US20100022561A1 - Inhibitors of bruton's tyrosine kinase - Google Patents
Inhibitors of bruton's tyrosine kinase Download PDFInfo
- Publication number
- US20100022561A1 US20100022561A1 US12/499,008 US49900809A US2010022561A1 US 20100022561 A1 US20100022561 A1 US 20100022561A1 US 49900809 A US49900809 A US 49900809A US 2010022561 A1 US2010022561 A1 US 2010022561A1
- Authority
- US
- United States
- Prior art keywords
- formula
- btk
- compound
- alkyl
- compounds
- Prior art date
- Legal status (The legal status is an assumption and is not a legal conclusion. Google has not performed a legal analysis and makes no representation as to the accuracy of the status listed.)
- Abandoned
Links
- 0 C[*+](C)Cc1cccc(Oc(cc2)ccc2-c2n[n](CCNC(C=CCOI)=O)c3ncnc(N)c23)c1 Chemical compound C[*+](C)Cc1cccc(Oc(cc2)ccc2-c2n[n](CCNC(C=CCOI)=O)c3ncnc(N)c23)c1 0.000 description 16
- ZNNCZGQPGVOKOE-KJHBKDRRSA-N C#CC(=O)N1CCC(N2N=C(C3=CC=C(OC4=CC=CC=C4)C=C3)C3=C(N)N=CN=C32)C1.C=CC(=O)N1CCC(N2N=C(C3=CC=C(OC4=CC=CC=C4)C=C3)C3=C(N)N=CN=C32)C1.C=CS(=O)(=O)N[C@H]1CC[C@@H](N2N=C(C3=CC=C(OC4=CC=CC=C4)C=C3)C3=C(N)N=CN=C32)CN1 Chemical compound C#CC(=O)N1CCC(N2N=C(C3=CC=C(OC4=CC=CC=C4)C=C3)C3=C(N)N=CN=C32)C1.C=CC(=O)N1CCC(N2N=C(C3=CC=C(OC4=CC=CC=C4)C=C3)C3=C(N)N=CN=C32)C1.C=CS(=O)(=O)N[C@H]1CC[C@@H](N2N=C(C3=CC=C(OC4=CC=CC=C4)C=C3)C3=C(N)N=CN=C32)CN1 ZNNCZGQPGVOKOE-KJHBKDRRSA-N 0.000 description 2
- KFLUILMOGXXACR-SWSRPJROSA-N C#CC(=O)N1CCC(N2N=C(C3=CC=C(OC4=CC=CC=C4)C=C3)C3=C(N)N=CN=C32)CC1.C=CC(=O)N1CCC(N2N=C(C3=CC=C(OC4=CC=CC=C4)C=C3)C3=C(N)N=CN=C32)CC1.CN(C)C/C=C/C(=O)N1CCC(N2N=C(C3=CC=C(OC4=CC=CC=C4)C=C3)C3=C(N)N=CN=C32)CC1 Chemical compound C#CC(=O)N1CCC(N2N=C(C3=CC=C(OC4=CC=CC=C4)C=C3)C3=C(N)N=CN=C32)CC1.C=CC(=O)N1CCC(N2N=C(C3=CC=C(OC4=CC=CC=C4)C=C3)C3=C(N)N=CN=C32)CC1.CN(C)C/C=C/C(=O)N1CCC(N2N=C(C3=CC=C(OC4=CC=CC=C4)C=C3)C3=C(N)N=CN=C32)CC1 KFLUILMOGXXACR-SWSRPJROSA-N 0.000 description 2
- XLPHJQXOMYGSLA-GUCSFOQISA-N C#CC(=O)N1CCCC(N2N=C(C3=CC=C(OC4=CC=CC=C4)C=C3)C3=C(N)N=CN=C32)C1.C=CC(=O)N1CCC[C@@H](N2N=C(C3=CC=C(OC4=CC=CC=C4)C=C3)C3=C(N)N=CN=C32)C1.CN(C)C/C=C/C(=O)N1CCCC(N2N=C(C3=CC=C(OC4=CC=CC=C4)C=C3)C3=C(N)N=CN=C32)C1.COC/C=C/C(=O)N1CCCC(N2N=C(C3=CC=C(OC4=CC=CC=C4)C=C3)C3=C(N)N=CN=C32)C1 Chemical compound C#CC(=O)N1CCCC(N2N=C(C3=CC=C(OC4=CC=CC=C4)C=C3)C3=C(N)N=CN=C32)C1.C=CC(=O)N1CCC[C@@H](N2N=C(C3=CC=C(OC4=CC=CC=C4)C=C3)C3=C(N)N=CN=C32)C1.CN(C)C/C=C/C(=O)N1CCCC(N2N=C(C3=CC=C(OC4=CC=CC=C4)C=C3)C3=C(N)N=CN=C32)C1.COC/C=C/C(=O)N1CCCC(N2N=C(C3=CC=C(OC4=CC=CC=C4)C=C3)C3=C(N)N=CN=C32)C1 XLPHJQXOMYGSLA-GUCSFOQISA-N 0.000 description 2
- KHATYDFSKYWPPF-HFLBQINGSA-N C#CC(=O)N[C@H]1CC[C@@H](N2N=C(C3=CC=C(OC4=CC=CC=C4)C=C3)C3=C(N)N=CN=C32)CC1.C/C=C/C(=O)N1CCCC(N2N=C(C3=CC=C(OC4=CC=CC=C4)C=C3)C3=C(N)N=CN=C32)C1.C=CC(=O)N[C@H]1CC[C@@H](N2N=C(C3=CC=C(OC4=CC=CC=C4)C=C3)C3=C(N)N=CN=C32)CC1.C=CS(=O)(=O)N1CCCC(N2N=C(C3=CC=C(OC4=CC=CC=C4)C=C3)C3=C(N)N=CN=C32)C1 Chemical compound C#CC(=O)N[C@H]1CC[C@@H](N2N=C(C3=CC=C(OC4=CC=CC=C4)C=C3)C3=C(N)N=CN=C32)CC1.C/C=C/C(=O)N1CCCC(N2N=C(C3=CC=C(OC4=CC=CC=C4)C=C3)C3=C(N)N=CN=C32)C1.C=CC(=O)N[C@H]1CC[C@@H](N2N=C(C3=CC=C(OC4=CC=CC=C4)C=C3)C3=C(N)N=CN=C32)CC1.C=CS(=O)(=O)N1CCCC(N2N=C(C3=CC=C(OC4=CC=CC=C4)C=C3)C3=C(N)N=CN=C32)C1 KHATYDFSKYWPPF-HFLBQINGSA-N 0.000 description 2
- ZVEJTORBIWVBGW-RLSSQMPNSA-N C/C=C/C(=O)N1CCC(N2N=C(C3=CC=C(OC4=CC=CC=C4)C=C3)C3=C(N)N=CN=C32)C1.C=CS(=O)(=O)N1CCC(N2N=C(C3=CC=C(OC4=CC=CC=C4)C=C3)C3=C(N)N=CN=C32)C1.CN(C)C/C=C/C(=O)N1CCC(N2N=C(C3=CC=C(OC4=CC=CC=C4)C=C3)C3=C(N)N=CN=C32)C1.COC/C=C/C(=O)N1CCC(N2N=C(C3=CC=C(OC4=CC=CC=C4)C=C3)C3=C(N)N=CN=C32)C1 Chemical compound C/C=C/C(=O)N1CCC(N2N=C(C3=CC=C(OC4=CC=CC=C4)C=C3)C3=C(N)N=CN=C32)C1.C=CS(=O)(=O)N1CCC(N2N=C(C3=CC=C(OC4=CC=CC=C4)C=C3)C3=C(N)N=CN=C32)C1.CN(C)C/C=C/C(=O)N1CCC(N2N=C(C3=CC=C(OC4=CC=CC=C4)C=C3)C3=C(N)N=CN=C32)C1.COC/C=C/C(=O)N1CCC(N2N=C(C3=CC=C(OC4=CC=CC=C4)C=C3)C3=C(N)N=CN=C32)C1 ZVEJTORBIWVBGW-RLSSQMPNSA-N 0.000 description 2
- VMUXNPSTFGLVOJ-AYAWDWARSA-N C/C=C/C(=O)N1CCC(N2N=C(C3=CC=C(OC4=CC=CC=C4)C=C3)C3=C(N)N=CN=C32)CC1.C=CS(=O)(=O)N1CCC(N2N=C(C3=CC=C(OC4=CC=CC=C4)C=C3)C3=C(N)N=CN=C32)CC1.COC/C=C/C(=O)N1CCC(N2N=C(C3=CC=C(OC4=CC=CC=C4)C=C3)C3=C(N)N=CN=C32)CC1 Chemical compound C/C=C/C(=O)N1CCC(N2N=C(C3=CC=C(OC4=CC=CC=C4)C=C3)C3=C(N)N=CN=C32)CC1.C=CS(=O)(=O)N1CCC(N2N=C(C3=CC=C(OC4=CC=CC=C4)C=C3)C3=C(N)N=CN=C32)CC1.COC/C=C/C(=O)N1CCC(N2N=C(C3=CC=C(OC4=CC=CC=C4)C=C3)C3=C(N)N=CN=C32)CC1 VMUXNPSTFGLVOJ-AYAWDWARSA-N 0.000 description 2
- YPAOQXSJPSVQLA-XPGJOYOMSA-N C/C=C/C(=O)N[C@H]1CC[C@@H](N2N=C(C3=CC=C(OC4=CC=CC=C4)C=C3)C3=C(N)N=CN=C32)CC1.CN(C)C/C=C/C(=O)N[C@H]1CC[C@@H](N2N=C(C3=CC=C(OC4=CC=CC=C4)C=C3)C3=C(N)N=CN=C32)CN1.COC/C=C/C(=O)N[C@H]1CC[C@@H](N2N=C(C3=CC=C(OC4=CC=CC=C4)C=C3)C3=C(N)N=CN=C32)CN1 Chemical compound C/C=C/C(=O)N[C@H]1CC[C@@H](N2N=C(C3=CC=C(OC4=CC=CC=C4)C=C3)C3=C(N)N=CN=C32)CC1.CN(C)C/C=C/C(=O)N[C@H]1CC[C@@H](N2N=C(C3=CC=C(OC4=CC=CC=C4)C=C3)C3=C(N)N=CN=C32)CN1.COC/C=C/C(=O)N[C@H]1CC[C@@H](N2N=C(C3=CC=C(OC4=CC=CC=C4)C=C3)C3=C(N)N=CN=C32)CN1 YPAOQXSJPSVQLA-XPGJOYOMSA-N 0.000 description 2
- BGGXHOXATKKIEO-GPIIBWSTSA-N C#CC(=O)C(C)C.C/C=C/C(=O)C(C)C.C=CC(=O)C(C)C.C=CS(=O)(=O)C(C)C.CC(C)C(=O)/C=C/CN(C)C.COC/C=C/C(=O)C(C)C Chemical compound C#CC(=O)C(C)C.C/C=C/C(=O)C(C)C.C=CC(=O)C(C)C.C=CS(=O)(=O)C(C)C.CC(C)C(=O)/C=C/CN(C)C.COC/C=C/C(=O)C(C)C BGGXHOXATKKIEO-GPIIBWSTSA-N 0.000 description 1
- XHYIFOMPGBSGTO-GLEUZKRGSA-N C#CC(=O)N(C)CCN1N=C(C2=CC=C(OC3=CC=CC=C3)C=C2)C2=C(N)N=CN=C21.CN(C)C/C=C/C(=O)N(C)CCN1N=C(C2=CC=C(OC3=CC=CC=C3)C=C2)C2=C(N)N=CN=C21.CN(C)C/C=C/C(=O)NCCN1N=C(C2=CC=C(OC3=CC=CC=C3)C=C2)C2=C(N)N=CN=C21 Chemical compound C#CC(=O)N(C)CCN1N=C(C2=CC=C(OC3=CC=CC=C3)C=C2)C2=C(N)N=CN=C21.CN(C)C/C=C/C(=O)N(C)CCN1N=C(C2=CC=C(OC3=CC=CC=C3)C=C2)C2=C(N)N=CN=C21.CN(C)C/C=C/C(=O)NCCN1N=C(C2=CC=C(OC3=CC=CC=C3)C=C2)C2=C(N)N=CN=C21 XHYIFOMPGBSGTO-GLEUZKRGSA-N 0.000 description 1
- ZOUOIOPTNVXLPE-UHFFFAOYSA-N C#CC(=O)N1CCCC(C(C)C)C1 Chemical compound C#CC(=O)N1CCCC(C(C)C)C1 ZOUOIOPTNVXLPE-UHFFFAOYSA-N 0.000 description 1
- OCVYUKCDSCODIY-JMRACDLLSA-N C#CC(=O)N1CCCC(N2N=C(C3=CC=C(OC4=CC=CC=C4)C=C3)C3=C(N)N=CN=C32)C1.C/C=C/C(=O)N1CCCC(N2N=C(C3=CC=C(OC4=CC=CC=C4)C=C3)C3=C(N)N=CN=C32)C1.C=CC(=O)N1CCCC(N2N=C(C3=CC=C(OC4=CC=CC=C4)C=C3)C3=C(N)N=CN=C32)C1.C=CS(=O)(=O)N1CCCC(N2N=C(C3=CC=C(OC4=CC=CC=C4)C=C3)C3=C(N)N=CN=C32)C1 Chemical compound C#CC(=O)N1CCCC(N2N=C(C3=CC=C(OC4=CC=CC=C4)C=C3)C3=C(N)N=CN=C32)C1.C/C=C/C(=O)N1CCCC(N2N=C(C3=CC=C(OC4=CC=CC=C4)C=C3)C3=C(N)N=CN=C32)C1.C=CC(=O)N1CCCC(N2N=C(C3=CC=C(OC4=CC=CC=C4)C=C3)C3=C(N)N=CN=C32)C1.C=CS(=O)(=O)N1CCCC(N2N=C(C3=CC=C(OC4=CC=CC=C4)C=C3)C3=C(N)N=CN=C32)C1 OCVYUKCDSCODIY-JMRACDLLSA-N 0.000 description 1
- NAQYQSPFDLXJIK-UHFFFAOYSA-N C#CC(=O)N1CCCC(N2N=C(C3=CC=C(OC4=CC=CC=C4)C=C3)C3=C2N=CN=C3N)C1 Chemical compound C#CC(=O)N1CCCC(N2N=C(C3=CC=C(OC4=CC=CC=C4)C=C3)C3=C2N=CN=C3N)C1 NAQYQSPFDLXJIK-UHFFFAOYSA-N 0.000 description 1
- ASFJHBWFMMYSSK-UHFFFAOYSA-N C#CC(=O)NCCN1N=C(C2=CC=C(OC3=CC=CC=C3)C=C2)C2=C(N)N=CN=C21.C=CC(=O)N(C)CCN1N=C(C2=CC=C(OC3=CC=CC=C3)C=C2)C2=C(N)N=CN=C21.C=CC(=O)NCCN1N=C(C2=CC=C(OC3=CC=CC=C3)C=C2)C2=C(N)N=CN=C21 Chemical compound C#CC(=O)NCCN1N=C(C2=CC=C(OC3=CC=CC=C3)C=C2)C2=C(N)N=CN=C21.C=CC(=O)N(C)CCN1N=C(C2=CC=C(OC3=CC=CC=C3)C=C2)C2=C(N)N=CN=C21.C=CC(=O)NCCN1N=C(C2=CC=C(OC3=CC=CC=C3)C=C2)C2=C(N)N=CN=C21 ASFJHBWFMMYSSK-UHFFFAOYSA-N 0.000 description 1
- NBAGLHJWIPKOPZ-BABLKGGBSA-N C/C=C/C(=O)N(C)CCN1N=C(C2=CC=C(OC3=CC=CC=C3)C=C2)C2=C(N)N=CN=C21.C=CS(=O)(=O)N(C)CCN1N=C(C2=CC=C(OC3=CC=CC=C3)C=C2)C2=C(N)N=CN=C21.C=CS(=O)(=O)NCCN1N=C(C2=CC=C(OC3=CC=CC=C3)C=C2)C2=C(N)N=CN=C21 Chemical compound C/C=C/C(=O)N(C)CCN1N=C(C2=CC=C(OC3=CC=CC=C3)C=C2)C2=C(N)N=CN=C21.C=CS(=O)(=O)N(C)CCN1N=C(C2=CC=C(OC3=CC=CC=C3)C=C2)C2=C(N)N=CN=C21.C=CS(=O)(=O)NCCN1N=C(C2=CC=C(OC3=CC=CC=C3)C=C2)C2=C(N)N=CN=C21 NBAGLHJWIPKOPZ-BABLKGGBSA-N 0.000 description 1
- OAXFSQSXLTXFRY-GQCTYLIASA-N C/C=C/C(=O)N1CCCC(C(C)C)C1 Chemical compound C/C=C/C(=O)N1CCCC(C(C)C)C1 OAXFSQSXLTXFRY-GQCTYLIASA-N 0.000 description 1
- QJQSICBUNJTFPP-HAYHJZHISA-N C/C=C/C(=O)NCCN1N=C(C2=CC=C(OC3=CC=CC=C3)C=C2)C2=C(N)N=CN=C21.COC/C=C/C(=O)N(C)CCN1N=C(C2=CC=C(OC3=CC=CC=C3)C=C2)C2=C(N)N=CN=C21.COC/C=C/C(=O)NCCN1N=C(C2=CC=C(OC3=CC=CC=C3)C=C2)C2=C(N)N=CN=C21 Chemical compound C/C=C/C(=O)NCCN1N=C(C2=CC=C(OC3=CC=CC=C3)C=C2)C2=C(N)N=CN=C21.COC/C=C/C(=O)N(C)CCN1N=C(C2=CC=C(OC3=CC=CC=C3)C=C2)C2=C(N)N=CN=C21.COC/C=C/C(=O)NCCN1N=C(C2=CC=C(OC3=CC=CC=C3)C=C2)C2=C(N)N=CN=C21 QJQSICBUNJTFPP-HAYHJZHISA-N 0.000 description 1
- OPDJSSWXFCKILA-UHFFFAOYSA-N C1=CC2=C(C=C1)CCCC2.C1=CC2CCC1C2.C1=CC2CCCC2=C1.C1=CC2CCCCC2C1.C1=CCC=CC1.C1=CCCC1.C1=CCCC=C1.C1=CCCCC1.C1CC1.C1CC2CC(C1)C2.C1CC2CC12.C1CC2CC2C1.C1CC2CCC1C2.C1CC2CCC1CC2.C1CC2CCCC2C1.C1CCC1.C1CCC2CCCC2C1.C1CCC2CCCCC2C1.C1CCCC1.C1CCCCC1.C1CCCCCC1.C1CCCCCCC1 Chemical compound C1=CC2=C(C=C1)CCCC2.C1=CC2CCC1C2.C1=CC2CCCC2=C1.C1=CC2CCCCC2C1.C1=CCC=CC1.C1=CCCC1.C1=CCCC=C1.C1=CCCCC1.C1CC1.C1CC2CC(C1)C2.C1CC2CC12.C1CC2CC2C1.C1CC2CCC1C2.C1CC2CCC1CC2.C1CC2CCCC2C1.C1CCC1.C1CCC2CCCC2C1.C1CCC2CCCCC2C1.C1CCCC1.C1CCCCC1.C1CCCCCC1.C1CCCCCCC1 OPDJSSWXFCKILA-UHFFFAOYSA-N 0.000 description 1
- CJEOCDTWPDPEBU-UHFFFAOYSA-N C=CC(=O)N1CCC(C(C)C)CC1 Chemical compound C=CC(=O)N1CCC(C(C)C)CC1 CJEOCDTWPDPEBU-UHFFFAOYSA-N 0.000 description 1
- GVQWLLPZEUITMB-UHFFFAOYSA-N C=CC(=O)N1CCC(N2N=C(C3=CC=C(OC4=CC=CC=C4)C=C3)C3=C(N)N=CN=C32)C1.C=CC(=O)N1CCC(N2N=C(C3=CC=C(OC4=CC=CC=C4)C=C3)C3=C(N)N=CN=C32)CC1.C=CC(=O)NC1CCC(N2N=C(C3=CC=C(OC4=CC=CC=C4)C=C3)C3=C(N)N=CN=C32)CC1 Chemical compound C=CC(=O)N1CCC(N2N=C(C3=CC=C(OC4=CC=CC=C4)C=C3)C3=C(N)N=CN=C32)C1.C=CC(=O)N1CCC(N2N=C(C3=CC=C(OC4=CC=CC=C4)C=C3)C3=C(N)N=CN=C32)CC1.C=CC(=O)NC1CCC(N2N=C(C3=CC=C(OC4=CC=CC=C4)C=C3)C3=C(N)N=CN=C32)CC1 GVQWLLPZEUITMB-UHFFFAOYSA-N 0.000 description 1
- HGZICJRMIXTMNB-DLEJXUKQSA-N C=CC(=O)N1CCC(N2N=C(C3=CC=C(OC4=CC=CC=C4)C=C3)C3=C(N)N=CN=C32)C1.C=CC(=O)N1CCCC(N2N=C(C3=CC=C(OC4=CC=CC=C4)C=C3)C3=C(N)N=CN=C32)C1.C=CC(=O)N1CCCC(N2N=C(C3=CC=C(OC4=CC=CC=C4)C=C3)C3=C(N)N=CN=C32)C1.CN(C)C/C=C/C(=O)N1CCCC(N2N=C(C3=CC=C(OC4=CC=CC=C4)C=C3)C3=C(N)N=CN=C32)C1 Chemical compound C=CC(=O)N1CCC(N2N=C(C3=CC=C(OC4=CC=CC=C4)C=C3)C3=C(N)N=CN=C32)C1.C=CC(=O)N1CCCC(N2N=C(C3=CC=C(OC4=CC=CC=C4)C=C3)C3=C(N)N=CN=C32)C1.C=CC(=O)N1CCCC(N2N=C(C3=CC=C(OC4=CC=CC=C4)C=C3)C3=C(N)N=CN=C32)C1.CN(C)C/C=C/C(=O)N1CCCC(N2N=C(C3=CC=C(OC4=CC=CC=C4)C=C3)C3=C(N)N=CN=C32)C1 HGZICJRMIXTMNB-DLEJXUKQSA-N 0.000 description 1
- KXEKOZMXMBGUQM-UHFFFAOYSA-N C=CC(=O)N1CCCC(C(C)C)C1 Chemical compound C=CC(=O)N1CCCC(C(C)C)C1 KXEKOZMXMBGUQM-UHFFFAOYSA-N 0.000 description 1
- HOCXMMMLXHJOAY-UHFFFAOYSA-N C=CC(=O)N1CCCC(N2N=C(C3=CC=C(OC4=CC=CC=C4)C=C3)C3=C(N)N=CN=C32)C1.CC(C)(C)OC(=O)N1CCCC(N2N=C(C3=CC=C(OC4=CC=CC=C4)C=C3)C3=C(N)N=CN=C32)C1.CC(C)(C)OC(=O)N1CCCC(O)C1.NC1=C2C(=NC=N1)NN=C2C1=CC=C(OC2=CC=CC=C2)C=C1 Chemical compound C=CC(=O)N1CCCC(N2N=C(C3=CC=C(OC4=CC=CC=C4)C=C3)C3=C(N)N=CN=C32)C1.CC(C)(C)OC(=O)N1CCCC(N2N=C(C3=CC=C(OC4=CC=CC=C4)C=C3)C3=C(N)N=CN=C32)C1.CC(C)(C)OC(=O)N1CCCC(O)C1.NC1=C2C(=NC=N1)NN=C2C1=CC=C(OC2=CC=CC=C2)C=C1 HOCXMMMLXHJOAY-UHFFFAOYSA-N 0.000 description 1
- YZJBHIFMSMAZCL-UHFFFAOYSA-N C=CC(=O)N1CCCC(N2N=C(C3=CC=C(OC4=CC=CC=C4)C=C3)C3=C(N)N=CN=C32)C1.CC(C)(C)OC(=O)N1CCCC(N2N=C(C3=CC=CC=C3)C3=C(N)N=CN=C32)C1.CC(C)(C)OC(=O)N1CCCC(O)C1.CC(Cl)Cl.C[RaH].C[RaH].C[RaH].NC1=C2C(=NC=N1)NN=C2C1=CC=CC=C1.NC1=NC=NC2=C1C(I)=NN2.NC1=NC=NC2=C1C=NN2.OB(O)C1=CC=CC=C1 Chemical compound C=CC(=O)N1CCCC(N2N=C(C3=CC=C(OC4=CC=CC=C4)C=C3)C3=C(N)N=CN=C32)C1.CC(C)(C)OC(=O)N1CCCC(N2N=C(C3=CC=CC=C3)C3=C(N)N=CN=C32)C1.CC(C)(C)OC(=O)N1CCCC(O)C1.CC(Cl)Cl.C[RaH].C[RaH].C[RaH].NC1=C2C(=NC=N1)NN=C2C1=CC=CC=C1.NC1=NC=NC2=C1C(I)=NN2.NC1=NC=NC2=C1C=NN2.OB(O)C1=CC=CC=C1 YZJBHIFMSMAZCL-UHFFFAOYSA-N 0.000 description 1
- KXEKOZMXMBGUQM-SNVBAGLBSA-N C=CC(=O)N1CCC[C@@H](C(C)C)C1 Chemical compound C=CC(=O)N1CCC[C@@H](C(C)C)C1 KXEKOZMXMBGUQM-SNVBAGLBSA-N 0.000 description 1
- XYFPWWZEPKGCCK-GOSISDBHSA-N C=CC(=O)N1CCC[C@@H](N2N=C(C3=CC=C(OC4=CC=CC=C4)C=C3)C3=C2N=CN=C3N)C1 Chemical compound C=CC(=O)N1CCC[C@@H](N2N=C(C3=CC=C(OC4=CC=CC=C4)C=C3)C3=C2N=CN=C3N)C1 XYFPWWZEPKGCCK-GOSISDBHSA-N 0.000 description 1
- KXEKOZMXMBGUQM-JTQLQIEISA-N C=CC(=O)N1CCC[C@H](C(C)C)C1 Chemical compound C=CC(=O)N1CCC[C@H](C(C)C)C1 KXEKOZMXMBGUQM-JTQLQIEISA-N 0.000 description 1
- XYFPWWZEPKGCCK-SFHVURJKSA-N C=CC(=O)N1CCC[C@H](N2N=C(C3=CC=C(OC4=CC=CC=C4)C=C3)C3=C2N=CN=C3N)C1 Chemical compound C=CC(=O)N1CCC[C@H](N2N=C(C3=CC=C(OC4=CC=CC=C4)C=C3)C3=C2N=CN=C3N)C1 XYFPWWZEPKGCCK-SFHVURJKSA-N 0.000 description 1
- DUDKHQFAKVVBEN-SECBINFHSA-N C=CC(=O)N1CC[C@@H](C(C)C)C1 Chemical compound C=CC(=O)N1CC[C@@H](C(C)C)C1 DUDKHQFAKVVBEN-SECBINFHSA-N 0.000 description 1
- CLXHRDKUVCHURW-QGZVFWFLSA-N C=CC(=O)N1CC[C@@H](N2N=C(C3=CC=C(OC4=CC=CC=C4)C=C3)C3=C2N=CN=C3N)C1 Chemical compound C=CC(=O)N1CC[C@@H](N2N=C(C3=CC=C(OC4=CC=CC=C4)C=C3)C3=C2N=CN=C3N)C1 CLXHRDKUVCHURW-QGZVFWFLSA-N 0.000 description 1
- DUDKHQFAKVVBEN-VIFPVBQESA-N C=CC(=O)N1CC[C@H](C(C)C)C1 Chemical compound C=CC(=O)N1CC[C@H](C(C)C)C1 DUDKHQFAKVVBEN-VIFPVBQESA-N 0.000 description 1
- CLXHRDKUVCHURW-KRWDZBQOSA-N C=CC(=O)N1CC[C@H](N2N=C(C3=CC=C(OC4=CC=CC=C4)C=C3)C3=C2N=CN=C3N)C1 Chemical compound C=CC(=O)N1CC[C@H](N2N=C(C3=CC=C(OC4=CC=CC=C4)C=C3)C3=C2N=CN=C3N)C1 CLXHRDKUVCHURW-KRWDZBQOSA-N 0.000 description 1
- JXPYFPUCADHXEJ-PHIMTYICSA-N C=CC(=O)N[C@H]1CC[C@@H](C(C)C)CC1 Chemical compound C=CC(=O)N[C@H]1CC[C@@H](C(C)C)CC1 JXPYFPUCADHXEJ-PHIMTYICSA-N 0.000 description 1
- SSDFTYWIYVWCIE-KDURUIRLSA-N C=CC(=O)N[C@H]1CC[C@@H](N2N=C(C3=CC=C(OC4=CC=CC=C4)C=C3)C3=C2N=CN=C3N)CC1 Chemical compound C=CC(=O)N[C@H]1CC[C@@H](N2N=C(C3=CC=C(OC4=CC=CC=C4)C=C3)C3=C2N=CN=C3N)CC1 SSDFTYWIYVWCIE-KDURUIRLSA-N 0.000 description 1
- XRQMUFGIFYXEDY-UHFFFAOYSA-N C=CCCC.C=CCOC(C)=O.CC.CC(=O)OC(C)(C)C.CC(=O)OCC1=CC=CC=C1.CC(=O)OCC1C2=C(C=CC=C2)C2=C1C=CC=C2.CC(=O)OCC[SiH2]C(C)(C)C.CC(C)(C)C.CC(C)(C)[Si](C)(C)C.CC(C)=O.CC(C1=CC=CC=C1)(C1=CC=CC=C1)C1=CC=CC=C1.CCC.CCC1=CC=C(OC)C=C1.CCC1=CC=CC=C1 Chemical compound C=CCCC.C=CCOC(C)=O.CC.CC(=O)OC(C)(C)C.CC(=O)OCC1=CC=CC=C1.CC(=O)OCC1C2=C(C=CC=C2)C2=C1C=CC=C2.CC(=O)OCC[SiH2]C(C)(C)C.CC(C)(C)C.CC(C)(C)[Si](C)(C)C.CC(C)=O.CC(C1=CC=CC=C1)(C1=CC=CC=C1)C1=CC=CC=C1.CCC.CCC1=CC=C(OC)C=C1.CCC1=CC=CC=C1 XRQMUFGIFYXEDY-UHFFFAOYSA-N 0.000 description 1
- RYSXEDNHHPSSEP-UHFFFAOYSA-N C=CS(=O)(=O)N1CCCC(C(C)C)C1 Chemical compound C=CS(=O)(=O)N1CCCC(C(C)C)C1 RYSXEDNHHPSSEP-UHFFFAOYSA-N 0.000 description 1
- BZDZSNZQRWOSGZ-UHFFFAOYSA-N C=CS(=O)(=O)N1CCCC(N2N=C(C3=CC=C(OC4=CC=CC=C4)C=C3)C3=C2N=CN=C3N)C1 Chemical compound C=CS(=O)(=O)N1CCCC(N2N=C(C3=CC=C(OC4=CC=CC=C4)C=C3)C3=C2N=CN=C3N)C1 BZDZSNZQRWOSGZ-UHFFFAOYSA-N 0.000 description 1
- FKRYQPBYLGOWLV-UHFFFAOYSA-N CC(C)C1CCCN(C(=O)CCl)C1 Chemical compound CC(C)C1CCCN(C(=O)CCl)C1 FKRYQPBYLGOWLV-UHFFFAOYSA-N 0.000 description 1
- GMBWBZHNAXFGKX-STMXVASLSA-N CC(C)[C@@H]1CCCN(C(=O)/C=C/CN(C)C)C1 Chemical compound CC(C)[C@@H]1CCCN(C(=O)/C=C/CN(C)C)C1 GMBWBZHNAXFGKX-STMXVASLSA-N 0.000 description 1
- MJYQSGGJPPUCRU-RPDQBKRASA-N CC.CC.CC(C)C1CCN(C(C)C)C1.CC(C)C1CCN(C(C)C)CC1.CC(C)CCN(C)C(C)C.CC(C)CCNC(C)C.CC(C)N[C@H]1CC[C@@H](C(C)C)CC1.CCN1CCCC(C(C)C)C1.CCN1CCC[C@@H](C(C)C)C1 Chemical compound CC.CC.CC(C)C1CCN(C(C)C)C1.CC(C)C1CCN(C(C)C)CC1.CC(C)CCN(C)C(C)C.CC(C)CCNC(C)C.CC(C)N[C@H]1CC[C@@H](C(C)C)CC1.CCN1CCCC(C(C)C)C1.CCN1CCC[C@@H](C(C)C)C1 MJYQSGGJPPUCRU-RPDQBKRASA-N 0.000 description 1
- IDIZKFVKMFGLPN-YRNVUSSQSA-N CN(C)C/C=C/C(=O)N1CCCC(N2N=C(C3=CC=C(OC4=CC=CC=C4)C=C3)C3=C2N=CN=C3N)C1 Chemical compound CN(C)C/C=C/C(=O)N1CCCC(N2N=C(C3=CC=C(OC4=CC=CC=C4)C=C3)C3=C2N=CN=C3N)C1 IDIZKFVKMFGLPN-YRNVUSSQSA-N 0.000 description 1
Images
Classifications
-
- A—HUMAN NECESSITIES
- A61—MEDICAL OR VETERINARY SCIENCE; HYGIENE
- A61K—PREPARATIONS FOR MEDICAL, DENTAL OR TOILETRY PURPOSES
- A61K31/00—Medicinal preparations containing organic active ingredients
- A61K31/33—Heterocyclic compounds
- A61K31/395—Heterocyclic compounds having nitrogen as a ring hetero atom, e.g. guanethidine or rifamycins
- A61K31/495—Heterocyclic compounds having nitrogen as a ring hetero atom, e.g. guanethidine or rifamycins having six-membered rings with two or more nitrogen atoms as the only ring heteroatoms, e.g. piperazine or tetrazines
- A61K31/505—Pyrimidines; Hydrogenated pyrimidines, e.g. trimethoprim
- A61K31/519—Pyrimidines; Hydrogenated pyrimidines, e.g. trimethoprim ortho- or peri-condensed with heterocyclic rings
- A61K31/52—Purines, e.g. adenine
-
- A—HUMAN NECESSITIES
- A61—MEDICAL OR VETERINARY SCIENCE; HYGIENE
- A61K—PREPARATIONS FOR MEDICAL, DENTAL OR TOILETRY PURPOSES
- A61K31/00—Medicinal preparations containing organic active ingredients
-
- A—HUMAN NECESSITIES
- A61—MEDICAL OR VETERINARY SCIENCE; HYGIENE
- A61K—PREPARATIONS FOR MEDICAL, DENTAL OR TOILETRY PURPOSES
- A61K31/00—Medicinal preparations containing organic active ingredients
- A61K31/33—Heterocyclic compounds
- A61K31/395—Heterocyclic compounds having nitrogen as a ring hetero atom, e.g. guanethidine or rifamycins
- A61K31/495—Heterocyclic compounds having nitrogen as a ring hetero atom, e.g. guanethidine or rifamycins having six-membered rings with two or more nitrogen atoms as the only ring heteroatoms, e.g. piperazine or tetrazines
- A61K31/505—Pyrimidines; Hydrogenated pyrimidines, e.g. trimethoprim
- A61K31/519—Pyrimidines; Hydrogenated pyrimidines, e.g. trimethoprim ortho- or peri-condensed with heterocyclic rings
-
- A—HUMAN NECESSITIES
- A61—MEDICAL OR VETERINARY SCIENCE; HYGIENE
- A61K—PREPARATIONS FOR MEDICAL, DENTAL OR TOILETRY PURPOSES
- A61K39/00—Medicinal preparations containing antigens or antibodies
- A61K39/395—Antibodies; Immunoglobulins; Immune serum, e.g. antilymphocytic serum
- A61K39/39533—Antibodies; Immunoglobulins; Immune serum, e.g. antilymphocytic serum against materials from animals
- A61K39/3955—Antibodies; Immunoglobulins; Immune serum, e.g. antilymphocytic serum against materials from animals against proteinaceous materials, e.g. enzymes, hormones, lymphokines
-
- A—HUMAN NECESSITIES
- A61—MEDICAL OR VETERINARY SCIENCE; HYGIENE
- A61K—PREPARATIONS FOR MEDICAL, DENTAL OR TOILETRY PURPOSES
- A61K45/00—Medicinal preparations containing active ingredients not provided for in groups A61K31/00 - A61K41/00
- A61K45/06—Mixtures of active ingredients without chemical characterisation, e.g. antiphlogistics and cardiaca
-
- A—HUMAN NECESSITIES
- A61—MEDICAL OR VETERINARY SCIENCE; HYGIENE
- A61K—PREPARATIONS FOR MEDICAL, DENTAL OR TOILETRY PURPOSES
- A61K9/00—Medicinal preparations characterised by special physical form
- A61K9/48—Preparations in capsules, e.g. of gelatin, of chocolate
- A61K9/4816—Wall or shell material
- A61K9/4825—Proteins, e.g. gelatin
-
- A—HUMAN NECESSITIES
- A61—MEDICAL OR VETERINARY SCIENCE; HYGIENE
- A61P—SPECIFIC THERAPEUTIC ACTIVITY OF CHEMICAL COMPOUNDS OR MEDICINAL PREPARATIONS
- A61P1/00—Drugs for disorders of the alimentary tract or the digestive system
-
- A—HUMAN NECESSITIES
- A61—MEDICAL OR VETERINARY SCIENCE; HYGIENE
- A61P—SPECIFIC THERAPEUTIC ACTIVITY OF CHEMICAL COMPOUNDS OR MEDICINAL PREPARATIONS
- A61P1/00—Drugs for disorders of the alimentary tract or the digestive system
- A61P1/04—Drugs for disorders of the alimentary tract or the digestive system for ulcers, gastritis or reflux esophagitis, e.g. antacids, inhibitors of acid secretion, mucosal protectants
-
- A—HUMAN NECESSITIES
- A61—MEDICAL OR VETERINARY SCIENCE; HYGIENE
- A61P—SPECIFIC THERAPEUTIC ACTIVITY OF CHEMICAL COMPOUNDS OR MEDICINAL PREPARATIONS
- A61P1/00—Drugs for disorders of the alimentary tract or the digestive system
- A61P1/16—Drugs for disorders of the alimentary tract or the digestive system for liver or gallbladder disorders, e.g. hepatoprotective agents, cholagogues, litholytics
-
- A—HUMAN NECESSITIES
- A61—MEDICAL OR VETERINARY SCIENCE; HYGIENE
- A61P—SPECIFIC THERAPEUTIC ACTIVITY OF CHEMICAL COMPOUNDS OR MEDICINAL PREPARATIONS
- A61P1/00—Drugs for disorders of the alimentary tract or the digestive system
- A61P1/18—Drugs for disorders of the alimentary tract or the digestive system for pancreatic disorders, e.g. pancreatic enzymes
-
- A—HUMAN NECESSITIES
- A61—MEDICAL OR VETERINARY SCIENCE; HYGIENE
- A61P—SPECIFIC THERAPEUTIC ACTIVITY OF CHEMICAL COMPOUNDS OR MEDICINAL PREPARATIONS
- A61P11/00—Drugs for disorders of the respiratory system
-
- A—HUMAN NECESSITIES
- A61—MEDICAL OR VETERINARY SCIENCE; HYGIENE
- A61P—SPECIFIC THERAPEUTIC ACTIVITY OF CHEMICAL COMPOUNDS OR MEDICINAL PREPARATIONS
- A61P11/00—Drugs for disorders of the respiratory system
- A61P11/06—Antiasthmatics
-
- A—HUMAN NECESSITIES
- A61—MEDICAL OR VETERINARY SCIENCE; HYGIENE
- A61P—SPECIFIC THERAPEUTIC ACTIVITY OF CHEMICAL COMPOUNDS OR MEDICINAL PREPARATIONS
- A61P13/00—Drugs for disorders of the urinary system
-
- A—HUMAN NECESSITIES
- A61—MEDICAL OR VETERINARY SCIENCE; HYGIENE
- A61P—SPECIFIC THERAPEUTIC ACTIVITY OF CHEMICAL COMPOUNDS OR MEDICINAL PREPARATIONS
- A61P13/00—Drugs for disorders of the urinary system
- A61P13/02—Drugs for disorders of the urinary system of urine or of the urinary tract, e.g. urine acidifiers
-
- A—HUMAN NECESSITIES
- A61—MEDICAL OR VETERINARY SCIENCE; HYGIENE
- A61P—SPECIFIC THERAPEUTIC ACTIVITY OF CHEMICAL COMPOUNDS OR MEDICINAL PREPARATIONS
- A61P13/00—Drugs for disorders of the urinary system
- A61P13/08—Drugs for disorders of the urinary system of the prostate
-
- A—HUMAN NECESSITIES
- A61—MEDICAL OR VETERINARY SCIENCE; HYGIENE
- A61P—SPECIFIC THERAPEUTIC ACTIVITY OF CHEMICAL COMPOUNDS OR MEDICINAL PREPARATIONS
- A61P13/00—Drugs for disorders of the urinary system
- A61P13/10—Drugs for disorders of the urinary system of the bladder
-
- A—HUMAN NECESSITIES
- A61—MEDICAL OR VETERINARY SCIENCE; HYGIENE
- A61P—SPECIFIC THERAPEUTIC ACTIVITY OF CHEMICAL COMPOUNDS OR MEDICINAL PREPARATIONS
- A61P13/00—Drugs for disorders of the urinary system
- A61P13/12—Drugs for disorders of the urinary system of the kidneys
-
- A—HUMAN NECESSITIES
- A61—MEDICAL OR VETERINARY SCIENCE; HYGIENE
- A61P—SPECIFIC THERAPEUTIC ACTIVITY OF CHEMICAL COMPOUNDS OR MEDICINAL PREPARATIONS
- A61P15/00—Drugs for genital or sexual disorders; Contraceptives
-
- A—HUMAN NECESSITIES
- A61—MEDICAL OR VETERINARY SCIENCE; HYGIENE
- A61P—SPECIFIC THERAPEUTIC ACTIVITY OF CHEMICAL COMPOUNDS OR MEDICINAL PREPARATIONS
- A61P15/00—Drugs for genital or sexual disorders; Contraceptives
- A61P15/02—Drugs for genital or sexual disorders; Contraceptives for disorders of the vagina
-
- A—HUMAN NECESSITIES
- A61—MEDICAL OR VETERINARY SCIENCE; HYGIENE
- A61P—SPECIFIC THERAPEUTIC ACTIVITY OF CHEMICAL COMPOUNDS OR MEDICINAL PREPARATIONS
- A61P17/00—Drugs for dermatological disorders
-
- A—HUMAN NECESSITIES
- A61—MEDICAL OR VETERINARY SCIENCE; HYGIENE
- A61P—SPECIFIC THERAPEUTIC ACTIVITY OF CHEMICAL COMPOUNDS OR MEDICINAL PREPARATIONS
- A61P17/00—Drugs for dermatological disorders
- A61P17/06—Antipsoriatics
-
- A—HUMAN NECESSITIES
- A61—MEDICAL OR VETERINARY SCIENCE; HYGIENE
- A61P—SPECIFIC THERAPEUTIC ACTIVITY OF CHEMICAL COMPOUNDS OR MEDICINAL PREPARATIONS
- A61P17/00—Drugs for dermatological disorders
- A61P17/14—Drugs for dermatological disorders for baldness or alopecia
-
- A—HUMAN NECESSITIES
- A61—MEDICAL OR VETERINARY SCIENCE; HYGIENE
- A61P—SPECIFIC THERAPEUTIC ACTIVITY OF CHEMICAL COMPOUNDS OR MEDICINAL PREPARATIONS
- A61P19/00—Drugs for skeletal disorders
-
- A—HUMAN NECESSITIES
- A61—MEDICAL OR VETERINARY SCIENCE; HYGIENE
- A61P—SPECIFIC THERAPEUTIC ACTIVITY OF CHEMICAL COMPOUNDS OR MEDICINAL PREPARATIONS
- A61P19/00—Drugs for skeletal disorders
- A61P19/02—Drugs for skeletal disorders for joint disorders, e.g. arthritis, arthrosis
-
- A—HUMAN NECESSITIES
- A61—MEDICAL OR VETERINARY SCIENCE; HYGIENE
- A61P—SPECIFIC THERAPEUTIC ACTIVITY OF CHEMICAL COMPOUNDS OR MEDICINAL PREPARATIONS
- A61P19/00—Drugs for skeletal disorders
- A61P19/08—Drugs for skeletal disorders for bone diseases, e.g. rachitism, Paget's disease
-
- A—HUMAN NECESSITIES
- A61—MEDICAL OR VETERINARY SCIENCE; HYGIENE
- A61P—SPECIFIC THERAPEUTIC ACTIVITY OF CHEMICAL COMPOUNDS OR MEDICINAL PREPARATIONS
- A61P21/00—Drugs for disorders of the muscular or neuromuscular system
- A61P21/04—Drugs for disorders of the muscular or neuromuscular system for myasthenia gravis
-
- A—HUMAN NECESSITIES
- A61—MEDICAL OR VETERINARY SCIENCE; HYGIENE
- A61P—SPECIFIC THERAPEUTIC ACTIVITY OF CHEMICAL COMPOUNDS OR MEDICINAL PREPARATIONS
- A61P25/00—Drugs for disorders of the nervous system
-
- A—HUMAN NECESSITIES
- A61—MEDICAL OR VETERINARY SCIENCE; HYGIENE
- A61P—SPECIFIC THERAPEUTIC ACTIVITY OF CHEMICAL COMPOUNDS OR MEDICINAL PREPARATIONS
- A61P25/00—Drugs for disorders of the nervous system
- A61P25/02—Drugs for disorders of the nervous system for peripheral neuropathies
-
- A—HUMAN NECESSITIES
- A61—MEDICAL OR VETERINARY SCIENCE; HYGIENE
- A61P—SPECIFIC THERAPEUTIC ACTIVITY OF CHEMICAL COMPOUNDS OR MEDICINAL PREPARATIONS
- A61P25/00—Drugs for disorders of the nervous system
- A61P25/28—Drugs for disorders of the nervous system for treating neurodegenerative disorders of the central nervous system, e.g. nootropic agents, cognition enhancers, drugs for treating Alzheimer's disease or other forms of dementia
-
- A—HUMAN NECESSITIES
- A61—MEDICAL OR VETERINARY SCIENCE; HYGIENE
- A61P—SPECIFIC THERAPEUTIC ACTIVITY OF CHEMICAL COMPOUNDS OR MEDICINAL PREPARATIONS
- A61P27/00—Drugs for disorders of the senses
- A61P27/02—Ophthalmic agents
-
- A—HUMAN NECESSITIES
- A61—MEDICAL OR VETERINARY SCIENCE; HYGIENE
- A61P—SPECIFIC THERAPEUTIC ACTIVITY OF CHEMICAL COMPOUNDS OR MEDICINAL PREPARATIONS
- A61P29/00—Non-central analgesic, antipyretic or antiinflammatory agents, e.g. antirheumatic agents; Non-steroidal antiinflammatory drugs [NSAID]
-
- A—HUMAN NECESSITIES
- A61—MEDICAL OR VETERINARY SCIENCE; HYGIENE
- A61P—SPECIFIC THERAPEUTIC ACTIVITY OF CHEMICAL COMPOUNDS OR MEDICINAL PREPARATIONS
- A61P3/00—Drugs for disorders of the metabolism
-
- A—HUMAN NECESSITIES
- A61—MEDICAL OR VETERINARY SCIENCE; HYGIENE
- A61P—SPECIFIC THERAPEUTIC ACTIVITY OF CHEMICAL COMPOUNDS OR MEDICINAL PREPARATIONS
- A61P3/00—Drugs for disorders of the metabolism
- A61P3/02—Nutrients, e.g. vitamins, minerals
-
- A—HUMAN NECESSITIES
- A61—MEDICAL OR VETERINARY SCIENCE; HYGIENE
- A61P—SPECIFIC THERAPEUTIC ACTIVITY OF CHEMICAL COMPOUNDS OR MEDICINAL PREPARATIONS
- A61P3/00—Drugs for disorders of the metabolism
- A61P3/08—Drugs for disorders of the metabolism for glucose homeostasis
- A61P3/10—Drugs for disorders of the metabolism for glucose homeostasis for hyperglycaemia, e.g. antidiabetics
-
- A—HUMAN NECESSITIES
- A61—MEDICAL OR VETERINARY SCIENCE; HYGIENE
- A61P—SPECIFIC THERAPEUTIC ACTIVITY OF CHEMICAL COMPOUNDS OR MEDICINAL PREPARATIONS
- A61P31/00—Antiinfectives, i.e. antibiotics, antiseptics, chemotherapeutics
- A61P31/04—Antibacterial agents
-
- A—HUMAN NECESSITIES
- A61—MEDICAL OR VETERINARY SCIENCE; HYGIENE
- A61P—SPECIFIC THERAPEUTIC ACTIVITY OF CHEMICAL COMPOUNDS OR MEDICINAL PREPARATIONS
- A61P35/00—Antineoplastic agents
-
- A—HUMAN NECESSITIES
- A61—MEDICAL OR VETERINARY SCIENCE; HYGIENE
- A61P—SPECIFIC THERAPEUTIC ACTIVITY OF CHEMICAL COMPOUNDS OR MEDICINAL PREPARATIONS
- A61P35/00—Antineoplastic agents
- A61P35/02—Antineoplastic agents specific for leukemia
-
- A—HUMAN NECESSITIES
- A61—MEDICAL OR VETERINARY SCIENCE; HYGIENE
- A61P—SPECIFIC THERAPEUTIC ACTIVITY OF CHEMICAL COMPOUNDS OR MEDICINAL PREPARATIONS
- A61P37/00—Drugs for immunological or allergic disorders
-
- A—HUMAN NECESSITIES
- A61—MEDICAL OR VETERINARY SCIENCE; HYGIENE
- A61P—SPECIFIC THERAPEUTIC ACTIVITY OF CHEMICAL COMPOUNDS OR MEDICINAL PREPARATIONS
- A61P37/00—Drugs for immunological or allergic disorders
- A61P37/02—Immunomodulators
-
- A—HUMAN NECESSITIES
- A61—MEDICAL OR VETERINARY SCIENCE; HYGIENE
- A61P—SPECIFIC THERAPEUTIC ACTIVITY OF CHEMICAL COMPOUNDS OR MEDICINAL PREPARATIONS
- A61P37/00—Drugs for immunological or allergic disorders
- A61P37/02—Immunomodulators
- A61P37/06—Immunosuppressants, e.g. drugs for graft rejection
-
- A—HUMAN NECESSITIES
- A61—MEDICAL OR VETERINARY SCIENCE; HYGIENE
- A61P—SPECIFIC THERAPEUTIC ACTIVITY OF CHEMICAL COMPOUNDS OR MEDICINAL PREPARATIONS
- A61P37/00—Drugs for immunological or allergic disorders
- A61P37/08—Antiallergic agents
-
- A—HUMAN NECESSITIES
- A61—MEDICAL OR VETERINARY SCIENCE; HYGIENE
- A61P—SPECIFIC THERAPEUTIC ACTIVITY OF CHEMICAL COMPOUNDS OR MEDICINAL PREPARATIONS
- A61P43/00—Drugs for specific purposes, not provided for in groups A61P1/00-A61P41/00
-
- A—HUMAN NECESSITIES
- A61—MEDICAL OR VETERINARY SCIENCE; HYGIENE
- A61P—SPECIFIC THERAPEUTIC ACTIVITY OF CHEMICAL COMPOUNDS OR MEDICINAL PREPARATIONS
- A61P5/00—Drugs for disorders of the endocrine system
-
- A—HUMAN NECESSITIES
- A61—MEDICAL OR VETERINARY SCIENCE; HYGIENE
- A61P—SPECIFIC THERAPEUTIC ACTIVITY OF CHEMICAL COMPOUNDS OR MEDICINAL PREPARATIONS
- A61P5/00—Drugs for disorders of the endocrine system
- A61P5/14—Drugs for disorders of the endocrine system of the thyroid hormones, e.g. T3, T4
-
- A—HUMAN NECESSITIES
- A61—MEDICAL OR VETERINARY SCIENCE; HYGIENE
- A61P—SPECIFIC THERAPEUTIC ACTIVITY OF CHEMICAL COMPOUNDS OR MEDICINAL PREPARATIONS
- A61P7/00—Drugs for disorders of the blood or the extracellular fluid
- A61P7/02—Antithrombotic agents; Anticoagulants; Platelet aggregation inhibitors
-
- A—HUMAN NECESSITIES
- A61—MEDICAL OR VETERINARY SCIENCE; HYGIENE
- A61P—SPECIFIC THERAPEUTIC ACTIVITY OF CHEMICAL COMPOUNDS OR MEDICINAL PREPARATIONS
- A61P7/00—Drugs for disorders of the blood or the extracellular fluid
- A61P7/06—Antianaemics
-
- A—HUMAN NECESSITIES
- A61—MEDICAL OR VETERINARY SCIENCE; HYGIENE
- A61P—SPECIFIC THERAPEUTIC ACTIVITY OF CHEMICAL COMPOUNDS OR MEDICINAL PREPARATIONS
- A61P9/00—Drugs for disorders of the cardiovascular system
-
- C—CHEMISTRY; METALLURGY
- C07—ORGANIC CHEMISTRY
- C07D—HETEROCYCLIC COMPOUNDS
- C07D401/00—Heterocyclic compounds containing two or more hetero rings, having nitrogen atoms as the only ring hetero atoms, at least one ring being a six-membered ring with only one nitrogen atom
- C07D401/02—Heterocyclic compounds containing two or more hetero rings, having nitrogen atoms as the only ring hetero atoms, at least one ring being a six-membered ring with only one nitrogen atom containing two hetero rings
- C07D401/04—Heterocyclic compounds containing two or more hetero rings, having nitrogen atoms as the only ring hetero atoms, at least one ring being a six-membered ring with only one nitrogen atom containing two hetero rings directly linked by a ring-member-to-ring-member bond
-
- C—CHEMISTRY; METALLURGY
- C07—ORGANIC CHEMISTRY
- C07D—HETEROCYCLIC COMPOUNDS
- C07D487/00—Heterocyclic compounds containing nitrogen atoms as the only ring hetero atoms in the condensed system, not provided for by groups C07D451/00 - C07D477/00
- C07D487/02—Heterocyclic compounds containing nitrogen atoms as the only ring hetero atoms in the condensed system, not provided for by groups C07D451/00 - C07D477/00 in which the condensed system contains two hetero rings
- C07D487/04—Ortho-condensed systems
-
- C—CHEMISTRY; METALLURGY
- C07—ORGANIC CHEMISTRY
- C07K—PEPTIDES
- C07K16/00—Immunoglobulins [IGs], e.g. monoclonal or polyclonal antibodies
- C07K16/18—Immunoglobulins [IGs], e.g. monoclonal or polyclonal antibodies against material from animals or humans
- C07K16/28—Immunoglobulins [IGs], e.g. monoclonal or polyclonal antibodies against material from animals or humans against receptors, cell surface antigens or cell surface determinants
- C07K16/2887—Immunoglobulins [IGs], e.g. monoclonal or polyclonal antibodies against material from animals or humans against receptors, cell surface antigens or cell surface determinants against CD20
-
- A—HUMAN NECESSITIES
- A61—MEDICAL OR VETERINARY SCIENCE; HYGIENE
- A61K—PREPARATIONS FOR MEDICAL, DENTAL OR TOILETRY PURPOSES
- A61K2300/00—Mixtures or combinations of active ingredients, wherein at least one active ingredient is fully defined in groups A61K31/00 - A61K41/00
-
- C—CHEMISTRY; METALLURGY
- C07—ORGANIC CHEMISTRY
- C07K—PEPTIDES
- C07K2317/00—Immunoglobulins specific features
- C07K2317/20—Immunoglobulins specific features characterized by taxonomic origin
- C07K2317/24—Immunoglobulins specific features characterized by taxonomic origin containing regions, domains or residues from different species, e.g. chimeric, humanized or veneered
Definitions
- Described herein are compounds, methods of making such compounds, pharmaceutical compositions and medicaments containing such compounds, and methods of using such compounds and compositions to inhibit the activity of tyrosine kinases.
- Btk Bruton's tyrosine kinase
- BCR cell surface B-cell receptor
- Btk is a key regulator of B-cell development, activation, signaling, and survival (Kurosaki, Curr Op Imm, 2000, 276-281; Schaeffer and Schwartzberg, Curr Op Imm 2000, 282-288).
- Btk plays a role in a number of other hematopoetic cell signaling pathways, e.g., Toll like receptor (TLR) and cytokine receptor-mediated TNF- ⁇ production in macrophages, IgE receptor (FcepsilonRI) signaling in Mast cells, inhibition of Fas/APO-1 apoptotic signaling in B-lineage lymphoid cells, and collagen-stimulated platelet aggregation.
- TLR Toll like receptor
- FcepsilonRI IgE receptor
- Btk Bruton's tyrosine kinase
- irreversible inhibitors of Btk Further described are irreversible inhibitors of Btk that form a covalent bond with a cysteine residue on Btk. Further described herein are irreversible inhibitors of other tyrosine kinases, wherein the other tyrosine kinases share homology with Btk by having a cysteine residue (including a Cys 481 residue) that can form a covalent bond with the irreversible inhibitor (such tyrosine kinases, are referred herein as “Btk tyrosine kinase cysteine homologs”).
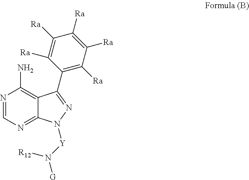
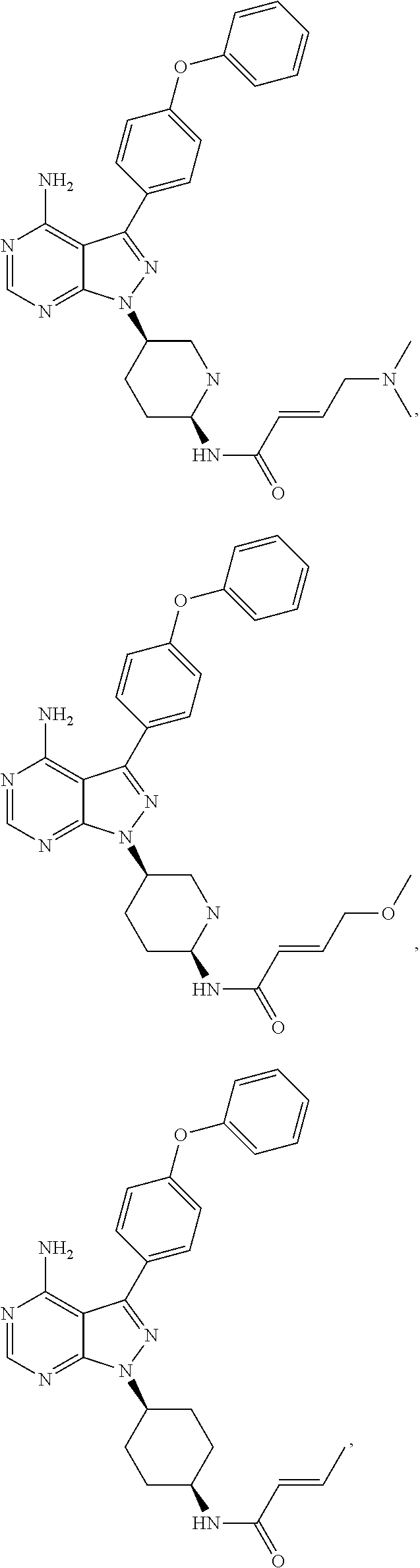
- Compounds described herein include those that have a structure of any of Formula (A), Formula (B), Formula (C), or Formula (D), and pharmaceutically acceptable salts, solvates, esters, acids and prodrugs thereof.
- isomers and chemically protected forms of compounds having a structure represented by any of Formula (A), Formula (B), Formula (C), or Formula (D) are also provided.
- Formula (D) is as follows:
- substituents can be selected from among from a subset of the listed alternatives.
- L a is CH 2 , O, or NH.
- L a is O or NH.
- L a is O.
- Ar is a substituted or unsubstituted aryl. In yet other embodiments, Ar is a 6-membered aryl. In some other embodiments, Ar is phenyl.
- x is 2.
- Z is C( ⁇ O), OC( ⁇ O), NHC( ⁇ O), S( ⁇ O) x , OS( ⁇ O) x , or NHS( ⁇ O) x .
- Z is C( ⁇ O), NHC( ⁇ O), or S( ⁇ O) 2 .
- R 7 and R 8 are independently selected from among H, unsubstituted C 1 -C 4 alkyl, substituted C 1 -C 4 alkyl, unsubstituted C 1 -C 4 heteroalkyl, and substituted C 1 -C 4 heteroalkyl; or R 7 and R 8 taken together form a bond. In yet other embodiments, each of R 7 and R 8 is H; or R 7 and R 8 taken together form a bond.
- R 6 is H, substituted or unsubstituted C 1 -C 4 alkyl, substituted or unsubstituted C 1 -C 4 heteroalkyl, C 1 -C 6 alkoxyalkyl, C 1 -C 8 alkylaminoalkyl, substituted or unsubstituted aryl, substituted or unsubstituted heteroaryl, C 1 -C 4 alkyl(aryl), C 1 -C 4 alkyl(heteroaryl), C 1 -C 4 alkyl(C 3 -C 8 cycloalkyl), or C 1 -C 4 alkyl(C 2 -C 8 heterocycloalkyl).
- R 6 is H, substituted or unsubstituted C 1 -C 4 alkyl, substituted or unsubstituted C 1 -C 4 heteroalkyl, C 1 -C 6 alkoxyalkyl, C 1 -C 2 alkyl-N(C 1 -C 3 alkyl) 2 , C 1 -C 4 alkyl(aryl), C 1 -C 4 alkyl(heteroaryl), C 1 -C 4 alkyl(C 3 -C 8 cycloalkyl), or C 1 -C 4 alkyl(C 2 -C 8 heterocycloalkyl).
- R 6 is H, substituted or unsubstituted C 1 -C 4 alkyl, —CH 2 —O—(C 1 -C 3 alkyl), —CH 2 —N(C 1 -C 3 alkyl) 2 , C 1 -C 4 alkyl(phenyl), or C 1 -C 4 alkyl(5- or 6-membered heteroaryl).
- R 6 is H, substituted or unsubstituted C 1 -C 4 alkyl, —CH 2 —O—(C 1 -C 3 alkyl), —CH—(C 1 -C 6 alkylamino), C 1 -C 4 alkyl(phenyl), or C 1 -C 4 alkyl(5- or 6-membered heteroaryl).
- R 6 is H, substituted or unsubstituted C 1 -C 4 alkyl, —CH 2 —O—(C 1 -C 3 alkyl), —CH 2 —N(C 1 -C 3 alkyl) 2 , C 1 -C 4 alkyl(phenyl), or C 1 -C 4 alkyl(5- or 6-membered heteroaryl containing 1 or 2 N atoms), or C 1 -C 4 alkyl(5- or 6-membered heterocycloalkyl containing 1 or 2 N atoms).
- Y is an optionally substituted group selected from among alkyl, heteroalkyl, cycloalkyl, and heterocycloalkyl. In other embodiments, Y is an optionally substituted group selected from among C 1 -C 6 alkyl, C 1 -C 6 heteroalkyl, 4-, 5-, 6-, or 7-membered cycloalkyl, and 4-, 5-, 6-, or 7-membered heterocycloalkyl.
- Y is an optionally substituted group selected from among C 1 -C 6 alkyl, C 1 -C 6 heteroalkyl, 5- or 6-membered cycloalkyl, and 5- or 6-membered heterocycloalkyl containing 1 or 2 N atoms.
- Y is a 5- or 6-membered cycloalkyl, or a 5- or 6-membered heterocycloalkyl containing 1 or 2 N atoms.
- Y is a 4-, 5-, 6-, or 7-membered cycloalkyl ring; or Y is a 4-, 5-, 6-, or 7-membered heterocycloalkyl ring.
- compositions which include a therapeutically effective amount of at least one of any of the compounds herein, or a pharmaceutically acceptable salt, pharmaceutically active metabolite, pharmaceutically acceptable prodrug, or pharmaceutically acceptable solvate.
- compositions provided herein farther include a pharmaceutically acceptable diluent, excipient and/or binder.
- compositions formulated for administration by an appropriate route and means containing effective concentrations of one or more of the compounds provided herein, or pharmaceutically effective derivatives thereof, that deliver amounts effective for the treatment, prevention, or amelioration of one or more symptoms of diseases, disorders or conditions that are modulated or otherwise affected by tyrosine kinase activity, or in which tyrosine kinase activity is implicated, are provided.
- the effective amounts and concentrations are effective for ameliorating any of the symptoms of any of the diseases, disorders or conditions disclosed herein.
- a pharmaceutical composition containing: i) a physiologically acceptable carrier, diluent, and/or excipient; and ii) one or more compounds provided herein.
- provided herein are methods for treating a patient by administering a compound provided herein.
- a method of inhibiting the activity of tyrsoine kinase(s), such as Btk, or of treating a disease, disorder, or condition, which would benefit from inhibition of tyrosine kinase(s), such as Btk, in a patient which includes administering to the patient a therapeutically effective amount of at least one of any of the compounds herein, or pharmaceutically acceptable salt, pharmaceutically active metabolite, pharmaceutically acceptable prodrug, or pharmaceutically acceptable solvate.
- a compound disclosed herein for inhibiting Bruton's tyrosine kinase (Btk) activity or for the treatment of a disease, disorder, or condition, which would benefit from inhibition of Bruton's tyrosine kinase (Btk) activity.
- compounds provided herein are administered to a human.
- compounds provided herein are orally administered.
- compounds provided herein are used for the formulation of a medicament for the inhibition of tyrosine kinase activity. In some other embodiments, compounds provided herein are used for the formulation of a medicament for the inhibition of Bruton's tyrosine kinase (Btk) activity.
- Btk Bruton's tyrosine kinase
- Articles of manufacture including packaging material, a compound or composition or pharmaceutically acceptable derivative thereof provided herein, which is effective for inhibiting the activity of tyrosine kinase(s), such as Btk, within the packaging material, and a label that indicates that the compound or composition, or pharmaceutically acceptable salt, pharmaceutically active metabolite, pharmaceutically acceptable prodrug, or pharmaceutically acceptable solvate thereof, is used for inhibiting the activity of tyrosine kinase(s), such as Btk, are provided.
- tyrosine kinases comprising a Bruton's tyrosine kinase, a Bruton's tyrosine kinase homolog, or a Btk tyrosine kinase cysteine homolog thereof covalently bound to an inhibitor having the structure:
- the inhibitor is covalently bound to a cysteine residue on the tyrosine kinase.
- a method for inhibiting Bruton's tyrosine kinase in a subject in need thereof by administering to the subject thereof a composition containing a therapeutically effective amount of at least one compound having the structure of any of Formula (A), Formula (B), Formula (C), or Formula (D).
- the subject in need is suffering from an autoimmune disease, e.g., inflammatory bowel disease, arthritis, lupus, rheumatoid arthritis, psoriatic arthritis, osteoarthritis, Still's disease, juvenile arthritis, diabetes, myasthenia gravis, Hashimoto's thyroiditis, Ord's thyroiditis, Graves' disease Sjögren's syndrome, multiple sclerosis, Guillain-Barré syndrome, acute disseminated encephalomyelitis, Addison's disease, opsoclonus-myoclonus syndrome, ankylosing spondylitisis, antiphospholipid antibody syndrome, aplastic anemia, autoimmune hepatitis, coeliac disease, Goodpasture's syndrome, idiopathic thrombocytopenic purpura, optic neuritis, scleroderma, primary biliary cirrhosis, Reiter's syndrome, Takayasu's arteritis,
- the subject in need is suffering from a heteroimmune condition or disease, e.g., graft versus host disease, transplantation, transfusion, anaphylaxis, allergy, type I hypersensitivity, allergic conjunctivitis, allergic rhinitis, or atopic dermatitis.
- a heteroimmune condition or disease e.g., graft versus host disease, transplantation, transfusion, anaphylaxis, allergy, type I hypersensitivity, allergic conjunctivitis, allergic rhinitis, or atopic dermatitis.
- the subject in need is suffering from an inflammatory disease, e.g., asthma, appendicitis, blepharitis, bronchiolitis, bronchitis, bursitis, cervicitis, cholangitis, cholecystitis, colitis, conjunctivitis, cystitis, dacryoadenitis, dermatitis, dermatomyositis, encephalitis, endocarditis, endometritis, enteritis, enterocolitis, epicondylitis, epididymitis, fasciitis, fibrositis, gastritis, gastroenteritis, hepatitis, hidradenitis suppurativa, laryngitis, mastitis, meningitis, myelitis myocarditis, myositis, nephritis, oophoritis, orchitis, osteitis, otitis, pancreatiti
- the subject in need is suffering from a cancer.
- the cancer is a B-cell proliferative disorder, e.g., diffuse large B cell lymphoma, follicular lymphoma, chronic lymphocytic lymphoma, chronic lymphocytic leukemia, B-cell prolymphocytic leukemia, lymphoplasmacytic lymphoma/Waldenström macroglobulinemia, splenic marginal zone lymphoma, plasma cell myeloma, plasmacytoma, extranodal marginal zone B cell lymphoma, nodal marginal zone B cell lymphoma, mantle cell lymphoma, mediastinal (thymic) large B cell lymphoma, intravascular large B cell lymphoma, primary effusion lymphoma, burkitt lymphoma/leukemia, or lymphomatoid granulomatosis.
- a B-cell proliferative disorder e.g., diffuse large B cell lymphoma, folli
- an anti-cancer agent is administered to the subject in addition to one of the above-mentioned compounds.
- the anti-cancer agent is an inhibitor of mitogen-activated protein kinase signaling, e.g., U0126, PD98059, PD184352, PD0325901, ARRY-142886, SB239063, SP600125, BAY 43-9006, wortmannin, or LY294002.
- the subject in need is suffering from a thromboembolic disorder, e.g., myocardial infarct, angina pectoris, reocclusion after angioplasty, restenosis after angioplasty, reocclusion after aortocoronary bypass, restenosis after aortocoronary bypass, stroke, transitory ischemia, a peripheral arterial occlusive disorder, pulmonary embolism, or deep venous thrombosis.
- a thromboembolic disorder e.g., myocardial infarct, angina pectoris, reocclusion after angioplasty, restenosis after angioplasty, reocclusion after aortocoronary bypass, restenosis after aortocoronary bypass, stroke, transitory ischemia, a peripheral arterial occlusive disorder, pulmonary embolism, or deep venous thrombosis.
- a method for treating an autoimmune disease by administering to a subject in need thereof a composition containing a therapeutically effective amount of at least one compound having the structure of any of Formula (A), Formula (B), Formula (C), or Formula (D).
- the autoimmune disease is arthritis.
- the autoimmune disease is lupus.
- the autoimmune disease is inflammatory bowel disease (including Crohn's disease and ulcerative colitis), rheumatoid arthritis, psoriatic arthritis, osteoarthritis, Still's disease, juvenile arthritis, lupus, diabetes, myasthenia gravis, Hashimoto's thyroiditis, Ord's thyroiditis, Graves' disease Sjögren's syndrome, multiple sclerosis, Guillain-Barré syndrome, acute disseminated encephalomyelitis, Addison's disease, opsoclonus-myoclonus syndrome, ankylosing spondylitisis, antiphospholipid antibody syndrome, aplastic anemia, autoimmune hepatitis, coeliac disease, Goodpasture's syndrome, idiopathic thrombocytopenic purpura, optic neuritis, scleroderma, primary biliary cirrhosis, Reiter's syndrome, Takayasu's arteritis, temporal art
- a method for treating a heteroimmune condition or disease by administering to a subject in need thereof a composition containing a therapeutically effective amount of at least one compound having the structure of any of Formula (A), Formula (B), Formula (C), or Formula (D).
- the heteroimmune condition or disease is graft versus host disease, transplantation, transfusion, anaphylaxis, allergy, type I hypersensitivity, allergic conjunctivitis, allergic rhinitis, or atopic dermatitis.
- a method for treating an inflammatory disease by administering to a subject in need thereof a composition containing a therapeutically effective amount of at least one compound having the structure of any of Formula (A), Formula (B), Formula (C), or Formula (D).
- the inflammatory disease is asthma, inflammatory bowel disease (including Crohn's disease and ulcerative colitis), appendicitis, blepharitis, bronchiolitis, bronchitis, bursitis, cervicitis, cholangitis, cholecystitis, colitis, conjunctivitis, cystitis, dacryoadenitis, dermatitis, dermatomyositis, encephalitis, endocarditis, endometritis, enteritis, enterocolitis, epicondylitis, epididymitis, fasciitis, fibrositis, gastritis, gastroenteritis, hepatitis, hidradenitis suppurativa, laryngitis, mastitis, meningitis, myelitis myocarditis, myositis, nephritis, oophoritis, orchitis, osteitis, otitis
- a method for treating a cancer by administering to a subject in need thereof a composition containing a therapeutically effective amount of at least one compound having the structure of any of Formula (A), Formula (B), Formula (C), or Formula (D).
- the cancer is a B-cell proliferative disorder, e.g., diffuse large B cell lymphoma, follicular lymphoma, chronic lymphocytic lymphoma, chronic lymphocytic leukemia, B-cell prolymphocytic leukemia, lymphoplasmacytic lymphoma/Waldenström macroglobulinemia, splenic marginal zone lymphoma, plasma cell myeloma, plasmacytoma, extranodal marginal zone B cell lymphoma, nodal marginal zone B cell lymphoma, mantle cell lymphoma, mediastinal (thymic) large B cell lymphoma, intravascular large B cell lymphoma, primary effusion lymphoma, burkitt lymphoma/leukemia, or lymphomatoid granulomatosis.
- B-cell proliferative disorder e.g., diffuse large B cell lymphoma, follicular lymphoma, chronic lymphocytic lymphom
- an anti-cancer agent is administered to the subject in addition to one of the above-mentioned compounds.
- the anti-cancer agent is an inhibitor of mitogen-activated protein kinase signaling, e.g., U0126, PD98059, PD184352, PD0325901, ARRY-142886, SB239063, SP600125, BAY 43-9006, wortmannin, or LY294002.
- a method for treating a thromboembolic disorder by administering to a subject in need thereof a composition containing a therapeutically effective amount of at least one compound having the structure of any of Formula (A), Formula (B), Formula (C), or Formula (D).
- the thromboembolic disorder is myocardial infarct, angina pectoris, reocclusion after angioplasty, restenosis after angioplasty, reocclusion after aortocoronary bypass, restenosis after aortocoronary bypass, stroke, transitory ischemia, a peripheral arterial occlusive disorder, pulmonary embolism, or deep venous thrombosis.
- a method for treating a heteroimmune condition or disease by administering to a subject in need thereof a composition containing a therapeutically effective amount of a compound that forms a covalent bond with Bruton's tyrosine kinase.
- the compound forms a covalent bound with the activated form of Bruton's tyrosine kinase.
- the compound irreversibly inhibits the Bruton's tyrosine kinase to which it is covalently bound.
- the compound forms a covalent bond with a cysteine residue on Bruton's tyrosine kinase.
- a method for treating an inflammatory disease by administering to a subject in need thereof a composition containing a therapeutically effective amount of a compound that forms a covalent bond with Bruton's tyrosine kinase.
- the compound forms a covalent bound with the activated form of Bruton's tyrosine kinase.
- the compound irreversibly inhibits the Bruton's tyrosine kinase to which it is covalently bound.
- the compound forms a covalent bond with a cysteine residue on Bruton's tyrosine kinase.
- a method for treating a cancer by administering to a subject in need thereof a composition containing a therapeutically effective amount of a compound that forms a covalent bond with Bruton's tyrosine kinase.
- the compound forms a covalent bound with the activated form of Bruton's tyrosine kinase.
- the compound irreversibly inhibits the Bruton's tyrosine kinase to which it is covalently bound.
- the compound forms a covalent bond with a cysteine residue on Bruton's tyrosine kinase.
- a method for treating a thromboembolic disorder by administering to a subject in need thereof a composition containing a therapeutically effective amount of a compound that forms a covalent bond with Bruton's tyrosine kinase.
- the compound forms a covalent bound with the activated form of Bruton's tyrosine kinase.
- the compound irreversibly inhibits the Bruton's tyrosine kinase to which it is covalently bound.
- the compound forms a covalent bond with a cysteine residue on Bruton's tyrosine kinase.
- methods for modulating including irreversibly inhibiting the activity of Btk or other tyrosine kinases, wherein the other tyrosine kinases share homology with Btk by having a cysteine residue (including a Cys 481 residue) that can form a covalent bond with at least one irreversible inhibitor described herein, in a mammal comprising administering to the mammal at least once an effective amount of at least one compound having the structure of any of Formula (A), Formula (B), Formula (C), or Formula (D).
- methods for modulating, including irreversibly inhibiting, the activity of Btk in a mammal comprising administering to the mammal at least once an effective amount of at least one compound having the structure of any of Formula (A), Formula (B), Formula (C), or Formula (D).
- methods for treating Btk-dependent or Btk mediated conditions or diseases comprising administering to the mammal at least once an effective amount of at least one compound having the structure of any of Formula (A), Formula (B), Formula (C), or Formula (D).
- methods for treating inflammation comprising administering to the mammal at least once an effective amount of at least one compound having the structure of Formula (A), (B), (C), or (D).
- a further aspect are methods for the treatment of cancer comprising administering to the mammal at least once an effective amount of at least one compound having the structure of Formula (A), (B), (C), or (D).
- the type of cancer may include, but is not limited to, pancreatic cancer and other solid or hematological tumors.
- the respiratory disease is asthma.
- the respiratory disease includes, but is not limited to, adult respiratory distress syndrome and allergic (extrinsic) asthma, non-allergic (intrinsic) asthma, acute severe asthma, chronic asthma, clinical asthma, nocturnal asthma, allergen-induced asthma, aspirin-sensitive asthma, exercise-induced asthma, isocapnic hyperventilation, child-onset asthma, adult-onset asthma, cough-variant asthma, occupational asthma, steroid-resistant asthma, seasonal asthma,
- methods for preventing rheumatoid arthritis and osteoarthritis comprising administering to the mammal at least once an effective amount of at least one compound having the structure of Formula (A), (B), (C), or (D).
- inflammatory responses of the skin comprising administering to the mammal at least once an effective amount of at least one compound having the structure of Formula (A), (B), (C), or (D).
- inflammatory responses of the skin include, by way of example, dermatitis, contact dermatitis, eczema, urticaria, rosacea, and scarring.
- methods for reducing psoriatic lesions in the skin, joints, or other tissues or organs comprising administering to the mammal an effective amount of a first compound having the structure of Formula (A), (B), (C), or (D).
- a compound of Formula (A), (B), (C), or (D) in the manufacture of a medicament for treating an inflammatory disease or condition in an animal in which the activity of Btk or other tyrosine kinases, wherein the other tyrosine kinases share homology with Btk by having a cysteine residue (including a Cys 481 residue) that can form a covalent bond with at least one irreversible inhibitor described herein, contributes to the pathology and/or symptoms of the disease or condition.
- the tyrosine kinase protein is Btk.
- the inflammatory disease or conditions are respiratory, cardiovascular, or proliferative diseases.
- any of the aforementioned aspects are further embodiments in which administration is enteral, parenteral, or both, and wherein (a) the effective amount of the compound is systemically administered to the mammal; (b) the effective amount of the compound is administered orally to the mammal; (c) the effective amount of the compound is intravenously administered to the mammal; (d) the effective amount of the compound administered by inhalation; (e) the effective amount of the compound is administered by nasal administration; or (f) the effective amount of the compound is administered by injection to the mammal; (g) the effective amount of the compound is administered topically (dermal) to the mammal; (h) the effective amount of the compound is administered by ophthalmic administration; or (i) the effective amount of the compound is administered rectally to the mammal.
- any of the aforementioned aspects are further embodiments comprising single administrations of the effective amount of the compound, including further embodiments in which (i) the compound is administered once; (ii) the compound is administered to the mammal multiple times over the span of one day; (iii) continually; or (iv) continuously.
- the method comprises a drug holiday, wherein the administration of the compound is temporarily suspended or the dose of the compound being administered is temporarily reduced; at the end of the drug holiday, dosing of the compound is resumed.
- the length of the drug holiday can vary from 2 days to 1 year.
- any of the aforementioned aspects involving the treatment of proliferative disorders, including cancer are further embodiments comprising administering at least one additional agent selected from the group consisting of alemtuzumab, arsenic trioxide, asparaginase (pegylated or non-), bevacizumab, cetuximab, platinum-based compounds such as cisplatin, cladribine, daunorubicin/doxorubicin/idarubicin, irinotecan, fludarabine, 5-fluorouracil, gemtuzumab, methotrexate, PaclitaxelTM, taxol, temozolomide, thioguanine, or classes of drugs including hormones (an antiestrogen, an antiandrogen, or gonadotropin releasing hormone analogues, interferons such as alpha interferon, nitrogen mustards such as busulfan or melphalan or mechlorethamine, retinoids such as tretinoin
- any of the aforementioned aspects involving the prevention or treatment of Btk-dependent or tyrosine kinase mediated diseases or conditions are further embodiments comprising identifying patients by screening for a tyrosine kinase gene haplotype.
- the tyrosine kinase gene haplotype is a tyrosine kinase pathway gene, while in still further or alternative embodiments, the tyrosine kinase gene haplotype is a Btk haplotype.
- the compound of formula (A), (B), (C) or (D) are irreversible inhibitors of Bruton's tyrosine kinase (Btk), while in still further or alternative embodiments, such irreversible inhibitors are selective for Btk. In even further or alternative embodiments, such inhibitors have an IC 50 below 10 microM in enzyme assay. In one embodiment, a Btk irreversible inhibitor has an IC 50 of less than 1 microM, and in another embodiment, less than 0.25 microM.
- the compound of formula ((A), (B), (C) or (D) are selective irreversible inhibitors for Btk over Itk. In further or alternative embodiment, the compound of formula (A), (B), (C) or (D) are selective irreversible inhibitors for Btk over Lck. In further or alternative embodiment, the compound of formula (A), (B), (C) or (D) are selective irreversible inhibitors for Btk over ABL. In further or alternative embodiment, the compound of formula (A), (B), (C) or (D) are selective irreversible inhibitors for Btk over CMET. In further or alternative embodiment, the compound of formula (A), (B), (C) or (D) are selective irreversible inhibitors for Btk over EGFR. In further or alternative embodiment, the compound of formula (A), (B), (C) or (D) are selective irreversible inhibitors for Btk over Lyn.
- the irreversible Btk inhibitors are also inhibitors of EGFR.
- Standard techniques can be used for recombinant DNA, oligonucleotide synthesis, and tissue culture and transformation (e.g., electroporation, lipofection).
- Reactions and purification techniques can be performed e.g., using kits of manufacturer's specifications or as commonly accomplished in the art or as described herein.
- the foregoing techniques and procedures can be generally performed of conventional methods well known in the art and as described in various general and more specific references that are cited and discussed throughout the present specification.
- alkyl refers to an aliphatic hydrocarbon group.
- the alkyl moiety may be a “saturated alkyl” group, which means that it does not contain any alkene or alkyne moieties.
- the alkyl moiety may also be an “unsaturated alkyl” moiety, which means that it contains at least one alkene or alkyne moiety.
- An “alkene” moiety refers to a group that has at least one carbon-carbon double bond
- an “alkyne” moiety refers to a group that has at least one carbon-carbon triple bond.
- the alkyl moiety, whether saturated or unsaturated may be branched, straight chain, or cyclic. Depending on the structure, an alkyl group can be a monoradical or a diradical (i.e., an alkylene group). The alkyl group could also be a “lower alkyl” having 1 to 6 carbon atoms.
- C 1 -C x includes C 1 -C 2 , C 1 -C 3 . . . C 1 -C x .
- C 1 -C 4 alkyl indicates that there are one to four carbon atoms in the alkyl chain, i.e., the alkyl chain is selected from among methyl, ethyl, propyl, iso-propyl, n-butyl, iso-butyl, sec-butyl, and t-butyl.
- C 1 -C 4 alkyl includes C 1 -C 2 alkyl and C 1 -C 3 alkyl.
- Alkyl groups can be substituted or unsubstituted.
- Typical alkyl groups include, but are in no way limited to, methyl, ethyl, propyl, isopropyl, butyl, isobutyl, tertiary butyl, pentyl, hexyl, ethenyl, propenyl, butenyl, cyclopropyl, cyclobutyl, cyclopentyl, cyclohexyl, and the like.
- non-cyclic alkyl refers to an alkyl that is not cyclic (i.e., a straight or branched chain containing at least one carbon atom).
- Non-cyclic alkyls can be fully saturated or can contain non-cyclic alkenes and/or alkynes.
- Non-cyclic alkyls can be optionally substituted.
- alkenyl refers to a type of alkyl group in which the first two atoms of the alkyl group form a double bond that is not part of an aromatic group. That is, an alkenyl group begins with the atoms —C(R) ⁇ C(R)—R, wherein R refers to the remaining portions of the alkenyl group, which may be the same or different.
- the alkenyl moiety may be branched, straight chain, or cyclic (in which case, it would also be known as a “cycloalkenyl” group).
- an alkenyl group can be a monoradical or a diradical (i.e., an alkenylene group).
- alkynyl refers to a type of alkyl group in which the first two atoms of the alkyl group form a triple bond. That is, an alkynyl group begins with the atoms —C ⁇ C—R, wherein R refers to the remaining portions of the alkynyl group, which may be the same or different.
- R refers to the remaining portions of the alkynyl group, which may be the same or different.
- the “R” portion of the alkynyl moiety may be branched, straight chain, or cyclic.
