WO2018002958A1 - Novel hydrazide containing compounds as btk inhibitors - Google Patents
Novel hydrazide containing compounds as btk inhibitors Download PDFInfo
- Publication number
- WO2018002958A1 WO2018002958A1 PCT/IN2017/050268 IN2017050268W WO2018002958A1 WO 2018002958 A1 WO2018002958 A1 WO 2018002958A1 IN 2017050268 W IN2017050268 W IN 2017050268W WO 2018002958 A1 WO2018002958 A1 WO 2018002958A1
- Authority
- WO
- WIPO (PCT)
- Prior art keywords
- alkyl
- cycloalkyl
- compound
- ring
- hydrogen
- Prior art date
- Legal status (The legal status is an assumption and is not a legal conclusion. Google has not performed a legal analysis and makes no representation as to the accuracy of the status listed.)
- Ceased
Links
- 0 *N(*)N(*)C(*I)=* Chemical compound *N(*)N(*)C(*I)=* 0.000 description 12
- OUQSGILAXUXMGI-UHFFFAOYSA-N Brc(cc1)ccc1OCc1ccccc1 Chemical compound Brc(cc1)ccc1OCc1ccccc1 OUQSGILAXUXMGI-UHFFFAOYSA-N 0.000 description 1
- BFQWQKOPPQDARN-UHFFFAOYSA-N CC1(C)OB(c(cc2)ccc2C(Nc2ccccn2)=O)OC1(C)C Chemical compound CC1(C)OB(c(cc2)ccc2C(Nc2ccccn2)=O)OC1(C)C BFQWQKOPPQDARN-UHFFFAOYSA-N 0.000 description 1
- VJLPGIQWYNZICT-UHFFFAOYSA-N CCOC(C[n]1c2nc(Cl)nc(N)c2nc1)=O Chemical compound CCOC(C[n]1c2nc(Cl)nc(N)c2nc1)=O VJLPGIQWYNZICT-UHFFFAOYSA-N 0.000 description 1
- YWXADGYGRMIVRI-UHFFFAOYSA-N CCOc(cc1)cc2c1cc(B1OC(C)(C)C(C)(C)O1)cc2 Chemical compound CCOc(cc1)cc2c1cc(B1OC(C)(C)C(C)(C)O1)cc2 YWXADGYGRMIVRI-UHFFFAOYSA-N 0.000 description 1
- PEXPJFGCRRLLDC-UHFFFAOYSA-N CCOc1ccc(cc(cc2)-c3n[n](C(C4)CC4C(NN)=O)c4ncnc(N)c34)c2c1 Chemical compound CCOc1ccc(cc(cc2)-c3n[n](C(C4)CC4C(NN)=O)c4ncnc(N)c34)c2c1 PEXPJFGCRRLLDC-UHFFFAOYSA-N 0.000 description 1
- ZRWWGLHKOICUJF-UHFFFAOYSA-N CCOc1ccc(cc(cc2)-c3n[n](C(C4)CC4C(OC)=O)c4ncnc(N)c34)c2c1 Chemical compound CCOc1ccc(cc(cc2)-c3n[n](C(C4)CC4C(OC)=O)c4ncnc(N)c34)c2c1 ZRWWGLHKOICUJF-UHFFFAOYSA-N 0.000 description 1
- FMNRBNKRVDCSSR-UUYOSTAYSA-N COC(C(C1)CC1/C=C(/C1)\c(ncnc2N(Cc3ccccc3)Cc3ccccc3)c2NC1=O)=O Chemical compound COC(C(C1)CC1/C=C(/C1)\c(ncnc2N(Cc3ccccc3)Cc3ccccc3)c2NC1=O)=O FMNRBNKRVDCSSR-UUYOSTAYSA-N 0.000 description 1
- APFTXBBAFCFRQF-UHFFFAOYSA-N COC(C(C1)CC1N(c(ncnc1N)c1N1c(cc2)ccc2Oc2ccccc2)C1=O)=O Chemical compound COC(C(C1)CC1N(c(ncnc1N)c1N1c(cc2)ccc2Oc2ccccc2)C1=O)=O APFTXBBAFCFRQF-UHFFFAOYSA-N 0.000 description 1
- XWBSFYWZNUKOEY-UHFFFAOYSA-N COC(C(C1)CC1N)=O Chemical compound COC(C(C1)CC1N)=O XWBSFYWZNUKOEY-UHFFFAOYSA-N 0.000 description 1
- HBJGQJWNMZDFKL-UHFFFAOYSA-N Nc1c2nc[nH]c2nc(Cl)n1 Chemical compound Nc1c2nc[nH]c2nc(Cl)n1 HBJGQJWNMZDFKL-UHFFFAOYSA-N 0.000 description 1
- WEUQPFNDPPPKPJ-UHFFFAOYSA-N O=C(c(cc1)ccc1Br)Nc1ccccn1 Chemical compound O=C(c(cc1)ccc1Br)Nc1ccccn1 WEUQPFNDPPPKPJ-UHFFFAOYSA-N 0.000 description 1
- URWBYKQFLVKBGY-UHFFFAOYSA-N O=CC(c1c(N(Cc2ccccc2)Cc2ccccc2)ncnc1Cl)=O Chemical compound O=CC(c1c(N(Cc2ccccc2)Cc2ccccc2)ncnc1Cl)=O URWBYKQFLVKBGY-UHFFFAOYSA-N 0.000 description 1
- TUXYZHVUPGXXQG-UHFFFAOYSA-N OC(c(cc1)ccc1Br)=O Chemical compound OC(c(cc1)ccc1Br)=O TUXYZHVUPGXXQG-UHFFFAOYSA-N 0.000 description 1
Classifications
-
- C—CHEMISTRY; METALLURGY
- C07—ORGANIC CHEMISTRY
- C07D—HETEROCYCLIC COMPOUNDS
- C07D487/00—Heterocyclic compounds containing nitrogen atoms as the only ring hetero atoms in the condensed system, not provided for by groups C07D451/00 - C07D477/00
- C07D487/02—Heterocyclic compounds containing nitrogen atoms as the only ring hetero atoms in the condensed system, not provided for by groups C07D451/00 - C07D477/00 in which the condensed system contains two hetero rings
- C07D487/04—Ortho-condensed systems
-
- A—HUMAN NECESSITIES
- A61—MEDICAL OR VETERINARY SCIENCE; HYGIENE
- A61P—SPECIFIC THERAPEUTIC ACTIVITY OF CHEMICAL COMPOUNDS OR MEDICINAL PREPARATIONS
- A61P35/00—Antineoplastic agents
Definitions
- the present invention relates to novel hydrazide containing compounds as Bruton tyrosine kinase (BTK) inhibitors, process of preparation thereof, and to the use of the compounds in the preparation of pharmaceutical compositions for the therapeutic treatment of disorders involving mediation of Bruton tyrosine kinase in humans.
- BTK Bruton tyrosine kinase
- BTK BTK signal transduction pathways regulating B-cell proliferation, differentiation and survival has been a ground breaking discovery and has led to developments of drugs for the treatment of B-cell malignancies.
- Improper /auto activated BTK signaling is considered to be the major cause in several haematological malignancies such as chronic lymphocytic leukemia (CLL), mantle cell lymphoma (MCL) etc.
- CLL chronic lymphocytic leukemia
- MCL mantle cell lymphoma
- Ibrutinib which is disclosed in US patent number 7514444 is presently marketed for the treatment of mantle cell lymphoma and chronic lymphocytic leukemia under the trade name Imbruvica .
- the clinical and commercial success of Ibrutinib has led to discovery of newer BTK inhibitors.
- the present invention pro
- Rj is selected from a group consisting of C 1 -4 alkyl, C3-14 cycloalkyl, phenyl, Cs_6 heteroaryl containing 1 to 3 heteroatoms selected from oxygen, nitrogen orsulfur, C 4 _6 heterocycloalkyl containing 1 or 2 heteroatoms selected from oxygen, nitrogen, or sulfur; Rj is optionally further substituted with Ci_ 4 alkyl, C 3 _7 cycloalkyl, phenyl, Cs_6 heteroaryl containing 1 to 3 heteroatoms selected from oxygen, nitrogen or sulfur, and C 4 _6 heterocycloalkyl containing 1 or 2 heteroatoms selected from oxygen, nitrogen, or sulfur;
- R2 is either absent or selected from a group consisting of Ci_ 4 alkyl, C 3 _7 cycloalkyl, NH, N(d_ 3 alkyl);
- R3 and R 4 are each independently selected from hydrogen, C2-6 hydroxyalkyl, C2-6 haloalkyl and Ci-4 alkyl; optionally substituted with C 3 _6 cycloalkyl;
- R5 is selected form a group consisting of hydrogen, Ci_6 alkyl, C 3 _6 cycloalkyl, C2-5 alkenyl, C2-5 alkynyl, C(0)d_6 alkyl, C(0)C 3 - 6 cycloalkenyl, C(S)d_ 6 alkyl, C(S)C 3 - 6 cycloalkyl, S0 2 d-6 alkyl, -CHO, C(S)C 3 - 6 cycloalkenyl and CN; or R5 is a moiety selected from the groups provided in Figure- 1
- R 6 is selected from a group consisting hydrogen, d-6 alkyl, d-6 haloalkyl, d-6 cycloalkyl, CN, S0 2 d- 6 alkyl, S0 2 C 3 - 6 cycloalkyl, C(0)OH, C(0)0 d-6 alkyl and C(0)NR ! o ii wherein Rjo and Rn are independently selected from d-6 alkyl or Rjo and Rn together with the nitrogen atom to which they are attached form a 4 to 7 membered heterocyclic ring;
- R 7 , Rg, R9 are independently selected from a group consisting of hydrogen, d-6 alkyl, halogen, d-6 cycloalkyl, d-6 haloalkyl, d-6 halocycloalkyl, d-6 hydroxyalkyl, d-6 hydroxycycloalkyl, d-6 alkyl-0-C 3 - 6 cycloalkyl, CN, C(0)NR 12 Ri 3 , (CH 2 ) n C(0)NR 12 Ri3, d-6 cyanoalkyl, C(0)OH, C(0)Od_ 6 alkyl, (CH 2 ) n C(0)OH, (CH 2 ) n C(0)0 d-e alkyl, (CH 2 ) n NR 12 Rj 3 , C 4 _7 heterocycloalkyl containing 1 or 2 heteroatoms wherein the heteroatom is selected from oxygen, sulfur or N(Ri 4 ); wherein n is an integer selected from 0 to 4; or Rg and R taken
- Ri 2 and R13 are independently selected from hydrogen, d-6 alkyl or Ri 2 and R13 together with the nitrogen atom to which they are attached forms a 4 to 7 membered heterocyclic ring;
- R14 is selected from hydrogen, d_6 alkyl, d-6 cycloalkyl, d_6 haloalkyl, d_6 hydroxyalkyl, d_6 alkyl-0-d_6 alkyl, d_6 aminoalkyl and d-6 cycloalkyl-0-Ci_6 alkyl; wherein the alkyl and the cycloalkyl groups are optionally substituted with 5 or 6 membered heterocycle containing 1 or 2 heteroatoms selected from oxygen, sulfur and nitrogen;
- X, Y and Z at each occurrence are independently selected from CH or N;
- Hal is a halogen
- EWG is selected from a group consisting of C(0)OR 15 , C(0)N(R 15 ) 2 , CN, N0 2 , S0 3 H, S0 2 N(R 15 ) 2 and SO2R 1 5 wherein R 15 is selected from hydrogen, Q_3 alkyl and C 4 _6 cycloalkyl;
- R2 and R 3 along with the carbon atom and the nitrogen atom to which they are attached, respectively, together form a 4 to 7 membered cyclic ring;
- Rj and R 3 along with R2, carbon of C T and nitrogen atom to which R 3 is attached form a 5 to 7 membered cyclic ring;
- R 4 and R2 together with the intermediate groups form a 5 to 7 membered cyclic ring
- Q is selected from CH or nitrogen
- Rj6 and R 17 together form a phenyl ring optionally substituted with halogen, -0-Ci_3 alkyl, - COOH, -COOd_ 3 alkyl, -C 1-3 alkyl, -OH;
- Ri6 and Rn together form a 5 or 6 membered heterocyclic ring containing 1 or 2 heteroatoms selected from oxygen, nitrogen and sulfur;
- V is selected from R 18 , halogen, -C 1 -4 haloalkyl, -C2-4 alkenyl, -C2-4 alkynyl, -SRis, -ORis, - SOR 18 , -SO2R 18 , -N(R 18 ) 2 , -NHCHO, -NHCOCH 3 , -C 4 - 6 heterocycloalkyl, -C 4 - 6 cycloalkenyl, -CO-R18, -CN and -CHO wherein Ris is selected from hydrogen, -C 1 -4 alkyl and -C3-6 cycloalkyl;
- Rjg is one or more groups selected from hydrogen, halogen, hydroxyl, -N(Ci_6 alkyl) 2 , -NH(d-6 alkyl), -d-6 haloalkyl, -C 2 - 6 alkenyl, -C 2 - 6 alkynyl, -Od-6 alkyl, -O ⁇ , alkenyl, -OC3-6 alkynyl,-SCi- 6 alkyl, -CN, -C(0)Ci-4 alkyl, -C(0)C 3 - 6 cycloalkyl, -C(0)OH, - C(0)NH 2 , -C(0)N(d_ 6 alkyl) 2 , -C(0)NH(d_ 6 alkyl), -NHC(0)d_ 4 alkyl, -N(Ci_4 alkyl)C(0)Ci alkyl and when R1 is -OC3-6 alkenyl or -OC3-6 alkynyl the double and triple
- Yj, Y2, Y3 and Y are independently and appropriately selected from CH, NR 2 o, O, or S; wherein, R2 0 is either absent or selected from hydrogen, -C 1 -3 alkyl and -C 4 -6 cycloalkyl; r is an integer selected from 1 to 3;
- Group D is optionally substituted with one or more groups selected from a group consisting of halogen, hydroxyl, d-6 alkyl, -N(d-6 alkyl) 2 , -NH(d-6 alkyl), -d-6 haloalkyl, -C 2- 6 alkenyl, -C2-6 alkynyl, -OCi_6 alkyl, -OC3-6 cycloalkyl, -OC3-6 alkenyl, -OC3-6 alkynyl,-SCi_6 alkyl, -CN, -C(0)d_ 4 alkyl, -C(0)C 3-6 cycloalkyl, -C(0)OH, -C(0)NH 2 , -C(0)N(d_ 6 alkyl) 2 , -C(0)NH(d_ 6 alkyl), -NHC(0)Cj alkyl and -N(d_ 4 alkyl)C(O) d_ 4 alkyl; or B, W and D taken together forms
- the compounds of the present invention were found to be potent and selective BTK inhibitors and can be useful in treatment of the diseases mediated by BTK receptors.
- Salts include those formed with either organic and inorganic acids or bases.
- Pharmaceutically acceptable acid addition salts include those formed from hydrochloric, hydrobromic, sulfuric, citric, tartaric, phosphoric, acetic, trifluoroacetic, triphenylacetic, phenylacetic, succinic, oxalic, fumaric, maleic, glutamic, aspartic, oxaloacetic, methanesulphonic, ethanesulphonic, p-toluenesulphonic, benzenesulphonic, naphthalenesulphonic or naphthalenedisulphonic, salicylic, glutaric, gluconic, mandelic, cinnamic, ascorbic, oleic, naphthoic, hydroxynaphthoic (for example 1- or 3-hydroxy-2- naphthoic), benzoic, 4-methoxybenzoic, 2- or 4-hydroxybenzoic, 4-chlorobenz
- Pharmaceutically acceptable base salts include ammonium salts, alkali metal salts such as those of sodium and potassium, alkaline earth metal salts such as those of calcium and magnesium and salts with organic bases such as dicyclohexylamine and N-methyl-D-glucamine.
- alkyl refers to a saturated hydrocarbon chain radical that includes solely carbon and hydrogen atoms in the backbone, either linear or branched and which is attached to the rest of the molecule by a single bond, e.g., methyl, ethyl, w-propyl, 1-methylethyl (isopropyl), «-butyl, «-pentyl, and 1,1-dimethylethyl (i-butyl).
- the alkyl chain may have 1 to 13 carbon atoms unless specified otherwise.
- alkyl groups described or claimed herein may be unsubstituted or substituted with groups selected from halogen, -Od_ 6 alkyl, -OC 3 - 6 cycloalkyl, CN, -COOH, -COO-d_ 3 alkyl, -CON(-d_ 3 alkyl), - N0 2 , -S0 2 d_ 3 alkyl, -S0 2 N-d_ 3 alkyl, -CO-d_ 3 alkyl.
- d-4 refers that there are 1 to 4 carbon atoms in the chain.
- C 1 -4 alkyl refers to an alkyl chain having 1 to 4 carbon atoms.
- cycloalkyl denotes a non-aromatic mono, multicyclic, bridged multicyclic or spiromulticyclic ring system.
- the cycloalkyl ring may consist of 3 to about 13 carbon atoms, unless specified otherwise.
- Monocyclic rings include, but are not limited to cyclopropyl, cyclobutyl, cyclopentyl and cyclohexyl.
- Examples of simple multicyclic cycloalkyl groups include perhydronapththyl, perhydroindenyl etc; bridged multicyclic groups include adamantyl and norbornyl etc, and spiromulticyclic groups for e.g., spiro(4,4)non-2-yl.
- all cycloalkyl groups described or claimed herein may be unsubstituted or substituted with groups selected from halogen, -Od-6 alkyl, -OC3-6 cycloalkyl, CN, -COOH, -COO-d_ 3 alkyl, -CON(-d_ 3 alkyl), -N0 2 , -S0 2 d_ 3 alkyl, -S0 2 N- Ci-3 alkyl, -CO-Ci -3 alkyl.
- heterocycloalkyl refers to a cycloalkyl ring containing one or more heteroatoms. Unless specifically specified, the heteroatom is selected from nitrogen, oxygen and sulfur.
- C4-6 heterocycloalkyl refers to a cyclic ring containing 4 to 6 atoms.
- aryl as used herein, include aromatic ring containing 5 to 10 carbon atoms, unless specified otherwise.
- the non-limiting examples of aryl group are phenyl and naphthyl.
- heteroaryl as used herein, include an aryl group containing 1 to 4 heteroatoms selected from nitrogen, oxygen and sulfur.
- heteroaryl group examples include oxazolyl, isoxazolyl, imidazolyl, furyl, pyrrolyl, triazolyl, triazinyl, tetrazoyl, thienyl, thiazolyl, isothiazolyl, pyridyl, pyrimidinyl, pyrazinyl, pyridazinyl, benzofuranyl, benzothiazolyl, benzoxazolyl, benzimidazolyl, benzothienyl, benzopyranyl, quinolinyl, isoquinolinyl, quinazolinyl
- heterocyclic refers to substituted or unsubstituted non- aromatic 3 to 15 membered ring radical which consists of carbon atoms and from one to five heteroatoms selected from nitrogen, oxygen and sulfur.
- the heterocyclic ring radical may be a mono-, bi- or tricyclic ring system, which may include fused, bridged or spiro ring systems, and the nitrogen, carbon, oxygen or sulfur atoms in the heterocyclic ring radical may be optionally oxidized to various oxidation states.
- the nitrogen atom may be optionally quarternized; also, unless otherwise constrained by the definition the heterocyclic ring may optionally contain one or more olefinic bond(s).
- heterocyclic ring radicals include, but are not limited to azepinyl, azetidinyl, benzodioxolyl, benzodioxanyl, chromanyl, dioxolanyl, dioxaphospholanyl, isoxazolidinyl, morpholinyl, oxazolinyl, oxazolidinyl, oxadiazolyl, 2-oxopiperazinyl, 2- oxopiperidinyl, 2-oxopyrrolidinyl, 2- oxoazepinyl, octahydroindolyl, octahydroisoindolyl, perhydroazepinyl, piperazinyl, 4- piperidonyl, pyrrolidinyl, piperidinyl, phenothiazinyl, phenoxazinyl, quinuclidinyl, tetrahydrois
- heterocyclic ring radical may be attached to the main structure at any heteroatom or carbon atom that results in the creation of a stable structure.
- all heterocyclic groups described or claimed herein may be unsubstituted or substituted with groups selected from halogen, -OCi-6 alkyl, -OC3-6 cycloalkyl, CN, -COOH, -COO-C1-3 alkyl, -CON(-d_ 3 alkyl), -N0 2 , -S0 2 C!_ 3 alkyl, -SOaN-Q.s alkyl, -CO-d_ 3 alkyl.
- alkenyl refers to a hydrocarbon chain containing at least one carbon-carbon double bond, and may have (E) or (Z) configuration.
- An alkenyl group may contain 2 to 8 carbon atoms unless specified otherwise.
- Non-limiting examples of alkenyl groups include 2- propenyl (allyl), 2-methyl-2-propenyl, and (Z)-2-butenyl.
- alkenyl groups described or claimed herein may be straight chain or branched, unsubstituted or substituted with groups selected from halogen, -OCi_6 alkyl, -OC 3 _6 cycloalkyl, CN, -COOH, -COO-d_ 3 alkyl, -CON(-d_ 3 alkyl), -N0 2 , -S0 2 d_ 3 alkyl, -S0 2 N- Ci-3 alkyl, -CO-C1-3 alkyl.
- alkynyl refers to a hydrocarbon chain having at least one carbon-carbon triple bond.
- alkynyl group may contain 2 to 8 carbon atoms unless specified otherwise.
- Non- limiting examples of alkynyl groups include 2-propynyl and 3-butynyl. Unless set forth or recited to the contrary all alkynyl groups described or claimed herein may form part of a straight or branched, substituted or unsubstituted chains.
- the alkynyl group may be unsubstituted or substituted with the groups selected from halogen, -OCi_6 alkyl, -OC 3 _6 cycloalkyl, CN, -COOH, -COO-d_ 3 alkyl, -CON(-d_ 3 alkyl), -N0 2 , -S0 2 d_ 3 alkyl, -S0 2 N- Ci-3 alkyl, -CO-d_ 3 alkyl.
- halo as used herein includes chloro, fluoro, bromo and iodo.
- haloalkyl refers to halo substituted alkyl chain.
- cycloalkenyl refers to a non-aromatic monocyclic or bicyclic, 3 to 14 membered cycloalkyl ring system, which is unsaturated.
- Representative examples of cycloalkenyl include, but are not limited to, cyclopropenyl, cyclobutenyl, cyclopentenyl and cyclohexenyl.
- carboxyxlic refers to a saturated or unsaturated ring containing 3 to 13 carbon atoms, unless specified otherwise.
