BR122020022192B1 - Composições orais veterinárias parasíticas compreendendo ingredientes ativos de ação sistêmica, métodos e uso das mesmas - Google Patents
Composições orais veterinárias parasíticas compreendendo ingredientes ativos de ação sistêmica, métodos e uso das mesmas Download PDFInfo
- Publication number
- BR122020022192B1 BR122020022192B1 BR122020022192-5A BR122020022192A BR122020022192B1 BR 122020022192 B1 BR122020022192 B1 BR 122020022192B1 BR 122020022192 A BR122020022192 A BR 122020022192A BR 122020022192 B1 BR122020022192 B1 BR 122020022192B1
- Authority
- BR
- Brazil
- Prior art keywords
- chewable
- compositions
- active
- soft
- combination
- Prior art date
Links
Images
Classifications
-
- A—HUMAN NECESSITIES
- A61—MEDICAL OR VETERINARY SCIENCE; HYGIENE
- A61K—PREPARATIONS FOR MEDICAL, DENTAL OR TOILETRY PURPOSES
- A61K31/00—Medicinal preparations containing organic active ingredients
- A61K31/33—Heterocyclic compounds
- A61K31/395—Heterocyclic compounds having nitrogen as a ring hetero atom, e.g. guanethidine or rifamycins
- A61K31/41—Heterocyclic compounds having nitrogen as a ring hetero atom, e.g. guanethidine or rifamycins having five-membered rings with two or more ring hetero atoms, at least one of which being nitrogen, e.g. tetrazole
- A61K31/42—Oxazoles
-
- A—HUMAN NECESSITIES
- A61—MEDICAL OR VETERINARY SCIENCE; HYGIENE
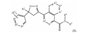
- A61K—PREPARATIONS FOR MEDICAL, DENTAL OR TOILETRY PURPOSES
- A61K31/00—Medicinal preparations containing organic active ingredients
- A61K31/21—Esters, e.g. nitroglycerine, selenocyanates
- A61K31/27—Esters, e.g. nitroglycerine, selenocyanates of carbamic or thiocarbamic acids, meprobamate, carbachol, neostigmine
-
- C—CHEMISTRY; METALLURGY
- C07—ORGANIC CHEMISTRY
- C07D—HETEROCYCLIC COMPOUNDS
- C07D261/00—Heterocyclic compounds containing 1,2-oxazole or hydrogenated 1,2-oxazole rings
- C07D261/02—Heterocyclic compounds containing 1,2-oxazole or hydrogenated 1,2-oxazole rings not condensed with other rings
- C07D261/04—Heterocyclic compounds containing 1,2-oxazole or hydrogenated 1,2-oxazole rings not condensed with other rings having one double bond between ring members or between a ring member and a non-ring member
-
- A—HUMAN NECESSITIES
- A01—AGRICULTURE; FORESTRY; ANIMAL HUSBANDRY; HUNTING; TRAPPING; FISHING
- A01N—PRESERVATION OF BODIES OF HUMANS OR ANIMALS OR PLANTS OR PARTS THEREOF; BIOCIDES, e.g. AS DISINFECTANTS, AS PESTICIDES OR AS HERBICIDES; PEST REPELLANTS OR ATTRACTANTS; PLANT GROWTH REGULATORS
- A01N43/00—Biocides, pest repellants or attractants, or plant growth regulators containing heterocyclic compounds
- A01N43/72—Biocides, pest repellants or attractants, or plant growth regulators containing heterocyclic compounds having rings with nitrogen atoms and oxygen or sulfur atoms as ring hetero atoms
- A01N43/80—Biocides, pest repellants or attractants, or plant growth regulators containing heterocyclic compounds having rings with nitrogen atoms and oxygen or sulfur atoms as ring hetero atoms five-membered rings with one nitrogen atom and either one oxygen atom or one sulfur atom in positions 1,2
-
- A—HUMAN NECESSITIES
- A23—FOODS OR FOODSTUFFS; TREATMENT THEREOF, NOT COVERED BY OTHER CLASSES
- A23K—FODDER
- A23K20/00—Accessory food factors for animal feeding-stuffs
-
- A—HUMAN NECESSITIES
- A61—MEDICAL OR VETERINARY SCIENCE; HYGIENE
- A61K—PREPARATIONS FOR MEDICAL, DENTAL OR TOILETRY PURPOSES
- A61K31/00—Medicinal preparations containing organic active ingredients
- A61K31/185—Acids; Anhydrides, halides or salts thereof, e.g. sulfur acids, imidic, hydrazonic or hydroximic acids
- A61K31/19—Carboxylic acids, e.g. valproic acid
- A61K31/194—Carboxylic acids, e.g. valproic acid having two or more carboxyl groups, e.g. succinic, maleic or phthalic acid
-
- A—HUMAN NECESSITIES
- A61—MEDICAL OR VETERINARY SCIENCE; HYGIENE
- A61K—PREPARATIONS FOR MEDICAL, DENTAL OR TOILETRY PURPOSES
- A61K31/00—Medicinal preparations containing organic active ingredients
- A61K31/275—Nitriles; Isonitriles
- A61K31/277—Nitriles; Isonitriles having a ring, e.g. verapamil
-
- A—HUMAN NECESSITIES
- A61—MEDICAL OR VETERINARY SCIENCE; HYGIENE
- A61K—PREPARATIONS FOR MEDICAL, DENTAL OR TOILETRY PURPOSES
- A61K31/00—Medicinal preparations containing organic active ingredients
- A61K31/325—Carbamic acids; Thiocarbamic acids; Anhydrides or salts thereof
-
- A—HUMAN NECESSITIES
- A61—MEDICAL OR VETERINARY SCIENCE; HYGIENE
- A61K—PREPARATIONS FOR MEDICAL, DENTAL OR TOILETRY PURPOSES
- A61K31/00—Medicinal preparations containing organic active ingredients
- A61K31/33—Heterocyclic compounds
- A61K31/335—Heterocyclic compounds having oxygen as the only ring hetero atom, e.g. fungichromin
- A61K31/365—Lactones
-
- A—HUMAN NECESSITIES
- A61—MEDICAL OR VETERINARY SCIENCE; HYGIENE
- A61K—PREPARATIONS FOR MEDICAL, DENTAL OR TOILETRY PURPOSES
- A61K31/00—Medicinal preparations containing organic active ingredients
- A61K31/33—Heterocyclic compounds
- A61K31/395—Heterocyclic compounds having nitrogen as a ring hetero atom, e.g. guanethidine or rifamycins
- A61K31/41—Heterocyclic compounds having nitrogen as a ring hetero atom, e.g. guanethidine or rifamycins having five-membered rings with two or more ring hetero atoms, at least one of which being nitrogen, e.g. tetrazole
- A61K31/4164—1,3-Diazoles
- A61K31/4184—1,3-Diazoles condensed with carbocyclic rings, e.g. benzimidazoles
-
- A—HUMAN NECESSITIES
- A61—MEDICAL OR VETERINARY SCIENCE; HYGIENE
- A61K—PREPARATIONS FOR MEDICAL, DENTAL OR TOILETRY PURPOSES
- A61K31/00—Medicinal preparations containing organic active ingredients
- A61K31/33—Heterocyclic compounds
- A61K31/395—Heterocyclic compounds having nitrogen as a ring hetero atom, e.g. guanethidine or rifamycins
- A61K31/41—Heterocyclic compounds having nitrogen as a ring hetero atom, e.g. guanethidine or rifamycins having five-membered rings with two or more ring hetero atoms, at least one of which being nitrogen, e.g. tetrazole
- A61K31/42—Oxazoles
- A61K31/422—Oxazoles not condensed and containing further heterocyclic rings
-
- A—HUMAN NECESSITIES
- A61—MEDICAL OR VETERINARY SCIENCE; HYGIENE
- A61K—PREPARATIONS FOR MEDICAL, DENTAL OR TOILETRY PURPOSES
- A61K31/00—Medicinal preparations containing organic active ingredients
- A61K31/33—Heterocyclic compounds
- A61K31/395—Heterocyclic compounds having nitrogen as a ring hetero atom, e.g. guanethidine or rifamycins
- A61K31/41—Heterocyclic compounds having nitrogen as a ring hetero atom, e.g. guanethidine or rifamycins having five-membered rings with two or more ring hetero atoms, at least one of which being nitrogen, e.g. tetrazole
- A61K31/425—Thiazoles
- A61K31/429—Thiazoles condensed with heterocyclic ring systems
-
- A—HUMAN NECESSITIES
- A61—MEDICAL OR VETERINARY SCIENCE; HYGIENE
- A61K—PREPARATIONS FOR MEDICAL, DENTAL OR TOILETRY PURPOSES
- A61K31/00—Medicinal preparations containing organic active ingredients
- A61K31/33—Heterocyclic compounds
- A61K31/395—Heterocyclic compounds having nitrogen as a ring hetero atom, e.g. guanethidine or rifamycins
- A61K31/435—Heterocyclic compounds having nitrogen as a ring hetero atom, e.g. guanethidine or rifamycins having six-membered rings with one nitrogen as the only ring hetero atom
- A61K31/4353—Heterocyclic compounds having nitrogen as a ring hetero atom, e.g. guanethidine or rifamycins having six-membered rings with one nitrogen as the only ring hetero atom ortho- or peri-condensed with heterocyclic ring systems
- A61K31/437—Heterocyclic compounds having nitrogen as a ring hetero atom, e.g. guanethidine or rifamycins having six-membered rings with one nitrogen as the only ring hetero atom ortho- or peri-condensed with heterocyclic ring systems the heterocyclic ring system containing a five-membered ring having nitrogen as a ring hetero atom, e.g. indolizine, beta-carboline
-
- A—HUMAN NECESSITIES
- A61—MEDICAL OR VETERINARY SCIENCE; HYGIENE
- A61K—PREPARATIONS FOR MEDICAL, DENTAL OR TOILETRY PURPOSES
- A61K31/00—Medicinal preparations containing organic active ingredients
- A61K31/33—Heterocyclic compounds
- A61K31/395—Heterocyclic compounds having nitrogen as a ring hetero atom, e.g. guanethidine or rifamycins
- A61K31/495—Heterocyclic compounds having nitrogen as a ring hetero atom, e.g. guanethidine or rifamycins having six-membered rings with two or more nitrogen atoms as the only ring heteroatoms, e.g. piperazine or tetrazines
- A61K31/498—Pyrazines or piperazines ortho- and peri-condensed with carbocyclic ring systems, e.g. quinoxaline, phenazine
-
- A—HUMAN NECESSITIES
- A61—MEDICAL OR VETERINARY SCIENCE; HYGIENE
- A61K—PREPARATIONS FOR MEDICAL, DENTAL OR TOILETRY PURPOSES
- A61K31/00—Medicinal preparations containing organic active ingredients
- A61K31/33—Heterocyclic compounds
- A61K31/395—Heterocyclic compounds having nitrogen as a ring hetero atom, e.g. guanethidine or rifamycins
- A61K31/495—Heterocyclic compounds having nitrogen as a ring hetero atom, e.g. guanethidine or rifamycins having six-membered rings with two or more nitrogen atoms as the only ring heteroatoms, e.g. piperazine or tetrazines
- A61K31/4985—Pyrazines or piperazines ortho- or peri-condensed with heterocyclic ring systems
-
- A—HUMAN NECESSITIES
- A61—MEDICAL OR VETERINARY SCIENCE; HYGIENE
- A61K—PREPARATIONS FOR MEDICAL, DENTAL OR TOILETRY PURPOSES
- A61K31/00—Medicinal preparations containing organic active ingredients
- A61K31/33—Heterocyclic compounds
- A61K31/395—Heterocyclic compounds having nitrogen as a ring hetero atom, e.g. guanethidine or rifamycins
- A61K31/495—Heterocyclic compounds having nitrogen as a ring hetero atom, e.g. guanethidine or rifamycins having six-membered rings with two or more nitrogen atoms as the only ring heteroatoms, e.g. piperazine or tetrazines
- A61K31/505—Pyrimidines; Hydrogenated pyrimidines, e.g. trimethoprim
- A61K31/506—Pyrimidines; Hydrogenated pyrimidines, e.g. trimethoprim not condensed and containing further heterocyclic rings
-
- A—HUMAN NECESSITIES
- A61—MEDICAL OR VETERINARY SCIENCE; HYGIENE
- A61K—PREPARATIONS FOR MEDICAL, DENTAL OR TOILETRY PURPOSES
- A61K31/00—Medicinal preparations containing organic active ingredients
- A61K31/63—Compounds containing para-N-benzenesulfonyl-N-groups, e.g. sulfanilamide, p-nitrobenzenesulfonyl hydrazide
-
- A—HUMAN NECESSITIES
- A61—MEDICAL OR VETERINARY SCIENCE; HYGIENE
- A61K—PREPARATIONS FOR MEDICAL, DENTAL OR TOILETRY PURPOSES
- A61K31/00—Medicinal preparations containing organic active ingredients
- A61K31/70—Carbohydrates; Sugars; Derivatives thereof
- A61K31/7042—Compounds having saccharide radicals and heterocyclic rings
- A61K31/7048—Compounds having saccharide radicals and heterocyclic rings having oxygen as a ring hetero atom, e.g. leucoglucosan, hesperidin, erythromycin, nystatin, digitoxin or digoxin
-
- A—HUMAN NECESSITIES
- A61—MEDICAL OR VETERINARY SCIENCE; HYGIENE
- A61K—PREPARATIONS FOR MEDICAL, DENTAL OR TOILETRY PURPOSES
- A61K38/00—Medicinal preparations containing peptides
- A61K38/04—Peptides having up to 20 amino acids in a fully defined sequence; Derivatives thereof
- A61K38/15—Depsipeptides; Derivatives thereof
-
- A—HUMAN NECESSITIES
- A61—MEDICAL OR VETERINARY SCIENCE; HYGIENE
- A61K—PREPARATIONS FOR MEDICAL, DENTAL OR TOILETRY PURPOSES
- A61K45/00—Medicinal preparations containing active ingredients not provided for in groups A61K31/00 - A61K41/00
- A61K45/06—Mixtures of active ingredients without chemical characterisation, e.g. antiphlogistics and cardiaca
-
- A—HUMAN NECESSITIES
- A61—MEDICAL OR VETERINARY SCIENCE; HYGIENE
- A61K—PREPARATIONS FOR MEDICAL, DENTAL OR TOILETRY PURPOSES
- A61K47/00—Medicinal preparations characterised by the non-active ingredients used, e.g. carriers or inert additives; Targeting or modifying agents chemically bound to the active ingredient
- A61K47/06—Organic compounds, e.g. natural or synthetic hydrocarbons, polyolefins, mineral oil, petrolatum or ozokerite
- A61K47/08—Organic compounds, e.g. natural or synthetic hydrocarbons, polyolefins, mineral oil, petrolatum or ozokerite containing oxygen, e.g. ethers, acetals, ketones, quinones, aldehydes, peroxides
- A61K47/10—Alcohols; Phenols; Salts thereof, e.g. glycerol; Polyethylene glycols [PEG]; Poloxamers; PEG/POE alkyl ethers
-
- A—HUMAN NECESSITIES
- A61—MEDICAL OR VETERINARY SCIENCE; HYGIENE
- A61K—PREPARATIONS FOR MEDICAL, DENTAL OR TOILETRY PURPOSES
- A61K47/00—Medicinal preparations characterised by the non-active ingredients used, e.g. carriers or inert additives; Targeting or modifying agents chemically bound to the active ingredient
- A61K47/06—Organic compounds, e.g. natural or synthetic hydrocarbons, polyolefins, mineral oil, petrolatum or ozokerite
- A61K47/08—Organic compounds, e.g. natural or synthetic hydrocarbons, polyolefins, mineral oil, petrolatum or ozokerite containing oxygen, e.g. ethers, acetals, ketones, quinones, aldehydes, peroxides
- A61K47/12—Carboxylic acids; Salts or anhydrides thereof
-
- A—HUMAN NECESSITIES
- A61—MEDICAL OR VETERINARY SCIENCE; HYGIENE
- A61K—PREPARATIONS FOR MEDICAL, DENTAL OR TOILETRY PURPOSES
- A61K47/00—Medicinal preparations characterised by the non-active ingredients used, e.g. carriers or inert additives; Targeting or modifying agents chemically bound to the active ingredient
- A61K47/06—Organic compounds, e.g. natural or synthetic hydrocarbons, polyolefins, mineral oil, petrolatum or ozokerite
- A61K47/08—Organic compounds, e.g. natural or synthetic hydrocarbons, polyolefins, mineral oil, petrolatum or ozokerite containing oxygen, e.g. ethers, acetals, ketones, quinones, aldehydes, peroxides
- A61K47/14—Esters of carboxylic acids, e.g. fatty acid monoglycerides, medium-chain triglycerides, parabens or PEG fatty acid esters
-
- A—HUMAN NECESSITIES
- A61—MEDICAL OR VETERINARY SCIENCE; HYGIENE
- A61K—PREPARATIONS FOR MEDICAL, DENTAL OR TOILETRY PURPOSES
- A61K47/00—Medicinal preparations characterised by the non-active ingredients used, e.g. carriers or inert additives; Targeting or modifying agents chemically bound to the active ingredient
- A61K47/30—Macromolecular organic or inorganic compounds, e.g. inorganic polyphosphates
- A61K47/32—Macromolecular compounds obtained by reactions only involving carbon-to-carbon unsaturated bonds, e.g. carbomers, poly(meth)acrylates, or polyvinyl pyrrolidone
-
- A—HUMAN NECESSITIES
- A61—MEDICAL OR VETERINARY SCIENCE; HYGIENE
- A61K—PREPARATIONS FOR MEDICAL, DENTAL OR TOILETRY PURPOSES
- A61K47/00—Medicinal preparations characterised by the non-active ingredients used, e.g. carriers or inert additives; Targeting or modifying agents chemically bound to the active ingredient
- A61K47/30—Macromolecular organic or inorganic compounds, e.g. inorganic polyphosphates
- A61K47/36—Polysaccharides; Derivatives thereof, e.g. gums, starch, alginate, dextrin, hyaluronic acid, chitosan, inulin, agar or pectin
-
- A—HUMAN NECESSITIES
- A61—MEDICAL OR VETERINARY SCIENCE; HYGIENE
- A61K—PREPARATIONS FOR MEDICAL, DENTAL OR TOILETRY PURPOSES
- A61K47/00—Medicinal preparations characterised by the non-active ingredients used, e.g. carriers or inert additives; Targeting or modifying agents chemically bound to the active ingredient
- A61K47/30—Macromolecular organic or inorganic compounds, e.g. inorganic polyphosphates
- A61K47/42—Proteins; Polypeptides; Degradation products thereof; Derivatives thereof, e.g. albumin, gelatin or zein
-
- A—HUMAN NECESSITIES
- A61—MEDICAL OR VETERINARY SCIENCE; HYGIENE
- A61K—PREPARATIONS FOR MEDICAL, DENTAL OR TOILETRY PURPOSES
- A61K47/00—Medicinal preparations characterised by the non-active ingredients used, e.g. carriers or inert additives; Targeting or modifying agents chemically bound to the active ingredient
- A61K47/44—Oils, fats or waxes according to two or more groups of A61K47/02-A61K47/42; Natural or modified natural oils, fats or waxes, e.g. castor oil, polyethoxylated castor oil, montan wax, lignite, shellac, rosin, beeswax or lanolin
-
- A—HUMAN NECESSITIES
- A61—MEDICAL OR VETERINARY SCIENCE; HYGIENE
- A61K—PREPARATIONS FOR MEDICAL, DENTAL OR TOILETRY PURPOSES
- A61K9/00—Medicinal preparations characterised by special physical form
- A61K9/0012—Galenical forms characterised by the site of application
- A61K9/0053—Mouth and digestive tract, i.e. intraoral and peroral administration
- A61K9/0056—Mouth soluble or dispersible forms; Suckable, eatable, chewable coherent forms; Forms rapidly disintegrating in the mouth; Lozenges; Lollipops; Bite capsules; Baked products; Baits or other oral forms for animals
-
- A—HUMAN NECESSITIES
- A61—MEDICAL OR VETERINARY SCIENCE; HYGIENE
- A61K—PREPARATIONS FOR MEDICAL, DENTAL OR TOILETRY PURPOSES
- A61K9/00—Medicinal preparations characterised by special physical form
- A61K9/0012—Galenical forms characterised by the site of application
- A61K9/0053—Mouth and digestive tract, i.e. intraoral and peroral administration
- A61K9/0056—Mouth soluble or dispersible forms; Suckable, eatable, chewable coherent forms; Forms rapidly disintegrating in the mouth; Lozenges; Lollipops; Bite capsules; Baked products; Baits or other oral forms for animals
- A61K9/0058—Chewing gums
-
- A—HUMAN NECESSITIES
- A61—MEDICAL OR VETERINARY SCIENCE; HYGIENE
- A61K—PREPARATIONS FOR MEDICAL, DENTAL OR TOILETRY PURPOSES
- A61K9/00—Medicinal preparations characterised by special physical form
- A61K9/0012—Galenical forms characterised by the site of application
- A61K9/0053—Mouth and digestive tract, i.e. intraoral and peroral administration
- A61K9/0068—Rumen, e.g. rumen bolus
-
- A—HUMAN NECESSITIES
- A61—MEDICAL OR VETERINARY SCIENCE; HYGIENE
- A61K—PREPARATIONS FOR MEDICAL, DENTAL OR TOILETRY PURPOSES
- A61K9/00—Medicinal preparations characterised by special physical form
- A61K9/20—Pills, tablets, discs, rods
- A61K9/2004—Excipients; Inactive ingredients
- A61K9/2022—Organic macromolecular compounds
- A61K9/2031—Organic macromolecular compounds obtained otherwise than by reactions only involving carbon-to-carbon unsaturated bonds, e.g. polyethylene glycol, polyethylene oxide, poloxamers
-
- A—HUMAN NECESSITIES
- A61—MEDICAL OR VETERINARY SCIENCE; HYGIENE
- A61K—PREPARATIONS FOR MEDICAL, DENTAL OR TOILETRY PURPOSES
- A61K9/00—Medicinal preparations characterised by special physical form
- A61K9/20—Pills, tablets, discs, rods
- A61K9/2004—Excipients; Inactive ingredients
- A61K9/2022—Organic macromolecular compounds
- A61K9/205—Polysaccharides, e.g. alginate, gums; Cyclodextrin
- A61K9/2059—Starch, including chemically or physically modified derivatives; Amylose; Amylopectin; Dextrin
-
- A—HUMAN NECESSITIES
- A61—MEDICAL OR VETERINARY SCIENCE; HYGIENE
- A61P—SPECIFIC THERAPEUTIC ACTIVITY OF CHEMICAL COMPOUNDS OR MEDICINAL PREPARATIONS
- A61P33/00—Antiparasitic agents
-
- A—HUMAN NECESSITIES
- A61—MEDICAL OR VETERINARY SCIENCE; HYGIENE
- A61P—SPECIFIC THERAPEUTIC ACTIVITY OF CHEMICAL COMPOUNDS OR MEDICINAL PREPARATIONS
- A61P33/00—Antiparasitic agents
- A61P33/10—Anthelmintics
-
- A—HUMAN NECESSITIES
- A61—MEDICAL OR VETERINARY SCIENCE; HYGIENE
- A61P—SPECIFIC THERAPEUTIC ACTIVITY OF CHEMICAL COMPOUNDS OR MEDICINAL PREPARATIONS
- A61P33/00—Antiparasitic agents
- A61P33/10—Anthelmintics
- A61P33/12—Schistosomicides
-
- A—HUMAN NECESSITIES
- A61—MEDICAL OR VETERINARY SCIENCE; HYGIENE
- A61P—SPECIFIC THERAPEUTIC ACTIVITY OF CHEMICAL COMPOUNDS OR MEDICINAL PREPARATIONS
- A61P33/00—Antiparasitic agents
- A61P33/14—Ectoparasiticides, e.g. scabicides
-
- A—HUMAN NECESSITIES
- A61—MEDICAL OR VETERINARY SCIENCE; HYGIENE
- A61K—PREPARATIONS FOR MEDICAL, DENTAL OR TOILETRY PURPOSES
- A61K2300/00—Mixtures or combinations of active ingredients, wherein at least one active ingredient is fully defined in groups A61K31/00 - A61K41/00
Landscapes
- Health & Medical Sciences (AREA)
- Chemical & Material Sciences (AREA)
- Life Sciences & Earth Sciences (AREA)
- Veterinary Medicine (AREA)
- General Health & Medical Sciences (AREA)
- Animal Behavior & Ethology (AREA)
- Public Health (AREA)
- Medicinal Chemistry (AREA)
- Pharmacology & Pharmacy (AREA)
- Epidemiology (AREA)
- Organic Chemistry (AREA)
- Chemical Kinetics & Catalysis (AREA)
- General Chemical & Material Sciences (AREA)
- Engineering & Computer Science (AREA)
- Oil, Petroleum & Natural Gas (AREA)
- Zoology (AREA)
- Nutrition Science (AREA)
- Physiology (AREA)
- Nuclear Medicine, Radiotherapy & Molecular Imaging (AREA)
- Tropical Medicine & Parasitology (AREA)
- Inorganic Chemistry (AREA)
- Polymers & Plastics (AREA)
- Emergency Medicine (AREA)
- Molecular Biology (AREA)
- Animal Husbandry (AREA)
- Food Science & Technology (AREA)
- Agronomy & Crop Science (AREA)
- Pest Control & Pesticides (AREA)
- Plant Pathology (AREA)
- Dentistry (AREA)
- Wood Science & Technology (AREA)
- Environmental Sciences (AREA)
- Proteomics, Peptides & Aminoacids (AREA)
- Bioinformatics & Cheminformatics (AREA)
- Immunology (AREA)
- Gastroenterology & Hepatology (AREA)
- Pharmaceuticals Containing Other Organic And Inorganic Compounds (AREA)
- Medicinal Preparation (AREA)
- Medicines That Contain Protein Lipid Enzymes And Other Medicines (AREA)
- Acyclic And Carbocyclic Compounds In Medicinal Compositions (AREA)
Abstract
esta invenção se refere a composições veterinárias orais para combater a ectoparasitas e endoparasitas em animais, que compreende pelo menos um agente ativo de ação sistêmica em combinação com um veículo farmaceuticamente aceitável. esta invenção também proporciona métodos aperfeiçoados para a erradicação, controle e prevenção de infecções e infestações parasitárias em um animal que compreende a administração das composições da invenção ao animal que dela necessite.
Description
[0001] Dividido do pedido de patente BR 11 2014 019262 6 depositado em 31/01/2013”.
[0002] Este pedido reivindica o benefício de prioridade do pedido Provisório Norte-Americano N° US 61/595,463, depositado em 06 de fevereiro de 2012, o qual é aqui incorporado por referência na sua totalidade.
[0003] A presente invenção fornece composições orais veterinárias compreendendo pelo menos um ingrediente ativo de ação sistêmica para controlar os ectoparasitas e/ou endoparasitas de animais; o uso destas composições para controlar os ectoparasitas e/ou endoparasitas, e métodos para a prevenção ou o tratamento de infecções parasitárias e infestações em animais.
[0004] Animais, incluindo mamíferos e aves são frequentemente suscetíveis infestações/infecções por parasitas. Estes parasitas podem ser ectoparasitas ou endoparasitas. Animais domésticos, tais como cães e gatos, estão muitas vezes infestadas com uma ou mais dos seguintes ectoparasitas: - pulgas (por exemplo, Ctenocephalides spp, tais como Ctenocephalides felis e semelhantes.); - carrapatos (por exemplo, Rhipicephalus spp, Ixodes spp, Dermacentor spp, Amblyoma spp, Haemaphysalis spp, e semelhantes); - ácaros (por exemplo, Demodex spp, Sarcoptes spp, Otodectes spp, Cheyletiella spp e semelhantes); - Piolhos (por exemplo, Trichodectes spp, Felicola spp, Linognathus spp e outros semelhantes); - mosquitos (Aedes spp, Culex ssp, Anopheles spp e afins); e - Moscas (Musca spp, Stomoxys spp, Dermatobia spp, e outros semelhantes).
[0005] As pulgas são um problema, porque não só elas afetam adversamente a saúde do animal ou ser humano, mas também causam uma grande quantidade de estresse psicológico. Além disso, as pulgas também podem transmitir agentes patogênicos para animais e seres humanos, tal como a tênia (Dipylidium caniem um).
[0006] Da mesma forma, os carrapatos também são prejudiciais para a saúde física e/ou psicológica do animal ou humano. No entanto, o problema mais grave associado com carrapatos é que eles são vetores de agentes patogênicos que afetam seres humanos e animais. Principais doenças que podem ser transmitidas por carrapatos incluem borreliose (doença de Lyme causada por Borrelia burgdorferi), babesiose (ou piroplasmose causada por Babesia spp.) e rickettsioses (por exemplo, febre maculosa). Carrapatos também liberam toxinas que causam a inflamação ou paralisia no hospedeiro. Ocasionalmente, essas toxinas podem ser fatais para o hospedeiro.
[0007] Animais e seres humanos também sofrem de infecções causadas por endoparasitas, vermes parasitas classificadas como cestoides (tênias), nematoides (vermes redondos) e trematódeos (platelmintos ou solhas). Estes parasitas causam uma variedade de condições patológicas em animais domésticos, incluindo cães, gatos, porcos, ovelhas, cavalos, gado e aves de capoeira. Nematoides parasitas que ocorrem no trato gastrointestinal de animais e seres humanos incluem os dos gêneros Ancylostoma, Necator, Ascaris, Strongyloides, Trichinella, Capillaria, Toxocara, Toxascaris, Trichuris, Enterobius, Haemonchus, Trichostrongylus, Ostertagia, Cooperia, Oesophagostomum, Bunostomum, Strongylus, Cyathostomum, e Parascaris entre outros, e os que são encontrados nos vasos sanguíneos ou outros tecidos e órgãos incluem Onchocerca, Dirofilaria, Wuchereria e os de fases extra intestinais Strongyloides, Toxocara e Trichinella. Os agentes terapêuticos são administrados a animais por uma variedade de vias.
