WO2024048490A1 - 変異Fc領域を含む抗体薬物コンジュゲート - Google Patents
変異Fc領域を含む抗体薬物コンジュゲート Download PDFInfo
- Publication number
- WO2024048490A1 WO2024048490A1 PCT/JP2023/030872 JP2023030872W WO2024048490A1 WO 2024048490 A1 WO2024048490 A1 WO 2024048490A1 JP 2023030872 W JP2023030872 W JP 2023030872W WO 2024048490 A1 WO2024048490 A1 WO 2024048490A1
- Authority
- WO
- WIPO (PCT)
- Prior art keywords
- antibody
- amino acid
- seq
- set forth
- acid sequence
- Prior art date
- Legal status (The legal status is an assumption and is not a legal conclusion. Google has not performed a legal analysis and makes no representation as to the accuracy of the status listed.)
- Ceased
Links
Images
Classifications
-
- A—HUMAN NECESSITIES
- A61—MEDICAL OR VETERINARY SCIENCE; HYGIENE
- A61P—SPECIFIC THERAPEUTIC ACTIVITY OF CHEMICAL COMPOUNDS OR MEDICINAL PREPARATIONS
- A61P35/00—Antineoplastic agents
-
- A—HUMAN NECESSITIES
- A61—MEDICAL OR VETERINARY SCIENCE; HYGIENE
- A61K—PREPARATIONS FOR MEDICAL, DENTAL OR TOILETRY PURPOSES
- A61K31/00—Medicinal preparations containing organic active ingredients
- A61K31/70—Carbohydrates; Sugars; Derivatives thereof
- A61K31/7042—Compounds having saccharide radicals and heterocyclic rings
- A61K31/7052—Compounds having saccharide radicals and heterocyclic rings having nitrogen as a ring hetero atom, e.g. nucleosides, nucleotides
- A61K31/706—Compounds having saccharide radicals and heterocyclic rings having nitrogen as a ring hetero atom, e.g. nucleosides, nucleotides containing six-membered rings with nitrogen as a ring hetero atom
- A61K31/7064—Compounds having saccharide radicals and heterocyclic rings having nitrogen as a ring hetero atom, e.g. nucleosides, nucleotides containing six-membered rings with nitrogen as a ring hetero atom containing condensed or non-condensed pyrimidines
-
- A—HUMAN NECESSITIES
- A61—MEDICAL OR VETERINARY SCIENCE; HYGIENE
- A61K—PREPARATIONS FOR MEDICAL, DENTAL OR TOILETRY PURPOSES
- A61K31/00—Medicinal preparations containing organic active ingredients
- A61K31/70—Carbohydrates; Sugars; Derivatives thereof
- A61K31/7042—Compounds having saccharide radicals and heterocyclic rings
- A61K31/7052—Compounds having saccharide radicals and heterocyclic rings having nitrogen as a ring hetero atom, e.g. nucleosides, nucleotides
- A61K31/706—Compounds having saccharide radicals and heterocyclic rings having nitrogen as a ring hetero atom, e.g. nucleosides, nucleotides containing six-membered rings with nitrogen as a ring hetero atom
- A61K31/7064—Compounds having saccharide radicals and heterocyclic rings having nitrogen as a ring hetero atom, e.g. nucleosides, nucleotides containing six-membered rings with nitrogen as a ring hetero atom containing condensed or non-condensed pyrimidines
- A61K31/7076—Compounds having saccharide radicals and heterocyclic rings having nitrogen as a ring hetero atom, e.g. nucleosides, nucleotides containing six-membered rings with nitrogen as a ring hetero atom containing condensed or non-condensed pyrimidines containing purines, e.g. adenosine, adenylic acid
- A61K31/708—Compounds having saccharide radicals and heterocyclic rings having nitrogen as a ring hetero atom, e.g. nucleosides, nucleotides containing six-membered rings with nitrogen as a ring hetero atom containing condensed or non-condensed pyrimidines containing purines, e.g. adenosine, adenylic acid having oxo groups directly attached to the purine ring system, e.g. guanosine, guanylic acid
-
- A—HUMAN NECESSITIES
- A61—MEDICAL OR VETERINARY SCIENCE; HYGIENE
- A61K—PREPARATIONS FOR MEDICAL, DENTAL OR TOILETRY PURPOSES
- A61K39/00—Medicinal preparations containing antigens or antibodies
- A61K39/395—Antibodies; Immunoglobulins; Immune serum, e.g. antilymphocytic serum
-
- A—HUMAN NECESSITIES
- A61—MEDICAL OR VETERINARY SCIENCE; HYGIENE
- A61K—PREPARATIONS FOR MEDICAL, DENTAL OR TOILETRY PURPOSES
- A61K45/00—Medicinal preparations containing active ingredients not provided for in groups A61K31/00 - A61K41/00
-
- A—HUMAN NECESSITIES
- A61—MEDICAL OR VETERINARY SCIENCE; HYGIENE
- A61K—PREPARATIONS FOR MEDICAL, DENTAL OR TOILETRY PURPOSES
- A61K47/00—Medicinal preparations characterised by the non-active ingredients used, e.g. carriers or inert additives; Targeting or modifying agents chemically bound to the active ingredient
- A61K47/50—Medicinal preparations characterised by the non-active ingredients used, e.g. carriers or inert additives; Targeting or modifying agents chemically bound to the active ingredient the non-active ingredient being chemically bound to the active ingredient, e.g. polymer-drug conjugates
- A61K47/51—Medicinal preparations characterised by the non-active ingredients used, e.g. carriers or inert additives; Targeting or modifying agents chemically bound to the active ingredient the non-active ingredient being chemically bound to the active ingredient, e.g. polymer-drug conjugates the non-active ingredient being a modifying agent
- A61K47/68—Medicinal preparations characterised by the non-active ingredients used, e.g. carriers or inert additives; Targeting or modifying agents chemically bound to the active ingredient the non-active ingredient being chemically bound to the active ingredient, e.g. polymer-drug conjugates the non-active ingredient being a modifying agent the modifying agent being an antibody, an immunoglobulin or a fragment thereof, e.g. an Fc-fragment
-
- A—HUMAN NECESSITIES
- A61—MEDICAL OR VETERINARY SCIENCE; HYGIENE
- A61K—PREPARATIONS FOR MEDICAL, DENTAL OR TOILETRY PURPOSES
- A61K47/00—Medicinal preparations characterised by the non-active ingredients used, e.g. carriers or inert additives; Targeting or modifying agents chemically bound to the active ingredient
- A61K47/50—Medicinal preparations characterised by the non-active ingredients used, e.g. carriers or inert additives; Targeting or modifying agents chemically bound to the active ingredient the non-active ingredient being chemically bound to the active ingredient, e.g. polymer-drug conjugates
- A61K47/51—Medicinal preparations characterised by the non-active ingredients used, e.g. carriers or inert additives; Targeting or modifying agents chemically bound to the active ingredient the non-active ingredient being chemically bound to the active ingredient, e.g. polymer-drug conjugates the non-active ingredient being a modifying agent
- A61K47/68—Medicinal preparations characterised by the non-active ingredients used, e.g. carriers or inert additives; Targeting or modifying agents chemically bound to the active ingredient the non-active ingredient being chemically bound to the active ingredient, e.g. polymer-drug conjugates the non-active ingredient being a modifying agent the modifying agent being an antibody, an immunoglobulin or a fragment thereof, e.g. an Fc-fragment
- A61K47/6801—Drug-antibody or immunoglobulin conjugates defined by the pharmacologically or therapeutically active agent
-
- A—HUMAN NECESSITIES
- A61—MEDICAL OR VETERINARY SCIENCE; HYGIENE
- A61K—PREPARATIONS FOR MEDICAL, DENTAL OR TOILETRY PURPOSES
- A61K47/00—Medicinal preparations characterised by the non-active ingredients used, e.g. carriers or inert additives; Targeting or modifying agents chemically bound to the active ingredient
- A61K47/50—Medicinal preparations characterised by the non-active ingredients used, e.g. carriers or inert additives; Targeting or modifying agents chemically bound to the active ingredient the non-active ingredient being chemically bound to the active ingredient, e.g. polymer-drug conjugates
- A61K47/51—Medicinal preparations characterised by the non-active ingredients used, e.g. carriers or inert additives; Targeting or modifying agents chemically bound to the active ingredient the non-active ingredient being chemically bound to the active ingredient, e.g. polymer-drug conjugates the non-active ingredient being a modifying agent
- A61K47/68—Medicinal preparations characterised by the non-active ingredients used, e.g. carriers or inert additives; Targeting or modifying agents chemically bound to the active ingredient the non-active ingredient being chemically bound to the active ingredient, e.g. polymer-drug conjugates the non-active ingredient being a modifying agent the modifying agent being an antibody, an immunoglobulin or a fragment thereof, e.g. an Fc-fragment
- A61K47/6801—Drug-antibody or immunoglobulin conjugates defined by the pharmacologically or therapeutically active agent
- A61K47/6803—Drugs conjugated to an antibody or immunoglobulin, e.g. cisplatin-antibody conjugates
- A61K47/6807—Drugs conjugated to an antibody or immunoglobulin, e.g. cisplatin-antibody conjugates the drug or compound being a sugar, nucleoside, nucleotide, nucleic acid, e.g. RNA antisense
-
- A—HUMAN NECESSITIES
- A61—MEDICAL OR VETERINARY SCIENCE; HYGIENE
- A61K—PREPARATIONS FOR MEDICAL, DENTAL OR TOILETRY PURPOSES
- A61K47/00—Medicinal preparations characterised by the non-active ingredients used, e.g. carriers or inert additives; Targeting or modifying agents chemically bound to the active ingredient
- A61K47/50—Medicinal preparations characterised by the non-active ingredients used, e.g. carriers or inert additives; Targeting or modifying agents chemically bound to the active ingredient the non-active ingredient being chemically bound to the active ingredient, e.g. polymer-drug conjugates
- A61K47/51—Medicinal preparations characterised by the non-active ingredients used, e.g. carriers or inert additives; Targeting or modifying agents chemically bound to the active ingredient the non-active ingredient being chemically bound to the active ingredient, e.g. polymer-drug conjugates the non-active ingredient being a modifying agent
- A61K47/68—Medicinal preparations characterised by the non-active ingredients used, e.g. carriers or inert additives; Targeting or modifying agents chemically bound to the active ingredient the non-active ingredient being chemically bound to the active ingredient, e.g. polymer-drug conjugates the non-active ingredient being a modifying agent the modifying agent being an antibody, an immunoglobulin or a fragment thereof, e.g. an Fc-fragment
- A61K47/6835—Medicinal preparations characterised by the non-active ingredients used, e.g. carriers or inert additives; Targeting or modifying agents chemically bound to the active ingredient the non-active ingredient being chemically bound to the active ingredient, e.g. polymer-drug conjugates the non-active ingredient being a modifying agent the modifying agent being an antibody, an immunoglobulin or a fragment thereof, e.g. an Fc-fragment the modifying agent being an antibody or an immunoglobulin bearing at least one antigen-binding site
- A61K47/6849—Medicinal preparations characterised by the non-active ingredients used, e.g. carriers or inert additives; Targeting or modifying agents chemically bound to the active ingredient the non-active ingredient being chemically bound to the active ingredient, e.g. polymer-drug conjugates the non-active ingredient being a modifying agent the modifying agent being an antibody, an immunoglobulin or a fragment thereof, e.g. an Fc-fragment the modifying agent being an antibody or an immunoglobulin bearing at least one antigen-binding site the antibody targeting a receptor, a cell surface antigen or a cell surface determinant
-
- A—HUMAN NECESSITIES
- A61—MEDICAL OR VETERINARY SCIENCE; HYGIENE
- A61K—PREPARATIONS FOR MEDICAL, DENTAL OR TOILETRY PURPOSES
- A61K47/00—Medicinal preparations characterised by the non-active ingredients used, e.g. carriers or inert additives; Targeting or modifying agents chemically bound to the active ingredient
- A61K47/50—Medicinal preparations characterised by the non-active ingredients used, e.g. carriers or inert additives; Targeting or modifying agents chemically bound to the active ingredient the non-active ingredient being chemically bound to the active ingredient, e.g. polymer-drug conjugates
- A61K47/51—Medicinal preparations characterised by the non-active ingredients used, e.g. carriers or inert additives; Targeting or modifying agents chemically bound to the active ingredient the non-active ingredient being chemically bound to the active ingredient, e.g. polymer-drug conjugates the non-active ingredient being a modifying agent
- A61K47/68—Medicinal preparations characterised by the non-active ingredients used, e.g. carriers or inert additives; Targeting or modifying agents chemically bound to the active ingredient the non-active ingredient being chemically bound to the active ingredient, e.g. polymer-drug conjugates the non-active ingredient being a modifying agent the modifying agent being an antibody, an immunoglobulin or a fragment thereof, e.g. an Fc-fragment
- A61K47/6889—Conjugates wherein the antibody being the modifying agent and wherein the linker, binder or spacer confers particular properties to the conjugates, e.g. peptidic enzyme-labile linkers or acid-labile linkers, providing for an acid-labile immuno conjugate wherein the drug may be released from its antibody conjugated part in an acidic, e.g. tumoural or environment
-
- A—HUMAN NECESSITIES
- A61—MEDICAL OR VETERINARY SCIENCE; HYGIENE
- A61P—SPECIFIC THERAPEUTIC ACTIVITY OF CHEMICAL COMPOUNDS OR MEDICINAL PREPARATIONS
- A61P43/00—Drugs for specific purposes, not provided for in groups A61P1/00-A61P41/00
-
- C—CHEMISTRY; METALLURGY
- C07—ORGANIC CHEMISTRY
- C07K—PEPTIDES
- C07K16/00—Immunoglobulins [IGs], e.g. monoclonal or polyclonal antibodies
-
- C—CHEMISTRY; METALLURGY
- C07—ORGANIC CHEMISTRY
- C07K—PEPTIDES
- C07K16/00—Immunoglobulins [IGs], e.g. monoclonal or polyclonal antibodies
- C07K16/18—Immunoglobulins [IGs], e.g. monoclonal or polyclonal antibodies against material from animals or humans
- C07K16/28—Immunoglobulins [IGs], e.g. monoclonal or polyclonal antibodies against material from animals or humans against receptors, cell surface antigens or cell surface determinants
-
- C—CHEMISTRY; METALLURGY
- C07—ORGANIC CHEMISTRY
- C07K—PEPTIDES
- C07K16/00—Immunoglobulins [IGs], e.g. monoclonal or polyclonal antibodies
- C07K16/18—Immunoglobulins [IGs], e.g. monoclonal or polyclonal antibodies against material from animals or humans
- C07K16/28—Immunoglobulins [IGs], e.g. monoclonal or polyclonal antibodies against material from animals or humans against receptors, cell surface antigens or cell surface determinants
- C07K16/2863—Immunoglobulins [IGs], e.g. monoclonal or polyclonal antibodies against material from animals or humans against receptors, cell surface antigens or cell surface determinants against receptors for growth factors, growth regulators
-
- A—HUMAN NECESSITIES
- A61—MEDICAL OR VETERINARY SCIENCE; HYGIENE
- A61K—PREPARATIONS FOR MEDICAL, DENTAL OR TOILETRY PURPOSES
- A61K39/00—Medicinal preparations containing antigens or antibodies
- A61K2039/505—Medicinal preparations containing antigens or antibodies comprising antibodies
-
- C—CHEMISTRY; METALLURGY
- C07—ORGANIC CHEMISTRY
- C07K—PEPTIDES
- C07K2317/00—Immunoglobulins specific features
- C07K2317/40—Immunoglobulins specific features characterized by post-translational modification
- C07K2317/41—Glycosylation, sialylation, or fucosylation
-
- C—CHEMISTRY; METALLURGY
- C07—ORGANIC CHEMISTRY
- C07K—PEPTIDES
- C07K2317/00—Immunoglobulins specific features
- C07K2317/50—Immunoglobulins specific features characterized by immunoglobulin fragments
- C07K2317/52—Constant or Fc region; Isotype
-
- C—CHEMISTRY; METALLURGY
- C07—ORGANIC CHEMISTRY
- C07K—PEPTIDES
- C07K2317/00—Immunoglobulins specific features
- C07K2317/50—Immunoglobulins specific features characterized by immunoglobulin fragments
- C07K2317/52—Constant or Fc region; Isotype
- C07K2317/524—CH2 domain
-
- C—CHEMISTRY; METALLURGY
- C07—ORGANIC CHEMISTRY
- C07K—PEPTIDES
- C07K2317/00—Immunoglobulins specific features
- C07K2317/70—Immunoglobulins specific features characterized by effect upon binding to a cell or to an antigen
- C07K2317/71—Decreased effector function due to an Fc-modification
Definitions
- the present invention combines a cyclic dinucleotide derivative having STING agonist activity, which is a molecule with excellent safety while maintaining antitumor activity, and an antibody containing a mutant Fc region or a functional fragment of the antibody through a linker.
- the Fc region provides antibodies with a long blood half-life and effector functions such as antibody-dependent cell cytotoxicity (ADCC) and antibody-dependent cell phagocytosis (ADCP).
- ADCC antibody-dependent cell cytotoxicity
- ADCP antibody-dependent cell phagocytosis
- IgG subclass called IgG
- Fc ⁇ Rs Fc ⁇ receptors
- Fc ⁇ R binding activity has been suggested to be involved in safety risks such as infusion reactions (Non-Patent Document 1), it is often considered an undesirable property in antibody drugs.
- Patent Documents 1 to 6 and Non-Patent Documents 2 and 3 amino acid substitutions in the Fc region of various IgG-type antibodies that reduce binding activity to human Fc ⁇ R have been reported (eg, Patent Documents 1 to 6 and Non-Patent Documents 2 and 3).
- STING Stimulator of Interferon Genes
- STING is a transmembrane adapter protein localized in the endoplasmic reticulum (Non-Patent Document 7).
- STING functions as a central molecule in innate immune activation in mammals, and is the first line of defense against invading pathogens such as bacteria and viruses. It is known that activation of STING is caused by signals generated when multiple cytoplasmic DNA sensors sense exogenous and endogenous DNA.
- cGAS Cyclic GMP-AMP Synthase
- Non-Patent Document 8 When cGAS senses DNA, a cyclic dinucleotide (2',3'-cGAMP) is produced, and this 2',3'-cGAMP directly binds to STING and activates STING (Non-Patent Document 8). Activated STING moves to the Golgi apparatus, where it promotes autophosphorylation of TBK1 (Tank-binding kinase 1). TBK1, which has been autophosphorylated and activated, activates both the IRF3 (Interferon regulatory factor 3) transcription pathway (Non-patent document 9) and the NF ⁇ B transcription pathway (Non-patent document 10), and activates interferon and cytokine (type I IFN).
- IRF3 Interferon regulatory factor 3
- interferon IL-6 (interleukin-6), and TNF- ⁇ (tumor necrosis factor- ⁇ ).
- IL-6 interleukin-6
- TNF- ⁇ tumor necrosis factor- ⁇
- STING promotes anti-tumor immunity as well as host defense against microorganisms.
- TRIF Toll/Interleukin-1 (IL-1) receptor domain containing adapter-inducing interferon- ⁇ )-deficient mice. Multiply.
- TLR toll-like receptor
- MyD88 myeloid differentiation primary response 88
- MAVS mitochondrial antiviral-signaling
- Non-Patent Document 11 This suggests that the STING pathway, which is triggered by cytoplasmic DNA sensing, is involved in controlling tumor growth (Non-Patent Document 11).
- Other studies have also shown that STING is required for the antitumor effects of radiotherapy (Non-Patent Document 12) or anti-CD47 antibody therapy (Non-Patent Document 13).
- DNA from dead tumor cells migrates into the cytoplasm of dendritic cells and activates the cGAS-STING pathway, which then induces IFN production and contributes to innate immunity and acquisition. Bridging immunity.
- DMXAA The flavonoid low-molecular-weight compound DMXAA, which is known as a blood vessel disrupting agent, induces type I IFN in macrophages, and therefore has been shown to have strong antitumor activity in mouse tumor models (Non-Patent Document 14).
- DMXAA was expected to be an immunotherapeutic drug for non-small cell lung cancer due to its excellent preclinical antitumor effects, but human clinical trials failed (Non-Patent Document 15).
- Recent studies have revealed that DMXAA is a specific agonist for mouse STING, and cannot bind to human STING because it has no species cross-reactivity (Non-Patent Document 16).
- DMXAA was ultimately ineffective in humans, studies in mouse models suggest that small molecule drugs can mediate STING to effectively prime CD8 + T cells and enhance antitumor immunity. Ta.
- CDN cyclic dinucleotide
- Natural CDN like many nucleic acid molecules, is rapidly degraded by nucleolytic enzymes in the blood, and therefore cannot be administered as is. Therefore, synthetic low-molecular-weight compounds that have STING agonist activity in vivo have been developed (eg, Patent Documents 8 to 33).
- the STING agonist MIW-815 (sometimes called ADU-S100, ML RR-S2 CDA or ML-RR-CDA ⁇ 2Na + ), which is currently undergoing clinical trials as an antitumor agent, is directly administered into tumors. administered.
- the drug can only be administered to a limited area within the tumor, and it is difficult to directly administer the drug to all multiple distantly metastatic tumors, so it is difficult to treat tumors that can be treated. The problem is that it is limited.
- Non-Patent Document 19 describes that antitumor effects were shown by ML RR-S2 CDA administration, but only by intratumoral administration, and no antitumor effects were shown by systemic administration (e.g., intravenous administration). It has not been.
- Non-Patent Document 20 states that intravenous administration of the STING agonist SB11285 to a mouse tumor model showed an antitumor effect, but it is not clear what kind of structure SB11285 has. It has not been.
- Patent Document 21 describes a conjugate containing an immunostimulatory compound, an antibody construct, and a linker, but does not describe a specific example of a conjugate using a STING agonist as an immunostimulatory compound.
- Patent Document 33 describes a conjugate in which a CDN having a specific structure and an antibody are bound via a linker, but there is no description of an example in which the conjugate was administered in vivo, and Antitumor effects have not been confirmed.
- Patent Documents 34, 35, 37 and 38 describe conjugates in which a STING agonist is used as an immunostimulatory compound and is bound to an antibody via a linker, and there are descriptions of examples of in vivo administration.
- a transglycosylation reaction using enzymes is known as a method for uniformizing the sugar chains added to glycoprotein molecules including medical antibodies and antibody Fc regions, and in particular, two types of ENGase are used.
- a one-pot method is known in which a sugar chain is directly transferred to a GlcNAc acceptor.
- an antibody-drug conjugate that can be administered systemically and that can specifically deliver a STING agonist to target cells or organs (e.g., tumor site), and a STING agonist using the antibody-drug conjugate
- a STING agonist to target cells or organs (e.g., tumor site)
- a STING agonist using the antibody-drug conjugate
- therapeutic agents and/or therapeutic methods for diseases in which activity is associated for example, diseases that can be treated by immunostimulation (eg, cancer).
- a CDN derivative characterized by having a fused tricyclic substituent, a specific antibody containing a mutant Fc region, or a functional fragment of the antibody.
- an antibody-drug conjugate in which the antibody-drug conjugate is linked via a linker, and have discovered that when the antibody-drug conjugate is administered systemically, it exhibits antitumor effects in tumors expressing the antigen, and is also superior in terms of safety. They discovered this and completed the present invention.
- a specific antibody containing the mutant Fc region is superior in terms of safety, and also discovered an improved method for producing Fc-containing molecules (particularly antibodies) using a one-pot method, thereby completing the present invention.
- the present invention relates to the following, but is not limited thereto.
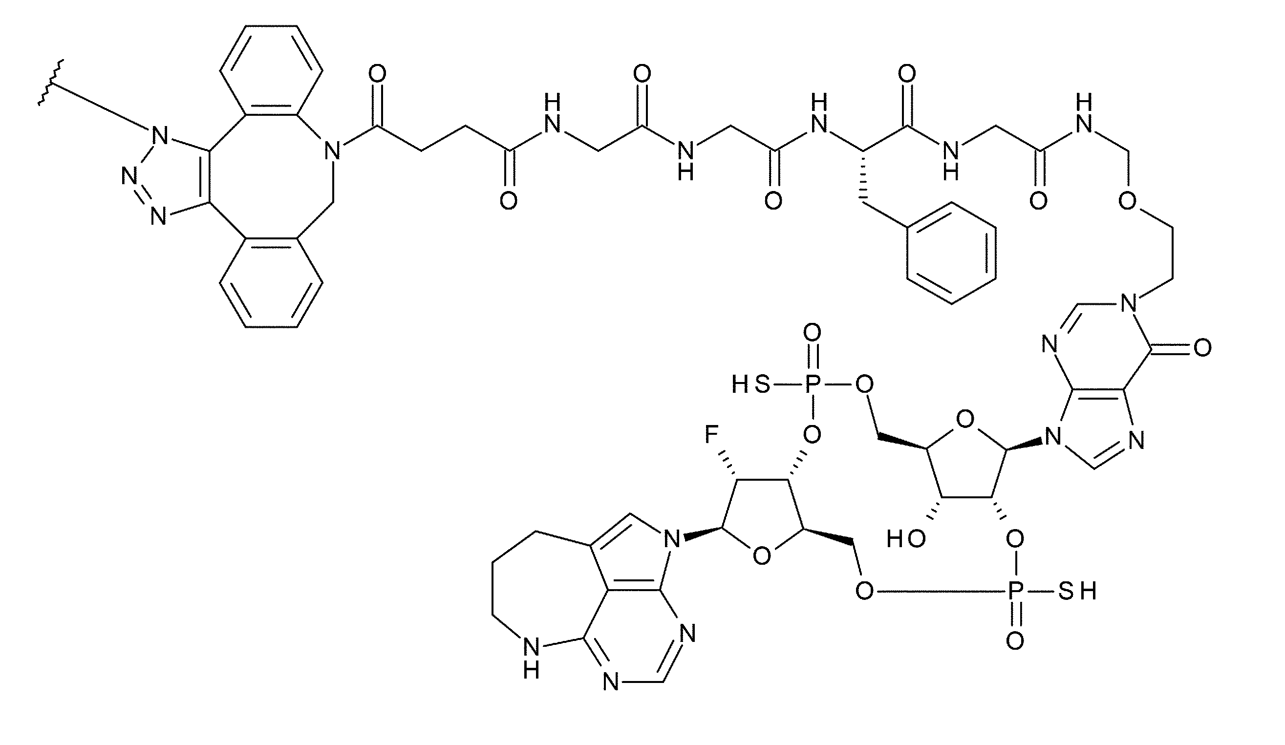
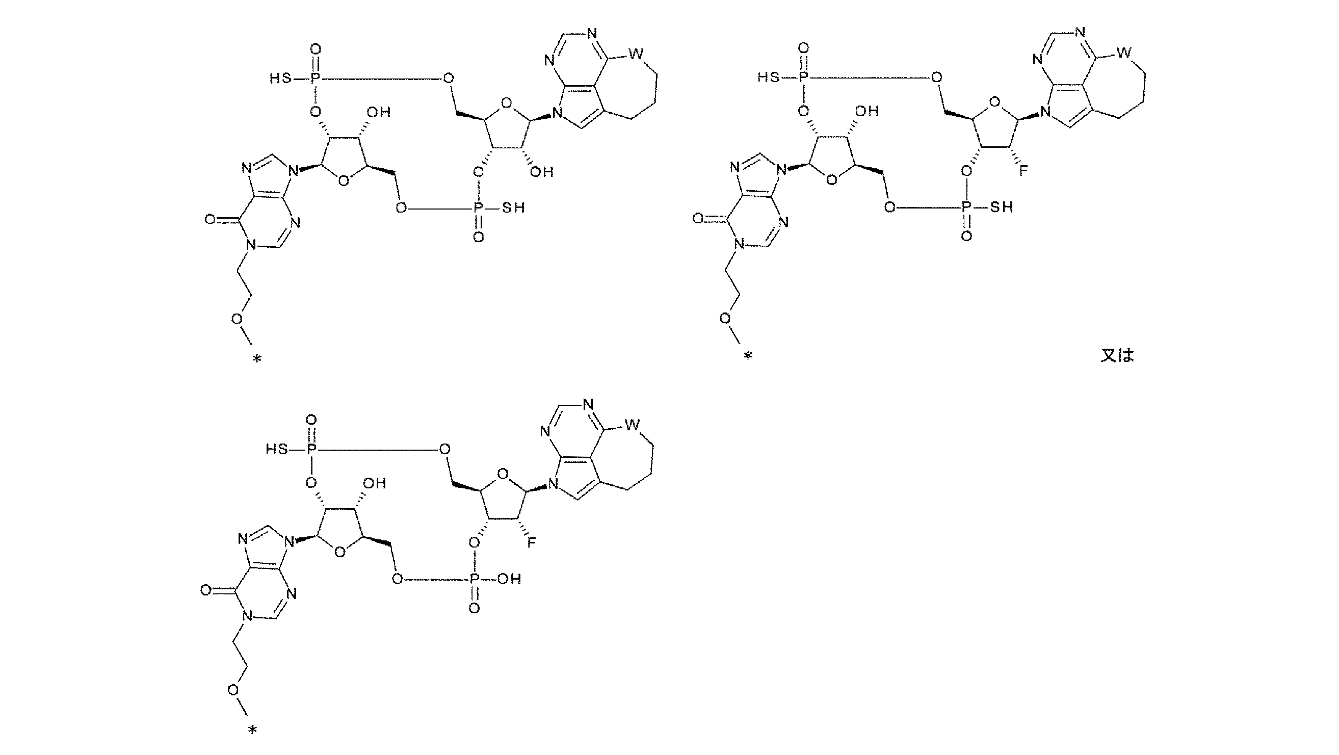
- the 234th, 235th, and 265th amino acid residues are Ala, Ala, and Gly, respectively, where the antibody represents an anti-EGFR antibody or an anti-CDH6 antibody, L represents a linker connecting Ab and D, Ab may be linked to L directly from its amino acid residue, or may be linked to L from a sugar chain of Ab or a remodeled sugar chain, D is the following formula (I): (here, L bonds with the hydroxy group contained in L 1 , L1 is the following formula: (Here, the wavy line indicates the replacement position) Indicates the group of Q and Q ' each independently represent a hydroxy group
- [3] D is the following two formulas: (Here, the asterisk indicates combination with L, and Q, Q' and W are as defined previously) The antibody-drug conjugate according to [1] or [2], which is represented by any one of the above.
- [4] D is the following 3 formulas: (Here, the asterisk indicates combination with L and W is as defined previously) The antibody-drug conjugate according to any one of [1] to [3], which is represented by any one of [1] to [3].
- [5] D is the following 3 formulas: (Here, the asterisk indicates that it is combined with L) The antibody-drug conjugate according to any one of [1] to [4], which is represented by any one of [1] to [4].
- [6] D is the following 4 formulas: (Here, the asterisk indicates that it is combined with L) The antibody-drug conjugate according to any one of [1] to [4], which is represented by any one of [1] to [4]. [7] D is the following formula: (Here, the asterisk indicates that it is combined with L) The antibody-drug conjugate according to any one of [1] to [4] or [6], which is represented by: [8]
- Lb represents a spacer that connects the sugar chain of La and Ab or a remodeled sugar chain, or a spacer that connects cysteine residues of La and Ab
- Lp is any one of -GGFG-, -GGPI-, -GGVA-, -GGFM-, -GGVCit-, -GGFCit-, -GGICit-, -GGPL-, -GGAQ- or -GGPP-, The antibody drug conjugate according to [8] or [9]. [11] The antibody drug conjugate according to [10], wherein Lp is -GGFG- or -GGPI-.
- the antibody-drug conjugate according to any one of [8] to [11], which represents any one selected from the group consisting of.
- Lb is the following formula: or (In the structural formula of Lb shown above, the asterisk indicates that it is bonded to La, and the wavy line indicates that it is bonded to the sugar chain of Ab or a remodeled sugar chain.) The antibody-drug conjugate according to any one of [8] to [12].
- Lb is -(succinimid-3-yl-N)-, Here, -(succinimid-3-yl-N)- has the following structural formula: shows, Here, the asterisk indicates binding to La, and the wavy line indicates binding by forming a thioether with the side chain of the cysteine residue of the antibody.
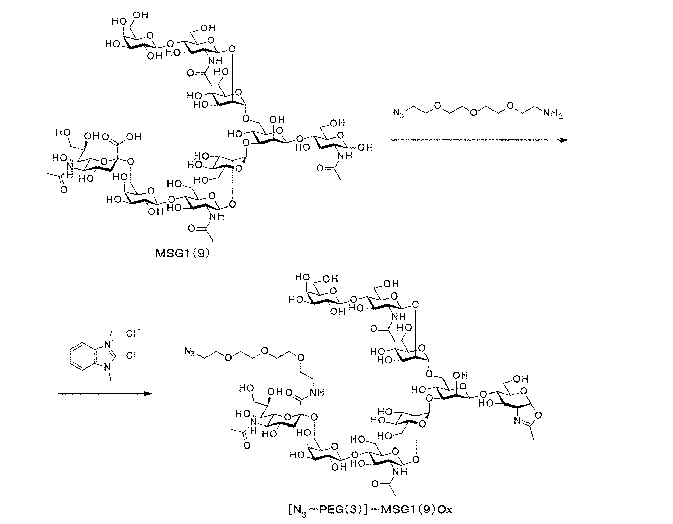
- N297 sugar chain is N297-(Fuc)MSG1 or N297-(Fuc)SG having a structure represented by the following formula:
- the wavy line indicates binding to Asn297 of the antibody
- L(PEG) represents -(CH 2 -CH 2 -O)n 5 -CH 2 -CH 2 -NH-
- the amino group at the right end of L(PEG) is a branch of ⁇ -Man of N297 sugar chain.
- L(PEG) represents -(CH 2 -CH 2 -O)n 5 -CH 2 -CH 2 -NH-
- amino group at the right end of L(PEG) is a branch of ⁇ -Man of N297 sugar chain.
- n 5 is an integer from 2 to 5.
- m2 represents an integer of 1 or 2
- L is a linker connecting the N297 sugar chain and D, as defined above
- Ab indicates an antibody or a functional fragment of the antibody
- the amino acid residues at positions 234, 235, and 265 (all EU numbering) of the Fc region of the antibody or the functional fragment of the antibody are Ala , Ala, and Gly, where the antibody represents an anti-EGFR antibody or an anti-CDH6 antibody
- the N297 sugar chain indicates that it is N297-(Fuc)MSG1 or N297-(Fuc)SG having the structure shown by the following formula
- the wavy line indicates binding to Asn297 of the antibody
- L(PEG) represents -(CH 2 -CH 2 -O)n 5 -CH 2 -CH 2 -NH-
- the amino group at the right end of L(PEG) is a branch of ⁇ -Man of N297 sugar chain.
- n 5 indicates an integer from 2 to 5;
- the wavy line indicates binding to Asn297 of the antibody, L(PEG) represents -(CH 2 -CH 2 -O)n 5 -CH 2 -CH 2 -NH-, and the amino group at the right end of L(PEG) is a branch of ⁇ -Man of N297 sugar chain.
- m2 represents an integer of 1 or 2
- Ab indicates an antibody or a functional fragment of the antibody
- the amino acid residues at positions 234, 235, and 265 (all EU numbering) of the Fc region of the antibody or the functional fragment of the antibody are Ala , Ala, and Gly, where the antibody represents an anti-EGFR antibody or an anti-CDH6 antibody
- the N297 sugar chain indicates that it is either N297-(Fuc)MSG1 or N297-(Fuc)SG having the structure shown by the following formula
- the wavy line indicates binding to Asn297 of the antibody
- L(PEG) represents -(CH 2 -CH 2 -O)n 5 -CH 2 -CH 2 -NH-
- the amino group at the right end of L(PEG) is a branch of ⁇ -Man of N297 sugar chain.
- L(PEG) represents -(CH 2 -CH 2 -O)n 5 -CH 2 -CH 2 -NH-
- amino group at the right end of L(PEG) is a branch of ⁇ -Man of N297 sugar chain.
- m2 represents an integer of 1 or 2
- Ab indicates an antibody or a functional fragment of the antibody
- the amino acid residues at positions 234, 235, and 265 (all EU numbering) of the Fc region of the antibody or the functional fragment of the antibody are Ala , Ala, and Gly, where the antibody represents an anti-EGFR antibody or an anti-CDH6 antibody
- the N297 sugar chain indicates that it is either N297-(Fuc)MSG1 or N297-(Fuc)SG having the structure shown by the following formula
- the wavy line indicates binding to Asn297 of the antibody
- L(PEG) represents -(CH 2 -CH 2 -O)n 5 -
- L(PEG) represents -(CH 2 -CH 2 -O)n 5 -CH 2 -CH 2 -NH-
- amino group at the right end of L(PEG) is a branch of ⁇ -Man of N297 sugar chain.
- the antibody comprises a light chain consisting of the amino acid sequence set forth in SEQ ID NO: 30 and a heavy chain consisting of the amino acid sequence set forth in SEQ ID NO: 32, or an antibody comprising a light chain consisting of the amino acid sequence set forth in SEQ ID NO: 30 and a heavy chain consisting of the amino acid sequence set forth in SEQ ID NO: 33.
- Antibody drug conjugates as described.
- An antibody comprising a light chain consisting of the amino acid sequence set forth in SEQ ID NO: 44 and a heavy chain consisting of the amino acid sequence set forth in SEQ ID NO: 46, or in the antibody, one or several amino acid residues at the carboxyl terminus.
- the antibody-drug conjugate according to [26] which is an antibody containing a heavy chain deleted.
- the antibody comprises a light chain comprising a light chain variable region consisting of the amino acid sequence set forth in SEQ ID NO: 29, and a heavy chain comprising a heavy chain variable region consisting of the amino acid sequence set forth in SEQ ID NO: 31,
- the antibody-drug conjugate according to [25], wherein the amino acid residues at positions 234, 235, and 265 (all EU numbering) of the Fc region of the antibody are Ala, Ala, and Gly, respectively.
- the antibody comprises a light chain comprising a light chain variable region consisting of the amino acid sequence set forth in SEQ ID NO: 43, and a heavy chain comprising a heavy chain variable region consisting of the amino acid sequence set forth in SEQ ID NO: 45,
- the antibody-drug conjugate according to [26], wherein the amino acid residues at positions 234, 235, and 265 (all EU numbering) of the Fc region of the antibody are Ala, Ala, and Gly, respectively.
- the antibody has a light chain comprising CDRL1 consisting of the amino acid sequence set forth in SEQ ID NO: 23, CDRL2 consisting of the amino acid sequence set forth in SEQ ID NO: 24, and CDRL3 consisting of the amino acid sequence set forth in SEQ ID NO: 25, and a light chain consisting of the amino acid sequence set forth in SEQ ID NO: 26.
- An antibody comprising a heavy chain comprising CDRH1 consisting of the amino acid sequence set forth in SEQ ID NO: 27, CDRH2 consisting of the amino acid sequence set forth in SEQ ID NO: 27, and CDRH3 consisting of the amino acid sequence set forth in SEQ ID NO: 28, the Fc region of the antibody
- the antibody has a light chain comprising CDRL1 consisting of the amino acid sequence set forth in SEQ ID NO: 37, CDRL2 consisting of the amino acid sequence set forth in SEQ ID NO: 38, and CDRL3 consisting of the amino acid sequence set forth in SEQ ID NO: 39, and a light chain consisting of the amino acid sequence set forth in SEQ ID NO: 40.
- An antibody comprising a heavy chain comprising CDRH1 consisting of the amino acid sequence set forth in SEQ ID NO: 41, CDRH2 consisting of the amino acid sequence set forth in SEQ ID NO: 41, and CDRH3 consisting of the amino acid sequence set forth in SEQ ID NO: 42, the Fc region of the antibody
- Ab represents any one selected from the following groups, An antibody comprising a light chain consisting of the amino acid sequence set forth in SEQ ID NO: 30 and a heavy chain consisting of the amino acid sequence set forth in SEQ ID NO: 32; An antibody comprising a light chain consisting of the amino acid sequence set forth in SEQ ID NO: 30 and a heavy chain consisting of the amino acid sequence set forth in SEQ ID NO: 33; An antibody comprising a light chain consisting of the amino acid sequence set forth in SEQ ID NO: 44 and a heavy chain consisting of the amino acid sequence set forth in SEQ ID NO: 46; and in any one of the antibodies, one or several amino acid residues at the carboxyl terminus.
- N297 sugar chain has the following formula: (In the formula, the wavy line indicates binding to Asn297 of the antibody, L(PEG) represents -(CH 2 -CH 2 -O)n 5 -CH 2 -CH 2 -NH-, and the amino group at the right end of L(PEG) is a branch of ⁇ -Man of N297 sugar chain.
- Ab represents any one selected from the following groups, An antibody comprising a light chain comprising a light chain variable region consisting of the amino acid sequence set forth in SEQ ID NO: 29, and a heavy chain comprising a heavy chain variable region consisting of the amino acid sequence set forth in SEQ ID NO: 31; and an antibody set forth in SEQ ID NO: 43.
- An antibody comprising a light chain comprising a light chain variable region consisting of the amino acid sequence set forth in SEQ ID NO: 45; and a heavy chain comprising a heavy chain variable region consisting of the amino acid sequence set forth in SEQ ID NO: 45;
- the amino acid residues at positions 234, 235, and 265 (all EU numbering) of the Fc region of the antibody are Ala, Ala, and Gly, respectively.
- the N297 sugar chain has the following formula: (In the formula, the wavy line indicates binding to Asn297 of the antibody, L(PEG) represents -(CH 2 -CH 2 -O)n 5 -CH 2 -CH 2 -NH-, and the amino group at the right end of L(PEG) is a branch of ⁇ -Man of N297 sugar chain.
- Ab represents any one selected from the following groups, A light chain comprising CDRL1 consisting of the amino acid sequence set forth in SEQ ID NO: 23, CDRL2 consisting of the amino acid sequence set forth in SEQ ID NO: 24, and CDRL3 consisting of the amino acid sequence set forth in SEQ ID NO: 25, and the amino acid set forth in SEQ ID NO: 26.
- a light chain comprising CDRL1, CDRL2 consisting of the amino acid sequence set forth in SEQ ID NO: 38, and CDRL3 consisting of the amino acid sequence set forth in SEQ ID NO: 39, and CDRH1 consisting of the amino acid sequence set forth in SEQ ID NO: 40, set forth in SEQ ID NO: 41.
- An antibody comprising a heavy chain comprising CDRH2 consisting of the amino acid sequence set forth in SEQ ID NO: 42, and CDRH3 consisting of the amino acid sequence set forth in SEQ ID NO: 42;
- the amino acid residues at positions 234, 235, and 265 (all EU numbering) of the Fc region of the antibody are Ala, Ala, and Gly, respectively
- the N297 sugar chain has the following formula: (In the formula, the wavy line indicates binding to Asn297 of the antibody, L(PEG) represents -(CH 2 -CH 2 -O)n 5 -CH 2 -CH 2 -NH-, and the amino group at the right end of L(PEG) is a branch of ⁇ -Man of N297 sugar chain.
- Ab represents any one selected from the following groups, An antibody comprising a light chain consisting of the amino acid sequence set forth in SEQ ID NO: 30 and a heavy chain consisting of the amino acid sequence set forth in SEQ ID NO: 32; An antibody comprising a light chain consisting of the amino acid sequence set forth in SEQ ID NO: 30 and a heavy chain consisting of the amino acid sequence set forth in SEQ ID NO: 33; An antibody comprising a light chain consisting of the amino acid sequence set forth in SEQ ID NO: 44 and a heavy chain consisting of the amino acid sequence set forth in SEQ ID NO: 46; and in any one of the antibodies, one or several amino acid residues at the carboxyl terminus.
- N297 sugar chain has the following formula: (In the formula, the wavy line indicates binding to Asn297 of the antibody, L(PEG) represents -(CH 2 -CH 2 -O)n 5 -CH 2 -CH 2 -NH-, and the amino group at the right end of L(PEG) is a branch of ⁇ -Man of N297 sugar chain.
- Ab represents any one selected from the following groups, An antibody comprising a light chain comprising a light chain variable region consisting of the amino acid sequence set forth in SEQ ID NO: 29, and a heavy chain comprising a heavy chain variable region consisting of the amino acid sequence set forth in SEQ ID NO: 31; and an antibody set forth in SEQ ID NO: 43.
- An antibody comprising a light chain comprising a light chain variable region consisting of the amino acid sequence set forth in SEQ ID NO: 45; and a heavy chain comprising a heavy chain variable region consisting of the amino acid sequence set forth in SEQ ID NO: 45;
- the amino acid residues at positions 234, 235, and 265 (all EU numbering) of the Fc region of the antibody are Ala, Ala, and Gly, respectively.
- the N297 sugar chain has the following formula: (In the formula, the wavy line indicates binding to Asn297 of the antibody, L(PEG) represents -(CH 2 -CH 2 -O)n 5 -CH 2 -CH 2 -NH-, and the amino group at the right end of L(PEG) is a branch of ⁇ -Man of N297 sugar chain.
- Ab represents any one selected from the following groups, A light chain comprising CDRL1 consisting of the amino acid sequence set forth in SEQ ID NO: 23, CDRL2 consisting of the amino acid sequence set forth in SEQ ID NO: 24, and CDRL3 consisting of the amino acid sequence set forth in SEQ ID NO: 25, and the amino acid set forth in SEQ ID NO: 26.
- a light chain comprising CDRL1, CDRL2 consisting of the amino acid sequence set forth in SEQ ID NO: 38, and CDRL3 consisting of the amino acid sequence set forth in SEQ ID NO: 39, and CDRH1 consisting of the amino acid sequence set forth in SEQ ID NO: 40, set forth in SEQ ID NO: 41.
- An antibody comprising a heavy chain comprising CDRH2 consisting of the amino acid sequence set forth in SEQ ID NO: 42, and CDRH3 consisting of the amino acid sequence set forth in SEQ ID NO: 42;
- the amino acid residues at positions 234, 235, and 265 (all EU numbering) of the Fc region of the antibody are Ala, Ala, and Gly, respectively
- the N297 sugar chain has the following formula: (In the formula, the wavy line indicates binding to Asn297 of the antibody, L(PEG) represents -(CH 2 -CH 2 -O)n 5 -CH 2 -CH 2 -NH-, and the amino group at the right end of L(PEG) is a branch of ⁇ -Man of N297 sugar chain.
- a STING agonist comprising the antibody drug conjugate according to any one of [1] to [38].
- a pharmaceutical composition containing the antibody-drug conjugate according to any one of [1] to [38].
- An antitumor agent containing the antibody drug conjugate according to any one of [1] to [38].
- the tumor is lung cancer, kidney cancer, urothelial cancer, colon cancer, prostate cancer, glioblastoma multiforme, ovarian cancer, pancreatic cancer, breast cancer, melanoma, liver cancer, hepatocellular carcinoma , bladder cancer, stomach cancer, esophageal cancer, endometrial cancer, testicular cancer, cervical cancer, placental choriocarcinoma, brain tumor, head and neck cancer, thyroid cancer, mesothelioma, gastrointestinal stromal tumor (GIST), gallbladder cancer, cholangiocarcinoma, adrenal cancer, squamous cell carcinoma, pharyngeal cancer, tongue cancer, hearing cancer, thymic cancer, small intestine cancer, leukemia, malignant lymphoma, plasmacytoma , myeloma, sarcoma, EGFR mutation-positive cancer, or cancer having a mutation in EGFR downstream signals, the antitumor agent according to [41].
- [42-2] The antitumor agent according to [41], wherein the tumor is a CDH6-positive cancer.
- Cancer is lung cancer, kidney cancer, urothelial cancer, colon cancer, prostate cancer, glioblastoma multiforme, ovarian cancer, pancreatic cancer, breast cancer, melanoma, liver cancer, liver cancer Bladder cancer, stomach cancer, esophageal cancer, endometrial cancer, testicular cancer, cervical cancer, placental choriocarcinoma, brain tumor, head and neck cancer, thyroid cancer, mesothelioma, gastrointestinal stroma Tumor (GIST), gallbladder cancer, bile duct cancer, adrenal cancer, squamous cell cancer, pharyngeal cancer, tongue cancer, hearing cancer, thymic cancer, small intestine cancer, leukemia, malignant lymphoma, plasma cell
- the method according to [43] which is cancer, myeloma, sarcoma, EGFR mutation-positive cancer, or cancer having a mutation in EGFR downstream signals.
- an antibody comprising a light chain comprising a light chain variable region consisting of the amino acid sequence set forth in SEQ ID NO: 45, and a heavy chain comprising a heavy chain variable region consisting of the amino acid sequence set forth in SEQ ID NO: 45, comprising positions 234 and 235 of the Fc region of the antibody.
- an antibody comprising a heavy chain with one or several amino acid residues deleted at the carboxyl terminus [47-2]
- [49] The pharmaceutical composition according to [40], or the antitumor agent according to [41], [42], [42-2], or [42-3], which contains another drug.
- the antibody drug conjugate according to any one of [1] to [38], the STING agonist according to [39], the pharmaceutical composition according to [40], and [41], [42], [42- [43], [44], [44-2] or [43], [44], [44-2] or [2] or [42-3] is administered in combination with other drugs. 44-3].
- a method for producing an Fc-containing molecule having an N297-linked sugar chain containing a sugar chain derived from a sugar chain donor molecule including the following step 1: (Step 1) An acceptor molecule which is an Fc-containing molecule having a core GlcNAc to which fucose may be added as an N297-linked sugar chain, and a sugar chain donor molecule containing a sugar chain containing GlcNAc whose reducing end is not activated.
- Step 2 The reaction mixture is brought into contact with a cation exchange chromatography medium or a multimode chromatography medium under acidic conditions, and Fc-containing molecules having N297-linked sugar chains containing sugar chains derived from sugar chain donor molecules are prepared.
- the process of collecting [58]
- the Fc-containing molecule is an antibody or a functional fragment of the antibody, and the amino acid residues at positions 234, 235, and 265 (all EU numbering) of the Fc region of the antibody or the functional fragment of the antibody are respectively , Ala, Ala, and Gly, the method according to [56] or [57].
- [59] The method according to any one of [56] to [58], wherein the additive is a monovalent salt.
- the present invention provides molecules that maintain antitumor activity and are excellent in safety.
- the present invention also provides a novel antibody-drug conjugate that can be administered systemically and exhibits antitumor effects in tumors expressing the antigen.
- the present invention provides an improved method for producing Fc-containing molecules (particularly antibodies) using a one-pot method.
- (a) is drug D
- (b) is linker L
- (c) is PEG linker (L(PEG))
- (d) is N297 sugar chain (here, the white circle is NeuAc(Sia), the white circle is The square represents Man, the black hexagon represents GlcNAc, the white diamond represents Gal, and the white inverted triangle represents Fuc).
- the white pentagon represents a triazole ring generated by the reaction of the alkyne derived from linker L and the azide group derived from the PEG linker.
- the Y shape represents the antibody Ab.
- the PEG linker is linked to the 2-position carboxyl group of sialic acid located at the non-reducing end via an amide bond.
- FIG. 2A shows an N297 sugar chain consisting of a disaccharide bonded to ⁇ -glycoside at the 1st position of Fuc and the 6th position of GlcNAc.
- FIGS. 2B and 2C (d) represents the same N297 sugar chain as in FIG. 1, and (f) represents a PEG linker having an azide group, with the azide group provided at the end for bonding to linker L.
- the binding mode of the PEG linker having an azide group is similar to that of the PEG linker in FIG. FIG.
- FIG. 1 is a schematic diagram of a process for producing an SG-type sugar chain remodeling antibody and an MSG-type sugar chain remodeling antibody from antibodies produced in animal cells.
- Molecules (III) and (IV) in the figure represent (Fuc ⁇ 1,6)GlcNAc-antibody and SG-type sugar chain remodeling antibody or MSG-type sugar chain remodeling antibody, respectively, as in FIG. 2.
- the molecule (V) is an antibody produced in animal cells, and is a mixture of molecules with heterogeneous N297 sugar chains.
- FIG. 3A shows a step in which a homogeneous (Fuc ⁇ 1,6)GlcNAc-antibody (III) is produced by treating the heterogeneous N297 sugar chain of (V) with a hydrolase such as EndoS.
- FIG. 3B shows that SG-type sugar chain donor molecules are transferred to GlcNAc of the N297 sugar chain of antibody (III) using a glycosyltransferase such as EndoS D233Q/Q303L mutant (IV ) shows the steps for producing the SG-type sugar chain remodeling antibody.
- FIG. 3C shows a step in which the MSG-type sugar chain remodeling antibody (IV) is produced by subjecting antibody (III) to glycosylation transfer with an MSG-type sugar chain donor molecule.
- the SG type sugar chain donor molecule and the MSG type sugar chain donor molecule used here are those in which the sialic acid at the non-reducing end of each is modified with a PEG linker having an azide group, and the SG type N297 sugar chain to be prepared is In the remodeling antibody and the MSG type N297 sugar chain remodeling antibody, as shown in FIGS. 2B and 2C, the sialic acid at the non-reducing end is similarly modified.
- the antitumor effects of intravenous administration of anti-EGFR antibody 1-CDN conjugate 1 and anti-EGFR antibody 3-CDN conjugate 1 are shown.
- the average number of drug binding is approximately 4.
- the black square line represents the vehicle group
- the black triangle line represents the anti-EGFR antibody 3-CDN conjugate 1 administration group
- the black circle line represents the anti-EGFR antibody 1-CDN conjugate 1 administration group.
- the vertical axis shows the tumor volume (mm 3 ), and the horizontal axis shows the number of days after tumor implantation. The anti-tumor effect of intravenous administration of anti-EGFR antibody 2-CDN conjugate 1 is shown. The average number of drug binding is approximately 4.
- the black square line represents the vehicle group
- the black circle line represents the anti-EGFR antibody 2-CDN conjugate 1 administration group.
- the vertical axis shows the tumor volume (mm 3 ), and the horizontal axis shows the number of days after tumor implantation.
- the anti-tumor effects of intravenous administration of anti-EGFR antibody 1-CDN conjugate 2 and anti-EGFR antibody 3-CDN conjugate 2 are shown.
- the average number of drug binding is approximately 2.
- the black square line represents the vehicle group
- the black triangle line represents the anti-EGFR antibody 3-CDN conjugate 2 administration group
- the black circle line represents the anti-EGFR antibody 1-CDN conjugate 2 administration group.
- the vertical axis shows the tumor volume (mm 3 )
- the horizontal axis shows the number of days after tumor implantation.
- the anti-tumor effect of intravenous administration of anti-EGFR antibody 2-CDN conjugate 2 is shown.
- the average number of drug binding is approximately 2.
- the black square line represents the vehicle group, and the black circle line represents the anti-EGFR antibody 2-CDN conjugate 2 administration group.
- the vertical axis shows the tumor volume (mm 3 ), and the horizontal axis shows the number of days after tumor implantation.
- the anti-tumor effect of intravenous administration of anti-EGFR antibody 2-CDN conjugate 1 is shown.
- the average number of drug binding is approximately 4.
- the black square line represents the vehicle group
- the black circle line represents the anti-EGFR antibody 2-CDN conjugate 1 administration group.
- the vertical axis shows the tumor volume (mm 3 ), and the horizontal axis shows the number of days after tumor implantation.
- the anti-tumor effect of intravenous administration of anti-EGFR antibody 2-CDN conjugate 1 is shown.
- the average number of drug binding is approximately 4.
- the black square line represents the vehicle group
- the black circle line represents the anti-EGFR antibody 2-CDN conjugate 1 administration group.
- the vertical axis shows the tumor volume (mm 3 ), and the horizontal axis shows the number of days after tumor implantation.
- the antitumor effects of intravenous administration of anti-CDH6 antibody 1-CDN conjugate 1 and anti-CDH6 antibody 1-CDN conjugate 2 are shown.
- the black square line indicates the vehicle group
- the white circle line indicates the anti-CDH6 antibody 1-CDN conjugate 1 administration group
- the white inverted triangle line indicates the anti-CDH6 antibody 1-CDN conjugate 2 administration group.
- the vertical axis shows the tumor volume (mm 3 ), and the horizontal axis shows the number of days after tumor implantation.
- the activity of anti-EGFR antibody 1-CDN conjugate 1, anti-EGFR antibody 3-CDN conjugate 1, anti-EGFR antibody 1-CDN conjugate 2, and anti-EGFR antibody 3-CDN conjugate 2 against reporter cells is shown.
- the black triangle line is the anti-EGFR antibody 3-CDN conjugate addition group
- the black circle line is the anti-EGFR antibody 1-CDN conjugate addition group
- the broken line is the CDN conjugate 2 with an average number of drug binding of approximately 2
- the solid line is the drug CDN conjugate 1 is shown with an average number of bonds of approximately 4.
- the vertical axis shows the count value
- the horizontal axis shows the concentration.
- the activity of anti-CDH6 antibody 1-CDN conjugate 1 and anti-CDH6 antibody 1-CDN conjugate 2 against reporter cells is shown.
- the black triangular line in the figure indicates the anti-CDH6 antibody 1-CDN conjugate added group.
- the broken line shows CDN conjugate 2 with an average number of drug bonds of about 2, and the solid line shows CDN conjugate 1 with an average number of drug bonds of about 4.
- the vertical axis shows the count value, and the horizontal axis shows the concentration.
- the anti-tumor effect of anti-EGFR antibody 1-CDN conjugate 1 in a tumor reimplantation test is shown.
- the vertical axis indicates tumor volume (mm 3 ).
- the anti-tumor effect of anti-EGFR antibody 1-CDN conjugate 2 in a tumor reimplantation test is shown.
- the vertical axis indicates tumor volume (mm 3 ). Cytokine production in human whole blood tests for each antibody-CDN conjugate is shown. The vertical axis shows the cytokine amount, and the horizontal axis shows the Fc site of each antibody-CDN conjugate. The amount of cytokine was calculated using a standard line of Logarithmic Scale. Cytokine production in human whole blood tests for each antibody-CDN conjugate is shown. The vertical axis shows the cytokine amount, and the horizontal axis shows the Fc site of each antibody-CDN conjugate. The amount of cytokine was calculated using a standard line on a linear scale. FIG.
- 16A shows an anti-EGFR antibody (IgG2) (anti-EGFR antibody B), which is an IgG2 type antibody, an Fc substituted product (IgG1 WT) in which the Fc portion thereof is replaced with an IgG1 type antibody (anti-EGFR antibody A), and an Fc of IgG1 WT.
- IgG2 anti-EGFR antibody
- IgG1 WT Fc substituted product
- FIG. 16B is a graph when the binding activity of the antibody group used in FIG. 16A to human Fc ⁇ RIIa was evaluated by SPR method.
- the horizontal axis represents the antibody concentration, and the vertical axis represents the RU value obtained for that antibody concentration.
- FIG. 16C is a graph when the binding activity of the antibody group used in FIG. 16A to human Fc ⁇ RIIb/c was evaluated by SPR method.
- the horizontal axis represents the antibody concentration, and the vertical axis represents the RU value obtained for that antibody concentration.
- FIG. 16B is a graph when the binding activity of the antibody group used in FIG. 16A to human Fc ⁇ RIIa was evaluated by SPR method.
- the horizontal axis represents the antibody concentration, and the vertical axis represents the RU value obtained for that antibody concentration.
- FIG. 16B is a graph when the binding activity of the antibody group used in FIG. 16A to human Fc ⁇ RIIa was evaluated by SPR method.
- the horizontal axis represents the antibody concentration
- FIG. 16D is a graph when the binding activity for human Fc ⁇ RIIIa of the antibody group used in FIG. 16A was evaluated by SPR method.
- the horizontal axis represents the antibody concentration, and the vertical axis represents the RU value obtained for that antibody concentration.
- FIG. 16E is a graph when the binding activity of the antibody group used in FIG. 16A to human Fc ⁇ RIIIb was evaluated by SPR method.
- the horizontal axis represents the antibody concentration, and the vertical axis represents the RU value obtained for that antibody concentration.
- FIG. 17A shows the antibody group used in FIG.
- FIG. 16A and an antibody-drug conjugate (DAR2: anti-EGFR antibody B-CDN conjugate 2, anti-EGFR antibody 3- CDN conjugate 2, modified anti-EGFR antibody 1-CDN conjugate 2, or DAR4: anti-EGFR antibody A-CDN conjugate 1, anti-EGFR antibody 3-CDN conjugate 1, modified anti-EGFR antibody 1-CDN conjugate 1)
- DAR2 anti-EGFR antibody B-CDN conjugate 2, anti-EGFR antibody 3- CDN conjugate 2, modified anti-EGFR antibody 1-CDN conjugate 2
- DAR4 anti-EGFR antibody A-CDN conjugate 1, anti-EGFR antibody 3-CDN conjugate 1, modified anti-EGFR antibody 1-CDN conjugate 1
- 2 is a graph showing the RU value obtained for an antibody concentration of 4.7 ⁇ M when the binding activity to human Fc ⁇ RI was evaluated by SPR method.
- FIG. 17B is a graph showing the RU value obtained at an antibody concentration of 4.7 ⁇ M when the binding activity to human Fc ⁇ RIIa was evaluated by S
- FIG. 17C is a graph showing the RU value obtained at an antibody concentration of 4.7 ⁇ M when the binding activity to human Fc ⁇ RIIb/c was evaluated by SPR method for the antibody group used in FIG. 17A.
- FIG. 17D is a graph showing the RU value obtained at an antibody concentration of 4.7 ⁇ M when the binding activity to human Fc ⁇ RIIIa was evaluated by SPR method for the antibody group used in FIG. 17A.
- FIG. 17E is a graph showing the RU value obtained at an antibody concentration of 4.7 ⁇ M when the binding activity to human Fc ⁇ RIIIb was evaluated by SPR method for the antibody group used in FIG. 17A.
- Figure 18 shows the T m values of anti-EGFR antibody A-CDN conjugate 1 (IgG1 WT), anti-EGFR antibody 3-CDN conjugate 1 (LALA), and modified anti-EGFR antibody 1-CDN conjugate 1 (LALA-DG). This is a table showing Furthermore, the difference in T m value ( ⁇ T m ) between anti-EGFR antibody A-CDN conjugate 1 and various anti-EGFR antibody-CDN conjugates 1 was also shown.
- Figure 19 shows (a) the amino acid sequence of human STING wild type (SEQ ID NO: 1), (b) the amino acid sequence of human STING REF variant (R232H) (SEQ ID NO: 3), and (c) the human STING HAQ variant (SEQ ID NO: 3).
- Figure 20 shows (a) the amino acid sequence of CDRL1 (SEQ ID NO: 23) of anti-EGFR antibodies (modified anti-EGFR antibodies 1 to 3), and (b) the amino acid sequence of CDRL2 of anti-EGFR antibodies (modified anti-EGFR antibodies 1 to 3).
- Figure 21-1 shows (a) the amino acid sequence (SEQ ID NO: 29) of the light chain variable region of anti-EGFR antibodies (modified anti-EGFR antibodies 1-3), (b) anti-EGFR antibodies (modified anti-EGFR antibodies 1-3) (c) shows the amino acid sequence of the heavy chain variable region of anti-EGFR antibodies (modified anti-EGFR antibodies 1 to 3) (SEQ ID NO: 31).
- Figure 21-2 shows (d) the amino acid sequence (SEQ ID NO: 32) of the heavy chain of the anti-EGFR antibody LALA-DG mutant (modified anti-EGFR antibody 1), and (e) the anti-EGFR antibody LALA-DG mutant (modified anti-EGFR antibody 1).
- FIG. 1 The amino acid sequence of the heavy chain of EGFR antibody 2) (SEQ ID NO: 33) and (f) the amino acid sequence of the heavy chain of anti-EGFR antibody A (SEQ ID NO: 34) are shown.
- Figure 21-3 shows (g) the amino acid sequence of the heavy chain of anti-EGFR antibody B (Vectibix) (SEQ ID NO: 35), and (h) the amino acid sequence of the heavy chain of anti-EGFR antibody LALA variant (modified anti-EGFR antibody 3).
- the sequence (SEQ ID NO: 36) is shown.
- FIG. 22 shows (a) the amino acid sequence of CDRL1 of the anti-CDH6 antibody (modified anti-CDH6 antibody 1) (SEQ ID NO: 37), (b) the amino acid sequence of CDRL2 of the anti-CDH6 antibody (modified anti-CDH6 antibody 1) (SEQ ID NO: 38).
- Figure 23 shows (a) the amino acid sequence of the light chain variable region of anti-CDH6 antibody (modified anti-CDH6 antibody 1) (SEQ ID NO: 43), (b) the amino acid sequence of the light chain of anti-CDH6 antibody (modified anti-CDH6 antibody 1). (SEQ ID NO: 44), (c) Amino acid sequence of heavy chain variable region of anti-CDH6 antibody (modified anti-CDH6 antibody 1) (SEQ ID NO: 45), (d) Anti-CDH6 antibody LALA-DG variant (modified anti-CDH6 antibody 1) ) shows the amino acid sequence of the heavy chain (SEQ ID NO: 46).
- Figure 24 shows CT26. It shows the antitumor effect when WT-hCDH6 was reimplanted.
- FIG. 25 shows the antitumor effects of intravenous administration of anti-CDH6 antibody 1-CDN conjugate 1 and anti-CDH6 antibody 1-CDN conjugate 2.
- the vertical axis shows the tumor volume (mm 3 ), and the horizontal axis shows the number of days after tumor implantation.
- FIG. 26 shows the antitumor effect of intravenous administration of anti-CDH6 antibody 1-CDN conjugate 1.
- the vertical axis shows the tumor volume (mm 3 ), and the horizontal axis shows the number of days after tumor implantation.
- FIG. 27 shows the antitumor effect of intravenous administration of anti-CDH6 antibody 1-CDN conjugate 2.
- FIG. 28 shows the antitumor effect of intravenous administration of anti-CDH6 antibody 1-CDN conjugate 1.
- the vertical axis shows the tumor volume (mm 3 ), and the horizontal axis shows the number of days after tumor implantation.
