WO2023014817A1 - Compositions and methods for treating lymphomas with a cdk7 inhibitor in combination with a btk inhibitor - Google Patents
Compositions and methods for treating lymphomas with a cdk7 inhibitor in combination with a btk inhibitor Download PDFInfo
- Publication number
- WO2023014817A1 WO2023014817A1 PCT/US2022/039313 US2022039313W WO2023014817A1 WO 2023014817 A1 WO2023014817 A1 WO 2023014817A1 US 2022039313 W US2022039313 W US 2022039313W WO 2023014817 A1 WO2023014817 A1 WO 2023014817A1
- Authority
- WO
- WIPO (PCT)
- Prior art keywords
- compound
- pharmaceutically acceptable
- btk inhibitor
- acceptable salt
- formula
- Prior art date
- Legal status (The legal status is an assumption and is not a legal conclusion. Google has not performed a legal analysis and makes no representation as to the accuracy of the status listed.)
- Ceased
Links
Classifications
-
- A—HUMAN NECESSITIES
- A61—MEDICAL OR VETERINARY SCIENCE; HYGIENE
- A61K—PREPARATIONS FOR MEDICAL, DENTAL OR TOILETRY PURPOSES
- A61K31/00—Medicinal preparations containing organic active ingredients
- A61K31/66—Phosphorus compounds
- A61K31/675—Phosphorus compounds having nitrogen as a ring hetero atom, e.g. pyridoxal phosphate
-
- A—HUMAN NECESSITIES
- A61—MEDICAL OR VETERINARY SCIENCE; HYGIENE
- A61K—PREPARATIONS FOR MEDICAL, DENTAL OR TOILETRY PURPOSES
- A61K31/00—Medicinal preparations containing organic active ingredients
- A61K31/33—Heterocyclic compounds
- A61K31/395—Heterocyclic compounds having nitrogen as a ring hetero atom, e.g. guanethidine or rifamycins
- A61K31/495—Heterocyclic compounds having nitrogen as a ring hetero atom, e.g. guanethidine or rifamycins having six-membered rings with two or more nitrogen atoms as the only ring heteroatoms, e.g. piperazine or tetrazines
- A61K31/4985—Pyrazines or piperazines ortho- or peri-condensed with heterocyclic ring systems
-
- A—HUMAN NECESSITIES
- A61—MEDICAL OR VETERINARY SCIENCE; HYGIENE
- A61K—PREPARATIONS FOR MEDICAL, DENTAL OR TOILETRY PURPOSES
- A61K45/00—Medicinal preparations containing active ingredients not provided for in groups A61K31/00 - A61K41/00
- A61K45/06—Mixtures of active ingredients without chemical characterisation, e.g. antiphlogistics and cardiaca
-
- A—HUMAN NECESSITIES
- A61—MEDICAL OR VETERINARY SCIENCE; HYGIENE
- A61P—SPECIFIC THERAPEUTIC ACTIVITY OF CHEMICAL COMPOUNDS OR MEDICINAL PREPARATIONS
- A61P35/00—Antineoplastic agents
-
- A—HUMAN NECESSITIES
- A61—MEDICAL OR VETERINARY SCIENCE; HYGIENE
- A61P—SPECIFIC THERAPEUTIC ACTIVITY OF CHEMICAL COMPOUNDS OR MEDICINAL PREPARATIONS
- A61P35/00—Antineoplastic agents
- A61P35/02—Antineoplastic agents specific for leukemia
Definitions
- the present invention features methods of treating a blood cancer, such as a lymphoma (e.g., a B cell lymphoma such as mantle cell lymphoma) by administering to a patient in need thereof a therapeutically effective amount of a Bruton’s Tyrosine Kinase (BTK) inhibitor (e.g., acalabrutinib and/or any other BTK inhibitor known and/or described herein) and a therapeutically effective amount of a compound of structural Formula (I):
- a lymphoma e.g., a B cell lymphoma such as mantle cell lymphoma
- a Bruton’s Tyrosine Kinase (BTK) inhibitor e.g., acalabrutinib and/or any other BTK inhibitor known and/or described herein
- (I) an isotopic form thereof, or a pharmaceutically acceptable salt of the compound or isotopic form thereof, wherein R 1 is methyl or ethyl; R 2 is methyl or ethyl; R 3 is 5- methylpiperi din-3 -yl, 5,5-dimethylpiperidin-3-yl, 6-methylpiperdin-3-yl, or 6,6-dimethylpiperidin- 3-yl; and R 4 is -CF3 or chloro.
- R 1 is methyl or ethyl
- R 2 is methyl or ethyl
- R 3 is 5- methylpiperi din-3 -yl, 5,5-dimethylpiperidin-3-yl, 6-methylpiperdin-3-yl, or 6,6-dimethylpiperidin- 3-yl
- R 4 is -CF3 or chloro.
- R 1 is methyl and R 2 is methyl or (ii) R 1 is methyl and R 2 is ethyl. In other embodiments, R 1 is ethyl and R 2 is ethyl. In any one of these embodiments, R 4 is -CF3 or chloro.
- R 3 is 5-methylpiperidin-3-yl
- R 3 is 5,5- dimethylpiperi din-3 -yl
- R 3 is 6-methyl-piperdin-3-yl
- R 3 is 6,6-dimethylpiperidin-3-yl
- a compound of Formula (I) can conform to structural Formula (la):
- Formula (la), an isotopic form thereof, or a pharmaceutically acceptable salt of the compound or an isotopic form thereof i. e., a compound of Formula (la) or a designated form thereof can be administered in the methods of treatment described herein, used as specified herein, or included in a kit described herein).
- R 3 can More specifically, in the various embodiments of the invention, in a compound of Formula (la), an isotopic form thereof, or a pharmaceutically acceptable salt of the compound or isotopic form thereof (i) R 1 is methyl and R 2 is methyl or (ii) R 1 is methyl and R 2 is ethyl. Alternatively, R 1 is ethyl and R 2 is ethyl. In any embodiment of Formula (la), R 4 can be -CF3 or chloro.
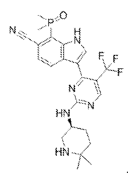
- a compound of Formula (I) or (la) can be:
- a compound of Formula (I) or (la) can be an isotopic form of any one of these three compounds, or a pharmaceutically acceptable salt of the compound or an isotopic form thereof.
- the compound can be (Compound A) or a pharmaceutically acceptable salt thereof.
- the compound can be Compound A or an isotopic form thereof.
- the compound can be Compound A.
- the compound can be a pharmaceutically acceptable salt of Compound A.
- the compound can be an isotopic form a Compound A.
- the compound can be a pharmaceutically acceptable salt of an isotopic form of Compound A.
- one or more hydrogen atoms in R 3 can be optionally replaced by deuterium.
- the present methods of treatment include a step of administering a BTK inhibitor and a compound of Formula (I) to a patient in need thereof; the compound of Formula (I) can be any compound described above or a designated form thereof.
- the BTK inhibitor (or a designated form thereof) and the compound of Formula (I) (or a designated form thereof) are administered to the patient in therapeutically effective amounts and are optionally contained within pharmaceutical compositions.
- the BTK inhibitor can be acalabrutinib, M- 2951 (evobrutinib), GDC-0853 (fenebrutinib), ibrutinib, ICP-022 (orelabrutinib), LOXO-305 (pirtobrutinib), PRN1008 (rilzabrutinib), CC-292 (sprebrutinib), ONO-4095 (tirabrutinib), SAR442168 or PRN2246 (tolebrutinib), or zanubrutinib, an isotopic form of any of the foregoing compounds, or a pharmaceutically acceptable salt of any of the foregoing compounds (e.g., a pharmaceutically acceptable salt of ibrutinib) or of an isotopic form thereof.
- the patient in need of treatment may have a blood cancer, such as a leukemia or lymphoma (e.g., mantle cell lymphoma), or a
- kits comprising a compound of Formula (I) or a designated form thereof, a BTK inhibitor or a designated form thereof, and instructions for use (which we may also refer to as instructional materials).
- the compound of Formula (I) or the designated form thereof can be sequestered in a first vessel (e.g., a vial) and the BTK inhibitor or the designated form thereof can be sequestered in a second vessel (e.g., a vial).
- the kit may also include a third compound or therapeutic agent and/or materials useful to a patient or healthcare provider in administering the compound and/or inhibitor. Further details and specifications regarding a kit encompassed by the invention are provided below.
- a dose of about 10 mg means any dose as low as 10% less than 10 mg (9 mg), any dose as high as 10% more than 10 mg (11 mg), and any dose or dosage range therebetween (e.g., 9-11 mg; 9.1-10.9 mg; 9.2-10.8 mg; and so on).
- a stated value cannot be exceeded (e.g., 100%)
- “about” signifies any value or range of values that is up to and including 10% less than the stated value (e.g., a purity of about 100% means 90%-100% pure (e.g., 95%-100% pure, 96%-100% pure, 97%-100% pure etc...J).
- a purity of about 100% means 90%-100% pure (e.g., 95%-100% pure, 96%-100% pure, 97%-100% pure etc...J).
- a given value will be “about” the same as a stated value when they are both within the margin of error for that instrument or technique.
- administering refers to the administration of a compound described herein (e.g., a compound of Formula (I), (la), a species thereof or a designated form thereof (e.g., a pharmaceutically acceptable salt thereof), or one or more additional/second agent(s) (e.g., a BTK inhibitor such as acalabrutinib)), or a composition containing the compound and/or the second agent to a subject (e.g., a human patient) or system (e.g., a cell- or tissue-based system that is maintained ex vivo); as a result of the administration, the compound or composition containing the compound is introduced to the subject or system.
- a compound described herein e.g., a compound of Formula (I), (la), a species thereof or a designated form thereof (e.g., a pharmaceutically acceptable salt thereof), or one or more additional/second agent(s) (e.g., a BTK inhibitor such as acalabrutinib)
- compositions of the invention and second agents useful in combination therapies can also be “administered.”
- routes of administration can be oral (i.e., by swallowing a pharmaceutical compostion) or may be parenteral.
- the route of administration can be bronchial (e.g., by bronchial instillation), by mouth (i.e., oral), dermal (which may be or comprise topical application to the dermis or intradermal, interdermal, or transdermal administration), intragastric or enteral (i.e.., directly to the stomach or intestine, respectively), intramedullary, intramuscular, intranasal, intraperitoneal, intrathecal, intratumoral, intravenous (or intra-arterial), intraventricular, by application to or injection into a specific organ (e.g., intrahepatic), mucosal (e.g., buccal, rectal, sublingual, or vaginal), subcutaneous, tracheal (e.g., by intratracheal instillation), or ocular (c.g, topical, subconjunctival, or intravitreal).
- bronchial e.g., by bronchial instillation
- mouth i.e., oral
- Administration can involve intermittent dosing (i.e.., doses separated by various times) and/or periodic dosing (i.e.., doses separated by a common period of time (e.g., every so many hours, daily (e.g., once daily oral dosing), weekly, twice per week, etc.J).
- administration may involve continuous dosing (e.g., perfusion) for a selected time (e.g., about 1-2 hours).
- carrier refers to a diluent, adjuvant, excipient, or other vehicle with which an active pharmaceutical agent (e.g., a compound of the invention, or a pharmaceutically acceptable salt or isotopic form thereof) is formulated for administration.
- an active pharmaceutical agent e.g., a compound of the invention, or a pharmaceutically acceptable salt or isotopic form thereof
- the carrier in the amount and manner incorporated into a pharmaceutical composition, will be non-toxic to the subject and will not destroy the biological activity of the active ingredient (e.g., the compound or other designated form thereof) with which it is formulated.
- the carrier can be a sterile or sterilizable liquid, such as a water (c.g, water for injection) or a natural or synthetic oil (e.g., a petroleum -based or mineral oil, an animal oil, or a vegetable oil (e.g., a peanut, soybean, sesame, or canola oil)).
- the carrier can also be a solid; a liquid that includes one or more solid components (e.g., a salt, for example, a “normal saline”); a mixture of solids; or a mixture of liquids.
- combination therapy refers to those situations in which a subject is exposed to two or more therapeutic regimens (e.g., two or more distinct compounds (e.g., three distinct compounds)) to treat a single disease (e.g, a cancer).
- the two or more regimens/agents may be administered simultaneously or sequentially.
- a dose of the first agent and a dose of the second agent are administered at about the same time, such that both agents exert an effect on the patient at the same time or, if the first agent is faster- or slower-acting than the second agent, during an overlapping period of time.
- the doses of the first and second agents are separated in time, such that they may or may not exert an effect on the patient at the same time.
- the first and second agents may be given within the same hour or same day, in which case the first agent would likely still be active when the second is administered.
- a much longer period of time may elapse between administration of the first and second agents, such that the first agent is no longer active when the second is administered (e.g., all doses of a first regimen are administered prior to administration of any dose(s) of a second regimen by the same or a different route of administration, as may occur in treating a refractory cancer).
- combination therapy does not require that individual agents be administered together in a single composition or at the same time, although in some embodiments, two or more agents, including a compound of the invention and a second agent described herein, may be administered within the same period of time (e.g., within the same hour, day, week, or month).
- a BTK inhibitor described herein is a compound, as is a compound represented by a structural Formula depicted herein, a sub-genus thereof (e.g., Formula (la)), or a species thereof (e.g., Compound A), and any designated forms thereof.
- Any given compound described herein can be biologically active (e.g., as a BTK inhibitor or an inhibitor of CDK7) and may be utilized for a purpose described herein, including therapeutic uses (e.g, when contained in a pharmaceutical composition in a therapeutically effective amount, administered to a patient, incorporated into a medicament or into a kit, or otherwise used as described herein).
- stereoisomers Two compounds that have the same molecular formula but differ in the arrangement of their atoms in space are termed “stereoisomers.”
- the stereoisomers of any referenced or depicted structure can be enantiomers, which are non- superimposable mirror images of each other, or diastereomers, which are not mirror images of each other (e.g, cis/trans isomers and conformational isomers). These include the R and S configurations for each asymmetric center, Z and E double bond isomers, and Z and E conformational isomers.
- Compositions containing a single type of stereochemical isomer as well as enantiomeric, diastereomeric, and geometric (or conformational) mixtures of the present compounds are within the scope of the invention.
- An enantiomer can be characterized by the absolute configuration of its asymmetric center and is described by the R- and S-sequencing rules of Cahn and Prelog, or by the manner in which the molecule rotates the plane of polarized light and designated as dextrorotatory or levorotatory (i.e., as (+) or (-)-isomers respectively).
- a chiral compound can exist as either individual enantiomer or as a mixture thereof. A mixture containing equal proportions of the enantiomers is called a “racemic mixture.”
- compositions that contain a compound of the invention, or a pharmaceutically acceptable salt or isotopic form thereof, or to other biologically or therapeutically active ingredients suitable for use as described herein (e.g., one or more of an additional/second agent useful in a combination therapy described herein).
- unit dosage form refers to a physically discrete unit of or containing a compound of the invention, or a pharmaceutically acceptable salt or isotopic form thereof.
- an additional/second agent can also be formulated, administered, or used as described herein in a unit dosage form.
- Each such unit can contain a predetermined quantity of the active ingredient, which may be the amount prescribed for a single dose (i.e., an amount expected to correlate with a desired outcome when administered as part of a therapeutic regimen) or a fraction thereof (e.g., a unit dosage form (e.g., a tablet or capsule) may contain one half of the amount prescribed for a single dose, in which case a patient would take two unit dosage forms (i.e., two tablets or two capsules)).
- a unit dosage form e.g., a tablet or capsule
- the total amount of a composition or agent administered to a particular subject is determined by one or more attending physicians and may involve administration of multiple unit dosage forms (e.g., as described herein).
- dosing regimen refers to the unit dosage form(s) administered to, or prescribed for, a subject, and typically includes more than one dose separated by periods of time (e.g., as described herein).
- the dosage form(s) administered within a dosing regimen can be of the same unit dose amount or of different amounts.
- a dosing regimen can include a first dose in a first dose amount, followed by one or more additional doses in a second dose amount that is the same as or different from the first dose amount.
- an “effective amount” refers to an amount of an agent (e.g., a compound described herein, whether of the invention or a “second” agent) that produces the desired effect for which it is administered.
- the term refers to an amount that is sufficient, when administered to a population suffering from or susceptible to a disease in accordance with a therapeutic dosing regimen, to treat the disease, in which case the effective amount may also be referred to as a “therapeutically effective amount.”
- a therapeutically effective amount may not achieve a successful treatment in any particular individual (i.e., in any given individual patient).
- a therapeutically effective amount provides a desired pharmacological response in a significant or certain number of subjects when administered to a population of patients in need of such treatment.
- a reference to an effective amount may be a reference to an amount of a compound administered or an amount measured in one or more specific tissues (e.g., a tissue affected by the disease) or fluids (e.g., blood, saliva, urine, etc.) after administration.
- inhibitor refers to an agent, including a compound described herein or a designated form thereof, whose presence (e.g., at a certain level or in a certain form) correlates with a decrease in the expression or activity of another agent (i.e., the inhibited agent or target) or a decrease in the occurrence of an event (e.g., cellular proliferation, tumor progression, or metastasis, inflammation, infection, or autoimmunity).
- an inhibitor exerts its influence on a target (e.g., CDK7 in the case of a compound of Formula (I) and BTK in the case of a BTK inhibitor) by binding to the target, directly or indirectly, by way of covalent bonds or non-covalent association. Inhibition can be assessed in silico, in vitro (e.g., in a cell, tissue, or organ culture or system), or in vivo (e.g., in a patient or animal model).
- isotopic form is used to describe a compound (e.g., a compound of Formula (I) or a BTK inhibitor) that contains at least one isotopic substitution - the replacement of an isotope of an atom with another isotope of that atom.
- the substitution can be of 2 H (deuterium) or 3 H (tritium) for 1 H.
- ⁇ H hydrogen atom
- H hydrogen atom
- substitutions in isotopic forms include n C, 13 C or 14 C for 12 C; 13 N or 15 N for 14 N; 17 O or 18 O for 16 O; 36 C1 for 35 C; 18 F for 19 F; 13 X I for 127 I; etc . . . .
- Such compounds have use, for example, as analytical tools, as probes in biological assays, and/or as therapeutic or prophylactic agents for use in accordance with the present invention.
- an isotopic substitution of deuterium ( 2 H) for hydrogen may slow down metabolism, shift metabolism to other sites on the compound, slow down racemization and/or have other effects on the pharmacokinetics of the compound that may be beneficial (e.g., therapeutically beneficial).
- a subject refers to any organism to which a compound described herein, or a designated form thereof, is administered in accordance with the present invention, e.g., for experimental or therapeutic purposes.
- Typical subjects include animals (e.g., mammals such as mice, rats, rabbits, non-human primates, and humans; domesticated animals, such as dogs and cats; and livestock or any other animal of agricultural or commercial value).
- animals e.g., mammals such as mice, rats, rabbits, non-human primates, and humans; domesticated animals, such as dogs and cats; and livestock or any other animal of agricultural or commercial value.
- a subject is suffering from a disease (e.g., a proliferative disease, such as cancer) described herein.
