WO2015151006A1 - Substituted purine compounds as btk inhibitors - Google Patents
Substituted purine compounds as btk inhibitors Download PDFInfo
- Publication number
- WO2015151006A1 WO2015151006A1 PCT/IB2015/052299 IB2015052299W WO2015151006A1 WO 2015151006 A1 WO2015151006 A1 WO 2015151006A1 IB 2015052299 W IB2015052299 W IB 2015052299W WO 2015151006 A1 WO2015151006 A1 WO 2015151006A1
- Authority
- WO
- WIPO (PCT)
- Prior art keywords
- amino
- phenyl
- purin
- mmol
- title compound
- Prior art date
- Legal status (The legal status is an assumption and is not a legal conclusion. Google has not performed a legal analysis and makes no representation as to the accuracy of the status listed.)
- Ceased
Links
- 0 *N(c1ccc(CO*)cc1)c1nc(N)c2nc[n](*)c2n1 Chemical compound *N(c1ccc(CO*)cc1)c1nc(N)c2nc[n](*)c2n1 0.000 description 3
- MQAFVGPHMVPREO-UHFFFAOYSA-N C(c1ccccc1)N(Cc1ccccc1)c1c2nc[n](C3OCCCC3)c2nc(Nc(cc2)ccc2N2CCCCC2)n1 Chemical compound C(c1ccccc1)N(Cc1ccccc1)c1c2nc[n](C3OCCCC3)c2nc(Nc(cc2)ccc2N2CCCCC2)n1 MQAFVGPHMVPREO-UHFFFAOYSA-N 0.000 description 1
- BAAVUIVCGUHACZ-QHCPKHFHSA-N C(c1ccccc1)Nc1c2nc[n]([C@@H]3CNCCC3)c2nc(Nc(cc2)ccc2Oc2ccccc2)n1 Chemical compound C(c1ccccc1)Nc1c2nc[n]([C@@H]3CNCCC3)c2nc(Nc(cc2)ccc2Oc2ccccc2)n1 BAAVUIVCGUHACZ-QHCPKHFHSA-N 0.000 description 1
- BYBBCZOWNAICKR-UHFFFAOYSA-N C=C(C(Nc1cc(-[n]2c3nc(Nc4ccc(CN5CCOCC5)cc4)nc(N(Cc4ccccc4)Cc4ccccc4)c3nc2)ccc1)=O)F Chemical compound C=C(C(Nc1cc(-[n]2c3nc(Nc4ccc(CN5CCOCC5)cc4)nc(N(Cc4ccccc4)Cc4ccccc4)c3nc2)ccc1)=O)F BYBBCZOWNAICKR-UHFFFAOYSA-N 0.000 description 1
- ADUSWLLKIIXGPN-UHFFFAOYSA-N C=CC(Nc1cc(-[n]2c3nc(Cl)nc(N(Cc4ccccc4)Cc4ccccc4)c3nc2)ccc1F)=O Chemical compound C=CC(Nc1cc(-[n]2c3nc(Cl)nc(N(Cc4ccccc4)Cc4ccccc4)c3nc2)ccc1F)=O ADUSWLLKIIXGPN-UHFFFAOYSA-N 0.000 description 1
- QNINAEHRNUVAOR-UHFFFAOYSA-N C=CS(N(c1cc(-[n]2c3nc(Nc(cc4)ccc4N4CCOCC4)nc(N(Cc4ccccc4)Cc4ccccc4)c3nc2)ccc1)S(C=C)(=O)=O)(=O)=O Chemical compound C=CS(N(c1cc(-[n]2c3nc(Nc(cc4)ccc4N4CCOCC4)nc(N(Cc4ccccc4)Cc4ccccc4)c3nc2)ccc1)S(C=C)(=O)=O)(=O)=O QNINAEHRNUVAOR-UHFFFAOYSA-N 0.000 description 1
- XVXGLNZIUZPXGT-UHFFFAOYSA-N C=CS(Nc1cc(-[n]2c3nc(Nc(cc4)ccc4N4CCOCC4)nc(N(Cc4ccccc4)Cc4ccccc4)c3nc2)ccc1)(=O)=O Chemical compound C=CS(Nc1cc(-[n]2c3nc(Nc(cc4)ccc4N4CCOCC4)nc(N(Cc4ccccc4)Cc4ccccc4)c3nc2)ccc1)(=O)=O XVXGLNZIUZPXGT-UHFFFAOYSA-N 0.000 description 1
- AHWBBBGVPCPNRP-UHFFFAOYSA-N CC(C)(C)OC(N(C1)CC1[n]1c2nc(Cl)nc(N(Cc3ccccc3)Cc3ccccc3)c2nc1)=O Chemical compound CC(C)(C)OC(N(C1)CC1[n]1c2nc(Cl)nc(N(Cc3ccccc3)Cc3ccccc3)c2nc1)=O AHWBBBGVPCPNRP-UHFFFAOYSA-N 0.000 description 1
- FEQKPOQOXBVVOD-QMMMGPOBSA-N CC(C)(C)OC(N(CC1)C[C@H]1[n]1c2nc(Cl)nc(Cl)c2nc1)=O Chemical compound CC(C)(C)OC(N(CC1)C[C@H]1[n]1c2nc(Cl)nc(Cl)c2nc1)=O FEQKPOQOXBVVOD-QMMMGPOBSA-N 0.000 description 1
- ZGUMPHZKMGOBBL-INIZCTEOSA-N CC(C)(C)OC(N(CCC1)C[C@H]1[n]1c2nc(Cl)nc(NCc3ccccc3)c2nc1)=O Chemical compound CC(C)(C)OC(N(CCC1)C[C@H]1[n]1c2nc(Cl)nc(NCc3ccccc3)c2nc1)=O ZGUMPHZKMGOBBL-INIZCTEOSA-N 0.000 description 1
- MBNZPFABTVHWIN-UHFFFAOYSA-N CC(C)(C)c(cc1)ccc1C(Nc1cc(Nc2nc(N(Cc3ccccc3)Cc3ccccc3)c3nc[n](C4OCCCC4)c3n2)ccc1)=O Chemical compound CC(C)(C)c(cc1)ccc1C(Nc1cc(Nc2nc(N(Cc3ccccc3)Cc3ccccc3)c3nc[n](C4OCCCC4)c3n2)ccc1)=O MBNZPFABTVHWIN-UHFFFAOYSA-N 0.000 description 1
- KMKOJTVYNGPRBT-UHFFFAOYSA-N CCCCc(cc1)ccc1Nc1nc(N(Cc2ccccc2)Cc2ccccc2)c2nc[n](C3OCCCC3)c2n1 Chemical compound CCCCc(cc1)ccc1Nc1nc(N(Cc2ccccc2)Cc2ccccc2)c2nc[n](C3OCCCC3)c2n1 KMKOJTVYNGPRBT-UHFFFAOYSA-N 0.000 description 1
- ASNHZWLYSMBOJP-QHCPKHFHSA-N CN(CC1)CCN1c(c(F)cc(Nc1nc(NCc2ccccc2)c2nc[n]([C@@H](CCC3)CN3C(C=C)=O)c2n1)c1)c1F Chemical compound CN(CC1)CCN1c(c(F)cc(Nc1nc(NCc2ccccc2)c2nc[n]([C@@H](CCC3)CN3C(C=C)=O)c2n1)c1)c1F ASNHZWLYSMBOJP-QHCPKHFHSA-N 0.000 description 1
- HHRZSJWCYOOULY-QHCPKHFHSA-N COCCOc(cc1)ccc1Nc1nc(NCc2ccccc2)c2nc[n]([C@@H](CCC3)CN3C(C=C)=O)c2n1 Chemical compound COCCOc(cc1)ccc1Nc1nc(NCc2ccccc2)c2nc[n]([C@@H](CCC3)CN3C(C=C)=O)c2n1 HHRZSJWCYOOULY-QHCPKHFHSA-N 0.000 description 1
- IMVRTXQHKLFXMS-UHFFFAOYSA-N COCCOc1cc(Nc2nc(N(Cc3ccccc3)Cc3ccccc3)c3nc[n](C4OCCCC4)c3n2)ccc1 Chemical compound COCCOc1cc(Nc2nc(N(Cc3ccccc3)Cc3ccccc3)c3nc[n](C4OCCCC4)c3n2)ccc1 IMVRTXQHKLFXMS-UHFFFAOYSA-N 0.000 description 1
- JJYPMNFTHPTTDI-UHFFFAOYSA-N Cc1cc(N)ccc1 Chemical compound Cc1cc(N)ccc1 JJYPMNFTHPTTDI-UHFFFAOYSA-N 0.000 description 1
- KIGCZEGXYQWGHO-UHFFFAOYSA-N Cc1nc(Cl)c2[n](Cc3cc([N+]([O-])=O)ccc3)cnc2n1 Chemical compound Cc1nc(Cl)c2[n](Cc3cc([N+]([O-])=O)ccc3)cnc2n1 KIGCZEGXYQWGHO-UHFFFAOYSA-N 0.000 description 1
- WWLHJEMGMGWORO-UHFFFAOYSA-N Clc1nc(N(Cc2ccccc2)Cc2ccccc2)c2nc[nH]c2n1 Chemical compound Clc1nc(N(Cc2ccccc2)Cc2ccccc2)c2nc[nH]c2n1 WWLHJEMGMGWORO-UHFFFAOYSA-N 0.000 description 1
- BOQGSJMBZMBADP-UHFFFAOYSA-N Clc1nc(N(Cc2ccccc2)Cc2ccccc2)c2nc[n](C3OCCCC3)c2n1 Chemical compound Clc1nc(N(Cc2ccccc2)Cc2ccccc2)c2nc[n](C3OCCCC3)c2n1 BOQGSJMBZMBADP-UHFFFAOYSA-N 0.000 description 1
- TUJOPCBPDOVZDB-UHFFFAOYSA-N FC(CC1)(CCN1c(cc1)ccc1Nc1nc(N(Cc2ccccc2)Cc2ccccc2)c2nc[nH]c2n1)F Chemical compound FC(CC1)(CCN1c(cc1)ccc1Nc1nc(N(Cc2ccccc2)Cc2ccccc2)c2nc[nH]c2n1)F TUJOPCBPDOVZDB-UHFFFAOYSA-N 0.000 description 1
- VWMWZTYVDCZPNR-UHFFFAOYSA-N FC(Oc(cc1)ccc1Nc1nc(N(Cc2ccccc2)Cc2ccccc2)c2nc[n](C3OCCCC3)c2n1)(F)F Chemical compound FC(Oc(cc1)ccc1Nc1nc(N(Cc2ccccc2)Cc2ccccc2)c2nc[n](C3OCCCC3)c2n1)(F)F VWMWZTYVDCZPNR-UHFFFAOYSA-N 0.000 description 1
- GAYITWSUTSUSGO-UHFFFAOYSA-N Nc1cccc(-[n]2c3nc(Nc(cc4)ccc4N4CCCCC4)nc(N(Cc4ccccc4)Cc4ccccc4)c3nc2)c1 Chemical compound Nc1cccc(-[n]2c3nc(Nc(cc4)ccc4N4CCCCC4)nc(N(Cc4ccccc4)Cc4ccccc4)c3nc2)c1 GAYITWSUTSUSGO-UHFFFAOYSA-N 0.000 description 1
- HFIWAETUAZQROR-UHFFFAOYSA-N O=C(CCl)Nc1cc(-[n]2c3nc(Nc(cc4)ccc4N(CC4)CCC4(F)F)nc(N(Cc4ccccc4)Cc4ccccc4)c3nc2)ccc1 Chemical compound O=C(CCl)Nc1cc(-[n]2c3nc(Nc(cc4)ccc4N(CC4)CCC4(F)F)nc(N(Cc4ccccc4)Cc4ccccc4)c3nc2)ccc1 HFIWAETUAZQROR-UHFFFAOYSA-N 0.000 description 1
- FAIKIJURCVPINS-UHFFFAOYSA-N [O-][N+](c1cccc(C[n]2c3nc(Cl)nc(Cl)c3nc2)c1)=O Chemical compound [O-][N+](c1cccc(C[n]2c3nc(Cl)nc(Cl)c3nc2)c1)=O FAIKIJURCVPINS-UHFFFAOYSA-N 0.000 description 1
Classifications
-
- C—CHEMISTRY; METALLURGY
- C07—ORGANIC CHEMISTRY
- C07D—HETEROCYCLIC COMPOUNDS
- C07D473/00—Heterocyclic compounds containing purine ring systems
- C07D473/02—Heterocyclic compounds containing purine ring systems with oxygen, sulphur, or nitrogen atoms directly attached in positions 2 and 6
- C07D473/16—Heterocyclic compounds containing purine ring systems with oxygen, sulphur, or nitrogen atoms directly attached in positions 2 and 6 two nitrogen atoms
-
- A—HUMAN NECESSITIES
- A61—MEDICAL OR VETERINARY SCIENCE; HYGIENE
- A61P—SPECIFIC THERAPEUTIC ACTIVITY OF CHEMICAL COMPOUNDS OR MEDICINAL PREPARATIONS
- A61P35/00—Antineoplastic agents
-
- A—HUMAN NECESSITIES
- A61—MEDICAL OR VETERINARY SCIENCE; HYGIENE
- A61P—SPECIFIC THERAPEUTIC ACTIVITY OF CHEMICAL COMPOUNDS OR MEDICINAL PREPARATIONS
- A61P37/00—Drugs for immunological or allergic disorders
Definitions
- the present invention relates to substituted purine compounds of Formula (I) pharmaceutically acceptable salts thereof and pharmaceutical compositions for the treatment, management, and/or lessening the severity of diseases, disorders, syndromes or conditions associated with the inhibition of Bruton's tyrosine kinase (BTK).
- BTK Bruton's tyrosine kinase
- the invention also relates to method of treating, managing and/or lessening the severity of the diseases disorders, syndromes or conditions associated with the inhibition of Bruton's tyrosine kinase (BTK).
- BTK Bruton's tyrosine kinase
- Background of the invention Protein kinases, the largest family of human enzymes, consisting of more than 500 proteins are responsible for the control of a variety of signal transduction processes within the cell.
- Protein kinases exert their physiological functions by catalysing the phosphorylation of protein(s) and thereby modulating the cellular activities. Because protein kinases have profound effect on cells, their activities are highly regulated. Kinases are turned on or off by phosphorylation (sometimes by auto-phosphorylation), by binding of activator proteins or inhibitor proteins. Dysfunctions in the activities of these kinases, arising from genetic abnormalities or environmental factors are known to be associated with many diseases. Several pathological states, including cancer and chronic inflammation are associated with stimulation of intra-cellular signalling and since kinases are crucial in relaying signalling events, their inhibition/modulation offers a powerful way to control signal transduction cascades [Mohamed AJ et al, Immunol Rev.
- BTK Tyrosine Kinase
- Tec family of non-receptor tyrosine kinases is a key signalling enzyme expressed in all hematopoietic cell types except T lympocytes and natural killer cells.
- BTK plays an essential role in B-cell signalling pathway thus controlling of B-cell survival in certain B-cell cancers (Kurosaki, Curr Op Imm, 2000, 276-281; Schaeffer and Schwartzberg, Curr Op Imm. 2000, 282-288).
- the magnitude and duration of BCR signals must be precisely regulated.
- BTK has been found to be an important enzyme for the survival of BCR-Abl-positive B-cell acute lymphoblastic and leukemia cells.
- BTK enzyme activity can treat B-cell lymphoma and Leukemia [Quek et al. Current Biology (1998), 8, 1137-1140].
- BTK is also expressed in osteoclasts, mast cells and monocytes and plays an important role in the function of these cells. Mutation of BTK in humans results in X-linked agammaglobulinaemia (XLA). Aberrant BCR-mediated signalling can cause dysregulated B-cell activation and/or the formation of pathogenic auto-antibodies leading to multiple autoimmune and/or inflammatory diseases.
- XLA X-linked agammaglobulinaemia
- BTK inhibition can be useful for the treatment of allergies and/or autoimmune diseases and/or inflammatory diseases. It has been further shown that selective BTK inhibitor has demonstrated dose-dependent efficacy in a mouse arthritis model [Lichuan Liu, Journal of Pharmacology and Experimental Therapeutics (2011) 338, 154-163 and Z. Pan et al., Chem. Med. Chem. 2007, 2, 58-61]. Several compounds have been reported in the art as BTK inhibitors.
- R is hydrogen or substituted or unsubstituted alkyl
- W is hydrogen or halogen
- Y is selected from hydrogen, halogen, cyano and substituted or unsubstituted alkoxy
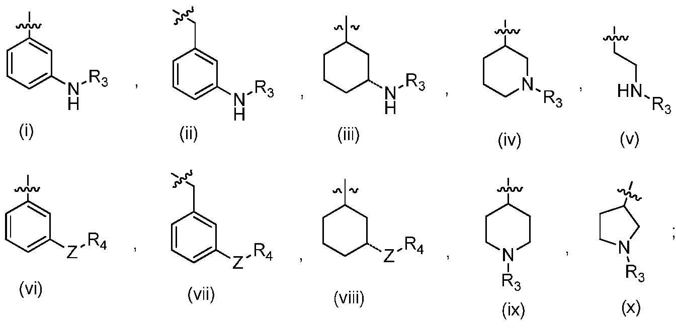
- X is selected from–O-R 1 , halogen, substituted or unsubstituted alkyl, substituted or unsubstituted haloalkyl, -S(O) 2 -alkyl or a group selected from (i) to (xiv):
- R 1 is selected from substituted or unsubstituted alkyl, substituted or unsubstituted haloalkyl, substituted or unsubstituted alkoxyalkyl, substituted or unsubstituted cycloalkyl, substituted or unsubstituted aryl, substituted or unsubstituted arylalkyl, substituted or unsubstituted heteroaryl, substituted or unsubstituted heteroarylalkyl, substituted or unsubstituted heterocyclyl and substituted or unsubstituted heterocyclylalkyl;
- R 2 is selected from a group consisting of (i) to (xv):
- Z is a bond or O;
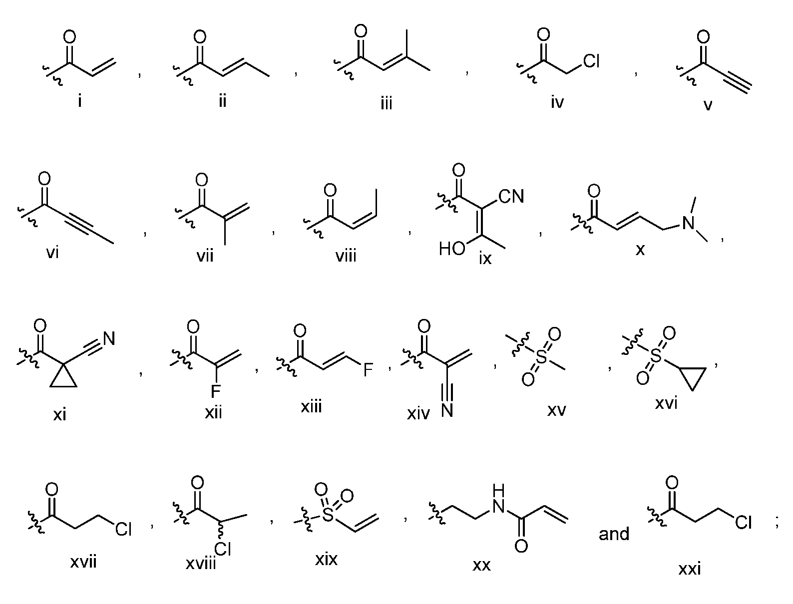
- R 3 which may be same or different at each occurrence is independently selected from cyano, substituted or unsubstituted –C(O)-alkyl, –C(O)-haloalkyl, substituted or unsubstituted –S(O) 2 -alkyl, substituted or unsubstituted –S(O) 2 -alkenyl, substituted or unsubstituted–C(O)-alkenyl, substituted or unsubstituted–C(O)-alkynyl, substituted or unsubstituted–C(O)-cycloalkyl and substituted or unsubstituted–S(O) 2 -cycloalkyl;
- R 4 which may be same or different at each occurrence, is independently selected from substituted or unsubstituted–C(O)-alkyl, substituted or unsubstituted–C(O)-alkenyl
- R is hydrogen or methyl
- W is hydrogen or halogen
- X is selected from -O-R 1 , halogen, methyl, n-butyl, -CF 3 , -S(O) 2 -CH 3 or a group selected from (i) to (xiv):
- R 1 is selected from methyl, -CF 3 , -CH 2 -CH 2 -O-CH 3 , -CH 2 -(CH 2 ) 2 -O-CH 3 , -CH 2 -CH 2 -
- Y is selected from hydrogen, halogen, cyano and–O-CH 3 ;
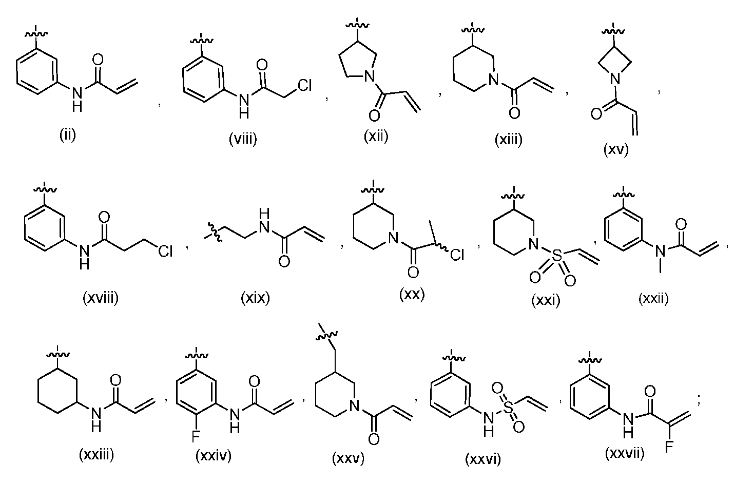
- R 2 is selected from a group consisting of (i) to (xxvi):
- the invention provides compounds having the structure of Formula (II)
- R is hydrogen or substituted or unsubstituted alkyl
- R 1 is selected from substituted or unsubstituted alkyl, substituted or unsubstituted alkoxyalkyl, substituted or unsubstituted cycloalkyl, substituted or unsubstituted aryl, substituted or unsubstituted arylalkyl, substituted or unsubstituted heteroaryl, substituted or unsubstituted heteroarylalkyl, substituted or unsubstituted heterocyclyl and substituted or unsubstituted heterocyclylalkyl;
- R 2 is selected from the following groups (i) to (x);
- Z is bond or O;
- R 3 which may be same or different at each occurrence is independently selected from substituted or unsubstituted –C(O)-alkyl, substituted or unsubstituted –S(O) 2 -alkyl, substituted or unsubstituted –C(O)-alkenyl, substituted or unsubstituted–C(O)-alkynyl substituted or unsubstituted–C(O)-cycloalkyl and substituted or unsubstituted–S(O) 2 - cycloalkyl;
- R 4 which may be same or different at each occurrence, is independently selected from substituted or unsubstituted–C(O)-alkyl, substituted or unsubstituted–C(O)-alkenyl, and substituted or unsubstituted–C(O)-alkynyl; or pharmaceutically acceptable salt thereof.
- the invention provides compounds
- R is hydrogen; R 1 is selected from methyl, -CF 3 , -CH 2 -CH 2 -O-CH 3 , -CH 2 -(CH 2 ) 2 -O-CH 3 , -CH 2 -CH 2 - N-(CH 3 ) 2 , and and
- R 2 is selected from a group consisting of:
- the invention provides compounds having the structure of Formula (I),
- R is hydrogen or methyl
- W is hydrogen or halogen
- X is selected from–O-CH 2 -CH 2 -O-CH 3 , halogen, -CF 3 , n-butyl, -S(O) 2 -CH 3 or a group selected from (i) to (xiv):
- Y is selected from hydrogen, halogen, cyano and–O-CH 3 ; and R 2 is selected from a group consisting of:
- R is hydrogen or substituted or unsubstituted alkyl (e.g. methyl).
- X is–O-R 1 where R 1 is selected from methyl, -
- X is halogen, -CF 3 , n-butyl, -S(O) 2 -CH 3 or a group selected from (i) to (xiv):
- W is hydrogen or halogen
- Y is hydrogen, halogen, cyano and -OCH 3
- R 2 is selected from the group consisting of:
- Compounds of the invention include, for example, compounds of the Formulae (I) and/or Formula (II) or pharmaceutically acceptable salts thereof, wherein, unless otherwise stated, each of R, W, X, Y, and R 2 has any of the meanings defined hereinbefore or independently in any of paragraphs (1) to (5): 1) R is hydrogen or methyl;
- W is hydrogen or halogen
- X is selected from -O-R 1 , halogen, methyl, n-butyl, -CF 3 , -S(O) 2 -CH 3 or a group selected from (i) to (xiv):
- R 1 is selected from methyl, -CF 3 , -CH 2 -CH 2 -O-CH 3 , -CH 2 -(CH 2 ) 2 -O-CH 3 , -
- Y is selected from hydrogen, halogen, cyano and–O-CH 3 ; and 5) R 2 is selected from the following groups (i) to (xxvii); .
- a compound of formula (I) or Formula (II) for use in treating, managing or lessening the severity of diseases, disorders, syndromes or conditions associated with BTK.
- the invention provides a pharmaceutical composition comprising at least one compound of Formula (I) or Formula (II) and at least one pharmaceutically acceptable excipient.
- the invention provides a pharmaceutical composition of compound of formula (I) or Formula (II) for use in treating, managing or lessening the severity of the diseases disorders, syndromes or conditions associated with BTK in a subject, in need thereof by administering to the subject, one or more compounds described herein in a therapeutically effective amount to cause inhibition of such enzyme.
- the disease, disorders, syndromes or conditions associated with BTK is selected from cancer, proliferative disorders, autoimmune diseases, hetero-immune diseases, and inflammatory diseases.
- halogen or halo means fluorine, chlorine, bromine, or iodine.
- alkyl refers to an alkane derived hydrocarbon radical that includes solely carbon and hydrogen atoms in the backbone, contains no unsaturation, has from 1 to 10, 1 to 6, or from 1 to 4 carbon atoms, and is attached to the remainder of the molecule by a single bond, e.g., methyl, ethyl, n-propyl, 1-methylethyl (isopropyl), n-butyl, n-pentyl, 1,1- dimethylethyl (t-butyl) and the like. Unless set forth or recited to the contrary, all alkyl groups described or claimed herein may be straight chain or branched, substituted or unsubstituted.
- alkylene refers to a bivalent alkyl group.
- An "alkylene chain” is a polymethylene group, i.e., -(CH 2 ) n -, wherein n is a positive integer, preferably from 1 to 6, from 1 to 4, from 1 to 3, from 1 to 2, or from 2 to 3.
- a substituted alkylene chain is a polymethylene group in which one or more methylene hydrogen atoms are replaced with a substituent. Suitable substituents include those described below for a substituted aliphatic group.
- alkenyl refers to a hydrocarbon radical containing from 2 to 10 carbon atoms and including at least one carbon-carbon double bond.
- alkenyl groups include ethenyl, 1-propenyl, 2-propenyl (allyl), iso-propenyl, 2-methyl-l- propenyl, 1-butenyl, 2-butenyl and the like. Unless set forth or recited to the contrary, all alkenyl groups described or claimed herein may be straight chain or branched, substituted or unsubstituted.
- alkynyl refers to a hydrocarbon radical containing 2 to 10 carbon atoms and including at least one carbon- carbon triple bond.
- alkynyl groups include ethynyl, propynyl, butynyl and the like.
- alkynyl groups described or claimed herein may be straight chain or branched, substituted or unsubstituted.
- alkoxy denotes an alkyl group attached via an oxygen linkage to the rest of the molecule. Representative examples of such groups are -OCH 3 and -OC 2 H 5 . Unless set forth or recited to the contrary, all alkoxy groups described or claimed herein may be straight chain or branched, substituted or unsubstituted.
- alkoxyalkyl refers to an alkoxy group as defined above directly bonded to an alkyl group as defined above, e.g., -CH 2 -O-CH 3 , -CH 2 -O-CH 2 CH 3 , -CH 2 CH 2 -O-CH 3 and the like. Unless set forth or recited to the contrary, all alkoxyalkyl groups described or claimed herein may be substituted or unsubstituted.
- haloalkyl refers to an alkyl group as defined above that is substituted by one or more halogen atoms as defined above.
- the haloalkyl may be monohaloalkyl, dihaloalkyl or polyhaloalkyl including perhaloalkyl.
- a monohaloalkyl can have one iodine, bromine, chlorine or fluorine atom.
- Dihaloalkyl and polyhaloalkyl groups can be substituted with two or more of the same halogen atoms or a combination of different halogen atoms.
- a polyhaloalkyl is substituted with up to 12 halogen atoms.
- Non- limiting examples of a haloalkyl include fluoromethyl, difluoromethyl, trifluoromethyl, chloromethyl, dichloromethyl, trichloromethyl, pentafluoroethyl, heptafluoropropyl, difluorochloromethyl, dichlorofluoromethyl, difluoroethyl, difluoropropyl, dichloroethyl, dichloropropyl and the like.
- a perhaloalkyl refers to an alkyl having all hydrogen atoms replaced with halogen atoms. Unless set forth or recited to the contrary, all haloalkyl groups described or claimed herein may be straight chain or branched, substituted or unsubstituted.
- haloalkoxy refers to a haloalkyl, defined herein, group attached via an oxygen linkage. Non-limiting examples of such groups are monohaloalkoxy, dihaloalkoxy or polyhaloalkoxy including perhaloalkoxy. Unless set forth or recited to the contrary, all haloalkoxy group described or claimed herein may be straight chain or branched, substituted or unsubstituted.
- cycloalkyl refers to a non-aromatic mono or multicyclic ring system having 3 to 12 carbon atoms, such as cyclopropyl, cyclobutyl, cyclopentyl, cyclohexyl and the like.
- multicyclic cycloalkyl groups include, but are not limited to, perhydronapththyl, adamantyl and norbornyl groups, bridged cyclic groups or spirobicyclic groups, e.g., spiro(4,4)non-2-yl and the like. Unless set forth or recited to the contrary, all cycloalkyl groups described or claimed herein may be substituted or unsubstituted.
- cycloalkenyl refers to a non-aromatic mono or multicyclic ring system having 3 to 12 carbon atoms and including at least one carbon-carbon double bond, such as cyclopentenyl, cyclohexenyl, cycloheptenyl and the like. Unless set forth or recited to the contrary, all cycloalkenyl groups described or claimed herein may be substituted or unsubstituted.
- cycloalkylalkyl refers to a cycloalkyl group as defined above, directly bonded to an alkyl group as defined above, e.g., cyclopropylmethyl, cyclobutylmethyl, cyclopentylmethyl, cyclohexylmethyl, cyclohexylethyl, etc. Unless set forth or recited to the contrary, all cycloalkylalkyl groups described or claimed herein may be substituted or unsubstituted.
- aryl refers to an aromatic radical having 6- to 14- carbon atoms, including monocyclic, bicyclic and tricyclic aromatic systems, such as phenyl, naphthyl, tetrahydronaphthyl, indanyl, and biphenyl and the like. Unless set forth or recited to the contrary, all aryl groups described or claimed herein may be substituted or unsubstituted.
- arylalkyl refers to an aryl group as defined above directly bonded to an alkyl group as defined above, e.g., -CH 2 C 6 H 5 and -C 2 H 4 C 6 H 5 .
- heterocyclic ring or “heterocyclyl ring” or “heterocyclyl”, unless otherwise specified, refers to substituted or unsubstituted non-aromatic 3- to 15- membered ring which consists of carbon atoms and with one or more heteroatom(s) independently selected from N, O or S.
- the heterocyclic ring may be a mono-, bi- or tricyclic ring system, which may include fused, bridged or spiro ring systems and the nitrogen, carbon, oxygen or sulfur atoms in the heterocyclic ring may be optionally oxidized to various oxidation states.
- heterocyclic ring may also be fused with aromatic ring.
- heterocyclic rings include azetidinyl, tetrahydro-2H-pyran, benzopyranyl, chromanyl, decahydroisoquinolyl, indanyl, indolinyl, isoindolinyl, isochromanyl, isothiazolidinyl, isoxazolidinyl, morpholinyl, oxazolinyl, oxazolidinyl, 2-oxopiperazinyl, 2-oxopiperidinyl, 2-oxopyrrolidinyl, 2- oxoazepinyl, octahydroindolyl, octahydroisoindolyl, perhydroazepinyl, piperazinyl, 4- piperidonyl, pyrrolidinyl, piperidinyl, phenothiazinyl, phenoxazinyl, quinuclidinyl, te
- heterocyclic ring may be attached to the main structure at any heteroatom or carbon atom that results in the creation of a stable structure. Unless set forth or recited to the contrary, all heterocyclyl groups described or claimed herein may be substituted or unsubstituted; substituents may be on same or different ring atom.
- heteroaryl unless otherwise specified, refers to a substituted or unsubstituted 5- to 14- membered aromatic heterocyclic ring with one or more heteroatom(s) independently selected from N, O or S.
- the heteroaryl may be a mono-, bi- or tricyclic ring system.
- the heteroaryl ring may be attached to the main structure at any heteroatom or carbon atom that results in the creation of a stable structure.
- a heteroaryl ring include oxazolyl, isoxazolyl, imidazolyl, furyl, indolyl, isoindolyl, pyrrolyl, triazolyl, triazinyl, tetrazolyl, thienyl, thiazolyl, isothiazolyl, pyridyl, pyrimidinyl, pyrazinyl, pyridazinyl, benzofuranyl, benzothiazolyl, benzoxazolyl, benzimidazolyl, benzothienyl, carbazolyl, quinolinyl, isoquinolinyl, quinazolinyl, cinnolinyl, naphthyridinyl, pteridinyl, purinyl, quinoxalinyl,
- heteroarylalkyl refers to a heterocyclic ring radical directly bonded to an alkyl group.
- the heterocyclylalkyl radical may be attached to the main structure at any carbon atom in the alkyl group that results in the creation of a stable structure.
- heterocyclylalkyl groups described or claimed herein may be substituted or unsubstituted.
- heteroarylalkyl refers to a heteroaryl ring radical directly bonded to an alkyl group.
- heteroarylalkyl radical may be attached to the main structure at any carbon atom in the alkyl group that results in the creation of a stable structure. Unless set forth or recited to the contrary, all heteroarylalkyl groups described or claimed herein may be substituted or unsubstituted.
- stereoisomer refers to a compound made up of the same atoms bonded by the same bonds but having different three-dimensional structures which are not interchangeable. The three-dimensional structures are called configurations.
- enantiomer refers to two stereoisomers whose molecules are nonsuperimposable mirror images of one another.
- the term “chiral center” refers to a carbon atom to which four different groups are attached.
- the term “diastereomers” refers to stereoisomers which are not enantiomers.
- the terms “racemate” or “racemic mixture” refer to a mixture of equal parts of enantiomers.
- the term “treating” or “treatment” of a state, disease, disorder, condition or syndrome includes: (a) preventing or delaying the appearance of clinical symptoms of the state, disease, disorder, condition or syndrome developing in a subject that may be afflicted with or predisposed to the state, disease, disorder, condition or syndrome but does not yet experience or display clinical or subclinical symptoms of the state, disease, disorder, condition or syndrome; (b) inhibiting the state, disease, disorder, condition or syndrome, i.e., arresting or reducing the development of the disease or at least one clinical or subclinical symptom thereof; c) lessening the severity of a disease disorder or condition or at least one of its clinical or subclinical symptoms thereof; and/or (d) relieving the disease, i.e., causing regression of the state
- subject includes mammals, preferably humans and other animals, such as domestic animals; e.g., household pets including cats and dogs.
- a “therapeutically effective amount” refers to the amount of a compound that, when administered to a subject in need thereof, is sufficient to cause a desired effect.
- the “therapeutically effective amount” will vary depending on the compound, the disease and its severity, age, weight, physical condition and responsiveness of the subject to be treated.
- the compounds of the invention may be obtained, stored and/or administered in the form of a pharmaceutically acceptable salt.
- Suitable pharmaceutically acceptable salts include, but are not limited to, salts of pharmaceutically acceptable inorganic acids such as hydrochloric, sulphuric, phosphoric, nitric, carbonic, boric, sulfamic, and hydrobromic acids, or salts of pharmaceutically acceptable organic acids such as acetic, propionic, butyric, tartaric, maleic, hydroxymaleic, fumaric, malic, citric, lactic, mucic, gluconic, benzoic, succinic, oxalic, phenylacetic, methanesulphonic, toluenesulphonic, benzenesulphonic, salicylic, sulphanilic, aspartic, glutamic, edetic, stearic, palmitic, oleic, lauric, pantothenic, tannic, ascorbic and valeric acids.
- pharmaceutically acceptable inorganic acids such as hydrochloric, sulphuric, phosphoric, n
- the invention relates to pharmaceutical compositions containing the compounds of the Formula (I) disclosed herein.
- pharmaceutical compositions containing a therapeutically effective amount of at least one compound of Formula (I) described herein and at least one pharmaceutically acceptable excipient (such as a carrier or diluent).
- the contemplated pharmaceutical compositions include the compound(s) described herein in an amount sufficient to inhibit BTK associated diseases described herein when administered to a subject.
- the subjects contemplated include, for example, a living cell and a mammal, including human mammal.
- the compound of the invention may be associated with a pharmaceutically acceptable excipient (such as a carrier or a diluent) or be diluted by a carrier, or enclosed within a carrier which can be in the form of a capsule, sachet, paper or other container.
- a pharmaceutically acceptable excipient includes pharmaceutical agent that does not itself induce the production of antibodies harmful to the individual receiving the composition, and which may be administered without undue toxicity.
- suitable carriers or excipients include, but are not limited to, water, salt solutions, alcohols, polyethylene glycols, polyhydroxyethoxylated castor oil, peanut oil, olive oil, gelatine, lactose, terra alba, sucrose, dextrin, magnesium carbonate, sugar, cyclodextrin, amylose, magnesium stearate, talc, gelatine, agar, pectin, acacia, stearic acid or lower alkyl ethers of cellulose, salicylic acid, fatty acids, fatty acid amines, fatty acid monoglycerides and diglycerides, pentaerythritol fatty acid esters, polyoxyethylene, hydroxymethylcellulose and polyvinylpyrrolidone.
- the pharmaceutical composition may also include one or more pharmaceutically acceptable auxiliary agents, wetting agents, emulsifying agents, suspending agents, preserving agents, salts for influencing osmotic pressure, buffers, sweetening agents, flavouring agents, colorants, or any combination of the foregoing.
- the pharmaceutical composition of the invention may be formulated so as to provide quick, sustained, or delayed release of the active ingredient after administration to the subject by employing procedures known in the art.
- compositions described herein may be prepared by conventional techniques known in the art.
- the active compound can be mixed with a carrier, or diluted by a carrier, or enclosed within a carrier, which may be in the form of an ampoule, capsule, sachet, paper, or other container.
- a carrier which may be in the form of an ampoule, capsule, sachet, paper, or other container.
- the carrier serves as a diluent, it may be a solid, semi-solid, or liquid material that acts as a vehicle, excipient, or medium for the active compound.
- compositions may be in conventional forms, for example, capsules, tablets, caplets, orally disintegrating tablets, aerosols, solutions, suspensions or products for topical application.
- the route of administration may be any route which effectively transports the active compound of the invention to the appropriate or desired site of action.
- Suitable routes of administration include, but are not limited to, oral, nasal, pulmonary, buccal, subdermal, intradermal, transdermal, parenteral, rectal, depot, subcutaneous, intravenous, intraurethral, intramuscular, intranasal, ophthalmic (such as with an ophthalmic solution) or topical (such as with a topical ointment).
- Solid oral formulations include, but are not limited to, tablets, caplets, capsules (soft or hard gelatine), orally disintegrating tablets, dragees (containing the active ingredient in powder or pellet form), troches and lozenges. Tablets, dragees, or capsules having talc and/or a carbohydrate carrier or binder or the like are particularly suitable for oral application.
- Liquid formulations include, but are not limited to, syrups, emulsions, suspensions, solutions, soft gelatine and sterile injectable liquids, such as aqueous or non-aqueous liquid suspensions or solutions.
- injectable solutions or suspensions preferably aqueous solutions with the active compound dissolved in polyhydroxylated castor oil.
- the pharmaceutical preparation is preferably in unit dosage form.
- the preparation is subdivided into unit doses containing appropriate quantities of the active component.
- the unit dosage form can be a packaged preparation, the package containing discrete quantities of preparation, such as pocketed tablets, capsules, and powders in vials or ampoules.
- the unit dosage form can be a capsule, tablet, caplet, cachet, or lozenge itself, or it can be the appropriate number of any of these in packaged form.
- the total daily dose of the compounds of the invention depends, of course, on the mode of administration.
- oral administration may require a higher total daily dose, than an intravenous (direct into blood).
- the quantity of active component in a unit dose preparation may be varied or adjusted from 0.1 mg to 1000 mg according to the potency of the active component or mode of administration.
- Suitable doses of the compounds for use in treating the diseases and disorders described herein can be determined by those skilled in the relevant art.
- Therapeutic doses are generally identified through a dose ranging study in subject based on preliminary evidence derived from the animal studies. Doses must be sufficient to result in a desired therapeutic benefit without causing unwanted side effects for the patient.
- Mode of administration, dosage forms, suitable pharmaceutical excipients, diluents or carriers can also be well used and adjusted by those skilled in the art. All changes and modifications are envisioned within the scope of the invention.
- the compounds and compositions, according to the method of invention may be administered using any amount and any route of administration effective for treating or lessening the severity of cancer, autoimmune disorders, inflammatory diseases, neurodegenerative or neurological disorders, bone and joints related disorders.
- the exact amount required will vary from subject to subject, depending on the age, and general condition of the subject, the severity of the disease, the particular agent, its mode of administration, depends on treatment disease, and the like.
- the specific effective dose level for any particular patient or organism will depend upon a variety of factors including the disorder being treated and the severity of the disorder, the activity of the compound, the specific composition employed, the age, body weight, general health, sex and diet of the patient, the time of administration, route of administration, and rate of excretion of the compound administered, the duration of the treatment, and like factors well known in the medical arts.
- the compounds of the invention are useful in treating, managing and/or lessening the diseases, disorders, syndromes or conditions associated with the inhibition of Bruton's tyrosine kinase (BTK).
- BTK Bruton's tyrosine kinase
- the compounds of the invention are useful in treating, managing and/or lessening the severity of diseases, disorders, syndromes or conditions associated with the inhibition of Bruton's tyrosine kinase (BTK) such as but not limited to cancer, proliferative disorders, autoimmune diseases, hetero-immune diseases and inflammatory diseases.
- BTK Bruton's tyrosine kinase
- the invention relates to a method of treating, managing and/or lessening the severity of one or more diseases selected from a proliferative disorder, cancers or an autoimmune disorder hetero-immune diseases, and inflammatory diseases, wherein said method comprises administering to a patient in need thereof a compound or composition of compound of Formula (I).
- the invention provides a method of treating, managing and/or lessening the severity of BTK associated disease or condition such as cancer.
- the cancer is a B-cell proliferative disorders including but not limited to, diffuse large B cell lymphoma, follicular lymphoma, chronic lymphocytic lymphoma, chronic lymphocytic leukemia, acute lymphocytic leukemia, acute myelogenous leukemia, chronic myelogenous leukemia, B-cell prolymphocytic leukemia, lymphoplasmacytic lymphoma/Waldenstrom macroglobulinemia, splenic marginal zone lymphoma, multiple myeloma (also known as plasma cell myeloma), non-Hodgkin's lymphoma, Hodgkin's lymphoma, plasmacytoma, extranodal marginal zone B cell lymphoma, nodal marginal zone B cell lymphoma, mantle cell lymphoma,
- the cancer is breast cancer, bone cancer, prostate cancer or cancer of the mast cells (e.g., mastocytoma, mast cell leukemia, mast cell sarcoma, systemic mastocytosis).
- the invention provides a method of treating, managing and/or lessening the severity of BTK associated disease or condition, namely, an autoimmune disease such as, but not limited to, inflammatory bowel disease, arthritis, lupus, rheumatoid arthritis, psoriatic arthritis, osteoarthritis, Still's disease, juvenile arthritis, myasthenia gravis, Hashimoto's thyroiditis, Ord's thyroiditis, Graves' disease, Sjogren's syndrome, multiple sclerosis, Guillain-Barre syndrome, acute disseminated encephalomyelitis, Addison's disease, opsoclonus-myoclonus syndrome, systemic lupus erythematosis (SLE), autoimmune thyroiditis some
- an autoimmune disease such
- the invention provides a method of treating, managing and/or lessening the severity of BTK associated disease or condition such as heteroimmune conditions or diseases, which include, but are not limited to, allergies (e.g., allergies to plant pollens, latex, drugs, foods, insect poisons, animal hair, animal dander, dust mites, or cockroach calyx), allergic conjunctivitis, allergic rhinitis, atopic dermatitis, graft versus host disease, transplantation, transfusion, anaphylaxis and type I hypersensitivity.
- allergies e.g., allergies to plant pollens, latex, drugs, foods, insect poisons, animal hair, animal dander, dust mites, or cockroach calyx
- allergic conjunctivitis e.g., allergies to plant pollens, latex, drugs, foods, insect poisons, animal hair, animal dander, dust mites, or cockroach calyx
- allergic conjunctivitis e.g.,
- the invention provides a method of treating, managing and/or lessening the severity of BTK associated disease or condition such as inflammatory diseases which include, but are not limited to, asthma, chronic obstructive pulmonary disease (COPD), appendicitis, blepharitis, bronchiolitis, bronchitis, bursitis, cervicitis, cholangitis, cholecystitis, Crohn's and ulcerative colitis, conjunctivitis, cystitis, dacryo adenitis, dermatitis, dermatomyositis, encephalitis, endocarditis, endometritis, enteritis, enterocolitis, epicondylitis, epididymitis, fasciitis, f.brositis, gastritis, gastroenteritis, hepatitis, hidradenitis suppurativa, laryngitis, mastitis, meningitis, myelitis myocardi
- COPD
- the invention provides a method of treating, managing and/or lessening the severity of BTK associated disease or condition such as thromboembolic disorder, including, but not limited to, myocardial infarct, angina pectoris, reocclusion after angioplasty, restenosis after angioplasty, reocclusion after aortocoronary bypass, restenosis after aortocoronary bypass, stroke, transitory ischemia, a peripheral arterial occlusive disorder, pulmonary embolism, or deep venous thrombosis.
- thromboembolic disorder including, but not limited to, myocardial infarct, angina pectoris, reocclusion after angioplasty, restenosis after angioplasty, reocclusion after aortocoronary bypass, restenosis after aortocoronary bypass, stroke, transitory ischemia, a peripheral arterial occlusive disorder, pulmonary embolism, or deep venous thrombos
- BTK-inhibition As used herein, the term "BTK-inhibition" "BTK-inhibition associated" diseases, disorders and/or conditions mean any disease or other disturbed condition in which BTK, or a mutant thereof, is known to play a role. It is to be understood that the invention encompasses any of the compounds of Formulae (I) or (II), or pharmaceutically acceptable salts thereof for use in the treatment of any of the conditions disclosed herein. It is to be understood that the invention encompasses the use of any of the compounds of Formulae (I) or (II) or pharmaceutically acceptable salts thereof for the manufacture of a medicament for the treatment of any of the conditions disclosed herein.
- the compounds described herein may be prepared by techniques known in the art.
- the compounds described herein may be prepared by following the reaction sequence as depicted in Scheme-1 to 4. Further, in the following schemes, where specific bases, acids, reagents, solvents, coupling agents, etc., are mentioned, it is understood that other bases, acids, reagents, solvents, coupling agents etc., known in the art may also be used and are therefore included within the scope of the present invention. Variations in reaction conditions, for example, temperature and/or duration of the reaction, which may be used as known in the art, are also within the scope of the present invention. All the isomers of the compounds in described in these schemes, unless otherwise specified, are also encompassed within the scope of this invention.
- the compound of formula (2) is obtained by reacting compound of formula (1) with dihydropyran in presence of p-toluene sulphonic acid.
- Compound of formula (2) reacting with a suitable protecting group dibenzyl amine in presence of base di-isopropylethylamine at 80°C to give compound of formula (3).
- the compound of formula (3) is converted into compound of formula (5) using compound of formula (4) under the conditions palladium catalyst such as (tris(dibenzylideneacetone)dipalladium(0), palladium (II)acetate, xantphos, rac 2,2’-bis(diphenylphosphino)-1,1’-binaphthyl, bis(tri-t-butylphosphine)palladium(0), 2- (di-t-butylphosphino)biphenyl)using suitable base e.g.
- palladium catalyst such as (tris(dibenzylideneacetone)dipalladium(0), palladium (II)acetate, xantphos, rac 2,2’-bis(diphenylphosphino)-1,1’-binaphthyl, bis(tri-t-butylphosphine)palladium(0), 2- (di-t-butylphosphino)bipheny
- the compound of formula (Ia) also prepared by an alternate route i.e. Scheme-2.
- the compound of formula (3) undergoes deprotection with p-toluene sulphonic acid to give compound of formula (13) which is on reaction with Iodo aniline (7) in presence of copper (1) iodide and base N 1 ,N 2 -dimethylethane-1,2-diamine and potassium phosphate in suitable solvent 1,4-dioxane, dimethoxyethane or N,N-dimethylformamide at 90°C to give compound of formula (14).
- the compound of formula (14) is converted into compound of formula (9) using compound of formula (4) in presence of palladium catalyst such as (tris(dibenzylideneacetone)dipalladium(0), palladium (II)acetate, xantphos, rac 2,2’- bis(diphenylphosphino)-1,1’-binaphthyl, bis(tri-t-butylphosphine)palladium(0), 2-(di-t- butylphosphino)biphenyl)using suitable base e.g.
- palladium catalyst such as (tris(dibenzylideneacetone)dipalladium(0), palladium (II)acetate, xantphos, rac 2,2’- bis(diphenylphosphino)-1,1’-binaphthyl, bis(tri-t-butylphosphine)palladium(0), 2-(di-t- butylphosphino)biphen
- Formula (Ia) is obtained by reacting compound of formula (9) with an acid chloride of formula (10) or acid of formula (11 ) in presence of base like N- methylpyrrolidone, potassium carbonate, diisopropylethylamine, triethylamine and ⁇ or coupling reagent like BOP, HBTU, DCC to afford compound of formula (12), followed by deprotection of benzyl group of compound of formula (12) using triflic acid to give the compound of formula (Ia).
- the compound of formula (17) is converted into compound of formula (18) using compound of formula (4) under the conditions palladium catalyst such as (tris(dibenzylideneacetone)dipalladium(0), palladium (II)acetate, xantphos, rac 2,2’-bis(diphenylphosphino)-1,1’-binaphthyl, bis(tri-t-butylphosphine)palladium(0) or 2- (di-t-butylphosphino)biphenyl) using suitable base (cesium carbonate, sodium tert-butoxide or potassium tert-butoxide) in suitable solvent such as 1,4-dioxane, dimethoxye
- the compounds of formula (Ic), wherein R 1 and R 3 , X, Y and Z are as described herein above, is prepared by following the sequential transformation as depicted in Scheme-4.
- the compound of formula (1) reacting with compound of formula (20) in presence of diisopropyl azodicarboxylate, diethyl azodicarboxylate and base such as triphenyl phosphine at an ambient temperature to afford compound of formula (21 and 22).
- Compound of formula (21) reacting with benzyl amine in presence of base diisopropylethylamine at 80°C to afford compound of formula (23).
- the compound of formula (23) is converted into compound of formula (24) using compound of forrmula (4) under the conditions palladium catalyst such as (tris(dibenzylideneacetone)dipalladium(0), palladium (II)acetate, xantphos, rac-2,2’- bis(diphenylphosphino)-1,1’-binaphthyl, bis(tri-t-butylphosphine) palladium(0) or 2-(di-t- butylphosphino)biphenyl) using suitable base (cesium carbonate, sodium tert-butoxide or potassium tert-butoxide in suitable solvent such as 1,4-dioxane, dimethoxyethane or N,N- dimethylformamide.