- Figure 29 shows the antitumor effect of intravenous administration of anti-CDH6 antibody 1-CDN conjugate 2.
- the vertical axis shows the tumor volume (mm 3 ), and the horizontal axis shows the number of days after tumor implantation.
- Figure 30 shows the amino acid sequence of wild type Endo-S (SEQ ID NO: 47).
- Amino acid residues corresponding to the central site of catalytic activity of the enzyme are shown in bold and underlined, and amino acid residues that are expected to be able to control enzyme activity by adding mutations are shown in bold.
- Figure 31 shows the amino acid sequence of wild type Endo-S2 (SEQ ID NO: 48). Amino acid residues corresponding to the central site of catalytic activity of the enzyme are shown in bold and underlined, and amino acid residues that are expected to be able to control enzyme activity by adding mutations are shown in bold.
- Figure 32 shows the amino acid sequence of wild type Endo-Si (SEQ ID NO: 49).
- Amino acid residues corresponding to the central site of catalytic activity of the enzyme are shown in bold and underlined, and amino acid residues that are expected to be able to control enzyme activity by adding mutations are shown in bold.
- Figure 33 shows the amino acid sequence of wild type Endo-M (SEQ ID NO: 50). Amino acid residues corresponding to the central site of catalytic activity of the enzyme are shown in bold and underlined, and amino acid residues that are expected to be able to control enzyme activity by adding mutations are shown in bold.
- Figure 34 shows the amino acid sequence of wild type Endo-Rp (SEQ ID NO: 51).
- Amino acid residues corresponding to the central site of catalytic activity of the enzyme are shown in bold and underlined, and amino acid residues that are expected to be able to control enzyme activity by adding mutations are shown in bold.
- Figure 35 shows the amino acid sequence of wild type Endo-CC (SEQ ID NO: 52). Amino acid residues corresponding to the central site of catalytic activity of the enzyme are shown in bold and underlined, and amino acid residues that are expected to be able to control enzyme activity by adding mutations are shown in bold.
- Figure 36 shows the amino acid sequence of wild type Endo-Om (SEQ ID NO: 53).
- Amino acid residues corresponding to the central site of catalytic activity of the enzyme are shown in bold and underlined, and amino acid residues that are expected to be able to control enzyme activity by adding mutations are shown in bold.
- Figure 37 shows the amino acid sequence of wild type Endo-Sd (SEQ ID NO: 54). Amino acid residues corresponding to the central site of catalytic activity of the enzyme are shown in bold and underlined, and amino acid residues that are expected to be able to control enzyme activity by adding mutations are shown in bold.
- Figure 38 shows the amino acid sequence of wild type Endo-Sz (SEQ ID NO: 55).
- Amino acid residues corresponding to the central site of catalytic activity of the enzyme are shown in bold and underlined, and amino acid residues that are expected to be able to control enzyme activity by adding mutations are shown in bold.
- Figure 39 shows the amino acid sequence of wild type Endo-Se (SEQ ID NO: 56). Amino acid residues corresponding to the central site of catalytic activity of the enzyme are shown in bold and underlined, and amino acid residues that are expected to be able to control enzyme activity by adding mutations are shown in bold.
- the invention provides a molecule comprising a target molecule binding moiety, a mutant Fc region, and an immunostimulatory agent, wherein the mutant Fc region comprises at least three amino acid substitutions compared to a wild-type Fc region;
- the molecule has reduced binding to human Fc ⁇ receptors, has a reduced ability to produce inflammatory cytokines, and has an equivalent or
- the present invention relates to molecules having enhanced in vivo antitumor activity.
- target molecule binding moiety refers to a moiety that binds to any target molecule, preferably a target molecule involved in human disease.
- Such parts include antibodies, functional fragments of antibodies, antigen-binding fragments of antibodies, non-immunoglobulin proteins or fragments thereof, receptor proteins, ligand proteins, proteins (polypeptides) such as protein scaffolds, aptamers, and anti-antibody fragments.
- Examples include nucleic acid molecules such as sense, organic synthetic low-molecular compounds, naturally occurring low-molecular compounds, etc.
- antibodies, functional fragments of antibodies, or antigen-binding fragments of antibodies can be mentioned.
- the Fc region included in the target molecule binding portion is a mutant Fc region. It may be. In other words, in one aspect of the present invention, the mutant Fc region may be included in the target molecule binding portion.
- Antibody "functional fragment of antibody,” and “antigen-binding fragment of antibody” will be described in detail later.
- immunoactivation refers to the activation of immune cells involved in anti-tumor immunity, such as monocytes, macrophages, dendritic cells, T cells, B cells, NK cells, and neutrophils, in some form.
- immune cells involved in anti-tumor immunity such as monocytes, macrophages, dendritic cells, T cells, B cells, NK cells, and neutrophils
- production of cytokines and chemokines production of cytokines and chemokines, increased expression of immune activation markers, decreased expression of immunosuppressive markers, changes in phosphorylation of intracellular signal transduction systems, changes in gene expression, etc. It means to cause changes in the structure and function of. It also includes causing changes in tumor cells that induce anti-tumor immunity, such as inducing the production of cytokines and chemokines that activate or induce migration of immune cells, and increased sensitivity to immune cells.
- the immunostimulant preferably includes a STING agonist, a TLR1-10 agonist, a CIITA agonist, a NAIPs agonist, a NOD1 agonist, a NOD2 agonist, an NLRC3 agonist, a NLRP1-14 agonist, a DEC205 agonist, an MMR agonist, Dectin1 agonist, Dectin2 agonist, Mincle agonist, DC-SIGN agonist, DNGR-1 agonist, MBL agonist, AIM2 agonist, MDA-5 agonist, RIG-I agonist, AhR agonist, more preferably TLR3 agonist, TLR7 agonist, TLR8 agonist, TLR9 agonist, RIG-I agonist, STING agonist, and particularly preferably a STING agonist.
- Fc region refers to the C-terminal region of an immunoglobulin heavy chain, which contains a CH2 domain and a CH3 domain. In one aspect of the invention, the "Fc region” includes at least a portion of the hinge domain. In another aspect of the invention, the “Fc region” includes at least a portion of the hinge domain, two CH2 domains and two CH3 domains. “Fc region” usually refers to homo- and heterodimers or multimers in which the C-terminal regions of two or more immunoglobulin heavy chains are linked by SS bonds; It may be a single chain Fc region (scFc) forming a chain.
- scFc single chain Fc region
- the "variant Fc region” of the invention comprises at least three amino acid substitutions compared to the wild-type Fc region.
- the "wild-type Fc region” and the “variant Fc region” may be derived from any biological species, but are preferably derived from humans, monkeys (cynomolgus monkeys, rhesus monkeys, common marmosets, squirrel monkeys, etc.). (for example, but not limited to), mice, rats, and rabbits, more preferably humans or monkeys, particularly preferably humans.
- the "wild type Fc region" and the "variant Fc region” may be derived from any immunoglobulin molecule such as IgG, IgE, IgM, IgD, IgA, and IgY, but are preferably , is derived from IgG.
- the subclass may be any of IgG1, IgG2, IgG3, IgG4, IgA1, and IgA2, but IgG1, IgG2, or IgG4 is preferable, IgG1 or IgG4 is more preferable, and IgG1 is particularly preferable. Therefore, in one aspect of the present invention, the Fc regions in the "wild type Fc region" and the "variant Fc region” are human IgG1 Fc regions or human IgG4 Fc regions, preferably human IgG1 Fc regions.
- the mutant Fc region comprises at least three amino acid substitutions compared to the wild-type Fc region.
- the at least three amino acid substitutions may be present in any one or more of the hinge domain, CH2 domain, and CH3 domain of the mutant Fc region, but are preferably present in the CH2 domain of the mutant Fc region.
- the at least three amino acid substitutions are at positions 234, 235, and 265 (all according to EU numbering) of the mutant Fc region.
- the at least three amino acid substitutions preferably include 234Ala, 235Ala and 265Gly (all according to EU numbering).
- mutations in the Fc region consisting of 234Ala, 235Ala, and 265Gly are also referred to as "LALA-DG,” “L234A/L235A/D265G,” “-L234A, L235A, D265G,” etc. can be written.
- a molecule comprising a target molecule binding moiety, a variant Fc region, and an immunostimulatory agent may include an additional Fc region, the additional Fc region being a variant Fc region. It's fine.
- the "variant Fc region" comprises two CH2 domains and comprises said at least three amino acid substitutions in one or both of said two CH2 domains.
- a molecule comprising a target molecule binding moiety, a mutant Fc region, and an immunostimulatory agent of the invention has reduced binding to human Fc ⁇ receptors as compared to a corresponding molecule having a wild-type Fc region.
- a corresponding molecule having a wild-type Fc region refers to the target molecule-binding portion of the present invention, the mutant Fc region, and the immunostimulatory molecule, except that it contains a wild-type Fc region rather than a mutant Fc region. means a molecule that is the same or equivalent to a molecule containing an agent.
- human Fc ⁇ receptor refers to Fc ⁇ RI (CD64) (including isoforms Fc ⁇ RIa, Fc ⁇ RIb, and Fc ⁇ RIc), Fc ⁇ RII (CD32) (isoform Fc ⁇ RIIa (allotype H131 (H type) and R131 (R type)), Fc ⁇ RIIb (including Fc ⁇ RIIb-1 and Fc ⁇ RIIb-2), and Fc ⁇ RIIc), and Fc ⁇ RIII (CD16) (isoform Fc ⁇ RIIIa (allotypes V158 and F158)).
- Fc ⁇ RI CD64
- Fc ⁇ RII CD32
- Fc ⁇ RIIa allotype H131 (H type) and R131 (R type)
- Fc ⁇ RIIb including Fc ⁇ RIIb-1 and Fc ⁇ RIIb-2
- Fc ⁇ RIIc Fc ⁇ RIII
- CD16 isoform Fc ⁇ RIIIa (allotypes V158 and F158)
- the "human Fc ⁇ receptor” includes at least one, at least two, at least three, at least four, at least five, at least six of the nine isoforms listed above, at least seven, at least eight, or all isoforms, preferably one or more receptors selected from the group consisting of human Fc ⁇ RI, human Fc ⁇ RIIa, human Fc ⁇ RIIb/c, human Fc ⁇ RIIIa and human Fc ⁇ RIIIb. More preferably, it is human Fc ⁇ RI.
- the binding of the analyte to the human Fc ⁇ receptor can be determined using any known method, for example, by surface plasmon resonance (SPR) method.
- SPR surface plasmon resonance
- the binding of an analyte to a human Fc ⁇ receptor is determined by capturing a His-tagged human Fc ⁇ receptor as a ligand on a sensor chip on which an anti-His antibody is immobilized, and then binding the analyte to a human Fc ⁇ receptor. It can be determined by adding it to a sensor chip and measuring the interaction between the ligand and analyte using a surface SPR method. Specifically, it can be determined using the method disclosed in Test Examples 15 to 20 of this specification. can do.
- the target molecule-binding portion of the present invention is an antibody and the mutant Fc region is encapsulated in the antibody
- the molecule comprising the target molecule-binding portion of the present invention, the mutant Fc region, and the immunostimulant is a parent
- Binding to human Fc ⁇ receptors is reduced to the same extent as antibodies.
- reduced binding to human Fc ⁇ receptors means reduced effector function.
- a molecule comprising a target molecule binding moiety, a mutant Fc region, and an immunostimulatory agent of the present invention has a reduced ability to produce inflammatory cytokines compared to a corresponding molecule having a wild-type Fc region.
- inflammatory cytokine refers to a cytokine that causes or promotes an inflammatory response or symptom.
- inflammatory cytokines are cytokines that cause or promote inflammatory reactions or inflammatory symptoms, and whose production is not expected to be increased more than necessary by the test substance, or means unwanted cytokines.
- cytokines whose production is enhanced in the absence of cancer cells targeted by the target molecule binding moiety are generally expected to be produced more than necessary. Since they fall under the category of cytokines that are not used or desired, they can be included in the "inflammatory cytokines" in the present invention.
- "inflammatory cytokines” are interleukins, TNF- ⁇ , TNF- ⁇ , interferons, chemokines, preferably TNF- ⁇ , IL-1, IL-6, IL-10, CCL2, CCL4, and IFN- ⁇ , particularly preferably IL-6.
- test substance eg, a molecule comprising a mutant Fc region of the invention
- ability of a test substance to produce inflammatory cytokines can be determined using any known method, for example, by immunoassay such as ELISA.
- the ability of a test substance to produce inflammatory cytokines can be determined using a method as disclosed in Test Example 14 of the present specification.
- a molecule comprising a target molecule binding moiety, a mutant Fc region, and an immunostimulatory agent of the invention has equivalent or enhanced in vivo tumor activity compared to a corresponding molecule having a wild-type Fc region.
- cancer In this specification, “cancer,” “cancer,” and “tumor” are used interchangeably.
- the term "antitumor effect” refers to inducing tumor reduction or regression by directly or indirectly influencing tumor cells with a drug.
- a drug directly damages tumor cells, tumor cells activate anti-tumor immunity through drug stimulation, or drugs delivered to tumor cells are released outside the cells and cause anti-tumor immunity around tumor cells.
- Antitumor effect refers to a reduction in the number of tumor cells, injury, or tumor regression caused by activation of tumor immunity.
- test Examples 3 to 9 The in vivo antitumor activity of a test substance can be determined using any known method, for example, using the methods disclosed in Test Examples 3 to 9 herein.
- molecules comprising a target molecule binding moiety, a mutant Fc region and an immunostimulatory agent of the invention have equivalent or improved thermal stability compared to a corresponding molecule having a wild-type Fc region, and preferably has improved thermal stability.
- Thermal stability of the above-mentioned molecules can be determined using any known method. For example, when a solution containing the molecules is prepared and the temperature is increased, the heat capacity of the solution C p (kcal/ It can be determined by examining the change in mol/°C), and specifically, it can be determined using the method disclosed in Test Example 21 of this specification.
- the peaks of the curve showing changes in heat capacity indicate thermal denaturation of each domain of the antibody, and generally the peaks of thermal denaturation are observed in the order of CH2, Fab, and CH3 (Biochem. Biophys. Res. Commun. 355, 751-757 (2007)). Therefore, by calculating the thermal denaturation midpoint (T m ) of the mutated domain from the thermal denaturation peak and comparing the molecule containing the mutated Fc region with the corresponding molecule having the wild-type Fc region, Changes in stability can be determined. Note that, in this specification, the temperature at the peak top of the curve showing heat capacity change is defined as T m .
- the mutant Fc region is It is determined that the containing molecules have improved thermal stability compared to corresponding molecules with wild-type Fc regions. For example, when a mutation exists in the CH2 domain, if the amount of change in T m at the peak top in the CH2 domain ( ⁇ T m ) is less than 1°C, it is determined that the thermal stability of the two is equivalent; If so, the molecule comprising the mutant Fc region is considered to have improved thermostability compared to the corresponding molecule with the wild type Fc region.
- the mutant Fc region when the mutant Fc region contains amino acid substitutions of 234Ala, 235Ala, and 265Gly (EU numbering), the molecule comprising the target molecule binding portion, the mutant Fc region, and the immunostimulant of the present invention retains drug efficacy. It remains safe in terms of safety, and its effector function is reduced to the same extent as the parent antibody.
- the mutant Fc region when the mutant Fc region contains amino acid substitutions of 234Ala, 235Ala, and 265Gly (EU numbering), the molecule comprising the target molecule binding portion, the mutant Fc region, and the immunostimulant of the present invention is thermostable. It is also excellent in sex.
- the present invention relates to a pharmaceutical composition
- a pharmaceutical composition comprising a molecule comprising a target molecule binding moiety, a variant Fc region, and an immunostimulatory agent as described above.
- the pharmaceutical composition is an anti-tumor agent.
- the "pharmaceutical composition” will be described in detail later.
- the present invention relates to antibody-drug conjugates comprising CDN derivatives having STING agonist activity and uses thereof.
- the CDN derivative has STING agonist activity, activates immune cells, and induces the production of interferon and cytokines. Furthermore, the CDN derivative exerts an antitumor effect by activating the immune cells.
- the antibody-drug conjugate of the present invention is made by linking the CDN derivative and an antibody capable of recognizing and binding to a target cell (e.g., a tumor cell or an immune cell) via an optional linker, and Can be administered. Examples of systemic administration include intradermal, intramuscular, intraperitoneal, intravenous, and subcutaneous routes. Note that the antibody-drug conjugate can be positioned as one embodiment of a molecule containing the target molecule-binding portion, the mutant Fc region, and the immunostimulant described above.
- STING Stimulator of Interferon Genes
- STING mutants include the R232H mutation in which the 232nd amino acid is mutated from arginine (R) to histidine (H), and the 71st amino acid is mutated to histidine (H) and the 230th glycine (G).
- HAQ mutations are known, in which arginine (R) at position 293 is mutated to alanine (A) and arginine (R) to glutamine (Q).
- STING polymorphisms differ in the strength of responses such as the amount of cytokine production induced by STING agonist stimulation (Genes and Immunity, 2011, 12, 263-269). Therefore, in order for a STING agonist to stably act in humans, it is desirable to have activity against each type of STING.
- cytotoxic activity refers to causing some form of pathological change in cells, and includes not only direct trauma but also DNA cleavage, base dimer formation, and chromosome damage. It causes structural and functional damage to all kinds of cells, such as cleavage, damage to cell division machinery, and reduction in various enzyme activities.
- cells include cells within an individual animal and cultured cells.
- CDN derivative has the following formula (I):
- L 1 is a group represented by the following formula
- Q and Q ' each independently represent a hydroxy group or a thiol group.
- Q and Q' are both thiol groups.
- R 21 and R 22 each independently represent a hydroxy group or a fluorine atom.
- R 21 is preferably a hydroxy group.
- R 22 is preferably a fluorine atom.
- W is -NH- or a sulfur atom. W is preferably -NH-.
- the method for producing the CDN derivative is described below in ⁇ 3. Manufacturing method>.
- the antibody-drug conjugate of the present invention is an antibody-drug conjugate in which the aforementioned CDN derivative and an antibody capable of recognizing and binding to a target cell (e.g., a tumor cell or an immune cell) are linked via an arbitrary linker.
- a target cell e.g., a tumor cell or an immune cell
- Systemic administration is possible.
- the antibody-drug conjugate of the present invention it generally means an antibody-drug conjugate containing the above-mentioned CDN derivative as a drug moiety; however, as an exception, In addition, it may also refer to the aforementioned "molecule comprising a target molecule binding moiety, a variant Fc region, and an immunostimulatory agent.”
- the antibody-drug conjugate of the present invention has the following formula (II):
- m 1 ranges from 1 to 10 and indicates the number of drug bonds per antibody molecule in the antibody-drug conjugate.
- Ab represents an antibody or a functional fragment of the antibody
- L represents a linker connecting Ab and D
- D represents the above-mentioned CDN derivative (herein, the CDN derivative is used as part of the antibody-drug conjugate). (when used, also simply referred to as "drug").
- Drug D is a compound that has an activity of activating immune cells, specifically, a STING agonist activity.
- a target cell for example, a tumor cell or an immune cell
- drug D is released in its original structure and exhibits an immunostimulatory effect.
- the desired function is exerted by increasing the sensitivity of target cells to immune cells or by activating immune cells via target cells.
- the desired function is not particularly limited as long as it is related to STING agonist activity, but antitumor activity is preferable.
- drug D linked to a tumor-targeting antibody e.g., anti-EGFR antibody, anti-CDH6 antibody
- a tumor-targeting antibody e.g., anti-EGFR antibody, anti-CDH6 antibody
- the antitumor effect is exerted through increased sensitivity of target cells to immune cells or activation of immune cells via target cells (eg, production of interferon or cytokines).
- the drug D bound to the antibody-drug conjugate of the present invention has the following formula (I):
- the drug D used in the antibody-drug conjugate of the present invention is preferably of the following two formulas:
- L 1 , Q, Q', and W are as defined in ⁇ 1. CDN derivative> above).
- the drug D used in the antibody-drug conjugate of the present invention preferably has the following two formulas:
- the drug D used in the antibody-drug conjugate of the present invention preferably has the following three formulas:
- the drug D used in the antibody-drug conjugate of the present invention preferably has the following three formulas:
- the drug D used in the antibody-drug conjugate of the present invention preferably has the following formula 4:
- the drug D used in the antibody-drug conjugate of the present invention more preferably has the following formula:
- Linker structure The linker structure for binding a drug to an antibody in the antibody-drug conjugate of the present invention will be explained.
- the linker used in the antibody-drug conjugate of the present invention is not particularly limited as long as it is understood by those skilled in the art as a linker that connects an antibody and a drug. Examples of the linker used in the antibody-drug conjugate of the present invention include Protein Cell, 2018, 9(1): 33-46, Pharm Res, 2015, 32: 3526-3540, or Int. J. Mol. Sci. , 2016, 17, 561.
- the linker may be a linker that is cleaved in vivo or a linker that is not cleavable in vivo, but preferably a linker that is cleaved in vivo.
- the linker used in the antibody-drug conjugate of the present invention is, for example, one that binds a drug to a sugar chain or a remodeled sugar chain of the Fc portion of an antibody (herein referred to as "sugar chain conjugation"). ) linkers (e.g., as described in WO2018/003983), or linkers that attach the drug to any amino acid residue (e.g., cysteine or lysine residues) of the antibody (e.g., as described in WO2014/057687). ), but are not limited to these.
- the linker that binds the drug to any amino acid residue of the antibody is preferably a linker that forms a thioether bond with the sulfhydryl group (SH group) of cysteine of Ab (herein sometimes referred to as “cysteine conjugation”).
- cysteine conjugation an amide bond may be formed with the amino group (NH 2 group) of lysine of Ab (herein sometimes referred to as “lysine conjugation”), and cysteine conjugation is preferable.
- a preferred linker L for use in the antibody drug conjugate of the invention is represented by the following formula. -Lb-La-Lp-Lc-* (Here, an asterisk indicates binding to drug D).
- Lp either exhibits a linker consisting of an amino acid sequence (hereinafter also referred to as a peptide linker) that can be cleaved in vivo or in target cells, or does not exist.
- a linker consisting of an amino acid sequence (hereinafter also referred to as a peptide linker) that can be cleaved in vivo or in target cells, or does not exist.
- Lp is cleaved, for example, by the action of an enzyme such as peptidase or esterase.
- Lp is a peptide composed of 2 to 7 (preferably 2 to 4) amino acids.
- Lp forms an amide bond with the carbonyl group at the right end of La, which will be described later, at its N-terminus, and forms an amide bond with the amino group (-NH-) of Lc at its C-terminus.
- the amide bond on the C-terminal side of Lp is cleaved by an enzyme such as the peptidase.
- the amino acids constituting Lp are not particularly limited, but are, for example, L- or D-amino acids, preferably L-amino acids.
- amino acids with structures such as ⁇ -alanine, ⁇ -aminocaproic acid, and ⁇ -aminobutyric acid may also be used. It may also be an amino acid.
- the amino acid sequence of Lp is not particularly limited, but the constituent amino acids include glycine (Gly; G), valine (Val; V), alanine (Ala; A), phenylalanine (Phe; F), and glutamic acid (Glu; E).
- Acid (Asp; D), etc. can be mentioned.
- These amino acids may overlap and have an amino acid sequence containing arbitrarily selected amino acids. Furthermore, the pattern of drug release can be controlled by the type of amino acid.
- Lp examples include -GGFG-, -GGPI-, -GGVA-, -GGFM-, -GGVCit-, -GGFCit-, -GGICit-, -GGPL-, -GGAQ-, -GGPP-.
- the linker Lp is preferably -GGFG- or -GGPI-, more preferably -GGFG-.
- Lb is a spacer used in a linker for sugar chain conjugation (herein also referred to as a “spacer for a linker in sugar chain conjugation”) or a spacer used in a linker for cysteine conjugation (herein referred to as a “spacer for a linker in sugar chain conjugation”). , also referred to as “cysteine conjugation linker spacer”).
- Lb is a "linker spacer for sugar chain conjugation”
- Lb is not particularly limited, but includes, for example, a spacer represented by the following formula.
- the triazole ring site has a geometric isomeric structure, and one Lb contains either one of the two types of structures, or a mixture thereof. including.
- the antibody-drug conjugate of the present invention can bind multiple drugs to one antibody molecule. When multiple drugs are bound to one antibody molecule, multiple Lb will also exist (for example, see the schematic diagram (1e) of the antibody-drug conjugate shown in Method E in ⁇ 3. Manufacturing method> described below). thing).
- each Lb is selected from Lb-1 or Lb-3 and there is a plurality of Lb per antibody molecule (for example, when m 2 is 1 or 2 as described below), the triazole ring portion of each Lb is geometrically It has an isomeric structure, and one Lb contains either one of the two types of structures or a mixture thereof.
- Lb is not particularly limited, and examples thereof include -(succinimid-3-yl-N)-.
- “-(succinimid-3-yl-N)-” is represented by the following formula:
- the phenyl group is preferably a 1,4-phenyl group
- the heteroaryl group is preferably a 2,5-pyridyl group, a 3,6-pyridyl group, a 2,5-pyrimidyl group, or a 2,5-pyridyl group. It is a 5-thienyl group.
- Lc is preferably -NH-CH 2 - or absent.
- linker L-drug D used in the antibody-drug conjugate of the present invention preferably has the following 4 formulas:
- linker L-drug D used in the antibody-drug conjugate of the present invention more preferably has the following four formulas:
- linker L-drug D used in the antibody-drug conjugate of the present invention more preferably has the following formula:
- the term "gene” refers to a nucleotide or a nucleotide sequence that includes a nucleotide sequence that encodes an amino acid for a protein, or a complementary chain thereof; for example, a nucleotide sequence that includes a nucleotide sequence that encodes an amino acid for a protein. or complementary strands thereof, such as polynucleotides, oligonucleotides, DNA, mRNA, cDNA, RNA, etc., are included in the meaning of "gene”.
- nucleotide refers to any one of the following nucleotide, “polynucleotide”, or “nucleotide sequence” and “nucleic acid” are synonymous, and for example, DNA, RNA, probe, oligonucleotide, polynucleotide, primer, etc. Included in the meaning of "array”.
- polypeptide In this specification, “polypeptide”, “peptide”, and “protein” are used without distinction.
- the term "functional fragment of an antibody” is also referred to as "antigen-binding fragment of an antibody”, and means a partial fragment of an antibody that has antigen-binding activity, and is more effective than a linear antibody or an antibody fragment. This includes formed multispecific antibodies.
- the molecules are not limited to these molecules as long as they have the ability to bind to the antigen.
- these antigen-binding fragments include not only full-length antibody protein molecules treated with appropriate enzymes, but also proteins produced in appropriate host cells using genetically engineered antibody genes. It will be done.
- the functional fragment of the antibody used in the antibody-drug conjugate of the present invention retains asparagine (Asn297) and its surrounding amino acids, which are modified by a well-conserved N-linked sugar chain in the Fc region of the IgG heavy chain. , and a functional fragment that has the ability to bind to an antigen.
- the antibody used in the antibody-drug conjugate of the present invention refers to an immunoglobulin, and is a molecule containing an antigen-binding site that immunospecifically binds to an antigen.
- the antibody used in the antibody-drug conjugate of the present invention may be of any class including IgG, IgE, IgM, IgD, IgA, and IgY, but IgG is preferred.
- the subclass may be any of IgG1, IgG2, IgG3, IgG4, IgA1, and IgA2, but IgG1, IgG2, or IgG4 is preferred, IgG1 or IgG4 is more preferred, and IgG1 is particularly preferred (IgG heavy chain Fc (including antibodies with mutations in the region that affect ADCC and ADCP activities). Therefore, in one aspect of the invention, the antibody used in the antibody-drug conjugate of the invention is IgG1 or IgG4, preferably IgG1, and the functional fragment of the antibody used in the antibody-drug conjugate of the invention is is a functional fragment of an antibody that is IgG1 or IgG4, preferably IgG1;
- the amino acid residues at positions 234, 235, and 265 are Ala, Ala, and Gly, respectively. Contains a variant Fc region.
- the numbering of amino acid residues is based on the EU index or EU numbering (Proceedings of the National Academy of Sciences of the United States) unless otherwise specified. ates of America, Vol. 63, No. 1 ( May 15, 1969), pp. 78-85).
- the antibody used in the antibody-drug conjugate is IgG1, or the functional fragment of the antibody used in the antibody-drug conjugate is a functional fragment of an antibody that is IgG1.
- the mutant Fc region contains the IgG1 LALA-DG mutation (IgG1-L234A, L235A, D265G).
- the effector function can be reduced while maintaining the drug efficacy.
- the antibody or functional fragment of an antibody used in the antibody-drug conjugate contains a mutation in the Fc region mentioned above, the antibody-drug conjugate contains a wild-type Fc region. has reduced binding to human Fc ⁇ receptors, has a reduced ability to produce inflammatory cytokines, and/or has an equivalent or enhanced Has in vivo antitumor activity.
- corresponding antibody-drug conjugate having a wild-type Fc region refers to a molecule that is the same or equivalent to the antibody-drug conjugate of the present invention, except that it contains a wild-type Fc region rather than a mutant Fc region. means.
- the antibody-drug conjugate when the antibody or functional fragment of the antibody used in the antibody-drug conjugate contains a mutation in the Fc region mentioned above, the antibody-drug conjugate is The effector function is reduced to the same extent as the antibody containing the mentioned mutation in the Fc region (parent antibody; the antibody used to produce the antibody-drug conjugate).
- the antibody-drug conjugate when the antibody or functional fragment of an antibody used in the antibody-drug conjugate contains a mutation in the Fc region mentioned above, the antibody-drug conjugate is In particular, antibodies or functional fragments of antibodies used in antibody-drug conjugates may contain a LALA-DG mutation that has equivalent or improved thermostability compared to corresponding molecules with an Fc region.
- the antibody drug conjugate has improved thermal stability compared to a corresponding antibody drug conjugate with a wild-type Fc region.
- IgG2 antibodies have lower effector functions than IgG1 antibodies (Front. Immunol. 2014, 5, 520).
- the antibody-drug conjugate of the present invention when the mutant Fc region contains the LALA-DG mutation, the antibody-drug conjugate of the present invention maintains its drug efficacy and is excellent in safety, and is also as effective as the parent antibody. Effector functions have been reduced. Furthermore, in one embodiment, when the mutant Fc region contains the LALA-DG mutation, the antibody-drug conjugate of the present invention also has excellent thermal stability.
- examples of IgG1 heavy chain include G1m17, G1m3, G1m1, and G1m2.
- the constant region of the antibody used in the present invention is not particularly limited, but it is preferable to use G1m17 or G1m3.
- the amino acid sequence of Fc that does not have a Fab region is common to G1m17 and G1m3, and even in the LALA-DG mutant of Fc that does not have a Fab region, the effect of attenuating Fc ⁇ R binding activity and thermostability is higher than that of the LALA mutant. (data not shown), the effect of reducing Fc ⁇ R binding activity and improving thermal stability of the molecules of the present invention (particularly antibodies and antibody-drug conjugates) depends on the allotypes of G1m17 and G1m3. It is thought that there is no.
- CDRs complementarity determining regions
- CDRs are also called hypervariable regions, and are located within the variable regions of the heavy and light chains of antibodies, and are regions with particularly high variability in primary structure, and are highly variable in the polypeptide chains of the heavy and light chains. Each is separated into three locations on its primary structure.
- heavy chain CDRs are expressed as CDRH1, CDRH2, and CDRH3 from the amino terminal side of the heavy chain amino acid sequence
- light chain CDRs are expressed as CDRL1 from the amino terminal side of the light chain amino acid sequence. , CDRL2, and CDRL3. These sites are structurally close to each other and determine the specificity for the antigen to which they bind.
- amino acid sequences of CDRs included in the variable regions of antibodies are defined as KABAT (KABAT et al., Sequences of Proteins of Immunological Interest, 5th Ed. Public Health Service). National Institutes of Health, Bethesda, MD (1991)).
- the antibodies may be derived from any species, but are preferably human, rat, mouse, and rabbit. When derived from a species other than human, it is preferable to chimerize or humanize using well-known techniques.
- the antibodies used in the present invention may be polyclonal antibodies or monoclonal antibodies, but monoclonal antibodies are preferred.
- Monoclonal antibodies include monoclonal antibodies derived from non-human animals such as rat antibodies, mouse antibodies, rabbit antibodies, chimeric antibodies, humanized antibodies, human antibodies, functional fragments thereof, or modified bodies thereof.
- the antibody is preferably an antibody that targets tumor cells or immune cells, but is not limited thereto.
- the antibody is more preferably an antibody that targets tumor cells.
- the antibody When an antibody that targets tumor cells is used, the antibody must have properties that allow it to recognize tumor cells, bind to tumor cells, be taken up and internalized within tumor cells, and even cause damage to tumor cells. Preferably, it has one or more of the following characteristics.
- the drug used in the antibody-drug conjugate of the invention has STING agonist activity.
- the drug induces interferon by activating interferon regulatory factor-3 (IRF3) signals. Therefore, when an antibody that targets tumor cells is used in the antibody-drug conjugate of the present invention, the antibody-drug conjugate is administered into the body and then delivered to the tumor site, and after being taken up within the tumor cells, peptidase etc., the linker portion is cleaved and the drug portion is released.
- IRF3 interferon regulatory factor-3
- the released drug moiety enhances the sensitivity of tumor cells to immune cells through STING agonist activity, activates anti-tumor immunity, and exhibits anti-tumor effects.
- the antibody-drug conjugate accumulated in tumor cells is not internalized, the tumor cells and/or the antibody-drug conjugate are taken up by immune cells through phagocytosis, etc., and activate anti-tumor immunity through STING agonist activity. , it is also possible to exert an antitumor effect.
- the binding of antibodies to tumor cells can be confirmed using flow cytometry.
- the uptake of antibodies into tumor cells is determined by (1) an assay in which antibodies taken into cells are visualized using a fluorescence microscope using a secondary antibody (fluorescent label) that binds to the therapeutic antibody (Cell Death and Differentiation (2008)); 15, 751-761), (2) Assay that measures the amount of fluorescence taken into cells using a secondary antibody (fluorescent label) that binds to a therapeutic antibody (Molecular Biology of the Cell Vol. 15, 5268-5282 , December 2004) or (3) the Mab-ZAP assay (Bio Techniques 28:162-165), in which an immunotoxin that binds to a therapeutic antibody is used to release the toxin and suppress cell proliferation when taken into cells. January 2000).
- a recombinant complex protein consisting of the catalytic region of diphtheria toxin and protein G can also be used.
- the antibody itself has an antitumor effect.
- the antitumor activity of drugs and antibody-drug conjugates refers to cytotoxic activity toward tumor cells, anticellular effects, and regression of tumor volume. Antitumor activity can be confirmed using known in vitro or in vivo evaluation systems.
- the action and immunostimulatory activity of drugs and antibody-drug conjugates refers to increased sensitivity of tumor cells to immune cells or activation of immune cells via tumor cells.
- the effects and immunostimulatory activity of drugs and antibody-drug conjugates can be confirmed using known in vitro or in vivo evaluation systems.
- An in vitro or in vivo evaluation system that can be used in the present invention is the mouse colon cancer cell line CT26. described in Test Examples 3, 4, 5, and 6.
- CT26. which introduced human EGFR gene into WT.
- BALB/c mouse line subcutaneously transplanted with WT-hEGFR cells described in Test Example 7
- BALB/c-nu mouse line subcutaneously transplanted with human lung cancer cell line PC-9 cells described in Test Example 8
- a BALB/c-nu mouse system subcutaneously transplanted with the human lung cancer cell line NCI-H358, CT26. described in Test Example 9.
- CT26. which is a WT strain with the human CDH6 gene introduced into it.
- BALB/c mouse system subcutaneously transplanted with WT-hCDH6 cells co-culture assay system of THP1 reporter cells and human lung cancer cell line HCC827 described in Test Example 10, and THP1 reporter cells and THP1 reporter cells described in Test Example 11.
- antibodies used in the present invention include anti-CDH6 antibodies and anti-EGFR antibodies.
- the antibodies used in the present invention can be obtained by immunizing an animal with a polypeptide as an antigen, collecting and purifying the antibodies produced in vivo using methods commonly practiced in this field.
- the origin of the antigen is not limited to humans, and animals can also be immunized with antigens derived from non-human animals such as mice and rats.
- antibodies applicable to human diseases can be selected by testing the cross-reactivity between antibodies that bind to the obtained foreign antigen and human antigens.
- hybridomas can be established by fusing antibody-producing cells that produce antibodies against antigens with myeloma cells, and monoclonal antibodies can also be obtained.
- the antigen can be obtained by causing a host cell to produce a gene encoding an antigen protein through genetic manipulation.
- the antibodies used in the antibody-drug conjugates of the present invention can be prepared by known methods (for example, Proc. Natl. Acad. Sci. USA, 81, 6851-6855, (1984), Nature (1986) 321, p.522-525, WO90/07861).
- anti-EGFR antibodies WO1998/050433, WO2002/092771, etc.
- anti-CDH6 antibodies WO2018/212136, etc.
- the anti-EGFR antibody used in the present invention is not particularly limited, but preferably has the following characteristics, for example.
- Anti-EGFR antibody that specifically binds to EGFR. (2) The antibody according to (1) above, which binds to the extracellular domain of human EGFR. (3) The antibody according to (1) or (2) above, wherein the antibody is a monoclonal antibody.
- the heavy chain constant region is the heavy chain constant region of human IgG1, and the amino acid residues at positions 234, 235, and 265 (all EU numbering) of the Fc region are Ala, Ala, and Gly, respectively.
- the antibody according to (6) above which is a humanized or human monoclonal antibody comprising a heavy chain consisting of the amino acid sequence set forth in SEQ ID NO: 33 and a light chain consisting of the amino acid sequence set forth in SEQ ID NO: 30.
- Humanization comprising a heavy chain variable region contained in a heavy chain consisting of the amino acid sequence set forth in SEQ ID NO: 32 or 33 and a light chain variable region contained in a light chain consisting of the amino acid sequence set forth in SEQ ID NO: 30.
- the antibody according to (6) above which is a human monoclonal antibody.
- a light chain comprising CDRL1 consisting of the amino acid sequence set forth in SEQ ID NO:23, CDRL2 consisting of the amino acid sequence set forth in SEQ ID NO:24, and CDRL3 consisting of the amino acid sequence set forth in SEQ ID NO:25;
- the above humanized or human monoclonal antibody comprising a heavy chain comprising CDRH1 consisting of the amino acid sequence set forth in SEQ ID NO: 27, CDRH2 consisting of the amino acid sequence set forth in SEQ ID NO: 27, and CDRH3 consisting of the amino acid sequence set forth in SEQ ID NO: 28 ( 6).
- the antibody according to any one of (1) to (10) above, in which one or two amino acids are deleted at the carboxyl terminus of the heavy chain.
- An antibody obtained by a method for producing an antibody which includes the step of collecting the antibody.
- anti-EGFR antibodies examples include panitumumab, nimotuzumab, cetuximab, ametumumab (SY-101), SYN-004, SCT-200, tomuzotuximab, GC-1118, GR-1401, depatu xizumab (ABT-806), Serclutamab, AMG595, Matuzumab can be mentioned, and panitumumab and ABT806 can be preferably mentioned.
- the anti-CDH6 antibody used in the present invention is not particularly limited, but preferably has the following characteristics, for example.
- the heavy chain constant region is the heavy chain constant region of human IgG1, and the amino acid residues at positions 234, 235, and 265 (all EU numbering) of the Fc region are Ala, Ala, and Gly, respectively.
- Humanized or human comprising a heavy chain variable region contained in a heavy chain consisting of the amino acid sequence set forth in SEQ ID NO: 46 and a light chain variable region contained in a light chain consisting of the amino acid sequence set forth in SEQ ID NO: 44.
- the antibody according to (6) above which is a monoclonal antibody.
- a light chain comprising CDRL1 consisting of the amino acid sequence set forth in SEQ ID NO: 37, CDRL2 consisting of the amino acid sequence set forth in SEQ ID NO: 38, and CDRL3 consisting of the amino acid sequence set forth in SEQ ID NO: 39, and a light chain consisting of the amino acid sequence set forth in SEQ ID NO: 40.
- the above humanized or human monoclonal antibody comprising a heavy chain comprising CDRH1 consisting of the amino acid sequence set forth in SEQ ID NO: 41, CDRH2 consisting of the amino acid sequence set forth in SEQ ID NO: 41, and CDRH3 consisting of the amino acid sequence set forth in SEQ ID NO: 42 ( 6).
- the antibody according to any one of (1) to (9) above, in which one or two amino acids are deleted at the carboxyl terminus of the heavy chain.
- an anti-CDH6 antibody for example, an antibody having a light chain consisting of the amino acid sequence set forth in positions 21 to 233 of SEQ ID NO: 61 described in WO2018212136 and a heavy chain consisting of the amino acid sequence set forth in positions 20 to 471 of SEQ ID NO: 69.
- Antibody X an antibody having a light chain consisting of the amino acid sequence set forth in positions 21 to 233 of SEQ ID NO: 61 described in WO2018212136 and a heavy chain consisting of the amino acid sequence set forth in positions 20 to 471 of SEQ ID NO: 69.
- Antibody X an antibody having a light chain consisting of the amino acid sequence set forth in positions 21 to 233 of SEQ ID NO: 61 described in WO2018212136 and a heavy chain consisting of the amino acid sequence set forth in positions 20 to 471 of SEQ ID NO: 69.
- Antibody X an antibody having a light chain consisting of the amino acid sequence set forth in positions 21 to 233 of SEQ ID NO:
- the antibody used in the present invention may have 80% to 99% amino acid identity compared to the heavy chain and/or light chain of the above antibodies.
- identity herein shall have the common definition used in the art.
- the % identity refers to the percentage of the number of identical amino acids per total number of amino acids (including gaps) when two amino acid sequences are aligned so that the degree of amino acid identity is maximized.
- identity is generally 80% or more, preferably 90, 91, 92, 93 or 94% or more, more preferably 95, 96, 97 or 98%. or more, and more preferably 99% or more identity.
- amino acid sequences in which one to several amino acid residues are substituted, deleted, and/or added to the heavy chain and/or light chain amino acid sequences various effects equivalent to those of the above-mentioned antibodies can be obtained. It is possible to select antibodies that have The number of amino acid residues to be substituted, deleted, and/or added is generally 10 amino acid residues or less, preferably 5 to 6 amino acid residues or less, and more preferably 2 to 3 amino acid residues or less. and more preferably one amino acid residue.
- antibodies produced in cultured mammalian cells lack the lysine residue at the carboxyl terminus of their heavy chains (Journal of Chromatography A, 705: 129-134 (1995)); It is also known that the two amino acid residues glycine and lysine at the carboxyl terminus of the heavy chain are deleted, and the proline residue located at the carboxyl terminus is newly amidated (Analytical Biochemistry, 360: 75-83). 2007)).
- deletion or modification of these heavy chain sequences does not affect the antigen binding ability and effector functions (complement activation, antibody-dependent cytotoxicity, etc.) of antibodies. Therefore, the antibodies used in the present invention include antibodies with such deletions or modifications and functional fragments of the antibodies.
- the antibody is one that comprises a heavy chain with one or several amino acid residues deleted at the carboxyl terminus.
- one or several amino acid residues preferably refers to 1 to 10 amino acid residues, 1 to 9 amino acid residues, 1 to 8 amino acid residues, 1 to 8 amino acid residues, 7 amino acid residues, 1 to 6 amino acid residues, 1 to 5 amino acid residues, 1 to 4 amino acid residues, 1 to 3 amino acid residues, 1 or 2 amino acid residues group, or one amino acid residue.
- the antibodies used in the present invention include a deletion form in which one or two amino acids are deleted at the carboxyl terminus of the heavy chain, and an amidated form of the deletion form (e.g., at the carboxyl terminus).
- a heavy chain in which the proline residue of is amidated is also included.
- the deletion or modification (amidation) of the carboxyl terminus does not significantly affect the antigen binding ability and effector function, the deletion of the carboxyl terminus of the heavy chain of the antibody used in the present invention does not occur as described above. Not limited to type.
- the two heavy chains constituting the antibody used in the present invention may be any one type of heavy chain selected from the group consisting of the full-length chain and the above-mentioned deletion form, or any two types of heavy chains may be used. It may also be a combination.
- the amount ratio of each deletion product can be influenced by the type and culture conditions of mammalian cultured cells producing the antibody used in the present invention, the antibody used in the present invention preferably has two heavy chains. In both cases, one amino acid residue at the carboxyl terminus is deleted.
- polynucleotides encoding the amino acid sequences of the antibodies described above are provided.
- amino acid sequence of the antibody according to any one of [45] to [47] (including [45-2], [46-2], and [47-2]) Polynucleotides encoding are provided.
- an expression vector containing the above polynucleotide is provided.
- the expression vector is not particularly limited, and any plasmid, virus, or other vector that allows the expression of the above polynucleotide can be used. Any known method can be used to construct such an expression vector, but for example, using an animal cell expression vector containing a wild-type Fc region gene as a template and using the KOD-Plus-Mutagenesis Kit (TOYOBO A method in which a desired effector-less mutation is introduced into the Fc region using PCR, or a gene for the Fc region containing the desired effector-less mutation is synthesized and incorporated into an animal cell expression vector by a ligation reaction. can be exemplified.
- a host cell transformed with the above expression vector is provided.
- the host cell is not particularly limited, and all types of eukaryotic and prokaryotic cells that can express the polynucleotide contained in the expression vector can be used.
- the host cell of the present invention is a eukaryotic cell, such as an animal cell, a plant cell, or a eukaryotic microorganism.
- animal cells include mammalian cells, such as monkey cells COS cells (Cell (1981) 23, p. 175-182, ATCC CRL-1650) and mouse fibroblast NIH3T3 (ATCC No. CRL-1658).
- the host cell of the present invention is a prokaryotic cell, such as E. coli and Bacillus subtilis.
- a culture method includes culturing the above host cells.
- the culture method includes culturing the above host cells.
- the culture method includes culturing the above host cells.
- the culture conditions etc. should be determined as appropriate depending on the host cells used, the type of expression vector, etc. Can be done.
- a method for producing an antibody which includes the step of culturing the above-mentioned host cells and collecting the antibody of interest from the culture obtained in the culturing step.
- the above-mentioned “step of culturing host cells” is not particularly limited as long as the above-mentioned host cells can express the desired antibody, and the culture conditions etc. will depend on the type of host cells and expression vector used. It can be determined as appropriate.
- the method for producing the antibody is described in the Vectibix Intravenous Injection 100mg Review Results Report (March 5, 2010, Review Management Division, Pharmaceutical and Food Safety Bureau). Examples include, but are not limited to, the manufacturing method described in WO2018/212136 and the manufacturing method described in WO2018/212136.
- Glycan remodeling involves first using a hydrolase to excise the heterogeneous sugar chains attached to proteins (antibodies, etc.), leaving only the terminal GlcNAc, and then removing the homogeneous protein portion to which GlcNAc has been attached. (hereinafter referred to as "acceptor”). Next, a separately prepared optional sugar chain is prepared (hereinafter referred to as a "donor"), and the acceptor and donor are linked using a glycosyltransferase. This allows the synthesis of uniform glycoproteins with arbitrary sugar chain structures.
- sugar chain means a structural unit in which two or more monosaccharides are linked through glycosidic bonds.
- Specific monosaccharides and sugar chains may be designated as abbreviations, such as “GlcNAc-” and "SG-”.
- abbreviations such as "GlcNAc-” and "SG-”.
- the oxygen atom or nitrogen atom that belongs to the glycosidic bond with another structural unit at the reducing end is not included in the abbreviation representing the sugar chain, unless there is a special definition. Displayed as not included.
- a sugar chain when described as a symbol (for example, SG, MSG, GlcNAc, etc.), unless otherwise defined, the symbol includes up to the reducing terminal carbon, and N- or O- N or O belonging to a glycosidic bond shall not be included in the symbol.
- the antibody-drug conjugate of the present invention has the following formula:
- the antibody Ab or a functional fragment thereof is either directly linked to L from the side chain of its amino acid residue (e.g., cysteine, lysine, etc.) or linked to L from the sugar chain of Ab or a remodeled sugar chain. are combined.
- the sugar chain of Ab in the present invention is an N-linked sugar chain or an O-linked sugar chain, preferably an N-linked sugar chain.
- N-linked sugar chains are bonded to amino acid side chains of antibodies via N-glycosidic bonds
- O-linked sugar chains are bonded to amino acid side chains of antibodies via O-glycosidic bonds.
- the Ab in the present invention is IgG, preferably IgG1, IgG2 or IgG4, more preferably IgG1 or IgG4, particularly preferably IgG1.
- IgG has a well-conserved N-linked sugar chain (hereinafter referred to as "Asn297 sugar chain or N297 sugar chain”) at the 297th asparagine residue (hereinafter referred to as "Asn297 or N297”) in the Fc region of its heavy chain. It is known that it contributes to the activity and dynamics of antibody molecules (Eon-Duval, A. et al, Biotechnol. Prog. 2012, 28, 608-622, Sanglier-Cianferani, S., Anal. Chem. 2013, 85, 715-736).
- each amino acid sequence in the constant region of IgG is well conserved, and in a report by Edelman et al. (Proc. Natl. Acad. Sci. USA, 63, 78-85, (1969)), each amino acid sequence is It is specified by the EU number (EU INDEX).
- EU INDEX EU number
- Asn297 which is added to an N-linked sugar chain in the Fc region, corresponds to position 297 in the EU number, and even if the actual amino acid position changes due to molecular fragmentation or region deletion, the EU number
- the amino acid is uniquely identified by the symbol.
- the figure below shows the case where the antibody-drug conjugate of the present invention is bound to L from the N297 sugar chain of an antibody or a functional fragment thereof.
- the antibody having the remodeled sugar chain is referred to as a sugar chain remodeling antibody.
- SGP ( ⁇ 2,6-SGP) is an abbreviation for Sialylglycopeptide and is a typical N-linked glycopeptide.
- SGP can be isolated and purified from chicken egg yolk, for example, according to the method described in WO2011/027868.
- purified products of SGP are sold by Tokyo Kasei Kogyo and Fushimi Seiyakusho.
- the sugar chain portion of SGP is referred to as SG, and the sugar chain lacking one GlcNAc at the reducing end of SG is referred to as SG(10).
- SG (10) can be prepared by enzymatic hydrolysis of SGP, for example, with reference to the report by Umekawa et al. (Biochim. Biophys. Acta 2010, 1800, 1203-1209).
- SG (10) can also be purchased from Tokyo Kasei Kogyo and Fushimi Pharmaceuticals.
- MSG(9) a sugar chain structure in which sialic acid at the non-reducing end is deleted in only one of the branched chains of ⁇ -Man of SG(10) is referred to as MSG(9), and 1-3 of the branched chains Those having sialic acid only in sugar chains are referred to as MSG1, and those having sialic acid only in branched 1-6 sugar chains are referred to as MSG2.
- the remodeled sugar chain used in the antibody-drug conjugate of the present invention is N297-(Fuc)SG, N297-(Fuc)MSG1, N297-(Fuc)MSG2, or N297-(Fuc)MSG1 and N297- (Fuc)MSG2, preferably N297-(Fuc)SG, N297-(Fuc)MSG1 or N297-(Fuc)MSG2, more preferably N297-(Fuc)SG or N297-(Fuc) It is MSG1.
- N297-(Fuc)SG is represented by the following structural formula or sequence formula.
- L(PEG) represents -(CH 2 -CH 2 -O)n 5 -CH 2 -CH 2 -NH-
- amino group at the right end of L(PEG) is a branch of ⁇ -Man of N297 sugar chain.
- n 5 is an integer from 2 to 10, preferably from 2 to 5.
- N297-(Fuc)MSG1 is represented by the following structural formula or sequence formula.
- L(PEG) represents -(CH 2 -CH 2 -O)n 5 -CH 2 -CH 2 -NH-
- the amino group at the right end of L(PEG) is a branch of ⁇ -Man of N297 sugar chain.
- the linker L is bonded to the nitrogen atom at the 1- or 3-position on the 1,2,3-triazole ring of Lb in the linker L
- n 5 is an integer from 2 to 10, preferably from 2 to 5.
- N297-(Fuc)MSG2 is represented by the following structural formula or sequence formula.
- L(PEG) represents -(CH 2 -CH 2 -O)n 5 -CH 2 -CH 2 -NH-
- the amino group at the right end of L(PEG) is a branch of ⁇ -Man of N297 sugar chain.
- the asterisk indicates that the linker L is bonded to the nitrogen atom at the 1- or 3-position on the 1,2,3-triazole ring of Lb in the linker L
- n 5 is an integer from 2 to 10, preferably from 2 to 5.
- the N297 sugar chain of the antibody in the antibody-drug conjugate of the present invention is N297-(Fuc)SG
- the N297 sugar chain of the antibody in the antibody-drug conjugate of the present invention is N297-(Fuc)MSG1 or N297-(Fuc)MSG2 or a mixture thereof
- one molecule of the antibody has two heavy chains.
- the N297 sugar chain is preferably N297-(Fuc)SG, N297-(Fuc)MSG1 or N297-(Fuc)MSG2, more preferably N297-(Fuc)SG or N297-(Fuc)MSG1. , more preferably N297-(Fuc)SG.
- N297 sugar chain of the antibody in the antibody-drug conjugate of the present invention is N297-(Fuc)SG, N297-(Fuc)MSG1 or N297-(Fuc)MSG2, a highly homogeneous antibody-drug conjugate can be obtained. Can be done.
- Substituent L 2 is the following (i) or (ii): (i) When bonded to L, L 2 represents -NHR', a hydroxy C1-C6 alkyl group or an amino C1-C6 alkyl group, where R' is a hydrogen atom, a C1-C6 alkyl group, a C2 -C6 alkenyl group, C2-C6 alkynyl group or C3-C6 cycloalkyl group, and the C1-C6 alkyl group, C2-C6 alkenyl group or C2-C6 alkynyl group is substituted with 1 to 6 halogen atoms.
- L2 represents a hydrogen atom or a halogen atom; Indicates a group selected from.
- Substituent W 1 represents -NH- or a sulfur atom.
- Substituents Z 1 to Z 3 together represent -CH 2 -CH 2 -CH 2 -.
- Substituent R 4 represents a hydrogen atom.
- R 5 when W 1 is a nitrogen atom, R 5 represents a hydrogen atom, and when W 1 is an oxygen atom, R 5 does not exist.
- the substituents R a , R c , R e and R g represent side chains of natural ⁇ -amino acids. Examples include methyl group, isopropyl group, sec-butyl group, isobutyl group, and benzyl group.
- PRO 1 represents a primary alcohol protecting group. Preferred examples include 4,4'-dimethoxytrityl group and 4-methoxytrityl group.
- PRO 2 , PRO 3 , PRO 7 and PRO 8 represent a secondary alcohol protecting group.
- PRO 6 represents a carboxylic acid protecting group. Suitable examples include tert-butyl group and benzyl group.
- PRO 5 and PRO 9 represent amine protecting groups.
- PRO 5 is preferably a tert-butyloxycarbonyl group, 9-fluorenylmethyloxycarbonyl group, allyloxycarbonyl group, 2,2,2-trichloroethoxycarbonyl group, benzyloxycarbonyl group, etc.
- PRO 4 represents an alcohol or amine protecting group.
- alcohol preferred are tert-butyldimethylsilyl group, benzoyl group, etc.
- amine preferred are 2-(trimethylsilyl)ethoxycarbonyl group, allyloxycarbonyl group, tert-butyloxycarbonyl group, etc.
- Q a represents an oxygen atom or a sulfur atom
- Q b represents a hydroxy group or a thiol group.
- Q a' and Q b' each independently represent a negatively charged oxygen atom (O ⁇ ) or sulfur atom (S ⁇ ).
- R x and R y each independently represent a halogen atom or -O-PRO 2 .
- n represents an integer from 1 to 3.
- CDN derivative represented by (1) used in the antibody-drug conjugate of the present invention can be produced according to Method A described below.
- This production method is a method for producing a compound represented by general formula (1).
- One-pot synthesis is possible for steps A-1 to A-5 of this production method, but this should be carried out with reference to the report by Gaffney et al. (Org. Lett. 2010, 12, 3269-3271). Can be done.
- This step is a step for producing the compound of formula (2a) by sequentially performing a hydrolysis reaction and removal of the cyanoethyl group on the compound of formula (1a) using a known organic chemical method.
- Compound (1a) in a solvent acetonitrile, tetrahydrofuran, N,N-dimethylformamide or a mixed solvent thereof
- a solvent acetonitrile, tetrahydrofuran, N,N-dimethylformamide or a mixed solvent thereof
- the hydrolysis reaction was carried out by treatment with water and acid (pyridine trifluoroacetate, 4,5-dicyanoimidazole, 1H-tetrazole, etc.).
- the reaction time is from 1 minute to 3 hours, preferably from 5 minutes to 30 minutes.
- a base such as tert-butylamine
- the base was used in an excess molar amount, preferably 30 to 50 moles, per mole of compound (1a).
- the reaction time is from 5 minutes to 6 hours, preferably from 15 minutes to 1 hour.
- the reaction solution was concentrated under reduced pressure to obtain a crude compound (2a).
- the crude compound (2a) can be carried on to the next step without being purified.
- This step is a step in which the hydroxy protecting group is removed from the compound of formula (2a) using a known organic chemical method to produce the compound of formula (3a).
- the crude product of formula (2a) was dried by azeotropic distillation once to three times using acetonitrile, if necessary.
- PRO 1 is a 4,4'-dimethoxytrityl group
- compound (2a) is heated in a solvent (dichloromethane, chloroform, dichloroethane, etc.) from -10°C to the boiling point of the solvent used for the reaction, preferably from 15°C to 35°C.
- the 4,4'-dimethoxytrityl group was removed by treatment with water and acid (dichloroacetic acid, trifluoroacetic acid, etc.).
- water is used in excess molar amount, preferably 10 to 20 moles
- acid is used in the solvent used in the reaction in an amount of 1% to 50% (v/v), preferably 5% to 10%.
- (v/v) and the diluted solution was used in molar excess, preferably from 5 to 15 molar.
- the reaction time is from 1 minute to 3 hours, preferably from 5 minutes to 30 minutes. Pyridine was added to the reaction solution to terminate the reaction.
- Pyridine was used in an amount sufficient to neutralize the acid used, preferably from 2 to 10 moles per mole of acid.
- the reaction solution was concentrated under reduced pressure to obtain a crude compound (3a).
- the crude compound (3a) was azeotropically distilled three to five times using dehydrated acetonitrile. Acetonitrile was left in the final azeotropy to obtain a 0.01M to 1M solution of compound (3a) in acetonitrile. The obtained acetonitrile solution was directly proceeded to the next step.
- This step is carried out by sequentially performing a coupling reaction of the compound of formula (3a) with a compound of formula (4a) and a sulfurization reaction of the resulting coupled product using a known organic chemical method. , is a process for producing a compound of formula (5a). Before starting the reaction of this step, compound (4a) was azeotroped three to five times using dehydrated acetonitrile. Acetonitrile was left in the final azeotropy, and a 0.01M to 1M acetonitrile solution of compound (4a) was prepared.
- a desiccant (Molecular Sieves 3A or Molecular Sieves 4A in powder or pellet form) was added to this solution, and the solution was stored under a nitrogen or argon atmosphere until use.
- a coupling reaction was carried out by adding an acetonitrile solution of compound (4a) dried by azeotropy at 5°C to 35°C to an acetonitrile solution of compound (3a). The reaction time is from 1 minute to 24 hours, preferably from 5 minutes to 6 hours.
- a sulfurizing agent N,N-dimethyl-N'-(3-sulfanylidene-3H-1,2,4-dithiazol-5-yl)methanimidamide, 3H-1,2-benzodithiol- 3-one, etc.
- the sulfurizing agent was used in an amount of 1 mol to 5 mol, preferably 1 mol to 2 mol, per 1 mol of compound (3a).
- the reaction time is from 5 minutes to 24 hours, preferably from 30 minutes to 6 hours.
- the reaction solution was concentrated under reduced pressure to obtain a crude compound (5a). The obtained crude compound (5a) was directly carried on to the next step.
- This step is a step in which the hydroxy protecting group is removed from the compound of formula (5a) using a known organic chemical method to produce the compound of formula (6a).
- PRO 1 is a 4,4'-dimethoxytrityl group
- compound (5a) is heated in a solvent (dichloromethane, chloroform, dichloroethane, etc.) from -10°C to the boiling point of the solvent used for the reaction, preferably from 15°C.
- the 4,4'-dimethoxytrityl group was removed by treatment with water and acid (dichloroacetic acid, trifluoroacetic acid, etc.) at up to 35°C.
- the reaction time is from 1 minute to 3 hours, preferably from 5 minutes to 30 minutes.
- Pyridine was added to the reaction solution to terminate the reaction. Pyridine was used in an amount sufficient to neutralize the acid used, preferably 10 to 200 moles per mole of acid.
- the reaction solution was concentrated under reduced pressure to obtain a crude compound (6a). The obtained crude compound (6a) was carried on to the next step as it was.
- This step is a step of producing a compound of formula (7a) by sequentially performing a cyclization reaction and a sulfurization reaction on the compound of formula (6a) using a known organic chemical method.
- Compound (6a) was dissolved in pyridine and concentrated under reduced pressure to prepare a 0.01M to 0.5M pyridine solution.
- a dehydration condensation agent (2-chloro-5,5-dimethyl-1,3,2 ⁇ 5 -dioxaphosphinan-2-one, etc.
- the cyclization reaction was carried out by The dehydration condensation agent was used in an amount of 1 mol to excess mol, preferably 3 mol to 5 mol, per 1 mol of compound (6a).
- the reaction time is from 1 minute to 6 hours, preferably from 5 minutes to 1 hour.
- water and a sulfurizing agent (3H-1,2-benzodithiol-3-one, N,N-dimethyl-N'-(3-sulfanylidene-3H-1,2,4-dithiazol-5-
- the sulfurization reaction was carried out by adding methanimidamide, etc.).
- the reaction solution was extracted once to five times with an organic solvent (ethyl acetate, diethyl ether, toluene, or a mixed solvent thereof), and then the extracts were combined and dried over anhydrous salt (anhydrous sodium sulfate or anhydrous magnesium sulfate).
- anhydrous salt anhydrous sodium sulfate or anhydrous magnesium sulfate.
- the desiccant was removed by filtration and the filtrate was concentrated under reduced pressure.
- the obtained residue was purified by silica gel column chromatography [dichloromethane/methanol, ethyl acetate/methanol, hexane/ethyl acetate, etc.], C18 silica gel column chromatography [buffer/acetonitrile], or a combination thereof to obtain compound (7a).
- This step is a step of simultaneously removing the cyanoethyl group and all acyl protecting groups from the compound of formula (7a) using a known organic chemical method to produce the compound of formula (8a). This step was carried out in an autoclave or in a shield tube as necessary.
- PRO 4 is a benzoyl group
- the compound (7a) is dissolved in a solvent (methanol, ethanol, tetrahydrofuran, or a mixed solvent thereof) at 28% (v/ v) Cyanoethyl groups and benzoyl groups were removed by treatment with aqueous ammonia. Ammonia was used in excess of 1 mole of compound (7a), preferably 300 to 3000 moles.
- the reaction time is from 30 minutes to 96 hours, preferably from 2 hours to 48 hours.
- Concentrate the reaction solution if necessary, and process the residue by preparative HPLC [buffer/acetonitrile, buffer/methanol, etc.], C18 silica gel column chromatography [buffer/acetonitrile, buffer/methanol, etc.], or a combination thereof.
- Compound (8a) was obtained by purification. Even if the obtained compound (8a) is a mixture of diastereomers, it can proceed to the next step without further purification. Moreover, in this step, it is also possible to directly proceed to the next step without purification.
- This step is a step for simultaneously removing all silyl protecting groups from the compound of formula (8a) using a known organic chemical method to produce a compound of formula (9a).
- PRO 2 and PRO 3 are tert-butyldimethylsilyl groups
- compound (8a) is directly treated with triethylamine trihydrofluoride at a temperature of 5°C to 100°C, preferably 35°C to 60°C. The tert-butyldimethylsilyl group was removed by doing this.
- Triethylamine trihydrofluoride was used in excess of 1 mole of compound (8a), preferably 100 to 200 moles.
- the reaction time is 30 minutes to 24 hours, preferably 2 hours to 12 hours.
- reaction solution was cooled to room temperature, a mixed solution of ice-cooled 1M triethylammonium bicarbonate aqueous solution and triethylamine in a ratio of 3:1 to 10:1 (v/v) was poured into the reaction solution little by little to terminate the reaction. If necessary, the reaction solution may be poured into an ice-cooled mixed solution of 1M triethylammonium hydrogen carbonate aqueous solution and triethylamine. In this case, the reaction vessel was washed with acetonitrile and water. Triethylamine is used in an amount sufficient to change the liquid properties of the reaction solution to weak basicity, preferably about 2 moles per mole of triethylamine trihydrofluoride.
- This step is a step in which the compound of formula (9a) is ion-exchanged using a known organic chemical method to produce the compound of formula (1).
- a cation exchange resin (BT AG (registered trademark) 50W-X2 resin, 100-200 mesh, hydrogen type) was suspended in pure water and packed into an empty column cartridge. The cation exchange resin was used in an amount of 10 to 50 times the weight of compound (9a). After allowing excess pure water to flow down, 3 column volumes of 1M sodium hydroxide aqueous solution were allowed to flow down, and then 6 column volumes of pure water were allowed to flow down. Compound (9a) was dissolved in approximately 3 column volumes of pure water and charged to the column.
- Method A' The CDN derivative represented by (1') used in the antibody-drug conjugate of the present invention can be produced according to Method A' described below.
- This production method is a method for producing a compound represented by general formula (1') by partially modifying Method A.