- an alkynyl group can be a monoradical or a diradical (i.e., an alkynylene group).
- Alkynyl groups can be optionally substituted.
- Non-limiting examples of an alkynyl group include, but are not limited to, —C ⁇ CH, —C ⁇ CCH 3 , —C ⁇ CCH 2 CH 3 , —C ⁇ C—, and —C ⁇ CCH 2 —.
- Alkynyl groups can have 2 to 10 carbons.
- the alkynyl group could also be a “lower alkynyl” having 2 to 6 carbon atoms.
- alkoxy refers to a (alkyl)O— group, where alkyl is as defined herein.
- “Hydroxyalkyl” refers to an alkyl radical, as defined herein, substituted with at least one hydroxy group.
- Non-limiting examples of a hydroxyalkyl include, but are not limited to, hydroxymethyl, 2-hydroxyethyl, 2-hydroxypropyl, 3-hydroxypropyl, 1-(hydroxymethyl)-2-methylpropyl, 2-hydroxybutyl, 3-hydroxybutyl, 4-hydroxybutyl, 2,3-dihydroxypropyl, 1-(hydroxymethyl)-2-hydroxyethyl, 2,3-dihydroxybutyl, 3,4-dihydroxybutyl and 2-(hydroxymethyl)-3-hydroxypropyl.
- Alkoxyalkyl refers to an alkyl radical, as defined herein, substituted with an alkoxy group, as defined herein.
- alkenyloxy refers to a (alkenyl)O— group, where alkenyl is as defined herein.
- Alkylaminoalkyl refers to an alkyl radical, as defined herein, substituted with an alkylamine, as defined herein.
- amide is a chemical moiety with the formula —C(O)NHR or —NHC(O)R, where R is selected from among alkyl, cycloalkyl, aryl, heteroaryl (bonded through a ring carbon) and heteroalicyclic bonded through a ring carbon).
- R is selected from among alkyl, cycloalkyl, aryl, heteroaryl (bonded through a ring carbon) and heteroalicyclic bonded through a ring carbon).
- An amide moiety may form a linkage between an amino acid or a peptide molecule and a compound described herein, thereby forming a prodrug. Any amine, or carboxyl side chain on the compounds described herein can be amidified.
- esters refers to a chemical moiety with formula —COOR, where R is selected from among alkyl, cycloalkyl, aryl, heteroaryl (bonded through a ring carbon) and heteroalicyclic (bonded through a ring carbon). Any hydroxy, or carboxyl side chain on the compounds described herein can be esterified.
- the procedures and specific groups to make such esters are known to those of skill in the art and can readily be found in reference sources such as Greene and Wuts, Protective Groups in Organic Synthesis, 3 rd Ed., John Wiley & Sons, New York, N.Y., 1999, which is incorporated herein by reference in its entirety.
- Rings refers to any covalently closed structure. Rings include, for example, carbocycles (e.g., aryls and cycloalkyls), heterocycles (e.g., heteroaryls and non-aromatic heterocycles), aromatics (e.g. aryls and heteroaryls), and non-aromatics (e.g., cycloalkyls and non-aromatic heterocycles). Rings can be optionally substituted. Rings can be monocyclic or polycyclic.
- ring system refers to one, or more than one ring.
- membered ring can embrace any cyclic structure.
- membered is meant to denote the number of skeletal atoms that constitute the ring.
- cyclohexyl, pyridine, pyran and thiopyran are 6-membered rings and cyclopentyl, pyrrole, furan, and thiophene are 5-membered rings.
- fused refers to structures in which two or more rings share one or more bonds.
- Carbocyclic or “carbocycle” refers to a ring wherein each of the atoms forming the ring is a carbon atom.
- Carbocycle includes aryl and cycloalkyl. The term thus distinguishes carbocycle from heterocycle (“heterocyclic”) in which the ring backbone contains at least one atom which is different from carbon (i.e a heteroatom).
- Heterocycle includes heteroaryl and heterocycloalkyl. Carbocycles and heterocycles can be optionally substituted.
- aromatic refers to a planar ring having a delocalized ⁇ -electron system containing 4n+2 ⁇ electrons, where n is an integer. Aromatic rings can be formed from five, six, seven, eight, nine, or more than nine atoms. Aromatics can be optionally substituted.
- aromatic includes both carbocyclic aryl (e.g., phenyl) and heterocyclic aryl (or “heteroaryl” or “heteroaromatic”) groups (e.g., pyridine).
- the term includes monocyclic or fused-ring polycyclic (i.e., rings which share adjacent pairs of carbon atoms) groups.
- aryl refers to an aromatic ring wherein each of the atoms forming the ring is a carbon atom.
- Aryl rings can be formed by five, six, seven, eight, nine, or more than nine carbon atoms.
- Aryl groups can be optionally substituted. Examples of aryl groups include, but are not limited to phenyl, naphthalenyl, phenanthrenyl, anthracenyl, fluorenyl, and indenyl.
- an aryl group can be a monoradical or a diradical (i.e., an arylene group).
- aryloxy refers to an (aryl)O— group, where aryl is as defined herein.
- Alkyl means an alkyl radical, as defined herein, substituted with an aryl group.
- Non-limiting aralkyl groups include, benzyl, phenethyl, and the like.
- alkenyl means an alkenyl radical, as defined herein, substituted with an aryl group, as defined herein.
- cycloalkyl refers to a monocyclic or polycyclic radical that contains only carbon and hydrogen, and may be saturated, partially unsaturated, or fully unsaturated. Cycloalkyl groups include groups having from 3 to 10 ring atoms. Illustrative examples of cycloalkyl groups include the following moieties:
- a cycloalkyl group can be a monoradical or a diradical (e.g., an cycloalkylene group).
- the cycloalkyl group could also be a “lower cycloalkyl” having 3 to 8 carbon atoms.
- heterocycle refers to heteroaromatic and heteroalicyclic groups containing one to four heteroatoms each selected from O, S and N, wherein each heterocyclic group has from 4 to 10 atoms in its ring system, and with the proviso that the ring of said group does not contain two adjacent O or S atoms.
- the number of carbon atoms in a heterocycle is indicated (e.g., C 1 -C 6 heterocycle), at least one other atom (the heteroatom) must be present in the ring.
- Designations such as “C 1 -C 6 heterocycle” refer only to the number of carbon atoms in the ring and do not refer to the total number of atoms in the ring.
- heterocylic ring can have additional heteroatoms in the ring.
- Designations such as “4-6 membered heterocycle” refer to the total number of atoms that are contained in the ring (i.e., a four, five, or six membered ring, in which at least one atom is a carbon atom, at least one atom is a heteroatom and the remaining two to four atoms are either carbon atoms or heteroatoms).
- those two or more heteroatoms can be the same or different from one another.
- Heterocycles can be optionally substituted. Binding to a heterocycle can be at a heteroatom or via a carbon atom.
- Non-aromatic heterocyclic groups include groups having only 4 atoms in their ring system, but aromatic heterocyclic groups must have at least 5 atoms in their ring system.
- the heterocyclic groups include benzo-fused ring systems.
- An example of a 4-membered heterocyclic group is azetidinyl (derived from azetidine).
- An example of a 5-membered heterocyclic group is thiazolyl.
- An example of a 6-membered heterocyclic group is pyridyl, and an example of a 10-membered heterocyclic group is quinolinyl.
- non-aromatic heterocyclic groups are pyrrolidinyl, tetrahydrofuranyl, dihydrofuranyl, tetrahydrothienyl, tetrahydropyranyl, dihydropyranyl, tetrahydrothiopyranyl, piperidino, morpholino, thiomorpholino, thioxanyl, piperazinyl, azetidinyl, oxetanyl, thietanyl, homopiperidinyl, oxepanyl, thiepanyl, oxazepinyl, diazepinyl, thiazepinyl, 1,2,3,6-tetrahydropyridinyl, 2-pyrrolinyl, 3-pyrrolinyl, indolinyl, 2H-pyranyl, 4H-pyranyl, dioxanyl, 1,3-dioxolanyl, pyrazolinyl, dithio
- aromatic heterocyclic groups are pyridinyl, imidazolyl, pyrimindinyl, pyrazolyl, triazolyl, pyrazinyl, tetrazolyl, furyl, thienyl, isoxazolyl, thiazolyl, oxazolyl, isothiazolyl, pyrrolyl, quinolinyl, isoquinolinyl, indolyl, benzimidazolyl, benzofuranyl, cinnolinyl, indazolyl, indolizinyl, phthalazinyl, pyridazinyl, triazinyl, isoindolyl, pteridinyl, purinyl, oxadiazolyl, thiadiazolyl, furazanyl, benzofurazanyl, benzothiophenyl, benzothiazolyl, benzoxazolyl, quinazolinyl, qui
- a group derived from pyrrole may be pyrrol-1-yl (N-attached) or pyrrol-3-yl (C-attached).
- a group derived from imidazole may be imidazol-1-yl or imidazol-3-yl (both N-attached) or imidazol-2-yl, imidazol-4-yl or imidazol-5-yl (all C-attached).
- heterocyclic groups include benzo-fused ring systems and ring systems substituted with one or two oxo ( ⁇ O) moieties such as pyrrolidin-2-one.
- a heterocycle group can be a monoradical or a diradical (i.e., a heterocyclene group).
- heteroaryl or, alternatively, “heteroaromatic” refers to an aryl group that includes one or more ring heteroatoms selected from nitrogen, oxygen and sulfur.
- An N-containing “heteroaromatic” or “heteroaryl” moiety refers to an aromatic group in which at least one of the skeletal atoms of the ring is a nitrogen atom.
- heteroaryl groups include the following moieties:
- a heteroaryl group can be a monoradical or a diradical (i.e., a heteroarylene group).
- non-aromatic heterocycle refers to a non-aromatic ring wherein one or more atoms forming the ring is a heteroatom.
- a “non-aromatic heterocycle” or “heterocycloalkyl” group refers to a cycloalkyl group that includes at least one heteroatom selected from nitrogen, oxygen and sulfur. The radicals may be fused with an aryl or heteroaryl.
- Heterocycloalkyl rings can be formed by three, four, five, six, seven, eight, nine, or more than nine atoms. Heterocycloalkyl rings can be optionally substituted.
- non-aromatic heterocycles contain one or more carbonyl or thiocarbonyl groups such as, for example, oxo- and thio-containing groups.
- heterocycloalkyls include, but are not limited to, lactams, lactones, cyclic imides, cyclic thioimides, cyclic carbamates, tetrahydrothiopyran, 4H-pyran, tetrahydropyran, piperidine, 1,3-dioxin, 1,3-dioxane, 1,4-dioxin, 1,4-dioxane, piperazine, 1,3-oxathiane, 1,4-oxathiin, 1,4-oxathiane, tetrahydro-1,4-thiazine, 2H-1,2-oxazine, maleimide, succinimide, barbituric acid, thiobarbituric acid, dioxopiperazine, hydanto
- heteroalicyclic also includes all ring forms of the carbohydrates, including but not limited to the monosaccharides, the disaccharides and the oligosaccharides.
- a heterocycloalkyl group can be a monoradical or a diradical (i.e., a heterocycloalkylene group).
- halo or, alternatively, “halogen” or “halide” means fluoro, chloro, bromo and iodo.
- haloalkyl examples include alkyl, alkenyl, alkynyl and alkoxy structures in which at least one hydrogen is replaced with a halogen atom. In certain embodiments in which two or more hydrogen atoms are replaced with halogen atoms, the halogen atoms are all the same as one another. In other embodiments in which two or more hydrogen atoms are replaced with halogen atoms, the halogen atoms are not all the same as one another.
- fluoroalkyl refers to alkyl group in which at least one hydrogen is replaced with a fluorine atom.
- fluoroalkyl groups include, but are not limited to, —CF 3 , —CH 2 CF 3 , —CF 2 CF 3 , —CH 2 CH 2 CF 3 and the like.
- heteroalkyl “heteroalkenyl” and “heteroalkynyl” include optionally substituted alkyl, alkenyl and alkynyl radicals in which one or more skeletal chain atoms is a heteroatom, e.g., oxygen, nitrogen, sulfur, silicon, phosphorus or combinations thereof.
- the heteroatom(s) may be placed at any interior position of the heteroalkyl group or at the position at which the heteroalkyl group is attached to the remainder of the molecule.
- Examples include, but are not limited to, —CH 2 —O—CH 3 , —CH 2 —CH 2 —O—CH 3 , —CH 2 —NH—CH 3 , —CH 2 —CH 2 —NH—CH 3 , —CH 2 —N(CH 3 )—CH 3 , —CH 2 —CH 2 —NH—CH 3 , —CH 2 —CH 2 —N(CH 3 )—CH 3 , —CH 2 —S—CH 2 —CH 3 , —CH 2 —CH 2 , —S(O)—CH 3 , —CH 2 —CH 2 —S(O) 2 —CH 3 , —CH ⁇ CH—O—CH 3 , —Si(CH 3 ) 3 , —CH 2 —CH ⁇ N—OCH 3 , and —CH ⁇ CH—N(CH 3 )—CH 3 .
- up to two heteroatoms may be consecutive, such as, by way of example,
- heteroatom refers to an atom other than carbon or hydrogen. Heteroatoms are typically independently selected from among oxygen, sulfur, nitrogen, silicon and phosphorus, but are not limited to these atoms. In embodiments in which two or more heteroatoms are present, the two or more heteroatoms can all be the same as one another, or some or all of the two or more heteroatoms can each be different from the others.
- bond refers to a chemical bond between two atoms, or two moieties when the atoms joined by the bond are considered to be part of larger substructure.
- An “isocyanato” group refers to a —NCO group.
- An “isothiocyanato” group refers to a —NCS group.
- moiety refers to a specific segment or functional group of a molecule. Chemical moieties are often recognized chemical entities embedded in or appended to a molecule.
- a “sulfinyl” group refers to a —S( ⁇ O)—R.
- a “sulfonyl” group refers to a —S( ⁇ O) 2 —R.
- a “thioalkoxy” or “alkylthio” group refers to a —S-alkyl group.
- alkylthioalkyl refers to an alkyl group substituted with a S-alkyl group.
- O-carboxy or “acyloxy” refers to a group of formula RC( ⁇ O)O—.
- Carboxy means a —C(O)OH radical.
- acetyl refers to a group of formula —C( ⁇ O)CH 3 .
- trihalomethanesulfonyl refers to a group of formula X 3 CS( ⁇ O) 2 — where X is a halogen.
- cyano refers to a group of formula —CN.
- Cyanoalkyl means an alkyl radical, as defined herein, substituted with at least one cyano group.
- N-sulfonamido or “sulfonylamino” refers to a group of formula RS( ⁇ O) 2 NH—.
- O-carbamyl refers to a group of formula —OC( ⁇ O)NR 2 .
- N-carbamyl refers to a group of formula ROC( ⁇ O)NH—.
- O-thiocarbamyl refers to a group of formula —OC( ⁇ S)NR2.
- N-thiocarbamyl refers to a group of formula ROC( ⁇ S)NH—.
- C-amido refers to a group of formula —C( ⁇ O)NR2.
- Aminocarbonyl refers to a —CONH2 radical.
- N-amido refers to a group of formula RC( ⁇ O)NH—.
- substituent “R” appearing by itself and without a number designation refers to a substituent selected from among from alkyl cycloalkyl, aryl, heteroaryl (bonded through a ring carbon) and non-aromatic heterocycle (bonded through a ring carbon).
- optionally substituted or “substituted” means that the referenced group may be substituted with one or more additional group(s) individually and independently selected from alkyl, cycloalkyl, aryl, heteroaryl, heteroalicyclic, hydroxy, alkoxy, aryloxy, alkylthio, arylthio, alkylsulfoxide, arylsulfoxide, alkylsulfone, arylsulfone, cyano, halo, acyl, nitro, haloalkyl, fluoroalkyl, amino, including mono- and di-substituted amino groups, and the protected derivatives thereof.
- an optional substituents may be L s R s , wherein each L s is independently selected from a bond, —O—, —C(—O)—, —S—, —S( ⁇ O)—, —S( ⁇ O) 2 —, —NH—, —NHC(O)—, —C(O)NH—, S( ⁇ O) 2 NH—, —NHS( ⁇ O) 2 , —OC(O)NH—, —NHC(O)O—, -(substituted or unsubstituted C 1 -C 6 alkyl), or -(substituted or unsubstituted C 2 -C 6 alkenyl); and each R 1 is independently selected from H, (substituted or unsubstituted C 1 -C 4 alkyl), (substituted or unsubstituted C 3 -C 6 cycloalkyl), heteroaryl, or heteroalkyl
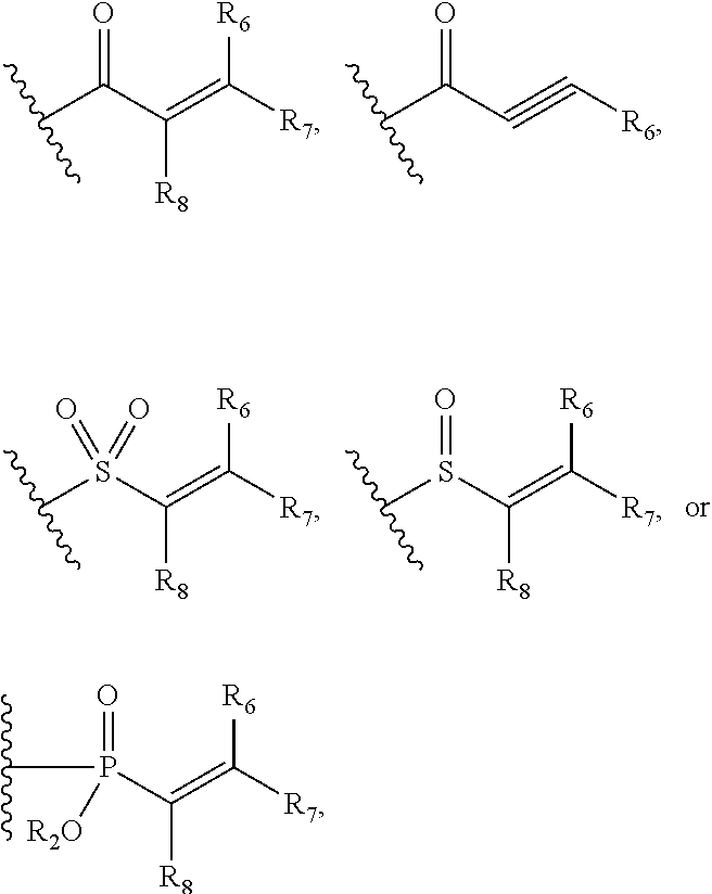
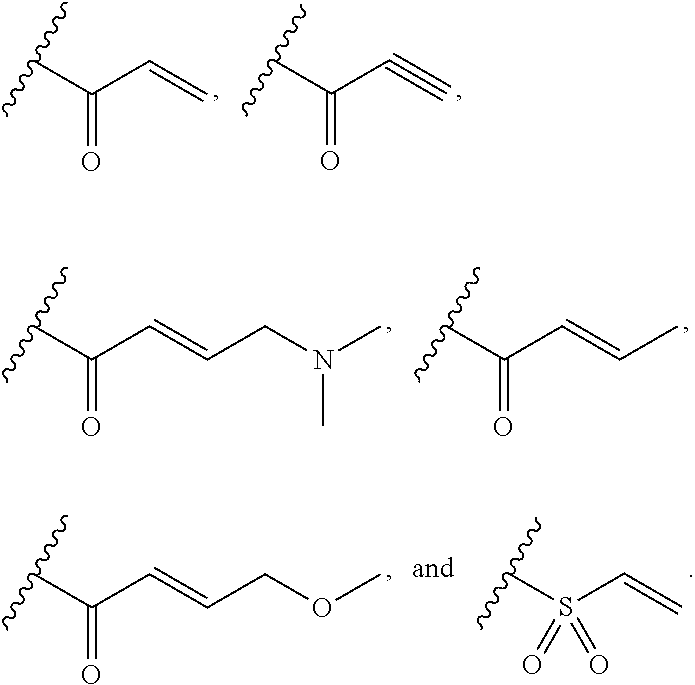
- Michael acceptor moiety refers to a functional group that can participate in a Michael reaction, wherein a new covalent bond is formed between a portion of the Michael acceptor moiety and the donor moiety.
- the Michael acceptor moiety is an electrophile and the “donor moiety” is a nucleophile.
- the “G” groups presented in any of Formula (A), Formula (B), or Formula (C) are non-limiting examples of Michael acceptor moieties.
- nucleophile refers to an electron rich compound, or moiety thereof.
- An example of a nucleophile includes, but in no way is limited to, a cysteine residue of a molecule, such as, for example Cys 481 of Btk.
- electrophile refers to an electron poor or electron deficient molecule, or moiety thereof.
- electrophiles include, but in no way are limited to, Micheal acceptor moieties.
- acceptable or “pharmaceutically acceptable”, with respect to a formulation, composition or ingredient, as used herein, means having no persistent detrimental effect on the general health of the subject being treated or does not abrogate the biological activity or properties of the compound, and is relatively nontoxic.
- agonist refers to a compound, the presence of which results in a biological activity of a protein that is the same as the biological activity resulting from the presence of a naturally occurring ligand for the protein, such as, for example, Btk.
- partial agonist refers to a compound the presence of which results in a biological activity of a protein that is of the same type as that resulting from the presence of a naturally occurring ligand for the protein, but of a lower magnitude.
- an antagonist refers to a compound, the presence of which results in a decrease in the magnitude of a biological activity of a protein.
- the presence of an antagonist results in complete inhibition of a biological activity of a protein, such as, for example, Btk.
- an antagonist is an inhibitor.
- amelioration of the symptoms of a particular disease, disorder or condition by administration of a particular compound or pharmaceutical composition refers to any lessening of severity, delay in onset, slowing of progression, or shortening of duration, whether permanent or temporary, lasting or transient that can be attributed to or associated with administration of the compound or composition.
- Bioavailability refers to the percentage of the weight of compounds disclosed herein, such as, compounds of any of Formula (A), Formula (B), Formula (C), or Formula (D), dosed that is delivered into the general circulation of the animal or human being studied.
- the total exposure (AUC (0- ⁇ ) ) of a drug when administered intravenously is usually defined as 100% bioavailable (F %).
- Oral bioavailability refers to the extent to which compounds disclosed herein, such as, compounds of any of Formula (A), Formula (B), Formula (C), or Formula (D), are absorbed into the general circulation when the pharmaceutical composition is taken orally as compared to intravenous injection.
- “Blood plasma concentration” refers to the concentration of compounds disclosed herein, such as, compounds of any of Formula (A), Formula (B), Formula (C), or Formula (D), in the plasma component of blood of a subject. It is understood that the plasma concentration of compounds of any of Formula (A), Formula (B), Formula (C), or Formula (D), may vary significantly between subjects, due to variability with respect to metabolism and/or possible interactions with other therapeutic agents. In accordance with one embodiment disclosed herein, the blood plasma concentration of the compounds of any of Formula (A), Formula (B), Formula (C), or Formula (D), may vary from subject to subject.
- values such as maximum plasma concentration (C max ) or time to reach maximum plasma concentration (T max ), or total area under the plasma concentration time curve (AUC (0- ⁇ ) ) may vary from subject to subject. Due to this variability, the amount necessary to constitute “a therapeutically effective amount” of a compound of any of Formula (A), Formula (B), Formula (C), or Formula (D), may vary from subject to subject.
- Bruton's tyrosine kinase refers to Bruton's tyrosine kinase from Homo sapiens , as disclosed in, e.g., U.S. Pat. No. 6,326,469 (GenBank Accession No. NP — 000052).
- Bruton's tyrosine kinase homolog refers to orthologs of Bruton's tyrosine kinase, e.g., the orthologs from mouse (GenBank Accession No. AAB47246), dog (GenBank Accession No. XP — 549139.), rat (GenBank Accession No. NP — 001007799), chicken (GenBank Accession No. NP — 989564), or zebra fish (GenBank Accession No.
- XP — 698117 fusion proteins of any of the foregoing that exhibit kinase activity towards one or more substrates of Bruton's tyrosine kinase (e.g. a peptide substrate having the amino acid sequence “AVLESEEELYSSARQ”).
- co-administration are meant to encompass administration of the selected therapeutic agents to a single patient and are intended to include treatment regimens in which the agents are administered by the same or different route of administration or at the same or different time.
- an “effective amount” or “therapeutically effective amount,” as used herein, refer to a sufficient amount of an agent or a compound being administered which will relieve to some extent one or more of the symptoms of the disease or condition being treated. The result can be reduction and/or alleviation of the signs, symptoms, or causes of a disease, or any other desired alteration of a biological system.
- an “effective amount” for therapeutic uses is the amount of the composition including a compound as disclosed herein required to provide a clinically significant decrease in disease symptoms without undue adverse side effects.
- An appropriate “effective amount” in any individual case may be determined using techniques, such as a dose escalation study.
- the term “therapeutically effective amount” includes, for example, a prophylactically effective amount.
- an “effective amount” of a compound disclosed herein is an amount effective to achieve a desired pharmacologic effect or therapeutic improvement without undue adverse side effects. It is understood that “an effect amount” or “a therapeutically effective amount” can vary from subject to subject, due to variation in metabolism of the compound of any of Formula (A), Formula (B), Formula (C), or Formula (D), age, weight, general condition of the subject, the condition being treated, the severity of the condition being treated, and the judgment of the prescribing physician. By way of example only, therapeutically effective amounts may be determined by routine experimentation, including but not limited to a dose escalation clinical trial.
- “enhance” or “enhancing” means to increase or prolong either in potency or duration a desired effect.
- “enhancing” the effect of therapeutic agents refers to the ability to increase or prolong, either in potency or duration, the effect of therapeutic agents on during treatment of a disease, disorder or condition.
- An “enhancing-effective amount,” as used herein, refers to an amount adequate to enhance the effect of a therapeutic agent in the treatment of a disease, disorder or condition. When used in a patient, amounts effective for this use will depend on the severity and course of the disease, disorder or condition, previous therapy, the patient's health status and response to the drugs, and the judgment of the treating physician.
- cysteine 482 is the homologous cysteine of the rat ortholog of Bruton's tyrosine kinase
- cysteine 479 is the homologous cysteine of the chicken ortholog
- cysteine 481 is the homologous cysteine in the zebra fish ortholog.
- the homologous cysteine of TXK is Cys 350.
- Other examples of kinases having homologous cysteines are shown in FIG. 1 . See also the sequence alignments of tyrosine kinases (TK) published on the world wide web at kinase.com/human/kinome/phylogeny.html.
- TK tyrosine kinases
- sequences or subsequences refers to two or more sequences or subsequences which are the same.
- substantially identical refers to two or more sequences which have a percentage of sequential units which are the same when compared and aligned for maximum correspondence over a comparison window, or designated region as measured using comparison algorithms or by manual alignment and visual inspection.
- two or more sequences may be “substantially identical” if the sequential units are about 60% identical, about 65% identical, about 70% identical, about 75% identical, about 80% identical, about 85% identical, about 90% identical, or about 95% identical over a specified region. Such percentages to describe the “percent identity” of two or more sequences.
- the identity of a sequence can exist over a region that is at least about 75-100 sequential units in length, over a region that is about 50 sequential units in length, or, where not specified, across the entire sequence.
- This definition also refers to the complement of a test sequence.
- two or more polypeptide sequences are identical when the amino acid residues are the same, while two or more polypeptide sequences are “substantially identical” if the amino acid residues are about 60% identical about 65% identical, about 70% identical, about 75% identical, about 80% identical, about 85% identical, about 90% identical, or about 95% identical over a specified region.
- the identity can exist over a region that is at least about 75-100 amino acids in length, over a region that is about 50 amino acids in length, or, where not specified, across the entire sequence of a polypeptide sequence.
- two or more polynucleotide sequences are identical when the nucleic acid residues are the same, while two or more polynucleotide sequences are “substantially identical” if the nucleic acid residues are about 60% identical, about 65% identical, about 70% identical, about 75% identical, about 80% identical, about 85% identical, about 90% identical, or about 95% identical over a specified region.
- the identity can exist over a region that is at least about 75-100 nucleic acids in length, over a region that is about 50 nucleic acids in length, or, where not specified, across the entire sequence of a polynucleotide sequence.
- inhibitors refer to inhibition of enzymatic phosphotransferase activity.
- irreversible inhibitor refers to a compound that, upon contact with a target protein (e.g., a kinase) causes the formation of a new covalent bond with or within the protein, whereby one or more of the target protein's biological activities (e.g., phosphotransferase activity) is diminished or abolished notwithstanding the subsequent presence or absence of the irreversible inhibitor.
- a target protein e.g., a kinase
- biological activities e.g., phosphotransferase activity
- irreversible Btk inhibitor refers to an inhibitor of Btk that can form a covalent bond with an amino acid residue of Btk.
- the irreversible inhibitor of Btk can form a covalent bond with a Cys residue of Btk; in particular embodiments, the irreversible inhibitor can form a covalent bond with a Cys 481 residue (or a homolog thereof) of Btk or a cysteine residue in the homologous corresponding position of another tyrosine kinase, as shown in FIG. 1 .
- isolated refers to separating and removing a component of interest from components not of interest. Isolated substances can be in either a dry or semi-dry state, or in solution, including but not limited to an aqueous solution.
- the isolated component can be in a homogeneous state or the isolated component can be a part of a pharmaceutical composition that comprises additional pharmaceutically acceptable carriers and/or excipients.
- nucleic acids or proteins are “isolated” when such nucleic acids or proteins are free of at least some of the cellular components with which it is associated in the natural state, or that the nucleic acid or protein has been concentrated to a level greater than the concentration of its in vivo or in vitro production.
- a gene is isolated when separated from open reading frames which flank the gene and encode a protein other than the gene of interest.
- a “metabolite” of a compound disclosed herein is a derivative of that compound that is formed when the compound is metabolized.
- active metabolite refers to a biologically active derivative of a compound that is formed when the compound is metabolized.
- metabolized refers to the sum of the processes (including, but not limited to, hydrolysis reactions and reactions catalyzed by enzymes, such as, oxidation reactions) by which a particular substance is changed by an organism. Thus, enzymes may produce specific structural alterations to a compound.
- cytochrome P450 catalyzes a variety of oxidative and reductive reactions while uridine diphosphate glucuronyl transferases catalyze the transfer of an activated glucuronic-acid molecule to aromatic alcohols, aliphatic alcohols, carboxylic acids, amines and free sulfhydryl groups. Further information on metabolism may be obtained from The Pharmacological Basis of Therapeutics, 9th Edition, McGraw-Hill (1996). Metabolites of the compounds disclosed herein can be identified either by administration of compounds to a host and analysis of tissue samples from the host, or by incubation of compounds with hepatic cells in vitro and analysis of the resulting compounds. Both methods are well known in the art. In some embodiments, metabolites of a compound are formed by oxidative processes and correspond to the corresponding hydroxy-containing compound. In some embodiments, a compound is metabolized to pharmacologically active metabolites.
- module means to interact with a target either directly or indirectly so as to alter the activity of the target, including, by way of example only, to enhance the activity of the target, to inhibit the activity of the target, to limit the activity of the target, or to extend the activity of the target.
- a modulator refers to a compound that alters an activity of a molecule.
- a modulator can cause an increase or decrease in the magnitude of a certain activity of a molecule compared to the magnitude of the activity in the absence of the modulator.
- a modulator is an inhibitor, which decreases the magnitude of one or more activities of a molecule.
- an inhibitor completely prevents one or more activities of a molecule.
- a modulator is an activator, which increases the magnitude of at least one activity of a molecule.
- the presence of a modulator results in an activity that does not occur in the absence of the modulator.
- prophylactically effective amount refers that amount of a composition applied to a patient which will relieve to some extent one or more of the symptoms of a disease, condition or disorder being treated. In such prophylactic applications, such amounts may depend on the patient's state of health, weight, and the like. It is considered well within the skill of the art for one to determine such prophylactically effective amounts by routine experimentation, including, but not limited to, a dose escalation clinical trial.
- selective binding compound refers to a compound that selectively binds to any portion of one or more target proteins.
- selective binds refers to the ability of a selective binding compound to bind to a target protein, such as, for example, Btk, with greater affinity than it binds to a non-target protein.
- specific binding refers to binding to a target with an affinity that is at least 10, 50, 100, 250, 500, 1000 or more times greater than the affinity for a non-target.
- selective modulator refers to a compound that selectively modulates a target activity relative to a non-target activity.
- specific modulator refers to modulating a target activity at least 10, 50, 100, 250, 500, 1000 times more than a non-target activity.
- substantially purified refers to a component of interest that may be substantially or essentially free of other components which normally accompany or interact with the component of interest prior to purification.
- a component of interest may be “substantially purified” when the preparation of the component of interest contains less than about 30%, less than about 25%, less than about 20%, less than about 15%, less than about 10%, less than about 5%, less than about 4%, less than about 3%, less than about 2%, or less than about 1% (by dry weight) of contaminating components.
- a “substantially purified” component of interest may have a purity level of about 70%, about 75%, about 80%, about 85%, about 90%, about 95%, about 96%, about 97%, about 98%, about 99% or greater.
- subject refers to an animal which is the object of treatment, observation or experiment.
- a subject may be, but is not limited to, a mammal including, but not limited to, a human.
- target activity refers to a biological activity capable of being modulated by a selective modulator.
- Certain exemplary target activities include, but are not limited to, binding affinity, signal transduction, enzymatic activity, tumor growth, inflammation or inflammation-related processes, and amelioration of one or more symptoms associated with a disease or condition.
- target protein refers to a molecule or a portion of a protein capable of being bound by a selective binding compound.
- a target protein is Btk.
- the IC 50 refers to an amount, concentration or dosage of a particular test compound that achieves a 50% inhibition of a maximal response, such as inhibition of Btk, in an assay that measures such response.
- EC 50 refers to a dosage, concentration or amount of a particular test compound that elicits a dose-dependent response at 50% of maximal expression of a particular response that is induced, provoked or potentiated by the particular test compound.
- FIG. 1 presents a sequence comparison of Btk with other tyrosine kinases.
- FIG. 2 presents illustrative cell data regarding inhibition of B cell receptor induced Phospholipase-C ⁇ phosphorylation by compound 4.
- the B cell receptor was stimulated with anti-IgM for 3 min; the 10 ⁇ lysis buffer containing DNAse was added directly to cells.
- the sample buffer was added and loaded directly on gel.
- the samples were analyzed with western blot-phosphorylated Btk and PLC ⁇ 1 and total Btk and PLC ⁇ 1.
- the blot was imaged with ChemiDoc CCD and quantitated with ImageQuant.
- the phosphorylated band was normalized to total band and the IC50 was calculated.
- FIG. 3 presents illustrative cell data showing that compound 4 and compound 15 inhibit growth of DHL-6 cells.
- FIG. 4 presents illustrative mass spectra showing that compound 4 covalently modifies Btk.
- FIG. 5 presents illustrative inhibition of arthritis development in a mouse model by compound 4.
- FIG. 6 presents illustrative data demonstrating that the efficacy of compound 4 is associated with reduction of Rheumatoid Factor and Anti-citrullinated cyclic peptide antibodies in the CAIA model.
- FIG. 7 presents illustrative data regarding the inhibition of arthritis development in a mouse model by compound 13. This enantiomer of compound 4 completed inhibited the development of arthritis in the CAIA model at dose levels of 10 and 30 mg/kg. For comparison, data regarding inhibition of arthritis development in the same mouse model is presented for dexamethasone.
- the methods described herein include administering to a subject in need a composition containing a therapeutically effective amount of one or more irreversible Btk inhibitor compounds described herein.
- Btk signaling in various hematopoietic cell functions, e.g., B-cell receptor activation
- small molecule Btk inhibitors are useful for reducing the risk of or treating a variety of diseases affected by or affecting many cell types of the hematopoetic lineage including, e.g., autoimmune diseases, heteroimmune conditions or diseases, inflammatory diseases, cancer (e.g., B-cell proliferative disorders), and thromboembolic disorders.
- the irreversible Btk inhibitor compounds described herein can be used to inhibit a small subset of other tyrosine kinases that share homology with Btk by having a cysteine residue (including a Cys 481 residue) that can form a covalent bond with the irreversible inhibitor. See, e.g., protein kinases in FIG. 1 .
- a subset of tyrosine kinases other than Btk are also expected to be useful as therapeutic targets in a number of health conditions.
- the methods described herein can be used to treat an autoimmune disease, which includes, but is not limited to, rheumatoid arthritis, psoriatic arthritis, osteoarthritis, Still's disease, juvenile arthritis, lupus, diabetes, myasthenia gravis, Hashimoto's thyroiditis, Ord's thyroiditis, Graves' disease Sjögren's syndrome, multiple sclerosis, Guillain-Barré syndrome, acute disseminated encephalomyelitis, Addison's disease, opsoclonus-myoclonus syndrome, ankylosing spondylitisis, antiphospholipid antibody syndrome, aplastic anemia, autoimmune hepatitis, coeliac disease, Goodpasture's syndrome, idiopathic thrombocytopenic purpura, optic neuritis, scleroderma, primary biliary cirrhosis, Reiter's syndrome, Takayasu's arteritis, temporal
- the methods described herein can be used to treat heteroimmune conditions or diseases, which include, but are not limited to graft versus host disease, transplantation, transfusion, anaphylaxis, allergies (e.g., allergies to plant pollens, latex, drugs, foods, insect poisons, animal hair, animal dander, dust mites, or cockroach calyx), type I hypersensitivity, allergic conjunctivitis, allergic rhinitis, and atopic dermatitis.
- heteroimmune conditions or diseases include, but are not limited to graft versus host disease, transplantation, transfusion, anaphylaxis, allergies (e.g., allergies to plant pollens, latex, drugs, foods, insect poisons, animal hair, animal dander, dust mites, or cockroach calyx), type I hypersensitivity, allergic conjunctivitis, allergic rhinitis, and atopic dermatitis.
- the methods described herein can be used to treat an inflammatory disease, which includes, but is not limited to asthma, inflammatory bowel disease, appendicitis, blepharitis, bronchiolitis, bronchitis, bursitis, cervicitis, cholangitis, cholecystitis, colitis, conjunctivitis, cystitis, dacryoadenitis, dermatitis, dermatomyositis, encephalitis, endocarditis, endometritis, enteritis, enterocolitis, epicondylitis, epididymitis, fasciitis, fibrositis, gastritis, gastroenteritis, hepatitis, hidradenitis suppurativa, laryngitis, mastitis, meningitis, myelitis myocarditis, myositis, nephritis, oophoritis, orchitis, osteitis, o
- the methods described herein can be used to treat a cancer, e.g., B-cell proliferative disorders, which include, but are not limited to diffuse large B cell lymphoma, follicular lymphoma, chronic lymphocytic lymphoma, chronic lymphocytic leukemia, B-cell prolymphocytic leukemia, lymphoplasmacytic lymphoma/Waldenström macroglobulinemia, splenic marginal zone lymphoma, plasma cell myeloma, plasmacytoma, extranodal marginal zone B cell lymphoma, nodal marginal zone B cell lymphoma, mantle cell lymphoma, mediastinal (thymic) large B cell lymphoma, intravascular large B cell lymphoma, primary effusion lymphoma, burkitt lymphoma/leukemia, and lymphomatoid granulomatosis.
- B-cell proliferative disorders include, but are not limited to diffuse large B cell lymphoma,
- the methods described herein can be used to treat thromboembolic disorders, which include, but are not limited to myocardial infarct, angina pectoris (including unstable angina), reocclusions or restenoses after angioplasty or aortocoronary bypass, stroke, transitory ischemia, peripheral arterial occlusive disorders, pulmonary embolisms, and deep venous thromboses.
- thromboembolic disorders include, but are not limited to myocardial infarct, angina pectoris (including unstable angina), reocclusions or restenoses after angioplasty or aortocoronary bypass, stroke, transitory ischemia, peripheral arterial occlusive disorders, pulmonary embolisms, and deep venous thromboses.
- a number of animal models of are useful for establishing a range of therapeutically effective doses of irreversible Btk inhibitor compounds for treating any of the foregoing diseases.
- dosing of irreversible Btk inhibitor compounds for treating an autoimmune disease can be assessed in a mouse model of rheumatoid arthritis.
- arthritis is induced in Balb/c mice by administering anti-collagen antibodies and lipopolysaccharide. See Nandakumar et al. (2003), Am. J. Pathol 163:1827-1837.
- dosing of irreversible Btk inhibitors for the treatment of B-cell proliferative disorders can be examined in, e.g., a human-to-mouse xenograft model in which human B-cell lymphoma cells (e.g. Ramos cells) are implanted into immunodeficient mice (e.g., “nude” mice) as described in, e.g., Pagel et al. (2005), Clin Cancer Res 11(13):4857-4866.
- human B-cell lymphoma cells e.g. Ramos cells
- the therapeutic efficacy of the compound for one of the foregoing diseases can be optimized during a course of treatment.
- a subject being treated can undergo a diagnostic evaluation to correlate the relief of disease symptoms or pathologies to inhibition of in vivo Btk activity achieved by administering a given dose of an irreversible Btk inhibitor.
- Cellular assays known in the art can be used to determine in vivo activity of Btk in the presence or absence of an irreversible Btk inhibitor.
- activated Btk is phosphorylated at tyrosine 223 (Y223) and tyrosine 551 (Y551)
- phospho-specific immunocytochemical staining of P-Y223 or P-Y551-positive cells can be used to detect or quantify activation of Btk in a population of cells (e.g., by FACS analysis of stained vs unstained cells). See, e.g., Nisitani et al. (1999), Proc. Natl. Acad. Sci, USA 96:2221-2226.
- the amount of the Btk inhibitor inhibitor compound that is administered to a subject can be increased or decreased as needed so as to maintain a level of Btk inhibition optimal for treating the subject's disease state.
- the Btk inhibitor compounds described herein are selective for Btk and kinases having a cysteine residue in an amino acid sequence position of the tyrosine kinase that is homologous to the amino acid sequence position of cysteine 481 in Btk. See, e.g., kinases in FIG. 1 .
- Inhibitor compounds described herein include a Michael acceptor moiety.
- an irreversible inhibitor compound of Btk used in the methods described herein is identified or characterized in an in vitro assay, e.g., an acellular biochemical assay or a cellular functional assay. Such assays are useful to determine an in vitro IC 50 for an irreversible Btk inhibitor compound.
- an acellular kinase assay can be used to determine Btk activity after incubation of the kinase in the absence or presence of a range of concentrations of a candidate irreversible Btk inhibitor compound. If the candidate compound is in fact an irreversible Btk inhibitor, Btk kinase activity will not be recovered by repeat washing with inhibitor-free medium. See, e.g., J. B. Smaill, et al. (1999), J. Med. Chem. 42(10):1803-1815.
- covalent complex formation between Btk and a candidate irreversible Btk inhibitor is a useful indicator of irreversible inhibition of Btk that can be readily determined by a number of methods known in the art (e.g., mass spectrometry).
- some irreversible Btk-inhibitor compounds can form a covalent bond with Cys 481 of Btk (e.g., via a Michael reaction).
- Cellular functional assays for Btk inhibition include measuring one or more cellular endpoints in response to stimulating a Btk-mediated pathway in a cell line (e.g., BCR activation in Ramos cells) in the absence or presence of a range of concentrations of a candidate irreversible Btk inhibitor compound.
- Useful endpoints for determining a response to BCR activation include, e.g., autophosphorylation of Btk, phosphorylation of a Btk target protein (e.g., PLC- ⁇ ), and cytoplasmic calcium flux.
- High throughput assays for many acellular biochemical assays e.g., kinase assays
- cellular functional assays e.g., calcium flux
- high throughput screening systems are commercially available (see, e.g., Zymark Corp., Hopkinton, Mass.; Air Technical Industries, Mentor, Ohio; Beckman Instruments, Inc. Fullerton, Calif.; Precision Systems, Inc., Natick, Mass., etc.). These systems typically automate entire procedures including all sample and reagent pipetting, liquid dispensing, timed incubations, and final readings of the microplate in detectors) appropriate for the assay. Automated systems thereby allow the identification and characterization of a large number of irreversible Btk compounds without undue effort.
- Irreversible Btk inhibitor compounds can used for the manufacture of a medicament for treating any of the foregoing conditions (e.g., autoimmune diseases, inflammatory diseases, allergy disorders, B-cell proliferative disorders, or thromboembolic disorders).
- any of the foregoing conditions e.g., autoimmune diseases, inflammatory diseases, allergy disorders, B-cell proliferative disorders, or thromboembolic disorders.
- the irreversible Btk inhibitor compound used for the methods described herein inhibits Btk or a Btk homolog kinase activity with an in vitro IC 50 of less than 10 ⁇ M.
- an in vitro IC 50 of less than 10 ⁇ M.
- the irreversible Btk inhibitor compound selectively and irreversibly inhibits an activated form of its target tyrosine kinase (e.g., a phosphorylated form of the tyrosine kinase).
- activated Btk is transphosphorylated at tyrosine 551.
- the irreversible Btk inhibitor inhibits the target kinase in cells only once the target kinase is activated by the signaling events.
- Described herein are compounds of any of Formula (A), Formula (B), Formula (C), or Formula (D). Also described herein are pharmaceutically acceptable salts, pharmaceutically acceptable solvates, pharmaceutically active metabolites, and pharmaceutically acceptable prodrugs of such compounds. Pharmaceutical compositions that include at least one such compound or a pharmaceutically acceptable salt, pharmaceutically acceptable solvate, pharmaceutically active metabolite or pharmaceutically acceptable prodrug of such compound, are provided. In some embodiments, when compounds disclosed herein contain an oxidizable nitrogen atom, the nitrogen atom can be converted to an N-oxide by methods well known in the art. In certain embodiments, isomers and chemically protected forms of compounds having a structure represented by any of Formula (A), Formula (B), Formula (C), or Formula (D), are also provided.
- Formula (A) is as follows:
- the compound of Formula (A) has the following structure of Formula (B):
- G is selected from among
- the compound of Formula (B) has the following structure of Formula (C):
- the “G” group of any of Formula (A), Formula (B), or Formula (C) is any group that is used to tailor the physical and biological properties of the molecule. Such tailoring/modifications are achieved using groups which modulate Michael acceptor chemical reactivity, acidity, basicity, lipophilicity, solubility and other physical properties of the molecule.
- the physical and biological properties modulated by such modifications to G include, by way of example only, enhancing chemical reactivity of Michael acceptor group, solubility, in vivo absorption, and in vivo metabolism.
- in vivo metabolism may include, by way of example only, controlling in vivo PK properties, off-target activities, potential toxicities associated with cypP450 interactions, drug-drug interactions, and the like. Further, modifications to C; allow for the tailoring of the in vivo efficacy of the compound through the modulation of, by way of example, specific and non-specific protein binding to plasma proteins and lipids and tissue distribution in vivo.
- La is O.
- Ar is phenyl
- Z is C(O).
- each of R 1 , R 2 , and R 3 is H.
- Formula (D) is as follows.
- substituents can be selected from among from a subset of the listed alternatives.
- L a is CH 2 , O, or NH.
- L a is O or NH.
- L a is O.
- Ar is a substituted or unsubstituted aryl. In yet other embodiments, Ar is a 6-membered aryl. In some other embodiments, Ar is phenyl.
- x is 2.
- Z is C( ⁇ O), OC( ⁇ O), NHC( ⁇ O), S( ⁇ O) x , OS(O) x , or NHS(O) x .
- Z is C( ⁇ O), NHC( ⁇ O), or S( ⁇ O) 2 .
- R 7 and R 8 are independently selected from among H, unsubstituted C 1 -C 4 alkyl, substituted C 1 -C 4 alkyl, unsubstituted C 1 -C 4 heteroalkyl, and substituted C 1 -C 4 heteroalkyl; or R 7 and R 8 taken together form a bond. In yet other embodiments, each of R 7 and R 8 is H; or R 7 and R 8 taken together form a bond.
- R 6 is H, substituted or unsubstituted C 1 -C 4 alkyl, substituted or unsubstituted C 1 -C 4 heteroalkyl, C 1 -C 6 alkoxyalkyl, C 1 -C 2 alkyl-N(C 1 -C 3 alkyl) 2 , substituted or unsubstituted aryl, substituted or unsubstituted heteroaryl, C 1 -C 4 alkyl(aryl), C 1 -C 4 alkyl(heteroaryl), C 1 -C 4 alkyl(C 3 -C 8 cycloalkyl), or C 1 -C 4 alkyl(C 2 -C 8 heterocycloalkyl).
- R 6 is H, substituted or unsubstituted C 1 -C 4 alkyl, substituted or unsubstituted C 1 -C 4 heteroalkyl, C 1 -C 6 alkoxyalkyl, C 1 -C 2 alkyl-N(C 1 -C 3 alkyl) 2 , C 1 -C 4 alkyl(aryl), C 1 -C 4 alkyl(heteroaryl), C 1 -C 4 alkyl(C 3 -C 8 cycloalkyl), or C 1 -C 4 alkyl(C 2 -C 8 heterocycloalkyl).
- R 6 is H, substituted or unsubstituted C 1 -C 4 alkyl, —CH 2 —O—(C 1 -C 3 alkyl), —CH 2 —N(C 1 -C 3 alkyl) 2 , C 1 -C 4 alkylphenyl), or C 1 -C 4 alkyl(5- or 6-membered heteroaryl).
- R 6 is H, substituted or unsubstituted C 1 -C 4 alkyl, —CH 2 —O—(C 1 -C 3 alkyl), —CH 2 —N(C 1 -C 3 alkyl) 2 , C 1 -C 4 alkylphenyl), or C 1 -C 4 alkyl(5- or 6-membered heteroaryl containing 1 or 2 N atoms), or C 1 -C 4 alkyl(5- or 6-membered heterocycloalkyl containing 1 or 2 N atoms).
- Y is an optionally substituted group selected from among alkyl, heteroalkyl, cycloalkyl, and heterocycloalkyl. In other embodiments, Y is an optionally substituted group selected from among C 1 -C 6 alkyl, C 1 -C 6 heteroalkyl, 4-, 5-, 6- or 7-membered cycloalkyl, and 4-, 5-, 6- or 7-membered heterocycloalkyl.
- Y is an optionally substituted group selected from among C 1 -C 6 alkyl, C 1 -C 6 heteroalkyl, 5-, or 6-membered cycloalkyl, and 5-, or 6-membered heterocycloalkyl containing 1 or 2 N atoms. In some other embodiments, Y is a 5-, or 6-membered cycloalkyl, or a 5-, or 6-membered heterocycloalkyl containing 1 or 2 N atoms.
- compositions of Formula (A), Formula (B), Formula (C), Formula (D), include, but are not limited to, compounds selected from the group consisting of:
- the reactions can be employed in a linear sequence to provide the compounds described herein or they may be used to synthesize fragments which are subsequently joined by the methods described herein and/or known in the art.
- each protective group be removable by a different means.
- Protective groups that are cleaved under totally disparate reaction conditions fulfill the requirement of differential removal.
- Protective groups can be removed by acid, base, and hydrogenolysis.
- Groups such as trityl, dimethoxytrityl, acetal and t-butyldimethylsilyl are acid labile and may be used to protect carboxy and hydroxy reactive moieties in the presence of amino groups protected with Cbz groups, which are removable by hydrogenolysis, and Fmoc groups, which are base labile.
- Carboxylic acid and hydroxy reactive moieties may be blocked with base labile groups such as, but not limited to, methyl, ethyl, and acetyl in the presence of amines blocked with acid labile groups such as t-butyl carbamate or with carbamates that are both acid and base stable but hydrolytically removable.
- Allyl blocking groups are useful in then presence of acid- and base-protecting groups since the former are stable and can be subsequently removed by metal or pi-acid catalysts.
- an allyl-blocked carboxylic acid can be deprotected with a Pd 0 -catalyzed reaction in the presence of acid labile t-butyl carbamate or base-labile acetate amine protecting groups.
- Yet another form of protecting group is a resin to which a compound or intermediate may be attached. As long as the residue is attached to the resin, that functional group is blocked and cannot react. Once released from the resin, the functional group is available to react.
- provided herein are methods of making and methods of using tyrosine kinase inhibitor compounds described herein.
- compounds described herein can be synthesized using the following synthetic schemes. Compounds may be synthesized using methodologies analogous to those described below by the use of appropriate alternative starting materials.
- Described herein are compounds that inhibit the activity of tyrosine kinase(s), such as Btk, and processes for their preparation. Also described herein are pharmaceutically acceptable salts, pharmaceutically acceptable solvates, pharmaceutically active metabolites and pharmaceutically acceptable prodrugs of such compounds. Pharmaceutical compositions that include at least one such compound or a pharmaceutically acceptable salt, pharmaceutically acceptable solvate, pharmaceutically active metabolite or pharmaceutically acceptable prodrug of such compound, are provided.
- the products of the reactions may be isolated and purified, if desired, using conventional techniques, including, but not limited to, filtration, distillation, crystallization, chromatography and the like. Such materials may be characterized using conventional means, including physical constants and spectral data.
- Halogenation of commercially available 1H-pyrazolo[3,4-d]pyrimidin-4-amine provides an entry into the synthesis of compounds of Formula (A), (B), (C) and/or (D).
- 1H-pyrazolo[3,4-d]pyrimidin-4-amine is treated with N-iodosuccinamide to give 3-iodo-1H-pyrazolo[3,4-d]pyrimidin-4-amine.
- Metal catalyzed cross coupling reactions are then carried out on 3-iodo-1H-pyrazolo[3,4-d]pyrimidin-4-amine.
- palladium mediated cross-coupling of a suitably substituted phenyl boronic acid under basic conditions constructs intermediate 2.
- tyrosine kinase inhibitors as disclosed herein are obtained in good yields and purity.
- the compounds prepared by the methods disclosed herein are purified by conventional means known in the art, such as, for example, filtration, recrystallization, chromatography, distillation, and combinations thereof.
- the compounds described herein may possess one or more stereocenters and each center may exist in the R or S configuration.
- the compounds presented herein include all diastereomeric, enantiomeric, and epimeric forms as well as the appropriate mixtures thereof.
- Stereoisomers may be obtained, if desired, by methods known in the art as, for example, the separation of stereoisomers by chiral chromatographic columns.
- Diasteromeric mixtures can be separated into their individual diastereomers on the basis of their physical chemical differences by methods known, for example, by chromatography and/or fractional crystallization.
- enantiomers can be separated by chiral chromatographic columns.
- enantiomers can be separated by converting the enantiomeric mixture into a diastereomeric mixture by reaction with an appropriate optically active compound (e.g., alcohol), separating the diastereomers and converting (e.g., hydrolyzing) the individual diastereomers to the corresponding pure enantiomers. All such isomers, including diastereomers, enantiomers, and mixtures thereof are considered as part of the compositions described herein.
- the methods and formulations described herein include the use of N-oxides, crystalline forms (also known as polymorphs), or pharmaceutically acceptable salts of compounds described herein, as well as active metabolites of these compounds having the same type of activity.
- compounds may exist as tautomers. All tautomers are included within the scope of the compounds presented herein.
- the compounds described herein can exist in unsolvated as well as solvated forms with pharmaceutically acceptable solvents such as water, ethanol, and the like. The solvated forms of the compounds presented herein are also considered to be disclosed herein.
- Compounds of any of Formula (A), Formula (B), Formula (C), or Formula (D) in unoxidized form can be prepared from N-oxides of compounds of any of Formula (A), Formula (B), Formula (C), or Formula (D) by treating with a reducing agent, such as, but not limited to, sulfur, sulfur dioxide, triphenyl phosphine, lithium borohydride, sodium borohydride, phosphorus trichloride, tribromide, or the like in a suitable inert organic solvent, such as, but not limited to, acetonitrile, ethanol, aqueous dioxane, or the like at 0 to 80° C.
- a reducing agent such as, but not limited to, sulfur, sulfur dioxide, triphenyl phosphine, lithium borohydride, sodium borohydride, phosphorus trichloride, tribromide, or the like in a suitable inert organic solvent, such as, but not limited to, acetonitrile,
- compounds described herein are prepared as prodrugs.
- a “prodrug” refers to an agent that is converted into the parent drug in vivo. Prodrugs are often useful because, in some situations, they may be easier to administer than the parent drug. They may, for instance, be bioavailable by oral administration whereas the parent is not. The prodrug may also have improved solubility in pharmaceutical compositions over the parent drug.
- An example, without limitation, of a prodrug would be a compound described herein, which is administered as an ester (the “prodrug”) to facilitate transmittal across a cell membrane where water solubility is detrimental to mobility but which then is metabolically hydrolyzed to the carboxylic acid, the active entity, once inside the cell where water-solubility is beneficial.
- a further example of a prodrug might be a short peptide (polyaminoacid) bonded to an acid group where the peptide is metabolized to reveal the active moiety.
- a prodrug upon in vivo administration, is chemically converted to the biologically, pharmaceutically or therapeutically active form of the compound.
- a prodrug is enzymatically metabolized by one or more steps or processes to the biologically, pharmaceutically or therapeutically active form of the compound.
- a pharmaceutically active compound is modified such that the active compound will be regenerated upon in vivo administration.
- the prodrug can be designed to alter the metabolic stability or the transport characteristics of a drug, to mask side effects or toxicity, to improve the flavor of a drug or to alter other characteristics or properties of a drug.
- Prodrug forms of the herein described compounds, wherein the prodrug is metabolized in vivo to produce a derivative as set forth herein are included within the scope of the claims. In some cases, some of the herein-described compounds may be a prodrug for another derivative or active compound.
- Prodrugs are often useful because, in some situations, they may be easier to administer than the parent drug. They may, for instance, be bioavailable by oral administration whereas the parent is not.
- the prodrug may also have improved solubility in pharmaceutical compositions over the parent drug.
- Prodrugs may be designed as reversible drug derivatives, for use as modifiers to enhance drug transport to site-specific tissues. In some embodiments, the design of a prodrug increases the effective water solubility. See, e.g., Fedorak et al., Am. J. Physiol., 269:G210-218 (1995); McLoed et al., Gastroenterol, 106:405-413 (1994); Hochhaus et al., Biomed.
- Sites on the aromatic ring portion of compounds of any of Formula (A), Formula (B), Formula (C), or Formula (D) can be susceptible to various metabolic reactions, therefore incorporation of appropriate substituents on the aromatic ring structures, such as, by way of example only, halogens can reduce, minimize or eliminate this metabolic pathway.
- Compounds described herein include isotopically-labeled compounds, which are identical to those recited in the various formulas and structures presented herein, but for the fact that one or more atoms are replaced by an atom having an atomic mass or mass number different from the atomic mass or mass number usually found in nature.
- isotopes that can be incorporated into the present compounds include isotopes of hydrogen, carbon, nitrogen, oxygen, fluorine and chlorine, such as 2 H, 3 H, 13 C, 14 C, 15 N, 18 O, 17 O, 35 S, 18 F, 36 Cl, respectively.
- isotopically-labeled compounds described herein for example those into which radioactive isotopes such as 3 H and 14 C are incorporated, are useful in drug and/or substrate tissue distribution assays. Further, substitution with isotopes such as deuterium, i.e., 2 H, can afford certain therapeutic advantages resulting from greater metabolic stability, for example increased in vivo half-life or reduced dosage requirements.
- the compounds described herein are metabolized upon administration to an organism in need to produce a metabolite that is then used to produce a desired effect, including a desired therapeutic effect.
- compositions described herein may be formed as, and/or used as, pharmaceutically acceptable salts.
- pharmaceutical acceptable salts include, but are not limited to: (1) acid addition salts, formed) by reacting the free base form of the compound with a pharmaceutically acceptable: inorganic acid such as hydrochloric acid, hydrobromic acid, sulfuric acid, nitric acid, phosphoric acid, metaphosphoric acid, and the like; or with an organic acid such as acetic acid, propionic acid, hexanoic acid, cyclopentanepropionic acid, glycolic acid, pyruvic acid, lactic acid, malonic acid, succinic acid, malic acid, maleic acid, fumaric acid, trifluoroacetic acid, tartaric acid, citric acid, benzoic acid, 3-(4-hydroxybenzoyl)benzoic acid, cinnamic acid, mandelic acid, methanesulfonic acid, ethanesulfonic acid, 1,2-ethanedisulf
- organic bases include ethanolamine, diethanolamine, triethanolamine, tromethamine, N-methylglucamine, and the like.
- Acceptable inorganic bases include aluminum hydroxide, calcium hydroxide, potassium hydroxide, sodium carbonate, sodium hydroxide, and the like.
- the salts are recovered by using at least one of the following techniques: filtration, precipitation with a non-solvent followed by filtration, evaporation of the solvent, or, in the case of aqueous solutions, lyophilization.
- a reference to a salt includes the solvent addition forms or crystal forms thereof, particularly solvates or polymorphs.
- Solvates contain either stoichiometric or non-stoichiometric amounts of a solvent, and are often formed during the process of crystallization with pharmaceutically acceptable solvents such as water, ethanol, and the like. Hydrates are formed when the solvent is water, or alcoholates are formed when the solvent is alcohol.
- Polymorphs include the different crystal packing arrangements of the same elemental composition of a compound. Polymorphs usually have different X-ray diffraction patterns, infrared spectra, melting points, density, hardness, crystal shape, optical and electrical properties, stability, and solubility. Various factors such as the recrystallization solvent, rate of crystallization, and storage temperature may cause a single crystal form to dominate.
- Compounds described herein may be in various forms, including but not limited to, amorphous forms, milled forms and nano-particulate forms.
- compounds described herein include crystalline forms, also known as polymorphs.
- Polymorphs include the different crystal packing arrangements of the same elemental composition of a compound. Polymorphs usually have different X-ray diffraction patterns, infrared spectra, melting points, density, hardness, crystal shape, optical and electrical properties, stability, and solubility. Various factors such as the recrystallization solvent, rate of crystallization, and storage temperature may cause a single crystal form to dominate.
- X-ray diffraction methods include, but are not limited to, single crystal and powder diffractometers and synchrotron sources.
- the various spectroscopic techniques used include, but are not limited to, Raman, FTIR, UVIS, and NMR (liquid and solid state).
- the various microscopy techniques include, but are not limited to, polarized light microscopy, Scanning Electron Microscopy (SEM) with Energy Dispersive X-Ray Analysis (EDX), Environmental Scanning Electron Microscopy with EDX (in gas or water vapor atmosphere), IR microscopy, and Raman microscopy.
- a pharmaceutical composition refers to a mixture of a compound described herein, such as, for example, compounds of any of Formula (A), Formula (B), Formula (C), or Formula (D), with other chemical components, such as carriers, stabilizers, diluents, dispersing agents, suspending agents, thickening agents, and/or excipients.
- the pharmaceutical composition facilitates administration of the compound to an organism.
- therapeutically effective amounts of compounds described herein are administered in a pharmaceutical composition to a mammal having a disease, disorder, or condition to be treated.
- the mammal is a human.
- a therapeutically effective amount can vary widely depending on the severity of the disease, the age and relative health of the subject, the potency of the compound used and other factors.
- the compounds can be used singly or in combination with one or more therapeutic agents as components of mixtures.
- pharmaceutical combination means a product that results from the mixing or combining of more than one active ingredient and includes both fixed and non-fixed combinations of the active ingredients.
- fixed combination means that the active ingredients, e.g. a compound described herein and a co-agent, are both administered to a patient simultaneously in the form of a single entity or dosage.
- non-fixed combination means that the active ingredients, e.g. a compound described herein and a co-agent, are administered to a patient as separate entities either simultaneously, concurrently or sequentially with no specific intervening time limits, wherein such administration provides effective levels of the two compounds in the body of the patient.
- cocktail therapy e.g. the administration of three or more active ingredients.
- the pharmaceutical formulations described herein can be administered to a subject by multiple administration routes, including but not limited to, oral, parenteral (e.g., intravenous, subcutaneous, intramuscular), intranasal, buccal, topical, rectal, or transdermal administration routes.
- the pharmaceutical formulations described herein include, but are not limited to, aqueous liquid dispersions, self-emulsifying dispersions, solid solutions, liposomal dispersions, aerosols, solid dosage forms, powders, immediate release formulations, controlled release formulations, fast melt formulations, tablets, capsules, pills, delayed release formulations, extended release formulations, pulsatile release formulations, multiparticulate formulations, and mixed immediate and controlled release formulations.
- compositions including a compound described herein may be manufactured in a conventional manner, such as, by way of example only, by means of conventional mixing, dissolving, granulating, dragee-making, levigating, emulsifying, encapsulating, entrapping or compression processes.
- Antifoaming agents reduce foaming during processing which can result in coagulation of aqueous dispersions, bubbles in the finished film, or generally impair processing.
- Exemplary anti-foaming agents include silicon emulsions or sorbitan sesquoleate.
- Antioxidants include, for example, butylated hydroxytoluene (BHT), sodium ascorbate, ascorbic acid, sodium metabisulfite and tocopherol. In certain embodiments, antioxidants enhance chemical stability where required.
- BHT butylated hydroxytoluene
- antioxidants enhance chemical stability where required.
- compositions provided herein may also include one or more preservatives to inhibit microbial activity.
- Suitable preservatives include mercury-containing substances such as merfen and thiomersal; stabilized chlorine dioxide; and quaternary ammonium compounds such as benzalkonium chloride, cetyltrimethylammonium bromide and cetylpyridinium chloride.
- Formulations described herein may benefit from antioxidants, metal chelating agents, thiol containing compounds and other general stabilizing agents.
- stabilizing agents include, but are not limited to: (a) about 0.5% to about 2% w/v glycerol, (b) about 0.1% to about 1% w/v methionine, (c) about 0.1% to about 2% w/v monothioglycerol, (d) about 1 mM to about 10 mM EDTA, (e) about 0.01% to about 2% w/v ascorbic acid, (f) 0.003% to about 0.02% w/v polysorbate 80, (g) 0.001% to about 0.05% w/v.
- polysorbate 20 (h) arginine, (i) heparin, (j) dextran sulfate, (k) cyclodextrins, (l) pentosan polysulfate and other heparinoids, (m) divalent cations such as magnesium and zinc; or (n) combinations thereof.
- Binders impart cohesive qualities and include, e.g., alginic acid and salts thereof; cellulose derivatives such as carboxymethylcellulose, methylcellulose (e.g., Methocel®), hydroxypropylmethylcellulose, hydroxyethylcellulose, hydroxypropylcellulose (e.g., Klucel®), ethylcellulose (e.g., Ethocel®), and microcrystalline cellulose (e.g., Avicel®); microcrystalline dextrose; amylose; magnesium aluminum silicate; polysaccharide acids; bentonites; gelatin; polyvinylpyrrolidone/vinyl acetate copolymer; crosspovidone; povidone; starch; pregelatinized starch; tragacanth, dextrin, a sugar, such as sucrose (e.g., Dipac®), glucose, dextrose, molasses, mannitol, sorbitol, xylitol (e.g., cellulose
- a “carrier” or “carrier materials” include any commonly used excipients in pharmaceutics and should be selected on the basis of compatibility with compounds disclosed herein, such as, compounds of any of Formula (A), Formula (B), Formula (C), or Formula (D), and the release profile properties of the desired dosage form
- Exemplary carrier materials include, e.g., binders, suspending agents, disintegration agents, filling agents, surfactants, solubilizers, stabilizers, lubricants, wetting agents, diluents, and the like.
- “Pharmaceutically compatible carrier materials” may include, but are not limited to, acacia, gelatin, colloidal silicon dioxide, calcium glycerophosphate, calcium lactate, maltodextrin, glycerine, magnesium silicate, polyvinylpyrrollidone (PVP), cholesterol, cholesterol esters, sodium caseinate, soy lecithin, taurocholic acid, phosphotidylcholine, sodium chloride, tricalcium phosphate, dipotassium phosphate, cellulose and cellulose conjugates, sugars sodium stearoyl lactylate, carrageenan, monoglyceride, diglyceride, pregelatinized starch, and the like.
- PVP polyvinylpyrrollidone
- Disposing agents include materials that control the diffusion and homogeneity of a drug through liquid media or a granulation method or blend method. In some embodiments, these agents also facilitate the effectiveness of a coating or eroding matrix.
- Exemplary diffusion facilitators/dispersing agents include, e.g., hydrophilic polymers, electrolytes, Tween® 60 or 80, PEG, polyvinylpyrrolidone (PVP; commercially known as Plasdone®), and the carbohydrate-based dispersing agents such as, for example, hydroxypropyl celluloses (e.g., HPC, HPC-SL, and HPC-L), hydroxypropyl methylcelluloses (e.g., HPMC K100, HPMC K4M, HPMC K15M, and HPMC K100M), carboxymethylcellulose sodium, methylcellulose, hydroxyethylcellulose, hydroxypropylcellulose, hydroxypropylmethylcellulose phthalate, hydroxypropylmethylcellulose acetate stearate (HPMCAS), noncrystalline cellulose, magnesium aluminum silicate, triethanolamine, polyvinyl alcohol (PVA), vinyl pyrrolidone/vinyl acetate copolymer (S630), 4-(1,1,3,3-t
- Plasticizers such as cellulose or triethyl cellulose can also be used as dispersing agents.
- Dispersing agents particularly useful in liposomal dispersions and self-emulsifying dispersions are dimyristoyl phosphatidyl choline, natural phosphatidyl choline from eggs, natural phosphatidyl glycerol from eggs, cholesterol and isopropyl myristate.
- Combinations of one or more erosion facilitator with one or more diffusion facilitator can also be used in the present compositions.
- diluent refers to chemical compounds that are used to dilute the compound of interest prior to delivery. Diluents can also be used to stabilize compounds because they can provide a more stable environment Salts dissolved in buffered solutions (which also can provide pH control or maintenance) are utilized as diluents in the art, including, but not limited to a phosphate buffered saline solution. In certain embodiments, diluents increase bulk of the composition to facilitate compression or create sufficient bulk for homogenous blend for capsule filling.
- Such compounds include e.g., lactose, starch, mannitol, sorbitol, dextrose, microcrystalline cellulose such as Avicel®; dibasic calcium phosphate, dicalcium phosphate dihydrate; tricalcium phosphate, calcium phosphate; anhydrous lactose, spray-dried lactose; pregelatinized starch, compressible sugar, such as Di-Pac® (Amstar); mannitol, hydroxypropylmethylcellulose, hydroxypropylmethylcellulose acetate stearate, sucrose-based diluents, confectioner's sugar; monobasic calcium sulfate monohydrate, calcium sulfate dihydrate; calcium lactate trihydrate, dextrates; hydrolyzed cereal solids, amylose; powdered cellulose, calcium carbonate; glycine, kaolin; mannitol, sodium chloride; inositol, bentonite, and the like.
- Avicel® di
- disintegrate includes both the dissolution and dispersion of the dosage form when contacted with gastrointestinal fluid.
- disintegration agents or disintegrants facilitate the breakup or disintegration of a substance.
- disintegration agents include a starch, e.g., a natural starch such as corn starch or potato starch, a pregelatinized starch such as National 1551 or Amijel®, or sodium starch glycolate such as Promogel® or Explotab®, a cellulose such as a wood product, methylcrystalline cellulose, e.g., Avicel®, Avicel® PH101, Avicel® PH102, Avicel® PH105, Elcemea® P100, Emcocel®, Vivacel®, Ming Tia®, and Solka-Floc®, methylcellulose, croscarmellose, or a cross-linked cellulose, such as cross-linked sodium carboxymethylcellulose (Ac-Di-Sol®), cross-linked carboxymethylcellulose, or cross-
- Drug absorption typically refers to the process of movement of drug from site of administration of a drug across a barrier into a blood vessel or the site of action, e.g., a drug moving from the gastrointestinal tract into the portal vein or lymphatic system.
- enteric coating is a substance that remains substantially intact in the stomach but dissolves and releases the drug in the small intestine or colon.
- the enteric coating comprises a polymeric material that prevents release in the low pH environment of the stomach but that ionizes at a higher pH, typically a pH of 6 to 7, and thus dissolves sufficiently in the small intestine or colon to release the active agent therein.
- Erosion facilitators include materials that control the erosion of a particular material in gastrointestinal fluid. Erosion facilitators are generally known to those of ordinary skill in the art. Exemplary erosion facilitators include, e.g., hydrophilic polymers, electrolytes, proteins, peptides, and amino acids.
- Filling agents include compounds such as lactose, calcium carbonate, calcium phosphate, dibasic calcium phosphate, calcium sulfate, microcrystalline cellulose, cellulose powder, dextrose, dextrates, dextran, starches, pregelatinized starch, sucrose, xylitol, lactitol, mannitol, sorbitol, sodium chloride, polyethylene glycol, and the like.
- “Flavoring agents” and/or “sweeteners” useful in the formulations described herein include, e.g., acacia syrup, acesulfame K, alitame, anise, apple, aspartame, banana, Bavarian cream berry, black currant, butterscotch, calcium citrate, camphor, caramel, cherry, cherry cream chocolate, cinnamon, bubble gum, citrus, citrus punch, citrus cream, cotton candy, cocoa, cola, cool cherry, cool citrus, cyclamate, cylamate, dextrose, eucalyptus, eugenol, fructose, fruit punch, ginger, glycyrrhetinate, glycyrrhiza (licorice) syrup, grape, grapefruit, honey, isomalt, lemon, lime, lemon cream, monoammonium glyrrhizinate (MagnaSweet®), maltol, mannitol, maple, marshmallow, menthol, mint cream,
- “Lubricants” and “glidants” are compounds that prevent, reduce or inhibit adhesion or friction of materials.
- Exemplary lubricants include, e.g., stearic acid, calcium hydroxide, talc, sodium stearyl fumerate, a hydrocarbon such as mineral oil, or hydrogenated vegetable oil such as hydrogenated soybean oil (Sterotex®, higher fatty acids and their alkali-metal and alkaline earth metal salts, such as aluminum, calcium, magnesium, zinc, stearic acid, sodium stearates, glycerol, talc, waxes, Stearowet®, boric acid, sodium benzoate, sodium acetate, sodium chloride, leucine, a polyethylene glycol (e.g., PEG-4000) or a methoxypolyethylene glycol such as CarbowaxTM, sodium oleate, sodium benzoate, glyceryl behenate, polyethylene glycol, magnesium or sodium lauryl sulfate
- a “measurable serum concentration” or “measurable plasma concentration” describes the blood serum or blood plasma concentration, typically measured in mg, ⁇ g, or ng of therapeutic agent per ml, dl, or l of blood serum, absorbed into the bloodstream after administration. As used herein, measurable plasma concentrations are typically measured in ng/ml or ⁇ g/ml.
- “Pharmacodynamics” refers to the factors which determine the biologic response observed relative to the concentration of drug at a site of action.
- “Pharmacokinetics” refers to the factors which determine the attainment and maintenance of the appropriate concentration of drug at a site of action.
- Plasticizers are compounds used to soften the microencapsulation material or film coatings to make them less brittle. Suitable plasticizers include, e.g., polyethylene glycols such as PEG 300, PEG 400, PEG 600, PEG 1450, PEG 3350, and PEG 800, stearic acid, propylene glycol, oleic acid, triethyl cellulose and triacetin. In some embodiments, plasticizers can also function as dispersing agents or wetting agents.
- Solubilizers include compounds such as triacetin, triethylcitrate, ethyl oleate, ethyl caprylate, sodium lauryl sulfate, sodium doccusate, vitamin E TPGS, dimethylacetamide, N-methylpyrrolidone, N-hydroxyethylpyrrolidone, polyvinylpyrrolidone, hydroxypropylmethyl cellulose, hydroxypropyl cyclodextrins, ethanol, n-butanol, isopropyl alcohol, cholesterol, bile salts, polyethylene glycol 200-600, glycofurol, transcutol, propylene glycol, and dimethyl isosorbide and the like.
- Stabilizers include compounds such as any antioxidation agents, buffers, acids, preservatives and the like.
- Step state is when the amount of drug administered is equal to the amount of drug eliminated within one dosing interval resulting in a plateau or constant plasma drug exposure.
- “Suspending agents” include compounds such as polyvinylpyrrolidone, e.g., polyvinylpyrrolidone K12, polyvinylpyrrolidone K17, polyvinylpyrrolidone K25, or polyvinylpyrrolidone K30, vinyl pyrrolidone/vinyl acetate copolymer (S630), polyethylene glycol, e.g., the polyethylene glycol can have a molecular weight of about 300 to about 6000, or about 3350 to about 4000, or about 7000 to about 5400, sodium carboxymethylcellulose, methylcellulose, hydroxypropylmethylcellulose, hydroxymethylcellulose acetate stearate, polysorbate-80, hydroxyethylcellulose, sodium alginate, gums, such as, e.g., gum tragacanth and gum acacia, guar gum, xanthans, including xanthan gun, sugars, cellulosics, such as, e
- “Surfactants” include compounds such as sodium lauryl sulfate, sodium docusate, Tween 60 or 80, triacetin, vitamin E TPGS, sorbitan monooleate, polyoxyethylene sorbitan monooleate, polysorbates, polaxomers, bile salts, glyceryl monostearate, copolymers of ethylene oxide and propylene oxide, e.g., Pluronic® (BASF), and the like.
- Some other surfactants include polyoxyethylene fatty acid glycerides and vegetable oils, e.g., polyoxyethylene (60) hydrogenated castor oil; and polyoxyethylene alkylethers and alkylphenyl ethers, e.g. octoxynol 10, octoxynol 40. In some embodiments, surfactants may be included to enhance physical stability or for other purposes.
- “Viscosity enhancing agents” include, e.g., methyl cellulose, xanthan gum, carboxymethyl cellulose, hydroxypropyl cellulose, hydroxypropylmethyl cellulose, hydroxypropylmethyl cellulose acetate stearate, hydroxypropylmethyl cellulose phthalate, carbomer, polyvinyl alcohol alginates, acacia, chitosans and combinations thereof.
- Weight agents include compounds such as oleic acid, glyceryl monostearate, sorbitan monooleate, sorbitan monolaurate, triethanolamine oleate, polyoxyethylene sorbitan monooleate, polyoxyethylene sorbitan monolaurate, sodium docusate, sodium oleate, sodium lauryl sulfate, sodium doccusate, triacetin, Tween 80, vitamin E TPGS, ammonium salts and the like.
- compositions described herein can be formulated for administration to a subject via any conventional means including, but not limited to, oral, parenteral (e.g., intravenous, subcutaneous, or intramuscular), buccal, intranasal, rectal or transdermal administration routes.
- parenteral e.g., intravenous, subcutaneous, or intramuscular
- buccal e.g., intranasal, rectal or transdermal administration routes.
- compositions described herein which include a compound of any of Formula (A), Formula (B), Formula (C), or Formula (D) can be formulated into any suitable dosage form, including but not limited to, aqueous oral dispersions, liquids, gels, syrups, elixirs, slurries, suspensions and the like, for oral ingestion by a patient to be treated, solid oral dosage forms, aerosols, controlled release formulations, fast melt formulations, effervescent formulations, lyophilized formulations, tablets, powders, pills, dragees, capsules, delayed release formulations, extended release formulations, pulsatile release formulations, multiparticulate formulations, and mixed immediate release and controlled release formulations.
- aqueous oral dispersions liquids, gels, syrups, elixirs, slurries, suspensions and the like
- solid oral dosage forms including but not limited to, aqueous oral dispersions, liquids, gels, syrups, elixirs,
- compositions for oral use can be obtained by mixing one or more solid excipient with one or more of the compounds described herein, optionally grinding the resulting mixture, and processing the mixture of granules, after adding suitable auxiliaries, if desired, to obtain tablets or dragee cores.
- Suitable excipients include, for example, fillers such as sugars, including lactose, sucrose, mannitol, or sorbitol; cellulose preparations such as, for example, maize starch, wheat starch, rice starch, potato starch, gelatin, gum tragacanth, methylcellulose, microcrystalline cellulose, hydroxypropylmethylcellulose, sodium carboxymethylcellulose; or others such as: polyvinylpyrrolidone (PVP or povidone) or calcium phosphate.
- disintegrating agents may be added, such as the cross-linked croscarmellose sodium, polyvinylpyrrolidone, agar, or alginic acid or a salt thereof such as sodium alginate.
- Dragee cores are provided with suitable coatings.
- suitable coatings For this purpose, concentrated sugar solutions may be used, which may optionally contain gum arabic, talc, polyvinylpyrrolidone, carbopol gel, polyethylene glycol, and/or titanium dioxide, lacquer solutions, and suitable organic solvents or solvent mixtures.
- Dyestuffs or pigments may be added to the tablets or dragee coatings for identification or to characterize different combinations of active compound doses.
- compositions which can be used orally include push-fit capsules made of gelatin, as well as soft, sealed capsules made of gelatin and a plasticizer, such as glycerol or sorbitol.
- the push-fit capsules can contain the active ingredients in admixture with filler such as lactose, binders such as starches, and/or lubricants such as talc or magnesium stearate and, optionally, stabilizers.
- the active compounds may be dissolved or suspended in suitable liquids, such as fatty oils, liquid paraffin, or liquid polyethylene glycols.
- stabilizers may be added. All formulations for oral administration should be in dosages suitable for such administration.
- the solid dosage forms disclosed herein may be in the form of a tablet, (including a suspension tablet, a fast-melt tablet, a bite-disintegration tablet, a rapid-disintegration tablet, an effervescent tablet, or a caplet), a pill, a powder (including a sterile packaged powder, a dispensable powder, or an effervescent powder) a capsule (including both soft or hard capsules, e.g., capsules made from animal-derived gelatin or plant-derived HPMC, or “sprinkle capsules”), solid dispersion, solid solution, bioerodible dosage form, controlled release formulations, pulsatile release dosage forms, multiparticulate dosage forms, pellets, granules, or an aerosol.
- a tablet including a suspension tablet, a fast-melt tablet, a bite-disintegration tablet, a rapid-disintegration tablet, an effervescent tablet, or a caplet
- a pill including a sterile
- the pharmaceutical formulation is in the form of a powder. In still other embodiments, the pharmaceutical formulation is in the form of a tablet, including but not limited to, a fast-melt tablet. Additionally, pharmaceutical formulations described herein may be administered as a single capsule or in multiple capsule dosage form. In some embodiments, the pharmaceutical formulation is administered in two, or three, or four, capsules or tablets.
- solid dosage forms e.g., tablets, effervescent tablets, and capsules
- solid dosage forms are prepared by mixing particles of a compound of any of Formula (A), Formula (B), Formula (C), or Formula (D), with one or more pharmaceutical excipients to form a bulk blend composition.
- these bulk blend compositions as homogeneous, it is meant that the particles of the compound of any of Formula (A), Formula (B), Formula (C), or Formula (D), are dispersed evenly throughout the composition so that the composition may be readily subdivided into equally effective unit dosage forms, such as tablets, pills, and capsules.
- the individual unit dosages may also include film coatings, which disintegrate upon oral ingestion or upon contact with diluent. These formulations can be manufactured by conventional pharmacological techniques.
- Conventional pharmacological techniques include, e.g., one or a combination of methods: (1) dry mixing, (2) direct compression, (3) milling, (4) dry or non-aqueous granulation, (5) wet granulation, or (6) fusion. See, e.g., Lachman et al., The Theory and Practice of Industrial Pharmacy (1986).
- Other methods include, e.g., spray drying, pan coating, melt granulation, granulation, fluidized bed spray drying or coating (e.g., wurster coating), tangential coating, top spraying, tableting, extruding and the like.
- the pharmaceutical solid dosage forms described herein can include a compound described herein and one or more pharmaceutically acceptable additives such as a compatible carrier, binder, filling agent, suspending agent flavoring agent, sweetening agent, disintegrating agent, dispersing agent, surfactant, lubricant, colorant diluent solubilizer, moistening agent, plasticizer, stabilizer, penetration enhancer, wetting agent anti-foaming agent antioxidant, preservative, or one or more combination thereof.
- a film coating is provided around the formulation of the compound of any of Formula (A), Formula (B), Formula (C), or Formula (D).
- some or all of the particles of the compound of any of Formula (A), Formula (B), Formula (C), or Formula (D), are coated. In another embodiment, some or all of the particles of the compound of any of Formula (A), Formula (B), Formula (C), or Formula (D), are microencapsulated. In still another embodiment, the particles of the compound of any of Formula (A), Formula (B), Formula (C), or Formula (D), are not microencapsulated and are uncoated.
- Suitable carriers for use in the solid dosage forms described herein include, but are not limited to, acacia, gelatin, colloidal silicon dioxide, calcium glycerophosphate, calcium lactate, maltodextrin, glycerine, magnesium silicate, sodium caseinate, soy lecithin, sodium chloride, tricalcium phosphate, dipotassium phosphate, sodium stearoyl lactylate, carrageenan, monoglyceride, diglyceride, pregelatinized starch, hydroxypropylmethylcellulose, hydroxypropylmethylcellulose acetate stearate, sucrose, microcrystalline cellulose, lactose, mannitol and the like.
- Suitable filling agents for use in the solid dosage forms described herein include, but are not limited to, lactose, calcium carbonate, calcium phosphate, dibasic calcium phosphate, calcium sulfate, microcrystalline cellulose, cellulose powder, dextrose, dextrates, dextran, starches, pregelatinized starch, hydroxypropylmethycellulose (HPMC), hydroxypropylmethycellulose phthalate, hydroxypropylmethylcellulose acetate stearate (HPMCAS), sucrose, xylitol, lactitol, mannitol, sorbitol, sodium chloride, polyethylene glycol, and the like.
- Binders impart cohesiveness to solid oral dosage form formulations: for powder filled capsule formulation, they aid in plug formation that can be filled into soft or hard shell capsules and for tablet formulation, they ensure the tablet remaining intact after compression and help assure blend uniformity prior to a compression or fill step.
- Materials suitable for use as binders in the solid dosage forms described herein include, but are not limited to, carboxymethylcellulose, methylcellulose (e.g., Methocel®), hydroxypropylmethylcellulose (e.g.