- carboxyxlic ring are cycloalkyl and cycloalkenyl rings as defined earlier in the specification.
- the present invention provides a compound of Formula I
- Rj is selected from a group consisting of C 1 -4 alkyl, C 3 _i 4 cycloalkyl, phenyl, Cs_6 heteroaryl containing 1 to 3 heteroatoms selected from oxygen, nitrogen or sulfur, C 4 _6 heterocycloalkyl containing 1 or 2 heteroatoms selected from oxygen, nitrogen, or sulfur; Ri is optionally further substituted with Ci_ 4 alkyl, C 3 _7 cycloalkyl, phenyl, Cs_6 heteroaryl containing 1 to 3 heteroatoms selected from oxygen, nitrogen orsulfur, and C 4 _6 heterocycloalkyl containing 1 or 2 heteroatoms selected from oxygen, nitrogen, or sulfur.
- Rj is selected from a group consisting of Ci_ 4 alkyl and C3_i 4 cycloalkyl.
- Ri is a cycloalkyl or heterocycloalkyl forming moieties as represented
- Rj is selected from cyclopropyl, cyclobutyl, cyclopentyl and cyclohexyl. In a preferred embodiment, Rj is cyclobutyl.
- R2 in the compound of Formula I is either absent or selected from a group consisting of C 1 -4 alkyl, C3_7 cycloalkyl, NH, N(Ci_3 alkyl). In another embodiment, R2 is absent.
- R 3 and R4 are independently selected from hydrogen, C2-6 hydroxyalkyl, C2-6 haloalkyl and Ci-4 alkyl optionally substituted with C3-6 cycloalkyl.
- R 3 and R 4 are independently selected from hydrogen and Ci_ 4 alkyl.
- R 3 and R ⁇ are independently selected from hydrogen and methyl.
- R5 is selected form a group consisting of hydrogen, Ci-6 alkyl, C3-6 cycloalkyl, C2-5 alkenyl, C2-5 alkynyl, C(0)d_ 6 alkyl, C(0)C 3 - 6 cycloalkenyl, C(S)d_ 6 alkyl, C(S)C 3 - 6 cycloalkyl, SO2Q-6 alkyl, -CHO, C(S)C 3 _ 6 cycloalkenyl and CN.
- R 5 is selected from a group consisting hydrogen, Ci-6 alkyl, C3-6 cycloalkyl, C(0)Ci-6 alkyl, C(0)C 3 -6 cycloalkenyl, C(S)d_ 6 alkyl, C(S)C 3 - 6 cycloalkyl, S0 2 d_6 alkyl, -CHO and CN.
- R5 is selected from a group consisting of hydrogen, Ci_6 alkyl, C(0)C3_6 cycloalkenyl, C(S)C ! _ 6 alkyl, C(S)C 3 _ 6 cycloalkyl, S0 2 C ! _ 6 alkyl, -CHO and CN.
- R6 is selected from a group consisting hydrogen, Ci_6 alkyl, Ci_6 haloalkyl, C 3 _6 cycloalkyl, CN, S0 2 d_ 6 alkyl, S0 2 C 3 - 6 cycloalkyl, C(0)OH, C(0)0 d_ 6 alkyl and C(0)NRioRii wherein Rio and Rn are independently selected from Ci-6 alkyl or Rio and Rn together with the nitrogen atom to which they are attached form a 4 to 7 membered heterocyclic ring.
- R7, Rg, R9 are independently selected from a group consisting of hydrogen, Ci_6 alkyl, halogen, C 3 _6 cycloalkyl, Ci_6 haloalkyl, C 3 _6 halocycloalkyl, Ci_6 hydroxyalkyl, C 3 _6 hydroxycycloalkyl, Ci-e alkyl-0-C 3 - 6 cycloalkyl, CN, C(0)NRi 2 Ri 3 , (CH 2 ) n C(0)NRi 2 Ri 3 , Ci-e cyanoalkyl, C(0)OH, C(0)OCi_ 6 alkyl, (CH 2 ) n C(0)OH, (CH 2 ) n C(0)0 Ci_ 6 alkyl, (CH 2 ) n NRi 2 Ri 3 , C 4 _7 heterocycloalkyl containing 1 or 2 heteroatoms wherein the heteroatom is selected from oxygen, sulfur or N(Ri 4 ); wherein n is an integer selected from 0 to
- Rg and R taken together forms a bond or a 3 to 6 membered carbocyclic ring.
- R J2 and R 13 are independently selected from hydrogen, Ci_6 alkyl or R 12 and R 13 together with the nitrogen atom to which they are attached forms a 4 to 7 membered heterocyclic ring.
- R 14 is selected from hydrogen, Ci_6 alkyl, C 3 _6 cycloalkyl, Ci_6 haloalkyl, Ci_6 hydroxyalkyl, Ci_6 alkyl-0-Ci_6 alkyl, Ci_6 aminoalkyl and C 3 _6 cycloalkyl-0-Ci_6 alkyl; wherein the alkyl and the cycloalkyl groups are optionally substituted with 5 or 6 membered heterocycle containing 1 or 2 heteroatoms selected from oxygen, sulfur and nitrogen.
- X, Y and Z at each occurrence are independently selected from CH or N. Hal is a halogen.
- EWG is selected from a group consisting of C(0)OR 15 , C(0)N(R 15 ) 2 , CN, N0 2 , S0 3 H, S02N(Rj5)2 and SO2R 1 5 wherein RJS is selected from hydrogen, Ci_3 alkyl and C 4 _6 cycloalkyl.
- R5 is selected form a group consisting of hydrogen, Ci-6 alkyl, C3-6 cycloalkyl, C(0)d_ 6 alkyl, C(0)C 3 - 6 cycloalkenyl, C(S)d_ 6 alkyl, C(S)C 3 - 6 cycloalkyl, S02Ci_6 alkyl, -CHO and CN.
- R5 is a moiety selected from the
- R6 is selected from a group consisting of hydrogen, Ci_6 alkyl, Ci_6 haloalkyl, C3_6 cycloalkyl, CN and R 7 , Rg, R9, are independently selected from a group consisting of hydrogen, Ci_6 alkyl, halogen, Ci_6 haloalkyl, Ci_6 hydroxyalkyl, CN, Ci_6 cyanoalkyl. lowing groups
- R6 is selected from a group consisting hydrogen, Ci_6 alkyl, Ci_6 haloalkyl, CN and R7, Rg, R9, are independently selected from a group consisting of hydrogen, Ci_6 alkyl, halogen, Ci-6 haloalkyl, Ci-6 hydroxyalkyl, Ci-6 cyanoalkyl. Rs and R9 taken together forms a bond or a 4 to 6 membered carbocyclic ring.
- R5 is a moiety selected from the following groups
- I3 ⁇ 4 is selected from a group consisting hydrogen, and CN;
- R 7 , Rg, R9, are independently selected from a group consisting of hydrogen, Ci-6 alkyl and halogen. Alternatively, Rg and R taken together form a bond.
- Rg and R taken together forms a bond to form an alkynyl group.
- Rg and R9 taken together forms a 3 to 6 membered carbocyclic ring i.e. a cycloalkenyl ring.
- the examples of 5 or 6 membered heterocycloalkyl ring include piperidine, pyrazole, pyrrolidine, morpholine, piperazine etc.
- R2 and R 3 along with the carbon atom and the nitrogen atom to which they are attached, respectively, form a 4 to 7 membered cyclic ring thus forming a re
- R2 and R 3 together forms a 5 to 6 membered ring.
- Rj and R3 together form a five membered
- R 4 and R2 together with the intermediate groups form a 5 to 7 ound represented by the following structure
- R 2 and R4 together form a five or six membered ring.
- Rin A is a heterocycle selected from moieties provided in Figure-2
- Q is selected from CH or nitrogen.
- Rj6 and R 17 together form a phenyl ring optionally substituted with halogen, -0-Ci_3 alkyl, - COOH, -COOd_ 3 alkyl, -C 1-3 alkyl, -OH;
- Rj6 and R 17 together form a 5 or 6 membered heterocyclic ring containing 1 or 2 heteroatoms selected from oxygen, nitrogen and sulfur;
- V is selected from R 18 , halogen, -Ci_ 4 haloalkyl, -C2 alkenyl, -C2-4 alkynyl, -SRis, -ORis, - SOR 18 , -SO2R 1 8, -N(R 18 ) 2 , -NHCHO, -NHCOCH3, -C 4 - 6 heterocycloalkyl, -C 4 - 6 cycloalkenyl, -CO-R18, -CN and -CHO wherein Rjg at each occurrence is independently selected from hydrogen, -Ci_ 4 alkyl and -Cj,.(, cycloalkyl;
- V is selected from R 18 , -C 1 -4 haloalkyl and halogen, wherein Rjg is selected from hydrogen, -C 1 -4 alkyl and -C3-6 cycloalkyl in another embodiment V is selected from Ris and halogen wherein R 18 is selected from hydrogen, -d-4 alkyl and - -6 cycloalkyl In preferred embodiment ring A is selected from
- Q is nitrogen and V is selected from hydrogen and halogen.
- R 19 is one or more groups selected from hydrogen, halogen, hydroxyl, -N(Ci_6 alkyl) 2 , -NH(d-6 alkyl), -d-6 haloalkyl, -C 2 - 6 alkenyl, -C 2 - 6 alkynyl, -Od-6 alkyl, -O ⁇ , alkenyl, -OC 3 - 6 alkynyl,-Sd-6 alkyl, -CN, -C(0)C 1 alkyl, -C(0)C 3 - 6 cycloalkyl, -C(0)OH, - C(0)NH 2 , -C(0)N(d- 6 alkyl) 2 , -C(0)NH(d- 6 alkyl), -NHC(0)d- 4 alkyl, -N(Ci-4 alkyl)C(0)Ci alkyl.
- R 19 is -OC 3 _ 6 alkenyl or -OC _ 6 alkynyl,
- Yi, Y 2 , Y 3 and Y 4 are independently selected from CH, NR 2 o, O, or S; wherein, R 2 o is either absent or selected from hydrogen, -d- 3 alkyl and -C4-6 cycloalkyl;
- r is an integer selected from 1 to 3.
- ' ⁇ ' represents the position of attachment to ring A and '[' represents the position of attachment to W.
- R 9 is one or more groups selected from hydrogen, halogen, hydroxyl, -Ci_6 haloalkyl, -OCi_6 alkyl, -SCi_6 alkyl, -CN, -C(0)d_4 alkyl, -C(0)C 3 - 6 cycloalkyl and -C(0)OH.
- R 19 is selected from hydrogen, halogen, and -OCi_6 alkyl.
- ring B is phenyl or pyridyl and is optionally substituted with halogen, -OCi_6 alkyl, hydroxyl, -Ci_6 haloalkyl and -Ci_6 alkyl group, preferably with halogen.
- Yj and Y2 are independently selected from CH, nitrogen and oxygen.
- Yj and Y2 are nitrogen.
- W is selected from a group consisting of -0-, -S-, -NH- , -N(d_ 3 alkyl)-, -NCO(d_ 3 alkyl)-, -C(0)NH-, -OCH 2 - and -N(CH 2 CN)-.
- W is selected from a group consisting of -0-, -S-, -NH-, -N(d-3 alkyl)-, -N(d-3 alkyl)C(O)-, -C(0)NH-, -OCH 2 - and -N(CH 2 CN)-.
- D in compound of Formula I is a ring containing 5 to 13 membered aryl, fused aryl, heteroaryl, fused heteroaryl, saturated or unsaturated monocyclic, bicyclic or tricyclic carbocyclic ring containing 0-3 heteroatoms selected from nitrogen, oxygen and sulfur.
- ring D is a 5 to 6 membered aryl or heteroaryl containing 1 to 2 heteroatom selected from nitrogen, oxygen and sulfur. More preferably, D is a ring selected from phenyl and pyridyl.
- D is selected from a group consisting of - -Ci_6 alkyl, -Cj,-e cycloalkyl, -Cj,.(, cycloalkenyl, -C 1 -4 alkyl-0-Ci_4 alkyl, -C3_6 cycloalkyl-0-C2 alkyl, -C 1 -4 alkyl-0-C3_6 cycloalkyl, -C 1 -4 haloalkyl-0-Ci_4 alkyl, -C 1 -4 haloalkyl-S-Ci_4 alkyl and -C 1 -4 alkyl-S-Ci-4 alkyl.
- D is selected from the group consisting -Ci_6 alkyl, -C3-6 cycloalkyl, -C1-4 alkyl-0-C2-4 alkyl, -C3-6 cyclolkyl-O-Ci-4 alkyl and -C1-4 alkyl-S-Ci-4 alkyl.
- D is selected from a group consisting -Ci_6 alkyl, -C3_6 cycloalkyl, -Cj,.(, cycloalkenyl and -C 1 -4 alkyl-0-C2 ⁇ alkyl.
- Group D can be unsubstituted or substituted with one or more groups, represented as R in the figure provided above, selected from halogen, hydroxyl, Ci_6 alkyl, -N(Ci_6 alkyl)2, -NH(Ci_6 alkyl), -Ci_6 haloalkyl, -C 2- 6 alkenyl, -C2-6 alkynyl, -OCi_6 alkyl, -OC3-6 cycloalkyl, -OC3-6 alkenyl, -OC 3 - 6 alkynyl,-SCi-6 alkyl, -CN, -C(0)C 1 alkyl, -C(0)C 3 - 6 cycloalkyl, -C(0)OH, - C(0)NH 2 , -C(0)N(d_ 6 alkyl) 2 , -C(0)NH(d_ 6 alkyl), -NHC(0)d_ 4 alkyl and -N(Ci_4 alkyl)C(
- group D is substituted with one or more groups selected from halogen, hydroxyl, Ci_6 alkyl, -Ci_6 haloalkyl, -OCi_6 alkyl, -S-Ci_6 alkyl, -CN, - CO-C1 alkyl, -CO— C 3 _6 cycloalkyl and-COOH.
- D is substituted with one or more groups selected from Ci_6 alkyl, Ci_6 haloalkyl, -0-Ci_6 alkyl and halogen.
- D is substituted with one or more halogen.
- group B, W and D taken together forms a 13 or 14 membered tricyclic fused heteroaryl ring which is unsubstituted or substituted with one or more groups selected from halogen, hydroxyl, Ci_6 alkyl, -N(Ci_6 alkyl)2, -NH(Ci_6 alkyl), -Ci_6 haloalkyl, - C2-6 alkenyl, -C 2-6 alkynyl, -OCi_6 alkyl, -OC 3 _6 cycloalkyl.
- the examples of the 13 or 14 membered tricyclic fused heteroaryl ring can be dibenzo[Z?,(i]furan and 9H-carbazole, dibenzo[3 ⁇ 4,(i]thiophene.
- T in the compound of Formula I is selected from oxygen or sulfur.
- T is oxygen.
- the compounds of the present invention can be used as selective agents as inhibitors of BTK either alone or in combination with other related kinases inhibitors, or any other appropriate drugs.
- the compound of present invention finds use in treating cancer, particularly in haematological malignancies such as chronic lymphocytic leukaemia (CLL), mantle cell lymphoma (MCL), follicular lymphoma (FL) or even disorder such as diffused large B-cell lymphoma (DLBCL) etc., in which the activated B-cell need to be controlled or the proliferation needs to be down regulated.
- CLL chronic lymphocytic leukaemia
- MCL mantle cell lymphoma
- FL follicular lymphoma
- DLBCL diffused large B-cell lymphoma
- Compounds of Formula I can be prepared by any suitable processes, for example, as provided
- compound 1 is treated with a compound 2 to obtain compound 3.
- Compound 3 can be condensed with an appropriately substituted hydrazine compound 4 to obtain compound 5.
- the compound 5 can then be treated with a compound 6 to obtain compound of Formula I.
- Representative compounds of Formula I are presented in Table 1.
- STEP 3 This step was performed in analogous manner as described for synthesis of compound (X) (Example 3, step 2) starting from compound (XV) to get title compound (XVI).
- step 1 This step was performed in analogous manner as described for synthesis of compound (XI) (example 4, step 1), starting from compound (VI) and compound (XVI) to get compound (XVII).
- STEP 2 This step was performed in analogous manner as described for synthesis of compound (XII) (example 4, step 2), from compound (XVII) and hydrazine hydrate to get title compound (XVIII).
- STEP 2 This step was performed in analogous manner as described for synthesis of compound (XII) (example 4, step 2), from compound (XXIII) and hydrazine hydrate to get title compound (XXIV).
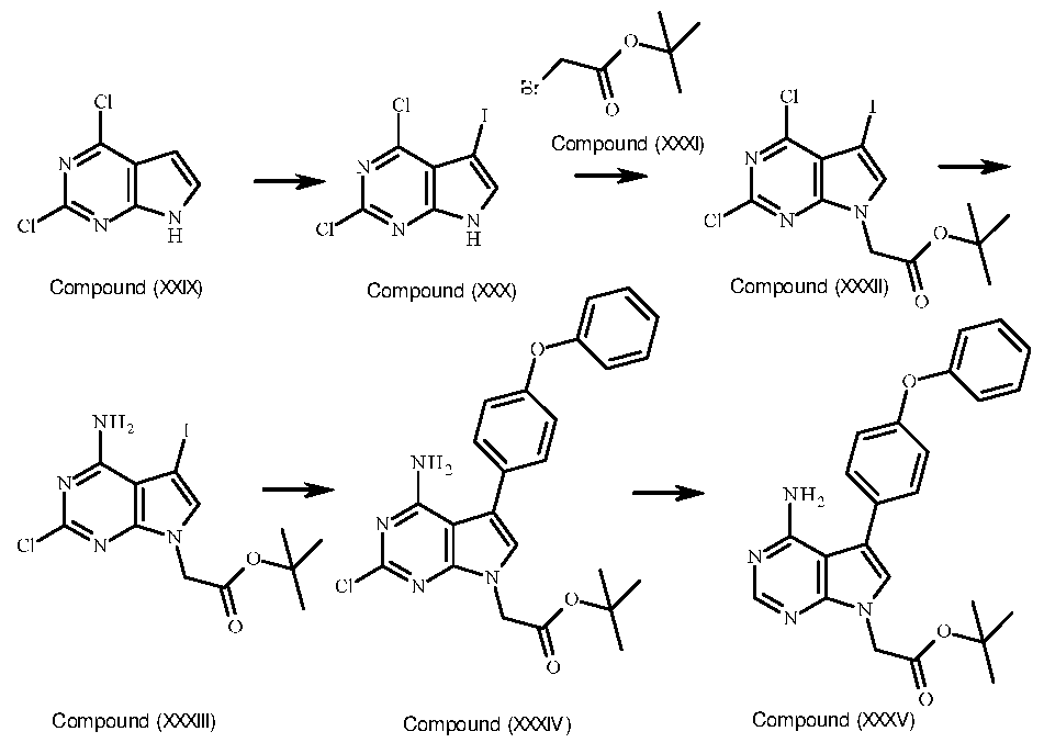
- Example 11 Preparation of 3-[4-amino-3-(4-phenoxyphenyl)pyrazolo[3,4-(i]pyrimidin-l- yl]cyclobutanecarboxylic acid(Compound (XXV)).
- STEP 2 This step was performed in analogous manner as described in example 1 (step 1), from compound (XXX) and teri-butyl-ethylbromoacetate (XXXI) to afford compound (XXXII).
- STEP 3 To a stirred solution of compound (XXXII, 55 g) in 1,4-dioxane (400 mL) was charged 25% aqueous ammonia (250 mL) . The reaction mass was autoclaved at 85+ 5°C for 16 hrs. The reaction mass was concentrated under reduced pressure and residue was filtered from water (100 mL). The wet cake was washed with water (40 mL) and suck dried in air.
- Example 17 Preparation of N-[2-[4-amino-5-(4-phenoxyphenyl)pyrrolo[2,3-(f]pyrimidin-7- yl] acetyl] but-2-ynehydrazide (1.16). This compound was prepared in analogous manner as described for I.l (example 1, step 3), from compound (XXXVII) and acrylic acid to get title compound (1.16).
- STEP 2 This step was performed in analogous manner as described for compound (XXXVII), from compound (XXXVIII) to get compound (XXXIX).
- Example 21 Preparation of N-[2-[4-amino-2-chloro-5-(4-phenoxyphenyl)pyrrolo[2,3- (f]pyrimidin-7-yl]acetyl]prop-2-enehydrazide (1.24) This compound was synthesized in analogous manner as described in example- 14, from compound (XXXIX) and acryloyl chloride to get title compound 1.24.
- STEP 1 This step was performed in analogous manner as described for synthesis of compound (IX), from cyclohexyl amine (XXXX) and 4-bromobenzoic acid (VII) to get compound (XXXXI).
- STEP 2 This step was performed in analogous manner as described for synthesis of compound (X) from compound (XXXXI) to get compound (XXXXII).
- STEP 3 This step was performed in analogous manner as described for synthesis of compound (XI), from compound (VI) and compound (XXXXII) to get compound (XXXXIII).
- Example 23 Preparation of 4-[4-amino-l-[2-(2-but-2-ynoylhydrazino)-2-oxo-ethyl] pyrazolo[3,4-(i]pyrimidin-3-yl]-N-cyclohexyl-benzamide. (1.31)
- STEP 2 This step was performed in analogous manner as described for synthesis of compound (X) (example 3, step 2), from compound (XXXXVII) to get compound (XXXXVIII).
- Example 25 Preparation of 4-[4-amino-l-(2-hydrazino-2-oxo-ethyl)pyrazolo[3,4- d] pyrimidin-3 -yl] -N- [3 -(trifluoromethyl)phenyl] benzenesulf onamide (Compound (L)) .
- STEP 1 This step was performed in analogous manner as described for synthesis of compound (XI) (example 4, step 1), from compound (VI) and compound (XXXXVIII), to get compound (XXXXIX).
- STEP 2 This step was performed in analogous manner as described for synthesis compound (XII) (example 4, step 2), from compound (XXXXIX) and hydrazine hydrate get title compound (L).
- Example 26 Preparation of 4-[4-amino-l-[2-oxo-2-(2-prope-2-enoxylhydrazino)ethyl]pyra zolo[3 ,4-(f ]pyrimidin-3-yl] -N- [3-(trifluoromethyl)phenyl] benzenesulfonamide(1.34).
- Example 27 Preparation of eth l 2-(6-amino-2-chloro-purin-9-yl)acetate compound (LII).
- STEP 1 This step was performed in analogous manner as described for synthesis of compound (XI), from compound (LII) and (4-phenoxyphenyl)boronic acid to get compound (LIII).
- STEP-2 This step was performed in analogous manner as described for synthesis of compound (XII), from compound (LIII) and hydrazine hydrate to get title compound (LIV).