- the compound of general formula (1') can be produced by changing Step A-5 of Method A to Step A'-5 shown below. Further, when both substituents R x and R y are halogen atoms, step A-7 can be omitted.
- This step is a step of producing a compound of formula (7a') by sequentially performing a cyclization reaction and an oxidation reaction on the compound of formula (6a') using a known organic chemical method.
- Compound (6a') was dissolved in pyridine and concentrated under reduced pressure to prepare a 0.01M to 0.5M pyridine solution.
- a dehydration condensation agent (2-chloro-5,5-dimethyl-1,3,2 ⁇ 5 -dioxaphosphinan-2-one, etc.) was added to this pyridine solution at a temperature of 5°C to 35°C.
- a cyclization reaction was performed.
- the dehydration condensation agent was used in an amount of 1 mol to excess mol, preferably 3 mol to 5 mol, per 1 mol of compound (6a').
- the reaction time is from 1 minute to 6 hours, preferably from 5 minutes to 1 hour.
- water and an oxidizing agent such as iodine
- oxidizing agent such as iodine
- Water was used in an excess of 0 to 50 moles, preferably 30 to 50 moles
- the oxidizing agent was used in an amount of 2 to 10 moles, preferably 3 to 5 moles, per 1 mole of compound (6a').
- the reaction time is from 5 minutes to 12 hours, preferably from 30 minutes to 3 hours.
- reaction solution was added to an aqueous sodium hydrogen carbonate solution (0.1M to 1M) and stirred for 15 minutes to 24 hours to terminate the reaction.
- the reaction solution was extracted once to five times with an organic solvent (ethyl acetate, diethyl ether, toluene, or a mixed solvent thereof), and then the extracts were combined and dried over anhydrous salt (anhydrous sodium sulfate or anhydrous magnesium sulfate). The drying agent was removed by filtration and the filtrate was concentrated under reduced pressure.
- the obtained residue was purified by silica gel column chromatography [dichloromethane/methanol, ethyl acetate/methanol, hexane/ethyl acetate, etc.], C18 silica gel column chromatography [buffer/acetonitrile], or a combination thereof to obtain compound (7a). ') got.
- Method A'' The CDN derivative represented by (1'') used in the antibody-drug conjugate of the present invention can be produced according to Method A'' described below.
- This production method is a method for producing a compound represented by general formula (1'') by partially modifying Method A.
- the compound of general formula (1'') can be produced by changing Step A-3 of Method A to Step A''-3 shown below. Further, when both substituents R x and R y are halogen atoms, step A-7 can be omitted.
- a desiccant (Molecular Sieves 3A or Molecular Sieves 4A in powder or pellet form) was added to this solution, and the solution was stored under a nitrogen or argon atmosphere until use.
- a coupling reaction was carried out by adding an acetonitrile solution of compound (4a'') dried by azeotropy at 5°C to 35°C to an acetonitrile solution of compound (3a''). The reaction time is from 1 minute to 24 hours, preferably from 5 minutes to 6 hours.
- an oxidizing agent tert-butyl hydroperoxide, etc.
- the oxidizing agent was used in an amount of 1 mol to 5 mol, preferably 2 mol to 3 mol, per 1 mol of compound (3a'').
- the reaction time is from 5 minutes to 24 hours, preferably from 30 minutes to 6 hours.
- a saturated aqueous sodium thiosulfate solution was added to the reaction solution, and the mixture was stirred for 10 minutes to 12 hours to terminate the reaction.
- the reaction solution was extracted once to five times with an organic solvent (such as a mixed solvent of dichloromethane and methanol), the extracts were combined and dried over anhydrous salt (anhydrous sodium sulfate or anhydrous magnesium sulfate). The drying agent was removed by filtration, and the filtrate was concentrated under reduced pressure to obtain a crude compound (5a'').
- the obtained crude compound (5a'') was carried on to the next step as it was.
- Method A''' The CDN derivative represented by (1''') used in the antibody-drug conjugate of the present invention can be produced according to Method A''' described below.
- This production method is a method for producing a compound represented by general formula (1''') by partially modifying Method A. Specifically, the compound of general formula (1''') is produced by changing step A-3 of method A to step A''-3 and changing step A-5 to step A'-5. Can be done. Further, when both substituents R x and R y are halogen atoms, step A-7 can be omitted.
- Method B Conjugation precursor (sugar chain conjugation)
- the conjugation precursor represented by (2) used in the antibody-drug conjugate of the present invention can be produced according to Method B described below.
- This production method is a method for producing a conjugation precursor (2) in which L 1 is substituted with -NH 2 at any position.
- This step is a step for producing the compound of formula (2b) by removing the protecting group from the compound of formula (1b) using a known organic chemical method.
- PRO 5 is a tert-butyloxycarbonyl group
- compound (1b) is heated in a solvent (dichloromethane, dioxane, acetonitrile, ethyl acetate, tetrahydrofuran, or a mixed solvent thereof) from -10°C to the boiling point of the solvent used for the reaction.
- the protecting groups were removed by treatment with trifluoroacetic acid, preferably at 15°C to 35°C. Trifluoroacetic acid was used in excess of 1 mole of compound (1b), preferably 20 to 50 moles.
- the reaction time is from 5 minutes to 24 hours, preferably from 30 minutes to 6 hours.
- the reaction solution was concentrated under reduced pressure, suspended in toluene, and concentrated again under reduced pressure. This operation was repeated 2 to 5 times.
- a solvent diethyl ether, diisopropyl ether, hexane, dichloromethane, ethyl acetate, or a mixed solvent thereof
- the solid was collected by filtration to obtain a crude compound (2b).
- the crude compound (2b) was carried on to the next step without further purification.
- This step is a step of producing a compound of formula (4b) by performing amidation of a compound of formula (2b) with a compound of formula (3b) using a known organic chemical method.
- Compound (2b) is treated with a base (triethylamine, N,N- Amidation was performed by reacting with diisopropylethylamine, etc.) and compound (3b).
- the base was used in an amount of 1 mol to 5 mol
- the compound (3b) was used in an amount of 0.5 mol to 1.5 mol per mol of the compound (2b).
- the reaction time is 10 minutes to 72 hours, preferably 1 hour to 24 hours.
- reaction solution into two layers of an organic solvent (dichloromethane, chloroform, ethyl acetate, methanol, or a mixed solvent thereof) and water or an acidic aqueous solution (0.1 to 1M hydrochloric acid, citric acid aqueous solution, etc.), and mix once with the organic solvent. It was extracted 5 times. The extracts were combined and washed with saturated brine, and then dried over anhydrous salt (anhydrous sodium sulfate or anhydrous magnesium sulfate). The drying agent was removed by filtration and the filtrate was concentrated under reduced pressure. Note that the above liquid separation operation can be omitted, and the reaction solution can be directly concentrated under reduced pressure and proceed to the next silica gel column purification.
- organic solvent dichloromethane, chloroform, ethyl acetate, methanol, or a mixed solvent thereof
- an acidic aqueous solution 0.1 to 1M hydrochloric acid, citric acid aqueous solution, etc.
- the obtained residue was purified by silica gel column chromatography [dichloromethane/methanol, ethyl acetate/methanol, etc.] to obtain compound (4b). If necessary, after dissolving the obtained compound (4b) in a good solvent (ethyl acetate, acetonitrile, dichloromethane, methanol, or a mixed solvent thereof), a poor solvent (diethyl ether, diisopropyl ether, hexane, etc.) is added. Purity can be increased by reprecipitating and filtering the solid.
- a good solvent ethyl acetate, acetonitrile, dichloromethane, methanol, or a mixed solvent thereof
- a poor solvent diethyl ether, diisopropyl ether, hexane, etc.
- This step is a step for producing the compound of formula (5b) by esterifying the compound of formula (4b) using a known organic chemical method.
- Compound (4b) is mixed with N-hydroxysuccinimide and a condensing agent at 5°C to 35°C in a solvent (N,N-dimethylformamide, N,N-dimethylacetamide, N-methylpyrrolidone, acetonitrile, etc.). Esterification was performed by reacting with (1-ethyl-3-(3-dimethylaminopropyl)carbodiimide hydrochloride, etc.).
- N-hydroxysuccinimide and condensing agent were each used in an amount of 1 to 3 mol per 1 mol of compound (4b).
- the reaction time is 30 minutes to 72 hours, preferably 2 hours to 24 hours.
- the reaction solution was diluted with an organic solvent (dichloromethane, chloroform, ethyl acetate, or a mixed solvent thereof), and then washed with ice water three to five times.
- the organic layer was dried using anhydrous salt (anhydrous sodium sulfate or anhydrous magnesium sulfate). After removing the desiccant by filtration, the filtrate was concentrated under reduced pressure to obtain a crude compound (5b).
- the obtained compound (5b) may be purified by C18 silica gel column chromatography [acetonitrile only].
- a good solvent ethyl acetate, acetonitrile, dichloromethane, or a mixed solvent thereof
- a poor solvent diethyl ether, diisopropyl ether, hexane, etc.
- Purity can be increased by filtering.
- This step is a step of producing the compound of formula (2) by performing a condensation reaction with the compound of formula (6b) using a known organic chemical method on the compound of formula (5b).
- Compound (6b) is heated in a solvent (N,N-dimethylformamide, N,N-dimethylacetamide, N-methylpyrrolidone, acetonitrile, etc.) from -10°C to 100°C, preferably from 15°C to 35°C.
- a condensation reaction was carried out by reacting with a base (triethylamine, N,N-diisopropylethylamine, etc.) and compound (5b).
- the base was used in an amount of 2 to 5 moles, and the compound (5b) was used in an amount of 1 to 2 moles per 1 mole of the compound (6b).
- the reaction time is from 5 minutes to 24 hours, preferably from 1 hour to 6 hours.
- Benzylamine was added to the reaction solution to terminate the reaction. Benzylamine was used in an amount of 4 to 10 mol per 1 mol of compound (6b). If necessary, the reaction solution was partially concentrated under reduced pressure, and the remaining solution was subjected to preparative HPLC [buffer/acetonitrile, buffer/methanol, etc.], C18 silica gel column chromatography [buffer/acetonitrile, buffer/ methanol, etc.] or a combination thereof to obtain compound (2).
- Conjugation precursor (cysteine conjugation)
- the conjugation precursor represented by (2') used in the antibody-drug conjugate of the present invention can be produced according to method B' described below.
- This production method is a method for producing a conjugation precursor (2') in which L 1 is substituted with -NH 2 at any position.
- This step is a step of producing a compound of formula (8b) by performing amidation of a compound of formula (2b') with a compound of formula (7b) using a known organic chemical method.
- Compound (8b) was obtained according to the procedure described in Method B, Step B-2, except that no base was used.
- Step B-6 process This step is a step for producing the compound of formula (9b) by removing the protecting group from the compound of formula (8b) using a known organic chemical method.
- PRO 6 was a tert-butyl group
- compound (9b) was obtained according to the method described in Step B-1 of Method B, except that silica gel column chromatography [dichloromethane/methanol] was used for purification.
- Step B-7 process This step is a step for producing the compound of formula (10b) by esterifying the compound of formula (9b) using a known organic chemical method.
- Compound (10b) was obtained according to the method described in Step B-3 of Method B.
- This step is a step of producing a compound of formula (2') by carrying out a condensation reaction with a compound of formula (10b) using a known organic chemical method on the compound of formula (6b). be.
- Compound (2') was obtained according to the method described in Step B-4 of Method B.
- Method C The conjugation precursor represented by (3) used in the antibody-drug conjugate of the present invention can be produced according to Method C described below.
- This production method is a method for producing a conjugation precursor (3) in which L 1 is substituted with a hydroxy group at any position.
- This step is a step of producing a compound of formula (3c) by performing amidation of a compound of formula (1c) with a compound of formula (2c) using a known organic chemical method.
- Compound (3c) was obtained according to the method described in Method B, Step B-2.
- This step is a step of producing the compound of formula (4c) by esterifying the compound of formula (3c) using a known organic chemical method.
- Compound (4c) was obtained according to the method described in Step B-3 of Method B.
- This step involves sequentially coupling the compound of formula (5c) with the compound of formula (6c) (aminomethylenation) and deprotecting the resulting coupled product using a known organic chemical method.
- This is a step for producing a compound of formula (7c) by carrying out the following steps.
- PRO 9 is a 9-fluorenylmethyloxycarbonyl group
- compound (5c) is reacted with compound (6c) and an acid (p-toluenesulfonic acid, etc.) in tetrahydrofuran at 5°C to 35°C. Aminomethylenation was carried out by doing this.
- compound (6c) is used in an amount of 1 mol to 20 mol, preferably 2 mol to 10 mol, and the acid is used in excess of 0.05 mol to 3 mol, preferably 0.1 mol to 3 mol. there was.
- the reaction time is 30 minutes to 72 hours, preferably 2 hours to 24 hours.
- a base (1,8-diazabicyclo[5.4.0]-7-undecene, etc.) was added to the reaction solution to carry out deprotection.
- a solvent N,N-dimethylformamide, etc.
- the base was used in an excess molar amount, preferably 5 to 20 moles, per 1 mole of compound (5c).
- the reaction time is 10 minutes to 24 hours, preferably 2 hours to 12 hours.
- Water was added to the reaction solution, and the product was directly purified by C18 silica gel column chromatography [buffer/acetonitrile, etc.] to obtain compound (7c).
- Step B-4 of Method B This step is a step of producing the compound of formula (3) by carrying out a condensation reaction with the compound of formula (4c) using a known organic chemical method on the compound of formula (8c). .
- Compound (3) was obtained according to the method described in Step B-4 of Method B.
- conjugation precursor represented by (3') used in the antibody-drug conjugate of the present invention can be produced according to the C' method described below.
- This production method is a method for producing a conjugation precursor (3') in which L 1 is substituted with a hydroxy group at any position.
- This step is a step of producing a compound of formula (2c') by sequentially performing a hydrolysis reaction and removal of a cyanoethyl group on the compound of formula (1c') using a known organic chemical method. It is. Compound (2c') was obtained according to the method described in Method A, Step A-1.
- This step is a step of producing a compound of formula (7c') by sequentially carrying out a cyclization reaction and a sulfurization reaction or an oxidation reaction on the compound of formula (6c') using a known organic chemical method. be.
- Compound (7c') was obtained according to the method described in Method A, Step A-5 or Method A', Step A'-5.
- This step is a step of simultaneously removing all silyl protecting groups from the compound of formula (8c') using a known organic chemical method to produce a compound of formula (9c').
- PRO 9 is a 2-(trimethylsilyl)ethoxycarbonyl group
- compound (8c') is treated with a solution of tetrabutylammonium fluoride in tetrahydrofuran at a temperature of 5°C to 100°C, preferably 35°C to 60°C. The 2-(trimethylsilyl)ethoxycarbonyl group was removed by doing this. Tetrabutylammonium fluoride was used in excess of 1 mole of compound (8c'), preferably 10 to 30 moles.
- the reaction time is from 1 hour to 48 hours, preferably from 4 hours to 24 hours.
- the organic solvent component was distilled off under reduced pressure as necessary.
- the residue was purified by preparative HPLC [buffer/acetonitrile, buffer/methanol, etc.], C18 silica gel column chromatography [buffer/acetonitrile, buffer/methanol, etc.], or a combination thereof, to obtain compound (9c'). I got it.
- This step is a step of producing a compound of formula (3') by carrying out a condensation reaction with a compound of formula (4c) using a known organic chemical method on the compound of formula (9c'). It is.
- Compound (3') was obtained according to the method described in Step B-4 of Method B.
- Method D Production of sugar chain remodeling antibodies
- the sugar chain remodeling antibodies are produced according to the methods described in, for example, WO2018/003983, WO2020/050406, WO2021/177438, WO2022/050300, PLos ONE 2018, 13, e0193534, etc. It can be manufactured by the method shown in the following formula.
- Antibody (1d) (10 mg/mL) in a buffer solution (phosphate buffer, etc.) at temperatures from 0°C to 40°C was treated with a hydrolase such as wild-type EndoS enzyme to produce GlcNAc ⁇ 1 with a chitobiose structure at the reducing end.
- a hydrolysis reaction of the glycosidic bond between and 4GlcNAc was carried out.
- the reaction time is 10 minutes to 72 hours, preferably 1 hour to 6 hours.
- Wild-type EndoS enzyme was used in an amount of 0.1 mg to 10 mg, preferably 0.1 mg to 3 mg, per 100 mg of antibody (1d).
- Step D-2 process the (Fuc ⁇ 1,6)GlcNAc antibody (2d) obtained in Step D-1 is subjected to a known enzymatic reaction to form an SG type or MSG (MSG1, MSG2) type having a PEG linker containing an azide group.
- This is a step of manufacturing a sugar chain remodeling antibody (3d) by binding a sugar chain oxazoline body (hereinafter referred to as "azido sugar chain oxazoline body").
- the antibody (2d) is reacted with an oxazoline azide sugar chain in the presence of a glycosyltransferase such as EndoS (D233Q/Q303L) at 0°C to 40°C in a buffer solution (phosphate buffer, etc.).
- a strand transfer reaction was performed.
- the reaction time is 10 minutes to 72 hours, preferably 1 hour to 6 hours.
- the EndoS enzyme (D233Q/Q303L) was used in an amount of 1 mg to 10 mg, preferably 1 mg to 3 mg, and the azido sugar chain oxazoline compound was used in an amount of 2 to excess equivalents, preferably 4 to 20 equivalents, per 100 mg of the antibody.
- concentration of the aqueous antibody solution, concentration measurement, and buffer exchange can be performed according to common operations A to C described below.
- SG type azide sugar chain oxazoline body was synthesized according to the method described in WO2018/003983.
- a method for synthesizing [N 3 -PEG(3)] 2 -SG(10)-Ox is shown in the following formula.
- MSG type azide sugar chain oxazoline body was also synthesized according to the method described in WO2018/003983.
- a method for synthesizing [N 3 -PEG(3)]-MSG1(9)-Ox is shown in the following formula.
- Step D-3 process the (Fuc ⁇ 1,6)GlcNAc antibody (2d) obtained in Step D-1 is subjected to a transglycosylation reaction using two types of Endo enzymes to produce a glycan remodeling antibody (3d). It is a process.
- two types of enzymes it is possible to directly transfer sugar chains to the N297 sugar chain of an antibody using SGP, (SG)Asn, etc. whose reducing end is not activated as a sugar chain donor.
- enzyme-B EndoM-like enzyme
- enzyme-A EndoS-like enzyme
- enzyme-B examples include EndoM, EndoOm, EndoCC and EndoM mutants with reduced hydrolysis activity, EndoOm mutants, EndoCC mutants, and the like.
- Preferred enzymes as enzyme-B are EndoM N175Q, EndoCC N180H, and EndoOm N194Q.
- enzyme-A examples include EndoS, EndoS2 (EndoS49), EndoS mutants with reduced hydrolytic activity, and EndoS2 (EndoS49) mutants.
- Preferred enzymes as enzyme-A are EndoS D233Q, EndoS D233Q/Q303L, EndoS D233Q/E350A, EndoS D233Q/E350Q, EndoS D233Q/E350D, EndoS D233Q/E350 N, EndoS D233Q/D405A, EndoS2 D184M, EndoS2 T138Q, etc.
- Antibody (2d) was incubated in a buffer solution (Tris buffer, etc.) in the presence of glycosyltransferases Enzyme-B (EndoM-like enzyme) and Enzyme-A (EndoS-like enzyme), ([N 3 -PEG(3)] 2 -SG)-Asn-PEG(3)-N 3 A transglycosylation reaction is performed.
- the reaction temperature can be appropriately selected depending on the optimum temperature of the enzyme used, but is usually 15 to 50°C, preferably 25 to 40°C.
- the reaction time can be appropriately selected from 2 hours to 48 hours.
- it is possible to obtain the sugar chain remodeling antibody (3d) by selecting a purification method (affinity chromatography, hydroxyapatite column, etc.) or ultrafiltration method (ultrafiltration membrane) suitable for the reaction scale. can.
- concentration of the aqueous antibody solution, concentration measurement, and buffer exchange can be performed according to common operations A to C described below.
- step 1-2A described in WO2018/003983 Fmoc-(SG-)Asn free form prepared from Fmoc-(SG-)Asn (1S2S-11NC-Asn-Fmoc, manufactured by Glyco Engineering Institute) and 11- By reacting with azide-3,6,9-trioxaundecane-1-amine, ([N 3 -PEG(3)] 2 -SG)-Asn-PEG(3)-N 3 (as described in WO2018/003983 Compound 1-13) can be obtained.
- MSG-type sugar chain donors [N 3 -PEG(3)]-MSG1-Asn-PEG(3)-N 3 and [N 3 -PEG(3)]-MSG2-Asn-PEG(3)-N 3 are also available. It can be synthesized according to the method described in Steps 1 to 3 of Example 154 of WO2019065964.
- D-3 step is performed in ⁇ 5. below.
- the method can also be carried out in accordance with the description in ⁇ Method for producing Fc-containing molecules''.
- the two asterisks (*) on the left side of the antibody-drug conjugate (1e) indicate the drug linker moiety indicated by the asterisk on the right side.
- the sugar chain remodeling antibody (3d) obtained in step D-2 of method D and the conjugation precursor (2) obtained in step B-4 of method B are combined with SPAAC (strain-promoted azide-alkyne cycloaddition: J. Am. Chem. Soc. 2004, 126, 15046-15047) reaction to produce the antibody-drug conjugate (1e).
- SPAAC strain-promoted azide-alkyne cycloaddition: J. Am. Chem. Soc. 2004, 126, 15046-15047
- a buffer solution (phosphate buffer, acetate buffer, borate buffer, etc.) of the glycan remodeling antibody (3d) and the conjugation precursor (2) are mixed in an appropriate solvent (dimethyl sulfoxide, N,N-dimethylformamide, etc.). , N,N-dimethylacetamide, N-methylpyrrolidone, propylene glycol, or a mixed solvent thereof) to carry out the SPAAC reaction.
- the conjugation precursor (2) is used in an amount of 2 to 30 moles in excess, preferably 4 to 30 moles, per 1 mole of the sugar chain remodeling antibody (3d), and the ratio of the organic solvent to the buffer solution of the antibody is 1% to 200% (v/v) is preferable.
- the reaction temperature is 0°C to 37°C, preferably 15°C to 25°C, and the reaction time is 1 hour to 150 hours, preferably 6 hours to 72 hours.
- the pH of the reaction solution is preferably 5 to 9.
- the reaction solution was purified according to the method described in Common Procedure D below to obtain an antibody-drug conjugate (1e).
- E' method Conjugation of antibody and drug (cysteine conjugation)
- the antibody-drug conjugate of the present invention having cysteine conjugation is prepared using the target antibody prepared according to Reference Example 3 etc. and the conjugation precursor (2') having a maleimide group obtained in Step B-8 of Method B'. It can be manufactured according to the method described in WO2014/057687 and the like.
- the antibody-drug conjugate can be identified by performing buffer exchange, purification, measurement of antibody concentration, and measurement of the average number of drugs bound per antibody molecule by common operations D to G described below.
- Method F Production of an antibody containing a mutant Fc region
- An antibody containing a mutant Fc region can be produced by a known method using an Fc effectorless mutant animal cell expression vector. Examples of methods for constructing Fc effectorless mutant animal cell expression vectors include the following methods.
- Fc effector-less mutant animal cell expression vector Using an animal cell expression vector containing the wild-type Fc region gene as a template, the desired effector-less region was created in the Fc region using KOD -Plus- Mutagenesis Kit (TOYOBO). Mutations are introduced by PCR. Alternatively, an Fc region gene containing a desired effectorless mutation may be synthesized and incorporated into an animal cell expression vector by a ligation reaction.
- the antibody-drug conjugate containing the CDN derivative of the present invention or its production intermediate can also be produced with reference to WO2022163846.
- the production method described above can be used as appropriate. It can be manufactured by referring to and modifying the method of , or by referring to a known method.
- Antibody concentration was measured using a UV measurement device (Nanodrop 1000, Thermo Fisher Scientific, Inc.) according to the method specified by the manufacturer. At that time, different 280 nm extinction coefficients (1.3 mL mg ⁇ 1 cm ⁇ 1 to 1.8 mL mg ⁇ 1 cm ⁇ 1 ) were used for each antibody.
- Common procedure C Buffer exchange of antibody A buffer solution (phosphate buffered saline (pH 6.0), phosphate buffer (pH 6.0), etc.) was added to the antibody aqueous solution, and concentrated according to the method described in common procedure A. . After performing this operation several times, the antibody concentration was measured according to the method described in Common Procedure B. Add an appropriate buffer (phosphate buffered saline (pH 6.0), phosphate buffer (pH 6.0), etc.) to this antibody buffer solution to obtain the antibody at the desired concentration (for example, about 10 mg/mL). A buffer solution was prepared.
- Common operation D Purification of antibody-drug conjugate (gel filtration chromatography) NAP columns (NAP-5, NAP-10, NAP-25 (GE Health (manufactured by Care)) was equilibrated. This NAP column was charged with an antibody-drug conjugate reaction solution, and a manufacturer-specified amount of buffer solution was allowed to flow down by gravity to collect the antibody fraction. This fraction was charged onto the NAP column again, and a manufacturer-specified amount of buffer solution was allowed to flow down by gravity to separate the antibody fraction. By repeating this operation two to three times in total, an antibody-drug conjugate from which unbound drug linker, dimethyl sulfoxide, and propylene glycol were removed was obtained. If necessary, the concentration of the antibody drug conjugate solution was adjusted by common procedures A and C.
- the molar extinction coefficients of the antibody and drug before and after conjugation of the antibody and drug are Assuming no change, the antibody concentration and drug concentration in the antibody-drug conjugate are expressed by the following relationship.
- a formula (II) A 280 indicates the absorbance of the antibody-drug conjugate aqueous solution at 280 nm
- a 250 indicates the absorbance of the antibody-drug conjugate aqueous solution at 250 nm
- AA , 280 indicates the absorbance of the antibody at 280 nm
- AA , 250 indicates the absorbance of the antibody at 250 nm
- a D , 280 indicates the absorbance of the conjugate precursor at 280 nm
- a D , 250 indicates the absorbance of the conjugate precursor at 250 nm
- ⁇ A , 280 indicates the absorbance of the antibody at 280 nm.
- ⁇ A , 250 indicates the molar extinction coefficient of the antibody at 250 nm
- ⁇ D , 280 indicates the molar extinction coefficient of the conjugate precursor at 280 nm
- ⁇ D , 250 indicates the molar extinction coefficient of the conjugate precursor at 250 nm.
- C A indicates the antibody concentration in the antibody-drug conjugate
- C D indicates the drug concentration in the antibody-drug conjugate.
- values prepared in advance are used for ⁇ A , 280 , ⁇ A , 250 , ⁇ D , 280 , and ⁇ D , 250 .
- ⁇ A , 280 can be estimated from the amino acid sequence of the antibody by a known calculation method (Protein Science, 1995, vol. 4, 2411-2423).
- ⁇ A , 250 a value calculated from the actual value obtained from UV measurement of the antibody and the estimated value of ⁇ A , 280 was used.
- the molar extinction coefficients of the conjugate precursors in the examples were obtained in each case by UV measurements.
- C A and C D can be determined by measuring A 280 and A 250 of the antibody-drug conjugate aqueous solution, substituting these values into formulas (I) and (II), and solving simultaneous equations.
- the average number of drugs bound per antibody molecule can be determined.
- Common operation F Measurement of antibody concentration and average number of drug bonds per antibody molecule in antibody-drug conjugate (reversed phase high performance liquid chromatography method: RP-HPLC)
- the antibody concentration and the average number of drugs bound per antibody molecule in the antibody-drug conjugate can be determined by high-performance liquid chromatography analysis using the following method in addition to the above-mentioned common procedure E.
- HPLC analysis Typical analysis conditions are as follows.
- HPLC system Agilent 1290 HPLC system (Agilent Technologies) Detector: Ultraviolet absorbance meter (measurement wavelength: 280 nm)
- Column Acquity BEH Phenyl (2.1 x 50 mm, 1.7 ⁇ m, manufactured by Waters) Column temperature: 75°C Flow rate: 0.8mL/min
- Sample injection volume 10 ⁇ L
- Mobile phase A 0.1% trifluoroacetic acid (TFA), 15% isopropyl alcohol aqueous solution
- Mobile phase B 0.075% TFA, 15% isopropyl alcohol acetonitrile solution
- Gradient program (mobile phase B): 14%-36% ( 0 min - 15 min), 36% - 80% (15 - 17 min), 80% - 14% (17 min - 17.1 min), 14% - 14% (17.1 min - 23 min)
- Bound H chain H2, H chain with three drugs bound: H3)
- the hydrophobicity increases in proportion to the number of bound drugs and the retention time increases, so in principle, L0, L1, H0 , H1, H2, and H3 are eluted in this order.
- the detected peak can be assigned to any of L0, L1, H0, H1, H2, and H3.
- molar extinction coefficient (280 nm) of the L chain and H chain in each antibody estimated values calculated using the known calculation method described in Common Procedure E were used.
- 23232 was used as the molar extinction coefficient of the L chain
- 78498 was used as the molar extinction coefficient of the H chain.
- 23232 was used as the molar extinction coefficient of the L chain
- 75642 was used as the molar extinction coefficient of the H chain.
- anti-CDH6 antibody 1 31712 was used as the molar extinction coefficient of the L chain
- 79988 was used as the molar extinction coefficient of the H chain.
- the conjugation precursor is mixed with mercaptoethanol or N- The measured value of a compound in which the maleimide group was converted to succinimide thioether by reaction with acetylcysteine was used.
- the absorbance (280 nm) of the antibody-drug conjugate the actually measured value of the antibody-drug conjugate aqueous solution was used.
- the dilution factor indicates how many times the antibody-drug conjugate aqueous solution is diluted when measuring absorbance, and is usually 4 times diluted.
- the molar extinction coefficient (280 nm) of the antibody an estimated value calculated by the known calculation method described in Common Procedure E was used.
- the value obtained in [F-3-4] was used.
- the conjugation precursor is mixed with mercaptoethanol or N- The measured value of a compound in which the maleimide group was converted to succinimide thioether by reaction with acetylcysteine was used.
- Common operation G Measurement of antibody concentration and average number of drug bonds per antibody molecule in antibody-drug conjugate (hydrophobic interaction-high performance liquid chromatography method: HI-HPLC)
- the antibody concentration and the average number of drug bonds per antibody molecule in the antibody-drug conjugate can be determined by high-performance liquid chromatography analysis using the following method in addition to the aforementioned common operations E and F.
- HPLC analysis There are two typical analysis conditions below.
- HPLC system SHIMADZU CBM-20A (Shimadzu Corporation) Detector: Ultraviolet absorbance meter (measurement wavelength: 280nm)
- Flow rate 0.8mL/min
- HPLC system SHIMADZU CBM-20A (Shimadzu Corporation) Detector: Ultraviolet absorbance meter (measurement wavelength: 280nm)
- the molar extinction coefficient (280 nm) of the antibody an estimated value calculated using the known calculation method described in Common Procedure E was used.
- the measured value of the conjugation precursor was used.
- [G-3-5] The antibody concentration in the antibody-drug conjugate was calculated according to the formula described in [F-3-5]. At that time, the value obtained in [G-3-4] was used for the average number of drug bonds.
- the antibody-drug conjugate of the present invention or its production intermediate includes stereoisomers, optical isomers derived from asymmetric carbon atoms, geometric isomers, tautomers, d-isomers, l-isomers, atropisomers, etc. Although optical isomers may exist, all of these isomers, optical isomers, and mixtures thereof are included in the present invention.
- the number of drugs bound to one antibody molecule is an important factor that influences its effectiveness and safety.
- the production of antibody-drug conjugates is carried out by specifying reaction conditions such as the amount of raw materials and reagents to be used so that the number of drug bonds is constant; however, unlike chemical reactions of low-molecular compounds, , usually obtained as a mixture of different numbers of drugs combined.
- the number of drugs bound to one antibody molecule can be specified as an average value, ie, the average drug binding number (DAR).
- the number of cyclic dinucleotide derivatives bound to an antibody molecule can be controlled, and the average number of cyclic dinucleotide derivatives bound to an antibody molecule can range from 1 to 10, but preferably from 1 to 8.
- the number is preferably 1 to 5, and even more preferably 2 to 4.
- the average number of drug bonds and the average number of drug bonds have the same meaning and can be interchanged.
- the number of drug bonds per antibody heavy chain m2 in the antibody-drug conjugate is 1 or an integer of 2.
- m2 is 2 and DAR is in the range of 3 to 5 (preferably in the range of 3.2 to 4.8). (more preferably in the range of 3.5 to 4.2).
- N297 sugar chain is N297-(Fuc)MSG1, N297-(Fuc)MSG2, or a mixture of N297-(Fuc)MSG1 and N297-(Fuc)MSG2, m2 is 1 and DAR is in the range of 1 to 3. (preferably in the range of 1.0 to 2.5, more preferably in the range of 1.2 to 2.2).
- the antibody-drug conjugate of the present invention or its production intermediate may absorb water, become adsorbed water, or become a hydrate when left in the air or recrystallized.
- water-containing compounds and salts are also encompassed by the present invention.
- the antibody-drug conjugate of the present invention or its production intermediate has a basic group such as an amino group
- a pharmaceutically acceptable salt include, for example, hydrohalides such as hydrochlorides and hydroiodides; inorganic acid salts such as nitrates, perchlorates, sulfates, and phosphates; methanesulfonates and trifluoromethanesulfones.
- lower alkanesulfonates such as acid salts and ethanesulfonates; arylsulfonates such as benzenesulfonates and p-toluenesulfonates; formates, acetates, malates, fumarates, and succinic acids Salts, organic acid salts such as citrate, tartrate, oxalate, maleate; and amino acid salts such as ornitinate, glutamate, aspartate.
- the antibody-drug conjugate of the present invention contains a phosphate group and/or a thiophosphoric acid group in its structure, it is generally possible to form a base addition salt. Furthermore, when the production intermediate has an acidic group such as a carboxy group, it is generally possible to form a base addition salt.
- Pharmaceutically acceptable salts include, for example, alkali metal salts such as sodium salts, potassium salts, and lithium salts; alkaline earth metal salts such as calcium salts and magnesium salts; inorganic salts such as ammonium salts; dibenzylamine salts.
- morpholine salt phenylglycine alkyl ester salt, ethylenediamine salt, N-methylglucamine salt, diethylamine salt, triethylamine salt, cyclohexylamine salt, dicyclohexylamine salt, N,N'-dibenzylethylenediamine salt, diethanolamine salt, N-benzyl
- organic amine salts such as -N-(2-phenylethoxy)amine salt, piperazine salt, tetramethylammonium salt, and tris(hydroxymethyl)aminomethane salt.
- the antibody-drug conjugate of the present invention and its production intermediate may exist as a hydrate by absorbing moisture in the air.
- the solvate of the present invention is not particularly limited as long as it is pharmaceutically acceptable, but specifically preferred are hydrates, ethanolates, 2-propanolates, and the like.
- a nitrogen atom is present in the antibody-drug conjugate of the present invention and its production intermediate, it may be an N-oxide form, and these solvates and N-oxide forms are also within the scope of the present invention. included.
- a sulfur atom when present in the antibody-drug conjugate of the present invention and its production intermediate, it may be in the form of a sulfoxide, and these solvates and sulfoxides are also included within the scope of the present invention.
- the present invention also includes compounds labeled with various radioactive or non-radioactive isotopes.
- One or more of the atoms comprising the antibody-drug conjugates of the invention and intermediates for their production may also contain unnatural proportions of atomic isotopes.
- atomic isotopes include deuterium (2H), tritium (3H), iodine-125 (125I), and carbon-14 (14C).
- the compounds of the invention may also be radiolabeled with radioisotopes such as, for example, tritium (3H), iodine-125 (125I) or carbon-14 (14C).
- Radiolabeled compounds are useful as therapeutic or prophylactic agents, research reagents, such as assay reagents, and diagnostic agents, such as in vivo diagnostic imaging agents. All isotopic variants of the antibody drug conjugates of the invention, whether radioactive or not, are encompassed within the scope of the invention.
- the antibody-drug conjugate of the present invention exhibits anti-tumor immune activity or cytotoxic activity against cancer cells and is excellent in terms of safety, so it can be used as a medicine, particularly as a therapeutic and/or preventive agent for cancer. or can be used as an antitumor agent. Furthermore, the antibody-drug conjugate of the present invention can be used as a pharmaceutical agent for treating and/or preventing infectious diseases. Furthermore, in one aspect of the present invention, the antibody-drug conjugate of the present invention can be used as a pharmaceutical with high heat stability.
- the types of cancer to which the antibody-drug conjugate of the present invention is applicable include lung cancer (non-small cell lung cancer, small cell lung cancer, etc.), renal cancer, urothelial cancer, colorectal cancer, prostate cancer, and multiple cancers.
- EGFR-positive cancers are those that express EGFR, including lung cancer (non-small cell lung cancer, small cell lung cancer, etc.), renal cancer, urothelial cancer, colorectal cancer, prostate cancer, and polymorphic cancer.
- lung cancer non-small cell lung cancer, small cell lung cancer, etc.
- renal cancer urothelial cancer, colorectal cancer, prostate cancer, and polymorphic cancer.
- Endometrial cancer cervical cancer, brain tumor, head and neck cancer, thyroid cancer, mesothelioma, gastrointestinal stromal tumor (GIST), gallbladder cancer, bile duct cancer, squamous cell cancer, Examples include pharyngeal cancer, tongue cancer, thymus cancer, and small intestine cancer.
- CDH6-positive cancers are those that express CDH6, including lung cancer (non-small cell lung cancer, small cell lung cancer, etc.), renal cancer, urothelial cancer, ovarian cancer (superficial epithelial tumor, interstitial tumor, etc.).
- EGFR signal mutation-positive cancers include cancers that have mutations in EGFR (EGFR mutation-positive cancers) and cancers that have mutations in EGFR signal molecules (cancers that have mutations in EGFR downstream signals).
- cancers with mutations in EGFR include lung cancers, head and neck cancers, etc., which contain mutations in at least one of exons 18 to 21, and lung cancers with exon 19 mutations are preferred.
- cancers that have mutations in EGFR signal molecules include cancers that have mutations in at least one of RAS, RAF, PI3K, and the like.
- RAS-mutated cancers such as lung cancer, colon cancer, and pancreatic cancer that contain a mutation in at least one of RAS (KRAS, NRAS, HRAS) can be mentioned, and more preferably, lung cancer or colon cancer that has a KRAS mutation can be mentioned. More preferably, it is a lung cancer having a KRAS mutation.
- Cancers to which the antibody-drug conjugate of the present invention is applicable are not limited to cancers to be treated, as long as they express a protein that can be recognized by the antibody in the antibody-drug conjugate. do not have.
- the antibody-drug conjugate of the present invention can be suitably administered to mammals, and the mammal is more preferably a human.
- the substance used in the pharmaceutical composition containing the antibody-drug conjugate of the present invention can be appropriately selected from pharmaceutical additives and others commonly used in this field, depending on the dosage and concentration.
- the antibody-drug conjugates of the invention can be administered as a pharmaceutical composition containing one or more pharmaceutically compatible ingredients.
- the pharmaceutical compositions typically include one or more pharmaceutical carriers, such as sterile liquids (e.g., water and oils of petroleum, animal, vegetable, or synthetic origin (e.g., peanut oil, Contains soybean oil, mineral oil, sesame oil, etc.))). Water is a more typical carrier when the pharmaceutical composition is administered intravenously. Saline solutions, and aqueous dextrose and glycerol solutions can also be used as liquid carriers, particularly for injectable solutions. Suitable pharmaceutical excipients are known in the art.
- the composition if desired, can also contain minor amounts of wetting or emulsifying agents, or pH buffering agents. Examples of suitable pharmaceutical carriers include E. W. Martin, "Remington's Pharmaceutical Sciences". The formulation will depend on the mode of administration.
- a variety of delivery systems are known and can be used to administer the antibody drug conjugates of the invention.
- Methods of introduction include, but are not limited to, intradermal, intramuscular, intraperitoneal, intravenous, and subcutaneous routes. Administration can be, for example, by infusion or bolus injection. In certain preferred embodiments, administration of the antibody drug conjugate is by injection. Parenteral administration is the preferred route of administration.
- a pharmaceutical composition comprising the antibody-drug conjugate described above is formulated according to routine procedures as a pharmaceutical composition adapted for intravenous administration to humans.
- compositions for intravenous administration are solutions in sterile isotonic aqueous buffer.
- the pharmaceutical composition can also include a solubilizing agent and a local anesthetic such as lignocaine to ease pain at the site of the injection.
- the above ingredients may be mixed separately or together in unit dosage form, e.g. as a lyophilized powder or anhydrous concentrate in a hermetically sealed container such as an ampoule or sachet indicating the amount of active agent.
- the pharmaceutical composition may be dosed, for example, in an infusion bottle containing sterile pharmaceutical grade water or saline.
- an ampoule of sterile water for injection or saline may be provided, for example, so that the ingredients can be mixed prior to administration.
- the above pharmaceutical composition may also be provided as a solution.
- the pharmaceutical composition of the present invention may be a pharmaceutical composition containing only the antibody-drug conjugate of the present invention, or a pharmaceutical composition containing the antibody-drug conjugate of the present invention and other medicines (including cancer therapeutic agents). It may be.
- the antibody-drug conjugates of the invention can be administered together (at the same time, separately or one after the other), or in combination with one or more other pharmaceutical agents (including but not limited to cancer therapeutics). This can also enhance the antitumor effect and improve safety.
- Other medicaments used for such purposes may be administered to the individual simultaneously, separately, or sequentially with the antibody-drug conjugate, or may be administered at different intervals.
- cancer therapeutic agents include hormone regulators (LH-RH analogs such as leuprorelin, goserelin, estramustine, and estrogen antagonists such as tamoxifen and raloxifene), aromatase inhibitors (anastrozole, letrozole, exemestane, etc.), kinase inhibitors, PARP inhibitors, bone destruction inhibitors, bone formation promoters, metastasis inhibitors, anti-regulatory T cell drugs (anti-GITR antibodies, anti-GARP antibodies, anti-TIGIT antibodies, anti-CCR8 antibodies, etc.), immune activators (anti-4-1BB antibodies, anti-OX40 antibodies, anti-CD40 antibodies, anti-CD3 antibodies, anti-CD28 antibodies, IL-2 analogs, cytokines, TLR agonists, etc.), immunomodulators (anti-CD47 antibodies, etc.) , anti-SIRP ⁇ antibody, inhibitory myeloid regulator, etc.), ADCC (Antibody Dependent Cellular Cytotoxicity) activity, AD
- the drug is not limited as long as it has antitumor activity.
- the antibody-drug conjugate of the present invention can also be administered with other antibody-drug conjugates of the present invention having antitumor activity, thereby enhancing the antitumor effect.
- the antitumor effect of the antibody-drug conjugate of the present invention can be enhanced not only with drugs but also with treatments that bring about antitumor effects, such as radiation, heavy ton beams, surgery, bone marrow transplantation, etc. However, there are no limitations as long as the treatment has an antitumor effect.
- Such a pharmaceutical composition may be formulated as a lyophilized preparation or a liquid preparation with a selected composition and required purity.
- the preparation may contain suitable additives used in this field.
- liquid preparations can be formulated as liquid preparations containing various formulation additives used in this field.
- the antibody-drug conjugate contained in the pharmaceutical composition of the present invention has a high affinity for the antigen, that is, a dissociation constant (Kd value) for the antigen. ), the higher the affinity (lower the Kd value), the more effective the drug can be exerted even at a small dose. Therefore, when determining the dosage of the antibody-drug conjugate, the dosage can also be set based on the affinity between the antibody-drug conjugate and the antigen.
- about 0.001 to 100 mg/kg may be administered once or multiple times at intervals of 1 to 180 days.
- Method for producing Fc-containing molecules In one aspect of the present invention, a method for producing an Fc-containing molecule having an N297-linked sugar chain containing a sugar chain derived from a sugar chain donor molecule is provided.
- a method for producing an Fc-containing molecule having an N297-linked sugar chain containing a sugar chain derived from a sugar chain donor molecule which includes the following step 1.
- An acceptor molecule which is an Fc-containing molecule having a core GlcNAc to which fucose may be added as an N297-linked sugar chain, and a sugar chain donor molecule containing a sugar chain containing GlcNAc whose reducing end is not activated.
- N297-linked sugar chain refers to an N-linked sugar chain that is bound to the side chain of Asn at position 297 of an IgG heavy chain; Even if the attachment position of the N-linked sugar chain on the heavy chain is changed, as long as the N-linked sugar chain is subjected to the action of enzyme-A, it will be included in the N297-linked sugar chain.
- an IgG heavy chain is fragmented, even if the sugar chain is bound to the corresponding Asn in the Asn-containing peptide fragment, it will be included in the N297-linked sugar chain.
- the N297-linked sugar chain in IgG produced in animals has a basic structure consisting of the structure of formula (I) or (II) below, and its non-reducing end may be further chemically modified.
- Gal or sialic acid may be added.
- N297-linked sugar chains of IgG produced by cells have a sugar chain structure in which further sugar chains are bonded at the reducing end GlcNAc (core GlcNAc), non-reducing end, branched sugar, etc. It has a diversity of The N297-linked sugar chain may have a structure ((Fuc ⁇ 1,6)GlcNAc) having a core fucose in which ⁇ 1,6-linked fucose (Fuc) is attached to the 6th position of the core GlcNAc.
- Man which is a branched sugar, may form a tri-branched sugar chain in which a sugar chain containing GlcNAc is further bonded to the 5th position.
- a sugar chain containing galactose (Gal) or sialic acid (Sia) may be further bound.
- a "sugar chain donor molecule” (also referred to as a “sugar chain donor”) refers to a molecule that donates a sugar chain to an acceptor molecule.
- sugar chain donor molecule having a human-type sugar chain or a human-compatible sugar chain that causes fewer problems when applied to humans.
- Such sugar chains are known to not show antigenicity in the human body, and N-linked sugar chains include high mannose type, hybrid type, and complex type. etc. are known. These three have a common basic structure.
- High mannose type is a sugar chain that has a mannose-rich structure in which multiple mannoses are connected to two branched chains (1-3 chain, 1-6 chain) branched from mannose ( ⁇ -mannose) located near the reducing end. It is.
- the hybrid type is a structure in which one of the two branched chains (1-3 chain, 1-6 chain) branched from mannose ( ⁇ -mannose) located near the reducing end has GlcNAc.
- the complex type has a structure that has GlcNAc in two branched chains (1-3 chain, 1-6 chain) branched from mannose ( ⁇ -mannose) located near the reducing end, and has GlcNAc in it. , the presence or absence of sialic acid, and a variety of structures including bond isomerism and positional isomerism. Bi-branched, tri-branched or tetra-branched types are known as complex sugar chains.
- the sugar chain moiety in the sugar chain donor molecule may be any of a high mannose type sugar chain, a hybrid type sugar chain, and a complex type sugar chain, but is preferably a high mannose type sugar chain or It is a complex type sugar chain, and particularly preferably a complex type sugar chain. Therefore, in one aspect of the present invention, the sugar chain donor molecule includes a complex sugar chain. Further, in the present invention, the complex type sugar chain may be any of the bi-branched type, tri-branched type, or four-branched type, but preferably, the sugar chain donor molecule of the present invention is of the bi-branched type complex type. Contains sugar chains.
- the sugar chain donor molecule is a sugar chain-containing molecule having GlcNAc in which the reducing end of the sugar chain is not activated, and is preferably SGP, (SG-)Asn, (MSG1-)Asn. , (MSG2-)Asn or a mixture of (MSG1-)Asn and (MSG2-)Asn.
- These sugar chain moieties are representative of N-linked sugar chains, and include sialyl glycans (hereinafter referred to as "SG") having structures shown by the following structural formula and sequence formula.
- the binding mode of the reducing end sugar chain may be changed from N-linked to O-linked.
- partial structures in the case where the side chain of an amino acid is linked to a sugar chain are indicated with the side chain part in parentheses, and as mentioned above, for example, "(SG- )Asn”.
- AG (9) which is obtained by treating SG with neuraminidase and deleting NeuAc at the two non-reducing ends (the following structural formula and sequence formula AG(9)), AG(9) treated with galactosidase to delete two non-reducing terminal Gals (AG(7)) (hereinafter referred to as AG(7) of the structural formula and sequence formula), etc. be able to.
- the sugar chain donor molecule may be chemically modified, for example, the non-reducing end may be chemically modified.
- a sugar chain moiety in a sugar chain donor molecule whose non-reducing end may be chemically modified
- a derivative in which a site on a wild-type sialic acid is chemically modified with an arbitrary substituent (SG type).
- an acetylene group, an azide group (N 3 -), a dibenzylcyclooctene (DBCO) group, a bicyclo[6.1.0]non-4-ene (BCN) group, a 1,2,4,5 - structures containing a tetrazine ring, aldehyde groups, SH groups, methylsulfonyltriazole groups, etc. preferably acetylene groups, azido groups (N 3 -), more preferably azido groups (N 3 -)
- the "substituent having an azido group (N 3 -)" include, for example, a polyethylene glycol linker having N 3 , that is, a substituent having an N 3 The upper limit
- the X-MSG1 type is a structure in which the chemically modified sialic acid on the 1st to 6th chain side of the ⁇ -Man branch chain is deleted, and the chemically modified sialic acid on the 1st to 3rd chain side of the ⁇ -Man branch is deleted.
- X-MSG type 2 which has an acid-deficient structure, is also cited as an example of a sugar chain moiety in a sugar chain donor molecule whose non-reducing end may be chemically modified.
- moieties that may be chemically modified may be other than sialic acid, and the following examples include AG(9) type derivatives and AG(7) type derivatives.
- a structure in which chemically modified galactose is deleted from the 1st to 6th chains of the ⁇ -Man branch chain and a structure in which chemically modified galactose is deleted from the 1st to 3rd chains of the ⁇ -Man branch.
- a structure in which chemically modified GlcNAc is deleted on the 1st to 6th chain side of the ⁇ -Man branch chain or a structure in which chemically modified GlcNAc is deleted on the 1st to 3rd chain side of the ⁇ -Man branch. are also mentioned as examples of sugar chain moieties in the donor molecule.
- the sugar chain donor molecule of the present invention is preferably SGP, AG(9)-P, AG(7)-P, SG-Asn, AG(9)-Asn, whose non-reducing end may be chemically modified.
- P represents a peptide moiety derived from SGP
- X represents the same meaning as defined above.
- one containing an N-linked sugar chain is ([N 3 -PEG(3)] 2 -SG)-P-PEG(3)-N 3 , ( [N 3 -PEG(3)] 2 -SG)-Asn-PEG(3)-N 3 , ([N 3 -PEG(3)]-MSG1)-Asn-PEG(3)-N 3 , ([ N 3 -PEG(3)]-MSG2)-Asn-PEG(3)-N 3 or ([N 3 -PEG(3)]-MSG1)-Asn-PEG(3)-N 3 and ([N A mixture of ([ N 3 -PEG ( 3 )] 2 -SG)-OR, ([N 3 -PEG(3)]-MSG1)-OR, ([N 3 -PEG(3)]-MSG2)
- R represents an arbitrary substituent connected to an oxygen atom through at least one carbon atom, and preferably represents a C1 to C6 alkyl group or an optionally substituted aryl group.
- C1-C6 alkyl group means a straight chain or branched alkyl group having 1 to 6 carbon atoms, such as a methyl group, ethyl group, n-propyl group, i-propyl group, n-butyl group. , i-butyl group, s-butyl group, t-butyl, n-pentyl group, n-hexyl, etc., but are not limited to these.
- aryl group examples include, but are not limited to, phenyl, benzyl, indenyl, naphthyl, fluorenyl, anthranyl, and phenanthrenyl groups.
- substituents for the aryl group include C1 to C6 alkoxy groups (e.g., methoxy group, ethoxy group, isopropoxy group, etc.), C1 to C6 alkyl groups (e.g., methyl group, ethyl group, etc.), and halogen groups.
- substituents for the aryl group include C1 to C6 alkoxy groups (e.g., methoxy group, ethoxy group, isopropoxy group, etc.), C1 to C6 alkyl groups (e.g., methyl group, ethyl group, etc.), and halogen groups.
- the substituted aryl group examples include, but are not limited to, paramethoxyphenyl group and paramethylphenyl group.
- R represents PMP, Me, A-Mor, iPr, nPr, PrOMe and A-PEG-N 3
- A is an acetyl group in the glycolic acid unit, i.e., an anomeric hydroxyl group; (represents a portion sandwiched between amino groups in Mor or PEG).
- sugar chain donor molecules can be preferably mentioned as the sugar chain donor molecules.
- the sugar chain donor molecule of the present invention is preferably selected as appropriate depending on various conditions such as the combination of enzyme-A and enzyme-B used.
- the sugar chain donor molecule includes a high mannose type sugar chain.
- sugar chain donor molecules include Man9-GlcNAc 2 -Asn ("M9-Asn”), which has the following structure, and M9-Asn, which has one, two, or three mannose missing.
- Man8-GlcNAc 2 -Asn M8-Asn
- Man7-GlcNAc 2 -Asn M7-Asn
- Man6-GlcNAc 2 -Asn Man6-GlcNAc 2 -Asn
- the sugar chain donor molecule can be produced as appropriate by purchasing a commercially available product or by using or applying a known method.
- an "Fc-containing molecule” refers to a molecule containing an Fc region, such as an antibody (immunoglobulin), an Fc-fusion protein, Examples include Fc fragments (or Fc-containing fragments).
- Fc-containing fragments other than antibodies include CLCH, for example, CLCH consisting only of Fc fragments and constant regions of IgG (particularly IgG type monoclonal antibodies) (Patent Document 1), bispecific antibodies containing Fc fragments (Expert Opin Ther Pat. 2018 28, 251-276), but are not limited to these.
- the Fc-containing molecule is an antibody or a functional fragment thereof, which may include all those mentioned above.
- the Fc-containing molecule is an antibody in which amino acid residues 234, 235, and 265 (all EU numbering) of the Fc region are Ala, Ala, and Gly, respectively. or a functional fragment of the antibody, and in another aspect of the present invention, the Fc-containing molecule comprises a light chain consisting of the amino acid sequence set forth in SEQ ID NO: 30 and a heavy chain consisting of the amino acid sequence set forth in SEQ ID NO: 33.
- the Fc-containing molecule is an antibody comprising a light chain consisting of the amino acid sequence set forth in SEQ ID NO: 44 and a heavy chain consisting of the amino acid sequence set forth in SEQ ID NO: 46. be.
- acceptor molecule refers to a molecule that receives a sugar chain from a sugar chain donor molecule.
- a typical acceptor molecule is IgG or an Fc fragment thereof derived from a monoclonal antibody and having an N297-linked sugar chain consisting only of core GlcNAc to which core Fuc may be bound.
- core Fuc (or “core fucose”) shall mean the fucose bonded to the said core GlnNAc. Core GlcNAc may or may not be bound to core Fuc, depending on the antibody from which it is derived or its production method.
- the acceptor molecule is an Fc-containing molecule (e.g., an antibody or an Fc-containing fragment thereof) having a core GlcNAc to which fucose may be added as an N297-linked sugar chain, preferably a GlcNAc
- an Fc-containing molecule for example, an antibody or an Fc-containing fragment thereof having an N297-linked sugar chain consisting of (Fuc ⁇ 1,6)GlcNAc can be mentioned.
- the origin of the acceptor molecule is various monoclonal antibodies, sugar chain-containing molecules, or Fc region-containing molecules (e.g., Fc, consisting only of the constant region of the heavy chain with the variable region deleted, CH and the constant region of the light chain).
- Fc region-containing molecules e.g., Fc, consisting only of the constant region of the heavy chain with the variable region deleted, CH and the constant region of the light chain.
- CLCH combined with CL, etc.
- the acceptor molecules of the invention are preferably (Fuc ⁇ 1,6)-GlcNAc-IgG (e.g. (Fuc ⁇ 1,6)GlcNAc-mAb1), (Fuc ⁇ 1,6)-GlcNAc-Fc, (Fuc ⁇ 1,6)-GlcNAc-CLCH , GlcNAc-mAb4, and the like.
- the Fc-containing molecule having an N297-linked sugar chain can be derived from an antibody.
- the acceptor molecule can be purchased as a commercially available product, or can be produced by using or applying a known method.
- the acceptor molecule is typically an Fc-containing molecule (typically consisting of an IgG-type monoclonal antibody or an Fc fragment or constant region of the antibody) that is subject to sugar chain modification (also referred to as sugar chain remodeling).
- N297-linked sugar chains of Fc-containing molecules such as CLCH Treatment of N297-linked sugar chains of Fc-containing molecules such as CLCH with ENGase that retains the activity of specifically hydrolyzing the 1,4-glycosidic bond between GlcNAc (GlcNAc ⁇ 1-4GlcNAc) in the core chitobiose structure of N297-linked sugar chains It can be prepared by In this case, various ENGases are used including Endo-Si WT, Endo-A, Endo-D, Endo-E, Endo-F3, Endo-H, Endo-S, Endo-S2, and Endo-Si. can do.
- the acceptor molecule is made from an enzyme that is the same as or different from Enzyme-A (an enzyme having the activity of transferring the sugar chain in the sugar chain donor molecule to the acceptor molecule) used in Step 1, and is used as a raw material.
- Enzyme-A an enzyme having the activity of transferring the sugar chain in the sugar chain donor molecule to the acceptor molecule
- Fc-containing molecules Fc-containing molecules that are subject to glycomodification, typically host cell-derived N297-linked sugar chains, heterogeneous N297-linked sugar chains, or host cell-derived heterogeneous N297-linked sugar chains
- the transglycosylation reaction in step 1 can be prepared in a step independent of step 1, such as by reacting with Fc-containing molecules (having sugar chains).
- Enzyme-A that can be used in Step 1 is that "hydrolytic activity may remain.” Therefore, instead of pre-treatment with these ENGases, acceptor molecules may be prepared in situ by allowing enzyme-A to act on Fc-containing molecules having heterogeneous sugar chains derived from host cells.
- the acceptor molecule is a raw material Fc-containing molecule (an Fc-containing molecule to be subjected to glycan modification, typically an N297-linked glycan derived from a host cell, a heterogeneous It is prepared in situ and/or in one pot by allowing Enzyme-A to act on an Fc-containing molecule having a heterogeneous N297-linked sugar chain or a heterogeneous N297-linked sugar chain derived from a host cell.
- glycan modification typically an N297-linked glycan derived from a host cell
- a heterogeneous It is prepared in situ and/or in one pot by allowing Enzyme-A to act on an Fc-containing molecule having a heterogeneous N297-linked sugar chain or a heterogeneous N297-linked sugar chain derived from a host cell.
- the IgG or Fc-containing molecule used for sugar chain modification is preferably derived from an IgG heavy chain consisting of the same amino acid sequence and produced in a form having an N297-linked sugar chain.
- the production method is not limited, and IgG produced by a commonly known monoclonal antibody production method, CLCH of IgG, or an Fc fragment obtained by enzymatically treating the same can be used. . Further, such IgG or Fc fragments may be obtained by employing a mixture of samples obtained by different production methods or different lots.
- Endo- ⁇ -N-acetylglucosaminidase is a glycosyl hydrolase also known as ENGase: Endo- ⁇ -N-acetylglucosaminidase, and is responsible for cleaving chitobiose structures in sugar chain structures and forming bonds. . Also, it has different names depending on its origin.
- endo- ⁇ -N-acetylglucosaminidase that uses the N297-linked sugar chain of an Fc-containing molecule as a substrate is referred to as "enzyme-A” and does not have a sugar chain of a sugar chain donor molecule, such as fucose.
- Endo- ⁇ -N-acetylglucosaminidase that uses sugar chains of sugar chain raw materials (eg, SGP) as substrates is called “enzyme-B.” Enzyme-A and enzyme-B in the present invention will be explained below.
- Enzyme-A refers to endo- ⁇ -N-acetylglucosaminidase that uses N297-linked sugar chains of Fc-containing molecules (eg, antibodies) as substrates.
- Enzyme-A generally includes a domain with high affinity for Fc-containing molecules, a domain with high affinity for sugar chains, and a glycosylation reaction catalytic domain, and typically contains Fc-containing molecules (e.g., antibodies).
- Enzyme-A has an activity capable of acting on sugar chains of Fc-containing molecules (particularly, glycosylation transfer activity using N297-linked sugar chains of Fc-containing molecules as a substrate), In another aspect of the present invention, the enzyme-A has an activity capable of acting on sugar chains of Fc-containing molecules, and either has residual hydrolytic activity or no hydrolytic activity. It is something that has disappeared.
- the hydrolytic activity of Enzyme-A refers to the activity of specifically hydrolyzing the ⁇ 1,4 glycosidic bond contained in core chitobiose, which is a common basic structure in sugar chains. It refers to the activity of specifically hydrolyzing the ⁇ 1,4 glycosidic bond contained in core chitobiose in the common basic structure.
- the glycosyltransferase activity of Enzyme-A is achieved by transferring the reducing end of the sugar chain donor molecule to an acceptor molecule containing an Fc site having only core GlcNAc (with or without core fucose) at N297. refers to the activity of forming a glycosidic bond.
- Enzyme-A in the present invention includes, for example, Endo-S (enzyme derived from Streptococcus pyogenes) (Collin M and Olsen A., EMBO J. 2001, 20, 3046-3055, and Goodfell). ow JJ, et al., J Am Chem Soc. 2012, 134, 8030-8033), EndoS2 or EndoS49 (Sjogren J, et al., Biochem J. 2013, 455, 107-118, and Shiv atare SS, et al., Chem Commun (Camb).
- Endo-S enzyme derived from Streptococcus pyogenes
- Endo-F3 enzyme derived from Flavobacterium meningosepticum
- endo- ⁇ enzyme derived from Streptococcus iniae
- Endo -Si whose amino acid sequence (SEQ ID NO: 49) is shown in FIG. 32
- Endo -Si whose amino acid sequence (SEQ ID NO: 49) is shown in FIG. 32
- an enzyme -A in the present invention see the enzyme (Vincent P. RICHARD, ET AL., Genome Biol. or its mutant enzymes.
- Enzyme-A of the present invention is not limited to the specific enzymes used in the examples, as long as it has the above-mentioned characteristics, and even if it is an enzyme isolated from nature, the enzyme-A of the present invention can be used.
- the enzyme may be artificially created or modified based on sequence information.
- the biological species used as the isolation source is not particularly limited, but bacteria are preferably used.
- CBM carbohydrate-binding module
- the enzyme-A of the present invention includes the amino acid sequence set forth in amino acid numbers 106-447 and/or amino acid numbers 762-897 of SEQ ID NO: 49, preferably the amino acid sequence set forth in amino acids 106-897 of SEQ ID NO: 49. comprises an amino acid sequence, more preferably comprises an amino acid sequence set forth in amino acid numbers 106 to 928 of SEQ ID NO: 49, and still more preferably comprises an amino acid sequence set forth in amino acids 34 to 928 of SEQ ID NO: 49, and Examples include polypeptides that exhibit activity.
- endo- ⁇ -N-acetylglucosaminidase usually has both hydrolytic activity and glycosyltransferase activity, and enzymes with strong hydrolytic activity use the glycosyltransferase activity to support acceptor molecules (N297-linked sugar chains).
- the sugar chain transferred to the core GlcNAc of an antibody having a core GlcNAc (or its Fc region-containing molecule) is also used as a substrate for hydrolysis, and the desired sugar chain transfer product cannot be obtained appropriately. Therefore, in the synthesis of sugar chain remodeling antibodies or sugar chain modification compounds, mutant enzymes with relatively reduced hydrolysis activity compared to sugar chain transfer activity are useful.
- Enzyme-A is a mutant enzyme of Endo-S, EndoS-2, Endo-Si, Endo-Sd, Endo-Se, or Endo-Sz, and its corresponding wild-type A mutant enzyme having lower hydrolytic activity than the enzyme, preferably a mutant enzyme in which the amino acid residues shown in bold in FIGS.
- Endo-Si T190X 2 (X 2 represents an amino acid residue of F, H, K, M, Q, R, W or Y), Endo-Si Q311X 3 (X 3 represents F, N, or indicates the amino acid residue of Y), Endo-Si E360K, Endo-S2 D184M, Endo-S2 T138Q, Endo-S2 D184Q, Endo-S2 D184Q/Q250L, Endo-S2 D184Q/E289Q, Endo-S2 D184M/Q25 0L , Endo-S2 D184M/E289Q, Endo-S2 D182Q, Endo-S2 D226Q, Endo-S2 T227Q, Endo-S2 T228Q, Endo-Sd D232Q, Endo-Sd D232M, Endo-Sd D232Q/Q302 L, Endo-Sd D232M/ Q302L, Endo-Se D233Q, Endo-
- Enzyme-A may have further mutations added to it, for example, referring to patent documents (International Publication No. 2022/050300), etc. Substitution or deletion of 1 to 30, 1 to 20, 1 to 10, 1 to 5, 1 to 4, 1 to 3, 1 to 2 or 1 amino acid residue within the range not , may be inserted and/or added.
- amino acid sequence of Enzyme-A at least 80% or more, preferably 85% or more of amino acid residues other than specific mutated amino acid residues, with reference to patent documents (International Publication No. 2022/050300), etc. , more preferably 90% or more, still more preferably 95%, 96%, 97%, 98% or 99% or more homology or identity.
- Enzyme-B is an endo- ⁇ -N-acetylglucosaminidase that uses the sugar chain of the sugar chain donor molecule as a substrate, especially the sugar chain of the sugar chain donor molecule, but not the N297-linked sugar chain ( In other words, it refers to an endo- ⁇ -N-acetylglucosaminidase that has low reactivity to N297-linked sugar chains, preferably extremely low reactivity.
- the sugar chain moiety on the sugar chain donor molecule that is used as a substrate by Enzyme-B may be any of a high mannose type sugar chain, a hybrid type sugar chain, and a complex type sugar chain, but preferably a high mannose type sugar chain.