- palladium catalyst such as (tris(dibenzylideneacetone)dipalladium(0), palladium (II)acetate, xantphos, rac-2,2’- bis(diphenyl
- the title compound was prepared by following a procedure similar to that described in Intermediate-155 using 2,6-dichloro-9H-purine (2.5 g, 13.23 mmol), (S)-tert-butyl 3- hydroxypiperidine-1-carboxylate (5.32 g, 26.5 mmol), Triphenylphosphine (6.94 g, 26.5 mmol) and DIAD (Diisopropyl azodicarboxylate)(4.01 g, 19.84 mmol) to give title compound (0.6 g, 12.19% yield) as white solid.
- the tide compound was prepared by following a procedure similar to that described in Intermediate- 157 using Intermediate- 169 (7 g, 15.80 mmol), 4-morpholinoaniline (3.38 g, 18.96 mmol), Palladium(II) acetate (0.355 g, 1.580 mmol), BINAP (1.968 g, 3.16 mmol) and cesium carbonate (10.30 g, 31.6 mmol) to affored title compound (8 g, 87.0%) as a off white solid.
- the title compound was prepared by following a procedure similar to that described in Intermediate-155 using 2,6-dichloro-9H-purine (5 g, 26.5 mmol), tert-butyl 4- hydroxypiperidine-1-carboxylate (7.99 g, 39.7 mmol), Triphenylphosphine (13.88 g, 52.9 mmol) and DIAD (8.02 g, 39.7 mmol) to give title compound (3 g, 30.5% yield) as white solid.
- the title compound was prepared by following a procedure similar to that described in Intermediate-155 using 2,6-dichloro-9H-purine (6 g, 31.7 mmol), tert-butyl 3- hydroxypyrrolidine-1-carboxylate (8.92 g, 47.6 mmol) and TRIPHENYLPhOSPHINE (12.49 g, 47.6 mmol) and DIAD (9.63 g, 47.6 mmol) to give title compound (5 g, 44% yield) as white solid.
- the title compound was prepared by following a procedure similar to that described in Intermediate-155 using 2,6-dichloro-9H-purine (10 g, 52.9 mmol), (S)-tert-butyl 3- hydroxypyrrolidine-1-carboxylate (9.91 g, 52.9 mmol), Triphenylphosphine (20.82 g, 79 mmol) and DIAD (16.05 g, 79 mmol) to give title compound (8.0 g, 42.2% yield) as a white solid.
- the title compound was prepared by following a procedure similar to that described in Intermediate-155 using 2,6-dichloro-9H-purine (10g, 52.9 mmol), (R)-tert-butyl 3- hydroxypyrrolidine-1-carboxylate (9.91 g, 52.9 mmol) and Triphenylphosphine (20.82 g, 79 mmol) and DIAD (16.05 g, 79 mmol) to give title compound (8 g, 42.2% yield) as white solid.
- reaction mixture was cooled to room temperature and partitioned between ethyl acetate and water, organic layer was concentrated in vacuo and residue obtained was purified by column chromatography using 20% EtOAc/Hexane as a eluent afforded title compound (0.619 g, 0.974 mmol, 46.8 % yield) as a off-white solid.
- Step-1 0.5 g, 0.786 mmol
- Dioxane Volume: 20 ml
- HCl in Dioxane (0.197 ml, 0.786 mmol) was added dropwise at 0 °C and stirred for overnight.
- solvent was removed in vacuo furnished title compound (0.407 g, 0.711 mmol, 90 % yield) as a off-white solid and which was used for next step.
- Step-2 To a stirred solution of Step-2 (0.4 g, 0.699 mmol) in THF (Volume: 10 ml), DIPEA (0.611 o ml, 3.50 mmol) and acryloyl chloride (0.057 ml, 0.699 mmol) were added dropwise at 0 C and stirred for 3 hrs. Reaction mixture was partitioned between ethyl acetate and water, organic layer was concentrated in vacuo, resulted residue was purified by column chromatography using 60% EtOAc/Hexane as a eluent furnished titled compound (0.407 g, 0.690 mmol, 99 % yield) as a brown coloured solid.
- reaction mixture was cooled to room temperature and partitioned between ethyl acetate and water, organic layer was concentrated in vacuo and residue obtained was purified by column chromatography using 30% EtOAc/Hexane as a eluent afforded tert-butyl 3-(2-chloro-6- (dibenzylamino)-9H-purin-9-yl)azetidine-1-carboxylate (1.019 g, 2.018 mmol, 70.6 % yield) as a off-white solid.
- reaction mixture was washed with saturated sodium bicarbonate solution and total organic layer was dried over sodium sulfate and evaporated under reduced pressure. Residue was triturated with hexane furnished title compound 525 mg as a white solid.
- Example-1 (E)-N-(3-(6-Amino-2-((4-(2-methoxyethoxy) phenyl) amino)-9H-purin-9-yl) phenyl) but-2-enamide
- Example-2 N-(3-(6-Amino-2-((4-(2-methoxyethoxy) phenyl) amino)-9H-purin-9-yl)phenyl) acrylamide
- Example-3 N-(3-(6-Amino-2-((4-phenoxyphenyl) amino)-9H-purin-9-yl)phenyl) acrylamide
- Example-7 1-(3-(6-Amino-2-((4-(2-methoxyethoxy)phenyl)amino)-9H-purin-9- yl)piperidin-1-yl)-2-methylprop-2-en-1-one
- Example-8 1 -(3-(6-Amino-2-((4-(2-methoxyethoxy)phenyl)amino)-9H-purin-9-yl) piperidine-1-carbonyl)cyclopropanecarbonitrile
- Example-9 1-(3-(6-Amino-2-((4-(2-methoxyethoxy)phenyl)amino)-9H-purin-9- yl)piperidin-1-yl)-3-methylbut-2-en-1-one
- Example 53 and 54 were prepared by methylation of Example-31 using methyl iodide and NaH in DMF.
- the biochemical assay uses ADP-GloTM Kinase Assay (Promega) to measure the ADP formed from a kinase reaction.
- the assay carries three steps. First, the kinase enzyme reaction is carried out in presence or absence of test and reference compounds. ADP-GloTM Reagent is added to terminate the kinase reaction and deplete the remaining ATP. The Kinase detection reagent converts back the ADP formed during the kinase reaction to ATP, which is converted into light by Ultra-GloTM Luciferase, which is measure using BioTek Synergy 2 multimode plate reader. The luminescent signal positively correlates with kinase activity.
- ADP-GloTM Kinase Assay Promega
- test and reference compound s are pre incubated for 30 min with 1.5 ng/ml BTK kinase enzyme in 96 half area white opaque plate, followed by addition of 0.2 ⁇ g/ml substrate and 100 ⁇ M ultra-pure ATP.
- the reaction mixture is incubated in a shaking incubator for 30 min at room temperature at 250 rpm.
- Equal volumes of ADP-GloTM Reagent is added and incubated in shaking for 40 min.
- double the volume of Kinase detection reagent is added and the luminescence is measured after 30 min. Percentage incubation is calculated against positive control value.
- This ELISA based assay measures tyrosine-phosphorylated Epidermal Growth Factor Receptor (phospho-EGF R) in cell lysates.
- An immobilized capture antibody specific for EGFR binds both phosphorylated and unphosphorylated EGF R.
- HRP-conjugated detection antibody specific for phosphorylated tyrosine is used to detect only phosphorylated protein, utilizing a standard HRP format.
- A431 cells are pre incubated with desired concentration of test and reference compounds in serum free media for 30 min, followed by stimulation with 400 ng/ml EGF.
- Spend media is removed after 6 to 8 min and cells lysed in ice cold 1X lysis buffer containing protease and phosphatese inhibitor cocktails.
- Phosphorylated EGFR in the lysate supernatant is measured by ELISA. Inhibition of EGFR Phosphorylation is calculated by comparing OD values of test against positive control values.
- Table-4 In vitro activity of BTK (IC 50 ) and % inhibition of phosho EGFR.
- the biochemical assay uses ADP-GloTM Kinase Assay (Promega) to measure the ADP formed from a kinase reaction.
- the assay carries three steps. First, the kinase enzyme reaction is carried out in presence or absence of test and reference compounds. ADP-GloTM Reagent is added to terminate the kinase reaction and deplete the remaining ATP. The Kinase detection reagent converts back the ADP formed during the kinase reaction to ATP, which is converted into light by Ultra-GloTM Luciferase, which is measure using BioTek Synergy 2 multimode plate reader. The luminescent signal positively correlates with kinase activity.
- ADP-GloTM Kinase Assay Promega
- test and reference compound s are pre incubated for 30 min with 1.5 ng/ml BTK kinase enzyme in 96 half area white opaque plate, followed by addition of 0.2 ⁇ g/ml substrate and 30 ⁇ M ultra-pure ATP.
- the reaction mixture is incubated in a shaking incubator for 30 min at room temperature at 250 rpm.
- Equal volumes of ADP-GloTM Reagent is added and incubated in shaking for 40 min. Next, double the volume of Kinase detection reagent is added and the luminescence is measured after 30 min. Percentage incubation is calculated against positive control value.
- kinase reaction was initiated by a freshly prepared mixture containing the substrate U Light polyGT Lance ultra (Cat# TRF 0100- M, Perkin Elmer) and Km concentration of ATP followed by incubation for 2 hours with shaking at 250rpm. 10mM EDTA was added to terminate the kinase reaction, followed by 2nM Anti- phosphotyrosine antibody (Cat # AD 0068, Perkin Elmer), and incubated at room temperature for 1 hour with shaking at 250rpm. FRET signal was measured in PHERAStar FS. The ratio of signals obtained at 620 nm and 665 nm were used to compute percent inhibition. Table-5: BTK, EGFR, phoshoEGFR and JAK3 activity data for representative compounds.
Landscapes
- Chemical & Material Sciences (AREA)
- Organic Chemistry (AREA)
- Health & Medical Sciences (AREA)
- Nuclear Medicine, Radiotherapy & Molecular Imaging (AREA)
- Pharmacology & Pharmacy (AREA)
- Chemical Kinetics & Catalysis (AREA)
- General Chemical & Material Sciences (AREA)
- Medicinal Chemistry (AREA)
- Veterinary Medicine (AREA)
- Public Health (AREA)
- General Health & Medical Sciences (AREA)
- Life Sciences & Earth Sciences (AREA)
- Animal Behavior & Ethology (AREA)
- Immunology (AREA)
- Engineering & Computer Science (AREA)
- Bioinformatics & Cheminformatics (AREA)
- Pharmaceuticals Containing Other Organic And Inorganic Compounds (AREA)
Abstract
The present invention relates to the compound of Formula (I) wherein the substituents are as described herein, and their use in a medicine for the treatment of diseases, disorders associated with the inhibition of Bruton's tyrosine kinase (BTK). It further relates to the compounds herein and their pharmaceutically acceptable salts thereof, pharmaceutical compositions thereof useful in treating diseases, disorders, syndromes and/or conditions associated with the inhibition of BTK.
Description
SUBSTITUTED PURINE COMPOUNDS AS BTK INHIBITORS Related applications
The present application claims the benefit of priority to Indian Provisional Patent Application No. 1172/MUM/2014 filed on March 29, 2014 and the entire provisional specification is incorporated herein by reference. Field of the Invention
The present invention relates to substituted purine compounds of Formula (I) pharmaceutically acceptable salts thereof and pharmaceutical compositions for the treatment, management, and/or lessening the severity of diseases, disorders, syndromes or conditions associated with the inhibition of Bruton's tyrosine kinase (BTK). The invention also relates to method of treating, managing and/or lessening the severity of the diseases disorders, syndromes or conditions associated with the inhibition of Bruton's tyrosine kinase (BTK). Background of the invention Protein kinases, the largest family of human enzymes, consisting of more than 500 proteins are responsible for the control of a variety of signal transduction processes within the cell. Protein kinases exert their physiological functions by catalysing the phosphorylation of protein(s) and thereby modulating the cellular activities. Because protein kinases have profound effect on cells, their activities are highly regulated. Kinases are turned on or off by phosphorylation (sometimes by auto-phosphorylation), by binding of activator proteins or inhibitor proteins. Dysfunctions in the activities of these kinases, arising from genetic abnormalities or environmental factors are known to be associated with many diseases. Several pathological states, including cancer and chronic inflammation are associated with stimulation of intra-cellular signalling and since kinases are crucial in relaying signalling events, their inhibition/modulation offers a powerful way to control signal transduction cascades [Mohamed AJ et al, Immunol Rev. (2009), 228, 58-73].
Bruton’s Tyrosine Kinase (BTK), a member of Tec family of non-receptor tyrosine kinases, is a key signalling enzyme expressed in all hematopoietic cell types except T lympocytes and natural killer cells. BTK plays an essential role in B-cell signalling pathway thus controlling of B-cell survival in certain B-cell cancers (Kurosaki, Curr Op Imm, 2000, 276-281; Schaeffer and Schwartzberg, Curr Op Imm. 2000, 282-288). The magnitude and duration of BCR signals must be precisely regulated. For instance, BTK has been found to be an important enzyme for the survival of BCR-Abl-positive B-cell acute lymphoblastic and leukemia cells. Thus, the inhibition of BTK enzyme activity can treat B-cell lymphoma and Leukemia [Quek et al. Current Biology (1998), 8, 1137-1140]. Additionally, BTK is also expressed in osteoclasts, mast cells and monocytes and plays an important role in the function of these cells. Mutation of BTK in humans results in X-linked agammaglobulinaemia (XLA). Aberrant BCR-mediated signalling can cause dysregulated B-cell activation and/or the formation of pathogenic auto-antibodies leading to multiple autoimmune and/or inflammatory diseases. This disease is associated with the impaired maturation of B-cells, diminished immunoglobulin production, compromised T- cell-independent immune response and marked attenuation of the sustained calcium signalling upon BCR stimulation. Thus, the inhibition of BTK activity can be useful for the treatment of allergies and/or autoimmune diseases and/or inflammatory diseases. It has been further shown that selective BTK inhibitor has demonstrated dose-dependent efficacy in a mouse arthritis model [Lichuan Liu, Journal of Pharmacology and Experimental Therapeutics (2011) 338, 154-163 and Z. Pan et al., Chem. Med. Chem. 2007, 2, 58-61]. Several compounds have been reported in the art as BTK inhibitors. For example, patent application publications WO2015000949A1, WO2015002894A1, CN103864792A, WO2014040555A1, WO2013010380A1, WO2013148603A1, WO2009039397A2, WO2013185082A2, WO2013185084A1, WO2009158571A1, WO2013084216A2, WO2013173518A1, WO2010068806A1, WO2013067277A1, WO2013083666A1, and WO2011019780A1 disclose the compounds for inhibiting BTK. Some of the reported compounds are reversible or irreversible inhibitors. BTK is among a group of 11 kinases out
of more than 500 kinases found in human. These 11 kinases are BLK, JAK3, MAP2K7, Tec family which includes Bmx, BTK, ITK, RLK, Tec and EGFR family which includes EGFR, HER2, HER4 kinases. There have been several approaches to develop different BTK inhibitors, however there is a need for selective BTK inhibitors. Summary of the Invention In accordance with one aspect, the invention provides compounds having the structure of Formula (I),
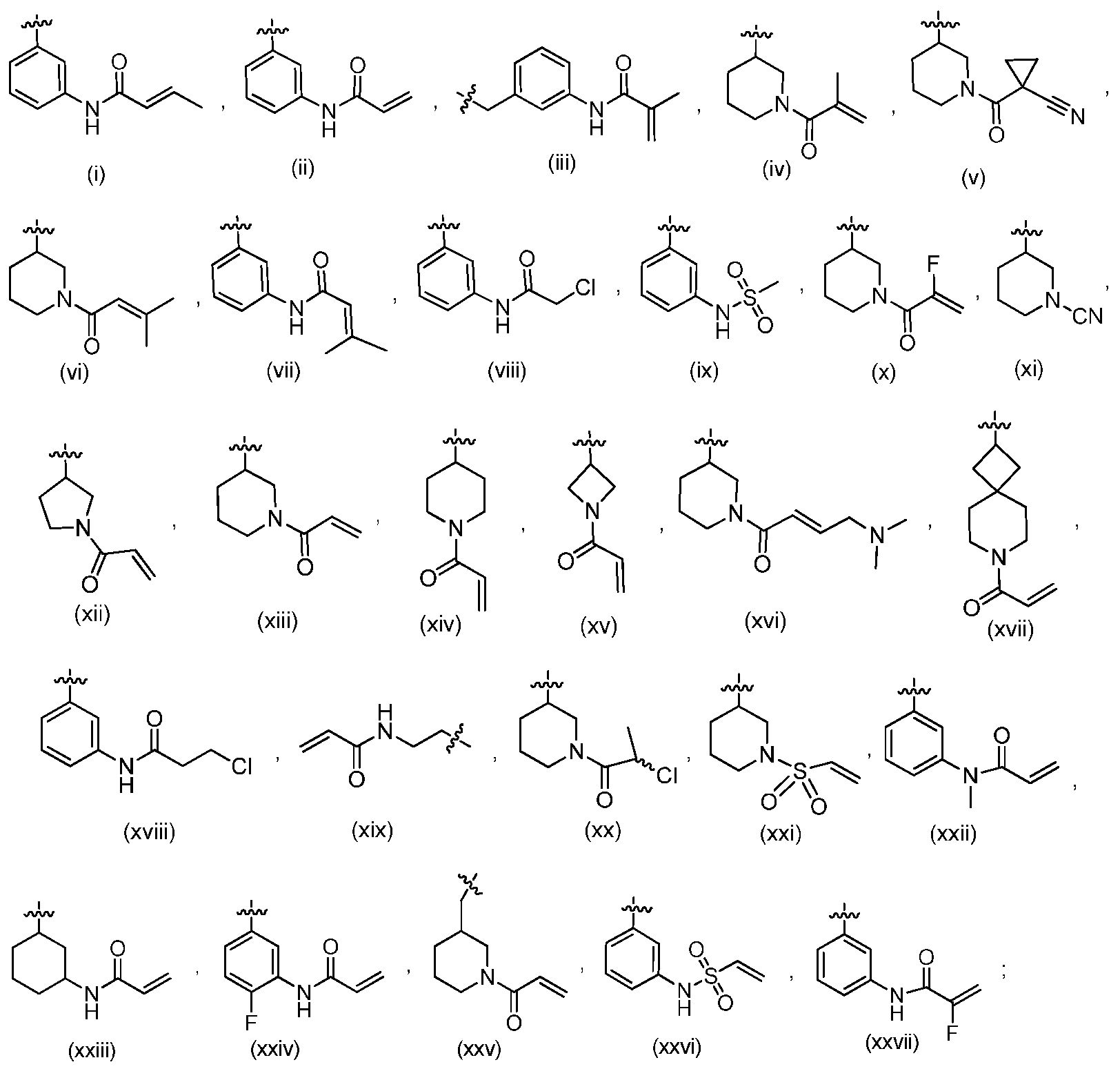
wherein, R is hydrogen or substituted or unsubstituted alkyl; W is hydrogen or halogen; Y is selected from hydrogen, halogen, cyano and substituted or unsubstituted alkoxy; X is selected from–O-R1, halogen, substituted or unsubstituted alkyl, substituted or unsubstituted haloalkyl, -S(O)2-alkyl or a group selected from (i) to (xiv):
R1 is selected from substituted or unsubstituted alkyl, substituted or unsubstituted haloalkyl, substituted or unsubstituted alkoxyalkyl, substituted or unsubstituted cycloalkyl, substituted or unsubstituted aryl, substituted or unsubstituted arylalkyl, substituted or unsubstituted heteroaryl, substituted or unsubstituted heteroarylalkyl, substituted or unsubstituted heterocyclyl and substituted or unsubstituted heterocyclylalkyl; R2 is selected from a group consisting of (i) to (xv):
at each occurrence, Z is a bond or O; R3, which may be same or different at each occurrence is independently selected from cyano, substituted or unsubstituted –C(O)-alkyl, –C(O)-haloalkyl, substituted or unsubstituted –S(O)2-alkyl, substituted or unsubstituted –S(O)2-alkenyl, substituted or unsubstituted–C(O)-alkenyl, substituted or unsubstituted–C(O)-alkynyl, substituted or unsubstituted–C(O)-cycloalkyl and substituted or unsubstituted–S(O)2-cycloalkyl; R4, which may be same or different at each occurrence, is independently selected from substituted or unsubstituted–C(O)-alkyl, substituted or unsubstituted–C(O)-alkenyl, and substituted or unsubstituted–C(O)- alkynyl;
the substituents on alkyl, alkenyl, alkynyl, cycloalkyl, aryl, arylalkyl, heteroaryl, heterocyclyl, heterocyclylalkyl may be one or more, same or different and are independently selected from hydroxy, halogen, cyano, alkyl, haloalkyl, aryl, arylalkyl, cycloalkyl, heteroaryl, heterocyclic, -C(O)ORx, -C(O)Rx, -CH2-ORx, -C(O)NRxRy, -NRxC(O)NRyRz, - N(Rx)S(O)Ry, -N(Rx)S(O)2Ry, -NRxRy, -NRxC(O)Ry, -NRxC(S)Ry, -S(O)NRxRy, - S(O)2NRxRy, -ORx, -OC(O)Rx, -OC(O)NRxRy, -RxC(O)Ry, -S(O)Rx and -S(O)2Rx wherein each occurrence of Rx, Ry and Rz are independently selected from hydrogen, alkyl, haloalkyl and cycloalkyl; or pharmaceutically acceptable salt thereof. In accordance with one aspect, the invention provides compounds having the structure of Formula (I),
R is hydrogen or methyl; W is hydrogen or halogen; X is selected from -O-R1, halogen, methyl, n-butyl, -CF3, -S(O)2-CH3 or a group selected from (i) to (xiv):
Y is selected from hydrogen, halogen, cyano and–O-CH3; and
R2 is selected from a group consisting of (i) to (xxvi):
or pharmaceutically acceptable salt thereof. In accordance with one aspect, the invention provides compounds having the structure of Formula (II)
wherein, R is hydrogen or substituted or unsubstituted alkyl; R1 is selected from substituted or unsubstituted alkyl, substituted or unsubstituted alkoxyalkyl, substituted or unsubstituted cycloalkyl, substituted or unsubstituted aryl, substituted or unsubstituted arylalkyl, substituted or unsubstituted heteroaryl, substituted or unsubstituted heteroarylalkyl, substituted or unsubstituted heterocyclyl and substituted or unsubstituted heterocyclylalkyl; R2 is selected from the following groups (i) to (x);
at each occurrence, Z is bond or O; R3, which may be same or different at each occurrence is independently selected from substituted or unsubstituted –C(O)-alkyl, substituted or unsubstituted –S(O)2-alkyl, substituted or unsubstituted –C(O)-alkenyl, substituted or unsubstituted–C(O)-alkynyl substituted or unsubstituted–C(O)-cycloalkyl and substituted or unsubstituted–S(O)2- cycloalkyl; R4, which may be same or different at each occurrence, is independently selected from substituted or unsubstituted–C(O)-alkyl, substituted or unsubstituted–C(O)-alkenyl, and substituted or unsubstituted–C(O)-alkynyl; or pharmaceutically acceptable salt thereof. In accordance with one aspect, the invention provides compounds having the structure of Formula (II),
wherein,
R is hydrogen; R1 is selected from methyl, -CF3, -CH2-CH2-O-CH3, -CH2-(CH2)2-O-CH3, -CH2-CH2- N-(CH3)2, and and
R2 is selected from a group consisting of:
or pharmaceutically acceptable salt thereof. In accordance with one aspect, the invention provides compounds having the structure of Formula (I),
wherein,
R is hydrogen or methyl; W is hydrogen or halogen; X is selected from–O-CH2-CH2-O-CH3, halogen, -CF3, n-butyl, -S(O)2-CH3 or a group selected from (i) to (xiv):
Y is selected from hydrogen, halogen, cyano and–O-CH3; and R2 is selected from a group consisting of:
or pharmaceutically acceptable salt thereof. In one embodiment of the invention provides compounds having the structure of Formula (I) or Formula (II) wherein R3 is selected from cyano or from (i) to (xxi):
. According to certain embodiments, R is hydrogen or substituted or unsubstituted alkyl (e.g. methyl). According to certain embodiments, X is–O-R1 where R1 is selected from methyl, -
CH2-CH2-O-CH3, -CH2-(CH2)2-O-CH3, -CH2-CH2-N-(CH3)2, CF3, .and.
According to certain embodiments, X is halogen, -CF3, n-butyl, -S(O)2-CH3 or a group selected from (i) to (xiv):
.
According to certain embodiments, W is hydrogen or halogen; According to certain embodiments, Y is hydrogen, halogen, cyano and -OCH3;
According to certain embodiments, R2 is selected from the group consisting of:
. .
It should be understood that the Formula (I), and/or Formula (II) structurally encompasses all tautomers, stereoisomers, enantiomers and diastereomers, including isotopes wherever applicable and pharmaceutically acceptable salts that may be contemplated from the chemical structures generally described herein. The details of one or more embodiments of the invention set forth in the below are illustrative in nature only and not intended to limit to the scope of the invention. Other features, objects and advantages of the inventions will be apparent from the description and claims.
According to another sub embodiment, there are provided compounds of Formula (I) and/or Formula (II) in which the compounds are used as either the free base or a pharmaceutically acceptable salt.
Compounds of the invention include, for example, compounds of the Formulae (I) and/or Formula (II) or pharmaceutically acceptable salts thereof, wherein, unless otherwise stated, each of R, W, X, Y, and R2 has any of the meanings defined hereinbefore or independently in any of paragraphs (1) to (5): 1) R is hydrogen or methyl;
2) W is hydrogen or halogen;
3) X is selected from -O-R1, halogen, methyl, n-butyl, -CF3, -S(O)2-CH3 or a group selected from (i) to (xiv):
4) Y is selected from hydrogen, halogen, cyano and–O-CH3; and 5) R2 is selected from the following groups (i) to (xxvii);
.
.
Below are the representative compounds, which are illustrative in nature only and are not intended to limit to the scope of the invention: (E)-N-(3-(6-Amino-2-((4-(2-methoxyethoxy) phenyl) amino)-9H-purin-9-yl) phenyl) but-2-enamide, N-(3-(6-Amino-2-((4-(2-methoxyethoxy) phenyl) amino)-9H-purin-9-yl)phenyl) acrylamide, N-(3-(6-Amino-2-((4-phenoxyphenyl) amino)-9H-purin-9-yl)phenyl) acrylamide,
N-(3-(6-Amino-2-((4-(4-methylpiperazin-1-yl) phenyl) amino)-9H-purin-9-yl) phenyl) acrylamide, N-(3-(6-amino-2-((3-fluoro-4-(4-methylpiperazin-1-yl)phenyl)amino)-9H-purin-9- yl)phenyl)acrylamide, N-(3-((6-Amino-2-((4-(2-methoxyethoxy)phenyl)amino)-9H-purin-9-yl)methyl) phenyl) methacrylamide, 1-(3-(6-Amino-2-((4-(2-methoxyethoxy)phenyl)amino)-9H-purin-9-yl)piperidin-1- yl)-2-methylprop-2-en-1-one, 1-(3-(6-Amino-2-((4-(2-methoxyethoxy)phenyl)amino)-9H-purin-9-yl) piperidine-1- carbonyl)cyclopropanecarbonitrile, 1-(3-(6-Amino-2-((4-(2-methoxyethoxy)phenyl)amino)-9H-purin-9-yl)piperidin-1- yl)-3-methylbut-2-en-1-one, (S)-1-(3-(6-Amino-2-((4-(piperidin-1-yl)phenyl)amino)-9H-purin-9-yl)piperidin-1- yl)prop-2-en-1-one, (S)-1-(3-(6-Amino-2-((3,5-difluoro-4-(4-methylpiperazin-1-yl)phenyl)amino)-9H- purin-9-yl)piperidin-1-yl)prop-2-en-1-one, (S)-1-(3-(6-Amino-2-((4-morpholinophenyl)amino)-9H-purin-9-yl)piperidin-1- yl)prop-2-en-1-one, N-(3-(6-Amino-2-((4-(2-methoxyethoxy)phenyl)amino)-9H-purin-9-yl)phenyl)-3- methylbut-2-enamide, N-(3-(6-Amino-2-((4-(2-(dimethylamino)ethoxy)phenyl)amino)-9H-purin-9- yl)phenyl) acrylamide, N-(3-(6-Amino-2-((2-fluoro-4-(2-methoxyethoxy)phenyl)amino)-9H-purin-9- yl)phenyl)acrylamide,
N-(3-(6-Amino-2-((3-(2-methoxyethoxy)phenyl)amino)-9H-purin-9- yl)phenyl)acrylamide,
N-(3-(6-Amino-2-((3-(2-methoxyethoxy)phenyl)amino)-9H-purin-9-yl)phenyl)-2- chloroacetamide,
N-(3-(6-Amino-2-((3-(2-methoxyethoxy)phenyl)amino)-9H-purin-9-yl)phenyl) methanesulfonamide,
N-(3-(6-Amino-2-((4-methoxyphenyl)amino)-9H-purin-9-yl)phenyl)acrylamide, N-(3-(6-Amino-2-((4-methoxyphenyl)amino)-9H-purin-9-yl)phenyl)-2- chloroacetamide,
N-(3-(6-Amino-2-((4-(trifluoromethoxy)phenyl)amino)-9H-purin-9- yl)phenyl)acrylamide,
N-(3-(6-Amino-2-((3-fluoro-4-(2-methoxyethoxy)phenyl)amino)-9H-purin-9- yl)phenyl)acrylamide,
N-(3-(6-Amino-2-((4-(4-methoxyphenoxy)phenyl)amino)-9H-purin-9- yl)phenyl)acrylamide,
N-(3-(6-Amino-2-((4-(pyridin-3-yloxy)phenyl)amino)-9H-purin-9- yl)phenyl)acrylamide,
N-(3-(6-Amino-2-((3-(morpholine-4-carbonyl)phenyl)amino)-9H-purin-9- yl)phenyl)acrylamide,
N-(4-((9-(3-Acrylamidophenyl)-6-amino-9H-purin-2-yl)amino)phenyl)-4-(tert- butyl)benzamide,
N-(3-(6-Amino-2-((4-morpholinophenyl)amino)-9H-purin-9-yl)phenyl)-3- chloropropanamide,
N-(3-(6-Amino-2-((4-morpholinophenyl)amino)-9H-purin-9-yl)phenyl)acrylamide,
N-(3-(6-Amino-2-((4-(piperidin-1-yl)phenyl)amino)-9H-purin-9-yl)phenyl)-3- chloropropanamide,
N-(3-(6-Amino-2-((4-(piperidin-1-yl)phenyl)amino)-9H-purin-9- yl)phenyl)acrylamide,
N-(3-(6-Amino-2-((4-fluorophenyl)amino)-9H-purin-9-yl)phenyl)acrylamide, N-(3-(6-Amino-2-((4-fluorophenyl)amino)-9H-purin-9-yl)phenyl)-2-chloroacetamide, N-(2-(6-Amino-2-((4-morpholinophenyl)amino)-9H-purin-9-yl)ethyl)acrylamide, N-(3-(6-Amino-2-((4-butylphenyl)amino)-9H-purin-9-yl)phenyl)acrylamide,
N-(3-(6-Amino-2-((4-(trifluoromethyl)phenyl)amino)-9H-purin-9- yl)phenyl)acrylamide,
N-(3-(6-Amino-2-((3-fluoro-4-morpholinophenyl)amino)-9H-purin-9- yl)phenyl)acrylamide,
N-(3-(6-Amino-2-((3-methoxy-4-morpholinophenyl)amino)-9H-purin-9- yl)phenyl)acrylamide,
N-(3-(6-Amino-2-((3-methoxy-4-(4-methylpiperazin-1-yl)phenyl)amino)-9H-purin-9- yl)phenyl)acrylamide,
N-(3-(6-Amino-2-((2-methoxy-4-morpholinophenyl)amino)-9H-purin-9- yl)phenyl)acrylamide,
N-(3-(6-Amino-2-((4-(4-methoxypiperidin-1-yl)phenyl)amino)-9H-purin-9- yl)phenyl)acrylamide,
N-(3-(2-((4-(4-Acetylpiperazin-1-yl)phenyl)amino)-6-amino-9H-purin-9- yl)phenyl)acrylamide,
N-(3-(6-Amino-2-((2-fluoro-4-morpholinophenyl)amino)-9H-purin-9- yl)phenyl)acrylamide,
N-(3-(6-Amino-2-((4-(4-(methoxymethyl)piperidin-1-yl)phenyl)amino)-9H-purin-9- yl)phenyl)acrylamide,
N-(3-(6-Amino-2-((4-(4-(1-methylpiperidin-4-yl)piperazin-1-yl)phenyl)amino)-9H- purin-9-yl)phenyl)acrylamide,
N-(3-(6-Amino-2-((3-chloro-4-morpholinophenyl)amino)-9H-purin-9- yl)phenyl)acrylamide,
N-(3-(6-Amino-2-((3-cyano-4-(4-methylpiperazin-1-yl)phenyl)amino)-9H-purin-9- yl)phenyl)acrylamide,
N-(3-(6-Amino-2-((4-((2-morpholinoethyl)amino)phenyl)amino)-9H-purin-9- yl)phenyl)acrylamide,
N-(3-(6-Amino-2-((3,5-difluoro-4-morpholinophenyl)amino)-9H-purin-9- yl)phenyl)acrylamide,
N-(3-(6-Amino-2-((3,5-difluoro-4-(4-methylpiperazin-1-yl)phenyl)amino)-9H-purin- 9-yl)phenyl)acrylamide,
N-(3-(6-Amino-2-((3,4-difluorophenyl)amino)-9H-purin-9-yl)phenyl)acrylamide, N-(3-(6-Amino-2-((4-(4-(morpholine-4-carbonyl)piperazin-1-yl)phenyl)amino)-9H- purin-9-yl)phenyl)acrylamide,
N-(3-(6-Amino-2-((4-morpholinophenyl)amino)-9H-purin-9- yl)phenyl)ethenesulfonamide,
N-(3-(6-Amino-2-((4-fluorophenyl)amino)-9H-purin-9-yl)phenyl)-N- methylacrylamide,
N-(3-(6-Amino-2-((4-fluorophenyl)(methyl)amino)-9H-purin-9-yl)phenyl)-N- methylacrylamide,
N-(5-(6-Amino-2-((3-fluoro-4-(4-methylpiperazin-1-yl)phenyl)amino)-9H-purin-9- yl)-2-fluorophenyl)acrylamide,
N-(3-(6-Amino-2-((4-(methylsulfonyl)phenyl)amino)-9H-purin-9- yl)phenyl)acrylamide,
N-(3-(6-Amino-2-((4-(methylsulfonyl)phenyl)amino)-9H-purin-9-yl)phenyl)-2- chloroacetamide,
N-(3-(6-Amino-2-((3-(4-methylpiperazin-1-yl)phenyl)amino)-9H-purin-9- yl)phenyl)acrylamide,
N-(3-(6-Amino-2-((4-(morpholinomethyl)phenyl)amino)-9H-purin-9- yl)phenyl)acrylamide,
N-(3-(6-Amino-2-((4-(morpholinomethyl)phenyl)amino)-9H-purin-9-yl)phenyl)-2- chloroacetamide,
N-(3-(6-Amino-2-((4-(4,4-difluoropiperidin-1-yl)phenyl)amino)-9H-purin-9- yl)phenyl)acrylamide,
N-(3-(6-Amino-2-((4-(4,4-difluoropiperidin-1-yl)phenyl)amino)-9H-purin-9- yl)phenyl)-2-chloroacetamide,
N-(3-(6-Amino-2-((3-morpholinophenyl)amino)-9H-purin-9-yl)phenyl)acrylamide, N-(3-(6-Amino-2-((4-(morpholinomethyl)phenyl)amino)-9H-purin-9-yl)phenyl)-2- fluoroacrylamide,
N-(3-(6-Amino-2-((4-fluorophenyl)amino)-9H-purin-9-yl)phenyl)-2- fluoroacrylamide,
1-(3-(6-Amino-2-((4-(2-methoxyethoxy)phenyl)amino)-9H-purin-9-yl)piperidin-1- yl)prop-2-en-1-one, (R)-1-(3-(6-Amino-2-((4-(2-methoxyethoxy)phenyl)amino)-9H-purin-9-yl)piperidin- 1-yl)prop-2-en-1-one, (S)-1-(3-(6-Amino-2-((4-(3-methoxypropoxy)phenyl)amino)-9H-purin-9- yl)piperidin-1-yl)prop-2-en-1-one, (S)-1-(3-(6-Amino-2-((3-fluoro-4-(2-methoxyethoxy)phenyl)amino)-9H-purin-9- yl)piperidin-1-yl)prop-2-en-1-one, (S)-1-(3-(6-Amino-2-((4-(2-methoxyethoxy)phenyl)amino)-9H-purin-9-yl)piperidin- 1-yl)prop-2-en-1-one, (S)-1-(3-(6-Amino-2-((4-(2-methoxyethoxy)phenyl)amino)-9H-purin-9-yl)piperidin- 1-yl)-2-fluoroprop-2-en-1-one, (S,E)-1-(3-(6-Amino-2-((4-(2-methoxyethoxy)phenyl)amino)-9H-purin-9- yl)piperidin-1-yl)-4-(dimethylamino)but-2-en-1-one, (S)-3-(6-Amino-2-((4-(2-methoxyethoxy)phenyl)amino)-9H-purin-9-yl)piperidine-1- carbonitrile, (S)-1-(3-(6-Amino-2-((4-(2-morpholinoethoxy)phenyl)amino)-9H-purin-9- yl)piperidin-1-yl)prop-2-en-1-one, (S)-1-(3-(6-Amino-2-((3-(2-methoxyethoxy)phenyl)amino)-9H-purin-9-yl)piperidin- 1-yl)prop-2-en-1-one, (S)-1-(3-(6-Amino-2-((4-phenoxyphenyl)amino)-9H-purin-9-yl)piperidin-1-yl)prop- 2-en-1-one, (S)-1-(3-(6-Amino-2-((3-methoxy-4-morpholinophenyl)amino)-9H-purin-9- yl)piperidin-1-yl)prop-2-en-1-one,
(S)-1-(3-(6-Amino-2-((4-(4-methoxypiperidin-1-yl)phenyl)amino)-9H-purin-9- yl)piperidin-1-yl)prop-2-en-1-one (S)-1-(3-(6-Amino-2-((4-((2-morpholinoethyl)amino)phenyl)amino)-9H-purin-9- yl)piperidin-1-yl)prop-2-en-1-one, (S)-1-(3-(6-Amino-2-((3-fluoro-4-morpholinophenyl)amino)-9H-purin-9-yl)piperidin- 1-yl)prop-2-en-1-one, (S)-1-(3-(6-Amino-2-((3-fluoro-4-(4-methylpiperazin-1-yl)phenyl)amino)-9H-purin- 9-yl)piperidin-1-yl)prop-2-en-1-one, (S)-1-(3-(6-Amino-2-((4-(morpholine-4-carbonyl)phenyl)amino)-9H-purin-9- yl)piperidin-1-yl)prop-2-en-1-one, (S)-1-(3-(6-Amino-2-((3-morpholinophenyl)amino)-9H-purin-9-yl)piperidin-1- yl)prop-2-en-1-one, (S)-1-(3-(6-Amino-2-((4-(4,4-difluoropiperidin-1-yl)phenyl)amino)-9H-purin-9- yl)piperidin-1-yl)prop-2-en-1-one, (S)-1-(3-(6-Amino-2-((4-(1-methyl-1H-pyrazol-4-yl)phenyl)amino)-9H-purin-9- yl)piperidin-1-yl)prop-2-en-1-one, 1-((S)-3-(6-Amino-2-((4-morpholinophenyl)amino)-9H-purin-9-yl)piperidin-1-yl)-2- chloropropan-1-one, (S)-N2-(4-Morpholinophenyl)-9-(1-(vinylsulfonyl)piperidin-3-yl)-9H-purine-2,6- diamine, (S)-1-(3-(6-Amino-2-((3,5-difluoro-4-morpholinophenyl)amino)-9H-purin-9- yl)piperidin-1-yl)prop-2-en-1-one, (S)-1-(3-(6-Amino-2-((4-(4-methylpiperazin-1-yl)phenyl)amino)-9H-purin-9- yl)piperidin-1-yl)prop-2-en-1-one,
1-(4-(6-Amino-2-((4-(2-methoxyethoxy)phenyl)amino)-9H-purin-9-yl)piperidin-1- yl)prop-2-en-1-one, N-(3-(6-Amino-2-((4-morpholinophenyl)amino)-9H-purin-9- yl)cyclohexyl)acrylamide, (R/S)-1-(3-((6-Amino-2-((4-morpholinophenyl)amino)-9H-purin-9- yl)methyl)piperidin-1-yl)prop-2-en-1-one, 1-(3-(6-Amino-2-((4-(2-methoxyethoxy)phenyl)amino)-9H-purin-9-yl)pyrrolidin-1- yl)prop-2-en-1-one, (R)-1-(3-(6-Amino-2-((4-(2-methoxyethoxy)phenyl)amino)-9H-purin-9-yl)pyrrolidin- 1-yl)prop-2-en-1-one, (S)-1-(3-(6-Amino-2-((4-morpholinophenyl)amino)-9H-purin-9-yl)pyrrolidin-1- yl)prop-2-en-1-one, (S)-1-(3-(6-Amino-2-((4-(piperidin-1-yl)phenyl)amino)-9H-purin-9-yl)pyrrolidin-1- yl)prop-2-en-1-one, (S)-1-(3-(6-Amino-2-((4-(2-methoxyethoxy)phenyl)amino)-9H-purin-9-yl)pyrrolidin- 1-yl)prop-2-en-1-one, (S)-1-(3-(6-Amino-2-((3-(2-methoxyethoxy)phenyl)amino)-9H-purin-9-yl)pyrrolidin- 1-yl)prop-2-en-1-one, (S)-1-(3-(6-Amino-2-((4-morpholinophenyl)amino)-9H-purin-9-yl)pyrrolidin-1- yl)prop-2-en-1-one, 1-(3-(6-Amino-2-((4-(2-methoxyethoxy)phenyl)amino)-9H-purin-9-yl)azetidin-1- yl)prop-2-en-1-one, 1-(3-(6-Amino-2-((3-fluoro-4-(4-methylpiperazin-1-yl)phenyl)amino)-9H-purin-9- yl)azetidin-1-yl)prop-2-en-1-one and
1-(2-(6-Amino-2-((4-(2-methoxyethoxy)phenyl)amino)-9H-purin-9-yl)-7- azaspiro[3.5]nonan-7-yl)prop-2-en-1-one or a free base thereof, or stereoisomers thereof or a pharmaceutically acceptable salt thereof. Certain compounds of the invention may be more active as BTK inhibitors than prior art compounds. Certain compounds of the invention may be more selective as BTK inhibitors than prior art compounds. Certain compounds of the invention may have good pharmacological properties properties than prior art compounds.
In another aspect of the invention, there is provided a compound of formula (I) or Formula (II) for use in treating, managing or lessening the severity of diseases, disorders, syndromes or conditions associated with BTK.
In another aspect of the invention, there is provided a method of treating, managing or lessening the severity of diseases, disorders, syndromes or conditions associated with BTK in a subject in need thereof, by administering to the subject, one or more compounds described herein in a therapeutically effective amount. In another aspect, the invention provides a pharmaceutical composition comprising at least one compound of Formula (I) or Formula (II) and at least one pharmaceutically acceptable excipient. In another aspect, the invention provides a pharmaceutical composition of compound of formula (I) or Formula (II) for use in treating, managing or lessening the severity of the diseases disorders, syndromes or conditions associated with BTK in a subject, in need thereof by administering to the subject, one or more compounds described herein in a therapeutically effective amount to cause inhibition of such enzyme.
It may be that the disease, disorders, syndromes or conditions associated with BTK is selected from cancer, proliferative disorders, autoimmune diseases, hetero-immune diseases, and inflammatory diseases. Detailed description of the invention
Definitions and Abbreviations:
Unless otherwise stated, the following terms used in the specification and claims have the meanings given below.
For purposes of interpreting the specification, the following definitions will apply and whenever appropriate, terms used in the singular will also include the plural and vice versa. The terms "halogen" or "halo" means fluorine, chlorine, bromine, or iodine. Unless otherwise stated, in the present application“oxo” means C(=O) group. Such an oxo group may be a part of either a cycle or a chain in the compounds of the present invention. The term "alkyl" refers to an alkane derived hydrocarbon radical that includes solely carbon and hydrogen atoms in the backbone, contains no unsaturation, has from 1 to 10, 1 to 6, or from 1 to 4 carbon atoms, and is attached to the remainder of the molecule by a single bond, e.g., methyl, ethyl, n-propyl, 1-methylethyl (isopropyl), n-butyl, n-pentyl, 1,1- dimethylethyl (t-butyl) and the like. Unless set forth or recited to the contrary, all alkyl groups described or claimed herein may be straight chain or branched, substituted or unsubstituted. The term "alkylene" refers to a bivalent alkyl group. An "alkylene chain" is a polymethylene group, i.e., -(CH2)n-, wherein n is a positive integer, preferably from 1 to 6, from 1 to 4, from 1 to 3, from 1 to 2, or from 2 to 3. A substituted alkylene chain is a polymethylene group in which one or more methylene hydrogen atoms are replaced with a
substituent. Suitable substituents include those described below for a substituted aliphatic group. The term "alkenyl" refers to a hydrocarbon radical containing from 2 to 10 carbon atoms and including at least one carbon-carbon double bond. Non-limiting examples of alkenyl groups include ethenyl, 1-propenyl, 2-propenyl (allyl), iso-propenyl, 2-methyl-l- propenyl, 1-butenyl, 2-butenyl and the like. Unless set forth or recited to the contrary, all alkenyl groups described or claimed herein may be straight chain or branched, substituted or unsubstituted. The term "alkynyl" refers to a hydrocarbon radical containing 2 to 10 carbon atoms and including at least one carbon- carbon triple bond. Non- limiting examples of alkynyl groups include ethynyl, propynyl, butynyl and the like. Unless set forth or recited to the contrary, all alkynyl groups described or claimed herein may be straight chain or branched, substituted or unsubstituted. The term "alkoxy" denotes an alkyl group attached via an oxygen linkage to the rest of the molecule. Representative examples of such groups are -OCH3 and -OC2H5. Unless set forth or recited to the contrary, all alkoxy groups described or claimed herein may be straight chain or branched, substituted or unsubstituted. The term "alkoxyalkyl" refers to an alkoxy group as defined above directly bonded to an alkyl group as defined above, e.g., -CH2-O-CH3, -CH2-O-CH2CH3, -CH2CH2-O-CH3 and the like. Unless set forth or recited to the contrary, all alkoxyalkyl groups described or claimed herein may be substituted or unsubstituted.
The term "haloalkyl" refers to an alkyl group as defined above that is substituted by one or more halogen atoms as defined above. Preferably, the haloalkyl may be monohaloalkyl, dihaloalkyl or polyhaloalkyl including perhaloalkyl. A monohaloalkyl can have one iodine, bromine, chlorine or fluorine atom. Dihaloalkyl and polyhaloalkyl groups can be substituted with two or more of the same halogen atoms or a combination of different
halogen atoms. Preferably, a polyhaloalkyl is substituted with up to 12 halogen atoms. Non- limiting examples of a haloalkyl include fluoromethyl, difluoromethyl, trifluoromethyl, chloromethyl, dichloromethyl, trichloromethyl, pentafluoroethyl, heptafluoropropyl, difluorochloromethyl, dichlorofluoromethyl, difluoroethyl, difluoropropyl, dichloroethyl, dichloropropyl and the like. A perhaloalkyl refers to an alkyl having all hydrogen atoms replaced with halogen atoms. Unless set forth or recited to the contrary, all haloalkyl groups described or claimed herein may be straight chain or branched, substituted or unsubstituted.