[0008] Estas vias incluem, por exemplo, ingestão oral, aplicação tópica ou administração parentérica. A via particular selecionada pelo profissional depende de fatores, tais como as propriedades físico-químicas do agente farmacêutico ou terapêutico, o estado do hospedeiro e economia. Em certos casos, é conveniente e eficaz para administrar medicamentos veterinários por via oral, colocando o agente terapêutico em uma matriz sólida ou líquida, a qual seja adequada para administração oral. Estes métodos incluem formulações de administração de fármacos para mastigar. O problema associado com a administração de formulações orais de animais é que o agente terapêutico proporciona muitas vezes um sabor, aroma ou textura desagradável, o que faz com que os animais rejeitem a composição. Isto é ainda mais exacerbado por composições que são duras e difíceis de engolir.
[0009] As composições veterinárias orais na forma de composições macias mastigáveis (“soft chews”) ou comprimidos mastigáveis agradavés são geralmente convenientes para administrar a certos animais, particularmente, gatos e cães, e podem ser utilizados de forma eficaz com a dose de medicina veterinária para estes animais. Contudo, muitas composições orais que compreendem os agentes ativos com um gosto amargo ou desagradável não são bem aceitos pelos gatos e cães. Além disso, quando a biodisponibilidade de um agente ativo a partir de uma forma de dosagem oral, não é suficiente ou é variável, a exposição requerida do animal para o ingrediente ativo pode não ser suficiente para proporcionar a eficácia desejada. Problemas como estes muitas vezes levam a baixa eficácia ou controle de parasitas abaixo do ideal.
[0010] As formas de dosagem mastigáveis para administração de fármacos são bem conhecidas da tecnologia farmacêutica. É conhecida na indústria farmacêutica que o ato de mascar aumenta a área de superfície da substância ativa disponível e pode aumentar a taxa de absorção pelo trato digestivo.
[0011] Sistemas mastigáveis também são vantajosos quando for desejável efetuar um ingrediente ativo disponível topicamente às áreas da boca ou da garganta, tanto para efeitos locais e/ou absorção sistêmica.
[0012] Além disso, as formas de dosagem mastigáveis também são utilizadas para facilitar a administração de fármacos em pacientes pediátricos e geriátricos. Exemplos de formas de dosagem mastigáveis podem ser encontrados nas Patentes Norte-Americanas Nos US 6,387,381; US 4,284,652; US 4,327,076; US 4,935,243; US 6,270,790; US 6,060,078; US 4,609,543; e, US 5,753,255, todas aqui incorporadas por referência.
[0013] A palatabilidade e “sensação oral” são características importantes a serem consideradas na prestação de uma forma de dosagem, ou matriz, para um ativo farmacêutico ou medicinal. Infelizmente, muitos medicamentos e outros ingredientes ativos têm um gosto amargo ou outro desagradável, ou uma sensação na boca inaceitável, devido ao aspecto arenoso ou gredosidade do composto, ou ambos. Essas características dificultam a incorporar tais ingredientes ativos para o estado atual da técnica para as formas farmacêuticas mastigáveis, porque o sabor e/ou sensação oral torná-lo menos provável de obter o cumprimento por parte do usuário. Formas farmacêuticas orais veterinárias que não são palatáveis para o animal tratado resultam em baixa aceitação do medicamento por um baixo nível de cumprimento do animal. Assim, existe uma necessidade de melhorar as formas de dosagem orais veterinárias que sejam palatáveis e bem aceitas pelo animal tratado.
[0014] Um outro desafio com composições veterinárias orais, particularmente, composições macias mastigáveis é que a liberação e a dissolução do agente ativo a partir da composição depois de ser ingerida pelo animal pode ser variável e incompleta. Isto leva a variabilidade na quantidade de fármaco que é absorvida a partir do trato digestivo do animal.
[0015] A Patente Norte-Americana No. US 7,955,632 (aqui incorporada por referência) descreve veículos medicamentosos comestíveis mastigáveis macios, palatáveis para o fornecimento de ingredientes ativos farmaceuticamente aceitáveis para um animal e processos de produção dos mesmos.
[0016] O pedido Norte-Americano US 2004/0037869 Al e o WO 2004/016252 de Cleverly et al. (aqui incorporados por referência) descrevem produtos não animais contendo formulações veterinárias, incluindo formulações de comprimidos veterinários e mastigáveis, que contêm pelo menos um princípio ativo farmacêutico e não contêm os produtos de origem animal.
[0017] O pedido Norte-Americano 2004/0151759 Al e o documento WO 2005/062782 por Cleverly et al. (aqui incorporados por referência) descrevem produtos não animais contendo formulações veterinárias que compreendem a) pelo menos uma nodulisporamida ou um derivado de ácido nodulispórico; ou b) uma combinação compreendendo: i) pelo menos um derivado de avermectina ou milbemicina; e ii) pelo menos um de praziquantel ou pirantel.
[0018] O documento WO 2009/02451A2 e o pedido Norte- Americano US 2011/0059988 por Heckeroth et al. descrevem várias composições parasiticidas compreendendo isoxazolina como agentes ativos para o controle de parasitas em animais. As composições incluem as composições para administração por via oral.
[0019] Tradicionalmente, nas formulações veterinárias, a palatabilidade tem sido alcançada pela inclusão de subprodutos de origem animal ou aromas derivados a partir de fontes de origem animal na formulação. Por exemplo, é habitual incluir excipientes, tais como frango em pó, pó de fígado, carne, presunto, peixe ou produtos derivados do couro cru nas mastigações caninas para fazer a mastigação atraente e agradável ao cão.
[0020] Veja-se, por exemplo, Patente Norte-Americana US 6,086,940; Patente Norte-Americana US 6,093,441; Patente Norte-Americana US 6,159,516; Patente Norte-Americana US 6,110,521; Patente Norte-Americana US 5,827,565; Patente Norte-Americana US 6,093,427, todas de Axelrod et al. (todoas aqui incorporadas por referência).
[0021] Não obstante, as composições que compreendem agentes ativos parasiticidas descritos nos documentos acima, existe uma necessidade de composições veterinárias palatáveis orais que sejam bem aceitas pelos animais tratados e métodos melhorados com duração de eficácia, biodisponibilidade, e espectro de cobertura para proteger os animais contra endoparasitas e/ou ectoparasitas. Composições ideais devem ser palatáveis e bem aceitas pelos animais, fornecer uma boa biodisponibilidade oral, ser eficaz contra parasitas externos e/ou internos, teu um rápido início de atividade, ter uma longa duração da atividade, e ser seguro para os destinatários de animais e/ou os seus proprietários humanos. A presente invenção aborda esta necessidade.
[0022] Quaisquer pedidos anteriores, e todos os documentos aqui citados ou durante o seu processo (“aplicação dos documentos citados”) e todos os documentos citados ou referenciados na aplicação dos documentos citados, e todos os documentos citados ou aqui referenciados (“documentos aqui citados”), e todos os documentos citado ou referenciado em documentos aqui citados, em conjunto com instruções de qualquer fabricante, descrições, especificações do produto, e as bulas de produtos de todos os produtos aqui ou em qualquer documento incorporado por referência aqui mencionado, são aqui incorporados por referência, e podem ser empregados na prática da invenção.
[0023] Citação ou identificação de qualquer documento neste pedido de patente não é uma admissão de que tal documento esteja disponível como estado da técnica a presente invenção.
[0024] A presente invenção é dirigida a composições veterinárias mastigáveis macias que compreendem pelo menos um ingrediente ativo parasiticídico de ação sistêmica e seu uso para controlar os parasitas externos e/ou internos, ou em animais de sangue quente e aves. Em conformidade com a presente invenção, descobriu-se que estas composições orais surpreendentemente fornecem excepcionalmente elevada biodisponibilidade do agente ativo, resultando em níveis no plasma suficientes para proporcionar uma excelente proteção contra os parasitas durante um longo período de tempo, inigualável por composições veterinárias orais conhecidas. As composições orais da invenção são excepcionalmente palatáveis e fornecem perfis de segurança desejáveis para os animais de sangue quente e de aves, enquanto fornece uma excelente proteção contra parasitas. Além disso, descobriu- se que uma única administração das composições da invenção, em geral, oferece uma potente atividade contra um ou mais ectoparasitas e/ou endoparasitas com um rápido início de atividade e, ao mesmo tempo, proporcionando uma eficácia de longa duração.
[0025] Em certas concretizações, as composições veterinárias da invenção são, vantajosamente, na forma de formulações mastigáveis macias que são palatáveis para os animais, incluindo cães e gatos. Em uma outra concretização, as composições veterinárias orais da invenção estão na forma de um comprimido mastigável.
[0026] A invenção engloba utilizações das composições veterinárias mastigáveis macias para o tratamento e/ou profilaxia de infecções parasitárias e infestações de animais (ou domésticos ou selvagens), incluindo gado e animais de companhia, a fim de libertar esses hospedeiros de parasitas mais comuns encontrados por esses animais. Os animais que podem beneficiar das composições orais da invenção incluem, mas não estão limitados a, gatos, cães, cavalos, galinhas, ovelhas, cabras, porcos, perus e gado, entre outros.
[0027] A invenção também fornece métodos para o tratamento e/ou prevenção de infecções parasitárias e infestações em animais, compreendendo a administração de uma quantidade eficaz de uma composição da invenção, a qual compreende pelo menos um parasiticida de ação sistêmica para o animal. Surpreendentemente, descobriu-se que as composições da invenção, e as formulações aqui descritas exibem eficácia de largo espectro superior contra os ectoparasitas e/ou endoparasitas prejudiciais mais rapidamente, e ao longo de um período mais longo, em comparação com composições veterinárias oral conhecidas no estado da técnica.
[0028] Em uma concretização, a invenção fornece composições veterinárias mastigáveis macias que compreendem quantidades eficazes de: a) (i) pelo menos um agente ativo isoxazolina; ou - ii) pelo menos um agente ativo de ação sistêmica que seja ativo contra parasitas internos, em que o agente ativo de ação sistêmica que é ativa contra parasitas internos é um ou mais de lactonas macrocíclicas, um ou mais benzimidazois, levamisol, pirantel, morantel, praziquantel, closantel, clorsulon, um ou mais agentes ativos de amino acetonitrila ou um ou mais agentes ativos de ariloazol-2-il cianoetilamina, ou uma combinação dos mesmos; ou - iii) uma combinação de pelo menos um agente ativo de isoxazolina de fórmula (I) e pelo menos um agente ativo de ação sistêmica adicional, em que o agente sistemicamente ativo é um ou mais de lactonas macrocíclicas, um ou mais compostos de espinosina, um ou mais compostos de espinosóide, um ou mais de benzimidazóis, levamisol, morantel, pirantel, praziquantel, closantel, clorsulon, um ou mais agentes ativos amino acetonitrila, um ou mais arilpirazóis, um ou mais reguladores de crescimento de insetos, de um ou mais neonicotinóides ou um ou mais agentes ativos de ariloazol-2 -il cianoetilamina ou uma combinação dos mesmos; e b) um veículo farmaceuticamente aceitável.
[0029] Em uma concretização, o agente ativo isoxazolina tem a fórmula (I) abaixo, onde as variáveis A1, A2, A3, A4, A5, A6, B1, B2, B3, R1, R2, R4, R5, W e n são aqui definidas:
[0030] Em uma outra concretização, as composições da invenção compreendem um composto de isoxazolina de fórmula (II), (III) ou (IV) aqui descrita.
[0031] Em uma concretização, a invenção proporciona composições mastigáveis macias que compreendem um agente ativo de isoxazolina de fórmula (I) em que W é O, R1 é CF3, B2 é CH, B1 é C-Cl, B3 é C-CF3, cada de A1, A2, A3, A4, A5 e A6 é CH; R4 é H e R5 é -CH2C(O)NHCH2CF3. Em algumas concretizações, as composições veterinárias mastigáveis macias e métodos compreendem 4-[5-[3-cloro-5- (trifluorometil)fenil]-4,5-dihidro-5-(trifluorometil)-3- isoxazolil]-N-[2-oxo-2-[(2,2,2-trifluoroetil)amino]etil]-1- nafitalenecarboxamida (Composto A) como o agente ativo isoxazolina.
[0032] ainda em outra concretização da invenção, as composições compreendem uma isoxazolina, Composto B ou composto 1.001-1.025 ou Composto 2.001-2.018 descritos abaixo.
[0033] Em uma outra concretização, as composições da invenção podem incluir, pelo menos, um agente ativo de isoxazolina em combinação com um ou mais agentes ativos adicionais. Em uma concretização, a composição pode compreender pelo menos um agente ativo de isoxazolina em combinação com pelo menos um agente ativo de lactona macrocíclica, incluindo, mas não se limitando a, um composto de avermectina ou milbemicina. Em algumas concretizações, o agente de avermectina ativo é eprinomectina, ivermectina, selamectina, abamectina, emamectina, latidectin, lepimectina, milbemectina, milbemicina D, milbemicina oxima ou moxidectina ou uma combinação dos mesmos.
[0034] Em uma concretização, as composições de comprimidos mastigáveis macias da presente invenção compreendem um ou mais enchimentos, um ou mais agentes aromatizantes, um ou mais ligantes, um ou mais solventes, um ou mais surfactantees, um ou mais umectantes e, opcionalmente, um antioxidante ou um conservante.
[0035] É um objetivo da invenção a não englobar no escopo da invenção qualquer produto previamente conhecido, processo de fabricação do produto ou o método de utilização do produto de tal forma que os requerentes reservam-se o direito e por este meio divulgar um aviso de qualquer produto previamente conhecido, o processo, ou método. É ainda de notar que a invenção não tem a intenção de englobar no escopo da invenção de qualquer produto, o processo, ou a tomada do produto ou método de utilização do produto, o qual não satisfaz a descrição escrita e requisitos de habilitação do USPTO (35 USC § 112, primeiro parágrafo) ou a EPO (artigo 83 da EPC), de tal forma que o requerente se reserva o direito e por este meio divulgar um aviso de qualquer produto descrito anteriormente, o processo de tornar o produto ou método de usar o produto.
[0036] Estas e outras concretizações são reveladas ou são óbvias e englobadas, a seguinte descrição detalhada.
[0037] A descrição detalhada seguinte, dada a título de exemplo, mas não se destinam a limitar a invenção apenas às concretização específicas descritas, pode ser melhor entendida em conjunto com os desenhos que a acompanham, em que:
[0038] A Figura 1 é um gráfico que mostra a média de dissolução de 2 gramas de tamanho de composições mastigáveis macias da invenção, contendo cerca de 2,3% (p/p) de Composto A, que foram armazenadas a 25° C e 60% de umidade relativa (HR).
[0039] A Figura 2 é um gráfico que mostra a média de dissolução de 2 gramas de tamanho de composições mastigáveis macias da invenção, contendo cerca de 2,3% (p/p) de Composto A, que foram armazenadas a 40° C e 75% de humidade relativa (HR).
[0040] A Figura 3 é um gráfico que mostra a dissolução média de tamanho 4 gramas de composições mastigáveis macias da invenção, contendo cerca de 2,3% (p/p) de Composto A, que foram armazenadas a 25° C e 60% de humidade relativa (HR).
[0041] A Figura 4 é um gráfico que mostra a dissolução média de 4 gramas de tamanho de composições mastigáveis macios da invenção, contendo cerca de 2,3% (p/p) de Composto A, que foram armazenadas a 40° C e 75% de humidade relativa (HR).
[0042] A Figura 5 mostra a concentração de plasma do composto A em cães com o tempo após a administração de composições de comprimidos mastigáveis macios em doses de 20 mg/kg e 40 mg/kg, em comparação com a administração do Composto A em uma solução de base de polietilenoglicol/álcool.
[0043] A presente invenção proporciona novas e inventivas composições veterinárias orais compreendendo pelo menos um parasiticida sistemicamente-atuando em conjunto com um veículo ou diluente farmaceuticamente aceitável.
[0044] Em uma concretização da invenção, as composições veterinárias que estão na forma de uma composição mastigável macia. Em uma outra concretização da invenção, as composições veterinárias orais estão na forma de um comprimido mastigável. Cada uma das composições da invenção é aceitável para o animal e proporciona uma fácil administração da composição ao animal. Estas composições proporcionam proteção surpreendentemente eficaz dos animais contra parasitas durante um longo período de tempo, ao mesmo tempo proporcionando um rápido início de ação. As composições da invenção têm sido surpreendentemente encontrado que tem uma biodisponibilidade extremamente elevada, com rápida absorção do ingrediente ativo para a corrente sanguínea do animal. A biodisponibilidade excepcional das composições é o resultado da combinação dos componentes não ativos das composições em conjunto com as propriedades do agente ativo. Em uma concretização da invenção, a biodisponibilidade excepcionalmente elevada de um ingrediente ativo isoxazolina a partir das composições veterinárias orais, juntamente com a sua meia-vida intrínseca do agente ativo no corpo e a sua potência para fornecer eficácia de longa duração sem paralelo contra ectoparasitas de uma dosagem oral formulário. Este efeito é surpreendente e inesperado.
[0045] São também proporcionados métodos para o tratamento e/ou profilaxia de infecções parasitárias e infestações de animais, compreendendo a administração de uma quantidade eficaz de uma composição veterinária oral da invenção ao animal. A invenção também proporciona a utilização das composições da invenção, no tratamento e/ou profilaxia de infecções parasitárias e/ou infestações e na fabricação de um medicamento para o tratamento e/ou profilaxia de infecções parasitárias e/ou infestações em animais.
[0046] As composições veterinárias orais da invenção incluem, mas não estão limitados a, composições mastigáveis macia em comprimidos mastigáveis. A invenção inclui pelo menos as seguintes características: (a) composições veterinárias orais palatáveis, incluindo composições mastigáveis macios em comprimidos mastigáveis, que proporcionam uma eficácia superior contra parasitas que compreendem uma quantidade eficaz de pelo menos um agente ativo de isoxazolina em conjunto com um veículo ou diluente farmaceuticamente aceitável; (b) composições veterinárias orais palatáveis compreendendo uma quantidade eficaz de pelo menos um agente ativo de isoxazolina de fórmula (I), fórmula (II), fórmula (III) ou fórmula (IV) que fornecem concentrações plasmáticas e a biodisponibilidade surpreendentemente elevadas do agente ativo isoxazolina; (c) composições veterinárias orais palatáveis que apresentam eficácia de ação rápida superior, que compreendem uma quantidade eficaz de pelo menos um composto de isoxazolina de fórmula (I), fórmula (II), fórmula (III) ou fórmula (IV) aqui descrita em conjunto com um veículo ou diluente farmaceuticamente aceitável; (d) composições veterinárias orais palatáveis que exibem ação rápida superior e eficácia de longa duração que compreendem uma quantidade eficaz de pelo menos um composto A de isoxazolina, composto B, composto 1.001 - 1.025, composto 2.001 - 2.018 aqui descritos, em conjunto com um veículo ou diluente farmaceuticamente aceitável; (e) composições veterinárias orais palatáveis, compreendendo uma quantidade eficaz de pelo menos um agente ativo de isoxazolina em combinação com uma ou mais lactonas macrocíclicas, um ou mais compostos de espinosina, um ou mais compostos espinosóide, um benzimidazol, levamisol, morantel, pirantel, praziquantel, closantel, clorsulon, um ou mais agente ativo amino acetonitrila, um ou mais reguladores de crescimento de insetos, um ou mais neonicotinóides, um ou mais arilpirazóis, ou um ou mais agentes ativos ariloazol-2-il cianoetilamino, ou uma combinação dos mesmos, em combinação com um veículo ou diluente farmaceuticamente aceitável; (f) composições veterinárias orais palatáveis que exibem ação rápida superior e eficácia de longa duração que compreendem uma quantidade eficaz de pelo menos um composto A de isoxazolina, composto B, composto 1.001 - 1.025 ou composto 2.001 - 2.018 aqui descritos, em combinação com um ou mais ingrediente ativo de lactona macrocíclica, juntamente com um veículo ou diluente farmaceuticamente aceitável; (g) composições orais veterinários palatáveis, incluindo composições mastigáveis macias em comprimidos mastigáveis, compreendendo uma quantidade eficaz de pelo menos um parasiticida sistemicamente ativo que é ativo contra parasitas internos em conjunto com um veículo ou diluente farmaceuticamente aceitável. (h) composições veterinárias orais palatáveis, incluindo composições mastigáveis macias em comprimidos mastigáveis, compreendendo uma quantidade eficaz de pelo menos um agente parasiticida ativo sistemicamente ativo que é ativo contra parasitas internos selecionados a partir do grupo que consiste em um ou mais lactonas macrocíclicas, um benzimidazol, levamisol, pirantel, morantel, praziquantel, closantel, clorsulon, um ou mais agente ativo amino acetonitrila e um ou mais agentes ativos ariloazol-2-il cianoetilamina ou uma combinação dos mesmos; (i) uma composição oral mastigável que compreende um agente ativo de isoxazolina de fórmulas (I), (II), (III) ou a fórmula (IV) para o uso no tratamento ou profilaxia de uma infecção parasitária ou infestação de um animal; (j) uma composição oral mastigável que compreende uma quantidade eficaz de pelo menos um agente ativo de ação sistêmica que é ativo contra parasitas internos selecionados a partir do grupo que consiste em um ou mais lactonas macrocíclicas, um ou mais benzimidazóis, levamisol, pirantel, morantel, praziquantel, closantel, clorsulon, um ou mais agentes ativos amino acetonitrila e um ou mais aryloazol-2-il cianoetilamina, ou uma combinação dos mesmos, para uso no tratamento ou profilaxia de uma infecção parasitária ou infestação de um animal; (k) processos para o tratamento e/ou prevenção de infecções parasitárias e infestações em um animal que compreende a administração de uma quantidade eficaz de uma composição veterinária oral da invenção, a qual compreende pelo menos um composto de isoxazolina em conjunto com um veículo ou diluente farmaceuticamente aceitável; (l) métodos para o tratamento e/ou prevenção de infecções parasitárias e infestações em um animal que compreende a administração de uma quantidade eficaz de uma composição veterinária oral da invenção, que compreende pelo menos um isoxazolina de fórmula (I), fórmula (II), fórmula (III) ou fórmula (IV), por si só ou em combinação com uma ou mais lactonas macrocíclicas, um ou mais compostos de espinosina, um ou mais compostos espinosóide, um benzimidazol, levamisol, morantel, pirantel, praziquantel, closantel, clorsulon, um ou mais agente ativo de amina acetonitrila, um ou mais reguladores de crescimento de insetos, um ou mais neonicotinóides, um ou mais arilpirazóis ou um ou mais agentes ativos ariloazol-2-il cianoetilamino, ou uma combinação dos mesmos, juntamente, com um veículo ou diluente farmaceuticamente aceitável; (m) métodos para o tratamento e/ou prevenção de infecções parasitárias e infestações em um animal que compreende a administração a um animal de uma quantidade eficaz de uma composição veterinária oral da invenção, que compreende pelo menos um composto de isoxazolina A, composto B, composto 1.001 - 1.025 ou Composto 2.001 - 2.018 aqui descritos em combinação com agentes ativos de um ou mais de lactona macrocíclica, em conjunto, com um veículo ou diluente farmaceuticamente aceitável; (n) métodos para o tratamento e/ou prevenção de infecções parasitárias e infestações em um animal que compreende a administração de uma quantidade eficaz de uma composição veterinária oral da invenção, que compreende pelo menos um composto A de isoxazolina, composto B, composto 1.001 - 1.025 ou composto 2.001 - 2.018, sozinho ou em combinação com uma ou mais lactonas macrocíclicas, um ou mais compostos de espinosina, um ou mais compostos espinosóide, um benzimidazol, levamisol, morantel, pirantel, praziquantel, closantel, clorsulon, um ou mais agente ativo de amino acetonitrila, um ou mais reguladores de crescimento de insetos, um ou mais neonicotinóides, um ou mais arilpirazóis, ou um ou mais agentes ativos de ariloazol-2- il cianoetilamina ou uma combinação dos mesmos, juntamente, com um veículo ou diluente farmaceuticamente aceitável; (o) métodos para o tratamento e/ou prevenção de infecções por endoparasitas em um animal que compreende a administração de uma quantidade eficaz de um composições veterinárias orais, incluindo composições mastigáveis macias e em comprimidos mastigáveis, compreendendo uma quantidade eficaz de pelo menos um agente parasiticida ativo de ação sistêmica que é ativo contra parasitas internos selecionados a partir do grupo que consiste em um ou mais lactonas macrocíclicas, um ou mais benzimidazóis, levamisol, pirantel, morantel, praziquantel, closantel, clorsulon, um ou mais agente ativo de amino acetonitrila e um ou mais agentes ativos ariloazol-2- il cianoetilamina ou uma combinação dos mesmos; (p) uso de composições veterinárias orais da presente invenção compreendendo pelo menos um composto de isoxazolina de fórmula (I), fórmula (II), fórmula (III) ou fórmula (IV), por si só ou em combinação com uma ou mais lactonas macrocíclicas, uma ou mais compostos de espinosina, um ou mais compostos espinosóide, um benzimidazol, levamisol, morantel, pirantel, praziquantel, closantel, clorsulon, um ou mais agente ativo amino acetonitrila, um ou mais reguladores de crescimento de insetos, um ou mais neonicotinóides, um ou mais agente ativo arilpirazois ou um ou mais agente ativo ariloazol-2-il cianoetilamina ou uma combinação destes, juntamente, com um veículo ou diluente farmaceuticamente aceitável para a prevenção ou o tratamento de parasitas de animais; (q) uso das composições veterinárias orais da presente invenção compreendendo pelo menos um dos Composto A, composto B, composto 1.001 - 1.025 ou Composto 2.001 - 2.018, por si só ou em combinação com uma ou mais lactonas macrocíclicas, um ou mais compostos de espinosina, um ou mais compostos espinosóide, um benzimidazol, levamisol, pirantel, morantel, praziquantel, closantel, clorsulon, um ou mais agente ativo de amino acetonitrila, um ou mais reguladores de crescimento de insetos, um ou mais neonicotinóides, um ou mais arilpirazóis, ou um ou mais agente ativo ariloazol-2-il cianoetilamina, ou uma combinação dos mesmos, juntamente, com um veículo ou diluente farmaceuticamente aceitável no tratamento e/ou prevenção de uma infestação por parasitas e infecções em animais; (r) o uso de um agente ativo de isoxazolina de fórmulas (I), (II), (III) ou (IV) na preparação de uma composição veterinária via oral mastigável para o tratamento de uma infecção parasitária ou infestação de um animal; (s) o uso das composições veterinárias orais da presente invenção compreende pelo menos um ação sistêmica do agente ativo que é ativo contra parasitas internos selecionados a partir do grupo que consiste em um ou mais lactonas macrocíclicas, um ou mais benzimidazóis, levamisol, pirantel, morantel, praziquantel, closantel, clorsulon, um ou mais agente ativo de amino acetonitrila, e um ou mais ariloazol-2-il cianoetilamina, ou uma combinação dos mesmos, juntamente, com um veículo ou diluente farmaceuticamente aceitável no tratamento e/ou prevenção de uma infecção parasítica em um animal ou uma combinação destes; e (t) o uso de pelo menos um agente parasiticida ativo sistemicamente ativo que é ativo contra parasitas internos selecionados a partir do grupo que consiste em um ou mais lactonas macrocíclicas, um ou mais benzimidazóis, levamisol, pirantel, morantel, praziquantel, closantel, clorsulon, um ou mais agente ativo de amino acetonitrila, e um ou mais agente ativo de ariloazol-2-il cianoetilamina ou uma combinação dos mesmos na preparação de uma composição veterinária via oral mastigável para o tratamento de uma infecção parasitária ou infestação em um animal.
[0047] Neste relatório descritivo e nas reivindicações, termos como “compreende”, “compreendendo”, “contendo” e “tendo” e similares podem ter o significado que lhes é atribuído na lei de Patentes dos E.U.A. e pode significar “incluir”, “incluindo”; “consistindo essencialmente de” ou “consiste, essencialmente” e similares, também tem o significado atribuído na lei de Patentes dos E.U.A. e o termo é aberto, permitindo a presença de mais do que esses, que é recitado, desde que as características básicas ou novas de que é recitado não seja alterada pela presença de mais do que aqueles que são recitados, mas exclui a concretização doestado da técnica.
[0048] Os termos aqui usados irão ter o seu significado usual no estado da técnica, a menos que especificado de outra forma. Os grupos orgânicos mencionados nas definições das variáveis da fórmula (I) são como o termo de halogênio - termos coletivos para listas individuais dos membros do grupo. O prefixo Cn -Cm indica, em cada caso, o número possível de átomos de carbono no grupo.
[0049] O termo “animal” é aqui utilizado para incluir todos os mamíferos, aves e peixes, e também incluir todos os animais vertebrados. Os animais incluem, mas não estão limitados a, gatos, cães, gado, galinhas, perus, veados, cabras, cavalos, lamas, porcos, ovelhas, iaques, roedores e aves. Ele também inclui um animal em todas as fases de desenvolvimento, incluindo estágios embrionários e fetais. Em algumas concretizações, o animal será um animal não humano.
[0050] A expressão “quantidade eficaz”, tal como aqui utilizada, significa uma concentração do agente ativo na composição suficiente para provocar a resposta biológica desejada ao parasita (s)-alvo, após a administração da composição ao animal, como medida através de métodos conhecidos no estado da técnica e/ou descritos nos exemplos aqui apresentados. Em algumas concretizações, uma “quantidade eficaz” do agente ativo na composição irá proporcionar uma eficácia de pelo menos 70% contra o parasita alvo em comparação com um controle não tratado. Em outras concretizações, uma “quantidade eficaz” do agente ativo irá proporcionar uma eficácia de pelo menos 80%, ou pelo menos 85% em comparação com controles não tratados. Mais tipicamente, uma “quantidade eficaz” do agente ativo irá proporcionar uma eficácia de pelo menos 90%, pelo menos 93%, pelo menos 95% ou pelo menos 97% contra o parasita alvo. Em certas concretizações, incluindo a prevenção da Dirofilaria immitis, o termo “quantidade eficaz” pode fornecer eficácia tão elevada como 100%.