- binder levels of 20-70% are used in powder-filled gelatin capsule formulations.
- Binder usage level in tablet formulations varies whether direct compression, wet granulation, roller compaction, or usage of other excipients such as fillers which itself can act as moderate binder.
- Formulators skilled in art can determine the binder level for the formulations, but binder usage level of up to 70% in tablet formulations is common.
- Suitable lubricants or glidants for use in the solid dosage forms described herein include, but are not limited to, stearic acid, calcium hydroxide, talc, corn starch, sodium stearyl fumerate, alkali-metal and alkaline earth metal salts, such as aluminum, calcium, magnesium zinc, stearic acid, sodium stearates, magnesium stearate, zinc stearate, waxes, Stearowet®, boric acid, sodium benzoate, sodium acetate, sodium chloride, leucine, a polyethylene glycol or a methoxypolyethylene glycol such as CarbowaxTM, PEG 4000, PEG 5000, PEG 6000, propylene glycol, sodium oleate, glyceryl behenate, glyceryl palmitostearate, glyceryl benzoate, magnesium or sodium lauryl sulfate, and the like.
- stearic acid calcium hydroxide, talc, corn star
- Suitable diluents for use in the solid dosage forms described herein include, but are not limited to, sugars (including lactose, sucrose, and dextrose), polysaccharides (including dextrates and maltodextrin), polyols (including mannitol, xylitol, and sorbitol), cyclodextrins and the like.
- non water-soluble diluent represents compounds typically used in the formulation of pharmaceuticals, such as calcium phosphate, calcium sulfate, starches, modified starches and microcrystalline cellulose, and microcellulose (e.g., having a density of about 0.45 g/cm 3 , e.g. Avicel, powdered cellulose), and talc.
- Suitable wetting agents for use in the solid dosage forms described herein include, for example, oleic acid, glyceryl monostearate, sorbitan monooleate, sorbitan monolaurate, triethanolamine oleate, polyoxyethylene sorbitan monooleate, polyoxyethylene sorbitan monolaurate, quaternary ammonium compounds (e.g., Polyquat 10®), sodium oleate, sodium lauryl sulfate, magnesium stearate, sodium docusate, triacetin, vitamin E TPGS and the like.
- quaternary ammonium compounds e.g., Polyquat 10®
- Suitable surfactants for use in the solid dosage forms described herein include, for example, sodium lauryl sulfate, sorbitan monooleate, polyoxyethylene sorbitan monooleate, polysorbates, polaxomers, bile salts, glyceryl monostearate, copolymers of ethylene oxide and propylene oxide, e.g., Pluronic® (BASF), and the like.
- Suitable suspending agents for use in the solid dosage forms described here include, but are not limited to, polyvinylpyrrolidone, e.g., polyvinylpyrrolidone K12, polyvinylpyrrolidone K17, polyvinylpyrrolidone K25, or polyvinylpyrrolidone K30, polyethylene glycol, e.g., the polyethylene glycol can have a molecular weight of about 300 to about 6000, or about 3350 to about 4000, or about 7000 to about 5400, vinyl pyrrolidone/vinyl acetate copolymer (S630), sodium carboxymethylcellulose, methylcellulose, hydroxy-propylmethylcellulose, polysorbate-80, hydroxyethylcellulose, sodium alginate, gums, such as, e.g., gum tragacanth and gum acacia, guar gum, xanthans, including xanthan gum, sugars, cellulosics, such as,
- Suitable antioxidants for use in the solid dosage forms described herein include, for example, e.g., butylated hydroxytoluene (BHT), sodium ascorbate, and tocopherol.
- BHT butylated hydroxytoluene
- sodium ascorbate sodium ascorbate
- tocopherol sodium ascorbate
- additives used in the solid dosage forms described herein there is considerable overlap between additives used in the solid dosage forms described herein.
- the above-listed additives should be taken as merely exemplary, and not limiting, of the types of additives that can be included in solid dosage forms described herein.
- the amounts of such additives can be readily determined by one skilled in the art, according to the particular properties desired.
- one or more layers of the pharmaceutical formulation are plasticized.
- a plasticizer is generally a high boiling point solid or liquid. Suitable plasticizers can be added from about 0.01% to about 50% by weight (w/w) of the coating composition.
- Plasticizers include, but are not limited to, diethyl phthalate, citrate esters, polyethylene glycol, glycerol, acetylated glycerides, triacetin, polypropylene glycol, polyethylene glycol, triethyl citrate, dibutyl sebacate, stearic acid, stearol, stearate, and castor oil.
- Compressed tablets are solid dosage forms prepared by compacting the bulk blend of the formulations described above.
- compressed tablets which are designed to dissolve in the mouth will include one or more flavoring agents.
- the compressed tablets will include a film surrounding the final compressed tablet.
- the film coating can provide a delayed release of the compound of any of Formula (A), Formula (B), Formula (C), or Formula (D), from the formulation.
- the film coating aids in patient compliance (e.g., Opadry® coatings or sugar coating). Film coatings including Opadry® typically range from about 1% to about 3% of the tablet weight.
- the compressed tablets include one or more excipients.
- a capsule may be prepared, for example, by placing the bulk blend of the formulation of the compound of any of Formula (A), Formula (B), Formula (C), or Formula (D), described above, inside of a capsule.
- the formulations non-aqueous suspensions and solutions
- the formulations are placed in a soft gelatin capsule.
- the formulations are placed in standard gelatin capsules or non-gelatin capsules such as capsules comprising HPMC.
- the formulation is placed in a sprinkle capsule, wherein the capsule may be swallowed whole or the capsule may be opened and the contents sprinkled on food prior to eating.
- the therapeutic dose is split into multiple (e.g., two, three, or four) capsules.
- the entire dose of the formulation is delivered in a capsule form.
- the particles of the compound of any of Formula (A), Formula (B), Formula (C), or Formula (D), and one or more excipients are dry blended and compressed into a mass, such as a tablet, having a hardness sufficient to provide a pharmaceutical composition that substantially disintegrates within less than about 30 minutes, less than about 35 minutes, less than about 40 minutes, less than about 45 minutes, less than about 50 minutes, less than about 55 minutes, or less than about 60 minutes, after oral administration, thereby releasing the formulation into the gastrointestinal fluid.
- dosage forms may include microencapsulated formulations.
- one or more other compatible materials are present in the microencapsulation material.
- Exemplary materials include, but are not limited to, pH modifiers, erosion facilitators, anti-foaming agents, antioxidants, flavoring agents, and carrier materials such as binders, suspending agents, disintegration agents, filling agents, surfactants, solubilizers, stabilizers, lubricants, wetting agents, and diluents.
- Materials useful for the microencapsulation described herein include materials compatible with compounds of any of Formula (A), Formula (B), Formula (C), or Formula (D), which sufficiently isolate the compound of any of Formula (A), Formula (B), Formula (C), or Formula (D), from other non-compatible excipients.
- Materials compatible with compounds of any of Formula (A), Formula (B), Formula (C), or Formula (D), are those that delay the release of the compounds of any of Formula (A), Formula (B), Formula (C), or Formula (D), in vivo.
- Exemplary microencapsulation materials useful for delaying the release of the formulations including compounds described herein include, but are not limited to, hydroxypropyl cellulose ethers (HPC) such as Klucel® or Nisso HPC, low-substituted hydroxypropyl cellulose ethers (L-HPC), hydroxypropyl methyl cellulose ethers (HPMC) such as Seppifilm-LC, Pharmacoat®, Metolose SR, Methocel®-E, Opadry YS, PrimaFlo, Benecel MP824, and Benecel MP843, methylcellulose polymers such as Methocel®-A, hydroxypropylmethylcellulose acetate stearate Aqoat (HF-LS, HF-LG, HF-MS) and Metolose®, Ethylcelluloses (EC) and mixtures thereof such as E461, Ethocel®, Aqualon®-EC, Surelease®, Polyvinyl alcohol (PVA) such as Opadry AMB, hydroxy
- plasticizers such as polyethylene glycols, e.g., PEG 300, PEG 400, PEG 600, PEG 1450, PEG 3350, and PEG 800, stearic acid, propylene glycol, oleic acid, and triacetin are incorporated into the microencapsulation material.
- the microencapsulating material useful for delaying the release of the pharmaceutical compositions is from the USP or the National Formulary (NF).
- the microencapsulation material is Klucel.
- the microencapsulation material is methocel.
- Microencapsulated compounds of any of Formula (A), Formula (B), Formula (C), or Formula (D), may be formulated by methods known by one of ordinary skill in the art. Such known methods include, e.g., spray drying processes, spinning disk-solvent processes, hot melt processes, spray chilling methods, fluidized bed, electrostatic deposition, centrifugal extrusion, rotational suspension separation, polymerization at liquid-gas or solid-gas interface, pressure extrusion, or spraying solvent extraction bath. In addition to these, several chemical techniques, e.g., complex coacervation, solvent evaporation, polymer-polymer incompatibility, interfacial polymerization in liquid media, in situ polymerization, in-liquid drying, and desolvation in liquid media could also be used. Furthermore, other methods such as roller compaction, extrusion/spheronization, coacervation, or nanoparticle coating may also be used.
- the particles of compounds of any of Formula (A), Formula (B), Formula (C), or Formula (D), are microencapsulated prior to being formulated into one of the above forms.
- some or most of the particles are coated prior to being further formulated by using standard coating procedures, such as those described in Remington's Pharmaceutical Sciences, 20th Edition (2000).
- the solid dosage formulations of the compounds of any of Formula (A), Formula (B), Formula (C), or Formula (D), are plasticized (coated) with one or more layers.
- a plasticizer is generally a high boiling point solid or liquid. Suitable plasticizers can be added from about 0.01% to about 50% by weight (w/w) of the coating composition.
- Plasticizers include, but are not limited to, diethyl phthalate, citrate esters, polyethylene glycol, glycerol, acetylated glycerides, triacetin, polypropylene glycol, polyethylene glycol triethyl citrate, dibutyl sebacate, stearic acid, stearol, stearate, and castor oil.
- a powder including the formulations with a compound of any of Formula (A), Formula (B), Formula (C), or Formula (D), described herein may be formulated to include one or more pharmaceutical excipients and flavors.
- a powder may be prepared, for example, by mixing the formulation and optional pharmaceutical excipients to form a bulk blend composition. Additional embodiments also include a suspending agent and/or a wetting agent. This bulk blend is uniformly subdivided into unit dosage packaging or multi-dosage packaging units.
- Effervescent powders are also prepared in accordance with the present disclosure.
- Effervescent salts have been used to disperse medicines in water for oral administration.
- Effervescent salts are granules or coarse powders containing a medicinal agent in a dry mixture, usually composed of sodium bicarbonate, citric acid and/or tartaric acid.
- a medicinal agent in a dry mixture, usually composed of sodium bicarbonate, citric acid and/or tartaric acid.
- the acids and the base react to liberate carbon dioxide gas, thereby causing “effervescence.”
- effervescent salts include, e.g., the following ingredients: sodium bicarbonate or a mixture of sodium bicarbonate and sodium carbonate, citric acid and/or tartaric acid. Any acid-base combination that results in the liberation of carbon dioxide can be used in place of the combination of sodium bicarbonate and citric and tartaric acids, as long as the ingredients were suitable for pharmaceutical use and result in a pH of about 6.0 or higher.
- the formulations described herein which include a compound of Formula (A), are solid dispersions.
- Methods of producing such solid dispersions are known in the art and include, but are not limited to, for example, U.S. Pat. Nos. 4,343,789, 5,340,591, 5,456,923, 5,700,485, 5,723,269, and U.S. Pub. Appl 2004/0013734, each of which is specifically incorporated by reference.
- the formulations described herein are solid solutions.
- Solid solutions incorporate a substance together with the active agent and other excipients such that heating the mixture results in dissolution of the drug and the resulting composition is then cooled to provide a solid blend which can be further formulated or directly added to a capsule or compressed into a tablet.
- Methods of producing such solid solutions are known in the art and include, but are not limited to, for example, U.S. Pat. Nos. 4,151,273, 5,281,420, and 6,083,518, each of which is specifically incorporated by reference.
- the pharmaceutical solid oral dosage forms including formulations described herein, which include a compound of any of Formula (A), Formula (B), Formula (C), or Formula (D), can be further formulated to provide a controlled release of the compound of Formula (A).
- Controlled release refers to the release of the compound of any of Formula (A), Formula (B), Formula (C), or Formula (D), from a dosage form in which it is incorporated according to a desired profile over an extended period of time.
- Controlled release profiles include, for example, sustained release, prolonged release, pulsatile release, and delayed release profiles.
- controlled release compositions allow delivery of an agent to a subject over an extended period of time according to a predetermined profile.
- Such release rates can provide therapeutically effective levels of agent for an extended period of time and thereby provide a longer period of pharmacologic response while minimizing side effects as compared to conventional rapid release dosage forms. Such longer periods of response provide for many inherent benefits that are not achieved with the corresponding short acting, immediate release preparations.
- the solid dosage forms described herein can be formulated as enteric coated delayed release oral dosage forms, i.e., as an oral dosage form of a pharmaceutical composition as described herein which utilizes an enteric coating to affect release in the small intestine of the gastrointestinal tract.
- the enteric coated dosage form may be a compressed or molded or extruded tablet/mold (coated or uncoated) containing granules, powder, pellets, beads or particles of the active ingredient and/or other composition components, which are themselves coated or uncoated.
- the enteric coated oral dosage form may also be a capsule (coated or uncoated) containing pellets, beads or granules of the solid carrier or the composition, which are themselves coated or uncoated.
- delayed release refers to the delivery so that the release can be accomplished at some generally predictable location in the intestinal tract more distal to that which would have been accomplished if there had been no delayed release alterations.
- the method for delay of release is coating. Any coatings should be applied to a sufficient thickness such that the entire coating does not dissolve in the gastrointestinal fluids at pH below about 5, but does dissolve at pH about 5 and above. It is expected that any anionic polymer exhibiting a pH-dependent solubility profile can be used as an enteric coating in the methods and compositions described herein to achieve delivery to the lower gastrointestinal tract.
- the polymers described herein are anionic carboxylic polymers.
- the polymers and compatible mixtures thereof, and some of their properties include, but are not limited to:
- Shellac also called purified lac, a refined product obtained from the resinous secretion of an insect. This coating dissolves in media of pH>7;
- Acrylic polymers The performance of acrylic polymers (primarily their solubility in biological fluids) can vary based on the degree and type of substitution. Examples of suitable acrylic polymers include methacrylic acid copolymers and ammonium methacrylate copolymers.
- the Eudragit series E, L, S, RL, RS and NE are available as solubilized in organic solvent, aqueous dispersion, or dry powders.
- the Eudragit series RL, NE, and RS are insoluble in the gastrointestinal tract but are permeable and are used primarily for colonic targeting.
- the Eudragit series E dissolve in the stomach.
- the Eudragit series L, L-30D and S are insoluble in stomach and dissolve in the intestine;
- Cellulose Derivatives examples include: ethyl cellulose; reaction mixtures of partial acetate esters of cellulose with phthalic anhydride. The performance can vary based on the degree and type of substitution.
- Cellulose acetate phthalate (CAP) dissolves in pH>6.
- Aquateric (FMC) is an aqueous based system and is a spray dried CAP psuedolatex with particles ⁇ 1 ⁇ m.
- Other components in Aquateric can include pluronics, Tweens, and acetylated monoglycerides.
- Suitable cellulose derivatives include: cellulose acetate trimellitate (Eastman); methylcellulose (Pharmacoat, Methocel); hydroxypropylmethyl cellulose phthalate (HPMCP); hydroxypropylmethyl cellulose succinate (HPMCS); and hydroxypropylmethylcellulose acetate succinate (e.g., AQOAT (Shin Etsu)).
- HPMCP such as, HP-50, HP-55, HP-55S, HP-55F grades are suitable.
- the performance can vary based on the degree and type of substitution.
- suitable grades of hydroxypropylmethylcellulose acetate succinate include, but are not limited to, AS-LG (LF), which dissolves at pH 5, AS-MG (MF), which dissolves at pH 5.5, and AS-HG (HF), which dissolves at higher pH.
- AS-LG LF
- AS-MG MF
- AS-HG HF
- polymers are offered as granules, or as fine powders for aqueous dispersions;
- PVAP Poly Vinyl Acetate Phthalate
- the coating can, and usually does, contain a plasticizer and possibly other coating excipients such as colorants, talc, and/or magnesium stearate, which are well known in the art.
- Suitable plasticizers include triethyl citrate (Citroflex 2), triacetin (glyceryl triacetate), acetyl triethyl citrate (Citroflec A2), Carbowax 400 (polyethylene glycol 400), diethyl phthalate, tributyl citrate, acetylated monoglycerides, glycerol, fatty acid esters, propylene glycol, and dibutyl phthalate.
- anionic carboxylic acrylic polymers usually will contain 10-25% by weight of a plasticizer, especially dibutyl phthalate, polyethylene glycol, triethyl citrate and triacetin.
- a plasticizer especially dibutyl phthalate, polyethylene glycol, triethyl citrate and triacetin.
- Conventional coating techniques such as spray or pan coating are employed to apply coatings. The coating thickness must be sufficient to ensure that the oral dosage form remains intact until the desired site of topical delivery in the intestinal tract is reached.
- Colorants, detackifiers, surfactants, antifoaming agents, lubricants may be added to the coatings besides plasticizers to solubilize or disperse the coating material, and to improve coating performance and the coated product.
- the formulations described herein, which include a compound of Formula (A), are delivered using a pulsatile dosage form.
- a pulsatile dosage form is capable of providing one or more immediate release pulses at predetermined time points after a controlled lag time or at specific sites.
- Pulsatile dosage forms including the formulations described herein, which include a compound of any of Formula (A), Formula (B), Formula (C), or Formula (D) may be administered using a variety of pulsatile formulations known in the art.
- such formulations include, but are not limited to, those described in U.S. Pat. Nos. 5,011,692, 5,017,381, 5,229,135, and 5,840,329, each of which is specifically incorporated by reference.
- the controlled release dosage form is pulsatile release solid oral dosage form including at least two groups of particles, (i.e. multiparticulate) each containing the formulation described herein.
- the first group of particles provides a substantially immediate dose of the compound of any of Formula (A), Formula (B), Formula (C), or Formula (D), upon ingestion by a mammal.
- the first group of particles can be either uncoated or include a coating and/or sealant.
- the second group of particles includes coated particles, which includes from about 2% to about 75%, from about 2.5% to about 70%, or from about 40% to about 70%, by weight of the total dose of the compound of any of Formula (A), Formula (B), Formula (C), or Formula (D), in said formulation, in admixture with one or more binders.
- the coating includes a pharmaceutically acceptable ingredient in an amount sufficient to provide a delay of from about 2 hours to about 7 hours following ingestion before release of the second dose.
- Suitable coatings include one or more differentially degradable coatings such as, by way of example only, pH sensitive coatings (enteric coatings) such as acrylic resins (e.g., Eudragit® EPO, Eudragit® L30D-55, Eudragit® FS 30D Eudragit® L100-55, Eudragit® L100, Eudragit® S100, Eudragit® RD100, Eudragit® E100, Eudragit® L12.5, Eudragit® S812.5, and Eudragit® NE30D, Eudragit® NE 40D®) either alone or blended with cellulose derivatives, e.g., ethylcellulose, or non-enteric coatings having variable thickness to provide differential release of the formulation that includes a compound of any of Formula (A), Formula (B), Formula (C), or Formula (D).
- enteric coatings such as acrylic resins (e.g., Eudragit® EPO, Eudragit® L30D-55, Eudragit® FS 30D Eudragit®
- controlled release systems include, e.g., polymer-based systems, such as polylactic and polyglycolic acid, plyanhydrides and polycaprolactone; porous matrices, nonpolymer-based systems that are lipids, including sterols, such as cholesterol, cholesterol esters and fatty acids, or neutral fats, such as mono-, di- and triglycerides; hydrogel release systems; silastic systems; peptide-based systems; wax coatings, bioerodible dosage forms, compressed tablets using conventional binders and the like.
- pharmaceutical formulations include particles of the compounds of any of Formula (A), Formula (B), Formula (C), or Formula (D), described herein and at least one dispersing agent or suspending agent for oral administration to a subject.
- the formulations may be a powder and/or granules for suspension, and upon admixture with water, a substantially uniform suspension is obtained.
- Liquid formulation dosage forms for oral administration can be aqueous suspensions selected from the group including, but not limited to, pharmaceutically acceptable aqueous oral dispersions, emulsions, solutions, elixirs, gels, and syrups. See, e.g., Singh et al., Encyclopedia of pharmaceutical Technology, 2 nd Ed., pp. 754-757 (2002).
- the liquid dosage forms may include additives, such as: (a) disintegrating agents; (b) dispersing agents; (c) wetting agents; (d) at least one preservative, (e) viscosity enhancing agents, (t) at least one sweetening agent, and (g) at least one flavoring agent.
- the aqueous dispersions can further include a crystalline inhibitor.
- aqueous suspensions and dispersions described herein can remain in a homogenous state, as defined in The USP Pharmacists' Pharmacopeia (2005 edition, chapter 905), for at least 4 hours.
- the homogeneity should be determined by a sampling method consistent with regard to determining homogeneity of the entire composition.
- an aqueous suspension can be re-suspended into a homogenous suspension by physical agitation lasting less than 1 minute.
- an aqueous suspension can be re-suspended into a homogenous suspension by physical agitation lasting less than 45 seconds.
- an aqueous suspension can be re-suspended into a homogenous suspension by physical agitation lasting less than 30 seconds. In still another embodiment, no agitation is necessary to maintain a homogeneous aqueous dispersion.
- disintegrating agents for use in the aqueous suspensions and dispersions include, but are not limited to, a starch, e.g., a natural starch such as corn starch or potato starch, a pregelatinized starch such as National 1551 or Amijel®, or sodium starch glycolate such as Promogel® or Explotab®; a cellulose such as a wood product, methylcrystalline cellulose, e.g., Avicel®, Avicel® PH101, Avicel® PH102, Avicel® PH105, Elcema® P100, Emcocel®, Vivacel®, Ming Tia®, and Solka-Floc®, methylcellulose, croscarmellose, or a cross-linked cellulose, such as cross-linked sodium carboxymethylcellulose (Ac-Di-Sol®), cross-linked carboxymethylcellulose, or cross-linked croscarmellose; a cross-linked starch such as sodium starch glycolate; a cross-linked polymer such as sodium star
- the dispersing agents suitable for the aqueous suspensions and dispersions described herein are known in the art and include, for example, hydrophilic polymers, electrolytes, Tween® 60 or 80, PEG, polyvinylpyrrolidone (PVP; commercially known as Plasdone®), and the carbohydrate-based dispersing agents such as, for example, hydroxypropylcellulose and hydroxypropyl cellulose ethers (e.g., HPC, HPC-SL, and HPC-L), hydroxypropyl methylcellulose and hydroxypropyl methylcellulose ethers (e.g.
- HPMC K100, HPMC K4M, HPMC K15M, and HPMC K100M carboxymethylcellulose sodium, methylcellulose, hydroxyethylcellulose, hydroxypropylmethyl-cellulose phthalate, hydroxypropylmethyl-cellulose acetate stearate, noncrystalline cellulose, magnesium aluminum silicate, triethanolamine, polyvinyl alcohol (PVA), polyvinylpyrrolidone/vinyl acetate copolymer (Plasdone®, e.g., S-630), 4-(1,1,3,3-tetramethylbutyl)-phenol polymer with ethylene oxide and formaldehyde (also known as tyloxapol), poloxamers (e.g., Pluronics F68®, F88®, and F108®, which are block copolymers of ethylene oxide and propylene oxide); and poloxamines (e.g., Tetronic 908®, also known as Poloxamine 908®, which is a tetrafunctional block copo
- the dispersing agent is selected from a group not comprising one of the following agents: hydrophilic polymers; electrolytes; Tween® 60 or 80; PEG; polyvinylpyrrolidone (PVP); hydroxypropylcellulose and hydroxypropyl cellulose ethers (e.g., HPC, HPC-SL, and HPC-L); hydroxypropyl methylcellulose and hydroxypropyl methylcellulose ethers (e.g.
- HPMC K100, HPMC K4M, HPMC K15M, HPMC K100M, and Pharmacoat® USP 2910 (Shin-Etsu)); carboxymethylcellulose sodium; methylcellulose; hydroxyethylcellulose; hydroxypropylmethyl-cellulose phthalate; hydroxypropylmethyl-cellulose acetate stearate; non-crystalline cellulose; magnesium aluminum silicate; triethanolamine; polyvinyl alcohol (PVA); 4-(1,1,3,3-tetramethylbutyl)-phenol polymer with ethylene oxide and formaldehyde; poloxamers (e.g., Pluronics F68®, F88®, and F108®, which are block copolymers of ethylene oxide and propylene oxide); or poloxamines (e.g., Tetronic 908®, also known as Poloxamine 908®).
- Pluronics F68®, F88®, and F108® which are block copolymers of ethylene oxide and propylene oxide
- poloxamines
- wetting agents suitable for the aqueous suspensions and dispersions described herein include, but are not limited to, cetyl alcohol, glycerol monostearate, polyoxyethylene sorbitan fatty acid esters (e.g., the commercially available Tweens® such as e.g., Tween 20® and Tween 80® (ICI Specialty Chemicals)), and polyethylene glycols (e.g., Carbowaxs 3350® and 1450®, and Carbopol 934® (Union Carbide)), oleic acid, glyceryl monostearate, sorbitan monooleate, sorbitan monolaurate, triethanolamine oleate, polyoxyethylene sorbitan monooleate, polyoxyethylene sorbitan monolaurate, sodium oleate, sodium lauryl sulfate, sodium docusate, triacetin, vitamin E TPGS, sodium taurocholate, simethicone,
- Suitable preservatives for the aqueous suspensions or dispersions described herein include, for example, potassium sorbate, parabens (e.g., methylparaben and propylparaben), benzoic acid and its salts, other esters of parahydroxybenzoic acid such as butylparaben, alcohols such as ethyl alcohol or benzyl alcohol, phenolic compounds such as phenol, or quaternary compounds such as benzalkonium chloride.
- Preservatives, as used herein, are incorporated into the dosage form at a concentration sufficient to inhibit microbial growth.
- Suitable viscosity enhancing agents for the aqueous suspensions or dispersions described herein include, but are not limited to, methyl cellulose, xanthan gum, carboxymethyl cellulose, hydroxypropyl cellulose, hydroxypropylmethyl cellulose, Plasdon® S-630, carbomer, polyvinyl alcohol, alginates, acacia, chitosans and combinations thereof.
- concentration of the viscosity enhancing agent will depend upon the agent selected and the viscosity desired.
- sweetening agents suitable for the aqueous suspensions or dispersions described herein include, for example, acacia syrup, acesulfame K, alitame, anise, apple, aspartame, banana, Bavarian cream, berry, black currant, butterscotch, calcium citrate, camphor, caramel, cherry, cherry cream, chocolate, cinnamon, bubble gum, citrus, citrus punch, citrus cream cotton candy, cocoa, cola, cool cherry, cool citrus, cyclamate, cylamate, dextrose, eucalyptus, eugenol, fructose, fruit punch, ginger, glycyrrhetinate, glycyrrhiza (licorice) syrup, grape, grapefruit, honey, isomalt, lemon, lime, lemon cream, monoammonium glyrrhizinate (MagnaSweet®), maltol, mannitol, maple, marshmallow, menthol, mint cream, mixed berry,
- the aqueous liquid dispersion can comprise a sweetening agent or flavoring agent in a concentration ranging from about 0.001% to about 1.0% the volume of the aqueous dispersion. In another embodiment, the aqueous liquid dispersion can comprise a sweetening agent or flavoring agent in a concentration ranging from about 0.005% to about 0.5% the volume of the aqueous dispersion. In yet another embodiment, the aqueous liquid dispersion can comprise a sweetening agent or flavoring agent in a concentration ranging from about 0.01% to about 1.0% the volume of the aqueous dispersion.
- the liquid formulations can also include inert diluents commonly used in the art, such as water or other solvents, solubilizing agents, and emulsifiers.
- emulsifiers are ethyl alcohol, isopropyl alcohol, ethyl carbonate, ethyl acetate, benzyl alcohol, benzyl benzoate, propyleneglycol, 1,3-butyleneglycol, dimethylformamide, sodium lauryl sulfate, sodium doccusate, cholesterol, cholesterol esters, taurocholic acid, phosphotidylcholine, oils, such as cottonseed oil, groundnut oil, corn germ oil, olive oil, castor oil, and sesame oil, glycerol, tetrahydrofurfuryl alcohol, polyethylene glycols, fatty acid esters of sorbitan, or mixtures of these substances, and the like.
- the pharmaceutical formulations described herein can be self-emulsifying drug delivery systems (SEDDS).
- SEDDS self-emulsifying drug delivery systems
- Emulsions are dispersions of one immiscible phase in another, usually in the form of droplets.
- emulsions are created by vigorous mechanical dispersion.
- SEDDS as opposed to emulsions or microemulsions, spontaneously form emulsions when added to an excess of water without any external mechanical dispersion or agitation.
- An advantage of SEDDS is that only gentle mixing is required to distribute the droplets throughout the solution. Additionally, water or the aqueous phase can be added just prior to administration, which ensures stability of an unstable or hydrophobic active ingredient.
- the SEDDS provides an effective delivery system for oral and parenteral delivery of hydrophobic active ingredients.
- SEDDS may provide improvements in the bioavailability of hydrophobic active ingredients.
- Methods of producing self-emulsifying dosage forms are known in the art and include, but are not limited to, for example, U.S. Pat. Nos. 5,858,401, 6,667,048, and 6,960,563, each of which is specifically incorporated by reference.
- Intranasal formulations are known in the art and are described in, for example, U.S. Pat. Nos. 4,476,116, 5,116,817 and 6,391,452, each of which is specifically incorporated by reference.
- Formulations that include a compound of any of Formula (A), Formula (B), Formula (C), or Formula (D), which are prepared according to these and other techniques well-known in the art are prepared as solutions in saline, employing benzyl alcohol or other suitable preservatives, fluorocarbons, and/or other solubilizing or dispersing agents known in the art. See, for example, Ansel, H. C. et al., Pharmaceutical Dosage Forms and Drug Delivery Systems, Sixth Ed. (1995).
- compositions and formulations are prepared with suitable nontoxic pharmaceutically acceptable ingredients.
- suitable nontoxic pharmaceutically acceptable ingredients are known to those skilled in the preparation of nasal dosage forms and some of these can be found in REMINGTON: THE SCIENCE AND PRACTICE OF PHARMACY, 21 st edition, 2005, a standard reference in the field.
- suitable carriers are highly dependent upon the exact nature of the nasal dosage form desired, e.g., solutions, suspensions, ointments, or gels.
- Nasal dosage forms generally contain large amounts of water in addition to the active ingredient. Minor amounts of other ingredients such as pH adjusters, emulsifiers or dispersing agents, preservatives, surfactants, gelling agents, or buffering and other stabilizing and solubilizing agents may also be present.
- the nasal dosage form should be isotonic with nasal secretions.
- the compounds of any of Formula (A), Formula (B), Formula (C), or Formula (D), described herein may be in a form as an aerosol, a mist or a powder.
- Pharmaceutical compositions described herein are conveniently delivered in the form of an aerosol spray presentation from pressurized packs or a nebuliser, with the use of a suitable propellant, e.g., dichlorodifluoromethane, trichlorofluoromethane, dichlorotetrafluoroethane, carbon dioxide or other suitable gas.
- a suitable propellant e.g., dichlorodifluoromethane, trichlorofluoromethane, dichlorotetrafluoroethane, carbon dioxide or other suitable gas.
- the dosage unit may be determined by providing a valve to deliver a metered amount.
- Capsules and cartridges of, such as, by way of example only, gelatin for use in an inhaler or insufflator may be formulated containing a powder mix of the compound described herein and a suitable powder base such as lactose or starch.
- buccal formulations that include compounds of any of Formula (A), Formula (B), Formula (C), or Formula (D), may be administered using a variety of formulations known in the art.
- formulations include, but are not limited to, U.S. Pat. Nos. 4,229,447, 4,596,795, 4,755,386, and 5,739,136, each of which is specifically incorporated by reference.
- the buccal dosage forms described herein can further include a bioerodible (hydrolysable) polymeric carrier that also serves to adhere the dosage form to the buccal mucosa.
- the buccal dosage form is fabricated so as to erode gradually over a predetermined time period, wherein the delivery of the compound of any of Formula (A), Formula (B), Formula (C), or Formula (D), is provided essentially throughout.
- Buccal drug delivery avoids the disadvantages encountered with oral drug administration, e.g., slow absorption, degradation of the active agent by fluids present in the gastrointestinal tract and/or first-pass inactivation in the liver.
- compositions may take the form of tablets, lozenges, or gels formulated in a conventional manner.
- Formulations suitable for transdermal administration of compounds described herein may employ transdermal delivery devices and transdermal delivery patches and can be lipophilic emulsions or buffered, aqueous solutions, dissolved and/or dispersed in a polymer or an adhesive. Such patches may be constructed for continuous, pulsatile, or on demand delivery of pharmaceutical agents. Still further, transdermal delivery of the compounds described herein can be accomplished by means of iontophoretic patches and the like. Additionally, transdermal patches can provide controlled delivery of the compounds of any of Formula (A), Formula (B), Formula (C), or Formula (D). The rate of absorption can be slowed by using rate-controlling membranes or by trapping the compound within a polymer matrix or gel.
- Proper fluidity can be maintained, for example, by the use of a coating such as lecithin, by the maintenance of the required particle size in the case of dispersions, and by the use of surfactants.
- Formulations suitable for subcutaneous injection may also contain additives such as preserving, wetting, emulsifying, and dispensing agents. Prevention of the growth of microorganisms can be ensured by various antibacterial and antifungal agents, such as parabens, chlorobutanol, phenol, sorbic acid, and the like. It may also be desirable to include isotonic agents, such as sugars, sodium chloride, and the like. Prolonged absorption of the injectable pharmaceutical form can be brought about by the use of agents delaying absorption, such as aluminum monostearate and gelatin.
- compounds described herein may be formulated in aqueous solutions, preferably in physiologically compatible buffers such as Hank's solution, Ringer's solution, or physiological saline buffer.
- physiologically compatible buffers such as Hank's solution, Ringer's solution, or physiological saline buffer.
- penetrants appropriate to the barrier to be permeated are used in the formulation. Such penetrants are generally known in the art.
- appropriate formulations may include aqueous or nonaqueous solutions, preferably with physiologically compatible buffers or excipients. Such excipients are generally known in the art.
- Parenteral injections may involve bolus injection or continuous infusion.
- Formulations for injection may be presented in unit dosage form, e.g., in ampoules or in multi-dose containers, with an added preservative.
- the pharmaceutical composition described herein may be in a form suitable for parenteral injection as a sterile suspensions, solutions or emulsions in oily or aqueous vehicles, and may contain formulatory agents such as suspending, stabilizing and/or dispersing agents.
- Pharmaceutical formulations for parenteral administration include aqueous solutions of the active compounds in water-soluble form. Additionally, suspensions of the active compounds may be prepared as appropriate oily injection suspensions.
- Suitable lipophilic solvents or vehicles include fatty oils such as sesame oil, or synthetic fatty acid esters, such as ethyl oleate or triglycerides, or liposomes.
- Aqueous injection suspensions may contain substances which increase the viscosity of the suspension, such as sodium carboxymethyl cellulose, sorbitol, or dextran.
- the suspension may also contain suitable stabilizers or agents which increase the solubility of the compounds to allow for the preparation of highly concentrated solutions.
- the active ingredient may be in powder form for constitution with a suitable vehicle, e.g., sterile pyrogen-free water, before use.
- compositions provided herein can also include an mucoadhesive polymer, selected from among, for example, carboxymethylcellulose, carbomer (acrylic acid polymer), poly(methylmethacrylate), polyacrylamide, polycarbophil, acrylic acid/butyl acrylate copolymer, sodium alginate and dextran.
- an mucoadhesive polymer selected from among, for example, carboxymethylcellulose, carbomer (acrylic acid polymer), poly(methylmethacrylate), polyacrylamide, polycarbophil, acrylic acid/butyl acrylate copolymer, sodium alginate and dextran.
- the compounds described herein may be administered topically and can be formulated into a variety of topically administrable compositions, such as solutions, suspensions, lotions, gels, pastes, medicated sticks, balms, creams or ointments.
- Such pharmaceutical compounds can contain solubilizers, stabilizers, tonicity enhancing agents, buffers and preservatives.
- the compounds described herein may also be formulated in rectal compositions such as enemas, rectal gels, rectal foams, rectal aerosols, suppositories, jelly suppositories, or retention enemas, containing conventional suppository bases such as cocoa butter or other glycerides, as well as synthetic polymers such as polyvinylpyrrolidone, PEG, and the like.
- a low-melting wax such as, but not limited to, a mixture of fatty acid glycerides, optionally in combination with cocoa butter is first melted.
- the administration of the compounds may be administered chronically, that is, for an extended period of time, including throughout the duration of the patient's life in order to ameliorate or otherwise control or limit the symptoms of the patient's disease or condition.
- the administration of the compounds may be given continuously; alternatively, the dose of drug being administered may be temporarily reduced or temporarily suspended for a certain length of time (i.e., a “drug holiday”).
- the length of the drug holiday can vary between 2 days and 1 year, including by way of example only, 2 days, 3 days, 4 days, 5 days, 6 days, 7 days, 10 days, 12 days, 15 days, 20 days, 28 days, 35 days, 50 days, 70 days, 100 days, 120 days, 150 days, 180 days, 200 days, 250 days, 280 days, 300 days, 320 days, 350 days, or 365 days.
- the dose reduction during a drug holiday may be from 10%-100%, including, by way of example only, 10%, 15%, 20%, 25%, 30%, 35%, 40%, 45%, 50%, 55%, 60%, 65%, 70%, 75%, 80%, 85%, 90%, 95%, or 100%.
- a maintenance dose is administered if necessary. Subsequently, the dosage or the frequency of administration, or both, can be reduced, as a function of the symptoms, to a level at which the improved disease, disorder or condition is retained. Patients can, however, require intermittent treatment on a long-term basis upon any recurrence of symptoms.
- the amount of a given agent that will correspond to such an amount will vary depending upon factors such as the particular compound, disease or condition and its severity, the identity (e.g., weight) of the subject or host in need of treatment, but can nevertheless be routinely determined in a manner known in the art according to the particular circumstances surrounding the case, including, e.g., the specific agent being administered, the route of administration, the condition being treated, and the subject or host being treated.
- doses employed for adult human treatment will typically be in the range of 0.02-5000 mg per day, or from about 1-1500 mg per day.
- the desired dose may conveniently be presented in a single dose or as divided doses administered simultaneously (or over a short period of time) or at appropriate intervals, for example as two, three, four or more sub-doses per day.
- the pharmaceutical composition described herein may be in unit dosage forms suitable for single administration of precise dosages.
- unit dosage form the formulation is divided into unit doses containing appropriate quantities of one or more compound.
- the unit dosage may be in the form of a package containing discrete quantities of the formulation.
- Non-limiting examples are packaged tablets or capsules, and powders in vials or ampoules.
- Aqueous suspension compositions can be packaged in single-dose non-reclosable containers.
- multiple-dose reclosable containers can be used, in which case it is typical to include a preservative in the composition.
- formulations for parenteral injection may be presented in unit dosage form, which include, but are not limited to ampoules, or in multi-dose containers, with an added preservative.
- Toxicity and therapeutic efficacy of such therapeutic regimens can be determined by standard pharmaceutical procedures in cell cultures or experimental animals, including, but not limited to, the determination of the LD 50 (the dose lethal to 50% of the population) and the ED 50 (the dose therapeutically effective in 50% of the population).
- the dose ratio between the toxic and therapeutic effects is the therapeutic index and it can be expressed as the ratio between LD 50 and ED 50 .
- Compounds exhibiting high therapeutic indices are preferred.
- the data obtained from cell culture assays and animal studies can be used in formulating a range of dosage for use in human.
- the dosage of such compounds lies preferably within a range of circulating concentrations that include the ED 50 with minimal toxicity.
- the dosage may vary within this range depending upon the dosage form employed and the route of administration utilized.
- the therapeutic effectiveness of one of the compounds described herein may be enhanced by administration of an adjuvant (i.e., by itself the adjuvant may have minimal therapeutic benefit, but in combination with another therapeutic agent, the overall therapeutic benefit to the patient is enhanced).
- the benefit experienced by a patient may be increased by administering one of the compounds described herein with another therapeutic agent (which also includes a therapeutic regimen) that also has therapeutic benefit.
- another therapeutic agent which also includes a therapeutic regimen
- the overall benefit experienced by the patient may simply be additive of the two therapeutic agents or the patient may experience a synergistic benefit.
- the particular choice of compounds used will depend upon the diagnosis of the attending physicians and their judgment of the condition of the patient and the appropriate treatment protocol.
- the compounds may be administered concurrently (e.g., simultaneously, essentially simultaneously or within the same treatment protocol) or sequentially, depending upon the nature of the disease, disorder, or condition, the condition of the patient, and the actual choice of compounds used.
- the determination of the order of administration, and the number of repetitions of administration of each therapeutic agent during a treatment protocol, is well within the knowledge of the skilled physician after evaluation of the disease being treated and the condition of the patient.
- therapeutically-effective dosages can vary when the drugs are used in treatment combinations.
- Methods for experimentally determining therapeutically-effective dosages of drugs and other agents for use in combination treatment regimens are described in the literature.
- metronomic dosing i.e., providing more frequent, lower doses in order to minimize toxic side effects
- Combination treatment further includes periodic treatments that start and stop at various times to assist with the clinical management of the patient.
- dosages of the co-administered compounds will of course vary depending on the type of co-drug employed, on the specific drug employed, on the disease or condition being treated and so forth.
- the compound provided herein may be administered either simultaneously with the biologically active agent(s), or sequentially. If administered sequentially, the attending physician will decide on the appropriate sequence of administering protein in combination with the biologically active agent(s).
- the multiple therapeutic agents may be administered in any order or even simultaneously. If simultaneously, the multiple therapeutic agents may be provided in a single, unified form, or in multiple forms (by way of example only, either as a single pill or as two separate pills). One of the therapeutic agents may be given in multiple doses, or both may be given as multiple doses. If not simultaneous, the timing between the multiple doses may vary from more than zero weeks to less than four weeks.
- the combination methods, compositions and formulations are not to be limited to the use of only two agents; the use of multiple therapeutic combinations are also envisioned.
- the dosage regimen to treat, prevent, or ameliorate the condition(s) for which relief is sought can be modified in accordance with a variety of factors. These factors include the disorder from which the subject suffers, as well as the age, weight, sex, diet, and medical condition of the subject. Thus, the dosage regimen actually employed can vary widely and therefore can deviate from the dosage regimens set forth herein.
- the pharmaceutical agents which make up the combination therapy disclosed herein may be a combined dosage form or in separate dosage forms intended for substantially simultaneous administration.
- the pharmaceutical agents that make up the combination therapy may also be administered sequentially, with either therapeutic compound being administered by a regimen calling for two-step administration.
- the two-step administration regimen may call for sequential administration of the active agents or spaced-apart administration of the separate active agents.
- the time period between the multiple administration steps may range from, a few minutes to several hours, depending upon the properties of each pharmaceutical agent, such as potency, solubility, bioavailability, plasma half-life and kinetic profile of the pharmaceutical agent. Circadian variation of the target molecule concentration may also determine the optimal dose interval.
- the compounds described herein also may be used in combination with procedures that may provide additional or synergistic benefit to the patient.
- patients are expected to find therapeutic and/or prophylactic benefit in the methods described herein, wherein pharmaceutical composition of a compound disclosed herein and/or combinations with other therapeutics are combined with genetic testing to determine whether that individual is a carrier of a mutant gene that is known to be correlated with certain diseases or conditions.
- the compounds described herein and combination therapies can be administered before, during or after the occurrence of a disease or condition, and the timing of administering the composition containing a compound can vary.
- the compounds can be used as a prophylactic and can be administered continuously to subjects with a propensity to develop conditions or diseases in order to prevent the occurrence of the disease or condition.
- the compounds and compositions can be administered to a subject during or as soon as possible after the onset of the symptoms.
- the administration of the compounds can be initiated within the first 48 hours of the onset of the symptoms, within the first 6 hours of the onset of the symptoms, or within 3 hours of the onset of the symptoms.
- the initial administration can be via any route practical, such as, for example, an intravenous injection, a bolus injection, infusion over 5 minutes to about 5 hours, a pill, a capsule, transdermal patch, buccal delivery, and the like, or combination thereof.
- a compound should be administered as soon as is practicable after the onset of a disease or condition is detected or suspected, and for a length of time necessary for the treatment of the disease, such as, for example, from about 1 month to about 3 months.
- the length of treatment can vary for each subject, and the length can be determined using the known criteria.
- the compound or a formulation containing the compound can be administered for at least 2 weeks, between about 1 month to about 5 years, or from about 1 month to about 3 years.
- an irreversible Btk inhibitor compound can be used in with one or more of the following therapeutic agents in any combination: immunosuppressants (e.g., tacrolimus, cyclosporin, rapamicin, methotrexate, cyclophosphamide, azathioprine, mercaptopurine, mycophenolate, or FTY720), glucocorticoids (e.g., prednisone, cortisone acetate, prednisolone, methylprednisolone, dexamethasone, betamethasone, triamcinolone, beclometasone, fludrocortisone acetate, deoxycorticosterone acetate, aldosterone), non-steroidal anti-inflammatory drugs (e.g., salicylates, arylalkanoic acids, 2-arylpropionic acids, N-arylan
- the subjected can be treated with an irreversible Btk inhibitor compound in any combination with one or more other anti-cancer agents.
- one or more of the anti-cancer agents are proapoptotic agents.
- anti-cancer agents include, but are not limited to, any of the following: gossyphol, genasense, polyphenol E, Chlorofusin, all trans-retinoic acid (ATRA), bryostatin, tumor necrosis factor-related apoptosis-inducing ligand (TRAIL), 5-aza-2′-deoxycytidine, all trans retinoic acid, doxorubicin, vincristine, etoposide, gemcitabine, imatinib (Gleevec®), geldanamycin, 17-N-Allylamino-17-Demethoxygeldanamycin (17-AAG), flavopiridol, LY294002, bortezomib, trastuzumab, BAY 11-7082, PKC412, or PD184352, TaxolTM, also referred to as “paclitaxel”, which is a well-known anti-cancer drug which acts by enhancing and stabilizing microtubule formation
- mitogen-activated protein kinase signaling e.g., U0126, PD98059, PD184352, PD0325901, ARRY-142886, SB239063, SP600125, BAY 43-9006, wortmannin, or LY294002
- Syk inhibitors e.g., mTOR inhibitors
- mTOR inhibitors e.g., rituxan
- anti-cancer agents that can be employed in combination with an irreversible Btk inhibitor compound include Adriamycin, Dactinomycin, Bleomycin, Vinblastine, Cisplatin, acivicin; aclarubicin; acodazole hydrochloride; acronine; adozelesin; aldesleukin; altretamine; ambomycin; ametantrone acetate; aminoglutethimide; amsacrine; anastrozole; anthramycin; asparaginase; asperlin; azacitidine; azetepa; azotomycin; batimastat; benzodepa; bicalutamide; bisantrene hydrochloride; bisnafide dimesylate; bizelesin; bleomycin sulfate; brequinar sodium; bropirimine; busulfan; cactinomycin; calusterone; caracemide; carbetimer; carboplatin
- anti-cancer agents that can be employed in combination with an irreversible Btk inhibitor compound include: 20-epi-1, 25 dihydroxyvitamin D3; 5-ethynyluracil; abiraterone; aclarubicin; acylfulvene; adecypenol; adozelesin; aldesleukin; ALL-TK antagonists; altretamine; ambamustine; amidox; amifostine; aminolevulinic acid; amrubicin; amsacrine; anagrelide; anastrozole; andrographolide; angiogenesis inhibitors; antagonist D; antagonist G; antarelix; anti-dorsalizing morphogenetic protein-1; antiandrogen, prostatic carcinoma; antiestrogen; antineoplaston; antisense oligonucleotides; aphidicolin glycinate; apoptosis gene modulators; apoptosis regulators; apurinic acid;
- nitrogen mustards e.g., mechloroethiamine, cyclophosphamide, chlorambucil, etc.
- alkyl sulfonates e.g., busulfan
- nitrosoureas e.g., carmustine, lomustine, etc.
- triazenes decarbazine, etc.
- antimetabolites include but are not limited to folic acid analog (e.g., methotrexate), or pyrimidine analogs (e.g., Cytarabine), purine analogs (e.g., mercaptopurine, thioguanine, pentostatin).
- folic acid analog e.g., methotrexate
- pyrimidine analogs e.g., Cytarabine
- purine analogs e.g., mercaptopurine, thioguanine, pentostatin.
- Examples of natural products useful in combination with an irreversible Btk inhibitor compound include but are not limited to vinca alkaloids (e.g., vinblastin, vincristine), epipodophyllotoxins (e.g., etoposide), antibiotics (e.g., daunorubicin, doxorubicin, bleomycin), enzymes (e.g., L-asparaginase), or biological response modifiers (e.g., interferon alpha).
- vinca alkaloids e.g., vinblastin, vincristine
- epipodophyllotoxins e.g., etoposide
- antibiotics e.g., daunorubicin, doxorubicin, bleomycin
- enzymes e.g., L-asparaginase
- biological response modifiers e.g., interferon alpha
- alkylating agents that can be employed in combination an irreversible Btk inhibitor compound include, but are not limited to, nitrogen mustards (e.g., mechloroethamine, cyclophosphamide, chlorambucil, meiphalan, etc.), ethylenimine and methylmelamines (e.g., hexamethylmelamine, thiotepa), alkyl sulfonates (e.g., busulfan), nitrosoureas (e.g., carmustine, lomustine, semustine, streptozocin, etc.), or triazenes (decarbazine, etc.).
- nitrogen mustards e.g., mechloroethamine, cyclophosphamide, chlorambucil, meiphalan, etc.
- ethylenimine and methylmelamines e.g., hexamethylmelamine, thiotepa
- antimetabolites include, but are not limited to folic acid analog (e.g., methotrexate), or pyrimidine analogs (e.g., fluorouracil, floxouridine, Cytarabine), purine analogs (e.g., mercaptopurine, thioguanine, pentostatin.
- folic acid analog e.g., methotrexate
- pyrimidine analogs e.g., fluorouracil, floxouridine, Cytarabine
- purine analogs e.g., mercaptopurine, thioguanine, pentostatin.
- hormones and antagonists useful in combination with an irreversible Btk inhibitor compound include, but are not limited to, adrenocorticosteroids (e.g., prednisone), progestins (e.g., hydroxyprogesterone caproate, megestrol acetate, medroxyprogesterone acetate), estrogens (e.g., diethlystilbestrol, ethinyl estradiol), antiestrogen (e.g., tamoxifen), androgens (e.g., testosterone propionate, fluoxymesterone), antiandrogen (e.g., flutamide), gonadotropin releasing hormone analog (e.g., leuprolide).
- adrenocorticosteroids e.g., prednisone
- progestins e.g., hydroxyprogesterone caproate, megestrol acetate, medroxyprogesterone acetate
- platinum coordination complexes e.g., cisplatin, carboblatin
- anthracenedione e.g., mitoxantrone
- substituted urea e.g., hydroxyurea
- methyl hydrazine derivative e.g., procarbazine
- adrenocortical suppressant e.g., mitotane, aminoglutethimide
- anti-cancer agents which act by arresting cells in the G2-M phases due to stabilized mnicrotubules and which can be used in combination with an irreversible Btk inhibitor compound include without limitation the following marketed drugs and drugs in development: Erbulozole (also known as R-55104), Dolastatin 10 (also known as DLS-10 and NSC-376128), Mivobulin isethionate (also known as CI-980), Vincristine, NSC-639829, Discodermolide (also known as NVP-XX-A-296), ABT-751 (Abbott, also known as E-7010), Altorhyrtins (such as Altorhyrtin A and Altorhyrtin C), Spongistatins (such as Spongistatin 1, Spongistatin 2, Spongistatin 3, Spongistatin 4, Spongistatin 5, Spongistatin 6, Spongistatin 7, Spongistatin 8, and Spongistatin 9), Ce
- anti-thromboembolic agents include, but are not limited any of the following: thrombolytic agents (e.g., alteplase anistreplase, streptokinase, urokinase, or tissue plasminogen activator), heparin, tinzaparin, warfarin, dabigatran (e.g., dabigatran etexilate), factor Xa inhibitors (e.g., fondaparinux, draparinux, rivaroxaban, DX-9065a, otamixaban, LY517717, or YM150), ticlopidine, clopidogrel, CS-747 (prasugrel, LY640315), xime
- kits and articles of manufacture are also described herein.
- Such kits can include a carrier, package, or container that is compartmentalized to receive one or more containers such as vials, tubes, and the like, each of the container(s) including one of the separate elements to be used in a method described herein.
- Suitable containers include, for example, bottles, vials, syringes, and test tubes.
- the containers can be formed from a variety of materials such as glass or plastic.
- the articles of manufacture provided herein contain packaging materials.
- Packaging materials for use in packaging pharmaceutical products are well known to those of skill in the art. See, e.g., U.S. Pat. Nos. 5,323,907, 5,052,558 and 5,033,252.
- Examples of pharmaceutical packaging materials include, but are not limited to, blister packs, bottles, tubes, inhalers, pumps, bags, vials, containers, syringes, bottles, and any packaging material suitable for a selected formulation and intended mode of administration and treatment.
- a wide array of formulations of the compounds and compositions provided herein are contemplated as are a variety of treatments for any disease, disorder, or condition that would benefit by inhibition of Btk, or in which Btk is a mediator or contributor to the symptoms or cause.
- the containers can include one or more compounds described herein, optionally in a composition or in combination with another agent as disclosed herein.
- the container(s) optionally have a sterile access port (for example the container can be an intravenous solution bag or a vial having a stopper pierceable by a hypodermic injection needle).
- kits optionally comprising a compound with an identifying description or label or instructions relating to its use in the methods described herein.
- a kit will typically may include one or more additional containers, each with one or more of various materials (such as reagents, optionally in concentrated form, and/or devices) desirable from a commercial and user standpoint for use of a compound described herein.
- materials include, but not limited to, buffers, diluents, filters, needles, syringes; carrier, package, container, vial and/or tube labels listing contents and/or instructions for use, and package inserts with instructions for use.
- a set of instructions will also typically be included.
- the pharmaceutical compositions can be presented in a pack or dispenser device which can contain one or more unit dosage forms containing a compound provided herein.
- the pack can for example contain metal or plastic foil, such as a blister pack.
- the pack or dispenser device can be accompanied by instructions for administration.
- the pack or dispenser can also be accompanied with a notice associated with the container in form prescribed by a governmental agency regulating the manufacture, use, or sale of pharmaceuticals, which notice is reflective of approval by the agency of the form of the drug for human or veterinary administration. Such notice, for example, can be the labeling approved by the U.S. Food and Drug Administration for prescription drugs, or the approved product insert.
- Compositions containing a compound provided herein formulated in a compatible pharmaceutical carrier can also be prepared, placed in an appropriate container, and labeled for treatment of an indicated condition.
- 1,1-Dicyano-2-methoxy-2-(4-phenoxyphenyl)ethene (22.5 g) and 1,1-dicyano-2-methoxy-2-(4-phenoxyphenyl)ethene oil (15 g) are treated with a solution of hydrazine hydrate (18 mL) in ethanol (25 mL) and heated on the steambath for 1 hour. Ethanol (15 mL) is added followed by water (10 mL). The precipitated solid is collected and washed with ethanol:water (4:1) and then dried in air to give 3-amino-4-cyano-5-(4-phenoxyphenyl)pyrazole as a pale orange solid.
- 3-Amino-4-cyano-5-(4-phenoxyphenyl)pyrazole (29.5 g) is suspended in formamide (300 mL) and heated under nitrogen at 180° C. for 4 hours. The reaction mixture is cooled to 30° C. and water (300 mL) is added. The solid is collected, washed well with water, then with methanol and dried in air to give of 4-amino-3-(4-phenoxyphenyl)-1H-pyrazolo[3,4-d]pyrimidine.
- the Btk IC 50 s of compounds disclosed herein was determined in both an acellular kinase assay and in a cellular functional assay of BCR-induced calcium flux as described below.
- Btk kinase activity was determined using a time-resolved fluorescence resonance energy transfer (TR-FRET) methodology. Measurements were performed in a reaction volume of 50 ⁇ L using 96-well assay plates. Kinase enzyme, inhibitor, ATP (at the K m for the kinase), and 1 ⁇ M peptide substrate (Biotin-AVLESEEELYSSARQ-NH 2 ) were incubated in a reaction buffer composed of 20 mM Tris, 50 mM NaCl, MgCl 2 (5-25 mM depending on the kinase), MnCl 2 (0-10 mM), 1 mM DTT, 0.1 mM EDTA, 0.01% bovine serum albumin, 0.005% Tween-20, and 10% DMSO at pH 7.4 for one hour.
- TR-FRET time-resolved fluorescence resonance energy transfer
- the reaction was quenched by the addition of 1.2 equivalents of EDTA (relative to divalent cation) in 25 ⁇ L of 1 ⁇ Lance buffer (Perkin-Elmer). Streptavidin-APC (Perkin-Elmer) and Eu-labeled p-Tyr100 antibody (Perkin-Elmer) in 1 ⁇ Lance buffer were added in a 25 ⁇ L volume to give final concentrations of 100 nM and 2.5 nM, respectively, and the mixture was allowed to incubate for one hour.
- the TR-FRET signal was measured on a multimode plate reader with an excitation wavelength ( ⁇ Ex ) of 330 nm and detection wavelengths ( ⁇ Em ) of 615 and 665 nm.
- IC 50 ⁇ Ki ( app )/(1 +[ATP]/K m ATP ) ⁇ +[ E] total /2;
- the diluted compounds were then added to each well (final DMSO concentration was 0.01%) and incubated at 37 degree in 5% CO 2 incubator for one hour. Afterwards, 100 ⁇ l of a calcium-sensitive dye (from the Calcium 3 assay kit, Molecular Devices) was added to each well and incubated for an additional hour.
- the relative fluorescence unit (RFU) and the IC 50 were recorded and analyzed using a built-in SoftMax program (Molecular devices).
- compound 4 exhibited significant selectivity for Btk in cellular assays.
- IC 50 >7.5 ⁇ M the Lyn and Syk-dependent phosphorylation of tyrosine 551 on Btk
- compound 4 exhibits a >500-fold selectivity between Btk and Lyn or Syk in cells.
- compound 4 was 11-fold less active in inhibiting Ca 2+ flux than in Ramos cells, supporting the expected selectivity for B versus T cells.
- mice Female Balb/c mice were treated with 100 mg/kg of Chemicon mAb cocktail to Type II collagen intravenously on Day 0 and 1.25 mg/kg of LPS intraperitoneally on Day 1.
- Compound 4 was administered orally in a methylcellulose-based aqueous suspension formulation at 1, 3, 10 and 30 mg/kg once daily starting on Day 2 through Day 12. Blood samples were collected at 0.5 and 2 hours post dose of compound 4 administration on Day 12 (see Table 4). The serum concentrations of compound 4 were quantified by LC/MS/MS. Twenty four hours post dose, levels of compound 4 were below the level of quantitation.
- Inhibition of arthritis by compound 4 was dose-dependent, with a maximum effect (>95% inhibition) at dose levels of 10 and 30 mg/kg.
- the plasma concentrations of compound 4 that induced this maximum effect were in the 0.6-1.7 ⁇ M range at T max (2 hr) and did not need to be sustained at high levels for 24 hours to achieve efficacy, which is not surprising for an irreversible inhibitor.
- the irreversible inhibitors described herein are proposed to form a covalent bond with Cys 481 of Btk (e.g., the Michael reaction acceptor portion of the compounds described herein react with the Cys 481 residue of Btk). Based on sequence homology analysis ( FIG.
- the compounds presented herein are also expected to act as irreversible inhibitors of kinases having a Cys 481 or a homologous cysteine residue, but to bind reversibly with kinases having a different amino acid at the 481 position within a catalytic domain sequence that is otherwise homologous to that of Btk. See, e.g., the sequences listed in FIG. 1 . See also the sequence alignments of tyrosine kinases (TK) published on the world wide web at kinase.com/human/kinome/phylogeny.html.
- TK tyrosine kinases
- Human CD34+ cells differentiated to mast cells by 9 weeks in culture in the presence of 1 ng/ml IL-3, 50 ng/ml IL-6, 100 ng/ml SCF. Cells were incubated with IgE+IL-4 for 4 days and then degranulation was induced by cross-linking with anti-IgE. Degranulation quantitated using hexosaminidase assay. Compound did not inhibit degranulation induced by the Ca++ ionophore ionomycin and did not affect cell viability as determined by Alamar Blue assay. Compound 4 has an IC50 in MC degranulation less than 100 nanomolar. As such, compounds described herein can be used for the treatment of inflammatory diseases, such as asthma.
- compositions described below are presented with a compound of Formula (A) for illustrative purposes; any of the compounds of any of Formulas (A), (B), (C), or (D) can be used in such pharmaceutical compositions.
- a parenteral pharmaceutical composition suitable for administration by injection 100 mg of a water-soluble salt of a compound of Formula (A) is dissolved in DMSO and then mixed with 10 mL of 0.9% sterile saline. The mixture is incorporated into a dosage unit form suitable for administration by injection.
- a pharmaceutical composition for oral delivery 100 mg of a compound of Formula (A) is mixed with 750 mg of starch. The mixture is incorporated into an oral dosage unit for, such as a hard gelatin capsule, which is suitable for oral administration.
- a pharmaceutical composition for buccal delivery such as a hard lozenge
- a pharmaceutical composition for buccal delivery such as a hard lozenge
- the mixture is gently blended and poured into a mold to form a lozenge suitable for buccal administration.
- a pharmaceutical composition for inhalation delivery 20 mg of a compound of Formula (A) is mixed with 50 mg of anhydrous citric acid and 100 mL of 0.9% sodium chloride solution.
- the mixture is incorporated into an inhalation delivery unit, such as a nebulizer, which is suitable for inhalation administration.
- a pharmaceutical composition for rectal delivery 100 mg of a compound of Formula (A) is mixed with 2.5 g of methylcelluose (1500 mPa), 100 mg of methylparapen, 5 g of glycerin and 100 mL of purified water. The resulting gel mixture is then incorporated into rectal delivery units, such as syringes, which are suitable for rectal administration.
- a pharmaceutical topical gel composition 100 mg of a compound of Formula (A) is mixed with 1.75 g of hydroxypropyl celluose, 10 mL of propylene glycol, 10 mL of isopropyl myristate and 100 mL of purified alcohol USP. The resulting gel mixture is then incorporated into containers, such as tubes, which are suitable for topical administration.
- a pharmaceutical opthalmic solution composition 100 mg of a compound of Formula (A) is mixed with 0.9 g of NaCl in 100 mL of purified water and filtered using a 0.2 micron filter. The resulting isotonic solution is then incorporated into ophthalmic delivery units, such as eye drop containers, which are suitable for ophthalmic administration.
- ophthalmic delivery units such as eye drop containers
Landscapes
- Health & Medical Sciences (AREA)
- Chemical & Material Sciences (AREA)
- Organic Chemistry (AREA)
- Medicinal Chemistry (AREA)
- Life Sciences & Earth Sciences (AREA)
- General Health & Medical Sciences (AREA)
- Animal Behavior & Ethology (AREA)
- Public Health (AREA)
- Veterinary Medicine (AREA)
- Pharmacology & Pharmacy (AREA)
- General Chemical & Material Sciences (AREA)
- Nuclear Medicine, Radiotherapy & Molecular Imaging (AREA)
- Chemical Kinetics & Catalysis (AREA)
- Bioinformatics & Cheminformatics (AREA)
- Engineering & Computer Science (AREA)
- Epidemiology (AREA)
- Immunology (AREA)
- Diabetes (AREA)
- Endocrinology (AREA)
- Hematology (AREA)
- Neurology (AREA)
- Urology & Nephrology (AREA)
- Physical Education & Sports Medicine (AREA)
- Neurosurgery (AREA)
- Pulmonology (AREA)
- Biomedical Technology (AREA)
- Rheumatology (AREA)
- Dermatology (AREA)
- Obesity (AREA)
- Orthopedic Medicine & Surgery (AREA)
- Oncology (AREA)
- Reproductive Health (AREA)
- Genetics & Genomics (AREA)
- Microbiology (AREA)
- Proteomics, Peptides & Aminoacids (AREA)
- Molecular Biology (AREA)
- Biophysics (AREA)
- Biochemistry (AREA)
- Mycology (AREA)
- Emergency Medicine (AREA)
Abstract
Description
- This application claims benefit of U.S. Provisional Application No. 60/826,720 entitled “INHIBITORS OF BRUTON'S TYROSINE KINASE” filed Sep. 22, 2006; and U.S. Provisional Application No. 60/828,590 entitled “INHIBITORS OF BRUTON'S TYROSINE KINASE” filed Oct. 6, 2006, both of which are herein incorporated by reference.
- Described herein are compounds, methods of making such compounds, pharmaceutical compositions and medicaments containing such compounds, and methods of using such compounds and compositions to inhibit the activity of tyrosine kinases.
- Bruton's tyrosine kinase (Btk), a member of the Tec family of non-receptor tyrosine kinases, is a key signaling enzyme expressed in all hematopoietic cells types except T lymphocytes and natural killer cells. Btk plays an essential role in the B-cell signaling pathway linking cell surface B-cell receptor (BCR) stimulation to downstream intracellular responses.
- Btk is a key regulator of B-cell development, activation, signaling, and survival (Kurosaki, Curr Op Imm, 2000, 276-281; Schaeffer and Schwartzberg, Curr Op Imm 2000, 282-288). In addition, Btk plays a role in a number of other hematopoetic cell signaling pathways, e.g., Toll like receptor (TLR) and cytokine receptor-mediated TNF-α production in macrophages, IgE receptor (FcepsilonRI) signaling in Mast cells, inhibition of Fas/APO-1 apoptotic signaling in B-lineage lymphoid cells, and collagen-stimulated platelet aggregation. See, e.g., C. A. Jeffries, et al., (2003), Journal of Biological Chemistry 278:26258-26264; N. J. Horwood, et al., (2003), The Journal of Experimental Medicine 197:1603-1611; Iwaki et al. (2005), Journal of Biological Chemistry 280(48):40261-40270; Vassilev et al (1999), Journal of Biological Chemistry 274(3):1646-1656, and Quek et al. (1998), Current Biology 8(20):1137-1140.
- Described herein are inhibitors of Bruton's tyrosine kinase (Btk). Also described herein are irreversible inhibitors of Btk. Further described are irreversible inhibitors of Btk that form a covalent bond with a cysteine residue on Btk. Further described herein are irreversible inhibitors of other tyrosine kinases, wherein the other tyrosine kinases share homology with Btk by having a cysteine residue (including a
Cys 481 residue) that can form a covalent bond with the irreversible inhibitor (such tyrosine kinases, are referred herein as “Btk tyrosine kinase cysteine homologs”). Also described herein are methods for synthesizing such irreversible inhibitors, methods for using such irreversible inhibitors in the treatment of diseases (including diseases wherein irreversible inhibition of Btk provides therapeutic benefit to a patient having the disease). Further described are pharmaceutical formulations that include an irreversible inhibitor of Btk. - Compounds described herein include those that have a structure of any of Formula (A), Formula (B), Formula (C), or Formula (D), and pharmaceutically acceptable salts, solvates, esters, acids and prodrugs thereof. In certain embodiments, isomers and chemically protected forms of compounds having a structure represented by any of Formula (A), Formula (B), Formula (C), or Formula (D), are also provided.
- In one aspect, provided herein is a compound of Formula (D). Formula (D) is as follows:
- wherein:
-
- La is CH2, O, NH or S;
- Ar is a substituted or unsubstituted aryl, or a substituted or unsubstituted heteroaryl;
- Y is an optionally substituted group selected from among alkyl, heteroalkyl, cycloalkyl, heterocycloalkyl, aryl, and heteroaryl;
- Z is C(═O), OC(═O), NHC(═O), C(═S), S(═O)x, OS(═O)x, NHS(═O)x, where x is 1 or 2;
- R7 and R8 are independently selected from among H, unsubstituted C1-C4alkyl, substituted C1-C4alkyl, unsubstituted C1-C4heteroalkyl, substituted C1-C4heteroalkyl, unsubstituted C3-C6cycloalkyl, substituted C3-C6cycloalkyl, unsubstituted C2-C6heterocycloalkyl, and substituted C2-C6heterocycloalkyl; or
- R7 and R8 taken together form a bond;
- R6 is H, substituted or unsubstituted C1-C4alkyl, substituted or unsubstituted C1-C4heteroalkyl, C1-C6alkoxyalkyl, C1-C8alkylaminoalkyl, substituted or unsubstituted C3-C6cycloalkyl, substituted or unsubstituted aryl, substituted or unsubstituted C2-C8heterocycloalkyl, substituted or unsubstituted heteroaryl, C1-C4alkyl(aryl), C1-C4alkyl(heteroaryl), C1-C4alkyl(C3-C8cycloalkyl), or C1-C4alkyl(C2-C8heterocycloalkyl); and
pharmaceutically active metabolites, or pharmaceutically acceptable solvates, pharmaceutically acceptable salts, or pharmaceutically acceptable prodrugs thereof.
- For any and all of the embodiments, substituents can be selected from among from a subset of the listed alternatives. For example, in some embodiments, La is CH2, O, or NH. In other embodiments, La is O or NH. In yet other embodiments, La is O.
- In some embodiments, Ar is a substituted or unsubstituted aryl. In yet other embodiments, Ar is a 6-membered aryl. In some other embodiments, Ar is phenyl.
- In some embodiments, x is 2. In yet other embodiments, Z is C(═O), OC(═O), NHC(═O), S(═O)x, OS(═O)x, or NHS(═O)x. In some other embodiments, Z is C(═O), NHC(═O), or S(═O)2.
- In some embodiments, R7 and R8 are independently selected from among H, unsubstituted C1-C4 alkyl, substituted C1-C4alkyl, unsubstituted C1-C4heteroalkyl, and substituted C1-C4heteroalkyl; or R7 and R8 taken together form a bond. In yet other embodiments, each of R7 and R8 is H; or R7 and R8 taken together form a bond.
- In some embodiments, R6 is H, substituted or unsubstituted C1-C4alkyl, substituted or unsubstituted C1-C4heteroalkyl, C1-C6alkoxyalkyl, C1-C8alkylaminoalkyl, substituted or unsubstituted aryl, substituted or unsubstituted heteroaryl, C1-C4alkyl(aryl), C1-C4alkyl(heteroaryl), C1-C4alkyl(C3-C8cycloalkyl), or C1-C4alkyl(C2-C8heterocycloalkyl). In some other embodiments, R6 is H, substituted or unsubstituted C1-C4alkyl, substituted or unsubstituted C1-C4heteroalkyl, C1-C6alkoxyalkyl, C1-C2alkyl-N(C1-C3alkyl)2, C1-C4alkyl(aryl), C1-C4alkyl(heteroaryl), C1-C4alkyl(C3-C8cycloalkyl), or C1-C4alkyl(C2-C8heterocycloalkyl). In yet other embodiments, R6 is H, substituted or unsubstituted C1-C4alkyl, —CH2—O—(C1-C3alkyl), —CH2—N(C1-C3alkyl)2, C1-C4alkyl(phenyl), or C1-C4alkyl(5- or 6-membered heteroaryl). In yet other embodiments, R6 is H, substituted or unsubstituted C1-C4alkyl, —CH2—O—(C1-C3alkyl), —CH—(C1-C6alkylamino), C1-C4alkyl(phenyl), or C1-C4alkyl(5- or 6-membered heteroaryl). In some embodiments, R6 is H, substituted or unsubstituted C1-C4alkyl, —CH2—O—(C1-C3alkyl), —CH2—N(C1-C3alkyl)2, C1-C4alkyl(phenyl), or C1-C4alkyl(5- or 6-membered heteroaryl containing 1 or 2 N atoms), or C1-C4alkyl(5- or 6-membered heterocycloalkyl containing 1 or 2 N atoms).
- In some embodiments, Y is an optionally substituted group selected from among alkyl, heteroalkyl, cycloalkyl, and heterocycloalkyl. In other embodiments, Y is an optionally substituted group selected from among C1-C6alkyl, C1-C6heteroalkyl, 4-, 5-, 6-, or 7-membered cycloalkyl, and 4-, 5-, 6-, or 7-membered heterocycloalkyl. In yet other embodiments, Y is an optionally substituted group selected from among C1-C6alkyl, C1-C6heteroalkyl, 5- or 6-membered cycloalkyl, and 5- or 6-membered heterocycloalkyl containing 1 or 2 N atoms. In some other embodiments, Y is a 5- or 6-membered cycloalkyl, or a 5- or 6-membered heterocycloalkyl containing 1 or 2 N atoms. In some embodiments, Y is a 4-, 5-, 6-, or 7-membered cycloalkyl ring; or Y is a 4-, 5-, 6-, or 7-membered heterocycloalkyl ring.
- Any combination of the groups described above for the various variables is contemplated herein. It is understood that substituents and substitution patterns on the compounds provided herein can be selected by one of ordinary skill in the art to provide compounds that are chemically stable and that can be synthesized by techniques known in the art, as well as those set forth herein.
- In one aspect, provided herein is a compound selected from among:
- 1-(3-(4-amino-3-(4-phenoxyphenyl)-1H-pyrazolo[3,4-d]pyrimidin-1-yl)piperidin-1-yl)prop-2-en-1-one (Compound 4); (E)-1-(3-(4-amino-3-(4-phenoxyphenyl)-1H-pyrazolo[3,4-d]pyrimidin-1-yl)piperidin-1-yl)but-2-en-1-one (Compound 5); 1-(3-(4-amino-3-(4-phenoxyphenyl)-1H-pyrazolo[3,4-d]pyrimidin-1-yl)piperidin-1-yl)sulfonylethene (Compound 6); 1-(3-(4-amino-3-(4-phenoxyphenyl)-1H-pyrazolo[3,4-d]pyrimidin-1-yl)piperidin-1-yl)prop-2-yn-1-one (Compound 8); 1-(4-(4-amino-3-(4-phenoxyphenyl)-1H-pyrazolo[3,4-d]pyrimidin-1-yl)piperidin-1-yl)prop-2-en-1-one (Compound 9); N-((1s,4s)-4-(4-amino-3-(4-phenoxyphenyl)-1H-pyrazolo[3,4-d]pyrimidin-1-yl)cyclohexyl)acrylamide (Compound 10); 1-((R)-3-(4-amino-3-(4-phenoxyphenyl)-1H-pyrazolo[3,4-d]pyrimidin-1-yl)pyrrolidin-1-yl)prop-2-en-1-one (Compound 11); 1-((S)-3-(4-amino-3-(4-phenoxyphenyl)-1H-pyrazolo[3,4-d]pyrimidin-1-yl)pyrrolidin-1-yl)prop-2-en-1-one (Compound 12); 1-((R)-3-(4-amino-3-(4-phenoxyphenyl)-1H-pyrazolo[3,4-d]pyrimidin-1-yl)piperidin-1-ylprop-2-en-1-one (Compound 13); 1-((S)-3-(4-amino-3-(4-phenoxyphenyl)-1H-pyrazolo[3,4-d]pyrimidin-1-yl)piperidin-1-yl)prop-2-en-1-one (Compound 14); and (E)-1-(3-(4-amino-3-(4-phenoxyphenyl)-1H-pyrazolo[3,4-d]pyrimidin-1-yl)piperidin-1-yl)-4-(dimethylamino)but-2-en-1-one (Compound 15).
- In a further aspect are provided pharmaceutical compositions, which include a therapeutically effective amount of at least one of any of the compounds herein, or a pharmaceutically acceptable salt, pharmaceutically active metabolite, pharmaceutically acceptable prodrug, or pharmaceutically acceptable solvate. In certain embodiments, compositions provided herein farther include a pharmaceutically acceptable diluent, excipient and/or binder.
- Pharmaceutical compositions formulated for administration by an appropriate route and means containing effective concentrations of one or more of the compounds provided herein, or pharmaceutically effective derivatives thereof, that deliver amounts effective for the treatment, prevention, or amelioration of one or more symptoms of diseases, disorders or conditions that are modulated or otherwise affected by tyrosine kinase activity, or in which tyrosine kinase activity is implicated, are provided. The effective amounts and concentrations are effective for ameliorating any of the symptoms of any of the diseases, disorders or conditions disclosed herein.
- In certain embodiments, provided herein is a pharmaceutical composition containing: i) a physiologically acceptable carrier, diluent, and/or excipient; and ii) one or more compounds provided herein.
- In one aspect, provided herein are methods for treating a patient by administering a compound provided herein. In some embodiments, provided herein is a method of inhibiting the activity of tyrsoine kinase(s), such as Btk, or of treating a disease, disorder, or condition, which would benefit from inhibition of tyrosine kinase(s), such as Btk, in a patient, which includes administering to the patient a therapeutically effective amount of at least one of any of the compounds herein, or pharmaceutically acceptable salt, pharmaceutically active metabolite, pharmaceutically acceptable prodrug, or pharmaceutically acceptable solvate.
- In another aspect, provided herein is the use of a compound disclosed herein for inhibiting Bruton's tyrosine kinase (Btk) activity or for the treatment of a disease, disorder, or condition, which would benefit from inhibition of Bruton's tyrosine kinase (Btk) activity.
- In some embodiments, compounds provided herein are administered to a human.
- In some embodiments, compounds provided herein are orally administered.
- In other embodiments, compounds provided herein are used for the formulation of a medicament for the inhibition of tyrosine kinase activity. In some other embodiments, compounds provided herein are used for the formulation of a medicament for the inhibition of Bruton's tyrosine kinase (Btk) activity.
- Articles of manufacture including packaging material, a compound or composition or pharmaceutically acceptable derivative thereof provided herein, which is effective for inhibiting the activity of tyrosine kinase(s), such as Btk, within the packaging material, and a label that indicates that the compound or composition, or pharmaceutically acceptable salt, pharmaceutically active metabolite, pharmaceutically acceptable prodrug, or pharmaceutically acceptable solvate thereof, is used for inhibiting the activity of tyrosine kinase(s), such as Btk, are provided.
- In another aspect are inhibited tyrosine kinases comprising a Bruton's tyrosine kinase, a Bruton's tyrosine kinase homolog, or a Btk tyrosine kinase cysteine homolog thereof covalently bound to an inhibitor having the structure:
- In a further aspect, provided herein is a method for inhibiting Bruton's tyrosine kinase in a subject in need thereof by administering to the subject thereof a composition containing a therapeutically effective amount of at least one compound having the structure of any of Formula (A), Formula (B), Formula (C), or Formula (D). In some embodiments, the subject in need is suffering from an autoimmune disease, e.g., inflammatory bowel disease, arthritis, lupus, rheumatoid arthritis, psoriatic arthritis, osteoarthritis, Still's disease, juvenile arthritis, diabetes, myasthenia gravis, Hashimoto's thyroiditis, Ord's thyroiditis, Graves' disease Sjögren's syndrome, multiple sclerosis, Guillain-Barré syndrome, acute disseminated encephalomyelitis, Addison's disease, opsoclonus-myoclonus syndrome, ankylosing spondylitisis, antiphospholipid antibody syndrome, aplastic anemia, autoimmune hepatitis, coeliac disease, Goodpasture's syndrome, idiopathic thrombocytopenic purpura, optic neuritis, scleroderma, primary biliary cirrhosis, Reiter's syndrome, Takayasu's arteritis, temporal arteritis, warm autoimmune hemolytic anemia, Wegener's granulomatosis, psoriasis, alopecia universalis, Behçet's disease, chronic fatigue, dysautonomia, endometriosis, interstitial cystitis, neuromyotonia, scleroderma, or vulvodynia.
- In other embodiments, the subject in need is suffering from a heteroimmune condition or disease, e.g., graft versus host disease, transplantation, transfusion, anaphylaxis, allergy, type I hypersensitivity, allergic conjunctivitis, allergic rhinitis, or atopic dermatitis.
- In certain embodiments, the subject in need is suffering from an inflammatory disease, e.g., asthma, appendicitis, blepharitis, bronchiolitis, bronchitis, bursitis, cervicitis, cholangitis, cholecystitis, colitis, conjunctivitis, cystitis, dacryoadenitis, dermatitis, dermatomyositis, encephalitis, endocarditis, endometritis, enteritis, enterocolitis, epicondylitis, epididymitis, fasciitis, fibrositis, gastritis, gastroenteritis, hepatitis, hidradenitis suppurativa, laryngitis, mastitis, meningitis, myelitis myocarditis, myositis, nephritis, oophoritis, orchitis, osteitis, otitis, pancreatitis, parotitis, pericarditis, peritonitis, pharyngitis, pleuritis, phlebitis, pneumonitis, pneumonia, proctitis, prostatitis, pyelonephritis, rhinitis, salpingitis, sinusitis, stomatitis, synovitis, tendonitis, tonsillitis, uveitis, vaginitis, vasculitis, or vulvitis.
- In further embodiments, the subject in need is suffering from a cancer. In one embodiment, the cancer is a B-cell proliferative disorder, e.g., diffuse large B cell lymphoma, follicular lymphoma, chronic lymphocytic lymphoma, chronic lymphocytic leukemia, B-cell prolymphocytic leukemia, lymphoplasmacytic lymphoma/Waldenström macroglobulinemia, splenic marginal zone lymphoma, plasma cell myeloma, plasmacytoma, extranodal marginal zone B cell lymphoma, nodal marginal zone B cell lymphoma, mantle cell lymphoma, mediastinal (thymic) large B cell lymphoma, intravascular large B cell lymphoma, primary effusion lymphoma, burkitt lymphoma/leukemia, or lymphomatoid granulomatosis. In some embodiments, where the subject is suffering from a cancer, an anti-cancer agent is administered to the subject in addition to one of the above-mentioned compounds. In one embodiment, the anti-cancer agent is an inhibitor of mitogen-activated protein kinase signaling, e.g., U0126, PD98059, PD184352, PD0325901, ARRY-142886, SB239063, SP600125, BAY 43-9006, wortmannin, or LY294002.
- In further embodiments, the subject in need is suffering from a thromboembolic disorder, e.g., myocardial infarct, angina pectoris, reocclusion after angioplasty, restenosis after angioplasty, reocclusion after aortocoronary bypass, restenosis after aortocoronary bypass, stroke, transitory ischemia, a peripheral arterial occlusive disorder, pulmonary embolism, or deep venous thrombosis.
- In a further aspect, provided herein is a method for treating an autoimmune disease by administering to a subject in need thereof a composition containing a therapeutically effective amount of at least one compound having the structure of any of Formula (A), Formula (B), Formula (C), or Formula (D). In one embodiment, the autoimmune disease is arthritis. In another embodiment, the autoimmune disease is lupus. In some embodiments, the autoimmune disease is inflammatory bowel disease (including Crohn's disease and ulcerative colitis), rheumatoid arthritis, psoriatic arthritis, osteoarthritis, Still's disease, juvenile arthritis, lupus, diabetes, myasthenia gravis, Hashimoto's thyroiditis, Ord's thyroiditis, Graves' disease Sjögren's syndrome, multiple sclerosis, Guillain-Barré syndrome, acute disseminated encephalomyelitis, Addison's disease, opsoclonus-myoclonus syndrome, ankylosing spondylitisis, antiphospholipid antibody syndrome, aplastic anemia, autoimmune hepatitis, coeliac disease, Goodpasture's syndrome, idiopathic thrombocytopenic purpura, optic neuritis, scleroderma, primary biliary cirrhosis, Reiter's syndrome, Takayasu's arteritis, temporal arteritis, warm autoimmune hemolytic anemia, Wegener's granulomatosis, psoriasis, alopecia universalis, Behçet's disease, chronic fatigue, dysautonomia, endometriosis, interstitial cystitis, neuromyotonia, scleroderma, or vulvodynia.
- In a further aspect, provided herein is a method for treating a heteroimmune condition or disease by administering to a subject in need thereof a composition containing a therapeutically effective amount of at least one compound having the structure of any of Formula (A), Formula (B), Formula (C), or Formula (D). In some embodiments, the heteroimmune condition or disease is graft versus host disease, transplantation, transfusion, anaphylaxis, allergy, type I hypersensitivity, allergic conjunctivitis, allergic rhinitis, or atopic dermatitis.
- In a further aspect, provided herein is a method for treating an inflammatory disease by administering to a subject in need thereof a composition containing a therapeutically effective amount of at least one compound having the structure of any of Formula (A), Formula (B), Formula (C), or Formula (D). In some embodiments, the inflammatory disease is asthma, inflammatory bowel disease (including Crohn's disease and ulcerative colitis), appendicitis, blepharitis, bronchiolitis, bronchitis, bursitis, cervicitis, cholangitis, cholecystitis, colitis, conjunctivitis, cystitis, dacryoadenitis, dermatitis, dermatomyositis, encephalitis, endocarditis, endometritis, enteritis, enterocolitis, epicondylitis, epididymitis, fasciitis, fibrositis, gastritis, gastroenteritis, hepatitis, hidradenitis suppurativa, laryngitis, mastitis, meningitis, myelitis myocarditis, myositis, nephritis, oophoritis, orchitis, osteitis, otitis, pancreatitis, parotitis, pericarditis, peritonitis, pharyngitis, pleuritis, phlebitis, pneumonitis, pneumonia, proctitis, prostatitis, pyelonephritis, rhinitis, salpingitis, sinusitis, stomatitis, synovitis, tendonitis, tonsillitis, uveitis, vaginitis, vasculitis, or vulvitis.