- Example 29 Preparation of N'-[2-[6-amino-2-(4-phenoxyphenyl)purin-9-yl]acetyl]but-2- ynehydrazide (1.35)
- Example 32 Preparation of N'-[2-[6-amino-2-[4-(2-methoxyethoxy)anilino]purin-9- yl] acetyl] but-2-ynehydrazide (1.37) This compound was prepared in analogous manner as described in example 18, from compound (LVII) and 2-butynoic acid to get title compound (1.37).
- STEP-4 This step was performed in analogous manner as described for synthesis of compound (XI), from compound (LIX) and compound (LX) to give compound (LXI).
- STEP-5 This step was performed in analogous manner as described for synthesis of compound (XII) from compound (LXI) and hydrazine hydrate to give title compound (LXII).
- Example 34 Preparation of 3-[4-amino-3-(4-benzylxoyphenyl)pyrazolo[3,4-(i]pyrimidine-l- yl]-N'-but-2-ynoyl-cyclobutanecarbohydrazide (1.41).
- Example 35 Preparation of 3-[6-amino-8-oxo-7-(4-phenoxyphenyl)purin-9-yl] cyclobutane carbohydrazide (Com ound (LXXI)).
- STEP 2 This step was performed in analogous manner as described in US2013/0217880, from compound (LXVI) to get compound (LXVII).
- STEP 3 This step was performed in analogous manner as described in US2013/0217880, from compound (LXVII) to get compound (LXVIII).
- STEP 4 This step was performed in analogous manner as described in US2013/0217880, from compound (LXVIII) to get compound (LXIX).
- STEP 5 This step was performed in analogous manner as described in US2013/0217880, From compound (LXIX) to get compound (LXX).
- STEP 6 This step was performed in analogous manner as described for synthesis of compound (XII), from compound (LXX) and hydrazine hydrate to get title compound.
- Example 36 Preparation of 3-[6-amino-8-oxo-7-(4-phenoxyphenyl)purin-9-yl]-N-but- 2ynoylcyclobutanecarbohydrazide (1.56).
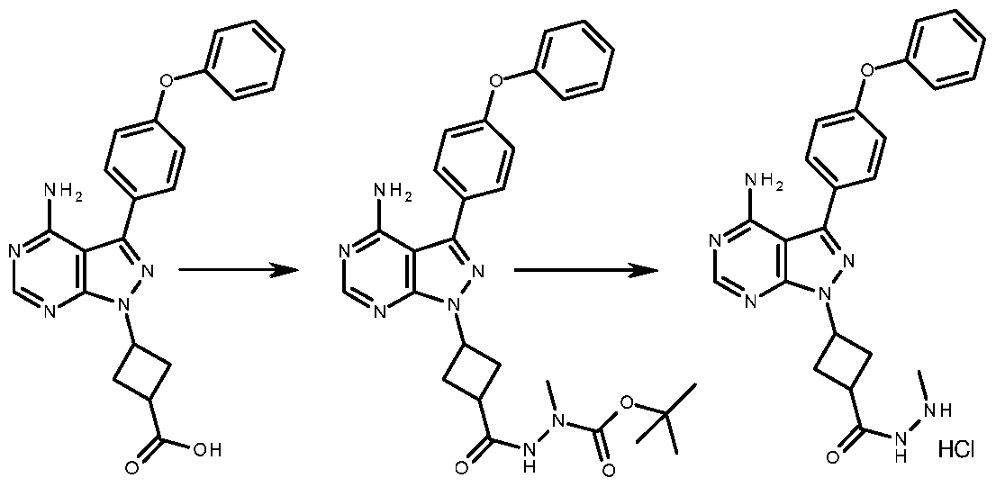
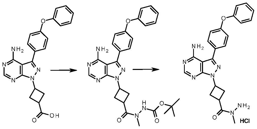
- STEP 1 This step was performed in analogous manner as described in example 18, from compound (XXV) and teri-butyl-2-methylcarbazate to get compound (LXXII).
- STEP 2 To a stirred solution of compound (LXXII, 1 g) in 1,4-dioxane (5 mL) was added 4M HCI in 1,4-dioxane (5 mL) and stirred overnight at 50°C. Reaction mixture was concentrated under reduced pressure and triturated with diethyl ether to get title compound (LXXIII).
- Example 38 Preparation of 3-[4-amino-3-(4-phenoxyphenyl)pyrazolo[3,4-(i]pyrimidin-l-yl]- N'-methyl-N'-prop-2-enoylcyclobutanecarbohydrazide (1.62).
- STEP 1 This step was performed in analogous manner as described for synthesis of example 18, from compound (XXV) and teri-butyl N-(methylamino)carbamate to get compound (LXXIV).
- STEP 2 This step was performed in analogous manner as described for synthesis of compound (LXXIII), from compound (LXXIV) to get title compound (LXXV).
- Example 40 Preparation of 3-[4-amino-3-(4-phenoxyphenyl)pyrazolo[3,4-(i]pyrimidin-l-yl]- N'-but-2-ynoyl-N'-methyl-cyclobutanecarbohydrazide (1.63).
- STEP 1 This step was performed in analogous manner as described for synthesis of compound (II), from compound (I) and ethyl 2-bromo-2-methylpropanoate to get compound (LXXVI).
- STEP 2 This step was performed in analogous manner as described for synthesis of compound (III), from compound (LXXVI) and hydrazine hydrate to get title compound (LXXVII).
- Example 42 Preparation of 2-[4-amino-3-(4-phenoxyphenyl)pyrazolo[3,4-(i]pyrimidin-l-yl]- 2-methyl-N-prop-2-enoyl-propanehydrazide (1.73).
- Example 44 Preparation of 3-[4-amino-3-(4-phenoxyphenyl)pyrazolo[3,4-(i]pyrimidin-l-yl]- N'-(cyclopropanecarbonyl)cyclobutanecarbohydrazide (1.78).
- STEP 1 This step was performed in analogous manner as described for synthesis of compound (XI), from compound (LX) and compound (LXVIII) (prepared as described in US2014/011819) to get compound (LXXIX).
- STEP 2 This step was performed in analogous manner as described for synthesis of compound (XII), from compound (LXXIX) and hydrazine hydrate to get title compound (LXXX).
- Example 46 Preparation of 3-[4-amino-3-(3-fluoro-4-isopropoxy-phenyl)pyrazolo[3,4- (f]pyrimidin-l-yl]-N'-but-2-ynoyl-cyclobutanecarbohydrazide (1.80).
- Example 48 Preparation of 3-[4-amino-3-(6-ethoxy-2-naphthyl)pyrazolo[3,4-(i]pyrimidin-l- yl]cyclobutanecarbohydrazide (Compound (LXXXIII)).
- step 1 This step was performed in analogous manner as described for synthesis of compound (XI) (example 4, step 1), from compound (LX) and compound (LXXXI) (prepared as described by Yan Shen, Medicinal Chemistry,2014,vol-10,no-5,pg 533-539) to get compound (LXXXII).
- STEP 2 This step was performed in analogous manner as described for synthesis of compound (XII) (example 4, step 2), from compound (LXXXII) and hydrazine hydrate to get title compound (LXXXIII).
- Example 49 Preparation of 3-[4-amino-3-(6-ethoxy-2-naphthyl)pyrazolo[3,4-(i]pyrimidin-l- yl] -N-but-2-ynoyl-cyclobutanecarbohydrazide (1.92).
- Example 50 Preparation of 2-[(£T)-2-[4-(4,4,5,5-tetramethyl-l,3,2-dioxaborolan-2- yl)phen l] vinyl] pyridine (Compound (LXXX VII)).
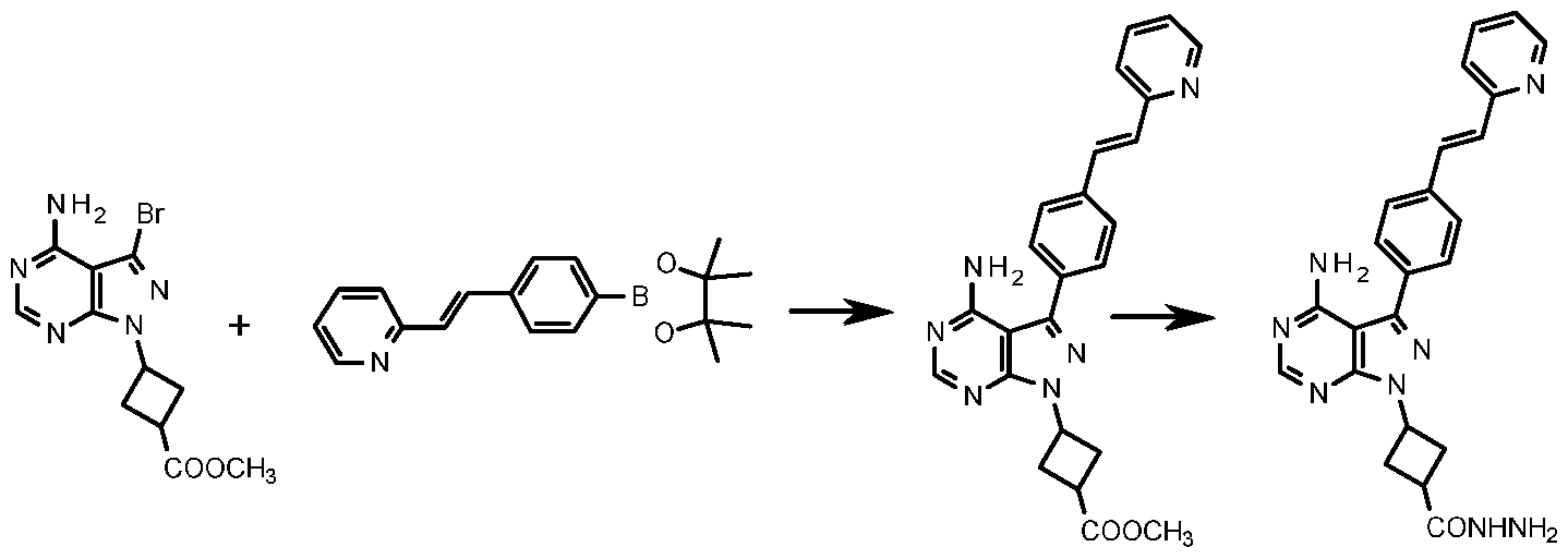
- STEP 3 This step was performed in analogous manner as described for synthesis of compound (X) (Example 3, step 2), from compound (LXXXVI) to get title compound (LXXXVII)
- Example 51 Preparation of l-(3-methylcyclobutyl)-3-[4-[(£T)-2-(2- pyrid l)vinyl]phenyl]pyrazolo[3,4-(f]pyrimidin-4-amine (Compound (LXXXIX)).
- STEP 1 This step was performed in analogous manner as described for synthesis of compound (XI) (example 4, step 1), from compound (LX) and compound (LXXXVII) to get compound (LXXXVIII).
- STEP 2 This step was performed in analogous manner as described for synthesis of compound (XII) (example 4, step 2), from compound (LXXXVIII) and hydrazine hydrate to get title compound (LXXXIX).
- STEP 1 This step was performed according to process described in US2014/0155385 (intermediate- 1) to get compound (XCI).
- STEP 2 This step was performed in analogous manner as described in US2014/0155385 (intermediate- 1) from compound (XCI) and mono-ethyl malonate to get compound (XCII).
- STEP 3 This step was performed in analogous manner as described in US2014/0155385 (intermediate- 1) to get compound (XCIII).
- STEP 4 This step was performed in analogous manner as described in US2014/0155385 (intermediate- 1) to get compound (XCIV).
- STEP 5 This step was performed in analogous manner as described in WO2016109223 to get compound (XCV).
- STEP 7 This step was performed analogous to synthesis of compound (XI) (example 4, step 1), from compound (XCVI) and (4-phenoxyphenyl)boronic acid to get compound (XCVII).
- STEP 8 This step was performed analogous to synthesis of compound (XII) (example 4, step 2), from compound (XCVII) and hydrazine hydrate to get compound (XCVIII).
- Example 54 Preparation of N'-[2-[8-amino-l-(4-phenoxyphenyl)imidazo[l,5-a]pyrazin-3- yl] acetyl] but-2-ynehydrazide. (1.106).
- Table 2 provides the characterization data (proton NMR) of compound of Formula I.
- BT (h) was incubated with 8 mM MOPS pH 7.0, 0.2 mM EDTA, 250 ⁇ KVEKIGEGTYGVVYK (Cdc2 peptide), 10 mM MgAcetate and [ ⁇ -33 ⁇ - ⁇ ] (specific activity approx. 500 cpm/pmol, concentration as required).
- the reaction was initiated by the addition of the MgATP mix. After incubation for 40 minutes at room temperature, the reaction was stopped by the addition of 3% phosphoric acid solution. 10 ⁇ - of the reaction was then spotted onto a P30 filtermat and washed three times for 5 minutes with 75 mM phosphoric acid and once with methanol prior to drying and scintillation counting.
- ITK (h) is incubated with 8 mM MOPS pH 7.0, 0.2 mM EDTA, 0.33 mg/mL myelin basic protein, 10 mM MgAcetate and [ ⁇ -33 ⁇ - ⁇ ] (specific activity approx. 500 cpm/pmol, concentration as required). The reaction is initiated by the addition of the MgATP mix. After incubation for 40 minutes at room temperature, the reaction is stopped by the addition of 3 % phosphoric acid solution. 10 iL of the reaction is then spotted onto a P30 filtermat and washed three times for 5 minutes in 75 mM phosphoric acid and once in methanol prior to drying and scintillation counting. The percentage inhibition for representative compounds of Formula I are provided below in table 3
- A > 60 %
- B 30-60 %
- C ⁇ 30 % Inhibition at respective concentration.
- test compounds The inhibitory activity of test compounds was evaluated in an enzyme assay employing the ADP-GloTM Platform. Briefly lOng of hBTK is pre-incubated with vehicle/test compound (varying concentrations) for 15 minutes in the reaction buffer (40mM Tris buffer pH 7.5 containing 20mM MgC12.6H20, 2mM MnC12, 0.05mM DTT and 0.1% BSA). The enzymatic reaction is initiated by addition of 0 ⁇ g of substrate Poly (Glu4, Tyrl) with 15 ⁇ ultrapure ATP. After incubation of 30 minutes, ADP-GloTM Reagent is added and incubated for 40 minutes at room temperature to terminate the kinase reaction and deplete the remaining ATP.
- reaction buffer 40mM Tris buffer pH 7.5 containing 20mM MgC12.6H20, 2mM MnC12, 0.05mM DTT and 0.1% BSA.
- the enzymatic reaction is initiated by addition of 0 ⁇ g of substrate Poly (Glu4,
- Kinase detection reagent is added to and the reaction is further continued for 30 minutes at room temperature.
- the kinase detection reagent converts the ADP to ATP and the ATP generated is measured in luminescence mode in a micro plate reader.
- the luminescence in the control is compared to that of the test compound treated sample to determine the inhibitory activity of the compound.
- test compounds The inhibitory activity of test compounds was evaluated in an enzyme assay employing the ADP-GloTM Platform. Briefly 5ng of hBTK (C481S) is pre-incubated with vehicle/test compound (varying concentrations) for 15 minutes in the reaction buffer ( 40mM Tris buffer pH 7.5 containing 20mM MgC12.6H20, 2mM MnC12, 0.05mM DTT and 0.1% BSA). The enzymatic reaction is initiated by addition of 0 ⁇ g of substrate Poly (Glu4, Tyrl) with 15 ⁇ ultrapure ATP. After incubation of 30 minutes, ADP-GloTM Reagent is added and incubated for 40 minutes at room temperature to terminate the kinase reaction and deplete the remaining ATP.
- reaction buffer 40mM Tris buffer pH 7.5 containing 20mM MgC12.6H20, 2mM MnC12, 0.05mM DTT and 0.1% BSA.
- the enzymatic reaction is initiated by addition of 0 ⁇ g of substrate
- Kinase detection reagent is added to and the reaction is further continued for 30 minutes at room temperature.
- the kinase detection reagent converts the ADP to ATP and the ATP generated is measured in luminescence mode in a micro plate reader.
- the luminescence in the control is compared to that of the test compound treated sample to determine the inhibitory activity of the compound.
- test compounds were evaluated in an enzyme assay employing the ADP-GloTM Platform. Briefly 6ng of hITK is pre-incubated with vehicle/test compound (varying concentrations) for 15 minutes in the reaction buffer (40mM Tris buffer pH 7.5 containing 20 mM MgCl 2 .6H 2 0, 2mM MnCl 2 , 0.05 mM DTT and 0.1 % BSA). The enzymatic reaction is initiated by addition of 0.5 ⁇ g of substrate Poly (Glu4, Tyrl) with 10 ⁇ ultrapure ATP. After incubation of 30 minutes, ADP-GloTM Reagent is added and incubated for 40 minutes at room temperature to terminate the kinase reaction and deplete the remaining ATP.
- reaction buffer 40mM Tris buffer pH 7.5 containing 20 mM MgCl 2 .6H 2 0, 2mM MnCl 2 , 0.05 mM DTT and 0.1 % BSA.
- the enzymatic reaction is initiated by addition
- Kinase detection reagent is added to and the reaction is further continued for 30 minutes at room temperature.
- the kinase detection reagent converts the ADP to ATP and the ATP generated is measured in luminescence mode in a micro plate reader.
- the luminescence in the control is compared to that of the test compound treated sample to determine the inhibitory activity of the compound.
- Percentage inhibition for the compound of Formula I when tested in enzyme assays on ADP- GloTM Platform for BTK wild type, BTK (C481S) mutant and ITK are provided in table 4.
- Table 4 Graded percentage inhibition BTK(h), BTK (C48 IS) mutant and ITK tested in enzyme assay by ADP-GloTM Platform
Landscapes
- Chemical & Material Sciences (AREA)
- Organic Chemistry (AREA)
- Health & Medical Sciences (AREA)
- General Chemical & Material Sciences (AREA)
- Medicinal Chemistry (AREA)
- Nuclear Medicine, Radiotherapy & Molecular Imaging (AREA)
- Chemical Kinetics & Catalysis (AREA)
- Pharmacology & Pharmacy (AREA)
- Life Sciences & Earth Sciences (AREA)
- Animal Behavior & Ethology (AREA)
- General Health & Medical Sciences (AREA)
- Public Health (AREA)
- Veterinary Medicine (AREA)
- Pharmaceuticals Containing Other Organic And Inorganic Compounds (AREA)
Abstract
The present invention relates to novel hydrazide containing compounds as Bruton tyrosine kinase inhibitors, process of preparation thereof, and to the use of the compounds in the preparation of pharmaceutical compositions for the therapeutic treatment of disorders involving mediation of Bruton tyrosine kinase in humans.
Description
NOVEL HYDRAZIDE CONTAINING COMPOUNDS AS BTK INHIBITORS
RELATED APPLICATIONS This application claims the benefit of Indian Patent Application no. IN 201621022588 filed on June 30, 2016 which is hereby incorporated by reference.
FIELD OF THE INVENTION The present invention relates to novel hydrazide containing compounds as Bruton tyrosine kinase (BTK) inhibitors, process of preparation thereof, and to the use of the compounds in the preparation of pharmaceutical compositions for the therapeutic treatment of disorders involving mediation of Bruton tyrosine kinase in humans. BACKGROUND OF THE INVENTION
Involvement of BTK in signal transduction pathways regulating B-cell proliferation, differentiation and survival has been a ground breaking discovery and has led to developments of drugs for the treatment of B-cell malignancies. Improper /auto activated BTK signaling is considered to be the major cause in several haematological malignancies such as chronic lymphocytic leukemia (CLL), mantle cell lymphoma (MCL) etc. (Li et al. Journal of Med. Chem., 2014, 57(12), 5112-5128; Seng-Lai Tan et al., Pharmacology and Therapeutics, 2013, 138, 294-309). First in class BTK inhibitor, Ibrutinib, which is disclosed in US patent number 7514444 is presently marketed for the treatment of mantle cell lymphoma and chronic lymphocytic leukemia under the trade name Imbruvica . The clinical and commercial success of Ibrutinib has led to discovery of newer BTK inhibitors. WIPO publication number WO 2015002894A1, WO 2014188173A1, WO 2014188173A1, WO 2014100748A1, WO2011031896, WO2013155347, WO2014130856, WO2015165279A1 ; US patent numbers 7169791, 6596746, 6002008, 8114874, 7728131 and US publication US 2015 0005277, US20140079690 discloses various compounds as BTK inhibitors.
The present inventors have found novel hydrazine compounds which have shown potent BTK inhibitory activity.