- the sugar chain moiety on the sugar chain donor molecule that is used as a substrate by Enzyme-B is a high mannose type sugar chain or a complex type sugar chain, and preferably a complex type sugar chain.
- the complex type sugar chain may be any of the bi-branched type, tri-branched type, or four-branched type, but is preferably a sugar chain on a sugar chain donor molecule that is used as a substrate for enzyme-B.
- the moiety is a bi-branched complex sugar chain.
- enzyme-B is endo- ⁇ -N-acetylglucosaminidase that uses a sugar chain raw material (glycopeptide such as SGP or glycoprotein) that does not have fucose as a substrate, and preferably contains fucose. It is an endo- ⁇ -N-acetylglucosaminidase that uses as a substrate a sugar chain raw material containing a biantennary complex type sugar chain.
- sugar chain raw material glycopeptide such as SGP or glycoprotein
- Enzyme-B of the present invention acts on a sugar chain donor molecule containing a sugar chain containing GlcNAc whose reducing end is not activated in the presence of enzyme-A, thereby causing the reducing end to participate in the transglycosylation reaction. It is an enzyme that has the property of producing an activated intermediate in a usable state and, as a result, promoting the transglycosylation reaction of a sugar chain derived from a sugar chain donor molecule to an acceptor molecule by Enzyme-A. It is preferable.
- Enzyme-B has a reducing end that is activated.
- endo- ⁇ -N-acetylglucosaminidases that use sugar chains of donor molecules (e.g., SGP) that do not contain GlcNAc as substrates, but do not use N297-linked sugar chains as substrates
- GlcNAc-containing acceptors e.g., 1-methylethyl-2-(acetylamino)-2-deoxy- ⁇ -D-glucopyranoside, 2-(acetylamino)-2-deoxy- ⁇ -D-glucopyranoside, and other GlnNAc derivatives.
- Enzyme-B is an enzyme that has glycosyltransfer activity from SGP to GlcNAc derivative
- Enzyme-B The activation effect of the sugar chain donor molecule by enzyme-B acted on the sugar chain donor molecule containing GlcNAc whose reducing end was not activated, and the reducing end became available for the glycosylation reaction.
- the hydrolytic activity of Enzyme-B is high, the activated intermediate does not react with the acceptor molecule via Enzyme-A, but instead exists in the reaction system.
- Enzyme-B in the present invention has relatively reduced hydrolytic activity compared to sugar chain activating activity.
- Endo-M enzyme derived from Mucor hiemalis
- Endo-CC enzyme derived from Coprinopsis cinerea
- Endo-Om enzyme derived from Ogataea minuta
- Enzyme-B is a mutant enzyme of Endo-M, Endo-Om, Endo-CC, or Endo-Rp, and has a lower hydrolytic activity than its corresponding wild-type enzyme. It is an enzyme, preferably a mutant enzyme in which the amino acid residues shown in bold in FIGS.
- Enzyme-B may have further mutations added to it, for example, referring to patent documents (International Publication No. 2022/050300), etc., to influence the activity of this enzyme. Substitution or deletion of 1 to 30, 1 to 20, 1 to 10, 1 to 5, 1 to 4, 1 to 3, 1 to 2 or 1 amino acid residue within the range not , may be inserted and/or added.
- amino acid sequence of Enzyme-B at least 80% or more, preferably 85% or more of amino acid residues other than specific mutated amino acid residues, with reference to patent documents (International Publication No. 2022/050300) etc. , more preferably 90% or more, still more preferably 95%, 96%, 97%, 98% or 99% or more homology or identity.
- enzyme-A and enzyme-B are added to step 1 as separate molecules, and enzyme-A and enzyme-B each play a desired role. They may be added to the reaction system in a directly or indirectly bound state. Therefore, in one aspect of the present invention, Enzyme-A and Enzyme-B may be added to the reaction system in a directly or indirectly chemically bonded state; for example, both molecules may be added to any solid phase. It may be added to the reaction system in the form of an immobilized enzyme immobilized on a carrier, or a fusion protein bound with an arbitrary amino acid, a polymer such as PEG, an oligomer linker, or the like.
- an immobilized enzyme immobilized on any solid support, any amino acid, a polymer such as PEG, an oligomer linker, etc. can be preferably added to the reaction system as a fusion protein bound with an amino acid linker.
- Enzyme-A and Enzyme-B are functional fragments rather than full-length molecules without deletions, as long as the functional fragments have the desired function, the fragments can also be used as Enzyme-A. , is regarded as one embodiment of enzyme-B.
- Enzyme-A and Enzyme-B in the present invention include, for example, “Enzyme-A” and “Enzyme-B", “Enzyme fragment having the function of Enzyme-A” and “Enzyme fragment having the function of Enzyme-B". ", “Enzyme-A” and “enzyme fragment having the function of enzyme-B”, and “enzyme fragment having the function of enzyme-A” and “enzyme-B” are chemically bonded directly or indirectly. Including the condition.
- Enzyme fragment having the function of Enzyme-A examples include the above-mentioned Enzyme-A, Endo-BI1 (GenBankAccession number: ACJ53522.1), Endo-BI2 (GenBankAccession number: BAJ71450.1), Endo-BT- 3987 (GenBank Accession number: AAO79092.1), Endo-E (GenBankAccession number: AAR20477.1), Endo-F (GenBankAccession number: AAA2 4922.1), Endo-F2 (GenBankAccession number: AAA24923.1), Endo-F3 (GenBank Accession number: AAA24924.1), Endo-CoM (GenBank Accession number: XP006673222.1), Endo-SB (GenBank Accession number: B An amino acid sequence fragmented into a specific functional sequence from the full-length sequence of BB35949.1) Examples include fragments having an amino acid sequence in which specific mutations may be added.
- examples of the "enzyme fragment having the function of Enzyme-B” include the catalytic activity domain of Enzyme-B described above, Endo-A (GenBank Accession number: AAD10851.1), Endo-CE (GenBank Accession number: BAB84821.
- Endo-Tsp1006 (GenBank Accession number: CCY37287.1), Endo-Tsp1263 (GenBank Accession number: CDD88945.1), Endo-Tsp1457 (GenBa nk Accession number: CDD89351.1), Endo-BB (GenBank Accession number: AAN25135.1), Endo-BH (GenBank Accession number: BAB04504.1), Endo-BN (GenBank Accession number: WP_007484749.1), Endo-CC1 (GenBank k Accession number: XP_001839402.1), Endo-CC2 (GenBank Accession Specific functional sequences from the full-length sequences of Endo-D (GenBank Accession number: AAK74656.1), Endo-Pm (GenBank Accession number: ADK97032.1) is an amino acid sequence fragmented into Examples include fragments having amino acid sequences to which specific mutations may be added.
- each amino acid sequence is at least 80% or more, preferably 85% or more of amino acid residues other than specific amino acid residues that affect activity, with reference to patent documents (International Publication No. 2022/050300), etc. , more preferably 90% or more, still more preferably 95%, 96%, 97%, 98% or 99% or more homology or identity.
- Enzyme-A and Enzyme-B can be used as long as Enzyme-A and Enzyme-B play their respective roles.
- Enzyme-A and Enzyme-B listed in the table below can be used.
- Enzyme-A is an Endo-Si variant and Enzyme-B is an Endo-Rp variant; for example, Enzyme-A is Endo-Si D241M/Q311L or Endo-Si D241Q/Q311L. and enzyme-B is Endo-Rp N172H or Endo-Rp N172V.
- the fusion enzyme is a fusion protein of Endo-Rp N172H and Endo-Si D241M/Q311L, a fusion protein of Endo-Rp N172V and Endo-Si D241Q/Q311L, or a fusion protein of Endo-Si D241Q /Q311L and Endo-Rp N172V, for example, the [Enzyme-A]-[Enzyme-B] fusion protein enzyme and the [Enzyme-B]-[Enzyme-A] fusion protein enzyme listed in the table below. Can be done.
- the fusion protein of Enzyme-A and Enzyme-B can be produced according to a conventional method with reference to non-patent literature (Joaquim, et al., Processes. 2022, 10, 494.). It can be produced by binding A and enzyme-B to any solid phase carrier through physical or chemical interaction.
- non-patent literature F Grueninger-Leitch, et al., Protein Sci. 1996, 12, 2617-22, and Emily MK, et al., Protein Eng Des Sel. 2005, 10, 497-501
- a fusion protein can be produced in host cells by genetic manipulation, with reference to patent documents (WO2017137459) and the like.
- Enzyme-A and Enzyme-B after the genes encoding Enzyme-A and Enzyme-B are combined, a single enzyme having the functions derived from Enzyme-A and Enzyme-B can be produced in a host cell by genetic manipulation. In this way, when a fusion enzyme is produced in a host cell through genetic manipulation, there is no need to prepare Enzyme-A and Enzyme-B separately, and the number of enzymes to be prepared can be reduced, which reduces enzyme production costs and Labor can be reduced.
- the linker is composed of one or more amino acids in one embodiment, and is 2013 Oct 15; 65(10): 1357-1369.) etc.
- linkers with typical properties known in the art can be used, including flexible or rigid linkers, cleavable or cleavable linkers. It is possible to use long or short linkers, even if the linker is of an impossible nature.
- the linker is an amino acid sequence fragment such as (SGGS)n, (GGGS)n, (GGGGS)n, (G)n, (EAAAK)n, (EF)n, or (GGS)n, or combinations thereof.
- the linker can also include amino acid sequences commonly used as purification tags, such as polyhistidine tags, HA tags, FLAG tags, CBD tags, Fc tags, and GST tags.
- the purification tag is a polyhistidine tag, HA tag, FLAG tag, Fc tag, GST tag, preferably a polyhistidine tag, HA tag, FLAG tag, CBD tag, more preferably a polyhistidine tag, a FLAG tag. and more preferably a polyhistidine tag.
- step 1 is a step in which an acceptor molecule and a sugar chain donor molecule are reacted in the presence of enzyme-A, enzyme-B, and a specific additive to obtain a reaction mixture.
- Additives can positively influence the glycosylation rate in one-pot reactions through electrostatic interactions, hydrophobic interactions, solvent effects, and the like.
- the three-dimensional structure of the Fc region may change and the glycosylation rate may fluctuate.
- the glycosylation rate may be lower than when there is no mutation.
- the additive is useful for regulating the glycosylation rate of an Fc-containing molecule (typically an antibody) used as an acceptor molecule, and is useful for regulating the glycosylation rate of an Fc-containing molecule (typically an antibody) used as an acceptor molecule, and This is particularly useful when there is a mutation and the rate of glycosylation can be reduced due to the mutation in the Fc region.
- an Fc-containing molecule typically an antibody
- the additive used in step 1 is a monovalent salt.
- monovalent salt means a salt containing a monovalent anion or a monovalent cation.
- Monovalent salts include inorganic salts (alkali metal salts such as sodium chloride, lithium chloride, potassium chloride, potassium iodide, sodium iodide, lithium iodide, potassium bromide, sodium fluoride, and potassium fluoride; Examples include, but are not limited to, ammonium salts such as ammonium chloride, ammonium chloride, ammonium sulfate, etc.) and organic salts (ammonium acetate, sodium acetate, potassium acetate, etc.).
- the additive used in step 1 is sodium chloride, potassium acetate, ammonium acetate, lithium chloride or sodium acetate, preferably sodium chloride, ammonium acetate or sodium acetate.
- the additive used in step 1 is a monovalent alkali metal salt, preferably sodium chloride, potassium acetate, lithium chloride or sodium acetate, more preferably sodium chloride. It is sodium.
- the additive used in step 1 is an organic solvent.
- Organic solvents that can be used in step 1 include polar protic solvents such as tetrahydrofuran, acetone, acetonitrile, N,N-dimethylformamide, and dimethyl sulfoxide, 1-butanol, 2-propanol, 1-propanol, ethanol, and methanol. Examples include, but are not limited to, polar protic solvents such as.
- the organic solvent used in step 1 is ethanol or dimethyl sulfoxide.
- the additive used in step 1 is a surfactant.
- Surfactants that can be used in step 1 include, but are not limited to, anionic surfactants, cationic surfactants, nonionic surfactants, and amphoteric surfactants.
- anionic surfactants include carboxylic acid types such as sodium octoate and sodium decanoate, sulfonic acid types such as sodium 1-hexane sulfonate and sodium 1-octanesulfonate, sodium lauryl sulfate, and sodium myristyl sulfate.
- cationic surfactants include sulfuric acid ester type surfactants such as sulfate ester type surfactants such as lauryl phosphate, and phosphate ester type surfactants such as lauryl phosphate and sodium lauryl phosphate. Quaternary ammonium salt type surfactants such as decyltrimethylammonium, alkylamine salt types such as monomethylamine hydrochloride and dimethylamine hydrochloride, and pyridine ring-containing type surfactants such as butylpyridinium chloride and cetylpyridinium chloride.
- Nonionic surfactants include ester type surfactants such as glyceryl laurate and sorbitan fatty acid ester, polyethylene glycols (polyethylene glycol 2000, polyethylene glycol 4000, polyethylene glycol 6000, polyethylene glycol 11000, polyethylene glycol 20000, etc.).
- ester type surfactants such as glyceryl laurate and sorbitan fatty acid ester
- polyethylene glycols polyethylene glycol 2000, polyethylene glycol 4000, polyethylene glycol 6000, polyethylene glycol 11000, polyethylene glycol 20000, etc.
- ether type such as polyoxyethylene alkylphenyl ether
- ester ether type such as polyoxyethylene glycerin fatty acid ester, polyoxyethylene sorbitan fatty acid ester (polysorbate 20, polysorbate 60, polysorbate 65, polysorbate 80, etc.)
- lauric acid Examples include alkanolamide type surfactants such as diethanolamide and oleic acid diethanolamide, alkyl glycoside type surfactants such as octyl glucoside and decyl glucoside, and higher alcohol type surfactants such as cetanol and stearyl alcohol.
- agent examples include alkyl betaine type such as lauryldimethylaminoacetic acid betaine, fatty acid amidopropyl betaine type such as cocamidopropyl betaine, cocamidopropyl hydroxysultaine, amino acid type such as sodium lauroyl glutamate, potassium lauroyl glutamate, and Mention may be made of surfactants of the amine oxide type, such as lauryldimethylamine N-oxide and oleyldimethylamine N-oxide.
- alkyl betaine type such as lauryldimethylaminoacetic acid betaine
- fatty acid amidopropyl betaine type such as cocamidopropyl betaine, cocamidopropyl hydroxysultaine
- amino acid type such as sodium lauroyl glutamate, potassium lauroyl glutamate
- surfactants of the amine oxide type such as lauryldimethylamine N-oxide and oleyldimethylamine N-oxide.
- the surfactant used in step 1 is a nonionic surfactant, and in another aspect of the present invention, the surfactant used in step 1 is an ether type or The surfactant is an ester ether type nonionic surfactant, and in yet another embodiment of the present invention, the surfactant used in step 1 is polyethylene glycol or polyoxyethylene sorbitan fatty acid ester, preferably polyethylene glycol 6000 or polysorbate 20.
- the additive used in step 1 is a saccharide.
- sugars that can be used in step 1 include monosaccharides, disaccharides, oligosaccharides (in this specification, trisaccharides and higher sugars are referred to as oligosaccharides), deoxy sugars, uronic acids, amino sugars, sugar alcohols, lactones, Examples include, but are not limited to, polysaccharides.
- Monosaccharides used as additives in step 1 include aldotrioses such as glyceraldehyde, erythrose, aldotetroses such as threose, aldopentoses such as ribose and xylose, glucose, mannose, and galactose. Mention may be made of aldohexoses such as aldohexoses, ketotrioses such as dihydroxyacetone, ketotetroses such as erythrulose, ketopentoses such as xylulose and ribulose, and ketohexoses such as fructose and sorbose.
- aldotrioses such as glyceraldehyde, erythrose
- aldotetroses such as threose
- aldopentoses such as ribose and xylose
- glucose, mannose, and galactose Mention may be made of aldohexoses such
- the saccharide used as an additive in step 1 does not contain glucose.
- disaccharides used as additives in step 1 include trehalose, isotrehalose, cordibiose, sophorose, nigerose, laminaribiose, maltose, cellobiose, isomaltose, gentiobiose, lactose, and sucrose; examples of oligosaccharides include fructo-oligos.
- Deoxy sugars include deoxyribose and fucose
- uronic acids include glucuronic acid and galacturonic acid
- amino sugars include glucosamine and galactosamine
- sugar alcohols include glycerin, xylitol, and sorbitol.
- lactones include ascorbic acid and glucuronolactone
- polysaccharides include starch, amylose, amylopectin, glycogen, cellulose, pectin, and glucomannan.
- the saccharide used in step 1 is a monosaccharide, a disaccharide, or an amino sugar, and in another embodiment of the present invention, the saccharide used in step 1 is a disaccharide or an amino sugar. In yet another embodiment of the present invention, the saccharide used in step 1 is trehalose or sorbitol.
- the additives used in step 1 are amino acids.
- Amino acids that can be used as additives in Step 1 are not particularly limited as long as they are organic compounds that have both amino and carboxy functional groups, but are preferably basic amino acids such as arginine, histidine, and lysine, and glutamic acid.
- acidic amino acids such as aspartic acid
- neutral polar amino acids such as asparagine, glutamine, serine, threonine, tyrosine, and cysteine
- neutral nonpolar amino acids such as isoleucine, leucine, valine, methionine, phenylalanine, tryptophan, alanine, glycine, and proline.
- isoleucine, leucine, valine, methionine, phenylalanine, tryptophan, alanine, glycine, and proline can be exemplified.
- the amino acids used as additives in step 1 are basic amino acids, preferably arginine, histidine or lysine, more preferably arginine or histidine.
- the amino acids that can be used as additives in Step 1 may be added in the form of salts; for example, basic amino acids such as arginine, histidine, or lysine may be added as hydrochlorides. Therefore, in one embodiment of the present invention, the amino acids used as additives in Step 1 are arginine hydrochloride, histidine hydrochloride, or lysine hydrochloride, and more preferably arginine hydrochloride or histidine hydrochloride.
- the concentration of the additive used in Step 1 can be arbitrarily set as long as the addition of the additive does not precipitate Fc-containing molecules or enzymes, that is, as long as the reactivity of the one-pot reaction remains. It can be set by using or applying the method described in Example 15-3 of the book.
- the additive used in step 1 is a monovalent salt (e.g., sodium chloride)
- its concentration is 1500 mM or less, 1000 mM or less, 900 mM or less, 800 mM or less, 700 mM or less, 600 mM or less.
- the additive used in Step 1 When it is a monovalent salt (e.g., sodium chloride), its concentration is 1mM or more, 5mM or more, 10mM or more, 20mM or more, 30mM or more, 40mM or more, 50mM or more, 100mM or more, 150mM or more, 200mM or more, 250mM or more.
- a monovalent salt e.g., sodium chloride
- the additive is a monovalent salt (e.g., sodium chloride)
- its concentration can be set within any concentration range between the upper and lower limits exemplified above, for example, 1 to 700 mM. , 10-600mM, 100-550mM, or 50-1000mM.
- the additive may be included in advance or may be added in step 1.
- the additive used in step 1 is an organic solvent (e.g. ethanol or DMSO)
- its concentration is 0.1-20% v/v, preferably 0.2-20% v/v. 10% v/v, more preferably 0.3 to 5% v/v, even more preferably 0.4 to 3% v/v, particularly preferably 0.5 to 2% v/v and most preferably about 1% v/v.
- the additive used in step 1 is a surfactant (e.g. polyethylene glycol 6000 or polysorbate 20)
- its concentration is 0.1-20% v/v, preferably 0.2 to 10% v/v, more preferably 0.3 to 5% v/v, even more preferably 0.4 to 3% v/v, particularly preferably 0.5 to 2% v/v. %v/v, most preferably about 1%v/v.
- the additive used in step 1 is a sugar (e.g. trehalose or sorbitol)
- its concentration is 1mM to 10M, preferably 5 to 1000mM, more preferably 10M to 10M. -500mM, more preferably 15-200mM, particularly preferably 20-100mM, and most preferably about 40mM.
- the concentration thereof is 1 mM to 10 M, preferably 5 to 1000 mM, More preferably 10-500mM, still more preferably 15-200mM, particularly preferably 20-100mM, and most preferably about 40mM.
- step 1 is a step in which an acceptor molecule and a sugar chain donor molecule are reacted in the presence of enzyme-A, enzyme-B, and a specific additive to obtain a reaction mixture.
- the reaction conditions for step 1 are based on the reaction conditions of known glycosylation reactions using GlcNAc whose reducing end is not activated as a sugar chain donor molecule, or the reaction conditions of known glycosylation reactions. It can be selected as appropriate depending on the use or application.
- the reaction in step 1 is preferably carried out in a buffer, and desirably carried out under conditions that do not promote the decomposition of the sugar chain donor molecule containing GlcNAc whose reducing end is not activated.
- the pH within the reaction system in step 1 can be appropriately selected between 5.8 and 9.5, preferably between 6.2 and 8.5, more preferably between 6. The range is from .5 to 8.0, more preferably from 6.5 to 7.5.
- the buffer is appropriately selected from phosphate buffer (pH 6.0 to 7.5), MOPS-NaOH buffer (pH 6.5 to 8.0), Tris-HCl buffer (pH 7.0 to 9.0), etc.
- it is a Tris-HCl buffer (pH 7.0 to 9.0).
- additional additives that do not inhibit the enzyme reaction may be added to the reaction solution.
- the reaction temperature can be appropriately selected from 4°C to 50°C, but is preferably 15°C to 45°C, more preferably 20°C to 40°C, and even more preferably 25°C to 40°C.
- the reaction time can be selected as appropriate between 10 minutes and 96 hours, preferably 0.5 hours to 80 hours, more preferably 2 hours to 70 hours, still more preferably 4 hours to 60 hours, particularly preferably is 6 to 48 hours or 8 to 30 hours, most preferably 16 to 24 hours.
- the completion of the reaction may be determined by collecting a small amount of the reaction solution over time and checking the progress of the sugar chain transfer reaction.
- the progress of the transglycosylation reaction can be determined by sodium dodecyl sulfate-polyacrylamide gel electrophoresis (SDS-PAGE), capillary electrophoresis, microchip electrophoresis, fully automated electrophoresis system, or liquid chromatography mass spectrometry (LC- For example, after fragmenting a glycan remodeling antibody into a heavy chain and a light chain, using a fully automated electrophoresis system, the heavy chain side to which N297-linked glycans are attached can be monitored. This can be monitored by confirming that only the retention time changes.
- SDS-PAGE sodium dodecyl sulfate-polyacrylamide gel electrophoresis
- capillary electrophoresis capillary electrophoresis
- microchip electrophoresis microchip electrophoresis
- LC- liquid chromatography mass spectrometry
- Step 1 is carried out as a one-pot method in which the sugar chain of the sugar chain donor molecule is directly transferred to an antibody or its Fc region-containing molecule having a core GlcNAc to which fucose may be added as an N297-linked sugar chain, which is an acceptor molecule. Can be done.
- the acceptor molecule concentration in step 1 can be appropriately set according to known methods, but for example, the upper limit of the final acceptor molecule concentration in the reaction system in step 1 is 200 mg/mL, preferably 160 mg/mL.
- the concentration range is any combination of the upper and lower limits mentioned above, or 10 mg/mL to 200 mg/mL, preferably 14 mg/mL to 160 mg. /mL, more preferably 18 mg/mL to 120 mg/mL, still more preferably 20 mg/mL to 100 mg/mL, particularly preferably 20 mg/mL to 80 mg/mL, but are not limited thereto.
- the amount of sugar chain donor molecules added in Step 1 can be appropriately set by using or applying known methods.
- the lower limit of the amount of sugar chain donor molecules added (used) in step 1 is 2 equivalents, 3 equivalents, 4 equivalents, 5 equivalents, 6 equivalents, 7 equivalents, 8 equivalents, 9 equivalents, 10 equivalents, 11 equivalents, 12 equivalents, 13 equivalents, 14 equivalents, 15 equivalents, 16 equivalents, 17 equivalents, 18 equivalents, 19 equivalents or 20 equivalents
- the upper limit of the amount of sugar chain donor molecules is 300 equivalents, 200 equivalents, 150 equivalents, 100 equivalents, 90 equivalents, 80 equivalents, 75 equivalents, 70 equivalents, 65 equivalents, 60 equivalents, 55 equivalents, 45 equivalents, 40 equivalents.
- the range of the amount of sugar chain donor molecules added (used) in Step 1 is any combination of the upper and lower limits mentioned above, or 5 to 5 to 1 equivalent of acceptor molecule. Examples include, but are not limited to, 80 equivalents, preferably 7 to 60 equivalents, more preferably 8 to 50 equivalents, particularly preferably 10 to 40 equivalents.
- the sugar chain transfer rate in Step 1 can be set to any value, for example, 50% or more, 55% or more, 60% or more, 65% or more, 70% or more, 75% or more, 80% or more, 85% or more, 90% or more, or 95% or more can be set, and on the other hand, 95% or less, 90% or less, 85% or less, 80% or less, 75% or less, 70% or less, 65% It can also be set below or below 60%.
- the glycosylation rate in Step 1 is more than 80%, preferably more than 85%, particularly preferably more than 90%.
- glycoscan transfer rate can be determined according to a conventional method, for example, using the fully automatic electrophoresis system disclosed in Example 15-2B.
- the timing of measuring the sugar chain transfer rate varies depending on the enzyme used, but is from 1 minute to 100 hours, preferably from 1 hour to 80 hours, and more preferably from 2 hours to 72 hours.
- the method of the invention further comprises, prior to step 1, the step of separately preparing the acceptor molecule.
- the acceptor molecule is, for example, an enzyme that is the same as or different from Enzyme-A (an enzyme having the activity of transferring a sugar chain in a sugar chain donor molecule to an acceptor molecule) used in Step 1, and an Fc-containing molecule that is a raw material.
- the transglycosylation reaction in step 1 can be prepared in a step independent of the glycosylation reaction in step 1, such as by reacting with Fc-containing molecules).
- the acceptor molecule connects, for example, the N297-linked sugar chain of the Fc-containing molecule to be glycomodified with the 1,4-glycosidic bond between GlcNAc in the core chitobiose structure of the N297-linked sugar chain (GlcNAc ⁇ 1- It can be prepared by treating with ENGase which retains the activity of specifically hydrolyzing 4GlcNAc).
- Step 1 of the invention includes embodiments in which the acceptor molecule is prepared in situ.
- the manufacturing process is simplified because the step of separately preparing the acceptor molecule prior to step 1 can be omitted.
- the simplification of the manufacturing process eliminates the need for the step of removing ENGase used in the separate process, and also eliminates the need for separation and purification of relatively unstable acceptor molecules generated in the separate process. Very informative.
- step 1 instead of using the acceptor molecule itself, which is a molecule that directly receives a sugar chain from a sugar chain donor molecule, the An antibody or an Fc-containing molecule such as CLCH consisting only of the Fc fragment or constant region of the antibody is introduced into the reaction system.
- the N297-linked sugar chain of the Fc-containing molecule to be input as a raw material is not particularly limited as long as it is different from the sugar chain derived from the target sugar chain donor molecule, but typically , an N297-linked sugar chain derived from the host cell used in producing the Fc-containing molecule, a heterogeneous N297-linked sugar chain, or a heterogeneous N297-linked sugar chain derived from the host cell.
- the hydrolytic activity of enzyme-A causes the formation of 1,4-glycosidic bonds between GlcNAc (GlcNAc ⁇ 1-4GlcNAc) in the core chitobiose structure of the N297-linked sugar chain of the Fc-containing molecule. ) is specifically hydrolyzed and acceptor molecules are generated in situ. Subsequently, the sugar chain of the sugar chain donor molecule is transferred to the in situ generated acceptor molecule by the sugar chain transfer activity of Enzyme-A, thereby transferring the sugar chain derived from the target sugar chain donor molecule.
- An Fc-containing molecule having an N297-linked sugar chain containing the N297-linked sugar chain is produced in one pot.
- the acceptor molecule is generated in situ, it is not isolated or purified, so it is as if the N297-linked sugar chain of the Fc-containing molecule input as a raw material is transferred to the sugar chain derived from the sugar chain donor molecule in one step. It looks like it was replaced directly. Therefore, in this specification, such an embodiment is appropriately referred to as "direct exchange reaction of N297-linked sugar chain.”
- the method for producing an Fc-containing molecule includes recovering an Fc-containing molecule having an N297-linked sugar chain containing a sugar chain derived from a sugar chain donor molecule from the reaction mixture obtained in step 1. It further includes a step.
- the recovery can be appropriately carried out by a method well known in the art or an application thereof, but is particularly preferably carried out by Step 2 mentioned below. Therefore, in one aspect of the present invention, the method for producing an Fc-containing molecule further includes step 2 mentioned below.
- step 2 includes contacting the reaction mixture obtained in step 1 with a cation exchange chromatography medium or a multimode chromatography medium under acidic conditions to obtain a sugar chain derived from a sugar chain donor molecule.
- This is a step of recovering Fc-containing molecules having an N297-linked sugar chain, preferably by contacting the reaction mixture obtained in step 1 with a cation exchange chromatography medium or a multimode chromatography medium under acidic conditions.
- Fc-containing molecules having N297-linked sugar chains containing sugar chains derived from sugar chain donor molecules contained in the reaction mixture are isolated and recovered from partially or completely unreacted Fc-containing molecules (acceptor molecules). It is a process.
- step 2 includes preparing a loading solution by using the reaction mixture obtained in step 1 as it is as a loading solution, or by adding a buffer as appropriate to the reaction mixture, and then preparing the loading solution.
- a cation exchange chromatography medium or a multimode chromatography medium under acidic conditions, unreacted acceptor molecules are selectively adsorbed to the medium, while sugars derived from sugar chain donor molecules are
- This is a step in which the Fc-containing molecules are selectively recovered by collecting a flow-through liquid containing Fc-containing molecules having N297-linked sugar chains.
- step 2 the target Fc-containing molecule to which a sugar chain has been added and the unreacted Fc-containing molecule (acceptor molecule) can be separated, so even if only a small amount of the sugar chain donor molecule was used in step 1. Even if Fc-containing molecules are present, Fc-containing molecules having a highly pure and uniform sugar chain structure can be produced.
- Step 2 in order to produce Fc-containing molecules having a sugar chain structure with a high glycosylation rate while suppressing the amount of the sugar chain donor molecule used in Step 1, Step 2 requires high selectivity and recovery. must have a rate.
- the target sugar chain-attached Fc-containing molecule cannot be isolated from the unreacted Fc-containing molecule (acceptor molecule), so the glycosylation transfer rate cannot be increased; If the recovery rate is low, it is necessary to increase the amount of acceptor molecules charged in step 1 in order to increase the yield of Fc-containing molecules, and as a result, the amount of sugar chain donor molecules used increases.
- the present invention when applying the present invention as a method for producing antibodies for medical use on an industrial scale, it is necessary to be able to efficiently isolate the target antibody in step 2 while maintaining the desired biological activity. There is.
- HILIC hydrophilic interaction chromatography
- the present inventors have determined that the desired product can be obtained using a very simple method of contacting the reaction mixture with a cation exchange chromatography medium or a multimode chromatography medium under acidic conditions. It has been discovered that Fc-containing molecules to which sugar chains have been added can be selectively isolated and purified in high yield without denaturing them.
- Step 2 can be carried out according to a conventional method in cation exchange chromatography or multimode chromatography.
- a loading solution is obtained by mixing the reaction mixture obtained in step 1 with an acidic buffer solution, and the loading solution is transferred to a column packed with a cation exchange chromatography medium or a multimode chromatography medium.
- the equilibration solution or washing solution
- the eluate or regeneration solution
- a cleaning liquid can then be passed through the device for the purpose of cleaning in place.
- step 2 cation exchange chromatography or multimode chromatography is performed under acidic conditions.
- the loading liquid (or loading liquid and equilibration liquid) in step 2 has an acidic pH.
- “acidic conditions” can be any acidic pH ( ⁇ 7.0) as long as the desired isolation can be achieved, for example, the lower limit (loading solution and The lower limit of the pH of the liquid is 2.5, 2.6, 2.7, 2.8, 2.9, 3.0, 3.1, 3.2, 3.3, 3.4, Any pH selected from 3.5, 3.6, 3.7, 3.8, 3.9 and 4.0 can be adopted, and the upper limit (the upper limit of the pH of the loading liquid and the equilibration liquid) can be adopted. ) are 5.0, 4.9, 4.8, 4.7, 4.6, 4.5, 4.4, 4.3, 4.2, 4.1, 4.0, 3.9 , 3.8, 3.7, 3.6 and 3.5.
- the pH range (pH range of the loading liquid and equilibration liquid) under “acidic conditions” may be any combination of the upper and lower limits mentioned above, or 2.5 to 5.0. , preferably 3.0 to 4.8, more preferably 3.3 to 4.7, particularly preferably 3.4 to 4.6, most preferably 3.5 to 4.5, Not limited to these. Therefore, in one aspect of the present invention, the acidic conditions in step 2 are pH 2.5 to 5.0, preferably pH 3.0 to 4.8, more preferably pH 3.3 to 4.7, particularly preferably pH 3. 4 to 4.6, most preferably pH 3.5 to 4.5.
- a loading solution can be prepared by using the reaction mixture obtained in Step 1 as a loading solution to pass through the column as it is, or by adding a buffer to the reaction mixture as appropriate.
- a buffer for preparing the loading solution, any buffer can be used as long as the loading solution has an acidic pH, such as acetate buffer, citrate buffer, phosphate buffer, glycine buffer, etc. Examples include buffer solutions and phthalate buffer solutions.
- the salt for preparing the loading solution is not particularly limited as long as the desired isolation can be achieved, but examples thereof include sodium chloride, potassium chloride, and magnesium chloride.
- the salt concentration can be, for example, 30 to 2000 mM, preferably 150 to 1000 mM, more preferably 200 to 750 mM, still more preferably 280 to 600 mM, particularly preferably 310 to 500 mM.
- the salt concentration in the loading solution affects the final yield and purity of the target product, and the optimal salt concentration depends on the target product and the type of cation exchange chromatography medium or multimode chromatography medium. Therefore, it is preferable to adopt an optimal salt concentration depending on the given chromatographic environment.
- the concentration of Fc-containing molecules in the loading solution is not particularly limited as long as the desired isolation can be achieved, but is, for example, 0.1 to 100 mg/mL, preferably 0.5 to 50 mg/mL, more preferably 1. Examples include 5 to 30 mg/mL, more preferably 2 to 20 mg/mL, particularly preferably 3 to 10 mg/mL. Further, the volume of the load liquid itself to be passed through the medium can be appropriately determined according to the volume of the medium, etc. according to a conventional method.
- the equilibration solution is used to equilibrate the pH and salt concentration in the medium before isolation, and to non-specifically adsorb molecules to the medium without substantially isolating the molecules adsorbed to the medium. Anything that can wash away the molecules can be used.
- the buffer solution that can be used as the equilibration solution and the salt concentration in the equilibration solution please refer to the mention of the loading solution.
- the amount of the equilibration solution to be passed can be determined as appropriate according to the volume of the medium according to a conventional method, for example, 1 to 100 column volumes (CV), preferably 5 to 50 CV, more preferably 8 to 40 CV, and more preferably 8 to 40 CV. It is preferably 10 to 30 CV, particularly preferably 12 to 20 CV, but is not limited thereto.
- the eluent can elute molecules adsorbed to the medium, but any liquid can be used, and the cleaning liquid can be any liquid as long as it can clean in place (CIP) the medium. Therefore, the eluate and cleaning solution can be appropriately determined according to known methods or by applying known methods.
- the sugar chain transfer rate after the completion of Step 2 can be set to any value, for example, 85% or more, 90% or more, or 95% or more.
- the glycosylation rate in step 2 is more than 90%, preferably more than 95%, particularly preferably more than 99%.
- any numerical value can be set as the process yield of Step 2, but as mentioned above, the higher the process yield of Step 2, the more the amount of sugar chain donor molecules used in Step 1 can be reduced, so a higher process yield is desirable.
- the process yield is not particularly limited as long as the desired isolation can be achieved, for example, 1 to 99%, preferably 5 to 95%, more preferably 20 to 95%, particularly preferably 40 to 90%. can be mentioned.
- a cation exchange chromatography medium means a medium having a cation exchange group.
- the cation exchange chromatography medium is a medium of strong acid type or weak acid type, and/or the cation exchange group is a sulfonic acid group, a carboxyl group, a phenolic hydroxyl group, a phosphonic acid group. group, or a medium having a phosphinic acid group.
- the specific form of the ion exchange chromatography medium may be particulate, membrane, monolith, plate, chip, fiber, etc.; Examples include, but are not limited to, a shape, a membrane shape, a monolith shape, and the like.
- SP sepharose FF (Cytiva), SOURCE 15S (Cytiva), Capto S Impact (Cytiva), Eshmuno CP-FT (Merck), Exhmuno C PX (Merck), POROS HS (Thermo) , POROS XS (Thermo), Nuvia HR-S (BiO-RAD), Cellufine Max GS (JNC), etc., but are not limited to these.
- Membrane-like cation exchange chromatography media include, but are not limited to, Sartobind S (Sartorius), Mustang S (Pall), and the like.
- monolithic cation exchange chromatography media examples include, but are not limited to, CIM monolith SO3 (BIA Separation).
- Cation exchange chromatography in step 2 can be carried out using known equipment, including, but not limited to, AKTA york 25 (Cytiva). Further, the flow rate of the mobile phase in the cation exchange chromatography in Step 2 can be appropriately determined according to a conventional method.
- a multimode chromatography medium includes a cation exchange group and at least one functional group capable of acting differently from the cation exchange group, and in one embodiment, the functional group capable of acting differently from the cation exchange group is It is a functional group capable of hydrophobic interaction.
- Cation exchange groups include those similar to those mentioned for cation exchange chromatography media.
- examples of the form of the multimode chromatography medium include those similar to those mentioned for the cation exchange chromatography medium.
- Multimode chromatography media include, but are not limited to, Capto(TM) MMC and TOYOPEARL(TM) MX-TRP-650M.
- Multimode chromatography in step 2 can be performed using known equipment. Further, the flow rate of the mobile phase in the multimode chromatography in step 2 can be appropriately determined according to a conventional method.
- Example 1 Synthesis of glycan remodeling antibody 1 Preparation of modified anti-EGFR antibody 1-[SG-(N 3 ) 2 ] 2 [Synthesis scheme] (Step 1) (Fuc ⁇ 1,6)GlcNAc-Preparation of modified anti-EGFR antibody 1
- a phosphate buffered saline solution (14.5 mL, 14.9 mg/mL, pH 6.0) of modified anti-EGFR antibody 1 prepared according to Example 13 was added to wild A phosphate buffered saline solution of type EndoS (0.140 mL, 7.70 mg/mL) was added, and the mixture was shaken at 37° C. for 4 hours.
- elution buffer IgG Elution Buffer, manufactured by Thermo scientific
- the eluate was immediately neutralized with 1M Tris buffer (pH 9.0).
- the fraction containing the target product was buffer exchanged into a 5mM phosphate buffer and 50mM 2-morpholinoethanesulfonic acid (MES) solution (pH 6.8) according to the method described in Common Procedure C.
- MES 2-morpholinoethanesulfonic acid
- the antibody concentration in the obtained buffer solution was measured according to the method described in Common Procedure B to obtain a crudely purified title antibody solution (8.5 mL, 22.13 mg/mL).
- Step 2 Preparation of modified anti-EGFR antibody 1-[SG-(N 3 ) 2 ] 2
- [N 3 -PEG(3)] 2 -SG(10)Ox (44 mg) and EndoS (D233Q/Q303L) in phosphate buffered saline (0.781 mL, 4.8 mg/mL) were added and incubated at 30°C for 3 hours. Shake. The progress of the reaction was confirmed using an Agilent 2100 Bioanalyzer electrophoresis system.
- Example 2 Synthesis of glycan remodeling antibody 2 Preparation of modified anti-EGFR antibody 1-[MSG1-(N 3 )] 2 [Synthesis scheme] (Step 1) Preparation of (Fuc ⁇ 1,6)GlcNAc-modified anti-EGFR antibody 1 Using a phosphate buffered saline solution (9.0 mL, 11.04 mg/mL, pH 6.0) of sugar chain remodeling antibody 1, Step 1 of Example 1 The same operation as in 1 was performed to obtain a 20 mM phosphate buffer solution (9 mL, 9.11 mg/mL, pH 6.0) of the title antibody.
- Step 2 Preparation of modified anti-EGFR antibody 1-[MSG1-(N 3 )] 2
- a 20 mM phosphate buffer solution (9 mL, 9.11 mg/mL, pH 6.0) of the antibody obtained in step 1 above and [N 3 -PEG (3)]-MSG1(9)Ox (13 mg) in water (0.130 mL) the same operation as in Step 2 of Example 1 was carried out, and the title antibody was dissolved in phosphate buffered saline (4 mL, 13 mg) in water (0.130 mL). .33 mg/mL, pH 6.0; 1 mL, 19.13 mg/mL, pH 6.0).
- Example 3 Synthesis of glycan remodeling antibody 3 Preparation of modified anti-EGFR antibody 2-[SG-(N 3 ) 2 ] 2 [Synthesis scheme] (Step 1) (Fuc ⁇ 1,6)GlcNAc-Preparation of modified anti-EGFR antibody 2 Performed using a phosphate buffered saline solution (20 mL, 11.25 mg/mL, pH 6.0) of modified anti-EGFR antibody 2 prepared according to Example 13. The same operation as in Step 1 of Example 1 was performed to obtain a 20 mM phosphate buffer solution (17 mL, 12.06 mg/mL, pH 6.0) of the title antibody.
- Step 2 Preparation of modified anti-EGFR antibody 2-[SG-(N 3 ) 2 ] 2
- a 20 mM phosphate buffer solution (8.5 mL, 12.06 mg/mL, pH 6.0) of the antibody obtained in step 1 above and [N 3 -PEG(3)] 2 -SG(10)Ox (40.8 mg) the same operation as in Example 1 Step 2 was carried out, and a phosphate buffered saline solution of the title antibody (8 mL, 11.09 mg) was prepared. /mL, pH 6.0).
- Example 4 Synthesis of glycan remodeling antibody 4 Preparation of modified anti-EGFR antibody 2-[MSG1-(N 3 )] 2 [Synthesis scheme] (Step 1) Preparation of modified anti-EGFR antibody 2-[MSG1-(N 3 )] 2 A 20 mM phosphate buffer solution (8.5 mL, 12.06 mg/mL, pH 6.0) of the antibody obtained in Example 3 Step 1 and [ Using a solution of N 3 -PEG(3)]-MSG1(9)Ox (19 mg) in water (0.190 mL), the same operation as in Step 2 of Example 1 was carried out to prepare a phosphate buffered saline solution of the title antibody. (8.5 mL, 10.58 mg/mL, pH 6.0) was obtained.
- Example 5 Synthesis of glycan remodeling antibody 5 Preparation of modified anti-CDH6 antibody 1-[SG-(N 3 ) 2 ] 2 [Synthesis scheme] (Step 1) (Fuc ⁇ 1,6)GlcNAc-Preparation of modified anti-CDH6 antibody 1 Using a phosphate buffered saline solution (20.0 mL, 13.90 mg/mL, pH 6.0) of modified anti-CDH6 antibody 1 prepared according to Example 14. The same operation as in Example 1 Step 1 was performed to obtain a 20 mM phosphate buffer solution (16 mL, 15.12 mg/mL, pH 6.0) of the title antibody.
- Step 2 Preparation of modified anti-CDH6 antibody 1-[SG-(N 3 ) 2 ] 2
- a 20 mM phosphate buffer solution (9.0 mL, 15.12 mg/mL, pH 6.0) of the antibody obtained in step 1 above and [N 3 -PEG(3)] 2 -SG(10)Ox (49.5 mg) the same operation as in Example 1 Step 2 was carried out, and a phosphate buffered saline solution of the title antibody (9 mL, 13.23 mg) was prepared. /mL, pH 6.0).
- Example 6 Synthesis of glycan remodeling antibody 6 Preparation of modified anti-CDH6 antibody 1-[MSG1-(N 3 )] 2 [Synthesis scheme] (Step 1) Preparation of (Fuc ⁇ 1,6)GlcNAc-modified anti-CDH6 antibody 1 The same operation as in Example 5 Step 1 was performed to obtain a 20 mM phosphate buffer solution (17 mL, 14.85 mg/mL, pH 6.0) of the title antibody. .
- Step 2 Preparation of modified anti-CDH6 antibody 1-[MSG1-(N 3 )] 2
- a 20 mM phosphate buffer solution (2.7 mL, 14.85 mg/mL, pH 6.0) of the antibody obtained in step 1 above and [N 3 -PEG(3)]-MSG1(9)Ox (7.5 mg) in water (0.075 mL) the same operation as in Example 1 Step 2 was carried out to prepare a phosphate buffered saline solution of the title antibody. (3 mL, 11.28 mg/mL, pH 6.0) was obtained.
- Example 7 Synthesis of Antibody Drug Conjugate 1 (Synthesis of Anti-EGFR Antibody 1-CDN Conjugate 1) A phosphate buffered saline solution (2.00 mL, 11.04 mg/mL, pH 6.0) of sugar chain remodeling antibody 1 was diluted with propylene glycol (1.00 mL).
- Example 8 Synthesis of antibody drug conjugate 2 (synthesis of anti-EGFR antibody 1-CDN conjugate 2)
- Example 7 was carried out using a phosphate buffered saline solution of sugar chain remodeling antibody 2 (1.00 mL, 13.33 mg/mL, pH 6.0) and a dimethyl sulfoxide solution (10 mM, 0.074 mL) of drug linker 17a.
- the operations were performed according to the method described in , to obtain an ABS solution (6.5 mL) of the desired antibody-drug conjugate.
- the analysis results are as follows.
- Antibody yield 10.23 mg (77%)
- Example 9 Synthesis of antibody drug conjugate 3 (synthesis of anti-EGFR antibody 2-CDN conjugate 1)
- Example 7 was carried out using a phosphate buffered saline solution of sugar chain remodeling antibody 3 (2.00 mL, 11.09 mg/mL, pH 6.0) and a dimethyl sulfoxide solution (10 mM, 0.123 mL) of drug linker 17a.
- the operations were performed according to the method described in , to obtain an ABS solution (12 mL) of the desired antibody-drug conjugate.
- the analysis results are as follows.
- Antibody yield 16.77 mg (76%) Average number of drug bonds: 3.8
- Example 10 Synthesis of antibody drug conjugate 4 (synthesis of anti-EGFR antibody 2-CDN conjugate 2)
- Example 7 was carried out using a phosphate buffered saline solution of sugar chain remodeling antibody 4 (2.00 mL, 10.58 mg/mL, pH 6.0) and a dimethyl sulfoxide solution (10 mM, 0.117 mL) of drug linker 17a.
- the operations were performed according to the method described in , to obtain an ABS solution (12 mL) of the desired antibody-drug conjugate.
- the analysis results are as follows.
- Antibody concentration 1.45mg/mL
- Antibody yield 17.46 mg (82%) Average number of drug bonds: 1.9
- Example 11 Synthesis of antibody drug conjugate 5 (synthesis of anti-CDH6 antibody 1-CDN conjugate 1)
- Example 7 was carried out using a phosphate buffered saline solution of sugar chain remodeling antibody 5 (2.00 mL, 13.23 mg/mL, pH 6.0) and a dimethyl sulfoxide solution (10 mM, 0.146 mL) of drug linker 17a.
- the operations were performed according to the method described in , to obtain an ABS solution (12 mL) of the antibody-drug conjugate. This solution was purified by hydrophobic interaction chromatography.
- Example 12 Synthesis of antibody drug conjugate 6 (synthesis of anti-CDH6 antibody 1-CDN conjugate 2)
- Example 7 was carried out using a phosphate buffered saline solution of sugar chain remodeling antibody 6 (2.00 mL, 11.71 mg/mL, pH 6.0) and a dimethyl sulfoxide solution (10 mM, 0.097 mL) of drug linker 17a.
- the operations were performed according to the method described in , to obtain an ABS solution (12 mL) of the desired antibody-drug conjugate.
- the analysis results are as follows.
- Antibody yield 18.68 mg (80%) Average number of drug bonds: 1.8
- Example 13 Preparation of anti-EGFR antibody A and anti-EGFR antibodies 1 to 3
- Anti-EGFR antibody A and anti-EGFR antibodies 1 to 3 were prepared using Vectibix infusion. Prepared with reference to the Intravenous Injection 100mg Examination Results Report (March 5, 2010, Pharmaceutical and Food Safety Administration, Examination Management Division).
- the anti-EGFR antibody A used in this example has an isotype of IgG1.
- Anti-EGFR antibodies 1 and 3 were prepared by introducing LALA-DG mutation and LALA mutation into anti-EGFR antibody A, respectively.
- Anti-EGFR antibody 2 has an isotype of IgG1 and has a LALA-DG mutation.
- the chain amino acid sequence (SEQ ID NO: 33), the heavy chain amino acid sequence of anti-EGFR antibody A (SEQ ID NO: 34), and the heavy chain amino acid sequence of anti-EGFR antibody 3 (SEQ ID NO: 36) are shown in Figure 21-1, Figure 21-2, and Figure 21-2. Shown in 21-3.
- the amino acid sequence of CDRL1 (SEQ ID NO: 23), the amino acid sequence of CDRL2 (SEQ ID NO: 24), the amino acid sequence of CDRL3 (SEQ ID NO: 25), and the amino acid sequence of CDRL1 of anti-EGFR antibody A and anti-EGFR antibodies 1 to 3 used in this example.
- the amino acid sequence (SEQ ID NO: 26), the amino acid sequence of CDRH2 (SEQ ID NO: 27), and the amino acid sequence of CDRH3 (SEQ ID NO: 28) are shown in FIG.
- Anti-CDH6 antibody 1 (also referred to herein as modified anti-CDH6 antibody 1) was produced with reference to WO2018/212136.
- Anti-CDH6 antibody 1 used in this example has an isotype of IgG1 and has a LALA-DG mutation.
- the light chain amino acid sequence (SEQ ID NO: 44) of anti-CDH6 antibody 1 used in this example and the heavy chain amino acid sequence (SEQ ID NO: 46) of anti-CDH6 antibody 1 used in this example are shown in FIG.
- CDRL1 (SEQ ID NO: 37), amino acid sequence of CDRL2 (SEQ ID NO: 38), amino acid sequence of CDRL3 (SEQ ID NO: 39), amino acid sequence of CDRH1 (SEQ ID NO: 40) of anti-CDH6 antibody 1 used in this example
- amino acid sequence of CDRH2 (SEQ ID NO: 41)
- amino acid sequence of CDRH3 (SEQ ID NO: 42) are shown in FIG.
- Step 1 Synthesis of glycan remodeling antibody 7 Preparation of anti-EGFR antibody A-[SG-(N 3 ) 2 ] 2 [Synthesis scheme] (Step 1) (Fuc ⁇ 1,6)GlcNAc-Preparation of anti-EGFR antibody A
- a phosphate buffered saline solution (9.5 mL, 14.1 mg/mL, pH 6.0) of anti-EGFR antibody A prepared according to Example 13 was used.
- the same operation as in Step 1 of Example 1 was performed to obtain a 20 mM phosphate buffer solution (7.5 mL, 15.93 mg/mL, pH 6.0) of the title antibody.
- Step 2 Preparation of anti-EGFR antibody A-[SG-(N 3 ) 2 ] 2
- a 20 mM phosphate buffer solution (7.5 mL, 15.93 mg/mL, pH 6.0) of the antibody obtained in step 1 above and [N 3 -PEG(3)] 2 -SG(10)Ox (30.4 mg) the same operation as in Example 1 Step 2 was carried out, and a phosphate buffered saline solution of the title antibody (3 mL, 11.10 mg/ mL, pH 6.0) was obtained.
- Step 1 Preparation of (Fuc ⁇ 1,6)GlcNAc-Anti-EGFR Antibody B Commercially available Vectibix Intravenous Injection (Takeda Pharmaceutical Co., Ltd.) (100 mg/5 mL) was buffer exchanged using NAP columns (NAP-25 columns (manufactured by GE Healthcare)). A phosphate buffered saline solution (7.0 mL, 13.73 mg/mL, pH 6.0) of the antibody was obtained. Using this antibody solution (3.5 mL), the same operation as in Example 1 Step 1 was performed to obtain a 20 mM phosphate buffer solution (5 mL, 8.49 mg/mL, pH 6.0) of the title antibody.
- Step 2 Preparation of anti-EGFR antibody B-[MSG1-(N 3 )] 2
- a solution of PEG(3)]-MSG1(9)Ox (7.6 mg) in water (0.076 mL) the same operation as in Step 2 of Example 1 was carried out to prepare a phosphate buffered saline solution of the title antibody ( 2.5 mL, 12.90 mg/mL, pH 6.0) was obtained.
- Step 1 (Fuc ⁇ 1,6)GlcNAc-Preparation of modified anti-EGFR antibody 3 Performed using a phosphate buffered saline solution (10 mL, 14.00 mg/mL, pH 6.0) of modified anti-EGFR antibody 3 prepared according to Example 13. The same operation as in Step 1 of Example 1 was performed to obtain a 20 mM phosphate buffer solution (7.5 mL, 16.70 mg/mL, pH 6.0) of the title antibody.
- Step 2 Preparation of modified anti-EGFR antibody 3-[SG-(N 3 ) 2 ] 2 20 mM phosphate buffer solution (7.5 mL, 16.70 mg/mL, pH 6.0) of the antibody obtained in step 1 above and 3 -PEG(3)] 2 -SG(10)Ox (29 mg), the same operation as in Example 1 Step 2 was carried out, and a phosphate buffered saline solution of the title antibody (10 mL, 10.49 mg/mL) was prepared. , pH 6.0).
- Reference Example 4 Synthesis of glycan remodeling antibody 10 Preparation of modified anti-EGFR antibody 3-[MSG1-(N 3 )] 2 [Synthesis scheme] (Step 1) Preparation of (Fuc ⁇ 1,6)GlcNAc-modified anti-EGFR antibody 3 Perform the same operation as in Step 1 of Reference Example 3, and add the title antibody in 20 mM phosphate buffer solution (7.5 mL, 14.51 mg/mL, pH 6.0). Obtained.
- Step 2 Preparation of modified anti-EGFR antibody 3-[MSG1-(N 3 )] 2
- a 20 mM phosphate buffer solution (7.5 mL, 14.51 mg/mL, pH 6.0) of the antibody obtained in step 1 above and [N 3 -PEG(3)]-MSG1(9)Ox (17.3 mg) in water (0.173 mL) the same operation as in Example 1 Step 2 was carried out to prepare a phosphate buffered saline solution of the title antibody. (7.5 mL, 13.34 mg/mL, pH 6.0) was obtained.
- Example 7 Synthesis of antibody-drug conjugate 7 (synthesis of anti-EGFR antibody A-CDN conjugate 1)
- Example 7 was carried out using a phosphate buffered saline solution of sugar chain remodeling antibody 7 (2.00 mL, 11.10 mg/mL, pH 6.0) and a dimethyl sulfoxide solution (10 mM, 0.123 mL) of drug linker 17a.
- the operations were performed according to the method described in , to obtain an ABS solution (12 mL) of the desired antibody-drug conjugate.
- the analysis results are as follows.
- Antibody yield 16.70 mg (75%) Average number of drug bonds: 3.7
- Example 7 Synthesis of antibody-drug conjugate 9 (synthesis of anti-EGFR antibody 3-CDN conjugate 1)
- Example 7 was carried out using a phosphate buffered saline solution of sugar chain remodeling antibody 9 (1.00 mL, 10.49 mg/mL, pH 6.0) and a dimethyl sulfoxide solution (10 mM, 0.058 mL) of drug linker 17a.
- the operations were performed according to the method described in , to obtain an ABS solution (6.5 mL) of the desired antibody-drug conjugate.
- the analysis results are as follows.
- Antibody yield 7.26 mg (69%)
- 2',3'-cGAMP used as a reference compound herein was enzymatically synthesized from ATP and GTP using cGAS.
- the preparation of cGAS and the enzymatic reaction were carried out by appropriately modifying the method described in the literature (Immunity, 2013, 39, 1019-1031, Cell Rep. 2014, 6, 421-430). Purification was performed by column chromatography using a weakly basic anion exchange resin (DIAION WA10) and a synthetic adsorbent (SEPABEADS SP207SS).
- DIAION WA10 weakly basic anion exchange resin
- SEPABEADS SP207SS synthetic adsorbent
- the assay was performed as follows. A test compound was dispensed into a 96-well plate, and then reporter cells were added to start stimulation. After culturing for 24 hours at 37° C. in a 5% CO 2 environment, the centrifuged supernatant was collected. The collected supernatant was added to a 384-well plate, and QUANTI-Luc (InvivoGen) solution was added. After mixing well, luminescence was measured using a plate reader. The test compound The concentration required to obtain 50% counts was calculated as the EC50 ( ⁇ M) value. Table 5 shows the structural formula and NMR data of the test compound, and Table 4 shows the results of the human STING agonist activity test. In addition, the test compound was prepared according to ⁇ 3. above. Manufacturing method> or WO2020/050406.
- the compound used in the antibody-drug conjugate of the present invention has agonist activity against human STING. Furthermore, agonist activity against mouse STING was confirmed to be equivalent to or higher than that of existing CDN (WO2020/050406).
- the amino acid sequence of human H232 (REF) mutant STING is shown in SEQ ID NO: 3, and the nucleotide sequence is shown in SEQ ID NO: 4. Furthermore, using the H232 mutant STING expression plasmid as a template, site-directed mutagenesis was performed based on the inverse PCR method to produce expression plasmids for wild-type STING and HAQ (R71H, G230A, and R293Q) mutant STING.
- the amino acid sequence of human wild-type STING is shown in SEQ ID NO: 1, the nucleotide sequence is shown in SEQ ID NO: 2, and the amino acid sequence of human HAQ mutant STING is shown in SEQ ID NO: 5, and the nucleotide sequence is shown in SEQ ID NO: 6. Furthermore, the amino acid sequences of human wild type STING, REF mutant STING, and HAQ mutant STING are shown in FIG.
- Human STING C-terminal binding domain (aa139-342) protein (UniProt entry Q86WV6) cDNA was obtained from the full-length human TMEM173 cDNA clone expression plasmid (wild type, H232 mutant type, and HAQ mutant type) using two types of Primer (5'-ACCTGTATTTTCAGGG).
- the PCR product was inserted into pET15b, an E. coli expression vector, using the In-Fusion HD Cloning Kit (Takara Bio) so that it had a 6xHis tag consisting of 6 histidine bases at the N-terminus, an Avidin tag, and a TEV protease cleavage site.
- pET15b-HisAviTEV-hSTING (139-342) human wild type, pET15b-HisAviTEV-hSTING (139-342) human REF mutant type, and pET15b-HisAviTEV-hSTING (139-342) human AQ mutant type were constructed. .
- the cDNA for expressing the mouse STING C-terminal binding domain (aa138-341) protein was a cDNA that was artificially synthesized by eurofins Genomics and corresponds to amino acids 138 to 341 from the mouse TMEM173 cDNA sequence. .
- the amino acid sequence of mouse STING is shown in SEQ ID NO: 7, and the nucleotide sequence is shown in SEQ ID NO: 8.
- the synthesized cDNA was inserted into pET15b, an E.
- the culture solution was centrifuged, and the resulting bacterial cells were frozen and thawed. Proteins were extracted by ultrasonic disruption, and the supernatant was collected through centrifugation. The resulting supernatant was purified with a HisTrap FF column (GE Healthcare) using an AKTAexpress chromatography system (GE Healthcare, IL, US), and passed through a Superdex 200 16/60 column (GE Healthcare) for dissolution. I put it out.
- the amino acid sequence of HisAviTEV-hSTING (139-342) human wild type protein is SEQ ID NO: 9
- the amino acid sequence of HisAviTEV-hSTING (139-342) human REF mutant protein is SEQ ID NO: 10
- HisAviTEV-hSTING (139-342) human The amino acid sequence of the AQ mutant protein is shown in SEQ ID NO: 11
- the amino acid sequence of the His-Avi-TEV-mSTING (138-341) mouse wild type protein is shown in SEQ ID NO: 12.
- test compound 0.5 mM final concentration
- SYPRO Orange 20 ⁇ final concentration
- STING protein STING protein
- the temperature was raised from 25°C to 95°C at a rate of 0.03°C per second, and the thermal denaturation temperature of the protein was measured using the fluorescence emitted by SYPRO Orange as an index.
- T m the midpoint of the unfolding transition
- T m due to the test compound was calculated as ⁇ T m (°C) by subtracting the T m value of the wells to which no compound was added from the T m value of each compound.
- Table 6 shows the results of the binding test to STING protein.
- the compound used in the antibody-drug conjugate of the present invention has binding activity to human wild-type STING and mutant STING, and mouse wild-type STING.
- Mouse colon cancer cell line CT26 purchased from American Type Culture Collection. CT26., in which a human-mouse chimeric EGFR gene in which the epitope site of an anti-EGFR antibody was replaced with a human type was introduced into WT. WT-chimera EGFR cells were created. CT26. WT-chimera EGFR cells were subcutaneously transplanted into the right axillary region of BALB/c mice (Day 0), and 7 days later, they were randomly divided into groups. The anti-EGFR antibody-CDN conjugate was administered once in the tail vein on Day 7 at a dose of 1.0 mg/kg. The number of mice in each group was 8. The results are shown in Figure 4.
- anti-EGFR antibody 1-CDN conjugate 1 has a LALA-DG mutation in the Fc region
- anti-EGFR antibody 3-CDN conjugate 1 has a LALA mutation in the Fc region. 4 antibody-CDN conjugate.
- the black square line represents the vehicle group
- the black triangle line represents the average tumor volume of the anti-EGFR antibody 3-CDN conjugate 1 administration group
- the black circle line represents the average tumor volume of the anti-EGFR antibody 1-CDN conjugate 1 administration group.
- the vertical axis shows the tumor volume (mm 3 ), and the horizontal axis shows the number of days after tumor implantation.
- tumor growth progressed.
- tumor growth was significantly suppressed in all anti-EGFR antibody-CDN conjugate administration groups. From the above, strong antitumor effects were confirmed for all of the anti-EGFR antibody-CDN conjugates with an average drug binding number of about 4 and each mutation in the Fc region. Their antitumor effects were comparable.
- Antitumor test (2) CT26 Antitumor test (2) CT26.
- WT-chimera EGFR cells were subcutaneously transplanted into the right axillary region of BALB/c mice (Day 0), and 7 days later, they were randomly divided into groups.
- the anti-EGFR antibody-CDN conjugate was administered once in the tail vein on Day 7 at a dose of 1.0 mg/kg.
- the number of mice in each group was 6.
- the results are shown in FIG.
- Anti-EGFR antibody 2-CDN conjugate 1 in the figure is an antibody-CDN conjugate that has a LALA-DG mutation in the Fc region and has an average number of drug binding of about 4.
- the black square line shows the average tumor volume of the vehicle group
- the black circle line shows the average tumor volume of the anti-EGFR antibody 2-CDN conjugate 1 administration group.
- the vertical axis shows the tumor volume (mm 3 ), and the horizontal axis shows the number of days after tumor implantation.
- tumor growth progressed.
- tumor growth was significantly suppressed in the anti-EGFR antibody-CDN conjugate administration group. From the above, the average number of drug binding was approximately 4, and the strong antitumor effect of the anti-EGFR antibody-CDN conjugate having the LALA-DG mutation in the Fc region was confirmed.
- Antitumor test (3) CT26 WT-chimera EGFR cells were subcutaneously transplanted into the right axillary region of BALB/c mice (Day 0), and 7 days later, they were randomly divided into groups.
- the anti-EGFR antibody-CDN conjugate was administered into the tail vein once on Day 7 at a dose of 2.0 mg/kg.
- the number of mice in each group was 6 or 8.
- the results are shown in FIG. In the figure, anti-EGFR antibody 1-CDN conjugate 2 has a LALA-DG mutation in the Fc region, and anti-EGFR antibody 3-CDN conjugate 2 has a LALA mutation in the Fc region. 2 antibody-CDN conjugate.
- the black square line represents the vehicle group
- the black triangle line represents the anti-EGFR antibody 3-CDN conjugate 2 administration group
- the black circle line represents the average tumor volume of the anti-EGFR antibody 1-CDN conjugate 2 administration group.
- the vertical axis shows the tumor volume (mm 3 ), and the horizontal axis shows the number of days after tumor implantation.
- tumor growth progressed.
- tumor growth was significantly suppressed in all anti-EGFR antibody-CDN conjugate administration groups. From the above, strong antitumor effects were confirmed for all of the anti-EGFR antibody-CDN conjugates with an average drug binding number of about 2 and each mutation in the Fc region. Their antitumor effects were comparable.
- Antitumor test (4) CT26 WT-chimera EGFR cells were subcutaneously transplanted into the right axillary region of BALB/c mice (Day 0), and 7 days later, they were randomly divided into groups.
- the anti-EGFR antibody-CDN conjugate was administered into the tail vein once on Day 7 at a dose of 2.0 mg/kg. The number of mice in each group was 6.
- the results are shown in FIG.
- Anti-EGFR antibody 2-CDN conjugate 2 in the figure is an antibody-CDN conjugate that has a LALA-DG mutation in the Fc region and has an average number of drug binding of about 2.
- the black square line in the figure shows the average tumor volume of the vehicle group, and the black circle line shows the average tumor volume of the anti-EGFR antibody 2-CDN conjugate 2 administration group.
- the vertical axis shows the tumor volume (mm 3 ), and the horizontal axis shows the number of days after tumor implantation.
- tumor growth progressed.
- tumor growth was significantly suppressed in the anti-EGFR antibody-CDN conjugate administration group. From the above, the average number of drug binding was approximately 2, and the strong antitumor effect of the anti-EGFR antibody-CDN conjugate having the LALA-DG mutation in the Fc region was confirmed.
