WO2020165600A1 - Bicyclic peptide ligand sting conjugates and uses thereof - Google Patents
Bicyclic peptide ligand sting conjugates and uses thereof Download PDFInfo
- Publication number
- WO2020165600A1 WO2020165600A1 PCT/GB2020/050346 GB2020050346W WO2020165600A1 WO 2020165600 A1 WO2020165600 A1 WO 2020165600A1 GB 2020050346 W GB2020050346 W GB 2020050346W WO 2020165600 A1 WO2020165600 A1 WO 2020165600A1
- Authority
- WO
- WIPO (PCT)
- Prior art keywords
- compound
- sting
- linker
- independently
- compounds
- Prior art date
- Legal status (The legal status is an assumption and is not a legal conclusion. Google has not performed a legal analysis and makes no representation as to the accuracy of the status listed.)
- Ceased
Links
- 0 CNC[C@@]1N(*)CCC1 Chemical compound CNC[C@@]1N(*)CCC1 0.000 description 29
- OBOVONUXTJBUPK-UHFFFAOYSA-N CC(N(C)CCN(C)C(O)=O)=O Chemical compound CC(N(C)CCN(C)C(O)=O)=O OBOVONUXTJBUPK-UHFFFAOYSA-N 0.000 description 2
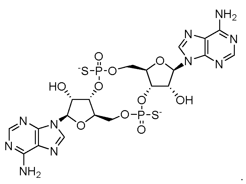
- WOLKPELEJLJWMB-NIKBJLPMSA-M Nc1ncnc2c1nc[n]2[C@@H]([C@@H]1O)O[C@H](COP([O-])(O[C@H]([C@@H](CO2)O[C@H]3[n]4c(N=C(N)NC5=O)c5nc4)[C@H]3O)=O)[C@H]1OP2(S)=O Chemical compound Nc1ncnc2c1nc[n]2[C@@H]([C@@H]1O)O[C@H](COP([O-])(O[C@H]([C@@H](CO2)O[C@H]3[n]4c(N=C(N)NC5=O)c5nc4)[C@H]3O)=O)[C@H]1OP2(S)=O WOLKPELEJLJWMB-NIKBJLPMSA-M 0.000 description 2
- ODTVKCYBLWVVEG-UUXRETSASA-N CC(C)O[C@H]1[C@H]([n]2c(ncnc3N)c3nc2)O[C@H](COP(O)(O[C@H]2C(C3)(C3[n]3c(N=C(N)NC4=O)c4nc3)OC(C3)(C3O3)[C@H]2O)=O)[C@H]1OP3(O)=O Chemical compound CC(C)O[C@H]1[C@H]([n]2c(ncnc3N)c3nc2)O[C@H](COP(O)(O[C@H]2C(C3)(C3[n]3c(N=C(N)NC4=O)c4nc3)OC(C3)(C3O3)[C@H]2O)=O)[C@H]1OP3(O)=O ODTVKCYBLWVVEG-UUXRETSASA-N 0.000 description 1
- ONDMITLQKYQHID-SCKKJYDPSA-N CC(C)[C@@H](C(N[C@@H](C)C(N/C(/C=C\C=C\C=C)=C/C=N)=O)=O)NC(C[n]1nnc-2c1-c1ccccc1N(C)Cc1c-2cccc1)=O Chemical compound CC(C)[C@@H](C(N[C@@H](C)C(N/C(/C=C\C=C\C=C)=C/C=N)=O)=O)NC(C[n]1nnc-2c1-c1ccccc1N(C)Cc1c-2cccc1)=O ONDMITLQKYQHID-SCKKJYDPSA-N 0.000 description 1
- UXIUJUSRZRFCKN-IUCAKERBSA-N CC(C)[C@@H](C(N[C@@H](CCCNC(N)=O)C(NC)=O)=O)N Chemical compound CC(C)[C@@H](C(N[C@@H](CCCNC(N)=O)C(NC)=O)=O)N UXIUJUSRZRFCKN-IUCAKERBSA-N 0.000 description 1
- ZBHPOGAVQUFKKS-OZXSUGGESA-N CC(C)[C@@H](C(N[C@@H](CCCNC(N)=O)C(Nc1ccc(CNC(O)=O)cc1)=O)=O)NC(C[n]1nnc(CCC(NCCC(C)=O)=O)c1)=O Chemical compound CC(C)[C@@H](C(N[C@@H](CCCNC(N)=O)C(Nc1ccc(CNC(O)=O)cc1)=O)=O)NC(C[n]1nnc(CCC(NCCC(C)=O)=O)c1)=O ZBHPOGAVQUFKKS-OZXSUGGESA-N 0.000 description 1
- CFIDCTOOWWWUEK-ZTCRCDCKSA-N CC(C)c([n]1C([C@@H]([C@@H]2OP(O)(OC(C3)[C@]3([C@H]([C@H]3O)O4)O[C@H]3[n]3c(N=C(N)NC5=O)c5nc3)=O)O)OC2[C@H](C)OP4(OC)=O)nc2c1ncnc2N Chemical compound CC(C)c([n]1C([C@@H]([C@@H]2OP(O)(OC(C3)[C@]3([C@H]([C@H]3O)O4)O[C@H]3[n]3c(N=C(N)NC5=O)c5nc3)=O)O)OC2[C@H](C)OP4(OC)=O)nc2c1ncnc2N CFIDCTOOWWWUEK-ZTCRCDCKSA-N 0.000 description 1
- LBJQOEOVKXFRIQ-UHFFFAOYSA-N CC(SCc(cc1)c(C)c(Oc2c(CC(O)=O)cccc22)c1C2=O)=O Chemical compound CC(SCc(cc1)c(C)c(Oc2c(CC(O)=O)cccc22)c1C2=O)=O LBJQOEOVKXFRIQ-UHFFFAOYSA-N 0.000 description 1
- BMJSIZQKJQVXGG-UHFFFAOYSA-N CC([IH]1=CC=C(C)C=C1)=C Chemical compound CC([IH]1=CC=C(C)C=C1)=C BMJSIZQKJQVXGG-UHFFFAOYSA-N 0.000 description 1
- HIKOPSFACBFPFI-YNVUMXNXSA-N CC/C=C(/CSC[C@H](C(N[C@@H](CCC(O)=O)C(N[C@@H](CC(O)=O)C(N[C@@H](Cc1ccccc1)C(N[C@@H](CC(CC1)[C@H]1O)C(N[C@@H](CC(O)=O)C(N[C@@H](C(C)(C)C)C(N[C@@H](CN(C)CCN(C)C[C@@H](C(N[C@H](C)C(N[C@@H](CC(N)=O)C(N[C@@H](CCC(O)=O)C(N[C@@H](Cc1c(cccc2)c2ccc1)C(N[C@@H]1C)=O)=O)=O)=O)=O)NC([C@H](C)N)=O)C(N)=O)=O)=O)=O)=O)=O)=O)=O)NC1=O)\C=C Chemical compound CC/C=C(/CSC[C@H](C(N[C@@H](CCC(O)=O)C(N[C@@H](CC(O)=O)C(N[C@@H](Cc1ccccc1)C(N[C@@H](CC(CC1)[C@H]1O)C(N[C@@H](CC(O)=O)C(N[C@@H](C(C)(C)C)C(N[C@@H](CN(C)CCN(C)C[C@@H](C(N[C@H](C)C(N[C@@H](CC(N)=O)C(N[C@@H](CCC(O)=O)C(N[C@@H](Cc1c(cccc2)c2ccc1)C(N[C@@H]1C)=O)=O)=O)=O)=O)NC([C@H](C)N)=O)C(N)=O)=O)=O)=O)=O)=O)=O)=O)NC1=O)\C=C HIKOPSFACBFPFI-YNVUMXNXSA-N 0.000 description 1
- XXPCLNVJCJLNMV-UHFFFAOYSA-N CC1(C)N(C)C(C)(C)N(C)C(C)(C)N1C Chemical compound CC1(C)N(C)C(C)(C)N(C)C(C)(C)N1C XXPCLNVJCJLNMV-UHFFFAOYSA-N 0.000 description 1
- SVVPPVPFDULBJJ-OJVJLOJWSA-N CCCCC(C1)=[O](C)N1C(CCNC(CCCCC(N(Cc1c2cccc1)c(cccc1)c1C1=C2N(C)NN1CC(N[C@@H](C(C)C)C(N[C@H](C)CCCNC(N)=O)=O)=O)=O)=O)=O Chemical compound CCCCC(C1)=[O](C)N1C(CCNC(CCCCC(N(Cc1c2cccc1)c(cccc1)c1C1=C2N(C)NN1CC(N[C@@H](C(C)C)C(N[C@H](C)CCCNC(N)=O)=O)=O)=O)=O)=O SVVPPVPFDULBJJ-OJVJLOJWSA-N 0.000 description 1
- SXKJLBOYMCRRKP-UHFFFAOYSA-N CCCCC(CN(C)C(CCNC)=O)=O Chemical compound CCCCC(CN(C)C(CCNC)=O)=O SXKJLBOYMCRRKP-UHFFFAOYSA-N 0.000 description 1
- STPHUNHQAAHNRU-UHFFFAOYSA-N CCCCC(N(CCN(CC1)C(CC)=O)CCN1C(CC)=O)=O Chemical compound CCCCC(N(CCN(CC1)C(CC)=O)CCN1C(CC)=O)=O STPHUNHQAAHNRU-UHFFFAOYSA-N 0.000 description 1
- ZQZJKHIIQFPZCS-UHFFFAOYSA-N CCCNC(N)=O Chemical compound CCCNC(N)=O ZQZJKHIIQFPZCS-UHFFFAOYSA-N 0.000 description 1
- AFJFAQGUWUOSIZ-UHFFFAOYSA-N CCN/C(/NCS)=N\CC(C)C Chemical compound CCN/C(/NCS)=N\CC(C)C AFJFAQGUWUOSIZ-UHFFFAOYSA-N 0.000 description 1
- WXFVQGQUEBANQO-QWRGUYRKSA-N CCN[C@@H](C(C)C)C(N[C@@H](CCCNC(N)=O)C(NC)=O)=O Chemical compound CCN[C@@H](C(C)C)C(N[C@@H](CCCNC(N)=O)C(NC)=O)=O WXFVQGQUEBANQO-QWRGUYRKSA-N 0.000 description 1
- FXDXNVCTNKRTMM-HZRHKXBOSA-M CN(C1=O)C(N)=Nc2c1nc[n]2[C@@H]([C@@H]1O)OC(COP(OC)(O[C@H]([C@@H](CO2)O[C@H]3[n]4c(ncnc5N)c5nc4)[C@H]3O)=O)[C@H]1OP2([O-])=O Chemical compound CN(C1=O)C(N)=Nc2c1nc[n]2[C@@H]([C@@H]1O)OC(COP(OC)(O[C@H]([C@@H](CO2)O[C@H]3[n]4c(ncnc5N)c5nc4)[C@H]3O)=O)[C@H]1OP2([O-])=O FXDXNVCTNKRTMM-HZRHKXBOSA-M 0.000 description 1
- VWGNEJHVJGVCFX-KEQCZIJCSA-M CNC(NC1=O)=Nc2c1nc[n]2[C@@H]([C@@H]1O)OC(COP(O)(O[C@H]([C@@H](CO2)O[C@H]3[n]4c(ncnc5N)c5nc4)[C@H]3O)=O)[C@H]1OP2([O-])=O Chemical compound CNC(NC1=O)=Nc2c1nc[n]2[C@@H]([C@@H]1O)OC(COP(O)(O[C@H]([C@@H](CO2)O[C@H]3[n]4c(ncnc5N)c5nc4)[C@H]3O)=O)[C@H]1OP2([O-])=O VWGNEJHVJGVCFX-KEQCZIJCSA-M 0.000 description 1
- WPPGQVAHBGZKHB-SXDIZBRRSA-M COP(OCC([C@H]([C@H]1O)OP([O-])(OCC2O[C@H]3[n]4c(N=C(N)NC5=O)c5nc4)=O)O[C@H]1[n]1c(N=C(N)NC4=O)c4nc1)(O[C@H]2[C@H]3O)=O Chemical compound COP(OCC([C@H]([C@H]1O)OP([O-])(OCC2O[C@H]3[n]4c(N=C(N)NC5=O)c5nc4)=O)O[C@H]1[n]1c(N=C(N)NC4=O)c4nc1)(O[C@H]2[C@H]3O)=O WPPGQVAHBGZKHB-SXDIZBRRSA-M 0.000 description 1
- WPPGQVAHBGZKHB-SQBPJLGKSA-M COP(OC[C@H]([C@H]([C@H]1O)OP([O-])(OCC2O[C@H]3[n]4c(N=C(N)NC5=O)c5nc4)=O)O[C@H]1[n]1c(N=C(N)NC4=O)c4nc1)(O[C@H]2[C@H]3O)=O Chemical compound COP(OC[C@H]([C@H]([C@H]1O)OP([O-])(OCC2O[C@H]3[n]4c(N=C(N)NC5=O)c5nc4)=O)O[C@H]1[n]1c(N=C(N)NC4=O)c4nc1)(O[C@H]2[C@H]3O)=O WPPGQVAHBGZKHB-SQBPJLGKSA-M 0.000 description 1
- FCCJZLXMIDOQQO-QVPCCZHXSA-M COP(OC[C@H]([C@H]([C@H]1OP([O-])(OC[C@H]2O[C@H]3[n]4c(ncnc5N)c5nc4)=O)O)O[C@H]1[n]1c(N=C(N)NC4=O)c4nc1)(O[C@H]2[C@H]3O)=O Chemical compound COP(OC[C@H]([C@H]([C@H]1OP([O-])(OC[C@H]2O[C@H]3[n]4c(ncnc5N)c5nc4)=O)O)O[C@H]1[n]1c(N=C(N)NC4=O)c4nc1)(O[C@H]2[C@H]3O)=O FCCJZLXMIDOQQO-QVPCCZHXSA-M 0.000 description 1
- WILUVWJPBPDBOV-RCBZCEJMSA-M CSP(OCC([C@H]([C@H]1O)OP([O-])(OC[C@H]2O[C@H]3[n]4c(ncnc5N)c5nc4)=O)O[C@H]1[n]1c(ncnc4N)c4nc1)(O[C@H]2[C@H]3O)=O Chemical compound CSP(OCC([C@H]([C@H]1O)OP([O-])(OC[C@H]2O[C@H]3[n]4c(ncnc5N)c5nc4)=O)O[C@H]1[n]1c(ncnc4N)c4nc1)(O[C@H]2[C@H]3O)=O WILUVWJPBPDBOV-RCBZCEJMSA-M 0.000 description 1
- RYZGBSLRTCMFGT-ONMMUTLXSA-M CSP(OC[C@H]([C@H]([C@H]1O)OP([O-])(OCC2O[C@H]3[n]4c(N=C(N)NC5=O)c5nc4)=O)O[C@H]1[n]1c(N=C(N)NC4=O)c4nc1)(O[C@H]2[C@H]3O)=O Chemical compound CSP(OC[C@H]([C@H]([C@H]1O)OP([O-])(OCC2O[C@H]3[n]4c(N=C(N)NC5=O)c5nc4)=O)O[C@H]1[n]1c(N=C(N)NC4=O)c4nc1)(O[C@H]2[C@H]3O)=O RYZGBSLRTCMFGT-ONMMUTLXSA-M 0.000 description 1
- RYZGBSLRTCMFGT-FZJFANJASA-M CSP(OC[C@H]([C@H]([C@H]1O)OP([O-])(OC[C@H]2O[C@H]3[n]4c(N=C(N)NC5=O)c5nc4)=O)O[C@H]1[n]1c(N=C(N)NC4=O)c4nc1)(O[C@H]2[C@H]3O)=O Chemical compound CSP(OC[C@H]([C@H]([C@H]1O)OP([O-])(OC[C@H]2O[C@H]3[n]4c(N=C(N)NC5=O)c5nc4)=O)O[C@H]1[n]1c(N=C(N)NC4=O)c4nc1)(O[C@H]2[C@H]3O)=O RYZGBSLRTCMFGT-FZJFANJASA-M 0.000 description 1
- WXKIKUVHZYODNX-YFKPBYRVSA-N C[C@@H](C(NCCNC)=O)N Chemical compound C[C@@H](C(NCCNC)=O)N WXKIKUVHZYODNX-YFKPBYRVSA-N 0.000 description 1
- LHAWJPUDMSSLOV-UHFFFAOYSA-N Cc(cc1)c(CN)c(Oc2c(CC(O)=O)cccc22)c1C2=O Chemical compound Cc(cc1)c(CN)c(Oc2c(CC(O)=O)cccc22)c1C2=O LHAWJPUDMSSLOV-UHFFFAOYSA-N 0.000 description 1
- SKGVCSLNZJVHJK-UHFFFAOYSA-N Cc(cc1)c(CO)c(Oc2c(CC(O)=O)cccc22)c1C2=O Chemical compound Cc(cc1)c(CO)c(Oc2c(CC(O)=O)cccc22)c1C2=O SKGVCSLNZJVHJK-UHFFFAOYSA-N 0.000 description 1
- WCUJLMRFZMFNFZ-UHFFFAOYSA-N Cc1c(CN)ccc2c1Oc1c(CC(O)=O)cccc1C2=O Chemical compound Cc1c(CN)ccc2c1Oc1c(CC(O)=O)cccc1C2=O WCUJLMRFZMFNFZ-UHFFFAOYSA-N 0.000 description 1
- JEPCGWROBIUIMK-UHFFFAOYSA-N Cc1c(CO)ccc2c1Oc1c(CC(O)=O)cccc1C2=O Chemical compound Cc1c(CO)ccc2c1Oc1c(CC(O)=O)cccc1C2=O JEPCGWROBIUIMK-UHFFFAOYSA-N 0.000 description 1
- ILKZJLIJJSKDJR-UHFFFAOYSA-N Cc1c(COC)ccc2c1Oc1c(CC(O)=O)cccc1C2=O Chemical compound Cc1c(COC)ccc2c1Oc1c(CC(O)=O)cccc1C2=O ILKZJLIJJSKDJR-UHFFFAOYSA-N 0.000 description 1
- STJKRHPYPVEBLK-UHFFFAOYSA-N Cc1c(CSC)ccc2c1Oc1c(CC(O)=O)cccc1C2=O Chemical compound Cc1c(CSC)ccc2c1Oc1c(CC(O)=O)cccc1C2=O STJKRHPYPVEBLK-UHFFFAOYSA-N 0.000 description 1
- ILSGHLHFIPLWSE-UHFFFAOYSA-N NCc(cc1)c(CN)c(Oc2c(CC(O)=O)cccc22)c1C2=O Chemical compound NCc(cc1)c(CN)c(Oc2c(CC(O)=O)cccc22)c1C2=O ILSGHLHFIPLWSE-UHFFFAOYSA-N 0.000 description 1
- LYHZAMKICZSMLD-BDGHCTBFSA-M Nc1ncnc2c1nc[n]2[C@@H]([C@@H]1O)OC(COP(O[C@H](C(CO2)O[C@H]3[n]4c(N=C(N)NC5=O)c5nc4)[C@H]3O)([S-])=O)[C@H]1OP2(O)=O Chemical compound Nc1ncnc2c1nc[n]2[C@@H]([C@@H]1O)OC(COP(O[C@H](C(CO2)O[C@H]3[n]4c(N=C(N)NC5=O)c5nc4)[C@H]3O)([S-])=O)[C@H]1OP2(O)=O LYHZAMKICZSMLD-BDGHCTBFSA-M 0.000 description 1
- ORPBZCPKBQLZAF-ZZASBYOGSA-M Nc1ncnc2c1nc[n]2[C@@H]([C@@H]1O)OC(COP(O[C@H]([C@@H](CO2)O[C@H]3[n]4c(ncnc5N)c5nc4)[C@H]3O)(S)=O)[C@H]1OP2([O-])=O Chemical compound Nc1ncnc2c1nc[n]2[C@@H]([C@@H]1O)OC(COP(O[C@H]([C@@H](CO2)O[C@H]3[n]4c(ncnc5N)c5nc4)[C@H]3O)(S)=O)[C@H]1OP2([O-])=O ORPBZCPKBQLZAF-ZZASBYOGSA-M 0.000 description 1
- MIOBZNRITVVGDB-XNPSYAHKSA-M Nc1ncnc2c1nc[n]2[C@@H]([C@@H]1O)OC(COP(O[C@H]2[C@H]([n]3c(N=C(N)NC4=O)c4nc3)O[C@H](CO3)[C@H]2O)([S-])=O)[C@H]1OP3(O)=O Chemical compound Nc1ncnc2c1nc[n]2[C@@H]([C@@H]1O)OC(COP(O[C@H]2[C@H]([n]3c(N=C(N)NC4=O)c4nc3)O[C@H](CO3)[C@H]2O)([S-])=O)[C@H]1OP3(O)=O MIOBZNRITVVGDB-XNPSYAHKSA-M 0.000 description 1
- SKNAXONDAUPHNA-XFIHASSTSA-M Nc1ncnc2c1nc[n]2[C@@H]([C@@H]1O)OC(COP([O-])(O[C@H](C(CO2)O[C@H]3[n]4c5ncnc(N)c5nc4)[C@H]3F)=O)[C@H]1OP2(S)=O Chemical compound Nc1ncnc2c1nc[n]2[C@@H]([C@@H]1O)OC(COP([O-])(O[C@H](C(CO2)O[C@H]3[n]4c5ncnc(N)c5nc4)[C@H]3F)=O)[C@H]1OP2(S)=O SKNAXONDAUPHNA-XFIHASSTSA-M 0.000 description 1
- JJWOITPMMIENLI-BDGHCTBFSA-M Nc1ncnc2c1nc[n]2[C@@H]([C@@H]1O)OC(COP([O-])(O[C@H]2[C@H]([n]3c(N=C(N)NC4=O)c4nc3)OC(CO3)[C@H]2O)=O)[C@H]1OP3(S)=O Chemical compound Nc1ncnc2c1nc[n]2[C@@H]([C@@H]1O)OC(COP([O-])(O[C@H]2[C@H]([n]3c(N=C(N)NC4=O)c4nc3)OC(CO3)[C@H]2O)=O)[C@H]1OP3(S)=O JJWOITPMMIENLI-BDGHCTBFSA-M 0.000 description 1
- XRILCFTWUCUKJR-BGWWWFSMSA-M Nc1ncnc2c1nc[n]2[C@@H]([C@@H]1O)OC(COP([O-])(O[C@H]2[C@H]([n]3c(N=C(N)NC4=O)c4nc3)O[C@H](CO3)[C@H]2O)=O)[C@H]1OP3(O)=O Chemical compound Nc1ncnc2c1nc[n]2[C@@H]([C@@H]1O)OC(COP([O-])(O[C@H]2[C@H]([n]3c(N=C(N)NC4=O)c4nc3)O[C@H](CO3)[C@H]2O)=O)[C@H]1OP3(O)=O XRILCFTWUCUKJR-BGWWWFSMSA-M 0.000 description 1
- VFZMNZGCLWZIJK-JHYLESBQSA-N Nc1ncnc2c1nc[n]2[C@@H]([C@@H]1O)OC(CO[P@](O[C@H]([C@@H](CO2)O[C@H]3[n]4c(ncnc5N)c5nc4)[C@H]3F)(S)=O)[C@H]1O[P@@]2(S)=O Chemical compound Nc1ncnc2c1nc[n]2[C@@H]([C@@H]1O)OC(CO[P@](O[C@H]([C@@H](CO2)O[C@H]3[n]4c(ncnc5N)c5nc4)[C@H]3F)(S)=O)[C@H]1O[P@@]2(S)=O VFZMNZGCLWZIJK-JHYLESBQSA-N 0.000 description 1
- LYHZAMKICZSMLD-OOZRYNGHSA-M Nc1ncnc2c1nc[n]2[C@@H]([C@@H]1O)O[C@H](COP(O[C@H](C(CO2)O[C@H]3[n]4c(N=C(N)NC5=O)c5nc4)[C@H]3O)([S-])=O)[C@H]1OP2(O)=O Chemical compound Nc1ncnc2c1nc[n]2[C@@H]([C@@H]1O)O[C@H](COP(O[C@H](C(CO2)O[C@H]3[n]4c(N=C(N)NC5=O)c5nc4)[C@H]3O)([S-])=O)[C@H]1OP2(O)=O LYHZAMKICZSMLD-OOZRYNGHSA-M 0.000 description 1
- OXPVHPUUSIKUSY-ZILBRCNQSA-M Nc1ncnc2c1nc[n]2[C@@H]([C@@H]1O)O[C@H](COP(O[C@H]([C@@H](CO2)O[C@H]3[n]4c(ncnc5N)c5nc4)[C@H]3O)(S)=O)[C@H]1OP2([S-])=O Chemical compound Nc1ncnc2c1nc[n]2[C@@H]([C@@H]1O)O[C@H](COP(O[C@H]([C@@H](CO2)O[C@H]3[n]4c(ncnc5N)c5nc4)[C@H]3O)(S)=O)[C@H]1OP2([S-])=O OXPVHPUUSIKUSY-ZILBRCNQSA-M 0.000 description 1
- MIOBZNRITVVGDB-OOZRYNGHSA-M Nc1ncnc2c1nc[n]2[C@@H]([C@@H]1O)O[C@H](COP(O[C@H]2[C@H]([n]3c(N=C(N)NC4=O)c4nc3)OC(CO3)[C@H]2O)([S-])=O)[C@H]1OP3(O)=O Chemical compound Nc1ncnc2c1nc[n]2[C@@H]([C@@H]1O)O[C@H](COP(O[C@H]2[C@H]([n]3c(N=C(N)NC4=O)c4nc3)OC(CO3)[C@H]2O)([S-])=O)[C@H]1OP3(O)=O MIOBZNRITVVGDB-OOZRYNGHSA-M 0.000 description 1
- RFCBNSCSPXMEBK-BGWWWFSMSA-M Nc1ncnc2c1nc[n]2[C@@H]([C@@H]1O)O[C@H](COP([O-])(O[C@H](C(CO2)O[C@H]3[n]4c(N=C(N)NC5=O)c5nc4)[C@H]3O)=O)[C@H]1OP2(O)=O Chemical compound Nc1ncnc2c1nc[n]2[C@@H]([C@@H]1O)O[C@H](COP([O-])(O[C@H](C(CO2)O[C@H]3[n]4c(N=C(N)NC5=O)c5nc4)[C@H]3O)=O)[C@H]1OP2(O)=O RFCBNSCSPXMEBK-BGWWWFSMSA-M 0.000 description 1
- SKNAXONDAUPHNA-FASSAHLJSA-M Nc1ncnc2c1nc[n]2[C@@H]([C@@H]1O)O[C@H](COP([O-])(O[C@H](C(CO2)O[C@H]3[n]4c(ncnc5N)c5nc4)[C@H]3F)=O)[C@H]1OP2(S)=O Chemical compound Nc1ncnc2c1nc[n]2[C@@H]([C@@H]1O)O[C@H](COP([O-])(O[C@H](C(CO2)O[C@H]3[n]4c(ncnc5N)c5nc4)[C@H]3F)=O)[C@H]1OP2(S)=O SKNAXONDAUPHNA-FASSAHLJSA-M 0.000 description 1
- JJWOITPMMIENLI-OOZRYNGHSA-M Nc1ncnc2c1nc[n]2[C@@H]([C@@H]1O)O[C@H](COP([O-])(O[C@H]2[C@H]([n]3c(N=C(N)NC4=O)c4nc3)OC(CO3)[C@H]2O)=O)[C@H]1OP3(S)=O Chemical compound Nc1ncnc2c1nc[n]2[C@@H]([C@@H]1O)O[C@H](COP([O-])(O[C@H]2[C@H]([n]3c(N=C(N)NC4=O)c4nc3)OC(CO3)[C@H]2O)=O)[C@H]1OP3(S)=O JJWOITPMMIENLI-OOZRYNGHSA-M 0.000 description 1
- OBNYVMQFZLEYOA-UHFFFAOYSA-N OC(CC1CCCCC(C2)C2CCCCCC1)NCCSCC(O)=O Chemical compound OC(CC1CCCCC(C2)C2CCCCCC1)NCCSCC(O)=O OBNYVMQFZLEYOA-UHFFFAOYSA-N 0.000 description 1
- BVARHHVTHRWDIS-UHFFFAOYSA-N OCc(cc1)c(CO)c(Oc2c(CC(O)=O)cccc22)c1C2=O Chemical compound OCc(cc1)c(CO)c(Oc2c(CC(O)=O)cccc22)c1C2=O BVARHHVTHRWDIS-UHFFFAOYSA-N 0.000 description 1
Classifications
-
- C—CHEMISTRY; METALLURGY
- C07—ORGANIC CHEMISTRY
- C07K—PEPTIDES
- C07K7/00—Peptides having 5 to 20 amino acids in a fully defined sequence; Derivatives thereof
- C07K7/04—Linear peptides containing only normal peptide links
- C07K7/08—Linear peptides containing only normal peptide links having 12 to 20 amino acids
-
- A—HUMAN NECESSITIES
- A61—MEDICAL OR VETERINARY SCIENCE; HYGIENE
- A61K—PREPARATIONS FOR MEDICAL, DENTAL OR TOILETRY PURPOSES
- A61K47/00—Medicinal preparations characterised by the non-active ingredients used, e.g. carriers or inert additives; Targeting or modifying agents chemically bound to the active ingredient
- A61K47/50—Medicinal preparations characterised by the non-active ingredients used, e.g. carriers or inert additives; Targeting or modifying agents chemically bound to the active ingredient the non-active ingredient being chemically bound to the active ingredient, e.g. polymer-drug conjugates
- A61K47/51—Medicinal preparations characterised by the non-active ingredients used, e.g. carriers or inert additives; Targeting or modifying agents chemically bound to the active ingredient the non-active ingredient being chemically bound to the active ingredient, e.g. polymer-drug conjugates the non-active ingredient being a modifying agent
- A61K47/62—Medicinal preparations characterised by the non-active ingredients used, e.g. carriers or inert additives; Targeting or modifying agents chemically bound to the active ingredient the non-active ingredient being chemically bound to the active ingredient, e.g. polymer-drug conjugates the non-active ingredient being a modifying agent the modifying agent being a protein, peptide or polyamino acid
- A61K47/64—Drug-peptide, drug-protein or drug-polyamino acid conjugates, i.e. the modifying agent being a peptide, protein or polyamino acid which is covalently bonded or complexed to a therapeutically active agent
-
- C—CHEMISTRY; METALLURGY
- C07—ORGANIC CHEMISTRY
- C07K—PEPTIDES
- C07K14/00—Peptides having more than 20 amino acids; Gastrins; Somatostatins; Melanotropins; Derivatives thereof
- C07K14/435—Peptides having more than 20 amino acids; Gastrins; Somatostatins; Melanotropins; Derivatives thereof from animals; from humans
- C07K14/46—Peptides having more than 20 amino acids; Gastrins; Somatostatins; Melanotropins; Derivatives thereof from animals; from humans from vertebrates
- C07K14/47—Peptides having more than 20 amino acids; Gastrins; Somatostatins; Melanotropins; Derivatives thereof from animals; from humans from vertebrates from mammals
- C07K14/4701—Peptides having more than 20 amino acids; Gastrins; Somatostatins; Melanotropins; Derivatives thereof from animals; from humans from vertebrates from mammals not used
- C07K14/4707—Muscular dystrophy
- C07K14/4708—Duchenne dystrophy
-
- A—HUMAN NECESSITIES
- A61—MEDICAL OR VETERINARY SCIENCE; HYGIENE
- A61K—PREPARATIONS FOR MEDICAL, DENTAL OR TOILETRY PURPOSES
- A61K38/00—Medicinal preparations containing peptides
-
- C—CHEMISTRY; METALLURGY
- C07—ORGANIC CHEMISTRY
- C07K—PEPTIDES
- C07K2319/00—Fusion polypeptide
Definitions
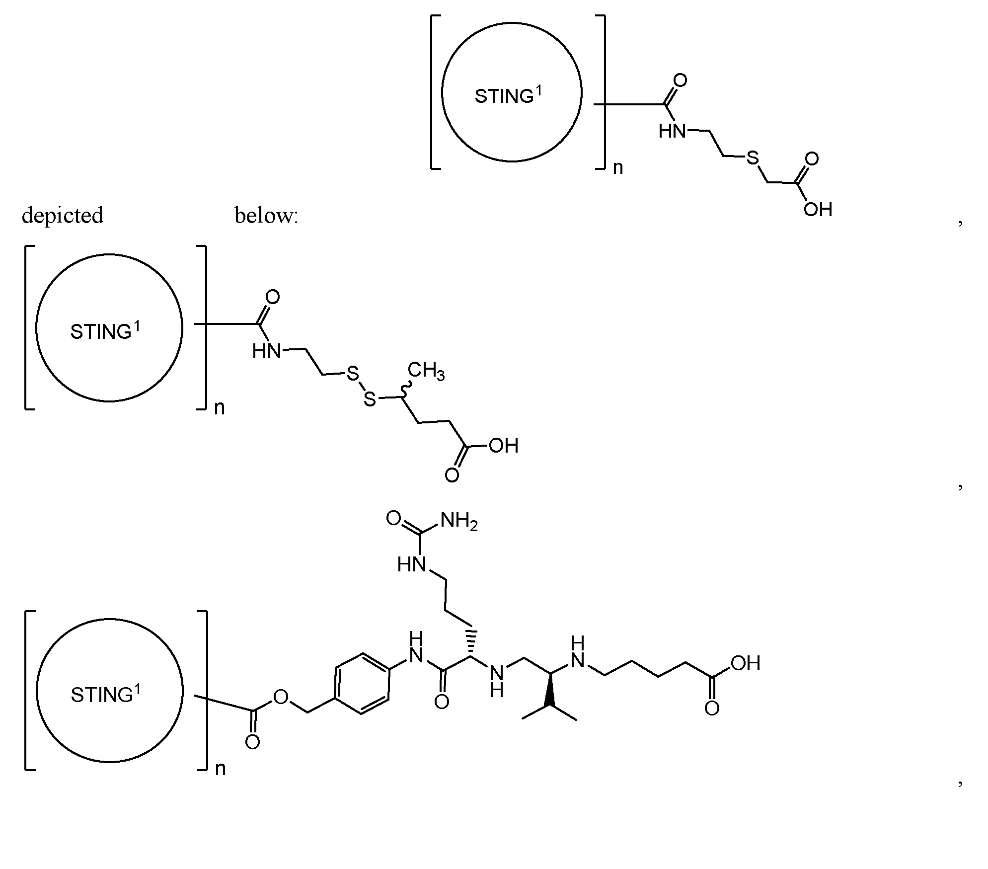
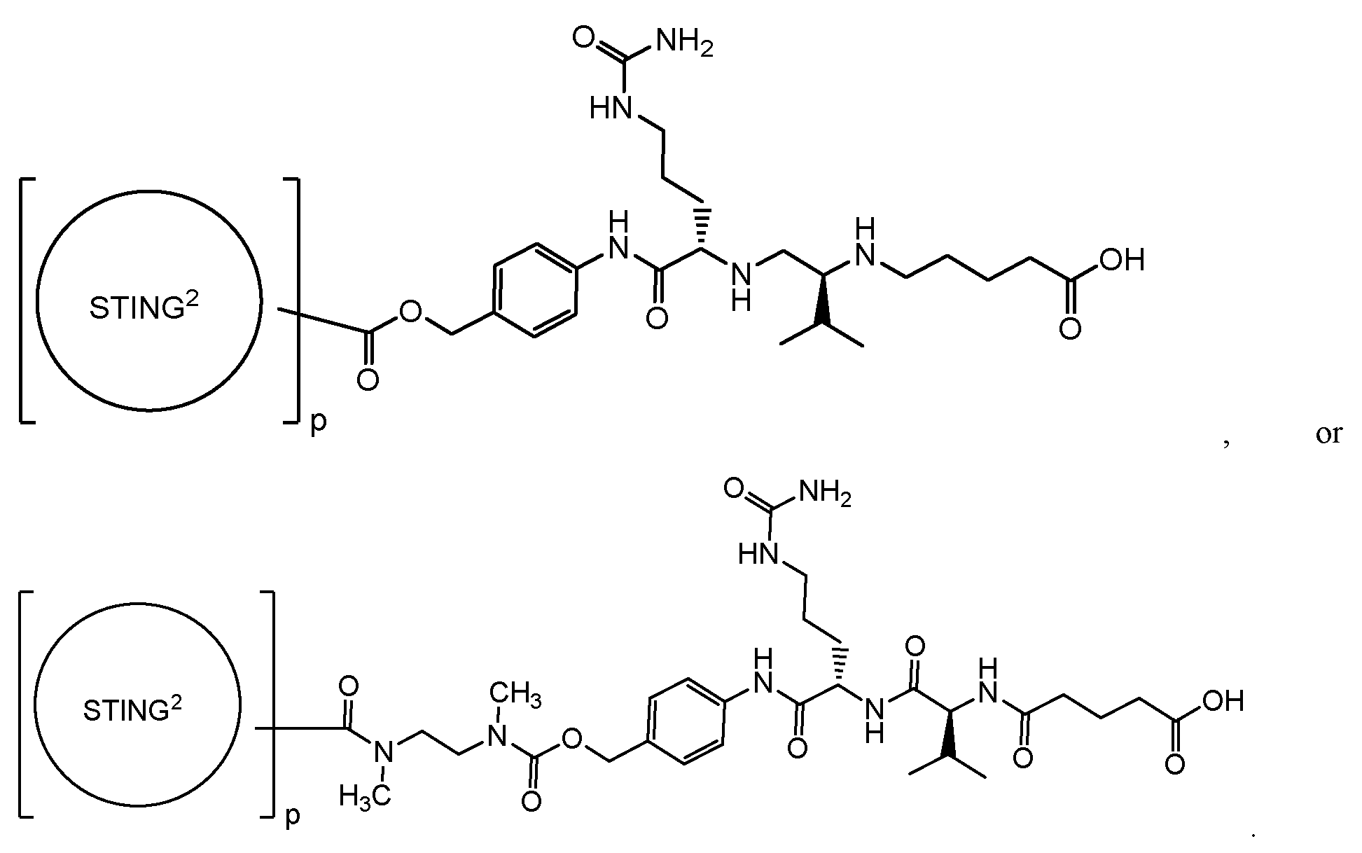
- the present invention relates to polypeptides which are covalently bound to molecular scaffolds such that two or more peptide loops are subtended between attachment points to the scaffold (Bicycle peptide ligand) and further linked to SUNG (a Stimulator of Interferon Genes modulator).
- the invention also includes pharmaceutical compositions comprising a Bicycle peptide ligand SUNG conjugate, and the use thereof in modulating SUNG and treating a STING- mediated disease or disorder.
- APCs antigen presenting cells
- PRRs Pattern recognition receptors expressed by APCs typically recognize molecular entities derived from infectious agents, which trigger innate immune responses but also lead to APC activation and induction of adaptive T cell responses.
- Multiple families of PRRs have been identified that reside in the plasma membrane, within intracellular vesicles, and in the cytosol of APCs.
- TLRs Toll-like receptors
- CLRs C-type lectin receptors
- NLRs NOD-like receptors
- RLRs retinoic-inducible gene-l-like receptors
- cytosolic DNA sensors include Toll-like receptors (TLRs), C-type lectin receptors (CLRs), NOD-like receptors (NLRs), retinoic-inducible gene-l-like (RIG- I— like) receptors (RLRs), and cytosolic DNA sensors.
- binding of ligands to PRRs activates adaptor molecules and downstream signaling events, leading to the secretion of type I IFNs, inflammatory cytokines, chemokines, and antimicrobial peptides. These factors orchestrate innate immune responses that initiate pathogen clearance but also result in maturation of APCs (in particular DCs), which in turn prime and activate antigen-specific T cells.
- APCs in particular DCs
- APCs in particular DCs
- CDNs cyclic dinucleotides
- IRF3 interferon regulatory factor 3
- IFN type 1 interferon
- STING is an ER transmembrane protein.
- the cytoplasmic domain of STING forms dimers and CDNs bind at the dimer interface.
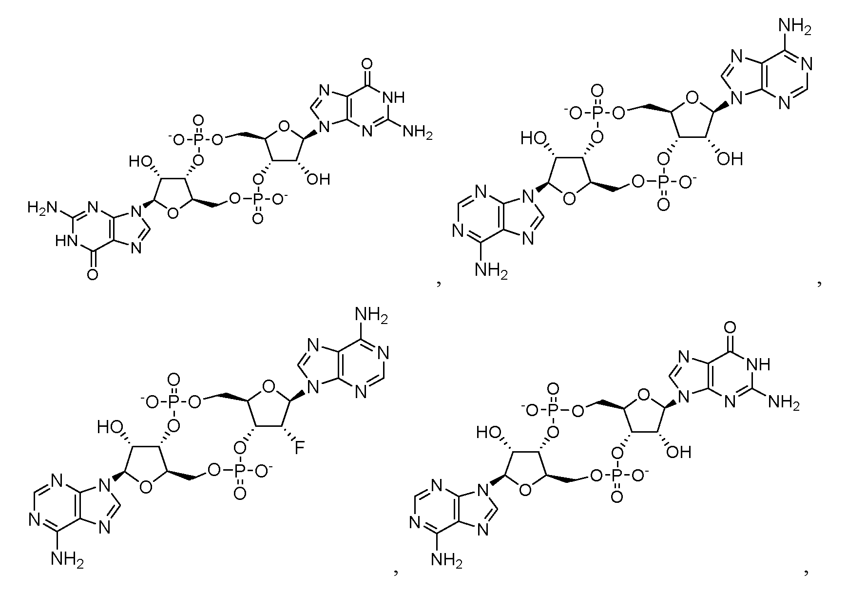
- STING is activated by conserved bacterial second-messengers, cyclic dinucleotides linked through two 3 '-5' phosphodiester linkages (3 '3 '-CDNs), which can contain two guanosines, two adenosines, or one of each.
- a second, more powerful activation signal results from the presence of viral or self dsDNA in the cytoplasm, leading to the synthesis of 2'3 '-cGAMP, which is a heterodimer linked by one standard 3 '-5' phosphodiester, and one rare 2'-5' phosphodiester.
- CDNs do not resemble typical small molecule drug candidates. Their molecular weight is ⁇ 700; they have two negative charges; and they are built from potentially labile phosphodiester linkages. Nevertheless, they are able to activate the STING pathway, presumably after entering the cell by unknown mechanisms. Cyclic di-GMP (cdGMP) injected s.c. shows minimal uptake into lymphatics/draining lymph nodes (dLNs) and instead is rapidly distributed to the bloodstream, leading to systemic inflammation. Intratumoral injection of STING agonists has been shown to induce regression of established tumors in mice and clinical trials are underway to explore this treatment modality.
- cdGMP Cyclic di-GMP
- CDNs cancer-derived neurotrophic factor-like compounds
- One approach that may permit systemic delivery of CDNs is to localize STING activation by covalent conjugation to targeted macromolecular scaffolds such as peptides, proteins and polymers, which may limit systemic inflammation levels while delivering high levels of CDN to the tumor.
- Type 1 interferon and mislocalized dsDNA are hallmarks and key drivers for the pathogenesis of autoimmune diseases such as systemic lupus erythematosus (SLE).
- SLE systemic lupus erythematosus
- Systemic delivery of STING antagonists by covalent conjugation to targeted macromolecular scaffolds such as peptides, proteins and polymers may allow the delivery of high levels of antagonist to the diseased tissue while limiting systemic anti-inflammatory side effects due to non-specific uptake into healthy tissues.
- tumor-associated polypeptides that are specifically expressed on the surface of one or more particular type(s) of cancer cell as compared to on one or more normal non-cancerous cell(s).
- tumor-associated polypeptides are more abundantly expressed on the surface of the cancer cells as compared to on the surface of the non- cancerous cells.
- TAA tumor-associated antigens
- a proprietary phage display and cyclic peptide technology can be utilized to identify high affinity binding peptides to TAA.
- TAA include, but are not limited to: 5T4, AOC3, ALK, AXL, C242, CA-125, CCL11, CCR 5, CD2, CD3, CD4, CD5, CD15, CA15-3, CD18, CD19, CA19-9, CD20, CD22, CD23, CD25, CD28, CD30, CD31, CD33, CD37, CD38, CD40, CD41, CD44, CD44 v6, CD51, CD52, CD 54, CD56, CD62E, CD62P, CD62L, CD70, CD74, CD79-B, CD80, CD125, CD138, CD141, CD 147, CD 152, CD154, CD326, CEA, CTLA-4, CXCR2, EGFR, ErbB2, ErbB3, EpCAM, EphA2, EphB2, EphB4, FGFR (i.e.
- FGFR1, FGFR2, FGFR3, FGFR4) FLT3, folate receptor, FAP, GD2, GD3, GPNMB, HGF, HER2, ICAM, IGF-1 receptor, VEGFR1, TRPV1, CFTR, gpNMB, CA9, Cripto, c-KIT, c-MET, ACE, APP, adrenergic receptor-beta2, Claudine 3, Mesothehn, MUC1, RON, ROR1, PD-1, PD-L1, PD-L2, B7-H3, B7-B4, IL-2 receptor, IL-4 receptor, IL-13 receptor, integrins (including a 4 , a v b 3 , a v b 5 , a v b 6 , a 1 b 4 , a 4 b 1 , a 4 b 7 , a 5 b 1 , a 6 b 4 , a IIb b3 integrins), IFN
- Bicycle ® technology can be utilized to identify high affinity binding peptides to one or more tumor-associated antigens or cell-surface receptors selected from (l)-(36):
- BMPR1B bone morphogenetic protein receptor-type IB, Genbank accession no.
- MPF MPF, MSLN, SMR, megakaryocyte potentiating factor, mesothelin
- Napi3b (NAPI-3B, NPTIIb, SLC34A2, solute carrier family 34 (sodium phosphate), member 2, type II sodium-dependent phosphate transporter 3b, Genbank accession no. NM. sub. -006424);
- Hlog Hlog, sema domain, seven thrombospondin repeats (type 1 and type 1-like), transmembrane domain (TM) and short cytoplasmic domain, (semaphorin) 5B, Genbank accession no. AB040878);
- PSCA hlg (2700050C12Rik, C530008016Rik, RIKEN cDNA 2700050C12
- ETBR Endothelin type B receptor, Genbank accession no. AY275463
- STEAP2 (HGNC.sub.-8639, IPCA-1, PCANAPl, STAMPI, STEAP2, STMP, prostate cancer associated gene 1, prostate cancer associated protein 1, six transmembrane epithelial antigen of prostate 2, six transmembrane prostate protein, Genbank accession no. AF455138);
- TrpM4 (BR22450, FLJ20041, TRPM4, TRPM4B, transient receptor potential cation channel, subfamily M, member 4, Genbank accession no. NM.sub.--017636);
- CD21 (CR2 (Complement receptor 2) or C3DR(C3 d/Epstein Barr virus receptor) or Hs.73792 Genbank accession no. M26004);
- CD79b (CD79B, CD79.beta., IGb (immunoglobulin-associated beta), B29,
- FcRH2 (IFGP4, IRTA4, SPAP1A (SH2 domain containing phosphatase anchor protein la), SPAPIB, SPAPIC, Genbank accession no. NM.sub.-- 030764);
- NCA Genebank accession no. Ml 8728
- PSCA Genbank accession no. AJ297436
- BAFF--R B cell-activating factor receptor, BLyS receptor 3, BR3, NP.sub.--
- CD22 B-cell receptor CD22-B isoform, NP.sub.--001762.1
- CD79a (CD79A, CD79.alpha., immunoglobulin-associated alpha, a B cell-specific protein that covalently interacts with Ig beta (CD79B) and forms a complex on the surface with Ig M molecules, transduces a signal involved in B-cell differentiation, Genbank accession No. NP.sub.--001774.1);
- CXCR5 Burkitfs lymphoma receptor 1, a G protein-coupled receptor that is activated by the CXCL13 chemokine, functions in lymphocyte migration and humoral defense, plays a role in HIV-2 infection and perhaps development of AIDS, lymphoma, myeloma, and leukemia, Genbank accession No. NP.sub.-- 001707.1);
- HLA-DOB Beta subunit of MHC class II molecule (la antigen) that binds peptides and presents them to CD4+ T lymphocytes, Genbank accession No. NP.sub.-- 002111.1);
- P2X5 Purinergic receptor P2X ligand-gated ion channel 5, an ion channel gated by extracellular ATP, may be involved in synaptic transmission and neurogenesis, deficiency may contribute to the pathophysiology of idiopathic detrusor instability, Genbank accession No. NP.sub. -002552.2);
- CD72 B-cell differentiation antigen CD72, Lyb-2, Genbank accession No.
- LY64 Lymphocyte antigen 64 (RP105), type I membrane protein of the leucine rich repeat (LRR) family, regulates B-cell activation and apoptosis, loss of function is associated with increased disease activity in patients with systemic lupus erythematosis, Genbank accession No. NP.sub.-- 005573.1);
- FcRHl Fc receptor-like protein 1, a putative receptor for the immunoglobulin Fc domain that contains C2 type Ig-like and ITAM domains, may have a role in B-lymphocyte differentiation, Genbank accession No. NP.sub.-- 0443170.1);
- IRTA2 Immunoglobulin superfamily receptor translocation associated 2, a putative immunoreceptor with possible roles in B cell development and lymphomagenesis; deregulation of the gene by translocation occurs in some B cell malignancies, Genbank accession No. NP.sub.-- 112571.1); and
- TENB2 (putative transmembrane proteoglycan, related to the EGF/here gu lin family of growth factors and follistatin, Genbank accession No. AF 179274.
- the proprietary phage display and cyclic peptide technology can be utilized to identify high affinity binding peptides to the following markers and/or targets on immune cells:
- DC Dendritic cells
- Myeloid/conventional DC markers and/or targets such as CD 1a, CD1c (BDCA1), CD123, CD141 (BDCA3), CD205, and CD209;
- Plasmacytoid DC markers and/or targets such as CD85g, CD289, CD303 (BDCA2), CD 304 (BDCA4), TLR7, TLR8, and TLR9;
- Markers and/or targets on Langherhans cells such as CD 1a, CD207, and CD324;
- Markers and/or targets on macrophages such as CD11b, CD11c, CD 14, CD68, CD80, and CD 163;
- Markers and/or targets on Ml Macrophages such as CD68, CD86, CD282, and CD284;
- Markers and/or targets on M2 Macrophages such as CD 163, CD220R, and CD206;
- Transmembrane proteins which are overexpressed in cancer cells provide a potential means for selectively targeting cancer cells.
- One such transmembrane protein is membrane type 1 -matrix metalloproteinase (MTl-MMP).
- MTl-MMP is a transmembrane metalloprotease that plays a major role in the extracellular matrix remodelling, directly by degrading several of its components and indirectly by activating pro-MMP2.
- MTl-MMP is crucial for tumor angiogenesis (Sounni el al (2002) FASEB J. 16(6), 555-564) and is over-expressed on a variety of solid tumors.
- MT1-MMP/MMP14 membrane type 1 -matrix metalloproteinase
- MT1-MMP membrane type 1 -matrix metalloproteinase
- a bicyclic constrained peptide binder (Bicycle) was identified that binds to the hemopexin domain of MT1 with an apparent Kd of approximately 2 nM.
- the Bicycle peptide (N241) binds with similar affinity to the entire ectodomain of the protease but shows no binding to the catalytic domain. N241 also shows no binding toward any of the closely related MMP family members tested (MMP15, MMP16, MMP24, MMP1, Pro-MMPl, MMP2).
- N241 Characterization of the pharmacologic effect of N241 on MT1 in vitro shows that the peptide has no direct impact on the catalytic activity of the protease, nor related MMP catalytic activity (MMPl, MMP2 and MMP9) nor cell migration or invasion.
- binding of fluorescently- tagged N241 to MT1 on HT1080 fibrosarcoma cells results in the rapid internalization and subsequent lysosomal localization of the compound.
- 177 Lu-loaded N241 demonstrates rapid tumor localization when injected IV into mice bearing MT1 -positive tumor xenografts, with levels as high as 15-20% injected dose per gram of tumor in less than 60 minutes.
- Bicycle Drug Conjugates with a variety of linkers and detectable moieties were prepared which retained binding to MT1.
- the activity of select BDCs was demonstrated in MT1 -positive human tumor cell xenografts in mice as described in WO 2016/067035, which is hereby incorporated in its entirety by reference.
- MT1-MMP is naturally involved in tissue remodeling, however overexpression of the cell-surface protease has been tied to tumor aggressiveness and invasiveness, as well as poor patient prognosis for many cancer indications.
- the Bicycle binder for MT1-MMP (N241) was identified using a proprietary phage display peptide technology consisting of highly diverse phage libraries of linear amino acid sequences constrained into two loops by a central chemical scaffold.
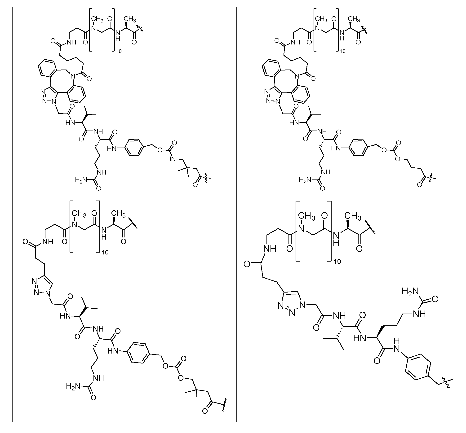
- Bicycle peptide (1.5-2 kDa) aids in its rapid extravasation and tumor penetration making it an ideal format for the targeted delivery of STING modulators for modulating STING and treating STING-mediated diseases or disorders, such as cancers and inflammatory diseases or disorders described herein.
- a series of Bicycle-Linker-STING conjugates were prepared, with varying spacer format to adjust the presentation of the Bicycle for evaluation of their ability to target tumors in an MT1 -positive tumor xenograft model.
- the Bicycle STING conjugates (BSCs) of the present invention may show selective targeting (for example, targeting of tumor cells in MT1 -expressing human tumor xenograft models and in other human tumor lines that express MT1).
- BSCs Bicycle STING conjugates
- the small size of the BSC may offer a significant advantage to other targeted approaches such as antibody-STING conjugates due to rapid extravasation and improved tumor penetration.
- a Bicycle STING conjugates of the present invention comprises a Bicycle peptides with high binding affinity to a cell surface antigen as described herein, for example, in the background section above.
- a Bicycle STING conjugates of the present invention comprises a Bicycle peptides binding to a cell-surface receptor as described herein, for example, in the background section above.
- a Bicycle STING conjugates of the present invention comprises a Bicycle peptides binding to a marker and/or target on immune cells, for example, in the background section above.
- a Bicycle STING conjugates of the present invention comprises a Bicycle peptides binding to a marker and/or target on Dendritic cells, Langherhans cells, macrophages, Ml Macrophages, M2 Macrophages, and/or Tumor-Associated Macrophages, for example, as described in the background section above.
- a Bicycle STING conjugates of the present invention comprises a Bicycle peptides binding to a target selected from: ICAM, VEGFR1, MUC1, PD-1, PD-L1, PD-L2, B7-H3, B7-B4, IL-2 receptor, IL-4 receptor, IL-13 receptor, integrins (including a 4 , a v b 3 , a v b 5 , a v b 6 , a 1 b 4 , a 1 b 7 , a 4 b 7 , a 5 b 1 , a 6 b 4 , a IIb b 3 , integrins), IFN-a, IFN-g, IF-1, IF-12, IF-23, IF-13, IF-22, IF-4, IF-5, IF-6, interferon receptor, LFA-1 (CD 11a), F-selectin (CD62F), P-selectm, PEC AM- 1
- the present invention provides a method of treating certain cancers in a subject, comprising administering to the subject an effective amount of a STING conjugate comprising a high affinity binder of MTl-MMP, or a pharmaceutically acceptable salt or composition thereof.
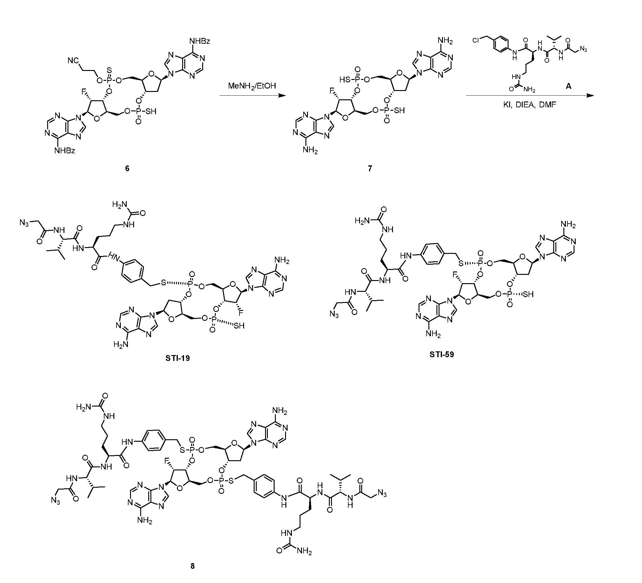
- peptide sequences are treated with molecular scaffold reagents to form compounds of the present invention.
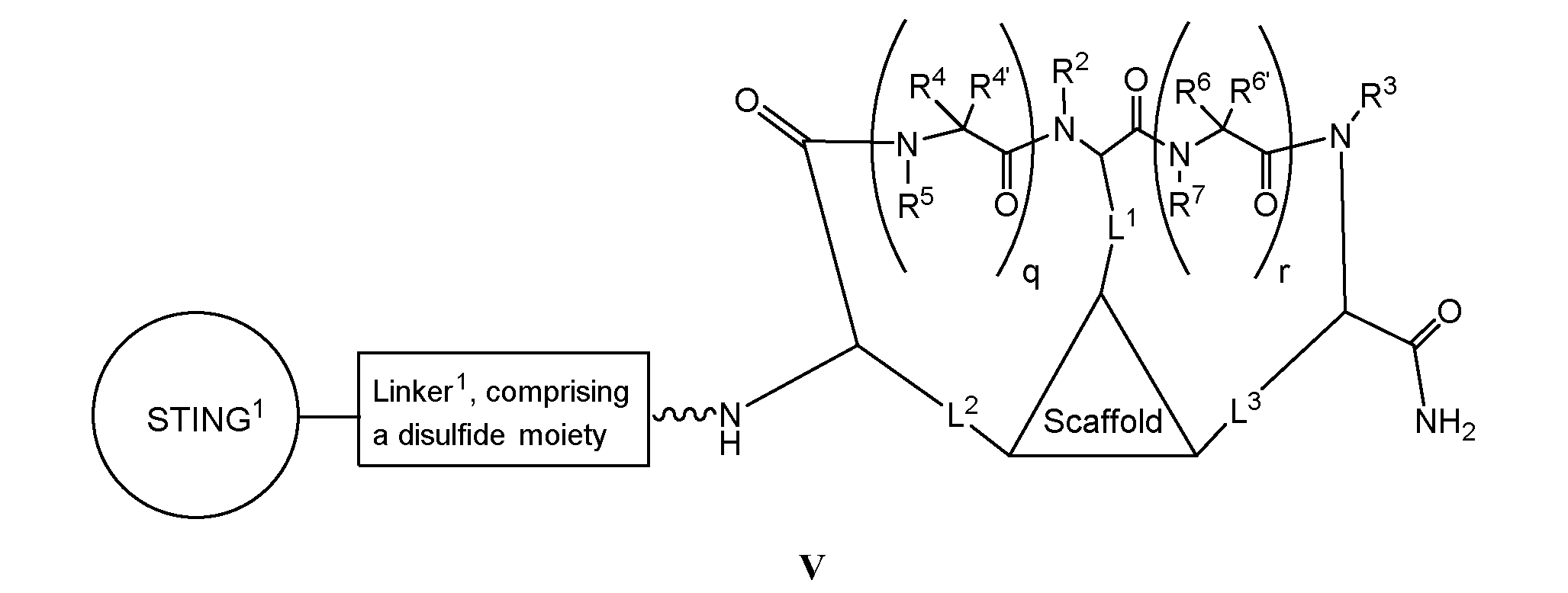
- the present invention provides a compound of formula I:
- each of L 1 , L 2 , and L 3 is independently a covalent bond or a C 1-8 bivalent hydrocarbon chain wherein one, two or three methylene units of the chain are optionally and independently replaced by -S-, -N(R)-, -O-, -C(O)-, -OC(O)-, -C(O)O- -C(O)N(R)-, -N(R)C(O)-, - S(O)-, -S(O) 2- or -N(R)CH 2 C(O)-;
- each of R is independently hydrogen or C 1-4 alkyl
- each of m, n, s, and p is independently 0 or 1 ;
- each of q and r is independently 1, 2, 3, 4, 5, 6, 7, 8, 9, 10, 11, 12, 13, 14 or 15;
- R 1 is R or -C(O)R
- each of R 4 and R 6 is independently hydrogen or an optionally substituted group selected from C 1- 6 aliphatic, a 3-8 member ed saturated or partially unsaturated monocyclic carbocyclic ring, phenyl, an 8-10 member ed bicyclic aromatic carbocyclic ring, a 4-8 member ed saturated or partially unsaturated monocyclic heterocyclic ring having 1-2 heteroatoms independently selected from nitrogen, oxygen, or sulfur, a 5-6 membered monocyclic heteroaromatic ring having 1-4 heteroatoms independently selected from nitrogen, oxygen, or sulfur, or an 8-10 membered bicyclic heteroaromatic ring having 1-5 heteroatoms independently selected from nitrogen, oxygen, or sulfur;
- each of R 4 and R 6 is independently hydrogen or methyl
- each of R 2 , R 3 , R 5 , and R 7 is independently hydrogen, or C 1-4 aliphatic, or:
- an R 5 group and its adjacent R 4 group are optionally taken together with their intervening atoms to form a 4-8 membered saturated or partially unsaturated monocyclic heterocyclic ring having 1-2 heteroatoms independently selected from nitrogen, oxygen, or sulfur; or
- an R 7 group and its adjacent R 6 group are optionally taken together with their intervening atoms to form a 4-8 membered saturated or partially unsaturated monocyclic heterocyclic ring having 1-2 heteroatoms independently selected from nitrogen, oxygen, or sulfur;
- Loop A is a bivalent natural or unnatural amino acid residue or peptide attached to the amino acid residue linked to L 2 and the amino acid residue linked to L 1 , wherein Loop A comprises
- Loop B is a bivalent natural or unnatural amino acid residue or peptide attached to the amino acid residue linked to L 1 and the amino acid residue linked to L 3 , wherein Loop B comprises
- STING 1 is a Stimulator of Interferon Genes modulator
- STING 2 is a Stimulator of Interferon Genes modulator
- Linker 1 is hydrogen or a bivalent moiety that connects the N-terminus of the Bicycle with STING 1 , wherein when n is 0, Linker 1 is hydrogen;
- Linker 2 is -NH 2 or a bivalent moiety that connects the C-terminus of the Bicycle with STING 2 , wherein when p is 0, Linker 2 is -NH 2 .
- Cyclic peptides are able to bind with high affinity and target specificity to protein targets and hence are an attractive molecule class for the development of therapeutics.
- several cyclic peptides are already successfully used in the clinic, as for example the antibacterial peptide vancomycin, the immunosuppressant drug cyclosporine or the anti-cancer drug octreotide (Driggers et al. (2008), Nat Rev Drug Discov 7 (7), 608-24).
- Good binding properties result from a relatively large interaction surface formed between the peptide and the target as well as the reduced conformational flexibility of the cyclic structures.
- macrocycles bind to surfaces of several hundred square angstrom, as for example the cyclic peptide CXCR4 antagonist CVX15 (400 A2; WU et al. (2007), Science 330, 1066-71), a cyclic peptide with the Arg-Gly-Asp motif binding to integrin anb3 (355 A2) (Xiong et al. (2002), Science 296 (5565), 151-5) or the cyclic peptide inhibitor upain-1 binding to urokinase-type plasminogen activator (603 ⁇ 2; Zhao et al. (2007), J Struct Biol 160 (1), 1-10).
- CVX15 400 A2; WU et al. (2007), Science 330, 1066-71
- a cyclic peptide with the Arg-Gly-Asp motif binding to integrin anb3 355 A2
- peptide macrocycles are less flexible than linear peptides, leading to a smaller loss of entropy upon binding to targets and resulting in a higher binding affinity.
- the reduced flexibility also leads to locking target-specific conformations, increasing binding specificity compared to linear peptides.
- This effect has been exemplified by a potent and selective inhibitor of matrix metalloproteinase 8, MMP-8) which lost its selectivity over other MMPs when its ring was opened (Chemey et al. (1998), JMed Chem 41 (11), 1749-51).
- MMP-8 matrix metalloproteinase 8
- Phage display-based combinatorial approaches have been developed to generate and screen large libraries of bicyclic peptides to targets of interest (Heinis et al. (2009), Nat Chem Biol 5 (7), 502-7 and W02009/098450). Briefly, combinatorial libraries of linear peptides containing three cysteine residues and two regions of six random amino acids (Cys-(Xaa)6-Cys-(Xaa)6-Cys) were displayed on phage and cyclised by covalently linking the cysteine side chains to a small molecule (tris-(bromomethyl)benzene).
- a peptide ligand refers to a peptide covalently bound to a molecular scaffold.
- such peptides comprise two or more reactive groups (e.g. cysteine residues) which are capable of forming covalent bonds to the scaffold, and a sequence subtended between said reactive groups which is referred to as the loop sequence, since it forms a loop when the peptide is bound to the scaffold.
- reactive groups e.g. cysteine residues
- loop sequence e.g. cysteine residues
- other amino acid residues capable of forming covalent bonds to the scaffold can be used (e.g. lysine, Dap or serine) to form bicyclic peptides of the present invention.
- Certain bicyclic peptides of the present invention have a number of advantageous properties which enable them to be considered as suitable drug-like molecules for injection, inhalation, nasal, ocular, oral or topical administration. Without being bound by any particular theory, such advantageous properties may include:
- Bicyclic peptide ligands should ideally demonstrate stability to plasma proteases, epithelial ("membrane-anchored") proteases, gastric and intestinal proteases, lung surface proteases, intracellular proteases and the like. Protease stability should be maintained between different species such that a bicycle lead candidate can be developed in animal models as well as administered with confidence to humans;
- Desirable solubility profile This is a function of the proportion of charged and hydrophilic versus hydrophobic residues and intra/inter-molecular H-bonding, which is important for formulation and absorption purposes;
- An optimal plasma half-life in the circulation Depending upon the clinical indication and treatment regimen, it may be required to develop a bicyclic peptide for short exposure in an acute illness management setting, or develop a bicyclic peptide with enhanced retention in the circulation, and is therefore optimal for the management of more chronic disease states. Other factors driving the desirable plasma half-life are requirements of sustained exposure for maximal therapeutic efficiency versus the accompanying toxicology due to sustained exposure of the agent; and
- aliphatic or“aliphatic group”, as used herein, means a straight-chain (i.e., unbranched) or branched, substituted or unsubstituted hydrocarbon chain that is completely saturated or that contains one or more units of unsaturation, or a monocyclic hydrocarbon or bicyclic hydrocarbon that is completely saturated or that contains one or more units of unsaturation, but which is not aromatic (also referred to herein as "carbocycle,”“cycloaliphatic” or“cycloalkyl”), that has a single point of attachment to the rest of the molecule.
- aliphatic groups contain 1-6 aliphatic carbon atoms.
- aliphatic groups contain 1-5 aliphatic carbon atoms. In other embodiments, aliphatic groups contain 1-4 aliphatic carbon atoms. In still other embodiments, aliphatic groups contain 1-3 aliphatic carbon atoms, and in yet other embodiments, aliphatic groups contain 1-2 aliphatic carbon atoms.
- “cycloaliphatic” (or“carbocycle” or“cycloalkyl”) refers to a monocyclic C 3 -C 6 hydrocarbon that is completely saturated or that contains one or more units of unsaturation, but which is not aromatic, that has a single point of attachment to the rest of the molecule.
- Suitable aliphatic groups include, but are not limited to, linear or branched, substituted or unsubstituted alkyl, alkenyl, alkynyl groups and hybrids thereof such as (cycloalkyl)alkyl, (cycloalkenyl)alkyl or (cycloalkyl)alkenyl.
- bridged bicyclic refers to any bicyclic ring system, i.e. carbocyclic or heterocyclic, saturated or partially unsaturated, having at least one bridge.
- a“bridge” is an unbranched chain of atoms or an atom or a valence bond connecting two bridgeheads, where a“bridgehead” is any skeletal atom of the ring system which is bonded to three or more skeletal atoms (excluding hydrogen).
- a bridged bicyclic group has 7-12 ring members and 0-4 heteroatoms independently selected from nitrogen, oxygen, or sulfur.
- bridged bicyclic groups are well known in the art and include those groups set forth below where each group is attached to the rest of the molecule at any substitutable carbon or nitrogen atom. Unless otherwise specified, a bridged bicyclic group is optionally substituted with one or more substituents as set forth for aliphatic groups. Additionally or alternatively, any substitutable nitrogen of a bridged bicyclic group is optionally substituted. Exemplary bridged bicyclics include:
- lower alkyl refers to a C 1 -4 straight or branched alkyl group.
- exemplary lower alkyl groups are methyl, ethyl, propyl, isopropyl, butyl, isobutyl, and tert-butyl.
- lower haloalkyl refers to a C 1 -4 straight or branched alkyl group that is substituted with one or more halogen atoms.
- heteroatom means one or more of oxygen, sulfur, nitrogen, phosphorus, or silicon (including, any oxidized form of nitrogen, sulfur, phosphorus, or silicon; the quaternized form of any basic nitrogen or; a substitutable nitrogen of a heterocyclic ring, for example N (as in 3,4-dihydro-2H-pyrrolyl), NH (as in pyrrolidinyl) or NR + (as in N-substituted pyrrolidinyl)).
- the term "unsaturated,” as used herein, means that a moiety has one or more units of unsaturation.
- the term“bivalent C 1-8 (or C 1-6 ) saturated or unsaturated, straight or branched, hydrocarbon chain”, refers to bivalent alkylene, alkenylene, and alkynylene chains that are straight or branched as defined herein.
- alkylene refers to a bivalent alkyl group.
- An“alkylene chain” is a polymethylene group, i.e., -(CH 2 )n- wherein n is a positive integer, preferably from 1 to 6, from 1 to 4, from 1 to 3, from 1 to 2, or from 2 to 3.
- a substituted alkylene chain is a polymethylene group in which one or more methylene hydrogen atoms are replaced with a substituent. Suitable substituents include those described below for a substituted aliphatic group.
- alkenylene refers to a bivalent alkenyl group.
- a substituted alkenylene chain is a polymethylene group containing at least one double bond in which one or more hydrogen atoms are replaced with a substituent. Suitable substituents include those described below for a substituted aliphatic group.
- cyclopropylenyl refers to a bivalent cyclopropyl group of the following structure:
- halogen means F, Cl, Br, or I.
- aryloxyalkyl refers to monocyclic or bicyclic ring systems having a total of five to fourteen ring members, wherein at least one ring in the system is aromatic and wherein each ring in the system contains 3 to 7 ring members.
- the term“aryl” may be used interchangeably with the term“aryl ring.”
- “aryl” refers to an aromatic ring system which includes, but not limited to, phenyl, biphenyl, naphthyl, anthracyl and the like, which may bear one or more substituents.
- aryl is a group in which an aromatic ring is fused to one or more non-aromatic rings, such as indanyl, phthalimidyl, naphthimidyl, phenanthridinyl, or tetrahydronaphthyl, and the like.
- heteroaryl and“heteroar-,” used alone or as part of a larger moiety e.g., “heteroaralkyl,” or“heteroaralkoxy,” refer to groups having 5 to 10 ring atoms, preferably 5, 6, or 9 ring atoms; having 6, 10, or 14 p electrons shared in a cyclic array; and having, in addition to carbon atoms, from one to five heteroatoms.
- heteroatom refers to nitrogen, oxygen, or sulfur, and includes any oxidized form of nitrogen or sulfur, and any quaternized form of a basic nitrogen.
- Heteroaryl groups include, without limitation, thienyl, furanyl, pyrrolyl, imidazolyl, pyrazolyl, triazolyl, tetrazolyl, oxazolyl, isoxazolyl, oxadiazolyl, thiazolyl, isothiazolyl, thiadiazolyl, pyridyl, pyridazinyl, pyrimidinyl, pyrazinyl, indolizinyl, purinyl, naphthyridinyl, and pteridinyl.
- heteroaryl and“heteroar-”, as used herein, also include groups in which a heteroaromatic ring is fused to one or more aryl, cycloaliphatic, or heterocyclyl rings, where the radical or point of attachment is on the heteroaromatic ring.
- Nonlimiting examples include indolyl, isoindolyl, benzothienyl, benzofuranyl, dibenzofuranyl, indazolyl, benzimidazolyl, benzthiazolyl, quinolyl, isoquinolyl, cinnolinyl, phthalazinyl, quinazolinyl, quinoxalinyl, 4H quinolizinyl, carbazolyl, acridinyl, phenazinyl, phenothiazinyl, phenoxazinyl, tetrahydroquinolinyl, tetrahydroisoquinolinyl, and pyrido[2,3-b]-1,4-oxazin-3(4H)-one.
- a heteroaryl group may be mono- or bicyclic.
- the term“heteroaryl” may be used interchangeably with the terms“heteroaryl ring,”“heteroaryl group,” or“heteroaromatic,” any of which terms include rings that are optionally substituted.
- the term“heteroaralkyl” refers to an alkyl group substituted by a heteroaryl, wherein the alkyl and heteroaryl portions independently are optionally substituted.
- heterocycle As used herein, the terms“heterocycle,”“heterocyclyl,”“heterocyclic radical,” and “heterocyclic ring” are used interchangeably and refer to a stable 5- to 7-membered monocyclic or 7-10-membered bicyclic heterocyclic moiety that is either saturated or partially unsaturated, and having, in addition to carbon atoms, one or more, preferably one to four, heteroatoms, as defined above.
- nitrogen includes a substituted nitrogen.
- the nitrogen may be N (as in 3,4-dihydro- 2H- pyrrolyl), NH (as in pyrrolidinyl), or + NR (as in N substituted pyrrolidinyl).
- a heterocyclic ring can be attached to its pendant group at any heteroatom or carbon atom that results in a stable structure and any of the ring atoms can be optionally substituted.
- saturated or partially unsaturated heterocyclic radicals include, without limitation, tetrahydrofuranyl, tetrahydrothiophenyl pyrrolidinyl, piperidinyl, pyrrolinyl, tetrahydroquinolinyl, tetrahydroisoquinolinyl, decahydroquinolinyl, oxazolidinyl, piperazinyl, dioxanyl, dioxolanyl, diazepinyl, oxazepinyl, thiazepinyl, morpholinyl, and quinuclidinyl.
- heterocycle refers to an alkyl group substituted by a heterocyclyl, wherein the alkyl and heterocyclyl portions independently are optionally substituted.
- the term“partially unsaturated” refers to a ring moiety that includes at least one double or triple bond.
- the term“partially unsaturated” is intended to encompass rings having multiple sites of unsaturation, but is not intended to include aryl or heteroaryl moieties, as herein defined.
- compounds of the invention may contain“optionally substituted” moieties.
- the term“substituted,” whether preceded by the term“optionally” or not, means that one or more hydrogens of the designated moiety are replaced with a suitable substituent.
- an“optionally substituted” group may have a suitable substituent at each substitutable position of the group, and when more than one position in any given structure may be substituted with more than one substituent selected from a specified group, the substituent may be either the same or different at every position.
- Combinations of substituents envisioned by this invention are preferably those that result in the formation of stable or chemically feasible compounds.
- the term“stable,” as used herein, refers to compounds that are not substantially altered when subjected to conditions to allow for their production, detection, and, in certain embodiments, their recovery, purification, and use for one or more of the purposes disclosed herein.
- Suitable monovalent substituents on R o are independently halogen, (CH 2 ) --2 R , -(haloR ), (CH 2 ) 0-2 OH, -(CH 2 )O 2 OR ⁇ , -(CH 2 )O 2 CH(OR ⁇ ) 2 ; -O(haloR ⁇ ), -CN, -N 3 , (CH 2 ) - 2 C(O)R , (CH 2 ) 0-2 C(O)OH, (CH 2 ) 0-2 C(O)OR , (CH 2 ) 0-2 SR , (CH 2 ) 0-2 SH, (CH 2 ) 0-2 NH 2 , - (CH 2 ) 0-2 NHR , (CH 2 ) 0-2 NR ⁇ 2 , -N0 2 , -SIR ⁇ 3 , -
- Suitable divalent substituents that are bound to vicinal substitutable carbons of an“optionally substituted” group include: -0(CR * 2 ) 2 3O-, wherein each independent occurrence of R * is selected from hydrogen, Ci- 6 aliphatic which may be substituted as defined below, or an unsubstituted 5-6-membered saturated, partially unsaturated, or aryl ring having 0-4 heteroatoms independently selected from nitrogen, oxygen, or sulfur.
- Suitable substituents on the aliphatic group of R * include halogen, -R , -(halo ⁇ *), -OH, -OR , -O(haloR ), -CN, -C(O)OH, -C(O)OR , -NH 2 , -NHR , -NR 2 , or -NO 2 , wherein each R is unsubstituted or where preceded by“halo” is substituted only with one or more halogens, and is independently C 1-4 aliphatic, -CH 2 Ph, -O(CH 2 )o iPh, or a 5-6-membered saturated, partially unsaturated, or aryl ring having 0-4 heteroatoms independently selected from nitrogen, oxygen, or sulfur.
- Suitable substituents on a substitutable nitrogen of an“optionally substituted” group include -R ⁇ , -NR ⁇ 2 , -C(O)R ⁇ , -C(O)OR ⁇ , -C(O)C(O)R ⁇ , C(O)CH 2 C(O)R ⁇ , -S(O) 2 R ⁇ , -S(O) 2 NR ⁇ 2 , -C(S)NR ⁇ 2 , -C(NH)NR ⁇ 2 , or -N(R ⁇ )S(O) 2 R ⁇ ; wherein each R ⁇ is independently hydrogen, C 1-6 aliphatic which may be substituted as defined below, unsubstituted -OPh, or an unsubstituted 5-6-membered saturated, partially unsaturated, or aryl ring having 0-4 heteroatoms independently selected from nitrogen, oxygen, or sulfur, or, notwithstanding the definition above, two independent
- Suitable substituents on the aliphatic group of R ⁇ are independently halogen, - R , -(haloR ), -OH, -OR , -O(haloR ), -CN, -C(O)OH, -C(O)OR , -NH 2 , -NHR , -NR 2 , or -NO 2 , wherein each R is unsubstituted or where preceded by“halo” is substituted only with one or more halogens, and is independently C 1-4 aliphatic, -CH 2 Ph, -O(CH 2 ) 0-1 Ph, or a 5-6- membered saturated, partially unsaturated, or aryl ring having 0-4 heteroatoms independently selected from nitrogen, oxygen, or sulfur.
- the term "pharmaceutically acceptable salt” refers to those salts which are, within the scope of sound medical judgment, suitable for use in contact with the tissues of humans and lower animals without undue toxicity, irritation, allergic response and the like, and are commensurate with a reasonable benefit/risk ratio.
- Pharmaceutically acceptable salts are well known in the art. For example, S. M. Berge et al, describe pharmaceutically acceptable salts in detail in J. Pharmaceutical Sciences, 1977, 66, 1-19, incorporated herein by reference.
- Pharmaceutically acceptable salts of the compounds of this invention include those derived from suitable inorganic and organic acids and bases.
- Examples of pharmaceutically acceptable, nontoxic acid addition salts are salts of an amino group formed with inorganic acids such as hydrochloric acid, hydrobromic acid, phosphoric acid, sulfuric acid and perchloric acid or with organic acids such as acetic acid, oxalic acid, maleic acid, tartaric acid, citric acid, succinic acid or malonic acid or by using other methods used in the art such as ion exchange.
- inorganic acids such as hydrochloric acid, hydrobromic acid, phosphoric acid, sulfuric acid and perchloric acid
- organic acids such as acetic acid, oxalic acid, maleic acid, tartaric acid, citric acid, succinic acid or malonic acid or by using other methods used in the art such as ion exchange.
- salts include adipate, alginate, ascorbate, aspartate, benzenesulfonate, benzoate, bisulfate, borate, butyrate, camphorate, camphorsulfonate, citrate, cyclopentanepropionate, digluconate, dodecylsulfate, ethanesulfonate, formate, fumarate, glucoheptonate, glycerophosphate, gluconate, hemisulfate, heptanoate, hexanoate, hydroiodide, 2- hydroxy-ethanesulfonate, lactobionate, lactate, laurate, lauryl sulfate, malate, maleate, malonate, methanesulfonate, 2-naphthalenesulfonate, nicotinate, nitrate, oleate, oxalate, palmitate, pamoate, pectinate
- Salts derived from appropriate bases include alkali metal, alkaline earth metal, ammonium and N + (C 1-4 alkyl)4 salts.