SUMMARY OF THE INVENTION
Formula I or salts thereof wherein,
Rj is selected from a group consisting of C1-4 alkyl, C3-14 cycloalkyl, phenyl, Cs_6 heteroaryl containing 1 to 3 heteroatoms selected from oxygen, nitrogen orsulfur, C4_6 heterocycloalkyl containing 1 or 2 heteroatoms selected from oxygen, nitrogen, or sulfur; Rj is optionally further substituted with Ci_4 alkyl, C3_7 cycloalkyl, phenyl, Cs_6 heteroaryl containing 1 to 3 heteroatoms selected from oxygen, nitrogen or sulfur, and C4_6 heterocycloalkyl containing 1 or 2 heteroatoms selected from oxygen, nitrogen, or sulfur;
R2 is either absent or selected from a group consisting of Ci_4 alkyl, C3_7 cycloalkyl, NH, N(d_3 alkyl);
R3 and R4 are each independently selected from hydrogen, C2-6 hydroxyalkyl, C2-6 haloalkyl and Ci-4 alkyl; optionally substituted with C3_6 cycloalkyl;
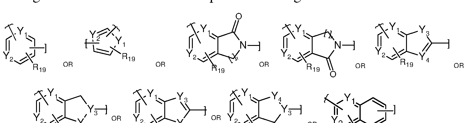
R5 is selected form a group consisting of hydrogen, Ci_6 alkyl, C3_6 cycloalkyl, C2-5 alkenyl, C2-5 alkynyl, C(0)d_6 alkyl, C(0)C3-6 cycloalkenyl, C(S)d_6 alkyl, C(S)C3-6 cycloalkyl, S02d-6 alkyl, -CHO, C(S)C3-6 cycloalkenyl and CN; or R5 is a moiety selected from the groups provided in Figure- 1
Figure- 1
wherein R6 is selected from a group consisting hydrogen, d-6 alkyl, d-6 haloalkyl, d-6 cycloalkyl, CN, S02d-6 alkyl, S02C3-6 cycloalkyl, C(0)OH, C(0)0 d-6 alkyl and C(0)NR!o ii wherein Rjo and Rn are independently selected from d-6 alkyl or Rjo and Rn together with the nitrogen atom to which they are attached form a 4 to 7 membered heterocyclic ring;
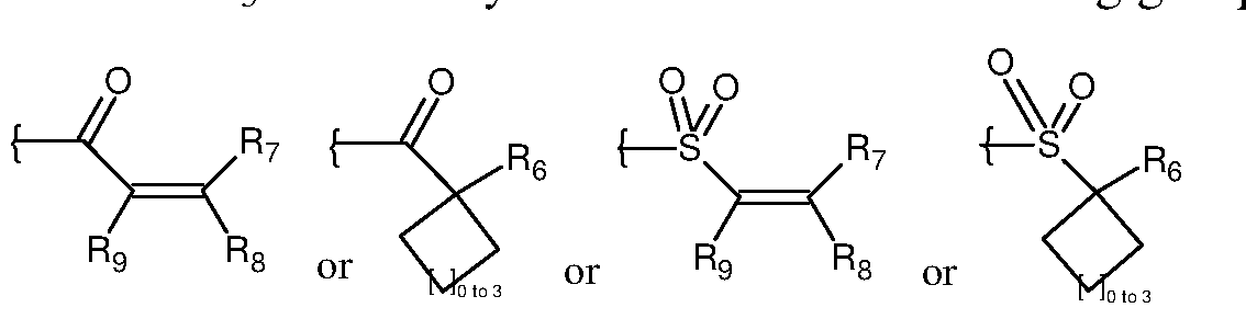
R7, Rg, R9, are independently selected from a group consisting of hydrogen, d-6 alkyl, halogen, d-6 cycloalkyl, d-6 haloalkyl, d-6 halocycloalkyl, d-6 hydroxyalkyl, d-6 hydroxycycloalkyl, d-6 alkyl-0-C3-6 cycloalkyl, CN, C(0)NR12Ri3, (CH2)nC(0)NR12Ri3, d-6 cyanoalkyl, C(0)OH, C(0)Od_6 alkyl, (CH2)nC(0)OH, (CH2)nC(0)0 d-e alkyl, (CH2)nNR12Rj3, C4_7 heterocycloalkyl containing 1 or 2 heteroatoms wherein the heteroatom is selected from oxygen, sulfur or N(Ri4); wherein n is an integer selected from 0 to 4; or Rg and R taken together forms a bond or a 3 to 6 membered carbocyclic ring;
Ri2 and R13 are independently selected from hydrogen, d-6 alkyl or Ri2 and R13 together with the nitrogen atom to which they are attached forms a 4 to 7 membered heterocyclic ring; R14 is selected from hydrogen, d_6 alkyl, d-6 cycloalkyl, d_6 haloalkyl, d_6 hydroxyalkyl, d_6 alkyl-0-d_6 alkyl, d_6 aminoalkyl and d-6 cycloalkyl-0-Ci_6 alkyl; wherein the alkyl and the cycloalkyl groups are optionally substituted with 5 or 6 membered heterocycle containing 1 or 2 heteroatoms selected from oxygen, sulfur and nitrogen; X, Y and Z at each occurrence are independently selected from CH or N;
Hal is a halogen;
EWG is selected from a group consisting of C(0)OR15, C(0)N(R15)2, CN, N02, S03H, S02N(R15)2 and SO2R15 wherein R15 is selected from hydrogen, Q_3 alkyl and C4_6 cycloalkyl;
OR
R2 and R3 along with the carbon atom and the nitrogen atom to which they are attached, respectively, together form a 4 to 7 membered cyclic ring;
OR
Rj and R3 along with R2, carbon of C=T and nitrogen atom to which R3 is attached form a 5 to 7 membered cyclic ring;
OR
R4 and R2 together with the intermediate groups form a 5 to 7 membered cyclic ring;
OR
R4 and R5 along with the nitrogen atom to which they are attached form a 5 or 6 membered heterocycloalkyl ring optionally containing one additional heteroatom selected from oxygen, sulfur and nitrogen, wherein the heterocycloalkyl ring is unsubstituted or substituted with one or more groups selected from halogen, Ci_3 alkyl, Ci_3 hydroxyalkyl, Ci_3 haloalkyl, -CN, =0 and -CHO; rin A is a heterocycle selected from moieties provided in Figure-2
wherein Q is selected from CH or nitrogen;
Rj6 and R17 together form a phenyl ring optionally substituted with halogen, -0-Ci_3 alkyl, - COOH, -COOd_3 alkyl, -C1-3 alkyl, -OH;
or Ri6 and Rn together form a 5 or 6 membered heterocyclic ring containing 1 or 2 heteroatoms selected from oxygen, nitrogen and sulfur;
V is selected from R18, halogen, -C1-4 haloalkyl, -C2-4 alkenyl, -C2-4 alkynyl, -SRis, -ORis, - SOR18, -SO2R18, -N(R18)2, -NHCHO, -NHCOCH3, -C4-6 heterocycloalkyl, -C4-6 cycloalkenyl, -CO-R18, -CN and -CHO wherein Ris is selected from hydrogen, -C1-4 alkyl and -C3-6 cycloalkyl;
' { ' represents the attachment to ring B;
'[' represents the attachment to Rj; ri
Figure-3
wherein, Rjg is one or more groups selected from hydrogen, halogen, hydroxyl, -N(Ci_6 alkyl)2, -NH(d-6 alkyl), -d-6 haloalkyl, -C2-6 alkenyl, -C2-6 alkynyl, -Od-6 alkyl, -O ^, alkenyl, -OC3-6 alkynyl,-SCi-6 alkyl, -CN, -C(0)Ci-4 alkyl, -C(0)C3-6 cycloalkyl, -C(0)OH, - C(0)NH2, -C(0)N(d_6 alkyl)2, -C(0)NH(d_6 alkyl), -NHC(0)d_4 alkyl, -N(Ci_4 alkyl)C(0)Ci alkyl and when R1 is -OC3-6 alkenyl or -OC3-6 alkynyl the double and triple bond, respectively, is not on the carbon directly attached to the oxygen atom;
Yj, Y2, Y3 and Y are independently and appropriately selected from CH, NR2o, O, or S; wherein, R20 is either absent or selected from hydrogen, -C1-3 alkyl and -C4-6 cycloalkyl; r is an integer selected from 1 to 3;
' { ' represents the position of attachment to ring A;
'[' represents the position of attachment to W;
W is a bond or is selected from -0-, -S-, -NH-, -N(CW alkyl)-, -N(C1-6 alkyl)C(O)-, - N(CHO)-, -N(COOH)-, -N(COOd-6 alkyl)-, -C(0)NH-, -C(d-2 alkyl)2-, -C(O)-, -S(O)-, - S(0)2-, -CH2O-, -OCH2-, -CH=CH-, -CH2-, -N(CH2CN)- , -S(0)2NH- , -NHS(0)2-, and - NHC(O)-;
D is a ring containing 5 to 13 membered aryl, fused aryl, heteroaryl, fused heteroaryl, saturated or unsaturated monocyclic, bicyclic or tricyclic carbocyclic ring containing 0-3 heteroatoms selected from nitrogen, oxygen and sulfur; or D is selected from -Ci_6 alkyl, -C3_6 cycloalkyl, -d-6 cycloalkenyl, -C1-4 alkyl-0-Ci_4 alkyl, -d-6 cycloalkyl-0-C2-4 alkyl, -C1-4 alkyl-0-C3_6 cycloalkyl, -C1-4 haloalkyl-0-Ci_4 alkyl, -C1-4 haloalkyl-S-d-4 alkyl and -d-4 alkyl-S-d^ alkyl;
Group D is optionally substituted with one or more groups selected from a group consisting of halogen, hydroxyl, d-6 alkyl, -N(d-6 alkyl)2, -NH(d-6 alkyl), -d-6 haloalkyl, -C2-6 alkenyl, -C2-6 alkynyl, -OCi_6 alkyl, -OC3-6 cycloalkyl, -OC3-6 alkenyl, -OC3-6 alkynyl,-SCi_6 alkyl, -CN, -C(0)d_4 alkyl, -C(0)C3-6 cycloalkyl, -C(0)OH, -C(0)NH2, -C(0)N(d_6 alkyl)2, -C(0)NH(d_6 alkyl), -NHC(0)Cj alkyl and -N(d_4 alkyl)C(O) d_4 alkyl; or B, W and D taken together forms a 13 or 14 membered tricyclic fused heteroaryl ring which is unsubstituted or substituted with one or more groups selected from halogen, hydroxyl, d-6 alkyl, -N(d-6 alkyl)2, -NH(d-6 alkyl), -d_6 haloalkyl, -C2_6 alkenyl, -C2_6 alkynyl, -Od_6 alkyl, -O _6 cycloalkyl; and T is oxygen or sulfur.
The compounds of the present invention were found to be potent and selective BTK inhibitors and can be useful in treatment of the diseases mediated by BTK receptors. DEFINITION
"Salts" according to the invention include those formed with either organic and inorganic acids or bases. Pharmaceutically acceptable acid addition salts include those formed from hydrochloric, hydrobromic, sulfuric, citric, tartaric, phosphoric, acetic, trifluoroacetic, triphenylacetic, phenylacetic, succinic, oxalic, fumaric, maleic, glutamic, aspartic, oxaloacetic, methanesulphonic, ethanesulphonic, p-toluenesulphonic, benzenesulphonic, naphthalenesulphonic or naphthalenedisulphonic, salicylic, glutaric, gluconic, mandelic, cinnamic, ascorbic, oleic, naphthoic, hydroxynaphthoic (for example 1- or 3-hydroxy-2- naphthoic), benzoic, 4-methoxybenzoic, 2- or 4-hydroxybenzoic, 4-chlorobenzoic, 4-
phenylbenzoic acids and butane- 1,4-disulfonic acid. Pharmaceutically acceptable base salts include ammonium salts, alkali metal salts such as those of sodium and potassium, alkaline earth metal salts such as those of calcium and magnesium and salts with organic bases such as dicyclohexylamine and N-methyl-D-glucamine.
The term "alkyl" refers to a saturated hydrocarbon chain radical that includes solely carbon and hydrogen atoms in the backbone, either linear or branched and which is attached to the rest of the molecule by a single bond, e.g., methyl, ethyl, w-propyl, 1-methylethyl (isopropyl), «-butyl, «-pentyl, and 1,1-dimethylethyl (i-butyl). The alkyl chain may have 1 to 13 carbon atoms unless specified otherwise. Unless set forth or recited to the contrary, all alkyl groups described or claimed herein may be unsubstituted or substituted with groups selected from halogen, -Od_6 alkyl, -OC3-6 cycloalkyl, CN, -COOH, -COO-d_3 alkyl, -CON(-d_3 alkyl), - N02, -S02d_3 alkyl, -S02N-d_3 alkyl, -CO-d_3 alkyl. The numerical in phrases like "d-4", refers that there are 1 to 4 carbon atoms in the chain. For example the phrase "C1-4 alkyl" refers to an alkyl chain having 1 to 4 carbon atoms.
The term "cycloalkyl" denotes a non-aromatic mono, multicyclic, bridged multicyclic or spiromulticyclic ring system. The cycloalkyl ring may consist of 3 to about 13 carbon atoms, unless specified otherwise. Monocyclic rings include, but are not limited to cyclopropyl, cyclobutyl, cyclopentyl and cyclohexyl. Examples of simple multicyclic cycloalkyl groups include perhydronapththyl, perhydroindenyl etc; bridged multicyclic groups include adamantyl and norbornyl etc, and spiromulticyclic groups for e.g., spiro(4,4)non-2-yl. Unless set forth or recited to the contrary, all cycloalkyl groups described or claimed herein may be unsubstituted or substituted with groups selected from halogen, -Od-6 alkyl, -OC3-6 cycloalkyl, CN, -COOH, -COO-d_3 alkyl, -CON(-d_3 alkyl), -N02, -S02d_3 alkyl, -S02N- Ci-3 alkyl, -CO-Ci-3 alkyl..
The term "heterocycloalkyl" refers to a cycloalkyl ring containing one or more heteroatoms. Unless specifically specified, the heteroatom is selected from nitrogen, oxygen and sulfur. The phrase "C4-6 heterocycloalkyl" refers to a cyclic ring containing 4 to 6 atoms.
The term "aryl" as used herein, include aromatic ring containing 5 to 10 carbon atoms, unless specified otherwise. The non-limiting examples of aryl group are phenyl and naphthyl.
The term "heteroaryl" as used herein, include an aryl group containing 1 to 4 heteroatoms selected from nitrogen, oxygen and sulfur. The non-limiting examples of heteroaryl group are oxazolyl, isoxazolyl, imidazolyl, furyl, pyrrolyl, triazolyl, triazinyl, tetrazoyl, thienyl, thiazolyl, isothiazolyl, pyridyl, pyrimidinyl, pyrazinyl, pyridazinyl, benzofuranyl, benzothiazolyl, benzoxazolyl, benzimidazolyl, benzothienyl, benzopyranyl, quinolinyl, isoquinolinyl, quinazolinyl
The term "heterocyclic " unless otherwise specified refers to substituted or unsubstituted non- aromatic 3 to 15 membered ring radical which consists of carbon atoms and from one to five heteroatoms selected from nitrogen, oxygen and sulfur. The heterocyclic ring radical may be a mono-, bi- or tricyclic ring system, which may include fused, bridged or spiro ring systems, and the nitrogen, carbon, oxygen or sulfur atoms in the heterocyclic ring radical may be optionally oxidized to various oxidation states. In addition, the nitrogen atom may be optionally quarternized; also, unless otherwise constrained by the definition the heterocyclic ring may optionally contain one or more olefinic bond(s). Examples of such heterocyclic ring radicals include, but are not limited to azepinyl, azetidinyl, benzodioxolyl, benzodioxanyl, chromanyl, dioxolanyl, dioxaphospholanyl, isoxazolidinyl, morpholinyl, oxazolinyl, oxazolidinyl, oxadiazolyl, 2-oxopiperazinyl, 2- oxopiperidinyl, 2-oxopyrrolidinyl, 2- oxoazepinyl, octahydroindolyl, octahydroisoindolyl, perhydroazepinyl, piperazinyl, 4- piperidonyl, pyrrolidinyl, piperidinyl, phenothiazinyl, phenoxazinyl, quinuclidinyl, tetrahydroisquinolyl, tetrahydrofuryl, tetrahydropyranyl, thiazolinyl, thiazolidinyl, thiamorpholinyl, thiamorpholinyl sulfoxide and thiamorpholinyl sulfone. The heterocyclic ring radical may be attached to the main structure at any heteroatom or carbon atom that results in the creation of a stable structure. Unless set forth or recited to the contrary, all heterocyclic groups described or claimed herein may be unsubstituted or substituted with groups selected from halogen, -OCi-6 alkyl, -OC3-6 cycloalkyl, CN, -COOH, -COO-C1-3 alkyl, -CON(-d_3 alkyl), -N02, -S02C!_3 alkyl, -SOaN-Q.s alkyl, -CO-d_3 alkyl. The term "alkenyl" refers to a hydrocarbon chain containing at least one carbon-carbon double bond, and may have (E) or (Z) configuration. An alkenyl group may contain 2 to 8 carbon atoms unless specified otherwise. Non-limiting examples of alkenyl groups include 2- propenyl (allyl), 2-methyl-2-propenyl, and (Z)-2-butenyl. Unless set forth or recited to the contrary, all alkenyl groups described or claimed herein may be straight chain or branched,
unsubstituted or substituted with groups selected from halogen, -OCi_6 alkyl, -OC3_6 cycloalkyl, CN, -COOH, -COO-d_3 alkyl, -CON(-d_3 alkyl), -N02, -S02d_3 alkyl, -S02N- Ci-3 alkyl, -CO-C1-3 alkyl. The term "alkynyl" refers to a hydrocarbon chain having at least one carbon-carbon triple bond. An alkynyl group may contain 2 to 8 carbon atoms unless specified otherwise. Non- limiting examples of alkynyl groups include 2-propynyl and 3-butynyl. Unless set forth or recited to the contrary all alkynyl groups described or claimed herein may form part of a straight or branched, substituted or unsubstituted chains. The alkynyl group may be unsubstituted or substituted with the groups selected from halogen, -OCi_6 alkyl, -OC3_6 cycloalkyl, CN, -COOH, -COO-d_3 alkyl, -CON(-d_3 alkyl), -N02, -S02d_3 alkyl, -S02N- Ci-3 alkyl, -CO-d_3 alkyl.
The term "halo", as used herein includes chloro, fluoro, bromo and iodo. Similarly the term "haloalkyl" refers to halo substituted alkyl chain.
The term "cycloalkenyl" refers to a non-aromatic monocyclic or bicyclic, 3 to 14 membered cycloalkyl ring system, which is unsaturated. Representative examples of cycloalkenyl include, but are not limited to, cyclopropenyl, cyclobutenyl, cyclopentenyl and cyclohexenyl.
The term "carbocyclic" refers to a saturated or unsaturated ring containing 3 to 13 carbon atoms, unless specified otherwise. The examples of carboxyxlic ring are cycloalkyl and cycloalkenyl rings as defined earlier in the specification.
DESCRIPTION
Formula I or salts thereof.
Rj is selected from a group consisting of C1-4 alkyl, C3_i4 cycloalkyl, phenyl, Cs_6 heteroaryl containing 1 to 3 heteroatoms selected from oxygen, nitrogen or sulfur, C4_6 heterocycloalkyl containing 1 or 2 heteroatoms selected from oxygen, nitrogen, or sulfur; Ri is optionally further substituted with Ci_4 alkyl, C3_7 cycloalkyl, phenyl, Cs_6 heteroaryl containing 1 to 3 heteroatoms selected from oxygen, nitrogen orsulfur, and C4_6 heterocycloalkyl containing 1 or 2 heteroatoms selected from oxygen, nitrogen, or sulfur.
In an embodiment, Rj is selected from a group consisting of Ci_4 alkyl and C3_i4 cycloalkyl. In another embodiment, Ri is a cycloalkyl or heterocycloalkyl forming moieties as represented
Figure-4
In another embodiment Rj is selected from cyclopropyl, cyclobutyl, cyclopentyl and cyclohexyl. In a preferred embodiment, Rj is cyclobutyl. R2 in the compound of Formula I is either absent or selected from a group consisting of C1-4 alkyl, C3_7 cycloalkyl, NH, N(Ci_3 alkyl). In another embodiment, R2 is absent.
R3 and R4 are independently selected from hydrogen, C2-6 hydroxyalkyl, C2-6 haloalkyl and Ci-4 alkyl optionally substituted with C3-6 cycloalkyl. In another embodiment R3 and R4 are independently selected from hydrogen and Ci_4 alkyl. In preferred embodiment R3 and R^ are independently selected from hydrogen and methyl.
R5 is selected form a group consisting of hydrogen, Ci-6 alkyl, C3-6 cycloalkyl, C2-5 alkenyl, C2-5 alkynyl, C(0)d_6 alkyl, C(0)C3-6 cycloalkenyl, C(S)d_6 alkyl, C(S)C3-6 cycloalkyl, SO2Q-6 alkyl, -CHO, C(S)C3_6 cycloalkenyl and CN. In a preferred embodiment R5 is selected from a group consisting hydrogen, Ci-6 alkyl, C3-6 cycloalkyl, C(0)Ci-6 alkyl, C(0)C3-6 cycloalkenyl, C(S)d_6 alkyl, C(S)C3-6 cycloalkyl, S02d_6 alkyl, -CHO and CN. In
another embodiment R5 is selected from a group consisting of hydrogen, Ci_6 alkyl, C(0)C3_6 cycloalkenyl, C(S)C!_6 alkyl, C(S)C3_6 cycloalkyl, S02C!_6 alkyl, -CHO and CN.
Figure- 1
wherein R6 is selected from a group consisting hydrogen, Ci_6 alkyl, Ci_6 haloalkyl, C3_6 cycloalkyl, CN, S02d_6 alkyl, S02C3-6 cycloalkyl, C(0)OH, C(0)0 d_6 alkyl and C(0)NRioRii wherein Rio and Rn are independently selected from Ci-6 alkyl or Rio and Rn together with the nitrogen atom to which they are attached form a 4 to 7 membered heterocyclic ring.
R7, Rg, R9, are independently selected from a group consisting of hydrogen, Ci_6 alkyl, halogen, C3_6 cycloalkyl, Ci_6 haloalkyl, C3_6 halocycloalkyl, Ci_6 hydroxyalkyl, C3_6 hydroxycycloalkyl, Ci-e alkyl-0-C3-6 cycloalkyl, CN, C(0)NRi2Ri3, (CH2)nC(0)NRi2Ri3, Ci-e cyanoalkyl, C(0)OH, C(0)OCi_6 alkyl, (CH2)nC(0)OH, (CH2)nC(0)0 Ci_6 alkyl, (CH2)nNRi2Ri3, C4_7 heterocycloalkyl containing 1 or 2 heteroatoms wherein the heteroatom is selected from oxygen, sulfur or N(Ri4); wherein n is an integer selected from 0 to 4.
Alternatively, Rg and R taken together forms a bond or a 3 to 6 membered carbocyclic ring.
RJ2 and R13 are independently selected from hydrogen, Ci_6 alkyl or R12 and R13 together with the nitrogen atom to which they are attached forms a 4 to 7 membered heterocyclic ring.
R14 is selected from hydrogen, Ci_6 alkyl, C3_6 cycloalkyl, Ci_6 haloalkyl, Ci_6 hydroxyalkyl, Ci_6 alkyl-0-Ci_6 alkyl, Ci_6 aminoalkyl and C3_6 cycloalkyl-0-Ci_6 alkyl; wherein the alkyl and the cycloalkyl groups are optionally substituted with 5 or 6 membered heterocycle containing 1 or 2 heteroatoms selected from oxygen, sulfur and nitrogen.
X, Y and Z at each occurrence are independently selected from CH or N. Hal is a halogen.
EWG is selected from a group consisting of C(0)OR15, C(0)N(R15)2, CN, N02, S03H, S02N(Rj5)2 and SO2R15 wherein RJS is selected from hydrogen, Ci_3 alkyl and C4_6 cycloalkyl.
