A61K47/6869—Medicinal preparations characterised by the non-active ingredients used, e.g. carriers or inert additives; Targeting or modifying agents chemically bound to the active ingredient the non-active ingredient being chemically bound to the active ingredient, e.g. polymer-drug conjugates the non-active ingredient being a modifying agent the modifying agent being an antibody, an immunoglobulin or a fragment thereof, e.g. an Fc-fragment the modifying agent being an antibody or an immunoglobulin bearing at least one antigen-binding site the antibody targeting a determinant of a tumour cell the tumour determinant being from a cell of the reproductive system: ovaria, uterus, testes, prostate
-
- A—HUMAN NECESSITIES
- A61—MEDICAL OR VETERINARY SCIENCE; HYGIENE
- A61K—PREPARATIONS FOR MEDICAL, DENTAL OR TOILETRY PURPOSES
- A61K9/00—Medicinal preparations characterised by special physical form
- A61K9/0012—Galenical forms characterised by the site of application
- A61K9/0019—Injectable compositions; Intramuscular, intravenous, arterial, subcutaneous administration; Compositions to be administered through the skin in an invasive manner
-
- A—HUMAN NECESSITIES
- A61—MEDICAL OR VETERINARY SCIENCE; HYGIENE
- A61K—PREPARATIONS FOR MEDICAL, DENTAL OR TOILETRY PURPOSES
- A61K9/00—Medicinal preparations characterised by special physical form
- A61K9/0012—Galenical forms characterised by the site of application
- A61K9/0019—Injectable compositions; Intramuscular, intravenous, arterial, subcutaneous administration; Compositions to be administered through the skin in an invasive manner
- A61K9/0021—Intradermal administration, e.g. through microneedle arrays, needleless injectors
-
- A—HUMAN NECESSITIES
- A61—MEDICAL OR VETERINARY SCIENCE; HYGIENE
- A61K—PREPARATIONS FOR MEDICAL, DENTAL OR TOILETRY PURPOSES
- A61K9/00—Medicinal preparations characterised by special physical form
- A61K9/08—Solutions
-
- A—HUMAN NECESSITIES
- A61—MEDICAL OR VETERINARY SCIENCE; HYGIENE
- A61K—PREPARATIONS FOR MEDICAL, DENTAL OR TOILETRY PURPOSES
- A61K9/00—Medicinal preparations characterised by special physical form
- A61K9/14—Particulate form, e.g. powders, Processes for size reducing of pure drugs or the resulting products, Pure drug nanoparticles
- A61K9/19—Particulate form, e.g. powders, Processes for size reducing of pure drugs or the resulting products, Pure drug nanoparticles lyophilised, i.e. freeze-dried, solutions or dispersions
-
- A—HUMAN NECESSITIES
- A61—MEDICAL OR VETERINARY SCIENCE; HYGIENE
- A61P—SPECIFIC THERAPEUTIC ACTIVITY OF CHEMICAL COMPOUNDS OR MEDICINAL PREPARATIONS
- A61P13/00—Drugs for disorders of the urinary system
- A61P13/12—Drugs for disorders of the urinary system of the kidneys
-
- A—HUMAN NECESSITIES
- A61—MEDICAL OR VETERINARY SCIENCE; HYGIENE
- A61P—SPECIFIC THERAPEUTIC ACTIVITY OF CHEMICAL COMPOUNDS OR MEDICINAL PREPARATIONS
- A61P15/00—Drugs for genital or sexual disorders; Contraceptives
- A61P15/08—Drugs for genital or sexual disorders; Contraceptives for gonadal disorders or for enhancing fertility, e.g. inducers of ovulation or of spermatogenesis
-
- A—HUMAN NECESSITIES
- A61—MEDICAL OR VETERINARY SCIENCE; HYGIENE
- A61P—SPECIFIC THERAPEUTIC ACTIVITY OF CHEMICAL COMPOUNDS OR MEDICINAL PREPARATIONS
- A61P35/00—Antineoplastic agents
-
- C—CHEMISTRY; METALLURGY
- C07—ORGANIC CHEMISTRY
- C07K—PEPTIDES
- C07K16/00—Immunoglobulins [IGs], e.g. monoclonal or polyclonal antibodies
- C07K16/18—Immunoglobulins [IGs], e.g. monoclonal or polyclonal antibodies against material from animals or humans
- C07K16/28—Immunoglobulins [IGs], e.g. monoclonal or polyclonal antibodies against material from animals or humans against receptors, cell surface antigens or cell surface determinants
-
- C—CHEMISTRY; METALLURGY
- C12—BIOCHEMISTRY; BEER; SPIRITS; WINE; VINEGAR; MICROBIOLOGY; ENZYMOLOGY; MUTATION OR GENETIC ENGINEERING
- C12N—MICROORGANISMS OR ENZYMES; COMPOSITIONS THEREOF; PROPAGATING, PRESERVING, OR MAINTAINING MICROORGANISMS; MUTATION OR GENETIC ENGINEERING; CULTURE MEDIA
- C12N5/00—Undifferentiated human, animal or plant cells, e.g. cell lines; Tissues; Cultivation or maintenance thereof; Culture media therefor
- C12N5/10—Cells modified by introduction of foreign genetic material
- C12N5/12—Fused cells, e.g. hybridomas
- C12N5/16—Animal cells
-
- C—CHEMISTRY; METALLURGY
- C12—BIOCHEMISTRY; BEER; SPIRITS; WINE; VINEGAR; MICROBIOLOGY; ENZYMOLOGY; MUTATION OR GENETIC ENGINEERING
- C12N—MICROORGANISMS OR ENZYMES; COMPOSITIONS THEREOF; PROPAGATING, PRESERVING, OR MAINTAINING MICROORGANISMS; MUTATION OR GENETIC ENGINEERING; CULTURE MEDIA
- C12N5/00—Undifferentiated human, animal or plant cells, e.g. cell lines; Tissues; Cultivation or maintenance thereof; Culture media therefor
- C12N5/10—Cells modified by introduction of foreign genetic material
- C12N5/12—Fused cells, e.g. hybridomas
- C12N5/16—Animal cells
- C12N5/163—Animal cells one of the fusion partners being a B or a T lymphocyte
-
- A—HUMAN NECESSITIES
- A61—MEDICAL OR VETERINARY SCIENCE; HYGIENE
- A61K—PREPARATIONS FOR MEDICAL, DENTAL OR TOILETRY PURPOSES
- A61K39/00—Medicinal preparations containing antigens or antibodies
- A61K2039/505—Medicinal preparations containing antigens or antibodies comprising antibodies
-
- C—CHEMISTRY; METALLURGY
- C07—ORGANIC CHEMISTRY
- C07K—PEPTIDES
- C07K2317/00—Immunoglobulins specific features
- C07K2317/20—Immunoglobulins specific features characterized by taxonomic origin
- C07K2317/24—Immunoglobulins specific features characterized by taxonomic origin containing regions, domains or residues from different species, e.g. chimeric, humanized or veneered
-
- C—CHEMISTRY; METALLURGY
- C07—ORGANIC CHEMISTRY
- C07K—PEPTIDES
- C07K2317/00—Immunoglobulins specific features
- C07K2317/30—Immunoglobulins specific features characterized by aspects of specificity or valency
- C07K2317/33—Crossreactivity, e.g. for species or epitope, or lack of said crossreactivity
-
- C—CHEMISTRY; METALLURGY
- C07—ORGANIC CHEMISTRY
- C07K—PEPTIDES
- C07K2317/00—Immunoglobulins specific features
- C07K2317/40—Immunoglobulins specific features characterized by post-translational modification
-
- C—CHEMISTRY; METALLURGY
- C07—ORGANIC CHEMISTRY
- C07K—PEPTIDES
- C07K2317/00—Immunoglobulins specific features
- C07K2317/40—Immunoglobulins specific features characterized by post-translational modification
- C07K2317/41—Glycosylation, sialylation, or fucosylation
-
- C—CHEMISTRY; METALLURGY
- C07—ORGANIC CHEMISTRY
- C07K—PEPTIDES
- C07K2317/00—Immunoglobulins specific features
- C07K2317/50—Immunoglobulins specific features characterized by immunoglobulin fragments
- C07K2317/56—Immunoglobulins specific features characterized by immunoglobulin fragments variable (Fv) region, i.e. VH and/or VL
- C07K2317/565—Complementarity determining region [CDR]
-
- C—CHEMISTRY; METALLURGY
- C07—ORGANIC CHEMISTRY
- C07K—PEPTIDES
- C07K2317/00—Immunoglobulins specific features
- C07K2317/70—Immunoglobulins specific features characterized by effect upon binding to a cell or to an antigen
- C07K2317/73—Inducing cell death, e.g. apoptosis, necrosis or inhibition of cell proliferation
-
- C—CHEMISTRY; METALLURGY
- C07—ORGANIC CHEMISTRY
- C07K—PEPTIDES
- C07K2317/00—Immunoglobulins specific features
- C07K2317/70—Immunoglobulins specific features characterized by effect upon binding to a cell or to an antigen
- C07K2317/73—Inducing cell death, e.g. apoptosis, necrosis or inhibition of cell proliferation
- C07K2317/732—Antibody-dependent cellular cytotoxicity [ADCC]
-
- C—CHEMISTRY; METALLURGY
- C07—ORGANIC CHEMISTRY
- C07K—PEPTIDES
- C07K2317/00—Immunoglobulins specific features
- C07K2317/70—Immunoglobulins specific features characterized by effect upon binding to a cell or to an antigen
- C07K2317/76—Antagonist effect on antigen, e.g. neutralization or inhibition of binding
-
- C—CHEMISTRY; METALLURGY
- C07—ORGANIC CHEMISTRY
- C07K—PEPTIDES
- C07K2317/00—Immunoglobulins specific features
- C07K2317/70—Immunoglobulins specific features characterized by effect upon binding to a cell or to an antigen
- C07K2317/77—Internalization into the cell
-
- C—CHEMISTRY; METALLURGY
- C07—ORGANIC CHEMISTRY
- C07K—PEPTIDES
- C07K2317/00—Immunoglobulins specific features
- C07K2317/90—Immunoglobulins specific features characterized by (pharmaco)kinetic aspects or by stability of the immunoglobulin
- C07K2317/92—Affinity (KD), association rate (Ka), dissociation rate (Kd) or EC50 value
-
- C—CHEMISTRY; METALLURGY
- C12—BIOCHEMISTRY; BEER; SPIRITS; WINE; VINEGAR; MICROBIOLOGY; ENZYMOLOGY; MUTATION OR GENETIC ENGINEERING
- C12N—MICROORGANISMS OR ENZYMES; COMPOSITIONS THEREOF; PROPAGATING, PRESERVING, OR MAINTAINING MICROORGANISMS; MUTATION OR GENETIC ENGINEERING; CULTURE MEDIA
- C12N2510/00—Genetically modified cells
- C12N2510/02—Cells for production
Landscapes
- Health & Medical Sciences (AREA)
- Life Sciences & Earth Sciences (AREA)
- Chemical & Material Sciences (AREA)
- Engineering & Computer Science (AREA)
- Bioinformatics & Cheminformatics (AREA)
- General Health & Medical Sciences (AREA)
- Medicinal Chemistry (AREA)
- Public Health (AREA)
- Animal Behavior & Ethology (AREA)
- Pharmacology & Pharmacy (AREA)
- Veterinary Medicine (AREA)
- Epidemiology (AREA)
- Immunology (AREA)
- Organic Chemistry (AREA)
- Cell Biology (AREA)
- Genetics & Genomics (AREA)
- Chemical Kinetics & Catalysis (AREA)
- General Chemical & Material Sciences (AREA)
- Biochemistry (AREA)
- Nuclear Medicine, Radiotherapy & Molecular Imaging (AREA)
- Biomedical Technology (AREA)
- Wood Science & Technology (AREA)
- Zoology (AREA)
- Biotechnology (AREA)
- Dermatology (AREA)
- Molecular Biology (AREA)
- Reproductive Health (AREA)
- Microbiology (AREA)
- Biophysics (AREA)
- Proteomics, Peptides & Aminoacids (AREA)
- Urology & Nephrology (AREA)
- General Engineering & Computer Science (AREA)
- Oil, Petroleum & Natural Gas (AREA)
- Endocrinology (AREA)
- Gynecology & Obstetrics (AREA)
- Oncology (AREA)
- Pregnancy & Childbirth (AREA)
- Mycology (AREA)
- Peptides Or Proteins (AREA)
- Medicines Containing Antibodies Or Antigens For Use As Internal Diagnostic Agents (AREA)
Abstract
Description
도 2a 는, 래트 항 CDH6 모노클로날 항체 4 종 (rG019, rG055, rG056 및 rG061) 또는 음성 컨트롤 항체 래트IgG2b (RatIgG2b) 의, 컨트롤 세포 또는 전체 길이 hCDH6 도입 293 세포에 대한 결합성을 나타낸다. 가로축은 항체 결합량을 나타내는 FITC 의 형광 강도, 세로축은 세포수를 나타낸다.