- Representative alkali or alkaline earth metal salts include sodium, lithium, potassium, calcium, magnesium, and the like.
- Further pharmaceutically acceptable salts include, when appropriate, nontoxic ammonium, quaternary ammonium, and amine cations formed using counterions such as halide, hydroxide, carboxylate, sulfate, phosphate, nitrate, loweralkyl sulfonate and aryl sulfonate.
- structures depicted herein are also meant to include all isomeric (e.g., enantiomeric, diastereomeric, and geometric (or conformational)) forms of the structure; for example, the R and S configurations for each asymmetric center, Z and E double bond isomers, and Z and E conformational isomers. Therefore, single stereochemical isomers as well as enantiomeric, diastereomeric, and geometric (or conformational) mixtures of the present compounds are within the scope of the invention. Unless otherwise stated, all tautomeric forms of the compounds of the invention are within the scope of the invention.
- structures depicted herein are also meant to include compounds that differ only in the presence of one or more isotopically enriched atoms.
- compounds having the present structures including the replacement of hydrogen by deuterium or tritium, or the replacement of a carbon by a 13 C- or 14 C-enriched carbon are within the scope of this invention.
- Such compounds are useful, for example, as analytical tools, as probes in biological assays, or as therapeutic agents in accordance with the present invention.
- a provided compound comprises one or more deuterium atoms.
- an inhibitor is defined as a compound that binds to and /or inhibits the target with measurable affinity.
- an inhibitor has an IC 50 and/or binding constant of less than about 50 mM, less than about 1 mM, less than about 500 nM, less than about 100 nM, less than about 10 nM, or less than about 1 nM.
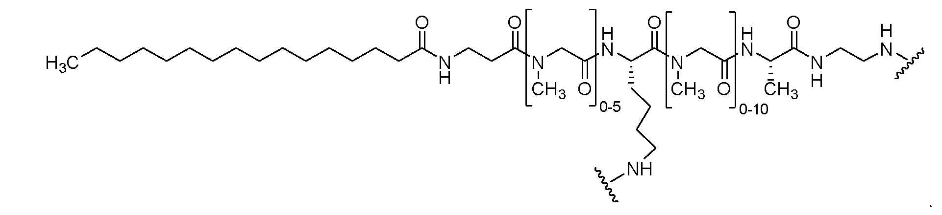
- a compound of the present invention may be tethered to a STING modulator. It will be appreciated that such compounds are useful as therapeutic agents.
- a STING modulator may be attached to a provided compound via a suitable substituent.
- suitable substituent refers to a moiety that is capable of covalent attachment to a STING modulator.
- moieties are well known to one of ordinary skill in the art and include groups containing, e.g., a carboxylate moiety, an amino moiety, a thiol moiety, or a hydroxyl moiety, to name but a few.
- moieties may be directly attached to a provided compound or via a tethering group, such as a bivalent saturated or unsaturated hydrocarbon chain.
- such moieties may be attached via click chemistry.
- such moieties may be attached via a 1 ,3-cycloaddition of an azide with an alkyne, optionally in the presence of a copper catalyst.
- Methods of using click chemistry are known in the art and include those described by Rostovtsev el al. , Angew. Chem. Int. Ed. 2002, 41, 2596-99 and Sun et al, Bioconjugate Chem., 2006, 17, 52-57.
- the term“detectable moiety” is used interchangeably with the term "label” and relates to any moiety capable of being detected, e.g., primary labels and secondary labels.
- Primary labels such as radioisotopes (e.g., tritium, 225 Ac, 227 Ac, 241 Am, 72 As, 74 As, 211 At, 198 Au, n B, 7 Be, 212 BI, 213 BI, 7 3 ⁇ 4r, 77 Br, U C, 14 C, 48 Ca, 109 Cd, 139 Ce, 141 Ce, 252 Cf, 55 Co, 57 Co, 60 Co, 51 Cr, 130 Cs, 131 Cs, 137 Cs, 61 Cu, 62 Cu, 64 Cu, 67 Cu, 165 Dy, 152 Eu, 15 3 ⁇ 4u, 18 F, 55 Fe, 59 Fe, 64 Ga, 67 Ga, 68 Ga, 153 Gd, 68 Ge, 122 I, 123 I, 124 I, 125
- Detectable moieties also include luminescent and phosphorescent groups.
- the term“secondary label” as used herein refers to moieties such as biotin and various protein antigens that require the presence of a second intermediate for production of a detectable signal.
- the secondary intermediate may include streptavidin-enzyme conjugates.
- antigen labels secondary intermediates may include antibody-enzyme conjugates.
- Some fluorescent groups act as secondary labels because they transfer energy to another group in the process of nonradiative fluorescent resonance energy transfer (FRET), and the second group produces the detected signal.
- FRET nonradiative fluorescent resonance energy transfer
- fluorescent label refers to moieties that absorb light energy at a defined excitation wavelength and emit light energy at a different wavelength.
- fluorescent labels include, but are not limited to: Alexa Fluor dyes (Alexa Fluor 350, Alexa Fluor 488, Alexa Fluor 532, Alexa Fluor 546, Alexa Fluor 568, Alexa Fluor 594, Alexa Fluor 633, Alexa Fluor 660 and Alexa Fluor 680), AMCA, AMCA-S, BODIPY dyes (BODIPY FL, BODIPY R6G, BODIPY TMR, BODIPY TR, BODIPY 530/550, BODIPY 558/568, BODIPY 564/570, BODIPY 576/589, BODIPY 581/591, BODIPY 630/650, BODIPY 650/665), Carboxyrhodamine 6G, carboxy
- mass-tag refers to any moiety that is capable of being uniquely detected by virtue of its mass using mass spectrometry (MS) detection techniques.
- mass-tags include electrophore release tags such as N-[3-[4’-[(p- Methoxytetrafluorobenzyl)oxy]phenyl]-3-methylglyceronyl]isonipecotic Acid, 4’ -[2, 3,5,6- Tetrafluoro-4-(pentafluorophenoxyl)]methyl acetophenone, and their derivatives.
- mass-tags include, but are not limited to, nucleotides, dideoxynucleotides, oligonucleotides of varying length and base composition, oligopeptides, oligosaccharides, and other synthetic polymers of varying length and monomer composition.
- nucleotides dideoxynucleotides
- oligonucleotides of varying length and base composition oligopeptides, oligosaccharides
- other synthetic polymers of varying length and monomer composition.
- a large variety of organic molecules, both neutral and charged (biomolecules or synthetic compounds) of an appropriate mass range (100-2000 Daltons) may also be used as mass-tags.
- quantum dot refers to any moiety that is a highly luminescent semiconductor nanocrystal (e.g. zincsulfide-capped cadmium selenide).
- a highly luminescent semiconductor nanocrystal e.g. zincsulfide-capped cadmium selenide.
- the synthesis and utility of these quantum dots is described in United States Patents 6,326,144, 6,468,808, 7,192,785, 7,151,047, and in the scientific literature (see: Chan and Nie (1998) Science 281(5385) 2016- 2018).
- measurable affinity and“measurably inhibit,” as used herein, means a measurable change in target activity between a sample comprising a compound of the present invention, or composition thereof, and the target, and an equivalent sample comprising the target, in the absence of said compound, or composition thereof.
- the present invention provides a compound of formula I:
- each of L 1 , L 2 , and L 3 is independently a covalent bond or a C 1 -8 bivalent hydrocarbon chain wherein one, two or three methylene units of the chain are optionally and independently replaced by -S-, -N(R)-, -O-, -C(O)-, -OC(O)-, -C(O)O-, -C(O)N(R)-, -N(R)C(O)-, - S(O)-, -S(O) 2- or -N(R)CH 2 C(O)-; each of R is independently hydrogen or C1-4 alkyl;
- each of m, n, s, and p is independently 0 or 1 ;
- each of q and r is independently 1, 2, 3, 4, 5, 6, 7, 8, 9, 10, 11, 12, 13, 14 or 15;
- R 1 is R or -C(O)R
- each of R 4 and R 6 is independently hydrogen or an optionally substituted group selected from C 1- 6 aliphatic, a 3-8 membered saturated or partially unsaturated monocyclic carbocyclic ring, phenyl, an 8-10 membered bicyclic aromatic carbocyclic ring, a 4-8 membered saturated or partially unsaturated monocyclic heterocyclic ring having 1-2 heteroatoms independently selected from nitrogen, oxygen, or sulfur, a 5-6 membered monocyclic heteroaromatic ring having 1-4 heteroatoms independently selected from nitrogen, oxygen, or sulfur, or an 8-10 membered bicyclic heteroaromatic ring having 1-5 heteroatoms independently selected from nitrogen, oxygen, or sulfur;
- each of R 4 and R 6 is independently hydrogen or methyl
- each of R 2 , R 3 , R 5 , and R 7 is independently hydrogen, or C 1-4 aliphatic, or:
- an R 5 group and its adjacent R 4 group are optionally taken together with their intervening atoms to form a 4-8 membered saturated or partially unsaturated monocyclic heterocyclic ring having 1-2 heteroatoms independently selected from nitrogen, oxygen, or sulfur; or
- an R 7 group and its adjacent R 6 group are optionally taken together with their intervening atoms to form a 4-8 membered saturated or partially unsaturated monocyclic heterocyclic ring having 1-2 heteroatoms independently selected from nitrogen, oxygen, or sulfur;
- Scaffold is a trivalent group that connects and orients a cyclic peptide
- Loop A is a bivalent natural or unnatural amino acid residue or peptide attached to the amino acid residue linked to L 2 and the amino acid residue linked to L 1 , wherein Loop A comprises
- Loop B is a bivalent natural or unnatural amino acid residue or peptide attached to the amino acid residue linked to L 1 and the amino acid residue linked to L 3 , wherein Loop B comprises
- STING 1 is a Stimulator of Interferon Genes modulator
- STING 2 is a Stimulator of Interferon Genes modulator
- Linker 1 is hydrogen or a bivalent moiety that connects the N-terminus of the Bicycle with STING 1 , wherein when n is 0, Linker 1 is hydrogen;
- Linker 2 is -NH 2 or a bivalent moiety that connects the C-terminus of the Bicycle with STING 2 , wherein when p is 0, Linker 2 is -NH 2 .
- each of L 1 , L 2 , and L 3 is a covalent bond or a C 1-8 bivalent hydrocarbon chain wherein one, two or three methylene units of the chain are optionally and independently replaced by -S-, -N(R)-, -O-, -C(O)-, -OC(O)-, -C(O)O-, - C(O)N(R)-, -N(R)C(O)-, -S(O)-, -S(O) 2- or -N(R)CH 2 C(O)-.
- each of L 1 , L 2 , and L 3 is a covalent bond. In some embodiments, each of L 1 , L 2 , and L 3 is -CILS-. In some embodiments, each of L 1 , L 2 , and L 3 is -CH 2 NH-. In some embodiments, each of L 1 , L 2 , and L 3 is -CH 2 O-. In some embodiments, each of L 1 , L 2 , and L 3 is -CH 2 CH 2 O-. In some embodiments, each of L 1 , L 2 , and L 3 is -CH 2 CH 2 CH 2 CH 2 NH-.
- each of L 1 , L 2 , and L 3 is -CILN(CIL)-. In some embodiments, each of L 1 , L 2 , and L 3 is -CH 2 CH 2 CH 2 CH 2 N(CH 3 )-.
- L 1 is a covalent bond. In some embodiments, L 1 is -CH 2 S-. In some embodiments, L 1 is -CH 2 O-. In some embodiments, L 1 is -CH 2 CH 2 O-. In some embodiments, L 1 is -CH 2 NH-. In some embodiments, L 1 is -CH 2 CH 2 CH 2 CH 2 NH-. In some embodiments, L 1 is -CH 2 N(CH 3 )-. In some embodiments, L 1 is -CH 2 CH 2 CH 2 CH 2 N(CIL)-. In some embodiments, L 1 is -CH 2 SCH 2 -. In some embodiments, L 1 is -CH 2 OCH 2 -.
- L 1 is -CH 2 CH 2 OCH 2 -. In some embodiments, L 1 is -CH 2 NHCH 2 -. In some embodiments, L 1 is -CH 2 N(CH 3 )CH 2 -. In some embodiments, L 1 is -CH 2 CH 2 CH 2 CH 2 NHCH 2 -. In some embodiments, L 1 is -CH 2 CH 2 CH 2 CH 2 N(CH 3 )CH 2 -. In some embodiments, L 1 is - CH 2 SCH 2 C(O)NH-. In some embodiments, L 1 is -CH 2 OCH 2 C(O)NH-. In some embodiments, L 1 is -CH 2 CH 2 OCH 2 C(O)NH-. In some embodiments, L 1 is -CH 2 NHCH 2 C(O)NH-. In some embodiments, L 1 is -CH 2 N(CH 3 )CH 2 C(O)NH-. In some embodiments, L 1 is --
- L 1 is
- L 1 is -CH 2 SCH 2 C(O)-. In some embodiments, L 1 is -CH 2 OCH 2 C(O)-. In some embodiments, L 1 is -CH 2 CH 2 OCH 2 C(O)-. In some embodiments, L 1 is -CH 2 NHCH 2 C(O)-. In some embodiments, L 1 is -
- L 1 is -CH 2 CH 2 CH 2 CH 2 NHCH 2 C(O)-. In some embodiments, L 1 is -CH 2 CH 2 CH 2 CH 2 N(CH 3 )CH 2 C(O)-. In some embodiments, L 1 is - CH 2 SCH 2 CH 2 C(O)NH-. In some embodiments, L 1 is -CH 2 OCH 2 CH 2 C(O)NH-. In some embodiments, L 1 is -CH 2 CH 2 0CH 2 CH 2 C(O)NH-. In some embodiments, L 1 is - CH 2 NHCH 2 CH 2 C(O)NH-.
- L 1 is -CH 2 N(CH 3 )CH 2 CH 2 C(O)NH-. In some embodiments, L 1 is -CH 2 CH 2 CH 2 CH 2 NHCH 2 CH 2 C(O)NH-. In some embodiments, L 1 is - CH 2 CH 2 CH 2 N(CH 3 )CH 2 CH 2 C(O)NH-. In some embodiments, L 1 is -CH 2 SCH 2 CH 2 C(O)-. In some embodiments, L 1 is -CH 2 OCH 2 CH 2 C(O)-. In some embodiments, L 1 is - CH 2 CH 2 OCH 2 CH 2 C(O)-. In some embodiments, L 1 is -CH 2 NHCH 2 CH 2 C(O)-. In some embodiments, L 1 is -CH 2 N(CH 3 )CH 2 CH 2 C(O)-. In some embodiments, L 1 is -
- L 1 is
- L 1 is selected from those depicted in Table 1, below.
- L 2 is a covalent bond.
- L 2 is -CH 2 S-.
- L 2 is -CH 2 O-.
- L 2 is -CH 2 CH 2 O-.
- L 2 is -CH 2 NH-.
- L 2 is -CH 2 CH 2 CH 2 CH 2 NH-.
- L 2 is -CH 2 N(CH 3 )-.
- L 2 is -CH 2 CH 2 CH 2 CH 2 N(CH 3 )-.
- L 2 is -CH 2 SCH 2 -.
- L 2 is -CH 2 OCH 2 -.
- L 2 is -CH 2 CH 2 OCH 2 -. In some embodiments, L 2 is -CH 2 NHCH 2 -. In some embodiments, L 2 is -CH 2 N(CH 3 )CH 2 -. In some embodiments, L 2 is -CH 2 CH 2 CH 2 CH 2 NHCH 2 -. In some embodiments, L 2 is -CH 2 CH 2 CH 2 CH 2 N(CH 3 )CH 2 -. In some embodiments, L 2 is - CH 2 SCH 2 C(O)NH-. In some embodiments, L 2 is -CH 2 OCH 2 C(O)NH-. In some embodiments, L 2 is -CH 2 CH 2 OCH 2 C(O)NH-. In some embodiments, L 2 is -CH 2 NHCH 2 C(O)NH-. In some embodiments, L 2 is -CH 2 N(CH 3 )CH 2 C(O)NH-. In some embodiments, L 2 is --
- L 2 is
- L 2 is -CH 2 SCH 2 C(O)-. In some embodiments, L 2 is -CH 2 OCH 2 C(O)-. In some embodiments, L 2 is -CH 2 CH 2 OCH 2 C(O)-. In some embodiments, L 2 is -CH 2 NHCH 2 C(O)-. In some embodiments, L 2 is -
- L 2 is -CH 2 CH 2 CH 2 CH 2 NHCH 2 C(O)-. In some embodiments, L 2 is -CH 2 CH 2 CH 2 CH 2 N(CH 3 )CH 2 C(O)-. In some embodiments, L 2 is - CH 2 SCH 2 CH 2 C(O)NH-. In some embodiments, L 2 is -CH 2 OCH 2 CH 2 C(O)NH-. In some embodiments, L 2 is -CH 2 CH 2 OCH 2 CH 2 C(O)NH-. In some embodiments, L 2 is -
- L 2 is -CH 2 N(CH 3 )CH 2 CH 2 C(O)NH-. In some embodiments, L 2 is -CH 2 CH 2 CH 2 CH 2 NHCH 2 CH 2 C(O)NH-. In some embodiments, L 2 is - CH 2 CH 2 CH 2 N(CH 3 )CH 2 CH 2 C(O)NH-. In some embodiments, L 2 is -CH 2 SCH 2 CH 2 C(O)-. In some embodiments, L 2 is -CH 2 OCH 2 CH 2 C(O)-. In some embodiments, L 2 is - CH 2 CH 2 OCH 2 CH 2 C(O)-. In some embodiments, L 2 is -CH 2 NHCH 2 CH 2 C(O)-. In some embodiments, L 2 is -CH 2 N(CH 3 )CH 2 CH 2 C(O)-. In some embodiments, L 2 is -
- L 2 is
- L 2 is selected from those depicted in Table 1, below.
- L 3 is a covalent bond. In some embodiments, L 3 is -CH 2 S-. In some embodiments, L 3 is -CH 2 O-. In some embodiments, L 3 is -CH 2 CH 2 O-. In some embodiments, L 3 is -CH 2 NH-. In some embodiments, L 3 is -CH 2 CH 2 CH 2 CH 2 NH-. In some embodiments, L 3 is -CH 2 N(CH 3 )-. In some embodiments, L 3 is -CH 2 CH 2 CH 2 CH 2 N(CH 3 )-. In some embodiments, L 3 is -CH 2 SCH 2 -. In some embodiments, L 3 is -CH 2 OCH 2 -.
- L 3 is -CH 2 CH 2 OCH 2 -. In some embodiments, L 3 is -CH 2 NHCH 2 -. In some embodiments, L 3 is -CH 2 N(CH 3 )CH 2 -. In some embodiments, L 3 is -CH 2 CH 2 CH 2 CH 2 NHCH 2 -. In some embodiments, L 3 is -CH 2 CH 2 CH 2 CH 2 N(CH 3 )CH 2 -. In some embodiments, L 3 is - CH 2 SCH 2 C(O)NH-. In some embodiments, L 3 is -CH 2 OCH 2 C(O)NH-. In some embodiments, L 3 is -CH 2 CH 2 OCH 2 C(O)NH-. In some embodiments, L 3 is -CH 2 NHCH 2 C(O)NH-. In some embodiments, L 3 is -CH 2 N(CH 3 )CH 2 C(O)NH-. In some embodiments, L 3 is --CH 2 -CH 2 NHCH 2 C(O)
- L 3 is
- L 3 is -CH 2 SCH 2 C(O)-. In some embodiments, L 3 is -CH 2 OCH 2 C(O)-. In some embodiments, L 3 is -CH 2 CH 2 OCH 2 C(O)-. In some embodiments, L 3 is -CH 2 NHCH 2 C(O)-. In some embodiments, L 3 is -
- L 3 is -CH 2 CH 2 CH 2 CH 2 NHCH 2 C(O)-. In some embodiments, L 3 is -CH 2 CH 2 CH 2 CH 2 N(CH 3 )CH 2 C(O)-. In some embodiments, L 3 is - CH 2 SCH 2 CH 2 C(O)NH-. In some embodiments, L 3 is -CH 2 OCH 2 CH 2 C(O)NH-. In some embodiments, L 3 is -CH 2 CH 2 OCH 2 CH 2 C(O)NH-. In some embodiments, L 3 is - CH 2 NHCH 2 CH 2 C(O)NH-. In some embodiments, L 3 is - CH 2 NHCH 2 CH 2 C(O)NH-.
- L 3 is -CH 2 N(CH 3 )CH 2 CH 2 C(O)NH-. In some embodiments, L 3 is -CH 2 CH 2 CH 2 CH 2 NHCH 2 CH 2 C(O)NH-. In some embodiments, L 3 is - CH 2 CH 2 CH 2 N(CH 3 )CH 2 CH 2 C(O)NH-. In some embodiments, L 3 is -CH 2 SCH 2 CH 2 C(O)-. In some embodiments, L 3 is -CH 2 OCH 2 CH 2 C(O)-. In some embodiments, L 3 is - CH 2 CH 2 OCH 2 CH 2 C(O)-. In some embodiments, L 3 is -CH 2 NHCH 2 CH 2 C(O)-. In some embodiments, L 3 is -CH 2 N(CH 3 )CH 2 CH 2 C(O)-. In some embodiments, L 3 is --CH 2 -CH 2 N(CH 3 )CH 2 CH 2 C(O)-. In some embodiments, L 3 is -
- L 3 is
- L 3 is selected from those depicted in Table 1, below.
- each of R is independently hydrogen or C 1-4 alkyl.
- R is hydrogen. In some embodiments, R is C 1-4 alkyl.
- R is methyl. In some embodiments, R is ethyl. In some embodiments, R is n-propyl. In some embodiments, R is isopropyl. In some embodiments, R is n-butyl. In some embodiments, R is isobutyl. In some embodiments, R is tert-butyl.
- R is selected from those depicted in Table 1, below.
- each of m, n, s, and p is independently 0 or 1.
- n is 0. In some embodiments, m is 1. In some embodiments, m is selected from those depicted in Table 1, below.
- n is 0. In some embodiments, n is 1. In some embodiments, n is selected from those depicted in Table 1, below. [00131] In some embodiments, s is 0. In some embodiments, s is 1. In some embodiments, s is selected from those depicted in Table 1, below.
- p is 0. In some embodiments, p is 1. In some embodiments, p is selected from those depicted in Table 1, below.
- each of q and r is independently 1, 2, 3, 4, 5, 6, 7, 8, 9, 10, 11, 12, 13, 14 or 15.
- q is 1. In some embodiments, q is 2. In some embodiments, q is 3. In some embodiments, q is 4. In some embodiments, q is 5. In some embodiments, q is 6. In some embodiments, q is 7. In some embodiments, q is 8. In some embodiments, q is 9. In some embodiments, q is 10. In some embodiments, q is 11. In some embodiments, q is 12. In some embodiments, q is 13. In some embodiments, q is 14. In some embodiments, q is 15. In some embodiments, q is selected from those depicted in Table 1, below.
- r is 1. In some embodiments, r is 2. In some embodiments, r is 3. In some embodiments, r is 4. In some embodiments, r is 5. In some embodiments, r is 6. In some embodiments, r is 7. In some embodiments, r is 8. In some embodiments, r is 9. In some embodiments, r is 10. In some embodiments, r is 11. In some embodiments, r is 12. In some embodiments, r is 13. In some embodiments, r is 14. In some embodiments, r is 15. In some embodiments, r is selected from those depicted in Table 1, below.
- R 1 is R or -C(O)R.
- R 1 is R. In some embodiments, R 1 is -C(O)R.
- R 1 is hydrogen. In some embodiments, R 1 is methyl. In some embodiments, R 1 is ethyl. In some embodiments, R 1 is n-propyl. In some embodiments, R 1 is isopropyl. In some embodiments, R 1 is n-butyl. In some embodiments, R 1 is isobutyl. In some embodiments, R 1 is tert-butyl.
- R 1 is -C(O)CH 3 . In some embodiments, R 1 is -C(O)CH 2 CH 3 . In some embodiments, R 1 is -C(O)CH 2 CH 2 CH 3 . In some embodiments, R 1 is -C(O)CH(CH 3 )2. In some embodiments, R 1 is -C(O)CH 2 CH 2 CH 2 CH 3 . In some embodiments, R 1 is - C(O)CH 2 CH(CH 3 )2. In some embodiments, R 1 is -C(O)C(CH 3 )3. In some embodiments, R 1 is selected from those depicted in Table 1, below.
- each of R 4 and R 6 is independently hydrogen or an optionally substituted group selected from C 1-6 aliphatic, a 3-8 membered saturated or partially unsaturated monocyclic carbocyclic ring, phenyl, an 8-10 membered bicyclic aromatic carbocyclic ring, a 4-8 membered saturated or partially unsaturated monocyclic heterocyclic ring having 1-2 heteroatoms independently selected from nitrogen, oxygen, or sulfur, a 5-6 membered monocyclic heteroaromatic ring having 1-4 heteroatoms independently selected from nitrogen, oxygen, or sulfur, or an 8-10 membered bicyclic heteroaromatic ring having 1-5 heteroatoms independently selected from nitrogen, oxygen, or sulfur.
- R 4 is hydrogen. In some embodiments, R 4 is an optionally substituted C 1-6 aliphatic. In some embodiments, R 4 is an optionally substituted 3-8 membered saturated or partially unsaturated monocyclic carbocyclic ring. In some embodiments, R 4 is an optionally substituted phenyl. In some embodiments, R 4 is an optionally substituted 8-10 membered bicyclic aromatic carbocyclic ring. In some embodiments, R 4 is an optionally substituted 4-8 membered saturated or partially unsaturated monocyclic heterocyclic ring having 1-2 heteroatoms independently selected from nitrogen, oxygen, or sulfur.
- R 4 is an optionally substituted 5-6 membered monocyclic heteroaromatic ring having 1-4 heteroatoms independently selected from nitrogen, oxygen, or sulfur. In some embodiments, R 4 is an optionally substituted 8-10 membered bicyclic heteroaromatic ring having 1-5 heteroatoms independently selected from nitrogen, oxygen, or sulfur.
- R 4 is methyl. In some embodiments, R 4 is . In some embodiments, R 4 is In some embodiments, R 4 is . In some embodiments, R 4 is
- R 4 is In
- R 4 is In some embodiments.
- R 4 is . In some embodiments, R 4 is [00144] In some embodiments, R 4 is In some embodiments, R 4 is In
- R 4 is In some embodiments, R 4 is In some
- R 4 is . In some embodiments, R 4 is
- R 4 is selected from those depicted in Table 1, below.
- R 6 is hydrogen. In some embodiments, R 6 is an optionally substituted C 1-6 aliphatic. In some embodiments, R 6 is an optionally substituted 3-8 membered saturated or partially unsaturated monocyclic carbocyclic ring. In some embodiments, R 6 is an optionally substituted phenyl. In some embodiments, R 6 is an optionally substituted 8-10 membered bicyclic aromatic carbocyclic ring. In some embodiments, R 6 is an optionally substituted 4-8 membered saturated or partially unsaturated monocyclic heterocyclic ring having 1-2 heteroatoms independently selected from nitrogen, oxygen, or sulfur.
- R 6 is an optionally substituted 5-6 membered monocyclic heteroaromatic ring having 1-4 heteroatoms independently selected from nitrogen, oxygen, or sulfur. In some embodiments, R 6 is an optionally substituted 8-10 membered bicyclic heteroaromatic ring having 1-5 heteroatoms independently selected from nitrogen, oxygen, or sulfur.
- R 6 is methyl. In some embodiments, R 6 is . In some embodiments, R 6 is . In some embodiments, R 6 is . In some embodiments, R 6 is . In some embodiments, R 6 is
- R 6 is . In some embodiments, R 6 is In
- R is In some embodiments, R 6 is In some
- R 6 is . In some embodiments, R 6 is
- R 6 is . In some embodiments, R 6 is In
- R 6 is In some embodiments, R 6 is In some
- R 6 is . In some embodiments, R 6 is
- R 6 is selected from those depicted in Table 1, below.
- each of R 4 and R 6 is independently hydrogen or methyl.
- R 4 is hydrogen. In some embodiments, R 4 is methyl.
- R 4 is selected from those depicted in Table 1, below.
- R 6 is hydrogen. In some embodiments, R 6 is methyl.
- R 6 is selected from those depicted in Table 1, below.
- each of R 2 , R 3 , R 5 , and R 7 is independently hydrogen, or C 1-4 aliphatic, or: an R 5 group and its adjacent R 4 group are optionally taken together with their intervening atoms to form a 4-8 membered saturated or partially unsaturated monocyclic heterocyclic ring having 1-2 heteroatoms independently selected from nitrogen, oxygen, or sulfur; or an R 7 group and its adjacent R 6 group are optionally taken together with their intervening atoms to form a 4-8 membered saturated or partially unsaturated monocyclic heterocyclic ring having 1- 2 heteroatoms independently selected from nitrogen, oxygen, or sulfur.
- R 2 is hydrogen.
- R 2 is C1-4 aliphatic. In some embodiments, R 2 is methyl. In some embodiments, R 2 is ethyl. In some embodiments, R 2 is n-propyl. In some embodiments, R 2 is isopropyl. In some embodiments, R 2 is n-butyl. In some embodiments, R 2 is isobutyl. In some embodiments, R 2 is tert-butyl.
- R 2 is selected from those depicted in Table 1, below.
- R 3 is hydrogen. In some embodiments, R 3 is C1-4 aliphatic. In some embodiments, R 3 is methyl. In some embodiments, R 3 is ethyl. In some embodiments, R 3 is n-propyl. In some embodiments, R 3 is isopropyl. In some embodiments, R 3 is n-butyl. In some embodiments, R 3 is isobutyl. In some embodiments, R 3 is tert-butyl.
- R 3 is selected from those depicted in Table 1, below.
- R 5 is hydrogen. In some embodiments, R 5 is C1-4 aliphatic. In some embodiments, R 5 is methyl. In some embodiments, R 5 is ethyl. In some embodiments, R 5 is n-propyl. In some embodiments, R 5 is isopropyl. In some embodiments, R 5 is n-butyl. In some embodiments, R 5 is isobutyl. In some embodiments, R 5 is tert-butyl.
- an R 5 group and its adjacent R 4 group are taken together with
- R 4 group are taken together with their intervening atoms to form .
- R 5 is selected from those depicted in Table 1, below.
- R 7 is hydrogen. In some embodiments, R 7 is C 1 -4 aliphatic. In some embodiments, R 7 is methyl. In some embodiments, R 7 is ethyl. In some embodiments, R 7 is n-propyl. In some embodiments, R 7 is isopropyl. In some embodiments, R 7 is n-butyl. In some embodiments, R 7 is isobutyl. In some embodiments, R 7 is tert-butyl.
- an R 7 group and its adjacent R 6 group are taken together with
- R 6 group are taken together with their intervening atoms to form .
- R 7 is selected from those depicted in Table 1, below.
- Scaffold is a trivalent group that connects and orients a cyclic peptide.
- Scaffold is In some embodiments, Scaffold is In some embodiments, Scaffold is In some embodiments, Scaffold is In some embodiments, Scaffold is In some embodiments, Scaffold is In some embodiments, Scaffold is
- Scaffold is In some embodiments, Scaffold is In some embodiments,
- Scaffold is In some embodiments, Scaffold is In some embodiments, Scaffold is In some embodiments, Scaffold is In some embodiments, Scaffold is In some embodiments, Scaffold is
- Scaffold is In some embodiments,
- Scaffold is . In some embodiments, Scaffold is
- Scaffold is in some embodiments, Scaffold is
- Scaffold is .
- Scaffold is In some embodiments, Scaffold is . In some embodiments, Scaffold is
- Scaffold is In some embodiments, Scaffold is [00171] In some embodiments, Scaffold is In some embodiments, Scaffold is In some embodiments, Scaffold is In some embodiments, Scaffold is In some embodiments, Scaffold is In some embodiments, Scaffold is In some embodiments, Scaffold is In some embodiments, Scaffold is In some embodiments, Scaffold is in some embodiments, Scaffold is in some embodiments, Scaffold is
- Scaffold is In some embodiments, Scaffold is In some embodiments,
- Scaffold is
- Scaffold is . In some embodiments, Scaffold
- Scaffold is . In some embodiments, Scaffold is . In
- Scaffold is . In some embodiments, Scaffold is In some embodiments, Scaffold is In some embodiments, Scaffold is
- Scaffold is In some embodiments, Scaffold IS In some embodiments, Scaffold is
- Scaffold is . In some embodiments, Scaffold is . In some embodiments, Scaffold is . In some embodiments,
- Scaffold is . In some embodiments, Scaffold is . In some embodiments, Scaffold is . In some embodiments, Scaffold is In some embodiments, Scaffold is In some embodiments, Scaffold is In some embodiments, Scaffold is In some embodiments, Scaffold is In some embodiments, Scaffold is In some embodiments, Scaffold is In some embodiments, Scaffold is In some embodiments, Scaffold is In some embodiments, Scaffold is In some embodiments, Scaffold is In some embodiments, Scaffold is .
- Scaffold is In some embodiments,
- Scaffold is In some embodiments, Scaffold is . In some embodiments, Scaffold is
- Scaffold is . In some embodiments, Scaffold is In some embodiments, Scaffold is In some embodiments,
- Scaffold is . In some embodiments, Scaffold is . In some embodiments, Scaffold is In some embodiments, Scaffold is
- Scaffold is . In some embodiments, Scaffold is
- Scaffold is In some embodiments, Scaffold is
- Scaffold is In some embodiments, Scaffold is
- Scaffold is In some embodiments, Scaffold is . In some embodiments, Scaffold is In some embodiments, Scaffold is .
- Scaffold is In some embodiments, Scaffold is
- Scaffold is . In some embodiments, Scaffold
- IS 1 [00178] In some embodiments, IS 1
- Scaffold is Ring A selected from the group consisting of 18- crown-6, 1,7,13 -triaza- 18-crown-6, and a 3-12-membered saturated, partially unsaturated, bridged bicyclic, bridged tricyclic, propellane, or aromatic ring optionally substituted with 0-3 oxo, methyl, ethyl or spiroethylene groups and having 0-6 heteroatoms independently selected from nitrogen, oxygen, or sulfur.
- Ring A is 18-crown-6.
- Ring A is 1,7,13- triaza-18-crown-6.
- Ring A is a 3-12-membered saturated, partially unsaturated, bridged bicyclic, bridged tricyclic, propellane, or aromatic ring optionally substituted with 0-3 oxo, methyl, ethyl or spiroethylene groups and having 0-6 heteroatoms independently selected from nitrogen, oxygen, or sulfur.
- Ring A is In some embodiments, Ring A is
- Ring A is . In some embodiments,
- Ring A is In some embodiments, Ring A is In some embodiments, Ring A is In some embodiments, Ring A is In some embodiments, Ring A is In some embodiments, Ring A is In some
- Ring A is
- Ring A is In some embodiments, Ring A is . In some embodiments,
- Ring A is In some embodiments, Ring A is In some embodiments, Ring A is In some embodiments, Ring A is In some embodiments, Ring A is In some embodiments, Ring A is In some
- Ring A In some embodiments, Ring A is In some
- Ring A is . In some embodiments, Ring A is
- Ring A is In some embodiments, Ring A is selected from those depicted in Table 1, below.
- Scaffold is selected from those depicted in Table 1, below.
- Loop A is a bivalent natural or unnatural amino acid residue or peptide attached to the amino acid residue linked to L 2 and the amino acid residue linked to L 1 , wherein Loop A comprises .
- Loop A is a bivalent natural amino acid residue attached to the amino acid residue linked to L 2 and the amino
- Loop A comprises .
- Loop A is a bivalent unnatural amino acid residue attached to the amino acid residue linked to L 2
- Loop A is a bivalent peptide attached to the amino acid residue linked to L 2 and the
- Loop A comprises
- Loop A is In some embodiments, Loop A
- Loop B is a bivalent natural or unnatural amino acid residue or peptide attached to the amino acid residue linked to L 1 and the amino acid residue
- Loop B comprises In some embodiments, Loop B is a
- Loop B comprises .
- Loop B is a bivalent unnatural amino acid residue attached to the amino acid residue linked to L 1
- Loop B comprises In some embodiments, Loop B is a bivalent peptide attached to the amino acid residue linked to L 1 and the
- Loop B comprises
- Loop B is . In some embodiments, Loop B is
- Loop A comprises 1-15 amino acid residues and Loop B comprises 1-15 amino acid residues.
- Loop A comprises 5 amino acid residues and Loop B comprises
- Loop A comprises 6 amino acid residues and Loop B comprises 5 amino acid residues. In some embodiments, Loop A comprises 2 amino acid residues and Loop B comprises 7 amino acid residues. In some embodiments, Loop A comprises 3 amino acid residues and Loop B comprises 7 amino acid residues. In some embodiments, Loop A comprises 3 amino acid residues and Loop B comprises 9 amino acid residues. In some embodiments, Loop A comprises 3 amino acid residues and Loop B comprises 6 amino acid residues. In some embodiments, Loop A comprises 2 amino acid residues and Loop B comprises
- Loop A comprises 6 amino acid residues and Loop B comprises 5 amino acid residues.
- Loop A is selected from those depicted in Table 1, below.
- Loop B is selected from those depicted in Table 1, below. [00191] As defined above and described herein, indicates the site of attachment to the N- terminus of the Bicycle.
- STING 1 is a Stimulator of Interferon Genes modulator.
- STING 1 is a Stimulator of Interferon Genes agonist.
- STING agonists are amenable to achieve the effects of the present invention.
- STING 1 is a STING agonist as described in US 2018/0105514, the entire content of which is incorporated herein by reference. In some embodiments, STING 1 is
- STING 1 is a STING agonist as described in WO 2018/067423, the entire content of which is incorporated herein by reference. In some embodiments, STING 1 is
- a STING agonist selected from:
- STING 1 is a STING agonist as described in“Design of amidobenzimidazole STING receptor agonists with systemic activity,” Nature 2018, the entire content of which is incorporated herein by reference. In some embodiments, STING 1 is a STING
- agonist selected from: or a tautomer thereof.
- STING 1 is a Stimulator of Interferon Genes antagonist.
- STING antagonists are amenable to achieve the effects of the present invention.
- STING 1 is a STING antagonist as described in“Targeting STING with covalent small-molecule inhibitors,” Nature 2018, the entire content of which is incorporated herein by reference. In some embodiments, STING 1 is a STING antagonist selected
- STING 1 is a STING antagonist as described in Hall J, Brault A, Vincent F, Weng S, Wang H, Dumlao D, et al. (2017)“Discovery of PF06928215 as a high affinity inhibitor of cGAS enabled by a novel fluorescence polarization assay,” PLoS ONE 12(9): e0184843, the entire content of which is incorporated herein by reference.
- STING antagonist as described in Hall J, Brault A, Vincent F, Weng S, Wang H, Dumlao D, et al. (2017)“Discovery of PF06928215 as a high affinity inhibitor of cGAS enabled by a novel fluorescence polarization assay,” PLoS ONE 12(9): e0184843, the entire content of which is incorporated herein by reference.
- STING 1 is a STING antagonist selected from: , , and , or a tautomer thereof.
- STING 1 is a STING antagonist as described in“Discovery of a Novel cGAMP Competitive Ligand of the InactiveForm of STING,” ACS Med. Chem. Lett. 2019, 10, 92-97, the entire content of which is incorporated herein by reference.
- STING 1 is a STING antagonist as described in“Discovery of a Novel cGAMP Competitive Ligand of the InactiveForm of STING,” ACS Med. Chem. Lett. 2019, 10, 92-97, the entire content of which is incorporated herein by reference.
- STING 1 is a STING antagonist selected from: and , or a
- STING 1 can be connected at any available position. In some embodiments, STING 1 can be connected at any available -OH, -C(O)OH, -SH, -NH 2 , -NHCH 3 , -
- STING 1 is 3’, 3’-c-diGMP:
- STING 1 is 3’, 3’-c-
- STING 1 is 3’, 3’-c-
- diAMP comprising a 2’-F modification:
- STING 1 is 3’, 3’- c-GAMP: . In some
- STING 1 is 2’, 3’- c-GAMP:
- STING 1 is a mono-phosphorothioate analog of 3’, 3’-c-
- STING 1 is a mono-
- STING 1 is a mono-phosphorothioate analog of 3’, 3’ - c-GAMP:
- STING 1 is a mono-phosphorothioate analog of 2’, 3’ - c-GAMP:
- STING 1 is a mono-phosphorothioate analog of 3’, 3’-c-diAMP comprising a 2’-F
- STING 1 is a di-phosphorothioate analog of 3’, 3’-c-diGMP:
- STING 1 is a di-
- STING 1 is a di-phosphorothioate analog of 3’, 3’-c-GAMP:
- STING 1 is a di-
- STING 1 is a di-phosphorothioate analog of 3’, 3’-c-diAMP comprising a 2’-F
- STING 1 is selected from the following:
- either one or both of the nucleoside ring moieies of STING 1 is replaced with a bioisostere. In some embodiments, either one or both of the nucleoside ring moieies of STING 1 is replaced with a bioisostere selected from the group consisting of
- the hydroxyl group on one or both of the ribose rings of STING 1 is replaced by a hydrogen or halogen such as fluorine.
- the hydroxyl group on one or both of the ribose rings of STING 1 is alkylated with an alkylating agent to form the corresponding ether analog.
- STING 1 is DMXAA:
- the benzylic positions of DMXAA are further modified to provide handles for attachment to a linker, alkyl residue or acyl residue.
- STING 1 is hy doxy -DMXAA or dihydroxy -DMXAA:
- STING 1 is amino-DMXAA or diamino-DMXAA:
- STING 1 is thio-DMXAA or dithio-DMXAA:
- STING 1 is a DMXAA analog wherein the nitrogen, oxygen, or sulfur atoms of the hydroxy-, amino-, thio-, dihydroxy-, diamino-, or dithio-DMXAA analog is further alkylated or acylated at the benzylic position.
- nitrogen, oxygen, or sulfur atoms of the hydroxy-, amino-, thio-, dihydroxy-, diamino-, or dithio-DMXAA analog is further alkylated or acylated at the benzylic position.
- STING 1 is 7-methylxanthenone-4-acetic acid: . In some embodiments, STING 1 is 8-methylxanthenone-4-acetic acid: In some embodiments, STING 1 is 7, 8-dimethylxanthenone-4-acetic acid: [00216] As used herein, depiction of brackets around any STING 1 means that
- the moiety is covalently attached to said STING 1 at any available modifiable carbon, nitrogen, oxygen, or sulfur atom.
- any available modifiable carbon, nitrogen, oxygen, or sulfur atom are depicted below, wherein each wavy bond defines the point of attachment to said
- STING 1 is attached to an amino acid residue in Loop A, Loop B, or the amino acid residues attached to L 1 , L 2 or L 3 , provided that the site of attachment does not abrogate the binding of the Bicycle portion of the compound with the target.
- STING 1 is attached to L 1 , L 2 or L 3 , provided that the site of attachment does not abrogate the binding of the Bicycle portion of the compound with the target.
- STING 1 is attached to Scaffold, provided that the site of attachment does not abrogate the binding of the Bicycle portion of the compound with the target.
- STING 1 is selected from those depicted in Table 1, below.
- STING 2 is a Stimulator of Interferon Genes modulator.
- STING 2 is a Stimulator of Interferon Genes agonist.
- STING agonists are amenable to achieve the effects of the present invention.
- STING 2 is a STING agonist as described in US 2018/0105514, the entire content of which is incorporated herein by reference. In some embodiments, STING 2 is
- STING 2 is a STING agonist as described in WO 2018/067423, the entire content of which is incorporated herein by reference. In some embodiments, STING 2 is
- a STING agonist selected from:
- STING 2 is a STING agonist as described in“Design of amidobenzimidazole STING receptor agonists with systemic activity,” Nature 2018, the entire content of which is incorporated herein by reference. In some embodiments, STING 2 is a STING agonist
- agonist selected from: , or a tautomer thereof.
- STING 2 is a Stimulator of Interferon Genes antagonist.
- STING antagonists are amenable to achieve the effects of the present invention.
- STING 2 is a STING antagonist as described in“Targeting STING with covalent small-molecule inhibitors,” Nature 2018, the entire content of which is incorporated herein by reference. In some embodiments, STING 2 is a STING antagonist selected
- STING 2 is a STING antagonist as described in Hall J, Brault A, Vincent F, Weng S, Wang H, Dumlao D, et al. (2017)“Discovery of PF06928215 as a high affinity inhibitor of cGAS enabled by a novel fluorescence polarization assay,” PLoS ONE 12(9): e0184843, the entire content of which is incorporated herein by reference.
- STING antagonist as described in Hall J, Brault A, Vincent F, Weng S, Wang H, Dumlao D, et al. (2017)“Discovery of PF06928215 as a high affinity inhibitor of cGAS enabled by a novel fluorescence polarization assay,” PLoS ONE 12(9): e0184843, the entire content of which is incorporated herein by reference.
- STING is a STING antagonist selected from:
- STING 2 is a STING antagonist as described in“Discovery of a Novel cGAMP Competitive Ligand of the Inactive Form of STING,” ACS Med. Chem. Lett. 2019, 10, 92-97, the entire content of which is incorporated herein by reference.
- STING 2 is a STING antagonist as described in“Discovery of a Novel cGAMP Competitive Ligand of the Inactive Form of STING,” ACS Med. Chem. Lett. 2019, 10, 92-97, the entire content of which is incorporated herein by reference.
- STING 2 is a STING antagonist selected from: , or a
- STING 2 can be connected at any available position. In some embodiments, STING 2 can be connected at any available -OH, -C(O)OH, -SH, -NH 2 , -NHCH 3 , -
- STING 2 is 3’, 3’-c-diGMP:
- STING 2 is 3’, 3’-c-
- STING 2 is 3’, 3’-c-
- diAMP comprising a 2’-F modification:
- STING 2 is 3’, 3’- c-GAMP . In some
- STING 2 is 2’, 3’- c-GAMP:
- STING 2 is a mono-phosphorothioate analog of 3’, 3’-c-
- STING 2 is a mono-
- STING 2 is a mono-phosphorothioate analog of 3’, 3’ - c-GAMP: 2
- STING 2 is a mono-phosphorothioate analog of 2’, 3’ - c-GAMP:
- STING 2 is a mono-phosphorothioate analog of 3’, 3’-c-diAMP comprising a 2’-F
- STING 2 is a di-phosphorothioate analog of 3’, 3’-c-diGMP:
- STING 2 is a di-
- STING 2 is a di-phosphorothioate analog of 3’, 3’-c-GAMP:
- STING 2 is a di-
- STING 2 is a di-phosphorothioate analog of 3’, 3’-c-diAMP comprising a 2’-F
- STING 2 is selected from the following:
- either one or both of the nucleoside ring moieies of STING 2 is replaced with a bioisostere. In some embodiments, either one or both of the nucleoside ring moieies of STING 2 is replaced with a bioisostere selected from the group consisting of
- the hydroxyl group on one or both of the ribose rings of STING 2 is replaced by a hydrogen or halogen such as fluorine.
- the hydroxyl group on one or both of the ribose rings of STING 2 is alkylated with an alkylating agent to form the corresponding ether analog.
- STING 2 is DMXAA: .
- the benzylic positions of DMXAA are further modified to provide handles for attachment to a linker, alkyl residue or acyl residue.
- STING 2 is hydoxy-DMXAA or dihydroxy-DMXAA:
- STING 2 is amino-DMXAA or diamino-DMXAA:
- STING 2 is thio-DMXAA or dithio-DMXAA:
- STING 2 is a DMXAA analog wherein the nitrogen, oxygen, or sulfur atoms of the hydroxy-, amino-, thio-, dihydroxy-, diamino-, or dithio-DMXAA analog is further alkylated or acylated at the benzylic position.
- nitrogen, oxygen, or sulfur atoms of the hydroxy-, amino-, thio-, dihydroxy-, diamino-, or dithio-DMXAA analog is further alkylated or acylated at the benzylic position.
- STING 2 is 7-methylxanthenone-4-acetic acid: In some embodiments, STING 2 is 8-methylxanthenone-4-acetic acid: In some embodiments, STING 2 is 7, 8-dimethy lxanthenone-4-acetic acid: [00244] As used herein, depiction of brackets around any STING2 means that the
- STING 2 is covalently attached to said STING 2 at any available modifiable carbon, nitrogen, oxygen, or sulfur atom.
- any available modifiable carbon, nitrogen, oxygen, or sulfur atom are depicted below, wherein each wavy bond defines the point of attachment to said
- STING 2 is attached to an amino acid residue in Loop A, Loop B, or the amino acid residues attached to L 1 , L 2 or L 3 , provided that the site of attachment does not abrogate the binding of the Bicycle portion of the compound with the target.
- STING 2 is attached to L 1 , L 2 or L 3 , provided that the site of attachment does not abrogate the binding of the Bicycle portion of the compound with the target.
- STING 2 is attached to Scaffold, provided that the site of attachment does not abrogate the binding of the Bicycle portion of the compound with the target.
- STING 2 is selected from those depicted in Table 1, below.
- Linker 1 is hydrogen or a bivalent moiety that connects the N-terminus of the Bicycle with STING 1 , wherein when n is 0, Linker 1 is hydrogen.
- Linker 1 is hydrogen, wherein n is 0. In some embodiments, Linker 1 is a bivalent moiety that connects the N-terminus of the Bicycle with STING 1 . [00251] In some embodiments, Linker 1 is a covalent bond. In some embodiments, Linker 1 is
- Linker 1 is N-(2-aminoethyl)-2-aminoethyl-N-(2-aminoethyl)-2-aminoethyl-N-(2-aminoethyl)-2-aminoethyl-N-(2-aminoethyl)-2-aminoethyl-N-(2-aminoethyl)-2-aminoethyl
- Linker 1 is N-(2-aminoethyl)-2-aminoethyl-N-(2-aminoethyl)-2-aminoethyl-N-(2-aminoethyl)-2-aminoethyl-N-(2-aminoethyl)-2-aminoethyl-N-(2-aminoethyl)-2-aminoethyl
- Linker 1 is N-(2-aminoethyl)-2-aminoethyl-N-(2-aminoethyl)-2-aminoethyl-N-(2-aminoethyl)-2-aminoethyl-N-(2-aminoethyl)-2-aminoethyl-N-(2-aminoethyl)-2-aminoethyl
- Linker 1 is N-(2-aminoethyl)-2-aminoethyl-N-(2-aminoethyl)-2-aminoethyl-N-(2-aminoethyl)-2-aminoethyl-N-(2-aminoethyl)-2-aminoethyl-N-(2-aminoethyl)-2-aminoethyl
- Linker 1 is N-(2-aminoethyl)-2-aminoethyl-N-(2-aminoethyl)-2-aminoethyl-N-(2-aminoethyl)-2-aminoethyl-N-(2-aminoethyl)-2-aminoethyl-N-(2-aminoethyl)-2-aminoethyl
- Linker 1 is N-(2-aminoethyl)-2-aminoethyl-N-(2-aminoethyl)-2-aminoethyl-N-(2-aminoethyl)-2-aminoethyl-N-(2-aminoethyl)-2-aminoethyl-N-(2-aminoethyl)-2-aminoethyl
- Linker 1 is In some embodiments, Linker 1 is
- Linker 1 is N-(2-aminoethyl)-2-aminoethyl-N-(2-aminoethyl)-2-aminoethyl-N-(2-aminoethyl)-2-aminoethyl-N-(2-aminoethyl)-2-aminoethyl-N-(2-aminoethyl)-2-aminoethyl
- Linker 1 is N-(2-aminoethyl)-2-aminoethyl-N-(2-aminoethyl)-2-aminoethyl-N-(2-aminoethyl)-2-aminoethyl-N-(2-aminoethyl)-2-aminoethyl-N-(2-aminoethyl)-2-aminoethyl
- Linker 1 is N-(2-aminoethyl)-2-aminoethyl-N-(2-aminoethyl)-2-aminoethyl-N-(2-aminoethyl)-2-aminoethyl-N-(2-aminoethyl)-2-aminoethyl-N-(2-aminoethyl)-2-aminoethyl
- Linker 1 is N-(2-aminoethyl)-2-aminoethyl-N-(2-aminoethyl)-2-aminoethyl-N-(2-aminoethyl)-2-aminoethyl-N-(2-aminoethyl)-2-aminoethyl-N-(2-aminoethyl)-2-aminoethyl
- Linker 1 is N-(2-aminoethyl)-2-aminoethyl-N-(2-aminoethyl)-2-aminoethyl-N-(2-aminoethyl)-2-aminoethyl-N-(2-aminoethyl)-2-aminoethyl-N-(2-aminoethyl)-2-aminoethyl
- Linker 1 is In some embodiments, Linker 1 is In some embodiments, Linker 1 is In some embodiments, Linker 1 is In some embodiments, Linker 1 is In some embodiments, Linker 1 is In some embodiments, Linker 1 is In some embodiments, Linker 1 is In some embodiments, Linker 1 is In some embodiments, Linker 1 is In some embodiments, Linker 1 is In some embodiments, Linker 1 is in some embodiments, Linker 1 is In some embodiments, Linker 1 is in some embodiments, Linker 1 is
- Linker 1 is In some embodiments, Linker 1 is In some embodiments, Linker 1 is In some embodiments, Linker 1 is In some embodiments, Linker 1 is In some embodiments, Linker 1 is In some embodiments, Linker 1 is In some embodiments, Linker 1 is In some embodiments, Linker 1 is In some embodiments, Linker 1 is In some embodiments, Linker 1 is In some embodiments, Linker 1 is in some embodiments, Linker 1 is in some embodiments, Linker 1 is in some embodiments, Linker 1 is in some embodiments, Linker 1 is
- Linker 1 is N-(2-aminoethyl)-2-aminoethyl-N-(2-aminoethyl)-2-aminoethyl-N-(2-aminoethyl)-2-aminoethyl-N-(2-aminoethyl)-2-aminoethyl-N-(2-aminoethyl)-2-aminoethyl
- Linker 1 is N-(2-aminoethyl)-2-aminoethyl-N-(2-aminoethyl)-2-aminoethyl-N-(2-aminoethyl)-2-aminoethyl-N-(2-aminoethyl)-2-aminoethyl-N-(2-aminoethyl)-2-aminoethyl
- each of L 11 , L 12 , and L 13 independently is a C 1- 12 bivalent hydrocarbon chain wherein 1-6 methylene units of the chain are optionally and independently replaced by -Cy-, -S-, -C(R 11 ) 2- , - N(R 11 )-, -O-, -C(O)-, -OC(O)-, -C(O)O-, -C(O)N(R 11 )-, -N(R 11 )C(O)-, -S(O)-, or -S(O) 2- ; each -Cy- is independently an optionally substituted 3-7 membered bivalent saturated, partially unsaturated, or aromatic ring having 0-4 heteroatoms independently selected from nitrogen, oxygen, or sulfurand; and each R 11 is independently hydrogen, -OH, -C 1-6 aliphatic, or -N(R)- C(O)-C 1-6 aliphatic.
- Linker 1 is N-(2-aminoethyl)-2-aminoethyl-N-(2-aminoethyl)-2-aminoethyl-N-(2-aminoethyl)-2-aminoethyl-N-(2-aminoethyl)-2-aminoethyl-N-(2-aminoethyl)-2-aminoethyl
- each of L 11 , L 12 , and L 13 independently is a C 1- 12 bivalent hydrocarbon chain wherein 1-6 methylene units of the chain are optionally and independently replaced by -Cy-, -S-, -C( R 11 ) 2 -, - N(R 11 )-, -O-, -C(O)-, -OC(O)-, -C(O)O-, -C(O)N(R 11 )-, -N(R 11 )C(O)-, -S(O)-, or -S(O) 2- ; each -Cy- is independently an optionally substituted 3-7 membered bivalent saturated, partially unsaturated, or aromatic ring having 0-4 heteroatoms independently selected from nitrogen, oxygen, or sulfurand; and each R 11 is independently hydrogen, -OH, -C 1-6 aliphatic, or -N(R)- C(O)-C 1-6 aliphatic.
- L 11 is a C 1- 12 bivalent hydrocarbon chain wherein 1-6 methylene units of the chain are optionally and independently replaced by -Cy-, -S-, -C( R 11 ) 2 -, -N(R 11 )-, - O-, -C(O)-, -OC(O)-, -C(O)O-, -C(O)N(R 11 )-, -N(R 11 )C(O)-, -S(O)-, or -S(O) 2- , wherein each of-Cy- and R 11 independently is an embodiment as described herein.
- L 11 is a C 1- 12 bivalent hydrocarbon chain wherein 1-6 methylene units of the chain are optionally and independently replaced by -Cy-, -C(R 11 ) 2- , -N(R 11 )-, -O-, -C(O)-, -OC(O)-, -C(O)O-, - C(O)N(R 11 )-, or -N(R 11 )C(O)-, wherein each of -Cy- and R 11 independently is an embodiment as described herein.
- L 11 is a C 1- 10 bivalent hydrocarbon chain wherein 1-5 methylene units of the chain are optionally and independently replaced by -Cy-, -S-, -C(R 11 ) 2- , -N(R 11 )-, - O-, -C(O)-, -OC(O)-, -C(O)O-, -C(O)N(R 11 )-, -N(R 11 )C(O)-, -S(O)-, or -S(O) 2- , wherein each of -Cy- and R 11 independently is an embodiment as described herein.
- L 11 is a C 1- 10 bivalent hydrocarbon chain wherein 1-5 methylene units of the chain are optionally and independently replaced by -Cy-, -C( R 11 ) 2 -, -N(R 11 )-, -O-, -C(O)-, -0C(O)-, -C(O)O- - C(O)N(R 11 )-, or -N(R 11 )C(O)-, wherein each of -Cy- and R 11 independently is an embodiment as described herein.
- L 11 is a C 1-8 bivalent hydrocarbon chain wherein 1-5 methylene units of the chain are optionally and independently replaced by -Cy-, -S-, -C( R 11 ) 2 -, -N(R 11 )-, - O-, -C(O)-, -OC(O)-, -C(O)O-, -C(O)N(R 11 )-, -N(R 11 )C(O)-, -S(O)-, or -S(O) 2- , wherein each of -Cy- and R 11 independently is an embodiment as described herein.
- L 11 is a C 1-8 bivalent hydrocarbon chain wherein 1-5 methylene units of the chain are optionally and independently replaced by -Cy-, -C(R 11 ) 2 -, -N(R 11 )-, -O-, -C(O)-, -OC(O)-, -C(O)O-, - C(O)N(R 11 )-, or -N(R 11 )C(O)-, wherein each of -Cy- and R 11 independently is an embodiment as described herein.
- L 11 is selected from those depicted in Table 1, below.
- L 12 is a C 1- 12 bivalent hydrocarbon chain wherein 1-6 methylene units of the chain are optionally and independently replaced by -Cy-, -S-, -C(R 11 ) 2- , -N(R 11 )-, - O-, -C(O)-, -OC(O)-, -C(O)O-, -C(O)N(R 11 )-, -N(R 11 )C(O)-, -S(O)-, or -S(O) 2- , wherein each of-Cy- and R 11 independently is an embodiment as described herein.
- L 12 is a C 1- 12 bivalent hydrocarbon chain wherein 1-6 methylene units of the chain are optionally and independently replaced by -Cy-, -C( R 11 ) 2 -, -N(R 11 )-, -O-, -C(O)-, -OC(O)-, -C(O)O-, - C(O)N(R 11 )-, or -N(R 11 )C(O)-, wherein each of -Cy- and R 11 independently is an embodiment as described herein.
- L 12 is a C 1- 10 bivalent hydrocarbon chain wherein 1-5 methylene units of the chain are optionally and independently replaced by -Cy-, -S-, -C(R 11 ) 2- , -N(R 11 )-, - O-, -C(O)-, -OC(O)-, -C(O)O-, -C(O)N(R 11 )-, -N(R 11 )C(O)-, -S(O)-, or -S(O) 2- , wherein each of -Cy- and R 11 independently is an embodiment as described herein.
- L 12 is a C 1- 10 bivalent hydrocarbon chain wherein 1-5 methylene units of the chain are optionally and independently replaced by -Cy-, -C(R 11 ) 2- , -N(R 11 )-, -O-, -C(O)-, -OC(O)-, -C(O)O-, - C(O)N(R 11 )-, or -N(R 11 )C(O)-, wherein each of -Cy- and R 11 independently is an embodiment as described herein.
- L 12 is a C 1-8 bivalent hydrocarbon chain wherein 1-5 methylene units of the chain are optionally and independently replaced by -Cy-, -S-, -C(R 11 ) 2- , -N(R 11 )-, - O-, -C(O)-, -OC(O)-, -C(O)O-, -C(O)N(R 11 )-, -N(R 11 )C(O)-, -S(O)-, or -S(O) 2- , wherein each of -Cy- and R 11 independently is an embodiment as described herein.
- L 12 is a C 1-8 bivalent hydrocarbon chain wherein 1-5 methylene units of the chain are optionally and independently replaced by -Cy-, -C(R 11 ) 2 -, -N(R 11 )-, -O-, -C(O)-, -OC(O)-, -C(O)O- - C(O)N(R 11 )-, or -N(R 11 )C(O)-, wherein each of -Cy- and R 11 independently is an embodiment as described herein.
- L 12 is -C(O)-CH 2 -.
- L 12 is selected from those depicted in Table 1, below.
- L 13 is a C 1- 12 bivalent hydrocarbon chain wherein 1-6 methylene units of the chain are optionally and independently replaced by -Cy-, -S-, -C(R 11 ) 2 -, -N(R 11 )-, - O-, -C(O)-, -OC(O)-, -C(O)O-, -C(O)N(R 11 )-, -N(R 11 )C(O)-, -S(O)-, or -S(O) 2- , wherein each of-Cy- and R 11 independently is an embodiment as described herein.
- L 13 is a C 1- 12 bivalent hydrocarbon chain wherein 1-6 methylene units of the chain are optionally and independently replaced by -Cy-, -C(R 11 ) 2 -, -N(R 11 )-, -O-, -C(O)-, -OC(O)-, -C(O)O-, - C(O)N(R 11 )-, or -N(R 11 )C(O)-, wherein each of -Cy- and R 11 independently is an embodiment as described herein.
- L 13 is a C 1- 10 bivalent hydrocarbon chain wherein 1-5 methylene units of the chain are optionally and independently replaced by -Cy-, -S-, -C(R 11 ) 2 -, -N(R 11 )-, - O-, -C(O)-, -OC(O)-, -C(O)O-, -C(O)N(R 11 )-, -N(R 11 )C(O)-, -S(O)-, or -S(O) 2- , wherein each of -Cy- and R 11 independently is an embodiment as described herein.
- L 13 is a C 1- 10 bivalent hydrocarbon chain wherein 1-5 methylene units of the chain are optionally and independently replaced by -Cy-, -C( R 11 ) 2 -, -N(R 11 )-, -O-, -C(O)-, -OC(O)-, -C(O)O-, - C(O)N(R 11 )-, or -N(R 11 )C(O)-, wherein each of -Cy- and R 11 independently is an embodiment as described herein.
- L 13 is a C 1-8 bivalent hydrocarbon chain wherein 1-5 methylene units of the chain are optionally and independently replaced by -Cy-, -S-, -C(R 11 ) 2 -, -N(R 11 )-, - O-, -C(O)-, -OC(O)-, -C(O)O-, -C(O)N(R 11 )-, -N(R 11 )C(O)-, -S(O)-, or -S(O) 2- , wherein each of -Cy- and R 11 independently is an embodiment as described herein.
- L 13 is a C 1-8 bivalent hydrocarbon chain wherein 1-5 methylene units of the chain are optionally and independently replaced by -Cy-, -C(R 11 ) 2 -, -N(R 11 )-, -O-, -C(O)-, -OC(O)-, -C(O)O-, - C(O)N(R 11 )-, or -N(R 11 )C(O)-, wherein each of -Cy- and R 11 independently is an embodiment as described herein.
- L 13 is .
- L 13 is selected from those depicted in Table 1, below.
- -Cy- is an optionally substituted 3-7 membered bivalent saturated, partially unsaturated, or aromatic ring having 0-4 heteroatoms independently selected from nitrogen, oxygen, or sulfur. In some embodiments, -Cy- is an optionally substituted 3-7 membered bivalent saturated ring having 0-4 heteroatoms independently selected from nitrogen, oxygen, or sulfur. In some embodiments, -Cy- is an optionally substituted 5 -membered bivalent saturated, partially unsaturated, or aromatic ring having 0-4 heteroatoms independently selected from nitrogen, oxygen, or sulfur. In some embodiments, -Cy- is an optionally substituted 6- membered bivalent saturated, partially unsaturated, or aromatic ring having 0-4 heteroatoms independently selected from nitrogen, oxygen, or sulfur. In some embodiments, -Cy- is selected
- -Cy- is selected from those depicted in Table 1, below.
- R 11 is independently hydrogen, -OH, -C 1-6 aliphatic, or -N(R)- C(O)-C 1-6 aliphatic, wherein each R independently is an embodiment as described herein.
- R 11 is hydrogen.
- R 11 is -OH.
- R 11 is -C 1-6 aliphatic.
- R 11 is -N(R)-C(0)-C 1-6 aliphatic.
- R 11 is -C 1-6 alkyl.
- R 11 is -N(R)-C(0)-C 1-6 alkyl.
- R 11 is -CH3.
- R 11 is -NH-C(0)-CH 3 .
- R 11 is selected from those depicted in Table 1, below.
- Linker 1 is N-(2-aminoethyl)-2-aminoethyl-N-(2-aminoethyl)-2-aminoethyl-N-(2-aminoethyl)-2-aminoethyl-N-(2-aminoethyl)-2-aminoethyl-N-(2-aminoethyl)-2-aminoethyl
- Linker 1 is N-(2-aminoethyl)-2-aminoethyl-N-(2-aminoethyl)-2-aminoethyl-N-(2-aminoethyl)-2-aminoethyl-N-(2-aminoethyl)-2-aminoethyl-N-(2-aminoethyl)-2-aminoethyl
- Linker 1 is N-(2-aminoethyl)-2-aminoethyl-N-(2-aminoethyl)-2-aminoethyl-N-(2-aminoethyl)-2-aminoethyl-N-(2-aminoethyl)-2-aminoethyl-N-(2-aminoethyl)-2-aminoethyl
- L 14 is a C 1-6 bivalent hydrocarbon chain wherein 1-3 methylene units of the chain are optionally and independently replaced by -Cy-, -S-, -C(R 11 ) 2 -, - N(R 11 )-, -O-, -C(O)-, -OC(O)-, -C(O)O-, -C(O)N(R 11 )-, -N(R 11 )C(O)-, -S(O)-, or -S(O) 2- ; each -Cy- independently is an optionally substituted 3-7 membered bivalent saturated, partially unsaturated, or aromatic ring having 0-4 heteroatoms independently selected from nitrogen, oxygen, or sulfurand; and each R 11 independently is hydrogen, -OH, -C 1-6 aliphatic, or -N(R)- C(O)-C 1-6 aliphatic.
- Linker 1 is N-(2-aminoethyl)-2-aminoethyl-N-(2-aminoethyl)-2-aminoethyl-N-(2-aminoethyl)-2-aminoethyl-N-(2-aminoethyl)-2-aminoethyl-N-(2-aminoethyl)-2-aminoethyl
- L 11 and L 13 independently is as described herein.
- Linker 1 is N-(2-aminoethyl)-2-aminoethyl-N-(2-aminoethyl)-2-aminoethyl-N-(2-aminoethyl)-2-aminoethyl-N-(2-aminoethyl)-2-aminoethyl-N-(2-aminoethyl)-2-aminoethyl
- Linker 1 is
- L 11 is an embodiment as described herein.
- Linker 1 is N-(2-aminoethyl)-2-aminoethyl-N-(2-aminoethyl)-2-aminoethyl-N-(2-aminoethyl)-2-aminoethyl-N-(2-aminoethyl)-2-aminoethyl-N-(2-aminoethyl)-2-aminoethyl
- methylene units of the chain are optionally and independently replaced by -Cy-, -S-, -C(R 11 ) 2 -, - N(R 11 )-, -O-, -C(O)-, -OC(O)-, -C(O)O-, -C(O)N(R 11 )-, -N(R 11 )C(O)-, -S(O)-, or -S(O) 2- ; each -Cy- independently is an optionally substituted 3-7 membered bivalent saturated, partially unsaturated, or aromatic ring having 0-4 heteroatoms independently selected from nitrogen, oxygen, or sulfurand; and each R 11 independently is hydrogen, -OH, -C 1-6 aliphatic, or -N(R)- C(O)-C 1-6 aliphatic.
- -M- is a bond. In some embodiments, -M- is O. In some embodiments, -M- is -N(R 11 )-, wherein R 11 is an embodiment as described herein. In some embodiments, -M- is -N(R)-, wherein R is an embodiment as described herein. In some embodiments, -M- is -NH-. In some embodiments, -M- is -N(CH 3 )-. In some embodiments, -M- is -N(CH 2 CH 3 )-. In some embodiments, -M- is selected from those depicted in Table 1, below.
- L 14 is a C 1-6 bivalent hydrocarbon chain wherein 1-3 methylene units of the chain are optionally and independently replaced by -Cy-, -S-, -C(R 11 ) 2 -, -N(R 11 )-, - O-, -C(O)-, -OC(O)-, -C(O)O-, -C(O)N(R 11 )-, -N(R 11 )C(O)-, -S(O)-, or -S(O) 2- , wherein each of -Cy- and R 11 independently is as described herein.
- L 14 is a C 1-6 bivalent hydrocarbon chain wherein 1-3 methylene units of the chain are optionally and independently replaced by -Cy-, -C(R 11 ) 2 -, -N(R 11 )-, -O-, - C(O)-, -OC(O)-, -C(O)O- -C(O)N(R 11 )-, or -N(R 11 )C(O)-, wherein each of -Cy- and R 11 independently is as described herein.
- L 14 is a C 1-6 bivalent hydrocarbon chain wherein 1-3 methylene units of the chain are optionally and independently replaced by -Cy-, -C(R 11 ) 2 -, -N(R 11 )-, -O-, or — C(O)— , wherein each of -Cy- and R 11 independently is as described herein.
- L 14 is a C 1-4 bivalent hydrocarbon chain wherein 1-2 methylene units of the chain are optionally and independently replaced by -Cy-, -S-, -C( R 11 ) 2 -, -N(R 11 )-, - O-, -C(O)-, -OC(O)-, -C(O)O-, -C(O)N(R 11 )-, -N(R 11 )C(O)-, -S(O)-, or -S(O) 2- , wherein each of -Cy- and R 11 independently is as described herein.
- L 14 is a C 1-4 bivalent hydrocarbon chain wherein 1-2 methylene units of the chain are optionally and independently replaced by -Cy-, -C( R 11 ) 2 -, -N(R 11 )-, -O-, - C(O)-, -OC(O)-, -C(O)O-, -C(O)N(R 11 )-, or -N(R 11 )C(O)-, wherein each of -Cy- and R 11 independently is as described herein.
- L 14 is a C 1-4 bivalent hydrocarbon chain wherein 1-2 methylene units of the chain are optionally and independently replaced by -Cy-, -C( R 11 ) 2 -, -N(R 11 )-, -O-, or — C(O)— , wherein each of -Cy- and R 11 independently is as described herein.
- L 14 is selected from those depicted in Table 1, below.
- Linker 1 is selected from the following:
- Linker 1 is selected from those depicted in Table 1, below.
- Linker 2 is -NH 2 or a bivalent moiety that connects the C-terminus of the Bicycle with STING 2 , wherein when p is 0, Linker 2 is -NH 2 .
- Linker 2 is -NIL, wherein p is 0. In some embodiments, Linker 2 is a bivalent moiety that connects the C-terminus of the Bicycle with STING 2 . [00283] In some embodiments, Linker 2 is a covalent bond. In some embodiments, Linker 2 is
- Linker 2 is
- Linker 2 is
- Linker 2 is
- Linker 2 is In some embodiments
- Linker 2 is . In some embodiments, Linker 2 is
- Linker 2 is In some embodiments, Linker 2 is In some embodiments,
- Linker 2 is . In some embodiments, Linker 2 is
- Linker 2 is In some embodiments
- Linker 2 is . In some embodiments, Linker 2 is
- Linker 2 is In some embodiments, Linker 2 is In some embodiments, Linker 2 is In some embodiments,
- Linker 2 In some . In some embodiments, Linker 2 is
- Linker 2 is
- Linker 2 is In some embodiments, Linker 2 is
- Linker 2 is In some embodiments, Linker 2 is
- Linker 2 is
- Linker 2 is
- Linker 2 is [00285] In some embodiments, Linker 2 is
- Linker 2 is selected from those depicted in Table 1, below.
- the present invention provides a Bicycle of formula I, wherein Scaffold is Ring A, thereby forming a Bicycle of formula I-a:
- each of Loop A, Loop B, Ring A, L 1 , L 2 , L 3 , Linker 1 , Linker 2 , STING 1 , STING 2 , R 1 , R 2 , R 3 , m, n, s, and p is as defined above and described in embodiments herein, both singly and in combination.
- the present invention provides a Bicycle of formula I, wherein
- each of L 1 , L 2 , L 3 , Scaffold, R 1 , R 2 , R 3 , R 4 , R 4 , R 5 , R 6 , R 6 , R 7 , Linker 1 , Linker 2 , STING 1 , STING 2 , m, n, s, p, q and r is as defined above and described in embodiments herein, both singly and in combination.
- the present invention provides a Bicycle of formula II, wherein p is 0, thereby forming a Bicycle of formula II-a:
- each of L 1 , L 2 , L 3 , Scaffold, R 1 , R 2 , R 3 , R 4 , R 4 , R 5 , R 6 , R 6 , R 7 , Linker 1 , STING 1 , m, n, q and r is as defined above and described in embodiments herein, both singly and in combination.
- the present invention provides a Bicycle of formula II, wherein n is 0, thereby forming a Bicycle of formula II- b:
- a Bicycle of formula II is a Bicycle of formula II-c:
- each of R 1 , R 2 , R 3 , R 4 , R 4 , R 5 , R 6 , R 6 , R 7 , Linker 1 , STING 1 , Linker 2 , STING 2 , m, n, s, p, q and r is as defined above and described in embodiments herein, both singly and in combination.
- a compound of the invention is of formula III :
- a compound of the invention is of formula III-a:
- each of L 1 , L 2 , L 3 , Scaffold, Linker 1 , STING 1 , n, and m is as defined above and described in embodiments herein, both singly and in combination.
- a compound of the invention is of formula III -b:
- each of R 1 , L 1 , L 2 , L 3 , Scaffold, Linker 2 , STING 2 , s, and p is as defined above and described in embodiments herein, both singly and in combination.
- a compound of the invention is of formula IV:
- each of L 1 , L 2 , L 3 , Scaffold, R 2 , R 3 , R 4 , R 4 , R 5 , R 6 , R 6 , R 7 , Linker 1 , STING 1 , q and r is as defined above and below and in classes and subclasses as described herein, both singly and in combination.
- a compound of the invention is of formula V:
- each of L 1 , L 2 , L 3 , Scaffold, R 2 , R 3 , R 4 , R 4 , R 5 , R 6 , R 6 , R 7 , Linker 1 , STING 1 , q and r is as defined above and below and in classes and subclasses as described herein, both singly and in combination.
- a compound of the invention is of formula VI:
- each of L 1 , L 2 , L 3 , Scaffold, R 1 , R 2 , R 3 , R 4 , R 4 , R 5 , R 6 , R 6 , R 7 , L 11 , L 12 , L 13 , STING 1 , q and r is as defined above and below and in classes and subclasses as described herein, both singly and in combination.
- a compound of the invention is of formula VIE:
- each of L 1 , L 2 , L 3 , Scaffold, R 1 , R 2 , R 3 , R 4 , R 4 , R 5 , R 6 , R 6 , R 7 , L 11 , STING 1 , q and r is as defined above and below and in classes and subclasses as described herein, both singly and in combination.
- a compound of the invention is of formula V III:
- each of L 1 , L 2 , L 3 , Scaffold, R 1 , L 11 , and STING 1 is as defined above and below and in classes and subclasses as described herein, both singly and in combination.
- a compound of the invention is of formula IX:
- L 11 and STING 1 are as defined above and below and in classes and subclasses as described herein, both singly and in combination.
- a compound of the invention is of formula X:
- each of-M-, L 14 , and STING 1 is as defined above and below and in classes and subclasses as described herein, both singly and in combination.
- a compound of the invention is of formula XI:
- each of -M-, L 14 , and STING 1 is as defined above and below and in classes and subclasses as described herein, both singly and in combination.
- a compound of the invention is of formula XII :
- each of L 1 , L 2 , L 3 , Scaffold, R 1 , R 2 , R 3 , R 4 , R 4 , R 5 , R 6 , R 6 , R 7 , L 11 , L 12 , L 13 , STING 1 , q and r is as defined above and below and in classes and subclasses as described herein, both singly and in combination.
- a compound of the invention is of formula XIII:
- each of L 1 , L 2 , L 3 , Scaffold, R 1 , R 2 , R 3 , R 4 , R 4 , R 5 , R 6 , R 6 , R 7 , L 11 , STING 1 , q and r is as defined above and below and in classes and subclasses as described herein, both singly and in combination.
- a compound of the invention is of formula XIV:
- each of L 1 , L 2 , L 3 , Scaffold, R 1 , L 11 , and STING 1 is as defined above and below and in classes and subclasses as described herein, both singly and in combination.
- a compound of the invention is of formula XV:
- L 1 1 and STING 1 are as defined above and below and in classes and subclasses as described herein, both singly and in combination.
- a compound of the invention is of formula XVI:
- each of-M-, L 14 , and STING 1 is as defined above and below and in classes and subclasses as described herein, both singly and in combination.
- a compound of the invention is of formula XVII:
- each of-M-, L 14 , and STING 1 is as defined above and below and in classes and subclasses as described herein, both singly and in combination.
- the present invention provides a compound set forth in Table 1, above, or a pharmaceutically acceptable salt thereof.
- the compounds of this invention may be prepared or isolated in general by synthetic and/or semi-synthetic methods known to those skilled in the art for analogous compounds and by methods described in detail in the Examples, herein.
- the compounds of this invention may be prepared by treating a peptide with a molecular scaffold reagent.
- the molecular scaffold reagent comprises the Scaffold and reactive functionality such as leaving groups (“LG”) or Michael acceptors (“MA”), that allow the peptide to form covalent bonds with the molecular scaffold via displacement of the leaving group or addition to the Michael acceptor group followed by subsequent protonation of the addition complex.
- LG leaving groups
- MA Michael acceptors
- Compounds of the present invention are formed by treating peptides with various molecular scaffold reagents to form a Bicycle intermediate which is then coupled to STING using standard amide formation methodology.
- a peptide has the following amino acid sequence:
- a peptide has the following amino acid sequence:
- Bicycle intermediates of the present invention can be prepared by treating a peptide with the molecular scaffold reagent 1,3,5-tris(bromomethyl)benzene (“TBMB”), for example, as described in WO 2016/067035 and WO 2018/115204, each of which is incorporated herein by reference in its entirety.
- TBMB molecular scaffold reagent 1,3,5-tris(bromomethyl)benzene
- the present invention provides a Bicycle intermediate as described in WO 2016/067035 and WO 2018/115204.
- a Bicycle intermediate of the present invention has an MT1-MMP binding affinity as described in WO 2016/067035 and WO 2018/115204.
- LG includes, but is not limited to, halogens (e.g. fluoride, chloride, bromide, iodide), sulfonates (e.g. mesylate, tosylate, benzenesulfonate, brosylate, nosylate, triflate), diazonium, and the like.
- halogens e.g. fluoride, chloride, bromide, iodide
- sulfonates e.g. mesylate, tosylate, benzenesulfonate, brosylate, nosylate, triflate
- diazonium and the like.
- the phrase“activated ester” includes, but is not limited to, acyl halides (e.g. acyl fluoride, acyl chloride, acyl bromide, acyl iodide), N-succinimidyl esters, uronium esters (e.g. 1 -hydroxy-7azabenzotriazole, -OAt), and the like.
- an AE can be prepared from a corresponding STING-AE precursor acid in situ by treatment with coupling reagents known in the art such as, but not limited to DCC, DIC, EDC, HATU, HBTU, HCTU,
- TSTU TSTU
- TDBTU TDBTU
- Linker-STING conjugate is convergent in that one Linker can be converted to another Linker of the invention by treatment with STING-AE which may comprise parts of the Linker in addition to the activated ester portion.