- a “pharmaceutical composition” or “pharmaceutically acceptable composition,” which we may also refer to as a “pharmaceutical formulation” or “pharmaceutically acceptable formulation,” is a composition/formulation in which an active agent (e.g., an active pharmaceutical ingredient (e.g., a compound, salt, or isotopic form thereof)) is formulated together with one or more pharmaceutically acceptable carriers.
- the active agent/ingredient can be present in a unit dose amount appropriate for administration in a therapeutic regimen that shows a statistically significant probability of achieving a predetermined therapeutic effect when administered to a relevant population.
- the pharmaceutical composition may be specially formulated for administration in solid or liquid form, including such forms made for oral or parenteral administration.
- the pharmaceutical composition can be formulated, for example, as an aqueous or non-aqueous solution or suspension or as a tablet or capsule.
- the composition can be formulated for buccal administration, sublingual administration, or as a paste for application to the tongue.
- parenteral administration the composition can be formulated, for example, as a sterile solution or suspension for subcutaneous, intramuscular, intravenous, intra-arterial, intraperitoneal, intra-tumoral, or epidural injection.
- compositions comprising an active agent/ingredient can also be formulated as sustained-release formulations or as a cream, ointment, controlled-release patch, or spray for topical application.
- Creams, ointments, foams, gels, and pastes can also be applied to mucus membranes lining the nose, mouth, vagina, and rectum. Any of the compounds described herein and any pharmaceutical composition containing such a compound may also be referred to as a “medicament.”
- composition when applied to a carrier used to formulate a composition disclosed herein (e.g., a pharmaceutical composition), means a carrier that is compatible with the other ingredients of the composition and not deleterious to a patient (e.g., it is non-toxic in the amount required and/or administered (e.g., in a unit dosage form)).
- pharmaceutically acceptable when applied to a salt or isotopic form of a compound described herein, refers to a salt or isotopic form that is, within the scope of sound medical judgment, suitable for use in contact with the tissues of humans (e.g., patients) and lower animals (including, but not limited to, mice and rats used in laboratory studies) without unacceptable toxicity, irritation, allergic response and the like, and that can be used in a manner commensurate with a reasonable benefit/risk ratio.
- Many pharmaceutically acceptable salts are well known in the art (see, e.g., Berge et al., J. Pharm. Sci. 66: 1-19, 1977).
- compositions are also within the scope of the present invention and have utility in, for example, chemical processes and syntheses and in experiments performed in vitro.
- a compound, salt, or isotopic form thereof may be present in an amount that is too concentrated or too dilute for administration to a patient.
- a “therapeutic regimen” refers to a dosing regimen that, when administered across a relevant population, is correlated with a desired therapeutic outcome.
- treatment refers to any use of a pharmaceutical composition or administration of a therapy that partially or substantially completely alleviates, ameliorates, relives, inhibits, reduces the severity of, and/or reduces the incidence of one or more signs or symptoms of a particular disease (e.g., a proliferative disease such as cancer).
- a particular disease e.g., a proliferative disease such as cancer.
- the subject being treated or who has been identified as a candidate for treatment (e.g., a “newly diagnosed” patient) may exhibit only early signs or symptoms of the disease or may exhibit one or more established or advanced signs or symptoms of the disease. “Treatment” is distinguished from “prophylaxis” (defined below).
- the subject will not exhibit signs and/or symptoms of the disease and/or may be known to have one or more susceptibility factors that are statistically correlated with increased risk of development of the relevant disease.
- treatment may be continued to delay progression of the disease (e.g., in the event of a localized cancer, treatment may delay tumor progression (i.e., growth) or metastasis) or to delay or prevent recurrence (e.g., reappearance of a tumor).
- FIGs. 1 A and IB illustrate the ability of Compound A to potently inhibit proliferation of MCL cell lines in vitro.
- FIG. 1 A is a line graph plotting the growth rates of seven MCL cell lines (Mino, GRANTA-519, JEKO-1, JVM-2, Maver-1, Z-138, and REC-1).
- the X axis represents the concentration of Compound A applied to the cells (nM), and the Y axis represents normalized growth rate inhibition (GR).
- GR was normalized by calculating the ratio of the growth rate under compound-treated conditions and vehicle-treated control conditions (in order to account for variable growth rates between the cell lines).
- GRmax is the maximum depth of response.
- GEC50 (relative GR50) is the concentration at a point midway between the top and bottom asymptotes of the fitted curve.
- the activity of Compound A was assessed using the CellTiter-Glo assay. See Nature Methods 13:521-527, 2016.
- FIGs. 3 A and 3B constitute a series of three graphs illustrating that Compound A shows synergistic antiproliferative activity with the BTK inhibitor acalabrutinib in the Mino-1 cell line in vitro.
- the graphs in FIG. 3 A plot normalized growth rate inhibition vs days treatment with acalabrutinib and the concentrations of Compound A indicated in the legend and show normalized growth rate inhibition vs days treatment with Compound A.
- FIG. 3B is an isobologram with data points representing drug combinations at sub-maximal concentrations of each single agent - acalabrutinib (14-370 nM), Compound A (2-56 nM).
- FIGs. 4A-4H constitute a series of eight graphs illustrating that Compound A shows synergistic antiproliferative activity with the BTK inhibitors ibrutinib, acalabrutinib, zanubrutinib and pirtoburtinib in the Rec-1 cell line in vitro.
- the graphs in FIGs. 4A, 4C, 4E and 4G plot normalized growth rate inhibition vs days of treatment.
- FIGs. 4B, 4D, 4F and 4H demonstrate synergy between Compound A and the indicated BTK inhibitors.
- FIG. 5 is a line graph plotting tumor volume (mm 3 ) over time (days) in a mouse xenograft model using Mino-1 cells (mean +/- SEM).
- the mice were treated with a vehicle control, acalabrutinib alone, Compound A alone, or a combination of acalabrutinib and Compound A (see the treatment regimen described in the Examples).
- FIG. 6 is a photograph of a western blot showing expression of GAPDH (control), CCND1 (also known as cyclin DI), CCNE1 (also known as cyclin El), and E2F1 in Mino-1 cells 72 hours after treatment with Compound A and acalabrutinib in the amounts (nM) indicated in the figure.
- the result shown is representative of two independent experiments, and similar results were obtained after 24 hours and 48 hours of treatment.
- FIG. 7 is a bar graph illustrating cell cycle analysis by flow cytometry at 72 hours after exposure to Compound A, acalabrutinib, or a combination thereof, in the amounts shown in the graph, using PIZEdu staining via manufacturer protocol.
- the present invention features methods of treating a blood cancer (e.g., a lymphoma (e.g., MCL)) by administering, to a patient in need thereof, a therapeutically effective amount of (i) a BTK inhibitor, an isotopic form thereof, or a pharmaceutically acceptable salt of the BTK inhibitor or the isotopic form thereof and (ii) a therapeutically effective amount of a compound of structural Formula (I):
- a blood cancer e.g., a lymphoma (e.g., MCL)
- R 1 is methyl or ethyl
- R 2 is methyl or ethyl
- R 3 is 5-methylpiperidin-3-yl, 5,5-dimethylpiperidin-3-yl, 6-methylpiperdin-3-yl, or 6,6-dimethylpiperidin-3-yl, wherein one or more hydrogen atoms in R 3 is optionally replaced by deuterium
- R 4 is -CF3 or chloro.
- R 3 is 5-methylpiperidin-3-yl, 5,5-dimethylpiperidin-3-yl, 6-methylpiperdin-3-yl, or 6,6-dimethylpiperidin-3-yl, where
- Formula (I) can also be , or a pharmaceutically acceptable salt thereof.
- compounds of Formula (I) one may consult US Patent No. 10,738,067, the content of which is hereby incorporated by reference herein, and Marineau et al., J. Med. Chem. 65: 1458-1480, 2022.
- Second agents useful as described herein include BTK inhibitors and designated forms thereof (e.g., pharmaceutically acceptable salts thereof). These second agents include but are not limited to, acalabrutinib, M-2951 (evobrutinib), GDC-0853 (fenebrutinib), ibrutinib, ICP- 022 (orelabrutinib), LOXO-305 (pirtobrutinib), PRN1008 (rilzabrutinib), CC-292 (sprebrutinib), ONO-4095 (tirabrutinib), SAR442168 or PRN2246 (tolebrutinib), and zanubrutinib, an isotopic form of any of the foregoing compounds, or a pharmaceutically acceptable salt of any of the foregoing compounds (e.g., a pharmaceutically acceptable salt
- the BTK inhibitor is acalabrutinib, ibrutinib, or zanubrutinib (for a review article of these FDA-approved BTK inhibitors, see, e.g., Moore and Thompson, J. Adv. Pract. Oncol. 12(4):439-447, 2021).
- the second agent can be acalabrutinib.
- Acalabrutinib is commercially available as, for example, Calquence®, in 100 mg capsules for oral administration.
- Calquence® for guidance on the administration of acalabrutinib, one can consult the product label, scientific literature, and US Patent Nos. 7,459,554; 9,290,504; 9,758,524; 9,796,721; 10,167,291; 10,239,883; and 10,272,083, the contents of which are hereby incorporated herein by reference in their entireties.
- acalabrutinib can be used in combination with a compound of Formula (I) or a designated form thereof (e.g., Compound A or a pharmaceutically acceptable salt thereof) in the treatment of a blood cancer.
- the blood cancer is CLL/SLL.
- acalabrutinib can be used in combination with a compound of Formula (I) or a designated form thereof (e.g., Compound A or a pharmaceutically acceptable salt thereof) in the treatment of MCL (e.g., MCL in which patients have received at least one prior therapy for that disease).
- acalabrutinib can be administered or used at the dose and/or according to the dosing regimen at which it is currently prescribed for the treatment of MCL or CLL/SLL.
- the dose of acalabrutinib can be reduced relative to the currently prescribed dose (due to the benefits of its use in combination with a compound of Formula (I)).
- Ibrutinib is commercially available as, for example, Imbruvica®, in 70 mg and 140 mg capsules for oral administration and in 140 mg, 280 mg, 420 mg, and 560 mg tablets for oral administration.
- Ibrutinib is a first-in-class BTK inhibitor prescribed for certain B cell malignancies and has been approved by the United States Food and Drug Administration (FDA) and the European Medicines Agency (EMA) (see, e.g., Yesid el al., Frontiers in Cell and Developmental Biology 9:630942, 2021).
- FDA United States Food and Drug Administration
- EMA European Medicines Agency
- ibrutinib can be used in combination with a compound of Formula (I) or a designated form thereof (e.g., Compound A or a pharmaceutically acceptable salt thereof) in the treatment of a blood cancer described herein.
- the blood cancer is CLL/SLL or CLL/SLL with 17p deletion.
- ibrutinib can be used in combination with a compound of Formula (I) or a designated form thereof (e.g., Compound A or a pharmaceutically acceptable salt thereof) in the treatment of MCL (e.g., MCL in which patients have received at least one prior therapy for that disease).
- ibrutinib can be used in combination with a compound of Formula (I) or a designated form thereof (e.g., Compound A or a pharmaceutically acceptable salt thereof) in the treatment of Waldenstrom macroglobulineamia (WM).
- ibrutinib can be used in combination with a compound of Formula (I) or a designated form thereof (e.g., Compound A or a pharmaceutically acceptable salt thereof) in the treatment of MZL (e.g., MZL in patients who require systemic therapy and have received at least one prior anti- CD20-based therapy).
- ibrutinib in another embodiment, can be used in combination with a compound of Formula (I) or a designated form thereof (e.g., Compound A or a pharmaceutically acceptable salt thereof) in the treatment of chronic graft-versus-host-disease (GVHD).
- ibrutinib can be administered or used at the dose and/or according to the dosing regimen at which it is currently prescribed for the treatment of CLL/SLL, CLL/SLL with 17p deletion; WM; MCL; MZL; or chronic GVHD.
- the dose of ibrutinib can be reduced relative to the currently prescribed dose (due to the benefits of its use in combination with a compound of Formula (I)).
- Zanubrutinib is commercially available as, for example, Brukinsa®, in 80 mg capsules for oral administration.
- zanubrutinib For guidance on the administration of zanubrutinib, one can consult the product label, scientific literature, and US Patent Nos. 9,447,106; 10,570,139; and 10,927,117, the contents of which are hereby incorporated herein by reference in their entireties.
- zanubrutinib can be used in combination with a compound of Formula (I) or a designated form thereof (e.g., Compound A or a pharmaceutically acceptable salt thereof) in the treatment of a blood cancer described herein.
- the blood cancer is MCL (e.g., MCL in patients who have received at least one prior therapy).
- zanubrutinib can be used in combination with a compound of Formula (I) or a designated form thereof (e.g., Compound A or a pharmaceutically acceptable salt thereof) in the treatment of CLL/SLL.
- zanubrutinib can be used in combination with a compound of Formula (I) or a designated form thereof (e.g., Compound A or a pharmaceutically acceptable salt thereof) in the treatment of WM (including WM patients who have received at least one prior treatment for their disease).
- zanubrutinib can be administered or used at the dose and/or according to the dosing regimen at which it is currently prescribed for the treatment of MCL, CLL/SLL, or WM.
- the dose of zanubrutinib can be reduced relative to the currently prescribed dose (due to the benefits of its use in combination with a compound of Formula (I)).
- ONO-4095 also known as tirabrutinib
- Tirabrutinib is a highly selective, orally available BTK inhibitor with a potency (IC 50 ) of 2.2 nM (see Burger, Current Hematologic Malignancy Reports, 9(1):44- 49, 2014).
- Tirabrutinib is approved in Japan by the Pharmaceuticals and Medical Devices Agency (PMDA) for treatment of recurrent or refractory primary central nervous system lymphoma and also received supplemental approval for WM and lymphoplasmacytic lymphoma.
- the recommended dosage of tirabrutinib is 480 mg once daily on an empty stomach.
- tirabrutinib can be used in combination with a compound of Formula (I) or a designated form thereof (e.g., Compound A or a pharmaceutically acceptable salt thereof) in the treatment of a blood cancer described herein.
- the blood cancer is primary central nervous system lymphoma.
- the blood cancer is WM.
- the blood cancer is lymphoplasmacytic lymphoma.
- tirabrutinib can be administered or used at the dose and/or according to the dosing regimen at which it is currently prescribed for the treatment of primary central nervous system lymphoma, WM, or lymphoplasmacytic lymphoma.
- the dose of zanubrutinib can be reduced relative to the currently prescribed dose (due to the benefits of its use in combination with a compound of Formula (I)).
- M-2951 evobrutinib
- GDC-0853 fenebrutinib
- ICP-022 orelabrutinib
- PRN1008 relzabrutinib, or SAR442168, PRN2246 (tolebrutinib)
- a compound of Formula (I) or a designated form thereof e.g., Compound A or a pharmaceutically acceptable salt thereof
- CC-292 can be used in combination with a compound of Formula (I) or a designated form therefore (e.g., Compound A or a pharmaceutically acceptable salt thereof) in the treatment of a blood cancer described herein.
- Sprebrutinib is an orally administered, covalent, small-molecule inhibitor of BTK, part of the B cell and Fc receptor signaling pathways.
- sprebrutinib is given in combination with CC-122, CC-223, and rituximab to treat diffuse large B cell lymphoma (DLBCL) and follicular lymphoma.
- DLBCL diffuse large B cell lymphoma
- CC-122 is administered orally once daily at 2 mg or 3 mg in combination with CC-223 administered orally once daily at 20 mg or 30 mg with or without Rituximab administered by IV once every 28 days.
- sprebrutinib can be used in combination with a compound of Formula (I) or a designated form thereof (e.g., Compound A or a pharmaceutically acceptable salt thereof) in the treatment of DLBCL, with or without an additional (third) agent such as rituximab.
- a compound of Formula (I) and, optionally, rituximab the blood cancer is follicular lymphoma.
- sprebrutinib can be administered or used at the dose and/or according to the dosing regimen at which it is currently administered in the context of the clinical trial.
- the dose of sprebrutinib can be reduced relative to the dose(s) administered in the clinical trial (due to the benefits of its use in combination with a compound of Formula (I)).
- LOXO-305 pirtobrutinib
- a compound of Formula (I) or a designated form therefore e.g., Compound A or a pharmaceutically acceptable salt thereof
- Pirtobrutinib is an investigational, oral, highly-selective non-covalent BTK inhibitor that is currently being administered to patients with CLL or CLL/SLL in the context of clinical trials.
- prebrutinib is given in doses ranging from 25 to 300 mg QD (more specifically, 25 mg, 50 mg, 100 mg, 150 mg, 200 mg, 250 mg, and 300 mg once per day).
- pirtobrutinib can be used in combination with a compound of Formula (I) or a designated form thereof (e.g., Compound A or a pharmaceutically acceptable salt thereof) in the treatment of CLL or CLL/SLL, with or without an additional (third) agent such as rituximab or venetoclax.
- pirtobrutinib can be administered or used at a dose and/or according to the dosing regimen at which it is currently administered in the context of the clinical trial.
- the dose of pirtobrutinib can be reduced relative to the dose(s) administered in the clinical trial (due to the benefits of its use in combination with a compound of Formula (I)).
- Isotopic forms of Compounds can employ an isotopic form of a Compound of Formula (I) or a designated form thereof and/or an isotopic form of the second agent (/. ⁇ ?., a BTK inhibitor or designated form thereof). Where a third agent is employed, that third agent may also be an isotopic form.
- the substitution can be of 2 H (deuterium) or 3 H (tritium) for 1 H.
- 1 H deuterium
- H tritium
- substitutions in isotopic forms include U C, 13 C or 14 C for 12 C; 13 N or 15 N for 14 N; 17 O or 18 O for 16 O; 36 C1 for 35 C; 18 F for 19 F; 131 I for 127 I; etc . . . .
- Such compounds have use, for example, as analytical tools, as probes in biological assays, and/or as therapeutic or prophylactic agents for use in accordance with the present invention.
- an isotopic substitution of deuterium ( 2 H) for hydrogen may slow down metabolism, shift metabolism to other sites on the compound, slow down racemization and/or have other effects on the pharmacokinetics of the compound that may be beneficial (e.g., therapeutically beneficial).
- Pharmaceutically acceptable salts of a compound described herein, or an isotopic form thereof include those derived from suitable inorganic and organic acids and bases.
- the invention encompasses the combined use of the compounds described herein (/. ⁇ ?., the combined use of a BTK inhibitor and a compound of Formula (I)), isotopic forms of these compounds, or pharmaceutically acceptable salts of the compounds or the isotopic forms of the compounds (e.g., a pharmaceutically acceptable salt of a compound of structural Formula (I), 1(a), or a species thereof, or a pharmaceutically acceptable salt of an isotopic form of a compound of Formula (I), 1(a), or a species thereof and/or a pharmaceutically acceptable salt of a BTK inhibitor or an isotopic form thereof).
- Examples of pharmaceutically acceptable, acid addition salts are salts of an amino group formed with inorganic acids such as hydrochloric acid, hydrobromic acid, phosphoric acid, sulfuric acid and perchloric acid or with organic acids such as acetic acid, oxalic acid, maleic acid, tartaric acid, citric acid, succinic acid or malonic acid or by using other methods known in the art, such as ion exchange.