도 2b 는, 래트 항 CDH6 모노클로날 항체 4 종 (rG019, rG055, rG056 및 rG061) 또는 래트 IgG 컨트롤의, 컨트롤 세포 또는 EC1 결실 hCDH6 도입 293 세포에 대한 결합성을 나타낸다. 가로축은 항체 결합량을 나타내는 FITC 의 형광 강도, 세로축은 세포수를 나타낸다.
도 2c 는, 래트 항 CDH6 모노클로날 항체 4 종 (rG019, rG055, rG056 및 rG061) 또는 래트 IgG 컨트롤의, 컨트롤 세포 또는 EC2 결실 hCDH6 도입 293 세포에 대한 결합성을 나타낸다. 가로축은 항체 결합량을 나타내는 FITC 의 형광 강도, 세로축은 세포수를 나타낸다.
도 2d 는, 래트 항 CDH6 모노클로날 항체 4 종 (rG019, rG055, rG056 및 rG061) 또는 래트 IgG 컨트롤의, 컨트롤 세포 또는 EC3 결실 hCDH6 도입 293 세포에 대한 결합성을 나타낸다. 가로축은 항체 결합량을 나타내는 FITC 의 형광 강도, 세로축은 세포수를 나타낸다.
도 2e 는, 래트 항 CDH6 모노클로날 항체 4 종 (rG019, rG055, rG056 및 rG061) 또는 래트 IgG 컨트롤의, 컨트롤 세포 또는 EC4 결실 hCDH6 도입 293 세포에 대한 결합성을 나타낸다. 가로축은 항체 결합량을 나타내는 FITC 의 형광 강도, 세로축은 세포수를 나타낸다.
도 2f 는, 래트 항 CDH6 모노클로날 항체 4 종 (rG019, rG055, rG056 및 rG061) 또는 래트 IgG 컨트롤의, 컨트롤 세포 또는 EC5 결실 hCDH6 도입 293 세포에 대한 결합성을 나타낸다. 가로축은 항체 결합량을 나타내는 FITC 의 형광 강도, 세로축은 세포수를 나타낸다.
도 3 은, 4 종류의 인간 종양 세포주 (인간 난소 종양 세포주 NIH : OVCAR-3, PA-1, ES-2 및 인간 신세포 종양 세포주 786-O) 의 세포막 표면에서의 CDH6 의 발현을 평가한 플로우 사이토메트리의 결과를 나타낸다. 가로축은 항체 결합량을 나타내는 FITC 의 형광 강도, 세로축은 세포수를 나타낸다.
도 4 는, 4 종류의 래트 항 CDH6 항체 (rG019, rG055, rG056 및 rG061) 또는 래트 IgG 컨트롤의 내재화 활성을, 단백질 합성을 저해하는 독소 (사포린) 를 결합시킨 항래트 IgG 시약 래트-ZAP 또는 음성 컨트롤로서 독소를 결합하지 않은 염소 항-래트 IgG, Fc(gamma) Fragment Specific 을 사용하여, NIH : OVCAR-3 세포 및 786-O 세포에 있어서 평가한 그래프를 나타낸다. 그래프의 세로축은, ATP 활성 (RLU) 을 나타낸다. 각 그래프의 아래에, 래트-ZAP 대신에 음성 컨트롤을 첨가한 웰의 생존 세포수를 100 % 로 한 상대 생존율로서 산출된 세포 생존율 (%) 을 나타낸다.
도 5 는, 인간 키메라 항 CDH6 항체 chG019 의 인간 CDH6 및 원숭이 CDH6 에 대한 결합을 나타낸다. 가로축은 항체 농도를 나타내고, 세로축은 결합량을 MeanFluorescent Intensity (평균 형광 강도) 로 나타낸다.
도 6a 및 도 6b 는, 인간화 hG019 항체 4 종 (H01L02, H02L02, H02L03 및 H04L02) 또는 음성 컨트롤 항체 인간 IgG1 의 인간 CDH6, 원숭이 CDH6, 마우스 CDH6, 래트 CDH6 에 대한 결합성을 나타낸다. 가로축은 항체 농도를 나타내고, 세로축은 결합량을 MeanFluorescent Intensity (평균 형광 강도) 로 나타낸다.
도 6a 및 도 6b 는, 인간화 hG019 항체 4 종 (H01L02, H02L02, H02L03 및 H04L02) 또는 음성 컨트롤 항체 인간 IgG1 의 인간 CDH6, 원숭이 CDH6, 마우스 CDH6, 래트 CDH6 에 대한 결합성을 나타낸다. 가로축은 항체 농도를 나타내고, 세로축은 결합량을 MeanFluorescent Intensity (평균 형광 강도) 로 나타낸다.
도 7a 는, 인간화 hG019 항체 4 종 (H01L02, H02L02, H02L03 및 H04L02), 항 CDH6 항체 NOV0712 또는 음성 컨트롤 항체 hIgG1 의 컨트롤 세포 또는 전체 길이 hCDH6 도입 293α 세포에 대한 결합성을 나타낸다. 가로축은 항체 결합량을 나타내는 APC 의 형광 강도, 세로축은 세포수를 나타낸다.
도 7b 는, 인간화 hG019 항체 4 종 (H01L02, H02L02, H02L03 및 H04L02), 항 CDH6 항체 NOV0712 또는 음성 컨트롤 항체 hIgG1 의 컨트롤 세포 또는 EC1 결실 hCDH6 도입 293α 세포에 대한 결합성을 나타낸다. 가로축은 항체 결합량을 나타내는 APC 의 형광 강도, 세로축은 세포수를 나타낸다.
도 7c 는, 인간화 hG019 항체 4 종 (H01L02, H02L02, H02L03 및 H04L02), 항 CDH6 항체 NOV0712 또는 음성 컨트롤 항체 hIgG1 의 컨트롤 세포 또는 EC2 결실 hCDH6 도입 293α 세포에 대한 결합성을 나타낸다. 가로축은 항체 결합량을 나타내는 APC 의 형광 강도, 세로축은 세포수를 나타낸다.
도 7d 는, 인간화 hG019 항체 4 종 (H01L02, H02L02, H02L03 및 H04L02), 항 CDH6 항체 NOV0712 또는 음성 컨트롤 항체 hIgG1 의 컨트롤 세포 또는 EC3 결실 hCDH6 도입 293α 세포에 대한 결합성을 나타낸다. 가로축은 항체 결합량을 나타내는 APC 의 형광 강도, 세로축은 세포수를 나타낸다.
도 7e 는, 인간화 hG019 항체 4 종 (H01L02, H02L02, H02L03 및 H04L02), 항 CDH6 항체 NOV0712 또는 음성 컨트롤의 hIgG1 의 컨트롤 세포 또는 EC4 결실 hCDH6 도입 293α 세포에 대한 결합성을 나타낸다. 가로축은 항체 결합량을 나타내는 APC 의 형광 강도, 세로축은 세포수를 나타낸다.
도 7f 는, 인간화 hG019 항체 4 종 (H01L02, H02L02, H02L03 및 H04L02), 항 CDH6 항체 NOV0712 또는 음성 컨트롤의 hIgG1 의 컨트롤 세포 또는 EC5 결실 hCDH6 도입 293α 세포에 대한 결합성을 나타낸다. 가로축은 항체 결합량을 나타내는 APC 의 형광 강도, 세로축은 세포수를 나타낸다.
도 8 은, 786-O/hCDH6 안정 발현 세포주 및 친세포주 786-O 에 있어서의 인간 CDH6 의 발현을 조사한 플로우 사이토메트리의 결과를 나타낸다. 가로축은 항체 결합량을 나타내는 Alexa Fluor 647 의 형광 강도, 세로축은 세포수를 나타낸다.
도 9 는, (a) 라벨화 NOV0712 또는 (b) 라벨화 H01L02 를 사용한, 라벨화되지 않은 인간화 hG019 항체 4 종 (H01L02, H02L02, H02L03 및 H04L02), 항 CDH6 항체 NOV0712 또는 음성 컨트롤의 hIgG1 과의 결합 경합 어세이를 나타낸다. 가로축은 라벨화되지 않은 항체의 첨가시의 종농도를 나타내고, 세로축은 결합량을 MeanFluorescent Intensity (평균 형광 강도) 로 나타낸다.
도 10a 는, 인간화 hG019 항체 4 종 (H01L02, H02L02, H02L03 및 H04L02), 항 CDH6 항체 NOV0712 및 음성 컨트롤 항체의 내재화 활성을, 단백질 합성을 저해하는 독소 (사포린) 를 결합시킨 항인간 IgG 시약 Hum-ZAP 또는 음성 컨트롤로서 독소를 결합하지 않은 F(ab')2 단편 염소 항-인간 IgG, Fc(gamma) Fragment Specific 을 사용하여, NIH : OVCAR-3 세포에 있어서 평가한 그래프를 나타낸다. 그래프의 세로축은, ATP 활성 (RLU) 을 나타낸다. 각 그래프의 아래에, Hum-ZAP 대신에 음성 컨트롤을 첨가한 웰의 생존 세포수를 100 % 로 한 상대 생존율로서 산출된 세포 생존율 (%) 을 나타낸다.
도 10b 는, 인간화 hG019 항체 4 종 (H01L02, H02L02, H02L03 및 H04L02), 항 CDH6 항체 NOV0712 및 음성 컨트롤 항체의 내재화 활성을, 단백질 합성을 저해하는 독소 (사포린) 를 결합시킨 항인간 IgG 시약 Hum-ZAP 또는 음성 컨트롤로서 독소를 결합하지 않은 F(ab')2 단편 염소 항-인간 IgG, Fc(gamma) Fragment Specific 을 사용하여, 786-O 세포에 있어서 평가한 그래프를 나타낸다. 그래프의 세로축은, ATP 활성 (RLU) 을 나타낸다. 각 그래프의 아래에, Hum-ZAP 대신에 음성 컨트롤을 첨가한 웰의 생존 세포수를 100 % 로 한 상대 생존율로서 산출된 세포 생존율 (%) 을 나타낸다.
도 10c 는, 인간화 hG019 항체 4 종 (H01L02, H02L02, H02L03 및 H04L02), 항 CDH6 항체 NOV0712 및 음성 컨트롤 항체의 내재화 활성을, 단백질 합성을 저해하는 독소 (사포린) 를 결합시킨 항인간 IgG 시약 Hum-ZAP 또는 음성 컨트롤로서 독소를 결합하지 않은 F(ab')2 단편 염소 항-인간 IgG, Fc(gamma) Fragment Specific 을 사용하여, PA-1 세포에 있어서 평가한 그래프를 나타낸다. 그래프의 세로축은, ATP 활성 (RLU) 을 나타낸다. 각 그래프의 아래에, Hum-ZAP 대신에 음성 컨트롤을 첨가한 웰의 생존 세포수를 100 % 로 한 상대 생존율로서 산출된 세포 생존율 (%) 을 나타낸다.