- each of LG, L 1 , L 2 , L 3 , Scaffold, Linker 1 , Linker 2 , R 1 , R 2 , R 3 , Loop A, Loop B, STING 1 , STING 2 , AE, m, n, s, and p is as defined above and below and in classes and subclasses as described herein.
- step S-l comprises contacting the scaffold reagent R-1 with a peptide P-1 to displace the leaving group LG, thereby forming an intermediate which is further treated with an activated ester of STING in step S-2 to afford a compound of formula I.
- LG is a halogen.
- LG is chlorine.
- LG is a sulfonate.
- AE is a N-succinimidyl ester.
- a base is added to promote the displacement.
- the base is ammonium carbonate.
- the base is an amine.
- the base is N,N-diisopropylethylamine.
- step S-1 comprises contacting a compound of formula P-1 with a compound of the formula
- LG and Ring A are defined above and below and in classes and subclasses as described herein.
- the reaction further comprises a solvent.
- the solvent is acetonitrile.
- the reaction further comprises a solvent.
- the solvent is DMSO.
- the solvent is a mixture of water and acetonitrile.
- LG is a halogen. In some embodiments, LG is chlorine. In some embodiments, LG is a sulfonate. In some embodiments, a catalyst is added to promote the displacement. In some embodiments, the catalyst is generated from 3 rd Generation XPhos precatalyst. In some embodiments, the solvent is tert-butanol. In some embodiments, the solvent is a mixture of water and tert- butanol.
- each of MA, L 1 , L 2 , L 3 , Scaffold, Linker 1 , Linker 2 , R 1 , R 2 , R 3 , Loop A, Loop B, STING 1 , STING 2 , AE, m, n, s, and p is as defined above and below and in classes and subclasses as described herein.
- step S-l comprises contacting the scaffold reagent R-2 with a peptide P-1 to affect a Michael addition to MA, thereby forming a an intermediate which is further treated with an activated ester of STING in step S-2 to afford a compound of formula I.
- MA is an a,b-unsaturated amide.
- MA is an a,b-unsaturated ketone.
- MA is an a,b-unsaturated ester.
- MA is an a,b-unsaturated sulfone.
- MA is an a,b-unsaturated nitrile.
- a base is added to promote the Michael addition.
- AE is a N-succinimidyl ester.
- the base is ammonium carbonate.
- the base is an amine.
- the base is N,N-diisopropylethylamine.
- step S-1 comprises contacting a compound of formula P-1 with a compound of the formula
- MA and Ring A are defined above and below and in classes and subclasses as described herein.
- the reaction further comprises a solvent.
- the solvent is acetonitrile.
- the reaction further comprises a solvent.
- the solvent is DMSO.
- the solvent is a mixture of water and acetonitrile.
- MA is an a,b-unsaturated amide. In some embodiments, MA is an a,b-unsaturated ketone. In some embodiments, MA is an a,b-unsaturated ester. In some embodiments, MA is an a,b-unsaturated sulfone. In some embodiments, MA is an a,b- unsaturated nitrile.
- a base is added to promote the Michael addition. In some embodiments, the base is ammonium carbonate. In some embodiments, the base is an amine. In some embodiments, the base is N,N-diisopropylethylamine.
- the present invention provides a method for synthesizing a compound of formula I by coupling a Bicycle peptide intermediate (“BPI”) to a STING intermediate (“STI”) via click chemistry.
- a method for synthesizing a compound of formula I comprises coupling a Bicycle peptide intermediate having an alkyne group to a STING intermediate having an azide group.
- a method for synthesizing a compound of formula I comprises coupling a Bicycle peptide intermediate having an azide group to a STING intermediate having an alkyne group.
- each of a Bicycle peptide intermediate and a STING 1 intermediate in a coupling reaction comprises part of Linker 1 , wherein the coupling reaction forms Linker 1 between the Bicycle peptide moiety and the STING 1 moiety, and Linker 1 comprises a 1,2, 3 -triazole moiety.
- each of a Bicycle peptide intermediate and a STING 2 intermediate in a coupling reaction comprises part of Linker 2 , wherein the coupling reaction forms Linker 2 between the Bicycle peptide moiety and the STING 2 moiety, and Linker 2 comprises a 1,2,3-triazole moiety.
- the present invention provides a method for synthesizing a compound of formula IV by click chemistry, as shown below is Scheme III.
- each of L 1 , L 2 , L 3 , Scaffold, R 2 , R 3 , R 4 , R 4’ , R 5 , R 6 , R 6’ , R 7 , Linker 1 , STING 1 , q and r is as defined above and below and in classes and subclasses as described herein.
- the present invention provides a method for synthesizing a compound of formula I by coupling a Bicycle peptide intermediate (“BPI”) to a STING intermediate (“STI”) via disulfide chemistry.
- a method for synthesizing a compound of formula I comprises coupling a Bicycle peptide intermediate having a thiol group to a STING intermediate having a thiol group that is protected by a leaving group (for example, 2- mercaptopyridyl).
- a method for synthesizing a compound of formula I comprises coupling a Bicycle peptide intermediate having a thiol group that is protected by a leaving group (for example, 2-mercaptopyridyl) to a STING intermediate having a thiol group.
- a Bicycle peptide intermediate and a STING 1 intermediate in a coupling reaction comprises part of Linker 1 , wherein the coupling reaction forms Linker 1 between the Bicycle peptide moiety and the STING 1 moiety, and Linker 1 comprises a disulfide moiety.
- each of a Bicycle peptide intermediate and a STING 2 intermediate in a coupling reaction comprises part of Linker 2 , wherein the coupling reaction forms Linker 2 between the Bicycle peptide moiety and the STING 2 moiety, and Linker 2 comprises a disulfide moiety.
- the present invention provides a method for synthesizing a compound of formula V by disulfide chemistry, as shown below is Scheme IV.
- each of L 1 , L 2 , L 3 , Scaffold, R 2 , R 3 , R 4 , R 4’ , R 5 , R 6 , R 6’ , R 7 , Linker 1 , STING 1 , q and r is as defined above and below and in classes and subclasses as described herein.
- compounds of formula I may contain one or more stereocenters, and may be present as an racemic or diastereomeric mixture.
- One of skill in the art will also appreciate that there are many methods known in the art for the separation of isomers to obtain stereoenriched or stereopure isomers of those compounds, including but not limited to HPLC, chiral HPLC, fractional crystallization of diastereomeric salts, kinetic enzymatic resolution (e.g. by fungal-, bacterial-, or animal-derived lipases or esterases), and formation of covalent diastereomeric derivatives using an enantioenriched reagent.
- a STING intermediate is selected from Table 2 below.
- a bicyle peptide intermediate is selected from Table 3 below.
- compositions are provided.
- the invention provides a composition comprising a compound of this invention or a pharmaceutically acceptable derivative thereof and a pharmaceutically acceptable carrier, adjuvant, or vehicle.
- the amount of the compound of the invention in compositions of this invention is such that is effective to measurably inhibit MT1-MMP, or a mutant thereof, in a biological sample or in a patient.
- the amount of compound in compositions of this invention is such that is effective to measurably inhibit MT1-MMP, or a mutant thereof, in a biological sample or in a patient.
- a composition of this invention is formulated for administration to a patient in need of such composition.
- a composition of this invention is formulated for oral administration to a patient.
- the term“patient,” as used herein, means an animal, preferably a mammal, and most preferably a human.
- compositions of this invention refers to a non toxic carrier, adjuvant, or vehicle that does not destroy the pharmacological activity of the compound with which it is formulated.
- Pharmaceutically acceptable carriers, adjuvants or vehicles that may be used in the compositions of this invention include, but are not limited to, ion exchangers, alumina, aluminum stearate, lecithin, serum proteins, such as human serum albumin, buffer substances such as phosphates, glycine, sorbic acid, potassium sorbate, partial glyceride mixtures of saturated vegetable fatty acids, water, salts or electrolytes, such as protamine sulfate, disodium hydrogen phosphate, potassium hydrogen phosphate, sodium chloride, zinc salts, colloidal silica, magnesium trisilicate, polyvinyl pyrrolidone, cellulose-based substances, polyethylene glycol, sodium carboxymethylcellulose, polyacrylates, waxes, polyethylene- polyoxypropy
- A“pharmaceutically acceptable derivative” means any non-toxic salt, ester, salt of an ester or other derivative of a compound of this invention that, upon administration to a recipient, is capable of providing, either directly or indirectly, a compound of this invention or an inhibitorily active metabolite or residue thereof.
- inhibitors or residue thereof means that a metabolite or residue thereof is also an inhibitor of MT1-MMP, or a mutant thereof.
- compositions of the present invention may be administered orally, parenterally, by inhalation spray, topically, rectally, nasally, buccally, vaginally or via an implanted reservoir.
- parenteral as used herein includes subcutaneous, intravenous, intramuscular, intra-articular, intra-synovial, intrasternal, intrathecal, intrahepatic, intralesional and intracranial injection or infusion techniques.
- the compositions are administered orally, intraperitoneally or intravenously.
- Sterile injectable forms of the compositions of this invention may be aqueous or oleaginous suspension. These suspensions may be formulated according to techniques known in the art using suitable dispersing or wetting agents and suspending agents.
- the sterile injectable preparation may also be a sterile injectable solution or suspension in a non-toxic parenterally acceptable diluent or solvent, for example as a solution in 1,3-butanediol.
- a non-toxic parenterally acceptable diluent or solvent for example as a solution in 1,3-butanediol.
- acceptable vehicles and solvents that may be employed are water, Ringer's solution and isotonic sodium chloride solution.
- sterile, fixed oils are conventionally employed as a solvent or suspending medium.
- any bland fixed oil may be employed including synthetic mono- or di-glycerides.
- Fatty acids such as oleic acid and its glyceride derivatives are useful in the preparation of injectables, as are natural pharmaceutically-acceptable oils, such as olive oil or castor oil, especially in their polyoxyethylated versions.
- These oil solutions or suspensions may also contain a long-chain alcohol diluent or dispersant, such as carboxymethyl cellulose or similar dispersing agents that are commonly used in the formulation of pharmaceutically acceptable dosage forms including emulsions and suspensions.
- Other commonly used surfactants such as Tweens, Spans and other emulsifying agents or bioavailability enhancers which are commonly used in the manufacture of pharmaceutically acceptable solid, liquid, or other dosage forms may also be used for the purposes of formulation.
- compositions of this invention may be orally administered in any orally acceptable dosage form including, but not limited to, capsules, tablets, aqueous suspensions or solutions.
- carriers commonly used include lactose and corn starch.
- Lubricating agents such as magnesium stearate, are also typically added.
- useful diluents include lactose and dried cornstarch.
- aqueous suspensions are required for oral use, the active ingredient is combined with emulsifying and suspending agents. If desired, certain sweetening, flavoring or coloring agents may also be added.
- compositions of this invention may be administered in the form of suppositories for rectal administration.
- suppositories for rectal administration.
- suitable non- irritating excipient that is solid at room temperature but liquid at rectal temperature and therefore will melt in the rectum to release the drug.
- suitable non- irritating excipient include cocoa butter, beeswax and polyethylene glycols.
- compositions of this invention may also be administered topically, especially when the target of treatment includes areas or organs readily accessible by topical application, including diseases of the eye, the skin, or the lower intestinal tract. Suitable topical formulations are readily prepared for each of these areas or organs.
- Topical application for the lower intestinal tract can be effected in a rectal suppository formulation (see above) or in a suitable enema formulation. Topically -transdermal patches may also be used.
- compositions may be formulated in a suitable ointment containing the active component suspended or dissolved in one or more carriers.
- Carriers for topical administration of compounds of this invention include, but are not limited to, mineral oil, liquid petrolatum, white petrolatum, propylene glycol, polyoxyethylene, polyoxypropylene compound, emulsifying wax and water.
- provided pharmaceutically acceptable compositions can be formulated in a suitable lotion or cream containing the active components suspended or dissolved in one or more pharmaceutically acceptable carriers.
- Suitable carriers include, but are not limited to, mineral oil, sorbitan monostearate, polysorbate 60, cetyl esters wax, cetearyl alcohol, 2-octyldodecanol, benzyl alcohol and water.
- compositions may be formulated as micronized suspensions in isotonic, pH adjusted sterile saline, or, preferably, as solutions in isotonic, pH adjusted sterile saline, either with or without a preservative such as benzylalkonium chloride.
- the pharmaceutically acceptable compositions may be formulated in an ointment such as petrolatum.
- compositions of this invention may also be administered by nasal aerosol or inhalation.
- Such compositions are prepared according to techniques well- known in the art of pharmaceutical formulation and may be prepared as solutions in saline, employing benzyl alcohol or other suitable preservatives, absorption promoters to enhance bioavailability, fluorocarbons, and/or other conventional solubilizing or dispersing agents.
- compositions of this invention are formulated for oral administration. Such formulations may be administered with or without food. In some embodiments, pharmaceutically acceptable compositions of this invention are administered without food. In other embodiments, pharmaceutically acceptable compositions of this invention are administered with food.
- compositions of the present invention that may be combined with the carrier materials to produce a composition in a single dosage form will vary depending upon the host treated, the particular mode of administration.
- provided compositions should be formulated so that a dosage of between 0.01 - 100 mg/kg body weight/day of the inhibitor can be administered to a patient receiving these compositions.
- a specific dosage and treatment regimen for any particular patient will depend upon a variety of factors, including the activity of the specific compound employed, the age, body weight, general health, sex, diet, time of administration, rate of excretion, drug combination, and the judgment of the treating physician and the severity of the particular disease being treated.
- the amount of a compound of the present invention in the composition will also depend upon the particular compound in the composition.
- certain bicyclic peptides of the invention have specific utility as high affinity binders of membrane type 1 metalloprotease (MT1-MMP, also known as MMP14).
- MT1- MMP membrane type 1 metalloprotease
- MMP14 membrane type 1 metalloprotease 14
- MT1- MMP is a transmembrane metalloprotease that plays a major role in the extracellular matrix remodeling, directly by degrading several of its components and indirectly by activating pro- MMP2.
- MT1-MMP is crucial for tumor angiogenesis (Sounni et al (2002) FASEB J.
- the MT1-MMP -binding bicycle peptides of the present invention have particular utility in the targeted treatment of cancer, in particular solid tumors such as non-small cell lung carcinomas, via targeted delivery of a conjugated payload such as a STING agonist.
- the bicyclic peptide of the invention is specific for human MT1-MMP.
- the bicyclic peptide of the invention is specific for mouse MT1-MMP.
- the bicyclic peptide of the invention is specific for human and mouse MT1-MMP.
- the bicyclic peptide of the invention is specific for human, mouse and dog MT1-MMP.
- compounds and compositions described herein are useful for the inhibition of metalloprotease activity of one or more enzymes.
- Polypeptide ligands selected according to the method of the present invention may be employed in in vivo therapeutic and prophylactic applications, in vitro and in vivo diagnostic applications, in vitro assay and reagent applications, and the like.
- Ligands having selected levels of specificity are useful in applications which involve testing in non-human animals, where cross reactivity is desirable, or in diagnostic applications, where cross-reactivity with homologues or paralogues needs to be carefully controlled. In some applications, such as vaccine applications, the ability to elicit an immune response to predetermined ranges of antigens can be exploited to tailor a vaccine to specific diseases and pathogens.
- Substantially pure peptide ligands of at least 90 to 95% homogeneity are preferred for administration to a mammal, and 98 to 99% or more homogeneity is most preferred for pharmaceutical uses, especially when the mammal is a human.
- the selected polypeptides may be used diagnostically or therapeutically (including extracorporeally) or in developing and performing assay procedures, immunofluorescent stainings and the like (Lefkovite and Pernis, (1979 and 1981) Immunological Methods, Volumes I and II, Academic Press, NY).
- the activity of a compound utilized in this invention as an inhibitor of MTl-MMP, or a mutant thereof, may be assayed in vitro , in vivo or in a cell line.
- Alternative in vitro assays quantitate the ability of the inhibitor to bind to MTl-MMP.
- inhibitor binding may be determined by running a competition experiment where new inhibitors are incubated with MTl- MMP bound to known radioligands.
- Representative in vitro and in vivo assays useful in assaying an MTl-MMP inhibitor include those described and disclosed in: Pietraszek et al., (2014) FEBS Letters 588(23), 4319-4324; Cheltsov et al., (2012) Cancer Res.
- treatment refers to reversing, alleviating, delaying the onset of, or inhibiting the progress of a disease or disorder, or one or more symptoms thereof, as described herein.
- treatment may be administered after one or more symptoms have developed.
- treatment may be administered in the absence of symptoms.
- treatment may be administered to a susceptible individual prior to the onset of symptoms (e.g., in light of a history of symptoms and/or in light of genetic or other susceptibility factors). Treatment may also be continued after symptoms have resolved, for example to prevent or delay their recurrence.
- compounds of the invention are binders of MT1-MMP and are therefore useful for the targeted treatment of MT1-MMP expressing cancer cells.
- the present invention provides a method for the targeted treatment of a disease or disorder, such as cancers and inflammatory diseases or disorders described herein, comprising the step of administering to a patient in need thereof a compound of the present invention, or a pharmaceutically acceptable salt or composition thereof.
- cancers and their benign counterparts which may be treated (or inhibited) include, but are not limited to tumors of epithelial origin (adenomas and carcinomas of various types including adenocarcinomas, squamous carcinomas, transitional cell carcinomas and other carcinomas) such as carcinomas of the bladder and urinary tract, breast, gastrointestinal tract (including the esophagus, stomach (gastric), small intestine, colon, rectum and anus), liver (hepatocellular carcinoma), gall bladder and biliary system, exocrine pancreas, kidney, lung (for example adenocarcinomas, small cell lung carcinomas, non-small cell lung carcinomas, bronchioalveolar carcinomas and mesotheliomas), head and neck (for example cancers of the tongue, buccal cavity, larynx, pharynx, nasopharynx, tonsil, salivary glands, nasal cavity and paranasal sinuses), ova
- lymphoid lineage for example acute lymphocytic leukemia [ALL], chronic lymphocytic leukemia [CLL], B-cell lymphomas such as diffuse large B-cell lymphoma [DLBCL], follicular lymphoma, Burkitt’s lymphoma, mantle cell lymphoma, T-cell lymphomas and leukemias, natural killer [NK] cell lymphomas, Hodgkin’s lymphomas, hairy cell leukemia, monoclonal gammopathy of uncertain significance, plasmacytoma, multiple myeloma, and post-transplant lymphoproliferative disorders), and hematological malignancies and related conditions of myeloid lineage (for example acute myelogenousleukemia [AML], chronic myelogenousleukemia [CML], chronic myelomonocytic
- the cancer is selected from cancer of the cervix, ovary, kidney, esophagus, lung, breast and brain.
- prevention involves administration of the protective composition prior to the induction of the disease or disorder.
- suppression refers to administration of the composition after an inductive event, but prior to the clinical appearance of the disease or disorder.
- Treatment involves administration of the protective composition after disease or disorder symptoms become manifest.
- Animal model systems which can be used to screen the effectiveness of the peptide ligands in protecting against or treating the disease or disorder are available.
- the use of animal model systems is facilitated by the present invention, which allows the development of polypeptide ligands which can cross react with human and animal targets, to allow the use of animal models.
- the invention provides the use of a compound according to the definitions herein, or a pharmaceutically acceptable salt, or a hydrate or solvate thereof for the preparation of a medicament for the treatment of a proliferative disease.
- a proliferative disease is a cancer selected from those described herein.
- a compound of the invention for example, those comprising a STING antagonist, are useful in the treatment of inflammatory or obstructive airways diseases, resulting, for example, in reduction of tissue damage, airways inflammation, bronchial hyperreactivity, remodeling or disease progression.
- the present invention provides a method for treating an inflammatory disease, disorder, or condition in patient, comprising administering a compound of the invention, or a pharmaceutically acceptable salt thereof, or a pharmaceutical composition thereof.
- the present invention provides a method for treating an obstructive airways diseases in patient, comprising administering a compound of the invention, or a pharmaceutically acceptable salt thereof, or a pharmaceutical composition thereof.
- an inflammatory disease, disorder, or condition is inflammatory or obstructive airways diseases including, but not limited to, asthma of whatever type or genesis including both intrinsic (non-allergic) asthma and extrinsic (allergic) asthma, mild asthma, moderate asthma, severe asthma, bronchitic asthma, exercise-induced asthma, occupational asthma and asthma induced following bacterial infection.
- Treatment of asthma is also to be understood as embracing treatment of subjects, e.g. of less than 4 or 5 years of age, exhibiting wheezing symptoms and diagnosed or diagnosable as "whez infants", an established patient category of major medical concern and now often identified as incipient or early -phase asthmatics.
- an inflammatory disease, disorder, or condition is heteroimmune diseases including, but not limited to, graft versus host disease, transplantation, transfusion, anaphylaxis, allergies (e.g., allergies to plant pollens, latex, drugs, foods, insect poisons, animal hair, animal dander, dust mites, or cockroach calyx), type I hypersensitivity, allergic conjunctivitis, allergic rhinitis, and atopic dermatitis.
- allergies e.g., allergies to plant pollens, latex, drugs, foods, insect poisons, animal hair, animal dander, dust mites, or cockroach calyx
- type I hypersensitivity e.g., allergies to plant pollens, latex, drugs, foods, insect poisons, animal hair, animal dander, dust mites, or cockroach calyx
- type I hypersensitivity e.g., allergies to plant pollens, latex, drugs, foods, insect poisons, animal hair, animal dander, dust
- Prophylactic efficacy in the treatment of asthma will be evidenced by reduced frequency or severity of symptomatic attack, e.g. of acute asthmatic or bronchoconstrictor attack, improvement in lung function or improved airways hyperreactivity. It may further be evidenced by reduced requirement for other, symptomatic therapy, such as therapy for or intended to restrict or abort symptomatic attack when it occurs, for example antiinflammatory or bronchodilatory.
- Prophylactic benefit in asthma may in particular be apparent in subjects prone to "morning dipping". "Morning dipping" is a recognized asthmatic syndrome, common to a substantial percentage of asthmatics and characterised by asthma attack, e.g. between the hours of about 4 to 6 am, i.e. at a time normally substantially distant form any previously administered symptomatic asthma therapy.
- an inflammatory disease, disorder, or condition is selected from acute lung injury (ALI), adult/acute respiratory distress syndrome (ARDS), chronic obstructive pulmonary, airways or lung disease (COPD, CO AD or COLD), including chronic bronchitis or dyspnea associated therewith, emphysema, as well as exacerbation of airways hyperreactivity consequent to other drug therapy, in particular other inhaled drug therapy.
- an inflammatory disease, disorder, or condition is bronchitis, wherein the bronchitis is of whatever type or genesis including, but not limited to, acute, arachidic, catarrhal, croupus, chronic or phthinoid bronchitis.
- an inflammatory disease, disorder, or condition is pneumoconiosis (an inflammatory, commonly occupational, disease of the lungs, frequently accompanied by airways obstruction, whether chronic or acute, and occasioned by repeated inhalation of dusts) of whatever type or genesis, including, for example, aluminosis, anthracosis, asbestosis, chalicosis, ptilosis, siderosis, silicosis, tabacosis and byssinosis.
- pneumoconiosis an inflammatory, commonly occupational, disease of the lungs, frequently accompanied by airways obstruction, whether chronic or acute, and occasioned by repeated inhalation of dusts
- aluminosis anthracosis
- asbestosis chalicosis
- ptilosis ptilosis
- siderosis silicosis
- tabacosis tabacosis and byssinosis.
- an inflammatory disease, disorder, or condition is an eosinophil related disorder, e.g. eosinophilia.
- an eosinophil related disorder is an eosinophil related disorder of the airways (e.g.
- eosinophilic infiltration of pulmonary tissues including hypereosinophilia as it effects the airways and/or lungs as well as, for example, eosinophil-related disorders of the airways consequential or concomitant to Loffler's syndrome, eosinophilic pneumonia, parasitic (in particular metazoan) infestation (including tropical eosinophilia), bronchopulmonary aspergillosis, polyarteritis nodosa (including Churg- Strauss syndrome), eosinophilic granuloma and eosinophil-related disorders affecting the airways occasioned by drug-reaction.
- eosinophil-related disorders of the airways consequential or concomitant to Loffler's syndrome
- eosinophilic pneumonia including parasitic (in particular metazoan) infestation (including tropical eosinophilia), bronchopulmonary aspergillosis, polyarteritis nodosa (including Churg
- an inflammatory disease, disorder, or condition is an inflammatory or allergic conditions of the skin.
- an inflammatory or allergic condition of the skin is selected from psoriasis, contact dermatitis, atopic dermatitis, alopecia areata, erythema multiforma, dermatitis herpetiformis, scleroderma, vitiligo, hypersensitivity angiitis, urticaria, bullous pemphigoid, lupus erythematosus, systemic lupus erythematosus, pemphigus vulgaris, pemphigus foliaceus, paraneoplastic pemphigus, epidermolysis bullosa acquisita, acne vulgaris, and other inflammatory or allergic conditions of the skin.
- an inflammatory disease, disorder, or condition is a disease or condition having an inflammatory component, for example, diseases and conditions of the eye such as ocular allergy, conjunctivitis, keratoconjunctivitis sicca, uveitis and vernal conjunctivitis, diseases and conditions affecting the nose including allergic rhinitis, and inflammatory disease in which autoimmune reactions are implicated or having an autoimmune component or etiology, including autoimmune hematological disorders (e.g.
- hemolytic anemia aplastic anemia, pure red cell anemia and idiopathic thrombocytopenia
- systemic lupus erythematosus rheumatoid arthritis, polychondritis, scleroderma, Wegener granulamatosis, dermatomyositis, chronic hepatitis, myasthenia gravis, Steven-Johnson syndrome, idiopathic sprue, autoimmune inflammatory bowel disease (e.g.
- ulcerative colitis and Crohn's disease irritable bowel syndrome, celiac disease, periodontitis, hyaline membrane disease, kidney disease, glomerular disease, alcoholic liver disease, multiple sclerosis, endocrine opthalmopathy, Grave's disease, sarcoidosis, alveolitis, chronic hypersensitivity pneumonitis, multiple sclerosis, primary biliary cirrhosis, uveitis (anterior and posterior), Sjogren’s syndrome, keratoconjunctivitis sicca, uveitis, and vernal keratoconjunctivitis, interstitial lung fibrosis, psoriatic arthritis, systemic juvenile idiopathic arthritis, cryopyrin-associated periodic syndrome, Muckle-Wells syndrome, nephritis, vasculitis, diverticulitis, interstitial cystitis, glomerulonephritis (with and without nephrotic syndrome, e.g.
- idiopathic nephrotic syndrome or minal change nephropathy chronic granulomatous disease, endometriosis, leptospiriosis renal disease, glaucoma, retinal disease, ageing, headache, pain, complex regional pain syndrome, cardiac hypertrophy, musclewasting, catabolic disorders, obesity, fetal growth retardation, intestinal failure, hyperchlolesterolemia, heart disease, chronic heart failure, mesothelioma, anhidrotic ecodermal dysplasia, Behcet’s disease, incontinentia pigmenti, Paget’s disease, acute or chronic pancreatitis, hereditary periodic fever syndrome, asthma (allergic and non-allergic, mild, moderate, severe, bronchitic, and exercise-induced), acute lung injury, acute respiratory distress syndrome, eosinophilia, hypersensitivities, anaphylaxis, nasal sinusitis, ocular allergy, silica induced diseases, COPD (reduction of damage, airways inflammation, bronc
- an inflammatory disease, disorder, or condition is acute or chronic graft rejection in kidney, liver, heart, pulmonary transplantation, or graft versus-host disease in bone marrow graft.
- an inflammatory disease, disorder, or condition is an inflammatory disease, disorder, or condition of the skin.
- an inflammatory disease, disorder, or condition of the skin is selected from contact dermatitits, atopic dermatitis, alopecia areata, erythema multiforma, dermatitis herpetiformis, scleroderma, vitiligo, hypersensitivity angiitis, urticaria, bullous pemphigoid, pemphigus vulgaris, pemphigus foliaceus, paraneoplastic pemphigus, epidermolysis bullosa acquisita, and other inflammatory or allergic conditions of the skin.
- an inflammatory disease, disorder, or condition is selected from acute and chronic gout, chronic gouty arthritis, psoriasis, psoriatic arthritis, rheumatoid arthritis, Juvenile rheumatoid arthritis, Systemic jubenile idiopathic arthritis (SJIA), Cryopyrin Associated Periodic Syndrome (CAPS), Muckle-Wells syndrome, and osteoarthritis.
- SJIA Systemic jubenile idiopathic arthritis
- CAS Cryopyrin Associated Periodic Syndrome
- Muckle-Wells syndrome and osteoarthritis.
- an inflammatory disease, disorder, or condition is a TH17 mediated disease.
- a TH17 mediated disease is selected from Systemic lupus erythematosus, Multiple sclerosis, and inflammatory bowel disease (including Crohn’s disease or ulcerative colitis).
- an inflammatory disease, disorder, or condition is selected from Sjogren’s syndrome, allergic disorders, osteoarthritis, conditions of the eye such as ocular allergy, conjunctivitis, keratoconjunctivitis sicca and vernal conjunctivitis, and diseases affecting the nose such as allergic rhinitis.
- an inflammatory disease, disorder, or condition is associated with transplantation.
- an inflammatory disease, disorder, or condition is associated with organ transplantation, organ transplant rejection, and/or graft versus host disease.
- an inflammatory disease, disorder, or condition is an autoimmune disorder.
- an autoimmune disorder is type 1 diabetes, systemic lupus erythematosus, multiple sclerosis, psoriasis, Behçet's disease, POEMS syndrome, Crohn's disease, ulcerative colitis, ankylosing spondylitis, axial spondyloarthritis, primary biliary cirrhosis, autoimmune hepatitis, or inflammatory bowel disease.
- an inflammatory disease, disorder, or condition is an inflammatory disorder.
- an inflammatory disorder is rheumatoid arthritis, asthma, chronic obstructive pulmonary disease, psoriasis, hepatomegaly, Crohn's disease, ulcerative colitis, ankylosing spondylitis, axial spondyloarthritis, primary biliary cirrhosis, polymyalgia rheumatica, giant cell arteritis, or inflammatory bowel disease.
- additional therapeutic agents which are normally administered to treat that condition, may be administered in combination with compounds and compositions of this invention.
- additional therapeutic agents that are normally administered to treat a particular disease, or disorder, or condition are known as“appropriate for the disease, or disorder, or condition, being treated.”
- a provided combination, or composition thereof is administered in combination with another therapeutic agent.
- combination therapies of the present invention are administered in combination with a monoclonal antibody or an siRNA therapeutic.
- Those additional agents may be administered separately from a provided combination therapy, as part of a multiple dosage regimen.
- those agents may be part of a single dosage form, mixed together with a compound of this invention in a single composition. If administered as part of a multiple dosage regime, the two active agents may be submitted simultaneously, sequentially or within a period of time from one another normally within five hours from one another.
- the term“combination,”“combined,” and related terms refers to the simultaneous or sequential administration of therapeutic agents in accordance with this invention.
- a combination of the present invention may be administered with another therapeutic agent simultaneously or sequentially in separate unit dosage forms or together in a single unit dosage form.
- the amount of additional therapeutic agent present in the compositions of this invention will be no more than the amount that would normally be administered in a composition comprising that therapeutic agent as the only active agent.
- the amount of additional therapeutic agent in the presently disclosed compositions will range from about 50% to 100% of the amount normally present in a composition comprising that agent as the only therapeutically active agent.
- the present invention provides a composition comprising a compound of formula I and one or more additional therapeutic agents.
- the therapeutic agent may be administered together with a compound of formula I, or may be administered prior to or following administration of a compound of formula I. Suitable therapeutic agents are described in further detail below.
- a compound of formula I may be administered up to 5 minutes, 10 minutes, 15 minutes, 30 minutes, 1 hour, 2 hours, 3 hours, 4 hours, 5, hours, 6 hours, 7 hours, 8 hours, 9 hours, 10 hours, 11 hours, 12 hours, 13 hours, 14 hours, 15 hours, 16 hours, 17 hours, or 18 hours before the therapeutic agent.
- a compound of formula I may be administered up to 5 minutes, 10 minutes, 15 minutes, 30 minutes, 1 hour, 2 hours, 3 hours, 4 hours, 5, hours, 6 hours, 7 hours, 8 hours, 9 hours, 10 hours, 11 hours, 12 hours, 13 hours, 14 hours, 15 hours, 16 hours, 17 hours, or 18 hours following the therapeutic agent.
- the present invention provides a method of treating a hematological malignancy comprising administering to a patient in need thereof a compound of formula I and one or more additional therapeutic agents selected from rituximab (Rituxan®), cyclophosphamide (Cytoxan®), doxorubicin (Hydrodaunorubicin®), vincristine (Oncovin®), prednisone, a hedgehog signaling inhibitor, a BTK inhibitor, a JAK/pan-JAK inhibitor, a TYK2 inhibitor, a PI3K inhibitor, a SYK inhibitor, and combinations thereof.
- the present invention provides a method of treating a solid tumor comprising administering to a patient in need thereof a compound of formula I and one or more additional therapeutic agents selected from rituximab (Rituxan®), cyclophosphamide (Cytoxan®), doxorubicin (Hydrodaunorubicin®), vincristine (Oncovin®), prednisone, a hedgehog signaling inhibitor, a BTK inhibitor, a JAK/pan-JAK inhibitor, a TYK2 inhibitor, a PI3K inhibitor, a SYK inhibitor, and combinations thereof.
- additional therapeutic agents selected from rituximab (Rituxan®), cyclophosphamide (Cytoxan®), doxorubicin (Hydrodaunorubicin®), vincristine (Oncovin®), prednisone, a hedgehog signaling inhibitor, a BTK inhibitor, a JAK/pan-JAK inhibitor,
- the present invention provides a method of treating a hematological malignancy comprising administering to a patient in need thereof a compound of formula I and a Hedgehog (Hh) signaling pathway inhibitor.
- the hematological malignancy is DLBCL (Ramirez et al“Defining causative factors contributing in the activation of hedgehog signaling in diffuse large B-cell lymphoma” Leuk. Res. (2012), published online July 17, and incorporated herein by reference in its entirety).
- the present invention provides a method of treating diffuse large B-cell lymphoma (DLBCL) comprising administering to a patient in need thereof a compound of formula I and one or more additional therapeutic agents selected from rituximab (Rituxan®), cyclophosphamide (Cytoxan®), doxorubicin (Hydrodaunorubicin®), vincristine (Oncovin®), prednisone, a hedgehog signaling inhibitor, and combinations thereof.
- rituximab Renuxan®
- Cytoxan® cyclophosphamide
- doxorubicin Hydrodaunorubicin®
- vincristine Oncovin®
- prednisone a hedgehog signaling inhibitor
- the present invention provides a method of treating multiple myeloma comprising administering to a patient in need thereof a compound of formula I and one or more additional therapeutic agents selected from bortezomib (Velcade®), and dexamethasone (Decadron®), a hedgehog signaling inhibitor, a BTK inhibitor, a JAK/pan-JAK inhibitor, a TYK2 inhibitor, a PI3K inhibitor, a SYK inhibitor in combination with lenalidomide (Revlimid®).
- additional therapeutic agents selected from bortezomib (Velcade®), and dexamethasone (Decadron®), a hedgehog signaling inhibitor, a BTK inhibitor, a JAK/pan-JAK inhibitor, a TYK2 inhibitor, a PI3K inhibitor, a SYK inhibitor in combination with lenalidomide (Revlimid®).
- the present invention provides a method of treating Waldenstrom’s macroglobulinemia comprising administering to a patient in need thereof a compound of formula I and one or more additional therapeutic agents selected from chlorambucil (Leukeran®), cyclophosphamide (Cytoxan®, Neosar®), fiudarabme (Fludara®), cladribine (Leustatin®), rituximab (Rituxan®), a hedgehog signaling inhibitor, a BTK inhibitor, a JAK/pan- JAK inhibitor, a TYK2 inhibitor, a PI3K inhibitor, and a SYK inhibitor.
- additional therapeutic agents selected from chlorambucil (Leukeran®), cyclophosphamide (Cytoxan®, Neosar®), fiudarabme (Fludara®), cladribine (Leustatin®), rituximab (Rituxan®), a hedgehog signaling inhibitor
- the present invention provides a method of treating or lessening the severity of a disease or disorder comprising administering to a patient in need thereof a compound of formula I and a BTK inhibitor wherein the disease is selected from inflammatory bowel disease, arthritis, systemic lupus erythematosus (SLE), vasculitis, idiopathic thrombocytopenic purpura (ITP), rheumatoid arthritis, psoriatic arthritis, osteoarthritis, Still’s disease, juvenile arthritis, diabetes, myasthenia gravis, Hashimoto’s thyroiditis, Ord’s thyroiditis, Graves’ disease, autoimmune thyroiditis, Sjogren’s syndrome, multiple sclerosis, systemic sclerosis, Lyme neuroborreliosis, Guillain-Barre syndrome, acute disseminated encephalomyelitis, Addison’s disease, opsoclonus-myoclonus syndrome, ankylosing spond
- the present invention provides a method of treating or lessening the severity of a disease or disorder comprising administering to a patient in need thereof a compound of formula I and a PI3K inhibitor, wherein the disease is selected from a cancer, a neurodegenerative disorder, an angiogenic disorder, a viral disease, an autoimmune disease, an inflammatory disorder, a hormone-related disease, conditions associated with organ transplantation, immunodeficiency disorders, a destructive bone disorder, a proliferative disorder an infectious disease, a condition associated with cell death, thrombin-induced platelet aggregation, chronic myelogenous leukemia (CML), chronic lymphocytic leukemia (CLL), liver disease, pathologic immune conditions involving T cell activation, a cardiovascular disorder and a CNS disorder
- the present invention provides a method of treating or lessening the severity of a disease or disorder comprising administering to a patient in need thereof a compound of formula I and a PI3K inhibitor, wherein the disease is selected from benign or malignant tumor, carcinoma or solid tumor of the brain, kidney (e.g., renal cell carcinoma (RCC)), liver, adrenal gland, bladder, breast, stomach, gastric tumors, ovaries, colon, rectum, prostate, pancreas, lung, vagina, endometrium, cervix, testis, genitourinary tract, esophagus, larynx, skin, bone or thyroid, sarcoma, glioblastomas, neuroblastomas, multiple myeloma or gastrointestinal cancer, especially colon carcinoma or colorectal adenoma or a tumor of the neck and head, an epidermal hyperproliferation, psoriasis, prostate hyperplasia, a neoplasia,
- hemolytic anemia aplastic anemia, pure red cell anemia and idiopathic thrombocytopenia
- systemic lupus erythematosus rheumatoid arthritis, polychondritis, scleroderma, Wegener granulamatosis, dermatomyositis, chronic active hepatitis, myasthenia gravis, Steven-Johnson syndrome, idiopathic sprue, autoimmune inflammatory bowel disease (e.g.
- ulcerative colitis and Crohn's disease endocrine opthalmopathy
- Grave's disease sarcoidosis, alveolitis, chronic hypersensitivity pneumonitis, multiple sclerosis, primary biliary cirrhosis, uveitis (anterior and posterior), keratoconjunctivitis sicca and vernal keratoconjunctivitis, interstitial lung fibrosis, psoriatic arthritis and glomerulonephritis (with and without nephrotic syndrome, e.g.
- idiopathic nephrotic syndrome or minal change nephropathy, restenosis, cardiomegaly, atherosclerosis, myocardial infarction, ischemic stroke and congestive heart failure, Alzheimer's disease, Parkinson's disease, amyotrophic lateral sclerosis, Huntington's disease, and cerebral ischemia, and neurodegenerative disease caused by traumatic injury, glutamate neurotoxicity and hypoxia.
- the compounds and compositions, according to the method of the present invention may be administered using any amount and any route of administration effective for treating or lessening the severity of a cancer, an autoimmune disorder, a proliferative disorder, an inflammatory disorder, a neurodegenerative or neurological disorder, schizophrenia, a bone- related disorder, liver disease, or a cardiac disorder.
- the exact amount required will vary from subject to subject, depending on the species, age, and general condition of the subject, the severity of the infection, the particular agent, its mode of administration, and the like.
- Compounds of the invention are preferably formulated in dosage unit form for ease of administration and uniformity of dosage.
- the expression "dosage unit form" as used herein refers to a physically discrete unit of agent appropriate for the patient to be treated.
- the specific effective dose level for any particular patient or organism will depend upon a variety of factors including the disorder being treated and the severity of the disorder; the activity of the specific compound employed; the specific composition employed; the age, body weight, general health, sex and diet of the patient; the time of administration, route of administration, and rate of excretion of the specific compound employed; the duration of the treatment; drugs used in combination or coincidental with the specific compound employed, and like factors well known in the medical arts.
- patient means an animal, preferably a mammal, and most preferably a human.
- compositions of this invention can be administered to humans and other animals orally, rectally, parenterally, intracisternally, intravaginally, intraperitoneally, topically (as by powders, ointments, or drops), buccally, as an oral or nasal spray, or the like, depending on the severity of the infection being treated.
- the compounds of the invention may be administered orally or parenterally at dosage levels of about 0.01 mg/kg to about 50 mg/kg and preferably from about 1 mg/kg to about 25 mg/kg, of subject body weight per day, one or more times a day, to obtain the desired therapeutic effect.
- Liquid dosage forms for oral administration include, but are not limited to, pharmaceutically acceptable emulsions, microemulsions, solutions, suspensions, syrups and elixirs.
- the liquid dosage forms may contain inert diluents commonly used in the art such as, for example, water or other solvents, solubilizing agents and emulsifiers such as ethyl alcohol, isopropyl alcohol, ethyl carbonate, ethyl acetate, benzyl alcohol, benzyl benzoate, propylene glycol, 1,3 -butylene glycol, dimethylformamide, oils (in particular, cottonseed, groundnut, corn, germ, olive, castor, and sesame oils), glycerol, tetrahydrofurfuryl alcohol, polyethylene glycols and fatty acid esters of sorbitan, and mixtures thereof.
- inert diluents commonly used in the art such as, for example, water or other solvents
- the oral compositions can also include adjuvants such as wetting agents, emulsifying and suspending agents, sweetening, flavoring, and perfuming agents.
- adjuvants such as wetting agents, emulsifying and suspending agents, sweetening, flavoring, and perfuming agents.
- injectable preparations for example, sterile injectable aqueous or oleaginous suspensions may be formulated according to the known art using suitable dispersing or wetting agents and suspending agents.
- the sterile injectable preparation may also be a sterile injectable solution, suspension or emulsion in a nontoxic parenterally acceptable diluent or solvent, for example, as a solution in 1,3-butanediol.
- Suitable vehicles and solvents that may be employed are water, Ringer's solution, U.S.P. and isotonic sodium chloride solution.
- sterile, fixed oils are conventionally employed as a solvent or suspending medium.
- any bland fixed oil can be employed including synthetic mono- or diglycerides.
- fatty acids such as oleic acid are used in the preparation of injectables.
- Injectable formulations can be sterilized, for example, by filtration through a bacterial- retaining filter, or by incorporating sterilizing agents in the form of sterile solid compositions which can be dissolved or dispersed in sterile water or other sterile injectable medium prior to use.
- a compound of the present invention In order to prolong the effect of a compound of the present invention, it is often desirable to slow the absorption of the compound from subcutaneous or intramuscular injection. This may be accomplished by the use of a liquid suspension of crystalline or amorphous material with poor water solubility. The rate of absorption of the compound then depends upon its rate of dissolution that, in turn, may depend upon crystal size and crystalline form. Alternatively, delayed absorption of a parenterally administered compound form is accomplished by dissolving or suspending the compound in an oil vehicle. Injectable depot forms are made by forming microencapsulated matrices of the compound in biodegradable polymers such as polylactide- polyglycolide.
- the rate of compound release can be controlled.
- biodegradable polymers include poly(orthoesters) and poly(anhydrides).
- Depot injectable formulations are also prepared by entrapping the compound in liposomes or microemulsions that are compatible with body tissues.
- compositions for rectal or vaginal administration are preferably suppositories which can be prepared by mixing the compounds of this invention with suitable non-irritating excipients or carriers such as cocoa butter, polyethylene glycol or a suppository wax which are solid at ambient temperature but liquid at body temperature and therefore melt in the rectum or vaginal cavity and release the active compound.
- suitable non-irritating excipients or carriers such as cocoa butter, polyethylene glycol or a suppository wax which are solid at ambient temperature but liquid at body temperature and therefore melt in the rectum or vaginal cavity and release the active compound.
- Solid dosage forms for oral administration include capsules, tablets, pills, powders, and granules.
- the active compound is mixed with at least one inert, pharmaceutically acceptable excipient or carrier such as sodium citrate or dicalcium phosphate and/or a) fillers or extenders such as starches, lactose, sucrose, glucose, mannitol, and silicic acid, b) binders such as, for example, carboxymethylcellulose, alginates, gelatin, polyvinylpyrrolidinone, sucrose, and acacia, c) humectants such as glycerol, d) disintegrating agents such as agar—, calcium carbonate, potato or tapioca starch, alginic acid, certain silicates, and sodium carbonate, e) solution retarding agents such as paraffin, f) absorption accelerators such as quaternary ammonium compounds, g) wetting agents such as, for example, cetyl alcohol and glycerol monostearate, h) absorbents such as kaolin and bentonite clay, and
- Solid compositions of a similar type may also be employed as fillers in soft and hard- filled gelatin capsules using such excipients as lactose or milk sugar as well as high molecular weight polyethylene glycols and the like.
- the solid dosage forms of tablets, dragees, capsules, pills, and granules can be prepared with coatings and shells such as enteric coatings and other coatings well known in the pharmaceutical formulating art. They may optionally contain opacifying agents and can also be of a composition that they release the active ingredient(s) only, or preferentially, in a certain part of the intestinal tract, optionally, in a delayed manner. Examples of embedding compositions that can be used include polymeric substances and waxes. Solid compositions of a similar type may also be employed as fillers in soft and hard-filled gelatin capsules using such excipients as lactose or milk sugar as well as high molecular weight polethylene glycols and the like.
- the active compounds can also be in micro-encapsulated form with one or more excipients as noted above.
- the solid dosage forms of tablets, dragees, capsules, pills, and granules can be prepared with coatings and shells such as enteric coatings, release controlling coatings and other coatings well known in the pharmaceutical formulating art.
- the active compound may be admixed with at least one inert diluent such as sucrose, lactose or starch.
- Such dosage forms may also comprise, as is normal practice, additional substances other than inert diluents, e.g., tableting lubricants and other tableting aids such a magnesium stearate and microcrystalline cellulose.
- the dosage forms may also comprise buffering agents. They may optionally contain opacifying agents and can also be of a composition that they release the active ingredient(s) only, or preferentially, in a certain part of the intestinal tract, optionally, in a delayed manner.
- buffering agents include polymeric substances and waxes.
- Dosage forms for topical or transdermal administration of a compound of this invention include ointments, pastes, creams, lotions, gels, powders, solutions, sprays, inhalants or patches.
- the active component is admixed under sterile conditions with a pharmaceutically acceptable carrier and any needed preservatives or buffers as may be required.
- Ophthalmic formulation, ear drops, and eye drops are also contemplated as being within the scope of this invention.
- the present invention contemplates the use of transdermal patches, which have the added advantage of providing controlled delivery of a compound to the body.
- Such dosage forms can be made by dissolving or dispensing the compound in the proper medium.
- Absorption enhancers can also be used to increase the flux of the compound across the skin. The rate can be controlled by either providing a rate controlling membrane or by dispersing the compound in a polymer matrix or gel.
- the invention relates to a method of inhibiting carbonic anhydrase activity in a biological sample comprising the step of contacting said biological sample with a compound of this invention, or a composition comprising said compound.
- the invention relates to a method of inhibiting metalloprotease activity in a biological sample comprising the step of contacting said biological sample with a compound of this invention, or a composition comprising said compound.
- the invention relates to a method of inhibiting integrin activity in a biological sample comprising the step of contacting said biological sample with a compound of this invention, or a composition comprising said compound.
- the invention relates to a method of inhibiting MT1 - MMP, or a mutant thereof, activity in a biological sample comprising the step of contacting said biological sample with a compound of this invention, or a composition comprising said compound.
- biological sample includes, without limitation, cell cultures or extracts thereof; biopsied material obtained from a mammal or extracts thereof; and blood, saliva, urine, feces, semen, tears, or other body fluids or extracts thereof.
- Inhibition of MT1-MMP, or a mutant thereof, activity in a biological sample is useful for a variety of purposes that are known to one of skill in the art. Examples of such purposes include, but are not limited to, biological assays.
- Another embodiment of the present invention relates to a method of inhibiting metalloprotease activity in a patient comprising the step of administering to said patient a compound of the present invention, or a composition comprising said compound.
- the invention relates to a method of inhibiting MT1 - MMP, or a mutant thereof, activity in a patient comprising the step of administering to said patient a compound of the present invention, or a composition comprising said compound.
- additional therapeutic agents that are normally administered to treat that condition may also be present in the compositions of this invention.
- additional therapeutic agents that are normally administered to treat a particular disease, or disorder, or condition are known as “appropriate for the disease, or disorder, or condition, being treated.”
- a compound of the current invention may also be used to advantage in combination with other antiproliferative compounds.
- antiproliferative compounds include, but are not limited to aromatase inhibitors; antiestrogens; topoisomerase I inhibitors; topoisomerase II inhibitors; microtubule active compounds; alkylating compounds; histone deacetylase inhibitors; compounds which induce cell differentiation processes; cyclooxygenase inhibitors; MMP inhibitors; mTOR inhibitors; antineoplastic antimetabolites; platin compounds; compounds targeting/decreasing a protein or lipid kinase activity and further anti-angiogenic compounds; compounds which target, decrease or inhibit the activity of a protein or lipid phosphatase; gonadorelin agonists; anti-androgens; methionine aminopeptidase inhibitors; matrix metalloproteinase inhibitors; bisphosphonates; biological response modifiers; antiproliferative antibodies; heparanase inhibitors;
- aromatase inhibitor as used herein relates to a compound which inhibits estrogen production, for instance, the conversion of the substrates androstenedione and testosterone to estrone and estradiol, respectively.
- the term includes, but is not limited to steroids, especially atamestane, exemestane and formestane and, in particular, non-steroids, especially aminoglutethimide, roglethimide, pyridoglutethimide, trilostane, testolactone, ketokonazole, vorozole, fadrozole, anastrozole and letrozole.
- Exemestane is marketed under the trade name AromasinTM.
- Formestane is marketed under the trade name LentaronTM.
- Fadrozole is marketed under the trade name AfemaTM.
- Anastrozole is marketed under the trade name ArimidexTM.
- Letrozole is marketed under the trade names FemaraTM or FemarTM.
- Aminoglutethimide is marketed under the trade name OrimetenTM.
- a combination of the invention comprising a chemotherapeutic agent which is an aromatase inhibitor is particularly useful for the treatment of hormone receptor positive tumors, such as breast tumors.
- antiestrogen as used herein relates to a compound which antagonizes the effect of estrogens at the estrogen receptor level.
- the term includes, but is not limited to tamoxifen, fulvestrant, raloxifene and raloxifene hydrochloride.
- Tamoxifen is marketed under the trade name NolvadexTM.
- Raloxifene hydrochloride is marketed under the trade name EvistaTM.
- Fulvestrant can be administered under the trade name FaslodexTM.
- a combination of the invention comprising a chemotherapeutic agent which is an antiestrogen is particularly useful for the treatment of estrogen receptor positive tumors, such as breast tumors.
- anti-androgen as used herein relates to any substance which is capable of inhibiting the biological effects of androgenic hormones and includes, but is not limited to, bicalutamide (CasodexTM).
- gonadorelin agonist as used herein includes, but is not limited to abarelix, goserelin and goserelin acetate. Goserelin can be administered under the trade name ZoladexTM.
- topoisomerase I inhibitor includes, but is not limited to topotecan, gimatecan, irinotecan, camptothecin and its analogues, 9-nitrocamptothecin and the macromolecular camptothecin conjugate PNU-166148.
- Irinotecan can be administered, e.g. in the form as it is marketed, e.g. under the trademark CamptosarTM.
- Topotecan is marketed under the trade name HycamptinTM.
- topoisomerase II inhibitor includes, but is not limited to the anthracyclines such as doxorubicin (including liposomal formulation, such as CaelyxTM), daunorubicin, epirubicin, idarubicin and nemorubicin, the anthraquinones mitoxantrone and losoxantrone, and the podophillotoxines etoposide and teniposide.
- Etoposide is marketed under the trade name EtopophosTM.
- Teniposide is marketed under the trade name VM 26-Bristol
- Doxorubicin is marketed under the trade name AcriblastinTM or AdriamycinTM.
- Epirubicin is marketed under the trade name FarmorubicinTM.
- Idarubicin is marketed under the trade name ZavedosTM.
- Mitoxantrone is marketed under the trade name Novantron.
- microtubule active agent relates to microtubule stabilizing, microtubule destabilizing compounds and microtubulin polymerization inhibitors including, but not limited to taxanes, such as paclitaxel and docetaxel; vinca alkaloids, such as vinblastine or vinblastine sulfate, vincristine or vincristine sulfate, and vinorelbine; discodermolides; colchicine and epothilones and derivatives thereof.
- Pacbtaxel is marketed under the trade name TaxolTM.
- Docetaxel is marketed under the trade name TaxotereTM.
- Vinblastine sulfate is marketed under the trade name Vinblastin R.PTM.
- Vincristine sulfate is marketed under the trade name FarmistinTM.
- alkylating agent includes, but is not limited to, cyclophosphamide, ifosfamide, melphalan or nitrosourea (BCNU or Gliadel). Cyclophosphamide is marketed under the trade name CyclostinTM. Ifosfamide is marketed under the trade name HoloxanTM.
- histone deacetylase inhibitors or “HD AC inhibitors” relates to compounds which inhibit the histone deacetylase and which possess antiproliferative activity. This includes, but is not limited to, suberoylanilide hydroxamic acid (SAHA).
- SAHA suberoylanilide hydroxamic acid
- antimetabolite includes, but is not limited to, 5-fluorouracil or 5-FU, capecitabine, gemcitabine, DNA demethylating compounds, such as 5-azacytidine and decitabine, methotrexate and edatrexate, and folic acid antagonists such as pemetrexed.
- Capecitabine is marketed under the trade name XelodaTM.
- Gemcitabine is marketed under the trade name GemzarTM.
- platinum compound as used herein includes, but is not limited to, carboplatin, cis-platin, cisplatinum and oxaliplatin.
- Carboplatin can be administered, e.g., in the form as it is marketed, e.g. under the trademark CarboplatTM.
- Oxaliplatin can be administered, e.g., in the form as it is marketed, e.g. under the trademark EloxatinTM.
- the term "compounds targeting/decreasing a protein or lipid kinase activity; or a protein or lipid phosphatase activity; or further anti-angiogenic compounds” as used herein includes, but is not limited to, protein tyrosine kinase and/or serine and/or threonine kinase inhibitors or lipid kinase inhibitors, such as a) compounds targeting, decreasing or inhibiting the activity of the platelet-derived growth factor-receptors (PDGFR), such as compounds which target, decrease or inhibit the activity of PDGFR, especially compounds which inhibit the PD GF receptor, such as an N-phenyl-2-pyrimidine-amine derivative, such as imatinib, SU101, SU6668 and GFB- 111 ; b) compounds targeting, decreasing or inhibiting the activity of the fibroblast growth factor- receptors (FGFR); c) compounds targeting, decreasing or inhibiting the activity of the insulin-like growth factor receptor I
- BCR-Abl kinase and mutants, such as compounds which target decrease or inhibit the activity of c-Abl family members and their gene fusion products, such as an N-phenyl-2-pyrimidine-amine derivative, such as imatinib or nilotinib (AMN107); PD180970; AG957; NSC 680410; PD173955 from ParkeDavis; or dasatinib (BMS-354825); j) compounds targeting, decreasing or inhibiting the activity of members of the protein kinase C (PKC) and Raf family of serine/threonine kinases, members of the MEK, SRC, JAK/pan-JAK, FAK, PDK1, PKB/Akt, Ras/MAPK, PI3K, SYK, TYK2, BTK and TEC family, and/or members of the cyclin- dependent kinase family (CDK) including staurosporine derivatives, such as midostaurin;
- c-Met receptor compounds which target, decrease or inhibit the activity of c-Met, especially compounds which inhibit the kinase activity of c-Met receptor, or antibodies that target the extracellular domain of c-Met or bind to HGF
- PI3K inhibitor includes, but is not limited to compounds having inhibitory activity against one or more enzymes in the phosphatidylinositol-3-kinase family, including, but not limited to RI3Ka, RI3Kg, PI3K5, RI3Kb, PI3K-C2a, PI3K-C2P, PI3K- C2y, Vps34, pi 10-a, pi 10-b, pi 10-g, r110-d, p85-a, r85-b, r55-g, pi 50, pi 01, and p87.
- PI3K inhibitors useful in this invention include but are not limited to ATU-027, SF-1126, DS- 7423, PBI-05204, GSK-2126458, ZSTK-474, buparhsib, pictrebsib, PF-4691502, BYF-719, dactobsib, XF-147, XF-765, and idelalisib.
- BTK inhibitor includes, but is not limited to compounds having inhibitory activity against Bruton’s Tyrosine Kinase (BTK), including, but not limited to AVF-292 and ibrutinib.
- SYK inhibitor includes, but is not limited to compounds having inhibitory activity against spleen tyrosine kinase (SYK), including but not limited to PRT- 062070, R-343, R-333, Excellair, PRT-062607, and fostamatinib
- PI3K inhibitory compounds and conditions treatable by such compounds in combination with compounds of this invention can be found in W02004019973, W02004089925, W02007016176, US8138347, W02002088112, W02007084786,
- W02007129161, W02006122806, W02005113554, and W02007044729 the entirety of which are incorporated herein by reference.
- JAK inhibitory compounds and conditions treatable by such compounds in combination with compounds of this invention can be found in W02009114512, W02008109943, W02007053452, W02000142246, and W02007070514, the entirety of which are incorporated herein by reference.
- Further anti-angiogenic compounds include compounds having another mechanism for their activity, e.g. unrelated to protein or lipid kinase inhibition e.g. thalidomide (ThalomidTM) and TNP-470.
- ThilomidTM thalidomide
- TNP-470 TNP-470.
- proteasome inhibitors useful for use in combination with compounds of the invention include, but are not limited to bortezomib, disulfiram, epigallocatechin-3-gallate (EGCG), salinosporamide A, carfilzomib, ONX-0912, CEP-18770, and MFN9708.
- Compounds which target, decrease or inhibit the activity of a protein or lipid phosphatase are e.g. inhibitors of phosphatase 1, phosphatase 2A, or CDC25, such as okadaic acid or a derivative thereof.
- Compounds which induce cell differentiation processes include, but are not limited to, retinoic acid, a- g- or d- tocopherol or a- g- or d-tocotrienol.
- cyclooxygenase inhibitor as used herein includes, but is not limited to, Cox- 2 inhibitors, 5-alkyl substituted 2-arylaminophenylacetic acid and derivatives, such as celecoxib (CelebrexTM), rofecoxib (VioxxTM), etoricoxib, valdecoxib or a 5-alkyl-2- arylaminophenylacetic acid, such as 5-methyl-2-(2'-chloro-6'-fluoroanilino)phenyl acetic acid, lumiracoxib.
- Cox- 2 inhibitors such as celecoxib (CelebrexTM), rofecoxib (VioxxTM), etoricoxib, valdecoxib or a 5-alkyl-2- arylaminophenylacetic acid, such as 5-methyl-2-(2'-chloro-6'-fluoroanilino)phenyl acetic acid, lumiracoxib.
- bisphosphonates includes, but is not limited to, etridonic, clodronic, tiludronic, pamidronic, alendronic, ibandronic, risedronic and zoledronic acid.
- Etridonic acid is marketed under the trade name DidronelTM.
- Clodronic acid is marketed under the trade name BonefosTM.
- Tiludronic acid is marketed under the trade name SkelidTM.
- Pamidronic acid is marketed under the trade name ArediaTM.
- Alendronic acid is marketed under the trade name FosamaxTM.
- Ibandronic acid is marketed under the trade name BondranatTM.
- Risedronic acid is marketed under the trade name ActonelTM.
- Zoledronic acid is marketed under the trade name ZometaTM.
- mTOR inhibitors relates to compounds which inhibit the mammalian target of rapamycin (mTOR) and which possess antiproliferative activity such as sirolimus (Rapamune®), everolimus (CerticanTM), CCI-779 and ABT578.
- heparanase inhibitor refers to compounds which target, decrease or inhibit heparin sulfate degradation.
- the term includes, but is not limited to, PI-88.
- biological response modifier refers to a lymphokine or interferons.
- inhibitor of Ras oncogenic isoforms such as H-Ras, K-Ras, or N-Ras, as used herein refers to compounds which target, decrease or inhibit the oncogenic activity of Ras; for example, a “farnesyl transferase inhibitor” such as L-744832, DK8G557 or R115777 (ZarnestraTM).
- telomerase inhibitor refers to compounds which target, decrease or inhibit the activity of telomerase. Compounds which target, decrease or inhibit the activity of telomerase are especially compounds which inhibit the telomerase receptor, such as telomestatin.
- methionine aminopeptidase inhibitor refers to compounds which target, decrease or inhibit the activity of methionine aminopeptidase.
- Compounds which target, decrease or inhibit the activity of methionine aminopeptidase include, but are not limited to, bengamide or a derivative thereof.
- proteasome inhibitor refers to compounds which target, decrease or inhibit the activity of the proteasome.
- Compounds which target, decrease or inhibit the activity of the proteasome include, but are not limited to, Bortezomib (VelcadeTM) and MLN 341.
- matrix metalloproteinase inhibitor or (“MMP” inhibitor) as used herein includes, but is not limited to, collagen peptidomimetic and nonpeptidomimetic inhibitors, tetracycline derivatives, e.g. hydroxamate peptidomimetic inhibitor batimastat and its orally bioavailable analogue marimastat (BB-2516), prinomastat (AG3340), metastat (NSC 683551) BMS-279251 , BAY 12-9566, TAA211 , MMI270B or AAJ996.
- MMP matrix metalloproteinase inhibitor
- FMS-like tyrosine kinase inhibitors which are compounds targeting, decreasing or inhibiting the activity of FMS-like tyrosine kinase receptors (Flt-3R); interferon, I-b-D-arabinofuransylcytosine (ara-c) and bisulfan; and ALK inhibitors, which are compounds which target, decrease or inhibit anaplastic lymphoma kinase.
- FMS-like tyrosine kinase receptors are especially compounds, proteins or antibodies which inhibit members of the Flt-3R receptor kinase family, such as PKC412, midostaurin, a staurosporine derivative, SU11248 and MLN518.
- HSP90 inhibitors includes, but is not limited to, compounds targeting, decreasing or inhibiting the intrinsic ATPase activity of HSP90; degrading, targeting, decreasing or inhibiting the HSP90 client proteins via the ubiquitin proteosome pathway.
- Compounds targeting, decreasing or inhibiting the intrinsic ATPase activity of HSP90 are especially compounds, proteins or antibodies which inhibit the ATPase activity of HSP90, such as 17-allylamino,17-demethoxygeldanamycin (17AAG), a geldanamycin derivative; other geldanamycin related compounds; radicicol and HD AC inhibitors.
- antiproliferative antibodies includes, but is not limited to, trastuzumab (HerceptinTM), Trastuzumab-DMl, erbitux, bevacizumab (AvastinTM), rituximab (Rituxan ® ), PR064553 (anti-CD40) and 2C4 Antibody.
- trastuzumab HerceptinTM
- Trastuzumab-DMl erbitux
- bevacizumab AvastinTM
- rituximab Rasteran ®
- PR064553 anti-CD40
- compounds of the current invention can be used in combination with standard leukemia therapies, especially in combination with therapies used for the treatment of AML.
- compounds of the current invention can be administered in combination with, for example, farnesyl transferase inhibitors and/or other drugs useful for the treatment of AML, such as Daunorubicin, Adriamycin, Ara-C, VP- 16, Teniposide, Mitoxantrone, Idarubicin, Carboplatinum and PKC412.
- anti-leukemic compounds include, for example, Ara-C, a pyrimidine analog, which is the 2 -alpha-hydroxy ribose (arabinoside) derivative of deoxycytidine. Also included is the purine analog of hypoxanthine, 6-mercaptopurine (6-MP) and fludarabine phosphate.
- Compounds which target, decrease or inhibit activity of histone deacetylase (HD AC) inhibitors such as sodium butyrate and suberoylanilide hydroxamic acid (SAHA) inhibit the activity of the enzymes known as histone deacetylases.
- HD AC histone deacetylase
- SAHA suberoylanilide hydroxamic acid
- HDAC inhibitors include MS275, SAHA, FK228 (formerly FR901228), Trichostatin A and compounds disclosed in US 6,552,065 including, but not limited to, N-hydroxy-3-[4-[[[2-(2-methyl-lH-indol-3-yl)-ethyl]- amino]methyl]phenyl]- 2E-2-propenamide, or a pharmaceutically acceptable salt thereof and N-hydroxy-3-[4-[(2- hydroxyethyl) ⁇ 2-(lH-indol-3-yl)ethyl]-amino]methyl]phenyl]-2E-2- propenamide, or a pharmaceutically acceptable salt thereof, especially the lactate salt.
- Somatostatin receptor antagonists as used herein refer to compounds which target, treat or inhibit the somatostatin receptor such as octreotide, and SOM230.
- Tumor cell damaging approaches refer to approaches such as ionizing radiation.
- ionizing radiation means ionizing radiation that occurs as either electromagnetic rays (such as X-rays and gamma rays) or particles (such as alpha and beta particles). Ionizing radiation is provided in, but not limited to, radiation therapy and is known in the art. See Heilman, Principles of Radiation Therapy, Cancer, in Principles and Practice of Oncology, Devita et al, Eds., 4 th Edition, Vol. 1 , pp. 248-275 (1993).
- EDG binders and ribonucleotide reductase inhibitors.
- EDG binders refers to a class of immunosuppressants that modulates lymphocyte recirculation, such as FTY720.
- ribonucleotide reductase inhibitors refers to pyrimidine or purine nucleoside analogs including, but not limited to, fludarabine and/or cytosine arabinoside (ara-C), 6-thioguanine, 5-fluorouracil, cladribine, 6-mercaptopurine (especially in combination with ara-C against ALL) and/or pentostatin.
- Ribonucleotide reductase inhibitors are especially hydroxyurea or 2 -hydroxy- lH-isoindole-1 ,3-dione derivatives.
- VEGF such as l-(4-chloroanilino)-4-(4-pyridylmethyl)phthalazine or a pharmaceutically acceptable salt thereof, l-(4-chloroanilino)-4-(4-pyridylmethyl)phthalazine succinate; AngiostatinTM; EndostatinTM; anthranilic acid amides; ZD4190; ZD6474; SU5416; SU6668; bevacizumab; or anti-VEGF antibodies or anti-VEGF receptor antibodies, such as rhuMAb and RHUFab, VEGF aptamer such as Macugon; FFT-4 inhibitors, FFT-3 inhibitors, VEGFR-2 IgGI antibody,
- Photodynamic therapy refers to therapy which uses certain chemicals known as photosensitizing compounds to treat or prevent cancers.
- Examples of photodynamic therapy include treatment with compounds, such as VisudyneTM and porfimer sodium.
- Angiostatic steroids refers to compounds which block or inhibit angiogenesis, such as, e.g., anecortave, triamcinolone, hydrocortisone, 11 -a-epihydrocotisol, cortexolone, 17a-hydroxyprogesterone, corticosterone, desoxy corticosterone, testosterone, estrone and dexamethasone.
- angiogenesis such as, e.g., anecortave, triamcinolone, hydrocortisone, 11 -a-epihydrocotisol, cortexolone, 17a-hydroxyprogesterone, corticosterone, desoxy corticosterone, testosterone, estrone and dexamethasone.
- Implants containing corticosteroids refers to compounds, such as fluocinolone and dexamethasone.
- chemotherapeutic compounds include, but are not limited to, plant alkaloids, hormonal compounds and antagonists; biological response modifiers, preferably lymphokines or interferons; antisense oligonucleotides or oligonucleotide derivatives; shRNA or siRNA; or miscellaneous compounds or compounds with other or unknown mechanism of action.
- a compound of the current invention may also be used in combination with known therapeutic processes, for example, the administration of hormones or radiation.
- a provided compound is used as a radiosensitizer, especially for the treatment of tumors which exhibit poor sensitivity to radiotherapy.
- a compound of the current invention can be administered alone or in combination with one or more other therapeutic compounds, possible combination therapy taking the form of fixed combinations or the administration of a compound of the invention and one or more other therapeutic compounds being staggered or given independently of one another, or the combined administration of fixed combinations and one or more other therapeutic compounds.
- a compound of the current invention can besides or in addition be administered especially for tumor therapy in combination with chemotherapy, radiotherapy, immunotherapy, phototherapy, surgical intervention, or a combination of these. Long-term therapy is equally possible as is adjuvant therapy in the context of other treatment strategies, as described above. Other possible treatments are therapy to maintain the patient's status after tumor regression, or even chemopreventive therapy, for example in patients at risk.
- Those additional agents may be administered separately from an inventive compound- containing composition, as part of a multiple dosage regimen.
- those agents may be part of a single dosage form, mixed together with a compound of this invention in a single composition. If administered as part of a multiple dosage regime, the two active agents may be submitted simultaneously, sequentially or within a period of time from one another normally within five hours from one another.
- the term“combination,”“combined,” and related terms refers to the simultaneous or sequential administration of therapeutic agents in accordance with this invention.
- a compound of the present invention may be administered with another therapeutic agent simultaneously or sequentially in separate unit dosage forms or together in a single unit dosage form.
- the present invention provides a single unit dosage form comprising a compound of the current invention, an additional therapeutic agent, and a pharmaceutically acceptable carrier, adjuvant, or vehicle.
- compositions of this invention should be formulated so that a dosage of between 0.01 - 100 mg/kg body weight/day of an inventive compound can be administered.
- compositions which comprise an additional therapeutic agent that additional therapeutic agent and the compound of this invention may act synergistically. Therefore, the amount of additional therapeutic agent in such compositions will be less than that required in a monotherapy utilizing only that therapeutic agent. In such compositions a dosage of between 0.01 - 1,000 pg/kg body weight/day of the additional therapeutic agent can be administered.
- the amount of additional therapeutic agent present in the compositions of this invention will be no more than the amount that would normally be administered in a composition comprising that therapeutic agent as the only active agent.
- the amount of additional therapeutic agent in the presently disclosed compositions will range from about 50% to 100% of the amount normally present in a composition comprising that agent as the only therapeutically active agent.
- Peptide synthesis was based on Fmoc chemistry, using a Symphony peptide synthesizer manufactured by Peptide Instruments and a Syro II synthesizer by MultiSynTech. Standard Fmoc- amino acids were employed (Sigma, Merck), with appropriate side chain protecting groups: where applicable standard coupling conditions were used in each case, followed by deprotection using standard methodology. Peptides were purified using HPPC and following isolation they were modified with a molecular scaffold reagent with leaving groups.
- linear peptide was diluted with H 2 O up to ⁇ 35 mL, -500 mL of 100 mM molecular scaffold reagent in acetonitrile was added, and the reaction was initiated with 5 mL of 1 M NFLt HCO3 in H 2 O. The reaction was allowed to proceed for -30-60 min at RT, and lyophilized once the reaction had completed (as judged by MAFDI). Following lyophilization, the reaction mixture was loaded onto a Gemini Cl 8 column (Phenomenex). Solvents (H 2 O, acetonitrile) were acidified with 0.1 % trifluoroacetic acid.
- peptides were purified using HPLC and following isolation they were modified with a molecular scaffold reagent containing Michael acceptors.
- linear peptide was diluted with 50:50 MeCN:H 2 O up to ⁇ 35 mL, -500 mL of 100 mM molecular scaffold reagent containing Michael acceptors in acetonitrile was added, and the reaction was initiated with 5 mL of 1 M NH 4 HCO 3 in H 2 O. The reaction was allowed to proceed for ⁇ 30-60 min at RT, and lyophilized once the reaction had completed (as judged by MALDI). Once completed, 1 mL of 1M L-Cysteine hydrochloride monohydrate (Sigma) in FLO was added to the reaction for -60 min at RT to quench any excess molecular scaffold reagent containing Michael acceptors.
- the modified peptide was purified as above, while replacing the Luna C8 with a Gemini C18 column (Phenomenex), and changing the acid to 0.1% trifluoroacetic acid. Pure fractions containing the correct desired product were pooled, lyophilized and kept at -20°C for storage.
- Direct Binding Fluorescence Polarization or Anisotropy Assays are performed by titrating a constant concentration of fluorescent tracer (here, the fluoresceinated bicyclic peptide to be studied) with its binding partner (here, the MTl-MMP hemopexin domain). As the concentration of binding partner increases during the titration, the polarization signal changes in proportion to the fraction of bound and unbound material. This allows determination of dissociation rates ( K d ) quantitatively. Assay data can be fit using standard ligand binding equations.
- fluorescent tracer here, the fluoresceinated bicyclic peptide to be studied
- binding partner here, the MTl-MMP hemopexin domain
- concentrations of the tracer are ideally well below the K d of the tracer: titrant pair, and concentrations chosen are usually at -1 nM or less.
- concentrations chosen are usually at -1 nM or less.
- the titrant (binding partner) concentration is varied from 0.1 nM up to typically 5 mM. The range is chosen such that the maximum change in fluorescent polarization can be observed.
- Buffers employed are phosphate buffered saline in the presence of 0.01% Tween. Experiments are run in black 384 well low- bind/low volume plates (Corning 3820), and the fluorescent polarization signal is measured using a BMG Pherastar FS plate reader.
- Fluorescent tracers referred to in the text are bicyclic peptides that have been fluoresceinated using 5,6-carboxyfluorescein. Fluoresceination may be performed on the N-terminal amino group of the peptide, which is separated from the bicycle core sequence by a sarcosine spacer (usually SarlO). This can be done during Fmoc solid phase synthesis or post- synthetically (after cyclization with the molecular scaffold reagent and purification) if the N- terminal amino group is unique to the peptide.
- a sarcosine spacer usually SarlO
- N-terminal tracers can have a molecular format described as Fluo-Ala-Sar10-A(BicycleCoreSequence), and (BicycleCoreSequence)-A-Sar6-K(Fluo) for a C-terminally fluoresceinated construct.
- Fluorescent tracers used in the Examples are A-(17-69)-A-Sar6-K(Fluo), A-(17-69- 07)-A-Sar6-K(Fluo), and A-(17-69-12)-A-Sar6-K(Fluo). Due to the acidic nature of the 17-69 fluorescent peptides, they are typically prepared as concentrated DMSO stocks, from which dilutions are prepared in 100 mM Tris pH 8 buffer.
- Fluoresceinated derivatives of bicyle peptides having high affinities to the MT1 -MMP Hemopexin domain can be used for competition experiments (using FP for detection).
- a preformed complex of PEX with the fluorescent PEX-binding tracer is titrated with a free, non- fluoresceinated bicyclic peptide.
- the free, non-fluoresceinated bicyclic peptide is expected to bind at the same site as the fluorescent tracer, and to displace the fluorescent tracer from PEX.
- Dissociation of the complex can be measured quantitatively, and the K d of the competitor (titrant) to the target protein can be determined.
- the advantage of the competition method is that the affinities of non- fluoresceinated bicyclic peptides can be determined accurately and rapidly.
- Concentrations of tracer are usually at the Kd or below (here, 1 nM), and the binding protein (here, hemopexin of MT1-MMP) is at a 15-fold excess such that >90% of the tracer is bound.
- the non-fluorescent competitor bicyclic peptide (usually just the bicycle core sequence) is titrated, such that it displaces the fluorescent tracer from the target protein.
- the displacement of the tracer is measured and associated with a drop in fluorescence polarization.
- the drop in fluorescence polarization is proportional to the fraction of target protein bound with the non-fluorescent titrant, and thus is a measure of the affinity of titrant to target protein.
- the raw data is fit to the analytical solution of the cubic equation that describes the equilibria between fluorescent tracer, titrant, and binding protein.
- the fit requires the value of the affinity of fluorescent tracer to the target protein, which can be determined separately by direct binding FP experiments (see previous section).
- the curve fitting is performed using Sigmaplot 12.0 and uses an adapted version of the equation described by Zhi-Xin Wang (FEBS Letters 360 (1995) 1 11-1 14).
- the peptide was synthesized using standard Fmoc chemistry.
- reaction mixture was directly purified by flash silica gel chromatography (ISCO®; 120 g SepaFlash® Silica Flash Column, Eluent of 0 ⁇ 30% MeOH/DCM gradient @ 40 mL/min) to give compound 2 (0.30 g, 648.65 ⁇ mol, 46.36% yield) as a yellow solid.
- ISCO® 120 g SepaFlash® Silica Flash Column, Eluent of 0 ⁇ 30% MeOH/DCM gradient @ 40 mL/min
- a phosporothioate (“PS”) linkage can be a mixture of R and S stereoisomers.
- the SM- 1 and SM-2 molecule which is a cyclic dinucleotide comprising two phosporothioate linkages, was a mixture of four stereoisomers: R-R, R-S, S-R, and S-S (“R” and“S” representing the stereochemistry of PS linkage 1 and 2).
- the four stereoisomer mixture was purified by the prep- HPLC described above to provide compound Isomers-1 and Isomers-2, with one of which being a pure mixture of the R-S and S-R isomers (compound SM-1), and the other one being a pure mixture of the R-R and S-S isomers (compound SM-2).
- the crude product was purified by flash silica gel chromatography (ISCO®; 80 g SepaFlash® Silica Flash Column, Eluent of 0-50% Methanol/Ethyl acetate ethergradient @ 75 mL/min) to give a mixture (4 g) of compound 3 and DMTr-protected compound 3 as a yellow solid. Then it was dissolved in DCM (50 mL) and THF (50 mL), followed by the addition of 2,2- dichloroacetic acid (1.47 g, 11.39 mmol, 935.04 mL, 3 eq). The mixture was stirred at 20°C for 12 h. LC-MS showed the reaction was complete and the desired compound was detected.
- ISCO® 80 g SepaFlash® Silica Flash Column, Eluent of 0-50% Methanol/Ethyl acetate ethergradient @ 75 mL/min
- a phosporothioate(“PS”) linkage can be a mixture of R and S stereoisomers.
- the compounds 5 and 5A molecule which is a cyclic dinucleotide comprising two phosporothioate linkages, was a mixture of four stereoisomers: R-R, R-S, S-R, and S-S (“R” and“S” representing the stereochemistry of PS linkage 1 and 2).
- the four stereoisomer mixture was purified by the prep-HPLC described above to provide compound Isomers- 1 and Isomers-2, with one of which being a pure mixture of the R-R and S-S isomers (compound 5), and the other one being a pure mixture of the R-S and S-R isomers (compound 5A).
Landscapes
- Health & Medical Sciences (AREA)
- Chemical & Material Sciences (AREA)
- Life Sciences & Earth Sciences (AREA)
- Organic Chemistry (AREA)
- Proteomics, Peptides & Aminoacids (AREA)
- General Health & Medical Sciences (AREA)
- Molecular Biology (AREA)
- Medicinal Chemistry (AREA)
- Biophysics (AREA)
- Biochemistry (AREA)
- Engineering & Computer Science (AREA)
- Genetics & Genomics (AREA)
- Bioinformatics & Cheminformatics (AREA)
- Public Health (AREA)
- Veterinary Medicine (AREA)
- Epidemiology (AREA)
- Pharmacology & Pharmacy (AREA)
- Animal Behavior & Ethology (AREA)
- Toxicology (AREA)
- Zoology (AREA)
- Gastroenterology & Hepatology (AREA)
- Medicines That Contain Protein Lipid Enzymes And Other Medicines (AREA)
Abstract
The present invention provides compounds, compositions thereof, and methods of using the same.
Description
BICYCLIC PEPTIDE LIGAND STING CONJUGATES AND USES THEREOF
TECHNICAL FIELD OF THE INVENTION
[0001] The present invention relates to polypeptides which are covalently bound to molecular scaffolds such that two or more peptide loops are subtended between attachment points to the scaffold (Bicycle peptide ligand) and further linked to SUNG (a Stimulator of Interferon Genes modulator). The invention also includes pharmaceutical compositions comprising a Bicycle peptide ligand SUNG conjugate, and the use thereof in modulating SUNG and treating a STING- mediated disease or disorder.