The term "haloalkoxy" refers to a haloalkyl, defined herein, group attached via an oxygen linkage. Non-limiting examples of such groups are monohaloalkoxy, dihaloalkoxy or polyhaloalkoxy including perhaloalkoxy. Unless set forth or recited to the contrary, all haloalkoxy group described or claimed herein may be straight chain or branched, substituted or unsubstituted. The term "cycloalkyl" refers to a non-aromatic mono or multicyclic ring system having 3 to 12 carbon atoms, such as cyclopropyl, cyclobutyl, cyclopentyl, cyclohexyl and the like. Examples of multicyclic cycloalkyl groups include, but are not limited to, perhydronapththyl, adamantyl and norbornyl groups, bridged cyclic groups or spirobicyclic groups, e.g., spiro(4,4)non-2-yl and the like. Unless set forth or recited to the contrary, all cycloalkyl groups described or claimed herein may be substituted or unsubstituted. The term "cycloalkenyl" refers to a non-aromatic mono or multicyclic ring system having 3 to 12 carbon atoms and including at least one carbon-carbon double bond, such as cyclopentenyl, cyclohexenyl, cycloheptenyl and the like. Unless set forth or recited to the contrary, all cycloalkenyl groups described or claimed herein may be substituted or unsubstituted. The term "cycloalkylalkyl" refers to a cycloalkyl group as defined above, directly bonded to an alkyl group as defined above, e.g., cyclopropylmethyl, cyclobutylmethyl, cyclopentylmethyl, cyclohexylmethyl, cyclohexylethyl, etc. Unless set forth or recited to the
contrary, all cycloalkylalkyl groups described or claimed herein may be substituted or unsubstituted. The term "aryl" refers to an aromatic radical having 6- to 14- carbon atoms, including monocyclic, bicyclic and tricyclic aromatic systems, such as phenyl, naphthyl, tetrahydronaphthyl, indanyl, and biphenyl and the like. Unless set forth or recited to the contrary, all aryl groups described or claimed herein may be substituted or unsubstituted. The term "arylalkyl" refers to an aryl group as defined above directly bonded to an alkyl group as defined above, e.g., -CH2C6H5 and -C2H4C6H5. Unless set forth or recited to the contrary, all arylalkyl groups described or claimed herein may be substituted or unsubstituted. The term "heterocyclic ring" or "heterocyclyl ring" or "heterocyclyl", unless otherwise specified, refers to substituted or unsubstituted non-aromatic 3- to 15- membered ring which consists of carbon atoms and with one or more heteroatom(s) independently selected from N, O or S. The heterocyclic ring may be a mono-, bi- or tricyclic ring system, which may include fused, bridged or spiro ring systems and the nitrogen, carbon, oxygen or sulfur atoms in the heterocyclic ring may be optionally oxidized to various oxidation states. In addition, the nitrogen atom may be optionally quaternized, the heterocyclic ring or heterocyclyl may optionally contain one or more olefinic bond(s), and one or two carbon atoms(s) in the heterocyclic ring or heterocyclyl may be interrupted with -CF2-, -C(O)-, - S(O)-, S(O)2, -C(=N-alkyl)-, or–C(=N-cycloalkyl), etc. In addition heterocyclic ring may also be fused with aromatic ring. Non-limiting examples of heterocyclic rings include azetidinyl, tetrahydro-2H-pyran, benzopyranyl, chromanyl, decahydroisoquinolyl, indanyl, indolinyl, isoindolinyl, isochromanyl, isothiazolidinyl, isoxazolidinyl, morpholinyl, oxazolinyl, oxazolidinyl, 2-oxopiperazinyl, 2-oxopiperidinyl, 2-oxopyrrolidinyl, 2- oxoazepinyl, octahydroindolyl, octahydroisoindolyl, perhydroazepinyl, piperazinyl, 4- piperidonyl, pyrrolidinyl, piperidinyl, phenothiazinyl, phenoxazinyl, quinuclidinyl, tetrahydroisquinolyl, tetrahydrofuryl, tetrahydropyranyl, thiazolinyl, thiazolidinyl, 3-
azabicyclo[3.1.0]hexane, 1',6'-dimethylspiro[cyclopropane-1,3'-indoline, thiamorpholinyl, thiamorpholinyl sulfoxide, thiamorpholinyl sulfone indoline, benzodioxole, tetrahydroquinoline, tetrahydrobenzopyran and the like. The heterocyclic ring may be attached to the main structure at any heteroatom or carbon atom that results in the creation of a stable structure. Unless set forth or recited to the contrary, all heterocyclyl groups described or claimed herein may be substituted or unsubstituted; substituents may be on same or different ring atom. The term "heteroaryl" unless otherwise specified, refers to a substituted or unsubstituted 5- to 14- membered aromatic heterocyclic ring with one or more heteroatom(s) independently selected from N, O or S. The heteroaryl may be a mono-, bi- or tricyclic ring system. The heteroaryl ring may be attached to the main structure at any heteroatom or carbon atom that results in the creation of a stable structure. Non-limiting examples of a heteroaryl ring include oxazolyl, isoxazolyl, imidazolyl, furyl, indolyl, isoindolyl, pyrrolyl, triazolyl, triazinyl, tetrazolyl, thienyl, thiazolyl, isothiazolyl, pyridyl, pyrimidinyl, pyrazinyl, pyridazinyl, benzofuranyl, benzothiazolyl, benzoxazolyl, benzimidazolyl, benzothienyl, carbazolyl, quinolinyl, isoquinolinyl, quinazolinyl, cinnolinyl, naphthyridinyl, pteridinyl, purinyl, quinoxalinyl, quinolyl, isoquinolyl, thiadiazolyl, indolizinyl, acridinyl, phenazinyl, phthalazinyl and the like. Unless set forth or recited to the contrary, all heteroaryl groups described or claimed herein may be substituted or unsubstituted. The term "heterocyclylalkyl" refers to a heterocyclic ring radical directly bonded to an alkyl group. The heterocyclylalkyl radical may be attached to the main structure at any carbon atom in the alkyl group that results in the creation of a stable structure. Unless set forth or recited to the contrary, all heterocyclylalkyl groups described or claimed herein may be substituted or unsubstituted. The term "heteroarylalkyl" refers to a heteroaryl ring radical directly bonded to an alkyl group. The heteroarylalkyl radical may be attached to the main structure at any carbon
atom in the alkyl group that results in the creation of a stable structure. Unless set forth or recited to the contrary, all heteroarylalkyl groups described or claimed herein may be substituted or unsubstituted. The term "stereoisomer" refers to a compound made up of the same atoms bonded by the same bonds but having different three-dimensional structures which are not interchangeable. The three-dimensional structures are called configurations. As used herein, the term "enantiomer" refers to two stereoisomers whose molecules are nonsuperimposable mirror images of one another. The term "chiral center" refers to a carbon atom to which four different groups are attached. As used herein, the term "diastereomers" refers to stereoisomers which are not enantiomers. The terms "racemate" or "racemic mixture" refer to a mixture of equal parts of enantiomers. The term "treating" or "treatment" of a state, disease, disorder, condition or syndrome includes: (a) preventing or delaying the appearance of clinical symptoms of the state, disease, disorder, condition or syndrome developing in a subject that may be afflicted with or predisposed to the state, disease, disorder, condition or syndrome but does not yet experience or display clinical or subclinical symptoms of the state, disease, disorder, condition or syndrome; (b) inhibiting the state, disease, disorder, condition or syndrome, i.e., arresting or reducing the development of the disease or at least one clinical or subclinical symptom thereof; c) lessening the severity of a disease disorder or condition or at least one of its clinical or subclinical symptoms thereof; and/or (d) relieving the disease, i.e., causing regression of the state, disorder or condition or at least one of its clinical or subclinical symptoms. The term "subject" includes mammals, preferably humans and other animals, such as domestic animals; e.g., household pets including cats and dogs. A "therapeutically effective amount" refers to the amount of a compound that, when administered to a subject in need thereof, is sufficient to cause a desired effect. The
"therapeutically effective amount" will vary depending on the compound, the disease and its severity, age, weight, physical condition and responsiveness of the subject to be treated. The compounds of the invention may be obtained, stored and/or administered in the form of a pharmaceutically acceptable salt. Suitable pharmaceutically acceptable salts include, but are not limited to, salts of pharmaceutically acceptable inorganic acids such as hydrochloric, sulphuric, phosphoric, nitric, carbonic, boric, sulfamic, and hydrobromic acids, or salts of pharmaceutically acceptable organic acids such as acetic, propionic, butyric, tartaric, maleic, hydroxymaleic, fumaric, malic, citric, lactic, mucic, gluconic, benzoic, succinic, oxalic, phenylacetic, methanesulphonic, toluenesulphonic, benzenesulphonic, salicylic, sulphanilic, aspartic, glutamic, edetic, stearic, palmitic, oleic, lauric, pantothenic, tannic, ascorbic and valeric acids. Suitable base salts are formed from bases which form non-toxic salts. Examples include the aluminium, arginine, benzathine, calcium, choline, diethylamine, diolamine, glycine, lysine, magnesium, meglumine, olamine, potassium, sodium, tromethamine and zinc salts. Hemisalts of acids and bases may also be formed, for example, hemisulfate and hemicalcium salts. Also included are acid addition or base salts wherein the counter ion is optically active, for example, d-lactate or l-lysine, or racemic, for example, dl-tartrate or dl-arginine. Pharmaceutical Compositions
The invention relates to pharmaceutical compositions containing the compounds of the Formula (I) disclosed herein. In particular, pharmaceutical compositions containing a therapeutically effective amount of at least one compound of Formula (I) described herein and at least one pharmaceutically acceptable excipient (such as a carrier or diluent). Preferably, the contemplated pharmaceutical compositions include the compound(s) described herein in an amount sufficient to inhibit BTK associated diseases described herein when administered to a subject.
The subjects contemplated include, for example, a living cell and a mammal, including human mammal. The compound of the invention may be associated with a pharmaceutically acceptable excipient (such as a carrier or a diluent) or be diluted by a carrier, or enclosed
within a carrier which can be in the form of a capsule, sachet, paper or other container. The pharmaceutically acceptable excipient includes pharmaceutical agent that does not itself induce the production of antibodies harmful to the individual receiving the composition, and which may be administered without undue toxicity.
Examples of suitable carriers or excipients include, but are not limited to, water, salt solutions, alcohols, polyethylene glycols, polyhydroxyethoxylated castor oil, peanut oil, olive oil, gelatine, lactose, terra alba, sucrose, dextrin, magnesium carbonate, sugar, cyclodextrin, amylose, magnesium stearate, talc, gelatine, agar, pectin, acacia, stearic acid or lower alkyl ethers of cellulose, salicylic acid, fatty acids, fatty acid amines, fatty acid monoglycerides and diglycerides, pentaerythritol fatty acid esters, polyoxyethylene, hydroxymethylcellulose and polyvinylpyrrolidone.
The pharmaceutical composition may also include one or more pharmaceutically acceptable auxiliary agents, wetting agents, emulsifying agents, suspending agents, preserving agents, salts for influencing osmotic pressure, buffers, sweetening agents, flavouring agents, colorants, or any combination of the foregoing. The pharmaceutical composition of the invention may be formulated so as to provide quick, sustained, or delayed release of the active ingredient after administration to the subject by employing procedures known in the art.
The pharmaceutical compositions described herein may be prepared by conventional techniques known in the art. For example, the active compound can be mixed with a carrier, or diluted by a carrier, or enclosed within a carrier, which may be in the form of an ampoule, capsule, sachet, paper, or other container. When the carrier serves as a diluent, it may be a solid, semi-solid, or liquid material that acts as a vehicle, excipient, or medium for the active compound.
The pharmaceutical compositions may be in conventional forms, for example, capsules, tablets, caplets, orally disintegrating tablets, aerosols, solutions, suspensions or products for topical application.
The route of administration may be any route which effectively transports the active compound of the invention to the appropriate or desired site of action. Suitable routes of
administration include, but are not limited to, oral, nasal, pulmonary, buccal, subdermal, intradermal, transdermal, parenteral, rectal, depot, subcutaneous, intravenous, intraurethral, intramuscular, intranasal, ophthalmic (such as with an ophthalmic solution) or topical (such as with a topical ointment).
Solid oral formulations include, but are not limited to, tablets, caplets, capsules (soft or hard gelatine), orally disintegrating tablets, dragees (containing the active ingredient in powder or pellet form), troches and lozenges. Tablets, dragees, or capsules having talc and/or a carbohydrate carrier or binder or the like are particularly suitable for oral application. Liquid formulations include, but are not limited to, syrups, emulsions, suspensions, solutions, soft gelatine and sterile injectable liquids, such as aqueous or non-aqueous liquid suspensions or solutions. For parenteral application, particularly suitable are injectable solutions or suspensions, preferably aqueous solutions with the active compound dissolved in polyhydroxylated castor oil.
The pharmaceutical preparation is preferably in unit dosage form. In such form the preparation is subdivided into unit doses containing appropriate quantities of the active component. The unit dosage form can be a packaged preparation, the package containing discrete quantities of preparation, such as pocketed tablets, capsules, and powders in vials or ampoules. Also, the unit dosage form can be a capsule, tablet, caplet, cachet, or lozenge itself, or it can be the appropriate number of any of these in packaged form.
For administration to subject patients, the total daily dose of the compounds of the invention depends, of course, on the mode of administration. For example, oral administration may require a higher total daily dose, than an intravenous (direct into blood). The quantity of active component in a unit dose preparation may be varied or adjusted from 0.1 mg to 1000 mg according to the potency of the active component or mode of administration.
Suitable doses of the compounds for use in treating the diseases and disorders described herein can be determined by those skilled in the relevant art. Therapeutic doses are generally identified through a dose ranging study in subject based on preliminary evidence derived from the animal studies. Doses must be sufficient to result in a desired therapeutic benefit without causing unwanted side effects for the patient. Mode of administration, dosage forms,
suitable pharmaceutical excipients, diluents or carriers can also be well used and adjusted by those skilled in the art. All changes and modifications are envisioned within the scope of the invention.
The compounds and compositions, according to the method of invention, may be administered using any amount and any route of administration effective for treating or lessening the severity of cancer, autoimmune disorders, inflammatory diseases, neurodegenerative or neurological disorders, bone and joints related disorders. The exact amount required will vary from subject to subject, depending on the age, and general condition of the subject, the severity of the disease, the particular agent, its mode of administration, depends on treatment disease, and the like. The specific effective dose level for any particular patient or organism will depend upon a variety of factors including the disorder being treated and the severity of the disorder, the activity of the compound, the specific composition employed, the age, body weight, general health, sex and diet of the patient, the time of administration, route of administration, and rate of excretion of the compound administered, the duration of the treatment, and like factors well known in the medical arts.
Methods of Treatment
The compounds of the invention are useful in treating, managing and/or lessening the diseases, disorders, syndromes or conditions associated with the inhibition of Bruton's tyrosine kinase (BTK).
In one embodiment, the compounds of the invention are useful in treating, managing and/or lessening the severity of diseases, disorders, syndromes or conditions associated with the inhibition of Bruton's tyrosine kinase (BTK) such as but not limited to cancer, proliferative disorders, autoimmune diseases, hetero-immune diseases and inflammatory diseases.
In another embodiment, the invention relates to a method of treating, managing and/or lessening the severity of one or more diseases selected from a proliferative disorder, cancers or an autoimmune disorder hetero-immune diseases, and inflammatory diseases,
wherein said method comprises administering to a patient in need thereof a compound or composition of compound of Formula (I).
In another embodiment, the invention provides a method of treating, managing and/or lessening the severity of BTK associated disease or condition such as cancer. In this embodiment, wherein the cancer is a B-cell proliferative disorders including but not limited to, diffuse large B cell lymphoma, follicular lymphoma, chronic lymphocytic lymphoma, chronic lymphocytic leukemia, acute lymphocytic leukemia, acute myelogenous leukemia, chronic myelogenous leukemia, B-cell prolymphocytic leukemia, lymphoplasmacytic lymphoma/Waldenstrom macroglobulinemia, splenic marginal zone lymphoma, multiple myeloma (also known as plasma cell myeloma), non-Hodgkin's lymphoma, Hodgkin's lymphoma, plasmacytoma, extranodal marginal zone B cell lymphoma, nodal marginal zone B cell lymphoma, mantle cell lymphoma, mediastinal (thymic) large B cell lymphoma, intravascular large B cell lymphoma, primary effusion lymphoma, Burkitt lymphoma/leukemia, or lymphomatoid granulomatosis. In some embodiments, the cancer is breast cancer, bone cancer, prostate cancer or cancer of the mast cells (e.g., mastocytoma, mast cell leukemia, mast cell sarcoma, systemic mastocytosis). In some embodiments, the invention provides a method of treating, managing and/or lessening the severity of BTK associated disease or condition, namely, an autoimmune disease such as, but not limited to, inflammatory bowel disease, arthritis, lupus, rheumatoid arthritis, psoriatic arthritis, osteoarthritis, Still's disease, juvenile arthritis, myasthenia gravis, Hashimoto's thyroiditis, Ord's thyroiditis, Graves' disease, Sjogren's syndrome, multiple sclerosis, Guillain-Barre syndrome, acute disseminated encephalomyelitis, Addison's disease, opsoclonus-myoclonus syndrome, systemic lupus erythematosis (SLE), autoimmune thyroiditis some forms of diabetes, Reynaud's syndrome, ankylosing spondylosis, antiphospholipid antibody syndrome, aplastic anemia, autoimmune hepatitis, celiac disease, Goodpasture's syndrome, idiopathic thrombocytopenic purpura, optic neuritis, scleroderma, primary biliary cirrhosis, Reiter's syndrome, Takayasu's arteritis, temporal arteritis, warm autoimmune hemolytic anemia, Wegener's granulomatosis, psoriasis, alopecia universalis, Behcet's disease, chronic fatigue, dysautonomia, endometriosis, interstitial cystitis,
neuromyotonia, scleroderma, or vulvodynia, a hyperproliferative disease or immunologically-mediated diseases including organ/tissue transplant rejection, transplant rejection disorders such as GVHD and allograft rejection; chronic glomerulonephritis and acquired Immunodeficiency Syndrome (AIDS, also known as HIV). In some embodiments, the invention provides a method of treating, managing and/or lessening the severity of BTK associated disease or condition such as heteroimmune conditions or diseases, which include, but are not limited to, allergies (e.g., allergies to plant pollens, latex, drugs, foods, insect poisons, animal hair, animal dander, dust mites, or cockroach calyx), allergic conjunctivitis, allergic rhinitis, atopic dermatitis, graft versus host disease, transplantation, transfusion, anaphylaxis and type I hypersensitivity. In some embodiments, the invention provides a method of treating, managing and/or lessening the severity of BTK associated disease or condition such as inflammatory diseases which include, but are not limited to, asthma, chronic obstructive pulmonary disease (COPD), appendicitis, blepharitis, bronchiolitis, bronchitis, bursitis, cervicitis, cholangitis, cholecystitis, Crohn's and ulcerative colitis, conjunctivitis, cystitis, dacryo adenitis, dermatitis, dermatomyositis, encephalitis, endocarditis, endometritis, enteritis, enterocolitis, epicondylitis, epididymitis, fasciitis, f.brositis, gastritis, gastroenteritis, hepatitis, hidradenitis suppurativa, laryngitis, mastitis, meningitis, myelitis myocarditis, myositis, nephritis, oophoritis, orchitis, osteitis, otitis, pancreatitis, parotitis, pericarditis, peritonitis, pharyngitis, pleuritis, phlebitis, pneumonitis, pneumonia, proctitis, prostatitis, pyelonephritis, rhinitis, salpingitis, sinusitis, stomatitis, synovitis, tendonitis, tonsillitis, uveitis, vaginitis, vasculitis, or vulvitis. In some embodiments, the invention provides a method of treating, managing and/or lessening the severity of BTK associated disease or condition such as thromboembolic disorder, including, but not limited to, myocardial infarct, angina pectoris, reocclusion after angioplasty, restenosis after angioplasty, reocclusion after aortocoronary bypass, restenosis after aortocoronary bypass, stroke, transitory ischemia, a peripheral arterial occlusive disorder, pulmonary embolism, or deep venous thrombosis.
As used herein, the term "BTK-inhibition" "BTK-inhibition associated" diseases, disorders and/or conditions mean any disease or other disturbed condition in which BTK, or a mutant thereof, is known to play a role. It is to be understood that the invention encompasses any of the compounds of Formulae (I) or (II), or pharmaceutically acceptable salts thereof for use in the treatment of any of the conditions disclosed herein. It is to be understood that the invention encompasses the use of any of the compounds of Formulae (I) or (II) or pharmaceutically acceptable salts thereof for the manufacture of a medicament for the treatment of any of the conditions disclosed herein.
General Methods of Preparation
The compounds described herein may be prepared by techniques known in the art. In addition, the compounds described herein may be prepared by following the reaction sequence as depicted in Scheme-1 to 4. Further, in the following schemes, where specific bases, acids, reagents, solvents, coupling agents, etc., are mentioned, it is understood that other bases, acids, reagents, solvents, coupling agents etc., known in the art may also be used and are therefore included within the scope of the present invention. Variations in reaction conditions, for example, temperature and/or duration of the reaction, which may be used as known in the art, are also within the scope of the present invention. All the isomers of the compounds in described in these schemes, unless otherwise specified, are also encompassed within the scope of this invention.
The compound of formula (2) is obtained by reacting compound of formula (1) with dihydropyran in presence of p-toluene sulphonic acid. Compound of formula (2) reacting with a suitable protecting group dibenzyl amine in presence of base di-isopropylethylamine at 80°C to give compound of formula (3). The compound of formula (3) is converted into compound of formula (5) using compound of formula (4) under the conditions palladium catalyst such as (tris(dibenzylideneacetone)dipalladium(0), palladium (II)acetate, xantphos, rac 2,2’-bis(diphenylphosphino)-1,1’-binaphthyl, bis(tri-t-butylphosphine)palladium(0), 2- (di-t-butylphosphino)biphenyl)using suitable base e.g. cesium carbonate, sodium tert- butoxide or potassium tert-butoxide in suitable solvent such as 1,4-dioxane, dimethoxyethane, N,N-dimethylformamide or toluene. Deprotection of THP (Tetrahydropyranyl ether) in compound of formula (5) is carried out using p-toluene
sulphonic acid to obtain compound of formula (6). Compound of formula (6) on reacting with compound of formula (7) under the conditions of copper catalyst such as copper (1) iodide using base N1,N2-dimethylethane-1,2-diamine and potassium phosphate in suitable solvent 1,4-dioxane, dimethoxyethane or N,N-dimethylformamide at 90°C to give compound of formula (8). The nitro group of compound of formula (8) is reduced using iron/ammonium chloride to obtain compound of formula (9). Compound of formula (9) on reacting with acid chloride of formula (10)/acid of formula (11) in presence of base like N-methylpyrrolidone, potassium carbonate, diisopropylethylamine, triethylamine and\or coupling reagent like BOP, HBTU, DCC to afford compound of formula (12). Deprotection of benzyl group of compound of formula (12) using triflic acid to furnish the compound of formula (Ia). The corresponding secondry NH in compound formula (Ia) can be further methylated using base such as sodium hydride & methylating agent e.g. methyl iodide.
The compound of formula (Ia) also prepared by an alternate route i.e. Scheme-2. The compound of formula (3) undergoes deprotection with p-toluene sulphonic acid to give compound of formula (13) which is on reaction with Iodo aniline (7) in presence of copper (1) iodide and base N1,N2-dimethylethane-1,2-diamine and potassium phosphate in suitable solvent 1,4-dioxane, dimethoxyethane or N,N-dimethylformamide at 90°C to give compound of formula (14). The compound of formula (14) is converted into compound of formula (9) using compound of formula (4) in presence of palladium catalyst such as (tris(dibenzylideneacetone)dipalladium(0), palladium (II)acetate, xantphos, rac 2,2’- bis(diphenylphosphino)-1,1’-binaphthyl, bis(tri-t-butylphosphine)palladium(0), 2-(di-t- butylphosphino)biphenyl)using suitable base e.g. cesium carbonate, sodium tert-butoxide or potassium tert-butoxide in suitable solvent such as 1,4-dioxane, dimethoxyethane, N,N- dimethylformamide or toluene. Formula (Ia) is obtained by reacting compound of formula (9) with an acid chloride of formula (10) or acid of formula (11 ) in presence of base like N- methylpyrrolidone, potassium carbonate, diisopropylethylamine, triethylamine and\or coupling reagent like BOP, HBTU, DCC to afford compound of formula (12), followed by deprotection of benzyl group of compound of formula (12) using triflic acid to give the compound of formula (Ia).
The compound of (1) on reaction with 1-Bromomethyl-3-nitrobenzene in presence of base such as potassium carbonate in dimethylformamide at an ambient temperature to afford compound of formula (15 and 16). Compound (15) on reaction with methanolic ammonia at 120°C to afford compound of formula (17).The compound of formula (17) is converted into compound of formula (18) using compound of formula (4) under the conditions palladium catalyst such as (tris(dibenzylideneacetone)dipalladium(0), palladium (II)acetate, xantphos, rac 2,2’-bis(diphenylphosphino)-1,1’-binaphthyl, bis(tri-t-butylphosphine)palladium(0) or 2- (di-t-butylphosphino)biphenyl) using suitable base (cesium carbonate, sodium tert-butoxide or potassium tert-butoxide) in suitable solvent such as 1,4-dioxane, dimethoxyethane or N,N- dimethylformamide. The nitro group of compound (18) is reduced using H2, Pd/C to obtain compound of formula (19). Compound of formula (19) reacting with acid chloride of formula (10)/ acid of formula (11) in presence of base and coupling reagent like BOP, HBTU or DCC to furnish the compound of formula (Ib) as described in Scheme-3.
The compounds of formula (Ic), wherein R1 and R3, X, Y and Z are as described herein above, is prepared by following the sequential transformation as depicted in Scheme-4. The compound of formula (1) reacting with compound of formula (20) in presence of diisopropyl azodicarboxylate, diethyl azodicarboxylate and base such as triphenyl phosphine at an ambient temperature to afford compound of formula (21 and 22). Compound of formula (21) reacting with benzyl amine in presence of base diisopropylethylamine at 80°C to afford compound of formula (23). The compound of formula (23) is converted into compound of formula (24) using compound of forrmula (4) under the conditions palladium catalyst such as (tris(dibenzylideneacetone)dipalladium(0), palladium (II)acetate, xantphos, rac-2,2’- bis(diphenylphosphino)-1,1’-binaphthyl, bis(tri-t-butylphosphine) palladium(0) or 2-(di-t- butylphosphino)biphenyl) using suitable base (cesium carbonate, sodium tert-butoxide or potassium tert-butoxide in suitable solvent such as 1,4-dioxane, dimethoxyethane or N,N- dimethylformamide. The deprotection of tributylcarbamate of compound of formula (24) using TFA to obtain compound of formula (25). Compound of formula (25) on treating with acid chloride of formula (10)/acid of formula (11) in presence of base like diisopropylethylamine, triethylamine, NMP, potassium carbonate and coupling reagent like benzotriazol-1-yloxy)tris(dimethylamino)phosphonium hexafluorophosphate, O- benzotriazole-N,N,N',N'-tetramethyl-uronium-hexafluoro-phosphate, N,N'-dicyclohexyl carbodiimide to furnish the compound of formula (26). Deprotection of benzyl groups of compound of formula (26) using triflic acid at 40°C to furnish the compound of formula (Ic). Experimental
Some of the representative examples of the present invention were prepared by following one or more reaction schemes as described above. The invention is further illustrated by the following examples which are provided merely to be exemplary of the invention and do not limit the scope of the invention. The examples set forth below demonstrate the synthetic procedures for the preparation of the relative compounds. Certain modifications and equivalents will be apparent to those skilled
in the art and are intended to be included within the scope of the invention. The aforementioned patents and patent applications are incorporated herein by reference.
Nomenclature of the compounds of the invention is according to ChemBioDraw version 12. Structures of the Intermediates as well as the final compounds were confirmed by spectral data. Intermediates Intermediate-1: 2, 6-Dichloro-9-(tetrahydro-2H-pyran-2-yl)-9H-purine
To a solution of 2,6-dichloro-9H-purine (1.7 g, 8.99 mmol) in dry DCM (20.0 ml), was added 3,4-dihydro-2H-pyran (1.23 ml, 13.49 mmol) and p-toluenesulfonic acid monohydrate (0.17 g, 0.89 mmol) at room temperature. The reaction was stirred for 5 hour at room temperature. Quenched the reaction mixture with 10% aq. NaHCO3 (15 ml). The combined organic phase was washed with water and brine and dried over anhydrous Na2SO4 and concentrated under reduced pressure to afford the title compound 2.34g as brown solid MS (M+) m/z. 273.08. 1H NMR (CHCl3-d) į 8.35 (s, 1H), 5.78 (dd, J = 10.7, 2.5 Hz, 1H), 4.21 (ddt, J = 11.8, 4.0, 1.8 Hz, 1H), 3.80 (td, J = 11.6, 2.9 Hz, 1H), 2.22 - 2.15 (m, 1H), 2.10 (dddd, J = 13.3, 10.0, 6.5, 3.1 Hz, 1H), 1.98 (tdd, J = 12.4, 10.6, 3.9 Hz, 1H), 1.88 - 1.80 (m, 1H), 1.79 - 1.74 (m, 1H), 1.73 - 1.67 (m, 1H). Intermediate-2: N,N-Dibenzyl-2-chloro-9-(tetrahydro-2H-pyran-2-yl)-9H-purin-6-amine
To a solution of Intermediate-1 (2.3 g, 8.42 mmol) in dry ethanol (20.0 ml), was added dibenzylamine (1.66 g, 8.42 mmol) and DIPEA (N,N-diisopropylethylamine) (2.21 ml, 12.63 mmol) at room temperature. The reaction was stirred for 5hr at 80°C. Distilled the reaction mixture under reduced pressure and the resulting residue was washed with cold water and dried under diminished pressure afforded the title compound 3.17g as off white solid. MS(M+H+) m/z. 434.09. 1H NMR (CHCl3-d) į 7.93 (s, 1H), 7.45 - 7.28 (m, 10H), 5.76 (dd, J = 10.8, 2.3 Hz, 1H), 5.50 (d, J = 26.1 Hz, 2H), 5.04 - 4.81 (m, 2H), 4.21 - 4.12 (m, 1H), 3.81 (td, J = 11.8, 2.8 Hz, 1H), 2.09 (ddq, J = 18.4, 8.9, 3.0 Hz, 2H), 1.95 (qd, J = 12.0, 3.5 Hz, 1H), 1.79 (tdd, J = 16.8, 13.6, 9.8 Hz, 3H). Intermediate-3: N6,N6-Dibenzyl-N2-(4-(2-methoxyethoxy) phenyl)-9-(tetrahydro-2H- pyran-2-yl)-9H-purine-2, 6-diamine
To a solution of Intermediate-2 (0.5 g, 1.15 mmol), BINAP (2,2'-Bis(diphenylphosphino)- 1,1'-binaphthyl) (0.14 g, 0.23 mmol), Cs2CO3 (0.75 g, 2.30 mmol) and Pd(OAc)2 (0.03 g, 0.11 mmol) in 1,4-dioxane (5.0ml) was degassed for 30 min. Then add 4-(2-methoxyethoxy)
aniline (0.23 g, 1.38 mmol) at room temperature under N2 atmosphere. The resulting mixture was heated to 110°C for 2h. Filter the reaction mixture through celite pad. Distilled the reaction mixture under reduced pressure and the resulting residue was suspended in ethyl acetate (100.0 ml) and washed with water (50 ml x 2). The organic phase was dried over anhydrous Na2SO4 and concentrated under reduced pressure. The product was purified by column chromatography using ethyl acetate-hexane (20%) to afford the title compounds 0.5g as brown solid. MS (M+H+) m/z 565.0. 1H NMR (CHCl3-d) į 7.74 (s, 1H), 7.47– 7.21 (m, 13H), 6.77 (d, J = 8.6 Hz, 2H), 5.80– 5.35 (m, 3H), 4.87 (s, 2H), 4.20 (d, J = 11.2 Hz, 1H), 4.10– 4.04 (m, 2H), 3.88 (s, 1H), 3.78– 3.69 (m, 2H), 3.45 (s, 3H), 2.15– 2.07 (m, 2H), 1.87– 1.74 (m, 2H), 1.69-1.63 (m, 2H). Intermediate-4: N6, N6-Dibenzyl-N2-(4-(2-methoxyethoxy) phenyl)-9H-purine-2,6-diamine
To a solution of Intermediate-3 (0.5 g, 0.88 mmol) in dry methanol (10.0 ml) was added p- toluenesulfonic acid monohydrate (0.17 g, 0.88 mmol) at room temperature. The reaction was stirred for 16hr at 60°C. The reaction was quenched by adding TEA (2.0 ml) at 0°C. Distilled the reaction mixture under reduced pressure and the resulting residue was suspended in ethyl acetate (100 ml) and washed with water (50 ml x 2). The organic phase was dried over anhydrous Na2SO4 and concentrated under reduced pressure. The product was purified by column chromatography using ethyl acetate-hexane (60%) to afford the title compound 0.21g as brown solid. MS (M+H+) m/z 481.17, 1H NMR (CHCl3-d) į 7.41– 7.36 (m, 2H), 7.37– 7.31 (m, 4H), 7.29 (d, J = 5.9 Hz, 5H), 7.27 (s, 2H), 7.15 (s, 1H), 7.04 (s, 1H), 6.87– 6.80 (m, 2H), 5.54 (s, 2H), 4.89 (s, 2H), 4.09– 4.01 (m, 2H), 3.75– 3.67 (m, 2H), 3.43 (s, 3H).
Intermediate-5: N6, N6-Dibenzyl-N2-(4-(2-methoxyethoxy)phenyl)-9-(3-nitrophenyl)-9H- purine-2,6-diamine
To a solution of Intermediate-4 (0.60 g, 1.25 mmol), copper (I) iodide (0.24 g, 1.25 mmol) and potassium phosphate dibasic (0.65 g, 3.75 mmol) in DMF (5.0 ml) was degassed for 30 min. Thereafter added N, N’-Dimethylethylenediamine (0.38 ml, 2.5 mmol) and 1-iodo-3- nitrobenzene (0.31 g, 1.25 mmol) at room temperature under N2 atmosphere. The resulting mixture was heated to 90°C for 16hr. Distilled the reaction mixture under reduced pressure and the resulting residue was suspended in ethyl acetate (100 ml) and washed with water (35 ml x 2). The organic phase was dried over anhydrous Na2SO4 and concentrated under reduced pressure. The product was purified by column chromatography using ethyl acetate- hexane (20%) to afford the title compounds 0.51g as yellow solid. MS (M+H+) m/z 602.33, 1H NMR (CHCl3-d) į 8.85 (s, 1H), 8.30 (d, J = 8.2 Hz, 1H), 8.09 (s, 1H), 7.90 (s, 1H), 7.77 (s, 1H), 7.46 (s, 2H), 7.40– 7.29 (m, 9H), 7.25-7.03 (m, 2H), 6.84 (d, J = 8.3 Hz, 2H), 5.57 (s, 2H), 4.95 (s, 2H), 4.12– 4.07 (m, 2H), 3.79– 3.72 (m, 2H), 3.46 (s, 3H). Intermediate-6: 9-(3-Aminophenyl)-N6, N6-dibenzyl-N2-(4-(2-methoxyethoxy) phenyl)- 9H-purine-2,6-diamine
To a solution of Intermediate-5 (0.15 g, 0.25 mmol) in ethanol-water (1:1) (4.0 ml), was added ammonium chloride (0.13 g, 2.49 mmol) and iron (0.08 g, 1.49 mmol) at room temperature. The reaction was stirred for 6hr at 80°C. Filtered the reaction mixture through celite pad & distilled the reaction mixture under reduced pressure and the resulting residue was suspended in ethyl acetate (50 ml X 2) and washed with water. The organic phase was dried over anhydrous Na2SO4 and concentrated under reduced pressure. The product was purified by column chromatography using ethyl acetate-hexane (45%) to afford the title compounds 0.075 g, as off white solid. MS (M+) m/z 571.3, 1H NMR (CHCl3-d) į 7.80 (s, 1H), 7.48 - 7.40 (m, 2H), 7.39 - 7.25 (m, 13H), 7.18 (t, J = 2.2 Hz, 1H), 7.03 (ddd, J = 8.0, 2.0, 0.9 Hz, 1H), 6.93 (s, 1H), 6.81 - 6.75 (m, 2H), 6.72 (ddd, J = 8.0, 2.3, 0.9 Hz, 1H), 5.58 (s, 2H), 4.93 (s, 2H), 4.10 - 4.04 (m, 2H), 3.76 - 3.71 (m, 2H), 3.46 (s, 3H).
Intermediate-7: (E)-N-(3-(6-(Dibenzylamino)-2-((4-(2-methoxyethoxy) phenyl)amino)-9H- purin-9-yl)phenyl)but-2-enamide
To a solution of Intermediate-6 (0.15 g, 0.26 mmol) in dry THF (2.0 ml) was added N,N- diisopropylethylamine (0.14 ml, 0.79 mmol) at room temperature. Then (E)-but-2-enoyl
chloride (0.03 g, 0.29 mmol) was added drop-wise for 10 min at room temperature. The reaction was stirred for 3hr at room temperature. Distilled the reaction mixture under reduced pressure and the resulting residue was washed with cold water and dried under diminished pressure afforded the title compound 0.15g as yellow viscous oil. MS (M+H+) m/z 640.27. 1H NMR (CHCl3-d) į 8.13 (s, 1H), 7.84 (s, 1H), 7.66 (d, J = 7.9 Hz, 1H), 7.52 - 7.38 (m, 5H), 7.38 - 7.29 (m, 9H), 7.07 (dt, J = 15.1, 6.9 Hz, 1H), 6.90 (s, 1H), 6.81 - 6.70 (m, 2H), 5.99 (dd, J = 15.1, 1.9 Hz, 1H), 5.57 (s, 2H), 4.93 (s, 2H), 4.09 - 4.02 (m, 2H), 3.77 - 3.68 (m, 2H), 3.45 (s, 3H), 1.95 (dd, J = 6.9, 1.7 Hz, 3H).
Intermediate-8: (E)-N-(3-(6-(Benzylamino)-2-((4-(2-methoxyethoxy) phenyl) amino)-9H- purin-9-yl)phenyl)but-2-enamide
To a solution of Intermediate-7 (0.14 g, 0.22 mmol) in dry DCM (2.0 ml), added triflic acid (0.33 g, 2.19 mmol) drop-wise at 0°C for 10 min. The resulting mixture was stirred at 40°C for 20h. The reaction was quenched by adding 30% aq. NaOH solution at room temperature. The resulting solution was extracted in DCM (10 ml x 2) and washed with water. The organic phase was dried over anhydrous Na2SO4 and concentrated under reduced pressure. The product was purified by preparative column chromatography to afford the title compound 0.05 g as white solid. MS (M+H+) m/z 550.0. 1H NMR (CHCl3-d) į 8.16 (s, 2H), 7.89 (s, 1H), 7.58 (s, 2H), 7.52– 7.44 (m, 3H), 7.38 (dt, J = 22.7, 7.9 Hz, 4H), 7.25– 6.99 (m, 3H), 6.76 (s, 2H), 6.24 (s, 2H), 4.92 (s, 2H), 4.09 (d, J = 4.7 Hz, 2H), 3.75 (t, J = 4.4 Hz, 2H), 3.35 (s, 3H), 1.45– 1.19 (m, 3H).
Intermediate-9: N-(3-(6-(Dibenzylamino)-2-((4-(2-methoxyethoxy) phenyl)amino)-9H- purin-9-yl)phenyl)acrylamide
The title compound was prepared as described in Intermediate-7 using Intermediate-6 (0.20 g, 0.35 mmol), DIPEA (0.18 ml, 1.05 mmol), acryloyl chloride (0.03 g, 0.38 mmol) to afford the title compound (Yield: 0.145 g) as a brown solid. MS(M+H+) m/z 626.45. 1H NMR (CHCl3-d) į 8.51 (s, 1H), 8.00 (d, J = 45.5 Hz, 2H), 7.86 (d, J = 4.3 Hz, 1H), 7.51 (t, J = 8.1 Hz, 1H), 7.46 - 7.28 (m, 14H), 6.81 - 6.71 (m, 2H), 6.51 (dd, J = 16.9, 1.3 Hz, 1H), 6.38 (dd, J = 16.9, 10.2 Hz, 1H), 5.82 (dd, J = 10.2, 1.4 Hz, 1H), 5.62 (s, 2H), 4.92 (s, 2H), 4.06 (dd, J = 5.9, 3.5 Hz, 2H), 3.76 - 3.69 (m, 2H), 3.45 (s, 3H).
Intermediate-10: N-(3-(6-(Benzylamino)-2-((4-(2-methoxyethoxy) phenyl)amino)-9H- purin-9-yl)phenyl)acrylamide
The title compound was prepared as described in Intermediate-8 using Intermediate-9 (0.30 g, 0.48 mmol), triflic acid (1.06 ml, 11.99 mmol) to afford the title compound (Yield: 0.04 g) as a yellow solid. MS(M+H+) m/z 536.30. 1H NMR (CHCl3-d) į 8.19 (s, 1H), 7.86 (s, 1H), 7.73 (s, 1H), 7.57 - 7.29 (m, 10H), 6.82 (d, J = 8.5 Hz, 2H), 6.50 (dd, J = 16.9, 1.4 Hz, 1H), 6.37 (s, 1H), 5.80 (d, J = 9.9 Hz, 1H), 4.82 (d, J = 14.9 Hz, 2H), 4.11 - 4.06 (m, 2H), 3.78 - 3.72 (m, 2H), 3.46 (d, J = 12.5 Hz, 3H).
Intermediate 11: N-(3-(6-(Dibenzylamino)-2-((4-(2-methoxyethoxy)phenyl)amino)-9H- purin-9-yl)phenyl)-3-methylbut-2-enamide
The title compound was prepared as described in Intermediate-7 using Intermediate-6 (0.200 g, 0.350 mmol), DIPEA (0.183 ml, 1.050 mmol) and 3-methylbut-2-enoyl chloride (0.046 g, 0.385 mmol) furnished title compound (0.205 g, 0.314 mmol, 90 % yield) as a brown solid. MS (M+) m/z 653.96; 1H NMR (400 MHz, Chloroform-d) į 7.89 (d, J = 13.7 Hz, 3H), 7.51 (t, J = 8.1 Hz, 1H), 7.41– 7.17 (m, 15H), 6.75 (d, J = 8.7 Hz, 2H), 5.88 (s, 1H), 5.64 (s, 2H), 4.90 (s, 2H), 4.09– 4.01 (m, 2H), 3.77– 3.67 (m, 2H), 3.44 (s, 3H), 2.27 (d, J = 1.3 Hz, 3H), 1.94 (d, J = 1.3 Hz, 3H).
Intermediate 12: N6,N6-Dibenzyl-N2-(3-(2-methoxyethoxy)phenyl)-9-(tetrahydro-2H- pyran-2-yl)-9H-purine-2,6-diamine
The title compound was prepared as described in Intermediate-3 using Intermediate-2 (6.0 g, 13.83 mmol), 3-(2-methoxyethoxy)aniline (2.312 g, 13.83 mmol), BINAP (1.722 g, 2.77
mmol), Cs2CO3 (6.76 g, 20.74 mmol & Palladium(II) Acetate (0.310 g, 1.383 mmol) furnished title compound 6.8 g; MS (M+) m/z 564.55. Intermediate 13: N-6,N6-Dibenzyl-N2-(3-(2-methoxyethoxy)phenyl)-9H-purine-2,6- diamine
The title compound was prepared as described in Intermediate-4 using Intermediate-12 (6.8 g, 12.04 mmol), p-toluenesulfonic acid monohydrate (2.291 g, 12.04) furnished title compound 5.5 g as a brown solid. MS (M+) m/z 480.42. Intermediate 14: N6,N6-Dibenzyl-N2-(3-(2-methoxyethoxy)phenyl)-9-(3-nitrophenyl)-9H- purine-2,6-diamine
The title compound was prepared as described in Intermediate-5 using Intermediate-13 (5.5 g, 11.44 mmol), Copper(I) Iodide (2.180 g, 11.44 mmol), Potassium Phosphate, Dibasic (5.98 g, 34.3 mmol), N,N'-Dimethylethylethylenediamine (2.66 g, 22.89 mmol) and 1-iodo- 3-nitrobenzene (2.85 g, 11.44 mmol) afforded title compound 6.0 g; MS (M+) m/z 601.83. Intermediate 15: 9-(3-Aminophenyl)-N6,N6-dibenzyl-N2-(3-(2-methoxyethoxy)phenyl)- 9H-purine-2,6-diamine
The title compound was prepared as described in Intermediate-6 using Intermediate-14 (6.0 g, 9.97 mmol), ammonium chloride (5.33 g, 100 mmol) & Iron (3.34 g, 59.8 mmol) to result title compound 3.1 g; MS (M+) m/z 571.95. Intermediate 16: N-(3-(6-(Dibenzylamino)-2-((3-(2-methoxyethoxy)phenyl)amino)-9H- purin-9-yl)phenyl)acrylamide
The title compound was prepared as described in Intermediate-7 using Intermediate-15 (0.8 g, 1.399 mmol), DIPEA (0.489 ml, 2.80 mmol) & acryloyl chloride (127 mg, 1.399 mmol ) to furnish title compound 0.55 g; MS (M+H+) m/z 626. Intermediate-17: 2-Chloro-N-(3-(6-(dibenzylamino)-2-((3-(2-methoxyethoxy) phenyl) amino)-9H-purin-9-yl)phenyl) acetamide
The title compound was prepared as described in Intermediate-7 using Intermediate-15 (0.8 g, 1.399 mmol), DIPEA (0.489 ml, 2.80 mmol) & 2-chloroacetyl chloride (158 mg, 1.399 mmol) to get title compound 0.61 g; MS (M+) m/z 647.84. Intermediate-18: N-(3-(6-(Dibenzylamino)-2-((3-(2-methoxyethoxy)phenyl)amino)-9H- purin-9-yl)phenyl)-N-(methylsulfonyl)methanesulfonamide
The title compound was prepared as described in Intermediate-7 using Intermediate-15 (0.8 g, 1.399 mmol), DIPEA (0.489 ml, 2.80 mmol) & methanesulfonyl chloride (160 mg, 1.399 mmol). MS (M+H+) m/z 728.28. Intermediate-19: N-(3-(6-(Dibenzylamino)-2-((3-(2-methoxyethoxy)phenyl)amino)-9H- purin-9-yl)phenyl)methanesulfonamide
To a stirred solution of Intermediate-18 (600 mg, 0.824 mmol) in Methanol (Volume: 2 ml, Ratio: 1.000) and Tetrahydrofuran (Volume: 8 ml, Ratio: 4.00) was added aq NaOH (65.9 mg, 1.649 mmol) was added at 0°C and stirred at room temperature for 4 hrs. After the
consumption of starting material (TLC), reaction mixture was concentrated in vacuo & extracted with ethyl acetate. Organic layer was separated and concentrated in vacuo. The resultant residue was purified by coloumn chromatography using 60% EtOAc/Hexane as a eluent afforded title compound 460 mg . MS (M+) m/z 649.84. Intermediate-20: N6,N6-Dibenzyl-N2-(4-methoxyphenyl)-9-(tetrahydro-2H-pyran-2-yl)- 9H-purine-2,6-diamine
The title compound was prepared as described in Intermediate-3 using Intermediate-2 (5.0 g, 11.52 mmol), 4-methoxyaniline (1.703 g, 13.83 mmol), BINAP (1.435 g, 2.305 mmol), Cs2CO3 (5.63 g, 17.28 mmol) & Palladium(II) Acetate (0.259 g, 1.152 mmol) furnished title compound 5.51 g; MS (M+H+) m/z 521.26. Intermediate-21: N6,N6-Dibenzyl-N2-(4-methoxyphenyl)-9H-purine-2,6-diamine
The title compound was prepared as described in Intermediate-4 using Intermediate-20 (5.5 g, 10.56 mmol), P-Toluenesulfonic Acid Monohydrate (2.009 g, 10.56 mmol) afforded title compound 4.5g; MS (M+H+) m/z 437.2. Intermediate-22: N6,N6-Dibenzyl-N2-(4-methoxyphenyl)-9-(3-nitrophenyl)-9H-purine-2,6- diamine
The title compound was prepared as described in Intermediate-5 using Intermediate-21 (4.5 g, 10.31 mmol), Potassium Phosphate,dibasic (5.39 g, 30.9 mmol), copper(I) iodide (1.963 g, 10.31 mmol), N, N’-Dimethylethylenediamine (2.396 g, 20.62 mmol) and 1-Iodo-3- nitrobenzene (2.57 g, 10.31 mmol) to obtained title compound 5.6 g; MS (M+) m/z 557.95. Intermediate-23: 9-(3-Aminophenyl)-N6,N6-dibenzyl-N2-(4-methoxyphenyl)-9H-purine- 2,6-diamine
The title compound was prepared as described in Intermediate-6 using Intermediate-22 (5.6 g, 10.04 mmol), Ammonium Chloride (5.37 g, 100 mmol) & IRON (3.37 g, 60.3 mmol) afforded title compound 2.61g; MS (M+H+) m/z 528. Intermediate-24: N-(3-(6-(Dibenzylamino)-2-((4-methoxyphenyl)amino)-9H-purin-9- yl)phenyl)acrylamide
The title compound was prepared as described in Intermediate-7 using Intermediate-23 (1.3 g, 2.464 mmol), DIPEA (0.645 ml, 3.70 mmol) & acryloyl chloride (0.223 g, 2.464 mmol) to furnish title compound 1.01 g; MS (M+H+) m/z 582.3. Intermediate-25: 2-Chloro-N-(3-(6-(dibenzylamino)-2-((4-methoxyphenyl)amino)-9H- purin-9-yl)phenyl)acetamide
The title compound was prepared as described in Intermediate-7 using Intermediate-23 (1.3 g, 2.464 mmol), DIPEA (0.645 ml, 3.70 mmol) & 2-chloroacetyl chloride (0.278 g, 2.464 mmol) to result title compound 1.1g; MS (M+) m/z 603.58. Intermediate-26: N6,N6-Dibenzyl-9-(tetrahydro-2H-pyran-2-yl)-N2-(4-(trifluoromethoxy) phenyl)-9H-purine-2,6-diamine
The title compound was prepared as described in Intermediate-3 using Intermediate-2 (5.0 g, 11.52 mmol, 4-(trifluoromethoxy)aniline (2.449 g, 13.83 mmol), BINAP (1.435 g, 2.305 mmol) , Cs2CO3 (5.63 g, 17.28 mmol) & Palladium (II) acetate (0.259 g, 1.152 mmol) to furnish title compound 6.5 g; MS (M+H+) m/z 575.22. Intermediate-27: N6,N6-Dibenzyl-N2-(4-(trifluoromethoxy)phenyl)-9H-purine-2,6-diamine
The title compound was prepared as described in Intermediate-4 using Intermediate-26 (6.5 g, 11.31 mmol) and p-toluenesulfonic acid monohydrate (2.152 g, 11.31 mmol) to obtained title compound 5.0 g; MS (M+) m/z 491.13. Intermediate-28: N6,N6-Dibenzyl-9-(3-nitrophenyl)-N2-(4-(trifluoromethoxy)phenyl)-9H- purine-2,6-diamine
The title compound was prepared as described in Intermediate-5 using Intermediate-27 (5.0 g, 10.19 mmol), potassium phosphate dibasic (5.33 g, 30.6 mmol), copper (I) iodide (1.941 g, 10.19 mmol), N, N’-Dimethylethylenediamine (2.369 g, 20.39 mmol) and 1-Iodo-3- nitrobenzene (2.54 g, 10.19 mmol) afforded title compound 6.0g; MS (M+) m/z 611.33. Intermediate-29: 9-(3-Aminophenyl)-N6,N6-dibenzyl-N2-(4-(trifluoromethoxy)phenyl)- 9H-purine-2,6-diamine
The title compound was prepared as described in Intermediate-6 using Intermediate-28 (6.0 g, 9.81 mmol), ammonium chloride (5.25 g, 98 mmol) & Iron (3.29 g, 58.9 mmol) furnished title compound 3.1 g; MS (M+) m/z 582. Intermediate-30: N-(3-(6-(Dibenzylamino)-2-((4-(trifluoromethoxy)phenyl)amino)-9H- purin-9-yl)phenyl)acrylamide
The title compound was prepared as described in Intermediate-7 using Intermediate-29 (1.0 g, 1.719 mmol), DIPEA (0.450 ml, 2.58 mmol), acryloyl chloride (0.156 g, 1.719 mmol) to result title compound 0.95 g; MS (M+) m/z 636.25. Intermediate-31: N6,N6-Dibenzyl-N2-(4-(2-(dimethylamino)ethoxy)phenyl)-9-(tetrahydro- 2H-pyran-2-yl)-9H-purine-2,6-diamine
@ The title compound was prepared as described in Intermediate-3 using Intermediate-2 (3.0 g, 6.91 mmol), 4-(2-(dimethylamino)ethoxy)aniline (1.495 g, 8.30 mmol), BINAP (0.861 g, 1.383 mmol), Cs2CO3 (4.51 g, 13.83 mmol) and Pd(OAc)2 (0.155 g, 0.691 mmol) to afford title compound (2.5 g, 4.33 mmol) as a off white soild.@MS (M+H+) m/z 578.30; 1H NMR (400 MHz, DMSO-d6) į 8.90 (s, 1H), 8.07 (s, 1H), 7.53 (d, J = 8.6 Hz, 2H), 7.34– 7.25 (m, 10H), 6.73– 6.67 (m, 2H), 5.54– 5.44 (m, 2H), 4.86 (s, 2H), 4.04 (d, J = 12.0 Hz, 1H), 3.95
(t, J = 5.9 Hz, 2H), 3.70– 3.55 (m, 1H), 3.35 (s, 2H), 2.57 (t, J = 5.9 Hz, 2H), 2.20 (s, 6H), 2.03– 1.89 (m, 3H), 1.57 (d, J = 9.5 Hz, 2H). Intermediate-32: N6,N6-Dibenzyl-N2-(4-(2-(dimethylamino)ethoxy)phenyl)-9H-purine- 2,6-diamine.