도 11 은, 인간화 hG019-약물 콘주게이트 4 종 (H01L02-DXd, H02L02-DXd, H02L03-DXd 및 H04L02-DXd), 또는 NOV0712-DM4 의 PA-1 세포에 대한 in vitro 세포 증식 억제 활성 평가를 나타낸다. 가로축은 항체-약물 콘주게이트의 농도를 나타내고, 세로축은 세포 생존율 (%) 을 나타낸다.
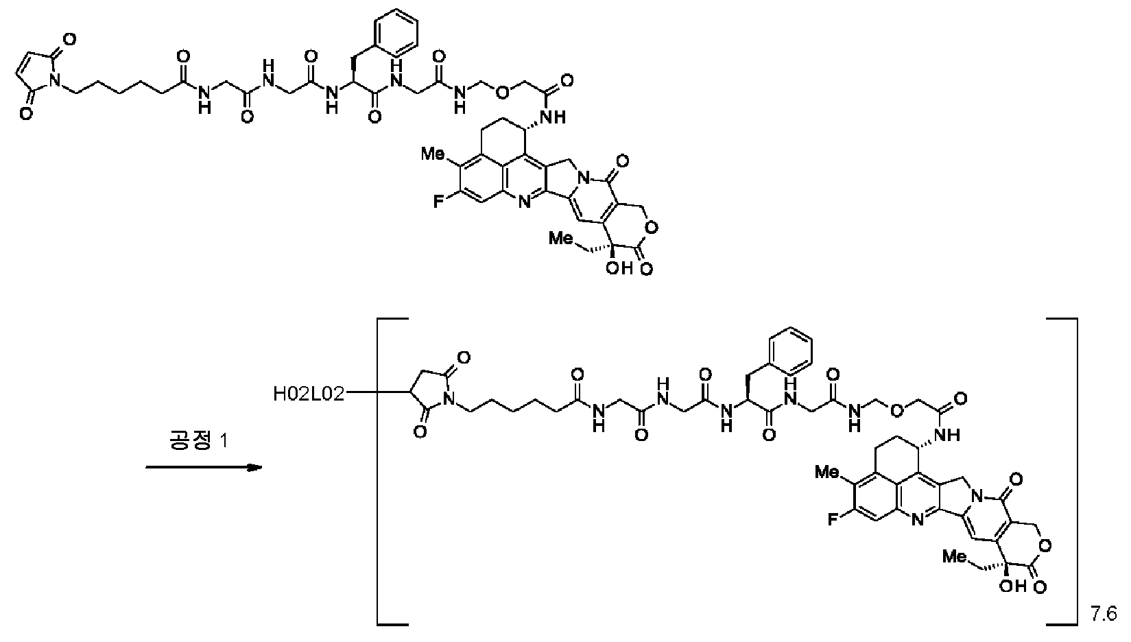
도 12 는, 인간화 hG019-약물 콘주게이트 4 종 (H01L02-DXd, H02L02-DXd, H02L03-DXd 및 H04L02-DXd), 또는 NOV0712-DM4 의 in vivo 항종양 효과를 나타낸다. CDH6 양성 인간 신세포 종양 세포주 786-O 를 면역 부전 마우스에 이식한 동물 모델을 사용하여 평가하였다. 가로축은 일수, 세로축은 종양 체적, 오차 범위는 표준 오차 (SE) 값을 나타낸다.
도 13 은, 인간화 hG019-약물 콘주게이트 H01L02-DXd 또는 NOV0712-DM4 또는 NOV0712-DXd 의 in vivo 항종양 효과를 나타낸다. CDH6 양성 인간 난소 종양 세포주 PA-1 을 면역 부전 마우스에 이식한 동물 모델을 사용하여 평가하였다. 가로축은 일수, 세로축은 종양 체적, 오차 범위는 SE 값을 나타낸다.
도 14 는, 인간화 hG019-약물 콘주게이트 H01L02-DXd 또는 NOV0712-DM4 의 in vivo 항종양 효과를 나타낸다. CDH6 양성 인간 난소 종양 세포주 NIH : OVCAR-3 을 면역 부전 마우스에 이식한 동물 모델을 사용하여 평가하였다. 가로축은 일수, 세로축은 종양 체적, 오차 범위는 SE 값을 나타낸다.
도 15 는, 인간화 hG019-약물 콘주게이트 H01L02-DXd 또는 NOV0712-DM4 의 in vivo 항종양 효과를 나타낸다. CDH6 양성 인간 신세포 종양 세포주 786-O 를 면역 부전 마우스에 이식한 동물 모델을 사용하여 평가하였다. 가로축은 일수, 세로축은 종양 체적, 오차 범위는 SE 값을 나타낸다.
도 16 은, 인간화 hG019-약물 콘주게이트 H01L02-DXd 또는 NOV0712-DM4 의 in vivo 항종양 효과를 나타낸다. CDH6 음성 인간 난소 종양 세포주 ES-2 를 면역 부전 마우스에 이식한 동물 모델을 사용하여 평가하였다. 가로축은 일수, 세로축은 종양 체적, 오차 범위는 SE 값을 나타낸다.
Claims (53)
- 서열 번호 4 에 기재된 아미노산 서열에 특이적으로 결합하여, 세포 내에 도입되는 내재화능을 갖는, 항체 또는 당해 항체의 기능성 단편.
- 제 1 항에 있어서,
서열 번호 4 에 기재된 아미노산 서열에 대한 결합에 대하여, 이하의 (1) ∼ (5) :
(1) 서열 번호 53 의 21 ∼ 233 번째에 기재된 아미노산 서열로 이루어지는 경사슬 및 서열 번호 56 의 20 ∼ 471 번째에 기재된 아미노산 서열로 이루어지는 중사슬을 갖는 항체,
(2) 서열 번호 61 의 21 ∼ 233 번째에 기재된 아미노산 서열로 이루어지는 경사슬 및 서열 번호 69 의 20 ∼ 471 번째에 기재된 아미노산 서열로 이루어지는 중사슬을 갖는 항체,
(3) 서열 번호 61 의 21 ∼ 233 번째에 기재된 아미노산 서열로 이루어지는 경사슬 및 서열 번호 73 의 20 ∼ 471 번째에 기재된 아미노산 서열로 이루어지는 중사슬을 갖는 항체,
(4) 서열 번호 65 의 21 ∼ 233 번째에 기재된 아미노산 서열로 이루어지는 경사슬 및 서열 번호 73 의 20 ∼ 471 번째에 기재된 아미노산 서열로 이루어지는 중사슬을 갖는 항체, 및
(5) 서열 번호 61 의 21 ∼ 233 번째에 기재된 아미노산 서열로 이루어지는 경사슬 및 서열 번호 77 의 20 ∼ 471 번째에 기재된 아미노산 서열로 이루어지는 중사슬을 갖는 항체로 이루어지는 군에서 선택되는 항체 중 적어도 어느 하나와 경합 저해 활성을 갖는, 항체 또는 당해 항체의 기능성 단편. - 제 1 항 또는 제 2 항에 있어서,
이하의 (1) ∼ (4) :
(1) 서열 번호 12 에 기재된 아미노산 서열로 이루어지는 CDRL1, 서열 번호 13 에 기재된 아미노산 서열로 이루어지는 CDRL2 및 서열 번호 14 에 기재된 아미노산 서열로 이루어지는 CDRL3,
(2) 서열 번호 22 에 기재된 아미노산 서열로 이루어지는 CDRL1, 서열 번호 23 에 기재된 아미노산 서열로 이루어지는 CDRL2 및 서열 번호 24 에 기재된 아미노산 서열로 이루어지는 CDRL3,
(3) 서열 번호 32 에 기재된 아미노산 서열로 이루어지는 CDRL1, 서열 번호 33 에 기재된 아미노산 서열로 이루어지는 CDRL2 및 서열 번호 34 에 기재된 아미노산 서열로 이루어지는 CDRL3, 및
(4) 서열 번호 42 에 기재된 아미노산 서열로 이루어지는 CDRL1, 서열 번호 43 에 기재된 아미노산 서열로 이루어지는 CDRL2 및 서열 번호 44 에 기재된 아미노산 서열로 이루어지는 CDRL3 으로 이루어지는 군에서 선택되는 어느 하나에 기재된 CDRL1, CDRL2 및 CDRL3, 그리고
이하의 (5) ∼ (9) :
(5) 서열 번호 17 에 기재된 아미노산 서열로 이루어지는 CDRH1, 서열 번호 18 에 기재된 아미노산 서열로 이루어지는 CDRH2 및 서열 번호 19 에 기재된 아미노산 서열로 이루어지는 CDRH3,
(6) 서열 번호 27 에 기재된 아미노산 서열로 이루어지는 CDRH1, 서열 번호 28 에 기재된 아미노산 서열로 이루어지는 CDRH2 및 서열 번호 29 에 기재된 아미노산 서열로 이루어지는 CDRH3,
(7) 서열 번호 37 에 기재된 아미노산 서열로 이루어지는 CDRH1, 서열 번호 38 에 기재된 아미노산 서열로 이루어지는 CDRH2 및 서열 번호 39 에 기재된 아미노산 서열로 이루어지는 CDRH3,
(8) 서열 번호 47 에 기재된 아미노산 서열로 이루어지는 CDRH1, 서열 번호 48 에 기재된 아미노산 서열로 이루어지는 CDRH2 및 서열 번호 49 에 기재된 아미노산 서열로 이루어지는 CDRH3, 및
(9) 서열 번호 17 에 기재된 아미노산 서열로 이루어지는 CDRH1, 서열 번호 60 에 기재된 아미노산 서열로 이루어지는 CDRH2 및 서열 번호 19 에 기재된 아미노산 서열로 이루어지는 CDRH3 으로 이루어지는 군에서 선택되는 어느 하나에 기재된 CDRH1, CDRH2 및 CDRH3 을 포함하는, 항체 또는 당해 항체의 기능성 단편. - 제 1 항 내지 제 3 항 중 어느 한 항에 있어서,
이하의 (1) ∼ (5) :
(1) 서열 번호 12 에 기재된 아미노산 서열로 이루어지는 CDRL1, 서열 번호 13 에 기재된 아미노산 서열로 이루어지는 CDRL2 및 서열 번호 14 에 기재된 아미노산 서열로 이루어지는 CDRL3, 및 서열 번호 17 에 기재된 아미노산 서열로 이루어지는 CDRH1, 서열 번호 18 에 기재된 아미노산 서열로 이루어지는 CDRH2 및 서열 번호 19 에 기재된 아미노산 서열로 이루어지는 CDRH3,
(2) 서열 번호 22 에 기재된 아미노산 서열로 이루어지는 CDRL1, 서열 번호 23 에 기재된 아미노산 서열로 이루어지는 CDRL2 및 서열 번호 24 에 기재된 아미노산 서열로 이루어지는 CDRL3, 및 서열 번호 27 에 기재된 아미노산 서열로 이루어지는 CDRH1, 서열 번호 28 에 기재된 아미노산 서열로 이루어지는 CDRH2 및 서열 번호 29 에 기재된 아미노산 서열로 이루어지는 CDRH3,
(3) 서열 번호 32 에 기재된 아미노산 서열로 이루어지는 CDRL1, 서열 번호 33 에 기재된 아미노산 서열로 이루어지는 CDRL2 및 서열 번호 34 에 기재된 아미노산 서열로 이루어지는 CDRL3, 및 서열 번호 37 에 기재된 아미노산 서열로 이루어지는 CDRH1, 서열 번호 38 에 기재된 아미노산 서열로 이루어지는 CDRH2 및 서열 번호 39 에 기재된 아미노산 서열로 이루어지는 CDRH3,
(4) 서열 번호 42 에 기재된 아미노산 서열로 이루어지는 CDRL1, 서열 번호 43 에 기재된 아미노산 서열로 이루어지는 CDRL2 및 서열 번호 44 에 기재된 아미노산 서열로 이루어지는 CDRL3, 및 서열 번호 47 에 기재된 아미노산 서열로 이루어지는 CDRH1, 서열 번호 48 에 기재된 아미노산 서열로 이루어지는 CDRH2 및 서열 번호 49 에 기재된 아미노산 서열로 이루어지는 CDRH3, 및
(5) 서열 번호 12 에 기재된 아미노산 서열로 이루어지는 CDRL1, 서열 번호 13 에 기재된 아미노산 서열로 이루어지는 CDRL2 및 서열 번호 14 에 기재된 아미노산 서열로 이루어지는 CDRL3, 및 서열 번호 17 에 기재된 아미노산 서열로 이루어지는 CDRH1, 서열 번호 60 에 기재된 아미노산 서열로 이루어지는 CDRH2 및 서열 번호 19 에 기재된 아미노산 서열로 이루어지는 CDRH3 으로 이루어지는 군에서 선택되는 CDRL1, CDRL2 및 CDRL3, 그리고 CDRH1, CDRH2 및 CDRH3 을 포함하는, 항체 또는 당해 항체의 기능성 단편. - 제 1 항 내지 제 4 항 중 어느 한 항에 있어서,
인간화되어 있는, 항체 또는 당해 항체의 기능성 단편. - 제 1 항 내지 제 5 항 중 어느 한 항에 있어서,