[0051] Tal como aqui utilizado, os termos “ação sistêmica” ou “sistemicamente ativo” será entendida como significando que os compostos ativos são ativos quando administrados por via oral, e pode ser distribuído através do plasma e/ou tecidos do animal tratado e agir sobre o parasita quando uma refeição de sangue é tirada ou quando o parasita entra em contato com o agente ativo.
[0052] Tal como aqui utilizado, o termo “ingredientes amiláceas” entende-se aqueles produtos alimentares que contêm uma preponderância de amido e/ou material semelhante a amido. Exemplos de ingredientes amiláceos são grãos de cereais e das refeições ou farinhas obtidas mediante moagem de grãos de cereais, tais como milho, aveia, trigo, sorgo, cevada, arroz, e os vários subprodutos de moagem de grãos de cereais, tais como a farinha de trigo alimentar, farelo de trigo, alimentação mista, calções de trigo, trigo cão vermelho, grumos de aveia, alimentação canjica, e outro tal material. Também estão incluídos como fontes de ingredientes amiláceos são os produtos alimentares tuberosos, tais como batatas, tapioca, e similares.
[0053] Tal como aqui utilizado, o termo “palatável” significa uma composição veterinária oral que está prontamente aceita pelos cães sem qualquer influência ou com influência limitada. As composições são composições de sabor agradável, que são consumidos por, pelo menos, 75% dos cães sem administração manual da composição.
[0054] O termo “alquil” se refere a, hidrocarbonetos lineares, ramificados, cíclicos saturados primário, secundários ou terciários, incluindo aqueles com 1 a 20 átomos. Em algumas concretizações, o grupo alquil incluem grupos alquil de C1-C12, C1-C10, C1-C8, C1-C6 ou C1-C4. Exemplos de alquil C1-C10 incluem, mas não estão limitados a, metil, etil, propil, 1-metiletil, butil, 1-metilpropil, 2- metilpropil, 1,1-dimetiletil, pentil, 1-metilbutil, 2- metilbutil, 3-metilbutil, 2,2-dimetilpropil, 1-etilpropil, hexil, 1,1-dimetilpropil, 1,2-dimetilpropil, 1-metilpentil, 2-metilpentil, 3-metilpentil, 4-metilpentil, 1,1- dimetilbutil, 1,2-dimetilbutil, 1,3-dimetilbutil, 2,2- dimetilbutil, 2,3-dimetilbutil, 3,3-dimetilbutil, 1- etilbutil, 2-etilbutil, 1, 1,2-trimetilpropil, 1,2,2- trimetilpropil, 1-etil-1-metilpropil, l-etil-2-metilpropil, heptil, octil, 2-etilhexil, nonil e decil e os seus isômeros. C1-C4 alquil significa, por exemplo, metil, etil, propil, 1- metiletil, butil, 1-metilpropil, 2-metilpropil ou 1,1- dimetiletil.
[0055] Os grupos alquil cíclicos ou “cicloalquil”, os quais estão englobados pelos alquil incluem aqueles com 3 a 10 átomos de carbono, tendo anéis condensados únicos ou múltiplos. Em algumas concretizações, grupos cicloalquil incluem grupos alquil cíclicos C4 -C7 ou C3 -C4. Exemplos não limitativos de grupos cicloalquil incluem adamantil, ciclopropil, ciclobutil, ciclopentil, ciclohexil, cicloheptil, ciclooctil e outros semelhantes.
[0056] Os grupos alquil aqui descritos podem ser substituídos ou substituídos com um ou mais radicais selecionados a partir do grupo consistindo em alquil, halo, haloalquil, hidroxil, carboxil, acil, aciloxi, amino, alquil-ou dialquilamino, amido, arilamino, alcóxi, arilóxi, nitro, ciano, nitro, tiol, imino, ácido sulfônico, sulfato, sulfonil, sulfanil, sulfinil, sulfamonil, éster, fosfonil, fosfinil, fosforil, fosfina, tioéster, tioer, haleto de ácido, anidrido, oxima, hidrazina, carbamato, ácido fosfônico, fosfato, fosfonato ou qualquer outro grupo funcional viável que não iniba a atividade biológica dos compostos da invenção, quer desprotegido ou protegido conforme necessário, como conhecido pelos técnicos versado no assunto, por exemplo, como ensinado em Greene, et al, Protective Grupos in Organic Synthesis, John Wiley and Sons, Terceira Edição, 1999, aqui incorporada por referência.
[0057] Termos, incluindo o termo “alquil” tal como “alquilcicloalquil”, “cicloalquilalquil”, “Alquilamino” ou “dialquilamino” será entendido como incluindo um grupo alquil como definido acima ligado a outro grupo funcional, onde o grupo é ligado ao composto através do último grupo listado, como será compreendido pelos técnicos versados no assunto.
[0058] O termo “alquenil” se refere a cadeias de carbono lineares e ramificadas que possuem pelo menos uma ligação dupla carbono-carbono. Em algumas concretizações, os grupos alquenil podem incluir grupos alquenil C2 -C20. Em outras concretizações, alquenilo inclui alquenil C2 -C12, C2 -C10, C2 -C8, C2-C6 ou C2-C 4. Em uma concretização de alquenil, o número de ligações duplas, é de 1 - 3, em outra concretização de alquenil, o número de ligações duplas é um ou dois. Outras faixas de ligações duplas carbono-carbono e números de carbono também são contemplados, dependendo da localização da porção alquenil sobre a molécula. “grupos alquenil C2-C10” podem incluir mais do que uma ligação dupla na cadeia. Exemplos incluem, mas não estão limitados a, etenil, 1-propenil, 2-propenil, 1-metil-etenil, 1-butenil, 2-butenil, 3-butenil, 1-metil-1-propenil, 2-metil-1- propenil, 1-metil-2-propenil, 2-metil-2-propenil; 1- pentenil, 2-pentenil, 3-pentenil, 4-pentenil, 1-metil-1- butenil, 2-metil-1-butenil, 3-metil-1-butenil, l-metil-2- butenil, 2 - metil-2-butenil, 3-metil-2-butenil, l-metil-3- butenil, 2-metil-3-butenil, 3-metil-3-butenil, 1,1-dimetil- 2-propenil, 1,2-dimetil-1-propenil, 1,2-dimetil-2-propenil, 1-etil-1-propenil, 1 - etil-2-propenil, 1-hexenil, 2- hexenil, 3-hexenil, 4-hexenil, 5-hexenil, 1-metil-1- pentenil, 2-metil-l-pentenil, 3-metil-1-pentenil, 4-metil- 1-pentenil, l-metil-2-pentenil, 2-metil-2- pentenil, 3- metil-2-pentenil, 4-metil-2-pentenil, l-metil-3-pentenil, 2-metil-3-pentenil, 3-metil-3-pentenil, 4-metil-3-pentenil, l-metil-4-pentenil, 2-metil-4-pentenil, 3-metil-4-pentenil, 4-metil-4-pentenil, l,l-dimetil-2-butenil, l, l-dimetil-3- butenil, 1,2-dimeti-l-l-butenil, 1,2-dimetil-2-butenil, l,2-dimetil-3-butenil, 1,3-dimetil-l-butenil, 1,3-dimetil- 2-butenil, 1,3-dimetil-3-butenilo, 2,2-dimetil-3-butenil, 2,3-dimetil-1-butenil, 2,3-dimetil-2-butenil, 2,3-dimetil- 3- butenil, 3, 3-dimetil-1-butenilo, 3,3-dimetil-2-butenil, 1-etil-1-butenil, l-etil-2-butenilo, l-etil-3-butenil, 2- etil-l-butenil, 2-etil-2-butenil, 2-etil-3-butenil, l,l,2- trimetil-2-propenil, 1-etil-l-metil-2-propenil, l-etil-2 - metil-1-propenil e l-etil-2-metil-2-propenil.
[0059] “Alquinil” se refere a cadeias de carbono lineares e ramificadas que possuem pelo menos uma ligação tripla carbono-carbono. Em uma concretização de alquinil, o número de ligações triplas é 1 - 3; em outra concretização de alquinil, o número de ligações triplas é um ou dois. Em algumas concretizações, grupos alquinil incluem alquinil C2-C20. Em outras concretizações, os grupos alquinil podem incluir alquinil C2-C12, C2-C10, C2-C8, C2-C6 ou C2-C4. Outras faixas de ligações triplas carbono-carbono e números de carbono também são contemplados, dependendo da localização da porção alquinil sobre a molécula. Por exemplo, o termo “alquinil C2-C10”, tal como aqui utilizado se refere a um grupo hidrocarboneto insaturado de cadeia linear ou ramificada com 2 a 10 átomos de carbono e contendo pelo menos uma ligação tripla, como etinil, prop-1-ino-1-il, prop-2-in- 1-il, n-but-1-in-1-il, n-but-1-in-3-il, n-but-1-in-4-il, n- but-2-in-1-il, n-pent-1-in-1-il, n-pent-1-in-3-il, n-pent- 1-in-4-il, n-pent-1-in-5-il, n-pent-2-in-1-il, n-pent-2-in- 4-ilo, n-pent-2-in-5-il, 3-metilbut-1-in-3-il, 3-metilbut- 1-in-4-il, n-hex-1-in-1-il, n-hex-1-in-3-il, n-hex-1-in-4- il, n-hex-1-in-5-il, n-hex-1-in-6-il, n-hex-2-in-1-il, n- hex-2-ino -4-il, n-hex-2-in-5-il, n-hex-2-in-6-il, n-hex-3- in-1-il, n-hex-3-in-2-il, 3-metilpent-1-in-1-il, 3- metilpent-1-in-3-il, 3-metilpent-1-in-4-il, 3-metilpent-1- in-5-il, 4-metilpent-1-in-1-il, 4-metilpent-2-in-4-il ou 4- metilpent-2-in-5-il e semelhantes.
[0060] O termo “haloalquil” se refere a um grupo alquil, como aqui definido, o qual é substituído por um ou mais átomos de halogêneo. Por exemplo, C1-C4-haloalquil inclui, mas não está limitado a, clorometil, bromometil, diclorometil, triclorometil, fluorometil, difluorometil, trifluorometil, cloro fluorometil, dicloro fluorometil, clorodifluorometil, 1-cloroetil, 1-bromoetil, 1-fluoroetil, 2-fluoroetil, 2,2-difluoroetil, 2,2,2-trifluoroetil, 2- cloro-2-fluoroetil, 2-cloro-2,2-difluoroetil, 2,2,2- trifluoroetil, 2,2,2-tricloroetil, pentafluoroetil e semelhantes.
[0061] O termo “haloalquenil” se refere a um grupo alquenil, tal como aqui definido, o qual é substituído por um ou mais átomos de halogêneo.
[0062] O termo “haloalquinil” se refere a um grupo alquinil, como aqui definido, o qual é substituído por um ou mais átomos de halogêneo.
[0063] “Alcóxi” se refere à alquil-O-, em que alquil é como definido acima. Da mesma forma, os termos “alquenilóxi”, “alquinilóxi”, “haloalcóxi”, “haloalquenilóxi,” “haloalquinilóxi,” “cicloalcóxi”, “cicloalquenilóxi”, “halocicloalcóxi,” e “halocicloalqueniloxi” se referem aos grupos alquenil-O-, alquinil -O-, -O-haloalquil, haloalquenil-O-, haloalquinil- O, cicloalquil-O-, cicloalquenil-O-, -O-halocicloalquil e halocicloalquenil-O-, respectivamente, em que o alquenil, alquinil, haloalquil, haloalquenil, haloalquinil, cicloalquil, cicloalquenil, halocicloalquil e halocicloalquenil são como definidos acima. Exemplos de C1- C6-alcóxi incluem, mas não estão limitados a, metóxi, etóxi, C2H5-CH2O-, (CH3)2CHO-, n-butóxi, C2H5-CH(CH3)O-, (CH3)2CH- CH2O, (CH3)3CO-, n-pentóxi, 1-metilbutóxi, 2-metilbutóxi, 3- metilbutóxi, 1,1-dimetilpropóxi, 1,2-dimetilpropóxi, 2,2- dimetil-propóxi, 1-etilpropóxi, n-hexoxi, 1-metilpentóxi, 2- metilpentóxi, 3-metilpentóxi, 4-metilpentóxi, 1,1- dimetilbutóxi, 1,2-dimetilbutóxi, 1,3-dimetilbutóxi, 2,2- dimetilbutóxi, 2,3-dimetilbutóxi, 3,3-dimetilbutóxi, 1- etilbutóxi, 2-etilbutóxi, 1,1,2-trimetilpropóxi, 1,2,2- trimetilpropóxi, 1-etil-1-metilpropóxi, l-etil-2- metilpropóxi e semelhantes.
[0064] O termo “alquiltio” se refere a alquil-S-, em que alquil é como definido acima. Da mesma forma, os termos “haloalquiltio”, “cicloalquiltio” e semelhantes, se referem a haloalquil-S- e -S-cicloalquil, onde haloalquil e cicloalquil são tal como definidos acima.
[0065] O termo “alquillsulfinil” se refere a alquil- S(O)-, em que alquil é como definido acima.
[0066] Da mesma forma, o termo “haloalquilsulfinil” refere-se a haloalquil-S (O) - em que haloalquil é definido como acima.
[0067] O termo “alquilsulfonil” se refere a alquil- S(O)2-, em que alquil é como definido acima. Da mesma forma, o termo “haloalquil” se refere a haloalquil-S(O)2- em que haloalquil é definido como acima.
[0068] Os termos alquilamino e dialquilamino se referem a alquil-NH- e (alquil)2N-, onde o alquil é tal como definido acima. Da mesma forma, os termos “haloalquilamino” se refere a-NH-haloalquil, onde haloalquil é tal como acima definido.
[0069] Os termos “alquilcarbonil”, “alcóxicarbonil”, “alquilaminocarbonil” e “dialquilaminocarbonil” se referem a alquil-C(O)-, alcóxi-C(O)-, alquil-C(O)- e dialquilamino- C (O)- onde alquil, alcóxi, alquilamino e dialquilamino são como acima definido. De modo semelhante, os termos “haloalquilcarbonil”, “haloalcóxicarbonil”, “haloalquilaminocarbonil” e “dihaloalquilaminocarbonil” se referem aos grupos halogenoalquil-C (O)-, haloalcóxi-C(O)-, haloalquilamino-C(O) - e dihaloalquilamino-C(O)- onde haloalquil, haloalcóxi, haloalquilamino e dihaloalquilamino são como definido acima.
[0070] “Aril” se refere a um grupo carbocíclico aromático monovalente de 6 a 14 átomos de carbono possuindo um único anel ou múltiplos anéis condensados. Em algumas concretizações, os grupos aril incluem grupos C6-C10 arilo. Os grupos aril incluem, mas não estão limitados a, fenil, bifenil, naftil, tetrahidronaftil, fenilciclopropil e indanil. Os grupos aril podem ser não substituídos ou substituídos por um ou mais radicais selecionados a partir de halogênio, ciano, nitro, hidróxi, mercapto, amino, alquil, alquenil, alquinil, cicloalquil, cicloalquenil, halogenoalquil, halogenoalquenil, halogenoalquinil, halocicloalquil, halocicloalquenil, alcóxi, alquenilóxi, alquinilóxi, haloalcóxi, haloalquenilóxi, haloalquinilóxi, cicloalcóxi, cicloalquenilóxi, halocicloalcóxi, halocicloalqueniloxi, alquiltio, haloalquiltio, cicloalquiltio, halocicloalquiltio, alquilsulfinil, alquenilsulfinil, alcinilsulfinil, haloalquilsulfinil, haloalquenilsulfinil, haloalquinilsulfinil, alquilsulfonil, alquenilsulfonil, alquinilsulfonil, haloalquilsulfonil, haloalquenilsulfonil, haloalquinilsulfonil, alquilamino, alquenilamino, alquinilamino, di(alquil)amino, di- (alquenil)-amino, di-(alquinil)-amino ou trialquilsilil.
[0071] O termo “aralquil” se refere a um grupo aril que está ligado ao composto mãe através de uma ponte de alquileno di-radical, (-CH2-)n, onde n é 1-12 e em que “aril” é como definido acima.
[0072] “Heteroaril” se refere a um grupo aromático monovalente de 1 a 15 átomos de carbono, preferencialmente, de 1 a 10 átomos de carbono, tendo um ou mais oxigênio, nitrogênio e enxofre, heteroátomos no anel, de preferência, 1 a 4 heteroátomos, ou 1 a 3 heteroátomos. Os heteroátomos de nitrogênio e enxofre podem opcionalmente ser oxidados. Tais grupos heteroaril podem ter um anel único (por exemplo, piridilo ou furilo) ou múltiplos anéis condensados, desde que o ponto de ligação seja através de um átomo de anel de heteroaril. Os heteroaris preferidos incluem piridil, piridazinil, pirimidinil, pirazinil, triazinil, pirrolil, indolil, quinolinil, isoquinolinil, quinazolinil, quinoxalinnil, furanil, tiofenil, furil, pirrolil, imidazolil, oxazolil, isoxazolil, isotiazolil, pirazolil benzofuranil e benzotiofenil. Os anéis heteroaril podem ser não substituídos ou substituídos por um ou mais radicais, como descrito acima para aril.
[0073] “Heterociclil”, “heterocíclico” ou “heterociclo” se referem aos grupos cíclicos completamente saturados ou não saturados, por exemplo, 3 a 7 membros monociclico ou de 4 a 7 membros monocíclico; 7 a 11 membros biclico, ou de 10 a 15 membros sistemas anelares tricíclicos, os quais têm um ou mais de heteroátomos de oxigênio, enxofre ou nitrogênio no anel, de preferência 1 a 4 ou 1 até 3 heteroátomos. Os heteroátomos de nitrogênio e enxofre podem, opcionalmente, serem oxidados e os heteroátomos de nitrogênio podem, opcionalmente, ser quaternizados. O grupo heterocíclico pode estar ligado a qualquer heteroátomo ou átomo de carbono do anel ou sistema de anel e pode ser insubstituído ou substituído por um ou mais radicais, como descrito para os grupos aril acima.
[0074] Os grupos heterocíclicos monocíclicos exemplificativos incluem, mas não estão limitados a, pirrolidinil, pirrolil, pirazolil, oxetanil, pirazolinil, imidazolil, imidazolinil, imidazolidinil, oxazolil, oxazolidinil, isoxazolinil, isoxazolil, tiazolil, tiadiazolil, tiazolidinil, isotiazolil, isotiazolidinil, furil, tetrahidrofuril, tienil, oxadiazolil, piperidinilo, piperazinil, 2-oxopiperazinil, 2-oxopiperidinil, 2- oxopirrolodinil, 2-oxoazepinil, azepinil, 4-piperidonil, piridinil, pirazinilo, pirimidinil, piridazinil, tetrahidropiranil, morfolinil, tiamorfolinilo, tiamorfolinil-sulfóxid, tiamorfolinilsulfona, 1,3-dioxolano e tetrahidro-1,1-dioxotienil, triazolil, triazinil e outros semelhantes.
[0075] Grupos heterocíclicos bicíclicos exemplificativos incluem, mas não estão limitados a, indolil, benzotiazolil, benzoxazolil, benzodioxolil, benzotienil, quinuclidinil, quinolinil, tetrahidroisoquinolinil, isoquinolinil, benzimidazolil, benzopiranil, indolizinil, benzofuril, cromonil, coumarinil, benzopiranil, cinolinil, quinoxalinilo, indazolil, pirrolopiridil, furopiridinil (tal como furo [2,3-c] piridinil, furo [3,2-b] piridinil] ou furo [2,3-b] piridinil), dihidroisoindolil, dihidroquinazolinil (tal como 3,4 - hidro-4-oxo-quinazolinil), tetra-e semelhantes.
[0076] Grupos heterocíclicos tricíclicos exemplificativos incluem carbazolil, benzidolil, fenantrolinil, acridinil, fenantridinil, xantenil e semelhantes.
[0077] Halogênio significa os átomos de flúor, cloro, bromo e iodo. A designação de “halo” (por exemplo, como ilustrado no termo haloalquil) se refere a todos os graus de substituição de uma única substituição de uma substituição per-halo (por exemplo, tal como ilustrado com metil como clorometil (-CH2C1), diclorometil (CHC12), triclorometil (CC13)).
[0078] Será apreciado por técnicos versados no assunto que certos compostos dentro das composições da presente invenção podem existir e serem isolados como formas opticamente ativas e racêmicas. Os compostos que possuem um ou mais centros quirais, incluindo em um átomo de enxofre, podem estar presentes na forma de enantiômeros individuais ou diastereômeros ou como misturas de enantiômeros e/ou diastereômeros. Por exemplo, é bem conhecido no estado da técnica que os compostos que contêm um grupo funcional sulfóxido podem ser opticamente ativo e podem existir como enantiômeros individuais, quer misturas racêmicas. Além disso, os compostos dentro das composições da invenção podem incluir um ou mais centros quirais, o que resulta em um número teórico de isômeros opticamente ativos. Quando os compostos dentro das composições da invenção incluem n centros quirais, os compostos podem incluir até 2n isômeros ópticos. A presente invenção engloba os enantiômeros ou diastereômeros específicos de cada um dos compostos, bem como misturas de diferentes enantiômeros e/ou diastereômeros dos compostos da invenção que possuem as propriedades úteis aqui descritas. As formas opticamente ativas podem ser preparadas, por exemplo, a resolução das formas racêmicas por técnicas de cristalização seletiva, por síntese a partir de precursores opticamente ativos, por síntese quiral, por separação cromatográfica usando uma fase estacionária quiral, ou por resolução enzimática.
[0079] Os compostos no escopo das composições da presente invenção também podem estar presentes em diferentes formas sólidas, tais como diferentes formas cristalinas ou sob a forma de um sólido amorfo. A presente invenção engloba formas cristalinas diferentes, bem como as formas amorfas dos compostos da invenção.
[0080] Além disso, os compostos dentro das composições da presente invenção podem existir como hidratos ou solvatos, em que uma certa quantidade estequiométrica de água ou um solvente está associada com a molécula na forma cristalina. As composições da invenção podem incluir hidratos e solvatos dos agentes ativos.
[0081] Também contemplado dentro do escopo da invenção são os sais de ácidos ou de bases, se for caso disso, dos compostos da invenção aqui previstos.
[0082] O termo “ácido” contempla todos os ácidos inorgânicos ou orgânicos farmaceuticamente aceitáveis. Os ácidos inorgânicos incluem ácidos minerais, tais como ácidos halídricos, tais como ácido bromídrico e ácido clorídrico, ácido sulfúrico, ácido fosfórico e ácido nítrico. Os ácidos orgânicos incluem todos os alifático farmaceuticamente aceitáveis, os ácidos carboxílicos alicíclicos e aromáticos, ácidos carboxílicos, ácidos tricarboxílicos, ácidos graxos e ácidos sulfônicos. Em uma concretização dos ácidos, os ácidos são de cadeia linear ou ramificada, saturados ou ácidos carboxílicos alifáticos insaturados C1-C20, que são eventualmente substituídos por átomos de halogênio ou por grupos hidroxila ou ácidos carboxílicos aromáticos C6-C12. Exemplos de tais ácidos são o ácido carbônico, ácido fórmico, ácido acético, ácido propiônico, ácido isopropiônico, ácido valérico, ácidos a-hidróxi, tais como ácido glicólico e ácido láctico, ácido cloroacético, ácido benzóico e ácido salicílico. Exemplos de ácidos dicarboxílicos incluem ácido oxálico, ácido málico, ácido succínico, ácido tartárico, ácido fumárico e ácido maleico. Um exemplo de um ácido tricarboxílico é o ácido cítrico. Os ácidos graxos incluem todos os ácidos farmaceuticamente aceitáveis, saturados ou insaturados, alifáticas ou ácidos carboxílicos aromáticos com 4 a 24 átomos de carbono. Exemplos incluem ácido butírico, ácido isobutírico, ácido sec-butírico, ácido láurico, ácido palmítico, ácido esteárico, ácido oleico, ácido linoleico, ácido linolénico, e ácido fenilestérico. Outros ácidos incluem ácido glucônico, ácido glicoheptónico e ácido lactobiônico. Ácidos sulfônicos incluem os ácidos alquil ou haloalquilsulfônico e ácidos arilsulfônicos incluindo, mas não limitados a, ácido metano sulfônico, ácido etano sulfônico, ácido benzenossulfônico e ácido naftalenossulfônico, entre outros.
[0083] O termo “base” contempla as bases inorgânicas ou orgânicas farmaceuticamente aceitáveis, todas incluindo hidróxidos, carbonatos ou bicarbonatos de metais alcalinos ou metais alcalino-terrosos. Os sais formados com tais bases incluem, por exemplo, os sais de metais alcalinos e alcalino- terrosos, incluindo, mas não limitados a, como os sais de lítio, sódio, potássio, magnésio ou cálcio. Os sais formados com bases orgânicas incluem o hidrocarboneto comum e sais de aminas heterocíclicas, que incluem, por exemplo, sais de amônio (NH4), sais de alquil- e dialquilamônio, e sais de aminas cíclicas, tais como os sais de morfolina e piperidina.
[0084] Em uma concretização, a invenção proporciona uma composição veterinária macia para mastigar, a qual compreende uma quantidade eficaz de pelo menos um composto de isoxazolina de fórmula (I) a seguir, em combinação com um veículo farmaceuticamente ou veterinariamente aceitável: em que A1, A2, A3, A4, A5 e A6 são, independentemente, CR3 ou N, desde que no máximo três de A1, A2, A3, A4, A5 e A6 são N; B1, B2 e B3 são, independentemente, CR2 ou N; W é O ou S; R1 representa um grupo alquil, alquenil, alquinil, cicloalquil, alquilcicloalquil ou cicloalquilalquil, cada um, opcionalmente, substituído com um ou mais substituintes independentemente, selecionados a partir de R6; cada R2 representa, independentemente, H, halogêneo, alquil, haloalquil, alcóxi, haloalcóxi, alquiltio, haloalquiltio, alquilsulfinil, haloalquilsulfinil, alquilsulfonil, haloalquilsulfonil, alquilaminas, dialquilamina, alcóxicarbonila, -CN ou-NO2; cada R3, independentemente, H, halogêneo, alquil, haloalquil, cicloalquil, halocicloalquil, alcóxi, haloalcóxi, alquiltio, haloalquiltio, alquilsulfinil, haloalquilsulfinil, alquilsulfonil, haloalquilsulfonil, alquilaminas, dialquilamina, -CN ou -NO2; R4 é H, alquil, alquenil, alquinil, cicloalquil, alquilcicloalquil, cicloalquilalquil, alquilcarbonil ou alcóxicarbonil; R5 é H, OR10, NR11R12 ou Q1; ou alquil, alquenil, alquinil, cicloalquil, alquilcicloalquil ou cicloalquilalquil, cada um opcionalmente substituído com um ou mais substituintes independentemente selecionados a partir de R7; ou R4 e R5 tomados em conjunto com o nitrogênio ao qual eles estão ligados para formar um anel contendo 2 a 6 átomos de carbono e, opcionalmente, um átomo adicional selecionado a partir do grupo que consiste em N, S e O, o referido anel opcionalmente substituído com 1 a 4 substituintes selecionados independentemente a partir do grupo que consiste em alquil, halogênio, -CN, -NO2 e alcóxi; cada R6 representa, independentemente, halogênio, alquil, alcóxi, alquiltio, alquilsulfinil, alquilsulfonil, -CN ou-NO2; cada R7 representa, independentemente, halogênio; alquil, cicloalquil, alcóxi, alquiltio, alquilsulfinil, alquilsulfonil, alquilaminas, dialquilamina, cicloalquilamina, alquilcarbonil, alcóxicarbonil, alquilaminocarbonil, dialquilaminocarbonil, haloalquilcarbonil, haloalcóxicarbonil, haloalquilaminocarbonil, dihaloalquilaminocarbonil, hidróxi, -NH2, -CN ou -NO2; ou Q2; cada R8 representa, independentemente, halogênio, alcóxi, haloalcóxi, alquiltio, haloalquiltio, alquilsulfinil, haloalquilsulfinilo, alquilsulfonil, haloalquilsulfonil, alquilaminas, dialquilamina, alcóxicarbonil, -CN ou -NO2; cada R9 representa, independentemente, halogênio, alquil, haloalquil, cicloalquil, halocicloalquil, alcóxi, haloalcóxi, alquiltio, haloalquiltio, alquilsulfinil, haloalquilsulfinil, alquilsulfonil, haloalquilsulfonil, alquilaminas, dialquilamina, -CN, -NO2, fenil ou piridinil; R10 é H; ou alquil, alquenil, alquinil, cicloalquil, alquilcicloalquil ou cicloalquilalquil, cada um opcionalmente substituído com um ou mais átomos de halogênio; R11 é H, alquil, alquenil, alquinil, cicloalquil, alquilcicloalquil, cicloalquilalquil, alquilcarbonil ou alcóxicarbonil; R12 é H; Q3; ou alquil, alquenil, alquinil, cicloalquil, alquilcicloalquil ou cicloalquilalquil, cada um opcionalmente substituído com um ou mais substituintes independentemente seleccionados a partir de R7; ou R11 e R12 sejam tomados em conjunto com o nitrogênio ao qual eles estão ligados para formar um anel contendo 2 a 6 átomos de carbono e, opcionalmente, um átomo adicional selecionado a partir do grupo que consiste em N, S e O, o referido anel opcionalmente substituído com 1 a 4 substituintes selecionados, independentemente, a partir do grupo que consiste em alquil, halogênio, -CN, -NO2 e alcóxi; Q1 é um anel fenil, um anel heterocíclico de 5 a 6 membros, ou um sistema de anel bicíclico fundido a 8, 9 ou 10 membros, contendo, opcionalmente, um até três heteroátomos selecionados a partir de até 1 O, até 1 S, até 3 N, cada anel ou sistema de anel opcionalmente substituído com um ou mais substituintes selecionados independentemente de R8; cada Q2 representa, independentemente, um anel fenil ou um anel heterocíclico de 5 ou 6 membros, cada anel, opcionalmente, substituído com um ou mais substituintes selecionados, independentemente, de R9; Q3 é um anel fenil ou um anel heterocíclico de 5 ou 6 membros, cada anel, opcionalmente, substituído com um ou mais substituintes selecionados, independentemente, de R9; e n é 0, 1 ou 2.
