WO2012019024A2 - Her3-binding molecules and immunoconjugates thereof - Google Patents
Her3-binding molecules and immunoconjugates thereof Download PDFInfo
- Publication number
- WO2012019024A2 WO2012019024A2 PCT/US2011/046624 US2011046624W WO2012019024A2 WO 2012019024 A2 WO2012019024 A2 WO 2012019024A2 US 2011046624 W US2011046624 W US 2011046624W WO 2012019024 A2 WO2012019024 A2 WO 2012019024A2
- Authority
- WO
- WIPO (PCT)
- Prior art keywords
- antibody
- seq
- amino acid
- acid sequence
- binding fragment
- Prior art date
- Legal status (The legal status is an assumption and is not a legal conclusion. Google has not performed a legal analysis and makes no representation as to the accuracy of the status listed.)
- Ceased
Links
Classifications
-
- C—CHEMISTRY; METALLURGY
- C07—ORGANIC CHEMISTRY
- C07K—PEPTIDES
- C07K16/00—Immunoglobulins [IGs], e.g. monoclonal or polyclonal antibodies
- C07K16/18—Immunoglobulins [IGs], e.g. monoclonal or polyclonal antibodies against material from animals or humans
- C07K16/32—Immunoglobulins [IGs], e.g. monoclonal or polyclonal antibodies against material from animals or humans against translation products of oncogenes
-
- A—HUMAN NECESSITIES
- A61—MEDICAL OR VETERINARY SCIENCE; HYGIENE
- A61K—PREPARATIONS FOR MEDICAL, DENTAL OR TOILETRY PURPOSES
- A61K47/00—Medicinal preparations characterised by the non-active ingredients used, e.g. carriers or inert additives; Targeting or modifying agents chemically bound to the active ingredient
- A61K47/50—Medicinal preparations characterised by the non-active ingredients used, e.g. carriers or inert additives; Targeting or modifying agents chemically bound to the active ingredient the non-active ingredient being chemically bound to the active ingredient, e.g. polymer-drug conjugates
- A61K47/51—Medicinal preparations characterised by the non-active ingredients used, e.g. carriers or inert additives; Targeting or modifying agents chemically bound to the active ingredient the non-active ingredient being chemically bound to the active ingredient, e.g. polymer-drug conjugates the non-active ingredient being a modifying agent
- A61K47/68—Medicinal preparations characterised by the non-active ingredients used, e.g. carriers or inert additives; Targeting or modifying agents chemically bound to the active ingredient the non-active ingredient being chemically bound to the active ingredient, e.g. polymer-drug conjugates the non-active ingredient being a modifying agent the modifying agent being an antibody, an immunoglobulin or a fragment thereof, e.g. an Fc-fragment
- A61K47/6801—Drug-antibody or immunoglobulin conjugates defined by the pharmacologically or therapeutically active agent
- A61K47/6803—Drugs conjugated to an antibody or immunoglobulin, e.g. cisplatin-antibody conjugates
- A61K47/6807—Drugs conjugated to an antibody or immunoglobulin, e.g. cisplatin-antibody conjugates the drug or compound being a sugar, nucleoside, nucleotide, nucleic acid, e.g. RNA antisense
- A61K47/6809—Antibiotics, e.g. antitumor antibiotics anthracyclins, adriamycin, doxorubicin or daunomycin
-
- A—HUMAN NECESSITIES
- A61—MEDICAL OR VETERINARY SCIENCE; HYGIENE
- A61K—PREPARATIONS FOR MEDICAL, DENTAL OR TOILETRY PURPOSES
- A61K47/00—Medicinal preparations characterised by the non-active ingredients used, e.g. carriers or inert additives; Targeting or modifying agents chemically bound to the active ingredient
- A61K47/50—Medicinal preparations characterised by the non-active ingredients used, e.g. carriers or inert additives; Targeting or modifying agents chemically bound to the active ingredient the non-active ingredient being chemically bound to the active ingredient, e.g. polymer-drug conjugates
- A61K47/51—Medicinal preparations characterised by the non-active ingredients used, e.g. carriers or inert additives; Targeting or modifying agents chemically bound to the active ingredient the non-active ingredient being chemically bound to the active ingredient, e.g. polymer-drug conjugates the non-active ingredient being a modifying agent
- A61K47/68—Medicinal preparations characterised by the non-active ingredients used, e.g. carriers or inert additives; Targeting or modifying agents chemically bound to the active ingredient the non-active ingredient being chemically bound to the active ingredient, e.g. polymer-drug conjugates the non-active ingredient being a modifying agent the modifying agent being an antibody, an immunoglobulin or a fragment thereof, e.g. an Fc-fragment
- A61K47/6835—Medicinal preparations characterised by the non-active ingredients used, e.g. carriers or inert additives; Targeting or modifying agents chemically bound to the active ingredient the non-active ingredient being chemically bound to the active ingredient, e.g. polymer-drug conjugates the non-active ingredient being a modifying agent the modifying agent being an antibody, an immunoglobulin or a fragment thereof, e.g. an Fc-fragment the modifying agent being an antibody or an immunoglobulin bearing at least one antigen-binding site
- A61K47/6851—Medicinal preparations characterised by the non-active ingredients used, e.g. carriers or inert additives; Targeting or modifying agents chemically bound to the active ingredient the non-active ingredient being chemically bound to the active ingredient, e.g. polymer-drug conjugates the non-active ingredient being a modifying agent the modifying agent being an antibody, an immunoglobulin or a fragment thereof, e.g. an Fc-fragment the modifying agent being an antibody or an immunoglobulin bearing at least one antigen-binding site the antibody targeting a determinant of a tumour cell
-
- A—HUMAN NECESSITIES
- A61—MEDICAL OR VETERINARY SCIENCE; HYGIENE
- A61K—PREPARATIONS FOR MEDICAL, DENTAL OR TOILETRY PURPOSES
- A61K47/00—Medicinal preparations characterised by the non-active ingredients used, e.g. carriers or inert additives; Targeting or modifying agents chemically bound to the active ingredient
- A61K47/50—Medicinal preparations characterised by the non-active ingredients used, e.g. carriers or inert additives; Targeting or modifying agents chemically bound to the active ingredient the non-active ingredient being chemically bound to the active ingredient, e.g. polymer-drug conjugates
- A61K47/51—Medicinal preparations characterised by the non-active ingredients used, e.g. carriers or inert additives; Targeting or modifying agents chemically bound to the active ingredient the non-active ingredient being chemically bound to the active ingredient, e.g. polymer-drug conjugates the non-active ingredient being a modifying agent
- A61K47/68—Medicinal preparations characterised by the non-active ingredients used, e.g. carriers or inert additives; Targeting or modifying agents chemically bound to the active ingredient the non-active ingredient being chemically bound to the active ingredient, e.g. polymer-drug conjugates the non-active ingredient being a modifying agent the modifying agent being an antibody, an immunoglobulin or a fragment thereof, e.g. an Fc-fragment
- A61K47/6835—Medicinal preparations characterised by the non-active ingredients used, e.g. carriers or inert additives; Targeting or modifying agents chemically bound to the active ingredient the non-active ingredient being chemically bound to the active ingredient, e.g. polymer-drug conjugates the non-active ingredient being a modifying agent the modifying agent being an antibody, an immunoglobulin or a fragment thereof, e.g. an Fc-fragment the modifying agent being an antibody or an immunoglobulin bearing at least one antigen-binding site
- A61K47/6851—Medicinal preparations characterised by the non-active ingredients used, e.g. carriers or inert additives; Targeting or modifying agents chemically bound to the active ingredient the non-active ingredient being chemically bound to the active ingredient, e.g. polymer-drug conjugates the non-active ingredient being a modifying agent the modifying agent being an antibody, an immunoglobulin or a fragment thereof, e.g. an Fc-fragment the modifying agent being an antibody or an immunoglobulin bearing at least one antigen-binding site the antibody targeting a determinant of a tumour cell
- A61K47/6855—Medicinal preparations characterised by the non-active ingredients used, e.g. carriers or inert additives; Targeting or modifying agents chemically bound to the active ingredient the non-active ingredient being chemically bound to the active ingredient, e.g. polymer-drug conjugates the non-active ingredient being a modifying agent the modifying agent being an antibody, an immunoglobulin or a fragment thereof, e.g. an Fc-fragment the modifying agent being an antibody or an immunoglobulin bearing at least one antigen-binding site the antibody targeting a determinant of a tumour cell the tumour determinant being from breast cancer cell
-
- A—HUMAN NECESSITIES
- A61—MEDICAL OR VETERINARY SCIENCE; HYGIENE
- A61K—PREPARATIONS FOR MEDICAL, DENTAL OR TOILETRY PURPOSES
- A61K47/00—Medicinal preparations characterised by the non-active ingredients used, e.g. carriers or inert additives; Targeting or modifying agents chemically bound to the active ingredient
- A61K47/50—Medicinal preparations characterised by the non-active ingredients used, e.g. carriers or inert additives; Targeting or modifying agents chemically bound to the active ingredient the non-active ingredient being chemically bound to the active ingredient, e.g. polymer-drug conjugates
- A61K47/51—Medicinal preparations characterised by the non-active ingredients used, e.g. carriers or inert additives; Targeting or modifying agents chemically bound to the active ingredient the non-active ingredient being chemically bound to the active ingredient, e.g. polymer-drug conjugates the non-active ingredient being a modifying agent
- A61K47/68—Medicinal preparations characterised by the non-active ingredients used, e.g. carriers or inert additives; Targeting or modifying agents chemically bound to the active ingredient the non-active ingredient being chemically bound to the active ingredient, e.g. polymer-drug conjugates the non-active ingredient being a modifying agent the modifying agent being an antibody, an immunoglobulin or a fragment thereof, e.g. an Fc-fragment
- A61K47/6889—Conjugates wherein the antibody being the modifying agent and wherein the linker, binder or spacer confers particular properties to the conjugates, e.g. peptidic enzyme-labile linkers or acid-labile linkers, providing for an acid-labile immuno conjugate wherein the drug may be released from its antibody conjugated part in an acidic, e.g. tumoural or environment
-
- A—HUMAN NECESSITIES
- A61—MEDICAL OR VETERINARY SCIENCE; HYGIENE
- A61P—SPECIFIC THERAPEUTIC ACTIVITY OF CHEMICAL COMPOUNDS OR MEDICINAL PREPARATIONS
- A61P35/00—Antineoplastic agents
-
- C—CHEMISTRY; METALLURGY
- C07—ORGANIC CHEMISTRY
- C07K—PEPTIDES
- C07K2317/00—Immunoglobulins specific features
- C07K2317/20—Immunoglobulins specific features characterized by taxonomic origin
- C07K2317/24—Immunoglobulins specific features characterized by taxonomic origin containing regions, domains or residues from different species, e.g. chimeric, humanized or veneered
-
- C—CHEMISTRY; METALLURGY
- C07—ORGANIC CHEMISTRY
- C07K—PEPTIDES
- C07K2317/00—Immunoglobulins specific features
- C07K2317/30—Immunoglobulins specific features characterized by aspects of specificity or valency
- C07K2317/33—Crossreactivity, e.g. for species or epitope, or lack of said crossreactivity
-
- C—CHEMISTRY; METALLURGY
- C07—ORGANIC CHEMISTRY
- C07K—PEPTIDES
- C07K2317/00—Immunoglobulins specific features
- C07K2317/70—Immunoglobulins specific features characterized by effect upon binding to a cell or to an antigen
- C07K2317/73—Inducing cell death, e.g. apoptosis, necrosis or inhibition of cell proliferation
-
- C—CHEMISTRY; METALLURGY
- C07—ORGANIC CHEMISTRY
- C07K—PEPTIDES
- C07K2317/00—Immunoglobulins specific features
- C07K2317/70—Immunoglobulins specific features characterized by effect upon binding to a cell or to an antigen
- C07K2317/73—Inducing cell death, e.g. apoptosis, necrosis or inhibition of cell proliferation
- C07K2317/732—Antibody-dependent cellular cytotoxicity [ADCC]
-
- C—CHEMISTRY; METALLURGY
- C07—ORGANIC CHEMISTRY
- C07K—PEPTIDES
- C07K2317/00—Immunoglobulins specific features
- C07K2317/90—Immunoglobulins specific features characterized by (pharmaco)kinetic aspects or by stability of the immunoglobulin
- C07K2317/92—Affinity (KD), association rate (Ka), dissociation rate (Kd) or EC50 value
Definitions
- nucleotide/amino acid sequence listing submitted concurrently herewith and identified as follows: One 115,231 Byte ASCII (Text) file named "708769SequenceListing.TXT,” created on August 4, 2011.
- the present invention generally relates to antibodies, antigen-binding fragments thereof, polypeptides, and immunoconjugates that bind to HER3.
- it relates to anti-HER3 antibodies and fragments thereof which inhibit ligand-independent HER3 activation and cell growth.
- the present invention also relates to methods of using such HER3-binding molecules for diagnosing and treating diseases, such as malignancies.
- HER3 is a member of the human epidermal growth factor receptor (HER) family of receptor tyrosine kinases (RTKs) which also includes epidermal growth factor receptor (EGFR or HER1), HER2 (ErbB2) and HER4 (ErbB4) (Plowman et al, Proc. Natl. Acad. Sci. U.S.A. 87 (1990), 4905-4909; Kraus et al, Proc. Natl. Acad. Sci. U.S.A. 86 (1989), 9193-9197; and Kraus et al, Proc. Natl. Acad. Sci. U.S.A. 90 (1993), 2900-2904).
- RTKs receptor tyrosine kinases
- RTKs share a homologous structure that consists of a ligand-binding extracellular domain (ECD), a single span transmembrane domain and an intracellular domain that contains a catalytic-kinase domain and a C-terminal tail.
- ECD extracellular domain
- HER kinase signaling is initiated by the binding of extracellular ligand that induces receptor dimerization and
- EGFR targeting agents including two naked antibodies (cetuximab (Erbitux) and panitumumab (Vectibix)) and two small molecules (erlotinib (Tarceva) and gefitinib (Iressa)), have been approved for the treatment of metastatic colorectal cancer, head and neck cancer, and metastatic non small cell lung cancer.
- HER2 targeting agents including a naked antibody (trastuzumab (Herceptin)) and a small molecule (lapatinib (Tykerb)), have been approved for HER2 positive metastatic breast cancer and HER2 positive gastric cancer.
- HER3 is unique among the HER family in that its kinase domain is catalytically inactive (Guy PM. et al, Proc Natl Acad Sci USA. 91, 8132-8136 (1994), Sierke SL et al, Biochem J. 322, 757-763 (1997), Jura N et al, Proc Natl Acad Sci USA. 106, 20608-20613 (2009)).
- HER3 is an efficient dimerization partner for the other HER family members (Sergina NC and Moasser MM. Trends in Mol Med. 13, 527-534 (2007)).
- HER3 expression is found to be associated with poor survival and cancer metastasis (Witton CI et al., J. Pathol. 200, 290-297 (2003)) and the increase of cancer recurrence after surgery or radiation (Barnes NL. et al., Clin. Cancer Res. 11, 2163-2168 (2005)). In ovarian cancer and melanoma, high HER3 expression is also associated with poor survival (Tanner B.
- HER3 expression and signaling is found to be associated with resistance to several cancer therapies including: 1) HER2 inhibitors in HER2-amplified breast cancer (Sergina NV. et al, Nature, 445, 437-441 (2007) and Wang SE. et al, Mol Cell biol. 28, 5605-5620 (2008)), 2) EGFR inhibitors in lung cancer
- HER3 phosphorylation is driven by one of its HER family kinase partners.
- HER3 can also be activated by other RTKs, such as cMET, in a ligand independent manner (Engelman JA. et al., Science 316, 1039-1043 (2007)).
- HER3 Because of the significant role of HER3 in cancer pathogenesis, there is a need for agents that interfere with HER3-mediated signaling.
- EGFR-targeting antagonistic antibodies e.g., cetuximab and panitumumab
- HER2 -targeting antagonistic antibodies e.g., trastuzumab
- immunoconjugates thereof e.g., trastuzumab-DMl
- immunoconjugates that can be usedto treat cancers that overexpress HER3 and/or have developed resistance to EGFR, HER2 and other therapies, such as hormone therapies and IGF1R therapy.
- the present invention which focuses on a unique class of HER3 antibodies that are effective in a ligand-independent manner, addresses the need for HER3 inhibitory antibodies and immunoconjugates.
- This invention provides a novel class of antibodies that bind to both human and macaque HER3 protein and further posses the ability to inhibit ligand-independent HER3 activation, signaling and cell growth, and/or one or more of the following properties: an ability to inhibit ligand-dependent HER3 activation, signaling and cell growth; an ability to inhibit HER3 ligand binding to HER3 receptor; an ability to inhibit HER2-HER3 dimer formation; an ability to mediate antibody dependent cell cytotoxicity (ADCC); and an ability to deliver cytotoxic conjugates.
- Novel immunoconjugates comprising these antibodies and methods of their use are described herein.
- Novel polypeptides such as antibodies that bind human HER3, fragments of such antibodies, and other polypeptides related to such antibodies are also provided.
- Polynucleotides comprising nucleic acid sequences encoding the polypeptides are also provided, as are vectors comprising the polynucleotides.
- Cells comprising the polypeptides and/or polynucleotides of the invention are further provided.
- Compositions e.g., pharmaceutical compositions
- HER3 antibodies or immunoconjugates are also provided, such as methods of using the novel HER3 antibodies or immunoconjugates to inhibit tumor growth and/or treat cancer.
- the antibody or antigen binding fragment thereof can be one that specifically binds to the same HER3 epitope as an antibody selected from the group consisting of: (a) an antibody purified from the cell line of ATCC Accession No. PTA-11145; (b) an antibody purified from the cell line of ATCC Accession No. PTA-11146; (c) an antibody purified from the cell line of ATCC Accession No.
- the antibody or antigen binding fragment thereof specifically binds to HER3 protein, and the antibody or fragment thereof competitively inhibits the binding of an antibody selected from the group consisting of: (a) an antibody purified from the cell line of ATCC Accession No. PTA-11145; (b) an antibody purified from the cell line of ATCC Accession No. PTA-11146; (c) an antibody purified from the cell line of ATCC Accession No.
- the antibody or antigen binding fragment thereof is produced by a hybridoma cell line selected from the group consisting of American Type Culture Collection (ATCC) Accession No. PTA-11145, deposited with the ATCC on July 1, 2010, ATCC Accession No. PTA-11146, deposited with the ATCC on July 1, 2010, and ATCC Accession No. PTA-11147, deposited with the ATCC on July 1, 2010.
- ATCC American Type Culture Collection
- the antibody or antigen binding fragment thereof specifically binds to HER3 protein and the antibody comprises (i) a first amino acid sequence comprising (a) an amino acid sequence selected from the group consisting of SEQ ID NOs: 4, 9, 14, and variants thereof with 1 conservative amino acid substitution; (b) an amino acid sequence selected from the group consisting of SEQ ID NOs: 5, 7, 8, 10, 12, 15, 17, 18, and variants thereof with 1 conservative amino acid substitution; and (c) an amino acid sequence selected from the group consisting of SEQ ID NOs: 6, 11, 13, 16, and variants thereof with 1 conservative amino acid substitution; and (ii) a second amino acid sequence comprising (d) an amino acid sequence selected from the group consisting of SEQ ID NOs: 19, 22, 25, and variants thereof with 1 conservative amino acid substitution; (e) an amino acid sequence selected from the group consisting of SEQ ID NOs; 20, 23, 26, and variants thereof with 1 conservative amino acid substitution; and (f) an amino acid sequence selected from the group consisting of SEQ ID NOs: 21, 24, and 27, and variants
- the invention also provides an antibody, antigen binding fragment thereof, or polypeptide that binds to HER3 protein and is selected from the group consisting of: (a) an antibody or antigen binding fragment thereof comprising a first amino acid sequence comprising SEQ ID NOs: 4, 5, and 6 and a second amino acid sequence comprising SEQ ID NOs: 19, 20, and 21; (b) an antibody or antigen binding fragment thereof comprising a first amino acid sequence comprising SEQ ID NOs: 9, 10, and 11 and a second amino acid sequence comprising SEQ ID NOs: 22, 23, and 24; (c) an antibody or antigen binding fragment thereof comprising a first amino acid sequence comprising SEQ ID NOs: 9, 10, and 13 and a second amino acid sequence comprising SEQ ID NOs: 22, 23, and 24; (d) an antibody or antigen binding fragment thereof comprising a first amino acid sequence comprising SEQ ID NOs: 14, 15, and 16 and a second amino acid sequence comprising SEQ ID NOs: 25, 26, and 27; and (e) variants of (a) to
- the antibody, antigen binding fragment thereof, or polypeptide specifically binds to HER3 protein and comprises a first amino acid sequence that is at least 90% identical, at least 95% identical, at least 98% identical, at least 99% identical, or identical to an amino acid sequence selected from the group consisting of SEQ ID NOs: 28-34 and a second amino acid sequence that is at least 90% identical, at least 95% identical, at least 98% identical, at least 99% identical, or identical to an amino acid sequence selected from the group consisting of SEQ ID NOs: 35-40.
- the antibody or antigen binding fragment thereof is murine, non-human, humanized, chimeric, resurfaced, or human.
- the antibody or antigen binding fragment thereof is capable of inducing apoptosis of a cell expressing HER3 in vitro in the absence of cross-linking agents. In some embodiments, the antibody or antigen binding fragment thereof is capable of inducing antibody dependent cell mediated cytotoxicity (ADCC).
- ADCC antibody dependent cell mediated cytotoxicity
- the antibody or antigen binding fragment thereof is capable of: inhibiting HER3 ligand-independent growth of tumor cells expressing HER3; inhibiting basal proliferation of tumor cells in which HER3 is constitutively activated; inhibiting basal HER3 signaling in the absence of exogenous HER3 ligand; inhibiting HER3 ligand- dependent growth of tumor cells expressing HER3; inhibiting HER3 ligand-induced HER3 signaling; inhibiting HER3 ligand binding to HER3 receptor; and/or inhibiting HER3 ligand- induced HER2 and HER3 dimerization.
- the antibody or antigen binding fragment thereof is human or humanized, specifically binds to HER3, and is capable of inducing apoptosis of a cell expressing HER3 in vitro in the absence of cross-linking agents.
- the human or humanized antibody or antigen binding fragment thereof is also capable of inducing complement dependent cytotoxicity (CDC) and/or capable of inducing antibody dependent cell mediated cytotoxicity (ADCC).
- the antibody or antigen binding fragment thereof binds to human HER3 and macaque HER3.
- the antibody or antigen binding fragment thereof has similar binding affinity for human HER3 and macaque HER3.
- the antibody or antigen binding fragment thereof binds to human HER3 and macaque HER3 with a Kd of 0.3 nM or better.
- the antibody or antigen binding fragment thereof is a full length antibody or an antigen binding fragment.
- the antibody or antigen binding fragment thereof can be a whole immunoglobulin molecule, an Fab, an Fab', an F(ab')2, an Fd, a single chain Fv or scFv, a disulfide linked Fv, a V-NAR domain, an IgNar, an intrabody, an IgGACH2, a minibody, an F(ab')3, a tetrabody, a triabody, a diabody, a single-domain antibody, a DVD-Ig, an Fcab, a mAb2, a (scFv)2, or a scFv-Fc.
- Cells producing the antibody or antigen binding fragment thereof or the polypeptide can also be made and used according to the methods described herein.
- the methods provide methods of making an antibody or antigen-binding fragment thereof or a polypeptide comprising (a) culturing a cell producing such a HER3 -binding agent so as to produce the HER3 -binding agent; and (b) isolating the antibody, antigen-binding fragment thereof, or polypeptide from the cultured cell.
- the HER3 -binding agent is an immunoconjugate having the formula (A) - (L) - (C), wherein: (A) is a HER3 -binding agent; (L) is a linker; and (C) is a cytotoxic agent; and wherein the linker (L) links (A) to (C).
- the HER3 -binding agent is an immunoconjugate having the formula (A) - (L) - (C), wherein: (A) is an antibody or antigen binding fragment that specifically binds to HER3; (L) is a non-cleavable linker; and (C) is a cytotoxic agent; and wherein the linker (L) links (A) to (C).
- the HER3 -binding agent is an immunoconjugate having the formula (A) - (L) - (C), wherein: (A) is an antibody or antigen binding fragment that specifically binds to HER3; (L) is a linker; and (C) is a maytansinoid; and wherein the linker (L) links (A) to (C).
- the immunoconjugate linker can be selected from a group consisting of a cleavable linker, a non-cleavable linker, a hydrophilic linker, and a dicarboxylic acid based linker.
- the linker can be selected from the group consisting of: N-succinimidyl 4-(2- pyridyldithio)pentanoate (SPP); N-succinimidyl 4-(2-pyridyldithio)butanoate (SPDB) or N- succinimidyl 4-(2-pyridyldithio)-2-sulfobutanoate (sulfo-SPDB); N-succinimidyl 4- (maleimidomethyl) cyclohexanecarboxylate (SMCC); N-sulfosuccinimidyl 4- (maleimidomethyl) cyclohexanecarboxylate (sulfoSMCC); N-succinimidyl-4-(iodoacetyl)- aminobenzoate (SIAB); and N-succinimidyl-[(N-maleimidopropionamido)- tetraethyleneglycol] ester
- the cytotoxic agent can be selected from the group consisting of a maytansinoid, maytansinoid analog, doxorubicin, a modified doxorubicin, benzodiazepine, taxoid, CC- 1065, CC-1065 analog, duocarmycin, duocarmycin analog, calicheamicin, dolastatin, dolastatin analog, aristatin, tomaymycin derivative, and leptomycin derivative or a prodrug of the cytotoxic agent.
- the cytotoxic agent can be a maytansinoid.
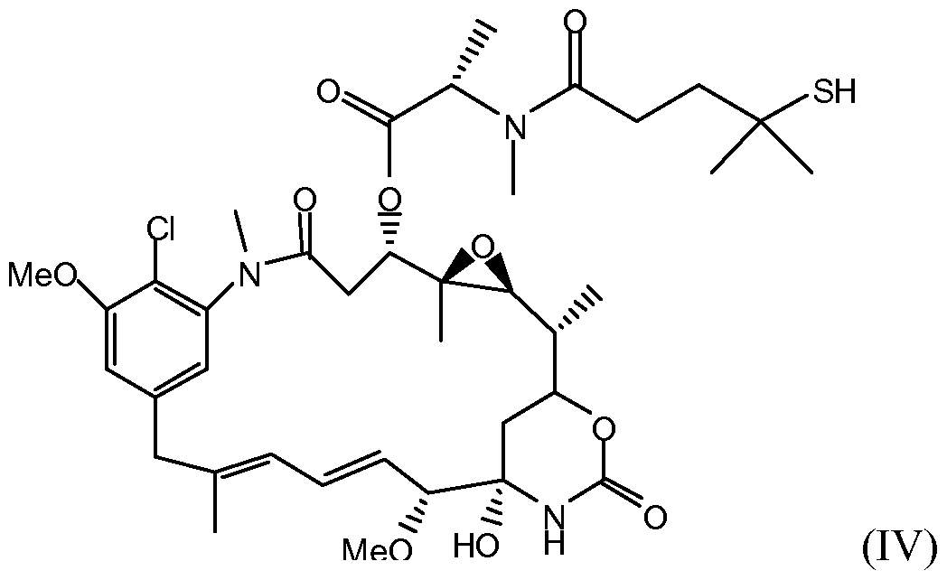
- the cytotoxic agent can be N(2')-deacetyl-N(2')-(3-mercapto-l-oxopropyl)-maytansine (DM1) or N(2')-deacetyl-N2-(4- mercapto-4-methyl- 1 -oxopentyl)-maytansine (DM4).
- composition comprising a HER3- binding agent and a pharmaceutically acceptable carrier.
- the pharmaceutical composition also can comprise an anti-cancer agent that differs from the antibody.
- a diagnostic reagent comprising a HER3 -binding agent which is labeled is also provided herein.
- the label can be selected from the group consisting of a radiolabel, a fluorophore, a chromophore, an imaging agent and a metal ion.
- kits comprising a HER3 -binding agent.
- the methods described herein include methods for inhibiting the growth of a cell expressing HER3 comprising contacting the cell with a HER3 -binding agent or
- composition comprising the same.
- the methods also provide methods for treating a patient having cancer comprising administering to the patient a therapeutically effective amount of a HER3 binding agent or pharmaceutical composition comprising the same to the patient.
- the methods can comprise administering an anti-cancer agent that differs from the HER3 -binding agent to the subject.
- the anti-cancer agent can be a chemotherapeutic agent.
- the cancer can be a cancer selected from the group consisting of acute lymphoblastic leukemia, acute myeloid leukemia, adrenocortical carcinoma, anal cancer, basal cell carcinoma, bile duct cancer, bladder cancer, bone cancer, brain tumors (including astrocytoma, brain stem glioma, craniopharyngioma, ependymoblastoma, ependymoma, medulloblastoma, medulloepithelioma, pineal parenchymal tumors of intermediate differentiation, supratentorial primitive neuroectodermal tumors, and pineoblastoma), breast cancer, bronchial tumors, Burkitt lymphoma, carcinoid tumors, central nervous system atypical teratoid/rhabdoid tumors, cervical cancer, chordoma, chronic lymphocytic leukemia, chronic myelogenous leukemia, chronic myeloproliferative disorders, colon
- myelodysplastic/myeloproliferative neoplasms nasal cavity and paranasal sinus cancer, nasopharyngeal cancer, neuroblastoma, non-Hodgkin lymphoma, non-small cell lung cancer, oral cancer, oropharyngeal cancer, ovarian cancer, pancreatic cancer, parathyroid cancer, penile cancer, pharyngeal cancer, pituitary tumor, prostate cancer, rectal cancer, renal cell cancer, retinoblastoma, rhabdomyosarcoma, salivary gland cancer, Sezary syndrome, skin cancer (nonmelanoma), small cell lung cancer, small intestine cancer, soft tissue sarcoma, squamous cell carcinoma, squamous neck cancer, stomach cancer, T-cell lymphoma, testicular cancer, throat cancer, thymoma and thymic carcinoma, thyroid cancer, urethral cancer, uterine cancer, vaginal cancer, vulvar cancer, Wald
- Isolated polynucleotides comprising a nucleic acid sequence that encodes a polypeptide that is at least 90% identical, at least 95% identical, at least 99% identical, or identical to the HER3 -binding agents of the invention are also provided herein.
- the polynucleotide can comprise a nucleic acid sequence that is at least 90%, at least 95% identical, at least 98% identical, at least 99% identical, or identical to a nucleic acid sequence selected from the group consisting of SEQ ID NOs: 54-73. - -
- Vectors and host cells comprising such polynucleotides and vectors are also provided herein.
- Figures 1 A-B are bar graphs depicting the capacity of the indicated murine anti- HER3 antibodies (x-axis) in inhibiting the HER3 ligand-independent proliferation of SKBR3 cells (y-axis) measured in a WST-8 cell proliferation assay ( Figure 1 A) and in a clonogenic assay ( Figure IB).
- Trastuzumab (Tmab) anti-HER2 antibody was used for comparison.
- Figure 2 depicts graphs of FACS analysis demonstrating the binding specificity of the indicated murine anti-HER3 antibodies using the human HER3 (huHER3)-overexpressing 300-19 cells (right column) and the parental wild type (WT) 300-19 cells (left column).
- Figures 3A-C are line graphs depicting the binding curve of muHER3-3 (Figure 3A), muHER3-8 (Figure 3B), and muHER3-10 (Figure 3C) antibodies in the huHER3- overexpressing 300-19 cells.
- Figures 4A-C are line graphs depicting the binding curve of muHER3-3 (Figure 4A), muHER3-8 (Figure 4B), and muHER3-10 (Figure 4C) antibodies in the macaque HER3 (maHER3)-overexpressing 300-19 cells.
- Figure 5 is a bar graph depicting the capacity of the indicated murine anti-HER3 antibodies (x-axis) in inhibiting HRGi i-induced HER3 phosphorylation (y-axis) in MCF7 cells.
- Figure 6 is a bar graph depicting the capacity of the indicated murine anti-HER3 antibodies (x-axis) in inhibiting HRGi i-induced AKT phosphorylation (Y-axis) in MCF7 cells.
- Figure 7 is a bar graph depicting the capacity of the indicated murine anti-HER3 antibodies (x-axis) in inhibiting heregulin ⁇ (HRGi i) -induced MCF7 cell proliferation (y-axis).
- Figure 8 is a Western blot depicting the ability of muHER3-8 and muHER3-10 antibodies to inhibit HER2-HER3 dimerization induced by HRGi i in MCF7 cells.
- Figures 9A-B are line graphs depicting the ability of murine anti-HER3 antibodies to compete with biotinylated HRGi i binding in SKBR3 cells. U3-Pharma/Amgen's Ul-59 antibody was used for comparison ( Figure 9B). - -
- Figures 10A-B are line graphs depicting the result of antibody binding competition in SKBR3 cells. Biotinylated Ul-59 Ab binding to HER3 antigen was measured in presence of other murine anti-HER3 antibodies ( Figure 10A). Biotinylated muHER3-8 antibody binding to HER3 antigen is measured in presence of other murine anti HER3 antibodies ( Figure 10B).
- Figures 11A-B are tables depicting a list of HER3-3 surface residues and substitutions in resurfaced versions for HER3-3 VL ( Figure 11 A) and HER3-3 VH ( Figure 11B).
- Figures 12A-B are tables depicting a list of HER3-8 surface residues and substitutions in resurfaced versions for HER3-8 VL ( Figure 12A) and HER3-8 VH ( Figure 12B).
- Figures 13A-B are tables depicting a list of HER3-10 surface residues and substitutions in resurfaced versions for HER3-10 VL ( Figure 13 A) and HER3-10 VH ( Figure 13B).
- Figures 14A-F depict alignments of resurfaced sequences for the HER3-3 and HER3-8 and HER3-10 variable region with their murine counterparts: Figure 14A) HER3-3 light chain variable domain; Figure 14B) HER3-3 heavy chain variable domain; Figure 14C) HER3-8 light chain variable domain; Figure 14D) HER3-8 heavy chain variable domain;. Figure 14E) HER3-10 light chain variable domain; Figure 14F) HER3-10 heavy chain variable domain. Dashes "-" denote identity with the murine sequence.
- Figures 15A-C are line graphs depicting the binding curves of the indicated murine or humanized HER3 antibodies in huHER3-overexpressing 300-19 cells.
- Figure 16 is a line graph depicting the result of antibody binding competition between muHER3-8 antibody versus huHER3-8v.1.00, huHER3-8v.1.01 or muHER3-8 naked antibodies in SKBR3 cells.
- Figure 17 is a bar graph depicting the capacity of the indicated anti-HER3 antibodies (x-axis) in inhibiting the HER3 ligand-independent proliferation of SKBR3 cells (y-axis).
- U3-Pharma/Amgen's Ul-59 and Merrimack's M-6 antibodies were used for comparison.
- Figure 18 is a bar graph depicting the capacity of the indicated anti-HER3 antibodies (x-axis) in inhibiting the HER3 ligand-independent proliferation of BT474 cells (y-axis).
- U3-Pharma/Amgen's Ul-59 and Merrimack's M-6 antibodies were used for comparison. - -
- Figure 19 is a bar graph depicting the capacity of the indicated anti-HER3 antibodies (x-axis) in inhibiting the HER3 ligand-independent proliferation of MDA-MB453 cells (y-axis).
- U3-Pharma/Amgen's Ul-59 and Merrimack's M-6 antibodies were used for comparison.
- Figure 20 is a bar graph depicting the capacity of the indicated anti-HER3 antibodies (x-axis) in inhibiting the HER3 ligand-independent proliferation of ZR75-30 cells (y-axis).
- U3-Pharma/Amgen's Ul-59 and Merrimack's M-6 antibodies were used for comparison.
- Figures 21A-B are graphs depicting the capacity of the indicated anti-HER3 antibodies in inhibiting HRGl ⁇ -induced MCF7 cell proliferation.
- the activities of huHER3- 3, huHER3-8 and huHER3-10 antibody were compared with that of Merrimack's M-6 antibody ( Figure 21 A).
- Dose dependent inhibition of MCF7 cell proliferation by huHER3-8 is shown in Figure 2 IB.
- Figures 22A-B are bar graphs depicting the capacity of the indicated anti-HER3 antibodies (x-axis) in inhibiting HRGi i-induced HER3 phosphorylation (y-axis of Figure 22A) and AKT phosphorylation (y-axis of Figure 22B) in MCF7 cells. Merrimack's M-6 antibody was used for comparison.
- Figure 23 is a Western blot depicting the ability of huHER3-8 and huHER3-10 antibodies to inhibit HER2-HER3 dimerization induced by HRGi i in MCF7 cells.
- Figures 24A-B are line graphs depicting the ADCC activity of huHER3-3, huHER3-8, huHER3-10 and M-6 antibodies in BT474 ( Figure 24A) and MCF7 cells ( Figure 24B). chKTI was used as non-specific IgGl control.
- Figures 25A-B are line graphs depicting a comparison of the binding of huHER3- 8 naked antibody and maytansinoid conjugates in SKBR3 ( Figure 25 A) and maHER3-300-19 cells ( Figure 25B).
- Figures 26A-B are line graphs depicting the cytotoxicity of the indicated huHER3 antibody-maytansinoid conjugates in huHER3-300-19 cells ( Figure 26 A) and maHER3-300- 19 cells ( Figure 26B).
- the chKTI, chB38.1 and huC242 maytansinoid conjugates were used as non-binding conjugate controls.
- Figure 27 depicts an alignment of the human and murine HER-3 extracellular domain (ECD) sequences. The restrictions sites used to engineer chimeric humn/murine ECD constructs, as well as the four domains within the ECD, are shown. - -
- Figure 28 is a line graph depicting the binding of the indicated human anti-HER3 antibodies to the ECD of human HER3.
- Figure 29 is a line graph depicting the binding of the indicated human anti-HER3 antibodies to the ECD of murine HER3.
- Murine anti-HER3 antibody Ul-59 was used as a positive control.
- Figure 30 is a line graph depicting the binding of the indicated human anti-HER3 antibodies to a chimeric ECD comprising human LI -SI domains and murine L2-S2 domains.
- Figure 31 is a line graph depicting the binding of the indicated human anti-HER3 antibodies to a chimeric ECD comprising murine LI -SI domains and human L2-S2 domains.
- Murine anti-HER3 antibody Ul-59 was used as a positive control.
- Figures 32A-C are bar graphs depicting the capacity of the huHER3-8 and M-6 antibodies to inhibit the basal level of phospho-HER3 in SKBR3 ( Figure 32A), MDA-MB- 453 ( Figure 32B), and ZR-75-30 ( Figure 32C) cell lines.
- the present invention provides a novel class of HER3 binding molecules having high potency in inhibiting HER3-ligand independent HER3 expressing tumor cell proliferation. Further, immunoconjugates of anti-HER3 antibodies kill HER3 expressing cells unexpectedly well.
- HER3 refers to any native HER3, unless otherwise indicated. HER3 is also referred to as v-erb-b2 erythroblastic leukemia viral oncogene homolog 3, ErbB-3, c-erbB-3, erbB3-S, MDA-BFl, MGC88033, LCCS2, pl80-ErbB3, p45- sErbB3, p85-sErbB3 and ERBB3.
- HER3 encompasses "full-length,”
- HER3 unprocessed HER3 as well as any form of HER3 that results from processing in the cell.
- the term also encompasses naturally occurring variants of HER3, e.g., splice variants, allelic variants, and iso forms.
- the HER3 polypeptides described herein can be isolated from a variety of sources, such as from human tissue types or from other sources, or prepared by recombinant or synthetic methods. - -
- antibody means an immunoglobulin molecule that recognizes and specifically binds to a target, such as a protein, polypeptide, peptide, carbohydrate, polynucleotide, lipid, or combinations of the foregoing through at least one antigen recognition site within the variable region of the immunoglobulin molecule.
- antibody encompasses intact polyclonal antibodies, intact monoclonal antibodies, antibody fragments (such as Fab, Fab', F(ab')2, and Fv fragments), single chain Fv (scFv) mutants, multispecific antibodies such as bispecific antibodies generated from at least two intact antibodies, chimeric antibodies, humanized antibodies, human antibodies, fusion proteins comprising an antigen determination portion of an antibody, and any other modified immunoglobulin molecule comprising an antigen recognition site so long as the antibodies exhibit the desired biological activity.
- antibody fragments such as Fab, Fab', F(ab')2, and Fv fragments
- scFv single chain Fv mutants
- multispecific antibodies such as bispecific antibodies generated from at least two intact antibodies, chimeric antibodies, humanized antibodies, human antibodies, fusion proteins comprising an antigen determination portion of an antibody, and any other modified immunoglobulin molecule comprising an antigen recognition site so long as the antibodies exhibit the desired biological activity.
- An antibody can be of any of the five major classes of immunoglobulins: IgA, IgD, IgE, IgG, and IgM, or subclasses (isotypes) thereof (e.g., IgGl, IgG2, IgG3, IgG4, IgAl and IgA2), based on the identity of their heavy-chain constant domains, referred to as alpha, delta, epsilon, gamma, and mu, respectively.
- an antibody can comprise either a kappa or lambda light chain immunoglobulin constant domain.
- the different classes of immunoglobulins have different and well known subunit structures and three-dimensional configurations. Antibodies can be naked or conjugated to other molecules such as toxins, radioisotopes, etc.
- a “blocking" antibody or an “antagonist” antibody is one which inhibits or reduces biological activity of the antigen it binds, such as HER3.
- blocking antibodies or antagonist antibodies substantially or completely inhibit the biological activity of the antigen.
- the biological activity can be reduced by 10%, 20%, 30%>, 40%>, 50%, 60%, 70%, 80%, 85%, 90%, 95%, or even 100%.
- basic refers to the status where no exogenous HER3 ligand(s) are present.
- basic cell proliferation refers to cell proliferation in the absence of exogenous HER3 ligand(s)
- basic HER3 signaling and “basal level of phospho-HER3” refer to HER3 signaling or phospho-HER3 levels in the absence of exogenous HER3 ligand(s).
- the antibodies or antigen binding fragments described herein inhibit basal cell proliferation, basal HER3 -signaling, and/or the basal level of phospho-HER3 by about 20%, 30%, 40%, 50%, 60%, 70%, 80%, 85%, 90%, 95%, or even 100%.
- the term "inhibition of HER3 ligand-independent growth of tumor cells” refers to the ability of a molecule to inhibit the growth of tumor cells in serum containing media and in - -
- the inhibitory activity can be 20%, 30%, 40%, 50%, 60%, 70%, 80%, 85%, 90%, 95%, or even 100%.
- the term "inhibition of HER3 ligand-dependent growth of tumor cells” refers to the ability of a molecule to inhibit the growth of tumor cells in media containing exogenously added HER3 ligand.
- the inhibitory activity can be 20%>, 30%>, 40%>, 50%, 60%, 70%, 80%, 85%, 90%, 95%, or even 100%.
- anti-HER3 antibody or "an antibody that binds to HER3” refers to an antibody that is capable of binding HER3 with sufficient affinity such that the antibody is useful as a diagnostic and/or therapeutic agent in targeting HER3.
- the extent of binding of an anti-HER3 antibody to an unrelated, non-HER3 protein can be less than about 10% (e.g., about 9%), about 8%, about 7%, about 6%, about 5%, about 4%, about 3%, about 2%, or about 1%) of the binding of the antibody to HER3 as measured, e.g., by a radioimmunoassay (RIA).
- RIA radioimmunoassay
- an antibody that binds to HER3 has a dissociation constant (Kd) of ⁇ 1 ⁇ , ⁇ 100 nM, ⁇ 10 nM, ⁇ 5 nM, ⁇ 1 nM, ⁇ 0.9 nM, ⁇ 0.8 nM, ⁇ 0.7 nM, ⁇ 0.6 nM, ⁇ 0.5 nM, ⁇ 0.4 nM, ⁇ 0.3 nM, ⁇ 0.2 nM, or ⁇ 0.1 nM.
- Kd dissociation constant
- antibody fragment refers to a portion of an intact antibody and refers to the antigenic determining variable regions of an intact antibody.
- antibody fragments include, but are not limited to Fab, Fab', F(ab')2, and Fv fragments, linear antibodies, single chain antibodies, and multispecific antibodies formed from antibody fragments.
- a “monoclonal antibody” refers to a homogeneous antibody population involved in the highly specific recognition and binding of a single antigenic determinant, or epitope. This is in contrast to polyclonal antibodies that typically include different antibodies directed against different antigenic determinants.
- the term “monoclonal antibody” encompasses both intact and full-length monoclonal antibodies as well as antibody fragments (such as Fab, Fab', F(ab')2, Fv), single chain (scFv) mutants, fusion proteins comprising an antibody portion, and any other modified immunoglobulin molecule comprising an antigen recognition site.
- monoclonal antibody refers to such antibodies made in any number of manners including but not limited to by hybridoma, phage selection, recombinant expression, and transgenic animals.
- humanized antibody refers to forms of non-human (e.g., murine) antibodies that are specific immunoglobulin chains, chimeric immunoglobulins, or fragments thereof that contain minimal non-human (e.g., murine) sequences.
- antibodies are human immunoglobulins in which residues from the complementary determining region (CDR) are replaced by residues from the CDR of a non-human species (e.g., mouse, rat, rabbit, hamster) that have the desired specificity, affinity, and capability (Jones et al, 1986, Nature, 321 :522-525; Riechmann et al, 1988, Nature, 332:323-327; Verhoeyen et al, 1988, Science, 239: 1534-1536).
- the Fv framework region (FR) residues of a human immunoglobulin are replaced with the corresponding residues in an antibody from a non-human species that has the desired specificity, affinity, and capability.
- the humanized antibody can be further modified by the substitution of additional residues either in the Fv framework region and/or within the replaced non-human residues to refine and optimize antibody specificity, affinity, and/or capability.
- the humanized antibody will comprise substantially all of at least one, and typically two or three, variable domains containing all or substantially all of the CDR regions that correspond to the non-human immunoglobulin whereas all or substantially all of the FR residues are those of a human immunoglobulin consensus sequence.
- the humanized antibody can also comprise at least a portion of an immunoglobulin constant region or domain (Fc), typically that of a human immunoglobulin. Examples of methods used to generate humanized antibodies are described in U.S. Pat. 5,225,539.
- variable region of an antibody refers to the variable region of the antibody light chain or the variable region of the antibody heavy chain, either alone or in combination.
- the variable regions of the heavy and light chain each consist of four framework regions (FR) connected by three complementarity determining regions (CDRs) also known as hypervariable regions.
- the CDRs in each chain are held together in close proximity by the FRs and, with the CDRs from the other chain, contribute to the formation of the antigen- binding site of antibodies.
- CDRs complementarity determining regions
- the Kabat numbering system is generally used when referring to a residue in the variable domain (approximately residues 1-107 of the light chain and approximately residues 1-113 of the heavy chain) (see Kabat et al., Sequences of Immunological Interest. 5th Ed. Public Health Service, National Institutes of Health, Bethesda, Md. (1991)). - -
- amino acid position numbering refers to the numbering system used for heavy chain variable domains or light chain variable domains of the compilation of antibodies in Kabat et al., Sequences of Proteins of Immunological Interest, 5th Ed. Public Health Service, National Institutes of Health, Bethesda, Md. (1991). Using this numbering system, the actual linear amino acid sequence can contain fewer or additional amino acids corresponding to a shortening of, or insertion into, a FR or CDR of the variable domain.
- a heavy chain variable domain can include a single amino acid insert (residue 52a according to Kabat) after residue 52 of H2 and inserted residues (e.g., residues 82a, 82b, and 82c, etc., according to Kabat) after heavy chain FR residue 82.
- the Kabat numbering of residues can be determined for a given antibody by alignment at regions of homology of the sequence of the antibody with a "standard" Kabat numbered sequence.
- the Chothia numbering system also can be used when referring to a residue in the variable domain (see Chothia and Lesk J. Mol. Biol. 196:901-917 (1987)).
- the Chothia numbering system refers instead to the location of the structural loops (Chothia and Lesk J. Mol. Biol. 196:901-917 (1987)).
- the end of the Chothia CDR-H1 loop when numbered using the Kabat numbering convention varies between H32 and H34 depending on the length of the loop (this is because the Kabat numbering scheme places the insertions at H35A and H35B; if neither 35A nor 35B is present, the loop ends at 32; if only 35A is present, the loop ends at 33; if both 35A and 35B are present, the loop ends at 34).
- the AbM hypervariable regions represent a compromise between the Kabat CDRs and Chothia structural loops, and are used by Oxford Molecular's AbM antibody modeling software.
- human antibody means an antibody produced by a human or an antibody having an amino acid sequence corresponding to an antibody produced by a human - -
- human antibody includes intact or full-length antibodies, fragments thereof, and/or antibodies comprising at least one human heavy and/or light chain polypeptide such as, for example, an antibody comprising murine light chain and human heavy chain polypeptides.
- chimeric antibodies refers to antibodies wherein the amino acid sequence of the immunoglobulin molecule is derived from two or more species.
- the variable region of both light and heavy chains corresponds to the variable region of antibodies derived from one species of mammals (e.g., mouse, rat, rabbit, etc.) with the desired specificity, affinity, and capability, while the constant regions are homologous to the sequences in antibodies derived from another (usually human) to avoid eliciting an immune response in that species.
- epitopes or "antigenic determinant” are used interchangeably herein and refer to that portion of an antigen capable of being recognized and specifically bound by a particular antibody.
- the antigen is a polypeptide
- epitopes can be formed both from contiguous amino acids and noncontiguous amino acids juxtaposed by tertiary folding of a protein. Epitopes formed from contiguous amino acids are typically retained upon protein denaturing, whereas epitopes formed by tertiary folding are typically lost upon protein denaturing.
- An epitope typically includes at least 3, and more usually, at least 5 or 8-10 amino acids in a unique spatial conformation.
- Binding affinity generally refers to the strength of the sum total of noncovalent interactions between a single binding site of a molecule (e.g., an antibody) and its binding partner (e.g., an antigen). Unless indicated otherwise, as used herein, "binding affinity” refers to intrinsic binding affinity which reflects a 1 : 1 interaction between members of a binding pair (e.g., antibody and antigen).
- the affinity of a molecule X for its partner Y can generally be represented by the dissociation constant (Kd). Affinity can be measured by common methods known in the art, including those described herein.
- Low-affinity antibodies generally bind antigen slowly and tend to dissociate readily, whereas high-affinity antibodies generally bind antigen faster and tend to remain bound longer.
- a variety of methods of measuring binding affinity are known in the art, any of which can be used for purposes of the present invention. Specific illustrative embodiments are described in the following.
- binding affinity refers to a stronger binding between a molecule and its binding partner.
- Or better when used herein refers to a stronger binding, represented by a smaller numerical Kd value. For example, an antibody - -
- the antibody's affinity for the antigen is ⁇ 0.6 nM, e.g., 0.59 nM, 0.58 nM, 0.57 nM, etc., or any value less than 0.6 nM.
- an antibody binds to an epitope via its antigen binding domain, and that the binding entails some complementarity between the antigen binding domain and the epitope. According to this definition, an antibody is said to "specifically bind” to an epitope when it binds to that epitope, via its antigen binding domain more readily than it would bind to a random, unrelated epitope.
- antibody “specificity” is used herein to qualify the relative affinity by which a certain antibody binds to a certain epitope. For example, antibody “A” may be deemed to have a higher specificity for a given epitope than antibody “B,” or antibody “A” may be said to bind to epitope “C” with a higher specificity than it has for related epitope “D.”
- preferentially binds it is meant that the antibody specifically binds to an epitope more readily than it would bind to a related, similar, homologous, or analogous epitope.
- an antibody which "preferentially binds" to a given epitope would more likely bind to that epitope than to a related epitope, even though such an antibody may cross-react with the related epitope.
- An antibody is said to "competitively inhibit" binding of a reference antibody to a given epitope if it preferentially binds to that epitope to the extent that it blocks, to some degree, binding of the reference antibody to the epitope.
- Competitive inhibition may be determined by any method known in the art, for example, competition ELISA assays.
- An antibody may be said to competitively inhibit binding of the reference antibody to a given epitope by at least 95%, at least 90%, at least 85%, at least 80%, at least 70%, at least 60%, or at least 50%.
- the difference between said two values can be less than about 50%>, less than about 40%>, less than about 30%, less than about 20%, or less than about 10% as a function of the value for the reference/comparator antibody.
- a polypeptide, antibody, polynucleotide, vector, cell, or composition which is "isolated” is a polypeptide, antibody, polynucleotide, vector, cell, or composition which is in a form not found in nature.
- Isolated polypeptides, antibodies, polynucleotides, vectors, cell or compositions include those which have been purified to a degree that they are no longer in a form in which they are found in nature.
- an antibody, polynucleotide, vector, cell, or composition which is isolated is substantially pure.
- substantially pure refers to material which is at least 50% pure (i.e., free from contaminants), at lest 60% pure, at least 70%> pure, at least 80%> pure, at least 90%) pure, at least 95% pure, at least 96%> pure, at least 97% pure, at least 98%> pure, or at least 99%) pure.
- Immunoconjugates can also be defined by the generic formula in reverse order: A-L-C.
- a "linker” is any chemical moiety that is capable of linking a compound, usually a drug, such as a maytansinoid, to a cell-binding agent such as an anti HER3 antibody or a fragment thereof in a stable, covalent manner.
- Linkers can be susceptible to or be
- linkers are well known in the art and include, for example, disulfide groups, thioether groups, acid labile groups, photolabile groups, peptidase labile groups and esterase labile groups. Linkers also include charged linkers, and hydrophilic forms thereof as described herein and known in the art.
- tumor and neoplasm refer to a solid lesion formed by an abnormal growth of cells (termed neoplastic) which can be benign, pre-malignant or malignant.
- cancer refer to malignant tumor/neoplasm that describes a class of diseases in which a population of cells display uncontrolled growth (division beyond the normal limits), invasion (intrusion on and destruction of adjacent tissues), and sometimes metastasis (spread to other locations in the body via lymph or blood).
- cancer include, but are not limited to carcinoma, sarcoma, lymphoma, leukemia, blastoma, and germ cell tumor.
- carcinoma anal cancer, basal cell carcinoma, bile duct cancer, bladder cancer, bone cancer, brain tumors (including astrocytoma, brain stem glioma, craniopharyngioma,
- myelodysplastic/myeloproliferative neoplasms nasal cavity and paranasal sinus cancer, nasopharyngeal cancer, neuroblastoma, non-Hodgkin lymphoma, non-small cell lung cancer, oral cancer, oropharyngeal cancer, ovarian cancer, pancreatic cancer, parathyroid cancer, penile cancer, pharyngeal cancer, pituitary tumor, prostate cancer, rectal cancer, renal cell cancer, retinoblastoma, rhabdomyosarcoma, salivary gland cancer, Sezary syndrome, skin cancer (nonmelanoma), small cell lung cancer, small intestine cancer, soft tissue sarcoma, squamous cell carcinoma, squamous neck cancer, stomach cancer, T-cell lymphoma, testicular cancer, throat cancer, thymoma and thymic carcinoma, thyroid cancer, urethral cancer, uterine cancer, vaginal cancer, vulvar cancer, Wald
- cancer cell refers to the total population of cells derived from a tumor or a pre-cancerous lesion, including both non- tumorigenic cells, which comprise the bulk of the tumor cell population, and tumorigenic cells, including cancer stem cells.
- tumorigenic cells include cancer stem cells.
- tumorigenic cell will be modified by the term “non-tumorigenic” when referring solely to those tumor cells lacking the capacity to renew and differentiate to distinguish those tumor cells from cancer stem cells.
- subject refers to any animal (e.g., a mammal), including, but not limited to humans, non-human primates, rodents, and the like, which is to be the recipient of - -
- subject and “patient” are used interchangeably herein in reference to a human subject.
- Administration "in combination with” one or more further therapeutic agents includes simultaneous (concurrent) and consecutive administration in any order.
- composition refers to a preparation which is in such form as to permit the biological activity of the active ingredient to be effective, and which contains no additional components which are unacceptably toxic to a subject to which the formulation would be administered.
- the formulation can be sterile.
- an “effective amount” of an antibody as disclosed herein is an amount sufficient to carry out a specifically stated purpose.
- An “effective amount” can be determined empirically and in a routine manner, in relation to the stated purpose.
- the term "therapeutically effective amount” refers to an amount of an antibody or other drug effective to "treat” a disease or disorder in a subject or mammal.
- the therapeutically effective amount of the drug can reduce the number of cancer cells; reduce the tumor size; inhibit (i.e., slow to some extent or stop) cancer cell infiltration into peripheral organs; inhibit (i.e., slow to some extent or stop) tumor metastasis; inhibit, to some extent, tumor growth; and/or relieve to some extent one or more of the symptoms associated with the cancer. See the definition herein of "treating”.
- the drug can prevent growth and/or kill existing cancer cells, it can be cytostatic and/or cytotoxic.
- prophylactically effective amount refers to an amount effective, at dosages and for periods of time necessary, to achieve the desired prophylactic result. Typically but not necessarily, since a prophylactic dose is used in subjects prior to or at an earlier stage of disease, the prophylactically effective amount will be less than the therapeutically effective amount.
- label when used herein refers to a detectable compound or composition which is conjugated directly or indirectly to the antibody so as to generate a "labeled" antibody.
- the label can be detectable by itself (e.g., radioisotope labels or fluorescent labels) or, in the case of an enzymatic label, can catalyze chemical alteration of a substrate compound or composition which is detectable.
- a "chemotherapeutic agent” is a chemical compound useful in the treatment of cancer, regardless of mechanism of action.
- Chemotherapeutic agents include, for example, cisplatin, paclitaxel, gemcitabine, cyclophosphamide, doxorubicin, vincristine, prednisone, fiudarabine, etoposide, methotrexate, lenalidomide, chlorambucil, bentamustine and/or modified versions of such chemotherapeutics.
- Terms such as “treating” or “treatment” or “to treat” or “alleviating” or “to alleviate” refer to both 1) therapeutic measures that cure, slow down, lessen symptoms of, and/or halt progression of a diagnosed pathologic condition or disorder and 2) prophylactic or preventative measures that prevent and/or slow the development of a targeted pathologic condition or disorder.
- those in need of treatment include those already having the disorder; those prone to have the disorder; and those in whom the disorder is to be prevented.
- a subject is successfully "treated” for cancer according to the methods of the present invention if the patient shows one or more of the following: a reduction in the number of or complete absence of cancer cells; a reduction in the tumor size; inhibition of or an absence of cancer cell infiltration into peripheral organs including, for example, the spread of cancer into soft tissue and bone; inhibition of or an absence of tumor metastasis; inhibition or an absence of tumor growth; relief of one or more symptoms associated with the specific cancer; reduced morbidity and mortality; improvement in quality of life; reduction in tumorigenicity, tumorgenic frequency, or tumorgenic capacity, of a tumor; reduction in the number or frequency of cancer stem cells in a tumor; differentiation of tumorigenic cells to a non-tumorigenic state; or some combination of effects.
- Polynucleotide or “nucleic acid,” as used interchangeably herein, refer to polymers of nucleotides of any length, and include DNA and R A.
- the nucleotides can be deoxyribonucleotides, ribonucleotides, modified nucleotides or bases, and/or their analogs, or any substrate that can be incorporated into a polymer by DNA or RNA polymerase.
- a polynucleotide can comprise modified nucleotides, such as methylated nucleotides and their analogs. If present, modification to the nucleotide structure can be imparted before or after assembly of the polymer.
- the sequence of nucleotides can be interrupted by non-nucleotide components.
- a polynucleotide can be further modified after polymerization, such as by conjugation with a labeling component.
- Other types of modifications include, for example, "caps," substitution of one or more of the naturally occurring nucleotides with an analog, internucleotide modifications such as, for example, those with uncharged linkages (e.g., methyl phosphonates, phosphotriesters, phosphoamidates, cabamates, etc.) and with charged linkages (e.g., phosphorothioates, phosphorodithioates, etc.), those containing pendant moieties, such as, for example, proteins (e.g., nucleases, toxins, antibodies, signal peptides, poly-L-lysine, etc.), those with intercalators (e.g., acridine, psoralen, etc.), those containing chelators (e.g.,
- any of the hydroxyl groups ordinarily present in the sugars can be replaced, for example, by phosphonate groups, phosphate groups, protected by standard protecting groups, or activated to prepare additional linkages to additional nucleotides, or can be conjugated to solid supports.
- the 5' and 3' terminal OH can be phosphorylated or substituted with amines or organic capping group moieties of from 1 to 20 carbon atoms.
- Other hydroxyls can also be derivatized to standard protecting groups.
- Polynucleotides can also contain analogous forms of ribose or deoxyribose sugars that are generally known in the art, including, for example, 2'-0-methyl-, 2'-0-allyl, 2'-fluoro- or 2'- azido-ribose, carbocyclic sugar analogs, . alpha. -anomeric sugars, epimeric sugars such as arabinose, xyloses or lyxoses, pyranose sugars, furanose sugars, sedoheptuloses, acyclic analogs and abasic nucleoside analogs such as methyl riboside.
- One or more phosphodiester linkages can be replaced by alternative linking groups. These alternative linking groups include, but are not limited to, embodiments wherein phosphate is replaced by P(0)S
- each R or R is independently H or substituted or unsubstituted alkyl (1-20 C) optionally containing an ether ( ⁇ 0 ⁇ ) linkage, aryl, alkenyl, cycloalkyl, cycloalkenyl or araldyl. Not all linkages in a polynucleotide need be identical. The preceding description applies to all polynucleotides referred to herein, including RNA and DNA.
- vector means a construct, which is capable of delivering, and optionally expressing, one or more gene(s) or sequence(s) of interest in a host cell.
- vectors include, but are not limited to, viral vectors, naked DNA or RNA expression vectors, plasmid, cosmid or phage vectors, DNA or RNA expression vectors associated with cationic condensing agents, DNA or RNA expression vectors encapsulated in liposomes, and certain eukaryotic cells, such as producer cells.