- inorganic acids such as hydrochloric acid, hydrobromic acid, phosphoric acid, sulfuric acid and perchloric acid
- organic acids such as acetic acid, oxalic acid, maleic acid, tartaric acid, citric acid, succinic acid or malonic acid or by using other methods known in the art, such as ion exchange.
- salts include adipate, alginate, ascorbate, aspartate, benzenesulfonate, benzoate, besylate, bisulfate, borate, butyrate, camphorate, camphorsulfonate, citrate, cyclopentane-propionate, digluconate, dodecyl sulfate, ethanesulfonate, formate, fumarate, glucoheptonate, glycerophosphate, gluconate, hemi sulfate, heptanoate, hexanoate, hydroiodide, 2-hydroxy-ethanesulfonate, lactobionate, lactate, laurate, lauryl sulfate, malate, maleate, malonate, methanesulfonate, 2-naphthalenesulfonate, nicotinate, nitrate, oleate, oxalate, palmitate, pa
- the salt of any compound described herein can also be derived from appropriate bases including alkali metal, alkaline earth metal, ammonium and N + (Ci-4alkyl)4 salts.
- Representative alkali or alkaline earth metal salts include sodium, lithium, potassium, calcium, and magnesium.
- Other pharmaceutically acceptable salts include, when appropriate, ammonium, quaternary ammonium, and amine cations formed using counterions such as halide, hydroxide, carboxylate, sulfate, phosphate, nitrate, lower alkyl sulfonate and aryl sulfonate.
- compositions useful in the present methods and uses, and which may be included in a kit as described herein can be prepared by relevant methods known in the art of pharmacology.
- preparatory methods include the steps of bringing a compound described herein, including compounds of Formula (I), (la), a species thereof, or a pharmaceutically acceptable salt or isotopic form thereof into association with a carrier and/or one or more other active ingredients (e.g., one or more of the second agents described herein) and/or accessory ingredients, and then, if necessary and/or desirable, shaping and/or packaging the product into a desired single-dose or multi-dose unit (e.g., for oral dosing).
- the accessory ingredient may improve the bioavailability of a compound of Formula (I), (la), a species thereof, or a designated form thereof, may reduce and/or modify its metabolism, may inhibit its excretion, and/or may modify its distribution within the body (e.g., by targeting a diseased tissue (e.g., a tumor).
- the pharmaceutical compositions can be packaged in various ways, including in bulk containers and as single unit doses (containing, e.g., discrete, predetermined amounts of the active agent) or a plurality thereof, and any such packaged or divided dosage forms are within the scope of the present invention.
- the amount of the active ingredient can be equal to the amount constituting a unit dosage or a convenient fraction of a dosage such as, for example, one-half or one-third of a dose.
- Pharmaceutical compositions containing acalabrutinib, ibrutinib, or zanubrutinib are commercially available and such products can be employed as described herein.
- Relative amounts of the active agent/ingredient, the pharmaceutically acceptable carrier(s), and/or any additional ingredients in a pharmaceutical composition of the invention can vary, depending upon the identity, size, and/or condition of the subject treated and further depending upon the route by which the composition is to be administered and the disease to be treated.
- the composition may comprise between about 0.1% and 99.9% (w/w or w/v) of an active agent/ingredient.
- Pharmaceutically acceptable carriers useful in the manufacture of the pharmaceutical compositions described herein are well known in the art of pharmaceutical formulation and include inert diluents, dispersing and/or granulating agents, surface active agents and/or emulsifiers, disintegrating agents, binding agents, preservatives, buffering agents, lubricating agents, and/or oils.
- Pharmaceutically acceptable carriers useful in the manufacture of the pharmaceutical compositions described herein include, but are not limited to, ion exchangers, alumina, aluminum stearate, lecithin, serum proteins, such as human serum albumin, buffer substances such as phosphates, glycine, sorbic acid, potassium sorbate, partial glyceride mixtures of saturated vegetable fatty acids, water, salts or electrolytes, such as protamine sulfate, disodium hydrogen phosphate, potassium hydrogen phosphate, sodium chloride, zinc salts, colloidal silica, magnesium trisilicate, polyvinyl pyrrolidone, cellulose-based substances, polyethylene glycol, sodium carboxymethylcellulose, polyacrylates, waxes, polyethylene-polyoxypropylene-block polymers, polyethylene glycol and wool fat.
- ion exchangers alumina, aluminum stearate, lecithin
- serum proteins such as human serum albumin
- buffer substances such as phosphates, glycine
- a pharmaceutical composition containing a therapeutically effective amount of a compound described herein may be administered orally in the methods described herein.
- Such orally acceptable dosage forms may be solid (e.g., a capsule, tablet, sachet, powder, granule, and orally dispersible film) or liquid (e.g., an ampoule, semi-solid, syrup, suspension, or solution (e.g., aqueous suspensions or dispersions and solutions).
- carriers commonly used include lactose and corn starch.
- Lubricating agents such as magnesium stearate, can also be included.
- useful diluents include lactose and dried cornstarch.
- the active agent/ingredient can be combined with emulsifying and suspending agents.
- sweetening, flavoring or coloring agents may also be added.
- an oral formulation can be formulated for immediate release or sustained/delayed release and may be coated or uncoated.
- a provided composition can also be in a micro-encapsulated form.
- compositions containing acalabrutinib, ibrutinib, or zanubrutinib are commercially available and such products can be employed as described herein.
- acalabrutinib is available as 100 mg capsules
- ibrutinib is available as 70 mg and 140 mg capsules and as 140 mg, 280 mg, 420 mg, and 560 mg tablets
- zanubrutinib is available as 80 mg capsules.
- These pharmaceutical compositions may be administered in the methods described herein and used accordingly.
- compositions suitable for buccal or sublingual administration include tablets, lozenges and pastilles.
- Formulations can also be prepared for subcutaneous, intravenous, intramuscular, intraocular, intravitreal, intra-articular, intra-synovial, intrastemal, intrathecal, intrahepatic, intraperitoneal intralesional and by intracranial injection or infusion techniques.
- the compositions are administered orally, subcutaneously, intraperitoneally or intravenously.
- Sterile injectable forms of the compositions of this invention may be aqueous or oleaginous suspension. These suspensions may be formulated according to techniques known in the art using suitable dispersing or wetting agents and suspending agents.
- the sterile injectable preparation may also be a sterile injectable solution or suspension in a non-toxic parenterally acceptable diluent or solvent, for example as a solution in 1,3 -butanediol.
- a non-toxic parenterally acceptable diluent or solvent for example as a solution in 1,3 -butanediol.
- acceptable vehicles and solvents that may be employed are water, Ringer’s solution and isotonic sodium chloride solution.
- sterile, fixed oils are conventionally employed as a solvent or suspending medium.
- compositions suitable for administration to humans are principally directed to pharmaceutical compositions which are suitable for administration to humans, it will be understood by one of ordinary skill in the art that such compositions are generally suitable for administration to animals of all sorts. Modification of pharmaceutical compositions suitable for administration to humans in order to render the compositions suitable for administration to various animals is well understood, and the ordinarily skilled veterinary pharmacologist can design and/or perform such modification.
- Compounds described herein are typically formulated in dosage unit form, e.g., single unit dosage form, for ease of administration and uniformity of dosage.
- the specific therapeutically effective dose level for any particular subject or organism will depend upon a variety of factors including the disease being treated and the severity of the disorder; the activity of the specific active ingredient employed; the specific composition employed; the age, body weight, general health, sex and diet of the subject; the time of administration, route of administration, and rate of excretion of the specific active ingredient employed; the duration of the treatment; drugs used in combination or coincidental with the specific active ingredient employed; and like factors well known in the medical arts.
- the exact amount of a compound required to achieve an effective amount can vary from subject to subject, depending, for example, on species, age, and general condition of a subject, severity of the side effects, disease to be treated, identity of the particular compound(s) to be administered, mode of administration, and the like.
- the desired dosage can be delivered three times a day, two times a day, once a day, every other day, every third day, every week, every two weeks, every three weeks, or every four weeks.
- the desired dosage can be delivered using multiple administrations (e.g., two, three, four, five, six, seven, eight, nine, ten, eleven, twelve, thirteen, fourteen, or more administrations).
- an effective amount of a compound (i.e., a compound of Formula (I) and/or a BTK inhibitor) for administration one or more times a day (e.g., once) to a 70 kg adult human may comprise about 1-100 mg, about 1-50 mg, about 1-35 mg (e.g., about 1-5, 1-10, 1-15, 1-20, 1-25, or 1-30 mg), about 2-20 mg, about 3-15 mg or about 10-30 mg (e.g., 10-20 or 10-25 mg).
- the dosages provided in this disclosure can be scaled for patients of differing weights or body surface and may be expressed per m 2 of the patient’s body surface.
- compositions may be administered once per day.
- the dosage of a compound of Formula (I) or a subgenus or species thereof or a designated form thereof (e.g., a pharmaceutically acceptable salt thereof) can be about 1-100 mg, about 1-50 mg, about 1-25 mg, about 2-20 mg, about 5-15 mg, about 10-15 mg, or about 13-14 mg.
- the dosage of a BTK inhibitor can be about 10-1000 mg.
- a composition of the invention may be administered twice per day.
- the dosage of a compound of Formula (I) or a subgenus or species thereof for each administration is about 0.5 mg to about 50 mg, about 0.5 mg to about 25 mg, about 0.5 mg to about 1 mg, about 1 mg to about 10 mg, about 1 mg to about 5 mg, about 3 mg to about 5 mg, or about 4 mg to about 5 mg.
- Dose ranges as described herein provide guidance for the administration of provided pharmaceutical compositions to an adult.
- the amount to be administered to, for example, a child or an adolescent can be determined by one of ordinary skill in the art and can be lower or the same as that administered to an adult.
- a compound or other composition described herein can be administered in a combination therapy (e.g., as defined and further described herein).
- a combination therapy e.g., as defined and further described herein.
- the additional/ second agent employed in a combiation therapy is most likely to achieve a desired effect for the same disorder (e.g., the same cancer), however it may achieve different effects that aid the patient.
- the invention features methods that employ pharmaceutical compositions containing a compound of Formula (I), (la), a species thereof, or a designated form thereof (e.g., a pharmaceutically acceptable salt), in a therapeutically effective amount; one or more additional agents, including any of the additional/second agents described herein (e.g, a BTK inhibitor or a designated form thereof); and a pharmaceutically acceptable carrier.
- the methods and uses described herein can be administered or employed together with radiation therapy, bone marrow transplant, or other treatments for blood cancer (e.g, CAR-T cell therapy)).
- Third agents useful in combination with the BTK inhibitor and a compound of Formula (I), as described herein, are brentuximab vedotin (Adcetris®), copanlisib hydrochloride (Aliqopa®), nelarabine (Arranon®), bendamustine hydrochloride, bortezomib, dexamethasone, doxorubicin hydrochloride, lenalinomide, methotrexate sodium, obinutuzumab, pembrolizumab, prednisone, rituximab, bortezomib, venetoclax (Venclexta®), vinblastine sulfate, and vincristine sulfate.
- Adcetris® copanlisib
- the methods and uses of the combination of a BTK inhibitor and a compound of Formula (I) as described herein may be carried out when a patient has relapsed or become refractory to a prior treatment, including treatment with brentuximab vedotin (Adcetris®), copanlisib hydrochloride (Aliqopa®), nelarabine (Arranon®), bendamustine hydrochloride, bortezomib, dexamethasone, doxorubicin hydrochloride, lenalinomide, methotrexate sodium, obinutuzumab, pembrolizumab, prednisone, rituximab, bortezomib, venetoclax (Venclexta®), vinblastine sulfate, or vincristine sulfate.
- Adcetris® brentuximab vedotin
- Adcetris® copan
- a patient treated by the methods described herein can have a blood cancer, which we may also refer to as a hematopoietic or hematological cancer or malignancy.
- the blood cancer can be a leukemia such as acute lymphocytic (or lymphoblastic) leukemia (ALL; e.g., a B cell ALL or T cell ALL), acute myelocytic (or myeloid or myelogenous) leukemia (AML; e.g., a B cell AML or T cell AML), chronic myelocytic (or myeloid or myelogenous) leukemia (CML; e.g., a B cell CML or T cell CML), chronic lymphocytic leukemia (CLL; e.g., a B cell CLL (e.g., hairy cell leukemia (HCL)) or T cell CLL), chronic neutrophilic leukemia (CNL), or chronic myelomonocytic leukemia (CMML).
- ALL acute lymphocytic leukemia
- AML acute myelocytic (or myeloid or myelogenous) leukemia
- CML chronic mye
- the leukemia can be B cell prolymphocytic leukemia (B-PLL), which can occur as a transformation or evolution of a more slow-growing B cell cancer, such as CLL.
- B-PLL B cell prolymphocytic leukemia
- the blood cancer can be a lymphoma, and the lymphoma can be Hodgkin’s lymphoma (HL; e.g., a B cell HL or T cell HL) or a non-Hodgkin lymphoma (NHL, which can be deemed aggressive; e.g., B cell NHL or T cell NHL).
- HL Hodgkin’s lymphoma
- NHL non-Hodgkin lymphoma
- the HL can be lymphocyte-depleted Hodgkin’s disease, lymphocyte-rich Hodgkin’s disease, mixed cellularity Hodgkin’s lymphoma, nodular lymphocyte-predominant Hodgkin’s disease, or nodular sclerosis Hodgkin’s lymphoma.
- the B cell lymphoma can be follicular lymphoma (FL; a NHL), chronic lymphocytic leukemia/small lymphocytic (lymphatic) lymphoma (CLL/SLL; similar if not identical cancers except that the majority of cancer cells in CLL are found in the blood and bone marrow whereas, in SLL, the cancer cells are found mostly in the lymph nodes), CLL/SLL with 17p deletion, mantle cell lymphoma (MCL; a NHL), a marginal zone lymphoma (MZL), such as a B cell lymphoma (e.g., splenic marginal zone B cell lymphoma), primary mediastinal B cell lymphoma (a NHL; e.g., splenic marginal zone B cell lymphoma), Burkitt lymphoma (BL; a NHL), lymphoplasmacytic lymphoma (LPL, or Waldenstrom’s macroglobulinemia, which is a subtype of LPL), immuno
- the B cell NHL can be diffuse large cell lymphoma (DLCL; e.g., diffuse large B cell lymphoma (DLBCL; e.g., germinal center B cell-like (GCB) DLBCL or activated B-cell like (ABC) DLBCL)), and the T cell NHL can be precursor T lymphoblastic lymphoma or a peripheral T cell lymphoma (PTCL).
- DLCL diffuse large cell lymphoma
- DLBCL diffuse large B cell lymphoma
- GCB germinal center B cell-like
- ABSC activated B-cell like
- the PTCL can be a cutaneous T cell lymphoma (CTCL) such as mycosis fungoides or Sezary syndrome, angioimmunoblastic T cell lymphoma, extranodal natural killer T cell lymphoma, enteropathy type T cell lymphoma, subcutaneous anniculitis-like T cell lymphoma, or anaplastic large cell lymphoma.
- CTCL cutaneous T cell lymphoma
- the invention is not limited to treating or preventing blood cancers having any particular cause or presentation, stem cells within the bone marrow may proliferate, thereby becoming a dominant cell type within the bone marrow and a target for a compound or combination of compounds described herein.
- Leukemic cells can accumulate in the blood and infiltrate organs such as the lymph nodes, spleen, liver, and kidney.
- any one of the blood cancers described herein that are amenable to treatment as described herein may be in patients who are either newly diagnosed (i.e., who have not received at least one prior therapy for treatment of their cancer) or within a patient who has relapsed from, or who is refractory to, one or more prior treatments.
- a compound of Formula (I) or a designated form thereof and a BTK inhibitor or a designated form thereof can be used or administered to treat a patient who has become refractory or resistant to treatment with a CDK4/6 inhibitor when used alone or in combination with one or more of an aromatase inhibitor, a selective estrogen receptor modulator or a selective estrogen receptor degrader.
- the patient has relapsed from treatment with venetoclax or is resistant to treatment with venetoclax.
- Other agents previously administered to a patient are listed above.
- a blood cancer amenable to treatment as described herein may be further described according to its stage (under, for example, a numbered staging system (typically ranging from stage 0 to stage 4 or 5) or the TNM staging system) or grade.
- a numbered staging system typically ranging from stage 0 to stage 4 or 5
- the TNM staging system or grade.
- cancers are graded depending on the appearance of cancerous cells under a microscope and their rate of growth. For example, in a typical system, cancer cells that resemble non-cancerous cells of the same type are grade 1/low grade; cancer cells that appear somewhat abnormal are grade 2/intermediate grade; cancer cells that appear highly abnormal are grade 3/high grade; and cancer cells that are the most abnormal and undifferentiated are grade 4.
- the present methods and uses are applicable to a blood cancer of any of the aforementioned stages or grades.
- the therapeutic methods and uses described herein include a step of administering (or the use of) one or more additional therapeutically active agents (i.e., a “second” compound that is distinct from a compound of Formula (I), (la), a species thereof, or a pharmaceutically acceptable salt or isotopic form thereof).
- additional therapeutically active agents i.e., a “second” compound that is distinct from a compound of Formula (I), (la), a species thereof, or a pharmaceutically acceptable salt or isotopic form thereof.
- any compound of Formula (I) or any designated form thereof can be the “first” therapeutically active agent administered or in use in a combination therapy; the designations “first” and “second” provide a convenient way to refer to two distinct agents without limiting the order or manner in which the first and second agents are administered.
- a patient may receive one or more of the second agents described herein prior to receiving a compound of Formula (I) or a designated form thereof.
- compositions that are formulated to deliver a compound of Formula (I) or a designated form thereof and pharmaceutical compositions that are formulated to deliver a BTK inhibitor (e.g., acalabrutinib and/or any other BTK inhibitor known and/or described herein) or a designated form thereof are provided as a kit in suitable packaging, accompanied by instructional material (e.g, written material printed on a surface of the kit or contained within it) for use in treating a blood cancer described herein (e.g, a lymphoma, such as a B cell lymphoma (e.g., MCL)) in a patient.
- a lymphoma such as a B cell lymphoma (e.g., MCL)
- Some or all of the instructional material may also be provided virtually on a website.
- kits may include instructional material that refers to relevant scientific literature, constitutes a conventional package insert, describes clinical trial results and/or summaries of those studies and the like, which indicate or establish the activities and/or advantages of the pharmaceutical compositions.
- the instructional material may also describe dosing, administration, side effects, drug interactions, or other information useful to the health care provider. Such information may be based on the results of various studies, for example, studies using experimental animals involving in vivo models and studies based on human clinical trials.
- Kits described herein can be provided, marketed and/or promoted to health providers, including physicians, nurses, pharmacists, formulary officials, and the like. Kits may also, in selected embodiments, be marketed directly to the consumer.
- the invention provides a kit comprising (1) a composition (e.g., a pharmaceutical composition) comprising a therapeutically effective amount of a compound of Formula (I) or a designated form thereof; and (2) a composition (e.g, a pharmaceutical composition) comprising a therapeutically effective amount of a BTK inhibitor or a designated form thereof.
- a composition e.g., a pharmaceutical composition
- the kit is for co-administration of the respective pharmaceutical compositions, either simultaneously or separately (e.g., at different times and/or by distinct routes of administration).