[0085] Em uma outra concretização, a invenção fornece composições veterinárias macias mastigáveis, a qual compreende uma quantidade eficaz de pelo menos um de isoxazolina de fórmula (I) em combinação com um veículo farmaceuticamente ou veterinariamente aceitável: A1, A2, A3, A4, A5 e A6 são independentemente CR3 ou N, desde que no máximo 3 de A1, A2, A3, A4, A5 e A6 sejam N; B1, B2 e B3 são, independentemente, CR2 ou N; W é O ou S; R1 representa C1-C6 alquil, C2-C6 alquenil, C2-C6 alquinil, C3-C6 cicloalquil, C4-C7 alquilcicloalquil ou C4-C7 cicloalquilalquil, cada um, opcionalmente, substituído com um ou mais substituintes selecionados de forma independente a partir de R6; cada R2 representa, independentemente, H, halogênio, C1C6 alquil, C1-C6 halogenoalquil, C1-C6 alcóxi, C1-C6 haloalcóxi, C1-C6 alquiltio, C1-C6 halogenoalquiltio, C1-C6 alquilsulfinil, C1-C6 haloalquilsulfinilo, C1-C6 alquilsulfonil, C1-C6 haloalquilsulfonil, C1-C6 alquilamino, C2-C6 dialquilamina, C2-C6 alcóxicarbonil, -CN ou -NO2; cada R3 é, independentemente, H, halogênio, C1-C6 alquil, C1-C6 halogenoalquil, C3-C6 cicloalquil, C3-C6 halogenocicloalquil, C1-C6 alcóxi, C1-C6 haloalcóxi, C1-C6 alquiltio, C1-C6 halogenoalquiltio, C1-C6 alquilsulfinil, C1C6 haloalquilsulfinilo, C1-C6 alquilsulfonil, C1-C6 haloalquilsulfonil, C1-C6 alquilamino, C2-C6 dialquilamino, - CN ou -NO2; R4 representa H, C1-C6 alquil, C2-C6 alquenil, C2-C6 alquinil, C3-C6 cicloalquil, C4-C7 alquilcicloalquil, C4-C7 aril C2-C7 alquilcarbonil ou C2 -C7-carbonil; R5 é H, OR10, NR11R12 ou Q1; ou C1-C6 alquil, C2-C6 alquenil, C2 -C6 alquinil, C3-C6 cicloalquil, C4-C7 alquilcicloalquil ou C4-C7 cicloalquilalquil, cada um, opcionalmente, substituído com um ou mais substituintes selecionados independetemente a partir de R7; ou R4 e R5 tomados em conjunto com o nitrogênio ao qual eles estão ligados para formar um anel contendo 2 a 6 átomos de carbono e, opcionalmente, um átomo adicional selecionado a partir do grupo que consiste em N, S e O, o referido anel facultativamente substituído com 1 a 4 substituintes selecionados independentemente a partir do grupo que consiste em C1 -C2 alquil, halogênio, -CN, -N02 e C1-C2 alcóxi; cada R6 representa, independentemente, halogênio, C1-C6 alquil, C1-C6 alcóxi, C1-C6 alquiltio, C1-C6 alquilsulfinil, C1-C6 alquilsulfonil, -CN ou -NO2; cada R7 representa, independentemente, halogênio; C1-C6 alquil, C3-C6 cicloalquil, C1-C6 alcóxi, C1-C6 alquiltio, C1C6 alquilsulfinil, C1-C6 alquilsulfonil, C1-C6 alquilamino, C2-C8 dialquilamino, C3-C6 cicloalquilamino, C2-C7 -carbonil, C2-C7 alcóxi, C2-C7 alquilaminocarbonil, C3-C9 dialquilaminocarbonil, C2-C7 haloalquil, C2-C7 haloalcóxi, C2 - C7 haloalquilaminocarbonil, C3-C9 dihaloalquilaminocarbonil, hidroxi, -NH2, -CN ou-NO2; ou Q2; cada R8 representa, independentemente, halogênio, C1-C6 alcóxi, C1-C6 haloalcóxi, C1-C6 alquiltio, C1-C6 halogenoalquiltio, C1-C6 alquilsulfinilo, C1-C6 haloalquilsulfinilo, C1-C6 alquilsulfonil, C1-C6 haloalquilsulfonil, C1-C6 alquilamino, C2-C6 dialquilamina, C2 -C4 alcóxicarbonil, -CN ou -NO2; cada R9 representa, independentemente, halogênio, C1-C6 alquil, C1-C6 halogenoalquil, C3-C6 cicloalquil, C3-C6 halogenocicloalquil, C1-C6 alcóxi, C1-C6 haloalcóxi, C1-C6 alquiltio, C1-C6 halogenoalquiltio, C1-C6 alquilsulfinilo, C1-C6 haloalquilsulfinilo, C1-C6 alquilsulfonil, C1-C6 haloalquilsulfonil, C1-C6 alquilamino, C2-C6, dialquilamino, -CN, -NO2, fenil ou piridinil; R10 é H; ou C1-C6 alquil, C2-C6 alquenil, C2-C6 alquinil, C3-C6 cicloalquil, C4-C7 alquilcicloalquil ou C4-C7 cicloalquilalquil, cada um opcionalmente substituído com um ou mais átomos de halogênio; R11 representa H, C1-C6 alquil, C2-C6 alquenil, C2-C6 alquinil, C3-C6 cicloalquil, C4-C7 alquilcicloalquil, C4-C7 aril, C2-C7 alquilcarbonil ou C2-C7-carbonil; R12 é H; Q3; ou C1-C6 alquil, C2-C6 alquenil, C2-C6 alquinil, C3-C6 cicloalquil, C4-C7 alquilcicloalquil ou C4-C7 cicloalquilalquil, cada um, opcionalmente, substituído com um ou mais substituintes selecionados, independentemente, a partir de R7; ou R11 e R12 sejam tomados em conjunto com o nitrogênio ao qual eles estão ligados para formar um anel contendo 2 a 6 átomos de carbono e, opcionalmente, um átomo adicional selecionado a partir do grupo que consiste em N, S e O, o referido anel facultativamente substituído com 1 a 4 substituintes selecionados, independentemente, a partir do grupo consistindo de C1-C2 alquil, halogênio, -CN, -NO2 e C1C2 alcóxi; Q1 é um anel fenil, ou um anel heterocíclico de 5 ou 6 membros, ou um sistema de anel bicíclico fundido de 8, 9 ou 10 membros, contendo opcionalmente um até três heteroátomos selecionados a partir de até 1 O, até 1 S, até 3 N, cada anel ou sistema de anel, opcionalmente, substituído com um ou mais substituintes selecionados, independentemente, de R8; cada Q2 representa, independentemente, um anel fenil ou um anel heterocíclico de 5 ou 6 membros, cada anel opcionalmente substituído com um ou mais substituintes selecionados independentemente de R9; Q3 é um anel fenil ou um anel heterocíclico de 5 ou 6 membros, cada anel, opcionalmente, substituído com um ou mais substituintes selecionados, independentemente, de R9; e n é 0, 1 ou 2.
[0086] Em uma concretização da fórmula (I), W representa O. Em uma outra concretização, W é S.
[0087] Em uma outra concretização da fórmula (I), A1, A2, A3, A4, A5 e A6 são, cada CR3.
[0088] Em uma outra concretização da fórmula (I),B1, B2 e B3 são cada CR2.
[0089] Ainda em outra concretização da fórmula (I), em que W é O e A1, A2, A3, A4, A5 e A6 são cada CR3.
[0090] Ainda em outra concretização da fórmula (I), em que W é O; A1, A2, A3, A4, A5 e A6 são cada CR3; e B1, B2 e B3 são cada CR2.
[0091] Em uma outra concretização da fórmula (I), A1, A2, A3, A4, A5 e A6 são cada um CH.
[0092] Em uma outra concretização da fórmula (I), B1, B2 e B3 são cada CR2 ; e R2 representa H, halogênio, C1C6 alquil ou C1-C6 halogenoalquil.
[0093] Ainda em outra concretização da fórmula (I), R1 representa C1-C3 alquil, opcionalmente, substituído por um ou mais R6;
[0094] R2 representa, independentemente, H, halogênio, C1-C6 halogenoalquil, C1-C6 haloalcóxi ou -CN; e cada um de R3 é, independentemente, H, halogênio, C1-C6 alquil, C1-C6 halogenoalquil, C3-C6 cicloalquil, C3-C6 halogenocicloalquil, C1-C6 alcóxi, C1-C6 haloalcóxi, -CN ou - NO2.
[0095] Ainda em outra concretização, a invenção proporciona uma composição veterinária macia para mastigar compreendendo isoxazolina de fórmula (I) em que: W é O ou S; R4 é H ou C1-C6 alquil; R5 é -CH2C(O)NHCH2CF3; cada um de A1 = A2 = A3 = A4 = A5 = A6 representam um grupo CH; R1 representa C1-C6 alquil, cada um opcionalmente substituído com um ou mais substituintes independentemente selecionados a partir de R6; R6 é halogênio ou C1-C6 alquil; e B1, B2 e B3 é, independentemente, CH, halogênio, C1-C6 alquil, C1-C6 halogenoalquil, ou C1-C6 alcóxi.
[0096] Em uma outra concretização da fórmula (I), B1, B2 e B3 são, independentemente, CR2; W é O; R4 representa H, C1-C6 alquil, C2-C7 alquil ou C2 -C7 - carbonil; e R 5 é H, NR11R12 ou Q1; ou C1-C4 alquil, C2 -C4 alquenil, C2 -C4 alquinil, C3-C4 cicloalquil, C4-C7 alquilcicloalquil ou C4 -C7, cicloalquilalquil, cada um opcionalmente substituído com um ou mais de R7.
[0097] Ainda em outra concretização da fórmula (I), R1 representa C1-C3 alquil opcionalmente substituído com halogênio; cada R2 representa, independentemente, H, CF3, OCF3, halogêneo ou -CN; cada R3 é, independentemente, H, C1 -C4 alquil, C1 -C4 halogenoalquil, C3 -C6 cicloalquil, C1 -C4 alcóxi ou -CN; e cada R7 representa, independentemente, halogênio, C1-C4 alquil, C1-C4 alcóxi, C1-C4 alquiltio, C1-C4 alquilsulfinil, C1 -C4 alquilsulfonil, C2-C4 alquilcarbonil, C2-C4 alcóxicarbonil, C2-C5 alquil, C2-C5 haloalquilcarbonil, C2 - C5 haloalcóxi, C2 -C5 haloalquilaminocarbonil, -NH2, -CN ou NO2; ou Q2.
[0098] Ainda em outra concretização da fórmula (I), R4 representa H; R é C1-C4 alquil opcionalmente substituído com um ou mais grupos R7; cada R7 representa, independentemente, halogênio ou Q2; e cada Q2 representa, independentemente, fenil, piridinil ou tiazolil.
[0099] Ainda em outra concretização da fórmula (I), R1 representa CF3; A1, A2, A3, A4, A5 e A6 são cada CR3; B2 é CR2 ; e cada R3 é, independentemente, H, C1-C4 alquil ou -CN.
[0100] Em uma outra concretização, B2 é CH; B1 e B3 são cada CR2 em que cada R2 representa, independentemente, halogênio ou C1-C3 haloalquil; A1, A2, A3, A4, A5 e A6 são cada CR 3 ; R3 representa H; e n é 2.
[0101] Ainda em outra concretização da fórmula (I), R1 representa CF3; A1, A2, A3, A4, A5 e A6 são cada CR3; B2 é CH; cada um de B1 e B3 são CR2; cada R3 é independentemente H ou C1 -C4 alquil; cada R2 representa, independentemente, halogênio ou C1C3 haloalquil; R4 representa H; R5 é C1-C4 alquil opcionalmente substituído com um ou mais grupos R7; e R7 é C2-C7-carbonil, C2-C7 alcóxi, C2-C7 alquilaminocarbonil, C3 -C9 dialquilaminocarbonilo, C2-C7 haloalquil, C2-C7 haloalcóxi, C2 -C7 haloalquilaminocarbonil, C3-C9 dihaloalquilaminocarbonil.
[0102] Ainda em outra concretização da fórmula (I), R1 representa CF3; A1, A2, A3, A4, A5 e A6 são cada um CH; B2 é CH; cada um de B1 e B3 são CR2; cada R2 representa, independentemente, halogênio ou C1C3 haloalquil; R4 representa H; R5 é C1-C4 alquil opcionalmente substituído com um ou mais grupos R7; e R7 é C2-C7 alquilaminocarbonil, C3-C9 dialquilaminocarbonil, C2-C7 haloalquilaminocarbonil ou C3C9 dihaloalquilaminocarbonil.
[0103] Em uma concretização preferida, uma composição veterinária macia para mastigar compreende um agente ativo de isoxazolina de fórmula (I), é fornecido, em que: R1 representa CF3; W é O; A1, A2, A3, A4, A5 e A6 são cada um CH; 82 é CH; 83 é cloro; 84 é CF3; R4 representa H; R5 representa um grupo CH2C(O)NHCH2CF3 ; e n é 2.
[0104] Em uma concretização, a invenção fornece composições veterinárias mastigáveis macias que compreendem uma quantidade eficaz do composto de isoxazolina 1-4-[5-[3- cloro-5-(trifluorometil)fenil]-4,5-dihidro-5- (trifluorometil) -3-isoxazolil]-N-[2-oxo-2-[(2,2,2-trifluoroetil)amino]etil]-1-nafitalenecarboxamida (Composto A). Este composto tem a seguinte estrutura:
[0105] Em outras concretizações, a invenção fornece composições veterinárias mastigáveis macias que compreendem uma quantidade eficaz de um agente ativo isoxazolina descrito no documento WO 2009/02451A2 e pedido Norte-Americano US 2011/0059988, ambas aqui incorporadas por referência na sua totalidade, em combinação com um veículo farmaceuticamente aceitável ou diluente . Os compostos de fórmula geral (II) mostrados abaixo são descritos pedido Norte-Americano US 2011/0059988 e documento WO 2009/02451 A2.
[0106] Ainda em outra concretização, a invenção proporciona composições veterinárias mastigáveis macias que compreendem uma quantidade eficaz de composto 11-1 descrito no pedido de patente Norte-Americano US 2011/0059988, o qual é referido como o composto B, a seguir e tem a estrutura:em combinação com um veículo ou diluente farmaceuticamente aceitável descrito aqui.
[0107] Ainda em outra concretização da invenção, as composições veterinárias mastigáveis macias da presente invenção compreendem uma quantidade eficaz de um composto de fórmulas (III) ou (IV) abaixo, que são descritos no documento WO 2011/075591 e pedido de patente Norte-Americano 2011/0152312, ambas aqui incorporada por referência na sua totalidade. Em uma concretização, a isoxazolina tem a estrutura de fórmula (III) ou (IV), em que: B1, B2, B3, B4 e B5 são, independentemente, N ou CR9; cada Z representa, independentemente, halogênio, hidroxi, amino, (alquil) amino-alquil ou di-, alquil, cicloalquil, haloalquil, alquenil, haloalquenil, alquinil, haloalquinil, alcóxi, haloalcóxi, alquiltio, haloalquiltio, R7S(O)-, R7S(O)2-, R7C(O)-, R7R8NC(O)-, R7OC(O)-, R7C(O)O-, R7C(O)NR8-, -CN ou -NO2;
[0108] R5 e R6 são, independentemente, hidrogênio, alquil, haloalquil, tioalquil, alquiltioalquil, hidroxialquil, alcoxilalquil, alquenil, haloalquenil, alquinil ou haloalquinil; R9 é hidrogênio, halogênio, -CN, ou alquil, haloalquil, alquenil, haloalquenil, alquinil, haloalquinil, cicloalquil, halocicloalquil, alquilcicloalquil ou cicloalquilalquil, cada um com substituído que é não-substituído ou um ou mais de halogênio, hidroxil, amino, alquil- ou di (alquil) amino, alquil, cicloalquil, haloalquil, alquenil, haloalquenil, alquinil, haloalquinil, alcóxi, haloalcóxi, alquiltio, haloalquiltio, R7S(O)-, R7S(O)2-, R7C(O)-, R7R8NC(O)-, R7OC(O), R7C(O)O-, R7C(O)NR8-, -CN ou -NO2; R7 e R8 representam, independentemente, hidrogênio, alquil, haloalquil, tioalquil, alquiltioalquil, hidroxialquil, alcoxilalquil, alquenilo, haloalquenilo, alquinilo ou haloalquinilo; e p é 1, 2 ou 3.
[0109] Em uma outra concretização, a invenção proporciona composições veterinárias mastigáveis macias que compreendem uma quantidade eficaz de pelo menos um dos compostos 1.001 - 1.025 ou 2.001 - 2.018 descritos no documento WO 2011/075591 e pedido de patente Norte-Americano US 2011/0152312 mostrado nas Tabelas 1 e 2 a seguir, em combinação com um veículo farmaceuticamente aceitável aqui descrito: Tabela 1: Compostos de 1.001 - 1.025
Tabela 2: Compostos de 2,001-2,018
[0110] Em uma outra concretização, as composições veterinárias macias mastigáveis da presente invenção podem incluir um ou mais compostos das isoxazolinas divulgado no US 2010/0254960 Al, US 2011/0159107, US 2012/0309620, US 2012/0030841, US 2010/0069247, WO 2007/125984, WO 2012/086462, US 8,318,757, US 2011/0144349, US 8,053,452; US 2010/0137612, US 2010/0254959, US 2011/152081, WO 2012/089623, WO 2012/089622, US 8,119,671; US 7,947,715; WO 2102/120135, WO 2012/107533, WO 2011/157748, US 2011/0245274, US 2011/0245239, US 2012/0232026, US 2012/0077765, US 2012/0035122, US 2011/0251247, WO 2011/154433, WO 2011/154434, US 2012/0238517, US 2011/0166193, WO 2011/104088, WO 2011/104087, WO 2011/104089, US 2012/015946, US 2009/0143410, WO 2007/123855 A2, US 2011/0118212, e US 7,951,828, US 7,662,972, US 2010/0137372 Al, US 2010/0179194 A2, US 2011/0086886 A2, US 2011/0059988 Al, US 2010/0179195 Al, US 7,897,630, US 7,951,828 e US 7,662,972, todas as quais são aqui incorporadas por referência na sua totalidade.
[0111] Foi surpreendentemente encontrado que as composições da invenção proporcionam excepcionalmente elevada biodisponibilidade para os agentes ativos que atuam sistemicamente no sangue do animal para o qual as composições são administradas dentro de algumas horas após a administração. Além disso, em algumas concretizações, as composições da invenção proporcionam uma eficácia de duração extremamente longa contra os ectoparasitas e/ou endoparasitas que é inesperado e surpreendente de uma forma de dosagem oral de liberação imediata.
[0112] Em uma concretização, as composições de comprimidos macios mastigáveis da invenção fornecem excepcionalmente elevada biodisponibilidade para os agentes ativos de isoxazolina de ação sistêmica. A surpreendentemente alta biodisponibilidade dos agentes ativos isoxazolínicos alcançados a partir das composições da invenção é um fator fundamental para alcançar o rápido início de ação e a eficácia de duração muito longa contra ectoparasitas observados.
[0113] Para que as composições de acordo com a invenção sejam eficaz contra os ectoparasitas, tais como carrapatos e pulgas durante um período prolongado de tempo, o agente ativo isoxazolina deve estar presente em uma concentração mínima eficaz no plasma e/ou tecidos do animal para o desejado período de tempo. O tempo em que o agente ativo permanece na circulação sistêmica (medido como meia- vida ou T1/2, o período de tempo que leva para que a quantidade de agente ativo sofra decaimento para diminuir para metade) baseia-se na estrutura intrínseca do composto e como ele se comporta in vivo. No entanto, a quantidade do agente ativo que é absorvido para a circulação sistêmica a partir de uma forma de dosagem oral pode ser afetada de forma significativa por excipientes não ativos da composição. Como tal, a combinação específica de excipientes não ativos em uma composição pode ter um importante efeito sobre a biodisponibilidade de um determinado agente ativo.
[0114] Para que uma substância ativa seja absorvida e tenha biodisponibilidade do lúmen gastrointestinal para a corrente sanguínea do animal, o agente ativo deve ser eficazmente liberado primeiro a partir da composição sólida após a ingestão. Em segundo lugar, no caso de agentes ativos de baixa solubilidade em água, o agente ativo tem de ser mantido em solução, no local apropriado no lúmen gastrintestinal para ser absorvido através do epitélio intestinal e para a corrente sanguínea. Ambos desses fatores pode ser significativamente afetado pela combinação de excipientes não ativos nas formas de dosagem oral.
[0115] É conhecido que uma das desvantagens de formas de dosagem orais é que a quantidade de fármaco que pode ser absorvido a partir do trato digestivo para a circulação sistêmica é limitado. Na verdade, é bem estabelecido na literatura que a baixa biodisponibilidade é uma das principais causas de falhas de novos candidatos de fármaco em desenvolvimento pré-clínico e clínico, especialmente, para compostos com baixa solubilidade em água. Compostos que atingem baixa biodisponibilidade tendem a ter exposição de plasma de baixa e alta variabilidade entre os indivíduos, o que limita a sua utilidade terapêutica (ver V. Hayden et al. The Road Map to Oral Bioavailability: an Industrial Perspective, Expert Opin. Drug Metab. Toxicol. 2006, 2(4):591-608)). Biodisponibilidade fraca limita a escolha dos medicamentos para administração oral, e em outros casos, devem ser feitos subsídios significativos para explicar a baixa absorção do agente ativo. Isso se reflete na mínima biodisponibilidade oral aceitável estabelecida apenas 30% para os programas típicos de dosagem oral, de desenvolvimento de fármacos (V. Hayden et al., Ibid.). Além disso, um certo número de fármacos humanos conhecidos são conhecidos por terem biodisponibilidade de < 20%) (ver Fasinu et al., Biopharm. Drug Dispos. 2011, 32, 1185-209).
[0116] Em uma concretização, as composições da invenção compreendendo pelo menos um agente ativo isoxazolina tendo perfis de dissolução excepcionalmente consistentes e previsíveis in vitro ao longo de um intervalo de tamanhos de forma de dosagem, liberando uma alta percentagem da isoxazolina como ingrediente ativo. Em uma concretização, as composições da invenção liberam pelo menos cerca de 70% (p/p) da isoxazolina como ingrediente ativo disponível dentro de 60 minutos, tal como medido por um teste de dissolução padrão. Em outras concretizações, as composições da invenção liberam pelo menos cerca de 80% (p/p) do agente ativo isoxazolina disponível dentro de cerca de 60 minutos. Ainda em outra concretização, as composições da invenção liberam pelo menos cerca de 85% (p/p) ou cerca de 90% (p/p) do agente ativo isoxazolina disponível dentro de cerca de 60 minutos. Os perfis de dissolução previsível e consistente exibidos pelas composições da invenção são incomuns para as composições mastigáveis e são indicativos da excelente biodisponibilidade in vivo.
[0117] As Figuras 1 e 2 mostram os perfis de dissolução de 2 gramas de composições macias mastigáveis da presente invenção que foram armazenados a 25° C e 60% de umidade relativa (HR) e 40° C e 75 % de RH, respectivamente, feita com 1, 2, 3, 6 e 12 meses. As Figuras 3 e 4 mostram os perfis de dissolução de 4 gramas de composições macias mastigáveis da invenção, que foram armazenados a 25° C e 60 % de umidade relativa (HR) e 40° C e 75 % de RH, respectivamente, retiradas a 0, 2 e 6 meses. Como as figuras mostram, tanto a 2 grana e 4 gramas de tamanho de composições suaves mastigáveis exibem perfis de dissolução extremamente reprodutíveis, mesmo após armazenagem em condições de estabilidade acelerada. Isto demonstra o perfil de liberação previsível e consistente das composições da invenção, que é um fator importante na obtenção de biodisponibilidade surpreendente e inesperado observado.
[0118] Consistente com o perfil de dissolução previsível e eficaz exibido in vitro, os animais tratados com as composições da invenção absorvem uma percentagem muito elevada de agente ativo isoxazolina in vivo após administração. Deste modo, em uma concretização, as composições da invenção proporcionam uma concentração máxima de fármaco no plasma após pouca quanto a cerca de 3 horas após a administração. Em outras concretizações, as composições da invenção proporcionam uma concentração máxima do fármaco após cerca de 3 horas e meia ou após cerca de 4 horas após a administração. Ainda em outras concretizações, as composições da invenção proporcionam uma concentração máxima da isoxazolina no plasma depois de cerca de quatro e meia, ou cerca de 5 horas após a administração.
[0119] As composições da invenção compreendendo pelo menos um agente ativo isoxazolina exibem surpreendentemente elevada biodisponibilidade do agente ativo isoxazolina in vivo. Assim, em uma concretização, as composições veterinárias macias mastigáveis da presente invenção proporcionam pelo menos cerca de 70% de biodisponibilidade do agente ativo isoxazolina em relação à administração intravenosa. Em outras concretizações da invenção, as composições de comprimidos mastigáveis macios fornecem pelo menos cerca de 85% ou, pelo menos, cerca de 95% de biodisponibilidade do agente ativo isoxazolina após administração. Em algumas concretizações, a biodisponibilidade do agente ativo isoxazolina a partir das composições mastigáveis inventivas é mesmo até cerca de 100% em relação à administração intravenosa do agente ativo.
[0120] Estes níveis de biodisponibilidade de um agente ativo isoxazolina tendo baixa solubilidade em água a partir de uma composição veterinária macia para mastigar são surpreendentemente alta e inesperada. Embora a extremamente elevada biodisponibilidade das composições mastigáveis é em parte devido às propriedades físico-químicas dos agentes ativos de isoxazolina, os níveis elevados observados a partir das composições mastigáveis da presente invenção são possíveis graças à presença e combinação dos excipientes não ativos, que garante a dissolução completa e previsível da composição e mantem os agentes ativos em solução no trato digestivo do animal. O efeito significativo de excipientes não ativos das composições da presente invenção sobre a biodisponibilidade do agente ativo isoxazolina é demonstrado pela Figura 5. Este ponto compara a concentração de plasma de um agente ativo isoxazolina (composto A) entregue a partir de composições de comprimidos macios mastigáveis da invenção concebido para proporcionar 20 mg/kg e 40 mg/kg de peso corporal, com a administração de uma solução de polietilenoglicol/álcool do agente ativo a 25 mg/kg de peso corporal. A figura mostra que as composições de comprimidos macios mastigáveis da presente invenção fornecem níveis de plasma significativamente mais elevadas, mesmo quando administrados em níveis mais baixos em comparação com uma solução do agente ativo (20 mg/kg de composição mastigável vs 25 mg/kg de solução). Isto é particularmente surpreendente, uma vez que as composições são para mastigar, sob a forma de um sólido que deve desintegrar e liberar completamente e solubilizar o agente ativo para a eficiente absorção durante a digestão. Seria de esperar que a solução proporcionasse uma maior biodisponibilidade porque o agente ativo está completamente dissolvido quando administrado. O significativamente maior biodisponibilidade conseguida a partir das composições mastigáveis da invenção é claramente o resultado dos excipientes não ativos na composição, em vez da permeabilidade natural do agente ativo, uma vez que a mesma substância ativa é utilizada.
[0121] A surpreendentemente alta biodisponibilidade dos agentes ativos de isoxazolina nas composições veterinárias orais da invenção contribui significativamente para o rápido início de ação e à eficácia de duração extremamente longa contra pulgas e carrapatos. Assim, em algumas concretizações, a capacidade das composições de forma segura e previsível alcançar uma concentração desejada do agente ativo de isoxazolina na corrente sanguínea, sem ter de dosear níveis muito elevados do composto ao animal juntamente com o tempo de residência do agente ativo nos resultados de fluxo de sangue no controle superior de ectoparasitas, incluindo, por até cerca de 90 dias ou mais contra pulgas. Este período de eficácia de uma forma de dosagem oral de liberação imediata, uma vez dosado é incomparável e muito surpreendente.
[0122] Em uma outra concretização, as composições de comprimidos macios mastigáveis da presente invenção podem proporcionar biodisponibilidade extraordinariamente elevada e inesperada de agentes parasiticidas ativos, que são ativos contra os endoparasitas. Assim, em uma concretização, as composições de comprimidos macios mastigáveis da presente invenção podem proporcionar uma biodisponibilidade de pelo menos cerca de 70% em relação à administração intravenosa de um parasiticida selecionado a partir do grupo que consiste de um agente ativo de lactona macrocíclica, um agente benzimidazol incluindo tiabendazol, oxibendazol, mebendazol, fenbendazol, oxfendazol, albendazol, triclabendazol e febantel; levamisol, pirantel, morantel, closantel, clorsulon, um agente ativo amino acetonitrila e um agente ativo ariloazol-2-il cianoetilamina. Em uma outra concretização, as composições de comprimidos macios mastigáveis da presente invenção podem proporcionar uma biodisponibilidade de pelo menos cerca de 80%, pelo menos cerca de 85% ou, pelo menos, cerca de 90% em relação à administração intravenosa de um parasiticida selecionado a partir de um agente ativo de lactona macrocíclica, um agente ativo benzimidazol incluindo tiabendazol, oxibendazol, mebendazol, fenbendazol, oxfendazol, albendazol, triclabendazol e febantel; levamisol, pirantel, morantel, closantel, clorsulon, um agente ativo amino acetonitrila e um agente ativo ariloazol-2-il cianoetilamina.