In another embodiment, R5 is selected form a group consisting of hydrogen, Ci-6 alkyl, C3-6 cycloalkyl, C(0)d_6 alkyl, C(0)C3-6 cycloalkenyl, C(S)d_6 alkyl, C(S)C3-6 cycloalkyl, S02Ci_6 alkyl, -CHO and CN. In another embodiment, R5 is a moiety selected from the
wherein, wherein R6 is selected from a group consisting of hydrogen, Ci_6 alkyl, Ci_6 haloalkyl, C3_6 cycloalkyl, CN and R7, Rg, R9, are independently selected from a group consisting of hydrogen, Ci_6 alkyl, halogen, Ci_6 haloalkyl, Ci_6 hydroxyalkyl, CN, Ci_6 cyanoalkyl. lowing groups
wherein R6 is selected from a group consisting hydrogen, Ci_6 alkyl, Ci_6 haloalkyl, CN and R7, Rg, R9, are independently selected from a group consisting of hydrogen, Ci_6 alkyl, halogen, Ci-6 haloalkyl, Ci-6 hydroxyalkyl, Ci-6 cyanoalkyl. Rs and R9 taken together forms a bond or a 4 to 6 membered carbocyclic ring.
wherein I¾ is selected from a group consisting hydrogen, and CN; R7, Rg, R9, are independently selected from a group consisting of hydrogen, Ci-6 alkyl and halogen. Alternatively, Rg and R taken together form a bond.
In another embodiment Rg and R taken together forms a bond to form an alkynyl group. In another embodiment Rg and R9 taken together forms a 3 to 6 membered carbocyclic ring i.e. a cycloalkenyl ring. In another embodiment R4 and R5 along with the nitrogen atom to which they are attached form a 5 or 6 membered heterocycloalkyl ring optionally containing one additional heteroatom selected from oxygen, sulfur and nitrogen, wherein the heterocycloalkyl ring is unsubstituted or substituted with one or more groups selected from halogen, C1-3 alkyl, C1-3 hydroxyalkyl, Ci_3 haloalkyl, -CN, =0 and -CHO. The examples of 5 or 6 membered heterocycloalkyl ring include piperidine, pyrazole, pyrrolidine, morpholine, piperazine etc.
In another embodiment, R2 and R3 along with the carbon atom and the nitrogen atom to which they are attached, respectively, form a 4 to 7 membered cyclic ring thus forming a re
In a preferred embodiment R2 and R3 together forms a 5 to 6 membered ring.
In another embodiment, Rj and R3 along with R2, carbon of C=T and nitrogen atom to which R3 is attached form a 5 to 7 membered cyclic ring thus forming a compound represented by
In another embodiment, R4 and R2 together with the intermediate groups form a 5 to 7 ound represented by the following structure
In a preferred embodiment, R2 and R4 together form a five or six membered ring.
Rin A is a heterocycle selected from moieties provided in Figure-2
wherein Q is selected from CH or nitrogen.
Rj6 and R17 together form a phenyl ring optionally substituted with halogen, -0-Ci_3 alkyl, - COOH, -COOd_3 alkyl, -C1-3 alkyl, -OH;
or Rj6 and R17 together form a 5 or 6 membered heterocyclic ring containing 1 or 2 heteroatoms selected from oxygen, nitrogen and sulfur;
V is selected from R18, halogen, -Ci_4 haloalkyl, -C2 alkenyl, -C2-4 alkynyl, -SRis, -ORis, - SOR18, -SO2R18, -N(R18)2, -NHCHO, -NHCOCH3, -C4-6 heterocycloalkyl, -C4-6 cycloalkenyl, -CO-R18, -CN and -CHO wherein Rjg at each occurrence is independently selected from hydrogen, -Ci_4 alkyl and -Cj,.(, cycloalkyl;
' { ' represents the attachment to ring B;
'[' represents the attachment to Rj;
wherein, V is selected from R18, -C1-4 haloalkyl and halogen, wherein Rjg is selected from hydrogen, -C1-4 alkyl and -C3-6 cycloalkyl in another embodiment V is selected from Ris and halogen wherein R18 is selected from hydrogen, -d-4 alkyl and - -6 cycloalkyl In preferred embodiment ring A is selected from
or
In another embodiment in ring A, Q is nitrogen and V is selected from hydrogen and halogen.
R
wherein, R19 is one or more groups selected from hydrogen, halogen, hydroxyl, -N(Ci_6 alkyl)2, -NH(d-6 alkyl), -d-6 haloalkyl, -C2-6 alkenyl, -C2-6 alkynyl, -Od-6 alkyl, -O ^, alkenyl, -OC3-6 alkynyl,-Sd-6 alkyl, -CN, -C(0)C1 alkyl, -C(0)C3-6 cycloalkyl, -C(0)OH, - C(0)NH2, -C(0)N(d-6 alkyl)2, -C(0)NH(d-6 alkyl), -NHC(0)d-4 alkyl, -N(Ci-4 alkyl)C(0)Ci alkyl. When R19 is -OC3_6 alkenyl or -OC _6 alkynyl the double and triple bond, respectively, is not on the carbon directly attached to the oxygen atom as in may lead to unstable chemical structures.
Yi, Y2, Y3 and Y4 are independently selected from CH, NR2o, O, or S; wherein, R2o is either absent or selected from hydrogen, -d-3 alkyl and -C4-6 cycloalkyl;
r is an integer selected from 1 to 3.
'{ ' represents the position of attachment to ring A and '[' represents the position of attachment to W.
wherein, Yj, Y2 and R19 are as defined above. In another embodiment R 9 is one or more groups selected from hydrogen, halogen, hydroxyl, -Ci_6 haloalkyl, -OCi_6 alkyl, -SCi_6 alkyl, -CN, -C(0)d_4 alkyl, -C(0)C3-6 cycloalkyl and -C(0)OH. In another embodiment R19 is selected from hydrogen, halogen, and -OCi_6 alkyl. In a preferred embodiment, ring B is phenyl or pyridyl and is optionally substituted with halogen, -OCi_6 alkyl, hydroxyl, -Ci_6 haloalkyl and -Ci_6 alkyl group, preferably with halogen.
In another embodiment Yj and Y2 are independently selected from CH, nitrogen and oxygen. Preferably, Yj and Y2 are nitrogen.
W in compound of Formula I is a bond or is selected from a group consisting of -0-, -S-, - NH-, -N(Ci-4 alkyl)-, -N(d-e alkyl)C(O)-, -N(CHO)-, -N(COOH)-, -N(COOd-e alkyl)-, - C(0)NH-, -C(d-2 alkyl)2-, -C(O)-, -S(O)-, -S(0)2-, -CH20-, -OCH2-, -CH=CH-, -CH2-, - N(CH2CN)- , -S(0)2NH- , -NHS(0)2-, and -NHC(O)-. In another embodiment W is selected from a group consisting of -0-, -S-, -NH-, -N(d_4 alkyl)-, -N(d_6 alkyl)C(O)-, -N(CHO)-, - C(0)NH-, -CH2O-, -OCH2-, -CH=CH-, -N(CH2CN)- , -S(0)2NH- , -NHS(0)2-, and - NHC(O)-. In a preferred embodiment W is selected from a group consisting of -0-, -S-, -NH- , -N(d_3 alkyl)-, -NCO(d_3 alkyl)-, -C(0)NH-, -OCH2- and -N(CH2CN)-. In most preferred embodiment W is selected from a group consisting of -0-, -S-, -NH-, -N(d-3 alkyl)-, -N(d-3 alkyl)C(O)-, -C(0)NH-, -OCH2- and -N(CH2CN)-.
In another embodiment D in compound of Formula I is a ring containing 5 to 13 membered aryl, fused aryl, heteroaryl, fused heteroaryl, saturated or unsaturated monocyclic, bicyclic or tricyclic carbocyclic ring containing 0-3 heteroatoms selected from nitrogen, oxygen and sulfur.
In a preferred embodiment ring D is a 5 to 6 membered aryl or heteroaryl containing 1 to 2 heteroatom selected from nitrogen, oxygen and sulfur. More preferably, D is a ring selected from phenyl and pyridyl.
Define R
In another embodiment D is selected from a group consisting of - -Ci_6 alkyl, -Cj,-e cycloalkyl, -Cj,.(, cycloalkenyl, -C1-4 alkyl-0-Ci_4 alkyl, -C3_6 cycloalkyl-0-C2 alkyl, -C1-4 alkyl-0-C3_6 cycloalkyl, -C1-4 haloalkyl-0-Ci_4 alkyl, -C1-4 haloalkyl-S-Ci_4 alkyl and -C1-4 alkyl-S-Ci-4 alkyl. In another embodiment D is selected from the group consisting -Ci_6 alkyl, -C3-6 cycloalkyl, -C1-4 alkyl-0-C2-4 alkyl, -C3-6 cyclolkyl-O-Ci-4 alkyl and -C1-4 alkyl-S-Ci-4 alkyl. In another embodiment D is selected from a group consisting -Ci_6 alkyl, -C3_6 cycloalkyl, -Cj,.(, cycloalkenyl and -C1-4 alkyl-0-C2^ alkyl.
Group D can be unsubstituted or substituted with one or more groups, represented as R in the figure provided above, selected from halogen, hydroxyl, Ci_6 alkyl, -N(Ci_6 alkyl)2, -NH(Ci_6 alkyl), -Ci_6 haloalkyl, -C2-6 alkenyl, -C2-6 alkynyl, -OCi_6 alkyl, -OC3-6 cycloalkyl, -OC3-6 alkenyl, -OC3-6 alkynyl,-SCi-6 alkyl, -CN, -C(0)C1 alkyl, -C(0)C3-6 cycloalkyl, -C(0)OH, - C(0)NH2, -C(0)N(d_6 alkyl)2, -C(0)NH(d_6 alkyl), -NHC(0)d_4 alkyl and -N(Ci_4 alkyl)C(O) C1-4 alkyl. In another embodiment, group D is substituted with one or more groups selected from halogen, hydroxyl, Ci_6 alkyl, -Ci_6 haloalkyl, -OCi_6 alkyl, -S-Ci_6 alkyl, -CN, - CO-C1 alkyl, -CO— C3_6 cycloalkyl and-COOH. In a preferred embodiment D is substituted with one or more groups selected from Ci_6 alkyl, Ci_6 haloalkyl, -0-Ci_6 alkyl and halogen. In a preferred embodiment D is substituted with one or more halogen.
In another embodiment group B, W and D taken together forms a 13 or 14 membered tricyclic fused heteroaryl ring which is unsubstituted or substituted with one or more groups selected from halogen, hydroxyl, Ci_6 alkyl, -N(Ci_6 alkyl)2, -NH(Ci_6 alkyl), -Ci_6 haloalkyl, - C2-6 alkenyl, -C2-6 alkynyl, -OCi_6 alkyl, -OC3_6 cycloalkyl. The examples of the 13 or 14
membered tricyclic fused heteroaryl ring can be dibenzo[Z?,(i]furan and 9H-carbazole, dibenzo[¾,(i]thiophene.
T in the compound of Formula I is selected from oxygen or sulfur. In a preferred embodiment T is oxygen.
The compounds of the present invention can be used as selective agents as inhibitors of BTK either alone or in combination with other related kinases inhibitors, or any other appropriate drugs. Thus the compound of present invention finds use in treating cancer, particularly in haematological malignancies such as chronic lymphocytic leukaemia (CLL), mantle cell lymphoma (MCL), follicular lymphoma (FL) or even disorder such as diffused large B-cell lymphoma (DLBCL) etc., in which the activated B-cell need to be controlled or the proliferation needs to be down regulated. Compounds of Formula I can be prepared by any suitable processes, for example, as provided
Thus, compound 1 is treated with a compound 2 to obtain compound 3. Compound 3 can be condensed with an appropriately substituted hydrazine compound 4 to obtain compound 5. The compound 5 can then be treated with a compound 6 to obtain compound of Formula I. Representative compounds of Formula I are presented in Table 1.
The present invention is further illustrated in detail with reference to the following example. It is desired that the example be considered in all respect as illustrative and are not intended to limit the scope of the claimed invention.
Examples:
Example 1 : Preparation of N-[2-[4-amino-3-(4-phenoxyphenyl)pyrazolo[3,4-(i]pyrimidin-l- yl] acetyl] prop-2-enehydrazide (1.1)
compound (I) compound (II) compound (III)
STEP 1 : To a stirred solution of compound (I) (10 g) in 100 mL N,N- dimethylformamide (DMF) was added potassium carbonate (9 g) followed by addition of ethyl bromoacetate (5.5 mL). The reaction mixture was heated at 80 °C for 4-6 hours. After completion of reaction it was cooled and filtered, filtrate was removed under reduced pressure and was treated with ethyl acetate to get compound II as yellow solid.
STEP 2: To a stirred solution of compound (II) (10 g) in ethanol (50 mL) was added hydrazine hydrate (30 mL) and reaction mixture was refluxed for 2-3 hours. After completion of reaction as assessed by TLC it was cooled to room temperature and filtered and washed with diethyl ether to get compound III as dark grey solid.
STEP 3: To a stirred solution of compound (III) (400 mg) in DMF was added triethylamine (0.44 mL) followed by addition of acrylic acid (0.095 mL) and 0-(7-Azabenztriazol-l-yl)- 1 , 1 ,3,3-tetramethyluroniumhexafluoro phosphate (HATU, 0.5 g) and was stirred at room temperature for 1 hour. After completion of reaction as assessed by TLC it was quenched by adding water followed by extraction with dichloromethane. Organic phase was concentrated under reduced pressure and the crude was purified by column chromatography to give off white solid of the title compound.
Example 2: Preparation of ethyl 2-(4-amino-3-bromo-pyrazolo[3,4-(f]pyrimidin-l-yl)acetate (Compound (VI))
compound compound compound
STEP 1 : To a stirred solution of lH-pyrazolo[3,4-(f]pyrimidin-4-amine (IV, 100 g) in DMF (1.0 L) was charged N- bromosuccinimide (171.33 g) portion wise and stirred for 2 hours at
80 °C. The reaction mass was concentrated and was poured into the water (2.0 L) and the solid was filtered. Residue was washed with water and suck dried. Wet cake was dried by azeotropic distillation with toluene to obtain compound (V). STEP 2: To a stirred solution of compound (V, 25 g) in DMF (100 mL) was added potassium carbonate (22.5 g), followed by ethyl bromoacetate (13.75 mL). The resulting mixture was heated at 90 °C for 2 hours. Reaction contents were cooled to room temperature, filtered and concentrated under vacuum. The resulting residue was titurated with ethyl acetate to obtain the title compound (VI).
Example 3: Preparation of N-(2-pyridyl)-4-(4,4,5,5-tetramethyl-l ,3,2-dioxaborolan-2-yl)- benzamide (Compound (X))
STEP 1 : : To a stirred solution of 4-bromo benzoic acid (VII, 20 g) in toluene (60 mL) and DMF (0.4 mL) was added oxalyl chloride (17.06 mL) and continued stirring for one hour. The reaction mixture was concentrated under vacuum and residue obtained was co-distilled with toluene. Further, the residue obtained was stirred in dichloromethane (200 mL) and triethylamine (27.6 mL) and treated with 2-amino pyridine (9.6 g, VIII) at 0 °C. The reaction mixture was warmed to room temperature and stirred for one hour. The reaction was quenched with water (50 mL). The organic phase was separated and concentrated under reduced pressure. The residue obtained was purified by column chromatography to get compound (IX).
STEP 2: To as stirred solution of compound (IX, 10 g) in 1,4-dioxane (50 mL) was added potassium acetate (10.63 g), bis(pincolato)diboron (10.99 g) and tetrakis triphenylphosphine palladium (1.36 g). The resulting mixture was refluxed for 3 hrs. The reaction mixture was cooled to room temperature and concentrated under reduced pressure. The residue obtained was purified by column chromatography to get title compound (X).
Example 4: Preparation of 4-[4-amino-l-(2-hydrazino-2-oxo-ethyl)pyrazolo[3,4-(f]pyrimidin- 3-yl]-N-(2-pyridyl)benzamide Compound (XII))
compound(XI) compound(XII) 1. 5
STEP 1 : To a suspension of compound (VI, 7 g) in 1,4-dioxane (70 mL) and water (21 mL) was added compound (X, 7.7 g), followed by addition of Pd(dppf)2Cl(350 mg) and potassium carbonate (1.3 g) and then refluxed for 2 hours. The reaction mixture was cooled to room temperature, organic phase was separated and dried over anhydrous Na2S04, concentrated under reduced pressure and the residue obtained was purified by column chromatography to get compound (XI).
STEP 2: To a suspension of compound (XI, 5 g) in ethanol ( 50 mL) was added hydrazine hydrate (15 mL) and refluxed for two hours. The solid precipitated out on cooling reaction mixture to room temperature, was filtered and dried under vacuum to get title compound (XII).
Example 5: Preparation of 4-[4-amino-l-[2-(2-cyanohydrazino)-2-oxo-ethyl]pyrazolo[3,4- (f]pyrimidin-3-yl]-N-(2-pyridyl)benzamide(I.5)
To a stirred solution of compound (XII) (0.25 g) in DMF (5 mL), Na2CC>3 (0.2 g) was added and cooled to 0-5°C. Cyanogen bromide solution (5M in acetonitrile, 0.3 mL) was added and the reaction mixture was warmed up to room temperature while stirring for 30 min. Reaction mass was quenched by addition of water and then extracted with n-butanol. Organic phase was separated, dried over anhydrous Na2S04 and then concentrated under reduced pressure. The residue was washed with ethyl acetate to get title compound (1.5).
Example 6: Preparation of N-methyl-N-phenyl-4-(4,4,5,5-tetramethyl-l,3,2-dioxaborolan-2- yl)aniline compound XVI).
STEP 1 : To a stirred solution of the compound (XIII, 5 g) in DMF (25 mL) under nitrogen atmosphere at 0 °C was added sodium hydride (50% dispersion in paraffin oil, 3.12 g) portion- wise. The reaction was stirred at 0 °C for 30 min, then methyl iodide (4ml) was added drop-wise, and the resulting solution was stirred at room temperature overnight. The reaction mass was quenched with water and extracted with ethyl acetate. The organic phase was separated, dried over anhydrous Na2S04 and concentrated under reduced pressure to get compound (XIV).
STEP 2: To a stirred and cooled solution (at 0° C) of compound (XIV, 5.2 g) in anhydrous ('! ! ('! · (20 mL) was slowly added a solution of N-bromosuecinimide (5 g) in CH2CI2 (30 mL). The reaction mixture was stirred for 2 h at same temperature. The reaction mass was quenched with water and extracted with 0¾(¾ . The combined organic layers was dried over anhydrous Na2S04, and concentrated under reduced pressure. The residue obtained was purified by chromatography to get compound (XV).
STEP 3: This step was performed in analogous manner as described for synthesis of compound (X) (Example 3, step 2) starting from compound (XV) to get title compound (XVI).
Example 7: Preparation of 2-[4-arnino-3-[4-(N-methylanilino)phenyl]pyrazolo[3,4- (f]pyrimidin-l-yl]acetohydrazide (Compound (XVIII .
compounds I) compound(XVI)
compound(XVII) compound(XVIII)
STEP 1 : This step was performed in analogous manner as described for synthesis of compound (XI) (example 4, step 1), starting from compound (VI) and compound (XVI) to get compound (XVII).
STEP 2: This step was performed in analogous manner as described for synthesis of compound (XII) (example 4, step 2), from compound (XVII) and hydrazine hydrate to get title compound (XVIII).
Example 8: Preparation of N-[2-[4-amino-3-[4-(N-methylanilino)phenyl]pyrazolo[3,4- (f]pyrimidin-l-yl]acetyl]prop-2-enehydrazide (1.9)
This compound was prepared in analogous manner as described for synthesis of 1.1 (example 1, step 3), from compound (XVIII) and acrylic acid to get title compound (1.9).
Example 9: Preparation of methyl 3-methylsulfonyloxycyclobutanecarboxylate (compound XXII).
STEP 1 : To a stirred solution of compound (XIX, 100 g) in dichloromethane (500 mL) was added 4-dimethylaminopyridine (DMAP ,10 g), followed by addition of methanol (65 mL). Finally l-(3-dimethylaminopropyl)-3-ethylcarbodiimide.hydrochloride (EDAC.HC1 250 g) was added in small portions and it was stirred overnight at room temperature. After completion of reaction, water (100 mL) was added to quench the reaction. Organic phase was separated, dried over anhydrous Na2S04 and was concentrated under reduced pressureto get compound (XX). STEP 2: To a stirred solution of compound (XX, 94 g) in methanol (300 mL), cooled to 0-5 °C was added NaBH4 (28 g) slowly in small portions. The reaction mixture was stirred at room temp for approximately 2-3 hrs. After completion of reaction, the reaction mass was quenched with 2N aq. AcOH and extracted with methyl teri-butyl ether (100 mL X 5). All
organic phases were combined, dried over anhydrous Na2S04 and then concentrated under reduced pressure to get compound (XXI).
STEP 3: Asolution of compound (XXI, 45 g) in dichloromethane (300 mL) was cooled to 0-5 °C and was added triethylamine (95 mL), followed by slow addition of methane-sulfonyl chloride (35 mL). After complete addition, the mixture was stirred at room temperature for 2 hours. Water (100 mL) was added to quench reaction mixture, organic phase was separated, dried over anhydrous Na2S04 and concentrated under reduced pressure to get the title compound (XXII).
Example 10: Preparation of 3-[4-amino-3-(4-phenoxyphenyl)pyrazolo[3,4-(f]pyrimidin-l- yl]cyclobutanecarboh drazide (Compound (XXIV))
STEP 1 : To a stirred suspension of compound (I, 58 g) in DMF (300 mL) was added potassium carbonate (120 g), followed by compound (XXII, 59.6 g). The resulting mixture was heated at 95 °C for 16-18 hours, then cooled to room temperature and filtered. The filtrate was concentrated under reduced pressure; ethyl acetate (200 mL) was added to the residue and stirred for one hour. Separated solid compound (XXII) was filtered and dried under vacuum.
STEP 2: This step was performed in analogous manner as described for synthesis of compound (XII) (example 4, step 2), from compound (XXIII) and hydrazine hydrate to get title compound (XXIV). Example 11 : Preparation of 3-[4-amino-3-(4-phenoxyphenyl)pyrazolo[3,4-(i]pyrimidin-l- yl]cyclobutanecarboxylic acid(Compound (XXV)).
To a stirred solution of compound (XXIII, 5 g) in 1 ,4-dioxane (20 mL) was added solution of sodium hydroxide (0.72 g) in water (3.0 mL) and then stirred overnight. Reaction mixture
was concentrated under reduced pressure; water (10 mL) was added and then acidified with IN HCl which resulted in white precipitate. The solid was filtered and dried under vacuum to give title compound (XXV). Example 12: Preparation of 3-[4-amino-3-(4-phenoxyphenyl)pyrazolo[3,4-(i]pyrimidin-l-yl]- N-prop-2-enoyl-cyclobutanecarbohydrazide (1.11).