- the compound of Formula (I) can be a compound of Formula (la) or a species thereof
- the BTK inhibitor can be acalabrutinib, M-2951 (evobmtinib), GDC-0853 (fenebrutinib), ibrutimb, ICP-022 (orelabrutinib), LOXO-305 (pirtobrutinib), PRN1008 (rilzabrutinib), CC-292 (sprebrutinib), ONO-4095 (tirabrutinib), SAR442168 or PRN2246 (tolebmtimb), or zanubrutinib, an isotopic form of any of the foregoing compounds, or a pharmaceutically acceptable salt of any of the foregoing compounds (e.g., a pharmaceutically acceptable salt of Compound A and/or ibrutinib) or of an isotopic form thereof.
- a pharmaceutically acceptable salt of any of the foregoing compounds
- a kit comprises a first vessel, a second vessel and informational material (e.g., a package insert).
- the first vessel comprises at least one dose of a pharmaceutical composition (or medicament) formulated for administration of a compound of Formula (I) or a designated form thereof
- the second vessel comprises at least one dose of a pharmaceutical composition (or medicament) comprising a BTK inhibitor.
- the package insert, or label comprises instructions for treating a patient who has a blood cancer (including any of those described herein) using the medicaments.
- the first and second vessels may have the same or different shapes (e.g, bottles or vials with differently colored lids or markings) and/or material (e.g., plastic or glass).
- the kit may further include a third pharmaceutical composition and/or materials that may be useful in administering the medicaments (e.g., diluents, filters, IV bags, tubing, needles, or syringes) or providing aid to the patient (e.g, a lozenge or anti-emetic).
- a third pharmaceutical composition and/or materials that may be useful in administering the medicaments (e.g., diluents, filters, IV bags, tubing, needles, or syringes) or providing aid to the patient (e.g, a lozenge or anti-emetic).
- a kit comprises an oral delivery system for a compound of Formula (I) or a designated form thereof
- the oral deliver ⁇ ' system may include one or more unit doses in, for example, a blister pack to facilitate administration of the pharmaceutical compositions according to a specified dosing regimen.
- a kit comprises about, less than about, or more than about 1, 2, 3, 4, 5, 6, 7, 8, 9, 10, I I, 12, 13, 14, 15, 16, 17, 18, 19, 20, 30, 31, 60, 90, 120, 150, 180, 210, or more unit doses.
- Instructions for use can comprise dosing instructions, such as instructions to take 1, 2, 3, 4, 5, 6, 7, 8, 9, 10, or more unit doses 1, 2, 3, 4, or more times per day.
- kits may comprise a unit dose supplied as a tablet, with each tablet packaged separately, multiples of tablets packaged separately according to the number of unit doses per administration (e.g, pairs of tablets), or ah tablets packaged together (e.g. in a bottle).
- the kit includes a multi-day supply of unit dosages.
- the unit dosages can be any unit dosage described herein or known in the art for the compound in question (e.g., a compound of Formula (I)).
- the instructional materials can direct the administration of the multi-day supply of unit dosages over a period of multiple days.
- the multiday supply can be a one-month supply, a 30-day supply, or a multi-week supply.
- the multi-day supply can be a 90-day, 180-day, 3-month or 6-month supply.
- the kit can include packaged daily unit dosages, such as packages of L 2, 3, 4, or 5 unit dosages.
- the kit can be packaged with dietary supplements, vitamins, meal replacement bars, mixes, beverages, and the like.
- a Compound of Formula (I) Potentiates BTK Inhibitor Activity in Mantle Cell Lymphoma in Preclinical Models'.
- CDK7 is a key regulator of transcription and cell cycle progression and has been implicated in multiple tumor types driven by aberrant transcriptional (e.g., MFC-, ESR 7-activation) and/or aberrant cell cycle control (e.g., loss of RB pathway checkpoint function) mechanisms.
- the compound (Compound A) is a potent and selective CDK7 inhibitor currently in development in patients with solid tumors (NCT04247126). To assess the potential for development in hematological malignancies, we evaluated the activity of Compound A in preclinical models of mantle cell lymphoma (MCL).
- MCL is an aggressive B cell lymphoma characterized by the t(l 1 ; 14)(ql 3 :q32) translocation that leads to constitutive overexpression of CCND1 and suppression of RB checkpoint function. It is driven by genetic alterations in RB pathway genes (e.g. CCND1, RBI, CDKN2A) and hyperactivation of B-cell receptor (BCR) signaling through BTK, leading to activation of NF-kB- dependent transcriptional programs that drive cell proliferation and survival.
- BCR B-cell receptor
- GR50 drug concentration at which growth rate is inhibited by 50%
- GRmax maximum depth of response
- Compound A potently inhibited proliferation in these cell lines, as shown in FIGs. 1 A and IB. More specifically, Compound A, as a single agent, potently inhibited proliferation of all seven MCL cell lines tested with a GR50 geometric-mean of 5.3 nM (range: 1.4 to 16 nM) and a GRmax mean of -0.2 (range: -0.65 to 0.15).
- PD Pharmacodynamic
- Combination activity in vitro was assessed by comparing GR curve metrics between acalabrutinib, Compound A, and acalabrutinib in combination with Compound A (at 2 nM, 6 nM, and 18 nM).
- Compound A demonstrated synergistic antiproliferative activity in Mino-1 cells in vitro, a dose-dependent decrease in acalabrutinib GR50 (up to ⁇ 2-fold at the highest concentration tested, 5nM), and a dose-dependent increase in GRmax (up to ⁇ 10-fold). See FIGs. 3 A and 3B.
- the dose and schedule (0.5 mg/kg, BID, administered for 7 days and then withheld for days (i.e., 7-days-on-7-days-off) used for the study depicted in FIGs 4A-4H is well below 12 mg/kg QD, which was the dose that was determined to be the NTD (non-tolerated dose) in a colorectal cancer xenograft study. Furthermore, the concentrations used in these studies translate to doses used in the clinical trial as evidenced by observing a similar pharmacodynamic response in these studies as is observed in the clinic.
- the dashed horizontal line in FIGs. 4A-4H represents clinical pharmacodynamic response (trough POLR2A fold change) in PBMCs from patients dosed with 3 mg Compound A QD at steady state. Clinical trials are continuing to dose escalate, so the human maximum tolerated dose has not yet been reached.
- CCND1, CCNE1 and E2F1 a key transcriptional regulator of DNA replication commitment and progression
- the combination of the CDK7 inhibitor Compound A and acalabrutinib caused dose-dependent decreases in CCND1 and E2F1 protein expression in vitro, which were not observed with either single agent alone.
- the combination of Compound A and acalabrutinib decreased expression of key regulators of RB checkpoint function and cell cycle progression in Mino-1 cells. See FIG. 6.
- FIG. 7 shows the distribution of cells in various phases of the cell cycle 72 hours after exposure to the amounts of Compound A and acalabrutinib shown.
- Compound A (10 nM) induced G1 arrest.
- Acalabrutinib (at 20 nM) did not induce any cell cycle change within the 72 hour period tested.
- Compound A and acalabrutinib induced an increase in the percentage of cells with sub-Gl DNA content (a marker of cell death).
- Compound A is a potent and selective CDK7 inhibitor that demonstrates antiproliferative activity in MCL cells in vitro, associated with PD changes comparable to those observed in patients enrolled in the solid tumor trial (Papadopoulos et al., 32 nd EORTC-NCI-AACR Symposium, Abstract No. 180, 2020) of the same compound.
- the combination of Compound A and acalabrutinib is synergistic in MCL cells in vitro and inhibits expression of key cell cycle regulatory proteins (CCND1, CCNE1, and E2F1) at concentrations that are preclinically subtherapeutic for either single agent alone.
- the combination of the CDK7 inhibitor Compound A and acalabrutinib is also significantly more effective at inhibiting MCL xenograft growth in vivo than either single agent.
Landscapes
- Health & Medical Sciences (AREA)
- Veterinary Medicine (AREA)
- Chemical & Material Sciences (AREA)
- Medicinal Chemistry (AREA)
- Pharmacology & Pharmacy (AREA)
- Life Sciences & Earth Sciences (AREA)
- Animal Behavior & Ethology (AREA)
- General Health & Medical Sciences (AREA)
- Public Health (AREA)
- Epidemiology (AREA)
- Chemical Kinetics & Catalysis (AREA)
- General Chemical & Material Sciences (AREA)
- Nuclear Medicine, Radiotherapy & Molecular Imaging (AREA)
- Organic Chemistry (AREA)
- Hematology (AREA)
- Oncology (AREA)
- Pharmaceuticals Containing Other Organic And Inorganic Compounds (AREA)
Abstract
The present invention features methods of treating a blood cancer (e.g., a lymphoma (e.g., MCL)) by administering, to a patient in need thereof, a therapeutically effective amount of (i) a BTK inhibitor, an isotopic form thereof, or a pharmaceutically acceptable salt of the BTK inhibitor or the isotopic form thereof and (ii) a therapeutically effective amount of a compound of structural Formula (I): an isotopic form thereof, or a pharmaceutically acceptable salt of the compound or the isotopic form thereof.
Description
COMPOSITIONS AND METHODS FOR TREATING LYMPHOMAS WITH A CDK7 INHIBITOR IN COMBINATION WITH A BTK INHIBITOR
CROSS-REFERENCE TO RELATED APPLICATIONS
This application claims the benefit of the filing date of U.S. provisional application No. 63/228,913, filed August 3, 2021, and U.S. provisional application No. 63/279,422, filed November 15, 2021. The content of each of these prior provisional applications is hereby incorporated by reference herein in its entirety.
SUMMARY OF THE INVENTION
The present invention features methods of treating a blood cancer, such as a lymphoma (e.g., a B cell lymphoma such as mantle cell lymphoma) by administering to a patient in need thereof a therapeutically effective amount of a Bruton’s Tyrosine Kinase (BTK) inhibitor (e.g., acalabrutinib and/or any other BTK inhibitor known and/or described herein) and a therapeutically effective amount of a compound of structural Formula (I):
(I), an isotopic form thereof, or a pharmaceutically acceptable salt of the compound or isotopic form thereof, wherein R1 is methyl or ethyl; R2 is methyl or ethyl; R3 is 5- methylpiperi din-3 -yl, 5,5-dimethylpiperidin-3-yl, 6-methylpiperdin-3-yl, or 6,6-dimethylpiperidin- 3-yl; and R4 is -CF3 or chloro. As is common in the chemical arts, where a chemical structure fails to specify stereochemistry, it is to be understood that the structure represents each stereoisomer. For ease of reading, we will not refer to an isotopic form of a compound, a pharmaceutically acceptable salt of the compound, and/or a pharmaceutically acceptable salt of an isotopic form of the compound at every possible opportunity. Instead, we may refer to any one or more of those forms of the compounds as a “designated” form or forms. For example, instead of referring to “a compound of Formula (I), an isotopic form thereof, or a pharmaceutically acceptable salt of the compound or the isotopic form thereof,” we may simply refer to “a compound of Formula (I) or a
designated form thereof.” Similarly, instead of referring to “a BTK inhibitor, an isotopic form thereof, or a pharmaceutically acceptable salt of the BTK inhibitor or the isotopic form thereof,” we may simply refer to “a BTK inhibitor or a designated form thereof.”
In the various embodiments of the invention that employ a compound of Formula (I), an isotopic form thereof, or a pharmaceutically acceptable salt of the compound or isotopic form thereof, (i) R1 is methyl and R2 is methyl or (ii) R1 is methyl and R2 is ethyl. In other embodiments, R1 is ethyl and R2 is ethyl. In any one of these embodiments, R4 is -CF3 or chloro. In various aspects of any of the preceding embodiments, R3 is 5-methylpiperidin-3-yl, R3 is 5,5- dimethylpiperi din-3 -yl, R3 is 6-methyl-piperdin-3-yl, or R3 is 6,6-dimethylpiperidin-3-yl.
(la) or a stereoisomer thereof, and the invention encompasses a compound of
Formula (la), an isotopic form thereof, or a pharmaceutically acceptable salt of the compound or an isotopic form thereof (i. e., a compound of Formula (la) or a designated form thereof can be administered in the methods of treatment described herein, used as specified herein, or included in a kit described herein).
In Formula (la), R3 can
More specifically, in the various embodiments of the invention, in a compound of Formula (la), an isotopic form thereof, or a pharmaceutically acceptable salt of the compound or isotopic form thereof (i) R1 is methyl and R2 is methyl or (ii) R1 is methyl and R2 is ethyl. Alternatively, R1 is ethyl and R2 is ethyl. In any embodiment of Formula (la), R4 can be -CF3 or chloro.
A compound of Formula (I) or (la) can be:
or a stereoisomer thereof. A compound of Formula (I) or (la) can be an isotopic form of any one of these three compounds, or a pharmaceutically acceptable salt of the compound or an isotopic form thereof. We may refer to these three compounds as “species” of Formula (I). In any embodiment of the present methods, the compound can be
(Compound A) or a pharmaceutically acceptable salt thereof. The compound can be Compound A or an isotopic form thereof. The compound can be Compound A. The compound can be a pharmaceutically acceptable salt of Compound A. The compound can be an isotopic form a Compound A. The compound can be a pharmaceutically acceptable salt of an isotopic form of Compound A.
In embodiments that employ an isotopic form of a compound of Formula (I), one or more hydrogen atoms in R3 can be optionally replaced by deuterium.
The present methods of treatment include a step of administering a BTK inhibitor and a compound of Formula (I) to a patient in need thereof; the compound of Formula (I) can be any compound described above or a designated form thereof. The BTK inhibitor (or a designated form thereof) and the compound of Formula (I) (or a designated form thereof) are administered to the patient in therapeutically effective amounts and are optionally contained within pharmaceutical compositions. As described in further detail below, the BTK inhibitor can be acalabrutinib, M- 2951 (evobrutinib), GDC-0853 (fenebrutinib), ibrutinib, ICP-022 (orelabrutinib), LOXO-305 (pirtobrutinib), PRN1008 (rilzabrutinib), CC-292 (sprebrutinib), ONO-4095 (tirabrutinib),
SAR442168 or PRN2246 (tolebrutinib), or zanubrutinib, an isotopic form of any of the foregoing compounds, or a pharmaceutically acceptable salt of any of the foregoing compounds (e.g., a pharmaceutically acceptable salt of ibrutinib) or of an isotopic form thereof. The patient in need of treatment may have a blood cancer, such as a leukemia or lymphoma (e.g., mantle cell lymphoma (MCL) or any other specific type of blood cancer described herein).
In another aspect, the invention features kits comprising a compound of Formula (I) or a designated form thereof, a BTK inhibitor or a designated form thereof, and instructions for use (which we may also refer to as instructional materials). Within the kit, the compound of Formula (I) or the designated form thereof can be sequestered in a first vessel (e.g., a vial) and the BTK inhibitor or the designated form thereof can be sequestered in a second vessel (e.g., a vial). The kit may also include a third compound or therapeutic agent and/or materials useful to a patient or healthcare provider in administering the compound and/or inhibitor. Further details and specifications regarding a kit encompassed by the invention are provided below.
The term “about,” when used herein in reference to a value, signifies any value or range of values that is plus-or-minus 10% of the stated value (e.g., within plus-or-minus 1%, 2%, 3%, 4%, 5%, 6%, 7%, 8%, 9% or 10% of the stated value). For example, a dose of about 10 mg means any dose as low as 10% less than 10 mg (9 mg), any dose as high as 10% more than 10 mg (11 mg), and any dose or dosage range therebetween (e.g., 9-11 mg; 9.1-10.9 mg; 9.2-10.8 mg; and so on). Where a stated value cannot be exceeded (e.g., 100%), “about” signifies any value or range of values that is up to and including 10% less than the stated value (e.g., a purity of about 100% means 90%-100% pure (e.g., 95%-100% pure, 96%-100% pure, 97%-100% pure etc...J). In the event an instrument or technique measuring a value has a margin of error greater than 10%, a given value will be “about” the same as a stated value when they are both within the margin of error for that instrument or technique.
The term “administration” and variants thereof, such as “administering,” refer to the administration of a compound described herein (e.g., a compound of Formula (I), (la), a species thereof or a designated form thereof (e.g., a pharmaceutically acceptable salt thereof), or one or more additional/second agent(s) (e.g., a BTK inhibitor such as acalabrutinib)), or a composition containing the compound and/or the second agent to a subject (e.g., a human patient) or system (e.g., a cell- or tissue-based system that is maintained ex vivo); as a result of the administration, the compound or composition containing the compound is introduced to the subject or system. In
addition to compositions of the invention and second agents useful in combination therapies, items used as positive controls, negative controls, and placebos, any of which can also be a compound, can also be “administered.” One of ordinary skill in the art will be aware of a variety of routes that can, in appropriate circumstances, be utilized for administration to a subject or system. For example, the route of administration can be oral (i.e., by swallowing a pharmaceutical compostion) or may be parenteral. More specifically, the route of administration can be bronchial (e.g., by bronchial instillation), by mouth (i.e., oral), dermal (which may be or comprise topical application to the dermis or intradermal, interdermal, or transdermal administration), intragastric or enteral (i.e.., directly to the stomach or intestine, respectively), intramedullary, intramuscular, intranasal, intraperitoneal, intrathecal, intratumoral, intravenous (or intra-arterial), intraventricular, by application to or injection into a specific organ (e.g., intrahepatic), mucosal (e.g., buccal, rectal, sublingual, or vaginal), subcutaneous, tracheal (e.g., by intratracheal instillation), or ocular (c.g, topical, subconjunctival, or intravitreal). Administration can involve intermittent dosing (i.e.., doses separated by various times) and/or periodic dosing (i.e.., doses separated by a common period of time (e.g., every so many hours, daily (e.g., once daily oral dosing), weekly, twice per week, etc.J). In other embodiments, administration may involve continuous dosing (e.g., perfusion) for a selected time (e.g., about 1-2 hours).
The term “carrier” refers to a diluent, adjuvant, excipient, or other vehicle with which an active pharmaceutical agent (e.g., a compound of the invention, or a pharmaceutically acceptable salt or isotopic form thereof) is formulated for administration. The carrier, in the amount and manner incorporated into a pharmaceutical composition, will be non-toxic to the subject and will not destroy the biological activity of the active ingredient (e.g., the compound or other designated form thereof) with which it is formulated. The carrier can be a sterile or sterilizable liquid, such as a water (c.g, water for injection) or a natural or synthetic oil (e.g., a petroleum -based or mineral oil, an animal oil, or a vegetable oil (e.g., a peanut, soybean, sesame, or canola oil)). The carrier can also be a solid; a liquid that includes one or more solid components (e.g., a salt, for example, a “normal saline”); a mixture of solids; or a mixture of liquids.