[0123] As composições veterinárias macias mastigáveis da invenção, as quais incluem pelo menos um agente ativo isoxazolina e um veículo farmaceuticamente aceitável que seja adequada para administração oral a um animal, tem sido surpreendentemente descoberta para segurança e eficaz contra um amplo espectro de ectoparasitas por um prolongado período de tempo. Por exemplo, em uma concretização da invenção, as composições de comprimidos macios mastigáveis da presente invenção proporciona proteção de pelo menos 90% de eficácia contra pulgas (C. felis) durante pelo menos 30 dias, ou pelo menos 36 dias, como medido em comparação com controles não tratados, de acordo com os métodos descritos nos exemplos. Em uma outra concretização, as composições de comprimidos macios mastigáveis da presente invenção proporcionam, pelo menos, 90% de eficácia contra pulgas durante pelo menos 44 dias, ou pelo menos durante 58 dias.
[0124] Em algumas concretizações da invenção, as composições da invenção compreendendo pelo menos um ingrediente ativo de isoxazolina proporcionam um elevado nível de eficácia contra pulgas, por períodos de tempo superiores a 60 dias. Por exemplo, em uma concretização, as composições da invenção fornecem uma eficácia de pelo menos 90% contra as pulgas durante pelo menos 72 dias. Em outras concretizações, as composições da invenção fornecem uma eficácia de pelo menos 90% contra as pulgas durante pelo menos 79 dias, pelo menos 86 dias, ou mesmo pelo menos 93 dias. Ainda em outras concretizações, as composições orais de duração muito longa da presente invenção proporcionam uma eficácia de pelo menos 90% contra as pulgas durante pelo menos cerca de 100 dias, no mínimo, cerca de 107 dias, ou mesmo pelo menos cerca de 114 dias.
[0125] Ainda em outra concretização, as composições veterinárias macias mastigáveis da invenção compreendendo pelo menos um ingrediente ativo isoxazolina proporcionam uma eficácia de pelo menos cerca de 95% contra pulgas (C. felis) durante pelo menos cerca de 30 dias ou pelo menos cerca de 36 dias. Ainda em outra concretização, composições veterinárias macias mastigáveis da presente invenção proporciona uma eficácia de pelo menos cerca de 95%, pelo menos cerca de 44 dias, no mínimo, cerca de 58 dias ou pelo menos cerca de 72 dias. Ainda em outras concretizações, as composições orais de duração muito longa da presente invenção proporciona uma eficácia de pelo menos cerca de 95%, pelo menos cerca de 79 dias, a, pelo menos, cerca de 86 dias, ou mesmo cerca de 93 dias.
[0126] Ainda em outra concretização da invenção, as composições de comprimidos macios mastigáveis que compreendem uma quantidade eficaz de pelo menos um agente ativo isoxazolina proporciona cerca de 100% de eficácia contra pulgas durante pelo menos cerca de 23 dias, no mínimo, cerca de 30 dias ou pelo menos cerca de 36 dias. Ainda em outras concretizações, as composições da invenção fornecem uma eficácia de cerca de 100% contra pulgas durante pelo menos cerca de 44 dias, no mínimo, cerca de 58 dias ou pelo menos cerca de 72 dias.
[0127] Em outra modalidade da invenção, as composições veterinários macias mastigáveis que compreendem um agente ativo isoxazolina proporcionam uma eficácia de pelo menos cerca de 90% contra carrapatos (incluindo, mas não limitado a, Dermacentor variabilis, Ixodes scapularis, Amblyomma americaem um, Rhipicephalus sanguineus, Ixodes ricinus, Dermacentor reticulatus e Ixodes holocyclus) durante pelo menos cerca de 30 dias ou pelo menos cerca de 36 dias. Ainda em outra concretização, as composições veterinárias macias mastigáveis da invenção proporcionará uma eficácia de pelo menos cerca de 95% durante pelo menos cerca de 23 dias, no mínimo, cerca de 30 dias ou pelo menos cerca de 36 dias.
[0128] Em algumas concretizações, as composições veterinárias orais de longa duração da invenção compreendendo pelo menos um isoxazolina ativo proporcionam uma eficácia contra certas espécies de carraças de pelo menos cerca de 90%, pelo menos cerca de 44 dias, a pelo menos cerca de 58 dias, ou pelo menos cerca de 72 dias. Em outras concretizações, as composições veterinárias orais da presente invenção proporcionam uma eficácia contra certas espécies de carrapatos de pelo menos cerca de 90%, de pelo menos cerca de 79 dias, a, pelo menos, cerca de 86 dias, a pelo menos cerca de 93 dias, no mínimo, cerca de 100 dias ou ainda, pelo menos, cerca de 107 dias. Em algumas concretizações, as composições orais da presente invenção proporcionam uma eficácia de pelo menos cerca de 95% contra os carrapatos durante pelo menos cerca de 44 dias, a pelo menos cerca de 58 dias, no mínimo, cerca de 72 dias ou pelo menos cerca de 79 dias. Em certas outras concretizações, as composições da invenção irão proporcionar uma eficácia de pelo menos 95% para pelo menos cerca de 100 dias ou mesmo pelo menos cerca de 107 dias, contra certas espécies de carraças (D. variabilis, por exemplo). Em outras concretizações, as composições da invenção irão ainda proporcionar uma eficácia de cerca de 100%, contra certas espécies de carrapatos durante pelo menos cerca de 93 dias, a, pelo menos, cerca de 100 dias, ou mesmo pelo menos cerca de 107 dias. Este nível muito elevado de eficácia contra carrapatos para períodos de tempo muito longo a partir de uma forma de dosagem oral, é surpreendente e sem precedentes em formas de dosagem orais de liberação imediata. Além disso, as composições orais da invenção são surpreendentemente eficaz contra difícil controle de carrapatos Amblyomma americaem um, incluindo, entre outros.
[0129] As composições veterinárias macias mastigáveis da invenção, que compreende pelo menos um agente ativo isoxazolina foram encontradas para exibir um início muito rápido de ação contra os parasitas que prejudicam os animais. Por exemplo, em algumas concretizações da invenção, as composições veterinárias macias mastigáveis da presente invenção proporcionam uma eficácia de pelo menos cerca de 15%, pelo menos cerca de 20% ou, pelo menos, cerca de 30% contra as pulgas (C. felis) apenas 30 minutos após a administração ao animal em comparação com controles não tratados, tal como medido de acordo com os métodos descritos nos exemplos.
[0130] Em outras concretizações, as composições de comprimidos mastigáveis macios da presente invenção proporcionam uma eficácia de pelo menos cerca de 30%, pelo menos cerca de 40% ou, pelo menos, cerca de 50% contra as pulgas apenas cerca de 4 horas após a administração. Ainda em outras concretizações, as composições da invenção fornecem uma eficácia de pelo menos cerca de 50%, pelo menos cerca de 60% ou, pelo menos, cerca de 70% contra as pulgas de cerca de 8 horas após a administração ao animal. Ainda em outras concretizações, as composições da invenção fornecem uma eficácia de pelo menos cerca de 85%, pelo menos cerca de 90%, pelo menos cerca de 95% ou, pelo menos, cerca de 98% a cerca de 12 horas após a administração da composição ao animal. Este início surpreendentemente rápido de eficácia é muito importante para o tratamento eficaz de animais com infestações de ectoparasitas graves estabelecidos.
[0131] Tipicamente, agentes ativos de isoxazolina (s) podem estar presentes na composição a uma concentração de cerca de 0,1 a cerca de 40% (p/p). Em uma outra concretização, a concentração de agentes ativos de isoxazolina (s) é de cerca de 0,1 a cerca de 30%> (p/p). Em algumas concretizações da invenção, os agentes ativos de isoxazolina estão presentes na composição em uma concentração de cerca de 1 a cerca de 25% (p/p), cerca de 1 a cerca de 20%> (p/p), cerca de 1 a cerca de 10 %> (p/p), cerca de 1 a cerca de 5% (p/p), ou cerca de 1 a cerca de 3% (p/p). Ainda em outras concretizações, os agentes ativos de isoxazolina (s) estão presentes em uma concentração de cerca de 0,1 a cerca de 5% (p/p), cerca de 0,5 a cerca de 5% (p/p), cerca de 0,5 a cerca de 3% (p/p) ou cerca de 1 a cerca de 3% (p/p) na composição. Ainda em outras concretizações, os agentes ativos de isoxazolina (s) estão presentes em uma concentração de cerca de 3 a cerca de 6%) (p/p), ou cerca de 5 a 10% (p/p). Em outras concretizações, o agente ativo de isoxazolina está presente em uma concentração relativamente mais elevada, na forma de dosagem, incluindo cerca de 5% (p/p) a cerca de 15% (p/p), cerca de 10% (p/p) a cerca de 20 % (p/p), cerca de 10% (p/p) a cerca de 15% (p/p) ou cerca de 15% (p/p) a cerca de 20% (p/p) na composição.
[0132] Algumas unidades de dosagem podem conter desde cerca de 0,5 mg a cerca de 2000 mg de pelo menos um agente ativo de isoxazolina ou uma combinação de agentes ativos de isoxazolina. Em uma concretização, o agente ativo de isoxazolina está presente em uma quantidade de cerca de 1 mg a cerca de 200 mg da composição. Mais tipicamente, o agente ativo de isoxazolina está presente em uma quantidade de cerca de 1 mg a cerca de 150 mg ou cerca de 10 mg a cerca de 150 mg por unidade de mastigar. Em algumas concretizações, a quantidade de pelo menos um agente ativo de isoxazolina em uma unidade de dosagem é de cerca de 5 mg a cerca de 50 mg, cerca de 1 mg a cerca de 30 mg, ou cerca de 5 mg a cerca de 30 mg. Em outras concretizações, a quantidade de pelo menos um agente ativo de isoxazolina em uma unidade de dosagem da invenção é de cerca de 1 mg a cerca de 20 mg ou cerca de 1 mg a cerca de 15 mg. Em outras concretizações, as unidades de dosagem irá conter cerca de 50 mg a cerca de 150 mg, cerca de 50 mg a cerca de 100 mg, ou cerca de 75 mg a cerca de 140 mg de pelo menos um agente ativo de isoxazolina.
[0133] Em outras concretizações, a quantidade de pelo menos um agente ativo de isoxazolina será de cerca de 100 mg a cerca de 2000 mg por unidade de dosagem. Mais tipicamente, a quantidade de pelo menos um agente de isoxazolina ativo em uma unidade de dosagem será de cerca de 100 mg a cerca de 1500 mg, cerca de 100 mg a cerca de 1000 mg ou cerca de 500 mg a cerca de 1200 mg por unidade de dosagem.
[0134] Em um outro aspecto da invenção, as composições orais veterinários, incluindo composições mastigáveis macias e composições em comprimidos mastigáveis, que compreendem um ou mais agentes ativos adicionais parasiticidas de ação sistêmica são fornecidos. Os agentes ativos que podem ser incluídos na composição podem ser de várias classes de parasiticidas de ação sistêmica e podem ser incluídos nas composições veterinárias orais da invenção, isoladamente ou em combinação com um agente ativo isoxazolina e/ou outros ectoparasiticidas de ação sistêmico incluindo, mas não se limitando a, um ou mais espinosina ou espinosóide, um ou mais reguladores de crescimento de insetos, um ou mais arilpirazóis e um ou mais neonicotinóides. Quando as composições compreendem uma combinação de um agente endoparasiticida sistemicamente- atuando em combinação com um agente ectoparasiticida, incluindo, mas não limitado a, um agente ativo de isoxazolina, as composições serão eficazes contra ambas as infecções e infestações por endoparasitas e ectoparasitas.
[0135] Em uma concretização, a invenção proporciona uma composição veterinária macia para mastigar que compreende pelo menos um agente ativo de isoxazolina em combinação com pelo menos um outro agente ativo de duração sistêmico que é ativo contra endoparasitas, e um veículo ou diluente farmaceuticamente aceitável. Em uma outra concretização, a invenção proporciona uma composição veterinária macia para mastigar que compreende pelo menos um agente ativo de isoxazolina em combinação com pelo menos um agente ativo de ação sistêmica que é ativo contra ectoparasitas, em conjunto com um veículo ou diluente farmaceuticamente aceitável.
[0136] Em algumas concretizações, os agentes ativos adicionais combinados com um agente ativo de isoxazolina podem incluir, mas não estão limitados a, anti-helmínticos, acaricidas, inseticidas e outros parasiticidas de várias classes aqui apresentados.
[0137] Em uma outra concretização, as composições de comprimidos macios mastigáveis podem também incluir agentes terapêuticos veterinários. Agentes farmacêuticos veterinários que possam ser incluídos nas composições da invenção são bem conhecidos no estado da técnica (ver por exemplo, Plumb’ Veterinary Drug Handbook, 5th Edition, ed. Donald C. Plumb, Blackwell Publishing, (2005) or The Merck Veterinary Manual, 9th Edition, (Janeiro 2005)) e incluem, mas não estão limitados a acarbose, maleato de acepromazina, acetaminofeno, acetazolamida de sódio, acetazolamida, ácido acético, ácido aceto-hidroxâmico, acetilcisteína, acitretina, aciclovir, albendazole, sulfato de salbutamol, o alfentanil, alopurinol, alprazolam, altrenogest, amantadina, sulfato de amicacina, ácido aminocapróico, sulfato de hidrogênio, aminopentamida, aminofilina/teofilina, amiodarona, amitriptilina, besilato de amlodipina, cloreto de amônio, molibdenato de amônio, amoxicilina, clavulanato de potássio, desoxicolato de anfotericina B, anfotericina B à base de lipídios, ampicilina, amprolio, antiácidos (oral), antiveneno, apomorfiona, sulfato de apramicina, ácido ascórbico, asparaginase, aspirante, atenolol, atipamezol, besilato de atracúrio, sulfato de atropina, aurnofm, aurotioglucose, azaperone, azatioprina, azitromicina, baclofen, barbitúricos, benazepril, betametasona, cloreto de betanecol, bisacodil, subsalicilato de bismuto, sulfato de bleomicina, boldenonas undecilenato, brometos, mesilato de bromocriptina, budenoside, buprenorfina, buspirona, bussulfano, butorfanol tartarato, cabergolina, a calcitonina de salmão, calcitrol, os sais de cálcio, captopril, carbenicilina indanilo sódio, carbimazole, carboplatina, carnitina, carprofeno, carvedilol, cefadroxil, sódio cefazolina, cefixima, clorsulon, cefoperazona de sódio, cefotaxima de sódio, fosfato cefotetan, cefoxitina sódio, cefpodoxime proxetil, ceftazidima, ceftiofur sódico, ceftiofur, ceftiaxone sódio, cefalexina, cefalosporinas, cefapirina, carvão vegetal (ativada), clorambucil, cloranfenicol, clorodiazepóxido, clordiazepóxido +/- brometo de clidínio, clorotiazida, maleato de clorfeniramina, clorpromazina, clorpropamida, clortetraciclina, gonadotropina coriónica (hCG), cromo, cimetidina, ciprofloxacina, cisapride, cisplatina, sais de citrato, claritromicina, fumarato de clemastina, clenbuterol, clindamicina, clofazimina, clomipramina, claonazepam, clonidina, cloprostenol sódio, clorazepato dipotássico, clorsulon, cloxacilina, fosfato de codeína, colchicina, corticotrofina (ACTH), cosintropina, ciclofosfamida, ciclosporina, cyproheptadine, citarabina, dacarbazina, dactinomicina/actinomicina D, dalteparina sódica, danazol, dantrolene de sódio, dapsona, decoquinato, mesilato de deferoxamina, deracoxib, acetato de deslorelina, acetato de desmopressina, desoxicorticosterona pivalato, detomidina, dexametasona, dexpantenol, dexraazoxane, dextrano, diazepam, diazóxido (oral), diclorfenamida, diclofenaco de sódio, dicloxacilina, citrato de dietilcarbamazina, dietilestilbestrol (DES), difioxacin, digoxina, Diidrotaquisterol (DHT), o diltiazem, dimenidrinato, dimercaprol/BAL, dimetilsulfóxido, dinoprost-trometamina, difenil-hidramina, fosfato de disopiramida, dobutamina, docusato/DSS, dolasetron mesilato, domperidona, dopamina, doramectina, doxapram, doxepina, doxorubicina, doxiciclina, edetato dissódico de cálcio. EDTA de cálcio, cloreto de edrofônio, enalapril/enalaprilato, enoxaparina sódica, enrofioxacin, sulfato de efedrina, epinefrina, epoetina/eritropoietina, eprinomectina, epsiprantel, eritromicina, esmolol, cipionato de estradiol, ácido etacrínico/etacrinato de sódio, etanol (álcool), etidronato de sódio, etodolaco, etomidato, agentes eutanásia w/pentobarbital, a famotidina, os ácidos graxos essenciais (/omega), felbamato, fentanilo, sulfato ferroso, filgrastim, finasterida, fipronil, florfenicol, fluconazol, flucitosina, acetato de fludrocortisona, flumazenil, flumetasona, fiunixin meglumina, fluorouracilo (5-FU), a fluoxetina, o propionato de fluticasona, maleato de fluvoxamina, fomepizol (4-MP), furazolidona, furosemida, a gabapentina, a gemcitabina, o sulfato de gentamicina, glimepirida, glipizida, glucagon, agentes de glucocorticóides, o sulfato de glucosamina/condroitina, glutamina, glibenclamida, glicerina (oral), glicopirrolato, gonadorelina, grisseofulvin, guaifenesina, halotano, hemoglobina glutamer- 200 (OXYGLOBIN®®), heparina, etaamido, hialuronato de sódio, hidrazalina, hidroclorotiazida, hidrocodone, bitartarato, hidrocortisona, hidromorfona, hidroxiureia, hidroxizina, ifosfamida, imidacloprida, dipropinato de imidocarbe, impenem-cilastatina sódio, imipramina, lactato de inamrinona, insulina, interferon alfa-2a (recombinante humana), iodeto de (sódio/potássio), ipecacuanha (xarope), ipodato de sódio, de ferro-dextrano, isoflurano, isoproterenol, isotretinoina, isoxsuprina, itraconazol, ivermectina, caulino/pectina, a cetamina, cetoconazol, cetoprofeno, cetorolac trometamina, lactulose, leuprolide, levamisol, levetiracetam, levotiroxina sódica, lidocaína, lincomicina, liotironina de sódio, lisinopril, lomustina (CCNU), lufenuron, lisina, de magnésio, manitol, marbofioxacin, mecloretamina, meclizina, ácido meclofenâmico, medetomidina, triglicerídeos de cadeia média, acetato de medroxiprogesterona, acetato de megestrol, melarsomine, melatonina, meloxican, melfalano, meperidina, mercaptopurina, meropenem, a metformina, metadona, metazolamida, metenamina mandclato/hipurato, metimazol, metionina, metocarbamol, metoexital sódio, metotrexato, metoxiflurano, azul de metileno, metilfenidato, metilprednisolona, metoclopramida, metoprolol, metronidaxol, Mexiletina, mibolerlona, midazolam milbemicina oxima, óleo mineral, minociclina, misoprostol, mitotano, mitoxantrona, sulfato de morfina, moxidectina, naloxona, decanoato de mandrolona, naproxeno, narcóticos analgésicos agonistas (opiáceos), neomicina, sulfato de neostigmina, niacinamida, nitazoxanida, nitenpiram, nitrofurantoína, nitroglicerina, nitroprussiato de sódio, nizatidina, novobiocina sódio, nistatina, acetato de octreotida, olsalazina sódio, omeprazol, ondansetrona, antidiarréicos opiáceos, Orbifloxacina, sódio oxacilina, oxazepam, cloreto de oxibutinina, oximorfona, oxitretraciclina, oxitocina, pamidronato dissódico, pancreplipase, brometo de pancurônio, sulfato de paromomicina, parozetina, pencillamina, penicilinas de informação gerais, penicilina G, penicilina V potássio, pentazocine, pentobarbital de sódio, pentosan polisulfato de sódio, pentoxifilina, mesilato de pergolida, fenobarbital, fenoxibenzamina, fenilbutazona, fenilefrina, fenipropanolamina, fenitoína de sódio, feromonas, fosfato parentérica, fitonadiona/vitamina Kl, pimobendano, piperazina, pirlimicina, piroxicam, glicosaminoglicano polissulfatado, Ponazurilo, cloreto de potássio, cloreto de pralidoxima, prazosina, prednisolona/prednisona, primidona, procainamida, procarbazina, proclorperazina, propantelina brometo, injeção de acnes propionibacterium, propofol, propranolol, sulfato de protamina, pseudoefedrina, mucilóide psílio hidrofila, brometo de piridostigmina, maleato de pirilamina, pirimetamina, quinacrina, quinidina, ranitidina, rifampicina, que adenosil-metionina (SAMe), laxantes salinos/hiperosmóticas, selamectina, selegilina/deprenila 1, sertralina, sevelamer, sevoflurano, cardo silimarina/leite, bicarbonato de sódio, o poliestireno sulfonato de sódio, estibogluconato de sódio, sulfato de sódio, tiossulfato de sódio, somatotropina, sotalol, espectinomicina, espironolactona, estanozolol, estreptoquinase, estreptozocina, succimer, cloreto de succinilcolina, sucralfato, citrato de sufentanil, sulfaclorpiridazina de sódio, Sulfadiazina/sulfametoxazol, sulfametoxazol/trimetoprim, sulfadimentoxina, sulfadimetoxina/ormethoprim, sulfassalazina, gado, tepoxalin, terbinafline, sulfato de terbutalina, a testosterona, tetraciclina, thiacetarsamide sódio, tiamina, tioguanina, sódio tiopental, thiotepa, TSH, tiamulina, ticarcilina dissódico, tiletamina/zolazepam, tilmocsin, tiopronin, sulfato de tobramicina, tocainida, tolazolina, ácido telfenamic, topiramato, tramadol, trimcinolone acetonida, trientina, trilostana, trimepraxina tartarato w/prednisolona, tripelenamina, tilosina, urdosiol, ácido valpróico, vanádio, vancomicina, vasopressina, o brometo de vecurónio, verapamil, sulfato de vinblastina, sulfato de vincristina, a vitamina E/selénio, warfarina de sódio, Xilazina, ioimbina, zafirlukast, zidovudina (AZT), sulfato de acetato de zinco/zinco, a zonisamida e suas misturas.
[0138] Em uma concretização da invenção, os compostos arilpirazóis, tais como fenilpirazóis podem ser incluídos nas composições veterinárias orais da invenção. Os arilpirazóis são conhecidos no estado da técnica e são adequados para combinação com os compostos de isoxazolina em composições de comprimidos macios mastigáveis da presente invenção. Exemplos de tais compostos arilpirazol incluem, mas não se limitam aos descritos nas Patentes Norte- Americanas Nos US 6,001,384; US 6,010,710; US 6,083,519; US 6,096,329; US 6,174,540; US 6,685,954, US 6,998,131 e US 7,759,381 (todas as quais são aqui incorporadas por referência). Um agente ativo de arilpirazol, particularmente, preferido é fipronil. Em uma concretização, o arilpirazol pode ser incluído nas composições de comprimidos macios mastigáveis em combinação com um ou mais agentes ativos de isoxazolina, uma ou mais lactonas macrocíclicas, um ou mais compostos de espinosina, um ou mais compostos de espinosóide, um benzimidazol, pirantel, levamisol, morantel, praziquantel, closantel, clorsulon, um ou mais agente ativo de amino acetonitrila, um ou mais reguladores de crescimento de insetos, um ou mais neonicotinóides ou um ou mais agentes ativos de ariloazol- 2-il cianoetilamina ou uma combinação dos mesmos.
[0139] Em uma outra concretização da invenção, uma ou mais lactonas ou lactamas macrocíclicas, que atuam como um acaricida, um agente anti-helmíntico e/ou um inseticida, podem ser incluídos nas composições da invenção. Os agentes ativos de lactona macrocíclico são muito potentes e podem ser incluídos isoladamente nas composições ou em combinação com um ou mais agentes ativos de isoxazolina, um ou mais compostos de espinosina, um ou mais compostos de espinosóide, um benzimidazol, levamisol, morantel, pirantel, praziquantel, closantel, clorsulon, um ou mais agente ativo de amino acetonitrila, um ou mais reguladores de crescimento de insetos, um ou mais neonicotinóides ou um ou mais agentes ativos de ariloazol-2-ilo cianoetilamino, ou uma combinação dos mesmos. Além disso, em uma concretização, as composições veterinárias orais da invenção podem compreender uma combinação de dois ou mais agentes ativos de lactona macrocíclica, isoladamente ou em combinação com outros agentes ativos que atuam sistemicamente. Para evitar dúvidas, o termo “lactona macrocíclica”, tal como aqui utilizado inclui tanto de ocorrência natural e de compostos sintético ou semissintético de avermectina e milbemicina.
[0140] As lactonas macrocíclicas que podem ser utilizados nas composições da invenção incluem, mas não estão limitadas a, as avermectinas produzidas naturalmente (por exemplo, incluindo os componentes designados como A1a, A1b, A2a, A2b, B1a, B1b, B2a e B2b) e compostos da milbemicina, avermectinas e milbemicinas semissintéticos, compostos monossacarídeos de avermectinas e compostos agliconas de avermectinas. Os exemplos de compostos de lactonas macrocíclicas que podem ser utilizados nas composições incluem, mas não se limitam a, abamectina, dimadectina, doramectina, emamectina, eprinomectina, ivermectina, latidectin, lepimectin, selamectina, ML-1694, 554 e milbemicinas, incluindo, mas não se limitando a, milbemectima, milbemicina D, milbemicina A3, milbemicina A4, milbemicina oxima, moxidectina e nemadectina. Também estão incluídos os derivados 5-oxo- e 5-oxima das referidas avermectinas e milbemicinas.
[0141] Os compostos lactonas macrocíclicas são conhecidos no estado da técnica e podem ser facilmente obtidos comercialmente ou através de técnicas de síntese conhecidas no estado da técnica. É feita referência à literatura técnica e comercial amplamente disponível. Para avermectinas, ivermectina e abamectina, podem ser feita referência, por exemplo, para o trabalho “Ivermectin and Abamectin”, 1989, por M.H. Fischer e H. Mrozik, William C. Campbell, publicado pela Springer Verlag., ou Albers- Schonberg et al. (1981), “Avermectins Structure Determination”, J. Am. Chem. Soc., 103, 4216-4221. Para doramectina, “Veterinary Parasitology”, vol. 49, No. 1, Julho de 1993, 5-15 pode ser consultado. Para milbemycins, referência pode ser feita, inter alia, a Davies H.G. et al., 1986, “Avermectins and Milbemycins”, Nat. Prod. Rep., 3, 87-121, Mrozik H. et al., 1983, Synthesis of Milbemycins from Avermectins, Tetrahedron Lett., 24, 5333-5336, Patente No. US 4,134,973 e EP 0 677 0544, ambas aqui incorporadas por referência.
[0142] A estrutura das avermectinas e milbemicinas estão intimamente relacionadas, por exemplo, pelo compartilhamento do complexo de anel de lactona macrocíclica de 16 membros. As avermectinas naturais, produtos são divulgados na Patente Norte-Americana No. US 4,310,519 e os compostos de avermectina 22,23-di-hidro são revelados na Patente Norte-Americana No. US 4,199,569. Refira-se ainda a Patente Norte-Americana Nos US 4,468,390, US 5,824,653, EP 0 007 812 Al, Patente do Reino Unido 1 390 336, EP 0 002 916, e Patente da Nova Zelândia n° 237 086, inter alia. Milbemicinas que ocorrem naturalmente encontram-se descritos na Patente Norte-Americana N° US 3,950,360, bem como nas várias referências citadas no “Merck Index” 12 ° ed., S. Budavari, Ed., Merck & Co., Inc. Whitehouse Station, Nova Jersey (1996). Latidectina é descrita na seção “Denominação Comum Internacional para as substâncias farmacêuticas (DCI): Informações sobre Drogas”, vol. 17, n. 4, pags 263 - 286, (2003). Derivados semissintéticos destas classes de compostos são bem conhecidos no estado da técnica e são descritos, por exemplo, nas Patentes Norte-Americanas Nos US 5,077,308, US 4,859,657, US 4,963,582, US 4,855,317, US 4,871,719, US 4,874,749, US 4,427,663, US 4,310,519, US 4,199,569, US 5,055,596, US 4,973,711, US 4,978,677, US 4,920,148 e EP 0 667 054, todos aqui incorporados por referência.
[0143] Em uma concretização, as composições veterinárias orais da invenção, incluindo composições mastigáveis macias e composições em comprimidos mastigáveis, compreendem uma quantidade eficaz de pelo menos um de abamectina, dimadectina, doramectina, emamectina, eprinomectina, ivermectina, latidectin, lepimectina, selamectina, milbemectina milbemicina D, milbemicina A3, milbemicina A4, milbemicina oxima, moxidectina ou nemadectina, ou uma combinação dos mesmos. Em uma outra concretização, a invenção proporciona uma composição veterinária macia para mastigar que compreende uma quantidade eficaz de pelo menos um de abamectina, emamectina, eprinomectina, ivermectina, doramectina ou selamectina, ou uma combinação dos mesmos. Ainda em outra concretização, as composições veterinárias macias mastigáveis da presente invenção compreendem uma quantidade eficaz de pelo menos um de ivermectina, milbemectina, milbemicina oxima, ou moxidectina, ou uma combinação dos mesmos.
[0144] Em uma outra concretização, as composições veterinárias orais que compreendem pelo menos um agente ativo de isoxazolina em combinação com abamectina, dimadectina, doramectina, emamectina, eprinomectina, ivermectina, latidectin, lepimectin, selamectina, milbemectina, milbemicina D, milbemicina A3, milbemicina A4, milbemicina oxima, moxidectina ou nemadectina, ou uma combinação destes, são fornecidos. Ainda em outra concretização, as composições orais veterinárias compreendendo pelo menos um agente ativo de isoxazolina em combinação com abamectina, emamectina, eprinomectina, ivermectina, doramectina ou selamectina, ou uma combinação destes, são fornecidos.
[0145] Ainda em outra concretização, as composições veterinárias macias mastigáveis compreendendo pelo menos um agente ativo de isoxazolina de fórmula (I), fórmula (II), fórmula (III) ou a fórmula (IV), em combinação com uma quantidade eficaz de ivermectina, milbemectina, milbemicina oxima ou moxidectina, ou uma combinação destes, são fornecidos.