BACKGROUND OF THE INVENTION
[0002] A major subset of human cancers shows evidence for spontaneous adaptive immunity, which is reflected by the presence of infiltrating CD8+ T cells specific for tumor antigens within the tumor microenvironment. This observation suggests that endogenous adjuvants might provide signals for activation of antigen presenting cells (APCs). Pattern recognition receptors (PRRs) expressed by APCs typically recognize molecular entities derived from infectious agents, which trigger innate immune responses but also lead to APC activation and induction of adaptive T cell responses. Multiple families of PRRs have been identified that reside in the plasma membrane, within intracellular vesicles, and in the cytosol of APCs. These include Toll-like receptors (TLRs), C-type lectin receptors (CLRs), NOD-like receptors (NLRs), retinoic-inducible gene-l-like (RIG- I— like) receptors (RLRs), and cytosolic DNA sensors.
[0003] Binding of ligands to PRRs activates adaptor molecules and downstream signaling events, leading to the secretion of type I IFNs, inflammatory cytokines, chemokines, and antimicrobial peptides. These factors orchestrate innate immune responses that initiate pathogen clearance but also result in maturation of APCs (in particular DCs), which in turn prime and activate antigen-specific T cells. In the tumor setting, recent evidence has indicated that the major innate immune pathway involved in the generation of a spontaneous antitumor T cell response is the stimulator of IFN genes (SUNG) pathway of cytosolic DNA sensing. Based on this finding, deliberate activation of the SUNG pathway has been explored as a cancer therapy, and STING agonists have been found to induce profound tumor control via host immune cell activation.
[0004] Initially characterized as ubiquitous bacterial secondary messengers, cyclic dinucleotides (CDNs) [cyclic di-GMP (guanosine 5'-monophosphate) (CDG), cyclic di-AMP (adenosine 5 '-monophosphate) (CD A), and cyclic GMP-AMP (cGAMP)] were shown to constitute a class of pathogen-associated molecular pattern molecules (PAMPs) that activate the TBK1 /interferon regulatory factor 3 (IRF3)/type 1 interferon (IFN) signaling axis via the STING receptor.
[0005] STING is an ER transmembrane protein. The cytoplasmic domain of STING forms dimers and CDNs bind at the dimer interface. In bacterial infection, STING is activated by conserved bacterial second-messengers, cyclic dinucleotides linked through two 3 '-5' phosphodiester linkages (3 '3 '-CDNs), which can contain two guanosines, two adenosines, or one of each. A second, more powerful activation signal results from the presence of viral or self dsDNA in the cytoplasm, leading to the synthesis of 2'3 '-cGAMP, which is a heterodimer linked by one standard 3 '-5' phosphodiester, and one rare 2'-5' phosphodiester.
[0006] CDNs do not resemble typical small molecule drug candidates. Their molecular weight is ~700; they have two negative charges; and they are built from potentially labile phosphodiester linkages. Nevertheless, they are able to activate the STING pathway, presumably after entering the cell by unknown mechanisms. Cyclic di-GMP (cdGMP) injected s.c. shows minimal uptake into lymphatics/draining lymph nodes (dLNs) and instead is rapidly distributed to the bloodstream, leading to systemic inflammation. Intratumoral injection of STING agonists has been shown to induce regression of established tumors in mice and clinical trials are underway to explore this treatment modality. Therefore, finding an acceptable balance between accessible routes of administration, potency and toxicity may be challenging for more wide ranging use of CDNs in cancer therapy. One approach that may permit systemic delivery of CDNs is to localize STING activation by covalent conjugation to targeted macromolecular scaffolds such as peptides, proteins and polymers, which may limit systemic inflammation levels while delivering high levels of CDN to the tumor.
[0007] While stimulation of STING and the production of type 1 interferons is an important mechanism for pathogen defense and tumor control, failure to regulate chronic inflammatory signaling can also lead to autoimmunity. The mislocalization of nuclear and mitochondrial dsDNA in the cytoplasm combined with the inability of cGAS to differentiate foreign from self dsDNA is a potential trigger for type 1 interferon production and autoinflammation. Type 1 interferon and
mislocalized dsDNA are hallmarks and key drivers for the pathogenesis of autoimmune diseases such as systemic lupus erythematosus (SLE). Additionally, loss of function mutations in the DNA exonuclease TREX1 lead to the excessive type 1 interferon signature found in Aicardi-Goutieres syndrome (AGS) and SLE, implicating the role of self-dsDNA in autoinflammation. Furthermore, monogenic Mendelian diseases with STING gain of function mutations such as familial chilblain lupus (FCL) support the role of STING in autoimmune disease. These studies collectively suggest that inhibition of STING might regulate DNA-driven inflammatory diseases. Systemic delivery of STING antagonists by covalent conjugation to targeted macromolecular scaffolds such as peptides, proteins and polymers, may allow the delivery of high levels of antagonist to the diseased tissue while limiting systemic anti-inflammatory side effects due to non-specific uptake into healthy tissues.
[0008] In attempts to discover effective cellular targets for cancer therapy, researchers have sought to identify transmembrane or otherwise tumor-associated polypeptides that are specifically expressed on the surface of one or more particular type(s) of cancer cell as compared to on one or more normal non-cancerous cell(s). Ofte0520n, such tumor-associated polypeptides are more abundantly expressed on the surface of the cancer cells as compared to on the surface of the non- cancerous cells. The identification of such tumor-associated cell surface antigen polypeptides, i.e. tumor-associated antigens (TAA), has given rise to the ability to specifically target cancer cells for destruction.
[0009] A proprietary phage display and cyclic peptide technology (Bicycle® technology) can be utilized to identify high affinity binding peptides to TAA.
[0010] TAA include, but are not limited to: 5T4, AOC3, ALK, AXL, C242, CA-125, CCL11, CCR 5, CD2, CD3, CD4, CD5, CD15, CA15-3, CD18, CD19, CA19-9, CD20, CD22, CD23, CD25, CD28, CD30, CD31, CD33, CD37, CD38, CD40, CD41, CD44, CD44 v6, CD51, CD52, CD 54, CD56, CD62E, CD62P, CD62L, CD70, CD74, CD79-B, CD80, CD125, CD138, CD141, CD 147, CD 152, CD154, CD326, CEA, CTLA-4, CXCR2, EGFR, ErbB2, ErbB3, EpCAM, EphA2, EphB2, EphB4, FGFR (i.e. FGFR1, FGFR2, FGFR3, FGFR4), FLT3, folate receptor, FAP, GD2, GD3, GPNMB, HGF, HER2, ICAM, IGF-1 receptor, VEGFR1, TRPV1, CFTR, gpNMB, CA9, Cripto, c-KIT, c-MET, ACE, APP, adrenergic receptor-beta2, Claudine 3, Mesothehn, MUC1, RON, ROR1, PD-1, PD-L1, PD-L2, B7-H3, B7-B4, IL-2 receptor, IL-4 receptor, IL-13 receptor, integrins (including a4, avb3, avb5, avb6, a1b4, a4b1, a4b7 , a5b1, a6b4,
aIIbb3 integrins), IFN-a, IFN-g, IgE, IGF-1 receptor, IL-1, IL-12, IL-23, IL-13, IL-22, IL-4, IL-5, IL-6, interferon receptor, ITGB2 (CD18), LFA-1 (CDl la), L-selectin (CD62L), mucin, MUC1, myostatin, NCA-90, NGF, PDGFRa, phosphatidylserine, prostatic carcinoma cell, RANKL, Rhesus factor, SLAMF7, sphingosine-l-phosphate, TAG-72, T-cell receptor, tenascin C, TGF-1, TGF-b2, TGF-b, TNF-a, TRAIL-R1, TRAIL-R2, tumor antigen CTAA16.88, VEGFA, VEGFR2, vimentin, Nectin-4, PSMA, Trop-2, and the like.
[0011] Additionally, Bicycle® technology can be utilized to identify high affinity binding peptides to one or more tumor-associated antigens or cell-surface receptors selected from (l)-(36):
[0012] (1) BMPR1B (bone morphogenetic protein receptor-type IB, Genbank accession no.
NM. sub. -001203);
[0013] (2) E16 (LAT1, SLC7A5, Genbank accession no. NM. sub. -003486);
[0014] (3) STEAPl (six transmembrane epithelial antigen of prostate, Genbank accession no.
NM. sub.—012449);
[0015] (4) 0772P (CA125, MUC16, Genbank accession no. AF361486);
[0016] (5) MPF (MPF, MSLN, SMR, megakaryocyte potentiating factor, mesothelin,
Genbank accession no. NM.sub.— 005823);
[0017] (6) Napi3b (NAPI-3B, NPTIIb, SLC34A2, solute carrier family 34 (sodium phosphate), member 2, type II sodium-dependent phosphate transporter 3b, Genbank accession no. NM. sub. -006424);
[0018] (7) Serna 5b (FLJ10372, KIAA1445, Mm.42015, SEMA5B, SEMAG, Semaphorm 5b
Hlog, sema domain, seven thrombospondin repeats (type 1 and type 1-like), transmembrane domain (TM) and short cytoplasmic domain, (semaphorin) 5B, Genbank accession no. AB040878);
[0019] (8) PSCA hlg (2700050C12Rik, C530008016Rik, RIKEN cDNA 2700050C12,
RIKEN cDNA 2700050C12 gene, Genbank accession no. AY358628);
[0020] (9) ETBR (Endothelin type B receptor, Genbank accession no. AY275463);
[0021] (10) MSG783 (RNF124, hypothetical protein FLJ20315, Genbank accession no.
NM. sub.-- 017763);
[0022] (11) STEAP2 (HGNC.sub.-8639, IPCA-1, PCANAPl, STAMPI, STEAP2, STMP, prostate cancer associated gene 1, prostate cancer associated protein 1, six transmembrane
epithelial antigen of prostate 2, six transmembrane prostate protein, Genbank accession no. AF455138);
[0023] (12) TrpM4 (BR22450, FLJ20041, TRPM4, TRPM4B, transient receptor potential cation channel, subfamily M, member 4, Genbank accession no. NM.sub.--017636);
[0024] (13) CRIPTO (CR, CR1, CRGF, CRIPTO, TDGF1, teratocarcmoma-derived growth factor, Genbank accession no. NP. sub.-- 003203 or NM. sub. --03212);
[0025] (14) CD21 (CR2 (Complement receptor 2) or C3DR(C3 d/Epstein Barr virus receptor) or Hs.73792 Genbank accession no. M26004);
[0026] (15) CD79b (CD79B, CD79.beta., IGb (immunoglobulin-associated beta), B29,
Genbank accession no. NM. sub. -000626);
[0027] (16) FcRH2 (IFGP4, IRTA4, SPAP1A (SH2 domain containing phosphatase anchor protein la), SPAPIB, SPAPIC, Genbank accession no. NM.sub.-- 030764);
[0028] (17) HER2 (Genbank accession no. Ml 730);
[0029] (18) NCA (Genbank accession no. Ml 8728);
[0030] (19) MDP (Genbank accession no. BC017023);
[0031] (20) IL20Ra (Genbank accession no. AFl 84971);
[0032] (21) Brevican (Genbank accession no. AF229053;
[0033] (22) EphB2R (Genbank accession no. NM. sub. --004442);
[0034] (23) ASLG659 (Genbank accession no. AX092328);
[0035] (24) PSCA (Genbank accession no. AJ297436);
[0036] (25) GEDA (Genbank accession no. AY260763;
[0037] (26) BAFF--R (B cell-activating factor receptor, BLyS receptor 3, BR3, NP.sub.--
443177.1);
[0038] (27) CD22 (B-cell receptor CD22-B isoform, NP.sub.--001762.1);
[0039] (28) CD79a (CD79A, CD79.alpha., immunoglobulin-associated alpha, a B cell- specific protein that covalently interacts with Ig beta (CD79B) and forms a complex on the surface with Ig M molecules, transduces a signal involved in B-cell differentiation, Genbank accession No. NP.sub.--001774.1);
[0040] (29) CXCR5 (Burkitfs lymphoma receptor 1, a G protein-coupled receptor that is activated by the CXCL13 chemokine, functions in lymphocyte migration and humoral defense,
plays a role in HIV-2 infection and perhaps development of AIDS, lymphoma, myeloma, and leukemia, Genbank accession No. NP.sub.-- 001707.1);
[0041] (30) HLA-DOB (Beta subunit of MHC class II molecule (la antigen) that binds peptides and presents them to CD4+ T lymphocytes, Genbank accession No. NP.sub.-- 002111.1);
[0042] (31) P2X5 (Purinergic receptor P2X ligand-gated ion channel 5, an ion channel gated by extracellular ATP, may be involved in synaptic transmission and neurogenesis, deficiency may contribute to the pathophysiology of idiopathic detrusor instability, Genbank accession No. NP.sub. -002552.2);
[0043] (32) CD72 (B-cell differentiation antigen CD72, Lyb-2, Genbank accession No.
NP.sub. -001773.1);
[0044] (33) LY64 (Lymphocyte antigen 64 (RP105), type I membrane protein of the leucine rich repeat (LRR) family, regulates B-cell activation and apoptosis, loss of function is associated with increased disease activity in patients with systemic lupus erythematosis, Genbank accession No. NP.sub.-- 005573.1);
[0045] (34) FcRHl (Fc receptor-like protein 1, a putative receptor for the immunoglobulin Fc domain that contains C2 type Ig-like and ITAM domains, may have a role in B-lymphocyte differentiation, Genbank accession No. NP.sub.-- 0443170.1);
[0046] (35) IRTA2 (Immunoglobulin superfamily receptor translocation associated 2, a putative immunoreceptor with possible roles in B cell development and lymphomagenesis; deregulation of the gene by translocation occurs in some B cell malignancies, Genbank accession No. NP.sub.-- 112571.1); and
[0047] (36) TENB2 (putative transmembrane proteoglycan, related to the EGF/here gu lin family of growth factors and follistatin, Genbank accession No. AF 179274.
[0048] Additionally, the proprietary phage display and cyclic peptide technology (Bicycle® technology) can be utilized to identify high affinity binding peptides to the following markers and/or targets on immune cells:
[0049] Dendritic cells (DC) -
[0050] Myeloid/conventional DC markers and/or targets such as CD 1a, CD1c (BDCA1), CD123, CD141 (BDCA3), CD205, and CD209;
[0051] Plasmacytoid DC markers and/or targets such as CD85g, CD289, CD303 (BDCA2), CD 304 (BDCA4), TLR7, TLR8, and TLR9;
[0052] Markers and/or targets on Langherhans cells such as CD 1a, CD207, and CD324;
[0053] Markers and/or targets on macrophages such as CD11b, CD11c, CD 14, CD68, CD80, and CD 163;
[0054] Markers and/or targets on Ml Macrophages such as CD68, CD86, CD282, and CD284;
[0055] Markers and/or targets on M2 Macrophages such as CD 163, CD220R, and CD206; and
[0056] Markers and/or targets on Tumor- Associated Macrophages such as CD81, CD 106, and
Dectin-1.
[0057] Transmembrane proteins which are overexpressed in cancer cells provide a potential means for selectively targeting cancer cells. One such transmembrane protein is membrane type 1 -matrix metalloproteinase (MTl-MMP).
[0058] MTl-MMP is a transmembrane metalloprotease that plays a major role in the extracellular matrix remodelling, directly by degrading several of its components and indirectly by activating pro-MMP2. MTl-MMP is crucial for tumor angiogenesis (Sounni el al (2002) FASEB J. 16(6), 555-564) and is over-expressed on a variety of solid tumors.
[0059] Accordingly, there remains a high unmet need in developing STING agents that selectively target cancer cells by means of a covalently linked high affinity Bicycle peptide binder to one or more tumor-associated antigens or cell-surface receptors for the treatment of cancer.
SUMMARY OF THE INVENTION
[0060] It has now been found that compounds of this invention, and pharmaceutically acceptable compositions thereof, are effective as agents that can induce potent type I interferon production. Such compounds have the general formula I:
or a pharmaceutically acceptable salt thereof, wherein each variable is as defined and described herein.
[0061] Compounds of the present invention, and pharmaceutically acceptable compositions thereof, are useful for treating a variety of diseases, disorders or conditions. Such diseases, disorders, or conditions include those described herein.
DETAILED DESCRIPTION OF CERTAIN EMBODIMENTS
1. General Description of Certain Embodiments of the Invention:
[0062] A proprietary phage display and cyclic peptide technology (Bicycle® technology) was utilized to identify high affinity binding peptides to the membrane type 1 -matrix metalloproteinase (MT1-MMP/MMP14). MT1-MMP (MT1) is a cell surface membrane protease normally involved in tissue remodeling which has been found to be over-expressed in many solid tumors. Overexpression of MT1 has been linked to cancer invasiveness and poor prognosis. While attempts to target the proteolytic activity of MT1 and other MMPs in cancer were unsuccessful in clinical trials largely due to toxicity caused by insufficient selectivity, MT1-MMP remains an attractive cancer target for targeted therapeutic agent delivery approaches.
[0063] Diverse selection phage libraries containing 1011 to 1013 unique peptide sequences which are post-translationally cyclized with thiol-reactive scaffolds were used to identify small (1.5-2 kDa) constrained bicyclic peptides binders (Bicycles) to the hemopexin domain of MT1. Initial binders were subject to affinity maturation by directed screens and stabilization by chemical optimization.
[0064] A bicyclic constrained peptide binder (Bicycle) was identified that binds to the hemopexin domain of MT1 with an apparent Kd of approximately 2 nM. The Bicycle peptide (N241) binds with similar affinity to the entire ectodomain of the protease but shows no binding to the catalytic domain. N241 also shows no binding toward any of the closely related MMP family members tested (MMP15, MMP16, MMP24, MMP1, Pro-MMPl, MMP2). Characterization of the pharmacologic effect of N241 on MT1 in vitro shows that the peptide has no direct impact on the catalytic activity of the protease, nor related MMP catalytic activity (MMPl, MMP2 and MMP9) nor cell migration or invasion. However, binding of fluorescently- tagged N241 to MT1 on HT1080 fibrosarcoma cells results in the rapid internalization and subsequent lysosomal localization of the compound. In addition, 177Lu-loaded N241 demonstrates
rapid tumor localization when injected IV into mice bearing MT1 -positive tumor xenografts, with levels as high as 15-20% injected dose per gram of tumor in less than 60 minutes. In contrast, a non-binding Bicycle peptide shows no tumor localization. Bicycle Drug Conjugates (BDCs) with a variety of linkers and detectable moieties were prepared which retained binding to MT1. The activity of select BDCs was demonstrated in MT1 -positive human tumor cell xenografts in mice as described in WO 2016/067035, which is hereby incorporated in its entirety by reference. These properties suggest that N241 may be a good delivery vehicle for STING agonists targeting MT1- postive tumor cells.
[0065] MT1-MMP is naturally involved in tissue remodeling, however overexpression of the cell-surface protease has been tied to tumor aggressiveness and invasiveness, as well as poor patient prognosis for many cancer indications. The Bicycle binder for MT1-MMP (N241) was identified using a proprietary phage display peptide technology consisting of highly diverse phage libraries of linear amino acid sequences constrained into two loops by a central chemical scaffold. While binding with similar affinity and specificity to that observed with monoclonal antibodies, the small size of a Bicycle peptide (1.5-2 kDa) aids in its rapid extravasation and tumor penetration making it an ideal format for the targeted delivery of STING modulators for modulating STING and treating STING-mediated diseases or disorders, such as cancers and inflammatory diseases or disorders described herein.
[0066] A series of Bicycle-Linker-STING conjugates were prepared, with varying spacer format to adjust the presentation of the Bicycle for evaluation of their ability to target tumors in an MT1 -positive tumor xenograft model.
[0067] It is believed that the Bicycle STING conjugates (BSCs) of the present invention may show selective targeting (for example, targeting of tumor cells in MT1 -expressing human tumor xenograft models and in other human tumor lines that express MT1). Without wishing to be bound by any particular theory, it is believed that the small size of the BSC may offer a significant advantage to other targeted approaches such as antibody-STING conjugates due to rapid extravasation and improved tumor penetration.
[0068] In some embodiments, a Bicycle STING conjugates of the present invention comprises a Bicycle peptides with high binding affinity to a cell surface antigen as described herein, for example, in the background section above. In some embodiments, a Bicycle STING conjugates of the present invention comprises a Bicycle peptides binding to a cell-surface receptor as
described herein, for example, in the background section above. In some embodiments, a Bicycle STING conjugates of the present invention comprises a Bicycle peptides binding to a marker and/or target on immune cells, for example, in the background section above. In some embodiments, a Bicycle STING conjugates of the present invention comprises a Bicycle peptides binding to a marker and/or target on Dendritic cells, Langherhans cells, macrophages, Ml Macrophages, M2 Macrophages, and/or Tumor-Associated Macrophages, for example, as described in the background section above. In some embodiments, a Bicycle STING conjugates of the present invention comprises a Bicycle peptides binding to a target selected from: ICAM, VEGFR1, MUC1, PD-1, PD-L1, PD-L2, B7-H3, B7-B4, IL-2 receptor, IL-4 receptor, IL-13 receptor, integrins (including a4, avb3, avb5, avb6, a1b4, a1b7, a4b7, a5b1, a6b4, aIIbb3, integrins), IFN-a, IFN-g, IF-1, IF-12, IF-23, IF-13, IF-22, IF-4, IF-5, IF-6, interferon receptor, LFA-1 (CD 11a), F-selectin (CD62F), P-selectm, PEC AM- 1 RANKL, T-cell receptor, TGF-1, TGF- 2, TGF-b, TNF-a, TRAIF-R1, TRAIF-R2, VCAM, VEGFA, VEGFR2, vimentm, VFA-4 and the like.
[0069] In certain aspects, the present invention provides a method of treating certain cancers in a subject, comprising administering to the subject an effective amount of a STING conjugate comprising a high affinity binder of MTl-MMP, or a pharmaceutically acceptable salt or composition thereof.
[0070] In some embodiments, peptide sequences are treated with molecular scaffold reagents to form compounds of the present invention.
[0071] In certain embodiments, the present invention provides a compound of formula I:
or a pharmaceutically acceptable salt thereof, wherein:
each of L1, L2, and L3 is independently a covalent bond or a C1-8 bivalent hydrocarbon chain wherein one, two or three methylene units of the chain are optionally and independently replaced by -S-, -N(R)-, -O-, -C(O)-, -OC(O)-, -C(O)O- -C(O)N(R)-, -N(R)C(O)-, - S(O)-, -S(O)2- or -N(R)CH2C(O)-;
each of R is independently hydrogen or C1-4 alkyl;
each of m, n, s, and p is independently 0 or 1 ;
each of q and r is independently 1, 2, 3, 4, 5, 6, 7, 8, 9, 10, 11, 12, 13, 14 or 15;
R1 is R or -C(O)R;
each of R4 and R6 is independently hydrogen or an optionally substituted group selected from C1- 6 aliphatic, a 3-8 member ed saturated or partially unsaturated monocyclic carbocyclic ring, phenyl, an 8-10 member ed bicyclic aromatic carbocyclic ring, a 4-8 member ed saturated or partially unsaturated monocyclic heterocyclic ring having 1-2 heteroatoms independently selected from nitrogen, oxygen, or sulfur, a 5-6 membered monocyclic heteroaromatic ring having 1-4 heteroatoms independently selected from nitrogen, oxygen, or sulfur, or an 8-10 membered bicyclic heteroaromatic ring having 1-5 heteroatoms independently selected from nitrogen, oxygen, or sulfur;
each of R4 and R6 is independently hydrogen or methyl;
each of R2, R3, R5, and R7 is independently hydrogen, or C1-4 aliphatic, or:
an R5 group and its adjacent R4 group are optionally taken together with their intervening atoms to form a 4-8 membered saturated or partially unsaturated monocyclic heterocyclic ring having 1-2 heteroatoms independently selected from nitrogen, oxygen, or sulfur; or
an R7 group and its adjacent R6 group are optionally taken together with their intervening atoms to form a 4-8 membered saturated or partially unsaturated monocyclic heterocyclic ring having 1-2 heteroatoms independently selected from nitrogen, oxygen, or sulfur;
Scaffold is a trivalent group that connects and orients a cyclic peptide;
Loop A is a bivalent natural or unnatural amino acid residue or peptide attached to the amino acid residue linked to L2 and the amino acid residue linked to L1, wherein Loop A comprises
Loop B is a bivalent natural or unnatural amino acid residue or peptide attached to the amino acid residue linked to L1 and the amino acid residue linked to L3, wherein Loop B comprises
indicates the site of attachment to the N-terminus of the Bicycle; indicates the site of attachment to the C-terminus of the Bicycle;
STING1 is a Stimulator of Interferon Genes modulator;
STING2 is a Stimulator of Interferon Genes modulator;
Linker1 is hydrogen or a bivalent moiety that connects the N-terminus of the Bicycle with STING1, wherein when n is 0, Linker1 is hydrogen; and
Linker2 is -NH2 or a bivalent moiety that connects the C-terminus of the Bicycle with STING2, wherein when p is 0, Linker2 is -NH2.
2. Compounds and Definitions:
Peptide Ligands
[0072] Compounds of the present invention include those described generally herein, and are further illustrated by the classes, subclasses, and species disclosed herein. As used herein, the following definitions shall apply unless otherwise indicated. For purposes of this invention, the chemical elements are identified in accordance with the Periodic Table of the Elements, CAS
version, Handbook of Chemistry and Physics, 75th Ed. Additionally, general principles of organic chemistry are described in“Organic Chemistry”, Thomas Sorrell, University Science Books, Sausalito: 1999, and“March’s Advanced Organic Chemistry”, 5th Ed., Ed. : Smith, M.B. and March, J., John Wiley & Sons, New York: 2001, the entire contents of which are hereby incorporated by reference.
[0073] Cyclic peptides are able to bind with high affinity and target specificity to protein targets and hence are an attractive molecule class for the development of therapeutics. In fact, several cyclic peptides are already successfully used in the clinic, as for example the antibacterial peptide vancomycin, the immunosuppressant drug cyclosporine or the anti-cancer drug octreotide (Driggers et al. (2008), Nat Rev Drug Discov 7 (7), 608-24). Good binding properties result from a relatively large interaction surface formed between the peptide and the target as well as the reduced conformational flexibility of the cyclic structures. Typically, macrocycles bind to surfaces of several hundred square angstrom, as for example the cyclic peptide CXCR4 antagonist CVX15 (400 A2; WU et al. (2007), Science 330, 1066-71), a cyclic peptide with the Arg-Gly-Asp motif binding to integrin anb3 (355 A2) (Xiong et al. (2002), Science 296 (5565), 151-5) or the cyclic peptide inhibitor upain-1 binding to urokinase-type plasminogen activator (603 Ά2; Zhao et al. (2007), J Struct Biol 160 (1), 1-10).
[0074] Due to their cyclic configuration, peptide macrocycles are less flexible than linear peptides, leading to a smaller loss of entropy upon binding to targets and resulting in a higher binding affinity. The reduced flexibility also leads to locking target-specific conformations, increasing binding specificity compared to linear peptides. This effect has been exemplified by a potent and selective inhibitor of matrix metalloproteinase 8, MMP-8) which lost its selectivity over other MMPs when its ring was opened (Chemey et al. (1998), JMed Chem 41 (11), 1749-51). The favorable binding properties achieved through macrocyclization are even more pronounced in multicyclic peptides having more than one peptide ring as for example in vancomycin, nisin and actinomycin.
[0075] Different research teams have previously tethered polypeptides with cysteine residues to a synthetic molecular structure (Kemp and McNamara (1985), J. Org. Chem; Timmerman et al. (2005), ChemBioChem). Meloen and co-workers had used tris(bromomethyl)benzene and related molecules for rapid and quantitative cyclisation of multiple peptide loops onto synthetic scaffolds for structural mimicry of protein surfaces (Timmerman et al. (2005), ChemBioChem). Methods
for the generation of candidate drug compounds wherein said compounds are generated by linking cysteine containing polypeptides to a molecular scaffold as for example tris(bromomethyl)benzene are disclosed in WO 2004/077062 and WO 2006/078161.
[0076] Phage display-based combinatorial approaches have been developed to generate and screen large libraries of bicyclic peptides to targets of interest (Heinis et al. (2009), Nat Chem Biol 5 (7), 502-7 and W02009/098450). Briefly, combinatorial libraries of linear peptides containing three cysteine residues and two regions of six random amino acids (Cys-(Xaa)6-Cys-(Xaa)6-Cys) were displayed on phage and cyclised by covalently linking the cysteine side chains to a small molecule (tris-(bromomethyl)benzene).
[0077] A peptide ligand, as referred to herein, refers to a peptide covalently bound to a molecular scaffold. Typically, such peptides comprise two or more reactive groups (e.g. cysteine residues) which are capable of forming covalent bonds to the scaffold, and a sequence subtended between said reactive groups which is referred to as the loop sequence, since it forms a loop when the peptide is bound to the scaffold. One of ordinary skill in the art will recognize that other amino acid residues capable of forming covalent bonds to the scaffold can be used (e.g. lysine, Dap or serine) to form bicyclic peptides of the present invention.
Advantages of the Peptide Ligands
[0078] Certain bicyclic peptides of the present invention have a number of advantageous properties which enable them to be considered as suitable drug-like molecules for injection, inhalation, nasal, ocular, oral or topical administration. Without being bound by any particular theory, such advantageous properties may include:
[0079] Species cross-reactivity. This is a typical requirement for preclinical pharmacodynamics and pharmacokinetic evaluation;
[0080] Protease stability. Bicyclic peptide ligands should ideally demonstrate stability to plasma proteases, epithelial ("membrane-anchored") proteases, gastric and intestinal proteases, lung surface proteases, intracellular proteases and the like. Protease stability should be maintained between different species such that a bicycle lead candidate can be developed in animal models as well as administered with confidence to humans;
[0081] Desirable solubility profile. This is a function of the proportion of charged and hydrophilic versus hydrophobic residues and intra/inter-molecular H-bonding, which is important for formulation and absorption purposes;
[0082] An optimal plasma half-life in the circulation. Depending upon the clinical indication and treatment regimen, it may be required to develop a bicyclic peptide for short exposure in an acute illness management setting, or develop a bicyclic peptide with enhanced retention in the circulation, and is therefore optimal for the management of more chronic disease states. Other factors driving the desirable plasma half-life are requirements of sustained exposure for maximal therapeutic efficiency versus the accompanying toxicology due to sustained exposure of the agent; and
[0083] Selectivity. Certain peptide ligands of the invention demonstrate good selectivity over other carbonic anhydrases, metalloproteases, and integrins.
[0084] The term“aliphatic” or“aliphatic group”, as used herein, means a straight-chain (i.e., unbranched) or branched, substituted or unsubstituted hydrocarbon chain that is completely saturated or that contains one or more units of unsaturation, or a monocyclic hydrocarbon or bicyclic hydrocarbon that is completely saturated or that contains one or more units of unsaturation, but which is not aromatic (also referred to herein as "carbocycle,"“cycloaliphatic” or“cycloalkyl”), that has a single point of attachment to the rest of the molecule. Unless otherwise specified, aliphatic groups contain 1-6 aliphatic carbon atoms. In some embodiments, aliphatic groups contain 1-5 aliphatic carbon atoms. In other embodiments, aliphatic groups contain 1-4 aliphatic carbon atoms. In still other embodiments, aliphatic groups contain 1-3 aliphatic carbon atoms, and in yet other embodiments, aliphatic groups contain 1-2 aliphatic carbon atoms. In some embodiments,“cycloaliphatic” (or“carbocycle” or“cycloalkyl”) refers to a monocyclic C3-C6 hydrocarbon that is completely saturated or that contains one or more units of unsaturation, but which is not aromatic, that has a single point of attachment to the rest of the molecule. Suitable aliphatic groups include, but are not limited to, linear or branched, substituted or unsubstituted alkyl, alkenyl, alkynyl groups and hybrids thereof such as (cycloalkyl)alkyl, (cycloalkenyl)alkyl or (cycloalkyl)alkenyl.
[0085] As used herein, the term“bridged bicyclic” refers to any bicyclic ring system, i.e. carbocyclic or heterocyclic, saturated or partially unsaturated, having at least one bridge. As defined by IUPAC, a“bridge” is an unbranched chain of atoms or an atom or a valence bond connecting two bridgeheads, where a“bridgehead” is any skeletal atom of the ring system which is bonded to three or more skeletal atoms (excluding hydrogen). In some embodiments, a bridged bicyclic group has 7-12 ring members and 0-4 heteroatoms independently selected from nitrogen,
oxygen, or sulfur. Such bridged bicyclic groups are well known in the art and include those groups set forth below where each group is attached to the rest of the molecule at any substitutable carbon or nitrogen atom. Unless otherwise specified, a bridged bicyclic group is optionally substituted with one or more substituents as set forth for aliphatic groups. Additionally or alternatively, any substitutable nitrogen of a bridged bicyclic group is optionally substituted. Exemplary bridged bicyclics include:
[0086] The term“lower alkyl” refers to a C1 -4 straight or branched alkyl group. Exemplary lower alkyl groups are methyl, ethyl, propyl, isopropyl, butyl, isobutyl, and tert-butyl.
[0087] The term“lower haloalkyl” refers to a C1 -4 straight or branched alkyl group that is substituted with one or more halogen atoms.
[0088] The term“heteroatom” means one or more of oxygen, sulfur, nitrogen, phosphorus, or silicon (including, any oxidized form of nitrogen, sulfur, phosphorus, or silicon; the quaternized form of any basic nitrogen or; a substitutable nitrogen of a heterocyclic ring, for example N (as in 3,4-dihydro-2H-pyrrolyl), NH (as in pyrrolidinyl) or NR+ (as in N-substituted pyrrolidinyl)).
[0089] The term "unsaturated," as used herein, means that a moiety has one or more units of unsaturation.
[0090] As used herein, the term“bivalent C1-8 (or C1-6) saturated or unsaturated, straight or branched, hydrocarbon chain”, refers to bivalent alkylene, alkenylene, and alkynylene chains that are straight or branched as defined herein.
[0091] The term“alkylene” refers to a bivalent alkyl group. An“alkylene chain” is a polymethylene group, i.e., -(CH2)n- wherein n is a positive integer, preferably from 1 to 6, from 1 to 4, from 1 to 3, from 1 to 2, or from 2 to 3. A substituted alkylene chain is a polymethylene group in which one or more methylene hydrogen atoms are replaced with a substituent. Suitable substituents include those described below for a substituted aliphatic group.
[0092] The term“alkenylene” refers to a bivalent alkenyl group. A substituted alkenylene chain is a polymethylene group containing at least one double bond in which one or more hydrogen atoms are replaced with a substituent. Suitable substituents include those described below for a substituted aliphatic group.
[0093] As used herein, the term“cyclopropylenyl” refers to a bivalent cyclopropyl group of the following structure:
[0094] The term“halogen” means F, Cl, Br, or I.
[0095] The term“aryl” used alone or as part of a larger moiety as in“aralkyl,”“aralkoxy,” or
“aryloxyalkyl,” refers to monocyclic or bicyclic ring systems having a total of five to fourteen ring members, wherein at least one ring in the system is aromatic and wherein each ring in the system contains 3 to 7 ring members. The term“aryl” may be used interchangeably with the term“aryl ring.” In certain embodiments of the present invention,“aryl” refers to an aromatic ring system which includes, but not limited to, phenyl, biphenyl, naphthyl, anthracyl and the like, which may bear one or more substituents. Also included within the scope of the term“aryl,” as it is used herein, is a group in which an aromatic ring is fused to one or more non-aromatic rings, such as indanyl, phthalimidyl, naphthimidyl, phenanthridinyl, or tetrahydronaphthyl, and the like.
[0096] The terms“heteroaryl” and“heteroar-,” used alone or as part of a larger moiety, e.g., “heteroaralkyl,” or“heteroaralkoxy,” refer to groups having 5 to 10 ring atoms, preferably 5, 6, or 9 ring atoms; having 6, 10, or 14 p electrons shared in a cyclic array; and having, in addition to carbon atoms, from one to five heteroatoms. The term“heteroatom” refers to nitrogen, oxygen, or sulfur, and includes any oxidized form of nitrogen or sulfur, and any quaternized form of a basic nitrogen. Heteroaryl groups include, without limitation, thienyl, furanyl, pyrrolyl, imidazolyl,
pyrazolyl, triazolyl, tetrazolyl, oxazolyl, isoxazolyl, oxadiazolyl, thiazolyl, isothiazolyl, thiadiazolyl, pyridyl, pyridazinyl, pyrimidinyl, pyrazinyl, indolizinyl, purinyl, naphthyridinyl, and pteridinyl. The terms“heteroaryl” and“heteroar-”, as used herein, also include groups in which a heteroaromatic ring is fused to one or more aryl, cycloaliphatic, or heterocyclyl rings, where the radical or point of attachment is on the heteroaromatic ring. Nonlimiting examples include indolyl, isoindolyl, benzothienyl, benzofuranyl, dibenzofuranyl, indazolyl, benzimidazolyl, benzthiazolyl, quinolyl, isoquinolyl, cinnolinyl, phthalazinyl, quinazolinyl, quinoxalinyl, 4H quinolizinyl, carbazolyl, acridinyl, phenazinyl, phenothiazinyl, phenoxazinyl, tetrahydroquinolinyl, tetrahydroisoquinolinyl, and pyrido[2,3-b]-1,4-oxazin-3(4H)-one. A heteroaryl group may be mono- or bicyclic. The term“heteroaryl” may be used interchangeably with the terms“heteroaryl ring,”“heteroaryl group,” or“heteroaromatic,” any of which terms include rings that are optionally substituted. The term“heteroaralkyl” refers to an alkyl group substituted by a heteroaryl, wherein the alkyl and heteroaryl portions independently are optionally substituted.
[0097] As used herein, the terms“heterocycle,”“heterocyclyl,”“heterocyclic radical,” and “heterocyclic ring” are used interchangeably and refer to a stable 5- to 7-membered monocyclic or 7-10-membered bicyclic heterocyclic moiety that is either saturated or partially unsaturated, and having, in addition to carbon atoms, one or more, preferably one to four, heteroatoms, as defined above. When used in reference to a ring atom of a heterocycle, the term "nitrogen" includes a substituted nitrogen. As an example, in a saturated or partially unsaturated ring having 0-3 heteroatoms selected from oxygen, sulfur or nitrogen, the nitrogen may be N (as in 3,4-dihydro- 2H- pyrrolyl), NH (as in pyrrolidinyl), or +NR (as in N substituted pyrrolidinyl).
[0098] A heterocyclic ring can be attached to its pendant group at any heteroatom or carbon atom that results in a stable structure and any of the ring atoms can be optionally substituted. Examples of such saturated or partially unsaturated heterocyclic radicals include, without limitation, tetrahydrofuranyl, tetrahydrothiophenyl pyrrolidinyl, piperidinyl, pyrrolinyl, tetrahydroquinolinyl, tetrahydroisoquinolinyl, decahydroquinolinyl, oxazolidinyl, piperazinyl, dioxanyl, dioxolanyl, diazepinyl, oxazepinyl, thiazepinyl, morpholinyl, and quinuclidinyl. The terms“heterocycle,” “heterocyclyl,”“heterocyclyl ring,” “heterocyclic group,”“heterocyclic moiety,” and“heterocyclic radical,” are used interchangeably herein, and also include groups in which a heterocyclyl ring is fused to one or more aryl, heteroaryl, or cycloaliphatic rings, such as indolinyl, 3H indolyl, chromanyl, phenanthridinyl, or tetrahydroquinolinyl. A heterocyclyl group
ay be mono- or bicyclic. The term“heterocyclylalkyl” refers to an alkyl group substituted by a heterocyclyl, wherein the alkyl and heterocyclyl portions independently are optionally substituted.
[0099] As used herein, the term“partially unsaturated” refers to a ring moiety that includes at least one double or triple bond. The term“partially unsaturated” is intended to encompass rings having multiple sites of unsaturation, but is not intended to include aryl or heteroaryl moieties, as herein defined.
[00100] As described herein, compounds of the invention may contain“optionally substituted” moieties. In general, the term“substituted,” whether preceded by the term“optionally” or not, means that one or more hydrogens of the designated moiety are replaced with a suitable substituent. Unless otherwise indicated, an“optionally substituted” group may have a suitable substituent at each substitutable position of the group, and when more than one position in any given structure may be substituted with more than one substituent selected from a specified group, the substituent may be either the same or different at every position. Combinations of substituents envisioned by this invention are preferably those that result in the formation of stable or chemically feasible compounds. The term“stable,” as used herein, refers to compounds that are not substantially altered when subjected to conditions to allow for their production, detection, and, in certain embodiments, their recovery, purification, and use for one or more of the purposes disclosed herein.
[00101] Suitable monovalent substituents on a substitutable carbon atom of an“optionally substituted” group are independently halogen; -(CH2)0-4 Ro -(CH2)0-4ORo; -O (CH2)0-4Ro, -O- (CH2)0-4C(O)ORo; -(CH2)0-4CH(ORo)2; (CH2) --4SRo; (CH2) --4Ph, which may be substituted with Ro; (CH2) --4O(CH2)0-1Ph which may be substituted with Ro; -CH=CHPh, which may be substituted with R;o (CH2) --4O(CH2)0-1-pyridyl which may be substituted with Ro; -NO2; -CN; -N3; -(CH2)0-4N(Ro)2; (CH2) --4N(Ro)C(O)Ro; -N(Ro)C(S)Ro; -N(Ro)C(NRo)N( Ro)2; -(CH2) - 4N(Ro)C(O)NRo2; -N(Ro)C(S)NRo 2; (CH2) --4N(Ro C(O)ORo;
N(Ro)N(Ro)C(O)Ro; -N(Ro)N(Ro)C(O)NRo 2; -N(Ro)N(Ro)C(O)ORo; (CH2) --4C(O)Ro; - C(S)Ro; (CH2) --4C(O)ORo; (CH2) --4C(O)SRo; -(CH2)0-4C(O)OSiRo 3; -(CH2)O 4OC(O)Ro; - OC(O)(CH2)0-4SR-, -SC(S)SRo; (CH2) --4SC(O)Ro; (CH2) --4C(O)NRo 2; -C(S)NRo 2; - C(S)SRo; -(CH2)0-4OC(O)NRo 2; -C(O)N(ORo)Ro; -C(O)C(O)Ro; -C(O)CH2C(O)Ro; -
C(NORo)Ro; -(CH2)0-4SSRo; (CH2) --4S(O)2Ro; (CH2) --4S(O)2ORo; (CH2) --4OS(O)2Ro; -
S(O)2NRo 2; -(CH2)0-4 S(O)Ro; -N(Ro)S(O)2NRo 2; -N(Ro)S(O)2Ro; -N(ORo)Ro; -C(NH)NRo 2; - P(O)2Ro; -P(O)Ro 2; -OP(O)Ro 2; -OP(O)(ORo)2; -SiRo 3; -(C1-4 straight or branched alkylene)O- N(Ro)2; or — (C1-4 straight or branched alkylene)C(O)O-N(Ro)2, wherein each Ro may be substituted as defined below and is independently hydrogen, C1-6 aliphatic, -CH2Ph, -O(CH2) - 1Ph, -CH2-(5-6 membered heteroaryl ring), or a 5-6-membered saturated, partially unsaturated, or aryl ring having 0-4 heteroatoms independently selected from nitrogen, oxygen, or sulfur, or, notwithstanding the definition above, two independent occurrences of Ro, taken together with their intervening atom(s), form a 3-12-membered saturated, partially unsaturated, or aryl mono- or bicyclic ring having 0-4 heteroatoms independently selected from nitrogen, oxygen, or sulfur, which may be substituted as defined below.
[00102] Suitable monovalent substituents on Ro (or the ring formed by taking two independent occurrences of Ro together with their intervening atoms), are independently halogen, (CH2) --2R , -(haloR ), (CH2)0-2 OH, -(CH2)O 2OR●, -(CH2)O 2CH(OR●)2; -O(haloR●), -CN, -N3, (CH2) - 2C(O)R , (CH2)0-2 C(O)OH, (CH2)0-2 C(O)OR , (CH2)0-2 SR , (CH2)0-2 SH, (CH2)0-2 NH2, - (CH2)0-2NHR , (CH2)0-2 NR●2, -N02, -SIR●3, -OSIR●3, -C(O)SR -(C1-4 straight or branched alkylene)C(O)OR , or -SSR wherein each R is unsubstituted or where preceded by“halo” is substituted only with one or more halogens, and is independently selected from C1-4 aliphatic, - CH2Ph, -O(CH2)0-1Ph, or a 5-6-membered saturated, partially unsaturated, or aryl ring having 0- 4 heteroatoms independently selected from nitrogen, oxygen, or sulfur. Suitable divalent substituents on a saturated carbon atom of Ro include =0 and =S.
[00103] Suitable divalent substituents on a saturated carbon atom of an“optionally substituted” group include the following: =O, =S, =NNR* 2 =NNHC(O)R*, =NNHC(O)OR*, =NNHS(O)2R*, =NR*, =NOR*, -O(C(R* 2)) 2-3O-, or -S(C(R* 2))2-3S-, wherein each independent occurrence of R* is selected from hydrogen, Ci-6 aliphatic which may be substituted as defined below, or an unsubstituted 5-6-membered saturated, partially unsaturated, or aryl ring having 0-4 heteroatoms independently selected from nitrogen, oxygen, or sulfur. Suitable divalent substituents that are bound to vicinal substitutable carbons of an“optionally substituted” group include: -0(CR* 2)2 3O-, wherein each independent occurrence of R* is selected from hydrogen, Ci-6 aliphatic which may be substituted as defined below, or an unsubstituted 5-6-membered saturated, partially
unsaturated, or aryl ring having 0-4 heteroatoms independently selected from nitrogen, oxygen, or sulfur.
[00104] Suitable substituents on the aliphatic group of R* include halogen, -R , -(halo●*), -OH, -OR , -O(haloR ), -CN, -C(O)OH, -C(O)OR , -NH2, -NHR , -NR 2, or -NO2, wherein each R is unsubstituted or where preceded by“halo” is substituted only with one or more halogens, and is independently C1-4 aliphatic, -CH2Ph, -O(CH2)o iPh, or a 5-6-membered saturated, partially unsaturated, or aryl ring having 0-4 heteroatoms independently selected from nitrogen, oxygen, or sulfur.
[00105] Suitable substituents on a substitutable nitrogen of an“optionally substituted” group include -R†, -NR† 2, -C(O)R†, -C(O)OR†, -C(O)C(O)R†, C(O)CH2C(O)R†, -S(O)2R†, -S(O)2NR† 2, -C(S)NR† 2, -C(NH)NR† 2, or -N(R†)S(O)2R†; wherein each R† is independently hydrogen, C1-6 aliphatic which may be substituted as defined below, unsubstituted -OPh, or an unsubstituted 5-6-membered saturated, partially unsaturated, or aryl ring having 0-4 heteroatoms independently selected from nitrogen, oxygen, or sulfur, or, notwithstanding the definition above, two independent occurrences of R†, taken together with their intervening atom(s) form an unsubstituted 3-12-membered saturated, partially unsaturated, or aryl mono- or bicyclic ring having 0-4 heteroatoms independently selected from nitrogen, oxygen, or sulfur.
[00106] Suitable substituents on the aliphatic group of R† are independently halogen, - R , -(haloR ), -OH, -OR , -O(haloR ), -CN, -C(O)OH, -C(O)OR , -NH2, -NHR , -NR 2, or -NO2, wherein each R is unsubstituted or where preceded by“halo” is substituted only with one or more halogens, and is independently C1-4 aliphatic, -CH2Ph, -O(CH2)0-1Ph, or a 5-6- membered saturated, partially unsaturated, or aryl ring having 0-4 heteroatoms independently selected from nitrogen, oxygen, or sulfur.
[00107] As used herein, the term "pharmaceutically acceptable salt" refers to those salts which are, within the scope of sound medical judgment, suitable for use in contact with the tissues of humans and lower animals without undue toxicity, irritation, allergic response and the like, and are commensurate with a reasonable benefit/risk ratio. Pharmaceutically acceptable salts are well known in the art. For example, S. M. Berge et al, describe pharmaceutically acceptable salts in detail in J. Pharmaceutical Sciences, 1977, 66, 1-19, incorporated herein by reference. Pharmaceutically acceptable salts of the compounds of this invention include those derived from
suitable inorganic and organic acids and bases. Examples of pharmaceutically acceptable, nontoxic acid addition salts are salts of an amino group formed with inorganic acids such as hydrochloric acid, hydrobromic acid, phosphoric acid, sulfuric acid and perchloric acid or with organic acids such as acetic acid, oxalic acid, maleic acid, tartaric acid, citric acid, succinic acid or malonic acid or by using other methods used in the art such as ion exchange. Other pharmaceutically acceptable salts include adipate, alginate, ascorbate, aspartate, benzenesulfonate, benzoate, bisulfate, borate, butyrate, camphorate, camphorsulfonate, citrate, cyclopentanepropionate, digluconate, dodecylsulfate, ethanesulfonate, formate, fumarate, glucoheptonate, glycerophosphate, gluconate, hemisulfate, heptanoate, hexanoate, hydroiodide, 2- hydroxy-ethanesulfonate, lactobionate, lactate, laurate, lauryl sulfate, malate, maleate, malonate, methanesulfonate, 2-naphthalenesulfonate, nicotinate, nitrate, oleate, oxalate, palmitate, pamoate, pectinate, persulfate, 3-phenylpropionate, phosphate, pivalate, propionate, stearate, succinate, sulfate, tartrate, thiocyanate, p-toluenesulfonate, undecanoate, valerate salts, and the like.
[00108] Salts derived from appropriate bases include alkali metal, alkaline earth metal, ammonium and N+(C1-4alkyl)4 salts. Representative alkali or alkaline earth metal salts include sodium, lithium, potassium, calcium, magnesium, and the like. Further pharmaceutically acceptable salts include, when appropriate, nontoxic ammonium, quaternary ammonium, and amine cations formed using counterions such as halide, hydroxide, carboxylate, sulfate, phosphate, nitrate, loweralkyl sulfonate and aryl sulfonate.
[00109] Unless otherwise stated, structures depicted herein are also meant to include all isomeric (e.g., enantiomeric, diastereomeric, and geometric (or conformational)) forms of the structure; for example, the R and S configurations for each asymmetric center, Z and E double bond isomers, and Z and E conformational isomers. Therefore, single stereochemical isomers as well as enantiomeric, diastereomeric, and geometric (or conformational) mixtures of the present compounds are within the scope of the invention. Unless otherwise stated, all tautomeric forms of the compounds of the invention are within the scope of the invention. Additionally, unless otherwise stated, structures depicted herein are also meant to include compounds that differ only in the presence of one or more isotopically enriched atoms. For example, compounds having the present structures including the replacement of hydrogen by deuterium or tritium, or the replacement of a carbon by a 13C- or 14C-enriched carbon are within the scope of this invention. Such compounds are useful, for example, as analytical tools, as probes in biological assays, or as
therapeutic agents in accordance with the present invention. In certain embodiments, a provided compound comprises one or more deuterium atoms.
[00110] As used herein, the term“inhibitor” is defined as a compound that binds to and /or inhibits the target with measurable affinity. In certain embodiments, an inhibitor has an IC50 and/or binding constant of less than about 50 mM, less than about 1 mM, less than about 500 nM, less than about 100 nM, less than about 10 nM, or less than about 1 nM.
[00111] A compound of the present invention may be tethered to a STING modulator. It will be appreciated that such compounds are useful as therapeutic agents. One of ordinary skill in the art will recognize that a STING modulator may be attached to a provided compound via a suitable substituent. As used herein, the term“suitable substituent” refers to a moiety that is capable of covalent attachment to a STING modulator. Such moieties are well known to one of ordinary skill in the art and include groups containing, e.g., a carboxylate moiety, an amino moiety, a thiol moiety, or a hydroxyl moiety, to name but a few. It will be appreciated that such moieties may be directly attached to a provided compound or via a tethering group, such as a bivalent saturated or unsaturated hydrocarbon chain. In some embodiments, such moieties may be attached via click chemistry. In some embodiments, such moieties may be attached via a 1 ,3-cycloaddition of an azide with an alkyne, optionally in the presence of a copper catalyst. Methods of using click chemistry are known in the art and include those described by Rostovtsev el al. , Angew. Chem. Int. Ed. 2002, 41, 2596-99 and Sun et al, Bioconjugate Chem., 2006, 17, 52-57.
[00112] As used herein, the term“detectable moiety” is used interchangeably with the term "label" and relates to any moiety capable of being detected, e.g., primary labels and secondary labels. Primary labels, such as radioisotopes (e.g., tritium, 225Ac, 227Ac, 241Am, 72 As, 74 As, 211At, 198Au, nB, 7Be, 212BI, 213BI, 7¾r, 77Br, UC, 14C, 48Ca, 109Cd, 139Ce, 141Ce, 252Cf, 55Co, 57Co, 60Co, 51Cr, 130Cs, 131Cs, 137Cs, 61Cu, 62Cu, 64Cu, 67Cu, 165Dy, 152Eu, 15¾u, 18F, 55Fe, 59Fe, 64Ga, 67Ga, 68Ga, 153Gd, 68Ge, 122I, 123I, 124I, 125I, 131I, 132I, mIn, 115mIn, 191mIr, 192Ir, 81mKr, 177Lu, 51Mn, 52Mn, 99MO, 13N, 95Nb, 150, 191Os, 1940s, 32P, 33P, 203Pb, 212Pb, 103Pd, 109Pd, 238Pu, 223Ra, 226Ra, 82Rb, 186Re, 188Re, 105Rh, 97Ru, 103Ru, 35S, 46Sc, 47Sc, 72Se, 75Se, 28Si, 145Sm, 153Sm, 117mSn, 85Sr, 89Sr, 90Sr, 178Ta, 179Ta, 182Ta, 149Tb, 96Tc, 99mTc, 228Th, 229Th, 201Tl, 170Tm, 171Tm, 188W, 127Xe, 133Xe, 88Y, 90Y 91 Y, 169Yb, 62Zn, 65Zn, 89Zr or 95Zr, wherein a superscripted m denotes a meta-state), mass- tags, and fluorescent labels are signal generating reporter groups which can be detected without further modifications. Detectable moieties also include luminescent and phosphorescent groups.
[00113] The term“secondary label” as used herein refers to moieties such as biotin and various protein antigens that require the presence of a second intermediate for production of a detectable signal. For biotin, the secondary intermediate may include streptavidin-enzyme conjugates. For antigen labels, secondary intermediates may include antibody-enzyme conjugates. Some fluorescent groups act as secondary labels because they transfer energy to another group in the process of nonradiative fluorescent resonance energy transfer (FRET), and the second group produces the detected signal.
[00114] The terms“fluorescent label”,“fluorescent dye”, and“fluorophore” as used herein refer to moieties that absorb light energy at a defined excitation wavelength and emit light energy at a different wavelength. Examples of fluorescent labels include, but are not limited to: Alexa Fluor dyes (Alexa Fluor 350, Alexa Fluor 488, Alexa Fluor 532, Alexa Fluor 546, Alexa Fluor 568, Alexa Fluor 594, Alexa Fluor 633, Alexa Fluor 660 and Alexa Fluor 680), AMCA, AMCA-S, BODIPY dyes (BODIPY FL, BODIPY R6G, BODIPY TMR, BODIPY TR, BODIPY 530/550, BODIPY 558/568, BODIPY 564/570, BODIPY 576/589, BODIPY 581/591, BODIPY 630/650, BODIPY 650/665), Carboxyrhodamine 6G, carboxy-X-rhodamine (ROX), Cascade Blue, Cascade Yellow, Coumarin 343, Cyanine dyes (Cy3, Cy5, Cy3.5, Cy5.5, Cy7, Cy7.5), Dansyl, Dapoxyl, Dialkylaminocoumarin, 4',5'-Dichloro-2',7'-dimethoxy-fluorescein, DM-NERF, Eosin, Erythrosin, Fluorescein, FAM, Hydroxycoumarin, IRDyes (IRD40, IRD 700, IRD 800), JOE, Lissamine rhodamine B, Marina Blue, Methoxycoumarin, Naphthofluorescein, Oregon Green 488, Oregon Green 500, Oregon Green 514, Pacific Blue, PyMPO, Pyrene, Rhodamine B, Rhodamine 6G, Rhodamine Green, Rhodamine Red, Rhodol Green, 2',4',5',7'-Tetra-bromosulfone- fluorescein, Tetramethyl-rhodamine (TMR), Carboxytetramethylrhodamine (TAMRA), Texas Red, Texas Red-X.
[00115] The term“mass-tag” as used herein refers to any moiety that is capable of being uniquely detected by virtue of its mass using mass spectrometry (MS) detection techniques. Examples of mass-tags include electrophore release tags such as N-[3-[4’-[(p- Methoxytetrafluorobenzyl)oxy]phenyl]-3-methylglyceronyl]isonipecotic Acid, 4’ -[2, 3,5,6- Tetrafluoro-4-(pentafluorophenoxyl)]methyl acetophenone, and their derivatives. The synthesis and utility of these mass-tags is described in United States Patents 4,650,750, 4,709,016, 5,360,8191, 5,516,931, 5,602,273, 5,604,104, 5,610,020, and 5,650,270. Other examples of mass- tags include, but are not limited to, nucleotides, dideoxynucleotides, oligonucleotides of varying
length and base composition, oligopeptides, oligosaccharides, and other synthetic polymers of varying length and monomer composition. A large variety of organic molecules, both neutral and charged (biomolecules or synthetic compounds) of an appropriate mass range (100-2000 Daltons) may also be used as mass-tags.
[00116] The term“quantum dot” as used herein refers to any moiety that is a highly luminescent semiconductor nanocrystal (e.g. zincsulfide-capped cadmium selenide). The synthesis and utility of these quantum dots is described in United States Patents 6,326,144, 6,468,808, 7,192,785, 7,151,047, and in the scientific literature (see: Chan and Nie (1998) Science 281(5385) 2016- 2018).
[00117] The terms“measurable affinity” and“measurably inhibit,” as used herein, means a measurable change in target activity between a sample comprising a compound of the present invention, or composition thereof, and the target, and an equivalent sample comprising the target, in the absence of said compound, or composition thereof.
3. Description of Exemplary Embodiments:
[00118] As described above, in certain embodiments, the present invention provides a compound of formula I:
or a pharmaceutically acceptable salt thereof, wherein:
each of L1, L2, and L3 is independently a covalent bond or a C1 -8 bivalent hydrocarbon chain wherein one, two or three methylene units of the chain are optionally and independently replaced by -S-, -N(R)-, -O-, -C(O)-, -OC(O)-, -C(O)O-, -C(O)N(R)-, -N(R)C(O)-, - S(O)-, -S(O)2- or -N(R)CH2C(O)-;
each of R is independently hydrogen or C1-4 alkyl;
each of m, n, s, and p is independently 0 or 1 ;
each of q and r is independently 1, 2, 3, 4, 5, 6, 7, 8, 9, 10, 11, 12, 13, 14 or 15;
R1 is R or -C(O)R;
each of R4 and R6 is independently hydrogen or an optionally substituted group selected from C1- 6 aliphatic, a 3-8 membered saturated or partially unsaturated monocyclic carbocyclic ring, phenyl, an 8-10 membered bicyclic aromatic carbocyclic ring, a 4-8 membered saturated or partially unsaturated monocyclic heterocyclic ring having 1-2 heteroatoms independently selected from nitrogen, oxygen, or sulfur, a 5-6 membered monocyclic heteroaromatic ring having 1-4 heteroatoms independently selected from nitrogen, oxygen, or sulfur, or an 8-10 membered bicyclic heteroaromatic ring having 1-5 heteroatoms independently selected from nitrogen, oxygen, or sulfur;
each of R4 and R6 is independently hydrogen or methyl;
each of R2, R3, R5, and R7 is independently hydrogen, or C1-4 aliphatic, or:
an R5 group and its adjacent R4 group are optionally taken together with their intervening atoms to form a 4-8 membered saturated or partially unsaturated monocyclic heterocyclic ring having 1-2 heteroatoms independently selected from nitrogen, oxygen, or sulfur; or
an R7 group and its adjacent R6 group are optionally taken together with their intervening atoms to form a 4-8 membered saturated or partially unsaturated monocyclic heterocyclic ring having 1-2 heteroatoms independently selected from nitrogen, oxygen, or sulfur;
Scaffold is a trivalent group that connects and orients a cyclic peptide;
Loop A is a bivalent natural or unnatural amino acid residue or peptide attached to the amino acid residue linked to L2 and the amino acid residue linked to L1, wherein Loop A comprises
Loop B is a bivalent natural or unnatural amino acid residue or peptide attached to the amino acid residue linked to L1 and the amino acid residue linked to L3, wherein Loop B comprises
indicates the site of attachment to the N-terminus of the Bicycle; indicates the site of attachment to the C-terminus of the Bicycle;
STING1 is a Stimulator of Interferon Genes modulator;
STING2 is a Stimulator of Interferon Genes modulator;
Linker1 is hydrogen or a bivalent moiety that connects the N-terminus of the Bicycle with STING1, wherein when n is 0, Linker1 is hydrogen; and
Linker2 is -NH2 or a bivalent moiety that connects the C-terminus of the Bicycle with STING2, wherein when p is 0, Linker2 is -NH2.
[00119] As defined above and described herein, each of L1, L2, and L3 is a covalent bond or a C1-8 bivalent hydrocarbon chain wherein one, two or three methylene units of the chain are optionally and independently replaced by -S-, -N(R)-, -O-, -C(O)-, -OC(O)-, -C(O)O-, - C(O)N(R)-, -N(R)C(O)-, -S(O)-, -S(O)2- or -N(R)CH2C(O)-.
[00120] In some embodiments, each of L1, L2, and L3 is a covalent bond. In some embodiments, each of L1, L2, and L3 is -CILS-. In some embodiments, each of L1, L2, and L3 is -CH2NH-. In some embodiments, each of L1, L2, and L3 is -CH2O-. In some embodiments, each of L1, L2, and L3 is -CH2CH2O-. In some embodiments, each of L1, L2, and L3 is -CH2CH2CH2CH2NH-. In some embodiments, each of L1, L2, and L3 is -CILN(CIL)-. In some embodiments, each of L1, L2, and L3 is -CH2CH2CH2CH2N(CH3)-.
[00121] In some embodiments, L1 is a covalent bond. In some embodiments, L1 is -CH2S-. In some embodiments, L1 is -CH2O-. In some embodiments, L1 is -CH2CH2O-. In some embodiments, L1 is -CH2NH-. In some embodiments, L1 is -CH2CH2CH2CH2NH-. In some embodiments, L1 is -CH2N(CH3)-. In some embodiments, L1 is -CH2CH2CH2CH2N(CIL)-. In
some embodiments, L1 is -CH2SCH2-. In some embodiments, L1 is -CH2OCH2-. In some embodiments, L1 is -CH2CH2OCH2-. In some embodiments, L1 is -CH2NHCH2-. In some embodiments, L1 is -CH2N(CH3)CH2-. In some embodiments, L1 is -CH2CH2CH2CH2NHCH2-. In some embodiments, L1 is -CH2CH2CH2CH2N(CH3)CH2-. In some embodiments, L1 is - CH2SCH2C(O)NH-. In some embodiments, L1 is -CH2OCH2C(O)NH-. In some embodiments, L1 is -CH2CH2OCH2C(O)NH-. In some embodiments, L1 is -CH2NHCH2C(O)NH-. In some embodiments, L1 is -CH2N(CH3)CH2C(O)NH-. In some embodiments, L1 is -
CH2CH2CH2CH2NHCH2C(O)NH-. In some embodiments, L1 is
CH2CH2CH2CH2N(CH3)CH2C(O)NH-. In some embodiments, L1 is -CH2SCH2C(O)-. In some embodiments, L1 is -CH2OCH2C(O)-. In some embodiments, L1 is -CH2CH2OCH2C(O)-. In some embodiments, L1 is -CH2NHCH2C(O)-. In some embodiments, L1 is -
CH2N(CH3)CH2C(O)-. In some embodiments, L1 is -CH2CH2CH2CH2NHCH2C(O)-. In some embodiments, L1 is -CH2CH2CH2CH2N(CH3)CH2C(O)-. In some embodiments, L1 is - CH2SCH2CH2C(O)NH-. In some embodiments, L1 is -CH2OCH2CH2C(O)NH-. In some embodiments, L1 is -CH2CH20CH2CH2C(O)NH-. In some embodiments, L1 is - CH2NHCH2CH2C(O)NH-. In some embodiments, L1 is -CH2N(CH3)CH2CH2C(O)NH-. In some embodiments, L1 is -CH2CH2CH2CH2NHCH2CH2C(O)NH-. In some embodiments, L1 is - CH2CH2CH2CH2N(CH3)CH2CH2C(O)NH-. In some embodiments, L1 is -CH2SCH2CH2C(O)-. In some embodiments, L1 is -CH2OCH2CH2C(O)-. In some embodiments, L1 is - CH2CH2OCH2CH2C(O)-. In some embodiments, L1 is -CH2NHCH2CH2C(O)-. In some embodiments, L1 is -CH2N(CH3)CH2CH2C(O)-. In some embodiments, L1 is -
CH2CH2CH2CH2NHCH2CH2C(O)-. In some embodiments, L1 is
CH2CH2CH2CH2N(CH3)CH2CH2C(O)-. In some embodiments, L1 is selected from those depicted in Table 1, below.
[00122] In some embodiments, L2 is a covalent bond. In some embodiments, L2 is -CH2S-. In some embodiments, L2 is -CH2O-. In some embodiments, L2 is -CH2CH2O-. In some embodiments, L2 is -CH2NH-. In some embodiments, L2 is -CH2CH2CH2CH2NH-. In some embodiments, L2 is -CH2N(CH3)-. In some embodiments, L2 is -CH2CH2CH2CH2N(CH3)-. In some embodiments, L2 is -CH2SCH2-. In some embodiments, L2 is -CH2OCH2-. In some embodiments, L2 is -CH2CH2OCH2-. In some embodiments, L2 is -CH2NHCH2-. In some embodiments, L2 is -CH2N(CH3)CH2-. In some embodiments, L2 is -CH2CH2CH2CH2NHCH2-.
In some embodiments, L2 is -CH2CH2CH2CH2N(CH3)CH2-. In some embodiments, L2 is - CH2SCH2C(O)NH-. In some embodiments, L2 is -CH2OCH2C(O)NH-. In some embodiments, L2 is -CH2CH2OCH2C(O)NH-. In some embodiments, L2 is -CH2NHCH2C(O)NH-. In some embodiments, L2 is -CH2N(CH3)CH2C(O)NH-. In some embodiments, L2 is -
CH2CH2CH2CH2NHCH2C(O)NH-. In some embodiments, L2 is
CH2CH2CH2CH2N(CH3)CH2C(O)NH-. In some embodiments, L2 is -CH2SCH2C(O)-. In some embodiments, L2 is -CH2OCH2C(O)-. In some embodiments, L2 is -CH2CH2OCH2C(O)-. In some embodiments, L2 is -CH2NHCH2C(O)-. In some embodiments, L2 is -
CH2N(CH3)CH2C(O)-. In some embodiments, L2 is -CH2CH2CH2CH2NHCH2C(O)-. In some embodiments, L2 is -CH2CH2CH2CH2N(CH3)CH2C(O)-. In some embodiments, L2 is - CH2SCH2CH2C(O)NH-. In some embodiments, L2 is -CH2OCH2CH2C(O)NH-. In some embodiments, L2 is -CH2CH2OCH2CH2C(O)NH-. In some embodiments, L2 is -
CH2NHCH2CH2C(O)NH-. In some embodiments, L2 is -CH2N(CH3)CH2CH2C(O)NH-. In some embodiments, L2 is -CH2CH2CH2CH2NHCH2CH2C(O)NH-. In some embodiments, L2 is - CH2CH2CH2CH2N(CH3)CH2CH2C(O)NH-. In some embodiments, L2 is -CH2SCH2CH2C(O)-. In some embodiments, L2 is -CH2OCH2CH2C(O)-. In some embodiments, L2 is - CH2CH2OCH2CH2C(O)-. In some embodiments, L2 is -CH2NHCH2CH2C(O)-. In some embodiments, L2 is -CH2N(CH3)CH2CH2C(O)-. In some embodiments, L2 is -
CH2CH2CH2CH2NHCH2CH2C(O)-. In some embodiments, L2 is
CH2CH2CH2CH2N(CH3)CH2CH2C(O)-. In some embodiments, L2 is selected from those depicted in Table 1, below.
[00123] In some embodiments, L3 is a covalent bond. In some embodiments, L3 is -CH2S-. In some embodiments, L3 is -CH2O-. In some embodiments, L3 is -CH2CH2O-. In some embodiments, L3 is -CH2NH-. In some embodiments, L3 is -CH2CH2CH2CH2NH-. In some embodiments, L3 is -CH2N(CH3)-. In some embodiments, L3 is -CH2CH2CH2CH2N(CH3)-. In some embodiments, L3 is -CH2SCH2-. In some embodiments, L3 is -CH2OCH2-. In some embodiments, L3 is -CH2CH2OCH2-. In some embodiments, L3 is -CH2NHCH2-. In some embodiments, L3 is -CH2N(CH3)CH2-. In some embodiments, L3 is -CH2CH2CH2CH2NHCH2-. In some embodiments, L3 is -CH2CH2CH2CH2N(CH3)CH2-. In some embodiments, L3 is - CH2SCH2C(O)NH-. In some embodiments, L3 is -CH2OCH2C(O)NH-. In some embodiments, L3 is -CH2CH2OCH2C(O)NH-. In some embodiments, L3 is -CH2NHCH2C(O)NH-. In some
embodiments, L3 is -CH2N(CH3)CH2C(O)NH-. In some embodiments, L3 is -
CH2CH2CH2CH2NHCH2C(O)NH-. In some embodiments, L3 is
CH2CH2CH2CH2N(CH3)CH2C(O)NH-. In some embodiments, L3 is -CH2SCH2C(O)-. In some embodiments, L3 is -CH2OCH2C(O)-. In some embodiments, L3 is -CH2CH2OCH2C(O)-. In some embodiments, L3 is -CH2NHCH2C(O)-. In some embodiments, L3 is -
CH2N(CH3)CH2C(O)-. In some embodiments, L3 is -CH2CH2CH2CH2NHCH2C(O)-. In some embodiments, L3 is -CH2CH2CH2CH2N(CH3)CH2C(O)-. In some embodiments, L3 is - CH2SCH2CH2C(O)NH-. In some embodiments, L3 is -CH2OCH2CH2C(O)NH-. In some embodiments, L3 is -CH2CH2OCH2CH2C(O)NH-. In some embodiments, L3 is - CH2NHCH2CH2C(O)NH-. In some embodiments, L3 is -CH2N(CH3)CH2CH2C(O)NH-. In some embodiments, L3 is -CH2CH2CH2CH2NHCH2CH2C(O)NH-. In some embodiments, L3 is - CH2CH2CH2CH2N(CH3)CH2CH2C(O)NH-. In some embodiments, L3 is -CH2SCH2CH2C(O)-. In some embodiments, L3 is -CH2OCH2CH2C(O)-. In some embodiments, L3 is - CH2CH2OCH2CH2C(O)-. In some embodiments, L3 is -CH2NHCH2CH2C(O)-. In some embodiments, L3 is -CH2N(CH3)CH2CH2C(O)-. In some embodiments, L3 is -
CH2CH2CH2CH2NHCH2CH2C(O)-. In some embodiments, L3 is
CH2CH2CH2CH2N(CH3)CH2CH2C(O)-. In some embodiments, L3 is selected from those depicted in Table 1, below.
[00124] As defined above and described herein, each of R is independently hydrogen or C1-4 alkyl.
[00125] In some embodiments, R is hydrogen. In some embodiments, R is C1-4 alkyl.
[00126] In some embodiments, R is methyl. In some embodiments, R is ethyl. In some embodiments, R is n-propyl. In some embodiments, R is isopropyl. In some embodiments, R is n-butyl. In some embodiments, R is isobutyl. In some embodiments, R is tert-butyl.
[00127] In some embodiments, R is selected from those depicted in Table 1, below.
[00128] As defined above and described herein, each of m, n, s, and p is independently 0 or 1.
[00129] In some embodiments, m is 0. In some embodiments, m is 1. In some embodiments, m is selected from those depicted in Table 1, below.
[00130] In some embodiments, n is 0. In some embodiments, n is 1. In some embodiments, n is selected from those depicted in Table 1, below.
[00131] In some embodiments, s is 0. In some embodiments, s is 1. In some embodiments, s is selected from those depicted in Table 1, below.
[00132] In some embodiments, p is 0. In some embodiments, p is 1. In some embodiments, p is selected from those depicted in Table 1, below.
[00133] As defined above and described herein, each of q and r is independently 1, 2, 3, 4, 5, 6, 7, 8, 9, 10, 11, 12, 13, 14 or 15.
[00134] In some embodiments, q is 1. In some embodiments, q is 2. In some embodiments, q is 3. In some embodiments, q is 4. In some embodiments, q is 5. In some embodiments, q is 6. In some embodiments, q is 7. In some embodiments, q is 8. In some embodiments, q is 9. In some embodiments, q is 10. In some embodiments, q is 11. In some embodiments, q is 12. In some embodiments, q is 13. In some embodiments, q is 14. In some embodiments, q is 15. In some embodiments, q is selected from those depicted in Table 1, below.
[00135] In some embodiments, r is 1. In some embodiments, r is 2. In some embodiments, r is 3. In some embodiments, r is 4. In some embodiments, r is 5. In some embodiments, r is 6. In some embodiments, r is 7. In some embodiments, r is 8. In some embodiments, r is 9. In some embodiments, r is 10. In some embodiments, r is 11. In some embodiments, r is 12. In some embodiments, r is 13. In some embodiments, r is 14. In some embodiments, r is 15. In some embodiments, r is selected from those depicted in Table 1, below.
[00136] As defined above and described herein, R1 is R or -C(O)R.
[00137] In some embodiments, R1 is R. In some embodiments, R1 is -C(O)R.
[00138] In some embodiments, R1 is hydrogen. In some embodiments, R1 is methyl. In some embodiments, R1 is ethyl. In some embodiments, R1 is n-propyl. In some embodiments, R1 is isopropyl. In some embodiments, R1 is n-butyl. In some embodiments, R1 is isobutyl. In some embodiments, R1 is tert-butyl.
[00139] In some embodiments, R1 is -C(O)CH3. In some embodiments, R1 is -C(O)CH2CH3. In some embodiments, R1 is -C(O)CH2CH2CH3. In some embodiments, R1 is -C(O)CH(CH3)2. In some embodiments, R1 is -C(O)CH2CH2CH2CH3. In some embodiments, R1 is - C(O)CH2CH(CH3)2. In some embodiments, R1 is -C(O)C(CH3)3. In some embodiments, R1 is selected from those depicted in Table 1, below.
[00140] As defined above and described herein, each of R4 and R6 is independently hydrogen or an optionally substituted group selected from C1-6 aliphatic, a 3-8 membered saturated or
partially unsaturated monocyclic carbocyclic ring, phenyl, an 8-10 membered bicyclic aromatic carbocyclic ring, a 4-8 membered saturated or partially unsaturated monocyclic heterocyclic ring having 1-2 heteroatoms independently selected from nitrogen, oxygen, or sulfur, a 5-6 membered monocyclic heteroaromatic ring having 1-4 heteroatoms independently selected from nitrogen, oxygen, or sulfur, or an 8-10 membered bicyclic heteroaromatic ring having 1-5 heteroatoms independently selected from nitrogen, oxygen, or sulfur.
[00141] In some embodiments, R4 is hydrogen. In some embodiments, R4 is an optionally substituted C1-6 aliphatic. In some embodiments, R4 is an optionally substituted 3-8 membered saturated or partially unsaturated monocyclic carbocyclic ring. In some embodiments, R4 is an optionally substituted phenyl. In some embodiments, R4 is an optionally substituted 8-10 membered bicyclic aromatic carbocyclic ring. In some embodiments, R4 is an optionally substituted 4-8 membered saturated or partially unsaturated monocyclic heterocyclic ring having 1-2 heteroatoms independently selected from nitrogen, oxygen, or sulfur. In some embodiments, R4 is an optionally substituted 5-6 membered monocyclic heteroaromatic ring having 1-4 heteroatoms independently selected from nitrogen, oxygen, or sulfur. In some embodiments, R4 is an optionally substituted 8-10 membered bicyclic heteroaromatic ring having 1-5 heteroatoms independently selected from nitrogen, oxygen, or sulfur.
[00142] In some embodiments, R4 is methyl. In some embodiments, R4 is
. In some embodiments, R4 is
In some embodiments, R4 is
. In some embodiments, R4 is
embodiments, R4 is
. In some embodiments, R4 is
[00144] In some embodiments, R4 is
In some embodiments, R4 is
In
[00145] In some embodiments, R4 is selected from those depicted in Table 1, below.
[00146] In some embodiments, R6 is hydrogen. In some embodiments, R6 is an optionally substituted C1-6 aliphatic. In some embodiments, R6 is an optionally substituted 3-8 membered saturated or partially unsaturated monocyclic carbocyclic ring. In some embodiments, R6 is an optionally substituted phenyl. In some embodiments, R6 is an optionally substituted 8-10 membered bicyclic aromatic carbocyclic ring. In some embodiments, R6 is an optionally substituted 4-8 membered saturated or partially unsaturated monocyclic heterocyclic ring having 1-2 heteroatoms independently selected from nitrogen, oxygen, or sulfur. In some embodiments, R6 is an optionally substituted 5-6 membered monocyclic heteroaromatic ring having 1-4 heteroatoms independently selected from nitrogen, oxygen, or sulfur. In some embodiments, R6 is an optionally substituted 8-10 membered bicyclic heteroaromatic ring having 1-5 heteroatoms independently selected from nitrogen, oxygen, or sulfur.
[00147] In some embodiments, R6 is methyl. In some embodiments, R6 is
. In some embodiments, R6 is . In some embodiments, R6 is
. In some embodiments, R6 is
[00150] In some embodiments, R6 is selected from those depicted in Table 1, below.
[00151] As defined above and described herein, each of R4 and R6 is independently hydrogen or methyl.
[00152] In some embodiments, R4 is hydrogen. In some embodiments, R4 is methyl.
[00153] In some embodiments, R4 is selected from those depicted in Table 1, below.
[00154] In some embodiments, R6 is hydrogen. In some embodiments, R6 is methyl.
[00155] In some embodiments, R6 is selected from those depicted in Table 1, below.
[00156] As defined above and described herein, each of R2, R3, R5, and R7 is independently hydrogen, or C1-4 aliphatic, or: an R5 group and its adjacent R4 group are optionally taken together with their intervening atoms to form a 4-8 membered saturated or partially unsaturated monocyclic heterocyclic ring having 1-2 heteroatoms independently selected from nitrogen, oxygen, or sulfur; or an R7 group and its adjacent R6 group are optionally taken together with their intervening atoms to form a 4-8 membered saturated or partially unsaturated monocyclic heterocyclic ring having 1- 2 heteroatoms independently selected from nitrogen, oxygen, or sulfur.
[00157] In some embodiments, R2 is hydrogen. In some embodiments, R2 is C1-4 aliphatic. In some embodiments, R2 is methyl. In some embodiments, R2 is ethyl. In some embodiments, R2 is n-propyl. In some embodiments, R2 is isopropyl. In some embodiments, R2 is n-butyl. In some embodiments, R2 is isobutyl. In some embodiments, R2 is tert-butyl.
[00158] In some embodiments, R2 is selected from those depicted in Table 1, below.
[00159] In some embodiments, R3 is hydrogen. In some embodiments, R3 is C1-4 aliphatic. In some embodiments, R3 is methyl. In some embodiments, R3 is ethyl. In some embodiments, R3 is n-propyl. In some embodiments, R3 is isopropyl. In some embodiments, R3 is n-butyl. In some embodiments, R3 is isobutyl. In some embodiments, R3 is tert-butyl.
[00160] In some embodiments, R3 is selected from those depicted in Table 1, below.
[00161] In some embodiments, R5 is hydrogen. In some embodiments, R5 is C1-4 aliphatic. In some embodiments, R5 is methyl. In some embodiments, R5 is ethyl. In some embodiments, R5 is n-propyl. In some embodiments, R5 is isopropyl. In some embodiments, R5 is n-butyl. In some embodiments, R5 is isobutyl. In some embodiments, R5 is tert-butyl.
[00162] In some embodiments, an R5 group and its adjacent R4 group are taken together with
their intervening atoms to form
[00163] In some embodiments, R5 is selected from those depicted in Table 1, below.
[00164] In some embodiments, R7 is hydrogen. In some embodiments, R7 is C1 -4 aliphatic. In some embodiments, R7 is methyl. In some embodiments, R7 is ethyl. In some embodiments, R7 is n-propyl. In some embodiments, R7 is isopropyl. In some embodiments, R7 is n-butyl. In some embodiments, R7 is isobutyl. In some embodiments, R7 is tert-butyl.