- In yet another aspect, provided herein is a method for treating a cancer by administering to a subject in need thereof a composition containing a therapeutically effective amount of at least one compound having the structure of any of Formula (A), Formula (B), Formula (C), or Formula (D). In one embodiment the cancer is a B-cell proliferative disorder, e.g., diffuse large B cell lymphoma, follicular lymphoma, chronic lymphocytic lymphoma, chronic lymphocytic leukemia, B-cell prolymphocytic leukemia, lymphoplasmacytic lymphoma/Waldenström macroglobulinemia, splenic marginal zone lymphoma, plasma cell myeloma, plasmacytoma, extranodal marginal zone B cell lymphoma, nodal marginal zone B cell lymphoma, mantle cell lymphoma, mediastinal (thymic) large B cell lymphoma, intravascular large B cell lymphoma, primary effusion lymphoma, burkitt lymphoma/leukemia, or lymphomatoid granulomatosis. In some embodiments, where the subject is suffering from a cancer, an anti-cancer agent is administered to the subject in addition to one of the above-mentioned compounds. In one embodiment, the anti-cancer agent is an inhibitor of mitogen-activated protein kinase signaling, e.g., U0126, PD98059, PD184352, PD0325901, ARRY-142886, SB239063, SP600125, BAY 43-9006, wortmannin, or LY294002.
- In another aspect, provided herein is a method for treating a thromboembolic disorder by administering to a subject in need thereof a composition containing a therapeutically effective amount of at least one compound having the structure of any of Formula (A), Formula (B), Formula (C), or Formula (D). In some embodiments, the thromboembolic disorder is myocardial infarct, angina pectoris, reocclusion after angioplasty, restenosis after angioplasty, reocclusion after aortocoronary bypass, restenosis after aortocoronary bypass, stroke, transitory ischemia, a peripheral arterial occlusive disorder, pulmonary embolism, or deep venous thrombosis.
- In a further aspect, provided herein is a method for treating an autoimmune disease by administering to a subject in need thereof a composition containing a therapeutically effective amount of a compound that forms a covalent bond with Bruton's tyrosine kinase. In one embodiment, the compound forms a covalent bound with the activated form of Bruton's tyrosine kinase. In further or alternative embodiments, the compound irreversibly inhibits the Bruton's tyrosine kinase to which it is covalently bound. In a further or alternative embodiment, the compound forms a covalent bond with a cysteine residue on Bruton's tyrosine kinase.
- In a further aspect, provided herein is a method for treating a heteroimmune condition or disease by administering to a subject in need thereof a composition containing a therapeutically effective amount of a compound that forms a covalent bond with Bruton's tyrosine kinase. In one embodiment, the compound forms a covalent bound with the activated form of Bruton's tyrosine kinase. In further or alternative embodiments, the compound irreversibly inhibits the Bruton's tyrosine kinase to which it is covalently bound. In a further or alternative embodiment, the compound forms a covalent bond with a cysteine residue on Bruton's tyrosine kinase.
- In a further aspect, provided herein is a method for treating an inflammatory disease by administering to a subject in need thereof a composition containing a therapeutically effective amount of a compound that forms a covalent bond with Bruton's tyrosine kinase. In one embodiment, the compound forms a covalent bound with the activated form of Bruton's tyrosine kinase. In further or alternative embodiments, the compound irreversibly inhibits the Bruton's tyrosine kinase to which it is covalently bound. In a further or alternative embodiment, the compound forms a covalent bond with a cysteine residue on Bruton's tyrosine kinase. In yet another aspect, provided herein is a method for treating a cancer by administering to a subject in need thereof a composition containing a therapeutically effective amount of a compound that forms a covalent bond with Bruton's tyrosine kinase. In one embodiment, the compound forms a covalent bound with the activated form of Bruton's tyrosine kinase. In further or alternative embodiments, the compound irreversibly inhibits the Bruton's tyrosine kinase to which it is covalently bound. In a further or alternative embodiment, the compound forms a covalent bond with a cysteine residue on Bruton's tyrosine kinase. In another aspect, provided herein is a method for treating a thromboembolic disorder by administering to a subject in need thereof a composition containing a therapeutically effective amount of a compound that forms a covalent bond with Bruton's tyrosine kinase.
- In one embodiment, the compound forms a covalent bound with the activated form of Bruton's tyrosine kinase. In further or alternative embodiments, the compound irreversibly inhibits the Bruton's tyrosine kinase to which it is covalently bound. In a further or alternative embodiment, the compound forms a covalent bond with a cysteine residue on Bruton's tyrosine kinase.
- In another aspect are methods for modulating, including irreversibly inhibiting the activity of Btk or other tyrosine kinases, wherein the other tyrosine kinases share homology with Btk by having a cysteine residue (including a
Cys 481 residue) that can form a covalent bond with at least one irreversible inhibitor described herein, in a mammal comprising administering to the mammal at least once an effective amount of at least one compound having the structure of any of Formula (A), Formula (B), Formula (C), or Formula (D). In another aspect are methods for modulating, including irreversibly inhibiting, the activity of Btk in a mammal comprising administering to the mammal at least once an effective amount of at least one compound having the structure of any of Formula (A), Formula (B), Formula (C), or Formula (D). In another aspect are methods for treating Btk-dependent or Btk mediated conditions or diseases, comprising administering to the mammal at least once an effective amount of at least one compound having the structure of any of Formula (A), Formula (B), Formula (C), or Formula (D). - In another aspect are methods for treating inflammation comprising administering to the mammal at least once an effective amount of at least one compound having the structure of Formula (A), (B), (C), or (D).
- A further aspect are methods for the treatment of cancer comprising administering to the mammal at least once an effective amount of at least one compound having the structure of Formula (A), (B), (C), or (D). The type of cancer may include, but is not limited to, pancreatic cancer and other solid or hematological tumors.
- In another aspect are methods for treating respiratory diseases comprising administering to the mammal at least once an effective amount of at least one compound having the structure of Formula (A), (B), (C), or (D). In a further embodiment of this aspect, the respiratory disease is asthma. In a further embodiment of this aspect, the respiratory disease includes, but is not limited to, adult respiratory distress syndrome and allergic (extrinsic) asthma, non-allergic (intrinsic) asthma, acute severe asthma, chronic asthma, clinical asthma, nocturnal asthma, allergen-induced asthma, aspirin-sensitive asthma, exercise-induced asthma, isocapnic hyperventilation, child-onset asthma, adult-onset asthma, cough-variant asthma, occupational asthma, steroid-resistant asthma, seasonal asthma,
- In another aspect are methods for preventing rheumatoid arthritis and osteoarthritis comprising administering to the mammal at least once an effective amount of at least one compound having the structure of Formula (A), (B), (C), or (D).
- In another aspect are methods for treating inflammatory responses of the skin comprising administering to the mammal at least once an effective amount of at least one compound having the structure of Formula (A), (B), (C), or (D). Such inflammatory responses of the skin include, by way of example, dermatitis, contact dermatitis, eczema, urticaria, rosacea, and scarring. In another aspect are methods for reducing psoriatic lesions in the skin, joints, or other tissues or organs, comprising administering to the mammal an effective amount of a first compound having the structure of Formula (A), (B), (C), or (D).
- In another aspect is the use of a compound of Formula (A), (B), (C), or (D) in the manufacture of a medicament for treating an inflammatory disease or condition in an animal in which the activity of Btk or other tyrosine kinases, wherein the other tyrosine kinases share homology with Btk by having a cysteine residue (including a
Cys 481 residue) that can form a covalent bond with at least one irreversible inhibitor described herein, contributes to the pathology and/or symptoms of the disease or condition. In one embodiment of this aspect, the tyrosine kinase protein is Btk. In another or further embodiment of this aspect, the inflammatory disease or conditions are respiratory, cardiovascular, or proliferative diseases. - In any of the aforementioned aspects are further embodiments in which administration is enteral, parenteral, or both, and wherein (a) the effective amount of the compound is systemically administered to the mammal; (b) the effective amount of the compound is administered orally to the mammal; (c) the effective amount of the compound is intravenously administered to the mammal; (d) the effective amount of the compound administered by inhalation; (e) the effective amount of the compound is administered by nasal administration; or (f) the effective amount of the compound is administered by injection to the mammal; (g) the effective amount of the compound is administered topically (dermal) to the mammal; (h) the effective amount of the compound is administered by ophthalmic administration; or (i) the effective amount of the compound is administered rectally to the mammal.
- In any of the aforementioned aspects are further embodiments comprising single administrations of the effective amount of the compound, including further embodiments in which (i) the compound is administered once; (ii) the compound is administered to the mammal multiple times over the span of one day; (iii) continually; or (iv) continuously.
- In any of the aforementioned aspects are further embodiments comprising multiple administrations of the effective amount of the compound, including further embodiments in which (i) the compound is administered in a single dose; (ii) the time between multiple administrations is every 6 hours; (iii) the compound is administered to the mammal every 8 hours. In further or alternative embodiments, the method comprises a drug holiday, wherein the administration of the compound is temporarily suspended or the dose of the compound being administered is temporarily reduced; at the end of the drug holiday, dosing of the compound is resumed. The length of the drug holiday can vary from 2 days to 1 year.
- In any of the aforementioned aspects involving the treatment of proliferative disorders, including cancer, are further embodiments comprising administering at least one additional agent selected from the group consisting of alemtuzumab, arsenic trioxide, asparaginase (pegylated or non-), bevacizumab, cetuximab, platinum-based compounds such as cisplatin, cladribine, daunorubicin/doxorubicin/idarubicin, irinotecan, fludarabine, 5-fluorouracil, gemtuzumab, methotrexate, Paclitaxel™, taxol, temozolomide, thioguanine, or classes of drugs including hormones (an antiestrogen, an antiandrogen, or gonadotropin releasing hormone analogues, interferons such as alpha interferon, nitrogen mustards such as busulfan or melphalan or mechlorethamine, retinoids such as tretinoin, topoisomerase inhibitors such as irinotecan or topotecan, tyrosine kinase inhibitors such as gefinitinib or imatinib, or agents to treat signs or symptoms induced by such therapy including allopurinol, filgrastim, granisetron/ondansetron/palonosetron, dronabinol.
- In any of the aforementioned aspects involving the prevention or treatment of Btk-dependent or tyrosine kinase mediated diseases or conditions are further embodiments comprising identifying patients by screening for a tyrosine kinase gene haplotype. In further or alternative embodiments the tyrosine kinase gene haplotype is a tyrosine kinase pathway gene, while in still further or alternative embodiments, the tyrosine kinase gene haplotype is a Btk haplotype.
- In a further or alternative embodiment, the compound of formula (A), (B), (C) or (D) are irreversible inhibitors of Bruton's tyrosine kinase (Btk), while in still further or alternative embodiments, such irreversible inhibitors are selective for Btk. In even further or alternative embodiments, such inhibitors have an IC50 below 10 microM in enzyme assay. In one embodiment, a Btk irreversible inhibitor has an IC50 of less than 1 microM, and in another embodiment, less than 0.25 microM.
- In further or alternative embodiment, the compound of formula ((A), (B), (C) or (D) are selective irreversible inhibitors for Btk over Itk. In further or alternative embodiment, the compound of formula (A), (B), (C) or (D) are selective irreversible inhibitors for Btk over Lck. In further or alternative embodiment, the compound of formula (A), (B), (C) or (D) are selective irreversible inhibitors for Btk over ABL. In further or alternative embodiment, the compound of formula (A), (B), (C) or (D) are selective irreversible inhibitors for Btk over CMET. In further or alternative embodiment, the compound of formula (A), (B), (C) or (D) are selective irreversible inhibitors for Btk over EGFR. In further or alternative embodiment, the compound of formula (A), (B), (C) or (D) are selective irreversible inhibitors for Btk over Lyn.
- In further or alternative embodiments, the irreversible Btk inhibitors are also inhibitors of EGFR.
- Other objects, features and advantages of the methods and compositions described herein will become apparent from the following detailed description. It should be understood, however, that the detailed description and the specific examples, while indicating specific embodiments, are given by way of illustration only, since various changes and modifications within the spirit and scope of the present disclosure will become apparent to those skilled in the art from this detailed description. The section headings used herein are for organizational purposes only and are not to be construed as limiting the subject matter described. All documents, or portions of documents, cited in the application including, but not limited to, patents, patent applications, articles, books, manuals, and treatises are hereby expressly incorporated by reference in their entirety for any purpose.
- Unless defined otherwise, all technical and scientific terms used herein have the same meaning as is commonly understood by one of skill in the art to which the claimed subject matter belongs. In the event that there are a plurality of definitions for terms herein, those in this section prevail. Where reference is made to a URL or other such identifier or address, it is understood that such identifiers can change and particular information on the internet can come and go, but equivalent information can be found by searching the internet Reference thereto evidences the availability and public dissemination of such information.
- It is to be understood that the foregoing general description and the following detailed description are exemplary and explanatory only and are not restrictive of any subject matter claimed. In this application, the use of the singular includes the plural unless specifically stated otherwise. It must be noted that, as used in the specification and the appended claims, the singular forms “a,” “an” and “the” include plural referents unless the context clearly dictates otherwise. In this application, the use of “or” means “and/or” unless stated otherwise. Furthermore, use of the term “including” as well as other forms, such as “include”, “includes,” and “included,” is not limiting.
- The section headings used herein are for organizational purposes only and are not to be construed as limiting the subject matter described. All documents, or portions of documents, cited in the application including, but not limited to, patents, patent applications, articles, books, manuals, and treatises are hereby expressly incorporated by reference in their entirety for any purpose.
- Definition of standard chemistry terms may be found in reference works, including Carey and Sundberg “A
DVANCED ORGANIC CHEMISTRY 4TH ED .” Vols. A (2000) and B (2001), Plenum Press, New York. Unless otherwise indicated, conventional methods of mass spectroscopy, NMR, HPLC, protein chemistry, biochemistry, recombinant DNA techniques and pharmacology, within the skill of the art are employed. Unless specific definitions are provided, the nomenclature employed in connection with, and the laboratory procedures and techniques of, analytical chemistry, synthetic organic chemistry, and medicinal and pharmaceutical chemistry described herein are those known in the art. Standard techniques can be used for chemical syntheses, chemical analyses, pharmaceutical preparation, formulation, and delivery, and treatment of patients. Standard techniques can be used for recombinant DNA, oligonucleotide synthesis, and tissue culture and transformation (e.g., electroporation, lipofection). Reactions and purification techniques can be performed e.g., using kits of manufacturer's specifications or as commonly accomplished in the art or as described herein. The foregoing techniques and procedures can be generally performed of conventional methods well known in the art and as described in various general and more specific references that are cited and discussed throughout the present specification. - It is to be understood that the methods and compositions described herein are not limited to the particular methodology, protocols, cell lines, constructs, and reagents described herein and as such may vary. It is also to be understood that the terminology used herein is for the purpose of describing particular embodiments only, and is not intended to limit the scope of the methods and compositions described herein, which will be limited only by the appended claims.
- All publications and patents mentioned herein are incorporated herein by reference in their entirety for the purpose of describing and disclosing, for example, the constructs and methodologies that are described in the publications, which might be used in connection with the methods, compositions and compounds described herein. The publications discussed herein are provided solely for their disclosure prior to the filing date of the present application. Nothing herein is to be construed as an admission that the inventors described herein are not entitled to antedate such disclosure by virtue of prior invention or for any other reason.
- An “alkyl” group refers to an aliphatic hydrocarbon group. The alkyl moiety may be a “saturated alkyl” group, which means that it does not contain any alkene or alkyne moieties. The alkyl moiety may also be an “unsaturated alkyl” moiety, which means that it contains at least one alkene or alkyne moiety. An “alkene” moiety refers to a group that has at least one carbon-carbon double bond, and an “alkyne” moiety refers to a group that has at least one carbon-carbon triple bond. The alkyl moiety, whether saturated or unsaturated, may be branched, straight chain, or cyclic. Depending on the structure, an alkyl group can be a monoradical or a diradical (i.e., an alkylene group). The alkyl group could also be a “lower alkyl” having 1 to 6 carbon atoms.
- As used herein, C1-Cx includes C1-C2, C1-C3 . . . C1-Cx.
- The “alkyl” moiety may have 1 to 10 carbon atoms (whenever it appears herein, a numerical range such as “1 to 10” refers to each integer in the given range; e.g., “1 to 10 carbon atoms” means that the alkyl group may have 1 carbon atom, 2 carbon atoms, 3 carbon atoms, etc., up to and including 10 carbon atoms, although the present definition also covers the occurrence of the term “alkyl” where no numerical range is designated). The alkyl group of the compounds described herein may be designated as “C1-C4 alkyl” or similar designations. By way of example only, “C1-C4 alkyl” indicates that there are one to four carbon atoms in the alkyl chain, i.e., the alkyl chain is selected from among methyl, ethyl, propyl, iso-propyl, n-butyl, iso-butyl, sec-butyl, and t-butyl. Thus C1-C4 alkyl includes C1-C2 alkyl and C1-C3 alkyl. Alkyl groups can be substituted or unsubstituted. Typical alkyl groups include, but are in no way limited to, methyl, ethyl, propyl, isopropyl, butyl, isobutyl, tertiary butyl, pentyl, hexyl, ethenyl, propenyl, butenyl, cyclopropyl, cyclobutyl, cyclopentyl, cyclohexyl, and the like.
- As used herein, the term “non-cyclic alkyl” refers to an alkyl that is not cyclic (i.e., a straight or branched chain containing at least one carbon atom). Non-cyclic alkyls can be fully saturated or can contain non-cyclic alkenes and/or alkynes. Non-cyclic alkyls can be optionally substituted.
- The term “alkenyl” refers to a type of alkyl group in which the first two atoms of the alkyl group form a double bond that is not part of an aromatic group. That is, an alkenyl group begins with the atoms —C(R)═C(R)—R, wherein R refers to the remaining portions of the alkenyl group, which may be the same or different. The alkenyl moiety may be branched, straight chain, or cyclic (in which case, it would also be known as a “cycloalkenyl” group). Depending on the structure, an alkenyl group can be a monoradical or a diradical (i.e., an alkenylene group). Alkenyl groups can be optionally substituted. Non-limiting examples of an alkenyl group include —CH═CH2, —C(CH3)═CH2, —CH═CHCH3, —C(CH3)═CHCH3. Alkenylene groups include, but are not limited to, —CH═CH—, C(CH3)—CH—, —CH═CHCH2—, —CH═CHCH2CH2— and —C(CH3)═CHCH2—. Alkenyl groups could have 2 to 10 carbons. The alkenyl group could also be a “lower alkenyl” having 2 to 6 carbon atoms.
- The term “alkynyl” refers to a type of alkyl group in which the first two atoms of the alkyl group form a triple bond. That is, an alkynyl group begins with the atoms —C≡C—R, wherein R refers to the remaining portions of the alkynyl group, which may be the same or different. The “R” portion of the alkynyl moiety may be branched, straight chain, or cyclic. Depending on the structure, an alkynyl group can be a monoradical or a diradical (i.e., an alkynylene group). Alkynyl groups can be optionally substituted. Non-limiting examples of an alkynyl group include, but are not limited to, —C≡CH, —C≡CCH3, —C≡CCH2CH3, —C≡C—, and —C≡CCH2—. Alkynyl groups can have 2 to 10 carbons. The alkynyl group could also be a “lower alkynyl” having 2 to 6 carbon atoms.
- An “alkoxy” group refers to a (alkyl)O— group, where alkyl is as defined herein.
- “Hydroxyalkyl” refers to an alkyl radical, as defined herein, substituted with at least one hydroxy group. Non-limiting examples of a hydroxyalkyl include, but are not limited to, hydroxymethyl, 2-hydroxyethyl, 2-hydroxypropyl, 3-hydroxypropyl, 1-(hydroxymethyl)-2-methylpropyl, 2-hydroxybutyl, 3-hydroxybutyl, 4-hydroxybutyl, 2,3-dihydroxypropyl, 1-(hydroxymethyl)-2-hydroxyethyl, 2,3-dihydroxybutyl, 3,4-dihydroxybutyl and 2-(hydroxymethyl)-3-hydroxypropyl.
- “Alkoxyalkyl” refers to an alkyl radical, as defined herein, substituted with an alkoxy group, as defined herein.
- An “alkenyloxy” group refers to a (alkenyl)O— group, where alkenyl is as defined herein.
- The term “alkylamine” refers to the —N(alkyl)xHy group, where x and y are selected from among x=1, y=1 and x=2, y=0. When x=2, the alkyl groups, taken together with the N atom to which they are attached, can optionally form a cyclic ring system.
- “Alkylaminoalkyl” refers to an alkyl radical, as defined herein, substituted with an alkylamine, as defined herein.
- An “amide” is a chemical moiety with the formula —C(O)NHR or —NHC(O)R, where R is selected from among alkyl, cycloalkyl, aryl, heteroaryl (bonded through a ring carbon) and heteroalicyclic bonded through a ring carbon). An amide moiety may form a linkage between an amino acid or a peptide molecule and a compound described herein, thereby forming a prodrug. Any amine, or carboxyl side chain on the compounds described herein can be amidified. The procedures and specific groups to make such amides are known to those of skill in the art and can readily be found in reference sources such as Greene and Wuts, Protective Groups in Organic Synthesis, 3rd Ed., John Wiley & Sons, New York, N.Y., 1999, which is incorporated herein by reference in its entirety.
- The term “ester” refers to a chemical moiety with formula —COOR, where R is selected from among alkyl, cycloalkyl, aryl, heteroaryl (bonded through a ring carbon) and heteroalicyclic (bonded through a ring carbon). Any hydroxy, or carboxyl side chain on the compounds described herein can be esterified. The procedures and specific groups to make such esters are known to those of skill in the art and can readily be found in reference sources such as Greene and Wuts, Protective Groups in Organic Synthesis, 3rd Ed., John Wiley & Sons, New York, N.Y., 1999, which is incorporated herein by reference in its entirety.
- As used herein, the term “ring” refers to any covalently closed structure. Rings include, for example, carbocycles (e.g., aryls and cycloalkyls), heterocycles (e.g., heteroaryls and non-aromatic heterocycles), aromatics (e.g. aryls and heteroaryls), and non-aromatics (e.g., cycloalkyls and non-aromatic heterocycles). Rings can be optionally substituted. Rings can be monocyclic or polycyclic.
- As used herein, the term “ring system” refers to one, or more than one ring.
- The term “membered ring” can embrace any cyclic structure. The term “membered” is meant to denote the number of skeletal atoms that constitute the ring. Thus, for example, cyclohexyl, pyridine, pyran and thiopyran are 6-membered rings and cyclopentyl, pyrrole, furan, and thiophene are 5-membered rings.
- The term “fused” refers to structures in which two or more rings share one or more bonds.
- The term “carbocyclic” or “carbocycle” refers to a ring wherein each of the atoms forming the ring is a carbon atom. Carbocycle includes aryl and cycloalkyl. The term thus distinguishes carbocycle from heterocycle (“heterocyclic”) in which the ring backbone contains at least one atom which is different from carbon (i.e a heteroatom). Heterocycle includes heteroaryl and heterocycloalkyl. Carbocycles and heterocycles can be optionally substituted.
- The term “aromatic” refers to a planar ring having a delocalized π-electron system containing 4n+2π electrons, where n is an integer. Aromatic rings can be formed from five, six, seven, eight, nine, or more than nine atoms. Aromatics can be optionally substituted. The term “aromatic” includes both carbocyclic aryl (e.g., phenyl) and heterocyclic aryl (or “heteroaryl” or “heteroaromatic”) groups (e.g., pyridine). The term includes monocyclic or fused-ring polycyclic (i.e., rings which share adjacent pairs of carbon atoms) groups.
- As used herein, the term “aryl” refers to an aromatic ring wherein each of the atoms forming the ring is a carbon atom. Aryl rings can be formed by five, six, seven, eight, nine, or more than nine carbon atoms. Aryl groups can be optionally substituted. Examples of aryl groups include, but are not limited to phenyl, naphthalenyl, phenanthrenyl, anthracenyl, fluorenyl, and indenyl. Depending on the structure, an aryl group can be a monoradical or a diradical (i.e., an arylene group).
- An “aryloxy” group refers to an (aryl)O— group, where aryl is as defined herein.
- “Aralkyl” means an alkyl radical, as defined herein, substituted with an aryl group. Non-limiting aralkyl groups include, benzyl, phenethyl, and the like.
- “Aralkenyl” means an alkenyl radical, as defined herein, substituted with an aryl group, as defined herein.
- The term “cycloalkyl” refers to a monocyclic or polycyclic radical that contains only carbon and hydrogen, and may be saturated, partially unsaturated, or fully unsaturated. Cycloalkyl groups include groups having from 3 to 10 ring atoms. Illustrative examples of cycloalkyl groups include the following moieties:
- and the like. Depending on the structure, a cycloalkyl group can be a monoradical or a diradical (e.g., an cycloalkylene group). The cycloalkyl group could also be a “lower cycloalkyl” having 3 to 8 carbon atoms.
- “Cycloalkylalkyl” means an alkyl radical, as defined herein, substituted with a cycloalkyl group. Non-limiting cycloalkylalkyl groups include cyclopropylmethyl, cyclobutylmethyl, cyclopentylmethyl, cyclohexylmethyl, and the like.
- The term “heterocycle” refers to heteroaromatic and heteroalicyclic groups containing one to four heteroatoms each selected from O, S and N, wherein each heterocyclic group has from 4 to 10 atoms in its ring system, and with the proviso that the ring of said group does not contain two adjacent O or S atoms. Herein, whenever the number of carbon atoms in a heterocycle is indicated (e.g., C1-C6 heterocycle), at least one other atom (the heteroatom) must be present in the ring. Designations such as “C1-C6 heterocycle” refer only to the number of carbon atoms in the ring and do not refer to the total number of atoms in the ring. It is understood that the heterocylic ring can have additional heteroatoms in the ring. Designations such as “4-6 membered heterocycle” refer to the total number of atoms that are contained in the ring (i.e., a four, five, or six membered ring, in which at least one atom is a carbon atom, at least one atom is a heteroatom and the remaining two to four atoms are either carbon atoms or heteroatoms). In heterocycles that have two or more heteroatoms, those two or more heteroatoms can be the same or different from one another. Heterocycles can be optionally substituted. Binding to a heterocycle can be at a heteroatom or via a carbon atom. Non-aromatic heterocyclic groups include groups having only 4 atoms in their ring system, but aromatic heterocyclic groups must have at least 5 atoms in their ring system. The heterocyclic groups include benzo-fused ring systems. An example of a 4-membered heterocyclic group is azetidinyl (derived from azetidine). An example of a 5-membered heterocyclic group is thiazolyl. An example of a 6-membered heterocyclic group is pyridyl, and an example of a 10-membered heterocyclic group is quinolinyl. Examples of non-aromatic heterocyclic groups are pyrrolidinyl, tetrahydrofuranyl, dihydrofuranyl, tetrahydrothienyl, tetrahydropyranyl, dihydropyranyl, tetrahydrothiopyranyl, piperidino, morpholino, thiomorpholino, thioxanyl, piperazinyl, azetidinyl, oxetanyl, thietanyl, homopiperidinyl, oxepanyl, thiepanyl, oxazepinyl, diazepinyl, thiazepinyl, 1,2,3,6-tetrahydropyridinyl, 2-pyrrolinyl, 3-pyrrolinyl, indolinyl, 2H-pyranyl, 4H-pyranyl, dioxanyl, 1,3-dioxolanyl, pyrazolinyl, dithianyl, dithiolanyl, dihydropyranyl, dihydrothienyl, dihydrofuranyl, pyrazolidinyl, imidazolinyl, imidazolidinyl, 3-azabicyclo[3.1.0]hexanyl, 3-azabicyclo[4.1.0]heptanyl, 3H-indolyl and quinolizinyl. Examples of aromatic heterocyclic groups are pyridinyl, imidazolyl, pyrimindinyl, pyrazolyl, triazolyl, pyrazinyl, tetrazolyl, furyl, thienyl, isoxazolyl, thiazolyl, oxazolyl, isothiazolyl, pyrrolyl, quinolinyl, isoquinolinyl, indolyl, benzimidazolyl, benzofuranyl, cinnolinyl, indazolyl, indolizinyl, phthalazinyl, pyridazinyl, triazinyl, isoindolyl, pteridinyl, purinyl, oxadiazolyl, thiadiazolyl, furazanyl, benzofurazanyl, benzothiophenyl, benzothiazolyl, benzoxazolyl, quinazolinyl, quinoxalinyl, naphthyridinyl, and furopyridinyl. The foregoing groups, as derived from the groups listed above, may be C-attached or N-attached where such is possible. For instance, a group derived from pyrrole may be pyrrol-1-yl (N-attached) or pyrrol-3-yl (C-attached). Further, a group derived from imidazole may be imidazol-1-yl or imidazol-3-yl (both N-attached) or imidazol-2-yl, imidazol-4-yl or imidazol-5-yl (all C-attached). The heterocyclic groups include benzo-fused ring systems and ring systems substituted with one or two oxo (═O) moieties such as pyrrolidin-2-one. Depending on the structure, a heterocycle group can be a monoradical or a diradical (i.e., a heterocyclene group).
- The term “heteroaryl” or, alternatively, “heteroaromatic” refers to an aryl group that includes one or more ring heteroatoms selected from nitrogen, oxygen and sulfur. An N-containing “heteroaromatic” or “heteroaryl” moiety refers to an aromatic group in which at least one of the skeletal atoms of the ring is a nitrogen atom. Illustrative examples of heteroaryl groups include the following moieties:
- the like. Depending on the structure, a heteroaryl group can be a monoradical or a diradical (i.e., a heteroarylene group).
- As used herein, the term “non-aromatic heterocycle”, “heterocycloalkyl” or “heteroalicyclic” refers to a non-aromatic ring wherein one or more atoms forming the ring is a heteroatom. A “non-aromatic heterocycle” or “heterocycloalkyl” group refers to a cycloalkyl group that includes at least one heteroatom selected from nitrogen, oxygen and sulfur. The radicals may be fused with an aryl or heteroaryl. Heterocycloalkyl rings can be formed by three, four, five, six, seven, eight, nine, or more than nine atoms. Heterocycloalkyl rings can be optionally substituted. In certain embodiments, non-aromatic heterocycles contain one or more carbonyl or thiocarbonyl groups such as, for example, oxo- and thio-containing groups. Examples of heterocycloalkyls include, but are not limited to, lactams, lactones, cyclic imides, cyclic thioimides, cyclic carbamates, tetrahydrothiopyran, 4H-pyran, tetrahydropyran, piperidine, 1,3-dioxin, 1,3-dioxane, 1,4-dioxin, 1,4-dioxane, piperazine, 1,3-oxathiane, 1,4-oxathiin, 1,4-oxathiane, tetrahydro-1,4-thiazine, 2H-1,2-oxazine, maleimide, succinimide, barbituric acid, thiobarbituric acid, dioxopiperazine, hydantoin, dihydrouracil, morpholine, trioxane, hexahydro-1,3,5-triazine, tetrahydrothiophene, tetrahydrofuran, pyrroline, pyrrolidine, pyrrolidone, pyrrolidione, pyrazoline, pyrazolidine, imidazoline, imidazolidine, 1,3-dioxole, 1,3-dioxolane, 1,3-dithiole, 1,3-dithiolane, isoxazoline, isoxazolidine, oxazoline, oxazolidine, oxazolidinone, thiazoline, thiazolidine, and 1,3-oxathiolane. Illustrative examples of heterocycloalkyl groups, also referred to as non-aromatic heterocycles, include:
- and the like. The term heteroalicyclic also includes all ring forms of the carbohydrates, including but not limited to the monosaccharides, the disaccharides and the oligosaccharides. Depending on the structure, a heterocycloalkyl group can be a monoradical or a diradical (i.e., a heterocycloalkylene group).
- The term “halo” or, alternatively, “halogen” or “halide” means fluoro, chloro, bromo and iodo.
- The terms “haloalkyl,” “haloalkenyl,” “haloalkynyl” and “haloalkoxy” include alkyl, alkenyl, alkynyl and alkoxy structures in which at least one hydrogen is replaced with a halogen atom. In certain embodiments in which two or more hydrogen atoms are replaced with halogen atoms, the halogen atoms are all the same as one another. In other embodiments in which two or more hydrogen atoms are replaced with halogen atoms, the halogen atoms are not all the same as one another.
- The term “fluoroalkyl,” as used herein, refers to alkyl group in which at least one hydrogen is replaced with a fluorine atom. Examples of fluoroalkyl groups include, but are not limited to, —CF3, —CH2CF3, —CF2CF3, —CH2CH2CF3 and the like.
- As used herein, the terms “heteroalkyl” “heteroalkenyl” and “heteroalkynyl” include optionally substituted alkyl, alkenyl and alkynyl radicals in which one or more skeletal chain atoms is a heteroatom, e.g., oxygen, nitrogen, sulfur, silicon, phosphorus or combinations thereof. The heteroatom(s) may be placed at any interior position of the heteroalkyl group or at the position at which the heteroalkyl group is attached to the remainder of the molecule. Examples include, but are not limited to, —CH2—O—CH3, —CH2—CH2—O—CH3, —CH2—NH—CH3, —CH2—CH2—NH—CH3, —CH2—N(CH3)—CH3, —CH2—CH2—NH—CH3, —CH2—CH2—N(CH3)—CH3, —CH2—S—CH2—CH3, —CH2—CH2, —S(O)—CH3, —CH2—CH2—S(O)2—CH3, —CH═CH—O—CH3, —Si(CH3)3, —CH2—CH═N—OCH3, and —CH═CH—N(CH3)—CH3. In addition, up to two heteroatoms may be consecutive, such as, by way of example, —CH2—NH—OCH3 and —CH2—O—Si(CH3)3.
- The term “heteroatom” refers to an atom other than carbon or hydrogen. Heteroatoms are typically independently selected from among oxygen, sulfur, nitrogen, silicon and phosphorus, but are not limited to these atoms. In embodiments in which two or more heteroatoms are present, the two or more heteroatoms can all be the same as one another, or some or all of the two or more heteroatoms can each be different from the others.
- The term “bond” or “single bond” refers to a chemical bond between two atoms, or two moieties when the atoms joined by the bond are considered to be part of larger substructure.
- An “isocyanato” group refers to a —NCO group.
- An “isothiocyanato” group refers to a —NCS group.
- The term “moiety” refers to a specific segment or functional group of a molecule. Chemical moieties are often recognized chemical entities embedded in or appended to a molecule.
- A “sulfinyl” group refers to a —S(═O)—R.
- A “sulfonyl” group refers to a —S(═O)2—R.
- A “thioalkoxy” or “alkylthio” group refers to a —S-alkyl group.
- A “alkylthioalkyl” group refers to an alkyl group substituted with a S-alkyl group.
- As used herein, the term “O-carboxy” or “acyloxy” refers to a group of formula RC(═O)O—.
- “Carboxy” means a —C(O)OH radical.
- As used herein, the term “acetyl” refers to a group of formula —C(═O)CH3.
- “Acyl” refers to the group —C(O)R.
- As used herein, the term “trihalomethanesulfonyl” refers to a group of formula X3CS(═O)2— where X is a halogen.
- As used herein, the term “cyano” refers to a group of formula —CN.
- “Cyanoalkyl” means an alkyl radical, as defined herein, substituted with at least one cyano group.
- As used herein, the term “N-sulfonamido” or “sulfonylamino” refers to a group of formula RS(═O)2NH—.
- As used herein, the term “O-carbamyl” refers to a group of formula —OC(═O)NR2.
- As used herein, the term “N-carbamyl” refers to a group of formula ROC(═O)NH—.
- As used herein, the term “O-thiocarbamyl” refers to a group of formula —OC(═S)NR2.
- As used herein, the term “N-thiocarbamyl” refers to a group of formula ROC(═S)NH—.
- As used herein, the term “C-amido” refers to a group of formula —C(═O)NR2.
- “Aminocarbonyl” refers to a —CONH2 radical.
- As used herein, the term “N-amido” refers to a group of formula RC(═O)NH—.
- As used herein, the substituent “R” appearing by itself and without a number designation refers to a substituent selected from among from alkyl cycloalkyl, aryl, heteroaryl (bonded through a ring carbon) and non-aromatic heterocycle (bonded through a ring carbon).
- The term “optionally substituted” or “substituted” means that the referenced group may be substituted with one or more additional group(s) individually and independently selected from alkyl, cycloalkyl, aryl, heteroaryl, heteroalicyclic, hydroxy, alkoxy, aryloxy, alkylthio, arylthio, alkylsulfoxide, arylsulfoxide, alkylsulfone, arylsulfone, cyano, halo, acyl, nitro, haloalkyl, fluoroalkyl, amino, including mono- and di-substituted amino groups, and the protected derivatives thereof. By way of example an optional substituents may be LsRs, wherein each Ls is independently selected from a bond, —O—, —C(—O)—, —S—, —S(═O)—, —S(═O)2—, —NH—, —NHC(O)—, —C(O)NH—, S(═O)2NH—, —NHS(═O)2, —OC(O)NH—, —NHC(O)O—, -(substituted or unsubstituted C1-C6 alkyl), or -(substituted or unsubstituted C2-C6 alkenyl); and each R1 is independently selected from H, (substituted or unsubstituted C1-C4alkyl), (substituted or unsubstituted C3-C6cycloalkyl), heteroaryl, or heteroalkyl. The protecting groups that may form the protective derivatives of the above substituents are known to those of skill in the art and may be found in references such as Greene and Wuts, above.
- The term “Michael acceptor moiety” refers to a functional group that can participate in a Michael reaction, wherein a new covalent bond is formed between a portion of the Michael acceptor moiety and the donor moiety. The Michael acceptor moiety is an electrophile and the “donor moiety” is a nucleophile. The “G” groups presented in any of Formula (A), Formula (B), or Formula (C) are non-limiting examples of Michael acceptor moieties.
- The term “nucleophile” or “nucleophilic” refers to an electron rich compound, or moiety thereof. An example of a nucleophile includes, but in no way is limited to, a cysteine residue of a molecule, such as, for
example Cys 481 of Btk. - The term “electrophile”, or “electrophilic” refers to an electron poor or electron deficient molecule, or moiety thereof. Examples of electrophiles include, but in no way are limited to, Micheal acceptor moieties.
- The term “acceptable” or “pharmaceutically acceptable”, with respect to a formulation, composition or ingredient, as used herein, means having no persistent detrimental effect on the general health of the subject being treated or does not abrogate the biological activity or properties of the compound, and is relatively nontoxic.
- As used herein, the term “agonist” refers to a compound, the presence of which results in a biological activity of a protein that is the same as the biological activity resulting from the presence of a naturally occurring ligand for the protein, such as, for example, Btk.
- As used herein, the term “partial agonist” refers to a compound the presence of which results in a biological activity of a protein that is of the same type as that resulting from the presence of a naturally occurring ligand for the protein, but of a lower magnitude.
- As used herein the term “antagonist” refers to a compound, the presence of which results in a decrease in the magnitude of a biological activity of a protein. In certain embodiments, the presence of an antagonist results in complete inhibition of a biological activity of a protein, such as, for example, Btk. In certain embodiments, an antagonist is an inhibitor.
- As used herein, “amelioration” of the symptoms of a particular disease, disorder or condition by administration of a particular compound or pharmaceutical composition refers to any lessening of severity, delay in onset, slowing of progression, or shortening of duration, whether permanent or temporary, lasting or transient that can be attributed to or associated with administration of the compound or composition.
- “Bioavailability” refers to the percentage of the weight of compounds disclosed herein, such as, compounds of any of Formula (A), Formula (B), Formula (C), or Formula (D), dosed that is delivered into the general circulation of the animal or human being studied. The total exposure (AUC(0-∞)) of a drug when administered intravenously is usually defined as 100% bioavailable (F %). “Oral bioavailability” refers to the extent to which compounds disclosed herein, such as, compounds of any of Formula (A), Formula (B), Formula (C), or Formula (D), are absorbed into the general circulation when the pharmaceutical composition is taken orally as compared to intravenous injection.
- “Blood plasma concentration” refers to the concentration of compounds disclosed herein, such as, compounds of any of Formula (A), Formula (B), Formula (C), or Formula (D), in the plasma component of blood of a subject. It is understood that the plasma concentration of compounds of any of Formula (A), Formula (B), Formula (C), or Formula (D), may vary significantly between subjects, due to variability with respect to metabolism and/or possible interactions with other therapeutic agents. In accordance with one embodiment disclosed herein, the blood plasma concentration of the compounds of any of Formula (A), Formula (B), Formula (C), or Formula (D), may vary from subject to subject. Likewise, values such as maximum plasma concentration (Cmax) or time to reach maximum plasma concentration (Tmax), or total area under the plasma concentration time curve (AUC(0-∞)) may vary from subject to subject. Due to this variability, the amount necessary to constitute “a therapeutically effective amount” of a compound of any of Formula (A), Formula (B), Formula (C), or Formula (D), may vary from subject to subject.
- The term “Bruton's tyrosine kinase,” as used herein, refers to Bruton's tyrosine kinase from Homo sapiens, as disclosed in, e.g., U.S. Pat. No. 6,326,469 (GenBank Accession No. NP—000052).
- The term “Bruton's tyrosine kinase homolog,” as used herein, refers to orthologs of Bruton's tyrosine kinase, e.g., the orthologs from mouse (GenBank Accession No. AAB47246), dog (GenBank Accession No. XP—549139.), rat (GenBank Accession No. NP—001007799), chicken (GenBank Accession No. NP—989564), or zebra fish (GenBank Accession No. XP—698117), and fusion proteins of any of the foregoing that exhibit kinase activity towards one or more substrates of Bruton's tyrosine kinase (e.g. a peptide substrate having the amino acid sequence “AVLESEEELYSSARQ”).
- The terms “co-administration” or the like, as used herein, are meant to encompass administration of the selected therapeutic agents to a single patient and are intended to include treatment regimens in which the agents are administered by the same or different route of administration or at the same or different time.
- The terms “effective amount” or “therapeutically effective amount,” as used herein, refer to a sufficient amount of an agent or a compound being administered which will relieve to some extent one or more of the symptoms of the disease or condition being treated. The result can be reduction and/or alleviation of the signs, symptoms, or causes of a disease, or any other desired alteration of a biological system. For example, an “effective amount” for therapeutic uses is the amount of the composition including a compound as disclosed herein required to provide a clinically significant decrease in disease symptoms without undue adverse side effects. An appropriate “effective amount” in any individual case may be determined using techniques, such as a dose escalation study. The term “therapeutically effective amount” includes, for example, a prophylactically effective amount. An “effective amount” of a compound disclosed herein is an amount effective to achieve a desired pharmacologic effect or therapeutic improvement without undue adverse side effects. It is understood that “an effect amount” or “a therapeutically effective amount” can vary from subject to subject, due to variation in metabolism of the compound of any of Formula (A), Formula (B), Formula (C), or Formula (D), age, weight, general condition of the subject, the condition being treated, the severity of the condition being treated, and the judgment of the prescribing physician. By way of example only, therapeutically effective amounts may be determined by routine experimentation, including but not limited to a dose escalation clinical trial.
- The terms “enhance” or “enhancing” means to increase or prolong either in potency or duration a desired effect. By way of example, “enhancing” the effect of therapeutic agents refers to the ability to increase or prolong, either in potency or duration, the effect of therapeutic agents on during treatment of a disease, disorder or condition. An “enhancing-effective amount,” as used herein, refers to an amount adequate to enhance the effect of a therapeutic agent in the treatment of a disease, disorder or condition. When used in a patient, amounts effective for this use will depend on the severity and course of the disease, disorder or condition, previous therapy, the patient's health status and response to the drugs, and the judgment of the treating physician.
- The term “homologous cysteine,” as used herein refers to a cysteine residue found with in a sequence position that is homologous to that of
cysteine 481 of Bruton's tyrosine kinase, as defined herein. For example,cysteine 482 is the homologous cysteine of the rat ortholog of Bruton's tyrosine kinase;cysteine 479 is the homologous cysteine of the chicken ortholog; andcysteine 481 is the homologous cysteine in the zebra fish ortholog. In another example, the homologous cysteine of TXK, a Tec kinase family member related to Bruton's tyrosine, is Cys 350. Other examples of kinases having homologous cysteines are shown inFIG. 1 . See also the sequence alignments of tyrosine kinases (TK) published on the world wide web at kinase.com/human/kinome/phylogeny.html. - The term “identical,” as used herein, refers to two or more sequences or subsequences which are the same. In addition, the term “substantially identical,” as used herein, refers to two or more sequences which have a percentage of sequential units which are the same when compared and aligned for maximum correspondence over a comparison window, or designated region as measured using comparison algorithms or by manual alignment and visual inspection. By way of example only, two or more sequences may be “substantially identical” if the sequential units are about 60% identical, about 65% identical, about 70% identical, about 75% identical, about 80% identical, about 85% identical, about 90% identical, or about 95% identical over a specified region. Such percentages to describe the “percent identity” of two or more sequences. The identity of a sequence can exist over a region that is at least about 75-100 sequential units in length, over a region that is about 50 sequential units in length, or, where not specified, across the entire sequence. This definition also refers to the complement of a test sequence. By way of example only, two or more polypeptide sequences are identical when the amino acid residues are the same, while two or more polypeptide sequences are “substantially identical” if the amino acid residues are about 60% identical about 65% identical, about 70% identical, about 75% identical, about 80% identical, about 85% identical, about 90% identical, or about 95% identical over a specified region. The identity can exist over a region that is at least about 75-100 amino acids in length, over a region that is about 50 amino acids in length, or, where not specified, across the entire sequence of a polypeptide sequence. In addition, by way of example only, two or more polynucleotide sequences are identical when the nucleic acid residues are the same, while two or more polynucleotide sequences are “substantially identical” if the nucleic acid residues are about 60% identical, about 65% identical, about 70% identical, about 75% identical, about 80% identical, about 85% identical, about 90% identical, or about 95% identical over a specified region. The identity can exist over a region that is at least about 75-100 nucleic acids in length, over a region that is about 50 nucleic acids in length, or, where not specified, across the entire sequence of a polynucleotide sequence.
- The terms “inhibits”, “inhibiting”, or “inhibitor” of a kinase, as used herein, refer to inhibition of enzymatic phosphotransferase activity.
- The term “irreversible inhibitor,” as used herein, refers to a compound that, upon contact with a target protein (e.g., a kinase) causes the formation of a new covalent bond with or within the protein, whereby one or more of the target protein's biological activities (e.g., phosphotransferase activity) is diminished or abolished notwithstanding the subsequent presence or absence of the irreversible inhibitor.
- The term “irreversible Btk inhibitor,” as used herein, refers to an inhibitor of Btk that can form a covalent bond with an amino acid residue of Btk. In one embodiment, the irreversible inhibitor of Btk can form a covalent bond with a Cys residue of Btk; in particular embodiments, the irreversible inhibitor can form a covalent bond with a
Cys 481 residue (or a homolog thereof) of Btk or a cysteine residue in the homologous corresponding position of another tyrosine kinase, as shown inFIG. 1 . - The term “isolated,” as used herein, refers to separating and removing a component of interest from components not of interest. Isolated substances can be in either a dry or semi-dry state, or in solution, including but not limited to an aqueous solution. The isolated component can be in a homogeneous state or the isolated component can be a part of a pharmaceutical composition that comprises additional pharmaceutically acceptable carriers and/or excipients. By way of example only, nucleic acids or proteins are “isolated” when such nucleic acids or proteins are free of at least some of the cellular components with which it is associated in the natural state, or that the nucleic acid or protein has been concentrated to a level greater than the concentration of its in vivo or in vitro production. Also, by way of example, a gene is isolated when separated from open reading frames which flank the gene and encode a protein other than the gene of interest.
- A “metabolite” of a compound disclosed herein is a derivative of that compound that is formed when the compound is metabolized. The term “active metabolite” refers to a biologically active derivative of a compound that is formed when the compound is metabolized. The term “metabolized,” as used herein, refers to the sum of the processes (including, but not limited to, hydrolysis reactions and reactions catalyzed by enzymes, such as, oxidation reactions) by which a particular substance is changed by an organism. Thus, enzymes may produce specific structural alterations to a compound. For example, cytochrome P450 catalyzes a variety of oxidative and reductive reactions while uridine diphosphate glucuronyl transferases catalyze the transfer of an activated glucuronic-acid molecule to aromatic alcohols, aliphatic alcohols, carboxylic acids, amines and free sulfhydryl groups. Further information on metabolism may be obtained from The Pharmacological Basis of Therapeutics, 9th Edition, McGraw-Hill (1996). Metabolites of the compounds disclosed herein can be identified either by administration of compounds to a host and analysis of tissue samples from the host, or by incubation of compounds with hepatic cells in vitro and analysis of the resulting compounds. Both methods are well known in the art. In some embodiments, metabolites of a compound are formed by oxidative processes and correspond to the corresponding hydroxy-containing compound. In some embodiments, a compound is metabolized to pharmacologically active metabolites.
- The term “modulate,” as used herein, means to interact with a target either directly or indirectly so as to alter the activity of the target, including, by way of example only, to enhance the activity of the target, to inhibit the activity of the target, to limit the activity of the target, or to extend the activity of the target.
- As used herein, the term “modulator” refers to a compound that alters an activity of a molecule. For example, a modulator can cause an increase or decrease in the magnitude of a certain activity of a molecule compared to the magnitude of the activity in the absence of the modulator. In certain embodiments, a modulator is an inhibitor, which decreases the magnitude of one or more activities of a molecule. In certain embodiments, an inhibitor completely prevents one or more activities of a molecule. In certain embodiments, a modulator is an activator, which increases the magnitude of at least one activity of a molecule. In certain embodiments the presence of a modulator results in an activity that does not occur in the absence of the modulator.
- The term “prophylactically effective amount,” as used herein, refers that amount of a composition applied to a patient which will relieve to some extent one or more of the symptoms of a disease, condition or disorder being treated. In such prophylactic applications, such amounts may depend on the patient's state of health, weight, and the like. It is considered well within the skill of the art for one to determine such prophylactically effective amounts by routine experimentation, including, but not limited to, a dose escalation clinical trial.
- As used herein, the term “selective binding compound” refers to a compound that selectively binds to any portion of one or more target proteins.
- As used herein, the term “selectively binds” refers to the ability of a selective binding compound to bind to a target protein, such as, for example, Btk, with greater affinity than it binds to a non-target protein. In certain embodiments, specific binding refers to binding to a target with an affinity that is at least 10, 50, 100, 250, 500, 1000 or more times greater than the affinity for a non-target.
- As used herein, the term “selective modulator” refers to a compound that selectively modulates a target activity relative to a non-target activity. In certain embodiments, specific modulator refers to modulating a target activity at least 10, 50, 100, 250, 500, 1000 times more than a non-target activity.
- The term “substantially purified,” as used herein, refers to a component of interest that may be substantially or essentially free of other components which normally accompany or interact with the component of interest prior to purification. By way of example only, a component of interest may be “substantially purified” when the preparation of the component of interest contains less than about 30%, less than about 25%, less than about 20%, less than about 15%, less than about 10%, less than about 5%, less than about 4%, less than about 3%, less than about 2%, or less than about 1% (by dry weight) of contaminating components. Thus, a “substantially purified” component of interest may have a purity level of about 70%, about 75%, about 80%, about 85%, about 90%, about 95%, about 96%, about 97%, about 98%, about 99% or greater.
- The term “subject” as used herein, refers to an animal which is the object of treatment, observation or experiment. By way of example only, a subject may be, but is not limited to, a mammal including, but not limited to, a human.
- As used herein, the term “target activity” refers to a biological activity capable of being modulated by a selective modulator. Certain exemplary target activities include, but are not limited to, binding affinity, signal transduction, enzymatic activity, tumor growth, inflammation or inflammation-related processes, and amelioration of one or more symptoms associated with a disease or condition.
- As used herein, the term “target protein” refers to a molecule or a portion of a protein capable of being bound by a selective binding compound. In certain embodiments, a target protein is Btk.
- The terms “treat,” “treating” or “treatment”, as used herein, include alleviating, abating or ameliorating a disease or condition symptoms, preventing additional symptoms, ameliorating or preventing the underlying metabolic causes of symptoms, inhibiting the disease or condition, e.g., arresting the development of the disease or condition, relieving the disease or condition, causing regression of the disease or condition, relieving a condition caused by the disease or condition, or stopping the symptoms of the disease or condition. The terms “treat,” “treating” or “treatment”, include, but are not limited to, prophylactic and/or therapeutic treatments.
- As used herein, the IC50 refers to an amount, concentration or dosage of a particular test compound that achieves a 50% inhibition of a maximal response, such as inhibition of Btk, in an assay that measures such response.
- As used herein, EC50 refers to a dosage, concentration or amount of a particular test compound that elicits a dose-dependent response at 50% of maximal expression of a particular response that is induced, provoked or potentiated by the particular test compound.
-
FIG. 1 presents a sequence comparison of Btk with other tyrosine kinases. -
FIG. 2 presents illustrative cell data regarding inhibition of B cell receptor induced Phospholipase-Cγ phosphorylation bycompound 4. In this example, there were 2E6 Ramos cells/well in serum free media; the cells were pretreated with compound for 1.5 hr. The B cell receptor was stimulated with anti-IgM for 3 min; the 10× lysis buffer containing DNAse was added directly to cells. The sample buffer was added and loaded directly on gel. The samples were analyzed with western blot-phosphorylated Btk and PLCγ1 and total Btk and PLCγ1. The blot was imaged with ChemiDoc CCD and quantitated with ImageQuant. The phosphorylated band was normalized to total band and the IC50 was calculated. -
FIG. 3 presents illustrative cell data showing thatcompound 4 andcompound 15 inhibit growth of DHL-6 cells. In this example, there were 3E4 DHL-6 cells/well in complete media. The cells were treated for the indicated time with compound @ 0.1% DMSO final concentration. The cell number was measured using Alamar Blue assay according to standard protocol. -
FIG. 4 presents illustrative mass spectra showing thatcompound 4 covalently modifies Btk. In this example,Incubate 30uM compound 4 with 6-7 uM recombinant BTK (Y->D mutant, kinase domain only) overnight at RT. Desalt protein-inhibitor complex by reversed-phase HPLC and analyze directly in mass spec to determine molecular weight. >99% of recombinant Btk protein is covalently modified bycompound 4. -
FIG. 5 presents illustrative inhibition of arthritis development in a mouse model bycompound 4. -
FIG. 6 presents illustrative data demonstrating that the efficacy ofcompound 4 is associated with reduction of Rheumatoid Factor and Anti-citrullinated cyclic peptide antibodies in the CAIA model. In these examples, *p<0.01; **p<0.001 vs vehicle or saline treatment. -
FIG. 7 presents illustrative data regarding the inhibition of arthritis development in a mouse model bycompound 13. This enantiomer ofcompound 4 completed inhibited the development of arthritis in the CAIA model at dose levels of 10 and 30 mg/kg. For comparison, data regarding inhibition of arthritis development in the same mouse model is presented for dexamethasone. - All publications and patent applications mentioned in this specification are herein incorporated by reference to the same extent as if each individual publication or patent application was specifically and individually indicated to be incorporated by reference.
- The methods described herein include administering to a subject in need a composition containing a therapeutically effective amount of one or more irreversible Btk inhibitor compounds described herein. Without being bound by theory, the diverse roles played by Btk signaling in various hematopoietic cell functions, e.g., B-cell receptor activation, suggests that small molecule Btk inhibitors are useful for reducing the risk of or treating a variety of diseases affected by or affecting many cell types of the hematopoetic lineage including, e.g., autoimmune diseases, heteroimmune conditions or diseases, inflammatory diseases, cancer (e.g., B-cell proliferative disorders), and thromboembolic disorders. Further, the irreversible Btk inhibitor compounds described herein can be used to inhibit a small subset of other tyrosine kinases that share homology with Btk by having a cysteine residue (including a
Cys 481 residue) that can form a covalent bond with the irreversible inhibitor. See, e.g., protein kinases inFIG. 1 . Thus, a subset of tyrosine kinases other than Btk are also expected to be useful as therapeutic targets in a number of health conditions. - In some embodiments, the methods described herein can be used to treat an autoimmune disease, which includes, but is not limited to, rheumatoid arthritis, psoriatic arthritis, osteoarthritis, Still's disease, juvenile arthritis, lupus, diabetes, myasthenia gravis, Hashimoto's thyroiditis, Ord's thyroiditis, Graves' disease Sjögren's syndrome, multiple sclerosis, Guillain-Barré syndrome, acute disseminated encephalomyelitis, Addison's disease, opsoclonus-myoclonus syndrome, ankylosing spondylitisis, antiphospholipid antibody syndrome, aplastic anemia, autoimmune hepatitis, coeliac disease, Goodpasture's syndrome, idiopathic thrombocytopenic purpura, optic neuritis, scleroderma, primary biliary cirrhosis, Reiter's syndrome, Takayasu's arteritis, temporal arteritis, warm autoimmune hemolytic anemia, Wegener's granulomatosis, psoriasis, alopecia universalis, Behçet's disease, chronic fatigue, dysautonomia, endometriosis, interstitial cystitis, neuromyotonia, scleroderma, and vulvodynia.
- In some embodiments, the methods described herein can be used to treat heteroimmune conditions or diseases, which include, but are not limited to graft versus host disease, transplantation, transfusion, anaphylaxis, allergies (e.g., allergies to plant pollens, latex, drugs, foods, insect poisons, animal hair, animal dander, dust mites, or cockroach calyx), type I hypersensitivity, allergic conjunctivitis, allergic rhinitis, and atopic dermatitis.
- In further embodiments, the methods described herein can be used to treat an inflammatory disease, which includes, but is not limited to asthma, inflammatory bowel disease, appendicitis, blepharitis, bronchiolitis, bronchitis, bursitis, cervicitis, cholangitis, cholecystitis, colitis, conjunctivitis, cystitis, dacryoadenitis, dermatitis, dermatomyositis, encephalitis, endocarditis, endometritis, enteritis, enterocolitis, epicondylitis, epididymitis, fasciitis, fibrositis, gastritis, gastroenteritis, hepatitis, hidradenitis suppurativa, laryngitis, mastitis, meningitis, myelitis myocarditis, myositis, nephritis, oophoritis, orchitis, osteitis, otitis, pancreatitis, parotitis, pericarditis, peritonitis, pharyngitis, pleuritis, phlebitis, pneumonitis, pneumonia, proctitis, prostatitis, pyelonephritis, rhinitis, salpingitis, sinusitis, stomatitis, synovitis, tendonitis, tonsillitis, uveitis, vaginitis, vasculitis, and vulvitis.
- In yet other embodiments, the methods described herein can be used to treat a cancer, e.g., B-cell proliferative disorders, which include, but are not limited to diffuse large B cell lymphoma, follicular lymphoma, chronic lymphocytic lymphoma, chronic lymphocytic leukemia, B-cell prolymphocytic leukemia, lymphoplasmacytic lymphoma/Waldenström macroglobulinemia, splenic marginal zone lymphoma, plasma cell myeloma, plasmacytoma, extranodal marginal zone B cell lymphoma, nodal marginal zone B cell lymphoma, mantle cell lymphoma, mediastinal (thymic) large B cell lymphoma, intravascular large B cell lymphoma, primary effusion lymphoma, burkitt lymphoma/leukemia, and lymphomatoid granulomatosis.
- In further embodiments, the methods described herein can be used to treat thromboembolic disorders, which include, but are not limited to myocardial infarct, angina pectoris (including unstable angina), reocclusions or restenoses after angioplasty or aortocoronary bypass, stroke, transitory ischemia, peripheral arterial occlusive disorders, pulmonary embolisms, and deep venous thromboses.
- Symptoms, diagnostic tests, and prognostic tests for each of the above-mentioned conditions are known in the art. See, e.g., Harrison's Principles of Internal Medicine©,” 16th ed., 2004, The McGraw-Hill Companies, Inc. Dey et al. (2006), Cytojournal 3(24), and the “Revised European American Lymphoma” (REAL) classification system (see, e.g., the website maintained by the National Cancer Institute).
- A number of animal models of are useful for establishing a range of therapeutically effective doses of irreversible Btk inhibitor compounds for treating any of the foregoing diseases.
- For example, dosing of irreversible Btk inhibitor compounds for treating an autoimmune disease can be assessed in a mouse model of rheumatoid arthritis. In this model, arthritis is induced in Balb/c mice by administering anti-collagen antibodies and lipopolysaccharide. See Nandakumar et al. (2003), Am. J. Pathol 163:1827-1837.
- In another example, dosing of irreversible Btk inhibitors for the treatment of B-cell proliferative disorders can be examined in, e.g., a human-to-mouse xenograft model in which human B-cell lymphoma cells (e.g. Ramos cells) are implanted into immunodeficient mice (e.g., “nude” mice) as described in, e.g., Pagel et al. (2005), Clin Cancer Res 11(13):4857-4866.
- Animal models for treatment of thromboembolic disorders are also known.
- The therapeutic efficacy of the compound for one of the foregoing diseases can be optimized during a course of treatment. For example, a subject being treated can undergo a diagnostic evaluation to correlate the relief of disease symptoms or pathologies to inhibition of in vivo Btk activity achieved by administering a given dose of an irreversible Btk inhibitor. Cellular assays known in the art can be used to determine in vivo activity of Btk in the presence or absence of an irreversible Btk inhibitor. For example, since activated Btk is phosphorylated at tyrosine 223 (Y223) and tyrosine 551 (Y551), phospho-specific immunocytochemical staining of P-Y223 or P-Y551-positive cells can be used to detect or quantify activation of Btk in a population of cells (e.g., by FACS analysis of stained vs unstained cells). See, e.g., Nisitani et al. (1999), Proc. Natl. Acad. Sci, USA 96:2221-2226. Thus, the amount of the Btk inhibitor inhibitor compound that is administered to a subject can be increased or decreased as needed so as to maintain a level of Btk inhibition optimal for treating the subject's disease state.
- In the following description of irreversible Btk compounds suitable for use in the methods described herein, definitions of referred-to standard chemistry terms may be found in reference works (if not otherwise defined herein), including. Carey and Sundberg “Advanced Organic Chemistry 4th Ed.” Vols. A (2000) and B (2001), Plenum Press, New York. Unless otherwise indicated, conventional methods of mass spectroscopy, NMR, HPLC, protein chemistry, biochemistry, recombinant DNA techniques and pharmacology, within the ordinary skill of the art are employed. In addition, nucleic acid and amino acid sequences for Btk (e.g., human Btk) are known in the art as disclosed in, e.g., U.S. Pat. No. 6,326,469. Unless specific definitions are provided, the nomenclature employed in connection with, and the laboratory procedures and techniques of, analytical chemistry, synthetic organic chemistry, and medicinal and pharmaceutical chemistry described herein are those known in the art. Standard techniques can be used for chemical syntheses, chemical analyses, pharmaceutical preparation, formulation, and delivery, and treatment of patients
- The Btk inhibitor compounds described herein are selective for Btk and kinases having a cysteine residue in an amino acid sequence position of the tyrosine kinase that is homologous to the amino acid sequence position of
cysteine 481 in Btk. See, e.g., kinases inFIG. 1 . Inhibitor compounds described herein include a Michael acceptor moiety. - Generally, an irreversible inhibitor compound of Btk used in the methods described herein is identified or characterized in an in vitro assay, e.g., an acellular biochemical assay or a cellular functional assay. Such assays are useful to determine an in vitro IC50 for an irreversible Btk inhibitor compound.
- For example, an acellular kinase assay can be used to determine Btk activity after incubation of the kinase in the absence or presence of a range of concentrations of a candidate irreversible Btk inhibitor compound. If the candidate compound is in fact an irreversible Btk inhibitor, Btk kinase activity will not be recovered by repeat washing with inhibitor-free medium. See, e.g., J. B. Smaill, et al. (1999), J. Med. Chem. 42(10):1803-1815. Further, covalent complex formation between Btk and a candidate irreversible Btk inhibitor is a useful indicator of irreversible inhibition of Btk that can be readily determined by a number of methods known in the art (e.g., mass spectrometry). For example, some irreversible Btk-inhibitor compounds can form a covalent bond with
Cys 481 of Btk (e.g., via a Michael reaction). - Cellular functional assays for Btk inhibition include measuring one or more cellular endpoints in response to stimulating a Btk-mediated pathway in a cell line (e.g., BCR activation in Ramos cells) in the absence or presence of a range of concentrations of a candidate irreversible Btk inhibitor compound. Useful endpoints for determining a response to BCR activation include, e.g., autophosphorylation of Btk, phosphorylation of a Btk target protein (e.g., PLC-γ), and cytoplasmic calcium flux.
- High throughput assays for many acellular biochemical assays (e.g., kinase assays) and cellular functional assays (e.g., calcium flux) are well known to those of ordinary skill in the art. In addition, high throughput screening systems are commercially available (see, e.g., Zymark Corp., Hopkinton, Mass.; Air Technical Industries, Mentor, Ohio; Beckman Instruments, Inc. Fullerton, Calif.; Precision Systems, Inc., Natick, Mass., etc.). These systems typically automate entire procedures including all sample and reagent pipetting, liquid dispensing, timed incubations, and final readings of the microplate in detectors) appropriate for the assay. Automated systems thereby allow the identification and characterization of a large number of irreversible Btk compounds without undue effort.
- Irreversible Btk inhibitor compounds can used for the manufacture of a medicament for treating any of the foregoing conditions (e.g., autoimmune diseases, inflammatory diseases, allergy disorders, B-cell proliferative disorders, or thromboembolic disorders).
- In some embodiments, the irreversible Btk inhibitor compound used for the methods described herein inhibits Btk or a Btk homolog kinase activity with an in vitro IC50 of less than 10 μM. (e.g., less than 1 μM, less than 0.5 μM, less than 0.4 μM, less than 0.3 μM, less than 0.1, less than 0.08 μM, less than 0.06 μM, less than 0.05 μM, less than 0.04 μM, less than 0.03 μM, less than less than 0.02 μM, less than 0.01, less than 0.008 μM, less than 0.006 μM, less than 0.005 μM, less than 0.004 μM, less than 0.003 μM, less than less than 0.002 μM, less than 0.001, less than 0.00099 μM, less than 0.00098 μM, less than 0.00097 μM, less than 0.00096 μM, less than 0.00095 μM, less than 0.00094 μM, less than 0.00093 μM, less than 0.00092, or less than 0.00090 μM).
- In one embodiment, the irreversible Btk inhibitor compound selectively and irreversibly inhibits an activated form of its target tyrosine kinase (e.g., a phosphorylated form of the tyrosine kinase). For example, activated Btk is transphosphorylated at
tyrosine 551. Thus, in these embodiments the irreversible Btk inhibitor inhibits the target kinase in cells only once the target kinase is activated by the signaling events. - Described herein are compounds of any of Formula (A), Formula (B), Formula (C), or Formula (D). Also described herein are pharmaceutically acceptable salts, pharmaceutically acceptable solvates, pharmaceutically active metabolites, and pharmaceutically acceptable prodrugs of such compounds. Pharmaceutical compositions that include at least one such compound or a pharmaceutically acceptable salt, pharmaceutically acceptable solvate, pharmaceutically active metabolite or pharmaceutically acceptable prodrug of such compound, are provided. In some embodiments, when compounds disclosed herein contain an oxidizable nitrogen atom, the nitrogen atom can be converted to an N-oxide by methods well known in the art. In certain embodiments, isomers and chemically protected forms of compounds having a structure represented by any of Formula (A), Formula (B), Formula (C), or Formula (D), are also provided.
- In one aspect are compounds of Formula (A), pharmaceutically acceptable salts, pharmaceutically active metabolites, pharmaceutically acceptable prodrugs, and pharmaceutically acceptable solvates thereof. Formula (A) is as follows:
- wherein
-
- A is independently selected from N or CR5;
- R1 is H, L2-(substituted or unsubstituted alkyl), L2-(substituted or unsubstituted cycloalkyl), L2-(substituted or unsubstituted alkenyl), L2-(substituted or unsubstituted cycloalkenyl), L2-(substituted or unsubstituted heterocycle), L2-(substituted or unsubstituted heteroaryl), or L2-(substituted or unsubstituted aryl), where L2 is a bond, O, S, —S(═O), —S(═O)2, C(═O), -(substituted or unsubstituted C1-C6 alkyl), or -(substituted or unsubstituted C2-C6 alkenyl);
- R2 and R3 are independently selected from H, lower alkyl and substituted lower alkyl;
- R4 is L3-X-L4-G, wherein,
- L3 is optional, and when present is a bond, optionally substituted or unsubstituted alkyl, optionally substituted or unsubstituted cycloalkyl, optionally substituted or unsubstituted alkenyl, optionally substituted or unsubstituted alkynyl;
- X is optional, and when present is a bond, O, —C(═O), S, —S(═O), —S(═O)2, —NH, —NR9, —NHC(O), —C(O)NH, —NR9C(O), —C(O)NR9, —S(═O)2NH, —NHS(═O)2, —S(═O)2NR9—, —NR9S(═O)2, —OC(O)NH—, —NHC(O)O—, —OC(O)NR9—, —NR9C(O)O—, —CH═NO—, —ON═CH—, —NR10C(O)NR10—, heteroaryl, aryl, —NR10C(═NR11)NR10—, —NR10C(═NR11)—, —C(═NR11)NR10—, —OC(═NR11)—, or —C(═NR11)O—;
- L4 is optional, and when present is a bond, substituted or unsubstituted alkyl, substituted or unsubstituted cycloalkyl, substituted or unsubstituted alkenyl, substituted or unsubstituted alkynyl, substituted or unsubstituted aryl, substituted or unsubstituted heteroaryl, substituted or unsubstituted heterocycle;
- or L3, X and L4 taken together form a nitrogen containing heterocyclic ring;
- G is
- wherein, R6, R7 and R8 are independently selected from among H, lower alkyl or substituted lower alkyl, lower heteroalkyl or substituted lower heteroalkyl, substituted or unsubstituted lower cycloalkyl, and substituted or unsubstituted lower heterocycloalkyl;
-
- R5 is H, halogen, -L6-(substituted or unsubstituted C1-C3 alkyl), -L6-(substituted or unsubstituted C2-C4 alkenyl), -L6-(substituted or unsubstituted heteroaryl), or -L6-(substituted or unsubstituted aryl), wherein L6 is a bond, O, S, —S(═O), S(═O)2, NH, C(O), —NHC(O)O, —OC(O)N—H, —NHC(O), or —C(O)NH;
- each R9 is independently selected from among H, substituted or unsubstituted lower alkyl, and substituted or unsubstituted lower cycloalkyl;
- each R10 is independently H, substituted or unsubstituted lower alkyl, or substituted or unsubstituted lower cycloalkyl; or
- two R10 groups can together form a 5-, 6-, 7-, or 8-membered heterocyclic ring; or
- R9 and R10 can together form a 5-, 6-, 7-, or 8-membered heterocyclic ring; or
- each R11 is independently selected from H, —S(═O)2R8, —S(═O)2NH2, —C(O)R8, —CN, —NO2, heteroaryl, or heteroalkyl; and
pharmaceutically active metabolites, pharmaceutically acceptable solvates, pharmaceutically acceptable salts, or pharmaceutically acceptable prodrugs thereof.
- In a further or alternative embodiment, the compound of Formula (A) has the following structure of Formula (B):
- wherein:
-
- Y is alkyl or substituted alkyl, or a 4-, 5-, or 6-membered cycloalkyl ring;
- each Ra is independently H, halogen, —CF3, —CN, —NO2, OH, NH2, -La-(substituted or unsubstituted alkyl), -La-(substituted or unsubstituted alkenyl), -La-(substituted or unsubstituted heteroaryl), or -La-(substituted or unsubstituted aryl), wherein La is a bond, O, S, —S(═O), —S(═O)2, NH, C(O), CH2, —NHC(O)O, —NHC(O), or —C(O)NH:
- G is
- wherein,
-
- R6, R7 and R8 are independently selected from among H, lower alkyl or substituted lower alkyl, lower heteroalkyl or substituted lower heteroalkyl, substituted or unsubstituted lower cycloalkyl, and substituted or unsubstituted lower heterocycloalkyl;
- R12 is H or lower alkyl; or
- Y and R12 taken together form a 4-, 5-, or 6-membered heterocyclic ring; and
- pharmaceutically acceptable active metabolites, pharmaceutically acceptable solvates, pharmaceutically acceptable salts, or pharmaceutically acceptable prodrugs thereof.
- In further or alternative embodiments, G is selected from among
- In further or alternative embodiments,
- is selected from among
- In further or alternative embodiment, the compound of Formula (B) has the following structure of Formula (C):
-
- Y is alkyl or substituted alkyl, or a 4-, 5-, or 6-membered cycloalkyl ring;
- R12 is H or lower alkyl; or
- Y and R12 taken together form a 4-, 5-, or 6-membered heterocyclic ring;
- G is
- wherein,
-
- R6, R7 and R8 are independently selected from among H, lower alkyl or substituted lower alkyl, lower heteroalkyl or substituted lower heteroalkyl, substituted or unsubstituted lower cycloalkyl, and substituted or unsubstituted lower heterocycloalkyl; and
- pharmaceutically acceptable active metabolites, pharmaceutically acceptable solvates, pharmaceutically acceptable salts, or pharmaceutically acceptable prodrugs thereof.
- In a further or alternative embodiment, the “G” group of any of Formula (A), Formula (B), or Formula (C) is any group that is used to tailor the physical and biological properties of the molecule. Such tailoring/modifications are achieved using groups which modulate Michael acceptor chemical reactivity, acidity, basicity, lipophilicity, solubility and other physical properties of the molecule. The physical and biological properties modulated by such modifications to G include, by way of example only, enhancing chemical reactivity of Michael acceptor group, solubility, in vivo absorption, and in vivo metabolism. In addition, in vivo metabolism may include, by way of example only, controlling in vivo PK properties, off-target activities, potential toxicities associated with cypP450 interactions, drug-drug interactions, and the like. Further, modifications to C; allow for the tailoring of the in vivo efficacy of the compound through the modulation of, by way of example, specific and non-specific protein binding to plasma proteins and lipids and tissue distribution in vivo.
- In a further embodiment are compounds having the structure of Formula (D):
- wherein
-
- La is CH2, O, NH or S;
- Ar is an optionally substituted aromatic carbocycle or an aromatic heterocycle;
- Y is an optionally substituted alkyl, heteroalkyl, carbocycle, heterocycle, or combination thereof;
- Z is C(O), OC(O), NHC(O), C(S), S(O)x, OS(O)x, NHS(O)x, where x is 1 or 2; and
- R6, R7, and R8 are independently selected from H, alkyl, heteroalkyl, carbocycle, heterocycle, or combinations thereof.
- In a further or alternative embodiment, La is O.
- In a further or alternative embodiment, Ar is phenyl.
- In a further or alternative embodiment, Z is C(O).
- In a further or alternative embodiment, each of R1, R2, and R3 is H.
- In another embodiment, provided herein is a compound of Formula (D). Formula (D) is as follows.
- wherein:
-
- La is CH2, O, NH or S;
- Ar is a substituted or unsubstituted aryl, or a substituted or unsubstituted heteroaryl;
- Y is an optionally substituted group selected from among alkyl, heteroalkyl, cycloalkyl, heterocycloalkyl, aryl, and heteroaryl;
- Z is C(═O), OC(═O), NHC(═O), C(═S), S(═O)x, OS(═O)x, NHS(═O)x, where x is 1 or 2;
- R7 and R8 are independently selected from among H, unsubstituted C1-C4alkyl, substituted C1-C4alkyl, unsubstituted C1-C4heteroalkyl, substituted C1-C4heteroalkyl, unsubstituted C3-C6cycloalkyl, substituted C3-C6cycloalkyl, unsubstituted C2-C6heterocycloalkyl, and substituted C2-C6heterocycloalkyl; or
- R7 and R8 taken together form a bond;
- R6 is H, substituted or unsubstituted C1-C4alkyl, substituted or unsubstituted C1-C4heteroalkyl, C1-C6alkoxyalkyl, C1-C8alkylaminoalkyl, substituted or unsubstituted C3-C6cycloalkyl, substituted or unsubstituted aryl, substituted or unsubstituted C2-C8heterocycloalkyl, substituted or unsubstituted heteroaryl, C1-C4alkyl(aryl), C1-C4alkyl(heteroaryl), C1-C4alkyl(C3-C8cycloalkyl), or C1-C4alkyl(C2-C8heterocycloalkyl); and
pharmaceutically active metabolites, or pharmaceutically acceptable solvates, pharmaceutically acceptable salts, or pharmaceutically acceptable prodrugs thereof.
- For any and all of the embodiments, substituents can be selected from among from a subset of the listed alternatives. For example, in some embodiments, La is CH2, O, or NH. In other embodiments, La is O or NH. In yet other embodiments, La is O.
- In some embodiments, Ar is a substituted or unsubstituted aryl. In yet other embodiments, Ar is a 6-membered aryl. In some other embodiments, Ar is phenyl.
- In some embodiments, x is 2. In yet other embodiments, Z is C(═O), OC(═O), NHC(═O), S(═O)x, OS(O)x, or NHS(O)x. In some other embodiments, Z is C(═O), NHC(═O), or S(═O)2.
- In some embodiments, R7 and R8 are independently selected from among H, unsubstituted C1-C4 alkyl, substituted C1-C4alkyl, unsubstituted C1-C4heteroalkyl, and substituted C1-C4heteroalkyl; or R7 and R8 taken together form a bond. In yet other embodiments, each of R7 and R8 is H; or R7 and R8 taken together form a bond.
- In some embodiments, R6 is H, substituted or unsubstituted C1-C4alkyl, substituted or unsubstituted C1-C4heteroalkyl, C1-C6alkoxyalkyl, C1-C2alkyl-N(C1-C3alkyl)2, substituted or unsubstituted aryl, substituted or unsubstituted heteroaryl, C1-C4alkyl(aryl), C1-C4alkyl(heteroaryl), C1-C4alkyl(C3-C8cycloalkyl), or C1-C4alkyl(C2-C8heterocycloalkyl). In some other embodiments, R6 is H, substituted or unsubstituted C1-C4alkyl, substituted or unsubstituted C1-C4heteroalkyl, C1-C6alkoxyalkyl, C1-C2alkyl-N(C1-C3alkyl)2, C1-C4alkyl(aryl), C1-C4alkyl(heteroaryl), C1-C4alkyl(C3-C8cycloalkyl), or C1-C4alkyl(C2-C8heterocycloalkyl). In yet other embodiments, R6 is H, substituted or unsubstituted C1-C4alkyl, —CH2—O—(C1-C3alkyl), —CH2—N(C1-C3alkyl)2, C1-C4alkylphenyl), or C1-C4alkyl(5- or 6-membered heteroaryl). In some embodiments, R6 is H, substituted or unsubstituted C1-C4alkyl, —CH2—O—(C1-C3alkyl), —CH2—N(C1-C3alkyl)2, C1-C4alkylphenyl), or C1-C4alkyl(5- or 6-membered heteroaryl containing 1 or 2 N atoms), or C1-C4alkyl(5- or 6-membered heterocycloalkyl containing 1 or 2 N atoms).
- In some embodiments, Y is an optionally substituted group selected from among alkyl, heteroalkyl, cycloalkyl, and heterocycloalkyl. In other embodiments, Y is an optionally substituted group selected from among C1-C6alkyl, C1-C6heteroalkyl, 4-, 5-, 6- or 7-membered cycloalkyl, and 4-, 5-, 6- or 7-membered heterocycloalkyl. In yet other embodiments, Y is an optionally substituted group selected from among C1-C6alkyl, C1-C6heteroalkyl, 5-, or 6-membered cycloalkyl, and 5-, or 6-membered heterocycloalkyl containing 1 or 2 N atoms. In some other embodiments, Y is a 5-, or 6-membered cycloalkyl, or a 5-, or 6-membered heterocycloalkyl containing 1 or 2 N atoms.
- Any combination of the groups described above for the various variables is contemplated herein. It is understood that substituents and substitution patterns on the compounds provided herein can be selected by one of ordinary skill in the art to provide compounds that are chemically stable and that can be synthesized by techniques known in the art, as well as those set forth herein.
- Further embodiments of compounds of Formula (A), Formula (B), Formula (C), Formula (D), include, but are not limited to, compounds selected from the group consisting of:
- In still another embodiment, compounds provided herein are selected from among:
- In one aspect, provided herein is a compound selected from among:
- 1-(3-(4-amino-3-(4-phenoxyphenyl)-1H-pyrazolo[3,4-d]pyrimidin-1-yl)piperidin-1-yl)prop-2-en-1-one (Compound 4); (E)-1-(3-(4-amino-3-(4-phenoxyphenyl)-1H-pyrazolo[3,4-d]pyrimidin-1-yl)piperidin-1-yl)but-2-en-1-one (Compound 5); 1-(3-(4-amino-3-(4-phenoxyphenyl)-1H-pyrazolo[3,4-d]pyrimidin-1-yl)piperidin-1-yl)sulfonylethene (Compound 6); 1-(3-(4-amino-3-(4-phenoxyphenyl)-1H-pyrazolo[3,4-d]pyrimidin-1-yl)piperidin-1-yl)prop-2-yn-1-one (Compound 8); 1-(4-(4-amino-3-(4-phenoxyphenyl)-1H-pyrazolo[3,4-d]pyrimidin-1-yl)piperidin-1-yl)prop-2-en-1-one (Compound 9); N-((1s,4s)-4-(4-amino-3-(4-phenoxyphenyl)-1H-pyrazolo[3,4-d]pyrimidin-1-yl)cyclohexyl)acrylamide (Compound 10); 1-((R)-3-(4-amino-3-(4-phenoxyphenyl)-1H-pyrazolo[3,4-d]pyrimidin-1-yl)pyrrolidin-1-yl)prop-2-en-1-one (Compound 11); 1-((S)-3-(4-amino-3-(4-phenoxyphenyl)-1H-pyrazolo[3,4-d]pyrimidin-1-yl)pyrrolidin-1-yl)prop-2-en-1-one (Compound 12); 1-((R)-3-(4-amino-3-(4-phenoxyphenyl)-1H-pyrazolo[3,4-d]pyrimidin-1-yl)piperidin-1-yl)prop-2-en-1-one (Compound 13); 1-((S)-3-(4-amino-3-(4-phenoxyphenyl)-1H-pyrazolo[3,4-d]pyrimidin-1-yl)piperidin-1-yl)prop-2-en-1-one (Compound 14); and (E)-1-(3-(4-amino-3-(4-phenoxyphenyl)-1H-pyrazolo[3,4-d]pyrimidin-1-yl)piperidin-1-yl)-4-(dimethylamino)but-2-en-1-one (Compound 15).
- Throughout the specification, groups and substituents thereof can be chosen by one skilled in the field to provide stable moieties and compounds.
- The compounds of any of Formula (A), or Formula (B), or Formula (C), or Formula (D) can irreversibly inhibit Btk and may be used to treat patients suffering from Bruton's tyrosine kinase-dependent or Bruton's tyrosine kinase mediated conditions or diseases, including, but not limited to, cancer, autoimmune and other inflammatory diseases.
- Compounds of any of Formula (A), (B), (C) or (D) may be synthesized using standard synthetic techniques known to those of skill in the art or using methods known in the art in combination with methods described herein. In additions, solvents, temperatures and other reaction conditions presented herein may vary according to those of skill in the art. As a further guide the following synthetic methods may also be utilized.
- The reactions can be employed in a linear sequence to provide the compounds described herein or they may be used to synthesize fragments which are subsequently joined by the methods described herein and/or known in the art.
- Formation of Covalent Linkages by Reaction of an Electrophile with a Nucleophile
- The compounds described herein can be modified using various electrophiles or nucleophiles to form new functional groups or substituents. Table 1 entitled “Examples of Covalent Linkages and Precursors Thereof” lists selected examples of covalent linkages and precursor functional groups which yield and can be used as guidance toward the variety of electrophiles and nucleophiles combinations available. Precursor functional groups are shown as electrophilic groups and nucleophilic groups.
-
TABLE 1 Examples of Covalent Linkages and Precursors Thereof Covalent Linkage Product Electrophile Nucleophile Carboxamides Activated esters amines/anilines Carboxamides acyl azides amines/anilines Carboxamides acyl halides amines/anilines Esters acyl halides alcohols/phenols Esters acyl nitriles alcohols/phenols Carboxamides acyl nitriles amines/anilines Imines Aldehydes amines/anilines Hydrazones aldehydes or ketones Hydrazines Oximes aldehydes or ketones Hydroxylamines Alkyl amines alkyl halides amines/anilines Esters alkyl halides carboxylic acids Thioethers alkyl halides Thiols Ethers alkyl halides alcohols/phenols Thioethers alkyl sulfonates Thiols Esters alkyl sulfonates carboxylic acids Ethers alkyl sulfonates alcohols/phenols Esters Anhydrides alcohols/phenols Carboxamides Anhydrides amines/anilines Thiophenols aryl halides Thiols Aryl amines aryl halides Amines Thioethers Azindines Thiols Boronate esters Boronates Glycols Carboxamides carboxylic acids amines/anilines Esters carboxylic acids Alcohols hydrazines Hydrazides carboxylic acids N-acylureas or Anhydrides carbodiimides carboxylic acids Esters diazoalkanes carboxylic acids Thioethers Epoxides Thiols Thioethers haloacetamides Thiols Ammotriazines halotriazines amines/anilines Triazinyl ethers halotriazines alcohols/phenols Amidines imido esters amines/anilines Ureas Isocyanates amines/anilines Urethanes Isocyanates alcohols/phenols Thioureas isothiocyanates amines/anilines Thioethers Maleimides Thiols Phosphite esters phosphoramidites Alcohols Silyl ethers silyl halides Alcohols Alkyl amines sulfonate esters amines/anilines Thioethers sulfonate esters Thiols Esters sulfonate esters carboxylic acids Ethers sulfonate esters Alcohols Sulfonamides sulfonyl halides amines/anilines Sulfonate esters sulfonyl halides phenols/alcohols Alkyl thiol α,β-unsaturated ester thiols Alkyl ethers α,β-unsaturated ester alcohols Alkyl amines α,β-unsaturated ester amines Alkyl thiol Vinyl sulfone thiols Alkyl ethers Vinyl sulfone alcohols Alkyl amines Vinyl sulfone amines Vinyl sulfide Propargyl amide thiol - In the reactions described, it may be necessary to protect reactive functional groups, for example hydroxy, amino, imino, thio or carboxy groups, where these are desired in the final product, to avoid their unwanted participation in the reactions. Protecting groups are used to block some or all reactive moieties and prevent such groups from participating in chemical reactions until the protective group is removed. In one embodiment, each protective group be removable by a different means. Protective groups that are cleaved under totally disparate reaction conditions fulfill the requirement of differential removal. Protective groups can be removed by acid, base, and hydrogenolysis. Groups such as trityl, dimethoxytrityl, acetal and t-butyldimethylsilyl are acid labile and may be used to protect carboxy and hydroxy reactive moieties in the presence of amino groups protected with Cbz groups, which are removable by hydrogenolysis, and Fmoc groups, which are base labile. Carboxylic acid and hydroxy reactive moieties may be blocked with base labile groups such as, but not limited to, methyl, ethyl, and acetyl in the presence of amines blocked with acid labile groups such as t-butyl carbamate or with carbamates that are both acid and base stable but hydrolytically removable.