[0146] Em uma outra concretização, a invenção proporciona uma composição veterinária macia para mastigar que compreende uma quantidade eficaz de pelo menos um dos Composto A, composto B, composto 1.001 - 1.025 ou Composto 2.001 - 2.018 em combinação com uma quantidade eficaz de abamectina, dimadectina, doramectina, emamectina, eprinomectina, ivermectina, latidectin, lepimectin, selamectina, milbemectina, milbemicina D, milbemicina A3, milbemicina A4, milbemicina oxima, moxidectina ou nemadectina, ou uma combinação dos mesmos. Em uma outra concretização, a invenção proporciona uma composição veterinária macia para mastigar que compreende uma quantidade eficaz de pelo menos um dos Composto A, composto B, composto 1.001 - 1.025 ou Composto 2.001 - 2.018 em combinação com uma quantidade eficaz de abamectina, emamectina, eprinomectina, ivermectina, doramectina ou selamectina, ou uma combinação destes. Ainda em outra concretização, a invenção proporciona uma composição veterinária macia para mastigar que compreende uma quantidade eficaz de pelo menos um dos Composto A, composto B, composto 1.001 - 1.025 ou Composto 2.001 - 2.018 em combinação com uma quantidade eficaz de pelo menos um de ivermectina, milbemectina, milbemicina D, milbemicina A3, milbemicina A4, milbemicina oxima, moxidectina ou nemadectina, ou uma combinação dos mesmos.
[0147] Em algumas concretizações, as composições veterinárias para mastigar pode compreender uma combinação de pelo menos um agente ativo com isoxazolina duas lactonas macrocíclicas diferentes como agentes ativos.
[0148] Ainda em outra concretização, a invenção proporciona uma composição veterinária macia para mastigar que compreende uma quantidade eficaz do Composto A em combinação com uma quantidade eficaz de abamectina, emamectina, eprinomectina, ivermectina ou selamectina, ou uma combinação dos mesmos. Ainda em outra concretização, a invenção proporciona uma composição veterinária macia para mastigar que compreende uma quantidade eficaz do Composto A em combinação com uma quantidade eficaz de ivermectina, milbemicina oxima, ou moxidectina, ou uma combinação dos mesmos.
[0149] Em uma outra concretização da invenção, uma composição que compreende uma classe de inseticidas ou acaricidas conhecidos como reguladores de crescimento de insetos (RCI) são fornecidos. Os agentes ativos do IGR podem ser incluídos nas composições veterinárias orais da invenção. Os agentes ativos do IGR podem ser incluídos na composição sozinha ou em combinação com pelo menos um agente ativo de isoxazolina ou outro agente ativo sistemicamente- atuando aqui descrito, incluindo, mas não limitado a, uma ou mais lactonas macrocíclicas, um ou mais compostos espinosina, um ou mais compostos espinosóide, um benzimidazol, pirantel, levamisol, morantel, praziquantel, closantel, clorsulon, um ou mais agente ativo de amino acetonitrila, um ou mais reguladores de crescimento de insetos, um ou mais neonicotinóides ou um ou mais agente ativo de ariloazol-2-il cianoetilamina ou uma combinação dos mesmos. Os compostos pertencentes a este grupo são bem conhecidos do médico e representam uma vasta gama de diferentes classes químicas. Estes compostos atuam todos por interferência com o desenvolvimento ou crescimento das pragas de insetos. Reguladores de crescimento de insetos são descritos, por exemplo, na Patente Norte-Americana Nos US 3,748,356, US 3,818,047, US 4,225,598, US 4,798,837, US 4,751,225, EP 0 179 022 ou no Reino Unido 2 140 010, bem como as Patentes Nos US 6,096,329 e US 6,685,954 (todos aqui incorporados por referência).
[0150] Em uma concretização as composições da invenção podem incluir um composto IGR que imita o hormônio juvenil ou que modula os níveis de hormonas juvenis de insetos. Exemplos de imitadores de hormônios juvenis incluem azadiractina, diofenolan, fenoxicarbe, hidropreno, quinopreno, metopreno, piriproxifeno, tetrahidroazadiractina e 4-cloro-2(2-cloro-2-metil-propil) -5-(6-iodo-3-piridilmetoxi)piridazina-3(2H)-ona. Em uma outra concretização, as composições da invenção compreendem um composto de isoxazolina em combinação com metopreno ou piriproxifeno e um veículo farmaceuticamente aceitável.
[0151] Em uma outra concretização, as composições da invenção incluem um composto IGR que é um inibidor da síntese de quitina. Inibidores da síntese de quitina incluem clorofluazuron, ciromazina, diflubenzuron, fluazuron,flucicloxuron, flufenoxuron, hexaflumoron, lufenuron,tebufenozida, teflubenzuron, triflumoron, 1-(2,6- difluorobenzoil)-3-(2-fluor-4-(trifluorometil)feniluréia, 1-(2,6-difluor-benzoil)-3-(2-fluor-4-(l,1,2,2- tetrafluoroetoxi)-fenilureia e 1-(2,6-difluorobenzoil) -3 - (2-fluor-4-trifluorometil) fenilureia.
[0152] Em algumas concretizações, as composições da invenção podem incluir um ou mais agentes antinematodal incluindo, mas não limitados a, agentes ativos benzimidazóis, imidazotiazóis, tetrahidropirimidinas, e a classe de compostos organofosforados. Em algumas concretizações, incluindo os benzimidazóis, mas não se limitando a, o tiabendazol, cambendazol, parbendazol, oxibendazol, mebendazol, flubendazol, fenbendazol, oxfendazol, albendazol, ciclobendazol, febantel, tiofanato e seu análogo o,o-dimetil podem ser incluídos nas composições. Os agentes ativos acima mencionados podem ser incluídos nas composições, isoladamente ou em combinação com outros parasiticidas de ação sistêmica aqui descritos, incluindo, mas não limitado a, um ou mais agentes ativos de isoxazolina, um ou mais agentes ativos de lactona macrocíclicas, um ou mais compostos de espinosina ou espinosóide, levamisol, pirantel, morantel, praziquantel, closantel, clorsulon, um ou mais agentes ativos de amino acetonitrila, um ou mais reguladores de crescimento de insetos, um ou mais neonicotinóides ou um ou mais agentes ativos ariloazol-2-ilo cianoetilamina ou uma combinação dos mesmos.
[0153] Em outras concretizações, as composições podem incluir um composto de imidazotiazol, incluindo, mas não limitados a, tetramisol, levamisol e butamisol, sozinho ou em combinação com um ou mais agentes ativos sistemicamente ativos aqui descritas, incluindo, mas não limitado a, um ou mais agentes ativos isoxazolina, um ou mais agentes ativos de lactona macrocíclicas, um ou mais compostos de espinosina ou espinosóide, um ou mais agentes de benzimidazol incluindo tiabendazol, oxibendazol, mebendazol, fenbendazol, oxfendazol, albendazol, triclabendazol e febantel; pirantel, morantel, praziquantel, closantel, clorsulon, um ou mais agentes ativos amino acetonitrila, um ou mais reguladores de crescimento de insetos, um ou mais neonicotinóides e um ou mais agentes ativos ariloazol-2-il cianoetilamina ou uma combinação dos mesmos.
[0154] Ainda em outras concretizações, as composições da invenção podem incluir agentes ativos de tetrahidropirimidina incluindo, mas não limitado a, pirantel, oxantel e morantel, por si só ou em combinação com um ou mais agentes ativos de ação sistêmica, incluindo, mas não limitado a, um ou mais agentes ativos de isoxazolina, um ou mais de lactona macrocíclica, um ou mais compostos espinosina ou espinosóide, um ou mais agentes benzimidazóis incluindo tiabendazol, oxibendazol, mebendazol, fenbendazol, oxfendazol, albendazol, triclabendazol e febantel; agentes ativos de levamisol, praziquantel, closantel, clorsulon, um ou mais grupos amino de acetonitrila, um ou mais reguladores de crescimento de insetos, um ou mais neonicotinóides e um ou mais agentes ativos de ariloazol-2-ilo cianoetilamina ou uma combinação dos mesmos.
[0155] Agentes organofosforados adequados incluem, mas não estão limitados a, coumafos, triclorfon, haloxon, naftalofos e diclorvos, heptenofos, mevinfos, monocrotofos, TEPP, e tetraclorvinfos.
[0156] Em outras concretizações, as composições podem incluir os compostos antinematodal fenotiazina, piperazina como o composto neutro e, em várias formas de sal, dietilcarbamazina, fenóis, como disofenol, arsenicais como arsenamide, etanolamina, como befénio, closilato de tênio e metiridina; corantes de cianina incluindo o cloreto de pirvinium, pamoato de pirvinium e iodeto ditiazanina; isotiocianatos incluindo bitoscanate, suramina de sódio, ftalofine, e vários produtos naturais incluindo, mas não limitado a, a higromicina B, a-santonina e ácido caínico. Estes agentes ativos antinematodal podem ser incluídos nas composições, isoladamente ou em combinação de um ou mais dos parasiticidas sistemicamente-agindo aqui descritos.
[0157] Em outras concretizações, as composições da invenção podem incluir agentes antitrematodal. Agentes antitrematodal adequados incluem, mas não estão limitados a, os miracils, tais como miracil D e mirasan; praziquantel, clonazepam e seus derivados 3-metil, oltipraz, lucantona, hicantona, oxamniquina, amoscanate, niridazole, nitroxinil, vários compostos bisfenol conhecidos no estado da técnica, incluindo o hexaclorofeno, bitionol, bitionol sulfóxido e meniclofolan; vários compostos de salicilanilida incluindo tribromsalan, Oxiclozanida, clioxanida, rafoxanida, nitroxinil, brotianida, bromoxanida e closantel; triclabendazol, diamfenetide, clorsulon, hetolin e emetine.
[0158] Compostos Anticestodal podem também ser utilizados vantajosamente nas composições da presente invenção incluindo, mas não limitado a, arecolina, em várias formas de sal, bunamidina, niclosamida, nitroscanato, paromomicina, paromomicina II, praziquantel e epsiprantel.
[0159] O antinematodal, agentes ativos antitrematodal e anticestodal descritos acima podem ser incluídos nas composições, isoladamente ou em combinação com um ou mais dos agentes ativos que atuam sistemicamente aqui descritos, incluindo, mas não limitado a, um ou mais agentes ativos de isoxazolina, um ou mais agentes ativos de lactona macrocíclica, um ou mais agentes ativos de espinosina ou espinosóide, um ou mais agentes de benzimidazol incluindo tiabendazol, oxibendazol, mebendazol, fenbendazol, oxfendazol, albendazol e febantel; levamisol, pirantel, morantel, um ou mais agente ativo de amino acetonitrila, um ou mais reguladores de crescimento de insetos, um ou mais neonicotinóides e um ou mais agentes ativos de ariloazol-2- ilo cianoetilamina, ou uma combinação dos mesmos.
[0160] Ainda em outras concretizações, as composições da invenção podem incluir outros agentes ativos que são eficazes contra parasitas artrópodes. Os agentes ativos adequados incluem, mas não estão limitados a, bromociclen, clordano, DDT, endosulfan, lindano, metoxicloro, toxafeno, bromofos, bromofos-etil, carbopfenotion, clorfenvinfos, clorpirifos, crotoxifos, cythioate, diazinon, diclorention, diemtoato, dioxation, etion, famfur, fenitrotion, fention, fospirato, iodofenfos, malation, nalede, fosalona, fosmete, foxima, propetamfos, Ronnel, stirofos, aletrina, cialotrina, cipermetrina, deltametrina, fenvalerato, flucitrinato, permetrina, fenotrina, piretrinas, resmetrina, benzoato de benzilo, dissulfureto de carbono, crotamiton, diflubenzuron, difenilamina, dissulfiram, isobornilo tiocianato de etilo, metopreno, monosulfiram, pirenonilbutoxido, rotenona, acetato de trifenil estanho, hidróxido de trifenilestanho, repelente, ftalato de dimetilo, e os compostos de l,5a,6,9,9a,9b-hexa-hidro-4a (4H)-dibenzofurancarboxaldeído (MGK-11), 2-(2-etil-hexil)-3a, 4,7,7, 3 (2H) diona a-tetra- hidro-4,7-metano-lH-isoindol-l-(MGK-264), dipropil-2,5- piridinadicarboxilato de (MGK-326) e 2-(octiltio)etanol (MGK-874).
[0161] Em uma outra concretização, um agente antiparasitário que pode ser incluído na composição veterinária macia para mastigar pode ser um peptídeo ou proteína biologicamente ativa, incluindo, mas não limitado a, depsipeptídeos, que atuam na junção neuromuscular por estimulação dos receptores pré-sinápticos que pertencem à família de receptores de secretina resultando na paralisia e morte dos parasitas. Em uma concretização de depsipeptídeo, o depsipéptídeo é emodepside (veja-se Wilson et al, Parasitology, janeiro de 2003, 126 (Pt. l): 79 - 86).
[0162] Em uma outra concretização, as composições da invenção podem compreender um agente ativo parasiticídico a partir da classe de neonicotinóide. Os neonicotinóides ligam e inibem os receptores nicotínicos de acetilcolina específicos de insetos. Em uma concretização, o agente de inseticidas neonicotinóides que podem ser combinados com um composto de isoxazolina, de modo a formar uma composição tópica da presente invenção é o imidacloprid. Agentes desta classe são descritos, por exemplo, na Patente Norte- Americana US 4,742,060 ou no documento EP 0 892 060 (ambas aqui incorporadas por referência). Em uma outra concretização, as composições da invenção podem compreender o nitenpiram, um outro agente ativo da classe de pesticidas neonicotinóides. O uso de nitenpiram para controlar pulgas é descrito na Patente Norte-Americana US 5,750,548, a qual é aqui incorporada por referência na sua totalidade. Os agentes ativos neonicotinóides podem ser incluídos nas composições por si só, ou em combinação com um ou mais dos outros agentes ativos que atuam sistemicamente aqui descritos, incluindo, mas não limitado a, um ou mais agentes ativos de isoxazolina, um ou mais agentes ativos de lactona macrocíclica, um ou mais espinosina ou agentes ativos espinosóide, um ou mais agentes benzimidazóis incluindo tiabendazol, oxibendazol, mebendazol, fenbendazol, oxfendazol, albendazol, triclabendazol e febantel; agentes ativos de levamisol, pirantel, morantel, praziquantel, closantel, clorsulon, um ou mais agentes ativos de amino acetonitrila, um ou mais reguladores de crescimento de insetos e um ou mais agentes ativos de ariloazol-2-il cianoetilamina, ou uma combinação dos mesmos. Em uma outra concretização, as composições de comprimidos macios mastigáveis da presente invenção compreendem o composto isoxazolina A em combinação com o nitenpiram e/ou imidacloprid.
[0163] Em outras certas concretizações da invenção, um agente inseticida que pode ser combinado com as composições da invenção é uma semicarbazona, tal como metaflumizona.
[0164] Em uma outra concretização, as composições da invenção podem incluir, vantajosamente, uma mistura de um ou mais outros compostos de isoxazolina conhecidos na técnica, em adição ou em lugar dos agentes ativos de isoxazolina descritos acima. Estes agentes ativos são descritos no pedido de patente norte-americano US 2010/0254960 Al, pedido de patente norte-americano US 2011/0159107, pedido de patente norte-americano US 2012/0309620, pedido de patente norte- americano US 2012/0030841, pedido de patente norte-americano US 2010/0069247, WO 2007/125984, WO 2012/086462, na patente norte-americana US 8,318,757, pedido de patente norte- americano US 2011/0144349, na patente norte-americana US 8053452; pedido de patente norte-americano US 2010/0137612, pedido de patente norte-americano US 2010/0254959, pedido de patente norte-americano US 2011/152081, WO 2012/089623, WO 2012/089622, na patente norte-americana US 8,119,671; na patente norte-americana US 7,947,715; WO 2102/120135, WO 2012/107533, WO 2011/157748, EUA 2011/0245274, EUA 2011/0245239, EUA 2012/0232026, EUA 2012/0077765, EUA 2012/0035122, EUA 2011/0251247, WO 2011/154433, WO 2011/154434, pedido de patente norte-americano US 2012/0238517, pedido de patente norte-americano US 2011/0166193, WO 2011/104088, WO 2011/104087, WO 2011/104089, pedido de patente norte-americano US 2012/015946, pedido de patente norte-americano US 2009/0143410, WO 2007/123855 A2, pedido de patente norte- americano US 2011/0118212, na patente norte-americana US 7,951,828 e na patente norte-americana US 7,662,972, pedido de patente norte-americano US 2010/0137372 Al, pedido de patente norte-americano US 2010/0179194 A2, pedido de patente norte-americano US 2011/0086886 A2, pedido de patente norte-americano US 2011/0059988 Al, pedido de patente norte-americano US 2010/0179195 Al, na patente norte-americana US 7,897,630, na patente norte-americana US 7,951,828 e na patente norte-americana US 7,662,972, todas as quais são aqui incorporadas por referência na sua totalidade.
[0165] Em uma outra concretização da invenção, o ácido nodulispórico e seus derivados podem ser adicionados às composições da invenção. Estes compostos são usados para tratar ou prevenir infecções em humanos e animais e são descritos, por exemplo, nas Patentes Norte-Americanas No. US 5,399,582, US 5,962,499, US 6,221,894 e US 6,399,786, todas as quais são aqui incorporadas por referência na sua totalidade. As composições podem incluir um ou mais dos conhecidos derivados de ácido nodulispórico do estado da técnica, incluindo todos os estereoisômeros, tais como os descritos na literatura citada acima.
[0166] Em uma outra concretização, os compostos anti-helmínticos de classe dos compostos amino acetonitrila (AAD), tais como monepantel (ZOLVIX) e outros semelhantes podem ser adicionados às composições da invenção. Estes compostos são descritos, por exemplo, na patente norte- americana US 7,084,280 por Ducray et al. (aqui incorporada por referência); Sager et al, Parasitologia Veterinária, 2009, 159, 49-54; Kaminsky et al., Nature vol. 452, 13 de março de 2008, 176-181. A classe de compostos AAD pode ser incluída nas composições veterinárias orais da invenção, isoladamente ou em combinação com um ou mais dos parasiticidas sistemicamente-agindo aqui descritas, incluindo, mas não limitado a, um ou mais agentes ativos de isoxazolina, um ou mais dos agentes ativos de lactonas macrocíclica, um ou mais dos agentes ativos de espinosina ou agentes ativos de espinosóide, um ou mais agentes ativos de benzimidazóis incluindo tiabendazol, oxibendazol, mebendazol, fenbendazol, oxfendazol, albendazol, triclabendazol e febantel; levamisol, pirantel, morantel, praziquantel, closantel, clorsulon, um ou mais reguladores de crescimento de insetos, um ou mais agentes ativos neonicotinóides e um ou mais agentes ativos ariloazol-2-il cianoetilamina ou uma combinação dos mesmos.
[0167] As composições da invenção podem também incluir compostos ariloazol-2-ilo cianoetilamina, tais como os descritos na Patente Norte-Americana US 8,088801 de Soll et al, a qual é aqui incorporada por referência, e derivados de tioamida destes compostos, como descrito na Patente Norte- Americana US 7,964,621 de Le Hir de Fallois, a qual é também aqui incorporada por referência. Agentes ativos de ariloazol-2-il cianoetilamino, que atuam de forma sistêmica contra os endoparasitas podem ser utilizados isoladamente nas composições veterinárias orais da invenção, ou em algumas concretizações, em combinação com um ou mais agentes ativos aqui descritos, incluindo sistemicamente-atuação, mas não se limitando a, um ou mais agentes ativos de isoxazolina, um ou mais agentes ativos de lactona macrocíclica, um ou mais agentes ativos de espinosina ou espinosóide, um ou mais agentes de benzimidazol incluindo tiabendazol, oxibendazol, mebendazol, fenbendazol, oxfendazol, albendazol, triclabendazol e febantel, ou anti-helmínticos de outras classes, incluindo o levamisol, pirantel, morantel, praziquantel, closantel, clorsulon, um ou mais reguladores de crescimento de insetos, um ou mais agentes ativos neonicotinóides e um ou mais agentes ativos de amino acetonitrila (AAD), ou uma combinação dos mesmos.
[0168] As composições da invenção podem também incluir compostos paraherquamida e derivados destes compostos, incluindo derquantel (ver Ostlind et al, Research in Veterinary Science, 1990, 48, 260-61; e Ostlind et al, Médico e Veterinário Entomology, 1997, 11, 407-408). A família paraherquamida de compostos é conhecida como uma classe de compostos que incluem um núcleo de Índol espirodioxepino com atividade contra certos parasitas (ver Tett Lett 1981, 22, 135, J. Antibiotics 1990, 43, 1380, e J. Antibiotics 1991, 44, 492). Além disso, a família marcfortina estruturalmente afins dos compostos, tais como marcfortines AC, também são conhecidas e podem ser combinadas com as formulações da invenção (veja-se J. Chem Soe Chem Comm 1980, 601 e Tet Lett 1981, 22, 1977). Outras referências aos derivados paraherquamide podem ser encontradas, por exemplo, nos documentos WO 91/09961, WO 92/22555, WO 97/03988, WO 01/076370, WO 09/004432 e US 2010/0197624, a patente norte- americana US 5,703,078 e Patente Norte-Americana US 5,750,695, todas as quais são aqui incorporadas por referência na sua totalidade. Em uma concretização, os agentes ativos de paraherquamide e/ou marcfortina podem ser incluídos nas composições veterinárias orais da invenção sozinho. Em outras concretizações, os agentes ativos de paraherquamide e/ou marcfortina podem ser combinados com pelo menos um agente ativo de ação sistêmica adicionais aqui descritas, incluindo, mas não limitado a, um ou mais agentes ativos de isoxazolina, um ou mais agentes ativos de lactona macrocíclicos, uma ou mais compostos de espinosina ou espinosóide, um ou mais agentes benzimidazóis incluindo tiabendazol, oxibendazol, mebendazol, fenbendazol, oxfendazol, albendazol, triclabendazol e febantel, ou anti- helmínticos de outras classes, incluindo levamisol, pirantel, morantel, praziquantel, closantel, clorsulon, um ou mais agentes de amino acetonitrila ativos, um ou mais reguladores de crescimento de insetos, um ou mais agentes ativos neonicotinóides ou um ou mais agentes ativos ariloazol-2-ilo cianoetilamina, ou uma combinação dos mesmos.
[0169] Em uma outra concretização da invenção, as composições podem incluir um agente ativo de espinosina produzido pelo actinomiceto de solo Saccharopolyspora spinosa (ver, por exemplo, Salgado V.L. and Sparks T.C., “The Spinosyns: Chemistry, Biochemistry, Mode of Action, and Resistance,” in Comprehensive Molecular Insect Science, vol. 6, pp. 137-173, 200) ou um agente ativo de espinosóide semi- sintético. Os espinosins são geralmente referidos como fatores ou componentes A, B, C, D, E, F, G, H, J, K, L, M, N, 0, P, Q, R, S, T, U, V, W, ou Y, e qualquer um desses componentes, ou uma combinação dos mesmos, podem ser utilizados nas composições da invenção. Composto espinosina pode ser um sistema de anel 5,6,5-tricíclico, fundido com uma lactona cíclica macro de 12 membros, um açúcar neutro (ramnose), e um açúcar amino (forosamina). Estes e outros compostos naturais incluindo 21-butenil espinosina produzido por Saccharopolyspora pagona, o qual podem ser utilizados nas composições da invenção, pode ser produzido através da fermentação por técnicas convencionais conhecidas no estado da técnica. Outros compostos de espinosina que podem ser utilizados nas composições da invenção são divulgados nas Patentes Norte-Americana US 5,496,931; US 5,670,364; US 5,591,606; US 5,571,901; US 5,202,242; US 5,767,253; US 5,840,861; US 5,670,486; US 5,631,155 e US 6,001,981, todas aqui incorporadas por referência na sua totalidade. Os compostos de espinosina podem incluir, mas não estão limitados a, espinosina A, espinosina D, espinosade, espinetorame, ou suas combinações. Espinosade é uma combinação de espinosina A e espinosina D, e espinetorame é uma combinação de 3'-etoxi-5,6-di-hidro espinosina J e 3'- etoxi espinosina L.
[0170] Em uma concretização, as composições orais veterinários, incluindo composições macias mastigáveis e composições em comprimidos mastigáveis, compreendendo um agente ativo de espinosina e/ou espinosóide são fornecidos.Em algumas concretizações, as composições podem conter uma combinação de dois ou mais agentes ativos de espinosina e/ou espinosóide. Por exemplo, em uma concretização, as composições podem incluir espinosade, que é uma combinação de espinosina A e espinosina D. Outras combinações também são contempladas. Em uma outra concretização, as composições podem incluir um agentes ativo de espinosina e/ou um espinosóide, ou uma combinação destes, em combinação com um ou mais agentes ativos que atuam de forma sistêmica adicionais aqui descritos, incluindo, mas não limitado a, um ou mais agentes ativos de isoxazolina, um ou mais agentes ativos de lactonas macrocíclica, um ou mais agentes ativos de benzimidazóis incluindo tiabendazol, oxibendazol, mebendazol, fenbendazol, oxfendazol, albendazol, triclabendazol e febantel, ou anti-helmínticos de outras classes, incluindo levamisol, pirantel, morantel, praziquantel, closantel, clorsulon, um ou mais agentes ativos de amino acetonitrila, um ou mais reguladores de crescimento de insetos, um ou mais agentes ativos neonicotinóides ou agentes ativos de ariloazol-2-il cianoetilamina ou uma combinação dos mesmos
[0171] Em geral, o agente ativo de ação sistêmica (que não seja um agente ativo de isoxazolina da fórmula (I), (II), (III) ou (IV) descrito acima) está incluído nas unidades de dosagem de acordo com a invenção em uma quantidade de entre cerca de 0,1 μg e cerca de 1000 mg. Tipicamente, o agente ativo pode ser incluído em uma quantidade de cerca de 10 μg a cerca de 500 mg, cerca de 10 μg a cerca de 400 mg, cerca de 1 mg a cerca de 300 mg, cerca de 10 mg a cerca de 200 mg ou cerca de 10 mg a cerca de 100 mg. Mais tipicamente, o agente ativo estará presente em uma quantidade de cerca de 5 mg a cerca de 50 mg nas composições da invenção.
[0172] A concentração de agentes ativos de atuação de forma sistêmica (com excepção de um agente ativo de isoxazolina de fórmula (I), (II), (III) ou (IV) descrito acima), nas composições macias mastigáveis da presente invenção será tipicamente de cerca de 0,01% a cerca de 30% (p/p), dependendo da potência do agente ativo. Em certas concretizações para os agentes ativos extremamente potentes, incluindo, mas não limitado a um agente ativo de lactona macrocíclica, a concentração do agente ativo será tipicamente de cerca de 0,01% a cerca de 10% (p/p), a partir de cerca de 0,01 a cerca de 1% (p/p), a partir de cerca de 0,01% a cerca de 0,5% (p/p), a partir de cerca de 0,1% a cerca de 0,5% (p/p) ou a partir de cerca de 0,01% a cerca de 0,1% (p/p). Em outras concretizações, a concentração do agente ativo será tipicamente de cerca de 0,1% a cerca de 2% (p/p) ou cerca de 0,1% a cerca de 1% (p/p).
[0173] Em outras concretizações, o agente ativo de ação sistêmica (que não seja um agente ativo de isoxazolina de fórmula (I), (II), (III) ou (IV) descrito acima) estará tipicamente presente em concentrações mais elevadas para atingir a eficácia desejada. Em algumas concretizações, o agente ativo estará presente em uma concentração de cerca de 1% a cerca de 30% (p/p), cerca de 1% a cerca de 20%> (p/p) ou cerca de 1% a cerca de 15% (p/p). Ainda em outras concretizações, o agente ativo estará presente em uma concentração de cerca de 5% a cerca de 20% (p/p) ou cerca de 5% a cerca de 15% (p/p) na composição.
[0174] Em várias concretizações da invenção, um agente ativo de ação sistêmica (que não seja um agente ativo de isoxazolina de fórmula (I), (II), (III) ou (IV) descrito acima) pode ser incluído na composição, para entregar uma dose de cerca de 0,001 mg/kg a cerca de 50 mg/kg ou cerca de 0,5 mg/kg a cerca de 50 mg/kg de peso corporal do animal. Em outras concretizações, o agente ativo estará tipicamente presente em uma quantidade suficiente para fornecer uma dose de cerca de 0,05 mg/kg a cerca de 30 mg/kg, cerca de 0,1 mg/kg a cerca de 20 mg/kg. Em outras concretizações, o agente ativo será presente em uma quantidade suficiente para fornecer uma dose de cerca de 0,1 mg/kg a cerca de 10 mg/kg, cerca de 0,1 mg/kg a cerca de 1 mg/kg ou cerca de 0,5 mg/kg a cerca de 50 mg/kg por peso corporal do animal.
[0175] Em certas concretizações da invenção, onde o agente ativo de ação sistêmica é um composto muito potente, tal como uma lactona macrocíclica, ou outros compostos potentes, o agente ativo estará presente em uma concentração para proporcionar uma dose de cerca de 0,001 mg/kg a cerca de 5 mg/kg, cerca de 0,001 mg/kg a cerca de 0,1 mg/kg ou cerca de 0,001 mg/kg a cerca de 0,01 mg/kg. Ainda em outras concretizações, o agente ativo está presente em uma quantidade suficiente para fornecer uma dose de cerca de 0,01 mg/kg a cerca de 2 mg/kg ou cerca de 0,1 mg/kg a cerca de 1 mg/kg por peso corporal do animal. Ainda em outras concretizações, o agente ativo adicional pode estar presente em uma quantidade suficiente para fornecer uma dose de cerca de 1 μg/kg a cerca de 200 μg/kg, ou cerca de 0,1 mg/kg a cerca de 1 mg/kg de peso do animal.