The title compound was prepared as described in Intermediate-4 using Intermediate-31 (2.4 g, 4.15 mmol) in MeOH (Volume: 25 ml) and p-toluenesulfonic acid monohydrate (0.790 g, 4.15 mmol) to afford title compound (2.0 g, 4.05 mmol) as a grey solid. MS (M+H+) m/z. 494.30; 1H NMR (400 MHz, DMSO-d6) į 12.58 (s, 1H), 8.72 (s, 1H), 7.81 (s, 1H), 7.60– 7.51 (m, 2H), 7.35– 7.25 (m, 10H), 6.76– 6.69 (m, 2H), 5.53 (s, 2H), 4.87 (s, 2H), 3.96 (t, J = 5.9 Hz, 2H), 2.60 (t, J = 5.8 Hz, 2H), 2.22 (s, 6H). Intermediate-33: N6,N6-Dibenzyl-N2-(4-(2-(dimethylamino)ethoxy)phenyl)-9-(3- nitrophenyl)-9H-purine-2,6-diamine
The title compound was prepared as described in Intermediate-5 using Intermediate-32 (2.3 g, 4.66 mmol), 1-iodo-3-nitrobenzene (1.392 g, 5.59 mmol), copper (I) iodide (0.887 g, 4.66 mmol), potassium phosphate dibasic (2.435 g, 13.98 mmol) and N,N'- N, N’- Dimethylethylenediamine (1.406 ml, 9.32 mmol) furnished title compound (2.5 g, 4.07 mmol, 87 % yield) as a brown coloured solid. MS (M+H+) m/z.614.71
Intermediate-34: 9-(3-Aminophenyl)-N6,N6-dibenzyl-N2-(4-(2-(dimethylamino) ethoxy) phenyl)-9H-purine-2,6-diamine
The title compound was prepared as described in Intermediate-6 using Intermediate-33 (2.4 g, 3.90 mmol), ammonium chloride (2.089 g, 39.0 mmol) and iron (1.308 g, 23.43 mmol) to afford title compound (2.1 g, 3.59 mmol, 92 % yield) as a grey coloured solid. MS (M+H+) m/z.585.37
Intermediate-35: N-(3-(6-(Dibenzylamino)-2-((4-(2- (dimethylamino)ethoxy)phenyl)amino)-9H-purin-9-yl)phenyl)acrylamide
The title compound was prepared as described in Intermediate-7 using Intermediate-34 (700 mg, 1.197 mmol), DIPEA (186 mg, 1.437 mmol) and acryloyl chloride (119 mg, 1.317 mmol) to afford title compound (500 mg, 0.783 mmol, 65.4 % yield) as a brown solid. MS (M+H+) m/z. 638.71
Intermediate-36: N6, N6-Dibenzyl-N2-(4-phenoxyphenyl)-9-(tetrahydro-2H-pyran-2-yl)- 9H-purine-2, 6-diamine
The title compound was prepared by following a procedure similar to that described in Intermediate-3, using Intermediate-2 (3.0 g, 6.91 mmol), BINAP (0.861 g, 1.383 mmol), Cs2CO3 (4.51 g, 13.83 mmol), Pd(OAc)2 (0.155 g, 0.691 mmol) and 4-(2-methoxyethoxy) aniline (1.537 g, 8.30 mmol) to afford the title compound 3.51 g as brown solid. MS(M+H+) m/z 583.37. 1H NMR (CHCl3-d) į 7.76 (s, 1H), 7.49 (d, J = 8.6 Hz, 2H), 7.42 - 7.23 (m, 13H), 7.06 (tt, J = 7.2, 1.1 Hz, 1H), 7.01 - 6.93 (m, 2H), 6.92 - 6.84 (m, 2H), 5.80 - 5.37 (m, 3H), 4.90 (s, 2H), 4.23 - 4.17 (m, 1H), 3.82 (s, 1H), 2.15 - 2.08 (m, 2H), 1.77 (dd, J = 19.0, 6.9 Hz, 2H), 1.67 (s, 2H). Intermediate-37: N6, N6-Dibenzyl-N2-(4-phenoxyphenyl)-9H-purine-2,6-diamine
The title compound was prepared by following a procedure similar to that described in Intermediate-4, using Intermediate-36 (3.5 g, 6.01 mmol) and p-toluenesulfonic acid monohydrate (1.143 g, 6.01 mmol) to afford the title compound 2.87 g as off-white solid. MS (M+H+) m/z 499.17. 1H NMR (CHCl3-d) į 7.52 - 7.43 (m, 2H), 7.38 - 7.28 (m, 10H), 7.28 - 7.22 (m, 4H), 7.09 - 7.00 (m, 1H), 7.00 - 6.89 (m, 4H), 6.76 (s, 1H), 5.57 (s, 2H), 4.92 (s, 2H)
Intermediate-38: N6, N6-Dibenzyl-9-(3-nitrophenyl)-N2-(4-phenoxyphenyl)-9H-purine- 2,6-diamine
The title compound was prepared by following a procedure similar to that described in Intermediate-5, using Intermediate-37 (2.50 g, 5.01 mmol), copper(I) iodide (0.95 g, 5.01 mmol) and potassium phosphate, dibasic (2.62 g, 15.04 mmol), N,N'- dimethylethylethylenediamine (1.51 ml, 10.03 mmol) and 1-iodo-3-nitrobenzene (1.25 g, 5.01 mmol) to afford the title compound 2.57 g as brown solid. MS (M+H+) m/z 620.35. 1H NMR (CHCl3-d) į 8.88 (t, J = 2.1 Hz, 1H), 8.28 (ddd, J = 8.3, 2.3, 1.0 Hz, 1H), 8.12 (ddd, J = 8.2, 2.1, 1.0 Hz, 1H), 8.04 (s, 1H), 7.91 (s, 1 H), 7.75 (t, J = 8.2 Hz, 1H), 7.60 - 7.49 (m, 2H), 7.40 - 7.28 (m, 11H), 7.06 (tt, J = 7.6, 1.1 Hz, 1H), 7.01 - 6.87 (m, 5H), 5.57 (s, 2H), 4.96 (s, 2H). Intermediate-39: 9-(3-Aminophenyl)-N6,N6-dibenzyl-N2-(4-phenoxyphenyl)-9H-purine- 2,6-diamine
The title compound was prepared by following a procedure similar to that described in Intermediate-6, using Intermediate-38 (2.0 g, 3.23 mmol), ammonium chloride (1.726 g,
32.3 mmol)) and iron (1.081 g, 19.37 mmol) to afford the title compound 1.56 g as off-white solid. MS (M+H+) m/z 590.28. 1H NMR (DMSO-d6) į 9.15 (s, 1H), 8.15 (s, 1H), 7.67 (d, J = 8.6 Hz, 2H), 7.41 - 7.23 (m, 12H), 7.19 (t, J = 8.0 Hz, 1H), 7.10 - 7.01 (m, 1H), 6.96 (t, J = 2.1 Hz, 1H), 6.89 (tdd, J = 8.7, 2.1, 1.0 Hz, 3H), 6.85 - 6.77 (m, 2H), 6.62 (ddd, J = 8.1, 2.2, 0.9 Hz, 1H), 5.57 (s, 2H), 5.42 (s, 2H), 4.91 (s, 2H). Intermediate-40: N-(3-(6-(Dibenzylamino)-2-((4-phenoxyphenyl)amino)-9H-purin-9-yl) phenyl)acrylamide
The title compound was prepared by following a procedure similar to that described in Intermediate-7, using Intermediate-39 (1.0 g, 1.69 mmol) and acryloyl chloride (0.15 g, 1.69 mmol) to afford the title compound 0.81 g as pale yellow solid. MS (M+H+) m/z 643.71. 1H NMR (DMSO-d6) į 10.41 (s, 1H), 9.15 (s, 1H), 8.27 (d, J = 16.9 Hz, 2H), 7.75 - 7.60 (m, 3H), 7.59 - 7.45 (m, 2H), 7.42 - 7.21 (m, 12H), 7.12 - 7.01 (m, 1H), 6.93 - 6.85 (m, 2H), 6.82 - 6.73 (m, 2H), 6.42 (dd, J = 16.9, 10.1 Hz, 1H), 6.24 (dd, J = 16.9, 2.0 Hz, 1H), 5.72 (dd, J = 10.1, 2.0 Hz, 1H), 5.57 (s, 2H), 4.92 (s, 2H). Intermediate-41: N-(3-(6-(Benzylamino)-2-((4-phenoxyphenyl)amino)-9H-purin-9-yl) phenyl)acrylamide
The title compound was prepared by following a procedure similar to that described in Intermediate-8, using Intermediate-40 (0.80 g, 1.24 mmol) and triflic acid (1.10 ml, 12.43 mmol) to afford the title compound 0.02 g as off white solid. MS (M+H+) m/z 554.20. 1H NMR (DMSO-d6) į 10.40 (s, 1H), 9.07 (s, 1H), 8.25 (d, J = 11.1 Hz, 3H), 7.75 (d, J = 9.0 Hz, 2H), 7.63 (d, J = 7.9 Hz, 1H), 7.58 - 7.45 (m, 2H), 7.44 - 7.27 (m, 5H), 7.22 (dd, J = 8.2, 6.3 Hz, 1H), 7.11 - 7.01 (m, 1H), 6.95 - 6.88 (m, 2H), 6.87 - 6.80 (m, 2H), 6.42 (dd, J = 17.0, 10.1 Hz, 1H), 6.23 (dd, J = 17.0, 2.0 Hz, 1H), 5.71 (dd, J = 10.0, 2.0 Hz, 1H), 4.74 (s, 2H).
Intermediate-42: N6,N6-Dibenzyl-N2-(4-(4-methoxyphenoxy)phenyl)-9-(tetrahydro-2H- pyran-2-yl)-9H-purine-2,6-diamine
The title compound was prepared as described in Intermediate-3 using Intermediate-2 (3.0 g, 6.91 mmol), 4-(4-methoxyphenoxy)aniline (1.488 g, 6.91 mmol), BINAP (0.861 g, 1.383 mmol), Cs2CO3 (3.38 g, 10.37 mmol) and palladium (II) acetate (0.155 g, 0.691 mmol) to obtained title compound 4.1g; MS (M+) m/z 612.46. Intermediate-43: N6,N6-Dibenzyl-N2-(4-(4-methoxyphenoxy)phenyl)-9H-purine-2,6- diamine
The title compound was prepared as described in Intermediate-4 using Intermediate-42 (4.1 g, 6.69 mmol) and p-toluenesulfonic acid monohydrate (1.273 g, 6.69 mmol) to afford title compound 3.51; MS (M+) m/z 528.82. Intermediate-44: N6,N6-Dibenzyl-N2-(4-(4-methoxyphenoxy)phenyl)-9-(3-nitrophenyl)- 9H-purine-2,6-diamine
The title compound was prepared as described in Intermediate-5 using Intermediate-43 (3.5 g, 6.62 mmol), potassium phosphate dibasic (3.46 g, 19.86 mmol), copper (I) iodide (1.261 g, 6.62 mmol), N, N’-Dimethylethylenediamine (1.539 g, 13.24 mmol) and 1-iodo-3- nitrobenzene (1.649 g, 6.62 mmol) to provide title compound 4.1 g; MS (M+) m/z 649.59. Intermediate-45: 9-(3-Aminophenyl)-N6,N6-dibenzyl-N2-(4-(4-methoxyphenoxy)phenyl)- 9H-purine-2,6-diamine
The title compound was prepared as described in Intermediate-6 using Intermediate-44 (4.1 g, 6.31 mmol), ammonium chloride (3.38 g, 63.1 mmol) and iron (2.115 g, 37.9 mmol) to furnish title compound 2.1g; MS (M+H+) m/z 620.3. Intermediate-46: N-(3-(6-(Dibenzylamino)-2-((4-(4-methoxyphenoxy)phenyl)amino)-9H- purin-9-yl)phenyl)acrylamide
The title compound was prepared as described in Intermediate-7 using Intermediate-45 (1.0 g, 1.614 mmol), DIPEA (0.423 ml, 2.420 mmol) & acryloyl chloride (0.146 g, 1.614 mmol) provided title compound 0.61 g; MS (M+) m/z 672.71. Intermediate-47: N6, N6-Dibenzyl-N2-(4-(4-methylpiperazin-1-yl) phenyl)-9-(tetrahydro- 2H-pyran-2-yl)-9H-purine-2, 6-diamine
The title compound was prepared as described in Intermediate-3 using Intermediate-2 (5.0 g, 11.52 mmol), 4-(4-methylpiperazin-1-yl)aniline (2.64 g, 13.83 mmol), BINAP (1.435 g, 2.305 mmol), Cs2CO3 (5.63 g, 17.28 mmol) and palladium (II) acetate (0.259 g, 1.152 mmol) furnished title compound 6.015 g; MS (M+H+) m/z 589.95; 1H NMR (400 MHz, DMSO-d6) į 8.83 (s, 1H), 8.06 (s, 1H), 7.51 (d, J = 8.6 Hz, 2H), 7.35– 7.24 (m, 10H), 6.73 (d, J = 8.5 Hz, 2H), 5.55– 5.47 (m, 2H), 4.87 (s, 2H), 4.06– 4.00 (m, 1H), 3.65 (ddd, J = 14.5, 7.4, 4.3 Hz, 1H), 2.99 (t, J = 5.0 Hz, 4H), 2.42 (t, J = 5.0 Hz, 4H), 2.20 (s, 3H), 1.98 (d, J = 9.1 Hz, 3H), 1.79– 1.49 (m, 4H). Intermediate-48: N6, N6-Dibenzyl-N2-(4-(4-methylpiperazin-1-yl) phenyl)-9H-purine-2, 6- diamine
The title compound was prepared as described in Intermediate-4 using Intermediate-47 (6.0 g, 10.19 mmol) and p-toluenesulfonic acid monohydrate (1.939 g, 10.19 mmol) furnished title compound 4.2 g as a brown solid. MS (M+H+) m/z 504.94. 1H NMR (400 MHz, DMSO- d6) į 12.56 (s, 1H), 8.67 (s, 1H), 7.81 (s, 1H), 7.55– 7.47 (m, 2H), 7.37– 7.23 (m, 10H), 6.80– 6.73 (m, 2H), 5.52 (s, 2H), 4.87 (s, 2H), 3.04 (t, J = 5.0 Hz, 4H), 2.57 (q, J = 4.5, 3.8 Hz, 4H), 2.31 (s, 3H). Intermediate-49: N6, N6-Dibenzyl-N2-(4-(4-methylpiperazin-1-yl) phenyl)-9-(3- nitrophenyl)-9H-purine-2, 6-diamine
The title compound was prepared as described in Intermediate-5 using Intermediate-48 (4.2 g, 8.32 mmol), copper (I) iodide (1.585 g, 8.32 mmol), potassium phosphate dibasic (4.35 g, 24.97 mmol), N, N’-Dimethylethylenediamine (1.934 g, 16.65 mmol) and 1-iodo-3- nitrobenzene (2.072 g, 8.32 mmol) to get title compound 5.1 g as a yellow solid. MS (M+H+) m/z 626.25. Intermediate-50: 9-(3-Aminophenyl)-N6, N6-dibenzyl-N2-(4-(4-methylpiperazin-1-yl) phenyl)-9H-purine-2, 6-diamine
The title compound was prepared as described in Intermediate-6 using Intermediate-49 (5.1 g, 8.15 mmol), ammonium chloride (4.36 g, 82 mmol) and iron (2.73 g, 48.9 mmol) to get title compound 3.1 g as brown solid. MS (M+) m/z 634.71; 1H NMR (400 MHz, DMSO-d6) į 8.94 (s, 1H), 8.12 (s, 1 H), 7.64– 7.51 (m, 2H), 7.37– 7.26 (m, 10H), 7.20 (t, J = 7.9 Hz, 1H), 6.95– 6.87 (m, 2H), 6.79 (d, J = 8.8 Hz, 2H), 6.63 (ddd, J = 8.1, 2.2, 1.0 Hz, 1H), 5.49 (d, J = 47.6 Hz, 4H), 4.91 (s, 2H), 3.35 (s, 8H), 2.80 (s, 3H).
Intermediate-51: N-(3-(6-(Dibenzylamino)-2-((4-(4-methylpiperazin-1-yl) phenyl) amino)- 9H-purin-9-yl) phenyl) acrylamide
The title compound was prepared as described in Intermediate-7 using Intermediate-50 (1.5 g, 2.52 mmol), DIPEA (0.880 ml, 5.04 mmol) and acryloyl chloride (0.228 g, 2.52 mmol) afforded title compound 0.46 g as light yellow solid. MS (M+) m/z 649.84. 1H NMR (400 MHz, DMSO-d6) į 10.54 (s, 1H), 8.91 (s, 1H), 8.26 (d, J = 21.8 Hz, 2H), 7.59– 7.48 (m, 4H), 7.32 (qt, J = 13.4, 4.0 Hz, 10H), 6.72 (d, J = 9.0 Hz, 2H), 6.54 (dd, J = 17.0, 10.1 Hz, 1H), 6.33 (dd, J = 17.0, 2.0 Hz, 1H), 5.87– 5.73 (m, 2H), 5.54 (s, 2H), 4.92 (s, 2H), 3.35 (s, 8H), 2.80 (s, 3H). Intermediate-52: N6,N6-Dibenzyl-N2-(3-fluoro-4-(4-methylpiperazin-1-yl)phenyl)-9- (tetrahydro-2H-pyran-2-yl)-9H-purine-2,6-diamine
The title compound was prepared by following a procedure similar to that described in Intermediate-3 using Intermediate-2 (3.0 g, 6.91 mmol), 3-fluoro-4-(4-methylpiperazin-1- yl)aniline (1.447 g, 6.91 mmol), BINAP (0.861 g, 1.383 mmol), Cs2CO3 (3.38 g, 10.37 mmol) and Palladium (II) acetate (0.155 g, 0.691 mmol) to get title compound 4.0 g;
MS (M+H+) m/z 607.3
Intermediate-53: N6,N6-Dibenzyl-N2-(3-fluoro-4-(4-methylpiperazin-1-yl)phenyl)-9H- purine-2,6-diamine
The title compound was prepared by following a procedure similar to that described in Intermediate-4 using Intermediate-52 (4.0 g, 6.59 mmol) and p-toluenesulfonic acid monohydrate (1.254 g, 6.59 mmol) furnished title compound 3.4 g as brown solid. MS (M+) m/z 522.9 Intermediate-54: N6,N6-Dibenzyl-N2-(3-fluoro-4-(4-methylpiperazin-1-yl)phenyl)-9-(3- nitrophenyl)-9H-purine-2,6-diamine
The title compound was prepared by following a procedure similar to that described in Intermediate-5 using Intermediate-53 (3.4 g, 6.51 mmol), potassium phosphate dibasic (3.40 g, 19.52 mmol), copper (I) iodide (1.239 g, 6.51 mmol), N, N’-Dimethylethylenediamine (1.512 g, 13.01 mmol) and 1-iodo-3-nitrobenzene (1.620 g, 6.51 mmol) to get title compound 4.1 g . MS (M+) m/z 643.7
Intermediate-55: 9-(3-Aminophenyl)-N6,N6-dibenzyl-N2-(3-fluoro-4-(4-methylpiperazin- 1-yl)phenyl)-9H-purine-2,6-diamine
The title compound was prepared by following a procedure similar to that described in Intermediate-6 using Intermediate-54 (4.1 g, 6.37 mmol), ammonium chloride (3.41 g, 63.7 mmol) and iron (2.134 g, 38.2 mmol) to get title compound 2.5g. MS (M+H+) m/z 614.3 Intermediate-56: 9-(3-Aminophenyl)-N2-(3-fluoro-4-(4-methylpiperazin-1-yl)phenyl)-9H- purine-2,6-diamine
To the solution of Intermediate-55 (1.3 g, 2.118 mmol) in DCM (Volume: 20 ml) was added Triflic Acid (1.881 ml, 21.18 mmol) at 0°C. The reaction mixture was stirred at 45°C for 16 hrs. Reaction was monitored by TLC. Reaction mixture was quenched with 30% aq NaOH solution at 0°C and extracted with DCM. Organic layer was combined, dried and concentrated to get crude which was triturated with diethyl ether to get title compound 0.8 g. MS (M+) m/z 434.2 Intermediate-57: 4-(tert-Butyl)-N-(3-((6-(dibenzylamino)-9-(tetrahydro-2H-pyran-2-yl)-9H- purin-2-yl)amino)phenyl)benzamide
The title compound was prepared by following a procedure similar to that described in Intermediate-3 using Intermediate-2 (7 g, 16.13 mmol), N-(3-aminophenyl)-4-(tert- butyl)benzamide (5.63 g, 20.97 mmol), xantphos (0.467 g, 0.807 mmol), tris(dibenzylideneacetone)dipalladium(0) (0.739 g, 0.807 mmol) and cesium carbonate (6.31 g, 19.36 mmol) resulted title compound (10 g, 15.02 mmol, 93 % yield) as a brown coloured soild. MS(M+) m/z 665.96; 1H NMR (400 MHz, DMSO-d6) į 10.04 (s, 1H), 9.14 (s, 1H), 8.11 (s, 1H), 7.94– 7.84 (m, 2H), 7.59– 7.51 (m, 2H), 7.39– 7.19 (m, 12H), 7.15– 7.00 (m, 2H), 5.85 (dd, J = 11.1, 1.9 Hz, 1H), 5.49 (s, 2H), 4.93 (s, 2H), 2.26– 2.08 (m, 2H), 2.02– 1.90 (m, 2H), 1.79 (q, J = 13.6, 12.8 Hz, 1H), 1.66– 1.44 (m, 2H), 1.32 (s, 10H).
Intermediate-58: 4-(tert-Butyl)-N-(3-((6-(dibenzylamino)-9H-purin-2- yl)amino)phenyl)benzamide
The title compound was prepared by following a procedure similar to that described in Intermediate-4 using Intermediate-57 (10 g, 15.02 mmol) and p-toluenesulfonic acid monohydrate (3.43 g, 18.02 mmol) furnished title compound (8.5 g, 14.61 mmol, 97 % yield). MS(M+) m/z 582.0; 1H NMR (400 MHz, DMSO-d6) į 12.62 (s, 1H), 10.03 (s, 1H), 9.00 (s, 1H), 8.04 (t, J = 2.0 Hz, 1H), 7.90– 7.79 (m, 3H), 7.54 (dd, J = 10.6, 8.3 Hz, 4H), 7.35– 7.22 (m, 9H), 7.18– 7.00 (m, 2H), 5.53 (s, 2H), 4.92 (s, 2H), 1.32 (d, J = 2.5 Hz, 9H).
Intermediate-59: N-(3-((9-(3-Aminophenyl)-6-(dibenzylamino)-9H-purin-2- yl)amino)phenyl)-4-(tert-butyl)benzamide
The title compound was prepared by following a procedure similar to that described in Intermediate-5 using Intermediate-58 (500 mg, 0.860 mmol), copper(i) iodide (180 mg, 0.945 mmol), 3-iodoaniline (226 mg, 1.031 mmol), potassium phosphate, dibasic (449 mg, 2.58 mmol) and n,n'-dimethylethylethylenediamine (10 g, 1.719 mmol) furnished title compound (550 mg, 0.817 mmol, 95 % yield). MS(M+) m/z 673.09; 1H NMR (400 MHz, DMSO-d6) į 9.99 (s, 1H), 9.18 (s, 1H), 8.15 (s, 1H), 8.07 (d, J = 2.1 Hz, 1H), 7.84 (d, J = 8.4 Hz, 3H), 7.52 (dt, J = 14.3, 8.2 Hz, 4H), 7.31 (d, J = 5.3 Hz, 12H), 7.18– 7.04 (m, 3H), 6.95 (dd, J = 5.0, 2.6 Hz, 2H), 6.61– 6.55 (m, 1H), 5.55 (s, 2H), 5.39 (s, 2H), 4.96 (s, 2H), 1.33 (s, 9H). Intermediate-60: N-(3-((9-(3-Acrylamidophenyl)-6-(dibenzylamino)-9H-purin-2- yl)amino)phenyl)-4-(tert-butyl)
The title compound was prepared by following a procedure similar to that described in Intermediate-7 using Intermediate-59 (500 mg, 0.743 mmol), acryloyl chloride (135 mg, 1.486 mmol) and K2CO3 (308 mg, 2.229 mmol) furnished title compound (500 mg, 0.688 mmol, 93 % yield). MS(M+) m/z 727.40; 1H NMR (400 MHz, DMSO-d6) į 10.44 (s, 1H), 9.98 (s, 1H), 9.20 (s, 1H), 8.25 (s, 1H), 8.14 (t, J = 2.0 Hz, 1H), 8.05 (t, J = 2.1 Hz, 1H), 7.85 – 7.80 (m, 2H), 7.68 (dt, J = 8.2, 1.5 Hz, 1H), 7.60– 7.45 (m, 5H), 7.38– 7.23 (m, 11H),
7.13 (dt, J = 8.2, 1.3 Hz, 1H), 7.03 (t, J = 8.1 Hz, 1H), 6.48 (dd, J = 16.9, 10.1 Hz, 1H), 6.32 (d, J = 1.9 Hz, 1H), 5.81 (dd, J = 10.1, 2.0 Hz, 1H), 5.55 (s, 2H), 4.96 (s, 2H), 2.12 (s, 1H), 1.33 (s, 9H).
Intermediate-61: (3-((6-(Dibenzylamino)-9-(tetrahydro-2H-pyran-2-yl)-9H-purin-2- yl)amino)phenyl)(morpholino)methanone
The title compound was prepared by following a procedure similar to that described in Intermediate-3 using Intermediate-2 (6 g, 13.83 mmol), (3-aminophenyl) (morpholino)methanone (3.71 g, 17.98 mmol), xantphos (0.400 g, 0.691 mmol), tris(dibenzylideneacetone)dipalladium(0) (0.633 g, 0.691 mmol) and cesium carbonate (5.41 g, 16.59 mmol) resulted title compound (8 g, 13.25 mmol, 96 % yield) as a brown coloured soild. MS(M+) m/z 604.4; 1H NMR (400 MHz, DMSO-d6) į 9.40 (s, 1H), 8.15 (s, 1H), 7.72 (d, J = 8.3 Hz, 2H), 7.36– 7.25 (m, 11H), 7.19 (d, J = 8.3 Hz, 2H), 5.63– 5.51 (m, 3H), 4.91 (s, 2H), 4.04 (dd, J = 11.7, 3.5 Hz, 1H), 3.58 (q, J = 3.8, 3.2 Hz, 3H), 3.48 (s, 5H), 2.51 (p, J = 1.8 Hz, 2H), 2.26 (qd, J = 12.9, 12.2, 4.3 Hz, 1 H), 2.02– 1.90 (m, 2H), 1.59 (tt, J = 9.1, 3.7 Hz, 2H).
Intermediate-62: (3-((6-(Dibenzylamino)-9H-purin-2-yl) amino) phenyl) (morpholino) methanone
The title compound was prepared by following a procedure similar to that described in Intermediate-4 using Intermediate-61 (6 g, 9.94 mmol) and p-toluenesulfonic acid monohydrate (2.269 g, 11.93 mmol) furnished title compound (4.5 g, 8.66 mmol, 87 % yield). MS(M+) m/z 520.07; 1H NMR (400 MHz, DMSO-d6) į 12.69 (s, 1H), 9.13 (s, 1H), 7.90– 7.82 (m, 2H), 7.77– 7.69 (m, 1H), 7.37– 7.24 (m, 10H), 7.19 (t, J = 7.9 Hz, 1H), 6.83 (dt, J = 7.6, 1.2 Hz, 1H), 5.53 (s, 2H), 4.90 (s, 2H), 3.45 (d, J = 80.6 Hz, 9H).
Intermediate-63: (3-((9-(3-Aminophenyl)-6-(dibenzylamino)-9H-purin-2- yl)amino)phenyl)(morpholino)methanone
The title compound was prepared by following a procedure similar to that described in Intermediate-5 using Intermediate-62 (600 mg, 1.155 mmol), copper(I) iodide (242 mg, 1.270 mmol), 3-iodoaniline (303 mg, 1.386 mmol), potassium phosphate, dibasic (603 mg, 3.46 mmol) and n,n'-dimethylethylethylenediamine (10 g, 2.309 mmol) furnished title compound (700 mg, 1.146 mmol, 99 % yield). MS(M+) m/z 665.3 1H NMR (400 MHz, DMSO-d6) į 9.31 (s, 1H), 8.18 (s, 1H), 7.88 (s, 1H), 7.75– 7.67 (m, 1H), 7.39– 7.25 (m, 10H), 7.18 (dt, J = 10.5, 7.9 Hz, 2H), 6.98– 6.94 (m, 1H), 6.91 (dd, J = 7.7, 2.0 Hz, 1H), 6.83 (d, J = 7.4 Hz, 1H), 6.65 (dd, J = 8.1, 2.1 Hz, 1H), 5.55 (s, 2H), 5.44 (s, 2H), 4.94 (s, 2H), 3.67– 3.38 (m, 8H).
Intermediate-64: N-(3-(6-(Dibenzylamino)-2-((3-(morpholine-4-carbonyl)phenyl)amino)- 9H-purin-9-yl)phenyl)acrylamide
The title compound was prepared by following a procedure similar to that described in Intermediate-7 using Intermediate-63 (500 mg, 0.819 mmol), acryloyl chloride (89 mg, 0.982 mmol) and K2CO3 (226 mg, 1.637 mmol) furnished title compound (510 mg, 0.767 mmol, 94 % yield). MS(M+) m/z 665.3; 1H NMR (400 MHz, DMSO-d6) į 10.44 (s, 1H), 9.32 (s, 1H), 8.27 (s, 1H), 8.17 (s, 1H), 7.85– 7.66 (m, 3H), 7.55 (d, J = 6.8 Hz, 2H), 7.34 (d, J = 6.7 Hz, 9H), 7.31– 7.23 (m, 3H), 7.13 (t, J = 7.9 Hz, 1H), 6.82 (d, J = 7.5 Hz, 1H), 6.49 (dd, J = 17.0, 10.1 Hz, 1H), 6.30 (dd, J = 17.0, 2.0 Hz, 1H), 5.81 (dd, J = 9.9, 2.0 Hz, 1H), 5.56 (s, 2H), 4.95 (s, 2H), 3.53 (s, 6H), 3.32– 3.10 (m, 4H). Intermediate-65: N6,N6-Dibenzyl-N2-(4-morpholinophenyl)-9-(tetrahydro-2H-pyran-2-yl)- 9H-purine-2,6-diamine
The title compound was prepared by following a procedure similar to that described in Intermediate-3 using Intermediate-2 (5.0 g, 11.52 mmol), 4-morpholinoaniline (2.464 g, 13.83 mmol), BINAP (1.435 g, 2.305 mmol), Cs2CO3 (7.51 g, 23.05 mmol) and PdOAc2 (0.259 g, 1.152 mmol) furnished title compound (6.009 g, 10.44 mmol, 91 % yield) as a brown coloured soild. MS(M+H+) m/z.576.07.1H NMR (400 MHz, Chloroform-d) į 7.74 (s, 1H), 7.37 - 7.27 (m, 10H), 6.79 (d, J = 8.4 Hz, 2H), 5.76 - 5.41 (m, 3H), 4.89 (s, 2H), 4.23 -
4.16 (m, 1H), 3.87 (t, J = 4.8 Hz, 4H), 3.08 (t, J = 4.8 Hz, 4H), 2.16 - 2.06 (m, 4H), 1.86 - 1.62 (m, 4H).
Intermediate-66: N6,N6-Dibenzyl-N2-(4-morpholinophenyl)-9H-purine-2,6-diamine
The title compound was prepared by following a procedure similar to that described in Intermediate-4 using Intermediate-65 (6.00 g, 10.42 mmol) and p-toluenesulfonic acid monohydrate (1.982 g, 10.42 mmol) furnished title compound (3.260 g, 6.63 mmol, 63.6 % yield) as a brown solid. MS(M+H+) m/z. 492.24. 1H NMR (400 MHz, DMSO-d6) į 12.56 (s, 1H), 8.67 (s, 1H), 7.81 (s, 1H), 7.59 - 7.49 (m, 2H), 7.41 - 7.21 (m, 9H), 6.82 - 6.70 (m, 2H), 5.52 (s, 2H), 4.87 (s, 2H), 3.72 (dd, J = 5.9, 3.6 Hz, 4H), 3.05 - 2.89 (m, 4H).
Intermediate-67: N6,N6-Dibenzyl-N2-(4-morpholinophenyl)-9-(3-nitrophenyl)-9H-purine- 2,6-diamine
The title compound was prepared by following a procedure similar to that described in Intermediate-5 using Intermediate-66 (3.250 g, 6.61 mmol), copper(I) iodide (1.259 g, 6.61 mmol), potassium phosphate, dibasic (3.45 g, 19.83 mmol), N,N'-Dimethylethylenediamine (0.712 ml, 6.61 mmol) and 1-iodo-3-nitrobenzene (1.646 g, 6.61 mmol) furnished title compound (3.015 g, 4.92 mmol, 74.4 % yield) as a yellow solid. MS(M+) m/z. 612.58. 1H NMR (400 MHz, DMSO-d6) į 8.97 (d, J = 12.8 Hz, 2H), 8.48 (s, 1H), 8.40 (ddd, J = 8.1, 2.2, 1.0 Hz, 1H), 8.28 (ddd, J = 8.3, 2.2, 0.9 Hz, 1H), 7.98 - 7.86 (m, 2H), 7.56 (d, J = 8.5 Hz,
2H), 7.39 - 7.27 (m, 9H), 6.78 (d, J = 8.6 Hz, 2H), 5.53 (s, 2H), 4.93 (s, 2H), 3.72 (dd, J = 6.1, 3.4 Hz, 4H), 3.02 - 2.94 (m, 4H).
Intermediate-68: 9-(3-Aminophenyl)-N6,N6-dibenzyl-N2-(4-morpholinophenyl)-9H- purine-2,6-diamine
The title compound was prepared by following a procedure similar to that described in Intermediate-6 using Intermediate-67 (3.000 g, 4.90 mmol), ammonium chloride (2.62 g, 49.0 mmol) and iron (1.641 g, 29.4 mmol) furnished title compound (1.565 g, 2.69 mmol,
1
54.9 % yield) as a brown coloured solid. MS(M+H+) m/z. 583.3. H NMR (400 MHz, DMSO-d6) į 8.88 (s, 1H), 8.11 (s, 1H), 7.53 (d, J = 8.5 Hz, 2H), 7.40 - 7.16 (m, 11H), 6.99 - 6.85 (m, 2H), 6.73 (d, J = 8.7 Hz, 2H), 6.62 (ddd, J = 8.1, 2.1, 1.0 Hz, 1H), 5.55 (s, 2H), 5.42 (s, 2H), 4.90 (s, 2H), 3.71 (dd, J = 5.7, 3.8 Hz, 4H), 2.96 (dd, J = 6.0, 3.6 Hz, 4H).
Intermediate-69: 9-(3-Aminophenyl)-N2-(4-morpholinophenyl)-9H-purine-2,6-diamine
The title compound was prepared by following a procedure similar to that described in Intermediate-8 using Intermediate-68 (0.500 g, 0.858 mmol) and TriflicAcid (1.524 ml, 17.16 mmol) furnished title compound (0.257 g, 0.639 mmol, 74.4 % yield) as a off-white solids. MS (M+H+) m/z. 403.1. 1H NMR (400 MHz, DMSO-d6) į 8.72 (s, 1H), 8.14 (s, 1H), 8.09 (s, 1H), 7.77 - 7.65 (m, 2H), 7.19 (t, J = 8.0 Hz, 1H), 7.08 - 6.89 (m, 4H), 6.88 - 6.78 (m,
2H), 6.60 (dd, J = 8.1, 2.1 Hz, 1H), 5.39 (s, 2H), 3.73 (dd, J = 6.0, 3.5 Hz, 4H), 3.07 - 2.93 (m, 4H).
Intermediate-70: N-(3-(6-(Dibenzylamino)-2-((4-morpholinophenyl)amino)-9H-purin-9- yl)phenyl)propionamide
The title compound was prepared by following a procedure similar to that described in Intermediate-7 using Intermediate-68 (0.500 g, 0.858 mmol) and 2-chloroacetyl chloride (0.097 g, 0.858 mmol) afforded title compound (0.513 g, 0.778 mmol, 91 % yield) as a brown coloured solid. MS(M+) m/z.658.96. 1H NMR (400 MHz, DMSO-d6) į 10.61 (s, 1H), 8.89 (s, 1H), 8.21 (s, 1H), 8.14 (s, 1H), 7.68 - 7.49 (m, 5H), 7.41 - 7.24 (m, 10H), 6.73 (d, J = 8.6 Hz, 2H), 5.54 (s, 2H), 4.92 (s, 2H), 4.33 (s, 2H), 3.71 (dd, J = 6.1, 3.5 Hz, 4H), 3.01 - 2.92 (m, 4H).
Intermediate-71: N6,N6-Dibenzyl-N2-(3-morpholinophenyl)-9-(tetrahydro-2H-pyran-2-yl)- 9H-purine-2,6-diamine
The title compound was prepared by following a procedure similar to that described in Intermediate-3 using Intermediate-2 (3.0 g, 6.91 mmol), 3-morpholinoaniline (1.479 g, 8.30 mmol), BINAP (0.861 g, 1.383 mmol), Cs2CO3 (4.51 g, 13.83 mmol) and Pd(OAc)2 (0.155 g, 0.691 mmol) furnished title compound (3.57 g, 6.20 mmol, 90 % yield) as a brown coloured soild. MS(M+) m/z 575.95.
Intermediate-72: N6,N6-Dibenzyl-N2-(3-morpholinophenyl)-9H-purine-2,6-diamine
The title compound was prepared by following a procedure similar to that described in Intermediate-4 using Intermediate-71 (3.5 g, 6.08 mmol) and p-toluenesulfonic acid monohydrate (1.156 g, 6.08 mmol) furnished title compound (2.7 g, 5.49 mmol, 90 % yield) as a brown solid. MS(M+H+) m/z 492.0; 1H NMR (400 MHz, DMSO-d6) į 12.60 (s, 1H), 8.79 (s, 1H), 7.85 (s, 1H), 7.42 (dt, J = 4.8, 2.4 Hz, 1H), 7.37 - 7.24 (m, 8H), 7.21 - 7.16 (m, 1H), 6.99 (t, J = 8.1 Hz, 1H), 6.85 (t, J = 7.9 Hz, 1H), 6.43 (dd, J = 8.3, 2.3 Hz, 1H), 6.17 - 6.08 (m, 1H), 5.49 (s, 2H), 4.89 (s, 2H), 3.72 - 3.67 (m, 2H), 3.65 - 3.59 (m, 2H), 3.01 - 2.94 (m, 4H).
Intermediate-73: N6,N6-Dibenzyl-N2-(3-morpholinophenyl)-9-(3-nitrophenyl)-9H-purine- 2,6-diamine
The title compound was prepared by following a procedure similar to that described in Intermediate-5 using Intermediate-72 (2.5 g, 5.09 mmol), 1-iodo-3-nitrobenzene (1.266 g, 5.09 mmol), Copper(I) Iodide (0.969 g, 5.09 mmol), Potassium Phosphate, Dibasic (2.66 g, 15.26 mmol) and N,N'-Dimethylethylenediamine (0.548 ml, 5.09 mmol) furnished title compound (2.117 g, 3.46 mmol, 67.9 % yield) as a light yellow solid.
MS(M+) m/z 612.58; 1H NMR (400 MHz, DMSO-d6) į 9.04 (s, 1H), 8.86 (t, J = 2.1 Hz, 1H), 8.47 (s, 1H), 8.43 - 8.37 (m, 1H), 8.33 (dd, J = 8.3, 2.2 Hz, 1H), 7.90 (t, J = 8.2 Hz, 1H), 7.39 - 7.20 (m, 12H), 7.02 (t, J = 8.1 Hz, 1H), 6.47 (dd, J = 8.1, 2.3 Hz, 1H), 5.51 (s, 2H), 4.97 (s, 2H), 3.58 (t, J = 4.8 Hz, 4H), 2.89 (dd, J = 6.0, 3.6 Hz, 4H).
Intermediate-74: 9-(3-Aminophenyl)-N6,N6-dibenzyl-N2-(3-morpholinophenyl)-9H- purine-2,6-diamine
The title compound was prepared by following a procedure similar to that described in Intermediate-6 using Intermediate-73 (2.000 g, 3.26 mmol) and ammonium chloride (1.746 g, 32.6 mmol) and Iron (1.094 g, 19.59 mmol) afforded title compound (1.79 g, 3.07 mmol, 94 % yield) as a brown coloured solid. MS(M+) m/z 582.95.
Intermediate-75: N-(3-(6-(Dibenzylamino)-2-((3-morpholinophenyl)amino)-9H-purin-9- yl)phenyl)acrylamide
The title compound was prepared by following a procedure similar to that described in Intermediate-7 using Intermediate-74 (0.5 g, 0.858 mmol), DIPEA (0.225 ml, 1.287 mmol) and acryloyl chloride (0.078 g, 0.858 mmol) furnished title compound (0.507 g, 0.796 mmol, 93 % yield) as a brown solid. MS(M+) m/z 636.71.
Intermediate-76: N6,N6-Dibenzyl-N2-(3-(4-methylpiperazin-1-yl)phenyl)-9-(tetrahydro- 2H-pyran-2-yl)-9H-purine-2,6-diamine
The title compound was prepared by following a procedure similar to that described in Intermediate-3 using Intermediate-2 (3.0 g, 6.91 mmol), 3-(4-methylpiperazin-1-yl)aniline (1.587 g, 8.30 mmol), BINAP (0.861 g, 1.383 mmol), Cs2CO3 (4.51 g, 13.83 mmol) and Pd(OAc)2 (0.155 g, 0.691 mmol) furnished title compound (3.019 g, 5.13 mmol, 74.2 % yield) as a brown coloured soild. MS(M+) m/z 588.95.
Intermediate-77: N6,N6-Dibenzyl-N2-(3-(4-methylpiperazin-1-yl)phenyl)-9H-purine-2,6- diamine
.
The title compound was prepared by following a procedure similar to that described in Intermediate 4 using Intermediate 76 (3.5 g, 5.94 mmol) and P-Toluenesulfonic Acid Monohydrate (1.131 g, 5.94 mmol) furnished title compound (2.79 g, 5.53 mmol, 93 % yield) as a brown solid. MS(M+) m/z 505.26.
Intermediate-78: N6,N6-Dibenzyl-N2-(3-(4-methylpiperazin-1-yl)phenyl)-9-(3- nitrophenyl)-9H-purine-2,6-diamine
.
The title compound was prepared by following a procedure similar to that described in Intermediate-5 using Intermediate-77 (2.0 g, 3.96 mmol), 1-iodo-3-nitrobenzene (0.987 g, 3.96 mmol), Copper(I) Iodide (0.755 g, 3.96 mmol), Potassium Phosphate, Dibasic (2.071 g, 11.89 mmol) and N,N'-Dimethylethylenediamine (0.427 ml, 3.96 mmol) furnished title compound (1.57 g, 2.509 mmol, 63.3 % yield) as a brown coloured solid. MS(M+H+) m/z 626.0.
Intermediate-79: 9-(3-Aminophenyl)-N6,N6-dibenzyl-N2-(3-(4-methylpiperazin-1- yl)phenyl)-9H-purine-2,6-diamine
.
The title compound was prepared by following a procedure similar to that described in Intermediate-6 using Intermediate-78 (1.500 g, 2.397 mmol), Ammonium Chloride (1.282 g, 23.97 mmol) and Iron (0.803 g, 14.38 mmol) furnished title compound (1.217 g, 2.043 mmol, 85 % yield) as a brown coloured solid. MS(M+) m/z 595.95.
1H NMR (400 MHz, DMSO-d6) į 8.92 (s, 1H), 8.11 (s, 1H), 7.54 (s, 1H), 7.39 - 7.24 (m, 10H), 7.19 (t, J = 7.9 Hz, 1H), 7.05 - 6.99 (m, 1 H), 6.95 (t, J = 8.0 Hz, 1H), 6.91 - 6.84 (m,
2H), 6.64 (ddd, J = 8.2, 2.1, 1.0 Hz, 1H), 6.41 (ddd, J = 8.4, 2.4, 1.1 Hz, 1H), 5.48 (d, J = 27.9 Hz, 4H), 4.95 (s, 2H), 2.98 - 2.90 (m, 4H), 2.30 (t, J = 5.0 Hz, 4H), 2.17 (s, 3H).
Intermediate-80: N-(3-(6-(Dibenzylamino)-2-((3-(4-methylpiperazin-1 -yl)phenyl)amino)- 9H-purin-9-yl)phenyl)acrylamide
.
The title compound was prepared by following a procedure similar to that described in Intermediate-7 using Intermediate-79 (1.0 g, 1.679 mmol), DIPEA (0.217 g, 1.679 mmol) and acryloyl chloride (0.152 g, 1.679 mmol) resulted title compound (1.067 g, 1.642 mmol, 98 % yield) as a brown solid. MS(M+H+) m/z 650.5.
Intermediate-81: N6, N6-Dibenzyl-N2-(4-(piperidin-1-yl) phenyl)-9-(tetrahydro-2H-pyran- 2-yl)-9H-purine-2, 6-diamine.
The title compound was prepared by following a procedure similar to that described in Intermediate-3 using Intermediate-2 (5.0 g, 11.52 mmol), 4-(piperidin-1-yl)aniline (2.437 g, 13.83 mmol), BINAP (1.435 g, 2.305 mmol), Cs2CO3 (5.63 g, 17.28 mmol), Palladium (II) Acetate (0.259 g, 1.152 mmol) afforded title compound (5.4 g, 82%) as a brown solid. MS (M+) m/z 573.92; 1H NMR (400 MHz, DMSO-d6) į 8.82 (s, 1H), 8.06 (s, 1H), 7.48 (d, J = 8.6 Hz, 2H), 7.36– 7.29 (m, 5H), 7.26 (dt, J = 7.9, 4.2 Hz, 5H), 6.72 (d, J = 8.8 Hz, 2H), 5.77 (s, 1H), 5.56– 5.48 (m, 2H), 4.86 (s, 2H), 4.11– 3.96 (m, 1H), 3.69– 3.62 (m, 1H),
3.35 (s, 3H), 2.96 (t, J = 5.4 Hz, 3H), 2.04– 1.84 (m, 2H), 1.66– 1.54 (m, 6H), 1.48 (tt, J = 8.6, 4.2 Hz, 2H).
Intermediate-82: N6, N6-Dibenzyl-N2-(4-(piperidin-1-yl) phenyl)-9H-purine-2, 6-diamine
The title compound was prepared by following a procedure similar to that described in Intermediate 4 using Intermediate 81 (5.4 g, 9.41 mmol) and P-Toluenesulfonic Acid Monohydrate (1.790 g, 9.41 mmol) furnished title compound 3.2 g as a brown solid. MS (M+) m/z 490.17; 1H NMR (400 MHz, DMSO-d6) į 12.56 (s, 1H), 8.64 (s, 1H), 7.80 (s, 1H), 7.50 (d, J = 8.6 Hz, 2H), 7.36– 7.23 (m, 10H), 6.74 (d, J = 8.8 Hz, 2H), 5.50-5.52 (m, 2H), 4.98– 4.75 (m, 2H), 2.97 (t, J = 5.4 Hz, 4H), 1.61 (p, J = 5.6 Hz, 4H), 1.48 (tt, J = 6.7, 3.9 Hz, 2H). Intermediate-83: N6, N6-Dibenzyl-9-(3-nitrophenyl)-N2-(4-(piperidin-1-yl) phenyl)-9H- purine-2, 6-diamine
The title compound was prepared by following a procedure similar to that described in Intermediate 5 using Intermediate 82 (3.2 g, 6.54 mmol), copper(i) iodide (1.245 g, 6.54 mmol), potassium phosphate, dibasic (3.42 g, 19.61 mmol), N,N'- dimethylethylethylenediamine (1.519 g, 13.07 mmol) and 1-iodo-3-nitrobenzene (1.627 g, 6.54 mmol) to get title compound 3.5 g as a yellow solid. MS (M+) m/z 610.20; 1H NMR (400 MHz, DMSO-d6) į 8.96 (s, 2H), 8.48 (s, 1H), 8.40 (d, J = 8.0 Hz, 1H), 8.28 (d, J = 8.5
Hz, 1H), 8.04– 7.80 (m, 2H), 7.54 (d, J = 8.9 Hz, 2H), 7.43– 7.19 (m, 10H), 6.77 (d, J = 8.2 Hz, 1H), 5.66– 5.41 (m, 2H), 4.93 (s, 2H), 2.89 (s, 2H), 2.73 (s, 2H), 1.66– 1.43 (m, 6H). Intermediate-84:.9-(3-Aminophenyl)-N6, N6-dibenzyl-N2-(4-(piperidin-1-yl) phenyl)-9H- purine-2, 6-diamine
The title compound was prepared by following a procedure similar to that described in Intermediate 6 using Intermediate 83 (4.5 g, 7.37 mmol), ammonium chloride (3.94 g, 73.7 mmol) and iron (2.469 g, 44.2 mmol) to get desired product 1.7 g as a brown solid. MS (M+1+) m/z 580.95; 1H NMR (400 MHz, DMSO-d6) į 8.84 (s, 1H), 8.10 (s, 1H), 7.56– 7.45 (m, 2H), 7.39– 7.28 (m, 10H), 7.23– 7.16 (m, 1H), 6.96 (t, J = 2.1 Hz, 1H), 6.89 (dd, J = 7.4, 2.0 Hz, 1H), 6.73 (dd, J = 10.9, 8.7 Hz, 2H), 6.63 (dd, J = 8.2, 2.1 Hz, 1H), 5.54 (s, 2H), 5.42 (s, 2H), 4.90 (s, 2H), 2.96 (q, J = 5.4 Hz, 4H), 1.64– 1.56 (m, 4H), 1.48 (td, J = 6.4, 3.2 Hz, 2H). Intermediate-85: N-(3-(6-(Dibenzylamino)-2-((4-(piperidin-1-yl) phenyl) amino)-9H-purin- 9-yl) phenyl) acrylamide
The title compound was prepared by following a procedure similar to that described in Intermediate-7 using Intermediate-84 (0.8 g, 1.378 mmol), DIPEA (0.481 ml, 2.76 mmol) and acryloyl chloride (0.125 g, 1.378 mmol) afforded title compound (0.4 g, 45.7% Yield) as a dark yellow solid. MS (M+) m/z 634.71. Intermediate-86: 2-Chloro-N-(3-(6-(dibenzylamino)-2-((4-(piperidin-1 -yl) phenyl) amino)- 9H-purin-9-yl) phenyl) acetamide
The title compound was prepared by following a procedure similar to that described in Intermediate-7 using Intermediate-84 (0.9 g, 1.550 mmol), DIPEA (0.541 ml, 3.10 mmol) and 2-chloroacetyl chloride (0.175 g, 1.550 mmol) afforded title compound (0.41 g, 40.03% yield) as a brown solid. MS (M+) m/z 657.3; 1H NMR (400 MHz, DMSO-d6) į 10.62 (s, 1H), 8.86 (s, 1H), 8.17 (d, J = 24.3 Hz, 2H), 7.69– 7.45 (m, 5H), 7.31 (dp, J = 21.4, 7.5 Hz, 10H), 6.71 (d, J = 8.8 Hz, 2H), 5.54 (s, 2H), 4.91 (s, 2H), 4.30 (d, J = 19.8 Hz, 2H), 3.04– 2.84 (m, 4H), 1.64– 1.43 (m, 6H).
Intermediate-87: N6,N6-Dibenzyl-N2-(4-fluorophenyl)-9-(tetrahydro-2H-pyran-2-yl)-9H- purine-2,6-diamine
The title compound was prepared by following a procedure similar to that described in Intermediate-3 using Intermediate-2 (3.0 g, 6.91 mmol), 4-fluoroaniline (0.922 g, 8.30 mmol), BINAP (0.861 g, 1.383 mmol), Cs2CO3 (4.51 g, 13.83 mmol) and Pd(OAc)2 (0.155 g, 0.691 mmol) to afford title compound (3.3 g, 6.49 mmol, 94 % yield) as a brown coloured soild. MS (M+H+) m/z 509.00; 1H NMR (400 MHz, DMSO-d6) į 9.13 (s, 1H), 8.11 (s, 1H), 7.63 (dd, J = 9.0, 5.0 Hz, 2H), 7.36– 7.23 (m, 10H), 6.93 (t, J = 8.9 Hz, 2H), 5.60– 5.50 (m, 2H), 4.87 (s, 2H), 3.65 (ddt, J = 11.2, 7.5, 4.6 Hz, 1H), 3.35 (s, 2H), 2.24 (qd, J = 13.0, 12.3, 4.4 Hz, 1H), 1.99– 1.91 (m, 2H), 1.72 (s, 1H), 1.59 (p, J = 5.9, 5.0 Hz, 2H).
Intermediate-88: N6,N6-Dibenzyl-N2-(4-fluorophenyl)-9H-purine-2,6-diamine
The title compound was prepared by following a procedure similar to that described in Intermediate-4 using Intermediate-87 (3.28g, 6.45 mmol) and P-Toluenesulfonic Acid Monohydrate (1.227 g, 6.45 mmol) to afford title compound (2.6 g, 6.13 mmol, 95 % yield) as a brown solid. MS(M+H+) m/z 425.10; 1H NMR (400 MHz, DMSO-d6) į 12.64 (s, 1H), 8.97 (s, 1H), 7.85 (s, 1H), 7.73– 7.59 (m, 2H), 7.38– 7.20 (m, 10H), 7.00– 6.89 (m, 2H), 5.55 (s, 2H), 4.59(s, 2H),.
Intermediate-89: N6,N6-Dibenzyl-N2-(4-fluorophenyl)-9-(3-nitrophenyl)-9H-purine-2,6- diamine
The title compound was prepared by following a procedure similar to that described in Intermediate-5 using Intermediate-88 (2.5 g, 5.89 mmol), 1-iodo-3-nitrobenzene (1.467 g, 5.89 mmol), copper(i) iodide (1.122 g, 5.89 mmol), potassium phosphate, dibasic (3.08 g, 17.67 mmol) and n,n'-dimethylethylethylenediamine (1.778 ml, 11.78 mmol) furnished title
compound (2.56 g, 4.69 mmol, 80 % yield) as a brown coloured solid. MS (M+H+) m/z 546.2; 1H NMR (400 MHz, DMSO-d6) į 9.24 (s, 1H), 8.95 (t, J = 2.1 Hz, 1H), 8.52 (s, 1H), 8.39 (ddd, J = 8.1, 2.2, 1.0 Hz, 1H), 8.29 (ddd, J = 8.3, 2.3, 0.9 Hz, 1H), 7.91 (t, J = 8.2 Hz, 1H), 7.69 (dd, J = 8.9, 4.9 Hz, 2H), 7.40– 7.23 (m, 10H), 6.97 (t, J = 8.9 Hz, 2H), 5.55 (s, 2H), 4.93 (s, 2H).