- Carboxylic acid and hydroxy reactive moieties may also be blocked with hydrolytically removable protective groups such as the benzyl group, while amine groups capable of hydrogen bonding with acids may be blocked with base labile groups such as Fmoc. Carboxylic acid reactive moieties may be protected by conversion to simple ester compounds as exemplified herein, or they may be blocked with oxidatively-removable protective groups such as 2,4-dimethoxybenzyl, while co-existing amino groups may be blocked with fluoride labile silyl carbamates.
- Allyl blocking groups are useful in then presence of acid- and base-protecting groups since the former are stable and can be subsequently removed by metal or pi-acid catalysts. For example, an allyl-blocked carboxylic acid can be deprotected with a Pd0-catalyzed reaction in the presence of acid labile t-butyl carbamate or base-labile acetate amine protecting groups. Yet another form of protecting group is a resin to which a compound or intermediate may be attached. As long as the residue is attached to the resin, that functional group is blocked and cannot react. Once released from the resin, the functional group is available to react.
- Typically blocking/protecting groups may be selected from:
- Other protecting groups, plus a detailed description of techniques applicable to the creation of protecting groups and their removal are described in Greene and Wuts, Protective Groups in Organic Synthesis, 3rd Ed., John Wiley & Sons, New York, N.Y., 1999, and Kocienski, Protective Groups, Thieme Verlag, New York, N.Y., 1994, which are incorporated herein by reference in their entirety.
- In certain embodiments, provided herein are methods of making and methods of using tyrosine kinase inhibitor compounds described herein. In certain embodiments, compounds described herein can be synthesized using the following synthetic schemes. Compounds may be synthesized using methodologies analogous to those described below by the use of appropriate alternative starting materials.
- Described herein are compounds that inhibit the activity of tyrosine kinase(s), such as Btk, and processes for their preparation. Also described herein are pharmaceutically acceptable salts, pharmaceutically acceptable solvates, pharmaceutically active metabolites and pharmaceutically acceptable prodrugs of such compounds. Pharmaceutical compositions that include at least one such compound or a pharmaceutically acceptable salt, pharmaceutically acceptable solvate, pharmaceutically active metabolite or pharmaceutically acceptable prodrug of such compound, are provided.
- The starting material used for the synthesis of the compounds described herein may be synthesized or can be obtained from commercial sources, such as, but not limited to, Aldrich Chemical Co. (Milwaukee, Wis.), Bachem (Torrance, Calif.), or Sigma Chemical Co. (St. Louis, Mo.). The compounds described herein, and other related compounds having different substituents can be synthesized using techniques and materials known to those of skill in the art, such as described, for example, in March, A
DVANCED ORGANIC C HEMISTRY 4th Ed., (Wiley 1992); Carey and Sundberg, ADVANCED ORGANIC C HEMISTRY 4th Ed., Vols. A and B (Plenum 2000, 2001); Green and Wuts, PROTECTIVE GROUPS IN ORGANIC S YNTHESIS 3rd Ed., (Wiley 1999); Fieser and Fieser's Reagents for Organic Synthesis, Volumes 1-17 (John Wiley and Sons, 1991); Rodd's Chemistry of Carbon Compounds, Volumes 1-5 and Supplementals (Elsevier Science Publishers, 1989); Organic Reactions, Volumes 1-40 (John Wiley and Sons, 1991); and Larock's Comprehensive Organic Transformations (VCH Publishers Inc., 1989). (all of which are incorporated by reference in their entirety). Other methods for the synthesis of compounds described herein may be found in International Patent Publication No. WO 01/01982901, Arnold et al. Bioorganic & Medicinal Chemistry Letters 10 (2000) 2167-2170; Burchat et al. Bioorganic & Medicinal Chemistry Letters 12 (2002) 1687-1690. General methods for the preparation of compound as disclosed herein may be derived from known reactions in the field, and the reactions may be modified by the use of appropriate reagents and conditions, as would be recognized by the skilled person, for the introduction of the various moieties found in the formulae as provided herein. As a guide the following synthetic methods may be utilized. - The products of the reactions may be isolated and purified, if desired, using conventional techniques, including, but not limited to, filtration, distillation, crystallization, chromatography and the like. Such materials may be characterized using conventional means, including physical constants and spectral data.
- Compounds described herein may be prepared using the synthetic methods described herein as a single isomer or a mixture of isomers.
- A non-limiting example of a synthetic approach towards the preparation of compounds of any of Formula (A), (B), (C) or (D) is shown in Scheme I.
- Halogenation of commercially available 1H-pyrazolo[3,4-d]pyrimidin-4-amine provides an entry into the synthesis of compounds of Formula (A), (B), (C) and/or (D). In one embodiment, 1H-pyrazolo[3,4-d]pyrimidin-4-amine is treated with N-iodosuccinamide to give 3-iodo-1H-pyrazolo[3,4-d]pyrimidin-4-amine. Metal catalyzed cross coupling reactions are then carried out on 3-iodo-1H-pyrazolo[3,4-d]pyrimidin-4-amine. In one embodiment, palladium mediated cross-coupling of a suitably substituted phenyl boronic acid under basic conditions constructs intermediate 2. Intermediate 2 is coupled with N-Boc-3-hydroxypiperidine (as non-limiting example) via Mitsunobu reaction to give the Boc (tert-butyloxycarbonyl) protected
intermediate 3. After deprotection with acid, coupling with, but not limited to, an acid chloride, such as, but not limited to, acryloyl chloride, completes the synthesis to givecompound 4. - Using the synthetic methods described herein, as well as those known in the art, tyrosine kinase inhibitors as disclosed herein are obtained in good yields and purity. The compounds prepared by the methods disclosed herein are purified by conventional means known in the art, such as, for example, filtration, recrystallization, chromatography, distillation, and combinations thereof.
- Any combination of the groups described above for the various variables is contemplated herein. It is understood that substituents and substitution patterns on the compounds provided herein can be selected by one of ordinary skill in the art to provide compounds that are chemically stable and that can be synthesized by techniques known in the art, as well as those set forth herein.
- Compounds disclosed herein have a structure of any of Formula (A), Formula (B), Formula (C), or Formula (D). It is understood that when reference is made to compounds described herein, it is meant to include compounds of any of Formula (A), Formula (B), Formula (C), or Formula (D), as well as to all of the specific compounds that fall within the scope of these generic formulae, unless otherwise indicated.
- The compounds described herein may possess one or more stereocenters and each center may exist in the R or S configuration. The compounds presented herein include all diastereomeric, enantiomeric, and epimeric forms as well as the appropriate mixtures thereof. Stereoisomers may be obtained, if desired, by methods known in the art as, for example, the separation of stereoisomers by chiral chromatographic columns.
- Diasteromeric mixtures can be separated into their individual diastereomers on the basis of their physical chemical differences by methods known, for example, by chromatography and/or fractional crystallization. In one embodiment, enantiomers can be separated by chiral chromatographic columns. In other embodiments, enantiomers can be separated by converting the enantiomeric mixture into a diastereomeric mixture by reaction with an appropriate optically active compound (e.g., alcohol), separating the diastereomers and converting (e.g., hydrolyzing) the individual diastereomers to the corresponding pure enantiomers. All such isomers, including diastereomers, enantiomers, and mixtures thereof are considered as part of the compositions described herein.
- The methods and formulations described herein include the use of N-oxides, crystalline forms (also known as polymorphs), or pharmaceutically acceptable salts of compounds described herein, as well as active metabolites of these compounds having the same type of activity. In some situations, compounds may exist as tautomers. All tautomers are included within the scope of the compounds presented herein. In addition, the compounds described herein can exist in unsolvated as well as solvated forms with pharmaceutically acceptable solvents such as water, ethanol, and the like. The solvated forms of the compounds presented herein are also considered to be disclosed herein.
- Compounds of any of Formula (A), Formula (B), Formula (C), or Formula (D) in unoxidized form can be prepared from N-oxides of compounds of any of Formula (A), Formula (B), Formula (C), or Formula (D) by treating with a reducing agent, such as, but not limited to, sulfur, sulfur dioxide, triphenyl phosphine, lithium borohydride, sodium borohydride, phosphorus trichloride, tribromide, or the like in a suitable inert organic solvent, such as, but not limited to, acetonitrile, ethanol, aqueous dioxane, or the like at 0 to 80° C.
- In some embodiments, compounds described herein are prepared as prodrugs. A “prodrug” refers to an agent that is converted into the parent drug in vivo. Prodrugs are often useful because, in some situations, they may be easier to administer than the parent drug. They may, for instance, be bioavailable by oral administration whereas the parent is not. The prodrug may also have improved solubility in pharmaceutical compositions over the parent drug. An example, without limitation, of a prodrug would be a compound described herein, which is administered as an ester (the “prodrug”) to facilitate transmittal across a cell membrane where water solubility is detrimental to mobility but which then is metabolically hydrolyzed to the carboxylic acid, the active entity, once inside the cell where water-solubility is beneficial. A further example of a prodrug might be a short peptide (polyaminoacid) bonded to an acid group where the peptide is metabolized to reveal the active moiety. In certain embodiments, upon in vivo administration, a prodrug is chemically converted to the biologically, pharmaceutically or therapeutically active form of the compound. In certain embodiments, a prodrug is enzymatically metabolized by one or more steps or processes to the biologically, pharmaceutically or therapeutically active form of the compound. To produce a prodrug, a pharmaceutically active compound is modified such that the active compound will be regenerated upon in vivo administration. The prodrug can be designed to alter the metabolic stability or the transport characteristics of a drug, to mask side effects or toxicity, to improve the flavor of a drug or to alter other characteristics or properties of a drug. By virtue of knowledge of pharmacodynamic processes and drug metabolism in vivo, those of skill in this art, once a pharmaceutically active compound is known, can design prodrugs of the compound. (see, for example, Nogrady (1985) Medicinal Chemistry A Biochemical Approach, Oxford University Press, New York, pages 388-392; Silverman (1992), The Organic Chemistry of Drug Design and Drug Action, Academic Press, Inc., San Diego, pages 352-401, Saulnier et al., (1994), Bioorganic and Medicinal Chemistry Letters, Vol. 4, p. 1985).
- Prodrug forms of the herein described compounds, wherein the prodrug is metabolized in vivo to produce a derivative as set forth herein are included within the scope of the claims. In some cases, some of the herein-described compounds may be a prodrug for another derivative or active compound.
- Prodrugs are often useful because, in some situations, they may be easier to administer than the parent drug. They may, for instance, be bioavailable by oral administration whereas the parent is not. The prodrug may also have improved solubility in pharmaceutical compositions over the parent drug. Prodrugs may be designed as reversible drug derivatives, for use as modifiers to enhance drug transport to site-specific tissues. In some embodiments, the design of a prodrug increases the effective water solubility. See, e.g., Fedorak et al., Am. J. Physiol., 269:G210-218 (1995); McLoed et al., Gastroenterol, 106:405-413 (1994); Hochhaus et al., Biomed. Chrom., 6:283-286 (1992); J. Larsen and H. Bundgaard, Int. J. Pharmaceutics, 37, 87 (1987); J. Larsen et al., Int. J. Pharmaceutics, 47, 103 (1988); Sinkula et al., J. Pharm. Sci., 64:181-210 (1975); T. Higuchi and V. Stella, Pro-drugs as Novel Delivery Systems, Vol. 14 of the A.C.S. Symposium Series; and Edward B. Roche, Bioreversible Carriers in Drug Design, American Pharmaceutical Association and Pergamon Press, 1987, all incorporated herein in their entirety.
- Sites on the aromatic ring portion of compounds of any of Formula (A), Formula (B), Formula (C), or Formula (D) can be susceptible to various metabolic reactions, therefore incorporation of appropriate substituents on the aromatic ring structures, such as, by way of example only, halogens can reduce, minimize or eliminate this metabolic pathway.
- Compounds described herein include isotopically-labeled compounds, which are identical to those recited in the various formulas and structures presented herein, but for the fact that one or more atoms are replaced by an atom having an atomic mass or mass number different from the atomic mass or mass number usually found in nature. Examples of isotopes that can be incorporated into the present compounds include isotopes of hydrogen, carbon, nitrogen, oxygen, fluorine and chlorine, such as 2H, 3H, 13C, 14C, 15N, 18O, 17O, 35S, 18F, 36Cl, respectively. Certain isotopically-labeled compounds described herein, for example those into which radioactive isotopes such as 3H and 14C are incorporated, are useful in drug and/or substrate tissue distribution assays. Further, substitution with isotopes such as deuterium, i.e., 2H, can afford certain therapeutic advantages resulting from greater metabolic stability, for example increased in vivo half-life or reduced dosage requirements.
- In additional or further embodiments, the compounds described herein are metabolized upon administration to an organism in need to produce a metabolite that is then used to produce a desired effect, including a desired therapeutic effect.
- Compounds described herein may be formed as, and/or used as, pharmaceutically acceptable salts. The type of pharmaceutical acceptable salts, include, but are not limited to: (1) acid addition salts, formed) by reacting the free base form of the compound with a pharmaceutically acceptable: inorganic acid such as hydrochloric acid, hydrobromic acid, sulfuric acid, nitric acid, phosphoric acid, metaphosphoric acid, and the like; or with an organic acid such as acetic acid, propionic acid, hexanoic acid, cyclopentanepropionic acid, glycolic acid, pyruvic acid, lactic acid, malonic acid, succinic acid, malic acid, maleic acid, fumaric acid, trifluoroacetic acid, tartaric acid, citric acid, benzoic acid, 3-(4-hydroxybenzoyl)benzoic acid, cinnamic acid, mandelic acid, methanesulfonic acid, ethanesulfonic acid, 1,2-ethanedisulfonic acid, 2-hydroxyethanesulfonic acid, benzenesulfonic acid, toluenesulfonic acid, 2-naphthalenesulfonic acid, 4-methylbicyclo-[2.2.2]oct-2-ene-1-carboxylic acid, glucoheptonic acid, 4,4′-methylenebis-(3-hydroxy-2-ene-1-carboxylic acid), 3-phenylpropionic acid, trimethylacetic acid, tertiary butylacetic acid, lauryl sulfuric acid, gluconic acid, glutamic acid, hydroxynaphthoic acid, salicylic acid, stearic acid, muconic acid, and the like; (2) salts formed when an acidic proton present in the parent compound either is replaced by a metal ion, e.g., an alkali metal ion (e.g. lithium, sodium, potassium), an alkaline earth ion (e.g. magnesium, or calcium), or an aluminum ion; or coordinates with an organic base. Acceptable organic bases include ethanolamine, diethanolamine, triethanolamine, tromethamine, N-methylglucamine, and the like. Acceptable inorganic bases include aluminum hydroxide, calcium hydroxide, potassium hydroxide, sodium carbonate, sodium hydroxide, and the like.
- The corresponding counterions of the pharmaceutically acceptable salts may be analyzed and identified using various methods including, but not limited to, ion exchange chromatography, ion chromatography, capillary electrophoresis, inductively coupled plasma, atomic absorption spectroscopy, mass spectrometry, or any combination thereof.
- The salts are recovered by using at least one of the following techniques: filtration, precipitation with a non-solvent followed by filtration, evaporation of the solvent, or, in the case of aqueous solutions, lyophilization.
- It should be understood that a reference to a pharmaceutically acceptable salt includes the solvent addition forms or crystal forms thereof, particularly solvates or polymorphs. Solvates contain either stoichiometric or non-stoichiometric amounts of a solvent, and may be formed during the process of crystallization with pharmaceutically acceptable solvents such as water, ethanol, and the like. Hydrates are formed when the solvent is water, or alcoholates are formed when the solvent is alcohol. Solvates of compounds described herein can be conveniently prepared or formed during the processes described herein. In addition, the compounds provided herein can exist in unsolvated as well as solvated forms. In general, the solvated forms are considered equivalent to the unsolvated forms for the purposes of the compounds and methods provided herein.
- It should be understood that a reference to a salt includes the solvent addition forms or crystal forms thereof, particularly solvates or polymorphs. Solvates contain either stoichiometric or non-stoichiometric amounts of a solvent, and are often formed during the process of crystallization with pharmaceutically acceptable solvents such as water, ethanol, and the like. Hydrates are formed when the solvent is water, or alcoholates are formed when the solvent is alcohol. Polymorphs include the different crystal packing arrangements of the same elemental composition of a compound. Polymorphs usually have different X-ray diffraction patterns, infrared spectra, melting points, density, hardness, crystal shape, optical and electrical properties, stability, and solubility. Various factors such as the recrystallization solvent, rate of crystallization, and storage temperature may cause a single crystal form to dominate.
- Compounds described herein may be in various forms, including but not limited to, amorphous forms, milled forms and nano-particulate forms. In addition, compounds described herein include crystalline forms, also known as polymorphs. Polymorphs include the different crystal packing arrangements of the same elemental composition of a compound. Polymorphs usually have different X-ray diffraction patterns, infrared spectra, melting points, density, hardness, crystal shape, optical and electrical properties, stability, and solubility. Various factors such as the recrystallization solvent, rate of crystallization, and storage temperature may cause a single crystal form to dominate.
- The screening and characterization of the pharmaceutically acceptable salts, polymorphs and/or solvates may be accomplished using a variety of techniques including, but not limited to, thermal analysis, x-ray diffraction, spectroscopy, vapor sorption, and microscopy. Thermal analysis methods address thermo chemical degradation or thermo physical processes including, but not limited to, polymorphic transitions, and such methods are used to analyze the relationships between polymorphic forms, determine weight loss, to find the glass transition temperature, or for excipient compatibility studies. Such methods include, but are not limited to, Differential scanning calorimetry (DSC), Modulated Differential Scanning Calorimetry (MDCS), Thermogravimetric analysis (TGA), and Thermogravi-metric and Infrared analysis (TG/IR). X-ray diffraction methods include, but are not limited to, single crystal and powder diffractometers and synchrotron sources. The various spectroscopic techniques used include, but are not limited to, Raman, FTIR, UVIS, and NMR (liquid and solid state). The various microscopy techniques include, but are not limited to, polarized light microscopy, Scanning Electron Microscopy (SEM) with Energy Dispersive X-Ray Analysis (EDX), Environmental Scanning Electron Microscopy with EDX (in gas or water vapor atmosphere), IR microscopy, and Raman microscopy.
- Throughout the specification, groups and substituents thereof can be chosen by one skilled in the field to provide stable moieties and compounds.
- Pharmaceutical compositions may be formulated in a conventional manner using one or more physiologically acceptable carriers including excipients and auxiliaries which facilitate processing of the active compounds into preparations which can be used pharmaceutically. Proper formulation is dependent upon the route of administration chosen. Any of the well-known techniques, carriers, and excipients may be used as suitable and as understood in the art. A summary of pharmaceutical compositions described herein may be found, for example, in Remington: The Science and Practice of Pharmacy, Nineteenth Ed (Easton, Pa.: Mack Publishing Company, 1995); Hoover, John E., Remington's Pharmaceutical Sciences, Mack Publishing Co., Easton, Pa. 1975; Liberman, H. A. and Lachman, L., Eds., Pharmaceutical Dosage Forms, Marcel Decker, New York, N.Y., 1980; and Pharmaceutical Dosage Forms and Drug Delivery Systems, Seventh Ed. (Lippincott Williams & Wilkins 1999), herein incorporated by reference in their entirety.
- A pharmaceutical composition, as used herein, refers to a mixture of a compound described herein, such as, for example, compounds of any of Formula (A), Formula (B), Formula (C), or Formula (D), with other chemical components, such as carriers, stabilizers, diluents, dispersing agents, suspending agents, thickening agents, and/or excipients. The pharmaceutical composition facilitates administration of the compound to an organism. In practicing the methods of treatment or use provided herein, therapeutically effective amounts of compounds described herein are administered in a pharmaceutical composition to a mammal having a disease, disorder, or condition to be treated. Preferably, the mammal is a human. A therapeutically effective amount can vary widely depending on the severity of the disease, the age and relative health of the subject, the potency of the compound used and other factors. The compounds can be used singly or in combination with one or more therapeutic agents as components of mixtures.
- In certain embodiments, compositions may also include one or more pH adjusting agents or buffering agents, including acids such as acetic, boric, citric, lactic, phosphoric and hydrochloric acids; bases such as sodium hydroxide, sodium phosphate, sodium borate, sodium citrate, sodium acetate, sodium lactate and tris-hydroxymethylaminomethane; and buffers such as citrate/dextrose, sodium bicarbonate and ammonium chloride. Such acids, bases and buffers are included in an amount required to maintain pH of the composition in an acceptable range.
- In other embodiments, compositions may also include one or more salts in an amount required to bring osmolality of the composition into an acceptable range. Such salts include those having sodium, potassium or ammonium cations and chloride, citrate, ascorbate, borate, phosphate, bicarbonate, sulfate, thiosulfate or bisulfite anions; suitable salts include sodium chloride, potassium chloride, sodium thiosulfate, sodium bisulfite and ammonium sulfate.
- The term “pharmaceutical combination” as used herein, means a product that results from the mixing or combining of more than one active ingredient and includes both fixed and non-fixed combinations of the active ingredients. The term “fixed combination” means that the active ingredients, e.g. a compound described herein and a co-agent, are both administered to a patient simultaneously in the form of a single entity or dosage. The term “non-fixed combination” means that the active ingredients, e.g. a compound described herein and a co-agent, are administered to a patient as separate entities either simultaneously, concurrently or sequentially with no specific intervening time limits, wherein such administration provides effective levels of the two compounds in the body of the patient. The latter also applies to cocktail therapy, e.g. the administration of three or more active ingredients.
- The pharmaceutical formulations described herein can be administered to a subject by multiple administration routes, including but not limited to, oral, parenteral (e.g., intravenous, subcutaneous, intramuscular), intranasal, buccal, topical, rectal, or transdermal administration routes. The pharmaceutical formulations described herein include, but are not limited to, aqueous liquid dispersions, self-emulsifying dispersions, solid solutions, liposomal dispersions, aerosols, solid dosage forms, powders, immediate release formulations, controlled release formulations, fast melt formulations, tablets, capsules, pills, delayed release formulations, extended release formulations, pulsatile release formulations, multiparticulate formulations, and mixed immediate and controlled release formulations.
- Pharmaceutical compositions including a compound described herein may be manufactured in a conventional manner, such as, by way of example only, by means of conventional mixing, dissolving, granulating, dragee-making, levigating, emulsifying, encapsulating, entrapping or compression processes.
- The pharmaceutical compositions will include at least one compound described herein, such as, for example, a compound of any of Formula (A), Formula (B), Formula (C), or Formula (D), as an active ingredient in free-acid or free-base form, or in a pharmaceutically acceptable salt form. In addition, the methods and pharmaceutical compositions described herein include the use of N-oxides, crystalline forms (also known as polymorphs), as well as active metabolites of these compounds having the same type of activity. In some situations, compounds may exist as tautomers. All tautomers are included within the scope of the compounds presented herein. Additionally, the compounds described herein can exist in unsolvated as well as solvated forms with pharmaceutically acceptable solvents such as water, ethanol, and the like. The solvated forms of the compounds presented herein are also considered to be disclosed herein.
- “Antifoaming agents” reduce foaming during processing which can result in coagulation of aqueous dispersions, bubbles in the finished film, or generally impair processing. Exemplary anti-foaming agents include silicon emulsions or sorbitan sesquoleate.
- “Antioxidants” include, for example, butylated hydroxytoluene (BHT), sodium ascorbate, ascorbic acid, sodium metabisulfite and tocopherol. In certain embodiments, antioxidants enhance chemical stability where required.
- In certain embodiments, compositions provided herein may also include one or more preservatives to inhibit microbial activity. Suitable preservatives include mercury-containing substances such as merfen and thiomersal; stabilized chlorine dioxide; and quaternary ammonium compounds such as benzalkonium chloride, cetyltrimethylammonium bromide and cetylpyridinium chloride.
- Formulations described herein may benefit from antioxidants, metal chelating agents, thiol containing compounds and other general stabilizing agents. Examples of such stabilizing agents, include, but are not limited to: (a) about 0.5% to about 2% w/v glycerol, (b) about 0.1% to about 1% w/v methionine, (c) about 0.1% to about 2% w/v monothioglycerol, (d) about 1 mM to about 10 mM EDTA, (e) about 0.01% to about 2% w/v ascorbic acid, (f) 0.003% to about 0.02% w/v polysorbate 80, (g) 0.001% to about 0.05% w/v.
polysorbate 20, (h) arginine, (i) heparin, (j) dextran sulfate, (k) cyclodextrins, (l) pentosan polysulfate and other heparinoids, (m) divalent cations such as magnesium and zinc; or (n) combinations thereof. - “Binders” impart cohesive qualities and include, e.g., alginic acid and salts thereof; cellulose derivatives such as carboxymethylcellulose, methylcellulose (e.g., Methocel®), hydroxypropylmethylcellulose, hydroxyethylcellulose, hydroxypropylcellulose (e.g., Klucel®), ethylcellulose (e.g., Ethocel®), and microcrystalline cellulose (e.g., Avicel®); microcrystalline dextrose; amylose; magnesium aluminum silicate; polysaccharide acids; bentonites; gelatin; polyvinylpyrrolidone/vinyl acetate copolymer; crosspovidone; povidone; starch; pregelatinized starch; tragacanth, dextrin, a sugar, such as sucrose (e.g., Dipac®), glucose, dextrose, molasses, mannitol, sorbitol, xylitol (e.g., Xylitab®), and lactose; a natural or synthetic gum such as acacia, tragacanth, ghatti gum, mucilage of isapol husks, polyvinylpyrrolidone (e.g., Polyvidone® CL, Kollidon® CL, Polyplasdone® XL-10), larch arabogalactan, Veegum®, polyethylene glycol, waxes, sodium alginate, and the like.
- A “carrier” or “carrier materials” include any commonly used excipients in pharmaceutics and should be selected on the basis of compatibility with compounds disclosed herein, such as, compounds of any of Formula (A), Formula (B), Formula (C), or Formula (D), and the release profile properties of the desired dosage form Exemplary carrier materials include, e.g., binders, suspending agents, disintegration agents, filling agents, surfactants, solubilizers, stabilizers, lubricants, wetting agents, diluents, and the like. “Pharmaceutically compatible carrier materials” may include, but are not limited to, acacia, gelatin, colloidal silicon dioxide, calcium glycerophosphate, calcium lactate, maltodextrin, glycerine, magnesium silicate, polyvinylpyrrollidone (PVP), cholesterol, cholesterol esters, sodium caseinate, soy lecithin, taurocholic acid, phosphotidylcholine, sodium chloride, tricalcium phosphate, dipotassium phosphate, cellulose and cellulose conjugates, sugars sodium stearoyl lactylate, carrageenan, monoglyceride, diglyceride, pregelatinized starch, and the like. See, e.g., Remington: The Science and Practice of Pharmacy, Nineteenth Ed (Easton, Pa.: Mack Publishing Company, 1995); Hoover, John E., Remington's Pharmaceutical Sciences, Mack Publishing Co., Easton, Pa. 1975; Liberman, H. A. and Lachman, L., Eds., Pharmaceutical Dosage Forms, Marcel Decker, New York, N.Y., 1980; and Pharmaceutical Dosage Forms and Drug Delivery Systems, Seventh Ed. (Lippincott Williams & Wilkins 1999).
- “Dispersing agents,” and/or “viscosity modulating agents” include materials that control the diffusion and homogeneity of a drug through liquid media or a granulation method or blend method. In some embodiments, these agents also facilitate the effectiveness of a coating or eroding matrix. Exemplary diffusion facilitators/dispersing agents include, e.g., hydrophilic polymers, electrolytes, Tween® 60 or 80, PEG, polyvinylpyrrolidone (PVP; commercially known as Plasdone®), and the carbohydrate-based dispersing agents such as, for example, hydroxypropyl celluloses (e.g., HPC, HPC-SL, and HPC-L), hydroxypropyl methylcelluloses (e.g., HPMC K100, HPMC K4M, HPMC K15M, and HPMC K100M), carboxymethylcellulose sodium, methylcellulose, hydroxyethylcellulose, hydroxypropylcellulose, hydroxypropylmethylcellulose phthalate, hydroxypropylmethylcellulose acetate stearate (HPMCAS), noncrystalline cellulose, magnesium aluminum silicate, triethanolamine, polyvinyl alcohol (PVA), vinyl pyrrolidone/vinyl acetate copolymer (S630), 4-(1,1,3,3-tetramethylbutyl)-phenol polymer with ethylene oxide and formaldehyde (also known as tyloxapol), poloxamers (e.g., Pluronics F68®, F88®, and F108®, which are block copolymers of ethylene oxide and propylene oxide); and poloxamines (e.g., Tetronic 908®, also known as Poloxamine 908®, which is a tetrafunctional block copolymer derived from sequential addition of propylene oxide and ethylene oxide to ethylenediamine (BASF Corporation, Parsippany, N.J.)), polyvinylpyrrolidone K12, polyvinylpyrrolidone K17, polyvinylpyrrolidone K25, or polyvinylpyrrolidone K30, polyvinylpyrrolidone/vinyl acetate copolymer (S-630), polyethylene glycol, e.g., the polyethylene glycol can have a molecular weight of about 300 to about 6000, or about 3350 to about 4000, or about 7000 to about 5400, sodium carboxymethylcellulose, methylcellulose, polysorbate-80, sodium alginate, gums, such as, e.g., gum tragacanth and gum acacia, guar gum, xanthans, including xanthan gum, sugars, cellulosics, such as, e.g., sodium carboxymethylcellulose, methylcellulose, sodium carboxymethylcellulose, polysorbate-80, sodium alginate, polyethoxylated sorbitan monolaurate, polyethoxylated sorbitan monolaurate, povidone, carbomers, polyvinyl alcohol (PVA), alginates, chitosans and combinations thereof. Plasticizers such as cellulose or triethyl cellulose can also be used as dispersing agents. Dispersing agents particularly useful in liposomal dispersions and self-emulsifying dispersions are dimyristoyl phosphatidyl choline, natural phosphatidyl choline from eggs, natural phosphatidyl glycerol from eggs, cholesterol and isopropyl myristate.
- Combinations of one or more erosion facilitator with one or more diffusion facilitator can also be used in the present compositions.
- The term “diluent” refers to chemical compounds that are used to dilute the compound of interest prior to delivery. Diluents can also be used to stabilize compounds because they can provide a more stable environment Salts dissolved in buffered solutions (which also can provide pH control or maintenance) are utilized as diluents in the art, including, but not limited to a phosphate buffered saline solution. In certain embodiments, diluents increase bulk of the composition to facilitate compression or create sufficient bulk for homogenous blend for capsule filling. Such compounds include e.g., lactose, starch, mannitol, sorbitol, dextrose, microcrystalline cellulose such as Avicel®; dibasic calcium phosphate, dicalcium phosphate dihydrate; tricalcium phosphate, calcium phosphate; anhydrous lactose, spray-dried lactose; pregelatinized starch, compressible sugar, such as Di-Pac® (Amstar); mannitol, hydroxypropylmethylcellulose, hydroxypropylmethylcellulose acetate stearate, sucrose-based diluents, confectioner's sugar; monobasic calcium sulfate monohydrate, calcium sulfate dihydrate; calcium lactate trihydrate, dextrates; hydrolyzed cereal solids, amylose; powdered cellulose, calcium carbonate; glycine, kaolin; mannitol, sodium chloride; inositol, bentonite, and the like.
- The term “disintegrate” includes both the dissolution and dispersion of the dosage form when contacted with gastrointestinal fluid. “Disintegration agents or disintegrants” facilitate the breakup or disintegration of a substance. Examples of disintegration agents include a starch, e.g., a natural starch such as corn starch or potato starch, a pregelatinized starch such as National 1551 or Amijel®, or sodium starch glycolate such as Promogel® or Explotab®, a cellulose such as a wood product, methylcrystalline cellulose, e.g., Avicel®, Avicel® PH101, Avicel® PH102, Avicel® PH105, Elcemea® P100, Emcocel®, Vivacel®, Ming Tia®, and Solka-Floc®, methylcellulose, croscarmellose, or a cross-linked cellulose, such as cross-linked sodium carboxymethylcellulose (Ac-Di-Sol®), cross-linked carboxymethylcellulose, or cross-linked croscarmellose, a cross-linked starch such as sodium starch glycolate, a cross-linked polymer such as crosspovidone, a cross-linked polyvinylpyrrolidone, alginate such as alginic acid or a salt of alginic acid such as sodium alginate, a clay such as Veegum® HV (magnesium aluminum silicate), a gum such as agar, guar, locust bean, Karaya, pectin, or tragacanth, sodium starch glycolate, bentonite, a natural sponge, a surfactant, a resin such as a cation-exchange resin, citrus pulp, sodium lauryl sulfate, sodium lauryl sulfate in combination starch, and the like.
- “Drug absorption” or “absorption” typically refers to the process of movement of drug from site of administration of a drug across a barrier into a blood vessel or the site of action, e.g., a drug moving from the gastrointestinal tract into the portal vein or lymphatic system.
- An “enteric coating” is a substance that remains substantially intact in the stomach but dissolves and releases the drug in the small intestine or colon. Generally, the enteric coating comprises a polymeric material that prevents release in the low pH environment of the stomach but that ionizes at a higher pH, typically a pH of 6 to 7, and thus dissolves sufficiently in the small intestine or colon to release the active agent therein.
- “Erosion facilitators” include materials that control the erosion of a particular material in gastrointestinal fluid. Erosion facilitators are generally known to those of ordinary skill in the art. Exemplary erosion facilitators include, e.g., hydrophilic polymers, electrolytes, proteins, peptides, and amino acids.
- “Filling agents” include compounds such as lactose, calcium carbonate, calcium phosphate, dibasic calcium phosphate, calcium sulfate, microcrystalline cellulose, cellulose powder, dextrose, dextrates, dextran, starches, pregelatinized starch, sucrose, xylitol, lactitol, mannitol, sorbitol, sodium chloride, polyethylene glycol, and the like.
- “Flavoring agents” and/or “sweeteners” useful in the formulations described herein, include, e.g., acacia syrup, acesulfame K, alitame, anise, apple, aspartame, banana, Bavarian cream berry, black currant, butterscotch, calcium citrate, camphor, caramel, cherry, cherry cream chocolate, cinnamon, bubble gum, citrus, citrus punch, citrus cream, cotton candy, cocoa, cola, cool cherry, cool citrus, cyclamate, cylamate, dextrose, eucalyptus, eugenol, fructose, fruit punch, ginger, glycyrrhetinate, glycyrrhiza (licorice) syrup, grape, grapefruit, honey, isomalt, lemon, lime, lemon cream, monoammonium glyrrhizinate (MagnaSweet®), maltol, mannitol, maple, marshmallow, menthol, mint cream, mixed berry, neohesperidine DC, neotame, orange, pear, peach, peppermint, peppermint cream, Prosweet® Powder, raspberry, root beer, rum, saccharin, safrole, sorbitol, spearmint, spearmint cream, strawberry, strawberry cream, stevia, sucralose, sucrose, sodium saccharin, saccharin, aspartame, acesulfame potassium, mannitol, talin, sylitol, sucralose, sorbitol, Swiss cream, tagatose, tangerine, thaumatin, tutti fruitti, vanilla, walnut, watermelon, wild cherry, wintergreen, xylitol, or any combination of these flavoring ingredients, e.g., anise-menthol, cherry-anise, cinnamon-orange, cherry-cinnamon, chocolate-mint, honey-lemon, lemon-lime, lemon-mint, menthol-eucalyptus, orange-cream, vanilla-mint, and mixtures thereof.
- “Lubricants” and “glidants” are compounds that prevent, reduce or inhibit adhesion or friction of materials. Exemplary lubricants include, e.g., stearic acid, calcium hydroxide, talc, sodium stearyl fumerate, a hydrocarbon such as mineral oil, or hydrogenated vegetable oil such as hydrogenated soybean oil (Sterotex®, higher fatty acids and their alkali-metal and alkaline earth metal salts, such as aluminum, calcium, magnesium, zinc, stearic acid, sodium stearates, glycerol, talc, waxes, Stearowet®, boric acid, sodium benzoate, sodium acetate, sodium chloride, leucine, a polyethylene glycol (e.g., PEG-4000) or a methoxypolyethylene glycol such as Carbowax™, sodium oleate, sodium benzoate, glyceryl behenate, polyethylene glycol, magnesium or sodium lauryl sulfate, colloidal silica such as Syloid™, Cab-O-Sil®, a starch such as corn starch, silicone oil, a surfactant, and the like.
- A “measurable serum concentration” or “measurable plasma concentration” describes the blood serum or blood plasma concentration, typically measured in mg, μg, or ng of therapeutic agent per ml, dl, or l of blood serum, absorbed into the bloodstream after administration. As used herein, measurable plasma concentrations are typically measured in ng/ml or μg/ml.
- “Pharmacodynamics” refers to the factors which determine the biologic response observed relative to the concentration of drug at a site of action.
- “Pharmacokinetics” refers to the factors which determine the attainment and maintenance of the appropriate concentration of drug at a site of action.
- “Plasticizers” are compounds used to soften the microencapsulation material or film coatings to make them less brittle. Suitable plasticizers include, e.g., polyethylene glycols such as PEG 300, PEG 400, PEG 600, PEG 1450, PEG 3350, and PEG 800, stearic acid, propylene glycol, oleic acid, triethyl cellulose and triacetin. In some embodiments, plasticizers can also function as dispersing agents or wetting agents.
- “Solubilizers” include compounds such as triacetin, triethylcitrate, ethyl oleate, ethyl caprylate, sodium lauryl sulfate, sodium doccusate, vitamin E TPGS, dimethylacetamide, N-methylpyrrolidone, N-hydroxyethylpyrrolidone, polyvinylpyrrolidone, hydroxypropylmethyl cellulose, hydroxypropyl cyclodextrins, ethanol, n-butanol, isopropyl alcohol, cholesterol, bile salts, polyethylene glycol 200-600, glycofurol, transcutol, propylene glycol, and dimethyl isosorbide and the like.
- “Stabilizers” include compounds such as any antioxidation agents, buffers, acids, preservatives and the like.
- “Steady state,” as used herein, is when the amount of drug administered is equal to the amount of drug eliminated within one dosing interval resulting in a plateau or constant plasma drug exposure.
- “Suspending agents” include compounds such as polyvinylpyrrolidone, e.g., polyvinylpyrrolidone K12, polyvinylpyrrolidone K17, polyvinylpyrrolidone K25, or polyvinylpyrrolidone K30, vinyl pyrrolidone/vinyl acetate copolymer (S630), polyethylene glycol, e.g., the polyethylene glycol can have a molecular weight of about 300 to about 6000, or about 3350 to about 4000, or about 7000 to about 5400, sodium carboxymethylcellulose, methylcellulose, hydroxypropylmethylcellulose, hydroxymethylcellulose acetate stearate, polysorbate-80, hydroxyethylcellulose, sodium alginate, gums, such as, e.g., gum tragacanth and gum acacia, guar gum, xanthans, including xanthan gun, sugars, cellulosics, such as, e.g., sodium carboxymethylcellulose, methylcellulose, sodium carboxymethylcellulose, hydroxypropylmethylcellulose, hydroxyethylcellulose, polysorbate-80, sodium alginate, polyethoxylated sorbitan monolaurate, polyethoxylated sorbitan monolaurate, povidone and the like.
- “Surfactants” include compounds such as sodium lauryl sulfate, sodium docusate, Tween 60 or 80, triacetin, vitamin E TPGS, sorbitan monooleate, polyoxyethylene sorbitan monooleate, polysorbates, polaxomers, bile salts, glyceryl monostearate, copolymers of ethylene oxide and propylene oxide, e.g., Pluronic® (BASF), and the like. Some other surfactants include polyoxyethylene fatty acid glycerides and vegetable oils, e.g., polyoxyethylene (60) hydrogenated castor oil; and polyoxyethylene alkylethers and alkylphenyl ethers, e.g. octoxynol 10, octoxynol 40. In some embodiments, surfactants may be included to enhance physical stability or for other purposes.
- “Viscosity enhancing agents” include, e.g., methyl cellulose, xanthan gum, carboxymethyl cellulose, hydroxypropyl cellulose, hydroxypropylmethyl cellulose, hydroxypropylmethyl cellulose acetate stearate, hydroxypropylmethyl cellulose phthalate, carbomer, polyvinyl alcohol alginates, acacia, chitosans and combinations thereof.
- “Wetting agents” include compounds such as oleic acid, glyceryl monostearate, sorbitan monooleate, sorbitan monolaurate, triethanolamine oleate, polyoxyethylene sorbitan monooleate, polyoxyethylene sorbitan monolaurate, sodium docusate, sodium oleate, sodium lauryl sulfate, sodium doccusate, triacetin, Tween 80, vitamin E TPGS, ammonium salts and the like.
- The compositions described herein can be formulated for administration to a subject via any conventional means including, but not limited to, oral, parenteral (e.g., intravenous, subcutaneous, or intramuscular), buccal, intranasal, rectal or transdermal administration routes. As used herein, the term “subject” is used to mean an animal, preferably a mammal, including a human or non-human. The terms patient and subject may be used interchangeably.
- Moreover, the pharmaceutical compositions described herein, which include a compound of any of Formula (A), Formula (B), Formula (C), or Formula (D) can be formulated into any suitable dosage form, including but not limited to, aqueous oral dispersions, liquids, gels, syrups, elixirs, slurries, suspensions and the like, for oral ingestion by a patient to be treated, solid oral dosage forms, aerosols, controlled release formulations, fast melt formulations, effervescent formulations, lyophilized formulations, tablets, powders, pills, dragees, capsules, delayed release formulations, extended release formulations, pulsatile release formulations, multiparticulate formulations, and mixed immediate release and controlled release formulations.
- Pharmaceutical preparations for oral use can be obtained by mixing one or more solid excipient with one or more of the compounds described herein, optionally grinding the resulting mixture, and processing the mixture of granules, after adding suitable auxiliaries, if desired, to obtain tablets or dragee cores. Suitable excipients include, for example, fillers such as sugars, including lactose, sucrose, mannitol, or sorbitol; cellulose preparations such as, for example, maize starch, wheat starch, rice starch, potato starch, gelatin, gum tragacanth, methylcellulose, microcrystalline cellulose, hydroxypropylmethylcellulose, sodium carboxymethylcellulose; or others such as: polyvinylpyrrolidone (PVP or povidone) or calcium phosphate. If desired, disintegrating agents may be added, such as the cross-linked croscarmellose sodium, polyvinylpyrrolidone, agar, or alginic acid or a salt thereof such as sodium alginate.
- Dragee cores are provided with suitable coatings. For this purpose, concentrated sugar solutions may be used, which may optionally contain gum arabic, talc, polyvinylpyrrolidone, carbopol gel, polyethylene glycol, and/or titanium dioxide, lacquer solutions, and suitable organic solvents or solvent mixtures. Dyestuffs or pigments may be added to the tablets or dragee coatings for identification or to characterize different combinations of active compound doses.
- Pharmaceutical preparations which can be used orally include push-fit capsules made of gelatin, as well as soft, sealed capsules made of gelatin and a plasticizer, such as glycerol or sorbitol. The push-fit capsules can contain the active ingredients in admixture with filler such as lactose, binders such as starches, and/or lubricants such as talc or magnesium stearate and, optionally, stabilizers. In soft capsules, the active compounds may be dissolved or suspended in suitable liquids, such as fatty oils, liquid paraffin, or liquid polyethylene glycols. In addition, stabilizers may be added. All formulations for oral administration should be in dosages suitable for such administration.
- In some embodiments, the solid dosage forms disclosed herein may be in the form of a tablet, (including a suspension tablet, a fast-melt tablet, a bite-disintegration tablet, a rapid-disintegration tablet, an effervescent tablet, or a caplet), a pill, a powder (including a sterile packaged powder, a dispensable powder, or an effervescent powder) a capsule (including both soft or hard capsules, e.g., capsules made from animal-derived gelatin or plant-derived HPMC, or “sprinkle capsules”), solid dispersion, solid solution, bioerodible dosage form, controlled release formulations, pulsatile release dosage forms, multiparticulate dosage forms, pellets, granules, or an aerosol. In other embodiments, the pharmaceutical formulation is in the form of a powder. In still other embodiments, the pharmaceutical formulation is in the form of a tablet, including but not limited to, a fast-melt tablet. Additionally, pharmaceutical formulations described herein may be administered as a single capsule or in multiple capsule dosage form. In some embodiments, the pharmaceutical formulation is administered in two, or three, or four, capsules or tablets.
- In some embodiments, solid dosage forms, e.g., tablets, effervescent tablets, and capsules, are prepared by mixing particles of a compound of any of Formula (A), Formula (B), Formula (C), or Formula (D), with one or more pharmaceutical excipients to form a bulk blend composition. When referring to these bulk blend compositions as homogeneous, it is meant that the particles of the compound of any of Formula (A), Formula (B), Formula (C), or Formula (D), are dispersed evenly throughout the composition so that the composition may be readily subdivided into equally effective unit dosage forms, such as tablets, pills, and capsules. The individual unit dosages may also include film coatings, which disintegrate upon oral ingestion or upon contact with diluent. These formulations can be manufactured by conventional pharmacological techniques.
- Conventional pharmacological techniques include, e.g., one or a combination of methods: (1) dry mixing, (2) direct compression, (3) milling, (4) dry or non-aqueous granulation, (5) wet granulation, or (6) fusion. See, e.g., Lachman et al., The Theory and Practice of Industrial Pharmacy (1986). Other methods include, e.g., spray drying, pan coating, melt granulation, granulation, fluidized bed spray drying or coating (e.g., wurster coating), tangential coating, top spraying, tableting, extruding and the like.
- The pharmaceutical solid dosage forms described herein can include a compound described herein and one or more pharmaceutically acceptable additives such as a compatible carrier, binder, filling agent, suspending agent flavoring agent, sweetening agent, disintegrating agent, dispersing agent, surfactant, lubricant, colorant diluent solubilizer, moistening agent, plasticizer, stabilizer, penetration enhancer, wetting agent anti-foaming agent antioxidant, preservative, or one or more combination thereof. In still other aspects, using standard coating procedures, such as those described in Remington's Pharmaceutical Sciences, 20th Edition (2000), a film coating is provided around the formulation of the compound of any of Formula (A), Formula (B), Formula (C), or Formula (D). In one embodiment, some or all of the particles of the compound of any of Formula (A), Formula (B), Formula (C), or Formula (D), are coated. In another embodiment, some or all of the particles of the compound of any of Formula (A), Formula (B), Formula (C), or Formula (D), are microencapsulated. In still another embodiment, the particles of the compound of any of Formula (A), Formula (B), Formula (C), or Formula (D), are not microencapsulated and are uncoated.
- Suitable carriers for use in the solid dosage forms described herein include, but are not limited to, acacia, gelatin, colloidal silicon dioxide, calcium glycerophosphate, calcium lactate, maltodextrin, glycerine, magnesium silicate, sodium caseinate, soy lecithin, sodium chloride, tricalcium phosphate, dipotassium phosphate, sodium stearoyl lactylate, carrageenan, monoglyceride, diglyceride, pregelatinized starch, hydroxypropylmethylcellulose, hydroxypropylmethylcellulose acetate stearate, sucrose, microcrystalline cellulose, lactose, mannitol and the like.
- Suitable filling agents for use in the solid dosage forms described herein include, but are not limited to, lactose, calcium carbonate, calcium phosphate, dibasic calcium phosphate, calcium sulfate, microcrystalline cellulose, cellulose powder, dextrose, dextrates, dextran, starches, pregelatinized starch, hydroxypropylmethycellulose (HPMC), hydroxypropylmethycellulose phthalate, hydroxypropylmethylcellulose acetate stearate (HPMCAS), sucrose, xylitol, lactitol, mannitol, sorbitol, sodium chloride, polyethylene glycol, and the like.
- In order to release the compound of any of Formula (A), Formula (B), Formula (C), or Formula (D), from a solid dosage form matrix as efficiently as possible, disintegrants are often used in the formulation, especially when the dosage forms are compressed with binder. Disintegrants help rupturing the dosage form matrix by swelling or capillary action when moisture is absorbed into the dosage form Suitable disintegrants for use in the solid dosage forms described herein include, but are not limited to, natural starch such as corn starch or potato starch, a pregelatinized starch such as National 1551 or Amijel®, or sodium starch glycolate such as Promogel® or Explotab®, a cellulose such as a wood product, methylcrystalline cellulose, e.g., Avicel®, Avicele® PH101, Avicel® PH102, Avicel® PH105, Elcema® P100, Emcocel®, Vivacel®, Ming Tia®, and Solka-Floc®, methylcellulose, croscarmellose, or a cross-linked cellulose, such as cross-linked sodium carboxymethylcellulose (Ac-Di-Sol®), cross-linked carboxymethylcellulose, or cross-linked croscarmellose, a cross-linked starch such as sodium starch glycolate, a cross-linked polymer such as crospovidone, a cross-linked polyvinylpyrrolidone, alginate such as alginic acid or a salt of alginic acid such as sodium alginate, a clay such as Veegum® HV (magnesium aluminum silicate), a gum such as agar, guar, locust bean, Karaya, pectin, or tragacanth, sodium starch glycolate, bentonite, a natural sponge, a surfactant, a resin such as a cation-exchange resin, citrus pulp, sodium lauryl sulfate, sodium lauryl sulfate in combination starch, and the like.
- Binders impart cohesiveness to solid oral dosage form formulations: for powder filled capsule formulation, they aid in plug formation that can be filled into soft or hard shell capsules and for tablet formulation, they ensure the tablet remaining intact after compression and help assure blend uniformity prior to a compression or fill step. Materials suitable for use as binders in the solid dosage forms described herein include, but are not limited to, carboxymethylcellulose, methylcellulose (e.g., Methocel®), hydroxypropylmethylcellulose (e.g. Hypromellose USP Pharmacoat-603, hydroxypropylmethylcellulose acetate stearate (Aqoate HS-LF and HS), hydroxyethylcellulose, hydroxypropylcellulose (e.g., Klucel®, ethylcellulose (e.g., Ethocel®), and microcrystalline cellulose (e.g., Avicel®), microcrystalline dextrose, amylose, magnesium aluminum silicate, polysaccharide acids, bentonites, gelatin, polyvinylpyrrolidone/vinyl acetate copolymer, crospovidone, povidone, starch, pregelatinized starch, tragacanth, dextrin, a sugar, such as sucrose (e.g., Dipac®), glucose, dextrose, molasses, mannitol, sorbitol, xylitol (e.g., Xylitab®), lactose, a natural or synthetic gum such as acacia, tragacanth, ghatti gum, mucilage of isapol husks, starch, polyvinylpyrrolidone (e.g., Povidone® CL, Kollidon® CL, Polyplasdone® XL-10, and Povidone® K-12), larch arabogalactan, Veegum®, polyethylene glycol, waxes, sodium alginate, and the like.
- In general, binder levels of 20-70% are used in powder-filled gelatin capsule formulations. Binder usage level in tablet formulations varies whether direct compression, wet granulation, roller compaction, or usage of other excipients such as fillers which itself can act as moderate binder. Formulators skilled in art can determine the binder level for the formulations, but binder usage level of up to 70% in tablet formulations is common.
- Suitable lubricants or glidants for use in the solid dosage forms described herein include, but are not limited to, stearic acid, calcium hydroxide, talc, corn starch, sodium stearyl fumerate, alkali-metal and alkaline earth metal salts, such as aluminum, calcium, magnesium zinc, stearic acid, sodium stearates, magnesium stearate, zinc stearate, waxes, Stearowet®, boric acid, sodium benzoate, sodium acetate, sodium chloride, leucine, a polyethylene glycol or a methoxypolyethylene glycol such as Carbowax™, PEG 4000, PEG 5000, PEG 6000, propylene glycol, sodium oleate, glyceryl behenate, glyceryl palmitostearate, glyceryl benzoate, magnesium or sodium lauryl sulfate, and the like.
- Suitable diluents for use in the solid dosage forms described herein include, but are not limited to, sugars (including lactose, sucrose, and dextrose), polysaccharides (including dextrates and maltodextrin), polyols (including mannitol, xylitol, and sorbitol), cyclodextrins and the like.
- The term “non water-soluble diluent” represents compounds typically used in the formulation of pharmaceuticals, such as calcium phosphate, calcium sulfate, starches, modified starches and microcrystalline cellulose, and microcellulose (e.g., having a density of about 0.45 g/cm3, e.g. Avicel, powdered cellulose), and talc.
- Suitable wetting agents for use in the solid dosage forms described herein include, for example, oleic acid, glyceryl monostearate, sorbitan monooleate, sorbitan monolaurate, triethanolamine oleate, polyoxyethylene sorbitan monooleate, polyoxyethylene sorbitan monolaurate, quaternary ammonium compounds (e.g.,
Polyquat 10®), sodium oleate, sodium lauryl sulfate, magnesium stearate, sodium docusate, triacetin, vitamin E TPGS and the like. - Suitable surfactants for use in the solid dosage forms described herein include, for example, sodium lauryl sulfate, sorbitan monooleate, polyoxyethylene sorbitan monooleate, polysorbates, polaxomers, bile salts, glyceryl monostearate, copolymers of ethylene oxide and propylene oxide, e.g., Pluronic® (BASF), and the like.
- Suitable suspending agents for use in the solid dosage forms described here include, but are not limited to, polyvinylpyrrolidone, e.g., polyvinylpyrrolidone K12, polyvinylpyrrolidone K17, polyvinylpyrrolidone K25, or polyvinylpyrrolidone K30, polyethylene glycol, e.g., the polyethylene glycol can have a molecular weight of about 300 to about 6000, or about 3350 to about 4000, or about 7000 to about 5400, vinyl pyrrolidone/vinyl acetate copolymer (S630), sodium carboxymethylcellulose, methylcellulose, hydroxy-propylmethylcellulose, polysorbate-80, hydroxyethylcellulose, sodium alginate, gums, such as, e.g., gum tragacanth and gum acacia, guar gum, xanthans, including xanthan gum, sugars, cellulosics, such as, e.g., sodium carboxymethylcellulose, methylcellulose, sodium carboxymethylcellulose, hydroxypropylmethylcellulose, hydroxyethylcellulose, polysorbate-80, sodium alginate, polyethoxylated sorbitan monolaurate, polyethoxylated sorbitan monolaurate, povidone and the like.
- Suitable antioxidants for use in the solid dosage forms described herein include, for example, e.g., butylated hydroxytoluene (BHT), sodium ascorbate, and tocopherol.
- It should be appreciated that there is considerable overlap between additives used in the solid dosage forms described herein. Thus, the above-listed additives should be taken as merely exemplary, and not limiting, of the types of additives that can be included in solid dosage forms described herein. The amounts of such additives can be readily determined by one skilled in the art, according to the particular properties desired.
- In other embodiments, one or more layers of the pharmaceutical formulation are plasticized. Illustratively, a plasticizer is generally a high boiling point solid or liquid. Suitable plasticizers can be added from about 0.01% to about 50% by weight (w/w) of the coating composition. Plasticizers include, but are not limited to, diethyl phthalate, citrate esters, polyethylene glycol, glycerol, acetylated glycerides, triacetin, polypropylene glycol, polyethylene glycol, triethyl citrate, dibutyl sebacate, stearic acid, stearol, stearate, and castor oil.
- Compressed tablets are solid dosage forms prepared by compacting the bulk blend of the formulations described above. In various embodiments, compressed tablets which are designed to dissolve in the mouth will include one or more flavoring agents. In other embodiments, the compressed tablets will include a film surrounding the final compressed tablet. In some embodiments, the film coating can provide a delayed release of the compound of any of Formula (A), Formula (B), Formula (C), or Formula (D), from the formulation. In other embodiments, the film coating aids in patient compliance (e.g., Opadry® coatings or sugar coating). Film coatings including Opadry® typically range from about 1% to about 3% of the tablet weight. In other embodiments, the compressed tablets include one or more excipients.
- A capsule may be prepared, for example, by placing the bulk blend of the formulation of the compound of any of Formula (A), Formula (B), Formula (C), or Formula (D), described above, inside of a capsule. In some embodiments, the formulations (non-aqueous suspensions and solutions) are placed in a soft gelatin capsule. In other embodiments, the formulations are placed in standard gelatin capsules or non-gelatin capsules such as capsules comprising HPMC. In other embodiments, the formulation is placed in a sprinkle capsule, wherein the capsule may be swallowed whole or the capsule may be opened and the contents sprinkled on food prior to eating. In some embodiments, the therapeutic dose is split into multiple (e.g., two, three, or four) capsules. In some embodiments, the entire dose of the formulation is delivered in a capsule form.
- In various embodiments, the particles of the compound of any of Formula (A), Formula (B), Formula (C), or Formula (D), and one or more excipients are dry blended and compressed into a mass, such as a tablet, having a hardness sufficient to provide a pharmaceutical composition that substantially disintegrates within less than about 30 minutes, less than about 35 minutes, less than about 40 minutes, less than about 45 minutes, less than about 50 minutes, less than about 55 minutes, or less than about 60 minutes, after oral administration, thereby releasing the formulation into the gastrointestinal fluid.
- In another aspect, dosage forms may include microencapsulated formulations. In some embodiments, one or more other compatible materials are present in the microencapsulation material. Exemplary materials include, but are not limited to, pH modifiers, erosion facilitators, anti-foaming agents, antioxidants, flavoring agents, and carrier materials such as binders, suspending agents, disintegration agents, filling agents, surfactants, solubilizers, stabilizers, lubricants, wetting agents, and diluents.
- Materials useful for the microencapsulation described herein include materials compatible with compounds of any of Formula (A), Formula (B), Formula (C), or Formula (D), which sufficiently isolate the compound of any of Formula (A), Formula (B), Formula (C), or Formula (D), from other non-compatible excipients. Materials compatible with compounds of any of Formula (A), Formula (B), Formula (C), or Formula (D), are those that delay the release of the compounds of any of Formula (A), Formula (B), Formula (C), or Formula (D), in vivo.
- Exemplary microencapsulation materials useful for delaying the release of the formulations including compounds described herein, include, but are not limited to, hydroxypropyl cellulose ethers (HPC) such as Klucel® or Nisso HPC, low-substituted hydroxypropyl cellulose ethers (L-HPC), hydroxypropyl methyl cellulose ethers (HPMC) such as Seppifilm-LC, Pharmacoat®, Metolose SR, Methocel®-E, Opadry YS, PrimaFlo, Benecel MP824, and Benecel MP843, methylcellulose polymers such as Methocel®-A, hydroxypropylmethylcellulose acetate stearate Aqoat (HF-LS, HF-LG, HF-MS) and Metolose®, Ethylcelluloses (EC) and mixtures thereof such as E461, Ethocel®, Aqualon®-EC, Surelease®, Polyvinyl alcohol (PVA) such as Opadry AMB, hydroxyethylcelluloses such as Natrosol®, carboxymethylcelluloses and salts of carboxymethylcelluloses (CMC) such as Aqualon®-CMC, polyvinyl alcohol and polyethylene glycol co-polymers such as Kollicoat IR®, monoglycerides (Myverol), triglycerides (KLX), polyethylene glycols, modified food starch, acrylic polymers and mixtures of acrylic polymers with cellulose ethers such as Eudragit® EPO, Eudragit® L30D-55, Eudragit® FS 30D Eudragit® L100-55, Eudragit® L100, Eudragit® S100, Eudragit® RD100, Eudragit® E100, Eudragit® L12.5, Eudragit® S12.5, Eudragit® NE30D, and Eudragit® NE 40D, cellulose acetate phthalate, sepifilms such as mixtures of HPMC and stearic acid, cyclodextrins, and mixtures of these materials.
- In still other embodiments, plasticizers such as polyethylene glycols, e.g., PEG 300, PEG 400, PEG 600, PEG 1450, PEG 3350, and PEG 800, stearic acid, propylene glycol, oleic acid, and triacetin are incorporated into the microencapsulation material. In other embodiments, the microencapsulating material useful for delaying the release of the pharmaceutical compositions is from the USP or the National Formulary (NF). In yet other embodiments, the microencapsulation material is Klucel. In still other embodiments, the microencapsulation material is methocel.
- Microencapsulated compounds of any of Formula (A), Formula (B), Formula (C), or Formula (D), may be formulated by methods known by one of ordinary skill in the art. Such known methods include, e.g., spray drying processes, spinning disk-solvent processes, hot melt processes, spray chilling methods, fluidized bed, electrostatic deposition, centrifugal extrusion, rotational suspension separation, polymerization at liquid-gas or solid-gas interface, pressure extrusion, or spraying solvent extraction bath. In addition to these, several chemical techniques, e.g., complex coacervation, solvent evaporation, polymer-polymer incompatibility, interfacial polymerization in liquid media, in situ polymerization, in-liquid drying, and desolvation in liquid media could also be used. Furthermore, other methods such as roller compaction, extrusion/spheronization, coacervation, or nanoparticle coating may also be used.
- In one embodiment, the particles of compounds of any of Formula (A), Formula (B), Formula (C), or Formula (D), are microencapsulated prior to being formulated into one of the above forms. In still another embodiment, some or most of the particles are coated prior to being further formulated by using standard coating procedures, such as those described in Remington's Pharmaceutical Sciences, 20th Edition (2000).
- In other embodiments, the solid dosage formulations of the compounds of any of Formula (A), Formula (B), Formula (C), or Formula (D), are plasticized (coated) with one or more layers. Illustratively, a plasticizer is generally a high boiling point solid or liquid. Suitable plasticizers can be added from about 0.01% to about 50% by weight (w/w) of the coating composition. Plasticizers include, but are not limited to, diethyl phthalate, citrate esters, polyethylene glycol, glycerol, acetylated glycerides, triacetin, polypropylene glycol, polyethylene glycol triethyl citrate, dibutyl sebacate, stearic acid, stearol, stearate, and castor oil.
- In other embodiments, a powder including the formulations with a compound of any of Formula (A), Formula (B), Formula (C), or Formula (D), described herein, may be formulated to include one or more pharmaceutical excipients and flavors. Such a powder may be prepared, for example, by mixing the formulation and optional pharmaceutical excipients to form a bulk blend composition. Additional embodiments also include a suspending agent and/or a wetting agent. This bulk blend is uniformly subdivided into unit dosage packaging or multi-dosage packaging units.
- In still other embodiments, effervescent powders are also prepared in accordance with the present disclosure. Effervescent salts have been used to disperse medicines in water for oral administration. Effervescent salts are granules or coarse powders containing a medicinal agent in a dry mixture, usually composed of sodium bicarbonate, citric acid and/or tartaric acid. When salts of the compositions described herein are added to water, the acids and the base react to liberate carbon dioxide gas, thereby causing “effervescence.” Examples of effervescent salts include, e.g., the following ingredients: sodium bicarbonate or a mixture of sodium bicarbonate and sodium carbonate, citric acid and/or tartaric acid. Any acid-base combination that results in the liberation of carbon dioxide can be used in place of the combination of sodium bicarbonate and citric and tartaric acids, as long as the ingredients were suitable for pharmaceutical use and result in a pH of about 6.0 or higher.
- In other embodiments, the formulations described herein, which include a compound of Formula (A), are solid dispersions. Methods of producing such solid dispersions are known in the art and include, but are not limited to, for example, U.S. Pat. Nos. 4,343,789, 5,340,591, 5,456,923, 5,700,485, 5,723,269, and U.S. Pub. Appl 2004/0013734, each of which is specifically incorporated by reference. In still other embodiments, the formulations described herein are solid solutions. Solid solutions incorporate a substance together with the active agent and other excipients such that heating the mixture results in dissolution of the drug and the resulting composition is then cooled to provide a solid blend which can be further formulated or directly added to a capsule or compressed into a tablet. Methods of producing such solid solutions are known in the art and include, but are not limited to, for example, U.S. Pat. Nos. 4,151,273, 5,281,420, and 6,083,518, each of which is specifically incorporated by reference.
- The pharmaceutical solid oral dosage forms including formulations described herein, which include a compound of any of Formula (A), Formula (B), Formula (C), or Formula (D), can be further formulated to provide a controlled release of the compound of Formula (A). Controlled release refers to the release of the compound of any of Formula (A), Formula (B), Formula (C), or Formula (D), from a dosage form in which it is incorporated according to a desired profile over an extended period of time. Controlled release profiles include, for example, sustained release, prolonged release, pulsatile release, and delayed release profiles. In contrast to immediate release compositions, controlled release compositions allow delivery of an agent to a subject over an extended period of time according to a predetermined profile. Such release rates can provide therapeutically effective levels of agent for an extended period of time and thereby provide a longer period of pharmacologic response while minimizing side effects as compared to conventional rapid release dosage forms. Such longer periods of response provide for many inherent benefits that are not achieved with the corresponding short acting, immediate release preparations.
- In some embodiments, the solid dosage forms described herein can be formulated as enteric coated delayed release oral dosage forms, i.e., as an oral dosage form of a pharmaceutical composition as described herein which utilizes an enteric coating to affect release in the small intestine of the gastrointestinal tract. The enteric coated dosage form may be a compressed or molded or extruded tablet/mold (coated or uncoated) containing granules, powder, pellets, beads or particles of the active ingredient and/or other composition components, which are themselves coated or uncoated. The enteric coated oral dosage form may also be a capsule (coated or uncoated) containing pellets, beads or granules of the solid carrier or the composition, which are themselves coated or uncoated.
- The term “delayed release” as used herein refers to the delivery so that the release can be accomplished at some generally predictable location in the intestinal tract more distal to that which would have been accomplished if there had been no delayed release alterations. In some embodiments the method for delay of release is coating. Any coatings should be applied to a sufficient thickness such that the entire coating does not dissolve in the gastrointestinal fluids at pH below about 5, but does dissolve at pH about 5 and above. It is expected that any anionic polymer exhibiting a pH-dependent solubility profile can be used as an enteric coating in the methods and compositions described herein to achieve delivery to the lower gastrointestinal tract. In some embodiments the polymers described herein are anionic carboxylic polymers. In other embodiments, the polymers and compatible mixtures thereof, and some of their properties, include, but are not limited to:
- Shellac, also called purified lac, a refined product obtained from the resinous secretion of an insect. This coating dissolves in media of pH>7;
- Acrylic polymers. The performance of acrylic polymers (primarily their solubility in biological fluids) can vary based on the degree and type of substitution. Examples of suitable acrylic polymers include methacrylic acid copolymers and ammonium methacrylate copolymers. The Eudragit series E, L, S, RL, RS and NE (Rohm Pharma) are available as solubilized in organic solvent, aqueous dispersion, or dry powders. The Eudragit series RL, NE, and RS are insoluble in the gastrointestinal tract but are permeable and are used primarily for colonic targeting. The Eudragit series E dissolve in the stomach. The Eudragit series L, L-30D and S are insoluble in stomach and dissolve in the intestine;
- Cellulose Derivatives. Examples of suitable cellulose derivatives are: ethyl cellulose; reaction mixtures of partial acetate esters of cellulose with phthalic anhydride. The performance can vary based on the degree and type of substitution. Cellulose acetate phthalate (CAP) dissolves in pH>6. Aquateric (FMC) is an aqueous based system and is a spray dried CAP psuedolatex with particles <1 μm. Other components in Aquateric can include pluronics, Tweens, and acetylated monoglycerides. Other suitable cellulose derivatives include: cellulose acetate trimellitate (Eastman); methylcellulose (Pharmacoat, Methocel); hydroxypropylmethyl cellulose phthalate (HPMCP); hydroxypropylmethyl cellulose succinate (HPMCS); and hydroxypropylmethylcellulose acetate succinate (e.g., AQOAT (Shin Etsu)). The performance can vary based on the degree and type of substitution. For example, HPMCP such as, HP-50, HP-55, HP-55S, HP-55F grades are suitable. The performance can vary based on the degree and type of substitution. For example, suitable grades of hydroxypropylmethylcellulose acetate succinate include, but are not limited to, AS-LG (LF), which dissolves at pH 5, AS-MG (MF), which dissolves at pH 5.5, and AS-HG (HF), which dissolves at higher pH. These polymers are offered as granules, or as fine powders for aqueous dispersions;
- Poly Vinyl Acetate Phthalate (PVAP). PVAP dissolves in pH>5, and it is much less permeable to water vapor and gastric fluids.
- In some embodiments, the coating can, and usually does, contain a plasticizer and possibly other coating excipients such as colorants, talc, and/or magnesium stearate, which are well known in the art. Suitable plasticizers include triethyl citrate (Citroflex 2), triacetin (glyceryl triacetate), acetyl triethyl citrate (Citroflec A2), Carbowax 400 (polyethylene glycol 400), diethyl phthalate, tributyl citrate, acetylated monoglycerides, glycerol, fatty acid esters, propylene glycol, and dibutyl phthalate. In particular, anionic carboxylic acrylic polymers usually will contain 10-25% by weight of a plasticizer, especially dibutyl phthalate, polyethylene glycol, triethyl citrate and triacetin. Conventional coating techniques such as spray or pan coating are employed to apply coatings. The coating thickness must be sufficient to ensure that the oral dosage form remains intact until the desired site of topical delivery in the intestinal tract is reached.
- Colorants, detackifiers, surfactants, antifoaming agents, lubricants (e.g., carnuba wax or PEG) may be added to the coatings besides plasticizers to solubilize or disperse the coating material, and to improve coating performance and the coated product.
- In other embodiments, the formulations described herein, which include a compound of Formula (A), are delivered using a pulsatile dosage form. A pulsatile dosage form is capable of providing one or more immediate release pulses at predetermined time points after a controlled lag time or at specific sites. Pulsatile dosage forms including the formulations described herein, which include a compound of any of Formula (A), Formula (B), Formula (C), or Formula (D), may be administered using a variety of pulsatile formulations known in the art. For example, such formulations include, but are not limited to, those described in U.S. Pat. Nos. 5,011,692, 5,017,381, 5,229,135, and 5,840,329, each of which is specifically incorporated by reference. Other pulsatile release dosage forms suitable for use with the present formulations include, but are not limited to, for example, U.S. Pat. Nos. 4,871,549, 5,260,068, 5,260,069, 5,508,040, 5,567,441 and 5,837,284, all of which are specifically incorporated by reference. In one embodiment, the controlled release dosage form is pulsatile release solid oral dosage form including at least two groups of particles, (i.e. multiparticulate) each containing the formulation described herein. The first group of particles provides a substantially immediate dose of the compound of any of Formula (A), Formula (B), Formula (C), or Formula (D), upon ingestion by a mammal. The first group of particles can be either uncoated or include a coating and/or sealant. The second group of particles includes coated particles, which includes from about 2% to about 75%, from about 2.5% to about 70%, or from about 40% to about 70%, by weight of the total dose of the compound of any of Formula (A), Formula (B), Formula (C), or Formula (D), in said formulation, in admixture with one or more binders. The coating includes a pharmaceutically acceptable ingredient in an amount sufficient to provide a delay of from about 2 hours to about 7 hours following ingestion before release of the second dose. Suitable coatings include one or more differentially degradable coatings such as, by way of example only, pH sensitive coatings (enteric coatings) such as acrylic resins (e.g., Eudragit® EPO, Eudragit® L30D-55, Eudragit® FS 30D Eudragit® L100-55, Eudragit® L100, Eudragit® S100, Eudragit® RD100, Eudragit® E100, Eudragit® L12.5, Eudragit® S812.5, and Eudragit® NE30D, Eudragit® NE 40D®) either alone or blended with cellulose derivatives, e.g., ethylcellulose, or non-enteric coatings having variable thickness to provide differential release of the formulation that includes a compound of any of Formula (A), Formula (B), Formula (C), or Formula (D).
- Many other types of controlled release systems known to those of ordinary skill in the art and are suitable for use with the formulations described herein. Examples of such delivery systems include, e.g., polymer-based systems, such as polylactic and polyglycolic acid, plyanhydrides and polycaprolactone; porous matrices, nonpolymer-based systems that are lipids, including sterols, such as cholesterol, cholesterol esters and fatty acids, or neutral fats, such as mono-, di- and triglycerides; hydrogel release systems; silastic systems; peptide-based systems; wax coatings, bioerodible dosage forms, compressed tablets using conventional binders and the like. See, e.g., Liberman et al., Pharmaceutical Dosage Forms, 2 Ed., Vol. 1, pp. 209-214 (1990); Singh et al., Encyclopedia of Pharmaceutical Technology, 2nd Ed., pp. 751-753 (2002); U.S. Pat. Nos. 4,327,725, 4,624,848, 4,968,509, 5,461,140, 5,456,923, 5,516,527, 5,622,721, 5,686,105, 5,700,410, 5,977,175, 6,465,014 and 6,932,983, each of which is specifically incorporated by reference.
- In some embodiments, pharmaceutical formulations are provided that include particles of the compounds of any of Formula (A), Formula (B), Formula (C), or Formula (D), described herein and at least one dispersing agent or suspending agent for oral administration to a subject. The formulations may be a powder and/or granules for suspension, and upon admixture with water, a substantially uniform suspension is obtained.
- Liquid formulation dosage forms for oral administration can be aqueous suspensions selected from the group including, but not limited to, pharmaceutically acceptable aqueous oral dispersions, emulsions, solutions, elixirs, gels, and syrups. See, e.g., Singh et al., Encyclopedia of pharmaceutical Technology, 2nd Ed., pp. 754-757 (2002). In addition to the particles of compound of Formula (A), the liquid dosage forms may include additives, such as: (a) disintegrating agents; (b) dispersing agents; (c) wetting agents; (d) at least one preservative, (e) viscosity enhancing agents, (t) at least one sweetening agent, and (g) at least one flavoring agent. In some embodiments, the aqueous dispersions can further include a crystalline inhibitor.
- The aqueous suspensions and dispersions described herein can remain in a homogenous state, as defined in The USP Pharmacists' Pharmacopeia (2005 edition, chapter 905), for at least 4 hours. The homogeneity should be determined by a sampling method consistent with regard to determining homogeneity of the entire composition. In one embodiment, an aqueous suspension can be re-suspended into a homogenous suspension by physical agitation lasting less than 1 minute. In another embodiment, an aqueous suspension can be re-suspended into a homogenous suspension by physical agitation lasting less than 45 seconds. In yet another embodiment, an aqueous suspension can be re-suspended into a homogenous suspension by physical agitation lasting less than 30 seconds. In still another embodiment, no agitation is necessary to maintain a homogeneous aqueous dispersion.
- Examples of disintegrating agents for use in the aqueous suspensions and dispersions include, but are not limited to, a starch, e.g., a natural starch such as corn starch or potato starch, a pregelatinized starch such as National 1551 or Amijel®, or sodium starch glycolate such as Promogel® or Explotab®; a cellulose such as a wood product, methylcrystalline cellulose, e.g., Avicel®, Avicel® PH101, Avicel® PH102, Avicel® PH105, Elcema® P100, Emcocel®, Vivacel®, Ming Tia®, and Solka-Floc®, methylcellulose, croscarmellose, or a cross-linked cellulose, such as cross-linked sodium carboxymethylcellulose (Ac-Di-Sol®), cross-linked carboxymethylcellulose, or cross-linked croscarmellose; a cross-linked starch such as sodium starch glycolate; a cross-linked polymer such as crospovidone; a cross-linked polyvinylpyrrolidone; alginate such as alginlic acid or a salt of alginic acid such as sodium alginate; a clay such as Veegum® HV (magnesium aluminum silicate); a gum such as agar, guar, locust bean, Karaya, pectin, or tragacanth; sodium starch glycolate; bentonite; a natural sponge; a surfactant; a resin such as a cation-exchange resin; citrus pulp; sodium lauryl sulfate; sodium lauryl sulfate in combination starch; and the like.
- In some embodiments, the dispersing agents suitable for the aqueous suspensions and dispersions described herein are known in the art and include, for example, hydrophilic polymers, electrolytes, Tween® 60 or 80, PEG, polyvinylpyrrolidone (PVP; commercially known as Plasdone®), and the carbohydrate-based dispersing agents such as, for example, hydroxypropylcellulose and hydroxypropyl cellulose ethers (e.g., HPC, HPC-SL, and HPC-L), hydroxypropyl methylcellulose and hydroxypropyl methylcellulose ethers (e.g. HPMC K100, HPMC K4M, HPMC K15M, and HPMC K100M), carboxymethylcellulose sodium, methylcellulose, hydroxyethylcellulose, hydroxypropylmethyl-cellulose phthalate, hydroxypropylmethyl-cellulose acetate stearate, noncrystalline cellulose, magnesium aluminum silicate, triethanolamine, polyvinyl alcohol (PVA), polyvinylpyrrolidone/vinyl acetate copolymer (Plasdone®, e.g., S-630), 4-(1,1,3,3-tetramethylbutyl)-phenol polymer with ethylene oxide and formaldehyde (also known as tyloxapol), poloxamers (e.g., Pluronics F68®, F88®, and F108®, which are block copolymers of ethylene oxide and propylene oxide); and poloxamines (e.g., Tetronic 908®, also known as Poloxamine 908®, which is a tetrafunctional block copolymer derived from sequential addition of propylene oxide and ethylene oxide to ethylenediamine (BASF Corporation, Parsippany, N.J.)). In other embodiments, the dispersing agent is selected from a group not comprising one of the following agents: hydrophilic polymers; electrolytes; Tween® 60 or 80; PEG; polyvinylpyrrolidone (PVP); hydroxypropylcellulose and hydroxypropyl cellulose ethers (e.g., HPC, HPC-SL, and HPC-L); hydroxypropyl methylcellulose and hydroxypropyl methylcellulose ethers (e.g. HPMC K100, HPMC K4M, HPMC K15M, HPMC K100M, and Pharmacoat® USP 2910 (Shin-Etsu)); carboxymethylcellulose sodium; methylcellulose; hydroxyethylcellulose; hydroxypropylmethyl-cellulose phthalate; hydroxypropylmethyl-cellulose acetate stearate; non-crystalline cellulose; magnesium aluminum silicate; triethanolamine; polyvinyl alcohol (PVA); 4-(1,1,3,3-tetramethylbutyl)-phenol polymer with ethylene oxide and formaldehyde; poloxamers (e.g., Pluronics F68®, F88®, and F108®, which are block copolymers of ethylene oxide and propylene oxide); or poloxamines (e.g., Tetronic 908®, also known as Poloxamine 908®).
- Wetting agents suitable for the aqueous suspensions and dispersions described herein are known in the art and include, but are not limited to, cetyl alcohol, glycerol monostearate, polyoxyethylene sorbitan fatty acid esters (e.g., the commercially available Tweens® such as e.g.,
Tween 20® and Tween 80® (ICI Specialty Chemicals)), and polyethylene glycols (e.g., Carbowaxs 3350® and 1450®, and Carbopol 934® (Union Carbide)), oleic acid, glyceryl monostearate, sorbitan monooleate, sorbitan monolaurate, triethanolamine oleate, polyoxyethylene sorbitan monooleate, polyoxyethylene sorbitan monolaurate, sodium oleate, sodium lauryl sulfate, sodium docusate, triacetin, vitamin E TPGS, sodium taurocholate, simethicone, phosphotidylcholine and the like - Suitable preservatives for the aqueous suspensions or dispersions described herein include, for example, potassium sorbate, parabens (e.g., methylparaben and propylparaben), benzoic acid and its salts, other esters of parahydroxybenzoic acid such as butylparaben, alcohols such as ethyl alcohol or benzyl alcohol, phenolic compounds such as phenol, or quaternary compounds such as benzalkonium chloride. Preservatives, as used herein, are incorporated into the dosage form at a concentration sufficient to inhibit microbial growth.
- Suitable viscosity enhancing agents for the aqueous suspensions or dispersions described herein include, but are not limited to, methyl cellulose, xanthan gum, carboxymethyl cellulose, hydroxypropyl cellulose, hydroxypropylmethyl cellulose, Plasdon® S-630, carbomer, polyvinyl alcohol, alginates, acacia, chitosans and combinations thereof. The concentration of the viscosity enhancing agent will depend upon the agent selected and the viscosity desired.
- Examples of sweetening agents suitable for the aqueous suspensions or dispersions described herein include, for example, acacia syrup, acesulfame K, alitame, anise, apple, aspartame, banana, Bavarian cream, berry, black currant, butterscotch, calcium citrate, camphor, caramel, cherry, cherry cream, chocolate, cinnamon, bubble gum, citrus, citrus punch, citrus cream cotton candy, cocoa, cola, cool cherry, cool citrus, cyclamate, cylamate, dextrose, eucalyptus, eugenol, fructose, fruit punch, ginger, glycyrrhetinate, glycyrrhiza (licorice) syrup, grape, grapefruit, honey, isomalt, lemon, lime, lemon cream, monoammonium glyrrhizinate (MagnaSweet®), maltol, mannitol, maple, marshmallow, menthol, mint cream, mixed berry, neohesperidine DC, neotame, orange, pear, peach, peppermint, peppermint cream, Prosweet® Powder, raspberry, root beer, rum, saccharin, safrole, sorbitol, spearmint, spearmint cream, strawberry, strawberry cream, stevia, sucralose, sucrose, sodium saccharin, saccharin, aspartame, acesulfame potassium, mannitol, talin, sucralose, sorbitol, swiss cream, tagatose, tangerine, thaumatin, tutti fruitti, vanilla, walnut, watermelon, wild cherry, wintergreen, xylitol, or any combination of these flavoring ingredients, e.g., anise-menthol, cherry-anise, cinnamon-orange, cherry-cinnamon, chocolate-mint, honey-lemon, lemon-lime, lemon-mint, menthol-eucalyptus, orange-cream, vanilla-mint, and mixtures thereof. In one embodiment, the aqueous liquid dispersion can comprise a sweetening agent or flavoring agent in a concentration ranging from about 0.001% to about 1.0% the volume of the aqueous dispersion. In another embodiment, the aqueous liquid dispersion can comprise a sweetening agent or flavoring agent in a concentration ranging from about 0.005% to about 0.5% the volume of the aqueous dispersion. In yet another embodiment, the aqueous liquid dispersion can comprise a sweetening agent or flavoring agent in a concentration ranging from about 0.01% to about 1.0% the volume of the aqueous dispersion.
- In addition to the additives listed above, the liquid formulations can also include inert diluents commonly used in the art, such as water or other solvents, solubilizing agents, and emulsifiers. Exemplary emulsifiers are ethyl alcohol, isopropyl alcohol, ethyl carbonate, ethyl acetate, benzyl alcohol, benzyl benzoate, propyleneglycol, 1,3-butyleneglycol, dimethylformamide, sodium lauryl sulfate, sodium doccusate, cholesterol, cholesterol esters, taurocholic acid, phosphotidylcholine, oils, such as cottonseed oil, groundnut oil, corn germ oil, olive oil, castor oil, and sesame oil, glycerol, tetrahydrofurfuryl alcohol, polyethylene glycols, fatty acid esters of sorbitan, or mixtures of these substances, and the like.
- In some embodiments, the pharmaceutical formulations described herein can be self-emulsifying drug delivery systems (SEDDS). Emulsions are dispersions of one immiscible phase in another, usually in the form of droplets. Generally, emulsions are created by vigorous mechanical dispersion. SEDDS, as opposed to emulsions or microemulsions, spontaneously form emulsions when added to an excess of water without any external mechanical dispersion or agitation. An advantage of SEDDS is that only gentle mixing is required to distribute the droplets throughout the solution. Additionally, water or the aqueous phase can be added just prior to administration, which ensures stability of an unstable or hydrophobic active ingredient. Thus, the SEDDS provides an effective delivery system for oral and parenteral delivery of hydrophobic active ingredients. SEDDS may provide improvements in the bioavailability of hydrophobic active ingredients. Methods of producing self-emulsifying dosage forms are known in the art and include, but are not limited to, for example, U.S. Pat. Nos. 5,858,401, 6,667,048, and 6,960,563, each of which is specifically incorporated by reference.
- It is to be appreciated that there is overlap between the above-listed additives used in the aqueous dispersions or suspensions described herein, since a given additive is often classified differently by different practitioners in the field, or is commonly used for any of several different functions. Thus, the above-listed additives should be taken as merely exemplary, and not limiting, of the types of additives that can be included in formulations described herein. The amounts of such additives can be readily determined by one skilled in the art, according to the particular properties desired.