[00165] In some embodiments, an R7 group and its adjacent R6 group are taken together with
R6 group are taken together with their intervening atoms to form
.
[00166] In some embodiments, R7 is selected from those depicted in Table 1, below.
[00167] As defined above and described herein, Scaffold is a trivalent group that connects and orients a cyclic peptide.
[00168] In some embodiments, Scaffold is
In some embodiments, Scaffold is
In some embodiments, Scaffold is
In some embodiments, Scaffold is In some embodiments, Scaffold is
embodiments,
In some embodiments, Scaffold is
In some embodiments, Scaffold is
In some embodiments, Scaffold is
In some embodiments, Scaffold is
[00170] In some embodiments, Scaffold is In some
In some embodiments, Scaffold is
[00171] In some embodiments, Scaffold is
In some embodiments, Scaffold is
In some embodiments, Scaffold is
In some embodiments, Scaffold is
In some embodiments, Scaffold is
some embodiments, Scaffold is
. In some embodiments, Scaffold is
In some embodiments, Scaffold is
In some embodiments, Scaffold is
[00173] In some embodiments, Scaffold is
. In some embodiments, Scaffold is
. In some embodiments, Scaffold is
. In some embodiments,
Scaffold is
. In some embodiments, Scaffold is . In
some embodiments, Scaffold is
In some embodiments, Scaffold is
In some embodiments, Scaffold is
In some embodiments, Scaffold is
In some embodiments, Scaffold is
In some embodiments, Scaffold is
In some embodiments, Scaffold is
In some embodiments, Scaffold is
[00174] In some embodiments, Scaffold is
. In some embodiments, Scaffold is
In some embodiments, Scaffold is
In some embodiments,
Scaffold is
. In some embodiments, Scaffold is
. In some
embodiments, Scaffold is
In some embodiments, Scaffold is
. In some embodiments, Scaffold is In some embodiments, Scaffold is
. In some embodiments, Scaffold is
In some embodiments, Scaffold
[00178] In some embodiments, IS
[00179] In some embodiments, Scaffold is Ring A selected from the group consisting of 18- crown-6, 1,7,13 -triaza- 18-crown-6, and a 3-12-membered saturated, partially unsaturated, bridged bicyclic, bridged tricyclic, propellane, or aromatic ring optionally substituted with 0-3 oxo, methyl, ethyl or spiroethylene groups and having 0-6 heteroatoms independently selected from nitrogen, oxygen, or sulfur.
[00180] In some embodiments, Ring A is 18-crown-6. In some embodiments, Ring A is 1,7,13- triaza-18-crown-6. In some embodiments, Ring A is a 3-12-membered saturated, partially unsaturated, bridged bicyclic, bridged tricyclic, propellane, or aromatic ring optionally substituted with 0-3 oxo, methyl, ethyl or spiroethylene groups and having 0-6 heteroatoms independently selected from nitrogen, oxygen, or sulfur.
some embodiments, In some embodiments, Ring A is
In some embodiments, Ring A is
. In some embodiments,
. In some embodiments, Ring A is
In some embodiments, Ring A is selected from those depicted in Table 1, below.
[00182] In some embodiments, Scaffold is selected from those depicted in Table 1, below.
[00183] As defined above and described herein, Loop A is a bivalent natural or unnatural amino acid residue or peptide attached to the amino acid residue linked to L2 and the amino acid residue
linked to L1, wherein Loop A comprises
. In some embodiments, Loop A is a bivalent natural amino acid residue attached to the amino acid residue linked to L2 and the amino
Loop A is a bivalent unnatural amino acid residue attached to the amino acid residue linked to L2
and the amino acid residue linked to L1, wherein Loop A comprises
. In some embodiments, Loop A is a bivalent peptide attached to the amino acid residue linked to L2 and the
[00185] As defined above and described herein, Loop B is a bivalent natural or unnatural amino acid residue or peptide attached to the amino acid residue linked to L1 and the amino acid residue
bivalent natural amino acid residue attached to the amino acid residue linked to L1 and the amino
Loop B is a bivalent unnatural amino acid residue attached to the amino acid residue linked to L1
and the amino acid residue linked to L3, wherein Loop B comprises In some
embodiments, Loop B is a bivalent peptide attached to the amino acid residue linked to L1 and the
[00187] In some embodiments, Loop A comprises 1-15 amino acid residues and Loop B comprises 1-15 amino acid residues.
[00188] In some embodiments, Loop A comprises 5 amino acid residues and Loop B comprises
5 amino acid residues. In some embodiments, Loop A comprises 6 amino acid residues and Loop B comprises 5 amino acid residues. In some embodiments, Loop A comprises 2 amino acid residues and Loop B comprises 7 amino acid residues. In some embodiments, Loop A comprises 3 amino acid residues and Loop B comprises 7 amino acid residues. In some embodiments, Loop A comprises 3 amino acid residues and Loop B comprises 9 amino acid residues. In some embodiments, Loop A comprises 3 amino acid residues and Loop B comprises 6 amino acid residues. In some embodiments, Loop A comprises 2 amino acid residues and Loop B comprises
6 amino acid residues. In some embodiments, Loop A comprises 6 amino acid residues and Loop B comprises 5 amino acid residues.
[00189] In some embodiments, Loop A is selected from those depicted in Table 1, below.
[00190] In some embodiments, Loop B is selected from those depicted in Table 1, below.
[00191] As defined above and described herein, indicates the site of attachment to the N- terminus of the Bicycle.
terminus of the Bicycle.
[00193] As defined above and described herein, STING1 is a Stimulator of Interferon Genes modulator.
[00194] In some embodiments, STING1 is a Stimulator of Interferon Genes agonist. One of ordinary skill in the art will appreciate that a variety of STING agonists are amenable to achieve the effects of the present invention.
[00195] In some embodiments, STING1 is a STING agonist as described in US 2018/0105514, the entire content of which is incorporated herein by reference. In some embodiments, STING1 is
and or a tautomer thereof.
[00196] In some embodiments, STING1 is a STING agonist as described in WO 2018/067423, the entire content of which is incorporated herein by reference. In some embodiments, STING1 is
a STING agonist selected from:
or a tautomer thereof.
[00197] In some embodiments, STING1 is a STING agonist as described in“Design of amidobenzimidazole STING receptor agonists with systemic activity,” Nature 2018, the entire content of which is incorporated herein by reference. In some embodiments, STING1 is a STING
agonist selected from: or a tautomer thereof.
[00198] In some embodiments, STING1 is a Stimulator of Interferon Genes antagonist. One of ordinary skill in the art will appreciate that a variety of STING antagonists are amenable to achieve the effects of the present invention.
[00199] In some embodiments, STING1 is a STING antagonist as described in“Targeting STING with covalent small-molecule inhibitors,” Nature 2018, the entire content of which is incorporated herein by reference. In some embodiments, STING1 is a STING antagonist selected
tautomer thereof.
[00200] In some embodiments, STING1 is a STING antagonist as described in Hall J, Brault A, Vincent F, Weng S, Wang H, Dumlao D, et al. (2017)“Discovery of PF06928215 as a high affinity inhibitor of cGAS enabled by a novel fluorescence polarization assay,” PLoS ONE 12(9): e0184843, the entire content of which is incorporated herein by reference. In some embodiments,
[00201] In some embodiments, STING1 is a STING antagonist as described in“Discovery of a Novel cGAMP Competitive Ligand of the InactiveForm of STING,” ACS Med. Chem. Lett. 2019, 10, 92-97, the entire content of which is incorporated herein by reference. In some embodiments,
tautomer thereof.
[00202] In some embodiments, STING1 can be connected at any available position. In some embodiments, STING1 can be connected at any available -OH, -C(O)OH, -SH, -NH2, -NHCH3, -
P(O)(0H)-, -P(S)(OH)-, or P(O) (SH)-.
[00203] In some embodiments, STING1 is 3’, 3’-c-diGMP:
diAMP comprising a 2’-F modification: In some
[00204] In some embodiments, STING1 is a mono-phosphorothioate analog of 3’, 3’-c-
phosphorothioate analog of 3’, 3’-c-diAMP:
. In some embodiments, STING1 is a mono-phosphorothioate analog of 3’, 3’ - c-GAMP:
embodiments, STING1 is a mono-phosphorothioate analog of 3’, 3’-c-diAMP comprising a 2’-F
[00205] In some embodiments, STING1 is a di-phosphorothioate analog of 3’, 3’-c-diGMP:
phosphorothioate analog of 3’, 3’-c-diAMP:
. In some embodiments, STING1 is a di-phosphorothioate analog of 3’, 3’-c-GAMP:
phosphorothioate analog of 2’, 3’- c-GAMP:
. In some embodiments, STING1 is a di-phosphorothioate analog of 3’, 3’-c-diAMP comprising a 2’-F
modification: or
[00207] In some embodiments, either one or both of the nucleoside ring moieies of STING1 is replaced with a bioisostere. In some embodiments, either one or both of the nucleoside ring moieies of STING1 is replaced with a bioisostere selected from the group consisting of
replacement. Such bioisosteric replacements are described in but not limited to those found in Patani and LaVoie ( Chem . Rev. 1996, 96, 3147-3176).
[00208] In some embodiments, the hydroxyl group on one or both of the ribose rings of STING1 is replaced by a hydrogen or halogen such as fluorine. In some embodiments, the hydroxyl group
on one or both of the ribose rings of STING1 is alkylated with an alkylating agent to form the corresponding ether analog.
[00210] In some embodiments, the benzylic positions of DMXAA are further modified to provide handles for attachment to a linker, alkyl residue or acyl residue.
[00211] In some embodiments, STING1 is hy doxy -DMXAA or dihydroxy -DMXAA:
[00212] In some embodiments, STING1 is amino-DMXAA or diamino-DMXAA:
[00213] In some embodiments, STING1 is thio-DMXAA or dithio-DMXAA:
[00214] In some embodiments, STING1 is a DMXAA analog wherein the nitrogen, oxygen, or sulfur atoms of the hydroxy-, amino-, thio-, dihydroxy-, diamino-, or dithio-DMXAA analog is further alkylated or acylated at the benzylic position. For purposes of clarity and by way of example, such available modifiable nitrogen, oxygen, or sulfur atoms in the following DMXAA
compound structure are depicted below,
[00215] In some embodiments, STING 1 is 7-methylxanthenone-4-acetic acid:
. In some embodiments, STING1 is 8-methylxanthenone-4-acetic acid:
In some embodiments, STING1 is 7, 8-dimethylxanthenone-4-acetic acid:
[00216] As used herein, depiction of brackets around any STING1
means that
the
moiety is covalently attached to said STING1 at any available modifiable carbon, nitrogen, oxygen, or sulfur atom. For purposes of clarity and by way of example, such available modifiable carbon, nitrogen, oxygen, or sulfur atoms in the following STING1 compound structure are depicted below, wherein each wavy bond defines the point of attachment to said
[00217] In some embodiments, STING1 is attached to an amino acid residue in Loop A, Loop B, or the amino acid residues attached to L1, L2 or L3, provided that the site of attachment does not abrogate the binding of the Bicycle portion of the compound with the target.
[00218] In some embodiments, STING1 is attached to L1, L2 or L3, provided that the site of attachment does not abrogate the binding of the Bicycle portion of the compound with the target.
[00219] In some embodiments, STING1 is attached to Scaffold, provided that the site of attachment does not abrogate the binding of the Bicycle portion of the compound with the target.
[00220] In some embodiments, STING1 is selected from those depicted in Table 1, below.
[00221] As defined above and described herein, STING2 is a Stimulator of Interferon Genes modulator.
[00222] In some embodiments, STING2 is a Stimulator of Interferon Genes agonist. One of ordinary skill in the art will appreciate that a variety of STING agonists are amenable to achieve the effects of the present invention.
[00223] In some embodiments, STING2 is a STING agonist as described in US 2018/0105514, the entire content of which is incorporated herein by reference. In some embodiments, STING2 is
[00224] In some embodiments, STING2 is a STING agonist as described in WO 2018/067423, the entire content of which is incorporated herein by reference. In some embodiments, STING2 is
a STING agonist selected from:
or a tautomer thereof.
[00225] In some embodiments, STING2 is a STING agonist as described in“Design of amidobenzimidazole STING receptor agonists with systemic activity,” Nature 2018, the entire content of which is incorporated herein by reference. In some embodiments, STING2 is a STING
agonist selected from: , or a tautomer thereof.
[00226] In some embodiments, STING2 is a Stimulator of Interferon Genes antagonist. One of ordinary skill in the art will appreciate that a variety of STING antagonists are amenable to achieve the effects of the present invention.
[00227] In some embodiments, STING2 is a STING antagonist as described in“Targeting STING with covalent small-molecule inhibitors,” Nature 2018, the entire content of which is incorporated herein by reference. In some embodiments, STING2 is a STING antagonist selected
tautomer thereof.
[00228] In some embodiments, STING2 is a STING antagonist as described in Hall J, Brault A, Vincent F, Weng S, Wang H, Dumlao D, et al. (2017)“Discovery of PF06928215 as a high affinity inhibitor of cGAS enabled by a novel fluorescence polarization assay,” PLoS ONE 12(9): e0184843, the entire content of which is incorporated herein by reference. In some embodiments,
or a tautomer thereof.
[00229] In some embodiments, STING2 is a STING antagonist as described in“Discovery of a Novel cGAMP Competitive Ligand of the Inactive Form of STING,” ACS Med. Chem. Lett. 2019, 10, 92-97, the entire content of which is incorporated herein by reference. In some embodiments,
tautomer thereof.
[00230] In some embodiments, STING2 can be connected at any available position. In some embodiments, STING2 can be connected at any available -OH, -C(O)OH, -SH, -NH2, -NHCH3, -
P(O)(OH)-, -P(S)(OH)-, or - P(O)(SH)-.
[00231] In some embodiments, STING2 is 3’, 3’-c-diGMP:
diAMP comprising a 2’-F modification: In some
[00232] In some embodiments, STING2 is a mono-phosphorothioate analog of 3’, 3’-c-
phosphorothioate analog of 3’, 3’-c-diAMP:
In some embodiments, STING2 is a mono-phosphorothioate analog of 3’, 3’ - c-GAMP:
2
[00233] In some embodiments, STING2 is a di-phosphorothioate analog of 3’, 3’-c-diGMP:
phosphorothioate analog of 3’, 3’-c-diAMP:
In some embodiments, STING2 is a di-phosphorothioate analog of 3’, 3’-c-GAMP:
phosphorothioate analog of 2’, 3’- c-GAMP:
. In some embodiments, STING2 is a di-phosphorothioate analog of 3’, 3’-c-diAMP comprising a 2’-F
[00235] In some embodiments, either one or both of the nucleoside ring moieies of STING2 is replaced with a bioisostere. In some embodiments, either one or both of the nucleoside ring moieies of STING2 is replaced with a bioisostere selected from the group consisting of
replacement. Such bioisosteric replacements are described in but not limited to those found in Patani and LaVoie ( Chem . Rev. 1996, 96, 3147-3176).
[00236] In some embodiments, the hydroxyl group on one or both of the ribose rings of STING2 is replaced by a hydrogen or halogen such as fluorine. In some embodiments, the hydroxyl group
on one or both of the ribose rings of STING2 is alkylated with an alkylating agent to form the corresponding ether analog.
[00238] In some embodiments, the benzylic positions of DMXAA are further modified to provide handles for attachment to a linker, alkyl residue or acyl residue.
[00239] In some embodiments, STING2 is hydoxy-DMXAA or dihydroxy-DMXAA:
[00240] In some embodiments, STING2 is amino-DMXAA or diamino-DMXAA:
[00241] In some embodiments, STING2 is thio-DMXAA or dithio-DMXAA:
[00242] In some embodiments, STING2 is a DMXAA analog wherein the nitrogen, oxygen, or sulfur atoms of the hydroxy-, amino-, thio-, dihydroxy-, diamino-, or dithio-DMXAA analog is further alkylated or acylated at the benzylic position. For purposes of clarity and by way of example, such available modifiable nitrogen, oxygen, or sulfur atoms in the following DMXAA
compound structure are depicted below,
[00243] In some embodiments, STING2 is 7-methylxanthenone-4-acetic acid:
In some embodiments, STING2 is 8-methylxanthenone-4-acetic acid:
In some embodiments, STING2 is 7, 8-dimethy lxanthenone-4-acetic acid:
[00244] As used herein, depiction of brackets around any STING2
means that the
moiety is covalently attached to said STING2 at any available modifiable carbon, nitrogen, oxygen, or sulfur atom. For purposes of clarity and by way of example, such available modifiable carbon, nitrogen, oxygen, or sulfur atoms in the following STING2 compound structure are depicted below, wherein each wavy bond defines the point of attachment to said
[00245] In some embodiments, STING2 is attached to an amino acid residue in Loop A, Loop B, or the amino acid residues attached to L1, L2 or L3, provided that the site of attachment does not abrogate the binding of the Bicycle portion of the compound with the target.
[00246] In some embodiments, STING2 is attached to L1, L2 or L3, provided that the site of attachment does not abrogate the binding of the Bicycle portion of the compound with the target.
[00247] In some embodiments, STING2 is attached to Scaffold, provided that the site of attachment does not abrogate the binding of the Bicycle portion of the compound with the target.
[00248] In some embodiments, STING2 is selected from those depicted in Table 1, below.
[00249] As defined above and described herein, Linker1 is hydrogen or a bivalent moiety that connects the N-terminus of the Bicycle with STING1, wherein when n is 0, Linker1 is hydrogen.
[00250] In some embodiments, Linker1 is hydrogen, wherein n is 0. In some embodiments, Linker1 is a bivalent moiety that connects the N-terminus of the Bicycle with STING1.
[00251] In some embodiments, Linker1 is a covalent bond. In some embodiments, Linker1 is
In some embodiments, Linker1 is
In some embodiments, Linker1 is
In some embodiments, Linker1 is
In some embodiments, Linker1 is
In some embodiments, Linker1 is
In some embodiments, Linker1 is
In some embodiments, Linker1 is
In some embodiments, Linker1 is
. In some embodiments, Linker1 is
In some embodiments, Linker1 is
In some embodiments, Linker is
In some embodiments, Linker1 is
In some embodiments, Linker 1 is
In some embodiments, Linker1 is
In some embodiments, Linker1 is
In some embodiments, Linker 1 is
[00252] In some embodiments, Linker1 is
wherein each of L11, L12, and L13 independently is a C1- 12 bivalent hydrocarbon chain wherein 1-6 methylene units of the chain are optionally and independently replaced by -Cy-, -S-, -C(R11)2-, - N(R11)-, -O-, -C(O)-, -OC(O)-, -C(O)O-, -C(O)N(R11)-, -N(R11)C(O)-, -S(O)-, or -S(O)2-;
each -Cy- is independently an optionally substituted 3-7 membered bivalent saturated, partially unsaturated, or aromatic ring having 0-4 heteroatoms independently selected from nitrogen, oxygen, or sulfurand; and each R11 is independently hydrogen, -OH, -C1-6 aliphatic, or -N(R)- C(O)-C1-6 aliphatic.
[00253] In some embodiments, Linker1 is
wherein each of L11, L12, and L13 independently is a C1- 12 bivalent hydrocarbon chain wherein 1-6 methylene units of the chain are optionally and independently replaced by -Cy-, -S-, -C( R11 )2-, - N(R11)-, -O-, -C(O)-, -OC(O)-, -C(O)O-, -C(O)N(R11)-, -N(R11)C(O)-, -S(O)-, or -S(O)2-; each -Cy- is independently an optionally substituted 3-7 membered bivalent saturated, partially unsaturated, or aromatic ring having 0-4 heteroatoms independently selected from nitrogen, oxygen, or sulfurand; and each R11 is independently hydrogen, -OH, -C1-6 aliphatic, or -N(R)- C(O)-C1-6 aliphatic.
[00254] In some embodiments, L11 is a C1- 12 bivalent hydrocarbon chain wherein 1-6 methylene units of the chain are optionally and independently replaced by -Cy-, -S-, -C( R11 )2-, -N(R11)-, - O-, -C(O)-, -OC(O)-, -C(O)O-, -C(O)N(R11)-, -N(R11)C(O)-, -S(O)-, or -S(O)2-, wherein each of-Cy- and R11 independently is an embodiment as described herein. In some embodiments, L11 is a C1- 12 bivalent hydrocarbon chain wherein 1-6 methylene units of the chain are optionally and independently replaced by -Cy-, -C(R11)2-, -N(R11)-, -O-, -C(O)-, -OC(O)-, -C(O)O-, - C(O)N(R11)-, or -N(R11)C(O)-, wherein each of -Cy- and R11 independently is an embodiment as described herein.
[00255] In some embodiments, L11 is a C1- 10 bivalent hydrocarbon chain wherein 1-5 methylene units of the chain are optionally and independently replaced by -Cy-, -S-, -C(R11)2-, -N(R11)-, - O-, -C(O)-, -OC(O)-, -C(O)O-, -C(O)N(R11)-, -N(R11)C(O)-, -S(O)-, or -S(O)2-, wherein each of -Cy- and R11 independently is an embodiment as described herein. In some embodiments, L11 is a C1- 10 bivalent hydrocarbon chain wherein 1-5 methylene units of the chain are optionally
and independently replaced by -Cy-, -C( R11 )2-, -N(R11)-, -O-, -C(O)-, -0C(O)-, -C(O)O- - C(O)N(R11)-, or -N(R11)C(O)-, wherein each of -Cy- and R11 independently is an embodiment as described herein.
[00256] In some embodiments, L11 is a C1-8 bivalent hydrocarbon chain wherein 1-5 methylene units of the chain are optionally and independently replaced by -Cy-, -S-, -C( R11 )2-, -N(R11)-, - O-, -C(O)-, -OC(O)-, -C(O)O-, -C(O)N(R11)-, -N(R11)C(O)-, -S(O)-, or -S(O)2-, wherein each of -Cy- and R11 independently is an embodiment as described herein. In some embodiments, L11 is a C1-8 bivalent hydrocarbon chain wherein 1-5 methylene units of the chain are optionally and independently replaced by -Cy-, -C(R11)2-, -N(R11)-, -O-, -C(O)-, -OC(O)-, -C(O)O-, - C(O)N(R11)-, or -N(R11)C(O)-, wherein each of -Cy- and R11 independently is an embodiment as described herein. In some embodiments, L11 is selected from those depicted in Table 1, below.
[00257] In some embodiments, L12 is a C1- 12 bivalent hydrocarbon chain wherein 1-6 methylene units of the chain are optionally and independently replaced by -Cy-, -S-, -C(R11)2-, -N(R11)-, - O-, -C(O)-, -OC(O)-, -C(O)O-, -C(O)N(R11)-, -N(R11)C(O)-, -S(O)-, or -S(O)2-, wherein each of-Cy- and R11 independently is an embodiment as described herein. In some embodiments, L12 is a C1- 12 bivalent hydrocarbon chain wherein 1-6 methylene units of the chain are optionally and independently replaced by -Cy-, -C( R11 )2-, -N(R11)-, -O-, -C(O)-, -OC(O)-, -C(O)O-, - C(O)N(R11)-, or -N(R11)C(O)-, wherein each of -Cy- and R11 independently is an embodiment as described herein.
[00258] In some embodiments, L12 is a C1- 10 bivalent hydrocarbon chain wherein 1-5 methylene units of the chain are optionally and independently replaced by -Cy-, -S-, -C(R11)2-, -N(R11)-, - O-, -C(O)-, -OC(O)-, -C(O)O-, -C(O)N(R11)-, -N(R11)C(O)-, -S(O)-, or -S(O)2-, wherein each of -Cy- and R11 independently is an embodiment as described herein. In some embodiments, L12 is a C1- 10 bivalent hydrocarbon chain wherein 1-5 methylene units of the chain are optionally and independently replaced by -Cy-, -C(R11)2-, -N(R11)-, -O-, -C(O)-, -OC(O)-, -C(O)O-, - C(O)N(R11)-, or -N(R11)C(O)-, wherein each of -Cy- and R11 independently is an embodiment as described herein.
[00259] In some embodiments, L12 is a C1-8 bivalent hydrocarbon chain wherein 1-5 methylene units of the chain are optionally and independently replaced by -Cy-, -S-, -C(R11)2-, -N(R11)-, - O-, -C(O)-, -OC(O)-, -C(O)O-, -C(O)N(R11)-, -N(R11)C(O)-, -S(O)-, or -S(O)2-, wherein each of -Cy- and R11 independently is an embodiment as described herein. In some embodiments,
L12 is a C1-8 bivalent hydrocarbon chain wherein 1-5 methylene units of the chain are optionally and independently replaced by -Cy-, -C(R11 )2-, -N(R11)-, -O-, -C(O)-, -OC(O)-, -C(O)O- - C(O)N(R11)-, or -N(R11)C(O)-, wherein each of -Cy- and R11 independently is an embodiment as described herein. In some embodiments, L12 is -C(O)-CH2-. In some embodiments, L12 is selected from those depicted in Table 1, below.
[00260] In some embodiments, L13 is a C1- 12 bivalent hydrocarbon chain wherein 1-6 methylene units of the chain are optionally and independently replaced by -Cy-, -S-, -C(R11 )2-, -N(R11)-, - O-, -C(O)-, -OC(O)-, -C(O)O-, -C(O)N(R11)-, -N(R11)C(O)-, -S(O)-, or -S(O)2-, wherein each of-Cy- and R11 independently is an embodiment as described herein. In some embodiments, L13 is a C1- 12 bivalent hydrocarbon chain wherein 1-6 methylene units of the chain are optionally and independently replaced by -Cy-, -C(R11 )2-, -N(R11)-, -O-, -C(O)-, -OC(O)-, -C(O)O-, - C(O)N(R11)-, or -N(R11)C(O)-, wherein each of -Cy- and R11 independently is an embodiment as described herein.
[00261] In some embodiments, L13 is a C1- 10 bivalent hydrocarbon chain wherein 1-5 methylene units of the chain are optionally and independently replaced by -Cy-, -S-, -C(R11 )2-, -N(R11)-, - O-, -C(O)-, -OC(O)-, -C(O)O-, -C(O)N(R11)-, -N(R11)C(O)-, -S(O)-, or -S(O)2-, wherein each of -Cy- and R11 independently is an embodiment as described herein. In some embodiments, L13 is a C1- 10 bivalent hydrocarbon chain wherein 1-5 methylene units of the chain are optionally and independently replaced by -Cy-, -C( R11 )2-, -N(R11)-, -O-, -C(O)-, -OC(O)-, -C(O)O-, - C(O)N(R11)-, or -N(R11)C(O)-, wherein each of -Cy- and R11 independently is an embodiment as described herein.
[00262] In some embodiments, L13 is a C1-8 bivalent hydrocarbon chain wherein 1-5 methylene units of the chain are optionally and independently replaced by -Cy-, -S-, -C(R11 )2-, -N(R11)-, - O-, -C(O)-, -OC(O)-, -C(O)O-, -C(O)N(R11)-, -N(R11)C(O)-, -S(O)-, or -S(O)2-, wherein each of -Cy- and R11 independently is an embodiment as described herein. In some embodiments, L13 is a C1-8 bivalent hydrocarbon chain wherein 1-5 methylene units of the chain are optionally and independently replaced by -Cy-, -C(R11 )2-, -N(R11)-, -O-, -C(O)-, -OC(O)-, -C(O)O-, - C(O)N(R11)-, or -N(R11)C(O)-, wherein each of -Cy- and R11 independently is an embodiment
as described herein. In some embodiments, L13 is
. In some embodiments, L13 is selected from those depicted in Table 1, below.
[0001] In some embodiments, -Cy- is an optionally substituted 3-7 membered bivalent saturated, partially unsaturated, or aromatic ring having 0-4 heteroatoms independently selected from nitrogen, oxygen, or sulfur. In some embodiments, -Cy- is an optionally substituted 3-7 membered bivalent saturated ring having 0-4 heteroatoms independently selected from nitrogen, oxygen, or sulfur. In some embodiments, -Cy- is an optionally substituted 5 -membered bivalent saturated, partially unsaturated, or aromatic ring having 0-4 heteroatoms independently selected from nitrogen, oxygen, or sulfur. In some embodiments, -Cy- is an optionally substituted 6- membered bivalent saturated, partially unsaturated, or aromatic ring having 0-4 heteroatoms independently selected from nitrogen, oxygen, or sulfur. In some embodiments, -Cy- is selected
[00263] In some embodiments, R11 is independently hydrogen, -OH, -C1-6 aliphatic, or -N(R)- C(O)-C1-6 aliphatic, wherein each R independently is an embodiment as described herein. In some embodiments, R11 is hydrogen. In some embodiments, R11 is -OH. In some embodiments, R11 is -C1-6 aliphatic. In some embodiments, R11 is -N(R)-C(0)-C1-6 aliphatic. In some embodiments, R11 is -C1-6 alkyl. In some embodiments, R11 is -N(R)-C(0)-C1-6 alkyl. In some embodiments, R11 is -CH3. In some embodiments, R11 is -NH-C(0)-CH3. In some embodiments, R11 is selected from those depicted in Table 1, below.
[00264] In some embodiments, Linker1 is
and L13 independently is as described herein.
[00265] In some embodiments, Linker1 is
[00266] In some embodiments, Linker1 is
is an embodiment as described herein.
wherein -M- is a bond, O or -N(R11)-; L14 is a C1-6 bivalent hydrocarbon chain wherein 1-3 methylene units of the chain are optionally and independently replaced by -Cy-, -S-, -C(R 11)2-, - N(R11)-, -O-, -C(O)-, -OC(O)-, -C(O)O-, -C(O)N(R11)-, -N(R11)C(O)-, -S(O)-, or -S(O)2-; each -Cy- independently is an optionally substituted 3-7 membered bivalent saturated, partially unsaturated, or aromatic ring having 0-4 heteroatoms independently selected from nitrogen, oxygen, or sulfurand; and each R11 independently is hydrogen, -OH, -C1-6 aliphatic, or -N(R)- C(O)-C1-6 aliphatic.
[00268] In some embodiments, Linker1 is
L11 and L13 independently is as described herein.
[00269] In some embodiments, Linker1 is
, wherein each of L11 and L12 independently is as described herein.
[00270] In some embodiments, Linker1 is
, wherein L11 is an embodiment as described herein.
[00271] In some embodiments, Linker1 is
methylene units of the chain are optionally and independently replaced by -Cy-, -S-, -C(R11 )2-, - N(R11)-, -O-, -C(O)-, -OC(O)-, -C(O)O-, -C(O)N(R11)-, -N(R11)C(O)-, -S(O)-, or -S(O)2-; each -Cy- independently is an optionally substituted 3-7 membered bivalent saturated, partially unsaturated, or aromatic ring having 0-4 heteroatoms independently selected from nitrogen, oxygen, or sulfurand; and each R11 independently is hydrogen, -OH, -C1-6 aliphatic, or -N(R)- C(O)-C1-6 aliphatic.
[00272] In some embodiments, -M- is a bond. In some embodiments, -M- is O. In some embodiments, -M- is -N(R11)-, wherein R11 is an embodiment as described herein. In some embodiments, -M- is -N(R)-, wherein R is an embodiment as described herein. In some embodiments, -M- is -NH-. In some embodiments, -M- is -N(CH3)-. In some embodiments, -M- is -N(CH2CH3)-. In some embodiments, -M- is selected from those depicted in Table 1, below.
[00273] In some embodiments, L14 is a C1-6 bivalent hydrocarbon chain wherein 1-3 methylene units of the chain are optionally and independently replaced by -Cy-, -S-, -C(R 11)2-, -N(R11)-, - O-, -C(O)-, -OC(O)-, -C(O)O-, -C(O)N(R11)-, -N(R11)C(O)-, -S(O)-, or -S(O)2-, wherein each of -Cy- and R11 independently is as described herein.
[00274] In some embodiments, L14 is a C1-6 bivalent hydrocarbon chain wherein 1-3 methylene units of the chain are optionally and independently replaced by -Cy-, -C(R 11)2-, -N(R11)-, -O-, -
C(O)-, -OC(O)-, -C(O)O- -C(O)N(R11)-, or -N(R11)C(O)-, wherein each of -Cy- and R11 independently is as described herein.
[00275] In some embodiments, L14 is a C1-6 bivalent hydrocarbon chain wherein 1-3 methylene units of the chain are optionally and independently replaced by -Cy-, -C(R 11)2-, -N(R11)-, -O-, or — C(O)— , wherein each of -Cy- and R11 independently is as described herein.
[00276] In some embodiments, L14 is a C1-4 bivalent hydrocarbon chain wherein 1-2 methylene units of the chain are optionally and independently replaced by -Cy-, -S-, -C( R11 )2-, -N(R11)-, - O-, -C(O)-, -OC(O)-, -C(O)O-, -C(O)N(R11)-, -N(R11)C(O)-, -S(O)-, or -S(O)2-, wherein each of -Cy- and R11 independently is as described herein.
[00277] In some embodiments, L14 is a C1-4 bivalent hydrocarbon chain wherein 1-2 methylene units of the chain are optionally and independently replaced by -Cy-, -C( R11 )2-, -N(R11)-, -O-, - C(O)-, -OC(O)-, -C(O)O-, -C(O)N(R11)-, or -N(R11)C(O)-, wherein each of -Cy- and R11 independently is as described herein.
[00278] In some embodiments, L14 is a C1-4 bivalent hydrocarbon chain wherein 1-2 methylene units of the chain are optionally and independently replaced by -Cy-, -C( R11 )2-, -N(R11)-, -O-, or — C(O)— , wherein each of -Cy- and R11 independently is as described herein. In some embodiments, L14 is selected from those depicted in Table 1, below.
[00279] In some embodiments, Linker1 is selected from the following:
[00280] In some embodiments, Linker1 is selected from those depicted in Table 1, below.
[00281] As defined above and described herein, Linker2 is -NH2 or a bivalent moiety that connects the C-terminus of the Bicycle with STING2, wherein when p is 0, Linker2 is -NH2.
[00282] In some embodiments, Linker2 is -NIL, wherein p is 0. In some embodiments, Linker2 is a bivalent moiety that connects the C-terminus of the Bicycle with STING2.
[00283] In some embodiments, Linker2 is a covalent bond. In some embodiments, Linker2 is
In some embodiments, Linker2 is
[00286] In some embodiments, Linker2 is selected from those depicted in Table 1, below.
[00287] In certain embodiments, the present invention provides a Bicycle of formula I, wherein Scaffold is Ring A, thereby forming a Bicycle of formula I-a:
or a pharmaceutically acceptable salt thereof, wherein each of Loop A, Loop B, Ring A, L1, L2, L3, Linker1, Linker2, STING1, STING2, R1, R2, R3, m, n, s, and p is as defined above and described in embodiments herein, both singly and in combination.
[00288] In certain embodiments, the present invention provides a Bicycle of formula I, wherein
or a pharmaceutically acceptable salt thereof, wherein each of L1, L2, L3, Scaffold, R1, R2, R3, R4, R4 , R5, R6, R6 , R7, Linker1, Linker2, STING1, STING2, m, n, s, p, q and r is as defined above and described in embodiments herein, both singly and in combination.
[00289] In certain embodiments, the present invention provides a Bicycle of formula II, wherein p is 0, thereby forming a Bicycle of formula II-a:
or a pharmaceutically acceptable salt thereof, wherein each of L1, L2, L3, Scaffold, R1, R2, R3, R4, R4 , R5, R6, R6 , R7, Linker1, STING1, m, n, q and r is as defined above and described in embodiments herein, both singly and in combination.
[00290] In certain embodiments, the present invention provides a Bicycle of formula II, wherein n is 0, thereby forming a Bicycle of formula II- b:
or a pharmaceutically acceptable salt thereof, wherein each of L1, L2, L3, Scaffold, R1, R2, R3, R4, R4 , R5, R6, R6 , R7, Linker2, STING2, s, p, q and r is as defined above and described in embodiments herein, both singly and in combination.
[00291] In certain embodiments, a Bicycle of formula II is a Bicycle of formula II-c:
or a pharmaceutically acceptable salt thereof, wherein each of R1, R2, R3, R4, R4 , R5, R6, R6 , R7, Linker1, STING1, Linker2, STING2, m, n, s, p, q and r is as defined above and described in embodiments herein, both singly and in combination.
[00292] In certain embodiments, a compound of the invention is of formula III :
or a pharmaceutically acceptable salt thereof, wherein each of L1, L2, L3, Scaffold, Linker1, Linker2, STING1, STING2, s, p, n, and m is as defined above and described in embodiments herein, both singly and in combination.
[00293] In certain embodiments, a compound of the invention is of formula III-a:
or a pharmaceutically acceptable salt thereof, wherein each of L1, L2, L3, Scaffold, Linker1, STING1, n, and m is as defined above and described in embodiments herein, both singly and in combination.
[00294] In certain embodiments, a compound of the invention is of formula III -b:
or a pharmaceutically acceptable salt thereof, wherein each of R1, L1, L2, L3, Scaffold, Linker2, STING2, s, and p is as defined above and described in embodiments herein, both singly and in combination.
[00295] In certain embodiments, a compound of the invention is of formula IV:
or a pharmaceutically acceptable salt thereof, wherein each of L1, L2, L3, Scaffold, R2, R3, R4, R4 , R5, R6, R6 , R7, Linker1, STING1, q and r is as defined above and below and in classes and subclasses as described herein, both singly and in combination.
[00296] In certain embodiments, a compound of the invention is of formula V:
or a pharmaceutically acceptable salt thereof, wherein each of L1, L2, L3, Scaffold, R2, R3, R4, R4 , R5, R6, R6 , R7, Linker1, STING1, q and r is as defined above and below and in classes and subclasses as described herein, both singly and in combination.
[00297] In certain embodiments, a compound of the invention is of formula VI:
or a pharmaceutically acceptable salt thereof, wherein each of L1, L2, L3, Scaffold, R1, R2, R3, R4, R4 , R5, R6, R6 , R7, L11, L12, L13, STING1, q and r is as defined above and below and in classes and subclasses as described herein, both singly and in combination.
[00298] In certain embodiments, a compound of the invention is of formula VIE:
or a pharmaceutically acceptable salt thereof, wherein each of L1, L2, L3, Scaffold, R1, R2, R3, R4, R4 , R5, R6, R6 , R7, L11, STING1, q and r is as defined above and below and in classes and subclasses as described herein, both singly and in combination.
[00299] In certain embodiments, a compound of the invention is of formula V III:
or a pharmaceutically acceptable salt thereof, wherein each of L1, L2, L3, Scaffold, R1, L11, and STING1 is as defined above and below and in classes and subclasses as described herein, both singly and in combination.
[00300] In certain embodiments, a compound of the invention is of formula IX:
or a pharmaceutically acceptable salt thereof, wherein each of L11 and STING1 is as defined above and below and in classes and subclasses as described herein, both singly and in combination.
[00301] In certain embodiments, a compound of the invention is of formula X:
or a pharmaceutically acceptable salt thereof, wherein each of-M-, L14, and STING1 is as defined above and below and in classes and subclasses as described herein, both singly and in combination.
[00302] In certain embodiments, a compound of the invention is of formula XI:
or a pharmaceutically acceptable salt thereof, wherein each of -M-, L14, and STING1 is as defined above and below and in classes and subclasses as described herein, both singly and in combination.
[00303] In certain embodiments, a compound of the invention is of formula XII :
or a pharmaceutically acceptable salt thereof, wherein each of L1, L2, L3, Scaffold, R1, R2, R3, R4, R4 , R5, R6, R6 , R7, L11, L12, L13, STING1, q and r is as defined above and below and in classes and subclasses as described herein, both singly and in combination.
[00304] In certain embodiments, a compound of the invention is of formula XIII:
or a pharmaceutically acceptable salt thereof, wherein each of L1, L2, L3, Scaffold, R1, R2, R3, R4, R4 , R5, R6, R6 , R7, L11, STING1, q and r is as defined above and below and in classes and subclasses as described herein, both singly and in combination.
[00305] In certain embodiments, a compound of the invention is of formula XIV:
or a pharmaceutically acceptable salt thereof, wherein each of L1, L2, L3, Scaffold, R1, L11, and STING1 is as defined above and below and in classes and subclasses as described herein, both singly and in combination.
[00306] In certain embodiments, a compound of the invention is of formula XV:
or a pharmaceutically acceptable salt thereof, wherein each of L1 1 and STING1 is as defined above and below and in classes and subclasses as described herein, both singly and in combination.
[00307] In certain embodiments, a compound of the invention is of formula XVI:
or a pharmaceutically acceptable salt thereof, wherein each of-M-, L14, and STING1 is as defined above and below and in classes and subclasses as described herein, both singly and in combination.
[00308] In certain embodiments, a compound of the invention is of formula XVII:
or a pharmaceutically acceptable salt thereof, wherein each of-M-, L14, and STING1 is as defined above and below and in classes and subclasses as described herein, both singly and in combination.
[00309] Exemplary compounds of the invention are set forth in Table 1, below.
Table 1. Exemplary compounds
[00310] In some embodiments, the present invention provides a compound set forth in Table 1, above, or a pharmaceutically acceptable salt thereof.
4. General Methods of Providing the Present Compounds
[00311] The compounds of this invention may be prepared or isolated in general by synthetic and/or semi-synthetic methods known to those skilled in the art for analogous compounds and by methods described in detail in the Examples, herein.
[00312] The compounds of this invention may be prepared by treating a peptide with a molecular scaffold reagent. The molecular scaffold reagent comprises the Scaffold and reactive functionality such as leaving groups (“LG”) or Michael acceptors (“MA”), that allow the peptide to form covalent bonds with the molecular scaffold via displacement of the leaving group or addition to the Michael acceptor group followed by subsequent protonation of the addition complex.
[00313] Compounds of the present invention are formed by treating peptides with various molecular scaffold reagents to form a Bicycle intermediate which is then coupled to STING using standard amide formation methodology.
[00314] In some embodiments, a peptide has the following amino acid sequence:
A-(Dap(Me))(D-Ala)NE(1Nal)(D-Ala)CEDFYD(tBuGLy)(Dap(Me)) (SEQ ID NO: 1)
[00315] In some embodiments, a peptide has the following amino acid sequence:
(β-Ala)-SAR10-A-(Dap(Me))(D-Ala)NE(lNal)(D-Ala)CEDFYD(tBuGLy)(Dap(Me)) (SEQ ID NO:2)
[00316] Bicycle intermediates of the present invention can be prepared by treating a peptide with the molecular scaffold reagent 1,3,5-tris(bromomethyl)benzene (“TBMB”), for example, as described in WO 2016/067035 and WO 2018/115204, each of which is incorporated herein by reference in its entirety. In some embodiments, the present invention provides a Bicycle intermediate as described in WO 2016/067035 and WO 2018/115204. In some embodiments, a Bicycle intermediate of the present invention has an MT1-MMP binding affinity as described in WO 2016/067035 and WO 2018/115204.
[00317] In the Schemes below, where a particular Michael acceptor (“MA”), leaving group (“LG”), or transformation condition is depicted, one of ordinary skill in the art will appreciate that other Michael acceptors, leaving groups, and transformation conditions are also suitable and are contemplated. Such acceptors, groups and transformations are described in detail in March's Advanced Organic Chemistry: Reactions, Mechanisms, and Structure, M. B. Smith and J. March, 5th Edition, John Wiley & Sons, 2001, Comprehensive Organic Transformations, R. C. Larock, 2nd Edition, John Wiley & Sons, 1999, and Protecting Groups in Organic Synthesis, T. W. Greene and P. G. M. Wuts, 3rd edition, John Wiley & Sons, 1999, the entirety of each of which is hereby incorporated herein by reference.
[00318] As used herein, the phrase“leaving group” (LG) includes, but is not limited to, halogens (e.g. fluoride, chloride, bromide, iodide), sulfonates (e.g. mesylate, tosylate, benzenesulfonate, brosylate, nosylate, triflate), diazonium, and the like.
[00319] As used herein, the phrase“activated ester” (AE) includes, but is not limited to, acyl halides (e.g. acyl fluoride, acyl chloride, acyl bromide, acyl iodide), N-succinimidyl esters, uronium esters (e.g. 1 -hydroxy-7azabenzotriazole, -OAt), and the like. Additionally, an AE can be prepared from a corresponding STING-AE precursor acid in situ by treatment with coupling
reagents known in the art such as, but not limited to DCC, DIC, EDC, HATU, HBTU, HCTU,
PyBOP, PyAOP, PyBrOP, BOP, BOP-Cl, DEPBT, T3P, TATU, TBTU, TNTU, TOTU, TPTU,
TSTU, or TDBTU.
[00320] The synthesis of the Linker-STING conjugate is convergent in that one Linker can be converted to another Linker of the invention by treatment with STING-AE which may comprise parts of the Linker in addition to the activated ester portion.
[00321] Lor purposes of clarity and by way of example, such STING-AE precursor acids are as
[00322] In certain embodiments, compounds of the present invention of formula I are generally prepared according to Scheme I set forth below:
Scheme I
[00323] In Scheme I above, each of LG, L1, L2, L3, Scaffold, Linker1, Linker2, R1, R2, R3, Loop A, Loop B, STING1, STING2, AE, m, n, s, and p is as defined above and below and in classes and subclasses as described herein.
[00324] In one aspect, the present invention provides methods for preparing compounds of formula I according to the steps depicted in Scheme I, above. In some embodiments, step S-l comprises contacting the scaffold reagent R-1 with a peptide P-1 to displace the leaving group
LG, thereby forming an intermediate which is further treated with an activated ester of STING in step S-2 to afford a compound of formula I. In some embodiments, LG is a halogen. In some embodiments, LG is chlorine. In some embodiments, LG is a sulfonate. In some embodiments, AE is a N-succinimidyl ester. In some embodiments, a base is added to promote the displacement. In some embodiments, the base is ammonium carbonate. In some embodiments, the base is an amine. In some embodiments, the base is N,N-diisopropylethylamine.
[00325] In certain embodiments, step S-1 comprises contacting a compound of formula P-1 with a compound of the formula
LG and Ring A are defined above and below and in classes and subclasses as described herein.
[00326] In some embodiments the reaction further comprises a solvent. In some embodiments the solvent is acetonitrile. In some embodiments the reaction further comprises a solvent. In some embodiments the solvent is DMSO. In some embodiments the solvent is a mixture of water and acetonitrile.
[00327] In some embodiments, LG is a halogen. In some embodiments, LG is chlorine. In some embodiments, LG is a sulfonate. In some embodiments, a catalyst is added to promote the displacement. In some embodiments, the catalyst is generated from 3 rd Generation XPhos precatalyst. In some embodiments, the solvent is tert-butanol. In some embodiments, the solvent is a mixture of water and tert- butanol.
[00328] In certain embodiments, compounds of the present invention of formula I are generally prepared according to Scheme II set forth below:
[00329] In Scheme II above, each of MA, L1, L2, L3, Scaffold, Linker1, Linker2, R1, R2, R3, Loop A, Loop B, STING1, STING2, AE, m, n, s, and p is as defined above and below and in classes and subclasses as described herein.
[00330] In one aspect, the present invention provides methods for preparing compounds of formula I according to the steps depicted in Scheme II, above. In some embodiments, step S-l comprises contacting the scaffold reagent R-2 with a peptide P-1 to affect a Michael addition to MA, thereby forming a an intermediate which is further treated with an activated ester of STING in step S-2 to afford a compound of formula I. In some embodiments, MA is an a,b-unsaturated amide. In some embodiments, MA is an a,b-unsaturated ketone. In some embodiments, MA is an a,b-unsaturated ester. In some embodiments, MA is an a,b-unsaturated sulfone. In some embodiments, MA is an a,b-unsaturated nitrile. In some embodiments, a base is added to promote the Michael addition. In some embodiments, AE is a N-succinimidyl ester. In some embodiments, the base is ammonium carbonate. In some embodiments, the base is an amine. In some embodiments, the base is N,N-diisopropylethylamine.
[00331] In certain embodiments, step S-1 comprises contacting a compound of formula P-1 with a compound of the formula
MA and Ring A are defined above and below and in classes and subclasses as described herein.
[00332] In some embodiments the reaction further comprises a solvent. In some embodiments the solvent is acetonitrile. In some embodiments the reaction further comprises a solvent. In some embodiments the solvent is DMSO. In some embodiments the solvent is a mixture of water and acetonitrile.
[00333] In some embodiments, MA is an a,b-unsaturated amide. In some embodiments, MA is an a,b-unsaturated ketone. In some embodiments, MA is an a,b-unsaturated ester. In some embodiments, MA is an a,b-unsaturated sulfone. In some embodiments, MA is an a,b-
unsaturated nitrile. In some embodiments, a base is added to promote the Michael addition. In some embodiments, the base is ammonium carbonate. In some embodiments, the base is an amine. In some embodiments, the base is N,N-diisopropylethylamine.
Scheme III
[00334] In some embodiments, the present invention provides a method for synthesizing a compound of formula I by coupling a Bicycle peptide intermediate (“BPI”) to a STING intermediate (“STI”) via click chemistry. In some embodiments, a method for synthesizing a compound of formula I comprises coupling a Bicycle peptide intermediate having an alkyne group to a STING intermediate having an azide group. In some embodiments, a method for synthesizing a compound of formula I comprises coupling a Bicycle peptide intermediate having an azide group to a STING intermediate having an alkyne group. In some embodiments, each of a Bicycle peptide intermediate and a STING1 intermediate in a coupling reaction comprises part of Linker1, wherein the coupling reaction forms Linker1 between the Bicycle peptide moiety and the STING1 moiety, and Linker1 comprises a 1,2, 3 -triazole moiety. In some embodiments, each of a Bicycle peptide intermediate and a STING2 intermediate in a coupling reaction comprises part of Linker2, wherein the coupling reaction forms Linker2 between the Bicycle peptide moiety and the STING2 moiety, and Linker2 comprises a 1,2,3-triazole moiety.
[00335] In some embodiments, the present invention provides a method for synthesizing a compound of formula IV by click chemistry, as shown below is Scheme III.
OR
[00336] In Scheme IP above, each of L1, L2, L3, Scaffold, R2, R3, R4, R4’, R5, R6, R6’, R7, Linker1, STING1, q and r is as defined above and below and in classes and subclasses as described herein.
Scheme IV
[00337] In some embodiments, the present invention provides a method for synthesizing a compound of formula I by coupling a Bicycle peptide intermediate (“BPI”) to a STING intermediate (“STI”) via disulfide chemistry. In some embodiments, a method for synthesizing a compound of formula I comprises coupling a Bicycle peptide intermediate having a thiol group to a STING intermediate having a thiol group that is protected by a leaving group (for example, 2- mercaptopyridyl). In some embodiments, a method for synthesizing a compound of formula I comprises coupling a Bicycle peptide intermediate having a thiol group that is protected by a leaving group (for example, 2-mercaptopyridyl) to a STING intermediate having a thiol group. In some embodiments, each of a Bicycle peptide intermediate and a STING1 intermediate in a coupling reaction comprises part of Linker1, wherein the coupling reaction forms Linker1 between the Bicycle peptide moiety and the STING1 moiety, and Linker1 comprises a disulfide moiety. In some embodiments, each of a Bicycle peptide intermediate and a STING2 intermediate in a coupling reaction comprises part of Linker2, wherein the coupling reaction forms Linker2 between the Bicycle peptide moiety and the STING2 moiety, and Linker2 comprises a disulfide moiety.
[00338] In some embodiments, the present invention provides a method for synthesizing a compound of formula V by disulfide chemistry, as shown below is Scheme IV.
OR
[00339] In Scheme III above, each of L1, L2, L3, Scaffold, R2, R3, R4, R4’, R5, R6, R6’, R7, Linker1, STING1, q and r is as defined above and below and in classes and subclasses as described herein.
[00340] One of skill in the art will appreciate that compounds of formula I may contain one or more stereocenters, and may be present as an racemic or diastereomeric mixture. One of skill in
the art will also appreciate that there are many methods known in the art for the separation of isomers to obtain stereoenriched or stereopure isomers of those compounds, including but not limited to HPLC, chiral HPLC, fractional crystallization of diastereomeric salts, kinetic enzymatic resolution (e.g. by fungal-, bacterial-, or animal-derived lipases or esterases), and formation of covalent diastereomeric derivatives using an enantioenriched reagent.
[00341] One of skill in the art will appreciate that various functional groups present in compounds of the invention such as aliphatic groups, alcohols, carboxylic acids, esters, amides, aldehydes, halogens and nitriles can be interconverted by techniques well known in the art including, but not limited to reduction, oxidation, esterification, hydrolysis, partial oxidation, partial reduction, halogenation, dehydration, partial hydration, and hydration. “March’s Advanced Organic Chemistry”, 5th Ed., Ed.: Smith, M.B. and March, J., John Wiley & Sons, New York: 2001, the entirety of which is incorporated herein by reference. Such interconversions may require one or more of the aforementioned techniques, and certain methods for synthesizing compounds of the invention are described below in the Exemplification.
[00342] In some embodiments, a STING intermediate is selected from Table 2 below.
Table 2. Exemplary STING intermediates.
[00343] In some embodiments, a bicyle peptide intermediate is selected from Table 3 below.
Table 3. Exemplary bicyle peptide intermediates.
5. Uses, Formulation and Administration
Pharmaceutically acceptable compositions
[00344] According to another embodiment, the invention provides a composition comprising a compound of this invention or a pharmaceutically acceptable derivative thereof and a
pharmaceutically acceptable carrier, adjuvant, or vehicle. In some embodiments, the amount of the compound of the invention in compositions of this invention is such that is effective to measurably inhibit MT1-MMP, or a mutant thereof, in a biological sample or in a patient. In certain embodiments, the amount of compound in compositions of this invention is such that is effective to measurably inhibit MT1-MMP, or a mutant thereof, in a biological sample or in a patient. In certain embodiments, a composition of this invention is formulated for administration to a patient in need of such composition. In some embodiments, a composition of this invention is formulated for oral administration to a patient.
[00345] The term“patient,” as used herein, means an animal, preferably a mammal, and most preferably a human.
[00346] The term“pharmaceutically acceptable carrier, adjuvant, or vehicle” refers to a non toxic carrier, adjuvant, or vehicle that does not destroy the pharmacological activity of the compound with which it is formulated. Pharmaceutically acceptable carriers, adjuvants or vehicles that may be used in the compositions of this invention include, but are not limited to, ion exchangers, alumina, aluminum stearate, lecithin, serum proteins, such as human serum albumin, buffer substances such as phosphates, glycine, sorbic acid, potassium sorbate, partial glyceride mixtures of saturated vegetable fatty acids, water, salts or electrolytes, such as protamine sulfate, disodium hydrogen phosphate, potassium hydrogen phosphate, sodium chloride, zinc salts, colloidal silica, magnesium trisilicate, polyvinyl pyrrolidone, cellulose-based substances, polyethylene glycol, sodium carboxymethylcellulose, polyacrylates, waxes, polyethylene- polyoxypropylene-block polymers, polyethylene glycol and wool fat.
[00347] A“pharmaceutically acceptable derivative” means any non-toxic salt, ester, salt of an ester or other derivative of a compound of this invention that, upon administration to a recipient, is capable of providing, either directly or indirectly, a compound of this invention or an inhibitorily active metabolite or residue thereof.
[00348] As used herein, the term "inhibitorily active metabolite or residue thereof' means that a metabolite or residue thereof is also an inhibitor of MT1-MMP, or a mutant thereof.
[00349] Compositions of the present invention may be administered orally, parenterally, by inhalation spray, topically, rectally, nasally, buccally, vaginally or via an implanted reservoir. The term "parenteral" as used herein includes subcutaneous, intravenous, intramuscular, intra-articular, intra-synovial, intrasternal, intrathecal, intrahepatic, intralesional and intracranial injection or
infusion techniques. Preferably, the compositions are administered orally, intraperitoneally or intravenously. Sterile injectable forms of the compositions of this invention may be aqueous or oleaginous suspension. These suspensions may be formulated according to techniques known in the art using suitable dispersing or wetting agents and suspending agents. The sterile injectable preparation may also be a sterile injectable solution or suspension in a non-toxic parenterally acceptable diluent or solvent, for example as a solution in 1,3-butanediol. Among the acceptable vehicles and solvents that may be employed are water, Ringer's solution and isotonic sodium chloride solution. In addition, sterile, fixed oils are conventionally employed as a solvent or suspending medium.
[00350] For this purpose, any bland fixed oil may be employed including synthetic mono- or di-glycerides. Fatty acids, such as oleic acid and its glyceride derivatives are useful in the preparation of injectables, as are natural pharmaceutically-acceptable oils, such as olive oil or castor oil, especially in their polyoxyethylated versions. These oil solutions or suspensions may also contain a long-chain alcohol diluent or dispersant, such as carboxymethyl cellulose or similar dispersing agents that are commonly used in the formulation of pharmaceutically acceptable dosage forms including emulsions and suspensions. Other commonly used surfactants, such as Tweens, Spans and other emulsifying agents or bioavailability enhancers which are commonly used in the manufacture of pharmaceutically acceptable solid, liquid, or other dosage forms may also be used for the purposes of formulation.
[00351] Pharmaceutically acceptable compositions of this invention may be orally administered in any orally acceptable dosage form including, but not limited to, capsules, tablets, aqueous suspensions or solutions. In the case of tablets for oral use, carriers commonly used include lactose and corn starch. Lubricating agents, such as magnesium stearate, are also typically added. For oral administration in a capsule form, useful diluents include lactose and dried cornstarch. When aqueous suspensions are required for oral use, the active ingredient is combined with emulsifying and suspending agents. If desired, certain sweetening, flavoring or coloring agents may also be added.
[00352] Alternatively, pharmaceutically acceptable compositions of this invention may be administered in the form of suppositories for rectal administration. These can be prepared by mixing the agent with a suitable non- irritating excipient that is solid at room temperature but liquid
at rectal temperature and therefore will melt in the rectum to release the drug. Such materials include cocoa butter, beeswax and polyethylene glycols.
[00353] Pharmaceutically acceptable compositions of this invention may also be administered topically, especially when the target of treatment includes areas or organs readily accessible by topical application, including diseases of the eye, the skin, or the lower intestinal tract. Suitable topical formulations are readily prepared for each of these areas or organs.
[00354] Topical application for the lower intestinal tract can be effected in a rectal suppository formulation (see above) or in a suitable enema formulation. Topically -transdermal patches may also be used.
[00355] For topical applications, provided pharmaceutically acceptable compositions may be formulated in a suitable ointment containing the active component suspended or dissolved in one or more carriers. Carriers for topical administration of compounds of this invention include, but are not limited to, mineral oil, liquid petrolatum, white petrolatum, propylene glycol, polyoxyethylene, polyoxypropylene compound, emulsifying wax and water. Alternatively, provided pharmaceutically acceptable compositions can be formulated in a suitable lotion or cream containing the active components suspended or dissolved in one or more pharmaceutically acceptable carriers. Suitable carriers include, but are not limited to, mineral oil, sorbitan monostearate, polysorbate 60, cetyl esters wax, cetearyl alcohol, 2-octyldodecanol, benzyl alcohol and water.
[00356] For ophthalmic use, provided pharmaceutically acceptable compositions may be formulated as micronized suspensions in isotonic, pH adjusted sterile saline, or, preferably, as solutions in isotonic, pH adjusted sterile saline, either with or without a preservative such as benzylalkonium chloride. Alternatively, for ophthalmic uses, the pharmaceutically acceptable compositions may be formulated in an ointment such as petrolatum.
[00357] Pharmaceutically acceptable compositions of this invention may also be administered by nasal aerosol or inhalation. Such compositions are prepared according to techniques well- known in the art of pharmaceutical formulation and may be prepared as solutions in saline, employing benzyl alcohol or other suitable preservatives, absorption promoters to enhance bioavailability, fluorocarbons, and/or other conventional solubilizing or dispersing agents.
[00358] Most preferably, pharmaceutically acceptable compositions of this invention are formulated for oral administration. Such formulations may be administered with or without food.
In some embodiments, pharmaceutically acceptable compositions of this invention are administered without food. In other embodiments, pharmaceutically acceptable compositions of this invention are administered with food.
[00359] The amount of compounds of the present invention that may be combined with the carrier materials to produce a composition in a single dosage form will vary depending upon the host treated, the particular mode of administration. Preferably, provided compositions should be formulated so that a dosage of between 0.01 - 100 mg/kg body weight/day of the inhibitor can be administered to a patient receiving these compositions.
[00360] It should also be understood that a specific dosage and treatment regimen for any particular patient will depend upon a variety of factors, including the activity of the specific compound employed, the age, body weight, general health, sex, diet, time of administration, rate of excretion, drug combination, and the judgment of the treating physician and the severity of the particular disease being treated. The amount of a compound of the present invention in the composition will also depend upon the particular compound in the composition.
Uses of Compounds and Pharmaceutically Acceptable Compositions
[00361] In another aspect, certain bicyclic peptides of the invention have specific utility as high affinity binders of membrane type 1 metalloprotease (MT1-MMP, also known as MMP14). MT1- MMP is a transmembrane metalloprotease that plays a major role in the extracellular matrix remodeling, directly by degrading several of its components and indirectly by activating pro- MMP2. MT1-MMP is crucial for tumor angiogenesis (Sounni et al (2002) FASEB J. 16(6), 555- 564) and is over-expressed on a variety of solid tumors, therefore the MT1-MMP -binding bicycle peptides of the present invention have particular utility in the targeted treatment of cancer, in particular solid tumors such as non-small cell lung carcinomas, via targeted delivery of a conjugated payload such as a STING agonist. In one embodiment, the bicyclic peptide of the invention is specific for human MT1-MMP. In a further embodiment, the bicyclic peptide of the invention is specific for mouse MT1-MMP. In a yet further embodiment, the bicyclic peptide of the invention is specific for human and mouse MT1-MMP. In a yet further embodiment, the bicyclic peptide of the invention is specific for human, mouse and dog MT1-MMP.
[00362] In some embodiments, compounds and compositions described herein are useful for the inhibition of metalloprotease activity of one or more enzymes.
[00363] Polypeptide ligands selected according to the method of the present invention may be employed in in vivo therapeutic and prophylactic applications, in vitro and in vivo diagnostic applications, in vitro assay and reagent applications, and the like. Ligands having selected levels of specificity are useful in applications which involve testing in non-human animals, where cross reactivity is desirable, or in diagnostic applications, where cross-reactivity with homologues or paralogues needs to be carefully controlled. In some applications, such as vaccine applications, the ability to elicit an immune response to predetermined ranges of antigens can be exploited to tailor a vaccine to specific diseases and pathogens.
[00364] Substantially pure peptide ligands of at least 90 to 95% homogeneity are preferred for administration to a mammal, and 98 to 99% or more homogeneity is most preferred for pharmaceutical uses, especially when the mammal is a human. Once purified, partially or to homogeneity as desired, the selected polypeptides may be used diagnostically or therapeutically (including extracorporeally) or in developing and performing assay procedures, immunofluorescent stainings and the like (Lefkovite and Pernis, (1979 and 1981) Immunological Methods, Volumes I and II, Academic Press, NY).
[00365] The activity of a compound utilized in this invention as an inhibitor of MTl-MMP, or a mutant thereof, may be assayed in vitro , in vivo or in a cell line. Alternative in vitro assays quantitate the ability of the inhibitor to bind to MTl-MMP. Alternatively, inhibitor binding may be determined by running a competition experiment where new inhibitors are incubated with MTl- MMP bound to known radioligands. Representative in vitro and in vivo assays useful in assaying an MTl-MMP inhibitor include those described and disclosed in: Pietraszek et al., (2014) FEBS Letters 588(23), 4319-4324; Cheltsov et al., (2012) Cancer Res. 72(9), 2339-49; and WO 2009/098450, each of which is herein incorporated by reference in its entirety. Detailed conditions for assaying a compound utilized in this invention as an inhibitor of MTl-MMP, or a mutant thereof, are set forth in the Examples below.
[00366] As used herein, the terms“treatment,”“treat,” and“treating” refer to reversing, alleviating, delaying the onset of, or inhibiting the progress of a disease or disorder, or one or more symptoms thereof, as described herein. In some embodiments, treatment may be administered after one or more symptoms have developed. In other embodiments, treatment may be administered in the absence of symptoms. For example, treatment may be administered to a susceptible individual prior to the onset of symptoms (e.g., in light of a history of symptoms and/or
in light of genetic or other susceptibility factors). Treatment may also be continued after symptoms have resolved, for example to prevent or delay their recurrence.
[00367] In some embodiments, compounds of the invention are binders of MT1-MMP and are therefore useful for the targeted treatment of MT1-MMP expressing cancer cells. Thus, in certain embodiments, the present invention provides a method for the targeted treatment of a disease or disorder, such as cancers and inflammatory diseases or disorders described herein, comprising the step of administering to a patient in need thereof a compound of the present invention, or a pharmaceutically acceptable salt or composition thereof.
[00368] Examples of cancers (and their benign counterparts) which may be treated (or inhibited) include, but are not limited to tumors of epithelial origin (adenomas and carcinomas of various types including adenocarcinomas, squamous carcinomas, transitional cell carcinomas and other carcinomas) such as carcinomas of the bladder and urinary tract, breast, gastrointestinal tract (including the esophagus, stomach (gastric), small intestine, colon, rectum and anus), liver (hepatocellular carcinoma), gall bladder and biliary system, exocrine pancreas, kidney, lung (for example adenocarcinomas, small cell lung carcinomas, non-small cell lung carcinomas, bronchioalveolar carcinomas and mesotheliomas), head and neck (for example cancers of the tongue, buccal cavity, larynx, pharynx, nasopharynx, tonsil, salivary glands, nasal cavity and paranasal sinuses), ovary, fallopian tubes, peritoneum, vagina, vulva, penis, cervix, myometrium, endometrium, thyroid (for example thyroid follicular carcinoma), adrenal, prostate, skin and adnexae (for example melanoma, basal cell carcinoma, squamous cell carcinoma, keratoacanthoma, dysplastic naevus); hematological malignancies (i.e. leukemias, lymphomas) and premalignant hematological disorders and disorders of borderline malignancy including hematological malignancies and related conditions of lymphoid lineage (for example acute lymphocytic leukemia [ALL], chronic lymphocytic leukemia [CLL], B-cell lymphomas such as diffuse large B-cell lymphoma [DLBCL], follicular lymphoma, Burkitt’s lymphoma, mantle cell lymphoma, T-cell lymphomas and leukemias, natural killer [NK] cell lymphomas, Hodgkin’s lymphomas, hairy cell leukemia, monoclonal gammopathy of uncertain significance, plasmacytoma, multiple myeloma, and post-transplant lymphoproliferative disorders), and hematological malignancies and related conditions of myeloid lineage (for example acute myelogenousleukemia [AML], chronic myelogenousleukemia [CML], chronic myelomonocyticleukemia [CMML], hypereosinophilic syndrome, myeloproliferative disorders
such as polycythaemia vera, essential thrombocythaemia and primary myelofibrosis, myeloproliferative syndrome, myelodysplastic syndrome, and promyelocyticleukemia); tumors of mesenchymal origin, for example sarcomas of soft tissue, bone or cartilage such as osteosarcomas, fibrosarcomas, chondrosarcomas, rhabdomyosarcomas, leiomyosarcomas, liposarcomas, angiosarcomas, Kaposi’s sarcoma, Ewing’s sarcoma, synovial sarcomas, epithelioid sarcomas, gastrointestinal stromal tumors, benign and malignant histiocytomas, and dermatofibrosarcomaprotuberans; tumors of the central or peripheral nervous system (for example astrocytomas, gliomas and glioblastomas, meningiomas, ependymomas, pineal tumors and schwannomas); endocrine tumors (for example pituitary tumors, adrenal tumors, islet cell tumors, parathyroid tumors, carcinoid tumors and medullary carcinoma of the thyroid); ocular and adnexal tumors (for example retinoblastoma); germ cell and trophoblastic tumors (for example teratomas, seminomas, dysgerminomas, hydatidiform moles and choriocarcinomas); and pediatric and embryonal tumors (for example medulloblastoma, neuroblastoma, Wilms tumor, and primitive neuroectodermal tumors); or syndromes, congenital or otherwise, which leave the patient susceptible to malignancy (for example Xeroderma Pigmentosum).
[00369] In a further embodiment, the cancer is selected from cancer of the cervix, ovary, kidney, esophagus, lung, breast and brain.
[00370] References herein to the term "prevention" involves administration of the protective composition prior to the induction of the disease or disorder. "Suppression" refers to administration of the composition after an inductive event, but prior to the clinical appearance of the disease or disorder. "Treatment" involves administration of the protective composition after disease or disorder symptoms become manifest.
[00371] Animal model systems which can be used to screen the effectiveness of the peptide ligands in protecting against or treating the disease or disorder are available. The use of animal model systems is facilitated by the present invention, which allows the development of polypeptide ligands which can cross react with human and animal targets, to allow the use of animal models.
[00372] Furthermore, the invention provides the use of a compound according to the definitions herein, or a pharmaceutically acceptable salt, or a hydrate or solvate thereof for the preparation of a medicament for the treatment of a proliferative disease. In some embodiments, a proliferative disease is a cancer selected from those described herein.
[00373] In some embodiments, a compound of the invention, for example, those comprising a STING antagonist, are useful in the treatment of inflammatory or obstructive airways diseases, resulting, for example, in reduction of tissue damage, airways inflammation, bronchial hyperreactivity, remodeling or disease progression. Accordingly, in some embodiments, the present invention provides a method for treating an inflammatory disease, disorder, or condition in patient, comprising administering a compound of the invention, or a pharmaceutically acceptable salt thereof, or a pharmaceutical composition thereof. In some embodiments, the present invention provides a method for treating an obstructive airways diseases in patient, comprising administering a compound of the invention, or a pharmaceutically acceptable salt thereof, or a pharmaceutical composition thereof.
[00374] In some embodiments, an inflammatory disease, disorder, or condition is inflammatory or obstructive airways diseases including, but not limited to, asthma of whatever type or genesis including both intrinsic (non-allergic) asthma and extrinsic (allergic) asthma, mild asthma, moderate asthma, severe asthma, bronchitic asthma, exercise-induced asthma, occupational asthma and asthma induced following bacterial infection. Treatment of asthma is also to be understood as embracing treatment of subjects, e.g. of less than 4 or 5 years of age, exhibiting wheezing symptoms and diagnosed or diagnosable as "wheezy infants", an established patient category of major medical concern and now often identified as incipient or early -phase asthmatics.
[00375] In some embodiments, an inflammatory disease, disorder, or condition is heteroimmune diseases including, but not limited to, graft versus host disease, transplantation, transfusion, anaphylaxis, allergies (e.g., allergies to plant pollens, latex, drugs, foods, insect poisons, animal hair, animal dander, dust mites, or cockroach calyx), type I hypersensitivity, allergic conjunctivitis, allergic rhinitis, and atopic dermatitis.
[00376] Prophylactic efficacy in the treatment of asthma will be evidenced by reduced frequency or severity of symptomatic attack, e.g. of acute asthmatic or bronchoconstrictor attack, improvement in lung function or improved airways hyperreactivity. It may further be evidenced by reduced requirement for other, symptomatic therapy, such as therapy for or intended to restrict or abort symptomatic attack when it occurs, for example antiinflammatory or bronchodilatory. Prophylactic benefit in asthma may in particular be apparent in subjects prone to "morning dipping". "Morning dipping" is a recognized asthmatic syndrome, common to a substantial percentage of asthmatics and characterised by asthma attack, e.g. between the hours of about 4 to
6 am, i.e. at a time normally substantially distant form any previously administered symptomatic asthma therapy.
[00377] In some embodiments, an inflammatory disease, disorder, or condition is selected from acute lung injury (ALI), adult/acute respiratory distress syndrome (ARDS), chronic obstructive pulmonary, airways or lung disease (COPD, CO AD or COLD), including chronic bronchitis or dyspnea associated therewith, emphysema, as well as exacerbation of airways hyperreactivity consequent to other drug therapy, in particular other inhaled drug therapy. In some embodiments, an inflammatory disease, disorder, or condition is bronchitis, wherein the bronchitis is of whatever type or genesis including, but not limited to, acute, arachidic, catarrhal, croupus, chronic or phthinoid bronchitis. In some embodiments, an inflammatory disease, disorder, or condition is pneumoconiosis (an inflammatory, commonly occupational, disease of the lungs, frequently accompanied by airways obstruction, whether chronic or acute, and occasioned by repeated inhalation of dusts) of whatever type or genesis, including, for example, aluminosis, anthracosis, asbestosis, chalicosis, ptilosis, siderosis, silicosis, tabacosis and byssinosis.
[00378] In some embodiments, an inflammatory disease, disorder, or condition is an eosinophil related disorder, e.g. eosinophilia. In some embodiments, an eosinophil related disorder is an eosinophil related disorder of the airways (e.g. involving morbid eosinophilic infiltration of pulmonary tissues) including hypereosinophilia as it effects the airways and/or lungs as well as, for example, eosinophil-related disorders of the airways consequential or concomitant to Loffler's syndrome, eosinophilic pneumonia, parasitic (in particular metazoan) infestation (including tropical eosinophilia), bronchopulmonary aspergillosis, polyarteritis nodosa (including Churg- Strauss syndrome), eosinophilic granuloma and eosinophil-related disorders affecting the airways occasioned by drug-reaction.
[00379] In some embodiments, an inflammatory disease, disorder, or condition is an inflammatory or allergic conditions of the skin. In some embodiments, an inflammatory or allergic condition of the skin is selected from psoriasis, contact dermatitis, atopic dermatitis, alopecia areata, erythema multiforma, dermatitis herpetiformis, scleroderma, vitiligo, hypersensitivity angiitis, urticaria, bullous pemphigoid, lupus erythematosus, systemic lupus erythematosus, pemphigus vulgaris, pemphigus foliaceus, paraneoplastic pemphigus, epidermolysis bullosa acquisita, acne vulgaris, and other inflammatory or allergic conditions of the skin.
[00380] In some embodiments, an inflammatory disease, disorder, or condition is a disease or condition having an inflammatory component, for example, diseases and conditions of the eye such as ocular allergy, conjunctivitis, keratoconjunctivitis sicca, uveitis and vernal conjunctivitis, diseases and conditions affecting the nose including allergic rhinitis, and inflammatory disease in which autoimmune reactions are implicated or having an autoimmune component or etiology, including autoimmune hematological disorders (e.g. hemolytic anemia, aplastic anemia, pure red cell anemia and idiopathic thrombocytopenia), systemic lupus erythematosus, rheumatoid arthritis, polychondritis, scleroderma, Wegener granulamatosis, dermatomyositis, chronic hepatitis, myasthenia gravis, Steven-Johnson syndrome, idiopathic sprue, autoimmune inflammatory bowel disease (e.g. ulcerative colitis and Crohn's disease), irritable bowel syndrome, celiac disease, periodontitis, hyaline membrane disease, kidney disease, glomerular disease, alcoholic liver disease, multiple sclerosis, endocrine opthalmopathy, Grave's disease, sarcoidosis, alveolitis, chronic hypersensitivity pneumonitis, multiple sclerosis, primary biliary cirrhosis, uveitis (anterior and posterior), Sjogren’s syndrome, keratoconjunctivitis sicca, uveitis, and vernal keratoconjunctivitis, interstitial lung fibrosis, psoriatic arthritis, systemic juvenile idiopathic arthritis, cryopyrin-associated periodic syndrome, Muckle-Wells syndrome, nephritis, vasculitis, diverticulitis, interstitial cystitis, glomerulonephritis (with and without nephrotic syndrome, e.g. including idiopathic nephrotic syndrome or minal change nephropathy), chronic granulomatous disease, endometriosis, leptospiriosis renal disease, glaucoma, retinal disease, ageing, headache, pain, complex regional pain syndrome, cardiac hypertrophy, musclewasting, catabolic disorders, obesity, fetal growth retardation, intestinal failure, hyperchlolesterolemia, heart disease, chronic heart failure, mesothelioma, anhidrotic ecodermal dysplasia, Behcet’s disease, incontinentia pigmenti, Paget’s disease, acute or chronic pancreatitis, hereditary periodic fever syndrome, asthma (allergic and non-allergic, mild, moderate, severe, bronchitic, and exercise-induced), acute lung injury, acute respiratory distress syndrome, eosinophilia, hypersensitivities, anaphylaxis, nasal sinusitis, ocular allergy, silica induced diseases, COPD (reduction of damage, airways inflammation, bronchial hyperreactivity, remodeling or disease progression), pulmonary disease, cystic fibrosis, acid- induced lung injury, pulmonary hypertension, polyneuropathy, cataracts, muscle inflammation in conjunction with systemic sclerosis, inclusion body myositis, myasthenia gravis, thyroiditis, Addison’s disease, lichen planus, Type 1 diabetes, or Type 2 diabetes, appendicitis, atopic dermatitis, asthma, allergy, blepharitis, bronchiolitis, bronchitis, bursitis,
cervicitis, cholangitis, cholecystitis, chronic graft rejection, colitis, conjunctivitis, Crohn’s disease, cystitis, dacryoadenitis, dermatitis, dermatomyositis, encephalitis, endocarditis, endometritis, enteritis, enterocolitis, epicondylitis, epididymitis, fasciitis, fibrositis, gastritis, gastroenteritis, Henoch-Schonlein purpura, hepatitis, hidradenitis suppurativa, immunoglobulin A nephropathy, interstitial lung disease, laryngitis, mastitis, meningitis, myelitis myocarditis, myositis, nephritis, oophoritis, orchitis, osteitis, otitis, pancreatitis, parotitis, pericarditis, peritonitis, pharyngitis, pleuritis, phlebitis, pneumonitis, pneumonia, polymyositis, proctitis, prostatitis, pyelonephritis, rhinitis, salpingitis, sinusitis, stomatitis, synovitis, tendonitis, tonsillitis, ulcerative colitis, uveitis, vaginitis, vasculitis, or vulvitis.
[00381] In some embodiments, an inflammatory disease, disorder, or condition is acute or chronic graft rejection in kidney, liver, heart, pulmonary transplantation, or graft versus-host disease in bone marrow graft.
[00382] In some embodiments, an inflammatory disease, disorder, or condition is an inflammatory disease, disorder, or condition of the skin. In some embodiments, an inflammatory disease, disorder, or condition of the skin is selected from contact dermatitits, atopic dermatitis, alopecia areata, erythema multiforma, dermatitis herpetiformis, scleroderma, vitiligo, hypersensitivity angiitis, urticaria, bullous pemphigoid, pemphigus vulgaris, pemphigus foliaceus, paraneoplastic pemphigus, epidermolysis bullosa acquisita, and other inflammatory or allergic conditions of the skin.
[00383] In some embodiments, an inflammatory disease, disorder, or condition is selected from acute and chronic gout, chronic gouty arthritis, psoriasis, psoriatic arthritis, rheumatoid arthritis, Juvenile rheumatoid arthritis, Systemic jubenile idiopathic arthritis (SJIA), Cryopyrin Associated Periodic Syndrome (CAPS), Muckle-Wells syndrome, and osteoarthritis.
[00384] In some embodiments, an inflammatory disease, disorder, or condition is a TH17 mediated disease. In some embodiments, a TH17 mediated disease is selected from Systemic lupus erythematosus, Multiple sclerosis, and inflammatory bowel disease (including Crohn’s disease or ulcerative colitis).
[00385] In some embodiments, an inflammatory disease, disorder, or condition is selected from Sjogren’s syndrome, allergic disorders, osteoarthritis, conditions of the eye such as ocular allergy, conjunctivitis, keratoconjunctivitis sicca and vernal conjunctivitis, and diseases affecting the nose such as allergic rhinitis.
[00386] In some embodiments, an inflammatory disease, disorder, or condition is associated with transplantation. In some embodiments, an inflammatory disease, disorder, or condition is associated with organ transplantation, organ transplant rejection, and/or graft versus host disease.
[00387] In some embodiments, an inflammatory disease, disorder, or condition is an autoimmune disorder. In some embodiments an autoimmune disorder is type 1 diabetes, systemic lupus erythematosus, multiple sclerosis, psoriasis, Behçet's disease, POEMS syndrome, Crohn's disease, ulcerative colitis, ankylosing spondylitis, axial spondyloarthritis, primary biliary cirrhosis, autoimmune hepatitis, or inflammatory bowel disease.
[00388] In some embodiments, an inflammatory disease, disorder, or condition is an inflammatory disorder. In some embodiments, an inflammatory disorder is rheumatoid arthritis, asthma, chronic obstructive pulmonary disease, psoriasis, hepatomegaly, Crohn's disease, ulcerative colitis, ankylosing spondylitis, axial spondyloarthritis, primary biliary cirrhosis, polymyalgia rheumatica, giant cell arteritis, or inflammatory bowel disease.