[0176] Em uma concretização da invenção, composições veterinárias macias mastigáveis que compreendem um ou mais agentes ativos que são ativos contra parasitas internos atuando sistemicamente são fornecidas. Nesta concretização, as composições irão proporcionar um elevado nível de eficácia contra vermes redondos, ancilostomídeos e tricurídeos enquanto previne o desenvolvimento de dirofilariose. Em uma concretização, o agente ativo é um agente ativo de lactona macrocíclica, ou uma combinação de duas ou mais lactonas macrocíclicas. Em uma outra concretização, o agente ativo é um ou mais agentes ativos de benzimidazol incluindo, mas não limitado a, o tiabendazol, cambendazol, parbendazol, oxibendazol, mebendazol, flubendazol, fenbendazol, oxfendazol, albendazol, ciclobendazol, febantel, tiofanato e seu análogo o,o-dimetil; levamisol, morantel, pirantel, praziquantel, closantel, clorsulon, um ou mais agentes ativos amino acetonitrila ou um ou mais agentes ativos ariloazol-2-il cianoetilamina ou uma combinação dos mesmos.
[0177] Em uma outra concretização, a invenção proporciona composições macias mastigáveis que compreendem uma ou mais lactonas macrocíclicas, em combinação com um ou mais agentes ativos de benzimidazol, pirantel, levamisol, morantel, praziquantel, closantel, clorsulon, um ou mais agentes ativos amino acetonitrila ou um ou mais agentes ativos ariloazol-2-il cianoetilamina ou uma combinação dos mesmos. Ainda em outra concretização, a invenção proporciona composições macias mastigáveis que compreendem abamectina, dimadectina, doramectina, emamectina, eprinomectina, ivermectina, latidectina, lepimectina, selamectina, milbemectina, milbemicina D, milbemicina A3, milbemicina A4, milbemicina oxima, moxidectina ou nemadectina, ou uma combinação dos mesmos. Em uma outra concretização, a invenção proporciona composições mastigáveis macias que compreendem abamectina, emamectina, eprinomectina, ivermectina, doramectina ou selamectina, ou uma combinação dos mesmos. Ainda em outra concretização, as composições de comprimidos mastigáveis macios compreendendo ivermectina, milbemicina oxima ou moxidectina ou uma combinação destes, são fornecidos.
[0178] Em uma outra concretização, as composições de comprimidos mastigáveis macios que compreendem uma combinação de abamectina, dimadectina, doramectina, emamectina, eprinomectina, ivermectina, latidectin, lepimectina, selamectina, milbemectina, milbemicina D, milbemicina A3, milbemicina A4, milbemicina oxima, moxidectina ou nemadectina, ou um combinação destes, com um ou mais agentes ativos de benzimidazol, pirantel, levamisol, morantel, praziquantel, closantel, clorsulon, um ou mais agentes ativos de amino acetonitrila ou um ou mais agentes ativos de ariloazol-2-ilo cianoetilamina, ou uma combinação dos mesmos, são fornecida. Em uma outra concretização, a invenção proporciona composições mastigáveis macios compreendendo ivermectina, milbemicina oxima, ou moxidectina, ou uma combinação destes, em combinação com um ou mais agentes ativos de benzimidazol, pirantel, levamisol, morantel, praziquantel, closantel, clorsulon, um ou mais agentes ativos de amino acetonitrila ou um ou mais ariloazol- 2-il cianoetilamino, ou uma combinação dos mesmos.
[0179] Ainda em outra concretização, a invenção proporciona composições mastigáveis macios compreendendo ivermectina, milbemicina oxima, ou moxidectina, ou uma combinação dos mesmos, com o praziquantel, pirantel, febantel ou levamisol. Ainda em outra concretização, as composições de comprimidos mastigáveis macios compreendendo ivermectina, milbemicina oxima, ou moxidectina, ou uma combinação destes, em combinação com o praziquantel, um ou mais agentes ativos de benzimidazol ou pirantel, ou uma combinação dos mesmos.
[0180] Em uma outra concretização, as composições endoparasiticídicas pode incluir uma combinação de um agente ativo de isoxazolina em combinação com um ou mais de agentes ativos de lactona macrocíclica, um benzimidazol, pirantel, levamisol, morantel, praziquantel, closantel, clorsulon, um ou mais agentes ativos de amino acetonitrila, ou um ou mais ariloazol-2-il cianoetilamino ou uma combinação dos mesmos.
[0181] Em uma outra concretização, a invenção proporciona composições ativas contra ambos endoparasitas e ectoparasitas, compreendendo pelo menos um composto de isoxazolina de fórmula (I), (II), (III) ou (IV), em combinação com a abamectina, dimadectina, doramectina, emamectina, eprinomectina, ivermectina, latidectina, lepimectina, selamectina, milbemectina, milbemicina D, milbemicina A3, milbemicina A4, milbemicina oxima, moxidectina ou nemadectina, ou uma combinação destes, e, opcionalmente, com um endoparasiticida adicional de ação sistêmica selecionado a partir de agentes ativos de um ou mais de benzimidazol, pirantel, levamisol, morantel, praziquantel, closantel, clorsulon, um ou mais agentes ativos amino de acetonitrila e um ou mais agentes ativos ariloazol-2-il cianoetilamino, ou uma combinação dos mesmos. Em uma outra concretização, a invenção proporciona composições que compreendem pelo menos um composto de isoxazolina de fórmula (A), (B), ou o Composto 1.001 - 1.025 ou composto 2.001 -2.018 em combinação com abamectina, dimadectina, doramectina, emamectina, eprinomectina, ivermectina, latidectina, lepimectina, selamectina, milbemectina, milbemicina D, milbemicina A3, milbemicina A4, milbemicina oxima, moxidectina ou nemadectina, ou uma combinação dos mesmos. Ainda em outra concretização, a invenção proporciona composições mastigáveis macias que compreendem o Composto A em combinação com ivermectina, milbemicina oxima, ou moxidectina, ou uma combinação dos mesmos. Ainda em outra concretização, a invenção proporciona composições mastigáveis macias que compreendem o Composto A em combinação com ivermectina, milbemicina oxima, ou moxidectina, ou uma combinação dos mesmos, e com um ou mais agentes ativos de benzimidazol, levamisol, pirantel, morantel, praziquantel, closantel, clorsulon, um ou mais agentes ativos de amino acetonitrila ou um ou mais agentes ativos de ariloazol-2-ilo cianoetilamina, ou uma combinação dos mesmos. Em uma outra concretização, a invenção proporciona composições mastigáveis macias que compreendem o Composto A em combinação com ivermectina, milbemicina oxima, ou moxidectina, ou uma combinação dos mesmos, e com pirantel, praziquantel, febantel, ou uma combinação dos mesmos.
[0182] Em algumas concretizações, as composições endoparasiticídicas compreendendo uma ou mais lactonas macrocíclicas, isoladamente ou em combinação com um agente ativo isoxazolina proporcionará uma eficácia de pelo menos cerca de 90% contra lombrigas (Toxocara canis), Trichuris (Trichuris vulpis) ou ancilóstomo (Ancylostoma caniem) ao mesmo tempo, evitando o desenvolvimento de vermes e controle de ectoparasitas (por exemplo, pulgas e carraças) com um elevado grau de eficácia, tal como descrito acima. Em uma outra concretização, as composições da invenção compreendendo um ou mais agentes ativos de lactona macrocíclica sozinho ou em combinação com um agente ativo isoxazolina proporcionará uma eficácia de pelo menos cerca de 95% contra o verme (Toxocara canis), Trichuris (Trichuris vulpis) ou ancilóstomo (Ancylostoma caniem). Ainda em outra concretização, as composições de comprimidos mastigáveis macios da presente invenção podem proporcionar uma eficácia de até 100% em relação a Dirofilaria immitis (verme do coração) e ao mesmo tempo o controle de pulgas e carraças, com um elevado nível de eficácia (ver acima). Assim, a administração das composições de comprimidos mastigáveis macios da presente invenção que compreendem uma ou mais lactonas macrocíclicas, em combinação com um agente ativo isoxazolina impedirá dirofilariose e controlam infecções por endoparasitas, enquanto também controlam ectoparasitas (por exemplo, pulgas e carraças).
[0183] Em uma concretização da invenção, as composições veterinárias mastigáveis macias estão na forma de uma formulação mastigável macia (“mastigação macia”), a qual é um paladar agradável e aceitável para o animal. Em adição ao ingrediente ativo (s), as formulações macias da invenção podem incluir um ou mais dos seguintes componentes: um solvente ou mistura de solventes, um ou mais enchimentos, um ou mais ligantes, um ou mais surfactantees, um ou mais umectantes, um ou mais lubrificantes, um ou mais desintegrantes, um ou mais corantes, um ou mais agentes antimicrobianos, um ou mais antioxidantes, um ou mais agentes modificadores do pH e um ou mais agentes aromatizantes.
[0184] De preferência, os componentes das composições veterinárias orais serão classificados como de qualidade de grau alimentar ou superior (por exemplo, grau USP ou NF). O termo “produto comestível” é usado para se referir ao material que é adequado para o consumo por animais e não contêm agentes químicos ou outros que são perigosos para a saúde do animal. Assim, um componente de grau alimentar, que de origem animal, estará preparado para reduzir substancialmente ou eliminar a presença de agentes infecciosos ou contaminantes através de processos conhecidos no estado da técnica, tais como a pasteurização, filtração, pressurização ou irradiação. Mais preferivelmente, os componentes das composições veterinárias macias mastigáveis da presente invenção não serão de origem animal para evitar a transmissão de agentes infecciosos.
[0185] Os solventes que podem ser utilizados nas composições da invenção incluem, mas não estão limitados a, vários graus de polietilenoglicol líquido (PEG), incluindo o PEG 200, PEG 300, PEG 400 e PEG 540; carbonato de propileno; propileno glicol; triglicerídeos, incluindo, mas não limitado a ácido caprílico/cáprico, triglicerídeo caprílico/cáprico/triglicerídeos linoleico (por exemplo, MIGLYOL® 810 e 812, caprílico/cáprico/triglicerídeos succínico, propileno glicol dicaprilato/dicaprato, e semelhantes; água, solução de sorbitol, glicerol caprilato/caprato e glicerídeos poliglicolizados (Gelucire®), ou uma combinação dos mesmos.
[0186] Os solventes podem ser incluídos nas composições em concentrações de cerca de 1 a cerca de 50% (p/p). Em outras concretizações, a concentração dos solventes serão de cerca de 1 a cerca de 40% (p/p), cerca de 1 a cerca de 30%> (p/p) ou cerca de 1 a cerca de 20%> (p/p). Mais tipicamente, os solventes estarão nas composições em concentrações de cerca de 5% a cerca de 20% (p/p) ou cerca de 5% a cerca de 15% (p/p).
[0187] Vários agentes de enchimento conhecidos no estado da técnica podem ser utilizados nas composições de comprimidos mastigáveis macios da presente invenção. Os enchimentos incluem, mas não estão limitados a, amido de milho, amido de milho pré-gelatinizado, pó de proteína de soja, sabugo de milho e farinha de glúten de milho, e outros semelhantes. Em algumas concretizações, uma combinação de dois ou mais materiais de enchimento poderão ser utilizados nas composições.
[0188] O componente de amido pode compreender amido a partir de qualquer fonte e pode atuar como um ligante na mastigação macia. Em uma concretização, o componente de amido utilizados nas composições não é modificado. Em uma outra concretização, o componente de amido é derivado e/ou pré- gelatinizado. Em uma outra concretização, o componente de amido é altamente derivado. Alguns amidos que podem servir como base de amido para a derivatização incluem milho regular, o milho ceroso, batata, tapioca, arroz, etc. Os tipos adequados de agentes para o amido de derivatização incluem, mas não estão limitados a, óxido de etileno, óxido de propileno, anidrido acético e anidrido succínico, e outros ésteres ou éteres de aprovação alimentar, a introdução de tais produtos químicos sozinho ou em combinação um com o outro.
[0189] Em várias concretização, a reticulação antes de o amido no componente de amido pode ou não ser necessária, com base no pH do sistema e a temperatura utilizada para formar o produto.
[0190] O componente de amido pode também incluir ingredientes amiláceos. Os ingredientes podem ser amiláceos gelatinizado ou cozido, antes ou durante a etapa de formação para obter as características desejadas da matriz. Se o amido gelatinizado é usado, pode ser possível preparar o produto da presente invenção, ou realizar o processo da presente invenção, sem aquecimento ou cozimento. No entanto, amido não gelatinizado (gelificado) ou não cozido também pode ser utilizado.
[0191] Os enchimentos estão tipicamente presentes nas composições a uma concentração de cerca de 5% a cerca de 80% (p/p), cerca de 10% a cerca de 70% (p/p), cerca de 10% a cerca de 60%, cerca de 10% a cerca 50% (p/p), ou cerca de 10%> a cerca de 40%> (p/p). Mais tipicamente, os enchimentos podem estar presentes em concentrações de cerca de 30% a cerca de 70%, cerca de 30% a cerca de 60%, cerca de 30% a cerca de 50%, ou cerca de 35% a cerca de 55%.
[0192] Ligantes que podem ser utilizados nas composições da invenção incluem, mas não estão limitados a, polivinilpirrolidona (por exemplo, povidona), polivinilpirrolidona reticulada (Crospovidona), polietileno glicóis de vários tipos, incluindo o PEG 3350, PEG 4000, PEG 6000, PEG 8000 e ainda PEG 20.000, e semelhantes; copolímeros de vinilpirrolidona e acetato de vinila (por exemplo, Copovidona), tais como o produto vendido pela BASF com a marca registada Kollidon®VA 64 e semelhantes; amido, tal como amido de batata, amido de tapioca ou amido de milho; melaço, xarope de milho, mel, xarope de bordo e açúcar de vários tipos; ou uma combinação de dois ou mais aglutinantes. Em uma concretização, a composição compreende os ligantes Povidona K30 LP e de PEG 3350 ou PEG 4000, ou uma combinação dos mesmos. Ligantes são tipicamente presentes nas composições a uma concentração de cerca de 1% a cerca de 30% (p/p). Mais tipicamente, as composições irão incluir ligantes com uma concentração de cerca de 1% a cerca de 20% (p/p), cerca de 1 a cerca de 15% (p/p), cerca de 1% a cerca de 10% (p/p), cerca de 5% a cerca de 15% (p/p) ou cerca de 5% a cerca de 10% (p/p).
[0193] Os umectantes que podem ser utilizados nas composições incluem, mas não estão limitados a, glicerina (também referida aqui como glicerina), propileno glicol, álcool cetílico e monoestearato de glicerol, e semelhantes. Polietileno glicóis de vários tipos pode também ser utilizado como agentes umectantes.
[0194] Em algumas concretizações, o umectante pode compreender mais do que um óleo, incluindo, mas não limitado a, gordura ou gorduras, tanto naturais como sintéticas. Óleo utilizado como um ingrediente na mastigação macia pode ser um ácido graxo liquido saturado ou insaturado, os seus derivados de glicerídeo ou derivados de ácidos graxos de origem vegetal ou animal, ou uma mistura dos mesmos. A fonte de gorduras animais ou óleos típicos são o óleo de peixe, gordura de frango, sebo, gordura branca, banha de vapor principal e suas misturas. No entanto, outras gorduras de origem animal também são adequadas para utilização na mastigação macia. As fontes adequadas de gorduras e óleos vegetais podem ser derivados de óleo de palma, óleo de palma hidrogenado, óleo de gérmen de milho hidrogenado, óleo de rícino hidrogenado, óleo de semente de algodão, óleo de soja, óleo de oliva, óleo de amendoim, o óleo de oleína de palma, gordura de cacau, margarina, manteiga, gordura e óleo de palma, estearina, e misturas dos mesmos. Além disso, uma mistura de óleos animais ou vegetais ou de gorduras é adequada para uso na matriz.
[0195] Os umectantes podem tipicamente estar presente nas composições a uma concentração de cerca de 1% a cerca de 25% (p/p). Tipicamente, a concentração do umectante na composição da invenção será de 1% a cerca de 20% (p/p), cerca de 1% a cerca de 15% (p/p) ou cerca de 5% a cerca 15% (p/p). Mais geralmente, as composições de acordo com a invenção irá conter cerca de 1% a cerca de 10% (p/p) umectante.
[0196] Os surfactantees podem estar presentes na composição em concentrações de cerca de 0,1% a cerca 10% (p/p), cerca de 1% a cerca de 10% (p/p) ou cerca de 5% a cerca de 10% (p/p). Mais tipicamente, os surfactantees podem estar presentes em concentrações de cerca de 0,1% a cerca de 5% (p/p) ou cerca de 1 a cerca de 5%> (p/p). Exemplos de surfactantees que podem ser utilizados nas composições incluem, mas não estão limitados a, monooleato de glicerila, ésteres de ácidos graxos de polioxietileno sorbitano, ésteres de sorbitano, incluindo monooleato de sorbitano (Span®20), álcool polivinílico, polissorbatos incluindo polissorbato 20 e polissorbato 80, - a-tocoferil polietilenoglicol 1000 (TPGS), sódio lauril sulfato, copolímeros de óxido de etileno e óxido de propileno (por exemplo, como poloxomers LUTROL®F87 e semelhantes), derivados de óleo de rícino de glicol de polietileno, incluindo polioxil 35 óleo de rícino (Cremophor®EL), polioxilo 40 óleo de rícino hidrogenado (Cremophor®RH 40), polioxilo 60 óleo de rícino hidrogenado (Cremophor®RH60); monolaurato de propilenoglicol (Lauroglycol®); ésteres de glicerídeos, incluindo glicerol caprilato/caprato (CAPMUL®MCM), glicerídeos poliglicolizados (Gelucire®), PEG 300 glicerídeos caprílico/cáprico (Softigen®767), PEG 400 glicerídeos caprílico/cáprico (Labrasol®), PEG 300 glicerídeos oleicos (Labrafil®M-1944CS), PEG 300 glicerídeos linoleico (Labrafil®M-2125CS); estearatos de polietilenoglicol e polietilenoglicol, incluindo os estearatos hidroxi polioxil 8 estearato (PEG 400 monoestearato), estearato de polioxilo 40 (PEG 1750 monoestearato, e semelhantes estearatos de polietilenoglicol (macrogol sinónimos incluem estearatos, Polioxilstearates, estearatos de polioxietileno, estearatos etoxilados;. CAS No. 9004-99-3, 9005-08-7) são misturas de ésteres de mono- e diestearato de polímeros polioxietilenodióis. Polietilenoglicol hidroxiestearato é uma mistura de mono e diésteres de ácido hidroxiesteárico com polietilenoglicois. Um polietilenoglicol hidroxiestearato que pode ser utilizados nas composições é o polietilenoglicol-12 hidroxiestearato. Em uma outra concretização, as composições podem incluir tensoativo 12-hidroxiestearato de polietilenoglicol 15 (Solutol®HS 15 da BASF), uma mistura de mono e diésteres de ácido 12-hidroxiesteárico, com 15 moles de óxido de etileno. Novamente, estes compostos, assim como as suas quantidades são bem conhecidas na arte. Em uma outra concretização da invenção, as composições podem incluir óleo de rícino polioxil 35 (Cremophor®EL) como um surfactante. Em outras concretizações, as composições mastigáveis podem incluir polioxil 40 óleo de rícino hidrogenado (Cremophor®RH 40) ou polioxil 60 óleo de rícino hidrogenado (Cremophor®RH60) como surfactantees. As composições da invenção também podem incluir uma combinação de surfactantees.
[0197] O tipo e natureza do agente surfactante verificou-se ser muito importante para manter o agente ativo (s) na solução após a ingestão e dissolução das composições orais. Isto é particularmente importante para se obter a elevada biodisponibilidade observada a partir de composições orais da invenção. No entanto, verificou-se que a inclusão de certos surfactantees com as formas farmacêuticas veterinárias afetar a palatabilidade da forma de dosagem, resultando em baixa aceitação pelos animais tratados. Em uma concretização, o polietilenoglicol 15 hidroxiestearato, polioxil 40 óleo de rícino hidrogenado ou polioxil 60 óleo de rícino hidrogenado, são eficazes para solubilizar os agentes ativos de baixa solubilidade em água, incluindo, mas não limitados a, agentes ativos de isoxazolina e semelhantes, após a ingestão pelo animal mantendo ao mesmo tempo a palatabilidade da forma de dosagem oral. Assim, em uma concretização da invenção, as composições veterinárias orais incluem polietilenoglicol 15 hidroxiestearato, polioxilo 40 óleo de rícino hidrogenado ou polioxil 60 óleo de rícino hidrogenado. Em uma outra concretização da invenção, as composições de comprimidos mastigáveis macios veterinárias da invenção compreendem polietilenoglicol 15 hidroxiestearato, polioxil 40 óleo de rícino hidrogenado ou polioxil 60 óleo de rícino hidrogenado, a uma concentração de cerca de 1 a cerca de 5% (p/p).
[0198] Em algumas concretizações, as composições da invenção podem conter um ou mais agentes de desintegração. Exemplos de desintegrantes que podem ser utilizados nas composições da invenção incluem, mas não estão limitados a, celulose, carboximetilcelulose de cálcio, carboximetilcelulose de sódio, polacrilina de potássio, amido, amido de hidroxipropilo, amido de milho, amido pré- gelatinizado, o amido modificado, lactose mono-hidratada, croscarmelose de sódio, hidroxipropil celulose, glicina, Crospovidona, silicato de magnésio e alumínio, amido glicolato de sódio, goma de guar, dióxido de silício coloidal, polivinilpirrolidona (Povidona), ácido algínico, alginato de sódio, alginato de cálcio, metil-celulose, quitosana, e semelhantes, ou um combinação dos mesmos.
[0199] Em certas concretização, as composições veterinárias orais da invenção incluem-se a cerca de 10% (p/p) de um ou mais agentes de desintegração. Em uma concretização, as composições podem incluir cerca de 1% (p/p) a cerca de 7% (p/p) de um ou mais agentes de desintegração. Em uma outra concretização, as composições podem incluir cerca de 1% (p/p) a cerca de 5% (p/p) ou cerca de 2% (p/p) a cerca de 4%) (p/p) de um ou mais agentes de desintegração.
[0200] As formulações da invenção podem conter outros ingredientes inertes, tais como antioxidantes, conservantes ou estabilizadores de pH. Estes compostos são bem conhecidos no estado da técnica da formulação. Os antioxidantes podem ser adicionados às composições da invenção para inibir a degradação de agentes ativos. Os antioxidantes adequados incluem, mas não estão limitados a, alfa-tocoferol, ácido ascórbico, palmitato de ascrobila, ácido fumárico, ácido málico, ascorbato de sódio, metabissulfato de sódio, galato de n-propilo, BHA (anisole hidroxi butilado), BHT (hidroxi tolueno butilado), monotioglicerol e semelhantes. Os antioxidantes são geralmente adicionados à formulação em quantidades de cerca de 0,01 a cerca de 2,0% (p/p), com base no peso total da formulação, com cerca de 0,05 a cerca de 1,0% ou cerca de 0,1% a cerca de 0,2% (p/p), sendo especialmente preferido.
[0201] As composições da invenção podem também incluir um ou mais auxiliares de lubrificantes/processamento. Em alguns casos, a ajuda lubrificante/de processamento podem também comportar-se como um solvente, e, por conseguinte, há alguns dos componentes das composições da invenção podem ter uma dupla função. Auxiliares lubrificantes/processamento incluem, mas não estão limitados a polietileno glicóis de vários pesos moleculares varia incluindo PEG 3350 (Dow Chemical) e PEG 4000, óleo de milho, óleo mineral, óleos vegetais hidrogenados (Sterotex ou Lubritab), óleo de amendoim e/ou óleo de rícino óleo. Em certas concretização, a ajuda lubrificante/de processamento é um óleo neutro que compreende um triglicerídeo de cadeia média ou ésteres de ácidos graxos de propileno glicol incluindo caprílico/cáprico triglicerídeos. Exemplos não limitativos de óleos neutros são conhecidos pela marca registada MIGLYOL®, incluindo Miglyol®810, Miglyol®812, Miglyol®818, Miglyol®829 e MIGLYOL®840. Se estiver presente, o lubrificante auxiliar/de processamento pode estar na composição a uma concentração de cerca de 1% a cerca de 20% (p/p). Tipicamente, a ajuda lubrificante/processamento estará presente em uma concentração de cerca de 1% a cerca de 15% (p/p) ou cerca de 1%> a cerca de 10%> (p/p). De preferência, lubrificante auxiliar/processamento estará presente na composição a uma concentração de cerca de 1% a cerca de 5% (p/p).
[0202] As composições podem também incluir agentes antimicrobianos ou conservantes. Os conservantes adequados incluem, mas não estão limitados a, os parabenos (metilparabeno e/ou propilparabeno), cloreto de benzalcônio, cloreto de benzetônio, ácido benzóico, álcool benzílico, bronopol, butilparabeno, cetrimida, clorexidina, clorobutanol, clorocresol, cresol, etilparabeno, imidureia, metilparabeno, fenol, fenoxietanol, álcool feniletílico, acetato fenilmercúrico, borato fenilmercúrico, nitrato fenilmercúrico, sorbato de potássio, benzoato de sódio, propionato de sódio, ácido sórbico, timerosal, e outros semelhantes. A concentração dos conservantes nas composições da invenção são tipicamente de cerca de 0,01 a cerca de 5,0% (p/p), cerca de 0,01 a cerca de 2% (p/p) ou cerca de 0,05 a cerca de 1,0% (p/p) . Em uma concretização, as composições da invenção conterão cerca de 0,1% a cerca de 0,5% (p/p) do agente de conservação.
[0203] Em uma concretização, as composições veterinárias orais da invenção podem conter um ou mais estabilizadores para estabilizar os ingredientes ativos que são susceptíveis. Componentes estabilizadores adequados incluem, mas não estão limitados a, estearato de magnésio, ácido cítrico, citrato de sódio, e outros semelhantes. No entanto, os componentes do estabilizador são comuns na especialidade e qualquer um adequado ou em uma mistura de mais do que um pode ser utilizado. Em uma concretização, um componente estabilizador compreende cerca de 0,0 por cento a cerca de 3,0 por cento do de mascar macia. Em uma concretização alternativa, um componente estabilizador compreende cerca de 0,5 por cento a cerca de 1,5 por cento do de mascar macia.
[0204] Compostos que estabilizam o pH da formulação, estão também contemplados nas composições da invenção. Novamente, tais compostos são bem conhecidos para um técnico versado no assunto, bem como a forma de utilizar estes compostos. Sistemas tamponantes incluem, por exemplo, sistemas seleccionados a partir do grupo que consiste de ácido acético/acetato, ácido málico/malato, ácido cítrico/citrato, ácido tartárico/tartarato, ácido láctico/lactato, ácido fosfórico/fosfato, glicina/glicimato, tris, ácido glutâmico/glutamatos e carbonato de sódio. Em uma concretização, as composições podem incluir o ácido cítrico modificador de pH ou uma combinação de ácido cítrico/citrato. A quantidade do agente modificador de pH necessário para alcançar um pH desejado depende da natureza do ingrediente ativo (s) e excipientes não ativos. No entanto, em algumas concretizações, o modificador do pH pode estar presente tipicamente em uma quantidade de cerca de 0,1 a cerca de 5% (p/p), cerca de 0,1 a cerca de 3% (p/p) ou cerca de 0,1 a cerca de 2% (p/p). Mais tipicamente, o modificador do pH pode estar presente em uma concentração de cerca de 0,1 a 1% (p/p) nas composições da invenção.
[0205] Muitos agentes aromatizantes podem ser utilizados nas composições da invenção para melhorar a palatabilidade das formulações veterinárias orais. Os agentes aromatizantes preferidos são aqueles que não são derivados de fontes animais. Em várias modalidades, os componentes aromatizantes derivados de frutas, carne (incluindo, mas não limitado a carne de porco, carne, frango, peixe, aves, etc), legumes, queijo, bacon, queijo, bacon e/ou aromas artificiais podem ser usados. Um componente aromatizante é tipicamente escolhido com base em consideração relacionados com o organismo que irá fazer a ingestão da formulação macia. Por exemplo, um cavalo pode preferir um componente aromatizante de maçã, enquanto que um cão pode preferir um componente aromatizante de carne. Embora os componentes de aromatizantes derivados de fontes não animais sejam preferidos, em algumas concretizações, sabores naturais que contêm carne ou extratos de fígado, etc, podem ser utilizados, tais como sabor de carne assada, sabor artificial de carne em pó, aroma de carne assada e sabor da carne enlatada, entre outros.
[0206] Agentes aromatizantes não-animais incluem, mas não estão limitados a, os sabores de carne bovina artificial, aromas derivados a partir de proteínas vegetais, tais como proteína de soja a qual aromatizante artificial foi adicionado (por exemplo, aromatizantes de toucinho derivados de soja), e aromas derivados a partir de proteínas vegetais, tais como proteína de soja sem aromatizante artificial.
[0207] Sabores de carne artificial pode ser obtida a partir de uma variedade de fontes, incluindo Pharma Chemie Inc., TetraGenx, Givaudan SA, Firmenich, Kemin Industries, inc., International Flavors & Fragrances Inc., entre outros.
[0208] Em uma outra concretização, o componente aromatizante incluem, mas não se limita a, aroma de morango, tutti sabor frutado, o sabor de laranja, sabor de banana, aroma de menta, e uma maçã-melaços.
[0209] Para a administração a bovinos, ovinos, cavalos e outros animais de pasto, assim como pequenos animais, como coelhos, hamsters, gerbos, e porquinhos da índia, grãos e sementes são especialmente atraentes como agentes aromatizantes adicionais. Os grãos podem estar presentes em qualquer forma consistente com a produção da mastigação incluindo farinha, farelo de trigo, cereais, fibra, cereais integrais e formas de comida, incluindo refeições glúten, e pode ser enrolado, frisado, do solo, desidratados ou branqueado. Minerais também podem ser adicionados como os aromatizantes, tais como sal e outros temperos. Em uma concretização, o grão utilizado é desidratado, moído ou em flocos. Legumes como cenoura desidratadas e sementes, como sementes de cártamo ou milo sementes são, especialmente, atraente para pequenos animais e podem ser incluídas. Além disso, sabores como maçã doce e aromatizante a base de melaço e outros produzidos por Pharma Chemie, Givaudan SA ou outros fornecedores podem ser utilizados nas composições.