This compound was prepared in analogous manner as described for synthesis of 1.1 (example 1, step 3) from compound (XXIV) and acrylic acid to afford title compound (1.11) Example 13: Preparation of l-amino-3-(lR,5)-[4-amino-3-(4-phenoxyphenyl)pyrazolo[3,4- (f Ipyrimidin- 1 -yl]pyrrolidin-2-one(Compound (XXVIII))
STEP 1 : To a stirred solution of compound (I, 0.6 g) in DMF (10 mL) was added compound (XVI, 1.35 g) [prepated as per Furukawa et al , Chem Pharm Bull, 32(6), 2426-2429,1984] followed by addition of CS2CO3 (0.6 g) and heated to 80°C for 5-6 hrs. Reaction mixture was cooled to room temperature and filtered and evaporated the filtrate under reduced pressure. The residue obtained was purifiedby column chromatography to get compound (XXVII). STEP 2: To a stirred solution of compound (XXVII, 1 g) in 2: 1 dioxane : water mixture (10 mL) was added dropwise 4M HCl in dioxane (2 mL) at room temperature and heated at 50 °C for 2 hours. Reaction mixture was concentrated and the crude waspurified by column chromatography to get title compound (XXVIII). Example 14: Preparation of N-[3-[(lR,S)-4-amino-3-(4-phenoxyphenyl)pyrazolo[3,4- ii]pyrimidin-l-yl]-2-oxo-pyrrolidin-l-yl]prop-2-enamide (1.14).
To a stirred solution of compound XXVIII (0.2 g) in tetrahydrofuran (THF, 4 mL) cooled to - 45°C to -55°C was added solution of acryloyl chloride (0.05 mL) in dichlormethane (2 mL).
The resulting solution was stirred for 15 min at -55 °C and then quenched with water (5 mL) and extracted into ethyl acetate (10 mLX4). The organic phase was combined, dried over anhydrous Na2SC¼ and then concentrated under reduced pressure. The residue obtained was purifiedby column chromatography to afford title compound (1.14).
Example 15: Preparation of teri-butyl 2-[4-amino-5-(4-phenoxyphenyl)pyrrolo[2,3- (f]pyrimidin-7-yl]acetate (Compound (XXXV))
STEP 1 : To a stirred solution of compound (XXIX, 50 g) in DMF (200 mL) was added N- iodosuccinimide (62.14 g) and stirred for 16 hrs. The reaction mixture was poured slowly into water (3.5 L) resulted in precipitation which was filtered, washed with water (1 L) and suck dried. Crude residue was purified by refluxing in ethyl acetate and filtered to give compound (XXX).
STEP 2: This step was performed in analogous manner as described in example 1 (step 1), from compound (XXX) and teri-butyl-ethylbromoacetate (XXXI) to afford compound (XXXII). STEP 3: To a stirred solution of compound (XXXII, 55 g) in 1,4-dioxane (400 mL) was charged 25% aqueous ammonia (250 mL) . The reaction mass was autoclaved at 85+ 5°C for 16 hrs. The reaction mass was concentrated under reduced pressure and residue was filtered from water (100 mL). The wet cake was washed with water (40 mL) and suck dried in air. The solid was further dried at 60 °C resulted in compound (XXXIII).
STEP 4: This step was performed in analogous manner as described for compound (XI), from compound (XXXIII) and (4-phenoxyphenyl)boronic acid to afford compound (XXXIV).
STEP 5: To a stirred solution of compound (XXXIV, 12 g) in isopropyl alcohol (240 mL) was added water (2.4 mL), glacial acetic acid (2.5 mL) and palladium hydroxide (6.0 g). The reaction mixture was hydrogenated at 6-8 kg/cm hydrogen pressure at around 85+ 5°C for 12 hrs. The reaction mixture was cooled to room temperature, filtered over hyflow and was washed with (1: 1) mixture of methanol and dichloromethane. The filtrate was concentrated under vacuum to get title compound (XXXV).
Example 16: Preparation of 2-[4-amino-5-(4-phenoxyphenyl)pyrrolo[2,3-(f]pyrimidin-7- yl]acetohydrazide (Compound (XXXVII))
STEP 1 : To a stirred solution of compound (XXXV, 9.0 g) in dichloromethane (180 mL) was added trifluoroacetic acid (45 mL) and maintained for 6 hrs. The reaction mixture was concentrated under reduced pressure and toluene (100 mL) was added. The reaction mixture was concentrated under vacuum below 50° C, the residue was triturated with diethyl ether and filtered. The filtered solid was suck dried in air for 2 hrs resulted in compound (XXXVI). STEP 2: To a stirred solution of compound (XXXVI, 8.0 g) in N,N-dimethylformamide (32 mL) was added triethylamine(9.23 mL) and HATU (8.43 g). The reaction mixture was stirred for 10 minutes at ambient temperature, cooled to 0 °C and then treated with hydrazine hydrate (32 mL). The reaction was maintained at 0 °C for 1 hr. and warmed up and kept at ambient temperature for 16 hrs. The reaction mixture was poured into water (600 mL) and precipitate was filtered. The filtered solid was washed with water (50 mL) and suck dried for 1 hr. The wet solid was dried at 60 °C under vacuum to obtain the title compound (XXXVII).
Example 17: Preparation of N-[2-[4-amino-5-(4-phenoxyphenyl)pyrrolo[2,3-(f]pyrimidin-7- yl] acetyl] but-2-ynehydrazide (1.16).
This compound was prepared in analogous manner as described for I.l (example 1, step 3), from compound (XXXVII) and acrylic acid to get title compound (1.16).
Example 18: Preparation of N-[3-[(lR,5)-4-amino-3-(4-phenoxyphenyl)pyrazolo[3,4- (i]pyrimidin-l-yl]-2-oxo-pyrrolidin-l-yl]but-2-ynamide (1.17).
To a stirred solution of 2-butynoic acid (30 mg) in DMF (5 mL) was added HATU (0.13 g) and then cooled to 0 to -10 °C and treated with DIPEA (0.08 mL). After stirring for 5 min compound (XXVIII, 0.1 g) was added. The reaction mixture was stirred at room temperature for 2 hrs. The reaction mixture was quenched by adding water followed by extraction with dichloromethane and the organic phase was concentrated. The residue was purified by column chromatography to afford the title compound (1.17).
Example 19: Preparation of 4-[4-amino-l-[2-(2-but-2-ynoylhydrazino)-2-oxo- ethyl]pyrazolo[3,4-(i]pyrimidin-3-yl]-N-(2-pyridyl)benzamide (1.19)
This compound was prepared in analogous manner as described in Example 18, from compound (XII) and 2-butynoic acid to afford title compound (1.19)
Example 20: Preparation of 2-[4-amino-2-chloro-5-(4-phenoxyphenyl)pyrrolo[2,3- (f]pyrimidin-7-yl]acetohydrazide (Com ound (XXXIX)).
STEP 1 : This step was performed in analogous manner as described for compound (XXXVI), from compound (XXXIV) to get compound (XXXVII).
STEP 2: This step was performed in analogous manner as described for compound (XXXVII), from compound (XXXVIII) to get compound (XXXIX).
Example 21: Preparation of N-[2-[4-amino-2-chloro-5-(4-phenoxyphenyl)pyrrolo[2,3- (f]pyrimidin-7-yl]acetyl]prop-2-enehydrazide (1.24)
This compound was synthesized in analogous manner as described in example- 14, from compound (XXXIX) and acryloyl chloride to get title compound 1.24.
Example 22: Preparation of 4-[4-amino-l-(2-hydrazino-2-oxo-ethyl)pyrazolo[3,4-(i]- pyrimidin-3-yl]-N-cyclohexyl-benzamide (Compound (XXXXIV)).
STEP 1 : This step was performed in analogous manner as described for synthesis of compound (IX), from cyclohexyl amine (XXXX) and 4-bromobenzoic acid (VII) to get compound (XXXXI).
STEP 2: This step was performed in analogous manner as described for synthesis of compound (X) from compound (XXXXI) to get compound (XXXXII). STEP 3: This step was performed in analogous manner as described for synthesis of compound (XI), from compound (VI) and compound (XXXXII) to get compound (XXXXIII).
STEP 4: This step was performed in analogous manner as described for synthesis of compound (XII), from compound (XXXXIII) and hydrazine hydrate to get title compound. (XXXXIV)
Example 23: Preparation of 4-[4-amino-l-[2-(2-but-2-ynoylhydrazino)-2-oxo-ethyl] pyrazolo[3,4-(i]pyrimidin-3-yl]-N-cyclohexyl-benzamide. (1.31)
This compound was prepared in analogous manner as described in example- 18, from compound (XXXXIV) and 2-butynoic acid to get title compound (1.31)
Example 24: Preparation of 4-(4,4,5,5-tetramethyl-l ,3,2-dioxaborolan-2-yl)-N-[3- (trifluoromethyl)phenyl]benzenesulfonamide (Compound (XXXXVII)).
STEP 1 : To a stirred and cold (0-10 °C) solution of compound (XXXXVI, 2.7 mL) and pyridine (1.9 mL) in CH2CI2 (50 ml) was added solution of compound (XXXXV, 5.0 g) in CH2CI2 (25 mL) drop-wise. The mixture was stirred at room temperature for 45 min., and water was added to quench the reaction mass. The reaction mixture was subsequently extracted with CH2CI2, and the combined organic phase was dried over Na2S04. The solvent was removed under reduced pressure, affording the light orange color liquid, which was purified by column chromatography to yield compound (XXXXVII) as a solid.
STEP 2: This step was performed in analogous manner as described for synthesis of compound (X) (example 3, step 2), from compound (XXXXVII) to get compound (XXXXVIII).
Example 25: Preparation of 4-[4-amino-l-(2-hydrazino-2-oxo-ethyl)pyrazolo[3,4- d] pyrimidin-3 -yl] -N- [3 -(trifluoromethyl)phenyl] benzenesulf onamide (Compound (L)) .
STEP 1 : This step was performed in analogous manner as described for synthesis of compound (XI) (example 4, step 1), from compound (VI) and compound (XXXXVIII), to get compound (XXXXIX).
STEP 2: This step was performed in analogous manner as described for synthesis compound (XII) (example 4, step 2), from compound (XXXXIX) and hydrazine hydrate get title compound (L). Example 26: Preparation of 4-[4-amino-l-[2-oxo-2-(2-prope-2-enoxylhydrazino)ethyl]pyra zolo[3 ,4-(f ]pyrimidin-3-yl] -N- [3-(trifluoromethyl)phenyl] benzenesulfonamide(1.34).
This compound was prepared in analogous manner as described in example 14, from compound (L) and acryloyl chloride to get title compound (1.34).
Example 27: Preparation of eth l 2-(6-amino-2-chloro-purin-9-yl)acetate compound (LII).
To a stirred solution of compound (LI, 31 g), ethyl bromo acetate (22.7 mL) in DMF (155 mL) was added anhydrous K2CO3 (38.4 g). The reaction mixture was heated at 80 °C for 0.5 hrs and then cooled. The solid separated was filtered off and the filtrate was evaporated under reduced pressure. The residue obtained was suspended in ethyl acetate and filtered to get title compound as solid.
Example 28: Preparation of 2-[6-amino-2-(4-phenoxyphenyl)purin-9-yl]acetohydrazide (Compound
STEP 1 : This step was performed in analogous manner as described for synthesis of compound (XI), from compound (LII) and (4-phenoxyphenyl)boronic acid to get compound (LIII).
STEP-2: This step was performed in analogous manner as described for synthesis of compound (XII), from compound (LIII) and hydrazine hydrate to get title compound (LIV).
Example 29: Preparation of N'-[2-[6-amino-2-(4-phenoxyphenyl)purin-9-yl]acetyl]but-2- ynehydrazide (1.35)
This compound was prepared in analogous manner as described in example 18, from compound (LIV) and 2-butynoic acid to get title compound (1.35).
Example 30: Preparation of ethyl 2-[4-amino-6-[4-(2-methoxyethoxy)anilino]benzimidazol- 1-yl] acetate Compound (LVI))
Compound (LII) Compound (LV) Compound (LVI)
To a stirred solution of compound (LII, 7.0 g) and compound (LV) (6.0 g) in 1,4-dioxane (100 mL) was added Cs2C03 (12.7 g), palladium acetate (0.6 g) and BINAP (1.7 g) successively. The contents of reaction mixture were heated to reflux for 3 hours. After completion, the reaction mixture was evaporated, cooled to room temperature and the residue was separated by column chromatography to yield title compound (LVI).
Example 31 : Preparation of 2-[6-amino-2-[4-(2-methoxyethoxy)anilino]purin-9- yl]acetohydrazide. ompound (LVII)
This step was performed in analogous manner as described for synthesis of compound (XII), from compound (LVI) and hydrazine hydrate to get title compound (LVII)
Example 32: Preparation of N'-[2-[6-amino-2-[4-(2-methoxyethoxy)anilino]purin-9- yl] acetyl] but-2-ynehydrazide (1.37)
This compound was prepared in analogous manner as described in example 18, from compound (LVII) and 2-butynoic acid to get title compound (1.37).
Example 33: Preparation of 3-[4-amino-3-(4-benzyloxyphenyl)pyrazolo[3,4-d]pyrimidin-l- yl]cyclobutanecarb
STEP 1 : To a stirred solution of 4-bromophenol (20 g) in DMF (80 mL) was added potassium carbonate (24 g), followed by benzyl bromide (15 mL). The resulting mixture was heated to 75 °C for six hours and was cooled to room temperature. The contents were filtered and the filtrate was concentrated under reduced pressure. Residue obtained was purified by column chromatography to get compound (LVIII).
STEP 2 : To a stirred solution of compound (LVIII, 12 g) in 1,4-dioxane (100 mL) were added potassium acetate (13.5 g), bis-(pinacoloto)diboron (14 g) and Pd(PPli3)4 (1.74 g) successively. The resulting mixture was refluxed for 6 hours, then cooled to room temperature and filtered. Filtrate was concentrated under reduced pressure and the residue obtained was purified by column chromatography to get title compound (LIX).
STEP 3: To a stirred solution of compound (V, 18 g) in DMF (90 mL) was added compound (XXII, 28 g) followed by addition of K2C03 (35 g) and heated at 90°C for 10-12 hrs. After completion the reaction mixture was filtered and concentrated under reduced pressure, residue obtained was titurated with ethyl acetate to give compound (LX).
STEP-4: This step was performed in analogous manner as described for synthesis of compound (XI), from compound (LIX) and compound (LX) to give compound (LXI).
STEP-5: This step was performed in analogous manner as described for synthesis of compound (XII) from compound (LXI) and hydrazine hydrate to give title compound (LXII).
Example 34: Preparation of 3-[4-amino-3-(4-benzylxoyphenyl)pyrazolo[3,4-(i]pyrimidine-l- yl]-N'-but-2-ynoyl-cyclobutanecarbohydrazide (1.41).
This compound was prepared in analogous manner as described in example- 18, from compound (LXII) and 2-butynoic acid to get title compound as white solid.
Example 35: Preparation of 3-[6-amino-8-oxo-7-(4-phenoxyphenyl)purin-9-yl] cyclobutane carbohydrazide (Com ound (LXXI)).
STEP 1 : To a stirred solution of compound (LXIV, 30 g) (prepared as described in US2013/0217880) in 1,4-dioxane (450 mL) was added compound (LXV, 15.2 g) and triethyl amine (16.2 mL). The resulting mixture was heated at 60 °C for 16 hours and the reaction mixture was distilled off. Ethyl acetate was added to the residue and extracted, organic phase was separated, dried over anhydrous Na2S04, concentrated under reduced pressure and the crude was purified by column chromatography to get compound (LXVI).
STEP 2: This step was performed in analogous manner as described in US2013/0217880, from compound (LXVI) to get compound (LXVII).
STEP 3: This step was performed in analogous manner as described in US2013/0217880, from compound (LXVII) to get compound (LXVIII).
STEP 4: This step was performed in analogous manner as described in US2013/0217880, from compound (LXVIII) to get compound (LXIX).
STEP 5: This step was performed in analogous manner as described in US2013/0217880, From compound (LXIX) to get compound (LXX).
STEP 6: This step was performed in analogous manner as described for synthesis of compound (XII), from compound (LXX) and hydrazine hydrate to get title compound.
Example 36: Preparation of 3-[6-amino-8-oxo-7-(4-phenoxyphenyl)purin-9-yl]-N-but- 2ynoylcyclobutanecarbohydrazide (1.56).
This compound was prepared in analogous manner as described in example 18, from compound (LXXI) and 2-butynoic acid to get title compound (1.56).
Example 37: Preparation of 3-[4-amino-3-(4-phenoxyphenyl)pyrazolo[3,4-(i]pyrimidin-l-yl]- N-methyl-cyclobutanecarboh drazide Hydrochloride (Compound (LXXIII)).
compound(XXV) compound(LXXII) compound(LXXIII)
STEP 1: This step was performed in analogous manner as described in example 18, from compound (XXV) and teri-butyl-2-methylcarbazate to get compound (LXXII). STEP 2: To a stirred solution of compound (LXXII, 1 g) in 1,4-dioxane (5 mL) was added 4M HCI in 1,4-dioxane (5 mL) and stirred overnight at 50°C. Reaction mixture was
concentrated under reduced pressure and triturated with diethyl ether to get title compound (LXXIII).
Example 38: Preparation of 3-[4-amino-3-(4-phenoxyphenyl)pyrazolo[3,4-(i]pyrimidin-l-yl]- N'-methyl-N'-prop-2-enoylcyclobutanecarbohydrazide (1.62).
This compound was prepared in analogous manner as described in example 14, from compound (LXXIII) and acryloyl chloride to get title compound (1.62).
Example 39: Preparation of 3-[4-amino-3-(4-phenoxyphenyl)pyrazolo[3,4-(i]pyrimidin-l-yl]- N'-methyl-cyclobutanecarboh drazide (Compound (LXXV)).
STEP 1 : This step was performed in analogous manner as described for synthesis of example 18, from compound (XXV) and teri-butyl N-(methylamino)carbamate to get compound (LXXIV).
STEP 2: This step was performed in analogous manner as described for synthesis of compound (LXXIII), from compound (LXXIV) to get title compound (LXXV).
Example 40: Preparation of 3-[4-amino-3-(4-phenoxyphenyl)pyrazolo[3,4-(i]pyrimidin-l-yl]- N'-but-2-ynoyl-N'-methyl-cyclobutanecarbohydrazide (1.63).
This compound was prepared in analogous manner as described in example 18, from compound (LXXV) and 2-butynoic acid to get title compound (1.63).
Example 41 : Preparation of 2-[4-amino-3-(4-phenoxyphenyl)pyrazolo[3,4-(i]pyrimidin-l-yl]- 2-methyl-propanehydrazide (Compound (LXXVII))
STEP 1 : This step was performed in analogous manner as described for synthesis of compound (II), from compound (I) and ethyl 2-bromo-2-methylpropanoate to get compound (LXXVI).
STEP 2: This step was performed in analogous manner as described for synthesis of compound (III), from compound (LXXVI) and hydrazine hydrate to get title compound (LXXVII).
Example 42: Preparation of 2-[4-amino-3-(4-phenoxyphenyl)pyrazolo[3,4-(i]pyrimidin-l-yl]- 2-methyl-N-prop-2-enoyl-propanehydrazide (1.73).
This compound was prepared in analogous manner as described for synthesis of compound 1.14 (example 14), from compound (LXXVII) and acryloyl chloride to get title compound (1.73).
Example 43: Preparation of 3-[4-amino-3-(4-phenoxyphenyl)pyrazolo[3,4-(i]pyrimidine-l- yl] -ΛΓ -(2-methylprop-2-enoyl)cyclobutanecarbohydrazide (1.77)
This compound was prepared in analogous manner as described in example 18, from compound (XXIV) and methacrylic acid to get title compound (1.77).
Example 44: Preparation of 3-[4-amino-3-(4-phenoxyphenyl)pyrazolo[3,4-(i]pyrimidin-l-yl]- N'-(cyclopropanecarbonyl)cyclobutanecarbohydrazide (1.78).
This compound was prepared in analogous manner as described in example 14, from compound (XXIV) and cyclopropane carbonyl chloride to get title compound (1.78).
Example 45: Preparation of 3-[4-amino-3-(3-fluoro-4-isopropoxy-phenyl)pyrazolo[3,4- ii]pyrimidin-l-yl]cyclobutanecarbohydrazide (Compound (LXXX))
STEP 1 : This step was performed in analogous manner as described for synthesis of compound (XI), from compound (LX) and compound (LXVIII) (prepared as described in US2014/011819) to get compound (LXXIX).
STEP 2: This step was performed in analogous manner as described for synthesis of compound (XII), from compound (LXXIX) and hydrazine hydrate to get title compound (LXXX).
Example 46: Preparation of 3-[4-amino-3-(3-fluoro-4-isopropoxy-phenyl)pyrazolo[3,4- (f]pyrimidin-l-yl]-N'-but-2-ynoyl-cyclobutanecarbohydrazide (1.80).
This compound was prepared in analogous manner as described in example 18, from compound (LXXX) and 2-butynoic acid to get title compound (1.80).
Example 47: Preparation of 3-[4-amino-3-(4-phenoxyphenyl)pyrazolo[3,4-(i]pyrimidin-l-yl]- N'-propanoyl-cyclobutanecarbohydrazide (1.86).
This compound was prepared in analogous manner as described in example 18, from compound (XXIV) and propanoic acid to get title compound (1.86).
Example 48: Preparation of 3-[4-amino-3-(6-ethoxy-2-naphthyl)pyrazolo[3,4-(i]pyrimidin-l- yl]cyclobutanecarbohydrazide (Compound (LXXXIII)).
STEP 1 : This step was performed in analogous manner as described for synthesis of compound (XI) (example 4, step 1), from compound (LX) and compound (LXXXI) (prepared as described by Yan Shen, Medicinal Chemistry,2014,vol-10,no-5,pg 533-539) to get compound (LXXXII).
STEP 2: This step was performed in analogous manner as described for synthesis of compound (XII) (example 4, step 2), from compound (LXXXII) and hydrazine hydrate to get title compound (LXXXIII).
Example 49: Preparation of 3-[4-amino-3-(6-ethoxy-2-naphthyl)pyrazolo[3,4-(i]pyrimidin-l- yl] -N-but-2-ynoyl-cyclobutanecarbohydrazide (1.92).
This compound was prepared in analogous manner as described in example 18, from compound (LXXX) and 2-butynoic acid to get title compound (1.92).
Example 50: Preparation of 2-[(£T)-2-[4-(4,4,5,5-tetramethyl-l,3,2-dioxaborolan-2- yl)phen l] vinyl] pyridine (Compound (LXXX VII)).