- polypeptide polypeptide
- peptide protein
- the terms “polypeptide,” “peptide,” and “protein” are used interchangeably herein to refer to polymers of amino acids of any length.
- the polymer can be linear or branched, it can comprise modified amino acids, and it can be interrupted by non-amino acids.
- the terms also encompass an amino acid polymer that has been modified naturally or by intervention; for example, disulfide bond formation, glycosylation, lipidation, acetylation, phosphorylation, or any other manipulation or modification, such as conjugation with a labeling component.
- polypeptides containing one or more analogs of an amino acid including, for example, unnatural amino acids, etc.
- polypeptides can occur as single chains or associated chains.
- nucleic acids or polypeptides refer to two or more sequences or subsequences that are the same or have a specified percentage of nucleotides or amino acid residues that are the same, when compared and aligned (introducing gaps, if necessary) for maximum correspondence, not considering any conservative amino acid substitutions as part of the sequence identity.
- the percent identity can be measured using sequence comparison software or algorithms or by visual inspection.
- sequence comparison software or algorithms or by visual inspection.
- Various algorithms and software are known in the art that can be used to obtain alignments of amino acid or nucleotide sequences.
- One such non- limiting example of a sequence alignment algorithm is the algorithm described in Karlin et al, 1990, Proc. Natl. Acad.
- Gapped BLAST can be used as described in Altschul et al, 1997, Nucleic Acids Res. 25:3389-3402.
- BLAST-2 Altschul et al, 1996, Methods in Enzymology, 266:460-480
- ALIGN ALIGN-2
- Megalign Megalign
- the percent identity between two nucleotide sequences is determined using the GAP program in GCG software (e.g., using a NWSgapdna.CMP matrix and a gap weight of 40, 50, 60, 70, or 90 and a length weight of 1, 2, 3, 4, 5, or 6).
- the GAP program in the GCG software package which incorporates the algorithm of Needleman and Wunsch (J.
- Mol. Biol. (48):444-453 (1970)) can be used to determine the percent identity between two amino acid sequences (e.g., using either a Blossum 62 matrix or a PAM250 matrix, and a gap weight of 16, 14, 12, 10, 8, 6, or 4 and a length weight of 1, 2, 3, 4, 5).
- the percent identity between nucleotide or amino acid sequences is determined using the algorithm of Myers and Miller (CABIOS, 4: 11-17 (1989)).
- the percent identity can be determined using the ALIGN program (version 2.0) and using a PAM120 with residue table, a gap length penalty of 12 and a gap penalty of 4.
- Appropriate parameters for maximal alignment by particular alignment software can be determined by one skilled in the art.
- the default parameters of the alignment software are used.
- sequence amino acid is calculated as 100 x (Y/Z), where Y is the number of amino acid residues scored as identical matches in the alignment of the first and second sequences (as aligned by visual inspection or a particular sequence alignment program) and Z is the total number of residues in the second sequence. If the length of a first sequence is longer than the second sequence, the percent identity of the first sequence to the second sequence will be longer than the percent identity of the second sequence to the first sequence.
- whether any particular polynucleotide sequence has a certain percentage sequence identity e.g., is at least 80% identical, at least 85% identical, at least 90% identical, and in some embodiments, at least 95%, 96%, 97%, 98%, or 99% identical
- a reference sequence can, in certain embodiments, be determined using the Bestfit program (Wisconsin Sequence Analysis Package, Version 8 for Unix, Genetics Computer Group, University Research Park, 575 Science Drive, Madison, WI 53711).
- Bestfit uses the local homology algorithm of Smith and Waterman, Advances in Applied Mathematics 2: 482 489 (1981), to find the best segment of homology between two sequences.
- the parameters are set such that the percentage of identity is calculated over the full length of the reference nucleotide sequence and that gaps in homology of up to 5% of the total number of nucleotides in the reference sequence are allowed.
- two nucleic acids or polypeptides of the invention are substantially identical, meaning they have at least 70%, at least 75%, at least 80%, at least 85%, at least 90%, and in some embodiments at least 95%, 96%, 97%, 98%, 99% nucleotide or amino acid residue identity, when compared and aligned for maximum correspondence, as measured using a sequence comparison algorithm or by visual inspection.
- Identity can exist over a region of the sequences that is at least about 10, about 20, about 40-60 residues in length or any integral value therebetween, and can be over a longer region than 60-80 residues, for example, at least about 90-100 residues, and in some embodiments, the sequences are substantially identical over the full length of the sequences being compared, such as the coding region of a nucleotide sequence for example.
- a "conservative amino acid substitution” is one in which one amino acid residue is replaced with another amino acid residue having a similar side chain. Families of amino acid residues having similar side chains have been defined in the art, including basic side - -
- polar side chains e.g., glycine, asparagine, glutamine, serine, threonine, tyrosine, cysteine
- nonpolar side chains e.g., alanine, valine, leucine, isoleucine, proline
- phenylalanine, methionine, tryptophan methionine, tryptophan
- beta-branched side chains e.g., threonine, valine, isoleucine
- aromatic side chains e.g., tyrosine, phenylalanine, tryptophan, histidine.
- substitution of a phenylalanine for a tyrosine is a conservative substitution.
- conservative substitutions in the sequences of the polypeptides and antibodies of the invention do not abrogate the binding of the polypeptide or antibody containing the amino acid sequence, to the antigen(s), i.e., the HER3, to which the polypeptide or antibody binds.
- A, B, and C A, B, or C; A or C; A or B; B or C; A and C; A and B; B and C; A (alone); B (alone); and C (alone).
- the present invention provides agents that specifically bind HER3. These agents are referred to herein as "HER3 binding agents.”
- HER3 binding agents The full-length amino acid sequences for human HER3 (Genbank Accession Number NP 001973.2), macaca HER3 (Genbank Accession Number NP 001973.2), macaca HER3 (Genbank Accession Number NP 001973.2), macaca HER3 (Genbank Accession Number NP 001973.2), macaca HER3 (Genbank
- the HER3 binding agents are antibodies
- the HER3 binding agents are humanized antibodies. - -
- the HER3 -binding agents have one or more of the following effects: inhibit proliferation of tumor cells, reduce the tumorigenicity of a tumor by reducing the frequency of cancer stem cells in the tumor, inhibit tumor growth, increase survival, trigger cell death of tumor cells, differentiate tumorigenic cells to a non-tumorigenic state, or prevent metastasis of tumor cells.
- the HER3 -binding agents are capable of inducing antibody dependent cell mediated cytotoxicity (ADCC).
- ADCC antibody dependent cell mediated cytotoxicity
- treatment of cells with the HER3-binding agents can result in ADCC activity that produces at least about 15%, at least about 20%, at least about 25%, at least about 30%, at least about 35%, at least about 40%), at least about 45%, at least about 50%>, at least about 55%, at least about 60%>, at least about 65%o, at least about 70%>, at least about 75%, at least about 80%>, at least about 85%, at least about 90%, at least about 95%, or even 100% cell lysis.
- Treatment of cells with the HER3-binding agents can result in ADCC activity that produces about 10-20%, about 20- 30%, about 30-40%, about 40-50%, about 50-60%, about 60-70%, about 70-80%, about 80- 90%, or about 90-100% cell lysis. Treatment of cells with the HER3-binding agents can also result in ADCC activity that produces about 10-50%), about 20-50%), about 30-50%), about 30- 60%, about 40-60%, about 40-70%, about 50-80%, about 60-90%, or about 70-100% cell lysis. In some particular embodiments, the HER3-binding agents are capable of inducing ADCC in SKBR3 and MCF7 ( Figure 24).
- the HER3 -binding agents are capable of inhibiting ligand- independent tumor cell growth.
- treatment of cells with the HER3 -binding agents can inhibit at least about 10%, at least about 15%, at least about 20%, at least about 25%), at least about 30%, at least about 35%, at least about 40%, at least about 45%, at least about 50%), at least about 55%, at least about 60%, at least about 65%, at least about 70%, at least about 75%, at least about 80%, at least about 85%, at least about 90%, at least about 95%, or even 100% of ligand-independent tumor cell growth.
- the HER3-binding agents are capable of inhibiting cell growth in SKBR3, BT474, MDA-MB453 and ZR75-30 cell lines in a ligand-independent manner ( Figures 1 and 17-20).
- immunoconjugates or other agents that specifically bind human HER3 trigger cell death via a cytotoxic agent.
- an antibody to human HER3 is conjugated to a maytansinoid that is activated in tumor cells - -
- the HER3 -binding agent or antibody is not conjugated.
- the HER3-binding agents include HER3 antibodies HER3-3, HER3-8, HER3-10, as described herein, and fragments, variants and derivatives thereof.
- the HER3-binding agents also include HER3 -binding agents that specifically bind to the same HER3 epitope as an antibody selected from the group consisting of HER3-3, HER3-8, and HER3-10.
- the HER3-binding agents specifically bind to to amino acid residues 20-342 of SEQ ID NO: 1 (human HER3).
- the HER3-binding agents of the invention include an antibody or fragment thereof that specifically binds to amino acid residues 20-342 of SEQ ID NO: 1 (human HER3).
- the HER3 antibody or fragment thereof binds to an epitope within amino acid residues 20-342 of SEQ ID NO: 1.
- the HER3 -binding agents also include HER3 -binding agents that competitively inhibit an antibody selected from the group consisting of HER3-3, HER3-8, and HER3-10.
- the HER3-binding agents also include HER3-binding agents that comprise the heavy and light chain CDR sequences of HER3-3, HER3-8, or HER3-10 and their related sequences.
- the CDR sequences of HER3-3, HER3-8 and HER3-10 are described in Tables 1 and 2 below.
- the present invention also provides HER3 binding agents that comprise one or more of the CDRs of HER3-3, HER3-8, or HER3-10, as shown in Table 1 and Table 2 (i.e., one or more of SEQ ID NOs:4-27).
- the invention provides antibodies (including molecules comprising, or alternatively consisting of, antibody fragments or variants) that specifically bind to a polypeptide or polypeptide fragment of HER3, wherein - -
- said antibodies comprise, or alternatively consist of, a polypeptide comprising the amino acid sequence of one, two, three, or more variable heavy (VH) chain CDRs selected from the group consisting of SEQ ID NOs:4-18 (as shown in Table 1), and/or one, two, three or more variable light (VL) chain CDRs selected from the group consisting of SEQ ID NOs: 19-27 (as shown in Table 2).
- VH variable heavy
- VL variable light chain CDRs selected from the group consisting of SEQ ID NOs: 19-27
- the invention provides for antibodies that comprise, or alternatively consist of, a polypeptide comprising the amino acid sequence of a VH CDRl and a VL CDRl, a VH CDRl and a VL CDR2, a VH CDRl and a VL CDR3, a VH CDR2 and a VL CDRl, VH CDR2 and VL CDR2, a VH CDR2 and a VL CDR3, a VH CDR3 and a VH CDRl, a VH CDR3 and a VL CDR2, a VH CDR3 and a VL CDR3, or any combination thereof, of the VH CDRs referred to in Table 1 (SEQ ID NOs:4-18) and the VL CDRs referred to in Table 2 (SEQ ID NOs: 19-27).
- one or more of these combinations are from the VL and VH chains of the same antibody (e.g., from the VL and VH chains of HER3-3, from the VL and VH chains of HER3-8, or from the VL and VH chains of HER3-10).
- the invention encompasses an antibody or fragment thereof wherein the polypeptide sequence of the VH chain comprises a VH CDRl, a VH CDR2, and a VH CDR3 referred to in Table 1.
- the invention encompasses an antibody or fragment thereof wherein the polypeptide sequence of the VL chain comprises a VL CDRl, a VL CDR2, and a VL CDR3 referred to in Table 2.
- the invention encompasses an antibody or fragment thereof wherein the polypeptide sequence of the VH chain comprises SEQ ID NO:4, SEQ ID NO:5, and SEQ ID NO:6, and/or wherein the polypeptide sequence of the VL chain comprises SEQ ID NO: 19, SEQ ID NO:20, and SEQ ID NO:21.
- the invention also encompasses an antibody or fragment thereof wherein the polypeptide sequence of the VH chain comprises SEQ ID NO:9, SEQ ID NO: 10, and SEQ ID NO: l 1, and/or wherein the polypeptide sequence of the VL chain comprises SEQ ID NO:22, SEQ ID NO:23, and SEQ ID NO:24.
- the invention encompasses an antibody or fragment thereof wherein the polypeptide sequence of the VH chain comprises SEQ ID NO:9, SEQ ID NO:10, and SEQ ID NO:13, and/or wherein the polypeptide sequence of the VL chain comprises SEQ ID NO:22, SEQ ID NO:23, and SEQ ID NO:24.
- the invention encompasses an antibody or fragment thereof wherein the polypeptide sequence of the VH chain comprises SEQ ID NO: 14, SEQ ID NO: 15, and SEQ ID NO: 16, and/or wherein the polypeptide sequence of the VL chain comprises SEQ ID NO:25, SEQ ID NO:26, and SEQ ID NO:27. - -
- the HER3 binding molecules can be antibodies or antigen binding fragments that specifically bind to HER3 that comprise one or more of the CDRs of HER3-3, HER3-8, or HER3-10 as shown in Table 1 and Table 2 (i.e., one or more of SEQ ID NOs:4-27) with up to four (i.e., 0, 1, 2, 3, or 4) conservative amino acid substitutions per CDR.
- polypeptides of the invention comprise one of the individual variable light chains or variable heavy chains described herein.
- Antibodies and polypeptides of the invention can also comprise both a variable light chain and a variable heavy chain.
- HER3-3, HER3-8, and HER3-10 antibodies are provided in Tables 3 and 4 below.
- the HER3-binding agent comprises a variable heavy chain comprising or consisting of a polypeptide sequence selected from the group consisting of SEQ ID NOs:28-34 and a variable light chain comprising or consisting of a polypeptide sequence selected from the group consisting of SEQ ID NOs:35-40.
- polypeptides that comprise: (a) a polypeptide having at least about 90% sequence identity to a sequence selected from the group consisting of SEQ ID NOs:28-34; and/or (b) a polypeptide having at least about 90%> sequence identity to a sequence selected from the group consisting of SEQ ID NOs:35-40.
- the polypeptide comprises a polypeptide having at least about 85%, at least about 90%, at least about 95%, at least about 96%, at least about 97%), at least about 98%, or at least about 99% sequence identity to a sequence selected from the group consisting of SEQ ID NOs:28-40.
- the polypeptide comprises (a) a polypeptide having at least about 95% sequence identity to a sequence selected from the group consisting of SEQ ID NOs:28-34, and/or (b) a polypeptide having at least about 95% sequence identity to a sequence selected from the group consisting of SEQ ID NOs:35-40.
- the polypeptide comprises (a) a polypeptide having an amino acid sequence selected from the group consisting of SEQ ID NOs:28-34; and/or (b) a polypeptide having an amino acid sequence selected from the group consisting of SEQ ID NOs:35-40.
- the polypeptide is an antibody and/or the polypeptide specifically binds HER3.
- the polypeptide is a murine, chimeric, or humanized antibody that specifically binds HER3.
- polypeptide having a certain percentage of sequence identity to any one of SEQ ID NOs:28- 40 differs from SEQ ID NOs:28-40 by conservative amino acid substitutions only.
- polypeptides of the invention comprise one of the individual light chains or heavy chains described herein.
- Antibodies and polypeptides can also comprise both a light chain and a heavy chain.
- the full length heavy and light chain sequences of murine and humanized HER3-3, HER3-8, and HER3-10 antibodies are provided in Tables 5 and 6 below.
- SCSVMHEALHNHYTQKSLSLSPG (SEQ ID NO: 45) muHER3-10 EVQLQQSGPELVKPGVSMKISCKASGYSFTDYTMNWVKQSHGKNLE
- NVFSCSVMHEALHNHYTQKSLSLSPG SEQ ID NO: 47
- the HER3-binding agent comprises a heavy chain comprising or consisting of a polypeptide sequence selected from the group consisting of SEQ ID NOs:41-47 and a light chain comprising or consisting of a polypeptide sequence selected from the group consisting of SEQ ID NOs:48-53.
- polypeptides that comprise: (a) a polypeptide having at least about 90% sequence identity to a sequence selected from the group consisting of SEQ ID NOs:41-47; and/or (b) a polypeptide having at least about 90%> sequence identity to a sequence selected from the group consisting of SEQ ID NOs:48-53.
- the polypeptide comprises a polypeptide having at least about 85%, at least about 90%, at least aobut 95%, at least about 96%, at least about 97%), at least about 98%, or at least about 99% sequence identity to a sequence selected from the group consisting of SEQ ID NOs:41-53.
- the polypeptide comprises (a) a polypeptide having at least about 95% sequence identity to a sequence selected from the group consisting of SEQ ID NOs:41-47, and/or (b) a polypeptide having at least about 95% sequence identity to a sequence selected from the group consisting of SEQ ID NOs:48-53.
- the polypeptide comprises (a) a polypeptide having an amino acid sequence a sequence selected from the group consisting of SEQ ID NOs:41- - - -
- polypeptide having an amino acid sequence a sequence selected from the group consisting of SEQ ID NOs:48-53 is an antibody and/or the polypeptide specifically binds HER3.
- the polypeptide is a murine, chimeric, or humanized antibody that specifically binds HER3.
- polypeptide having a certain percentage of sequence identity to any onr of SEQ ID NOs:41-53 differs from SEQ ID NOs:41-53 by conservative amino acid substitutions only.
- the HER3 antibody can be the antibody produced from a hybridoma selected from the group consisting of ATCC Accession No. PTA-11145, deposited on July 1, 2010, ATCC Accession No. PTA-11146, deposited on July 1, 2010, and ATCC Accession No. PTA-11147, deposited on July 1, 2010.
- the HER3 antibody binds to the same epitope as an antibody produced by a hybridoma selected from the group consisting of ATCC Accession No. PTA-11145, deposited on July 1, 2010, ATCC Accession No. PTA-11146, deposited on July 1, 2010, and ATCC Accession No. PTA- 11147, deposited on July 1, 2010.
- the antibody produced by the hybridoma can be a purified antibody.
- Monoclonal antibodies can be prepared using hybridoma methods, such as those described by Kohler and Milstein (1975) Nature 256:495. Using the hybridoma method, a mouse, hamster, or other appropriate host animal, is immunized as described above to elicit the production of antibodies by B lymphocytes that will specifically bind to an immunizing antigen. Lymphocytes can also be immunized in vitro. Following immunization, the lymphocytes are isolated and fused with a suitable myeloma cell line using, for example, polyethylene glycol and electrofusion, to form hybridoma cells that can then be selected away from unfused lymphocytes and myeloma cells in the HAT media.
- Hybridomas that produce monoclonal antibodies directed specifically against a chosen antigen as determined by FACS binding assay, immunoprecipitation, immunob lotting, or by an in vitro binding assay e.g., radioimmunoassay (RIA); enzyme-linked immunosorbent assay (ELISA)
- an in vitro binding assay e.g., radioimmunoassay (RIA); enzyme-linked immunosorbent assay (ELISA)
- RIA radioimmunoassay
- ELISA enzyme-linked immunosorbent assay
- the monoclonal antibodies can then be purified from the culture medium or ascites fluid as described for polyclonal antibodies above.
- monoclonal antibodies can also be made using recombinant DNA methods as described in U.S. Patent 4,816,567.
- antibody are isolated from mature B-cells or hybridoma cell, such as by RT-PCR using oligonucleotide primers that specifically amplify the genes encoding the heavy and light chains of the antibody, and their sequence is determined using conventional procedures.
- the isolated polynucleotides encoding the heavy and light chains are then cloned into suitable expression vectors, which when transfected into host cells such as E. coli cells, simian COS cells, Chinese hamster ovary (CHO) cells, or myeloma cells that do not otherwise produce immunoglobulin protein, monoclonal antibodies are generated by the host cells.
- recombinant monoclonal antibodies or fragments thereof of the desired species can be isolated from phage display libraries expressing CDRs of the desired species as described (McCafferty et al, 1990, Nature, 348:552-554; Clackson et al, 1991, Nature, 352:624-628; and Marks et al, 1991, J. Mol. Biol, 222:581-597).
- the polynucleotide(s) encoding a monoclonal antibody can further be modified in a number of different manners using recombinant DNA technology to generate alternative antibodies.
- the constant domains of the light and heavy chains of, for example, a mouse monoclonal antibody can be substituted 1) for those regions of, for example, a human antibody to generate a chimeric antibody or 2) for a non-immunoglobulin polypeptide to generate a fusion antibody.
- the constant regions are truncated or removed to generate the desired antibody fragment of a monoclonal antibody. Site-directed or high-density mutagenesis of the variable region can be used to optimize specificity, affinity, etc. of a monoclonal antibody.
- the monoclonal antibody against the human HER3 is a humanized antibody.
- such antibodies are used therapeutically to reduce antigenicity and HAMA (human anti-mouse antibody) responses when administered to a human subject.
- Humanized antibodies can be produced using various techniques known in the art.
- the antibody to HER3 is a human antibody.
- the humanized HER3 antibody is an antibody encoded by plasmid phHER3-8vl .OO (ATCC Accession No. PTA-11144, deposited on July 1, 2010).
- the humanized HER3 antibody is an antibody produced by a host cell transformed or transfected with plasmid phHER3-8vl .00 (ATCC Accession No. PTA-11144, deposited on July 1, 2010).
- Human antibodies can be directly prepared using various techniques known in the art. Immortalized human B lymphocytes immunized in vitro or isolated from an immunized individual that produces an antibody directed against a target antigen can be generated (see, - -
- the human antibody can be selected from a phage library, where that phage library expresses human antibodies, as described, for example, in Vaughan et al, 1996, Nat. Biotech., 14:309- 314, Sheets et al, 1998, Proc. Nat'l. Acad. Sci., 95:6157-6162, Hoogenboom and Winter, 1991, J. Mol.
- Bio/Technology 10:779-783, incorporated by reference in its entirety) are known in the art and can be employed to generate high affinity human antibodies.
- Humanized antibodies can also be made in transgenic mice containing human immunoglobulin loci that are capable upon immunization of producing the full repertoire of human antibodies in the absence of endogenous immunoglobulin production. This approach is described in U.S. Patent Nos 5,545,807; 5,545,806; 5,569,825; 5,625,126; 5,633,425; and 5,661,016.
- This invention also encompasses bispecific antibodies that specifically recognize a HER3.
- Bispecific antibodies are antibodies that are capable of specifically recognizing and binding at least two different epitopes.
- the different epitopes can either be within the same molecule or on different molecules.
- the antibodies can specifically recognize and bind HER3 as well as, for example, 1) other tumor antigens, 2) an effector molecule on a leukocyte such as a T-cell receptor (e.g., CD3) or Fc receptor (e.g., CD64, CD32, or CD16) or 3) a cytotoxic agent as described in detail below.
- T-cell receptor e.g., CD3
- Fc receptor e.g., CD64, CD32, or CD16
- bispecific antibodies can bind to two different epitopes, at least one of which originates in a polypeptide of the invention.
- an anti-antigenic arm of an immunoglobulin molecule can be combined with an arm which binds to a triggering molecule on a leukocyte such as a T cell receptor molecule (e.g., CD2, CD3, CD28, or B7), or Fc receptors for IgG (e.g., CD64, CD32, or CD16) so as to focus cellular defense mechanisms to the cell expressing the particular antigen.
- Bispecific antibodies can also be used to direct cytotoxic agents to cells which express a particular antigen. These antibodies possess an antigen-binding arm and an arm which binds a cytotoxic agent or a radionuclide chelator, - -
- Antibodies with more than two valencies are also contemplated.
- trispecific antibodies can be prepared (Tutt et al., J. Immunol. 147:60 (1991)).
- the antibodies to HER3 are multispecific.
- an antibody fragment to, for example, increase tumor penetration.
- Various techniques are known for the production of antibody fragments. Traditionally, these fragments are derived via proteolytic digestion of intact antibodies (see, e.g., Morimoto et al, 1993, Journal of Biochemical and Biophysical Methods 24: 107-117; Brennan et al., 1985, Science, 229:81).
- antibody fragments are produced recombinantly. Fab, Fv, and scFv antibody fragments can all be expressed in and secreted from E. coli or other host cells, thus allowing the production of large amounts of these fragments.
- Such antibody fragments can also be isolated from the antibody phage libraries discussed above.
- the antibody fragment can also be linear antibodies as described in U.S. Patent No 5,641,870, for example, and can be monospecific or bispecific. Other techniques for the production of antibody fragments will be apparent to the skilled practitioner.
- Antibody fragments can be produced by techniques in the art including, but not limited to: (a) a F(ab')2 fragment produced by pepsin digestion of an antibody molecule; (b) a Fab fragment generated by reducing the disulfide bridges of an F(ab')2 fragment, (c) a Fab fragment generated by the treatment of the antibody molecule with papain and a reducing agent, and (d) Fv fragments.
- Heteroconjugate antibodies are also within the scope of the present invention.
- Heteroconjugate antibodies are composed of two covalently joined antibodies. Such antibodies have, for example, been proposed to target immune cells to unwanted cells (U.S. Pat. No. 4,676,980).
- the antibodies can be prepared in vitro using known methods in synthetic protein chemistry, including those involving crosslinking agents.
- immunotoxins can be constructed using a disulfide exchange reaction or by forming a thioether bond. Examples of suitable reagents for this purpose include
- modified antibodies can comprise any type of variable region that provides for the association of the antibody with the polypeptides of a human HER3.
- the variable region can comprise or be derived from any type of mammal that can be induced to mount a humoral response and generate immunoglobulins against the desired tumor associated antigen.
- the variable region of the modified antibodies can be, for example, of human, murine, or non-human primate (e.g., cynomolgus monkeys, macaques, etc.) origin.
- both the variable and constant regions of the modified immunoglobulins are human.
- variable regions of compatible antibodies can be engineered or specifically tailored to improve the binding properties or reduce the immunogenicity of the molecule.
- variable regions useful in the present invention can be humanized or otherwise altered through the inclusion of imported amino acid sequences.
- variable domains in both the heavy and light chains are altered by at least partial replacement of one or more CDRs and, if necessary, by partial framework region replacement and sequence changing.
- the CDRs can be derived from an antibody of the same class or even subclass as the antibody from which the framework regions are derived, it is envisaged that the CDRs will be derived from an antibody of a different class and possibly from an antibody from a different species. It is not alway necessary to replace all of the CDRs with the complete CDRs from the donor variable region to transfer the antigen binding capacity of one variable domain to another. Rather, in some cases it is only necessary to transfer those residues that are necessary to maintain the - -
- the modified antibodies of this invention will comprise antibodies (e.g., full- length antibodies or immunoreactive fragments thereof) in which at least a fraction of one or more of the constant region domains has been deleted or otherwise altered so as to provide desired biochemical characteristics, such as increased tumor localization or reduced serum half-life when compared with an antibody of approximately the same immunogenicity comprising a native or unaltered constant region.
- the constant region of the modified antibodies will comprise a human constant region.
- Modifications to the constant region compatible with this invention comprise additions, deletions or substitutions of one or more amino acids in one or more domains.
- the modified antibodies disclosed herein can comprise alterations or modifications to one or more of the three heavy chain constant domains (CHI, CH2 or CH3) and/or to the light chain constant domain (CL).
- modified constant regions wherein one or more domains are partially or entirely deleted are contemplated.
- the modified antibodies will comprise domain deleted constructs or variants wherein the entire CH2 domain has been removed (ACH2 constructs).
- the omitted constant region domain will be replaced by a short amino acid spacer (e.g., 10 residues) that provides some of the molecular flexibility typically imparted by the absent constant region.
- the constant region mediates several effector functions.
- binding of the CI component of complement to antibodies activates the complement system.
- Activation of complement is important in the opsonisation and lysis of cell pathogens.
- the activation of complement also stimulates the inflammatory response and can also be involved in autoimmune hypersensitivity.
- antibodies bind to immune effector cells via interaction of antibody's Fc region with a Fc receptor (FcR) on an immune effector cell.
- FcR Fc receptor
- Fc receptors which are specific for different classes of antibody, including IgG (immunoglobulin gamma receptors), IgE (immunoglobulin eta receptors), IgA (immunoglobulin alpha receptors) and IgM
- immunoglobulin mu receptors binding of antibody to Fc receptors on cell surfaces triggers a number of important and diverse biological responses including engulfment and destruction - -
- ADCC antibody-dependent cell-mediated cytotoxicity
- the HER3-binding antibodies provide for altered effector functions that, in turn, affect the biological profile of the administered antibody.
- the deletion or inactivation (through point mutations or other means) of a constant region domain can reduce Fc receptor binding of the circulating modified antibody thereby increasing tumor localization.
- constant region modifications consistent with this invention, moderate complement binding and thus reduce the serum half life and nonspecific association of a conjugated cytotoxin.
- modifications of the constant region can be used to eliminate disulfide linkages or oligosaccharide moieties that allow for enhanced localization due to increased antigen specificity or antibody flexibility.
- modifications to the constant region in accordance with this invention can easily be made using well known biochemical or molecular engineering techniques well within the purview of the skilled artisan.
- a HER3-binding agent that is an antibody does not have one or more effector functions.
- the antibody has no antibody-dependent cellular cytotoxicity (ADCC) activity and/or no complement-dependent cytotoxicity (CDC) activity.
- ADCC antibody-dependent cellular cytotoxicity
- CDC complement-dependent cytotoxicity
- the antibody does not bind to an Fc receptor and/or complement factors.
- the antibody has no effector function.
- the modified antibodies can be engineered to fuse the CH3 domain directly to the hinge region of the respective modified antibodies.
- compatible constructs could be expressed wherein the CH2 domain has been deleted and the remaining CH3 domain (modified or unmodified) is joined to the hinge region with a 5-20 amino acid spacer.
- Such a spacer can be added, for instance, to ensure that the regulatory elements of the constant domain remain free and accessible or that the hinge region remains flexible.
- amino acid spacers can, in some cases, prove to be immunogenic and elicit an unwanted immune response against the construct. Accordingly, in certain embodiments, any spacer added to the construct will be relatively non-immunogenic, - -
- the antibodies of the present invention can be provided by the partial deletion or substitution of a few or even a single amino acid.
- the mutation of a single amino acid in selected areas of the CH2 domain can be enough to substantially reduce Fc binding and thereby increase tumor localization.
- Such partial deletions of the constant regions can improve selected characteristics of the antibody (serum half-life) while leaving other desirable functions associated with the subject constant region domain intact.
- the constant regions of the disclosed antibodies can be modified through the mutation or substitution of one or more amino acids that enhances the profile of the resulting construct.
- a conserved binding site e.g., Fc binding
- Certain embodiments can comprise the addition of one or more amino acids to the constant region to enhance desirable characteristics, such as decreasing or increasing effector function or provide for more cytotoxin or carbohydrate attachment. In such embodiments it can be desirable to insert or replicate specific sequences derived from selected constant region domains.
- the present invention further embraces variants and equivalents which are substantially homologous to the chimeric, humanized and human antibodies, or antibody fragments thereof, set forth herein.
- These can contain, for example, conservative substitution mutations, i.e., the substitution of one or more amino acids by similar amino acids.
- conservative substitution refers to the substitution of an amino acid with another amino acid within the same general class such as, for example, one acidic amino acid with another acidic amino acid, one basic amino acid with another basic amino acid or one neutral amino acid with another neutral amino acid. What is intended by a conservative amino acid substitution is well known in the art.
- polypeptides of the present invention can be recombinant polypeptides, natural polypeptides, or synthetic polypeptides comprising an antibody, or fragment thereof, against a human HER3. It will be recognized in the art that some amino acid sequences of the invention can be varied without significant effect of the structure or function of the - -
- the invention further includes variations of the polypeptides which show substantial activity or which include regions of an antibody, or fragment thereof, against HER3 protein.
- Such mutants include deletions, insertions, inversions, repeats, and type substitutions.
- polypeptides and analogs can be further modified to contain additional chemical moieties not normally part of the protein.
- Those derivatized moieties can improve the solubility, the biological half life or absorption of the protein.
- the moieties can also reduce or eliminate any desirable side effects of the proteins and the like. An overview for those moieties can be found in Remington's Pharmaceutical Sciences, 20th ed., Mack Publishing Co., Easton, PA (2000).
- the isolated polypeptides described herein can be produced by any suitable method known in the art. Such methods range from direct protein synthesis methods to constructing a DNA sequence encoding isolated polypeptide sequences and expressing those sequences in a suitable transformed host.
- a DNA sequence is constructed using recombinant technology by isolating or synthesizing a DNA sequence encoding a wild-type protein of interest.
- the sequence can be mutagenized by site-specific mutagenesis to provide functional analogs thereof. See, e.g. Zoeller et al, Proc. Nat'l. Acad. Sci. USA 81 :5662-5066 (1984) and U.S. Patent No. 4,588,585.
- a DNA sequence encoding a polypeptide of interest is constructed by chemical synthesis using an oligonucleotide synthesizer.
- oligonucleotides can be designed based on the amino acid sequence of the desired polypeptide and selecting those codons that are favored in the host cell in which the recombinant polypeptide of interest will be produced. Standard methods can be applied to synthesize an isolated polynucleotide sequence encoding an isolated polypeptide of interest. For example, a complete amino acid sequence can be used to construct a back-translated gene. Further, a DNA oligomer containing a nucleotide sequence coding for the particular isolated polypeptide can be synthesized. For example, several small oligonucleotides coding for portions of the desired polypeptide can be synthesized and then ligated. The individual oligonucleotides typically contain 5 ' or 3' overhangs for complementary assembly.
- polynucleotide sequences encoding a particular isolated polypeptide of interest will be inserted into an expression vector and operatively linked to an expression control sequence appropriate for expression of the protein in a desired host. Proper assembly can be confirmed - -
- nucleotide sequencing by nucleotide sequencing, restriction mapping, and expression of a biologically active polypeptide in a suitable host.
- restriction mapping As is well known in the art, in order to obtain high expression levels of a transfected gene in a host, the gene must be operatively linked to transcriptional and translational expression control sequences that are functional in the chosen expression host.
- recombinant expression vectors are used to amplify and express DNA encoding antibodies, or fragments thereof, against human HER3.
- Recombinant expression vectors are replicable DNA constructs which have synthetic or cDNA-derived DNA fragments encoding a polypeptide chain of an anti-HER3 antibody, or fragment thereof, operatively linked to suitable transcriptional or translational regulatory elements derived from mammalian, microbial, viral or insect genes.
- a transcriptional unit generally comprises an assembly of (1) a genetic element or elements having a regulatory role in gene expression, for example, transcriptional promoters or enhancers, (2) a structural or coding sequence which is transcribed into mRNA and translated into protein, and (3) appropriate transcription and translation initiation and termination sequences, as described in detail below.
- Such regulatory elements can include an operator sequence to control transcription.
- the ability to replicate in a host, usually conferred by an origin of replication, and a selection gene to facilitate recognition of transformants can additionally be incorporated.
- DNA regions are operatively linked when they are functionally related to each other.
- DNA for a signal peptide is operatively linked to DNA for a polypeptide if it is expressed as a precursor which participates in the secretion of the polypeptide; a promoter is operatively linked to a coding sequence if it controls the transcription of the sequence; or a ribosome binding site is operatively linked to a coding sequence if it is positioned so as to permit translation.
- Structural elements intended for use in yeast expression systems include a leader sequence enabling extracellular secretion of translated protein by a host cell.
- recombinant protein when expressed without a leader or transport sequence, it can include an N-terminal methionine residue. This residue can optionally be subsequently cleaved from the expressed recombinant protein to provide a final product.
- expression control sequence and expression vector will depend upon the choice of host.
- a wide variety of expression host/vector combinations can be employed.
- Useful expression vectors for eukaryotic hosts include, for example, vectors comprising expression control sequences from SV40, bovine papilloma virus, adenovirus and cytomegalovirus.
- Useful expression vectors for bacterial hosts include known bacterial - -
- plasmids such as plasmids from Esherichia coli, including pCR 1, pBR322, pMB9 and their derivatives, wider host range plasmids, such as Ml 3 and filamentous single-stranded DNA phages.
- Suitable host cells for expression of a HER3 -binding polypeptide or antibody include prokaryotes, yeast, insect or higher eukaryotic cells under the control of appropriate promoters.
- Prokaryotes include gram negative or gram positive organisms, for example E. coli or bacilli.
- Higher eukaryotic cells include established cell lines of mammalian origin as described below. Cell-free translation systems could also be employed.
- Appropriate cloning and expression vectors for use with bacterial, fungal, yeast, and mammalian cellular hosts are described by Pouwels et al.
- Suitable mammalian host cell lines include the COS-7 lines of monkey kidney cells, described by Gluzman (Cell 23: 175, 1981), and other cell lines capable of expressing an appropriate vector including, for example, L cells, C127, 3T3, Chinese hamster ovary (CHO), HeLa and BHK cell lines.
- Mammalian expression vectors can comprise nontranscribed elements such as an origin of replication, a suitable promoter and enhancer linked to the gene to be expressed, and other 5 ' or 3' flanking nontranscribed sequences, and 5' or 3' nontranslated sequences, such as necessary ribosome binding sites, a polyadenylation site, splice donor and acceptor sites, and transcriptional termination sequences.
- nontranscribed elements such as an origin of replication, a suitable promoter and enhancer linked to the gene to be expressed, and other 5 ' or 3' flanking nontranscribed sequences, and 5' or 3' nontranslated sequences, such as necessary ribosome binding sites, a polyadenylation site, splice donor and acceptor sites, and transcriptional termination sequences.
- Baculo virus systems for production of heterologous proteins in insect cells are reviewed by Luckow and Summers, Biotechnology 6:47 (1988).
- the proteins produced by a transformed host can be purified according to any suitable method.
- standard methods include chromatography (e.g., ion exchange, affinity and sizing column chromatography), centrifugation, differential solubility, or by any other standard technique for protein purification.
- Affinity tags such as hexahistidine, maltose - -
- Isolated proteins can also be physically characterized using such techniques as proteolysis, nuclear magnetic resonance and x-ray crystallography.
- supernatants from systems which secrete recombinant protein into culture media can be first concentrated using a commercially available protein concentration filter, for example, an Amicon or Millipore Pellicon ultrafiltration unit. Following the concentration step, the concentrate can be applied to a suitable purification matrix.
- a commercially available protein concentration filter for example, an Amicon or Millipore Pellicon ultrafiltration unit.
- the concentrate can be applied to a suitable purification matrix.
- an anion exchange resin can be employed, for example, a matrix or substrate having pendant diethylaminoethyl (DEAE) groups.
- the matrices can be acrylamide, agarose, dextran, cellulose or other types commonly employed in protein purification.
- a cation exchange step can be employed. Suitable cation exchangers include various insoluble matrices comprising sulfopropyl or carboxymethyl groups.
- RP-HPLC reversed- phase high performance liquid chromatography
- Recombinant protein produced in bacterial culture can be isolated, for example, by initial extraction from cell pellets, followed by one or more concentration, salting-out, aqueous ion exchange or size exclusion chromatography steps. High performance liquid chromatography (HPLC) can be employed for final purification steps.
- Microbial cells employed in expression of a recombinant protein can be disrupted by any convenient method, including freeze-thaw cycling, sonication, mechanical disruption, or use of cell lysing agents.
- Methods known in the art for purifying antibodies and other proteins also include, for example, those described in U.S. Patent Publication Nos. 2008/0312425, 2008/0177048, and 2009/0187005, each of which is hereby incorporated by reference herein in its entirety.
- the HER3 -binding agent is a polypeptide that is not an antibody.
- a variety of methods for identifying and producing non-antibody polypeptides that bind with high affinity to a protein target are known in the art. See, e.g., Skerra, Curr. Opin. BiotechnoL, 18:295-304 (2007), Hosse et al, Protein Science, 15: 14-27 (2006), Gill et al, Curr. Opin. BiotechnoL, 17:653-658 (2006), Nygren, FEBS J., 275:2668-76 (2008), and Skerra, FEBS J., 275:2677-83 (2008), each of which is incorporated by reference herein in its - -
- phage display technology has been used to
- the polypeptide comprises a protein scaffold of a type selected from the group consisting of, but not limited to, protein A, a lipocalin, a fibronectin domain, an ankyrin consensus repeat domain, and thioredoxin.
- the HER3-binding agent is a non-protein molecule. In certain embodiments, the HER3-binding agent is a small molecule. Combinatorial chemistry libraries and techniques useful in the identification of non-protein HER3 -binding agents are known to those skilled in the art. See, e.g., Kennedy et al, J. Comb. Chem, 10:345-354 (2008), Dolle et al, J. Comb. Chem., 9:855-902 (2007), and Bhattacharyya, Curr. Med. Chem., 8: 1383-404 (2001), each of which is incorporated by reference herein in its entirety. In certain further embodiments, the HER3 -binding agent is a carbohydrate, a
- glycosaminoglycan a glycoprotein, or a proteoglycan.
- the HER3 -binding agent is a nucleic acid aptamer.
- Aptamers are polynucleotide molecules that have been selected (e.g., from random or mutagenized pools) on the basis of their ability to bind to another molecule.
- the aptamer comprises a DNA polynucleotide.
- the aptamer comprises an RNA polynucleotide.
- the aptamer comprises one or more modified nucleic acid residues.
- the present invention is also directed to conjugates (also referred to herein as immunoconjugates), comprising the anti-HER3 antibodies, antibody fragments, and their functional equivalents as disclosed herein, linked or conjugated to a drug or prodrug.
- conjugates also referred to herein as immunoconjugates
- Suitable drugs or prodrugs are known in the art.
- the drugs or prodrugs can be cytotoxic agents.
- the cytotoxic agent used in the cytotoxic conjugate of the present invention can be any compound that results in the death of a cell, or induces cell death, or in some manner - -
- cytotoxic agents include, for example, maytansinoids and maytansinoid analogs.
- Other suitable cytotoxic agents are, for example, benzodiazepines, taxoids, CC-1065 and CC- 1065 analogs, duocarmycins and duocarmycin analogs, enediynes, such as calicheamicins, dolastatin and dolastatin analogs including auristatins, tomaymycin derivaties, leptomycin derivaties, methotrexate, cisplatin, carboplatin, daunorubicin, doxorubicin, vincristine, vinblastine, melphalan, mitomycin C, chlorambucil and morpholino doxorubicin.
- Such conjugates can be prepared by using a linking group in order to link a drug or prodrug to the antibody or functional equivalent.
- Suitable linking groups are well known in the art and include, for example, disulfide groups, thioether groups, acid labile groups, photolabile groups, peptidase labile groups and esterase labile groups.
- the drug or prodrug can, for example, be linked to the anti-HER3 antibody or fragment thereof through a disulfide bond.
- the linker molecule or crosslinking agent comprises a reactive chemical group that can react with the anti-HER3 antibody or fragment thereof.
- the reactive chemical groups for reaction with the cell-binding agent can be N- succinimidyl esters and N-sulfosuccinimidyl esters.
- the linker molecule comprises a reactive chemical group, which can be a dithiopyridyl group that can react with the drug to form a disulfide bond.
- Linker molecules include, for example, N-succinimidyl 3- (2-pyridyldithio) propionate (SPDP) (see, e.g., Carlsson et al, Biochem. J, 173: 723-737 (1978)), N-succinimidyl 4-(2-pyridyldithio)butanoate (SPDB) (see, e.g., U.S. Patent No. 4,563,304), N-succinimidyl 4-(2-pyridyldithio)2-sulfobutanoate (sulfo-SPDB) (see U.S. Publication No.
- SPDP N-succinimidyl 3- (2-pyridyldithio) propionate
- SPDB N-succinimidyl 4-(2-pyridyldithio)butanoate
- sulfo-SPDB see U.S. Publication No.
- the antibody or cell binding agent can be modified with crosslinking reagents and the antibody or cell binding agent containing free or protected thiol groups thus derived is then reacted with a disulfide- or thiol-containing maytansinoid to produce conjugates.
- the conjugates can be purified by chromatography, including but not limited to HPLC, size- exclusion, adsorption, ion exchange and affinity capture, dialysis or tangential flow filtration.
- the anti-HER3 antibody is linked to cytotoxic drugs via disulfide bonds and a polyethylene glycol spacer to enhance the potency, solubility, or efficacy of the immunoconjugate.
- cytotoxic drugs via disulfide bonds and a polyethylene glycol spacer to enhance the potency, solubility, or efficacy of the immunoconjugate.
- cleavable hydrophilic linkers are described in WO2009/0134976. The additional benefit of this linker design is the desired high monomer ratio and the minimal aggregation of the antibody-drug conjugate.
- conjugates of cell-binding agents and drugs linked via disulfide group (-S-S-) - -
- CB represents an anti-HER3 antibody or fragment thereof
- D represents a drug
- X represents an aliphatic, an aromatic or a heterocyclic unit attached to the cell-binding agent via a thioether bond, an amide bond, a carbamate bond, or an ether bond
- Y represents an aliphatic, an aromatic or a heterocyclic unit attached to the drug via a disulfide bond
- 1 is 0 or 1
- m is an integer from 2 to 8
- n is an integer from 1 to 24.
- m is an integer from 2 to 6.
- m is an integer from 3 to 5.
- n is an integer form 2 to 8.
- the drug can be first modified to introduce a reactive ester suitable to react with a cell-binding agent. Reaction of these drugs containing an activated linker moiety with a cell-binding agent provides another method of producing a cell-binding agent drug conjugate. Maytansinoids can also be linked to anti-HER3 antibody or fragment using PEG linking groups, as set forth, for example, in U.S. Patent No. 6,716,821.
- PEG non-cleavable linking groups are soluble both in water and in non-aqueous solvents, and can be used to join one or more cytotoxic agents to a cell binding agent.
- Exemplary PEG linking groups include heterobifunctional PEG linkers that react with cytotoxic agents and cell binding agents at opposite ends of the linkers through a functional sulfhydryl or disulfide group at one end, and an active ester at the other end.
- Synthesis begins with the reaction of one or more cytotoxic agents bearing a reactive PEG moiety with a cell-binding agent, resulting in displacement of the terminal active ester of each reactive PEG moiety by an amino acid residue of the cell binding agent, to yield a cytotoxic conjugate comprising one or more cytotoxic agents covalently bonded to - -
- the cell binding agent can be modified with the bifunctional PEG crosslinker to introduce a reactive disulfide moiety (such as a pyridyldisulfide), which can then be treated with a thiol-containing maytansinoid to provide a conjugate.
- the cell binding agent can be modified with the bifunctional PEG crosslinker to introduce a thiol moiety which then can be treated with a reactive disulfide-containing maytansinoid (such as a pyridyldisulfide), to provide a conjugate.
- Antibody-maytansinoid conjugates with non-cleavable linkers can also be prepared.
- Such crosslinkers are described in the art (see, e.g., U.S. Publication No.
- SMCC N-succinimidyl 4-(maleimidomethyl) cyclohexanecarboxylate
- the antibody is modified with crosslinking reagents such as succinimidyl 4-(N-maleimidomethyl)-cyclohexane-l- carboxylate (SMCC), sulfo-SMCC, maleimidobenzoyl-N-hydroxysuccinimide ester (MBS), sulfo-MBS or succinimidyl-iodoacetate, as described in the literature, to introduce 1-10 reactive groups (Yoshitake et al, Eur. J.
- the modified antibody is then reacted with the thiol-containing maytansinoid derivative to produce a conjugate.
- the conjugate can be purified by gel filtration through a Sephadex G25 column or by dialysis or tangential flow filtration.
- the modified antibodies are treated with the thiol- containing maytansinoid (1 to 2 molar equivalent/maleimido group) and antibody- maytansinoid conjugates are purified by gel filtration through a Sephadex G-25 column, chromatography on a ceramic hydroxyapatite column, dialysis or tangential flow filtration, or a combination of methods thereof. Typically, an average of 1-10 maytansinoids per antibody is linked.
- One method is to modify antibodies with succinimidyl 4-(N-maleimidomethyl)- cyclohexane-1 -carboxylate (SMCC) to introduce maleimido groups followed by reaction of the modified antibody with a thiol-containing maytansinoid to give a thioether-linked conjugate.
- SMCC succinimidyl 4-(N-maleimidomethyl)- cyclohexane-1 -carboxylate
- the HER3 antibody is linked to the drug via a non-cleavable bond through the intermediacy of a PEG spacer.
- Suitable crosslinking reagents comprising hydrophilic PEG chains that form linkers between a drug and the anti-HEPv3 antibody or fragment are also well known in the art, or are commercially available - -
- Suitable PEG-containing crosslinkers can also be synthesized from commercially available PEGs themselves using standard synthetic chemistry techniques known to one skilled in the art.
- the drugs can be reacted with bifunctional PEG-containing cross linkers to give compounds of the following formula, Z - Xi-(-CH 2 -CH 2 -0-) n -Y p -D, by methods described in detail in U.S. Patent Publication No. 20090274713 and in International Patent Publication No. WO2009/0134976, which can then react with the cell binding agent to provide a conjugate.
- the cell binding agent can be modified with the bifunctional PEG crosslinker to introduce a thiol-reactive group (such as a maleimide or haloacetamide) which can then be treated with a thiol-containing maytansinoid to provide a conjugate.
- a thiol-reactive group such as a maleimide or haloacetamide
- the cell binding agent can be modified with the bifunctional PEG crosslinker to introduce a thiol moiety which can then be treated with a thiol-reactive maytansinoid (such as a maytansinoid bearing a maleimide or haloacetamide), to provide a conjugate.
- Another aspect of the present invention is an anti-HER3 antibody drug conjugate of formula (II) or of formula ( ⁇ ):
- CB represents an anti-HER3 antibody or fragment thereof
- D represents a drug
- X represents an aliphatic, an aromatic or a heterocyclic unit bonded to the cell-binding agent via a thioether bond, an amide bond, a carbamate bond, or an ether bond
- Y represents an aliphatic, an aromatic, or a heterocyclic unit bonded to the drug via a covalent bond selected from the group consisting of a thioether bond, an amide bond, a carbamate bond, an ether bond, an amine bond, a carbon-carbon bond and a hydrazone bond
- 1 is 0 or 1
- p is 0 or 1
- m is an integer from 2 to 15
- n is an integer from 1 to 2000.
- n is an integer from 2 to 8.
- n is an integer from 1 to 24.
- m is an integer from 2 to 6.
- m is an integer from 3 to 5.
- n is an integer from 2 to 8.
- suitable PEG- containing linkers include linkers having an N-succinimidyl ester or N-sulfosuccinimidyl ester moiety for reaction with the anti-HER3 antibody or fragment thereof, as well as a - -
- a PEG spacer can be incorporated into any crosslinker known in the art by the methods described herein.
- the present invention includes aspects wherein about 2 to about 8 drug molecules ("drug load”), for example, maytansinoid, are linked to an anti-HER3 antibody or fragment thereof.
- drug load refers to the number of drug molecules (e.g., a maytansinoid) that can be attached to a cell binding agent (e.g., an anti-HEPv3 antibody or fragment thereof).
- the number of drug molecules that can be attached to a cell binding agent can average from about 2 to about 8 (e.g., 1.9, 2.0, 2.1,
- the drug is N 2 -deacetyl-N 2 -(3-mercapto-l-oxopropyl)-maytansine (DM1) or N 2 -deacetyl-N 2 -(4-mercapto-4-methyl-l-oxopentyl) maytansine (DM4).
- the anti-HER3 antibody or fragment thereof can be modified by reacting a bifunctional crosslinking reagent with the anti-HER3 antibody or fragment thereof, thereby resulting in the covalent attachment of a linker molecule to the anti-HER3 antibody or fragment thereof.
- a "bifunctional crosslinking reagent” is any chemical moiety that covalently links a cell-binding agent to a drug, such as the drugs described herein.
- a portion of the linking moiety is provided by the drug.
- the drug comprises a linking moiety that is part of a larger linker molecule that is used to join the cell-binding agent to the drug.
- the side chain at the C-3 hydroxyl group of maytansine is modified to have a free sulfhydryl group (SH).
- This thiolated form of maytansine can react with a modified cell-binding agent to form a conjugate. Therefore, the final linker is assembled from two components, one of which is provided by the crosslinking reagent, while the other is provided by the side chain from DM1.
- the drug molecules can also be linked to the antibody molecules through an intermediary carrier molecule such as serum albumin. - -
- the expression "linked to a cell-binding agent” or “linked to an anti-HER3 antibody or fragment” refers to the conjugate molecule comprising at least one drug derivative bound to a cell-binding agent, or bound to an anti-HER3 antibody or fragment thereof via a suitable linking group, or a precursor thereof.
- a suitable linking group is SMCC.
- cytotoxic agents useful in the present invention are maytansinoids and maytansinoid analogs.
- suitable maytansinoids include esters of maytansinol and maytansinol analogs. Included are any drugs that inhibit microtubule formation and that are highly toxic to mammalian cells, as are maytansinol and maytansinol analogs.
- Suitable maytansinol esters include those having a modified aromatic ring and those having modifications at other positions.
- Such suitable maytansinoids are disclosed in U.S. Patent Nos. 4,424,219; 4,256,746; 4,294,757; 4,307,016; 4,313,946;
- the immunoconjugates of the invention utilize the thiol- containing maytansinoid (DM1), formally termed N 2 -deacetyl-N 2 -(3-mercapto-l- oxopropyl)-maytansine, as the cytotoxic agent.
- DM1 is represented by the following structural formula (III):
- the conjugates of the present invention utilize the thiol- containing maytansinoid N 2 -deacetyl-N 2 (4-methyl-4-mercapto-l- oxopentyl)-maytansine (e.g., DM4) as the cytotoxic agent.
- DM4 is represented by the following structural formula (IV): - -
- N 2 -deacetyl-N- 2 (4-mercapto-l-oxopentyl)-maytansine (termed DM3), represented by the followin structural formula (V):
- C-3 position having a hydroxyl group, the C-14 position modified with hydroxymethyl, the C-15 position modified with hydroxyl, and the C-20 position having a hydroxy group are all expected to be useful.
- the C-3 position serves as the position to chemically link the linking moiety
- the C-3 position of maytansinol serves as the position to chemically link the linking moiety.
- a solution of an antibody in aqueous buffer can be incubated with a molar excess of maytansinoids having a disulfide moiety that bears a reactive group.
- the reaction mixture can be quenched by addition of excess amine (such as ethanolamine, taurine, etc.).
- excess amine such as ethanolamine, taurine, etc.
- the maytansinoid-antibody conjugate can then be purified by gel filtration.
- the number of maytansinoid molecules bound per antibody molecule can be determined by measuring spectrophotometrically the ratio of the absorbance at 252 nm and 280 nm.
- the average number of maytansinoid molecules/antibody can be, for example, 1-10, 2-9, 2-8, 2-7, 2-6, or 2-5.
- Anthracycline compounds as well as derivatives, intermediates and modified versions thereof, can also be used to prepare anti-HER3 immunoconjugates.
- doxorubicin, doxorubicin derivatives, doxorubicin intermediates, and modified doxorubicins can be used in anti-HER3 conjugates.
- Exemplary compounds are described in International - -
- Patent Publication WO 2010/009124 which is herein incorporated by reference in its entirety.
- Such compounds include, for example, compounds of the following formula:
- Ri is a hydrogen atom, hydroxy or methoxy group and R 2 is a Ci-C 3 alkoxy group, or a pharmaceutically acceptable salt thereof.
- Conjugates of antibodies with maytansinoid or other drugs can be evaluated for their ability to suppress proliferation of various unwanted cell lines in vitro.
- cell lines such as the 300-19 cell lines that overexpress human HER3 or macaque HER3 and breast cancer cell line SKBR3, can easily be used for the assessment of cytotoxicity of these compounds.
- Cells to be evaluated can be exposed to the compounds for 4 to 5 days and the surviving fractions of cells measured in direct assays by known methods. IC 50 values can then be calculated from the results of the assays.
- the immunoconjugates can, according to some embodiments described herein, be internalized into the cells and processed intracellularly.
- the immunoconjugate therefore, can exert a therapeutic effect when it is taken up by, or internalized by, a HER3 -expressing cell.
- the immunoconjugate comprises an antibody, antibody fragment, or polypeptide linked to a cytotoxic agent by a cleavable linker, and the cytotoxic agent is cleaved from the antibody, antibody fragment, or polypeptide, wherein it is internalized by a HER3 -expressing cell.
- siRNA molecules can be linked to the antibodies of the present invention instead of a drug.
- siRNAs can be linked to the antibodies of the present invention by methods commonly used for the modification of oligonucleotides (see, for example, U.S. Patent Publication Nos. 2005/0107325 and 2007/0213292).
- the siRNA in its 3' or 5'-phosphoromidite form can be reacted with one end of the crosslinker bearing a hydroxyl functionality to give an ester bond between the siRNA and the
- siRNA can be derivatized by standard chemical methods to introduce a thiol group. This thiol-containing siRNA can be reacted with an antibody that has been modified to introduce an active disulfide or maleimide moiety, to produce a cleavable or non cleavable conjugate. Between 1 - 20 siRNA molecules can be linked to an antibody by this method.
- the invention encompasses polynucleotides comprising polynucleotides that encode a polypeptide that specifically binds HER3 or a fragment of such a polypeptide.
- the invention provides a polynucleotide comprising a nucleic acid sequence that encodes an antibody to a human HER3 or encodes a fragment of such an antibody.
- the polynucleotides of the invention can be in the form of RNA or in the form of DNA.
- DNA includes cDNA, genomic DNA, and synthetic DNA; and can be double-stranded or single-stranded, and if single stranded can be the coding strand or non-coding (anti-sense) strand.
- the polynucleotides are isolated. In certain embodiments, the polynucleotides are substantially pure.
- the invention provides a polynucleotide comprising a polynucleotide encoding a polypeptide comprising an amino acid sequence selected from the group consisting of SEQ ID NOs:4-53.
- the invention also provides a polynucleotide comprising a polynucleotide encoding a polypeptide comprising an amino acid sequence that is at least about 80%, at least about 85%, at least about 90%>, at least about 95%, at least about 96%, at least about 97%, at least about 98%, or at least about 99% identical to an amino acid sequence selected from the group consisting of SEQ ID NOs:4-53.
- the invention further provides a polynucleotide comprising a sequence selected from those shown in Tables 7-10 below.
- huHER3-10 aagcttgccaccatgggctggagttgtatcattctgttcctcgttgcaaccgccaccggtgtgcacagccaggtt cagctggtacagtctggacctgaagtggttaagccaggcgtttccatgaaaattagctgtaaggcctccggcta tacattcaccgattataccatgaattgggtgaagcaaagtcctggacagaacctggaatggattggcttgatcaa tccatacaacgacattacagcatacaaccagaagtttcaagggaaggctaccttgtctgtggacaaatctagct - - -
- polynucleotide having at least about 80%, at least about 85%, at least about 90%, at least about 95%, at least about 96%, at least about 97%, at least about 98%), or at least about 99% sequence identity to SEQ ID NOs:54-73.
- the invention encompasses a polynucleotide having at least about 80%, at least about 85%, at least about 90%, at least about 95%, at least about 96%, at least about 97%, at least about 98%, or at least about 99% sequence identity to SEQ ID NOs:54-73 wherein the
- polynucleotide encodes a polypeptide that binds HER3.
- the polynucleotides comprise the coding sequence for the mature polypeptide fused in the same reading frame to a polynucleotide which aids, for example, in expression and secretion of a polypeptide from a host cell (e.g. a leader sequence which functions as a secretory sequence for controlling transport of a polypeptide from the cell).
- the polypeptide having a leader sequence is a preprotein and can have the leader sequence cleaved by the host cell to form the mature form of the polypeptide.
- the polynucleotides can also encode for a proprotein which is the mature protein plus additional 5' amino acid residues.
- a mature protein having a prosequence is a proprotein and is an inactive form of the protein. Once the prosequence is cleaved an active mature protein remains.
- the polynucleotides comprise the coding sequence for the mature polypeptide fused in the same reading frame to a marker sequence that allows, for example, for purification of the encoded polypeptide.
- the marker sequence can be a hexa-histidine tag supplied by a pQE-9 vector to provide for purification of the mature polypeptide fused to the marker in the case of a bacterial host, or the marker sequence can be a hemagglutinin (HA) tag derived from the influenza hemagglutinin protein when a mammalian host (e.g., COS-7 cells) is used.
- a mammalian host e.g., COS-7 cells
- the present invention further relates to variants of the above described
- polynucleotides encoding for example, fragments, analogs, and derivatives.
- the polynucleotide variants can contain alterations in the coding regions, non- coding regions, or both. In some embodiments the polynucleotide variants contain alterations which produce silent substitutions, additions, or deletions, but do not alter the properties or - -
- nucleotide variants are produced by silent substitutions due to the degeneracy of the genetic code.
- Polynucleotide variants can be produced for a variety of reasons, e.g., to optimize codon expression for a particular host (change codons in the human mRNA to those preferred by a bacterial host such as E. coli).
- the HER3-binding agents (including antibodies, immunoconjugates, and polypeptides) of the invention are useful in a variety of applications including, but not limited to, therapeutic treatment methods, such as the treatment of cancer, such as solid cancers.
- the HER3-binding agents are useful for inhibiting tumor growth, inducing differentiation, reducing tumor volume, and/or reducing the tumorigenicity of a tumor.
- the methods of use can be in vitro, ex vivo, or in vivo methods.
- the HER3 -binding agent or antibody or immunoconjugate, or polypeptide is an antagonist of the human HER3 to which it binds.
- anti-HER3 antibodies and immunoconjugates of the invention are useful for detecting the presence of HER3 in a biological sample.
- detecting encompasses quantitative or qualitative detection.
- a biological sample comprises a cell or tissue.
- such tissues include normal and/or cancerous tissues that express HER3 at higher levels relative to other tissues.
- the invention provides a method of detecting the presence of HER3 in a biological sample.
- the method comprises contacting the biological sample with an anti-HER3 antibody under conditions permissive for binding of the anti-HER3 antibody to HER3 antigen, and detecting whether a complex is formed between the anti-HER3 antibody and HER3 antigen.
- the invention provides a method of diagnosing a disorder associated with increased expression of HER3 antigen.