이하의 (1) ∼ (4) :
(1) 서열 번호 63 에 기재된 아미노산 서열로 이루어지는 경사슬 가변 영역,
(2) 서열 번호 67 에 기재된 아미노산 서열로 이루어지는 경사슬 가변 영역,
(3) (1) ∼ (2) 의 아미노산 서열에 있어서 각 CDR 서열 이외의 프레임 워크 영역의 서열에 대하여 적어도 95 % 이상의 서열 동일성을 갖는 아미노산 서열, 및
(4) (1) ∼ (3) 의 아미노산 서열에 있어서 각 CDR 서열 이외의 프레임 워크 영역의 서열에 있어서 1 또는 수 개의 아미노산이 결실, 치환 또는 부가된 아미노산 서열로 이루어지는 군에서 선택되는 어느 하나에 기재된 경사슬 가변 영역, 그리고
이하의 (5) ∼ (9) :
(5) 서열 번호 71 에 기재된 아미노산 서열로 이루어지는 중사슬 가변 영역,
(6) 서열 번호 75 에 기재된 아미노산 서열로 이루어지는 중사슬 가변 영역,
(7) 서열 번호 79 에 기재된 아미노산 서열로 이루어지는 중사슬 가변 영역,
(8) (5) ∼ (7) 의 아미노산 서열에 있어서 각 CDR 서열 이외의 프레임 워크 영역의 서열에 대하여 적어도 95 % 이상의 서열 상동성을 갖는 아미노산 서열, 및
(9) (5) ∼ (8) 의 아미노산 서열에 있어서 각 CDR 서열 이외의 프레임 워크 영역의 서열에 있어서 1 또는 수 개의 아미노산이 결실, 치환 또는 부가된 아미노산 서열로 이루어지는 군에서 선택되는 어느 하나에 기재된 중사슬 가변 영역을 갖는, 항체 또는 당해 항체의 기능성 단편. - 제 1 항 내지 제 6 항 중 어느 한 항에 있어서,
이하의 (1) ∼ (4) :
(1) 서열 번호 63 에 기재된 아미노산 서열로 이루어지는 경사슬 가변 영역 및 서열 번호 71 에 기재된 아미노산 서열로 이루어지는 중사슬 가변 영역,
(2) 서열 번호 63 에 기재된 아미노산 서열로 이루어지는 경사슬 가변 영역 및 서열 번호 75 에 기재된 아미노산 서열로 이루어지는 중사슬 가변 영역,
(3) 서열 번호 67 에 기재된 아미노산 서열로 이루어지는 경사슬 가변 영역 및 서열 번호 75 에 기재된 아미노산 서열로 이루어지는 중사슬 가변 영역, 또는
(4) 서열 번호 63 에 기재된 아미노산 서열로 이루어지는 경사슬 가변 영역 및 서열 번호 79 에 기재된 아미노산 서열로 이루어지는 중사슬 가변 영역 중 어느 경사슬 가변 영역 및 중사슬 가변 영역을 포함하는, 항체 또는 당해 항체의 기능성 단편. - 제 1 항 내지 제 7 항 중 어느 한 항에 있어서,
이하의 (1) ∼ (4) :
(1) 서열 번호 61 의 21 ∼ 233 번째의 아미노산 서열로 이루어지는 경사슬 및 서열 번호 69 의 20 ∼ 471 번째의 아미노산 서열로 이루어지는 중사슬,
(2) 서열 번호 61 의 21 ∼ 233 번째의 아미노산 서열로 이루어지는 경사슬 및 서열 번호 73 의 20 ∼ 471 번째의 아미노산 서열로 이루어지는 중사슬,
(3) 서열 번호 65 의 21 ∼ 233 번째의 아미노산 서열로 이루어지는 경사슬 및 서열 번호 73 의 20 ∼ 471 번째의 아미노산 서열로 이루어지는 중사슬, 또는
(4) 서열 번호 61 의 21 ∼ 233 번째의 아미노산 서열로 이루어지는 경사슬 및 서열 번호 77 의 20 ∼ 471 번째의 아미노산 서열로 이루어지는 중사슬 중 어느 것을 갖는, 항체 또는 당해 항체의 기능성 단편. - 제 8 항에 있어서,
서열 번호 61 의 21 ∼ 233 번째의 아미노산 서열로 이루어지는 경사슬 및 서열 번호 69 의 20 ∼ 471 번째의 아미노산 서열로 이루어지는 중사슬을 갖는, 항체 또는 당해 항체의 기능성 단편. - 제 8 항에 있어서,
서열 번호 61 의 21 ∼ 233 번째의 아미노산 서열로 이루어지는 경사슬 및 서열 번호 73 의 20 ∼ 471 번째의 아미노산 서열로 이루어지는 중사슬을 갖는, 항체 또는 당해 항체의 기능성 단편. - 제 8 항에 있어서,
서열 번호 65 의 21 ∼ 233 번째의 아미노산 서열로 이루어지는 경사슬 및 서열 번호 73 의 20 ∼ 471 번째의 아미노산 서열로 이루어지는 중사슬을 갖는, 항체 또는 당해 항체의 기능성 단편. - 제 8 항에 있어서,
서열 번호 61 의 21 ∼ 233 번째의 아미노산 서열로 이루어지는 경사슬 및 서열 번호 77 의 20 ∼ 471 번째의 아미노산 서열로 이루어지는 중사슬을 갖는, 항체 또는 당해 항체의 기능성 단편. - 제 1 항 내지 제 12 항 중 어느 한 항에 있어서,
기능성 단편이 Fab, F(ab')2, Fab' 및 Fv 로 이루어지는 군에서 선택되는, 항체의 기능성 단편. - 제 1 항 내지 제 13 항 중 어느 한 항에 기재된 항체 또는 당해 항체의 기능성 단편을 코드하는 폴리뉴클레오티드.
- 제 14 항에 있어서,
이하의 (1) ∼ (5) :
(1) 서열 번호 12 에 기재된 아미노산 서열로 이루어지는 CDRL1, 서열 번호 13 에 기재된 아미노산 서열로 이루어지는 CDRL2 및 서열 번호 14 에 기재된 아미노산 서열로 이루어지는 CDRL3 을 포함하는 경사슬 가변 영역을 코드하는 폴리뉴클레오티드, 및 서열 번호 17 에 기재된 아미노산 서열로 이루어지는 CDRH1, 서열 번호 18 에 기재된 아미노산 서열로 이루어지는 CDRH2 및 서열 번호 19 에 기재된 아미노산 서열로 이루어지는 CDRH3 을 포함하는 중사슬 가변 영역을 코드하는 폴리뉴클레오티드,
(2) 서열 번호 22 에 기재된 아미노산 서열로 이루어지는 CDRL1, 서열 번호 23 에 기재된 아미노산 서열로 이루어지는 CDRL2 및 서열 번호 24 에 기재된 아미노산 서열로 이루어지는 CDRL3 을 포함하는 경사슬 가변 영역을 코드하는 폴리뉴클레오티드, 및 서열 번호 27 에 기재된 아미노산 서열로 이루어지는 CDRH1, 서열 번호 28 에 기재된 아미노산 서열로 이루어지는 CDRH2 및 서열 번호 29 에 기재된 아미노산 서열로 이루어지는 CDRH3 을 포함하는 중사슬 가변 영역을 코드하는 폴리뉴클레오티드,
(3) 서열 번호 32 에 기재된 아미노산 서열로 이루어지는 CDRL1, 서열 번호 33 에 기재된 아미노산 서열로 이루어지는 CDRL2 및 서열 번호 34 에 기재된 아미노산 서열로 이루어지는 CDRL3 을 포함하는 경사슬 가변 영역을 코드하는 폴리뉴클레오티드, 및 서열 번호 37 에 기재된 아미노산 서열로 이루어지는 CDRH1, 서열 번호 38 에 기재된 아미노산 서열로 이루어지는 CDRH2 및 서열 번호 39 에 기재된 아미노산 서열로 이루어지는 CDRH3 을 포함하는 중사슬 가변 영역을 코드하는 폴리뉴클레오티드,
(4) 서열 번호 42 에 기재된 아미노산 서열로 이루어지는 CDRL1, 서열 번호 43 에 기재된 아미노산 서열로 이루어지는 CDRL2 및 서열 번호 44 에 기재된 아미노산 서열로 이루어지는 CDRL3 을 포함하는 경사슬 가변 영역을 코드하는 폴리뉴클레오티드, 및 서열 번호 47 에 기재된 아미노산 서열로 이루어지는 CDRH1, 서열 번호 48 에 기재된 아미노산 서열로 이루어지는 CDRH2 및 서열 번호 49 에 기재된 아미노산 서열로 이루어지는 CDRH3 을 포함하는 중사슬 가변 영역을 코드하는 폴리뉴클레오티드, 그리고
(5) 서열 번호 12 에 기재된 아미노산 서열로 이루어지는 CDRL1, 서열 번호 13 에 기재된 아미노산 서열로 이루어지는 CDRL2 및 서열 번호 14 에 기재된 아미노산 서열로 이루어지는 CDRL3 을 포함하는 경사슬 가변 영역을 코드하는 폴리뉴클레오티드, 및 서열 번호 17 에 기재된 아미노산 서열로 이루어지는 CDRH1, 서열 번호 60 에 기재된 아미노산 서열로 이루어지는 CDRH2 및 서열 번호 19 에 기재된 아미노산 서열로 이루어지는 CDRH3 을 포함하는 중사슬 가변 영역을 코드하는 폴리뉴클레오티드로 이루어지는 군에서 선택되는 어느 하나에 기재된 폴리뉴클레오티드를 포함하는, 폴리뉴클레오티드. - 제 14 항 또는 제 15 항에 있어서,
서열 번호 61 의 21 ∼ 233 번째의 아미노산 서열로 이루어지는 경사슬을 코드하는 폴리뉴클레오티드 및 서열 번호 69 의 20 ∼ 471 번째의 아미노산 서열로 이루어지는 중사슬을 코드하는 폴리뉴클레오티드를 포함하는, 폴리뉴클레오티드. - 제 14 항 또는 제 15 항에 있어서,
서열 번호 61 의 21 ∼ 233 번째의 아미노산 서열로 이루어지는 경사슬을 코드하는 폴리뉴클레오티드 및 서열 번호 73 의 20 ∼ 471 번째의 아미노산 서열로 이루어지는 중사슬을 코드하는 폴리뉴클레오티드를 포함하는, 폴리뉴클레오티드. - 제 14 항 또는 제 15 항에 있어서,
서열 번호 65 의 21 ∼ 233 번째의 아미노산 서열로 이루어지는 경사슬을 코드하는 폴리뉴클레오티드 및 서열 번호 73 의 20 ∼ 471 번째의 아미노산 서열로 이루어지는 중사슬을 코드하는 폴리뉴클레오티드를 포함하는, 폴리뉴클레오티드. - 제 14 항 또는 제 15 항에 있어서,
서열 번호 61 의 21 ∼ 233 번째의 아미노산 서열로 이루어지는 경사슬을 코드하는 폴리뉴클레오티드 및 서열 번호 77 의 20 ∼ 471 번째의 아미노산 서열로 이루어지는 중사슬을 코드하는 폴리뉴클레오티드를 포함하는, 폴리뉴클레오티드. - 제 14 항 내지 제 19 항 중 어느 한 항에 기재된 폴리뉴클레오티드를 함유하는 발현 벡터.