Intermediate-90: 9-(3-Aminophenyl)-N6,N6-dibenzyl-N2-(4-fluorophenyl)-9H-purine-2,6- diamine
The title compound was prepared by following a procedure similar to that described in Intermediate-6 using Intermediate-89 (2.5 g, 4.58 mmol), ammonium chloride (2.451 g, 45.8 mmol) and IRON (1.535 g, 27.5 mmol) to afford title compound (2 g, 3.88 mmol, 85 % yield) as a grey coloured solid. MS (M+H+) m/z 515.94; 1H NMR (400 MHz, DMSO-d6) į 9.16 (s, 1H), 8.16 (s, 1H), 7.64 (t, J = 7.2 Hz, 2H), 7.32 (dp, J = 21.6, 7.3 Hz, 10H), 7.21 (t, J = 8.0 Hz, 1H), 6.91 (dd, J = 21.7, 10.6 Hz, 4H), 6.64 (d, J = 8.2 Hz, 1H), 5.58 (s, 2H), 5.45 (s, 2H), 4.91 (s, 2H).
Intermediate-91: N-(3-(6-(Dibenzylamino)-2-((4-fluorophenyl)amino)-9H-purin-9- yl)phenyl)acrylamide
The title compound was prepared by following a procedure similar to that described in Intermediate-7 using Intermediate-90 (800 mg, 1.552 mmol), DIPEA (241 mg, 1.862 mmol) and acryloyl chloride (154 mg, 1.707 mmol) to afford title compound (810 mg, 1.422 mmol,
92 % yield) as a white solid. MS (M+H+) m/z 570.25; 1H NMR (400 MHz, DMSO-d6) į 10.46 (s, 1H), 9.18 (s, 1H)8.27 (d, J = 8.0 Hz, 2H), 7.70– 7.44 (m, 5H), 7.40– 7.23 (m, 10H), 6.95– 6.82 (m, 2H), 6.51 (dd, J = 16.9, 10.1 Hz, 1H), 6.32 (dd, J = 17.0, 2.0 Hz, 1H), 5.83 (dd, J = 10.1, 2.0 Hz, 1H), 5.57 (s, 2H), 4.92 (s, 2H).
Intermediate-92: 2-Chloro-N-(3-(6-(dibenzylamino)-2-((4-fluorophenyl)amino)-9H-purin- 9-yl)phenyl)acetamide
The title compound was prepared by following a procedure similar to that described in Intermediate-7 using Intermediate-90 (700mg, 1.358 mmol), DIPEA (0.474 ml, 2.72 mmol) and 2-chloroacetyl chloride (153 mg, 1.358 mmol) to afford title compound (750 mg, 1.267 mmol, 93 % yield) as a white solid. MS (M+H+) m/z 591.83; 1H NMR (400 MHz, DMSO-d6) į 10.62 (s, 1H), 9.16 (s, 1H), 8.24 (s, 1H), 8.16 (s, 1H), 7.68– 7.48 (m, 5H), 7.40– 7.23 (m, 10H), 6.92 (t, J = 8.9 Hz, 2H), 5.57 (s, 2H), 4.92 (s, 2H), 4.33 (s, 2H).
Intermediate-93: N-(3-(6-(Dibenzylamino)-2-((4-fluorophenyl) amino)-9H-purin-9- yl)phenyl)-2-fluoroacrylamide
The title compound was prepared by following a procedure similar to that described in Intermediate-7 using Intermediate-90 (500 mg, 0.970 mmol), 2-fluoroacrylic acid (105 mg, 1.164 mmol), HATU (442 mg, 1.164 mmol) and TEA (294 mg, 2.91 mmol) to afford title compound (510 mg, 0.868 mmol, 89 % yield) as a off-white solid. MS (M+H+) m/z 588.20
Intermediate-94: N6,N6-Dibenzyl-N2-(4-(morpholinomethyl)phenyl)-9-(tetrahydro-2H- pyran-2-yl)-9H-purine-2,6-diamine
The title compound was prepared by following a procedure similar to that described in Intermediate-3 using Intermediate-2 (3.0 g, 6.91 mmol), 4-(morpholinomethyl)aniline (1.595 g, 8.30 mmol), BINAP (0.861 g, 1.383 mmol), Cs2CO3 (4.51 g, 13.83 mmol) and Pd(OAc)2 (0.155 g, 0.691 mmol) furnished title compound (3.8 g, 6.44 mmol, 93 % yield) as a brown coloured soild. MS (M+H+) m/z 589.95
Intermediate-95: N6,N6-Dibenzyl-N2-(4-(morpholinomethyl)phenyl)-9H-purine-2,6- diamine
The title compound was prepared by following a procedure similar to that described in Intermediate-4 using Intermediate-94 (3.5 g, 5.93 mmol) and p-toluenesulfonic acid monohydrate (1.129 g, 5.93 mmol) to afford title compound (2.7 g, 5.34 mmol, 90 % yield) as a light brown solid. MS (M+H+) m/z 506.26
Intermediate-96: N6,N6-Dibenzyl-N2-(4-(morpholinomethyl)phenyl)-9-(3-nitrophenyl)- 9H-purine-2,6-diamine
The title compound was prepared by following a procedure similar to that described in Intermediate-5 using Intermediate-95 (2.69 g, 5.32 mmol), 1-iodo-3-nitrobenzene (1.325 g, 5.32 mmol), copper(i) iodide (1.013 g, 5.32 mmol), potassium phosphate, dibasic (2.78 g, 15.96 mmol) and n,n'-dimethylethylenediamine (1.162 ml, 10.64 mmol) furnished title compound (3.2 g, 5.11 mmol, 96 % yield) as a brown coloured solid. (MS (M+H+) m/z 627.30
Intermediate-97: 9-(3-Aminophenyl)-N6,N6-dibenzyl-N2-(4-(morpholinomethyl)phenyl)- 9H-purine-2,6-diamine
The title compound was prepared by following a procedure similar to that described in Intermediate-6 using Intermediate-96 (3.12 g, 4.98 mmol), ammonium chloride (2.66 g, 49.8 mmol) and iron (1.668 g, 29.9 mmol) to afford title compound (2.7 g, 4.52 mmol, 91 % yield) as a grey coloured solid. MS (M+H+) m/z 596.8
Intermediate-98: N-(3-(6-(Dibenzylamino)-2-((4-(morpholinomethyl)phenyl)amino)-9H- purin-9-yl)phenyl)acrylamide
The title compound was prepared by following a procedure similar to that described in Intermediate-7 using Intermediate-97 (700 mg, 1.173 mmol), DIPEA (182 mg, 1.408 mmol) and acryloyl chloride (117 mg, 1.290 mmol) to afford title compound (550 mg, 0.845 mmol, 72.0 % yield) as a white solid. (MS(M+H+) m/z. 651.40; 1H NMR (400 MHz, DMSO-d6) į 9.14 (s, 1H), 8.24 (d, J = 6.1 Hz, 1H), 8.19 (s, 1H), 7.87 (d, J = 2.0 Hz, 1H), 7.74 (dt, J = 8.0,
1.6 Hz, 1H), 7.60– 7.49 (m, 2H), 7.44 (d, J = 8.1 Hz, 1H), 7.35 (d, J = 6.4 Hz, 9H), 7.28 (p, J = 3.8 Hz, 2H), 7.04 (t, J = 7.8 Hz, 1H), 6.76 (d, J = 7.5 Hz, 1H), 6.50 (ddd, J = 17.1, 10.1, 4.3 Hz, 1H), 6.30 (dd, J = 17.0, 1.9 Hz, 1H), 5.82 (dd, J = 10.1, 2.0 Hz, 1H), 5.53 (s, 2H), 4.96 (s, 2H), 3.46 (t, J = 4.5 Hz, 4H), 3.17 (s, 2H), 2.18 (s, 4H).
Intermediate-99: 2-Chloro-N-(3-(6-(dibenzylamino)-2-((4-(morpholinomethyl)phenyl) amino)-9H-purin-9-yl)phenyl)acetamide
The title compound was prepared by following a procedure similar to that described in Intermediate-7 using Intermediate-97 (700 mg, 1.173 mmol), DIPEA (182 mg, 1.408 mmol) and 2-chloroacetyl chloride (132 mg, 1.173 mmol) to afford title compound (500 mg, 0.743 mmol, 63.3 % yield) as a light brown solid. MS (M+H+) m/z 673.3
Intermediate-100: N-(3-(6-(Dibenzylamino)-2-((4-(morpholinomethyl)phenyl)amino)-9H- purin-9-yl)phenyl)-2-fluoroacrylamide
The title compound was prepared by following a procedure similar to that described in Intermediate-7 using Intermediate-97 (500 mg, 0.838 mmol), HATU (1- [Bis(dimethylamino)methylene]-1H-1,2,3-triazolo[4,5-b]pyridinium 3-oxid hexafluoro phosphate) (382 mg, 1.005 mmol), 2-fluoroacrylic acid (91 mg, 1.005 mmol) and TEA (254
mg, 2.51 mmol) to afford title compound (495 mg, 0.740 mmol, 88 % yield) as a yellow solid. MS (M+H+) m/z 670.00
Intermediate-101: N6,N6-Dibenzyl-9-(tetrahydro-2H-pyran-2-yl)-N2-(4-(trifluoromethyl) phenyl)-9H-purine-2,6-diamine
The title compound was prepared by following a procedure similar to that described in Intermediate-3 using Intermediate-2 (3 g, 6.91 mmol), 4-(trifluoromethyl)aniline (1.337 g, 8.30 mmol), BINAP (0.861 g, 1.383 mmol), Cs2CO3 (4.51 g, 13.83 mmol) and Pd(OAc)2 (0.155 g, 0.691 mmol) to afford title compound (3.5 g, 6.27 mmol, 91 % yield) as a light brown coloured soild. MS (M+H+) m/z 559.19; 1H NMR (400 MHz, DMSO-d6) į 9.59 (s, 1H), 8.18 (s, 1H), 7.86 (d, J = 8.6 Hz, 2H), 7.43 (d, J = 8.6 Hz, 2H), 7.38– 7.20 (m, 10H), 5.67– 5.45 (m, 3H), 4.91 (s, 2H), 4.09– 3.98 (m, 1H), 3.69 (ddt, J = 11.2, 8.0, 4.5 Hz, 1H), 2.35– 2.18 (m, 1H), 2.06 – 1.94 (m, 2H), 1.82– 1.53 (m, 3H). Intermediate-102: N6,N6-Dibenzyl-N2-(4-(trifluoromethyl)phenyl)-9H-purine-2,6-diamine
The title compound was prepared by following a procedure similar to that described in Intermediate-4 using Intermediate-101 (3.4 g, 6.09 mmol) and p-toluenesulfonic acid monohydrate (1.158 g, 6.09 mmol) to afford title compound (2.78g, 5.86 mmol, 96 % yield) as a brown solid. MS (M+H+) m/z 475.10; 1H NMR (400 MHz, DMSO-d6) į 12.78 (s, 1H), 9.44 (s, 1H), 7.95– 7.84 (m, 3H), 7.44 (d, J = 8.6 Hz, 2H), 7.38– 7.22 (m, 10H), 5.57 (s, 2H), 4.91 (s, 2H).
Intermediate-103: N6,N6-Dibenzyl-9-(3-nitrophenyl)-N2-(4-(trifluoromethyl)phenyl)-9H- purine-2,6-diamine
The title compound was prepared by following a procedure similar to that described in Intermediate-5 using Intermediate-102 (2.7 g, 5.69 mmol), 1-iodo-3-nitrobenzene (1.417 g, 5.69 mmol), copper(I) iodide (1.084 g, 5.69 mmol), potassium phosphate, dibasic (2.97 g, 17.07 mmol) and N,N'-dimethylethylenediamine (1.301 ml, 11.38 mmol) to afford title compound (3.2 g, 5.37 mmol, 94 % yield) as a brown coloured solid. MS(M+H+) m/z 595.8; 1H NMR (400 MHz, DMSO-d6) į 9.67 (s, 1H), 8.97 (t, J = 2.2 Hz, 1H), 8.58 (s, 1H), 8.36 (ddd, J = 32.2, 8.1, 2.2 Hz, 2H), 8.01– 7.84 (m, 3H), 7.75– 7.58 (m, 1H), 7.48 (d, J = 8.5 Hz, 2H), 7.44– 7.20 (m, 9H), 5.57 (s, 2H), 4.92 (d, J = 37.1 Hz, 2H). Intermediate-104: 9-(3-Aminophenyl)-N6,N6-dibenzyl-N2-(4-(trifluoromethyl)phenyl)-9H- purine-2,6-diamine
The title compound was prepared by following a procedure similar to that described in Intermediate-6 using Intermediate-103 (3.1 g, 5.21 mmol), ammonium chloride (2.78 g, 52.1 mmol) and iron (1.744 g, 31.2 mmol) to afford title compound (2.2 g, 3.89 mmol, 74.7 % yield) as a brown coloured solid. MS (M+H+) m/z 565.95; 1H NMR (400 MHz, DMSO-d6) į 9.60 (s, 1H), 8.22 (s, 1H), 7.88 (d, J = 8.6 Hz, 2H), 7.42 (d, J = 8.6 Hz, 2H), 7.35 (d, J = 6.1 Hz, 8H), 7.28 (td, J = 5.9, 2.6 Hz, 2H), 7.23 (t, J = 8.0 Hz, 1H), 6.98 (t, J = 2.1 Hz, 1H), 6.89
(ddd, J = 7.8, 2.1, 0.9 Hz, 1H), 6.67 (ddd, J = 8.1, 2.2, 0.9 Hz, 1H), 5.70– 5.55 (m, 2H), 5.49 (s, 2H), 4.95 (s, 2H). Intermediate-105: N-(3-(6-(Dibenzylamino)-2-((4-(trifluoromethyl)phenyl)amino)-9H- purin-9-yl)phenyl)acrylamide
The title compound was prepared by following a procedure similar to that described in Intermediate-7 using Intermediate-104 (700 mg, 1.238 mmol), DIPEA (192 mg, 1.485 mmol) and acryloyl chloride (123 mg, 1.361 mmol) to afford title compound (600 mg, 0.968 mmol, 78 % yield) as a orange solid. MS(M+H+) m/z 620.27; 1H NMR (400 MHz, DMSO-d6) į 10.49 (s, 1H), 9.59 (s, 1H), 8.35 (d, J = 12.0 Hz, 2H), 7.88 (d, J = 8.5 Hz, 2H), 7.65 (dt, J = 8.2, 1.5 Hz, 1H), 7.58 (t, J = 8.0 Hz, 1H), 7.49 (ddd, J = 7.9, 2.1, 1.2 Hz, 1H), 7.40– 7.32 (m, 9H), 7.28 (ddd, J = 8.5, 5.5, 2.5 Hz, 2H), 6.61– 6.45 (m, 1H), 6.36– 6.23 (m, 1H), 6.08 (dd, J = 17.3, 10.3 Hz, 1H), 5.85 (ddd, J = 20.7, 10.2, 1.9 Hz, 1H), 5.58 (s, 2H), 4.95 (s, 2H). Intermediate-106: N6,N6-Dibenzyl-N2-(4-butylphenyl)-9-(tetrahydro-2H-pyran-2-yl)-9H- purine-2,6-diamine
The title compound was prepared by following a procedure similar to that described in Intermediate-3 using Intermediate-2 (3.0 g, 6.91 mmol), 4-butylaniline (1.032 g, 6.91 mmol), BINAP (0.861 g, 1.383 mmol), Cs2CO3 (3.38 g, 10.37 mmol) and palladium(II) acetate (0.155 g, 0.691 mmol) to get title compound 3.6 g. MS (M+H+) m/z 547.3
Intermediate-107: N6,N6-Dibenzyl-N2-(4-butylphenyl)-9H-purine-2,6-diamine
The title compound was prepared by following a procedure similar to that described in Intermediate-4 using Intermediate-106 (3.6 g, 6.58 mmol) and p-toluenesulfonic acid monohydrate (1.253 g, 6.58 mmol) furnished title compound 3.0 g as brown solid. MS (M+H+) m/z 463.17 Intermediate-108: N6,N6-Dibenzyl-N2-(4-butylphenyl)-9-(3-nitrophenyl)-9H-purine-2,6- diamine
The title compound was prepared by following a procedure similar to that described in Intermediate-5 using Intermediate-107 (3.0 g, 6.49 mmol), potassium phosphate, dibasic (3.39 g, 19.46 mmol), copper(I) iodide (1.235 g, 6.49 mmol), N,N'- dimethylethylethylenediamine (1.507 g, 12.97 mmol) and 1-iodo-3-nitrobenzene (1.615 g, 6.49 mmol) to get title compound 3.2 g. MS (M+) m/z 583.2
Intermediate-109: 9-(3-Aminophenyl)-N6,N6-dibenzyl-N2-(4-butylphenyl)-9H-purine-2,6- diamine
The title compound was prepared by following a procedure similar to that described in Intermediate-6 using Intermediate-108 (3.2 g, 5.48 mmol), ammonium chloride (2.93 g, 54.8 mmol) and Iron (1.837 g, 32.9 mmol) to get title compound 2.5 g. MS (M+H+) m/z 554.2 Intermediate-110: N-(3-(2-((4-Butylphenyl)amino)-6-(dibenzylamino)-9H-purin-9- yl)phenyl)acrylamide
The title compound was prepared by following a procedure similar to that described in Intermediate-7 using Intermediate-109 (1.0 g, 1.806 mmol), DIPEA (0.473 ml, 2.71 mmol) and acryloyl chloride (0.163 g, 1.806 mmol) to get title compound 1.0 g. MS (M+H+) m/z 608.3
Intermediate-111: N-(3-(6-(Dibenzylamino)-2-((4-morpholinophenyl)amino)-9H-purin-9- yl)phenyl)-N-(vinylsulfonyl)ethenesulfonamide
The title compound was prepared by following a procedure similar to that described in Intermediate-7 using Intermediate-68 (700 mg, 1.201 mmol), TEA (0.670 ml, 4.81 mmol) and 2-chloroethanesulfonyl chloride (196 mg, 1.201 mmol) to get title compound 0.91g. MS (M+H+) m/z 763.2 Intermediate-112: N-(3-(6-(Dibenzylamino)-2-((4-morpholinophenyl)amino)-9H-purin-9- yl)phenyl)ethenesulfonamide
To a stirred solution of Intermediate-111 (900 mg, 1.180 mmol) in THF (Volume: 10 ml) and Methanol (Volume: 2 ml) was added aq NaOH (94 mg, 2.359 mmol) at 0°C and stirred for 4 hrs. After the completion of reaction (TLC), reaction mass was concentrated in vacuo and residue was partitioned between ethyl acetate and water, organic layer was separated and concentrated in vacuo to get title compound 0.45g as a brown solid. MS (M+) m/z 672.5 Intermediate-113: N6,N6-Dibenzyl-N2-(4-(methylsulfonyl)phenyl)-9-(tetrahydro-2H- pyran-2-yl)-9H-purine-2,6-diamine
The title compound was prepared by following a procedure similar to that described in Intermediate-3 using Intermediate-2 (6.0 g, 13.83 mmol), 4-(methylsulfonyl)aniline (2.84 g, 16.59 mmol), BINAP (1.722 g, 2.77 mmol), Cs2CO3 (6.76 g, 20.74 mmol) and palladium(II) acetate (0.310 g, 1.383 mmol) to get title compound 6.0 g. MS (M+) m/z 568.9 Intermediate-114: N6,N6-Dibenzyl-N2-(4-(methylsulfonyl)phenyl)-9H-purine-2,6-diamine
The title compound was prepared by following a procedure similar to that described in Intermediate-4 using Intermediate-113 (6.0 g, 10.55 mmol) and p-toluenesulfonic acid monohydrate (2.007 g, 10.55 mmol) furnished title compound 5.0 g. MS (M+H+) m/z 485.1 Intermediate-115: N6,N6-Dibenzyl-N2-(4-(methylsulfonyl)phenyl)-9-(3-nitrophenyl)-9H- purine-2,6-diamine
The title compound was prepared by following a procedure similar to that described in Intermediate-5 using Intermediate-114 (5.0 g, 10.32 mmol), potassium phosphate, dibasic (5.39 g, 31.0 mmol), copper(I) iodide (1.965 g, 10.32 mmol), N,N'-dimethylethyl ethylenediamine (2.398 g, 20.64 mmol) and 1-iodo-3-nitrobenzene (2.57 g, 10.32 mmol) to get title compound 6.0 g. MS (M+H+) m/z 606.2 Intermediate-116: 9-(3-Aminophenyl)-N6,N6-dibenzyl-N2-(4-(methylsulfonyl)phenyl)-9H- purine-2,6-diamine
The title compound was prepared by following a procedure similar to that described in Intermediate-6 using Intermediate-115 (6.0 g, 9.91 mmol), ammonium chloride (5.30 g, 99 mmol) and iron (3.32 g, 59.4 mmol) to get title compound 1.7g. MS (M+) m/z 575.9 Intermediate-117: N-(3-(6-(Dibenzylamino)-2-((4-(methylsulfonyl)phenyl)amino)-9H- purin-9-yl)phenyl)acrylamide
The title compound was prepared by following a procedure similar to that described in Intermediate-7 using Intermediate-116 (800 mg, 1.390 mmol), DIPEA (0.364 ml, 2.084 mmol) and acryloyl chloride (126 mg, 1.390 mmol) to get title compound 1.7g. MS (M+H+) m/z 630.3 Intermediate-118: 2-Chloro-N-(3-(6-(dibenzylamino)-2-((4-(methylsulfonyl) phenyl) amino)-9H-purin-9-yl)phenyl)acetamide
The title compound was prepared by following a procedure similar to that described in Intermediate-7 using Intermediate-116 (800 mg, 1.390 mmol), DIPEA (0.364 ml, 2.084 mmol) and 2-chloroacetyl chloride (157 mg, 1.390 mmol) to get title compound 0.81g. MS (M+) m/z 652.2
Intermediate-119: N6,N6-Dibenzyl-N2-(4-(4,4-difluoropiperidin-1-yl)phenyl)-9- (tetrahydro-2H-pyran-2-yl)-9H-purine-2,6-diamine
The title compound was prepared by following a procedure similar to that described in Intermediate-3 using Intermediate-2 (5.0 g, 11.52 mmol), 4-(4,4-difluoropiperidin-1- yl)aniline (2.93 g, 13.83 mmol), BINAP (1.435 g, 2.305 mmol), Cs2CO3 (5.63 g, 17.28 mmol) and palladium(II) acetate (0.259 g, 1.152 mmol) to get title compound 5.4g. MS (M+H+) m/z 610.4
.
Intermediate-120: N6,N6-Dibenzyl-N2-(4-(4,4-difluoropiperidin-1-yl)phenyl)-9H-purine- 2,6-diamine
The title compound was prepared by following a procedure similar to that described in Intermediate-4 using Intermediate-119 (3.0 g, 4.92 mmol) and p-toluenesulfonic acid monohydrate (0.936 g, 4.92 mmol) furnished title compound 2.5g as brown solid. MS (M+H+) m/z 526.2 Intermediate-121: N6,N6-Dibenzyl-N2-(4-(4,4-difluoropiperidin-1-yl)phenyl)-9-(3- nitrophenyl)-9H-purine-2,6-diamine
The title compound was prepared by following a procedure similar to that described in Intermediate-5 using Intermediate-120 (2.5 g, 4.76 mmol), potassium phosphate, dibasic (2.485 g, 14.27 mmol), copper(I) iodide (0.906 g, 4.76 mmol), N,N'- dimethylethylethylenediamine (1.105 g, 9.51 mmol) and 1-iodo-3-nitrobenzene (1.184 g, 4.76 mmol) to get title compound 3.0 g. MS (M+1) m/z 647.3
Intermediate-122: 9-(3-Aminophenyl)-N6,N6-dibenzyl-N2-(4-(4,4-difluoropiperidin-1- yl)phenyl)-9H-purine-2,6-diamine
The title compound was prepared by following a procedure similar to that described in Intermediate-6 using Intermediate-121 (3.0 g, 4.64 mmol), ammonium chloride (2.481 g, 46.4 mmol) and iron (1.554 g, 27.8 mmol) to get title compound 1.5 g. MS (M+H+) m/z 617.3
.
Intermediate-123: N-(3-(6-(Dibenzylamino)-2-((4-(4,4-difluoropiperidin-1-yl)phenyl) amino)-9H-purin-9-yl)phenyl)acrylamide
The title compound was prepared by following a procedure similar to that described in Intermediate-7 using Intermediate-122 (800 mg, 1.297 mmol), DIPEA (0.340 ml, 1.946 mmol) and acryloyl chloride (117 mg, 1.297 mmol) to get title compound 0.8 g. MS (M+H+) m/z 671.3
Intermediate-124: 2-Chloro-N-(3-(6-(dibenzylamino)-2-((4-(4,4-difluoropiperidin-1- yl)phenyl)amino)-9H-purin-9-yl)phenyl)acetamide
The title compound was prepared by following a procedure similar to that described in Intermediate-7 using Intermediate-122 (800 mg, 1.297 mmol), DIPEA (0.340 ml, 1.946 mmol) and 2-chloroacetyl chloride (147 mg, 1.297 mmol) to get title compound 0.59 g. MS (M+) m/z 693.3 Intermediate-125: N,N-Dibenzyl-2-chloro-9H-purin-6-amine
The title compound was prepared by following a procedure similar to that described in Intermediate-4 using Intermediate-2 (37.50 g, 86 mmol) and p-toluenesulfonic acid monohydrate (16.44 g, 86 mmol) furnished title compound (30.0 g, 86 mmol, 99 % yield) as a off-white solid. MS(M+H+) m/z 350.16.
Intermediate-126: 9-(3-Aminophenyl)-N,N-dibenzyl-2-chloro-9H-purin-6-amine
The title compound was prepared by following a procedure similar to that described in Intermediate-5 using Intermediate-125 (10 g, 28.6 mmol), 3-iodoaniline (7.51 g, 34.3 mmol),
copper(I) iodide (5.44 g, 28.6 mmol), potassium phosphate, dibasic (14.94 g, 86 mmol) and N,N'-Dimethylethylenediamine (0.653 ml, 5.72 mmol) furnished title compound (7.86 g, 17.83 mmol, 62.4 % yield) as a grey coloured solid.
MS: (M+H+) m/z 441.16; 1H NMR (400 MHz, DMSO-d6) į 8.47 (s, 1H), 7.38– 7.27 (m, 10H), 7.21 (t, J = 8.0 Hz, 1H), 6.87 (t, J = 2.1 Hz, 1H), 6.80– 6.75 (m, 1H), 6.67 (dd, J = 8.4, 2.1 Hz, 1H), 5.54 (d, J = 9.2 Hz, 4H), 4.84 (s, 2H).
Intermediate-127: N-(3-(2-Chloro-6-(dibenzylamino)-9H-purin-9-yl)phenyl)acrylamide
The title compound was prepared by following a procedure similar to that described in Intermediate-7 using Intermediate-126 (8 g, 18.14 mmol), DIPEA (6.34 ml, 36.3 mmol) and acryloyl chloride (1.769 ml, 21.77 mmol) to afford title compound (5.28 g, 10.67 mmol, 58.8 % yield) as an off white solid. MS: (M+H+) m/z 495.11 Below Intermediate were prepeare by by following a procedure similar to that described in Intermediate 3 using Intermediate 127 Table 1:
The title compound was prepared by following a procedure similar to that described in Intermediate-5 using Intermediate-125 (500 mg, 1.429 mmol), 2-fluoro-5-iodoaniline (407 mg, 1.715 mmol), copper(I) iodide (272 mg, 1.429 mmol), potassium phosphate, dibasic (747
mg, 4.29 mmol) and N,N'-Dimethylethylenediamine (0.033 ml, 0.286 mmol) furnished title compound (510 mg, 1.111 mmol, 78 % yield) as a grey coloured solid. MS (M+H+) m/z 459.04
Intermediate-149: N-(5-(2-Chloro-6-(dibenzylamino)-9H-purin-9-yl)-2-fluorophenyl) acrylamide
The title compound was prepared by following a procedure similar to that described in Intermediate-7 using Intermediate-148 (500 mg, 1.090 mmol), DIPEA (0.381 ml, 2.179 mmol) and acryloyl chloride (0.106 ml, 1.307 mmol) to afford title compound (320 mg, 0.624 mmol, 57.3 % yield) as a off white solid. MS(M+H+) m/z 513.10; 1H NMR (400 MHz, DMSO-d6) į 10.28 (s, 1H), 8.55 (s, 1H), 8.44 (d, J = 6.9 Hz, 1H), 7.57 (dd, J = 6.8, 2.4 Hz, 1H), 7.40– 7.14 (m, 11H), 6.68 (dd, J = 17.0, 10.2 Hz, 1H), 6.38– 6.22 (m, 1H), 5.92– 5.75 (m, 1H), 5.55 (s, 2H), 4.85 (s, 2H).
Intermediate-150: N-(5-(6-(Dibenzylamino)-2-((3-fluoro-4-(4-methylpiperazin-1- yl)phenyl)amino)-9H-purin-9-yl)-2-fluorophenyl)acrylamide
The title compound was prepared by following a procedure similar to that described in Intermediate-3 using Intermediate-149. (320 mg, 0.467 mmol, 80 % yield), 3-fluoro-4-(4- methylpiperazin-1-yl)aniline (184 mg, 0.877 mmol), BINAP (72.8 mg, 0.117 mmol), Cs2CO3 (381 mg, 1.170 mmol) and Pd(OAc)2 (13.13 mg, 0.058 mmol) to afford title compound (320 mg, 0.467 mmol, 80 % yield) as a brown soild. MS (M+H+) m/z 686.36
Intermediate-151: 2,6-Dichloro-9-(3-nitrobenzyl)-9H-purine and 2,6-dichloro-7-(3- nitrobenzyl)-7H-purine
To a solution of 2,6-dichloro-9H-purine (2.5 g, 13.23 mmol), potassium carbonate (1.82 g, 13.23 mmol) in dimethylformamide (200.0 ml) was stirred for 30 min. Then add 1- (bromomethyl)-3-nitrobenzene (2.86 g, 13.23 mmol) in portions at room temperature under N2 atmosphere for 10 min. The resulting mixture was stirred for 16h at room temperature. Filtered the reaction mixture through celite pad and distilled under reduced pressure and the resulting residue was suspended in ethyl acetate (400.0 ml) and washed with water (1000.0 ml x 2). The organic phase was dried over anhydrous Na2SO4 and concentrated under reduced pressure. The product was purified by column chromatography using DCM: MeOH (3%) to afford the title compound (9H) (151a) 2.47 g as white solid. MS (M+H+) m/z. 324.03, 1H NMR (DMSO-d6) į 8.89 (s, 1H), 8.42– 8.26 (m, 1H), 8.19 (ddd, J = 8.1, 2.3, 1.0 Hz, 1H), 7.78 (dt, J = 7.8, 1.3 Hz, 1H), 7.66 (t, J = 7.9 Hz, 1H), 5.66 (s, 2H) and compound (7H) (151b) 0.3 g as white solid. MS (M+H+) m/z 324.97. 1H NMR (DMSO-d6) į 9.08 (s, 1H), 8.18 (td, J = 3.8, 3.0, 1.9 Hz, 2H), 7.85– 7.46 (m, 2H), 5.89 (s, 2H) Intermediate-152: 2-Chloro-9-(3-nitrobenzyl)-9H-purin-6-amine
To a solution of Intermediate-151a (2.5 g, 7.71 mmol) in dry methanol (2.0 ml) was added ammoniac methanol (7.0 M) (0.17 ml, 7.71 mmol) at room temperature and then sealed the still bomb. The reaction was stirred for 12hr at 120oC. Concentrated under reduced pressure to afford the title compound 3.0 g as yellow solid MS (M+H)+ m/z 305.1. 1H NMR (DMSO- d6) į 8.33 (s, 1H), 8.30– 8.08 (m, 2H), 7.85 (d, J = 7.5 Hz, 2H), 7.80– 7.57 (m, 2H), 5.51 (s, 2H).
Intermediate-153: N2-(4-(2-Methoxyethoxy)phenyl)-9-(3-nitrobenzyl)-9H-purine-2,6- diamine
The title compound was prepared by following the procedure similar to that described in Intermediate-3, using Intermediate-152 (1.5 g, 4.92 mmol), BINAP (0.61 g, 0.98 mmol), Cs2CO3 (4.81 g, 14.77 mmol) and Pd(OAc)2 (0.11 g, 0.49 mmol) and 4-(2- methoxyethoxy)aniline (0.82 g, 4.92 mmol) to afford the title compound 1.0 g as yellow solid MS (M+H)+ m/z 436.10. 1H NMR (DMSO-d6) į 8.72 (s, 1H), 8.33– 7.96 (m, 3H), 7.88– 7.55 (m, 4H), 7.02– 6.67 (m, 3H), 5.42 (s, 2H), 4.14– 3.89 (m, 2H), 3.73– 3.55 (m, 2H), 3.35 (s, 3H).
Intermediate-154: 9-(3-Aminobenzyl)-N2-(4-(2-methoxyethoxy) phenyl)-9H-purine-2,6- diamine
To a solution of Intermediate-153 (1.0 g, 2.30 mmol) in methanol (700.0 ml) was added 10% Pd/C (0.24 g, 2.3 mmol) at room temperature. The reaction was stirred under hydrogen balloon for 12hr at room temperature. Filter the reaction mixture through celite pad. Distilled the reaction mixture under reduced pressure and the resulting residue was washed with diethyl ether to afford the title compounds 0.7 g as off white solid. MS (M+H)+ m/z. 406.23. 1H NMR (DMSO-d6) į 8.70 (s, 1H), 7.86 (s, 1H), 7.80– 7.62 (m, 2H), 7.06– 6.71 (m, 5H), 6.53– 6.32 (m, 3H), 5.10 (s, 4H), 4.16– 3.90 (m, 2H), 3.73– 3.53 (m, 2H), 3.31 (s, 3H). Intermediate-155: tert-Butyl 3-(2,6-dichloro-9H-purin-9-yl)piperidine-1-carboxylate and tert-butyl 3-(2,6-dichloro-7H-purin-7-yl)piperidine-1-carboxylate
To a solution of 2,6-dichloro-9H-purine (5 g, 26.5 mmol), t-butyl 3-hydroxypiperidine-1- carboxylate (7.99 g, 39.7 mmol) and triphenylphosphine (10.41 g, 39.7 mmol) in THF (10.0 ml) was stirred for 30 min. Then added DIAD (8.02 g, 39.7 mmol) drop-wise at 0oC under N2
atmosphere. The resulting mixture was stirred for 12h at room temperature. Distilled the reaction mixture under reduced pressure and the resulting residue was resuspended in ethyl acetate (100.0 ml) and washed with water (50.0 ml). The organic phase was dried over anhydrous Na2SO4 and concentrated under reduced pressure. The product was purified by column chromatography using ethylacetate: hexane (20%) to afford the title compound (9H) (155a) 1.0 g as yellow sticky liquid. MS (M+H+) m/z 372.0. 1H NMR (CHCl3-d) į 8.22 (s, 1H), 4.64 (tt, J = 8.6, 4.3 Hz, 1H), 4.17 (td, J = 15.0, 14.1, 5.7 Hz, 1H), 3.81 (d, J = 46.3 Hz, 1H), 3.55 (d, J = 34.2 Hz, 2H), 3.22 (s, 1H), 2.22 (d, J = 17.1 Hz, 2H), 1.77 (d, J = 30.8 Hz, 2H), 1.49 (s, 8H) and compound (7H) (155b) was obtained in less yield 3% as shown by HPLC MS (M+H+) m/z.372.0
Intermediate-156: tert-Butyl 3-(6-(benzylamino)-2-chloro-9H-purin-9-yl)piperidine-1- carboxylate
To a solution of Intermediate-155a (1.0 g, 2.69 mmol) in dry ethanol (20.0 ml) was added benzyl amine (0.86 g, 8.06 mmol) and DIPEA (1.41 ml, 8.06 mmol) at room temperature. The reaction was stirred for 12hr at room temperature. Distilled the reaction mixture under reduced pressure and the resulting residue was suspended in ethyl acetate (40.0 ml) and washed with water (10.0 ml). The organic phase was dried over anhydrous Na2SO4 and concentrated under reduced pressure. The product was purified by column chromatography using ethyl acetate: hexane (50%) to afford the title compound 1.0 g as brown sticky liquid. MS (M+H+) m/z 443.0, 1H NMR (CHCl3-d) į 7.77 (s, 1H), 7.40– 7.34 (m, 5H), 6.31 (s, 1H), 4.84 (d, J = 5.5 Hz, 2H), 4.63– 4.42 (m, 1H), 4.26– 4.06 (m, 1H), 3.90 (s, 2H), 3.13 (s, 1H), 2.33– 1.97 (m, 4H), 1.74 (s, 9H).
Intermediate-157: tert-Butyl 3-(6-(benzylamino)-2-((4-(2-methoxyethoxy)phenyl)amino)- 9H-purin-9-yl)piperidine-1-carboxylate
The title compound was prepared by following a procedure similar to that described in Intermediate-3, using Intermediate-156 (1.0 g, 2.26 mmol), BINAP (0.28 g, 0.45 mmol), Cs2CO3 (1.47 g, 4.52 mmol) and Pd(OAc)2 (0.05 g, 0.23 mmol) and 4-(2- methoxyethoxy)aniline (0.45 g, 2.71 mmol) to afford the title compound 1.0 g as yellow solid MS (M+H+) m/z 574.07. 1H NMR (CHCl3-d) į 8.75 (s, 1H), 8.12 (s, 1 H), 7.92 (s, 1H), 7.72– 7.43 (m, 4H), 7.38– 7.30 (m, 5H), 4.67 (s, 2H), 4.27 (s, 1H), 4.07– 3.96 (m, 3H), 3.86 (s, 1H), 3.61 (t, J = 4.6 Hz, 2H), 3.29 (s, 3H), 2.91 (t, J = 12.6 Hz, 1H), 2.28– 1.99 (m, 2H), 1.84 (d, J = 42.6 Hz, 1H), 1.33 (d, J = 34.5 Hz, 12H).
Intermediate-158: N6-Benzyl-N2-(4-(2-methoxyethoxy)phenyl)-9-(piperidin-3-yl)-9H- purine-2,6-diamine
To a solution of Intermediate-157 (1g, 1.74 mmol) in dry DCM (10.0 ml) add 2N etheral HCl (10.0 ml) drop-wise at 0ºC for 10 min. The resulting mixture was stirred at room temperature for 12hour and quenched the reaction mixture with sat aq. NaHCO3 solution at
room temperature. The resulting solution was extracted in DCM (10.0 ml x 2) and washed with water. The organic phase was dried over anhydrous Na2SO4 and concentrated under reduced pressure to afford the title compounds 0.4 g as brown solid. MS(M+H+) m/z 474.26. 1H NMR (DMSO-d6) į 8.74 (s, 1H), 8.09 (s, 1H), 7.96 (s, 1H), 7.63 (d, J = 8.5 Hz, 2H), 7.47 – 7.12 (m, 6H), 6.77 (d, J = 8.5 Hz, 2H), 4.68 (s, 2H), 4.27 (dt, J = 15.6, 6.6 Hz, 1H), 4.03 (q, J = 5.0, 3.9 Hz, 2H), 3.63 (t, J = 4.5 Hz, 2H), 3.34 (s, 4H), 3.23– 3.04 (m, 1H), 2.92 (t, J = 11.9 Hz, 2H), 2.18– 1.89 (m, 2H), 1.82– 1.65 (m, 1H), 1.52 (d, J = 11.6 Hz, 1H).
Intermediate-159: 1-(3-(6-(benzylamino)-2-((4-(2-methoxyethoxy)phenyl)amino)-9H- purin-9-yl)piperidin-1-yl)prop-2-en-1-one
To a solution of Intermediate-158 (200 mg, 0.422 mmol) in NMP(N-Methyl-2-pyrrolidone) (Volume: 3 ml) was added acryloyl chloride (42.0 mg, 0.465 mmol) and K2CO3 (88 mg, 0.633 mmol) at 0°C and stirred at room temperature for 2 h. Ice cold water was added to the reaction mixture and precipitated solid was filtered, washed with pentane and dried over vaccume to afford a titled compound (200 mg, 90% yield) as a brown solid; MS : (M+H+) m/z 527.94
Intermediate-160: 1-(3-(6-(Benzylamino)-2-((4-(2-methoxyethoxy)phenyl)amino)-9H- purin-9-yl)piperidin-1-yl)-2-methylprop-2-en-1-one
The title compound was prepared using Intermediate-158 (0.06 g, 0.106 mmol), BOP (0.06 g, 0.137 mmol) and TEA (0.016 g, 0.158 mmol) in DMF (1.5 ml). It was stirred for 10 min at 0°C. Then added methacrylic acid (0.012 g, 0.137 mmol), and stirred for 1h under N2 atmosphere. Quenched the reaction mixture using 10% NaHCO3 (10.0 ml) and stirred for 30 min. The resulting solution was filtered to afford the title compound 0.015 g as grey solid. MS (M+H+) m/z 542.34. 1H NMR ( DMSO-d6) į 8.69 (d, J = 54.3 Hz, 1H), 8.14 (s, 1H), 7.95 (s, 1H), 7.62 (d, J = 8.4 Hz, 3H), 7.46– 7.08 (m, 6H), 6.78 (d, J = 8.7 Hz, 2H), 5.21 (s, 1H), 5.07 (s, 1H), 4.69 (s, 2H), 4.33 (s, 1H), 4.10– 3.75 (m, 2H), 3.73– 3.55 (m, 2H), 3.31 (s, 3H), 2.46 (s, 2H), 2.40– 2.23 (m, 2H), 1.89 (d, J = 16.0 Hz, 3H), 1.65– 1.44 (m, 1H), 1.35– 1.15 (m, 1H).
Intermediate-161: 1-(3-(6-(Benzylamino)-2-((4-(2-methoxyethoxy) phenyl)amino)-9H- purin-9-yl)piperidine-1-c
The title compound was prepared by following a procedure similar to that described in Intermediate-159, using Intermediate-158 (0.1 g, 0.211 mmol) 1- cyanocyclopropanecarboxylic acid (0.030 g, 0.275 mmol), BOP (0.12 g, 0.275 mmol) and TEA (0.032 g, 0.32 mmol) to afford the title compound 0.1 g as grey solid. MS (M+H+) m/z
567.4. 1H NMR (DMSO-d6) į 8.75 (s, 1H), 8.16 (s, 1H), 7.92 (s, 1H), 7.79– 7.50 (m, 2H), 7.49– 7.12 (m, 6H), 6.78 (d, J = 8.7 Hz, 2H), 4.63 (d, J = 46.6 Hz, 2H), 4.36 (dd, J = 57.5, 13.3 Hz, 3H), 4.13– 3.93 (m, 2H), 3.70– 3.57 (m, 2H), 3.31 (s, 3H), 2.47– 2.25 (m, 1H), 2.14 (d, J = 14.2 Hz, 1H), 1.99 (s, 1H), 1.75– 1.36 (m, 4H).
Intermediate-162: 1-(3-(6-(Benzylamino)-2-((4-(2-methoxyethoxy)phenyl)amino)-9H- purin-9-yl)piperidin-1-yl)-3-methylbut-2-en-1-one
The title compound was prepared by following a procedure similar to that described in Intermediate-159, using Intermediate-158 (0.1 g, 0.211 mmol) 3-methylbut-2-enoyl chloride (0.032 g, 0.275 mmol) and TEA (0.032 g, 0.32 mmol) to afford the title compound 0.1 g as pale green solid. MS (M+H+) m/z 556.4,1H NMR (DMSO-d6) į 8.77 (s, 1H), 8.14 (s, 1H), 7.95 (d, J = 7.9 Hz, 1H), 7.64 (s, 2H), 7.45– 7.12 (m, 5H), 6.78 (d, J = 8.7 Hz, 2H), 5.94 (d, J = 49.6 Hz, 1H), 4.61 (d, J = 62.3 Hz, 2H), 4.28 (s, 1H), 4.02 (td, J = 6.1, 5.3, 3.5 Hz, 2H), 3.71– 3.57 (m, 2H), 3.30 (s, 3H), 2.89 (s, 1H), 2.73 (s, 1H), 2.38– 2.19 (m, 1H), 2.21– 2.02 (m, 1H), 1.95– 1.68 (m, 5H), 1.56 (d, J = 25.8 Hz, 2H), 1.28– 1.10 (m, 1H).
Intermediate-163: (R)-tert-butyl 3-(2,6-dichloro-9H-purin-9-yl)piperidine-1-carboxylate
The title compound was prepared by following a procedure similar to that described in Intermediate-155 using 2,6-dichloro-9H-purine (2.5 g, 13.23 mmol), (S)-tert-butyl 3-
hydroxypiperidine-1-carboxylate (5.32 g, 26.5 mmol), Triphenylphosphine (6.94 g, 26.5 mmol) and DIAD (Diisopropyl azodicarboxylate)(4.01 g, 19.84 mmol) to give title compound (0.6 g, 12.19% yield) as white solid. MS : (M+H+) m/z 372.16; 1H NMR (400 MHz, DMSO-d6) į 8.83 (s, 1H), 4.84 (d, J = 4.3 Hz, 1H), 4.49 (dq, J = 9.8, 4.8, 4.4 Hz, 1H), 4.17 (s, 1H), 3.79 (d, J = 37.4 Hz, 2H), 2.20 (d, J = 13.8 Hz, 2H), 1.81 (s, 1H), 1.70– 1.49 (m, 1H), 1.38 (s, 9H).
Intermediate-164: (R)-tert-butyl 3-(6-(benzylamino)-2-chloro-9H-purin-9-yl)piperidine-1- carboxylate
The title compound was prepared by following a procedure similar to that described in Intermediate-156 using Intermediate 163 (600 mg, 1.612 mmol), phenylmethanamine (259 mg, 2.418 mmol) and DIPEA (625 mg, 4.84 mmol) to afford a title compound (0.6 g, 84% yield) as white solid.
MS : (M+H+) m/z 443.1; 1H NMR (400 MHz, DMSO-d6) į 8.90 (t, J = 6.3 Hz, 1H), 8.28 (s, 1H), 7.35– 7.29 (m, 5H), 4.64 (s, 2H), 4.36 (q, J = 9.1, 6.5 Hz, 1H), 4.03 (q, J = 7.1 Hz, 1H), 3.71 (s, 2H), 3.60 (d, J = 13.3 Hz, 1H), 2.10 (d, J = 12.1 Hz, 2H), 1.82 (d, J = 20.6 Hz, 1H), 1.67– 1.49 (m, 1H), 1.38 (s, 9H). Intermediate-165: (R)-tert-butyl 3-(6-(benzylamino)-2-((4-(2- methoxyethoxy)phenyl)amino)-9H-purin-9-yl)piperidine-1-carboxylate
The title compound was prepared by following a procedure similar to that described in Intermediate-157 using Intermediate 164 (600 mg, 1.355 mmol), 4-(2-methoxyethoxy)aniline (226 mg, 1.355 mmol), palladium(II) acetate (30.4 mg, 0.135 mmol), BINAP (169 mg, 0.271 mmol) and cesium carbonate (883 mg, 2.71 mmol) to afford title compound (600 mg, 77% yield) as off white solid. MS : (M+H+) m/z 574.3; 1H NMR (400 MHz, DMSO-d6) į 7.92 (d, J = 6.8 Hz, 1H), 7.71– 7.60 (m, 2H), 7.47 (tt, J = 15.9, 7.8 Hz, 1H), 7.38– 7.25 (m, 4H), 6.70– 6.57 (m, 2H), 6.55– 6.44 (m, 2H), 4.69 (s, 1H), 4.61 (s, 2H), 4.06– 3.97 (m, 2H), 3.95– 3.88 (m, 2H), 3.82– 3.64 (m, 1H), 3.61– 3.51 (m, 3H), 3.29 (s, 3H), 2.15– 1.99 (m, 1H), 1.81 (s, 2H), 1.61 (s, 1H), 1.45– 1.23 (m, 9H). Intermediate-166: (R)-N6-benzyl-N2-(4-(2-methoxyethoxy)phenyl)-9-(piperidin-3-yl)-9H- purine-2,6-diamine
The title compound was prepared by following a procedure similar to that described in Intermediate-158 using Intermediate 165 (600 mg, 1.046 mmol) and 2N etheral HCl (10 ml) to afford a title compound (100 mg, 20.19% yield) as brown solid. MS : (M+H+) m/z 474.23; 1H NMR (400 MHz, DMSO-d6) į 8.76 (s, 1H), 8.11 (s, 1H), 7.97 (s, 1H), 7.63 (s, 2H), 7.40– 7.26 (m, 5H), 7.21 (t, J = 7.3 Hz, 1H), 6.77 (d, J = 8.6 Hz, 2H), 4.64 (d, J = 25.2 Hz, 2H), 4.35– 4.15 (m,
1H), 4.02 (dd, J = 5.7, 3.5 Hz, 2H), 3.67– 3.61 (m, 2H), 3.30 (d, J = 8.3 Hz, 4H), 3.11 (dd, J = 11.0, 3.9 Hz, 1H), 2.90 (d, J = 11.9 Hz, 2H), 2.03 (s, 2H), 1.73 (d, J = 13.0 Hz, 1H), 1.52 (s, 1H). Intermediate-167: (R)-1-(3-(6-(benzylamino)-2-((4-(2-methoxyethoxy)phenyl)amino)-9H- purin-9-yl)piperidin-1-yl)prop-2-en-1-one
The title compound was prepared by following a procedure similar to that described in Intermediate-159 using Intermediate 166 (100 mg, 0.211 mmol), acryloyl chloride (19.11 mg, 0.211 mmol) and K2CO3 (43.8 mg, 0.317 mmol) to afford title compound (80 mg, 71.6% yield) as a brown solid. MS : (M+H+) m/z 528.07; 1H NMR (400 MHz, DMSO-d6) į 8.78 (s, 1H), 8.16 (s, 1H), 7.94 (s, 1H), 7.41– 7.27 (m, 5H), 7.25– 7.17 (m, 1H), 6.96– 6.70 (m, 3H), 6.30– 6.08 (m, 2H), 5.79– 5.53 (m, 1H), 4.69 (s, 2H), 4.30 (s, 1H), 4.15– 3.96 (m, 3H), 3.70– 3.53 (m, 3H), 3.30 (s, 5H), 2.16 (s, 2H), 1.86 (s, 1H), 1.53 (s, 1H).
Intermediate-168: (S)-tert-butyl 3-(2,6-dichloro-9H-purin-9-yl)piperidine-1-carboxylate
The title compound was prepared by following a procedure similar to that described in Intermediate-155 using 2,6-dichloro-9H-purine (250 mg, 1.323 mmol), (S)-tert-butyl 3- hydroxypiperidine-1-carboxylate (532 mg, 2.65 mmol) and TRIPHENYLPhOSPHINE (694
mg, 2.65 mmol) and DIAD (401 mg, 1.984 mmol) to give title compound (60 mg, 20.3% yield) as a pale yellow solid. MS (M+H+) m/z 372.1. 1H NMR (400 MHz, Chloroform-d) į 8.22 (s, 1H), 4.63 (tt, J = 8.7, 4.3 Hz, 1H), 4.27– 4.13 (m, 1H), 3.96– 3.48 (m, 2H), 3.23 (s, 1H), 1.95– 1.57 (m, 4H), 1.49 (s, 9H).
Intermediate-169: (S)-tert-butyl 3-(6-(benzylamino)-2-chloro-9H-purin-9-yl)piperidine-1- carboxylate
The title compound was prepared by following a procedure similar to that described in Intermediate-156 using Intermediate 168 (1 g, 2.69 mmol), phenylmethanamine (0.864 g, 8.06 mmol) and DIPEA (1.408 ml, 8.06 mmol) to give title compound (1.0 g, 63.0% yield) as a white solid. MS (M+H+) m/z 443.0. 1H NMR (400 MHz, Chloroform-d) į 7.77 (s, 1H), 7.40– 7.34 (m, 5H), 6.31 (s, 1H), 4.84 (d, J = 5.5 Hz, 2H), 4.63– 4.42 (m, 1H), 4.26– 4.06 (m, 1H), 3.90 (s, 2H), 3.13 (s, 1H), 2.33– 1.97 (m, 4H), 1.74 (s, 9H).