- Antitumor test (5) Human lung cancer cell line PC-9 cells with EGFR exon 19 deletion mutation purchased from European Collection of Authenticated Cell Cultures were subcutaneously transplanted into the right axillary region of BALB/c-nu mice (Day 0), and 7 days later they were randomly transplanted. Grouping was carried out. The anti-EGFR antibody-CDN conjugate was administered once in the tail vein on Day 8 at a dose of 0.5 mg/kg. The number of mice in each group was 6. The results are shown in FIG. Anti-EGFR antibody 2-CDN conjugate 1 in the figure is an antibody-CDN conjugate that has a LALA-DG mutation in the Fc region and has an average number of drug binding of about 4.
- the black square line shows the average tumor volume of the vehicle group
- the black circle line shows the average tumor volume of the anti-EGFR antibody 2-CDN conjugate 1 administration group.
- the vertical axis shows the tumor volume (mm 3 ), and the horizontal axis shows the number of days after tumor implantation. Tumor growth progressed in the vehicle group. In contrast, tumor growth was significantly suppressed in the anti-EGFR antibody 2-CDN conjugate 1 administration group. From the above, the average number of drug binding is approximately 4 against lung cancer tumors with EGFR exon 19 deletion mutation, confirming the strong antitumor effect of the anti-EGFR antibody-CDN conjugate with LALA-DG mutation in the Fc region. It was done.
- Antitumor test (6) KRAS G12C mutation-positive human lung cancer cell line NCI-H358 cells purchased from American Type Culture Collection were subcutaneously transplanted into the right axillary region of BALB/c-nu mice (Day 0), and 22 days later, they were randomly divided into groups. did.
- Anti-EGFR antibody 2-CDN conjugate 1 was administered once in the tail vein on Day 22 at a dose of 0.5 mg/kg. The number of mice in each group was 6. The results are shown in FIG.
- Anti-EGFR antibody 2-CDN conjugate 1 in the figure is an antibody-CDN conjugate that has a LALA-DG mutation in the Fc region and has an average number of drug binding of about 4.
- the black square line shows the average tumor volume of the vehicle group
- the black circle line shows the average tumor volume of the anti-EGFR antibody 2-CDN conjugate 1 administration group.
- the vertical axis shows the tumor volume (mm 3 ), and the horizontal axis shows the number of days after tumor implantation. Tumor growth progressed in the vehicle group. In contrast, tumor growth was significantly suppressed in the anti-EGFR antibody 2-CDN conjugate 1 administration group. From the above, the average number of drug binding was approximately 4 against KRAS G12C mutation-positive lung cancer tumors, and the strong antitumor effect of the anti-EGFR antibody-CDN conjugate having the LALA-DG mutation in the Fc region was confirmed.
- CT26 which is a WT strain with the human CDH6 gene introduced into it. WT-hCDH6 cells were generated. CT26. WT-hCDH6 cells were subcutaneously transplanted into the right axilla of BALB/c mice (Day 0), and 8 days later, they were randomly divided into groups. Anti-CDH6 antibody 1-CDN conjugate 1 was administered at a dose of 1.2 mg/kg, and anti-CDH6 antibody 1-CDN conjugate 2 was administered at a dose of 2.4 mg/kg once in the tail vein on Day 8. The number of mice in each group was 8. The results are shown in FIG.
- Anti-CDH6 antibody 1-CDN conjugate 2 in the figure is an antibody-CDN conjugate with an average number of drug bonds of about 2, and anti-CDH6 antibody 1-CDN conjugate 1 in the figure has an average number of drug bonds of about 4. It is an antibody-CDN conjugate. Both have the LALA-DG mutation in the Fc region.
- the black square line indicates the vehicle group
- the white circle line indicates the average tumor volume of the anti-CDH6 antibody 1-CDN conjugate 1 administration group
- the white inverted triangle line indicates the average tumor volume of the anti-CDH6 antibody 1-CDN conjugate 2 administration group.
- the vertical axis shows the tumor volume (mm 3 )
- the horizontal axis shows the number of days after tumor implantation. In the vehicle group, tumor growth progressed.
- tumor growth was significantly suppressed in the anti-CDH6 antibody 1-CDN conjugate 1 and anti-CDH6 antibody 1-CDN conjugate 2 administration groups. From the above, it was confirmed that the average number of drug binding was about 4 and about 2, and the anti-CDH6 antibody-CDN conjugate having the LALA-DG mutation in the Fc region had a strong antitumor effect.
- the black triangular line indicates the average count value of the anti-EGFR antibody 3-CDN conjugate addition group
- the black circle line indicates the average count value of the anti-EGFR antibody 1-CDN conjugate addition group.
- the broken line shows CDN conjugate 2 with an average number of drug bonds of about 2
- the solid line shows CDN conjugate 1 with an average number of drug bonds of about 4.
- the vertical axis shows the count value
- the horizontal axis shows the concentration. All anti-EGFR antibody-CDN conjugate addition groups significantly induced reporter activity. From the above, reporter activity was confirmed for each anti-EGFR antibody-CDN conjugate having the LALA-DG mutation in the Fc region.
- the black triangular line in the figure indicates the anti-CDH6 antibody 1-CDN conjugate added group.
- the solid line shows the average count value of CDN conjugate 1 with an average number of drug binding of about 4, and the broken line shows the average count value of CDN conjugate 2 with an average number of drug binding of about 2.
- the vertical axis shows the count value, and the horizontal axis shows the concentration. All anti-CDH6 antibody-CDN conjugate addition groups significantly induced reporter activity. From the above, reporter activity was confirmed for each anti-CDH6 antibody-CDN conjugate having the LALA-DG mutation in the Fc region.
- Test Example 12 Tumor reimplantation test (1)
- Test Example 3 An antitumor test similar to antitumor test (1) was conducted.
- Anti-EGFR antibody 1-CDN conjugate 1 was administered once in the tail vein on Day 7 at a dose of 1.0 mg/kg.
- the mice whose tumors had completely regressed had CT26 on Day 80.
- WT cells were subcutaneously transplanted into the left axillary region of BALB/c mice. The results on Day 99 are shown in FIG. 13.
- the vertical axis indicates tumor volume (mm 3 ). Each dot indicates the tumor volume of each individual, and the horizontal line in the figure indicates the median value. Tumor growth progressed in the control group at the same age.
- Tumor reimplantation test (2) (Test Example 5) An antitumor test similar to antitumor test (3) was conducted.
- Anti-EGFR antibody 1-CDN conjugate 2 was administered into the tail vein once on Day 7 at a dose of 1.0 mg/kg or 2.0 mg/kg.
- the mice whose tumors had completely regressed had CT26 on Day 80.
- WT cells were subcutaneously transplanted into the left axillary region of BALB/c mice. The results on Day 100 are shown in FIG.
- the vertical axis indicates tumor volume (mm 3 ). Each dot indicates the tumor volume of each individual, and the horizontal line in the figure indicates the median value. Tumor growth progressed in the control group at the same age.
- Test Example 14 Cytokine production test using human whole blood Fresh human peripheral blood was collected and added to a 96-well plate. Subsequently, a test compound was added at a concentration of 10 ⁇ g/mL for a compound with an average number of drug bonds of about 4, and 20 ⁇ g/mL for a compound with an average number of drug bonds of about 2, and the mixture was incubated at 37° C. in a 5% CO 2 environment. The cells were cultured for 24 hours. After centrifugation, plasma was collected and IL-6 concentration was measured using AlphaLISA (PerkinElmer). FIG. 15A shows the results of calculating numerical values using the standard line of Logarithmic Scale, and FIG.
- 15B shows the results of calculating numerical values using the standard line of Linear Scale.
- the tendency of numerical values can be said to be the same for both Log scale and Linear scale.
- the linear scale represents a more accurate concentration.
- the vertical axis shows the IL-6 concentration (pg/mL).
- the horizontal axis shows mutations in the Fc region of each antibody-CDN conjugate. WT indicates no mutation in the Fc region.
- the anti-EGFR antibody B-CDN conjugate is an antibody-CDN conjugate using an IgG2 antibody, and the others are antibody-CDN conjugates using an IgG1 antibody.
- Cytokine production was significantly lower in the group to which an antibody-CDN conjugate having an IgG1 antibody and LALA-DG mutation was added, compared to the group to which an antibody-CDN conjugate with an IgG2 antibody or an IgG1 antibody with no mutation in the Fc region (WT) and a LALA mutation was added. significantly suppressed. This result was similar for the anti-EGFR antibody 1-CDN conjugate, in which the average number of drug bonds was about 2, and the anti-EGFR antibody 1-CDN conjugate, in which the average number of drug bonds was about 4.
- the average number of drug binding was approximately 2 or the average number of drug binding was approximately 4, and cytokine production was significantly suppressed in the group to which the IgG1 antibody and LALA-DG mutation antibody-CDN conjugate was added.
- Ta From the above, it was confirmed that the LALA-DG mutation using an IgG1 antibody is excellent for suppressing cytokine production when each antibody-CDN conjugate is administered. Cytokine production in this test was correlated with Fc ⁇ R binding activity shown in FIG. 17.
- a naked IgG1 antibody (without CDN conjugate) having a mutation in the Fc region was similarly tested, no clear difference in cytokine production was observed (data not shown). Therefore, it has been found that by conjugating the antibody, the Fc ⁇ R binding activity of the antibody can be evaluated with high sensitivity. Using this evaluation system, we were able to obtain a safe antibody-drug conjugate with reduced antibody effector functions.
- Anti-EGFR antibody B used in this test example was prepared by buffer-exchanging commercially available Vectibix Intravenous Injection (Takeda Pharmaceutical Co., Ltd.) (100 mg/5 mL) with an Amicon Ultra-15 Centrifugal Filter Unit (50K, manufactured by Merck), and then adding HBS. -obtained as an EP+ solution.
- FIG. 16A shows the binding response (Resonance Unit, RU) values for antibody concentrations (0.3, 0.4, 0.6, 0.9, 1.3, 2.0, 3.1, 4.7 ⁇ M). A graph is shown. Furthermore, the graph in FIG. 17A shows the RU value for an antibody concentration of 4.7 ⁇ M.
- the RU value indicating binding to human Fc ⁇ RI was IgG1 WT>>LALA>>IgG2>LALA-DG.
- FIG. 16B shows a graph plotting the RU value against the concentration of each antibody (0.9, 1.3, 2.0, 3.1, 4.7 ⁇ M) when human Fc ⁇ RIIa was used as a ligand. Further, the graph in FIG. 17B shows the RU value for an antibody concentration of 4.7 ⁇ M.
- the RU value indicating binding to human Fc ⁇ RIIa was IgG1 WT>IgG2>>LALA>LALA-DG.
- Test Example 18 Evaluation of human Fc ⁇ RIIIa binding activity of anti-EGFR antibody into which effectorless mutations were introduced
- Recombinant Human Fc gamma RIIIA/CD16a protein R&D systems
- FIG. 16D shows a graph plotting the RU value against the concentration of each antibody (0.9, 1.3, 2.0, 3.1, 4.7 ⁇ M) when human Fc ⁇ RIIIa was used as a ligand.
- the graph in FIG. 17D shows the RU value for an antibody concentration of 4.7 ⁇ M.
- the RU value indicating binding to human Fc ⁇ RIIIa was IgG1 WT > LALA > IgG2 > LALA-DG.
- FIG. 16E shows a graph plotting the RU value against the concentration of each antibody (0.9, 1.3, 2.0, 3.1, 4.7 ⁇ M) when human Fc ⁇ RIIIb was used as a ligand. Furthermore, the graph in FIG. 17E shows the RU value for an antibody concentration of 4.7 ⁇ M.
- the RU value indicating binding to human Fc ⁇ RIIIb was IgG1 WT>LALA ⁇ IgG2 ⁇ LALA-DG.
- the human FcgR binding activity of the antibody-CDN conjugate basically depends on the human FcgR binding activity of the parent antibody. Furthermore, in the antibody-drug conjugate containing an IgG1 WT antibody and an antibody having a LALA mutation in the Fc region, the Fc ⁇ RI binding activity tended to increase more than that of the parent antibody, and it tended to further increase as DAR increased. On the other hand, the antibody-drug conjugate having the LALA-DG mutation in the Fc region maintained the same low Fc ⁇ RI binding activity as the parent antibody (FIG. 17A). Based on the above, the LALA-DG mutant was considered preferable for the purpose of obtaining an antibody-drug conjugate in which the effector function of the antibody is reduced to the same extent as the parent antibody.
- the change in heat capacity C p (kcal/mol/°C) was investigated when the temperature was raised to .
- the peaks of this curve showing changes in heat capacity indicate thermal denaturation of each domain of the antibody, and generally the peaks of thermal denaturation are observed in the order of CH2, Fab, and CH3 (Biochem. Biophys. Res. Commun. 355, 751- 757 (2007)).
- the table in FIG. 18 shows the CH2 peak top temperature (T m ) of these antibodies and the amount of change in T m value ( ⁇ T m ) from anti-EGFR antibody A.
- the thermostabilities of anti-EGFR antibody A-CDN conjugate 1 and anti-EGFR antibody 3-CDN conjugate 1 were comparable.
- the thermostability of anti-EGFR antibody 1-CDN conjugate 1 the T m value was 4°C higher than other antibodies.
- Test Example 22 Tumor reimplantation test (3) (Test Example 9) An antitumor test similar to antitumor test (7) was conducted.
- Anti-CDH6 antibody 1-CDN conjugate 1 and anti-CDH6 antibody 1-CDN conjugate 2 were intravenously administered once on Day 7 at doses of 1.2 mg/kg and 2.4 mg/kg, respectively.
- mice whose tumors had completely regressed were diagnosed on Day 84 at CT26.
- WT-hCDH6 cells were subcutaneously transplanted into the left axilla. Age-matched untreated BALB/c mice were used as the control group.
- the results on Day 98 of anti-CDH6 antibody 1-CDN conjugate 1 and anti-CDH6 antibody 1-CDN conjugate 2 are shown in FIG.
- the vertical axis indicates tumor volume (mm 3 ).
- Each dot indicates the tumor volume of each individual, and the horizontal line in the figure indicates the median value.
- Tumor growth progressed in the control group at the same age.
- tumor growth was significantly suppressed in the anti-CDH6 antibody 1-CDN conjugate 1 and anti-CDH6 antibody 1-CDN conjugate 2 administration groups. From the above, it was confirmed that anti-tumor immunity was established for each anti-CDH6 antibody-CDN conjugate with an average number of drug binding of about 2.4 and mutations in the Fc portion.
- Antitumor test (8) Human renal cancer cell line A498 cells purchased from ATCC were subcutaneously transplanted into the right axilla of BALB/c-nu mice (Day 0), and 20 days later, they were randomly divided into groups. Each anti-CDH6 antibody-CDN conjugate was administered once in the tail vein at doses of 0.3 mg/kg and 0.6 mg/kg for an average drug binding number of 4 and 2, respectively. The number of mice in each group was 6. The results are shown in FIG. All antibodies in the figure have the LALA-DG mutation in the Fc region. The average number of drug binding for anti-CDH6 antibody 1-CDN conjugate 1 and anti-CDH6 antibody 1-CDN conjugate 2 is 4 and 2, respectively.
- the black square line represents the vehicle group
- the black circle line represents the anti-CDH6 antibody 1-CDN conjugate 1 administration group
- the black triangle line represents the anti-CDH6 antibody 1-CDN conjugate 2 administration group.
- the vertical axis shows the tumor volume (mm 3 ), and the horizontal axis shows the number of days after tumor transplantation. Tumor growth progressed in the vehicle group. In contrast, tumor growth was significantly suppressed in all anti-CDH6 antibody 1-CDN conjugate administration groups. From the above, strong antitumor effects were confirmed for all of the anti-CDH6 antibody-CDN conjugates with an average number of drug binding of about 2 to 4 and each mutation in the Fc region.
- Antitumor test 9 Human renal cancer cell line 786-O cells purchased from ATCC were subcutaneously transplanted into the right axilla of BALB/c-nu mice (Day 0), and 28 days later, they were randomly divided into groups. Each anti-CDH6 antibody-CDN conjugate was administered once in the tail vein at a dose of 0.1 mg/kg, regardless of the average number of drug binding. The number of mice in each group was 6. The results are shown in Figures 26 and 27. All antibodies in the figure have the LALA-DG mutation in the Fc region. The average number of drug binding for anti-CDH6 antibody 1-CDN conjugate 1 and anti-CDH6 antibody 1-CDN conjugate 2 is 4 and 2, respectively.
- the black square line represents the vehicle group
- the black circle line represents the anti-CDH6 antibody 1-CDN conjugate 1 administration group
- the black triangle line represents the anti-CDH6 antibody 1-CDN conjugate 2 administration group.
- the vertical axis shows the tumor volume (mm 3 ), and the horizontal axis shows the number of days after tumor implantation. Tumor growth progressed in the vehicle group. In contrast, tumor growth was significantly suppressed in all anti-CDH6 antibody 1-CDN conjugate administration groups. From the above, strong antitumor effects were confirmed for all of the anti-CDH6 antibody-CDN conjugates with an average number of drug binding of about 2 to 4 and each mutation in the Fc region.
- Antitumor test 10 Human ovarian cancer cell line OV-90 cells purchased from ATCC were subcutaneously transplanted into the right axilla of BALB/c-nu mice (Day 0), and 7 or 15 days later, they were randomly divided into groups.
- Anti-CDH6 antibody 1-CDN conjugate 1 has an average drug binding number of approximately 4, and at a dose of 0.3 mg/kg, anti-CDH6 antibody 1-CDN conjugate 2 has an average drug binding number of approximately 2 and 0.
- a total of 1 dose of .6 mg/kg was administered into the tail vein.
- the number of mice in each group was 6.
- the results are shown in Figures 28 and 29. All antibodies in the figure have the LALA-DG mutation in the Fc region.
- the average number of drug binding for anti-CDH6 antibody 1-CDN conjugate 1 and anti-CDH6 antibody 1-CDN conjugate 2 is 4 and 2, respectively.
- the black square line represents the vehicle group
- the black circle line represents the anti-CDH6 antibody 1-CDN conjugate 1 administration group
- the black triangle line represents the anti-CDH6 antibody 1-CDN conjugate 2 administration group.
- the vertical axis shows the tumor volume (mm 3 ), and the horizontal axis shows the number of days after tumor implantation. Tumor growth progressed in the vehicle group. In contrast, tumor growth was significantly suppressed in all anti-CDH6 antibody 1-CDN conjugate administration groups. From the above, strong antitumor effects were confirmed for all of the anti-CDH6 antibody-CDN conjugates with an average number of drug binding of about 2 to 4 and each mutation in the Fc region.
- Example 15 Production method of modified anti-EGFR antibody 2-[SG-(N 3 ) 2 ] 2 or modified anti-CDH6 antibody 1-[SG-(N 3 ) 2 ] 2 by one-pot method
- a "one-pot method” characterized by using two types of Endo enzymes at the same time to directly transfer the sugar chain of a sugar chain donor whose reducing end is not activated to the N297 sugar chain of an antibody Patent Document: WO2018003983
- WO2022050300 Non-Patent Document: PLoS ONE 2018, 13, e0193534
- This method can also be employed as (Step D-3) of "Method D: Production of sugar chain remodeling antibody”.
- the target product (3d) can be prepared by preparing a reaction solution containing (2d) to (3d) using a one-pot method and then purifying it by an appropriate method.
- any enzyme and sugar chain donor molecule described in the above-mentioned literature can be used in an appropriate combination; however, in the following examples, enzymes described in the above-mentioned literature were One representative example was selected for each. Furthermore, (Fuc ⁇ 1,6)GlcNAc-modified anti-EGFR antibody 2 and (Fuc ⁇ 1,6)GlcNAc-modified anti-CDH6 antibody 1 were selected as representative examples of acceptor molecules. Furthermore, as the sugar chain donor molecule, a sugar chain donor molecule (G-10) not described in the above literature was selected (Table 7).
- step (15-1b) [Condensation reaction] Solid substance 4 (3.0 g) obtained in step (15-1a) was dissolved using DMF (59.1 mL) and purified water (0.9 mL), and then N,N-diisopropylethylamine (1.03 g) was dissolved. , 7.94 mmol) and 11-azido-3,6,9-trioxaundecane-1-amine (867 mg, 3.97 mmol) were added. 1H-benzotriazol-1-yloxytripyrrolidinophosphonium hexafluorophosphate (6.20 g, 11.9 mmol) was added to this solution in three portions at 20°C, and the mixture was stirred at that temperature for 23 hours.
- Example 15-2 Preparation of reaction solution containing modified anti-EGFR antibody 2-[SG-(N 3 ) 2 ] 2 or modified anti-CDH6 antibody 1-[SG-(N 3 ) 2 ] 2
- the electropherogram confirms that the unreacted product and the transglycosylated product are separated as peaks.
- the sugar chain transfer rate was calculated from the peak area ratio of the unreacted product and the sugar chain transfer product using the following calculation formula.
- Glycan transfer rate (%) [[Peak area of H chain derived from glycosyl transfer antibody] / ⁇ [H chain peak area derived from unreacted substance] + [Peak area of H chain derived from glycosyl chain transfer antibody]) ] ⁇ 100
- glycosylation rate at each reaction time was calculated for each reaction condition used for (Fuc ⁇ 1,6)GlcNAc-modified anti-EGFR antibody 2 or (Fuc ⁇ 1,6)GlcNAc-modified anti-CDH6 antibody 1 (Table 8)
- an appropriate molecular species hereinafter referred to as an additive
- electrostatic interactions, hydrophobic interactions, solvent effects, etc. are added, resulting in a higher molecular weight than when no additive is added. It is expected that there will be a positive or negative influence on the glycosylation rate in the one-pot reaction.
- any molecule can be added as long as it is an additive that has the effect of improving reaction efficiency, but here we will use inorganic salts (sodium chloride, lithium chloride, calcium chloride, magnesium sulfate, ammonium sulfate, Magnesium chloride), organic salts (ammonium acetate, sodium acetate, potassium acetate), organic solvents (ethanol, dimethyl sulfoxide), surfactants (polysorbate 20, PEG6000), sugars (glucose, sorbitol, trehalose), amino acids (arginine, Histidine) and the like were used to confirm the presence or absence of the effect of its addition (Tables 8 and 9).
- inorganic salts sodium chloride, lithium chloride, calcium chloride, magnesium sulfate, ammonium sulfate, Magnesium chloride
- organic salts ammonium acetate, sodium acetate, potassium acetate
- organic solvents ethanol, dimethyl sulfoxide
- surfactants
- additives can significantly improve the glycosylation rate.
- monovalent alkali metal salts particularly sodium chloride, ammonium acetate, and potassium acetate, are highly effective.
- Example 15-3 Method for setting the concentration of additives used in one-pot method
- concentration of additives should be determined as long as adding the additive does not precipitate antibodies or enzymes, that is, as long as the reactivity of the one-pot reaction remains. Can be set arbitrarily.
- an example of a specific setting method will be shown using sodium chloride as a representative example of the additive.
- Example 15-3 From the results of Example 15-3, it was confirmed that when sodium chloride was selected as the additive, the higher the salt concentration in the reaction system, the more the sugar chain transfer rate tended to improve. Similarly, the optimum salt concentration of the additive to be used can be set depending on the type of additive to be used.
- Example 15-2 or Example 15-3 can be used in a one-pot method at an optimal concentration to produce the target modified anti-EGFR antibody 2-[SG-(N 3 ). 2 ] 2 or modified anti-CDH6 antibody 1-[SG-(N 3 ) 2 ] 2 may be prepared and then purified by an appropriate method.
- the present invention provides an antibody-drug conjugate containing a CDN derivative that has strong STING agonist activity and exhibits strong antitumor effects.
- the antibody-drug conjugate is useful as a therapeutic agent for diseases associated with STING agonist activity (eg, cancer).
- the present invention provides a novel method for producing an Fc-containing molecule having an N297-linked sugar chain containing a sugar chain derived from a sugar chain donor molecule.
- SEQ ID NO: 1 Amino acid sequence of human wild type STING SEQ ID NO: 2: Nucleic acid sequence of human wild type STING SEQ ID NO: 3: Amino acid sequence of human H232 (REF) mutant STING SEQ ID NO: 4: Human H232 (REF) mutant STING Nucleotide acid sequence of SEQ ID NO: 5: Amino acid sequence of human HAQ variant STING SEQ ID NO: 6: Nucleotide acid sequence of human HAQ variant STING SEQ ID NO: 7: Amino acid sequence of mouse STING SEQ ID NO: 8: Nucleotide acid sequence of mouse STING SEQ ID NO: 9: HisAviTEV-hSTING (139-342) Amino acid sequence of human wild type protein SEQ ID NO: 10: HisAviTEV-hSTING (139-342) Amino acid sequence of human REF mutant protein SEQ ID NO: 11: HisAviTEV-hSTING (139-342) human Amino acid sequence of AQ mutant protein SEQ
Landscapes
- Health & Medical Sciences (AREA)
- Chemical & Material Sciences (AREA)
- Life Sciences & Earth Sciences (AREA)
- Medicinal Chemistry (AREA)
- General Health & Medical Sciences (AREA)
- Animal Behavior & Ethology (AREA)
- Veterinary Medicine (AREA)
- Public Health (AREA)
- Pharmacology & Pharmacy (AREA)
- Immunology (AREA)
- Organic Chemistry (AREA)
- Bioinformatics & Cheminformatics (AREA)
- Engineering & Computer Science (AREA)
- Epidemiology (AREA)
- Molecular Biology (AREA)
- Biochemistry (AREA)
- Biophysics (AREA)
- Genetics & Genomics (AREA)
- Proteomics, Peptides & Aminoacids (AREA)
- Chemical Kinetics & Catalysis (AREA)
- General Chemical & Material Sciences (AREA)
- Nuclear Medicine, Radiotherapy & Molecular Imaging (AREA)
- Microbiology (AREA)
- Mycology (AREA)
- Cell Biology (AREA)
- Peptides Or Proteins (AREA)
- Medicinal Preparation (AREA)
- Medicines Containing Antibodies Or Antigens For Use As Internal Diagnostic Agents (AREA)
Abstract
Description
[1]
次式(II):
Abは、抗体又は該抗体の機能性断片を示し、該抗体又は該抗体の機能性断片はリモデリングされた糖鎖を有していてもよく、該抗体又は該抗体の機能性断片のFc領域の234番目、235番目、及び265番目(すべてEUナンバリング)のアミノ酸残基が、それぞれ、Ala、Ala、及びGlyであり、ここで、抗体は、抗EGFR抗体又は抗CDH6抗体を示し、
Lは、AbとDを連結するリンカーを示し、
Abはそのアミノ酸残基から直接Lに結合するか、Abの糖鎖又はリモデリングされた糖鎖からLに結合していてもよく、
Dは、次式(I):
Lは、L1に含まれるヒドロキシ基と結合し、
L1は、以下の式:
の基を示し、
Q及びQ’は、それぞれ独立して、ヒドロキシ基又はチオール基を示し、
R21及びR22は、それぞれ独立して、ヒドロキシ基又はフッ素原子を示し、
Wは、-NH-又は硫黄原子を示す)
で表される化合物を示す)
で表される抗体薬物コンジュゲート。
[2]
Dが、以下の2式:
のいずれかで示される、[1]に記載の抗体薬物コンジュゲート。
[3]
Dが、以下の2式:
のいずれかで示される、[1]又は[2]に記載の抗体薬物コンジュゲート。
[4]
Dが、以下の3式:
のいずれかで示される、[1]~[3]のいずれか1つに記載の抗体薬物コンジュゲート。
[5]
Dが、以下の3式:
のいずれかで示される、[1]~[4]のいずれか1つに記載の抗体薬物コンジュゲート。
[6]
Dが、以下の4式:
のいずれかで示される、[1]~[4]のいずれか1つに記載の抗体薬物コンジュゲート。
[7]
Dが、次式:
で示される、[1]~[4]又は[6]のいずれか1つに記載の抗体薬物コンジュゲート。
[8]
リンカーLが、-Lb-La-Lp-Lc-*で示され、
式中、アステリスクは、薬物Dと結合していることを示し、
Lpは、標的細胞において切断可能なアミノ酸配列からなるリンカーを示すか又は存在せず、
Laは、以下の群から選択されるいずれか一つを示し、
-C(=O)-(CH2CH2)n2-C(=O)-、
-C(=O)-(CH2CH2)n2-CH2-C(=O)-、
-C(=O)-(CH2CH2)n2-C(=O)-NH-(CH2CH2)n3-C(=O)-、
-C(=O)-(CH2CH2)n2-C(=O)-NH-(CH2CH2)n3-CH2-C(=O)-、
-C(=O)-(CH2CH2)n2-C(=O)-NH-(CH2CH2O)n3-CH2-C(=O)-、
-(CH2)n4-O-C(=O)-、及び、
-(CH2)n9-C(=O)-
(ここで、n2は1~3の整数を示し、n3は1~5の整数を示し、n4は0~2の整数を示し、n9は2~7の整数を示す)、
Lbは、LaとAbの糖鎖又はリモデリングされた糖鎖を結合するスペーサー又はLaとAbのシステイン残基を結合するスペーサーを示し、並びに、
Lcは、-NH-CH2-、―NH-フェニル基-CH2-O(C=O)-又は―NH-ヘテロアリール基-CH2-O(C=O)-を示すか又は存在しない、
[1]~[7]のいずれか1つに記載の抗体薬物コンジュゲート。
[9]
Lcが-NH-CH2-である、[8]に記載の抗体薬物コンジュゲート。
[10]
Lpが、-GGFG-、-GGPI-、-GGVA-、-GGFM-、-GGVCit-、-GGFCit-、-GGICit-、-GGPL-、-GGAQ-又は-GGPP-のいずれか一つである、[8]又は[9]に記載の抗体薬物コンジュゲート。
[11]
Lpが、-GGFG-又は-GGPI-である、[10]に記載の抗体薬物コンジュゲート。
[12]
Laが、以下:
-C(=O)-CH2CH2-C(=O)-、
-C(=O)-CH2CH2-C(=O)-NH-(CH2CH2O)3-CH2-C(=O)-、
-C(=O)-CH2CH2-C(=O)-NH-(CH2CH2O)4-CH2-C(=O)-、及び
-(CH2)5-C(=O)-
からなる群から選択されるいずれか一つを示す、[8]~[11]のいずれか1つに記載の抗体薬物コンジュゲート。
[13]
Lbが、次式:
[14]
Lbが、-(スクシンイミド-3-イル-N)-であり、
ここで、-(スクシンイミド-3-イル-N)-は、以下の構造式:
ここで、アステリスクはLaと結合していることを示し、波線は抗体のシステイン残基の側鎖とチオエーテルを形成して結合していることを示す、[8]~[12]のいずれか1つに記載の抗体薬物コンジュゲート。
[15]
リンカーLが、-Lb-La-Lp-Lc-*で示され、
式中、アステリスクは、薬物Dと結合していることを示し、
Lpが、-GGFG-、又は-GGPI-であり、
Laが、-C(=O)-CH2CH2-C(=O)-を示し、
Lbが、次式:
Lcが、-NH-CH2-を示す、[8]~[13]のいずれか1つに記載の抗体薬物コンジュゲート。
[16]
抗体薬物コンジュゲートにおける抗体1分子あたりの平均薬物結合数が、1から10の範囲である、[1]~[15]のいずれか1つに記載の抗体薬物コンジュゲート。
[17]
抗体薬物コンジュゲートにおける抗体1分子あたりの平均薬物結合数が、1から5の範囲である、[16]に記載の抗体薬物コンジュゲート。
[18]
抗体薬物コンジュゲートにおける抗体1分子あたりの平均薬物結合数が、1から3、又は3から5の範囲である、[17]に記載の抗体薬物コンジュゲート。
[19]
抗体が、抗体のAsn297に結合する糖鎖(N297糖鎖)からLに結合している、[1]~[18]のいずれか1つに記載の抗体薬物コンジュゲート。
[20]
N297糖鎖が、リモデリングされた糖鎖である、[19]に記載の抗体薬物コンジュゲート。
[21]
N297糖鎖が、次式で示される構造を有するN297-(Fuc)MSG1又はN297-(Fuc)SGである、[19]又は[20]に記載の抗体薬物コンジュゲート:
L(PEG)は、-(CH2-CH2-O)n5-CH2-CH2-NH-を示し、該L(PEG)の右端のアミノ基がN297糖鎖のβ-Manの分岐鎖の1-3鎖側の非還元末端のシアル酸の2位のカルボキシル基とアミド結合していることを示し、
アステリスクは、前記リンカーLにおけるLbの1,2,3-トリアゾール環上の1位又は3位の窒素原子と結合していることを示し、及び
n5は2~5の整数である;
L(PEG)は、-(CH2-CH2-O)n5-CH2-CH2-NH-を示し、該L(PEG)の右端のアミノ基がN297糖鎖のβ-Manの分岐鎖の1-3鎖側及び1-6鎖側の両方の非還元末端のシアル酸の2位のカルボキシル基とアミド結合していることを示し、
アステリスクは、前記リンカーLにおけるLbの1,2,3-トリアゾール環上の1位又は3位の窒素原子と結合していることを示し、及び
n5は2~5の整数である。
[22]
次式:
Lは、N297糖鎖とDを連結するリンカーであって、前に定義したとおりであり、
Abは、抗体又は該抗体の機能性断片を示し、該抗体又は該抗体の機能性断片のFc領域の234番目、235番目、及び265番目(すべてEUナンバリング)のアミノ酸残基が、それぞれ、Ala、Ala、及びGlyであり、ここで、抗体は、抗EGFR抗体又は抗CDH6抗体を示し、
N297糖鎖は、次式で示される構造を有するN297-(Fuc)MSG1又はN297-(Fuc)SGであることを示し、
L(PEG)は、-(CH2-CH2-O)n5-CH2-CH2-NH-を示し、該L(PEG)の右端のアミノ基がN297糖鎖のβ-Manの分岐鎖の1-3鎖側の非還元末端のシアル酸の2位のカルボキシル基とアミド結合していることを示し、
アステリスクは、前記リンカーLにおけるLbの1,2,3-トリアゾール環上の1位又は3位の窒素原子と結合していることを示し、及び
n5は2~5の整数を示し;
L(PEG)は、-(CH2-CH2-O)n5-CH2-CH2-NH-を示し、該L(PEG)の右端のアミノ基がN297糖鎖のβ-Manの分岐鎖の1-3鎖側及び1-6鎖側の両方の非還元末端のシアル酸の2位のカルボキシル基とアミド結合していることを示し、
アステリスクは、前記リンカーLにおけるLbの1,2,3-トリアゾール環上の1位又は3位の窒素原子と結合していることを示し、及び
n5は2~5の整数を示し、
Dは、以下の4式のいずれかで示され、
[23]
次式:
上記で示されるそれぞれの構造式において、m2は1又は2の整数であることを示し、
Abは、抗体又は該抗体の機能性断片を示し、該抗体又は該抗体の機能性断片のFc領域の234番目、235番目、及び265番目(すべてEUナンバリング)のアミノ酸残基が、それぞれ、Ala、Ala、及びGlyであり、ここで、抗体は、抗EGFR抗体又は抗CDH6抗体を示し、
N297糖鎖は、次式で示される構造を有するN297-(Fuc)MSG1又はN297-(Fuc)SGのいずれか一つであることを示し、
L(PEG)は、-(CH2-CH2-O)n5-CH2-CH2-NH-を示し、該L(PEG)の右端のアミノ基がN297糖鎖のβ-Manの分岐鎖の1-3鎖側の非還元末端のシアル酸の2位のカルボキシル基とアミド結合していることを示し、
アステリスクは、前記リンカーLにおけるLbの1,2,3-トリアゾール環上の1位又は3位の窒素原子と結合していることを示し、及び
n5は2~5の整数を示し;
L(PEG)は、-(CH2-CH2-O)n5-CH2-CH2-NH-を示し、該L(PEG)の右端のアミノ基がN297糖鎖のβ-Manの分岐鎖の1-3鎖側及び1-6鎖側の両方の非還元末端のシアル酸の2位のカルボキシル基とアミド結合していることを示し、
アステリスクは、前記リンカーLにおけるLbの1,2,3-トリアゾール環上の1位又は3位の窒素原子と結合していることを示し、及び
n5は2~5の整数を示す、[22]に記載の抗体薬物コンジュゲート。
[24]
次式:
上記で示されるそれぞれの構造式において、m2は1又は2の整数であることを示し、
Abは、抗体又は該抗体の機能性断片を示し、該抗体又は該抗体の機能性断片のFc領域の234番目、235番目、及び265番目(すべてEUナンバリング)のアミノ酸残基が、それぞれ、Ala、Ala、及びGlyであり、ここで、抗体は、抗EGFR抗体又は抗CDH6抗体を示し、
N297糖鎖は、次式で示される構造を有するN297-(Fuc)MSG1又はN297-(Fuc)SGのいずれか一つであることを示し、
L(PEG)は、-(CH2-CH2-O)n5-CH2-CH2-NH-を示し、該L(PEG)の右端のアミノ基がN297糖鎖のβ-Manの分岐鎖の1-3鎖側の非還元末端のシアル酸の2位のカルボキシル基とアミド結合していることを示し、
アステリスクは、前記リンカーLにおけるLbの1,2,3-トリアゾール環上の1位又は3位の窒素原子と結合していることを示し、及び
n5は2~5の整数を示し;
L(PEG)は、-(CH2-CH2-O)n5-CH2-CH2-NH-を示し、該L(PEG)の右端のアミノ基がN297糖鎖のβ-Manの分岐鎖の1-3鎖側及び1-6鎖側の両方の非還元末端のシアル酸の2位のカルボキシル基とアミド結合していることを示し、
アステリスクは、前記リンカーLにおけるLbの1,2,3-トリアゾール環上の1位又は3位の窒素原子と結合していることを示し、及び
n5は2~5の整数を示す、[23]に記載の抗体薬物コンジュゲート。
[25]
抗体が、抗EGFR抗体である、[1]~[24]のいずれか1つに記載の抗体薬物コンジュゲート。
[26]
抗体が、抗CDH6抗体である、[1]~[24]のいずれか1つに記載の抗体薬物コンジュゲート。
[27]
抗体が、配列番号30に記載のアミノ酸配列からなる軽鎖及び配列番号32に記載のアミノ酸配列からなる重鎖を含む抗体、又は配列番号30に記載のアミノ酸配列からなる軽鎖及び配列番号33に記載のアミノ酸配列からなる重鎖を含む抗体、或いは、前記いずれか一つの抗体において、カルボキシル末端の1つ又は数個のアミノ酸残基が欠失した重鎖を含む抗体である、[25]に記載の抗体薬物コンジュゲート。
[28]
抗体が、配列番号44に記載のアミノ酸配列からなる軽鎖及び配列番号46に記載のアミノ酸配列からなる重鎖を含む抗体、又は、前記抗体において、カルボキシル末端の1つ又は数個のアミノ酸残基が欠失した重鎖を含む抗体である、[26]に記載の抗体薬物コンジュゲート。
[29]
抗体が、配列番号29に記載のアミノ酸配列からなる軽鎖可変領域を含む軽鎖、及び配列番号31に記載のアミノ酸配列からなる重鎖可変領域を含む重鎖を含んでなる抗体であって、該抗体のFc領域の234番目、235番目、及び265番目(すべてEUナンバリング)のアミノ酸残基が、それぞれ、Ala、Ala、及びGlyである、[25]に記載の抗体薬物コンジュゲート。
[30]
抗体が、配列番号43に記載のアミノ酸配列からなる軽鎖可変領域を含む軽鎖、及び配列番号45に記載のアミノ酸配列からなる重鎖可変領域を含む重鎖を含んでなる抗体であって、該抗体のFc領域の234番目、235番目、及び265番目(すべてEUナンバリング)のアミノ酸残基が、それぞれ、Ala、Ala、及びGlyである、[26]に記載の抗体薬物コンジュゲート。
[31]
抗体が、配列番号23に記載のアミノ酸配列からなるCDRL1、配列番号24に記載のアミノ酸配列からなるCDRL2、及び配列番号25に記載のアミノ酸配列からなるCDRL3を含む軽鎖、並びに、配列番号26に記載のアミノ酸配列からなるCDRH1、配列番号27に記載のアミノ酸配列からなるCDRH2、及び配列番号28に記載のアミノ酸配列からなるCDRH3を含む重鎖を含んでなる抗体であって、該抗体のFc領域の234番目、235番目、及び265番目(すべてEUナンバリング)のアミノ酸残基が、それぞれ、Ala、Ala、及びGlyである、[25]に記載の抗体薬物コンジュゲート。
[32]
抗体が、配列番号37に記載のアミノ酸配列からなるCDRL1、配列番号38に記載のアミノ酸配列からなるCDRL2、及び配列番号39に記載のアミノ酸配列からなるCDRL3を含む軽鎖、並びに、配列番号40に記載のアミノ酸配列からなるCDRH1、配列番号41に記載のアミノ酸配列からなるCDRH2、及び配列番号42に記載のアミノ酸配列からなるCDRH3を含む重鎖を含んでなる抗体であって、該抗体のFc領域の234番目、235番目、及び265番目(すべてEUナンバリング)のアミノ酸残基が、それぞれ、Ala、Ala、及びGlyである、[26]に記載の抗体薬物コンジュゲート。
[33]
次式:
配列番号30に記載のアミノ酸配列からなる軽鎖及び配列番号32に記載のアミノ酸配列からなる重鎖を含む抗体;
配列番号30に記載のアミノ酸配列からなる軽鎖及び配列番号33に記載のアミノ酸配列からなる重鎖を含む抗体;
配列番号44に記載のアミノ酸配列からなる軽鎖及び配列番号46に記載のアミノ酸配列からなる重鎖を含む抗体;及び
前記いずれか一つの抗体において、カルボキシル末端の1つ又は数個のアミノ酸残基が欠失した重鎖を含む抗体;
N297糖鎖は、次式:
L(PEG)は、-(CH2-CH2-O)n5-CH2-CH2-NH-を示し、該L(PEG)の右端のアミノ基がN297糖鎖のβ-Manの分岐鎖の1-3鎖側及び1-6鎖側の両方の非還元末端のシアル酸の2位のカルボキシル基とアミド結合していることを示し、
アステリスクは、前記リンカーLにおけるLbの1,2,3-トリアゾール環上の1位又は3位の窒素原子と結合していることを示し、
n5は3であり、及び
m2が2である)で表される、抗体薬物コンジュゲート。
[34]
次式:
配列番号29に記載のアミノ酸配列からなる軽鎖可変領域を含む軽鎖、及び配列番号31に記載のアミノ酸配列からなる重鎖可変領域を含む重鎖を含んでなる抗体;及び
配列番号43に記載のアミノ酸配列からなる軽鎖可変領域を含む軽鎖、及び配列番号45に記載のアミノ酸配列からなる重鎖可変領域を含む重鎖を含んでなる抗体;
該抗体のFc領域の234番目、235番目、及び265番目(すべてEUナンバリング)のアミノ酸残基が、それぞれ、Ala、Ala、及びGlyであり、
N297糖鎖は、次式:
L(PEG)は、-(CH2-CH2-O)n5-CH2-CH2-NH-を示し、該L(PEG)の右端のアミノ基がN297糖鎖のβ-Manの分岐鎖の1-3鎖側及び1-6鎖側の両方の非還元末端のシアル酸の2位のカルボキシル基とアミド結合していることを示し、
アステリスクは、前記リンカーLにおけるLbの1,2,3-トリアゾール環上の1位又は3位の窒素原子と結合していることを示し、
n5は3であり、及び
m2が2である)で表される、抗体薬物コンジュゲート。
[35]
次式:
配列番号23に記載のアミノ酸配列からなるCDRL1、配列番号24に記載のアミノ酸配列からなるCDRL2、及び配列番号25に記載のアミノ酸配列からなるCDRL3を含む軽鎖、並びに、配列番号26に記載のアミノ酸配列からなるCDRH1、配列番号27に記載のアミノ酸配列からなるCDRH2、及び配列番号28に記載のアミノ酸配列からなるCDRH3を含む重鎖を含んでなる抗体;及び
配列番号37に記載のアミノ酸配列からなるCDRL1、配列番号38に記載のアミノ酸配列からなるCDRL2、及び配列番号39に記載のアミノ酸配列からなるCDRL3を含む軽鎖、並びに、配列番号40に記載のアミノ酸配列からなるCDRH1、配列番号41に記載のアミノ酸配列からなるCDRH2、及び配列番号42に記載のアミノ酸配列からなるCDRH3を含む重鎖を含んでなる抗体;
該抗体のFc領域の234番目、235番目、及び265番目(すべてEUナンバリング)のアミノ酸残基が、それぞれ、Ala、Ala、及びGlyであり、
N297糖鎖は、次式:
L(PEG)は、-(CH2-CH2-O)n5-CH2-CH2-NH-を示し、該L(PEG)の右端のアミノ基がN297糖鎖のβ-Manの分岐鎖の1-3鎖側及び1-6鎖側の両方の非還元末端のシアル酸の2位のカルボキシル基とアミド結合していることを示し、
アステリスクは、前記リンカーLにおけるLbの1,2,3-トリアゾール環上の1位又は3位の窒素原子と結合していることを示し、
n5は3であり、及び
m2が2である)で表される、抗体薬物コンジュゲート。
[36]
次式:
配列番号30に記載のアミノ酸配列からなる軽鎖及び配列番号32に記載のアミノ酸配列からなる重鎖を含む抗体;
配列番号30に記載のアミノ酸配列からなる軽鎖及び配列番号33に記載のアミノ酸配列からなる重鎖を含む抗体;
配列番号44に記載のアミノ酸配列からなる軽鎖及び配列番号46に記載のアミノ酸配列からなる重鎖を含む抗体;及び
前記いずれか一つの抗体において、カルボキシル末端の1つ又は数個のアミノ酸残基が欠失した重鎖を含む抗体;
N297糖鎖は、次式:
L(PEG)は、-(CH2-CH2-O)n5-CH2-CH2-NH-を示し、該L(PEG)の右端のアミノ基がN297糖鎖のβ-Manの分岐鎖の1-3鎖側及び1-6鎖側の両方の非還元末端のシアル酸の2位のカルボキシル基とアミド結合していることを示し、
アステリスクは、前記リンカーLにおけるLbの1,2,3-トリアゾール環上の1位又は3位の窒素原子と結合していることを示し、
n5は3であり、及び
m2が1である)で表される、抗体薬物コンジュゲート。
[37]
次式:
配列番号29に記載のアミノ酸配列からなる軽鎖可変領域を含む軽鎖、及び配列番号31に記載のアミノ酸配列からなる重鎖可変領域を含む重鎖を含んでなる抗体;及び
配列番号43に記載のアミノ酸配列からなる軽鎖可変領域を含む軽鎖、及び配列番号45に記載のアミノ酸配列からなる重鎖可変領域を含む重鎖を含んでなる抗体;
該抗体のFc領域の234番目、235番目、及び265番目(すべてEUナンバリング)のアミノ酸残基が、それぞれ、Ala、Ala、及びGlyであり、
N297糖鎖は、次式:
L(PEG)は、-(CH2-CH2-O)n5-CH2-CH2-NH-を示し、該L(PEG)の右端のアミノ基がN297糖鎖のβ-Manの分岐鎖の1-3鎖側及び1-6鎖側の両方の非還元末端のシアル酸の2位のカルボキシル基とアミド結合していることを示し、
アステリスクは、前記リンカーLにおけるLbの1,2,3-トリアゾール環上の1位又は3位の窒素原子と結合していることを示し、
n5は3であり、及び
m2が1である)で表される、抗体薬物コンジュゲート。
[38]
次式:
配列番号23に記載のアミノ酸配列からなるCDRL1、配列番号24に記載のアミノ酸配列からなるCDRL2、及び配列番号25に記載のアミノ酸配列からなるCDRL3を含む軽鎖、並びに、配列番号26に記載のアミノ酸配列からなるCDRH1、配列番号27に記載のアミノ酸配列からなるCDRH2、及び配列番号28に記載のアミノ酸配列からなるCDRH3を含む重鎖を含んでなる抗体;及び
配列番号37に記載のアミノ酸配列からなるCDRL1、配列番号38に記載のアミノ酸配列からなるCDRL2、及び配列番号39に記載のアミノ酸配列からなるCDRL3を含む軽鎖、並びに、配列番号40に記載のアミノ酸配列からなるCDRH1、配列番号41に記載のアミノ酸配列からなるCDRH2、及び配列番号42に記載のアミノ酸配列からなるCDRH3を含む重鎖を含んでなる抗体;
該抗体のFc領域の234番目、235番目、及び265番目(すべてEUナンバリング)のアミノ酸残基が、それぞれ、Ala、Ala、及びGlyであり、
N297糖鎖は、次式:
L(PEG)は、-(CH2-CH2-O)n5-CH2-CH2-NH-を示し、該L(PEG)の右端のアミノ基がN297糖鎖のβ-Manの分岐鎖の1-3鎖側及び1-6鎖側の両方の非還元末端のシアル酸の2位のカルボキシル基とアミド結合していることを示し、
アステリスクは、前記リンカーLにおけるLbの1,2,3-トリアゾール環上の1位又は3位の窒素原子と結合していることを示し、
n5は3であり、及び
m2が1である)で表される、抗体薬物コンジュゲート。
[39]
[1]~[38]のいずれか1つに記載の抗体薬物コンジュゲートを含有する、STINGアゴニスト。
[40]
[1]~[38]のいずれか1つに記載の抗体薬物コンジュゲートを含有する、医薬組成物。
[41]
[1]~[38]のいずれか1つに記載の抗体薬物コンジュゲートを含有する、抗腫瘍剤。
[42]
腫瘍が、肺がん、腎がん、尿路上皮がん、大腸がん、前立腺がん、多形神経膠芽腫、卵巣がん、膵がん、乳がん、メラノーマ、肝がん、肝細胞がん、膀胱がん、胃がん、食道がん、子宮体がん、精巣がん、子宮頸がん、胎盤絨毛がん、脳腫瘍、頭頚部がん、甲状腺がん、中皮腫、消化管間質腫瘍(GIST)、胆のうがん、胆管がん、副腎がん、有棘細胞がん、咽頭がん、舌がん、聴器がん、胸腺がん、小腸がん、白血病、悪性リンパ腫、形質細胞腫、骨髄腫、肉腫、EGFR変異陽性がん又はEGFR下流シグナルに変異を有するがんである、[41]に記載の抗腫瘍剤。
[42-2]
腫瘍がCDH6陽性がんである、[41]に記載の抗腫瘍剤。
[42-3]
腫瘍が卵巣がん又は腎がんである、[41]又は[42-2]に記載の抗腫瘍剤。
[43]
[1]~[38]のいずれか1つに記載の抗体薬物コンジュゲート、[39]に記載のSTINGアゴニスト、[40]に記載の医薬組成物及び[41]、[42]、[42-2]又は[42-3]に記載の抗腫瘍剤からなる群から選択されるいずれかを投与することを含む、がんの治療方法。
[44]
がんが、肺がん、腎がん、尿路上皮がん、大腸がん、前立腺がん、多形神経膠芽腫、卵巣がん、膵がん、乳がん、メラノーマ、肝がん、肝細胞がん、膀胱がん、胃がん、食道がん、子宮体がん、精巣がん、子宮頸がん、胎盤絨毛がん、脳腫瘍、頭頚部がん、甲状腺がん、中皮腫、消化管間質腫瘍(GIST)、胆のうがん、胆管がん、副腎がん、有棘細胞がん、咽頭がん、舌がん、聴器がん、胸腺がん、小腸がん、白血病、悪性リンパ腫、形質細胞腫、骨髄腫、肉腫、EGFR変異陽性がん又はEGFR下流シグナルに変異を有するがんである、[43]に記載の方法。
[44-2]
がんがCDH6陽性がんである、[43]に記載の方法。
[44-3]
がんが卵巣がん又は腎がんである、[43]又は[44-2]に記載の方法。
[45]
(A)配列番号23に記載のアミノ酸配列からなるCDRL1、配列番号24に記載のアミノ酸配列からなるCDRL2、及び配列番号25に記載のアミノ酸配列からなるCDRL3を含む軽鎖、並びに、配列番号26に記載のアミノ酸配列からなるCDRH1、配列番号27に記載のアミノ酸配列からなるCDRH2、及び配列番号28に記載のアミノ酸配列からなるCDRH3を含む重鎖を含んでなる抗体であって、該抗体のFc領域の234番目、235番目、及び265番目(すべてEUナンバリング)のアミノ酸残基が、それぞれ、Ala、Ala、及びGlyである抗体;又は
(B)配列番号37に記載のアミノ酸配列からなるCDRL1、配列番号38に記載のアミノ酸配列からなるCDRL2、及び配列番号39に記載のアミノ酸配列からなるCDRL3を含む軽鎖、並びに、配列番号40に記載のアミノ酸配列からなるCDRH1、配列番号41に記載のアミノ酸配列からなるCDRH2、及び配列番号42に記載のアミノ酸配列からなるCDRH3を含む重鎖を含んでなる抗体であって、該抗体のFc領域の234番目、235番目、及び265番目(すべてEUナンバリング)のアミノ酸残基が、それぞれ、Ala、Ala、及びGlyである抗体。
[45-2]
(A)配列番号23に記載のアミノ酸配列からなるCDRL1、配列番号24に記載のアミノ酸配列からなるCDRL2、及び配列番号25に記載のアミノ酸配列からなるCDRL3を含む軽鎖、並びに、配列番号26に記載のアミノ酸配列からなるCDRH1、配列番号27に記載のアミノ酸配列からなるCDRH2、及び配列番号28に記載のアミノ酸配列からなるCDRH3を含む重鎖を含んでなる抗体であって、該抗体のFc領域の234番目、235番目、及び265番目(すべてEUナンバリング)のアミノ酸残基が、それぞれ、Ala、Ala、及びGlyであり、EGFRへの結合活性を有する抗体;又は
(B)配列番号37に記載のアミノ酸配列からなるCDRL1、配列番号38に記載のアミノ酸配列からなるCDRL2、及び配列番号39に記載のアミノ酸配列からなるCDRL3を含む軽鎖、並びに、配列番号40に記載のアミノ酸配列からなるCDRH1、配列番号41に記載のアミノ酸配列からなるCDRH2、及び配列番号42に記載のアミノ酸配列からなるCDRH3を含む重鎖を含んでなる抗体であって、該抗体のFc領域の234番目、235番目、及び265番目(すべてEUナンバリング)のアミノ酸残基が、それぞれ、Ala、Ala、及びGlyであり、CDH6への結合活性を有する抗体。
[46]
(A)配列番号29に記載のアミノ酸配列からなる軽鎖可変領域を含む軽鎖、及び配列番号31に記載のアミノ酸配列からなる重鎖可変領域を含む重鎖を含んでなる抗体であって、該抗体のFc領域の234番目、235番目、及び265番目(すべてEUナンバリング)のアミノ酸残基が、それぞれ、Ala、Ala、及びGlyである抗体;又は
(B)配列番号43に記載のアミノ酸配列からなる軽鎖可変領域を含む軽鎖、及び配列番号45に記載のアミノ酸配列からなる重鎖可変領域を含む重鎖を含んでなる抗体であって、該抗体のFc領域の234番目、235番目、及び265番目(すべてEUナンバリング)のアミノ酸残基が、それぞれ、Ala、Ala、及びGlyである抗体。
[46-2]
(A)配列番号29に記載のアミノ酸配列からなる軽鎖可変領域を含む軽鎖、及び配列番号31に記載のアミノ酸配列からなる重鎖可変領域を含む重鎖を含んでなる抗体であって、該抗体のFc領域の234番目、235番目、及び265番目(すべてEUナンバリング)のアミノ酸残基が、それぞれ、Ala、Ala、及びGlyであり、EGFRへの結合活性を有する抗体;又は
(B)配列番号43に記載のアミノ酸配列からなる軽鎖可変領域を含む軽鎖、及び配列番号45に記載のアミノ酸配列からなる重鎖可変領域を含む重鎖を含んでなる抗体であって、該抗体のFc領域の234番目、235番目、及び265番目(すべてEUナンバリング)のアミノ酸残基が、それぞれ、Ala、Ala、及びGlyであり、CDH6への結合活性を有する抗体。
[47]
(A)配列番号30に記載のアミノ酸配列からなる軽鎖及び配列番号32に記載のアミノ酸配列からなる重鎖を含む抗体、又は配列番号30に記載のアミノ酸配列からなる軽鎖及び配列番号33に記載のアミノ酸配列からなる重鎖を含む抗体、;
(B)配列番号44に記載のアミノ酸配列からなる軽鎖及び配列番号46に記載のアミノ酸配列からなる重鎖を含む抗体、又は
(C)(A)~(B)のいずれか一つの抗体において、カルボキシル末端の1つ又は数個のアミノ酸残基が欠失した重鎖を含む抗体。
[47-2]
(A)配列番号30に記載のアミノ酸配列からなる軽鎖及び配列番号32に記載のアミノ酸配列からなる重鎖を含む抗体、又は配列番号30に記載のアミノ酸配列からなる軽鎖及び配列番号33に記載のアミノ酸配列からなる重鎖を含み、EGFRへの結合活性を有する抗体;
(B)配列番号44に記載のアミノ酸配列からなる軽鎖及び配列番号46に記載のアミノ酸配列からなる重鎖を含み、CDH6への結合活性を有する抗体、又は
(C)(A)~(B)のいずれか一つの抗体において、カルボキシル末端の1つ又は数個のアミノ酸残基が欠失した重鎖を含む抗体。
[48]
他の医薬と組み合わせて投与される、[40]に記載の医薬組成物、又は[41]、[42]、[42-2]若しくは[42-3]に記載の抗腫瘍剤。
[49]
他の医薬を含む、[40]に記載の医薬組成物、又は[41]、[42]、[42-2]若しくは[42-3]に記載の抗腫瘍剤。
[50]
[1]~[38]のいずれか1つに記載の抗体薬物コンジュゲート、[39]に記載のSTINGアゴニスト、[40]に記載の医薬組成物及び[41]、[42]、[42-2]又は[42-3]に記載の抗腫瘍剤からなる群から選択されるいずれかが、他の医薬と組み合わせて投与される、[43]、[44]、[44-2]又は[44-3]に記載の方法。
[51]
[45]、[45-2]、[46]、[46-2]、[47]及び[47-2]のいずれか1つに記載の抗体のアミノ酸配列をコードするポリヌクレオチド。
[52]
[51]に記載のポリヌクレオチドを含有する発現ベクター。
[53]
[52]に記載の発現ベクターにより形質転換された宿主細胞。
[54]
[53]に記載の宿主細胞を培養することを含む培養方法。
[55]
[53]に記載の宿主細胞を培養する工程と該培養工程において得られた培養物から目的の抗体を採取することを含む抗体の製造方法。
[56]
以下の工程1を含む、糖鎖ドナー分子に由来する糖鎖を含むN297結合糖鎖を有するFc含有分子の製造方法:
(工程1)N297結合糖鎖としてフコースが付加していてもよいコアGlcNAcを有するFc含有分子であるアクセプター分子と、還元末端が活性化されていないGlcNAcを含む糖鎖を含む糖鎖ドナー分子とを、
・Fc含有分子のN297結合糖鎖を基質とするエンド-β-N-アセチルグルコサミニダーゼ(酵素-A);
・糖鎖ドナー分子の糖鎖を基質とするエンド-β-N-アセチルグルコサミニダーゼ(酵素-B);及び
・一価の塩、有機溶媒、界面活性剤、糖類、アミノ酸類、又はこれらのいずれかの組み合わせから選択される添加剤
の存在下で反応させ、反応混合液を得る工程。
[57]
さらに、以下の工程2を含む、[56]に記載の方法。
(工程2)前記反応混合液を、酸性条件下で陽イオン交換クロマトグラフィー媒体又はマルチモードクロマトグラフィー媒体に接触させ、糖鎖ドナー分子に由来する糖鎖を含むN297結合糖鎖を有するFc含有分子を回収する工程。
[58]
Fc含有分子が抗体又は該抗体の機能性断片であって、該抗体又は該抗体の機能性断片のFc領域の234番目、235番目、及び265番目(すべてEUナンバリング)のアミノ酸残基が、それぞれ、Ala、Ala、及びGlyである、[56]又は[57]に記載の方法。
[59]
添加剤が一価の塩である、[56]~[58]のいずれか1つに記載の方法。
[60]
添加剤が一価のアルカリ金属塩である、[56]~[59]のいずれか1つに記載の方法。
[61]
添加剤が塩化ナトリウムである、[56]~[60]のいずれか1つに記載の方法。
[62]
添加剤が50~1000mMの一価の塩である、[56]~[61]のいずれか1つに記載の方法。
[63]
添加剤が500mM以下の塩化ナトリウムである、[56]~[62]のいずれか1つに記載の方法。
[64]
工程1の反応時間が16時間から24時間の間である、[56]~[63]のいずれか1つに記載の方法。
[65]
Fc含有分子が抗体であり、当該抗体が配列番号30に記載のアミノ酸配列からなる軽鎖及び配列番号33に記載のアミノ酸配列からなる重鎖を含む、[56]~[64]のいずれか1つに記載の方法。
[66]
Fc含有分子が抗体であり、当該抗体が配列番号44に記載のアミノ酸配列からなる軽鎖及び配列番号46に記載のアミノ酸配列からなる重鎖を含む、[56]~[64]のいずれか1つに記載の方法。
CDN誘導体は、次式(I):
一態様において、本発明の抗体薬物コンジュゲートは、前述のCDN誘導体と標的細胞(例えば、腫瘍細胞又は免疫細胞)を認識し結合できる抗体とが任意のリンカーを介して連結された抗体薬物コンジュゲートとして全身投与が可能である。なお、本明細書において、これ以降、単に「本発明の抗体薬物コンジュゲート」と言及する場合、原則として、前述のCDN誘導体を薬物部分として含む抗体薬物コンジュゲートを意味するが、例外的に、それに加えて、前述の「標的分子結合部分、変異Fc領域及び免疫賦活化剤を含む分子」を意味することもある。
本発明の抗体薬物コンジュゲートにおいて薬物を抗体に結合させるリンカー構造について説明する。本発明の抗体薬物コンジュゲートに使用されるリンカーは、抗体と薬物とを連結させるリンカーとして当業者が理解するものであれば特に限定されない。本発明の抗体薬物コンジュゲートに使用されるリンカーとしては、例えば、Protein Cell、2018、9(1):33-46、Pharm Res、2015、32:3526-3540、又はInt.J.Mol.Sci.、2016、17、561に記載されるリンカーが挙げられるが、これらに限定されない。リンカーは、生体内で切断されるリンカーであっても、生体内で切断されないリンカーであってもよいが、好ましくは、生体内で切断されるリンカーである。
-Lb-La-Lp-Lc-*
(ここで、アステリスクは、薬物Dと結合していることを示す)で示される。
-C(=O)-(CH2CH2)n2-C(=O)-、
-C(=O)-(CH2CH2)n2-CH2-C(=O)-、
-C(=O)-(CH2CH2)n2-C(=O)-NH-(CH2CH2)n3-C(=O)-、
-C(=O)-(CH2CH2)n2-C(=O)-NH-(CH2CH2)n3-CH2-C(=O)-、
-C(=O)-(CH2CH2)n2-C(=O)-NH-(CH2CH2O)n3-CH2-C(=O)-、
-(CH2)n4-O-C(=O)-、及び、
-(CH2)n9-C(=O)-
(ここで、式中、n2は1~3の整数(好ましくは、1又は2)を示し、n3は1~5の整数(好ましくは、2~5の整数、より好ましくは、3又は4)を示し、n4は0~2の整数(好ましくは、0又は1)を示し、n9は2~7の整数(好ましくは、2~5の整数、より好ましくは、2、3又は5)を示す)からなる群から選択されるいずれか一つを示す。
-C(=O)-CH2CH2-C(=O)-、
-C(=O)-CH2CH2-C(=O)-NH-(CH2CH2O)3-CH2-C(=O)-、
-C(=O)-CH2CH2-C(=O)-NH-(CH2CH2O)4-CH2-C(=O)-、
-C(=O)-(CH2CH2)2-C(=O)-、
-C(=O)-CH2CH2-C(=O)-NH-(CH2CH2)2-C(=O)-、
-C(=O)-CH2CH2-C(=O)-NH-(CH2CH2)2-CH2-C(=O)-、
-CH2-OC(=O)-、
-OC(=O)-、及び
-(CH2)5-C(=O)-
からなる群から選択されるいずれか一つを示す。
-C(=O)-CH2CH2-C(=O)-、
-C(=O)-CH2CH2-C(=O)-NH-(CH2CH2O)3-CH2-C(=O)-、
-C(=O)-CH2CH2-C(=O)-NH-(CH2CH2O)4-CH2-C(=O)-、又は
-(CH2)5-C(=O)-
である。
Lbが「糖鎖コンジュゲーションのリンカーのスペーサー」の場合、Lbは、特に限定されないが、例えば、次式で示されるスペーサーが挙げられる。
Lbが、「システインコンジュゲーションのリンカーのスペーサー」の場合、Lbは、特に限定されないが、例えば、-(スクシンイミド-3-イル-N)-が挙げられる。本発明において、「-(スクシンイミド-3-イル-N)-」は、次式:
-ZL1-C(=O)-CH2CH2-C(=O)-GGFG-、
-ZL1-C(=O)-CH2CH2-C(=O)-GGVA-、
-ZL1-C(=O)-CH2CH2-C(=O)-GGVCit-、
-ZL1-C(=O)-CH2CH2-C(=O)-GGFCit-、
-ZL1-C(=O)-CH2CH2-C(=O)-GGICit-、
-ZL1-C(=O)-CH2CH2-C(=O)-GGFM-、
-ZL1-C(=O)-CH2CH2-C(=O)-GGPI-、
-ZL1-C(=O)-CH2CH2-C(=O)-GGLM-、
-ZL1-C(=O)-CH2CH2-C(=O)-FG-、
-ZL1-C(=O)-CH2CH2-C(=O)-VA-、
-ZL1-C(=O)-CH2CH2-C(=O)-GGFG-NH-CH2-、
-ZL1-C(=O)-CH2CH2-C(=O)-GGVA-NH-CH2-、
-ZL1-C(=O)-CH2CH2-C(=O)-GGVCit-NH-CH2-、
-ZL1-C(=O)-CH2CH2-C(=O)-GGFCit-NH-CH2-、
-ZL1-C(=O)-CH2CH2-C(=O)-NH-(CH2CH2O)3-CH2-C(=O)-、又は
-ZL1-C(=O)-CH2CH2-C(=O)-NH-(CH2CH2O)4-CH2-C(=O)-
(ここで、ZL1は、上記Lbの以下で示される構造式:
-ZL2-(CH2)5-C(=O)-GGFG-、
-ZL2-(CH2)5-C(=O)-GGVA-、
-ZL2-(CH2)5-C(=O)-GGVCit-、
-ZL2-(CH2)5-C(=O)-GGFCit-、
-ZL2-(CH2)5-C(=O)-GGICit-、
-ZL2-(CH2)5-C(=O)-GGFM-、
-ZL2-(CH2)5-C(=O)-GGPI-、
-ZL2-(CH2)5-C(=O)-GGLM-、
-ZL2-(CH2)5-C(=O)-FG-、
-ZL2-(CH2)5-C(=O)-VA-、
-ZL2-(CH2)5-C(=O)-GGFG-NH-CH2-、
-ZL2-(CH2)5-C(=O)-GGVA-NH-CH2-、
-ZL2-(CH2)5-C(=O)-GGVCit-NH-CH2-、
-ZL2-(CH2)5-C(=O)-GGFCit-NH-CH2-、
-ZL2-(CH2)5-C(=O)-NH-(CH2CH2O)3-CH2-C(=O)-、又は
-ZL2-(CH2)5-C(=O)-NH-(CH2CH2O)4-CH2-C(=O)-、
(ここで、ZL2は、上記Lbの以下で示される構造式:
-ZL1-C(=O)-CH2CH2-C(=O)-GGFG-NH-CH2-、
又は
-ZL1-C(=O)-CH2CH2-C(=O)-GGPI-NH-CH2-、
(ここで、ZL1は、上記Lbの以下で示される構造式:
-ZL1-C(=O)-CH2CH2-C(=O)-GGFG-NH-CH2-、
(ここで、ZL1は、上記Lbの以下で示される構造式:
<2.2.1 抗体>
本明細書において、「遺伝子」とは、蛋白質のアミノ酸をコードするヌクレオチド配列が含まれるヌクレオチドもしくはヌクレオチド配列、またはその相補鎖を意味し、例えば、蛋白質のアミノ酸をコードするヌクレオチド配列が含まれるヌクレオチド配列またはその相補鎖であるポリヌクレオチド、オリゴヌクレオチド、DNA、mRNA、cDNA、RNA等は「遺伝子」の意味に含まれる。
(1)EGFRに特異的に結合する抗EGFR抗体。
(2)ヒトEGFRの細胞外ドメインに結合する上記(1)に記載の抗体。
(3)前記抗体がモノクローナル抗体である上記(1)又は(2)に記載の抗体。
(4)マウスモノクローナル抗体、キメラモノクローナル抗体、ヒトモノクローナル抗体又はヒト化モノクローナル抗体である、上記(1)~(3)のいずれかに記載の抗体。
(5)重鎖定常領域がヒトIgG1の重鎖定常領域であり、ADCC及びADCP活性の低減をもたらす変異を含む、上記(1)~(4)に記載の抗体。
(6)重鎖定常領域がヒトIgG1の重鎖定常領域であり、Fc領域の234番目、235番目、及び265番目(すべてEUナンバリング)のアミノ酸残基が、それぞれ、Ala、Ala、及びGlyである、上記(4)に記載の抗体。
(7)配列番号32に記載のアミノ酸配列からなる重鎖及び配列番号30に記載のアミノ酸配列からなる軽鎖を含んでなるヒト化またはヒトモノクローナル抗体である上記(6)に記載の抗体。
(8)配列番号33に記載のアミノ酸配列からなる重鎖及び配列番号30に記載のアミノ酸配列からなる軽鎖を含んでなるヒト化またはヒトモノクローナル抗体である上記(6)に記載の抗体。
(9)配列番号32又は33に記載のアミノ酸配列からなる重鎖に含まれる重鎖可変領域及び配列番号30に記載のアミノ酸配列からなる軽鎖に含まれる軽鎖可変領域を含んでなるヒト化またはヒトモノクローナル抗体である上記(6)に記載の抗体。
(10)配列番号23に記載のアミノ酸配列からなるCDRL1、配列番号24に記載のアミノ酸配列からなるCDRL2、及び配列番号25に記載のアミノ酸配列からなるCDRL3を含む軽鎖、並びに、配列番号26に記載のアミノ酸配列からなるCDRH1、配列番号27に記載のアミノ酸配列からなるCDRH2、及び配列番号28に記載のアミノ酸配列からなるCDRH3を含む重鎖を含んでなるヒト化またはヒトモノクローナル抗体である上記(6)に記載の抗体。
(11)重鎖カルボキシル末端において1又は2つのアミノ酸が欠失している上記(1)~(10)のいずれかに記載の抗体。
(12)上記(1)~(11)のいずれかに記載の抗体をコードするポリヌクレオチドを含有する発現ベクターによって形質転換された宿主細胞を培養する工程及び当該工程で得られた培養物から目的の抗体を採取する工程を含む当該抗体の製造方法によって得られる抗体。
(1)CDH6に特異的に結合する抗CDH6抗体。
(2)ヒトCDH6の細胞外ドメインに結合する上記(1)に記載の抗体。
(3)前記抗体がモノクローナル抗体である上記(1)又は(2)に記載の抗体。
(4)マウスモノクローナル抗体、キメラモノクローナル抗体、ヒトモノクローナル抗体又はヒト化モノクローナル抗体である、上記(1)~(3)のいずれかに記載の抗体。
(5)重鎖定常領域がヒトIgG1の重鎖定常領域であり、ADCC及びADCP活性の低減をもたらす変異を含む、上記(1)~(4)に記載の抗体。
(6)重鎖定常領域がヒトIgG1の重鎖定常領域であり、Fc領域の234番目、235番目、及び265番目(すべてEUナンバリング)のアミノ酸残基が、それぞれ、Ala、Ala、及びGlyである、上記(5)に記載の抗体。
(7)配列番号46に記載のアミノ酸配列からなる重鎖及び配列番号44に記載のアミノ酸配列からなる軽鎖を含んでなるヒト化またはヒトモノクローナル抗体である上記(6)に記載の抗体。
(8)配列番号46に記載のアミノ酸配列からなる重鎖に含まれる重鎖可変領域及び配列番号44に記載のアミノ酸配列からなる軽鎖に含まれる軽鎖可変領域を含んでなるヒト化またはヒトモノクローナル抗体である上記(6)に記載の抗体。
(9)配列番号37に記載のアミノ酸配列からなるCDRL1、配列番号38に記載のアミノ酸配列からなるCDRL2、及び配列番号39に記載のアミノ酸配列からなるCDRL3を含む軽鎖、並びに、配列番号40に記載のアミノ酸配列からなるCDRH1、配列番号41に記載のアミノ酸配列からなるCDRH2、及び配列番号42に記載のアミノ酸配列からなるCDRH3を含む重鎖を含んでなるヒト化またはヒトモノクローナル抗体である上記(6)に記載の抗体。
(10)重鎖カルボキシル末端において1又は2つのアミノ酸が欠失している上記(1)~(9)のいずれかに記載の抗体。
(11)上記(1)~(10)のいずれかに記載の抗体をコードするポリヌクレオチドを含有する発現ベクターによって形質転換された宿主細胞を培養する工程及び当該工程で得られた培養物から目的の抗体を採取する工程を含む当該抗体の製造方法によって得られる抗体。
本発明の一態様において、上記において記述してきた抗体のアミノ酸配列をコードするポリヌクレオチドが提供される。たとえば、本発明の一態様において、上記[45]~[47]([45-2]、[46-2]及び[47-2]も含む)のいずれか1つに記載の抗体のアミノ酸配列をコードするポリヌクレオチドが提供される。
近年、不均一な抗体の糖鎖を、酵素反応によってリモデリングし、官能基を有する糖鎖を均一に導入する方法が報告されている(ACS Chem.Biol.2012,7,110-122,ACS Med.Chem.Lett.2016,7,1005-1008)。この糖鎖リモデリング技術を用いて、部位特異的に薬物を導入し、均一なADCを合成する試みもなされている(Bioconjugate Chem.2015,26,2233-2242,Angew.Chem.Int.Ed.2016,55,2361-2367,US2016361436)。
L(PEG)は、-(CH2-CH2-O)n5-CH2-CH2-NH-を示し、該L(PEG)の右端のアミノ基がN297糖鎖のβ-Manの分岐鎖の1-3鎖側及び1-6鎖側の両方の非還元末端のシアル酸の2位のカルボキシル基とアミド結合していることを示し、
アステリスクは、前記リンカーL、特にリンカーLにおけるLbの1,2,3-トリアゾール環上の1位又は3位の窒素原子と結合していることを示し、
ここで、n5は2~10の整数であり、好ましくは、2~5の整数である。
L(PEG)は、-(CH2-CH2-O)n5-CH2-CH2-NH-を示し、該L(PEG)の右端のアミノ基がN297糖鎖のβ-Manの分岐鎖の1-3鎖側の非還元末端のシアル酸の2位のカルボキシル基とアミド結合していることを示し、
アステリスクは、前記リンカーL、特にリンカーLにおけるLbの1,2,3-トリアゾール環上の1位又は3位の窒素原子と結合していることを示し、
ここで、n5は、2~10の整数であり、好ましくは、2~5の整数である。
L(PEG)は、-(CH2-CH2-O)n5-CH2-CH2-NH-を示し、該L(PEG)の右端のアミノ基がN297糖鎖のβ-Manの分岐鎖の1-6鎖側の非還元末端のシアル酸の2位のカルボキシル基とアミド結合していることを示し、
アステリスクは、前記リンカーL、特にリンカーLにおけるLbの1,2,3-トリアゾール環上の1位又は3位の窒素原子と結合していることを示し、
ここで、n5は2~10の整数であり、好ましくは、2~5の整数である。
本発明のCDN誘導体を含む抗体薬物コンジュゲート又はその製造中間体の代表的な製造方法を説明する。なお、以下において、化合物を示すために、各反応式中に示される化合物の番号を用いる。すなわち、「式(1)の化合物」、「化合物(1)」等と称する。また、これ以外の番号の化合物についても同様に記載する。
(i)Lと結合するとき、L2は、-NHR’、ヒドロキシC1-C6アルキル基又はアミノC1-C6アルキル基を示し、ここで、R’は、水素原子、C1-C6アルキル基、C2-C6アルケニル基、C2-C6アルキニル基又はC3-C6シクロアルキル基を示し、該C1-C6アルキル基、C2-C6アルケニル基又はC2-C6アルキニル基は、1から6個のハロゲン原子で置換されてもよい;又は
(ii)Lと結合しないとき、L2は、水素原子又はハロゲン原子を示す、
から選択される基を示す。置換基W1は、-NH-又は硫黄原子を示す。置換基W2は、-CH=を示す。置換基Z1~Z3は、一緒になって、-CH2-CH2-CH2-を示す。置換基R1~R3は、それぞれ独立して、水素原子、ハロゲン原子、-OR’、-OC(=O)R’、-N3、-NHR’、-NR’R’’又は-NHC(=O)R’(ここで、R’は、前に定義した通りであり、R’’は、C1-C6アルキル基、C2-C6アルケニル基、C2-C6アルキニル基又はC3-C6シクロアルキル基を示す)を示す。置換基R4は、水素原子を示す。置換基R5は、W1が窒素原子のとき、R5は水素原子を示し、W1が酸素原子のとき、R5は存在しない。置換基Ra、Rc、Re及びRgは、天然型α-アミノ酸の側鎖を示す。例えば、メチル基、イソプロピル基、sec-ブチル基、イソブチル基、ベンジル基等である。PRO1は、第一級アルコールの保護基を示す。好適には、4,4’-ジメトキシトリチル基、4-メトキシトリチル基等である。PRO2、PRO3、PRO7、PRO8は、第二級アルコールの保護基を示す。好適にはtert-ブチルジメチルシリル基、トリイソプロピルシリルオキシメチル基、ベンゾイル基、2-ニトロベンジル基、4-メトキシテトラヒドロピラン-4-イル基等である。PRO6はカルボン酸の保護基を示す。好適には、tert-ブチル基、ベンジル基等である。PRO5、PRO9は、アミンの保護基を示す。PRO5は、好適には、tert-ブチルオキシカルボニル基、9-フルオレニルメチルオキシカルボニル基、アリルオキシカルボニル基、2,2,2-トリクロロエトキシカルボニル基、ベンジルオキシカルボニル基等であり、PRO9は、好適には、9-フルオレニルメチルオキシカルボニル基又は2-(トリメチルシリル)エトキシカルボニル基である。PRO4は、アルコール又はアミンの保護基を示す。アルコールの場合、好適にはtert-ブチルジメチルシリル基、ベンゾイル基等であり、アミンの場合、好適には2-(トリメチルシリル)エトキシカルボニル基、アリルオキシカルボニル基、tert-ブチルオキシカルボニル基等である。Qaは酸素原子又は硫黄原子を示し、Qbはヒドロキシ基又はチオール基を示す。Qa’及びQb’は、それぞれ独立して、負に荷電した酸素原子(O-)又は硫黄原子(S-)を示す。Rx及びRyは、それぞれ独立して、ハロゲン原子又は-O-PRO2を示す。nは1から3の整数を示す。
本発明の抗体薬物コンジュゲートに使用される(1)で表されるCDN誘導体は、以下に記載するA法に従って製造することができる。
本工程は、式(1a)の化合物に対して公知の有機化学的手法を用いて加水分解反応とシアノエチル基の除去を連続して行うことにより、式(2a)の化合物を製造する工程である。化合物(1a)を溶媒(アセトニトリル、テトラヒドロフラン、N,N-ジメチルホルムアミド又はそれらの混合溶媒)中で、-10℃から反応に用いる溶媒の沸点まで、好ましくは15℃から35℃までに於いて、水及び酸(ピリジントリフルオロ酢酸塩、4,5-ジシアノイミダゾール、1H-テトラゾール等)で処理することにより加水分解反応を実施した。化合物(1a)1モルに対して、水は2モルから過剰モル、好ましくは2モルから10モル用い、酸は1モルから過剰モル、好ましくは1モルから5モル用いた。反応時間は1分間から3時間、好ましくは5分間から30分間である。次いで、この反応液に塩基(tert-ブチルアミン等)を添加してシアノエチル基を除去した。塩基は、化合物(1a)1モルに対して過剰モル、好ましくは30モルから50モル用いた。反応時間は、5分間から6時間、好ましくは15分間から1時間である。反応液を減圧下で濃縮して、化合物(2a)の粗体を得た。化合物(2a)の粗体は、精製せずに次の工程へと進めることができる。
本工程は、式(2a)の化合物に対して公知の有機化学的手法を用いてヒドロキシ基の保護基を除去し、式(3a)の化合物を製造する工程である。本工程の反応を開始する前に、必要に応じて、アセトニトリルを用いて1回から3回共沸し、式(2a)の粗体を乾燥させた。PRO1が4,4’-ジメトキシトリチル基の場合、化合物(2a)を溶媒(ジクロロメタン、クロロホルム、ジクロロエタン等)中で、-10℃から反応に用いる溶媒の沸点まで、好ましくは15℃から35℃までに於いて、水と酸(ジクロロ酢酸、トリフルオロ酢酸等)で処理することにより4,4’-ジメトキシトリチル基を除去した。化合物(2a)1モルに対して、水は過剰モル、好ましくは10モルから20モル用い、酸は、反応に用いる溶媒で1%から50%(v/v)、好ましくは5%から10%(v/v)まで希釈し、その希釈溶液を過剰モル、好ましくは5モルから15モル用いた。反応時間は1分間から3時間、好ましくは5分間から30分間である。反応液にピリジンを加えて反応停止処理をした。ピリジンは用いた酸を十分中和できる量、好ましくは酸1モルに対して2モルから10モル用いた。反応液を減圧下で濃縮して、化合物(3a)の粗体を得た。化合物(3a)の粗体を、脱水アセトニトリルを用いて3回から5回共沸した。最後の共沸時にアセトニトリルを残し、化合物(3a)の0.01Mから1Mのアセトニトリル溶液を得た。得られたアセトニトリル溶液を、そのまま次の工程へと進めた。
本工程は、式(3a)の化合物に対して公知の有機化学的手法を用いて式(4a)の化合物とのカップリング反応及び得られたカップリング体の硫化反応を連続して行うことにより、式(5a)の化合物を製造する工程である。本工程の反応を開始する前に、化合物(4a)を、脱水アセトニトリルを用いて3回から5回共沸した。最後の共沸時にアセトニトリルを残し、化合物(4a)の0.01Mから1Mのアセトニトリル溶液を調製した。この溶液に乾燥剤(粉末状又はペレット状のモレキュラーシーブス3Aもしくはモレキュラーシーブス4A)を添加し、溶液を使用するまで窒素又はアルゴン雰囲気下で保存した。化合物(3a)のアセトニトリル溶液に、5℃から35℃までに於いて、共沸により乾燥させた化合物(4a)のアセトニトリル溶液を添加することによりカップリング反応を実施した。反応時間は、1分間から24時間、好ましくは5分間から6時間である。次いで、この反応液に硫化剤(N,N-ジメチル-N’-(3-スルファニリデン-3H-1,2,4-ジチアゾール-5-イル)メタンイミドアミド、3H-1,2-ベンゾジチオール-3-オン等)を添加して硫化反応を実施した。硫化剤は化合物(3a)1モルに対して1モルから5モル、好ましくは1モルから2モル用いた。反応時間は5分間から24時間、好ましくは30分間から6時間である。反応液を減圧下で濃縮して、化合物(5a)の粗体を得た。得られた化合物(5a)の粗体は、そのまま次の工程へと進めた。
本工程は、式(5a)の化合物に対して公知の有機化学的手法を用いてヒドロキシ基の保護基を除去し、式(6a)の化合物を製造する工程である。PRO1が4,4’-ジメトキシトリチル基の場合、化合物(5a)の化合物を溶媒(ジクロロメタン、クロロホルム、ジクロロエタン等)中で、-10℃から反応に用いる溶媒の沸点まで、好ましくは15℃から35℃までに於いて、水と酸(ジクロロ酢酸、トリフルオロ酢酸等)で処理することにより4,4’-ジメトキシトリチル基を除去した。化合物(5a)1モルに対して、水は過剰モル、好ましくは10から20モルを用い、酸は、反応に用いる溶媒で1%から50%(v/v)、好ましくは5%から10%(v/v)まで希釈し、その希釈溶液を過剰モル、好ましくは5モルから15モル用いた。反応時間は1分間から3時間、好ましくは5分間から30分間である。反応液にピリジンを加えて反応停止処理をした。ピリジンは用いた酸を十分中和できる量、好ましくは酸1モルに対して10モルから200モル用いた。反応液を減圧下で濃縮して、化合物(6a)の粗体を得た。得られた化合物(6a)の粗体を、そのまま次の工程へと進めた。
本工程は、式(6a)の化合物に対して公知の有機化学的手法を用いて環化反応と硫化反応を連続して行い、式(7a)の化合物を製造する工程である。化合物(6a)をピリジンに溶解後、減圧下で濃縮して0.01Mから0.5Mのピリジン溶液を調製した。このピリジン溶液に、5℃から35℃までに於いて、脱水縮合剤(2-クロロ-5,5-ジメチル-1,3,2λ5-ジオキサホスフィナン-2-オン等)を添加することにより環化反応を実施した。脱水縮合剤は、化合物(6a)1モルに対して、1モルから過剰モル、好ましくは3モルから5モル用いた。反応時間は1分間から6時間、好ましくは5分間から1時間である。次いで、この反応液に水と硫化剤(3H-1,2-ベンゾジチオール-3-オン、N,N-ジメチル-N’-(3-スルファニリデン-3H-1,2,4-ジチアゾール-5-イル)メタンイミドアミド等)とを添加して硫化反応を実施した。化合物(6a)1モルに対して、水は過剰モル、好ましくは30モルから50モル用い、硫化剤は1モルから5モル、好ましくは1モルから2モル用いた。反応時間は5分間から12時間、好ましくは30分間から3時間である。反応液を炭酸水素ナトリウム水溶液(0.1Mから1Mまで)に加えた後、15分間から24時間攪拌して反応停止処理をした。反応液を有機溶媒(酢酸エチル、ジエチルエーテル、トルエン又はそれらの混合溶媒)で1回から5回抽出した後、抽出液を併せて無水塩(無水硫酸ナトリウム又は無水硫酸マグネシウム)で乾燥した。乾燥剤を濾去し濾液を減圧下で濃縮した。得られた残留物をシリカゲルカラムクロマトグラフィー[ジクロロメタン/メタノール、酢酸エチル/メタノール、ヘキサン/酢酸エチル等]、C18シリカゲルカラムクロマトグラフィー[緩衝液/アセトニトリル]又はそれらを組み合わせることにより精製し、化合物(7a)を2種類以上のジアステレオマー混合物又は2種類以上の純粋なジアステレオマーとして得た。本工程では多くの場合、2種類のジアステレオマーが得られるが、原料(1a)及び(4a)に依存して、更に1種類又は2種類のジアステレオマーが得られることもある。得られた化合物(7a)が複数のジアステレオマー混合物であっても、それ以上の精製をせずに次の工程へと進めることができる。
本工程は、式(7a)の化合物に対して公知の有機化学的手法を用いてシアノエチル基及び全てのアシル系保護基を同時に除去し、式(8a)の化合物を製造する工程である。本工程は、必要に応じてオートクレーブ中、又はシールドチューブ中で実施した。PRO4がベンゾイル基の場合、化合物(7a)の化合物を溶媒(メタノール、エタノール、テトラヒドロフラン又はそれらの混合溶媒)中で、5℃から反応に用いる溶媒の沸点までに於いて、28%(v/v)アンモニア水で処理することによりシアノエチル基とベンゾイル基を除去した。アンモニアは、化合物(7a)1モルに対して過剰モル、好ましくは300モルから3000モル用いた。反応時間は30分間から96時間、好ましくは2時間から48時間である。必要に応じて反応液を濃縮し、残留物を分取HPLC[緩衝液/アセトニトリル、緩衝液/メタノール等]、C18シリカゲルカラムクロマトグラフィー[緩衝液/アセトニトリル、緩衝液/メタノール等]又はそれらを組み合わせることにより精製し、化合物(8a)を得た。得られた化合物(8a)がジアステレオマー混合物であっても、それ以上の精製をせずに次の工程へと進めることができる。また、本工程では精製をせずにそのまま次の工程へと進めることもできる。
本工程は、式(8a)の化合物に対して公知の有機化学的手法を用いて全てのシリル系保護基を同時に除去し、式(9a)の化合物を製造する工程である。PRO2及びPRO3がtert-ブチルジメチルシリル基の場合、化合物(8a)を、5℃から100℃まで、好ましくは35℃から60℃までに於いて、直接トリエチルアミン三フッ化水素酸塩で処理することによりtert-ブチルジメチルシリル基を除去した。トリエチルアミン三フッ化水素酸塩は、化合物(8a)1モルに対して過剰モル、好ましくは100から200モル用いた。反応時間は30分間から24時間、好ましくは2時間から12時間である。反応液を室温まで冷却後、反応液に氷冷した1M炭酸水素トリエチルアンモニウム水溶液とトリエチルアミンの3:1から10:1(v/v)の混合溶液を少しずつ注いで反応停止処理をした。必要に応じて、反応液を氷冷した1M炭酸水素トリエチルアンモニウム水溶液とトリエチルアミンの混合溶液に注いでもよい。この場合は、反応容器をアセトニトリルと水で洗浄した。トリエチルアミンは反応液の液性を弱塩基性へと変化させられる十分量、好ましくはトリエチルアミン三フッ化水素酸塩1モルに対して、トリエチルアミンを約2モル用いる。反応液の有機溶媒成分を減圧下で留去した後、残留した水溶液を分取HPLC[緩衝液/アセトニトリル、緩衝液/メタノール等]、C18シリカゲルカラムクロマトグラフィー[緩衝液/アセトニトリル、緩衝液/メタノール等]又はそれらを組み合わせることにより精製し、化合物(9a)を単一のジアステレオマーとして得た。
本工程は、式(9a)の化合物に対して公知の有機化学的手法を用いてイオン交換し、式(1)の化合物を製造する工程である。陽イオン交換樹脂(BT AG(登録商標) 50W-X2レジン,100-200メッシュ,水素型)を純水に懸濁させ、空のカラムカートリッジに充填した。陽イオン交換樹脂は、重量比で化合物(9a)の10倍から50倍量用いた。過剰の純水を自然流下させた後、1M水酸化ナトリウム水溶液を3カラム体積自然流下させ、次いで、6カラム体積の純水を自然流下させた。化合物(9a)を約3カラム体積の純水に溶解して、カラムにチャージした。化合物が純水に溶解しにくい場合は、少量の有機溶媒(アセトニトリル、メタノール等)との混合液を用いてもよい。自然流下した溶液を分取後、更に6カラム体積の純水等で溶出し、画分を分取した。目的物を含む画分を併せて凍結乾燥し、化合物(1)を単一のジアステレオマーとして得た。
本発明の抗体薬物コンジュゲートに使用される(1’)で表されるCDN誘導体は、以下に記載するA’法に従って製造することができる。
本工程は、式(6a’)の化合物に対して公知の有機化学的手法を用いて環化反応と酸化反応を連続して行い、式(7a’)の化合物を製造する工程である。化合物(6a’)をピリジンに溶解後、減圧下で濃縮して0.01Mから0.5Mのピリジン溶液を調製した。このピリジン溶液に、5℃から35℃までに於いて、脱水縮合剤(2-クロロ-5,5-ジメチル-1,3,2λ5-ジオキサホスフィナン-2-オン等)を添加して環化反応を実施した。脱水縮合剤は、化合物(6a’)1モルに対して、1モルから過剰モル、好ましくは3モルから5モル用いた。反応時間は1分間から6時間、好ましくは5分間から1時間である。次いで、この反応液に水と酸化剤(ヨウ素等)を添加して酸化反応を実施した。化合物(6a’)1モルに対して、水は0モルから過剰モル、好ましくは30モルから50モル用い、酸化剤は2モルから10モル、好ましくは3モルから5モル用いた。反応時間は5分間から12時間、好ましくは30分間から3時間である。反応液を炭酸水素ナトリウム水溶液(0.1Mから1Mまで)に加え、15分間から24時間攪拌して反応停止処理をした。反応液を有機溶媒(酢酸エチル、ジエチルエーテル、トルエン又はそれらの混合溶媒)で1回から5回抽出した後、抽出液を併せて無水塩(無水硫酸ナトリウム又は無水硫酸マグネシウム)で乾燥した。乾燥剤を濾去し濾液を減圧下で濃縮した。得られた残留物をシリカゲルカラムクロマトグラフィー[ジクロロメタン/メタノール、酢酸エチル/メタノール、ヘキサン/酢酸エチル等]、C18シリカゲルカラムクロマトグラフィー[緩衝液/アセトニトリル]又はそれらを組み合わせることにより精製し、化合物(7a’)を得た。
本発明の抗体薬物コンジュゲートに使用される(1’’)で表されるCDN誘導体は、以下に記載するA’’法に従って製造することができる。
本工程は、式(3a’’)の化合物に対して公知の有機化学的手法を用いて式(4a’’)の化合物とのカップリング反応及び得られたカップリング体の酸化反応を連続して行うことにより、式(5a’’)の化合物を製造する工程である。本工程の反応を開始する前に、化合物(4a’’)を、脱水アセトニトリルを用いて3回から5回共沸した。最後の共沸時にアセトニトリルを残し、化合物(4a’’)の0.01Mから1Mのアセトニトリル溶液を調製した。この溶液に乾燥剤(粉末状又はペレット状のモレキュラーシーブス3Aもしくはモレキュラーシーブス4A)を添加し、溶液を使用するまで窒素又はアルゴン雰囲気下で保存した。化合物(3a’’)のアセトニトリル溶液に、5℃から35℃までに於いて、共沸により乾燥させた化合物(4a’’)のアセトニトリル溶液を添加することによりカップリング反応を実施した。反応時間は、1分間から24時間、好ましくは5分間から6時間である。次いで、この反応液に酸化剤(tert-ブチルヒドロペルオキシド等)を添加して酸化反応を実施した。酸化剤は化合物(3a’’)1モルに対して1モルから5モル、好ましくは2モルから3モル用いた。反応時間は5分間から24時間、好ましくは30分間から6時間である。反応液に飽和チオ硫酸ナトリウム水溶液を加え、10分間から12時間攪拌して反応停止処理をした。反応液を有機溶媒(ジクロロメタンとメタノールの混合溶媒等)で1回から5回抽出した後、抽出液を併せて無水塩(無水硫酸ナトリウム又は無水硫酸マグネシウム)で乾燥した。乾燥剤を濾去し濾液を減圧下で濃縮し、化合物(5a’’)の粗体を得た。得られた化合物(5a’’)の粗体をそのまま次の工程へと進めた。
本発明の抗体薬物コンジュゲートに使用される(1’’’)で表されるCDN誘導体は、以下に記載するA’’’法に従って製造することができる。
本発明の抗体薬物コンジュゲートに使用される(2)で表されるコンジュゲーション前駆体は、以下に記載するB法に従って製造することができる。
本工程は、式(1b)の化合物に対して公知の有機化学的手法を用いて保護基を除去することにより、式(2b)の化合物を製造する工程である。PRO5がtert-ブチルオキシカルボニル基の場合、化合物(1b)を溶媒(ジクロロメタン、ジオキサン、アセトニトリル、酢酸エチル、テトラヒドロフラン、又はそれらの混合溶媒)中で、-10℃から反応に用いる溶媒の沸点まで、好ましくは15℃から35℃までに於いて、トリフルオロ酢酸で処理することにより保護基を除去した。トリフルオロ酢酸は、化合物(1b)1モルに対して過剰モル、好ましくは20モルから50モル用いた。反応時間は5分間から24時間、好ましくは30分間から6時間である。反応液を減圧下で濃縮した後、トルエンに懸濁させて再度減圧下で濃縮した。この操作を2回から5回繰り返した。溶媒(ジエチルエーテル、ジイソプロピルエーテル、ヘキサン、ジクロロメタン、酢酸エチル又はそれらの混合溶媒)を加えてスラリー状にした後、固体を濾取し、化合物(2b)の粗体を得た。化合物(2b)の粗体は、これ以上の精製をせずに次の工程へと進めた。
本工程は、式(2b)の化合物に対して公知の有機化学的手法を用いて式(3b)の化合物とのアミド化を行うことにより、式(4b)の化合物を製造する工程である。化合物(2b)を溶媒(N,N-ジメチルホルムアミド、N-メチルピロリドン、N,N-ジメチルアセトアミド、アセトニトリル等)中で、5℃から35℃までに於いて、塩基(トリエチルアミン、N,N-ジイソプロピルエチルアミン等)及び化合物(3b)と反応させることによりアミド化を実施した。化合物(2b)1モルに対して、塩基は1モルから5モル用い、化合物(3b)は0.5モルから1.5モル用いた。反応時間は10分間から72時間、好ましくは1時間から24時間である。反応液を有機溶媒(ジクロロメタン、クロロホルム、酢酸エチル、メタノール又はその混合溶媒)と水又は酸性水溶液(0.1から1Mの塩酸、クエン酸水溶液等)との二層に注ぎ、有機溶媒で1回から5回抽出した。抽出液を併せて飽和食塩水で洗浄後、無水塩(無水硫酸ナトリウム又は無水硫酸マグネシウム)で乾燥した。乾燥剤を濾去し濾液を減圧下で濃縮した。なお、上記分液操作を省略し、反応液をそのまま減圧下で濃縮して次のシリカゲルカラム精製へと進めることもできる。得られた残留物をシリカゲルカラムクロマトグラフィー[ジクロロメタン/メタノール、酢酸エチル/メタノール等]で精製し、化合物(4b)を得た。必要に応じて、得られた化合物(4b)を良溶媒(酢酸エチル、アセトニトリル、ジクロロメタン、メタノール又はそれらの混合溶媒)に溶解した後、貧溶媒(ジエチルエーテル、ジイソプロピルエーテル、ヘキサン等)を加えて再沈殿し、固体を濾取することで純度を上げることができる。
本工程は、式(4b)の化合物に対して公知の有機化学的手法を用いてエステル化を行うことによって、式(5b)の化合物を製造する工程である。化合物(4b)を、溶媒(N,N-ジメチルホルムアミド、N,N-ジメチルアセトアミド、N-メチルピロリドン、アセトニトリル等)中で、5℃から35℃までに於いて、N-ヒドロキシスクシンイミド及び縮合剤(1-エチル-3-(3-ジメチルアミノプロピル)カルボジイミド塩酸塩等)と反応させることによりエステル化を実施した。N-ヒドロキシスクシンイミド及び縮合剤は、化合物(4b)1モルに対して、それぞれ1モルから3モル用いた。反応時間は30分間から72時間、好ましくは2時間から24時間である。反応液を有機溶媒(ジクロロメタン、クロロホルム、酢酸エチル又はその混合溶媒)で薄めた後、氷水で3回から5回洗浄した。有機層を無水塩(無水硫酸ナトリウム又は無水硫酸マグネシウム)を用いて乾燥した。乾燥剤を濾去した後、濾液を減圧下で濃縮して化合物(5b)の粗体を得た。必要に応じて、得られた化合物(5b)をC18シリカゲルカラムクロマトグラフィー[アセトニトリルのみ]で精製してもよい。また、得られた化合物(5b)を良溶媒(酢酸エチル、アセトニトリル、ジクロロメタン又はそれらの混合溶媒)に溶解した後、貧溶媒(ジエチルエーテル、ジイソプロピルエーテル、ヘキサン等)を加えて再沈殿し、固体を濾取することで純度を上げることができる。
本工程は、式(5b)の化合物に対して公知の有機化学的手法を用いて、式(6b)の化合物との縮合反応を行うことにより、式(2)の化合物を製造する工程である。化合物(6b)を溶媒中(N,N-ジメチルホルムアミド、N,N-ジメチルアセトアミド、N-メチルピロリドン、アセトニトリル等)で、-10℃から100℃まで、好ましくは15℃から35℃までに於いて、塩基(トリエチルアミン、N,N-ジイソプロピルエチルアミン等)及び化合物(5b)と反応させることにより縮合反応を実施した。化合物(6b)1モルに対して、塩基は2モルから5モル用い、化合物(5b)は1モルから2モル用いた。反応時間は5分間から24時間、好ましくは1時間から6時間である。反応液にベンジルアミンを加えて反応停止処理をした。ベンジルアミンは化合物(6b)1モルに対して4モルから10モル用いた。必要に応じて反応液を減圧下で部分的に濃縮し、残留した溶液を分取HPLC[緩衝液/アセトニトリル、緩衝液/メタノール等]、C18シリカゲルカラムクロマトグラフィー[緩衝液/アセトニトリル、緩衝液/メタノール等]又はそれらを組み合わせることにより精製し、化合物(2)を得た。
本発明の抗体薬物コンジュゲートに使用される(2’)で表されるコンジュゲーション前駆体は、以下に記載するB’法に従って製造することができる。
本工程は、式(2b’)の化合物に対して公知の有機化学的手法を用いて式(7b)の化合物とのアミド化を行うことにより、式(8b)の化合物を製造する工程である。塩基を使用しないこと以外は、B法B-2工程に記載された手法に従って化合物(8b)を得た。
本工程は、式(8b)の化合物に対して公知の有機化学的手法を用いて保護基を除去することにより式(9b)の化合物を製造する工程である。PRO6がtert-ブチル基の場合、精製操作にシリカゲルカラムクロマトグラフィー[ジクロロメタン/メタノール]を用いること以外は、B法B-1工程に記載された手法にしたがって化合物(9b)を得た。
本工程は、式(9b)の化合物に対して公知の有機化学的手法を用いてエステル化を行うことにより、式(10b)の化合物を製造する工程である。B法B-3工程に記載された手法に従って化合物(10b)を得た。
本工程は、式(6b)の化合物に対して公知の有機化学的手法を用いて、式(10b)の化合物との縮合反応を行うことによって、式(2’)の化合物を製造する工程である。B法B-4工程に記載された手法に従って化合物(2’)を得た。
本発明の抗体薬物コンジュゲートに使用される(3)で表されるコンジュゲーション前駆体は、以下に記載するC法に従って製造することができる。
本工程は、式(1c)の化合物に対して公知の有機化学的手法を用いて式(2c)の化合物とのアミド化を行うことにより、式(3c)の化合物を製造する工程である。B法B-2工程に記載された手法に従って化合物(3c)を得た。
本工程は、式(3c)の化合物に対して公知の有機化学的手法を用いてエステル化を行うことにより、式(4c)の化合物を製造する工程である。B法B-3工程に記載された手法に従って化合物(4c)を得た。
本工程は、式(5c)の化合物に対して公知の有機化学的手法を用いて式(6c)の化合物とのカップリング反応(アミノメチレン化)と得られたカップリング体の脱保護を連続して行うことによって、式(7c)の化合物を製造する工程である。PRO9が9-フルオレニルメチルオキシカルボニル基の場合、化合物(5c)を、テトラヒドロフラン中で、5℃から35℃までに於いて化合物(6c)及び酸(p-トルエンスルホン酸等)と反応させることによりアミノメチレン化を実施した。化合物(5c)1モルに対して、化合物(6c)は1モルから20モル、好ましくは2モルから10モル用い、酸は0.05モルから過剰モル、好ましくは0.1モルから3モル用いた。反応時間は30分間から72時間、好ましくは2時間から24時間である。次いで、反応液に塩基(1,8-ジアザビシクロ[5.4.0]-7-ウンデセン等)を加え、脱保護を実施した。反応液が懸濁している場合には、必要に応じて溶媒(N,N-ジメチルホルムアミド等)を追加して溶解させた後に反応させることができる。塩基は化合物(5c)1モルに対して過剰モル、好ましくは5モルから20モル用いた。反応時間は10分間から24時間、好ましくは2時間から12時間である。反応液に水を加え、そのままC18シリカゲルカラムクロマトグラフィー[緩衝液/アセトニトリル等]で精製し、化合物(7c)を得た。
本工程は、式(7c)の化合物に対して公知の有機化学的手法を用いて保護基を除去し、式(8c)の化合物を製造する工程である。PRO7及びPRO8がtert-ブチルジメチルシリル基の場合、A法A-7工程に記載された手法に従って化合物(8c)を得た。
本工程は、式(8c)の化合物に対して公知の有機化学的手法を用いて、式(4c)の化合物との縮合反応を行うことによって、式(3)の化合物を製造する工程である。B法B-4工程に記載された手法に従って化合物(3)を得た。
本発明の抗体薬物コンジュゲートに使用される(3’)で表されるコンジュゲーション前駆体は、以下に記載するC’法に従って製造することができる。
本工程は、式(1c’)の化合物に対して公知の有機化学的手法を用いて加水分解反応とシアノエチル基の除去を連続して行うことにより、式(2c’)の化合物を製造する工程である。A法A-1工程に記載された手法に従って化合物(2c’)を得た。
本工程は、式(2c’)の化合物に対して公知の有機化学的手法を用いてヒドロキシ基の保護基を除去し、式(3c’)の化合物を製造する工程である。A法A-2工程に記載された手法に従って化合物(3c’)を得た。
本工程は、式(3c’)の化合物に対して公知の有機化学的手法を用いて式(4c’)の化合物とのカップリング反応及び得られたカップリング体の硫化反応又は酸化反応を連続して行うことにより、式(5c’)の化合物を製造する工程である。A法A-3工程又はA’’法A’’-3工程に記載された手法に従って化合物(5c’)を得た。
本工程は、式(5c’)の化合物に対して公知の有機化学的手法を用いてヒドロキシ基の保護基を除去し、式(6c’)の化合物を製造する工程である。A法A-4工程に記載された手法に従って化合物(6c’)を得た。
本工程は、式(6c’)の化合物に対して公知の有機化学的手法を用いて環化反応と硫化反応又は酸化反応を連続して行い、式(7c’)の化合物を製造する工程である。A法A-5工程又はA’法A’-5工程に記載された手法に従って化合物(7c’)を得た。
本工程は、式(7c’)の化合物に対して公知の有機化学的手法を用いてシアノエチル基及び全てのアシル系保護基を同時に除去し、式(8c’)の化合物を製造する工程である。A法A-6工程に記載された手法に従って化合物(8c’)を得た。
本工程は、式(8c’)の化合物に対して公知の有機化学的手法を用いて全てのシリル系保護基を同時に除去し、式(9c’)の化合物を製造する工程である。PRO9が2-(トリメチルシリル)エトキシカルボニル基の場合、化合物(8c’)を、5℃から100℃まで、好ましくは35℃から60℃までに於いて、フッ化テトラブチルアンモニウムのテトラヒドロフラン溶液で処理することにより、2-(トリメチルシリル)エトキシカルボニル基を除去した。フッ化テトラブチルアンモニウムは、化合物(8c’)1モルに対して過剰モル、好ましくは10から30モル用いた。反応時間は1時間から48時間、好ましくは4時間から24時間である。反応液に緩衝液を加えて希釈後、必要に応じて有機溶媒成分を減圧下で留去した。残留物を分取HPLC[緩衝液/アセトニトリル、緩衝液/メタノール等]、C18シリカゲルカラムクロマトグラフィー[緩衝液/アセトニトリル、緩衝液/メタノール等]又はそれらを組み合わせることにより精製し、化合物(9c’)を得た。
本工程は、式(9c’)の化合物に対して公知の有機化学的手法を用いて、式(4c)の化合物との縮合反応を行うことによって、式(3’)の化合物を製造する工程である。B法B-4工程に記載された手法に従って化合物(3’)を得た。
糖鎖リモデリング抗体は、例えばWO2018/003983、WO2020/050406、WO2021/177438、WO2022/050300、PLos ONE 2018,13,e0193534などに記載の方法に準じて、次式に示す方法で製造することができる。
本工程は、目的の抗体に対して、公知の酵素反応を用いて抗体重鎖のアミノ酸配列297番目のアスパラギンに結合するN結合型糖鎖(N297結合糖鎖)の還元末端キトビオース構造のGlcNAcβ1-4GlcNAc間のグリコシド結合を加水分解により切断し、糖鎖切断抗体を製造する工程である。目的の抗体(1d)(10mg/mL)を緩衝液(リン酸緩衝液等)中、0℃から40℃までにおいて、野生型EndoS酵素等の加水分解酵素を用いて還元末端のキトビオース構造のGlcNAcβ1と4GlcNAc間のグリコシド結合の加水分解反応を実施した。反応時間は10分から72時間、好ましくは1時間から6時間である。野生型EndoS酵素は抗体(1d)100mgに対して、0.1mgから10mg、好ましくは0.1mgから3mgを用いた。反応終了後、アフィニティークロマトグラフィー(HiTrap rProtein A FF(5ml)(GEヘルスケア製))及び/又はハイロドキシアパタイトカラム(Bio-Scale Mini CHT Type Iカートリッジ(5ml)(BIO-RAD製))で精製し、(Fucα1,6)GlcNAc抗体(2d)を得た。
本工程は、D-1工程で得られた(Fucα1,6)GlcNAc抗体(2d)に対し、公知の酵素反応を用いてアジド基を含むPEGリンカーを有するSG型又はMSG(MSG1、MSG2)型糖鎖オキサゾリン体(以下、「アジド糖鎖オキサゾリン体」)を結合させ、糖鎖リモデリング抗体(3d)を製造する工程である。
本工程は、D-1工程で得られた(Fucα1,6)GlcNAc抗体(2d)に対し、2種類のEndo酵素を使用した糖鎖転移反応により、糖鎖リモデリング抗体(3d)を製造する工程である。2種類の酵素を同時に用いることで、還元末端が活性化されていないSGPや(SG)Asnなどを糖鎖ドナーとして、抗体のN297糖鎖へ、直接糖鎖転移させることができる。
本製造法は、D法D-2工程で得られた糖鎖リモデリング抗体(3d)とB法B-4工程で得られたコンジュゲーション前駆体(2)をSPAAC(strain-promoted azide-alkyne cycloaddition:J.Am.Chem.Soc.2004,126,15046-15047)反応により結合させ、抗体薬物コンジュゲート(1e)を製造する方法である。
糖鎖リモデリング抗体(3d)の緩衝溶液(リン酸緩衝液、酢酸緩衝液、ホウ酸緩衝液等)と、コンジュゲーション前駆体(2)を適当な溶媒(ジメチルスルホキシド、N,N-ジメチルホルムアミド、N,N-ジメチルアセトアミド、N-メチルピロリドン、プロピレングリコール又はそれらの混合溶媒)に溶解させた溶液を混合することで、SPAAC反応を実施した。コンジュゲーション前駆体(2)は、糖鎖リモデリング抗体(3d)1モルに対して、2モルから過剰モル、好ましくは4モルから30モルであり、有機溶媒の比率は、抗体の緩衝溶液に対し1%から200%(v/v)が好ましい。反応温度は0℃から37℃、好ましくは15℃から25℃であり、反応時間は1時間から150時間、好ましくは6時間から72時間である。反応溶液のpHは5から9が好ましい。反応溶液を後述の共通操作Dに記載の方法に従って精製し、抗体薬物コンジュゲート(1e)を得た。
システインコンジュゲーションを有する本発明の抗体薬物コンジュゲートは、参考例3等に従って調製した目的の抗体とB’法B-8工程で得られたマレイミド基を有するコンジュゲーション前駆体(2’)を用いて、WO2014/057687などに記載の方法に準じて製造することができる。
E法において、コンジュゲーション前駆体(2)をC’法C’-8工程で得られたコンジュゲーション前駆体(3’)に変えることによって、次式に示す抗体薬物コンジュゲート(1e’’)を得た。
変異Fc領域を含む抗体は、Fcエフェクターレス化変異体動物細胞発現ベクターを用いて公知の方法で作製することができる。Fcエフェクターレス化変異体動物細胞発現ベクターを構築する方法としては例えば以下の方法が挙げられる。
野生型のFc領域の遺伝子を含む動物細胞発現ベクターをテンプレートとし、KOD -Plus- Mutagenesis Kit(TOYOBO社)を用いてFc領域に所望のエフェクターレス化変異をPCRにて導入する。もしくは、所望のエフェクターレス化変異を含むFc領域の遺伝子を合成し、ライゲーション反応によって動物細胞発現ベクターに組み込む場合もある。
Amicon(登録商標) Ultra遠心式フィルターデバイス(50,000 NMWL,Merck Millipore Ltd.)に抗体又は抗体薬物コンジュゲート溶液を入れ、遠心機(Allegra X-15R,Beckman Coulter,Inc.)を用いた遠心操作(2000Gから4000Gで5分間から20分間遠心)により、抗体及び抗体薬物コンジュゲート溶液を濃縮した。
UV測定器(Nanodrop 1000,Thermo Fisher Scientific,Inc.)を用いて、メーカー規定の方法に従い、抗体濃度の測定を行った。その際に、抗体ごとに異なる280nm吸光係数(1.3mLmg-1cm-1から1.8mLmg-1cm-1)を用いた。
抗体水溶液に緩衝液(リン酸緩衝生理食塩水(pH6.0)、リン酸緩衝液(pH6.0)等)を加え、共通操作Aに記載の方法に従って濃縮した。この操作を数回行った後、共通操作Bに記載の方法に従って抗体濃度を測定した。この抗体緩衝溶液に、適宜緩衝液(リン酸緩衝生理食塩水(pH6.0)、リン酸緩衝液(pH6.0)等)を加えて、目的の濃度(例えば、約10mg/mL)の抗体緩衝溶液を調製した。
酢酸緩衝液(10mM Acetate Buffer,5% Sorbitol,pH5.5;本明細書ではABSと称する)又はそれ以外の適当な緩衝液でNAPカラム(NAP-5,NAP-10,NAP-25(GEヘルスケア製))を平衡化させた。このNAPカラムに、抗体薬物コンジュゲート反応溶液をチャージし、メーカー規定量の緩衝液を自然流下させ、抗体画分を分取した。この画分を再度NAPカラムにチャージし、メーカー規定量の緩衝液を自然流下させ、抗体画分を分取した。この操作を合計2回から3回繰り返すことで、未結合の薬物リンカーやジメチルスルホキシド、プロピレングリコールを除いた抗体薬物コンジュゲートを得た。必要に応じて、共通操作A及びCにより抗体薬物コンジュゲート溶液の濃度を調節した。
抗体薬物コンジュゲートにおける結合薬物濃度は、吸光光度計(UV/VIS Spectrometer Lambda 25,PerkinElmer,Inc.)を用いて、抗体薬物コンジュゲート水溶液の280nm及び250nmの二波長における吸光度を測定した後に、下記の計算を行うことで算出することができる。ある波長における全吸光度は系内に存在する全ての吸収化学種の吸光度の和に等しい(吸光度の加成性)ことから、抗体と薬物とのコンジュゲーション前後において、抗体及び薬物のモル吸光係数に変化がないと仮定すると、抗体薬物コンジュゲートにおける抗体濃度及び薬物濃度は、下記の関係式で示される。
A280=AD,280+AA,280=εD,280CD+εA,280CA 式(I)
A250=AD,250+AA,250=εD,250CD+εA,250CA 式(II)
ここで、A280は280nmにおける抗体薬物コンジュゲート水溶液の吸光度を示し、A250は250nmにおける抗体薬物コンジュゲート水溶液の吸光度を示し、AA,280は280nmにおける抗体の吸光度を示し、AA,250は250nmにおける抗体の吸光度を示し、AD,280は280nmにおけるコンジュゲート前駆体の吸光度を示し、AD,250は250nmにおけるコンジュゲート前駆体の吸光度を示し、εA,280は280nmにおける抗体のモル吸光係数を示し、εA,250は250nmにおける抗体のモル吸光係数を示し、εD,280は280nmにおけるコンジュゲート前駆体のモル吸光係数を示し、εD,250は250nmにおけるコンジュゲート前駆体のモル吸光係数を示し、CAは抗体薬物コンジュゲートにおける抗体濃度を示し、CDは抗体薬物コンジュゲートにおける薬物濃度を示す。ここで、εA,280、εA,250、εD,280、εD,250は、事前に用意した値(計算推定値又は実測値)が用いられる。例えば、εA,280は、抗体のアミノ酸配列から、既知の計算方法(Protein Science,1995,vol.4,2411-2423)によって推定することができる。εA,250は、抗体のUV測定から得られた実測値とεA,280の推定値から計算した値を用いた。実施例において、抗EGFR抗体1のモル吸光係数は、εA,280=203460及びεA,250=70151又は63837を用いた。抗EGFR抗体2のモル吸光係数は、εA,280=203460及びεA,250=63051又は63370を用いた。抗EGFR抗体3のモル吸光係数は、εA,280=203460及びεA,250=62692又は63853を用いた。抗EGFR抗体Aのモル吸光係数は、εA,280=203460及びεA,250=69640を用いた。抗EGFR抗体Bのモル吸光係数は、εA,280=197750及びεA,250=66256を用いた。抗CDH6抗体1のモル吸光係数は、εA,280=223400及びεA,250=74671又は71530を用いた。εD,280及びεD,250は、用いるコンジュゲート前駆体をあるモル濃度に溶解させた溶液の吸光度を測定することで、ランベルト・ベールの法則(吸光度=モル濃度×モル吸光係数×セル光路長)によって、得ることができる。実施例におけるコンジュゲート前駆体のモル吸光係数は、都度UV測定で得た。抗体薬物コンジュゲート水溶液のA280及びA250を測定し、これらの値を式(I)及び(II)に代入して連立方程式を解くことによって、CA及びCDを求めることができる。さらにCDをCAで除することによって、抗体一分子あたりの薬物平均結合数を求めることができる。
抗体薬物コンジュゲートにおける抗体濃度及び抗体一分子あたりの薬物平均結合数は、前述の共通操作Eに加え、以下の方法を用いる高速液体クロマトグラフィー分析によって求めることができる。
抗体薬物コンジュゲート溶液(約1mg/mL、60μL)をジチオトレイトール(DTT)水溶液(100mM、15μL)と混合した。混合物を37℃で30分間インキュベートして、抗体薬物コンジュゲートのL鎖及びH鎖間のジスルフィド結合を切断した。この反応溶液をそのままHPLC分析に用いた。
代表的な分析条件は下記の通り。
HPLCシステム:Agilent 1290 HPLCシステム(Agilent Technologies)
検出器:紫外吸光度計(測定波長:280nm)
カラム:Acquity BEH Phenyl(2.1×50mm、1.7μm、Waters製)
カラム温度:75℃
流速:0.8mL/min
サンプル注入量:10μL
移動相A:0.1%トリフルオロ酢酸(TFA),15%イソプロピルアルコール水溶液
移動相B:0.075%TFA,15%イソプロピルアルコールアセトニトリル溶液
グラジエントプログラム(移動相B):14%-36%(0分-15分),36%-80%(15-17分),80%-14%(17分―17.1分),14%-14%(17.1分―23分)
〔F-3-1〕SPAAC反応での糖鎖コンジュゲーションの場合は、薬物の結合していない抗体のL鎖(L0)及びH鎖(H0)に対して、薬物の結合したH鎖(薬物が一つ結合したH鎖:H1、薬物が二つ結合したH鎖:H2)は、結合した薬物の数に比例して疎水性が増して保持時間が大きくなることから、原則的にL0、H0、H1、H2の順に溶出される。L0及びH0との保持時間を比較することにより検出ピークをL0、H0、H1、H2のいずれかに割り当てることができる。システインコンジュゲーションの場合も同様に、薬物の結合したL鎖(薬物が一つ結合したL鎖:L1)と薬物の結合したH鎖(薬物が一つ結合したH鎖:H1、薬物が二つ結合したH鎖:H2、薬物が三つ結合したH鎖:H3)は、結合した薬物の数に比例して疎水性が増して保持時間が大きくなることから、原則的にL0、L1、H0、H1、H2、H3の順に溶出される。L0及びH0との保持時間を比較することにより検出ピークをL0、L1、H0、H1、H2、H3のいずれかに割り当てることができる。
抗体薬物コンジュゲートにおける抗体濃度及び抗体一分子あたりの薬物平均結合数は、前述の共通操作E及びFに加え、以下の方法を用いる高速液体クロマトグラフィー分析によって求めることができる。
抗体薬物コンジュゲート溶液(約1mg/mL、60μL)をそのままHPLC分析に用いた。
代表的な分析条件は下記の二通り。
HPLCシステム:SHIMADZU CBM-20A(島津製作所)
検出器:紫外吸光度計(測定波長:280nm)
カラム:TSK-gel Butyl-NPR(4.6×100mm,2.5μm,TOSOH製)
カラム温度:25℃付近の一定温度
移動相A:1.5M硫酸アンモニウム含有25mMリン酸緩衝液(pH=7.0)
移動相B:25mMリン酸緩衝液(pH=7.0)/イソプロピルアルコール混合液(3:1)
流速:0.8mL/min
サンプル注入量:15μL
グラジエントプログラム(移動相B):10%-15%(0分-5分),15%-65%(5分-20分)
又は
HPLCシステム:SHIMADZU CBM-20A(島津製作所)
検出器:紫外吸光度計(測定波長:280nm)
カラム:PolyPROPYL A(4.6×100mm,3μm,1500Å,PolyLC製)
カラム温度:40℃付近の一定温度
移動相A:1.5M硫酸アンモニウム含有20mMリン酸緩衝液(pH=7.4)
移動相B:20mMリン酸緩衝液(pH=7.4)
流速:0.8mL/min
サンプル注入量:15μL
グラジエントプログラム(移動相B):40%-80%(0分-20分)
〔G-3-1〕抗体に結合した薬物の数に比例して疎水性が増して保持時間が大きくなることから、SPAAC反応での糖鎖コンジュゲーションの場合は、原則的にDAR=0、DAR=2、DAR=4の順に溶出される。DAR=0との保持時間を比較することにより、検出ピークをDAR=2及びDAR=4のいずれかに割り当てることができる。抗体や薬物リンカーの種類に依存してDAR=1及びDAR=3のピークが検出されることもある。検出ピークのDARは、HI-HPLCで当該ピークを分画後、マススペクトルを測定して推定することもある。
本発明の抗体薬物コンジュゲートは、がん細胞に対して抗腫瘍免疫活性又は細胞傷害活性を示し、安全性面でも優れていることから、医薬として、特にがんに対する治療剤及び/又は予防剤、又は抗腫瘍剤として使用することができる。さらに、本発明の抗体医薬コンジュゲートは、医薬として、感染症に対する治療剤及び/または予防剤として使用することができる。また、本発明の一態様において、本発明の抗体薬物コンジュゲートは、熱に対する安定性の高い医薬として使用することができる。
本発明の一態様においては、糖鎖ドナー分子に由来する糖鎖を含むN297結合糖鎖を有するFc含有分子の製造方法が提供される。
(工程1)N297結合糖鎖としてフコースが付加していてもよいコアGlcNAcを有するFc含有分子であるアクセプター分子と、還元末端が活性化されていないGlcNAcを含む糖鎖を含む糖鎖ドナー分子とを、
・Fc含有分子のN297結合糖鎖を基質とするエンド-β-N-アセチルグルコサミニダーゼ(酵素-A);
・糖鎖ドナー分子の糖鎖を基質とするエンド-β-N-アセチルグルコサミニダーゼ(酵素-B);及び
・一価の塩、有機溶媒、界面活性剤、糖類、アミノ酸類、又はこれらのいずれかの組み合わせから選択される添加剤
の存在下で反応させ、反応混合液を得る工程。
本発明の一態様において、「N297結合糖鎖」とは、IgG重鎖の297番目のAsnの側鎖に結合している状態のN結合型糖鎖を意味し、また、任意の手法でIgG重鎖のN結合型糖鎖の付加位置を変更した場合であっても、N結合型糖鎖が酵素-Aの作用を受ける限りN297結合糖鎖に含まれるものとする。例えば、本発明の一態様において、IgG重鎖を断片化した場合、当該Asnを含むペプチド断片において、対応するAsnに結合している状態の糖鎖であっても、N297結合糖鎖に含まれる。通常、動物等で産生されたIgGにおけるN297結合糖鎖は、下記式(I)又は(II)の構造からなる基本構造を有しており、その非還元末端は、さらに化学修飾されていてもよく、例えばGalやシアル酸が付加していてもよい。
本発明の一態様において、「糖鎖ドナー分子」(「糖鎖供与体」ともいう)とは、アクセプター分子に糖鎖を供与する分子を意味する。
本発明の一態様において、「Fc含有分子」(「Fc領域含有分子」と称することもある)とは、Fc領域を含有する分子を示し、例えば、抗体(免疫グロブリン)、Fc-融合タンパク質、Fc断片等(又はFc含有断片)を例示することができる。抗体以外のFc含有断片としては、CLCH、例えば、IgG(特に、IgG型のモノクローナル抗体)のFc断片や定常領域のみからなるCLCH(特許文献1)、Fc断片を含むバイスペシフィック抗体(Expert Opin Ther Pat.2018 28,251-276)、等を挙げることができるが、これらに限定されない。本発明の一態様において、Fc含有分子は、抗体又は該抗体の機能性断片であり、当該抗体又は機能性断片としては、上記において言及してきた全てのものを挙げることができる。したがって、たとえば、本発明の一態様において、Fc含有分子は、Fc領域の234番目、235番目、及び265番目(すべてEUナンバリング)のアミノ酸残基が、それぞれ、Ala、Ala、及びGlyである抗体又は該抗体の機能性断片であり、本発明の別の一態様において、Fc含有分子は、配列番号30に記載のアミノ酸配列からなる軽鎖及び配列番号33に記載のアミノ酸配列からなる重鎖を含む抗体であり、本発明の更なる別の一態様において、Fc含有分子は、配列番号44に記載のアミノ酸配列からなる軽鎖及び配列番号46に記載のアミノ酸配列からなる重鎖を含む抗体である。
本発明の一態様において、「アクセプター分子」とは、糖鎖ドナー分子から糖鎖を受領する分子を意味する。アクセプター分子として典型的なものは、モノクローナル抗体に由来する、コアFucが結合していてもよいコアGlcNAcのみからなるN297結合糖鎖を有するIgG又はそのFc断片である。なお、本明細書において、「コアFuc」(又は、「コアフコース」)とは、上記コアGlnNAcに結合しているフコースを意味するものとする。コアGlcNAcには、その由来となる抗体又はその産生方法に応じて、コアFucが結合していても良く、結合していなくても良い。したがって、本発明の一態様において、アクセプター分子は、N297結合糖鎖としてフコースが付加していてもよいコアGlcNAcを有するFc含有分子(例えば、抗体又はそのFc含有断片)であり、好ましくは、GlcNAc若しくは(Fucα1,6)GlcNAcからなるN297結合糖鎖を有するFc含有分子(例えば、抗体又はそのFc含有断片)を挙げることができる。アクセプター分子の由来としては様々なモノクローナル抗体又は糖鎖含有分子若しくはFc領域含有分子(例えば、Fc、重鎖から可変領域を欠失させた定常領域のみからなるCHと軽鎖の定常領域のみからなるCLと組み合わせたCLCHなど)を利用することができる。本発明のアクセプター分子は、好ましくは(Fucα1,6)-GlcNAc-IgG(例えば、(Fucα1,6)GlcNAc-mAb1)、(Fucα1,6)-GlcNAc-Fc、(Fucα1,6)-GlcNAc-CLCH、GlcNAc-mAb4などが挙げられる。