- 제 20 항에 기재된 발현 벡터에 의해 형질 전환된 숙주 세포.
- 제 21 항에 있어서,
숙주 세포가 진핵 세포인, 숙주 세포. - 제 21 항 또는 제 22 항에 기재된 숙주 세포를 배양하는 공정, 및 당해 공정에서 얻어진 배양물로부터 목적으로 하는 항체 또는 당해 항체의 기능성 단편을 채취하는 공정을 포함하는 것을 특징으로 하는 당해 항체 또는 당해 항체의 기능성 단편의 제조 방법.
- 제 1 항 내지 제 13 항 중 어느 한 항에 있어서,
중사슬 또는 경사슬이, N-결합에 대한 당 사슬 부가, O-결합에 대한 당 사슬 부가, N 말의 프로세싱, C 말의 프로세싱, 탈아미드화, 아스파르트산의 이성화, 메티오닌의 산화, N 말에 메티오닌 잔기의 부가, 프롤린 잔기의 아미드화, N 말 글루타민 혹은 N 말 글루탐산의 피로글루탐산화, 및 카르복실 말단에 있어서의 1 개 또는 2 개의 아미노산 결실로 이루어지는 군에서 선택되는 1 또는 2 이상의 수식을 받은, 항체 또는 당해 항체의 기능성 단편. - 제 24 항에 있어서,
중사슬의 카르복실 말단에 있어서 1 개 또는 2 개의 아미노산이 결실되어 있는 항체. - 제 25 항에 있어서,
2 개의 중사슬의 쌍방에서 카르복실 말단에 있어서 1 개의 아미노산이 결실되어 있는 항체. - 제 24 항 내지 제 26 항 중 어느 한 항에 있어서,
중사슬의 카르복실 말단의 프롤린 잔기가 추가로 아미드화되어 있는 항체. - 제 1 항 내지 제 13 항 및 제 24 항 내지 제 27 항 중 어느 한 항에 있어서,
항체 의존성 세포 상해 활성을 증강시키기 위해서 당 사슬 수식이 조절되어 있는, 항체 또는 당해 항체의 기능성 단편. - 제 1 항 내지 제 13 항 및 제 24 항 내지 제 28 항으로 이루어지는 군에서 선택되는 어느 1 항에 기재된 항체 또는 당해 항체의 기능성 단편에 약물이 결합하고 있는 항체-약물 콘주게이트.
- 제 29 항에 있어서,
약물이 항종양성 화합물인, 항체-약물 콘주게이트. - 제 29 항 내지 제 31 항 중 어느 한 항에 있어서,
항체와 약물이, 다음 식 (a) ∼ (f) :
로 이루어지는 군에서 선택되는 어느 구조의 링커를 통하여 결합하고 있는, 항체-약물 콘주게이트.
(여기서, 항체는 -(숙신이미드-3-일-N) 의 말단에 있어서 결합한다. 항종양성 화합물은, 1 위치의 아미노기의 질소 원자를 결합 부위로 하여, (a), (b), (e) 또는 (f) 의 -CH2CH2CH2-C(=O)- 부분, (c) 의 CH2-O-CH2-C(=O)- 부분 또는 (d) 의 CH2CH2-O-CH2-C(=O)- 부분의 카르보닐기에 결합한다. 상기 식 중 GGFG 는, 글리신-글리신-페닐알라닌-글리신으로 이루어지는 펩티드 결합으로 연결되어 있는 아미노산 서열을 나타낸다.
-(숙신이미드-3-일-N)- 은 다음 식 :
으로 나타내는 구조이고, 이것의 3 위치에서 항체와 결합하여, 1 위치의 질소 원자 상에서 이것을 포함하는 링커 구조 내의 메틸렌기와 결합한다.). - 제 29 항 내지 제 36 항 중 어느 한 항에 있어서,
항체가 이하의 (1) ∼ (4) :
(1) 서열 번호 61 의 21 ∼ 233 번째의 아미노산 서열로 이루어지는 경사슬 및 서열 번호 69 의 20 ∼ 471 번째의 아미노산 서열로 이루어지는 중사슬,
(2) 서열 번호 61 의 21 ∼ 233 번째의 아미노산 서열로 이루어지는 경사슬 및 서열 번호 73 의 20 ∼ 471 번째의 아미노산 서열로 이루어지는 중사슬,
(3) 서열 번호 65 의 21 ∼ 233 번째의 아미노산 서열로 이루어지는 경사슬 및 서열 번호 73 의 20 ∼ 471 번째의 아미노산 서열로 이루어지는 중사슬, 또는
(4) 서열 번호 61 의 21 ∼ 233 번째의 아미노산 서열로 이루어지는 경사슬 및 서열 번호 77 의 20 ∼ 471 번째의 아미노산 서열로 이루어지는 중사슬로 이루어지는 군에서 선택되는 어느 하나에 기재된 경사슬 및 중사슬을 포함하는 항체 또는 당해 항체의 기능성 단편인, 항체-약물 콘주게이트. - 제 37 항에 있어서,
항체가, 서열 번호 61 의 21 ∼ 233 번째의 아미노산 서열로 이루어지는 경사슬 및 서열 번호 69 의 20 ∼ 471 번째의 아미노산 서열로 이루어지는 중사슬을 포함하는 항체 또는 당해 항체의 기능성 단편인, 항체-약물 콘주게이트. - 제 37 항에 있어서,
항체가, 서열 번호 61 의 21 ∼ 233 번째의 아미노산 서열로 이루어지는 경사슬 및 서열 번호 77 의 20 ∼ 471 번째의 아미노산 서열로 이루어지는 중사슬을 포함하는 항체 또는 당해 항체의 기능성 단편인, 항체-약물 콘주게이트. - 제 29 항 내지 제 39 항 중 어느 한 항에 있어서,
중사슬 또는 경사슬이, N-결합에 대한 당 사슬 부가, O-결합에 대한 당 사슬 부가, N 말의 프로세싱, C 말의 프로세싱, 탈아미드화, 아스파르트산의 이성화, 메티오닌의 산화, N 말에 메티오닌 잔기의 부가, 프롤린 잔기의 아미드화, N 말 글루타민 혹은 N 말 글루탐산의 피로글루탐산화 및 카르복실 말단에 있어서의 1 개 또는 2 개의 아미노산 결실로 이루어지는 군에서 선택되는 1 또는 2 이상의 수식을 받은, 항체-약물 콘주게이트. - 제 29 항 내지 제 40 항 중 어느 한 항에 있어서,
선택된 1 종의 약물-링커 구조의 1 항체당 평균 결합수가 1 ∼ 10 개의 범위인, 항체-약물 콘주게이트. - 제 41 항에 있어서,
선택된 1 종의 약물-링커 구조의 1 항체당 평균 결합수가 2 ∼ 8 개의 범위인, 항체-약물 콘주게이트. - 제 42 항에 있어서,
선택된 1 종의 약물-링커 구조의 1 항체당 평균 결합수가 5 ∼ 8 개의 범위인, 항체-약물 콘주게이트. - 제 43 항에 있어서,
선택된 1 종의 약물-링커 구조의 1 항체당 평균 결합수가 7 ∼ 8 개인, 항체-약물 콘주게이트. - 제 29 항 내지 제 44 항 중 어느 한 항에 기재된 항체-약물 콘주게이트, 그 염, 또는 그들의 수화물을 포함하는 것을 특징으로 하는 의약 조성물.
- 제 45 항에 있어서,
항종양약인 것을 특징으로 하는, 의약 조성물. - 제 46 항에 있어서,
종양이 CDH6 을 발현하는 종양인 것을 특징으로 하는, 의약 조성물. - 제 46 항 또는 제 47 항에 있어서,
종양이, 신세포암, 신염 명세포암, 유두상 신세포암, 난소암, 난소 장액성 선암, 갑상선암, 담관암, 폐암, 소세포 폐암, 신경 교아종, 중피종, 자궁암, 췌장암, 윌름스 종양 또는 신경아종인 것을 특징으로 하는, 의약 조성물. - 제 29 항 내지 제 44 항 중 어느 한 항에 기재된 항체-약물 콘주게이트, 그 염, 또는 그들의 수화물에서 선택되는 어느 것을 개체에 투여하는 것을 특징으로 하는 종양의 치료 방법.
- 제 49 항에 있어서,
종양이 CDH6 이 발현하고 있는 종양인 것을 특징으로 하는, 종양의 치료 방법. - 제 49 항 또는 제 50 항에 있어서,
종양이, 신세포암, 신염 명세포암, 유두상 신세포암, 난소암, 난소 장액성 선암, 갑상선암, 담관암, 폐암, 소세포 폐암, 신경 교아종, 중피종, 자궁암, 췌장암, 윌름스 종양 또는 신경아종인 것을 특징으로 하는, 종양의 치료 방법. - 제 29 항 내지 제 44 항 중 어느 한 항에 기재된 항체-약물 콘주게이트, 그 염, 또는 그들의 수화물에서 선택되는 적어도 하나를 포함하는 의약 조성물 및 적어도 하나의 항종양약을, 동시에, 따로따로 또는 연속해서 개체에 투여하는 것을 특징으로 하는 종양의 치료 방법.
- 제 1 항 내지 제 13 항 및 제 24 항 내지 제 28 항으로 이루어지는 군에서 선택되는 어느 1 항에 기재된 항체 또는 당해 항체의 기능성 단편 혹은 제 23 항에 기재된 제조 방법으로 얻어지는 항체 또는 당해 항체의 기능성 단편과, 약물-링커 중간 화합물을 반응시키는 공정을 포함하는 것을 특징으로 하는, 항체-약물 콘주게이트의 제조 방법.