- the method comprises contacting a test cell with an anti-HER3 antibody; determining the level of expression (either quantitatively or qualitatively) of HER3 antigen by the test cell by detecting binding of the anti-HER3 antibody to HER3 antigen; and comparing the level of expression of HER3 antigen by the test cell with the level of expression of HER3 antigen by a control cell (e.g., a - -
- the test cell is obtained from an individual suspected of having a disorder associated with increased expression of HER3.
- the disorder is a cell proliferative disorder, such as a cancer or a tumor.
- a method of diagnosis or detection comprises detecting binding of an anti-HER3 antibody to HER3 antigen expressed on the surface of a cell or in a membrane preparation obtained from a cell expressing HER3 on its surface.
- the method comprises contacting a cell with an anti-HER3 antibody under conditions permissive for binding of the anti-HER3 antibody to HER3, and detecting whether a complex is formed between the anti-HER3 antibody and HER3 on the cell surface.
- An exemplary assay for detecting binding of an anti- HER3 antibody to HER3 expressed on the surface of a cell is a "FACS" assay.
- Certain other methods can be used to detect binding of anti-HER3 antibodies to HER3 antigen.
- Such methods include, but are not limited to, antigen-binding assays that are well known in the art, such as western blots, radioimmunoassays, ELISA (enzyme linked immunosorbent assay), "sandwich” immunoassays, immunoprecipitation assays, fluorescent immunoassays, protein A immunoassays, and immunohistochemistry (IHC).
- anti-HER3 antibodies are labeled.
- Labels include, but are not limited to, labels or moieties that are detected directly (such as fluorescent, chromophoric, electron-dense, chemiluminescent, and radioactive labels), as well as moieties, such as enzymes or ligands, that are detected indirectly, e.g., through an enzymatic reaction or molecular interaction.
- anti-HER3 antibodies are immobilized on an insoluble matrix. Immobilization entails separating the anti-HER3 antibody from any HER3 that remains free in solution. This conventionally is accomplished by either insolubilizing the anti-HER3 antibody before the assay procedure, as by adsorption to a water-insoluble matrix or surface (Bennich et al, U.S. Patent No. 3,720,760), or by covalent coupling (for example, using glutaraldehyde cross-linking), or by insolubilizing the anti-HER3 antibody after formation of a complex between the anti-HER3 antibody and HER3 antigen, e.g., by immunoprecipitation. - -
- the invention provides a method of treating, preventing or ameliorating a disease comprising administering a HER3 -binding agent or antagonist (e.g., an anti-HER3 antibody) to a patient, thereby treating the disease.
- a HER3 -binding agent or antagonist e.g., an anti-HER3 antibody
- the disease treated with the HER3-binding agent or antagonist is a cancer.
- diseases which can be treated and/or prevented include acute lymphoblastic leukemia, acute myeloid leukemia, adrenocortical carcinoma, anal cancer, basal cell carcinoma, bile duct cancer, bladder cancer, bone cancer, brain tumors (including astrocytoma, brain stem glioma, craniopharyngioma, ependymoblastoma, ependymoma, medulloblastoma, medulloepithelioma, pineal parenchymal tumors of intermediate differentiation, supratentorial primitive neuroectodermal tumors, and pineoblastoma), breast cancer, bronchial tumors, Burkitt lymphoma, carcinoid tumors, central nervous system atypical teratoid/rhabdoid tumors, cervical cancer, chordoma, chronic lymphocytic leukemia, chronic myelogenous leukemia, chronic myeloproliferative disorders, colon cancer, colorectal
- myelodysplastic/myeloproliferative neoplasms nasal cavity and paranasal sinus cancer, nasopharyngeal cancer, neuroblastoma, non-Hodgkin lymphoma, non-small cell lung cancer, oral cancer, oropharyngeal cancer, ovarian cancer, pancreatic cancer, parathyroid cancer, penile cancer, pharyngeal cancer, pituitary tumor, prostate cancer, rectal cancer, renal cell cancer, retinoblastoma, rhabdomyosarcoma, salivary gland cancer, Sezary syndrome, skin cancer (nonmelanoma), small cell lung cancer, small intestine cancer, soft tissue sarcoma, squamous cell carcinoma, squamous neck cancer, stomach cancer, T-cell lymphoma, testicular cancer, throat cancer, thymoma and thymic carcinoma, thyroid cancer, urethral cancer, uterine cancer, vaginal cancer, vulvar cancer, Wald
- the present invention provides for methods of treating cancer comprising administering a therapeutically effective amount of a HER3-binding agent to a subject (e.g., a subject in need of treatment).
- a subject e.g., a subject in need of treatment.
- the cancer is a solid cancer.
- the cancer is selected from the group consisting of B cell lymphomas, NHL, precursor B cell lymphoblastic leukemia/lymphoma and mature B cell neoplasms, B cell chronic lymphocytic leukemia (CLL)/small lymphocytic lymphoma (SLL), B cell prolymphocytic leukemia, lymphoplasmacytic lymphoma, mantle cell lymphoma (MCL), follicular lymphoma (FL), low grade, intermediate-grade and high-grade (FL), cutaneous follicle center lymphoma, marginal zone B cell lymphoma, MALT type marginal zone B cell lymphoma, nodal marginal zone B cell lymphoma, splenic type marginal zone B cell lymphoma, hairy cell leukemia, diffuse large B cell lymphoma, Burkitt's lymphoma, plasmacytoma, plasma cell myeloma, post-transplant lymphoproliferative disorder,
- the subject is a human.
- the present invention further provides methods for inhibiting tumor growth using the antibodies or other agents described herein.
- the method of inhibiting tumor growth comprises contacting a cell with a HER3-binding agent (e.g., antibody) in vitro.
- a HER3-binding agent e.g., antibody
- an immortalized cell line or a cancer cell line that expresses HER3 is cultured in medium to which is added the antibody or other agent to inhibit tumor growth.
- tumor cells are isolated from a patient sample such as, for example, a tissue biopsy, pleural effusion, or blood sample and cultured in medium to which is added a HER3 -binding agent to inhibit tumor growth.
- the method of inhibiting tumor growth comprises contacting the tumor or tumor cells with the HER3-binding agent (e.g., antibody) in vivo.
- contacting a tumor or tumor cell with a HER3-binding agent is undertaken in an animal model.
- HER3-binding agents can be administered to xenografts expressing HER3 that have been grown in immunocompromised mice (e.g., NOD/SCID mice) to inhibit tumor growth.
- cancer stem cells are isolated from a patient sample such as, for example, a tissue biopsy, pleural effusion, or blood sample and injected into immunocompromised mice that are then administered a HER3- binding agent to inhibit tumor cell growth.
- the HER3-binding agent is administered at the same time or shortly after introduction of tumorigenic cells into the - -
- the HER3 -binding agent is administered as a therapeutic after the tumorigenic cells have grown to a specified size.
- the method of inhibiting tumor growth comprises administering to a subject a therapeutically effective amount of a HER3 -binding agent.
- the subject is a human.
- the subject has a tumor or has had a tumor removed.
- the tumor expresses the HER3 to which the HER3- binding agent or antibody binds. In certain embodiments, the tumor overexpresses the human HER3.
- the invention provides a method of reducing the tumorigenicity of a tumor in a subject, comprising administering a therapeutically effective amount of a HER3- binding agent to the subject.
- the tumor comprises cancer stem cells.
- the frequency of cancer stem cells in the tumor is reduced by administration of the HER3 -binding agent.
- the invention further provides methods of differentiating tumorigenic cells into non-tumorigenic cells comprising contacting the tumorigenic cells with a HER3 -binding agent, for example, by administering the HER3 -binding agent to a subject that has a tumor comprising the tumorigenic cells or that has had such a tumor removed.
- HER3-binding agents, polypeptides, or antibodies described herein to induce the differentiation of cells, including, but not limited to tumor cells.
- methods of inducing cells to differentiate comprising contacting the cells with an effective amount of a HER3-binding agent (e.g., an anti-HER3 antibody) described herein are envisioned.
- Methods of inducing cells in a tumor in a subject to differentiate comprising administering a therapeutically effective amount of a HER3 -binding agent, polypeptide, or antibody to the subject are also provided.
- the tumor is a pancreatic tumor.
- the tumor is a lung tumor.
- the treatment methods comprise administering a therapeutically effective amount of the HER3 -binding agent, polypeptide, or antibody to the subject.
- the present invention further provides pharmaceutical compositions comprising one or more of the HER3-binding agents described herein.
- the pharmaceutical compositions further comprise a pharmaceutically acceptable vehicle. These pharmaceutical compositions find use in inhibiting tumor growth and treating cancer in human patients. - -
- formulations are prepared for storage and use by combining a purified antibody or agent of the present invention with a pharmaceutically acceptable vehicle (e.g., carrier, excipient) (Remington, The Science and Practice of
- Suitable pharmaceutically acceptable vehicles include, but are not limited to, nontoxic buffers such as phosphate, citrate, and other organic acids; salts such as sodium chloride; antioxidants including ascorbic acid and methionine; preservatives (e.g., octadecyldimethylbenzyl ammonium chloride;
- hexamethonium chloride benzalkonium chloride; benzethonium chloride; phenol, butyl or benzyl alcohol; alkyl parabens, such as methyl or propyl paraben; catechol; resorcinol;
- low molecular weight polypeptides e.g., less than about 10 amino acid residues
- proteins such as serum albumin, gelatin, or immunoglobulins
- hydrophilic polymers such as polyvinylpyrrolidone
- amino acids such as glycine, glutamine, asparagine, histidine, arginine, or lysine
- carbohydrates such as monosacchandes
- disaccharides glucose, mannose, or dextrins
- chelating agents such as EDTA
- sugars such as sucrose, mannitol, trehalose or sorbitol
- salt-forming counter-ions such as sodium
- metal complexes e.g., Zn-protein complexes
- non-ionic surfactants such as TWEEN or polyethylene glycol (PEG).
- compositions of the present invention can be administered in any number of ways for either local or systemic treatment.
- Administration can be topical (such as to mucous membranes, including vaginal and rectal delivery) such as transdermal patches, ointments, lotions, creams, gels, drops, suppositories, sprays, liquids and powders; pulmonary (e.g., by inhalation or insufflation of powders or aerosols, including by nebulizer, intratracheal, intranasal, epidermal and transdermal); oral; or parenteral including
- An antibody or immunoconjugate of the invention can be combined in a pharmaceutical combination formulation, or dosing regimen as combination therapy, with a second compound having anti-cancer properties that differs from the antibody or
- the second compound of the pharmaceutical combination formulation or dosing regimen can have complementary activities to the antibody or immunoconjugate of the combination such that they do not adversely affect each other.
- Pharmaceutical compositions comprising the HER3 -binding agent and the second anti-cancer agent are also provided.
- HER3 -binding agents can be administered in combination with, but - -
- a chemotherapeutic agent such as trastuzumab and lapatinib
- EGFR antagonists such as cetuximab, panitumumab, erlotinib and gefitinib.
- the appropriate dosage of an antibody or agent of the present invention depends on the type of disease to be treated, the severity and course of the disease, the responsiveness of the disease, whether the antibody or agent is administered for therapeutic or preventative purposes, previous therapy, patient's clinical history, and so on, all at the discretion of the treating physician.
- the antibody or agent can be administered one time or over a series of treatments lasting from several days to several months, or until a cure is effected or a diminution of the disease state is achieved (e.g., reduction in tumor size).
- Optimal dosing schedules can be calculated from measurements of drug accumulation in the body of the patient and will vary depending on the relative potency of an individual antibody or agent.
- dosage is from 0.0 ⁇ g to lOOmg (e.g., O.O ⁇ g, O. ⁇ g, l ⁇ g, ⁇ g, 50 ⁇ g, O.lmg, 0.5mg, lmg, 5mg, lOmg, 20mg, 30mg, 40mg, 50mg, or lOOmg) per kg of body weight, and can be given once or more daily, weekly, monthly or yearly.
- the antibody or other HER3-binding agent is given once every two weeks or once every three weeks.
- the dosage of the antibody or other HER3-binding agent is from about O.lmg to about 20mg (e.g.,
- the treating physician can estimate repetition rates for dosing based on measured residence times and concentrations of the drug in bodily fluids or tissues.
- the combination therapy can provide "synergy” and prove “synergistic”, i.e., the effect achieved when the active ingredients used together is greater than the sum of the effects that results from using the compounds separately.
- a synergistic effect can be attained when the active ingredients are: (1) co-formulated and administered or delivered
- Kits comprising HER3 binding agents
- kits that comprise the antibodies
- kits comprises at least one purified antibody against HER3 in one or more containers.
- the kits contain all of the components necessary and/or sufficient to perform a detection assay, including all controls, directions for performing assays, and any necessary software for analysis and presentation of results.
- the disclosed antibodies, immunoconjugates or other agents of the present invention can be readily incorporated into one of the established kit formats which are well known in the art.
- kits comprising a HER3-binding agent (e.g., a HER3-binding antibody), as well as a second anti-cancer agent that differs from the HER3-binding agent.
- the second anti-cancer agent is a chemotherapeutic agent (e.g., cisplatin).
- Embodiments of the present disclosure can be further defined by reference to the following non-limiting examples, which describe in detail preparation of certain antibodies of the present disclosure and methods for using antibodies of the present disclosure. It will be apparent to those skilled in the art that many modifications, both to materials and methods, can be practiced without departing from the scope of the present disclosure.
- Human HER3 (huHER3)-overexpressing 300-19 cells a pre-B cell line derived from a Balb/c mouse (Reth MG et al. 1985, Nature, 317: 353-355), were used as immunogen for mouse immunization to produce murine anti HER3 antibodies.
- the human HER3 amino acid sequence (Genbank accession NP 001973) was codon-optimized and the cDNA was synthesized by Blue Heron
- mice by subcutaneous injection of 5xl0 6 HER3 -expressing 300-19 cells per mouse every 2 weeks for 5 times.
- the immunized mice were boosted with another dose of antigen three days before being sacrificed for hybridoma generation.
- the spleen from the mouse was collected according to standard animal protocols and was ground between two sterile, frosted microscopic slides to obtain a single cell suspension in RPMI-1640 medium. After the red blood cells were lysed with ACK lysing buffer, the spleen cells were then mixed with murine myeloma P3X63Ag8.653 cells (P3 cells) (J. F. Kearney et al.
- the fused cells were added gently to RPMI-1640 selection medium containing hypoxanthine- aminopterin-thymidine (HAT) (Sigma H-0262), incubated for 20min at 37°C, and then seeded into flat bottom 96-well plates at 200 ⁇ 1 ⁇ 11. The plates were then incubated in a 5% C0 2 incubator at 37°C. Incubation was continued until hydridoma clones were ready for antibody screening.
- HAT hypoxanthine- aminopterin-thymidine
- the cells were pelleted again, washed with FACS buffer and resuspended in 200 ⁇ , of PBS containing 1% formaldehyde. Samples were acquired using a FACSCalibur flow cytometer with the HTS multiwell sampler or a FACS array flow cytometer and analyzed using CellQuest Pro (all from BD Biosciences, San Diego, CA).
- hybridoma clones that tested positive were subcloned by limiting dilution.
- Stable subclones were cultured and the antibody was isotyped using commercial isotyping reagents (Roche).
- Antibodies were purified from hybridoma subclone supernatants using standard methods, such as, for example Protein A or G chromatography (HiTrap Protein A or G HP, lmL, Amersham Biosciences). Briefly, supernatant was prepared for chromatography by the addition of 1/10 volume of 1M Tris/HCl buffer, pH 8.0. The pH-adjusted supernatant was filtered through a 0.22 ⁇ filter membrane and loaded onto column equilibrated with binding buffer (PBS, pH 7.3). The column was washed with binding buffer until a stable baseline was obtained with no absorbance at 280nm. Antibody was eluted with 0.1M acetic acid buffer containing 0.15M NaCl, pH 2.8, using a flow rate of 0.5mL/min. Fractions of - -
- Protein A purified fractions were further polished using ion exchange
- IEX quaternary ammonium
- Q quaternary ammonium
- samples from protein A purification were buffer exchanged into binding buffer (lOmM Tris, lOmM sodium chloride, pH 8.0) and filtered through a 0.22 ⁇ filter membrane.
- the prepared sample was then loaded onto a Q fast flow resin (GE Lifesciences) that was equilibrated with binding buffer at a flow rate of 120cm/hr. Column size was chosen to have sufficient capacity to bind all the monoclonal antibody in the sample. The column was then washed with binding buffer until a stable baseline was obtained with no absorbance at 280nm.
- Antibody was eluted by initiating a gradient from lOmM to 500mM sodium chloride in 20 column volume (CV). Peak fractions were collected based on absorbance measurement at 280nm (A280). The percentage of monomer was assessed with size exclusion chromatography (SEC) on a TSK gel G3000SWXL, 7.8 x 300 mm with a SWXL guard column, 6.0 x 40 mm (Tosoh Bioscience, Montgomeryville, PA) using an Agilent HPLC 1100 system (Agilent, Santa Clara, CA ). Fractions with monomer content above 95% were pooled, buffer exchanged to PBS (pH 7.4) using a TFF system, and sterilized by filtering through a 0.2 ⁇ filter membrane.
- SEC size exclusion chromatography
- the IgG concentration of purified antibody was determined by A280 using an extinction coefficient of 1.47.
- Alternative methods such as ceramic hydroxyapatite (CHT) were also used to polish antibodies with good selectivity.
- CHT ceramic hydroxyapatite
- Type II CHT resin with 40 ⁇ particle size Bio-Rad Laboratories
- the binding buffer for CHT corresponds to 20mM sodium phosphate, pH 7.0 and antibody was eluted with a gradient of 20-160mM sodium phosphate over 20 CV.
- the present invention focuses on a novel class of HER3 antibodies that inhibit the HER3 ligand independent growth of cancer cells.
- HER3 antibodies that inhibit the HER3 ligand independent growth of cancer cells.
- the SKBR3 cells were chosen because this cell - -
- SKBR3 target cells were plated at 2,000 cells per well in normal growth media containing 10% fetal bovine serum (FBS) (Invitrogen, Carlsbad, CA). 10 ⁇ g/ml purified anti-HER3 antibodies were added to the cells and the cultures were further incubated at 37°C in a humidified 5% C0 2 incubator for 4 to 5 days. Level of cell proliferation was determined using colorimetric WST-8 assay (Dojindo Molecular Technologies, Rockville, MD).
- WST-8 is reduced by dehydrogenases in the living cells to an orange formazan product that is soluble in tissue culture medium, and the amount of formazan produced is directly proportional to the number of living cells.
- FIG. 1A A representative result of an SKBR3 cell proliferation assay is presented in Figure 1A.
- the result showed that muHER3-3, muHER3-8 and muHER3-10 were able to inhibit proliferation of SKBR3 cells as effective as trastuzumab (Tmab) which was shown to inhibit HER2-overexpressing breast cancer cells in ligand-independent manner (Junttila TT et al. Cancer Cell 15, 429-440 (2009).
- Other muHER3 antibodies were found to be less effective.
- the fact that there are only 3 out of 31 anti HER3 antibodies that are as effective as trastuzumab in inhibiting SKBR3 cell proliferation suggests that this functional property is unique and rare for anti-HER3 antibodies.
- the WST-8 cell proliferation assay result was confirmed using clonogenic assay ( Figure IB).
- 2,000 SKBR3 cells/well were seeded into 6-well plates in 2ml normal growth media containing 10% FBS. 12 ⁇ g/ml antibodies were added to the cells and the culture was continued for 14 days at 37°C until colonies appeared. After washing once with PBS, the cell colonies were stained with crystal violet and counted using
- Tmab reduced colony count to -30% while the muHER3-3, muHER3-8 and muHER3-10 antibodies were able to reduce the colony count to ⁇ 20%.
- This result confirmed the unique properties of anti-HER3 antibodies of the invention in inhibiting the HER3 ligand- independent growth of SKBR3 cell line. This activity was further confirmed later using humanized HER3 antibodies in three additional cell lines (see Example 12).
- Binding specificity of the anti-HER3 antibodies of the invention was tested by flow cytometric assay. FACS histograms demonstrating the binding of muHER3-3, muHER3-8, and muHER3-10 antibodies to the human HER3 expressing 300-19 cells but not to the parental 300-19 cells are shown in Figure 2. All murine antibodies were incubated for lh at 4°C with either huHER3 -expressing 300-19 cells or the non-transfected 300-19 cells (lxl 0 5 cells per sample) in ⁇ FACS buffer.
- the cells were pelleted, washed twice, and incubated for lh with ⁇ of PE-conjugated goat anti-mouse IgG-antibody (Jackson Immunoresearch, West Grove, PA). The cells were pelleted again, washed with FACS buffer and resuspended in 200 ⁇ , of PBS containing 1% formaldehyde. Samples were acquired using a FACSCalibur flow cytometer with the HTS multiwell sampler or a FACS array flow cytometer and analyzed using CellQuest Pro (all from BD Biosciences, San Diego, CA) or FlowJo (Tree Star, Ashland, OR).
- Kd values correspond to 0.21nM, 0.3 InM and 0.052nM for muHER3-3, muHER3-8 and muHER3-10 antibodies, respectively. These Kd values closely matched the Kd values generated with huHER3-overexpressing 300-19 cells.
- XP 001113953 shows 98.7% identity with the huHER3 sequence (Genbank accession NP 001973) with only 5 amino acid differences in the extracellular domain that spans 624 amino acids.
- 300-19 cell line expressing maHER3 extracellular domain was generated.
- the maHER3 extracellular domain sequence was codon-optimized, the cDNA was ligated to the huHER3 transmembrane and intracellular domain, and an expression plasmid, pSRa-chiHER3, that expresses the maHER3 extracellular domain was constructed.
- the plasmid was transfected to the 300-19 cells to stably express high levels of maHER3 extracellular domain on the cell surface.
- muHER3-3, muHER3-8 and muHER3-10 antibodies bind well to both huHER3 and maHER3 antigens with very similar Kd, whereas some muHER3 antibodies, such as muHER3-19, muHER3-21, muHER3-22, muHER3-23 and muHER3-26, antibodies failed to recognize the maHER3 antigen although these antibodies bind to huHER3 antigen at high affinity.
- This result demonstrates that a 5 amino acid difference in the HER3 extracellular domain can alter the binding affinity of some muHER3 antibodies, but it does not change the binding property of muHER3-3, muHER3-8 and muHER3-10 antibodies.
- muHER3-23 igGi 0.19 21 muHER3-24 igGi 0.42 0.15 muHER3-25 lgG2a 0.05 0.046 muHER3-26 IgGi 4.3 650 muHER3-27 IgGi 0.064 0.054
- Ligand interaction with HER3 receptor induces phosphorylation of HER3 as well as activation of downstream signaling pathway as indicated by phosphorylation of AKT.
- whole cell ELISA were performed. In this experiment, 2xl0 5 MCF7 cells/well were seeded in collagen-coated 96 well plate (Genetix, Boston, MA) in presence of normal growth media containing 10% FBS. After overnight incubation at 37°C, cells were then washed and starved in serum free media for 24h at 37°C.
- Tetramethylbenzidine (TMBW; Bio-FX, Owings Mills, MD) was added for about lOmin. - -
- the reaction was stopped by addition of ⁇ stop reagent (STPR; Bio-FX, Owings Mills, MD) and the absorbance was read at 450 nm with a reference wavelength of 570 nm using the Spectra Max M2 plate reader (Molecular Devices, Sunnyvale, CA).
- HRGi i ligand binding to HER3 receptor can induce proliferation of HER3- positive cancer cells, such as MCF7 breast cancer cells.
- MCF7 cells were plated at 2,000 cells per well and incubated in serum free media overnight at 37°C. Cells were pre-treated with 10 ⁇ g/ml of anti-HER3 antibodies for lh at 37°C. 20ng/ml HRGipi ligand was then added to the cells and the cells were further incubated at 37°C for 3 to 4 days. The level of cell proliferation was determined using colorimetric WST-8 assay (Dojindo Molecular Technologies, Rockville, MD) as described in Example 2. The results were normalized so that 0% indicated the level of cell proliferation in the absence of
- FIG. 7 A representative result of ligand-induced MCF7 proliferation assay is presented in Figure 7, demonstrating that anti-HER3 antibodies of the invention were able to reduce ligand-induced MCF7 cell proliferation.
- the muHER3-8 antibody performed the best with the ability to reduce cell proliferation up to 40%, while muHER3-10 and muHER3-3 antibodies were less active in this assay. - -
- HRG 1 ⁇ 1 ligand binding to HER3 receptor can induce formation of HER2/HER3 dimers in cells that express both RTKs.
- MCF7 cells were first grown overnight in normal growth media containing 10% FBS. Cells were washed and starved in serum free media for 6h at 37°C. l( ⁇ g/ml anti-HER3 antibodies were added and the cells were further incubated overnight at 37°C. Media was removed and cells were incubated with 30ng/ml HRGi i ligand for 15min at RT.
- the membrane was blocked with ECL Advanced Blocking Reagent (#CPK1075; GE Healthcare, Piscataway, NJ) and incubated with anti-HER3 antibody (clone C-17 (#sc-285); Santa Cruz Biotechnology, Santa Cruz, CA; 1 :300 dilution) or anti-HER2 antibody (clone 29D8 (#2165); Cell Signaling, Boston, MA; 1 : 1000 dilution) at 4°C overnight.
- the membrane was washed in Tris-buffered saline (TBS) and incubated with goat anti-rabbit IgG HRP (Jackson Immunoresearch; 1 :4000 dilution). After washing, the signal was detected using an ECL system (#RPN2109; GE Healthcare).
- One mechanism of action of HER3 signaling inhibition is the blockade of ligand binding.
- binding of biotinylated HRGi i ligand to the SKBR3 cells was measured by flow cytometry in the presence of anti-HER3 antibodies.
- Biotinylation of HRGi i ligand was done using EZ-link Micro Sulfo-NHS-LC-biotinylation kit (Pierce, Rockland, IL) according to the manufacturer's instruction. 5xl0 4 SKBR3 cells/well were first incubated with varying concentration of anti-HER3 antibodies for lh on ice. lOnM
- biotinylated HRGi i ligand was added to each well and incubation was continued for lh on ice.
- Cells were then washed twice with FACS buffer and incubated with streptavidin-PE conjugate (Jackson Immunoresearch, West Grove, PA; 1 :200 dilution) for lh on ice.
- Cells were washed twice with FACS buffer and analyzed in FACSarray using Flow Jo program. The geometric mean fluorescence intensities were plotted against the antibody concentration in a semi-log plot.
- FIG. 9 Representative results of the ligand competition assay were shown in Figure 9.
- the muHER3-3 and muHER3-8 antibodies were found to compete with HRGi pi ligand binding, while muHER3-18 and muHER3-26 antibodies only had partial inhibition, and some anti-HER3 antibodies, such as muHER3-10, muHER3-27 and muHER3-28 antibodies, failed to compete with HRGipi ligand binding (Figure 9A).
- Figure 9B compared the capacity of muHER3-3, muHER3-8 and U3-Pharma/Amgen's Ul-59 antibodies in blocking HRGl l ligand binding. (The recombinant Ul-59 antibody was generated based on sequence data published in U.S.
- a dose-response curve was generated by non- linear regression and the EC50 value of each curve was calculated using GraphPad Prism v4 (GraphPad software, San Diego, CA). The EC50 values correspond to 0.32nM, 0.29nM and 2.2nM for muHER3-3, muHER3-8 and U3-Pharma's Ul-59 antibodies, respectively. This data demonstrates that the muHER3-3 and muHER3-8 antibodies are better than the Ul- 59 antibody in blocking the ligand binding. - -
- the biotinylated reference antibody with concentration at Kd (InM for Ul-59 and 0.2nM for muHER3-8 antibody) was first mixed with varying concentration of competing antibody.
- the antibody mixture was incubated with 5xl0 4 MCF7 cells/well for lh on ice. Cells were then washed twice with FACS buffer and incubated with streptavidin-PE conjugate (Jackson Immunoresearch, West Grove, PA; 1 :200 dilution) for lh on ice. Cells were washed twice with FACS buffer and analyzed in FACSarray using Flow Jo program. The geometric mean fluorescence intensities were plotted against the competing antibody concentration in a semi-log plot.
- Total cellular RNA was prepared from 5xl0 6 cells of the muHER3-8 hybridoma using an RNeasy kit (QIAgen) according to the manufacturer's protocol. cDNA was - -
- CTTCCGGAATTCSARGTNMAGCTGSAGSAGTCWGG (SEQ ID NO:75) and BamlgGl GGAGGATCCATAGACAGATGGGGGTGTCGTTTTGGC (SEQ ID NO:76).
- VL sequences were amplified by PCR using the following degenerate primers: SacIMK
- TATAGAGCTCAAGCTTGGATGGTGGGAAGATGGATACAGTTGGTGC (SEQ ID NO:78).
- the PCR reaction mixtures were then run on a 1% low melt agarose gel, the 300 to 400 bp bands were excised, purified using Zymo DNA mini columns, and sent to Agencourt Biosciences for sequencing.
- the respective 5' and 3' PCR primers were used as sequencing primers to generate the variable region cDNAs from both directions.
- the amino acid sequences of VH and VL regions were predicted from the DNA sequencing results.
- the cDNA sequence information for the variable region was combined with the germline constant region sequence to obtain full length antibody cDNA sequences.
- the molecular weights of the heavy chain and light chain were then calculated and compared with the molecular weights obtained by LC/MS analyses of the muHER3-8 antibody.
- the molecular weight measurements are consistent with the cDNA sequences for both the muHER3-8 light and heavy chain.
- HER3-3, HER3-8, and HER3-10 antibodies were humanized following resurfacing methods previously described, such as, for example in Roguska et al, Proc. Natl. Acad. Sci., USA, 91(3):969-973 (1994) and Roguska et al, Protein Eng. 9(10):895-904 (1996), which are incorporated in their entirety herein by reference.
- Resurfacing generally involves identification of the variable region framework surface residues in both the light and heavy chains and replacing them with human equivalents.
- the murine CDR's are preserved in the resurfaced antibody.
- Exemplary CDRs of HER3-3, HER3-8, and HER3-10 are defined as indicated in Table 12.
- lysine 95 in murine HER3-8 heavy chain CDR3 was replaced with arginine for humanized version 1.00 (shown in italic), so both versions of the heavy chain CDR3 are given.
- the table provides exemplary Kabat defined heavy chain CDR2's for both the murine and human versions of HER3-3, HER3-8, and HER3-10. The underlined sequence indicates the portion of the Kabat heavy chain CDR2 that was not considered a CDR for resurfacing.
- the human germline sequences used as the replacement surfaces for the heavy chain variable domains of HER3-3, HER3-8, and HER3-10 were IGHV1-69* 12, IGHV4-31 *03, and IGHV1-69* 10, respectively.
- the specific framework surface residue changes for HER3- 3, HER3-8, and HER3-10 are shown in Figures 11, 12, and 13 respectively. Since the resurfaced HER3-8 heavy chain included the CDR3 lysine 95 to arginine 95 substitution for preferred version 1.00, a second resurfaced version (vl .01) was also generated with murine lysine 95 retained.
- Figure 14 shows the alignment of the resurfaced sequences for HER3-3, HER3-8, and HER3-10 variable domain of both light chain and heavy chain with their murine counterparts. - -
- variable region sequences for huHER3-3, huHER3-8 and huHER3-10 were codon-optimized and synthesized by Blue Heron Biotechnology. The sequences are flanked - -
- the light chain variable region is cloned into EcoRI and BsiWI sites in the pAbKZeo plasmid.
- the heavy chain variable region is cloned into the Hindlll and Apal sites in the pAbGlNeo plasmid.
- Binding affinity of the humanized antibodies of huHER3-3, huHER3-8 and huHER3-10 were compared with their murine counterparts in flow cytometric assay using huHER3 -expressing 300-19 cells.
- the binding assays were performed as described in Example 3.
- Figure 15 depicts the dose-response curves generated by non-linear regression for each antibody.
- the value for the apparent dissociation constant (Kd) of each antibody was calculated using GraphPad Prism v4 (GraphPad software, San Diego, CA).
- Kd apparent dissociation constant
- Antibody competition assay was also performed with biotinylated muHER3-8 antibody as the reference antibody, and muHER3-8, huHER3-8v. l .OO and huHER3-8v. l .01 antibodies as competing antibodies.
- the assay was performed as described in Example 8.
- huHER3-8v. l .01 antibody competed with the biotinylated muHER3-8 antibody in the exact fashion as the murine counterpart, while huHER3-8v.l .OO antibody was better than the murine counterpart.
- the EC50 of the huHER3-8v.1.00 antibody and the muHER3-8 antibody curve were 0.24nM and 0.76nM, respectively. Because of this, huHER3-8v.l .OO antibody was chosen for further characterization and it is referred to as the huHER3-8 antibody.
- Example 2 The experiments were carried out as described in Example 2. In brief, target cells were plated at 2,000 cells per well in normal growth media containing 10% FBS. The cells were further incubated at 37°C for 4 to 6 days in presence of 10 ⁇ g/ml anti-HER3 antibodies. The level of cell proliferation was determined using colorimetric WST-8 assay. The OD results were normalized so that 100% represents cells grown in normal growth media and in absence of anti-HER3 antibodies, and 0% represents cells grown in the media containing 0.5% FBS.
- huHER3-3, huHER3-8 and huHER3-10 antibodies were compared with U3 Pharma's Ul-59 (human IgGl) and Merrimack's antibody #6 (referred as 'M-6'; humanized IgG2).
- Ul-59 and M-6 antibodies were generated based on sequence data published in U.S. Patent Application Publication number 2008/0124345 and International application number PCT/US2008/002119, respectively.
- huHER3 antibodies of the invention performed significantly better (p ⁇ 0.05) than Ul-59 and M-6 antibodies in inhibiting cell proliferation of SKBR3, BT474, MDA-MB453 and ZR75-30 cell lines.
- the huHER3-8 antibody performed the best among these anti-HER3 antibodies.
- Figure 2 IB depicts the dose dependent inhibition of MCF7 cell proliferation by the huHER3-8 antibody.
- TMBW Tetramethylbenzidine
- the huHER3-8 and huHER3-10 antibodies were better than the M-6 antibody in inhibiting ligand-induced HER3 phsophorylation ( Figure 22 A); and the huHER3- 3, huHER3-8 and huHER3-10 antibodies were better than or as active as the M-6 antibody in inhibiting ligand-induced AKT phosphorylation ( Figure 22B).
- Thermo Scientific Streptavidin Agarose Resins (Thermo Scientific). The immunoprecipitated proteins were separated in an SDS-PAGE gel, transferred to nitrocellulose membrane, and stained with anti-HER2 antibody (clone 29D8, Cell Signaling) or anti-HER3 antibody (clone C-17, Santa Cruz).
- a lactate dehydrogenase (LDH) release assay was used to measure antibody- dependent cell mediated cytotoxicity (ADCC) of tumor cell lines using freshly isolated human natural killer (NK) cells as effector cells (Shields RL, J Biol Chem. 2001 276(9):6591- 604).
- the NK cells were first isolated from human peripheral blood from a normal donor (Research Blood Components, Inc., Brighton, MA) using a modified protocol for the NK cell Isolation Kit II (#130-091-152; Miltenyi Biotec, Auburn, CA). Peripheral blood was diluted 2-fold with lx PBS.
- PBMC peripheral blood mononuclear cells
- lymphocytes except for NK cells, resulting in a negative selection of NK cells.
- the mixture was incubated at 4°C for 10 min, and then 3/5x volume of MACS buffer and 2/5x volume of NK cell MicroBead cocktail that would bind to the biotinylated antibodies were added.
- the cell-antibody mixture was incubated for another 15 min at 4°C.
- cells were washed once with 50mL of MACS buffer and resuspended in 3mL of MACS buffer. NK cells were separated as negative fraction using autoMACS separator (Miltenyi Biotec).
- NK cells were plated into 30mL of complete RPMI media (RPMI-1640 supplemented with 5% fetal bovine serum, 1% penicillin-streptomycin, ImM HEPES, lmM Sodium Pyruvate, 1% 100X MEM non-essential Amino Acid Solution) overnight.
- the subsequent assay and all dilutions were carried out in RHBP medium (RPMI-1640 medium supplemented with 20mM HEPES, pH 7.4, 0.1% BSA and 1% penicillin-streptomycin).
- NK cells were then added to the wells containing the target cells at The typical ratio was 1 target cell to 3-4 NK cells.
- the following controls were set up for each experiment: NK cells alone, target cells alone (spontaneous LDH release), target cells with NK cells (antibody independent LDH release), target cells with 10% Triton X-100 (maximum LDH release).
- Figures 24A and 24B show ADCC activity of the huHER3 antibodies in BT474 and MCF7, respectively.
- the huHER3-10 antibody showed the best ADCC activity with maximal cell lysis at 55% and 17% for BT474 and MCF7 cells, respectively.
- the huHER3-3 and huHER3-8 antibodies showed similar maximal cell lysis at 35% in BT474 cells.
- M-6 antibody did not induce a significant cell lysis in both BT474 and MCF7 cells.
- SMCC succinimidyl 4-(N-maleimidomethyl) cyclohexane-l-carboxylate
- DMA dimethylacetamide
- the huHER3 antibody was modified with SMCC to introduce maleimides into the antibody by incubating the antibody at 5mg/mL in 50mM potassium phosphate, 50mM NaCl, 2mM EDTA, pH 6.5 with a 10 molar excess of SMCC. After approximately 100 minutes at ambient temperature, the reaction mixture was purified using a SEPHADEXTM G25 column equilibrated with the same potassium phosphate buffer. Antibody containing fractions were pooled and used for subsequent steps.
- the SMCC-modified antibody was reacted with a lOmM solution of DM1 at a 1.7 molar excess relative to the maleimide linker.
- the reaction was stirred at ambient temperature for approximately 18 hours.
- the conjugation reaction mixture was filtered through a SEPHADEXTM G25 gel filtration column equilibrated with I PBS at pH 6.5.
- the huHER3 antibody-SMCC-DMl conjugate was then dialyzed into buffer containing lOmM histidine, 250mM glycine, 1% sucrose, at pH 5.5.
- the number of DM1 molecules linked per antibody molecule was determined using the previously reported extinction coefficients for antibody and DM1 (Liu et al., Proc. Natl.
- the percentage of free maytansinoid present after the conjugation reaction was determined by injecting 20-50 ⁇ g conjugate onto a HiSep column equilibrated in 25% acetonitrile in lOOmM ammonium acetate buffer, pH 7.0, and eluting in acetonitrile.
- the peak area of total free maytansinoid species was measured using an absorbance detector set to a wavelength of 252 nm and compared with the peak area relative to bound maytansinoid (eluted in the conjugate peak in the column flow-through fractions) to calculate the percentage of total free maytansinoid species.
- Conjugates with 3.5-4 DM1 molecules per huHER3 antibody were obtained with ⁇ 1% present as unconjugated maytansinoid.
- N-succinimidyl 4-(2-pyridyldithio) butanoate (SPDB) linker was dissolved in ethanol.
- the huHER3 antibody was incubated at 8mg/mL with a 5.5-5 fold molar excess of SPDB linker for approximately 2 hours at room temperature in 50mM potassium phosphate buffer (pH 6.5) containing 50mM NaCl, 2mM EDTA, and 3% ethanol.
- the SPDB modified antibody was diluted 2-fold in PBS, pH 6.5 and modified with a 1.5 fold molar excess of the maytansinoid DM4 by the addition of a concentrated solution (15-30mM) of DM4 in dimethylacetamide (DMA). After overnight incubation at room temperature, the conjugated antibody was purified by chromatography on SEPHADEXTM G25F equilibrated with lOmM histidine, 250mM glycine, 1% sucrose, at pH 5.5. The number of DM4 molecules linked per antibody molecule was determined using the previously reported extinction coefficients for antibody and maytansinoid (Widdison WC et al. J Med Chem, 49:4392-4408 (2006)). The percentage of total free maytansinoid species were determined as described above. Conjugates with 3.5-4 DM4 molecules per huHER3 antibody were obtained with ⁇ 1% present as unconjugated maytansinoid.
- N-hydroxysuccinimidyl-(polyethylene glycol) 4-(N-maleimidomethyl)-DMl (NHS-PEG4-mal-DMl) reagent was dissolved in DMA.
- the huHER3 antibody was incubated at 5mg/mL in 50mM potassium phosphate, 150mM NaCl, 2mM EDTA, pH 7.5 with a 7 fold molar excess of NHS-PEG4-mal-DMl (10% DMA total). After approximately 2 hours at ambient temperature, the reaction mixture was purified using a SEPHADEXTM G25 column equilibrated in lx PBS, pH 7.4.
- Antibody containing fractions were pooled and dialyzed into buffer containing lOmM histidine, 250mM glycine, 1% sucrose, at pH 5.5.
- the number of DM1 molecules linked per antibody and the percentage of total free maytansinoid species were determined as described above.
- Conjugates with 3.5-4 DM4 molecules per huCD37-3 antibody were obtained with ⁇ 1% present as unconjugated maytansinoid.
- the Kds calculated from the binding curves were 0.14nM for huHER3-8 antibody, 0.49nM for huHER3-8-SMCC-DMl, 0.29nM for huHER3- 8-SPDB-DM4, and 0.27nM for huHER3-8-PEG-mal-DMl conjugates.
- Figure 25B shows the binding curve of huHER3-8 naked antibody and maytansinoid conjugates to maHER3- overexpressing 300-19 cells.
- the Kds calculated from the binding curves were 0.19nM for - -
- huHER3-8 antibody 0.29nM for huHER3-8-SMCC-DMl, 0.23nM for huHER3-8-SPDB- DM4, and 0.28nM for huHER3-8-PEG-mal-DMl conjugates.
- SMCC-DMl, SPDB-DM4 or PEG4-mal-DMl conjugation does not notably alter the binding affinity of the exemplary huHER3-8 antibody to both huHER3 and maHER3 antigens.
- FIG. 26A and 26B The results from a typical cytotoxicity assay are shown in Figure 26A and 26B for huHER3-overexpressing 300-19 cells and maHER3-overexpressing 300-19 cells, respectively.
- the huHER3-3 Ab and huHER3-8 Ab conjugates resulted in high specific cell killing as compared to the control conjugate on both huHER3 and maHER3-overexpressing 300-19 cells.
- the EC50 values correspond to 0.19nM for huHER3 -3 -SMCC-DMl, 0.17nM for huHER3-8- SMCC-DM1, and 0.18nM for huHER3-8-SPDB-DM4 whereas only 53nM for chKTI- SMCC-DM1 and 4.4nM for chKTI-SPDB-DM4 conjugates.
- the EC50 values correspond to 0.059nM for huHER3-8-SMCC-DMl, 0.099nM for huHER3-8-SPDB-DM4, and 0.045nM for huHER3-8-PEG-mal-DMl - -
- the non-binding conjugates only kill less than 0.3 fraction of the cells at the highest concentration tested.
- the HER-3 extracellular domain (ECD) of about 620 amino acids is made up of four sub-domains consisting of LI (amino acids 20-184), the amino terminal domain (amino acids, 1-19); SI (amino acids 185-327) and S2 (amino acids 500-632), which are the two Cysteine-rich domains; and the L2 domain (amino acids 328-499), which is flanked by the two Cysteine-rich domains.
- LI amino acids 20-184
- SI amino acids 185-327
- S2 amino acids 500-632
- L2 domain amino acids 328-499
- HER-3 protein sequence of 1342 amino acids was codon optimized, synthesized, and cloned into the pSRa mammalian expression vector by Blue Heron Biotechnologies.
- An Fc fusion of human HER-3 was built by cloning HER-3 ECD (amino acids 1-632) in frame with a murine IgG2A hinge, CH2, and CH3 region in the pmuFc2ANL mammalian expression vector.
- a murine HER-3 ECD (amino acids 1-632) Fc fusion was similarly constructed including unique internal restriction sites taken from conservative sequences within the human HER-3 Fc construct, providing convenient domain swap cloning sites for each of the four domains.
- anti-HER3 antibodies of the invention are unique because of their capacity in inhibiting the basal proliferation of breast cancer cell lines such as SKBR3 ( Figure 17), BT474 ( Figure 18), MDA-MB453 ( Figure 19) and ZR75-30 ( Figure 20). These four cell lines constitutive ly activate HER3 signaling in the absence of exogenous ligands (Kraus M.H. et al, Proc. Natl. Acad. Sci. USA, 90: 2900-2904 (1993)).
- huHER3-8 antibody to inhibit the basal level of phospho-HER3 (pHER3) in SKBR3, MDA- MB453 and ZR75-30 cells was evaluated.
- Merrimack's M-6 antibody was included as a control.
- tumor cells were plated in 6-well plates at 5 x 10 5 cells/well. The next day, antibodies were added at the indicated concentration, and the cells were further incubated for 20-24 hours. Cells were then washed with HBSS and lysed. The level of pHER3 was measured by ELISA using pErbB3 ELISA kit (catalog number DYC 1769-2, R & D
Landscapes
- Health & Medical Sciences (AREA)
- Life Sciences & Earth Sciences (AREA)
- Chemical & Material Sciences (AREA)
- Bioinformatics & Cheminformatics (AREA)
- Engineering & Computer Science (AREA)
- Medicinal Chemistry (AREA)
- General Health & Medical Sciences (AREA)
- Veterinary Medicine (AREA)
- Immunology (AREA)
- Pharmacology & Pharmacy (AREA)
- Animal Behavior & Ethology (AREA)
- Public Health (AREA)
- Epidemiology (AREA)
- Organic Chemistry (AREA)
- Cell Biology (AREA)
- Biochemistry (AREA)
- Oncology (AREA)
- Molecular Biology (AREA)
- Nuclear Medicine, Radiotherapy & Molecular Imaging (AREA)
- Chemical Kinetics & Catalysis (AREA)
- General Chemical & Material Sciences (AREA)
- Biophysics (AREA)
- Genetics & Genomics (AREA)
- Proteomics, Peptides & Aminoacids (AREA)
- Peptides Or Proteins (AREA)
- Medicines Containing Antibodies Or Antigens For Use As Internal Diagnostic Agents (AREA)
Abstract
Novel anti-cancer agents, including, but not limited to, antibodies and immunoconjugates, that bind to HER3 are provided. Methods of using the HER3-binding agents, antibodies, or immunoconjugates, such as methods of inhibiting tumor growth, are further provided.
Description
HER3 -BINDING MOLECULES AND IMMUNOCONJUGATES THEREOF
CROSS-REFERENCE TO RELATED APPLICATIONS
[0001] This patent application claims the benefit of U.S. Provisional Patent Application No. 61/370,701, filed August 4, 2010, which is incorporated by reference.
INCORPORATION-BY-REFERENCE OF MATERIAL SUBMITTED
ELECTRONICALLY
[0002] Incorporated by reference in its entirety herein is a computer-readable
nucleotide/amino acid sequence listing submitted concurrently herewith and identified as follows: One 115,231 Byte ASCII (Text) file named "708769SequenceListing.TXT," created on August 4, 2011.
FIELD OF THE INVENTION
[0003] The present invention generally relates to antibodies, antigen-binding fragments thereof, polypeptides, and immunoconjugates that bind to HER3. In particular, it relates to anti-HER3 antibodies and fragments thereof which inhibit ligand-independent HER3 activation and cell growth. The present invention also relates to methods of using such HER3-binding molecules for diagnosing and treating diseases, such as malignancies.
BACKGROUND OF THE INVENTION
[0004] HER3 (ErbB3) is a member of the human epidermal growth factor receptor (HER) family of receptor tyrosine kinases (RTKs) which also includes epidermal growth factor receptor (EGFR or HER1), HER2 (ErbB2) and HER4 (ErbB4) (Plowman et al, Proc. Natl. Acad. Sci. U.S.A. 87 (1990), 4905-4909; Kraus et al, Proc. Natl. Acad. Sci. U.S.A. 86 (1989), 9193-9197; and Kraus et al, Proc. Natl. Acad. Sci. U.S.A. 90 (1993), 2900-2904). These RTKs share a homologous structure that consists of a ligand-binding extracellular domain (ECD), a single span transmembrane domain and an intracellular domain that contains a catalytic-kinase domain and a C-terminal tail. HER kinase signaling is initiated by the binding of extracellular ligand that induces receptor dimerization and
transphosphorylation of the intracellular regions. These events generate the initial signal
- -
leading to activation of numerous downstream signaling pathways that are critical for cell proliferation and survival.
[0005] It is known that two members of the HER family of RTKs, EGFR and HER2, play significant roles in the pathogenesis of many types of human cancers. In fact, four EGFR targeting agents, including two naked antibodies (cetuximab (Erbitux) and panitumumab (Vectibix)) and two small molecules (erlotinib (Tarceva) and gefitinib (Iressa)), have been approved for the treatment of metastatic colorectal cancer, head and neck cancer, and metastatic non small cell lung cancer. Two HER2 targeting agents, including a naked antibody (trastuzumab (Herceptin)) and a small molecule (lapatinib (Tykerb)), have been approved for HER2 positive metastatic breast cancer and HER2 positive gastric cancer.
[0006] HER3 is unique among the HER family in that its kinase domain is catalytically inactive (Guy PM. et al, Proc Natl Acad Sci USA. 91, 8132-8136 (1994), Sierke SL et al, Biochem J. 322, 757-763 (1997), Jura N et al, Proc Natl Acad Sci USA. 106, 20608-20613 (2009)). However, HER3 is an efficient dimerization partner for the other HER family members (Sergina NC and Moasser MM. Trends in Mol Med. 13, 527-534 (2007)). In fact, dimerization of HER3 with HER2, which cannot bind to any extracellular ligands, elicits one of the most powerful oncogenic signals among the HER family members. In the past 7 years, there has been mounting evidence that support the role of HER3 in cancer pathogenesis. In breast carcinoma, HER3 expression is found to be associated with poor survival and cancer metastasis (Witton CI et al., J. Pathol. 200, 290-297 (2003)) and the increase of cancer recurrence after surgery or radiation (Barnes NL. et al., Clin. Cancer Res. 11, 2163-2168 (2005)). In ovarian cancer and melanoma, high HER3 expression is also associated with poor survival (Tanner B. et al, J. Clin. Oncol. 24, 4317-4323 (2006) and Reschke M. et al, Clin. Cancer Res. 14, 5188-5197 (2008)). Additionally, HER3 expression and signaling is found to be associated with resistance to several cancer therapies including: 1) HER2 inhibitors in HER2-amplified breast cancer (Sergina NV. et al, Nature, 445, 437-441 (2007) and Wang SE. et al, Mol Cell biol. 28, 5605-5620 (2008)), 2) EGFR inhibitors in lung cancer
(Engelman JA. et al, Science 316, 1039-1043 (2007) and Wheeler DL. et al, Oncogene 27, 3944-3956 (2008)) and head and neck cancer (Erjala K. et al, Clin Cancer Res. 12, 4103- 4111 (2006)), 3) anti-estrogen therapies in estrogen receptor (ER) positive breast cancer (Miller TW. et al, Cancer Res. 69, 4192-4201 (2009), Liu B. et al, Int J Cancer 120, 1874- 1882 (2007), Osipo C. et al, Int J Oncol. 30, 509-520 (2007)), 4) anti-hormone therapy in prostate cancer (Zhang Y. et al, Mol Cancer Ther. 7, 3176-3186 (2008)) and 5) IGF1R
inhibitors in hepatocellular carcinoma (Desbois-Mouthon C. et al., Clin Cancer Res. 15, 5445-5456 (2009)). In most of these cases, HER3 phosphorylation is driven by one of its HER family kinase partners. However, HER3 can also be activated by other RTKs, such as cMET, in a ligand independent manner (Engelman JA. et al., Science 316, 1039-1043 (2007)).
[0007] Because of the significant role of HER3 in cancer pathogenesis, there is a need for agents that interfere with HER3-mediated signaling. Considering that EGFR-targeting antagonistic antibodies (e.g., cetuximab and panitumumab) and HER2 -targeting antagonistic antibodies (e.g., trastuzumab) and immunoconjugates thereof (e.g., trastuzumab-DMl) are quite potent in inhibiting EGFR and HER2 driven cancer cell growth, it is particularly desirable to develop antagonistic anti-HER3 antibodies and anti-HER3 antibody
immunoconjugates that can be usedto treat cancers that overexpress HER3 and/or have developed resistance to EGFR, HER2 and other therapies, such as hormone therapies and IGF1R therapy. The present invention, which focuses on a unique class of HER3 antibodies that are effective in a ligand-independent manner, addresses the need for HER3 inhibitory antibodies and immunoconjugates.
BRIEF SUMMARY OF THE INVENTION
[0008] This invention provides a novel class of antibodies that bind to both human and macaque HER3 protein and further posses the ability to inhibit ligand-independent HER3 activation, signaling and cell growth, and/or one or more of the following properties: an ability to inhibit ligand-dependent HER3 activation, signaling and cell growth; an ability to inhibit HER3 ligand binding to HER3 receptor; an ability to inhibit HER2-HER3 dimer formation; an ability to mediate antibody dependent cell cytotoxicity (ADCC); and an ability to deliver cytotoxic conjugates. Novel immunoconjugates comprising these antibodies and methods of their use are described herein. Novel polypeptides, such as antibodies that bind human HER3, fragments of such antibodies, and other polypeptides related to such antibodies are also provided. Polynucleotides comprising nucleic acid sequences encoding the polypeptides are also provided, as are vectors comprising the polynucleotides. Cells comprising the polypeptides and/or polynucleotides of the invention are further provided. Compositions (e.g., pharmaceutical compositions) comprising the novel HER3 antibodies or immunoconjugates are also provided. In addition, methods of making and using the novel
- -
HER3 antibodies or immunoconjugates are also provided, such as methods of using the novel HER3 antibodies or immunoconjugates to inhibit tumor growth and/or treat cancer.
[0009] The antibody or antigen binding fragment thereof can be one that specifically binds to the same HER3 epitope as an antibody selected from the group consisting of: (a) an antibody purified from the cell line of ATCC Accession No. PTA-11145; (b) an antibody purified from the cell line of ATCC Accession No. PTA-11146; (c) an antibody purified from the cell line of ATCC Accession No. PTA-11147; (d) an antibody comprising a first amino acid sequence that is at least 90%, 95%, 98%, or 99% identical to SEQ ID NO: 28 and a second amino acid sequence that is at least 90%, 95%, 98%, or 99% identical to SEQ ID NO: 35; (e) an antibody comprising a first amino acid sequence that is at least 90%>, 95%>, 98%>, or 99%) identical to SEQ ID NO: 29 and a second amino acid sequence that is at least 90%>, 95%>, 98%, or 99% identical to SEQ ID NO: 36; (f) an antibody comprising a first amino acid sequence that is at least 90%, 95%, 98%, or 99% identical to SEQ ID NO: 30 and a second amino acid sequence that is at least 90%, 95%, 98%, or 99% identical to SEQ ID NO: 37; (g) an antibody comprising a first amino acid sequence that is at least 90%>, 95%>, 98%>, or 99%> identical to SEQ ID NO: 31 and a second amino acid sequence that is at least 90%>, 95%>, 98%, or 99% identical to SEQ ID NO: 38; (h) an antibody comprising a first amino acid sequence that is at least 90%, 95%, 98%, or 99% identical to SEQ ID NO: 32 and a second amino acid sequence that is at least 90%, 95%, 98%, or 99% identical to SEQ ID NO: 38; (i) an antibody comprising a first amino acid sequence that is at least 90%>, 95%>, 98%>, or 99%> identical to SEQ ID NO: 33 and a second amino acid sequence that is at least 90%>, 95%>, 98%, or 99% identical to SEQ ID NO: 39; and j) an antibody comprising a first amino acid sequence that is at least 90%, 95%, 98%, or 99% identical to SEQ ID NO: 34 and a second amino acid sequence that is at least 90%, 95%, 98%, or 99% identical to SEQ ID NO: 40.
[0010] In some embodiments, the antibody or antigen binding fragment thereof specifically binds to HER3 protein, and the antibody or fragment thereof competitively inhibits the binding of an antibody selected from the group consisting of: (a) an antibody purified from the cell line of ATCC Accession No. PTA-11145; (b) an antibody purified from the cell line of ATCC Accession No. PTA-11146; (c) an antibody purified from the cell line of ATCC Accession No. PTA-11147; (d) an antibody comprising a first amino acid sequence that is at least 90%, 95%, 98%, or 99% identical to SEQ ID NO: 28 and a second amino acid sequence that is at least 90%, 95%, 98%, or 99% identical to SEQ ID NO: 35; (e) an antibody comprising a first amino acid sequence that is at least 90%>, 95%>, 98%>, or 99%> identical to
SEQ ID NO: 29 and a second amino acid sequence that is at least 90%, 95%, 98%, or 99% identical to SEQ ID NO: 36; (f) an antibody comprising a first amino acid sequence that is at least 90%, 95%, 98%, or 99% identical to SEQ ID NO: 30 and a second amino acid sequence that is at least 90%, 95%, 98%, or 99% identical to SEQ ID NO: 37; (g) an antibody comprising a first amino acid sequence that is at least 90%>, 95%, 98%>, or 99% identical to SEQ ID NO: 31 and a second amino acid sequence that is at least 90%, 95%, 98%, or 99% identical to SEQ ID NO: 38; (h) an antibody comprising a first amino acid sequence that is at least 90%), 95%, 98%>, or 99% identical to SEQ ID NO: 32 and a second amino acid sequence that is at least 90%, 95%, 98%, or 99% identical to SEQ ID NO: 38; (i) an antibody comprising a first amino acid sequence that is at least 90%, 95%, 98%, or 99% identical to SEQ ID NO: 33 and a second amino acid sequence that is at least 90%, 95%, 98%, or 99% identical to SEQ ID NO: 39; and j) an antibody comprising a first amino acid sequence that is at least 90%, 95%, 98%, or 99% identical to SEQ ID NO: 34 and a second amino acid sequence that is at least 90%, 95%, 98%, or 99% identical to SEQ ID NO: 40.
[0011] In certain embodiments, the antibody or antigen binding fragment thereof is produced by a hybridoma cell line selected from the group consisting of American Type Culture Collection (ATCC) Accession No. PTA-11145, deposited with the ATCC on July 1, 2010, ATCC Accession No. PTA-11146, deposited with the ATCC on July 1, 2010, and ATCC Accession No. PTA-11147, deposited with the ATCC on July 1, 2010. In some embodiments, the antibody or antigen binding fragment thereof specifically binds to HER3 protein and the antibody comprises (i) a first amino acid sequence comprising (a) an amino acid sequence selected from the group consisting of SEQ ID NOs: 4, 9, 14, and variants thereof with 1 conservative amino acid substitution; (b) an amino acid sequence selected from the group consisting of SEQ ID NOs: 5, 7, 8, 10, 12, 15, 17, 18, and variants thereof with 1 conservative amino acid substitution; and (c) an amino acid sequence selected from the group consisting of SEQ ID NOs: 6, 11, 13, 16, and variants thereof with 1 conservative amino acid substitution; and (ii) a second amino acid sequence comprising (d) an amino acid sequence selected from the group consisting of SEQ ID NOs: 19, 22, 25, and variants thereof with 1 conservative amino acid substitution; (e) an amino acid sequence selected from the group consisting of SEQ ID NOs; 20, 23, 26, and variants thereof with 1 conservative amino acid substitution; and (f) an amino acid sequence selected from the group consisting of SEQ ID NOs: 21, 24, and 27, and variants thereof with 1 conservative amino acid substitution.
- -
[0012] The invention also provides an antibody, antigen binding fragment thereof, or polypeptide that binds to HER3 protein and is selected from the group consisting of: (a) an antibody or antigen binding fragment thereof comprising a first amino acid sequence comprising SEQ ID NOs: 4, 5, and 6 and a second amino acid sequence comprising SEQ ID NOs: 19, 20, and 21; (b) an antibody or antigen binding fragment thereof comprising a first amino acid sequence comprising SEQ ID NOs: 9, 10, and 11 and a second amino acid sequence comprising SEQ ID NOs: 22, 23, and 24; (c) an antibody or antigen binding fragment thereof comprising a first amino acid sequence comprising SEQ ID NOs: 9, 10, and 13 and a second amino acid sequence comprising SEQ ID NOs: 22, 23, and 24; (d) an antibody or antigen binding fragment thereof comprising a first amino acid sequence comprising SEQ ID NOs: 14, 15, and 16 and a second amino acid sequence comprising SEQ ID NOs: 25, 26, and 27; and (e) variants of (a) to (d) comprising 1, 2, 3, or 4 conservative amino acid substitutions.
[0013] In further embodiments, the antibody, antigen binding fragment thereof, or polypeptidespecifically binds to HER3 protein and comprises a first amino acid sequence that is at least 90% identical, at least 95% identical, at least 98% identical, at least 99% identical, or identical to an amino acid sequence selected from the group consisting of SEQ ID NOs: 28-34 and a second amino acid sequence that is at least 90% identical, at least 95% identical, at least 98% identical, at least 99% identical, or identical to an amino acid sequence selected from the group consisting of SEQ ID NOs: 35-40.
[0014] In some embodiments, the antibody or antigen binding fragment thereof is murine, non-human, humanized, chimeric, resurfaced, or human.
[0015] In some embodiments, the antibody or antigen binding fragment thereof is capable of inducing apoptosis of a cell expressing HER3 in vitro in the absence of cross-linking agents. In some embodiments, the antibody or antigen binding fragment thereof is capable of inducing antibody dependent cell mediated cytotoxicity (ADCC).
[0016] In some embodiments, the antibody or antigen binding fragment thereof is capable of: inhibiting HER3 ligand-independent growth of tumor cells expressing HER3; inhibiting basal proliferation of tumor cells in which HER3 is constitutively activated; inhibiting basal HER3 signaling in the absence of exogenous HER3 ligand; inhibiting HER3 ligand- dependent growth of tumor cells expressing HER3; inhibiting HER3 ligand-induced HER3 signaling; inhibiting HER3 ligand binding to HER3 receptor; and/or inhibiting HER3 ligand- induced HER2 and HER3 dimerization.
- -
[0017] In other embodiments, the antibody or antigen binding fragment thereof is human or humanized, specifically binds to HER3, and is capable of inducing apoptosis of a cell expressing HER3 in vitro in the absence of cross-linking agents. In further embodiments, the human or humanized antibody or antigen binding fragment thereof is also capable of inducing complement dependent cytotoxicity (CDC) and/or capable of inducing antibody dependent cell mediated cytotoxicity (ADCC).