「エンド-β-N-アセチルグルコサミニダーゼ」とは、ENGase:Endo-β-N-acetylglucosaminidaseとしても知られている糖加水分解酵素であり、糖鎖構造中のキトビオース構造の切断、及び結合生成を担う。また、その由来により、呼び方が異なる。本明細書においては、Fc含有分子のN297結合糖鎖を基質とするエンド-β-N-アセチルグルコサミニダーゼを「酵素-A」と呼び、糖鎖ドナー分子の糖鎖、例えば、フコースを有さない糖鎖原料(例えば、SGP)の糖鎖を基質とするエンド-β-N-アセチルグルコサミニダーゼを「酵素-B」と呼ぶ。以下、本発明における酵素-A及び酵素-Bについて説明する。
「酵素-A」は、Fc含有分子(例えば、抗体)のN297結合糖鎖を基質とするエンド-β-N-アセチルグルコサミニダーゼを意味する。酵素-Aは、一般に、Fc含有分子と親和性の高いドメインと、糖鎖と親和性の高いドメインと、糖鎖転移反応触媒ドメインを含み、典型的には、Fc含有分子(例えば、抗体)のN297結合糖鎖を基質として、加水分解活性と糖鎖転移活性を併せ持つものであるが、本発明において重要なのは、糖鎖ドナー分子における糖鎖(特に、化学的手法、あるいは酵素学的手法で活性化された糖鎖)を、アクセプター分子に転移する活性であるから、加水分解活性については、減弱又は消失していてもよい。むしろ、強い加水分解活性を保持する酵素は、糖鎖転移活性によりアクセプター分子のコアGlcNAcに転移させた糖鎖をも基質として加水分解する可能性があるため、本発明における酵素-Aの加水分解活性は、相対的に低減されていることが好ましい。なお、上記のとおり、酵素-Aに加水分解活性が残存している場合、工程1におけるアクセプター分子を別途調製することなく、工程1における同一反応槽内でin situで調製し得るという利点を享受し得る。したがって、本発明の一態様において、酵素-Aは、Fc含有分子の糖鎖に作用できる活性(特に、Fc含有分子のN297結合糖鎖を基質とする糖鎖転移活性)を有するものであり、また、本発明の別の一態様においては、酵素-Aは、Fc含有分子の糖鎖に作用できる活性を有しており、かつ、加水分解活性を残留しているか、又は、加水分解活性を消失しているものである。
「酵素-B」は、糖鎖ドナー分子の糖鎖を基質とするエンド-β-N-アセチルグルコサミニダーゼ、特に、糖鎖ドナー分子の糖鎖を基質とするがN297結合糖鎖を基質としない(言い換えれば、N297結合糖鎖への反応性が低い、好ましくは反応性が極めて低い)エンド-β-N-アセチルグルコサミニダーゼを意味するものである。酵素-Bが基質とする糖鎖ドナー分子上の糖鎖部分は、ハイマンノース型糖鎖、混成型糖鎖及び複合型糖鎖のいずれであってもよいが、好ましくは、ハイマンノース型糖鎖又は複合型糖鎖であり、特に好ましくは、複合型糖鎖である。したがって、本発明の一態様において、酵素-Bが基質とする糖鎖ドナー分子上の糖鎖部分は、ハイマンノース型糖鎖又は複合型糖鎖であり、好ましくは、複合型糖鎖である。また、本発明において、複合型糖鎖は、2分岐型、3分岐型又は4分岐型のいずれであってもよいが、好ましくは、酵素-Bが基質とする糖鎖ドナー分子上の糖鎖部分は、2分岐型の複合型糖鎖である。本発明の一態様において、酵素-Bは、フコースを有さない糖鎖原料(SGP等の糖ペプチドや糖タンパク質)を基質とするエンド-β-N-アセチルグルコサミニダーゼであり、好ましくは、フコースを有さない2分岐型の複合型糖鎖を含む糖鎖原料を基質とするエンド-β-N-アセチルグルコサミニダーゼである。
本発明の一態様において、上記工程1は、アクセプター分子と糖鎖ドナー分子とを、酵素-A、酵素-B及び特定の添加剤の存在下で反応させ、反応混合液を得る工程である。添加剤は、静電相互作用、疎水相互作用、溶媒効果等を介して、ワンポット反応における糖鎖転移率に正の影響を与え得る。特に、Fc含有分子(典型的には抗体)のFc領域に変異がある場合、Fc領域の立体構造が変わり、糖鎖転移率が変動する場合があり、たとえば、アクセプター分子として使用する抗体のFc領域に何らかの変異がある場合、当該変異がない場合と比較して、糖鎖転移率が下がり得る。添加剤は、アクセプター分子として使用するFc含有分子(典型的には抗体)の糖鎖転移率の調節に有用であり、アクセプター分子として使用するFc含有分子(典型的には抗体)のFc領域に変異があり、当該Fc領域の変異に起因して糖鎖転移率が下がり得る場合にとりわけ有用である。
本発明の一態様において、添加剤は事前に含まれていてもよいし、工程1において添加されていてもよい。
本発明の一態様において、工程1は、アクセプター分子と糖鎖ドナー分子とを、酵素-A、酵素-B及び特定の添加剤の存在下で反応させ、反応混合液を得る工程である。当該工程1の反応条件としては、還元末端が活性化されていないGlcNAcを糖鎖ドナー分子として用いる既知の糖鎖転移反応の反応条件に準じて、又は、既知の糖鎖転移反応の反応条件を利用又は応用することによって、適宜選択することができる。
本発明の一態様において、工程2は、工程1で得た反応混合液を、酸性条件下で陽イオン交換クロマトグラフィー媒体又はマルチモードクロマトグラフィー媒体に接触させ、糖鎖ドナー分子に由来する糖鎖を含むN297結合糖鎖を有するFc含有分子を回収する工程であり、好ましくは、工程1で得た反応混合液を、酸性条件下で陽イオン交換クロマトグラフィー媒体又はマルチモードクロマトグラフィー媒体に接触させ、反応混合液に含まれる糖鎖ドナー分子に由来する糖鎖を含むN297結合糖鎖を有するFc含有分子を、一部又は全部が未反応のFc含有分子(アクセプター分子)から単離し、回収する工程である。本発明の一態様において、工程2は、工程1で得た反応混合液をそのまま負荷液とするか、又は反応混合液に適宜、緩衝液を追加することにより、負荷液を調製し、当該負荷液を、酸性条件下で陽イオン交換クロマトグラフィー媒体又はマルチモードクロマトグラフィー媒体に接触させることで、未反応のアクセプター分子を当該媒体に選択的に吸着させ、他方、糖鎖ドナー分子に由来する糖鎖を含むN297結合糖鎖を有するFc含有分子を含む素通り液を回収することで、当該Fc含有分子を選択的に回収する工程である。
改変抗EGFR抗体1-[SG-(N3)2]2の調製
[合成スキーム]
(Fucα1,6)GlcNAc-改変抗EGFR抗体1の調製
実施例13に従って調製した改変抗EGFR抗体1のリン酸緩衝生理食塩水溶液(14.5mL,14.9mg/mL,pH6.0)に、野生型EndoSのリン酸緩衝生理食塩水溶液(0.140mL,7.70mg/mL)を加え、37℃で4時間振盪した。反応の進行具合をAgilent 2100バイオアナライザ電気泳動システム(Agilent Technologies製)で確認した。反応終了後、以下の方法に従い、アフィニティークロマトグラフィーによる精製とハイドロキシアパタイトカラムクロマトグラフィーによる精製を行った。
精製装置:AKTA avant 25(GE ヘルスケア製)
カラム:HiTrap rProtein A FF(5mL)(GE ヘルスケア製)
流速:5mL/min(チャージ時は1.25mL/min)
カラムへの結合時には、反応液を直接カラムに添加し、結合バッファー[20mMリン酸緩衝液(pH6.0)]を1.25mL/minで2CV流し、更に5mL/minで5CV流した。中間洗浄時には、洗浄溶液[20mMリン酸緩衝液(pH7.0),0.5M塩化ナトリウム溶液]を15CV流した。溶出時には、溶出バッファー(IgG Elution buffer,Thermo scientific製)を6CV流した。溶出液を1Mトリス緩衝液(pH9.0)で直ちに中和した。目的物を含むフラクションを共通操作Cに記載の方法に従い、5mMリン酸緩衝液,50mM 2-モルホリノエタンスルホン酸(MES)溶液(pH6.8)へのバッファー交換を行った。得られた緩衝液の抗体濃度を共通操作Bに記載の方法に従って測定し、粗精製された標題抗体溶液(8.5mL,22.13mg/mL)を得た。
精製装置:AKTA avant 25
カラム:Bio-Scale Mini CHT Type Iカートリッジ(5mL)(BIO-RAD製)
流速:5mL/min(チャージ時は1.25mL/min)
上記(1)で得られた溶液をカラムへ添加し、A液[5mMリン酸緩衝液,50mM MES溶液(pH6.8)]を1.25mL/minで2CV流し、更に5mL/minで3CV流した。その後、A液とB液[5mMリン酸緩衝液,50mM MES溶液(pH6.8)、2M塩化ナトリウム溶液]を用いて、溶出した。溶出条件は、A液:B液=100:0~0:100(5CV)である。さらに、洗浄溶液[500mMリン酸緩衝液(pH6.5)]を5CV流した。目的物を含むフラクションを共通操作Cに記載の方法に従い、20mMリン酸緩衝液(pH6.0)へのバッファー交換を行った。得られた緩衝液の抗体濃度を共通操作Bに記載の方法に従って測定し、標題抗体の20mMリン酸緩衝溶液(14.5mL,12.93mg/mL,pH6.0)を得た。
改変抗EGFR抗体1-[SG-(N3)2]2の調製
上記工程1で得られた抗体の20mMリン酸緩衝溶液(14.5mL,12.93mg/mL,pH6.0)に[N3-PEG(3)]2-SG(10)Ox(44mg)とEndoS(D233Q/Q303L)のリン酸緩衝生理食塩水溶液(0.781mL,4.8mg/mL)を加え、30℃で3時間振盪した。反応の進行具合をAgilent 2100バイオアナライザ電気泳動システムで確認した。[N3-PEG(3)]2-SG(10)Ox(4.2mg)を追加して30℃で1.5時間振盪後、[N3-PEG(3)]2-SG(10)Ox(8.4mg)を再度追加して30℃で2時間振盪した。反応終了後、上記工程1と同様にアフィニティークロマトグラフィーによる精製とハイドロキシアパタイトクロマトグラフィーによる精製を行った。目的物を含むフラクションを共通操作Cに記載の方法に従って、リン酸緩衝生理食塩水(pH6.0)へのバッファー交換を行った。得られた緩衝液の抗体濃度を共通操作Bに記載の方法に従って測定し、標題抗体のリン酸緩衝生理食塩水溶液(14.5mL,11.04mg/mL,pH6.0)を得た。
改変抗EGFR抗体1-[MSG1-(N3)]2の調製
[合成スキーム]
(Fucα1,6)GlcNAc-改変抗EGFR抗体1の調製
糖鎖リモデリング抗体1のリン酸緩衝生理食塩水溶液(9.0mL,11.04mg/mL,pH6.0)を用いて、実施例1工程1と同様の操作を行い、標題抗体の20mMリン酸緩衝溶液(9mL,9.11mg/mL,pH6.0)を得た。
改変抗EGFR抗体1-[MSG1-(N3)]2の調製
上記工程1で得られた抗体の20mMリン酸緩衝溶液(9mL,9.11mg/mL,pH6.0)と[N3-PEG(3)]-MSG1(9)Ox(13mg)の水(0.130mL)溶液を用いて、実施例1工程2と同様の操作を行い、標題抗体のリン酸緩衝生理食塩水溶液(4mL,13.33mg/mL,pH6.0;1mL,19.13mg/mL,pH6.0)を得た。
改変抗EGFR抗体2-[SG-(N3)2]2の調製
[合成スキーム]
(Fucα1,6)GlcNAc-改変抗EGFR抗体2の調製
実施例13に従って調製した改変抗EGFR抗体2のリン酸緩衝生理食塩水溶液(20mL,11.25mg/mL,pH6.0)を用いて、実施例1工程1と同様の操作を行い、標題抗体の20mMリン酸緩衝溶液(17mL,12.06mg/mL,pH6.0)を得た。
改変抗EGFR抗体2-[SG-(N3)2]2の調製
上記工程1で得られた抗体の20mMリン酸緩衝溶液(8.5mL,12.06mg/mL,pH6.0)と[N3-PEG(3)]2-SG(10)Ox(40.8mg)を用いて、実施例1工程2と同様の操作を行い、標題抗体のリン酸緩衝生理食塩水溶液(8mL,11.09mg/mL,pH6.0)を得た。
改変抗EGFR抗体2-[MSG1-(N3)]2の調製
[合成スキーム]
改変抗EGFR抗体2-[MSG1-(N3)]2の調製
実施例3工程1で得られた抗体の20mMリン酸緩衝溶液(8.5mL,12.06mg/mL,pH6.0)と[N3-PEG(3)]-MSG1(9)Ox(19mg)の水(0.190mL)溶液を用いて、実施例1工程2と同様の操作を行い、標題抗体のリン酸緩衝生理食塩水溶液(8.5mL,10.58mg/mL,pH6.0)を得た。
改変抗CDH6抗体1-[SG-(N3)2]2の調製
[合成スキーム]
(Fucα1,6)GlcNAc-改変抗CDH6抗体1の調製
実施例14に従って調製した改変抗CDH6抗体1のリン酸緩衝生理食塩水溶液(20.0mL,13.90mg/mL,pH6.0)を用いて、実施例1工程1と同様の操作を行い、標題抗体の20mMリン酸緩衝溶液(16mL,15.12mg/mL,pH6.0)を得た。
改変抗CDH6抗体1-[SG-(N3)2]2の調製
上記工程1で得られた抗体の20mMリン酸緩衝溶液(9.0mL,15.12mg/mL,pH6.0)と[N3-PEG(3)]2-SG(10)Ox(49.5mg)を用いて、実施例1工程2と同様の操作を行い、標題抗体のリン酸緩衝生理食塩水溶液(9mL,13.23mg/mL,pH6.0)を得た。
改変抗CDH6抗体1-[MSG1-(N3)]2の調製
[合成スキーム]
(Fucα1,6)GlcNAc-改変抗CDH6抗体1の調製
実施例5工程1と同様の操作を行い、標題抗体の20mMリン酸緩衝溶液(17mL,14.85mg/mL,pH6.0)を得た。
改変抗CDH6抗体1-[MSG1-(N3)]2の調製
上記工程1で得られた抗体の20mMリン酸緩衝溶液(2.7mL,14.85mg/mL,pH6.0)と[N3-PEG(3)]-MSG1(9)Ox(7.5mg)の水(0.075mL)溶液を用いて、実施例1工程2と同様の操作を行い、標題抗体のリン酸緩衝生理食塩水溶液(3mL,11.28mg/mL,pH6.0)を得た。
糖鎖リモデリング抗体1のリン酸緩衝生理食塩水溶液(2.00mL,11.04mg/mL,pH6.0)をプロピレングリコール(1.00mL)で希釈した。この溶液に薬物リンカー17a(ビス(N,N-ジエチルエタンアミニウム) N-[4-(11,12-ジデヒドロジベンゾ[b,f]アゾシン-5(6H)-イル)-4-オキソブタノイル]グリシルグリシル-L-フェニルアラニル-N-[(2-{9-[(5R,7R,8R,12aR,14R,15R,15aR,16R)-15-フルオロ-16-ヒドロキシ-2,10-ジオキソ-2,10-ジスルフィド-14-(6,7,8,9-テトラヒドロ-2H-2,3,5,6-テトラアザベンゾ[cd]アズレン-2-イル)オクタヒドロ-2H,10H,12H-5,8-メタノ-2λ5,10λ5-フロ[3,2-l][1,3,6,9,11,2,10]ペンタオキサジホスファシクロテトラデシン-7-イル]-6-オキソ-6,9-ジヒドロ-1H-プリン-1-イル}エトキシ)メチル]グリシンアミド。WO2020/050406に記載の方法で製造した。)の10mMジメチルスルホキシド溶液(0.122mL,抗体1分子に対して8当量)とプロピレングリコール(0.878mL)の混合液を加え、チューブローテーター(MTR-103,アズワン株式会社)を用いて室温で2日間反応させた。反応液を共通操作Dに記載の方法に従って精製し、目的とする抗体薬物コンジュゲートのABS溶液(12.0mL)を得た。
共通操作E及びGに記載の方法に従って分析し、下記の結果を得た。
抗体濃度:1.38mg/mL
抗体収量:16.58mg(75%)
薬物平均結合数:3.7
糖鎖リモデリング抗体2のリン酸緩衝生理食塩水溶液(1.00mL,13.33mg/mL,pH6.0)と薬物リンカー17aのジメチルスルホキシド溶液(10mM,0.074mL)を用いて、実施例7に記載された方法に従って操作(反応・精製・分析)を行い、目的とする抗体薬物コンジュゲートのABS溶液(6.5mL)を得た。分析結果は以下の通り。
抗体濃度:1.57mg/mL
抗体収量:10.23mg(77%)
薬物平均結合数:1.9
糖鎖リモデリング抗体3のリン酸緩衝生理食塩水溶液(2.00mL,11.09mg/mL,pH6.0)と薬物リンカー17aのジメチルスルホキシド溶液(10mM,0.123mL)を用いて、実施例7に記載された方法に従って操作(反応・精製・分析)を行い、目的とする抗体薬物コンジュゲートのABS溶液(12mL)を得た。分析結果は以下の通り。
抗体濃度:1.40mg/mL
抗体収量:16.77mg(76%)
薬物平均結合数:3.8
糖鎖リモデリング抗体4のリン酸緩衝生理食塩水溶液(2.00mL,10.58mg/mL,pH6.0)と薬物リンカー17aのジメチルスルホキシド溶液(10mM,0.117mL)を用いて、実施例7に記載された方法に従って操作(反応・精製・分析)を行い、目的とする抗体薬物コンジュゲートのABS溶液(12mL)を得た。分析結果は以下の通り。
抗体濃度:1.45mg/mL
抗体収量:17.46mg(82%)
薬物平均結合数:1.9
糖鎖リモデリング抗体5のリン酸緩衝生理食塩水溶液(2.00mL,13.23mg/mL,pH6.0)と薬物リンカー17aのジメチルスルホキシド溶液(10mM,0.146mL)を用いて、実施例7に記載された方法に従って操作(反応・精製・分析)を行い、抗体薬物コンジュゲートのABS溶液(12mL)を得た。この溶液を疎水性相互作用クロマトグラフィーで精製した。目的物を含むフラクションをNAPカラムでABSにバッファー交換した後、共通操作Aに記載の方法に従って濃縮し、目的とする抗体薬物コンジュゲートのABS溶液(7.5mL)を得た。分析結果は以下の通り。
抗体濃度:1.20mg/mL
抗体収量:9.02mg(34%)
薬物平均結合数:3.8
[疎水性相互作用クロマトグラフィーの精製条件]
精製装置:AKTA avant 25
カラム:HiTrap Butyl HP(5mL)(GE ヘルスケア製)
流速:5mL/min(チャージ時は2.5mL/min)
移動相A:1.5M硫酸アンモニウム含有25mMリン酸緩衝液(pH7.0)
移動相B:25mMリン酸緩衝液(pH7.0)/イソプロピルアルコール混合液(3:1)
グラジエントプログラム(移動相B):0%(2CV),40%(3CV),50%(3CV),60%(3CV),100%(5CV)
糖鎖リモデリング抗体6のリン酸緩衝生理食塩水溶液(2.00mL,11.71mg/mL,pH6.0)と薬物リンカー17aのジメチルスルホキシド溶液(10mM,0.097mL)を用いて、実施例7に記載された方法に従って操作(反応・精製・分析)を行い、目的とする抗体薬物コンジュゲートのABS溶液(12mL)を得た。分析結果は以下の通り。
抗体濃度:1.56mg/mL
抗体収量:18.68mg(80%)
薬物平均結合数:1.8
抗EGFR抗体A及び抗EGFR抗体1~3(本明細書中、改変抗EGFR抗体1~3ともいう)は、ベクティビックス点滴静注100mg審査結果報告書(平成22年3月5日 医薬食品局審査管理課)を参照して作製した。本実施例で使用した抗EGFR抗体Aは、アイソタイプがIgG1である。抗EGFR抗体1、3は抗EGFR抗体Aに、それぞれ、LALA-DG変異、LALA変異を導入して作製した。抗EGFR抗体2は、アイソタイプがIgG1であり、LALA-DG変異を有する。本実施例で使用した抗EGFR抗体A及び抗EGFR抗体1~3の軽鎖アミノ酸配列(配列番号30)及び、抗EGFR抗体1の重鎖アミノ酸配列(配列番号32)、抗EGFR抗体2の重鎖アミノ酸配列(配列番号33)、抗EGFR抗体Aの重鎖アミノ酸配列(配列番号34)、抗EGFR抗体3の重鎖アミノ酸配列(配列番号36)を図21-1、図21-2及び図21-3に示す。本実施例で使用した抗EGFR抗体A及び抗EGFR抗体1~3のCDRL1のアミノ酸配列(配列番号23)、CDRL2のアミノ酸配列(配列番号24)、CDRL3のアミノ酸配列(配列番号25)、CDRH1のアミノ酸配列(配列番号26)、CDRH2のアミノ酸配列(配列番号27)、及びCDRH3のアミノ酸配列(配列番号28)を図20に示す。
抗CDH6抗体1(本明細書中、改変抗CDH6抗体1ともいう)はWO2018/212136を参照して作製した。本実施例で使用した抗CDH6抗体1は、アイソタイプがIgG1であり、LALA-DG変異を有する。本実施例で使用した抗CDH6抗体1の軽鎖アミノ酸配列(配列番号44)及び抗CDH6抗体1の重鎖アミノ酸配列(配列番号46)、を図23に示す。本実施例で使用した抗CDH6抗体1のCDRL1のアミノ酸配列(配列番号37)、CDRL2のアミノ酸配列(配列番号38)、CDRL3のアミノ酸配列(配列番号39)、CDRH1のアミノ酸配列(配列番号40)、CDRH2のアミノ酸配列(配列番号41)、及びCDRH3のアミノ酸配列(配列番号42)を図22に示す。
抗EGFR抗体A-[SG-(N3)2]2の調製
[合成スキーム]
(Fucα1,6)GlcNAc-抗EGFR抗体Aの調製
実施例13に従って調製した抗EGFR抗体Aのリン酸緩衝生理食塩水溶液(9.5mL,14.1mg/mL,pH6.0)を用いて、実施例1工程1と同様の操作を行い、標題抗体の20mMリン酸緩衝溶液(7.5mL,15.93mg/mL,pH6.0)を得た。
抗EGFR抗体A-[SG-(N3)2]2の調製
上記工程1で得られた抗体の20mMリン酸緩衝溶液(7.5mL,15.93mg/mL,pH6.0)と[N3-PEG(3)]2-SG(10)Ox(30.4mg)を用いて、実施例1工程2と同様の操作を行い、標題抗体のリン酸緩衝生理食塩水溶液(3mL,11.10mg/mL,pH6.0)を得た。
抗EGFR抗体B-[MSG1-(N3)]2の調製
[合成スキーム]以下の図はIgG2を示す。
(Fucα1,6)GlcNAc-抗EGFR抗体Bの調製
市販のベクティビックス点滴静注(武田薬品工業)(100mg/5mL)をNAPカラム(NAP-25 columns(GEヘルスケア製))でバッファー交換し、抗体のリン酸緩衝生理食塩水溶液(7.0mL,13.73mg/mL,pH6.0)を得た。この抗体溶液(3.5mL)を用いて、実施例1工程1と同様の操作を行い、標題抗体の20mMリン酸緩衝溶液(5mL,8.49mg/mL,pH6.0)を得た。
抗EGFR抗体B-[MSG1-(N3)]2の調製
上記工程1で得られた抗体の20mMリン酸緩衝溶液(4.5mL,8.49mg/mL,pH6.0)と[N3-PEG(3)]-MSG1(9)Ox(7.6mg)の水(0.076mL)溶液を用いて、実施例1工程2と同様の操作を行い、標題抗体のリン酸緩衝生理食塩水溶液(2.5mL,12.90mg/mL,pH6.0)を得た。
改変抗EGFR抗体3-[SG-(N3)2]2の調製
[合成スキーム]
(Fucα1,6)GlcNAc-改変抗EGFR抗体3の調製
実施例13に従って調製した改変抗EGFR抗体3のリン酸緩衝生理食塩水溶液(10mL,14.00mg/mL,pH6.0)を用いて、実施例1工程1と同様の操作を行い、標題抗体の20mMリン酸緩衝溶液(7.5mL,16.70mg/mL,pH6.0)を得た。
改変抗EGFR抗体3-[SG-(N3)2]2の調製
上記工程1で得られた抗体の20mMリン酸緩衝溶液(7.5mL,16.70mg/mL,pH6.0)と[N3-PEG(3)]2-SG(10)Ox(29mg)を用いて、実施例1工程2と同様の操作を行い、標題抗体のリン酸緩衝生理食塩水溶液(10mL,10.49mg/mL,pH6.0)を得た。
改変抗EGFR抗体3-[MSG1-(N3)]2の調製
[合成スキーム]
(Fucα1,6)GlcNAc-改変抗EGFR抗体3の調製
参考例3工程1と同様の操作を行い、標題抗体の20mMリン酸緩衝溶液(7.5mL,14.51mg/mL,pH6.0)を得た。
改変抗EGFR抗体3-[MSG1-(N3)]2の調製
上記工程1で得られた抗体の20mMリン酸緩衝溶液(7.5mL,14.51mg/mL,pH6.0)と[N3-PEG(3)]-MSG1(9)Ox(17.3mg)の水(0.173mL)溶液を用いて、実施例1工程2と同様の操作を行い、標題抗体のリン酸緩衝生理食塩水溶液(7.5mL,13.34mg/mL,pH6.0)を得た。
糖鎖リモデリング抗体7のリン酸緩衝生理食塩水溶液(2.00mL,11.10mg/mL,pH6.0)と薬物リンカー17aのジメチルスルホキシド溶液(10mM,0.123mL)を用いて、実施例7に記載された方法に従って操作(反応・精製・分析)を行い、目的とする抗体薬物コンジュゲートのABS溶液(12mL)を得た。分析結果は以下の通り。
抗体濃度:1.39mg/mL
抗体収量:16.70mg(75%)
薬物平均結合数:3.7
糖鎖リモデリング抗体8のリン酸緩衝生理食塩水溶液(0.50mL,12.90mg/mL,pH6.0)と薬物リンカー17aのジメチルスルホキシド溶液(10mM,0.036mL)を用いて、実施例7に記載された方法に従って操作(反応・精製・分析)を行い、目的とする抗体薬物コンジュゲートのPBS溶液(3.5mL,pH7.4)を得た。分析結果は以下の通り。
抗体濃度:1.06mg/mL
抗体収量:3.72mg(58%)
薬物平均結合数:1.9
糖鎖リモデリング抗体9のリン酸緩衝生理食塩水溶液(1.00mL,10.49mg/mL,pH6.0)と薬物リンカー17aのジメチルスルホキシド溶液(10mM,0.058mL)を用いて、実施例7に記載された方法に従って操作(反応・精製・分析)を行い、目的とする抗体薬物コンジュゲートのABS溶液(6.5mL)を得た。分析結果は以下の通り。
抗体濃度:1.12mg/mL
抗体収量:7.26mg(69%)
薬物平均結合数:3.5
糖鎖リモデリング抗体10のリン酸緩衝生理食塩水溶液(1.00mL,13.34mg/mL,pH6.0)と薬物リンカー17aのジメチルスルホキシド溶液(10mM,0.074mL)を用いて、実施例7に記載された方法に従って操作(反応・精製・分析)を行い、目的とする抗体薬物コンジュゲートのABS溶液(6.5mL)を得た。分析結果は以下の通り。
抗体濃度:1.68mg/mL
抗体収量:10.91mg(82%)
薬物平均結合数:1.9
本明細書で、リファレンス化合物として使用したML-RR-CDA・2Na+は、特許文献10(WO2014/189805)に記載された方法に従って合成した。
(参考例10:2’,3’-cGAMPの合成)
<レポータージーンアッセイ>
ヒトSTINGアゴニスト活性は、STING経路の下流にあるインターフェロン制御因子3(interferon regulatory factor-3(IRF3))の経路の活性化を確認できるTHP1-DualTM細胞(HAQ変異型)(InvivoGen,CA,US)を用いて評価した。
(i)各種発現プラスミドの構築
<ヒトTMEM173発現Plasmidの構築>
ヒトSTING(本明細書中、ヒトTMEM173と称することもある)の哺乳動物細胞発現用プラスミドは、232番目のアルギニン(R)がヒスチジン(H)に変異した(本明細書中、H232変異又はREF変異という)ヒトTMEM173 cDNA Clone(Accession NM_198282.3,H232(REF)変異型STING発現プラスミド)(GeneCopoeia,MD,US)を購入した。ヒトH232(REF)変異型STINGのアミノ酸配列を配列番号3に、ヌクレオチド配列を配列番号4に示す。また、H232変異型STING発現プラスミドを鋳型とし、Inverse PCR法に基づく部位特異的変異導入を行って野生型STINGおよびHAQ(R71H,G230A及びR293Q)変異型STINGの発現プラスミドを作製した。ヒト野生型STINGのアミノ酸配列を配列番号1に、ヌクレオチド配列を配列番号2に示し、ヒトHAQ変異型STINGのアミノ酸配列を配列番号5に、ヌクレオチド配列を配列番号6に示す。また、ヒトの野生型STING、REF変異型STING、HAQ変異型STINGのアミノ酸配列を図21に示す。
ヒトSTING C末結合ドメイン(aa139-342)蛋白質(UniProt entry Q86WV6)cDNAは、全長のヒトTMEM173 cDNA clone発現プラスミド(野生型、H232変異型およびHAQ変異型)から2種類のPrimer(5’-ACCTGTATTTTCAGGGCCTGGCCCCAGCTGAGATCTCTG-3’(hST Fw_v2)(配列番号21)及び5’-CAGAATTCGCAAGCTTTTAAGTAACCTCTTCCTTTTCCTCCTGC-3’(hST Rv_V3)(配列番号22))を用いたPCRで作製した。PCR産物は、N末にヒスチジン6塩基からなる6xHisタグ、Avidinタグ及びTEVプロテアーゼ切断サイトを有するよう、In-Fusion HD Cloning Kit(タカラバイオ)を使用して大腸菌発現用ベクターであるpET15bへ挿入し、pET15b-HisAviTEV-hSTING(139-342)ヒト野生型、pET15b-HisAviTEV-hSTING(139-342)ヒトREF変異型及びpET15b-HisAviTEV-hSTING(139-342)ヒトAQ変異型の発現プラスミドを構築した。
pCDF_Duet-1ベクターに人工合成した大腸菌BirA(UniProt entry P06709)cDNAを挿入し、pCDF_Duet-1 BirA(1-321)発現プラスミドを構築した。
作製した各pET15b-HisAviTEV-hSTING(139-342)(ヒト野生型(Hu-WT)、ヒトREF変異型(Hu-REF)及びヒトAQ変異型(Hu-AQ)のSTING C末結合ドメイン蛋白質)発現プラスミド及びpET15b-HisAviTEV-mSTING(138-341)(マウス野生型(Ms-WT)のSTING C末結合ドメイン蛋白質)発現プラスミドはそれぞれ、pCDF_Duet-1 BirA(1-321)発現プラスミドと同時にCompetent E.coli Rosetta 2(DE3)(Merck Millipore,MA,US)に形質転換し、各HisAviTEV-STING発現株を作製した。これらの発現株を100μg/mLアンピシリン、50μg/mLストレプトマイシン、及び30μg/mLカナマイシンを含むTB培地に添加し、37℃で培養後、100μM IPTGで誘導発現しさらに16℃で培養した。
STING C末結合ドメイン蛋白質への化合物の結合性は、蛋白質の熱変性温度の上昇を指標とするthermal shift assayにより行った。
American Type Culture Collection社より購入したマウス大腸がん細胞株CT26.WTに抗EGFR抗体のエピトープ部位をヒト型に置換したヒトマウスキメラEGFR遺伝子を導入したCT26.WT-chimeraEGFR細胞を作成した。
CT26.WT-chimeraEGFR細胞をBALB/cマウスの右腋窩部に皮下移植し(Day0)、7日後に無作為に群分けを実施した。抗EGFR抗体-CDNコンジュゲートは1.0mg/kgの用量で、Day7に計1回尾静脈内投与した。各群のマウス匹数は8匹とした。
結果を図4に示す。図中の抗EGFR抗体1-CDNコンジュゲート1はFc部位にLALA-DG変異を有し、抗EGFR抗体3-CDNコンジュゲート1はFc部位にLALA変異を有する、いずれも薬物平均結合数が約4の抗体-CDNコンジュゲートである。図中の黒四角線はビヒクル群、黒三角線は抗EGFR抗体3-CDNコンジュゲート1投与群、黒丸線は抗EGFR抗体1-CDNコンジュゲート1投与群の平均腫瘍体積を示す。縦軸は腫瘍体積(mm3)、横軸は腫瘍移植後の日数を示している。ビヒクル群は腫瘍の増殖が進行した。これに対し、全ての抗EGFR抗体-CDNコンジュゲート投与群で腫瘍の増殖が著しく抑制された。
以上より、薬物平均結合数が約4であり、Fc部位に各変異を有する抗EGFR抗体-CDNコンジュゲートのいずれについても強い抗腫瘍効果が確認された。その抗腫瘍効果は同等であった。
CT26.WT-chimeraEGFR細胞をBALB/cマウスの右腋窩部に皮下移植し(Day0)、7日後に無作為に群分けを実施した。抗EGFR抗体-CDNコンジュゲートは1.0mg/kgの用量で、Day7に計1回尾静脈内投与した。各群のマウス匹数は6匹とした。
結果を図5に示す。図中の抗EGFR抗体2-CDNコンジュゲート1はFc部位にLALA-DG変異を有する薬物平均結合数が約4の抗体-CDNコンジュゲートである。図中の黒四角線はビヒクル群、黒丸線は抗EGFR抗体2-CDNコンジュゲート1投与群の平均腫瘍体積を示す。縦軸は腫瘍体積(mm3)、横軸は腫瘍移植後の日数を示している。ビヒクル群は腫瘍の増殖が進行した。これに対し、抗EGFR抗体-CDNコンジュゲート投与群で腫瘍の増殖が著しく抑制された。
以上より、薬物平均結合数が約4であり、Fc部位にLALA-DG変異を有する抗EGFR抗体-CDNコンジュゲートの強い抗腫瘍効果が確認された。
CT26.WT-chimeraEGFR細胞をBALB/cマウスの右腋窩部に皮下移植し(Day0)、7日後に無作為に群分けを実施した。抗EGFR抗体-CDNコンジュゲートは2.0mg/kgの用量で、Day7に計1回尾静脈内投与した。各群のマウス匹数は6あるいは8匹とした。
結果を図6に示す。図中の抗EGFR抗体1-CDNコンジュゲート2はFc部位にLALA-DG変異を有し、抗EGFR抗体3-CDNコンジュゲート2はFc部位にLALA変異を有する、いずれも薬物平均結合数が約2の抗体-CDNコンジュゲートである。
図中の黒四角線はビヒクル群、黒三角線は抗EGFR抗体3-CDNコンジュゲート2投与群、黒丸線は抗EGFR抗体1-CDNコンジュゲート2投与群の平均腫瘍体積を示す。縦軸は腫瘍体積(mm3)、横軸は腫瘍移植後の日数を示している。ビヒクル群は腫瘍の増殖が進行した。これに対し、全ての抗EGFR抗体-CDNコンジュゲート投与群で腫瘍の増殖が著しく抑制された。
以上より、薬物平均結合数が約2であり、Fc部位に各変異を有する抗EGFR抗体-CDNコンジュゲートのいずれについても強い抗腫瘍効果が確認された。その抗腫瘍効果は同等であった。
CT26.WT-chimeraEGFR細胞をBALB/cマウスの右腋窩部に皮下移植し(Day0)、7日後に無作為に群分けを実施した。抗EGFR抗体-CDNコンジュゲートは2.0mg/kgの用量で、Day7に計1回尾静脈内投与した。各群のマウス匹数は6匹とした。
結果を図7に示す。図中の抗EGFR抗体2-CDNコンジュゲート2はFc部位にLALA-DG変異を有する薬物平均結合数が約2の抗体-CDNコンジュゲートである。図中の黒四角線はビヒクル群、黒丸線は抗EGFR抗体2-CDNコンジュゲート2投与群の平均腫瘍体積を示す。縦軸は腫瘍体積(mm3)、横軸は腫瘍移植後の日数を示している。ビヒクル群は腫瘍の増殖が進行した。これに対し、抗EGFR抗体-CDNコンジュゲート投与群で腫瘍の増殖が著しく抑制された。
以上より、薬物平均結合数が約2であり、Fc部位にLALA-DG変異を有する抗EGFR抗体-CDNコンジュゲートの強い抗腫瘍効果が確認された。
European Collection of Authenticated Cell Cultures社より購入したEGFRエクソン19欠失変異を有するヒト肺がん細胞株PC-9細胞をBALB/c―nuマウスの右腋窩部に皮下移植し(Day0)、7日後に無作為に群分けを実施した。抗EGFR抗体-CDNコンジュゲートは0.5mg/kgの用量で、Day8に計1回尾静脈内投与した。各群のマウス匹数は6匹とした。
結果を図8に示す。図中の抗EGFR抗体2-CDNコンジュゲート1はFc部位にLALA-DG変異を有する薬物平均結合数が約4の抗体-CDNコンジュゲートである。図中の黒四角線はビヒクル群、黒丸線は抗EGFR抗体2-CDNコンジュゲート1投与群の平均腫瘍体積を示す。縦軸は腫瘍体積(mm3)、横軸は腫瘍移植後の日数を示している。ビヒクル群では腫瘍の増殖が進行した。これに対し、抗EGFR抗体2-CDNコンジュゲート1投与群で腫瘍の増殖が著しく抑制された。
以上より、EGFRエクソン19欠失変異を有する肺がん腫瘍に対して、薬物平均結合数が約4であり、Fc部位にLALA-DG変異を有する抗EGFR抗体-CDNコンジュゲートの強い抗腫瘍効果が確認された。
American Type Culture Collection社より購入したKRAS G12C変異陽性のヒト肺がん細胞株NCI-H358細胞をBALB/c―nuマウスの右腋窩部に皮下移植し(Day0)、22日後に無作為に群分けを実施した。抗EGFR抗体2-CDNコンジュゲート1は0.5mg/kgの用量で、Day22に計1回尾静脈内投与した。各群のマウス匹数は6匹とした。
結果を図9に示す。図中の抗EGFR抗体2-CDNコンジュゲート1はFc部位にLALA-DG変異を有する薬物平均結合数が約4の抗体-CDNコンジュゲートである。図中の黒四角線はビヒクル群、黒丸線は抗EGFR抗体2-CDNコンジュゲート1投与群の平均腫瘍体積を示す。縦軸は腫瘍体積(mm3)、横軸は腫瘍移植後の日数を示している。ビヒクル群では腫瘍の増殖が進行した。これに対し、抗EGFR抗体2-CDNコンジュゲート1投与群で腫瘍の増殖が著しく抑制された。
以上より、KRAS G12C変異陽性の肺がん腫瘍に対して、薬物平均結合数が約4であり、Fc部位にLALA-DG変異を有する抗EGFR抗体-CDNコンジュゲートの強い抗腫瘍効果が確認された。
CT26.WTにヒトCDH6遺伝子を導入したCT26.WT-hCDH6細胞を作成した。
CT26.WT-hCDH6細胞をBALB/cマウスの右腋窩部に皮下移植し(Day0)、8日後に無作為に群分けを実施した。抗CDH6抗体1-CDNコンジュゲート1は1.2mg/kgの用量で、抗CDH6抗体1-CDNコンジュゲート2は2.4mg/kgの用量で、Day8に計1回尾静脈内投与した。各群のマウス匹数は8匹とした。
結果を図10に示す。図中の抗CDH6抗体1-CDNコンジュゲート2は薬物平均結合数が約2の抗体-CDNコンジュゲートであり、図中の抗CDH6抗体1-CDNコンジュゲート1は薬物平均結合数が約4の抗体-CDNコンジュゲートである。いずれもFc部位にLALA-DG変異を有する。図中の黒四角線はビヒクル群、白丸線は抗CDH6抗体1-CDNコンジュゲート1投与群、白逆三角線は抗CDH6抗体1-CDNコンジュゲート2投与群の平均腫瘍体積を示す。縦軸は腫瘍体積(mm3)、横軸は腫瘍移植後の日数を示している。ビヒクル群は腫瘍の増殖が進行した。これに対し、抗CDH6抗体1-CDNコンジュゲート1及び抗CDH6抗体1-CDNコンジュゲート2投与群では腫瘍の増殖が著しく抑制された。
以上より、薬物平均結合数が約4及び約2であり、Fc部位にLALA-DG変異を有する抗CDH6抗体-CDNコンジュゲートの強い抗腫瘍効果が確認された。
American Type Culture Collection社より購入したヒト肺がん細胞株HCC827細胞及びTHP1-DualTM細胞(InvivoGen,CA,US)を用いて評価した。
アッセイは以下のように実施した。96ウェルプレートにHCC827細胞を播種し、37℃、5%CO2環境下で24時間培養した。続いて、レポーター細胞と被験化合物を添加し、刺激を開始した。48時間後、遠心上清を回収し、QUANTI-Luc(InvivoGen)を用いて発光を測定した。
結果を図11に示す。図中の黒三角線は抗EGFR抗体3-CDNコンジュゲート添加群、黒丸線は抗EGFR抗体1-CDNコンジュゲート添加群の平均カウント値を示す。破線は薬物平均結合数が約2のCDNコンジュゲート2、実線は薬物平均結合数が約4のCDNコンジュゲート1を示す。縦軸はカウント値、横軸は濃度を示している。全ての抗EGFR抗体-CDNコンジュゲート添加群は顕著にレポーター活性を誘導した。
以上より、Fc部位にLALA-DG変異を有する各抗EGFR抗体-CDNコンジュゲートのいずれについてもレポーター活性が確認された。
National Cancer Instituteより購入したヒト卵巣がん細胞株OVCAR4細胞及びTHP1-DualTM細胞(InvivoGen,CA,US)を用いて評価した。
アッセイは以下のように実施した。96ウェルプレートにOVCAR4細胞を播種し、37℃、5%CO2環境下で24時間培養した。続いて、レポーター細胞と被験化合物を添加し、刺激を開始した。48時間後、遠心上清を回収し、QUANTI-Luc(InvivoGen)を用いて発光を測定した。
結果を図12に示す。図中の黒三角線は抗CDH6抗体1-CDNコンジュゲート添加群を示す。実線は薬物平均結合数が約4のCDNコンジュゲート1、破線は薬物平均結合数が約2のCDNコンジュゲート2の平均カウント値を示す。縦軸はカウント値、横軸は濃度を示している。全ての抗CDH6抗体-CDNコンジュゲート添加群は顕著にレポーター活性を誘導した。
以上より、Fc部位にLALA-DG変異を有する各抗CDH6抗体-CDNコンジュゲートのいずれについてもレポーター活性が確認された。
(試験例3)抗腫瘍試験(1)と同様の抗腫瘍試験を実施した。抗EGFR抗体1-CDNコンジュゲート1は1.0mg/kgの用量で、Day7に計1回尾静脈内投与した。これらの群のうち完全に腫瘍が退縮したマウスについて、Day80にCT26.WT細胞をBALB/cマウスの左腋窩部に皮下移植した。
Day99における結果を図13に示す。縦軸は腫瘍体積(mm3)を示している。各ドットは各個体の腫瘍体積を示し、図中の横線は中央値を示す。同週齢のコントロール群では腫瘍の増殖が進行した。これに対し、抗EGFR抗体1-CDNコンジュゲート1投与群では腫瘍の増殖が著しく抑制された。
以上より、薬物平均結合数が約4であり、Fc部位にLALA-DG変異を有する抗EGFR抗体1-CDNコンジュゲート1について長期に亘る抗腫瘍免疫が確立していることが確認された。
(試験例5)抗腫瘍試験(3)と同様の抗腫瘍試験を実施した。抗EGFR抗体1-CDNコンジュゲート2は1.0mg/kgもしくは2.0mg/kgの用量で、Day7に計1回尾静脈内投与した。これらの群のうち完全に腫瘍が退縮したマウスについて、Day80にCT26.WT細胞をBALB/cマウスの左腋窩部に皮下移植した。
Day100における結果を図14に示す。縦軸は腫瘍体積(mm3)を示している。各ドットは各個体の腫瘍体積を示し、図中の横線は中央値を示す。同週齢のコントロール群では腫瘍の増殖が進行した。これに対し、抗EGFR抗体1-CDNコンジュゲート2投与群では腫瘍の増殖が著しく抑制された。
以上より、薬物平均結合数が約2であり、Fc部位にLALA-DG変異を有する抗EGFR抗体1-CDNコンジュゲート2について長期に亘る抗腫瘍免疫が確立していることが確認された。
ヒト新鮮末梢血を採取し、96ウェルプレートに添加した。続いて、薬物平均結合数が約4の化合物については10μg/mL、薬物平均結合数が約2の化合物については20μg/mLの濃度で被験化合物を添加し、37℃、5%CO2環境下で24時間培養した。遠心後、血漿を回収し、AlphaLISA(PerkinElmer)を用いてIL-6濃度を測定した。
Logスケール(Logarithmic Scale)の標準線を用いて数値を算出した結果を図15Aに、Linearスケール(Linear Scale)の標準線を用いて数値を算出した結果を図15Bに示す。数値の傾向はLogスケールでもLinearスケールでも同様のことがいえる。算出された数値としては、Linearスケールの方が正確な濃度を表す。縦軸はIL-6濃度(pg/mL)を示している。横軸は各抗体-CDNコンジュゲートが有するFc部位の変異を示している。WTはFc部位の変異がないことを示している。抗EGFR抗体B-CDNコンジュゲートはIgG2抗体を用いた抗体-CDNコンジュゲートであり、その他はIgG1抗体を用いた抗体-CDNコンジュゲートである。IgG2抗体もしくはIgG1抗体かつFc部位における変異なし(WT)、LALA変異を有する抗体-CDNコンジュゲート添加群に対し、IgG1抗体かつLALA-DG変異を有する抗体1-CDNコンジュゲート添加群においてサイトカイン産生は著しく抑制された。この結果は薬物平均結合数が約2の抗EGFR抗体1-CDNコンジュゲート、薬物平均結合数が約4の抗EGFR抗体1-CDNコンジュゲートで同様であった。抗CDH6抗体1-CDNコンジュゲートにおいても薬物平均結合数が約2もしくは薬物平均結合数が約4でありIgG1抗体かつLALA-DG変異を有する抗体-CDNコンジュゲート添加群においてサイトカイン産生は著しく抑制された。
以上より、各抗体-CDNコンジュゲートを投与した際のサイトカイン産生を抑制する目的には、IgG1抗体を用いたLALA-DG変異が優れていることが確認された。本試験におけるサイトカイン産生は図17に示されるFcγR結合活性と相関していた。
一方、Fc部位に変異を有するNaked IgG1抗体(CDNコンジュゲート無し)を同様に試験した場合、サイトカイン産生に明確な差は認められなかった(data not shown)。よって当該抗体をコンジュゲート化することにより、抗体のFcγR結合活性を感度よく評価できることが判明した。本評価系を用いて、抗体のエフェクター機能を低減させた、安全な抗体薬物コンジュゲートを取得できた。
Biacore T200(Cytiva社)を用いて、種々のエフェクターレス変異を導入した抗EGFR抗体のヒトFcγRIに対する結合活性を評価した。評価にはIgG2型の抗体である抗EGFR抗体(抗EGFR抗体B)、そのFc部分をIgG1型に置き換えたFc置換体(IgG1 WT)(抗EGFR抗体A)、IgG1 WTのFc部分にL234A/L235A(LALA)変異を導入した変異体(改変抗EGFR抗体3)、L234A/L235A/D265G(LALA-DG)変異を導入した変異体(改変抗EGFR抗体1)を用いた。本試験例で用いた抗EGFR抗体Bは、市販のベクティビックス点滴静注(武田薬品工業)(100mg/5mL)をAmicon Ultra-15 Centrifugal Filter Unit(50K、メルク製)でバッファー交換し、HBS-EP+溶液として得た。抗His抗体を固定化したセンサーチップ上にリガンドとしてHisタグ付きのヒトFcγRIを捕捉させた後、アナライトとして各種抗EGFR抗体をセンサーチップに添加してリガンド・アナライト間の相互作用を表面プラズモン共鳴(Surface plasmon resonance、SPR)法により測定した。Anti-6X His tag抗体[AD1.1.10](abcam社)をキット説明書に従いSensor Chip CM5(Cytiva社)上に固定化し、HBS-EP+(GE Healthcare社)で10μg/mLに調製したRecombinant Human Fc gamma RI/CD64 Protein(R&D systems社)を上記センサーチップに10μL/minで60秒間接触させることにより捕捉させた。その後、HBS-EP+で各濃度に調製した抗EGFR抗体をセンサーチップに流速30μL/minで120秒間添加した。図16Aに抗体の濃度(0.3、0.4、0.6、0.9、1.3、2.0、3.1、4.7μM)に対する結合レスポンス(Resonance Unit、RU)の値をプロットしたグラフを示した。また、図17Aのグラフに抗体濃度4.7μMに対するRU値を示した。
ヒトFcγRIへの結合を示すRU値はIgG1 WT>>LALA>>IgG2>LALA-DGであった。
Biacore T200を用い、試験例15に記載した抗EGFR抗体のヒトFcγRIIaに対する結合活性を評価した。リガンドとしてヒトFcγRをセンサーチップ上に直接固定化した後、アナライトとして各種抗EGFR抗体をセンサーチップに添加してリガンド・アナライト間の相互作用をSPR法により測定した。ヒトFcγRIIaとしてRecombinant Human Fc gammaRIIA/CD32a(R167)Protein(R&D systems社)をキット説明書に従いSensor Chip CM5上に固定化した。その後、HBS-EP+で各濃度に調製した抗EGFR抗体を上記センサーチップに流速30μL/minで120秒間添加した。図16BにヒトFcγRIIaをリガンドとして用いた時の、各抗体の濃度(0.9、1.3、2.0、3.1、4.7μM)に対するRU値をプロットしたグラフを示した。また、図17Bのグラフに抗体濃度4.7μMに対するRU値を示した。
ヒトFcγRIIaへの結合を示すRU値はIgG1 WT>IgG2>>LALA>LALA-DGであった。
試験例16と同様の方法で、試験例15に記載した抗EGFR抗体のヒトFcγRIIb/cに対する結合活性を評価した。ヒトFcγRIIb/cとしてRecombinant Human Fc gamma RIIB/C(CD32b/c)Protein(R&D systems社)を用いた。図16CにヒトFcγRIIb/cをリガンドとして用いた時の、各抗体の濃度(0.9、1.3、2.0、3.1、4.7μM)に対するRU値をプロットしたグラフを示した。また、図17Cのグラフに抗体濃度4.7μMに対するRU値を示した。
ヒトFcγRIIb/cへの結合を示すRU値はIgG1 WT>IgG2>LALA>LALA-DGであった。
試験例16と同様の方法で、試験例15に記載した抗EGFR抗体のヒトFcγRIIIaに対する結合活性を評価した。ヒトFcγRIIIaとしてRecombinant Human Fc gamma RIIIA/CD16a protein(R&D systems社)を用いた。図16DにヒトFcγRIIIaをリガンドとして用いた時の、各抗体の濃度(0.9、1.3、2.0、3.1、4.7μM)に対するRU値をプロットしたグラフを示した。また、図17Dのグラフに抗体濃度4.7μMに対するRU値を示した。
ヒトFcγRIIIaへの結合を示すRU値はIgG1 WT>LALA>IgG2>LALA-DGであった。
試験例16と同様の方法で、試験例15に記載した抗EGFR抗体のヒトFcγRIIIbに対する結合活性を評価した。ヒトFcγRIIIbとしてRecombinant Human Fc gamma RIIIB/CD16b Protein(R&D systems社)を用いた。図16EにヒトFcγRIIIbをリガンドとして用いた時の、各抗体の濃度(0.9、1.3、2.0、3.1、4.7μM)に対するRU値をプロットしたグラフを示した。また、図17Eのグラフに抗体濃度4.7μMに対するRU値を示した。
ヒトFcγRIIIbへの結合を示すRU値はIgG1 WT>LALA≒IgG2≒LALA-DGであった。
試験例15~19と同様の方法で、試験例15に記載した抗EGFR抗体とCDNのコンジュゲート体(DAR2:抗EGFR抗体B-CDNコンジュゲート2、抗EGFR抗体3-CDNコンジュゲート2、抗EGFR抗体1-CDNコンジュゲート2、またはDAR4:抗EGFR抗体A-CDNコンジュゲート1、抗EGFR抗体3-CDNコンジュゲート1、抗EGFR抗体1-CDNコンジュゲート1)について各種ヒトFcγRに対する結合活性を評価した。図17A~Eのグラフに各種ヒトFcγRをリガンドとして用いた時の抗体濃度4.7μMに対するRU値を示した。
CDNコンジュゲート化およびDARの増加はエフェクターレス変異体間でのRU値の大きさの序列に影響しなかった。したがって、抗体-CDNコンジュゲート体のヒトFcgR結合活性は基本的に親抗体のヒトFcgR結合活性に依存すると考えられた。
また、IgG1 WTの抗体及びFc部位にLALA変異有する抗体を含む抗体-薬物コンジュゲートでは、親抗体よりもFcγRI結合活性が上昇する傾向が見られ、DARの増加によりさらに上昇する傾向にあった。一方で、Fc部位にLALA-DG変異を有する抗体-薬物コンジュゲートでは親抗体と同様の低いFcγRI結合活性を維持したままであった(図17A)。以上から、抗体のエフェクター機能を親抗体と同程度に低減させた抗体薬物コンジュゲートを取得する目的では、LALA-DG変異体が好ましいと考えられた。
MicroCal VP-Capillary DSC System(Malvern社)を用いて、抗EGFR抗体とCDNのコンジュゲート体(抗EGFR抗体A-CDNコンジュゲート1、抗EGFR抗体3-CDNコンジュゲート1、抗EGFR抗体1-CDNコンジュゲート1)の熱安定性を評価した。25mM Histidine、5w/v% Sorbitol(pH5.5)を用いて抗体濃度0.5mg/mLに調製した各種抗EGFR抗体-CDNコンジュゲート1について、昇温速度60℃/hrで20℃から120℃まで温度上昇させた時の熱容量Cp(kcal/mol/℃)の変化を調べた。この熱容量変化を示す曲線のピークは抗体の各ドメインの熱変性を示しており、一般にCH2、Fab、CH3の順に熱変性のピークが観察される(Biochem. Biophys. Res. Commun. 355, 751-757(2007))。図18の表中にこれらの抗体のCH2のピークトップの温度(Tm)の値と抗EGFR抗体AからのTm値の変化量(ΔTm)を示した。
抗EGFR抗体A-CDNコンジュゲート1、抗EGFR抗体3-CDNコンジュゲート1の熱安定性は同程度であった。一方、抗EGFR抗体1-CDNコンジュゲート1の熱安定性はその他の抗体よりもTm値が4℃以上高かった。
(試験例9)抗腫瘍試験(7)と同様の抗腫瘍試験を実施した。抗CDH6抗体1-CDNコンジュゲート1及び抗CDH6抗体1-CDNコンジュゲート2は、それぞれ1.2mg/kg及び2.4mg/kgの用量で、Day7に一回尾静脈内投与した。これらの群のうち、完全に腫瘍が退縮したマウスについて、Day84にCT26.WT-hCDH6細胞を左腋窩部に皮下移植した。コントロール群は週齢の一致した未処置BALB/cマウスを用いた。抗CDH6抗体1-CDNコンジュゲート1及び抗CDH6抗体1-CDNコンジュゲート2のDay98における結果を図24に示す。縦軸は腫瘍体積 (mm3)を示している。各ドットは各個体の腫瘍体積を示し、図中の横線は中央値を示す。同週齢のコントロール群では腫瘍の増殖が進行した。これに対し、抗CDH6抗体1-CDNコンジュゲート1及び抗CDH6抗体1-CDNコンジュゲート2投与群では腫瘍の増殖が著しく抑制された。
以上より、薬物平均結合数が約2、4で、Fc部分に変異を有する各抗CDH6抗体-CDNコンジュゲートのいずれについても抗腫瘍免疫が確立していることが確認された。
ATCC社より購入したヒト腎がん細胞株A498細胞をBALB/c-nuマウスの右腋窩部に皮下移植し (Day0)、20日後に無作為に群分けを実施した。各抗CDH6抗体-CDNコンジュゲートは薬物平均結合数4、2について0.3mg/kg、0.6mg/kgの用量で、計1回、尾静脈内投与した。各群のマウス匹数は6匹とした。
結果を図25示す。図中の抗体はすべてFc部位にLALA-DG変異を有する。抗CDH6抗体1-CDNコンジュゲート1及び抗CDH6抗体1-CDNコンジュゲート2の薬物平均結合数はそれぞれ4、2である。図中の黒四角線はビヒクル群、黒丸線は抗CDH6抗体1-CDNコンジュゲート1投与群、黒三角線は抗CDH6抗体1-CDNコンジュゲート2投与群を示す。縦軸は腫瘍体積 (mm3)、横軸は腫瘍移植後の日数を示している。ビヒクル群では腫瘍の増殖が進行した。これに対し、全ての抗CDH6抗体1-CDNコンジュゲート投与群では腫瘍の増殖が著しく抑制された。
以上より、薬物平均結合数が約2、4であり、Fc部位に各変異を有する抗CDH6抗体-CDNコンジュゲートのいずれについても強い抗腫瘍効果が確認された。
ATCC社より購入したヒト腎がん細胞株786-O細胞をBALB/c-nuマウスの右腋窩部に皮下移植し (Day0)、28日後に無作為に群分けを実施した。各抗CDH6抗体-CDNコンジュゲートは薬物平均結合数に関わらず0.1mg/kgの用量で、計1回、尾静脈内投与した。各群のマウス匹数は6匹とした。
結果を図26、27に示す。図中の抗体はすべてFc部位にLALA-DG変異を有する。抗CDH6抗体1-CDNコンジュゲート1及び抗CDH6抗体1-CDNコンジュゲート2の薬物平均結合数はそれぞれ4、2である。図中の黒四角線はビヒクル群、黒丸線は抗CDH6抗体1-CDNコンジュゲート1投与群、黒三角線は抗CDH6抗体1-CDNコンジュゲート2投与群を示す。縦軸は腫瘍体積 (mm3)、横軸は腫瘍移植後の日数を示している。ビヒクル群では腫瘍の増殖が進行した。これに対し、全ての抗CDH6抗体1-CDNコンジュゲート投与群では腫瘍の増殖が著しく抑制された。
以上より、薬物平均結合数が約2、4であり、Fc部位に各変異を有する抗CDH6抗体-CDNコンジュゲートのいずれについても強い抗腫瘍効果が確認された。
ATCC社より購入したヒト卵巣がん細胞株OV-90細胞をBALB/c-nuマウスの右腋窩部に皮下移植し (Day0)、7もしくは15日後に無作為に群分けを実施した。抗CDH6抗体1-CDNコンジュゲート1は薬物平均結合数が約4であり、0.3mg/kgの用量で、抗CDH6抗体1-CDNコンジュゲート2は薬物平均結合数が約2であり、0.6mg/kgの用量で、計1回、尾静脈内投与した。各群のマウス匹数は6匹とした。
結果を図28、29に示す。図中の抗体はすべてFc部位にLALA-DG変異を有する。抗CDH6抗体1-CDNコンジュゲート1及び抗CDH6抗体1-CDNコンジュゲート2の薬物平均結合数はそれぞれ4、2である。図中の黒四角線はビヒクル群、黒丸線は抗CDH6抗体1-CDNコンジュゲート1投与群、黒三角線は抗CDH6抗体1-CDNコンジュゲート2投与群を示す。縦軸は腫瘍体積 (mm3)、横軸は腫瘍移植後の日数を示している。ビヒクル群では腫瘍の増殖が進行した。これに対し、全ての抗CDH6抗体1-CDNコンジュゲート投与群では腫瘍の増殖が著しく抑制された。
以上より、薬物平均結合数が約2、4であり、Fc部位に各変異を有する抗CDH6抗体-CDNコンジュゲートのいずれについても強い抗腫瘍効果が確認された。
一般的に、ワンポット法では、上記文献に記載のあるような任意の酵素と糖鎖ドナー分子を適宜組み合わせて使用できるが、以下の実施例では、上記文献に記載のある酵素の中から、その代表例を各1つ選んだ。また、アクセプター分子の代表例として、(Fucα1,6)GlcNAc-改変抗EGFR抗体2及び(Fucα1,6)GlcNAc-改変抗CDH6抗体1を選んだ。更に、糖鎖ドナー分子には、上記文献に記載ない糖鎖ドナー分子(G-10)を選んだ(表7)。
SGP(20.0g)及び1-Methylethyl 2-(acetylamino)-2-deoxy-β-D-glucopyranoside(36.8g、20equiv)をリン酸緩衝液(280mL、pH5.5、0.2mol/L)に溶解した後、50℃に加温した。この混合溶液に、Endo-Rp N172H(9.1mg)を加え、そのままの温度で72時間攪拌した。
[精製]
反応終了後、室温にて反応液をろ過した。このろ液の一部についてSartocon Hydrosart-2kDa(Sartorius)、次いでAmberlite(登録商標)IR120 H form(Merck)で精製した後、凍結乾燥により固形物4(3.72g from SGP 5.6g)を得た。
工程(15-1a)で得た固形物4(3.0g)をDMF(59.1mL)と精製水(0.9mL)を用いて、溶解したのち、N,N-ジイソプロピルエチルアミン(1.03g、7.94mmol)、11-アジド-3,6,9-トリオキサウンデカン-1-アミン(867mg、3.97mmol)を加えた。この溶液に1H-ベンゾトリアゾール-1-イルオキシトリピロリジノホスホニウムヘキサフルオロホスファート(6.20g、11.9mmol)を20℃にて3回に分けて添加後、そのままの温度で23時間攪拌した。
[精製]
反応後、反応液を精製水で希釈した後、Sartocon Hydrosart-2kDa(Sartorius)で精製し濃縮した。この濃縮液を、アセトニトリルと水を溶離液とし、カラムにはYMC-Actus Triart Prep C18-S(ワイエムシィ社製)を用いて分離精製を行った。UV検出(210nm)によって検出されたメインピークを回収し、減圧濃縮し、目的化合物G-10(2.77g)を得た。
ESI-MS: Calcd for C103H176N14O66: [M+2H]2+ 1333.5496 (most abundant mass), Found 1333.5450
下記に示すいずれかのプロトコルで糖鎖転移反応を実施した。また、添加剤含有液を加える場合の注意点として、添加剤を加えることで抗体や酵素を沈殿させないことを考慮した濃度設定とし、さらに、緩衝液のpHが変わらないように事前調製した添加剤水溶液を加えた。
(Fucα1,6)GlcNAc-改変抗EGFR抗体2(3mg)、糖鎖ドナー分子G-10(20当量)、Endo-Si mutant(以下、「Endo-Sim」とも呼ぶ、1.6%w/w)、Endo-Rp mutant(以下、「Endo-Rpm」とも呼ぶ、0.2%w/w)と、適量の50mMトリス-塩酸緩衝溶液(pH 7.25)を加え、必要に応じて表8に示す含有量の添加剤含有液を適量加え、総量液量50μLとし、30℃で28時間反応させた。
反応開始後、16時間、18時間、20時間、22時間、24時間にサンプリングした。サンプリング時には反応液を一部抜き取り、含有抗体濃度が1mg/mLになるように精製水で希釈し、LabChip分析開始時まで凍結保管した。
(Fucα1,6)GlcNAc-改変抗CDH6抗体1(15mg)、糖鎖ドナー分子G-10(25当量)、Endo-Sim(1.6%w/w)、Endo-Rpm(0.2%w/w)と、適量の50mMトリス-塩酸緩衝溶液(pH 7.25)を加え、必要に応じて表9示す含有量の添加剤含有液を適量加え、総量液量300μLとし、30℃で20時間反応させた。
反応開始後、16時間、18時間、20時間にサンプリングした。サンプリング時には反応液を一部抜き取り、LabChip分析開始時まで凍結保管した。
前述した[糖鎖転移反応標準プロトコル]に従い、サンプリング液をLabChip分析すると、そのエレクトロフェログラムから、未反応物と糖鎖転移体が分離したピークとして確認される。未反応物と糖鎖転移体のピーク面積比から糖鎖転移率を下記算出式により算出した。
添加剤の濃度は、添加剤を加えることで抗体や酵素を沈殿させない限りにおいて、すなわち、ワンポット反応の反応性が残存する限り、任意に設定できる。ここでは添加剤の代表例として、塩化ナトリウムを用い、具体的な設定法の一例を示す。
(Fucα1,6)GlcNAc-改変抗EGFR抗体2(3mg)、糖鎖ドナー分子G-10(25当量)、Endo-Sim(1.6%w/w)、Endo-Rpm(0.2%w/w)と、適量の50mMトリス-塩酸緩衝溶液(pH 7.25)を加え、必要に応じて表10に示す含有量の添加剤含有液を適量加え、総量液量50μLとし、30℃で24時間反応させた。
反応開始後、18時間、22時間、24時間にサンプリングした。サンプリング時には反応液を一部抜き取り、含有抗体濃度が1mg/mLになるように精製水で希釈し、LabChip分析開始時まで凍結保管した。反応終了後、(15-2b)に記載した方法に従って、(Fucα1,6)GlcNAc-改変抗EGFR抗体2に用いた各反応条件に対して、各反応時間における糖鎖転移率を算出した(表10)
配列番号2:ヒト野生型STINGのヌクレオチド酸配列
配列番号3:ヒトH232(REF)変異型STINGのアミノ酸配列
配列番号4:ヒトH232(REF)変異型STINGのヌクレオチド酸配列
配列番号5:ヒトHAQ変異型STINGのアミノ酸配列
配列番号6:ヒトHAQ変異型STINGのヌクレオチド酸配列
配列番号7:マウスSTINGのアミノ酸配列
配列番号8:マウスSTINGのヌクレオチド酸配列
配列番号9:HisAviTEV-hSTING(139-342)ヒト野生型蛋白質のアミノ酸配列
配列番号10:HisAviTEV-hSTING(139-342)ヒトREF変異型蛋白質のアミノ酸配列
配列番号11:HisAviTEV-hSTING(139-342)ヒトAQ変異型蛋白質のアミノ酸配列
配列番号12:His-Avi-TEV-mSTING(138-341)マウス野生型蛋白質のアミノ酸配列
配列番号13~22:プライマーの配列
配列番号23:抗EGFR抗体(改変抗EGFR抗体1~3)のCDRL1のアミノ酸配列
配列番号24:抗EGFR抗体(改変抗EGFR抗体1~3)のCDRL2のアミノ酸配列
配列番号25:抗EGFR抗体(改変抗EGFR抗体1~3)のCDRL3のアミノ酸配列
配列番号26:抗EGFR抗体(改変抗EGFR抗体1~3)のCDRH1のアミノ酸配列
配列番号27:抗EGFR抗体(改変抗EGFR抗体1~3)のCDRH2のアミノ酸配列
配列番号28:抗EGFR抗体(改変抗EGFR抗体1~3)のCDRH3のアミノ酸配列
配列番号29:抗EGFR抗体(改変抗EGFR抗体1~3)の軽鎖可変領域のアミノ酸配列
配列番号30:抗EGFR抗体(改変抗EGFR抗体1~3)の軽鎖のアミノ酸配列
配列番号31:抗EGFR抗体(改変抗EGFR抗体1~3)の重鎖可変領域のアミノ酸配列
配列番号32:抗EGFR抗体LALA-DG変異体(改変抗EGFR抗体1)の重鎖のアミノ酸配列
配列番号33:抗EGFR抗体LALA-DG変異体(改変抗EGFR抗体2)の重鎖のアミノ酸配列
配列番号34:抗EGFR抗体Aの重鎖のアミノ酸配列
配列番号35:抗EGFR抗体B(Vectibix)の重鎖のアミノ酸配列
配列番号36:抗EGFR抗体LALA変異体(改変抗EGFR抗体3)の重鎖のアミノ酸配列
配列番号37:抗CDH6抗体(改変抗CDH6抗体1)のCDRL1のアミノ酸配列
配列番号38:抗CDH6抗体(改変抗CDH6抗体1)のCDRL2のアミノ酸配列
配列番号39:抗CDH6抗体(改変抗CDH6抗体1)のCDRL3のアミノ酸配列
配列番号40:抗CDH6抗体(改変抗CDH6抗体1)のCDRH1のアミノ酸配列
配列番号41:抗CDH6抗体(改変抗CDH6抗体1)のCDRH2のアミノ酸配列
配列番号42:抗CDH6抗体(改変抗CDH6抗体1)のCDRH3のアミノ酸配列
配列番号43:抗CDH6抗体(改変抗CDH6抗体1)の軽鎖可変領域のアミノ酸配列
配列番号44:抗CDH6抗体(改変抗CDH6抗体1)の軽鎖のアミノ酸配列
配列番号45:抗CDH6抗体(改変抗CDH6抗体1)の重鎖可変領域のアミノ酸配列
配列番号46:抗CDH6抗体LALA-DG変異体(改変抗CDH6抗体1)の重鎖の配列番号47:野生型Endo-Sのアミノ酸配列
配列番号48:野生型Endo-S2のアミノ酸配列
配列番号49:野生型Endo-Siのアミノ酸配列
配列番号50:野生型Endo-Mのアミノ酸配列
配列番号51:野生型Endo-Rpのアミノ酸配列
配列番号52:野生型Endo-CCのアミノ酸配列
配列番号53:野生型Endo-Omのアミノ酸配列
配列番号54:野生型Endo-Sdのアミノ酸配列
配列番号55:野生型Endo-Szのアミノ酸配列
配列番号56:野生型Endo-Seのアミノ酸配列
Claims (50)
- 次式(II):
(式中、m1は1から10の範囲であり、
Abは、抗体又は該抗体の機能性断片を示し、該抗体又は該抗体の機能性断片はリモデリングされた糖鎖を有していてもよく、該抗体又は該抗体の機能性断片のFc領域の234番目、235番目、及び265番目(すべてEUナンバリング)のアミノ酸残基が、それぞれ、Ala、Ala、及びGlyであり、ここで、抗体は、抗EGFR抗体又は抗CDH6抗体を示し、
Lは、AbとDを連結するリンカーを示し、
Abはそのアミノ酸残基から直接Lに結合するか、Abの糖鎖又はリモデリングされた糖鎖からLに結合していてもよく、
Dは、次式(I):
(ここで、
Lは、L1に含まれるヒドロキシ基と結合し、
L1は、以下の式:
(ここで、波線は置換位置を示す)
の基を示し、
Q及びQ’は、それぞれ独立して、ヒドロキシ基又はチオール基を示し、
R21及びR22は、それぞれ独立して、ヒドロキシ基又はフッ素原子を示し、
Wは、-NH-又は硫黄原子を示す)
で表される化合物を示す)
で表される抗体薬物コンジュゲート。 - リンカーLが、-Lb-La-Lp-Lc-*で示され、
式中、アステリスクは、薬物Dと結合していることを示し、
Lpは、標的細胞において切断可能なアミノ酸配列からなるリンカーを示すか又は存在せず、
Laは、以下の群から選択されるいずれか一つを示し、
-C(=O)-(CH2CH2)n2-C(=O)-、
-C(=O)-(CH2CH2)n2-CH2-C(=O)-、
-C(=O)-(CH2CH2)n2-C(=O)-NH-(CH2CH2)n3-C(=O)-、
-C(=O)-(CH2CH2)n2-C(=O)-NH-(CH2CH2)n3-CH2-C(=O)-、
-C(=O)-(CH2CH2)n2-C(=O)-NH-(CH2CH2O)n3-CH2-C(=O)-、
-(CH2)n4-O-C(=O)-、及び、
-(CH2)n9-C(=O)-
(ここで、n2は1~3の整数を示し、n3は1~5の整数を示し、n4は0~2の整数を示し、n9は2~7の整数を示す)、
Lbは、LaとAbの糖鎖又はリモデリングされた糖鎖を結合するスペーサー又はLaとAbのシステイン残基を結合するスペーサーを示し、並びに、
Lcは、-NH-CH2-、―NH-フェニル基-CH2-O(C=O)-又は―NH-ヘテロアリール基-CH2-O(C=O)-を示すか又は存在しない、
請求項1~7のいずれか1項に記載の抗体薬物コンジュゲート。 - Lcが-NH-CH2-である、請求項8に記載の抗体薬物コンジュゲート。
- Lpが、-GGFG-、-GGPI-、-GGVA-、-GGFM-、-GGVCit-、-GGFCit-、-GGICit-、-GGPL-、-GGAQ-又は-GGPP-のいずれか一つである、請求項8又は9に記載の抗体薬物コンジュゲート。
- Lpが、-GGFG-又は-GGPI-である、請求項10に記載の抗体薬物コンジュゲート。
- Laが、以下:
-C(=O)-CH2CH2-C(=O)-、
-C(=O)-CH2CH2-C(=O)-NH-(CH2CH2O)3-CH2-C(=O)-、
-C(=O)-CH2CH2-C(=O)-NH-(CH2CH2O)4-CH2-C(=O)-、及び
-(CH2)5-C(=O)-
からなる群から選択されるいずれか一つを示す、請求項8~11のいずれか1項に記載の抗体薬物コンジュゲート。 - 抗体薬物コンジュゲートにおける抗体1分子あたりの平均薬物結合数が、1から10の範囲である、請求項1~15のいずれか1項に記載の抗体薬物コンジュゲート。
- 抗体薬物コンジュゲートにおける抗体1分子あたりの平均薬物結合数が、1から5の範囲である、請求項16に記載の抗体薬物コンジュゲート。
- 抗体薬物コンジュゲートにおける抗体1分子あたりの平均薬物結合数が、1から3、又は3から5の範囲である、請求項17に記載の抗体薬物コンジュゲート。
- 抗体が、抗体のAsn297に結合する糖鎖(N297糖鎖)からLに結合している、請求項1~18のいずれか1項に記載の抗体薬物コンジュゲート。
- N297糖鎖が、リモデリングされた糖鎖である、請求項19に記載の抗体薬物コンジュゲート。
- N297糖鎖が、次式で示される構造を有するN297-(Fuc)MSG1又はN297-(Fuc)SGである、請求項19又は20に記載の抗体薬物コンジュゲート:
式中、波線は抗体のAsn297に結合していることを示し、
L(PEG)は、-(CH2-CH2-O)n5-CH2-CH2-NH-を示し、該L(PEG)の右端のアミノ基がN297糖鎖のβ-Manの分岐鎖の1-3鎖側の非還元末端のシアル酸の2位のカルボキシル基とアミド結合していることを示し、
アステリスクは、前記リンカーLにおけるLbの1,2,3-トリアゾール環上の1位又は3位の窒素原子と結合していることを示し、及び
n5は2~5の整数である;
式中、波線は抗体のAsn297に結合していることを示し、
L(PEG)は、-(CH2-CH2-O)n5-CH2-CH2-NH-を示し、該L(PEG)の右端のアミノ基がN297糖鎖のβ-Manの分岐鎖の1-3鎖側及び1-6鎖側の両方の非還元末端のシアル酸の2位のカルボキシル基とアミド結合していることを示し、
アステリスクは、前記リンカーLにおけるLbの1,2,3-トリアゾール環上の1位又は3位の窒素原子と結合していることを示し、及び
n5は2~5の整数である。 - 次式:
(式中、m2は1又は2の整数を示し、
Lは、N297糖鎖とDを連結するリンカーであって、前に定義したとおりであり、
Abは、抗体又は該抗体の機能性断片を示し、該抗体又は該抗体の機能性断片のFc領域の234番目、235番目、及び265番目(すべてEUナンバリング)のアミノ酸残基が、それぞれ、Ala、Ala、及びGlyであり、ここで、抗体は、抗EGFR抗体又は抗CDH6抗体を示し、
N297糖鎖は、次式で示される構造を有するN297-(Fuc)MSG1又はN297-(Fuc)SGであることを示し、
式中、波線は抗体のAsn297に結合していることを示し、
L(PEG)は、-(CH2-CH2-O)n5-CH2-CH2-NH-を示し、該L(PEG)の右端のアミノ基がN297糖鎖のβ-Manの分岐鎖の1-3鎖側の非還元末端のシアル酸の2位のカルボキシル基とアミド結合していることを示し、
アステリスクは、前記リンカーLにおけるLbの1,2,3-トリアゾール環上の1位又は3位の窒素原子と結合していることを示し、及び
n5は2~5の整数を示し;
式中、波線は抗体のAsn297に結合していることを示し、
L(PEG)は、-(CH2-CH2-O)n5-CH2-CH2-NH-を示し、該L(PEG)の右端のアミノ基がN297糖鎖のβ-Manの分岐鎖の1-3鎖側及び1-6鎖側の両方の非還元末端のシアル酸の2位のカルボキシル基とアミド結合していることを示し、
アステリスクは、前記リンカーLにおけるLbの1,2,3-トリアゾール環上の1位又は3位の窒素原子と結合していることを示し、及び
n5は2~5の整数を示し、
Dは、以下の4式のいずれかで示され、
ここで、式中、アステリスクはLと結合していることを示す)で示される、請求項19~21のいずれか1項に記載の抗体薬物コンジュゲート。 - 次式:
から選ばれ、
上記で示されるそれぞれの構造式において、m2は1又は2の整数であることを示し、
Abは、抗体又は該抗体の機能性断片を示し、該抗体又は該抗体の機能性断片のFc領域の234番目、235番目、及び265番目(すべてEUナンバリング)のアミノ酸残基が、それぞれ、Ala、Ala、及びGlyであり、ここで、抗体は、抗EGFR抗体又は抗CDH6抗体を示し、
N297糖鎖は、次式で示される構造を有するN297-(Fuc)MSG1又はN297-(Fuc)SGのいずれか一つであることを示し、
式中、波線は抗体のAsn297に結合していることを示し、
L(PEG)は、-(CH2-CH2-O)n5-CH2-CH2-NH-を示し、該L(PEG)の右端のアミノ基がN297糖鎖のβ-Manの分岐鎖の1-3鎖側の非還元末端のシアル酸の2位のカルボキシル基とアミド結合していることを示し、
アステリスクは、前記リンカーLにおけるLbの1,2,3-トリアゾール環上の1位又は3位の窒素原子と結合していることを示し、及び
n5は2~5の整数を示し;
式中、波線は抗体のAsn297に結合していることを示し、
L(PEG)は、-(CH2-CH2-O)n5-CH2-CH2-NH-を示し、該L(PEG)の右端のアミノ基がN297糖鎖のβ-Manの分岐鎖の1-3鎖側及び1-6鎖側の両方の非還元末端のシアル酸の2位のカルボキシル基とアミド結合していることを示し、
アステリスクは、前記リンカーLにおけるLbの1,2,3-トリアゾール環上の1位又は3位の窒素原子と結合していることを示し、及び
n5は2~5の整数を示す、請求項22に記載の抗体薬物コンジュゲート。 - 次式:
から選ばれ、
上記で示されるそれぞれの構造式において、m2は1又は2の整数であることを示し、
Abは、抗体又は該抗体の機能性断片を示し、該抗体又は該抗体の機能性断片のFc領域の234番目、235番目、及び265番目(すべてEUナンバリング)のアミノ酸残基が、それぞれ、Ala、Ala、及びGlyであり、ここで、抗体は、抗EGFR抗体又は抗CDH6抗体を示し、
N297糖鎖は、次式で示される構造を有するN297-(Fuc)MSG1又はN297-(Fuc)SGのいずれか一つであることを示し、
式中、波線は抗体のAsn297に結合していることを示し、
L(PEG)は、-(CH2-CH2-O)n5-CH2-CH2-NH-を示し、該L(PEG)の右端のアミノ基がN297糖鎖のβ-Manの分岐鎖の1-3鎖側の非還元末端のシアル酸の2位のカルボキシル基とアミド結合していることを示し、
アステリスクは、前記リンカーLにおけるLbの1,2,3-トリアゾール環上の1位又は3位の窒素原子と結合していることを示し、及び
n5は2~5の整数を示し;
式中、波線は抗体のAsn297に結合していることを示し、
L(PEG)は、-(CH2-CH2-O)n5-CH2-CH2-NH-を示し、該L(PEG)の右端のアミノ基がN297糖鎖のβ-Manの分岐鎖の1-3鎖側及び1-6鎖側の両方の非還元末端のシアル酸の2位のカルボキシル基とアミド結合していることを示し、
アステリスクは、前記リンカーLにおけるLbの1,2,3-トリアゾール環上の1位又は3位の窒素原子と結合していることを示し、及び
n5は2~5の整数を示す、請求項23に記載の抗体薬物コンジュゲート。 - 抗体が、抗EGFR抗体である、請求項1~24のいずれか1項に記載の抗体薬物コンジュゲート。
- 抗体が、抗CDH6抗体である、請求項1~24のいずれか1項に記載の抗体薬物コンジュゲート。