Priority Applications (1)
| Application Number | Priority Date | Filing Date | Title |
|---|---|---|---|
| KR1020257004599A KR20250025511A (ko) | 2017-05-15 | 2018-05-14 | 항 cdh6 항체 및 항 cdh6 항체-약물 콘주게이트 |
Applications Claiming Priority (3)
| Application Number | Priority Date | Filing Date | Title |
|---|---|---|---|
| JP2017096749 | 2017-05-15 | ||
| JPJP-P-2017-096749 | 2017-05-15 | ||
| PCT/JP2018/018572 WO2018212136A1 (ja) | 2017-05-15 | 2018-05-14 | 抗cdh6抗体及び抗cdh6抗体-薬物コンジュゲート |
Related Child Applications (1)
| Application Number | Title | Priority Date | Filing Date |
|---|---|---|---|
| KR1020257004599A Division KR20250025511A (ko) | 2017-05-15 | 2018-05-14 | 항 cdh6 항체 및 항 cdh6 항체-약물 콘주게이트 |
Publications (2)
| Publication Number | Publication Date |
|---|---|
| KR20200006061A true KR20200006061A (ko) | 2020-01-17 |
| KR102768694B1 KR102768694B1 (ko) | 2025-02-14 |
Family
ID=64273811
Family Applications (2)
| Application Number | Title | Priority Date | Filing Date |
|---|---|---|---|
| KR1020197033607A Active KR102768694B1 (ko) | 2017-05-15 | 2018-05-14 | 항 cdh6 항체 및 항 cdh6 항체-약물 콘주게이트 |
| KR1020257004599A Pending KR20250025511A (ko) | 2017-05-15 | 2018-05-14 | 항 cdh6 항체 및 항 cdh6 항체-약물 콘주게이트 |
Family Applications After (1)
| Application Number | Title | Priority Date | Filing Date |
|---|---|---|---|
| KR1020257004599A Pending KR20250025511A (ko) | 2017-05-15 | 2018-05-14 | 항 cdh6 항체 및 항 cdh6 항체-약물 콘주게이트 |
Country Status (25)
| Country | Link |
|---|---|
| US (4) | US11446386B2 (ko) |
| EP (2) | EP4374852A3 (ko) |
| JP (5) | JP6827534B2 (ko) |
| KR (2) | KR102768694B1 (ko) |
| CN (1) | CN110651045A (ko) |
| AU (2) | AU2018270961B9 (ko) |
| BR (1) | BR112019023832A2 (ko) |
| CA (1) | CA3063827A1 (ko) |
| CO (1) | CO2019013020A2 (ko) |
| DK (1) | DK3626825T3 (ko) |
| ES (1) | ES2991607T3 (ko) |
| FI (1) | FI3626825T3 (ko) |
| HR (1) | HRP20241458T1 (ko) |
| HU (1) | HUE070023T2 (ko) |
| IL (2) | IL318785A (ko) |
| LT (1) | LT3626825T (ko) |
| MX (2) | MX2023001685A (ko) |
| PH (1) | PH12019502545A1 (ko) |
| PL (1) | PL3626825T3 (ko) |
| PT (1) | PT3626825T (ko) |
| RS (1) | RS66163B1 (ko) |
| SI (1) | SI3626825T1 (ko) |
| SM (1) | SMT202400472T1 (ko) |
| TW (16) | TW202530220A (ko) |
| WO (1) | WO2018212136A1 (ko) |
Families Citing this family (44)
| Publication number | Priority date | Publication date | Assignee | Title |
|---|---|---|---|---|
| TW202530220A (zh) * | 2017-05-15 | 2025-08-01 | 日商第一三共股份有限公司 | 抗體-藥物結合物之製造方法 |
| TWI885539B (zh) | 2017-09-29 | 2025-06-01 | 日商第一三共股份有限公司 | 抗體-吡咯并苯二氮呯衍生物複合體 |
| SG11202100653YA (en) | 2018-07-25 | 2021-02-25 | Daiichi Sankyo Co Ltd | Effective method for manufacturing antibody-drug conjugate |
| US12358999B2 (en) | 2018-07-27 | 2025-07-15 | Daiichi Sankyo Company, Limited | Protein recognizing drug moiety of antibody-drug conjugate |
| KR102894505B1 (ko) | 2018-07-31 | 2025-12-02 | 다이이찌 산쿄 가부시키가이샤 | 항체-약물 콘주게이트 투여에 의한 전이성 뇌종양의 치료 |
| JP7458981B2 (ja) | 2018-08-06 | 2024-04-01 | 第一三共株式会社 | 抗体-薬物コンジュゲートとチューブリン阻害剤の組み合わせ |
| JP7481255B2 (ja) | 2018-08-23 | 2024-05-10 | 第一三共株式会社 | 抗体薬物複合体の感受性マーカー |
| SMT202500141T1 (it) | 2018-09-06 | 2025-05-12 | Daiichi Sankyo Co Ltd | Coniugati farmaco-anticorpo di derivati dinucleotidici ciclici |
| US20220016257A1 (en) * | 2018-11-14 | 2022-01-20 | Daiichi Sankyo Company, Limited | Anti-cdh6 antibody-pyrrolobenzodiazepine derivative conjugate |
| EA202191641A1 (ru) | 2018-12-11 | 2021-09-13 | Дайити Санкио Компани, Лимитед | Комбинация конъюгата антитело-лекарственное средство с ингибитором parp |
| KR20210107069A (ko) | 2018-12-21 | 2021-08-31 | 다이이찌 산쿄 가부시키가이샤 | 항체-약물 컨쥬게이트와 키나아제 저해제의 조합 |
| KR102679892B1 (ko) | 2019-03-29 | 2024-07-02 | 메디뮨 리미티드 | 화합물 및 이의 접합체 |
| WO2021260583A1 (en) | 2020-06-24 | 2021-12-30 | Astrazeneca Uk Limited | Combination of antibody-drug conjugate and dna-pk inhibitor |
| EP4171651A1 (en) | 2020-06-24 | 2023-05-03 | AstraZeneca UK Limited | Combination of antibody-drug conjugate and atm inhibitor |
| JP7793556B2 (ja) | 2020-06-24 | 2026-01-05 | アストラゼネカ ユーケー リミテッド | 抗体-薬物コンジュゲートとatr阻害剤との組み合わせ |
| US20230233540A1 (en) | 2020-06-24 | 2023-07-27 | Astrazeneca Uk Limited | Combination of antibody-drug conjugate and cdk9 inhibitor |
| WO2021260582A1 (en) | 2020-06-24 | 2021-12-30 | Astrazeneca Uk Limited | Combination of antibody-drug conjugate and aurora b inhibitor |
| BR112023006337A2 (pt) | 2020-10-09 | 2023-05-09 | Astrazeneca Uk Ltd | Produto farmacêutico, uso de um conjugado anticorpo anti-her2-fármaco ou um inibidor seletivo de parp1, e, método de tratamento do câncer |
| IL302812A (en) | 2020-11-11 | 2023-07-01 | Daiichi Sankyo Co Ltd | Antibody-drug conjugate combinations with anti-SIRP alpha antibody |
| TW202241454A (zh) | 2021-02-01 | 2022-11-01 | 日商第一三共股份有限公司 | 抗體-免疫賦活化劑共軛物之新穎製造方法 |
| IL305816A (en) | 2021-03-12 | 2023-11-01 | Daiichi Sankyo Co Ltd | Glycan and a method for preparing a medicine containing it |
| WO2022228494A1 (zh) | 2021-04-29 | 2022-11-03 | 上海汇连生物医药有限公司 | 抗体偶联药物的制备方法及应用 |
| US20250179196A1 (en) * | 2021-07-30 | 2025-06-05 | Janssen Biotech, Inc. | Materials and methods of making or using il-23r binding proteins |
| TW202508643A (zh) | 2021-09-15 | 2025-03-01 | 日商第一三共股份有限公司 | 抗體-藥物結合物之用途 |
| WO2023102875A1 (en) * | 2021-12-10 | 2023-06-15 | Multitude Therapeutics Inc. | Anti-cdh6 antibody drug conjugate |
| CA3239715A1 (en) * | 2021-12-10 | 2023-06-15 | Xun Meng | Anti-cdh6 antibodies and antibody-drug conjugates thereof |
| WO2023126822A1 (en) | 2021-12-28 | 2023-07-06 | Astrazeneca Uk Limited | Combination of antibody-drug conjugate and rasg12c inhibitor |
| WO2023143387A1 (en) * | 2022-01-26 | 2023-08-03 | Beigene , Ltd. | ANTI-DXd ANTIBODIES AND METHODS OF USE |
| IL315341A (en) | 2022-03-02 | 2024-10-01 | Daiichi Sankyo Co Ltd | METHOD FOR PRODUCING Fc-CONTAINING MOLECULE |
| US20250276079A1 (en) | 2022-04-27 | 2025-09-04 | Daiichi Sankyo Company, Limited | COMBINATION OF ANTIBODY-DRUG CONJUGATE WITH EZH1 and/or EZH2 INHIBITOR |
| CN119403829A (zh) | 2022-05-11 | 2025-02-07 | 第一三共株式会社 | 对于肿瘤抗原特异性的抗体和cd47抑制剂的组合 |
| US20250304717A1 (en) | 2022-05-12 | 2025-10-02 | Hainan Simcere Zaiming Pharmaceutical Co., Ltd. | Camptothecin derivative and ligand-drug conjugate |
| KR20250012631A (ko) | 2022-05-24 | 2025-01-24 | 다이이찌 산쿄 가부시키가이샤 | 항-cdh6 항체-약물 접합체의 투약 |
| KR20250040960A (ko) | 2022-07-28 | 2025-03-25 | 아스트라제네카 유케이 리미티드 | 항체-약물 접합체 및 이중특이적 체크포인트 억제제의 조합 |
| WO2024048490A1 (ja) | 2022-08-29 | 2024-03-07 | 第一三共株式会社 | 変異Fc領域を含む抗体薬物コンジュゲート |
| CN119855836A (zh) | 2022-09-09 | 2025-04-18 | 第一三共株式会社 | 新型寡糖、该寡糖的制造中间体、以及它们的制造方法 |
| TW202434310A (zh) | 2023-01-27 | 2024-09-01 | 日商第一三共股份有限公司 | 抗lrrc15抗體 |
| WO2024165049A1 (zh) | 2023-02-10 | 2024-08-15 | 山东先声生物制药有限公司 | 抗cdh6的抗体及其用途 |
| AU2024236246A1 (en) | 2023-03-14 | 2025-10-30 | Daiichi Sankyo Company, Limited | Combination of anti-CDH6 antibody-drug conjugate and VEGF inhibitor |
| EP4687998A1 (en) * | 2023-03-28 | 2026-02-11 | Hansoh Bio LLC | Ligand-cytotoxicity drug conjugates and pharmaceutical uses thereof |
| KR20250164708A (ko) * | 2023-03-29 | 2025-11-25 | 다이이찌 산쿄 가부시키가이샤 | 항 cd25 항체 및 항 cd25 항체-약물 콘주게이트 |
| CN120916791A (zh) | 2023-03-31 | 2025-11-07 | 第一三共株式会社 | 抗CDH6抗体-药物缀合物与HIF-2α抑制剂的组合 |
| KR20250169610A (ko) | 2023-04-14 | 2025-12-03 | 하이난 심시어 자이밍 파마슈티컬 컴퍼니 리미티드 | 항-cdh6 항체-약물 접합체 및 이의 용도 |
| TW202542193A (zh) * | 2023-12-29 | 2025-11-01 | 大陸商上海翰森生物醫藥科技有限公司 | 抗原結合分子、其藥物偶聯物及其醫藥用途 |
Citations (4)
| Publication number | Priority date | Publication date | Assignee | Title |
|---|---|---|---|---|
| WO2014057687A1 (ja) | 2012-10-11 | 2014-04-17 | 第一三共株式会社 | 抗体-薬物コンジュゲート |
| WO2016024195A1 (en) | 2014-08-12 | 2016-02-18 | Novartis Ag | Anti-cdh6 antibody drug conjugates |
| US20160297890A1 (en) | 2013-12-25 | 2016-10-13 | Daiichi Sankyo Company, Limited | Anti-trop2 antibody-drug conjugate |
| KR20160144396A (ko) * | 2014-04-10 | 2016-12-16 | 다이이찌 산쿄 가부시키가이샤 | 항her3 항체-약물 콘주게이트 |
Family Cites Families (86)
| Publication number | Priority date | Publication date | Assignee | Title |
|---|---|---|---|---|
| WO1989006692A1 (en) | 1988-01-12 | 1989-07-27 | Genentech, Inc. | Method of treating tumor cells by inhibiting growth factor receptor function |
| IL162181A (en) | 1988-12-28 | 2006-04-10 | Pdl Biopharma Inc | A method of producing humanized immunoglubulin, and polynucleotides encoding the same |
| US5183884A (en) | 1989-12-01 | 1993-02-02 | United States Of America | Dna segment encoding a gene for a receptor related to the epidermal growth factor receptor |
| GB9015198D0 (en) | 1990-07-10 | 1990-08-29 | Brien Caroline J O | Binding substance |