[0018] In still other embodiments, the antibody or antigen binding fragment thereof binds to human HER3 and macaque HER3. In one embodiment, the antibody or antigen binding fragment thereof has similar binding affinity for human HER3 and macaque HER3. In a specific embodiment, the antibody or antigen binding fragment thereof binds to human HER3 and macaque HER3 with a Kd of 0.3 nM or better.In some embodiments, the antibody or antigen binding fragment thereof is a full length antibody or an antigen binding fragment. The antibody or antigen binding fragment thereof can be a whole immunoglobulin molecule, an Fab, an Fab', an F(ab')2, an Fd, a single chain Fv or scFv, a disulfide linked Fv, a V-NAR domain, an IgNar, an intrabody, an IgGACH2, a minibody, an F(ab')3, a tetrabody, a triabody, a diabody, a single-domain antibody, a DVD-Ig, an Fcab, a mAb2, a (scFv)2, or a scFv-Fc. Cells producing the antibody or antigen binding fragment thereof or the polypeptide can also be made and used according to the methods described herein. The methods provide methods of making an antibody or antigen-binding fragment thereof or a polypeptide comprising (a) culturing a cell producing such a HER3 -binding agent so as to produce the HER3 -binding agent; and (b) isolating the antibody, antigen-binding fragment thereof, or polypeptide from the cultured cell.
[0019] In some embodiments, the HER3 -binding agent is an immunoconjugate having the formula (A) - (L) - (C), wherein: (A) is a HER3 -binding agent; (L) is a linker; and (C) is a cytotoxic agent; and wherein the linker (L) links (A) to (C).
[0020] In some embodiments, the HER3 -binding agent is an immunoconjugate having the formula (A) - (L) - (C), wherein: (A) is an antibody or antigen binding fragment that specifically binds to HER3; (L) is a non-cleavable linker; and (C) is a cytotoxic agent; and wherein the linker (L) links (A) to (C).
[0021] In some embodiments, the HER3 -binding agent is an immunoconjugate having the formula (A) - (L) - (C), wherein: (A) is an antibody or antigen binding fragment that specifically binds to HER3; (L) is a linker; and (C) is a maytansinoid; and wherein the linker (L) links (A) to (C).
- -
[0022] The immunoconjugate linker can be selected from a group consisting of a cleavable linker, a non-cleavable linker, a hydrophilic linker, and a dicarboxylic acid based linker. The linker can be selected from the group consisting of: N-succinimidyl 4-(2- pyridyldithio)pentanoate (SPP); N-succinimidyl 4-(2-pyridyldithio)butanoate (SPDB) or N- succinimidyl 4-(2-pyridyldithio)-2-sulfobutanoate (sulfo-SPDB); N-succinimidyl 4- (maleimidomethyl) cyclohexanecarboxylate (SMCC); N-sulfosuccinimidyl 4- (maleimidomethyl) cyclohexanecarboxylate (sulfoSMCC); N-succinimidyl-4-(iodoacetyl)- aminobenzoate (SIAB); and N-succinimidyl-[(N-maleimidopropionamido)- tetraethyleneglycol] ester (NHS-PEG4-maleimide). The linker can be N-succinimidyl- [(N- maleimidopropionamido)-tetraethyleneglycol] ester (NHS-PEG4-maleimide).
[0023] The cytotoxic agent can be selected from the group consisting of a maytansinoid, maytansinoid analog, doxorubicin, a modified doxorubicin, benzodiazepine, taxoid, CC- 1065, CC-1065 analog, duocarmycin, duocarmycin analog, calicheamicin, dolastatin, dolastatin analog, aristatin, tomaymycin derivative, and leptomycin derivative or a prodrug of the cytotoxic agent. The cytotoxic agent can be a maytansinoid. The cytotoxic agent can be N(2')-deacetyl-N(2')-(3-mercapto-l-oxopropyl)-maytansine (DM1) or N(2')-deacetyl-N2-(4- mercapto-4-methyl- 1 -oxopentyl)-maytansine (DM4).
[0024] Also provided herein is a pharmaceutical composition comprising a HER3- binding agent and a pharmaceutically acceptable carrier. The pharmaceutical composition also can comprise an anti-cancer agent that differs from the antibody.
[0025] A diagnostic reagent comprising a HER3 -binding agent which is labeled is also provided herein. The label can be selected from the group consisting of a radiolabel, a fluorophore, a chromophore, an imaging agent and a metal ion.
[0026] Also provided herein is a kit comprising a HER3 -binding agent.
[0027] The methods described herein include methods for inhibiting the growth of a cell expressing HER3 comprising contacting the cell with a HER3 -binding agent or
pharmaceutical composition comprising the same.
[0028] The methods also provide methods for treating a patient having cancer comprising administering to the patient a therapeutically effective amount of a HER3 binding agent or pharmaceutical composition comprising the same to the patient.
[0029] The methods can comprise administering an anti-cancer agent that differs from the HER3 -binding agent to the subject. The anti-cancer agent can be a chemotherapeutic agent.
- -
[0030] The cancer can be a cancer selected from the group consisting of acute lymphoblastic leukemia, acute myeloid leukemia, adrenocortical carcinoma, anal cancer, basal cell carcinoma, bile duct cancer, bladder cancer, bone cancer, brain tumors (including astrocytoma, brain stem glioma, craniopharyngioma, ependymoblastoma, ependymoma, medulloblastoma, medulloepithelioma, pineal parenchymal tumors of intermediate differentiation, supratentorial primitive neuroectodermal tumors, and pineoblastoma), breast cancer, bronchial tumors, Burkitt lymphoma, carcinoid tumors, central nervous system atypical teratoid/rhabdoid tumors, cervical cancer, chordoma, chronic lymphocytic leukemia, chronic myelogenous leukemia, chronic myeloproliferative disorders, colon cancer, colorectal cancer, cutaneous T-Cell lymphoma, embryonal tumors, endometrial cancer, esophageal cancer, Ewing sarcoma, gallbladder cancer, gastric cancer, germ cell tumors, hairy cell leukemia, head and neck cancer, hepatocellular cancer, Hodgkin lymphoma, hypopharyngeal cancer, intraocular melanoma, islet cell tumors, Kaposi sarcoma, kidney cancer, Langerhans cell histiocytosis, laryngeal cancer, liver cancer, malignant fibrous histiocytoma of bone and osteosarcoma, melanoma, Merkel cell carcinoma, mesothelioma, mouth cancer, multiple myeloma/plasma cell neoplasm, mycosis fungoides,
myelodysplastic/myeloproliferative neoplasms, nasal cavity and paranasal sinus cancer, nasopharyngeal cancer, neuroblastoma, non-Hodgkin lymphoma, non-small cell lung cancer, oral cancer, oropharyngeal cancer, ovarian cancer, pancreatic cancer, parathyroid cancer, penile cancer, pharyngeal cancer, pituitary tumor, prostate cancer, rectal cancer, renal cell cancer, retinoblastoma, rhabdomyosarcoma, salivary gland cancer, Sezary syndrome, skin cancer (nonmelanoma), small cell lung cancer, small intestine cancer, soft tissue sarcoma, squamous cell carcinoma, squamous neck cancer, stomach cancer, T-cell lymphoma, testicular cancer, throat cancer, thymoma and thymic carcinoma, thyroid cancer, urethral cancer, uterine cancer, vaginal cancer, vulvar cancer, Waldenstrom macroglobulinemia, and Wilms tumor.
[0031] Isolated polynucleotides comprising a nucleic acid sequence that encodes a polypeptide that is at least 90% identical, at least 95% identical, at least 99% identical, or identical to the HER3 -binding agents of the invention are also provided herein. The polynucleotide can comprise a nucleic acid sequence that is at least 90%, at least 95% identical, at least 98% identical, at least 99% identical, or identical to a nucleic acid sequence selected from the group consisting of SEQ ID NOs: 54-73.
- -
[0032] Vectors and host cells comprising such polynucleotides and vectors are also provided herein.
BRIEF DESCRIPTION OF THE DRAWINGS/FIGURES
[0033] Figures 1 A-B are bar graphs depicting the capacity of the indicated murine anti- HER3 antibodies (x-axis) in inhibiting the HER3 ligand-independent proliferation of SKBR3 cells (y-axis) measured in a WST-8 cell proliferation assay (Figure 1 A) and in a clonogenic assay (Figure IB). Trastuzumab (Tmab) anti-HER2 antibody was used for comparison.
[0034] Figure 2 depicts graphs of FACS analysis demonstrating the binding specificity of the indicated murine anti-HER3 antibodies using the human HER3 (huHER3)-overexpressing 300-19 cells (right column) and the parental wild type (WT) 300-19 cells (left column).
[0035] Figures 3A-C are line graphs depicting the binding curve of muHER3-3 (Figure 3A), muHER3-8 (Figure 3B), and muHER3-10 (Figure 3C) antibodies in the huHER3- overexpressing 300-19 cells.
[0036] Figures 4A-C are line graphs depicting the binding curve of muHER3-3 (Figure 4A), muHER3-8 (Figure 4B), and muHER3-10 (Figure 4C) antibodies in the macaque HER3 (maHER3)-overexpressing 300-19 cells.
[0037] Figure 5 is a bar graph depicting the capacity of the indicated murine anti-HER3 antibodies (x-axis) in inhibiting HRGi i-induced HER3 phosphorylation (y-axis) in MCF7 cells.
[0038] Figure 6 is a bar graph depicting the capacity of the indicated murine anti-HER3 antibodies (x-axis) in inhibiting HRGi i-induced AKT phosphorylation (Y-axis) in MCF7 cells.
[0039] Figure 7 is a bar graph depicting the capacity of the indicated murine anti-HER3 antibodies (x-axis) in inhibiting heregulin Ιβΐ (HRGi i) -induced MCF7 cell proliferation (y-axis).
[0040] Figure 8 is a Western blot depicting the ability of muHER3-8 and muHER3-10 antibodies to inhibit HER2-HER3 dimerization induced by HRGi i in MCF7 cells.
[0041] Figures 9A-B are line graphs depicting the ability of murine anti-HER3 antibodies to compete with biotinylated HRGi i binding in SKBR3 cells. U3-Pharma/Amgen's Ul-59 antibody was used for comparison (Figure 9B).
- -
[0042] Figures 10A-B are line graphs depicting the result of antibody binding competition in SKBR3 cells. Biotinylated Ul-59 Ab binding to HER3 antigen was measured in presence of other murine anti-HER3 antibodies (Figure 10A). Biotinylated muHER3-8 antibody binding to HER3 antigen is measured in presence of other murine anti HER3 antibodies (Figure 10B).
[0043] Figures 11A-B are tables depicting a list of HER3-3 surface residues and substitutions in resurfaced versions for HER3-3 VL (Figure 11 A) and HER3-3 VH (Figure 11B).
[0044] Figures 12A-B are tables depicting a list of HER3-8 surface residues and substitutions in resurfaced versions for HER3-8 VL (Figure 12A) and HER3-8 VH (Figure 12B).
[0045] Figures 13A-B are tables depicting a list of HER3-10 surface residues and substitutions in resurfaced versions for HER3-10 VL (Figure 13 A) and HER3-10 VH (Figure 13B).
[0046] Figures 14A-F depict alignments of resurfaced sequences for the HER3-3 and HER3-8 and HER3-10 variable region with their murine counterparts: Figure 14A) HER3-3 light chain variable domain; Figure 14B) HER3-3 heavy chain variable domain; Figure 14C) HER3-8 light chain variable domain; Figure 14D) HER3-8 heavy chain variable domain;. Figure 14E) HER3-10 light chain variable domain; Figure 14F) HER3-10 heavy chain variable domain. Dashes "-" denote identity with the murine sequence.
[0047] Figures 15A-C are line graphs depicting the binding curves of the indicated murine or humanized HER3 antibodies in huHER3-overexpressing 300-19 cells.
[0048] Figure 16 is a line graph depicting the result of antibody binding competition between muHER3-8 antibody versus huHER3-8v.1.00, huHER3-8v.1.01 or muHER3-8 naked antibodies in SKBR3 cells.
[0049] Figure 17 is a bar graph depicting the capacity of the indicated anti-HER3 antibodies (x-axis) in inhibiting the HER3 ligand-independent proliferation of SKBR3 cells (y-axis). U3-Pharma/Amgen's Ul-59 and Merrimack's M-6 antibodies were used for comparison.
[0050] Figure 18 is a bar graph depicting the capacity of the indicated anti-HER3 antibodies (x-axis) in inhibiting the HER3 ligand-independent proliferation of BT474 cells (y-axis). U3-Pharma/Amgen's Ul-59 and Merrimack's M-6 antibodies were used for comparison.
- -
[0051] Figure 19 is a bar graph depicting the capacity of the indicated anti-HER3 antibodies (x-axis) in inhibiting the HER3 ligand-independent proliferation of MDA-MB453 cells (y-axis). U3-Pharma/Amgen's Ul-59 and Merrimack's M-6 antibodies were used for comparison.
[0052] Figure 20 is a bar graph depicting the capacity of the indicated anti-HER3 antibodies (x-axis) in inhibiting the HER3 ligand-independent proliferation of ZR75-30 cells (y-axis). U3-Pharma/Amgen's Ul-59 and Merrimack's M-6 antibodies were used for comparison.
[0053] Figures 21A-B are graphs depicting the capacity of the indicated anti-HER3 antibodies in inhibiting HRGl βΐ -induced MCF7 cell proliferation. The activities of huHER3- 3, huHER3-8 and huHER3-10 antibody were compared with that of Merrimack's M-6 antibody (Figure 21 A). Dose dependent inhibition of MCF7 cell proliferation by huHER3-8 is shown in Figure 2 IB.
[0054] Figures 22A-B are bar graphs depicting the capacity of the indicated anti-HER3 antibodies (x-axis) in inhibiting HRGi i-induced HER3 phosphorylation (y-axis of Figure 22A) and AKT phosphorylation (y-axis of Figure 22B) in MCF7 cells. Merrimack's M-6 antibody was used for comparison.
[0055] Figure 23 is a Western blot depicting the ability of huHER3-8 and huHER3-10 antibodies to inhibit HER2-HER3 dimerization induced by HRGi i in MCF7 cells.
[0056] Figures 24A-B are line graphs depicting the ADCC activity of huHER3-3, huHER3-8, huHER3-10 and M-6 antibodies in BT474 (Figure 24A) and MCF7 cells (Figure 24B). chKTI was used as non-specific IgGl control.
[0057] Figures 25A-B are line graphs depicting a comparison of the binding of huHER3- 8 naked antibody and maytansinoid conjugates in SKBR3 (Figure 25 A) and maHER3-300-19 cells (Figure 25B).
[0058] Figures 26A-B are line graphs depicting the cytotoxicity of the indicated huHER3 antibody-maytansinoid conjugates in huHER3-300-19 cells (Figure 26 A) and maHER3-300- 19 cells (Figure 26B). The chKTI, chB38.1 and huC242 maytansinoid conjugates were used as non-binding conjugate controls.
[0059] Figure 27 depicts an alignment of the human and murine HER-3 extracellular domain (ECD) sequences. The restrictions sites used to engineer chimeric humn/murine ECD constructs, as well as the four domains within the ECD, are shown.
- -
[0060] Figure 28 is a line graph depicting the binding of the indicated human anti-HER3 antibodies to the ECD of human HER3.
[0061] Figure 29 is a line graph depicting the binding of the indicated human anti-HER3 antibodies to the ECD of murine HER3. Murine anti-HER3 antibody Ul-59 was used as a positive control.
[0062] Figure 30 is a line graph depicting the binding of the indicated human anti-HER3 antibodies to a chimeric ECD comprising human LI -SI domains and murine L2-S2 domains.
[0063] Figure 31 is a line graph depicting the binding of the indicated human anti-HER3 antibodies to a chimeric ECD comprising murine LI -SI domains and human L2-S2 domains. Murine anti-HER3 antibody Ul-59 was used as a positive control.
[0064] Figures 32A-C are bar graphs depicting the capacity of the huHER3-8 and M-6 antibodies to inhibit the basal level of phospho-HER3 in SKBR3 (Figure 32A), MDA-MB- 453 (Figure 32B), and ZR-75-30 (Figure 32C) cell lines.
DETAILED DESCRIPTION OF THE INVENTION
[0065] The present invention provides a novel class of HER3 binding molecules having high potency in inhibiting HER3-ligand independent HER3 expressing tumor cell proliferation. Further, immunoconjugates of anti-HER3 antibodies kill HER3 expressing cells unexpectedly well.
I. Definitions
[0066] To facilitate an understanding of the present invention, a number of terms and phrases are defined below.
[0067] The term HER3 as used herein, refers to any native HER3, unless otherwise indicated. HER3 is also referred to as v-erb-b2 erythroblastic leukemia viral oncogene homolog 3, ErbB-3, c-erbB-3, erbB3-S, MDA-BFl, MGC88033, LCCS2, pl80-ErbB3, p45- sErbB3, p85-sErbB3 and ERBB3. The term "HER3" encompasses "full-length,"
unprocessed HER3 as well as any form of HER3 that results from processing in the cell. The term also encompasses naturally occurring variants of HER3, e.g., splice variants, allelic variants, and iso forms. The HER3 polypeptides described herein can be isolated from a variety of sources, such as from human tissue types or from other sources, or prepared by recombinant or synthetic methods.
- -
[0068] The term "antibody" means an immunoglobulin molecule that recognizes and specifically binds to a target, such as a protein, polypeptide, peptide, carbohydrate, polynucleotide, lipid, or combinations of the foregoing through at least one antigen recognition site within the variable region of the immunoglobulin molecule. As used herein, the term "antibody" encompasses intact polyclonal antibodies, intact monoclonal antibodies, antibody fragments (such as Fab, Fab', F(ab')2, and Fv fragments), single chain Fv (scFv) mutants, multispecific antibodies such as bispecific antibodies generated from at least two intact antibodies, chimeric antibodies, humanized antibodies, human antibodies, fusion proteins comprising an antigen determination portion of an antibody, and any other modified immunoglobulin molecule comprising an antigen recognition site so long as the antibodies exhibit the desired biological activity. An antibody can be of any of the five major classes of immunoglobulins: IgA, IgD, IgE, IgG, and IgM, or subclasses (isotypes) thereof (e.g., IgGl, IgG2, IgG3, IgG4, IgAl and IgA2), based on the identity of their heavy-chain constant domains, referred to as alpha, delta, epsilon, gamma, and mu, respectively. In addition, an antibody can comprise either a kappa or lambda light chain immunoglobulin constant domain. The different classes of immunoglobulins have different and well known subunit structures and three-dimensional configurations. Antibodies can be naked or conjugated to other molecules such as toxins, radioisotopes, etc.
[0069] A "blocking" antibody or an "antagonist" antibody is one which inhibits or reduces biological activity of the antigen it binds, such as HER3. In some embodiments, blocking antibodies or antagonist antibodies substantially or completely inhibit the biological activity of the antigen. The biological activity can be reduced by 10%, 20%, 30%>, 40%>, 50%, 60%, 70%, 80%, 85%, 90%, 95%, or even 100%.
[0070] The term "basal" refers to the status where no exogenous HER3 ligand(s) are present. For examples, the term "basal cell proliferation" refers to cell proliferation in the absence of exogenous HER3 ligand(s), and the terms "basal HER3 signaling" and "basal level of phospho-HER3" refer to HER3 signaling or phospho-HER3 levels in the absence of exogenous HER3 ligand(s). In some embodiments, the antibodies or antigen binding fragments described herein inhibit basal cell proliferation, basal HER3 -signaling, and/or the basal level of phospho-HER3 by about 20%, 30%, 40%, 50%, 60%, 70%, 80%, 85%, 90%, 95%, or even 100%.
[0071] The term "inhibition of HER3 ligand-independent growth of tumor cells" refers to the ability of a molecule to inhibit the growth of tumor cells in serum containing media and in
- -
absence of exogenously added HER3 ligand. In some embodiments, the inhibitory activity can be 20%, 30%, 40%, 50%, 60%, 70%, 80%, 85%, 90%, 95%, or even 100%.
[0072] The term "inhibition of HER3 ligand-dependent growth of tumor cells" refers to the ability of a molecule to inhibit the growth of tumor cells in media containing exogenously added HER3 ligand. In some embodiments, the inhibitory activity can be 20%>, 30%>, 40%>, 50%, 60%, 70%, 80%, 85%, 90%, 95%, or even 100%.
[0073] The term "anti-HER3 antibody" or "an antibody that binds to HER3" refers to an antibody that is capable of binding HER3 with sufficient affinity such that the antibody is useful as a diagnostic and/or therapeutic agent in targeting HER3. The extent of binding of an anti-HER3 antibody to an unrelated, non-HER3 protein can be less than about 10% (e.g., about 9%), about 8%, about 7%, about 6%, about 5%, about 4%, about 3%, about 2%, or about 1%) of the binding of the antibody to HER3 as measured, e.g., by a radioimmunoassay (RIA). In certain embodiments, an antibody that binds to HER3 has a dissociation constant (Kd) of <1 μΜ, <100 nM, <10 nM, <5 nM, <1 nM, <0.9 nM, <0.8 nM, <0.7 nM, <0.6 nM, <0.5 nM, <0.4 nM, <0.3 nM, <0.2 nM, or <0.1 nM.
[0074] The term "antibody fragment" refers to a portion of an intact antibody and refers to the antigenic determining variable regions of an intact antibody. Examples of antibody fragments include, but are not limited to Fab, Fab', F(ab')2, and Fv fragments, linear antibodies, single chain antibodies, and multispecific antibodies formed from antibody fragments.
[0075] A "monoclonal antibody" refers to a homogeneous antibody population involved in the highly specific recognition and binding of a single antigenic determinant, or epitope. This is in contrast to polyclonal antibodies that typically include different antibodies directed against different antigenic determinants. The term "monoclonal antibody" encompasses both intact and full-length monoclonal antibodies as well as antibody fragments (such as Fab, Fab', F(ab')2, Fv), single chain (scFv) mutants, fusion proteins comprising an antibody portion, and any other modified immunoglobulin molecule comprising an antigen recognition site.
Furthermore, "monoclonal antibody" refers to such antibodies made in any number of manners including but not limited to by hybridoma, phage selection, recombinant expression, and transgenic animals.
[0076] The term "humanized antibody" refers to forms of non-human (e.g., murine) antibodies that are specific immunoglobulin chains, chimeric immunoglobulins, or fragments thereof that contain minimal non-human (e.g., murine) sequences. Typically, humanized
- -
antibodies are human immunoglobulins in which residues from the complementary determining region (CDR) are replaced by residues from the CDR of a non-human species (e.g., mouse, rat, rabbit, hamster) that have the desired specificity, affinity, and capability (Jones et al, 1986, Nature, 321 :522-525; Riechmann et al, 1988, Nature, 332:323-327; Verhoeyen et al, 1988, Science, 239: 1534-1536). In some instances, the Fv framework region (FR) residues of a human immunoglobulin are replaced with the corresponding residues in an antibody from a non-human species that has the desired specificity, affinity, and capability. The humanized antibody can be further modified by the substitution of additional residues either in the Fv framework region and/or within the replaced non-human residues to refine and optimize antibody specificity, affinity, and/or capability. In general, the humanized antibody will comprise substantially all of at least one, and typically two or three, variable domains containing all or substantially all of the CDR regions that correspond to the non-human immunoglobulin whereas all or substantially all of the FR residues are those of a human immunoglobulin consensus sequence. The humanized antibody can also comprise at least a portion of an immunoglobulin constant region or domain (Fc), typically that of a human immunoglobulin. Examples of methods used to generate humanized antibodies are described in U.S. Pat. 5,225,539.
[0077] A "variable region" of an antibody refers to the variable region of the antibody light chain or the variable region of the antibody heavy chain, either alone or in combination. The variable regions of the heavy and light chain each consist of four framework regions (FR) connected by three complementarity determining regions (CDRs) also known as hypervariable regions. The CDRs in each chain are held together in close proximity by the FRs and, with the CDRs from the other chain, contribute to the formation of the antigen- binding site of antibodies. There are at least two techniques for determining CDRs: (1) an approach based on cross-species sequence variability (see Kabat et al. Sequences of Proteins of Immunological Interest, (5th ed., 1991, National Institutes of Health, Bethesda Md.)); and (2) an approach based on crystallographic studies of antigen-antibody complexes (see Al- lazikani et al (1997) J. Molec. Biol. 273:927-948)). In addition, combinations of these two approaches are sometimes used in the art to determine CDRs.
[0078] The Kabat numbering system is generally used when referring to a residue in the variable domain (approximately residues 1-107 of the light chain and approximately residues 1-113 of the heavy chain) (see Kabat et al., Sequences of Immunological Interest. 5th Ed. Public Health Service, National Institutes of Health, Bethesda, Md. (1991)).
- -
[0079] The amino acid position numbering as in Kabat, refers to the numbering system used for heavy chain variable domains or light chain variable domains of the compilation of antibodies in Kabat et al., Sequences of Proteins of Immunological Interest, 5th Ed. Public Health Service, National Institutes of Health, Bethesda, Md. (1991). Using this numbering system, the actual linear amino acid sequence can contain fewer or additional amino acids corresponding to a shortening of, or insertion into, a FR or CDR of the variable domain. For example, a heavy chain variable domain can include a single amino acid insert (residue 52a according to Kabat) after residue 52 of H2 and inserted residues (e.g., residues 82a, 82b, and 82c, etc., according to Kabat) after heavy chain FR residue 82. The Kabat numbering of residues can be determined for a given antibody by alignment at regions of homology of the sequence of the antibody with a "standard" Kabat numbered sequence. The Chothia numbering system also can be used when referring to a residue in the variable domain (see Chothia and Lesk J. Mol. Biol. 196:901-917 (1987)). The Chothia numbering system refers instead to the location of the structural loops (Chothia and Lesk J. Mol. Biol. 196:901-917 (1987)). The end of the Chothia CDR-H1 loop when numbered using the Kabat numbering convention varies between H32 and H34 depending on the length of the loop (this is because the Kabat numbering scheme places the insertions at H35A and H35B; if neither 35A nor 35B is present, the loop ends at 32; if only 35A is present, the loop ends at 33; if both 35A and 35B are present, the loop ends at 34). The AbM hypervariable regions represent a compromise between the Kabat CDRs and Chothia structural loops, and are used by Oxford Molecular's AbM antibody modeling software.
Loop Kabat AbM Chothia
LI L24-L34 L24-L34 L24-L34
L2 L50-L56 L50-L56 L50-L56
L3 L89-L97 L89-L97 L89-L97
HI H31-H35B H26-H35B H26-H32..34
(Kabat Numbering)
HI H31-H35 H26-H35 H26-H32
(Chothia Numbering)
H2 H50-H65 H50-H58 H52-H56
H3 H95-H102 H95-H102 H95-H102
[0080] The term "human antibody" means an antibody produced by a human or an antibody having an amino acid sequence corresponding to an antibody produced by a human
- -
made using any technique known in the art. This definition of a human antibody includes intact or full-length antibodies, fragments thereof, and/or antibodies comprising at least one human heavy and/or light chain polypeptide such as, for example, an antibody comprising murine light chain and human heavy chain polypeptides.
[0081] The term "chimeric antibodies" refers to antibodies wherein the amino acid sequence of the immunoglobulin molecule is derived from two or more species. Typically, the variable region of both light and heavy chains corresponds to the variable region of antibodies derived from one species of mammals (e.g., mouse, rat, rabbit, etc.) with the desired specificity, affinity, and capability, while the constant regions are homologous to the sequences in antibodies derived from another (usually human) to avoid eliciting an immune response in that species.
[0082] The term "epitope" or "antigenic determinant" are used interchangeably herein and refer to that portion of an antigen capable of being recognized and specifically bound by a particular antibody. When the antigen is a polypeptide, epitopes can be formed both from contiguous amino acids and noncontiguous amino acids juxtaposed by tertiary folding of a protein. Epitopes formed from contiguous amino acids are typically retained upon protein denaturing, whereas epitopes formed by tertiary folding are typically lost upon protein denaturing. An epitope typically includes at least 3, and more usually, at least 5 or 8-10 amino acids in a unique spatial conformation.
[0083] "Binding affinity" generally refers to the strength of the sum total of noncovalent interactions between a single binding site of a molecule (e.g., an antibody) and its binding partner (e.g., an antigen). Unless indicated otherwise, as used herein, "binding affinity" refers to intrinsic binding affinity which reflects a 1 : 1 interaction between members of a binding pair (e.g., antibody and antigen). The affinity of a molecule X for its partner Y can generally be represented by the dissociation constant (Kd). Affinity can be measured by common methods known in the art, including those described herein. Low-affinity antibodies generally bind antigen slowly and tend to dissociate readily, whereas high-affinity antibodies generally bind antigen faster and tend to remain bound longer. A variety of methods of measuring binding affinity are known in the art, any of which can be used for purposes of the present invention. Specific illustrative embodiments are described in the following.
[0084] "Or better" when used herein to refer to binding affinity refers to a stronger binding between a molecule and its binding partner. "Or better" when used herein refers to a stronger binding, represented by a smaller numerical Kd value. For example, an antibody
- -
which has an affinity for an antigen of "0.6 nM or better," the antibody's affinity for the antigen is <0.6 nM, e.g., 0.59 nM, 0.58 nM, 0.57 nM, etc., or any value less than 0.6 nM.
[0085] By "specifically binds," it is generally meant that an antibody binds to an epitope via its antigen binding domain, and that the binding entails some complementarity between the antigen binding domain and the epitope. According to this definition, an antibody is said to "specifically bind" to an epitope when it binds to that epitope, via its antigen binding domain more readily than it would bind to a random, unrelated epitope. The term
"specificity" is used herein to qualify the relative affinity by which a certain antibody binds to a certain epitope. For example, antibody "A" may be deemed to have a higher specificity for a given epitope than antibody "B," or antibody "A" may be said to bind to epitope "C" with a higher specificity than it has for related epitope "D."
[0086] By "preferentially binds," it is meant that the antibody specifically binds to an epitope more readily than it would bind to a related, similar, homologous, or analogous epitope. Thus, an antibody which "preferentially binds" to a given epitope would more likely bind to that epitope than to a related epitope, even though such an antibody may cross-react with the related epitope.
[0087] An antibody is said to "competitively inhibit" binding of a reference antibody to a given epitope if it preferentially binds to that epitope to the extent that it blocks, to some degree, binding of the reference antibody to the epitope. Competitive inhibition may be determined by any method known in the art, for example, competition ELISA assays. An antibody may be said to competitively inhibit binding of the reference antibody to a given epitope by at least 95%, at least 90%, at least 85%, at least 80%, at least 70%, at least 60%, or at least 50%.
[0088] The phrase "substantially similar," or "substantially the same," as used herein, denotes a sufficiently high degree of similarity between two numeric values (generally one associated with an antibody of the invention and the other associated with a
reference/comparator antibody), such that one of skill in the art would consider the difference between the two values to be of little or no biological and/or statistical significance within the context of the biological characteristic measured by said values (e.g., Kd values). The difference between said two values can be less than about 50%>, less than about 40%>, less than about 30%, less than about 20%, or less than about 10% as a function of the value for the reference/comparator antibody.
- -
[0089] A polypeptide, antibody, polynucleotide, vector, cell, or composition which is "isolated" is a polypeptide, antibody, polynucleotide, vector, cell, or composition which is in a form not found in nature. Isolated polypeptides, antibodies, polynucleotides, vectors, cell or compositions include those which have been purified to a degree that they are no longer in a form in which they are found in nature. In some embodiments, an antibody, polynucleotide, vector, cell, or composition which is isolated is substantially pure.
[0090] As used herein, "substantially pure" refers to material which is at least 50% pure (i.e., free from contaminants), at lest 60% pure, at least 70%> pure, at least 80%> pure, at least 90%) pure, at least 95% pure, at least 96%> pure, at least 97% pure, at least 98%> pure, or at least 99%) pure.
[0091] The term "immunoconjugate" or "conjugate" as used herein refers to a compound or a derivative thereof that is linked to a cell binding agent (i.e., an anti-HER3 antibody or fragment thereof) and is defined by a generic formula: C-L-A, wherein C = cytotoxin, L = linker, and A = cell binding agent or anti-HER3 antibody or antibody fragment.
Immunoconjugates can also be defined by the generic formula in reverse order: A-L-C.
[0092] A "linker" is any chemical moiety that is capable of linking a compound, usually a drug, such as a maytansinoid, to a cell-binding agent such as an anti HER3 antibody or a fragment thereof in a stable, covalent manner. Linkers can be susceptible to or be
substantially resistant to acid-induced cleavage, light-induced cleavage, peptidase-induced cleavage, esterase-induced cleavage, and disulfide bond cleavage, at conditions under which the compound or the antibody remains active. Suitable linkers are well known in the art and include, for example, disulfide groups, thioether groups, acid labile groups, photolabile groups, peptidase labile groups and esterase labile groups. Linkers also include charged linkers, and hydrophilic forms thereof as described herein and known in the art.
[0093] The terms of "tumor" and "neoplasm" refer to a solid lesion formed by an abnormal growth of cells (termed neoplastic) which can be benign, pre-malignant or malignant. The term of "cancer" refer to malignant tumor/neoplasm that describes a class of diseases in which a population of cells display uncontrolled growth (division beyond the normal limits), invasion (intrusion on and destruction of adjacent tissues), and sometimes metastasis (spread to other locations in the body via lymph or blood). Examples of cancer include, but are not limited to carcinoma, sarcoma, lymphoma, leukemia, blastoma, and germ cell tumor. Examples of "cancer" or "tumorigenic" diseases which can be treated and/or prevented include acute lymphoblastic leukemia, acute myeloid leukemia, adrenocortical
- -
carcinoma, anal cancer, basal cell carcinoma, bile duct cancer, bladder cancer, bone cancer, brain tumors (including astrocytoma, brain stem glioma, craniopharyngioma,
ependymoblastoma, ependymoma, medulloblastoma, medulloepithelioma, pineal
parenchymal tumors of intermediate differentiation, supratentorial primitive neuroectodermal tumors, and pineoblastoma), breast cancer, bronchial tumors, Burkitt lymphoma, carcinoid tumors, central nervous system atypical teratoid/rhabdoid tumors, cervical cancer, chordoma, chronic lymphocytic leukemia, chronic myelogenous leukemia, chronic myeloproliferative disorders, colon cancer, colorectal cancer, cutaneous T-Cell lymphoma, embryonal tumors, endometrial cancer, esophageal cancer, Ewing sarcoma, gallbladder cancer, gastric cancer, germ cell tumors, hairy cell leukemia, head and neck cancer, hepatocellular cancer, Hodgkin lymphoma, hypopharyngeal cancer, intraocular melanoma, islet cell tumors, Kaposi sarcoma, kidney cancer, Langerhans cell histiocytosis, laryngeal cancer, liver cancer, malignant fibrous histiocytoma of bone and osteosarcoma, melanoma, Merkel cell carcinoma, mesothelioma, mouth cancer, multiple myeloma/plasma cell neoplasm, mycosis fungoides,
myelodysplastic/myeloproliferative neoplasms, nasal cavity and paranasal sinus cancer, nasopharyngeal cancer, neuroblastoma, non-Hodgkin lymphoma, non-small cell lung cancer, oral cancer, oropharyngeal cancer, ovarian cancer, pancreatic cancer, parathyroid cancer, penile cancer, pharyngeal cancer, pituitary tumor, prostate cancer, rectal cancer, renal cell cancer, retinoblastoma, rhabdomyosarcoma, salivary gland cancer, Sezary syndrome, skin cancer (nonmelanoma), small cell lung cancer, small intestine cancer, soft tissue sarcoma, squamous cell carcinoma, squamous neck cancer, stomach cancer, T-cell lymphoma, testicular cancer, throat cancer, thymoma and thymic carcinoma, thyroid cancer, urethral cancer, uterine cancer, vaginal cancer, vulvar cancer, Waldenstrom macroglobulinemia, and Wilms tumor.
[0094] The terms "cancer cell," "tumor cell," and grammatical equivalents refer to the total population of cells derived from a tumor or a pre-cancerous lesion, including both non- tumorigenic cells, which comprise the bulk of the tumor cell population, and tumorigenic cells, including cancer stem cells. As used herein, the term "tumor cell" will be modified by the term "non-tumorigenic" when referring solely to those tumor cells lacking the capacity to renew and differentiate to distinguish those tumor cells from cancer stem cells.
[0095] The term "subject" refers to any animal (e.g., a mammal), including, but not limited to humans, non-human primates, rodents, and the like, which is to be the recipient of
- -
a particular treatment. Typically, the terms "subject" and "patient" are used interchangeably herein in reference to a human subject.
[0096] Administration "in combination with" one or more further therapeutic agents includes simultaneous (concurrent) and consecutive administration in any order.
[0097] The term "pharmaceutical formulation" refers to a preparation which is in such form as to permit the biological activity of the active ingredient to be effective, and which contains no additional components which are unacceptably toxic to a subject to which the formulation would be administered. The formulation can be sterile.
[0098] An "effective amount" of an antibody as disclosed herein is an amount sufficient to carry out a specifically stated purpose. An "effective amount" can be determined empirically and in a routine manner, in relation to the stated purpose.
[0099] The term "therapeutically effective amount" refers to an amount of an antibody or other drug effective to "treat" a disease or disorder in a subject or mammal. In the case of cancer, the therapeutically effective amount of the drug can reduce the number of cancer cells; reduce the tumor size; inhibit (i.e., slow to some extent or stop) cancer cell infiltration into peripheral organs; inhibit (i.e., slow to some extent or stop) tumor metastasis; inhibit, to some extent, tumor growth; and/or relieve to some extent one or more of the symptoms associated with the cancer. See the definition herein of "treating". To the extent the drug can prevent growth and/or kill existing cancer cells, it can be cytostatic and/or cytotoxic. A "prophylactically effective amount" refers to an amount effective, at dosages and for periods of time necessary, to achieve the desired prophylactic result. Typically but not necessarily, since a prophylactic dose is used in subjects prior to or at an earlier stage of disease, the prophylactically effective amount will be less than the therapeutically effective amount.
[0100] The word "label" when used herein refers to a detectable compound or composition which is conjugated directly or indirectly to the antibody so as to generate a "labeled" antibody. The label can be detectable by itself (e.g., radioisotope labels or fluorescent labels) or, in the case of an enzymatic label, can catalyze chemical alteration of a substrate compound or composition which is detectable.
[0101] A "chemotherapeutic agent" is a chemical compound useful in the treatment of cancer, regardless of mechanism of action. Chemotherapeutic agents include, for example, cisplatin, paclitaxel, gemcitabine, cyclophosphamide, doxorubicin, vincristine, prednisone, fiudarabine, etoposide, methotrexate, lenalidomide, chlorambucil, bentamustine and/or modified versions of such chemotherapeutics.
- -
[0102] Terms such as "treating" or "treatment" or "to treat" or "alleviating" or "to alleviate" refer to both 1) therapeutic measures that cure, slow down, lessen symptoms of, and/or halt progression of a diagnosed pathologic condition or disorder and 2) prophylactic or preventative measures that prevent and/or slow the development of a targeted pathologic condition or disorder. Thus, those in need of treatment include those already having the disorder; those prone to have the disorder; and those in whom the disorder is to be prevented. In certain embodiments, a subject is successfully "treated" for cancer according to the methods of the present invention if the patient shows one or more of the following: a reduction in the number of or complete absence of cancer cells; a reduction in the tumor size; inhibition of or an absence of cancer cell infiltration into peripheral organs including, for example, the spread of cancer into soft tissue and bone; inhibition of or an absence of tumor metastasis; inhibition or an absence of tumor growth; relief of one or more symptoms associated with the specific cancer; reduced morbidity and mortality; improvement in quality of life; reduction in tumorigenicity, tumorgenic frequency, or tumorgenic capacity, of a tumor; reduction in the number or frequency of cancer stem cells in a tumor; differentiation of tumorigenic cells to a non-tumorigenic state; or some combination of effects.
[0103] "Polynucleotide," or "nucleic acid," as used interchangeably herein, refer to polymers of nucleotides of any length, and include DNA and R A. The nucleotides can be deoxyribonucleotides, ribonucleotides, modified nucleotides or bases, and/or their analogs, or any substrate that can be incorporated into a polymer by DNA or RNA polymerase. A polynucleotide can comprise modified nucleotides, such as methylated nucleotides and their analogs. If present, modification to the nucleotide structure can be imparted before or after assembly of the polymer. The sequence of nucleotides can be interrupted by non-nucleotide components. A polynucleotide can be further modified after polymerization, such as by conjugation with a labeling component. Other types of modifications include, for example, "caps," substitution of one or more of the naturally occurring nucleotides with an analog, internucleotide modifications such as, for example, those with uncharged linkages (e.g., methyl phosphonates, phosphotriesters, phosphoamidates, cabamates, etc.) and with charged linkages (e.g., phosphorothioates, phosphorodithioates, etc.), those containing pendant moieties, such as, for example, proteins (e.g., nucleases, toxins, antibodies, signal peptides, poly-L-lysine, etc.), those with intercalators (e.g., acridine, psoralen, etc.), those containing chelators (e.g., metals, radioactive metals, boron, oxidative metals, etc.), those containing alkylators, those with modified linkages (e.g., alpha anomeric nucleic acids, etc.), as well as
- -
unmodified forms of the polynucleotide(s). Further, any of the hydroxyl groups ordinarily present in the sugars can be replaced, for example, by phosphonate groups, phosphate groups, protected by standard protecting groups, or activated to prepare additional linkages to additional nucleotides, or can be conjugated to solid supports. The 5' and 3' terminal OH can be phosphorylated or substituted with amines or organic capping group moieties of from 1 to 20 carbon atoms. Other hydroxyls can also be derivatized to standard protecting groups. Polynucleotides can also contain analogous forms of ribose or deoxyribose sugars that are generally known in the art, including, for example, 2'-0-methyl-, 2'-0-allyl, 2'-fluoro- or 2'- azido-ribose, carbocyclic sugar analogs, . alpha. -anomeric sugars, epimeric sugars such as arabinose, xyloses or lyxoses, pyranose sugars, furanose sugars, sedoheptuloses, acyclic analogs and abasic nucleoside analogs such as methyl riboside. One or more phosphodiester linkages can be replaced by alternative linking groups. These alternative linking groups include, but are not limited to, embodiments wherein phosphate is replaced by P(0)S
("thioate"), P(S)S ("dithioate"), "(0)NR2 ("amidate"), P(0)R, P(0)OR, CO or CH2
("formacetal"), in which each R or R is independently H or substituted or unsubstituted alkyl (1-20 C) optionally containing an ether (~0~) linkage, aryl, alkenyl, cycloalkyl, cycloalkenyl or araldyl. Not all linkages in a polynucleotide need be identical. The preceding description applies to all polynucleotides referred to herein, including RNA and DNA.
[0104] The term "vector" means a construct, which is capable of delivering, and optionally expressing, one or more gene(s) or sequence(s) of interest in a host cell. Examples of vectors include, but are not limited to, viral vectors, naked DNA or RNA expression vectors, plasmid, cosmid or phage vectors, DNA or RNA expression vectors associated with cationic condensing agents, DNA or RNA expression vectors encapsulated in liposomes, and certain eukaryotic cells, such as producer cells.
[0105] The terms "polypeptide," "peptide," and "protein" are used interchangeably herein to refer to polymers of amino acids of any length. The polymer can be linear or branched, it can comprise modified amino acids, and it can be interrupted by non-amino acids. The terms also encompass an amino acid polymer that has been modified naturally or by intervention; for example, disulfide bond formation, glycosylation, lipidation, acetylation, phosphorylation, or any other manipulation or modification, such as conjugation with a labeling component. Also included within the definition are, for example, polypeptides containing one or more analogs of an amino acid (including, for example, unnatural amino acids, etc.), as well as other modifications known in the art. It is understood that, because the polypeptides of this
- -
invention are based upon antibodies, in certain embodiments, the polypeptides can occur as single chains or associated chains.
[0106] The terms "identical" or percent "identity" in the context of two or more nucleic acids or polypeptides, refer to two or more sequences or subsequences that are the same or have a specified percentage of nucleotides or amino acid residues that are the same, when compared and aligned (introducing gaps, if necessary) for maximum correspondence, not considering any conservative amino acid substitutions as part of the sequence identity. The percent identity can be measured using sequence comparison software or algorithms or by visual inspection. Various algorithms and software are known in the art that can be used to obtain alignments of amino acid or nucleotide sequences. One such non- limiting example of a sequence alignment algorithm is the algorithm described in Karlin et al, 1990, Proc. Natl. Acad. Sci., 87:2264-2268, as modified in Karlin et al, 1993, Proc. Natl. Acad. Sci., 90:5873- 5877, and incorporated into the NBLAST and XBLAST programs (Altschul et al, 1991, Nucleic Acids Res., 25:3389-3402). In certain embodiments, Gapped BLAST can be used as described in Altschul et al, 1997, Nucleic Acids Res. 25:3389-3402. BLAST-2, WU- BLAST-2 (Altschul et al, 1996, Methods in Enzymology, 266:460-480), ALIGN, ALIGN-2 (Genentech, South San Francisco, California) or Megalign (DNASTAR) are additional publicly available software programs that can be used to align sequences. In certain embodiments, the percent identity between two nucleotide sequences is determined using the GAP program in GCG software (e.g., using a NWSgapdna.CMP matrix and a gap weight of 40, 50, 60, 70, or 90 and a length weight of 1, 2, 3, 4, 5, or 6). In certain alternative embodiments, the GAP program in the GCG software package, which incorporates the algorithm of Needleman and Wunsch (J. Mol. Biol. (48):444-453 (1970)) can be used to determine the percent identity between two amino acid sequences (e.g., using either a Blossum 62 matrix or a PAM250 matrix, and a gap weight of 16, 14, 12, 10, 8, 6, or 4 and a length weight of 1, 2, 3, 4, 5). Alternatively, in certain embodiments, the percent identity between nucleotide or amino acid sequences is determined using the algorithm of Myers and Miller (CABIOS, 4: 11-17 (1989)). For example, the percent identity can be determined using the ALIGN program (version 2.0) and using a PAM120 with residue table, a gap length penalty of 12 and a gap penalty of 4. Appropriate parameters for maximal alignment by particular alignment software can be determined by one skilled in the art. In certain embodiments, the default parameters of the alignment software are used. In certain embodiments, the percentage identity "X" of a first amino acid sequence to a second
- -
sequence amino acid is calculated as 100 x (Y/Z), where Y is the number of amino acid residues scored as identical matches in the alignment of the first and second sequences (as aligned by visual inspection or a particular sequence alignment program) and Z is the total number of residues in the second sequence. If the length of a first sequence is longer than the second sequence, the percent identity of the first sequence to the second sequence will be longer than the percent identity of the second sequence to the first sequence.
[0107] As a non-limiting example, whether any particular polynucleotide sequence has a certain percentage sequence identity (e.g., is at least 80% identical, at least 85% identical, at least 90% identical, and in some embodiments, at least 95%, 96%, 97%, 98%, or 99% identical) to a reference sequence can, in certain embodiments, be determined using the Bestfit program (Wisconsin Sequence Analysis Package, Version 8 for Unix, Genetics Computer Group, University Research Park, 575 Science Drive, Madison, WI 53711).
Bestfit uses the local homology algorithm of Smith and Waterman, Advances in Applied Mathematics 2: 482 489 (1981), to find the best segment of homology between two sequences. When using Bestfit or any other sequence alignment program to determine whether a particular sequence is, for instance, 95% identical to a reference sequence according to the present invention, the parameters are set such that the percentage of identity is calculated over the full length of the reference nucleotide sequence and that gaps in homology of up to 5% of the total number of nucleotides in the reference sequence are allowed.
[0108] In some embodiments, two nucleic acids or polypeptides of the invention are substantially identical, meaning they have at least 70%, at least 75%, at least 80%, at least 85%, at least 90%, and in some embodiments at least 95%, 96%, 97%, 98%, 99% nucleotide or amino acid residue identity, when compared and aligned for maximum correspondence, as measured using a sequence comparison algorithm or by visual inspection. Identity can exist over a region of the sequences that is at least about 10, about 20, about 40-60 residues in length or any integral value therebetween, and can be over a longer region than 60-80 residues, for example, at least about 90-100 residues, and in some embodiments, the sequences are substantially identical over the full length of the sequences being compared, such as the coding region of a nucleotide sequence for example.
[0109] A "conservative amino acid substitution" is one in which one amino acid residue is replaced with another amino acid residue having a similar side chain. Families of amino acid residues having similar side chains have been defined in the art, including basic side
- -
chains (e.g., lysine, arginine, histidine), acidic side chains (e.g., aspartic acid, glutamic acid), uncharged polar side chains (e.g., glycine, asparagine, glutamine, serine, threonine, tyrosine, cysteine), nonpolar side chains (e.g., alanine, valine, leucine, isoleucine, proline,
phenylalanine, methionine, tryptophan), beta-branched side chains (e.g., threonine, valine, isoleucine) and aromatic side chains (e.g., tyrosine, phenylalanine, tryptophan, histidine). For example, substitution of a phenylalanine for a tyrosine is a conservative substitution. In some embodiments, conservative substitutions in the sequences of the polypeptides and antibodies of the invention do not abrogate the binding of the polypeptide or antibody containing the amino acid sequence, to the antigen(s), i.e., the HER3, to which the polypeptide or antibody binds. Methods of identifying nucleotide and amino acid conservative substitutions which do not eliminate antigen binding are well- known in the art (see, e.g., Brummell et al., Biochem. 32: 1180-1 187 (1993); Kobayashi et al. Protein Eng. 12(10):879-884 (1999); and Burks et al. Proc. Natl. Acad. Sci. USA 94:.412-417 (1997)).
[0110] As used in the present disclosure and claims, the singular forms "a," "an," and "the" include both singular and plural forms unless the context clearly dictates otherwise.
[0111] It is understood that wherever embodiments are described herein with the language "comprising," otherwise analogous embodiments described in terms of "consisting of and/or "consisting essentially of are also provided.
[0112] The term "and/or" as used in a phrase such as "A and/or B" herein is intended to include both "A and B," "A or B," "A," and "B." Likewise, the term "and/or" as used in a phrase such as "A, B, and/or C" is intended to encompass each of the following
embodiments: A, B, and C; A, B, or C; A or C; A or B; B or C; A and C; A and B; B and C; A (alone); B (alone); and C (alone).
II. HER3 binding agents
[0113] The present invention provides agents that specifically bind HER3. These agents are referred to herein as "HER3 binding agents." The full-length amino acid sequences for human HER3 (Genbank Accession Number NP 001973.2), macaca HER3 (Genbank
Accession Number XP 001113953.1), and murine HER3 (NP 034283.1) are known in the art and also provided herein as represented by SEQ ID NOs: l-3, respectively.
[0114] In certain embodiments, the HER3 binding agents are antibodies,
immunoconjugates or polypeptides. In some embodiments, the HER3 binding agents are humanized antibodies.
- -
[0115] In certain embodiments, the HER3 -binding agents have one or more of the following effects: inhibit proliferation of tumor cells, reduce the tumorigenicity of a tumor by reducing the frequency of cancer stem cells in the tumor, inhibit tumor growth, increase survival, trigger cell death of tumor cells, differentiate tumorigenic cells to a non-tumorigenic state, or prevent metastasis of tumor cells.
[0116] In certain embodiments, the HER3 -binding agents are capable of inducing antibody dependent cell mediated cytotoxicity (ADCC). For example, treatment of cells with the HER3-binding agents can result in ADCC activity that produces at least about 15%, at least about 20%, at least about 25%, at least about 30%, at least about 35%, at least about 40%), at least about 45%, at least about 50%>, at least about 55%, at least about 60%>, at least about 65%o, at least about 70%>, at least about 75%, at least about 80%>, at least about 85%, at least about 90%, at least about 95%, or even 100% cell lysis. Treatment of cells with the HER3-binding agents can result in ADCC activity that produces about 10-20%, about 20- 30%, about 30-40%, about 40-50%, about 50-60%, about 60-70%, about 70-80%, about 80- 90%, or about 90-100% cell lysis. Treatment of cells with the HER3-binding agents can also result in ADCC activity that produces about 10-50%), about 20-50%), about 30-50%), about 30- 60%, about 40-60%, about 40-70%, about 50-80%, about 60-90%, or about 70-100% cell lysis. In some particular embodiments, the HER3-binding agents are capable of inducing ADCC in SKBR3 and MCF7 (Figure 24).
[0117] In some embodiments, the HER3 -binding agents are capable of inhibiting ligand- independent tumor cell growth. For example, treatment of cells with the HER3 -binding agents can inhibit at least about 10%, at least about 15%, at least about 20%, at least about 25%), at least about 30%, at least about 35%, at least about 40%, at least about 45%, at least about 50%), at least about 55%, at least about 60%, at least about 65%, at least about 70%, at least about 75%, at least about 80%, at least about 85%, at least about 90%, at least about 95%, or even 100% of ligand-independent tumor cell growth. In some particular
embodiments, the HER3-binding agents are capable of inhibiting cell growth in SKBR3, BT474, MDA-MB453 and ZR75-30 cell lines in a ligand-independent manner (Figures 1 and 17-20).
[0118] In certain embodiments, immunoconjugates or other agents that specifically bind human HER3 trigger cell death via a cytotoxic agent. For example, in certain embodiments, an antibody to human HER3 is conjugated to a maytansinoid that is activated in tumor cells
- -
expressing HER3 antigen by internalization and intracellular processing. In certain alternative embodiments, the HER3 -binding agent or antibody is not conjugated.
[0119] The HER3-binding agents include HER3 antibodies HER3-3, HER3-8, HER3-10, as described herein, and fragments, variants and derivatives thereof. The HER3-binding agents also include HER3 -binding agents that specifically bind to the same HER3 epitope as an antibody selected from the group consisting of HER3-3, HER3-8, and HER3-10. In one embodiment, the HER3-binding agents specifically bind to to amino acid residues 20-342 of SEQ ID NO: 1 (human HER3). In a specific embodiment, the HER3-binding agents of the invention include an antibody or fragment thereof that specifically binds to amino acid residues 20-342 of SEQ ID NO: 1 (human HER3). In another specific embodiment, the HER3 antibody or fragment thereof binds to an epitope within amino acid residues 20-342 of SEQ ID NO: 1. The HER3 -binding agents also include HER3 -binding agents that competitively inhibit an antibody selected from the group consisting of HER3-3, HER3-8, and HER3-10.
[0120] The HER3-binding agents also include HER3-binding agents that comprise the heavy and light chain CDR sequences of HER3-3, HER3-8, or HER3-10 and their related sequences. The CDR sequences of HER3-3, HER3-8 and HER3-10 are described in Tables 1 and 2 below.
Table 1 : Variable heavy chain CDR amino acid sequences
Table 2: Variable light chain CDR amino acid sequences
[0121] The present invention also provides HER3 binding agents that comprise one or more of the CDRs of HER3-3, HER3-8, or HER3-10, as shown in Table 1 and Table 2 (i.e., one or more of SEQ ID NOs:4-27). In one embodiment, the invention provides antibodies (including molecules comprising, or alternatively consisting of, antibody fragments or variants) that specifically bind to a polypeptide or polypeptide fragment of HER3, wherein
- -
said antibodies comprise, or alternatively consist of, a polypeptide comprising the amino acid sequence of one, two, three, or more variable heavy (VH) chain CDRs selected from the group consisting of SEQ ID NOs:4-18 (as shown in Table 1), and/or one, two, three or more variable light (VL) chain CDRs selected from the group consisting of SEQ ID NOs: 19-27 (as shown in Table 2). In particular, the invention provides for antibodies that comprise, or alternatively consist of, a polypeptide comprising the amino acid sequence of a VH CDRl and a VL CDRl, a VH CDRl and a VL CDR2, a VH CDRl and a VL CDR3, a VH CDR2 and a VL CDRl, VH CDR2 and VL CDR2, a VH CDR2 and a VL CDR3, a VH CDR3 and a VH CDRl, a VH CDR3 and a VL CDR2, a VH CDR3 and a VL CDR3, or any combination thereof, of the VH CDRs referred to in Table 1 (SEQ ID NOs:4-18) and the VL CDRs referred to in Table 2 (SEQ ID NOs: 19-27). In a preferred embodiment, one or more of these combinations are from the VL and VH chains of the same antibody (e.g., from the VL and VH chains of HER3-3, from the VL and VH chains of HER3-8, or from the VL and VH chains of HER3-10).
[0122] In one embodiment, the invention encompasses an antibody or fragment thereof wherein the polypeptide sequence of the VH chain comprises a VH CDRl, a VH CDR2, and a VH CDR3 referred to in Table 1. In another one embodiment, the invention encompasses an antibody or fragment thereof wherein the polypeptide sequence of the VL chain comprises a VL CDRl, a VL CDR2, and a VL CDR3 referred to in Table 2. For example, the invention encompasses an antibody or fragment thereof wherein the polypeptide sequence of the VH chain comprises SEQ ID NO:4, SEQ ID NO:5, and SEQ ID NO:6, and/or wherein the polypeptide sequence of the VL chain comprises SEQ ID NO: 19, SEQ ID NO:20, and SEQ ID NO:21. The invention also encompasses an antibody or fragment thereof wherein the polypeptide sequence of the VH chain comprises SEQ ID NO:9, SEQ ID NO: 10, and SEQ ID NO: l 1, and/or wherein the polypeptide sequence of the VL chain comprises SEQ ID NO:22, SEQ ID NO:23, and SEQ ID NO:24. In another embodiment, the invention encompasses an antibody or fragment thereof wherein the polypeptide sequence of the VH chain comprises SEQ ID NO:9, SEQ ID NO:10, and SEQ ID NO:13, and/or wherein the polypeptide sequence of the VL chain comprises SEQ ID NO:22, SEQ ID NO:23, and SEQ ID NO:24. In yet another embodiment, the invention encompasses an antibody or fragment thereof wherein the polypeptide sequence of the VH chain comprises SEQ ID NO: 14, SEQ ID NO: 15, and SEQ ID NO: 16, and/or wherein the polypeptide sequence of the VL chain comprises SEQ ID NO:25, SEQ ID NO:26, and SEQ ID NO:27.
- -
[0123] In another embodiment, the HER3 binding molecules can be antibodies or antigen binding fragments that specifically bind to HER3 that comprise one or more of the CDRs of HER3-3, HER3-8, or HER3-10 as shown in Table 1 and Table 2 (i.e., one or more of SEQ ID NOs:4-27) with up to four (i.e., 0, 1, 2, 3, or 4) conservative amino acid substitutions per CDR.
[0124] In one embodiment, polypeptides of the invention comprise one of the individual variable light chains or variable heavy chains described herein. Antibodies and polypeptides of the invention can also comprise both a variable light chain and a variable heavy chain.
The variable heavy chain and variable light chain sequences of murine and humanized
HER3-3, HER3-8, and HER3-10 antibodies are provided in Tables 3 and 4 below.
Table 3 : Variable heavy chain amino acid sequences
Antibody Variable Heavy Chain Amino Acid Sequence (SEQ ID NO) muHER3-3 QVQLQQPGAELVMPGASVKMSCKASGYTFTDYWIHWVKQRPGQGL
EWIGAIDTDTYTSYNQQFKGKATLTVDESSSTAYMQLSSLTSEDSAV YYCARSLLRLLYFDYWGQGTTLTVSS (SEQ ID NO: 28)
huHER3-3 QVQLVQPGAEVVKPGASVKMSCKASGYTFTDYWIHWVKQRPGQGL
EWIGAIDTDTYTSYNQKFQGKATLTVDESSSTAYMQLSSLTSEDSAV YYCARSLLRLLYFDYWGQGTTLTVSS (SEQ ID NO: 29)
muHER3-8 DVQLQESGPGLVTPSQSLSLTCTVTGSSITSDYAWNWIRQFPGNKLE
WMGFISYSGSTSYNPSLKSRISITRDTSKNQFFLHLSSVTSEDTATYYC SRKLGRL Y YFD Y WGQGTTLT V S S (SEQ ID NO: 30) huHER3.8v. l .OO QVQLQESGPGLVKPSQSLSLTCTVTGSSITSDYAWNWIRQHPGNKLE
WMGFISYSGSTSYNPSLKSRISITRDTSKNQFFLHLSSVTAADTATYYC SRRLGRL YYFD YWGQGTLLT VS S (SEQ ID NO: 31) huHER3.8v. l .01 QVQLQESGPGLVKPSQSLSLTCTVTGSSITSDYAWNWIRQHPGNKLE
WMGFISYSGSTSYNPSLKSRISITRDTSKNQFFLHLSSVTAADTATYYC SRKLGRL YYFD YWGQGTLLTVSS (SEQ ID NO: 32) muHER3-10 EVQLQQSGPELVKPGVSMKISCKASGYSFTDYTMNWVKQSHGKNLE
WIGLINPYNDITAYNQKFKGKATLSVNKSSSTAYMELLSLTSEDSAVY YCARRGPRGAWFAYWGQGTLVTVSA (SEQ ID NO: 33)
huHER3-10 QVQLVQSGPEVVKPGVSMKISCKASGYTFTDYTMNWVKQSPGQNLE
WIGLINPYNDITAYNQKFQGKATLSVDKSSSTAYMELLSLTSEDSAVY YCARRGPRGAWFAYWGQGTLVTVSA (SEQ ID NO: 34)
Table 4: Variable light chain amino acid sequences
Antibody Variable Light Chain Amino Acid Sequence (SEQ ID NO) muHER3-3 DIVMTQSPATLSVTPGDRVSLSCRASQSITDYLHWYQQKSHESPRLLI
KFASQSISGIPSRFSGSGSGSDFTLSINSVEPEDVGVYYCQNGHSFPLTF
- -
[0125] In one embodiment, the HER3-binding agent comprises a variable heavy chain comprising or consisting of a polypeptide sequence selected from the group consisting of SEQ ID NOs:28-34 and a variable light chain comprising or consisting of a polypeptide sequence selected from the group consisting of SEQ ID NOs:35-40. Also provided are polypeptides that comprise: (a) a polypeptide having at least about 90% sequence identity to a sequence selected from the group consisting of SEQ ID NOs:28-34; and/or (b) a polypeptide having at least about 90%> sequence identity to a sequence selected from the group consisting of SEQ ID NOs:35-40. In certain embodiments, the polypeptide comprises a polypeptide having at least about 85%, at least about 90%, at least about 95%, at least about 96%, at least about 97%), at least about 98%, or at least about 99% sequence identity to a sequence selected from the group consisting of SEQ ID NOs:28-40. Thus, in certain embodiments, the polypeptide comprises (a) a polypeptide having at least about 95% sequence identity to a sequence selected from the group consisting of SEQ ID NOs:28-34, and/or (b) a polypeptide having at least about 95% sequence identity to a sequence selected from the group consisting of SEQ ID NOs:35-40. In certain embodiments, the polypeptide comprises (a) a polypeptide having an amino acid sequence selected from the group consisting of SEQ ID NOs:28-34; and/or (b) a polypeptide having an amino acid sequence selected from the group consisting of SEQ ID NOs:35-40. In certain embodiments, the polypeptide is an antibody and/or the polypeptide specifically binds HER3. In certain embodiments, the polypeptide is a murine, chimeric, or humanized antibody that specifically binds HER3. In certain embodiments, the
- -
polypeptide having a certain percentage of sequence identity to any one of SEQ ID NOs:28- 40 differs from SEQ ID NOs:28-40 by conservative amino acid substitutions only.