Compound (LXXXIV) Compound (LXXXV) Compound (LXXXVI) Compound (LXXXVII) STEP 1 : To a stirred solution of compound (LXXXIV, 7.7 g) in toluene (40 mL) was added triphenylphosphine (16 g) and refluxed for 18 hrs, cooled to room temperature, solid which precipitated was filtered to give compound (LXXXV).
STEP 2: To a solution of compound (LXXXV, 12.64 g) in THF (30 mL) cooled to 0°C under nitrogen and was added NaH (1.5 g, 60% in mineral oil) portion-wise with stirring for 30 min. Following which 4-bromobenzaldehyde (6 g) was added and then stirred for 3 hrs. The reaction mass was quenched with cold water and extracted with ethyl acetate. Organic phase
was separated and dried over anhydrous Na2S04. The organic phase was concentrated under reduced pressure and the residue was purified by column chromatography to get compound (LXXXVI).
STEP 3: This step was performed in analogous manner as described for synthesis of compound (X) (Example 3, step 2), from compound (LXXXVI) to get title compound (LXXXVII)
Example 51: Preparation of l-(3-methylcyclobutyl)-3-[4-[(£T)-2-(2- pyrid l)vinyl]phenyl]pyrazolo[3,4-(f]pyrimidin-4-amine (Compound (LXXXIX)).
Compound (LX) Compound (LXXXVII) Compound (LXXXVIII) Compound (LXXXIX)
STEP 1 : This step was performed in analogous manner as described for synthesis of compound (XI) (example 4, step 1), from compound (LX) and compound (LXXXVII) to get compound (LXXXVIII).
STEP 2: This step was performed in analogous manner as described for synthesis of compound (XII) (example 4, step 2), from compound (LXXXVIII) and hydrazine hydrate to get title compound (LXXXIX).
Example 52: Preparation of 3-[4-amino-3-[4-[(£)-2-(2-pyridyl)vinyl]phenyl]pyrazolo[3,4- (f]pyrimidin-l-yl]-N-prop-2-enoyl-cyclobutanecarbohydrazide (1.98)
This step was performed in analogous manner as described for synthesis of (I. l) (example 1, step 3), from compound (LXXXVI) and acrylic acid to get title compound (1.98).
Example 53: Preparation of 2-[8-amino-l-(4-phenoxyphenyl)imidazo[l,5-a]pyrazin-3- yl]acetohydrazide (Compound (XCVIII))
STEP 1 : This step was performed according to process described in US2014/0155385 (intermediate- 1) to get compound (XCI).
STEP 2: This step was performed in analogous manner as described in US2014/0155385 (intermediate- 1) from compound (XCI) and mono-ethyl malonate to get compound (XCII).
STEP 3: This step was performed in analogous manner as described in US2014/0155385 (intermediate- 1) to get compound (XCIII).
STEP 4: This step was performed in analogous manner as described in US2014/0155385 (intermediate- 1) to get compound (XCIV). STEP 5: This step was performed in analogous manner as described in WO2016109223 to get compound (XCV).
STEP 6: To a stirred solution of compound (XCV, 4 g) in 1,2-dichloroethane was added trifluoroacetic acid (20 mL) and refluxed for 6 hrs. Reaction mixture was concentrated under reduced pressure, and extracted with ethyl acetate after quenching with aq ammonia. Organic phase was separated, dried over anhydrous Na2S04 and concentrated under reduced pressure. The residue was purified by column chromatography to get compound (XCVI).
STEP 7: This step was performed analogous to synthesis of compound (XI) (example 4, step 1), from compound (XCVI) and (4-phenoxyphenyl)boronic acid to get compound (XCVII).
STEP 8: This step was performed analogous to synthesis of compound (XII) (example 4, step 2), from compound (XCVII) and hydrazine hydrate to get compound (XCVIII).
Example 54: Preparation of N'-[2-[8-amino-l-(4-phenoxyphenyl)imidazo[l,5-a]pyrazin-3- yl] acetyl] but-2-ynehydrazide. (1.106).
This compound was prepared in analogous manner as described in example- 18, from compound (XCVIII) and 2-butynoic acid to get title compound (1.106).
Example 55: Preparation of 2-dibenzofuran-2-yl-4,4,5,5-tetramethyl-l,3,2-dioxaborolane (Compound (XCIX)).
This compound was prepared in analogous manner as described for compound (X) (example 3, step 2), from 2-bromodibenzofuran to get title compound (XCIX).
Example 56: Preparation of 3-(4-amino-3-dibenzofuran-3-yl-pyrazolo[3,4-(i]pyrimidin-l- yl)cyclobutanecarbohydrazide ompound (CI))
STEP 1 : This step was performed analogous to synthesis of compound (XI) (example 4, step
1) , from compound (LX) and compound (XCIX) to get compound (C).
STEP 2: This step was performed analogous to synthesis of compound (XII) (example 4, step
2) , from compound (C) to get title compound (CI) .
Example 57: Preparation of 3-(4-amino-3-dibenzofuran-2-yl-pyrazolo[3,4-i/|pyrimidin- l-yl)- N-but-2-ynoyl-cyclobutanecarbohydrazide. (1.1 16).
This compound was prepared in analogous manner as described in example 18, from compound (CI) and 2-butynoic acid to get title compound (1.116).
Table 2 provides the characterization data (proton NMR) of compound of Formula I.
Table 2: Chemical name and proton NMR data for compound of Formula I
Biological Data:
Radioligand binding assay BTK inhibition:
BT (h) was incubated with 8 mM MOPS pH 7.0, 0.2 mM EDTA, 250 μΜ KVEKIGEGTYGVVYK (Cdc2 peptide), 10 mM MgAcetate and [γ-33Ρ-ΑΤΡ] (specific activity approx. 500 cpm/pmol, concentration as required). The reaction was initiated by the addition of the MgATP mix. After incubation for 40 minutes at room temperature, the reaction was stopped by the addition of 3% phosphoric acid solution. 10 μί- of the reaction was then spotted onto a P30 filtermat and washed three times for 5 minutes with 75 mM phosphoric acid and once with methanol prior to drying and scintillation counting.
Radioligand binding assay ITK inhibition:
ITK (h) is incubated with 8 mM MOPS pH 7.0, 0.2 mM EDTA, 0.33 mg/mL myelin basic protein, 10 mM MgAcetate and [γ-33Ρ-ΑΤΡ] (specific activity approx. 500 cpm/pmol, concentration as required). The reaction is initiated by the addition of the MgATP mix. After incubation for 40 minutes at room temperature, the reaction is stopped by the addition of 3 % phosphoric acid solution. 10 iL of the reaction is then spotted onto a P30 filtermat and washed three times for 5 minutes in 75 mM phosphoric acid and once in methanol prior to drying and scintillation counting.
The percentage inhibition for representative compounds of Formula I are provided below in table 3
Table 3: Percentage inhibition of BTK(h) and ITK in radioligand binding assay
A: > 60 %, B: 30-60 %, C: < 30 % Inhibition at respective concentration.
BTK Enzyme Assay
The inhibitory activity of test compounds was evaluated in an enzyme assay employing the ADP-Glo™ Platform. Briefly lOng of hBTK is pre-incubated with vehicle/test compound (varying concentrations) for 15 minutes in the reaction buffer (40mM Tris buffer pH 7.5 containing 20mM MgC12.6H20, 2mM MnC12, 0.05mM DTT and 0.1% BSA). The enzymatic reaction is initiated by addition of 0^g of substrate Poly (Glu4, Tyrl) with 15μΜ ultrapure ATP. After incubation of 30 minutes, ADP-Glo™ Reagent is added and incubated for 40 minutes at room temperature to terminate the kinase reaction and deplete the remaining ATP. Kinase detection reagent is added to and the reaction is further continued for 30 minutes at room temperature. The kinase detection reagent converts the ADP to ATP and the ATP generated is measured in luminescence mode in a micro plate reader. The luminescence in the control is compared to that of the test compound treated sample to determine the inhibitory activity of the compound. BTK (C481S) Enzyme Assay
The inhibitory activity of test compounds was evaluated in an enzyme assay employing the ADP-Glo™ Platform. Briefly 5ng of hBTK (C481S) is pre-incubated with vehicle/test compound (varying concentrations) for 15 minutes in the reaction buffer ( 40mM Tris buffer pH 7.5 containing 20mM MgC12.6H20, 2mM MnC12, 0.05mM DTT and 0.1% BSA). The enzymatic reaction is initiated by addition of 0^g of substrate Poly (Glu4, Tyrl) with 15μΜ ultrapure ATP. After incubation of 30 minutes, ADP-Glo™ Reagent is added and incubated for 40 minutes at room temperature to terminate the kinase reaction and deplete the remaining ATP. Kinase detection reagent is added to and the reaction is further continued for 30 minutes at room temperature. The kinase detection reagent converts the ADP to ATP and the ATP generated is measured in luminescence mode in a micro plate reader. The luminescence
in the control is compared to that of the test compound treated sample to determine the inhibitory activity of the compound.
ITK Enzyme Assay
The inhibitory activity of test compounds were evaluated in an enzyme assay employing the ADP-Glo™ Platform. Briefly 6ng of hITK is pre-incubated with vehicle/test compound (varying concentrations) for 15 minutes in the reaction buffer (40mM Tris buffer pH 7.5 containing 20 mM MgCl2.6H20, 2mM MnCl2, 0.05 mM DTT and 0.1 % BSA). The enzymatic reaction is initiated by addition of 0.5 μg of substrate Poly (Glu4, Tyrl) with 10 μΜ ultrapure ATP. After incubation of 30 minutes, ADP-Glo™ Reagent is added and incubated for 40 minutes at room temperature to terminate the kinase reaction and deplete the remaining ATP. Kinase detection reagent is added to and the reaction is further continued for 30 minutes at room temperature. The kinase detection reagent converts the ADP to ATP and the ATP generated is measured in luminescence mode in a micro plate reader. The luminescence in the control is compared to that of the test compound treated sample to determine the inhibitory activity of the compound.
Percentage inhibition for the compound of Formula I when tested in enzyme assays on ADP- Glo™ Platform for BTK wild type, BTK (C481S) mutant and ITK are provided in table 4. Table 4: Graded percentage inhibition BTK(h), BTK (C48 IS) mutant and ITK tested in enzyme assay by ADP-Glo™ Platform
1.21 A NA A 1.80 C NA NA
1.22 A NA B 1.81 B NA NA
1.23 A NA A 1.82 A NA NA
1.24 C NA C 1.83 A NA NA
1.25 A NA A 1.84 A A A
1.26 A C C 1.85 B NA NA
1.27 A C C 1.86 B NA NA
1.28 A c c 1.87 B NA NA
1.29 A c c 1.88 A NA NA
1.30 A A c 1.89 A NA NA
1.31 C NA NA 1.90 A NA NA
1.32 A A B 1.91 A NA NA
1.33 A B B 1.92 B NA NA
1.34 C NA NA 1.93 A NA NA
1.35 C NA NA 1.94 B NA NA
1.36 A C B 1.95 A NA NA
1.37 C NA NA 1.96 A C NA
1.38 B NA NA 1.97 B NA NA
1.39 A NA A 1.98 A B NA
1.40 A B B 1.99 A B NA
1.41 A B C 1.100 A B NA
1.42 A NA NA 1.101 A B NA
1.43 A B B 1.102 B NA NA
1.44 A A A 1.103 A B NA
1.45 A NA A 1.104 A A NA
1.46 A NA NA 1.105 B NA NA
1.47 B B C 1.106 A NA NA
1.48 A A C 1.107 A A NA
1.49 A A c 1.108 A A NA
1.50 A C c 1.109 A A NA
1.51 A B c 1.110 A A NA
1.52 A B c 1.111 A B NA
1.53 A B NA 1.112 A B NA
1.54 A B B 1.113 A B NA
1.55 A NA NA 1.114 A B NA
1.56 A B C 1.115 A A NA
1.57 A NA B 1.116 C NA NA
1.58 A B B 1.117 B NA NA
1.59 A B C
A = >60%, B =30-60%, C=0-30% Inhibition at respective concentration; NA = not available.
Claims
1. A compound of Formula I
Formula I or salts thereof wherein,
Ri is selected from a group consisting of Ci_4 alkyl, C3_i4 cycloalkyl, phenyl, C5_
6 heteroaryl containing 1 to 3 heteroatoms selected from oxygen, nitrogen or sulfur, C4_6 heterocycloalkyl containing 1 or 2 heteroatoms selected from oxygen, nitrogen, or sulfur; Ri is optionally further substituted with Ci_4 alkyl, C3_7 cycloalkyl, phenyl, C5_6 heteroaryl containing 1 to 3 heteroatoms selected from oxygen, nitrogen or sulfur, and C4_6 heterocycloalkyl containing 1 or 2 heteroatoms selected from oxygen, nitrogen, or sulfur;
R2 is either absent or selected from a group consisting of Q_4 alkyl, C3_7 cycloalkyl, NH, N(Ci-3 alkyl);
R3 and R4 are each independently selected from hydrogen, C2-6 hydroxyalkyl, C2_6 haloalkyl and Q_4 alkyl; optionally substituted with C3_6 cycloalkyl;
R5 is selected form a group consisting of hydrogen, Ci_6 alkyl, C3_6 cycloalkyl, C2_5 alkenyl, C2.5 alkynyl, C(0)Ci-6 alkyl, C(0)C3.6 cycloalkenyl, C(S)Ci-6 alkyl, C(S)C3.6 cycloalkyl, S02Cw alkyl, -CHO, C(S)C3.6 cycloalkenyl and CN;
or R5 is a moiety selected from the groups provided in Figure- 1
Figure- 1 wherein R6 is selected from a group consisting hydrogen, Ci_6 alkyl, Ci_6 haloalkyl, C3_ 6 cycloalkyl, CN, S02Ci^ alkyl, S02C3.6 cycloalkyl, C(0)OH, C(0)0 Ci-6 alkyl and
C(0)NRio ii wherein R10 and Rn are independently selected from Ci_6 alkyl or R10 and Rn together with the nitrogen atom to which they are attached form a 4 to 7 membered heterocyclic ring;
R7, R8, R9, are independently selected from a group consisting of hydrogen, Q_ 6 alkyl, halogen, C3_6 cycloalkyl, Ci_6 haloalkyl, C3_6 halocycloalkyl, Ci_6 hydroxyalkyl, C3.6 hydroxycycloalkyl, Cw alkyl-0-C3.6 cycloalkyl, CN, C(0)NR12Ri3, (CH2)nC(0)NR12R13, Q.6 cyanoalkyl, C(0)OH, C(0)OC1-6 alkyl, (CH2)nC(0)OH, (CH2)nC(0)0 C1-6 alkyl, (CH2)nNRi2Ri3, C4„7 heterocycloalkyl containing 1 or 2 heteroatoms wherein the heteroatom is selected from oxygen, sulfur or N(R14); wherein n is an integer selected from 0 to 4;
or R8 and R9 taken together forms a bond or a 3 to 6 membered carbocyclic ring;
R12 and R13 are independently selected from hydrogen, Ci_6 alkyl or R12 and R13 together with the nitrogen atom to which they are attached forms a 4 to 7 membered heterocyclic ring;
R14 is selected from hydrogen, Ci_6 alkyl, C3_6 cycloalkyl, Ci_6 haloalkyl, Ci_6 hydroxyalkyl, Ci_6 alkyl-0-Ci_6 alkyl, Ci_6 aminoalkyl and C3_6 cycloalkyl-0-Ci_6 alkyl; wherein the alkyl and the cycloalkyl groups are optionally substituted with 5 or 6 membered heterocycle containing 1 or 2 heteroatoms selected from oxygen, sulfur and nitrogen;
X, Y and Z at each occurrence are independently selected from CH or N;
Hal is a halogen;
EWG is selected from a group consisting of C(0)ORi5, C(0)N(Ri5)2, CN, N02, S03H, S02N(Ri5)2 and S02Ri5 wherein R15 is selected from hydrogen, Q_3 alkyl and C4_6 cycloalkyl;
OR
R2 and R3 along with the carbon atom and the nitrogen atom to which they are attached, respectively, together form a 5 to 7 membered cyclic ring;
OR
Ri and R3 along with R2, carbon of C=T and nitrogen atom to which R3 is attached form a 5 to 7 membered cyclic ring;
OR
R4 and R2 together with the intermediate groups form a 5 to 7 membered cyclic ring;
OR
R4 and R5 along with the nitrogen atom to which they are attached form a 5 or 6 membered heterocycloalkyl ring optionally containing one additional heteroatom selected from oxygen, sulfur and nitrogen, wherein the heterocycloalkyl ring is unsubstituted or substituted with one or more groups selected from halogen, Ci_3 alkyl, d_3 hydroxyalkyl, d_3 haloalkyl, -CN, =0 and -CHO;
rin A is a heterocycle selected from moieties provided in Figure-2
Figure-2
wherein Q is selected from CH or nitrogen;
Ri6 and Ri7 together form a phenyl ring optionally substituted with halogen, - O-Q.3 alkyl, -COOH, -COOC1 3 alkyl, -C1-3 alkyl, -OH;
or Ri6 and Ri7 together form a 5 or 6 membered heterocyclic ring containing 1 or 2 heteroatoms selected from oxygen, nitrogen and sulfur;
V is selected from R18, halogen, -C1-4 haloalkyl, -C2-4 alkenyl, -C2_4 alkynyl, - SR18, -OR18, -SOR18, -S02R18, -N(R18)2, -NHCHO, -NHCOCH3, -C4.6 heterocycloalkyl, -C4_6 cycloalkenyl, -CO-Ri8, -CN and -CHO wherein R18 is selected from hydrogen, -Ci_4 alkyl and -C3_6 cycloalkyl;
' { ' represents the attachment to ring B;
'[' represents the attachment to Ri;
ring B is selected from moieties provided in Figure-3
Figure-3
wherein, R19 is one or more groups selected from hydrogen, halogen, hydroxyl, -N(Ci_ 6 alkyl)2, -NH(Ci_6 alkyl), -Ci_6 haloalkyl, -C2_6 alkenyl, -C2_6 alkynyl, -OCi_6 alkyl, - OC3_6 alkenyl, -OC3.6 alkynyl,-SC!_6 alkyl, -CN, -C(0)C!_4 alkyl, -C(0)C3.6 cycloalkyl, -C(0)OH, -C(0)NH2, -C(0)N(C1-6 alkyl)2, -C(0)NH(d_6 alkyl), -NHC(0)C!_4 alkyl, - N(Ci_4 alkyl)C(0)Ci_4 alkyl and when R19 is -OC3_6 alkenyl or -OC3_6 alkynyl the double and triple bond, respectively, is not on the carbon directly attached to the oxygen atom;
Yi, Y2, Y3 and Y are independently and appropriately selected from CH, NR2o, O, or S; wherein, R20 is either absent or selected from hydrogen, -Ci_3 alkyl and -C _6 cycloalkyl;
r is an integer selected from 1 to 3;
' { ' represents the position of attachment to ring A;
'[' represents the position of attachment to W;
W is a bond or is selected from -0-, -S-, -NH-, -N(Ci_4 alkyl)-, -N(Ci_6 alkyl)C(O)-, -N(CHO)-, -N(COOH)-, -N(COOC!_6 alkyl)-, -C(0)NH-, -C(C1-2 alkyl)2-, -C(O)-, -S(O)-, -S(0)2-, -CH20-, -OCH2-, -CH=CH-, -CH2-, -N(CH2CN)- , - S(0)2NH- , -NHS(0)2-, and -NHC(O)-;
D is a ring containing 5 to 13 membered aryl, fused aryl, heteroaryl, fused heteroaryl, saturated or unsaturated monocyclic, bicyclic or tricyclic carbocyclic ring containing 0-3 heteroatoms selected from nitrogen, oxygen and sulfur;
or D is selected from -Ci_6 alkyl, -C3_6 cycloalkyl, -C3_6 cycloalkenyl, -Ci_ alkyl-0-Ci_ alkyl, -C3_6 cycloalkyl-0-C2_ alkyl, -Ci_ alkyl-0-C3_6 cycloalkyl, -Ci_ haloalkyl-0-Ci.4 alkyl, -Ci_4 haloalkyl-S-Ci_4 alkyl and -Ci_4 alkyl-S-Ci_4 alkyl;
Group D is optionally substituted with one or more groups selected from a group consisting of halogen, hydroxyl, Ci_6 alkyl, -N(C1-6 alkyl)2, -NH(Ci_6 alkyl), -Ci_ 6 haloalkyl, -C2-6 alkenyl, -C2-6 alkynyl, -OCi_6 alkyl, -OC3_6 cycloalkyl, -OC3_6 alkenyl, -OC3.6 alkynyl,-SC!_6 alkyl, -CN, -C(0)CM alkyl, -C(0)C3.6 cycloalkyl, -C(0)OH, - C(0)NH2, -C(0)N(C!_6 alkyl)2, -C(0)NH(C1-6 alkyl), -NHC(0)C1-4 alkyl and -N(C1-4 alkyl)C(O) C1-4 alkyl;
or B, W and D taken together forms a 13 or 14 membered tricyclic fused heteroaryl ring which is unsubstituted or substituted with one or more groups selected from halogen, hydroxyl, Ci_6 alkyl, -N(C1-6 alkyl)2, -NH(Ci_6 alkyl), -C1-6 haloalkyl, - C2_6 alkenyl, -C2_6 alkynyl, -OCi_6 alkyl, -OC3_6 cycloalkyl; and
T is oxygen or sulfur.