| ATE185601T1 (de) | 1990-07-10 | 1999-10-15 | Cambridge Antibody Tech | Verfahren zur herstellung von spezifischen bindungspaargliedern |
| US5637770A (en) | 1991-01-16 | 1997-06-10 | Daiichi Pharmaceutical Co., Ltd. | Hexa-cyclic compound |
| JP3008226B2 (ja) | 1991-01-16 | 2000-02-14 | 第一製薬株式会社 | 六環性化合物 |
| JP4124480B2 (ja) | 1991-06-14 | 2008-07-23 | ジェネンテック・インコーポレーテッド | 免疫グロブリン変異体 |
| WO1993006213A1 (en) | 1991-09-23 | 1993-04-01 | Medical Research Council | Production of chimeric antibodies - a combinatorial approach |
| DE69233782D1 (de) | 1991-12-02 | 2010-05-20 | Medical Res Council | Herstellung von Autoantikörpern auf Phagenoberflächen ausgehend von Antikörpersegmentbibliotheken |
| JP3507073B2 (ja) | 1992-03-24 | 2004-03-15 | ケンブリッジ アンティボディー テクノロジー リミティド | 特異的結合対の成員の製造方法 |
| US6214345B1 (en) | 1993-05-14 | 2001-04-10 | Bristol-Myers Squibb Co. | Lysosomal enzyme-cleavable antitumor drug conjugates |
| GB9313509D0 (en) | 1993-06-30 | 1993-08-11 | Medical Res Council | Chemisynthetic libraries |
| CA2177367A1 (en) | 1993-12-03 | 1995-06-08 | Andrew David Griffiths | Recombinant binding proteins and peptides |
| US6504029B1 (en) | 1995-04-10 | 2003-01-07 | Daiichi Pharmaceutical Co., Ltd. | Condensed-hexacyclic compounds and a process therefor |
| JPH08337584A (ja) | 1995-04-10 | 1996-12-24 | Dai Ichi Seiyaku Co Ltd | 縮合六環式アミノ化合物、これを含有する医薬及びその製法 |
| SG50747A1 (en) | 1995-08-02 | 1998-07-20 | Tanabe Seiyaku Co | Comptothecin derivatives |
| CA2192725C (en) | 1995-12-28 | 2004-04-20 | Kenji Tsujihara | Camptothecin derivatives |
| JPH1095802A (ja) | 1995-12-28 | 1998-04-14 | Tanabe Seiyaku Co Ltd | カンプトテシン誘導体 |
| US5968511A (en) | 1996-03-27 | 1999-10-19 | Genentech, Inc. | ErbB3 antibodies |
| TW409058B (en) | 1996-06-06 | 2000-10-21 | Daiichi Seiyaku Co | Method for preparation of a drug complex |
| TW527183B (en) | 1996-06-06 | 2003-04-11 | Daiichi Seiyaku Co | Drug complex |
| JPH1171280A (ja) | 1997-06-26 | 1999-03-16 | Tanabe Seiyaku Co Ltd | 医薬組成物 |
| JPH1192405A (ja) | 1997-09-19 | 1999-04-06 | Dai Ichi Seiyaku Co Ltd | 薬物複合体 |
| PT1071700E (pt) | 1998-04-20 | 2010-04-23 | Glycart Biotechnology Ag | Modificação por glicosilação de anticorpos para melhorar a citotoxicidade celular dependente de anticorpos |
| KR100581443B1 (ko) | 1998-05-22 | 2006-05-23 | 다이이찌 세이야꾸 가부시기가이샤 | 약물복합체 |
| CA2348931A1 (en) | 1998-10-30 | 2000-05-11 | Daiichi Pharmaceutical Co., Ltd. | Dds compound and method for measurement thereof |
| ES2601882T5 (es) | 1999-04-09 | 2021-06-07 | Kyowa Kirin Co Ltd | Procedimiento para controlar la actividad de una molécula inmunofuncional |
| PT2283866E (pt) | 1999-06-25 | 2015-07-20 | Genentech Inc | Métodos de tratamento utilizando conjugados de anticorpo anti-erbb-maitansinóide |
| JP2002060351A (ja) | 2000-03-22 | 2002-02-26 | Dai Ichi Seiyaku Co Ltd | 水酸基を有する薬物を含むdds化合物 |
| KR20030031502A (ko) | 2000-06-29 | 2003-04-21 | 다이이찌 세이야꾸 가부시기가이샤 | 디디에스 화합물 및 그의 제조방법 |
| KR20030023697A (ko) | 2000-07-13 | 2003-03-19 | 다이이찌 세이야꾸 가부시기가이샤 | Dds 화합물을 함유하는 의약 조성물 |
| HU231090B1 (hu) | 2000-10-06 | 2020-07-28 | Kyowa Kirin Co., Ltd. | Antitest-kompozíciót termelő sejt |
| EP1283053A1 (en) | 2001-08-09 | 2003-02-12 | Max-Planck-Gesellschaft zur Förderung der Wissenschaften e.V. | Inhibitors of HER3 activity |
| TWI313609B (en) | 2001-08-21 | 2009-08-21 | Mitsubishi Tanabe Pharma Corp | Pharmaceutical composition for inhibiting the metastasis or preventing the recurrence of malignant tumor |
| US20050123536A1 (en) | 2001-11-20 | 2005-06-09 | Che-Leung Law | Treatment of immunological disorders using anti-dc30 antibodies |
| US8877901B2 (en) | 2002-12-13 | 2014-11-04 | Immunomedics, Inc. | Camptothecin-binding moiety conjugates |
| US7585491B2 (en) | 2002-12-13 | 2009-09-08 | Immunomedics, Inc. | Immunoconjugates with an intracellularly-cleavable linkage |
| US9745380B2 (en) | 2002-03-01 | 2017-08-29 | Immunomedics, Inc. | RS7 antibodies |
| US20050276812A1 (en) | 2004-06-01 | 2005-12-15 | Genentech, Inc. | Antibody-drug conjugates and methods |
| US20040202666A1 (en) | 2003-01-24 | 2004-10-14 | Immunomedics, Inc. | Anti-cancer anthracycline drug-antibody conjugates |
| MXPA06009701A (es) | 2004-02-26 | 2007-03-26 | Inotek Pharmaceuticals Corp | Derivados de isoquinolina y metodos de uso de los mismos. |
| ES2533695T3 (es) | 2004-03-02 | 2015-04-14 | Seattle Genetics, Inc. | Anticuerpos cargados parcialmente y métodos para su conjugación |
| CA2564076C (en) | 2004-05-19 | 2014-02-18 | Medarex, Inc. | Chemical linkers and conjugates thereof |
| KR20180091967A (ko) | 2004-07-22 | 2018-08-16 | 제넨테크, 인크. | Her2 항체 조성물 |
| US8802820B2 (en) | 2004-11-12 | 2014-08-12 | Xencor, Inc. | Fc variants with altered binding to FcRn |
| AU2005316844A1 (en) | 2004-11-29 | 2006-06-22 | Seattle Genetics, Inc. | Engineered antibodies and immunoconjugates |
| UA94899C2 (ru) | 2005-01-21 | 2011-06-25 | Дженентек, Инк. | Фиксированное дозирование антител к her |
| DE102005009099A1 (de) | 2005-02-28 | 2006-08-31 | Ktb Tumorforschungsgesellschaft Mbh | Proteinbindende Camptothecin-Peptid-Derivate und diese enthaltende Arzneimittel |
| DE102005009084A1 (de) | 2005-02-28 | 2006-08-31 | Ktb Tumorforschungsgesellschaft Mbh | Proteinbindende Anthrazyklin-Peptid-Derivate und diese enthaltende Arzneimittel |
| US7833979B2 (en) | 2005-04-22 | 2010-11-16 | Amgen Inc. | Toxin peptide therapeutic agents |
| AR056857A1 (es) | 2005-12-30 | 2007-10-24 | U3 Pharma Ag | Anticuerpos dirigidos hacia her-3 (receptor del factor de crecimiento epidérmico humano-3) y sus usos |
| US20080131428A1 (en) | 2006-02-24 | 2008-06-05 | Arius Research, Inc. | Cytotoxicity mediation of cells evidencing surface expression of TROP-2 |
| RS54163B1 (sr) | 2006-05-30 | 2015-12-31 | Genentech Inc. | Anti-cd22 antitela, njihovi imunokonjugati i njihova upotreba |
| UA95958C2 (en) | 2006-05-30 | 2011-09-26 | Дженентек, Инк. | Antibody that binds to cd22, immunoconjugates and uses therefor |
| ITMI20061473A1 (it) | 2006-07-26 | 2008-01-27 | Indena Spa | Derivati della camptotecina ad attivita antitumorale |
| JP2010513524A (ja) | 2006-12-21 | 2010-04-30 | シェーリング コーポレイション | Kspキネシン活性を阻害するためのピロロ[3,2−a]ピリジン誘導体 |
| DK2716301T3 (en) | 2007-02-16 | 2017-07-31 | Merrimack Pharmaceuticals Inc | ANTIBODIES AGAINST ERBB3 AND APPLICATIONS THEREOF |
| US20100143245A1 (en) | 2007-03-22 | 2010-06-10 | Sloan-Kettering Institute For Cancer Research | Uses of monoclonal antibody 8h9 |
| CN104524590B (zh) | 2008-04-30 | 2019-06-21 | 伊缪诺金公司 | 交联剂和它们的用途 |
| ES2544971T3 (es) | 2008-05-13 | 2015-09-07 | Genentech, Inc. | Análisis de conjugados de fármacos y anticuerpos mediante espectrometría de masas con captura por afinidad basada en esferas |
| JP5677972B2 (ja) | 2008-11-18 | 2015-02-25 | メリマック ファーマシューティカルズ インコーポレーティッド | ヒト血清アルブミンリンカーおよびそのコンジュゲート |
| LT3903829T (lt) | 2009-02-13 | 2023-06-12 | Immunomedics, Inc. | Imunokonjugatai su viduląsteliniu būdu skaldoma jungtimi |
| US20120171201A1 (en) | 2009-07-22 | 2012-07-05 | Enzon Pharmaceuticals, Inc. | Methods of treating her2 positive cancer with her2 receptor antagonist in combination with multi-arm polymeric conjugates of 7-ethyl-10-hydroxycamptothecin |
| JP5829520B2 (ja) | 2009-08-20 | 2015-12-09 | 国立大学法人 千葉大学 | コルヒチン誘導体 |
| EP2480230A4 (en) | 2009-09-24 | 2015-06-10 | Seattle Genetics Inc | DR5 Ligand-HEILMITTELKONJUGATE |
| CN105999263B (zh) | 2009-11-13 | 2021-06-29 | 第一三共欧洲有限公司 | 用于治疗或预防人表皮生长因子受体-3(her-3)相关疾病的材料和方法 |
| WO2011068845A1 (en) | 2009-12-02 | 2011-06-09 | Immunomedics, Inc. | Combining radioimmunotherapy and antibody-drug conjugates for improved cancer therapy |
| ES2661228T3 (es) | 2010-05-13 | 2018-03-28 | Indiana University Research And Technology Corporation | Péptidos de la superfamilia de glucagón que muestran actividad de receptor nuclear de hormona |
| EA031043B1 (ru) | 2010-05-17 | 2018-11-30 | Ливтех, Инк. | Антитело против trop-2 человека, обладающее противоопухолевой активностью in vivo |
| EP2571525A4 (en) | 2010-05-18 | 2016-04-27 | Cerulean Pharma Inc | Compositions and methods for treating autoimmune and other diseases |
| JPWO2011155579A1 (ja) | 2010-06-10 | 2013-08-15 | 北海道公立大学法人 札幌医科大学 | 抗Trop−2抗体 |
| CA2804185C (en) | 2010-07-12 | 2017-03-21 | Covx Technologies Ireland Limited | Multifunctional antibody conjugates |
| WO2012019024A2 (en) | 2010-08-04 | 2012-02-09 | Immunogen, Inc. | Her3-binding molecules and immunoconjugates thereof |
| CA2815154A1 (en) | 2010-08-06 | 2012-02-09 | U3 Pharma Gmbh | Use of her3 binding agents in prostate treatment |