Intermediate-170: (S)-tert-butyl 3-(6-(benzylamino)-2-((4-(2- methoxyethoxy)phenyl)amino)-9H-purin-9-yl)piperidine-1-carboxylate
The title compound was prepared by following a procedure similar to that described in Intermediate-157 using Intermediate 169 (900 mg, 2.032 mmol), 4-(2-methoxyethoxy)aniline
(340 mg, 2.032 mmol), PALLADIUM(II) ACETATE (45.6 mg, 0.203 mmol), BINAP (253 mg, 0.406 mmol) and CESIUM CARBONATE (1324 mg, 4.06 mmol) to afford title compound (900 mg, 77% yield) as off white solid. MS : (M+H+) m/z 574.3; 1H NMR (400 MHz, DMSO-d6) į 8.76 (s, 1H), 8.11 (d, J = 20.4 Hz, 1H), 7.93 (s, 1H), 7.66 (dq, J = 20.4, 11.9, 9.5 Hz, 2H), 7.43– 7.24 (m, 4H), 7.25– 7.14 (m, 1H), 6.77 (d, J = 2.1 Hz, 1H), 6.64 (d, J = 8.8 Hz, 1H), 4.69 (s, 2H), 4.29 (s, 1H), 4.12 (d, J = 5.3 Hz, 1H), 4.07– 3.97 (m, 2H), 3.96 – 3.82 (m, 1H), 3.68– 3.57 (m, 4H), 3.30 (d, J = 7.4 Hz, 3H), 2.26– 2.06 (m, 1H), 1.92– 1.75 (m, 1H), 1.66– 1.05 (m, 11H). Intermediate-171: (S)-N6-benzyl-N2-(4-(2-methoxyethoxy)phenyl)-9-(piperidin-3-yl)-9H- purine-2,6-diamine
The title compound was prepared by following a procedure similar to that described in Intermediate-158 using Intermediate 170 (900 mg, 1.569 mmol) and 2N etheral HCl (10 ml) to afford title compound (300 mg, 40.4% yield) as brown solid. MS : (M+H+) m/z 474.2; 1H NMR (400 MHz, DMSO-d6) į 8.76 (d, J = 9.9 Hz, 1H), 8.11 (s, 1H), 7.94 (d, J = 15.4 Hz, 1H), 7.62 (s, 2H), 7.39– 7.25 (m, 5H), 7.21 (t, J = 7.2 Hz, 1H), 6.77 (d, J = 8.8 Hz, 2H), 4.68 (s, 2H), 4.26 (s, 1H), 4.08– 3.94 (m, 2H), 3.69– 3.53 (m, 2H), 3.31 (s, 5H), 3.19– 3.02 (m, 1H), 2.98– 2.81 (m, 1H), 2.02 (d, J = 18.7 Hz, 2H), 1.75 (d, J = 20.7 Hz, 1H), 1.48 (s, 1H). Intermediate-172: (S)-1-(3-(6-(benzylamino)-2-((4-(2-methoxyethoxy)phenyl)amino)-9H- purin-9-yl)piperidin-1-yl)prop-2-en-1-one
The title compound was prepared by following a procedure similar to that described in Intermediate-159 using Intermediate 171 (300 mg, 0.633 mmol), acryloyl chloride (57.3 mg, 0.633 mmol) and K2CO3 (131 mg, 0.950 mmol) to afford titled compound (100 mg, 29.9% yield) as a brwon solid. MS : (M+H+) m/z 528.24.
Intermediate-173: (S)-1-(3-(6-(benzylamino)-2-((4-(2-methoxyethoxy)phenyl)amino)-9H- purin-9-yl)piperidin-1-yl)-2-fluoroprop-2-en-1-one
The title compound was prepared by following a procedure similar to that described in Intermediate-160 using Intermediate 171 (300 mg, 0.633 mmol), 2-fluoroacrylic acid (57.0 mg, 0.633 mmol), HATU (1-[Bis(dimethylamino)methylene]-1H-1,2,3-triazolo[4,5- b]pyridinium 3-oxid hexafluorophosphate) (289 mg, 0.760 mmol) and TEA (128 mg, 1.267 mmol) to afford title compound (300 mg, 87% yield) as brown solid. 1H NMR (400 MHz, DMSO-d6) į 8.77 (s, 1H), 8.15 (s, 1H), 7.95 (s, 1H), 7.74– 7.50 (m, 2H), 7.47– 7.15 (m, 6H), 6.78 (d, J = 8.7 Hz, 2H), 5.23 (d, J = 49.9 Hz, 1H), 4.69 (s, 2H), 4.51– 4.17 (m, 1H), 4.02 (t, J = 7.0 Hz, 4H), 3.68– 3.59 (m, 2H), 3.31 (d, J = 1.5 Hz, 3H), 3.06 (d, J = 9.2 Hz, 2H), 1.99 (s, 2H), 1.91 (s, 1H), 1.60 (s, 1H).
Intermediate-174: (S,E)-1-(3-(6-(benzylamino)-2-((4-(2-methoxyethoxy)phenyl)amino)- 9H-purin-9-yl)piperidin-1-yl)-4-(dimethylamino)but-2-en-1-one
The title compound was prepared by following a procedure similar to that described in Intermediate-160 using Intermediate 171 (300 mg, 0.633 mmol), (E)-4-(dimethylamino)but- 2-enoic acid (82 mg, 0.633 mmol), HATU (289 mg, 0.760 mmol) and TEA (128 mg, 1.267 mmol) to afford title compound (300 mg, 81% yield) as brown solid. MS : (M+H+) m/z 584.95
Intermediate-175: (S)-3-(6-(benzylamino)-2-((4-(2-methoxyethoxy)phenyl)amino)-9H- purin-9-yl)piperidine-1-carbonitrile
The title compound was prepared by following a procedure similar to that described in Intermediate-160 using Intermediate 171 (300 mg, 633 mmol), cyanogen bromide (67.1 mg, 633 mmol), HATU (289 mg, 0.760 mmol) and triethylamine (128 mg, 1.267 mmol) to afford title compound (300 mg, 95% yield) as brown solid. MS (M+H+) m/z 499.24; 1H NMR (400 MHz, DMSO-d6) į 8.82 (s, 1H), 7.62 (d, J = 8.4 Hz, 2H), 7.43– 7.26 (m, 6H), 7.26– 7.14 (m, 1H), 6.79 (d, J = 8.6 Hz, 2H), 4.68 (s, 2H), 4.47 (td, J = 10.9, 5.3 Hz, 1H),
4.05– 3.96 (m, 2H), 3.67– 3.57 (m, 2H), 3.47 (dd, J = 22.6, 11.5 Hz, 2H), 3.31 (s, 3H), 3.14 – 2.99 (m, 2H), 2.23– 2.06 (m, 2H), 1.89 (d, J = 17.0 Hz, 1H), 1.78 (t, J = 12.8 Hz, 1H). Intermediate-176: (S)-tert-butyl 3-(6-(benzylamino)-2-((3-(2-methoxyethoxy) phenyl)amino)-9H-purin-9-yl)piperidine-1-carboxylate
The title compound was prepared by following a procedure similar to that described in Intermediate-155 using Intermediate 169 (700 mg, 1.580 mmol), 3-(2-methoxyethoxy)aniline (264 mg, 1.580 mmol), palladium(II) acetate (35.5 mg, 0.158 mmol), BINAP (197 mg, 0.316 mmol) and cesium carbonate (1030 mg, 3.16 mmol) to afford title compound (0.3 g, 33% yield) as off white solid. MS (M+H+) m/z 573.95; 1H NMR (400 MHz, DMSO-d6) į 8.96 (s, 1H), 7.97 (s, 1H), 7.74– 7.51 (m, 2H), 7.44– 7.20 (m, 7H), 7.07 (t, J = 8.1 Hz, 1H), 4.73 (s, 2H), 4.41 (d, J = 61.2 Hz, 1H), 4.07– 3.82 (m, 3H), 3.61 (t, J = 4.6 Hz, 2H), 3.30 (s, 3H), 2.97 (t, J = 12.3 Hz, 1H), 2.51 (d, J = 1.9 Hz, 2H), 2.36– 2.20 (m, 1H), 2.15– 2.04 (m, 1 H), 1.36 (s, 11H).
Intermediate-177: (S)-N6-benzyl-N2-(3-(2-methoxyethoxy)phenyl)-9-(piperidin-3-yl)-9H- purine-2,6-diamine
The title compound was prepared by following a procedure similar to that described in Intermediate-158 using Intermediate 176 (400 mg, 0.697 mmol) and 2N etheral HCl (10 ml) to afford title compound (0.3 g, 90% yield) as off white solid. MS (M+H+) m/z 474; 1H NMR (400 MHz, DMSO-d6) į 8.95 (s, 1H), 8.00 (s, 1H), 7.71 (d, J = 2.3 Hz, 1H), 7.42– 7.25 (m, 8H), 7.06 (t, J = 8.1 Hz, 1H), 6.41 (dd, J = 8.1, 2.5 Hz, 1H), 4.72 (s, 2H), 4.35– 4.23 (m, 1H), 4.11– 3.89 (m, 3H), 3.76– 3.60 (m, 4H), 3.53– 3.43 (m, 1H), 3.30 (s, 3H), 2.17– 1.96 (m, 2H), 1.74 (d, J = 13.0 Hz, 1H), 1.52 (d, J = 13.5 Hz, 1H).
Intermediate-178: (S)-1-(3-(6-(benzylamino)-2-((3-(2-methoxyethoxy)phenyl)amino)-9H- purin-9-yl)piperidin-1-yl)prop-2-en-1-one
The title compound was prepared by following a procedure similar to that described in Intermediate-159 using Intermediate 177 (400 mg, 0.845 mmol), acryloyl chloride (76 mg, 0.845 mmol) and K2CO3 (175 mg, 1.267 mmol) to afford title compound (0.3 g, 67% yield) as brown solid. MS (M+H+) m/z 527.94
Intermediate-179: (S)-N-benzyl-2-chloro-9-(piperidin-3-yl)-9H-purin-6-amine
The title compound was prepared by following a procedure similar to that described in Intermediate-158 using Intermediate 169 (1 g, 2.258 mmol) and 2N etheral HCl (60 ml) to affored title compound (0.6 g, 78.0%) as a of brown solid. MS (M+H+) m/z 343.28; 1H NMR (400 MHz, Chloroform-d) į 7.96 (s, 1H), 7.42– 7.30 (m, 6H), 6.33 (s, 1H), 4.83 (s, 2H), 4.64 – 4.44 (m, 1H), 3.94 (s, 1H), 3.40 (d, J = 12.2 Hz, 1H), 3.15– 3.00 (m, 1 H), 2.89– 2.69 (m, 1H), 1.96– 1.80 (m, 1H), 1.79– 1.56 (m, 1H), 1.37– 1.12 (m, 2H).
Intermediate-180: (S)-1-(3-(6-(benzylamino)-2-chloro-9H-purin-9-yl)piperidin-1-yl)prop-2- en-1-one
The title compound was prepared by following a procedure similar to that described in Intermediate-159 using Intermediate 179 (600 mg, 1.750 mmol), acryloyl chloride (158 mg, 1.750 mmol) and K2CO3 (363 mg, 2.63 mmol) to affored title compound (0.5 g, 72.0%) as a of off white solid. MS (M+H+) m/z 397.04. 1H NMR (400 MHz, Chloroform-d) į 8.33 (s, 1H), 7.37 (ddt, J = 23.5, 16.1, 7.4 Hz, 6H), 6.61 (dd, J = 16.7, 10.5 Hz, 1H), 6.37 (t, J = 13.1 Hz, 1H), 5.75 (d, J = 28.9 Hz, 1H), 4.84 (s, 2H), 4.69– 4.49 (m, 3H), 4.47– 4.29 (m, 1H), 4.02– 3.71 (m, 1H), 2.09– 1.96 (m, 1H), 1.76 (s, 1H), 1.38– 1.18 (m, 2H).
Intermediate-181: (S)-1-(3-(6-(benzylamino)-2-((4-(2-morpholinoethoxy)phenyl)amino)- 9H-purin-9-yl)piperidin-1-yl)prop-2-en-1-one
The title compound was prepared by following a procedure similar to that described in Intermediate-157 using Intermediate 180 (300 mg, 0.756 mmol), 4-(2- morpholinoethoxy)aniline (168 mg, 0.756 mmol), palladium(II) acetate (16.97 mg, 0.076 mmol), BINAP (94 mg, 0.151 mmol) and cesium carbonate (493 mg, 1.512 mmol) to afford title compound (0.3 g, 68% yield) as off white solid. MS (M+H+) m/z 582.58
Intermediate-182: (S)-1-(3-(6-(benzylamino)-2-((4-(3-methoxypropoxy)phenyl)amino)-9H- purin-9-yl)piperidin-1-yl)prop-2-en-1-one
The title compound was prepared by following a procedure similar to that described in Intermediate-157 using Intermediate 180 (300 mg, 0.756 mmol), 4-(3- methoxypropoxy)aniline (137 mg, 0.756 mmol), Palladium(II) acetate (16.97 mg, 0.076 mmol), BINAP (94 mg, 0.151 mmol) and cesium carbonate (493 mg, 1.512 mmol) to afford title compound (320 mg, 78% yield) as off white solid. MS (M+H+) m/z 542; 1H NMR (400 MHz, DMSO-d6) į 8.77 (s, 1H), 8.15 (s, 1H), 7.94 (s, 1H), 7.62 (s, 2H), 7.37 (d, J = 7.5 Hz, 3H), 7.26– 7.11 (m, 1H), 6.77 (t, J = 4.5 Hz, 2H), 6.63 (d, J = 2.3 Hz, 1H), 6.56– 6.46 (m, 2H), 6.24– 6.09 (m, 1H), 4.69 (s, 2H), 4.60 (s, 2H), 4.50– 4.22 (m, 2H), 3.95 (t, J = 6.4 Hz, 2H), 3.85 (t, J = 6.4 Hz, 2H), 3.45 (dt, J = 10.1, 6.3 Hz, 4H), 3.25 (s, 3H), 2.72– 2.65 (m, 1H), 2.37– 2.26 (m, 1H), 2.21– 2.06 (m, 1H).
Intermediate-183: (S)-1-(3-(6-(benzylamino)-2-((3-fluoro-4-(2-methoxyethoxy)phenyl) amino)-9H-purin-9-yl)piperidin-1-yl)prop-2-en-1-one
The title compound was prepared by following a procedure similar to that described in Intermediate-157 using Intermediate 180 (300mg, 0.756 mmol), 3-fluoro-4-(2- methoxyethoxy)aniline (140 mg, 0.756 mmol), Palladium(II) acetate (16.97 mg, 0.076 mmol), BINAP (94 mg, 0.151 mmol) and cesium carbonate (493 mg, 1.512 mmol) to afford title compound (280mg, 67.9 %). MS (M+H+) m/z 546.25
Intermediate-184: (S)-tert-butyl 3-(6-(benzylamino)-2-((4-phenoxyphenyl)amino)-9H- purin-9-yl)piperidine-1-carboxylate
The title compound was prepared by following a procedure similar to that described in Intermediate-157 using Intermediate 169 (700 mg, 1.580 mmol), 4-phenoxyaniline (293 mg, 1.580 mmol), palladium(II) acetate (35.5 mg, 0.158 mmol), BINAP (197 mg, 0.316 mmol) and cesium carbonate (1030 mg, 3.16 mmol) to afford title compound (0.7 g, 75% yield) as off white solid. MS : (M+H+) m/z 592.35; 1H NMR (400 MHz, DMSO-d6) į 8.20 (s, 1H), 7.96 (s, 1H), 7.79 (s, 2H), 7.43– 7.36 (m, 5H), 7.30 (d, J = 7.3 Hz, 1H), 7.21 (q, J = 6.9 Hz, 1H), 7.12– 7.00 (m, 1H), 6.97– 6.85 (m, 5H), 4.70 (s, 3H), 4.36– 4.15 (m, 2H), 4.04– 3.97 (m, 1H), 3.86 (s, 1H), 1.81 (d, J = 12.9 Hz, 1H), 1.52 (s, 1H), 1.33 (dd, J = 14.2, 8.2 Hz, 11H).
Intermediate-185: (S)-N6-benzyl-N2-(4-phenoxyphenyl)-9-(piperidin-3-yl)-9H-purine-2,6- diamine
The title compound was prepared by following a procedure similar to that described in Intermediate-158 using Intermediate 184 (700 mg, 1.183 mmol) and 2N etheral HCl (10 ml) to afford title compound (0.5 g, 86% yield) as off white solid. MS (M+H+) m/z 491.94;
1H NMR (400 MHz, DMSO-d6) į 9.01 (d, J = 8.6 Hz, 1H), 8.24 (d, J = 38.9 Hz, 1H), 8.00 (d, J = 2.2 Hz, 1H), 7.76 (s, 2H), 7.44– 7.13 (m, 8H), 7.13– 6.98 (m, 1H), 6.98– 6.81 (m, 4H), 4.67 (d, J = 11.8 Hz, 3H), 4.47– 4.20 (m, 1H), 3.76– 3.62 (m, 3H), 1.74 (d, J = 15.0 Hz, 1H), 1.53 (s, 1H), 1.30– 1.13 (m, 2H).
Intermediate-186: (S)-1-(3-(6-(benzylamino)-2-((4-phenoxyphenyl)amino)-9H-purin-9- yl)piperidin-1-yl)prop-2-en-1-one
The title compound was prepared by following a procedure similar to that described in Intermediate-159 using Intermediate 185 (500 mg, 1.017 mmol), acryloyl chloride (92 mg, 1.017 mmol) and K2CO3 (211 mg, 1.526 mmol) to afford title compound (0.3 g, 54% yield) as brown solid. MS (M+H+) m/z 545.32; 1H NMR (400 MHz, DMSO-d6) į 9.01 (s, 1H), 8.21
(s, 1H), 7.97 (s, 1H), 7.76 (s, 2H), 7.39– 7.30 (m, 8H), 7.07 (t, J = 7.3 Hz, 1H), 6.96– 6.85 (m, 3H), 6.40– 5.99 (m, 2H), 5.75– 5.50 (m, 1H), 4.64 (s, 1H), 4.37– 4.18 (m, 2H), 3.79– 3.63 (m, 2H), 2.84– 2.70 (m, 2H), 2.41– 2.22 (m, 1H), 2.13– 1.96 (m, 1H), 1.54 (s, 1H), 1.32– 1.01 (m, 1H).
Intermediate-187: (S)-tert-butyl 3-(6-(benzylamino)-2-((4-(piperidin-1-yl)phenyl)amino)- 9H-purin-9-yl)piperidine-1-carboxylate
The title compound was prepared as described in Intermediate-157 using Intermediate-169 (500 mg, 1.129 mmol), 4-(piperidin-1-yl)aniline (199 mg, 1.129 mmol), palladium(II) acetate (25.3 mg, 0.113 mmol), BINAP (141 mg, 0.226 mmol) and cesium carbonate (736 mg, 2.258 mmol) to give title compound (0.5 g, 76.0% yield) as a brown solid. MS (M+H+) m/z 582.95 Intermediate-188: (S)-N6-benzyl-N2-(4-(piperidin-1-yl)phenyl)-9-(piperidin-3-yl)-9H- purine-2,6-diamine
The title compound was prepared as described in Intermediate-158 using Intermediate-187 (500 mg, 0.858 mmol) and 2N etheral HCl (10 ml) to give title compound (0.5 g, 90.0% yield) as a brown solid.
Intermediate-189: (S)-1-(3-(6-(benzylamino)-2-((4-(piperidin-1-yl)phenyl)amino)-9H- purin-9-yl)piperidin-1-yl)prop-2-en-1-one
The title compound was prepared as described in Intermediate-159 using Intermediate-188 (500 mg, 1.036 mmol), added acryloyl chloride (94 mg, 1.036 mmol) and K2CO3 (215 mg, 1.554 mmol) to give title compound (0.4 g, 71.9% yield) as a brown solid. MS (M+H+) m/z 537.3
Intermediate-190: (S)-1-(3-(6-(benzylamino)-2-((3,5-difluoro-4-(4-methylpiperazin-1- yl)phenyl)amino)-9H-purin-9-yl)piperidin-1-yl)prop-2-en-1-one
The title compound was prepared by following a procedure similar to that described in Intermediate-157 using Intermediate-180 (300 mg, 0.756 mmol), 3,5-difluoro-4-(4- methylpiperazin-1-yl)aniline (172 mg, 0.756 mmol), Palladium(II) Acetate (16.97 mg, 0.076 mmol), BINAP (94 mg, 0.151 mmol) and cesium carbonate (493 mg, 1.512 mmol) to affored title compound (0.3 g, 67.5%) as a off-white solid. MS (M+H+) m/z 269.27. 1H NMR (400 MHz, Chloroform-d) į 7.84 (ddd, J = 12.1, 8.2, 3.8 Hz, 1H), 7.69 (dd, J = 12.3, 7.2 Hz, 1H), 7.53– 7.33 (m, 5H), 7.06– 6.85 (m, 1H), 6.85– 6.73 (m, 1H), 6.74– 6.51 (m, 1H), 6.44– 6.13 (m, 2H), 5.84– 5.59 (m, 1H), 4.81 (s, 2H), 4.34 (s, 1H), 3.50 (s, 8H), 3.03 (s, 3H), 2.83 (d, J = 23.5 Hz, 1H), 2.68 (s, 3H), 2.09– 1.89 (m, 1H), 1.70 (s, 1H), 1.11 (d, J = 50.3 Hz, 2H).
Intermediate-191: (S)-tert-butyl 3-(6-(benzylamino)-2-((4-morpholinophenyl)amino)-9H- purin-9-yl)piperidine-1-carboxylate
The title compound was prepared by following a procedure similar to that described in Intermediate-157 using Intermediate-169 (500 mg, 1.129 mmol), 4-morpholinoaniline (201 mg, 1.129 mmol), Palladium(II) Acetate (25.3 mg, 0.113 mmol), BINAP (141 mg, 0.226 mmol) and cesium carbonate (736 mg, 2.258 mmol) to give title compound (0.5 g, 76% yield) as a brown solid. MS (M+H+) m/z 584.95. 1H NMR (400 MHz, DMSO-d6) į 8.71 (s, 1H), 8.04– 7.87 (m, 1H), 7.73– 7.47 (m, 2H), 7.45– 7.11 (m, 5H), 6.79 (dd, J = 17.8, 8.3 Hz, 1H), 6.73– 6.63 (m, 1H), 6.59– 6.43 (m, 1H), 4.82– 4.45 (m, 2H), 4.37– 4.16 (m, 1H), 3.97– 3.62 (m, 4H), 3.57 (s, 4H), 3.12– 2.76 (m, 4H), 2.15 (d, J = 48.3 Hz, 1H), 1.95– 1.75 (m, 1H), 1.49– 1.29 (m, 11H). Intermediate-192: (S)-N6-benzyl-N2-(4-morpholinophenyl)-9-(piperidin-3-yl)-9H-purine- 2,6-diamine
The title compound was prepared by following a procedure similar to that described in Intermediate-158 using Intermediate-191. (500 mg, 0.855 mmol) and 2N etheral HCl (10 ml) to afford title compound (0.5 g, 98% yield) as pale yellow solid. MS (M+H+) m/z 485.0
Intermediate-193: (S)-1-(3-(6-(benzylamino)-2-((4-morpholinophenyl)amino)-9H-purin-9- yl)piperidin-1-yl)prop-2-en-1-one
The title compound was prepared by following a procedure similar to that described in Intermediate-159 using Intermediate-192 (500 mg, 1.032 mmol), acryloyl chloride (500 mg, 1.032 mmol) and K2CO3 (214 mg, 1.548 mmol) to afford title compound (0.4 g, 72.0% yield) as a brown solid. MS (M+H+) m/z 539.3.
Intermediate-194: (S)-tert-butyl 3-(6-(benzylamino)-2-((4-(4-methylpiperazin-1- yl)phenyl)amino)-9H-purin-9-yl)piperidine-1 -carboxylate
The title compound was prepared by following a procedure similar to that described in Intermediate 157 using Intermediate 169 (700 mg, 1.580 mmol), 4-(4-methylpiperazin-1- yl)aniline (302 mg, 1.580 mmol), palladium(II) acetate (35.5 mg, 0.158 mmol), BINAP (197 mg, 0.316 mmol) and cesium carbonate (1030 mg, 3.16 mmol) to give title compound (0.7 g, 74.1% yield) as a white brown. MS (M+H+) m/z 597.95. 1H NMR (400 MHz, DMSO-d6) į 8.69 (s, 1H), 7.99– 7.86 (m, 2H), 7.51– 7.04 (m, 4H), 6.99 (s, 1H), 6.80 (d, J = 8.7 Hz, 2H), 6.70– 6.62 (m, 1H), 6.51– 6.43 (m, 1H), 4.69 (s, 2H), 4.57 (d, J = 12.6 Hz, 1H), 4.28 (s, 1H), 3.89 (s, 1H), 3.57 (s, 4H), 2.95 (dt, J = 50.1, 5.0 Hz, 8H), 2.72– 2.58 (m, 1H), 2.14– 1.96 (m, 1H), 1.84 (d, J = 23.1 Hz, 1H), 1.40 (d, J = 23.1 Hz, 11H). Intermediate-195: (S)-N6-benzyl-N2-(4-(4-methylpiperazin-1-yl)phenyl)-9-(piperidin-3- yl)-9H-purine-2,6-diamine
The title compound was prepared by following a procedure similar to that described in Intermediate-158 using Intermediate-194 (700 mg, 1.171 mmol) and 2N etheral HCl (10 ml) to give title compound (0.5 g, 86.0% yield) as a white brown. MS (M+H+) m/z 498.06. 1H NMR (400 MHz, DMSO-d6) į 8.69 (d, J = 9.1 Hz, 1H), 7.95 (d, J = 1.8 Hz, 1H), 7.60 (d, J = 8.6 Hz, 2H), 7.42– 7.33 (m, 2H), 7.30 (t, J = 7.6 Hz, 2H), 7.27– 7.14 (m, 1H), 6.79 (d, J = 8.9 Hz, 2H), 6.71– 6.61 (m, 1H), 6.54– 6.42 (m, 1H), 4.68 (s, 2H), 4.26 (dd, J = 10.6, 6.2 Hz, 1H), 3.76– 3.63 (m, 2H), 3.57 (s, 3H), 3.53– 3.36 (m, 1H), 3.12 (dd, J = 11.6, 4.2 Hz, 1H), 3.07– 2.81 (m, 8H), 1.74 (d, J = 13.0 Hz, 1H), 1.53 (s, 1H), 1.30– 1.11 (m, 2H).
Intermediate-196: (S)-1-(3-(6-(benzylamino)-2-((4-(4-methylpiperazin-1-yl)phenyl)amino)- 9H-purin-9-yl)piperidin-1-yl)prop-2-en-1-one
The title compound was prepared by following a procedure similar to that described in Intermediate-159 using Intermediate-195 (500 mg, 1.005 mmol), acryloyl chloride (91 mg, 1.005 mmol) and K2CO3 (208 mg, 1.507 mmol) to give title compound (0.3 g, 54.1% yield) as a white solid. MS (M+H+) m/z 551.95; 1H NMR (400 MHz, DMSO-d6) į 8.70 (s, 1H), 7.93 (s, 1H), 7.65– 7.45 (m, 4H), 7.35– 7.15 (m, 5H), 6.96– 6.88 (m, 1 H), 6.30– 6.03 (m, 2H), 5.78– 5.52 (m, 1H), 4.64 (d, J = 42.9 Hz, 3H), 4.35 (dd, J = 28.7, 22.6 Hz, 2H), 3.78–
3.68 (m, 2H), 3.29 (s, 3H), 3.04 (dt, J = 24.0, 5.0 Hz, 8H), 2.35– 2.23 (m, 1H), 2.15– 2.01 (m, 1H), 1.54 (s, 1H), 1.34– 1.03 (m, 1H). Below Intermediates were prepeare by by following a procedure similar to that described in Intermediate 157 using Intermediate 180.
Table 2:
Intermediate-208: (S)-tert-butyl 3-(6-(benzylamino)-2-((4-morpholinophenyl)amino)-9H- purin-9-yl)piperidine- 1 -carboxylate
The tide compound was prepared by following a procedure similar to that described in Intermediate- 157 using Intermediate- 169 (7 g, 15.80 mmol), 4-morpholinoaniline (3.38 g, 18.96 mmol), Palladium(II) acetate (0.355 g, 1.580 mmol), BINAP (1.968 g, 3.16 mmol) and cesium carbonate (10.30 g, 31.6 mmol) to affored title compound (8 g, 87.0%) as a off white solid. MS (M+H+) m/z 584.83. 1H NMR (400 MHz, Chloroform-d) δ 7.59 (d, j = 9.8 Hz, 2H), 7.28 (s, 5H), 6.91 (d, j = 8.9 Hz, 2H), 6.85 - 6.76 (m, 2H), 6.74 - 6.63 (m, 1H), 3.91 - 3.83 (m, 6H), 3.51 (s, 1H), 3.19 - 3.07 (m, 4H), 3.08 - 2.94 (m, 4H), 2.19 (s, 2H), 1.28 (m, j = 8.2 Hz, 11H).
Intermediate-209: (S)-N6-benzyl-N2-(4-morpholinophenyl)-9-(piperidin-3-yl)-9H-purine- 2,6-diamine
The title compound was prepared by following a procedure similar to that described in Intermediate- 158 using Intermediate-208 (2 g, 3.42 mmol) and 2N Dioxane HCl (10 ml) to give title compound (1.4 g, 84.0%) as a brown solid. MS: (M+H+) m/z 484.69.
Intermediate-210: 1-((S)-3-(6-(benzylamino)-2-((4-morpholinophenyl)amino)-9H-purin-9- yl)piperidin-1-yl)-2-chloropropan-1-one
The title compound was prepared by following a procedure similar to that described in Intermediate 159 using Intermediate 209 (300 mg, 0.619 mmol), 2-chloropropanoyl chloride (79 mg, 0.619 mmol) and K2CO3 (128 mg, 0.929 mmol) to affored title compound (0.3 g, 84.0%) as a off-white solid. MS (M+H+) m/z 575.29. 1H NMR (400 MHz, DMSO-d6) į 8.82 – 8.63 (m, 1H), 8.02– 7.86 (m, 1H), 7.62 (s, 2H), 7.43– 7.25 (m, 5H), 7.25– 7.15 (m, 1H), 6.80 (t, J = 8.5 Hz, 2H), 5.23– 4.99 (m, 1H), 4.70 (s, 2H), 4.51 (d, J = 38.4 Hz, 1H), 4.32– 3.91 (m, 1H), 3.73 (t, J = 4.8 Hz, 5H), 2.99 (dd, J = 6.1, 3.4 Hz, 4H), 1.97– 1.80 (m, 5H), 1.59– 1.38 (m, 3H), 1.23 (d, J = 3.9 Hz, 1H).
Intermediate-211: (S)-N6-benzyl-N2-(4-morpholinophenyl)-9-(1-(vinylsulfonyl)piperidin- 3-yl)-9H-purine-2,6-diamine
The title compound was prepared by following a procedure similar to that described in. Intermediate 159 using Intermediate 209. (300mg, 0.619 mmol), 2-chloroethanesulfonyl chloride (101 mg, 0.619 mmol) and TEA (62.6 mg, 0.619 mmol) to affored title compound (0.3 g, 84.0%) as a off-white solid. MS (M+H+) m/z 575.26.
Intermediate-212: tert-butyl 4-(2,6-dichloro-9H-purin-9-yl)piperidine-1-carboxylate
The title compound was prepared by following a procedure similar to that described in Intermediate-155 using 2,6-dichloro-9H-purine (5 g, 26.5 mmol), tert-butyl 4- hydroxypiperidine-1-carboxylate (7.99 g, 39.7 mmol), Triphenylphosphine (13.88 g, 52.9 mmol) and DIAD (8.02 g, 39.7 mmol) to give title compound (3 g, 30.5% yield) as white solid. MS (M+H+) m/z 372.1; 1H NMR (400 MHz, DMSO-d6) į 8.90 (s, 1H), 4.77– 4.57 (m, 1H), 4.09 (d, J = 23.8 Hz, 2H), 2.97 (s, 2H), 2.07– 1.98 (m, 4H), 1.44 (s, 9H).
Intermediate-213: tert-butyl 4-(6-(benzylamino)-2-chloro-9H-purin-9-yl)piperidine-1- carboxylate
The title compound was prepared by following a procedure similar to that described in Intermediate-156 using Intermediate 212 (1 g, 2.69 mmol), phenylmethanamine (0.432 g, 4.03 mmol) and DIPEA (1.408 ml, 8.06 mmol) to afford title compound (1.0 g, 84% yield) as
white solid. MS (M+H+) m/z 443.17; 1H NMR (400 MHz, DMSO-d6) į 8.86 (t, J = 6.3 Hz, 1H), 8.32 (s, 1H), 7.42– 7.12 (m, 5H), 4.71– 4.39 (m, 3H), 4.10 (s, 2H), 2.93 (s, 2H), 1.96 (dq, J = 8.8, 4.7, 4.2 Hz, 4H), 1.43 (s, 9H).
Intermediate-214: tert-butyl 4-(6-(benzylamino)-2-((4-(2-methoxyethoxy)phenyl)amino)- 9H-purin-9-yl)piperidine-1-c
The title compound was prepared by following a procedure similar to that described in Intermediate-157 using Intermediate 213 (500 mg, 1.129 mmol), 4-(2-methoxyethoxy)aniline (189 mg, 1.129 mmol), Palladium(II) Acetate (25.3 mg, 0.113 mmol), BINAP (141 mg, 0.226 mmol) and cesium carbonate (736 mg, 2.258 mmol) to afford title compound (500 mg, 77% yield) as off white solid. MS (M+H+) m/z 574.07; 1H NMR (400 MHz, DMSO-d6) į 8.76 (s, 1H), 8.11 (s, 1H), 7.95 (s, 1H), 7.65– 7.51 (m, 2H), 7.41– 7.25 (m, 5H), 6.75 (d, J = 8.7 Hz, 2H), 4.67 (s, 2H), 4.38 (d, J = 4.8 Hz, 1H), 4.14 (s, 2H), 4.05– 3.94 (m, 2H), 3.65– 3.57 (m, 2H), 3.30 (s, 3H), 2.89 (s, 2H), 2.12– 1.97 (m, 4H), 1.43 (s, 9H).
Intermediate-215: N6-benzyl-N2-(4-(2-methoxyethoxy)phenyl)-9-(piperidin-4-yl)-9H- purine-2,6-diamine
The title compound was prepared by following a procedure similar to that described in Intermediate-158 using Intermediate-214 (500 mg, 0.872 mmol) and 2N etheral HCl (10 ml) to afford title compound (150 mg, 36.3% yield) as brown solid. MS (M+H+) m/z 474.15; 1H NMR (400 MHz, DMSO-d6) į 8.76 (s, 1H), 8.12 (s, 1H), 7.93 (s, 1H), 7.60 (s, 2H), 7.39– 7.26 (m, 5H), 7.20 (t, J = 7.3 Hz, 1H), 6.76 (d, J = 8.6 Hz, 2H), 4.64 (d, J = 24.6 Hz, 2H), 4.36– 4.20 (m, 1H), 4.05– 3.97 (m, 2H), 3.67– 3.57 (m, 2H), 3.30 (s, 3H), 3.08 (d, J = 12.2 Hz, 2H), 2.64– 2.52 (m, 2H), 1.92 (s, 4H).
Intermediate-216: 1-(4-(6-(benzylamino)-2-((4-(2-methoxyethoxy)phenyl)amino)-9H- purin-9-yl)piperidin-1-yl)prop-2-en-1-one
The title compound was prepared by following a procedure similar to that described in Intermediate-159 using Intermediate 215 (100 mg, 0.211 mmol), acryloyl chloride (19.11 mg, 0.211 mmol) and K2CO3 (43.8 mg, 0.317 mmol) to afford title compound (100 mg, 90% yield) as a brwon solid. MS (M+H+) m/z 528.23
Intermediate-217: tert-butyl (3-(2,6-dichloro-9H-purin-9-yl)cyclohexyl)carbamate
+ The title compound was prepared by following a procedure similar to that described in Intermediate 155 using 2,6-dichloro-9H-purine (5.00 g, 26.5 mmol), tert-butyl (3-
hydroxycyclohexyl)carbamate (5.70 g, 26.5 mmol) and triphenylphosphine (10.41 g, 39.7 mmol) and DIAD (8.02 g, 39.7 mmol) to afford title compound (1.3 g, 12.7%) as a pale yellow solid. MS (M+H+) m/z 385.99. 1H NMR (400 MHz, DMSO-d6) į 8.83 (s, 1H), 7.29 (s, 1H), 4.92– 4.75 (m, 1H), 3.93 (s, 1H), 3.19 (s, 2H), 2.15 (td, J = 12.4, 3.7 Hz, 1H), 1.94– 1.73 (m, 3H), 1.64 (t, J = 8.1 Hz, 2H).
Intermediate-218: tert-butyl (3-(6-(benzylamino)-2-chloro-9H-purin-9- yl)cyclohexyl)carbamate
The title compound was prepared by following a procedure similar to that described in Intermediate-156 using Intermediate-217 (1.3 g, 3.37 mmol), DIPEA (0.435 g, 3.37 mmol) and phenylmethanamine (0.361 g, 3.37 mmol) to give title compound (1 g, 65.0%) as a pale yellow solid. MS (M+H+) m/z 457.11. 1H NMR (400 MHz, Chloroform-d) į 7.89– 7.64 (m, 1H), 7.47– 7.18 (m, 5H), 6.36 (s, 1H), 4.85 (d, J = 1.4 Hz, 1H), 4.61 (t, J = 13.4 Hz, 1H), 4.50– 4.26 (m, 1H), 4.14 (q, J = 7.2 Hz, 1H), 3.93 (d, J = 25.5 Hz, 1H), 2.28 (d, J = 13.1 Hz, 1H), 2.11 (d, J = 10.2 Hz, 1H), 1.99 (d, J = 20.9 Hz, 1H), 1.89– 1.61 (m, 2H), 1.50– 1.18 (m, 12H).
Intermediate-219: tert-butyl (3-(6-(benzylamino)-2-((4-morpholinophenyl)amino)-9H- purin-9-yl)cyclohexyl)carbamate
The title compound was prepared by following a procedure similar to that described in. Intermediate-157 using Intermediate-218. (1 g, 2.188 mmol), 4-morpholinoaniline (0.390 g, 2.188 mmol), Palladium(II) acetate (0.049 g, 0.219 mmol), BINAP (0.273 g, 0.438 mmol) and cesium carbonate (1.426 g, 4.38 mmol) to affored title compound (1 g, 74.0%) as a off- white solid. MS (M+H+) m/z 599.34. Intermediate-220: tert-butyl (3-(6-(benzylamino)-2-((4-morpholinophenyl)amino)-9H- purin-9-yl)cyclohexyl)carbamate
The title compound was prepared by following a procedure similar to that described in Intermediate-158 using Intermediate-219 (1.000 g, 1.670 mmol) and 4N Dioxane HCl (10 ml) to afford title compound (400 mg, 48.0%) as a brown solid. MS (M+H+) m/z 499.17. 1H NMR (400 MHz, DMSO-d6) į 7.90 (s, 1H), 7.44– 7.26 (m, 7H), 6.89– 6.72 (m, 4H), 4.68 (t, J = 32.6 Hz, 4H), 3.74 (d, J = 4.6 Hz, 5H), 2.99 (t, J = 4.8 Hz, 5H), 2.95– 2.82 (m, 2H), 2.24 – 2.07 (m, 1H), 1.98– 1.75 (m, 1H), 1.55 (s, 4H).
Intermediate-221: N-(3-(6-(benzylamino)-2-((4-morpholinophenyl)amino)-9H-purin-9- yl)cyclohexyl)acrylamide
The title compound was prepared by following a procedure similar to that described in. Intermediate-159 using Intermediate-220. (400 mg, 0.802 mmol), acryloyl chloride (72.6 mg,
0.802 mmol) and K2CO3 (166 mg, 1.203 mmol) to afford title compound (200 mg, 45.1%) as a brown solid. MS (M+H+) m/z 553.27.
Intermediate-222: tert-butyl 3-((2,6-dichloro-9H-purin-9-yl)methyl)piperidine-1- carboxylate
The title compound was prepared by following a procedure similar to that described in Intermediate-155 using 2,6-dichloro-9H-purine (1.000 g, 5.29 mmol), tert-butyl 3- (hydroxymethyl)piperidine-1-carboxylate (1.139 g, 5.29 mmol), TRIPHENYLPhOSPHINE (2.082 g, 7.94 mmol) and DIAD (1.605 g, 7.94 mmol) to afford title compound (1.3 g, 63.0%) as a white solid. MS (M+) m/z 386.08. 1H NMR (400 MHz, Chloroform-d) į 8.16 (s, 1H), 4.20 (dd, J = 7.5, 4.5 Hz, 2H), 3.77– 3.58 (m, 2H), 3.20– 3.06 (m, 1H), 2.93 (dd, J = 13.3, 8.4 Hz, 1H), 2.28– 2.12 (m, 1H), 1.84– 1.64 (m, 4H), 1.45 (s, 9H).
Intermediate-223: tert-butyl 3-((6-(benzylamino)-2-chloro-9H-purin-9- yl)methyl)piperidine-1-carboxylate
The title compound was prepared by following a procedure similar to that described in Intermediate 156 using Intermediate 222 (1.300 g, 3.37 mmol), phenylmethanamine (0.361
g, 3.37 mmol) and DIPEA (0.522 g, 4.04 mmol) to afford title compound (1.1 g, 71.5%) as a off-white solid. MS (M+H+) m/z 457.04. 1H NMR (400 MHz, Chloroform-d) į 7.69 (s, 1H), 7.36– 7.27 (m, 5H), 6.33 (s, 1H), 4.90– 4.76 (m, 2H), 4.07 (d, J = 7.3 Hz, 2H), 3.74 (d, J = 13.3 Hz, 1H), 2.93 (d, J = 80.8 Hz, 3H), 2.23– 2.03 (m, 2H), 1.71 (s, 9H), 1.34– 1.25 (m, 3H).
Intermediate-224: tert-butyl 3-((6-(benzylamino)-2-((4-morpholinophenyl)amino)-9H- purin-9-yl)methyl)piperidine-1-carboxylate
The title compound was prepared by following a procedure similar to that described in Intermediate 157 using Intermediate 223 (1.100 g, 2.407 mmol), 4-morpholinoaniline (0.429 g, 2.407 mmol), Palladium(II) acetate (0.054 g, 0.241 mmol), BINAP (0.300 g, 0.481 mmol) and cesium carbonate (1.569 g, 4.81 mmol) to affored title compound (0.8 g, 55.5%) as a off- white solid. MS (M+H+) m/z 599.33. 1H NMR (400 MHz, Chloroform-d) į 7.94– 7.64 (m, 1H), 7.63– 7.43 (m, 3H), 7.36 (ddd, J = 24.5, 16.4, 7.4 Hz, 5H), 6.91 (d, J = 8.7 Hz, 2H), 6.21 (s, 1H), 4.85 (s, 2H), 4.06– 3.94 (m, 2H), 3.92– 3.84 (m, 5H), 3.78– 3.73 (m, 1H), 3.16– 3.09 (m, 4H), 3.07– 2.75 (m, 2H), 2.13 (d, J = 50.8 Hz, 1H), 1.75 (s, 2H), 1.56– 1.13 (m, 11H).
Intermediate-225: N6-benzyl-N2-(4-morpholinophenyl)-9-(piperidin-3-ylmethyl)-9H- purine-2,6-diamine
The title compound was prepared by following a procedure similar to that described in Intermediate 158 using Intermediate 224 (800 mg, 1.336 mmol) and 2N etheral HCl (10 ml) to afford title compound (600 mg, 90.0%) as a brown solid. MS (M+) m/z 498.94. 1H NMR (400 MHz, DMSO-d6) į 8.70 (s, 1H), 8.08 (s, 1H), 7.80 (s, 1H), 7.62 (d, J = 8.5 Hz, 2H), 7.42– 7.34 (m, 2H), 7.34– 7.25 (m, 2H), 7.24– 7.15 (m, 1H), 6.79 (d, J = 8.8 Hz, 2H), 4.67 (d, J = 14.0 Hz, 2H), 3.91 (d, J = 7.2 Hz, 2H), 3.73 (dd, J = 6.0, 3.5 Hz, 5H), 3.05– 2.95 (m, 4H), 2.86– 2.63 (m, 3H), 2.42 (t, J = 10.8 Hz, 1H), 1.98 (s, 1H), 1.60 (t, J = 14.9 Hz, 2H), 1.30 (d, J = 12.9 Hz, 1H), 1.12 (t, J = 11.4 Hz, 1H).
Intermediate-226: 1-(3-((6-(benzylamino)-2-((4-morpholinophenyl)amino)-9H-purin-9- yl)methyl)piperidin-1-yl)prop-2-en-1-one
The title compound was prepared by following a procedure similar to that described in Intermediate 159 using Intermediate 225 (600 mg, 1.203 mmol), acryloyl chloride (109 mg, 1.203 mmol) and K2CO3 (249 mg, 1.805 mmol) to afford title compound (600 mg, 90.0%) as off white solid. LCMS: (M)+ - 552.82. 1H NMR (400 MHz, DMSO-d6) į 8.72 (d, J = 11.8 Hz, 1H), 8.10 (s, 1H), 7.84 (s, 1H), 7.61 (s, 2H), 7.38 (d, J = 7.1 Hz, 2H), 7.31 (t, J = 7.6 Hz, 2H), 7.26– 7.13 (m, 1H), 6.82 (dd, J = 14.4, 9.6 Hz, 3H), 6.07 (dd, J = 16.6, 2.8 Hz, 1H),
5.64 (s, 1H), 4.69 (s, 2H), 4.24– 3.83 (m, 4H), 3.73 (t, J = 4.8 Hz, 5H), 3.12– 2.87 (m, 5H), 2.14 (d, J = 36.2 Hz, 1H), 1.68 (s, 2H), 1.42– 1.14 (m, 2H).
Intermediate-227: tert-butyl 3-(2,6-dichloro-9H-purin-9-yl)pyrrolidine-1-carboxylate
The title compound was prepared by following a procedure similar to that described in Intermediate-155 using 2,6-dichloro-9H-purine (6 g, 31.7 mmol), tert-butyl 3- hydroxypyrrolidine-1-carboxylate (8.92 g, 47.6 mmol) and TRIPHENYLPhOSPHINE (12.49 g, 47.6 mmol) and DIAD (9.63 g, 47.6 mmol) to give title compound (5 g, 44% yield) as white solid. MS (M+H+) m/z 358.09; 1H NMR (400 MHz, Chloroform-d) į 8.12 (s, 1H), 5.27 (s, 1H), 3.97 (dd, J = 12.0, 6.3 Hz, 1H), 3.66 (s, 3H), 2.55 (ddd, J = 15.6, 7.9, 6.2 Hz, 1H), 2.39 (dq, J = 12.7, 6.1 Hz, 1H), 1.48 (d, J = 17.0 Hz, 9H).
Intermediate-228: tert-butyl 3-(6-(benzylamino)-2-chloro-9H-purin-9-yl)pyrrolidine-1- carboxylate
The title compound was prepared by following a procedure similar to that described in Intermediate-156 using Intermediate 227 (5 g, 13.96 mmol), phenylmethanamine (1.496 g, 13.96 mmol) and DIPEA (5.41 g, 41.9 mmol) to afford title compound (5 g, 84% yield) as
brown solid. MS (M+H+) m/z 429; 1H NMR (400 MHz, DMSO-d6) į 8.90 (s, 1H), 8.22 (d, J = 3.7 Hz, 1H), 7.41– 7.18 (m, 5H), 5.05 (d, J = 6.4 Hz, 1H), 4.64 (d, J = 6.3 Hz, 2H), 3.79 (dd, J = 11.2, 6.9 Hz, 1H), 3.66– 3.47 (m, 2H), 3.48– 3.35 (m, 1H), 2.46– 2.28 (m, 2H), 1.40 (d, J = 12.6 Hz, 9H).
Intermediate-229: tert-butyl 3-(6-(benzylamino)-2-((4-(2-methoxyethoxy)phenyl)amino)- 9H-purin-9-yl)pyrrolidine-1-carboxylate
The title compound was prepared by following a procedure similar to that described in Intermediate-157 using Intermediate 228 (2 g, 4.66 mmol), 4-(2-methoxyethoxy)aniline (0.780 g, 4.66 mmol), Palladium(II) acetate (0.105 g, 0.466 mmol), BINAP (0.581 g, 0.933 mmol) and cesium carbonate (3.04 g, 9.33 mmol) to afford title compound (2 g, 77% yield) as off white solid. MS (M+H+) m/z 560.32; 1H NMR (400 MHz, DMSO-d6) į 8.79 (s, 1H), 7.86 (s, 1H), 7.64 (dd, J = 22.7, 10.2 Hz, 2H), 7.40– 7.25 (m, 6H), 6.76 (d, J = 8.5 Hz, 2H), 5.03– 4.85 (m, 1H), 4.64 (d, J = 29.9 Hz, 2H), 4.05– 3.97 (m, 2H), 3.94– 3.89 (m, 1H), 3.80 (t, J = 9.2 Hz, 1H), 3.65– 3.61 (m, 2H), 3.60– 3.55 (m, 2H), 3.30 (s, 3H), 2.73– 2.50 (m, 1H), 2.54– 2.24 (m, 1H), 1.41 (d, J = 15.6 Hz, 9H).
Intermediate-230: N6-benzyl-N2-(4-(2-methoxyethoxy)phenyl)-9-(pyrrolidin-3-yl)-9H- purine-2,6-diamine
The title compound was prepared by following a procedure similar to that described in Intermediate-158 using Intermediate-229 (2 g, 3.57 mmol) and 2N etheral HCl (10 ml) to afford title compound (0.9 g, 54.8% yield) as off white solid. MS (M+H+) m/z 460.21; 1H NMR (400 MHz, DMSO-d6) į 8.73 (s, 1H), 8.10 (s, 1H), 7.90 (s, 1H), 7.59 (d, J = 8.6 Hz, 2H), 7.41– 7.15 (m, 6H), 6.77 (d, J = 8.9 Hz, 2H), 4.93– 4.79 (m, 1H), 4.68 (s, 2H), 4.08– 3.97 (m, 2H), 3.66– 3.58 (m, 2H), 3.30 (s, 3H), 3.21– 3.07 (m, 2H), 3.00 (dd, J = 11.6, 4.4 Hz, 1H), 2.85 (ddd, J = 10.9, 8.3, 6.3 Hz, 1H), 2.24 (dt, J = 8.6, 5.4 Hz, 1H), 2.08– 1.93 (m, 1H).
Intermediate-231: 1-(3-(6-(benzylamino)-2-((4-(2-methoxyethoxy)phenyl)amino)-9H- purin-9-yl)pyrrolidin-1-yl)prop-2-en-1-one
The title compound was prepared by following a procedure similar to that described in Intermediate-159 using Intermediate-230 (0.9 g, 1.958 mmol), acryloyl chloride (0.177 g, 1.958 mmol) and K2CO3 (0.406 g, 2.94 mmol) to afford title compound (0.9 g, 89% yield) as brown solid. MS (M+H+) m/z 514; 1H NMR (400 MHz, DMSO-d6) į 8.79 (d, J = 2.8 Hz, 1H), 8.17 (s, 1H), 7.89 (d, J = 10.7 Hz, 1H), 7.60 (d, J = 8.6 Hz, 2H), 7.41– 7.18 (m, 5H), 6.84– 6.53 (m, 3H), 6.19 (ddd, J = 16.7, 4.8, 2.4 Hz, 1H), 5.71 (ddd, J = 18.2, 10.3, 2.4 Hz, 1H), 5.04 (dt, J = 32.3, 6.9 Hz, 1H), 4.68 (s, 2H), 4.08– 3.99 (m, 4H), 3.81– 3.68 (m, 1H), 3.67– 3.58 (m, 2H), 3.30 (s, 4H), 2.18 (t, J = 8.1 Hz, 2H).