- Intranasal formulations are known in the art and are described in, for example, U.S. Pat. Nos. 4,476,116, 5,116,817 and 6,391,452, each of which is specifically incorporated by reference. Formulations that include a compound of any of Formula (A), Formula (B), Formula (C), or Formula (D), which are prepared according to these and other techniques well-known in the art are prepared as solutions in saline, employing benzyl alcohol or other suitable preservatives, fluorocarbons, and/or other solubilizing or dispersing agents known in the art. See, for example, Ansel, H. C. et al., Pharmaceutical Dosage Forms and Drug Delivery Systems, Sixth Ed. (1995). Preferably these compositions and formulations are prepared with suitable nontoxic pharmaceutically acceptable ingredients. These ingredients are known to those skilled in the preparation of nasal dosage forms and some of these can be found in REMINGTON: THE SCIENCE AND PRACTICE OF PHARMACY, 21 st edition, 2005, a standard reference in the field. The choice of suitable carriers is highly dependent upon the exact nature of the nasal dosage form desired, e.g., solutions, suspensions, ointments, or gels. Nasal dosage forms generally contain large amounts of water in addition to the active ingredient. Minor amounts of other ingredients such as pH adjusters, emulsifiers or dispersing agents, preservatives, surfactants, gelling agents, or buffering and other stabilizing and solubilizing agents may also be present. The nasal dosage form should be isotonic with nasal secretions.
- For administration by inhalation, the compounds of any of Formula (A), Formula (B), Formula (C), or Formula (D), described herein may be in a form as an aerosol, a mist or a powder. Pharmaceutical compositions described herein are conveniently delivered in the form of an aerosol spray presentation from pressurized packs or a nebuliser, with the use of a suitable propellant, e.g., dichlorodifluoromethane, trichlorofluoromethane, dichlorotetrafluoroethane, carbon dioxide or other suitable gas. In the case of a pressurized aerosol, the dosage unit may be determined by providing a valve to deliver a metered amount. Capsules and cartridges of, such as, by way of example only, gelatin for use in an inhaler or insufflator may be formulated containing a powder mix of the compound described herein and a suitable powder base such as lactose or starch.
- Buccal formulations that include compounds of any of Formula (A), Formula (B), Formula (C), or Formula (D), may be administered using a variety of formulations known in the art. For example, such formulations include, but are not limited to, U.S. Pat. Nos. 4,229,447, 4,596,795, 4,755,386, and 5,739,136, each of which is specifically incorporated by reference. In addition, the buccal dosage forms described herein can further include a bioerodible (hydrolysable) polymeric carrier that also serves to adhere the dosage form to the buccal mucosa. The buccal dosage form is fabricated so as to erode gradually over a predetermined time period, wherein the delivery of the compound of any of Formula (A), Formula (B), Formula (C), or Formula (D), is provided essentially throughout. Buccal drug delivery, as will be appreciated by those skilled in the art, avoids the disadvantages encountered with oral drug administration, e.g., slow absorption, degradation of the active agent by fluids present in the gastrointestinal tract and/or first-pass inactivation in the liver. With regard to the bioerodible (hydrolysable) polymeric carrier, it will be appreciated that virtually any such carrier can be used, so long as the desired drug release profile is not compromised, and the carrier is compatible with the compound of any of Formula (A), Formula (B), Formula (C), or Formula (D), and any other components that may be present in the buccal dosage unit. Generally, the polymeric carrier comprises hydrophilic (water-soluble and water-swellable) polymers that adhere to the wet surface of the buccal mucosa. Examples of polymeric carriers useful herein include acrylic acid polymers and co, e.g., those known as “carbomers” (Carbopol®, which may be obtained from B.F. Goodrich, is one such polymer). Other components may also be incorporated into the buccal dosage forms described herein include, but are not limited to, disintegrants, diluents, binders, lubricants, flavoring, colorants, preservatives, and the like. For buccal or sublingual administration, the compositions may take the form of tablets, lozenges, or gels formulated in a conventional manner.
- Transdermal formulations described herein may be administered using a variety of devices which have been described in the art. For example, such devices include, but are not limited to, U.S. Pat. Nos. 3,598,122, 3,598,123, 3,710,795, 3,731,683, 3,742,951, 3,814,097, 3,921,636, 3,972,995, 3,993,072, 3,993,073, 3,996,934, 4,031,894, 4,060,084, 4,069,307, 4,077,407, 4,201,211, 4,230,105, 4,292,299, 4,292,303, 5,336,168, 5,665,378, 5,837,280, 5,869,090, 6,923,983, 6,929,801 and 6,946,144, each of which is specifically incorporated by reference in its entirety.
- The transdermal dosage forms described herein may incorporate certain pharmaceutically acceptable excipients which are conventional in the art. In one embodiments, the transdermal formulations described herein include at least three components: (1) a formulation of a compound of any of Formula (A), Formula (B), Formula (C), or Formula (D); (2) a penetration enhancer; and (3) an aqueous adjuvant. In addition, transdermal formulations can include additional components such as, but not limited to, gelling agents, creams and ointment bases, and the like. In some embodiments, the transdermal formulation can further include a woven or non-woven backing material to enhance absorption and prevent the removal of the transdermal formulation from the skin. In other embodiments, the transdermal formulations described herein can maintain a saturated or supersaturated state to promote diffusion into the skin.
- Formulations suitable for transdermal administration of compounds described herein may employ transdermal delivery devices and transdermal delivery patches and can be lipophilic emulsions or buffered, aqueous solutions, dissolved and/or dispersed in a polymer or an adhesive. Such patches may be constructed for continuous, pulsatile, or on demand delivery of pharmaceutical agents. Still further, transdermal delivery of the compounds described herein can be accomplished by means of iontophoretic patches and the like. Additionally, transdermal patches can provide controlled delivery of the compounds of any of Formula (A), Formula (B), Formula (C), or Formula (D). The rate of absorption can be slowed by using rate-controlling membranes or by trapping the compound within a polymer matrix or gel. Conversely, absorption enhancers can be used to increase absorption. An absorption enhancer or carrier can include absorbable pharmaceutically acceptable solvents to assist passage through the skin. For example, transdermal devices are in the form of a bandage comprising a backing member, a reservoir containing the compound optionally with carriers, optionally a rate controlling barrier to deliver the compound to the skin of the host at a controlled and predetermined rate over a prolonged period of time, and means to secure the device to the skin.
- Formulations that include a compound of any of Formula (A), Formula (B), Formula (C), or Formula (D), suitable for intramuscular, subcutaneous, or intravenous injection may include physiologically acceptable sterile aqueous or non-aqueous solutions, dispersions, suspensions or emulsions, and sterile powders for reconstitution into sterile injectable solutions or dispersions. Examples of suitable aqueous and non-aqueous carriers, diluents, solvents, or vehicles including water, ethanol, polyols (propyleneglycol, polyethylene-glycol, glycerol, cremophor and the like), suitable mixtures thereof, vegetable oils (such as olive oil) and injectable organic esters such as ethyl oleate. Proper fluidity can be maintained, for example, by the use of a coating such as lecithin, by the maintenance of the required particle size in the case of dispersions, and by the use of surfactants. Formulations suitable for subcutaneous injection may also contain additives such as preserving, wetting, emulsifying, and dispensing agents. Prevention of the growth of microorganisms can be ensured by various antibacterial and antifungal agents, such as parabens, chlorobutanol, phenol, sorbic acid, and the like. It may also be desirable to include isotonic agents, such as sugars, sodium chloride, and the like. Prolonged absorption of the injectable pharmaceutical form can be brought about by the use of agents delaying absorption, such as aluminum monostearate and gelatin.
- For intravenous injections, compounds described herein may be formulated in aqueous solutions, preferably in physiologically compatible buffers such as Hank's solution, Ringer's solution, or physiological saline buffer. For transmucosal administration, penetrants appropriate to the barrier to be permeated are used in the formulation. Such penetrants are generally known in the art. For other parenteral injections, appropriate formulations may include aqueous or nonaqueous solutions, preferably with physiologically compatible buffers or excipients. Such excipients are generally known in the art.
- Parenteral injections may involve bolus injection or continuous infusion. Formulations for injection may be presented in unit dosage form, e.g., in ampoules or in multi-dose containers, with an added preservative. The pharmaceutical composition described herein may be in a form suitable for parenteral injection as a sterile suspensions, solutions or emulsions in oily or aqueous vehicles, and may contain formulatory agents such as suspending, stabilizing and/or dispersing agents. Pharmaceutical formulations for parenteral administration include aqueous solutions of the active compounds in water-soluble form. Additionally, suspensions of the active compounds may be prepared as appropriate oily injection suspensions. Suitable lipophilic solvents or vehicles include fatty oils such as sesame oil, or synthetic fatty acid esters, such as ethyl oleate or triglycerides, or liposomes. Aqueous injection suspensions may contain substances which increase the viscosity of the suspension, such as sodium carboxymethyl cellulose, sorbitol, or dextran. Optionally, the suspension may also contain suitable stabilizers or agents which increase the solubility of the compounds to allow for the preparation of highly concentrated solutions. Alternatively, the active ingredient may be in powder form for constitution with a suitable vehicle, e.g., sterile pyrogen-free water, before use.
- In certain embodiments, delivery systems for pharmaceutical compounds may be employed, such as, for example, liposomes and emulsions. In certain embodiments, compositions provided herein can also include an mucoadhesive polymer, selected from among, for example, carboxymethylcellulose, carbomer (acrylic acid polymer), poly(methylmethacrylate), polyacrylamide, polycarbophil, acrylic acid/butyl acrylate copolymer, sodium alginate and dextran.
- In some embodiments, the compounds described herein may be administered topically and can be formulated into a variety of topically administrable compositions, such as solutions, suspensions, lotions, gels, pastes, medicated sticks, balms, creams or ointments. Such pharmaceutical compounds can contain solubilizers, stabilizers, tonicity enhancing agents, buffers and preservatives.
- The compounds described herein may also be formulated in rectal compositions such as enemas, rectal gels, rectal foams, rectal aerosols, suppositories, jelly suppositories, or retention enemas, containing conventional suppository bases such as cocoa butter or other glycerides, as well as synthetic polymers such as polyvinylpyrrolidone, PEG, and the like. In suppository forms of the compositions, a low-melting wax such as, but not limited to, a mixture of fatty acid glycerides, optionally in combination with cocoa butter is first melted.
- The compounds described herein can be used in the preparation of medicaments for the inhibition of Btk or a homolog thereof or for the treatment of diseases or conditions that would benefit, at least in part, from inhibition of Btk or a homolog thereof. In addition, a method for treating any of the diseases or conditions described herein in a subject in need of such treatment, involves administration of pharmaceutical compositions containing at least one compound of any of Formula (A), Formula (B), Formula (C), or Formula (D), described herein, or a pharmaceutically acceptable salt, pharmaceutically acceptable N-oxide, pharmaceutically active metabolite, pharmaceutically acceptable prodrug, or pharmaceutically acceptable solvate thereof, in therapeutically effective amounts to said subject.
- The compositions containing the compound(s) described herein can be administered for prophylactic and/or therapeutic treatments. In therapeutic applications, the compositions are administered to a patient already suffering from a disease or condition, in an amount sufficient to cure or at least partially arrest the symptoms of the disease or condition. Amounts effective for this use will depend on the severity and course of the disease or condition, previous therapy, the patient's health status, weight, and response to the drugs, and the judgment of the treating physician. It is considered well within the skill of the art for one to determine such therapeutically effective amounts by routine experimentation (including, but not limited to, a dose escalation clinical trial).
- In prophylactic applications, compositions containing the compounds described herein are administered to a patient susceptible to or otherwise at risk of a particular disease, disorder or condition. Such an amount is defined to be a “prophylactically effective amount or dose.” In this use, the precise amounts also depend on the patient's state of health, weight, and the like. It is considered well within the skill of the art for one to determine such prophylactically effective amounts by routine experimentation (e.g., a dose escalation clinical trial). When used in a patient, effective amounts for this use will depend on the severity and course of the disease, disorder or condition, previous therapy, the patient's health status and response to the drugs, and the judgment of the treating physician.
- In the case wherein the patient's condition does not improve, upon the doctor's discretion the administration of the compounds may be administered chronically, that is, for an extended period of time, including throughout the duration of the patient's life in order to ameliorate or otherwise control or limit the symptoms of the patient's disease or condition.
- In the case wherein the patient's status does improve, upon the doctor's discretion the administration of the compounds may be given continuously; alternatively, the dose of drug being administered may be temporarily reduced or temporarily suspended for a certain length of time (i.e., a “drug holiday”). The length of the drug holiday can vary between 2 days and 1 year, including by way of example only, 2 days, 3 days, 4 days, 5 days, 6 days, 7 days, 10 days, 12 days, 15 days, 20 days, 28 days, 35 days, 50 days, 70 days, 100 days, 120 days, 150 days, 180 days, 200 days, 250 days, 280 days, 300 days, 320 days, 350 days, or 365 days. The dose reduction during a drug holiday may be from 10%-100%, including, by way of example only, 10%, 15%, 20%, 25%, 30%, 35%, 40%, 45%, 50%, 55%, 60%, 65%, 70%, 75%, 80%, 85%, 90%, 95%, or 100%.
- Once improvement of the patient's conditions has occurred, a maintenance dose is administered if necessary. Subsequently, the dosage or the frequency of administration, or both, can be reduced, as a function of the symptoms, to a level at which the improved disease, disorder or condition is retained. Patients can, however, require intermittent treatment on a long-term basis upon any recurrence of symptoms.
- The amount of a given agent that will correspond to such an amount will vary depending upon factors such as the particular compound, disease or condition and its severity, the identity (e.g., weight) of the subject or host in need of treatment, but can nevertheless be routinely determined in a manner known in the art according to the particular circumstances surrounding the case, including, e.g., the specific agent being administered, the route of administration, the condition being treated, and the subject or host being treated. In general, however, doses employed for adult human treatment will typically be in the range of 0.02-5000 mg per day, or from about 1-1500 mg per day. The desired dose may conveniently be presented in a single dose or as divided doses administered simultaneously (or over a short period of time) or at appropriate intervals, for example as two, three, four or more sub-doses per day.
- The pharmaceutical composition described herein may be in unit dosage forms suitable for single administration of precise dosages. In unit dosage form the formulation is divided into unit doses containing appropriate quantities of one or more compound. The unit dosage may be in the form of a package containing discrete quantities of the formulation. Non-limiting examples are packaged tablets or capsules, and powders in vials or ampoules. Aqueous suspension compositions can be packaged in single-dose non-reclosable containers. Alternatively, multiple-dose reclosable containers can be used, in which case it is typical to include a preservative in the composition. By way of example only, formulations for parenteral injection may be presented in unit dosage form, which include, but are not limited to ampoules, or in multi-dose containers, with an added preservative.
- The foregoing ranges are merely suggestive, as the number of variables in regard to an individual treatment regime is large, and considerable excursions from these recommended values are not uncommon. Such dosages may be altered depending on a number of variables, not limited to the activity of the compound used, the disease or condition to be treated, the mode of administration, the requirements of the individual subject, the severity of the disease or condition being treated, and the judgment of the practitioner.
- Toxicity and therapeutic efficacy of such therapeutic regimens can be determined by standard pharmaceutical procedures in cell cultures or experimental animals, including, but not limited to, the determination of the LD50 (the dose lethal to 50% of the population) and the ED50 (the dose therapeutically effective in 50% of the population). The dose ratio between the toxic and therapeutic effects is the therapeutic index and it can be expressed as the ratio between LD50 and ED50. Compounds exhibiting high therapeutic indices are preferred. The data obtained from cell culture assays and animal studies can be used in formulating a range of dosage for use in human. The dosage of such compounds lies preferably within a range of circulating concentrations that include the ED50 with minimal toxicity. The dosage may vary within this range depending upon the dosage form employed and the route of administration utilized.
- The irreversible Btk inhibitor compositions described herein can also be used in combination with other well known therapeutic reagents that are selected for their therapeutic value for the condition to be treated. In general, the compositions described herein and, in embodiments where combinational therapy is employed, other agents do not have to be administered in the same pharmaceutical composition, and may, because of different physical and chemical characteristics, have to be administered by different routes. The determination of the mode of administration and the advisability of administration, where possible, in the same pharmaceutical composition, is well within the knowledge of the skilled clinician. The initial administration can be made according to established protocols known in the art, and then, based upon the observed effects, the dosage, modes of administration and times of administration can be modified by the skilled clinician.
- In certain instances, it may be appropriate to administer at least one irreversible Btk inhibitor compound described herein in combination with another therapeutic agent. By way of example only, if one of the side effects experienced by a patient upon receiving one of the irreversible Btk inhibitor compounds described herein is nausea, then it may be appropriate to administer an anti-nausea agent in combination with the initial therapeutic agent. Or, by way of example only, the therapeutic effectiveness of one of the compounds described herein may be enhanced by administration of an adjuvant (i.e., by itself the adjuvant may have minimal therapeutic benefit, but in combination with another therapeutic agent, the overall therapeutic benefit to the patient is enhanced). Or, by way of example only, the benefit experienced by a patient may be increased by administering one of the compounds described herein with another therapeutic agent (which also includes a therapeutic regimen) that also has therapeutic benefit. In any case, regardless of the disease, disorder or condition being treated, the overall benefit experienced by the patient may simply be additive of the two therapeutic agents or the patient may experience a synergistic benefit.
- The particular choice of compounds used will depend upon the diagnosis of the attending physicians and their judgment of the condition of the patient and the appropriate treatment protocol. The compounds may be administered concurrently (e.g., simultaneously, essentially simultaneously or within the same treatment protocol) or sequentially, depending upon the nature of the disease, disorder, or condition, the condition of the patient, and the actual choice of compounds used. The determination of the order of administration, and the number of repetitions of administration of each therapeutic agent during a treatment protocol, is well within the knowledge of the skilled physician after evaluation of the disease being treated and the condition of the patient.
- It is known to those of skill in the art that therapeutically-effective dosages can vary when the drugs are used in treatment combinations. Methods for experimentally determining therapeutically-effective dosages of drugs and other agents for use in combination treatment regimens are described in the literature. For example, the use of metronomic dosing, i.e., providing more frequent, lower doses in order to minimize toxic side effects, has been described extensively in the literature Combination treatment further includes periodic treatments that start and stop at various times to assist with the clinical management of the patient.
- For combination therapies described herein, dosages of the co-administered compounds will of course vary depending on the type of co-drug employed, on the specific drug employed, on the disease or condition being treated and so forth. In addition, when co-administered with one or more biologically active agents, the compound provided herein may be administered either simultaneously with the biologically active agent(s), or sequentially. If administered sequentially, the attending physician will decide on the appropriate sequence of administering protein in combination with the biologically active agent(s).
- In any case, the multiple therapeutic agents (one of which is a compound of Formula (A), (B), (C), or (D) described herein) may be administered in any order or even simultaneously. If simultaneously, the multiple therapeutic agents may be provided in a single, unified form, or in multiple forms (by way of example only, either as a single pill or as two separate pills). One of the therapeutic agents may be given in multiple doses, or both may be given as multiple doses. If not simultaneous, the timing between the multiple doses may vary from more than zero weeks to less than four weeks. In addition, the combination methods, compositions and formulations are not to be limited to the use of only two agents; the use of multiple therapeutic combinations are also envisioned.
- It is understood that the dosage regimen to treat, prevent, or ameliorate the condition(s) for which relief is sought, can be modified in accordance with a variety of factors. These factors include the disorder from which the subject suffers, as well as the age, weight, sex, diet, and medical condition of the subject. Thus, the dosage regimen actually employed can vary widely and therefore can deviate from the dosage regimens set forth herein.
- The pharmaceutical agents which make up the combination therapy disclosed herein may be a combined dosage form or in separate dosage forms intended for substantially simultaneous administration. The pharmaceutical agents that make up the combination therapy may also be administered sequentially, with either therapeutic compound being administered by a regimen calling for two-step administration. The two-step administration regimen may call for sequential administration of the active agents or spaced-apart administration of the separate active agents. The time period between the multiple administration steps may range from, a few minutes to several hours, depending upon the properties of each pharmaceutical agent, such as potency, solubility, bioavailability, plasma half-life and kinetic profile of the pharmaceutical agent. Circadian variation of the target molecule concentration may also determine the optimal dose interval.
- In addition, the compounds described herein also may be used in combination with procedures that may provide additional or synergistic benefit to the patient. By way of example only, patients are expected to find therapeutic and/or prophylactic benefit in the methods described herein, wherein pharmaceutical composition of a compound disclosed herein and/or combinations with other therapeutics are combined with genetic testing to determine whether that individual is a carrier of a mutant gene that is known to be correlated with certain diseases or conditions.
- The compounds described herein and combination therapies can be administered before, during or after the occurrence of a disease or condition, and the timing of administering the composition containing a compound can vary. Thus, for example, the compounds can be used as a prophylactic and can be administered continuously to subjects with a propensity to develop conditions or diseases in order to prevent the occurrence of the disease or condition. The compounds and compositions can be administered to a subject during or as soon as possible after the onset of the symptoms. The administration of the compounds can be initiated within the first 48 hours of the onset of the symptoms, within the first 6 hours of the onset of the symptoms, or within 3 hours of the onset of the symptoms. The initial administration can be via any route practical, such as, for example, an intravenous injection, a bolus injection, infusion over 5 minutes to about 5 hours, a pill, a capsule, transdermal patch, buccal delivery, and the like, or combination thereof. A compound should be administered as soon as is practicable after the onset of a disease or condition is detected or suspected, and for a length of time necessary for the treatment of the disease, such as, for example, from about 1 month to about 3 months. The length of treatment can vary for each subject, and the length can be determined using the known criteria. For example, the compound or a formulation containing the compound can be administered for at least 2 weeks, between about 1 month to about 5 years, or from about 1 month to about 3 years.
- Exemplary Therapeutic Agents for Use in Combination with an Irreversible Btk Inhibitor Compound
- Where the subject is suffering from or at risk of suffering from an autoimmune disease, an inflammatory disease, or an allergy disease, an irreversible Btk inhibitor compound can be used in with one or more of the following therapeutic agents in any combination: immunosuppressants (e.g., tacrolimus, cyclosporin, rapamicin, methotrexate, cyclophosphamide, azathioprine, mercaptopurine, mycophenolate, or FTY720), glucocorticoids (e.g., prednisone, cortisone acetate, prednisolone, methylprednisolone, dexamethasone, betamethasone, triamcinolone, beclometasone, fludrocortisone acetate, deoxycorticosterone acetate, aldosterone), non-steroidal anti-inflammatory drugs (e.g., salicylates, arylalkanoic acids, 2-arylpropionic acids, N-arylanthranilic acids, oxicams, coxibs, or sulphonanilides), Cox-2-specific inhibitors (e.g., valdecoxib, celecoxib, or rofecoxib), leflunomide, gold thioglucose, gold thiomalate, aurofin, sulfasalazine, hydroxychloroquinine, minocycline, TNF-α binding proteins (e.g., infliximab, etanercept, or adalimumab), abatacept, anakinra, interferon-β, interferon-γ, interleukin-2, allergy vaccines, antihistamines, antileukotrienes, beta-agonists, theophylline, or anticholinergics.
- Where the subject is suffering from or at risk of suffering from a B-cell proliferative disorder (e.g., plasma cell myeloma), the subjected can be treated with an irreversible Btk inhibitor compound in any combination with one or more other anti-cancer agents. In some embodiments, one or more of the anti-cancer agents are proapoptotic agents. Examples of anti-cancer agents include, but are not limited to, any of the following: gossyphol, genasense, polyphenol E, Chlorofusin, all trans-retinoic acid (ATRA), bryostatin, tumor necrosis factor-related apoptosis-inducing ligand (TRAIL), 5-aza-2′-deoxycytidine, all trans retinoic acid, doxorubicin, vincristine, etoposide, gemcitabine, imatinib (Gleevec®), geldanamycin, 17-N-Allylamino-17-Demethoxygeldanamycin (17-AAG), flavopiridol, LY294002, bortezomib, trastuzumab, BAY 11-7082, PKC412, or PD184352, Taxol™, also referred to as “paclitaxel”, which is a well-known anti-cancer drug which acts by enhancing and stabilizing microtubule formation, and analogs of Taxol™, such as Taxotere™. Compounds that have the basic taxane skeleton as a common structure feature, have also been shown to have the ability to arrest cells in the G2-M phases due to stabilized microtubules and may be useful for treating cancer in combination with the compounds described herein.
- Further examples of anti-cancer agents for use in combination with an irreversible Btk inhibitor compound include inhibitors of mitogen-activated protein kinase signaling, e.g., U0126, PD98059, PD184352, PD0325901, ARRY-142886, SB239063, SP600125, BAY 43-9006, wortmannin, or LY294002; Syk inhibitors; mTOR inhibitors; and antibodies (e.g., rituxan).
- Other anti-cancer agents that can be employed in combination with an irreversible Btk inhibitor compound include Adriamycin, Dactinomycin, Bleomycin, Vinblastine, Cisplatin, acivicin; aclarubicin; acodazole hydrochloride; acronine; adozelesin; aldesleukin; altretamine; ambomycin; ametantrone acetate; aminoglutethimide; amsacrine; anastrozole; anthramycin; asparaginase; asperlin; azacitidine; azetepa; azotomycin; batimastat; benzodepa; bicalutamide; bisantrene hydrochloride; bisnafide dimesylate; bizelesin; bleomycin sulfate; brequinar sodium; bropirimine; busulfan; cactinomycin; calusterone; caracemide; carbetimer; carboplatin; carmustine; carubicin hydrochloride; carzelesin; cedefingol; chlorambucil; cirolemycin; cladribine; crisnatol mesylate; cyclophosphamide; cytarabine; dacarbazine; daunorubicin hydrochloride; decitabine; dexormaplatin; dezaguanine; dezaguanine mesylate; diaziquone; doxorubicin; doxorubicin hydrochloride; droloxifene; droloxifene citrate; dromostanolone propionate; duazomycin; edatrexate; eflornithine hydrochloride; elsamitrucin; enloplatin; enpromate; epipropidine; epirubicin hydrochloride; erbulozole; esorubicin hydrochloride; estramustine; estramustine phosphate sodium; etanidazole; etoposide; etoposide phosphate; etoprine; fadrozole hydrochloride; fazarabine; fenretinide; floxuridine; fludarabine phosphate; fluorouracil; fluorocitabine; fosquidone; fostriecin sodium; gemcitabine; gemcitabine hydrochloride; hydroxyurea; idarubicin hydrochloride; ifosfamide; iimofosine; interleukin II (including recombinant interleukin II, or rIL2), interferon alfa-2a; interferon alfa-2b; interferon alfa-n1; interferon alfa-n3; interferon beta-1 a; interferon gamma-1 b; iproplatin; irinotecan hydrochloride; lanreotide acetate; letrozole; leuprolide acetate; liarozole hydrochloride; lometrexol sodium; lomustine; losoxantrone hydrochloride; masoprocol; maytansine; mechlorethamine hydrochloride; megestrol acetate; melengestrol acetate; melphalan; menogaril; mercaptopurine; methotrexate; methotrexate sodium; metoprine; meturedepa; mitindomide; mitocarcin; mitocromin; mitogillin; mitomalcin; mitomycin; mitosper; mitotane; mitoxantrone hydrochloride; mycophenolic acid; nocodazoie; nogalamycin; ormaplatin; oxisuran; pegaspargase; peliomycin; pentamustine; peplomycin sulfate; perfosfamide; pipobroman; piposulfan; piroxantrone hydrochloride; plicamycin; plomestane; porfimer sodium; porfiromycin; prednimustine; procarbazine hydrochloride; puromycin; puromycin hydrochloride; pyrazofurin; riboprine; rogletimide; safingol; safingol hydrochloride; semustine; simtrazene; sparfosate sodium; sparsomycin; spirogermanium hydrochloride; spiromustine; spiroplatin; streptonigrin; streptozocin; sulofenur; talisomycin; tecogalan sodium; tegafur; teloxantrone hydrochloride; temoporfin; teniposide; teroxirone; testolactone; thiamiprine; thioguanine; thiotepa; tiazofurin; tirapazamine; toremifene citrate; trestolone acetate; triciribine phosphate; trimetrexate; trimetrexate glucuronate; triptorelin; tubulozole hydrochloride; uracil mustard; uredepa; vapreotide; verteporfin; vinblastine sulfate; vincristine sulfate; vindesine; vindesine sulfate; vinepidine sulfate; vinglycinate sulfate; vinleurosine sulfate; vinorelbine tartrate; vinrosidine sulfate; vinzolidine sulfate; vorozole; zeniplatin; zinostatin; zorubicin hydrochloride.
- Other anti-cancer agents that can be employed in combination with an irreversible Btk inhibitor compound include: 20-epi-1, 25 dihydroxyvitamin D3; 5-ethynyluracil; abiraterone; aclarubicin; acylfulvene; adecypenol; adozelesin; aldesleukin; ALL-TK antagonists; altretamine; ambamustine; amidox; amifostine; aminolevulinic acid; amrubicin; amsacrine; anagrelide; anastrozole; andrographolide; angiogenesis inhibitors; antagonist D; antagonist G; antarelix; anti-dorsalizing morphogenetic protein-1; antiandrogen, prostatic carcinoma; antiestrogen; antineoplaston; antisense oligonucleotides; aphidicolin glycinate; apoptosis gene modulators; apoptosis regulators; apurinic acid; ara-CDP-DL-PTBA; arginine deaminase; asulacrine; atamestane; atrimustine; axinastatin 1; axinastatin 2; axinastatin 3; azasetron; azatoxin; azatyrosine; baccatin III derivatives; balanol; batimastat; BCR/ABL antagonists; benzochlorins; benzoylstaurosporine; beta lactam derivatives; beta-alethine; betaclamycin B; betulinic acid; bFGF inhibitor; bicalutamide; bisantrene; bisaziridinylspermine; bisnafide; bistratene A; bizelesin; breflate; bropirimine; budotitane; buthionine sulfoximine; calcipotriol; calphostin C; camptothecin derivatives; canarypox IL-2; capecitabine; carboxamide-amino-triazole; carboxyamidotriazole; CaRest M3; CARN 700; cartilage derived inhibitor; carzelesin; casein kinase inhibitors (ICOS); castanospermine; cecropin B; cetrorelix; chlorlns; chloroquinoxaline sulfonamide; cicaprost; cis-porphyrin; cladribine; clomifene analogues; clotrimazole; collismycin A; collismycin B; combretastatin A4; combretastatin analogue; conagenin; crambescidin 816; crisnatol; cryptophycin 8; cryptophycin A derivatives; curacin A; cyclopentanthraquinones; cycloplatam; cypemycin; cytarabine ocfosfate; cytolytic factor; cytostatin; dacliximab; decitabine; dehydrodidemnin B; deslorelin; dexamethasone; dexifosfamide; dexrazoxane; dexverapamil; diaziquone; didemnin B; didox; diethylnorspermine; dihydro-5-azacytidine; 9-dioxamycin; diphenyl spiromustine; docosanol; dolasetron; doxifluridine; droloxifene; dronabinol; duocarmycin SA; ebselen; ecomustine; edelfosine; edrecolomab; eflornithine; elemene; emitefur; epirubicin; epristeride; estramustine analogue; estrogen agonists; estrogen antagonists; etanidazole; etoposide phosphate; exemestane; fadrozole; fazarabine; fenretinide; filgrastim; finasteride; flavopiridol; flezelastine; fluasterone; fludarabine; fluorodaunorunicin hydrochloride; forfenimex; formestane; fostriecin; fotemustine; gadolinium texaphyrin; gallium nitrate; galocitabine; ganirelix; gelatinase inhibitors; gemcitabine; glutathione inhibitors; hepsulfam; heregulin; hexamethylene bisacetamide; hypericin; ibandronic acid; idarubicin; idoxifene; idramantone; ilmofosine; ilomastat; imidazoacridones; imiquimod; immunostimulant peptides; insulin-like growth factor-1 receptor inhibitor; interferon agonists; interferons; interleukins; iobenguane; iododoxorubicin; ipomeanol, 4-; iroplact; irsogladine; isobengazole; isohomohalicondrin B; itasetron; jasplakinolide; kahalalide F; lamellarin-N triacetate; lanreotide; leinamycin; lenograstim; lentinan sulfate; leptolstatin; letrozole; leukemia inhibiting factor; leukocyte alpha interferon; leuprolide+estrogen+progesterone; leuprorelin; levamisole; liarozole; linear polyamine analogue; lipophilic disaccharide peptide; lipophilic platinum compounds; lissoclinamide 7; lobaplatin; lombricine; lometrexol; lonidamine; losoxantrone; lovastatin; loxoribine; lurtotecan; lutetium texaphyrin; lysofylline; lytic peptides; maitansine; mannostatin A; marimastat; masoprocol; maspin; matrilysin inhibitors; matrix metalloproteinase inhibitors; menogaril; merbarone; meterelin; methioninase; metoclopramide; MIF inhibitor; mifepristone; miltefosine; mirimostim; mismatched double stranded RNA; mitoguazone; mitolactol; mitomycin analogues; mitonafide; mitotoxin fibroblast growth factor-saporin; mitoxantrone; mofarotene; molgramostim; monoclonal antibody, human chorionic gonadotrophin; monophosphoryl lipid A+myobacterium cell wall sk; mopidamol; multiple drug resistance gene inhibitor; multiple tumor suppressor 1-based therapy; mustard anticancer agent; mycaperoxide B; mycobacterial cell wall extract; myriaporone; N-acetyldinaline; N-substituted benzamides; nafarelin; nagrestip; naloxone+pentazocine; napavin; naphterpin; nartograstim; nedaplatin; nemorubicin; neridronic acid; neutral endopeptidase; nilutamide; nisamycin; nitric oxide modulators; nitroxide antioxidant; nitrullyn; O6-benzylguanine; octreotide; okicenone; oligonucleotides; onapristone; ondansetron; ondansetron; oracin; oral cytokine inducer; ormaplatin; osaterone; oxaliplatin; oxaunomycin; palauamine; palmitoylrhizoxin; pamidronic acid; panaxytriol; panomifene; parabactin; pazelliptine; pegaspargase; peldesine; pentosan polysulfate sodium; pentostatin; pentrozole; perflubron; perfosfamide; perillyl alcohol; phenazinomycin; phenylacetate; phosphatase inhibitors; picibanil; pilocarpine hydrochloride; pirarubicin; piritrexim; placetin A; placetin B; plasminogen activator inhibitor; platinum complex; platinum compounds; platinum-triamine complex; porfimer sodium; porfiromycin; prednisone; propyl bis-acridone; prostaglandin J2; proteasome inhibitors; protein A-based immune modulator; protein kinase C inhibitor; protein kinase C inhibitors, microalgal; protein tyrosine phosphatase inhibitors; purine nucleoside phosphorylase inhibitors; purpurins; pyrazoloacridine; pyridoxylated hemoglobin polyoxyethylerie conjugate; raf antagonists; raltitrexed; ramosetron; ras farnesyl protein transferase inhibitors; ras inhibitors; ras-GAP inhibitor; retelliptine demethylated; rhenium Re 186 etidronate; rhizoxin; ribozymes; RII retinamide; rogletimide; rohitukine; romurtide; roquinimex; rubiginone B1; ruboxyl; safingol; saintopin; SarCNU; sarcophytol A; sargramostim; Sdi 1 mimetics; semustine; senescence derived inhibitor 1; sense oligonucleotides; signal transduction inhibitors; signal transduction modulators; single chain antigen-binding protein; sizofiran; sobuzoxane; sodium borocaptate; sodium phenylacetate; solverol; somatomedin binding protein; sonermin; sparfosic acid; spicamycin D; spiromustine; splenopentin; spongistatin 1; squalamine; stem cell inhibitor; stem-cell division inhibitors; stipiamide; stromelysin inhibitors; sulfinosine; superactive vasoactive intestinal peptide antagonist; suradista; suramin; swainsonine; synthetic glycosaminoglycans; tallimustine; tamoxifen methiodide; tauromustine; tazarotene; tecogalan sodium; tegafur; tellurapyrylium; telomerase inhibitors; temoporfin; temozolomide; teniposide; tetrachlorodecaoxide; tetrazomine; thaliblastine; thiocoraline; thrombopoietin; thrombopoietin mimetic; thymalfasin; thymopoietin receptor agonist; thymotrinan; thyroid stimulating hormone; tin ethyl etiopurpurin; tirapazamine; titanocene bichloride; topsentin; toremifene; totipotent stem cell factor; translation inhibitors; tretinoin; triacetyluridine; triciribine; trimetrexate; triptorelin; tropisetron; turosteride; tyrosine kinase inhibitors; tyrphostins; UBC inhibitors; ubenimex; urogenital sinus-derived growth inhibitory factor; urokinase receptor antagonists; vapreotide; variolin B; vector system, erythrocyte gene therapy; velaresol; veramine; verdins; verteporfin; vinorelbine; vinxaltine; vitaxin; vorozole; zanoterone; zeniplatin; zilascorb; and zinostatin stimalamer.
- Yet other anticancer agents that can be employed in combination with an irreversible Btk inhibitor compound include alkylating agents, antimetabolites, natural products, or hormones, e.g., nitrogen mustards (e.g., mechloroethiamine, cyclophosphamide, chlorambucil, etc.), alkyl sulfonates (e.g., busulfan), nitrosoureas (e.g., carmustine, lomustine, etc.), or triazenes (decarbazine, etc.). Examples of antimetabolites include but are not limited to folic acid analog (e.g., methotrexate), or pyrimidine analogs (e.g., Cytarabine), purine analogs (e.g., mercaptopurine, thioguanine, pentostatin).
- Examples of natural products useful in combination with an irreversible Btk inhibitor compound include but are not limited to vinca alkaloids (e.g., vinblastin, vincristine), epipodophyllotoxins (e.g., etoposide), antibiotics (e.g., daunorubicin, doxorubicin, bleomycin), enzymes (e.g., L-asparaginase), or biological response modifiers (e.g., interferon alpha).
- Examples of alkylating agents that can be employed in combination an irreversible Btk inhibitor compound include, but are not limited to, nitrogen mustards (e.g., mechloroethamine, cyclophosphamide, chlorambucil, meiphalan, etc.), ethylenimine and methylmelamines (e.g., hexamethylmelamine, thiotepa), alkyl sulfonates (e.g., busulfan), nitrosoureas (e.g., carmustine, lomustine, semustine, streptozocin, etc.), or triazenes (decarbazine, etc.). Examples of antimetabolites include, but are not limited to folic acid analog (e.g., methotrexate), or pyrimidine analogs (e.g., fluorouracil, floxouridine, Cytarabine), purine analogs (e.g., mercaptopurine, thioguanine, pentostatin.
- Examples of hormones and antagonists useful in combination with an irreversible Btk inhibitor compound include, but are not limited to, adrenocorticosteroids (e.g., prednisone), progestins (e.g., hydroxyprogesterone caproate, megestrol acetate, medroxyprogesterone acetate), estrogens (e.g., diethlystilbestrol, ethinyl estradiol), antiestrogen (e.g., tamoxifen), androgens (e.g., testosterone propionate, fluoxymesterone), antiandrogen (e.g., flutamide), gonadotropin releasing hormone analog (e.g., leuprolide). Other agents that can be used in the methods and compositions described herein for the treatment or prevention of cancer include platinum coordination complexes (e.g., cisplatin, carboblatin), anthracenedione (e.g., mitoxantrone), substituted urea (e.g., hydroxyurea), methyl hydrazine derivative (e.g., procarbazine), adrenocortical suppressant (e.g., mitotane, aminoglutethimide).
- Examples of anti-cancer agents which act by arresting cells in the G2-M phases due to stabilized mnicrotubules and which can be used in combination with an irreversible Btk inhibitor compound include without limitation the following marketed drugs and drugs in development: Erbulozole (also known as R-55104), Dolastatin 10 (also known as DLS-10 and NSC-376128), Mivobulin isethionate (also known as CI-980), Vincristine, NSC-639829, Discodermolide (also known as NVP-XX-A-296), ABT-751 (Abbott, also known as E-7010), Altorhyrtins (such as Altorhyrtin A and Altorhyrtin C), Spongistatins (such as Spongistatin 1, Spongistatin 2, Spongistatin 3, Spongistatin 4, Spongistatin 5, Spongistatin 6, Spongistatin 7, Spongistatin 8, and Spongistatin 9), Cemadotin hydrochloride (also known as LU-103793 and NSC-D-669356), Epothilones (such as Epothilone A, Epothilone B, Epothilone C (also known as desoxyepothilone A or dEpoA), Epothilone D (also referred to as KOS-862, dEpoB, and desoxyepothilone B), Epothilone E, Epothilone F, Epothilone B N-oxide, Epothilone A N-oxide, 16-aza-epothilone B, 21-aminoepothilone B (also known as BMS-310705), 21-hydroxyepothilone D (also known as Desoxyepothilone F and dEpoF), 26-fluoroepothilone), Auristatin PE (also known as NSC-654663), Soblidotin (also known as TZT-1027), LS-4559-P (Pharmacia, also known as LS-4577), LS-4578 (Pharmacia, also known as LS-477-P), LS-4477 (Pharmacia), LS-4559 (Pharmacia), RPR-112378 (Aventis), Vincristine sulfate, DZ-3358 (Daiichi), FR-182877 (Fujisawa, also known as WS-9885B), GS-164 (Takeda), GS-198 (Takeda), KAR-2 (Hungarian Academy of Sciences), BSF-223651 (BASF, also known as ILX-651 and LU-223651), SAH-49960 (Lilly/Novartis), SDZ-268970 (Lilly/Novartis), AM-97 (Armad/Kyowa Hakko), AM-132 (Armad), AM-138 (Armad/Kyowa Hakko), IDN-5005 (Indena), Cryptophycin 52 (also known as LY-355703), AC-7739 (Ajinomoto, also known as AVE-8063A and CS-39.HCI), AC-7700 (Ajinomoto, also known as AVE-8062, AVE-8062A, CS-39-L-Ser.HCI, and RPR-258062A), Vitilevuamide, Tubulysin A, Canadensol, Centaureidin (also known as NSC-106969), T-138067 (Tularik, also known as T-67, TL-138067 and TI-138067), COBRA-1 (Parker Hughes Institute, also known as DDE-261 and WHI-261), H10 (Kansas State University), H16 (Kansas State University), Oncocidin A1 (also known as BTO-956 and DIME), DDE-313 (Parker Hughes Institute), Fijianolide B, Laulimalide, SPA-2 (Parker Hughes Institute), SPA-1 (Parker Hughes Institute, also known as SPIKET-P), 3-IAABU (Cytoskeleton/Mt. Sinai School of Medicine, also known as MF-569), Narcosine (also known as NSC-5366), Nascapine, D-24851 (Asta Medica), A-105972 (Abbott), Hermiasterlin, 3-BAABU (Cytoskeleton/Mt. Sinai School of Medicine, also known as MF-191), TMPN (Arizona State University), Vanadocene acetylacetonate, T-138026 (Tularik), Monsatrol, Inanocine (also known as NSC-698666), 3-1AABE (Cytoskeleton/Mt. Sinai School of Medicine), A-204197 (Abbott), T-607 (Tuiarik, also known as T-900607), RPR-115781 (Aventis), Eleutherobins (such as Desmethyleleutherobin, Desaetyleleutherobin, Isoeleutherobin A, and Z-Eleutherobin), Caribaeoside, Caribaeolin, Halichondrin B, D-64131 (Asta Medica), D-68144 (Asta Medica), Diazonamide A, A-293620 (Abbott), NPI-2350 (Nereus), Taccalonolide A, TUB-245 (Aventis), A-259754 (Abbott), Diozostatin, (−)-Phenylahistin (also known as NSCL-96F037), D-68838 (Asta Medica), D-68836 (Asta Medica), Myoseverin B, D-43411 (Zentaris, also known as D-81862), A-289099 (Abbott), A-318315 (Abbott), HTI-286 (also known as SPA-110, trifluoroacetate salt) (Wyeth), D-82317 (Zentaris), D-82318 (Zentaris), SC-12983 (NCI), Resverastatin phosphate sodium, BPR-OY-007 (National Health Research Institutes), and SSR-250411 (Sanofi).
- Where the subject is suffering from or at risk of suffering from a thromboembolic disorder (e.g., stroke), the subject can be treated with an irreversible Btk inhibitor compound in any combination with one or more other anti-thromboembolic agents. Examples of anti-thromboembolic agents include, but are not limited any of the following: thrombolytic agents (e.g., alteplase anistreplase, streptokinase, urokinase, or tissue plasminogen activator), heparin, tinzaparin, warfarin, dabigatran (e.g., dabigatran etexilate), factor Xa inhibitors (e.g., fondaparinux, draparinux, rivaroxaban, DX-9065a, otamixaban, LY517717, or YM150), ticlopidine, clopidogrel, CS-747 (prasugrel, LY640315), ximelagatran, or BIBR 1048.
- For use in the therapeutic applications described herein, kits and articles of manufacture are also described herein. Such kits can include a carrier, package, or container that is compartmentalized to receive one or more containers such as vials, tubes, and the like, each of the container(s) including one of the separate elements to be used in a method described herein. Suitable containers include, for example, bottles, vials, syringes, and test tubes. The containers can be formed from a variety of materials such as glass or plastic.
- The articles of manufacture provided herein contain packaging materials. Packaging materials for use in packaging pharmaceutical products are well known to those of skill in the art. See, e.g., U.S. Pat. Nos. 5,323,907, 5,052,558 and 5,033,252. Examples of pharmaceutical packaging materials include, but are not limited to, blister packs, bottles, tubes, inhalers, pumps, bags, vials, containers, syringes, bottles, and any packaging material suitable for a selected formulation and intended mode of administration and treatment. A wide array of formulations of the compounds and compositions provided herein are contemplated as are a variety of treatments for any disease, disorder, or condition that would benefit by inhibition of Btk, or in which Btk is a mediator or contributor to the symptoms or cause.
- For example, the containers) can include one or more compounds described herein, optionally in a composition or in combination with another agent as disclosed herein. The container(s) optionally have a sterile access port (for example the container can be an intravenous solution bag or a vial having a stopper pierceable by a hypodermic injection needle). Such kits optionally comprising a compound with an identifying description or label or instructions relating to its use in the methods described herein.
- A kit will typically may include one or more additional containers, each with one or more of various materials (such as reagents, optionally in concentrated form, and/or devices) desirable from a commercial and user standpoint for use of a compound described herein. Non-limiting examples of such materials include, but not limited to, buffers, diluents, filters, needles, syringes; carrier, package, container, vial and/or tube labels listing contents and/or instructions for use, and package inserts with instructions for use. A set of instructions will also typically be included.
- A label can be on or associated with the container. A label can be on a container when letters, numbers or other characters forming the label are attached, molded or etched into the container itself; a label can be associated with a container when it is present within a receptacle or carrier that also holds the container, e.g., as a package insert. A label can be used to indicate that the contents are to be used for a specific therapeutic application. The label can also indicate directions for use of the contents, such as in the methods described herein.
- In certain embodiments, the pharmaceutical compositions can be presented in a pack or dispenser device which can contain one or more unit dosage forms containing a compound provided herein. The pack can for example contain metal or plastic foil, such as a blister pack. The pack or dispenser device can be accompanied by instructions for administration. The pack or dispenser can also be accompanied with a notice associated with the container in form prescribed by a governmental agency regulating the manufacture, use, or sale of pharmaceuticals, which notice is reflective of approval by the agency of the form of the drug for human or veterinary administration. Such notice, for example, can be the labeling approved by the U.S. Food and Drug Administration for prescription drugs, or the approved product insert. Compositions containing a compound provided herein formulated in a compatible pharmaceutical carrier can also be prepared, placed in an appropriate container, and labeled for treatment of an indicated condition.
- The following specific and non-limiting examples are to be construed as merely illustrative, and do not limit the present disclosure in any way whatsoever. Without further elaboration, it is believed that one skilled in the art can, based on the description herein, utilize the present disclosure to its fullest extent. All publications cited herein are hereby incorporated by reference in their entirety. Where reference is made to a URL or other such identifier or address, it is understood that such identifiers can change and particular information on the internet can come and go, but equivalent information can be found by searching the internet. Reference thereto evidences the availability and public dissemination of such information.
- 4-Amino-3-(4-phenoxyphenyl)-1H-pyrazolo[3,4-d]pyrimidine (Intermediate 2) is prepared as disclosed in International Patent Publication No. WO 01/019829. Briefly, 4-phenoxybenzoic acid (48 g) is added to thionyl chloride (100 mL) and heated under gentle reflux for 1 hour. Thionyl chloride is removed by distillation, the residual oil dissolved in toluene and volatile material removed at 80° C./20 mbar. The resulting acid chloride is dissolved in toluene (200 mL) and tetrahydrofuran (35 mL). Malononitrile (14.8 g) is added and the solution and stirred at −10° C. while adding diisopropylethylethylamine (57.9 gi in toluene (150 mL), while maintaining the temperature below 0° C. After 1 hour at 0° C., the mixture is stirred at 20° C. overnight. Amine hydrochloride is removed by filtration and the filtrate evaporated in vacuo. The residue is taken up in ethyl acetate and washed with 1.25 M sulphuric acid, then with brine and dried over sodium sulfate. Evaporation of the solvents gives a semisolid residue which is treated with a little ethyl acetate to give 4.1 g of 1,1-dicyano-2-hydroxy-2-(4-phenoxyphenyl)ethene as a white solid (m.p. 160-162° C.). The filtrate on evaporation gives 56.58 (96%) of 1,1-dicyano-2-hydroxy-2-(4-phenoxyphenyl)ethene as a grey-brown solid, which is sufficiently pure for further use.
- 1,1-Dicyano-2-hydroxy-2-(4-phenoxyphenyl)ethene (56.5 g) in acetonitrile (780 mL) and methanol (85 mL) is stirred under nitrogen at 0° C. while adding diisopropylethylamine (52.5 mL) followed by 2M trimethylsilyldiazomethane (150 mL) in THF. The reaction is stirred for 2 days at 20° C., and then 2 g of silica is added (for chromatography). The brown-red solution is evaporated in vacuo, the residue dissolved in ethyl acetate and washed well with water then brine, dried and evaporated. The residue is extracted with diethyl ether (3×250 mL), decanting from insoluble oil. Evaporation of the ether extracts gives 22.5 g of 1,1-dicyano-2-methoxy-2-(4-phenoxyphenyl)ethene as a pale orange solid. The insoluble oil is purified by flash chromatography to give 15.0 g of a red-orange oil.
- 1,1-Dicyano-2-methoxy-2-(4-phenoxyphenyl)ethene (22.5 g) and 1,1-dicyano-2-methoxy-2-(4-phenoxyphenyl)ethene oil (15 g) are treated with a solution of hydrazine hydrate (18 mL) in ethanol (25 mL) and heated on the steambath for 1 hour. Ethanol (15 mL) is added followed by water (10 mL). The precipitated solid is collected and washed with ethanol:water (4:1) and then dried in air to give 3-amino-4-cyano-5-(4-phenoxyphenyl)pyrazole as a pale orange solid.
- 3-Amino-4-cyano-5-(4-phenoxyphenyl)pyrazole (29.5 g) is suspended in formamide (300 mL) and heated under nitrogen at 180° C. for 4 hours. The reaction mixture is cooled to 30° C. and water (300 mL) is added. The solid is collected, washed well with water, then with methanol and dried in air to give of 4-amino-3-(4-phenoxyphenyl)-1H-pyrazolo[3,4-d]pyrimidine.
-
- Compounds described herein were synthesized by following the steps outlined in
Scheme 1. A detailed illustrative example of the reaction conditions shown inScheme 1 is described for the synthesis of 1-(3-(4-amino-3-(4-phenoxyphenyl)-1H-pyrazolo[3,4-d]pyrimidin-1-yl)piperidin-1-yl)prop-2-en-1-one (Compound 4). - 101 mg of 4-amino-3-(4-phenoxyphenyl)-1H-pyrazolo[3,4-d]pyrimidine and 330 mg of polymer-bound triphenylphosphine (TPP) (polymerlab) were mixed together with 5 mL of tetrahydrofuran (THF). tert-Butyl 3-hydroxypiperidine-1-carboxylate (200 mg; 2.0 equivalents) was added to the mixture followed by the addition of diisopropyl diazodicarboxylate (0.099 mL). The reaction mixture was stirred at room temperature overnight. The reaction mixture was filtered to remove the resins and the reaction mixture was concentrated and purified by flash chromatography (pentane/ethyl acetate=1/1) to give intermediate 3 (55 mg).
- Intermediate 3 (48.3 mg) was treated with 1 mL of 4N HCl in dioxane for 1 hour and then concentrated to dryness. The residue was dissolved in dichloromethane and triethylamine (0.042 mL) was added followed by acryl chloride (0.010 mL). The reaction was stopped after 2 hours. The reaction mixture was washed with 5% by weight aqueous citric acid and then with brine. The organic layer was dried with MgSO4, and concentrated. Flash chromatography (with CH2Cl2/MeOH=25/1) gave 22 mg of
compound 4 as a white solid. MS (M+1): 441.2; 1H-NMR (400 MHz): 8.26, s, 1H, 7.65, m, 2H, 7.42, m, 2H, 7.1-7.2, m, 5H, 6.7-6.9, m, 1H, 6.1, in 1H, 5.5-5.7, m, 1H; 4.7, m, 1H, 4.54, m, 0.5H, 4.2, m, 1H, 4.1, m, 0.5H, 3.7, m, 0.5H, 3.2, m, 1H, 3.0, m, 0.5H, 2.3, m, 1H; 2.1, m, 1H, 1.9, m, 1H, 1.6, m, 1H. -
- The synthesis of
compound 13 was accomplished using a procedure analogous to that described in Example 1a. EM (calc.): 440.2; MS (ESI) m/e (M+1H)+: 441.1, (M−1H)—: 439.2. -
- The synthesis of compound 14 was accomplished using a procedure analogous to that described for Example 1a. EM (calc.): 440.2; MS (ESI) m/e (M+1H)+: 441.5, (M−1H)−: 439.2.
-
- The synthesis of this compound was accomplished using a procedure analogous to that described for Example 1a. EM (calc.): 426.18; MS (ESI) m/e (M+1H)+: 427.2, (M−1H)−: 425.2.
-
- The synthesis of this compound was accomplished using a procedure analogous to that described for Example 1a. EM (calc.): 426.18; MS (ESI) m/e (M+1H)+: 427.2.
-
- The synthesis of this compound was accomplished using a procedure analogous to that described for Example 1a. EM (calc.): 454.21; MS (ESI) m/e (M+1H)+: 455.1, (M−1H)−: 453.1.
-
- The synthesis of
compound 6 was accomplished using a procedure analogous to that described for Example 1a. EM (calc.): 476.16; MS (ESI) m/e (M+1H)+: 478.0, (M−1H)−: 475.3. -
- The synthesis of
compound 8 was accomplished using a procedure analogous to that described for Example 1a. EM (calc.): 438.18; MS (ESI) m/e (M+1H)+: 439.2, (M−1H)−: 437.2. -
- The synthesis of
compound 15 was accomplished using a procedure analogous to that described for Example 1a. EM (calc.): 497.25; MS (EST) m/e (M+1H)+: 498.4, M−1H)−: 496. - The Btk IC50s of compounds disclosed herein was determined in both an acellular kinase assay and in a cellular functional assay of BCR-induced calcium flux as described below.
- Btk kinase activity was determined using a time-resolved fluorescence resonance energy transfer (TR-FRET) methodology. Measurements were performed in a reaction volume of 50 μL using 96-well assay plates. Kinase enzyme, inhibitor, ATP (at the Km for the kinase), and 1 μM peptide substrate (Biotin-AVLESEEELYSSARQ-NH2) were incubated in a reaction buffer composed of 20 mM Tris, 50 mM NaCl, MgCl2 (5-25 mM depending on the kinase), MnCl2 (0-10 mM), 1 mM DTT, 0.1 mM EDTA, 0.01% bovine serum albumin, 0.005% Tween-20, and 10% DMSO at pH 7.4 for one hour. The reaction was quenched by the addition of 1.2 equivalents of EDTA (relative to divalent cation) in 25 μL of 1× Lance buffer (Perkin-Elmer). Streptavidin-APC (Perkin-Elmer) and Eu-labeled p-Tyr100 antibody (Perkin-Elmer) in 1× Lance buffer were added in a 25 μL volume to give final concentrations of 100 nM and 2.5 nM, respectively, and the mixture was allowed to incubate for one hour. The TR-FRET signal was measured on a multimode plate reader with an excitation wavelength (λEx) of 330 nm and detection wavelengths (λEm) of 615 and 665 nm. Activity was determined by the ratio of the fluorescence at 665 nm to that at 615 nm. For each compound, enzyme activity was measured at various concentrations of compound. Negative control reactions were performed in the absence of inhibitor in replicates of six, and two no-enzyme controls were used to determine baseline fluorescence levels. Inhibition constants, Ki (app), were obtained using the program BatchKi (Kuzmic et al. (2000), Anal. Biochem. 286:45-50). IC50s were obtained according to the equation:
-
IC 50 ={Ki(app)/(1+[ATP]/K m ATP)}+[E] total/2; - For all kinases, [ATP]=Km ATP, [Btk]total=0.5 nM and [Lck]total=6 nM.
- Calcium flux fluorescence-based assays were performed in a FlexStation II384 fluorometric imaging plate reader (Molecular Devices) according to manufacturer instructions. In brief, actively growing Ramos cells (ATCC) in RPM1 medium supplemented with 10% FBS (Invitrogen) were washed and re-plated in low serum medium at approximately 5×105 cells per 100 μl per well in a 96-well plate. Compounds to be assayed were dissolved in DMSO and then diluted in low serum medium to final concentrations ranging from 0 to 10 μM (at a dilution factor of 0.3). The diluted compounds were then added to each well (final DMSO concentration was 0.01%) and incubated at 37 degree in 5% CO2 incubator for one hour. Afterwards, 100 μl of a calcium-sensitive dye (from the
Calcium 3 assay kit, Molecular Devices) was added to each well and incubated for an additional hour. The compound-treated cells were stimulated with a goat anti-human IgM antibody (80 ug/ml; Jackson ImmunoResearch) and read in the FlexStation 11384 using a λEx=485 nm and λEm=538 nm for 200 seconds. The relative fluorescence unit (RFU) and the IC50 were recorded and analyzed using a built-in SoftMax program (Molecular devices). -
- Two lines of evidence demonstrated irreversible inhibition of Btk by these compounds. First, after recombinant Btk was pretreated with compounds, its activity was not recovered by repeat washing with inhibitor-free medium (see, e.g., J. B. Smaill, et al., J. Med. Chem. 1999, 42, 1803). Second, a major mass peak was observed by mass spectrometry corresponding to the molecular weight of a 1:1 covalent complex between
compound 4 and Btk (Compound 4: 440 Da, recombinant Btk kinase domain: 33,487 Da; Complex: expected 33,927 Da, observed 33,927 Da). - These compounds are highly potent inhibitors of Btk kinase activity with IC50s in the sub-nanomolar to single digit nanomolar range for in vitro kinase activity. Their IC50s in the (Ramos cell) Ca2+ flux assay ranged from 3 to 92 nM.
- Of note, we found that three types of Michael acceptors, acrylamide, vinyl sulfonamide and propargylamide, exhibited strong interactions with Btk. Adding a trans-oriented methyl group to the vinyl group decreased potency as shown by compound 5, which was 28-fold less potent than 4. This presumably relates to the reduced electrophilicity of the more substituted olefin.
Compound 15 with a tertiary amine group gained back some potency compared to 5, even though it still suffered a potency drop relative to compound 13.Compound 10 was about 6-fold more potent than 9, presumably due to the difference in the electrophile orientation. Finally, R configuration was determined as the slightly preferred absolute stereochemistry configuration by two sets of enantiomers (11 vs. 12 and 13 vs. 14). - We further characterized the properties of these compounds by assaying a number of cellular biochemical and functional endpoints. In particular, we sought to assess the selectivity of these compounds for inhibition of Btk versus the closely related protein kinases Lck, Lyn, and Syk. In anti-IgM-stimulated Ramos cells (a human B cell line), we assayed Btk-dependent phosphorylation of PLC-γ1; Lyn and Syk-dependent phosphorylation of
tyrosine 551 on Btk; and BCR-activated calcium flux. We also measured the effect ofcompound 4 on Jurkat cells, a human T cell line in which Lck and Itk, but not Btk are required for T cell receptor mediated Ca2+ flux. As shown in Table 3,compound 4 exhibited significant selectivity for Btk in cellular assays. In anti-IgM stimulated Ramos cells,compound 4 inhibited the phosphorylation of PLC-γ1 with an IC50=0.014 A, while the Lyn and Syk-dependent phosphorylation oftyrosine 551 on Btk was inhibited more weakly (IC50>7.5 μM). Thus,compound 4 exhibits a >500-fold selectivity between Btk and Lyn or Syk in cells. Further,compound 4 was 11-fold less active in inhibiting Ca2+ flux than in Ramos cells, supporting the expected selectivity for B versus T cells. -
TABLE 3 Cellular assay data for compound 4Btk pPLC- Ramos Jurkat Btka Lcka Lyna p551b γ1b Ca Fluxb Ca Fluxb Cmpd (nM) (nM) (nM) (μM) (μM) (μM) (μM) 4 0.72b 97 14 >7.5 0.014 0.0405 0.466 aKi (app) bIC50 - The in vivo efficacy of
compound 4 was evaluated in a mouse model of rheumatoid arthritis. Arthritis was induced in Balb/c mice by administration of anti-collagen antibodies and lipopolysaccharide (LPS). See Nandakumar et al. (2003), Am. J. Pathol. 163:1827-1837. - Female Balb/c mice were treated with 100 mg/kg of Chemicon mAb cocktail to Type II collagen intravenously on
Day 0 and 1.25 mg/kg of LPS intraperitoneally onDay 1.Compound 4 was administered orally in a methylcellulose-based aqueous suspension formulation at 1, 3, 10 and 30 mg/kg once daily starting onDay 2 throughDay 12. Blood samples were collected at 0.5 and 2 hours post dose ofcompound 4 administration on Day 12 (see Table 4). The serum concentrations ofcompound 4 were quantified by LC/MS/MS. Twenty four hours post dose, levels ofcompound 4 were below the level of quantitation. -
TABLE 4 Dose and Time Dependence of Compound 4 Concentration in PlasmaConc (μM) Dose (mg/kg/day) Collection Time (h) Mean SD 1 0.5 0.0657 0.0153 2 0.0485 0.0200 3 0.5 0.250 0.019 2 0.135 0.059 10 0.5 0.635 0.053 2 0.670 0.190 30 0.5 1.72 0.15 2 1.10 0.19 - Inhibition of arthritis by
compound 4 was dose-dependent, with a maximum effect (>95% inhibition) at dose levels of 10 and 30 mg/kg. The plasma concentrations ofcompound 4 that induced this maximum effect were in the 0.6-1.7 μM range at Tmax (2 hr) and did not need to be sustained at high levels for 24 hours to achieve efficacy, which is not surprising for an irreversible inhibitor. Based on sequence analysis and molecular modeling, the irreversible inhibitors described herein are proposed to form a covalent bond withCys 481 of Btk (e.g., the Michael reaction acceptor portion of the compounds described herein react with theCys 481 residue of Btk). Based on sequence homology analysis (FIG. 1 ), the compounds presented herein are also expected to act as irreversible inhibitors of kinases having aCys 481 or a homologous cysteine residue, but to bind reversibly with kinases having a different amino acid at the 481 position within a catalytic domain sequence that is otherwise homologous to that of Btk. See, e.g., the sequences listed inFIG. 1 . See also the sequence alignments of tyrosine kinases (TK) published on the world wide web at kinase.com/human/kinome/phylogeny.html. - Human CD34+ cells differentiated to mast cells by 9 weeks in culture in the presence of 1 ng/ml IL-3, 50 ng/ml IL-6, 100 ng/ml SCF. Cells were incubated with IgE+IL-4 for 4 days and then degranulation was induced by cross-linking with anti-IgE. Degranulation quantitated using hexosaminidase assay. Compound did not inhibit degranulation induced by the Ca++ ionophore ionomycin and did not affect cell viability as determined by Alamar Blue assay.
Compound 4 has an IC50 in MC degranulation less than 100 nanomolar. As such, compounds described herein can be used for the treatment of inflammatory diseases, such as asthma. - The compositions described below are presented with a compound of Formula (A) for illustrative purposes; any of the compounds of any of Formulas (A), (B), (C), or (D) can be used in such pharmaceutical compositions.
- To prepare a parenteral pharmaceutical composition suitable for administration by injection, 100 mg of a water-soluble salt of a compound of Formula (A) is dissolved in DMSO and then mixed with 10 mL of 0.9% sterile saline. The mixture is incorporated into a dosage unit form suitable for administration by injection.
- To prepare a pharmaceutical composition for oral delivery, 100 mg of a compound of Formula (A) is mixed with 750 mg of starch. The mixture is incorporated into an oral dosage unit for, such as a hard gelatin capsule, which is suitable for oral administration.
- To prepare a pharmaceutical composition for buccal delivery, such as a hard lozenge, mix 100 mg of a compound of Formula (A), with 420 mg of powdered sugar mixed, with 1.6 mL of light corn syrup, 2.4 mL distilled water, and 0.42 mL mint extract. The mixture is gently blended and poured into a mold to form a lozenge suitable for buccal administration.
- To prepare a pharmaceutical composition for inhalation delivery, 20 mg of a compound of Formula (A) is mixed with 50 mg of anhydrous citric acid and 100 mL of 0.9% sodium chloride solution. The mixture is incorporated into an inhalation delivery unit, such as a nebulizer, which is suitable for inhalation administration.
- To prepare a pharmaceutical composition for rectal delivery, 100 mg of a compound of Formula (A) is mixed with 2.5 g of methylcelluose (1500 mPa), 100 mg of methylparapen, 5 g of glycerin and 100 mL of purified water. The resulting gel mixture is then incorporated into rectal delivery units, such as syringes, which are suitable for rectal administration.
- To prepare a pharmaceutical topical gel composition, 100 mg of a compound of Formula (A) is mixed with 1.75 g of hydroxypropyl celluose, 10 mL of propylene glycol, 10 mL of isopropyl myristate and 100 mL of purified alcohol USP. The resulting gel mixture is then incorporated into containers, such as tubes, which are suitable for topical administration.
- To prepare a pharmaceutical opthalmic solution composition, 100 mg of a compound of Formula (A) is mixed with 0.9 g of NaCl in 100 mL of purified water and filtered using a 0.2 micron filter. The resulting isotonic solution is then incorporated into ophthalmic delivery units, such as eye drop containers, which are suitable for ophthalmic administration.
- It is understood that the examples and embodiments described herein are for illustrative purposes only and that various modifications or changes in light thereof will be suggested to persons skilled in the art and are to be included within the spirit and purview of this application and scope of the appended claims. All publications, patents, and patent applications cited herein are hereby incorporated by reference in their entirety for all purposes.