[0126] In one embodiment, polypeptides of the invention comprise one of the individual light chains or heavy chains described herein. Antibodies and polypeptides can also comprise both a light chain and a heavy chain. The full length heavy and light chain sequences of murine and humanized HER3-3, HER3-8, and HER3-10 antibodies are provided in Tables 5 and 6 below.
Table 5 : Full length heavy chain amino acid sequences
Antibody Full Length Heavy Chain Amino Acid Sequence (SEQ ID NO) muHER3-3 QVQLQQPGAELVMPGASVKMSCKASGYTFTDYWIHWVKQRPGQGL
EWIGAIDTDTYTSYNQQFKGKATLTVDESSSTAYMQLSSLTSEDSAV
YYCARSLLRLLYFDYWGQGTTLTVSSAKTTPPSVYPLAPGSAAQTNS
MVTLGCLVKGYFPEPVTVTWNSGSLSSGVHTFPAVLESDLYTLSSSV
TVPSSMRPSETVTCNVAHPASSTKVDKKIVPRDCGCKPCICTVPEVSS
VFIFPPKPKDVLTITLTPKVTCVVVDISKDDPEVQFSWFVDDVEVHTA
QTQPREEQFNSTFRSVSELPIMHQDWLNGKEFKCRVNSAAFPAPIEKT
ISKTKGRPKAPQVYTIPPPKEQMAKDKVSLTCMITDFFPEDITVEWQW
NGQPAENYKNTQPIMNTNGSYFVYSKLNVQKSNWEAGNTFTCSVLH
EGLHNHHTEKSLSHSPGK (SEQ ID NO: 41)
huHER3-3 DTYTSYNQKFQGKATLTVDESSSTAYMQLSSLTSEDSAVYYCARSLL
RLLYFDYWGQGTTLTVSSASTKGPSVFPLAPSSKSTSGGTAALGCLV
KDYFPEPVTVSWNSGALTSGVHTFPAVLQSSGLYSLSSVVTVPSSSLG
TQTYICNVNHKPSNTKVDK VEPKSCDKTHTCPPCPAPELLGGPSVFL
FPPKPKDTLMISRTPEVTCVVVDVSHEDPEVKFNWYVDGVEVHNAK
TKPREEQYNSTYRVVSVLTVLHQDWLNGKEYKCKVSNKALPAPIEK
TISKAKGQPREPQVYTLPPSRDELTKNQVSLTCLVKGFYPSDIAVEWE
SNGQPENNYKTTPPVLDSDGSFFLYSKLTVDKSRWQQGNVFSCSVM
HEALHNHYTQKSLSLSPG (SEQ ID NO: 42)
muHER3-8 DVQLQESGPGLVTPSQSLSLTCTVTGSSITSDYAWNWIRQFPGNKLE
WMGFISYSGSTSYNPSLKSRISITRDTSKNQFFLHLSSVTSEDTATYYC
SRKLGRLYYFDYWGQGTTLTVSSAKTTPPSVYPLAPGSAAQTNSMVT
LGCLVKGYFPEPVTVTWNSGSLSSGVHTFPAVLESDLYTLSSSVTVPS
SMRPSETVTCNVAHPASSTKVDKKIVPRDCGCKPCICTVPEVSSVFIFP
PKPKDVLTITLTPKVTCVVVDISKDDPEVQFSWFVDDVEVHTAQTQP
REEQFNSTFRSVSELPIMHQDWLNGKEFKCRVNSAAFPAPIEKTISKT
KGRPKAPQVYTIPPPKEQMAKDKVSLTCMITDFFPEDITVEWQWNGQ
PAENYKNTQPIMNTNGSYFVYSKLNVQKSNWEAGNTFTCSVLHEGL
HNHHTEKSLSHSPGK (SEQ ID NO: 43)
huHER3.8v. l .OO QVQLQESGPGLVKPSQSLSLTCTVTGSSITSDYAWNWIRQHPGNKLE
WMGFISYSGSTSYNPSLKSRISITRDTSKNQFFLHLSSVTAADTATYYC SRRLGRLYYFDYWGQGTLLTVSSASTKGPSVFPLAPSSKSTSGGTAA LGCLVKDYFPEPVTVSWNSGALTSGVHTFPAVLQSSGLYSLSSVVTV
- -
PSSSLGTQTYICNVNHKPSNTKVDKKVEPKSCDKTHTCPPCPAPELLG GPSVFLFPPKPKDTLMISRTPEVTCVVVDVSHEDPEVKFNWYVDGVE VHNAKTKPREEQYNSTYRVVSVLTVLHQDWLNGKEYKCKVSNKAL PAPIEKTISKAKGQPREPQVYTLPPSRDELTK QVSLTCLVKGFYPSDI AVEWESNGQPENNYKTTPPVLDSDGSFFLYSKLTVDKSRWQQGNVF SCSVMHEALHNHYTQKSLSLSPG (SEQ ID NO: 44) huHER3.8v. l .01 QVQLQESGPGLVKPSQSLSLTCTVTGSSITSDYAWNWIRQHPGNKLE
WMGFISYSGSTSYNPSLKSRISITRDTSKNQFFLHLSSVTAADTATYYC
SRKLGRL Y YFD Y WGQGTLLT VS S ASTKGP S VFPL AP S SKST S GGT AA
LGCLVKDYFPEPVTVSWNSGALTSGVHTFPAVLQSSGLYSLSSVVTV
PSSSLGTQTYICNVNHKPSNTKVDKKVEPKSCDKTHTCPPCPAPELLG
GPSVFLFPPKPKDTLMISRTPEVTCVVVDVSHEDPEVKFNWYVDGVE
VHNAKTKPREEQYNSTYRVVSVLTVLHQDWLNGKEYKCKVSNKAL
PAPIEKTISKAKGQPREPQVYTLPPSRDELTKNQVSLTCLVKGFYPSDI
AVEWESNGQPENNYKTTPPVLDSDGSFFLYSKLTVDKSRWQQGNVF
SCSVMHEALHNHYTQKSLSLSPG (SEQ ID NO: 45) muHER3-10 EVQLQQSGPELVKPGVSMKISCKASGYSFTDYTMNWVKQSHGKNLE
WIGLINPYNDITAYNQKFKGKATLSVNKSSSTAYMELLSLTSEDSAVY
YCARRGPRGAWFAYWGQGTLVTVSAAKTTPPSVYPLAPGSAAQTNS
MVTLGCLVKGYFPEPVTVTWNSGSLSSGVHTFPAVLESDLYTLSSSV
TVPSSMRPSETVTCNVAHPASSTKVDKKIVPRDCGCKPCICTVPEVSS
VFIFPPKPKDVLTITLTPKVTCVVVDISKDDPEVQFSWFVDDVEVHTA
QTQPREEQFNSTFRSVSELPIMHQDWLNGKEFKCRVNSAAFPAPIEKT
ISKTKGRPKAPQVYTIPPPKEQMAKDKVSLTCMITDFFPEDITVEWQW
NGQPAENYKNTQPIMNTNGSYFVYSKLNVQKSNWEAGNTFTCSVLH
EGLHNHHTEKSLSHSPGK (SEQ ID NO: 46)
huHER3-10 QVQLVQSGPEVVKPGVSMKISCKASGYTFTDYTMNWVKQSPGQNLE
WIGLINPYNDITAYNQKFQGKATLSVDKSSSTAYMELLSLTSEDSAVY
YC ARRGPRG A WF AY WGQGTL VT VS A ASTKGP S VFPL AP S SKST S GG
TAALGCLVKDYFPEPVTVSWNSGALTSGVHTFPAVLQSSGLYSLSSV
VTVPSSSLGTQTYICNVNHKPSNTKVDKKVEPKSCDKTHTCPPCPAPE
LLGGPSVFLFPPKPKDTLMISRTPEVTCVVVDVSHEDPEVKFNWYVD
GVEVHNAKTKPREEQYNSTYRVVSVLTVLHQDWLNGKEYKCKVSN
KALPAPIEKTISKAKGQPREPQVYTLPPSRDELTKNQVSLTCLVKGFY
PSDIAVEWESNGQPENNYKTTPPVLDSDGSFFLYSKLTVDKSRWQQG
NVFSCSVMHEALHNHYTQKSLSLSPG (SEQ ID NO: 47)
Table 6: Full length light chain amino acid sequences
Antibody Full Length Light Chain Amino Acid Sequence (SEQ ID NO) muHER3-3 DIVMTQSPATLSVTPGDRVSLSCRASQSITDYLHWYQQKSHESPRLLI
KFASQSISGIPSRFSGSGSGSDFTLSINSVEPEDVGVYYCQNGHSFPLTF GAGTKLELKRADAAPTVSIFPPSSEQLTSGGASVVCFLNNFYPKDINV KWKIDGSERQNGVLNSWTDQDSKDSTYSMSSTLTLTKDEYERHNSY TCEATHKTSTSPIVKSFNRNEC (SEQ ID NO: 48)
huHER3-3 EIVMTQSPATLSVTPGDRVTLSCRASQSITDYLHWYQQKPGQSPRLLI
KFASQSISGIPDRFSGSGSGSDFTLSISSVEPEDVGVYYCQNGHSFPLTF
- -
[0127] In one embodiment, the HER3-binding agent comprises a heavy chain comprising or consisting of a polypeptide sequence selected from the group consisting of SEQ ID NOs:41-47 and a light chain comprising or consisting of a polypeptide sequence selected from the group consisting of SEQ ID NOs:48-53. Also provided are polypeptides that comprise: (a) a polypeptide having at least about 90% sequence identity to a sequence selected from the group consisting of SEQ ID NOs:41-47; and/or (b) a polypeptide having at least about 90%> sequence identity to a sequence selected from the group consisting of SEQ ID NOs:48-53. In certain embodiments, the polypeptide comprises a polypeptide having at least about 85%, at least about 90%, at least aobut 95%, at least about 96%, at least about 97%), at least about 98%, or at least about 99% sequence identity to a sequence selected from the group consisting of SEQ ID NOs:41-53. Thus, in certain embodiments, the polypeptide comprises (a) a polypeptide having at least about 95% sequence identity to a sequence selected from the group consisting of SEQ ID NOs:41-47, and/or (b) a polypeptide having at least about 95% sequence identity to a sequence selected from the group consisting of SEQ ID NOs:48-53. In certain embodiments, the polypeptide comprises (a) a polypeptide having an amino acid sequence a sequence selected from the group consisting of SEQ ID NOs:41-
- -
47; and/or (b) a polypeptide having an amino acid sequence a sequence selected from the group consisting of SEQ ID NOs:48-53. In certain embodiments, the polypeptide is an antibody and/or the polypeptide specifically binds HER3. In certain embodiments, the polypeptide is a murine, chimeric, or humanized antibody that specifically binds HER3. In certain embodiments, the polypeptide having a certain percentage of sequence identity to any onr of SEQ ID NOs:41-53 differs from SEQ ID NOs:41-53 by conservative amino acid substitutions only.
[0128] In certain embodiments, the HER3 antibody can be the antibody produced from a hybridoma selected from the group consisting of ATCC Accession No. PTA-11145, deposited on July 1, 2010, ATCC Accession No. PTA-11146, deposited on July 1, 2010, and ATCC Accession No. PTA-11147, deposited on July 1, 2010. In one embodiment, the HER3 antibody binds to the same epitope as an antibody produced by a hybridoma selected from the group consisting of ATCC Accession No. PTA-11145, deposited on July 1, 2010, ATCC Accession No. PTA-11146, deposited on July 1, 2010, and ATCC Accession No. PTA- 11147, deposited on July 1, 2010. The antibody produced by the hybridoma can be a purified antibody.
[0129] Monoclonal antibodies can be prepared using hybridoma methods, such as those described by Kohler and Milstein (1975) Nature 256:495. Using the hybridoma method, a mouse, hamster, or other appropriate host animal, is immunized as described above to elicit the production of antibodies by B lymphocytes that will specifically bind to an immunizing antigen. Lymphocytes can also be immunized in vitro. Following immunization, the lymphocytes are isolated and fused with a suitable myeloma cell line using, for example, polyethylene glycol and electrofusion, to form hybridoma cells that can then be selected away from unfused lymphocytes and myeloma cells in the HAT media. Hybridomas that produce monoclonal antibodies directed specifically against a chosen antigen as determined by FACS binding assay, immunoprecipitation, immunob lotting, or by an in vitro binding assay (e.g., radioimmunoassay (RIA); enzyme-linked immunosorbent assay (ELISA)) can then be propagated in either in vitro culture using standard methods (Goding, Monoclonal
Antibodies: Principles and Practice, Academic Press, 1986) or in vivo as ascites tumors in an animal. The monoclonal antibodies can then be purified from the culture medium or ascites fluid as described for polyclonal antibodies above.
[0130] Alternatively, monoclonal antibodies can also be made using recombinant DNA methods as described in U.S. Patent 4,816,567. The polynucleotides encoding a monoclonal
- -
antibody are isolated from mature B-cells or hybridoma cell, such as by RT-PCR using oligonucleotide primers that specifically amplify the genes encoding the heavy and light chains of the antibody, and their sequence is determined using conventional procedures. The isolated polynucleotides encoding the heavy and light chains are then cloned into suitable expression vectors, which when transfected into host cells such as E. coli cells, simian COS cells, Chinese hamster ovary (CHO) cells, or myeloma cells that do not otherwise produce immunoglobulin protein, monoclonal antibodies are generated by the host cells. Also, recombinant monoclonal antibodies or fragments thereof of the desired species can be isolated from phage display libraries expressing CDRs of the desired species as described (McCafferty et al, 1990, Nature, 348:552-554; Clackson et al, 1991, Nature, 352:624-628; and Marks et al, 1991, J. Mol. Biol, 222:581-597).
[0131] The polynucleotide(s) encoding a monoclonal antibody can further be modified in a number of different manners using recombinant DNA technology to generate alternative antibodies. In some embodiments, the constant domains of the light and heavy chains of, for example, a mouse monoclonal antibody can be substituted 1) for those regions of, for example, a human antibody to generate a chimeric antibody or 2) for a non-immunoglobulin polypeptide to generate a fusion antibody. In some embodiments, the constant regions are truncated or removed to generate the desired antibody fragment of a monoclonal antibody. Site-directed or high-density mutagenesis of the variable region can be used to optimize specificity, affinity, etc. of a monoclonal antibody.
[0132] In some embodiments, the monoclonal antibody against the human HER3 is a humanized antibody. In certain embodiments, such antibodies are used therapeutically to reduce antigenicity and HAMA (human anti-mouse antibody) responses when administered to a human subject. Humanized antibodies can be produced using various techniques known in the art. In certain alternative embodiments, the antibody to HER3 is a human antibody.
[0133] In one embodiment, the humanized HER3 antibody is an antibody encoded by plasmid phHER3-8vl .OO (ATCC Accession No. PTA-11144, deposited on July 1, 2010). In another embodiment, the humanized HER3 antibody is an antibody produced by a host cell transformed or transfected with plasmid phHER3-8vl .00 (ATCC Accession No. PTA-11144, deposited on July 1, 2010).
[0134] Human antibodies can be directly prepared using various techniques known in the art. Immortalized human B lymphocytes immunized in vitro or isolated from an immunized individual that produces an antibody directed against a target antigen can be generated (see,
- -
e.g., Cole et al, Monoclonal Antibodies and Cancer Therapy, Alan R. Liss, p. 77 (1985); Boemer et al, 1991, J. Immunol, 147 (l):86-95; and U.S. Patent 5,750,373). Also, the human antibody can be selected from a phage library, where that phage library expresses human antibodies, as described, for example, in Vaughan et al, 1996, Nat. Biotech., 14:309- 314, Sheets et al, 1998, Proc. Nat'l. Acad. Sci., 95:6157-6162, Hoogenboom and Winter, 1991, J. Mol. Biol, 227:381, and Marks et al, 1991, J. Mol. Biol, 222:581. Techniques for the generation and use of antibody phage libraries are also described in U.S. Patent Nos. 5,969,108, 6,172,197, 5,885,793, 6,521,404; 6,544,731; 6,555,313; 6,582,915; 6,593,081; 6,300,064; 6,653,068; 6,706,484; and 7,264,963; and Rothe et al, 2007, J. Mol. Bio., doi: 10.1016/j.jmb.2007.12.018 (each of which is incorporated by reference in its entirety). Affinity maturation strategies and chain shuffling strategies (Marks et al., 1992,
Bio/Technology 10:779-783, incorporated by reference in its entirety) are known in the art and can be employed to generate high affinity human antibodies.
[0135] Humanized antibodies can also be made in transgenic mice containing human immunoglobulin loci that are capable upon immunization of producing the full repertoire of human antibodies in the absence of endogenous immunoglobulin production. This approach is described in U.S. Patent Nos 5,545,807; 5,545,806; 5,569,825; 5,625,126; 5,633,425; and 5,661,016.
[0136] This invention also encompasses bispecific antibodies that specifically recognize a HER3. Bispecific antibodies are antibodies that are capable of specifically recognizing and binding at least two different epitopes. The different epitopes can either be within the same molecule or on different molecules. For example, the antibodies can specifically recognize and bind HER3 as well as, for example, 1) other tumor antigens, 2) an effector molecule on a leukocyte such as a T-cell receptor (e.g., CD3) or Fc receptor (e.g., CD64, CD32, or CD16) or 3) a cytotoxic agent as described in detail below.
[0137] Exemplary bispecific antibodies can bind to two different epitopes, at least one of which originates in a polypeptide of the invention. Alternatively, an anti-antigenic arm of an immunoglobulin molecule can be combined with an arm which binds to a triggering molecule on a leukocyte such as a T cell receptor molecule (e.g., CD2, CD3, CD28, or B7), or Fc receptors for IgG (e.g., CD64, CD32, or CD16) so as to focus cellular defense mechanisms to the cell expressing the particular antigen. Bispecific antibodies can also be used to direct cytotoxic agents to cells which express a particular antigen. These antibodies possess an antigen-binding arm and an arm which binds a cytotoxic agent or a radionuclide chelator,
- -
such as EOTUBE, DPT A, DOT A, or TETA. Techniques for making bispecific antibodies are common in the art (Millstein et al., 1983, Nature 305:537-539; Brennan et al., 1985, Science 229:81; Suresh et al, 1986, Methods in Enzymol. 121 : 120; Traunecker et al, 1991, EMBO J. 10:3655-3659; Shalaby et al, 1992, J. Exp. Med. 175:217-225; Kostelny et al, 1992, J. Immunol. 148:1547-1553; Gruber et al, 1994, J. Immunol. 152:5368; and U.S. Patent 5,731,168). Antibodies with more than two valencies are also contemplated. For example, trispecific antibodies can be prepared (Tutt et al., J. Immunol. 147:60 (1991)). Thus, in certain embodiments the antibodies to HER3 are multispecific.
[0138] In certain embodiments are provided an antibody fragment to, for example, increase tumor penetration. Various techniques are known for the production of antibody fragments. Traditionally, these fragments are derived via proteolytic digestion of intact antibodies (see, e.g., Morimoto et al, 1993, Journal of Biochemical and Biophysical Methods 24: 107-117; Brennan et al., 1985, Science, 229:81). In certain embodiments, antibody fragments are produced recombinantly. Fab, Fv, and scFv antibody fragments can all be expressed in and secreted from E. coli or other host cells, thus allowing the production of large amounts of these fragments. Such antibody fragments can also be isolated from the antibody phage libraries discussed above. The antibody fragment can also be linear antibodies as described in U.S. Patent No 5,641,870, for example, and can be monospecific or bispecific. Other techniques for the production of antibody fragments will be apparent to the skilled practitioner.
[0139] According to the present invention, techniques can be adapted for the production of single-chain antibodies specific to HER3 (see U.S. Pat. No. 4,946,778). In addition, methods can be adapted for the construction of Fab expression libraries (Huse, et al, Science 246: 1275-1281 (1989)) to allow rapid and effective identification of monoclonal Fab fragments with the desired specificity for HER3, or derivatives, fragments, analogs or homologs thereof. Antibody fragments can be produced by techniques in the art including, but not limited to: (a) a F(ab')2 fragment produced by pepsin digestion of an antibody molecule; (b) a Fab fragment generated by reducing the disulfide bridges of an F(ab')2 fragment, (c) a Fab fragment generated by the treatment of the antibody molecule with papain and a reducing agent, and (d) Fv fragments.
[0140] It can further be desirable, especially in the case of antibody fragments, to modify an antibody in order to increase its serum half-life. This can be achieved, for example, by incorporation of a salvage receptor binding epitope into the antibody fragment by mutation of
- -
the appropriate region in the antibody fragment or by incorporating the epitope into a peptide tag that is then fused to the antibody fragment at either end or in the middle (e.g., by DNA or peptide synthesis).
[0141] Heteroconjugate antibodies are also within the scope of the present invention. Heteroconjugate antibodies are composed of two covalently joined antibodies. Such antibodies have, for example, been proposed to target immune cells to unwanted cells (U.S. Pat. No. 4,676,980). It is contemplated that the antibodies can be prepared in vitro using known methods in synthetic protein chemistry, including those involving crosslinking agents. For example, immunotoxins can be constructed using a disulfide exchange reaction or by forming a thioether bond. Examples of suitable reagents for this purpose include
iminothiolate and methyl-4-mercaptobutyrimidate.
[0142] For the purposes of the present invention, it should be appreciated that modified antibodies can comprise any type of variable region that provides for the association of the antibody with the polypeptides of a human HER3. In this regard, the variable region can comprise or be derived from any type of mammal that can be induced to mount a humoral response and generate immunoglobulins against the desired tumor associated antigen. As such, the variable region of the modified antibodies can be, for example, of human, murine, or non-human primate (e.g., cynomolgus monkeys, macaques, etc.) origin. In some embodiments both the variable and constant regions of the modified immunoglobulins are human. In other embodiments the variable regions of compatible antibodies (usually derived from a non-human source) can be engineered or specifically tailored to improve the binding properties or reduce the immunogenicity of the molecule. In this respect, variable regions useful in the present invention can be humanized or otherwise altered through the inclusion of imported amino acid sequences.
[0143] In certain embodiments, the variable domains in both the heavy and light chains are altered by at least partial replacement of one or more CDRs and, if necessary, by partial framework region replacement and sequence changing. Although the CDRs can be derived from an antibody of the same class or even subclass as the antibody from which the framework regions are derived, it is envisaged that the CDRs will be derived from an antibody of a different class and possibly from an antibody from a different species. It is not alway necessary to replace all of the CDRs with the complete CDRs from the donor variable region to transfer the antigen binding capacity of one variable domain to another. Rather, in some cases it is only necessary to transfer those residues that are necessary to maintain the
- -
activity of the antigen binding site. Given the explanations set forth in U.S. Patent Nos.
5,585,089, 5,693,761 and 5,693,762, it will be well within the competence of those skilled in the art, either by carrying out routine experimentation or by trial and error testing to obtain a functional antibody with reduced immunogenicity.
[0144] Alterations to the variable region notwithstanding, those skilled in the art will appreciate that the modified antibodies of this invention will comprise antibodies (e.g., full- length antibodies or immunoreactive fragments thereof) in which at least a fraction of one or more of the constant region domains has been deleted or otherwise altered so as to provide desired biochemical characteristics, such as increased tumor localization or reduced serum half-life when compared with an antibody of approximately the same immunogenicity comprising a native or unaltered constant region. In some embodiments, the constant region of the modified antibodies will comprise a human constant region. Modifications to the constant region compatible with this invention comprise additions, deletions or substitutions of one or more amino acids in one or more domains. That is, the modified antibodies disclosed herein can comprise alterations or modifications to one or more of the three heavy chain constant domains (CHI, CH2 or CH3) and/or to the light chain constant domain (CL). In some embodiments, modified constant regions wherein one or more domains are partially or entirely deleted are contemplated. In some embodiments, the modified antibodies will comprise domain deleted constructs or variants wherein the entire CH2 domain has been removed (ACH2 constructs). In some embodiments, the omitted constant region domain will be replaced by a short amino acid spacer (e.g., 10 residues) that provides some of the molecular flexibility typically imparted by the absent constant region.
[0145] Besides their configuration, it is known in the art that the constant region mediates several effector functions. For example, binding of the CI component of complement to antibodies activates the complement system. Activation of complement is important in the opsonisation and lysis of cell pathogens. The activation of complement also stimulates the inflammatory response and can also be involved in autoimmune hypersensitivity. Further, antibodies bind to immune effector cells via interaction of antibody's Fc region with a Fc receptor (FcR) on an immune effector cell. There are a number of Fc receptors which are specific for different classes of antibody, including IgG (immunoglobulin gamma receptors), IgE (immunoglobulin eta receptors), IgA (immunoglobulin alpha receptors) and IgM
(immunoglobulin mu receptors). Binding of antibody to Fc receptors on cell surfaces triggers a number of important and diverse biological responses including engulfment and destruction
- -
of antibody-coated particles, clearance of immune complexes, lysis of antibody-coated target cells by killer cells (called antibody-dependent cell-mediated cytotoxicity, or ADCC), release of inflammatory mediators, placental transfer, and control of immunoglobulin production.
[0146] In certain embodiments, the HER3-binding antibodies provide for altered effector functions that, in turn, affect the biological profile of the administered antibody. For example, the deletion or inactivation (through point mutations or other means) of a constant region domain can reduce Fc receptor binding of the circulating modified antibody thereby increasing tumor localization. In other cases, it can be that constant region modifications, consistent with this invention, moderate complement binding and thus reduce the serum half life and nonspecific association of a conjugated cytotoxin. Yet other modifications of the constant region can be used to eliminate disulfide linkages or oligosaccharide moieties that allow for enhanced localization due to increased antigen specificity or antibody flexibility. Similarly, modifications to the constant region in accordance with this invention can easily be made using well known biochemical or molecular engineering techniques well within the purview of the skilled artisan.
[0147] In certain embodiments, a HER3-binding agent that is an antibody does not have one or more effector functions. For instance, in some embodiments, the antibody has no antibody-dependent cellular cytotoxicity (ADCC) activity and/or no complement-dependent cytotoxicity (CDC) activity. In certain embodiments, the antibody does not bind to an Fc receptor and/or complement factors. In certain embodiments, the antibody has no effector function.
[0148] It will be noted that in certain embodiments, the modified antibodies can be engineered to fuse the CH3 domain directly to the hinge region of the respective modified antibodies. In other constructs it can be desirable to provide a peptide spacer between the hinge region and the modified CH2 and/or CH3 domains. For example, compatible constructs could be expressed wherein the CH2 domain has been deleted and the remaining CH3 domain (modified or unmodified) is joined to the hinge region with a 5-20 amino acid spacer. Such a spacer can be added, for instance, to ensure that the regulatory elements of the constant domain remain free and accessible or that the hinge region remains flexible.
However, it should be noted that amino acid spacers can, in some cases, prove to be immunogenic and elicit an unwanted immune response against the construct. Accordingly, in certain embodiments, any spacer added to the construct will be relatively non-immunogenic,
- -
or even omitted altogether, so as to maintain the desired biochemical qualities of the modified antibodies.
[0149] Besides the deletion of whole constant region domains, it will be appreciated that the antibodies of the present invention can be provided by the partial deletion or substitution of a few or even a single amino acid. For example, the mutation of a single amino acid in selected areas of the CH2 domain can be enough to substantially reduce Fc binding and thereby increase tumor localization. Similarly, it can be desirable to simply delete that part of one or more constant region domains that control the effector function (e.g., complement CLQ binding) to be modulated. Such partial deletions of the constant regions can improve selected characteristics of the antibody (serum half-life) while leaving other desirable functions associated with the subject constant region domain intact. Moreover, as alluded to above, the constant regions of the disclosed antibodies can be modified through the mutation or substitution of one or more amino acids that enhances the profile of the resulting construct. In this respect it can be possible to disrupt the activity provided by a conserved binding site (e.g., Fc binding) while substantially maintaining the configuration and immunogenic profile of the modified antibody. Certain embodiments can comprise the addition of one or more amino acids to the constant region to enhance desirable characteristics, such as decreasing or increasing effector function or provide for more cytotoxin or carbohydrate attachment. In such embodiments it can be desirable to insert or replicate specific sequences derived from selected constant region domains.
[0150] The present invention further embraces variants and equivalents which are substantially homologous to the chimeric, humanized and human antibodies, or antibody fragments thereof, set forth herein. These can contain, for example, conservative substitution mutations, i.e., the substitution of one or more amino acids by similar amino acids. For example, conservative substitution refers to the substitution of an amino acid with another amino acid within the same general class such as, for example, one acidic amino acid with another acidic amino acid, one basic amino acid with another basic amino acid or one neutral amino acid with another neutral amino acid. What is intended by a conservative amino acid substitution is well known in the art.
[0151] The polypeptides of the present invention can be recombinant polypeptides, natural polypeptides, or synthetic polypeptides comprising an antibody, or fragment thereof, against a human HER3. It will be recognized in the art that some amino acid sequences of the invention can be varied without significant effect of the structure or function of the
- -
protein. Thus, the invention further includes variations of the polypeptides which show substantial activity or which include regions of an antibody, or fragment thereof, against HER3 protein. Such mutants include deletions, insertions, inversions, repeats, and type substitutions.
[0152] The polypeptides and analogs can be further modified to contain additional chemical moieties not normally part of the protein. Those derivatized moieties can improve the solubility, the biological half life or absorption of the protein. The moieties can also reduce or eliminate any desirable side effects of the proteins and the like. An overview for those moieties can be found in Remington's Pharmaceutical Sciences, 20th ed., Mack Publishing Co., Easton, PA (2000).
[0153] The isolated polypeptides described herein can be produced by any suitable method known in the art. Such methods range from direct protein synthesis methods to constructing a DNA sequence encoding isolated polypeptide sequences and expressing those sequences in a suitable transformed host. In some embodiments, a DNA sequence is constructed using recombinant technology by isolating or synthesizing a DNA sequence encoding a wild-type protein of interest. Optionally, the sequence can be mutagenized by site-specific mutagenesis to provide functional analogs thereof. See, e.g. Zoeller et al, Proc. Nat'l. Acad. Sci. USA 81 :5662-5066 (1984) and U.S. Patent No. 4,588,585.
[0154] In some embodiments a DNA sequence encoding a polypeptide of interest is constructed by chemical synthesis using an oligonucleotide synthesizer. Such
oligonucleotides can be designed based on the amino acid sequence of the desired polypeptide and selecting those codons that are favored in the host cell in which the recombinant polypeptide of interest will be produced. Standard methods can be applied to synthesize an isolated polynucleotide sequence encoding an isolated polypeptide of interest. For example, a complete amino acid sequence can be used to construct a back-translated gene. Further, a DNA oligomer containing a nucleotide sequence coding for the particular isolated polypeptide can be synthesized. For example, several small oligonucleotides coding for portions of the desired polypeptide can be synthesized and then ligated. The individual oligonucleotides typically contain 5 ' or 3' overhangs for complementary assembly.
[0155] Once assembled (by synthesis, site-directed mutagenesis or another method), the polynucleotide sequences encoding a particular isolated polypeptide of interest will be inserted into an expression vector and operatively linked to an expression control sequence appropriate for expression of the protein in a desired host. Proper assembly can be confirmed
- -
by nucleotide sequencing, restriction mapping, and expression of a biologically active polypeptide in a suitable host. As is well known in the art, in order to obtain high expression levels of a transfected gene in a host, the gene must be operatively linked to transcriptional and translational expression control sequences that are functional in the chosen expression host.
[0156] In certain embodiments, recombinant expression vectors are used to amplify and express DNA encoding antibodies, or fragments thereof, against human HER3. Recombinant expression vectors are replicable DNA constructs which have synthetic or cDNA-derived DNA fragments encoding a polypeptide chain of an anti-HER3 antibody, or fragment thereof, operatively linked to suitable transcriptional or translational regulatory elements derived from mammalian, microbial, viral or insect genes. A transcriptional unit generally comprises an assembly of (1) a genetic element or elements having a regulatory role in gene expression, for example, transcriptional promoters or enhancers, (2) a structural or coding sequence which is transcribed into mRNA and translated into protein, and (3) appropriate transcription and translation initiation and termination sequences, as described in detail below. Such regulatory elements can include an operator sequence to control transcription. The ability to replicate in a host, usually conferred by an origin of replication, and a selection gene to facilitate recognition of transformants can additionally be incorporated. DNA regions are operatively linked when they are functionally related to each other. For example, DNA for a signal peptide (secretory leader) is operatively linked to DNA for a polypeptide if it is expressed as a precursor which participates in the secretion of the polypeptide; a promoter is operatively linked to a coding sequence if it controls the transcription of the sequence; or a ribosome binding site is operatively linked to a coding sequence if it is positioned so as to permit translation. Structural elements intended for use in yeast expression systems include a leader sequence enabling extracellular secretion of translated protein by a host cell.
Alternatively, where recombinant protein is expressed without a leader or transport sequence, it can include an N-terminal methionine residue. This residue can optionally be subsequently cleaved from the expressed recombinant protein to provide a final product.
[0157] The choice of expression control sequence and expression vector will depend upon the choice of host. A wide variety of expression host/vector combinations can be employed. Useful expression vectors for eukaryotic hosts, include, for example, vectors comprising expression control sequences from SV40, bovine papilloma virus, adenovirus and cytomegalovirus. Useful expression vectors for bacterial hosts include known bacterial
- -
plasmids, such as plasmids from Esherichia coli, including pCR 1, pBR322, pMB9 and their derivatives, wider host range plasmids, such as Ml 3 and filamentous single-stranded DNA phages.
[0158] Suitable host cells for expression of a HER3 -binding polypeptide or antibody (or a HER3 protein to use as an antigen) include prokaryotes, yeast, insect or higher eukaryotic cells under the control of appropriate promoters. Prokaryotes include gram negative or gram positive organisms, for example E. coli or bacilli. Higher eukaryotic cells include established cell lines of mammalian origin as described below. Cell-free translation systems could also be employed. Appropriate cloning and expression vectors for use with bacterial, fungal, yeast, and mammalian cellular hosts are described by Pouwels et al. (Cloning Vectors: A Laboratory Manual, Elsevier, N.Y., 1985), the relevant disclosure of which is hereby incorporated by reference. Additional information regarding methods of protein production, including antibody production, can be found, e.g., in U.S. Patent Publication No.
2008/0187954, U.S. Patent Nos. 6,413,746 and 6,660,501, and International Patent
Publication No. WO 04009823, each of which is hereby incorporated by reference herein in its entirety.
[0159] Various mammalian or insect cell culture systems are also advantageously employed to express recombinant protein. Expression of recombinant proteins in mammalian cells can be performed because such proteins are generally correctly folded, appropriately modified and completely functional. Examples of suitable mammalian host cell lines include the COS-7 lines of monkey kidney cells, described by Gluzman (Cell 23: 175, 1981), and other cell lines capable of expressing an appropriate vector including, for example, L cells, C127, 3T3, Chinese hamster ovary (CHO), HeLa and BHK cell lines. Mammalian expression vectors can comprise nontranscribed elements such as an origin of replication, a suitable promoter and enhancer linked to the gene to be expressed, and other 5 ' or 3' flanking nontranscribed sequences, and 5' or 3' nontranslated sequences, such as necessary ribosome binding sites, a polyadenylation site, splice donor and acceptor sites, and transcriptional termination sequences. Baculo virus systems for production of heterologous proteins in insect cells are reviewed by Luckow and Summers, Biotechnology 6:47 (1988).
[0160] The proteins produced by a transformed host can be purified according to any suitable method. Such standard methods include chromatography (e.g., ion exchange, affinity and sizing column chromatography), centrifugation, differential solubility, or by any other standard technique for protein purification. Affinity tags such as hexahistidine, maltose
- -
binding domain, influenza coat sequence and glutathione-S-transferase can be attached to the protein to allow easy purification by passage over an appropriate affinity column. Isolated proteins can also be physically characterized using such techniques as proteolysis, nuclear magnetic resonance and x-ray crystallography.
[0161] For example, supernatants from systems which secrete recombinant protein into culture media can be first concentrated using a commercially available protein concentration filter, for example, an Amicon or Millipore Pellicon ultrafiltration unit. Following the concentration step, the concentrate can be applied to a suitable purification matrix.
Alternatively, an anion exchange resin can be employed, for example, a matrix or substrate having pendant diethylaminoethyl (DEAE) groups. The matrices can be acrylamide, agarose, dextran, cellulose or other types commonly employed in protein purification. Alternatively, a cation exchange step can be employed. Suitable cation exchangers include various insoluble matrices comprising sulfopropyl or carboxymethyl groups. Finally, one or more reversed- phase high performance liquid chromatography (RP-HPLC) steps employing hydrophobic RP-HPLC media, e.g., silica gel having pendant methyl or other aliphatic groups, can be employed to further purify a HER3 -binding agent. Some or all of the foregoing purification steps, in various combinations, can also be employed to provide a homogeneous recombinant protein.
[0162] Recombinant protein produced in bacterial culture can be isolated, for example, by initial extraction from cell pellets, followed by one or more concentration, salting-out, aqueous ion exchange or size exclusion chromatography steps. High performance liquid chromatography (HPLC) can be employed for final purification steps. Microbial cells employed in expression of a recombinant protein can be disrupted by any convenient method, including freeze-thaw cycling, sonication, mechanical disruption, or use of cell lysing agents.
[0163] Methods known in the art for purifying antibodies and other proteins also include, for example, those described in U.S. Patent Publication Nos. 2008/0312425, 2008/0177048, and 2009/0187005, each of which is hereby incorporated by reference herein in its entirety.
[0164] In certain embodiments, the HER3 -binding agent is a polypeptide that is not an antibody. A variety of methods for identifying and producing non-antibody polypeptides that bind with high affinity to a protein target are known in the art. See, e.g., Skerra, Curr. Opin. BiotechnoL, 18:295-304 (2007), Hosse et al, Protein Science, 15: 14-27 (2006), Gill et al, Curr. Opin. BiotechnoL, 17:653-658 (2006), Nygren, FEBS J., 275:2668-76 (2008), and Skerra, FEBS J., 275:2677-83 (2008), each of which is incorporated by reference herein in its
- -
entirety. In certain embodiments, phage display technology has been used to
identify/produce the HER3-binding polypeptide. In certain embodiments, the polypeptide comprises a protein scaffold of a type selected from the group consisting of, but not limited to, protein A, a lipocalin, a fibronectin domain, an ankyrin consensus repeat domain, and thioredoxin.
[0165] In some embodiments, the HER3-binding agent is a non-protein molecule. In certain embodiments, the HER3-binding agent is a small molecule. Combinatorial chemistry libraries and techniques useful in the identification of non-protein HER3 -binding agents are known to those skilled in the art. See, e.g., Kennedy et al, J. Comb. Chem, 10:345-354 (2008), Dolle et al, J. Comb. Chem., 9:855-902 (2007), and Bhattacharyya, Curr. Med. Chem., 8: 1383-404 (2001), each of which is incorporated by reference herein in its entirety. In certain further embodiments, the HER3 -binding agent is a carbohydrate, a
glycosaminoglycan, a glycoprotein, or a proteoglycan.
[0166] In certain embodiments, the HER3 -binding agent is a nucleic acid aptamer. Aptamers are polynucleotide molecules that have been selected (e.g., from random or mutagenized pools) on the basis of their ability to bind to another molecule. In some embodiments, the aptamer comprises a DNA polynucleotide. In certain alternative embodiments, the aptamer comprises an RNA polynucleotide. In certain embodiments, the aptamer comprises one or more modified nucleic acid residues. Methods of generating and screening nucleic acid aptamers for binding to proteins are well known in the art. See, e.g., U.S. Patent Nos. 5,270,163, 5,683,867, 5,763,595, 6,344,321, 7,368,236, 5,582,981, 5,756,291, 5,840,867, 7,312,325, 7,329,742, International Patent Publication Nos. WO 02/077262, WO 03/070984, U.S. Patent Application Publication Nos. 2005/0239134, 2005/0124565, and 2008/0227735, each of which is incorporated by reference herein in its entirety.
III. Immunoconjugates
[0167] The present invention is also directed to conjugates (also referred to herein as immunoconjugates), comprising the anti-HER3 antibodies, antibody fragments, and their functional equivalents as disclosed herein, linked or conjugated to a drug or prodrug.
Suitable drugs or prodrugs are known in the art. The drugs or prodrugs can be cytotoxic agents. The cytotoxic agent used in the cytotoxic conjugate of the present invention can be any compound that results in the death of a cell, or induces cell death, or in some manner
- -
decreases cell viability, and includes, for example, maytansinoids and maytansinoid analogs. Other suitable cytotoxic agents are, for example, benzodiazepines, taxoids, CC-1065 and CC- 1065 analogs, duocarmycins and duocarmycin analogs, enediynes, such as calicheamicins, dolastatin and dolastatin analogs including auristatins, tomaymycin derivaties, leptomycin derivaties, methotrexate, cisplatin, carboplatin, daunorubicin, doxorubicin, vincristine, vinblastine, melphalan, mitomycin C, chlorambucil and morpholino doxorubicin.
[0168] Such conjugates can be prepared by using a linking group in order to link a drug or prodrug to the antibody or functional equivalent. Suitable linking groups are well known in the art and include, for example, disulfide groups, thioether groups, acid labile groups, photolabile groups, peptidase labile groups and esterase labile groups.
[0169] The drug or prodrug can, for example, be linked to the anti-HER3 antibody or fragment thereof through a disulfide bond. The linker molecule or crosslinking agent comprises a reactive chemical group that can react with the anti-HER3 antibody or fragment thereof. The reactive chemical groups for reaction with the cell-binding agent can be N- succinimidyl esters and N-sulfosuccinimidyl esters. Additionally, the linker molecule comprises a reactive chemical group, which can be a dithiopyridyl group that can react with the drug to form a disulfide bond. Linker molecules include, for example, N-succinimidyl 3- (2-pyridyldithio) propionate (SPDP) (see, e.g., Carlsson et al, Biochem. J, 173: 723-737 (1978)), N-succinimidyl 4-(2-pyridyldithio)butanoate (SPDB) (see, e.g., U.S. Patent No. 4,563,304), N-succinimidyl 4-(2-pyridyldithio)2-sulfobutanoate (sulfo-SPDB) (see U.S. Publication No. 20090274713) , N-succinimidyl 4-(2-pyridyldithio) pentanoate (SPP) (see, e.g., CAS Registry number 341498-08-6), 2-iminothiolane, and acetylsuccinic anhydride. For example, the antibody or cell binding agent can be modified with crosslinking reagents and the antibody or cell binding agent containing free or protected thiol groups thus derived is then reacted with a disulfide- or thiol-containing maytansinoid to produce conjugates. The conjugates can be purified by chromatography, including but not limited to HPLC, size- exclusion, adsorption, ion exchange and affinity capture, dialysis or tangential flow filtration.
[0170] In another aspect of the present invention, the anti-HER3 antibody is linked to cytotoxic drugs via disulfide bonds and a polyethylene glycol spacer to enhance the potency, solubility, or efficacy of the immunoconjugate. Such cleavable hydrophilic linkers are described in WO2009/0134976. The additional benefit of this linker design is the desired high monomer ratio and the minimal aggregation of the antibody-drug conjugate.
Specifically, conjugates of cell-binding agents and drugs linked via disulfide group (-S-S-)
- -
bearing polyethylene glycol spacers ((CH2CH20)n=i_i4) with a narrow range of drug load of 2- 8 are described that show relatively high potent biological activity toward cancer cells and have the desired biochemical properties of high conjugation yield and high monomer ratio with minimal protein aggregation.
[0171] Specifically contemplated in this aspect is an anti-HER3 antibody drug conjugate of formula (I) or a conjugate of formula (Γ):
CB-[X!-(-CH2-CH20-)n-Y-D]m (I)
[D-Y-(-CH2-CH20-)n-Xi]m-CB (Γ) wherein: CB represents an anti-HER3 antibody or fragment thereof; D represents a drug; X represents an aliphatic, an aromatic or a heterocyclic unit attached to the cell-binding agent via a thioether bond, an amide bond, a carbamate bond, or an ether bond; Y represents an aliphatic, an aromatic or a heterocyclic unit attached to the drug via a disulfide bond; 1 is 0 or 1; m is an integer from 2 to 8; and n is an integer from 1 to 24.
[0172] In some embodiments, m is an integer from 2 to 6.
[0173] In some embodiments, m is an integer from 3 to 5.
[0174] In some embodiments, n is an integer form 2 to 8. Alternatively, as disclosed in, for example, U.S. Patent Nos. 6,441,163 and 7,368,565, the drug can be first modified to introduce a reactive ester suitable to react with a cell-binding agent. Reaction of these drugs containing an activated linker moiety with a cell-binding agent provides another method of producing a cell-binding agent drug conjugate. Maytansinoids can also be linked to anti-HER3 antibody or fragment using PEG linking groups, as set forth, for example, in U.S. Patent No. 6,716,821. These PEG non-cleavable linking groups are soluble both in water and in non-aqueous solvents, and can be used to join one or more cytotoxic agents to a cell binding agent. Exemplary PEG linking groups include heterobifunctional PEG linkers that react with cytotoxic agents and cell binding agents at opposite ends of the linkers through a functional sulfhydryl or disulfide group at one end, and an active ester at the other end. As a general example of the synthesis of a cytotoxic conjugate using a PEG linking group, reference is again made to U.S. Patent No. 6,716,821, which is incorporated entirely by reference herein. Synthesis begins with the reaction of one or more cytotoxic agents bearing a reactive PEG moiety with a cell-binding agent, resulting in displacement of the terminal active ester of each reactive PEG moiety by an amino acid residue of the cell binding agent, to yield a cytotoxic conjugate comprising one or more cytotoxic agents covalently bonded to
- -
a cell binding agent through a PEG linking group. Alternatively, the cell binding agent can be modified with the bifunctional PEG crosslinker to introduce a reactive disulfide moiety (such as a pyridyldisulfide), which can then be treated with a thiol-containing maytansinoid to provide a conjugate. In another method, the cell binding agent can be modified with the bifunctional PEG crosslinker to introduce a thiol moiety which then can be treated with a reactive disulfide-containing maytansinoid (such as a pyridyldisulfide), to provide a conjugate.
[0175] Antibody-maytansinoid conjugates with non-cleavable linkers can also be prepared. Such crosslinkers are described in the art (see, e.g., U.S. Publication No.
20050169933) and include but are not limited to, N-succinimidyl 4-(maleimidomethyl) cyclohexanecarboxylate (SMCC). In some embodiments, the antibody is modified with crosslinking reagents such as succinimidyl 4-(N-maleimidomethyl)-cyclohexane-l- carboxylate (SMCC), sulfo-SMCC, maleimidobenzoyl-N-hydroxysuccinimide ester (MBS), sulfo-MBS or succinimidyl-iodoacetate, as described in the literature, to introduce 1-10 reactive groups (Yoshitake et al, Eur. J. Biochem., 101 :395-399 (1979); Hashida et al, J. Applied Biochem., 56-63 (1984); and Liu et al, Biochem., 18:690-697 (1979)). The modified antibody is then reacted with the thiol-containing maytansinoid derivative to produce a conjugate. The conjugate can be purified by gel filtration through a Sephadex G25 column or by dialysis or tangential flow filtration. The modified antibodies are treated with the thiol- containing maytansinoid (1 to 2 molar equivalent/maleimido group) and antibody- maytansinoid conjugates are purified by gel filtration through a Sephadex G-25 column, chromatography on a ceramic hydroxyapatite column, dialysis or tangential flow filtration, or a combination of methods thereof. Typically, an average of 1-10 maytansinoids per antibody is linked. One method is to modify antibodies with succinimidyl 4-(N-maleimidomethyl)- cyclohexane-1 -carboxylate (SMCC) to introduce maleimido groups followed by reaction of the modified antibody with a thiol-containing maytansinoid to give a thioether-linked conjugate. Again, conjugates with 1 to 10 drug molecules per antibody molecule result. Maytansinoid conjugates of antibodies, antibody fragments, and other proteins are made in the same way.
[0176] In another aspect of the invention, the HER3 antibody is linked to the drug via a non-cleavable bond through the intermediacy of a PEG spacer. Suitable crosslinking reagents comprising hydrophilic PEG chains that form linkers between a drug and the anti-HEPv3 antibody or fragment are also well known in the art, or are commercially available
- -
(for example from Quanta Biodesign, Powell, Ohio). Suitable PEG-containing crosslinkers can also be synthesized from commercially available PEGs themselves using standard synthetic chemistry techniques known to one skilled in the art. The drugs can be reacted with bifunctional PEG-containing cross linkers to give compounds of the following formula, Z - Xi-(-CH2-CH2-0-)n-Yp-D, by methods described in detail in U.S. Patent Publication No. 20090274713 and in International Patent Publication No. WO2009/0134976, which can then react with the cell binding agent to provide a conjugate. Alternatively, the cell binding agent can be modified with the bifunctional PEG crosslinker to introduce a thiol-reactive group (such as a maleimide or haloacetamide) which can then be treated with a thiol-containing maytansinoid to provide a conjugate. In another method, the cell binding agent can be modified with the bifunctional PEG crosslinker to introduce a thiol moiety which can then be treated with a thiol-reactive maytansinoid (such as a maytansinoid bearing a maleimide or haloacetamide), to provide a conjugate.
[0177] Accordingly, another aspect of the present invention is an anti-HER3 antibody drug conjugate of formula (II) or of formula (ΙΓ):
CB-[X1-(-CH2-CH2-0-)n-Yp-D]m (II)
[D.Yp_(_CH2-CH2-0-)n-X1]m-CB (ΙΓ) wherein: CB represents an anti-HER3 antibody or fragment thereof; D represents a drug; X represents an aliphatic, an aromatic or a heterocyclic unit bonded to the cell-binding agent via a thioether bond, an amide bond, a carbamate bond, or an ether bond; Y represents an aliphatic, an aromatic, or a heterocyclic unit bonded to the drug via a covalent bond selected from the group consisting of a thioether bond, an amide bond, a carbamate bond, an ether bond, an amine bond, a carbon-carbon bond and a hydrazone bond; 1 is 0 or 1 ; p is 0 or 1 ; m is an integer from 2 to 15; and n is an integer from 1 to 2000.
[0178] In some embodiments, m is an integer from 2 to 8; and
[0179] In some embodiments, n is an integer from 1 to 24.
[0180] In some embodiments, m is an integer from 2 to 6.
[0181] In some embodiments, m is an integer from 3 to 5.
[0182] In some embodiments, n is an integer from 2 to 8. Examples of suitable PEG- containing linkers include linkers having an N-succinimidyl ester or N-sulfosuccinimidyl ester moiety for reaction with the anti-HER3 antibody or fragment thereof, as well as a
- -
maleimido- or haloacetyl-based moiety for reaction with the compound. A PEG spacer can be incorporated into any crosslinker known in the art by the methods described herein.
[0183] Many of the linkers disclosed herein are described in detail in U.S. Patent
Publication Nos. 20050169933 and 20090274713, and in International Patent Publication No. WO2009/0134976; the contents of which are entirely incorporated herein by reference.
[0184] The present invention includes aspects wherein about 2 to about 8 drug molecules ("drug load"), for example, maytansinoid, are linked to an anti-HER3 antibody or fragment thereof. The anti-tumor effect of a conjugate comprising about 2 to about 8 drug molecules is much more efficacious as compared to a drug load of a lesser or higher number of drugs linked to the same cell binding agent. "Drug load," as used herein, refers to the number of drug molecules (e.g., a maytansinoid) that can be attached to a cell binding agent (e.g., an anti-HEPv3 antibody or fragment thereof). In one aspect the number of drug molecules that can be attached to a cell binding agent can average from about 2 to about 8 (e.g., 1.9, 2.0, 2.1,
2.2, 2.3, 2.4, 2.5, 2.6, 2.7, 2.8, 2.9, 3.0, 3.1, 3.2, 3.3, 3.4, 3.5, 3.6, 3.7, 3.8, 3.9, 4.0, 4.1, 4.2,
4.3, 4.4, 4.5, 4.6, 4.7, 4.8, 4.9, 5.0, 5.1, 5.2, 5.3, 5.4, 5.5, 5.6, 5.7, 5.8, 5.9, 6.0, 6.1, 6.2, 6.3,
6.4, 6.5, 6.6, 6.7, 6.8, 6.9, 7.0, 7.1, 7.2, 7.3, 7.4, 7.5, 7.6, 7.7, 7.8, 7.9, 8.0, 8.1). In one embodiment, the drug is N2 -deacetyl-N2 -(3-mercapto-l-oxopropyl)-maytansine (DM1) or N2 -deacetyl-N2 -(4-mercapto-4-methyl-l-oxopentyl) maytansine (DM4).
[0185] The anti-HER3 antibody or fragment thereof can be modified by reacting a bifunctional crosslinking reagent with the anti-HER3 antibody or fragment thereof, thereby resulting in the covalent attachment of a linker molecule to the anti-HER3 antibody or fragment thereof. As used herein, a "bifunctional crosslinking reagent" is any chemical moiety that covalently links a cell-binding agent to a drug, such as the drugs described herein. In another method, a portion of the linking moiety is provided by the drug. In this respect, the drug comprises a linking moiety that is part of a larger linker molecule that is used to join the cell-binding agent to the drug. For example, to form the maytansinoid DM1, the side chain at the C-3 hydroxyl group of maytansine is modified to have a free sulfhydryl group (SH). This thiolated form of maytansine can react with a modified cell-binding agent to form a conjugate. Therefore, the final linker is assembled from two components, one of which is provided by the crosslinking reagent, while the other is provided by the side chain from DM1.
[0186] The drug molecules can also be linked to the antibody molecules through an intermediary carrier molecule such as serum albumin.
- -
[0187] As used herein, the expression "linked to a cell-binding agent" or "linked to an anti-HER3 antibody or fragment" refers to the conjugate molecule comprising at least one drug derivative bound to a cell-binding agent, or bound to an anti-HER3 antibody or fragment thereof via a suitable linking group, or a precursor thereof. One exemplary linking group is SMCC.
[0188] In certain embodiments, cytotoxic agents useful in the present invention are maytansinoids and maytansinoid analogs. Examples of suitable maytansinoids include esters of maytansinol and maytansinol analogs. Included are any drugs that inhibit microtubule formation and that are highly toxic to mammalian cells, as are maytansinol and maytansinol analogs.
[0189] Examples of suitable maytansinol esters include those having a modified aromatic ring and those having modifications at other positions. Such suitable maytansinoids are disclosed in U.S. Patent Nos. 4,424,219; 4,256,746; 4,294,757; 4,307,016; 4,313,946;
4,315,929; 4,331,598; 4,361,650; 4,362,663; 4,364,866; 4,450,254; 4,322,348; 4,371,533; 5,208,020; 5,416,064; 5,475,092; 5,585,499; 5,846,545; 6,333,410; 7,276,497 and 7,473,796.
[0190] In a certain embodiment, the immunoconjugates of the invention utilize the thiol- containing maytansinoid (DM1), formally termed N2 -deacetyl-N2 -(3-mercapto-l- oxopropyl)-maytansine, as the cytotoxic agent. DM1 is represented by the following structural formula (III):
[0191] In another embodiment, the conjugates of the present invention utilize the thiol- containing maytansinoid N2 -deacetyl-N2 (4-methyl-4-mercapto-l- oxopentyl)-maytansine (e.g., DM4) as the cytotoxic agent. DM4 is represented by the following structural formula (IV):
- -
[0192] Another maytansinoid comprising a side chain that contains a sterically hindered thiol bond is N2 -deacetyl-N-2 (4-mercapto-l-oxopentyl)-maytansine (termed DM3), represented by the followin structural formula (V):
[0193] Each of the maytansinoids taught in U.S. Patent Nos. 5,208,020 and 7,276,497 can also be used in the conjugate of the present invention. In this regard, the entire disclosure of U.S. Patent Nos. 5,208,020 and 7,276,697 is incorporated herein by reference.
[0194] Many positions on maytansinoids can serve as the position to chemically link the linking moiety. For example, the C-3 position having a hydroxyl group, the C-14 position modified with hydroxymethyl, the C-15 position modified with hydroxyl, and the C-20 position having a hydroxy group are all expected to be useful. In some embodiments, the C-3 position serves as the position to chemically link the linking moiety, and in some particular embodiments, the C-3 position of maytansinol serves as the position to chemically link the linking moiety.
Ab-PEG-SIA-DM1/DM4 (VIII)
- -
Ab-sulfo-SPDB-DM4 (XIII)
[0196] Several descriptions for producing such antibody-maytansinoid conjugates are provided in U.S. Patent Nos. 6,333,410, 6,441,163, 6,716,821, and 7,368,565, each of which is incorporated herein in its entirety.
[0197] In general, a solution of an antibody in aqueous buffer can be incubated with a molar excess of maytansinoids having a disulfide moiety that bears a reactive group. The reaction mixture can be quenched by addition of excess amine (such as ethanolamine, taurine, etc.). The maytansinoid-antibody conjugate can then be purified by gel filtration.
[0198] The number of maytansinoid molecules bound per antibody molecule can be determined by measuring spectrophotometrically the ratio of the absorbance at 252 nm and 280 nm. The average number of maytansinoid molecules/antibody can be, for example, 1-10, 2-9, 2-8, 2-7, 2-6, or 2-5.
[0199] Anthracycline compounds, as well as derivatives, intermediates and modified versions thereof, can also be used to prepare anti-HER3 immunoconjugates. For example, doxorubicin, doxorubicin derivatives, doxorubicin intermediates, and modified doxorubicins can be used in anti-HER3 conjugates. Exemplary compounds are described in International
- -
Patent Publication WO 2010/009124, which is herein incorporated by reference in its entirety. Such compounds include, for example, compounds of the following formula:
wherein Ri is a hydrogen atom, hydroxy or methoxy group and R2 is a Ci-C3 alkoxy group, or a pharmaceutically acceptable salt thereof.
[0200] Conjugates of antibodies with maytansinoid or other drugs can be evaluated for their ability to suppress proliferation of various unwanted cell lines in vitro. For example, cell lines such as the 300-19 cell lines that overexpress human HER3 or macaque HER3 and breast cancer cell line SKBR3, can easily be used for the assessment of cytotoxicity of these compounds. Cells to be evaluated can be exposed to the compounds for 4 to 5 days and the surviving fractions of cells measured in direct assays by known methods. IC50 values can then be calculated from the results of the assays.
[0201] The immunoconjugates can, according to some embodiments described herein, be internalized into the cells and processed intracellularly. The immunoconjugate, therefore, can exert a therapeutic effect when it is taken up by, or internalized by, a HER3 -expressing cell. In some particular embodiments, the immunoconjugate comprises an antibody, antibody fragment, or polypeptide linked to a cytotoxic agent by a cleavable linker, and the cytotoxic agent is cleaved from the antibody, antibody fragment, or polypeptide, wherein it is internalized by a HER3 -expressing cell.
[0202] In another aspect of the invention siRNA molecules can be linked to the antibodies of the present invention instead of a drug. siRNAs can be linked to the antibodies of the present invention by methods commonly used for the modification of oligonucleotides (see, for example, U.S. Patent Publication Nos. 2005/0107325 and 2007/0213292). Thus, the siRNA in its 3' or 5'-phosphoromidite form can be reacted with one end of the crosslinker bearing a hydroxyl functionality to give an ester bond between the siRNA and the
crosslinker. Similarly, reaction of the siRNA phosphoramidite with a crosslinker bearing a
- -
terminal amino group results in linkage of the crosslinker to the siR A through an amine. Alternatively, the siRNA can be derivatized by standard chemical methods to introduce a thiol group. This thiol-containing siRNA can be reacted with an antibody that has been modified to introduce an active disulfide or maleimide moiety, to produce a cleavable or non cleavable conjugate. Between 1 - 20 siRNA molecules can be linked to an antibody by this method.
IV. Polynucleotides
[0203] In certain embodiments, the invention encompasses polynucleotides comprising polynucleotides that encode a polypeptide that specifically binds HER3 or a fragment of such a polypeptide. For example, the invention provides a polynucleotide comprising a nucleic acid sequence that encodes an antibody to a human HER3 or encodes a fragment of such an antibody. The polynucleotides of the invention can be in the form of RNA or in the form of DNA. DNA includes cDNA, genomic DNA, and synthetic DNA; and can be double-stranded or single-stranded, and if single stranded can be the coding strand or non-coding (anti-sense) strand.
[0204] In certain embodiments, the polynucleotides are isolated. In certain embodiments, the polynucleotides are substantially pure.