The term “combination therapy” refers to those situations in which a subject is exposed to two or more therapeutic regimens (e.g., two or more distinct compounds (e.g., three distinct compounds)) to treat a single disease (e.g, a cancer). The two or more regimens/agents may be administered simultaneously or sequentially. When administered simultaneously, a dose of the
first agent and a dose of the second agent are administered at about the same time, such that both agents exert an effect on the patient at the same time or, if the first agent is faster- or slower-acting than the second agent, during an overlapping period of time. When administered sequentially, the doses of the first and second agents are separated in time, such that they may or may not exert an effect on the patient at the same time. For example, the first and second agents may be given within the same hour or same day, in which case the first agent would likely still be active when the second is administered. Alternatively, a much longer period of time may elapse between administration of the first and second agents, such that the first agent is no longer active when the second is administered (e.g., all doses of a first regimen are administered prior to administration of any dose(s) of a second regimen by the same or a different route of administration, as may occur in treating a refractory cancer). For clarity, combination therapy does not require that individual agents be administered together in a single composition or at the same time, although in some embodiments, two or more agents, including a compound of the invention and a second agent described herein, may be administered within the same period of time (e.g., within the same hour, day, week, or month).
The term “compound” means a chemical compound. For example, a BTK inhibitor described herein is a compound, as is a compound represented by a structural Formula depicted herein, a sub-genus thereof (e.g., Formula (la)), or a species thereof (e.g., Compound A), and any designated forms thereof. Any given compound described herein can be biologically active (e.g., as a BTK inhibitor or an inhibitor of CDK7) and may be utilized for a purpose described herein, including therapeutic uses (e.g, when contained in a pharmaceutical composition in a therapeutically effective amount, administered to a patient, incorporated into a medicament or into a kit, or otherwise used as described herein). Two compounds that have the same molecular formula but differ in the arrangement of their atoms in space are termed “stereoisomers.” The stereoisomers of any referenced or depicted structure can be enantiomers, which are non- superimposable mirror images of each other, or diastereomers, which are not mirror images of each other (e.g, cis/trans isomers and conformational isomers). These include the R and S configurations for each asymmetric center, Z and E double bond isomers, and Z and E conformational isomers. Compositions containing a single type of stereochemical isomer as well as enantiomeric, diastereomeric, and geometric (or conformational) mixtures of the present compounds are within the scope of the invention. An enantiomer can be characterized by the
absolute configuration of its asymmetric center and is described by the R- and S-sequencing rules of Cahn and Prelog, or by the manner in which the molecule rotates the plane of polarized light and designated as dextrorotatory or levorotatory (i.e., as (+) or (-)-isomers respectively). A chiral compound can exist as either individual enantiomer or as a mixture thereof. A mixture containing equal proportions of the enantiomers is called a “racemic mixture.”
The terms “dosage form,” “formulation,” and “preparation” refer to compositions that contain a compound of the invention, or a pharmaceutically acceptable salt or isotopic form thereof, or to other biologically or therapeutically active ingredients suitable for use as described herein (e.g., one or more of an additional/second agent useful in a combination therapy described herein). The term “unit dosage form” refers to a physically discrete unit of or containing a compound of the invention, or a pharmaceutically acceptable salt or isotopic form thereof. One or more of an additional/second agent can also be formulated, administered, or used as described herein in a unit dosage form. Each such unit can contain a predetermined quantity of the active ingredient, which may be the amount prescribed for a single dose (i.e., an amount expected to correlate with a desired outcome when administered as part of a therapeutic regimen) or a fraction thereof (e.g., a unit dosage form (e.g., a tablet or capsule) may contain one half of the amount prescribed for a single dose, in which case a patient would take two unit dosage forms (i.e., two tablets or two capsules)). One of ordinary skill in the art will appreciate that the total amount of a composition or agent administered to a particular subject is determined by one or more attending physicians and may involve administration of multiple unit dosage forms (e.g., as described herein).
The term “dosing regimen” refers to the unit dosage form(s) administered to, or prescribed for, a subject, and typically includes more than one dose separated by periods of time (e.g., as described herein). The dosage form(s) administered within a dosing regimen can be of the same unit dose amount or of different amounts. For example, a dosing regimen can include a first dose in a first dose amount, followed by one or more additional doses in a second dose amount that is the same as or different from the first dose amount.
An “effective amount” refers to an amount of an agent (e.g., a compound described herein, whether of the invention or a “second” agent) that produces the desired effect for which it is administered. In some embodiments, the term refers to an amount that is sufficient, when administered to a population suffering from or susceptible to a disease in accordance with a
therapeutic dosing regimen, to treat the disease, in which case the effective amount may also be referred to as a “therapeutically effective amount.” One of ordinary skill in the art will appreciate that a therapeutically effective amount may not achieve a successful treatment in any particular individual (i.e., in any given individual patient). Rather, a therapeutically effective amount provides a desired pharmacological response in a significant or certain number of subjects when administered to a population of patients in need of such treatment. A reference to an effective amount may be a reference to an amount of a compound administered or an amount measured in one or more specific tissues (e.g., a tissue affected by the disease) or fluids (e.g., blood, saliva, urine, etc.) after administration.
The term “inhibitor” refers to an agent, including a compound described herein or a designated form thereof, whose presence (e.g., at a certain level or in a certain form) correlates with a decrease in the expression or activity of another agent (i.e., the inhibited agent or target) or a decrease in the occurrence of an event (e.g., cellular proliferation, tumor progression, or metastasis, inflammation, infection, or autoimmunity). In some embodiments, an inhibitor exerts its influence on a target (e.g., CDK7 in the case of a compound of Formula (I) and BTK in the case of a BTK inhibitor) by binding to the target, directly or indirectly, by way of covalent bonds or non-covalent association. Inhibition can be assessed in silico, in vitro (e.g., in a cell, tissue, or organ culture or system), or in vivo (e.g., in a patient or animal model).
The term “isotopic form” is used to describe a compound (e.g., a compound of Formula (I) or a BTK inhibitor) that contains at least one isotopic substitution - the replacement of an isotope of an atom with another isotope of that atom. For example, the substitution can be of 2H (deuterium) or 3H (tritium) for 1H. Thus, we may use the terms ‘^H,” “H,” or “hydrogen atom” to refer to the naturally occurring form of hydrogen having a single proton in its nucleus. Other substitutions in isotopic forms include nC, 13C or 14C for 12C; 13N or 15N for 14N; 17O or 18O for 16O; 36C1 for 35C; 18F for 19F; 13 XI for 127I; etc . . . . Such compounds have use, for example, as analytical tools, as probes in biological assays, and/or as therapeutic or prophylactic agents for use in accordance with the present invention. In particular, an isotopic substitution of deuterium (2H) for hydrogen may slow down metabolism, shift metabolism to other sites on the compound, slow down racemization and/or have other effects on the pharmacokinetics of the compound that may be beneficial (e.g., therapeutically beneficial).
The terms “patient” and “subject” refer to any organism to which a compound described herein, or a designated form thereof, is administered in accordance with the present invention, e.g., for experimental or therapeutic purposes. Typical subjects include animals (e.g., mammals such as mice, rats, rabbits, non-human primates, and humans; domesticated animals, such as dogs and cats; and livestock or any other animal of agricultural or commercial value). In some embodiments, a subject is suffering from a disease (e.g., a proliferative disease, such as cancer) described herein.
A “pharmaceutical composition” or “pharmaceutically acceptable composition,” which we may also refer to as a “pharmaceutical formulation” or “pharmaceutically acceptable formulation,” is a composition/formulation in which an active agent (e.g., an active pharmaceutical ingredient (e.g., a compound, salt, or isotopic form thereof)) is formulated together with one or more pharmaceutically acceptable carriers. The active agent/ingredient can be present in a unit dose amount appropriate for administration in a therapeutic regimen that shows a statistically significant probability of achieving a predetermined therapeutic effect when administered to a relevant population. The pharmaceutical composition may be specially formulated for administration in solid or liquid form, including such forms made for oral or parenteral administration. For oral administration, the pharmaceutical composition can be formulated, for example, as an aqueous or non-aqueous solution or suspension or as a tablet or capsule. For systemic absorption through the mouth, the composition can be formulated for buccal administration, sublingual administration, or as a paste for application to the tongue. For parenteral administration, the composition can be formulated, for example, as a sterile solution or suspension for subcutaneous, intramuscular, intravenous, intra-arterial, intraperitoneal, intra-tumoral, or epidural injection. Pharmaceutical compositions comprising an active agent/ingredient (e.g., a compound described herein or a designated form thereof) can also be formulated as sustained-release formulations or as a cream, ointment, controlled-release patch, or spray for topical application. Creams, ointments, foams, gels, and pastes can also be applied to mucus membranes lining the nose, mouth, vagina, and rectum. Any of the compounds described herein and any pharmaceutical composition containing such a compound may also be referred to as a “medicament.”
The term “pharmaceutically acceptable,” when applied to a carrier used to formulate a composition disclosed herein (e.g., a pharmaceutical composition), means a carrier that is compatible with the other ingredients of the composition and not deleterious to a patient (e.g., it is non-toxic in the amount required and/or administered (e.g., in a unit dosage form)).
The term “pharmaceutically acceptable,” when applied to a salt or isotopic form of a compound described herein, refers to a salt or isotopic form that is, within the scope of sound medical judgment, suitable for use in contact with the tissues of humans (e.g., patients) and lower animals (including, but not limited to, mice and rats used in laboratory studies) without unacceptable toxicity, irritation, allergic response and the like, and that can be used in a manner commensurate with a reasonable benefit/risk ratio. Many pharmaceutically acceptable salts are well known in the art (see, e.g., Berge et al., J. Pharm. Sci. 66: 1-19, 1977). Pharmaceutically unacceptable salts or isotopic forms of the present compounds are also within the scope of the present invention and have utility in, for example, chemical processes and syntheses and in experiments performed in vitro. In pharmaceutically unacceptable compositions, a compound, salt, or isotopic form thereof may be present in an amount that is too concentrated or too dilute for administration to a patient.
A “therapeutic regimen” refers to a dosing regimen that, when administered across a relevant population, is correlated with a desired therapeutic outcome.
The term “treatment,” and linguistic variants thereof, such as “treat(s)” and “treating,” refer to any use of a pharmaceutical composition or administration of a therapy that partially or substantially completely alleviates, ameliorates, relives, inhibits, reduces the severity of, and/or reduces the incidence of one or more signs or symptoms of a particular disease (e.g., a proliferative disease such as cancer). The subject being treated (or who has been identified as a candidate for treatment (e.g., a “newly diagnosed” patient) may exhibit only early signs or symptoms of the disease or may exhibit one or more established or advanced signs or symptoms of the disease. “Treatment” is distinguished from “prophylaxis” (defined below). In that case, the subject will not exhibit signs and/or symptoms of the disease and/or may be known to have one or more susceptibility factors that are statistically correlated with increased risk of development of the relevant disease. However, once a patient exhibits signs or symptoms of a disease and has been treated, treatment may be continued to delay progression of the disease (e.g., in the event of a localized cancer, treatment may delay tumor progression (i.e., growth) or metastasis) or to delay or prevent recurrence (e.g., reappearance of a tumor).
BRIEF DESCRIPTION OF THE DRAWINGS
FIGs. 1 A and IB illustrate the ability of Compound A to potently inhibit proliferation of MCL cell lines in vitro. FIG. 1 A is a line graph plotting the growth rates of seven MCL cell lines (Mino, GRANTA-519, JEKO-1, JVM-2, Maver-1, Z-138, and REC-1). The X axis represents the concentration of Compound A applied to the cells (nM), and the Y axis represents normalized growth rate inhibition (GR). GR was normalized by calculating the ratio of the growth rate under compound-treated conditions and vehicle-treated control conditions (in order to account for variable growth rates between the cell lines). GR50 is the concentration of Compound A that inhibits growth rate by 50% (GR = 0.5). GRmax is the maximum depth of response. GEC50 (relative GR50) is the concentration at a point midway between the top and bottom asymptotes of the fitted curve. The activity of Compound A was assessed using the CellTiter-Glo assay. See Nature Methods 13:521-527, 2016.
FIG. 2 is a line graph illustrating the response of POLR2A in Mino cells treated with Compound A over 24 hours. Data points represent mean +/- SEM (n = 3), and the dashed horizontal line represents trough POLR2A fold change in PBMCs from patients dosed with 3 mg Compound A QD (once a day) at steady state (Papadopoulos et al., 32nd EORTC-NCI-AACR Symposium, Abstract No. 180, 2020).
FIGs. 3 A and 3B constitute a series of three graphs illustrating that Compound A shows synergistic antiproliferative activity with the BTK inhibitor acalabrutinib in the Mino-1 cell line in vitro. The graphs in FIG. 3 A plot normalized growth rate inhibition vs days treatment with acalabrutinib and the concentrations of Compound A indicated in the legend and show normalized growth rate inhibition vs days treatment with Compound A. FIG. 3B is an isobologram with data points representing drug combinations at sub-maximal concentrations of each single agent - acalabrutinib (14-370 nM), Compound A (2-56 nM).
FIGs. 4A-4H constitute a series of eight graphs illustrating that Compound A shows synergistic antiproliferative activity with the BTK inhibitors ibrutinib, acalabrutinib, zanubrutinib and pirtoburtinib in the Rec-1 cell line in vitro. The graphs in FIGs. 4A, 4C, 4E and 4G plot normalized growth rate inhibition vs days of treatment. FIGs. 4B, 4D, 4F and 4H demonstrate synergy between Compound A and the indicated BTK inhibitors.
FIG. 5 is a line graph plotting tumor volume (mm3) over time (days) in a mouse xenograft model using Mino-1 cells (mean +/- SEM). The mice were treated with a vehicle
control, acalabrutinib alone, Compound A alone, or a combination of acalabrutinib and Compound A (see the treatment regimen described in the Examples).
FIG. 6 is a photograph of a western blot showing expression of GAPDH (control), CCND1 (also known as cyclin DI), CCNE1 (also known as cyclin El), and E2F1 in Mino-1 cells 72 hours after treatment with Compound A and acalabrutinib in the amounts (nM) indicated in the figure. The result shown is representative of two independent experiments, and similar results were obtained after 24 hours and 48 hours of treatment.
FIG. 7 is a bar graph illustrating cell cycle analysis by flow cytometry at 72 hours after exposure to Compound A, acalabrutinib, or a combination thereof, in the amounts shown in the graph, using PIZEdu staining via manufacturer protocol.
DETAILED DESCRIPTION
In one aspect, the present invention features methods of treating a blood cancer (e.g., a lymphoma (e.g., MCL)) by administering, to a patient in need thereof, a therapeutically effective amount of (i) a BTK inhibitor, an isotopic form thereof, or a pharmaceutically acceptable salt of the BTK inhibitor or the isotopic form thereof and (ii) a therapeutically effective amount of a compound of structural Formula (I):
(I), an isotopic form thereof, or a pharmaceutically acceptable salt of the compound or the isotopic form thereof. Compounds of Formula (I) are described further herein, as are the BTK inhibitors, which can be selected from acalabrutinib, ibrutinib, pirtobrutinib, and zanubrutinib.
Compounds of Formula (I): In the compounds of Formula (I), R1 is methyl or ethyl; R2 is methyl or ethyl; R3 is 5-methylpiperidin-3-yl, 5,5-dimethylpiperidin-3-yl, 6-methylpiperdin-3-yl, or 6,6-dimethylpiperidin-3-yl, wherein one or more hydrogen atoms in R3 is optionally replaced by deuterium; and R4 is -CF3 or chloro. The compound of structural Formula (I) can be a compound
of structural Formula (la):
(la), an isotopic form thereof, or a pharmaceutically acceptable salt of the compound or the isotopic form thereof, wherein R3 is
The compound of structural
Formula (I) can also be
, or a pharmaceutically acceptable salt thereof. For additional guidance regarding compounds of Formula (I), one may consult US Patent No. 10,738,067, the content of which is hereby incorporated by reference herein, and Marineau et al., J. Med. Chem. 65: 1458-1480, 2022.
BIK Inhibitors: Second agents useful as described herein (e.g., in combination with a compound of Formula (I) or a designated form thereof) include BTK inhibitors and designated forms thereof (e.g., pharmaceutically acceptable salts thereof). These second agents include but are not limited to, acalabrutinib, M-2951 (evobrutinib), GDC-0853 (fenebrutinib), ibrutinib, ICP- 022 (orelabrutinib), LOXO-305 (pirtobrutinib), PRN1008 (rilzabrutinib), CC-292 (sprebrutinib), ONO-4095 (tirabrutinib), SAR442168 or PRN2246 (tolebrutinib), and zanubrutinib, an isotopic
form of any of the foregoing compounds, or a pharmaceutically acceptable salt of any of the foregoing compounds (e.g., a pharmaceutically acceptable salt of ibrutinib) or of an isotopic form thereof. In one embodiment of the present methods, uses, and kits, the BTK inhibitor is acalabrutinib, ibrutinib, or zanubrutinib (for a review article of these FDA-approved BTK inhibitors, see, e.g., Moore and Thompson, J. Adv. Pract. Oncol. 12(4):439-447, 2021).
In any embodiment of the invention, the second agent can be acalabrutinib. Acalabrutinib is commercially available as, for example, Calquence®, in 100 mg capsules for oral administration. For guidance on the administration of acalabrutinib, one can consult the product label, scientific literature, and US Patent Nos. 7,459,554; 9,290,504; 9,758,524; 9,796,721; 10,167,291; 10,239,883; and 10,272,083, the contents of which are hereby incorporated herein by reference in their entireties. In the present methods, uses, and kits, acalabrutinib can be used in combination with a compound of Formula (I) or a designated form thereof (e.g., Compound A or a pharmaceutically acceptable salt thereof) in the treatment of a blood cancer. In one embodiment, the blood cancer is CLL/SLL. In another embodiment, acalabrutinib can be used in combination with a compound of Formula (I) or a designated form thereof (e.g., Compound A or a pharmaceutically acceptable salt thereof) in the treatment of MCL (e.g., MCL in which patients have received at least one prior therapy for that disease). In any of these embodiments, acalabrutinib can be administered or used at the dose and/or according to the dosing regimen at which it is currently prescribed for the treatment of MCL or CLL/SLL. In other embodiments, the dose of acalabrutinib can be reduced relative to the currently prescribed dose (due to the benefits of its use in combination with a compound of Formula (I)).