| JP6014596B2 (ja) | 2010-11-09 | 2016-10-25 | メディミューン,エルエルシー | 均一コンジュゲーションのための抗体足場 |
| CN103313990B (zh) | 2010-11-17 | 2016-07-20 | 基因泰克公司 | 丙氨酰美登醇抗体偶联物 |
| CN104053672A (zh) | 2011-11-11 | 2014-09-17 | 瑞纳神经科学公司 | Trop-2特异性抗体及其用途 |
| US9427464B2 (en) | 2011-11-22 | 2016-08-30 | Chiome Bioscience Inc. | Anti-human TROP-2 antibody having an antitumor activity in vivo |
| KR20140114826A (ko) | 2011-12-14 | 2014-09-29 | 시애틀 지네틱스, 인크. | Fgfr 항체 약물 콘주게이트 (adcs) 및 그의 용도 |
| US20130280282A1 (en) | 2012-04-24 | 2013-10-24 | Daiichi Sankyo Co., Ltd. | Dr5 ligand drug conjugates |
| WO2013188740A1 (en) | 2012-06-14 | 2013-12-19 | Ambrx, Inc. | Anti-psma antibodies conjugated to nuclear receptor ligand polypeptides |
| WO2014061277A1 (ja) | 2012-10-19 | 2014-04-24 | 第一三共株式会社 | 親水性構造を含むリンカーで結合させた抗体-薬物コンジュゲート |
| US9814784B2 (en) | 2013-01-03 | 2017-11-14 | Celltrion, Inc. | Antibody-linker-drug conjugate, preparation method therefor, and anticancer drug composition containing same |
| WO2018185618A1 (en) | 2017-04-03 | 2018-10-11 | Novartis Ag | Anti-cdh6 antibody drug conjugates and anti-gitr antibody combinations and methods of treatment |
| TW202530220A (zh) * | 2017-05-15 | 2025-08-01 | 日商第一三共股份有限公司 | 抗體-藥物結合物之製造方法 |
-
2018
- 2018-05-11 TW TW114109579A patent/TW202530220A/zh unknown
- 2018-05-11 TW TW114109578A patent/TW202532105A/zh unknown
- 2018-05-11 TW TW114109582A patent/TW202530221A/zh unknown
- 2018-05-11 TW TW114109576A patent/TW202532104A/zh unknown
- 2018-05-11 TW TW114109573A patent/TW202532102A/zh unknown
- 2018-05-11 TW TW114109571A patent/TW202532101A/zh unknown
- 2018-05-11 TW TW113130333A patent/TWI904805B/zh active
- 2018-05-11 TW TW114109581A patent/TW202542161A/zh unknown
- 2018-05-11 TW TW107116035A patent/TWI794230B/zh active
- 2018-05-11 TW TW113130332A patent/TWI904804B/zh active
- 2018-05-11 TW TW114109575A patent/TW202530271A/zh unknown
- 2018-05-11 TW TW112104379A patent/TWI855528B/zh active
- 2018-05-11 TW TW114109574A patent/TW202532103A/zh unknown
- 2018-05-11 TW TW114109572A patent/TW202530218A/zh unknown
- 2018-05-11 TW TW114109577A patent/TW202530219A/zh unknown
- 2018-05-11 TW TW114109580A patent/TW202532106A/zh unknown
- 2018-05-14 US US16/613,203 patent/US11446386B2/en active Active
- 2018-05-14 AU AU2018270961A patent/AU2018270961B9/en active Active
- 2018-05-14 EP EP24164945.8A patent/EP4374852A3/en active Pending
- 2018-05-14 KR KR1020197033607A patent/KR102768694B1/ko active Active
- 2018-05-14 WO PCT/JP2018/018572 patent/WO2018212136A1/ja not_active Ceased
- 2018-05-14 PT PT188025365T patent/PT3626825T/pt unknown
- 2018-05-14 PL PL18802536.5T patent/PL3626825T3/pl unknown
- 2018-05-14 FI FIEP18802536.5T patent/FI3626825T3/fi active
- 2018-05-14 HR HRP20241458TT patent/HRP20241458T1/hr unknown
- 2018-05-14 DK DK18802536.5T patent/DK3626825T3/da active
- 2018-05-14 SI SI201831157T patent/SI3626825T1/sl unknown
- 2018-05-14 ES ES18802536T patent/ES2991607T3/es active Active
- 2018-05-14 BR BR112019023832-8A patent/BR112019023832A2/pt unknown
- 2018-05-14 RS RS20241225A patent/RS66163B1/sr unknown
- 2018-05-14 IL IL318785A patent/IL318785A/en unknown
- 2018-05-14 CN CN201880032336.2A patent/CN110651045A/zh active Pending
- 2018-05-14 IL IL270635A patent/IL270635B2/en unknown
- 2018-05-14 KR KR1020257004599A patent/KR20250025511A/ko active Pending
- 2018-05-14 JP JP2019518773A patent/JP6827534B2/ja active Active
- 2018-05-14 HU HUE18802536A patent/HUE070023T2/hu unknown
- 2018-05-14 CA CA3063827A patent/CA3063827A1/en active Pending
- 2018-05-14 LT LTEPPCT/JP2018/018572T patent/LT3626825T/lt unknown
- 2018-05-14 SM SM20240472T patent/SMT202400472T1/it unknown
- 2018-05-14 EP EP18802536.5A patent/EP3626825B1/en active Active
-
2019
- 2019-11-13 MX MX2023001685A patent/MX2023001685A/es unknown
- 2019-11-13 MX MX2023001686A patent/MX2023001686A/es unknown
- 2019-11-14 PH PH12019502545A patent/PH12019502545A1/en unknown
- 2019-11-21 CO CONC2019/0013020A patent/CO2019013020A2/es unknown
-
2020
- 2020-09-02 US US17/010,162 patent/US11077202B2/en active Active
-
2021
- 2021-01-12 JP JP2021002874A patent/JP7064629B2/ja active Active
-
2022
- 2022-04-22 JP JP2022070921A patent/JP7445699B2/ja active Active
- 2022-07-26 US US17/874,239 patent/US12233155B2/en active Active
-
2024
- 2024-02-26 JP JP2024026117A patent/JP7776555B2/ja active Active
-
2025
- 2025-01-21 US US19/033,419 patent/US20250228766A1/en active Pending
- 2025-04-23 AU AU2025202863A patent/AU2025202863A1/en active Pending
- 2025-09-22 JP JP2025157162A patent/JP2026001062A/ja active Pending
Patent Citations (5)
| Publication number | Priority date | Publication date | Assignee | Title |
|---|---|---|---|---|
| WO2014057687A1 (ja) | 2012-10-11 | 2014-04-17 | 第一三共株式会社 | 抗体-薬物コンジュゲート |
| US20160297890A1 (en) | 2013-12-25 | 2016-10-13 | Daiichi Sankyo Company, Limited | Anti-trop2 antibody-drug conjugate |
| KR20160144396A (ko) * | 2014-04-10 | 2016-12-16 | 다이이찌 산쿄 가부시키가이샤 | 항her3 항체-약물 콘주게이트 |
| WO2016024195A1 (en) | 2014-08-12 | 2016-02-18 | Novartis Ag | Anti-cdh6 antibody drug conjugates |
| KR20170040249A (ko) * | 2014-08-12 | 2017-04-12 | 노파르티스 아게 | 항-cdh6 항체 약물 접합체 |
Non-Patent Citations (13)
| Title |
|---|
| Cho E A, et al., Development, 803-812, 125, 1998 |
| Goeppert B, et al., Epigenetics, 780-790, 11(11), 2016 |
| Gugnoni M, et al., Oncogene, 667-677, 36, 2017 |
| Inoue T, et al., Developmental Biology, 183-194, 1997 |
| Koebel M, et al., PLoS Medicine, 1749-1760, 5(12), e232, Dec.2008 |
| Mah S P, et al., Developmental Biology, 38-53, 223, 2000 |
| Osterhout J A, et al., Neuron, 632-639, 71, Aug 25, 2011 |
| Paul R, et al., Cancer Research, 2741-2748, July 1, 57, 1997 |
| Peters C, et al., Bioscience Reports, 1-20, 35, 2015 |
| Polakis P., Pharmacological Reviews, 3-19, 68, 2016 |
| Shimazui T, et al., Cancer, 963-968, 101(5), Sep.1, 2004 |
| Shimoyama Y, et al., Cancer Research, 2206-2211, 55, May 15, 1995 |
| Yokoi S, et al., American Journal of Pathology, 207-216, 161, 1, 2002 |
Also Published As
Similar Documents
| Publication | Publication Date | Title |
|---|---|---|
| KR102768694B1 (ko) | 항 cdh6 항체 및 항 cdh6 항체-약물 콘주게이트 | |
| JP6679762B2 (ja) | 抗gpr20抗体及び抗gpr20抗体−薬物コンジュゲート | |
| JP2023085488A (ja) | Bcma(cd269/tnfrsf17)結合タンパク質 | |
| KR20210143839A (ko) | 항체-피롤로벤조디아제핀 유도체 콘주게이트와 parp 저해제의 조합 | |
| KR20210091711A (ko) | 항 cdh6 항체-피롤로벤조디아제핀 유도체 컨쥬게이트 | |
| KR20210143237A (ko) | 항체-피롤로벤조디아제핀 유도체 컨쥬게이트 | |
| JP2024534386A (ja) | 化学療法抵抗性癌の治療方法における使用のための抗体-薬物コンジュゲート | |
| RU2798285C2 (ru) | Анти-cdh6-антитело и конъюгат анти-cdh6-антитело-лекарственное средство | |
| KR20260016603A (ko) | 항체-피롤로벤조디아제핀 유도체 콘쥬게이트 | |
| HK40027154A (en) | Anti-cdh6 antibody and anti-cdh6 antibody-drug conjugate |
Legal Events
| Date | Code | Title | Description |
|---|---|---|---|
| PA0105 | International application |
Patent event date: 20191113 Patent event code: PA01051R01D Comment text: International Patent Application |
|
| PG1501 | Laying open of application | ||
| PA0201 | Request for examination |
Patent event code: PA02012R01D Patent event date: 20210416 Comment text: Request for Examination of Application |
|
| E902 | Notification of reason for refusal | ||
| PE0902 | Notice of grounds for rejection |
Comment text: Notification of reason for refusal Patent event date: 20231121 Patent event code: PE09021S01D |
|
| E601 | Decision to refuse application | ||
| PE0601 | Decision on rejection of patent |
Patent event date: 20240727 Comment text: Decision to Refuse Application Patent event code: PE06012S01D |
|
| AMND | Amendment | ||
| PX0901 | Re-examination |
Patent event code: PX09012R01I Patent event date: 20241028 Comment text: Amendment to Specification, etc. |
|
| PX0701 | Decision of registration after re-examination |
Patent event date: 20241111 Comment text: Decision to Grant Registration Patent event code: PX07013S01D |
|
| X701 | Decision to grant (after re-examination) | ||
| A107 | Divisional application of patent | ||
| GRNT | Written decision to grant | ||
| PA0104 | Divisional application for international application |
Comment text: Divisional Application for International Patent Patent event code: PA01041R01D Patent event date: 20250212 |
|
| PR0701 | Registration of establishment |
Comment text: Registration of Establishment Patent event date: 20250212 Patent event code: PR07011E01D |
|
| PR1002 | Payment of registration fee |
Payment date: 20250212 End annual number: 3 Start annual number: 1 |
|
| PG1601 | Publication of registration |






















