2. The compound as in claim 1, wherein, is selected from a group consisting of Q_ 4 alkyl, C3_i4 cycloalkyl and heterocycloalkyl containing 1 or 2 heteroatoms selected from oxygen, nitrogen, or sulfur; is optionally further substituted with one or more groups selected from Ci_4 alkyl and C3_7 cycloalkyl;
R2 is either absent or selected from a group consisting of Ci_4 alkyl and C3_7 cycloalkyl;
R3 and R4 are each independently selected from hydrogen and Ci_4 alkyl optionally substituted with C3_6 cycloalkyl;
R5 is selected form a group consisting of hydrogen, Ci_6 alkyl, C3_6 cycloalkyl, C(0)Ci-6 alkyl, C(0)C3.6 cycloalkenyl, C(S)Ci-6 alkyl, C(S)C3.6 cycloalkyl, S02Ci-6 alkyl, -CHO and CN;
wherein R6 is selected from a group consisting of hydrogen, Ci_6 alkyl, Ci_6 haloalkyl, C3_6 cycloalkyl, CN;
R7, R8, R9, are independently selected from a group consisting of hydrogen, Q_ 6 alkyl, halogen, Ci_6 haloalkyl, Ci_6hydroxyalkyl, CN, Ci_6 cyanoalkyl;
or R8 and R9 taken together form a bond or a 4 to 6 membered carbocyclic ring; X, Y and Z at each occurrence are independently selected from CH or N;
Hal is a halogen;
OR
Ri and R3 along with R2, carbon of C=T and nitrogen atom to which R3 is attached form a 5 or 6 membered cyclic ring;
OR
R4 and R5 along with the nitrogen atom to which they are attached form a 5 or 6 membered heterocycloalkyl ring optionally containing one additional heteroatom selected from oxygen, sulfur and nitrogen, wherein the heterocycloalkyl ring is unsubstituted or substituted with one or more groups selected from halogen, -CN, =0 and -CHO;
rin A is a heterocycle selected from moieties provided below
wherein Q is selected from CH or nitrogen;
V is selected from R18, -C1-4 haloalkyl and halogen, wherein R18 is selected from hydrogen, -C1-4 alkyl and -C3_6 cycloalkyl;
' { ' represents the attachment to ring B;
'[' represents the attachment to R^
wherein, R19 is one or more groups selected from hydrogen, halogen, hydroxyl, -C1-6 haloalkyl, -OCi_6 alkyl, -SCi_6 alkyl, -CN, -C(0)C1-4 alkyl, -C(0)C3_6 cycloalkyl and - C(0)OH;
Yi and Y2 are independently and appropriately selected from CH, nitrogen or oxygen;
'{ ' represents the position of attachment to ring A;
'[' represents the position of attachment to W;
W is a bond or is selected from -0-, -S-, -NH-, -N(C1-4 alkyl)-, -N(C1-6 alkyl)C(O)-, -N(CHO)-, -C(0)NH-, -CH20-, -OCH2-, -CH=CH-, -N(CH2CN)- , - S(0)2NH- , -NHS(0)2-, and -NHC(O)-;
D is a 5 or 6 membered aryl or heteroaryl ring containing 1 to 3 heteroatoms selected from nitrogen, oxygen and sulfur;
or D is selected from -C1-6 alkyl, -C3_6 cycloalkyl, -C3_6 cycloalkenyl, -C1-4 alkyl-0-Ci_4 alkyl, -C1-4 haloalkyl-0-Ci_4 alkyl, -Ci_4 haloalkyl-S-Ci_4 alkyl and -Ci_4 alkyl-S-Ci_4 alkyl;
Group D is optionally substituted with one or more groups selected from a group consisting of halogen, hydroxyl, Ci_6 alkyl, -C1-6 haloalkyl, -OCi_6 alkyl, -S-C1-6 alkyl, -CN, -CO-Ci_4 alkyl, -CO— C3.6 cycloalkyl and-COOH;
or B, W and D taken together forms a 13 or 14 membered tricyclic fused heteroaryl ring which is unsubstituted or substituted with one or more groups selected from halogen and Ci_6 alkyl, and
T is oxygen.
3. The compound as in any preceding claims, wherein is selected from a group consisting of Q_4 alkyl, C3_i4 cycloalkyl;
R2 is either absent or selected from a group consisting of Q_ alkyl, C3_7 cycloalkyl;
R3 and R4 are hydrogen;
R5 is selected form a group consisting of hydrogen, Ci_6 alkyl, C(0)C3_6 cycloalkenyl, C(S)CW alkyl, C(S)C3.6 cycloalkyl, S02Ci^ alkyl, -CHO and CN;
or R5 is a moiety selected from the following groups
R , Rg, Rg, are independently selected from a group consisting of hydrogen, Q_ 6 alkyl, halogen, Ci_6 haloalkyl, Ci_6hydroxyalkyl, Ci_6 cyanoalkyl,
or R8 and R9 taken together forms a bond or a 4 to 6 membered carbocyclic ring;
OR
Ri and R3 along with R2, carbon of C=T and nitrogen atom to which R3 is attached together form a 5 or 6 membered cyclic ring;
OR
R4 and R5 along with the nitrogen atom to which they are attached forms a 5 or
6 membered heterocycloalkyl ring optionally containing one additional heteroatom selected from oxygen and nitrogen, wherein the heterocycloalkyl ring is unsubstituted or substituted with halogen, -CN or -CHO;
wherein Q is selected from CH or nitrogen;
V is selected from R18 and halogen wherein R18 is selected from hydrogen, -C1-4 alkyl and -C3_6 cycloalkyl;
wherein, R19 is one or more groups selected from hydrogen, halogen, -OCi_6 alkyl, -S- Ci.6 alkyl, -CN, and -C(0)OH;
Yi and Y2 are independently selected from CH, nitrogen and oxygen;
W is selected from -0-, -S-, -NH-, -N(Ci-3 alkyl)-, -N(Ci-3 alkyl)C(O), - C(0)NH-, -OCH2-, -N(CH2CN)- , -CH=CH-, -N(CHO)-, -S(0)2NH- , -NHS(0)2-, and -NHC(O)-;
D is a ring containing 5 to 6 membered aryl, heteroaryl containing 1 to 3 heteroatoms selected from nitrogen and oxygen;
or D is selected from a group consisting -C1-6 alkyl, -C3_6 cycloalkyl, -C1-4 alkyl-0-C2_4 alkyl, -C3.6 cyclolkyl-0-Ci_4 alkyl and -C alk l-S-C alkyl;
Group D is optionally substituted with one or more groups selected from a group consisting of Ci_6 alkyl, Ci_6 haloalkyl, -0-Ci_6 alkyl and halogen;
or B, W and D taken together forms a 13 or 14 membered tricyclic fused heteroaryl ring which is unsubstituted or substituted with one or more groups selected from halogen and Ci_6 alkyl, and
T is oxygen.
4. The compound as in any preceding claim, wherein is C3_i4 cycloalkyl;
R2 is absent;
R3 and R4 are hydrogen;
R5 is selected form a group consisting of hydrogen, -CHO and CN;
wherein R6 is selected from a group consisting hydrogen, and CN;
R7, R8, R9, are independently selected from a group consisting of hydrogen, Q_ 6 alkyl and halogen;
or R8 and R9 taken together forms a bond;
OR
Ri and R3 along with R2, carbon of C=T and nitrogen atom to which R3 is attached together form a 5 membered cyclic ring;
wherein Q is nitrogen;
V is selected from hydrogen and halogen;
ring B is phenyl or pyridyl ring which is unsubstituted or substituted with halogen;
W is selected from -0-, -S-, -NH-, -N(Ci-3 alkyl)-, -N(Ci-3 alkyl)C(O)-, - C(0)NH-, -OCH2- and -N(CH2CN)-;
D is a ring containing 5 to 6 membered aryl or heteroaryl containing 1 to 2 heteroatoms selected from nitrogen and oxygen; wherein D is unsubstituted of substituted with one or more groups selected from Ci_6 alkyl and halogen; and
T is oxygen.
5. The compound of Formula I as in any of the preceding claims wherein, Ri is C3-14 cycloalkyl;
R2 is absent;
R3 and R4 are hydrogen;
wherein R6 is selected from a group consisting hydrogen, and CN;
R8, R9, are hydrogen and halogen;
or R8 and R9 taken together forms a bond and R7 is Ci_6 alkyl;
or wherein Q is nitrogen;
V is selected from hydrogen and halogen;
ring B is phenyl or pyridyl ring which is unsubstituted or substituted with halogen;
W is selected from -O- and -C(0)NH-;
D is a phenyl or pyridy ring unsubstituted of substituted with one or more groups selected from Ci_6 alkyl and halogen; and
T is oxygen.
Applications Claiming Priority (2)
| Application Number | Priority Date | Filing Date | Title |
|---|---|---|---|
| IN201621022588 | 2016-06-30 | ||
| IN201621022588 | 2016-06-30 |
Publications (1)
| Publication Number | Publication Date |
|---|---|
| WO2018002958A1 true WO2018002958A1 (en) | 2018-01-04 |
Family
ID=59791104
Family Applications (1)
| Application Number | Title | Priority Date | Filing Date |
|---|---|---|---|
| PCT/IN2017/050268 Ceased WO2018002958A1 (en) | 2016-06-30 | 2017-06-30 | Novel hydrazide containing compounds as btk inhibitors |
Country Status (1)
| Country | Link |
|---|---|
| WO (1) | WO2018002958A1 (en) |
Cited By (8)
| Publication number | Priority date | Publication date | Assignee | Title |
|---|---|---|---|---|
| CN111018865A (en) * | 2019-10-17 | 2020-04-17 | 山东大学 | 1-Substituted benzyl pyrazolopyrimidine derivatives and preparation method and application thereof |
| WO2020188015A1 (en) | 2019-03-21 | 2020-09-24 | Onxeo | A dbait molecule in combination with kinase inhibitor for the treatment of cancer |
| WO2021011428A1 (en) * | 2019-07-12 | 2021-01-21 | Gb005, Inc. | Heterocyclic kinase inhibitors |
| WO2021038540A1 (en) | 2019-08-31 | 2021-03-04 | Sun Pharma Advanced Research Company Limited | Cycloalkylidene carboxylic acids and derivatives as btk inhibitors |
| WO2021089791A1 (en) | 2019-11-08 | 2021-05-14 | INSERM (Institut National de la Santé et de la Recherche Médicale) | Methods for the treatment of cancers that have acquired resistance to kinase inhibitors |
| US11034669B2 (en) | 2018-11-30 | 2021-06-15 | Nuvation Bio Inc. | Pyrrole and pyrazole compounds and methods of use thereof |
| WO2021148581A1 (en) | 2020-01-22 | 2021-07-29 | Onxeo | Novel dbait molecule and its use |
| WO2022140246A1 (en) | 2020-12-21 | 2022-06-30 | Hangzhou Jijing Pharmaceutical Technology Limited | Methods and compounds for targeted autophagy |
Citations (20)
| Publication number | Priority date | Publication date | Assignee | Title |
|---|---|---|---|---|
| US6002008A (en) | 1997-04-03 | 1999-12-14 | American Cyanamid Company | Substituted 3-cyano quinolines |
| US6596746B1 (en) | 1999-04-15 | 2003-07-22 | Bristol-Myers Squibb Company | Cyclic protein tyrosine kinase inhibitors |
| US7169791B2 (en) | 2002-07-05 | 2007-01-30 | Novartis Ag | Inhibitors of tyrosine kinases |
| US7514444B2 (en) | 2006-09-22 | 2009-04-07 | Pharmacyclics, Inc. | Inhibitors of bruton's tyrosine kinase |
| US7728131B2 (en) | 2003-12-25 | 2010-06-01 | Nippon Shinyaku Co., Ltd. | Amide derivative and medicine |
| WO2011031896A2 (en) | 2009-09-09 | 2011-03-17 | Avila Therapeutics, Inc. | Pi3 kinase inhibitors and uses thereof |
| US8114874B2 (en) | 2005-12-23 | 2012-02-14 | Ariad Pharmaceuticals, Inc. | Substituted acetylenic imidazo[1,2-B]pyridazine compounds as kinase inhibitors |
| WO2013010868A1 (en) * | 2011-07-19 | 2013-01-24 | Msd Oss B.V. | 4 - imidazopyridazin- 1 -yl-benzamides and 4 - imidazotriazin- 1 - yl - benzamides as btk- inhibitors |
| EP2578585A1 (en) * | 2010-05-31 | 2013-04-10 | ONO Pharmaceutical Co., Ltd. | Purinone derivative |
| WO2013155347A1 (en) | 2012-04-11 | 2013-10-17 | Izumi Raquel | Bruton's tyrosine kinase inhibitors for hematopoietic mobilization |
| US20140011819A1 (en) | 2012-07-04 | 2014-01-09 | Rhizen Pharmaceuticals Sa | Novel selective pi3k delta inhibitors |
| US20140079690A1 (en) | 2008-07-16 | 2014-03-20 | Pharmacyclics, Inc. | Inhibitors of bruton's tyrosine kinase for the treatment of solid tumors |
| WO2014100748A1 (en) | 2012-12-21 | 2014-06-26 | Celgene Avilomics Research, Inc. | Heteroaryl compounds and uses thereof |
| WO2014130856A2 (en) | 2013-02-21 | 2014-08-28 | Wayne Rothbaum | Treatment of skeletal-related disorders |
| WO2014188173A1 (en) | 2013-05-20 | 2014-11-27 | Redx Pharma Limited | Pyrazolopyrimidine derivatives useful as inhibitors of bruton's tyrosine kinase |
| US20150005277A1 (en) | 2013-06-28 | 2015-01-01 | Beigene, Ltd. | Protein Kinase Inhibitors and Uses Thereof |
| WO2015002894A1 (en) | 2013-07-02 | 2015-01-08 | Pharmacyclics, Inc. | Purinone compounds as kinase inhibitors |
| WO2015084857A1 (en) * | 2013-12-02 | 2015-06-11 | Pharmacyclics, Inc. | Methods of treating and preventing alloantibody driven chronic graft versus host disease |
| WO2015165279A1 (en) | 2014-04-29 | 2015-11-05 | 浙江导明医药科技有限公司 | Polyfluorinated compounds acting as bruton's tyrosine kinase inhibitors |
| WO2016109223A1 (en) | 2014-12-31 | 2016-07-07 | Merck Sharp & Dohme Corp. | Benzamide imidazopyrazine btk inhibitors |
-
2017
- 2017-06-30 WO PCT/IN2017/050268 patent/WO2018002958A1/en not_active Ceased
Patent Citations (22)
| Publication number | Priority date | Publication date | Assignee | Title |
|---|---|---|---|---|
| US6002008A (en) | 1997-04-03 | 1999-12-14 | American Cyanamid Company | Substituted 3-cyano quinolines |
| US6596746B1 (en) | 1999-04-15 | 2003-07-22 | Bristol-Myers Squibb Company | Cyclic protein tyrosine kinase inhibitors |
| US7169791B2 (en) | 2002-07-05 | 2007-01-30 | Novartis Ag | Inhibitors of tyrosine kinases |
| US7728131B2 (en) | 2003-12-25 | 2010-06-01 | Nippon Shinyaku Co., Ltd. | Amide derivative and medicine |
| US8114874B2 (en) | 2005-12-23 | 2012-02-14 | Ariad Pharmaceuticals, Inc. | Substituted acetylenic imidazo[1,2-B]pyridazine compounds as kinase inhibitors |
| US7514444B2 (en) | 2006-09-22 | 2009-04-07 | Pharmacyclics, Inc. | Inhibitors of bruton's tyrosine kinase |
| US20140079690A1 (en) | 2008-07-16 | 2014-03-20 | Pharmacyclics, Inc. | Inhibitors of bruton's tyrosine kinase for the treatment of solid tumors |
| WO2011031896A2 (en) | 2009-09-09 | 2011-03-17 | Avila Therapeutics, Inc. | Pi3 kinase inhibitors and uses thereof |
| EP2578585A1 (en) * | 2010-05-31 | 2013-04-10 | ONO Pharmaceutical Co., Ltd. | Purinone derivative |
| US20130217880A1 (en) | 2010-05-31 | 2013-08-22 | Ono Pharmaceutical Co., Ltd. | Purinone derivative |
| WO2013010868A1 (en) * | 2011-07-19 | 2013-01-24 | Msd Oss B.V. | 4 - imidazopyridazin- 1 -yl-benzamides and 4 - imidazotriazin- 1 - yl - benzamides as btk- inhibitors |
| US20140155385A1 (en) | 2011-07-19 | 2014-06-05 | Tjeerd A. Barf | 4-imidazopyridazin-1-yl-benzamides and 4-imidazotriazin-1-yl-benzamides as btk inhibitors |
| WO2013155347A1 (en) | 2012-04-11 | 2013-10-17 | Izumi Raquel | Bruton's tyrosine kinase inhibitors for hematopoietic mobilization |
| US20140011819A1 (en) | 2012-07-04 | 2014-01-09 | Rhizen Pharmaceuticals Sa | Novel selective pi3k delta inhibitors |
| WO2014100748A1 (en) | 2012-12-21 | 2014-06-26 | Celgene Avilomics Research, Inc. | Heteroaryl compounds and uses thereof |
| WO2014130856A2 (en) | 2013-02-21 | 2014-08-28 | Wayne Rothbaum | Treatment of skeletal-related disorders |
| WO2014188173A1 (en) | 2013-05-20 | 2014-11-27 | Redx Pharma Limited | Pyrazolopyrimidine derivatives useful as inhibitors of bruton's tyrosine kinase |
| US20150005277A1 (en) | 2013-06-28 | 2015-01-01 | Beigene, Ltd. | Protein Kinase Inhibitors and Uses Thereof |
| WO2015002894A1 (en) | 2013-07-02 | 2015-01-08 | Pharmacyclics, Inc. | Purinone compounds as kinase inhibitors |
| WO2015084857A1 (en) * | 2013-12-02 | 2015-06-11 | Pharmacyclics, Inc. | Methods of treating and preventing alloantibody driven chronic graft versus host disease |
| WO2015165279A1 (en) | 2014-04-29 | 2015-11-05 | 浙江导明医药科技有限公司 | Polyfluorinated compounds acting as bruton's tyrosine kinase inhibitors |
| WO2016109223A1 (en) | 2014-12-31 | 2016-07-07 | Merck Sharp & Dohme Corp. | Benzamide imidazopyrazine btk inhibitors |
Non-Patent Citations (4)
| Title |
|---|
| FURUKAWA ET AL., CHEM PHARM BULL, vol. 32, no. 6, 1984, pages 2426 - 2429 |
| LI ET AL., JOURNAL OF MED. CHEM., vol. 57, no. 12, 2014, pages 5112 - 5128 |
| SENG-LAI TAN ET AL., PHARMACOLOGY AND THERAPEUTICS, vol. 138, 2013, pages 294 - 309 |
| YAN SHEN, MEDICINAL CHEMISTRY, vol. 10, no. 5, 2014, pages 533 - 539 |
Cited By (9)
| Publication number | Priority date | Publication date | Assignee | Title |
|---|---|---|---|---|
| US11034669B2 (en) | 2018-11-30 | 2021-06-15 | Nuvation Bio Inc. | Pyrrole and pyrazole compounds and methods of use thereof |
| WO2020188015A1 (en) | 2019-03-21 | 2020-09-24 | Onxeo | A dbait molecule in combination with kinase inhibitor for the treatment of cancer |
| WO2021011428A1 (en) * | 2019-07-12 | 2021-01-21 | Gb005, Inc. | Heterocyclic kinase inhibitors |
| WO2021038540A1 (en) | 2019-08-31 | 2021-03-04 | Sun Pharma Advanced Research Company Limited | Cycloalkylidene carboxylic acids and derivatives as btk inhibitors |
| CN111018865A (en) * | 2019-10-17 | 2020-04-17 | 山东大学 | 1-Substituted benzyl pyrazolopyrimidine derivatives and preparation method and application thereof |
| CN111018865B (en) * | 2019-10-17 | 2021-01-15 | 山东大学 | 1-Substituted benzyl pyrazolopyrimidine derivatives and preparation method and application thereof |
| WO2021089791A1 (en) | 2019-11-08 | 2021-05-14 | INSERM (Institut National de la Santé et de la Recherche Médicale) | Methods for the treatment of cancers that have acquired resistance to kinase inhibitors |
| WO2021148581A1 (en) | 2020-01-22 | 2021-07-29 | Onxeo | Novel dbait molecule and its use |
| WO2022140246A1 (en) | 2020-12-21 | 2022-06-30 | Hangzhou Jijing Pharmaceutical Technology Limited | Methods and compounds for targeted autophagy |
Similar Documents
| Publication | Publication Date | Title |
|---|---|---|
| WO2018002958A1 (en) | Novel hydrazide containing compounds as btk inhibitors | |
| JP6490215B2 (en) | 2-H-indazole derivatives as cyclin dependent kinase (CDK) inhibitors and their therapeutic use | |
| CN106795103B (en) | Inhibitors of lysine-specific demethylase-1 | |
| JP3272357B2 (en) | Antiproliferative quinazoline | |
| EP3102579B1 (en) | Heterocyclic compounds | |
| AU2014337291B9 (en) | Pyrimidine FGFR4 inhibitors | |
| CN106659914B (en) | Inhibitors of lysine-specific demethylase-1 | |
| JP6319747B2 (en) | Substituted 4-pyridones and their use as neutrophil elastase activity inhibitors | |
| KR20080107466A (en) | 8-Heteroarylpurine MN2 Inhibitor for Treatment of Metabolic Disorders | |
| CN104311573A (en) | Compounds that inhibit BTK and/or JAK3 kinase activity | |
| TW200401640A (en) | Substituted 3-amino-thieno[2,3-b]pyridine-2-carboxylic acid amide compounds and processes for preparing and their uses | |
| KR20200115583A (en) | 2H-indazole derivatives as CDK4 and CDK6 inhibitors and their therapeutic use | |
| CN114072148A (en) | Inhibitors of RAF kinase | |
| CA2883426A1 (en) | Pyrrolotriazinone derivatives as pi3k inhibitors | |
| JP2017515848A (en) | Heterocyclic hydroxamic acids as protein deacetylase inhibitors and protein deacetylase-protein kinase dual inhibitors and methods of use thereof | |
| CN114401955A (en) | Inhibitors of cyclin dependent kinases | |
| WO2023224998A1 (en) | Inhibitors of parg | |
| WO2017134685A2 (en) | Novel hydrazino compounds as btk inhibitors | |
| US9221807B2 (en) | Substituted pyridones and pyrazinones and their use as inhibitors of neutrophil elastase activity | |
| WO2015192760A1 (en) | Pyridino[1,2-a]pyrimidone analogue used as pi3k inhibitor | |
| KR20220053557A (en) | Benzenesulfonamide derivatives and uses thereof | |
| EP4526304A1 (en) | Inhibitors of parg | |
| CN109641909B (en) | Mechanism targets for rapamycin signaling pathway inhibitors and therapeutic applications thereof | |
| ES2872775T3 (en) | Pyrropyrimidine compounds as MNK inhibitors | |
| KR20230147036A (en) | Benzenesulfonamide derivatives and uses thereof |
Legal Events
| Date | Code | Title | Description |
|---|---|---|---|
| 121 | Ep: the epo has been informed by wipo that ep was designated in this application |
Ref document number: 17761930 Country of ref document: EP Kind code of ref document: A1 |
|
| NENP | Non-entry into the national phase |
Ref country code: DE |
|
| 122 | Ep: pct application non-entry in european phase |
Ref document number: 17761930 Country of ref document: EP Kind code of ref document: A1 |





























































