Intermediate-232: (R)-tert-butyl 3-(2,6-dichloro-9H-purin-9-yl)pyrrolidine-1-carboxylate
The title compound was prepared by following a procedure similar to that described in Intermediate-155 using 2,6-dichloro-9H-purine (10 g, 52.9 mmol), (S)-tert-butyl 3- hydroxypyrrolidine-1-carboxylate (9.91 g, 52.9 mmol), Triphenylphosphine (20.82 g, 79 mmol) and DIAD (16.05 g, 79 mmol) to give title compound (8.0 g, 42.2% yield) as a white solid. MS (M+H+) m/z 358.22; 1H NMR (400 MHz, DMSO-d6) į 8.78 (s, 1H), 5.20 (dd, J = 10.9, 6.2 Hz, 1H), 3.84 (dd, J = 11.4, 7.0 Hz, 1H), 3.65 (dd, J = 11.4, 5.9 Hz, 1H), 3.59– 3.50 (m, 1H), 3.49– 3.37 (m, 1H), 2.44 (d, J = 7.5 Hz, 2H), 1.51– 1.34 (m, 9H).
Intermediate-233: (R)-tert-butyl 3-(6-(benzylamino)-2-chloro-9H-purin-9-yl)pyrrolidine-1- carboxylate
The title compound was prepared by following a procedure similar to that described in Intermediate-156 using Intermediate 232 (8.0 g, 22.33 mmol), phenylmethanamine (2.393 g, 22.33 mmol) and DIPEA (8.66 g, 67.0 mmol) to afford title compound (7.0 g, 73% yield) as brown solid. MS (M+H+) m/z 429.17; 1H NMR (400 MHz, DMSO-d6) į 8.91 (s, 1H), 8.22 (d, J = 3.8 Hz, 1H), 7.37– 7.27 (m, 5H), 5.05 (q, J = 7.2 Hz, 1H), 4.64 (d, J = 6.0 Hz, 2H), 3.79 (dd, J = 11.2, 6.9 Hz, 1H), 3.63– 3.48 (m, 2H), 3.42 (q, J = 9.8, 8.7 Hz, 1H), 2.40 (q, J = 6.9 Hz, 2H), 1.40 (d, J = 12.4 Hz, 9H).
Intermediate-234: (R)-tert-butyl 3-(6-(benzylamino)-2-((4-(2- methoxyethoxy)phenyl)amino)-9H-purin-9-yl)pyrrolidine-1-carboxylate
The title compound was prepared by following a procedure similar to that described in Intermediate-157 using Intermediate 233 (1.0 g, 2.331 mmol), 4-(2-methoxyethoxy)aniline (0.390 g, 2.331 mmol), Palladium(II) acetate (0.052 g, 0.233 mmol), BINAP (0.290 g, 0.466 mmol) and cesium carbonate (1.519 g, 4.66 mmol) to afford title compound (0.8 g, 61% yield) as off white solid. MS (M+H+) m/z 560.3; 1H NMR (400 MHz, DMSO-d6) į 8.79 (s, 1H), 7.86 (s, 1H), 7.63 (dd, J = 16.5, 4.8 Hz, 2H), 7.38– 7.30 (m, 4H), 6.83– 6.69 (m, 2H), 6.70– 6.59 (m, 1H), 6.55– 6.43 (m, 1H), 5.06– 4.87 (m, 1H), 4.68 (s, 2H), 4.06– 3.99 (m, 2H), 3.95– 3.88 (m, 1H), 3.80 (t, J = 9.2 Hz, 1H), 3.66– 3.61 (m, 2H), 3.60– 3.57 (m, 2H), 3.31 (s, 3H), 2.42– 2.28 (m, 2H), 1.41 (d, J = 15.7 Hz, 9H).
Intermediate-235: (R)-N6-benzyl-N2-(4-(2-methoxyethoxy)phenyl)-9-(pyrrolidin-3-yl)-9H- purine-2,6-diamine
The title compound was prepared by following a procedure similar to that described in Intermediate-158 using Intermediate 234 (800 mg, 1.429 mmol) and 2N etheral HCl (10 ml) to afford title compound (0.7 g, 97% yield) as off white solid. MS (M+H+) m/z 460.17;
1H NMR (400 MHz, DMSO-d6) į 8.75 (s, 1H), 7.90 (s, 1H), 7.57 (d, J = 8.3 Hz, 2H), 7.40– 7.26 (m, 5H), 6.78 (d, J = 8.7 Hz, 2H), 6.70– 6.59 (m, 1H), 6.54– 6.44 (m, 1H), 4.93– 4.84 (m, 1H), 4.67 (s, 2H), 4.05– 3.98 (m, 2H), 3.96– 3.87 (m, 1H), 3.66– 3.61 (m, 2H), 3.60– 3.58 (m, 1H), 3.31 (s, 3H), 3.23– 3.13 (m, 2H), 2.35– 2.23 (m, 1H), 2.05 (dt, J = 13.9, 8.1 Hz, 1H).
Intermediate-236: (R)-1-(3-(6-(benzylamino)-2-((4-(2-methoxyethoxy)phenyl)amino)-9H- purin-9-yl)pyrrolidin-1-yl)prop-2-en-1-one
The title compound was prepared by following a procedure similar to that described in Intermediate-159 using Intermediate 235 (800 mg, 1.741 mmol), acryloyl chloride (158 mg, 1.741 mmol) and K2CO3 (361 mg, 2.61 mmol) to afford title compound (0.8 g, 95% yield) as brown solid. MS (M+H+) m/z 514.25; 1H NMR (400 MHz, DMSO-d6) į 8.79 (s, 1H), 8.17 (s, 1H), 7.88 (d, J = 10.8 Hz, 1H), 7.66– 7.52 (m, 2H), 7.43– 7.14 (m, 4H), 6.90 (d, J = 9.0 Hz, 1H), 6.75 (d, J = 8.8 Hz, 2H), 6.63 (ddd, J = 27.8, 16.7, 10.3 Hz, 1H), 6.27– 6.12 (m, 1H), 5.78– 5.63 (m, 1H), 5.04 (dt, J = 32.5, 6.9 Hz, 1H), 4.68 (s, 2H), 4.15– 3.84 (m, 3H), 3.81– 3.55 (m, 3H), 3.30 (m, 5H), 2.18 (t, J = 8.1 Hz, 1H), 1.97– 1.83 (m, 1H).
Intermediate-237: (R)-tert-butyl 3-(6-(benzylamino)-2-((4-(piperidin-1-yl)phenyl)amino)- 9H-purin-9-yl)pyrrolidine-1-carboxylate
The title compound was prepared by following a procedure similar to that described in Intermediate 157 using Intermediate 233 (800 mg, 1.865 mmol), 4-(piperidin-1-yl)aniline (329 mg, 1.865 mmol), palladium(II) acetate (41.9 mg, 0.187 mmol), BINAP (232 mg, 0.373 mmol) and cesium carbonate (1215 mg, 3.73 mmol) to give title compound (0.7 g, 64.0%) as white solid. MS (M+H+) m/z 569.31. 1H NMR (400 MHz, Chloroform-d) į 7.79– 7.64 (m, 4H), 7.58 (s, 1H), 7.45– 7.22 (m, 7H), 5.09 (s, 2H), 4.84 (s, 3H), 3.89 (d, J = 26.5 Hz, 1H), 3.56 (d, J = 44.9 Hz, 5H), 2.44 (d, J = 34.5 Hz, 4H), 1.51 (d, J = 5.8 Hz, 13H). Intermediate-238: (R)-N6-benzyl-N2-(4-(piperidin-1-yl)phenyl)-9-(pyrrolidin-3-yl)-9H- purine-2,6-diamine
The title compound was prepared by following a procedure similar to that described in Intermediate-158 using Intermediate-237 (700 mg, 1.231 mmol) and 4N Dioxane HCl (10 ml) to give title compound (0.3 g, 52.0%) as a brown solid. MS (M+H+) m/z 469.25. 1H NMR (400 MHz, DMSO-d6) į 8.63 (s, 1H), 8.05 (s, 1H), 7.89 (s, 1H), 7.54 (d, J = 8.7 Hz, 2H), 7.40– 7.34 (m, 2H), 7.30 (dd, J = 8.4, 6.7 Hz, 2H), 7.22 (d, J = 7.2 Hz, 1H), 6.85– 6.71 (m, 2H), 4.86 (d, J = 7.7 Hz, 1H), 4.68 (s, 2H), 3.42– 3.35 (m, 2H), 3.21– 3.05 (m, 1H), 3.01 (q, J = 6.0, 5.4 Hz, 5H), 2.91– 2.79 (m, 1H), 2.25 (dd, J = 13.4, 5.6 Hz, 1H), 2.11– 1.93 (m, 1H), 1.63 (p, J = 5.9 Hz, 4H), 1.50 (q, J = 6.1 Hz, 2H).
Intermediate-239: (R)-1-(3-(6-(benzylamino)-2-((4-(piperidin-1-yl)phenyl)amino)-9H- purin-9-yl)pyrrolidin-1-yl)prop-2-en-1-one
The title compound was prepared by following a procedure similar to that described in Intermediate 159 using Intermediate 238 (300 mg, 0.640 mmol), acryloyl chloride (57.9 mg, 0.640 mmol) and K2CO3 (133 mg, 0.960 mmol) to give title compound (0.15 g, 44.8%) as brown solid. MS (M+H+) m/z 523.07. 1H NMR (400 MHz, Chloroform-d) į 7.56 (d, J = 33.9 Hz, 4H), 7.42– 7.29 (m, 6H), 7.00 (d, J = 9.9 Hz, 1H), 6.56– 6.38 (m, 2H), 6.11 (s, 1H), 5.77 (ddd, J = 18.2, 8.3, 3.9 Hz, 1H), 5.10 (dq, J = 11.8, 6.2 Hz, 1H), 4.24– 4.09 (m, 3H), 3.99 (ddd, J = 18.5, 12.0, 6.6 Hz, 1H), 3.79 (dt, J = 17.9, 6.8 Hz, 1H), 3.22 (s, 4H), 2.54 (dp, J = 20.0, 6.8, 6.4 Hz, 2H), 2.41 (s, 1H), 2.07– 2.01 (m, 6H).
Intermediate-240: (R)-tert-butyl 3-(6-(benzylamino)-2-((4-morpholinophenyl)amino)-9H- purin-9-yl)pyrrolidine-1-carboxylate
The title compound was prepared by following a procedure similar to that described in Intermediate-157 using Intermediate 233 (800 mg, 1.865 mmol), 4-morpholinoaniline (332 mg, 1.865 mmol), palladium(II) acetate (41.9 mg, 0.187 mmol), BINAP (232 mg, 0.373 mmol) and cesium carbonate (1215 mg, 3.73 mmol) to afford title compound (0.7 g, 65.0%) as pale yellow solid. MS (M+H+) m/z 571.29. 1H NMR (400 MHz, Chloroform-d) į 7.87–
7.79 (m, 1H), 7.75– 7.64 (m, 5H), 7.59– 7.51 (m, 1H), 7.51– 7.42 (m, 1H), 7.44 (s, 1H), 7.40– 7.30 (m, 3H), 5.31 (s, 3H), 3.57 (d, J = 58.2 Hz, 8H), 3.19– 3.11 (m, 2H), 3.06 (t, J = 4.6 Hz, 2H), 1.51 (s, 11H). Intermediate-241: (R)-N6-benzyl-N2-(4-morpholinophenyl)-9-(pyrrolidin-3-yl)-9H-purine- 2,6-diamine
The title compound was prepared by following a procedure similar to that described in Intermediate 158 using Intermediate 240 (700 mg, 1.227 mmol) and 4N Dioxane HCl (10 ml) to afford title compound (0.3 g, 52.0%) as a brown solid. MS (M+H+) m/z 471.23. 1H NMR (400 MHz, DMSO-d6) į 8.68 (s, 1H), 8.07 (s, 1H), 7.89 (s, 1H), 7.58 (d, J = 8.6 Hz, 2H), 7.40– 7.35 (m, 2H), 7.34– 7.27 (m, 2H), 7.24– 7.18 (m, 1H), 6.87– 6.72 (m, 2H), 4.92– 4.81 (m, 1H), 4.69 (s, 2H), 3.78– 3.66 (m, 4H), 3.23– 3.08 (m, 2H), 3.06– 2.96 (m, 5H), 2.87 (dt, J = 11.0, 7.8 Hz, 1H), 2.31– 2.20 (m, 1H), 2.05 (dq, J = 12.9, 7.1, 6.5 Hz, 1H). Intermediate-242: (R)-1-(3-(6-(benzylamino)-2-((4-morpholinophenyl)amino)-9H-purin-9- yl)pyrrolidin-1-yl)prop-2-en-1-one
The title compound was prepared by following a procedure similar to that described in Intermediate 159 using Intermediate 241 (300 mg, 0.638 mmol), acryloyl chloride (57.7 mg, 0.638 mmol) and K2CO3 (132 mg, 0.956 mmol) to afford title compound (150 mg, 44.8%) as a pale yellow solid. MS (M+) m/z 524.94. 1H NMR (400 MHz, Chloroform-d) į 7.60 (d, J =
50.3 Hz, 2H), 7.44 (s, 5H), 7.02 (d, J = 7.8 Hz, 2H), 6.47 (dd, J = 15.9, 4.3 Hz, 2H), 5.85– 5.72 (m, 1H), 5.30 (s, 1H), 4.14 (q, J = 7.4 Hz, 1H), 4.04– 3.69 (m, 8H), 3.22 (s, 4H), 3.10– 2.97 (m, 1H), 2.49 (s, 1H), 1.34– 1.18 (m, 1H), 0.90 (t, J = 12.7 Hz, 1H).
Intermediate-243: (S)-tert-butyl 3-(2,6-dichloro-9H-purin-9-yl)pyrrolidine-1-carboxylate
The title compound was prepared by following a procedure similar to that described in Intermediate-155 using 2,6-dichloro-9H-purine (10g, 52.9 mmol), (R)-tert-butyl 3- hydroxypyrrolidine-1-carboxylate (9.91 g, 52.9 mmol) and Triphenylphosphine (20.82 g, 79 mmol) and DIAD (16.05 g, 79 mmol) to give title compound (8 g, 42.2% yield) as white solid. MS (M+H+) m/z 358.16; 1H NMR (400 MHz, DMSO-d6) į 8.78 (s, 1H), 5.29– 5.10 (m, 1H), 3.84 (dd, J = 11.4, 7.1 Hz, 1H), 3.65 (dd, J = 11.4, 5.9 Hz, 1H), 3.57 (d, J = 8.2 Hz, 1H), 3.45 (q, J = 9.7, 8.5 Hz, 1H), 2.45 (t, J = 6.9 Hz, 2H), 1.47– 1.31 (m, 9H).
Intermediate-244: (S)-tert-butyl 3-(6-(benzylamino)-2-chloro-9H-purin-9-yl)pyrrolidine-1- carboxylate
The title compound was prepared by following a procedure similar to that described in Intermediate-156 using Intermediate 243 (8 g, 22.33 mmol), phenylmethanamine (2.87 g, 26.8 mmol) and DIPEA (8.66 g, 67.0 mmol) to afford title compound (8 g, 84% yield) as brown solid. MS (M+H+) m/z 429.10; 1H NMR (400 MHz, DMSO-d6) į 8.91 (s, 1H), 8.22
(d, J = 3.7 Hz, 1H), 7.32 (q, J = 7.7, 7.2 Hz, 5H), 5.05 (d, J = 8.6 Hz, 1H), 4.64 (d, J = 6.2 Hz, 2H), 3.85– 3.71 (m, 1H), 3.63– 3.49 (m, 2H), 3.41 (t, J = 8.8 Hz, 1H), 2.40 (d, J = 7.2 Hz, 2H), 1.41 (d, J = 12.3 Hz, 9H).
Intermediate-245: (S)-tert-butyl 3-(6-(benzylamino)-2-((4-(2- methoxyethoxy)phenyl)amino)-9H-purin-9-yl)pyrrolidine-1-carboxylate
The title compound was prepared by following a procedure similar to that described in Intermediate-157 using Intermediate 244 (1.0 g, 2.331 mmol), 4-(2-methoxyethoxy)aniline (0.390 g, 2.331 mmol), palladium(II) acetate (0.052 g, 0.233 mmol), BINAP (0.290 g, 0.466 mmol) and cesium carbonate (1.519 g, 4.66 mmol) to afford title compound (1.0 g, 77% yield) as off white solid. MS (M+H+) m/z 560.07; 1H NMR (400 MHz, DMSO-d6) į 8.79 (s, 1H), 7.89 (d, J = 18.3 Hz, 1H), 7.72– 7.57 (m, 3H), 7.38– 7.29 (m, 5H), 6.77 (d, J = 8.5 Hz, 2H), 5.04– 4.88 (m, 1H), 4.73 (d, J = 37.8 Hz, 2H), 4.01 (dd, J = 5.7, 3.6 Hz, 2H), 3.80 (t, J = 9.3 Hz, 1H), 3.73– 3.57 (m, 2H), 3.52 (d, J = 3.8 Hz, 3H), 3.30 (s, 3H), 2.48– 2.28 (m, 2H), 1.41 (d, J = 15.7 Hz, 9H).
Intermediate-246: (S)-N6-benzyl-N2-(4-(2-methoxyethoxy)phenyl)-9-(pyrrolidin-3-yl)-9H- purine-2,6-diamine
The title compound was prepared by following a procedure similar to that described in Intermediate-158 using Intermediate 245 (1.0 g, 1.787 mmol) and 2N etheral HCl (10 ml) to afford title compound (0.8 g, 97% yield) as off white solid. MS (M+H+) m/z 460.2;
1H NMR (400 MHz, DMSO-d6) į 8.72 (s, 1H), 7.90 (s, 1H), 7.59 (d, J = 8.6 Hz, 2H), 7.41– 7.14 (m, 7H), 6.83– 6.73 (m, 2H), 4.85 (dt, J = 7.5, 3.8 Hz, 1H), 4.68 (s, 2H), 4.06– 3.96 (m, 2H), 3.67– 3.57 (m, 2H), 3.31 (s, 3H), 3.14 (ddd, J = 16.4, 11.4, 7.5 Hz, 2H), 3.01 (dd, J = 11.6, 4.4 Hz, 1H), 2.85 (ddd, J = 11.0, 8.3, 6.4 Hz, 1H), 2.30– 2.19 (m, 1H), 2.05– 1.96 (m, 1H).
Intermediate-247: (S)-1-(3-(6-(benzylamino)-2-((4-(2-methoxyethoxy)phenyl)amino)-9H- purin-9-yl)pyrrolidin-1-yl)prop-2-en-1-one
The title compound was prepared by following a procedure similar to that described in Intermediate-159 using Intermediate 246 (800 mg, 1.741 mmol), acryloyl chloride (158 mg, 1.741 mmol) and K2CO3 (361 mg, 2.61 mmol) to afford title compound (0.8 g, 89% yield) as a brown solid. MS (M+H+) m/z 513.94; 1H NMR (400 MHz, DMSO-d6) į 8.79 (s, 1H), 7.88 (d, J = 10.8 Hz, 1H), 7.60 (d, J = 8.7 Hz, 2H), 7.37– 7.22 (m, 5H), 6.79– 6.51 (m, 4H), 6.19 (ddd, J = 16.8, 4.9, 2.4 Hz, 1H), 5.80– 5.62 (m, 1H), 5.04 (dt, J = 32.1, 7.0 Hz, 1H), 4.68 (s, 2H), 4.08– 3.94 (m, 4H), 3.79– 3.57 (m, 4H), 3.31 (s, 3H), 2.18 (t, J = 8.1 Hz, 2H).
Intermediate-248: (S)-tert-butyl 3-(6-(benzylamino)-2-((3-(2- methoxyethoxy)phenyl)amino)-9H-purin-9-yl)pyrrolidine-1-carboxylate
The title compound was prepared by following a procedure similar to that described in Intermediate-157 using Intermediate 244 (800mg, 1.865 mmol), 3-(2-methoxyethoxy)aniline (312 mg, 1.865 mmol), palladium(II) acetate (41.9 mg, 0.187 mmol), BINAP (232 mg, 0.373 mmol) and cesium carbonate (1215 mg, 3.73 mmol) to furnish title compound (860mg, 82 %). MS (M+H+) m/z 560.3; 1H NMR (400 MHz, DMSO-d6) į 8.96 (s, 1H), 8.21 (s, 1H), 7.90 (s, 1H), 7.58 (s, 1H), 7.42– 7.25 (m, 5H), 7.23– 7.15 (m, 1H), 7.06 (t, J = 8.1 Hz, 1H), 6.42 (dd, J = 8.1, 2.5 Hz, 1H), 5.04– 4.89 (m, 1H), 4.76 (d, J = 18.4 Hz, 2H), 4.04 (s, 2H), 4.02 (s, 2H), 4.00 (d, J = 7.2 Hz, 3H), 3.81 (dd, J = 11.1, 6.9 Hz, 1H), 3.62 (t, J = 4.7 Hz, 2H), 3.30 (s, 3H), 1.41 (s, J = 16.6 Hz, 9H). Intermediate-249: (S)-N6-benzyl-N2-(3-(2-methoxyethoxy)phenyl)-9-(pyrrolidin-3-yl)-9H- purine-2,6-diamine
The title compound was prepared by following a procedure similar to that described in Intermediate-158 using Intermediate-248 (800mg, 1.429 mmol) and 2N etheral HCl (10 ml) to afford title compound (350mg, 53.3 %). MS (M+H+) m/z 460.22; 1H NMR (400 MHz, DMSO-d6) į 8.93 (s, 1H), 8.18 (s, 1H), 7.95 (s, 1H), 7.55 (t, J = 2.2 Hz, 1H), 7.42– 7.36 (m, 2H), 7.30 (t, J = 7.6 Hz, 3H), 7.26– 7.16 (m, 1H), 7.06 (t, J = 8.2 Hz, 1H), 6.42 (dd, J = 8.1,
2.5 Hz, 1H), 4.91– 4.83 (m, 1H), 4.73 (s, 2H), 3.99 (s, 2H), 3.62 (t, J = 4.7 Hz, 2H), 3.30 (s, 3H), 3.21– 3.11 (m, 2H), 3.04 (dd, J = 11.6, 4.6 Hz, 1H), 2.92– 2.80 (m, 1H), 2.71– 2.63 (m, 1H), 2.35– 2.19 (m, 1H), 2.04 (tt, J = 12.2, 6.1 Hz, 1H).
Intermediate-250: (S)-1-(3-(6-(benzylamino)-2-((3-(2-methoxyethoxy)phenyl)amino)-9H- purin-9-yl)pyrrolidin-1-yl)prop-2-en-1-one
The title compound was prepared by following a procedure similar to that described in Intermediate-159 using Intermediate-249 (300mg, 0.653 mmol), acryloyl chloride (59.1 mg, 0.653 mmol) and K2CO3 (135 mg, 0.979 mmol) furnished title compound (105mg, 31.3 %). MS (M+H+) m/z 514.3; 1H NMR (400 MHz, DMSO-d6) į 8.98 (s, 1H), 8.23 (s, 1H), 7.93 (d, J = 11.6 Hz, 1H), 7.57 (d, J = 2.3 Hz, 1H), 7.39 (d, J = 7.5 Hz, 2H), 7.30 (t, J = 7.5 Hz, 3H), 7.26– 7.12 (m, 1H), 7.05 (t, J = 8.1 Hz, 1H), 6.63 (ddd, J = 24.4, 16.8, 10.3 Hz, 1H), 6.42 (dd, J = 8.1, 2.4 Hz, 1H), 6.23– 6.13 (m, 1H), 5.71 (ddd, J = 20.1, 10.3, 2.4 Hz, 1H), 4.73 (s, 2H), 4.26 (t, J = 7.0 Hz, 1H), 4.09– 3.67 (m, 4H), 3.61 (d, J = 5.0 Hz, 2H), 3.35 (s, 3H), 2.89 – 2.72 (m, 1H), 2.62 (dd, J = 14.9, 8.2 Hz, 1H), 2.43 (dd, J = 8.6, 7.7 Hz, 1H), 1.99 (s, 1H). Intermediate-251: (S)-tert-butyl 3-(6-(benzylamino)-2-((4-morpholinophenyl)amino)-9H- purin-9-yl)pyrrolidine-1-carboxylate
The title compound was prepared by following a procedure similar to that described in Intermediate-157 using Intermediate 244 (800mg, 1.865 mmol), 4-morpholinoaniline (332 mg, 1.865 mmol), palladium(II) acetate (41.9 mg, 0.187 mmol), BINAP (232 mg, 0.373 mmol) and cesium carbonate (1215 mg, 3.73 mmol) to get title compound (850 mg, 80 %). MS (M+H+) m/z 571.3; 1H NMR (400 MHz, DMSO-d6) į 8.72 (s, 1 H), 7.64 (dd, J = 25.1, 10.4 Hz, 2H), 7.38– 7.35 (m, 2H), 7.30 (t, J = 7.6 Hz, 2H), 7.24– 7.18 (m, 1H), 6.80 (d, J = 8.9 Hz, 2H), 4.69 (s, 2H), 3.93– 3.77 (m, 2H), 3.71 (dt, J = 14.3, 4.7 Hz, 4H), 3.33 (s, 4H), 2.99 (t, J = 4.8 Hz, 4H), 2.92– 2.80 (m, 1H), 2.48– 2.28 (m, 2H), 1.41 (d, J = 14.7 Hz, 9H). Intermediate-252: (S)-N6-benzyl-N2-(4-morpholinophenyl)-9-(pyrrolidin-3-yl)-9H-purine- 2,6-diamine
The title compound was prepared by following a procedure similar to that described in Intermediate-158 using Intermediate-251 (800 mg, 1.402 mmol) and 2N etheral HCl (10 ml) to afford title compound (580 mg, 88 %). MS (M+H+) m/z 471.17; 1H NMR (400 MHz, DMSO-d6) į 7.90 (s, 1H), 7.57 (d, J = 8.5 Hz, 2H), 7.40– 7.25 (m, 5H), 7.24– 7.17 (m, 1H), 6.80 (s, 1H), 4.68 (s, 2H), 3.75– 3.71 (m, 5H), 3.35 (s, 7H), 3.03– 2.96 (m, 4H), 2.37– 2.21 (m, 1H), 2.12– 1.98 (m, 1H).
Intermediate-253: (S)-1-(3-(6-(benzylamino)-2-((4-morpholinophenyl)amino)-9H-purin-9- yl)pyrrolidin-1-yl)prop-2-en-1-one
The title compound was prepared by following a procedure similar to that described in Intermediate-159 using Intermediate-252 (500mg, 1.063 mmol), acryloyl chloride (96 mg, 1.063 mmol) and K2CO3 (220 mg, 1.594 mmol) to furnish title compound (120 mg, 21.53 %). MS (M+H+) m/z 525.3; 1H NMR (400 MHz, DMSO-d6) į 8.73 (s, 1H), 7.95– 7.84 (m, 1H), 7.36 (s, 2H), 7.31 (d, J = 7.4 Hz, 3H), 7.21 (s, 1H), 6.80 (s, 2H), 6.71– 6.54 (m, 1H), 6.19 (ddd, J = 16.8, 4.8, 2.4 Hz, 1H), 5.77– 5.65 (m, 1H), 4.69 (s, 2H), 3.73 (s, 6H), 3.53– 3.43 (m, 2H), 3.18– 3.08 (m, 1H), 2.98 (t, J = 4.8 Hz, 6H), 2.44 (d, J = 8.1 Hz, 2H).
Intermediate 254: tert-butyl 3-(6-(dibenzylamino)-2-((4-(2-methoxyethoxy)phenyl)amino)- 9H-purin-9-yl)azetidine-1-carboxylate
A mixture of Intermediate-4 (1.000 g, 2.081 mmol), Cs2CO3 (1.017 g, 3.12 mmol) and tert- butyl 3-((methylsulfonyl)oxy)azetidine-1-carboxylate (0.628 g, 2.497 mmol) in DMF (Volume: 20 ml) was heated at 120°C for overnight. After completion of reaction (TLC), reaction mixture was cooled to room temperature and partitioned between ethyl acetate and
water, organic layer was concentrated in vacuo and residue obtained was purified by column chromatography using 20% EtOAc/Hexane as a eluent afforded title compound (0.619 g, 0.974 mmol, 46.8 % yield) as a off-white solid. MS (M+) m/z 635.71; 1H NMR (400 MHz, DMSO-d6) į 8.87 (s, 1H), 8.07 (s, 1H), 7.62 (d, J = 8.5 Hz, 2H), 7.40 - 7.22 (m, 10H), 6.75 (d, J = 8.8 Hz, 2H), 5.50 (s, 2H), 5.30 (t, J = 7.1 Hz, 1H), 4.88 (s, 2H), 4.44 (s, 2H), 4.36 (t, J = 8.8 Hz, 2H), 4.01 - 3.97 (m, 2H), 3.64 - 3.60 (m, 2H), 3.30 (s, 3H), 1.41 (d, J = 16.0 Hz, 9H).
Intermediate 255: 9-(azetidin-3-yl)-N6,N6-dibenzyl-N2-(4-(2-methoxyethoxy)phenyl)-9H- purine-2,6-diamine hydrochloride
To a stirred solution of Step-1 (0.5 g, 0.786 mmol) in Dioxane (Volume: 20 ml), HCl in Dioxane (0.197 ml, 0.786 mmol) was added dropwise at 0 °C and stirred for overnight. After completion of reaction (TLC), solvent was removed in vacuo furnished title compound (0.407 g, 0.711 mmol, 90 % yield) as a off-white solid and which was used for next step. MS (M+) m/z 572.26.
Intermediate 256: 1 -(3-(6-(dibenzylamino)-2-((4-(2-methoxyethoxy)phenyl)amino)-9H- purin-9-yl)azetidin-1-yl)prop-2-en-1-one
To a stirred solution of Step-2 (0.4 g, 0.699 mmol) in THF (Volume: 10 ml), DIPEA (0.611 o ml, 3.50 mmol) and acryloyl chloride (0.057 ml, 0.699 mmol) were added dropwise at 0 C and stirred for 3 hrs. Reaction mixture was partitioned between ethyl acetate and water, organic layer was concentrated in vacuo, resulted residue was purified by column chromatography using 60% EtOAc/Hexane as a eluent furnished titled compound (0.407 g, 0.690 mmol, 99 % yield) as a brown coloured solid. MS (M+H+) m/z 590.29; 1H NMR (400 MHz, DMSO-d6) į 8.90 (s, 1H), 8.01 (s, 1H), 7.63 (d, J = 8.6 Hz, 2H), 7.40 - 7.21 (m, 10H), 6.77 - 6.67 (m, 2H), 6.43 (dd, J = 16.9, 10.3 Hz, 1H), 6.22 (dd, J = 16.9, 2.3 Hz, 1H), 5.78 - 5.70 (m, 1H), 5.56 - 5.36 (m, 3H), 4.97 - 4.82 (m, 3H), 4.76 - 4.59 (m, 2H), 4.44 (t, J = 9.5 Hz, 1H), 4.01 - 3.92 (m, 2H), 3.68 - 3.58 (m, 2H), 3.30 (s, 3H).
Intermediate-257: tert-butyl 3-(2-chloro-6-(dibenzylamino)-9H-purin-9-yl)azetidine-1- carboxylate
A mixture of Intermediate 125 (1.000 g, 2.86 mmol), Cs2CO3 (1.397 g, 4.29 mmol) and tert- butyl 3-((methylsulfonyl)oxy)azetidine-1-carboxylate (0.862 g, 3.43 mmol) in DMF (Volume: 20 ml) was heated at 120 °C for overnight. After completion of reaction (TLC), reaction mixture was cooled to room temperature and partitioned between ethyl acetate and water, organic layer was concentrated in vacuo and residue obtained was purified by column chromatography using 30% EtOAc/Hexane as a eluent afforded tert-butyl 3-(2-chloro-6- (dibenzylamino)-9H-purin-9-yl)azetidine-1-carboxylate (1.019 g, 2.018 mmol, 70.6 % yield) as a off-white solid. MS(M+) m/z 505.18; 1H NMR (400 MHz, Chloroform-d) į 7.99 (d, J = 2.4 Hz, 1H), 7.33 (q, J = 6.5, 6.0 Hz, 10H), 5.49 (d, J = 17.6 Hz, 2H), 5.38 (tt, J = 8.1, 5.0 Hz, 1H), 4.94 (s, 2H), 4.53 (t, J = 8.8 Hz, 2H), 4.28 (dd, J = 9.9, 5.1 Hz, 2H), 1.51 (d, J = 2.3 Hz, 9H).
Intermediate-258: 9-(azetidin-3-yl)-N,N-dibenzyl-2-chloro-9H-purin-6-amine hydrochloride
To a stirred solution of Intermediate 257 (4.0 g, 7.92 mmol) in 1,4-dioxane (Volume: 40 ml), HCl in dioxane was added dropwise at 0 °C and stirred for 18 hrs. Et3N was added to reaction mixture and partitioned between EtOAc and H2O, organic layer was separated and concentrated in vacuo furnished 9-(azetidin-3-yl)-N,N-dibenzyl-2-chloro-9H-purin-6-amine hydrochloride (3.37 g, 7.64 mmol, 96 % yield) as a off-white solid, which was used for next step without purification. MS(M+) m/z 441.04.
Intermediate-259: 1 -(3-(2-chloro-6-(dibenzylamino)-9H-purin-9-yl)azetidin-1-yl)prop-2-en- 1-one
The title compound was prepared by following a procedure similar to that described in Intermediate 159 using Intermediate 258 (2.0 g, 4.53 mmol), DIPEA (0.586 g, 4.53 mmol) and acryloyl chloride (0.410 g, 4.53 mmol) furnished title compound (1.5 g, 3.27 mmol, 72.1 % yield) as a yellow coloured soild. MS(M+H+) m/z 459.04; 1H NMR (400 MHz, DMSO- d6) į 8.53 (s, 1H), 7.40 - 7.24 (m, 10H), 6.37 (dd, J = 17.0, 10.3 Hz, 1H), 6.16 (dd, J = 16.9, 2.3 Hz, 1H), 5.77 (s, 1H), 5.72 (dd, J = 10.3, 2.2 Hz, 1H), 5.60 - 5.37 (m, 3H), 4.86 - 4.61 (m, 4H), 4.43 (dd, J = 7.5, 2.6 Hz, 1H).
Intermediate-260: 1-(3-(6-(dibenzylamino)-2-((3-fluoro-4-(4-methylpiperazin-1- yl)phenyl)amino)-9H-purin-9-yl)azetidin-1-yl)prop-2-en-1 -one
The title compound was prepared by following a procedure similar to that described in Intermediate 157 using Intermediate 259 (0.7 g, 1.525 mmol), 3-fluoro-4-(4- methylpiperazin-1-yl)aniline (0.319 g, 1.525 mmol), BINAP (0.190 g, 0.305 mmol), Cs2CO3 (0.994 g, 3.05 mmol) and Pd(OAc)2 (0.034 g, 0.153 mmol) furnished title compound (0.514 g, 0.814 mmol, 53.3 % yield) as a brown coloured soild. MS(M+H+) m/z 632.34.
Intermediate-261: tert-butyl 2-((methylsulfonyl)oxy)-7-azaspiro[3.5]nonane-7-carboxylate To the stirred solution of tert-butyl 2-hydroxy-7-azaspiro[3.5]nonane-7-carboxylate (450 mg, 1.865 mmol) in DCM (Volume: 15 ml), was added Mesyl-Cl (0.153 ml, 1.958 mmol) followed by TEA (0.273 ml, 1.958 mmol) at 0°C and the resulting reaction mixture was stirred for 16 h at room temperature. After completion (monitored by TLC in 50percent ethyl acetate in hexane, Rf=0.6, iodine active), reaction mixture was washed with saturated sodium bicarbonate solution and total organic layer was dried over sodium sulfate and evaporated under reduced pressure. Residue was triturated with hexane furnished title compound 525 mg as a white solid. 1H NMR (400 MHz, Chloroform-d) d 5.05 (p, J = 7.3 Hz, 1H), 3.39– 3.30 (m, 4H), 3.01 (s, 3H), 2.44 (ddd, J = 10.4, 7.5, 3.0 Hz, 2H), 2.15– 2.04 (m, 2H), 1.61– 1.53 (m, 4H), 1.46 (s, 10H). Intermediate-262: tert-butyl 2-(6-(dibenzylamino)-2-((4-(2-methoxyethoxy)phenyl)amino)- 9H-purin-9-yl)-7-azaspiro[3.5]nonane-7-carboxylate
The title compound was prepared as described in Intermediate-254 using Intermediate-125 (700 mg, 1.457 mmol), Intermediate-260 (512 mg, 1.602 mmol), Cs2CO3 (949 mg, 2.91 mmol) to get title compound 510 mg; MS (M+) m/z 703.697. Intermediate-263: N6,N6-dibenzyl-N2-(4-(2-methoxyethoxy)phenyl)-9-(7- azaspiro[3.5]nonan-2-yl)-9H-purine-2,6-diamine hydrochloride
The title compound was prepared as described in Intermediate-158 using Intermediate-262 (500 mg, 0.710 mmol) and HCl in dioxane (1.776 ml, 7.10 mmol) furnished title compound 410 mg; MS (M+) m/z 603.45.
Intermediate-264: 1 -(2-(6-(dibenzylamino)-2-((4-(2-methoxyethoxy)phenyl)amino)-9H- purin-9-yl)-7-azaspiro[3.5]nonan-7-yl)prop-2-en-1-one
The title compound was prepared as described in Intermediate-159 using Intermediate-263 (400 mg, 0.625 mmol), TEA (0.174 ml, 1.250 mmol) and acryloyl chloride (67.9 mg, 0.750 mmol) to get title compound 405 mg; MS (M+H+) m/z 658.44. Intermediate-265: tert-butyl (2-(2,6-dichloro-9H-purin-9-yl)ethyl)carbamate
A mixture of 2,6-dichloro-9H-purine (4 g, 21.16 mmol), tert-butyl (2-bromoethyl)carbamate (4.74 g, 21.16 mmol) and K2CO3 (5.85 g, 42.3 mmol) in DMF (Volume: 20 ml) was stirred at 70 °C for 3 hrs. Reaction mixture was cooled to room temperature and diluted with water and extracted with ethyl acetate. Ethyl acetate layer was dried over sodium sulphate and concentrated and purified by column chromatography using Biotage to afford title compound (2.8 g, 39.8%) as a pale yellow liquid. MS (M+) m/z 332.28. 1H NMR (400 MHz, Chloroform-d) į 8.11 (s, 1H), 4.95 (s, 1H), 4.44 (t, J = 5.7 Hz, 2H), 3.58 (s, 2H), 1.39 (s, 9H).
Intermediate-266: tert-butyl (2-(6-(benzylamino)-2-chloro-9H-purin-9-yl)ethyl)carbamate
The title compound was prepared by following a procedure similar to that described in Intermediate 156 using Intermediate 265 (1.5 g, 4.52 mmol), phenylmethanamine (0.581 g, 5.42 mmol) and DIPEA (1.167 g, 9.03 mmol) to afford title compound (1.4 g, 77.0%) as a
pale brown solid. MS (M+H+) m/z 403.13. 1H NMR (400 MHz, Chloroform-d) į 7.42– 7.28 (m, 8H), 4.32 (t, J = 5.9 Hz, 2H), 3.89 (s, 2H), 3.55 (q, J = 6.0 Hz, 2H), 1.42 (s, 9H).
Intermediate-267: tert-butyl (2-(6-(benzylamino)-2-((4-morpholinophenyl)amino)-9H- purin-9-yl)ethyl)carbamate
The title compound was prepared by following a procedure similar to that described in Intermediate 157 using Intermediate 266 (1.4 g, 3.47 mmol), 4-morpholinoaniline (0.619 g, 3.47 mmol), Palladium(II) Acetate (0.078 g, 0.347 mmol), BINAP (0.433 g, 0.695 mmol) and cesium carbonate (2.264 g, 6.95 mmol) to afford title compound (1.3 g, 68.7%) as a pale brown solid. MS (M+) m/z 543.82. Intermediate-268: 9-(2-aminoethyl)-N6-benzyl-N2-(4-morpholinophenyl)-9H-purine-2,6- diamine
The title compound was prepared by following a procedure similar to that described in Intermediate 158 using Intermediate 267 (1.3 g, 2.387 mmol) and 2N etheral HCl (10 ml) to afford title compound (0.7 g, 66.0%) as a pale brown solid. MS (M+H+) m/z 445.21; 1H NMR (400 MHz, Chloroform-d) į 7.62– 7.50 (m, 4H), 7.43– 7.29 (m, 5H), 7.28 (s, 1H),
6.91 (d, J = 2.2 Hz, 1H), 6.89 (d, J = 2.2 Hz, 1H), 6.83 (s, 1 H), 6.07 (s, 1H), 4.83 (s, 2H), 4.15 (td, J = 7.2, 6.5, 4.7 Hz, 2H), 3.92– 3.84 (m, 4H), 3.19 (t, J = 5.9 Hz, 2H), 3.15– 3.07 (m, 4H). Intermediate-269: N-(2-(6-(benzylamino)-2-((4-morpholinophenyl)amino)-9H-purin-9- yl)ethyl)acrylamide
The title compound was prepared by following a procedure similar to that described in Intermediate 159 using Intermediate 268 (700 mg, 1.575 mmol), acryloyl chloride (143 mg, 1.575 mmol) and K2CO3 (326 mg, 2.362 mmol) to afford title compound (0.6 g, 76.0%) as a pale brown solid. MS (M+H+) m/z 499.25; 1H NMR (400 MHz, DMSO-d6) į 8.70 (s, 1 H), 7.72 (s, 1H), 7.61 (d, J = 8.5 Hz, 2H), 7.38 (d, J = 7.2 Hz, 2H), 7.31 (dd, J = 8.3, 6.8 Hz, 2H), 7.22 (d, J = 7.3 Hz, 1H), 6.80 (d, J = 8.8 Hz, 2H), 6.20– 6.02 (m, 2H), 5.57 (dd, J = 9.4, 2.9 Hz, 1H), 4.69 (s, 2H), 4.15 (t, J = 5.9 Hz, 2H), 3.73 (t, J = 4.8 Hz, 4H), 3.59 (d, J = 5.8 Hz, 2H), 3.29 (s, 2H), 3.00 (t, J = 4.9 Hz, 4H). EXAMPLES
Example-1: (E)-N-(3-(6-Amino-2-((4-(2-methoxyethoxy) phenyl) amino)-9H-purin-9-yl) phenyl) but-2-enamide
To a solution of Intermediate-8 (0.14 g, 0.22 mmol) in dry DCM (2.0 ml) was added triflic acid (0.33 g, 2.19 mmol) drop-wise at 0°C for 10 min. The resulting mixture was stirred at 40°C for 20h. The reaction was quenched by adding 30% aq. NaOH solution at room temperature. The resulting solution was extracted in DCM (10 ml x 2) and washed with water. The organic phase was dried over anhydrous Na2SO4 and concentrated under reduced pressure. The product was purified by preparative column chromatography to afford the title compound 0.013 g as white solid MS (M+H+) m/z 460.0. 1H NMR (DMSO-d6) į 8.31– 8.18 (m, 1H), 8.11 (s, 2H), 7.93 (s, 1H), 7.68– 7.44 (m, 3H), 7.34 (s, 1H), 7.31 (s, 1H), 7.19– 6.81 (m, 3H), 6.02 (d, 1H), 5.59 (s, 2H), 4.11 (t, J = 4.9 Hz, 2H), 3.86– 3.60 (m, 2H), 3.51 (s, 3H), 1.97 (d, J = 7.0 Hz, 3H).
Example-2: N-(3-(6-Amino-2-((4-(2-methoxyethoxy) phenyl) amino)-9H-purin-9-yl)phenyl) acrylamide
The title compound was prepared by following a procedure similar to that described in Example-1, using Intermediate-10 (0.30 g, 0.48 mmol), triflic acid (1.06 ml, 11.99 mmol) (Yield: 0.04 g) as white solid MS (M+H+) m/z 446.18. 1H NMR (DMSO-d6) į 10.44 (s, 1H), 8.80 (s, 1H), 8.39 - 8.06 (m, 3H), 7.67 (dd, J = 25.5, 8.0 Hz, 3H), 7.52 (q, J = 8.3 Hz, 2H), 7.05 (s, 2H), 6.74 (d, J = 8.7 Hz, 2H), 6.51 (dd, J = 16.9, 10.1 Hz, 1H), 6.32 (dd, J = 17.0, 2.0 Hz, 1H), 5.90 - 5.75 (m, 1H), 4.03 - 3.92 (m, 2H), 3.62 (t, J = 4.6 Hz, 2H), 3.30 (s, 3H).
Example-3: N-(3-(6-Amino-2-((4-phenoxyphenyl) amino)-9H-purin-9-yl)phenyl) acrylamide
The title compound was prepared by following a procedure similar to that described in Example-1, using Intermediate-41 (0.80 g, 1.24 mmol) and triflic acid (0.80 g, 1.24 mmol) (Yield: 0.037 g) as off-white solid MS (M+1) m/z 464.10. 1H NMR (DMSO-d6) į 10.41 (s, 1H), 9.05 (s, 1H), 8.32 (d, J = 2.3 Hz, 1H), 8.24 (s, 1H), 8.16 (s, 1H), 7.92 - 7.82 (m, 2H), 7.61 (dt, J = 7.8, 1.7 Hz, 1H), 7.57 - 7.46 (m, 2H), 7.39 - 7.29 (m, 2H), 7.20 - 7.00 (m, 3H), 6.97 - 6.82 (m, 4H), 6.41 (dd, J = 16.9, 10.1 Hz, 1H), 6.22 (dd, J = 16.9, 2.0 Hz, 1H), 5.69 (dd, J = 10.1, 2.0 Hz, 1H).
Example 4: N-(3-(6-Amino-2-((4-(4-methylpiperazin-1-yl) phenyl) amino)-9H-purin-9-yl) phenyl) acrylamide
To the solution of Intermediate 51 (450 mg, 0.693 mmol) in DCM (Volume: 20 ml) was added Triflic Acid (0.615 ml, 6.93 mmol) at 0°C. The reaction mixture was stirred at 45°C for 16 hrs. Reaction was monitored by TLC. Reaction mixture was quenched with 30% aq. NaOH solution at 0 °C & extracted with DCM .Organic layer was combined, dried and concentrated. Residue obtained was purified by prep-HPLC to afford title compound 38 mg as off-white solid. MS (M+H+) m/z 470.2. 1H NMR (400 MHz, DMSO-d6) į 10.45 (s, 1H), 8.73 (s, 1H), 8.30 (s, 1H), 8.21 (s, 1H), 7.65 (dq, J = 9.7, 2.8, 2.0 Hz, 3H), 7.58– 7.43 (m, 2H), 7.02 (s, 2H), 6.82– 6.69 (m, 2H), 6.52 (dd, J = 17.0, 10.1 Hz, 1H), 6.33 (dd, J = 17.0, 2.0 Hz, 1H), 5.83 (dd, J = 10.1, 2.0 Hz, 1H), 2.97 (t, J = 5.0 Hz, 4H), 2.43 (t, J = 4.9 Hz, 4H), 2.21 (s, 3H).
Example 5: N-(3-(6-amino-2-((3-fluoro-4-(4-methylpiperazin-1-yl)phenyl)amino)-9H-purin- 9-yl)phenyl)acrylamide
The title compound was prepared by following a procedure similar to that described in Intermediate 7 using Intermediate 56 (0.8 g, 1.846 mmol), DIPEA (0.483 ml, 2.77 mmol) and acryloyl chloride (0.167 g, 1.846 mmol) to get title compound ) 0.060 g. MS (M+H+) m/z 488.17 1H NMR (400 MHz, DMSO-d6) d 10.43 (s, 1H), 9.04 (s, 1H), 8.26 (d, J = 10.3 Hz, 2H), 7.85 (dd, J = 15.9, 2.4 Hz, 1H), 7.70 (dd, J = 7.8, 2.1 Hz, 1H), 7.59 - 7.40 (m, 3H), 7.13 (s, 2H), 6.84 (t, J = 9.4 Hz, 1H), 6.49 (dd, J = 16.9, 10.1 Hz, 1H), 6.29 (dd, J = 16.9, 2.0 Hz, 1H), 5.80 (dd, J = 10.1, 2.0 Hz, 1H), 2.98 - 2.77 (m, 4H), 2.48 - 2.38 (m, 4H), 2.21 (s, 3H). Example-6: N-(3-((6-Amino-2-((4-(2-methoxyethoxy)phenyl)amino)-9H-purin-9-yl)methyl) phenyl) methacrylamide
To a solution of Intermediate-154 (0.11 g, 0.27 mmol), benzotriazol-1- yloxy)tris(dimethylamino)phosphoniumhexafluorophosphate (0.12 g, 0.27 mmol), triethylamine (37.8 µl, 0.27 mmol) in DMF (1.5 ml) was stirred 10 min at 0ºC. Then added methacrylic acid (0.23 g, 0.27 mmol) at 0°C and stirred for 1h under N2 atmosphere. Quenched the reaction mixture using 10% NaHCO3 (10.0 ml) and stirred for 30 min. The resulting solution was filtered to afford the title compound 0.01g as off white solid. MS (M+H+) m/z 474.17. 1H NMR ( DMSO-d6) į 9.83 (s, 1H), 8.63 (d, J = 57.4 Hz, 1H), 7.93 (s,
1H), 7.78– 7.48 (m, 3H), 7.31 (t, J = 7.8 Hz, 1H), 7.14– 6.67 (m, 5H), 5.77 (s, 1H), 5.49 (s, 1H), 5.25 (s, 2H), 4.01 (t, J = 4.6 Hz, 2H), 3.63 (t, J = 4.6 Hz, 2H), 3.31 (s, 3H).
Example-7: 1-(3-(6-Amino-2-((4-(2-methoxyethoxy)phenyl)amino)-9H-purin-9- yl)piperidin-1-yl)-2-methylprop-2-en-1-one
The title compound was prepared by following a procedure similar to that described in Example-1, using Intermediate-160 (0.150 mg, 0.277 mmol), triflic acid (0.416 mg, 2.77 mmol) (Yield: 0.057 g) as reddish brown solid MS (M+1) m/z 452.3. 1H NMR (DMSO-d6) į 8.72 (s, 1H), 7.93 (s, 1H), 7.72 (d, J = 8.4 Hz, 4H), 7.01– 6.77 (m, 4H), 5.12 (d, J = 73.0 Hz, 2H), 4.33 (d, J = 12.2 Hz, 1H), 4.11– 3.94 (m, 2H), 3.69– 3.58 (m, 2H), 3.34 (s, 3H), 2.43– 2.27 (m, 1H), 2.21– 2.01 (m, 1H), 1.89 (d, J = 18.9 Hz, 3H), 1.58 (dd, J = 14.8, 10.7 Hz, 1H), 1.13 (dt, J = 33.5, 7.1 Hz, 3H).
Example-8: 1 -(3-(6-Amino-2-((4-(2-methoxyethoxy)phenyl)amino)-9H-purin-9-yl) piperidine-1-carbonyl)cyclopropanecarbonitrile
The title compound was prepared by following a procedure similar to that described in Example-1, using Intermediate-161 (0.080 mg, 0.141 mmol), triflic acid (0.212 mg, 1.412 mmol) (Yield: 0.010 g) as reddish brown solid MS (M+1) m/z 477.0. 1H NMR (DMSO-d6) į 7.89 (s, 1H), 7.77– 7.66 (m, 2H), 7.01– 6.75 (m, 3H), 4.60– 4.14 (m, 4H), 4.11– 3.92 (m, 3H), 3.70– 3.59 (m, 2H), 3.30 (s, 3H), 2.43– 2.24 (m, 1H), 2.12 (d, J = 26.3 Hz, 1H), 1.99 (s, 1H), 1.76– 1.39 (m, 5H).