- 抗体が、配列番号30に記載のアミノ酸配列からなる軽鎖及び配列番号32に記載のアミノ酸配列からなる重鎖を含む抗体、又は配列番号30に記載のアミノ酸配列からなる軽鎖及び配列番号33に記載のアミノ酸配列からなる重鎖を含む抗体、或いは、前記いずれか一つの抗体において、カルボキシル末端の1つ又は数個のアミノ酸残基が欠失した重鎖を含む抗体である、請求項25に記載の抗体薬物コンジュゲート。
- 抗体が、配列番号44に記載のアミノ酸配列からなる軽鎖及び配列番号46に記載のアミノ酸配列からなる重鎖を含む抗体、又は、前記抗体において、カルボキシル末端の1つ又は数個のアミノ酸残基が欠失した重鎖を含む抗体である、請求項26に記載の抗体薬物コンジュゲート。
- 抗体が、配列番号29に記載のアミノ酸配列からなる軽鎖可変領域を含む軽鎖、及び配列番号31に記載のアミノ酸配列からなる重鎖可変領域を含む重鎖を含んでなる抗体であって、該抗体のFc領域の234番目、235番目、及び265番目(すべてEUナンバリング)のアミノ酸残基が、それぞれ、Ala、Ala、及びGlyである、請求項25に記載の抗体薬物コンジュゲート。
- 抗体が、配列番号43に記載のアミノ酸配列からなる軽鎖可変領域を含む軽鎖、及び配列番号45に記載のアミノ酸配列からなる重鎖可変領域を含む重鎖を含んでなる抗体であって、該抗体のFc領域の234番目、235番目、及び265番目(すべてEUナンバリング)のアミノ酸残基が、それぞれ、Ala、Ala、及びGlyである、請求項26に記載の抗体薬物コンジュゲート。
- 抗体が、配列番号23に記載のアミノ酸配列からなるCDRL1、配列番号24に記載のアミノ酸配列からなるCDRL2、及び配列番号25に記載のアミノ酸配列からなるCDRL3を含む軽鎖、並びに、配列番号26に記載のアミノ酸配列からなるCDRH1、配列番号27に記載のアミノ酸配列からなるCDRH2、及び配列番号28に記載のアミノ酸配列からなるCDRH3を含む重鎖を含んでなる抗体であって、該抗体のFc領域の234番目、235番目、及び265番目(すべてEUナンバリング)のアミノ酸残基が、それぞれ、Ala、Ala、及びGlyである、請求項25に記載の抗体薬物コンジュゲート。
- 抗体が、配列番号37に記載のアミノ酸配列からなるCDRL1、配列番号38に記載のアミノ酸配列からなるCDRL2、及び配列番号39に記載のアミノ酸配列からなるCDRL3を含む軽鎖、並びに、配列番号40に記載のアミノ酸配列からなるCDRH1、配列番号41に記載のアミノ酸配列からなるCDRH2、及び配列番号42に記載のアミノ酸配列からなるCDRH3を含む重鎖を含んでなる抗体であって、該抗体のFc領域の234番目、235番目、及び265番目(すべてEUナンバリング)のアミノ酸残基が、それぞれ、Ala、Ala、及びGlyである、請求項26に記載の抗体薬物コンジュゲート。
- 次式:
で表され、式中、Abは以下の群から選択されるいずれか一つを示し、
配列番号30に記載のアミノ酸配列からなる軽鎖及び配列番号32に記載のアミノ酸配列からなる重鎖を含む抗体;
配列番号30に記載のアミノ酸配列からなる軽鎖及び配列番号33に記載のアミノ酸配列からなる重鎖を含む抗体;
配列番号44に記載のアミノ酸配列からなる軽鎖及び配列番号46に記載のアミノ酸配列からなる重鎖を含む抗体;及び
前記いずれか一つの抗体において、カルボキシル末端の1つ又は数個のアミノ酸残基が欠失した重鎖を含む抗体;
N297糖鎖は、次式:
(式中、波線は抗体のAsn297に結合していることを示し、
L(PEG)は、-(CH2-CH2-O)n5-CH2-CH2-NH-を示し、該L(PEG)の右端のアミノ基がN297糖鎖のβ-Manの分岐鎖の1-3鎖側及び1-6鎖側の両方の非還元末端のシアル酸の2位のカルボキシル基とアミド結合していることを示し、
アステリスクは、前記リンカーLにおけるLbの1,2,3-トリアゾール環上の1位又は3位の窒素原子と結合していることを示し、
n5は3であり、及び
m2が2である)で表される、抗体薬物コンジュゲート。 - 次式:
で表され、式中、Abは以下の群から選択されるいずれか一つを示し、
配列番号29に記載のアミノ酸配列からなる軽鎖可変領域を含む軽鎖、及び配列番号31に記載のアミノ酸配列からなる重鎖可変領域を含む重鎖を含んでなる抗体;及び
配列番号43に記載のアミノ酸配列からなる軽鎖可変領域を含む軽鎖、及び配列番号45に記載のアミノ酸配列からなる重鎖可変領域を含む重鎖を含んでなる抗体;
該抗体のFc領域の234番目、235番目、及び265番目(すべてEUナンバリング)のアミノ酸残基が、それぞれ、Ala、Ala、及びGlyであり、
N297糖鎖は、次式:
(式中、波線は抗体のAsn297に結合していることを示し、
L(PEG)は、-(CH2-CH2-O)n5-CH2-CH2-NH-を示し、該L(PEG)の右端のアミノ基がN297糖鎖のβ-Manの分岐鎖の1-3鎖側及び1-6鎖側の両方の非還元末端のシアル酸の2位のカルボキシル基とアミド結合していることを示し、
アステリスクは、前記リンカーLにおけるLbの1,2,3-トリアゾール環上の1位又は3位の窒素原子と結合していることを示し、
n5は3であり、及び
m2が2である)で表される、抗体薬物コンジュゲート。 - 次式:
で表され、式中、Abは以下の群から選択されるいずれか一つを示し、
配列番号23に記載のアミノ酸配列からなるCDRL1、配列番号24に記載のアミノ酸配列からなるCDRL2、及び配列番号25に記載のアミノ酸配列からなるCDRL3を含む軽鎖、並びに、配列番号26に記載のアミノ酸配列からなるCDRH1、配列番号27に記載のアミノ酸配列からなるCDRH2、及び配列番号28に記載のアミノ酸配列からなるCDRH3を含む重鎖を含んでなる抗体;及び
配列番号37に記載のアミノ酸配列からなるCDRL1、配列番号38に記載のアミノ酸配列からなるCDRL2、及び配列番号39に記載のアミノ酸配列からなるCDRL3を含む軽鎖、並びに、配列番号40に記載のアミノ酸配列からなるCDRH1、配列番号41に記載のアミノ酸配列からなるCDRH2、及び配列番号42に記載のアミノ酸配列からなるCDRH3を含む重鎖を含んでなる抗体;
該抗体のFc領域の234番目、235番目、及び265番目(すべてEUナンバリング)のアミノ酸残基が、それぞれ、Ala、Ala、及びGlyであり、
N297糖鎖は、次式:
(式中、波線は抗体のAsn297に結合していることを示し、
L(PEG)は、-(CH2-CH2-O)n5-CH2-CH2-NH-を示し、該L(PEG)の右端のアミノ基がN297糖鎖のβ-Manの分岐鎖の1-3鎖側及び1-6鎖側の両方の非還元末端のシアル酸の2位のカルボキシル基とアミド結合していることを示し、
アステリスクは、前記リンカーLにおけるLbの1,2,3-トリアゾール環上の1位又は3位の窒素原子と結合していることを示し、
n5は3であり、及び
m2が2である)で表される、抗体薬物コンジュゲート。 - 次式:
で表され、式中、Abは以下の群から選択されるいずれか一つを示し、
配列番号30に記載のアミノ酸配列からなる軽鎖及び配列番号32に記載のアミノ酸配列からなる重鎖を含む抗体;
配列番号30に記載のアミノ酸配列からなる軽鎖及び配列番号33に記載のアミノ酸配列からなる重鎖を含む抗体;
配列番号44に記載のアミノ酸配列からなる軽鎖及び配列番号46に記載のアミノ酸配列からなる重鎖を含む抗体;及び
前記いずれか一つの抗体において、カルボキシル末端の1つ又は数個のアミノ酸残基が欠失した重鎖を含む抗体;
N297糖鎖は、次式:
(式中、波線は抗体のAsn297に結合していることを示し、
L(PEG)は、-(CH2-CH2-O)n5-CH2-CH2-NH-を示し、該L(PEG)の右端のアミノ基がN297糖鎖のβ-Manの分岐鎖の1-3鎖側及び1-6鎖側の両方の非還元末端のシアル酸の2位のカルボキシル基とアミド結合していることを示し、
アステリスクは、前記リンカーLにおけるLbの1,2,3-トリアゾール環上の1位又は3位の窒素原子と結合していることを示し、
n5は3であり、及び
m2が1である)で表される、抗体薬物コンジュゲート。 - 次式:
で表され、式中、Abは以下の群から選択されるいずれか一つを示し、
配列番号29に記載のアミノ酸配列からなる軽鎖可変領域を含む軽鎖、及び配列番号31に記載のアミノ酸配列からなる重鎖可変領域を含む重鎖を含んでなる抗体;及び
配列番号43に記載のアミノ酸配列からなる軽鎖可変領域を含む軽鎖、及び配列番号45に記載のアミノ酸配列からなる重鎖可変領域を含む重鎖を含んでなる抗体;
該抗体のFc領域の234番目、235番目、及び265番目(すべてEUナンバリング)のアミノ酸残基が、それぞれ、Ala、Ala、及びGlyであり、
N297糖鎖は、次式:
(式中、波線は抗体のAsn297に結合していることを示し、
L(PEG)は、-(CH2-CH2-O)n5-CH2-CH2-NH-を示し、該L(PEG)の右端のアミノ基がN297糖鎖のβ-Manの分岐鎖の1-3鎖側及び1-6鎖側の両方の非還元末端のシアル酸の2位のカルボキシル基とアミド結合していることを示し、
アステリスクは、前記リンカーLにおけるLbの1,2,3-トリアゾール環上の1位又は3位の窒素原子と結合していることを示し、
n5は3であり、及び
m2が1である)で表される、抗体薬物コンジュゲート。 - 次式:
で表され、式中、Abは以下の群から選択されるいずれか一つを示し、
配列番号23に記載のアミノ酸配列からなるCDRL1、配列番号24に記載のアミノ酸配列からなるCDRL2、及び配列番号25に記載のアミノ酸配列からなるCDRL3を含む軽鎖、並びに、配列番号26に記載のアミノ酸配列からなるCDRH1、配列番号27に記載のアミノ酸配列からなるCDRH2、及び配列番号28に記載のアミノ酸配列からなるCDRH3を含む重鎖を含んでなる抗体;及び
配列番号37に記載のアミノ酸配列からなるCDRL1、配列番号38に記載のアミノ酸配列からなるCDRL2、及び配列番号39に記載のアミノ酸配列からなるCDRL3を含む軽鎖、並びに、配列番号40に記載のアミノ酸配列からなるCDRH1、配列番号41に記載のアミノ酸配列からなるCDRH2、及び配列番号42に記載のアミノ酸配列からなるCDRH3を含む重鎖を含んでなる抗体;
該抗体のFc領域の234番目、235番目、及び265番目(すべてEUナンバリング)のアミノ酸残基が、それぞれ、Ala、Ala、及びGlyであり、
N297糖鎖は、次式:
(式中、波線は抗体のAsn297に結合していることを示し、
L(PEG)は、-(CH2-CH2-O)n5-CH2-CH2-NH-を示し、該L(PEG)の右端のアミノ基がN297糖鎖のβ-Manの分岐鎖の1-3鎖側及び1-6鎖側の両方の非還元末端のシアル酸の2位のカルボキシル基とアミド結合していることを示し、
アステリスクは、前記リンカーLにおけるLbの1,2,3-トリアゾール環上の1位又は3位の窒素原子と結合していることを示し、
n5は3であり、及び
m2が1である)で表される、抗体薬物コンジュゲート。 - 請求項1~38のいずれか1項に記載の抗体薬物コンジュゲートを含有する、STINGアゴニスト。
- 請求項1~38のいずれか1項に記載の抗体薬物コンジュゲートを含有する、医薬組成物。
- 請求項1~38のいずれか1項に記載の抗体薬物コンジュゲートを含有する、抗腫瘍剤。
- 腫瘍が、肺がん、腎がん、尿路上皮がん、大腸がん、前立腺がん、多形神経膠芽腫、卵巣がん、膵がん、乳がん、メラノーマ、肝がん、肝細胞がん、膀胱がん、胃がん、食道がん、子宮体がん、精巣がん、子宮頸がん、胎盤絨毛がん、脳腫瘍、頭頚部がん、甲状腺がん、中皮腫、消化管間質腫瘍(GIST)、胆のうがん、胆管がん、副腎がん、有棘細胞がん、咽頭がん、舌がん、聴器がん、胸腺がん、小腸がん、白血病、悪性リンパ腫、形質細胞腫、骨髄腫、肉腫、EGFR変異陽性がん又はEGFR下流シグナルに変異を有するがんである、請求項41に記載の抗腫瘍剤。
- 請求項1~38のいずれか1項に記載の抗体薬物コンジュゲート、請求項39に記載のSTINGアゴニスト、請求項40に記載の医薬組成物及び請求項41又は42に記載の抗腫瘍剤からなる群から選択されるいずれかを投与することを含む、がんの治療方法。
- がんが、肺がん、腎がん、尿路上皮がん、大腸がん、前立腺がん、多形神経膠芽腫、卵巣がん、膵がん、乳がん、メラノーマ、肝がん、肝細胞がん、膀胱がん、胃がん、食道がん、子宮体がん、精巣がん、子宮頸がん、胎盤絨毛がん、脳腫瘍、頭頚部がん、甲状腺がん、中皮腫、消化管間質腫瘍(GIST)、胆のうがん、胆管がん、副腎がん、有棘細胞がん、咽頭がん、舌がん、聴器がん、胸腺がん、小腸がん、白血病、悪性リンパ腫、形質細胞腫、骨髄腫、肉腫、EGFR変異陽性がん又はEGFR下流シグナルに変異を有するがんである、請求項43に記載の方法。
- (A)配列番号23に記載のアミノ酸配列からなるCDRL1、配列番号24に記載のアミノ酸配列からなるCDRL2、及び配列番号25に記載のアミノ酸配列からなるCDRL3を含む軽鎖、並びに、配列番号26に記載のアミノ酸配列からなるCDRH1、配列番号27に記載のアミノ酸配列からなるCDRH2、及び配列番号28に記載のアミノ酸配列からなるCDRH3を含む重鎖を含んでなる抗体であって、該抗体のFc領域の234番目、235番目、及び265番目(すべてEUナンバリング)のアミノ酸残基が、それぞれ、Ala、Ala、及びGlyである抗体;又は
(B)配列番号37に記載のアミノ酸配列からなるCDRL1、配列番号38に記載のアミノ酸配列からなるCDRL2、及び配列番号39に記載のアミノ酸配列からなるCDRL3を含む軽鎖、並びに、配列番号40に記載のアミノ酸配列からなるCDRH1、配列番号41に記載のアミノ酸配列からなるCDRH2、及び配列番号42に記載のアミノ酸配列からなるCDRH3を含む重鎖を含んでなる抗体であって、該抗体のFc領域の234番目、235番目、及び265番目(すべてEUナンバリング)のアミノ酸残基が、それぞれ、Ala、Ala、及びGlyである抗体。 - (A)配列番号29に記載のアミノ酸配列からなる軽鎖可変領域を含む軽鎖、及び配列番号31に記載のアミノ酸配列からなる重鎖可変領域を含む重鎖を含んでなる抗体であって、該抗体のFc領域の234番目、235番目、及び265番目(すべてEUナンバリング)のアミノ酸残基が、それぞれ、Ala、Ala、及びGlyである抗体;又は
(B)配列番号43に記載のアミノ酸配列からなる軽鎖可変領域を含む軽鎖、及び配列番号45に記載のアミノ酸配列からなる重鎖可変領域を含む重鎖を含んでなる抗体であって、該抗体のFc領域の234番目、235番目、及び265番目(すべてEUナンバリング)のアミノ酸残基が、それぞれ、Ala、Ala、及びGlyである抗体。 - (A)配列番号30に記載のアミノ酸配列からなる軽鎖及び配列番号32に記載のアミノ酸配列からなる重鎖を含む抗体、又は配列番号30に記載のアミノ酸配列からなる軽鎖及び配列番号33に記載のアミノ酸配列からなる重鎖を含む抗体、;
(B)配列番号44に記載のアミノ酸配列からなる軽鎖及び配列番号46に記載のアミノ酸配列からなる重鎖を含む抗体、又は
(C)(A)~(B)のいずれか一つの抗体において、カルボキシル末端の1つ又は数個のアミノ酸残基が欠失した重鎖を含む抗体。 - 他の医薬と組み合わせて投与される、請求項40に記載の医薬組成物、又は請求項41もしくは42に記載の抗腫瘍剤。
- 他の医薬を含む、請求項40に記載の医薬組成物、又は請求項41もしくは42に記載の抗腫瘍剤。
- 請求項1~38のいずれか1項に記載の抗体薬物コンジュゲート、請求項39に記載のSTINGアゴニスト、請求項40に記載の医薬組成物及び請求項41又は42に記載の抗腫瘍剤からなる群から選択されるいずれかが、他の医薬と組み合わせて投与される、請求項43又は44に記載の方法。
Priority Applications (8)
| Application Number | Priority Date | Filing Date | Title |
|---|---|---|---|
| EP23860252.8A EP4582106A1 (en) | 2022-08-29 | 2023-08-28 | Antibody-drug conjugate including mutant fc region |
| IL319250A IL319250A (en) | 2022-08-29 | 2023-08-28 | Antibody-drug conjugate including a mutant FC region |
| CN202380060982.0A CN119744182A (zh) | 2022-08-29 | 2023-08-28 | 包含突变Fc区的抗体药物偶联物 |
| KR1020257009125A KR20250054799A (ko) | 2022-08-29 | 2023-08-28 | 변이 Fc 영역을 포함하는 항체 약물 콘쥬게이트 |
| AU2023336004A AU2023336004A1 (en) | 2022-08-29 | 2023-08-28 | Antibody-drug conjugate including mutant fc region |
| JP2024544227A JPWO2024048490A1 (ja) | 2022-08-29 | 2023-08-28 | |
| MX2025001364A MX2025001364A (es) | 2022-08-29 | 2025-01-31 | Conjugado de anticuerpo-farmaco que incluye region fc mutante |
| CONC2025/0003855A CO2025003855A2 (es) | 2022-08-29 | 2025-03-26 | Conjugado anticuerpo-fármaco que incluye una región fc mutante |
Applications Claiming Priority (2)
| Application Number | Priority Date | Filing Date | Title |
|---|---|---|---|
| JP2022-135598 | 2022-08-29 | ||
| JP2022135598 | 2022-08-29 |
Publications (1)
| Publication Number | Publication Date |
|---|---|
| WO2024048490A1 true WO2024048490A1 (ja) | 2024-03-07 |
Family
ID=90099876
Family Applications (1)
| Application Number | Title | Priority Date | Filing Date |
|---|---|---|---|
| PCT/JP2023/030872 Ceased WO2024048490A1 (ja) | 2022-08-29 | 2023-08-28 | 変異Fc領域を含む抗体薬物コンジュゲート |
Country Status (10)
| Country | Link |
|---|---|
| EP (1) | EP4582106A1 (ja) |
| JP (1) | JPWO2024048490A1 (ja) |
| KR (1) | KR20250054799A (ja) |
| CN (1) | CN119744182A (ja) |
| AU (1) | AU2023336004A1 (ja) |
| CO (1) | CO2025003855A2 (ja) |
| IL (1) | IL319250A (ja) |
| MX (1) | MX2025001364A (ja) |
| TW (1) | TW202417056A (ja) |
| WO (1) | WO2024048490A1 (ja) |
Cited By (1)
| Publication number | Priority date | Publication date | Assignee | Title |
|---|---|---|---|---|
| EP4396219A4 (en) * | 2021-09-03 | 2025-07-23 | Zymeworks Bc Inc | FC VARIANT WITH HIGH THERMAL STABILITY AND ATTENUATED EFFECTOR FUNCTION |
Citations (54)
| Publication number | Priority date | Publication date | Assignee | Title |
|---|---|---|---|---|
| WO1988007089A1 (en) | 1987-03-18 | 1988-09-22 | Medical Research Council | Altered antibodies |
| WO1990007861A1 (en) | 1988-12-28 | 1990-07-26 | Protein Design Labs, Inc. | CHIMERIC IMMUNOGLOBULINS SPECIFIC FOR p55 TAC PROTEIN OF THE IL-2 RECEPTOR |
| WO1994028027A1 (en) | 1993-06-01 | 1994-12-08 | Arch Development Corporation | Methods and materials for modulation of the immunosuppressive activity and toxicity of monoclonal antibodies |
| WO1994029351A2 (en) | 1993-06-16 | 1994-12-22 | Celltech Limited | Antibodies |
| WO1998050433A2 (en) | 1997-05-05 | 1998-11-12 | Abgenix, Inc. | Human monoclonal antibodies to epidermal growth factor receptor |
| WO1999051642A1 (en) | 1998-04-02 | 1999-10-14 | Genentech, Inc. | Antibody variants and fragments thereof |
| WO2000042072A3 (en) | 1999-01-15 | 2000-11-30 | Genentech Inc | Polypeptide variants with altered effector function |
| WO2002092771A2 (en) | 2001-05-11 | 2002-11-21 | Ludwig Institute For Cancer Research | Specific binding proteins and uses thereof |
| WO2011027868A1 (ja) | 2009-09-03 | 2011-03-10 | 公益財団法人野口研究所 | 11糖シアリルオリゴ糖ペプチドの製造方法 |
| WO2013092001A1 (en) | 2011-12-19 | 2013-06-27 | Synimmune Gmbh | Bispecific antibody molecule |
| WO2013118858A1 (ja) | 2012-02-09 | 2013-08-15 | 中外製薬株式会社 | 抗体のFc領域改変体 |
| WO2014057687A1 (ja) | 2012-10-11 | 2014-04-17 | 第一三共株式会社 | 抗体-薬物コンジュゲート |
| WO2014093936A1 (en) | 2012-12-13 | 2014-06-19 | Aduro Biotech, Inc. | Compositions comprising cyclic purine dinucleotides having defined stereochemistries and methods for their preparation and use |
| WO2014099824A1 (en) | 2012-12-19 | 2014-06-26 | Board Of Regents, The University Of Texas System | Pharmaceutical targeting of a mammalian cyclic di-nucleotide signaling pathway |
| WO2014179335A1 (en) | 2013-04-29 | 2014-11-06 | Memorial Sloan Kettering Cancer Center | Compositions and methods for altering second messenger signaling |
| WO2014189806A1 (en) | 2013-05-18 | 2014-11-27 | Aduro Biotech, Inc. | Compositions and methods for inhibiting "stimulator of interferon gene" dependent signalling |
| WO2014189805A1 (en) | 2013-05-18 | 2014-11-27 | Auro Biotech, Inc. | Compositions and methods for activating "stimulator of interferon gene"-dependent signalling |
| WO2015074145A1 (en) | 2013-11-22 | 2015-05-28 | Brock University | Use of fluorinated cyclic dinucleotides as oral vaccine adjuvants |
| WO2015109131A2 (en) | 2014-01-15 | 2015-07-23 | Zymeworks Inc. | Bi-specific cd3 and cd19 antigen-binding constructs |
| WO2015185565A1 (en) | 2014-06-04 | 2015-12-10 | Glaxosmithkline Intellectual Property Development Limited | Cyclic di-nucleotides as modulators of sting |
| WO2016012305A1 (de) | 2014-07-23 | 2016-01-28 | Wacker Chemie Ag | Härtbare organopolysiloxanzusammensetzungen |
| JP2016508153A (ja) * | 2013-01-10 | 2016-03-17 | ゲンマブ エー/エス | 不活性フォーマット |
| WO2016096714A1 (en) | 2014-12-15 | 2016-06-23 | Henkel Ag & Co. Kgaa | Detergent composition comprising subtilase variants |
| WO2016145102A1 (en) | 2015-03-10 | 2016-09-15 | Aduro Biotech, Inc. | Compositions and methods for activating "stimulator of interferon gene" -dependent signalling |
| US20160361436A1 (en) | 2015-01-09 | 2016-12-15 | Isis Innovation Limited | Antibody conjugates and methods of making the antibody conjugates |
| WO2017027646A1 (en) | 2015-08-13 | 2017-02-16 | Merck Sharp & Dohme Corp. | Cyclic di-nucleotide compounds as sting agonists |
| WO2017075477A1 (en) | 2015-10-28 | 2017-05-04 | Aduro Biotech, Inc. | Compositions and methods for activating "stimulator of interferon gene"-dependent signalling |
| WO2017093933A1 (en) | 2015-12-03 | 2017-06-08 | Glaxosmithkline Intellectual Property Development Limited | Cyclic purine dinucleotides as modulators of sting |
| WO2017100305A2 (en) | 2015-12-07 | 2017-06-15 | Opi Vi - Ip Holdco Llc | Composition of antibody construct-agonist conjugates and methods of use thereof |
| WO2017123669A1 (en) | 2016-01-11 | 2017-07-20 | Gary Glick | Cyclic dinucleotides for treating conditions associated with sting activity such as cancer |
| WO2017137459A1 (en) | 2016-02-08 | 2017-08-17 | Synaffix B.V. | Enzymes for trimming of glycoproteins |
| WO2017161349A1 (en) | 2016-03-18 | 2017-09-21 | Immune Sensor, Llc | Cyclic di-nucleotide compounds and methods of use |
| WO2017175147A1 (en) | 2016-04-07 | 2017-10-12 | Glaxosmithkline Intellectual Property Development Limited | Heterocyclic amides useful as protein modulators |
| WO2017175156A1 (en) | 2016-04-07 | 2017-10-12 | Glaxosmithkline Intellectual Property Development Limited | Heterocyclic amides useful as protein modulators |
| WO2018003983A1 (ja) | 2016-07-01 | 2018-01-04 | 第一三共株式会社 | hANP-Fc含有分子コンジュゲート |
| WO2018009648A1 (en) | 2016-07-06 | 2018-01-11 | Sperovie Biosciences, Inc. | Compounds, compositions, and methods for the treatment of disease |
| WO2018009466A1 (en) | 2016-07-05 | 2018-01-11 | Aduro Biotech, Inc. | Locked nucleic acid cyclic dinucleotide compounds and uses thereof |
| WO2018045204A1 (en) | 2016-08-31 | 2018-03-08 | Ifm Therapeutics, Inc | Cyclic dinucleotide analogs for treating conditions associated with sting (stimulator of interferon genes) activity |
| WO2018060323A1 (en) | 2016-09-30 | 2018-04-05 | Boehringer Ingelheim International Gmbh | Cyclic dinucleotide compounds |
| WO2018067423A1 (en) | 2016-10-04 | 2018-04-12 | Merck Sharp & Dohme Corp. | BENZO[b]THIOPHENE COMPOUNDS AS STING AGONISTS |
| WO2018065360A1 (de) | 2016-10-07 | 2018-04-12 | Biolog Life Science Institute Forschungslabor Und Biochemica-Vertrieb Gmbh | Benzimidazolhaltige cyclische dinukleotide, verfahren zu deren herstellung und ihre verwendung zur aktivierung von stimulator von interferongenen (sting)-abhängigen signalwegen |
| WO2018101454A1 (ja) | 2016-12-02 | 2018-06-07 | 第一三共株式会社 | 新規エンド-β-N-アセチルグルコサミニダーゼ |
| WO2018100558A2 (en) | 2016-12-01 | 2018-06-07 | Takeda Pharmaceutical Company Limited | Cyclic dinucleotide |
| WO2018212136A1 (ja) | 2017-05-15 | 2018-11-22 | 第一三共株式会社 | 抗cdh6抗体及び抗cdh6抗体-薬物コンジュゲート |
| WO2019065964A1 (ja) | 2017-09-29 | 2019-04-04 | 第一三共株式会社 | 抗体-ピロロベンゾジアゼピン誘導体コンジュゲート |
| WO2019084060A1 (en) | 2017-10-24 | 2019-05-02 | Silverback Therapeutics, Inc. | CONJUGATES AND METHODS OF USE FOR THE SELECTIVE DELIVERY OF IMMUNOMODULATORY AGENTS |
| WO2020050406A1 (ja) | 2018-09-06 | 2020-03-12 | 第一三共株式会社 | 新規環状ジヌクレオチド誘導体及びその抗体薬物コンジュゲート |
| WO2020086776A1 (en) | 2018-10-23 | 2020-04-30 | Magenta Therapeutics, Inc. | Fc silenced antibody drug conjugates (adcs) and uses thereof |
| WO2021177438A1 (ja) | 2020-03-06 | 2021-09-10 | 第一三共株式会社 | 新規環状ジヌクレオチド誘導体を含む抗体薬物コンジュゲート |
| WO2021202984A1 (en) | 2020-04-02 | 2021-10-07 | Mersana Therapeutics, Inc. | Antibody drug conjugates comprising sting agonists |
| WO2022050300A1 (ja) | 2020-09-02 | 2022-03-10 | 第一三共株式会社 | 新規エンド-β-N-アセチルグルコサミニダーゼ |
| WO2022097117A1 (en) | 2020-11-09 | 2022-05-12 | Takeda Pharmaceutical Company Ltd. | Antibody drug conjugates |
| WO2022163846A1 (ja) | 2021-02-01 | 2022-08-04 | 第一三共株式会社 | 抗体-免疫賦活化剤コンジュゲートの新規製造方法 |
| WO2023028715A1 (en) * | 2021-09-03 | 2023-03-09 | Zymeworks Bc Inc. | Fc variant with high thermal stability and attenuated effector function |
-
2023
- 2023-08-28 WO PCT/JP2023/030872 patent/WO2024048490A1/ja not_active Ceased
- 2023-08-28 KR KR1020257009125A patent/KR20250054799A/ko active Pending
- 2023-08-28 TW TW112132320A patent/TW202417056A/zh unknown
- 2023-08-28 CN CN202380060982.0A patent/CN119744182A/zh active Pending
- 2023-08-28 EP EP23860252.8A patent/EP4582106A1/en active Pending
- 2023-08-28 JP JP2024544227A patent/JPWO2024048490A1/ja active Pending
- 2023-08-28 AU AU2023336004A patent/AU2023336004A1/en active Pending
- 2023-08-28 IL IL319250A patent/IL319250A/en unknown
-
2025
- 2025-01-31 MX MX2025001364A patent/MX2025001364A/es unknown
- 2025-03-26 CO CONC2025/0003855A patent/CO2025003855A2/es unknown
Patent Citations (55)
| Publication number | Priority date | Publication date | Assignee | Title |
|---|---|---|---|---|
| WO1988007089A1 (en) | 1987-03-18 | 1988-09-22 | Medical Research Council | Altered antibodies |
| WO1990007861A1 (en) | 1988-12-28 | 1990-07-26 | Protein Design Labs, Inc. | CHIMERIC IMMUNOGLOBULINS SPECIFIC FOR p55 TAC PROTEIN OF THE IL-2 RECEPTOR |
| WO1994028027A1 (en) | 1993-06-01 | 1994-12-08 | Arch Development Corporation | Methods and materials for modulation of the immunosuppressive activity and toxicity of monoclonal antibodies |
| WO1994029351A2 (en) | 1993-06-16 | 1994-12-22 | Celltech Limited | Antibodies |
| WO1998050433A2 (en) | 1997-05-05 | 1998-11-12 | Abgenix, Inc. | Human monoclonal antibodies to epidermal growth factor receptor |
| WO1999051642A1 (en) | 1998-04-02 | 1999-10-14 | Genentech, Inc. | Antibody variants and fragments thereof |
| WO2000042072A3 (en) | 1999-01-15 | 2000-11-30 | Genentech Inc | Polypeptide variants with altered effector function |
| WO2002092771A2 (en) | 2001-05-11 | 2002-11-21 | Ludwig Institute For Cancer Research | Specific binding proteins and uses thereof |
| WO2011027868A1 (ja) | 2009-09-03 | 2011-03-10 | 公益財団法人野口研究所 | 11糖シアリルオリゴ糖ペプチドの製造方法 |
| WO2013092001A1 (en) | 2011-12-19 | 2013-06-27 | Synimmune Gmbh | Bispecific antibody molecule |
| WO2013118858A1 (ja) | 2012-02-09 | 2013-08-15 | 中外製薬株式会社 | 抗体のFc領域改変体 |
| WO2014057687A1 (ja) | 2012-10-11 | 2014-04-17 | 第一三共株式会社 | 抗体-薬物コンジュゲート |
| WO2014093936A1 (en) | 2012-12-13 | 2014-06-19 | Aduro Biotech, Inc. | Compositions comprising cyclic purine dinucleotides having defined stereochemistries and methods for their preparation and use |
| WO2014099824A1 (en) | 2012-12-19 | 2014-06-26 | Board Of Regents, The University Of Texas System | Pharmaceutical targeting of a mammalian cyclic di-nucleotide signaling pathway |
| JP2016508153A (ja) * | 2013-01-10 | 2016-03-17 | ゲンマブ エー/エス | 不活性フォーマット |
| WO2014179335A1 (en) | 2013-04-29 | 2014-11-06 | Memorial Sloan Kettering Cancer Center | Compositions and methods for altering second messenger signaling |
| WO2014189806A1 (en) | 2013-05-18 | 2014-11-27 | Aduro Biotech, Inc. | Compositions and methods for inhibiting "stimulator of interferon gene" dependent signalling |
| WO2014189805A1 (en) | 2013-05-18 | 2014-11-27 | Auro Biotech, Inc. | Compositions and methods for activating "stimulator of interferon gene"-dependent signalling |
| WO2015074145A1 (en) | 2013-11-22 | 2015-05-28 | Brock University | Use of fluorinated cyclic dinucleotides as oral vaccine adjuvants |
| WO2015109131A2 (en) | 2014-01-15 | 2015-07-23 | Zymeworks Inc. | Bi-specific cd3 and cd19 antigen-binding constructs |
| WO2015185565A1 (en) | 2014-06-04 | 2015-12-10 | Glaxosmithkline Intellectual Property Development Limited | Cyclic di-nucleotides as modulators of sting |
| WO2016012305A1 (de) | 2014-07-23 | 2016-01-28 | Wacker Chemie Ag | Härtbare organopolysiloxanzusammensetzungen |
| WO2016096714A1 (en) | 2014-12-15 | 2016-06-23 | Henkel Ag & Co. Kgaa | Detergent composition comprising subtilase variants |
| US20160361436A1 (en) | 2015-01-09 | 2016-12-15 | Isis Innovation Limited | Antibody conjugates and methods of making the antibody conjugates |
| WO2016145102A1 (en) | 2015-03-10 | 2016-09-15 | Aduro Biotech, Inc. | Compositions and methods for activating "stimulator of interferon gene" -dependent signalling |
| WO2017027646A1 (en) | 2015-08-13 | 2017-02-16 | Merck Sharp & Dohme Corp. | Cyclic di-nucleotide compounds as sting agonists |
| WO2017027645A1 (en) | 2015-08-13 | 2017-02-16 | Merck Sharp & Dohme Corp. | Cyclic di-nucleotide compounds as sting agonists |
| WO2017075477A1 (en) | 2015-10-28 | 2017-05-04 | Aduro Biotech, Inc. | Compositions and methods for activating "stimulator of interferon gene"-dependent signalling |
| WO2017093933A1 (en) | 2015-12-03 | 2017-06-08 | Glaxosmithkline Intellectual Property Development Limited | Cyclic purine dinucleotides as modulators of sting |
| WO2017100305A2 (en) | 2015-12-07 | 2017-06-15 | Opi Vi - Ip Holdco Llc | Composition of antibody construct-agonist conjugates and methods of use thereof |
| WO2017123669A1 (en) | 2016-01-11 | 2017-07-20 | Gary Glick | Cyclic dinucleotides for treating conditions associated with sting activity such as cancer |
| WO2017137459A1 (en) | 2016-02-08 | 2017-08-17 | Synaffix B.V. | Enzymes for trimming of glycoproteins |
| WO2017161349A1 (en) | 2016-03-18 | 2017-09-21 | Immune Sensor, Llc | Cyclic di-nucleotide compounds and methods of use |
| WO2017175147A1 (en) | 2016-04-07 | 2017-10-12 | Glaxosmithkline Intellectual Property Development Limited | Heterocyclic amides useful as protein modulators |
| WO2017175156A1 (en) | 2016-04-07 | 2017-10-12 | Glaxosmithkline Intellectual Property Development Limited | Heterocyclic amides useful as protein modulators |
| WO2018003983A1 (ja) | 2016-07-01 | 2018-01-04 | 第一三共株式会社 | hANP-Fc含有分子コンジュゲート |
| WO2018009466A1 (en) | 2016-07-05 | 2018-01-11 | Aduro Biotech, Inc. | Locked nucleic acid cyclic dinucleotide compounds and uses thereof |
| WO2018009648A1 (en) | 2016-07-06 | 2018-01-11 | Sperovie Biosciences, Inc. | Compounds, compositions, and methods for the treatment of disease |
| WO2018045204A1 (en) | 2016-08-31 | 2018-03-08 | Ifm Therapeutics, Inc | Cyclic dinucleotide analogs for treating conditions associated with sting (stimulator of interferon genes) activity |
| WO2018060323A1 (en) | 2016-09-30 | 2018-04-05 | Boehringer Ingelheim International Gmbh | Cyclic dinucleotide compounds |
| WO2018067423A1 (en) | 2016-10-04 | 2018-04-12 | Merck Sharp & Dohme Corp. | BENZO[b]THIOPHENE COMPOUNDS AS STING AGONISTS |
| WO2018065360A1 (de) | 2016-10-07 | 2018-04-12 | Biolog Life Science Institute Forschungslabor Und Biochemica-Vertrieb Gmbh | Benzimidazolhaltige cyclische dinukleotide, verfahren zu deren herstellung und ihre verwendung zur aktivierung von stimulator von interferongenen (sting)-abhängigen signalwegen |
| WO2018100558A2 (en) | 2016-12-01 | 2018-06-07 | Takeda Pharmaceutical Company Limited | Cyclic dinucleotide |
| WO2018101454A1 (ja) | 2016-12-02 | 2018-06-07 | 第一三共株式会社 | 新規エンド-β-N-アセチルグルコサミニダーゼ |
| WO2018212136A1 (ja) | 2017-05-15 | 2018-11-22 | 第一三共株式会社 | 抗cdh6抗体及び抗cdh6抗体-薬物コンジュゲート |
| WO2019065964A1 (ja) | 2017-09-29 | 2019-04-04 | 第一三共株式会社 | 抗体-ピロロベンゾジアゼピン誘導体コンジュゲート |
| WO2019084060A1 (en) | 2017-10-24 | 2019-05-02 | Silverback Therapeutics, Inc. | CONJUGATES AND METHODS OF USE FOR THE SELECTIVE DELIVERY OF IMMUNOMODULATORY AGENTS |
| WO2020050406A1 (ja) | 2018-09-06 | 2020-03-12 | 第一三共株式会社 | 新規環状ジヌクレオチド誘導体及びその抗体薬物コンジュゲート |
| WO2020086776A1 (en) | 2018-10-23 | 2020-04-30 | Magenta Therapeutics, Inc. | Fc silenced antibody drug conjugates (adcs) and uses thereof |
| WO2021177438A1 (ja) | 2020-03-06 | 2021-09-10 | 第一三共株式会社 | 新規環状ジヌクレオチド誘導体を含む抗体薬物コンジュゲート |
| WO2021202984A1 (en) | 2020-04-02 | 2021-10-07 | Mersana Therapeutics, Inc. | Antibody drug conjugates comprising sting agonists |
| WO2022050300A1 (ja) | 2020-09-02 | 2022-03-10 | 第一三共株式会社 | 新規エンド-β-N-アセチルグルコサミニダーゼ |
| WO2022097117A1 (en) | 2020-11-09 | 2022-05-12 | Takeda Pharmaceutical Company Ltd. | Antibody drug conjugates |
| WO2022163846A1 (ja) | 2021-02-01 | 2022-08-04 | 第一三共株式会社 | 抗体-免疫賦活化剤コンジュゲートの新規製造方法 |
| WO2023028715A1 (en) * | 2021-09-03 | 2023-03-09 | Zymeworks Bc Inc. | Fc variant with high thermal stability and attenuated effector function |
Non-Patent Citations (74)
| Title |
|---|
| "GenBank", Database accession no. XP 001839402.1 |
| "Review and Administration Division", 5 March 2010, PHARMACEUTICAL AND FOOD SAFETY BUREAU, article "Vectibix 100 mg Intravenous Infusion Review Results Report" |
| "UniProt", Database accession no. Q3TBT3 |
| ACS CHEM. BIOL., vol. 7, 2012, pages 110 - 122 |
| ACS MED. CHEM. LETT., vol. 7, 2016, pages 1005 - 1008 |
| ANALYTICAL BIOCHEMISTRY, vol. 360, 2007, pages 75 - 83 |
| ANGEW. CHEM. INT. ED., vol. 55, 2016, pages 2361 - 2367 |
| B. TRASTOY ET AL., PNAS, vol. 111, no. 18, 2014, pages 6714 - 6719 |
| BIO TECHNIQUES, vol. 28, January 2000 (2000-01-01), pages 162 - 165 |
| BIOCHEM. BIOPHYS. RES. COMMUN., vol. 355, 2007, pages 751 - 757 |
| BIOCONJUGATE CHEM., vol. 26, 2015, pages 2198 - 2215 |
| CELL DEATH AND DIFFERENTIATION, vol. 15, 2008, pages 751 - 761 |
| CELL REP., vol. 11, 2015, pages 1018 - 1030 |
| CELL REP., vol. 6, 2014, pages 421 - 430 |
| CELL, vol. 23, 1981, pages 175 - 182 |
| CELL, vol. 51, 2013, pages 226 - 235 |
| CELL, vol. 59, 2015, pages 891 - 903 |
| CHEN ET AL., ADV DRUG DELIV REV., vol. 65, no. 10, 15 October 2013 (2013-10-15), pages 1357 - 1369 |
| COLLIN MOLSEN A., EMBO J., vol. 20, 2001, pages 3046 - 3055 |
| EDELMAN ET AL., PROC. NATL. ACAD. SCI. U.S.A., vol. 63, 1969, pages 78 - 85 |
| EMILY MK ET AL., PROTEIN ENG DES SEL., vol. 10, 2005, pages 497 - 501 |
| EON-DUVAL, A. ET AL., BIOTECHNOL. PROG., vol. 28, 2012, pages 608 - 622 |
| ESHIMA Y ET AL., PLOS ONE., vol. 10, 2015, pages 0132859 |
| EXPERT OPIN THER PAT., vol. 28, 2018, pages 251 - 276 |
| F GRUENINGER-LEITCH ET AL., PROTEIN SCI., vol. 12, 1996, pages 2617 - 22 |
| FRONT. IMMUNOL., vol. 5, 2014, pages 520 |
| GENES AND IMMUNITY, vol. 12, 2011, pages 263 - 269 |
| GIDDENS JP ET AL., J BIOL CHEM., vol. 291, 2016, pages 9356 - 9370 |
| GOODFELLOW JJ ET AL., J AM CHEM SOC., vol. 134, 2012, pages 8030 - 8033 |
| HUANG W ET AL., CHEMBIOCHEM, vol. 12, 2011, pages 932 - 941 |
| IMMUNITY, vol. 39, 2013, pages 1019 - 1031 |
| IMMUNITY, vol. 41, 2014, pages 843 - 852 |
| J BIOL CHEM, vol. 292, no. 5, 2017, pages 1865 - 75 |
| J IMMNOTOXICOL, vol. 5, no. 1, 2008, pages 11 - 5 |
| J. AM. CHEM. SOC., vol. 126, 2004, pages 15046 - 15047 |
| J. CLIN. ONCOL., vol. 29, 2011, pages 2965 - 2971 |
| J. IMMUNOL., vol. 153, 1994, pages 4684 - 4693 |
| J. IMMUNOL., vol. 190, 2013, pages 5216 - 5225 |
| J. VIROL., vol. 88, 2014, pages 5328 - 5341 |
| JOAQUIM ET AL., PROCESSES, vol. 10, 2022, pages 494 |
| JOURNAL OF CHROMATOGRAPHY A, vol. 705, 1995, pages 129 - 134 |
| KABAT ET AL.: "Sequences of Proteins of Immunological Interest", 1991, PUBLIC HEALTH SERVICE NATIONAL INSTITUTES OF HEALTH |
| KOHLERMILSTEIN, NATURE, vol. 256, 1975, pages 495 - 497 |
| MASAKI KUROGOCHI ET AL., PLOS ONEL, 22 July 2015 (2015-07-22) |
| MOLECULAR BIOLOGY OF THE CELL, vol. 15, December 2004 (2004-12-01), pages 5268 - 5282 |
| MURAKAMI S ET AL., GLYCOBIOLOGY, vol. 23, 2013, pages 736 - 744 |
| NAT. MED., vol. 21, 2015, pages 1209 - 1215 |
| NATURE CANCER, vol. 2, 2021, pages 18 - 33 |
| NATURE, vol. 321, 1986, pages 522 - 525 |
| NATURE, vol. 455, 2008, pages 674 - 678 |
| ORG. LETT., vol. 12, 2010, pages 3269 - 3271 |
| PHARM RES, vol. 32, 2015, pages 3526 - 3540 |
| PIER GBMADIN SH., INT J SYST BACTERIOL., vol. 26, 1976, pages 545 - 553 |
| PLOS ONE, vol. 13, 2018, pages 0193534 |
| PLOS ONE, vol. 8, no. 10, 21 October 2013 (2013-10-21), pages 77846 |
| PROC. NATL. ACAD. SCI. U.S.A., vol. 77, 1980, pages 4126 - 4220 |
| PROC. NATL. ACAD. SCI. U.S.A., vol. 81, 1984, pages 6851 - 6855 |
| PROCEEDINGS OF THE NATIONAL ACADEMY OF SCIENCES OF THE UNITED STATES OF AMERICA, vol. 63, no. 1, 15 May 1969 (1969-05-15), pages 78 - 85 |
| PROTEIN CELL, vol. 9, no. 1, 2018, pages 33 - 46 |
| PROTEIN ENG DES SEL., vol. 29, no. 10, 2016, pages 457 - 66 |
| PROTEIN SCIENCE, vol. 4, 1995, pages 2411 - 2423 |
| R INT. J. MOL. SCI, vol. 17, 2016, pages 561 |
| RICHARD R. RUSTANDI ET AL., ELECTROPHORESIS, vol. 29, no. 17, September 2008 (2008-09-01), pages 3612 - 20 |
| SANGLIER-CIANFERANI, S., ANAL. CHEM., vol. 85, 2013, pages 715 - 736 |
| SCI. REP., vol. 6, 2016, pages 19049 |
| SCIENCE, vol. 347, 2015, pages 2630 |
| SEAN W. SMITH: "SBT6050, a HER2-Directed TLR8 ImmunoTACTM Therapeutic, is a Potent Human Myeloid Cell Agonist with Tumor-Localized Activity", WORLD ADC, 2020 |
| SHIVATARE SS ET AL., CHEM COMMUN (CAMB)., vol. 54, 2018, pages 6161 - 6164 |
| SHIYI WANG ET AL., JOURNAL OF CHROMATOGRAPHY A, vol. 1217, 2010, pages 6496 - 6502 |
| SJOGREN J ET AL., BIOCHEM J., vol. 455, 2013, pages 107 - 118 |
| UMEKAWA ET AL., BIOCHIM. BIOPHYS. ACTA, vol. 1800, 2010, pages 1203 - 1209 |
| UMEKAWA M ET AL., J. BIOL CHEM., vol. 285, 2021, pages 511 - 521 |
| VINCENT P. RICHARD ET AL., GENOME BIOL. EVOL., vol. 6, 2014, pages 741 - 753 |
| YAMAMOTO K ET AL., BIOCHEM BIOPHYS RES COMMUN., vol. 203, 1994, pages 244 - 252 |
Cited By (1)
| Publication number | Priority date | Publication date | Assignee | Title |
|---|---|---|---|---|
| EP4396219A4 (en) * | 2021-09-03 | 2025-07-23 | Zymeworks Bc Inc | FC VARIANT WITH HIGH THERMAL STABILITY AND ATTENUATED EFFECTOR FUNCTION |
Also Published As
| Publication number | Publication date |
|---|---|
| CN119744182A (zh) | 2025-04-01 |
| JPWO2024048490A1 (ja) | 2024-03-07 |
| AU2023336004A1 (en) | 2025-03-06 |
| CO2025003855A2 (es) | 2025-05-08 |
| IL319250A (en) | 2025-04-01 |
| TW202417056A (zh) | 2024-05-01 |
| MX2025001364A (es) | 2025-03-07 |
| KR20250054799A (ko) | 2025-04-23 |
| EP4582106A1 (en) | 2025-07-09 |
Similar Documents
| Publication | Publication Date | Title |
|---|---|---|
| AU2021218004B2 (en) | Constructs having a SIRP-alpha domain or variant thereof | |
| KR102514317B1 (ko) | 신규 b7-h3-결합 분자, 그것의 항체 약물 콘쥬게이트 및 그것의 사용 방법 | |
| JP7627655B2 (ja) | 抗体-ピロロベンゾジアゼピン誘導体コンジュゲート | |
| JP7529654B2 (ja) | 抗her2抗体-ピロロベンゾジアゼピン誘導体コンジュゲート | |
| CN110267685B (zh) | 靶向adam9的免疫缀合物及其使用方法 | |
| CA3049791A1 (en) | Tumor targeting conjugates and methods of use thereof | |
| CN115209921B (zh) | 包含环状二核苷酸衍生物的抗体药物偶联物 | |
| TWI831797B (zh) | 靶向adam9之免疫接合物及其使用方法 | |
| WO2020127376A2 (en) | Novel polypeptides | |
| TW202330611A (zh) | 可活化之多肽複合物 | |
| WO2024048490A1 (ja) | 変異Fc領域を含む抗体薬物コンジュゲート | |
| WO2023167238A1 (ja) | Fc含有分子の製造方法 | |
| HK40124088A (en) | Antibody-drug conjugate including mutant fc region | |
| US20250243283A1 (en) | Activatable anti-cd3, anti-egfr, heteromultimeric bispecific polypeptide complex | |
| WO2026028159A1 (en) | Bifunctional degraders for the treatment of graves' disease | |
| HK40120735A (en) | Fusion protein comprising light protein and anti-fap antibody and uses thereof | |
| CN119213034A (zh) | 双功能蛋白质及其制剂和用途 | |
| HK40064097A (en) | Constructs having a sirp-alpha domain or variant thereof | |
| HK40068279A (en) | Anti-her2 antibody-pyrrolobenzodiazepine derivative conjugate |
Legal Events
| Date | Code | Title | Description |
|---|---|---|---|
| 121 | Ep: the epo has been informed by wipo that ep was designated in this application |
Ref document number: 23860252 Country of ref document: EP Kind code of ref document: A1 |
|
| WWE | Wipo information: entry into national phase |
Ref document number: 2024544227 Country of ref document: JP |
|
| WWE | Wipo information: entry into national phase |
Ref document number: MX/A/2025/001364 Country of ref document: MX |
|
| WWE | Wipo information: entry into national phase |
Ref document number: 818836 Country of ref document: NZ Ref document number: AU2023336004 Country of ref document: AU |
|
| REG | Reference to national code |
Ref country code: BR Ref legal event code: B01A Ref document number: 112025002305 Country of ref document: BR |
|
| WWE | Wipo information: entry into national phase |
Ref document number: 202380060982.0 Country of ref document: CN |
|
| WWE | Wipo information: entry into national phase |
Ref document number: 2501001259 Country of ref document: TH Ref document number: 319250 Country of ref document: IL |
|
| WWP | Wipo information: published in national office |
Ref document number: 818836 Country of ref document: NZ |
|
| ENP | Entry into the national phase |
Ref document number: 2023336004 Country of ref document: AU Date of ref document: 20230828 Kind code of ref document: A |
|
| WWP | Wipo information: published in national office |
Ref document number: MX/A/2025/001364 Country of ref document: MX |
|
| ENP | Entry into the national phase |
Ref document number: 20257009125 Country of ref document: KR Kind code of ref document: A |
|
| WWE | Wipo information: entry into national phase |
Ref document number: 202517028374 Country of ref document: IN |
|
| WWE | Wipo information: entry into national phase |
Ref document number: 11202501258R Country of ref document: SG |
|
| WWP | Wipo information: published in national office |
Ref document number: 11202501258R Country of ref document: SG |
|
| WWE | Wipo information: entry into national phase |
Ref document number: 2023860252 Country of ref document: EP Ref document number: 2025102276 Country of ref document: RU |
|
| NENP | Non-entry into the national phase |
Ref country code: DE |
|
| WWP | Wipo information: published in national office |
Ref document number: 202380060982.0 Country of ref document: CN |
|
| ENP | Entry into the national phase |
Ref document number: 2023860252 Country of ref document: EP Effective date: 20250331 |
|
| WWP | Wipo information: published in national office |
Ref document number: 202517028374 Country of ref document: IN |
|
| WWP | Wipo information: published in national office |
Ref document number: 1020257009125 Country of ref document: KR |
|
| WWP | Wipo information: published in national office |
Ref document number: 2023860252 Country of ref document: EP |
|
| ENP | Entry into the national phase |
Ref document number: 112025002305 Country of ref document: BR Kind code of ref document: A2 Effective date: 20250205 |
|
| WWP | Wipo information: published in national office |
Ref document number: 2025102276 Country of ref document: RU |

































































































































































