[0205] The invention provides a polynucleotide comprising a polynucleotide encoding a polypeptide comprising an amino acid sequence selected from the group consisting of SEQ ID NOs:4-53. The invention also provides a polynucleotide comprising a polynucleotide encoding a polypeptide comprising an amino acid sequence that is at least about 80%, at least about 85%, at least about 90%>, at least about 95%, at least about 96%, at least about 97%, at least about 98%, or at least about 99% identical to an amino acid sequence selected from the group consisting of SEQ ID NOs:4-53.
[0206] The invention further provides a polynucleotide comprising a sequence selected from those shown in Tables 7-10 below.
Table 7: Variable heavy chain polynucleotide sequences
Antibody VH Polynucleotide Sequence (SEQ ID NO)
muHER3-3 gacattgtgatgactcagtctccagccaccctgtctgtgactccaggagatagagtctctctttcctgcagggcc agccagagtattaacgactacttacactggtatcaacaaaaatcacatgagtctccaaggcttctcatcaaatttg cttcccactccatctctgggatcccctccaggttcagtggcagtggatcagggtcagatttcactctcactatcaa cagtgtggaacctgaagatgttggagtgtattactgtcaaaatggtcacagctttccgtggacgttcggtggag
- -
Table 8: Variable light chain polynucleotide sequences
Antibody VL Polynucleotide Sequence (SEQ ID NO)
muHER3-3 gacattgtgatgactcagtctccagccaccctgtctgtgactccaggagatagagtctctctttcctgcagggcc agccagagtattaccgactacttacactggtatcaacaaaaatcacatgagtctccaaggcttctcatcaaatttg cttcccaatccatctctgggatcccctccaggttcagtggcagtggatcagggtcagatttcactctcagtatcaa cagtgtggaacctgaagatgttggagtgtattactgtcaaaatggtcacagctttcctctcacgttcggtgctggg
- -
Table 9: Full-length heavy chain polynucleotide sequences
Antibody Full-Length Heavy Chain Polynucleotide Sequence (SEQ ID NO) huHER3-3 aagcttgccaccatgggttggtcctgtatcatactgttcctggttgcaactgccaccggcgtacactcccaggtg cagctggtgcagccaggagcagaagtagtgaagcccggagcaagcgtcaaaatgtcctgcaaggctagcg gctacacattcaccgactattggatacactgggtgaagcagcggcctggccaaggactggagtggatcggtg ccattgacaccgacacttacacatcctataaccagaaattccagggcaaagctactctgactgttgatgagtcaa gcagcacagcttacatgcaactctccagcctcactagtgaggacagtgccgtctattactgcgcacgatctttg ctgaggctcctgtactttgactattggggccagggaaccaccctgacagtatcttctgcctcaacaaagggccc atcagttttccccttggctccaagttctaaatccacaagcggtggaacagctgcactgggatgcctcgttaaaga ttatttccctgagcctgtgacagtgagctggaatagcggagcattgacttcaggtgtgcacacttttcccgctgtg ttgcagtcctccggtctgtactcactgtccagtgtcgtaaccgtcccttctagcagcttgggaacccagacctac atctgtaacgtcaaccataaaccatccaacacaaaggtggataagaaggttgaaccaaagagctgtgataaga cacatacatgccctccttgtcctgcaccagagctcctcggaggtccatctgtgttcctgtttccccccaaaccca aggacactcttatgatctctcgtactccagaggtcacctgtgttgttgtcgacgtgagccatgaagatcccgagg ttaaattcaactggtacgtggatggagtcgaggttcacaatgccaagaccaagcccagggaggagcaatata attctacatatcgggtagtgagcgttctgaccgtgctccaccaagattggctcaatggaaaagagtacaagtgc aaggtgtccaacaaggctcttcccgctcccattgagaaaactatctccaaagccaaggggcagccacgggaa
- -
ccccaggtgtatacattgcccccatctagagacgagctgaccaagaaccaggtgagtctcacttgtctggtcaa ggggttttacccttctgacattgctgtagagtgggagtctaacggacagccagaaaacaactacaagacaact cccccagtgctggacagcgacgggagcttcttcctctactccaagttgactgtagacaagtctagatggcagc aaggaaacgttttctcctgctcagtaatgcatgaggctctgcacaatcactatacccagaaatcactgtcccttag cccagggtgactcgag (SEQ ID NO: 67)
huHER3-8v.l .OO aagcttgccaccatgggatggtcctgtattattttgttcctggtcgccactgcaactggtgtgcatagtcaggtgc agctgcaagagtcaggccctggtttggtgaaacccagccagagtctgtctctgacctgcaccgttaccggctct tccatcacttccgattacgcatggaattggatcaggcaacatccaggaaataaactggagtggatgggcttcat ctcttatagtggttctacctcctacaaccccagtttgaaaagtcgaatcagtataactcgcgatacttccaaaaac cagttctttctccatctgagcagtgtgaccgctgcagacaccgctacctattactgttcccggaagctgggccga ctctattattttgactactgggggcaggggactctgttgactgtcagctctgcctccacaaagggcccatcagttt tccccttggctccaagttctaaatccacaagcggtggaacagctgcactgggatgcctcgttaaagattatttcc ctgagcctgtgacagtgagctggaatagcggagcattgacttcaggtgtgcacacttttcccgctgtgttgcagt cctccggtctgtactcactgtccagtgtcgtaaccgtcccttctagcagcttgggaacccagacctacatctgta acgtcaaccataaaccatccaacacaaaggtggataagaaggttgaaccaaagagctgtgataagacacata catgccctccttgtcctgcaccagagctcctcggaggtccatctgtgttcctgtttccccccaaacccaaggaca ctcttatgatctctcgtactccagaggtcacctgtgttgttgtcgacgtgagccatgaagatcccgaggttaaatt caactggtacgtggatggagtcgaggttcacaatgccaagaccaagcccagggaggagcaatataattctac atatcgggtagtgagcgttctgaccgtgctccaccaagattggctcaatggaaaagagtacaagtgcaaggtg tccaacaaggctcttcccgctcccattgagaaaactatctccaaagccaaggggcagccacgggaaccccag gtgtatacattgcccccatctagagacgagctgaccaagaaccaggtgagtctcacttgtctggtcaaggggtt ttacccttctgacattgctgtagagtgggagtctaacggacagccagaaaacaactacaagacaactccccca gtgctggacagcgacgggagcttcttcctctactccaagttgactgtagacaagtctagatggcagcaaggaa acgttttctcctgctcagtaatgcatgaggctctgcacaatcactatacccagaaatcactgtcccttagcccagg gtgactcgag (SEQ ID NO: 68)
huHER3-8v.l .01 aagcttgccaccatgggatggtcctgtattattttgttcctggtcgccactgcaactggtgtgcatagtcaggtgc agctgcaagagtcaggccctggtttggtgaaacccagccagagtctgtctctgacctgcaccgttaccggctct tccatcacttccgattacgcatggaattggatcaggcaacatccaggaaataaactggagtggatgggcttcat ctcttatagtggttctacctcctacaaccccagtttgaaaagtcgaatcagtataactcgcgatacttccaaaaac cagttctttctccatctgagcagtgtgaccgctgcagacaccgctacctattactgttctagaaagctgggccga ctctattattttgactactgggggcaggggactctgttgactgtcagctctgcctccacaaagggcccatcagttt tccccttggctccaagttctaaatccacaagcggtggaacagctgcactgggatgcctcgttaaagattatttcc ctgagcctgtgacagtgagctggaatagcggagcattgacttcaggtgtgcacacttttcccgctgtgttgcagt cctccggtctgtactcactgtccagtgtcgtaaccgtcccttctagcagcttgggaacccagacctacatctgta acgtcaaccataaaccatccaacacaaaggtggataagaaggttgaaccaaagagctgtgataagacacata catgccctccttgtcctgcaccagagctcctcggaggtccatctgtgttcctgtttccccccaaacccaaggaca ctcttatgatctctcgtactccagaggtcacctgtgttgttgtcgacgtgagccatgaagatcccgaggttaaatt caactggtacgtggatggagtcgaggttcacaatgccaagaccaagcccagggaggagcaatataattctac atatcgggtagtgagcgttctgaccgtgctccaccaagattggctcaatggaaaagagtacaagtgcaaggtg tccaacaaggctcttcccgctcccattgagaaaactatctccaaagccaaggggcagccacgggaaccccag gtgtatacattgcccccatctagagacgagctgaccaagaaccaggtgagtctcacttgtctggtcaaggggtt ttacccttctgacattgctgtagagtgggagtctaacggacagccagaaaacaactacaagacaactccccca gtgctggacagcgacgggagcttcttcctctactccaagttgactgtagacaagtctagatggcagcaaggaa acgttttctcctgctcagtaatgcatgaggctctgcacaatcactatacccagaaatcactgtcccttagcccagg gtgactcgag (SEQ ID NO:69)
huHER3-10 aagcttgccaccatgggctggagttgtatcattctgttcctcgttgcaaccgccaccggtgtgcacagccaggtt cagctggtacagtctggacctgaagtggttaagccaggcgtttccatgaaaattagctgtaaggcctccggcta tacattcaccgattataccatgaattgggtgaagcaaagtcctggacagaacctggaatggattggcttgatcaa tccatacaacgacattacagcatacaaccagaagtttcaagggaaggctaccttgtctgtggacaaatctagct
- -
ctaccgcctacatggagctgttgagcttgacctccgaggacagtgccgtttattactgtgctaggcgcgggcca aggggcgcatggtttgcctattggggccagggtacactggtaacagtgagtgctgcatctacaaagggcccat cagttttccccttggctccaagttctaaatccacaagcggtggaacagctgcactgggatgcctcgttaaagatt atttccctgagcctgtgacagtgagctggaatagcggagcattgacttcaggtgtgcacacttttcccgctgtgtt gcagtcctccggtctgtactcactgtccagtgtcgtaaccgtcccttctagcagcttgggaacccagacctacat ctgtaacgtcaaccataaaccatccaacacaaaggtggataagaaggttgaaccaaagagctgtgataagac acatacatgccctccttgtcctgcaccagagctcctcggaggtccatctgtgttcctgtttccccccaaacccaa ggacactcttatgatctctcgtactccagaggtcacctgtgttgttgtcgacgtgagccatgaagatcccgaggt taaattcaactggtacgtggatggagtcgaggttcacaatgccaagaccaagcccagggaggagcaatataa ttctacatatcgggtagtgagcgttctgaccgtgctccaccaagattggctcaatggaaaagagtacaagtgca aggtgtccaacaaggctcttcccgctcccattgagaaaactatctccaaagccaaggggcagccacgggaac cccaggtgtatacattgcccccatctagagacgagctgaccaagaaccaggtgagtctcacttgtctggtcaa ggggttttacccttctgacattgctgtagagtgggagtctaacggacagccagaaaacaactacaagacaact cccccagtgctggacagcgacgggagcttcttcctctactccaagttgactgtagacaagtctagatggcagc aaggaaacgttttctcctgctcagtaatgcatgaggctctgcacaatcactatacccagaaatcactgtcccttag cccagggtgactcgag (SEQ ID NO: 70)
Table 10: Full-length light chain polynucleotide sequences
Antibody Full-length Light Chain Polynucleotide Sequence (SEQ ID NO) huHER3-3 Gaattcgccaccatgggttggtcctgtatcatcctttttctggtcgctacagccacaggggtgcacagtgagata gtgatgacccagtctccagctactctctccgtcacccccggcgatcgagttaccctttcctgccgggcttccca gtctattaccgattaccttcactggtatcagcagaagcctggtcagagcccccgcctgctgattaaattcgcctc acagtccatcagtggtattccagatcgttttagcggttccggctccggctcagactttactctttccatcagttcag tggagcctgaagacgtgggggtgtattactgtcagaatggccactccttccccttgacttttggacagggcacc aagttggagctcaagcgtacggtggctgcaccatctgtcttcatcttcccgccatctgatgagcagttgaaatct ggaactgcctctgttgtgtgcctgctgaataacttctatcccagagaggccaaagtacagtggaaggtggataa cgccctccaatcgggtaactcccaggagagtgtcacagagcaggacagcaaggacagcacctacagcctc agcagcaccctgacgctgagcaaagcagactacgagaaacacaaagtctacgcctgcgaagtcacccatca gggcctgagctcgcccgtcacaaagagcttcaacaggggagagtgttag (SEQ ID NO: 71) huHER3-8v.l .OO gaattcgccaccatgggatggagttgcatcatcctgttcctggtagccaccgccacaggggtgcatagtgaga and tagtaatgacacagagccctgcaaccctgtccgttactcctggtgatagggtatcactgtcatgtagggccagt huHER3-8v.l .01 caatccattaatgactacctgcattggtatcagcagaagcctggacaatccccacgattgctgatcaaatttgcta gccacagcatctcaggaatccccgacagattttcaggctccggcagtggatcagacttcacactgacaatctct agtgtcgagcctgaagatgtcggcgtgtattactgccagaacggccatagtttcccatggacatttggggggg gtacaaaattggagatcaaacgtacggtggctgcaccatctgtcttcatcttcccgccatctgatgagcagttga aatctggaactgcctctgttgtgtgcctgctgaataacttctatcccagagaggccaaagtacagtggaaggtg gataacgccctccaatcgggtaactcccaggagagtgtcacagagcaggacagcaaggacagcacctaca gcctcagcagcaccctgacgctgagcaaagcagactacgagaaacacaaagtctacgcctgcgaagtcacc catcagggcctgagctcgcccgtcacaaagagcttcaacaggggagagtgttag (SEQ ID NO: 72) huHER3-10 gaattcgccaccatgggatggtcatgtatcattctgtttctggtggctacagcaactggggtacacagtgatatc gtgctgacccaaagtcctgcttcactggccgtgtcccctggccagcgcgcaactatcagttgtagggcttctac ctccgtatacaattacggtaactccttcatgcactggtaccagcagatgcccggtcagccccccaaactgttgat ctaccttgcttccaacctggaatcaggcgtcccagcccgttttagcggttccggctcacgaacagatttcaccct tactattgaccccgtcgaggccaacgatgctgcaacatactattgccagcagaatagtgaagatccttggacat ttggccagggaactaagttggaaattaaacgtacggtggctgcaccatctgtcttcatcttcccgccatctgatg agcagttgaaatctggaactgcctctgttgtgtgcctgctgaataacttctatcccagagaggccaaagtacagt
- -
[0207] Also provided is a polynucleotide having at least about 80%, at least about 85%, at least about 90%, at least about 95%, at least about 96%, at least about 97%, at least about 98%), or at least about 99% sequence identity to SEQ ID NOs:54-73. In one embodiment, the invention encompasses a polynucleotide having at least about 80%, at least about 85%, at least about 90%, at least about 95%, at least about 96%, at least about 97%, at least about 98%, or at least about 99% sequence identity to SEQ ID NOs:54-73 wherein the
polynucleotide encodes a polypeptide that binds HER3.
[0208] In certain embodiments the polynucleotides comprise the coding sequence for the mature polypeptide fused in the same reading frame to a polynucleotide which aids, for example, in expression and secretion of a polypeptide from a host cell (e.g. a leader sequence which functions as a secretory sequence for controlling transport of a polypeptide from the cell). The polypeptide having a leader sequence is a preprotein and can have the leader sequence cleaved by the host cell to form the mature form of the polypeptide. The polynucleotides can also encode for a proprotein which is the mature protein plus additional 5' amino acid residues. A mature protein having a prosequence is a proprotein and is an inactive form of the protein. Once the prosequence is cleaved an active mature protein remains.
[0209] In certain embodiments the polynucleotides comprise the coding sequence for the mature polypeptide fused in the same reading frame to a marker sequence that allows, for example, for purification of the encoded polypeptide. For example, the marker sequence can be a hexa-histidine tag supplied by a pQE-9 vector to provide for purification of the mature polypeptide fused to the marker in the case of a bacterial host, or the marker sequence can be a hemagglutinin (HA) tag derived from the influenza hemagglutinin protein when a mammalian host (e.g., COS-7 cells) is used.
[0210] The present invention further relates to variants of the above described
polynucleotides encoding, for example, fragments, analogs, and derivatives.
[0211] The polynucleotide variants can contain alterations in the coding regions, non- coding regions, or both. In some embodiments the polynucleotide variants contain alterations which produce silent substitutions, additions, or deletions, but do not alter the properties or
- -
activities of the encoded polypeptide. In some embodiments, nucleotide variants are produced by silent substitutions due to the degeneracy of the genetic code. Polynucleotide variants can be produced for a variety of reasons, e.g., to optimize codon expression for a particular host (change codons in the human mRNA to those preferred by a bacterial host such as E. coli).
[0212] Vectors and cells comprising the polynucleotides described herein are also provided.
V. Methods of use and pharmaceutical compositions
[0213] The HER3-binding agents (including antibodies, immunoconjugates, and polypeptides) of the invention are useful in a variety of applications including, but not limited to, therapeutic treatment methods, such as the treatment of cancer, such as solid cancers. In certain embodiments, the HER3-binding agents are useful for inhibiting tumor growth, inducing differentiation, reducing tumor volume, and/or reducing the tumorigenicity of a tumor. The methods of use can be in vitro, ex vivo, or in vivo methods. In certain embodiments, the HER3 -binding agent or antibody or immunoconjugate, or polypeptide is an antagonist of the human HER3 to which it binds.
[0214] In one aspect, anti-HER3 antibodies and immunoconjugates of the invention are useful for detecting the presence of HER3 in a biological sample. The term "detecting" as used herein encompasses quantitative or qualitative detection. In certain embodiments, a biological sample comprises a cell or tissue. In certain embodiments, such tissues include normal and/or cancerous tissues that express HER3 at higher levels relative to other tissues.
[0215] In one aspect, the invention provides a method of detecting the presence of HER3 in a biological sample. In certain embodiments, the method comprises contacting the biological sample with an anti-HER3 antibody under conditions permissive for binding of the anti-HER3 antibody to HER3 antigen, and detecting whether a complex is formed between the anti-HER3 antibody and HER3 antigen.
[0216] In one aspect, the invention provides a method of diagnosing a disorder associated with increased expression of HER3 antigen. In certain embodiments, the method comprises contacting a test cell with an anti-HER3 antibody; determining the level of expression (either quantitatively or qualitatively) of HER3 antigen by the test cell by detecting binding of the anti-HER3 antibody to HER3 antigen; and comparing the level of expression of HER3 antigen by the test cell with the level of expression of HER3 antigen by a control cell (e.g., a
- -
normal cell of the same tissue origin as the test cell or a cell that expresses HER3 at levels comparable to such a normal cell), wherein a higher level of expression of HER3 by the test cell as compared to the control cell indicates the presence of a disorder associated with increased expression of HER3. In certain embodiments, the test cell is obtained from an individual suspected of having a disorder associated with increased expression of HER3. In certain embodiments, the disorder is a cell proliferative disorder, such as a cancer or a tumor.
[0217] In certain embodiments, a method of diagnosis or detection, such as those described above, comprises detecting binding of an anti-HER3 antibody to HER3 antigen expressed on the surface of a cell or in a membrane preparation obtained from a cell expressing HER3 on its surface. In certain embodiments, the method comprises contacting a cell with an anti-HER3 antibody under conditions permissive for binding of the anti-HER3 antibody to HER3, and detecting whether a complex is formed between the anti-HER3 antibody and HER3 on the cell surface. An exemplary assay for detecting binding of an anti- HER3 antibody to HER3 expressed on the surface of a cell is a "FACS" assay.
[0218] Certain other methods can be used to detect binding of anti-HER3 antibodies to HER3 antigen. Such methods include, but are not limited to, antigen-binding assays that are well known in the art, such as western blots, radioimmunoassays, ELISA (enzyme linked immunosorbent assay), "sandwich" immunoassays, immunoprecipitation assays, fluorescent immunoassays, protein A immunoassays, and immunohistochemistry (IHC).
[0219] In certain embodiments, anti-HER3 antibodies are labeled. Labels include, but are not limited to, labels or moieties that are detected directly (such as fluorescent, chromophoric, electron-dense, chemiluminescent, and radioactive labels), as well as moieties, such as enzymes or ligands, that are detected indirectly, e.g., through an enzymatic reaction or molecular interaction.
[0220] In certain embodiments, anti-HER3 antibodies are immobilized on an insoluble matrix. Immobilization entails separating the anti-HER3 antibody from any HER3 that remains free in solution. This conventionally is accomplished by either insolubilizing the anti-HER3 antibody before the assay procedure, as by adsorption to a water-insoluble matrix or surface (Bennich et al, U.S. Patent No. 3,720,760), or by covalent coupling (for example, using glutaraldehyde cross-linking), or by insolubilizing the anti-HER3 antibody after formation of a complex between the anti-HER3 antibody and HER3 antigen, e.g., by immunoprecipitation.
- -
[0221] Any of the above embodiments of diagnosis or detection can be carried out using an immunoconjugate of the invention in place of or in addition to an anti-HER3 antibody.
[0222] In one embodiment, the invention provides a method of treating, preventing or ameliorating a disease comprising administering a HER3 -binding agent or antagonist (e.g., an anti-HER3 antibody) to a patient, thereby treating the disease. In certain embodiments, the disease treated with the HER3-binding agent or antagonist (e.g., an anti-HER3 antibody) is a cancer. Examples of diseases which can be treated and/or prevented include acute lymphoblastic leukemia, acute myeloid leukemia, adrenocortical carcinoma, anal cancer, basal cell carcinoma, bile duct cancer, bladder cancer, bone cancer, brain tumors (including astrocytoma, brain stem glioma, craniopharyngioma, ependymoblastoma, ependymoma, medulloblastoma, medulloepithelioma, pineal parenchymal tumors of intermediate differentiation, supratentorial primitive neuroectodermal tumors, and pineoblastoma), breast cancer, bronchial tumors, Burkitt lymphoma, carcinoid tumors, central nervous system atypical teratoid/rhabdoid tumors, cervical cancer, chordoma, chronic lymphocytic leukemia, chronic myelogenous leukemia, chronic myeloproliferative disorders, colon cancer, colorectal cancer, cutaneous T-Cell lymphoma, embryonal tumors, endometrial cancer, esophageal cancer, Ewing sarcoma, gallbladder cancer, gastric cancer, germ cell tumors, hairy cell leukemia, head and neck cancer, hepatocellular cancer, Hodgkin lymphoma, hypopharyngeal cancer, intraocular melanoma, islet cell tumors, Kaposi sarcoma, kidney cancer, Langerhans cell histiocytosis, laryngeal cancer, liver cancer, malignant fibrous histiocytoma of bone and osteosarcoma, melanoma, Merkel cell carcinoma, mesothelioma, mouth cancer, multiple myeloma/plasma cell neoplasm, mycosis fungoides,
myelodysplastic/myeloproliferative neoplasms, nasal cavity and paranasal sinus cancer, nasopharyngeal cancer, neuroblastoma, non-Hodgkin lymphoma, non-small cell lung cancer, oral cancer, oropharyngeal cancer, ovarian cancer, pancreatic cancer, parathyroid cancer, penile cancer, pharyngeal cancer, pituitary tumor, prostate cancer, rectal cancer, renal cell cancer, retinoblastoma, rhabdomyosarcoma, salivary gland cancer, Sezary syndrome, skin cancer (nonmelanoma), small cell lung cancer, small intestine cancer, soft tissue sarcoma, squamous cell carcinoma, squamous neck cancer, stomach cancer, T-cell lymphoma, testicular cancer, throat cancer, thymoma and thymic carcinoma, thyroid cancer, urethral cancer, uterine cancer, vaginal cancer, vulvar cancer, Waldenstrom macroglobulinemia, and Wilms tumor. In certain embodiments, the cancer is characterized by HER3 expressing cells to which the HER3-binding agent (e.g., antibody) binds.
- -
[0223] The present invention provides for methods of treating cancer comprising administering a therapeutically effective amount of a HER3-binding agent to a subject (e.g., a subject in need of treatment). In certain embodiments, the cancer is a solid cancer. In certain embodiments, the cancer is selected from the group consisting of B cell lymphomas, NHL, precursor B cell lymphoblastic leukemia/lymphoma and mature B cell neoplasms, B cell chronic lymphocytic leukemia (CLL)/small lymphocytic lymphoma (SLL), B cell prolymphocytic leukemia, lymphoplasmacytic lymphoma, mantle cell lymphoma (MCL), follicular lymphoma (FL), low grade, intermediate-grade and high-grade (FL), cutaneous follicle center lymphoma, marginal zone B cell lymphoma, MALT type marginal zone B cell lymphoma, nodal marginal zone B cell lymphoma, splenic type marginal zone B cell lymphoma, hairy cell leukemia, diffuse large B cell lymphoma, Burkitt's lymphoma, plasmacytoma, plasma cell myeloma, post-transplant lymphoproliferative disorder,
Waldenstrom's macroglobulinemia, and anaplastic large-cell lymphoma (ALCL). In certain embodiments, the subject is a human.
[0224] The present invention further provides methods for inhibiting tumor growth using the antibodies or other agents described herein. In certain embodiments, the method of inhibiting tumor growth comprises contacting a cell with a HER3-binding agent (e.g., antibody) in vitro. For example, an immortalized cell line or a cancer cell line that expresses HER3 is cultured in medium to which is added the antibody or other agent to inhibit tumor growth. In some embodiments, tumor cells are isolated from a patient sample such as, for example, a tissue biopsy, pleural effusion, or blood sample and cultured in medium to which is added a HER3 -binding agent to inhibit tumor growth.
[0225] In some embodiments, the method of inhibiting tumor growth comprises contacting the tumor or tumor cells with the HER3-binding agent (e.g., antibody) in vivo. In certain embodiments, contacting a tumor or tumor cell with a HER3-binding agent is undertaken in an animal model. For example, HER3-binding agents can be administered to xenografts expressing HER3 that have been grown in immunocompromised mice (e.g., NOD/SCID mice) to inhibit tumor growth. In some embodiments, cancer stem cells are isolated from a patient sample such as, for example, a tissue biopsy, pleural effusion, or blood sample and injected into immunocompromised mice that are then administered a HER3- binding agent to inhibit tumor cell growth. In some embodiments, the HER3-binding agent is administered at the same time or shortly after introduction of tumorigenic cells into the
- -
animal to prevent tumor growth. In some embodiments, the HER3 -binding agent is administered as a therapeutic after the tumorigenic cells have grown to a specified size.
[0226] In certain embodiments, the method of inhibiting tumor growth comprises administering to a subject a therapeutically effective amount of a HER3 -binding agent. In certain embodiments, the subject is a human. In certain embodiments, the subject has a tumor or has had a tumor removed.
[0227] In certain embodiments, the tumor expresses the HER3 to which the HER3- binding agent or antibody binds. In certain embodiments, the tumor overexpresses the human HER3.
[0228] In addition, the invention provides a method of reducing the tumorigenicity of a tumor in a subject, comprising administering a therapeutically effective amount of a HER3- binding agent to the subject. In certain embodiments, the tumor comprises cancer stem cells. In certain embodiments, the frequency of cancer stem cells in the tumor is reduced by administration of the HER3 -binding agent.
[0229] The invention further provides methods of differentiating tumorigenic cells into non-tumorigenic cells comprising contacting the tumorigenic cells with a HER3 -binding agent, for example, by administering the HER3 -binding agent to a subject that has a tumor comprising the tumorigenic cells or that has had such a tumor removed.
[0230] The use of the HER3-binding agents, polypeptides, or antibodies described herein to induce the differentiation of cells, including, but not limited to tumor cells, is also provided. For example, methods of inducing cells to differentiate comprising contacting the cells with an effective amount of a HER3-binding agent (e.g., an anti-HER3 antibody) described herein are envisioned. Methods of inducing cells in a tumor in a subject to differentiate comprising administering a therapeutically effective amount of a HER3 -binding agent, polypeptide, or antibody to the subject are also provided. In certain embodiments, the tumor is a pancreatic tumor. In certain other embodiments, the tumor is a lung tumor. In some embodiments, the treatment methods comprise administering a therapeutically effective amount of the HER3 -binding agent, polypeptide, or antibody to the subject.
[0231] The present invention further provides pharmaceutical compositions comprising one or more of the HER3-binding agents described herein. In certain embodiments, the pharmaceutical compositions further comprise a pharmaceutically acceptable vehicle. These pharmaceutical compositions find use in inhibiting tumor growth and treating cancer in human patients.
- -
[0232] In certain embodiments, formulations are prepared for storage and use by combining a purified antibody or agent of the present invention with a pharmaceutically acceptable vehicle (e.g., carrier, excipient) (Remington, The Science and Practice of
Pharmacy 20th Edition Mack Publishing, 2000). Suitable pharmaceutically acceptable vehicles include, but are not limited to, nontoxic buffers such as phosphate, citrate, and other organic acids; salts such as sodium chloride; antioxidants including ascorbic acid and methionine; preservatives (e.g., octadecyldimethylbenzyl ammonium chloride;
hexamethonium chloride; benzalkonium chloride; benzethonium chloride; phenol, butyl or benzyl alcohol; alkyl parabens, such as methyl or propyl paraben; catechol; resorcinol;
cyclohexanol; 3-pentanol; and m-cresol); low molecular weight polypeptides (e.g., less than about 10 amino acid residues); proteins such as serum albumin, gelatin, or immunoglobulins; hydrophilic polymers such as polyvinylpyrrolidone; amino acids such as glycine, glutamine, asparagine, histidine, arginine, or lysine; carbohydrates such as monosacchandes,
disaccharides, glucose, mannose, or dextrins; chelating agents such as EDTA; sugars such as sucrose, mannitol, trehalose or sorbitol; salt-forming counter-ions such as sodium; metal complexes (e.g., Zn-protein complexes); and non-ionic surfactants such as TWEEN or polyethylene glycol (PEG).
[0233] The pharmaceutical compositions of the present invention can be administered in any number of ways for either local or systemic treatment. Administration can be topical (such as to mucous membranes, including vaginal and rectal delivery) such as transdermal patches, ointments, lotions, creams, gels, drops, suppositories, sprays, liquids and powders; pulmonary (e.g., by inhalation or insufflation of powders or aerosols, including by nebulizer, intratracheal, intranasal, epidermal and transdermal); oral; or parenteral including
intravenous, intraarterial, subcutaneous, intraperitoneal or intramuscular injection or infusion; or intracranial (e.g., intrathecal or intraventricular) administration.
[0234] An antibody or immunoconjugate of the invention can be combined in a pharmaceutical combination formulation, or dosing regimen as combination therapy, with a second compound having anti-cancer properties that differs from the antibody or
immunoconjugate. The second compound of the pharmaceutical combination formulation or dosing regimen can have complementary activities to the antibody or immunoconjugate of the combination such that they do not adversely affect each other. Pharmaceutical compositions comprising the HER3 -binding agent and the second anti-cancer agent are also provided. For example, HER3 -binding agents can be administered in combination with, but
- -
not limited to, a chemotherapeutic agent, HER2 antagonists, such as trastuzumab and lapatinib, and/or EGFR antagonists, such as cetuximab, panitumumab, erlotinib and gefitinib.
[0235] For the treatment of the disease, the appropriate dosage of an antibody or agent of the present invention depends on the type of disease to be treated, the severity and course of the disease, the responsiveness of the disease, whether the antibody or agent is administered for therapeutic or preventative purposes, previous therapy, patient's clinical history, and so on, all at the discretion of the treating physician. The antibody or agent can be administered one time or over a series of treatments lasting from several days to several months, or until a cure is effected or a diminution of the disease state is achieved (e.g., reduction in tumor size). Optimal dosing schedules can be calculated from measurements of drug accumulation in the body of the patient and will vary depending on the relative potency of an individual antibody or agent. The administering physician can easily determine optimum dosages, dosing methodologies and repetition rates. In certain embodiments, dosage is from 0.0 ^g to lOOmg (e.g., O.O^g, O. ^g, l ^g, ^g, 50μg, O.lmg, 0.5mg, lmg, 5mg, lOmg, 20mg, 30mg, 40mg, 50mg, or lOOmg) per kg of body weight, and can be given once or more daily, weekly, monthly or yearly. In certain embodiments, the antibody or other HER3-binding agent is given once every two weeks or once every three weeks. In certain embodiments, the dosage of the antibody or other HER3-binding agent is from about O.lmg to about 20mg (e.g.,
0.1mg, 0.5mg, lmg, 5mg, lOmg, 15mg, or 20mg) per kg of body weight. The treating physician can estimate repetition rates for dosing based on measured residence times and concentrations of the drug in bodily fluids or tissues.
[0236] The combination therapy can provide "synergy" and prove "synergistic", i.e., the effect achieved when the active ingredients used together is greater than the sum of the effects that results from using the compounds separately. A synergistic effect can be attained when the active ingredients are: (1) co-formulated and administered or delivered
simultaneously in a combined, unit dosage formulation; (2) delivered by alternation or in parallel as separate formulations; or (3) by some other regimen. When delivered in alternation therapy, a synergistic effect can be attained when the compounds are administered or delivered sequentially, e.g., by different injections in separate syringes. In general, during alternation therapy, an effective dosage of each active ingredient is administered sequentially,
1. e., serially, whereas in combination therapy, effective dosages of two or more active ingredients are administered together.
- -
VI. Kits comprising HER3 binding agents
[0237] The present invention provides kits that comprise the antibodies,
immunoconjugates or other agents described herein and that can be used to perform the methods described herein. In certain embodiments, a kit comprises at least one purified antibody against HER3 in one or more containers. In some embodiments, the kits contain all of the components necessary and/or sufficient to perform a detection assay, including all controls, directions for performing assays, and any necessary software for analysis and presentation of results. One skilled in the art will readily recognize that the disclosed antibodies, immunoconjugates or other agents of the present invention can be readily incorporated into one of the established kit formats which are well known in the art.
[0238] Further provided are kits comprising a HER3-binding agent (e.g., a HER3-binding antibody), as well as a second anti-cancer agent that differs from the HER3-binding agent. In certain embodiments, the second anti-cancer agent is a chemotherapeutic agent (e.g., cisplatin).
[0239] Embodiments of the present disclosure can be further defined by reference to the following non-limiting examples, which describe in detail preparation of certain antibodies of the present disclosure and methods for using antibodies of the present disclosure. It will be apparent to those skilled in the art that many modifications, both to materials and methods, can be practiced without departing from the scope of the present disclosure.
EXAMPLES
[0240] It is understood that the examples and embodiments described herein are for illustrative purposes only and that various modifications or changes in light thereof will be suggested to persons skilled in the art and are to be included within the spirit and purview of this application
[0241] Cell lines
Cell line Origin Source
MCF7 Breast adenocarcinoma ATCC-HTB-22
SKBR3 Breast adenocarcinoma ATCC-HTB-30
BT474 Breast ductal carcinoma ATCC-HTB-20
MDA-MB453 Breast metastatic carcinoma ATCC-HTB- 131
ZR75-30 Breast ductal carcinoma ATCC-CRL-1504
- -
[0242] All cell lines were grown in media suggested by the suppliers at 37°C. Cells were passaged by diluting into fresh media twice per week and maintained between 0.2 to lxlO6 cells/ml.
EXAMPLE 1 [0243] Production of murine HER3 antibodies
[0244] Human HER3 (huHER3)-overexpressing 300-19 cells, a pre-B cell line derived from a Balb/c mouse (Reth MG et al. 1985, Nature, 317: 353-355), were used as immunogen for mouse immunization to produce murine anti HER3 antibodies. To generate huHER3 overexpressing 300-19 cell lines, the human HER3 amino acid sequence (Genbank accession NP 001973) was codon-optimized and the cDNA was synthesized by Blue Heron
Biotechnology (Bothell, WA). An expression plasmid (pSRa-huHER3) that contained the entire huHER3 coding sequence (CDS) flanked by Xbal and BamHI restriction sites was constructed and transfected into the 300-19 cells to stably express high levels of huHER3 on the cell surface. Immunization was done in Balb/c mice (Charles River Laboratory,
Wilmington, MA) by subcutaneous injection of 5xl06 HER3 -expressing 300-19 cells per mouse every 2 weeks for 5 times. The immunized mice were boosted with another dose of antigen three days before being sacrificed for hybridoma generation. The spleen from the mouse was collected according to standard animal protocols and was ground between two sterile, frosted microscopic slides to obtain a single cell suspension in RPMI-1640 medium. After the red blood cells were lysed with ACK lysing buffer, the spleen cells were then mixed with murine myeloma P3X63Ag8.653 cells (P3 cells) (J. F. Kearney et al. 1979, J Immunol, 123: 1548-1550) at a ratio of 1 P3 cell for every 3 spleen cells. The mixture of spleen cells and P3 cells was washed and treated with pronase in fusion media (0.3M mannitol/D-sorbitol, O. lmM CaCl2, 0.5mM MgCl2 and lmg/ml BSA) at room temperature for 3 min. The reaction was stopped by addition of FBS; cells were then washed, resuspended in 2 ml cold fusion media and fused with BTX ECM 2001 electro fusion machine (Harvard Apparatus). The fused cells were added gently to RPMI-1640 selection medium containing hypoxanthine- aminopterin-thymidine (HAT) (Sigma H-0262), incubated for 20min at 37°C, and then seeded into flat bottom 96-well plates at 200μ1Λνε11. The plates were then incubated in a 5% C02 incubator at 37°C. Incubation was continued until hydridoma clones were ready for antibody screening. Other techniques of immunization and hybridoma production can also be
- -
used, including those described in J. Langone and H. Vunakis (Eds., Methods in
Enzymology, Vol. 121 , "Immunochemical Techniques, Part I"; Academic Press, Florida) and E. Harlow and D. Lane ("Antibodies: A Laboratory Manual"; 1988; Cold Spring Harbor Laboratory Press, New York, NY).
[0245] Hybridoma screening and selection
[0246] Culture supernatants from the hybridoma were screened by flow cytometry for mouse monoclonal antibodies that bind to the human HER3 positive MCF7 cells. 50μ1 of hybridoma supernatants was incubated for lh with MCF7 cells (lxlO5 cells per sample). Then, the cells were washed twice and incubated for lh at 4°C with ΙΟΟμί of PE-conjugated goat anti-mouse IgG-antibody (Jackson Immunoresearch, West Grove, PA; 6μg/mL in FACS buffer (PBS supplemented with 0.5% BSA)). The cells were pelleted again, washed with FACS buffer and resuspended in 200μΙ, of PBS containing 1% formaldehyde. Samples were acquired using a FACSCalibur flow cytometer with the HTS multiwell sampler or a FACS array flow cytometer and analyzed using CellQuest Pro (all from BD Biosciences, San Diego, CA).
[0247] The hybridoma clones that tested positive were subcloned by limiting dilution. One subclone from each hybridoma, which showed the same reactivity against HER3 as the parental cells by flow cytometry, was chosen for subsequent analysis. Stable subclones were cultured and the antibody was isotyped using commercial isotyping reagents (Roche
1493027).
[0248] A total of 1 1 independent fusions were conducted over the course of this investigation. A single fusion experiment routinely yielded approximately between 400 and 900 hybridoma clones. All the resulting hybridoma clones were screened for HER3 binding by flow cytometry and a total of 31 hybridoma clones showed specific binding to HER3.
[0249] Antibody purification
[0250] Antibodies were purified from hybridoma subclone supernatants using standard methods, such as, for example Protein A or G chromatography (HiTrap Protein A or G HP, lmL, Amersham Biosciences). Briefly, supernatant was prepared for chromatography by the addition of 1/10 volume of 1M Tris/HCl buffer, pH 8.0. The pH-adjusted supernatant was filtered through a 0.22μιη filter membrane and loaded onto column equilibrated with binding buffer (PBS, pH 7.3). The column was washed with binding buffer until a stable baseline was obtained with no absorbance at 280nm. Antibody was eluted with 0.1M acetic acid buffer containing 0.15M NaCl, pH 2.8, using a flow rate of 0.5mL/min. Fractions of
- -
approximately 0.25mL were collected and neutralized by the addition of 1/10 volume of 1M Tris/HCl, pH 8.0. The peak fraction(s) was dialyzed overnight twice against lx PBS and sterilized by filtering through a 0.2 um filter membrane. Purified antibody was quantified by absorbance at A280.
[0251] Protein A purified fractions were further polished using ion exchange
chromatography (IEX) with quaternary ammonium (Q) chromatography for murine antibodies. Briefly, samples from protein A purification were buffer exchanged into binding buffer (lOmM Tris, lOmM sodium chloride, pH 8.0) and filtered through a 0.22μιη filter membrane. The prepared sample was then loaded onto a Q fast flow resin (GE Lifesciences) that was equilibrated with binding buffer at a flow rate of 120cm/hr. Column size was chosen to have sufficient capacity to bind all the monoclonal antibody in the sample. The column was then washed with binding buffer until a stable baseline was obtained with no absorbance at 280nm. Antibody was eluted by initiating a gradient from lOmM to 500mM sodium chloride in 20 column volume (CV). Peak fractions were collected based on absorbance measurement at 280nm (A280). The percentage of monomer was assessed with size exclusion chromatography (SEC) on a TSK gel G3000SWXL, 7.8 x 300 mm with a SWXL guard column, 6.0 x 40 mm (Tosoh Bioscience, Montgomeryville, PA) using an Agilent HPLC 1100 system (Agilent, Santa Clara, CA ). Fractions with monomer content above 95% were pooled, buffer exchanged to PBS (pH 7.4) using a TFF system, and sterilized by filtering through a 0.2μιη filter membrane. The IgG concentration of purified antibody was determined by A280 using an extinction coefficient of 1.47. Alternative methods such as ceramic hydroxyapatite (CHT) were also used to polish antibodies with good selectivity. Type II CHT resin with 40μιη particle size (Bio-Rad Laboratories) were used with a similar protocol as described for IEX chromatography. The binding buffer for CHT corresponds to 20mM sodium phosphate, pH 7.0 and antibody was eluted with a gradient of 20-160mM sodium phosphate over 20 CV.
EXAMPLE 2
[0252] Inhibition of HER3 ligand independent growth of SKBR3 cells
[0253] The present invention focuses on a novel class of HER3 antibodies that inhibit the HER3 ligand independent growth of cancer cells. During antibody selection, the ability of HER3 antibodies to inhibit cancer cell growth was tested using in vitro cell proliferation assays with SKBR3 breast cancer cell line. The SKBR3 cells were chosen because this cell
- -
line constitutively activates HER3 signaling in the presence of serum in vitro (Kraus MH. et al. Proc. Natl. Acad. Sci. USA, 90, 2900-2904 (1993)). In this experiment (Figure 1A), SKBR3 target cells were plated at 2,000 cells per well in normal growth media containing 10% fetal bovine serum (FBS) (Invitrogen, Carlsbad, CA). 10μg/ml purified anti-HER3 antibodies were added to the cells and the cultures were further incubated at 37°C in a humidified 5% C02 incubator for 4 to 5 days. Level of cell proliferation was determined using colorimetric WST-8 assay (Dojindo Molecular Technologies, Rockville, MD). WST-8 is reduced by dehydrogenases in the living cells to an orange formazan product that is soluble in tissue culture medium, and the amount of formazan produced is directly proportional to the number of living cells. 10% of the final volume of WST-8 was added to each well and plates were incubated at 37°C in a humidified 5% C02 incubator for an additional 2-4h. Plates were then analyzed by measuring the absorbance at 450 nm (A450) in the Spectra Max M2 plate reader (Molecular Devices, Sunnyvale, CA). Background A450 absorbance of wells with media and WST-8 only was subtracted from all values. The percent cell proliferation was calculated by dividing each treated sample value by the average value of wells with untreated cell (percent cell proliferation = 100* (A450 treated sample - A450 background)/ (A450 untreated sample - A450 background)).
[0254] A representative result of an SKBR3 cell proliferation assay is presented in Figure 1A. The result showed that muHER3-3, muHER3-8 and muHER3-10 were able to inhibit proliferation of SKBR3 cells as effective as trastuzumab (Tmab) which was shown to inhibit HER2-overexpressing breast cancer cells in ligand-independent manner (Junttila TT et al. Cancer Cell 15, 429-440 (2009). Other muHER3 antibodies were found to be less effective. The fact that there are only 3 out of 31 anti HER3 antibodies that are as effective as trastuzumab in inhibiting SKBR3 cell proliferation suggests that this functional property is unique and rare for anti-HER3 antibodies.
[0255] The WST-8 cell proliferation assay result was confirmed using clonogenic assay (Figure IB). In this experiment, 2,000 SKBR3 cells/well were seeded into 6-well plates in 2ml normal growth media containing 10% FBS. 12μg/ml antibodies were added to the cells and the culture was continued for 14 days at 37°C until colonies appeared. After washing once with PBS, the cell colonies were stained with crystal violet and counted using
COLCOUNT colony counter (Oxford Optronix, Oxford, OX, UK). The experiment was done in duplicate, the colony counts were added and normalized so that 100%) represents the colony count of untreated cells and 0%> represents zero colonies. As shown in Figure IB,
- -
Tmab reduced colony count to -30% while the muHER3-3, muHER3-8 and muHER3-10 antibodies were able to reduce the colony count to <20%. This result confirmed the unique properties of anti-HER3 antibodies of the invention in inhibiting the HER3 ligand- independent growth of SKBR3 cell line. This activity was further confirmed later using humanized HER3 antibodies in three additional cell lines (see Example 12).
EXAMPLE 3
[0256] Binding specificity and affinity of muHER3 antibodies
[0257] Binding specificity of the anti-HER3 antibodies of the invention was tested by flow cytometric assay. FACS histograms demonstrating the binding of muHER3-3, muHER3-8, and muHER3-10 antibodies to the human HER3 expressing 300-19 cells but not to the parental 300-19 cells are shown in Figure 2. All murine antibodies were incubated for lh at 4°C with either huHER3 -expressing 300-19 cells or the non-transfected 300-19 cells (lxl 05 cells per sample) in ΙΟΟμί FACS buffer. Then, the cells were pelleted, washed twice, and incubated for lh with ΙΟΟμί of PE-conjugated goat anti-mouse IgG-antibody (Jackson Immunoresearch, West Grove, PA). The cells were pelleted again, washed with FACS buffer and resuspended in 200μΙ, of PBS containing 1% formaldehyde. Samples were acquired using a FACSCalibur flow cytometer with the HTS multiwell sampler or a FACS array flow cytometer and analyzed using CellQuest Pro (all from BD Biosciences, San Diego, CA) or FlowJo (Tree Star, Ashland, OR). The FACS histograms of huHER3 -expressing 300-19 cells incubated with muHER3-3, muHER3-8 or muHER3-10 antibodies showed a fluorescence shift, while the parental 300-19 cells did not, demonstrating HER3 specific reactivity of these muHER3 antibodies (Figure 2).
[0258] To obtain the binding affinity of these antibodies, varying concentration of murine antibodies were incubated with huHER3 -expressing 300-19 cells and processed as described above for flow cytometric analysis. Data analysis was performed using FlowJo (Tree Star, Ashland, OR) and for each sample the geometric mean fluorescence intensity (GM) was plotted against the antibody concentration in a semi-log plot (Figure 3). A dose-response curve was generated by non-linear regression and the EC50 value of each curve, which corresponds to the apparent dissociation constant (Kd) of each antibody, was calculated using GraphPad Prism v4 (GraphPad software, San Diego, CA). A strong shift in fluorescence was observed for all antibodies tested and the Kd values correspond to 0.30nM, 0.23nM and 0.068nM for muHER3-3, muHER3-8 and muHER3-10 antibodies, respectively.
- -
[0259] To verify that these antibodies can also bind to HER3 endogenously expressed by human cancer cells, binding experiments were performed with HER3 -positive SKBR3 breast cancer cells using varying concentrations of muHER3 antibodies. A dose-response curve was generated by non-linear regression and the Kd of each antibody was calculated using
GraphPad Prism v4. A strong shift in fluorescence was observed for all antibodies tested and the Kd values correspond to 0.21nM, 0.3 InM and 0.052nM for muHER3-3, muHER3-8 and muHER3-10 antibodies, respectively. These Kd values closely matched the Kd values generated with huHER3-overexpressing 300-19 cells.
[0260] Crossreactivity with macaque HER3 antigen
[0261] Macaque HER3 (maHER3) amino acid sequence (Genbank accession
XP 001113953) shows 98.7% identity with the huHER3 sequence (Genbank accession NP 001973) with only 5 amino acid differences in the extracellular domain that spans 624 amino acids. To characterize anti-HER3 antibody binding to the maHER3, 300-19 cell line expressing maHER3 extracellular domain was generated. The maHER3 extracellular domain sequence was codon-optimized, the cDNA was ligated to the huHER3 transmembrane and intracellular domain, and an expression plasmid, pSRa-chiHER3, that expresses the maHER3 extracellular domain was constructed. The plasmid was transfected to the 300-19 cells to stably express high levels of maHER3 extracellular domain on the cell surface.
[0262] The binding of muHER3-3, muHER3-8 and muHER3-10 antibodies to the maHER3 antigen was tested in flow cytometric assay as described above. As shown in Figure 4, muHER3-3, muHER3-8 and muHER3-10 antibodies bound to the 300-19 cells expressing maHER3 extracellular domain in a dose dependent manner (Figure 4A-C, respectively). Table 11 summarizes the Kd value for each muHER3 antibody. As shown in Table 11 , muHER3-3, muHER3-8 and muHER3-10 antibodies bind well to both huHER3 and maHER3 antigens with very similar Kd, whereas some muHER3 antibodies, such as muHER3-19, muHER3-21, muHER3-22, muHER3-23 and muHER3-26, antibodies failed to recognize the maHER3 antigen although these antibodies bind to huHER3 antigen at high affinity. This result demonstrates that a 5 amino acid difference in the HER3 extracellular domain can alter the binding affinity of some muHER3 antibodies, but it does not change the binding property of muHER3-3, muHER3-8 and muHER3-10 antibodies.
- -
Table 11. muHER3 antibody binding affinity to huHER3 and maHER3 antigens.
Clone # Isotype huHER3 Kd (nM) maHER3 Kd (nM) muHER3-3 lgG1 0.30 0.14 muHER3-8 lgG1 0.23 0.24 muHER3-10 igGi 0.068 0.042 muHER3-17 lgG2a 0.26 0.12 muHER3-18 IgGi 0.26 2.9 muHER3-19 IgGi 0.41 100 muHER3-21 igGi 0.16 19
muHER3-22 igGi 0.092 14
muHER3-23 igGi 0.19 21 muHER3-24 igGi 0.42 0.15 muHER3-25 lgG2a 0.05 0.046 muHER3-26 IgGi 4.3 650 muHER3-27 IgGi 0.064 0.054
EXAMPLE 4
[0263] Inhibition of ligand-induced HER3 activation
[0264] Ligand interaction with HER3 receptor induces phosphorylation of HER3 as well as activation of downstream signaling pathway as indicated by phosphorylation of AKT. To investigate the capacity of muHER3 antibodies to inhibit ligand-induced HER3 activation, whole cell ELISA were performed. In this experiment, 2xl05 MCF7 cells/well were seeded in collagen-coated 96 well plate (Genetix, Boston, MA) in presence of normal growth media containing 10% FBS. After overnight incubation at 37°C, cells were then washed and starved in serum free media for 24h at 37°C. Cells were preincubated with 10μg/ml anti-HER3 antibodies for lh at 37°C and then treated with 30ng/ml HRGl l ligand (#377-HB/CF; R&D systems, Minneapolis, MN) for lOmin at RT. Medium was flicked out and cells were fixed with 4% formaldehyde solution in PBS for lh at RT. Formaldehyde solution was removed and cells were washed with wash buffer (PBS/0.1% Tween 20). Cells were quenched with 1% H202, 0.1% NaN3 in wash buffer for 20 min at RT, then blocked with 5% BSA/PBS for 2 hr at RT. Primary antibody phospho-HER3 (Tyrl289) rabbit monoclonal antibody (#4791; Cell Signaling, Boston, MA; 1 :300 dilution) or anti phospho-AKT (Ser473) rabbit monoclonal antibody (#4060; Cell Signaling, Boston, MA; 1 :300 dilution) was added and incubated overnight at 4°C. The plate was washed 4 times with wash buffer, and then incubated with goat anti-rabbit IgG-HRP (Jackson Immunoresearch, West Grove, PA; 1 :7000 dilution) for lh at RT. The plate was washed 4 times with wash buffer and
Tetramethylbenzidine (TMBW; Bio-FX, Owings Mills, MD) was added for about lOmin.
- -
The reaction was stopped by addition of ΙΟΟμΙ stop reagent (STPR; Bio-FX, Owings Mills, MD) and the absorbance was read at 450 nm with a reference wavelength of 570 nm using the Spectra Max M2 plate reader (Molecular Devices, Sunnyvale, CA).
[0265] The OD results were normalized so that 0% indicated the level of phosphorylation in the absence of HRGi i ligand and 100% indicated the level of phosphorylation in the presence of HRGi i ligand without any anti-HER3 antibody treatment. Figures 5 and 6 show representative results of phospho-HER3 (pHER3) and phospho-AKT (pAKT) inhibition, respectively. These results demonstrate that anti-HER3 antibodies of the invention were able to reduce ligand-induced HER3 activation as indicated by decreased HER3 and AKT phosphorylation. The muHER3-3, muHER3-8 and muHER3-10 antibodies reduced pHER3 level to < 20% (Figure 5) and pAKT level to < 50% (Figure 6).
EXAMPLE 5
[0266] Inhibition of ligand-induced MCF7 cell proliferation
[0267] HRGi i ligand binding to HER3 receptor can induce proliferation of HER3- positive cancer cells, such as MCF7 breast cancer cells. To determine the capacity of anti- HER3 antibodies of the invention to inhibit ligand-induced cell proliferation, MCF7 cells were plated at 2,000 cells per well and incubated in serum free media overnight at 37°C. Cells were pre-treated with 10μg/ml of anti-HER3 antibodies for lh at 37°C. 20ng/ml HRGipi ligand was then added to the cells and the cells were further incubated at 37°C for 3 to 4 days. The level of cell proliferation was determined using colorimetric WST-8 assay (Dojindo Molecular Technologies, Rockville, MD) as described in Example 2. The results were normalized so that 0% indicated the level of cell proliferation in the absence of
HRGi i ligand and 100% indicated the level of cell proliferation in the presence of HRGi i ligand without any anti-HER3 antibody treatment.
[0268] A representative result of ligand-induced MCF7 proliferation assay is presented in Figure 7, demonstrating that anti-HER3 antibodies of the invention were able to reduce ligand-induced MCF7 cell proliferation. The muHER3-8 antibody performed the best with the ability to reduce cell proliferation up to 40%, while muHER3-10 and muHER3-3 antibodies were less active in this assay.
- -
EXAMPLE 6
[0269] Inhibition of ligand-induced HER2/HER3 dimerization
[0270] HRG 1 β 1 ligand binding to HER3 receptor can induce formation of HER2/HER3 dimers in cells that express both RTKs. To determine the capacity of anti-HER3 antibodies of the invention to inhibit ligand-induced HER2/HER3 dimer formation, the following experiments were performed. MCF7 cells were first grown overnight in normal growth media containing 10% FBS. Cells were washed and starved in serum free media for 6h at 37°C. l(^g/ml anti-HER3 antibodies were added and the cells were further incubated overnight at 37°C. Media was removed and cells were incubated with 30ng/ml HRGi i ligand for 15min at RT. Cells were then washed with PBS and lysed in M-PER lysis buffer (Thermo Fisher, Rockford, IL) for 20min on ice. Cell lysates were spun down and the supernatant was incubated with biotinylated mouse monoclonal antibody against HER2 (clone 3B5,
#ab79205; Abeam, Cambridge, MA) for 4h on ice. Streptavidin Agarose Resins (#20349; Thermo Scientific, Rockford, IL) were added and rotated at 4°C overnight. The resins were washed five times with lysis buffer and resuspended in β-mercaptoethanol containing NuPAGE LDS sample buffer (Invitrogen). The samples were heated at 80°C for lOmin and separated by SDS-PAGE using NuPAGE Novex 4-12% Bis-Tris gels with MES running buffer (Invitrogen). The proteins were then transferred to a nitrocellulose membrane using Xcell SureLock Mini-Cell system (Invitrogen). The membrane was blocked with ECL Advanced Blocking Reagent (#CPK1075; GE Healthcare, Piscataway, NJ) and incubated with anti-HER3 antibody (clone C-17 (#sc-285); Santa Cruz Biotechnology, Santa Cruz, CA; 1 :300 dilution) or anti-HER2 antibody (clone 29D8 (#2165); Cell Signaling, Boston, MA; 1 : 1000 dilution) at 4°C overnight. The membrane was washed in Tris-buffered saline (TBS) and incubated with goat anti-rabbit IgG HRP (Jackson Immunoresearch; 1 :4000 dilution). After washing, the signal was detected using an ECL system (#RPN2109; GE Healthcare).
[0271] As shown in Figure 8, upon treatment with HRGi i ligand, there was an increase of HER2/HER3 dimerization as indicated by increased HER3 antigen that was co- precipitated with HER2 (lane 2). Treatment of cells with muHER3 antibodies, particularly muHER3-8 antibody, significantly inhibited the HER2/HER3 dimer formation and reduced the formation of HER2/HER3 dimers to the basal level or even lower.
- -
EXAMPLE 7
[0272] Ligand binding competition
[0273] One mechanism of action of HER3 signaling inhibition is the blockade of ligand binding. To determine whether anti-HER3 antibodies of the invention can inhibit ligand binding to the HER3 receptor, binding of biotinylated HRGi i ligand to the SKBR3 cells was measured by flow cytometry in the presence of anti-HER3 antibodies. Biotinylation of HRGi i ligand was done using EZ-link Micro Sulfo-NHS-LC-biotinylation kit (Pierce, Rockland, IL) according to the manufacturer's instruction. 5xl04 SKBR3 cells/well were first incubated with varying concentration of anti-HER3 antibodies for lh on ice. lOnM
biotinylated HRGi i ligand was added to each well and incubation was continued for lh on ice. Cells were then washed twice with FACS buffer and incubated with streptavidin-PE conjugate (Jackson Immunoresearch, West Grove, PA; 1 :200 dilution) for lh on ice. Cells were washed twice with FACS buffer and analyzed in FACSarray using Flow Jo program. The geometric mean fluorescence intensities were plotted against the antibody concentration in a semi-log plot.
[0274] Representative results of the ligand competition assay were shown in Figure 9. The muHER3-3 and muHER3-8 antibodies were found to compete with HRGi pi ligand binding, while muHER3-18 and muHER3-26 antibodies only had partial inhibition, and some anti-HER3 antibodies, such as muHER3-10, muHER3-27 and muHER3-28 antibodies, failed to compete with HRGipi ligand binding (Figure 9A). Figure 9B compared the capacity of muHER3-3, muHER3-8 and U3-Pharma/Amgen's Ul-59 antibodies in blocking HRGl l ligand binding. (The recombinant Ul-59 antibody was generated based on sequence data published in U.S. Patent Application Publication number 2008/012434 and the antibody characteristics, such as binding affinity and inhibitory activity of the ligand-induced HER3 and AKT phosphorylation, have been confirmed). A dose-response curve was generated by non- linear regression and the EC50 value of each curve was calculated using GraphPad Prism v4 (GraphPad software, San Diego, CA). The EC50 values correspond to 0.32nM, 0.29nM and 2.2nM for muHER3-3, muHER3-8 and U3-Pharma's Ul-59 antibodies, respectively. This data demonstrates that the muHER3-3 and muHER3-8 antibodies are better than the Ul- 59 antibody in blocking the ligand binding.
- -
EXAMPLE 8
[0275] Anti-HER3 antibody binding competition
[0276] To distinguish binding epitopes of anti-HER3 antibodies, antibody binding competition assays were done using flow cytometry. In this experiment, binding of biotinylated 'reference' antibody to the HER3 positive SKBR3 cells was measured in the presence of varying concentrations of 'competing' naked antibodies. In the experiments shown in Figure 10, U3-pharma's Ul-59 antibody (Figure 10A) and muHER3-8 antibody (Figure 10B) were used as reference antibodies. Biotinylation of the reference antibodies was done using EZ-link Micro Sulfo-NHS-LC-biotinylation kit (Pierce, Rockland, IL) according to the manufacturer's instructions. The biotinylated reference antibody with concentration at Kd (InM for Ul-59 and 0.2nM for muHER3-8 antibody) was first mixed with varying concentration of competing antibody. The antibody mixture was incubated with 5xl04 MCF7 cells/well for lh on ice. Cells were then washed twice with FACS buffer and incubated with streptavidin-PE conjugate (Jackson Immunoresearch, West Grove, PA; 1 :200 dilution) for lh on ice. Cells were washed twice with FACS buffer and analyzed in FACSarray using Flow Jo program. The geometric mean fluorescence intensities were plotted against the competing antibody concentration in a semi-log plot.
[0277] As shown in Figure 10A, none of the anti-HER3 antibodies of the invention competed with Ul-59 antibody, while the positive control antibody (the naked Ul-59 antibody) inhibited the binding of the biotinylated Ul-59 antibody in dose dependent manner. Corroborating this result, Ul-59 antibody failed to compete with biotinylated muHER3-8 antibody (Figure 10B). In addition, muHER3-8 antibody was found to compete with muHER3-2, muHER3-3 and muHER3-10 antibodies, but not with muHER3-12 and muHER3-14 (Figure 10B). These results indicate that muHER3-3, muHER3-8 and muHER3- 10 antibodies may recognize the same epitope or adjacent epitopes on HER3 antigen that is distinct from the Ul-59 antibody's epitope.
EXAMPLE 9
[0278] Cloning and sequencing of the VL and VH regions of the muHER3-8 antibody
[0279] Total cellular RNA was prepared from 5xl06 cells of the muHER3-8 hybridoma using an RNeasy kit (QIAgen) according to the manufacturer's protocol. cDNA was
- -
subsequently synthesized from total RNA using the Superscript II cDNA synthesis kit (Invitrogen).