Example-9: 1-(3-(6-Amino-2-((4-(2-methoxyethoxy)phenyl)amino)-9H-purin-9- yl)piperidin-1-yl)-3-methylbut-2-en-1-one
The title compound was prepared by following a procedure similar to that described in Example-1, using Intermediate-162 (0.080 mg, 0.144 mmol), triflic acid (0.216 mg, 1.44 mmol) (Yield: 0.022 g) as brown solid MS (M+1) m/z 466.3. 1H NMR (DMSO-d6) į 8.81– 8.64 (m, 1H), 7.91 (s, 2H), 7.73 (t, J = 9.2 Hz, 2H), 6.99– 6.74 (m, 5H), 6.07– 5.80 (m, 1H), 4.56 (d, J = 12.4 Hz, 0H), 4.25 (d, J = 19.5 Hz, 1H), 4.02 (t, J = 4.5 Hz, 2H), 3.92 (d, J = 13.1 Hz, 1H), 3.78– 3.53 (m, 2H), 3.31 (s, 3H), 3.29– 3.00 (m, 1H), 2.41– 1.98 (m, 2H), 1.97– 1.70 (m, 6H), 1.69– 1.36 (m, 3H).
Example 10: (S)-1-(3-(6-Amino-2-((4-(piperidin-1-yl)phenyl)amino)-9H-purin-9- yl)piperidin-1-yl)prop-2-en-1-one
To a solution of Intermediate 189 (400 mg, 0.745 mmol) in DCM (Volume: 6 ml) was added triflic Acid (1.119 g, 7.45 mmol) and stirred at 50°C for 16 hrs. Reaction mixture was quenched with aqueous sodium bicarbonate and extracted with ethylaacetate. Ethylacetate layer was dried over sodium sulphate and concentrated and purified by prep-HPLC to afford title compound (42 mg, 12.6% yield) as pale yellow solid. MS (M+H+) m/z 447.17. 1H NMR (400 MHz, DMSO-d6) į 8.63 (s, 1H), 7.90 (s, 1H), 7.66 (t, J = 9.0 Hz, 2H), 6.87 (ddd, J = 23.2, 17.5, 9.6 Hz, 5H), 6.15 (t, J = 15.0 Hz, 1H), 5.67 (dd, J = 60.8, 10.5 Hz, 1H), 4.68– 4.36 (m, 1H), 4.29 (d, J = 11.4 Hz, 2H), 4.10 (d, J = 13.6 Hz, 1H), 3.25– 2.88 (m, 4H), 2.39
– 2.22 (m, 1H), 1.88 (d, J = 13.5 Hz, 1H), 1.56 (dq, J = 46.9, 5.6 Hz, 7H), 1.43– 1.09 (m, 2H).
Example 11: (S)-1-(3-(6-Amino-2-((3,5-difluoro-4-(4-methylpiperazin-1-yl)phenyl)amino)- 9H-purin-9-yl)piperidin-1-yl)prop-2-en-1-one
The title compound was prepared by following a procedure similar to that described in Example 3 using Intermediate 190 (300 mg, 0.510 mmol) and triflic Acid (2298 mg, 15.31 mmol) to afford title compound (21 mg, 8.3%) as off-white solid. MS (M+H+) m/z 498.15. 1H NMR (400 MHz, DMSO-d6) į 9.24 (s, 1H), 7.98 (s, 1H), 7.58 (d, J = 12.4 Hz, 2H), 7.12 (s, 2H), 6.99 - 6.71 (m, 1H), 6.23 - 6.06 (m, 1H), 5.80 - 5.55 (m, 1H), 4.57 (s, 1H), 4.32 (s, 2H), 4.12 (d, J = 13.7 Hz, 1H), 3.69 (t, J = 11.6 Hz, 1H), 3.02 (t, J = 4.7 Hz, 4H), 2.44 - 2.30 (m, 5H), 2.21 (s, 3H), 2.12 (s, 1H), 1.89 (d, J = 14.1 Hz, 1H), 1.53 (s, 1H). Example 12: (S)-1-(3-(6-Amino-2-((4-morpholinophenyl)amino)-9H-purin-9-yl)piperidin-1- yl)prop-2-en-1-one
The title compound was prepared by following a procedure similar to that described in Example 3 using Intermediate 193 (4g, 7.43 mmol) and triflic Acid (33.4 g, 223 mmol) to afford title compound (1.4 g, 42.9% yield) as a white solid. MS (M+H+) m/z 449.0.1H NMR (400 MHz, DMSO-d6) į 8.67 (s, 1H), 7.90 (s, 1H), 7.77 - 7.62 (m, 2H), 6.87 (dq, J = 18.2, 9.7 Hz, 5H), 6.25 - 6.04 (m, 1H), 5.67 (dd, J = 59.3, 10.5 Hz, 1H), 4.52 (dd, J = 59.3, 12.6
Hz, 1H), 4.19 (dd, J = 77.4, 12.4 Hz, 2H), 3.81 - 3.53 (m, 4H), 3.16 (t, J = 12.7 Hz, 1H), 3.06 - 2.95 (m, 4H), 2.85 - 2.51 (m, 1H), 2.42 - 2.23 (m, 1H), 2.10 (d, J = 13.2 Hz, 1H), 1.88 (d, J = 13.5 Hz, 1H), 1.54 (s, 1H).
The below Examples in Table-3 were prepared by following the similar procedure as described in Example-1 using corresponding intermediate. Example 53 and 54 were prepared by methylation of Example-31 using methyl iodide and NaH in DMF.
Table-3:
BTK Kinase Assay
The biochemical assay uses ADP-Glo™ Kinase Assay (Promega) to measure the ADP formed from a kinase reaction. The assay carries three steps. First, the kinase enzyme reaction is carried out in presence or absence of test and reference compounds. ADP-Glo™ Reagent is added to terminate the kinase reaction and deplete the remaining ATP.The Kinase detection reagent converts back the ADP formed during the kinase reaction to ATP, which is converted into light by Ultra-Glo™ Luciferase, which is measure using BioTek Synergy 2 multimode plate reader. The luminescent signal positively correlates with kinase activity. Desired concentration of test and reference compound s are pre incubated for 30 min with 1.5 ng/ml BTK kinase enzyme in 96 half area white opaque plate, followed by addition of 0.2 μg/ml substrate and 100 μM ultra-pure ATP. The reaction mixture is incubated in a shaking incubator for 30 min at room temperature at 250 rpm.
Equal volumes of ADP-Glo™ Reagent is added and incubated in shaking for 40 min. Next, double the volume of Kinase detection reagent is added and the luminescence is measured after 30 min. Percentage incubation is calculated against positive control value.
RLU positive– negative - RLU test - negative
% Inhibition = -------------------------------------------------------------------------------- X 100
RLU positive - negative Phospho EGFR Assay (ELISA)
This ELISA based assay measures tyrosine-phosphorylated Epidermal Growth Factor Receptor (phospho-EGF R) in cell lysates. An immobilized capture antibody specific for EGFR binds both phosphorylated and unphosphorylated EGF R. After washing away unbound material, HRP-conjugated detection antibody specific for phosphorylated tyrosine is used to detect only phosphorylated protein, utilizing a standard HRP format.
A431 cells are pre incubated with desired concentration of test and reference compounds in serum free media for 30 min, followed by stimulation with 400 ng/ml EGF. Spend media is removed after 6 to 8 min and cells lysed in ice cold 1X lysis buffer containing protease and phosphatese inhibitor cocktails.
Phosphorylated EGFR in the lysate supernatant is measured by ELISA. Inhibition of EGFR Phosphorylation is calculated by comparing OD values of test against positive control values.
OD positive– negative - OD test - negative
% Inhibition = ---------------------------------------------------------------------------------- X 100
OD positive– negative
Table-4: In vitro activity of BTK (IC50) and % inhibition of phosho EGFR.
The biochemical assay uses ADP-Glo™ Kinase Assay (Promega) to measure the ADP formed from a kinase reaction. The assay carries three steps. First, the kinase enzyme reaction is carried out in presence or absence of test and reference compounds. ADP-Glo™ Reagent is added to terminate the kinase reaction and deplete the remaining ATP. The Kinase detection reagent converts back the ADP formed during the kinase reaction to ATP, which is converted into light by Ultra-Glo™ Luciferase, which is measure using BioTek Synergy 2 multimode plate reader. The luminescent signal positively correlates with kinase activity. Desired concentration of test and reference compound s are pre incubated for 30 min with 1.5 ng/ml BTK kinase enzyme in 96 half area white opaque plate, followed by addition of 0.2 μg/ml substrate and 30 μM ultra-pure ATP. The reaction mixture is incubated in a shaking incubator for 30 min at room temperature at 250 rpm.
Equal volumes of ADP-Glo™ Reagent is added and incubated in shaking for 40 min. Next, double the volume of Kinase detection reagent is added and the luminescence is measured after 30 min. Percentage incubation is calculated against positive control value.
RLU positive– negative - RLU test - negative
% Inhibition = -------------------------------------------------------------------------------- X 100
RLU positive - negative
WƌŽƚŽĐŽů.ĨŽƌ..ŝŽĐŚĞŵŝĐĂů.ĂƐƐĂLJ.ĂŐĂŝŶƐƚ.:ĂŬϯ.ŬŝŶĂƐĞ.
Inhibitory effect of compounds was assessed using recombinant JAK3 (Cat #J03-11G-10, SignalChem) as a source of kinase. The kinase activity was measured using TR-FRET detection technology. Briefly, compounds and other reagents were diluted to desired concentrations in assay buffer (20 mM HEPES , pH 7.4, 10 mM MgCl2, 2 mM DTT, 1 mM EGTA and 0.01% Tween-20). The enzyme at a concentration of 0.3nM was incubated with different concentrations of the test compound at room temperature for 30 minutes with shaking at 250rpm. Kinase reaction was initiated by a freshly prepared mixture containing the substrate U Light polyGT Lance ultra (Cat# TRF 0100- M, Perkin Elmer) and Km concentration of ATP followed by incubation for 2 hours with shaking at 250rpm. 10mM EDTA was added to terminate the kinase reaction, followed by 2nM Anti- phosphotyrosine antibody (Cat # AD 0068, Perkin Elmer), and incubated at room temperature for 1 hour with shaking at 250rpm. FRET signal was measured in PHERAStar FS. The ratio of signals obtained at 620 nm and 665 nm were used to compute percent inhibition. Table-5: BTK, EGFR, phoshoEGFR and JAK3 activity data for representative compounds.
Claims
CLAIMS 1. A compound having the structure of Formula(I):
wherein, R is hydrogen or substituted or unsubstituted alkyl; W is hydrogen or halogen; Y is selected from hydrogen, halogen, cyano and substituted or unsubstituted alkoxy; X is selected from–O-R1, halogen, substituted or unsubstituted alkyl, substituted or unsubstituted haloalkyl, -S(O)2-alkyl or a group selected from (i) to (xiv):
. R1 is selected from substituted or unsubstituted alkyl, substituted or unsubstituted haloalkyl, substituted or unsubstituted alkoxyalkyl, substituted or unsubstituted cycloalkyl, substituted or unsubstituted aryl, substituted or unsubstituted arylalkyl, substituted or
unsubstituted heteroaryl, substituted or unsubstituted heteroarylalkyl, substituted or unsubstituted heterocyclyl and substituted or unsubstituted heterocyclylalkyl; R2 is selected from a group consisting of (i) to (xv):
at each occurrence, Z is a bond or O; R3, which may be same or different at each occurrence is independently selected from cyano, substituted or unsubstituted –C(O)-alkyl, –C(O)-haloalkyl, substituted or unsubstituted –S(O)2-alkyl, substituted or unsubstituted –S(O)2-alkenyl, substituted or unsubstituted–C(O)-alkenyl, substituted or unsubstituted–C(O)-alkynyl, substituted or unsubstituted–C(O)-cycloalkyl and substituted or unsubstituted–S(O)2-cycloalkyl; R4, which may be same or different at each occurrence, is independently selected from substituted or unsubstituted–C(O)-alkyl, substituted or unsubstituted–C(O)-alkenyl, and substituted or unsubstituted–C(O)- alkynyl; the substituents on alkyl, alkenyl, alkynyl, cycloalkyl, aryl, arylalkyl, heteroaryl, heterocyclyl, heterocyclylalkyl may be one or more, same or different and are independently
selected from hydroxy, halogen, cyano, alkyl, haloalkyl, aryl, arylalkyl, cycloalkyl, heteroaryl, heterocyclic, -C(O)ORx, -C(O)Rx, -CH2-ORx, -C(O)NRxRy, -NRxC(O)NRyRz, - N(Rx)S(O)Ry, -N(Rx)S(O)2Ry, -NRxRy, -NRxC(O)Ry, -NRxC(S)Ry, -S(O)NRxRy, - S(O)2NRxRy, -ORx, -OC(O)Rx, -OC(O)NRxRy, -RxC(O)Ry, -S(O)Rx and -S(O)2Rx wherein each occurrence of Rx, Ry and Rz are independently selected from hydrogen, alkyl, haloalkyl and cycloalkyl; or pharmaceutically acceptable salt thereof..
2. The compound of claim-1 having the Formula (II)
wherein, R is hydrogen or substituted or unsubstituted alkyl; R1 is selected from substituted or unsubstituted alkyl, substituted or unsubstituted alkoxyalkyl, substituted or unsubstituted cycloalkyl, substituted or unsubstituted aryl, substituted or unsubstituted arylalkyl, substituted or unsubstituted heteroaryl, substituted or unsubstituted heteroarylalkyl, substituted or unsubstituted heterocyclyl and substituted or unsubstituted heterocyclylalkyl; R2 is selected from the following groups (i) to (x);
at each occurrence, Z is bond or O; R3, which may be same or different at each occurrence is independently selected from substituted or unsubstituted –C(O)-alkyl, substituted or unsubstituted –S(O)2-alkyl, substituted or unsubstituted –C(O)-alkenyl, substituted or unsubstituted–C(O)-alkynyl substituted or unsubstituted–C(O)-cycloalkyl and substituted or unsubstituted–S(O)2- cycloalkyl; R4, which may be same or different at each occurrence is independently selected from substituted or unsubstituted–C(O)-alkyl, substituted or unsubstituted–C(O)-alkenyl, and substituted or unsubstituted–C(O)-alkynyl; or pharmaceutically acceptable salt thereof.
3. The compound of claim-1 having the Formula (I)
wherein,
R is hydrogen or methyl; W is hydrogen or halogen;
X is selected from -O-R1, halogen, methyl, n-butyl, -CF3, -S(O)2-CH3 or a group selected from (i) to (xiv):
Y is selected from hydrogen, halogen, cyano and–O-CH3; and
R2 is selected from a rou consistin of i to xxvi :
or pharmaceutically acceptable salt thereof.
wherein,
R is hydrogen;
R2 is selected from a group consisting of:
5. The compound of claims-1 having the Formula (I)
wherein, R is hydrogen or methyl; W is hydrogen or halogen; X is selected from–O-CH2-CH2-O-CH3, halogen, -CF3, n-butyl, -S(O)2-CH3 or a group selected from (i) to (xiv):
Y is selected from hydrogen, halogen, cyano and–O-CH3; and R2 is selected from a group consisting of:
6. The compound according to any one of preceding claims wherein R3 is selected from cyano or from (i) to (xxi):
7. The compound according to any one of proceding claims wherein R is hydrogen or methyl.
8. The compound according to any one of proceeding claims wherein X is–O-R1.
10. The compound according to any one of preceding claims wherein X is halogen, -CF3, n-butyl, -S(O)2-CH3 or a group selected from (i) to (xiv):
11. The compound of claim-1 which is selected from:
(E)-N-(3-(6-Amino-2-((4-(2-methoxyethoxy) phenyl) amino)-9H-purin-9-yl) phenyl) but-2-enamide, N-(3-(6-Amino-2-((4-(2-methoxyethoxy) phenyl) amino)-9H-purin-9-yl)phenyl) acrylamide, N-(3-(6-Amino-2-((4-phenoxyphenyl) amino)-9H-purin-9-yl)phenyl) acrylamide, N-(3-(6-Amino-2-((4-(4-methylpiperazin-1-yl) phenyl) amino)-9H-purin-9-yl) phenyl) acrylamide, N-(3-(6-amino-2-((3-fluoro-4-(4-methylpiperazin-1-yl)phenyl)amino)-9H-purin-9- yl)phenyl)acrylamide, N-(3-((6-Amino-2-((4-(2-methoxyethoxy)phenyl)amino)-9H-purin-9-yl)methyl) phenyl) methacrylamide, 1-(3-(6-Amino-2-((4-(2-methoxyethoxy)phenyl)amino)-9H-purin-9-yl)piperidin-1- yl)-2-methylprop-2-en-1-one, 1-(3-(6-Amino-2-((4-(2-methoxyethoxy)phenyl)amino)-9H-purin-9-yl) piperidine-1- carbonyl)cyclopropanecarbonitrile,
1-(3-(6-Amino-2-((4-(2-methoxyethoxy)phenyl)amino)-9H-purin-9-yl)piperidin-1- yl)-3-methylbut-2-en-1-one, (S)-1-(3-(6-Amino-2-((4-(piperidin-1-yl)phenyl)amino)-9H-purin-9-yl)piperidin-1- yl)prop-2-en-1-one, (S)-1-(3-(6-Amino-2-((3,5-difluoro-4-(4-methylpiperazin-1-yl)phenyl)amino)-9H- purin-9-yl)piperidin-1-yl)prop-2-en-1-one, (S)-1-(3-(6-Amino-2-((4-morpholinophenyl)amino)-9H-purin-9-yl)piperidin-1- yl)prop-2-en-1-one, N-(3-(6-Amino-2-((4-(2-methoxyethoxy)phenyl)amino)-9H-purin-9-yl)phenyl)-3- methylbut-2-enamide, N-(3-(6-Amino-2-((4-(2-(dimethylamino)ethoxy)phenyl)amino)-9H-purin-9- yl)phenyl) acrylamide, N-(3-(6-Amino-2-((2-fluoro-4-(2-methoxyethoxy)phenyl)amino)-9H-purin-9- yl)phenyl)acrylamide, N-(3-(6-Amino-2-((3-(2-methoxyethoxy)phenyl)amino)-9H-purin-9- yl)phenyl)acrylamide, N-(3-(6-Amino-2-((3-(2-methoxyethoxy)phenyl)amino)-9H-purin-9-yl)phenyl)-2- chloroacetamide, N-(3-(6-Amino-2-((3-(2-methoxyethoxy)phenyl)amino)-9H-purin-9-yl)phenyl) methanesulfonamide, N-(3-(6-Amino-2-((4-methoxyphenyl)amino)-9H-purin-9-yl)phenyl)acrylamide, N-(3-(6-Amino-2-((4-methoxyphenyl)amino)-9H-purin-9-yl)phenyl)-2- chloroacetamide,
N-(3-(6-Amino-2-((4-(trifluoromethoxy)phenyl)amino)-9H-purin-9- yl)phenyl)acrylamide,
N-(3-(6-Amino-2-((3-fluoro-4-(2-methoxyethoxy)phenyl)amino)-9H-purin-9- yl)phenyl)acrylamide,
N-(3-(6-Amino-2-((4-(4-methoxyphenoxy)phenyl)amino)-9H-purin-9- yl)phenyl)acrylamide,
N-(3-(6-Amino-2-((4-(pyridin-3-yloxy)phenyl)amino)-9H-purin-9- yl)phenyl)acrylamide,
N-(3-(6-Amino-2-((3-(morpholine-4-carbonyl)phenyl)amino)-9H-purin-9- yl)phenyl)acrylamide,
N-(4-((9-(3-Acrylamidophenyl)-6-amino-9H-purin-2-yl)amino)phenyl)-4-(tert- butyl)benzamide,
N-(3-(6-Amino-2-((4-morpholinophenyl)amino)-9H-purin-9-yl)phenyl)-3- chloropropanamide,
N-(3-(6-Amino-2-((4-morpholinophenyl)amino)-9H-purin-9-yl)phenyl)acrylamide, N-(3-(6-Amino-2-((4-(piperidin-1-yl)phenyl)amino)-9H-purin-9-yl)phenyl)-3- chloropropanamide,
N-(3-(6-Amino-2-((4-(piperidin-1-yl)phenyl)amino)-9H-purin-9- yl)phenyl)acrylamide,
N-(3-(6-Amino-2-((4-fluorophenyl)amino)-9H-purin-9-yl)phenyl)acrylamide, N-(3-(6-Amino-2-((4-fluorophenyl)amino)-9H-purin-9-yl)phenyl)-2-chloroacetamide, N-(2-(6-Amino-2-((4-morpholinophenyl)amino)-9H-purin-9-yl)ethyl)acrylamide, N-(3-(6-Amino-2-((4-butylphenyl)amino)-9H-purin-9-yl)phenyl)acrylamide,
N-(3-(6-Amino-2-((4-(trifluoromethyl)phenyl)amino)-9H-purin-9- yl)phenyl)acrylamide,
N-(3-(6-Amino-2-((3-fluoro-4-morpholinophenyl)amino)-9H-purin-9- yl)phenyl)acrylamide,
N-(3-(6-Amino-2-((3-methoxy-4-morpholinophenyl)amino)-9H-purin-9- yl)phenyl)acrylamide,
N-(3-(6-Amino-2-((3-methoxy-4-(4-methylpiperazin-1-yl)phenyl)amino)-9H-purin-9- yl)phenyl)acrylamide,
N-(3-(6-Amino-2-((2-methoxy-4-morpholinophenyl)amino)-9H-purin-9- yl)phenyl)acrylamide,
N-(3-(6-Amino-2-((4-(4-methoxypiperidin-1-yl)phenyl)amino)-9H-purin-9- yl)phenyl)acrylamide,
N-(3-(2-((4-(4-Acetylpiperazin-1-yl)phenyl)amino)-6-amino-9H-purin-9- yl)phenyl)acrylamide,
N-(3-(6-Amino-2-((2-fluoro-4-morpholinophenyl)amino)-9H-purin-9- yl)phenyl)acrylamide,
N-(3-(6-Amino-2-((4-(4-(methoxymethyl)piperidin-1-yl)phenyl)amino)-9H-purin-9- yl)phenyl)acrylamide,
N-(3-(6-Amino-2-((4-(4-(1-methylpiperidin-4-yl)piperazin-1-yl)phenyl)amino)-9H- purin-9-yl)phenyl)acrylamide,
N-(3-(6-Amino-2-((3-chloro-4-morpholinophenyl)amino)-9H-purin-9- yl)phenyl)acrylamide,
N-(3-(6-Amino-2-((3-cyano-4-(4-methylpiperazin-1-yl)phenyl)amino)-9H-purin-9- yl)phenyl)acrylamide,
N-(3-(6-Amino-2-((4-((2-morpholinoethyl)amino)phenyl)amino)-9H-purin-9- yl)phenyl)acrylamide,
N-(3-(6-Amino-2-((3,5-difluoro-4-morpholinophenyl)amino)-9H-purin-9- yl)phenyl)acrylamide,
N-(3-(6-Amino-2-((3,5-difluoro-4-(4-methylpiperazin-1-yl)phenyl)amino)-9H-purin- 9-yl)phenyl)acrylamide,
N-(3-(6-Amino-2-((3,4-difluorophenyl)amino)-9H-purin-9-yl)phenyl)acrylamide, N-(3-(6-Amino-2-((4-(4-(morpholine-4-carbonyl)piperazin-1-yl)phenyl)amino)-9H- purin-9-yl)phenyl)acrylamide,
N-(3-(6-Amino-2-((4-morpholinophenyl)amino)-9H-purin-9- yl)phenyl)ethenesulfonamide,
N-(3-(6-Amino-2-((4-fluorophenyl)amino)-9H-purin-9-yl)phenyl)-N- methylacrylamide,
N-(3-(6-Amino-2-((4-fluorophenyl)(methyl)amino)-9H-purin-9-yl)phenyl)-N- methylacrylamide,
N-(5-(6-Amino-2-((3-fluoro-4-(4-methylpiperazin-1-yl)phenyl)amino)-9H-purin-9- yl)-2-fluorophenyl)acrylamide,
N-(3-(6-Amino-2-((4-(methylsulfonyl)phenyl)amino)-9H-purin-9- yl)phenyl)acrylamide,
N-(3-(6-Amino-2-((4-(methylsulfonyl)phenyl)amino)-9H-purin-9-yl)phenyl)-2- chloroacetamide,
N-(3-(6-Amino-2-((3-(4-methylpiperazin-1-yl)phenyl)amino)-9H-purin-9- yl)phenyl)acrylamide,
N-(3-(6-Amino-2-((4-(morpholinomethyl)phenyl)amino)-9H-purin-9- yl)phenyl)acrylamide, N-(3-(6-Amino-2-((4-(morpholinomethyl)phenyl)amino)-9H-purin-9-yl)phenyl)-2- chloroacetamide, N-(3-(6-Amino-2-((4-(4,4-difluoropiperidin-1-yl)phenyl)amino)-9H-purin-9- yl)phenyl)acrylamide, N-(3-(6-Amino-2-((4-(4,4-difluoropiperidin-1-yl)phenyl)amino)-9H-purin-9- yl)phenyl)-2-chloroacetamide, N-(3-(6-Amino-2-((3-morpholinophenyl)amino)-9H-purin-9-yl)phenyl)acrylamide, N-(3-(6-Amino-2-((4-(morpholinomethyl)phenyl)amino)-9H-purin-9-yl)phenyl)-2- fluoroacrylamide, N-(3-(6-Amino-2-((4-fluorophenyl)amino)-9H-purin-9-yl)phenyl)-2- fluoroacrylamide, 1-(3-(6-Amino-2-((4-(2-methoxyethoxy)phenyl)amino)-9H-purin-9-yl)piperidin-1- yl)prop-2-en-1-one, (R)-1-(3-(6-Amino-2-((4-(2-methoxyethoxy)phenyl)amino)-9H-purin-9-yl)piperidin- 1-yl)prop-2-en-1-one, (S)-1-(3-(6-Amino-2-((4-(3-methoxypropoxy)phenyl)amino)-9H-purin-9- yl)piperidin-1-yl)prop-2-en-1-one, (S)-1-(3-(6-Amino-2-((3-fluoro-4-(2-methoxyethoxy)phenyl)amino)-9H-purin-9- yl)piperidin-1-yl)prop-2-en-1-one, (S)-1-(3-(6-Amino-2-((4-(2-methoxyethoxy)phenyl)amino)-9H-purin-9-yl)piperidin- 1-yl)prop-2-en-1-one,
(S)-1-(3-(6-Amino-2-((4-(2-methoxyethoxy)phenyl)amino)-9H-purin-9-yl)piperidin- 1-yl)-2-fluoroprop-2-en-1-one, (S,E)-1-(3-(6-Amino-2-((4-(2-methoxyethoxy)phenyl)amino)-9H-purin-9- yl)piperidin-1-yl)-4-(dimethylamino)but-2-en-1-one, (S)-3-(6-Amino-2-((4-(2-methoxyethoxy)phenyl)amino)-9H-purin-9-yl)piperidine-1- carbonitrile, (S)-1-(3-(6-Amino-2-((4-(2-morpholinoethoxy)phenyl)amino)-9H-purin-9- yl)piperidin-1-yl)prop-2-en-1-one, (S)-1-(3-(6-Amino-2-((3-(2-methoxyethoxy)phenyl)amino)-9H-purin-9-yl)piperidin- 1-yl)prop-2-en-1-one, (S)-1-(3-(6-Amino-2-((4-phenoxyphenyl)amino)-9H-purin-9-yl)piperidin-1-yl)prop- 2-en-1-one, (S)-1-(3-(6-Amino-2-((3-methoxy-4-morpholinophenyl)amino)-9H-purin-9- yl)piperidin-1-yl)prop-2-en-1-one, (S)-1-(3-(6-Amino-2-((4-(4-methoxypiperidin-1-yl)phenyl)amino)-9H-purin-9- yl)piperidin-1-yl)prop-2-en-1-one (S)-1-(3-(6-Amino-2-((4-((2-morpholinoethyl)amino)phenyl)amino)-9H-purin-9- yl)piperidin-1-yl)prop-2-en-1-one, (S)-1-(3-(6-Amino-2-((3-fluoro-4-morpholinophenyl)amino)-9H-purin-9-yl)piperidin- 1-yl)prop-2-en-1-one, (S)-1-(3-(6-Amino-2-((3-fluoro-4-(4-methylpiperazin-1-yl)phenyl)amino)-9H-purin- 9-yl)piperidin-1-yl)prop-2-en-1-one, (S)-1-(3-(6-Amino-2-((4-(morpholine-4-carbonyl)phenyl)amino)-9H-purin-9- yl)piperidin-1-yl)prop-2-en-1-one,
(S)-1-(3-(6-Amino-2-((3-morpholinophenyl)amino)-9H-purin-9-yl)piperidin-1- yl)prop-2-en-1-one, (S)-1-(3-(6-Amino-2-((4-(4,4-difluoropiperidin-1-yl)phenyl)amino)-9H-purin-9- yl)piperidin-1-yl)prop-2-en-1-one, (S)-1-(3-(6-Amino-2-((4-(1-methyl-1H-pyrazol-4-yl)phenyl)amino)-9H-purin-9- yl)piperidin-1-yl)prop-2-en-1-one, 1-((S)-3-(6-Amino-2-((4-morpholinophenyl)amino)-9H-purin-9-yl)piperidin-1-yl)-2- chloropropan-1-one, (S)-N2-(4-Morpholinophenyl)-9-(1-(vinylsulfonyl)piperidin-3-yl)-9H-purine-2,6- diamine, (S)-1-(3-(6-Amino-2-((3,5-difluoro-4-morpholinophenyl)amino)-9H-purin-9- yl)piperidin-1-yl)prop-2-en-1-one, (S)-1-(3-(6-Amino-2-((4-(4-methylpiperazin-1-yl)phenyl)amino)-9H-purin-9- yl)piperidin-1-yl)prop-2-en-1-one, 1-(4-(6-Amino-2-((4-(2-methoxyethoxy)phenyl)amino)-9H-purin-9-yl)piperidin-1- yl)prop-2-en-1-one, N-(3-(6-Amino-2-((4-morpholinophenyl)amino)-9H-purin-9- yl)cyclohexyl)acrylamide, (R/S)-1-(3-((6-Amino-2-((4-morpholinophenyl)amino)-9H-purin-9- yl)methyl)piperidin-1-yl)prop-2-en-1-one, 1-(3-(6-Amino-2-((4-(2-methoxyethoxy)phenyl)amino)-9H-purin-9-yl)pyrrolidin-1- yl)prop-2-en-1-one, (R)-1-(3-(6-Amino-2-((4-(2-methoxyethoxy)phenyl)amino)-9H-purin-9-yl)pyrrolidin- 1-yl)prop-2-en-1-one,
(S)-1-(3-(6-Amino-2-((4-morpholinophenyl)amino)-9H-purin-9-yl)pyrrolidin-1- yl)prop-2-en-1-one, (S)-1-(3-(6-Amino-2-((4-(piperidin-1-yl)phenyl)amino)-9H-purin-9-yl)pyrrolidin-1- yl)prop-2-en-1-one, (S)-1-(3-(6-Amino-2-((4-(2-methoxyethoxy)phenyl)amino)-9H-purin-9-yl)pyrrolidin- 1-yl)prop-2-en-1-one, (S)-1-(3-(6-Amino-2-((3-(2-methoxyethoxy)phenyl)amino)-9H-purin-9-yl)pyrrolidin- 1-yl)prop-2-en-1-one, (S)-1-(3-(6-Amino-2-((4-morpholinophenyl)amino)-9H-purin-9-yl)pyrrolidin-1- yl)prop-2-en-1-one, 1-(3-(6-Amino-2-((4-(2-methoxyethoxy)phenyl)amino)-9H-purin-9-yl)azetidin-1- yl)prop-2-en-1-one, 1-(3-(6-Amino-2-((3-fluoro-4-(4-methylpiperazin-1-yl)phenyl)amino)-9H-purin-9- yl)azetidin-1-yl)prop-2-en-1-one and 1-(2-(6-Amino-2-((4-(2-methoxyethoxy)phenyl)amino)-9H-purin-9-yl)-7- azaspiro[3.5]nonan-7-yl)prop-2-en-1-one or a free base thereof, or stereoisomers thereof or a pharmaceutically acceptable salt thereof.
12. A pharmaceutical composition comprising one or more compounds according to any one of the preceding claims, and one or more pharmaceutically acceptable excipients.
13. Use of a compound for the manufacture of a medicament for treating, managing and/or lessening diseases or disorders, syndromes or conditions associated with the inhibition of BTK in a subject in need thereof wherein the method comprises administering to the subject a therapeutically effective amount of a compound
according to any one of the preceding claims, or a pharmaceutically acceptable salt thereof.
14. The use of claim 13, wherein the diseases, disorders, syndromes or conditions associated with the inhibition of BTK are selected from the group consisting of cancer, proliferative disorders, autoimmune diseases, hetero-immune diseases and inflammatory diseases.
15. The use of claim 14, wherein the cancer disease associated with the inhibition of BTK are selected from: B-cell proliferative disorders including but not limited to, diffuse large B cell lymphoma, follicular lymphoma, chronic lymphocytic lymphoma, chronic lymphocytic leukemia, acute lymphocytic leukemia, acute myelogenous leukemia, chronic myelogenous leukemia, B-cell prolymphocytic leukemia, lymphoplasmacytic lymphoma/Waldenstrom macroglobulinemia, splenic marginal zone lymphoma, multiple myeloma (also known as plasma cell myeloma), non- Hodgkin's lymphoma, Hodgkin's lymphoma, plasmacytoma, extranodal marginal zone B cell lymphoma, nodal marginal zone B cell lymphoma, mantle cell lymphoma, mediastinal (thymic) large B cell lymphoma, intravascular large B cell lymphoma, primary effusion lymphoma, Burkitt lymphoma/leukemia, or lymphomatoid granulomatosis. In some embodiments, the cancer is breast cancer, bone cancer, prostate cancer or cancer of the mast cells (e.g., mastocytoma, mast cell leukemia, mast cell sarcoma, systemic mastocytosis).
16. The use of claim 14, wherein the autoimmune disease associated with the inhibition of BTK is rheumatoid arthritis.
17. The use of claim 14, wherein the autoimmune disease which is associated with the inhibition of BTK are selected from: inflammatory bowel disease, arthritis, lupus, psoriatic arthritis, osteoarthritis, Still's disease, juvenile arthritis, myasthenia gravis, Hashimoto's thyroiditis, Ord's thyroiditis, Graves' disease, Sjogren's syndrome, multiple sclerosis, Guillain-Barre syndrome, acute disseminated encephalomyelitis, Addison's disease, opsoclonus-myoclonus syndrome, systemic lupus erythematosis
(SLE), autoimmune thyroiditis some forms of diabetes, Reynaud's syndrome, ankylosing spondylosis, antiphospholipid antibody syndrome, aplastic anemia, autoimmune hepatitis, celiac disease, Goodpasture's syndrome, idiopathic thrombocytopenic purpura, optic neuritis, scleroderma, primary biliary cirrhosis, Reiter's syndrome, Takayasu's arteritis, temporal arteritis, warm autoimmune hemolytic anemia, Wegener's granulomatosis, psoriasis, alopecia universalis, Behcet's disease, chronic fatigue, dysautonomia, endometriosis, interstitial cystitis, neuromyotonia, scleroderma, or vulvodynia, a hyperproliferative disease or immunologically-mediated diseases including organ/tissue transplant rejection, transplant rejection disorders such as GVHD and allograft rejection; chronic glomerulonephritis and acquired Immunodeficiency Syndrome (AIDS, also known as HIV).
Applications Claiming Priority (2)
| Application Number | Priority Date | Filing Date | Title |
|---|---|---|---|
| IN1172MU2014 | 2014-03-29 | ||
| IN1172/MUM/2014 | 2014-03-29 |
Publications (1)
| Publication Number | Publication Date |
|---|---|
| WO2015151006A1 true WO2015151006A1 (en) | 2015-10-08 |
Family
ID=54239473
Family Applications (1)
| Application Number | Title | Priority Date | Filing Date |
|---|---|---|---|
| PCT/IB2015/052299 Ceased WO2015151006A1 (en) | 2014-03-29 | 2015-03-28 | Substituted purine compounds as btk inhibitors |
Country Status (1)
| Country | Link |
|---|---|
| WO (1) | WO2015151006A1 (en) |
Cited By (11)
| Publication number | Priority date | Publication date | Assignee | Title |
|---|---|---|---|---|
| CN106432239A (en) * | 2016-07-08 | 2017-02-22 | 大连医科大学 | Purine compounds, composition and application |
| EP3270694A4 (en) * | 2015-02-17 | 2018-09-05 | Neupharma, Inc. | Certain chemical entities, compositions, and methods |
| WO2019074275A1 (en) * | 2017-10-11 | 2019-04-18 | 주식회사 대웅제약 | Novel phenylpyridine derivative and pharmaceutical composition containing same |
| CN109790164A (en) * | 2016-07-25 | 2019-05-21 | 内尔维亚诺医疗科学公司 | Purine and 3- as choline kinase inhibitor remove azepine purine analogue |
| JP2019527727A (en) * | 2016-08-17 | 2019-10-03 | ジービー005, インコーポレイテッド | Spiro ring-containing compound and pharmaceutical use thereof |
| JP2019536820A (en) * | 2016-12-01 | 2019-12-19 | アプトセ バイオサイエンシーズ インコーポレイテッド | Fused cyclic pyrimidine compounds as dual inhibitors of BRAD4 and JAK2 and methods for their use |
| US10913744B2 (en) | 2015-02-13 | 2021-02-09 | Dana-Farber Cancer Institute, Inc. | LRRK2 inhibitors and methods of making and using the same |
| CN113214265A (en) * | 2020-01-21 | 2021-08-06 | 江苏先声药业有限公司 | Pyrimido five-membered ring compounds |
| WO2022140246A1 (en) | 2020-12-21 | 2022-06-30 | Hangzhou Jijing Pharmaceutical Technology Limited | Methods and compounds for targeted autophagy |
| US11865120B2 (en) | 2013-08-23 | 2024-01-09 | Neupharma, Inc. | Substituted quinazolines for inhibiting kinase activity |
| US12414950B1 (en) | 2024-05-21 | 2025-09-16 | Telios Pharma Inc. | Methods of treating indolent systemic mastocytosis |
Citations (18)
| Publication number | Priority date | Publication date | Assignee | Title |
|---|---|---|---|---|
| WO2008039218A2 (en) * | 2006-09-22 | 2008-04-03 | Pharmacyclics, Inc. | Inhibitors of bruton's tyrosine kinase |
| WO2009039397A2 (en) | 2007-09-20 | 2009-03-26 | Cgi Pharmaceuticals, Inc. | Substituted amides, methods of making, use thereof for the treatment of diseases such as cancer |
| WO2009158571A1 (en) | 2008-06-27 | 2009-12-30 | Avila Therapeutics And Uses Thereof | Heteroaryl compounds and uses thereof |
| WO2010068806A1 (en) | 2008-12-10 | 2010-06-17 | Cgi Pharmaceuticals, Inc. | Amide derivatives as btk inhibitors in the treatment of allergic, autoimmune and inflammatory disorders as well as cancer |
| WO2011019780A1 (en) | 2009-08-11 | 2011-02-17 | Bristol-Myers Squibb Company | Azaindazoles as btk kinase modulators and use thereof |
| WO2013010380A1 (en) | 2011-07-19 | 2013-01-24 | Merck Sharp & Dohme Corp. | Btk inhibitors |
| WO2013067277A1 (en) | 2011-11-03 | 2013-05-10 | Genentech, Inc. | Alkylated piperazine compounds as inhibitors of btk activity |
| WO2013083666A1 (en) | 2011-12-09 | 2013-06-13 | F. Hoffmann-La Roche Ag | Inhibitors of bruton's tyrosine kinase |
| WO2013084216A2 (en) | 2013-03-14 | 2013-06-13 | Celgene Avilomics Research, Inc. | Heteroaryl compounds and uses thereof |
| WO2013116382A1 (en) * | 2012-01-31 | 2013-08-08 | Pharmacyclics, Inc. | Purinone compounds as kinase inhibitors |
| WO2013148603A1 (en) | 2012-03-27 | 2013-10-03 | Takeda Pharmaceutical Company Limited | Cinnoline derivatives as as btk inhibitors |
| WO2013173518A1 (en) | 2012-05-16 | 2013-11-21 | Pharmacyclics, Inc. | Inhibitors of bruton's tyrosine kinase |
| WO2013185082A2 (en) | 2012-06-08 | 2013-12-12 | Biogen Idec Ma Inc. | Inhibitors of bruton's tyrosine kinase |
| WO2013185084A1 (en) | 2012-06-08 | 2013-12-12 | Biogen Idec Ma Inc. | Pyrimidinyl tyrosine kinase inhibitors |
| WO2014040555A1 (en) | 2012-09-12 | 2014-03-20 | 山东亨利医药科技有限责任公司 | Nitrogen-containing heteroaromatic ring derivative as tyrosine kinase inhibitor |
| CN103864792A (en) | 2012-12-12 | 2014-06-18 | 山东亨利医药科技有限责任公司 | Heterocyclic nitrogen compound acting as tyrosine kinase inhibitor |
| WO2015002894A1 (en) | 2013-07-02 | 2015-01-08 | Pharmacyclics, Inc. | Purinone compounds as kinase inhibitors |
| WO2015000949A1 (en) | 2013-07-03 | 2015-01-08 | F. Hoffmann-La Roche Ag | Heteroaryl pyridone and aza-pyridone amide compounds |
-
2015
- 2015-03-28 WO PCT/IB2015/052299 patent/WO2015151006A1/en not_active Ceased
Patent Citations (18)
| Publication number | Priority date | Publication date | Assignee | Title |
|---|---|---|---|---|
| WO2008039218A2 (en) * | 2006-09-22 | 2008-04-03 | Pharmacyclics, Inc. | Inhibitors of bruton's tyrosine kinase |
| WO2009039397A2 (en) | 2007-09-20 | 2009-03-26 | Cgi Pharmaceuticals, Inc. | Substituted amides, methods of making, use thereof for the treatment of diseases such as cancer |
| WO2009158571A1 (en) | 2008-06-27 | 2009-12-30 | Avila Therapeutics And Uses Thereof | Heteroaryl compounds and uses thereof |
| WO2010068806A1 (en) | 2008-12-10 | 2010-06-17 | Cgi Pharmaceuticals, Inc. | Amide derivatives as btk inhibitors in the treatment of allergic, autoimmune and inflammatory disorders as well as cancer |
| WO2011019780A1 (en) | 2009-08-11 | 2011-02-17 | Bristol-Myers Squibb Company | Azaindazoles as btk kinase modulators and use thereof |
| WO2013010380A1 (en) | 2011-07-19 | 2013-01-24 | Merck Sharp & Dohme Corp. | Btk inhibitors |
| WO2013067277A1 (en) | 2011-11-03 | 2013-05-10 | Genentech, Inc. | Alkylated piperazine compounds as inhibitors of btk activity |
| WO2013083666A1 (en) | 2011-12-09 | 2013-06-13 | F. Hoffmann-La Roche Ag | Inhibitors of bruton's tyrosine kinase |
| WO2013116382A1 (en) * | 2012-01-31 | 2013-08-08 | Pharmacyclics, Inc. | Purinone compounds as kinase inhibitors |
| WO2013148603A1 (en) | 2012-03-27 | 2013-10-03 | Takeda Pharmaceutical Company Limited | Cinnoline derivatives as as btk inhibitors |
| WO2013173518A1 (en) | 2012-05-16 | 2013-11-21 | Pharmacyclics, Inc. | Inhibitors of bruton's tyrosine kinase |
| WO2013185082A2 (en) | 2012-06-08 | 2013-12-12 | Biogen Idec Ma Inc. | Inhibitors of bruton's tyrosine kinase |
| WO2013185084A1 (en) | 2012-06-08 | 2013-12-12 | Biogen Idec Ma Inc. | Pyrimidinyl tyrosine kinase inhibitors |
| WO2014040555A1 (en) | 2012-09-12 | 2014-03-20 | 山东亨利医药科技有限责任公司 | Nitrogen-containing heteroaromatic ring derivative as tyrosine kinase inhibitor |
| CN103864792A (en) | 2012-12-12 | 2014-06-18 | 山东亨利医药科技有限责任公司 | Heterocyclic nitrogen compound acting as tyrosine kinase inhibitor |
| WO2013084216A2 (en) | 2013-03-14 | 2013-06-13 | Celgene Avilomics Research, Inc. | Heteroaryl compounds and uses thereof |
| WO2015002894A1 (en) | 2013-07-02 | 2015-01-08 | Pharmacyclics, Inc. | Purinone compounds as kinase inhibitors |
| WO2015000949A1 (en) | 2013-07-03 | 2015-01-08 | F. Hoffmann-La Roche Ag | Heteroaryl pyridone and aza-pyridone amide compounds |
Non-Patent Citations (6)
| Title |
|---|
| KUROSAKI, CURR OP IMM, 2000, pages 276 - 281 |
| LICHUAN LIU, JOURNAL OF PHARMACOLOGY AND EXPERIMENTAL THERAPEUTICS, vol. 338, 2011, pages 154 - 163 |
| MOHAMED AJ ET AL., IMMUNOL REV., vol. 228, 2009, pages 58 - 73 |
| QUEK ET AL., CURRENT BIOLOGY, vol. 8, 1998, pages 1137 - 1140 |
| SCHAEFFER; SCHWARTZBERG, CURR OP IMM., 2000, pages 282 - 288 |
| Z. PAN ET AL., CHEM. MED. CHEM., vol. 2, 2007, pages 58 - 61 |
Cited By (23)
| Publication number | Priority date | Publication date | Assignee | Title |
|---|---|---|---|---|
| US12403145B2 (en) | 2013-08-23 | 2025-09-02 | Neupharma, Inc | Substituted quinazolines for inhibiting kinase activity |
| US11865120B2 (en) | 2013-08-23 | 2024-01-09 | Neupharma, Inc. | Substituted quinazolines for inhibiting kinase activity |
| US10913744B2 (en) | 2015-02-13 | 2021-02-09 | Dana-Farber Cancer Institute, Inc. | LRRK2 inhibitors and methods of making and using the same |
| EP3778605A3 (en) * | 2015-02-13 | 2021-03-10 | Dana Farber Cancer Institute, Inc. | Lrrk2 inhibitors and methods of making and using the same |
| US20210163423A1 (en) * | 2015-02-17 | 2021-06-03 | Neupharma, Inc. | Certain chemical entities, compositions, and methods |
| EP3270694A4 (en) * | 2015-02-17 | 2018-09-05 | Neupharma, Inc. | Certain chemical entities, compositions, and methods |
| AU2020210312B2 (en) * | 2015-02-17 | 2022-10-20 | Neupharma, Inc. | Certain chemical entities, compositions, and methods |
| CN106432239B (en) * | 2016-07-08 | 2018-10-30 | 大连医科大学 | Purine compound, composition and purposes |
| CN106432239A (en) * | 2016-07-08 | 2017-02-22 | 大连医科大学 | Purine compounds, composition and application |
| CN109790164A (en) * | 2016-07-25 | 2019-05-21 | 内尔维亚诺医疗科学公司 | Purine and 3- as choline kinase inhibitor remove azepine purine analogue |
| CN109790164B (en) * | 2016-07-25 | 2022-01-25 | 内尔维亚诺医疗科学公司 | Purine and 3-Deazapurine Analogs as Choline Kinase Inhibitors |
| JP2019527727A (en) * | 2016-08-17 | 2019-10-03 | ジービー005, インコーポレイテッド | Spiro ring-containing compound and pharmaceutical use thereof |
| US11279703B2 (en) * | 2016-12-01 | 2022-03-22 | Aptose Biosciences Inc. | Fused pyrimidine compounds as BRD4 and JAK2 dual inhibitors and methods for use thereof |
| CN110691782A (en) * | 2016-12-01 | 2020-01-14 | 艾普托斯生物科学公司 | Fused pyrimidine compounds as dual inhibitors of BRD4 and JAK2 and methods of use |
| JP2019536820A (en) * | 2016-12-01 | 2019-12-19 | アプトセ バイオサイエンシーズ インコーポレイテッド | Fused cyclic pyrimidine compounds as dual inhibitors of BRAD4 and JAK2 and methods for their use |
| US11149019B2 (en) | 2017-10-11 | 2021-10-19 | Daewoong Pharmaceutical Co., Ltd. | Phenylpyridine derivative and pharmaceutical composition comprising the same |
| CN111212833A (en) * | 2017-10-11 | 2020-05-29 | 株式会社大熊制药 | Novel phenylpyridine derivative and pharmaceutical composition comprising same |
| CN111212833B (en) * | 2017-10-11 | 2022-09-06 | 株式会社大熊制药 | Phenylpyridine derivatives and pharmaceutical compositions containing the same |
| WO2019074275A1 (en) * | 2017-10-11 | 2019-04-18 | 주식회사 대웅제약 | Novel phenylpyridine derivative and pharmaceutical composition containing same |
| CN113214265A (en) * | 2020-01-21 | 2021-08-06 | 江苏先声药业有限公司 | Pyrimido five-membered ring compounds |
| CN113214265B (en) * | 2020-01-21 | 2023-07-07 | 江苏先声药业有限公司 | Pyrimido five-membered ring compounds |
| WO2022140246A1 (en) | 2020-12-21 | 2022-06-30 | Hangzhou Jijing Pharmaceutical Technology Limited | Methods and compounds for targeted autophagy |
| US12414950B1 (en) | 2024-05-21 | 2025-09-16 | Telios Pharma Inc. | Methods of treating indolent systemic mastocytosis |
Similar Documents
| Publication | Publication Date | Title |
|---|---|---|
| WO2015151006A1 (en) | Substituted purine compounds as btk inhibitors | |
| US10865206B2 (en) | Inhibitors of cyclin-dependent kinase 7 (CDK7) | |
| US11040957B2 (en) | Heteroaromatic compounds useful for the treatment of proliferative diseases | |
| ES2702951T3 (en) | Inhibitors of cyclin-dependent kinases 7 (cdk7) | |
| US20210107912A1 (en) | Inhibitors of cyclin-dependent kinase 7 (cdk7) | |
| US20190292167A1 (en) | Heteroaromatic compounds useful for the treatment of proliferative diseases | |
| KR102365651B1 (en) | Heterocyclic compounds and uses thereof | |
| KR102131612B1 (en) | Heterocyclylamines as pi3k inhibitors | |
| JP6029668B2 (en) | Heterocyclic compounds and uses thereof | |
| AU2014400628B2 (en) | Aminopyridazinone compounds as protein kinase inhibitors | |
| CA2933480A1 (en) | Inhibitors of lysine specific demethylase-1 | |
| WO2015170266A1 (en) | Substituted pyrimidine compounds as btk inhibitors | |
| US20230227427A1 (en) | Il-17a modulators | |
| US20160340339A1 (en) | Pyrazole compounds as btk inhibitors | |
| US20170283431A1 (en) | Inhibitors of bruton's tyrosine kinase and method of their use | |
| CN114401955A (en) | Inhibitors of cyclin dependent kinases | |
| AU2019237991A1 (en) | JAK inhibitors | |
| WO2016196910A1 (en) | Compounds for the modulation of myc activity | |
| HK1229328A1 (en) | Inhibitors of cyclin-dependent kinase 7 (cdk7) | |
| HK1229328B (en) | Inhibitors of cyclin-dependent kinase 7 (cdk7) |
Legal Events
| Date | Code | Title | Description |
|---|---|---|---|
| 121 | Ep: the epo has been informed by wipo that ep was designated in this application |
Ref document number: 15717253 Country of ref document: EP Kind code of ref document: A1 |
|
| NENP | Non-entry into the national phase | ||
| 122 | Ep: pct application non-entry in european phase |
Ref document number: 15717253 Country of ref document: EP Kind code of ref document: A1 |


















































































































































































































































































































