Claims (24)
Priority Applications (1)
| Application Number | Priority Date | Filing Date | Title |
|---|---|---|---|
| US12/499,008 US20100022561A1 (en) | 2006-09-22 | 2009-07-07 | Inhibitors of bruton's tyrosine kinase |
Applications Claiming Priority (5)
| Application Number | Priority Date | Filing Date | Title |
|---|---|---|---|
| US82672006P | 2006-09-22 | 2006-09-22 | |
| US82859006P | 2006-10-06 | 2006-10-06 | |
| US11/617,645 US7514444B2 (en) | 2006-09-22 | 2006-12-28 | Inhibitors of bruton's tyrosine kinase |
| US35649808A | 2008-10-23 | 2008-10-23 | |
| US12/499,008 US20100022561A1 (en) | 2006-09-22 | 2009-07-07 | Inhibitors of bruton's tyrosine kinase |
Related Parent Applications (1)
| Application Number | Title | Priority Date | Filing Date |
|---|---|---|---|
| US12/256,498 Division US20100106625A1 (en) | 2008-10-23 | 2008-10-23 | Inventory component activation |
Publications (1)
| Publication Number | Publication Date |
|---|---|
| US20100022561A1 true US20100022561A1 (en) | 2010-01-28 |
Family
ID=39225888
Family Applications (49)
| Application Number | Title | Priority Date | Filing Date |
|---|---|---|---|
| US11/617,645 Active US7514444B2 (en) | 2006-09-22 | 2006-12-28 | Inhibitors of bruton's tyrosine kinase |
| US11/692,870 Active 2027-04-19 US7732454B2 (en) | 2006-09-22 | 2007-03-28 | Inhibitors of Bruton's tyrosine kinase |
| US11/964,285 Active 2028-01-28 US7825118B2 (en) | 2006-09-22 | 2007-12-26 | Inhibitors of bruton's tyrosine kinase |
| US12/594,805 Active 2029-12-24 US8883435B2 (en) | 2006-09-22 | 2008-03-27 | Inhibitors of Bruton's tyrosine kinase |
| US12/356,498 Active 2027-12-02 US8088781B2 (en) | 2006-09-22 | 2009-01-20 | Inhibitors of brutons tyrosine kinase |
| US12/499,002 Active US8501751B2 (en) | 2006-09-22 | 2009-07-07 | Inhibitors of Bruton's tyrosine kinase |
| US12/499,005 Active 2028-02-04 US8008309B2 (en) | 2006-09-22 | 2009-07-07 | Inhibitors of bruton's tyrosine kinase |
| US12/499,008 Abandoned US20100022561A1 (en) | 2006-09-22 | 2009-07-07 | Inhibitors of bruton's tyrosine kinase |
| US12/727,703 Abandoned US20100324050A1 (en) | 2006-09-22 | 2010-03-19 | Inhibitors of bruton's tyrosine kinase |
| US12/873,205 Active US7960396B2 (en) | 2006-09-22 | 2010-08-31 | Inhibitors of Bruton's tyrosine kinase |
| US12/887,428 Active US8236812B2 (en) | 2006-09-22 | 2010-09-21 | Inhibitors of bruton's tyrosine kinase |
| US12/907,759 Active 2028-10-10 US8952015B2 (en) | 2006-09-22 | 2010-10-19 | Inhibitors of Bruton's tyrosine kinase |
| US13/011,258 Active US8232280B2 (en) | 2006-09-22 | 2011-01-21 | Inhibitors of bruton'S tyrosine kinase |
| US13/161,238 Active US8158786B2 (en) | 2006-09-22 | 2011-06-15 | Inhibitors of Bruton's tyrosine kinase |
| US13/162,449 Abandoned US20110281322A1 (en) | 2006-09-22 | 2011-06-16 | Inhibitors of bruton's tyrosine kinase |
| US13/249,066 Active US8735403B2 (en) | 2006-09-22 | 2011-09-29 | Inhibitors of Bruton's tyrosine kinase |
| US13/312,606 Active US8497277B2 (en) | 2006-09-22 | 2011-12-06 | Inhibitors of Bruton's tyrosine kinase |
| US13/328,718 Active US8476284B2 (en) | 2006-09-22 | 2011-12-16 | Inhibitors of Bruton's tyrosine kinase |
| US13/335,719 Active 2027-04-08 US8735404B2 (en) | 2006-09-22 | 2011-12-22 | Inhibitors of Bruton's tyrosine kinase |
| US13/340,409 Active 2027-03-16 US8748438B2 (en) | 2006-09-22 | 2011-12-29 | Inhibitors of Bruton's tyrosine kinase |
| US13/340,556 Active 2027-01-18 US8741908B2 (en) | 2006-09-22 | 2011-12-29 | Inhibitors of bruton's tyrosine kinase |
| US13/361,733 Active US8399470B2 (en) | 2006-09-22 | 2012-01-30 | Inhibitors of bruton's tyrosine kinase |
| US13/361,730 Active 2027-04-26 US8563563B2 (en) | 2006-09-22 | 2012-01-30 | Inhibitors of bruton's tyrosine kinase |
| US13/361,726 Active 2027-03-21 US8658653B2 (en) | 2006-09-22 | 2012-01-30 | Inhibitors of Bruton's tyrosine kinase |
| US13/450,158 Active 2027-01-10 US8748439B2 (en) | 2006-09-22 | 2012-04-18 | Inhibitors of Bruton's tyrosine kinase |
| US13/472,292 Active US8691546B2 (en) | 2006-09-22 | 2012-05-15 | Inhibitors of Bruton's tyrosine kinase |
| US13/479,053 Active 2027-01-02 US8697711B2 (en) | 2006-09-22 | 2012-05-23 | Inhibitors of bruton'S tyrosine kinase |
| US13/526,161 Active US8703780B2 (en) | 2006-09-22 | 2012-06-18 | Inhibitors of Bruton's tyrosine kinase |
| US13/526,163 Active US8552010B2 (en) | 2006-09-22 | 2012-06-18 | Inhibitors of Bruton'S tyrosine kinase |
| US13/542,440 Active US8754091B2 (en) | 2006-09-22 | 2012-07-05 | Inhibitors of bruton's tyrosine kinase |
| US13/654,173 Active US8957079B2 (en) | 2006-09-22 | 2012-10-17 | Inhibitors of Bruton's tyrosine kinase |
| US13/849,399 Active US8975266B2 (en) | 2006-09-22 | 2013-03-22 | Inhibitors of Bruton's tyrosine kinase |
| US13/890,498 Active US9133198B2 (en) | 2006-09-22 | 2013-05-09 | Inhibitors of bruton'S tyrosine kinase |
| US13/952,531 Active US8759516B2 (en) | 2006-09-22 | 2013-07-26 | Inhibitors of Bruton's tyrosine kinase |
| US14/033,344 Active US9127012B2 (en) | 2006-09-22 | 2013-09-20 | Inhibitors of bruton's tyrosine kinase |
| US14/073,543 Active US9133201B2 (en) | 2006-09-22 | 2013-11-06 | Inhibitors of Bruton's tyrosine kinase |
| US14/073,594 Active US9409911B2 (en) | 2006-09-22 | 2013-11-06 | Inhibitors of bruton's tyrosine kinase |
| US14/079,508 Active US9133202B2 (en) | 2006-09-22 | 2013-11-13 | Inhibitors of Bruton's tyrosine kinase |
| US14/080,640 Active US9181257B2 (en) | 2006-09-22 | 2013-11-14 | Inhibitors of Bruton's tyrosine kinase |
| US14/080,649 Active US9212185B2 (en) | 2006-09-22 | 2013-11-14 | Inhibitors of Bruton's tyrosine kinase |
| US14/152,886 Active US9266893B2 (en) | 2006-09-22 | 2014-01-10 | Inhibitors of Bruton's tyrosine kinase |
| US14/156,247 Active US9193735B2 (en) | 2006-09-22 | 2014-01-15 | Inhibitors of Bruton's tyrosine kinase |
| US14/340,483 Active US9206189B2 (en) | 2006-09-22 | 2014-07-24 | Inhibitors of bruton's tyrosine kinase |
| US14/613,309 Abandoned US20150306103A1 (en) | 2006-09-22 | 2015-02-03 | Inhibitors of bruton's tyrosine kinase |
| US15/042,734 Abandoned US20170007611A1 (en) | 2006-09-22 | 2016-02-12 | Inhibitors of bruton's tyrosine kinase |
| US15/588,947 Abandoned US20180085372A1 (en) | 2006-09-22 | 2017-05-08 | Inhibitors of bruton's tyrosine kinase |
| US16/417,043 Abandoned US20200108072A1 (en) | 2006-09-22 | 2019-05-20 | Inhibitors of bruton's tyrosine kinase |
| US17/180,391 Abandoned US20220008424A1 (en) | 2006-09-22 | 2021-02-19 | Inhibitors of bruton's tyrosine kinase |
| US18/543,878 Abandoned US20240358707A1 (en) | 2006-09-22 | 2023-12-18 | Inhibitors of bruton's tyrosine kinase |
Family Applications Before (7)
| Application Number | Title | Priority Date | Filing Date |
|---|---|---|---|
| US11/617,645 Active US7514444B2 (en) | 2006-09-22 | 2006-12-28 | Inhibitors of bruton's tyrosine kinase |
| US11/692,870 Active 2027-04-19 US7732454B2 (en) | 2006-09-22 | 2007-03-28 | Inhibitors of Bruton's tyrosine kinase |
| US11/964,285 Active 2028-01-28 US7825118B2 (en) | 2006-09-22 | 2007-12-26 | Inhibitors of bruton's tyrosine kinase |
| US12/594,805 Active 2029-12-24 US8883435B2 (en) | 2006-09-22 | 2008-03-27 | Inhibitors of Bruton's tyrosine kinase |
| US12/356,498 Active 2027-12-02 US8088781B2 (en) | 2006-09-22 | 2009-01-20 | Inhibitors of brutons tyrosine kinase |
| US12/499,002 Active US8501751B2 (en) | 2006-09-22 | 2009-07-07 | Inhibitors of Bruton's tyrosine kinase |
| US12/499,005 Active 2028-02-04 US8008309B2 (en) | 2006-09-22 | 2009-07-07 | Inhibitors of bruton's tyrosine kinase |
Family Applications After (41)
| Application Number | Title | Priority Date | Filing Date |
|---|---|---|---|
| US12/727,703 Abandoned US20100324050A1 (en) | 2006-09-22 | 2010-03-19 | Inhibitors of bruton's tyrosine kinase |
| US12/873,205 Active US7960396B2 (en) | 2006-09-22 | 2010-08-31 | Inhibitors of Bruton's tyrosine kinase |
| US12/887,428 Active US8236812B2 (en) | 2006-09-22 | 2010-09-21 | Inhibitors of bruton's tyrosine kinase |
| US12/907,759 Active 2028-10-10 US8952015B2 (en) | 2006-09-22 | 2010-10-19 | Inhibitors of Bruton's tyrosine kinase |
| US13/011,258 Active US8232280B2 (en) | 2006-09-22 | 2011-01-21 | Inhibitors of bruton'S tyrosine kinase |
| US13/161,238 Active US8158786B2 (en) | 2006-09-22 | 2011-06-15 | Inhibitors of Bruton's tyrosine kinase |
| US13/162,449 Abandoned US20110281322A1 (en) | 2006-09-22 | 2011-06-16 | Inhibitors of bruton's tyrosine kinase |
| US13/249,066 Active US8735403B2 (en) | 2006-09-22 | 2011-09-29 | Inhibitors of Bruton's tyrosine kinase |
| US13/312,606 Active US8497277B2 (en) | 2006-09-22 | 2011-12-06 | Inhibitors of Bruton's tyrosine kinase |
| US13/328,718 Active US8476284B2 (en) | 2006-09-22 | 2011-12-16 | Inhibitors of Bruton's tyrosine kinase |
| US13/335,719 Active 2027-04-08 US8735404B2 (en) | 2006-09-22 | 2011-12-22 | Inhibitors of Bruton's tyrosine kinase |
| US13/340,409 Active 2027-03-16 US8748438B2 (en) | 2006-09-22 | 2011-12-29 | Inhibitors of Bruton's tyrosine kinase |
| US13/340,556 Active 2027-01-18 US8741908B2 (en) | 2006-09-22 | 2011-12-29 | Inhibitors of bruton's tyrosine kinase |
| US13/361,733 Active US8399470B2 (en) | 2006-09-22 | 2012-01-30 | Inhibitors of bruton's tyrosine kinase |
| US13/361,730 Active 2027-04-26 US8563563B2 (en) | 2006-09-22 | 2012-01-30 | Inhibitors of bruton's tyrosine kinase |
| US13/361,726 Active 2027-03-21 US8658653B2 (en) | 2006-09-22 | 2012-01-30 | Inhibitors of Bruton's tyrosine kinase |
| US13/450,158 Active 2027-01-10 US8748439B2 (en) | 2006-09-22 | 2012-04-18 | Inhibitors of Bruton's tyrosine kinase |
| US13/472,292 Active US8691546B2 (en) | 2006-09-22 | 2012-05-15 | Inhibitors of Bruton's tyrosine kinase |
| US13/479,053 Active 2027-01-02 US8697711B2 (en) | 2006-09-22 | 2012-05-23 | Inhibitors of bruton'S tyrosine kinase |
| US13/526,161 Active US8703780B2 (en) | 2006-09-22 | 2012-06-18 | Inhibitors of Bruton's tyrosine kinase |
| US13/526,163 Active US8552010B2 (en) | 2006-09-22 | 2012-06-18 | Inhibitors of Bruton'S tyrosine kinase |
| US13/542,440 Active US8754091B2 (en) | 2006-09-22 | 2012-07-05 | Inhibitors of bruton's tyrosine kinase |
| US13/654,173 Active US8957079B2 (en) | 2006-09-22 | 2012-10-17 | Inhibitors of Bruton's tyrosine kinase |
| US13/849,399 Active US8975266B2 (en) | 2006-09-22 | 2013-03-22 | Inhibitors of Bruton's tyrosine kinase |
| US13/890,498 Active US9133198B2 (en) | 2006-09-22 | 2013-05-09 | Inhibitors of bruton'S tyrosine kinase |
| US13/952,531 Active US8759516B2 (en) | 2006-09-22 | 2013-07-26 | Inhibitors of Bruton's tyrosine kinase |
| US14/033,344 Active US9127012B2 (en) | 2006-09-22 | 2013-09-20 | Inhibitors of bruton's tyrosine kinase |
| US14/073,543 Active US9133201B2 (en) | 2006-09-22 | 2013-11-06 | Inhibitors of Bruton's tyrosine kinase |
| US14/073,594 Active US9409911B2 (en) | 2006-09-22 | 2013-11-06 | Inhibitors of bruton's tyrosine kinase |
| US14/079,508 Active US9133202B2 (en) | 2006-09-22 | 2013-11-13 | Inhibitors of Bruton's tyrosine kinase |
| US14/080,640 Active US9181257B2 (en) | 2006-09-22 | 2013-11-14 | Inhibitors of Bruton's tyrosine kinase |
| US14/080,649 Active US9212185B2 (en) | 2006-09-22 | 2013-11-14 | Inhibitors of Bruton's tyrosine kinase |
| US14/152,886 Active US9266893B2 (en) | 2006-09-22 | 2014-01-10 | Inhibitors of Bruton's tyrosine kinase |
| US14/156,247 Active US9193735B2 (en) | 2006-09-22 | 2014-01-15 | Inhibitors of Bruton's tyrosine kinase |
| US14/340,483 Active US9206189B2 (en) | 2006-09-22 | 2014-07-24 | Inhibitors of bruton's tyrosine kinase |
| US14/613,309 Abandoned US20150306103A1 (en) | 2006-09-22 | 2015-02-03 | Inhibitors of bruton's tyrosine kinase |
| US15/042,734 Abandoned US20170007611A1 (en) | 2006-09-22 | 2016-02-12 | Inhibitors of bruton's tyrosine kinase |
| US15/588,947 Abandoned US20180085372A1 (en) | 2006-09-22 | 2017-05-08 | Inhibitors of bruton's tyrosine kinase |
| US16/417,043 Abandoned US20200108072A1 (en) | 2006-09-22 | 2019-05-20 | Inhibitors of bruton's tyrosine kinase |
| US17/180,391 Abandoned US20220008424A1 (en) | 2006-09-22 | 2021-02-19 | Inhibitors of bruton's tyrosine kinase |
| US18/543,878 Abandoned US20240358707A1 (en) | 2006-09-22 | 2023-12-18 | Inhibitors of bruton's tyrosine kinase |
Country Status (28)
| Country | Link |
|---|---|
| US (49) | US7514444B2 (en) |
| EP (11) | EP2529622B1 (en) |
| JP (4) | JP4934197B2 (en) |
| KR (4) | KR101464424B1 (en) |
| CN (4) | CN101805341B (en) |
| AT (1) | ATE531263T1 (en) |
| AU (2) | AU2006348662B8 (en) |
| BE (1) | BE2015C016I2 (en) |
| BR (2) | BRPI0622054B8 (en) |
| CA (3) | CA3180977A1 (en) |
| CY (11) | CY1112513T1 (en) |
| DK (7) | DK2526934T3 (en) |
| EA (3) | EA020001B1 (en) |
| ES (8) | ES2585902T3 (en) |
| FR (1) | FR15C0029I2 (en) |
| HU (10) | HUE031334T2 (en) |
| IL (1) | IL197550A0 (en) |
| LT (7) | LT2530083T (en) |
| LU (3) | LU92692I2 (en) |
| MX (3) | MX2009003122A (en) |
| NL (1) | NL300728I2 (en) |
| NZ (3) | NZ595230A (en) |
| PL (8) | PL2201840T3 (en) |
| PT (7) | PT2529622T (en) |
| SG (2) | SG166093A1 (en) |
| SI (8) | SI2530083T1 (en) |
| WO (1) | WO2008039218A2 (en) |
| ZA (4) | ZA200901784B (en) |
Cited By (37)
| Publication number | Priority date | Publication date | Assignee | Title |
|---|---|---|---|---|
| US20080139582A1 (en) * | 2006-09-22 | 2008-06-12 | Pharmacyclics, Inc. | Inhibitors of bruton's tyrosine kinase |
| US20100016296A1 (en) * | 2007-10-19 | 2010-01-21 | Avila Therapeutics, Inc. | Heteroaryl compounds and uses thereof |
| US20100029610A1 (en) * | 2008-06-27 | 2010-02-04 | Avila Therapeutics, Inc. | Heteroaryl Compounds and Uses Thereof |
| US20100101977A1 (en) * | 2008-06-05 | 2010-04-29 | United Comb & Novelty Corporation | Stackable Packaging For Lipped Containers |
| US20100249092A1 (en) * | 2008-06-27 | 2010-09-30 | Avila Therapeutics, Inc. | Heteroaryl compounds and uses thereof |
| US7982036B2 (en) | 2007-10-19 | 2011-07-19 | Avila Therapeutics, Inc. | 4,6-disubstitued pyrimidines useful as kinase inhibitors |
| US20110224235A1 (en) * | 2008-07-16 | 2011-09-15 | Pharmacyclics, Inc. | Inhibitors of bruton's tyrosine kinase for the treatment of solid tumors |
| US8377946B1 (en) | 2011-12-30 | 2013-02-19 | Pharmacyclics, Inc. | Pyrazolo[3,4-d]pyrimidine and pyrrolo[2,3-d]pyrimidine compounds as kinase inhibitors |
| US8563568B2 (en) | 2010-08-10 | 2013-10-22 | Celgene Avilomics Research, Inc. | Besylate salt of a BTK inhibitor |
| US8754090B2 (en) | 2010-06-03 | 2014-06-17 | Pharmacyclics, Inc. | Use of inhibitors of bruton's tyrosine kinase (Btk) |
| US8796255B2 (en) | 2010-11-10 | 2014-08-05 | Celgene Avilomics Research, Inc | Mutant-selective EGFR inhibitors and uses thereof |
| US8809273B2 (en) | 2007-03-28 | 2014-08-19 | Pharmacyclics, Inc. | Inhibitors of Bruton's tyrosine kinase |
| US8975249B2 (en) | 2010-11-01 | 2015-03-10 | Celgene Avilomics Research, Inc. | Heterocyclic compounds and uses thereof |
| US9056839B2 (en) | 2012-03-15 | 2015-06-16 | Celgene Avilomics Research, Inc. | Solid forms of an epidermal growth factor receptor kinase inhibitor |
| US9096604B2 (en) | 2012-11-15 | 2015-08-04 | Pharmacyclics, Inc. | Pyrrolopyrimidine compounds as kinase inhibitors |
| US9108927B2 (en) | 2012-03-15 | 2015-08-18 | Celgene Avilomics Research, Inc. | Salts of an epidermal growth factor receptor kinase inhibitor |
| US9126950B2 (en) | 2012-12-21 | 2015-09-08 | Celgene Avilomics Research, Inc. | Heteroaryl compounds and uses thereof |
| US9145387B2 (en) | 2013-02-08 | 2015-09-29 | Celgene Avilomics Research, Inc. | ERK inhibitors and uses thereof |
| US9238629B2 (en) | 2010-11-01 | 2016-01-19 | Celgene Avilomics Research, Inc. | Heteroaryl compounds and uses thereof |
| US9296753B2 (en) | 2012-06-04 | 2016-03-29 | Pharmacyclics Llc | Crystalline forms of a Bruton's tyrosine kinase inhibitor |
| US9364476B2 (en) | 2011-10-28 | 2016-06-14 | Celgene Avilomics Research, Inc. | Methods of treating a Bruton's Tyrosine Kinase disease or disorder |
| US9415050B2 (en) | 2013-08-12 | 2016-08-16 | Pharmacyclics Llc | Methods for the treatment of HER2 amplified cancer |
| US9415049B2 (en) | 2013-12-20 | 2016-08-16 | Celgene Avilomics Research, Inc. | Heteroaryl compounds and uses thereof |
| US9421208B2 (en) | 2013-08-02 | 2016-08-23 | Pharmacyclics Llc | Methods for the treatment of solid tumors |
| US9492471B2 (en) | 2013-08-27 | 2016-11-15 | Celgene Avilomics Research, Inc. | Methods of treating a disease or disorder associated with Bruton'S Tyrosine Kinase |
| US9533991B2 (en) | 2014-08-01 | 2017-01-03 | Pharmacyclics Llc | Inhibitors of Bruton's tyrosine kinase |
| US9545407B2 (en) | 2014-08-07 | 2017-01-17 | Pharmacyclics Llc | Formulations of a bruton's tyrosine kinase inhibitor |
| US9624224B2 (en) | 2013-09-30 | 2017-04-18 | Pharmacyclics Llc | Inhibitors of Bruton's tyrosine kinase |
| US9655857B2 (en) | 2015-03-03 | 2017-05-23 | Pharmacyclics Llc | Pharmaceutical formulations of a Bruton's tyrosine kinase inhibitor |
| US9862722B2 (en) | 2011-07-13 | 2018-01-09 | Pharmacyclics Llc | Inhibitors of Bruton's tyrosine kinase |
| US9885086B2 (en) | 2014-03-20 | 2018-02-06 | Pharmacyclics Llc | Phospholipase C gamma 2 and resistance associated mutations |
| US9908884B2 (en) | 2009-05-05 | 2018-03-06 | Dana-Farber Cancer Institute, Inc. | EGFR inhibitors and methods of treating disorders |
| US10005760B2 (en) | 2014-08-13 | 2018-06-26 | Celgene Car Llc | Forms and compositions of an ERK inhibitor |
| US10463668B2 (en) | 2013-10-25 | 2019-11-05 | Pharmacyclics Llc | Methods of treating and preventing graft versus host disease |
| US10954567B2 (en) | 2012-07-24 | 2021-03-23 | Pharmacyclics Llc | Mutations associated with resistance to inhibitors of Bruton's Tyrosine Kinase (BTK) |
| US10976772B2 (en) | 2009-09-30 | 2021-04-13 | Apple Inc. | Cover glass to housing interface system |
| US11351168B1 (en) | 2008-06-27 | 2022-06-07 | Celgene Car Llc | 2,4-disubstituted pyrimidines useful as kinase inhibitors |
Families Citing this family (522)
| Publication number | Priority date | Publication date | Assignee | Title |
|---|---|---|---|---|
| EP2308879A1 (en) | 2004-04-02 | 2011-04-13 | OSI Pharmaceuticals, Inc. | 6,6-bicyclic ring substituted heterobicyclic protein kinase inhibitors |
| WO2007002093A2 (en) * | 2005-06-21 | 2007-01-04 | Infinity Discovery, Inc. | Ansamycin formulations and methods of use thereof |
| AU2007254179B2 (en) * | 2006-05-18 | 2013-03-21 | Pharmacyclics Llc | Intracellular kinase inhibitors |
| CA2660086C (en) * | 2006-08-16 | 2014-09-16 | Novartis Ag | Method of making solid dispersions of highly crystalline therapeutic compounds |
| WO2008054827A2 (en) * | 2006-11-03 | 2008-05-08 | Pharmacyclics, Inc. | Bruton's tyrosine kinase activity probe and method of using |
| BRPI0810086B1 (en) | 2007-03-28 | 2021-11-09 | Pharmacyclics Llc | BRUTON'S TYROSINE KINASE INHIBITOR COMPOUND, USE OF SUCH COMPOUND AND PHARMACEUTICAL COMPOSITION |
| BRPI0810835A2 (en) * | 2007-04-12 | 2015-06-16 | Infinity Discovery Inc | Anxamycin Hydroquinone Formulations |
| US20110046144A1 (en) * | 2008-01-18 | 2011-02-24 | Mulvihill Mark J | Imidazopyrazinol derivatives for the treatment of cancers |
| WO2009143051A1 (en) * | 2008-05-19 | 2009-11-26 | Osi Pharmaceuticals, Inc. | Substituted imidazopyr-and imidazotri-azines |
| CA2726460C (en) | 2008-07-15 | 2017-02-21 | F. Hoffmann-La Roche Ag | Novel phenyl-imidazopyridines and pyridazines |
| AU2013245503B2 (en) * | 2008-07-16 | 2015-09-24 | Pharmacyclics Llc | Inhibitors of Bruton's tyrosine kinase for the treatment of solid tumors |
| MY156789A (en) * | 2008-09-05 | 2016-03-31 | Celgene Avilomics Res Inc | Algorithm for designing irreversible inhibitors |
| WO2010045442A1 (en) * | 2008-10-15 | 2010-04-22 | Infinity Discovery, Inc. | Ansamycin hydroquinone compositions |
| WO2010043633A1 (en) * | 2008-10-15 | 2010-04-22 | Palau Pharma, S. A. | 2h-pyrazolo [4,3-d]pyrimidin-5-amine derivatives as h4 histamine receptor antagonists for the treatment of allergic, immunological and inflammatory diseases |
| US9095592B2 (en) * | 2008-11-07 | 2015-08-04 | The Research Foundation For The State University Of New York | Bruton's tyrosine kinase as anti-cancer drug target |
| US8426428B2 (en) * | 2008-12-05 | 2013-04-23 | Principia Biopharma, Inc. | EGFR kinase knockdown via electrophilically enhanced inhibitors |
| JP2012524119A (en) | 2009-04-20 | 2012-10-11 | オーエスアイ・ファーマシューティカルズ,エルエルシー | Preparation of C-pyrazine-methylamine |
| JP5656976B2 (en) * | 2009-04-29 | 2015-01-21 | ローカス ファーマシューティカルズ インコーポレイテッド | Pyrrolotriazine compounds |
| WO2010129740A1 (en) * | 2009-05-07 | 2010-11-11 | Osi Pharmaceuticals, Inc. | Use of osi-906 for treating adrenocortical carcinoma |
| US8785440B2 (en) | 2009-09-04 | 2014-07-22 | Biogen Idec Ma, Inc. | Bruton's tyrosine kinase inhibitors |
| BR112012005550A2 (en) * | 2009-09-11 | 2015-09-08 | Cylene Pharmaceuticals Inc | pharmaceutically useful heterocycle-substituted lactams |
| RU2012114902A (en) | 2009-09-16 | 2013-10-27 | Авила Терапьютикс, Инк. | CONJUGATES AND PROTEINKINASE INHIBITORS |
| US7718662B1 (en) * | 2009-10-12 | 2010-05-18 | Pharmacyclics, Inc. | Pyrazolo-pyrimidine inhibitors of bruton's tyrosine kinase |
| EP2519517B1 (en) | 2009-12-29 | 2015-03-25 | Dana-Farber Cancer Institute, Inc. | Type ii raf kinase inhibitors |
| CN102812167A (en) | 2009-12-30 | 2012-12-05 | 阿维拉制药公司 | Ligand-directed Covalent Modification Of Protein |
| EA201201263A1 (en) * | 2010-03-08 | 2013-04-30 | Рациофарм Гмбх | PHARMACEUTICAL COMPOSITION CONTAINING DAGIGATRAN ETEXYLATE |
| US9371567B2 (en) * | 2010-04-19 | 2016-06-21 | The Translational Genomics Research Institute | Methods and kits to predict therapeutic outcome of BTK inhibitors |
| CN102918040B (en) | 2010-05-31 | 2015-03-18 | 小野药品工业株式会社 | Purinone derivative |
| US20120053189A1 (en) * | 2010-06-28 | 2012-03-01 | Pharmacyclics, Inc. | Btk inhibitors for the treatment of immune mediated conditions |
| EP2590982B1 (en) | 2010-07-09 | 2017-08-23 | The Walter and Eliza Hall Institute of Medical Research | Protein kinase inhibitors and methods of treatment |
| MX2013001970A (en) * | 2010-08-20 | 2013-08-09 | Hutchison Medipharma Ltd | PIRROLOPIRIMIDINE COMPOUNDS AND USES OF THE SAME. |
| PH12013501556A1 (en) | 2011-02-23 | 2017-10-25 | Pfizer | IMIDAZO[5,1-f][1,2,4]TRIAZINES FOR THE TREATMENT OF NEUROLOGICAL DISORDERS |
| US20140107151A1 (en) * | 2011-05-17 | 2014-04-17 | Principia Biophama Inc. | Tyrosine kinase inhibitors |
| PL2710005T3 (en) * | 2011-05-17 | 2017-07-31 | Principia Biopharma Inc. | Tyrosine kinase inhibitors |
| WO2012158795A1 (en) | 2011-05-17 | 2012-11-22 | Principia Biopharma Inc. | Pyrazolopyrimidine derivatives as tyrosine kinase inhibitors |
| DK2710007T3 (en) * | 2011-05-17 | 2020-01-27 | Principia Biopharma Inc | kinase inhibitors |
| CA2840413A1 (en) * | 2011-06-28 | 2013-01-03 | Pharmacyclics, Inc. | Methods and compositions for inhibition of bone resorption |
| ES2624981T3 (en) | 2011-07-01 | 2017-07-18 | Dana-Farber Cancer Institute, Inc. | Discovery of a somatic mutation in the MYD88 gene in lymphoplasmocytic lymphoma |
| KR20140058543A (en) | 2011-07-08 | 2014-05-14 | 노파르티스 아게 | Novel pyrrolo pyrimidine derivatives |
| EP2548877A1 (en) * | 2011-07-19 | 2013-01-23 | MSD Oss B.V. | 4-(5-Membered fused pyridinyl)benzamides as BTK-inhibitors |
| CA2841886C (en) | 2011-07-19 | 2016-08-16 | Merck Sharp & Dohme B.V. | 4-imidazopyridazin-1-yl-benzamides and 4-imidazotriazin-1-yl-benzamides as btk-inhibitors |
| PT3409278T (en) | 2011-07-21 | 2020-12-18 | Sumitomo Dainippon Pharma Oncology Inc | Heterocyclic protein kinase inhibitors |
| MX391121B (en) * | 2011-10-19 | 2025-03-19 | Pharmacyclics Llc | USE OF BRUTON TYROSINE KINASE (BTK) INHIBITORS. |
| GB2496135B (en) | 2011-11-01 | 2015-03-18 | Valirx Plc | Inhibitors of the interaction between a Src family kinase and an androgen receptor or estradiol receptor for treatment of endometriosis |
| UA111756C2 (en) * | 2011-11-03 | 2016-06-10 | Ф. Хоффманн-Ля Рош Аг | HETEROARYLPYRIDONE AND AZAPIRIDONE COMPOUNDS AS BRUTON TYROSINKINASE INHIBITORS |
| ES2552514T3 (en) * | 2011-11-03 | 2015-11-30 | Hoffmann-La Roche Ag | Bicyclic Piperazine Compounds |
| US9212381B2 (en) * | 2011-11-10 | 2015-12-15 | President And Fellows Of Harvard College | Methods and compositions for labeling polypeptides |
| US9382239B2 (en) | 2011-11-17 | 2016-07-05 | Dana-Farber Cancer Institute, Inc. | Inhibitors of c-Jun-N-terminal kinase (JNK) |
| RU2615999C2 (en) | 2011-11-29 | 2017-04-12 | Оно Фармасьютикал Ко., Лтд. | Hydrochloride of derivative purinona |
| DK2802328T3 (en) | 2012-01-09 | 2018-06-14 | X Chem Inc | TRYPTOLIN DERIVATIVES WITH KINASE INHIBITIVE ACTIVITY AND APPLICATIONS THEREOF |
| WO2013113097A1 (en) * | 2012-01-31 | 2013-08-08 | Beta Pharma Canada Inc. | Cyclic molecules as bruton's tyrosine kinase inhibitors |
| US8501724B1 (en) * | 2012-01-31 | 2013-08-06 | Pharmacyclics, Inc. | Purinone compounds as kinase inhibitors |
| TW201336847A (en) * | 2012-02-07 | 2013-09-16 | Taiho Pharmaceutical Co Ltd | Quinolyl pyrrolopyrimidine compound or salt thereof |
| DK2722332T3 (en) * | 2012-02-23 | 2016-06-20 | Taiho Pharmaceutical Co Ltd | Quinolylpyrrolopyrimidylforbindelse with concentrated ring or salt thereof. |
| CN103312670A (en) | 2012-03-12 | 2013-09-18 | 西安西电捷通无线网络通信股份有限公司 | Authentication method and system |
| WO2013148603A1 (en) | 2012-03-27 | 2013-10-03 | Takeda Pharmaceutical Company Limited | Cinnoline derivatives as as btk inhibitors |
| US9353062B2 (en) | 2012-04-04 | 2016-05-31 | Hangzhouderenyucheng Biotechnology Ltd | Substituted quinolines as bruton's tyrosine kinases inhibitors |
| US9879003B2 (en) | 2012-04-11 | 2018-01-30 | Dana-Farber Cancer Institute, Inc. | Host targeted inhibitors of dengue virus and other viruses |
| HK1206624A1 (en) | 2012-04-11 | 2016-01-15 | Acerta Pharma B.V. | Bruton's tyrosine kinase inhibitors for hematopoietic mobilization |
| CN103374001B (en) * | 2012-04-19 | 2015-10-28 | 山东轩竹医药科技有限公司 | Imidazo-triazine class mTOR inhibitors |
| JP6175495B2 (en) * | 2012-05-31 | 2017-08-02 | ファーマサイエンス・インコーポレイテッドPharmascience Inc. | Protein kinase inhibitor |
| AR091273A1 (en) | 2012-06-08 | 2015-01-21 | Biogen Idec Inc | PYRIMIDINYL TIROSINE KINASE INHIBITORS |
| MX368112B (en) * | 2012-06-18 | 2019-09-18 | Principia Biopharma Inc | Reversible covalent pyrrolo- or pyrazolopyrimidines useful for the treatment cancer and autoimmune diseases. |
| US20150140085A1 (en) | 2012-06-29 | 2015-05-21 | Principia Biopharma Inc. | Formulations comprising ibrutinib |
| JP6261580B2 (en) | 2012-07-30 | 2018-01-17 | コンサート ファーマシューティカルズ インコーポレイテッド | Deuterated ibrutinib |
| WO2014022569A1 (en) * | 2012-08-03 | 2014-02-06 | Principia Biopharma Inc. | Treatment of dry eye |
| EP2882741B1 (en) | 2012-08-10 | 2018-10-24 | Boehringer Ingelheim International GmbH | Heteroaromatic compounds as bruton's tyrosine kinase (btk) inhibitors |
| CN103121999A (en) * | 2012-08-29 | 2013-05-29 | 苏州迪飞医药科技有限公司 | Method for synthesizing tyrosine kinase inhibitor PCI-32765 |
| JP2015526520A (en) * | 2012-08-31 | 2015-09-10 | プリンシピア バイオファーマ インコーポレイテッド | Benzimidazole derivatives as ITK inhibitors |
| EP3181567B9 (en) * | 2012-09-10 | 2025-09-24 | Principia Biopharma Inc. | Pyrazolopyrimidine compounds as kinase inhibitors |
| CH706997A1 (en) | 2012-09-20 | 2014-03-31 | Ferag Ag | Access control on operating modules of a control unit. |
| EP2909194A1 (en) | 2012-10-18 | 2015-08-26 | Dana-Farber Cancer Institute, Inc. | Inhibitors of cyclin-dependent kinase 7 (cdk7) |
| US10000483B2 (en) | 2012-10-19 | 2018-06-19 | Dana-Farber Cancer Institute, Inc. | Bone marrow on X chromosome kinase (BMX) inhibitors and uses thereof |
| WO2014063061A1 (en) * | 2012-10-19 | 2014-04-24 | Dana-Farber Cancer Institute, Inc. | Hydrophobically tagged small molecules as inducers of protein degradation |
| EP2914263A4 (en) * | 2012-11-02 | 2016-04-27 | Pharmacyclics Inc | ADJUVANT THERAPY BY KINASE INHIBITOR OF THE TEC FAMILY |
| CA2888960C (en) * | 2012-11-02 | 2017-08-15 | Pfizer Inc. | Bruton's tyrosine kinase inhibitors |
| SG11201503556PA (en) | 2012-11-16 | 2015-06-29 | Bristol Myers Squibb Co | Dihydropyrazole gpr40 modulators |
| CN103848810A (en) * | 2012-11-30 | 2014-06-11 | 北京赛林泰医药技术有限公司 | Bruton's tyrosine kinases inhibitor |
| KR20150111918A (en) * | 2012-12-21 | 2015-10-06 | 테바 파마슈티컬 인더스트리즈 리미티드 | Transmucosal delivery of glatiramer acetate |
| WO2014113942A1 (en) * | 2013-01-23 | 2014-07-31 | Merck Sharp & Dohme Corp. | Btk inhibitors |
| WO2014114185A1 (en) * | 2013-01-23 | 2014-07-31 | Merck Sharp & Dohme Corp. | Btk inhibitors |
| WO2014113932A1 (en) * | 2013-01-23 | 2014-07-31 | Merck Sharp & Dohme Corp. | Btk inhibitors |
| WO2014130856A2 (en) * | 2013-02-21 | 2014-08-28 | Wayne Rothbaum | Treatment of skeletal-related disorders |
| MX2015010934A (en) | 2013-02-22 | 2015-10-29 | Taiho Pharmaceutical Co Ltd | Method for producing tricyclic compound, and tricyclic compound capable of being produced by said production method. |
| JO3377B1 (en) | 2013-03-11 | 2019-03-13 | Takeda Pharmaceuticals Co | Pyridinyl and fused pyridinyl triazolone derivatives |
| US9610282B2 (en) * | 2013-03-12 | 2017-04-04 | Nbip, Llc | Compositions and methods for preventing infection of a wound and for advancing the healing process |
| CN103142601A (en) * | 2013-03-13 | 2013-06-12 | 杭州雷索药业有限公司 | Application of PCI (Percutaneous Coronary Intervention)-32765 for preparing anti-angiogenic medicines |
| AU2014244518A1 (en) * | 2013-03-14 | 2015-09-17 | Pharmacyclics Llc | Combinations of Bruton's tyrosine kinase inhibitors and CYP3A4 inhibitors |
| ES2738493T3 (en) | 2013-03-14 | 2020-01-23 | Tolero Pharmaceuticals Inc | JAK2 and ALK2 inhibitors and methods for their use |
| EP2970163B1 (en) | 2013-03-14 | 2018-02-28 | Boehringer Ingelheim International GmbH | 5-thiazolecarboxamide dervatives and their use as btk inhibitors |
| JP6495886B2 (en) | 2013-03-15 | 2019-04-03 | ベーリンガー インゲルハイム インターナショナル ゲゼルシャフト ミット ベシュレンクテル ハフツング | Heteroaromatic compounds as BTK inhibitors |
| KR20150133172A (en) | 2013-03-15 | 2015-11-27 | 셀진 아빌로믹스 리서치, 인코포레이티드 | Mk2 inhibitors and uses thereof |
| US9156847B2 (en) * | 2013-03-15 | 2015-10-13 | Janssen Pharmaceutica Nv | Processes and intermediates for preparing a medicament |
| KR102377688B1 (en) * | 2013-03-15 | 2022-03-22 | 얀센 파마슈티카 엔.브이. | Methods and intermediates for the manufacture of pharmaceuticals |
| TWI654206B (en) | 2013-03-16 | 2019-03-21 | 諾華公司 | Treatment of cancer with a humanized anti-CD19 chimeric antigen receptor |
| EP2983674A4 (en) | 2013-04-08 | 2017-05-10 | Dennis M. Brown | Therapeutic benefit of suboptimally administered chemical compounds |
| MX369503B (en) * | 2013-04-08 | 2019-11-11 | Pharmacyclics Llc | Ibrutinib combination therapy. |
| US8957080B2 (en) | 2013-04-09 | 2015-02-17 | Principia Biopharma Inc. | Tyrosine kinase inhibitors |
| DK2989106T3 (en) | 2013-04-25 | 2017-03-20 | Beigene Ltd | CONDENSED HETEROCYCLIC COMPOUNDS AS PROTEINKINASE INHIBITORS |
| GB2513615A (en) | 2013-05-01 | 2014-11-05 | Cancer Rec Tech Ltd | Medical use |
| GB201309085D0 (en) | 2013-05-20 | 2013-07-03 | Redx Pharma Ltd | Compounds |
| US9694011B2 (en) | 2013-05-21 | 2017-07-04 | Jiangsu Medolution Ltd | Substituted pyrazolopyrimidines as kinases inhibitors |
| EP3016953A4 (en) * | 2013-07-02 | 2017-03-01 | Pharmacyclics, LLC | Purinone compounds as kinase inhibitors |
| KR101815360B1 (en) | 2013-07-03 | 2018-01-04 | 에프. 호프만-라 로슈 아게 | Heteroaryl pyridone and aza-pyridone amide compounds |
| AU2014293011A1 (en) | 2013-07-26 | 2016-03-17 | Race Oncology Ltd. | Compositions to improve the therapeutic benefit of bisantrene |
| EP2832358A1 (en) | 2013-08-02 | 2015-02-04 | Bionsil S.r.l. | Pharmaceutical kit for use in the treatment of colon and colorectal cancer |
| PT3702373T (en) | 2013-09-13 | 2022-09-27 | Beigene Switzerland Gmbh | Anti-pd1 antibodies and their use as therapeutics and diagnostics |
| RS60934B1 (en) | 2013-09-30 | 2020-11-30 | Guangzhou Innocare Pharma Tech Co Ltd | Substituted nicotinimide inhibitors of btk and their preparation and use in the treatment of cancer, inflammation and autoimmune disease |
| JP2016536354A (en) * | 2013-10-10 | 2016-11-24 | アセチロン ファーマシューティカルズ インコーポレイテッドAcetylon Pharmaceuticals,Inc. | HDAC inhibitors alone or in combination with BTK inhibitors for the treatment of non-Hodgkin lymphoma |
| WO2015057992A1 (en) | 2013-10-16 | 2015-04-23 | Izumi Raquel | Btk inhibitors for hematopoietic mobilization |
| AU2014337044A1 (en) | 2013-10-18 | 2016-05-05 | Dana-Farber Cancer Institute, Inc. | Polycyclic inhibitors of cyclin-dependent kinase 7 (CDK7) |
| WO2015058126A1 (en) | 2013-10-18 | 2015-04-23 | Syros Pharmaceuticals, Inc. | Heteroaromatic compounds useful for the treatment of prolferative diseases |
| WO2015069441A1 (en) * | 2013-10-18 | 2015-05-14 | Medivation Technologies, Inc. | Pyrazolo-, imidazolo- and pyrrolo-pyridine or -pyrimidine derivatives as inhibitors o brutons kinase (btk) |
| US20210317140A1 (en) | 2013-10-18 | 2021-10-14 | Medivation Technologies, Inc. | Heterocyclic Compounds and Methods of Use |
| AU2014339816B2 (en) * | 2013-10-25 | 2020-05-28 | Pharmacyclics Llc | Treatment using Bruton's tyrosine kinase inhibitors and immunotherapy |
| US9636340B2 (en) | 2013-11-12 | 2017-05-02 | Ayyappan K. Rajasekaran | Kinase inhibitors |
| WO2015071432A1 (en) | 2013-11-14 | 2015-05-21 | Sandoz Ag | Pharmaceutical compositions of ibrutinib |
| WO2015073833A1 (en) * | 2013-11-15 | 2015-05-21 | Pharmacyclics, Inc. | Methods for delaying or preventing the onset of type 1 diabetes |
| CN103626774B (en) | 2013-11-20 | 2015-11-04 | 苏州明锐医药科技有限公司 | The preparation method of Ibrutinib |
| CA2833867A1 (en) * | 2013-11-21 | 2015-05-21 | Pharmascience Inc. | Protein kinase inhibitors |
| CN103694241A (en) * | 2013-11-27 | 2014-04-02 | 苏州晶云药物科技有限公司 | Novel crystal form A of PCI-32765 and preparation method thereof |
| US9512084B2 (en) | 2013-11-29 | 2016-12-06 | Novartis Ag | Amino pyrimidine derivatives |
| AU2014360758B2 (en) | 2013-12-02 | 2020-03-26 | Pharmacyclics Llc | Methods of treating and preventing alloantibody driven chronic graft versus host disease |
| ES2654051T3 (en) | 2013-12-05 | 2018-02-12 | Pfizer Inc. | Pyrrolo [2,3-d] pyrimidinyl, pyrrolo [2,3-b] pyrazinyl and pyrrolo [2,3-d] pyridinyl acrylamides |
| RU2646758C2 (en) | 2013-12-05 | 2018-03-07 | Ф. Хоффманн-Ля Рош Аг | Heteroyryl pyridones and azapiridons with electrophilic functionality |
| CA2931431A1 (en) | 2013-12-05 | 2015-06-11 | Acerta Pharma B.V. | Therapeutic combination of a pi3k inhibitor and a btk inhibitor |
| WO2015089481A2 (en) * | 2013-12-13 | 2015-06-18 | Dana-Farber Cancer Institute, Inc. | Methods to treat lymphoplasmacytic lymphoma |
| EP3079683A4 (en) | 2013-12-13 | 2017-12-20 | Dana-Farber Cancer Institute, Inc. | Methods to treat lymphoplasmacytic lymphoma |
| WO2015095099A1 (en) | 2013-12-20 | 2015-06-25 | Merck Sharp & Dohme Corp. | Btk inhibitors |
| WO2015095102A1 (en) | 2013-12-20 | 2015-06-25 | Merck Sharp & Dohme Corp. | Btk inhibitors |
| US10272083B2 (en) | 2014-01-21 | 2019-04-30 | Acerta Pharma B.V. | Methods of treating chronic lymphocytic leukemia and small lymphocytic leukemia using a BTK inhibitor |
| EP3099674B1 (en) | 2014-01-29 | 2018-10-24 | Boehringer Ingelheim International Gmbh | Pyrazole compounds as btk inhibitors |
| CN106008515A (en) * | 2014-01-29 | 2016-10-12 | 苏州晶云药物科技有限公司 | New crystal form of ibrutinib and preparation method of new crystal form |
| US9840509B2 (en) * | 2014-02-03 | 2017-12-12 | Cadila Healthcare Limited | Heterocyclic compounds |
| KR20160117614A (en) | 2014-02-21 | 2016-10-10 | 프린시피아 바이오파마, 인코퍼레이티드 | Salts and solid form of a btk inhibitor |
| EP3110820B1 (en) | 2014-02-28 | 2022-04-06 | Nimbus Lakshmi, Inc. | Tyk2 inhibitors and uses thereof |
| GB201404987D0 (en) * | 2014-03-20 | 2014-05-07 | Redx Pharma Ltd | Compounds |
| WO2015146159A1 (en) | 2014-03-25 | 2015-10-01 | Ono Pharmaceutical Co., Ltd. | Prophylactic agent and/or therapeutic agent for diffuse large b-cell lymphoma |
| AU2015237744A1 (en) * | 2014-03-27 | 2016-09-15 | Wavelength Enterprises Ltd | Ibrutinib solid forms and production process therefor |
| WO2015151006A1 (en) * | 2014-03-29 | 2015-10-08 | Lupin Limited | Substituted purine compounds as btk inhibitors |
| WO2015185998A2 (en) | 2014-04-11 | 2015-12-10 | Acerta Pharma B.V. | Methods of blocking the cxcr-4/sdf-1 signaling pathway with inhibitors of bone marrow x kinase |
| US9937171B2 (en) | 2014-04-11 | 2018-04-10 | Acerta Pharma B.V. | Methods of blocking the CXCR-4/SDF-1 signaling pathway with inhibitors of bruton's tyrosine kinase |
| CN105017256A (en) * | 2014-04-29 | 2015-11-04 | 浙江导明医药科技有限公司 | Polyfluorinated compound Bruton tyrosine kinase inhibitor |
| CN105085474B (en) * | 2014-05-07 | 2018-05-18 | 北京赛林泰医药技术有限公司 | Shandong tyrosine kinase inhibitor |
| CN105085529A (en) * | 2014-05-15 | 2015-11-25 | 广东东阳光药业有限公司 | Novel crystal form of ibrutinib and preparation method thereof |
| CN104086551B (en) * | 2014-06-06 | 2016-09-21 | 人福医药集团股份公司 | Compound and its production and use |
| GB201410430D0 (en) | 2014-06-11 | 2014-07-23 | Redx Pharma Ltd | Compounds |
| US9949971B2 (en) | 2014-06-17 | 2018-04-24 | Acerta Pharma B.V. | Therapeutic combinations of a BTK inhibitor, a PI3K inhibitor and/or a JAK-2 inhibitor |
| CN104945404B (en) * | 2014-06-25 | 2018-09-14 | 广东东阳光药业有限公司 | A kind of preparation method of N- propenecarbonyls piperidine derivative |
| TW201613919A (en) * | 2014-07-02 | 2016-04-16 | Pharmacyclics Llc | Inhibitors of Bruton's tyrosine kinase |
| CN105294571B (en) * | 2014-07-03 | 2019-04-23 | 浙江九洲药业股份有限公司 | A kind of Ibrutinib intermediate and its preparation method and use |
| CN110156892B (en) | 2014-07-03 | 2023-05-16 | 百济神州有限公司 | anti-PD-L1 antibodies and their use as therapeutic and diagnostic agents |
| WO2016007185A1 (en) | 2014-07-07 | 2016-01-14 | Eternity Bioscience Inc. | Aminopyridazinone compounds as protein kinase inhibitors |
| TW201607930A (en) * | 2014-07-18 | 2016-03-01 | 百濟神州有限公司 | 5-amino-4-carbamoyl-pyrazole compounds as selective and irreversible T790M over WT EGFR kinase inhibitors and the use thereof |
| WO2016019237A2 (en) * | 2014-07-31 | 2016-02-04 | Pharmacyclics Llc | Inhibitors of bruton's tyrosine kinase |
| WO2016020901A1 (en) | 2014-08-07 | 2016-02-11 | Acerta Pharma B.V. | Methods of treating cancers, immune and autoimmune diseases, and inflammatory diseases based on btk occupancy and btk resynthesis rate |
| CN105461720B (en) * | 2014-08-08 | 2019-08-06 | 南京圣和药业股份有限公司 | Morpholine class tyrosine kinase inhibitor |
| WO2016022853A1 (en) | 2014-08-08 | 2016-02-11 | Pharmacyclics Llc | Bruton's tyrosine kinase inhibitor combinations and uses thereof |
| TW201618773A (en) | 2014-08-11 | 2016-06-01 | 艾森塔製藥公司 | Therapeutic combinations of a BTK inhibitor, a PI3K inhibitor, a JAK-2 inhibitor, and/or a CDK4/6 inhibitor |
| US20170231995A1 (en) | 2014-08-11 | 2017-08-17 | Acerta Pharma B.V. | BTK Inhibitors to Treat Solid Tumors Through Modulation of the Tumor Microenvironment |
| US20170239351A1 (en) | 2014-08-11 | 2017-08-24 | Acerta Pharma B.V. | Therapeutic Combinations of a BTK Inhibitor, a PI3K Inhibitor, a JAK-2 Inhibitor, a PD-1 Inhibitor, and/or a PD-L1 Inhibitor |
| PL3179991T3 (en) | 2014-08-11 | 2022-02-14 | Acerta Pharma B.V. | THERAPEUTIC COMBINATIONS OF BTK INHIBITOR AND BCL-2 INHIBITOR |
| WO2016023082A1 (en) | 2014-08-12 | 2016-02-18 | Monash University | Lymph directing prodrugs |
| EP3180343A1 (en) | 2014-08-14 | 2017-06-21 | Assia Chemical Industries Ltd. | Solid state forms of ibrutinib |
| JP6507234B2 (en) | 2014-10-02 | 2019-04-24 | エフ.ホフマン−ラ ロシュ アーゲーF. Hoffmann−La Roche Aktiengesellschaft | Pyrazole carboxamide compounds for use in the treatment of disorders mediated by bruton tyrosine kinase (BTK) |
| WO2016065138A1 (en) | 2014-10-22 | 2016-04-28 | Dana-Farber Cancer Institute, Inc. | Thiazolyl-containing compounds for treating proliferative diseases |
| LT3209656T (en) | 2014-10-24 | 2020-07-27 | Bristol-Myers Squibb Company | Indole carboxamides compounds useful as kinase inhibitors |
| EP3212645B1 (en) | 2014-10-27 | 2018-11-28 | F.Hoffmann-La Roche Ag | Process for making tricyclic lactam compounds |
| HRP20210809T8 (en) | 2014-10-29 | 2021-09-17 | Bicyclerd Limited | Bicyclic peptide ligands specific for mt1-mmp |
| WO2016066673A1 (en) * | 2014-10-30 | 2016-05-06 | Sandoz Ag | Synthesis of substituted 1h-pyrazolo[3,4-d]pyrimidines |
| EP3221320A4 (en) * | 2014-11-19 | 2018-04-25 | Sun Pharmaceutical Industries Ltd | A process for the preparation of ibrutinib |
| WO2016079216A1 (en) | 2014-11-20 | 2016-05-26 | Sandoz Ag | Physical forms of ibrutinib, a bruton's kinase inhibitor |
| CN104447761A (en) * | 2014-11-27 | 2015-03-25 | 广东东阳光药业有限公司 | A kind of preparation method of pyrazole derivative |
| WO2016088074A1 (en) * | 2014-12-03 | 2016-06-09 | Dr. Reddy’S Laboratories Limited | Process for the preparation of amorphous ibrutinib |
| AR102871A1 (en) * | 2014-12-03 | 2017-03-29 | Pharmacyclics Llc | FIBROSIS TREATMENT METHODS |
| CN104478884A (en) * | 2014-12-05 | 2015-04-01 | 广东东阳光药业有限公司 | Preparation method of intermediate |
| WO2016087994A1 (en) | 2014-12-05 | 2016-06-09 | Acerta Pharma B.V. | Btk inhibitors to treat solid tumors through modulation of the tumor microenvironment |
| TW201702218A (en) | 2014-12-12 | 2017-01-16 | 美國杰克森實驗室 | Compositions and methods relating to the treatment of cancer, autoimmune disease, and neurodegenerative disease |
| CA2970723C (en) | 2014-12-18 | 2023-09-05 | Principia Biopharma Inc. | Treatment of pemphigus |
| IL301960B2 (en) | 2014-12-18 | 2024-08-01 | Hoffmann La Roche | TETRAHYDRO-PYRIDO[3,4-b]INDOLE ESTROGEN RECEPTOR MODULATORS AND USES THEREOF |
| WO2016105528A2 (en) | 2014-12-23 | 2016-06-30 | Dana-Farber Cancer Institute, Inc. | Inhibitors of cyclin-dependent kinase 7 (cdk7) |
| WO2016106652A1 (en) * | 2014-12-31 | 2016-07-07 | Merck Sharp & Dohme Corp. | Biarylether imidazopyrazine btk inhibitors |
| WO2016106629A1 (en) * | 2014-12-31 | 2016-07-07 | Merck Sharp & Dohme Corp. | Btk inhibitors |
| WO2016106624A1 (en) * | 2014-12-31 | 2016-07-07 | Merck Sharp & Dohme Corp. | Tertiary alcohol imidazopyrazine btk inhibitors |
| WO2016106628A1 (en) * | 2014-12-31 | 2016-07-07 | Merck Sharp & Dohme Corp. | Btk inhibitors |
| CN105820168B (en) * | 2015-01-09 | 2018-12-04 | 上海医药工业研究院 | A kind of preparation method for replacing Buddhist nun's intermediate according to Shandong |
| MA41350A (en) * | 2015-01-14 | 2017-11-21 | Janssen Pharmaceutica Nv | SUMMARY OF A BRUTON TYROSINE KINASE INHIBITOR |
| EP3248979B1 (en) * | 2015-01-21 | 2021-04-14 | Hefei Institutes of Physical Science, Chinese Academy of Sciences | Novel inhibitor of flt3 kinase and use thereof |
| WO2016123504A1 (en) * | 2015-01-30 | 2016-08-04 | Pharmacyclics Llc | Btk inhibitor combinations and multidrug-resistance |
| CZ201584A3 (en) | 2015-02-09 | 2016-08-17 | Zentiva, K.S. | Ibrutinib sulfate salt |
| WO2016127915A1 (en) * | 2015-02-12 | 2016-08-18 | 上海度德医药科技有限公司 | Method for preparing ibrutinib |
| WO2016132383A1 (en) | 2015-02-18 | 2016-08-25 | Mylan Laboratories Limited | Process for the preparation of ibrutinib |
| TWI744225B (en) | 2015-02-27 | 2021-11-01 | 美商林伯士拉克許米公司 | Tyk2 inhibitors and uses thereof |
| WO2016141044A1 (en) | 2015-03-04 | 2016-09-09 | Arizona Board Of Regents On Behalf Of Arizona State University | Erbb4 inhibitors and methods of use thereof |
| CN106146508A (en) * | 2015-03-19 | 2016-11-23 | 浙江导明医药科技有限公司 | The drug combination optimized and treatment cancer and the purposes of autoimmune disease thereof |
| US9717745B2 (en) | 2015-03-19 | 2017-08-01 | Zhejiang DTRM Biopharma Co. Ltd. | Pharmaceutical compositions and their use for treatment of cancer and autoimmune diseases |
| MA41827A (en) | 2015-03-27 | 2018-01-30 | Pharmacyclics Llc | SOLVATED FORMS OF A BRUTON TYROSINE KINASE INHIBITOR |
| HK1246645A1 (en) | 2015-03-27 | 2018-09-14 | 达纳-法伯癌症研究所股份有限公司 | Inhibitors of cyclin-dependent kinases |
| MA41828A (en) | 2015-03-27 | 2018-01-30 | Pharmacyclics Llc | CO-CRYSTALS OF A TYROSINE KINASE INHIBITOR FROM BRUTON |
| WO2016161248A1 (en) * | 2015-04-02 | 2016-10-06 | Tolero Pharmaceuticals, Inc. | Targeting pim kinases in combination with btk inhibition |
| ES2733460T3 (en) * | 2015-04-02 | 2019-11-29 | Ratiopharm Gmbh | Ibrutinib co-crystals |
| CN106146511A (en) * | 2015-04-03 | 2016-11-23 | 安润医药科技(苏州)有限公司 | Pyrazolopyrimidine derivative, preparation method, pharmaceutical composition and purposes |
| CN105906621A (en) * | 2015-04-06 | 2016-08-31 | 四川百利药业有限责任公司 | Ethanol compound used as FGFR inhibitor |
| AU2016246669B2 (en) * | 2015-04-06 | 2021-07-15 | Janssen Pharmaceutica Nv | Compositions containing Ibrutinib |
| IL254817B2 (en) | 2015-04-08 | 2023-12-01 | Novartis Ag | CD20 treatments, CD22 treatments and combined treatments with CD19 chimeric antigen receptor expressing cells |
| US10239879B2 (en) | 2015-04-09 | 2019-03-26 | Ono Pharmaceutical Co., Ltd. | Process for producing purinone derivative |
| CN106146512B (en) * | 2015-04-09 | 2018-07-17 | 北京睿创康泰医药研究院有限公司 | The preparation method of Buddhist nun is replaced according to Shandong |
| TWI697329B (en) * | 2015-04-13 | 2020-07-01 | 日商第一三共股份有限公司 | Medicament for use in the treatment of a hematological cancer and use thereof |
| CN106146482B (en) * | 2015-04-14 | 2020-06-23 | 宁波文达医药科技有限公司 | Bruton's tyrosine kinase inhibitors |
| WO2016170545A1 (en) * | 2015-04-22 | 2016-10-27 | Msn Laboratories Private Limited | Process for the preparation of 1-[(3r)-3-[4-amino-3-(4-phenoxyphenvl)-1h- pvrazolo[3,4-d]pyriniidin-1-y1]-1-piperidinvl]-2-propen-1-one and its polymorphs thereof |
| CA2984259C (en) | 2015-04-30 | 2024-02-13 | Bayer Pharma Aktiengesellschaft | Combinations of inhibitors of irak4 with inhibitors of btk |
| EP3195865A1 (en) | 2016-01-25 | 2017-07-26 | Bayer Pharma Aktiengesellschaft | Combinations of inhibitors of irak4 with inhibitors of btk |
| US10617691B2 (en) | 2015-05-26 | 2020-04-14 | Morphosys Ag | Combination of an anti-CD19 antibody and a Bruton's tyrosine kinase inhibitor and uses thereof |
| PH12021551681A1 (en) * | 2015-06-03 | 2023-08-23 | Prinicipia Biopharma Inc | Tyrosine kinase inhibitors |
| US10702527B2 (en) | 2015-06-12 | 2020-07-07 | Dana-Farber Cancer Institute, Inc. | Combination therapy of transcription inhibitors and kinase inhibitors |
| US9394312B1 (en) * | 2015-06-14 | 2016-07-19 | Mark Quang Nguyen | Ibrutinib prodrugs, pharmaceutical compositions thereof, and methods of use |
| JP6819585B2 (en) | 2015-06-22 | 2021-01-27 | 小野薬品工業株式会社 | Brk inhibitor compound |
| EP3313839A1 (en) | 2015-06-24 | 2018-05-02 | Principia Biopharma Inc. | Tyrosine kinase inhibitors |
| WO2016207172A1 (en) * | 2015-06-26 | 2016-12-29 | Sandoz Gmbh | Preparation of pure amorphous ibrutinib |
| CZ2015442A3 (en) * | 2015-06-26 | 2017-01-04 | Zentiva, K.S. | Ibrutinib hemisulfate |
| WO2017004134A1 (en) | 2015-06-29 | 2017-01-05 | Nimbus Iris, Inc. | Irak inhibitors and uses thereof |
| PL3317281T3 (en) | 2015-07-02 | 2020-11-02 | Acerta Pharma B.V. | Solid forms and formulations of (s)-4-(8-amino-3-(1-(but-2-ynoyl)pyrrolidin-2-yl)imidazo[1,5-a]pyrazin-1-yl)-n-(pyridin-2-yl)benzamide |
| PL3567045T3 (en) | 2015-07-02 | 2022-04-19 | F. Hoffmann-La Roche Ag | Benzoxazepin oxazolidinone compounds and methods of use |
| EP3317283B1 (en) | 2015-07-02 | 2019-04-03 | H. Hoffnabb-La Roche Ag | Benzoxazepin oxazolidinone compounds and methods of use |
| ITUB20152576A1 (en) * | 2015-07-29 | 2017-01-29 | Laboratorio Chimico Int S P A | Procedure for the preparation of ibrutinib and a new synthetic intermediate. |
| WO2017029586A1 (en) * | 2015-08-19 | 2017-02-23 | Sun Pharmaceutical Industries Limited | Crystalline forms of ibrutinib |
| US20190008859A1 (en) | 2015-08-21 | 2019-01-10 | Acerta Pharma B.V. | Therapeutic Combinations of a MEK Inhibitor and a BTK Inhibitor |
| HK1256718A1 (en) | 2015-08-31 | 2019-10-04 | 药品循环有限责任公司 | Btk inhibitor combinations for treating multiple myeloma |
| WO2017040757A1 (en) | 2015-09-02 | 2017-03-09 | Nimbus Lakshmi, Inc. | Tyk2 inhibitors and uses thereof |
| JP7118888B2 (en) | 2015-09-08 | 2022-08-16 | モナッシュ ユニバーシティ | lymphotropic prodrug |
| JP7028766B2 (en) | 2015-09-09 | 2022-03-02 | ダナ-ファーバー キャンサー インスティテュート, インコーポレイテッド | Inhibitor of cyclin-dependent kinase |
| US10683308B2 (en) | 2015-09-11 | 2020-06-16 | Navitor Pharmaceuticals, Inc. | Rapamycin analogs and uses thereof |
| CA2904270A1 (en) * | 2015-09-11 | 2017-03-11 | Pharmascience Inc. | Protein kinase inhibitors |
| CN105753863B (en) * | 2015-09-11 | 2018-07-31 | 东莞市真兴贝特医药技术有限公司 | Oxo-dihydroimidazopyridine compound and application thereof |
| US20190022092A1 (en) | 2015-09-15 | 2019-01-24 | Acerta Pharma B.V. | Therapeutic Combinations of a BTK Inhibitor and a GITR Binding Molecule, a 4-1BB Agonist, or an OX40 Agonist |
| MA44909A (en) | 2015-09-15 | 2018-07-25 | Acerta Pharma Bv | THERAPEUTIC ASSOCIATION OF A CD19 INHIBITOR AND A BTK INHIBITOR |
| WO2017046604A1 (en) | 2015-09-16 | 2017-03-23 | Redx Pharma Plc | Pyrazolopyrimidine derivatives as btk inhibitors for the treatment of cancer |
| ES2900482T3 (en) | 2015-10-01 | 2022-03-17 | Gilead Sciences Inc | Combination of a Btk inhibitor and a checkpoint inhibitor for cancer treatment |
| CN106608877B (en) * | 2015-10-21 | 2018-11-13 | 新发药业有限公司 | One kind replacing Buddhist nun's intermediate 4- amino -3- according to Shandong(4- phenoxy groups)The preparation method of phenyl -1H- pyrazolos [3,4-d] pyrimidine |
| CN121102186A (en) | 2015-10-23 | 2025-12-12 | 纳维托制药有限公司 | SESTRIN-GATOR2 interaction modulators and uses thereof |
| TWI642671B (en) | 2015-10-28 | 2018-12-01 | 台灣神隆股份有限公司 | Process for preparing ibrutinib and its intermediates |
| EP4295910A3 (en) | 2015-11-17 | 2024-03-20 | Merck Patent GmbH | Methods for treating multiple sclerosis using pyrimidine and pyridine compounds with btk inhibitory activity |
| CN105294696A (en) * | 2015-11-19 | 2016-02-03 | 上海创诺医药集团有限公司 | Novel crystal forms of ibrutinib and preparation method thereof |
| JP6944936B2 (en) | 2015-12-04 | 2021-10-06 | ポートラ ファーマシューティカルズ, インコーポレイテッド | Serduratinib for treating blood cancer |
| EP3384294B1 (en) | 2015-12-04 | 2021-10-13 | Juno Therapeutics, Inc. | Methods and compositions related to toxicity associated with cell therapy |
| JO3793B1 (en) | 2015-12-10 | 2021-01-31 | Janssen Pharmaceutica Nv | Proton tyrosine kinase inhibitors and how to use them |
| JO3794B1 (en) | 2015-12-10 | 2021-01-31 | Janssen Pharmaceutica Nv | Polycyclic compounds as inhibitors of bruton's tyrosine kinase |
| EP3389664A4 (en) | 2015-12-14 | 2020-01-08 | Raze Therapeutics Inc. | MTHFD2 CAFFEINE INHIBITORS AND USE THEREOF |
| PL3390390T3 (en) | 2015-12-16 | 2022-01-24 | Boehringer Ingelheim International Gmbh | Bipyrazolyl derivatives useful for the treatment of autoimmune diseases |
| HUE051921T2 (en) | 2015-12-16 | 2021-03-29 | Loxo Oncology Inc | Compounds useful as kinase inhibitors |
| US20190008869A1 (en) | 2016-01-13 | 2019-01-10 | Acerta Pharma B.V. | Therapeutic Combinations of an Antifolate and a BTK Inhibitor |
| EP3402789B1 (en) | 2016-01-13 | 2020-03-18 | Boehringer Ingelheim International Gmbh | Isoquinolones as btk inhibitors |
| AU2017208473B2 (en) | 2016-01-19 | 2022-04-21 | Janssen Pharmaceutica Nv | Formulations/compositions comprising a BTK inhibitor |
| CA3008338A1 (en) | 2016-01-19 | 2017-07-27 | Janssen Pharmaceutica Nv | Formulations/compositions comprising a btk inhibitor |
| CN109310671B (en) * | 2016-01-21 | 2021-08-06 | 淄博百极常生制药有限公司 | Bruton's tyrosine kinase inhibitor |
| US10793566B2 (en) | 2016-01-21 | 2020-10-06 | Zibo Biopolar Changsheng Pharmaceutical Co. Ltd. | Bruton's tyrosine kinase inhibitors |
| CN105732638B (en) * | 2016-01-22 | 2018-01-30 | 成都倍特药业有限公司 | A kind of bruton's tyrosine kinase inhibitor with loop coil or caged scaffold and preparation method thereof |
| CN106995446B (en) * | 2016-01-22 | 2021-07-02 | 山东新时代药业有限公司 | Preparation method of Bruton's tyrosine kinase inhibitor |
| WO2017134684A2 (en) | 2016-02-01 | 2017-08-10 | Natco Pharma Limited | An improved process for the preparation of ibrutinib |
| WO2017134685A2 (en) * | 2016-02-02 | 2017-08-10 | Sun Pharma Advanced Research Company Limited | Novel hydrazino compounds as btk inhibitors |
| WO2017134588A1 (en) | 2016-02-04 | 2017-08-10 | Shilpa Medicare Limited | Process for the preparation of ibrutinib |
| WO2017133630A1 (en) * | 2016-02-05 | 2017-08-10 | 北京盛诺基医药科技有限公司 | Inhibitor of bruton's tyrosine kinase |
| GB2558514A (en) * | 2016-02-09 | 2018-07-18 | Azad Pharmaceutical Ingredients Ag | Process for the synthesis of stable amorphous ibrutinib |
| EP3416628A1 (en) | 2016-02-18 | 2018-12-26 | Privo Technologies, Inc. | Two-stage microparticle-based therapeutic delivery system and method |
| CN105646498A (en) * | 2016-03-01 | 2016-06-08 | 孙霖 | Crystal form F of ibrutinib and preparation method |
| CN105646499A (en) * | 2016-03-01 | 2016-06-08 | 孙霖 | Crystal form G of ibrutinib and preparation method |
| EP4234552A3 (en) | 2016-03-09 | 2023-10-18 | Raze Therapeutics, Inc. | 3-phosphoglycerate dehydrogenase inhibitors and uses thereof |
| SI3426243T1 (en) | 2016-03-09 | 2021-11-30 | Raze Therapeutics, Inc. | 3-phosphoglycerate dehydrogenase inhibitors and uses thereof |
| CN115746000A (en) | 2016-03-11 | 2023-03-07 | 嘉兴和剂药业有限公司 | Compounds and methods for modulating bruton's tyrosine kinase |
| WO2017163257A1 (en) * | 2016-03-21 | 2017-09-28 | Ind-Swift Laboratories Limited | Process for preparing pure lh-pyrazolo[3,4-d] pyrimidine derivative |
| ES2886080T3 (en) | 2016-03-31 | 2021-12-16 | Takeda Pharmaceuticals Co | Isoquinolinyl triazolone complexes |
| CZ2016196A3 (en) | 2016-04-06 | 2017-10-18 | Zentiva, K.S. | Solid forms of Ibrutinib |
| US11337969B2 (en) | 2016-04-08 | 2022-05-24 | X4 Pharmaceuticals, Inc. | Methods for treating cancer |
| JP6943876B2 (en) | 2016-04-15 | 2021-10-06 | キャンサー・リサーチ・テクノロジー・リミテッドCancer Research Technology Limited | Heterocyclic compounds as RET kinase inhibitors |
| HUE060082T2 (en) | 2016-04-15 | 2023-01-28 | Cancer Research Tech Ltd | Heterocyclic compounds as ret kinase inhibitors |
| WO2017184774A1 (en) | 2016-04-19 | 2017-10-26 | Acetylon Pharmaceuticals, Inc. | Hdac inhibitors, alone or in combination with btk inhibitors, for treating chronic lymphocytic leukemia |
| WO2017189999A1 (en) * | 2016-04-29 | 2017-11-02 | Dana-Farber Cancer Institute, Inc. | Hck as a therapeutic target in myd88 mutated diseases |
| CZ2016276A3 (en) | 2016-05-11 | 2017-11-22 | Zentiva, K.S. | Solid forms of the ibrutinib free base |
| CA3025019A1 (en) | 2016-05-20 | 2017-11-23 | Biohaven Pharmaceutical Holding Company Ltd. | Use of glutamate modulating agents with immunotherapies to treat cancer |
| CN105859728B (en) * | 2016-05-26 | 2018-06-08 | 江苏中邦制药有限公司 | A kind of preparation method that Buddhist nun is replaced according to Shandong |
| AU2017268839A1 (en) | 2016-05-27 | 2018-11-29 | Laboratoire Francais Du Fractionnement Et Des Biotechnologies | Combination of anti-CD20 antibody, P13 kinase-delta selective inhibitor, and BTK inhibitor to treat B-cell proliferative disorders |
| WO2017216279A1 (en) | 2016-06-16 | 2017-12-21 | F. Hoffmann-La Roche Ag | Heteroaryl estrogen receptor modulators and uses thereof |
| WO2017216280A1 (en) | 2016-06-16 | 2017-12-21 | F. Hoffmann-La Roche Ag | TETRAHYDRO-PYRIDO[3,4-b]INDOLE ESTROGEN RECEPTOR MODULATORS AND USES THEREOF |
| MX388824B (en) * | 2016-06-20 | 2025-03-20 | Novartis Ag | CRYSTALLINE FORMS OF TRIAZOLOPYRIMIDINE COMPOUND. |
| CN109641838A (en) | 2016-06-21 | 2019-04-16 | X4 制药有限公司 | CXCR4 inhibitor and application thereof |
| CN116554168B (en) | 2016-06-21 | 2025-09-23 | X4制药有限公司 | CXCR4 inhibitors and uses thereof |
| WO2017223229A1 (en) | 2016-06-21 | 2017-12-28 | X4 Pharmaceuticals, Inc. | Cxcr4 inhibitors and uses thereof |
| CN106117214A (en) * | 2016-06-29 | 2016-11-16 | 上海创诺医药集团有限公司 | According to Shandong for Buddhist nun's novel crystal forms and preparation method thereof |
| WO2018000250A1 (en) * | 2016-06-29 | 2018-01-04 | 上海创诺医药集团有限公司 | New ibrutinib crystal form and preparation method therefor |
| US20190231784A1 (en) | 2016-06-29 | 2019-08-01 | Principia Biopharma Inc. | Modified release formulations of 2-[3-[4-amino-3-(2-fluoro-4-phenoxy-phenyl)pyrazolo[3,4-d]pyrimidin-1-yl]piperidine-1-carbonyl]-4-methyl-4-[4-(oxetan-3-yl)piperazin-1-yl]pent-2-enenitrile |
| CN113135920A (en) | 2016-06-30 | 2021-07-20 | 株式会社大熊制药 | Pyrazolopyrimidine derivatives as kinase inhibitors |
| WO2018002958A1 (en) | 2016-06-30 | 2018-01-04 | Sun Pharma Advanced Research Company Limited | Novel hydrazide containing compounds as btk inhibitors |
| US10864203B2 (en) | 2016-07-05 | 2020-12-15 | Beigene, Ltd. | Combination of a PD-1 antagonist and a RAF inhibitor for treating cancer |
| JP6726773B2 (en) * | 2016-07-07 | 2020-07-22 | デウン ファーマシューティカル カンパニー リミテッド | Novel 4-aminopyrazolo[3,4-d]pyrimidinylazabicyclo derivative and pharmaceutical composition containing the same |
| CN107641123A (en) * | 2016-07-20 | 2018-01-30 | 南京亿华药业有限公司 | A kind of novel preparation method that Buddhist nun and its key intermediate are replaced according to Shandong |
| CN110049976A (en) | 2016-07-21 | 2019-07-23 | 比奥根Ma公司 | The succinate form and composition of bruton's tyrosine kinase inhibitor |
| KR102793825B1 (en) | 2016-08-16 | 2025-04-11 | 베이진 스위찰랜드 게엠베하 | (S)-7-(1-Acryloylpiperidin-4-yl)-2-(4-Phenoxyphenyl)-4,5,6,7-tetra-Hydrazolo[1,5-a]Pyrimidine-3-Carboxamide, Preparation, and Uses Thereof |
| US11186578B2 (en) | 2016-08-17 | 2021-11-30 | Shenzhen Targetrx, Inc. | Substituted pyrrolo[3,2-d]pyrimidines and pyrazolo[4,3-d]pyrimidines as tyrosine kinase inhibitors |
| CN110087680B (en) | 2016-08-19 | 2024-03-19 | 百济神州有限公司 | Treating cancer with combination products containing BTK inhibitors |
| MX390121B (en) | 2016-09-19 | 2025-03-20 | Mei Pharma Inc | COMBINATIONS OF A BTK INHIBITOR AND A PI3K INHIBITOR FOR THE TREATMENT OF HEMATOLOGICAL MALIGNANCIES. |
| EP3523280A1 (en) * | 2016-10-06 | 2019-08-14 | Janssen Pharmaceutica NV | Processes and intermediates for preparing a btk inhibitor |
| EP3848370B1 (en) | 2016-10-14 | 2025-05-07 | Takeda Pharmaceutical Company Limited | Tyk2 inhibitors and uses thereof |
| KR20190068544A (en) | 2016-10-17 | 2019-06-18 | 다이이찌 산쿄 가부시키가이샤 | Combination treatment of MDM2 inhibitor with DNA methyltransferase inhibitor |
| EP3528816A4 (en) | 2016-10-21 | 2020-04-08 | Nimbus Lakshmi, Inc. | TYK2 INHIBITORS AND USES THEREOF |
| JP7094950B2 (en) | 2016-10-28 | 2022-07-04 | モルフォシス・アーゲー | Combination of anti-CD19 antibody and BCL-2 inhibitor and its use |
| JP2019532997A (en) | 2016-11-03 | 2019-11-14 | ジュノー セラピューティクス インコーポレイテッド | Combination therapy with T cell therapy and BTK inhibitor |
| WO2018089499A1 (en) | 2016-11-08 | 2018-05-17 | Navitor Pharmaceuticals, Inc. | PHENYL AMINO PIPERIDINE mTORC INHIBITORS AND USES THEREOF |
| US10711006B2 (en) * | 2016-11-15 | 2020-07-14 | Hangzhou Hertz Pharmaceutical Co., Ltd. | Selective Bruton's tyrosine kinase inhibitor and use thereof |
| CN108101905A (en) * | 2016-11-24 | 2018-06-01 | 中国科学院上海药物研究所 | Pyrimido [5,4-b] indolizine or pyrimido [5,4-b] pyrrole biopterin compound, preparation method and the usage |
| US20180193270A1 (en) | 2016-11-29 | 2018-07-12 | PureTech Health LLC | Exosomes for delivery of therapeutic agents |
| US10183024B2 (en) | 2016-12-02 | 2019-01-22 | Apotex Inc. | Crystalline forms of ibrutinib |
| MX2019006288A (en) | 2016-12-03 | 2020-10-01 | Juno Therapeutics Inc | Methods and compositions for use of therapeutic t cells in combination with kinase inhibitors. |
| US11091451B2 (en) | 2016-12-05 | 2021-08-17 | Raze Therapeutics, Inc. | SHMT inhibitors and uses thereof |
| AU2017383236B2 (en) * | 2016-12-21 | 2022-02-10 | Acerta Pharma B.V. | Imidazopyrazine inhibitors of Bruton's tyrosine kinase |
| EP3559018A1 (en) | 2016-12-23 | 2019-10-30 | Bicyclerd Limited | Peptide derivatives having novel linkage structures |
| US10624968B2 (en) | 2017-01-06 | 2020-04-21 | Bicyclerd Limited | Compounds for treating cancer |
| TWI774726B (en) | 2017-01-25 | 2022-08-21 | 英屬開曼群島商百濟神州有限公司 | Crystalline forms of (s)-7-(1-(but-2-ynoyl)piperidin-4-yl)-2-(4-phenoxyphenyl)-4,5,6,7-tetrahydropyrazolo[1,5-a]pyrimidine-3-carboxamide, preparation, and uses thereof |
| US20180235899A1 (en) | 2017-02-17 | 2018-08-23 | Privo Technologies, Inc. | Particle-based multi-layer therapeutic delivery device and method |
| US10370381B2 (en) | 2017-02-24 | 2019-08-06 | Gilead Sciences, Inc. | Inhibitors of bruton'S tyrosine kinase |
| US10314844B2 (en) | 2017-02-24 | 2019-06-11 | Gilead Sciences, Inc. | Inhibitors of Bruton's tyrosine kinase |
| TW202515876A (en) | 2017-03-08 | 2025-04-16 | 日商武田藥品工業股份有限公司 | Tyk2 inhibitors and uses thereof |
| CN108570036A (en) * | 2017-03-09 | 2018-09-25 | 北京赛林泰医药技术有限公司 | A kind of polymorph and preparation method thereof of BTK inhibitor |
| GB201703876D0 (en) | 2017-03-10 | 2017-04-26 | Berlin-Chemie Ag | Pharmaceutical combinations |
| US20200172530A1 (en) * | 2017-03-14 | 2020-06-04 | Dana-Farber Cancer Institute, Inc. | Small Molecule Sensitization of BAX Activation for Induction of Cell Death |
| EP3375784A1 (en) | 2017-03-14 | 2018-09-19 | Artax Biopharma Inc. | Aza-dihydro-acridone derivatives |
| EP3375778A1 (en) | 2017-03-14 | 2018-09-19 | Artax Biopharma Inc. | Aryl-piperidine derivatives |
| KR102627756B1 (en) * | 2017-03-22 | 2024-01-23 | 쑤저우 바이지부공 파마수티컬 테크널러지 컴퍼니 리미티드 | Bruton's Tyrosine Kinase Inhibitor |
| WO2018191146A1 (en) | 2017-04-10 | 2018-10-18 | Navitor Pharmaceuticals, Inc. | Heteroaryl rheb inhibitors and uses thereof |
| GB201705971D0 (en) | 2017-04-13 | 2017-05-31 | Cancer Res Tech Ltd | Inhibitor compounds |
| US10800787B2 (en) | 2017-04-20 | 2020-10-13 | Apotex Inc. | Process for the preparation of acalabrutinib |
| CN107043366B (en) * | 2017-04-25 | 2020-05-26 | 中国药科大学 | 4-aminopyrimidine compound, preparation method and medical application thereof |
| AU2018258355B2 (en) | 2017-04-26 | 2024-05-30 | Navitor Pharmaceuticals, Inc. | Modulators of sestrin-gator2 interaction and uses thereof |
| WO2018197893A1 (en) | 2017-04-27 | 2018-11-01 | Bicycletx Limited | Bicyclic peptide ligands and uses thereof |
| US10478403B1 (en) | 2017-05-03 | 2019-11-19 | Privo Technologies, Inc. | Intraoperative topically-applied non-implantable rapid release patch |
| AU2018275891B2 (en) | 2017-06-02 | 2025-02-27 | Juno Therapeutics, Inc. | Articles of manufacture and methods related to toxicity associated with cell therapy |
| CN111225675B (en) | 2017-06-02 | 2024-05-03 | 朱诺治疗学股份有限公司 | Articles and methods of treatment using adoptive cell therapy |
| CN109111446B (en) * | 2017-06-22 | 2021-11-30 | 上海度德医药科技有限公司 | Heteroaryl compound with pharmaceutical activity |
| CN111032678A (en) | 2017-06-26 | 2020-04-17 | 拜西克尔德有限公司 | Bicyclic peptide ligands with detectable moieties and uses thereof |
| KR102757960B1 (en) | 2017-06-26 | 2025-01-22 | 베이진 엘티디 | Immunotherapy for hepatocellular carcinoma (HCC) |
| CN111050545A (en) | 2017-06-29 | 2020-04-21 | 朱诺治疗学股份有限公司 | A mouse model for assessing immunotherapy-related toxicity |
| WO2019013562A1 (en) | 2017-07-12 | 2019-01-17 | 주식회사 대웅제약 | Novel 1h-pyrazolopyridine derivative and pharmaceutical composition containing same |
| KR102384924B1 (en) * | 2017-07-12 | 2022-04-08 | 주식회사 대웅제약 | Novel 1h-pyrazolopyridin derivatives and pharmaceutical composition comprising the same |
| CN117946114A (en) | 2017-07-28 | 2024-04-30 | 武田药品工业株式会社 | TYK2 inhibitors and their uses |
| WO2019025811A1 (en) | 2017-08-04 | 2019-02-07 | Bicycletx Limited | Bicyclic peptide ligands specific for cd137 |
| US11377449B2 (en) | 2017-08-12 | 2022-07-05 | Beigene, Ltd. | BTK inhibitors with improved dual selectivity |
| US20200291096A1 (en) | 2017-08-14 | 2020-09-17 | Bicyclerd Limited | Bicyclic peptide ligand sting conjugates and uses thereof |
| US20200283482A1 (en) | 2017-08-14 | 2020-09-10 | Bicyclerd Limited | Bicyclic peptide ligand prr-a conjugates and uses thereof |
| EP4306524A3 (en) | 2017-08-29 | 2024-09-11 | PureTech LYT, Inc. | Lymphatic system-directing lipid prodrugs |
| US11883497B2 (en) | 2017-08-29 | 2024-01-30 | Puretech Lyt, Inc. | Lymphatic system-directing lipid prodrugs |
| MA50057A (en) | 2017-09-01 | 2020-07-08 | Juno Therapeutics Inc | GENE EXPRESSION AND ASSESSMENT OF A RISK OF DEVELOPING TOXICITY FOLLOWING CELL THERAPY |
| US11358948B2 (en) | 2017-09-22 | 2022-06-14 | Kymera Therapeutics, Inc. | CRBN ligands and uses thereof |
| IL273432B (en) | 2017-09-22 | 2022-09-01 | Kymera Therapeutics Inc | Protein degraders and uses thereof |
| EA037031B1 (en) * | 2017-10-06 | 2021-01-28 | Асерта Фарма Б.В. | Imidazopyrazine inhibitors of bruton's tyrosine kinase |
| KR102613433B1 (en) | 2017-10-11 | 2023-12-13 | 주식회사 대웅제약 | Novel phenyl pyridine derivatives and pharmaceutical composition comprising the same |
| TW201922256A (en) | 2017-10-27 | 2019-06-16 | 中國大陸商浙江導明醫藥科技有限公司 | Methods for treating lymphoid malignancies |
| US11564946B2 (en) | 2017-11-01 | 2023-01-31 | Juno Therapeutics, Inc. | Methods associated with tumor burden for assessing response to a cell therapy |
| WO2019108795A1 (en) | 2017-11-29 | 2019-06-06 | Beigene Switzerland Gmbh | Treatment of indolent or aggressive b-cell lymphomas using a combination comprising btk inhibitors |
| CZ2017787A3 (en) | 2017-12-08 | 2019-06-19 | Zentiva, K.S. | Pharmaceutical compositions comprising ibrutinib |
| GB201721265D0 (en) | 2017-12-19 | 2018-01-31 | Bicyclerd Ltd | Bicyclic peptide ligands specific for EphA2 |
| EP3727362A4 (en) | 2017-12-19 | 2021-10-06 | PureTech LYT, Inc. | MYCOPHENOLIC ACID LIPID MEDICINAL PRODUCTS AND THEIR USES |
| TWI825046B (en) | 2017-12-19 | 2023-12-11 | 英商拜西可泰克斯有限公司 | Bicyclic peptide ligands specific for epha2 |
| US11304954B2 (en) | 2017-12-19 | 2022-04-19 | Puretech Lyt, Inc. | Lipid prodrugs of mycophenolic acid and uses thereof |
| US11608345B1 (en) | 2017-12-19 | 2023-03-21 | Puretech Lyt, Inc. | Lipid prodrugs of rapamycin and its analogs and uses thereof |
| WO2019127008A1 (en) * | 2017-12-26 | 2019-07-04 | 清华大学 | Compound for targeted degradation of btk and application thereof |
| IL315310A (en) | 2017-12-26 | 2024-10-01 | Kymera Therapeutics Inc | IRAK joints and used in them |
| CN108220261B (en) * | 2017-12-29 | 2021-05-14 | 安徽联创生物医药股份有限公司 | Ketoreductase, nucleic acid, recombinant expression vector, recombinant expression strain and application |
| EP3737675A4 (en) | 2018-01-12 | 2022-01-05 | Kymera Therapeutics, Inc. | CRBN LIGANDS AND USES THEREOF |
| WO2019140380A1 (en) | 2018-01-12 | 2019-07-18 | Kymera Therapeutics, Inc. | Protein degraders and uses thereof |
| WO2019142207A1 (en) | 2018-01-20 | 2019-07-25 | Natco Pharma Limited | Pharmaceutical compositions comprising ibrutinib |
| CN111867581B (en) | 2018-01-29 | 2023-12-26 | 默克专利股份有限公司 | GCN2 inhibitors and their uses |
| SG11202006701TA (en) | 2018-01-29 | 2020-08-28 | Merck Patent Gmbh | Gcn2 inhibitors and uses thereof |
| MX2020008791A (en) | 2018-02-23 | 2021-01-08 | Bicycletx Ltd | Multimeric bicyclic peptide ligands. |
| EP3759086A1 (en) | 2018-02-27 | 2021-01-06 | Artax Biopharma Inc. | Chromene derivatives as inhibitors of tcr-nck interaction |
| JP2021524835A (en) | 2018-04-05 | 2021-09-16 | スミトモ ダイニッポン ファーマ オンコロジー, インコーポレイテッド | AXL Kinase Inhibitors and Their Use |
| CN112236139A (en) | 2018-04-13 | 2021-01-15 | 大日本住友制药肿瘤公司 | PIM kinase inhibitors for the treatment of myeloproliferative tumors and cancer-associated fibrosis |
| EP3784666B1 (en) | 2018-04-24 | 2022-03-16 | Merck Patent GmbH | Antiproliferation compounds and uses thereof |
| JP7479293B2 (en) | 2018-04-24 | 2024-05-08 | バーテックス ファーマシューティカルズ インコーポレイテッド | Pteridinone compounds and uses thereof |
| JP7331843B2 (en) | 2018-04-27 | 2023-08-23 | 小野薬品工業株式会社 | Preventive and/or therapeutic agent for autoimmune diseases containing a compound having Btk inhibitory activity as an active ingredient |
| KR102106821B1 (en) | 2018-04-27 | 2020-05-06 | 재단법인대구경북과학기술원 | Pharmaceutical composition for the prevention or treatment of neurodegenerative disease comprising ibrutinib an active ingredient |
| US20210121466A1 (en) | 2018-05-03 | 2021-04-29 | Juno Therapeutics, Inc. | Combination therapy of a chimeric antigen receptor (car) t cell therapy and a kinase inhibitor |
| TW202014412A (en) | 2018-05-04 | 2020-04-16 | 美商普托拉製藥有限公司 | Solid forms of cerdulatinib |
| EP3575300A1 (en) | 2018-05-31 | 2019-12-04 | Apotex Inc. | Novel crystalline forms of ibrutinib |
| IL259810A (en) | 2018-06-04 | 2018-07-31 | Yeda Res & Dev | Mitogen-activated protein kinase kinase 7 inhibitors |
| RU2711106C2 (en) * | 2018-06-06 | 2020-01-15 | Общество с ограниченной ответственностью "АКСЕЛЬФАРМ" | Crystalline μ-modification of 1-[(3r)-3-[4-amino-3-(4-phenoxy-phenyl)-1h-pyrazolo[3,4-d]pyrimidin-1-yl]-1-piperidyl]-2-propenyl-1-one, method for production thereof and pharmaceutical composition based thereon |
| HUE067446T2 (en) | 2018-06-15 | 2024-10-28 | Janssen Pharmaceutica Nv | Rapamycin analogs and uses thereof |
| EA202190045A1 (en) | 2018-06-15 | 2021-03-17 | Янссен Фармацевтика Нв | COMPOSITIONS / COMPOSITIONS CONTAINING IBRUTINIB |
| US11180531B2 (en) | 2018-06-22 | 2021-11-23 | Bicycletx Limited | Bicyclic peptide ligands specific for Nectin-4 |
| GB201810316D0 (en) | 2018-06-22 | 2018-08-08 | Bicyclerd Ltd | Peptide ligands for binding to EphA2 |
| US12187701B2 (en) | 2018-06-25 | 2025-01-07 | Dana-Farber Cancer Institute, Inc. | Taire family kinase inhibitors and uses thereof |
| WO2020010177A1 (en) | 2018-07-06 | 2020-01-09 | Kymera Therapeutics, Inc. | Tricyclic crbn ligands and uses thereof |
| EP3817822A4 (en) | 2018-07-06 | 2022-07-27 | Kymera Therapeutics, Inc. | PROTEIN DEGRADING AGENTS AND THEIR USES |
| US11040038B2 (en) | 2018-07-26 | 2021-06-22 | Sumitomo Dainippon Pharma Oncology, Inc. | Methods for treating diseases associated with abnormal ACVR1 expression and ACVR1 inhibitors for use in the same |
| US12109193B2 (en) | 2018-07-31 | 2024-10-08 | Loxo Oncology Inc. | Spray-dried dispersions, formulations, and polymorphs of (s)-5-amino-3-(4-((5-fluoro-2-methoxybenzamido)methyl)phenyl)-1-(1,1,1-trifluoropropan-2-yl)-1H-pyrazole-4-carboxamide |
| IL317123A (en) | 2018-08-27 | 2025-01-01 | Regeneron Pharma | Use of Raman Spectroscopy in Downstream Purification |
| KR102328682B1 (en) | 2018-08-27 | 2021-11-18 | 주식회사 대웅제약 | Novel heterocyclicamine derivatives and pharmaceutical composition comprising the same |
| WO2020045941A1 (en) | 2018-08-27 | 2020-03-05 | 주식회사 대웅제약 | Novel heterocyclic amine derivative and pharmaceutical composition comprising same |
| US10548889B1 (en) | 2018-08-31 | 2020-02-04 | X4 Pharmaceuticals, Inc. | Compositions of CXCR4 inhibitors and methods of preparation and use |
| US20220362357A1 (en) | 2018-08-31 | 2022-11-17 | Stichting Radboud Universitair Medisch Centrum | Synergistic Combinations of Amino Acid Depletion Agent Sensitizers (AADAS) and Amino Acid Depletion Agents (AADA), and Therapeutic Methods of Use Thereof |
| EP3846793B1 (en) | 2018-09-07 | 2024-01-24 | PIC Therapeutics, Inc. | Eif4e inhibitors and uses thereof |
| CN110964016B (en) * | 2018-09-29 | 2021-05-28 | 南京药捷安康生物科技有限公司 | Amino-norbornane derivative and preparation method and application thereof |
| US11414431B2 (en) | 2018-10-15 | 2022-08-16 | Nimbus Lakshmi, Inc. | Substituted pyrazolo[1,5-a]pyrimidines as TYK2 inhibitors |
| EP3870597A1 (en) | 2018-10-23 | 2021-09-01 | BicycleTx Limited | Bicyclic peptide ligands and uses thereof |
| US11345654B2 (en) | 2018-10-24 | 2022-05-31 | Navitor Pharmaceuticals, Inc. | Polymorphic compounds and uses thereof |