Ibrutinib is commercially available as, for example, Imbruvica®, in 70 mg and 140 mg capsules for oral administration and in 140 mg, 280 mg, 420 mg, and 560 mg tablets for oral administration. Ibrutinib is a first-in-class BTK inhibitor prescribed for certain B cell malignancies and has been approved by the United States Food and Drug Administration (FDA) and the European Medicines Agency (EMA) (see, e.g., Yesid el al., Frontiers in Cell and Developmental Biology 9:630942, 2021). For guidance on the administration of ibrutinib, one can consult the product label, scientific literature, and US Patent Nos. 7,514,444; 8,008,309; 8,476,284; 8,497,277; 8,563,563; 8,697,711; 8,703,780; 8,735,403; 8,754,091; 8,952,015; 8,957,079; 8,999,999; 9,125,889; 9,181,257; 9,296,753; 9,540,382; 9,713,617; 9,725,455; 9,795,604; 9,801,881; 9,801,88; 9,814,721; 10,004,746; 10,106,435; 10,106,548; 10,125,140; 10,294,231; 10,294,232;
10,463,668; 10,478,439; 10,653,696; 10,695,350; 10,751,342; and 10,961,251, the contents of which are hereby incorporated herein by reference in their entireties. In the present methods, uses, and kits, ibrutinib can be used in combination with a compound of Formula (I) or a designated form thereof (e.g., Compound A or a pharmaceutically acceptable salt thereof) in the treatment of a blood cancer described herein. In one embodiment, the blood cancer is CLL/SLL or CLL/SLL with 17p deletion. In another embodiment, ibrutinib can be used in combination with a compound of Formula (I) or a designated form thereof (e.g., Compound A or a pharmaceutically acceptable salt thereof) in the treatment of MCL (e.g., MCL in which patients have received at least one prior therapy for that disease). In another embodiment, ibrutinib can be used in combination with a compound of Formula (I) or a designated form thereof (e.g., Compound A or a pharmaceutically acceptable salt thereof) in the treatment of Waldenstrom macroglobulineamia (WM). In another embodiment, ibrutinib can be used in combination with a compound of Formula (I) or a designated form thereof (e.g., Compound A or a pharmaceutically acceptable salt thereof) in the treatment of MZL (e.g., MZL in patients who require systemic therapy and have received at least one prior anti- CD20-based therapy). In another embodiment, ibrutinib can be used in combination with a compound of Formula (I) or a designated form thereof (e.g., Compound A or a pharmaceutically acceptable salt thereof) in the treatment of chronic graft-versus-host-disease (GVHD). In any of these embodiments, ibrutinib can be administered or used at the dose and/or according to the dosing regimen at which it is currently prescribed for the treatment of CLL/SLL, CLL/SLL with 17p deletion; WM; MCL; MZL; or chronic GVHD. In other embodiments, the dose of ibrutinib can be reduced relative to the currently prescribed dose (due to the benefits of its use in combination with a compound of Formula (I)).
Zanubrutinib is commercially available as, for example, Brukinsa®, in 80 mg capsules for oral administration. For guidance on the administration of zanubrutinib, one can consult the product label, scientific literature, and US Patent Nos. 9,447,106; 10,570,139; and 10,927,117, the contents of which are hereby incorporated herein by reference in their entireties. In the present methods, uses, and kits, zanubrutinib can be used in combination with a compound of Formula (I) or a designated form thereof (e.g., Compound A or a pharmaceutically acceptable salt thereof) in the treatment of a blood cancer described herein. In one embodiment, the blood cancer is MCL (e.g., MCL in patients who have received at least one prior therapy). In another embodiment, zanubrutinib can be used in combination with a compound of Formula (I) or a designated form
thereof (e.g., Compound A or a pharmaceutically acceptable salt thereof) in the treatment of CLL/SLL. In another embodiment, zanubrutinib can be used in combination with a compound of Formula (I) or a designated form thereof (e.g., Compound A or a pharmaceutically acceptable salt thereof) in the treatment of WM (including WM patients who have received at least one prior treatment for their disease). In any of these embodiments, zanubrutinib can be administered or used at the dose and/or according to the dosing regimen at which it is currently prescribed for the treatment of MCL, CLL/SLL, or WM. In other embodiments, the dose of zanubrutinib can be reduced relative to the currently prescribed dose (due to the benefits of its use in combination with a compound of Formula (I)).
ONO-4095 (also known as tirabrutinib) is a highly selective, orally available BTK inhibitor with a potency (IC50) of 2.2 nM (see Burger, Current Hematologic Malignancy Reports, 9(1):44- 49, 2014). Tirabrutinib is approved in Japan by the Pharmaceuticals and Medical Devices Agency (PMDA) for treatment of recurrent or refractory primary central nervous system lymphoma and also received supplemental approval for WM and lymphoplasmacytic lymphoma. The recommended dosage of tirabrutinib is 480 mg once daily on an empty stomach. In the present methods, uses, and kits, tirabrutinib can be used in combination with a compound of Formula (I) or a designated form thereof (e.g., Compound A or a pharmaceutically acceptable salt thereof) in the treatment of a blood cancer described herein. In one embodiment, the blood cancer is primary central nervous system lymphoma. In another embodiment, the blood cancer is WM. In another embodiment, the blood cancer is lymphoplasmacytic lymphoma. In any of these embodiments, tirabrutinib can be administered or used at the dose and/or according to the dosing regimen at which it is currently prescribed for the treatment of primary central nervous system lymphoma, WM, or lymphoplasmacytic lymphoma. In other embodiments, the dose of zanubrutinib can be reduced relative to the currently prescribed dose (due to the benefits of its use in combination with a compound of Formula (I)).
In the present methods, uses, and kits, M-2951 (evobrutinib), GDC-0853 (fenebrutinib), ICP-022 (orelabrutinib), PRN1008 (relzabrutinib, or SAR442168, PRN2246 (tolebrutinib) can be used in combination with a compound of Formula (I) or a designated form thereof (e.g., Compound A or a pharmaceutically acceptable salt thereof) in the treatment of a blood cancer described herein.
In the present methods, uses, and kits, CC-292 (sprebrutinib) can be used in combination
with a compound of Formula (I) or a designated form therefore (e.g., Compound A or a pharmaceutically acceptable salt thereof) in the treatment of a blood cancer described herein. Sprebrutinib is an orally administered, covalent, small-molecule inhibitor of BTK, part of the B cell and Fc receptor signaling pathways. In one clinical trial, sprebrutinib is given in combination with CC-122, CC-223, and rituximab to treat diffuse large B cell lymphoma (DLBCL) and follicular lymphoma. CC-122 is administered orally once daily at 2 mg or 3 mg in combination with CC-223 administered orally once daily at 20 mg or 30 mg with or without Rituximab administered by IV once every 28 days. In the present methods, sprebrutinib can be used in combination with a compound of Formula (I) or a designated form thereof (e.g., Compound A or a pharmaceutically acceptable salt thereof) in the treatment of DLBCL, with or without an additional (third) agent such as rituximab. In another embodiment requiring sprebrutinib, a compound of Formula (I) and, optionally, rituximab, the blood cancer is follicular lymphoma. In any of these embodiments, sprebrutinib can be administered or used at the dose and/or according to the dosing regimen at which it is currently administered in the context of the clinical trial. In other embodiments, the dose of sprebrutinib can be reduced relative to the dose(s) administered in the clinical trial (due to the benefits of its use in combination with a compound of Formula (I)).
In the present methods, uses, and kits, LOXO-305 (pirtobrutinib) can be used in combination with a compound of Formula (I) or a designated form therefore (e.g., Compound A or a pharmaceutically acceptable salt thereof) in the treatment of a blood cancer described herein. Pirtobrutinib is an investigational, oral, highly-selective non-covalent BTK inhibitor that is currently being administered to patients with CLL or CLL/SLL in the context of clinical trials. In one clinical trial, prebrutinib is given in doses ranging from 25 to 300 mg QD (more specifically, 25 mg, 50 mg, 100 mg, 150 mg, 200 mg, 250 mg, and 300 mg once per day). In the present methods, pirtobrutinib can be used in combination with a compound of Formula (I) or a designated form thereof (e.g., Compound A or a pharmaceutically acceptable salt thereof) in the treatment of CLL or CLL/SLL, with or without an additional (third) agent such as rituximab or venetoclax. In any of these embodiments, pirtobrutinib can be administered or used at a dose and/or according to the dosing regimen at which it is currently administered in the context of the clinical trial. In other embodiments, the dose of pirtobrutinib can be reduced relative to the dose(s) administered in the clinical trial (due to the benefits of its use in combination with a compound of Formula (I)).
Isotopic forms of Compounds: As described elsewhere herein, the present methods, uses, and kits can employ an isotopic form of a Compound of Formula (I) or a designated form thereof and/or an isotopic form of the second agent (/.<?., a BTK inhibitor or designated form thereof). Where a third agent is employed, that third agent may also be an isotopic form. As noted above in the context of the definition of “isotopic form,” compounds used in the present methods, uses, and is used to describe a compound (e.g., a compound of Formula (I) or a BTK inhibitor) that contains at least one isotopic substitution - the replacement of an isotope of an atom with another isotope of that atom. For example, the substitution can be of 2H (deuterium) or 3H (tritium) for 1H. Thus, we may use the terms ‘1H,” “H,” or “hydrogen atom” to refer to the naturally occurring form of hydrogen having a single proton in its nucleus. Other substitutions in isotopic forms include UC, 13C or 14C for 12C; 13N or 15N for 14N; 17O or 18O for 16O; 36C1 for 35C; 18F for 19F; 131I for 127I; etc . . . . Such compounds have use, for example, as analytical tools, as probes in biological assays, and/or as therapeutic or prophylactic agents for use in accordance with the present invention. In particular, an isotopic substitution of deuterium (2H) for hydrogen may slow down metabolism, shift metabolism to other sites on the compound, slow down racemization and/or have other effects on the pharmacokinetics of the compound that may be beneficial (e.g., therapeutically beneficial).
Pharmaceutically Acceptable Salts of Compounds of Formula (I) and BTK Inhibitors: Pharmaceutically acceptable salts of a compound described herein, or an isotopic form thereof, include those derived from suitable inorganic and organic acids and bases. The invention encompasses the combined use of the compounds described herein (/.<?., the combined use of a BTK inhibitor and a compound of Formula (I)), isotopic forms of these compounds, or pharmaceutically acceptable salts of the compounds or the isotopic forms of the compounds (e.g., a pharmaceutically acceptable salt of a compound of structural Formula (I), 1(a), or a species thereof, or a pharmaceutically acceptable salt of an isotopic form of a compound of Formula (I), 1(a), or a species thereof and/or a pharmaceutically acceptable salt of a BTK inhibitor or an isotopic form thereof). Examples of pharmaceutically acceptable, acid addition salts are salts of an amino group formed with inorganic acids such as hydrochloric acid, hydrobromic acid, phosphoric acid, sulfuric acid and perchloric acid or with organic acids such as acetic acid, oxalic acid, maleic acid, tartaric acid, citric acid, succinic acid or malonic acid or by using other methods known in the art, such as ion exchange. Other pharmaceutically acceptable salts include adipate, alginate, ascorbate,
aspartate, benzenesulfonate, benzoate, besylate, bisulfate, borate, butyrate, camphorate, camphorsulfonate, citrate, cyclopentane-propionate, digluconate, dodecyl sulfate, ethanesulfonate, formate, fumarate, glucoheptonate, glycerophosphate, gluconate, hemi sulfate, heptanoate, hexanoate, hydroiodide, 2-hydroxy-ethanesulfonate, lactobionate, lactate, laurate, lauryl sulfate, malate, maleate, malonate, methanesulfonate, 2-naphthalenesulfonate, nicotinate, nitrate, oleate, oxalate, palmitate, pamoate, pectinate, persulfate, 3 -phenylpropionate, phosphate, pivalate, propionate, stearate, succinate, sulfate, tartrate, thiocyanate, p-toluenesulfonate, undecanoate, and valerate salts.
The salt of any compound described herein can also be derived from appropriate bases including alkali metal, alkaline earth metal, ammonium and N+(Ci-4alkyl)4 salts. Representative alkali or alkaline earth metal salts include sodium, lithium, potassium, calcium, and magnesium. Other pharmaceutically acceptable salts include, when appropriate, ammonium, quaternary ammonium, and amine cations formed using counterions such as halide, hydroxide, carboxylate, sulfate, phosphate, nitrate, lower alkyl sulfonate and aryl sulfonate.
Pharmaceutical Compositions'. Pharmaceutical compositions useful in the present methods and uses, and which may be included in a kit as described herein, can be prepared by relevant methods known in the art of pharmacology. In general, such preparatory methods include the steps of bringing a compound described herein, including compounds of Formula (I), (la), a species thereof, or a pharmaceutically acceptable salt or isotopic form thereof into association with a carrier and/or one or more other active ingredients (e.g., one or more of the second agents described herein) and/or accessory ingredients, and then, if necessary and/or desirable, shaping and/or packaging the product into a desired single-dose or multi-dose unit (e.g., for oral dosing). The accessory ingredient may improve the bioavailability of a compound of Formula (I), (la), a species thereof, or a designated form thereof, may reduce and/or modify its metabolism, may inhibit its excretion, and/or may modify its distribution within the body (e.g., by targeting a diseased tissue (e.g., a tumor). The pharmaceutical compositions can be packaged in various ways, including in bulk containers and as single unit doses (containing, e.g., discrete, predetermined amounts of the active agent) or a plurality thereof, and any such packaged or divided dosage forms are within the scope of the present invention. The amount of the active ingredient can be equal to the amount constituting a unit dosage or a convenient fraction of a dosage such as, for example, one-half or one-third of a dose.
Pharmaceutical compositions containing acalabrutinib, ibrutinib, or zanubrutinib are commercially available and such products can be employed as described herein.
Relative amounts of the active agent/ingredient, the pharmaceutically acceptable carrier(s), and/or any additional ingredients in a pharmaceutical composition of the invention can vary, depending upon the identity, size, and/or condition of the subject treated and further depending upon the route by which the composition is to be administered and the disease to be treated. By way of example, the composition may comprise between about 0.1% and 99.9% (w/w or w/v) of an active agent/ingredient.
Pharmaceutically acceptable carriers useful in the manufacture of the pharmaceutical compositions described herein are well known in the art of pharmaceutical formulation and include inert diluents, dispersing and/or granulating agents, surface active agents and/or emulsifiers, disintegrating agents, binding agents, preservatives, buffering agents, lubricating agents, and/or oils. Pharmaceutically acceptable carriers useful in the manufacture of the pharmaceutical compositions described herein include, but are not limited to, ion exchangers, alumina, aluminum stearate, lecithin, serum proteins, such as human serum albumin, buffer substances such as phosphates, glycine, sorbic acid, potassium sorbate, partial glyceride mixtures of saturated vegetable fatty acids, water, salts or electrolytes, such as protamine sulfate, disodium hydrogen phosphate, potassium hydrogen phosphate, sodium chloride, zinc salts, colloidal silica, magnesium trisilicate, polyvinyl pyrrolidone, cellulose-based substances, polyethylene glycol, sodium carboxymethylcellulose, polyacrylates, waxes, polyethylene-polyoxypropylene-block polymers, polyethylene glycol and wool fat.
A pharmaceutical composition containing a therapeutically effective amount of a compound described herein may be administered orally in the methods described herein. Such orally acceptable dosage forms may be solid (e.g., a capsule, tablet, sachet, powder, granule, and orally dispersible film) or liquid (e.g., an ampoule, semi-solid, syrup, suspension, or solution (e.g., aqueous suspensions or dispersions and solutions). In the case of tablets, carriers commonly used include lactose and corn starch. Lubricating agents, such as magnesium stearate, can also be included. In the case of capsules, useful diluents include lactose and dried cornstarch. When aqueous suspensions are formulated, the active agent/ingredient can be combined with emulsifying and suspending agents. In any oral formulation, sweetening, flavoring or coloring agents may also be added. In any of the various embodiments described herein, an oral formulation can be
formulated for immediate release or sustained/delayed release and may be coated or uncoated. A provided composition can also be in a micro-encapsulated form.
As noted, pharmaceutical compositions containing acalabrutinib, ibrutinib, or zanubrutinib are commercially available and such products can be employed as described herein. For example, in the present methods and for the uses described herein, acalabrutinib is available as 100 mg capsules; ibrutinib is available as 70 mg and 140 mg capsules and as 140 mg, 280 mg, 420 mg, and 560 mg tablets; and zanubrutinib is available as 80 mg capsules. These pharmaceutical compositions may be administered in the methods described herein and used accordingly.
Compositions suitable for buccal or sublingual administration include tablets, lozenges and pastilles. Formulations can also be prepared for subcutaneous, intravenous, intramuscular, intraocular, intravitreal, intra-articular, intra-synovial, intrastemal, intrathecal, intrahepatic, intraperitoneal intralesional and by intracranial injection or infusion techniques. Preferably, the compositions are administered orally, subcutaneously, intraperitoneally or intravenously. Sterile injectable forms of the compositions of this invention may be aqueous or oleaginous suspension. These suspensions may be formulated according to techniques known in the art using suitable dispersing or wetting agents and suspending agents. The sterile injectable preparation may also be a sterile injectable solution or suspension in a non-toxic parenterally acceptable diluent or solvent, for example as a solution in 1,3 -butanediol. Among the acceptable vehicles and solvents that may be employed are water, Ringer’s solution and isotonic sodium chloride solution. In addition, sterile, fixed oils are conventionally employed as a solvent or suspending medium.
Although the descriptions of pharmaceutical compositions provided herein are principally directed to pharmaceutical compositions which are suitable for administration to humans, it will be understood by one of ordinary skill in the art that such compositions are generally suitable for administration to animals of all sorts. Modification of pharmaceutical compositions suitable for administration to humans in order to render the compositions suitable for administration to various animals is well understood, and the ordinarily skilled veterinary pharmacologist can design and/or perform such modification.
Compounds described herein are typically formulated in dosage unit form, e.g., single unit dosage form, for ease of administration and uniformity of dosage. The specific therapeutically effective dose level for any particular subject or organism will depend upon a variety of factors including the disease being treated and the severity of the disorder; the activity of the specific
active ingredient employed; the specific composition employed; the age, body weight, general health, sex and diet of the subject; the time of administration, route of administration, and rate of excretion of the specific active ingredient employed; the duration of the treatment; drugs used in combination or coincidental with the specific active ingredient employed; and like factors well known in the medical arts.
The exact amount of a compound required to achieve an effective amount can vary from subject to subject, depending, for example, on species, age, and general condition of a subject, severity of the side effects, disease to be treated, identity of the particular compound(s) to be administered, mode of administration, and the like. The desired dosage can be delivered three times a day, two times a day, once a day, every other day, every third day, every week, every two weeks, every three weeks, or every four weeks. In certain embodiments, the desired dosage can be delivered using multiple administrations (e.g., two, three, four, five, six, seven, eight, nine, ten, eleven, twelve, thirteen, fourteen, or more administrations).
In certain embodiments, an effective amount of a compound (i.e., a compound of Formula (I) and/or a BTK inhibitor) for administration one or more times a day (e.g., once) to a 70 kg adult human may comprise about 1-100 mg, about 1-50 mg, about 1-35 mg (e.g., about 1-5, 1-10, 1-15, 1-20, 1-25, or 1-30 mg), about 2-20 mg, about 3-15 mg or about 10-30 mg (e.g., 10-20 or 10-25 mg). Here, and wherever ranges are referenced, the end points are included. The dosages provided in this disclosure can be scaled for patients of differing weights or body surface and may be expressed per m2 of the patient’s body surface.
In certain embodiments, pharmaceutical compositions may be administered once per day. The dosage of a compound of Formula (I) or a subgenus or species thereof or a designated form thereof (e.g., a pharmaceutically acceptable salt thereof) can be about 1-100 mg, about 1-50 mg, about 1-25 mg, about 2-20 mg, about 5-15 mg, about 10-15 mg, or about 13-14 mg. The dosage of a BTK inhibitor can be about 10-1000 mg.
In certain embodiments, a composition of the invention may be administered twice per day. In some embodiments, the dosage of a compound of Formula (I) or a subgenus or species thereof for each administration is about 0.5 mg to about 50 mg, about 0.5 mg to about 25 mg, about 0.5 mg to about 1 mg, about 1 mg to about 10 mg, about 1 mg to about 5 mg, about 3 mg to about 5 mg, or about 4 mg to about 5 mg.
Dose ranges as described herein provide guidance for the administration of provided pharmaceutical compositions to an adult. The amount to be administered to, for example, a child or an adolescent can be determined by one of ordinary skill in the art and can be lower or the same as that administered to an adult.