Combination Therapies
[00389] Depending upon the particular condition, or disease, or disorder, to be treated, additional therapeutic agents, which are normally administered to treat that condition, may be administered in combination with compounds and compositions of this invention. As used herein, additional therapeutic agents that are normally administered to treat a particular disease, or disorder, or condition, are known as“appropriate for the disease, or disorder, or condition, being treated.”
[00390] In certain embodiments, a provided combination, or composition thereof, is administered in combination with another therapeutic agent.
[00391] In certain embodiments, combination therapies of the present invention, or a pharmaceutically acceptable composition thereof, are administered in combination with a monoclonal antibody or an siRNA therapeutic.
[00392] Those additional agents may be administered separately from a provided combination therapy, as part of a multiple dosage regimen. Alternatively, those agents may be part of a single dosage form, mixed together with a compound of this invention in a single composition. If administered as part of a multiple dosage regime, the two active agents may be submitted
simultaneously, sequentially or within a period of time from one another normally within five hours from one another.
[00393] As used herein, the term“combination,”“combined,” and related terms refers to the simultaneous or sequential administration of therapeutic agents in accordance with this invention. For example, a combination of the present invention may be administered with another therapeutic agent simultaneously or sequentially in separate unit dosage forms or together in a single unit dosage form.
[00394] The amount of additional therapeutic agent present in the compositions of this invention will be no more than the amount that would normally be administered in a composition comprising that therapeutic agent as the only active agent. Preferably the amount of additional therapeutic agent in the presently disclosed compositions will range from about 50% to 100% of the amount normally present in a composition comprising that agent as the only therapeutically active agent.
[00395] In one embodiment, the present invention provides a composition comprising a compound of formula I and one or more additional therapeutic agents. The therapeutic agent may be administered together with a compound of formula I, or may be administered prior to or following administration of a compound of formula I. Suitable therapeutic agents are described in further detail below. In certain embodiments, a compound of formula I may be administered up to 5 minutes, 10 minutes, 15 minutes, 30 minutes, 1 hour, 2 hours, 3 hours, 4 hours, 5, hours, 6 hours, 7 hours, 8 hours, 9 hours, 10 hours, 11 hours, 12 hours, 13 hours, 14 hours, 15 hours, 16 hours, 17 hours, or 18 hours before the therapeutic agent. In other embodiments, a compound of formula I may be administered up to 5 minutes, 10 minutes, 15 minutes, 30 minutes, 1 hour, 2 hours, 3 hours, 4 hours, 5, hours, 6 hours, 7 hours, 8 hours, 9 hours, 10 hours, 11 hours, 12 hours, 13 hours, 14 hours, 15 hours, 16 hours, 17 hours, or 18 hours following the therapeutic agent.
[00396] In another embodiment, the present invention provides a method of treating a hematological malignancy comprising administering to a patient in need thereof a compound of formula I and one or more additional therapeutic agents selected from rituximab (Rituxan®), cyclophosphamide (Cytoxan®), doxorubicin (Hydrodaunorubicin®), vincristine (Oncovin®), prednisone, a hedgehog signaling inhibitor, a BTK inhibitor, a JAK/pan-JAK inhibitor, a TYK2 inhibitor, a PI3K inhibitor, a SYK inhibitor, and combinations thereof.
[00397] In another embodiment, the present invention provides a method of treating a solid tumor comprising administering to a patient in need thereof a compound of formula I and one or more additional therapeutic agents selected from rituximab (Rituxan®), cyclophosphamide (Cytoxan®), doxorubicin (Hydrodaunorubicin®), vincristine (Oncovin®), prednisone, a hedgehog signaling inhibitor, a BTK inhibitor, a JAK/pan-JAK inhibitor, a TYK2 inhibitor, a PI3K inhibitor, a SYK inhibitor, and combinations thereof.
[00398] In another embodiment, the present invention provides a method of treating a hematological malignancy comprising administering to a patient in need thereof a compound of formula I and a Hedgehog (Hh) signaling pathway inhibitor. In some embodiments, the hematological malignancy is DLBCL (Ramirez et al“Defining causative factors contributing in the activation of hedgehog signaling in diffuse large B-cell lymphoma” Leuk. Res. (2012), published online July 17, and incorporated herein by reference in its entirety).
[00399] In another embodiment, the present invention provides a method of treating diffuse large B-cell lymphoma (DLBCL) comprising administering to a patient in need thereof a compound of formula I and one or more additional therapeutic agents selected from rituximab (Rituxan®), cyclophosphamide (Cytoxan®), doxorubicin (Hydrodaunorubicin®), vincristine (Oncovin®), prednisone, a hedgehog signaling inhibitor, and combinations thereof.
[00400] In another embodiment, the present invention provides a method of treating multiple myeloma comprising administering to a patient in need thereof a compound of formula I and one or more additional therapeutic agents selected from bortezomib (Velcade®), and dexamethasone (Decadron®), a hedgehog signaling inhibitor, a BTK inhibitor, a JAK/pan-JAK inhibitor, a TYK2 inhibitor, a PI3K inhibitor, a SYK inhibitor in combination with lenalidomide (Revlimid®).
[00401] In another embodiment, the present invention provides a method of treating Waldenstrom’s macroglobulinemia comprising administering to a patient in need thereof a compound of formula I and one or more additional therapeutic agents selected from chlorambucil (Leukeran®), cyclophosphamide (Cytoxan®, Neosar®), fiudarabme (Fludara®), cladribine (Leustatin®), rituximab (Rituxan®), a hedgehog signaling inhibitor, a BTK inhibitor, a JAK/pan- JAK inhibitor, a TYK2 inhibitor, a PI3K inhibitor, and a SYK inhibitor.
[00402] In another embodiment, the present invention provides a method of treating or lessening the severity of a disease or disorder comprising administering to a patient in need thereof a compound of formula I and a BTK inhibitor wherein the disease is selected from inflammatory
bowel disease, arthritis, systemic lupus erythematosus (SLE), vasculitis, idiopathic thrombocytopenic purpura (ITP), rheumatoid arthritis, psoriatic arthritis, osteoarthritis, Still’s disease, juvenile arthritis, diabetes, myasthenia gravis, Hashimoto’s thyroiditis, Ord’s thyroiditis, Graves’ disease, autoimmune thyroiditis, Sjogren’s syndrome, multiple sclerosis, systemic sclerosis, Lyme neuroborreliosis, Guillain-Barre syndrome, acute disseminated encephalomyelitis, Addison’s disease, opsoclonus-myoclonus syndrome, ankylosing spondylosis, antiphospholipid antibody syndrome, aplastic anemia, autoimmune hepatitis, autoimmune gastritis, pernicious anemia, celiac disease, Goodpasture’s syndrome, idiopathic thrombocytopenic purpura, optic neuritis, scleroderma, primary biliary cirrhosis, Reiter’s syndrome, Takayasu’s arteritis, temporal arteritis, warm autoimmune hemolytic anemia, Wegener’s granulomatosis, psoriasis, alopecia universalis, Behcet’s disease, chronic fatigue, dysautonomia, membranous glomerulonephropathy, endometriosis, interstitial cystitis, pemphigus vulgaris, bullous pemphigoid, neuromyotonia, scleroderma, vulvodynia, a hyperproliferative disease, rejection of transplanted organs or tissues, Acquired Immunodeficiency Syndrome (AIDS, also known as HIV), type 1 diabetes, graft versus host disease, transplantation, transfusion, anaphylaxis, allergies (e.g., allergies to plant pollens, latex, drugs, foods, insect poisons, animal hair, animal dander, dust mites, or cockroach calyx), type I hypersensitivity, allergic conjunctivitis, allergic rhinitis, and atopic dermatitis, asthma, appendicitis, atopic dermatitis, asthma, allergy, blepharitis, bronchiolitis, bronchitis, bursitis, cervicitis, cholangitis, cholecystitis, chronic graft rejection, colitis, conjunctivitis, Crohn’s disease, cystitis, dacryoadenitis, dermatitis, dermatomyositis, encephalitis, endocarditis, endometritis, enteritis, enterocolitis, epicondylitis, epididymitis, fasciitis, fibrositis, gastritis, gastroenteritis, Henoch-Schonlein purpura, hepatitis, hidradenitis suppurativa, immunoglobulin A nephropathy, interstitial lung disease, laryngitis, mastitis, meningitis, myelitis myocarditis, myositis, nephritis, oophoritis, orchitis, osteitis, otitis, pancreatitis, parotitis, pericarditis, peritonitis, pharyngitis, pleuritis, phlebitis, pneumonitis, pneumonia, polymyositis, proctitis, prostatitis, pyelonephritis, rhinitis, salpingitis, sinusitis, stomatitis, synovitis, tendonitis, tonsillitis, ulcerative colitis, uveitis, vaginitis, vasculitis, or vulvitis, B-cell proliferative disorder, e.g., diffuse large B cell lymphoma, follicular lymphoma, chronic lymphocytic lymphoma, chronic lymphocytic leukemia, acute lymphocytic leukemia, B-cell prolymphocytic leukemia, lymphoplasmacytic lymphoma/Waldenstrom macroglobulinemia, splenic marginal zone lymphoma, multiple myeloma (also known as plasma cell myeloma), non-Hodgkin’s lymphoma, Hodgkin’s
lymphoma, plasmacytoma, extranodal marginal zone B cell lymphoma, nodal marginal zone B cell lymphoma, mantle cell lymphoma, mediastinal (thymic) large B cell lymphoma, intravascular large B cell lymphoma, primary effusion lymphoma, Burkitt lymphoma/leukemia, or lymphomatoid granulomatosis, breast cancer, prostate cancer, or cancer of the mast cells (e.g., mastocytoma, mast cell leukemia, mast cell sarcoma, systemic mastocytosis), bone cancer, colorectal cancer, pancreatic cancer, diseases of the bone and joints including, without limitation, rheumatoid arthritis, seronegative spondyloarthropathies (including ankylosing spondylitis, psoriatic arthritis and Reiter’s disease), Behcet’s disease, Sjogren’s syndrome, systemic sclerosis, osteoporosis, bone cancer, bone metastasis, a thromboembolic disorder, (e.g., myocardial infarct, angina pectoris, reocclusion after angioplasty, restenosis after angioplasty, reocclusion after aortocoronary bypass, restenosis after aortocoronary bypass, stroke, transitory ischemia, a peripheral arterial occlusive disorder, pulmonary embolism, deep venous thrombosis), inflammatory pelvic disease, urethritis, skin sunburn, sinusitis, pneumonitis, encephalitis, meningitis, myocarditis, nephritis, osteomyelitis, myositis, hepatitis, gastritis, enteritis, dermatitis, gingivitis, appendicitis, pancreatitis, cholocystitus, agammaglobulinemia, psoriasis, allergy, Crohn’s disease, irritable bowel syndrome, ulcerative colitis, Sjogren’s disease, tissue graft rejection, hyperacute rejection of transplanted organs, asthma, allergic rhinitis, chronic obstructive pulmonary disease (COPD), autoimmune polyglandular disease (also known as autoimmune polyglandular syndrome), autoimmune alopecia, pernicious anemia, glomerulonephritis, dermatomyositis, multiple sclerosis, scleroderma, vasculitis, autoimmune hemolytic and thrombocytopenic states, Goodpasture’s syndrome, atherosclerosis, Addison’s disease, Parkinson’s disease, Alzheimer’s disease, diabetes, septic shock, systemic lupus erythematosus (SLE), rheumatoid arthritis, psoriatic arthritis, juvenile arthritis, osteoarthritis, chronic idiopathic thrombocytopenic purpura, Waldenstrom macroglobulinemia, myasthenia gravis, Hashimoto’s thyroiditis, atopic dermatitis, degenerative joint disease, vitiligo, autoimmune hypopituitarism, Guillain-Barre syndrome, Behcet’s disease, scleroderma, mycosis fungoides, acute inflammatory responses (such as acute respiratory distress syndrome and ischemia/reperfusion injury), and Graves’ disease.
[00403] In another embodiment, the present invention provides a method of treating or lessening the severity of a disease or disorder comprising administering to a patient in need thereof a compound of formula I and a PI3K inhibitor, wherein the disease is selected from a cancer, a
neurodegenerative disorder, an angiogenic disorder, a viral disease, an autoimmune disease, an inflammatory disorder, a hormone-related disease, conditions associated with organ transplantation, immunodeficiency disorders, a destructive bone disorder, a proliferative disorder an infectious disease, a condition associated with cell death, thrombin-induced platelet aggregation, chronic myelogenous leukemia (CML), chronic lymphocytic leukemia (CLL), liver disease, pathologic immune conditions involving T cell activation, a cardiovascular disorder and a CNS disorder
[00404] In another embodiment, the present invention provides a method of treating or lessening the severity of a disease or disorder comprising administering to a patient in need thereof a compound of formula I and a PI3K inhibitor, wherein the disease is selected from benign or malignant tumor, carcinoma or solid tumor of the brain, kidney (e.g., renal cell carcinoma (RCC)), liver, adrenal gland, bladder, breast, stomach, gastric tumors, ovaries, colon, rectum, prostate, pancreas, lung, vagina, endometrium, cervix, testis, genitourinary tract, esophagus, larynx, skin, bone or thyroid, sarcoma, glioblastomas, neuroblastomas, multiple myeloma or gastrointestinal cancer, especially colon carcinoma or colorectal adenoma or a tumor of the neck and head, an epidermal hyperproliferation, psoriasis, prostate hyperplasia, a neoplasia, a neoplasia of epithelial character, adenoma, adenocarcinoma, keratoacanthoma, epidermoid carcinoma, large cell carcinoma, non-small-cell lung carcinoma, lymphomas, (including, for example, non-Hodgkin’s Lymphoma (NHL) and Hodgkin’s lymphoma (also termed Hodgkin’s or Hodgkin’s disease)), a mammary carcinoma, follicular carcinoma, undifferentiated carcinoma, papillary carcinoma, seminoma, melanoma, or a leukemia, diseases include Cowden syndrome, Lhermitte-Dudos disease and Bannayan-Zonana syndrome, or diseases in which the PI3K/PKB pathway is aberrantly activated, asthma of whatever type or genesis including both intrinsic (non-allergic) asthma and extrinsic (allergic) asthma, mild asthma, moderate asthma, severe asthma, bronchitic asthma, exercise-induced asthma, occupational asthma and asthma induced following bacterial infection, acute lung injury (ALI), adult/acute respiratory distress syndrome (ARDS), chronic obstructive pulmonary, airways or lung disease (COPD, COAD or COLD), including chronic bronchitis or dyspnea associated therewith, emphysema, as well as exacerbation of airways hyperreactivity consequent to other drug therapy, in particular other inhaled drug therapy, bronchitis of whatever type or genesis including, but not limited to, acute, arachidic, catarrhal, croupus, chronic or phthinoid bronchitis, pneumoconiosis (an inflammatory, commonly
occupational, disease of the lungs, frequently accompanied by airways obstruction, whether chronic or acute, and occasioned by repeated inhalation of dusts) of whatever type or genesis, including, for example, aluminosis, anthracosis, asbestosis, chalicosis, ptilosis, siderosis, silicosis, tabacosis and byssinosis, Loffler's syndrome, eosinophilic, pneumonia, parasitic (in particular metazoan) infestation (including tropical eosinophilia), bronchopulmonary aspergillosis, polyarteritis nodosa (including Churg-Strauss syndrome), eosinophilic granuloma and eosinophil- related disorders affecting the airways occasioned by drug-reaction, psoriasis, contact dermatitis, atopic dermatitis, alopecia areata, erythema multiforma, dermatitis herpetiformis, scleroderma, vitiligo, hypersensitivity angiitis, urticaria, bullous pemphigoid, lupus erythematosus, pemphigus, epidermolysis bullosa acquisita, conjunctivitis, keratoconjunctivitis sicca, and vernal conjunctivitis, diseases affecting the nose including allergic rhinitis, and inflammatory disease in which autoimmune reactions are implicated or having an autoimmune component or etiology, including autoimmune hematological disorders (e.g. hemolytic anemia, aplastic anemia, pure red cell anemia and idiopathic thrombocytopenia), systemic lupus erythematosus, rheumatoid arthritis, polychondritis, scleroderma, Wegener granulamatosis, dermatomyositis, chronic active hepatitis, myasthenia gravis, Steven-Johnson syndrome, idiopathic sprue, autoimmune inflammatory bowel disease (e.g. ulcerative colitis and Crohn's disease), endocrine opthalmopathy, Grave's disease, sarcoidosis, alveolitis, chronic hypersensitivity pneumonitis, multiple sclerosis, primary biliary cirrhosis, uveitis (anterior and posterior), keratoconjunctivitis sicca and vernal keratoconjunctivitis, interstitial lung fibrosis, psoriatic arthritis and glomerulonephritis (with and without nephrotic syndrome, e.g. including idiopathic nephrotic syndrome or minal change nephropathy, restenosis, cardiomegaly, atherosclerosis, myocardial infarction, ischemic stroke and congestive heart failure, Alzheimer's disease, Parkinson's disease, amyotrophic lateral sclerosis, Huntington's disease, and cerebral ischemia, and neurodegenerative disease caused by traumatic injury, glutamate neurotoxicity and hypoxia.
[00405] The compounds and compositions, according to the method of the present invention, may be administered using any amount and any route of administration effective for treating or lessening the severity of a cancer, an autoimmune disorder, a proliferative disorder, an inflammatory disorder, a neurodegenerative or neurological disorder, schizophrenia, a bone- related disorder, liver disease, or a cardiac disorder. The exact amount required will vary from subject to subject, depending on the species, age, and general condition of the subject, the severity
of the infection, the particular agent, its mode of administration, and the like. Compounds of the invention are preferably formulated in dosage unit form for ease of administration and uniformity of dosage. The expression "dosage unit form" as used herein refers to a physically discrete unit of agent appropriate for the patient to be treated. It will be understood, however, that the total daily usage of the compounds and compositions of the present invention will be decided by the attending physician within the scope of sound medical judgment. The specific effective dose level for any particular patient or organism will depend upon a variety of factors including the disorder being treated and the severity of the disorder; the activity of the specific compound employed; the specific composition employed; the age, body weight, general health, sex and diet of the patient; the time of administration, route of administration, and rate of excretion of the specific compound employed; the duration of the treatment; drugs used in combination or coincidental with the specific compound employed, and like factors well known in the medical arts. The term“patient”, as used herein, means an animal, preferably a mammal, and most preferably a human.
[00406] Pharmaceutically acceptable compositions of this invention can be administered to humans and other animals orally, rectally, parenterally, intracisternally, intravaginally, intraperitoneally, topically (as by powders, ointments, or drops), buccally, as an oral or nasal spray, or the like, depending on the severity of the infection being treated. In certain embodiments, the compounds of the invention may be administered orally or parenterally at dosage levels of about 0.01 mg/kg to about 50 mg/kg and preferably from about 1 mg/kg to about 25 mg/kg, of subject body weight per day, one or more times a day, to obtain the desired therapeutic effect.
[00407] Liquid dosage forms for oral administration include, but are not limited to, pharmaceutically acceptable emulsions, microemulsions, solutions, suspensions, syrups and elixirs. In addition to the active compounds, the liquid dosage forms may contain inert diluents commonly used in the art such as, for example, water or other solvents, solubilizing agents and emulsifiers such as ethyl alcohol, isopropyl alcohol, ethyl carbonate, ethyl acetate, benzyl alcohol, benzyl benzoate, propylene glycol, 1,3 -butylene glycol, dimethylformamide, oils (in particular, cottonseed, groundnut, corn, germ, olive, castor, and sesame oils), glycerol, tetrahydrofurfuryl alcohol, polyethylene glycols and fatty acid esters of sorbitan, and mixtures thereof. Besides inert diluents, the oral compositions can also include adjuvants such as wetting agents, emulsifying and suspending agents, sweetening, flavoring, and perfuming agents.
[00408] Injectable preparations, for example, sterile injectable aqueous or oleaginous suspensions may be formulated according to the known art using suitable dispersing or wetting agents and suspending agents. The sterile injectable preparation may also be a sterile injectable solution, suspension or emulsion in a nontoxic parenterally acceptable diluent or solvent, for example, as a solution in 1,3-butanediol. Among the acceptable vehicles and solvents that may be employed are water, Ringer's solution, U.S.P. and isotonic sodium chloride solution. In addition, sterile, fixed oils are conventionally employed as a solvent or suspending medium. For this purpose any bland fixed oil can be employed including synthetic mono- or diglycerides. In addition, fatty acids such as oleic acid are used in the preparation of injectables.
[00409] Injectable formulations can be sterilized, for example, by filtration through a bacterial- retaining filter, or by incorporating sterilizing agents in the form of sterile solid compositions which can be dissolved or dispersed in sterile water or other sterile injectable medium prior to use.
[00410] In order to prolong the effect of a compound of the present invention, it is often desirable to slow the absorption of the compound from subcutaneous or intramuscular injection. This may be accomplished by the use of a liquid suspension of crystalline or amorphous material with poor water solubility. The rate of absorption of the compound then depends upon its rate of dissolution that, in turn, may depend upon crystal size and crystalline form. Alternatively, delayed absorption of a parenterally administered compound form is accomplished by dissolving or suspending the compound in an oil vehicle. Injectable depot forms are made by forming microencapsulated matrices of the compound in biodegradable polymers such as polylactide- polyglycolide. Depending upon the ratio of compound to polymer and the nature of the particular polymer employed, the rate of compound release can be controlled. Examples of other biodegradable polymers include poly(orthoesters) and poly(anhydrides). Depot injectable formulations are also prepared by entrapping the compound in liposomes or microemulsions that are compatible with body tissues.
[00411] Compositions for rectal or vaginal administration are preferably suppositories which can be prepared by mixing the compounds of this invention with suitable non-irritating excipients or carriers such as cocoa butter, polyethylene glycol or a suppository wax which are solid at ambient temperature but liquid at body temperature and therefore melt in the rectum or vaginal cavity and release the active compound.
[00412] Solid dosage forms for oral administration include capsules, tablets, pills, powders, and granules. In such solid dosage forms, the active compound is mixed with at least one inert, pharmaceutically acceptable excipient or carrier such as sodium citrate or dicalcium phosphate and/or a) fillers or extenders such as starches, lactose, sucrose, glucose, mannitol, and silicic acid, b) binders such as, for example, carboxymethylcellulose, alginates, gelatin, polyvinylpyrrolidinone, sucrose, and acacia, c) humectants such as glycerol, d) disintegrating agents such as agar—, calcium carbonate, potato or tapioca starch, alginic acid, certain silicates, and sodium carbonate, e) solution retarding agents such as paraffin, f) absorption accelerators such as quaternary ammonium compounds, g) wetting agents such as, for example, cetyl alcohol and glycerol monostearate, h) absorbents such as kaolin and bentonite clay, and i) lubricants such as talc, calcium stearate, magnesium stearate, solid polyethylene glycols, sodium lauryl sulfate, and mixtures thereof. In the case of capsules, tablets and pills, the dosage form may also comprise buffering agents.
[00413] Solid compositions of a similar type may also be employed as fillers in soft and hard- filled gelatin capsules using such excipients as lactose or milk sugar as well as high molecular weight polyethylene glycols and the like. The solid dosage forms of tablets, dragees, capsules, pills, and granules can be prepared with coatings and shells such as enteric coatings and other coatings well known in the pharmaceutical formulating art. They may optionally contain opacifying agents and can also be of a composition that they release the active ingredient(s) only, or preferentially, in a certain part of the intestinal tract, optionally, in a delayed manner. Examples of embedding compositions that can be used include polymeric substances and waxes. Solid compositions of a similar type may also be employed as fillers in soft and hard-filled gelatin capsules using such excipients as lactose or milk sugar as well as high molecular weight polethylene glycols and the like.
[00414] The active compounds can also be in micro-encapsulated form with one or more excipients as noted above. The solid dosage forms of tablets, dragees, capsules, pills, and granules can be prepared with coatings and shells such as enteric coatings, release controlling coatings and other coatings well known in the pharmaceutical formulating art. In such solid dosage forms the active compound may be admixed with at least one inert diluent such as sucrose, lactose or starch. Such dosage forms may also comprise, as is normal practice, additional substances other than inert diluents, e.g., tableting lubricants and other tableting aids such a magnesium stearate and
microcrystalline cellulose. In the case of capsules, tablets and pills, the dosage forms may also comprise buffering agents. They may optionally contain opacifying agents and can also be of a composition that they release the active ingredient(s) only, or preferentially, in a certain part of the intestinal tract, optionally, in a delayed manner. Examples of embedding compositions that can be used include polymeric substances and waxes.
[00415] Dosage forms for topical or transdermal administration of a compound of this invention include ointments, pastes, creams, lotions, gels, powders, solutions, sprays, inhalants or patches. The active component is admixed under sterile conditions with a pharmaceutically acceptable carrier and any needed preservatives or buffers as may be required. Ophthalmic formulation, ear drops, and eye drops are also contemplated as being within the scope of this invention. Additionally, the present invention contemplates the use of transdermal patches, which have the added advantage of providing controlled delivery of a compound to the body. Such dosage forms can be made by dissolving or dispensing the compound in the proper medium. Absorption enhancers can also be used to increase the flux of the compound across the skin. The rate can be controlled by either providing a rate controlling membrane or by dispersing the compound in a polymer matrix or gel.
[00416] According to one embodiment, the invention relates to a method of inhibiting carbonic anhydrase activity in a biological sample comprising the step of contacting said biological sample with a compound of this invention, or a composition comprising said compound.
[00417] According to another embodiment, the invention relates to a method of inhibiting metalloprotease activity in a biological sample comprising the step of contacting said biological sample with a compound of this invention, or a composition comprising said compound.
[00418] According to another embodiment, the invention relates to a method of inhibiting integrin activity in a biological sample comprising the step of contacting said biological sample with a compound of this invention, or a composition comprising said compound.
[00419] According to another embodiment, the invention relates to a method of inhibiting MT1 - MMP, or a mutant thereof, activity in a biological sample comprising the step of contacting said biological sample with a compound of this invention, or a composition comprising said compound.
[00420] The term“biological sample”, as used herein, includes, without limitation, cell cultures or extracts thereof; biopsied material obtained from a mammal or extracts thereof; and blood, saliva, urine, feces, semen, tears, or other body fluids or extracts thereof.
[00421] Inhibition of MT1-MMP, or a mutant thereof, activity in a biological sample is useful for a variety of purposes that are known to one of skill in the art. Examples of such purposes include, but are not limited to, biological assays.
[00422] Another embodiment of the present invention relates to a method of inhibiting metalloprotease activity in a patient comprising the step of administering to said patient a compound of the present invention, or a composition comprising said compound.
[00423] According to another embodiment, the invention relates to a method of inhibiting MT1 - MMP, or a mutant thereof, activity in a patient comprising the step of administering to said patient a compound of the present invention, or a composition comprising said compound.
[00424] Depending upon the particular condition, or disease, or disorder, to be treated, additional therapeutic agents that are normally administered to treat that condition, may also be present in the compositions of this invention. As used herein, additional therapeutic agents that are normally administered to treat a particular disease, or disorder, or condition, are known as “appropriate for the disease, or disorder, or condition, being treated.”
[00425] A compound of the current invention may also be used to advantage in combination with other antiproliferative compounds. Such antiproliferative compounds include, but are not limited to aromatase inhibitors; antiestrogens; topoisomerase I inhibitors; topoisomerase II inhibitors; microtubule active compounds; alkylating compounds; histone deacetylase inhibitors; compounds which induce cell differentiation processes; cyclooxygenase inhibitors; MMP inhibitors; mTOR inhibitors; antineoplastic antimetabolites; platin compounds; compounds targeting/decreasing a protein or lipid kinase activity and further anti-angiogenic compounds; compounds which target, decrease or inhibit the activity of a protein or lipid phosphatase; gonadorelin agonists; anti-androgens; methionine aminopeptidase inhibitors; matrix metalloproteinase inhibitors; bisphosphonates; biological response modifiers; antiproliferative antibodies; heparanase inhibitors; inhibitors of Ras oncogenic isoforms; telomerase inhibitors; proteasome inhibitors; compounds used in the treatment of hematologic malignancies; compounds which target, decrease or inhibit the activity of Flt-3; Hsp90 inhibitors such as 17-AAG (17- allylaminogeldanamycin, NSC330507), 17-DMAG (17-dimethylaminoethylamino-17- demethoxy-geldanamycin, NSC707545), IPI-504, CNFIOIO, CNF2024, CNFIOIO from Conforma Therapeutics; temozolomide (Temodal®); kinesin spindle protein inhibitors, such as SB715992 or SB743921 from GlaxoSmithKline, or pentamidine/chlorpromazine from
CombinatoRx; MEK inhibitors such as ARRY142886 from Array BioPharma, AZD6244 from AstraZeneca, PD181461 from Pfizer and leucovorin. The term "aromatase inhibitor" as used herein relates to a compound which inhibits estrogen production, for instance, the conversion of the substrates androstenedione and testosterone to estrone and estradiol, respectively. The term includes, but is not limited to steroids, especially atamestane, exemestane and formestane and, in particular, non-steroids, especially aminoglutethimide, roglethimide, pyridoglutethimide, trilostane, testolactone, ketokonazole, vorozole, fadrozole, anastrozole and letrozole. Exemestane is marketed under the trade name Aromasin™. Formestane is marketed under the trade name Lentaron™. Fadrozole is marketed under the trade name Afema™. Anastrozole is marketed under the trade name Arimidex™. Letrozole is marketed under the trade names Femara™ or Femar™. Aminoglutethimide is marketed under the trade name Orimeten™. A combination of the invention comprising a chemotherapeutic agent which is an aromatase inhibitor is particularly useful for the treatment of hormone receptor positive tumors, such as breast tumors.
[00426] The term "antiestrogen" as used herein relates to a compound which antagonizes the effect of estrogens at the estrogen receptor level. The term includes, but is not limited to tamoxifen, fulvestrant, raloxifene and raloxifene hydrochloride. Tamoxifen is marketed under the trade name Nolvadex™. Raloxifene hydrochloride is marketed under the trade name Evista™. Fulvestrant can be administered under the trade name Faslodex™. A combination of the invention comprising a chemotherapeutic agent which is an antiestrogen is particularly useful for the treatment of estrogen receptor positive tumors, such as breast tumors.
[00427] The term "anti-androgen" as used herein relates to any substance which is capable of inhibiting the biological effects of androgenic hormones and includes, but is not limited to, bicalutamide (Casodex™). The term "gonadorelin agonist" as used herein includes, but is not limited to abarelix, goserelin and goserelin acetate. Goserelin can be administered under the trade name Zoladex™.
[00428] The term "topoisomerase I inhibitor" as used herein includes, but is not limited to topotecan, gimatecan, irinotecan, camptothecin and its analogues, 9-nitrocamptothecin and the macromolecular camptothecin conjugate PNU-166148. Irinotecan can be administered, e.g. in the form as it is marketed, e.g. under the trademark Camptosar™. Topotecan is marketed under the trade name Hycamptin™.
[00429] The term "topoisomerase II inhibitor" as used herein includes, but is not limited to the anthracyclines such as doxorubicin (including liposomal formulation, such as Caelyx™), daunorubicin, epirubicin, idarubicin and nemorubicin, the anthraquinones mitoxantrone and losoxantrone, and the podophillotoxines etoposide and teniposide. Etoposide is marketed under the trade name Etopophos™. Teniposide is marketed under the trade name VM 26-Bristol Doxorubicin is marketed under the trade name Acriblastin™ or Adriamycin™. Epirubicin is marketed under the trade name Farmorubicin™. Idarubicin is marketed under the trade name Zavedos™. Mitoxantrone is marketed under the trade name Novantron.
[00430] The term "microtubule active agent" relates to microtubule stabilizing, microtubule destabilizing compounds and microtubulin polymerization inhibitors including, but not limited to taxanes, such as paclitaxel and docetaxel; vinca alkaloids, such as vinblastine or vinblastine sulfate, vincristine or vincristine sulfate, and vinorelbine; discodermolides; colchicine and epothilones and derivatives thereof. Pacbtaxel is marketed under the trade name Taxol™. Docetaxel is marketed under the trade name Taxotere™. Vinblastine sulfate is marketed under the trade name Vinblastin R.P™. Vincristine sulfate is marketed under the trade name Farmistin™.
[00431] The term "alkylating agent" as used herein includes, but is not limited to, cyclophosphamide, ifosfamide, melphalan or nitrosourea (BCNU or Gliadel). Cyclophosphamide is marketed under the trade name Cyclostin™. Ifosfamide is marketed under the trade name Holoxan™.
[00432] The term "histone deacetylase inhibitors" or "HD AC inhibitors" relates to compounds which inhibit the histone deacetylase and which possess antiproliferative activity. This includes, but is not limited to, suberoylanilide hydroxamic acid (SAHA).
[00433] The term "antineoplastic antimetabolite" includes, but is not limited to, 5-fluorouracil or 5-FU, capecitabine, gemcitabine, DNA demethylating compounds, such as 5-azacytidine and decitabine, methotrexate and edatrexate, and folic acid antagonists such as pemetrexed. Capecitabine is marketed under the trade name Xeloda™. Gemcitabine is marketed under the trade name Gemzar™.
[00434] The term "platin compound" as used herein includes, but is not limited to, carboplatin, cis-platin, cisplatinum and oxaliplatin. Carboplatin can be administered, e.g., in the form as it is marketed, e.g. under the trademark Carboplat™. Oxaliplatin can be administered, e.g., in the form as it is marketed, e.g. under the trademark Eloxatin™.
[00435] The term "compounds targeting/decreasing a protein or lipid kinase activity; or a protein or lipid phosphatase activity; or further anti-angiogenic compounds" as used herein includes, but is not limited to, protein tyrosine kinase and/or serine and/or threonine kinase inhibitors or lipid kinase inhibitors, such as a) compounds targeting, decreasing or inhibiting the activity of the platelet-derived growth factor-receptors (PDGFR), such as compounds which target, decrease or inhibit the activity of PDGFR, especially compounds which inhibit the PD GF receptor, such as an N-phenyl-2-pyrimidine-amine derivative, such as imatinib, SU101, SU6668 and GFB- 111 ; b) compounds targeting, decreasing or inhibiting the activity of the fibroblast growth factor- receptors (FGFR); c) compounds targeting, decreasing or inhibiting the activity of the insulin-like growth factor receptor I (IGF-IR), such as compounds which target, decrease or inhibit the activity of IGF-IR, especially compounds which inhibit the kinase activity of IGF -I receptor, or antibodies that target the extracellular domain of IGF -I receptor or its growth factors; d) compounds targeting, decreasing or inhibiting the activity of the Trk receptor tyrosine kinase family, or ephrin B4 inhibitors; e) compounds targeting, decreasing or inhibiting the activity of the Axl receptor tyrosine kinase family; f) compounds targeting, decreasing or inhibiting the activity of the Ret receptor tyrosine kinase; g) compounds targeting, decreasing or inhibiting the activity of the Kit/SCFR receptor tyrosine kinase, such as imatinib; h) compounds targeting, decreasing or inhibiting the activity of the C-kit receptor tyrosine kinases, which are part of the PDGFR family, such as compounds which target, decrease or inhibit the activity of the c-Kit receptor tyrosine kinase family, especially compounds which inhibit the c-Kit receptor, such as imatinib; i) compounds targeting, decreasing or inhibiting the activity of members of the c-Abl family, their gene-fusion products (e.g. BCR-Abl kinase) and mutants, such as compounds which target decrease or inhibit the activity of c-Abl family members and their gene fusion products, such as an N-phenyl-2-pyrimidine-amine derivative, such as imatinib or nilotinib (AMN107); PD180970; AG957; NSC 680410; PD173955 from ParkeDavis; or dasatinib (BMS-354825); j) compounds targeting, decreasing or inhibiting the activity of members of the protein kinase C (PKC) and Raf family of serine/threonine kinases, members of the MEK, SRC, JAK/pan-JAK, FAK, PDK1, PKB/Akt, Ras/MAPK, PI3K, SYK, TYK2, BTK and TEC family, and/or members of the cyclin- dependent kinase family (CDK) including staurosporine derivatives, such as midostaurin; examples of further compounds include UCN-01, safingol, BAY 43-9006, Bryostatin 1, Perifosine; Ilmofosme; RO 318220 and RO 320432; GO 6976; Isis 3521 ; LY333531/LY379196;
isochinoline compounds; FTIs; PD184352 or QAN697 (a P13K inhibitor) or AT7519 (CDK inhibitor); k) compounds targeting, decreasing or inhibiting the activity of protein-tyrosine kinase inhibitors, such as compounds which target, decrease or inhibit the activity of protein-tyrosine kinase inhibitors include imatinib mesylate (Gleevec™) or tyrphostin such as Tyrphostin A23/RG- 50810; AG 99; Tyrphostin AG 213; Tyrphostin AG 1748; Tyrphostin AG 490; Tyrphostin B44; Tyrphostin B44 (+) enantiomer; Tyrphostin AG 555; AG 494; Tyrphostin AG 556, AG957 and adaphostin (4- {[(2,5- dihydroxyphenyl)methyl]amino} -benzoic acid adamantyl ester; NSC 680410, adaphostin); 1) compounds targeting, decreasing or inhibiting the activity of the epidermal growth factor family of receptor tyrosine kinases (EGFRi ErbB2, ErbB3, ErbB4 as homo- or heterodimers) and their mutants, such as compounds which target, decrease or inhibit the activity of the epidermal growth factor receptor family are especially compounds, proteins or antibodies which inhibit members of the EGF receptor tyrosine kinase family, such as EGF receptor, ErbB2, ErbB3 and ErbB4 or bind to EGF or EGF related ligands, CP 358774, ZD 1839, ZM 105180; trastuzumab (Herceptin™), cetuximab (Erbitux™), Iressa, Tarceva, OSI-774, Cl-1033, EKB-569, GW-2016, El. l, E2.4, E2.5, E6.2, E6.4, E2.11, E6.3 or E7.6.3, and 7H-pyrrolo-[2,3-d]pyrimidme derivatives; m) compounds targeting, decreasing or inhibiting the activity of the c-Met receptor, such as compounds which target, decrease or inhibit the activity of c-Met, especially compounds which inhibit the kinase activity of c-Met receptor, or antibodies that target the extracellular domain of c-Met or bind to HGF, n) compounds targeting, decreasing or inhibiting the kinase activity of one or more JAK family members (JAK1/JAK2/JAK3/TYK2 and/or pan-JAK), including but not limited to PRT-062070, SB-1578, baricitinib, pacritinib, momelotinib, VX-509, AZD-1480, TG-101348, tofacitinib, and ruxolitinib; o) compounds targeting, decreasing or inhibiting the kinase activity of PI3 kinase (PI3K) including but not limited to ATO-027, SF-1126, DS-7423, PBI-05204, GSK-2126458, ZSTK-474, buparlisib, pictrehsib, PF-4691502, BYL-719, dactolisib, XL- 147, XL-765, and idelalisib; and; and q) compounds targeting, decreasing or inhibiting the signaling effects of hedgehog protein (Hh) or smoothened receptor (SMO) pathways, including but not limited to cyclopamine, vismodegib, itraconazole, erismodegib, and IPI-926 (saridegib).
[00436] The term“PI3K inhibitor” as used herein includes, but is not limited to compounds having inhibitory activity against one or more enzymes in the phosphatidylinositol-3-kinase family, including, but not limited to RI3Ka, RI3Kg, PI3K5, RI3Kb, PI3K-C2a, PI3K-C2P, PI3K-
C2y, Vps34, pi 10-a, pi 10-b, pi 10-g, r110-d, p85-a, r85-b, r55-g, pi 50, pi 01, and p87. Examples of PI3K inhibitors useful in this invention include but are not limited to ATU-027, SF-1126, DS- 7423, PBI-05204, GSK-2126458, ZSTK-474, buparhsib, pictrebsib, PF-4691502, BYF-719, dactobsib, XF-147, XF-765, and idelalisib.
[00437] The term“BTK inhibitor” as used herein includes, but is not limited to compounds having inhibitory activity against Bruton’s Tyrosine Kinase (BTK), including, but not limited to AVF-292 and ibrutinib.
[00438] The term“SYK inhibitor” as used herein includes, but is not limited to compounds having inhibitory activity against spleen tyrosine kinase (SYK), including but not limited to PRT- 062070, R-343, R-333, Excellair, PRT-062607, and fostamatinib
[00439] Further examples of BTK inhibitory compounds, and conditions treatable by such compounds in combination with compounds of this invention can be found in W02008039218 and WO2011090760, the entirety of which are incorporated herein by reference.
[00440] Further examples of SYK inhibitory compounds, and conditions treatable by such compounds in combination with compounds of this invention can be found in W02003063794, W02005007623, and W02006078846, the entirety of which are incorporated herein by reference.
[00441] Further examples of PI3K inhibitory compounds, and conditions treatable by such compounds in combination with compounds of this invention can be found in W02004019973, W02004089925, W02007016176, US8138347, W02002088112, W02007084786,
W02007129161, W02006122806, W02005113554, and W02007044729 the entirety of which are incorporated herein by reference.
[00442] Further examples of JAK inhibitory compounds, and conditions treatable by such compounds in combination with compounds of this invention can be found in W02009114512, W02008109943, W02007053452, W02000142246, and W02007070514, the entirety of which are incorporated herein by reference.
[00443] Further anti-angiogenic compounds include compounds having another mechanism for their activity, e.g. unrelated to protein or lipid kinase inhibition e.g. thalidomide (Thalomid™) and TNP-470.
[00444] Examples of proteasome inhibitors useful for use in combination with compounds of the invention include, but are not limited to bortezomib, disulfiram, epigallocatechin-3-gallate (EGCG), salinosporamide A, carfilzomib, ONX-0912, CEP-18770, and MFN9708.
[00445] Compounds which target, decrease or inhibit the activity of a protein or lipid phosphatase are e.g. inhibitors of phosphatase 1, phosphatase 2A, or CDC25, such as okadaic acid or a derivative thereof.
[00446] Compounds which induce cell differentiation processes include, but are not limited to, retinoic acid, a- g- or d- tocopherol or a- g- or d-tocotrienol.
[00447] The term cyclooxygenase inhibitor as used herein includes, but is not limited to, Cox- 2 inhibitors, 5-alkyl substituted 2-arylaminophenylacetic acid and derivatives, such as celecoxib (Celebrex™), rofecoxib (Vioxx™), etoricoxib, valdecoxib or a 5-alkyl-2- arylaminophenylacetic acid, such as 5-methyl-2-(2'-chloro-6'-fluoroanilino)phenyl acetic acid, lumiracoxib.
[00448] The term "bisphosphonates" as used herein includes, but is not limited to, etridonic, clodronic, tiludronic, pamidronic, alendronic, ibandronic, risedronic and zoledronic acid. Etridonic acid is marketed under the trade name Didronel™. Clodronic acid is marketed under the trade name Bonefos™. Tiludronic acid is marketed under the trade name Skelid™. Pamidronic acid is marketed under the trade name Aredia™. Alendronic acid is marketed under the trade name Fosamax™. Ibandronic acid is marketed under the trade name Bondranat™. Risedronic acid is marketed under the trade name Actonel™. Zoledronic acid is marketed under the trade name Zometa™. The term "mTOR inhibitors" relates to compounds which inhibit the mammalian target of rapamycin (mTOR) and which possess antiproliferative activity such as sirolimus (Rapamune®), everolimus (Certican™), CCI-779 and ABT578.
[00449] The term "heparanase inhibitor" as used herein refers to compounds which target, decrease or inhibit heparin sulfate degradation. The term includes, but is not limited to, PI-88. The term "biological response modifier" as used herein refers to a lymphokine or interferons.
[00450] The term "inhibitor of Ras oncogenic isoforms", such as H-Ras, K-Ras, or N-Ras, as used herein refers to compounds which target, decrease or inhibit the oncogenic activity of Ras; for example, a "farnesyl transferase inhibitor" such as L-744832, DK8G557 or R115777 (Zarnestra™). The term "telomerase inhibitor" as used herein refers to compounds which target, decrease or inhibit the activity of telomerase. Compounds which target, decrease or inhibit the activity of telomerase are especially compounds which inhibit the telomerase receptor, such as telomestatin.
[00451] The term "methionine aminopeptidase inhibitor" as used herein refers to compounds which target, decrease or inhibit the activity of methionine aminopeptidase. Compounds which
target, decrease or inhibit the activity of methionine aminopeptidase include, but are not limited to, bengamide or a derivative thereof.
[00452] The term "proteasome inhibitor" as used herein refers to compounds which target, decrease or inhibit the activity of the proteasome. Compounds which target, decrease or inhibit the activity of the proteasome include, but are not limited to, Bortezomib (Velcade™) and MLN 341.
[00453] The term "matrix metalloproteinase inhibitor" or ("MMP" inhibitor) as used herein includes, but is not limited to, collagen peptidomimetic and nonpeptidomimetic inhibitors, tetracycline derivatives, e.g. hydroxamate peptidomimetic inhibitor batimastat and its orally bioavailable analogue marimastat (BB-2516), prinomastat (AG3340), metastat (NSC 683551) BMS-279251 , BAY 12-9566, TAA211 , MMI270B or AAJ996.
[00454] The term "compounds used in the treatment of hematologic malignancies" as used herein includes, but is not limited to, FMS-like tyrosine kinase inhibitors, which are compounds targeting, decreasing or inhibiting the activity of FMS-like tyrosine kinase receptors (Flt-3R); interferon, I-b-D-arabinofuransylcytosine (ara-c) and bisulfan; and ALK inhibitors, which are compounds which target, decrease or inhibit anaplastic lymphoma kinase.
[00455] Compounds which target, decrease or inhibit the activity of FMS-like tyrosine kinase receptors (Flt-3R) are especially compounds, proteins or antibodies which inhibit members of the Flt-3R receptor kinase family, such as PKC412, midostaurin, a staurosporine derivative, SU11248 and MLN518.
[00456] The term "HSP90 inhibitors" as used herein includes, but is not limited to, compounds targeting, decreasing or inhibiting the intrinsic ATPase activity of HSP90; degrading, targeting, decreasing or inhibiting the HSP90 client proteins via the ubiquitin proteosome pathway. Compounds targeting, decreasing or inhibiting the intrinsic ATPase activity of HSP90 are especially compounds, proteins or antibodies which inhibit the ATPase activity of HSP90, such as 17-allylamino,17-demethoxygeldanamycin (17AAG), a geldanamycin derivative; other geldanamycin related compounds; radicicol and HD AC inhibitors.
[00457] The term "antiproliferative antibodies" as used herein includes, but is not limited to, trastuzumab (Herceptin™), Trastuzumab-DMl, erbitux, bevacizumab (Avastin™), rituximab (Rituxan®), PR064553 (anti-CD40) and 2C4 Antibody. By antibodies is meant intact monoclonal antibodies, polyclonal antibodies, multispecific antibodies formed from at least 2 intact antibodies, and antibodies fragments so long as they exhibit the desired biological activity.
[00458] For the treatment of acute myeloid leukemia (AML), compounds of the current invention can be used in combination with standard leukemia therapies, especially in combination with therapies used for the treatment of AML. In particular, compounds of the current invention can be administered in combination with, for example, farnesyl transferase inhibitors and/or other drugs useful for the treatment of AML, such as Daunorubicin, Adriamycin, Ara-C, VP- 16, Teniposide, Mitoxantrone, Idarubicin, Carboplatinum and PKC412.
[00459] Other anti-leukemic compounds include, for example, Ara-C, a pyrimidine analog, which is the 2 -alpha-hydroxy ribose (arabinoside) derivative of deoxycytidine. Also included is the purine analog of hypoxanthine, 6-mercaptopurine (6-MP) and fludarabine phosphate. Compounds which target, decrease or inhibit activity of histone deacetylase (HD AC) inhibitors such as sodium butyrate and suberoylanilide hydroxamic acid (SAHA) inhibit the activity of the enzymes known as histone deacetylases. Specific HDAC inhibitors include MS275, SAHA, FK228 (formerly FR901228), Trichostatin A and compounds disclosed in US 6,552,065 including, but not limited to, N-hydroxy-3-[4-[[[2-(2-methyl-lH-indol-3-yl)-ethyl]- amino]methyl]phenyl]- 2E-2-propenamide, or a pharmaceutically acceptable salt thereof and N-hydroxy-3-[4-[(2- hydroxyethyl) {2-(lH-indol-3-yl)ethyl]-amino]methyl]phenyl]-2E-2- propenamide, or a pharmaceutically acceptable salt thereof, especially the lactate salt. Somatostatin receptor antagonists as used herein refer to compounds which target, treat or inhibit the somatostatin receptor such as octreotide, and SOM230. Tumor cell damaging approaches refer to approaches such as ionizing radiation. The term "ionizing radiation" referred to above and hereinafter means ionizing radiation that occurs as either electromagnetic rays (such as X-rays and gamma rays) or particles (such as alpha and beta particles). Ionizing radiation is provided in, but not limited to, radiation therapy and is known in the art. See Heilman, Principles of Radiation Therapy, Cancer, in Principles and Practice of Oncology, Devita et al, Eds., 4th Edition, Vol. 1 , pp. 248-275 (1993).
[00460] Also included are EDG binders and ribonucleotide reductase inhibitors. The term “EDG binders” as used herein refers to a class of immunosuppressants that modulates lymphocyte recirculation, such as FTY720. The term“ribonucleotide reductase inhibitors” refers to pyrimidine or purine nucleoside analogs including, but not limited to, fludarabine and/or cytosine arabinoside (ara-C), 6-thioguanine, 5-fluorouracil, cladribine, 6-mercaptopurine (especially in combination with ara-C against ALL) and/or pentostatin. Ribonucleotide reductase inhibitors are especially hydroxyurea or 2 -hydroxy- lH-isoindole-1 ,3-dione derivatives.
[00461] Also included are in particular those compounds, proteins or monoclonal antibodies of VEGF such as l-(4-chloroanilino)-4-(4-pyridylmethyl)phthalazine or a pharmaceutically acceptable salt thereof, l-(4-chloroanilino)-4-(4-pyridylmethyl)phthalazine succinate; Angiostatin™; Endostatin™; anthranilic acid amides; ZD4190; ZD6474; SU5416; SU6668; bevacizumab; or anti-VEGF antibodies or anti-VEGF receptor antibodies, such as rhuMAb and RHUFab, VEGF aptamer such as Macugon; FFT-4 inhibitors, FFT-3 inhibitors, VEGFR-2 IgGI antibody, Angiozyme (RPI 4610) and Bevacizumab (Avastin™).
[00462] Photodynamic therapy as used herein refers to therapy which uses certain chemicals known as photosensitizing compounds to treat or prevent cancers. Examples of photodynamic therapy include treatment with compounds, such as Visudyne™ and porfimer sodium.
[00463] Angiostatic steroids as used herein refers to compounds which block or inhibit angiogenesis, such as, e.g., anecortave, triamcinolone, hydrocortisone, 11 -a-epihydrocotisol, cortexolone, 17a-hydroxyprogesterone, corticosterone, desoxy corticosterone, testosterone, estrone and dexamethasone.
[00464] Implants containing corticosteroids refers to compounds, such as fluocinolone and dexamethasone.
[00465] Other chemotherapeutic compounds include, but are not limited to, plant alkaloids, hormonal compounds and antagonists; biological response modifiers, preferably lymphokines or interferons; antisense oligonucleotides or oligonucleotide derivatives; shRNA or siRNA; or miscellaneous compounds or compounds with other or unknown mechanism of action.
[00466] The structure of the active compounds identified by code numbers, generic or trade names may be taken from the actual edition of the standard compendium "The Merck Index" or from databases, e.g. Patents International (e.g. IMS World Publications).
[00467] A compound of the current invention may also be used in combination with known therapeutic processes, for example, the administration of hormones or radiation. In certain embodiments, a provided compound is used as a radiosensitizer, especially for the treatment of tumors which exhibit poor sensitivity to radiotherapy.
[00468] A compound of the current invention can be administered alone or in combination with one or more other therapeutic compounds, possible combination therapy taking the form of fixed combinations or the administration of a compound of the invention and one or more other therapeutic compounds being staggered or given independently of one another, or the combined
administration of fixed combinations and one or more other therapeutic compounds. A compound of the current invention can besides or in addition be administered especially for tumor therapy in combination with chemotherapy, radiotherapy, immunotherapy, phototherapy, surgical intervention, or a combination of these. Long-term therapy is equally possible as is adjuvant therapy in the context of other treatment strategies, as described above. Other possible treatments are therapy to maintain the patient's status after tumor regression, or even chemopreventive therapy, for example in patients at risk.
[00469] Those additional agents may be administered separately from an inventive compound- containing composition, as part of a multiple dosage regimen. Alternatively, those agents may be part of a single dosage form, mixed together with a compound of this invention in a single composition. If administered as part of a multiple dosage regime, the two active agents may be submitted simultaneously, sequentially or within a period of time from one another normally within five hours from one another.
[00470] As used herein, the term“combination,”“combined,” and related terms refers to the simultaneous or sequential administration of therapeutic agents in accordance with this invention. For example, a compound of the present invention may be administered with another therapeutic agent simultaneously or sequentially in separate unit dosage forms or together in a single unit dosage form. Accordingly, the present invention provides a single unit dosage form comprising a compound of the current invention, an additional therapeutic agent, and a pharmaceutically acceptable carrier, adjuvant, or vehicle.
[00471] The amount of both an inventive compound and additional therapeutic agent (in those compositions which comprise an additional therapeutic agent as described above) that may be combined with the carrier materials to produce a single dosage form will vary depending upon the host treated and the particular mode of administration. Preferably, compositions of this invention should be formulated so that a dosage of between 0.01 - 100 mg/kg body weight/day of an inventive compound can be administered.
[00472] In those compositions which comprise an additional therapeutic agent, that additional therapeutic agent and the compound of this invention may act synergistically. Therefore, the amount of additional therapeutic agent in such compositions will be less than that required in a monotherapy utilizing only that therapeutic agent. In such compositions a dosage of between 0.01 - 1,000 pg/kg body weight/day of the additional therapeutic agent can be administered.
[00473] The amount of additional therapeutic agent present in the compositions of this invention will be no more than the amount that would normally be administered in a composition comprising that therapeutic agent as the only active agent. Preferably the amount of additional therapeutic agent in the presently disclosed compositions will range from about 50% to 100% of the amount normally present in a composition comprising that agent as the only therapeutically active agent.
EXEMPLIFICATION
[00474] As depicted in the Examples below, in certain exemplary embodiments, compounds are prepared according to the following general procedures. It will be appreciated that, although the general methods depict the synthesis of certain compounds of the present invention, the following general methods, and other methods known to one of ordinary skill in the art, can be applied to all compounds and subclasses and species of each of these compounds, as described herein.
Materials and Methods
Example 1: Peptide Synthesis - Molecular Scaffold Reagent with Leaving Groups
[00475] Peptide synthesis was based on Fmoc chemistry, using a Symphony peptide synthesizer manufactured by Peptide Instruments and a Syro II synthesizer by MultiSynTech. Standard Fmoc- amino acids were employed (Sigma, Merck), with appropriate side chain protecting groups: where applicable standard coupling conditions were used in each case, followed by deprotection using standard methodology. Peptides were purified using HPPC and following isolation they were modified with a molecular scaffold reagent with leaving groups. For this, linear peptide was diluted with H2O up to ~35 mL, -500 mL of 100 mM molecular scaffold reagent in acetonitrile was added, and the reaction was initiated with 5 mL of 1 M NFLt HCO3 in H2O. The reaction was allowed to proceed for -30-60 min at RT, and lyophilized once the reaction had completed (as judged by MAFDI). Following lyophilization, the reaction mixture was loaded onto a Gemini Cl 8 column (Phenomenex). Solvents (H2O, acetonitrile) were acidified with 0.1 % trifluoroacetic acid. The gradient ranged from 30-70 % acetonitrile in 15 minutes, at a flowrate of 15-20 mL /min, using a Gilson preparative HPFC system. Pure fractions containing the desired product were pooled, lyophilized and kept at -20°C for storage.
Example 2: Peptide Synthesis - Molecular Scaffold Reagent containing Michael Acceptors
[00476] Alternatively, peptides were purified using HPLC and following isolation they were modified with a molecular scaffold reagent containing Michael acceptors. For this, linear peptide was diluted with 50:50 MeCN:H2O up to ~35 mL, -500 mL of 100 mM molecular scaffold reagent containing Michael acceptors in acetonitrile was added, and the reaction was initiated with 5 mL of 1 M NH4HCO3 in H2O. The reaction was allowed to proceed for ~30-60 min at RT, and lyophilized once the reaction had completed (as judged by MALDI). Once completed, 1 mL of 1M L-Cysteine hydrochloride monohydrate (Sigma) in FLO was added to the reaction for -60 min at RT to quench any excess molecular scaffold reagent containing Michael acceptors.
[00477] Following lyophilization, the modified peptide was purified as above, while replacing the Luna C8 with a Gemini C18 column (Phenomenex), and changing the acid to 0.1% trifluoroacetic acid. Pure fractions containing the correct desired product were pooled, lyophilized and kept at -20°C for storage.
[00478] All amino acids, unless noted otherwise, were used in the L- configurations.
Example 3: Dissociation rate constant determination of Bicyclic Binders to MTl-MMP Direct Binding Fluorescence Polarization (anisotropy) Assays
[00479] Direct Binding Fluorescence Polarization or Anisotropy Assays are performed by titrating a constant concentration of fluorescent tracer (here, the fluoresceinated bicyclic peptide to be studied) with its binding partner (here, the MTl-MMP hemopexin domain). As the concentration of binding partner increases during the titration, the polarization signal changes in proportion to the fraction of bound and unbound material. This allows determination of dissociation rates ( Kd ) quantitatively. Assay data can be fit using standard ligand binding equations.
[00480] Typically, concentrations of the tracer are ideally well below the Kd of the tracer: titrant pair, and concentrations chosen are usually at -1 nM or less. The titrant (binding partner) concentration is varied from 0.1 nM up to typically 5 mM. The range is chosen such that the maximum change in fluorescent polarization can be observed. Buffers employed are phosphate buffered saline in the presence of 0.01% Tween. Experiments are run in black 384 well low- bind/low volume plates (Corning 3820), and the fluorescent polarization signal is measured using
a BMG Pherastar FS plate reader. Fluorescent tracers referred to in the text are bicyclic peptides that have been fluoresceinated using 5,6-carboxyfluorescein. Fluoresceination may be performed on the N-terminal amino group of the peptide, which is separated from the bicycle core sequence by a sarcosine spacer (usually SarlO). This can be done during Fmoc solid phase synthesis or post- synthetically (after cyclization with the molecular scaffold reagent and purification) if the N- terminal amino group is unique to the peptide. Fluoresceination can also be performed on the C- terminus, usually on a Lysine introduced as the first C-terminal residue, which is then separated from the bicycle core sequence by a sarcosine spacer (usually Sar6). Thus, N-terminal tracers can have a molecular format described as Fluo-Ala-Sar10-A(BicycleCoreSequence), and (BicycleCoreSequence)-A-Sar6-K(Fluo) for a C-terminally fluoresceinated construct.
[00481] Fluorescent tracers used in the Examples are A-(17-69)-A-Sar6-K(Fluo), A-(17-69- 07)-A-Sar6-K(Fluo), and A-(17-69-12)-A-Sar6-K(Fluo). Due to the acidic nature of the 17-69 fluorescent peptides, they are typically prepared as concentrated DMSO stocks, from which dilutions are prepared in 100 mM Tris pH 8 buffer.
Example 4: Competition assays using Fluorescence Polarization (anisotropy)
[00482] Fluoresceinated derivatives of bicyle peptides having high affinities to the MT1 -MMP Hemopexin domain (PEX) can be used for competition experiments (using FP for detection). Here, a preformed complex of PEX with the fluorescent PEX-binding tracer is titrated with a free, non- fluoresceinated bicyclic peptide. The free, non-fluoresceinated bicyclic peptide is expected to bind at the same site as the fluorescent tracer, and to displace the fluorescent tracer from PEX. Dissociation of the complex can be measured quantitatively, and the Kd of the competitor (titrant) to the target protein can be determined. The advantage of the competition method is that the affinities of non- fluoresceinated bicyclic peptides can be determined accurately and rapidly.
[00483] Concentrations of tracer are usually at the Kd or below (here, 1 nM), and the binding protein (here, hemopexin of MT1-MMP) is at a 15-fold excess such that >90% of the tracer is bound. Subsequently, the non-fluorescent competitor bicyclic peptide (usually just the bicycle core sequence) is titrated, such that it displaces the fluorescent tracer from the target protein. The displacement of the tracer is measured and associated with a drop in fluorescence polarization. The drop in fluorescence polarization is proportional to the fraction of target protein bound with the non-fluorescent titrant, and thus is a measure of the affinity of titrant to target protein.
[00484] The raw data is fit to the analytical solution of the cubic equation that describes the equilibria between fluorescent tracer, titrant, and binding protein. The fit requires the value of the affinity of fluorescent tracer to the target protein, which can be determined separately by direct binding FP experiments (see previous section). The curve fitting is performed using Sigmaplot 12.0 and uses an adapted version of the equation described by Zhi-Xin Wang (FEBS Letters 360 (1995) 1 11-1 14).
Example 5: Synthesis of Sting Intermediates
5.1: Synthesis of Starting Materials and Intermediates
5.1.1. Synthesis of Compound N3-VC-Pab-PNP
General procedure for preparation of compound 1
[00485] The peptide was synthesized using standard Fmoc chemistry.
[00486] DCM was added to the vessel containing Chlorotrityl resin (5 mmol, 4.3 g, 1.1 mmol/g) and then Fmoc-Cit-OH (1.98 g, 5 mmol, 1 eq) was added with N2 bubbling. DIEA (4.0 eq) was added dropwise and the mixture agitated for 2 hours. MeOH (5 mL) was then added and the mixture agitated for 30 min. The resin was then drained and washed with DMF 5 times. 20% piperidine/DMF was added to the resin and left to react for 30 min. The resin was then drained and washed with DMF 5 times. For subsequent couplings, Fmoc-amino acid solution in DMF was added to the resin and mixed for 30 seconds, then HBTU and DIPEA were added and the mixture
agitated using nitrogen for 1 hour. Deprotection between couplings were carried out as described earlier.
[00487] After coupling of all listed amino acids, the resin was washed and dried. Cleavage from the resin was performed by addition of cleavage buffer (20%TFIP/80%DCM) to the flask containing the side chain protected peptide at room temperature and this was stirred for 1 hour. The solution was drained and the cleavage protocol repeated with fresh solution. The resin was filtered and the filtrate collected, the solvent was removed under reduced pressure and the crude peptide was lyophilized to give the final product (1.8 g, 90.2 % purity, 45.8 % yield).
Procedure for preparation of compound 2
[00488] To a solution of compound 1 (0.50 g, 1.40 mmol, 1 eq.) in DCM (12.5 mL) and MeOH (6.25 mL) was added (4-aminophenyl)methanol (344.61 mg, 2.80 mmol, 2 eq.), then the reaction vessel was covered with aluminum foil. EEDQ (691.98 mg, 2.80 mmol, 2 eq.) was added and the mixture stirred at 25 °C in the dark for 3 h. LC-MS showed compound 1 was consumed completely and a peak with desired m/z (463.3 [M+TE]) was detected. The reaction mixture was directly purified by flash silica gel chromatography (ISCO®; 120 g SepaFlash® Silica Flash Column, Eluent of 0~30% MeOH/DCM gradient @ 40 mL/min) to give compound 2 (0.30 g, 648.65 μmol, 46.36% yield) as a yellow solid. Calculated MW: 462.5 observed m/z: 463.3([M+H+]).
Procedure for preparation of compound N3- VC-Pab-PNP
[00489] To a solution of compound 2 (0.30 g, 648.65 μmol, 1 eq.) in DMF (3 mL) was added DIEA (503.00 mg, 3.89 mmol, 677.89 mL, 6 eq.) and bis(4-nitrophenyl) carbonate (789.3 mg, 2.59 mmol, 4 eq.). The reaction mixture was stirred at 25 °C for 2 h. LC-MS showed compound 2 was consumed completely and a peak with desired m/z (628.5([M+H+])) was detected. The reaction was directly purified by prep-HPLC (A: H2O, B: ACN) to give N3-VC-Pab-PNP (0.25 g, 369.86 pmol, 57.02% yield, 92.85% purity) as a white solid. Calculated MW: 627.6 observed m/z: 628.5([M+H+]).
5.1.2. Synthesis of Compound SM-1 and SM-2
General procedure for preparation of compound 2
[00490] A mixture of chloro-[chloro(diisopropyl)silyl]oxy-diisopropyl-silane (19.11 g, 60.59 mmol, 19.38 mL, 1.5 eq) and compound 1 (15 g, 40.39 mmol, 1 eq) in Py (200 mL) was stirred at 15°C for 12 h under N2. LCMS showed the compound 1 was consumed and the desired MS was observed. The mixture was quenched by saturated NaHCO3 solution and extracted with EtOAc (300 mL x 5). The combined organic layers were dried over Na2SO4, filtered and concentrated
under reduced pressure to give a residue. The residue was purified by column chromatography (SiC , Petroleum ether/Ethyl acetate = 3/1 to 0: 1) to afford Compound 2 (21 g, 28.60 mmol, 70.79% yield, 83.59% purity) as brown oil. MS (ESI) m/z: calcd. for [M+H]+, 614.28; found, 614.4 (M/1+H)+
General procedure for preparation of compound 3
[00491] To a solution of compound 2 (3 g, 4.89 mmol, 1 eq) in DCM (40 mL) was added CDI (950.95 mg, 5.86 mmol, 1.2 eq). The mixture was stirred at 20°C for 10 hr. Then tert-butyl N- methyl-N-[2-(methylamino)ethyl]carbamate (1.20 g, 6.35 mmol, 2.37 mL, 1.3 eq) and TEA (1.48 g, 14.66 mmol, 2.04 mL, 3 eq) was added. The mixture was stirred at 20°C for 14 hr. LC-MS showed compound 2 was consumed completely and the desired compound was detected. The mixture was washed with water 50 mL, and concentrated under reduced pressure to give a residue. The residue was purified by flash silica gel chromatography (ISCO®; 40 g SepaFlash® Silica Flash Column, Eluent of 0-100% Ethyl acetate/Petroleum ether gradient @ 100 mL/min) to afford Compound 3 (4 g, 4.83 mmol, 98.84% yield) as a yellow solid. MS (ESI) m/z: calcd. for [M+H]+, 828.41; found, 828.6 (M/1+H)+
General procedure for preparation of compound 4
[00492] To a solution of compound 3 (4 g, 4.83 mmol, 1 eq) in THF (40 mL) was added N,N- diethylethanamine;trihydrofluoride (1.56 g, 9.66 mmol, 1.57 mL, 2 eq). The mixture was stirred at 20°C for 12 hr. LC-MS showed compound 3 was consumed completely and the desired compound was detected. The reaction mixture was concentrated. Then 50 mL of water was added and extracted with EtOAc (50 mL * 3). The combined organic layers were dried over Na2S04, filtered and concentrated under reduced pressure to give a residue. The crude product was purified by flash silica gel chromatography (ISCO®; 80 g SepaFlash® Silica Flash Column, Eluent of 0-20% Methanol/Ethylacetate gradient @ 100 mL/min) to afford Compound 4 (5.4 g, 9.22 mmol, 49.09% yield) as a white solid.
1H NMR: 400MHz METHANOL-d4
d = 8.72 - 8.68 (m, 2H), 8.10 - 8.06 (m, 2H), 7.68 - 7.62 (m, 1H), 7.59 - 7.53 (m, 2H), 6.45 - 6.34 (m, 1H), 5.72 - 5.52 (m, 1H), 4.71 - 4.64 (m, 1H), 4.27 - 4.17 (m, 1H), 3.97 - 3.89 (m, 1H), 3.86 - 3.77 (m, 1H), 3.72 - 3.34 (m, 4H), 3.00 (s, 1H), 2.86 (s, 3H), 2.79 (s, 2H), 1.42 - 1.26 (m, 9H) General procedure for preparation of compound 5
[00493] A mixture of compound 4 (1.2 g, 2.05 mmol, 1 eq), compound 4A (1.97 g, 2.25 mmol, 1.1 eq), Molecular sieve 3 A (2 g) and 2H-tetrazole (574.17 mg, 8.20 mmol, 726.80 mL, 4 eq) in dry MeCN (50 mL) was stirred at 20°C for 12 hr. Then N,N-dimethyl-N'-(5-thioxo -1,2,4- dithiazol-3-yl)formamidine (841.46 mg, 4.10 mmol, 2 eq) was added. The mixture was stirred at 20°C for another 2 hr. LC-MS showed compound 4 was consumed completely and the desired compound was detected. The mixture was filtered and the filtrate was concentrated under reduced pressure to give a residue. The crude Compound 5 (3.5 g, crude) was obtained as yellow solid and to be used into the next step without further purification. MS (ESI) m/z: calcd. for [M+H]+, 1392.46; found, 1392.5 (M/1+H)+
General procedure for preparation of compound 6
[00494] To a solution of compound 5 (3.5 g, 2.51 mmol, 1 eq) in DCM (20 mL) was added 2,2- dichloroacetic acid (648.23 mg, 5.03 mmol, 412.88 mL, 2 eq). The mixture was stirred at 20°C for 2 hr. LC-MS showed compound 5 was consumed completely and the desired compound was detected. The reaction mixture was quenched by addition of MeOH (5 mL) and Py (1 mL), and then concentrated under reduced pressure to give a residue. The residue was purified by prep- HPLC (column: Xtimate C18 10m 250 mm *50mm; mobile phase: [water (10mM NH4HCO3)- ACN]; B%: 20%-50%, 20 min) to afford Compound 6 (1.1 g, 1.01 mmol, 40.15% yield) as a white solid.
General procedure for preparation of compound 7
[00495] A mixture of compound 6 (600 mg, 550.44mmol , 1 eq), 3-bis(diisopropylamino) phosphanyloxypropanenitrile (182.50 mg, 605.48mmol , 192.30 mL, 1.1 eq), Molecular sieve 3A (3 g), 2H-tetrazole (115.67 mg, 1.65 mmol, 146.42 mL, 3 eq) in dry MeCN (30 mL) was degassed and purged with N2 for 3 times, and then the mixture was stirred at 30°C for 12 hr . Then 1,1- dioxo-1,2-benzodithiol-3-one (330.66 mg, 1.65 mmol, 3 eq) was added to the mixture. The mixture was stirred at 20°C for 2 hr. LC-MS showed compound 6 was consumed completely and two peaks with desired mass was detected. The mixture was filtered. The crude Compound 7 (1 g, crude) was obtained as yellow solid and to be used into the next step without further purification. MS (ESI) m/z: calcd. for [M+H]+, 1221.29; found, 1221.8(M/1+H)+
General procedure for preparation of compound Isomers- 1 and Isomers-2 (SM-1 and SM-2)
[00496] To a solution of compound 7 (1 g, 818.91 μmol, 1 eq) in MeCN (30 mL) was added 2- methylpropan-2-amine (1.39 g, 19.03 mmol, 2 mL, 23.24 eq). The mixture was stirred at 20°C for
0.5 hr. LC-MS showed Compound 7 was consumed completely and the compound was detected. The mixture was concentrated under reduced pressure to give the residue. The residue was purified by prep-HPLC (column: Waters Xbridge 150*25 5u; mobile phase: [water (lOmM NH4HCO3)- ACN]; B%: 15%-35%, 12 min) to afford compound Isomers-1 (213 mg, 166.83 μmol , 20.37% yield, 90% purity, ammonium salt) as a white solid and compound Isomers-2 (108 mg, 84.59 μmol, 10.33% yield, 90% purity, ammonium salt) as a white solid. MS (ESI) m/z: calcd. for [M+H]+, 1115.24; found, 1115.4(M/1+H)+
1 H NMR : 400MHz, DMSO-de
d = 11.19 (br s, 2H), 8.91 - 8.65 (m, 4H), 8.03 (br d, J= 7.0 Hz, 4H), 7.65 - 7.59 (m, 2H), 7.56 - 7.49 (m, 4H), 6.52 - 6.44 (m, 1H), 6.23 (br s, 1H), 5.89 - 5.22 (m, 2H), 5.10 (br s, 2H), 4.39 - 4.15 (m, 4H), 3.85 (br s, 2H), 3.00 - 2.72 (m, 6H), 1.41 - 1.28 (m, 9H)
' I IVMR: 400MHz, DMSO-de
d = 11.17 (br s, 2H), 8.83 - 8.63 (m, 4H), 8.04 (br t, J=8.1 Hz, 4H), 7.66 - 7.59 (m, 2H), 7.56 - 7.49 (m, 4H), 6.47 (br d, J=16.1 Hz, 1H), 6.36 - 6.16 (m, 1H), 5.64 (br d, J=18.0 Hz, 1H), 5.53 - 5.33 (m, 1H), 5.21 - 4.85 (m, 2H), 4.40 - 4.13 (m, 4H), 3.95 - 3.74 (m, 2H), 3.02 - 2.72 (m, 6H), 1.42 - 1.20 (m, 9H)
[00497] A phosporothioate (“PS”) linkage can be a mixture of R and S stereoisomers. The SM- 1 and SM-2 molecule, which is a cyclic dinucleotide comprising two phosporothioate linkages, was a mixture of four stereoisomers: R-R, R-S, S-R, and S-S (“R” and“S” representing the stereochemistry of PS linkage 1 and 2). The four stereoisomer mixture was purified by the prep- HPLC described above to provide compound Isomers-1 and Isomers-2, with one of which being a pure mixture of the R-S and S-R isomers (compound SM-1), and the other one being a pure mixture of the R-R and S-S isomers (compound SM-2).
[00498] Compounds SM-1 and SM-2 were used separately.
5.1.3. Synthesis of Compound SM-3
[00499] Compound 4 was synthesized as described in the synthesis of compounds SM-2 and SM-3
General procedure for preparation of compound 5
[00500] A mixture of compound 4 (1.2 g, 2.05 mmol, 1 eq), compound 4A (2.39 g, 2.46 mmol, 1.2 eq), Molecular sieve 3A (2 g) and 2H-tetrazole (574.17 mg, 8.20 mmol, 726.80 mL, 4 eq) in dry MeCN (40 mL) was stirred at 20°C for 12hr. Then 2-hydroperoxy-2-methyl-propane (554.01 mg, 6.15 mmol, 589.37 mL, 3 eq) was added. The mixture was stirred at 20°C for another 2 hr. LC-MS showed compound 4 was consumed completely and the desired compound was detected. The mixture was filtered and the filtrate was concentrated under reduced pressure to give a residue. The residue was purified by flash silica gel chromatography (ISCO®; 20 g SepaFlash® Silica Flash Column, Eluent of 0-10% Methanol/Ethyl acetate gradient @ 75 mL/min) to afford Compound 5 (2.6 g, 1.77 mmol, 86.28% yield) as a yellow solid. MS (ESI) m/z: calcd. for
[M+H]+, 1470.59; found, 1470.5(M/1+H)+
General procedure for preparation of compound 6
[00501] To a solution of compound 5 (2.6 g, 1.77 mmol, 1 eq ) in DCM (50 mL) was added 2,2- dichloroacetic acid (911.86 mg, 7.07 mmol, 580.80 mL, 4 eq). The mixture was stirred at 20°C for 12 hr. LC-MS showed compound 5 was consumed completely and the desired compound was detected. The mixture was concentrated under reduced pressure to give a residue. The residue was purified by prep-HPLC (column: Xtimate C18 10m 250 mm *50mm; mobile phase: [water(10mM NH4HCO3)-ACN]; B%: 40%-70%, 20 min) to afford Compound 6 (800 mg, 684.80 μmol , 38.73% yield) as a white solid. MS (ESI) m/z: calcd. for [M+H]+, 1168.46; found, 585.1 (M/2+H)+ General procedure for preparation of compound 7
[00502] A mixture of compound 6 (400 mg, 342.40 μmol , 1 eq), 3-bis(diisopropylamino) phosphanyloxypropanenitrile (113.52 mg, 376.64 μmol, 119.62 mL, 1.1 eq), Molecular sieve 3A (3 g), 2H-tetrazole (71.96 mg, 1.03 mmol, 91.08 mL, 3 eq) in dry MeCN (30 mL) was degassed and purged with N2 for 3 times, and then the mixture was stirred at 20°C for 12 hr. Then 2- hydroperoxy-2-methyl-propane (92.57 mg, 1.03 mmol, 98.48 mL, 3 eq) was added to the mixture. The mixture was stirred at 20°C for 4 hr. LC-MS showed compound 6 was consumed completely and the desired compound was detected. The mixture was filtered and the filtrate was concentrated under reduced pressure to give a residue. The crude white solid Compound 7 (700 mg, crude) was used into the next step without further purification. MS (ESI) m/z calcd. for [M+H]+, 1283.44; found, 1283.7(M/1+H)+
General procedure for preparation of compound 8
[00503] To a solution of compound 7 (700 mg, 545.49 μmol, 1 eq) in MeCN (20 mL) was added 2-methylpropan-2-amine (1.76 g, 24.00 mmol, 2.52 mL, 44 eq). The mixture was stirred at 20°C for 0.5 hr. LC-MS showed compound 7 was consumed completely and the desired compound was detected. The mixture was concentrated under reduced pressure to give a residue. Then MeOH (20 mL) was added. The mixture was concentrated again. The crude yellow solid Compound 8 (700 mg, crude) was used into the next step without further purification. MS (ESI) m/z·. calcd. for [M+H]+, 1177.39; found, 1178.0(M/1+H)+
General procedure for preparation of compound SM-3
[00504] To a solution of compound 8 (700 mg, 594.67μmol , 1 eq) in Py (20 mL) was added N,N-diethylethanamine;trihydrofluoride (1.98 g, 12.27 mmol, 2 mL, 20.63 eq). The mixture
was stirred at 20°C for 48 hr. LC-MS showed compound 8 was consumed completely and the desired compound was detected. The mixture was concentrated under reduced pressure to give a residue. The residue was purified by prep-HPLC (column: Waters Xbridge Prep OBD C18 150*40 10u; mobile phase: [water (10mM NH4HCO3)-ACN]; B%: 1%-30%, 11 min) to afford compound SM-3 (135 mg, 119.38 μmol, 20.07% yield, 97% purity, ammonium salt) as a white solid. MS (ESI) m/z: calcd. for [M+H]+, 1063.30; found, 1063.5(M/1+H)+
1HNMR: 400MHz, METHANOL-d4
[00505] d = 8.65 (br s, 2H), 8.21 - 8.12 (m, 3H), 7.70 - 7.64 (m, 1H), 7.63 - 7.56 (m, 2H), 6.41 - 6.25 (m, 1H), 6.03 (br d, J=7.9 Hz, 1H), 5.88 - 5.74 (m, 1H), 5.63 (br s, 1H), 5.30 (br s, 1H), 4.57 (br s, 1H), 4.51 - 4.34 (m, 2H), 4.30 (br s, 1H), 4.26 - 4.12 (m, 3H), 4.11 - 3.84 (m, 1H), 3.72 (br s, 1H), 3.60 - 3.44 (m, 1H), 3.36 (br s, 1H), 3.17 (br d, J=13.2 Hz, 1H), 3.13 (br s, 1H), 2.98 (d, J= 2.2 Hz, 3H), 2.93 - 2.80 (m, 2H), 1.49 - 1.42 (m, 9H), 1.09 (br d, J=5.1 Hz, 3H), 0.93 (br d, J=6.4 Hz, 3H)
5.1.4. Synthesis of Compounds SM-4 and SM-5
General procedure for preparation of compound 2
[00506] To a solution of compound 1 (5 g, 5.06 mmol, 1 eq ) in CH3CN (50 mL) and H2O (182.35 mg, 10.12 mmol, 182.35 mL, 2 eq) was added pyridine;2,2,2-trifluoroacetic acid (1.47 g, 7.59 mmol, 1.5 eq). After 10 min tert-butylamine (696.00 mg, 9.52 mmol, 1 mL, 1.88 eq) was added and stirred for another 10 min. Then the mixture was concentrated, the residue was diluted
with CH3CN (50 mL), and concentrated again. The resulting residue was added DCM (50 mL) and H2O (911.77 mg, 50.60 mmol, 911.77 mL, 10 eq), followed by dichloroacetic acid (5.22 g, 40.48 mmol, 3.32 mL, 8 eq) in DCM (50 mL). The mixture was stirred at 20°C for 10 min. LCMS showed compound 1 was consumed completely and the desired compound was detected. The reaction mixture was quenched by addition of pyridine 4 mL at 10°C, and then concentrated under reduced pressure to give a residue. The residue was purified by flash silica gel chromatography (ISCO®; 80 g SepaFlash® Silica Flash Column, Eluent of 0-40% Methanol : Ethyl acetate ethergradient @ 75 mL/min). Compound 2 (2.48 g, 4.06 mmol, 80.27% yield, 90% purity) was obtained as a yellow solid. MS (ESI) m/z: calcd. for [M+H]+, 550.18; found, 550.4 (M/1+H)+. General procedure for preparation of compound 3
[00507] A mixture of compound 2 (1.4 g, 2.55 mmol, 1 eq), N-[9-[(2R,3R,4R,5R)-5-[[bis (4- methoxyphenyl)-phenyl-methoxy]methyl]-4-[2-cyanoethoxy-
(diisopropylamino)phosphanyl]oxy-3-fluoro-tetrahydrofuran-2-yl]purin-6-yl]benzamide (2.90 g, 3.31 mmol, 1.3 eq), Molecular sieve 3 A (200 mg) and pyridine;2,2,2-trifluoroacetic acid (983.91 mg, 5.09 mmol, 2 eq) in dry CH3CN (60 mL) and dry THF (20 mL) was stirred at 20°C for 12 h. Then H2O (459.04 mg, 25.47 mmol, 459.04 mL, 10 eq) was added. After 1 h, dichloroacetic acid (1.31 g, 10.19 mmol, 836.83 mL, 4 eq) and N, N-dimethyl-N'-(5-thioxo-l,2,4-dithiazol-3-yl) formamidine (1.57 g, 7.64 mmol, 3 eq) was added. Then mixture was stirred at 20°C for another 1 h. LCMS showed compound 2 was consumed completely and the desired compound was detected. The reaction was quenched by 5 mL of MeOH and 5 mL of pyridine, and filtered. The filtrate was concentrated under reduced pressure to give a crude compound 3 (10 g, crude) as a yellow solid. The crude product was purified by flash silica gel chromatography (ISCO®; 80 g SepaFlash® Silica Flash Column, Eluent of 0-50% Methanol/Ethyl acetate ethergradient @ 75 mL/min) to give a mixture (4 g) of compound 3 and DMTr-protected compound 3 as a yellow solid. Then it was dissolved in DCM (50 mL) and THF (50 mL), followed by the addition of 2,2- dichloroacetic acid (1.47 g, 11.39 mmol, 935.04 mL, 3 eq). The mixture was stirred at 20°C for 12 h. LC-MS showed the reaction was complete and the desired compound was detected. The mixture was concentrated under reduced pressure to give a residue. The residue was purified by flash silica gel chromatography (ISCO®; 40 g SepaFlash® Silica Flash Column, Eluent of 0-40% Methanol/Ethyl acetate ether gradient @75 mL/min). Compound 3 (2.5 g, 2.13 mmol, 56.25% yield, 90% purity) was obtained as a yellow solid. MS (ESI) m/z: calcd. for [M+H]+, 1054.26;
found, 1054.4 (M/1+H)+
General procedure for preparation of compound 4
[00508] To a solution of compound 3 (1.6 g, 1.52 mmol, 1 eq) in dry Py (1 mL) was added Molecular sieve 3A (2 g) and 2-chloro-5,5-dimethyl-l,3,2dioxaphosphinane 2-oxide (980.56 mg, 5.31 mmol, 3.5 eq). The mixture was stirred at 20°C for 1 h. Then l,l-dioxo-l,2- benzodithiol-3- one (607.91 mg, 3.04 mmol, 2 eq) was added. The mixture was stirred at 20°C for another 1 h. LCMS showed the reaction was complete. The reaction mixture was concentrated under reduce pressure to give a residue. The residue was purified by flash silica gel chromatography (ISCO®;40 g SepaFlash® Silica Flash Column, Eluent of 0-50% Methanol : Ethyl acetate ethergradient @ 50 mL/min). One portion of Compound 4 (1.2 g) was obtained as a white solid with 75.8% purity; another portion of Compound 4 (800 mg) was obtained as a yellow solid with 44.3% purity. MS (ESI) m/z: calcd. for [M+H]+, 1068.22; found, 1068.5 (M/1+H)+.