| CN111170986A (en) | 2018-11-13 | 2020-05-19 | 北京睿熙生物科技有限公司 | Inhibitors of bruton's tyrosine kinase |
| CN109293630A (en) * | 2018-11-15 | 2019-02-01 | 山东大学 | Substituted pyrazole compounds and preparation method and application thereof |
| CN109369654A (en) * | 2018-11-20 | 2019-02-22 | 山东大学 | 1,3-Disubstituted-4-aminopyrazolopyrimidine compounds and preparation method and application thereof |
| CA3119773A1 (en) | 2018-11-30 | 2020-06-04 | Kymera Therapeutics, Inc. | Irak degraders and uses thereof |
| EP3886894B1 (en) | 2018-11-30 | 2024-03-13 | Juno Therapeutics, Inc. | Methods for dosing and treatment of b cell malignancies in adoptive cell therapy |
| WO2020113194A2 (en) | 2018-11-30 | 2020-06-04 | Juno Therapeutics, Inc. | Methods for treatment using adoptive cell therapy |
| JP7530360B2 (en) | 2018-11-30 | 2024-08-07 | 武田薬品工業株式会社 | TYK2 INHIBITORS AND USES THEREOF |
| GB201820325D0 (en) | 2018-12-13 | 2019-01-30 | Bicyclerd Ltd | Bicyclic peptide ligands specific for psma |
| GB201820295D0 (en) | 2018-12-13 | 2019-01-30 | Bicyclerd Ltd | Bicyclic peptide ligands specific for MT1-MMP |
| GB201820288D0 (en) | 2018-12-13 | 2019-01-30 | Bicycle Tx Ltd | Bicycle peptide ligaands specific for MT1-MMP |
| EP3670659A1 (en) | 2018-12-20 | 2020-06-24 | Abivax | Biomarkers, and uses in treatment of viral infections, inflammations, or cancer |
| CN113453679B (en) | 2018-12-20 | 2025-07-08 | C4医药公司 | Targeted protein degradation |
| EP3669867A1 (en) | 2018-12-21 | 2020-06-24 | Synthon B.V. | Pharmaceutical composition comprising ibrutinib |
| EP3897849A1 (en) | 2018-12-21 | 2021-10-27 | BicycleTx Limited | Bicyclic peptide ligands specific for pd-l1 |
| KR20210107069A (en) | 2018-12-21 | 2021-08-31 | 다이이찌 산쿄 가부시키가이샤 | Combination of antibody-drug conjugates and kinase inhibitors |
| US10688050B1 (en) | 2018-12-21 | 2020-06-23 | Synthon B.V. | Pharmaceutical composition comprising ibrutinib |
| CA3124422A1 (en) | 2018-12-28 | 2020-07-02 | Dana-Farber Cancer Institute, Inc. | Inhibitors of cyclin-dependent kinase 7 and uses thereof |
| AU2020206884A1 (en) | 2019-01-09 | 2021-08-05 | Beth Israel Deaconess Medical Center, Inc. | Modulators of Pin1 activity and uses thereof |
| CN111454268B (en) * | 2019-01-18 | 2023-09-08 | 明慧医药(上海)有限公司 | Cyclic molecules as inhibitors of bruton's tyrosine kinase |
| CA3126034A1 (en) | 2019-01-23 | 2020-07-30 | Nimbus Lakshmi, Inc. | Tyk2 inhibitors and uses thereof |
| NZ778055A (en) | 2019-02-12 | 2025-11-28 | Sumitomo Pharma America Inc | Formulations comprising heterocyclic protein kinase inhibitors |
| WO2020165600A1 (en) | 2019-02-14 | 2020-08-20 | Bicycletx Limited | Bicyclic peptide ligand sting conjugates and uses thereof |
| US12227506B2 (en) * | 2019-02-19 | 2025-02-18 | Msn Laboratories Private Limited, R&D Center | Crystalline polymorphs of 1-[(3R)-3-[4-amino-3-(4-phenoxyphenyl)-1H-pyrazolo[3,4-d]pyrimidin-1-yl]-1-piperidinyl]-2-propen-1-one and process for preparation thereof |
| JP2022526713A (en) | 2019-03-21 | 2022-05-26 | オンクセオ | Dbait molecule in combination with a kinase inhibitor for the treatment of cancer |
| WO2020201753A1 (en) | 2019-04-02 | 2020-10-08 | Bicycletx Limited | Bicycle toxin conjugates and uses thereof |
| CN120574283A (en) | 2019-04-05 | 2025-09-02 | 凯麦拉医疗公司 | STAT degraders and their uses |
| US12459948B2 (en) | 2019-05-21 | 2025-11-04 | Janssen Pharmaceutica Nv | Processes and intermediates for preparing a Btk inhibitor |
| AU2020278162A1 (en) | 2019-05-21 | 2021-11-18 | Janssen Pharmaceutica Nv | Processes and intermediates for preparing a BTK inhibitor |
| WO2020243193A1 (en) * | 2019-05-28 | 2020-12-03 | PAIGE.AI, Inc. | Systems and methods for processing images to prepare slides for processed images for digital pathology |
| TW202108559A (en) | 2019-05-31 | 2021-03-01 | 美商醫肯納腫瘤學公司 | Tead inhibitors and uses thereof |
| WO2020251972A1 (en) | 2019-06-10 | 2020-12-17 | Kymera Therapeutics, Inc. | Smarca degraders and uses thereof |
| TW202446397A (en) | 2019-06-10 | 2024-12-01 | 瑞士商百濟神州瑞士有限責任公司 | An oral solid tablet containing Brutton's tyrosine kinase inhibitor and a preparation method thereof |
| TWI862640B (en) | 2019-07-30 | 2024-11-21 | 英商拜西可泰克斯有限公司 | Heterotandem bicyclic peptide complex |
| WO2021038540A1 (en) | 2019-08-31 | 2021-03-04 | Sun Pharma Advanced Research Company Limited | Cycloalkylidene carboxylic acids and derivatives as btk inhibitors |
| US11845724B2 (en) | 2019-09-11 | 2023-12-19 | Vincere Biosciences, Inc. | USP30 inhibitors and uses thereof |
| WO2021050964A1 (en) | 2019-09-13 | 2021-03-18 | Nimbus Saturn, Inc. | Hpk1 antagonists and uses thereof |
| TW202543647A (en) | 2019-10-14 | 2025-11-16 | 美商普林斯匹亞生物製藥公司 | Methods for treating immune thrombocytopenia by administering (r)-2-[3-[4-amino-3-(2-fluoro-4-phenoxy-phenyl) pyrazolo[3,4-d]pyrimidin-1-yl]piperidine-1-carbonyl]-4-methyl-4-[4-(oxetan-3-yl)piperazin-1-yl]pent-2-enenitrile |
| CN114786660A (en) | 2019-11-01 | 2022-07-22 | 纳维托制药有限公司 | Methods of treatment using modulators of MTORC1 |
| JP2023500906A (en) | 2019-11-08 | 2023-01-11 | インサーム(インスティテュ ナシオナル ドゥ ラ サンテ エ ドゥ ラ ルシェルシェ メディカル) | Methods of treating cancers with acquired resistance to kinase inhibitors |
| CA3163680A1 (en) | 2019-12-05 | 2021-06-10 | David John O'neill | Rapamycin analogs and uses thereof |
| MX2022006715A (en) | 2019-12-06 | 2022-09-23 | Juno Therapeutics Inc | Methods related to toxicity and response associated with cell therapy for treating b cell malignancies. |
| JP2023509366A (en) | 2019-12-17 | 2023-03-08 | カイメラ セラピューティクス, インコーポレイテッド | IRAK dissolving agents and their uses |
| EP4076524A4 (en) | 2019-12-17 | 2023-11-29 | Kymera Therapeutics, Inc. | IRAQ DEGRADATION AGENTS AND THEIR USES |
| CN115297931A (en) | 2019-12-23 | 2022-11-04 | 凯麦拉医疗公司 | SMARCA degrading agents and uses thereof |
| IL294560A (en) | 2020-01-20 | 2022-09-01 | Genzyme Corp | Therapeutic tyrosine kinase inhibitors for relapsing multiple sclerosis (rms) |
| WO2021148581A1 (en) | 2020-01-22 | 2021-07-29 | Onxeo | Novel dbait molecule and its use |
| AU2021209884A1 (en) | 2020-01-22 | 2022-09-15 | Principia Biopharma Inc. | Crystalline forms of 2-[3-[4-amino-3-(2-fluoro-4-phenoxy-phenyl)-1h-pyrazolo[3,4-d]pyrimidin-1-yl]piperidine-1-carbonyl]-4-methyl-4-[4-(oxetan-3-yl)piperazin-1-yl]pent-2-enenitrile |
| WO2021159021A1 (en) | 2020-02-05 | 2021-08-12 | Puretech Lyt, Inc. | Lipid prodrugs of neurosteroids |
| CN113336760B (en) * | 2020-02-18 | 2022-11-04 | 深圳市塔吉瑞生物医药有限公司 | Substituted amide derivatives, compositions and uses thereof |
| CN115151537B (en) | 2020-02-26 | 2024-09-06 | 株式会社大熊制药 | Method for preparing heterocyclic amine derivatives |
| TW202146393A (en) | 2020-03-03 | 2021-12-16 | 美商皮克醫療公司 | Eif4e inhibitors and uses thereof |
| US12528785B2 (en) | 2020-03-19 | 2026-01-20 | Kymera Therapeutics, Inc. | MDM2 degraders and uses thereof |
| TW202210483A (en) | 2020-06-03 | 2022-03-16 | 美商凱麥拉醫療公司 | Crystalline forms of irak degraders |
| US20230250110A1 (en) | 2020-06-03 | 2023-08-10 | Kymera Therapeutics, Inc. | Deuterated irak degraders and uses thereof |
| CN114057724B (en) * | 2020-07-29 | 2025-01-03 | 鲁南制药集团股份有限公司 | A BTK inhibitor |
| CA3189761A1 (en) | 2020-08-03 | 2022-02-10 | Gemma Mudd | Peptide-based linkers |
| MX2023001588A (en) | 2020-08-17 | 2023-05-03 | Bicycletx Ltd | Bicycle conjugates specific for nectin-4 and uses thereof. |
| EP4203923B1 (en) | 2020-08-28 | 2025-10-01 | Synthon B.V. | Pharmaceutical composition comprising ibrutinib |
| EP4203942A4 (en) * | 2020-08-28 | 2024-08-07 | Emory University | METHODS OF MANAGING COCAINE OR OTHER DRUG ADDICTION |
| CN114105990A (en) * | 2020-08-31 | 2022-03-01 | 北京四环制药有限公司 | A kind of synthetic method of Ibrutinib |
| CN114105991A (en) * | 2020-08-31 | 2022-03-01 | 北京四环制药有限公司 | A kind of preparation method of Ibrutinib intermediate |
| US12331046B2 (en) | 2020-10-23 | 2025-06-17 | Nimbus Clotho, Inc. | CTPS1 inhibitors and uses thereof |
| CN114478548B (en) * | 2020-10-23 | 2026-01-02 | 上海润石医药科技有限公司 | Uses of a Bruton's tyrosine kinase inhibitor |
| CN117015531A (en) | 2020-12-02 | 2023-11-07 | 医肯纳肿瘤学公司 | TEAD inhibitors and their uses |
| WO2022120353A1 (en) | 2020-12-02 | 2022-06-09 | Ikena Oncology, Inc. | Tead inhibitors and uses thereof |
| WO2022121670A1 (en) | 2020-12-10 | 2022-06-16 | 苏州科睿思制药有限公司 | Crystal form of tolebrutinib, preparation method therefor and use thereof |
| CN112574216B (en) * | 2020-12-16 | 2022-03-08 | 天津济坤医药科技有限公司 | Compound, preparation method thereof and application thereof in preparing anti-cancer drugs |
| TW202241891A (en) | 2020-12-30 | 2022-11-01 | 美商凱麥拉醫療公司 | Irak degraders and uses thereof |
| EP4281454B1 (en) | 2021-01-21 | 2025-03-05 | Synthon B.V. | Process for making ibrutinib |
| EP4288427A1 (en) | 2021-02-02 | 2023-12-13 | Liminal Biosciences Limited | Gpr84 antagonists and uses thereof |
| BR112023015584A2 (en) | 2021-02-02 | 2023-10-24 | Liminal Biosciences Ltd | GPR84 ANTAGONISTS AND USES THEREOF |
| CN117120090A (en) | 2021-02-12 | 2023-11-24 | 林伯士萨顿公司 | HPK1 antagonists and uses thereof |
| MX2023009178A (en) | 2021-02-15 | 2023-08-21 | Kymera Therapeutics Inc | Irak4 degraders and uses thereof. |
| US12171768B2 (en) | 2021-02-15 | 2024-12-24 | Kymera Therapeutics, Inc. | IRAK4 degraders and uses thereof |
| WO2022187856A1 (en) | 2021-03-05 | 2022-09-09 | Nimbus Saturn, Inc. | Hpk1 antagonists and uses thereof |
| EP4313989A4 (en) | 2021-03-29 | 2025-03-05 | Nimbus Saturn, Inc. | HPK1 ANTAGONISTS AND THEIR USES |
| CN115160319B (en) * | 2021-04-01 | 2023-12-26 | 西安新通药物研究股份有限公司 | Compounds containing 1,3-benzodioxolane structure and preparation methods and uses thereof |
| KR20240007155A (en) | 2021-04-09 | 2024-01-16 | 님버스 클리오, 인코포레이티드 | CBL-B modulators and their uses |
| WO2022221866A1 (en) | 2021-04-16 | 2022-10-20 | Ikena Oncology, Inc. | Mek inhibitors and uses thereof |
| IL308314A (en) | 2021-05-07 | 2024-01-01 | Kymera Therapeutics Inc | Cdk2 degraders and uses thereof |
| JP2024522529A (en) * | 2021-06-01 | 2024-06-21 | プリボ テクノロジーズ,インコーポレイティド | Improved localized therapeutic delivery system based on two-stage microparticles. |
| TN2023000295A1 (en) | 2021-06-10 | 2025-07-02 | Hikma Pharmaceuticals Usa Inc | Oral dosage forms of ibrutinib |
| US11433072B1 (en) | 2021-06-10 | 2022-09-06 | Hikma Pharmaceuticals USA, Inc. | Oral dosage forms of ibrutinib |
| CN113583001A (en) * | 2021-07-13 | 2021-11-02 | 江苏君若药业有限公司 | Preparation of ibrutinib |
| WO2023014817A1 (en) | 2021-08-03 | 2023-02-09 | Syros Pharmaceuticals, Inc. | Compositions and methods for treating lymphomas with a cdk7 inhibitor in combination with a btk inhibitor |
| CN115702898B (en) * | 2021-08-04 | 2024-02-09 | 成都倍特药业股份有限公司 | BTK inhibitor solid preparation and preparation method thereof |
| US12234231B2 (en) | 2021-08-25 | 2025-02-25 | PIC Therapeutics, Inc. | EIF4E inhibitors and uses thereof |
| JP2024532276A (en) | 2021-08-25 | 2024-09-05 | ピク セラピューティクス, インコーポレイテッド | eIF4E inhibitors and uses thereof |
| CN113845521B (en) * | 2021-08-31 | 2024-06-18 | 中原工学院 | Method for synthesizing imidazo nitrogen-containing heterocyclic hydrazine derivative by aqueous phase photocatalysis one-pot method |
| CN114940678B (en) * | 2021-09-26 | 2023-02-07 | 上海贵之言医药科技有限公司 | Pyrazolopyrimidine ester compound |
| WO2023071973A1 (en) * | 2021-10-26 | 2023-05-04 | Shenzhen Targetrx, Inc. | Fused bicyclic compound for inhibiting activity of tyrosine kinase |
| AR127505A1 (en) | 2021-10-29 | 2024-01-31 | Kymera Therapeutics Inc | IRAQ-4 DEGRADERS AND SYNTHESIS THEREOF |
| US20250144100A1 (en) | 2021-12-10 | 2025-05-08 | Synthon B.V. | Pharmaceutical composition comprising ibrutinib |
| WO2023114984A1 (en) | 2021-12-17 | 2023-06-22 | Ikena Oncology, Inc. | Tead inhibitors and uses thereof |
| WO2023147594A2 (en) | 2022-01-31 | 2023-08-03 | Kymera Therapeutics, Inc. | Irak degraders and uses thereof |
| WO2023173053A1 (en) | 2022-03-10 | 2023-09-14 | Ikena Oncology, Inc. | Mek inhibitors and uses thereof |
| WO2023173057A1 (en) | 2022-03-10 | 2023-09-14 | Ikena Oncology, Inc. | Mek inhibitors and uses thereof |
| CN114605418B (en) * | 2022-03-15 | 2023-09-05 | 广东医科大学附属医院 | Ibrutinib acrylamide derivative with anti-tumor activity, and synthetic method and application thereof |
| WO2023211889A1 (en) | 2022-04-25 | 2023-11-02 | Ikena Oncology, Inc. | Polymorphic compounds and uses thereof |
| WO2023220655A1 (en) | 2022-05-11 | 2023-11-16 | Celgene Corporation | Methods to overcome drug resistance by re-sensitizing cancer cells to treatment with a prior therapy via treatment with a t cell therapy |
| TW202404581A (en) | 2022-05-25 | 2024-02-01 | 美商醫肯納腫瘤學公司 | Mek inhibitors and uses thereof |
| US11807689B1 (en) | 2022-06-01 | 2023-11-07 | Tg Therapeutics, Inc. | Anti-CD20 antibody compositions |
| US11965032B1 (en) | 2022-06-01 | 2024-04-23 | Tg Therapeutics, Inc. | Anti-CD20 antibody compositions |
| US11884740B1 (en) | 2022-06-01 | 2024-01-30 | Tg Therapeutics, Inc. | Anti-CD20 antibody compositions |
| US11814439B1 (en) | 2022-06-01 | 2023-11-14 | Tg Therapeutics, Inc. | Anti-CD20 antibody compositions |
| US11786531B1 (en) | 2022-06-08 | 2023-10-17 | Beigene Switzerland Gmbh | Methods of treating B-cell proliferative disorder |
| WO2023242384A1 (en) | 2022-06-17 | 2023-12-21 | Krka, D.D., Novo Mesto | Crystalline form of ibrutinib |
| IL317768A (en) * | 2022-06-22 | 2025-02-01 | Principia Biopharma Inc | Methods of making modified btk inhibitors |
| CN120019047A (en) | 2022-08-02 | 2025-05-16 | 里米诺生物科学有限公司 | Heteroaryl carboxamides and related GPR84 antagonists and their uses |
| KR20250057801A (en) | 2022-08-02 | 2025-04-29 | 리미널 바이오사이언시스 리미티드 | Aryl-triazolyl and related GPR84 antagonists and uses thereof |
| KR20250056924A (en) | 2022-08-02 | 2025-04-28 | 리미널 바이오사이언시스 리미티드 | Substituted pyridone GPR84 antagonists and uses thereof |
| CN115417827B (en) * | 2022-09-30 | 2023-05-26 | 中国药科大学 | 6-amino-1, 3, 5-triazine compound and synthetic method and application thereof |
| AU2023372386A1 (en) | 2022-10-31 | 2025-05-08 | Sumitomo Pharma America, Inc. | Pim1 inhibitor for treating myeloproliferative neoplasms |
| WO2024112894A1 (en) | 2022-11-22 | 2024-05-30 | PIC Therapeutics, Inc. | Eif4e inhibitors and uses thereof |
| WO2024235166A1 (en) * | 2023-05-12 | 2024-11-21 | 武汉人福创新药物研发中心有限公司 | Composition containing btk inhibitor, and use thereof |
| CN118987211B (en) * | 2023-05-22 | 2025-09-19 | 无锡瓴方生物医药科技有限公司 | Combined medicine composition and application thereof |
| CN120865251A (en) | 2023-06-23 | 2025-10-31 | 凯麦拉医疗公司 | IRAK degradation agent and application thereof |
| WO2025062372A1 (en) | 2023-09-21 | 2025-03-27 | Takeda Pharmaceutical Company Limited | Tyk2 inhibitors for use in the treatment of inflammatory bowel disease |
| WO2025264860A2 (en) | 2024-06-18 | 2025-12-26 | Yale University | Methods of treating post-covid airway disease |
Citations (15)
| Publication number | Priority date | Publication date | Assignee | Title |
|---|---|---|---|---|
| US6326469B1 (en) * | 1994-04-22 | 2001-12-04 | Sugen, Inc. | Megakaryocytic protein tyrosine kinases |
| US20020016460A1 (en) * | 1999-10-06 | 2002-02-07 | Snow Roger John | Heterocyclic compounds useful as inhibitors of tyrosine kinases |
| US20030008640A1 (en) * | 2001-06-12 | 2003-01-09 | Jari Lansio | Data transmission method and data transmission arrangement |
| US20030125235A1 (en) * | 2000-03-06 | 2003-07-03 | Foxwell Brian Maurice John | Treatment of diseases associated with cytokine production with inhibitors of the tec family of protein tyrosine kinases |
| US6660744B1 (en) * | 1999-09-17 | 2003-12-09 | Abbott Gmbh & Co. Kg | Pyrazolopyrimidines as therapeutic agents |
| US20040006083A1 (en) * | 2001-03-22 | 2004-01-08 | Hirst Gavin C. | Pyrazolopyrimidines as therapeutic agents |
| US6753348B2 (en) * | 1998-08-21 | 2004-06-22 | Parker Hughes Institute | BTK inhibitors and methods for their identification and use |
| US20050008640A1 (en) * | 2003-04-23 | 2005-01-13 | Wendy Waegell | Method of treating transplant rejection |
| US20050090499A1 (en) * | 2003-06-04 | 2005-04-28 | Currie Kevin S. | Certain imidazo[1,2-a]pyrazin-8-ylamines and method of inhibition of bruton's tyrosine kinase by such compounds |
| US20050101604A1 (en) * | 2003-06-30 | 2005-05-12 | Currie Kevin S. | Certain heterocyclic substituted imidazo[1,2-A]pyrazin-8-ylamines and methods of inhibition of bruton's tyrosine kinase by such compounds |
| US6921763B2 (en) * | 1999-09-17 | 2005-07-26 | Abbott Laboratories | Pyrazolopyrimidines as therapeutic agents |
| US20050196851A1 (en) * | 2001-08-15 | 2005-09-08 | Parker Hughes Institute | Crystal structure of the BTK kinase domain |
| US20050209255A1 (en) * | 2004-01-26 | 2005-09-22 | Juan-Miguel Jimenez | Compositions useful as inhibitors of protein kinases |
| US20060079494A1 (en) * | 2004-09-27 | 2006-04-13 | Santi Daniel V | Specific kinase inhibitors |
| US20080076921A1 (en) * | 2006-09-22 | 2008-03-27 | Pharmacyclics, Inc. | Inhibitors of bruton's tyrosine kinase |
Family Cites Families (145)
| Publication number | Priority date | Publication date | Assignee | Title |
|---|---|---|---|---|
| US3598123A (en) | 1969-04-01 | 1971-08-10 | Alza Corp | Bandage for administering drugs |
| US3598122A (en) | 1969-04-01 | 1971-08-10 | Alza Corp | Bandage for administering drugs |
| US3993073A (en) | 1969-04-01 | 1976-11-23 | Alza Corporation | Novel drug delivery device |
| US3710795A (en) | 1970-09-29 | 1973-01-16 | Alza Corp | Drug-delivery device with stretched, rate-controlling membrane |
| US4069307A (en) | 1970-10-01 | 1978-01-17 | Alza Corporation | Drug-delivery device comprising certain polymeric materials for controlled release of drug |
| US3731683A (en) | 1971-06-04 | 1973-05-08 | Alza Corp | Bandage for the controlled metering of topical drugs to the skin |
| US3742951A (en) | 1971-08-09 | 1973-07-03 | Alza Corp | Bandage for controlled release of vasodilators |
| US3996934A (en) | 1971-08-09 | 1976-12-14 | Alza Corporation | Medical bandage |
| BE795384A (en) | 1972-02-14 | 1973-08-13 | Ici Ltd | DRESSINGS |
| US3921636A (en) | 1973-01-15 | 1975-11-25 | Alza Corp | Novel drug delivery device |
| US3993072A (en) | 1974-08-28 | 1976-11-23 | Alza Corporation | Microporous drug delivery device |
| US4151273A (en) | 1974-10-31 | 1979-04-24 | The Regents Of The University Of California | Increasing the absorption rate of insoluble drugs |
| US3972995A (en) | 1975-04-14 | 1976-08-03 | American Home Products Corporation | Dosage form |
| US4077407A (en) | 1975-11-24 | 1978-03-07 | Alza Corporation | Osmotic devices having composite walls |
| US4031894A (en) | 1975-12-08 | 1977-06-28 | Alza Corporation | Bandage for transdermally administering scopolamine to prevent nausea |
| US4060084A (en) | 1976-09-07 | 1977-11-29 | Alza Corporation | Method and therapeutic system for providing chemotherapy transdermally |
| US4201211A (en) | 1977-07-12 | 1980-05-06 | Alza Corporation | Therapeutic system for administering clonidine transdermally |
| JPS5562012A (en) | 1978-11-06 | 1980-05-10 | Teijin Ltd | Slow-releasing preparation |
| US4230105A (en) | 1978-11-13 | 1980-10-28 | Merck & Co., Inc. | Transdermal delivery of drugs |
| US4229447A (en) | 1979-06-04 | 1980-10-21 | American Home Products Corporation | Intraoral methods of using benzodiazepines |
| CA1146866A (en) | 1979-07-05 | 1983-05-24 | Yamanouchi Pharmaceutical Co. Ltd. | Process for the production of sustained release pharmaceutical composition of solid medical material |
| US4291015A (en) | 1979-08-14 | 1981-09-22 | Key Pharmaceuticals, Inc. | Polymeric diffusion matrix containing a vasodilator |
| US4327725A (en) | 1980-11-25 | 1982-05-04 | Alza Corporation | Osmotic device with hydrogel driving member |
| US5116817A (en) | 1982-12-10 | 1992-05-26 | Syntex (U.S.A.) Inc. | LHRH preparations for intranasal administration |
| US4476116A (en) | 1982-12-10 | 1984-10-09 | Syntex (U.S.A.) Inc. | Polypeptides/chelating agent nasal compositions having enhanced peptide absorption |
| US4596795A (en) | 1984-04-25 | 1986-06-24 | The United States Of America As Represented By The Secretary, Dept. Of Health & Human Services | Administration of sex hormones in the form of hydrophilic cyclodextrin derivatives |
| US4624848A (en) | 1984-05-10 | 1986-11-25 | Ciba-Geigy Corporation | Active agent containing hydrogel devices wherein the active agent concentration profile contains a sigmoidal concentration gradient for improved constant release, their manufacture and use |
| GB8518301D0 (en) | 1985-07-19 | 1985-08-29 | Fujisawa Pharmaceutical Co | Hydrodynamically explosive systems |
| DE3684446D1 (en) | 1985-12-28 | 1992-04-23 | Sumitomo Pharma | MEDICINAL PRODUCTS WITH DELAYED RELEASED RELEASE. |
| US4755386A (en) | 1986-01-22 | 1988-07-05 | Schering Corporation | Buccal formulation |
| US5312325A (en) | 1987-05-28 | 1994-05-17 | Drug Delivery Systems Inc | Pulsating transdermal drug delivery system |
| US4968509A (en) | 1987-07-27 | 1990-11-06 | Mcneilab, Inc. | Oral sustained release acetaminophen formulation and process |
| US5033252A (en) | 1987-12-23 | 1991-07-23 | Entravision, Inc. | Method of packaging and sterilizing a pharmaceutical product |
| US5052558A (en) | 1987-12-23 | 1991-10-01 | Entravision, Inc. | Packaged pharmaceutical product |
| JPH01167840A (en) | 1987-12-24 | 1989-07-03 | Konica Corp | Novel photographic cyan coupler |
| IL92966A (en) | 1989-01-12 | 1995-07-31 | Pfizer | Dispensing devices powered by hydrogel |
| US5739136A (en) | 1989-10-17 | 1998-04-14 | Ellinwood, Jr.; Everett H. | Intraoral dosing method of administering medicaments |
| US5017381A (en) | 1990-05-02 | 1991-05-21 | Alza Corporation | Multi-unit pulsatile delivery system |
| US5633009A (en) | 1990-11-28 | 1997-05-27 | Sano Corporation | Transdermal administration of azapirones |
| JP2527107B2 (en) | 1991-04-16 | 1996-08-21 | 日本新薬株式会社 | Method for producing solid dispersion |
| JPH07501073A (en) | 1991-11-22 | 1995-02-02 | プロクター、エンド、ギャンブル、ファーマス−ティカルズ、インコーポレーテッド | risedronate delayed release composition |
| US5229135A (en) | 1991-11-22 | 1993-07-20 | Prographarm Laboratories | Sustained release diltiazem formulation |
| US5340591A (en) | 1992-01-24 | 1994-08-23 | Fujisawa Pharmaceutical Co., Ltd. | Method of producing a solid dispersion of the sparingly water-soluble drug, nilvadipine |
| US5461140A (en) | 1992-04-30 | 1995-10-24 | Pharmaceutical Delivery Systems | Bioerodible polymers for solid controlled release pharmaceutical compositions |
| US5260068A (en) | 1992-05-04 | 1993-11-09 | Anda Sr Pharmaceuticals Inc. | Multiparticulate pulsatile drug delivery system |
| US5281420A (en) | 1992-05-19 | 1994-01-25 | The Procter & Gamble Company | Solid dispersion compositions of tebufelone |
| US5323907A (en) | 1992-06-23 | 1994-06-28 | Multi-Comp, Inc. | Child resistant package assembly for dispensing pharmaceutical medications |
| AU4198793A (en) | 1992-07-24 | 1994-01-27 | Takeda Chemical Industries Ltd. | Microparticle preparation and production thereof |
| US5700485A (en) | 1992-09-10 | 1997-12-23 | Children's Medical Center Corporation | Prolonged nerve blockade by the combination of local anesthetic and glucocorticoid |
| ATE223704T1 (en) | 1992-10-16 | 2002-09-15 | Nippon Shinyaku Co Ltd | METHOD FOR PRODUCING WAX MATRICES |
| US5260069A (en) | 1992-11-27 | 1993-11-09 | Anda Sr Pharmaceuticals Inc. | Pulsatile particles drug delivery system |
| TW444018B (en) * | 1992-12-17 | 2001-07-01 | Pfizer | Pyrazolopyrimidines |
| GB9226855D0 (en) | 1992-12-23 | 1993-02-17 | Erba Carlo Spa | Vinylene-azaindole derivatives and process for their preparation |
| US5686105A (en) | 1993-10-19 | 1997-11-11 | The Procter & Gamble Company | Pharmaceutical dosage form with multiple enteric polymer coatings for colonic delivery |
| US5665378A (en) | 1994-09-30 | 1997-09-09 | Davis; Roosevelt | Transdermal therapeutic formulation |
| US5530012A (en) | 1994-12-22 | 1996-06-25 | Bristol-Myers Squibb Co. | 3-alkoxybenzylpiperidine derivatives as melatonergic agents |
| US5567441A (en) | 1995-03-24 | 1996-10-22 | Andrx Pharmaceuticals Inc. | Diltiazem controlled release formulation |
| EP0827402A2 (en) | 1995-05-17 | 1998-03-11 | Cedars-Sinai Medical Center | Compositions containing fatty acids for improving digestion and absorption in the small intestine |
| US5593997A (en) | 1995-05-23 | 1997-01-14 | Pfizer Inc. | 4-aminopyrazolo(3-,4-D)pyrimidine and 4-aminopyrazolo-(3,4-D)pyridine tyrosine kinase inhibitors |
| SE9502244D0 (en) | 1995-06-20 | 1995-06-20 | Bioglan Ab | A composition and a process for the preparation thereof |
| US5837284A (en) | 1995-12-04 | 1998-11-17 | Mehta; Atul M. | Delivery of multiple doses of medications |
| US5858401A (en) | 1996-01-22 | 1999-01-12 | Sidmak Laboratories, Inc. | Pharmaceutical composition for cyclosporines |
| CH690773A5 (en) | 1996-02-01 | 2001-01-15 | Novartis Ag | Pyrrolo (2,3-d) pyrimides and their use. |
| US6923983B2 (en) | 1996-02-19 | 2005-08-02 | Acrux Dds Pty Ltd | Transdermal delivery of hormones |
| US6929801B2 (en) | 1996-02-19 | 2005-08-16 | Acrux Dds Pty Ltd | Transdermal delivery of antiparkinson agents |
| US6458373B1 (en) | 1997-01-07 | 2002-10-01 | Sonus Pharmaceuticals, Inc. | Emulsion vehicle for poorly soluble drugs |
| CA2283961A1 (en) | 1997-03-19 | 1998-09-24 | Basf Aktiengesellschaft | Pyrrolo[2,3d]pyrimidines and their use as tyrosine kinase inhibitors |
| US5840329A (en) | 1997-05-15 | 1998-11-24 | Bioadvances Llc | Pulsatile drug delivery system |
| US6391452B1 (en) | 1997-07-18 | 2002-05-21 | Bayer Corporation | Compositions for nasal drug delivery, methods of making same, and methods of removing residual solvent from pharmaceutical preparations |
| US5869090A (en) | 1998-01-20 | 1999-02-09 | Rosenbaum; Jerry | Transdermal delivery of dehydroepiandrosterone |
| JP2002512216A (en) * | 1998-04-17 | 2002-04-23 | パーカー ヒューズ インスティテュート | BTK inhibitors and methods for identification and use thereof |
| US6998233B2 (en) | 1998-06-26 | 2006-02-14 | Sunesis Pharmaceuticals, Inc. | Methods for ligand discovery |
| US6335155B1 (en) | 1998-06-26 | 2002-01-01 | Sunesis Pharmaceuticals, Inc. | Methods for rapidly identifying small organic molecule ligands for binding to biological target molecules |
| US20050287596A9 (en) | 1998-06-26 | 2005-12-29 | Braisted Andrew C | Novel ligands and libraries of ligands |
| US6946144B1 (en) | 1998-07-08 | 2005-09-20 | Oryxe | Transdermal delivery system |
| DE60039379D1 (en) | 1999-02-10 | 2008-08-21 | Pfizer Prod Inc | Pharmaceutical solid dispersions |
| US6306897B1 (en) | 1999-03-19 | 2001-10-23 | Parker Hughes Institute | Calanolides for inhibiting BTK |
| US6600744B1 (en) * | 1999-03-23 | 2003-07-29 | Alcatel Canada Inc. | Method and apparatus for packet classification in a data communication system |
| US6395300B1 (en) | 1999-05-27 | 2002-05-28 | Acusphere, Inc. | Porous drug matrices and methods of manufacture thereof |
| MXPA02003364A (en) | 1999-10-06 | 2002-08-23 | Boehringer Ingelheim Pharma | Heterocyclic compounds useful as inhibitors of tyrosine kinases. |
| JP2003516351A (en) | 1999-11-30 | 2003-05-13 | パーカー ヒューズ インスティテュート | Collagen-induced platelet aggregation inhibitor |
| EP1246829A1 (en) | 1999-12-17 | 2002-10-09 | Ariad Pharmaceuticals, Inc. | Novel heterocycles |
| AU2002236692A1 (en) * | 2000-10-23 | 2002-05-21 | Bristol-Myers Squibb Company | Modulators of bruton's tyrosine kinase and bruton's tyrosine kinase, their identification and use |
| EP1345592A2 (en) | 2000-12-06 | 2003-09-24 | Pharmacia Corporation | Rapidly dispersing pharmaceutical composition comprising effervescent agents |
| US6465014B1 (en) | 2001-03-21 | 2002-10-15 | Isp Investments Inc. | pH-dependent sustained release, drug-delivery composition |
| US8306897B2 (en) | 2001-05-04 | 2012-11-06 | Stockshield, Inc. | Method and system for insuring against investment loss |
| ITMI20010995A1 (en) * | 2001-05-15 | 2002-11-15 | Getters Spa | CESIUM DISPENSERS AND PROCESS FOR THEIR USE |
| EP1463742A4 (en) | 2001-06-21 | 2006-05-10 | Ariad Pharma Inc | Novel pyrazolo-and pyrrolo-pyrimidines and uses thereof |
| CN1523991A (en) | 2001-08-10 | 2004-08-25 | ��˹��ŵ�� | Use of a c-Src inhibitor alone or in combination with STI571 for the treatment of leukemia |
| US6960563B2 (en) | 2001-08-31 | 2005-11-01 | Morton Grove Pharmaceuticals, Inc. | Spontaneous emulsions containing cyclosporine |
| NZ532579A (en) | 2001-11-21 | 2006-11-30 | Sunesis Pharmaceuticals Inc | Methods for ligand discovery based on tethering process |
| US6961787B2 (en) * | 2002-01-07 | 2005-11-01 | Intel Corporation | Method and apparatus for updating task files |
| US20050084905A1 (en) | 2002-03-21 | 2005-04-21 | Prescott John C. | Identification of kinase inhibitors |
| GB2388594A (en) | 2002-05-16 | 2003-11-19 | Bayer Ag | Imidazo-triazine PDE 4 inhibitors |
| WO2004014905A1 (en) | 2002-08-08 | 2004-02-19 | Boehringer Ingelheim Pharmaceuticals, Inc. | Substituted benzimidazole compounds |
| GB0303910D0 (en) | 2003-02-20 | 2003-03-26 | Merck Sharp & Dohme | Therapeutic agents |
| WO2005000197A2 (en) | 2003-04-11 | 2005-01-06 | The Regents Of The University Of California | Selective serine/threonine kinase inhibitors |
| EP1473039A1 (en) | 2003-05-02 | 2004-11-03 | Centre National De La Recherche Scientifique (Cnrs) | Use of inhibitors and antisense oligonucleotides of BTK for the treatment of proliferative mastocytosis |
| US8131475B2 (en) | 2003-09-03 | 2012-03-06 | The United States Of America As Represented By The Secretary, Department Of Health And Human Services | Methods for identifying, diagnosing, and predicting survival of lymphomas |
| CN1897950A (en) | 2003-10-14 | 2007-01-17 | 惠氏公司 | Fused aryl and heteroaryl derivatives and methods of use |
| AU2003297904A1 (en) | 2003-12-12 | 2005-07-14 | University Of Maryland, Baltimore | Immunomodulatory compounds that target and inhibit the py+3 binding site of tyrosene kinase p56 lck sh2 domain |
| BRPI0418031A (en) | 2003-12-22 | 2007-04-17 | Gilead Sciences Inc | phosphonate-substituted kinase inhibitors |
| CA2553724A1 (en) | 2004-02-03 | 2005-08-18 | Abbott Laboratories | Aminobenzoxazoles as therapeutic agents |
| ITMI20041314A1 (en) | 2004-06-30 | 2004-09-30 | Nuvera Fuel Cells Europ Srl | COOLING DEVICE FOR MEMBRANE FUEL CELLS |
| KR20070063562A (en) | 2004-09-28 | 2007-06-19 | 얀센 파마슈티카 엔.브이. | Substituted Dipiperidine CCR2 Antagonists |
| WO2006053121A2 (en) * | 2004-11-10 | 2006-05-18 | Cgi Pharmaceuticals, Inc. | Imidazo[1 , 2-a] pyrazin-8-ylamines useful as modulators of kinase activity |
| GB0425035D0 (en) * | 2004-11-12 | 2004-12-15 | Novartis Ag | Organic compounds |
| ES2543607T3 (en) * | 2005-03-10 | 2015-08-20 | Gilead Connecticut, Inc. | Certain substituted amides, method of obtaining, and method of use |
| GT200600197A (en) | 2005-05-13 | 2007-03-28 | COMPOUNDS AND COMPOSITIONS AS PROTEIN QUINASA INHIBITORS | |
| MX2007016463A (en) | 2005-06-22 | 2008-03-04 | Plexxikon Inc | PIRROLO DERIVATIVES [2,3-B] PIRIDINE AS PROTEIN KINASE INHIBITORS. |
| US20070065449A1 (en) | 2005-09-16 | 2007-03-22 | Claire Verschraegen | Method of treating cancer, especially soft tissue sarcoma utilizing gemcitabine in combination with docetaxel and anti-VEGF therapy (bevacizumab) |
| CA2629314A1 (en) | 2005-11-12 | 2007-05-24 | Boehringer Ingelheim International Gmbh | Tec kinase inhibitors |
| EP1981888A4 (en) | 2006-01-13 | 2010-10-13 | Pharmacyclics Inc | Inhibitors of tyrosine kinases and uses thereof |
| WO2007089911A2 (en) | 2006-01-30 | 2007-08-09 | The Scripps Research Institute | Methods for detection of circulating tumor cells and methods of diagnosis of cancer in a mammalian subject |
| CA2909277A1 (en) * | 2006-04-04 | 2007-10-11 | Kevan M. Shokat | Kinase antagonists |
| AU2007254179B2 (en) * | 2006-05-18 | 2013-03-21 | Pharmacyclics Llc | Intracellular kinase inhibitors |
| WO2008054827A2 (en) * | 2006-11-03 | 2008-05-08 | Pharmacyclics, Inc. | Bruton's tyrosine kinase activity probe and method of using |
| NL2000640C2 (en) | 2007-03-05 | 2008-09-08 | Stichting Wetsus Ct Of Excelle | Method and system for purifying a liquid. |
| US20120065201A1 (en) | 2007-03-28 | 2012-03-15 | Pharmacyclics, Inc. | Inhibitors of bruton's tyrosine kinase |
| US20120101114A1 (en) | 2007-03-28 | 2012-04-26 | Pharmacyclics, Inc. | Inhibitors of bruton's tyrosine kinase |
| BRPI0810086B1 (en) | 2007-03-28 | 2021-11-09 | Pharmacyclics Llc | BRUTON'S TYROSINE KINASE INHIBITOR COMPOUND, USE OF SUCH COMPOUND AND PHARMACEUTICAL COMPOSITION |
| US20090010911A1 (en) | 2007-04-06 | 2009-01-08 | Iowa State University Research Foundation, Inc. | Methods and compositions for affecting cyclophilin a regulation of kinases in modulating cellular activities |
| TWI475996B (en) | 2007-10-19 | 2015-03-11 | Celgene Avilomics Res Inc | Heteroaryl compounds and uses thereof |
| US7989465B2 (en) | 2007-10-19 | 2011-08-02 | Avila Therapeutics, Inc. | 4,6-disubstituted pyrimidines useful as kinase inhibitors |
| CA2701275C (en) | 2007-10-23 | 2016-06-21 | F. Hoffmann-La Roche Ag | Kinase inhibitors |
| US8426441B2 (en) | 2007-12-14 | 2013-04-23 | Roche Palo Alto Llc | Inhibitors of bruton's tyrosine kinase |
| US20150152115A1 (en) | 2007-12-27 | 2015-06-04 | Pharmacyclics, Inc. | Inhibitors of bruton's tyrosine kinase |
| DK2361248T3 (en) | 2008-06-27 | 2019-01-14 | Celgene Car Llc | Heteroberl compounds and uses thereof |
| CN102159214A (en) | 2008-07-16 | 2011-08-17 | 药品循环公司 | Inhibitors of Bruton's tyrosine kinase for the treatment of solid tumors |
| JP5656976B2 (en) | 2009-04-29 | 2015-01-21 | ローカス ファーマシューティカルズ インコーポレイテッド | Pyrrolotriazine compounds |
| TWI380514B (en) * | 2009-07-09 | 2012-12-21 | Hon Hai Prec Ind Co Ltd | Electronic connector and electronic device using the same |
| RU2012114902A (en) | 2009-09-16 | 2013-10-27 | Авила Терапьютикс, Инк. | CONJUGATES AND PROTEINKINASE INHIBITORS |
| US7718662B1 (en) | 2009-10-12 | 2010-05-18 | Pharmacyclics, Inc. | Pyrazolo-pyrimidine inhibitors of bruton's tyrosine kinase |
| US20120071497A1 (en) | 2010-06-03 | 2012-03-22 | Pharmacyclics, Inc. | Methods of treating abc-dlbcl using inhibitors of bruton's tyrosine kinase |
| NZ702485A (en) | 2010-06-03 | 2016-04-29 | Pharmacyclics Llc | The use of inhibitors of bruton’s tyrosine kinase (btk) |
| BR122014012788B1 (en) | 2010-06-23 | 2022-04-19 | Hanmi Science Co., Ltd | Fused pyrimidine derivatives, their uses, and pharmaceutical composition for inhibiting tyrosine kinase activity |
| KR20130099040A (en) | 2010-08-10 | 2013-09-05 | 셀진 아빌로믹스 리서치, 인코포레이티드 | Besylate salt of a btk inhibitor |
| US8377946B1 (en) | 2011-12-30 | 2013-02-19 | Pharmacyclics, Inc. | Pyrazolo[3,4-d]pyrimidine and pyrrolo[2,3-d]pyrimidine compounds as kinase inhibitors |
| US8501724B1 (en) | 2012-01-31 | 2013-08-06 | Pharmacyclics, Inc. | Purinone compounds as kinase inhibitors |
| BR112014030424A8 (en) * | 2012-06-04 | 2017-07-11 | Pharmacyclics Inc | CRYSTALLINE FORMS OF A BRUTON TYROSINE KINASE INHIBITOR |
| MX2015001081A (en) | 2012-07-24 | 2015-10-14 | Pharmacyclics Inc | Mutations associated with resistance to inhibitors of bruton's tyrosine kinase (btk). |
| MX373584B (en) | 2013-05-30 | 2020-05-05 | Infinity Pharmaceuticals Inc | TREATMENT OF CANCER USING PI3 KINASE ISOFORM MODULATORS. |
| US9421208B2 (en) | 2013-08-02 | 2016-08-23 | Pharmacyclics Llc | Methods for the treatment of solid tumors |
| AU2014339816B2 (en) | 2013-10-25 | 2020-05-28 | Pharmacyclics Llc | Treatment using Bruton's tyrosine kinase inhibitors and immunotherapy |
| CN106008515A (en) | 2014-01-29 | 2016-10-12 | 苏州晶云药物科技有限公司 | New crystal form of ibrutinib and preparation method of new crystal form |
-
2006
- 2006-12-28 ES ES06850039.6T patent/ES2585902T3/en active Active
- 2006-12-28 SI SI200632078A patent/SI2530083T1/en unknown
- 2006-12-28 CA CA3180977A patent/CA3180977A1/en active Pending
- 2006-12-28 NZ NZ595230A patent/NZ595230A/en unknown
- 2006-12-28 EP EP12166302.5A patent/EP2529622B1/en not_active Revoked
- 2006-12-28 JP JP2009529166A patent/JP4934197B2/en active Active
- 2006-12-28 ES ES12166302.5T patent/ES2673973T3/en active Active
- 2006-12-28 SI SI200631929T patent/SI2526933T1/en unknown
- 2006-12-28 ES ES10155834T patent/ES2376424T3/en active Active
- 2006-12-28 PT PT121663025T patent/PT2529622T/en unknown
- 2006-12-28 EP EP12166300.9A patent/EP2526771B1/en active Active
- 2006-12-28 EP EP06850039.6A patent/EP2081435B1/en active Active
- 2006-12-28 HU HUE12166298A patent/HUE031334T2/en unknown
- 2006-12-28 PL PL10155834T patent/PL2201840T3/en unknown
- 2006-12-28 AU AU2006348662A patent/AU2006348662B8/en active Active
- 2006-12-28 ES ES12166298.5T patent/ES2617150T3/en active Active
- 2006-12-28 ES ES12166300.9T patent/ES2616789T3/en active Active
- 2006-12-28 HU HUE12166295A patent/HUE028086T2/en unknown
- 2006-12-28 NZ NZ601278A patent/NZ601278A/en unknown
- 2006-12-28 EA EA201000599A patent/EA020001B1/en unknown
- 2006-12-28 CA CA2847852A patent/CA2847852A1/en not_active Abandoned
- 2006-12-28 DK DK12166305.8T patent/DK2526934T3/en active
- 2006-12-28 HU HUE12166300A patent/HUE033182T2/en unknown
- 2006-12-28 EP EP12166301.7A patent/EP2526933B1/en active Active
- 2006-12-28 EP EP12166306A patent/EP2532235A1/en not_active Withdrawn
- 2006-12-28 KR KR1020127034005A patent/KR101464424B1/en active Active
- 2006-12-28 MX MX2009003122A patent/MX2009003122A/en active IP Right Grant
- 2006-12-28 US US11/617,645 patent/US7514444B2/en active Active
- 2006-12-28 EP EP12166295.1A patent/EP2530083B1/en active Active
- 2006-12-28 DK DK12166298.5T patent/DK2529621T3/en active
- 2006-12-28 SI SI200632148A patent/SI2526771T1/en unknown
- 2006-12-28 KR KR1020097008224A patent/KR101315610B1/en active Active
- 2006-12-28 PT PT121663017T patent/PT2526933E/en unknown
- 2006-12-28 DK DK10155834.4T patent/DK2201840T3/en active
- 2006-12-28 CN CN2010101622704A patent/CN101805341B/en active Active
- 2006-12-28 LT LTEP12166295.1T patent/LT2530083T/en unknown
- 2006-12-28 KR KR1020147002658A patent/KR101479913B1/en active Active
- 2006-12-28 HU HUE12166302A patent/HUE036897T2/en unknown
- 2006-12-28 BR BRPI0622054A patent/BRPI0622054B8/en active IP Right Grant
- 2006-12-28 PL PL12166301T patent/PL2526933T3/en unknown
- 2006-12-28 EA EA200900351A patent/EA018573B1/en active Protection Beyond IP Right Term
- 2006-12-28 HU HUE12166305A patent/HUE028712T2/en unknown
- 2006-12-28 LT LTEP12166300.9T patent/LT2526771T/en unknown
- 2006-12-28 HU HUE06850039A patent/HUE029095T2/en unknown
- 2006-12-28 PT PT121662985T patent/PT2529621T/en unknown
- 2006-12-28 ES ES12166295.1T patent/ES2584331T3/en active Active
- 2006-12-28 CA CA2663116A patent/CA2663116C/en active Active
- 2006-12-28 PL PL12166295.1T patent/PL2530083T3/en unknown
- 2006-12-28 DK DK06850039.6T patent/DK2081435T3/en active
- 2006-12-28 CN CN2006800564385A patent/CN101610676B/en active Active
- 2006-12-28 DK DK12166300.9T patent/DK2526771T3/en active
- 2006-12-28 NZ NZ575650A patent/NZ575650A/en not_active IP Right Cessation
- 2006-12-28 BR BRPI0622277-3A patent/BRPI0622277A2/en not_active Application Discontinuation
- 2006-12-28 EP EP12166298.5A patent/EP2529621B1/en active Active
- 2006-12-28 DK DK12166302.5T patent/DK2529622T3/en active
- 2006-12-28 SG SG201006601-7A patent/SG166093A1/en unknown
- 2006-12-28 SI SI200631249T patent/SI2201840T1/en unknown
- 2006-12-28 WO PCT/US2006/049626 patent/WO2008039218A2/en not_active Ceased
- 2006-12-28 LT LTEP12166298.5T patent/LT2529621T/en unknown
- 2006-12-28 DK DK12166301.7T patent/DK2526933T3/en active
- 2006-12-28 PT PT68500396T patent/PT2081435T/en unknown
- 2006-12-28 PT PT121663009T patent/PT2526771T/en unknown
- 2006-12-28 MX MX2012014021A patent/MX347525B/en unknown
- 2006-12-28 LT LTEP12166302.5T patent/LT2529622T/en unknown
- 2006-12-28 EP EP12166305.8A patent/EP2526934B1/en active Active
- 2006-12-28 SI SI200632084A patent/SI2081435T1/en unknown
- 2006-12-28 ES ES12166301.7T patent/ES2537399T3/en active Active
- 2006-12-28 PL PL12166300T patent/PL2526771T3/en unknown
- 2006-12-28 KR KR1020107006332A patent/KR20100051863A/en not_active Ceased
- 2006-12-28 PL PL12166302T patent/PL2529622T3/en unknown
- 2006-12-28 SI SI200632256T patent/SI2529622T1/en unknown
- 2006-12-28 ES ES12166305.8T patent/ES2564647T3/en active Active
- 2006-12-28 PL PL12166305.8T patent/PL2526934T4/en unknown
- 2006-12-28 PL PL06850039.6T patent/PL2081435T3/en unknown
- 2006-12-28 PT PT121662951T patent/PT2530083T/en unknown
- 2006-12-28 SI SI200632029T patent/SI2526934T1/en unknown
- 2006-12-28 EP EP10155834A patent/EP2201840B1/en active Active
- 2006-12-28 EA EA201300246A patent/EA024255B1/en unknown
- 2006-12-28 SI SI200632124A patent/SI2529621T1/en unknown
- 2006-12-28 SG SG10201503235VA patent/SG10201503235VA/en unknown
- 2006-12-28 EP EP12166296A patent/EP2532234A1/en not_active Withdrawn
- 2006-12-28 CN CN201210217024.3A patent/CN102887900B/en active Active
- 2006-12-28 HU HUE12166301A patent/HUE025459T2/en unknown
- 2006-12-28 EP EP12151943A patent/EP2443929A1/en not_active Withdrawn
- 2006-12-28 PL PL12166298T patent/PL2529621T3/en unknown
- 2006-12-28 AT AT10155834T patent/ATE531263T1/en active
- 2006-12-28 PT PT10155834T patent/PT2201840E/en unknown
- 2006-12-28 CN CN201210200042.0A patent/CN102746305B/en active Active
-
2007
- 2007-03-28 US US11/692,870 patent/US7732454B2/en active Active
- 2007-12-26 US US11/964,285 patent/US7825118B2/en active Active
-
2008
- 2008-03-27 US US12/594,805 patent/US8883435B2/en active Active
-
2009
- 2009-01-20 US US12/356,498 patent/US8088781B2/en active Active
- 2009-03-12 IL IL197550A patent/IL197550A0/en active Protection Beyond IP Right Term
- 2009-03-12 ZA ZA2009/01784A patent/ZA200901784B/en unknown
- 2009-03-20 MX MX2019012657A patent/MX2019012657A/en unknown
- 2009-07-07 US US12/499,002 patent/US8501751B2/en active Active
- 2009-07-07 US US12/499,005 patent/US8008309B2/en active Active
- 2009-07-07 US US12/499,008 patent/US20100022561A1/en not_active Abandoned
-
2010
- 2010-03-18 AU AU2010201052A patent/AU2010201052B2/en active Active
- 2010-03-19 US US12/727,703 patent/US20100324050A1/en not_active Abandoned
- 2010-07-08 JP JP2010155965A patent/JP5193256B2/en active Active
- 2010-08-31 US US12/873,205 patent/US7960396B2/en active Active
- 2010-09-21 US US12/887,428 patent/US8236812B2/en active Active
- 2010-10-19 US US12/907,759 patent/US8952015B2/en active Active
- 2010-10-22 ZA ZA2010/07561A patent/ZA201007561B/en unknown
-
2011
- 2011-01-21 US US13/011,258 patent/US8232280B2/en active Active
- 2011-02-03 ZA ZA2011/00893A patent/ZA201100893B/en unknown
- 2011-06-15 US US13/161,238 patent/US8158786B2/en active Active
- 2011-06-16 US US13/162,449 patent/US20110281322A1/en not_active Abandoned
- 2011-09-29 US US13/249,066 patent/US8735403B2/en active Active
- 2011-12-06 US US13/312,606 patent/US8497277B2/en active Active
- 2011-12-16 US US13/328,718 patent/US8476284B2/en active Active
- 2011-12-22 US US13/335,719 patent/US8735404B2/en active Active
- 2011-12-29 US US13/340,409 patent/US8748438B2/en active Active
- 2011-12-29 US US13/340,556 patent/US8741908B2/en active Active
-
2012
- 2012-01-27 CY CY20121100100T patent/CY1112513T1/en unknown
- 2012-01-30 US US13/361,733 patent/US8399470B2/en active Active
- 2012-01-30 US US13/361,730 patent/US8563563B2/en active Active
- 2012-01-30 US US13/361,726 patent/US8658653B2/en active Active
- 2012-03-06 JP JP2012049524A patent/JP5635544B2/en active Active
- 2012-04-18 US US13/450,158 patent/US8748439B2/en active Active
- 2012-05-15 US US13/472,292 patent/US8691546B2/en active Active
- 2012-05-23 US US13/479,053 patent/US8697711B2/en active Active
- 2012-06-18 US US13/526,161 patent/US8703780B2/en active Active
- 2012-06-18 US US13/526,163 patent/US8552010B2/en active Active
- 2012-07-05 US US13/542,440 patent/US8754091B2/en active Active
- 2012-09-20 ZA ZA2012/07075A patent/ZA201207075B/en unknown
- 2012-10-17 US US13/654,173 patent/US8957079B2/en active Active
- 2012-12-28 JP JP2012286719A patent/JP5718890B2/en active Active
-
2013
- 2013-03-22 US US13/849,399 patent/US8975266B2/en active Active
- 2013-05-09 US US13/890,498 patent/US9133198B2/en active Active
- 2013-07-26 US US13/952,531 patent/US8759516B2/en active Active
- 2013-09-20 US US14/033,344 patent/US9127012B2/en active Active
- 2013-11-06 US US14/073,543 patent/US9133201B2/en active Active
- 2013-11-06 US US14/073,594 patent/US9409911B2/en active Active
- 2013-11-13 US US14/079,508 patent/US9133202B2/en active Active
- 2013-11-14 US US14/080,640 patent/US9181257B2/en active Active
- 2013-11-14 US US14/080,649 patent/US9212185B2/en active Active
-
2014
- 2014-01-10 US US14/152,886 patent/US9266893B2/en active Active
- 2014-01-15 US US14/156,247 patent/US9193735B2/en active Active
- 2014-07-24 US US14/340,483 patent/US9206189B2/en active Active
-
2015
- 2015-02-03 US US14/613,309 patent/US20150306103A1/en not_active Abandoned
- 2015-04-03 FR FR15C0029C patent/FR15C0029I2/en active Active
- 2015-04-03 CY CY2015016C patent/CY2015016I2/en unknown
- 2015-04-03 LT LTPA2015017C patent/LTC2201840I2/en unknown
- 2015-04-03 NL NL300728C patent/NL300728I2/nl unknown
- 2015-04-07 LU LU92662C patent/LU92692I2/en unknown
- 2015-04-07 BE BE2015C016C patent/BE2015C016I2/fr unknown
- 2015-04-08 HU HUS1500018C patent/HUS1500018I1/en unknown
- 2015-05-20 CY CY20151100453T patent/CY1116295T1/en unknown
-
2016
- 2016-02-12 US US15/042,734 patent/US20170007611A1/en not_active Abandoned
- 2016-03-07 CY CY20161100196T patent/CY1117587T1/en unknown
- 2016-07-26 CY CY20161100734T patent/CY1117840T1/en unknown
- 2016-08-03 CY CY20161100765T patent/CY1117897T1/en unknown
- 2016-11-15 CY CY2016041C patent/CY2016041I2/en unknown
- 2016-11-23 HU HUS1600049C patent/HUS1600049I1/en unknown
- 2016-11-23 LU LU93321C patent/LU93321I2/en unknown
- 2016-11-24 LT LTPA2016034C patent/LTPA2016034I1/en unknown
- 2016-12-27 CY CY20161101348T patent/CY1119209T1/en unknown
-
2017
- 2017-02-22 CY CY20171100248T patent/CY1118666T1/en unknown
- 2017-03-24 HU HUS1700012C patent/HUS1700012I1/en unknown
- 2017-03-30 LU LU00011C patent/LUC00011I2/fr unknown
- 2017-03-30 LT LTPA2017009C patent/LTPA2017009I1/en unknown
- 2017-03-31 CY CY2017012C patent/CY2017012I2/en unknown
- 2017-05-08 US US15/588,947 patent/US20180085372A1/en not_active Abandoned
-
2018
- 2018-04-17 CY CY20181100404T patent/CY1120135T1/en unknown
-
2019
- 2019-05-20 US US16/417,043 patent/US20200108072A1/en not_active Abandoned
-
2021
- 2021-02-19 US US17/180,391 patent/US20220008424A1/en not_active Abandoned
-
2023
- 2023-12-18 US US18/543,878 patent/US20240358707A1/en not_active Abandoned
Patent Citations (23)
| Publication number | Priority date | Publication date | Assignee | Title |
|---|---|---|---|---|
| US6326469B1 (en) * | 1994-04-22 | 2001-12-04 | Sugen, Inc. | Megakaryocytic protein tyrosine kinases |
| US20060167090A1 (en) * | 1998-08-21 | 2006-07-27 | Parker Hughes Institute | BTK inhibitors |
| US6753348B2 (en) * | 1998-08-21 | 2004-06-22 | Parker Hughes Institute | BTK inhibitors and methods for their identification and use |
| US6921763B2 (en) * | 1999-09-17 | 2005-07-26 | Abbott Laboratories | Pyrazolopyrimidines as therapeutic agents |
| US6660744B1 (en) * | 1999-09-17 | 2003-12-09 | Abbott Gmbh & Co. Kg | Pyrazolopyrimidines as therapeutic agents |
| US20020016460A1 (en) * | 1999-10-06 | 2002-02-07 | Snow Roger John | Heterocyclic compounds useful as inhibitors of tyrosine kinases |
| US6506769B2 (en) * | 1999-10-06 | 2003-01-14 | Boehringer Ingelheim Pharmaceuticals, Inc. | Heterocyclic compounds useful as inhibitors of tyrosine kinases |
| US6770639B2 (en) * | 1999-10-06 | 2004-08-03 | Boehringer Ingelheim Pharmaceuticals, Inc. | Heterocyclic compounds useful as inhibitors of tyrosine kinases |
| US20030125235A1 (en) * | 2000-03-06 | 2003-07-03 | Foxwell Brian Maurice John | Treatment of diseases associated with cytokine production with inhibitors of the tec family of protein tyrosine kinases |
| US20040006083A1 (en) * | 2001-03-22 | 2004-01-08 | Hirst Gavin C. | Pyrazolopyrimidines as therapeutic agents |
| US20030008640A1 (en) * | 2001-06-12 | 2003-01-09 | Jari Lansio | Data transmission method and data transmission arrangement |
| US20050196851A1 (en) * | 2001-08-15 | 2005-09-08 | Parker Hughes Institute | Crystal structure of the BTK kinase domain |
| US20050008640A1 (en) * | 2003-04-23 | 2005-01-13 | Wendy Waegell | Method of treating transplant rejection |
| US20050090499A1 (en) * | 2003-06-04 | 2005-04-28 | Currie Kevin S. | Certain imidazo[1,2-a]pyrazin-8-ylamines and method of inhibition of bruton's tyrosine kinase by such compounds |
| US20050101604A1 (en) * | 2003-06-30 | 2005-05-12 | Currie Kevin S. | Certain heterocyclic substituted imidazo[1,2-A]pyrazin-8-ylamines and methods of inhibition of bruton's tyrosine kinase by such compounds |
| US20050209255A1 (en) * | 2004-01-26 | 2005-09-22 | Juan-Miguel Jimenez | Compositions useful as inhibitors of protein kinases |
| US20060079494A1 (en) * | 2004-09-27 | 2006-04-13 | Santi Daniel V | Specific kinase inhibitors |
| US20080076921A1 (en) * | 2006-09-22 | 2008-03-27 | Pharmacyclics, Inc. | Inhibitors of bruton's tyrosine kinase |
| US20080108636A1 (en) * | 2006-09-22 | 2008-05-08 | Pharmacyclics, Inc. | Inhibitors of bruton's tyrosine kinase |
| US20080139582A1 (en) * | 2006-09-22 | 2008-06-12 | Pharmacyclics, Inc. | Inhibitors of bruton's tyrosine kinase |
| US20090181987A1 (en) * | 2006-09-22 | 2009-07-16 | Pharmacyclics, Inc. | Inhibitors of brutons tyrosine kinase |
| US20100004270A1 (en) * | 2006-09-22 | 2010-01-07 | Pharmacyclics, Inc. | Inhibitors of bruton's tyrosine kinase |
| US20100041677A1 (en) * | 2006-09-22 | 2010-02-18 | Pharmacyclics, Inc. | Inhibitors of bruton's tyrosine kinase |
Cited By (165)
| Publication number | Priority date | Publication date | Assignee | Title |
|---|---|---|---|---|
| US20080139582A1 (en) * | 2006-09-22 | 2008-06-12 | Pharmacyclics, Inc. | Inhibitors of bruton's tyrosine kinase |
| US8552010B2 (en) | 2006-09-22 | 2013-10-08 | Pharmacyclics, Inc. | Inhibitors of Bruton'S tyrosine kinase |
| US8957079B2 (en) | 2006-09-22 | 2015-02-17 | Pharmacyclics, Inc. | Inhibitors of Bruton's tyrosine kinase |
| US9409911B2 (en) | 2006-09-22 | 2016-08-09 | Pharmacyclics Llc | Inhibitors of bruton's tyrosine kinase |
| US20100041677A1 (en) * | 2006-09-22 | 2010-02-18 | Pharmacyclics, Inc. | Inhibitors of bruton's tyrosine kinase |
| US9266893B2 (en) | 2006-09-22 | 2016-02-23 | Pharmacyclics Llc | Inhibitors of Bruton's tyrosine kinase |
| US9212185B2 (en) | 2006-09-22 | 2015-12-15 | Pharmacyclics Llc | Inhibitors of Bruton's tyrosine kinase |
| US20100254905A1 (en) * | 2006-09-22 | 2010-10-07 | Lee Honigberg | Inhibitors of bruton's tyrosine kinase |
| US7825118B2 (en) | 2006-09-22 | 2010-11-02 | Pharmacyclics, Inc. | Inhibitors of bruton's tyrosine kinase |
| US20110008257A1 (en) * | 2006-09-22 | 2011-01-13 | Pharmacyclics, Inc. | Inhibitors of bruton's tyrosine kinase |
| US20110039868A1 (en) * | 2006-09-22 | 2011-02-17 | Pharmacyclics, Inc. | Inhibitors of bruton's tyrosine kinase |
| US9206189B2 (en) | 2006-09-22 | 2015-12-08 | Pharmacyclics Llc | Inhibitors of bruton's tyrosine kinase |
| US20110184001A1 (en) * | 2006-09-22 | 2011-07-28 | Pharmacyclics, Inc. | Inhibitors of bruton's tyrosine kinase |
| US9193735B2 (en) | 2006-09-22 | 2015-11-24 | Pharmacyclics Llc | Inhibitors of Bruton's tyrosine kinase |
| US8008309B2 (en) | 2006-09-22 | 2011-08-30 | Pharmacyclics, Inc. | Inhibitors of bruton's tyrosine kinase |
| US9181257B2 (en) | 2006-09-22 | 2015-11-10 | Pharmacyclics Llc | Inhibitors of Bruton's tyrosine kinase |
| US9133202B2 (en) | 2006-09-22 | 2015-09-15 | Pharmacyclics, Inc. | Inhibitors of Bruton's tyrosine kinase |
| US9133201B2 (en) | 2006-09-22 | 2015-09-15 | Pharmacyclics, Inc. | Inhibitors of Bruton's tyrosine kinase |
| US8088781B2 (en) | 2006-09-22 | 2012-01-03 | Pharmacyclics, Inc. | Inhibitors of brutons tyrosine kinase |
| US8158786B2 (en) | 2006-09-22 | 2012-04-17 | Pharmacyclics, Inc. | Inhibitors of Bruton's tyrosine kinase |
| US8232280B2 (en) | 2006-09-22 | 2012-07-31 | Pharmacyclics, Inc. | Inhibitors of bruton'S tyrosine kinase |
| US8236812B2 (en) | 2006-09-22 | 2012-08-07 | Pharmacyclics, Inc. | Inhibitors of bruton's tyrosine kinase |
| US9133198B2 (en) | 2006-09-22 | 2015-09-15 | Pharmacyclics Llc | Inhibitors of bruton'S tyrosine kinase |
| US9127012B2 (en) | 2006-09-22 | 2015-09-08 | Pharmacyclics, Inc. | Inhibitors of bruton's tyrosine kinase |
| US8952015B2 (en) | 2006-09-22 | 2015-02-10 | Pharmacyclics, Inc. | Inhibitors of Bruton's tyrosine kinase |
| US8399470B2 (en) | 2006-09-22 | 2013-03-19 | Pharmacyclics, Inc. | Inhibitors of bruton's tyrosine kinase |
| US20100004270A1 (en) * | 2006-09-22 | 2010-01-07 | Pharmacyclics, Inc. | Inhibitors of bruton's tyrosine kinase |
| US8883435B2 (en) | 2006-09-22 | 2014-11-11 | Pharmacyclics, Inc. | Inhibitors of Bruton's tyrosine kinase |
| US8476284B2 (en) | 2006-09-22 | 2013-07-02 | Pharmacyclics, Inc. | Inhibitors of Bruton's tyrosine kinase |
| US8497277B2 (en) | 2006-09-22 | 2013-07-30 | Pharmacyclics, Inc. | Inhibitors of Bruton's tyrosine kinase |
| US8501751B2 (en) | 2006-09-22 | 2013-08-06 | Pharmacyclics, Inc. | Inhibitors of Bruton's tyrosine kinase |
| US8975266B2 (en) | 2006-09-22 | 2015-03-10 | Pharmacyclics, Inc. | Inhibitors of Bruton's tyrosine kinase |
| US8563563B2 (en) | 2006-09-22 | 2013-10-22 | Pharmacyclics, Inc. | Inhibitors of bruton's tyrosine kinase |
| US8759516B2 (en) | 2006-09-22 | 2014-06-24 | Pharmacyclics, Inc. | Inhibitors of Bruton's tyrosine kinase |
| US8754091B2 (en) | 2006-09-22 | 2014-06-17 | Pharmacyclics, Inc. | Inhibitors of bruton's tyrosine kinase |
| US8658653B2 (en) | 2006-09-22 | 2014-02-25 | Pharmacyclics, Inc. | Inhibitors of Bruton's tyrosine kinase |
| US8691546B2 (en) | 2006-09-22 | 2014-04-08 | Pharmacyclics, Inc. | Inhibitors of Bruton's tyrosine kinase |
| US8697711B2 (en) | 2006-09-22 | 2014-04-15 | Pharmacyclics, Inc. | Inhibitors of bruton'S tyrosine kinase |
| US8703780B2 (en) | 2006-09-22 | 2014-04-22 | Pharmacyclics, Inc. | Inhibitors of Bruton's tyrosine kinase |
| US8748438B2 (en) | 2006-09-22 | 2014-06-10 | Pharmacyclics, Inc. | Inhibitors of Bruton's tyrosine kinase |
| US8735403B2 (en) | 2006-09-22 | 2014-05-27 | Pharmacyclics, Inc. | Inhibitors of Bruton's tyrosine kinase |
| US8735404B2 (en) | 2006-09-22 | 2014-05-27 | Pharmacyclics, Inc. | Inhibitors of Bruton's tyrosine kinase |
| US8741908B2 (en) | 2006-09-22 | 2014-06-03 | Pharmacyclics, Inc. | Inhibitors of bruton's tyrosine kinase |
| US8748439B2 (en) | 2006-09-22 | 2014-06-10 | Pharmacyclics, Inc. | Inhibitors of Bruton's tyrosine kinase |
| US8809273B2 (en) | 2007-03-28 | 2014-08-19 | Pharmacyclics, Inc. | Inhibitors of Bruton's tyrosine kinase |
| US9079908B2 (en) | 2007-03-28 | 2015-07-14 | Pharmacyclics, Inc. | Inhibitors of Bruton'S tyrosine kinase |
| US9556182B2 (en) | 2007-03-28 | 2017-01-31 | Pharmacylics LLC | Inhibitors of Bruton's tyrosine kinase |
| US9139591B2 (en) | 2007-03-28 | 2015-09-22 | Pharmacyclics Llc | Inhibitors of bruton's tyrosine kinase |
| US9181263B2 (en) | 2007-03-28 | 2015-11-10 | Pharmacyclics Llc | Inhibitors of bruton's tyrosine kinase |
| US8940750B2 (en) | 2007-03-28 | 2015-01-27 | Pharmacyclics, Inc. | Inhibitors of bruton's tyrosine kinase |
| US20100016296A1 (en) * | 2007-10-19 | 2010-01-21 | Avila Therapeutics, Inc. | Heteroaryl compounds and uses thereof |
| US9296704B2 (en) | 2007-10-19 | 2016-03-29 | Celgene Avilomics Research, Inc. | Substituted pyrimidines as protein kinase inhibitors |
| US9393246B2 (en) | 2007-10-19 | 2016-07-19 | Celgene Avilomics Research, Inc. | 4,6-disubstituted pyrimidines as kinase inhibitors |
| US8445498B2 (en) | 2007-10-19 | 2013-05-21 | Celgene Avilomics Research, Inc. | 4,6-disubstituted pyrimidines useful as kinase inhibitors |
| US7982036B2 (en) | 2007-10-19 | 2011-07-19 | Avila Therapeutics, Inc. | 4,6-disubstitued pyrimidines useful as kinase inhibitors |
| US8329901B2 (en) | 2007-10-19 | 2012-12-11 | Celgene Avilomics Research, Inc. | 4,6-disubstitued pyrimidines useful as kinase inhibitors |
| US20110224432A1 (en) * | 2007-10-19 | 2011-09-15 | Avila Therapeutics, Inc. | Heteroaryl compounds and uses thereof |
| US7989465B2 (en) | 2007-10-19 | 2011-08-02 | Avila Therapeutics, Inc. | 4,6-disubstituted pyrimidines useful as kinase inhibitors |
| US9040541B2 (en) | 2007-10-19 | 2015-05-26 | Celgene Avilomics Research, Inc. | 4,6-disubstituted pyrimidines useful as kinase inhibitors |
| US20110230494A1 (en) * | 2007-10-19 | 2011-09-22 | Avila Therapeutics, Inc. | Heteroaryl compounds and uses thereof |
| US8748606B2 (en) | 2007-10-19 | 2014-06-10 | Celgene Avilomics Research, Inc. | 4,6-diaminopyrimidines useful as kinase inhibitors |
| US20100101977A1 (en) * | 2008-06-05 | 2010-04-29 | United Comb & Novelty Corporation | Stackable Packaging For Lipped Containers |
| US9987276B2 (en) | 2008-06-27 | 2018-06-05 | Celgene Car Llc | Substituted 2,4-diaminopyrimidines as kinase inhibitors |
| US9409921B2 (en) | 2008-06-27 | 2016-08-09 | Celgene Avilomics Research, Inc. | 2,4-disubstituted pyrimidines as kinase inhibitors |
| US8450335B2 (en) | 2008-06-27 | 2013-05-28 | Celgene Avilomics Research, Inc. | 2,4-disubstituted pyrimidines useful as kinase inhibitors |
| US20100029610A1 (en) * | 2008-06-27 | 2010-02-04 | Avila Therapeutics, Inc. | Heteroaryl Compounds and Uses Thereof |
| US8338439B2 (en) | 2008-06-27 | 2012-12-25 | Celgene Avilomics Research, Inc. | 2,4-disubstituted pyrimidines useful as kinase inhibitors |
| US10828300B2 (en) | 2008-06-27 | 2020-11-10 | Celgene Car Llc | Substituted 2,4-diaminopyrimidines as kinase inhibitors |
| US8609679B2 (en) | 2008-06-27 | 2013-12-17 | Celgene Avilomics Research, Inc. | 2,4-diaminopyrimidines useful as kinase inhibitors |
| US11351168B1 (en) | 2008-06-27 | 2022-06-07 | Celgene Car Llc | 2,4-disubstituted pyrimidines useful as kinase inhibitors |
| US9296737B2 (en) | 2008-06-27 | 2016-03-29 | Celgene Avilomics Research, Inc. | Substituted 2,4-diaminopyrimidines as kinase inhibitors |
| US8710222B2 (en) | 2008-06-27 | 2014-04-29 | Celgene Avilomics Research, Inc. | 2,4-disubstituted pyrimidines useful as kinase inhibitors |
| US9212181B2 (en) | 2008-06-27 | 2015-12-15 | Celgene Avilomics Research, Inc. | Substituted 2,4-diaminopyrimidines as kinase inhibitors |
| US20100249092A1 (en) * | 2008-06-27 | 2010-09-30 | Avila Therapeutics, Inc. | Heteroaryl compounds and uses thereof |
| US10010548B2 (en) | 2008-06-27 | 2018-07-03 | Celgene Car Llc | 2,4-disubstituted pyrimidines useful as kinase inhibitors |
| US10596172B2 (en) | 2008-06-27 | 2020-03-24 | Celgene Car Llc | 2,4-disubstituted pyrimidines useful as kinase inhibitors |
| US9107924B2 (en) | 2008-07-16 | 2015-08-18 | Pharmacyclics, Inc. | Inhibitors of Bruton'S tyrosine kinase for the treatment of solid tumors |
| US20110224235A1 (en) * | 2008-07-16 | 2011-09-15 | Pharmacyclics, Inc. | Inhibitors of bruton's tyrosine kinase for the treatment of solid tumors |
| US9795605B2 (en) | 2008-07-16 | 2017-10-24 | Pharmacyclics Llc | Inhibitors of Bruton's tyrosine kinase for the treatment of solid tumors |
| US8883803B2 (en) | 2008-07-16 | 2014-11-11 | Pharmacyclics, Inc. | Inhibitors of Bruton's tyrosine kinase for the treatment of solid tumors |
| US9278100B2 (en) | 2008-07-16 | 2016-03-08 | Pharmacyclics Llc | Inhibitors of bruton's tyrosine kinase for the treatment of solid tumors |
| US9908884B2 (en) | 2009-05-05 | 2018-03-06 | Dana-Farber Cancer Institute, Inc. | EGFR inhibitors and methods of treating disorders |
| US10976772B2 (en) | 2009-09-30 | 2021-04-13 | Apple Inc. | Cover glass to housing interface system |
| US10004745B2 (en) | 2010-06-03 | 2018-06-26 | Pharmacyclics Llc | Use of inhibitors of Bruton'S tyrosine kinase (Btk) |
| US10016435B2 (en) | 2010-06-03 | 2018-07-10 | Pharmacyclics Llc | Use of inhibitors of Bruton's tyrosine kinase (Btk) |
| US9125889B2 (en) | 2010-06-03 | 2015-09-08 | Pharmacyclics, Inc. | Use of inhibitors of Bruton's tyrosine kinase (Btk) |
| US9801883B2 (en) | 2010-06-03 | 2017-10-31 | Pharmacyclics Llc | Use of inhibitors of bruton's tyrosine kinase (Btk) |
| US9801881B2 (en) | 2010-06-03 | 2017-10-31 | Pharmacyclics Llc | Use of inhibitors of bruton's tyrosine kinase (BTK) |
| US9814721B2 (en) | 2010-06-03 | 2017-11-14 | Pharmacyclics Llc | Use of inhibitors of bruton'S tyrosine kinase (BTK) |
| US8999999B2 (en) | 2010-06-03 | 2015-04-07 | Pharmacyclics, Inc. | Use of inhibitors of Bruton's tyrosine kinase (Btk) |
| US10653696B2 (en) | 2010-06-03 | 2020-05-19 | Pharmacyclics Llc | Use of inhibitors of bruton's tyrosine kinase (BTK) |
| US10751342B2 (en) | 2010-06-03 | 2020-08-25 | Pharmacyclics Llc | Use of inhibitors of Bruton's tyrosine kinase (Btk) |
| US8754090B2 (en) | 2010-06-03 | 2014-06-17 | Pharmacyclics, Inc. | Use of inhibitors of bruton's tyrosine kinase (Btk) |
| US10478439B2 (en) | 2010-06-03 | 2019-11-19 | Pharmacyclics Llc | Use of inhibitors of bruton's tyrosine kinase (Btk) |
| US10004746B2 (en) | 2010-06-03 | 2018-06-26 | Pharmacyclics Llc | Use of inhibitors of Bruton's tyrosine kinase (Btk) |
| US11672803B2 (en) | 2010-06-03 | 2023-06-13 | Pharmacyclics Llc | Use of inhibitors of Brutons tyrosine kinase (Btk) |
| US8563568B2 (en) | 2010-08-10 | 2013-10-22 | Celgene Avilomics Research, Inc. | Besylate salt of a BTK inhibitor |
| US9604936B2 (en) | 2010-08-10 | 2017-03-28 | Celgene Car Llc | Besylate salt of a BTK inhibitor |
| US10434101B2 (en) | 2010-11-01 | 2019-10-08 | Celgene Car Llc | Heterocyclic compounds and uses thereof |
| US8975249B2 (en) | 2010-11-01 | 2015-03-10 | Celgene Avilomics Research, Inc. | Heterocyclic compounds and uses thereof |
| US10081606B2 (en) | 2010-11-01 | 2018-09-25 | Celgene Car Llc | Heteroaryl compounds and uses thereof |
| US9238629B2 (en) | 2010-11-01 | 2016-01-19 | Celgene Avilomics Research, Inc. | Heteroaryl compounds and uses thereof |
| US9765038B2 (en) | 2010-11-01 | 2017-09-19 | Celgene Car Llc | Heteroaryl compounds and uses thereof |
| US9867824B2 (en) | 2010-11-01 | 2018-01-16 | Celgene Car Llc | Heterocyclic compounds and uses thereof |
| US9375431B2 (en) | 2010-11-01 | 2016-06-28 | Celgene Avilomics Research, Inc. | 2,4-disubstituted pyrimidine compounds useful as kinase inhibtors |
| US11096942B2 (en) | 2010-11-01 | 2021-08-24 | Celgene Car Llc | Heterocyclic compounds and uses thereof |
| US9409887B2 (en) | 2010-11-10 | 2016-08-09 | Celgene Avilomics Research, Inc. | Mutant-selective EGFR inhibitors and uses thereof |
| US8796255B2 (en) | 2010-11-10 | 2014-08-05 | Celgene Avilomics Research, Inc | Mutant-selective EGFR inhibitors and uses thereof |
| US9868723B2 (en) | 2010-11-10 | 2018-01-16 | Celgene Car Llc | Mutant-selective EGFR inhibitors and uses thereof |
| US9862722B2 (en) | 2011-07-13 | 2018-01-09 | Pharmacyclics Llc | Inhibitors of Bruton's tyrosine kinase |
| US9364476B2 (en) | 2011-10-28 | 2016-06-14 | Celgene Avilomics Research, Inc. | Methods of treating a Bruton's Tyrosine Kinase disease or disorder |
| US9273051B2 (en) | 2011-12-30 | 2016-03-01 | Pharmacyclics Llc | Pyrazolo[3,4-d]pyrimidine and pyrrolo[2,3-d]pyrimidine compounds as kinase inhibitors |
| US8377946B1 (en) | 2011-12-30 | 2013-02-19 | Pharmacyclics, Inc. | Pyrazolo[3,4-d]pyrimidine and pyrrolo[2,3-d]pyrimidine compounds as kinase inhibitors |
| US9546172B2 (en) | 2011-12-30 | 2017-01-17 | Pharmacyclics Llc | Pyrazolo[3,4-d]pyrimidine and pyrazolo[2,3-d]pyrimidine compounds as kinase inhibitors |
| US10946016B2 (en) | 2012-03-15 | 2021-03-16 | Celgene Car Llc | Solid forms of an epidermal growth factor receptor kinase inhibitor |
| US10570099B2 (en) | 2012-03-15 | 2020-02-25 | Celgene Car Llc | Salts of an epidermal growth factor receptor kinase inhibitor |
| US9056839B2 (en) | 2012-03-15 | 2015-06-16 | Celgene Avilomics Research, Inc. | Solid forms of an epidermal growth factor receptor kinase inhibitor |
| US11292772B2 (en) | 2012-03-15 | 2022-04-05 | Celgene Car Llc | Salts of an epidermal growth factor receptor kinase inhibitor |
| US9539255B2 (en) | 2012-03-15 | 2017-01-10 | Celgene Avilomics Research, Inc. | Solid forms of an epidermal growth factor receptor kinase inhibitor |
| US9108927B2 (en) | 2012-03-15 | 2015-08-18 | Celgene Avilomics Research, Inc. | Salts of an epidermal growth factor receptor kinase inhibitor |
| US10005738B2 (en) | 2012-03-15 | 2018-06-26 | Celgene Car Llc | Salts of an epidermal growth factor receptor kinase inhibitor |
| US10004741B2 (en) | 2012-03-15 | 2018-06-26 | Celgene Car Llc | Solid forms of an epidermal growth factor receptor kinase inhibitor |
| US9540335B2 (en) | 2012-03-15 | 2017-01-10 | Celgene Avilomics Research, Inc. | Salts of an epidermal growth factor receptor kinase inhibitor |
| US9725455B1 (en) | 2012-06-04 | 2017-08-08 | Pharmacyclics Llc | Crystalline forms of a bruton's tyrosine kinase inhibitor |
| US9828383B1 (en) | 2012-06-04 | 2017-11-28 | Pharmacyclic s LLC | Crystalline forms of a bruton's tyrosine kinase inhibitor |
| US10961251B1 (en) | 2012-06-04 | 2021-03-30 | Pharmacyclics Llc | Crystalline forms of a Bruton's tyrosine kinase inhibitor |
| US10266540B2 (en) | 2012-06-04 | 2019-04-23 | Pharmacyclics Llc | Crystalline forms of a Bruton's tyrosine kinase inhibitor |
| US10125140B1 (en) | 2012-06-04 | 2018-11-13 | Pharmacyclics Llc | Crystalline forms of a bruton's tyrosine kinase inhibitor |
| US10106548B2 (en) | 2012-06-04 | 2018-10-23 | Pharmacyclics Llc | Crystalline forms of a Bruton's tyrosine kinase inhibitor |
| US10294231B2 (en) | 2012-06-04 | 2019-05-21 | Pharmacyclics Llc | Crystalline forms of a Bruton's tyrosine kinase inhibitor |
| US10065968B2 (en) | 2012-06-04 | 2018-09-04 | Pharmacyclics Llc | Crystalline forms of a bruton's tyrosine kinase inhibitor |
| US9540382B2 (en) | 2012-06-04 | 2017-01-10 | Pharmacyclics Llc | Crystalline forms of a Bruton's tyrosine kinase inhibitor |
| US10294232B2 (en) | 2012-06-04 | 2019-05-21 | Pharmacyclics Llc | Crystalline forms of a Bruton's tyrosine kinase inhibitor |
| US10752634B2 (en) | 2012-06-04 | 2020-08-25 | Pharmacyclics Llc | Crystalline forms of a brutons tyrosine kinase inhibitor |
| US9296753B2 (en) | 2012-06-04 | 2016-03-29 | Pharmacyclics Llc | Crystalline forms of a Bruton's tyrosine kinase inhibitor |
| US9713617B2 (en) | 2012-06-04 | 2017-07-25 | Pharmacyclics Llc | Crystalline forms of a Bruton's tyrosine kinase inhibitor |
| US10954567B2 (en) | 2012-07-24 | 2021-03-23 | Pharmacyclics Llc | Mutations associated with resistance to inhibitors of Bruton's Tyrosine Kinase (BTK) |
| US9096604B2 (en) | 2012-11-15 | 2015-08-04 | Pharmacyclics, Inc. | Pyrrolopyrimidine compounds as kinase inhibitors |
| US9540385B2 (en) | 2012-11-15 | 2017-01-10 | Pharmacyclics Llc | Pyrrolopyrimidine compounds as kinase inhibitors |
| US9549927B2 (en) | 2012-12-21 | 2017-01-24 | Celgene Avilomics Research, Inc. | Heteroaryl compounds and uses thereof |
| US9126950B2 (en) | 2012-12-21 | 2015-09-08 | Celgene Avilomics Research, Inc. | Heteroaryl compounds and uses thereof |
| US9980964B2 (en) | 2013-02-08 | 2018-05-29 | Celgene Car Llc | ERK inhibitors and uses thereof |
| US9145387B2 (en) | 2013-02-08 | 2015-09-29 | Celgene Avilomics Research, Inc. | ERK inhibitors and uses thereof |
| US9796700B2 (en) | 2013-02-08 | 2017-10-24 | Celgene Car Llc | ERK inhibitors and uses thereof |
| US9504686B2 (en) | 2013-02-08 | 2016-11-29 | Celgene Avilomics Research, Inc. | ERK inhibitors and uses thereof |
| US9561228B2 (en) | 2013-02-08 | 2017-02-07 | Celgene Avilomics Research, Inc. | ERK inhibitors and uses thereof |
| US9421208B2 (en) | 2013-08-02 | 2016-08-23 | Pharmacyclics Llc | Methods for the treatment of solid tumors |
| US9724349B2 (en) | 2013-08-12 | 2017-08-08 | Pharmacyclics Llc | Methods for the treatment of HER2 amplified cancer |
| US10016434B2 (en) | 2013-08-12 | 2018-07-10 | Pharmacyclics Llc | Methods for the treatment of HER2 amplified cancer |
| US9415050B2 (en) | 2013-08-12 | 2016-08-16 | Pharmacyclics Llc | Methods for the treatment of HER2 amplified cancer |
| US9492471B2 (en) | 2013-08-27 | 2016-11-15 | Celgene Avilomics Research, Inc. | Methods of treating a disease or disorder associated with Bruton'S Tyrosine Kinase |
| US9624224B2 (en) | 2013-09-30 | 2017-04-18 | Pharmacyclics Llc | Inhibitors of Bruton's tyrosine kinase |
| US10695350B2 (en) | 2013-10-25 | 2020-06-30 | Pharmacyclics Llc | Methods of treating and preventing graft versus host disease |
| US10463668B2 (en) | 2013-10-25 | 2019-11-05 | Pharmacyclics Llc | Methods of treating and preventing graft versus host disease |
| US9415049B2 (en) | 2013-12-20 | 2016-08-16 | Celgene Avilomics Research, Inc. | Heteroaryl compounds and uses thereof |
| US9885086B2 (en) | 2014-03-20 | 2018-02-06 | Pharmacyclics Llc | Phospholipase C gamma 2 and resistance associated mutations |
| US9533991B2 (en) | 2014-08-01 | 2017-01-03 | Pharmacyclics Llc | Inhibitors of Bruton's tyrosine kinase |
| US20180028537A1 (en) | 2014-08-07 | 2018-02-01 | Pharmacyclics Llc | Novel Formulations of a Bruton's Tyrosine Kinase Inhibitor |
| US9545407B2 (en) | 2014-08-07 | 2017-01-17 | Pharmacyclics Llc | Formulations of a bruton's tyrosine kinase inhibitor |
| US10005760B2 (en) | 2014-08-13 | 2018-06-26 | Celgene Car Llc | Forms and compositions of an ERK inhibitor |
| US10202364B2 (en) | 2014-08-13 | 2019-02-12 | Celgene Car Llc | Forms and compositions of an ERK inhibitor |
| US10213386B2 (en) | 2015-03-03 | 2019-02-26 | Pharmacyclics Llc | Pharmaceutical formulations of a Bruton's tyrosine kinase inhibitor |
| US10010507B1 (en) | 2015-03-03 | 2018-07-03 | Pharmacyclics Llc | Pharmaceutical formulations of a bruton's tyrosine kinase inhibitor |
| US10828259B2 (en) | 2015-03-03 | 2020-11-10 | Pharmacyclics Llc | Pharmaceutical formulations of a Bruton's tyrosine kinase inhibitor |
| US9655857B2 (en) | 2015-03-03 | 2017-05-23 | Pharmacyclics Llc | Pharmaceutical formulations of a Bruton's tyrosine kinase inhibitor |
Also Published As
Similar Documents
| Publication | Publication Date | Title |
|---|---|---|
| US9266893B2 (en) | Inhibitors of Bruton's tyrosine kinase |
Legal Events
| Date | Code | Title | Description |
|---|---|---|---|
| AS | Assignment |
Owner name: PHARMACYCLICS, INC.,CALIFORNIA Free format text: ASSIGNMENT OF ASSIGNORS INTEREST;ASSIGNORS:HONIGBERG, LEE;VERNER, ERIK;PAN, ZHENGYING;SIGNING DATES FROM 20100331 TO 20100427;REEL/FRAME:024368/0640 |
|
| STCB | Information on status: application discontinuation |
Free format text: ABANDONED -- FAILURE TO RESPOND TO AN OFFICE ACTION |
|
| AS | Assignment |
Owner name: PHARMACYCLICS, INC., CALIFORNIA Free format text: MERGER;ASSIGNOR:OXFORD AMHERST CORPORATION;REEL/FRAME:036130/0254 Effective date: 20150526 Owner name: PHARMACYCLICS LLC, CALIFORNIA Free format text: MERGER AND CHANGE OF NAME;ASSIGNORS:PHARMACYCLICS, INC.;OXFORD AMHERST LLC;REEL/FRAME:036130/0285 Effective date: 20150526 |
|
| AS | Assignment |
Owner name: PHARMACYCLICS LLC, CALIFORNIA Free format text: CORRECTIVE ASSIGNMENT TO CORRECT THE CONVEYING PARTY DATA PREVIOUSLY RECORDED ON REEL 036130 FRAME 0285. ASSIGNOR(S) HEREBY CONFIRMS THE MERGER AND CHANGE OF NAME;ASSIGNORS:PHARMACYCLICS, INC.;OXFORD AMHERST LLC;REEL/FRAME:038742/0673 Effective date: 20150526 Owner name: PHARMACYCLICS, INC., CALIFORNIA Free format text: CORRECTIVE ASSIGNMENT TO CORRECT THE CONVEYING PARTY DATA PREVIOUSLY RECORDED ON REEL 036130 FRAME 0254. ASSIGNOR(S) HEREBY CONFIRMS THE MERGER;ASSIGNORS:OXFORD AMHERST CORPORATION;PHARMACYCLICS, INC.;REEL/FRAME:038742/0624 Effective date: 20150526 |




























