A compound or other composition described herein (e.g., a pharmaceutical composition) can be administered in a combination therapy (e.g., as defined and further described herein). The additional/ second agent employed in a combiation therapy (and, where present, the third agent) is most likely to achieve a desired effect for the same disorder (e.g., the same cancer), however it may achieve different effects that aid the patient. Accordingly, the invention features methods that employ pharmaceutical compositions containing a compound of Formula (I), (la), a species thereof, or a designated form thereof (e.g., a pharmaceutically acceptable salt), in a therapeutically effective amount; one or more additional agents, including any of the additional/second agents described herein (e.g, a BTK inhibitor or a designated form thereof); and a pharmaceutically acceptable carrier.
The methods and uses described herein can be administered or employed together with radiation therapy, bone marrow transplant, or other treatments for blood cancer (e.g, CAR-T cell therapy)). Third agents useful in combination with the BTK inhibitor and a compound of Formula (I), as described herein, are brentuximab vedotin (Adcetris®), copanlisib hydrochloride (Aliqopa®), nelarabine (Arranon®), bendamustine hydrochloride, bortezomib, dexamethasone, doxorubicin hydrochloride, lenalinomide, methotrexate sodium, obinutuzumab, pembrolizumab, prednisone, rituximab, bortezomib, venetoclax (Venclexta®), vinblastine sulfate, and vincristine sulfate. Alternatively, the methods and uses of the combination of a BTK inhibitor and a compound of Formula (I) as described herein, may be carried out when a patient has relapsed or become refractory to a prior treatment, including treatment with brentuximab vedotin (Adcetris®), copanlisib hydrochloride (Aliqopa®), nelarabine (Arranon®), bendamustine hydrochloride, bortezomib, dexamethasone, doxorubicin hydrochloride, lenalinomide, methotrexate sodium, obinutuzumab, pembrolizumab, prednisone, rituximab, bortezomib, venetoclax (Venclexta®), vinblastine sulfate, or vincristine sulfate.
Patients Amenable to Treatment/Uses of the Compounds Described Herein '. In certain embodiments, a patient treated by the methods described herein (and the corresponding uses of the compounds) can have a blood cancer, which we may also refer to as a hematopoietic or
hematological cancer or malignancy. More specifically, the blood cancer can be a leukemia such as acute lymphocytic (or lymphoblastic) leukemia (ALL; e.g., a B cell ALL or T cell ALL), acute myelocytic (or myeloid or myelogenous) leukemia (AML; e.g., a B cell AML or T cell AML), chronic myelocytic (or myeloid or myelogenous) leukemia (CML; e.g., a B cell CML or T cell CML), chronic lymphocytic leukemia (CLL; e.g., a B cell CLL (e.g., hairy cell leukemia (HCL)) or T cell CLL), chronic neutrophilic leukemia (CNL), or chronic myelomonocytic leukemia (CMML). The leukemia can be B cell prolymphocytic leukemia (B-PLL), which can occur as a transformation or evolution of a more slow-growing B cell cancer, such as CLL. In other embodiments, the blood cancer can be a lymphoma, and the lymphoma can be Hodgkin’s lymphoma (HL; e.g., a B cell HL or T cell HL) or a non-Hodgkin lymphoma (NHL, which can be deemed aggressive; e.g., B cell NHL or T cell NHL). The HL can be lymphocyte-depleted Hodgkin’s disease, lymphocyte-rich Hodgkin’s disease, mixed cellularity Hodgkin’s lymphoma, nodular lymphocyte-predominant Hodgkin’s disease, or nodular sclerosis Hodgkin’s lymphoma. The B cell lymphoma can be follicular lymphoma (FL; a NHL), chronic lymphocytic leukemia/small lymphocytic (lymphatic) lymphoma (CLL/SLL; similar if not identical cancers except that the majority of cancer cells in CLL are found in the blood and bone marrow whereas, in SLL, the cancer cells are found mostly in the lymph nodes), CLL/SLL with 17p deletion, mantle cell lymphoma (MCL; a NHL), a marginal zone lymphoma (MZL), such as a B cell lymphoma (e.g., splenic marginal zone B cell lymphoma), primary mediastinal B cell lymphoma (a NHL; e.g., splenic marginal zone B cell lymphoma), Burkitt lymphoma (BL; a NHL), lymphoplasmacytic lymphoma (LPL, or Waldenstrom’s macroglobulinemia, which is a subtype of LPL), immunoblastic large cell lymphoma, precursor B lymphoblastic lymphoma, or primary central nervous system (CNS) lymphoma. The B cell NHL can be diffuse large cell lymphoma (DLCL; e.g., diffuse large B cell lymphoma (DLBCL; e.g., germinal center B cell-like (GCB) DLBCL or activated B-cell like (ABC) DLBCL)), and the T cell NHL can be precursor T lymphoblastic lymphoma or a peripheral T cell lymphoma (PTCL). In turn, the PTCL can be a cutaneous T cell lymphoma (CTCL) such as mycosis fungoides or Sezary syndrome, angioimmunoblastic T cell lymphoma, extranodal natural killer T cell lymphoma, enteropathy type T cell lymphoma, subcutaneous anniculitis-like T cell lymphoma, or anaplastic large cell lymphoma. While the invention is not limited to treating or preventing blood cancers having any particular cause or presentation, stem cells within the bone marrow may proliferate, thereby becoming a dominant cell
type within the bone marrow and a target for a compound or combination of compounds described herein. Leukemic cells can accumulate in the blood and infiltrate organs such as the lymph nodes, spleen, liver, and kidney.
Any one of the blood cancers described herein that are amenable to treatment as described herein may be in patients who are either newly diagnosed (i.e., who have not received at least one prior therapy for treatment of their cancer) or within a patient who has relapsed from, or who is refractory to, one or more prior treatments. For example, a compound of Formula (I) or a designated form thereof and a BTK inhibitor or a designated form thereof (including any of those specific compounds and forms described herein) can be used or administered to treat a patient who has become refractory or resistant to treatment with a CDK4/6 inhibitor when used alone or in combination with one or more of an aromatase inhibitor, a selective estrogen receptor modulator or a selective estrogen receptor degrader. In other embodiments, the patient has relapsed from treatment with venetoclax or is resistant to treatment with venetoclax. Other agents previously administered to a patient are listed above.
A blood cancer amenable to treatment as described herein may be further described according to its stage (under, for example, a numbered staging system (typically ranging from stage 0 to stage 4 or 5) or the TNM staging system) or grade. As is known in the art, cancers are graded depending on the appearance of cancerous cells under a microscope and their rate of growth. For example, in a typical system, cancer cells that resemble non-cancerous cells of the same type are grade 1/low grade; cancer cells that appear somewhat abnormal are grade 2/intermediate grade; cancer cells that appear highly abnormal are grade 3/high grade; and cancer cells that are the most abnormal and undifferentiated are grade 4. The present methods and uses are applicable to a blood cancer of any of the aforementioned stages or grades.
As noted, the therapeutic methods and uses described herein include a step of administering (or the use of) one or more additional therapeutically active agents (i.e., a “second” compound that is distinct from a compound of Formula (I), (la), a species thereof, or a pharmaceutically acceptable salt or isotopic form thereof). We may refer to such methods and uses as “combination therapies,” and we reiterate that any compound of Formula (I) or any designated form thereof can be the “first” therapeutically active agent administered or in use in a combination therapy; the designations “first” and “second” provide a convenient way to refer to two distinct agents without limiting the order or manner in which the first and second agents are administered. Thus, a patient
may receive one or more of the second agents described herein prior to receiving a compound of Formula (I) or a designated form thereof.
In another aspect of the invention, pharmaceutical compositions that are formulated to deliver a compound of Formula (I) or a designated form thereof and pharmaceutical compositions that are formulated to deliver a BTK inhibitor (e.g., acalabrutinib and/or any other BTK inhibitor known and/or described herein) or a designated form thereof are provided as a kit in suitable packaging, accompanied by instructional material (e.g, written material printed on a surface of the kit or contained within it) for use in treating a blood cancer described herein (e.g, a lymphoma, such as a B cell lymphoma (e.g., MCL)) in a patient. Some or all of the instructional material may also be provided virtually on a website. The kits may include instructional material that refers to relevant scientific literature, constitutes a conventional package insert, describes clinical trial results and/or summaries of those studies and the like, which indicate or establish the activities and/or advantages of the pharmaceutical compositions. The instructional material may also describe dosing, administration, side effects, drug interactions, or other information useful to the health care provider. Such information may be based on the results of various studies, for example, studies using experimental animals involving in vivo models and studies based on human clinical trials.
Suitable packaging and additional articles for use (e.g., a cup for holding liquid, foil wrapping to minimize exposure to air, and the like) are known in the art and may be included in the kit. Kits described herein can be provided, marketed and/or promoted to health providers, including physicians, nurses, pharmacists, formulary officials, and the like. Kits may also, in selected embodiments, be marketed directly to the consumer.
The compounds of Formula (I), or a designated form thereof, and the BTK inhibitors, or a designated form thereof, can be provided as separate compositions in separate vessels within the kit. In some embodiments, the invention provides a kit comprising (1) a composition (e.g., a pharmaceutical composition) comprising a therapeutically effective amount of a compound of Formula (I) or a designated form thereof; and (2) a composition (e.g, a pharmaceutical composition) comprising a therapeutically effective amount of a BTK inhibitor or a designated form thereof. The kit is for co-administration of the respective pharmaceutical compositions, either simultaneously or separately (e.g., at different times and/or by distinct routes of administration).
In case of any doubt, the compound of Formula (I) can be a compound of Formula (la) or a species thereof, and the BTK inhibitor can be acalabrutinib, M-2951 (evobmtinib), GDC-0853 (fenebrutinib), ibrutimb, ICP-022 (orelabrutinib), LOXO-305 (pirtobrutinib), PRN1008 (rilzabrutinib), CC-292 (sprebrutinib), ONO-4095 (tirabrutinib), SAR442168 or PRN2246 (tolebmtimb), or zanubrutinib, an isotopic form of any of the foregoing compounds, or a pharmaceutically acceptable salt of any of the foregoing compounds (e.g., a pharmaceutically acceptable salt of Compound A and/or ibrutinib) or of an isotopic form thereof.
In various embodiments, a kit comprises a first vessel, a second vessel and informational material (e.g., a package insert). The first vessel comprises at least one dose of a pharmaceutical composition (or medicament) formulated for administration of a compound of Formula (I) or a designated form thereof, and the second vessel comprises at least one dose of a pharmaceutical composition (or medicament) comprising a BTK inhibitor. The package insert, or label, comprises instructions for treating a patient who has a blood cancer (including any of those described herein) using the medicaments. The first and second vessels may have the same or different shapes (e.g, bottles or vials with differently colored lids or markings) and/or material (e.g., plastic or glass). The kit may further include a third pharmaceutical composition and/or materials that may be useful in administering the medicaments (e.g., diluents, filters, IV bags, tubing, needles, or syringes) or providing aid to the patient (e.g, a lozenge or anti-emetic).
In some embodiments, a kit comprises an oral delivery system for a compound of Formula (I) or a designated form thereof The oral deliver}' system may include one or more unit doses in, for example, a blister pack to facilitate administration of the pharmaceutical compositions according to a specified dosing regimen. In some embodiments, a kit comprises about, less than about, or more than about 1, 2, 3, 4, 5, 6, 7, 8, 9, 10, I I, 12, 13, 14, 15, 16, 17, 18, 19, 20, 30, 31, 60, 90, 120, 150, 180, 210, or more unit doses. Instructions for use can comprise dosing instructions, such as instructions to take 1, 2, 3, 4, 5, 6, 7, 8, 9, 10, or more unit doses 1, 2, 3, 4, or more times per day. For example, a kit may comprise a unit dose supplied as a tablet, with each tablet packaged separately, multiples of tablets packaged separately according to the number of unit doses per administration (e.g, pairs of tablets), or ah tablets packaged together (e.g. in a bottle).
In some embodiments, the kit includes a multi-day supply of unit dosages. The unit dosages can be any unit dosage described herein or known in the art for the compound in
question (e.g., a compound of Formula (I)). The instructional materials can direct the administration of the multi-day supply of unit dosages over a period of multiple days. The multiday supply can be a one-month supply, a 30-day supply, or a multi-week supply. The multi-day supply can be a 90-day, 180-day, 3-month or 6-month supply. The kit can include packaged daily unit dosages, such as packages of L 2, 3, 4, or 5 unit dosages. The kit can be packaged with dietary supplements, vitamins, meal replacement bars, mixes, beverages, and the like.
EXAMPLES
A Compound of Formula (I) Potentiates BTK Inhibitor Activity in Mantle Cell Lymphoma in Preclinical Models'. CDK7 is a key regulator of transcription and cell cycle progression and has been implicated in multiple tumor types driven by aberrant transcriptional (e.g., MFC-, ESR 7-activation) and/or aberrant cell cycle control (e.g., loss of RB pathway checkpoint function) mechanisms. The compound
(Compound A) is a potent and selective CDK7 inhibitor currently in development in patients with solid tumors (NCT04247126). To assess the potential for development in hematological malignancies, we evaluated the activity of Compound A in preclinical models of mantle cell lymphoma (MCL). MCL is an aggressive B cell lymphoma characterized by the t(l 1 ; 14)(ql 3 :q32) translocation that leads to constitutive overexpression of CCND1 and suppression of RB checkpoint function. It is driven by genetic alterations in RB pathway genes (e.g. CCND1, RBI, CDKN2A) and hyperactivation of B-cell receptor (BCR) signaling through BTK, leading to activation of NF-kB- dependent transcriptional programs that drive cell proliferation and survival. Our results support evaluation of Compound A in MCL patients in combination with Bruton’s Tyrosine Kinase (BTK) inhibitors, inhibitors of BCR signal transduction approved for treatment of MCL.
We assessed in vitro antiproliferative activity of Compound A in a panel of seven (7) MCL cell lines by evaluating growth rate inhibition (GR) curve metrics GR50 (drug concentration at which growth rate is inhibited by 50%) and GRmax (maximum depth of
response) after 5-days of treatment. Compound A potently inhibited proliferation in these cell lines, as shown in FIGs. 1 A and IB. More specifically, Compound A, as a single agent, potently inhibited proliferation of all seven MCL cell lines tested with a GR50 geometric-mean of 5.3 nM (range: 1.4 to 16 nM) and a GRmax mean of -0.2 (range: -0.65 to 0.15).
In further work with the Mino-1 cell line, we found that Compound A inhibited proliferation at concentrations that also induce POLR2A to levels observed in PBMCs (peripheral blood mononuclear cells) from cancer patients treated with Compound A. The induction of POLR2A, which serves as a surrogate for CDK7 occupancy, was induced in a dose-dependent manner. See FIG. 2.
Pharmacodynamic (PD) responses and combination activity with the BTK inhibitor acalabrutinib were also assessed in the MCL cell line Mino-1. Combination activity in vitro was assessed by comparing GR curve metrics between acalabrutinib, Compound A, and acalabrutinib in combination with Compound A (at 2 nM, 6 nM, and 18 nM). In combination with acalabrutinib, Compound A demonstrated synergistic antiproliferative activity in Mino-1 cells in vitro, a dose-dependent decrease in acalabrutinib GR50 (up to ~2-fold at the highest concentration tested, 5nM), and a dose-dependent increase in GRmax (up to ~10-fold). See FIGs. 3 A and 3B.
The dose and schedule (0.5 mg/kg, BID, administered for 7 days and then withheld for days (i.e., 7-days-on-7-days-off) used for the study depicted in FIGs 4A-4H is well below 12 mg/kg QD, which was the dose that was determined to be the NTD (non-tolerated dose) in a colorectal cancer xenograft study. Furthermore, the concentrations used in these studies translate to doses used in the clinical trial as evidenced by observing a similar pharmacodynamic response in these studies as is observed in the clinic. The dashed horizontal line in FIGs. 4A-4H represents clinical pharmacodynamic response (trough POLR2A fold change) in PBMCs from patients dosed with 3 mg Compound A QD at steady state. Clinical trials are continuing to dose escalate, so the human maximum tolerated dose has not yet been reached.
We also found that Compound A potentiated acalabrutinib ’s antitumor activity in a murine xenograft model generated using Mino-1 cells. Mice were treated according to the following regimen (n = 5 mice/group):
All regimens were well tolerated with no body weight loss observed at the end of treatment (day 25). See FIG. 5 for the treatment effects on tumor volume (p < 0.01).
Expression of CCND1, CCNE1 and E2F1, a key transcriptional regulator of DNA replication commitment and progression, were assayed via western blot. The combination of the CDK7 inhibitor Compound A and acalabrutinib caused dose-dependent decreases in CCND1 and E2F1 protein expression in vitro, which were not observed with either single agent alone. Thus, the combination of Compound A and acalabrutinib decreased expression of key regulators of RB checkpoint function and cell cycle progression in Mino-1 cells. See FIG. 6.
We also found that the combination of Compound A and acalabrutinib increased the fraction/proportion of Mino-1 cells with sub-Gl DNA content, which is indicative of dying cells. FIG. 7 shows the distribution of cells in various phases of the cell cycle 72 hours after exposure to the amounts of Compound A and acalabrutinib shown. Compound A (10 nM) induced G1 arrest. Acalabrutinib (at 20 nM) did not induce any cell cycle change within the 72 hour period tested. In combination, Compound A and acalabrutinib induced an increase in the percentage of cells with sub-Gl DNA content (a marker of cell death).
Taken together, our results to date indicate that Compound A is a potent and selective CDK7 inhibitor that demonstrates antiproliferative activity in MCL cells in vitro, associated with PD changes comparable to those observed in patients enrolled in the solid tumor trial (Papadopoulos et al., 32nd EORTC-NCI-AACR Symposium, Abstract No. 180, 2020) of the same compound. The combination of Compound A and acalabrutinib is synergistic in MCL cells in vitro and inhibits expression of key cell cycle regulatory proteins (CCND1, CCNE1, and E2F1) at concentrations that are preclinically subtherapeutic for either single agent alone. The combination of the CDK7 inhibitor Compound A and acalabrutinib is also significantly more effective at inhibiting MCL xenograft growth in vivo than either single agent.
Claims
1. A method of treating a lymphoma by administering, to a patient in need thereof, a therapeutically effective amount of (i) a BTK inhibitor, an isotopic form thereof, or a pharmaceutically acceptable salt of the BTK inhibitor or the isotopic form thereof and (ii) a therapeutically effective amount of a compound of structural Formula (I):
(I), an isotopic form thereof, or a pharmaceutically acceptable salt of the compound or the isotopic form thereof, wherein R1 is methyl or ethyl; R2 is methyl or ethyl; R3 is 5-methylpiperidin-3-yl, 5,5-dimethylpiperidin-3-yl, 6-methylpiperdin-3-yl, or 6,6- dimethylpiperi din-3 -yl, wherein one or more hydrogen atoms in R3 is optionally replaced by deuterium; and R4 is -CF3 or chloro.