General procedure for preparation of compound 5 and 5A
[00509] To a solution of compound 4 (800 mg, 749.02 μmol, 1 eq) in methanamine (15 mL, 30% purity) was stirred at 20°C for 0.5 h. LCMS showed the reaction was complete. The reaction mixture was concentrated under reduce pressure to give a residue. The residue was purified by prep-HPLC (Waters Xbridge Prep OBD Cl 8 150*40 lOu column; 5-35 % acetonitrile in a lOmM ammonium bicarbonate solution in water, 11 min gradient) to afford Isomers- 1 (Peak 1) as a white solid (110 mg, crude), and Isomers-2 (Peak 2) as a white solid (100 mg, crude).
[00510] MS (ESI) m/z: calcd. for [M+H]+, 807.14; found, 807.2 (M/1+H)+.
[00511] A phosporothioate(“PS”) linkage can be a mixture of R and S stereoisomers. The compounds 5 and 5A molecule, which is a cyclic dinucleotide comprising two phosporothioate linkages, was a mixture of four stereoisomers: R-R, R-S, S-R, and S-S (“R” and“S” representing the stereochemistry of PS linkage 1 and 2). The four stereoisomer mixture was purified by the prep-HPLC described above to provide compound Isomers- 1 and Isomers-2, with one of which being a pure mixture of the R-R and S-S isomers (compound 5), and the other one being a pure mixture of the R-S and S-R isomers (compound 5A).
[00512] The two compounds 5 and 5A were used into the next step separately.
General procedure for preparation of compounds SM-4 and SM-5
[00513] To a solution of compound Isomers-1 (100 mg, 123.95 μmol, 1 eq) in Py (1 mL) was added N,N-diethylethanamine;trihydrofluoride (1.24 g, 7.67 mmol, 1.25 mL, 61.87 eq). The
mixture was stirred at 50°C for 24 h. LCMS showed the reaction was complete. The reaction mixture was concentrated under reduced pressure to give a residue. Then the residue was washed with 3 mL of acetone, filtered, the filter cake was purified by prep-HPLC (Waters Xbridge 150*25 5u column; 2-15 % acetonitrile in a 10mM ammonium bicarbonate solution in water, 10 min gradient). The obtained ammonium salt was exchanged on sodium Amberlite column to give the sodium salt of (35.12 mg, 49.68 μmol, 40.08% yield, 97.96% purity) as a white solid. MS (ESI) m/z. calcd. for [M-H+], 691.06; found, 691.0 (M/1-H+).
1 H NMR: 400 MHz DEUTERIUM OXIDE
d = 8.40 (s, 1H), 8.20 (s, 1H), 8.13 (s, 1H), 7.93 (s, 1H), 6.39 (d, J=15.5 Hz, 1H), 6.05 (s, 1H), 5.97 - 5.80 (m, 1H), 4.95 - 4.83 (m, 2H), 4.70 (br d, J=4.3 Hz, 1H), 4.56 (br d, J=11.9 Hz, 2H), 4.44 (br d, J=9.3 Hz, 2H), 4.12 - 3.97 (m, 2H)
[00514] To a solution of compound Isomers-2 (100 mg, 123.95 μmol , 1 eq) in Py (1 mL) was added N,N-diethylethanamine;trihydrofluoride (1.24 g, 7.67 mmol, 1.25 mL, 61.87 eq). The mixture was stirred at 50°C for 24 h. LCMS showed the reaction was complete. The reaction mixture was concentrated under reduced pressure to give a residue. Then the residue was washed with 3 mL of acetone, filtered, and the filter cake was purified by prep-HPLC (Waters Xbridge 150*25 5u column; 2-15 % acetonitrile in a lOmM ammonium bicarbonate solution in water, 10 min gradient). The obtained ammonium salt was exchanged on sodium Amberlite column to give the sodium salt (17 mg, 23.60 μmol, 19.04% yield, 96.14% purity) as a white solid. MS (ESI) m/z calcd. for [M-H+], 691.06; found, 690.9 (M/1-H+).
' l l NMR: 400 MHz DEUTERIUM OXIDE
d = 8.24 (s, 1H), 8.20 (s, 1H), 7.98 (s, 1H), 7.96 (s, 1H), 6.28 (d, J=15.6 Hz, 1H), 6.01 (s, 1H), 5.66 - 5.48 (m, 1H), 5.26 - 5.11 (m, 1H), 5.10 - 5.00 (m, 1H), 4.82 (br d, J=4.4 Hz, 1H), 4.58 - 4.46 (m, 4H), 4.02 (td, J=6.0, 11.7 Hz, 2H)
5.2: Synthesis of Compound STI-1
Procedure for preparation of compound 2
[00515] To a solution of compound SM-2 (10 mg, 8.97 μmol, 1.0 eq) in DCM (0.5 mL) was added TFA (770 mg, 6.75 mmol, 0.5 mL, 753 eq), the reaction mixture was stirred at 0 °C for 5 min. LC-MS showed compound SM-2 was consumed completely and one main peak with desired m/z (MW: 1014.89, observed m/ 1015.1 ([M+H+])) was detected. The reaction mixture was concentrated to remove TFA and DCM, and the crude product was used for next step directly without any further purification. Compound 2 (9 mg, 8.87 mmol) was obtained as a yellow oil. Procedure for preparation of compound 3
[00516] To a solution of compound 2 (9 mg, 8.87 μmol, 1.0 eq) in DMF (0.5 mL) was added N3-VC-Pab-PNP (8.4 mg, 13.3 μmol, 1.5 eq) and DIEA (4.6 mg, 35.5 μmol, 6.2 mL, 4.0 eq), then
the reaction mixture was stirred at 25 °C for 12 hr, till LC-MS showed compound 2 was consumed completely and one peak with desired m/z [MW: 1503.39, observedm/z 752.2 ([M/2+H+])] was detected. The reaction mixture was directly purified by prep-HPLC (TFA condition), and desired fraction was lyophilized to produce compound 2 (7.5 mg, 4.99 μmol, 56.26% yield) as a white solid.
Procedure for preparation of compound STI-1
[00517] Compound 3 (7.5 mg, 5.0 μmol, 1.0 eq) was added with MeNH2 (0.04 M, 125 mL, 1.0 eq, dissolved in 0.6 mL water), then the reaction mixture was stirred at 25 °C for 2 hr. LC-MS showed compound 3 was consumed completely and one main peak with desired m/z [MW: 1295.18, observed m/z 648.2 ([M/2+H+])] was detected. The reaction mixture was directly purified by prep-HPLC (neutral condition). Compound STI-1 (0.5 mg, 0.39 μmol, 7.74% yield) was obtained as a white solid.
5.3: Synthesis of Compound STI-2
Procedure for preparation of compound 2
[00518] To a solution of compound SM-3 (10 mg, 9.41 μmol, 1 eq) in DCM (0.5 mL) was added TFA (770 mg, 6.75 mmol, 0.5 mL, 753 eq), the reaction mixture was stirred at 0 °C for 5 min. LC-MS showed compound SM-3 was consumed completely and one main peak with desired m/z (MW: 962.75, observed m/z: 964.1 ([M+H+]), 482.5 ([M+H+]/2)) was detected. The reaction mixture was concentrated to remove TFA and DCM, and the crude product was used for next step directly without any further purification. Compound 2 (9 mg, 9.35 mmo)l was obtained as a yellow oil.
Procedure for preparation of compound 3
[00519] To a solution of compound 2 (45.0 mg, 46.7 μmol, 1.0 eq) in DMF (1 mL) was added N3-VC-Pab-PNP (44.0 mg, 70.1 μmol, 1.5 eq) and DIEA (24.2 mg, 187.6 μmol, 32.6 mL, 4 eq) ,then the reaction mixture was stirred at 25 °C for 12 hr LC-MS(ES8186-270-PlA) showed
compound 2 was consumed completely and one peak with desired m/z [MW: 1451.25, observed m/z 726.2 ([M/2+H+])] was detected. The reaction mixture was directly purified by prep-HPLC (TFA condition). Compound 3 (9 mg, 6.20 μmol, 13.27% yield) was obtained as a white solid. Procedure for preparation of compound STI-2
[00520] Compound 3 (4 mg, 2.76 μmol , 1.0 eq) was added MeNH2 (0.04 M, 60 mL, 1.0 eq, dissolved in 0.6 mL water), then the reaction mixture was stirred at 25 °C for 2 hr. LC-MS showed compound 3 was consumed completely and one main peak with desired m/z [MW: 1277.05, observed m/z 639.2 ([M/2+H+])] was detected. The reaction mixture was directly purified by prep- HPLC (neutral condition). Compound STI-2 (3.4 mg, 2.66 μmol, 96.59% yield) was obtained as a white solid.
5.4: Synthesis of Compound STI-3
Procedure for preparation of compound 2A
[00521] To a solution of compound 1A (500 mg, 1.1 mmol, 1 eq ) in 10 mL of DMF was added bis(4-nitrophenyl) carbonate (1.3 g, 4.3 mmol, 4 eq) and DIEA (838.3 mg, 6.5 mmol, 1.1 mL, 6 eq). The mixture was stirred at 20°C for 1 h. LCMS showed the reaction was complete. 10 mL of FLO was added to the reaction mixture, filtered and the filter cake was washed twice with 15 mL of MTBE. The obtained filter cake was dried to give crude Compound 2A (500 mg, crude) as a white solid, which was used directly into the next step without further purification. MS (ESI) m/z calcd. for [M+H]+, 628.24; found, 628.3 (M/1+H)+.
Procedure for preparation of compound 3A
[00522] To a solution of compound 2A (500 mg, 796.7 μmol, 1 eq) in 5 mL of DMF was added DIEA (205.9 mg, 1.6 mmol, 277.5 mL, 2 eq) and 2-aminoethanol (58.4 mg, 956.0 μmol, 1.2 eq).
The reaction was stirred at 20°C for 1 h. LCMS showed the reaction was complete. The reaction mixture was used into the next step without further treatment. MS (ESI) m/z: calcd. for [M+H]+, 550.27; found, 550.4 (M/1+H)+.
Procedure for preparation of compound linker B
[00523] To above resulted solution was added DIEA (2.2 g, 17.2 mmol, 3.0 mL, 22 eq ) and bis(4-nitrophenyl) carbonate (4.8 g, 15.7 mmol, 20 eq). The mixture was stirred at 20°C for 1 h. LCMS showed the reaction was complete. The reaction mixture was filtered and the filtrate was purified by prep-HPLC (TFA condition; column: Phenomenex luna C18 250*50mm* 10 pm; mobile phase: [water(0.1%TFA)-ACN]; B%: 20%-50%, 20min) to give linker B (550 mg, crude) as a white solid. MS (ESI) m/z: calcd. for [M+H]+, 715.27; found, 715.4 (M/1+H)+.
Procedure for preparation of compound 2
[00524] To a solution of compound 1 (5 g, 5.1 mmol, 1 eq) in 60 mL of MeCN was added pyridine;2,2,2-trifluoroacetic acid (1.2 g, 6.1 mmol, 1.2 eq) and H2O (182.3 mg, 10.1 mmol, 182.3 mL, 2 eq). The mixture was stirred at 15°C for 10 min. TLC indicated compound 1 was consumed completely and one new spot formed. The resulted mixture was used directly and added 2- methylpropan-2-amine (13.9 g, 190.3 mmol, 20 mL, 38.3 eq). The mixture was stirred at 15°C for 0.5 hr. TLC indicated the reaction was complete and one new spot formed. The mixture was concentrated under reduced pressure to give a residue. Then 60 mL of MeCN was added. And the mixture was concentrated under reduced pressure to give a residue again. The obtained crude product (4.2 g, crude) was dissolved into 60 mL of DCM, 2,2-dichloroacetic acid (2.5 g, 19.7 mmol, 1.6 mL, 4 eq) and H2O (888.1 mg, 49.3 mmol, 888.1 mL, 10 eq) were added. The mixture was stirred at 15°C for 10 min. LC-MS showed the reaction was complete and the desired mass was detected. It was quenched by addition of 5 mL of MeOH, and then 3 mL of Py was added. The mixture was concentrated under reduced pressure to give a residue, which was purified by flash silica gel chromatography (ISCO®; 80 g SepaFlash® Silica Flash Column, Eluent of 0-50% Methanol /Ethyl acetate gradient @ 100 mL/min) to afford Compound 2 (2.7 g, 4.9 mmol, 99.7% yield) as a yellow solid. MS (ESI) m/z: calcd. for [M+H]+, 550.18; found, 550.4 (M/1+H)+.
Procedure for preparation of compound 4
[00525] A mixture of compound 2 (4 g, 7.3 mmol, 1 eq), compound 3 (7.0 g, 8.0 mmol, 1.1 eq), pyridine;2,2,2-trifluoroacetic acid (2.8 g, 14.6 mmol, 2 eq) and Molecular sieve 3 A (5 g) in 100 mL of dry CH3 CN and 25 mL of dry THF was stirred at 15°C for 2 hrs. LC-MS showed the
reaction was complete and desired mass was detected. The resulted mixture was used directly and added N,N-dimethyl-N'-(5-thioxo-1,2,4-dithiazol-3-yl)formamidine (2.6 g, 12.8 mmol, 1.7 eq). The mixture was stirred at 25°C for 0.5 hr. LC-MS showed the reaction was complete and desired mass was detected. The mixture was filtered and the filtrate was concentrated under reduced pressure to give a residue. The obtained crude yellow oil (10 g, crude) was used directly and dissolved into 100 mL of DCM, H2O (1.3 g, 73.7 mmol, 1.3 mL, 10 eq) and 2,2-dichloroacetic acid (4.8 g, 36.9 mmol, 3.0 mL, 5 eq) were added. The mixture was stirred at 20°C for 0.5 hr. LC-MS showed the reaction was complete and desired mass was detected. The reaction mixture was quenched by addition of 10 mL of MeOH, and then 5 mL of Py was added. The mixture was concentrated under reduced pressure to give a residue, which was purified by flash silica gel chromatography (ISCO®; 120 g SepaFlash® Silica Flash Column, Eluent of 0-50% Methanol/Ethyl acetate gradient @ 100 mL/min) to afford Compound 4 (7.4 g, 7.0 mmol, 95.2% yield) as a yellow solid. MS (ESI) m/z: calcd. for [M+H]+, 1054.26; found, 1054.4 (M/1+H)+. Procedure for preparation of compound 5 and 5A
[00526] To a solution of compound 4 (6 g, 5.7 mmol, 1 eq) in 240 mL of dry Py was added 2- chloro-5,5-dimethyl-1,3,2dioxaphosphinane 2-oxide (2.6 g, 14.2 mmol, 2.5 eq) and Molecular sieve 3A (3 g). The mixture was stirred at 25°C for 1 hr. Then 1,1-dioxo-1,2-benzodithiol-3-one (2.3 g, 11.4 mmol, 2 eq) was added to the mixture. The mixture was stirred at 25°C for 1 hr. LC- MS showed the reaction was complete and desired mass was detected. The mixture was filtered and the filtrate was concentrated under reduced pressure to give a residue, which was purified by flash silica gel chromatography (ISCO®; 120 g SepaFlash® Silica Flash Column, Eluent of 0-10% Methanol/Ethyl acetate gradient @ 100 mL/min). The obtained mixture (two isomers of PI and P2) was combined with another batch of crude product and then purified by prep-HPLC ( neutral condition; column: Agela DuraShell C18 150*25mm*5mm;mobile phase: [water(10mM NH4HCO3)-ACN];B%: 30%-52%,22min) to afford Compound 5 (Peak 1) (1.5 g, 1.4 mmol, 30.6% yield) and Compound 5A (Peak 2) (1.5 g, 1.4 mmol, 30.6% yield) as white solid. MS (ESI) m/z: calcd. for [M+H]+, 1068.22; found, 1068.5 (M/1+H)+.
[00527] Compound 5 and 5A were used separately into other reactions.
Procedure for preparation of compound 6
[00528] To a stirred solution of compound 5 (300 mg, 280.9μmol, 1 eq) in 3 mL of Py was added N,N-diethylethanamine;trihydrofluoride (1.0 g, 6.3 mmol, 1.0 mL, 22.5 eq) at 0°C, then the
solution was stirred for 5 hrs at 0°C. LCMS showed compound 5 was remained. Then the solution was stirred for 10 hrs at 10°C. LCMS showed the reaction was complete and the desired mss was detected. Then the mixture was concentrated under reduced pressure to remove most solvent. 20 mL of H2O was added, the mixture was filtered and the filter cake was concentrated to get Compound 6 (220 mg, 230.7 μmol, 82.1% yield) as a white solid.
[00529] MS (ESI) m/z: calcd. for [M+H]+, 954.14; found, 954.1 (M/1 +H)+.
Procedure for preparation of compound 7
[00530] To a stirred solution of compound 6 (80 mg, 83.9 μmol, 1 eq) and linker B (179.8 mg, 251.6μmol , 3 eq) in 3 mL of anhydrous DMF was added TEA (34.0 mg, 335.5 μmol, 4 eq), DMAP (2.1 mg, 16.8 μmol, 0.2 eq), HOAt (22.8 mg, 167.8 μmol, 2 eq). The mixture was stirred at 40°C for 12 hrs. LCMS showed the desired product was detected. The reaction mixture was filtered and the filtrate was purified by prep-HPLC (neutral condition; column: Waters Xbridge Prep OBD C18 150*30 10u; mobile phase: [water (10mMNH4HCO3)-ACN]; B%: 10%-40%, 10min) to give Compound 7 (40 mg, crude) was obtained as a white solid. MS (ESI) m/z: calcd. for [M+H]+, 1476.35; found, 739.0 (M/2+H)+.
Procedure for preparation of STI-3
[00531] To a solution of compound 7 (40 mg, 27.1 μmol, 1 eq) in 4 mL of MeOH was added [(lR,4S)-7,7-dimethyl-2-oxo-norbornan-l -yl]methanesulfonic acid (60.0 mg, 258.3 μmol, 9.5 eq). The mixture was stirred at 35°C for 12 hrs. LCMS showed the desired product was detected. The reaction mixture was filtered, the filtrate and the obtained filter cake were all purified by prep- HPLC (neutral condition; column: Xtimate C18 150*25mm*5μm;mobile phase: [water(10mM NH4HCO3)-ACN]; B%: 5%-35%,8min) separately and give two batches of STI-3.
Batch 1: STI-3 (3.06 mg, 2.2 μmol, 8.3% yield, 92.9% purity) was obtained as a white solid. MS (ESI) m/z: calcd. for [M+H]+, 1268.30; found, 1268.3 (M/1+H)+.
Batch 2: STI-3 (4.4 mg, 3.4 μmol, 12.6% yield, 98.2% purity) was obtained as a white solid.
[00532] MS (ESI) m/z: calcd. for [M+H]+, 1268.30; found, 1268.4 (M/1+H)+.
5.5 Synthesis of Compound STI-4
Procedure for preparation of compound 5
[00533] Linker B was prepared as described herein. Compound 6 was prepared by treating compound 5A(P2), as shown in Example 5.4, with TEA.3HF, which is similar to the preparation of compound 6 from compound 5 (PI) in Example 5.4.
[00534] To a stirred solution of compound 6 (50 mg, 52.4 μmol, 1 eq) and linker B (112.4 mg, 157.3μmol , 3 eq) in 2 mL of anhydrous DMF was added TEA (21.2 mg, 209.7 μmol4 eq), DMAP (1.3 mg, 10.5 μmol, 0.2 eq), HOAt (14.3 mg, 104.8 μmol, 2 eq). The mixture was stirred at 40°C for 8 hrs. LCMS showed the desired product was detected. The reaction mixture was filtered and the filtrate was purified by prep-HPLC (neutral condition; column: Waters Xbridge 150*25 5u; mobile phase: [water(10mM NH4HCO3)-ACN]; B%: 10%-40%, 10min) to give Compound 5 (40 mg, crude) as a white solid. MS (ESI) m/z: calcd. for [M+H]+, 1476.35; found, 1476.4 (M/1+H)+.
Procedure for preparation of compound STI-4
[00535] To a solution of compound 5 (20 mg, 13.6 μmol, 1 eq) in 3 mL of MeOH was added [(lR,4S)-7,7-dimethyl-2-oxo-norbornan-1 -yl]methanesulfonic acid (216.7 mg, 932.7 μmol, 68.9 eq). The mixture was stirred at 35°C for 12 hrs. LCMS showed the desired product was detected. The reaction mixture was filtered and the filtrate was purified by prep-HPLC (neutral condition; column: Waters Xbridge 150*25 5u; mobile phase: [water(10mM NH4HCO3)-ACN];B%: 2%- 30%,10min) to give STI-4 (2.9 mg, 1.9 μmol, 13.8% yield, 81.9% purity) as a white solid. MS (ESI) m/z: calcd. for [M+H]+, 1268.30; found, 1268.5 (M/1+H)+.
5.6 Synthesis of Compound STI-5
Procedure for preparation of compound 2
[00536] To a solution of compound 1 (100 mg, 159 μmol, 1.0 eq) in DMF (0.5 mL) was added 4-(methylamino)butanoic acid (37.3 mg, 319 μmol, 2.0 eq), DIEA (82.4 mg, 637 μmol, 111 mL, 4.0 eq) and HOBt (21.5 mg, 159 μmol, 1.0 eq), then the reaction mixture was stirred at 25 °C for 16 hr. LC-MS showed compound 1 was consumed completely and one main peak with desired m/z (calculated MW: 605.64, observed m/z: 606.06 ([MTH]+)) was detected. The reaction mixture was directly purified by prep-HPLC (neutral condition). Compound 2 (65.7 mg, 103 mm,o 6l4.85% yield, 95.25% purity) was obtained as a white solid.
Procedure for preparation of compound 3
[00537] To a solution of compound 2 (100 mg, 159 μmol, 1.0 eq) in DMF (0.5 mL) was added 2,3,5,6-tetrafluorophenol (171 mg, 1.03 mmol, 8.0 eq), EDCI (98.8 mg, 515 μmol, 4.0 eq) and DMAP (7.9 mg, 64.4 μmol, 0.5 eq), then the reaction mixture was stirred at 25 °C for 16 hr. LC- MS showed compound 2 was consumed completely and one peak with desired m/z ( calculated MW: 753.70, observed m/z: 753.95 ([M+H]+)) was detected. The reaction mixture was directly purified by prep-HPLC (neutral condition). Compound 3 (75.7 mg, 91.1 μmol, 70.75% yield, 90.72% purity) was obtained as a white solid.
Procedure for preparation of compound STI-5
[00538] To a solution of SM-4 (5.0 mg, 7.22 μmol, 1.0 eq) in DMF (0.25 mL) was added
compound 3 (27.2 mg, 36.1 μmol, 5.0 eq), DIEA (5.60 mg, 43.3 μmol, 8 mL, 6.0 eq ) and DMAP (0.89 mg, 7.22 μmol, 1.0 eq) ,then the reaction mixture was stirred at 25°C for 16 hr. LC-MS showed compound 3 was consumed completely and one main peak with desired m/z ( calculated MW: 1280.16, observed m/z: 1279.67 [M+H]+ , 640.45 [M/2+H] ) was detected. The reaction mixture was directly purified by prep-HPLC (neutral condition). Compound STI-5 (4.7 mg, 3.60 pmol, 49.83% yield, 98.0% purity) was obtained as a white solid.
5.7 Synthesis of Compound STI-7
Procedure for preparation of compound 2
[00539] A mixture of compound 1 (50 mg, 79.67 μmol, 1.0 eq), compound 2 (20.0 mg, 119.50 pmol, 1.5 eq, HC1) was dissolved in 0.5 mL DMF, and then DIEA (41.19 mg, 318.67 μmol, 55 mL, 4 eq) was added dropwise to generate a homogenous solution. The reaction mixture was stirred at 30°C for 16 hrs. LC-MS showed compound 1 was consumed completely and one peak with desired m/z (MW: 619.67, observed m/z: 620.3 ([M+H+])) was detected. The reaction mixture was
directly purified by prep-HPLC (TFA condition), resulting in compound 5 (38.4 mg, 59.27 μmol, 74.39% yield, 95.64% purity) as a white solid after lyophilization.
Procedure for preparation of compound 4
[00540] A mixture of compound 5 (20 mg, 32.28 μmol, 1.0 eq), EDCI (24.8 mg, 129.10 μmol, 4 eq), and DMAP (1.9 mg, 16.14 μmol, 0.5 eq) was dissolved in 0.5 mL DMF to generate a homogenous solution. Next, compound 3 (21.4 mg, 129.10 μmol, 4 eq) dissolved in DMF (0.5 mL) was added to this solution dropwise. The reaction mixture was stirred at 30°C for 2 hr. LC- MS showed compound 5 was consumed completely and one main peak with desired m/z (MW: 767.73, observed m/z: 767.94 ([M+H+]) ) was detected. The reaction mixture was directly purified by prep-HPLC (neutral condition), resulting in compound 4 (18.5 mg, 21.72 μmol, 67.28% yield, 90.12% purity) as a white solid after lyophilization.
General procedure for preparation of compound STI-7
[00541] A mixture of SM-4 (1.0 mg, 1.44 μmol, 1.0 eq), DMAP (0.2 mg, 1.44 μmol, 1.0 eq) was dissolved in 0.5 mL DMF, and then DIEA (933 pg, 7.22 μmol, 1 mL, 5.0 eq) was added to generate a homogenous solution. Next, compound 4 (5.5 mg, 7.22 μmol, 5.0 eq) dissolved in DMF (0.5 mL) was added to this solution dropwise. The reaction mixture was stirred at 35 °C for 16 hrs. LC-MS showed one peak with desired m/z (MW: 1294.19, observed m/z: 647.65 ([M/2+H+]), 1293.67) was detected. The reaction mixture was directly purified by prep-HPLC (neutral condition), resulting in STI-7 (0.5 mg, 0.35 μmol, 24.17% yield, 90.32% purity) as a white solid after lyophilization.
5.8 Synthesis of compound STI-8
Procedure for preparation of compound 3
[00542] A mixture of compound 1 (50.0 mg, 79.67 μmol, 1.0 eq), compound 2 (12.3 mg, 119.50 μmol, 1.5 eq) was dissolved in 0.5 mL DMF, and then DIEA (41.2 mg, 318.67 μmol, 55 mL, 4.0 eq) was added dropwise to generate a homogenous solution. The reaction mixture was stirred at 30°C for 16 hrs. LC-MS showed compound 1 was consumed completely and one peak with desired m/z (MW: 591.62, observed m/z: 592.3 ([M+H+])) was detected. The reaction mixture was directly purified by prep-HPLC (TFA condition), resulting in compound 3 (43.8 mg, 70.26 μmol, 88.19% yield, 94.9% purity) as a white solid after lyophilization.
Procedure for preparation of compound 5
[00543] A mixture of compound 3 (20.0 mg, 33.8 μmol, 1 eq), EDCI (25.9 mg, 135.2 μmol, 4 eq), and DMAP (2.0 mg, 16.9 μmol , 0.5 eq) was dissolved in 0.5 mL DMF to generate a homogenous solution. Next, compound 4 (22.4 mg, 135.2 μmol, 4 eq) dissolved in DMF (0.5 mL) was added to this solution dropwise. The reaction mixture was stirred at 30°C for 2 hr. LC-MS showed compound 3 was consumed completely and one peak with desired m/z (MW: 739.67, observed m/z: 739.90) was detected. The reaction mixture was directly purified by prep-HPLC (neutral condition), resulting in compound 5 (19.8 mg, 26.77 μmol, 79.18% yield, 94.67% purity)
as a white solid after lyophilization.
Procedure for preparation of STI-8
[00544] A mixture of SM-4 (1.0 mg, 1.44 μmol, 1.0 eq), DMAP (0.2 mg, 1.44 μmol, 1.0 eq ) was dissolved in 0.5 mL DMF, and then DIEA (933 pg, 7.22 μmol, 1 mL, 5.0 eq) was added to generate a homogenous solution. Next, compound 5 (5.3 mg, 7.22 μmol, 5.0 eq) dissolved in DMF (0.5 mL) was added to this solution dropwise. The reaction mixture was stirred at 35 °C for 16 hrs. LC-MS showed one peak with desired m/z (MW: 1266.13, observed m/z: 633.52 ([M/2+H+]), 1265.70 ([M+H+]) was detected. The reaction mixture was directly purified by prep-HPLC (neutral condition), resulting in STI-8 (0.7 mg, 0.54 μmol, 37.37% yield, 97.61% purity) as a white solid after lyophilization.
5.9 Synthesis of compound STI-16
Procedure for preparation of compound 2
[00545] To compound 1 (150 mg, 324.3 μmol, 1 eq) was added HCl/EtOAc (4 M, 1 mL, 12.3 eq), then the solution was stirred for 1 hr at 15°C. LCMS showed compound 1 was consumed completely and the desired compound was detected. The mixture was concentrated under reduced pressure to give the crude compound 2 (150 mg, 311.9 μmol, 96.2% yield, 87.8% purity) as a
white solid, which was used into next step without further purification. MS (ESI) m/z: calcd. for [M+H]+, 481.20; found, 481.2 (M/1+H)+.
Procedure for preparation of compound STI-16
[00546] To a solution of SM-4 (10 mg, 14.4 μmol, 1 eq) and compound 2 (10.4 mg, 21.7 μmol, 1.5 eq) in 0.2 mL of DMF was added KI (239.7 μg, 1.4 μmol, 0.1 eq) and DIEA (3.7 mg, 28.9 pmol, 2 eq), then the solution was stirred for 10 hrs at 10°C, LCMS showed SM-4 was consumed and the desired mass was detected. Then the solution was filtered, the filtrate was purified by prep-HPLC (neutral condition, column: Waters Xbridge BEH C18 150*25mm*5mm; mobile phase: [water (10mM NH4HCO3)-ACN]; B%: 2%-30%, 10min) to give compound STI-16 (1.6 mg, 1.1 μmol, 7.7% yield, 79% purity) as a white solid. MS (ESI) m/z: calcd. for [M+H+], 1137.28; found, 1137.3 (M/l+H+).
5.10 Synthesis of compound STI-20
[00547] Compound A was prepared as described herein.
Procedure for preparation of compound 2
[00548] The mixture of compound 1 (2.2 g, 6.2 mmol, 1 eq) and Molecular sieve 3A (1 g) in
20 mL of Py was stirred at 15°C for 20 mins, then l-[chloro-(4-methoxyphenyl)-phenyl-methyl] -4-methoxy-benzene (4.2 g, 12.4 mmol, 2 eq) was added to the mixture at 15°C. The mixture was stirred at 15°C for 1 h. LCMS showed the desired compound mass was detected. The reaction mixture was quenched by addition of 10 mL of MeOH, and then filtered, the filtrate was concentrated in vacuum. The residue was purified by column chromatography (SiO2, eluting with a gradient of petroleum ether/ethyl acetate = 1/1 to ethyl acetate/methanol = 10/1) to give compound 2 (1.88 g, 2.86 mmol, 46.2% yield) as a white solid. MS (ESI) m/z: calcd. for [M+H]+, 658.26; found, 658.2 (M/l+H).
Procedure for preparation of compound 3
[00549] To a mixture of compound 2 (1.88 g, 2.86 mmol, 1 eq) and Molecular sieve 3A (1 g) in 30 mL of dry THF was added DIEA (1.48 g, 11.4 mmol, 2.0 mL, 4 eq) and DMAP (34.9 mg, 285.8μmol , 0.1 eq) at 15°C. The mixture was stirred at 15°C for 20 min. Then 3-[chloro- (diisopropylamino)phosphanyl]oxypropanenitrile (1.0 g, 4.3 mmol, 1.5 eq) was added to the mixture at 15°C. And the mixture was stirred at 15°C for 40 min. LCMS showed compound 2 consumed completely, and the desired mass was detected. The reaction mixture was filtered, and the filtrate was concentrated in vacuum. The residue was purified by flash silica gel chromatography (ISCO®; 40 g SepaLlash® Silica Plash Column, Eluent of 30-80% Ethyl acetate/Petroleum ether gradient @ 80 mL/min) to give compound 3 (1.5 g, 1.75 mmol, 61.2% yield) as a white foam. MS (ESI) m/z: calcd. for [M+H]+, 858.37; found, 858.4 (M/1+H)+.
Procedure for preparation of compound 4
[00550] To a mixture of compound 3 (0.2 g, 233.1 μmol, 1 eq) in 3 mL of acetonitrile was added pyridine;2,2,2-trifluoroacetic acid (54.0 mg, 279.7 μmol, 1.2 eq) and H2O (8.4 mg, 466.2 μmol, 2 eq) at 15°C. The mixture was stirred at 15°C for 20 min. LCMS showed the reaction was complete. Then to the mixture was added 2-methylpropan-2-amine (254.9 mg, 3.5 mmol, 366.2 mL, 15 eq) at 15°C. The mixture was stirred at 15°C for 20 min. LCMS showed the reaction was complete. The mixture was quenched by addition of 2 mL of MeOH and concentrated. 2 mL of MeCN was added and the mixture was concentrated. Then to the residue was added 3 mL of DCM, 2,2-dichloroacetic acid (257.3 mg, 2.0 mmol, 163.9 mL, 8 eq) and H2O (44.9 mg, 2.5 mmol, 10 eq) at 15°C. The mixture was stirred at 15°C for 20 min. LCMS showed the reaction was complete, and the desired mass was detected. The reaction mixture was quenched by addition of 2 mL of MeOH and 0.5 mL of Py, then the mixture was concentrated in vacuum to give the crude
compound 4 (0.5 g, crude) as a colorless gum. MS (ESI) m/z: calcd. for [M+H]+, 420.10; found, 420.1 (M/1+H)+.
Procedure for preparation of compound 5
[00551] A mixture of compound 4 (1.3 g, 3.1 mmol, 1 eq ) in 100 mL of dry acetonitrile and 70 mL of dry DMF was added Molecular sieve 3A (5 g) and pyridine;2,2,2-trifluoroacetic acid (1.2 g, 6.2 mmol, 2 eq) at 15°C, the mixture was stirred at 15°C for 0.5 hr. Then compound A (3.3 g, 3.7 mmol, 1.2 eq) was added to the mixture, then it was stirred at 15°C for 1 hr. To above mixture was added N,N-dimethyl-N'-(5-thioxo-1,2,4-dithiazol-3-yl)formamidine (954.4 mg, 4.7 mmol, 1.5 eq) at 15°C and stirred for 0.5 hr. LCMS showed the reaction was complete. The reaction mixture was filtered, and the filtrate was concentrated in vacuum at 35°C. The residue was added 50 mL of DCM, H2O (587.7 mg, 32.6 mmol, 587.7 mL, 10 eq) and 2,2-dichloroacetic acid (2.1 g, 16.3 mmol, 1.3 mL, 5 eq) at 15°C. Then the mixture was stirred at 15°C for 0.5 hr. LCMS showed the reaction was complete, and the desired compound mass was detected. The reaction was quenched by addition of 10 mL of MeOH. Then the mixture was concentrated under reduced pressure. The residue was purified by flash silica gel chromatography (ISCO®; 80 g SepaLlash® Silica Llash Column, Eluent of 20-80% Methanol / Ethyl acetate gradient @ 70 mL/min) to give compound 5 (3.5 g, crude) as a white solid. MS (ESI) m/z: calcd. for [M+H]+, 924.18; found, 924.2 (M/1+H)+ Procedure for preparation of compound 6 and 6A
[00552] To a solution of compound 5 (1 g, 1.1 mmol, 1 eq) in 60 mL of dry Py was added 2- chloro-5, 5 -dimethyl- 1, 3, 2dioxaphosphinane 2-oxide (699.3 mg, 3.8 mmol, 3.5 eq) and MolecpLar sieve 3 A (2 g) at 15°C. Then the mixture was stirred at 15°C for 0.5 hr under N2. 1,1 -dioxo-1 ,2- benzodithiol-3-one (433.52 mg, 2.17 mmol, 2 eq) was added, and the reaction mixture was stirred at 15°C for another 0.5 hr under N2. LCMS showed most of compound 5 consumed, and the desired compound mass was detected. The two parallel reaction mixture were combined and then was filtered, and the filtrate was concentrated in vacuum. The residue was purified by flash silica gel chromatography (ISCO®; 40 g SepaLlash® Silica Plash Column, Eluent of 0-40% Methanol/Ethyl acetate gradient @ 60 mL/min) to give 1 g of the product (a mixture of compound 6 and 6A). The mixture was purified by prep-HPLC (TLA condition; column: Phenomenex luna C18 250*50mm*10 pm; mobile phase: [water(0.1%TFA)-ACN];B%: 20%-50%,20min) to give compound 6 (peak 1, 0.35 g, 373.21 μmol, 17.24% yield) as a white solid and compound 6A (peak 2, 0.25 g, 266.58 μmol, 12.31% yield) as a off-white solid. MS (ESI) m/z: calcd. for [M+H]+,
938.14; found, 938.2 (M/1+H)+.
[00553] The two isomers were used into the next step separately.
Procedure for preparation of compound 7B
[00554] To a mixture of compound 6 (20.0 mg, 21.3 μmol, 1 eq), compound A (18.5 mg, 38.4 pmol, 1.8 eq) in 1 mL of DMF was added DIEA (5.5 mg, 42.7 μmol, 2 eq) at 0°C, then KI (354.0 mg, 2.1 μmol , 0.1 eq) was added into the above mixture at 0°C and then stirred at 15°C for 82.5 hrs. LCMS showed compound 7B and 7A were detected. The reaction was filtered. The filtrate was purified by prep-HPLC (neutral condition; column: Waters Xbridge 150*25 5u; mobile phase: [water(10mM NH4HCO3)-ACN];B%: 20%-55%,10min) to give compound 7B (5 mg, 3.6 μmol, 16.96% yield) and compound 7A (5 mg, 3.7 μmol, 17.64% yield) as white solid. MS (ESI) m/z: calcd. for [M+H]+, 1382.36; found, 1382.3 (M/1+H)+.
Procedure for preparation of compound STI-20
[00555] A mixture of compound 7B (5 mg, 3.6 μmol, 1 eq) in 3 mL of MeNH2/EtOH (0.6% purity) was stirred at 15°C for 15 hrs. LCMS showed the reaction was complete and desired mass was detected. The mixture was filtered and the filtrate was purified by prep-HPLC (neutral condition; column: Waters Xbridge BEH C18 150*25mm*5mm;mobile phase: [water(10mM NH4HCO3)-ACN];B%: 5%-35%,10mm) to give STI-20 (1.9 mg, 1.7 μmol, 46.9% yield) as a white solid. MS (ESI) m/z: calcd. for [M+H]+, 1121.28; found, 1121.3 (M/1+H)+.
Procedure for preparation of compound 8
[00556] Compound 6 (15 mg, 16.0 μmol, 1 eq) was added to 0.5 mL of MeNH2 (30% purity in EtOH) solution. The mixture was stirred at 20°C for 10 min. LCMS showed the reaction was complete. The reaction mixture was filtered and the filtrate was purified by prep-HPLC (neutral condition; column: Xtimate C18 150*25mm*5mm; mobile phase: [water(10mM NH4HCO3)- ACN]; B%: 1%-17%, 8min) to give compound 8 (5 mg, crude) as a white solid. MS (ESI) m/z: calcd. for [M+H]+, 677.06; found, 677.0 (M+H)+.
Procedure for preparation of compound STI-20
[00557] To a solution of compound 8 (5 mg, 7.4 μmol, 1 eq) and compound A (7.1 mg, 14.8 pmol, 2 eq) in 1 mL of DMF was added KI (4.9 mg, 29.6 μmol, 4 eq) and DIEA (7.6 mg, 59.1 pmol, 8 eq). The mixture was stirred at 15°C for 12 hrs. LCMS showed the desired mass and di- substituted mass was detected. The reaction mixture was filtered and the filtrate was purified by prep-HPLC (neutral condition; column; Waters Xbridge 150*25 5u; mobile phase: [water(10mM
NH4HCO3)-ACN]; B%: 5%-35%, 10mm) to give STI-20 (0.58 mg, 0.47 μmol, 6.4% yield, 90.8% purity) and compound 9 (0.97 mg, 0.57 μmol, 7.7% yield, 91.96% purity) were obtained as white solid.
[00558] STI-20: MS (ESI) m/z calcd. for [M+H]+, 1121.28; found, 1121.4 (M/1+H)+.
[00559] Compound 9: MS (ESI) m/z calcd. for [M+H]+, 1565.51; found, 1565.6 (M/1+H)+.
Example 6: Synthesis of Bicycle Sting Conjugates
6.1 Synthesis of Compound 1-1
Procedure for preparation of 1-1
[00560] A mixture of compound STI-1 (2 mg, 1.54 μmol, 1.0 eq), BPI-1 (4.64 mg, 1.70 μmol, 1.1 eq), and THPTA (0.1 M, 15 mL, 1.0 eq) was dissolved int-BuOH/H2O (1 : 1, 1 mL, pre-degassed and purged with N2 for 3 times), and then CuSC>4 (0.1 M, 15 mL, 1.0 eq) and VcNa (0.2 M, 15 mL, 2.0 eq) were added under N2. The pH of this solution was adjusted to 8 by dropwise addition of 0.2 M NH4HCO3 (in 1 : 1 t-BuOH/H2O), and the solution turned to light yellow. The reaction mixture was stirred at 25-30 °C for 12 hr under N2 atmosphere. LC-MS showed compound STI-1 was consumed completely and one main peak with desired m/z [MW: 4028.15, observed m/z
1342.5 ([M/3+H+]), 1007.3 ([M/4+H+])] was detected. The reaction mixture was directly purified by prep-HPLC (TFA condition). 1-1 (1.0 mg, 0.22 mmol , 14.04% yield, 89.81% purity) was obtained as a white solid.
Procedure for preparation of compound 1-2
[00561] A mixture of compound STI-2 (2 mg, 1.57 μmol, 1.0 eq), BPI-1 (4.7 mg, 1.72 μmol, 1.1 eq), and THPTA (0.1 M, 15 mL, 1.0 eq) was dissolved int-BuOH/H2O (1 : 1, 1 mL, pre-degassed and purged with N2 for 3 times), and then CuSO4 (0.1 M, 15 mL, 1.0 eq) and VcNa (0.2 M, 15 mL, 2.0 eq) were added under N2. The pH of this solution was adjusted to 8 by dropwise addition of 0.2 M NH4HCO3 (in 1 : 1 t-BuOH/H2O), and the solution turned to light yellow. The reaction mixture was stirred at 25-30 °C for 12 hr under N2 atmosphere. LC-MS showed compound STI-2 was consumed completely and one main peak with desired m/z [MW: 4010.08, observed m/z:
1337.0 ([M/3+H+]), 1002.9 ([M/4+H+]), 802.10 ([M/5+H+])] was detected. The reaction mixture was directly purified by prep-HPLC (TFA condition). 1-2 (1.1 mg, 0.24 μmol, 15.38% yield, 90.32% purity) was obtained as a white solid.
6.3 Synthesis of compound 1-4
Procedure for preparation of compound 1-4
[00562] A mixture of STI-4 (1.9 mg, 1.50 μmol, 1 eq), BPI-1 (3.3 mg, 1.20 mmol , 0.8 eq), and THPTA (0.4 M, 4 mL, 1 eq) was dissolved in t-BuOH/H2O (1 : 1, 1 mL in total, pre-degassed and purged with N2 for 3 times), and then CuSO4 (0.4 M, 4 mL, 1 eq) and sodium ascorbate (0.4 M, 8 mL, 2 eq) were added under N2. The pH of this solution was adjusted to 8 by dropwise addition of 0.2 M NH4HCO3 (in 1 : 1 t-BuOH/H2O), and the solution turned to light yellow. The reaction mixture was stirred at 25-30 °C for 12 hr under N2 atmosphere. LC-MS showed compound STI-4 was consumed completely and one main peak with desired m/z [MW: 4001.08, observed m/z 1333.95 ([M/3+H+]), 1000.63 ([M/4+H+]), and 800.74 ([M/5+H+])] was detected. The reaction mixture was directly purified by prep-HPLC (TFA condition). 1-4 (2.9 mg, 0.62 μmol, 41.60% yield, 86.97% purity) was obtained as a white solid.
6.4 Synthesis of Compound 1-5
Procedure for preparation of compound 1-5
[00563] A mixture of compound STI-5 (3.7 mg, 2.89 μmol, 1.0 eq), BPI-1 (7.9 mg, 2.89 μmol, 1.0 eq), and THPTA (0.4 M, 15 mL, 1.0 eq) was dissolved in t-BuOH/H2O (1 : 1, 1 mL, pre-degassed and purged with N2 for 3 times), and then CuSO4 (0.4 M, 15 mL, 1.0 eq) and VcNa (0.4 M, 15 mL, 2.0 eq) were added under N2. The pH of this solution was adjusted to 8 by dropwise addition of 0.2 M NH4HCO3 (in 1 : 1 t-BuOH/H2O), and the solution turned to light yellow. The reaction mixture was stirred at 25-30 °C for 12 hr under N2 atmosphere. LC-MS showed compound STI-5 was consumed completely and one main peak with desired m/z [MW: 4013.13, observed m/z: 1337.84 ([M/3+H+]), 1003.76 ([M/4+H+]), and 803.05 ([M/5+H+])] was detected. The reaction mixture was directly purified by prep-HPLC (TFA condition). 1-5 (5.4 mg, 1.30 μmol, 45.11% yield, 96.89% purity) was obtained as a white solid.
Example 7. In vitro activity of STING conjugate in THP1 Reporter Cell assay
[00564] Engineered human monocyte reporter cell line THPl-Dual™ cells expressing STING (Invivogen; Catalogue No: thpd-nfis) are cultured in RPMI1640 medium with 10% heat- inactivated FBS, 25 mM HEPES, 1 x L-Glutamine, 1 x Pen-Strep, 100 pg/mL of Normocin, 10
mg/mL of Blasticidin and 100 mg/mL of Zeocin according to the manufacturer’s guidelines. At 80% confluency, the cells are transferred to a 50 mL conical tube and made into a cell suspension by pipetting up and down then centrifuged at 300 x g for 5 minutes to pellet cells. Cells are resuspended in culture medium at 550,000 cells/mL
[00565] 10 mM stock concentrations of a Bicycle conjugate or free payload are formulated in
25 mM Histidine HC1 with 10% sucrose (Histidine Buffer, pH7). 10X (1000 mM) test concentrations of compounds are then made in DMEM followed 3 fold dilutions, and 5 mL of each dilution is added to a flat-bottom 384-well plate (Corning, Catalogue No: 3701). 45 mL of cell suspension is added to each well and the plate is incubated at 37°C in 5% CO2 for 24 hours. After incubation, 5 mL of the culture supernatant is transferred into a 384- well white plate (GreinerBio- One, Catalogue No: 781080-20) and 45 mL of Quanti-Luc detection reagent (InvivoGen, Catalogue No: rep-qlcl) is added and reporter activity is measured immediately. Reporter cell assay plates are read on a CLARIOstar microplate reader. The instrument is set for 0.1 second reading time. STING induced ISG/IFNb promoter activity is measured as luciferase activity (Luminescence). Raw data is analyzed and reporter activity is calculated on GraphPad Prism 7 software using three- parameter non-linear regression (curve fit) method for log (agonist) vs response.
Example 8: Synthesis of Additional Sting Intermediates
8.1: Synthesis of BPI-2
Procedure for preparation of compound 2
To a solution of 1 (118.5 mg, 41.22 umol, 1.0 eq) in DMF (0.8 mL) was added piperidine (0.5 mL), then the reaction mixture was stirred at 25 °C for 5 mins. LC-MS showed 1 was consumed completely and one main peak with desired m/z (calculated MW: 2652.88, observed m/z: 885.1
([M/3+H]+), 1327.1([M/2+H]+)) was detected. The reaction mixture was directly purified by prep-HPLC (neutral condition). Compound 2 (54.1 mg, 20.39 umol, 49.48% yield) was obtained as a white solid.
Procedure for preparation of BPI-2
To a solution of Compound 2 (51.0 mg, 19.22 umol, 1.0 eq) in DMF (0.5 mL) was added DBCO-C6-NHS ester (24.8 mg, 57.67 umol, 3.0 eq) and DIEA (7.4 mg, 57.67 umol, 10.0 uL,
3.0 eq), then the reaction mixture was stirred at 25 °C for 3 hr. LC-MS showed Compound 1 was consumed completely and one main peak with desired m/z [ calculated MW: 2968.25, observed m/z: 1485.2 ([M/2+H+], 990.1 ([M/3+H+])] was detected. The reaction mixture was directly purified by prep-HPLC (TFA condition). BPI-2 (34.7 mg, 11.69 umol, 60.81% yield, 97.57% purity) was obtained as a white solid.
8.2: Alternative Synthesis of Compound STI-3
Procedure for preparation of STI-3
[00566] Linker B and SM-4 were prepared as described herein. A mixture of compound SM-
4 (20 mg, 28.9 mmol , 1 eq), linker B (61.9 mg, 86.6 μmol, 3 eq ) and Molecular sieve 3A (30 mg) in 0.5 mL of DMF was stirred at 25°C for 0.5 hr. TEA (11.7 mg, 115.5 mmol , 4 eq), HOAt (15.7 mg, 115.5 mmol , 4 eq) and DMAP (0.7 mg, 5.8 mmol , 0.2 eq) were added to the mixture, it was degassed and purged with N2 for 3 times. The mixture was stirred at 40°C for 12 hr. LCMS showed the desired mass was detected. The mixture was filtered, the filtrate was purified by prep- HPLC (basic condition; column: Waters Xbridge BEH C18 100*25mm*5mm; mobile phase: [water(10mM NH4HCO3)-ACN]; B%: 2%-35%, 8mm) to afford STI-3 (16 mg, 12.2 mmol , 42.3% yield, 96.8% purity) as a white solid. MS (ESI) m/z: calcd. for [M+H]+, 1268.30; found, 634.9 (M/2+H)+.
8.3: Synthesis of Compound STI-10
Procedure for preparation of STI-10
[00567] N3-VC-Pab-PNP and SM-4 were prepared as described herein. To a stirred solution of SM-4 (10 mg, 14.4 μmol, 1 eq) and N3-VC-Pab-PNP (45.3 mg, 72.2 μmol, 5 eq) in 0.5 mL of DMF was added DMAP (0.35 mg, 2.9 μmol, 0.2 eq), HOAt (7.9 mg, 57.8 μmol, 4 eq) and TEA (5.8 mg, 57.8 mmol , 4 eq) in turn. Then the mixture was stirred at 40°C for 12 hrs. LCMS showed the desired mass was detected. The reaction mixture was filtered. The filtrate was purified by prep-HPLC (neutral condition; column: Waters Xbridge BEH C18 100*25mm*5mm; mobile phase: [water(10mM NH4HCO3)-ACN]; B%: 2%-40%,8min) to give STI-10 (3.7 mg, 2.9 μmol, 20.2% yield, 92.9% purity) as a light yellow solid. MS (ESI) m/z: calcd. for [M+H+], 1181.27; found, 1181.5 (M/l+H+).
8.4: Synthesis of Compounds STI-19 and STI-59
General procedure for preparation of compound 7
[00568] Compound 6 was prepared as described elsewhere herein (see Example 5.10). To a mixture of compound 6 (0.1 g, 106.63 μmol, 1 eq) in 1 mL of EtOH was added 1 mL of MeNH2/EtOH (30% purity) at 15°C and stirred for 1 hr. LCMS showed the compound 6 was consumed completely, and the desired compound mass was detected. The reaction mixture was concentrated in vacuum. The residue was purified by prep-HPLC (neutral condition; column: Waters Xbridge BEH C18 100*25mm*5μm; mobile phase: [water (lOmM NH4HCO3)-ACN]; B%: 1%-30%, 8min) to give compound 7 (65 mg, 96.1 μmol, 90.1% yield) as a white solid. MS (ESI) m/z: calcd. for [M+H]+, 677.06; found, 677.2 (M/1+H)+.
General procedure for preparation of STI-19
[00569] Compound A was prepared as described elsewhere herein (see Example 5.9). To a stirred solution of compound 7 (55 mg, 81.3 μmol, 1 eq) and compound A (43.0 mg, 89.4 μmol, 1.1 eq) in 1 mL of DMF was added KI (6.8 mg, 40.7 μmol , 0.5 eq) and DIEA (31.5 mg, 243.9 μmol, 3 eq) at 15°C. Then the solution was stirred for 12 hrs at 15°C. LCMS showed the desired mass was detected. The reaction mixture was filtered, and the filtrate was purified by prep-HPLC (neutral condition; column: Waters Xbridge BEH C18 100*25mm*5mm; mobile phase: [water (10mM NH4HCO3)-ACN]; B%: 15%-45%, 8mm) to give the crude STI-19, STI-59 and compound 8, 10 mg for each.
[00570] The crude STI-19 was then re-purified by prep-HPLC (neutral condition; column: Waters Xbridge BEH C18 100*25mm*5mm;mobile phase: [water(10mM NH4HCO)-ACN];B%: 15%-45%,8min) to give STI-19 (7.0 mg, 6.0 μmol, 67.3% yield, 96.2% purity) as a white solid. MS (ESI) m/z calcd. for [M+H]+, 1121.28; found, 1121.6 (M/1+H)+.
General procedure for preparation of STI-59
[00571] The crude STI-59 (10 mg, 8.92 μmol, 1 eq) was re-purified by prep-HPLC (neutral condition; column: Waters Xbridge BEH C18 100*25mm*5mm;mobile phase: [water(10mM NH4HCO3)- ACN] ;B% : 15%-45%,8mm) to give STI-59 (3.9 mg, 3.0 μmol, 33.3% yield, 85.4% purity) as a white solid. MS (ESI) m/z: calcd. for [M+H]+, 1121.28; found, 1121.6 (M/1+H)+.
8.5: Synthesis of Compound STI-25
General procedure for preparation of compound 2
[00572] To a solution of compound N3-VC-Pab-PNP (480 mg, 764.81 μmol, 1 eq) in DMF (2 mL) was added 3 -amino-2, 2-dimethyl-propan-1-ol (157.8 mg, 1.53 mmol, 2 eq), DIEA (395.4 mg, 3.06 mmol, 532.8 uL, 4 eq) and HOBt (103.3 mg, 764.81 μmol, 1 eq), then the reaction mixture was stirred at 35 °C for 8 hr. LC-MS showed compound N3-VC-Pab-PNP was consumed completely and one main peak with desired m/z ( calculated MW: 591.6, observed m/z: 592.3 ([M+H]+)) was detected. The reaction mixture was directly purified by prep-HPLC (neutral condition). Compound 2 (370 mg, 595.7 μmol, 77.88% yield, 95.25% purity) was obtained as a white solid.
General procedure for preparation of compound 3
[00573] To a solution of compound 2 (370 mg, 625.36 μmol, 1 eq) in DMF (2 mL) was added bis(4-nitrophenyl) carbonate (760.9 mg, 2.50 mmol, 4 eq), DIEA (323.3 mg, 2.50 mmol, 435.7 uL, 4 eq), then the reaction mixture was stirred at 35 °C for 2 hr. LC-MS showed compound 2 was consumed completely and one peak with desired m/z ( calculated MW: 756.76, observed m/z: 757.3 ([M+H]+) and 779.3 ([M+Na]+)) was detected. The reaction mixture was directly purified by prep-HPLC (neutral condition). Compound 3 (327.5 mg, 419.13 μmol, 67.02% yield, 96.85%
purity) was obtained as a white solid.
General procedure for preparation of STI-25
[00574] To a solution of SM-4 (3.0 mg, 4.33 μmol , 1 eq) in DMF (0.5 mL) was added compound 3 (16.4 mg, 21.66 μmol, 5 eq), TEA (2.2 mg, 21.66 μmol, 3.0 mL, 5 eq), HOAt (1.2 mg, 8.66 μmol, 1.2 mL, 2 eq) and DMAP (529.22 pg, 4.33 μmol, 1 eq), then the reaction mixture was stirred at 40°C for 12 hr. The reaction was set up in total of five batches in parallel. LC-MS showed desired m/z (calculated MW: 1310.19, observed m/z: 1310.2 [M+H]+) was detected. The reaction mixture was directly purified by prep-HPLC (TFA condition). STI-25 (8.3 mg, 5.29 mm,ol 24.48% yield, 83.75% purity) was obtained as a white solid.
8.6: Synthesis of Compound STI-36
General procedure for preparation of compound 2
[00575] To a solution of compound N3-VC-Pab-PNP (100 mg, 159.34 μmol, 1 eq) in DMF (1 mL) was added 5-aminopentanoic acid (28.0 mg, 239.00 μmol, 1.5 eq), DIEA (82.4 mg, 637.34 pmol, 111 mL, 4 eq) and HOBt (21.5 mg, 159.34 mmo, 1 eq), then the reaction mixture was stirred at 35 °C for 16 hrs. LC-MS showed compound N3-VC-Pab-PNP was consumed completely and
one main peak with desired m/z ( calculated MW: 605.64, observed m/z: 606.06 ([M+H] )) was detected. The reaction mixture was directly purified by prep-HPLC (neutral condition). Compound
2 (66.8 mg, 110 μmol, 69.18% yield) was obtained as a white solid.
General procedure for preparation of compound 3
[00576] To a solution of compound 2 (66.8 mg, 110 μmol, 1 eq) in DMF (0.5 mL) was added 2,3,5,6-tetrafluorophenol (73.1 mg, 440 μmol, 4 eq), EDCI (84.4 mg, 440 μmol, 4 eq) and DMAP (6.7 mg, 55 μmol, 0.5 eq), then the reaction mixture was stirred at 35 °C for 2 hrs. LC-MS showed compound 2 was consumed completely and one peak with desired m/z (calculated MW: 753.70, observed m/z: 754.3 ([M+H]+)) was detected. The reaction mixture was directly purified by prep- HPLC (neutral condition). Compound 3 (64.2 mg, 85.18 μmol, 77.4% yield) was obtained as a white solid.
General procedure for preparation of STI-36
[00577] To a solution of SM-4 (2 mg, 2.89 μmol, 1 eq) in DMF (0.5 mL) was added compound
3 (10.9 mg, 14.44 μmol, 5 eq), DIEA (1.87 mg, 14.44 μmol, 2.5 μL, 5 eq) and DMAP (0.35 mg, 2.89 μmol , 1 eq), then the reaction mixture was stirred at 40°C for 16 hrs. The reaction was set up in total of five batches in parallel. LC-MS showed desired m/z ( calculated MW: 1280.16, observed m/z: 1280.2 [M+H]+) was detected. The reaction mixture was directly purified by prep-HPLC (NH4HCO3 condition). STI-36 (2.2 mg, 1.70 μmol, 11.77% yield, 97.9% purity) was obtained as a white solid.
8.7: Synthesis of Compound STI-37
General procedure for preparation of compound 2
[00578] To a solution of compound 1 (700.0 mg, 1.96 mmol, 1.0 eq) in DCM (2 mL) and MeOH (0.2 mL) was added tert-butyl 4-aminobenzylcarbamate (653.1 mg, 2.94 mmol, 1.5 eq), and EEDQ (968.8 mg, 3.92 mmol, 2.0 eq), then the reaction mixture was stirred at 35 °C for 2 hrs. LC-MS showed compound 1 was consumed completely and one main peak with desired m/z ( calculated MW: 561.63, observed m/z: 562.3 ([M+H]+)) was detected. The reaction mixture was directly purified by prep-HPLC (neutral condition). Compound 2 (528 mg, 940.12 μmol, 47.99% yield) was obtained as a white solid.
General procedure for preparation of compound 3
[00579] To a solution of compound 2 (528 mg, 940.12 mmol, 1 eq) in DCM (4 mL) was added TFA (4 mL), then the reaction mixture was stirred at 25 °C for 2 hrs. LC-MS showed some compound 2 remained and one peak with desired m/z ( calculated MW: 461.52, observed m/z: 462.3 ([M+H]+), 923.5 ([M*2+H]+)) was detected. The reaction mixture was directly purified by
prep-HPLC (neutral condition). Compound 3 (394.4 mg, 854.57 mmo, 9l 0.90% yield) was obtained as a white solid.
General procedure for preparation of compound 4
[00580] To a solution of compound 3 (394.4 mg, 854.57 μmol, 0.95 eq) in DMSO (10 mL) was added DSC (276.5 mg, 1.08 mmol, 1.2 eq) and TEA (182.0 mg, 1.80 mmol, 250.4 μL, 2.0 eq), then reaction mixture was stirred at 30°C for 2 hr, then methyl 4-hydroxybutanoate (106.2 mg, 899.55 μmol, 1.0 eq) was added thereto, and reaction mixture was stirred at 30 °C for additional 10 hr. LC-MS showed compound 3 was consumed completely and one peak with desired m/z (calculated MW: 605.64, observed m/z: 606.2 ([M+H]+)) was detected. The reaction mixture was directly purified by prep-HPLC (neutral condition). Compound 4 (257.2 mg, 403.10 μmol, 44.81% yield, 94.92% purity) was obtained as a white solid.
General procedure for preparation of compound 5
[00581] To a solution of compound 4 (257.2 mg, 424.67 mmo, 1 eq) in THF (5 mL) was added LiOH· H2O (0.5 M, 2.55 mL, 3 eq) and H2O (2 mL), then the reaction mixture was stirred at 50 °C for 16 hr. LC-MS showed one peak with desired m/z (calculated MW: 591.62, observed m/z: 592.3 [M+H]+) was detected. The reaction mixture was directly purified by prep-HPLC (neutral condition). Compound 5 (188 mg, 311.42 mmol, 73.33% yield, 96.4% purity) was obtained as a white solid.
General procedure for preparation of compound 6
[00582] A mixture of compound 5 (188 mg, 317.25 μmol, 1 eq), in DMF (0.5 mL) was added 2,3,5,6-tetrafluorophenol (210.7 mg, 1.27 mmol, 4 eq), EDCI (243.3 mg, 1.27 mmol, 4 eq) and DMAP (38.8 mg, 317.25 mmol, 1 eq). The reaction mixture was stirred at 35 °C for 1 hr. LC-MS showed desired m/z [ calculated MW: 739.67, observed m/z: 740.2 ([M+H+])] was detected. The reaction mixture was directly purified by prep-HPLC (neutral condition). Compound 6 (144.2 mg, 194.95μmol , 61.45% yield) was obtained as a white solid.
General procedure for preparation of STI-37
[00583] To a solution of compound 6 (10 mg, 13.52 μmol, 4.68 eq) in DMF (0.5 mL) was added SM-4 (2 mg, 2.89 mmol, leq), DIEA (1.9 mg, 14.44 mmol, 2.5 mL, 5 eq) and DMAP (0.35 mg, 2.89μmol , 1 eq), then the reaction mixture was stirred at 40°C for 2 hrs. The reaction was set up in total of seven batches in parallel. LC-MS showed desired m/z (calculated MW: 1266.14, observed m/z: 1266.1) was detected. The reaction mixture was directly purified by prep-HPLC
(neutral condition). STI-37 (8.5 mg, 6.71 μmol, 33.21% yield) was obtained as a white solid.
8.8: Synthesis of Compound STI-38
General procedure for preparation of compound 2
[00584] To a solution of compound N3-VC-Pab-PNP (100 mg, 159.34 μmol, 1 eq) in DMF (2 mL) was added 4-hydroxy-butyric acid methyl ester (37.6 mg, 318.67 μmol, 2 eq), TEA (64.5 mg,
637.34 μmol, 88.7 mL, 4 eq), HOAt (43.4 mg, 318.67 μmol, 44.6 mL, 2 eq) and DMAP (19.5 mg,
159.34 μmol, 1 eq), then the reaction mixture was stirred at 35 °C for 8 hr. LC-MS showed compound N3-VC-Pab-PNP was consumed completely and one main peak with desired m/z (calculated MW: 606.63, observed m/z: 607.2 ([M+H]+)) was detected. The reaction mixture was directly purified by prep-HPLC (neutral condition). Compound 2 (41.1 mg, 63 μmol, 39.43% yield, 92.72% purity) was obtained as a white solid.
General procedure for preparation of compound 3
[00585] To a solution of compound 2 (41.1 mg, 67.75 μmol, 1 eq) in THF (0.1 mL) and H2O (0.1 mL) was added LiOH-H2O (5.7 mg, 135.50 μmol, 2 eq), then the reaction mixture was stirred at 20 °C for 1 hr. LC-MS showed some compound 2 remained and one peak with desired m/z (calculated MW: 592.60, observed m/z: 593.2 ([M+H]+)) was detected. The reaction mixture was directly purified by prep-HPLC (neutral condition). Compound 3 (13.8 mg, 23 μmol, 34.38%
yield) was obtained as a white solid.
General procedure for preparation of compound 4
[00586] To a solution of compound 3 (13.8 mg, 23 μmol, 1.0 eq) in DMF (0.5 mL) was added 2,3,5,6-tetrafluorophenol (15.5 mg, 93 μmol, 4.0 eq), EDCI (17.8 mg, 93 μmol, 4.0 eq) and DMAP (0.28 mg, 2.33 μmol, 0.1 eq), then the reaction mixture was stirred at 35 °C for 1 hr. LC-MS showed compound 3 was consumed completely and one peak with desired m/z ( calculated MW: 740.66, observed m/z: 741.2 ([M+H]+)) was detected. The reaction mixture was directly purified by prep-HPLC (neutral condition). Compound 4 (8.6 mg, 11.6 μmol, 49.85% yield) was obtained as a white solid.
General procedure for preparation of STI-38
[00587] To a solution of SM-4 (2.0 mg, 2.9 μmol, 1.0 eq) in DMF (0.25 mL) was added compound 4 (8.6 mg, 11.5 μmol, 4.0 eq), DIEA (1.9 mg, 14.4 μmol, 2.5 L, 5.0 eq) and DMAP (0.04 mg, 0.29 μmol, 0.1 eq), then the reaction mixture was stirred at 50°C for 12 hr. LC-MS showed hydrolyzed compound 4 remained, as well as little bit desired m/z ( calculated MW: 1267.12, observed m/z: 1267.2 [M]+ , 634.1 [M/2+H]+) was detected. The reaction mixture was directly purified by prep-HPLC (neutral condition). STI-38 (3.3 mg, 3.60 μmol, 89.73% yield, 99.5% purity) was obtained as a white solid.
8.9: Synthesis of Compound STI-56
Procedure for preparation of compound 3
[00588] To a solution of N3-VC-Pab-PNP (100 mg, 159.34 μmol, 1 eq) in DMF (1 mL) was added compound 2 (59.34 mg, 318.67 μmol, 2 eq), DIEA (82.37 mg, 637.34 μmol, 111.01 μL, 4 eq) and HOBt (21.53 mg, 159.34 μmol, 1 eq) ,then the reaction mixture was stirred at 35 °C for 8 hr. LC-MS showed N3-VC-Pab-PNP was consumed completely and one main peak with desired m/z (calculated MW: 674.70, observed m/z: 675.2 ([M+H]+))) was detected. The reaction mixture was directly purified by prep-HPLC (neutral condition). Compound 3 (87.5 mg, 129.69 umol, 81.39% yield) was obtained as a white solid.
Procedure for preparation of compound 4
[00589] To a solution of compound 3 (87.5 mg, 129.69 μmol, 1 eq) in DMF (3 mL) was added TFP (86.1 mg, 518.75 μmol, 4 eq), EDCI (99.44 mg, 518.75 μmol, 4 eq) and DMAP (15.8 mg, 129.69μmol , 1 eq), then the reaction mixture was stirred at 40°C for 2 hr. LC-MS showed compound 3 was consumed completely and one peak with desired m/z (calculated MW: 822.76, observed m/z: 823.2 ([M+H]+)) was detected. The reaction mixture was directly purified by prep- HPLC (neutral condition). Compound 4 (18.7 mg, 22.73 μmol, 17.53% yield) was obtained as a white solid.
Procedure for preparation of STI-56
[00590] To a solution of compound 4 (17.8 mg, 21.66 μmol, 5 eq) in DMF (0.5 mL) was added SM-4 (3.0 mg, 4.33 μmol, 1 eq), DIEA (2.8 mg, 21.66 μmol, 3.77 μL, 5 eq) and DMAP (0.5 mg, 4.33 μmol, 1 eq), then the reaction mixture was stirred at 45 °C for 12 hr. LC-MS showed desired m/z (calculated MW: 1349.22, observed m/z: 674.4 ([M/2+H]+)) was detected. The reaction mixture was directly purified by prep-HPLC (TFA condition). STI-56 (6.3 mg, 4.31 μmol, 9 .39% yield) was obtained as a white solid.
8.10: Synthesis of Compound STI-57
Procedure for preparation of compound 3
[00591] To a solution of N3-VC-Pab-PNP (50.0 mg, 79.67 umol, 1.0 eq) in DMF (1 mL) was added compound 2 (29.7 mg, 159.34 umol, 2.0 eq), DIEA (41.2 mg, 318.67 umol, 55.5 uL, 4.0 eq) and HOBt (10.8 mg, 79.67 umol, 1.0 eq). Then the reaction mixture was stirred at 35 °C for 8 hr. LC-MS showed N3-VC-Pab-PNP was consumed completely and one main peak with desired m/z (calculated MW: 674.70, observed m/z: 675.3 ([M+H]+)) was detected. The reaction mixture was directly purified by prep-HPLC (neutral condition). Compound 3 (45.6 mg, 55.78 umol, 70.02% yield) was obtained as a white solid.
Procedure for preparation of compound 4
[00592] To a solution of compound 3 (35.0 mg, 51.87 umol, 1.0 eq) in DMF (3 mL) was added TFP (34.5 mg, 207.50 umol, 4.0 eq), EDCI (39.8 mg, 207.50 umol, 4.0 eq) and DMAP (6.3 mg, 51.87 umol, 1.0 eq). Then the reaction mixture was stirred at 40°C for 2 hr. LC-MS showed compound 3 was almost consumed completely and one peak with desired m/z ( calculated MW: 822.76, observed m/z: 823.3 ([M+H]+)) was detected. The reaction mixture was directly purified by prep-HPLC (neutral condition). Compound 4 (35.0 mg, 42.54 umol, 82.0% yield) was obtained as a white solid.
Procedure for preparation of STI-57
[00593] To a solution of compound 4 (20.8 mg, 25.27 umol, 5.0 eq) in DMF (1 mL) was added SM-4 (3.5 mg, 5.05 umol, 1.0 eq), DIEA (3.3 mg, 25.27 umol, 4.4 uL, 5.0 eq) and DMAP (0.6 mg, 5.05 umol, 1.0 eq), then the reaction mixture was stirred at 45°C for 12 hr. LC-MS showed
desired m/z ( calculated MW: 1349.22, observed m/z: 674.3 ([M/2+H]+)) was detected. The reaction mixture was directly purified by prep-HPLC (TFA condition). STI-57 (12.8 mg, 8.57 umol, 84.80% yield, 97.99% purity) was obtained as a white solid.
8.11: Synthesis of Compound STI-60
General procedure for preparation of compound 2
[00594] To a solution of compound N3-VC-Pab-PNP (50 mg, 79.67 μmol, 1 eq) in DMF (1 mL) was added 4-hydroxy-3, 3 -dimethyl-butanoic acid (52.6 mg, 398.34 μmol, 5 eq), TEA (32.2 mg, 318.67 μmol, 44.4 mL, 4 eq), HOAt (21.7 mg, 159.34 μmol, 22.3 mL, 2 eq) and DMAP (9.7 mg, 79.67 μmol, 1 eq), then the reaction mixture was stirred at 35 °C for 16 hrs. LC-MS showed compound N3-VC-Pab-PNP was consumed completely and one main peak with desired m/z (calculated MW: 620.65, observed m/z: 621.3 ([M+H]+))) was detected. The reaction mixture was directly purified by prep-HPLC (TFA condition). Compound 2 (16.2 mg, 20.88 μmol, 26.21% yield) was obtained as a white solid.
General procedure for preparation of compound 3
[00595] To a solution of compound 2 (16.2 mg, 26.10 μmol, 1 eq) in DMF (0.5 mL) was added 2,3,5,6-tetrafluorophenol (17.3 mg, 104.41 μmol, 4 eq), EDCI (20.0 mg, 104.41 μmol, 4 eq) and
DMAP (3.2 mg, 26.10 μmol, 1 eq), then the reaction mixture was stirred at 35 °C for 1 hr. LC-MS showed compound 2 was consumed completely and one peak with desired m/z ( calculated MW: 768.71, observed m/z: 769.2 ([M+H]+)) was detected. The reaction mixture was directly purified by prep-HPLC (neutral condition). Compound 3 (14.6 mg, 18.80 μmol, 72.01% yield, 98.96% purity) was obtained as a white solid.
General procedure for preparation of STI-60
[00596] To a solution of SM-4 (2.0 mg, 2.89 μmol, 1 eq) in DMF (0.5 mL) was added compound 3 (10.4 mg, 13.57 μmol, 4.7 eq), DIEA (1.9 mg, 14.44 μmol ,.52 μL, 5 eq) and DMAP (0.4 mg, 2.89 μmol, 1 eq), then the reaction mixture was stirred at 35°C for 16 hrs. The reaction was setted up for three batches in parallel. LC-MS showed desired m/z (calculated MW : 1295.17, observed m/z: 1295.0 [M]) was detected. The reaction mixture was directly purified by prep-HPLC (TFA condition). STI-60 (1.4 mg, 1.06 μmol, 12.29% yield, 98.5% purity) was obtained as a white solid.
8.12: Synthesis of Compound STI-61
General procedure for preparation of compound 2
[00597] The peptide 1 was synthesized using standard Fmoc chemistry. To a solution of compound 1 (500 mg, 1.4 mmol, 1 eq) in 12 mL of DCM and 6 mL of MeOH was added tert-butyl N-[(4-aminophenyl)methyl]carbamate (622.0 mg, 2.8 mmol, 2 eq). Then EEDQ (692.0 mg, 2.8 mmol, 2 eq) was added to the reaction mixture, the mixture was stirred at 25 °C for 3 hrs in the dark. TLC showed the reaction was complete. The reaction mixture was concentrated under reduced pressure to give a residue, which was purified by column chromatography (SiO2, eluting with a gradient of MeOH/DCM =0/1 to 1/1) to give crude compound 2 (500 mg) as a light yellow solid. MS (ESI) m/z: calcd. for [M+H]+, 562.30; found, 562.4 (M/1+H)+.
General procedure for preparation of compound 3
[00598] To a stirred solution of compound 2 (400 mg, 712.2 μmol, 1 eq) was added a solution of TFA/DCM (4 mL, v/v=l/10). The mixture was stirred at 25°C for 3 hrs. LCMS showed the desired product was detected. The reaction mixture was concentrated. The residue was purified by prep-HPLC (neutral condition; column: Welch Xtimate C18250*50mm*10um;mobile phase:
[water(10mM NH4HCO3)-ACN]; B%: l%-40%, 10min) to give compound 3 (300 mg, crude) as white solid. MS (ESI) m/z calcd. for [M+H]+, 462.25; found, 462.4 (M/1+H)+.
General procedure for preparation of compound linker E
[00599] To solution of compound 3 (190 mg, 411.7 μmol, 1 eq) in 4 mL of dry DMF was added bis(4-nitrophenyl) carbonate (250.5 mg, 823.4 μmol, 2 eq) and DIEA (159.6 mg, 1.2 mmol, 3 eq). The mixture was stirred at 25 °C for 1 h. LCMS showed the desired product was detected. 12 mL of saturated aqueous NH4CI was added to the reaction mixture. The mixture was filtered and the filter cake was washed twice with 12 mL of saturated aqueous NH4CI. Then the filter cake was dried under lyophilization to give crude linker E (190 mg) as a light yellow soild. MS (ESI) m/z calcd. for [M+H]+, 627.26; found, 627.3 (M/1+H)+.
General procedure for preparation of STI-61
[00600] To a solution of compound SM-4 (2.0 mg, 2.9 μmol, 1 eq) in 0.5 mL of dry DMF was added linker E (7.2 mg, 11.6 μmol, 4 eq), HO At (1.2 mg, 8.7 μmol, 3 eq), DMAP (0.18 mg, 1.4 mmol, 0.5 eq), TEA (1.5 mg, 14.4 μmol, 5 eq) under N2. The mixture was stirred at 40°C for 12 hrs under N2. LCMS showed the desired product was detected. The mixture was filtered. The filtrate was purified by prep-HPLC (neutral condition; column: Waters Xbridge BEH Cl 8 100*25mm*5mm; mobile phase: [water(10mM NH4HCO3)-ACN]; B%: 1%-25%, 8min) to give a crude product, which was re-purified by prep-HPLC (FA condition; column: Nano-micro Kromasil C18 80*25mm 3um; mobile phase: [water(0.2%FA)-ACN]; B%: 10%-30%, 8min) to give STI-61 (1.1 mg, 9.09e-l μmol, 31.5% yield, 97.5% purity) as a white solid. MS (ESI) m/z calcd. for [M+H]+, 1180.28; found, 1180.6 (M/1+H)+.