[0280] The procedure for the first round degenerate PCR reaction on the cDNA derived from hybridoma cells was based on methods described in Wang et al. (J Immunol Methods. 233: 167-77 (2000)) and Co et al. (J Immunol. 148: 1149-54 (1992)). VH sequences were amplified by PCR using the following degenerate primers: EcoMHl
CTTCCGGAATTCSARGTNMAGCTGSAGSAGTC (SEQ ID NO:74), EcoMH2
CTTCCGGAATTCSARGTNMAGCTGSAGSAGTCWGG (SEQ ID NO:75) and BamlgGl GGAGGATCCATAGACAGATGGGGGTGTCGTTTTGGC (SEQ ID NO:76). VL sequences were amplified by PCR using the following degenerate primers: SacIMK
GGAGCTCGAYATTGTGMTSACMCARWCTMCA (SEQ ID NO:77) and HindKL
TATAGAGCTCAAGCTTGGATGGTGGGAAGATGGATACAGTTGGTGC (SEQ ID NO:78). (Mixed bases are defined as follows: N=G+A+T+C, S=G+C, Y=C+T, M=A+C, R=A+G, W=A+T). The PCR reaction mixtures were then run on a 1% low melt agarose gel, the 300 to 400 bp bands were excised, purified using Zymo DNA mini columns, and sent to Agencourt Biosciences for sequencing. The respective 5' and 3' PCR primers were used as sequencing primers to generate the variable region cDNAs from both directions. The amino acid sequences of VH and VL regions were predicted from the DNA sequencing results.
[0281] Since the degenerate primers used to clone the VL and VH cDNA sequences alter the 5 ' end sequences, additional sequencing efforts were needed to verify the complete sequences. The preliminary cDNA sequences were used to search the NCBI IgBlast site (http://www.ncbi.nlm.nih.gov/igblast/) for the murine germline sequences from which the antibody sequences are derived. PCR primers were then designed to anneal to the germline linked leader sequence of the murine antibody so that this new PCR reaction would yield a complete variable region cDNA sequence, unaltered by the PCR primers. The PCR reactions, band purifications, and sequencing were performed as described above.
[0282] Mass determination for sequence confirmation
[0283] The cDNA sequence information for the variable region was combined with the germline constant region sequence to obtain full length antibody cDNA sequences. The molecular weights of the heavy chain and light chain were then calculated and compared with the molecular weights obtained by LC/MS analyses of the muHER3-8 antibody. The molecular weight measurements are consistent with the cDNA sequences for both the muHER3-8 light and heavy chain.
- -
EXAMPLE 10
[0284] Antibody humanization
[0285] The HER3-3, HER3-8, and HER3-10 antibodies were humanized following resurfacing methods previously described, such as, for example in Roguska et al, Proc. Natl. Acad. Sci., USA, 91(3):969-973 (1994) and Roguska et al, Protein Eng. 9(10):895-904 (1996), which are incorporated in their entirety herein by reference. Resurfacing generally involves identification of the variable region framework surface residues in both the light and heavy chains and replacing them with human equivalents. The murine CDR's are preserved in the resurfaced antibody. Exemplary CDRs of HER3-3, HER3-8, and HER3-10 are defined as indicated in Table 12. To minimize concerns about the impact of conjugating lysines that fall within the murine CDR's, lysine 95 in murine HER3-8 heavy chain CDR3 was replaced with arginine for humanized version 1.00 (shown in italic), so both versions of the heavy chain CDR3 are given. In addition to the heavy chain CDR2 definition employed for resurfacing, the table provides exemplary Kabat defined heavy chain CDR2's for both the murine and human versions of HER3-3, HER3-8, and HER3-10. The underlined sequence indicates the portion of the Kabat heavy chain CDR2 that was not considered a CDR for resurfacing.
[0286] Surface residue positions were defined as any position with a relative accessibility of 30% or greater (Pedersen J.T. et. al, J. Mol. Biol. 1994; 235: 959-973). The calculated surface residues were then aligned with human germline surface sequences to identify the most homologous human surface sequence. The human germline sequence used as the replacement surface for the light chain variable domains of both HER3-3 and HER3-8 was IGKV3-NL5*01 while IGKV7-3*01 was used for the light chain variable domain of HER3- 10. The human germline sequences used as the replacement surfaces for the heavy chain variable domains of HER3-3, HER3-8, and HER3-10 were IGHV1-69* 12, IGHV4-31 *03, and IGHV1-69* 10, respectively. The specific framework surface residue changes for HER3- 3, HER3-8, and HER3-10 are shown in Figures 11, 12, and 13 respectively. Since the resurfaced HER3-8 heavy chain included the CDR3 lysine 95 to arginine 95 substitution for preferred version 1.00, a second resurfaced version (vl .01) was also generated with murine lysine 95 retained. Figure 14 shows the alignment of the resurfaced sequences for HER3-3, HER3-8, and HER3-10 variable domain of both light chain and heavy chain with their murine counterparts.
- -
Table 12
[0287] Recombinant expression of huHER3 antibodies
[0288] The variable region sequences for huHER3-3, huHER3-8 and huHER3-10 were codon-optimized and synthesized by Blue Heron Biotechnology. The sequences are flanked
- -
by restriction enzyme sites for cloning in-frame with the respective constant sequences in single chain mammalian expression plasmids. The light chain variable region is cloned into EcoRI and BsiWI sites in the pAbKZeo plasmid. The heavy chain variable region is cloned into the Hindlll and Apal sites in the pAbGlNeo plasmid. These plasmids can be used to express the recombinant antibodies in either transient or stable mammalian cell transfections. Transient transfections to express recombinant antibodies in HEK 293T cells were performed using a modified PEI procedure (Durocher, Y. et al., Nucleic Acids Res. 30:E9 (2002)). Supernatant was purified by Protein A as describe in Example 1. Polishing chromatography steps were performed using either carboxymethyl (CM) fast flow ion exchange (IEX) resin (GE Lifesciences) and 10 mM potassium phosphate, 10 mM sodium chloride binding buffer (pH 7.5 ) or the alternative CHT methods described above.
EXAMPLE 11 [0289] Binding affinity of humanized antibodies
[0290] Binding affinity of the humanized antibodies of huHER3-3, huHER3-8 and huHER3-10 were compared with their murine counterparts in flow cytometric assay using huHER3 -expressing 300-19 cells. The binding assays were performed as described in Example 3. Figure 15 depicts the dose-response curves generated by non-linear regression for each antibody. The value for the apparent dissociation constant (Kd) of each antibody was calculated using GraphPad Prism v4 (GraphPad software, San Diego, CA). The results demonstrate that humanization did not change the binding affinity of muHER3 antibodies of the invention. In the case of HER3-8 antibody, humanization even increased the binding affinity by almost two fold; Kd of muHER3-8 and huHER3-8v. l .OO antibodies was 0.23nM and 0.12nM, respectively (Figure 12C).
[0291] Antibody competition assay was also performed with biotinylated muHER3-8 antibody as the reference antibody, and muHER3-8, huHER3-8v. l .OO and huHER3-8v. l .01 antibodies as competing antibodies. The assay was performed as described in Example 8. As shown in Figure 16, huHER3-8v. l .01 antibody competed with the biotinylated muHER3-8 antibody in the exact fashion as the murine counterpart, while huHER3-8v.l .OO antibody was better than the murine counterpart. The EC50 of the huHER3-8v.1.00 antibody and the muHER3-8 antibody curve were 0.24nM and 0.76nM, respectively. Because of this, huHER3-8v.l .OO antibody was chosen for further characterization and it is referred to as the huHER3-8 antibody.
- -
EXAMPLE 12
[0292] Inhibition of HER3 ligand-independent growth of SKBR3, BT474, MDA-MB453 and ZR75-30 cells
[0293] To confirm the unique capacity of anti-HER3 antibodies of the invention to inhibit the HER3 ligand-independent growth of cancer cells, in vitro cell proliferation assays were performed using SKBR3, BT474, MDA-MB453 and ZR75-30 breast cancer cell lines. These cell lines were chosen because they constitutively activate HER3 signaling in the absence of exogenous ligands (Kraus MH. et al. Proc. Natl. Acad. Sci. USA, 90, 2900-2904 (1993)).
[0294] The experiments were carried out as described in Example 2. In brief, target cells were plated at 2,000 cells per well in normal growth media containing 10% FBS. The cells were further incubated at 37°C for 4 to 6 days in presence of 10 μg/ml anti-HER3 antibodies. The level of cell proliferation was determined using colorimetric WST-8 assay. The OD results were normalized so that 100% represents cells grown in normal growth media and in absence of anti-HER3 antibodies, and 0% represents cells grown in the media containing 0.5% FBS. In these experiments, huHER3-3, huHER3-8 and huHER3-10 antibodies were compared with U3 Pharma's Ul-59 (human IgGl) and Merrimack's antibody #6 (referred as 'M-6'; humanized IgG2). The recombinant Ul-59 and M-6 antibodies were generated based on sequence data published in U.S. Patent Application Publication number 2008/0124345 and International application number PCT/US2008/002119, respectively. The characteristics of both antibodies, such as binding affinity and inhibitory activity of the ligand-induced HER3 and AKT phosphorylation, have been confirmed.
[0295] As shown in Figures 17-20, huHER3 antibodies of the invention performed significantly better (p < 0.05) than Ul-59 and M-6 antibodies in inhibiting cell proliferation of SKBR3, BT474, MDA-MB453 and ZR75-30 cell lines. In particular, the huHER3-8 antibody performed the best among these anti-HER3 antibodies.
EXAMPLE 13
[0296] Inhibition of ligand-induced MCF7 cell proliferation by huHER3 antibodies
[0297] To confirm the capacity of the humanized anti-HER3 antibodies to inhibit ligand- induced cell proliferation, experiments were performed as described in Example 5. In brief, after starvation in serum free media, MCF7 cells were pre-treated with 10μg/ml of anti-HER3 antibodies for lh at 37°C. 30ng/ml HRGipi ligand was added to the cells and the cultures
- -
were further incubated at 37°C for 3 to 4 days. The level of cell proliferation was determined using colorimetric WST-8 assay.
[0298] As shown in Figure 21 A, the huHER3-8 and huHER3-10 antibodies significantly reduced MCF7 cell proliferation to 40-45%. In contrast, the huHER3-3 antibody, in spite of the strong capacity to inhibit ligand binding (see Figure 9), had little effect in blocking ligand-induced cell proliferation. This result corroborates the finding described in Figure 7 with the murine antibody counterparts. The M-6 antibody, at l(^g/ml antibody
concentration, had the least activity in this experiment. Figure 2 IB depicts the dose dependent inhibition of MCF7 cell proliferation by the huHER3-8 antibody.
EXAMPLE 14
[0299] Inhibition of ligand-induced HER3 activation by huHER3 antibodies
[0300] To confirm the capacity of the humanized HER3 antibodies in inhibiting HER3 activation, whole cell ELISA was performed as described in Example 4. In brief, MCF7 cells were plated in collagen-coated plates (Genetix), serum starved, pre-treated with l(^g/ml anti- HER3 antibodies for lh at 37°C, and then incubated with 30ng/ml HRGl l ligand (R&D systems) for 10-15min at RT. After washing, cells were fixed with formaldehyde, quenched, and blocked with 5% BSA/PBS. Cells were then incubated with anti phospho-HER3
(Tyrl289) antibody (Cell Signaling) or anti phospho-AKT (Ser473) antibody (Cell Signaling) for overnight at 4°C. After washing, goat anti-rabbit IgG-HRP (Jackson Immunoresearch) was added. The signal was detected by adding Tetramethylbenzidine (TMBW; Bio-FX) and the absorbance was read at 450 nm with using the Spectra Max M2 plate reader (Molecular Devices).
[0301] The OD results were normalized so that 0% indicated the level of phosphorylation in the absence of HRGi i ligand and 100% indicated the level of phosphorylation in the presence of HRGi i ligand without any anti-HER3 antibody treatment. Figures 22 A and 22B show representative results of phospho-HER3 (pHER3) and phospho-AKT (pAKT) inhibition, respectively. In these experiments, Merrimack's M-6 antibody was included for comparison. As shown, the huHER3-8 and huHER3-10 antibodies were better than the M-6 antibody in inhibiting ligand-induced HER3 phsophorylation (Figure 22 A); and the huHER3- 3, huHER3-8 and huHER3-10 antibodies were better than or as active as the M-6 antibody in inhibiting ligand-induced AKT phosphorylation (Figure 22B).
- -
EXAMPLE 15
[0302] Inhibition of ligand-induced HER2/HER3 dimerization by huHER3 antibodies
[0303] To confirm the capacity of the huHER3 antibodies in inhibiting ligand-induced HER2/HER3 dimerization, experiments were performed as described in Example 6. In brief, after serum starvation, MCF7 cells were pre -treated with l(^g/ml anti-HER3 antibodies and cells were activated by addition of 30ng/ml HRGi i ligand for 15min at RT. Protein cell lysates were prepared using M-PER lysis buffer and HER2 antigen was immunoprecipitated from the cell lysates using biotinylated anti-HER2 antibody (clone 3B5, Abeam) and
Streptavidin Agarose Resins (Thermo Scientific). The immunoprecipitated proteins were separated in an SDS-PAGE gel, transferred to nitrocellulose membrane, and stained with anti-HER2 antibody (clone 29D8, Cell Signaling) or anti-HER3 antibody (clone C-17, Santa Cruz).
[0304] As shown in Figure 23 , HRG 1 β 1 ligand treatment increased HER2/HER3 dimerization as indicated by increased HER3 antigen that was co-precipitated with HER2 (lane 2). Pre-treatment of cells with muHER3 antibodies significantly reduced the formation of HER2/HER3 dimers to the basal level or even lower.
EXAMPLE 16 [0305] ADCC activity of huHER3 antibodies
[0306] A lactate dehydrogenase (LDH) release assay was used to measure antibody- dependent cell mediated cytotoxicity (ADCC) of tumor cell lines using freshly isolated human natural killer (NK) cells as effector cells (Shields RL, J Biol Chem. 2001 276(9):6591- 604). The NK cells were first isolated from human peripheral blood from a normal donor (Research Blood Components, Inc., Brighton, MA) using a modified protocol for the NK cell Isolation Kit II (#130-091-152; Miltenyi Biotec, Auburn, CA). Peripheral blood was diluted 2-fold with lx PBS. 25mL of diluted blood was carefully layered over 25mL of Ficoll Paque in a 50mL conical tube and centrifuged at 400g for 45 min at RT. The peripheral blood mononuclear cells (PBMC) were collected from the interface, transferred into a new conical 50mL tube, and washed once with lx PBS. The PBMC were counted and resuspended at a concentration of 2.5χ107ΰε1ΐ8/100μ1 with MACS buffer (lx PBS, 0.5% BSA, 2mM EDTA), and then l/4x volume of NK cell Biotin-Antibody Cocktail were added to the cell suspension. The NK cell Biotin-Antibody Cocktail contains biotinylated antibodies that bind to the
- -
lymphocytes, except for NK cells, resulting in a negative selection of NK cells. The mixture was incubated at 4°C for 10 min, and then 3/5x volume of MACS buffer and 2/5x volume of NK cell MicroBead cocktail that would bind to the biotinylated antibodies were added. The cell-antibody mixture was incubated for another 15 min at 4°C. Next, cells were washed once with 50mL of MACS buffer and resuspended in 3mL of MACS buffer. NK cells were separated as negative fraction using autoMACS separator (Miltenyi Biotec). The resulting NK cells were plated into 30mL of complete RPMI media (RPMI-1640 supplemented with 5% fetal bovine serum, 1% penicillin-streptomycin, ImM HEPES, lmM Sodium Pyruvate, 1% 100X MEM non-essential Amino Acid Solution) overnight. The subsequent assay and all dilutions were carried out in RHBP medium (RPMI-1640 medium supplemented with 20mM HEPES, pH 7.4, 0.1% BSA and 1% penicillin-streptomycin).
[0307] Various concentrations of antibodies in RHBP medium were aliquoted in duplicate at 50μΕΛνε11 into a round bottom 96-well plate. The target cells were resuspended at 106 cells/mL in RHBP medium and added at ΙΟΟμΕΛνεΙΙ to each well containing antibody dilutions. The plate containing target cells and antibody dilutions was incubated for 30 min at RT. NK cells were then added to the wells containing the target cells at
The typical ratio was 1 target cell to 3-4 NK cells. The following controls were set up for each experiment: NK cells alone, target cells alone (spontaneous LDH release), target cells with NK cells (antibody independent LDH release), target cells with 10% Triton X-100 (maximum LDH release). The mixtures were incubated at 37°C for 4h to allow for cell lysis. Plates were centrifuged for 10 min at 1200 rpm, and ΙΟΟμί of the supernatant was carefully transferred to a new flat-bottom 96-well plate. LDH reaction mixture (ΙΟΟμΕΛνεΙΙ) from the Cytotoxicity Detection Kit (Roche 1 644 793) was added to each well and incubated at room temperature for 5 to 30 min. The optical density (OD) of samples was measured at 490 nm (OD490). The percent specific lysis of each sample was determined using the following formula: percent specific lysis = (sample value - spontaneous release)/ (maximum release - spontaneous release) * 100.
[0308] Figures 24A and 24B show ADCC activity of the huHER3 antibodies in BT474 and MCF7, respectively. The huHER3-10 antibody showed the best ADCC activity with maximal cell lysis at 55% and 17% for BT474 and MCF7 cells, respectively. The huHER3-3 and huHER3-8 antibodies showed similar maximal cell lysis at 35% in BT474 cells. In contrast, M-6 antibody did not induce a significant cell lysis in both BT474 and MCF7 cells.
- -
EXAMPLE 17
[0309] Preparation of huHER3 antibody-SMCC-DMl
[0310] The (Succinimidyl 4-(N-maleimidomethyl) cyclohexane-l-carboxylate (SMCC, Pierce Biotechnology, Inc) linker was dissolved in dimethylacetamide (DMA). The huHER3 antibody was modified with SMCC to introduce maleimides into the antibody by incubating the antibody at 5mg/mL in 50mM potassium phosphate, 50mM NaCl, 2mM EDTA, pH 6.5 with a 10 molar excess of SMCC. After approximately 100 minutes at ambient temperature, the reaction mixture was purified using a SEPHADEX™ G25 column equilibrated with the same potassium phosphate buffer. Antibody containing fractions were pooled and used for subsequent steps.
[0311] The SMCC-modified antibody was reacted with a lOmM solution of DM1 at a 1.7 molar excess relative to the maleimide linker. The reaction was stirred at ambient temperature for approximately 18 hours. The conjugation reaction mixture was filtered through a SEPHADEX™ G25 gel filtration column equilibrated with I PBS at pH 6.5. The huHER3 antibody-SMCC-DMl conjugate was then dialyzed into buffer containing lOmM histidine, 250mM glycine, 1% sucrose, at pH 5.5. The number of DM1 molecules linked per antibody molecule was determined using the previously reported extinction coefficients for antibody and DM1 (Liu et al., Proc. Natl. Acad. Sci. USA, 93, 8618-8623 (1996)). The percentage of free maytansinoid present after the conjugation reaction was determined by injecting 20-50μg conjugate onto a HiSep column equilibrated in 25% acetonitrile in lOOmM ammonium acetate buffer, pH 7.0, and eluting in acetonitrile. The peak area of total free maytansinoid species (eluted in the gradient and identified by comparison of elution time with known standards) was measured using an absorbance detector set to a wavelength of 252 nm and compared with the peak area relative to bound maytansinoid (eluted in the conjugate peak in the column flow-through fractions) to calculate the percentage of total free maytansinoid species. Conjugates with 3.5-4 DM1 molecules per huHER3 antibody were obtained with <1% present as unconjugated maytansinoid.
[0312] Preparation of huHER3-8 antibody-SPDB-DM4
[0313] The exemplary N-succinimidyl 4-(2-pyridyldithio) butanoate (SPDB) linker was dissolved in ethanol. The huHER3 antibody was incubated at 8mg/mL with a 5.5-5 fold molar excess of SPDB linker for approximately 2 hours at room temperature in 50mM potassium phosphate buffer (pH 6.5) containing 50mM NaCl, 2mM EDTA, and 3% ethanol.
- -
The SPDB modified antibody was diluted 2-fold in PBS, pH 6.5 and modified with a 1.5 fold molar excess of the maytansinoid DM4 by the addition of a concentrated solution (15-30mM) of DM4 in dimethylacetamide (DMA). After overnight incubation at room temperature, the conjugated antibody was purified by chromatography on SEPHADEX™ G25F equilibrated with lOmM histidine, 250mM glycine, 1% sucrose, at pH 5.5. The number of DM4 molecules linked per antibody molecule was determined using the previously reported extinction coefficients for antibody and maytansinoid (Widdison WC et al. J Med Chem, 49:4392-4408 (2006)). The percentage of total free maytansinoid species were determined as described above. Conjugates with 3.5-4 DM4 molecules per huHER3 antibody were obtained with <1% present as unconjugated maytansinoid.
[0314] Preparation of huHER3-8 antibody-PEG4-mal-DMl
[0315] The N-hydroxysuccinimidyl-(polyethylene glycol) 4-(N-maleimidomethyl)-DMl (NHS-PEG4-mal-DMl) reagent was dissolved in DMA. The huHER3 antibody was incubated at 5mg/mL in 50mM potassium phosphate, 150mM NaCl, 2mM EDTA, pH 7.5 with a 7 fold molar excess of NHS-PEG4-mal-DMl (10% DMA total). After approximately 2 hours at ambient temperature, the reaction mixture was purified using a SEPHADEX™ G25 column equilibrated in lx PBS, pH 7.4. Antibody containing fractions were pooled and dialyzed into buffer containing lOmM histidine, 250mM glycine, 1% sucrose, at pH 5.5. The number of DM1 molecules linked per antibody and the percentage of total free maytansinoid species were determined as described above. Conjugates with 3.5-4 DM4 molecules per huCD37-3 antibody were obtained with <1% present as unconjugated maytansinoid.
EXAMPLE 18
[0316] Binding affinity of maytansinoid conjugates
[0317] After conjugation to SMCC-DM1, SPDB-DM4 or PEG4-mal-DMl, binding affinity of the exemplary huHER3-8 antibody to huHER3 positive SKBR3 cells and maHER3-overexpressing 300-19 cells was assayed by flow cytometry as described in Example 3. Figure 25 A shows the binding curve of huHER3-8 naked antibody and maytansinoid conjugates to SKBR3 cells. The Kds calculated from the binding curves were 0.14nM for huHER3-8 antibody, 0.49nM for huHER3-8-SMCC-DMl, 0.29nM for huHER3- 8-SPDB-DM4, and 0.27nM for huHER3-8-PEG-mal-DMl conjugates. Figure 25B shows the binding curve of huHER3-8 naked antibody and maytansinoid conjugates to maHER3- overexpressing 300-19 cells. The Kds calculated from the binding curves were 0.19nM for
- -
huHER3-8 antibody, 0.29nM for huHER3-8-SMCC-DMl, 0.23nM for huHER3-8-SPDB- DM4, and 0.28nM for huHER3-8-PEG-mal-DMl conjugates. Altogether these data demonstrate that SMCC-DMl, SPDB-DM4 or PEG4-mal-DMl conjugation does not notably alter the binding affinity of the exemplary huHER3-8 antibody to both huHER3 and maHER3 antigens.
EXAMPLE 19
[0318] In vitro cytotoxicity assays
[0319] The ability of anti-HER3-Ab-maytansinoid conjugates to inhibit cell growth was measured using in vitro cytotoxicity assays as described in Example 2. Briefly, target cells were plated at 2,000 cells per well in ΙΟΟμί in complete RPMI media containing 10% FBS. Conjugates were diluted into complete RPMI media using 3-fold dilution series and ΙΟΟμί were added per well. The final concentration typically ranged from lxlO"8 M to 1.5xl0"12 M. Cells were incubated at 37°C in a humidified 5% C02 incubator for 3-4 days. Viability of the remaining cells was determined by colorimetric WST-8 assay and the absorbance at 450 nm (A450) was measured in a multiwell plate reader. The surviving fraction was calculated by dividing each treated sample value by the average value of wells with untreated cells. The surviving fraction value was plotted against the antibody-conjugate concentration in a semilog plot for each treatment.
[0320] The in vitro cytotoxicity of huHER3-3-SMCC-DMl, huHER3-8 SMCC-DMl, huHER3-8-SPDB-DM4 and huHER3-8-PEG4-Mal-DMl conjugates was compared to the activity of a non-specific maytansionid conjugates such as chKTI-SMCC-DMl, chKTI- SPDB-DM4, anti-EpCAM chB38.1-PEG4-mal-DMl and anti-CanAg huC242-SMCC-DMl conjugates. The results from a typical cytotoxicity assay are shown in Figure 26A and 26B for huHER3-overexpressing 300-19 cells and maHER3-overexpressing 300-19 cells, respectively. The huHER3-3 Ab and huHER3-8 Ab conjugates resulted in high specific cell killing as compared to the control conjugate on both huHER3 and maHER3-overexpressing 300-19 cells. As shown in Figure 26A with the huHER3-overexpressing 300-19 cells, the EC50 values correspond to 0.19nM for huHER3 -3 -SMCC-DMl, 0.17nM for huHER3-8- SMCC-DM1, and 0.18nM for huHER3-8-SPDB-DM4 whereas only 53nM for chKTI- SMCC-DM1 and 4.4nM for chKTI-SPDB-DM4 conjugates. In the maHER3-overexpressing cells (Figure 26B), the EC50 values correspond to 0.059nM for huHER3-8-SMCC-DMl, 0.099nM for huHER3-8-SPDB-DM4, and 0.045nM for huHER3-8-PEG-mal-DMl
- -
conjugates. In contrast, the non-binding conjugates only kill less than 0.3 fraction of the cells at the highest concentration tested.
EXAMPLE 20
[0321] Epitope Mapping
[0322] The HER-3 extracellular domain (ECD) of about 620 amino acids is made up of four sub-domains consisting of LI (amino acids 20-184), the amino terminal domain (amino acids, 1-19); SI (amino acids 185-327) and S2 (amino acids 500-632), which are the two Cysteine-rich domains; and the L2 domain (amino acids 328-499), which is flanked by the two Cysteine-rich domains. The epitopes of the humanized anti-HER-3 antibodies of the invention were mapped to defined domains or combination of domains in the HER-3 extracellular region by engineering various chimeric human/murine HER-3 ECD molecules.
[0323] HER-3 variants cloning and expression
[0324] The entire human HER-3 protein sequence of 1342 amino acids was codon optimized, synthesized, and cloned into the pSRa mammalian expression vector by Blue Heron Biotechnologies. An Fc fusion of human HER-3 was built by cloning HER-3 ECD (amino acids 1-632) in frame with a murine IgG2A hinge, CH2, and CH3 region in the pmuFc2ANL mammalian expression vector. In addition, a murine HER-3 ECD (amino acids 1-632) Fc fusion was similarly constructed including unique internal restriction sites taken from conservative sequences within the human HER-3 Fc construct, providing convenient domain swap cloning sites for each of the four domains. The restriction sites, as well as domain divisions, are illustrated in Figure 27. By taking advantage of the matching unique restriction sites in both the murine and human HER-3 Fc fusion constructs, a couple of chimeric human/murine HER-3 ECD Fc fusion proteins were built, including chLl-Sl (human residues 1-342 with murine residues 343-632) and chL2-S2 (human residues 343-632 with murine residues 1-342). Both forms of HER-3 ECD Fc tagged proteins were expressed via transient transfection of HEK 293T cells and purified from the supernatant of the transfected cells using protein A affinity chromatography.
[0325] Antibody binding to various HER-3 ECD-Fc constructs
[0326] The humanized anti-HER-3 antibodies huHER3-3, huHER3-8, and huHER3-10 were tested in ELISA for binding to the various HER-3 ECD Fc constructs described above. As can been seen in Figure 28, all three of these antibodies bound to human HER-3 ECD Fc protein with sub-nanomolar affinity. In contrast, huHER3-3 and huHER3-8 antibodies only
- -
marginally bound to murine HER-3 ECD while huHER3-10 antibody did not bind to murine HER-3 at all (Figure 29). Ul-59 antibody previously shown to cross-react with murine HER- 3 was included as a positive control. All of the antibodies tested bound to the chLl-Sl (human residues 1-342 with murine residues 343-632) Fc construct (Figure 30); but the huHER3-3, huHER3-8, and huHER3-10 antibodies either did not, or weakly bound to chL2- S2-Fc protein (Figure 31) similar to their respective observed murine HER-3 -Fc binding (Figure 29). These results suggest that the epitopes of the three antibodies of the invention, huHER3-3, huHER3-8, and huHer-10, can be localized within residues 20-342 in the extracellular domain of human HER-3. The epitope mapping results were consistent with the results of antibody binding competition assay (Example 8) where the three antibodies of the invention competed with each other for binding to HER-3 but they do not compete with Ul- 59 antibody binding (Figure 10).
EXAMPLE 21
[0327] Inhibition of basal level of pHER3 in SKBR3, MDA-MB453 and ZR75-30 cells
[0328] As shown in Example 12, anti-HER3 antibodies of the invention are unique because of their capacity in inhibiting the basal proliferation of breast cancer cell lines such as SKBR3 (Figure 17), BT474 (Figure 18), MDA-MB453 (Figure 19) and ZR75-30 (Figure 20). These four cell lines constitutive ly activate HER3 signaling in the absence of exogenous ligands (Kraus M.H. et al, Proc. Natl. Acad. Sci. USA, 90: 2900-2904 (1993)). In order to assess the anti-proliferative activity of anti-HER3 antibodies of the invention, the capacity of huHER3-8 antibody to inhibit the basal level of phospho-HER3 (pHER3) in SKBR3, MDA- MB453 and ZR75-30 cells was evaluated. Merrimack's M-6 antibody was included as a control. In brief, tumor cells were plated in 6-well plates at 5 x 105 cells/well. The next day, antibodies were added at the indicated concentration, and the cells were further incubated for 20-24 hours. Cells were then washed with HBSS and lysed. The level of pHER3 was measured by ELISA using pErbB3 ELISA kit (catalog number DYC 1769-2, R & D
Systems). The level of pHER3 detected in each cell line is set forth in Figures 32A-C.
[0329] As shown in Figures 32A-C, huHER3-8 antibody was more potent than
Merrimack's M-6 antibody in inhibiting the pHER3 level in the absence of exogenous HER3 ligand (pHER3 basal level) in all three cell lines evaluated in this study. These data demonstrate the superior activity of anti-HER3 antibodies of the invention to inhibit the basal proliferation of tumor cell lines in which HER3 signaling is constitutively activated.
- -
[0330] It is to be appreciated that the Detailed Description section, and not the Summary and Abstract sections, is intended to be used to interpret the claims. The Summary and Abstract sections sets forth one or more, but not all, exemplary embodiments of the present invention as contemplated by the inventor(s), and thus, are not intended to limit the present invention and the appended claims in any way.
[0331] The present invention has been described above with the aid of functional building blocks illustrating the implementation of specified functions and relationships thereof. The boundaries of these functional building blocks have been arbitrarily defined herein for the convenience of the description. Alternate boundaries can be defined so long as the specified functions and relationships thereof are appropriately performed.
[0332] The foregoing description of the specific embodiments will so fully reveal the general nature of the invention that others can, by applying knowledge within the skill of the art, readily modify and/or adapt for various applications such specific embodiments, without undue experimentation, without departing from the general concept of the present invention. Therefore, such adaptations and modifications are intended to be within the meaning and range of equivalents of the disclosed embodiments, based on the teaching and guidance presented herein. It is to be understood that the phraseology or terminology herein is for the purpose of description and not of limitation, such that the terminology or phraseology of the present specification is to be interpreted by the skilled artisan in light of the teachings and guidance.
[0333] The breadth and scope of the present invention should not be limited by any of the above-described exemplary embodiments, but should be defined only in accordance with the following claims and their equivalents.
[0334] All references, including publications, patent applications, and patents, cited herein are hereby incorporated by reference to the same extent as if each reference were individually and specifically indicated to be incorporated by reference and were set forth in its entirety herein.
[0335] The terms "comprising," "having," "including," and "containing" are to be construed as open-ended terms (i.e., meaning "including, but not limited to,") unless otherwise noted. Recitation of ranges of values herein are merely intended to serve as a shorthand method of referring individually to each separate value falling within the range, unless otherwise indicated herein, and each separate value is incorporated into the
- -
specification as if it were individually recited herein. All methods described herein can be performed in any suitable order unless otherwise indicated herein or otherwise clearly contradicted by context. The use of any and all examples, or exemplary language (e.g., "such as") provided herein, is intended merely to better illuminate the invention and does not pose a limitation on the scope of the invention unless otherwise claimed. No language in the specification should be construed as indicating any non-claimed element as essential to the practice of the invention.
[0336] Preferred embodiments of this invention are described herein, including the best mode known to the inventors for carrying out the invention. Variations of those preferred embodiments may become apparent to those of ordinary skill in the art upon reading the foregoing description. The inventors expect skilled artisans to employ such variations as appropriate, and the inventors intend for the invention to be practiced otherwise than as specifically described herein. Accordingly, this invention includes all modifications and equivalents of the subject matter recited in the claims appended hereto as permitted by applicable law. Moreover, any combination of the above-described elements in all possible variations thereof is encompassed by the invention unless otherwise indicated herein or otherwise clearly contradicted by context.
Claims
1. An isolated antibody or antigen binding fragment thereof that binds to HER3 protein, wherein the antibody or antigen binding fragment thereof binds to the same HER3 epitope as an antibody purified from the cell line of ATCC Accession No. PTA-11145, ATCC Accession No. PTA-11146, or ATCC Accession No. PTA-11147.
2. An isolated antibody or antigen binding fragment thereof that binds to HER3 protein, wherein the antibody or antigen binding fragment thereof binds to the same HER3 epitope as an antibody selected from the group consisting of:
(a) an antibody comprising a first amino acid sequence that is at least 90% identical to SEQ ID NO: 28 and a second amino acid sequence that is at least 90% identical to SEQ ID NO: 35;
(b) an antibody comprising a first amino acid sequence that is at least 90% identical to SEQ ID NO: 29 and a second amino acid sequence that is at least 90% identical to SEQ ID NO: 36;
(c) an antibody comprising a first amino acid sequence that is at least 90% identical to SEQ ID NO: 30 and a second amino acid sequence that is at least 90% identical to SEQ ID NO: 37;
(d) an antibody comprising a first amino acid sequence that is at least 90% identical to SEQ ID NO: 31 and a second amino acid sequence that is at least 90% identical to SEQ ID NO: 38;
(e) an antibody comprising a first amino acid sequence that is at least 90% identical to SEQ ID NO: 32 and a second amino acid sequence that is at least 90% identical to SEQ ID NO: 38;
(f) an antibody comprising a first amino acid sequence that is at least 90% identical to SEQ ID NO: 33 and a second amino acid sequence that is at least 90% identical to SEQ ID NO: 39; and (g) an antibody comprising a first amino acid sequence that is at least 90% identical to SEQ ID NO: 34 and a second amino acid sequence that is at least 90% identical to SEQ ID NO: 40.
3. The antibody or antigen binding fragment thereof of claim 2, wherein the antibody or antigen binding fragment thereof binds to the same HER3 epitope as an antibody selected from the group consisting of:
(a) an antibody comprising a first amino acid sequence that is at least 95% identical to SEQ ID NO: 28 and a second amino acid sequence that is at least 95% identical to SEQ ID NO: 35;
(b) an antibody comprising a first amino acid sequence that is at least 95% identical to SEQ ID NO: 29 and a second amino acid sequence that is at least 95% identical to SEQ ID NO: 36;
(c) an antibody comprising a first amino acid sequence that is at least 95% identical to SEQ ID NO: 30 and a second amino acid sequence that is at least 95% identical to SEQ ID NO: 37;
(d) an antibody comprising a first amino acid sequence that is at least 95% identical to SEQ ID NO: 31 and a second amino acid sequence that is at least 95% identical to SEQ ID NO: 38;
(e) an antibody comprising a first amino acid sequence that is at least 95% identical to SEQ ID NO: 32 and a second amino acid sequence that is at least 95% identical to SEQ ID NO: 38;
(f) an antibody comprising a first amino acid sequence that is at least 95% identical to SEQ ID NO: 33 and a second amino acid sequence that is at least 95% identical to SEQ ID NO: 39; and
(g) an antibody comprising a first amino acid sequence that is at least 95% identical to SEQ ID NO: 34 and a second amino acid sequence that is at least 95% identical to SEQ ID NO: 40.
4. An isolated antibody or antigen binding fragment thereof that binds to HER3 protein, wherein the antibody or antigen binding fragment thereof competitively inhibits the binding of an antibody selected from the group consisting of:
(a) an antibody purified from the cell line of ATCC Accession No. PTA-11145;
(b) an antibody purified from the cell line of ATCC Accession No. PTA-11146; and
(c) an antibody purified from the cell line of ATCC Accession No. PTA-11147.
5. An isolated antibody or antigen binding fragment thereof that binds to HER3 protein, wherein the antibody or antigen binding fragment thereof competitively inhibits the binding of an antibody selected from the group consisting of:
(a) an antibody comprising a first amino acid sequence that is at least 90% identical to SEQ ID NO: 28 and a second amino acid sequence that is at least 90% identical to SEQ ID NO: 35;
(b) an antibody comprising a first amino acid sequence that is at least 90% identical to SEQ ID NO: 29 and a second amino acid sequence that is at least 90% identical to SEQ ID NO: 36;
(c) an antibody comprising a first amino acid sequence that is at least 90% identical to SEQ ID NO: 30 and a second amino acid sequence that is at least 90% identical to SEQ ID NO: 37;
(d) an antibody comprising a first amino acid sequence that is at least 90% identical to SEQ ID NO: 31 and a second amino acid sequence that is at least 90% identical to SEQ ID NO: 38;
(e) an antibody comprising a first amino acid sequence that is at least 90% identical to SEQ ID NO: 32 and a second amino acid sequence that is at least 90% identical to SEQ ID NO: 38;
(f) an antibody comprising a first amino acid sequence that is at least 90% identical to SEQ ID NO: 33 and a second amino acid sequence that is at least 90% identical to SEQ ID NO: 39; and (g) an antibody comprising a first amino acid sequence that is at least 90% identical to SEQ ID NO: 34 and a second amino acid sequence that is at least 90% identical to SEQ ID NO: 40.
6. The antibody or antigen binding fragment thereof of claim 5, wherein the antibody or antigen binding fragment thereof competitively inhibits the binding of an antibody selected from the group consisting of:
(a) an antibody comprising a first amino acid sequence that is at least 95% identical to SEQ ID NO: 28 and a second amino acid sequence that is at least 95% identical to SEQ ID NO: 35;
(b) an antibody comprising a first amino acid sequence that is at least 95% identical to SEQ ID NO: 29 and a second amino acid sequence that is at least 95% identical to SEQ ID NO: 36;
(c) an antibody comprising a first amino acid sequence that is at least 95% identical to SEQ ID NO: 30 and a second amino acid sequence that is at least 95% identical to SEQ ID NO: 37;
(d) an antibody comprising a first amino acid sequence that is at least 95% identical to SEQ ID NO: 31 and a second amino acid sequence that is at least 95% identical to SEQ ID NO: 38;
(e) an antibody comprising a first amino acid sequence that is at least 95% identical to SEQ ID NO: 32 and a second amino acid sequence that is at least 95% identical to SEQ ID NO: 38;
(f) an antibody comprising a first amino acid sequence that is at least 95% identical to SEQ ID NO: 33 and a second amino acid sequence that is at least 95% identical to SEQ ID NO: 39; and
(g) an antibody comprising a first amino acid sequence that is at least 95% identical to SEQ ID NO: 34 and a second amino acid sequence that is at least 95% identical to SEQ ID NO: 40.
7. An isolated antibody or antigen binding fragment thereof that binds to HER3 protein, wherein the antibody or antigen binding fragment thereof comprises:
(i) a first amino acid sequence comprising
(a) an amino acid sequence selected from the group consisting of SEQ ID NOs: 4, 9, 14, and variants thereof with 1 conservative amino acid substitution;
(b) an amino acid sequence selected from the group consisting of SEQ ID NOs: 5, 7, 8, 10, 12, 15, 17, 18, and variants thereof with 1 conservative amino acid substitution; and
(c) an amino acid sequence selected from the group consisting of SEQ ID NOs: 6, 11, 13, 16, and variants thereof with 1 conservative amino acid substitution; and
(ii) a second amino acid sequence comprising
(d) an amino acid sequence selected from the group consisting of SEQ ID NOs: 19,
22, 25, and variants thereof with 1 conservative amino acid substitution;
(e) an amino acid sequence selected from the group consisting of SEQ ID NOs; 20,
23, 26, and variants thereof with 1 conservative amino acid substitution; and
(f) an amino acid sequence selected from the group consisting of SEQ ID NOs: 21,
24, 27, and variants thereof with 1 conservative amino acid substitution.
8. An isolated antibody or antigen binding fragment thereof that binds to HER3 protein, wherein the antibody or antigen binding fragment thereof is selected from the group consisting of:
(a) an antibody or antigen binding fragment thereof comprising a first amino acid sequence comprising SEQ ID NOs: 4, 5, and 6 and a second amino acid sequence comprising SEQ ID NOs: 19, 20, and 21;
(b) an antibody or antigen binding fragment thereof comprising a first amino acid sequence comprising SEQ ID NOs: 9, 10, and 11 and a second amino acid sequence comprising SEQ ID NOs: 22, 23, and 24; (c) an antibody or antigen binding fragment thereof comprising a first amino acid sequence comprising SEQ ID NOs: 9, 10, and 13 and a second amino acid sequence comprising SEQ ID NOs: 22, 23, and 24;
(d) an antibody or antigen binding fragment thereof comprising a first amino acid sequence comprising SEQ ID NOs: 14, 15, and 16 and a second amino acid sequence comprising SEQ ID NOs: 25, 26, and 27; and
(e) variants of (a) to (d) with 1, 2, 3, or 4 conservative amino acid substitutions.
9. The antibody or antigen binding fragment thereof of claim 8, wherein the antibody or antigen binding fragment thereof is selected from the group consisting of:
(a) an antibody or antigen binding fragment thereof comprising a first amino acid sequence that is at least 90% identical to SEQ ID NO: 28 and a second amino acid sequence that is at least 90% identical to SEQ ID NO: 35;
(b) an antibody or antigen binding fragment thereof comprising a first amino acid sequence that is at least 90% identical to SEQ ID NO: 29 and a second amino acid sequence that is at least 90% identical to SEQ ID NO: 36;
(c) an antibody or antigen binding fragment thereof comprising a first amino acid sequence that is at least 90%> identical to SEQ ID NO: 30 and a second amino acid sequence that is at least 90% identical to SEQ ID NO: 37;
(d) an antibody or antigen binding fragment thereof comprising a first amino acid sequence that is at least 90% identical to SEQ ID NO: 31 and a second amino acid sequence that is at least 90% identical to SEQ ID NO: 38;
(e) an antibody or antigen binding fragment thereof comprising a first amino acid sequence that is at least 90% identical to SEQ ID NO: 32 and a second amino acid sequence that is at least 90% identical to SEQ ID NO: 38;
(f) an antibody or antigen binding fragment thereof comprising a first amino acid sequence that is at least 90%> identical to SEQ ID NO: 33 and a second amino acid sequence that is at least 90% identical to SEQ ID NO: 39; and (g) an antibody or antigen binding fragment thereof comprising a first amino acid sequence that is at least 90% identical to SEQ ID NO: 34 and a second amino acid sequence that is at least 90% identical to SEQ ID NO: 40.
10. The antibody or antigen binding fragment thereof of claim 8, wherein the antibody or antigen binding fragment thereof is selected from the group consisting of:
(a) an antibody or antigen binding fragment thereof comprising a first amino acid sequence that is at least 95% identical to SEQ ID NO: 28 and a second amino acid sequence that is at least 95% identical to SEQ ID NO: 35;
(b) an antibody or antigen binding fragment thereof comprising a first amino acid sequence that is at least 95% identical to SEQ ID NO: 29 and a second amino acid sequence that is at least 95% identical to SEQ ID NO: 36;
(c) an antibody or antigen binding fragment thereof comprising a first amino acid sequence that is at least 95% identical to SEQ ID NO: 30 and a second amino acid sequence that is at least 95% identical to SEQ ID NO: 37;
(d) an antibody or antigen binding fragment thereof comprising a first amino acid sequence that is at least 95% identical to SEQ ID NO: 31 and a second amino acid sequence that is at least 95% identical to SEQ ID NO: 38;
(e) an antibody or antigen binding fragment thereof comprising a first amino acid sequence that is at least 95% identical to SEQ ID NO: 32 and a second amino acid sequence that is at least 95% identical to SEQ ID NO: 38;
(f) an antibody or antigen binding fragment thereof comprising a first amino acid sequence that is at least 95% identical to SEQ ID NO: 33 and a second amino acid sequence that is at least 95% identical to SEQ ID NO: 39; and
(g) an antibody or antigen binding fragment thereof comprising a first amino acid sequence that is at least 95% identical to SEQ ID NO: 34 and a second amino acid sequence that is at least 95% identical to SEQ ID NO: 40.
11. The antibody or antigen binding fragment thereof of claim 8, wherein the antibody or antigen binding fragment thereof is selected from the group consisting of:
(a) an antibody or antigen binding fragment thereof comprising a first amino acid sequence that is at least 99% identical to SEQ ID NO: 28 and a second amino acid sequence that is at least 99% identical to SEQ ID NO: 35;
(b) an antibody or antigen binding fragment thereof comprising a first amino acid sequence that is at least 99% identical to SEQ ID NO: 29 and a second amino acid sequence that is at least 99% identical to SEQ ID NO: 36;
(c) an antibody or antigen binding fragment thereof comprising a first amino acid sequence that is at least 99% identical to SEQ ID NO: 30 and a second amino acid sequence that is at least 99% identical to SEQ ID NO: 37;
(d) an antibody or antigen binding fragment thereof comprising a first amino acid sequence that is at least 99% identical to SEQ ID NO: 31 and a second amino acid sequence that is at least 99% identical to SEQ ID NO: 38;
(e) an antibody or antigen binding fragment thereof comprising a first amino acid sequence that is at least 99% identical to SEQ ID NO: 32 and a second amino acid sequence that is at least 99% identical to SEQ ID NO: 38;
(f) an antibody or antigen binding fragment thereof comprising a first amino acid sequence that is at least 99% identical to SEQ ID NO: 33 and a second amino acid sequence that is at least 99% identical to SEQ ID NO: 39; and
(g) an antibody or antigen binding fragment thereof comprising a first amino acid sequence that is at least 99% identical to SEQ ID NO: 34 and a second amino acid sequence that is at least 99% identical to SEQ ID NO: 40.
12. The antibody or antigen binding fragment thereof of any of claims 1-11, wherein the antibody or antigen binding fragment thereof binds to human HER3 protein.
13. The antibody or antigen binding fragment thereof of claim 12, wherein the human HER3 protein comprises SEQ ID NO: 1.
14. The antibody or antigen binding fragment thereof of any of claims 1-11, wherein the antibody or antigen binding fragment thereof binds to an epitope within amino acid residues 20-342 of SEQ ID NO: 1.
15. The antibody or antigen binding fragment thereof of any of claims 1-14, wherein the antibody or antigen binding fragment thereof is murine, non-human, humanized, chimeric, resurfaced, or human.
16. The antibody or antigen binding fragment thereof of any of claims 1-15, wherein the antibody or antigen binding fragment thereof is capable of inhibiting basal proliferation of tumor cells in which HER3 is constitutively activated.
17. The antibody or antigen binding fragment thereof of any of claims 1-16, wherein the antibody or antigen binding fragment thereof is capable of inhibiting HER3 ligand-dependent growth of tumor cells expressing HER3.
18. The antibody or antigen binding fragment thereof of any of claims 1-17, wherein the antibody or antigen binding fragment thereof is capable of inhibiting HER3 ligand-induced HER3 signaling.
19. The antibody or antigen binding fragment thereof of any of claims 1-18, wherein the antibody or antigen binding fragment thereof is capable of inhibiting basal HER3 signaling in the absence of exogenous HER3 ligand.
20. The antibody or antigen binding fragment thereof of any of claims 1-19, wherein the antibody or antigen binding fragment thereof is capable of inhibiting HER3 ligand binding to HER3 receptor.
21. The antibody or antigen binding fragment thereof of any of claims 1-20, wherein the antibody or antigen binding fragment thereof is capable of inhibiting HER3 ligand-induced HER2 and HER3 dimerization.
22. The antibody or antigen binding fragment thereof of any of claims 1-21, wherein the antibody or antigen binding fragment thereof is capable of inducing antibody dependent cell mediated cytotoxicity (ADCC).
23. The antibody or antigen binding fragment thereof of any one of claims 1-22, wherein the antibody or antigen binding fragment thereof has similar binding affinity for human HER3 and macaque HER3.
24. The antibody or antigen binding fragment thereof of any one of claims 1-23, wherein the antibody or antigen binding fragment thereof binds to human HER3 and macaque HER3 with a Kd of 0.3 nM or better.
25. The antibody or antigen binding fragment thereof of any one of claims 1-24, which is a full length antibody.
26. The antibody or antigen binding fragment thereof of any one of claims 1-24, which is an antigen binding fragment.
27. The antibody or antigen binding fragment thereof of any one of claims 1-24, wherein the antibody or antigen binding fragment thereof comprises a Fab, Fab', F(ab')2, Fd, single chain Fv or scFv, disulfide linked Fv, V-NAR domain, IgNar, intrabody, IgGACH2, minibody, F(ab')3, tetrabody, triabody, diabody, single-domain antibody, DVD-Ig, Fcab, mAb2, (scFv)2, or scFv-Fc.
28. An isolated antibody that binds to HER3 protein, wherein the antibody is selected from the group consisting of:
(a) an antibody purified from the cell line of ATCC Accession No. PTA-11145;
(b) an antibody purified from the cell line of ATCC Accession No. PTA-11146; and
(c) an antibody purified from the cell line of ATCC Accession No. PTA-11147.
29. An isolated polypeptide that binds to HER3 protein, wherein the polypeptide is selected from the group consisting of:
(a) a polypeptide comprising a first amino acid sequence comprising SEQ ID NOs: 4, 5, and 6 and a second amino acid sequence comprising SEQ ID NOs: 19, 20, and 21;
(b) a polypeptide comprising a first amino acid sequence comprising SEQ ID NOs: 9, 10, and 11 and a second amino acid sequence comprising SEQ ID NOs: 22, 23, and 24; - I l l -
(c) a polypeptide comprising a first amino acid sequence comprising SEQ ID NOs: 9, 10, and 13 and a second amino acid sequence comprising SEQ ID NOs: 22, 23, and 24;
(d) a polypeptide comprising a first amino acid sequence comprising SEQ ID NOs: 14, 15, and 16 and a second amino acid sequence comprising SEQ ID NOs: 25, 26, and 27; and
(e) variants of (a) to (d) comprising 1, 2, 3, or 4 conservative amino acid substitutions.
30. The polypeptide of claim 29, wherein the polypeptide is selected from the group consisting of:
(a) a polypeptide comprising a first amino acid sequence that is at least 90% identical to SEQ ID NO: 28 and a second amino acid sequence that is at least 90% identical to SEQ ID NO: 35;
(b) a polypeptide comprising a first amino acid sequence that is at least 90% identical to SEQ ID NO: 29 and a second amino acid sequence that is at least 90% identical to SEQ ID NO: 36;
(c) a polypeptide comprising a first amino acid sequence that is at least 90% identical to SEQ ID NO: 30 and a second amino acid sequence that is at least 90% identical to SEQ ID NO: 37;
(d) a polypeptide comprising a first amino acid sequence that is at least 90%> identical to SEQ ID NO: 31 and a second amino acid sequence that is at least 90% identical to SEQ ID NO: 38;
(e) a polypeptide comprising a first amino acid sequence that is at least 90% identical to SEQ ID NO: 32 and a second amino acid sequence that is at least 90% identical to SEQ ID NO: 38;
(f) a polypeptide comprising a first amino acid sequence that is at least 90% identical to SEQ ID NO: 33 and a second amino acid sequence that is at least 90% identical to SEQ ID NO: 39; and (g) a polypeptide comprising a first amino acid sequence that is at least 90% identical to SEQ ID NO: 34 and a second amino acid sequence that is at least 90% identical to SEQ ID NO: 40.
31. The polypeptide claim 29, wherein the polypeptide is selected from the group consisting of:
(a) a polypeptide comprising a first amino acid sequence that is at least 95% identical to SEQ ID NO: 28 and a second amino acid sequence that is at least 95% identical to SEQ ID NO: 35;
(b) a polypeptide comprising a first amino acid sequence that is at least 95% identical to SEQ ID NO: 29 and a second amino acid sequence that is at least 95% identical to SEQ ID NO: 36;
(c) a polypeptide comprising a first amino acid sequence that is at least 95% identical to SEQ ID NO: 30 and a second amino acid sequence that is at least 95% identical to SEQ ID NO: 37;
(d) a polypeptide comprising a first amino acid sequence that is at least 95% identical to SEQ ID NO: 31 and a second amino acid sequence that is at least 95% identical to SEQ ID NO: 38;
(e) a polypeptide comprising a first amino acid sequence that is at least 95% identical to SEQ ID NO: 32 and a second amino acid sequence that is at least 95% identical to SEQ ID NO: 38;
(f) a polypeptide comprising a first amino acid sequence that is at least 95% identical to SEQ ID NO: 33 and a second amino acid sequence that is at least 95% identical to SEQ ID NO: 39; and
(g) a polypeptide comprising a first amino acid sequence that is at least 95% identical to SEQ ID NO: 34 and a second amino acid sequence that is at least 95% identical to SEQ ID NO: 40.
32. The polypeptide of claim 29, wherein the polypeptide is selected from the group consisting of:
(a) a polypeptide comprising a first amino acid sequence that is at least 99% identical to SEQ ID NO: 28 and a second amino acid sequence that is at least 99% identical to SEQ ID NO: 35;
(b) a polypeptide comprising a first amino acid sequence that is at least 99% identical to SEQ ID NO: 29 and a second amino acid sequence that is at least 99% identical to SEQ ID NO: 36;
(c) a polypeptide comprising a first amino acid sequence that is at least 99% identical to SEQ ID NO: 30 and a second amino acid sequence that is at least 99% identical to SEQ ID NO: 37;
(d) a polypeptide comprising a first amino acid sequence that is at least 99% identical to SEQ ID NO: 31 and a second amino acid sequence that is at least 99% identical to SEQ ID NO: 38;
(e) a polypeptide comprising a first amino acid sequence that is at least 99% identical to SEQ ID NO: 32 and a second amino acid sequence that is at least 99% identical to SEQ ID NO: 38;
(f) a polypeptide comprising a first amino acid sequence that is at least 99% identical to SEQ ID NO: 33 and a second amino acid sequence that is at least 99% identical to SEQ ID NO: 39; and
(g) a polypeptide comprising a first amino acid sequence that is at least 99% identical to SEQ ID NO: 34 and a second amino acid sequence that is at least 99% identical to SEQ ID NO: 40.
33. An isolated cell producing the antibody or antigen binding fragment thereof of any one of claims 1-28 or the polypeptide of any one of claims 29-32.
34. A method of making the antibody or antigen-binding fragment thereof of any one of claims 1-28 or the polypeptide of any one of claims 29-32, comprising: (a) culturing the cell of claim 32 so as to produce the antibody, antigen-binding fragment thereof, or polypeptide; and
(b) isolating the antibody, antigen-binding fragment thereof, or polypeptide from the cultured cell.
35. An immunoconjugate having the formula (A) - (L) - (C), wherein
(A) is an antibody or antigen binding fragment thereof of any one of claims 1-28 or a polypeptide of any one of claims 29-32;
(L) is a linker; and
(C) is a cytotoxic agent; and wherein the linker (L) links (A) to (C).
36. An immunoconjugate having the formula (A) - (L) - (C), wherein
(A) is an antibody or antigen binding fragment that specifically binds to HER3;
(L) is a non-cleavable linker; and
(C) is a cytotoxic agent; and wherein said linker (L) links (A) to (C).
37. An immunoconjugate having the formula (A) - (L) - (C), wherein
(A) is an antibody or antigen binding fragment that specifically binds to HER3;
(L) is a linker; and
(C) is a maytansinoid; and wherein said linker (L) links (A) to (C).
38. The immunoconjugate of any one of claims 35-37, wherein the linker is selected from the group consisting of a cleavable linker, a non-cleavable linker, a hydrophilic linker, and a dicarboxylic acid based linker.
39. The immunoconjugate of claim 38, wherein the linker is selected from the group consisting of N-succinimidyl 4-(2-pyridyldithio)pentanoate (SPP); N-succinimidyl 4- (2-pyridyldithio)butanoate (SPDB) or N-succinimidyl 4-(2-pyridyldithio)-2-sulfobutanoate (sulfo-SPDB); N-succinimidyl 4-(maleimidomethyl) cyclohexanecarboxylate (SMCC); N- sulfosuccinimidyl 4-(maleimidomethyl) cyclohexanecarboxylate (sulfoSMCC); N- succinimidyl-4-(iodoacetyl)-aminobenzoate (SIAB); and N-succinimidyl- [(N- maleimidopropionamido)-tetraethyleneglycol] ester (NHS-PEG4-maleimide).
40. The immunoconjugate of any one of claims 35-39, wherein the cytotoxic agent is selected from the group consisting of a maytansinoid, maytansinoid analog, doxorubicin, a modified doxorubicin, benzodiazepine, taxoid, CC-1065, CC-1065 analog, duocarmycin, duocarmycin analog, calicheamicin, dolastatin, dolastatin analog, aristatin, tomaymycin derivative, and leptomycin derivative or a prodrug of the agent.
41. The immunoconjugate of claim 40, wherein the cytotoxic agent is a maytansinoid.
42. The immunoconjugate of claim 41 , wherein the maytansinoid is N(2')- deacetyl-N(2')-(3-mercapto-l-oxopropyl)-maytansine (DM1) or N(2')-deacetyl-N2-(4- mercapto-4-methyl- 1 -oxopentyl)-maytansine (DM4).
43. A pharmaceutical composition comprising the antibody or antigen binding fragment thereof of any one of claims 1-28, the polypeptide of any one of claims 29-32, or the immunoconjugate of any one of claims 35-42 and a pharmaceutically acceptable carrier.
44. The pharmaceutical composition of claim 43, wherein the composition further comprises an anti-cancer agent that differs from the antibody, antigen binding fragment thereof, polypeptide, or immunoconjugate.
45. The pharmaceutical composition of claim 44, wherein the anti-cancer agent is a chemotherapeutic agent.
46. A diagnostic reagent comprising the antibody or antigen binding fragment thereof of any one of claims 1-28, the polypeptide of any one of claims 29-32, or the immunoconjugate of any one of claims 35-42 which is labeled.
47. The diagnostic reagent of claim 46, wherein the label is selected from the group consisting of a radiolabel, a fluorophore, a chromophore, an imaging agent, and a metal ion.
48. A kit comprising the antibody or antigen binding fragment thereof of any one of claims 1-28, the polypeptide of any one of claims 29-32, or the immunoconjugate of any one of claims 35-42.
49. A method for inhibiting the growth of a cell expressing HER3 comprising contacting the cell with the antibody or antigen binding fragment thereof of any one of claims 1-28, the polypeptide of any one of claims 29-32, the immunoconjugate of any one of claims 35-42, or the pharmaceutical composition of any one of claims 43-44 to thereby inhibit the growth of the cell.
50. A method for treating a patient having cancer comprising administering to the patient a therapeutically effective amount of the antibody or antigen binding fragment thereof of any one of claims 1-28, the polypeptide of any one of claims 29-32, the immunoconjugate of any one of claims 35-42, or the pharmaceutical composition of any one of claims 43-44 to thereby treat the patient.
51. The method of claim 50, further comprising administering an anti-cancer agent that differs from the antibody, antigen binding fragment thereof, polypeptide, or immunoconjugate to the patient.
52. The method of claim 51 , wherein the anti-cancer agent is a chemotherapeutic agent.
53. The method of any one of claims 50-52, wherein the cancer is selected from the group consisting of breast cancer, lung cancer, ovarian cancer, colon cancer, and other solid tumors.
54. An isolated polynucleotide comprising a nucleic acid sequence that encodes a polypeptide that is at least 90% identical to a sequence selected from the group consisting of SEQ ID NOs: 28-40.
55. The polynucleotide of claim 54, wherein the polynucleotide comprises a nucleic acid sequence that encodes a polypeptide that is at least 95% identical to a sequence selected from the group consisting of SEQ ID NOs: 28-40.
56. The polynucleotide of claim 54, wherein the polynucleotide comprises a nucleic acid sequence that encodes a polypeptide that is at least 99% identical to a sequence selected from the group consisting of SEQ ID NOs: 28-40.
57. The polynucleotide of any one of claims 54-56, wherein the polynucleotide comprises a nucleic acid sequence that is at least 90% identical to a nucleic acid sequence selected from the group consisting of SEQ ID NOs: 54-73.
58. The polynucleotide of claim 57, wherein the polynucleotide comprises a nucleic acid sequence that is at least 95% identical to a nucleic acid sequence selected from the group consisting of SEQ ID NOs: 54-73.
59. The isolated polynucleotide of claim 57, wherein the polynucleotide comprises a nucleic acid sequence that is at least 99% identical to a nucleic acid sequence selected from the group consisting of SEQ ID NOs: 54-73.