2 The method of claim 1, wherein the compound of structural Formula (I) is a compound of structural Formula (la):
4 The method of any one of claims 1-3, wherein the lymphoma is a B cell lymphoma.
5 The method of claim 4, wherein the B cell lymphoma is mantle cell lymphoma.
6 The method of any one of claims 1-3, wherein the BTK inhibitor is acalabrutinib.
7 The method of any one of claims 1-3, wherein the BTK inhibitor is ibrutinib.
8 The method of any one of claims 1-3, wherein the BTK inhibitor is zanubrutinib.
9 The method of any one of claims 1-3, wherein the BTK inhibitor is pirtobrutinib.
10 The method of any one of claims 1-3, wherein the lymphoma is newly diagnosed.
11 The method of any one of claims 1-3, wherein the lymphoma is relapsed or refractory.
12. The method of any one of claims 1-3, wherein the BTK inhibitor, the isotopic form thereof, or the pharmaceutically acceptable salt of the BTK inhibitor or the isotopic form thereof constitute a first therapeutic agent; the compound of structural Formula (I), the isotopic form thereof, or the pharmaceutically acceptable salt of the compound or the isotopic form thereof constitute a second agent; and the method further comprises the administration of a third pharmaceutical agent.
13. The method of claim 12, wherein the third pharmaceutical compound is brentuximab vedotin (Adcetris®), copanlisib hydrochloride (Aliqopa®), nelarabine (Arranon®), bendamustine hydrochloride, bortezomib, dexamethasone, doxorubicin hydrochloride, lenalinomide, methotrexate sodium, obinutuzumab, pembrolizumab, prednisone, rituximab, bortezomib, venetoclax (Venclexta®), vinblastine sulfate, or vincristine sulfate.
14. The method of any one of claims 1-3 wherein the BTK inhibitor and the compound of Formula (I) are administered sequentially, by the same or different routes of administration.
15. A kit comprising a pharmaceutical composition that is formulated to deliver a compound of Formula (I) or a designated form thereof; a pharmaceutical composition that is formulated to deliver a BTK inhibitor or a designated form thereof, and instructional material.
Applications Claiming Priority (4)
| Application Number | Priority Date | Filing Date | Title |
|---|---|---|---|
| US202163228913P | 2021-08-03 | 2021-08-03 | |
| US63/228,913 | 2021-08-03 | ||
| US202163279422P | 2021-11-15 | 2021-11-15 | |
| US63/279,422 | 2021-11-15 |
Publications (1)
| Publication Number | Publication Date |
|---|---|
| WO2023014817A1 true WO2023014817A1 (en) | 2023-02-09 |
Family
ID=83049724
Family Applications (1)
| Application Number | Title | Priority Date | Filing Date |
|---|---|---|---|
| PCT/US2022/039313 Ceased WO2023014817A1 (en) | 2021-08-03 | 2022-08-03 | Compositions and methods for treating lymphomas with a cdk7 inhibitor in combination with a btk inhibitor |
Country Status (1)
| Country | Link |
|---|---|
| WO (1) | WO2023014817A1 (en) |
Citations (14)
| Publication number | Priority date | Publication date | Assignee | Title |
|---|---|---|---|---|
| US980188A (en) | 1907-03-21 | 1911-01-03 | Albert Blauvelt | Detector-meter. |
| US7459554B2 (en) | 2003-10-15 | 2008-12-02 | Osi Pharmaceuticals, Inc. | Imidazopyrazine tyrosine kinase inhibitors |
| US7514444B2 (en) | 2006-09-22 | 2009-04-07 | Pharmacyclics, Inc. | Inhibitors of bruton's tyrosine kinase |
| US8999999B2 (en) | 2010-06-03 | 2015-04-07 | Pharmacyclics, Inc. | Use of inhibitors of Bruton's tyrosine kinase (Btk) |
| US9290504B2 (en) | 2011-07-19 | 2016-03-22 | Merck Sharp & Dohme B.V. | 4-imidazopyridazin-1-yl-benzamides and 4-imidazotriazin-1-yl-benzamides as Btk inhibitors |
| US9296753B2 (en) | 2012-06-04 | 2016-03-29 | Pharmacyclics Llc | Crystalline forms of a Bruton's tyrosine kinase inhibitor |
| US9447106B2 (en) | 2013-04-25 | 2016-09-20 | Beigene, Ltd. | Substituted pyrazolo[1,5-a]pyrimidines as bruton's tyrosine kinase modulators |
| US20170095471A1 (en) * | 2014-01-21 | 2017-04-06 | Acerta Pharma B.V. | Methods of Treating Chronic Lymphocytic Leukemia and Small Lymphocytic Leukemia Using a BTK Inhibitor |
| US9795604B2 (en) | 2013-10-25 | 2017-10-24 | Pharmacyclics Llc | Methods of treating and preventing graft versus host disease |
| US9796721B2 (en) | 2015-07-02 | 2017-10-24 | Acerta Pharma B.V. | Crystal forms of (S)-4-(8-amino-3-(1-(but-2-ynoyl)pyrrolidin-2-yl)imidazo[1,5-a]pyrazin-1-yl)-N-(pyridin-2-yl)benzamide |
| US10106435B2 (en) | 2013-03-11 | 2018-10-23 | Yiu Chau Chau | Fluid treatment apparatus including granular treatment medium |
| WO2020055698A1 (en) * | 2018-09-12 | 2020-03-19 | Denovo Biopharma Llc | Combination of enzastaurin and inhibitors of btk and uses thereof |
| WO2020093006A1 (en) * | 2018-11-01 | 2020-05-07 | Syros Pharmaceuticals, Inc. | Methods of treating cancer in biomarker-identified patients with non-covalent inhibitors of cyclin-dependent kinase 7 (cdk7) |
| US10927117B2 (en) | 2016-08-16 | 2021-02-23 | Beigene Switzerland Gmbh | Crystalline form of (S)-7-(1-acryloylpiperidin-4-yl)-2-(4-phenoxyphenyl)-4,5,6,7-tetra-hydropyrazolo[1,5-a]pyrimidine-3-carboxamide, preparation, and uses thereof |
-
2022
- 2022-08-03 WO PCT/US2022/039313 patent/WO2023014817A1/en not_active Ceased
Patent Citations (49)
| Publication number | Priority date | Publication date | Assignee | Title |
|---|---|---|---|---|
| US980188A (en) | 1907-03-21 | 1911-01-03 | Albert Blauvelt | Detector-meter. |
| US7459554B2 (en) | 2003-10-15 | 2008-12-02 | Osi Pharmaceuticals, Inc. | Imidazopyrazine tyrosine kinase inhibitors |
| US8957079B2 (en) | 2006-09-22 | 2015-02-17 | Pharmacyclics, Inc. | Inhibitors of Bruton's tyrosine kinase |
| US8754091B2 (en) | 2006-09-22 | 2014-06-17 | Pharmacyclics, Inc. | Inhibitors of bruton's tyrosine kinase |
| US8476284B2 (en) | 2006-09-22 | 2013-07-02 | Pharmacyclics, Inc. | Inhibitors of Bruton's tyrosine kinase |
| US8497277B2 (en) | 2006-09-22 | 2013-07-30 | Pharmacyclics, Inc. | Inhibitors of Bruton's tyrosine kinase |
| US8563563B2 (en) | 2006-09-22 | 2013-10-22 | Pharmacyclics, Inc. | Inhibitors of bruton's tyrosine kinase |
| US8697711B2 (en) | 2006-09-22 | 2014-04-15 | Pharmacyclics, Inc. | Inhibitors of bruton'S tyrosine kinase |
| US8703780B2 (en) | 2006-09-22 | 2014-04-22 | Pharmacyclics, Inc. | Inhibitors of Bruton's tyrosine kinase |
| US7514444B2 (en) | 2006-09-22 | 2009-04-07 | Pharmacyclics, Inc. | Inhibitors of bruton's tyrosine kinase |
| US9181257B2 (en) | 2006-09-22 | 2015-11-10 | Pharmacyclics Llc | Inhibitors of Bruton's tyrosine kinase |
| US8952015B2 (en) | 2006-09-22 | 2015-02-10 | Pharmacyclics, Inc. | Inhibitors of Bruton's tyrosine kinase |
| US8008309B2 (en) | 2006-09-22 | 2011-08-30 | Pharmacyclics, Inc. | Inhibitors of bruton's tyrosine kinase |
| US8735403B2 (en) | 2006-09-22 | 2014-05-27 | Pharmacyclics, Inc. | Inhibitors of Bruton's tyrosine kinase |
| US9801881B2 (en) | 2010-06-03 | 2017-10-31 | Pharmacyclics Llc | Use of inhibitors of bruton's tyrosine kinase (BTK) |
| US8999999B2 (en) | 2010-06-03 | 2015-04-07 | Pharmacyclics, Inc. | Use of inhibitors of Bruton's tyrosine kinase (Btk) |
| US10751342B2 (en) | 2010-06-03 | 2020-08-25 | Pharmacyclics Llc | Use of inhibitors of Bruton's tyrosine kinase (Btk) |
| US10653696B2 (en) | 2010-06-03 | 2020-05-19 | Pharmacyclics Llc | Use of inhibitors of bruton's tyrosine kinase (BTK) |
| US10478439B2 (en) | 2010-06-03 | 2019-11-19 | Pharmacyclics Llc | Use of inhibitors of bruton's tyrosine kinase (Btk) |
| US9125889B2 (en) | 2010-06-03 | 2015-09-08 | Pharmacyclics, Inc. | Use of inhibitors of Bruton's tyrosine kinase (Btk) |
| US10004746B2 (en) | 2010-06-03 | 2018-06-26 | Pharmacyclics Llc | Use of inhibitors of Bruton's tyrosine kinase (Btk) |
| US9814721B2 (en) | 2010-06-03 | 2017-11-14 | Pharmacyclics Llc | Use of inhibitors of bruton'S tyrosine kinase (BTK) |
| US9290504B2 (en) | 2011-07-19 | 2016-03-22 | Merck Sharp & Dohme B.V. | 4-imidazopyridazin-1-yl-benzamides and 4-imidazotriazin-1-yl-benzamides as Btk inhibitors |
| US10239883B2 (en) | 2011-07-19 | 2019-03-26 | Merck Sharp & Dohme B.V. | 4-imidazopyridazin-1-yl-benzamides as BTK inhibitors |
| US9758524B2 (en) | 2011-07-19 | 2017-09-12 | Merck Sharp & Dohme B.V. | 4-imidazopyridazin-1-yl-benzamides as Btk inhibitors |
| US10294231B2 (en) | 2012-06-04 | 2019-05-21 | Pharmacyclics Llc | Crystalline forms of a Bruton's tyrosine kinase inhibitor |
| US10294232B2 (en) | 2012-06-04 | 2019-05-21 | Pharmacyclics Llc | Crystalline forms of a Bruton's tyrosine kinase inhibitor |
| US9540382B2 (en) | 2012-06-04 | 2017-01-10 | Pharmacyclics Llc | Crystalline forms of a Bruton's tyrosine kinase inhibitor |
| US9725455B1 (en) | 2012-06-04 | 2017-08-08 | Pharmacyclics Llc | Crystalline forms of a bruton's tyrosine kinase inhibitor |
| US9296753B2 (en) | 2012-06-04 | 2016-03-29 | Pharmacyclics Llc | Crystalline forms of a Bruton's tyrosine kinase inhibitor |
| US10106548B2 (en) | 2012-06-04 | 2018-10-23 | Pharmacyclics Llc | Crystalline forms of a Bruton's tyrosine kinase inhibitor |
| US10125140B1 (en) | 2012-06-04 | 2018-11-13 | Pharmacyclics Llc | Crystalline forms of a bruton's tyrosine kinase inhibitor |
| US10961251B1 (en) | 2012-06-04 | 2021-03-30 | Pharmacyclics Llc | Crystalline forms of a Bruton's tyrosine kinase inhibitor |
| US9713617B2 (en) | 2012-06-04 | 2017-07-25 | Pharmacyclics Llc | Crystalline forms of a Bruton's tyrosine kinase inhibitor |
| US10106435B2 (en) | 2013-03-11 | 2018-10-23 | Yiu Chau Chau | Fluid treatment apparatus including granular treatment medium |
| US9447106B2 (en) | 2013-04-25 | 2016-09-20 | Beigene, Ltd. | Substituted pyrazolo[1,5-a]pyrimidines as bruton's tyrosine kinase modulators |
| US10570139B2 (en) | 2013-04-25 | 2020-02-25 | Beigene Switzerland Gmbh | Substituted pyrazolo[1,5-a]pyrimidines as Bruton's tyrosine kinase modulators |
| US10695350B2 (en) | 2013-10-25 | 2020-06-30 | Pharmacyclics Llc | Methods of treating and preventing graft versus host disease |
| US10463668B2 (en) | 2013-10-25 | 2019-11-05 | Pharmacyclics Llc | Methods of treating and preventing graft versus host disease |
| US9795604B2 (en) | 2013-10-25 | 2017-10-24 | Pharmacyclics Llc | Methods of treating and preventing graft versus host disease |
| US20170095471A1 (en) * | 2014-01-21 | 2017-04-06 | Acerta Pharma B.V. | Methods of Treating Chronic Lymphocytic Leukemia and Small Lymphocytic Leukemia Using a BTK Inhibitor |
| US10272083B2 (en) | 2014-01-21 | 2019-04-30 | Acerta Pharma B.V. | Methods of treating chronic lymphocytic leukemia and small lymphocytic leukemia using a BTK inhibitor |
| US9796721B2 (en) | 2015-07-02 | 2017-10-24 | Acerta Pharma B.V. | Crystal forms of (S)-4-(8-amino-3-(1-(but-2-ynoyl)pyrrolidin-2-yl)imidazo[1,5-a]pyrazin-1-yl)-N-(pyridin-2-yl)benzamide |
| US10167291B2 (en) | 2015-07-02 | 2019-01-01 | Acerta Pharma B.V. | Pharmaceutical composition comprising a crystal form of (S)-4-(8-amino-3-(1-(but-2-ynoyl) pyrrolidin-2-yl)imidazo[1,5-a]pyrazin-1-yl)-N-(pyridin-2-yl)benzamide |
| US10927117B2 (en) | 2016-08-16 | 2021-02-23 | Beigene Switzerland Gmbh | Crystalline form of (S)-7-(1-acryloylpiperidin-4-yl)-2-(4-phenoxyphenyl)-4,5,6,7-tetra-hydropyrazolo[1,5-a]pyrimidine-3-carboxamide, preparation, and uses thereof |
| WO2020055698A1 (en) * | 2018-09-12 | 2020-03-19 | Denovo Biopharma Llc | Combination of enzastaurin and inhibitors of btk and uses thereof |
| WO2020093006A1 (en) * | 2018-11-01 | 2020-05-07 | Syros Pharmaceuticals, Inc. | Methods of treating cancer in biomarker-identified patients with non-covalent inhibitors of cyclin-dependent kinase 7 (cdk7) |
| WO2020093011A1 (en) * | 2018-11-01 | 2020-05-07 | Syros Pharmaceuticals, Inc. | Inhibitors of cyclin-dependent kinase 7 (cdk7) |
| US10738067B2 (en) | 2018-11-01 | 2020-08-11 | Syros Pharmaceuticals, Inc. | Inhibitors of cyclin-dependent kinase 7 (CDK7) |
Non-Patent Citations (9)
| Title |
|---|
| BERGE ET AL., J. PHARM. SCI., vol. 66, 1977, pages 1 - 19 |
| BURGER, CURRENT HEMATOLOGIC MALIGNANCY REPORTS, vol. 9, no. 1, 2014, pages 44 - 49 |
| JOHANNESSEN LIV ET AL: "SY5609, a Potent and Selective CDK7 Inhibitor, Potentiates BTK Inhibitor Activity in Mantle Cell Lymphoma Preclinical Models | Blood | American Society of Hematology", BLOOD, 5 November 2021 (2021-11-05), XP055974003, Retrieved from the Internet <URL:https://ashpublications.org/blood/article/138/Supplement%201/1205/480385/SY5609-a-Potent-and-Selective-CDK7-Inhibitor> [retrieved on 20221024] * |
| LIU YI ET AL: "Transcriptional cyclin-dependent kinases: Potential drug targets in cancer therapy", EUROPEAN JOURNAL OF MEDICINAL CHEMISTRY, ELSEVIER, AMSTERDAM, NL, vol. 229, 16 December 2021 (2021-12-16), XP086930976, ISSN: 0223-5234, [retrieved on 20211216], DOI: 10.1016/J.EJMECH.2021.114056 * |
| MARINEAU ET AL., J. MED. CHEM., vol. 65, 2022, pages 1458 - 1480 |
| MOORETHOMPSON, J. ADV. PRACT. ONCOL., vol. 12, no. 4, 2021, pages 439 - 447 |
| NATURE METHODS, vol. 13, 2016, pages 521 - 527 |
| PAPADOPOULOS ET AL., 32ND EORTC-NCI-AACR SYMPOSIUM, no. 180, 2020 |
| YESID ET AL., FRONTIERS IN CELL AND DEVELOPMENTAL BIOLOGY, vol. 9, 2021, pages 630942 |
Similar Documents
| Publication | Publication Date | Title |
|---|---|---|
| US20240293415A1 (en) | Combination therapies | |
| US20200368235A1 (en) | Ibrutinib combination therapy | |
| US11793802B2 (en) | Treatment of acute myeloid leukemia (AML) with venetoclax failure | |
| CN110325191A (en) | With the cancer of less side effect treatment EGFR- driving | |
| EP3749654B1 (en) | Substituted benzothiophene analogs as selective estrogen receptor degraders | |
| US20220387434A1 (en) | Combination of a btk inhibitor and an mdm2 inhibitor for cancer treatment | |
| BR112020022148A2 (en) | CANCER TREATMENT METHODS | |
| JP2025508069A (en) | Compositions containing Atica plant | |
| US11712433B2 (en) | Compositions comprising PKM2 modulators and methods of treatment using the same | |
| US11141418B1 (en) | Methods and compositions for KRAS inhibitors | |
| WO2023014817A1 (en) | Compositions and methods for treating lymphomas with a cdk7 inhibitor in combination with a btk inhibitor | |
| WO2019042226A1 (en) | Pharmaceutical composition for tumor treatment or prevention, method, and use thereof | |
| EP4629993A1 (en) | Methods of treating myeloproliferative neoplasms | |
| WO2015068142A2 (en) | Compositions, process of preparation of said compositions, uses and method of management of myeloproliferative disorder | |
| US20230293534A1 (en) | Treatment of cancers using pi3 kinase isoform modulators | |
| JP2025540124A (en) | How to Treat Breast Cancer | |
| NZ788615B2 (en) | Dosing of a bruton's tyrosine kinase inhibitor | |
| EP3585390A1 (en) | Novel small molecule anticancer agents | |
| HK40006485A (en) | Combination therapies |
Legal Events
| Date | Code | Title | Description |
|---|---|---|---|
| 121 | Ep: the epo has been informed by wipo that ep was designated in this application |
Ref document number: 22758358 Country of ref document: EP Kind code of ref document: A1 |
|
| NENP | Non-entry into the national phase |
Ref country code: DE |
|
| 122 | Ep: pct application non-entry in european phase |
Ref document number: 22758358 Country of ref document: EP Kind code of ref document: A1 |