8.13: Synthesis of Compound STI-62
General procedure for preparation of compound B
[00601] To a mixture of compound A (100 g, 570.8 mmol, 1 eq) and Na2CO3 (121 g, 1.1 mol, 2 eq) in 750 mL of H2O and 500 mL of THF was added Boc2O (149.5 g, 685.0 mmol, 157.4 mL,
1.2 eq) in 150 mL of THF dropwise. The mixture was stirred at 25°C for 12 hrs. TLC showed the reaction was complete. The reaction mixture was washed twice with 600 mL of petroleum ether. The aqueous phase was acidified with 4M aqueous KHSO4 until pH= 2, extracted four times with 2 L of EtOAc. The combined organic layers was washed with 150 mL of brine, dried over Na2SO 4, filtered and concentrated to afford compound B (132 g, crude) as a white solid
General procedure for preparation of compound C
[00602] To a solution of compound B (40 g, 145.3 mmol, 1 eq) in 620 mL of DCM and 310 mL of MeOH was added (4-aminophenyl)methanol (35.8 g, 290.6 mmol, 2 eq) and EEDQ (89.8 g,
363.2 mmol, 2.5 eq) at 25°C, the mixture was stirred for 2 hrs in dark. LCMS showed the desired mass was detected. The mixture was concentrated under reduced pressure to give a residue. The residue was purified by column chromatography (S1O2, eluting with a gradient of ethyl acetate/methanol =1/0 to 0: 1) to give crude compound C (150 g) as a white solid. MS (ESI) m/z: calcd. for [M+H]+, 381.21; found, 381.1 (M/1+H)+.
General procedure for preparation of compound 2
[00603] A mixture of compound 1 (20 g, 74.3 mmol, 1 eq ) in 200 mL of Py was cooled to 0°C, AC2O (19.0 g, 185.7 mmol, 17.4 mL, 2.5 eq) was added dropwise, and then the mixture was stirred at 20°C for 12 hrs. LC-MS showed compound 1 was consumed completely and desired mass was detected. 100 mL of MeOH was added and stirred for 30 min at 20°C. Then it was evaporated under reduced pressure to give the crude product, which was added 100 mL of methyl tertiary butyl ether, fdtered to give compound 2 (23 g, 65.1 mmol, 87.6% yield) as a white solid. MS (ESI) m/z: calcd. for [M+H]+, 354.11; found, 354.2 (M/1+H)+.
General procedure for preparation of compound 3
[00604] To a solution of compound 2 (7 g, 19.8 mmol, 1 eq) in 200 mL of DCE and 400 mL of toluene was added triphosgene (58.8 g, 198.1 mmol, 10 eq) at 110°C portion-wise. The mixture was stirred at 110°C. After 6 hrs, additional portion of triphosgene (58.8 g, 198.1 mmol, 10 eq) was added to the mixture and stirred for another 6 hrs. Then two batches of triphosgene (23.5 g, 79.3 mmol, 4 eq) was added to the mixture every 3 hrs for further conversion. LC-MS showed desired compound was detected. The mixture was concentrated under reduced pressure to give a residue, which was dissolved in 200 mL of DCM, washed twice with 100 mL of IN HC1. The combined organic layers was washed with 50 mL of brine. Separated the organic layer, dried over Na2SO4 , filtered and concentrated under reduced pressure to afford compound 3 (8.5 g, crude) as a yellow solid, which was used into the next step without further purification. MS (ESI) m/z: calcd. for [M+H]+, 380.09; found, 380.1 (M/1+H)+
General procedure for preparation of compound 4
[00605] A mixture of compound 3 (16 g, 42.2 mmol, 1 eq), compound C (9.6 g, 25.3 mmol, 0.6 eq), [dibutyl(dodecanoyloxy)stannyl] dodecanoate (2.7 g, 4.2 mmol, 0.1 eq) in 400 mL of dry THF was degassed and purged with N2 for 3 times, and then the mixture was stirred at 75 °C for 12 hrs under N2 atmosphere. LC-MS showed desired compound was detected. The mixture was concentrated under reduced pressure to give a residue, which was purified by column chromatography (SiO2, eluting with a gradient of ethyl acetate /methanol=1/0 to 10/1) to afford crude compound 4 (22 g) as a yellow solid. MS (ESI) m/z calcd. for [M+H]+, 760.3; found, 380.1 (M/2+H)+
General procedure for preparation of compound 5
[00606] Compound 4 (5 g, 6.6 mmol, 1 eq) was added to 150 mL of NLb/MeOH (7 M, 159.6
eq) and stirred at 25°C for 2 hrs. LC-MS showed compound 4 was consumed completely, the desired compound was detected. The mixture was concentrated, the crude product was purified by reversed-phase MPLC (column: C18 20-35 mm 100A 330g; mobile phase: [water-ACN]; B%: 0%-25% @ 100mL/min) to afford compound 5 (2 g, 3.0 mmol, 22.5% yield) as a light yellow solid. MS (ESI) m/z: calcd. for [M+H]+, 676.28; found, 676.3 (M/1+H)+
General procedure for preparation of compound 6
[00607] To a solution of compound 5 (1.1 g, 1.6 mmol, 1 eq) in 12 mL of dry THF and 3 mL of dry DMF was added Molecular sieve 3 A (1 g) and pyridine;2,2,2-trifluoroacetic acid (628.8 mg, 3.3 mmol, 2 eq). The mixture was stirred at 25°C for 1 hr. Then compound 5A (1.8 g, 1.8 mmol, 1.1 eq) was added and the mixture was stirred at 25°C for another 3 hrs. LC-MS showed desired compound was detected. The crude reaction mixture was used into the next step without further treatment. MS (ESI) m/z: calcd. for [M+H]+, 1562.61 ; found, 1562.9 (M/1+H)+
General procedure for preparation of compound 7
[00608] To a solution of compound 6 (2.3 g, 1.5 mmol, 1 eq) in 2 mL of DMF and 10 mL of THF was added N,N-dimethyl-N'-(5-thioxo-1,2,4-dithiazol-3-yl)formamidine (453.3 mg, 2.2 mmol, 1.5 eq). The mixture was stirred at 25°C for 0.5 hr. LCMS showed compound 6 was consumed. Then the mixture was filtered, the filtrate was concentrated to give a solid, which was dissolved in 10 mL of DCM. To above mixture was added 2,2-dichloroacetic acid (759.1 mg, 5.9 mmol, 0.48 mL, 4 eq) and H2O (265.2 mg, 14.7 mmol, 0.26 mL, 10 eq). The mixture was stirred at 25°C for 2 hrs. LC-MS showed desired compound was detected. The reaction mixture was quenched by addition of 3 mL of MeOH and 1 mL of Py, concentrated to give the crude product, which was purified by reversed-phase MPLC (column: C18 20-35pm 100A 330g; mobile phase: [water-ACN]; B%: 0%-50% @ 100mL/min) to afford compound 7 (900 mg, 696.4 μmol, 47.3% yield) as a yellow solid. MS (ESI) m/z: calcd. for [M+H]+, 1292.45; found, 1292.7 (M/1+H)+ General procedure for preparation of compound 8
[00609] To a solution of compound 7 (200 mg, 154.8 μmol, 1 eq), pyridine;2,2,2-trifluoroacetic acid (59.8 mg, 309.5 μmol, 2 eq) in 5 mL of dry THF was added Molecular sieve 3 A (0.5 g) and the mixture was stirred at 25 °C for 1 hour, then 3-bis(diisopropylamino) phosphanyloxypropanenitrile (56.0 mg, 185.7 μmol, 1.2 eq) was added into above mixture and stirred at 35°C for 12 hrs. 1,1-dioxo-1,2-benzodithiol-3-one (57.6 mg, 287.5 μmol, 2 eq) was added to the mixture and stirred at 25°C for 0.5 hr under N2 atmosphere. LC-MS showed desired
compound was detected. The mixture was filtered and concentrated. The residue was purified by flash silica gel chromatography (ISCO®; 80 g SepaFlash® Silica Flash Column, Eluent of 0~10% Methanol/ Ethylacetate gradient @ 100 mL/min). The obtained residue was re-purified by prep- HPLC (neutral condition, column: Waters Xbridge Prep OBD C18 150*40mm*10um;mobile phase: [water(10mM NH4HCO3)-ACN];B%: 50%-70%,8min) to afford four isomers.
[00610] The isomer 1 (220 mg, crude), isomer 2 (80 mg, 56.2 μmol, 4.9% yield), isomer 3(110 mg, 77.3 μmol, 6.7% yield) and isomer 4 (70 mg, 49.2 μmol, 4.3% yield) were obtained as white solid, and they were used separately into the following steps. MS (ESI) m/z: calcd. for [M+H]+, 1423.41 ; found, 1423.6 (M/1+H)+
General procedure for preparation of compound 9
[00611] To a solution of isomer 1 of compound 8 (130 mg, 91.3 μmol, 1 eq ) in 5 mL of DCM was added TFA (770.0 mg, 6.8 mmol, 0.5 mL, 73.8 eq). The mixture was stirred at 0°C for 3 hrs. TLC indicated compound 8 was consumed completely. The mixture was concentrated. The crude compound 9 (130 mg, TFA salt) was obtained as yellow oil and used into the next step without further purification. MS (ESI) m/z: calcd. for [M+H]+, 1323.35; found, 1323.6 (M/1+H)+
General procedure for preparation of compound 10
[00612] A mixture of compound 9 (130 mg, 90.4 μmol, 1 eq, TFA salt), (2S)-2-[(2- azidoacetyl)amino] -3 -methyl-butanoic acid (90.5 mg, 452.2 μmol, 5 eq), HATU (172.0 mg, 452.2μmol, 5 eq), DIEA (70.1 mg, 542.7 μmol, 6 eq) in 2 mL of DMF was degassed and purged with N2 for 3 times, and then the mixture was stirred at 25°C for 2 hrs under N2 atmosphere. LC-MS showed desired compound was detected. The mixture was concentrated. The residue was purified by prep-HPLC (neutral condition; column: Waters Xbridge BEH C18 100*25mm*5mm;mobile phase: [water(10mM NH4HCO3)-ACN];B%: 45%-75%,10min) to afford compound 10 (80 mg, 53.1 μmol, 58.8% yield) as a white solid. MS (ESI) «m/z: calcd. for [M+H]+, 1505.43; found, 1505.5 (M/1+H)+
General procedure for preparation of compound 11
[00613] To a solution of compound 10 (80 mg, 53.1 μmol, 1 eq) in 1 mL of MeCN and 1 mL of THF was added 2-methylpropan-2-amine (139.2 mg, 1.9 mmol, 0.2 mL, 35.8 eq). The mixture was stirred at 20°C for 1 hr. LC-MS showed desired compound was detected. The mixture was concentrated by N2 to afford crude compound 11 (80 mg) as yellow solid, which was used into the next step without further purification. MS (ESI) m/z: calcd. for [M+H]+, 1399.38; found, 700.7
(M/2+H)+
General procedure for preparation of compound 12
[00614] To a solution of compound 11 (80 mg, 57.2 μmol, 1 eq) in 2 mL of Py was added N,N- diethylethanamine;trihydrofluoride (989.0 mg, 6.1 mmol, 1 mL, 107.3 eq). The mixture was stirred at 40°C for 12 hrs. LC-MS showed desired compound was detected. The mixture was concentrated by N2. The residue was purified by prep-HPLC (neutral condition;column: Waters Xbridge BEH C18 100*25mm*5μm;mobile phase: [water(10mM NH4HCO3)-ACN];B%: 3%- 35%,10min) to afford compound 12 (30 mg, 23.3 μmol, 40.8% yield) as a white solid. MS (ESI) m/z: calcd. for [M+H]+, 1285.29; found, 1285.3 (M/1+H)+
General procedure for preparation of STI-62
[00615] To a solution of compound 12 (30 mg, 23.3 μmol, 1 eq) in 2 mL of MeOH was added [(lR,4S)-7,7-dimethyl-2-oxo-norbornan-1 -yl]methanesulfonic acid (21.7 mg, 93.4 μmol, 4 eq). The mixture was stirred at 40°C for 12 hrs. LC-MS showed desired compound was detected. The mixture was concentrated under reduced pressure to give a residue, which was purified by prep- HPLC (neutral condition; column: YMC-Actus Triart C18 100*30mm *5μm ; mobile phase: [water( 1 OmM NH4HCO3)- ACN] ;B% : 2%-30%,10mm) to afford STI-62 (7.6 mg, 6.3 μmol, 27.2% yield, 98.5% purity) as a white solid. MS (ESI) m/z: calcd. for [M+H]+, 1181.27; found, 1181.4 (M/1+H)+.
8.14: Synthesis of Compound STI-63
General procedure for preparation of compound 8
[00616] Compound 7 was prepared as described in Example 8.13. To a solution of compound 7 (100 mg, 77.4 μmol, 1 eq), pyridine;2,2,2-trifluoroacetic acid (29.9 mg, 154.8 μmol, 2 eq) in 4 mL of dry THF was added Molecular sieve 3 A (1 g) and the mixture was stirred at 15°C for 1 hour, then 3-bis(diisopropylamino) phosphanyloxypropanenitrile (25.7 mg, 85.1 μmol, 1.1 eq) was added into above mixture and stirred at 15°C for 12 hrs. 1,1-dioxo-1,2-benzodithiol-3-one (129.5 mg, 646.8 μmol, 3 eq) was added to the mixture and stirred at 15°C for 0.5 hr under N2 atmosphere. LC-MS showed desired compound was detected. The mixture was filtered and concentrated. The residue was purified by prep-HPLC (neutral condition; column: Waters Xbridge Prep OBD C18 150*40mm*10um; mobile phase: [water (10mM NH4HCO3-AC N]; B%: 50%-70%, 8min) to
afford a mixture of different isomers (160 mg) as white solid, which was used directly into the following steps. MS (ESI) m/z: calcd. for [M+H]+, 1423.41; found, 1423.7 (M/1+H)+
General procedure for preparation of compound 9
[00617] To a solution of compound 8 (148 mg, 0.1 mmol, 1 eq) in 5 mL of DCM was added 0.5 mL of TFA. The mixture was stirred at 0°C for 6 hrs. LCMS indicated compound 8 was consumed completely and the desired mass was detected. The mixture was concentrated. The crude compound 9 (150 mg, TFA salt) was obtained as yellow oil and used into the next step without further purification. MS (ESI) m/z: calcd. for [M+H]+, 1323.35; found, 1323.7 (M/1+H)+ General procedure for preparation of compound 10
[00618] A mixture of compound 9 (150 mg, 104.4 μmol, 1 eq, TFA salt), (2S)-2-[(2- azidoacetyl)amino] -3 -methyl-butanoic acid (41.8 mg, 208.7 μmol, 2 eq), HATU (119.0 mg, 313.1μmol, 3 eq), DIEA (80.9 mg, 626.2 μmol, 6 eq) in 3 mL of DMF was degassed and purged with N2 for 3 times, and then the mixture was stirred at 25°C for 2 hrs under N2 atmosphere. LC-MS showed desired compound was detected. The mixture was concentrated. The residue was purified by prep-HPLC (neutral condition; column: Waters Xbridge Prep OBD C18 150*40mm*10um; mobile phase: [water (10mM NH4HCO3)-ACN]; B%: 50%-70%, 8min) to afford compound 10 (60 mg, 39.9 μmol, 38.2% yield) as a white solid. MS (ESI) m/z: calcd. for [M+H]+, 1505.43; found, 1505.8 (M/1+H)+
General procedure for preparation of compound 11
[00619] To a solution of compound 10 (60 mg, 39.9 μmol, 1 eq) in 4 mL of MeCN and 2 mL of MeOH was added 2-methylpropan-2-amine (348.0 mg, 4.8 mmol, 0.5 mL, 119.4 eq). The mixture was stirred at 0°C for 3 hrs. LC-MS showed desired compound was detected. The mixture was concentrated by N2 to afford crude compound 11 (60 mg) as white solid, which was used into the next step without further purification. MS (ESI) m/z: calcd. for [M+H]+, 1399.38; found, 1399.7 (M/1+H)+
General procedure for preparation of compound 12
[00620] To a solution of compound 11 (60 mg, 42.9 μmol, 1 eq) in 4 mL of Py was added N,N- diethylethanamine;trihydrofluoride (395.6 mg, 2.5 mmol, 0.4 mL, 57.2 eq). The mixture was stirred at 40°C for 12 hrs. LC-MS showed desired compound was detected. The mixture was concentrated by N2. The residue was purified by prep-HPLC (neutral condition; column: Waters Xbridge BEH C18 100*25mm*5mm; mobile phase: [water(10mM NH4HCO3)-ACN]; B%: 15%-
45%, 8min) to afford compound 12 (18 mg, 14.0 μmol, 32.7% yield) as a white solid. MS (ESI) m/z: calcd. for [M+H]+, 1285.29; found, 1285.6 (M/1+H)+
General procedure for preparation of STI-63
[0001] To a solution of compound 12 (18 mg, 14.0 μmol, 1 eq) in 2 mL of MeOH was added [(lR,4S)-7,7-dimethyl-2-oxo-norbornan-l -yl]methanesulfonic acid (32.5 mg, 140.1 μmol, 10 eq). The mixture was stirred at 40°C for 12 hrs. LC-MS showed desired compound was detected. The mixture was filtered and the filtrate was purified by prep-HPLC (neutral condition;column: Waters Xbridge BEH C18 100*25mm*5mm; mobile phase: [water (10mM NH4HCO3)-ACN]; B%: 15%- 45%, 8min) to afford STI-63 (1.5 mg, 1.2 μmol, 8.7% yield, 95.6% purity) and STI-62 (2 mg, 1.6 μmol, 1P1L.7C% yield, 96.4% purity) as white solid. MS (ESI) m/z: calcd. for [M+H]+, 1181.27; found, 1181.4 (M/1+H)+.
Example 9: Synthesis of Additional Bicycle Sting Conjugates
9.1 Synthesis of Compound 1-3
Procedure for preparation of 1-3
[00621] A mixture of STI-3 (16.0 mg, 12.6 μmol, 1 eq), BPI-1 (34.4 mg, 12.6 μmol, 1 eq), and
THPTA (0.4 M, 63.1 μL, 2 eq) was dissolved in t-BuOHTLO (1 : 1, 1 mL, pre-degassed and purged with N2 for 3 times), and then CuSCL (0.4 M, 63.1 μL, 2 eq) and VcNa (0.4 M, 63.1 μL, 2 eq) were added under N2. The reaction mixture was stirred at 40 °C for 2 hrs under N2 atmosphere. LC-MS showed STI-3 was consumed completely and one main peak with the desired m/z [MW: 4001.12, observed m/z: 1334.7 ([M/3+H+]), m/z: 1001.1 ([M/4+H+])] was detected. The reaction mixture was directly purified by prep-HPLC (TFA condition). 1-3 (29 mg, 6.73 μmol, 53.37% yield, 93.31% purity) was obtained as a white solid.
9.2 Synthesis of Compound 1-8
Procedure for preparation of 1-8
[00622] A mixture of STI-8 (10.8 mg, 8.53 μmol, 1 eq), BPI-1 (23.3 mg, 8.53 μmol, 1 eq), and THPTA (0.4 M, 42.6 μL, 2 eq) was dissolved in t-BuOH/H2O (1 : 1, 1 mL, pre-degassed and purged with N2 for 3 times), and then CuSCL (0.4 M, 42.6 μL, 2 eq) and VcNa (0.4 M, 42.6 μL, 2 eq) were added under N2. The reaction mixture was stirred at 35 °C for 6 hr under N2 atmosphere. LC-MS showed STI-8 was consumed completely and one main peak with desired m/z [MW: 3999.14, observed m/z: 1333.6 ([M/3+H]+), 1000.6 ([M/4+H]+), 800.6 ([M/5+H]+)] was detected. The
reaction mixture was directly purified by prep-HPLC (TFA condition). 1-8 (22.3 mg, 5.80 μmol, 68.01% yield, 92.30% purity) was obtained as a white solid.
9.3 Synthesis of Compound 1-10
Procedure for preparation of 1-10
[00623] A mixture of STI-10 (3.5 mg, 2.96 μmol, 1 eq), BPI-1 (8.1 mg, 2.96 μmol, 1 eq), and THPTA (1.3 mg, 2.96 μmol, 1 eq) was dissolved in t-BuOH/H2O (1 : 1, 1 mL, pre-degassed and purged with N2 for 3 times), and then CuSO4 (0.4 M, 14.8 mL, 2 eq) and VcNa (0.4 M, 14.8 μL, 2 eq) were added under N2. The reaction mixture was stirred at 40 °C for 4 hrs under N2 atmosphere. LC-MS showed one main peak with desired m/z [MW: 3914.00, observed m/z: 1305.4 ([M/3+H+]), 979.2([M/4+H+]), 783.6 ([M/5+H+])] was detected. The reaction mixture was directly purified by prep-HPLC (TFA condition). 1-10 (3.4 mg, 0.869 μmol, 29.31% yield, 92.24% purity) was obtained as a white solid.
9.4 Synthesis of Compound 1-16
Procedure for preparation of 1-16
[00624] A mixture of STI-16 (6.8 mg, 5.98 μmol, 1 eq), BPI-1 (16.3 mg, 5.98 μmol, 1 eq), and THPTA (2.6 mg, 5.98 μmol, 1 eq) was dissolved in t-BuOH/H2O (1 : 1, 1 mL, pre-degassed and purged with N2 for 3 times), and then CuSO 4 (0.4 M, 29.9 μL, 2 eq) and VcNa (2.4 mg, 11.96 μmol, 2 eq) were added under N2. The reaction mixture was stirred at 25 °C for 2 hrs under N2 atmosphere. LC-MS showed STI-16 was consumed completely and one main peak with desired m/z [MW: 3870.03, observed m/z: 968.38 ([M/4+H+]) and 1290.58 ([M/3+H+])] was detected. The reaction mixture was directly purified by prep-HPLC (TFA condition). 1-16 (9.3 mg, 2.35 μmol, 39.25% yield, 97.69% purity) was obtained as a white solid.
9.5 Synthesis of Compound 1-19
Procedure for preparation of 1-19
[00625] A mixture of STI-19 (1.0 mg, 8.92e-1 μmol, 1 eq), BPI-1 (2.4 mg, 8.92e-1 μmol, 1 eq), and THPTA (0.4 mg, 8.92e-1 μmol, 1 eq) was dissolved in t-BuOH/H2O (1 : 1, 1 mL, pre- degassed and purged with N2 for 3 times), and then CuSO4 (0.4 M, 4.5 mL, 2 eq) and VcNa (0.4 M, 4.5 μL, 2 eq) were added under N2. The reaction mixture was stirred at 25 °C for 1.5 hr under N2 atmosphere. LC-MS showed STI-19 was consumed completely and one main peak with desired m/z [MW: 3854.03, observed m/r. 1285.21 ([M/3+H+])] was detected. The reaction mixture was directly purified by prep-HPLC (TFA condition). 1-19 (1.0 mg, 2.59e-1 μmol, 29.09% yield, 92.44% purity) was obtained as a white solid.
9.6 Synthesis of Compound 1-20
Procedure for preparation of 1-20
[00626] A mixture of STI-20 (1.0 mg, 8.92e-1 μmol , 1 eq), BPI-1 (2.4 mg, 8.92e-1 μmol 1 eq), and THPTA (0.4 mg, 8.92e-1 μmol 1 eq) was dissolved in t-BuOH/H2O (1 : 1, 1 mL, pre- degassed and purged with N2 for 3 times), and then CuSO4 (0.4 M, 4.5 μL, 2 eq) and VcNa (0.4 M, 4.5 μL, 2 eq) were added under N2. The reaction mixture was stirred at 25 °C for 1.5 hr under N2 atmosphere. LC-MS showed STI-20 was consumed completely and one main peak with desired m/z [MW: 3854.0, observed m/z: 1285.6 ([M/3+H+])] was detected. The reaction mixture was directly purified by prep-HPLC (TFA condition). 1-20 (0.4 mg, 1.03e-1 μmol , 11.5% yield, 98.15% purity) was obtained as a white solid.
9.7 Synthesis of Compound 1-25
Procedure for preparation of 1-25
[00627] A mixture of STI-25 (8.3 mg, 6.33 μmol, 1 eq), BPI-1 (17.3 mg, 6.33 μmol, 1 eq), and THPTA (2.75 mg, 6.33 μmol, 1 eq) was dissolved in t-BuOH/H2O (1 : 1, 1 mL, pre-degassed and purged with N2 for 3 times), and then CuSO4 (0.4 M, 15.8 mL, 1 eq) and VcNa (0.4 mg, 31.7 mL, 2 eq) were added under N2. The reaction mixture was stirred at 30 °C for 12 hr under N2 atmosphere. LC-MS showed STI-25 was consumed completely and one main peak with desired m/z [MW: 4043.18, observed m/z 1348.4 ([M/3+H+]), 1011.3 ([M/4+H+])] was detected. The reaction mixture was directly purified by prep-HPLC (TFA condition then NH4HCO3). 1-25 (5.6 mg, 12.81e- 1 μmol, 20.42% yield, 93.38% purity), (0.9 mg, 2.06- 1 μmol, 3.38% yield, 96.25% purity) and (1.5 mg, 3.43e- 1 μmol, 4.79% yield, 81.79% purity) was obtained as a white solid.
9.8 Synthesis of Compound 1-36
Procedure for preparation of 1-36
[00628] A mixture of STI-36 (2.2 mg, 1.72 μmol, 1 eq), BPI-1 (4.7 mg, 1.72 μmol, 1 eq), and THPTA (0.7 mg, 1.72 μmol, 1 eq) was dissolved in t-BuOH/H2O (1 : 1, 1 mL, pre-degassed and purged with N2 for 3 times), and then CuSO4 (0.4 M, 15 mL, 1 eq) and VcNa (0.4 M, 15 μL, 2 eq) were added under N2. The reaction mixture was stirred at 30 °C for 12 hrs under N2 atmosphere. LC-MS showed STI-36 was consumed completely and one main peak with desired m/z [MW: 4013.13, observed m/z: 1338.5 ([M/3+H+]), 1004.3 ([M/4+H+])] was detected. The reaction mixture was directly purified by prep-HPLC (TFA condition then NH4HCO3). 1-36 (2.3 mg, 5.15e- 1 μmol, 29.95% yield, 89.88% purity) was obtained as a white solid.
9.9 Synthesis of Compound 1-37
Procedure for preparation of 1-37
[00629] A mixture of STI-37 (4.3 mg, 3.40 μmol, 1 eq), BPI-1 (9.3 mg, 3.40 μmol, 1 eq), and THPTA (1.5 mg, 3.40 μmol, 1 eq) was dissolved in t-BuOH/H2O (1 : 1, 1 mL, pre-degassed and purged with N2 for 3 times), and then CuSO4 (0.4 M, 17 mL, 2 eq) and VcNa (0.4 M, 17 mL, 2 eq) were added under N2. The pH of this solution was adjusted to 8 by dropwise addition of 0.2 M
NH4HCO3 (in 1 : 1 t-BuOH/H2O), and the solution turned to light yellow. The reaction mixture was stirred at 30 °C for 1 hr under N2 atmosphere. LC-MS showed STI-37 was consumed completely and one main peak with desired m/z [calculated MW: 3998.09, observed m/z: 1334.1 ([M/3+H+], 1000.3 ([M/4+H+])] was detected. The reaction mixture was directly purified by prep-HPLC (TFA condition). 1-37 (7.3 mg, 1.65 μmol, 48.53% yield, 90.34% purity) was obtained as a white solid.
9.10 Synthesis of Compound 1-38
Procedure for preparation of 1-38
[00630] A mixture of STI-38 (3.3 mg, 2.6 μmol, 1.0 eq), BPI-1 (7.1 mg, 2.6 μmol, 1.0 eq), and THPTA (1.1 mg, 2.6 μmol, 1.0 eq) was dissolved in t-BuOH/H2O (1 : 1, 1 mL, pre-degassed and purged with N2 for 3 times), and then CuSO4 (0.8 mg, 5.2 μmol, 1.0 eq) and VcNa (1.0 mg, 5.2 μmol, 2.0 eq) were added under N2. The pH of this solution was adjusted to 8 by dropwise addition of 0.2 M NH4HCO3 (in 1 : 1 t-BuOH/H2O), and the solution turned to light yellow. The reaction mixture was stirred at 30 °C for 4 hr under N2 atmosphere. LC-MS showed desired m/z [ calculated MW: 4000.12, observed m/r. 1333.8 ([M/3+H+])] was detected. The reaction mixture was directly purified by prep-HPLC (TFA condition). 1-38 (0.9 mg, 0.25 μmol, 8.64% yield, 93.56% purity) was obtained as a white solid.
9.11 Synthesis of Compound 1-59
Procedure for preparation of 1-59
[00631] A mixture of STI-59 (1.0 mg, 8.92e-l mmol , 1 eq), BPI-1 (2.4 mg, 8.92e-1 μmol 1 eq), and THPTA (0.4 mg, 8.92e-1 μmol 1 eq) was dissolved in t-BuOH/H2O (1 : 1, 1 mL, pre- degassed and purged with N2 for 3 times), and then CuSO4 (0.4 M, 4.5 mL, 2 eq) and VcNa (0.4 M, 4.5 mL, 2 eq) were added under N2. The reaction mixture was stirred at 35 °C for 2 hrs under N2 atmosphere. LC-MS showed STI-59 was consumed completely and one main peak with desired m/z [MW: 3854.02, observed m/z: 1285.25 ([M/3+H+])] was detected. The reaction mixture was directly purified by prep-HPLC (TFA condition). 1-59 (0.6 mg, 0.15 μmol, 16.82% yield, 96.37% purity) was obtained as a white solid.
9.12 Synthesis of Compound 1-60
Procedure for preparation of 1-60
A mixture of STI-60 (2.1 mg, 1.62 μmol, 1 eq), BPI-1 (4.4 mg, 1.62 μmol, 1 eq), and THPTA (0.7 mg, 1.62 μmol, 1 eq) was dissolved in t-BuOH/H2O (1 : 1, 1 mL, pre-degassed and purged with N2 for 3 times), and then CuSO4 (0.4 M, 8.1 mL, 2 eq) and VcNa (0.4 M, 8.1 μL, 2 eq) were added under N2. The reaction mixture was stirred at 30 °C for 1 hr under N2 atmosphere. LC-MS showed STI-60 was consumed completely and one main peak with desired m/z [MW: 4027.13, observed m/z: 1343.5 ([M/3+H+]), 1007.6 ([M/4+H+])] was detected. The reaction mixture was directly purified by prep-HPLC (TFA condition then NH4HCO3). 1-60 (1.8 mg, 4.42e-1 μmol, 27.23% yield, 98.79% purity) was obtained as a white solid.
9.13 Synthesis of Compound 1-61
Procedure for preparation of 1-61
[00632] A mixture of STI-61 (2.0 mg, 1.69 μmol, 1 eq.), BPI-1 (4.2 mg, 1.53 μmol, 0.9 eq.), and THPTA (0.7 mg, 1.7 μmol, 1 eq.) was dissolved in t-BuOH/H2O (1 : 1, 1 mL, pre-degassed and purged with N2 for 3 times), and then CuSO4 (0.4 M, 4.3 mL, 1 eq.) and VcNa (0.7 mg, 3.5 μmol, 2 eq.) were added under N2. The pH of this solution was adjusted to 8 by dropwise addition of 0.2 M NH4HCO3 (in 1 : 1 t-BuOH/H2O), and the solution turned to light yellow. The reaction mixture was stirred at 25-30 °C for 12 hr under N2 atmosphere. LC-MS showed compound STI-61 was consumed completely and one main peak with desired m/z [calculated MW: 3913.05, observed m/z: 1305.3 ([M/3+H+]), 978.9 ([M/4+H+])] was detected. The reaction mixture was directly purified by prep-HPLC (TFA condition). 1-61 (1.7 mg, 0.4 μmol, 94.52% purity) and 1-61 (1.0 mg, 0.23 μmol, 89.90% purity) were obtained as a white solid.
9.14 Synthesis of Compound 1-62
Procedure for preparation of 1-62
[00633] A mixture of STI-62 (3.9 mg, 3.30 μmol, 1 eq), BPI-1 (9.0 mg, 3.30 μmol, 1 eq), and THPTA (0.4 M, 16.5 mL, 2 eq) was dissolved in t-BuOH/H2O (1 : 1, 1 mL, pre-degassed and purged with N2 for 3 times), and then CuSO4 (0.4 M, 16.5 μL, 2 eq) and VcNa (0.4 M, 16.5 μL, 2 eq) were added under N2. The reaction mixture was stirred at 30 °C for 3 hr under N2 atmosphere. LC-MS showed STI-62 was consumed completely and one main peak with desired m/z [MW: 3914.00, observed m/z: 1305.0 ([M/3+H+])] was detected. The reaction mixture was directly purified by prep-HPLC (TFA condition twice). 1-62 (1.2 mg, 2.68e-1 μmol, 8.11% yield, 87.34% purity) was obtained as a white solid.
9.15 Synthesis of Compound 1-63
Procedure for preparation of 1-63
[00634] A mixture of STI-63 (1.5 mg, 1.27 μmol, 1 eq), BPI-1 (3.47 mg, 1.27 μmol, 1 eq), and THPTA (0.4 M, 6.35 μL, 2 eq) was dissolved in t-BuOH/H2O (1 : 1, 1 mL, pre-degassed and purged with N2 for 3 times), and then CuSO4 (0.4 M, 6.4 μL, 2 eq) and VcNa (0.4 M, 6.4 mL, 2 eq) were added under N2. The reaction mixture was stirred at 30 °C for 3 hr under N2 atmosphere. LC-MS showed STI-63 was consumed completely and one main peak with desired m/z [MW: 3914.00, observed m/z: 1305.0 ([M/3+H+])] was detected. The reaction mixture was directly purified by prep-HPLC (TFA condition twice). 1-63 (0.5 mg, 1.28e-1 μmol, 92.80% purity) and (0.6 mg, 1.53e-1 μmol , 85.11% purity) was obtained as a white solid.
9.16 Synthesis of Compound 1-66
Procedure for preparation of 1-66
[00635] A solution of STI-7 (8.5 mg, 6.06 umol, 1.0 eq) in PBS (1 mL) was added BPI-2 (18.0 mg, 6.06 umol, 1.0 eq), the reaction mixture was pre-degassed and purged with N2 for 3 times. The reaction mixture was stirred at 25 °C for 1 hr under N2 atmosphere. LC-MS showed STI-7 was consumed completely and one main peak with desired m/z [MW: 4262.44, observed m/z: 1421.1 ([M/3+HT]), 1066.3 ([M/4+H+])] was detected. The reaction mixture was directly purified by prep-HPLC. 1-66 (batch 13, 2.5 mg, 5.81 e- 1 umol, 93.98% purity, peak 1) (batch 14, 4.2 mg, 9.81e-1 umol, 77.66% purity, peak 2) (batch 15, 0.4 mg, 0.92e-1 umol, 98.15% purity, purified twice, peak 1) (batch 16, 0.2 mg, 0.53e-1 umol, 98.48% purity, purified twice, peak 2) was obtained as a white solid.
Example 10: Tumor, spleen and plasma cytokine pharmacodynamic response of Bicycle conjugates and free payloads in MC38 tumor bearing C57BL/6 Mice after IV dosing
[00636] Female C57BL/6 mice are implanted with 1-3 x 106 MC38 cells subcutaneously to
induce tumor development. Tumor bearing mice (n=3-5/group) are dosed intravenously with a Bicycle conjugate or free payload formulated in 25 mM Histidine HC1, 10% sucrose pH 7 (+/- 5% DMSO) when the average tumor volume is around 200-600 mm3. Tumor, spleen and blood (by cardiac puncture) are harvested at 4 hours post dosing. Blood samples are immediately transferred into tubes containing EDTA as anti-coagulant for plasma preparation. Spleen, tumor and plasma are flash frozen and stored at -80°C until homogenate preparation/analysis. Spleen and tumor samples for the cytokine analysis are prepared by homogenization in PBS (with protease and phosphatase inhibitor cocktails) with TissueLyser LT and centrifugation. Tissue lysates are stored at -80°C until analysis.
[00637] TNF alpha, IFN beta , IL-6 and CXCL10 cytokine concentrations are determined for the tumor, spleen and plasma for each mouse individually using LEGENDplex™ capture beads for murine TNF alpha, IFN beta, IL-6 and CXCL10, LEGENDplex™ Buffer Set I, LEGENDplex™ Mouse Anti-Virus Response Panel Standard and LEGENDplex™ Mouse Anti- Virus Response Panel Detection Antibodies (Biolegend). Analysis is performed using BD FACS Canto Plus Flow Cytometer.
Cytokine levels were measured from tumor tissue 4h post dosing. IFNb and TNFa -levels are expressed in categories of values normalized to vehicle -treated mouse values. Cut-off values for categories are 25 percentile, median and 75 percentile of treated mouse values.
For IFNb: A= 0-42.35 fold; B= >42.35-230 fold; C= >230-675.4 fold; D= > 675.4 fold over vehicle treated mouse levels.
For TNFa : A= 0-3.475 fold; B= >3.475-18.95 fold; C= >18.95-34.46 fold; D= > 34.36 fold over vehicle treated mouse levels.
Cytokine levels were measured from serum 4h post dosing. IFNb and TNFa -levels are expressed in categories of values normalized to vehicle -treated mouse values. Cut-off values for categories are 25 percentile, median and 75 percentile of treated mouse values.
For IFNb: A= 0-26.17 fold; B= >26.17-67.24 fold; C= >67.24-115.9 fold; D= > 115.9 fold over vehicle treated mouse levels.
For TNFa : A= 0-33.58 fold; B= >33.58-61.05 fold; C= >61.05-75.48 fold; D= > 75.48 fold over vehicle treated mouse levels.
Example 11. Tumor cytokine pharmacodynamic response of Bicycle conjugates and free payloads in MC38 tumor bearing C57BL/6 Mice after IT dosing
[00638] Female C57BL/6 mice are implanted with 1-3 x 106 MC38 cells subcutaneously to induce tumor development. Tumor bearing mice are dosed intratumorally with a Bicycle conjugate or free payload formulated in 25 mM Histidine HC1, 10% sucrose, pH 7 (+/- 5% DMSO), when
the average tumor volume is around 200-600 mm3. Tumor, spleen and blood (by cardiac puncture) are harvested at 4 hours post dosing. Blood samples are immediately transferred into tubes containing EDTA as anti-coagulant for plasma preparation. Spleen, tumor and plasma are flash frozen and stored at -80°C until homogenate preparation/analysis. Spleen and tumor samples for the cytokine analysis are prepared by homogenization in PBS (with protease and phosphatase inhibitor cocktails) with TissueLyser LT and centrifugation. Tissue lysates are stored at -80°C until analysis.
[00639] TNF alpha, IFN beta , IL-6 and CXCL10 cytokine concentrations are determined for the tumor, spleen and plasma for each mouse individually using LEGENDplex™ capture beads for murine TNF alpha, IFN beta, IL-6 and CXCL10, LEGENDplex™ Buffer Set I, LEGENDplex™ Mouse Anti-Virus Response Panel Standard and LEGENDplex™ Mouse Anti- Virus Response Panel Detection Antibodies (Biolegend). Analysis is performed using BD FACS Canto Plus Flow Cytometer.
Table 6. Tumor cytokine concentrations after IT dosing
Cytokine levels were measured from tumor tissue 4h post dosing. IFNb and TNFa -levels are expressed in categories of values normalized to vehicle -treated mouse values. Cut-off values for
categories are 25 percentile, median and 75 percentile of treated mouse values.
For IFNb: A= 0-17.53 fold; B= >17.53-74.01 fold; C= >74.01-517.5 fold; D= > 517.5 fold over vehicle treated mouse levels.
For TNFa : A= 0-2.213 fold; B= >2.213-6.541 fold; C= >6.541-34.27 fold; D= > 34.27 fold over vehicle treated mouse levels.
Table 7. Plasma cytokine concentrations after IT dosing
Cytokine levels were measured from serum 4h post dosing. IFNb and TNFa -levels are expressed in categories of values normalized to vehicle -treated mouse values. Cut-off values for categories are 25 percentile, median and 75 percentile of treated mouse values.
For IFNb: A= 0-0.2514 fold; B= >0.2514-1.376 fold; C= >1.376-111.5 fold; D= > 111.5 fold over vehicle treated mouse levels.
For TNFa : A= 0-1.62 fold; B= >1.62-9.984 fold; C= >9.984-64.72 fold; D= > 64.72 fold over vehicle treated mouse levels.
Example 12. Plasma stability
[00640] Pooled frozen mouse or human plasma was thawed in a water bath at 37°C prior to
experiment. Plasma was centrifuged at 4000 rpm for 5 min and the clots were removed, if present. The pH was adjusted to 7.4 ± 0.1. 196 mL plasma was spiked with 4 μL of a 100 μM solution of a test compound or a positive control to achieve a 2 mM final concentration. The samples were prepared in duplicate and were incubated at 37°C in a water bath. At different time points (0, 1, 2, 4, 6 and 24 hr), 800 mL of stop solution (200ng/mL tolbutamide, 200 ng/mL Labetalol in 50%MeOH/ACN) was added to precipitate proteins. Samples were mixed thoroughly and centrifuged at 4,000 rpm for 10 min. An aliquot of the supernatant (150 mL) was submitted to LC- MS/MS analysis.
[00641] The percentage of test compound remaining at the individual time points relative to the 0 hour sample was calculated using following equation: Percent Remaining = 100 x (PAR at appointed incubation time / PAR at To time) where PAR is the peak area ratio of analyte versus internal standard (IS).
Table 8. Test compound plasma stability
Plasma stabilities were measured in human and mouse plasma. Cut-off values for categories are as follows: A = T1/2 >10 hours; B = T1/2 1-10 hours; C = T1/2 <1 hour
Example 13. Cathepsin B cleavage
[00642] Prior to the experiment, Cathepsin B (Human Liver, 1 μl, 16μM) was pre-activated in DTT (50μ1, 400μM) in 100mM MES pH 6.0 (or in PBS pH 7.4) for 15min at room temperature and diluted in 439 μl water. The solution was added to BDC in DMSO (10μl, 2mM) and the reaction mixture was incubated at 37°C. 100 μl aliquots were taken at different time points (lh, 4h and 24h) and the enzyme reaction was quenched by adding 1μl HCOOH. The samples were analyzed by LC-MS. The MS full scan ion identification was used to monitor the disappearance of starting compound and the appearance of intact payload and/or partially cleaved intermediates.
Table 9. Cathepsin B cleavage / release
Cathepsin B cleavage of linker and STING payload release were measured vs human liver Cathepsin B at pH 6.0 or pH 7.4. Cut-off values for categories are as follows:
A = complete cleavage or release by 24 hours at pH 6.0; B = >0 but <100% cleavage or release by 24 hours at pH 6.0; C = no cleavage or release by 24 hours at pH 6.0; D = >0 but <100% cleavage by 24 hours at pH 7.4
Claims
1. A compound of formula I:
or a pharmaceutically acceptable salt thereof, wherein:
each of L1, L2, and L3 is independently a covalent bond or a C1 -8 bivalent hydrocarbon chain wherein one, two or three methylene units of the chain are optionally and independently replaced by -S-, -N(R)-, -O-, -C(O)-, -OC(O)-, -C(O)O-, -C(O)N(R)-, -N(R)C(O)-, - S(O)-, -S(O)2- or -N(R)CH2C(O)-;
each of R is independently hydrogen or C1-4 alkyl;
each of m, n, s, and p is independently 0 or 1 ;
each of q and r is independently 1, 2, 3, 4, 5, 6, 7, 8, 9, 10, 11, 12, 13, 14 or 15;
R1 is R or -C(O)R;
each of R4 and R6 is independently hydrogen or an optionally substituted group selected from C1- 6 aliphatic, a 3-8 membered saturated or partially unsaturated monocyclic carbocyclic ring, phenyl, an 8-10 membered bicyclic aromatic carbocyclic ring, a 4-8 membered saturated or partially unsaturated monocyclic heterocyclic ring having 1-2 heteroatoms independently selected from nitrogen, oxygen, or sulfur, a 5-6 membered monocyclic heteroaromatic ring having 1-4 heteroatoms independently selected from nitrogen, oxygen, or sulfur, or an 8-10 membered bicyclic heteroaromatic ring having 1 -5 heteroatoms independently selected from nitrogen, oxygen, or sulfur;
each of R4 and R6 is independently hydrogen or methyl;
each of R2, R3, R5, and R7 is independently hydrogen, or C1-4 aliphatic, or:
an R5 group and its adjacent R4 group are optionally taken together with their intervening atoms to form a 4-8 membered saturated or partially unsaturated monocyclic heterocyclic ring having 1-2 heteroatoms independently selected from nitrogen, oxygen, or sulfur; or
an R7 group and its adjacent R6 group are optionally taken together with their intervening atoms to form a 4-8 membered saturated or partially unsaturated monocyclic heterocyclic ring having 1-2 heteroatoms independently selected from nitrogen, oxygen, or sulfur;
Scaffold is a trivalent group that connects and orients a cyclic peptide;
Loop A is a bivalent natural or unnatural amino acid residue or peptide attached to the amino acid residue linked to L2 and the amino acid residue linked to L1, wherein Loop A comprises
Loop B is a bivalent natural or unnatural amino acid residue or peptide attached to the amino acid residue linked to L1 and the amino acid residue linked to L3, wherein Loop B comprises
indicates the site of attachment to the C-terminus of the Bicycle;
STING1 is a Stimulator of Interferon Genes modulator;
STING2 is a Stimulator of Interferon Genes modulator;
wherein each of L11, L12, and L13 independently is a C1- 12 bivalent hydrocarbon chain wherein 1-6 methylene units of the chain are optionally and independently replaced by -Cy-, -S-, - C(R11)2-, -N(R11)-, -O- -etc))- -OC(O)-, -C(O)O- -C(O)N(R11)-, -N(R11)C(O)-, -S(O)- , or -S(O)2-; each -Cy- is independently an optionally substituted 3-7 membered bivalent saturated, partially unsaturated, or aromatic ring having 0-4 heteroatoms independently selected from nitrogen, oxygen, or sulfurand; and each R11 is independently hydrogen, -OH, - C1-6 aliphatic, or -N(R)-C(O)-C1-6 aliphatic; and
Linker2 is -NH2 or a bivalent moiety that connects the C-terminus of the Bicycle with STING2, wherein when p is 0, Linker2 is -NH2.
3. The compound of claim 1 or 2, wherein L11 is a C1-8 bivalent hydrocarbon chain wherein 1-5 methylene units of the chain are optionally and independently replaced by -Cy-, -S-, -C( R11 )2- , -N(R11)-, -O-, -C(O)-, -OC(O)-, -C(O)O- -C(O)N(R11)-, -N(R11)C(O)-, -S(O)- or -S(O)2-
4. The compound of any one of claims 1 to 3, wherein L12 is a C1-8 bivalent hydrocarbon chain wherein 1 -5 methylene units of the chain are optionally and independently replaced by -Cy-, -S- , -C(R11)2-, -N(R11)-, -O- -C(O)-, -OC(O)-, -C(0)0- -C(0)N(R11)-, -N(R11)C(0)-, -S(O)- or -S(0)2-.
5. The compound of any one of claims 1 to 4, wherein L13 is a C1-8 bivalent hydrocarbon chain wherein 1 -5 methylene units of the chain are optionally and independently replaced by -Cy-, -S- , -C(R11)2-, -N(R11)-, -O- -C(O)-, -OC(O)-, -C(O)O- -C(O)N(R11)-, -N(R11)C(O)-, -S(O)- or -S(O)2-.
6. The compound of any one of claims 1 to 3, wherein Linker 1 is
or
7. The compound of claim 1, wherein Linker1 IS
wherein
-M- is a bond, O or -N(R11)-;
L14 is a C1-6 bivalent hydrocarbon chain wherein 1-3 methylene units of the chain are optionally and independently replaced by -Cy-, -S-, -C( R11 )2-, -N(R11)-, -O-, -C(O)-, -OC(O)-, - C(O)O- -C(O)N(R11)-, -N(R11)C(O)-, -S(O)-, or -S(O)2-;
each -Cy- independently is an optionally substituted 3-7 membered bivalent saturated, partially unsaturated, or aromatic ring having 0-4 heteroatoms independently selected from nitrogen, oxygen, or sulfurand; and
each R11 independently is hydrogen, -OH, -C1-6 aliphatic, or -N(R)-C(O)-C1-6 aliphatic.
8. The compound of claim 7, wherein -M- is O or -N(R11)-.
9. The compound of claim 7 or 8, wherein L14 is a C1-4 bivalent hydrocarbon chain wherein 1-2 methylene units of the chain are optionally and independently replaced by -Cy-, -S-, -C( R11 )2- , -N(R11)-, -O-, -C(O)-, -OC(O)-, -C(O)O-, -C(O)N(R11)-, -N(R11)C(O)-, -S(O)-, or -S(O)2-
10. The compound of any one claims 1 to 9, wherein -Cy- is an optionally substituted 3-7 membered bivalent saturated ring having 0-4 heteroatoms independently selected from nitrogen, oxygen, or sulfur.
11. The compound of any one of claims 1 to 9, wherein -Cy- is an optionally substituted 5- membered bivalent saturated, partially unsaturated, or aromatic ring having 0-4 heteroatoms independently selected from nitrogen, oxygen, or sulfur.
12. The compound of any one of claims 1 to 9, wherein -Cy- is an optionally substituted 6- membered bivalent saturated, partially unsaturated, or aromatic ring having 0-4 heteroatoms independently selected from nitrogen, oxygen, or sulfur.
14. The compound of any one of claims 1 to 13, wherein STING1 is:
Linker1 is covalently attached to any available modifiable carbon, nitrogen, oxygen, or sulfur atom of STING1.
15. The compound of any one of claims 1 to 13, wherein STING1 is selected from:
modifiable carbon, nitrogen, oxygen, or sulfur atom of STING1.
16. The compound of any one of claims 1 to 15, wherein STING1 is selected from:
Linker1.
17. The compound of any one of claims 1 to 16, wherein each of L1, L2, and L3 is a C1-8 bivalent hydrocarbon chain wherein one, two or three methylene units of the chain are optionally and independently replaced by -S-, -N(R)-, -O-, -C(O)-, -OC(O)-, -C(O)O-, -C(O)N(R)-, - N(R)C(O)-, -S(O)-, -S(O)2- or -N(R)CH2C(O)-.
18. The compound of any one of claims 1 to 17, wherein R1 is hydrogen or -C(O)CH3.
19. The compound of any one of claims 1 to 18, wherein p is 0 and Linker2 is -NH2.
to 19, wherein Loop A is
The compound of any one of claims 1 to 20, wherein Loop B is
23. The compound of claim 1, wherein the compound is selected from those depicted in Table 1
24. A pharmaceutical composition comprising a compound according to any one of claims 1 to 23, or a pharmaceutically acceptable salt thereof, and a pharmaceutically acceptable carrier, adjuvant, or vehicle.
25. A method of inducing an immune response in a patient or biological sample comprising administering to said patient, or contacting said biological sample with a compound according to any one of claims 1 to 23, or a pharmaceutically acceptable salt thereof, or a pharmaceutical composition thereof.
26. A method of inducing a STING-dependent type I interferon production in a patient or biological sample comprising administering to said patient, or contacting said biological sample with a compound according to any one of claims 1 to 23, or a pharmaceutically acceptable salt thereof, or a pharmaceutical composition thereof.
27. A method of treating a disorder, disease, or condition in a patient comprising administering to said patient a compound according to any one of claims 1 to 23, or a pharmaceutically acceptable salt thereof, or a pharmaceutical composition thereof.
28. The method of claim 27, wherein the disorder, disease or condition is selected from the group consisting of a cancer and a proliferative disorder.
29. The method of claim 28, wherein the cancer or proliferative disorder is selected from the group consisting of tumors of epithelial origin (adenomas and carcinomas of various types including adenocarcinomas, squamous carcinomas, transitional cell carcinomas and other carcinomas) such as carcinomas of the bladder and urinary tract, breast, gastrointestinal tract (including the esophagus, stomach (gastric), small intestine, colon, rectum and anus), liver (hepatocellular carcinoma), gall bladder and biliary system, exocrine pancreas, kidney, lung (for example adenocarcinomas, small cell lung carcinomas, non-small cell lung carcinomas, bronchioalveolar carcinomas and mesotheliomas), head and neck (for example cancers of the tongue, buccal cavity, larynx, pharynx, nasopharynx, tonsil, salivary glands, nasal cavity and paranasal sinuses), ovary, fallopian tubes, peritoneum, vagina, vulva, penis, cervix, myometrium,
endometrium, thyroid (for example thyroid follicular carcinoma), adrenal, prostate, skin and adnexae (for example melanoma, basal cell carcinoma, squamous cell carcinoma, keratoacanthoma, dysplastic naevus); hematological malignancies (i.e. leukemias, lymphomas) and premalignant hematological disorders and disorders of borderline malignancy including hematological malignancies and related conditions of lymphoid lineage (for example acute lymphocytic leukemia [ALL], chronic lymphocytic leukemia [CLL], B-cell lymphomas such as diffuse large B-cell lymphoma [DLBCL], follicular lymphoma, Burkitt’s lymphoma, mantle cell lymphoma, T-cell lymphomas and leukemias, natural killer [NK] cell lymphomas, Hodgkin’s lymphomas, hairy cell leukemia, monoclonal gammopathy of uncertain significance, plasmacytoma, multiple myeloma, and post-transplant lymphoproliferative disorders), and hematological malignancies and related conditions of myeloid lineage (for example acute myelogenousleukemia [AML], chronic myelogenousleukemia [CML], chronic myelomonocyticleukemia [CMML], hypereosinophilic syndrome, myeloproliferative disorders such as polycythaemia vera, essential thrombocythaemia and primary myelofibrosis, myeloproliferative syndrome, myelodysplastic syndrome, and promyelocyticleukemia); tumors of mesenchymal origin, for example sarcomas of soft tissue, bone or cartilage such as osteosarcomas, fibrosarcomas, chondrosarcomas, rhabdomyosarcomas, leiomyosarcomas, liposarcomas, angiosarcomas, Kaposi’s sarcoma, Ewing’s sarcoma, synovial sarcomas, epithelioid sarcomas, gastrointestinal stromal tumors, benign and malignant histiocytomas, and dermatofibrosarcomaprotuberans; tumors of the central or peripheral nervous system (for example astrocytomas, gliomas and glioblastomas, meningiomas, ependymomas, pineal tumors and schwannomas); endocrine tumors (for example pituitary tumors, adrenal tumors, islet cell tumors, parathyroid tumors, carcinoid tumors and medullary carcinoma of the thyroid); ocular and adnexal tumors (for example retinoblastoma); germ cell and trophoblastic tumors (for example teratomas, seminomas, dysgerminomas, hydatidiform moles and choriocarcinomas); and pediatric and embryonal tumors (for example medulloblastoma, neuroblastoma, Wilms tumor, and primitive neuroectodermal tumors); or syndromes, congenital or otherwise, which leave the patient susceptible to malignancy (for example Xeroderma Pigmentosum).
Applications Claiming Priority (2)
| Application Number | Priority Date | Filing Date | Title |
|---|---|---|---|
| US201962805783P | 2019-02-14 | 2019-02-14 | |
| US62/805,783 | 2019-02-14 |
Publications (1)
| Publication Number | Publication Date |
|---|---|
| WO2020165600A1 true WO2020165600A1 (en) | 2020-08-20 |
Family
ID=69723985
Family Applications (1)
| Application Number | Title | Priority Date | Filing Date |
|---|---|---|---|
| PCT/GB2020/050346 Ceased WO2020165600A1 (en) | 2019-02-14 | 2020-02-14 | Bicyclic peptide ligand sting conjugates and uses thereof |
Country Status (1)
| Country | Link |
|---|---|
| WO (1) | WO2020165600A1 (en) |
Cited By (12)
| Publication number | Priority date | Publication date | Assignee | Title |
|---|---|---|---|---|
| US11730819B2 (en) | 2016-12-23 | 2023-08-22 | Bicycletx Limited | Peptide derivatives having novel linkage structures |
| US12049520B2 (en) | 2017-08-04 | 2024-07-30 | Bicycletx Limited | Bicyclic peptide ligands specific for CD137 |
| US12318454B2 (en) | 2014-10-29 | 2025-06-03 | Bicyclerd Limited | Bicyclic peptide ligands specific for MT1-MMP |
| US12350343B2 (en) | 2018-12-13 | 2025-07-08 | Bicycletx Limited | Bicyclic peptide ligands specific for MT1-MMP |
| US12378288B2 (en) | 2018-02-23 | 2025-08-05 | Bicycletx Limited | Multimeric bicyclic peptide ligands |
| US12377155B2 (en) | 2018-12-13 | 2025-08-05 | Bicyclerd Limited | Bicyclic peptide ligands specific for PSMA |
| US12435107B2 (en) | 2019-07-30 | 2025-10-07 | Bicycletx Limited | Heterotandem bicyclic peptide complex |
| US12459974B2 (en) | 2018-06-22 | 2025-11-04 | Bicycletx Limited | Bicyclic peptide ligands specific for Nectin-4 |
| US12491253B2 (en) | 2018-12-13 | 2025-12-09 | Bicyclerd Limited | Bicyclic peptide ligands specific for MT1-MMP |
| US12492224B2 (en) | 2018-12-21 | 2025-12-09 | Bicycletx Limited | Bicyclic peptide ligands specific for PD-L1 |
| US12516084B2 (en) | 2019-01-15 | 2026-01-06 | Bicycletx Limited | Bicyclic peptide ligands specific for CD38 |
| US12540161B2 (en) | 2020-08-03 | 2026-02-03 | Bicycletx Limited | Linkers |
Citations (39)
| Publication number | Priority date | Publication date | Assignee | Title |
|---|---|---|---|---|
| US4650750A (en) | 1982-02-01 | 1987-03-17 | Giese Roger W | Method of chemical analysis employing molecular release tag compounds |
| US4709016A (en) | 1982-02-01 | 1987-11-24 | Northeastern University | Molecular analytical release tags and their use in chemical analysis |
| US5360811A (en) | 1990-03-13 | 1994-11-01 | Hoechst-Roussel Pharmaceuticals Incorporated | 1-alkyl-, 1-alkenyl-, and 1-alkynylaryl-2-amino-1,3-propanediols and related compounds as anti-inflammatory agents |
| US5516931A (en) | 1982-02-01 | 1996-05-14 | Northeastern University | Release tag compounds producing ketone signal groups |
| US5650270A (en) | 1982-02-01 | 1997-07-22 | Northeastern University | Molecular analytical release tags and their use in chemical analysis |
| US6326144B1 (en) | 1998-09-18 | 2001-12-04 | Massachusetts Institute Of Technology | Biological applications of quantum dots |
| US6468808B1 (en) | 1998-09-24 | 2002-10-22 | Advanced Research And Technology Institute, Inc. | Water-soluble luminescent quantum dots and biomolecular conjugates thereof and related compositions and method of use |
| WO2002088112A1 (en) | 2001-04-27 | 2002-11-07 | Zenyaku Kogyo Kabushiki Kaisha | Heterocyclic compound and antitumor agent containing the same as active ingredient |
| US6552065B2 (en) | 2000-09-01 | 2003-04-22 | Novartis Ag | Deacetylase inhibitors |
| WO2003063794A2 (en) | 2002-02-01 | 2003-08-07 | Rigel Pharmaceuticals, Inc. | 2,4-pyrimidinediamine compounds and their uses |
| WO2004019973A1 (en) | 2002-08-14 | 2004-03-11 | Atugen Ag | Use of protein kinase n beta |
| WO2004077062A2 (en) | 2003-02-27 | 2004-09-10 | Pepscan Systems B.V. | Method for selecting a candidate drug compound |
| WO2004089925A1 (en) | 2003-04-03 | 2004-10-21 | Semafore Pharmaceuticals, Inc. | Pi-3 kinase inhibitor prodrugs |
| WO2005007623A2 (en) | 2003-07-03 | 2005-01-27 | The Trustees Of The University Of Pennsylvania | Inhibition of syk kinase expression |
| WO2005113554A2 (en) | 2004-05-13 | 2005-12-01 | Icos Corporation | Method of preparing 3-phenyl-2-[9h-purin-6-ylamino)-methyl]-3h-quinazolin-4-one and substituted and related compounds |
| WO2006078161A1 (en) | 2005-01-24 | 2006-07-27 | Pepscan Systems B.V. | Binding compounds, immunogenic compounds and peptidomimetics |
| WO2006078846A1 (en) | 2005-01-19 | 2006-07-27 | Rigel Pharmaceuticals, Inc. | Prodrugs of 2,4-pyrimidinediamine compounds and their uses |
| WO2006122806A2 (en) | 2005-05-20 | 2006-11-23 | Novartis Ag | 1,3-dihydro-imidazo [4,5-c] quinolin-2-ones as lipid kinase inhibitors |
| US7151047B2 (en) | 2004-04-28 | 2006-12-19 | Warren Chan | Stable, water-soluble quantum dot, method of preparation and conjugates thereof |
| WO2007016176A2 (en) | 2005-07-28 | 2007-02-08 | Phoenix Biotechnology Inc. | Scf extract containing cardiac glycoside |
| WO2007044729A2 (en) | 2005-10-07 | 2007-04-19 | Exelixis, Inc. | N- (3-amino-quinoxalin-2-yl) -sulfonamide derivatives and their use as phosphatidylinositol 3-kinase inhibitors |
| WO2007053452A1 (en) | 2005-11-01 | 2007-05-10 | Targegen, Inc. | Bi-aryl meta-pyrimidine inhibitors of kinases |
| WO2007070514A1 (en) | 2005-12-13 | 2007-06-21 | Incyte Corporation | Heteroaryl substituted pyrrolo[2,3-b]pyridines and pyrrolo[2,3-b]pyrimidines as janus kinase inhibitors |
| WO2007084786A1 (en) | 2006-01-20 | 2007-07-26 | Novartis Ag | Pyrimidine derivatives used as pi-3 kinase inhibitors |
| WO2007129161A2 (en) | 2006-04-26 | 2007-11-15 | F. Hoffmann-La Roche Ag | Thieno [3, 2-d] pyrimidine derivative useful as pi3k inhibitor |
| WO2008039218A2 (en) | 2006-09-22 | 2008-04-03 | Pharmacyclics, Inc. | Inhibitors of bruton's tyrosine kinase |
| WO2008109943A1 (en) | 2007-03-12 | 2008-09-18 | Cytopia Research Pty Ltd | Phenyl amino pyrimidine compounds and uses thereof |
| WO2009098450A2 (en) | 2008-02-05 | 2009-08-13 | Medical Research Council | Methods and compositions |
| WO2009114512A1 (en) | 2008-03-11 | 2009-09-17 | Incyte Corporation | Azetidine and cyclobutane derivatives as jak inhibitors |
| WO2011090760A1 (en) | 2009-12-29 | 2011-07-28 | Avila Therapeutics, Inc. | Heteroaryl compounds and uses thereof |
| US8138347B2 (en) | 2007-05-18 | 2012-03-20 | Glaxosmithkline Llc | Quinoline derivatives as PI3 kinase inhibitors |
| WO2012142246A2 (en) | 2011-04-13 | 2012-10-18 | Stc.Unm | Rapid test for detection of infection and therapeutic response |
| WO2016067035A1 (en) | 2014-10-29 | 2016-05-06 | Bicycle Therapeutics Limited | Bicyclic peptide ligands specific for mt1-mmp |
| WO2017093933A1 (en) * | 2015-12-03 | 2017-06-08 | Glaxosmithkline Intellectual Property Development Limited | Cyclic purine dinucleotides as modulators of sting |
| WO2018067423A1 (en) | 2016-10-04 | 2018-04-12 | Merck Sharp & Dohme Corp. | BENZO[b]THIOPHENE COMPOUNDS AS STING AGONISTS |
| US20180105514A1 (en) | 2016-04-07 | 2018-04-19 | Glaxosmithkline Intellectual Property Development Limited | Heterocyclic amides useful as protein modulators |
| WO2018115204A1 (en) | 2016-12-23 | 2018-06-28 | Bicycletx Limited | Peptide ligands for binding to mt1-mmp |
| WO2018197893A1 (en) * | 2017-04-27 | 2018-11-01 | Bicycletx Limited | Bicyclic peptide ligands and uses thereof |
| WO2019034866A1 (en) * | 2017-08-14 | 2019-02-21 | Bicyclerd Limited | Bicyclic peptide ligand sting conjugates and uses thereof |
-
2020
- 2020-02-14 WO PCT/GB2020/050346 patent/WO2020165600A1/en not_active Ceased
Patent Citations (43)
| Publication number | Priority date | Publication date | Assignee | Title |
|---|---|---|---|---|
| US4650750A (en) | 1982-02-01 | 1987-03-17 | Giese Roger W | Method of chemical analysis employing molecular release tag compounds |
| US4709016A (en) | 1982-02-01 | 1987-11-24 | Northeastern University | Molecular analytical release tags and their use in chemical analysis |
| US5516931A (en) | 1982-02-01 | 1996-05-14 | Northeastern University | Release tag compounds producing ketone signal groups |
| US5602273A (en) | 1982-02-01 | 1997-02-11 | Northeastern University | Release tag compounds producing ketone signal groups |
| US5604104A (en) | 1982-02-01 | 1997-02-18 | Northeastern University | Release tag compounds producing ketone signal groups |
| US5610020A (en) | 1982-02-01 | 1997-03-11 | Northeastern University | Release tag compounds producing ketone signal groups |
| US5650270A (en) | 1982-02-01 | 1997-07-22 | Northeastern University | Molecular analytical release tags and their use in chemical analysis |
| US5360811A (en) | 1990-03-13 | 1994-11-01 | Hoechst-Roussel Pharmaceuticals Incorporated | 1-alkyl-, 1-alkenyl-, and 1-alkynylaryl-2-amino-1,3-propanediols and related compounds as anti-inflammatory agents |
| US6326144B1 (en) | 1998-09-18 | 2001-12-04 | Massachusetts Institute Of Technology | Biological applications of quantum dots |
| US6468808B1 (en) | 1998-09-24 | 2002-10-22 | Advanced Research And Technology Institute, Inc. | Water-soluble luminescent quantum dots and biomolecular conjugates thereof and related compositions and method of use |
| US7192785B2 (en) | 1998-09-24 | 2007-03-20 | Indiana University Research And Technology Corporation | Water-soluble luminescent quantum dots and biomolecular conjugates thereof and related compositions and methods of use |
| US6552065B2 (en) | 2000-09-01 | 2003-04-22 | Novartis Ag | Deacetylase inhibitors |
| WO2002088112A1 (en) | 2001-04-27 | 2002-11-07 | Zenyaku Kogyo Kabushiki Kaisha | Heterocyclic compound and antitumor agent containing the same as active ingredient |
| WO2003063794A2 (en) | 2002-02-01 | 2003-08-07 | Rigel Pharmaceuticals, Inc. | 2,4-pyrimidinediamine compounds and their uses |
| WO2004019973A1 (en) | 2002-08-14 | 2004-03-11 | Atugen Ag | Use of protein kinase n beta |
| WO2004077062A2 (en) | 2003-02-27 | 2004-09-10 | Pepscan Systems B.V. | Method for selecting a candidate drug compound |
| WO2004089925A1 (en) | 2003-04-03 | 2004-10-21 | Semafore Pharmaceuticals, Inc. | Pi-3 kinase inhibitor prodrugs |
| WO2005007623A2 (en) | 2003-07-03 | 2005-01-27 | The Trustees Of The University Of Pennsylvania | Inhibition of syk kinase expression |
| US7151047B2 (en) | 2004-04-28 | 2006-12-19 | Warren Chan | Stable, water-soluble quantum dot, method of preparation and conjugates thereof |
| WO2005113554A2 (en) | 2004-05-13 | 2005-12-01 | Icos Corporation | Method of preparing 3-phenyl-2-[9h-purin-6-ylamino)-methyl]-3h-quinazolin-4-one and substituted and related compounds |
| WO2006078846A1 (en) | 2005-01-19 | 2006-07-27 | Rigel Pharmaceuticals, Inc. | Prodrugs of 2,4-pyrimidinediamine compounds and their uses |
| WO2006078161A1 (en) | 2005-01-24 | 2006-07-27 | Pepscan Systems B.V. | Binding compounds, immunogenic compounds and peptidomimetics |
| WO2006122806A2 (en) | 2005-05-20 | 2006-11-23 | Novartis Ag | 1,3-dihydro-imidazo [4,5-c] quinolin-2-ones as lipid kinase inhibitors |
| WO2007016176A2 (en) | 2005-07-28 | 2007-02-08 | Phoenix Biotechnology Inc. | Scf extract containing cardiac glycoside |
| WO2007044729A2 (en) | 2005-10-07 | 2007-04-19 | Exelixis, Inc. | N- (3-amino-quinoxalin-2-yl) -sulfonamide derivatives and their use as phosphatidylinositol 3-kinase inhibitors |
| WO2007053452A1 (en) | 2005-11-01 | 2007-05-10 | Targegen, Inc. | Bi-aryl meta-pyrimidine inhibitors of kinases |
| WO2007070514A1 (en) | 2005-12-13 | 2007-06-21 | Incyte Corporation | Heteroaryl substituted pyrrolo[2,3-b]pyridines and pyrrolo[2,3-b]pyrimidines as janus kinase inhibitors |
| WO2007084786A1 (en) | 2006-01-20 | 2007-07-26 | Novartis Ag | Pyrimidine derivatives used as pi-3 kinase inhibitors |
| WO2007129161A2 (en) | 2006-04-26 | 2007-11-15 | F. Hoffmann-La Roche Ag | Thieno [3, 2-d] pyrimidine derivative useful as pi3k inhibitor |
| WO2008039218A2 (en) | 2006-09-22 | 2008-04-03 | Pharmacyclics, Inc. | Inhibitors of bruton's tyrosine kinase |
| WO2008109943A1 (en) | 2007-03-12 | 2008-09-18 | Cytopia Research Pty Ltd | Phenyl amino pyrimidine compounds and uses thereof |
| US8138347B2 (en) | 2007-05-18 | 2012-03-20 | Glaxosmithkline Llc | Quinoline derivatives as PI3 kinase inhibitors |
| WO2009098450A2 (en) | 2008-02-05 | 2009-08-13 | Medical Research Council | Methods and compositions |
| WO2009114512A1 (en) | 2008-03-11 | 2009-09-17 | Incyte Corporation | Azetidine and cyclobutane derivatives as jak inhibitors |
| WO2011090760A1 (en) | 2009-12-29 | 2011-07-28 | Avila Therapeutics, Inc. | Heteroaryl compounds and uses thereof |
| WO2012142246A2 (en) | 2011-04-13 | 2012-10-18 | Stc.Unm | Rapid test for detection of infection and therapeutic response |
| WO2016067035A1 (en) | 2014-10-29 | 2016-05-06 | Bicycle Therapeutics Limited | Bicyclic peptide ligands specific for mt1-mmp |
| WO2017093933A1 (en) * | 2015-12-03 | 2017-06-08 | Glaxosmithkline Intellectual Property Development Limited | Cyclic purine dinucleotides as modulators of sting |
| US20180105514A1 (en) | 2016-04-07 | 2018-04-19 | Glaxosmithkline Intellectual Property Development Limited | Heterocyclic amides useful as protein modulators |
| WO2018067423A1 (en) | 2016-10-04 | 2018-04-12 | Merck Sharp & Dohme Corp. | BENZO[b]THIOPHENE COMPOUNDS AS STING AGONISTS |
| WO2018115204A1 (en) | 2016-12-23 | 2018-06-28 | Bicycletx Limited | Peptide ligands for binding to mt1-mmp |
| WO2018197893A1 (en) * | 2017-04-27 | 2018-11-01 | Bicycletx Limited | Bicyclic peptide ligands and uses thereof |
| WO2019034866A1 (en) * | 2017-08-14 | 2019-02-21 | Bicyclerd Limited | Bicyclic peptide ligand sting conjugates and uses thereof |
Non-Patent Citations (28)
| Title |
|---|
| "Design of amidobenzimidazole STING receptor agonists with systemic activity", NATURE, 2018 |
| "Discovery of a Novel cGAMP Competitive Ligand of the Inactive Form of STING", ACS MED. CHEM. LETT., vol. 10, 2019, pages 92 - 97 |
| "Genbank", Database accession no. NP.sub.-l 12571.1 |
| "Targeting STING with covalent small-molecule inhibitors", NATURE, 2018 |
| CHANNIE, SCIENCE, vol. 281, no. 5385, 1998, pages 2016 - 2018 |
| CHELTSOV ET AL., CANCER RES., vol. 72, no. 9, 2012, pages 2339 - 49 |
| CHERNEY ET AL., J MED CHEM, vol. 41, no. 11, 1998, pages 1749 - 51 |
| DRIGGERS ET AL., NAT REV DRUG DISCOV, vol. 7, no. 7, 2008, pages 608 - 24 |
| HALL JBRAULT AVINCENT FWENG SWANG HDUMLAO D ET AL.: "Discovery of PF06928215 as a high affinity inhibitor of cGAS enabled by a novel fluorescence polarization assay", PLOS ONE, vol. 12, no. 9, 2017, pages e0184843, XP055471003, DOI: 10.1371/journal.pone.0184843 |
| HEINIS ET AL., NAT CHEM BIOL, vol. 5, no. 7, 2009, pages 502 - 7 |
| HELLMAN ET AL.: "Principles of Radiation Therapy, Cancer, in Principles and Practice of Oncology", vol. 1, 1993, pages: 248 - 275 |
| JOHN C JEWETT AND CAROLYN R BERTOZZI ED - JEWETT JOHN C ET AL: "Cu-free click cycloaddition reactions in chemical biology", CU-FREE CLICK CYCLOADDITION REACTIONS IN CHEMICAL BIOLOGY,, vol. 39, no. 4, 1 April 2010 (2010-04-01), pages 1272 - 1279, XP002659163, ISSN: 1460-4744, [retrieved on 20100119], DOI: 10.1039/B901970G * |
| KEMPMCNAMARA, J. ORG. CHEM, 1985 |
| LEFKOVITEPEMIS: "Immunological Methods", vol. I, II, 1979, ACADEMIC PRESS |
| PATANILAVOIE, CHEM. REV., vol. 96, 1996, pages 3147 - 3176 |
| PIETRASZEK ET AL., FEBS LETTERS, vol. 588, no. 23, 2014, pages 4319 - 4324 |
| RAMIREZ ET AL.: "Defining causative factors contributing in the activation of hedgehog signaling in diffuse large B-cell lymphoma", LEUK. RES., 17 July 2012 (2012-07-17) |
| ROSTOVTSEV ET AL., ANGEW. CHEM. INT. ED., vol. 41, 2002, pages 2596 - 99 |
| S. M. BERGE ET AL.: "pharmaceutically acceptable salts", J. PHARMACEUTICAL SCIENCES, vol. 66, 1977, pages 1 - 19 |
| SMITH, M.B.MARCH, J.: "March's Advanced Organic Chemistry: Reactions, Mechanisms, and Structure", 2001, JOHN WILEY & SONS |
| SOUNNI ET AL., FASEB J., vol. 16, no. 6, 2002, pages 555 - 564 |
| SUN ET AL., BIOCONJUGATE CHEM., vol. 17, 2006, pages 52 - 57 |
| T. W. GREENEP. G. M. WUTS: "Protecting Groups in Organic Synthesis", 1999, UNIVERSITY SCIENCE BOOKS |
| TIMMERMAN ET AL., CHEMBIOCHEM, 2005 |
| WU ET AL., SCIENCE, vol. 330, 2007, pages 1066 - 71 |
| XIONG ET AL., SCIENCE, vol. 296, no. 5565, 2002, pages 151 - 5 |
| ZHAO ET AL., J STRUCT BIOL, vol. 160, no. 1, 2007, pages 1 - 10 |
| ZHI-XIN WANG, FEBS LETTERS, vol. 360, 1995, pages 1 11 - 1 14 |
Cited By (12)
| Publication number | Priority date | Publication date | Assignee | Title |
|---|---|---|---|---|
| US12318454B2 (en) | 2014-10-29 | 2025-06-03 | Bicyclerd Limited | Bicyclic peptide ligands specific for MT1-MMP |
| US11730819B2 (en) | 2016-12-23 | 2023-08-22 | Bicycletx Limited | Peptide derivatives having novel linkage structures |
| US12049520B2 (en) | 2017-08-04 | 2024-07-30 | Bicycletx Limited | Bicyclic peptide ligands specific for CD137 |
| US12378288B2 (en) | 2018-02-23 | 2025-08-05 | Bicycletx Limited | Multimeric bicyclic peptide ligands |
| US12459974B2 (en) | 2018-06-22 | 2025-11-04 | Bicycletx Limited | Bicyclic peptide ligands specific for Nectin-4 |
| US12350343B2 (en) | 2018-12-13 | 2025-07-08 | Bicycletx Limited | Bicyclic peptide ligands specific for MT1-MMP |
| US12377155B2 (en) | 2018-12-13 | 2025-08-05 | Bicyclerd Limited | Bicyclic peptide ligands specific for PSMA |
| US12491253B2 (en) | 2018-12-13 | 2025-12-09 | Bicyclerd Limited | Bicyclic peptide ligands specific for MT1-MMP |
| US12492224B2 (en) | 2018-12-21 | 2025-12-09 | Bicycletx Limited | Bicyclic peptide ligands specific for PD-L1 |
| US12516084B2 (en) | 2019-01-15 | 2026-01-06 | Bicycletx Limited | Bicyclic peptide ligands specific for CD38 |
| US12435107B2 (en) | 2019-07-30 | 2025-10-07 | Bicycletx Limited | Heterotandem bicyclic peptide complex |
| US12540161B2 (en) | 2020-08-03 | 2026-02-03 | Bicycletx Limited | Linkers |
Similar Documents
| Publication | Publication Date | Title |
|---|---|---|
| US11241473B2 (en) | Bicyclic peptide ligands and uses thereof | |
| WO2020165600A1 (en) | Bicyclic peptide ligand sting conjugates and uses thereof | |
| US20200291096A1 (en) | Bicyclic peptide ligand sting conjugates and uses thereof | |
| US11396530B2 (en) | Bicyclic peptide ligands and uses thereof | |
| US20200283482A1 (en) | Bicyclic peptide ligand prr-a conjugates and uses thereof | |
| US11746126B2 (en) | Bicyclic peptide ligands with detectable moieties and uses thereof | |
| ES2930198T3 (en) | TYK2 inhibitors and uses thereof | |
| EP3866789A1 (en) | Tyk2 inhibitors and uses thereof | |
| KR20230005160A (en) | MDM2 degraders and uses thereof | |
| BR112020001583A2 (en) | universal abt compounds and their uses | |
| EP4301756A1 (en) | Hpk1 antagonists and uses thereof | |
| EP4405359A2 (en) | Mdm2 degraders and uses thereof | |
| EP4511035A1 (en) | Ctps1 inhibitors and uses thereof | |
| WO2025049820A1 (en) | Stat6 degraders and uses thereof | |
| CN120858100A (en) | Inhibitory compounds | |
| WO2019091440A1 (en) | Crystal form i of a 5-aminopyrazole carboxamide compound as btk inhibitor |
Legal Events
| Date | Code | Title | Description |
|---|---|---|---|
| 121 | Ep: the epo has been informed by wipo that ep was designated in this application |
Ref document number: 20707782 Country of ref document: EP Kind code of ref document: A1 |
|
| NENP | Non-entry into the national phase |
Ref country code: DE |
|
| 122 | Ep: pct application non-entry in european phase |
Ref document number: 20707782 Country of ref document: EP Kind code of ref document: A1 |




















































































































































































































































































































































































































































































