60. A vector comprising the polynucleotide of any one of claims 54-59.
61. A host cell comprising the vector of claim 60.
Applications Claiming Priority (2)
| Application Number | Priority Date | Filing Date | Title |
|---|---|---|---|
| US37070110P | 2010-08-04 | 2010-08-04 | |
| US61/370,701 | 2010-08-04 |
Publications (2)
| Publication Number | Publication Date |
|---|---|
| WO2012019024A2 true WO2012019024A2 (en) | 2012-02-09 |
| WO2012019024A3 WO2012019024A3 (en) | 2012-05-03 |
Family
ID=44583406
Family Applications (1)
| Application Number | Title | Priority Date | Filing Date |
|---|---|---|---|
| PCT/US2011/046624 Ceased WO2012019024A2 (en) | 2010-08-04 | 2011-08-04 | Her3-binding molecules and immunoconjugates thereof |
Country Status (1)
| Country | Link |
|---|---|
| WO (1) | WO2012019024A2 (en) |
Cited By (40)
| Publication number | Priority date | Publication date | Assignee | Title |
|---|---|---|---|---|
| WO2012135522A2 (en) | 2011-03-29 | 2012-10-04 | Immunogen, Inc. | Process for manufacturing conjugates of improved homogeneity |
| WO2013078191A1 (en) | 2011-11-23 | 2013-05-30 | Medimmune, Llc | Binding molecules specific for her3 and uses thereof |
| WO2014055877A1 (en) | 2012-10-04 | 2014-04-10 | Immunogen, Inc. | Use of a pvdf membrane to purify cell-binding agent cytotoxic agent conjugates |
| WO2014108484A2 (en) | 2013-01-11 | 2014-07-17 | F. Hoffmann-La Roche Ag | Combination therapy of anti-her3 antibodies |
| US8791244B2 (en) | 2011-09-30 | 2014-07-29 | Regeneron Pharmaceuticals, Inc. | Anti-ErbB3 antibodies and uses thereof |
| US8859737B2 (en) | 2009-12-22 | 2014-10-14 | Roche Glycart Ag | Anti-HER3 antibodies and uses thereof |
| WO2014131019A3 (en) * | 2013-02-25 | 2014-10-16 | Ohio State Innovation Foundation | Her-1, her-3 and igf-1r compositions and uses thereof |
| WO2015155998A1 (en) | 2014-04-10 | 2015-10-15 | Daiichi Sankyo Company, Limited | Anti-her3 antibody-drug conjugate |
| US9192663B2 (en) | 2011-12-05 | 2015-11-24 | Novartis Ag | Antibodies for epidermal growth factor receptor 3 (HER3) |
| US9273143B2 (en) | 2011-09-30 | 2016-03-01 | Regeneron Pharmaceuticals, Inc. | Methods and compositions comprising a combination of an anti-ErbB3 antibody and an anti-EGFR antibody |
| WO2016081584A1 (en) | 2014-11-19 | 2016-05-26 | Immunogen, Inc. | Process for preparing cell-binding agent-cytotoxic agent conjugates |
| WO2016207103A1 (en) * | 2015-06-23 | 2016-12-29 | Bayer Pharma Aktiengesellschaft | Antibody drug conjugates of kinesin spindel protein (ksp) inhibitors with anti-b7h3-antibodies |
| WO2017136623A1 (en) | 2016-02-05 | 2017-08-10 | Immunogen, Inc. | Efficient process for preparing cell-binding agent-cytotoxic agent conjugates |
| WO2018159582A1 (en) | 2017-02-28 | 2018-09-07 | 学校法人近畿大学 | Method for treating egfr-tki-resistant non-small cell lung cancer by administration of anti-her3 antibody-drug conjugate |
| US10077317B2 (en) | 2010-08-20 | 2018-09-18 | Novartis Ag | Antibodies for epidermal growth factor receptor 3 (HER3) |
| EP3545977A1 (en) | 2011-03-29 | 2019-10-02 | ImmunoGen, Inc. | Preparation of maytansinoid antibody conjugates by a one-step process |
| WO2020059772A1 (en) | 2018-09-20 | 2020-03-26 | 第一三共株式会社 | Treatment of her3 mutant cancer by administration of anti-her3 antibody-drug conjugate |
| US10640508B2 (en) | 2017-10-13 | 2020-05-05 | Massachusetts Institute Of Technology | Diazene directed modular synthesis of compounds with quaternary carbon centers |
| US10745490B2 (en) | 2014-04-11 | 2020-08-18 | Celldex Therapeutics, Inc. | Anti-ErbB antibodies and methods of use thereof |
| US10906974B2 (en) | 2017-01-17 | 2021-02-02 | Daiichi Sankyo Company, Limited | Anti-GPR20 antibody and anti-GPR20 antibody-drug conjugate |
| US10918627B2 (en) | 2016-05-11 | 2021-02-16 | Massachusetts Institute Of Technology | Convergent and enantioselective total synthesis of Communesin analogs |
| US10918735B2 (en) | 2012-12-04 | 2021-02-16 | Massachusetts Institute Of Technology | Substituted pyrazino[1′,2′:1,5]pyrrolo[2,3-b]indole-1,4-diones for cancer treatment |
| US11077202B2 (en) | 2017-05-15 | 2021-08-03 | Daiichi Sankyo Company, Limited | Anti-CDH6 antibody and anti-CDH6 antibody-drug conjugate |
| US11173213B2 (en) | 2015-06-29 | 2021-11-16 | Daiichi Sankyo Company, Limited | Method for selectively manufacturing antibody-drug conjugate |
| US11273155B2 (en) | 2016-12-12 | 2022-03-15 | Daiichi Sankyo Company, Limited | Combination of antibody-drug conjugate and immune checkpoint inhibitor |
| US11305012B2 (en) | 2013-09-24 | 2022-04-19 | Medimmune, Llc | Binding molecules specific for HER3 and uses thereof |
| US11318212B2 (en) | 2017-08-31 | 2022-05-03 | Daiichi Sankyo Company, Limited | Method for producing antibody-drug conjugate |
| US11535634B2 (en) | 2019-06-05 | 2022-12-27 | Massachusetts Institute Of Technology | Compounds, conjugates, and compositions of epipolythiodiketopiperazines and polythiodiketopiperazines and uses thereof |
| US11584800B2 (en) | 2014-01-31 | 2023-02-21 | Daiichi Sankyo Company, Limited | Method of treating cancer comprising administration of anti-HER2 antibody-drug conjugate |
| RU2802211C2 (en) * | 2014-04-10 | 2023-08-23 | Дайити Санкио Компани, Лимитед | Anti-her3 conjugate antibody-drug |
| JP2023545925A (en) * | 2020-10-14 | 2023-11-01 | 江蘇恒瑞医薬股▲ふん▼有限公司 | Anti-HER3 antibody, anti-HER3 antibody drug conjugate and its medical use |
| US11872289B2 (en) | 2018-05-18 | 2024-01-16 | Daiichi Sankyo Co., Ltd. | Anti-MUC1 antibody-drug conjugate |
| US11932650B2 (en) | 2017-05-11 | 2024-03-19 | Massachusetts Institute Of Technology | Potent agelastatin derivatives as modulators for cancer invasion and metastasis |
| US11945882B2 (en) | 2017-08-31 | 2024-04-02 | Daiichi Sankyo Company, Limited | Method for producing antibody-drug conjugate |
| WO2024083166A1 (en) * | 2022-10-19 | 2024-04-25 | 普众发现医药科技(上海)有限公司 | Antibody-drug conjugate, preparation method therefor and use thereof in resisting tumors |
| US12030888B2 (en) | 2021-02-24 | 2024-07-09 | Massachusetts Institute Of Technology | Himastatin derivatives, and processes of preparation thereof, and uses thereof |
| WO2024248123A1 (en) | 2023-06-02 | 2024-12-05 | 第一三共株式会社 | Combination of (anti-her3 antibody)-drug conjugate and rasg12c inhibitor |
| US12178880B2 (en) | 2020-12-04 | 2024-12-31 | Shanghai Fudan-Zhangjiang Bio-Pharmaceutical Co., Ltd. | Antibody-drug conjugate, and intermediate thereof, preparation method therefor, and application thereof |
| US12220604B2 (en) | 2018-07-31 | 2025-02-11 | Daiichi Sankyo Company, Limited | Treatment of metastatic brain tumor by administration of an antibody-drug conjugate |
| US12358999B2 (en) | 2018-07-27 | 2025-07-15 | Daiichi Sankyo Company, Limited | Protein recognizing drug moiety of antibody-drug conjugate |
Citations (67)
| Publication number | Priority date | Publication date | Assignee | Title |
|---|---|---|---|---|
| US3720760A (en) | 1968-09-06 | 1973-03-13 | Pharmacia Ab | Method for determining the presence of reagin-immunoglobulins(reagin-ig)directed against certain allergens,in aqueous samples |
| US4256746A (en) | 1978-11-14 | 1981-03-17 | Takeda Chemical Industries | Dechloromaytansinoids, their pharmaceutical compositions and method of use |
| US4294757A (en) | 1979-01-31 | 1981-10-13 | Takeda Chemical Industries, Ltd | 20-O-Acylmaytansinoids |
| US4307016A (en) | 1978-03-24 | 1981-12-22 | Takeda Chemical Industries, Ltd. | Demethyl maytansinoids |
| US4313946A (en) | 1981-01-27 | 1982-02-02 | The United States Of America As Represented By The Secretary Of Agriculture | Chemotherapeutically active maytansinoids from Trewia nudiflora |
| US4315929A (en) | 1981-01-27 | 1982-02-16 | The United States Of America As Represented By The Secretary Of Agriculture | Method of controlling the European corn borer with trewiasine |
| US4322348A (en) | 1979-06-05 | 1982-03-30 | Takeda Chemical Industries, Ltd. | Maytansinoids |
| US4331598A (en) | 1979-09-19 | 1982-05-25 | Takeda Chemical Industries, Ltd. | Maytansinoids |
| US4362663A (en) | 1979-09-21 | 1982-12-07 | Takeda Chemical Industries, Ltd. | Maytansinoid compound |
| US4364866A (en) | 1979-09-21 | 1982-12-21 | Takeda Chemical Industries, Ltd. | Maytansinoids |
| US4371533A (en) | 1980-10-08 | 1983-02-01 | Takeda Chemical Industries, Ltd. | 4,5-Deoxymaytansinoids, their use and pharmaceutical compositions thereof |
| US4424219A (en) | 1981-05-20 | 1984-01-03 | Takeda Chemical Industries, Ltd. | 9-Thiomaytansinoids and their pharmaceutical compositions and use |
| US4450254A (en) | 1980-11-03 | 1984-05-22 | Standard Oil Company | Impact improvement of high nitrile resins |
| US4563304A (en) | 1981-02-27 | 1986-01-07 | Pharmacia Fine Chemicals Ab | Pyridine compounds modifying proteins, polypeptides or polysaccharides |
| US4588585A (en) | 1982-10-19 | 1986-05-13 | Cetus Corporation | Human recombinant cysteine depleted interferon-β muteins |
| US4676980A (en) | 1985-09-23 | 1987-06-30 | The United States Of America As Represented By The Secretary Of The Department Of Health And Human Services | Target specific cross-linked heteroantibodies |
| US4816567A (en) | 1983-04-08 | 1989-03-28 | Genentech, Inc. | Recombinant immunoglobin preparations |
| US4946778A (en) | 1987-09-21 | 1990-08-07 | Genex Corporation | Single polypeptide chain binding molecules |
| US5208020A (en) | 1989-10-25 | 1993-05-04 | Immunogen Inc. | Cytotoxic agents comprising maytansinoids and their therapeutic use |
| US5225539A (en) | 1986-03-27 | 1993-07-06 | Medical Research Council | Recombinant altered antibodies and methods of making altered antibodies |
| US5270163A (en) | 1990-06-11 | 1993-12-14 | University Research Corporation | Methods for identifying nucleic acid ligands |
| US5475092A (en) | 1992-03-25 | 1995-12-12 | Immunogen Inc. | Cell binding agent conjugates of analogues and derivatives of CC-1065 |
| US5545807A (en) | 1988-10-12 | 1996-08-13 | The Babraham Institute | Production of antibodies from transgenic animals |
| US5545806A (en) | 1990-08-29 | 1996-08-13 | Genpharm International, Inc. | Ransgenic non-human animals for producing heterologous antibodies |
| US5569825A (en) | 1990-08-29 | 1996-10-29 | Genpharm International | Transgenic non-human animals capable of producing heterologous antibodies of various isotypes |
| US5582981A (en) | 1991-08-14 | 1996-12-10 | Gilead Sciences, Inc. | Method for identifying an oligonucleotide aptamer specific for a target |
| US5585089A (en) | 1988-12-28 | 1996-12-17 | Protein Design Labs, Inc. | Humanized immunoglobulins |
| US5625126A (en) | 1990-08-29 | 1997-04-29 | Genpharm International, Inc. | Transgenic non-human animals for producing heterologous antibodies |
| US5633425A (en) | 1990-08-29 | 1997-05-27 | Genpharm International, Inc. | Transgenic non-human animals capable of producing heterologous antibodies |
| US5641870A (en) | 1995-04-20 | 1997-06-24 | Genentech, Inc. | Low pH hydrophobic interaction chromatography for antibody purification |
| US5661016A (en) | 1990-08-29 | 1997-08-26 | Genpharm International Inc. | Transgenic non-human animals capable of producing heterologous antibodies of various isotypes |
| US5683867A (en) | 1990-06-11 | 1997-11-04 | Nexstar Pharmaceuticals, Inc. | Systematic evolution of ligands by exponential enrichment: blended SELEX |
| US5731168A (en) | 1995-03-01 | 1998-03-24 | Genentech, Inc. | Method for making heteromultimeric polypeptides |
| US5750373A (en) | 1990-12-03 | 1998-05-12 | Genentech, Inc. | Enrichment method for variant proteins having altered binding properties, M13 phagemids, and growth hormone variants |
| US5756291A (en) | 1992-08-21 | 1998-05-26 | Gilead Sciences, Inc. | Aptamers specific for biomolecules and methods of making |
| US5763595A (en) | 1990-06-11 | 1998-06-09 | Nexstar Pharmaceuticals, Inc. | Systematic evolution of ligands by exponential enrichment: Chemi-SELEX |
| US5840867A (en) | 1991-02-21 | 1998-11-24 | Gilead Sciences, Inc. | Aptamer analogs specific for biomolecules |
| US5885793A (en) | 1991-12-02 | 1999-03-23 | Medical Research Council | Production of anti-self antibodies from antibody segment repertoires and displayed on phage |
| US5969108A (en) | 1990-07-10 | 1999-10-19 | Medical Research Council | Methods for producing members of specific binding pairs |
| US6172197B1 (en) | 1991-07-10 | 2001-01-09 | Medical Research Council | Methods for producing members of specific binding pairs |
| US6300064B1 (en) | 1995-08-18 | 2001-10-09 | Morphosys Ag | Protein/(poly)peptide libraries |
| US6333410B1 (en) | 2000-08-18 | 2001-12-25 | Immunogen, Inc. | Process for the preparation and purification of thiol-containing maytansinoids |
| US6344321B1 (en) | 1990-06-11 | 2002-02-05 | Gilead Sciences, Inc. | Nucleic acid ligands which bind to hepatocyte growth factor/scatter factor (HGF/SF) or its receptor c-met |
| US6413746B1 (en) | 1986-03-14 | 2002-07-02 | Lonza Group, Ag | Production of proteins by cell culture |
| US6441163B1 (en) | 2001-05-31 | 2002-08-27 | Immunogen, Inc. | Methods for preparation of cytotoxic conjugates of maytansinoids and cell binding agents |
| WO2002077262A2 (en) | 2001-03-22 | 2002-10-03 | Somalogic, Inc. | Method and apparatus for the automated generation of nucleic acid ligands |
| WO2003070984A1 (en) | 2002-02-15 | 2003-08-28 | Somalogic, Inc. | Methods and reagents for detecting target binding by nucleic acid ligands |
| US6653068B2 (en) | 1999-07-02 | 2003-11-25 | Morphosys Ag | Generation of specific binding partners binding to (poly)peptides encoded by genomic DNA fragments or ESTs |
| WO2004009823A1 (en) | 2002-07-18 | 2004-01-29 | Lonza Biologics Plc. | Method of expressing recombinant protein in cho cells |
| US6706484B1 (en) | 1995-08-18 | 2004-03-16 | Morphosys Ag | Protein/(poly)peptide libraries |
| US6716821B2 (en) | 2001-12-21 | 2004-04-06 | Immunogen Inc. | Cytotoxic agents bearing a reactive polyethylene glycol moiety, cytotoxic conjugates comprising polyethylene glycol linking groups, and methods of making and using the same |
| US20050107325A1 (en) | 2003-04-17 | 2005-05-19 | Muthiah Manoharan | Modified iRNA agents |
| US20050169933A1 (en) | 2003-10-10 | 2005-08-04 | Immunogen, Inc. | Method of targeting specific cell populations using cell-binding agent maytansinoid conjugates linked via a non-cleavable linker, said conjugates, and methods of making said conjugates |
| US20070213292A1 (en) | 2005-08-10 | 2007-09-13 | The Rockefeller University | Chemically modified oligonucleotides for use in modulating micro RNA and uses thereof |
| US7276497B2 (en) | 2003-05-20 | 2007-10-02 | Immunogen Inc. | Cytotoxic agents comprising new maytansinoids |
| US7276697B2 (en) | 2002-02-01 | 2007-10-02 | Calex Electronics Limited | Infrared apparatus |
| US7312325B2 (en) | 2000-09-26 | 2007-12-25 | Duke University | RNA aptamers and methods for identifying the same |
| US20080002119A1 (en) | 2006-06-29 | 2008-01-03 | Ki-Chan Sung | Method of cutting rubbing cloth and method of forming alignment layer in liquid crystal display device |
| US7329742B2 (en) | 2003-09-04 | 2008-02-12 | The Regents Of The University Of California | Aptamers and methods for their in vitro selection and uses thereof |
| US7368236B2 (en) | 1990-06-11 | 2008-05-06 | Gilead Sciences, Inc. | Methods of producing nucleic acid ligands |
| US20080177048A1 (en) | 2007-01-09 | 2008-07-24 | Bio-Rad Laboratories, Inc. | Enhanced capacity and purification of antibodies by mixed mode chromatography in the presence of aqueous-soluble nonionic organic polymers |
| US20080187954A1 (en) | 2004-03-10 | 2008-08-07 | Lonza Ltd. | Method For Producing Antibodies |
| US20080312425A1 (en) | 2004-08-30 | 2008-12-18 | Lonza Biologics Plc. | Ion Exchange Chromatography and Purification of Antibodies |
| US20090187005A1 (en) | 2008-01-18 | 2009-07-23 | Gagnon Peter S | Enhanced purification of antibodies and antibody fragments by apatite chromatography |
| WO2009134976A1 (en) | 2008-04-30 | 2009-11-05 | Immunogen, Inc | Potent conjugates and hydrophilic linkers |
| US20090274713A1 (en) | 2008-04-30 | 2009-11-05 | Immunogen Inc. | Cross-linkers and their uses |
| WO2010009124A2 (en) | 2008-07-15 | 2010-01-21 | Genentech, Inc. | Anthracycline derivative conjugates, process for their preparation and their use as antitumor compounds |
Family Cites Families (2)
| Publication number | Priority date | Publication date | Assignee | Title |
|---|---|---|---|---|
| AR056857A1 (en) * | 2005-12-30 | 2007-10-24 | U3 Pharma Ag | DIRECTED ANTIBODIES TO HER-3 (RECEIVER OF THE HUMAN EPIDERMAL GROWTH FACTOR-3) AND ITS USES |
| DK2716301T3 (en) * | 2007-02-16 | 2017-07-31 | Merrimack Pharmaceuticals Inc | ANTIBODIES AGAINST ERBB3 AND APPLICATIONS THEREOF |
-
2011
- 2011-08-04 WO PCT/US2011/046624 patent/WO2012019024A2/en not_active Ceased
Patent Citations (83)
| Publication number | Priority date | Publication date | Assignee | Title |
|---|---|---|---|---|
| US3720760B1 (en) | 1968-09-06 | 1984-02-07 | Pharmacia Ab | |
| US3720760A (en) | 1968-09-06 | 1973-03-13 | Pharmacia Ab | Method for determining the presence of reagin-immunoglobulins(reagin-ig)directed against certain allergens,in aqueous samples |
| US4361650A (en) | 1978-03-24 | 1982-11-30 | Takeda Chemical Industries, Ltd. | Fermentation process of preparing demethyl maytansinoids |
| US4307016A (en) | 1978-03-24 | 1981-12-22 | Takeda Chemical Industries, Ltd. | Demethyl maytansinoids |
| US4256746A (en) | 1978-11-14 | 1981-03-17 | Takeda Chemical Industries | Dechloromaytansinoids, their pharmaceutical compositions and method of use |
| US4294757A (en) | 1979-01-31 | 1981-10-13 | Takeda Chemical Industries, Ltd | 20-O-Acylmaytansinoids |
| US4322348A (en) | 1979-06-05 | 1982-03-30 | Takeda Chemical Industries, Ltd. | Maytansinoids |
| US4331598A (en) | 1979-09-19 | 1982-05-25 | Takeda Chemical Industries, Ltd. | Maytansinoids |
| US4362663A (en) | 1979-09-21 | 1982-12-07 | Takeda Chemical Industries, Ltd. | Maytansinoid compound |
| US4364866A (en) | 1979-09-21 | 1982-12-21 | Takeda Chemical Industries, Ltd. | Maytansinoids |
| US4371533A (en) | 1980-10-08 | 1983-02-01 | Takeda Chemical Industries, Ltd. | 4,5-Deoxymaytansinoids, their use and pharmaceutical compositions thereof |
| US4450254A (en) | 1980-11-03 | 1984-05-22 | Standard Oil Company | Impact improvement of high nitrile resins |
| US4315929A (en) | 1981-01-27 | 1982-02-16 | The United States Of America As Represented By The Secretary Of Agriculture | Method of controlling the European corn borer with trewiasine |
| US4313946A (en) | 1981-01-27 | 1982-02-02 | The United States Of America As Represented By The Secretary Of Agriculture | Chemotherapeutically active maytansinoids from Trewia nudiflora |
| US4563304A (en) | 1981-02-27 | 1986-01-07 | Pharmacia Fine Chemicals Ab | Pyridine compounds modifying proteins, polypeptides or polysaccharides |
| US4424219A (en) | 1981-05-20 | 1984-01-03 | Takeda Chemical Industries, Ltd. | 9-Thiomaytansinoids and their pharmaceutical compositions and use |
| US4588585A (en) | 1982-10-19 | 1986-05-13 | Cetus Corporation | Human recombinant cysteine depleted interferon-β muteins |
| US4816567A (en) | 1983-04-08 | 1989-03-28 | Genentech, Inc. | Recombinant immunoglobin preparations |
| US4676980A (en) | 1985-09-23 | 1987-06-30 | The United States Of America As Represented By The Secretary Of The Department Of Health And Human Services | Target specific cross-linked heteroantibodies |
| US6413746B1 (en) | 1986-03-14 | 2002-07-02 | Lonza Group, Ag | Production of proteins by cell culture |
| US6660501B2 (en) | 1986-03-14 | 2003-12-09 | Lonza Group, Ag | Production of proteins by cell culture |
| US5225539A (en) | 1986-03-27 | 1993-07-06 | Medical Research Council | Recombinant altered antibodies and methods of making altered antibodies |
| US4946778A (en) | 1987-09-21 | 1990-08-07 | Genex Corporation | Single polypeptide chain binding molecules |
| US5545807A (en) | 1988-10-12 | 1996-08-13 | The Babraham Institute | Production of antibodies from transgenic animals |
| US5585089A (en) | 1988-12-28 | 1996-12-17 | Protein Design Labs, Inc. | Humanized immunoglobulins |
| US5693761A (en) | 1988-12-28 | 1997-12-02 | Protein Design Labs, Inc. | Polynucleotides encoding improved humanized immunoglobulins |
| US5693762A (en) | 1988-12-28 | 1997-12-02 | Protein Design Labs, Inc. | Humanized immunoglobulins |
| US5208020A (en) | 1989-10-25 | 1993-05-04 | Immunogen Inc. | Cytotoxic agents comprising maytansinoids and their therapeutic use |
| US5416064A (en) | 1989-10-25 | 1995-05-16 | Immunogen, Inc. | Cytotoxic agents comprising maytansinoids and their therapeutic use |
| US5683867A (en) | 1990-06-11 | 1997-11-04 | Nexstar Pharmaceuticals, Inc. | Systematic evolution of ligands by exponential enrichment: blended SELEX |
| US5270163A (en) | 1990-06-11 | 1993-12-14 | University Research Corporation | Methods for identifying nucleic acid ligands |
| US5763595A (en) | 1990-06-11 | 1998-06-09 | Nexstar Pharmaceuticals, Inc. | Systematic evolution of ligands by exponential enrichment: Chemi-SELEX |
| US7368236B2 (en) | 1990-06-11 | 2008-05-06 | Gilead Sciences, Inc. | Methods of producing nucleic acid ligands |
| US6344321B1 (en) | 1990-06-11 | 2002-02-05 | Gilead Sciences, Inc. | Nucleic acid ligands which bind to hepatocyte growth factor/scatter factor (HGF/SF) or its receptor c-met |
| US5969108A (en) | 1990-07-10 | 1999-10-19 | Medical Research Council | Methods for producing members of specific binding pairs |
| US5625126A (en) | 1990-08-29 | 1997-04-29 | Genpharm International, Inc. | Transgenic non-human animals for producing heterologous antibodies |
| US5661016A (en) | 1990-08-29 | 1997-08-26 | Genpharm International Inc. | Transgenic non-human animals capable of producing heterologous antibodies of various isotypes |
| US5633425A (en) | 1990-08-29 | 1997-05-27 | Genpharm International, Inc. | Transgenic non-human animals capable of producing heterologous antibodies |
| US5569825A (en) | 1990-08-29 | 1996-10-29 | Genpharm International | Transgenic non-human animals capable of producing heterologous antibodies of various isotypes |
| US5545806A (en) | 1990-08-29 | 1996-08-13 | Genpharm International, Inc. | Ransgenic non-human animals for producing heterologous antibodies |
| US5750373A (en) | 1990-12-03 | 1998-05-12 | Genentech, Inc. | Enrichment method for variant proteins having altered binding properties, M13 phagemids, and growth hormone variants |
| US5840867A (en) | 1991-02-21 | 1998-11-24 | Gilead Sciences, Inc. | Aptamer analogs specific for biomolecules |
| US6172197B1 (en) | 1991-07-10 | 2001-01-09 | Medical Research Council | Methods for producing members of specific binding pairs |
| US5582981A (en) | 1991-08-14 | 1996-12-10 | Gilead Sciences, Inc. | Method for identifying an oligonucleotide aptamer specific for a target |
| US6555313B1 (en) | 1991-12-02 | 2003-04-29 | Medical Research Council | Production of anti-self antibodies from antibody segment repertoires and displayed on phage |
| US5885793A (en) | 1991-12-02 | 1999-03-23 | Medical Research Council | Production of anti-self antibodies from antibody segment repertoires and displayed on phage |
| US6544731B1 (en) | 1991-12-02 | 2003-04-08 | Medical Research Council | Production of anti-self antibodies from antibody segment repertories and displayed on phage |
| US6582915B1 (en) | 1991-12-02 | 2003-06-24 | Medical Research Council | Production of anti-self bodies from antibody segment repertories and displayed on phage |
| US6521404B1 (en) | 1991-12-02 | 2003-02-18 | Medical Research Council | Production of anti-self antibodies from antibody segment repertoires and displayed on phage |
| US6593081B1 (en) | 1991-12-02 | 2003-07-15 | Medical Research Council | Production of anti-self antibodies from antibody segment repertoires and displayed on phage |
| US5475092A (en) | 1992-03-25 | 1995-12-12 | Immunogen Inc. | Cell binding agent conjugates of analogues and derivatives of CC-1065 |
| US5585499A (en) | 1992-03-25 | 1996-12-17 | Immunogen Inc. | Cyclopropylbenzindole-containing cytotoxic drugs |
| US5846545A (en) | 1992-03-25 | 1998-12-08 | Immunogen, Inc. | Targeted delivery of cyclopropylbenzindole-containing cytotoxic drugs |
| US5756291A (en) | 1992-08-21 | 1998-05-26 | Gilead Sciences, Inc. | Aptamers specific for biomolecules and methods of making |
| US5731168A (en) | 1995-03-01 | 1998-03-24 | Genentech, Inc. | Method for making heteromultimeric polypeptides |
| US5641870A (en) | 1995-04-20 | 1997-06-24 | Genentech, Inc. | Low pH hydrophobic interaction chromatography for antibody purification |
| US6300064B1 (en) | 1995-08-18 | 2001-10-09 | Morphosys Ag | Protein/(poly)peptide libraries |
| US6706484B1 (en) | 1995-08-18 | 2004-03-16 | Morphosys Ag | Protein/(poly)peptide libraries |
| US7264963B1 (en) | 1995-08-18 | 2007-09-04 | Morphosys Ag | Protein(poly)peptide libraries |
| US6653068B2 (en) | 1999-07-02 | 2003-11-25 | Morphosys Ag | Generation of specific binding partners binding to (poly)peptides encoded by genomic DNA fragments or ESTs |
| US6333410B1 (en) | 2000-08-18 | 2001-12-25 | Immunogen, Inc. | Process for the preparation and purification of thiol-containing maytansinoids |
| US7312325B2 (en) | 2000-09-26 | 2007-12-25 | Duke University | RNA aptamers and methods for identifying the same |
| WO2002077262A2 (en) | 2001-03-22 | 2002-10-03 | Somalogic, Inc. | Method and apparatus for the automated generation of nucleic acid ligands |
| US6441163B1 (en) | 2001-05-31 | 2002-08-27 | Immunogen, Inc. | Methods for preparation of cytotoxic conjugates of maytansinoids and cell binding agents |
| US7368565B2 (en) | 2001-05-31 | 2008-05-06 | Immunogen Inc. | Methods for preparation of cytotoxic conjugates of maytansinoids and cell binding agents |
| US6716821B2 (en) | 2001-12-21 | 2004-04-06 | Immunogen Inc. | Cytotoxic agents bearing a reactive polyethylene glycol moiety, cytotoxic conjugates comprising polyethylene glycol linking groups, and methods of making and using the same |
| US7276697B2 (en) | 2002-02-01 | 2007-10-02 | Calex Electronics Limited | Infrared apparatus |
| WO2003070984A1 (en) | 2002-02-15 | 2003-08-28 | Somalogic, Inc. | Methods and reagents for detecting target binding by nucleic acid ligands |
| WO2004009823A1 (en) | 2002-07-18 | 2004-01-29 | Lonza Biologics Plc. | Method of expressing recombinant protein in cho cells |
| US20050107325A1 (en) | 2003-04-17 | 2005-05-19 | Muthiah Manoharan | Modified iRNA agents |
| US7276497B2 (en) | 2003-05-20 | 2007-10-02 | Immunogen Inc. | Cytotoxic agents comprising new maytansinoids |
| US7473796B2 (en) | 2003-05-20 | 2009-01-06 | Immunogen Inc. | Cytotoxic agents comprising new maytansinoids |
| US7329742B2 (en) | 2003-09-04 | 2008-02-12 | The Regents Of The University Of California | Aptamers and methods for their in vitro selection and uses thereof |
| US20050169933A1 (en) | 2003-10-10 | 2005-08-04 | Immunogen, Inc. | Method of targeting specific cell populations using cell-binding agent maytansinoid conjugates linked via a non-cleavable linker, said conjugates, and methods of making said conjugates |
| US20080187954A1 (en) | 2004-03-10 | 2008-08-07 | Lonza Ltd. | Method For Producing Antibodies |
| US20080312425A1 (en) | 2004-08-30 | 2008-12-18 | Lonza Biologics Plc. | Ion Exchange Chromatography and Purification of Antibodies |
| US20070213292A1 (en) | 2005-08-10 | 2007-09-13 | The Rockefeller University | Chemically modified oligonucleotides for use in modulating micro RNA and uses thereof |
| US20080002119A1 (en) | 2006-06-29 | 2008-01-03 | Ki-Chan Sung | Method of cutting rubbing cloth and method of forming alignment layer in liquid crystal display device |
| US20080177048A1 (en) | 2007-01-09 | 2008-07-24 | Bio-Rad Laboratories, Inc. | Enhanced capacity and purification of antibodies by mixed mode chromatography in the presence of aqueous-soluble nonionic organic polymers |
| US20090187005A1 (en) | 2008-01-18 | 2009-07-23 | Gagnon Peter S | Enhanced purification of antibodies and antibody fragments by apatite chromatography |
| WO2009134976A1 (en) | 2008-04-30 | 2009-11-05 | Immunogen, Inc | Potent conjugates and hydrophilic linkers |
| US20090274713A1 (en) | 2008-04-30 | 2009-11-05 | Immunogen Inc. | Cross-linkers and their uses |
| WO2010009124A2 (en) | 2008-07-15 | 2010-01-21 | Genentech, Inc. | Anthracycline derivative conjugates, process for their preparation and their use as antitumor compounds |
Non-Patent Citations (93)
| Title |
|---|
| "Immunochemical Techniques", vol. 121, ACADEMIC PRESS, article "Methods in Enzymology" |
| "Remington's Pharmaceutical Sciences", 2000, MACK PUBLISHING CO. |
| AL- LAZIKANI ET AL., J. MOLEC. BIOL., vol. 273, 1997, pages 927 - 948 |
| ALTSCHUL ET AL., METHODS IN ENZYMOLOGY, vol. 266, 1996, pages 460 - 480 |
| ALTSCHUL ET AL., NUCLEIC ACIDS RES., vol. 25, 1991, pages 3389 - 3402 |
| ALTSCHUL ET AL., NUCLEIC ACIDS RES., vol. 25, 1997, pages 3389 - 3402 |
| BARNES NL. ET AL., CLIN. CANCER RES., vol. 11, 2005, pages 2163 - 2168 |
| BHATTACHARYYA, CURR. MED. CHEM., vol. 8, 2001, pages 1383 - 404 |
| BOEMER ET AL., J. IMMUNOL., vol. 147, no. 1, 1991, pages 86 - 95 |
| BRENNAN ET AL., SCIENCE, vol. 229, 1985, pages 81 |
| BRUMMELL ET AL., BIOCHEM., vol. 32, 1993, pages 1180 - 1 187 |
| BURKS ET AL., PROC. NATL. ACAD. SCI. USA, vol. 94, 1997, pages 412 - 417 |
| CARLSSON ET AL., BIOCHEM. J., vol. 173, 1978, pages 723 - 737 |
| CHOTHIA, LESK, J. MOL. BIOL., vol. 196, 1987, pages 901 - 917 |
| CLACKSON ET AL., NATURE, vol. 352, 1991, pages 624 - 628 |
| CO ET AL., J IMMUNOL., vol. 148, 1992, pages 1149 - 54 |
| COLE ET AL.: "Monoclonal Antibodies and Cancer Therapy", 1985, ALAN R. LISS, pages: 77 |
| DESBOIS-MOUTHON C. ET AL., CLIN CANCER RES., vol. 15, 2009, pages 5445 - 5456 |
| DOLLE ET AL., J. COMB. CHEM., vol. 9, 2007, pages 855 - 902 |
| DUROCHCR, Y., NUCLEIC ACIDS RCS., vol. 30, 2002, pages E9 |
| E. HARLOW, D. LANE: "Antibodies: A Laboratory Manual", 1988, COLD SPRING HARBOR LABORATORY PRESS |
| EGALA K ET AL., CLIN CANCER RES., vol. 12, 2006, pages 4103 - 4111 |
| ENGELMAN JA. ET AL., SCIENCE, vol. 316, 2007, pages 1039 - 1043 |
| GILL ET AL., CURR. OPIN. BIOTECHNOL., vol. 17, 2006, pages 653 - 658 |
| GODING: "Monoclonal Antibodies: Principles and Practice", 1986, ACADEMIC PRESS |
| GRUBER ET AL., J. IMMUNOL., vol. 152, 1994, pages 5368 |
| GUY PM. ET AL., PROC NATL ACAD SCI USA., vol. 91, 1994, pages 8132 - 8136 |
| HASHIDA ET AL., J. APPLIED BIOCHEM., 1984, pages 56 - 63 |
| HOOGENBOOM, WINTER, J. MOL. BIOL., vol. 227, 1991, pages 381 |
| HOSSE ET AL., PROTEIN SCIENCE, vol. 15, 2006, pages 14 - 27 |
| HUSE ET AL., SCIENCE, vol. 246, 1989, pages 1275 - 1281 |
| J. F. KEARNEY ET AL., J IMMUNOL, vol. 123, 1979, pages 1548 - 1550 |
| JONES ET AL., NATURE, vol. 321, 1986, pages 522 - 525 |
| JUNTTILA TT ET AL., CANCER CELL, vol. 15, 2009, pages 429 - 440 |
| JURA N ET AL., PROC NATL ACAD SCI USA., vol. 106, 2009, pages 20608 - 20613 |
| KABAT ET AL.: "Sequences of Immunological Interest.", 1991, NATIONAL INSTITUTES OF HEALTH |
| KABAT ET AL.: "Sequences of Proteins of Immunological Interest", 1991, NATIONAL INSTITUTES OF HEALTH |
| KARLIN ET AL., PROC. NATL. ACAD. SCI., vol. 87, 1990, pages 2264 - 2268 |
| KARLIN ET AL., PROC. NATL. ACAD. SCI., vol. 90, 1993, pages 5873 - 5877 |
| KENNEDY ET AL., J. COMB. CHEM, vol. 10, 2008, pages 345 - 354 |
| KOBAYASHI ET AL., PROTEIN ENG., vol. 12, no. 10, 1999, pages 879 - 884 |
| KOHLER, MILSTEIN, NATURE, vol. 256, 1975, pages 495 |
| KOSTELNY ET AL., J. IMMUNOL., vol. 148, 1992, pages 1547 - 1553 |
| KRAUS ET AL., PROC. NATL. ACAD. SCI. U.S.A., vol. 86, 1989, pages 9193 - 9197 |
| KRAUS ET AL., PROC. NATL. ACAD. SCI. U.S.A., vol. 90, 1993, pages 2900 - 2904 |
| KRAUS M.H. ET AL., PROC. NATL. ACAD. SCI. USA, vol. 90, 1993, pages 2900 - 2904 |
| KRAUS MH. ET AL., PROC. NATL. ACAD. SCI. USA, vol. 90, 1993, pages 2900 - 2904 |
| LIU B. ET AL., INT J CANCER, vol. 120, 2007, pages 1874 - 1882 |
| LIU ET AL., BIOCHEM., vol. 18, 1979, pages 690 - 697 |
| LIU ET AL., PROC. NATL. ACAD. SCI. USA, vol. 93, 1996, pages 8618 - 8623 |
| MARKS ET AL., BIO/TECHNOLOGY, vol. 10, 1992, pages 779 - 783 |
| MARKS ET AL., J. MOL. BIOL., vol. 222, 1991, pages 581 |
| MARKS ET AL., J. MOL. BIOL., vol. 222, 1991, pages 581 - 597 |
| MCCAFFERTY ET AL., NATURE, vol. 348, 1990, pages 552 - 554 |
| MILLER TW. ET AL., CANCER RES., vol. 69, 2009, pages 4192 - 4201 |
| MILLSTEIN ET AL., NATURE, vol. 305, 1983, pages 537 - 539 |
| MORIMOTO ET AL., JOURNAL OF BIOCHEMICAL AND BIOPHYSICAL METHODS, vol. 24, 1993, pages 107 - 117 |
| MYERS, MILLER, CABIOS, vol. 4, 1989, pages 11 - 17 |
| NEEDLEMAN, WUNSCH, J MOL. BIOL., no. 48, 1970, pages 444 - 453 |
| NYGREN, FEBS J., vol. 275, 2008, pages 2668 - 76 |
| OSIPO C. ET AL., INT J ONCOL., vol. 30, 2007, pages 509 - 520 |
| PEDERSEN J.T., J. MOL. BIOL., vol. 235, 1994, pages 959 - 973 |
| PLOWMAN ET AL., PROC. NATL. ACAD. SCI. U.S.A., vol. 87, 1990, pages 4905 - 4909 |
| POUWELS ET AL.: "Cloning Vectors: A Laboratory Manual", 1985, ELSEVIER |
| REMINGTON: "The Science and Practice of Pharmacy", 2000, MACK PUBLISHING |
| RESCHKE M. ET AL., CLIN. CANCER RCS., vol. 14, 2008, pages 5188 - 5197 |
| RETH MG ET AL., NATURE, vol. 317, 1985, pages 353 - 355 |
| RIECHMANN ET AL., NATURE, vol. 332, 1988, pages 323 - 327 |
| ROGUSKA ET AL., PROC. NATL. ACAD. SCI., USA, vol. 91, no. 3, 1994, pages 969 - 973 |
| ROGUSKA ET AL., PROTEIN ENG., vol. 9, no. 10, 1996, pages 895 - 904 |
| ROTHE ET AL., J. MOL. BIO., 2007 |
| SERGINA NC, MOASSER MM., TRENDS IN MOL MED., vol. 13, 2007, pages 527 - 534 |
| SERGINA NV. ET AL., NATURE, vol. 445, 2007, pages 437 - 441 |
| SHALABY ET AL., J. EXP. MED., vol. 175, 1992, pages 217 - 225 |
| SHEETS ET AL., PROC. NAT'1. ACAD. SCI., vol. 95, 1998, pages 6157 - 6162 |
| SHIELDS RL, JBIOL CHEM., vol. 276, no. 9, 2001, pages 6591 - 604 |
| SIERKE SL, BIOCHEM J., vol. 322, 1997, pages 757 - 763 |
| SKERRA, CURR. OPIN. BIOTECHNOL., vol. 18, 2007, pages 295 - 304 |
| SKERRA, FEBS J., vol. 275, 2008, pages 2677 - 83 |
| SURESH ET AL., METHODS IN ENZYMOL., vol. 121, 1986, pages 120 |
| TANNER B. ET AL., J. CLIN. ONCOL., vol. 24, 2006, pages 4317 - 4323 |
| TRAUNECKER ET AL., EMBO J., vol. 10, 1991, pages 3655 - 3659 |
| TUTT, J. IMMUNOL., vol. 147, 1991, pages 60 |
| VAUGHAN ET AL., NAT. BIOTECH., vol. 14, 1996, pages 309 - 314 |
| VERHOEYEN ET AL., SCIENCE, vol. 239, 1988, pages 1534 - 1536 |
| WANG ET AL., J IMMUNOL METHODS., vol. 233, 2000, pages 167 - 77 |
| WANG SE. ET AL., MOL CELL BIOL., vol. 28, 2008, pages 5605 - 5620 |
| WHEELER DL. ET AL., ONCOGENE, vol. 27, 2008, pages 3944 - 3956 |
| WIDDISON WC, J MCD CHCM, vol. 49, 2006, pages 4392 - 4408 |
| WITTON CI ET AL., J. PATHOL., vol. 200, 2003, pages 290 - 297 |
| YOSHITAKE ET AL., EUR. J. BIOCHEM., vol. 101, 1979, pages 395 - 399 |
| ZHANG Y. ET AL., MOL CANCER THER., vol. 7, 2008, pages 3176 - 3186 |
| ZOELLER ET AL., PROC. NAT'L. ACAD. SCI. USA, vol. 81, 1984, pages 5662 - 5066 |
Cited By (103)
| Publication number | Priority date | Publication date | Assignee | Title |
|---|---|---|---|---|
| US9611331B2 (en) | 2009-12-22 | 2017-04-04 | Roche Glycart Ag | Anti-HER3 antibodies and uses thereof |
| US10196456B2 (en) | 2009-12-22 | 2019-02-05 | Roche Glycart Ag | Anti-HER3 antibodies and uses thereof |
| US8859737B2 (en) | 2009-12-22 | 2014-10-14 | Roche Glycart Ag | Anti-HER3 antibodies and uses thereof |
| US10077317B2 (en) | 2010-08-20 | 2018-09-18 | Novartis Ag | Antibodies for epidermal growth factor receptor 3 (HER3) |
| WO2012135517A2 (en) | 2011-03-29 | 2012-10-04 | Immunogen, Inc. | Preparation of maytansinoid antibody conjugates by a one-step process |
| EP3545977A1 (en) | 2011-03-29 | 2019-10-02 | ImmunoGen, Inc. | Preparation of maytansinoid antibody conjugates by a one-step process |
| WO2012135522A2 (en) | 2011-03-29 | 2012-10-04 | Immunogen, Inc. | Process for manufacturing conjugates of improved homogeneity |
| US8791244B2 (en) | 2011-09-30 | 2014-07-29 | Regeneron Pharmaceuticals, Inc. | Anti-ErbB3 antibodies and uses thereof |
| US11771762B2 (en) | 2011-09-30 | 2023-10-03 | Regeneron Pharmaceuticals, Inc. | Anti-ErbB3 antibodies and uses thereof |
| US10632194B2 (en) | 2011-09-30 | 2020-04-28 | Regeneron Pharmaceuticals, Inc. | Anti-ErbB3 antibodies and uses thereof |
| US9284380B2 (en) | 2011-09-30 | 2016-03-15 | Regeneron Pharmaceuticals, Inc. | Anti-ErbB3 antibodies and uses thereof |
| US9827310B2 (en) | 2011-09-30 | 2017-11-28 | Regeneron Pharmaceuticals, Inc. | Anti-ErbB3 antibodies and uses thereof |
| US9273143B2 (en) | 2011-09-30 | 2016-03-01 | Regeneron Pharmaceuticals, Inc. | Methods and compositions comprising a combination of an anti-ErbB3 antibody and an anti-EGFR antibody |
| EP3608340A1 (en) | 2011-11-23 | 2020-02-12 | Medlmmune, LLC | Binding molecules specific for her3 and uses thereof |
| US10040857B2 (en) | 2011-11-23 | 2018-08-07 | Medimmune, Llc | Binding molecules specific for HER3 and uses thereof |
| US11091554B2 (en) | 2011-11-23 | 2021-08-17 | Medlmmune, Llc | Binding molecules specific for HER3 and uses thereof |
| WO2013078191A1 (en) | 2011-11-23 | 2013-05-30 | Medimmune, Llc | Binding molecules specific for her3 and uses thereof |
| US10080800B2 (en) | 2011-12-05 | 2018-09-25 | Novartis Ag | Antibodies for epidermal growth factor receptor 3 (HER3) |
| US9192663B2 (en) | 2011-12-05 | 2015-11-24 | Novartis Ag | Antibodies for epidermal growth factor receptor 3 (HER3) |
| WO2014055877A1 (en) | 2012-10-04 | 2014-04-10 | Immunogen, Inc. | Use of a pvdf membrane to purify cell-binding agent cytotoxic agent conjugates |
| US10918735B2 (en) | 2012-12-04 | 2021-02-16 | Massachusetts Institute Of Technology | Substituted pyrazino[1′,2′:1,5]pyrrolo[2,3-b]indole-1,4-diones for cancer treatment |
| US9180185B2 (en) | 2013-01-11 | 2015-11-10 | Hoffman-La Roche Inc. | Combination therapy of anti-HER3 antibodies |
| WO2014108484A2 (en) | 2013-01-11 | 2014-07-17 | F. Hoffmann-La Roche Ag | Combination therapy of anti-her3 antibodies |
| WO2014131019A3 (en) * | 2013-02-25 | 2014-10-16 | Ohio State Innovation Foundation | Her-1, her-3 and igf-1r compositions and uses thereof |
| US10800834B2 (en) | 2013-02-25 | 2020-10-13 | Ohio State Innovation Foundation | HER-1, HER-3 and IGF-1R compositions and uses thereof |
| US10221230B2 (en) | 2013-02-25 | 2019-03-05 | Ohio State Innovation Foundation | HER-1, HER-3 and IGF-1R compositions and uses thereof |
| US11305012B2 (en) | 2013-09-24 | 2022-04-19 | Medimmune, Llc | Binding molecules specific for HER3 and uses thereof |
| US11584800B2 (en) | 2014-01-31 | 2023-02-21 | Daiichi Sankyo Company, Limited | Method of treating cancer comprising administration of anti-HER2 antibody-drug conjugate |
| US11795236B2 (en) | 2014-01-31 | 2023-10-24 | Daiichi Sankyo Company, Limited | Method for treating cancer comprising administration of anti-HER2 antibody-drug conjugate |
| KR20220068270A (en) | 2014-04-10 | 2022-05-25 | 다이이찌 산쿄 가부시키가이샤 | Anti-her3 antibody-drug conjugate |
| EP3789042A1 (en) | 2014-04-10 | 2021-03-10 | Daiichi Sankyo Company, Limited | Method for producing anti-her3 antibody-drug conjugate |
| JP2019135248A (en) * | 2014-04-10 | 2019-08-15 | 第一三共株式会社 | Anti-HER3 antibody-drug conjugate |
| US10383878B2 (en) | 2014-04-10 | 2019-08-20 | Daiichi Sankyo Company, Limited | Anti-HER3 antibody-drug conjugate |
| JP2017222638A (en) * | 2014-04-10 | 2017-12-21 | 第一三共株式会社 | Anti-HER3 antibody-drug conjugate |
| RU2711640C2 (en) * | 2014-04-10 | 2020-01-17 | Дайити Санкио Компани, Лимитед | Anti-her3 antibody-drug conjugate |
| JP2017197515A (en) * | 2014-04-10 | 2017-11-02 | 第一三共株式会社 | Anti-her3 antibody-drug conjugates |
| EP4494710A3 (en) * | 2014-04-10 | 2025-04-16 | Daiichi Sankyo Company, Limited | Pharmaceutical composition comprising an anti-her3 antibody-drug conjugate for use in treating breast cancers |
| KR102495426B1 (en) | 2014-04-10 | 2023-02-06 | 다이이찌 산쿄 가부시키가이샤 | Anti-her3 antibody-drug conjugate |
| CN111228511B (en) * | 2014-04-10 | 2024-06-18 | 第一三共株式会社 | Anti-HER3 Antibody-Drug Conjugates |
| KR20190004837A (en) | 2014-04-10 | 2019-01-14 | 다이이찌 산쿄 가부시키가이샤 | Anti-her3 antibody-drug conjugate |
| KR102127623B1 (en) | 2014-04-10 | 2020-06-29 | 다이이찌 산쿄 가부시키가이샤 | Anti-her3 antibody-drug conjugate |
| KR20200077620A (en) | 2014-04-10 | 2020-06-30 | 다이이찌 산쿄 가부시키가이샤 | Anti-her3 antibody-drug conjugate |
| JP2022180416A (en) * | 2014-04-10 | 2022-12-06 | 第一三共株式会社 | Anti-HER3 antibody-drug conjugates |
| JP2020143114A (en) * | 2014-04-10 | 2020-09-10 | 第一三共株式会社 | Anti-HER3 antibody-drug conjugate |
| JP2017503784A (en) * | 2014-04-10 | 2017-02-02 | 第一三共株式会社 | Anti-HER3 antibody-drug conjugate |
| KR102186027B1 (en) | 2014-04-10 | 2020-12-03 | 다이이치 산쿄 유럽 게엠베하 | Anti-her3 antibody-drug conjugate |
| KR20200136052A (en) | 2014-04-10 | 2020-12-04 | 다이이찌 산쿄 가부시키가이샤 | Anti-her3 antibody-drug conjugate |
| AU2021286320B2 (en) * | 2014-04-10 | 2024-04-18 | Daiichi Sankyo Company, Limited | Anti-her3 antibody-drug conjugate |
| JP2024019172A (en) * | 2014-04-10 | 2024-02-08 | 第一三共株式会社 | Anti-HER3 antibody-drug conjugate |
| KR20220132025A (en) | 2014-04-10 | 2022-09-29 | 다이이찌 산쿄 가부시키가이샤 | Anti-her3 antibody-drug conjugate |
| KR20230021173A (en) | 2014-04-10 | 2023-02-13 | 다이이찌 산쿄 가부시키가이샤 | Anti-her3 antibody-drug conjugate |
| KR102239413B1 (en) | 2014-04-10 | 2021-04-12 | 다이이찌 산쿄 가부시키가이샤 | Anti-her3 antibody-drug conjugate |
| KR20210041126A (en) | 2014-04-10 | 2021-04-14 | 다이이찌 산쿄 가부시키가이샤 | Anti-her3 antibody-drug conjugate |
| KR20240008415A (en) | 2014-04-10 | 2024-01-18 | 다이이찌 산쿄 가부시키가이샤 | Anti-her3 antibody-drug conjugate |
| KR20160144396A (en) | 2014-04-10 | 2016-12-16 | 다이이찌 산쿄 가부시키가이샤 | Anti-her3 antibody-drug conjugate |
| KR20210115056A (en) | 2014-04-10 | 2021-09-24 | 다이이찌 산쿄 가부시키가이샤 | Anti-her3 antibody-drug conjugate |
| JP2021169515A (en) * | 2014-04-10 | 2021-10-28 | 第一三共株式会社 | Anti-HER3 antibody-drug conjugate |
| KR102445502B1 (en) | 2014-04-10 | 2022-09-21 | 다이이찌 산쿄 가부시키가이샤 | Anti-her3 antibody-drug conjugate |
| KR102351755B1 (en) | 2014-04-10 | 2022-01-14 | 다이이찌 산쿄 가부시키가이샤 | Anti-her3 antibody-drug conjugate |
| KR20220012402A (en) | 2014-04-10 | 2022-02-03 | 다이이찌 산쿄 가부시키가이샤 | Anti-her3 antibody-drug conjugate |
| KR102624244B1 (en) | 2014-04-10 | 2024-01-11 | 다이이찌 산쿄 가부시키가이샤 | Anti-her3 antibody-drug conjugate |
| US11298359B2 (en) | 2014-04-10 | 2022-04-12 | Daiichi Sankyo Company, Limited | Anti-HER3 antibody-drug conjugate |
| CN106163559A (en) * | 2014-04-10 | 2016-11-23 | 第三共株式会社 | Anti-HER3 Antibody‑Drug Conjugate |
| KR101937549B1 (en) | 2014-04-10 | 2019-01-10 | 다이이찌 산쿄 가부시키가이샤 | Anti-her3 antibody-drug conjugate |
| KR102399277B1 (en) | 2014-04-10 | 2022-05-18 | 다이이찌 산쿄 가부시키가이샤 | Anti-her3 antibody-drug conjugate |
| CN111228511A (en) * | 2014-04-10 | 2020-06-05 | 第一三共株式会社 | Anti-HER3 Antibody-Drug Conjugates |
| RU2802211C2 (en) * | 2014-04-10 | 2023-08-23 | Дайити Санкио Компани, Лимитед | Anti-her3 conjugate antibody-drug |
| WO2015155998A1 (en) | 2014-04-10 | 2015-10-15 | Daiichi Sankyo Company, Limited | Anti-her3 antibody-drug conjugate |
| US10745490B2 (en) | 2014-04-11 | 2020-08-18 | Celldex Therapeutics, Inc. | Anti-ErbB antibodies and methods of use thereof |
| WO2016081584A1 (en) | 2014-11-19 | 2016-05-26 | Immunogen, Inc. | Process for preparing cell-binding agent-cytotoxic agent conjugates |
| WO2016207103A1 (en) * | 2015-06-23 | 2016-12-29 | Bayer Pharma Aktiengesellschaft | Antibody drug conjugates of kinesin spindel protein (ksp) inhibitors with anti-b7h3-antibodies |
| US11173213B2 (en) | 2015-06-29 | 2021-11-16 | Daiichi Sankyo Company, Limited | Method for selectively manufacturing antibody-drug conjugate |
| WO2017136623A1 (en) | 2016-02-05 | 2017-08-10 | Immunogen, Inc. | Efficient process for preparing cell-binding agent-cytotoxic agent conjugates |
| US10918627B2 (en) | 2016-05-11 | 2021-02-16 | Massachusetts Institute Of Technology | Convergent and enantioselective total synthesis of Communesin analogs |
| US12319736B2 (en) | 2016-12-12 | 2025-06-03 | Daiichi Sankyo Company, Limited | Combination of antibody-drug conjugate and immune checkpoint inhibitor |
| US11273155B2 (en) | 2016-12-12 | 2022-03-15 | Daiichi Sankyo Company, Limited | Combination of antibody-drug conjugate and immune checkpoint inhibitor |
| US11434289B2 (en) | 2017-01-17 | 2022-09-06 | Daiichi Sankyo Company, Limited | Anti-GPR20 antibody and anti-GPR20 antibody-drug conjugate |
| US10906974B2 (en) | 2017-01-17 | 2021-02-02 | Daiichi Sankyo Company, Limited | Anti-GPR20 antibody and anti-GPR20 antibody-drug conjugate |
| WO2018159582A1 (en) | 2017-02-28 | 2018-09-07 | 学校法人近畿大学 | Method for treating egfr-tki-resistant non-small cell lung cancer by administration of anti-her3 antibody-drug conjugate |
| US11932650B2 (en) | 2017-05-11 | 2024-03-19 | Massachusetts Institute Of Technology | Potent agelastatin derivatives as modulators for cancer invasion and metastasis |
| US12233155B2 (en) | 2017-05-15 | 2025-02-25 | Daiichi Sankyo Company, Limited | Polynucleotides encoding antibodies which bind the EC3 domain of cadherin-6 (CDH6) and possess internalization ability |
| US11446386B2 (en) | 2017-05-15 | 2022-09-20 | Daiichi Sankyo Company, Limited | Anti-CDH6 antibody and method of producing an anti-CDH6 antibody-drug conjugate |
| US11077202B2 (en) | 2017-05-15 | 2021-08-03 | Daiichi Sankyo Company, Limited | Anti-CDH6 antibody and anti-CDH6 antibody-drug conjugate |
| US12503489B2 (en) | 2017-08-31 | 2025-12-23 | Daiichi Sankyo Company, Limited | Method for producing antibody-drug conjugate |
| US11945882B2 (en) | 2017-08-31 | 2024-04-02 | Daiichi Sankyo Company, Limited | Method for producing antibody-drug conjugate |
| US11318212B2 (en) | 2017-08-31 | 2022-05-03 | Daiichi Sankyo Company, Limited | Method for producing antibody-drug conjugate |
| US10640508B2 (en) | 2017-10-13 | 2020-05-05 | Massachusetts Institute Of Technology | Diazene directed modular synthesis of compounds with quaternary carbon centers |
| US11872289B2 (en) | 2018-05-18 | 2024-01-16 | Daiichi Sankyo Co., Ltd. | Anti-MUC1 antibody-drug conjugate |
| US12479926B2 (en) | 2018-05-18 | 2025-11-25 | Daiichi Sankyo Co., Ltd. | Anti-MUC1 antibody-drug conjugate |
| US12297289B2 (en) | 2018-05-18 | 2025-05-13 | Glycotope Gmbh | Anti-MUC1 antibody |
| US12291577B2 (en) | 2018-05-18 | 2025-05-06 | Daiichi Sankyo Co., Ltd. | Anti-MUC1 antibody-drug conjugate |
| US12358999B2 (en) | 2018-07-27 | 2025-07-15 | Daiichi Sankyo Company, Limited | Protein recognizing drug moiety of antibody-drug conjugate |
| US12220604B2 (en) | 2018-07-31 | 2025-02-11 | Daiichi Sankyo Company, Limited | Treatment of metastatic brain tumor by administration of an antibody-drug conjugate |
| WO2020059772A1 (en) | 2018-09-20 | 2020-03-26 | 第一三共株式会社 | Treatment of her3 mutant cancer by administration of anti-her3 antibody-drug conjugate |
| US11535634B2 (en) | 2019-06-05 | 2022-12-27 | Massachusetts Institute Of Technology | Compounds, conjugates, and compositions of epipolythiodiketopiperazines and polythiodiketopiperazines and uses thereof |
| US12180228B2 (en) | 2019-06-05 | 2024-12-31 | Massachusetts Institute Of Technology | Compounds, conjugates, and compositions of epipolythiodiketopiperazines and polythiodiketopiperazines and uses thereof |
| EP4230653A4 (en) * | 2020-10-14 | 2024-06-19 | Jiangsu Hengrui Pharmaceuticals Co., Ltd. | Anti-her3 antibody and anti-her3 antibody-drug conjugate and medical use thereof |
| JP2023545925A (en) * | 2020-10-14 | 2023-11-01 | 江蘇恒瑞医薬股▲ふん▼有限公司 | Anti-HER3 antibody, anti-HER3 antibody drug conjugate and its medical use |
| US12178880B2 (en) | 2020-12-04 | 2024-12-31 | Shanghai Fudan-Zhangjiang Bio-Pharmaceutical Co., Ltd. | Antibody-drug conjugate, and intermediate thereof, preparation method therefor, and application thereof |
| RU2850333C1 (en) * | 2020-12-04 | 2025-11-11 | Шанхай Фудань-Чжанцзян Био-Фармасьютикал Ко., Лтд. | Antibody conjugate against her3 and medicine, pharmaceutical composition, and their uses in manufacture of medicine for treating or preventing her3-positive tumor |
| US12030888B2 (en) | 2021-02-24 | 2024-07-09 | Massachusetts Institute Of Technology | Himastatin derivatives, and processes of preparation thereof, and uses thereof |
| WO2024083166A1 (en) * | 2022-10-19 | 2024-04-25 | 普众发现医药科技(上海)有限公司 | Antibody-drug conjugate, preparation method therefor and use thereof in resisting tumors |
| WO2024248123A1 (en) | 2023-06-02 | 2024-12-05 | 第一三共株式会社 | Combination of (anti-her3 antibody)-drug conjugate and rasg12c inhibitor |
Also Published As
| Publication number | Publication date |
|---|---|
| WO2012019024A3 (en) | 2012-05-03 |
Similar Documents
| Publication | Publication Date | Title |
|---|---|---|
| AU2011320318B9 (en) | Non-antagonistic EGFR-binding molecules and immunoconjugates thereof | |
| AU2011320314B2 (en) | Novel EGFR-binding molecules and immunoconjugates thereof | |
| WO2012019024A2 (en) | Her3-binding molecules and immunoconjugates thereof | |
| AU2015246118B2 (en) | CD37-Binding Molecules And Immunoconjugates Thereof | |
| AU2011220728B2 (en) | Folate receptor 1 antibodies and immunoconjugates and uses thereof | |
| AU2017279600B2 (en) | Folate Receptor 1 Antibodies and Immunoconjugates and Uses Thereof | |
| AU2015252047A1 (en) | Novel EGFR-Binding Molecules and Immunoconjugates Thereof |
Legal Events
| Date | Code | Title | Description |
|---|---|---|---|
| 121 | Ep: the epo has been informed by wipo that ep was designated in this application |
Ref document number: 11741740 Country of ref document: EP Kind code of ref document: A2 |
|
| NENP | Non-entry into the national phase |
Ref country code: DE |
|
| 122 | Ep: pct application non-entry in european phase |
Ref document number: 11741740 Country of ref document: EP Kind code of ref document: A2 |