[0210] As composições da invenção podem incluir um ou mais agentes aromatizantes em uma quantidade que proporciona o nível desejado de palatabilidade ao animal alvo. Os um ou mais agentes aromatizantes, estará tipicamente presente em uma concentração de cerca de 5% a cerca de 40% (p/p). Mais tipicamente, os agentes aromatizantes estará presente em uma concentração de cerca de 10% a cerca de 30%, ou cerca de 15% a cerca de 25% (p/p).
[0211] Em uma concretização, as composições de comprimidos mastigáveis macios da presente invenção compreendem um ou mais solventes descritos anteriormente, um ou mais agentes de enchimento acima descritas, um ou mais ligantes descritos acima, um ou mais agentes umectantes descritos acima, um ou mais agentes surfactantees descritos acima, um ou mais sabores descrito acima, um ou mais lubrificantes descrito acima, e opcionalmente, um ou mais agentes de desintegração descrito acima, um ou mais conservantes acima descrito, um ou mais estabilizantes descritas acima, um ou mais antioxidantes acima descrito e um ou mais agentes de modificação de pH descrito acima.
[0212] Em uma outra concretização, as composições podem compreender um ou mais solventes selecionados a partir de vários tipos de polietilenoglicol líquido (PEG), incluindo o PEG 200, PEG 300, PEG 400 e PEG 540; carbonato de propileno, propileno glicol; triglicerídeos, incluindo, mas não limitados a triglicerídeo caprílico/cáprico, triglicerídeo caprílico/cáprico/linoleico, triglicerídeos, ácidos caprílico/cáprico/triglicerídeos succínico, propileno glicol dicaprilato/dicaprato de glicerol caprilato/caprato e glicerídeos poliglicolizados, ou uma combinação destes; um ou mais agentes de enchimento seleccionados a partir de amido de milho, amido de milho pré-gelatinizado, multas de proteína de soja, sabugo de milho e farinha de milho e glúten, ou uma combinação dos mesmos; um ou mais sabores seleccionados a partir de carne de porco natural e/ou artificial, de carne, peixe ou aroma de aves de capoeira, ou uma combinação dos mesmos; um ou mais aglutinantes escolhidos de entre polivinilpirrolidona (por exemplo, povidona), polivinilpirrolidona (crospovidona) reticulado, polietileno glicóis de vários tipos, incluindo o PEG 3350, PEG 4000, PEG 6000, PEG 8000 e PEG 20.000; e copolímeros de vinilpirrolidona e acetato de vinilo (por exemplo, Copovidona), ou uma combinação destes; e um ou mais agentes surfactantees seleccionados a partir de mono-oleato de glicerila, ésteres de ácidos graxos de polioxietileno- sorbitano, ésteres de sorbitano, incluindo monooleato de sorbitano, álcool polivinílico, polissorbatos incluindo polissorbato 20 e polissorbato 80, tocoferil polietilenoglicol 1000 succinato, lauril sulfato de sódio, copolímeros de óxido de etileno e óxido de propileno, polietilenoglicol derivados de petróleo mamona incluindo polietilenoglicol 35 óleo de rícino, polioxilo 40 óleo de rícino hidrogenado e polioxil 60 óleo de rícino hidrogenado; monolaurato de propilenoglicol; ésteres de glicerídeos, incluindo glicerol caprilato/caprato, glicerídeos poliglicolizados, PEG 300 glicerídeos caprílico/cáprico, PEG 400 glicerídeos caprílico/cáprico, PEG 300 glicerídeos oleicos, glicerídeos de PEG 300 linoleico; estearatos de polietilenoglicol e polietilenoglicol, incluindo os estearatos hidroxi polioxil 8 estearato, polioxil 40 estearato e polietilenoglicol 15 12-hidroxiestearato, ou uma combinação destes; e, opcionalmente, um ou mais umectantes descrito acima, um ou mais lubrificantes descritos acima, um ou mais conservantes acima descrito, um ou mais estabilizantes descritas acima, um ou mais antioxidantes descritos acima e um ou mais modificadores de pH acima descritos.
[0213] Em uma outra concretização, as composições compreendem um ou mais solventes seleccionados a partir de vários tipos de polietilenoglicol líquido, incluindo PEG 300, PEG 400 e PEG 540; carbonato de propileno; propileno glicol; caprílico/cáprico, triglicerídeo caprílico/cáprico/linoleico, triglicerídeos, propileno glicol dicaprilato/dicaprato e glicerol caprilato/caprato, ou uma combinação destes; um ou mais agentes de enchimento seleccionados a partir de amido de milho, amido de milho pré-gelatinizado, multas de proteína de soja, ou uma combinação dos mesmos; um ou mais sabores seleccionados de porco natural e/ou artificial, de carne, peixe ou aroma de aves de capoeira, ou uma combinação dos mesmos; um ou mais aglutinantes escolhidos de entre a polivinilpirrolidona, polivinilpirrolidona reticulada, polietileno glicóis de vários tipos, incluindo o PEG 3350, PEG 4000, PEG 6000 e PEG 8000; e copolímeros de vinilpirrolidona e acetato de vinilo, ou uma combinação destes; um ou mais umectantes seleccionados entre o glicerol, propileno glicol, álcool cetílico e monoestearato de glicerol, ou uma combinação dos mesmos; e um ou mais agentes surfactantees seleccionados a partir de ésteres de ácidos graxos de polioxietileno-sorbitano, ésteres de sorbitano, incluindo monooleato de sorbitano, polissorbatos incluindo polissorbato 20 e polissorbato 80, copolímeros de óxido de etileno e óxido de propileno, derivados de óleo de rícino de polietilenoglicol, incluindo polioxil 35 de óleo de rícino, polioxil 40 e óleo de rícino hidrogenado polioxil 60 óleo de rícino hidrogenado; monolaurato de propilenoglicol; Glicerídeos PEG 300 caprílico/cáprico, PEG 400 glicerídeos caprílico/cáprico PEG 300, glicerídeos oleicos, glicerídeos de PEG 300 linoleico; estearatos de polietilenoglicol e polietilenoglicol, incluindo os estearatos hidroxi polioxil 8 estearato, polioxil 40 estearato e polietilenoglicol 15 12- hidroxiestearato, ou uma combinação destes; e, opcionalmente, um ou mais lubrificantes descritos acima, um ou mais conservantes descritos acima, um ou mais estabilizantes descritas acima, um ou mais antioxidantes acima descrito e um ou mais agentes modificadores do pH descrito acima.
[0214] Ainda em outra concretização, as composições de comprimidos mastigáveis macios da presente invenção compreendem um ou mais solventes seleccionados a partir de glicóis de polietileno líquidos, incluindo PEG 200, PEG 300 e PEG 400; triglicerídeo caprílico/cáprico e de propileno glicol dicaprilato/dicaprato, ou uma combinação destes; um ou mais agentes de enchimento seleccionados a partir de amido de milho, amido de milho pré-gelatinizado e de proteína de soja multas, ou uma combinação dos mesmos; um ou mais sabores seleccionados de carne natural e/ou artificial, de peixe ou aroma de aves de capoeira, ou uma combinação dos mesmos; um ou mais aglutinantes escolhidos de entre a polivinilpirrolidona, polivinilpirrolidona reticulada, polietileno glicóis de vários tipos, incluindo o PEG 3350, PEG 4000 e PEG 6000; e copolímeros de vinilpirrolidona e acetato de vinilo, ou uma combinação destes; um ou mais umectantes seleccionados entre o glicerol, propileno glicol e álcool cetílico, ou uma combinação dos mesmos; e um ou mais agentes surfactantees seleccionados a partir de ésteres de ácidos graxos de polioxietileno-sorbitano, ésteres de sorbitano, incluindo monooleato de sorbitano, polissorbatos incluindo polissorbato 20 e polissorbato 80, derivados de óleo de rícino de glicol de polietileno, incluindo polioxil 35 óleo de castor, polioxil 40 óleo de rícino hidrogenado e polioxil 60 óleo de rícino hidrogenado; PEG 300 glicerídeos caprílico/cáprico PEG 400, glicerídeos caprílico/cáprico e estearatos de polietilenoglicol e polietilenoglicol, incluindo os estearatos hidroxi polioxil 8 estearato, polioxil 40 estearato e polietilenoglicol 15 12- hidroxiestearato, ou uma combinação dos mesmos; um ou mais lubrificantes escolhidos de polietileno-glicóis de vários pesos moleculares incluindo intervalos de PEG 3350 e PEG 4000, óleos vegetais hidrogenados, óleo de rícino, um triglicerídeo de cadeia média, incluindo triglicerídeos caprílico/cáprico e ésteres de ácidos graxos de propileno glicol, ou uma combinação destes; e, opcionalmente, um ou mais conservantes acima descrito, um ou mais estabilizantes descritas acima, um ou mais antioxidantes acima descrito e um ou mais agentes modificadores do pH descrito acima.
[0215] Em uma outra concretização, as composições de comprimidos mastigáveis macios da presente invenção compreendem um ou mais solventes selecionados a partir de glicóis de polietileno líquidos, incluindo o PEG 300 e PEG 400; triglicerídeo caprílico/cáprico e de propileno glicol dicaprilato/dicaprato, ou uma combinação destes; um ou mais agentes de enchimento selecionados a partir de amido de milho, amido de milho pré-gelatinizado e de proteína de soja multas, ou uma combinação dos mesmos; um ou mais sabores seleccionados de carne natural e/ou artificial, de peixe ou aroma de aves de capoeira, ou uma combinação dos mesmos; um ou mais aglutinantes escolhidos de entre polivinilpirrolidona e polietileno glicóis de vários tipos, incluindo o PEG 3350, PEG 4000 e PEG 6000, ou uma combinação dos mesmos; um ou mais umectantes seleccionados entre o glicerol, propileno glicol e álcool cetílico, ou uma combinação dos mesmos; e um ou mais agentes surfactantees seleccionados a partir de ésteres de sorbitano, incluindo monooleato de sorbitano, polissorbatos incluindo polissorbato 20 e polissorbato 80, derivados de óleo de rícino de glicol de polietileno, incluindo polioxil 40 óleo de rícino hidrogenado e polioxil 60 óleo de rícino hidrogenado; PEG 400 glicerídeos caprílico/cáprico e estearatos de polietilenoglicol e polietilenoglicol, incluindo os estearatos hidroxi polioxil 8 estearato, polioxil 40 estearato e polietilenoglicol 15 12- hidroxiestearato, ou uma combinação dos mesmos; um ou mais lubrificantes escolhidos de polietileno glicóis de vários intervalos de peso molecular, incluindo o PEG 3350 e PEG 4000, caprílico/cáprico triglicerídeos e ésteres de ácidos graxos de propileno glicol, ou uma combinação dos mesmos; e, opcionalmente, um ou mais conservantes acima descrito, um ou mais estabilizantes descritas acima, um ou mais antioxidantes acima descrito e um ou mais agentes modificadores do pH descrito acima.
[0216] Ainda em outra concretização, as composições de comprimidos mastigáveis macios da presente invenção compreendem um ou mais solventes selecionados a partir de glicóis de polietileno líquidos, incluindo o PEG 300 e PEG 400; triglicerídeo caprílico/cáprico e de propileno glicol dicaprilato/dicaprato, ou uma combinação destes, a uma concentração de cerca de 1 - 20% (p/p) ou cerca de 5 - 20% (p/p); um ou mais agentes de enchimento seleccionados a partir de amido de milho, amido de milho pré-gelatinizado e multas de proteína de soja, ou uma combinação destes, a uma concentração de cerca de 30 - 60%) (p/p) ou cerca de 30-50%) (p/p); um ou mais sabores seleccionados de carne natural e/ou artificial, de peixe ou aroma de aves de capoeira, ou uma combinação destes, a uma concentração de cerca de 10 - 30% (p/p) ou cerca de 15 - 25%) (p/p); um ou mais agentes ligantes selecionados de entre polivinilpirrolidona e polietileno glicóis de vários tipos, incluindo o PEG 3350, PEG 4000 e PEG 6000, ou uma combinação destes, a uma concentração de cerca de 1 - 10% (p/p) ou cerca de 5 - 15% (p/p); um ou mais umidificantes selecionado a partir de glicerol e propileno glicol, ou uma combinação destes, a uma concentração de cerca de 1 - 15% (p/p) ou cerca de 5 - 15% (p/p); e um ou mais agentes surfactantees seleccionados a partir de ésteres de sorbitano, incluindo monooleato de sorbitano, polissorbatos incluindo polissorbato 20 e polissorbato 80, derivados de óleo de rícino de glicol de polietileno, incluindo polioxil 40 óleo de rícino hidrogenado e polioxil 60 óleo de rícino hidrogenado; PEG 400 glicerídeos caprílico/cáprico e estearatos de polietilenoglicol e polietilenoglicol, incluindo os estearatos hidroxi polioxil 8 estearato, polioxil 40 estearato e polietilenoglicol 15 12-hidroxiestearato, ou uma combinação destes, a uma concentração de cerca de 1 - 5% (p/p) ou de cerca de 5 - 10% (p/p); um ou mais lubrificantes escolhidos de polietileno glicóis de vários intervalos de peso molecular, incluindo o PEG 3350 e PEG 4000, caprílico/cáprico triglicerídeos e ésteres de ácidos graxos de propileno glicol, ou uma combinação destes, a uma concentração de cerca de 1 - 10% (p/p) ou cerca de 1 - 5%) (p/p); e, opcionalmente, um ou mais conservantes acima descrito, um ou mais estabilizantes descritas acima, um ou mais antioxidantes acima descrito e um ou mais agentes modificadores do pH descrito acima.
[0217] Em uma outra concretização, as composições de comprimidos mastigáveis macios da presente invenção compreendem um ou mais solventes seleccionados a partir de glicóis de polietileno líquidos, incluindo o PEG 300 e PEG 400; e caprílico/cáprico ou uma combinação destes, a uma concentração de cerca de 5 - 20% (p/p); um ou mais agentes de enchimento seleccionados a partir de amido de milho, amido de milho pré-gelatinizado e de proteína de soja multas, ou uma combinação destes, a uma concentração de cerca de 30-50% (p/p); um ou mais sabores seleccionados de carne natural e/ou artificial, de peixe ou aroma de aves de capoeira, ou uma combinação destes, a uma concentração de cerca de 15 - 25%) (p/p); um ou mais agentes ligantes seleccionados de entre polivinilpirrolidona e polietileno glicóis de vários tipos, incluindo o PEG 3350, PEG 4000 e PEG 6000, ou uma combinação destes, a uma concentração de cerca de 5 - 15% (p/p); um ou mais umidificantes selecionado a partir de glicerol e propileno glicol, ou uma combinação destes, a uma concentração de cerca de 5 - 15% (p/p); e um ou mais agentes surfactantees selecionados a partir de polissorbatos incluindo polissorbato 20 e polissorbato 80, derivados de óleo de rícino de glicol de polietileno, incluindo polioxil 40 óleo de rícino hidrogenado e polioxil 60 óleo de rícino hidrogenado; PEG 400 glicerídeos caprílico/cáprico e estearatos de polietilenoglicol e polietilenoglicol, incluindo os estearatos hidroxi polioxil 8 estearato, polioxil 40 estearato e polietilenoglicol 15 12- hidroxiestearato, ou uma combinação destes, a uma concentração de cerca de 1 - 5% (p/p) ou de cerca de 5 - 10% (p/p); um ou mais lubrificantes escolhidos de polietileno glicóis de vários intervalos de peso molecular, incluindo o PEG 3350 e PEG 4000 e caprílico/cáprico triglicerídeos, ou uma combinação destes, a uma concentração de cerca de 1 - 5%) (p/p); e, opcionalmente, um ou mais conservantes acima descrito, um ou mais estabilizantes descritas acima, um ou mais antioxidantes acima descrito e um ou mais agentes modificadores do pH descrito acima.
[0218] Em uma outra concretização, as composições veterinárias orais da invenção estão na forma de um comprimido mastigável. As composições para comprimidos será composta por uma quantidade eficaz de pelo menos um ingrediente ativo de ação sistêmica aqui descrito, e, normalmente, um aromatizante, um agente de enchimento, um lubrificante, e um auxiliar de fluxo. Opcionalmente, os comprimidos da invenção podem ainda conter, pelo menos, um dos seguintes ingredientes: corantes, ligantes, antioxidantes, agentes de desintegração, ou conservantes. Além disso, em uma concretização alternativa a invenção proporciona comprimidos que são revestidos. Os comprimidos da invenção são preparados de acordo com métodos convencionais do estado da técnica, tais como os processos de granulação por via úmida e seca.
[0219] Muitos dos ingredientes para o comprimido incluem as previstas formulações mastigáveis suaves descritas acima. No que diz respeito a cargas (ou diluentes), os comprimidos da invenção contempla todos os materiais de enchimento que são conhecidas no estado da técnica de comprimido. Exemplos não limitativos de agentes de enchimento incluem lactose anidra, lactose hidratada, lactose seca pulverizada, a maltose cristalina e maltodextrinas.
[0220] Auxiliares de fluidez ou agentes de deslizamento, também são bem conhecidos no estado da técnica e incluem, por exemplo, dióxido de silício (Carbosil) ou gel de sílica (SYLOID), silicato de magnésio e talco, amido, cálcio, estearato, estearato de magnésio e alumínio (Neusilin). Quantidades de adjuvantes de fluxo são prontamente determinadas por um médico nesta técnica e incluem o uso de cerca de 0,01 a cerca de 25%, com base no peso da composição total. Exemplos não limitativos de lubrificantes para os comprimidos incluem magnésio e estearato de cálcio e ácido esteárico. Mais uma vez, os vários lubrificantes são bem conhecidos para um praticante desta arte, bem como as quantidades destes compostos. Intervalos incluem desde cerca de 0,01 a cerca de 20% (p/p).
[0221] Em várias concretização, as composições orais da invenção podem ser revestidas. Qualquer revestimento adequado podem ser utilizados. Em uma concretização, um revestimento que é escolhido não interfira com um aditivo. Em uma outra concretização, um aditivo que é escolhida pode modificar o tempo de digestão de aditivo (s), desse modo, pelo menos parcialmente, o controlo da libertação do aditivo (s). Os revestimentos adequados incluem, mas não estão limitados a, e pode ser qualquer farmaceuticamente aceitável, e/ou de revestimento neutraceuticamente aceitável, como é comum na arte. (polímeros, os monómeros). Referência pode ser tido para a patente norte-americana US 6,498,153, aqui incorporada por referência, e por Cady et al. para obter uma lista de polímeros que podem funcionar como revestimentos.
[0222] Em outras concretizações, os revestimentos para as formulações veterinárias orais incluem gelatina, beenato de glicerila, manteiga de cacau, e cera de abelha. Outros revestimentos seriam conhecidos de um técnico versado no assunto. Revestimentos para comprimidos incluem revestimentos de açúcar, tais como revestimentos de vedação, sub-revestimentos e revestimentos de xarope, bem como revestimentos de película, tais como um revestimento panela de derramar e revestimentos de recipiente de pulverização.Como bem conhecido por um técnico versado no assunto, os revestimentos contém componentes adicionais, tais como solventes, plastificantes, corantes, opaquant-extensores e agentes formadores de película.
[0223] As composições macias mastigáveis da invenção são preparadas por mistura do ingrediente ativo (s) com os excipientes não ativos em um misturador e mistura-se os componentes para obter uma mistura de massa semelhante, em que o ingrediente ativo (s) são distribuídos de forma homogênea. A mistura de massa de farinha como resultante é então formada dentro de unidades de dosagem macias mastigáveis de tamanhos diferentes de acordo com o tamanho do animal.
[0224] Em uma concretização, o processo para fabricar as composições macias mastigáveis não irá incluir a adição de água, embora possa haver alguma quantidade de água fornecida com determinados componentes utilizados. A presença de quantidades significativas de água em composições veterinárias é conhecida por afetar a estabilidade de certos agentes ativos. Assim, em certas concretizações da invenção, a água não irá ser adicionada à composição em que os agentes ativos e/ou excipientes são usados, os quais sejam susceptíveis de degradação na presença de água.
[0225] A temperatura à qual as composições veterinárias macias mastigáveis da invenção são preparadas é dependente dos requisitos de estabilidade dos componentes ativos e não ativos das composições. Em certos casos em que os ingredientes que não são sensíveis à temperatura são utilizados, as temperaturas de processamento mais elevadas podem ser tolerável. No entanto, quando os ingredientes ativos e não ativos são usados que são sensíveis à temperatura, o processo pode ser adaptado para funcionar a uma temperatura que não irá impactar negativamente a estabilidade da composição. Em algumas concretizações, o processo, de preferência, não irá transmitir quantidades significativas de calor durante qualquer etapa, um processamento para evitar a possível degradação de qualquer um dos componentes da composição. Assim, em algumas concretizações, qualquer etapa do processo pode ser operado de modo que a temperatura média da mistura não suba mais do que cerca de 20° C acima da temperatura ambiente (temperatura ambiente, será considerado de 20 - 25° C). Em outras concretizações, o processo será conduzido, de modo que a temperatura média da mistura não suba mais do que cerca de 15° C, mais do que cerca de 10° C ou mais do que cerca de 5° C acima da temperatura ambiente. Ainda em outra concretização, o processo pode ser conduzido, de modo a que a temperatura média da mistura não suba mais do que cerca de 3° C acima da temperatura ambiente. Em algumas concretizações, a temperatura pode ser necessária ser mantida pelo uso de dispositivos de refrigeração ao processo. Em outras concretizações, a temperatura desejada pode ser mantida por meio de equipamento que não produz calor suficiente para manter a temperatura desejada da mistura durante o processamento.
[0226] Em uma concretização, os ingredientes ativos e não ativos para as composições macias mastigáveis da invenção são adicionados a um recipiente de mistura, tal como um misturador planetário ou planetário duplo ou um misturador horizontal capazes de misturar o material e convertê-lo contra a parte lateral dos recipientes de mistura. Esta ação permite que os ingredientes estejam de forma consistente e bem misturados sem a aplicação de calor ou de adição de água de qualidade farmacêutica para a mistura.
[0227] Misturadores horizontais compreendem geralmente uma câmara de mistura, um eixo de mistura horizontal alongado que roda, e uma pluralidade de ferramentas de mistura, que dependem, geralmente, perpendicularmente a partir do eixo horizontal de rotação em torno do interior da câmara (ver, por exemplo, Patente Norte- Americana US 5,735,603, cuja divulgação é aqui incorporada por esta referência). As ferramentas de mistura são configuradas e dimensionadas, conforme necessário para o processo de mistura seguindo a forma das paredes da câmara como rodado para uma boa mistura de todos os materiais presentes. Algumas dessas câmaras de mistura são de forma cilíndrica, enquanto outras são em forma de cuba, como misturadores que são comumente referidos no estado da técnica como misturadores de duplo braço ou misturadores de fita.
[0228] Em uma concretização, as composições de comprimidos mastigáveis macios da invenção podem ser formadas a partir da mistura de massa de farinha por quaisquer técnicas de conformação adequadas conhecidas no estado da técnica, incluindo a formação manual. Um técnico versado no assunto irá compreender que uma vez que a mistura de massa homogênea tendo as propriedades requeridas é preparada, as unidades de dosagem individuais de vários tamanhos podem ser formadas por pesagem da quantidade necessária de mistura de massa de farinha e formação das composições de comprimidos mastigáveis macios à mão ou usando quaisquer outras técnicas de moldagem conhecidas no estado da técnica. Em uma concretização, a mistura de massa de farinha conforme é extrudida para formar as formas de dosagem mastigáveis macios. Em uma outra concretização, as formas de dosagem mastigáveis macias são formadas utilizando uma máquina de conformação. Uma variedade de equipamento de formação pode ser utilizado na invenção incluindo máquinas de moldagem desenvolvidos para uso na produção de produtos alimentares moldados, tais como hambúrgueres pré-formados e nuggets. Por exemplo, as máquinas de moldagem descritos nas Patentes Norte-Americana US 3,486,186; US 3,887,964; US 3,952,478; US 4,054,967; US 4,097,961; US 4,182,003; US 4,334,339; US 4,338,702; US 4,343,068; US 4,356,595; US 4,372,008; US 4,523,520; US 4,535,505; US 4,597,135; US 4,608,731; US 4,622,717; US 4,697,308; US 4,768,941; US 4,780,931; US 4,818,446; US 4,821,376; US 4,872,241; US 4,975,039; US 4,996,743; US 5,021,025; US 5,022,888; US 5,165,218; US 5,655,436; US 5,980,228 e US 7,780,931 (a divulgação das quais são aqui incorporada por referência) são representativos de equipamento de formação que podem ser utilizados na invenção.
[0229] Em uma concretização, equipamento de formação que não se aplica calor de compressão para a mistura mastigável pode ser utilizado. Exemplos não limitativos de máquinas de conformação incluem as fabricadas pela Nutec Manufacturing incluindo os modelos 710, 720, 745, 750 e 760; e os fabricados pela Formax Corporation, incluindo o VerTex 1000, NovaMax 500, Maxum 700, Ultra 26, F-19, F-400 e F-6. A ordem de mistura dos componentes não é crítica, e vários sistemas de processamento podem ser utilizados para formar a mistura de massa de farinha antes para formar as unidades de dosagem macia mastigáveis. Em algumas concretizações, o ingrediente ativo (s) e, possivelmente, alguns componentes não ativos, tais como conservantes ou antioxidantes podem ser primeiro dissolvido em um solvente (s) antes de se misturar com outros componentes não ativos da composição em um misturador, de modo a formar um mistura de massa semelhante. Os componentes líquidos podem ser adicionados a uma velocidade controlada para assegurar a homogeneidade da mistura. Alternativamente, o ingrediente ativo (s) pode ser misturado na forma seca (estado sólido) com outros componentes não ativos em um misturador e os componentes líquidos podem ser adicionados à mistura seca, misturando- se para formar uma mistura de massa de farinha como uniforme. Ainda em outra concretização, os componentes líquidos da invenção podem ser primeiramente colocados no misturador e os componentes secos, incluindo o agente ativo (s) podem ser adicionados ao líquido com mistura adicional para formar uma mistura de massa de farinha como uniforme.
[0230] Em um outro aspecto da invenção, um método para a prevenção e/ou tratamento de uma infestação por parasitas e/ou infecção em um animal é fornecido, que compreende a administração ao animal de uma composição veterinária oral compreendendo uma quantidade eficaz de pelo menos um agente ativo de ação sistêmica juntamente com um veículo farmaceuticamente aceitável ao animal. Em uma concretização, as composições incluem pelo menos um agente ativo isoxazolina. Em uma outra concretização, as composições podem incluir um ou mais agentes ativos de lactona macrocíclicas, um ou mais compostos de espinosina ou espinosóide, um ou mais agentes de benzimidazol incluindo tiabendazol, oxibendazol, mebendazol, fenbendazol, oxfendazol, albendazol, triclabendazol e febantel; ou agentes ativos de outras classes, incluindo o levamisol, pirantel, morantel, praziquantel, closantel, clorsulon, um ou mais reguladores de crescimento de insetos, um ou mais agentes ativos de neonicotinóides, um ou mais agentes ativos de amino acetonitrila, ou um ou mais agentes ativos ariloazol-2-ilo cianoetilamina, ou uma combinação destes. Ainda em outra concretização a composição pode incluir pelo menos um agente ativo de isoxazolina em combinação com uma ou mais lactonas macrocíclicas, um ou mais de compostos de espinosina e/ou espinosóide, um ou mais agentes ativos de benzimidazol incluindo tiabendazol, oxibendazol, mebendazol, fenbendazol, oxfendazol, albendazol, triclabendazol e febantel; ou agentes ativos de outras classes, incluindo o levamisol, pirantel, morantel, praziquantel, closantel, clorsulon, um ou mais agentes ativos de amino acetonitrila, um ou mais reguladores de crescimento de insetos, um ou mais agentes ativos neonicotinóides ou um ou mais agentes ativos de ariloazol-2-il cianoetilamina, ou uma combinação destes.
[0231] Em uma concretização, a composição veterinária oral é uma composição mastigável macia. Em uma outra concretização, a composição veterinária oral é uma composição em comprimidos.
[0232] Os métodos e utilizações da presente invenção compreendem a administração de qualquer uma das composições da invenção aqui descrita, a um animal que dele necessite. As composições da invenção foram encontradas para proporcionar eficácia de longa duração contra os ectoparasitas (por exemplo, pulgas e carrapatos) e/ou endoparasitas com um início muito rápido da ação, tal como descrito acima. Além disso, verificou-se que a administração dos agentes ativos nas composições orais da invenção fornece um alto nível de biodisponibilidade do agente ativo da invenção, após a administração oral ao animal. Assim, dependendo do agente ativo incluído nas composições, a invenção proporciona métodos e usos para o tratamento e prevenção de infecções de endoparasitas e/ou infestações de ectoparasitas em um animal, que compreendem a administração de uma quantidade eficaz de uma composição oral da presente invenção para o animal.
[0233] Em uma modalidade de tratamento contra ectoparasitas, o ectoparasita é um ou mais inseto ou aracnídeo incluindo aqueles dos gêneros Ctenocephalides, Rhipicephalus, Dermacentor, Ixodes, Boophilus, Ambylomma, Haemaphysalis, Hyalomma, Sarcoptes, Psoroptes, Otodectes, Chorioptes, Hypoderma, G aster ophilus, Lucilia, Dermatobia, Cochliomyia, Chrysomyia, Damalinia, Linognathus, Haematopinus, Solenopotes, Trichodectes e Felicola.
[0234] Em uma outra concretização para o tratamento contra ectoparasitas, o ectoparasita é a partir dos gêneros Ctenocephalides, Rhipicephalus, Dermacentor, Ixodes, e/ou Boophilus. Os ectoparasitas tratados incluem, mas não estão limitados a pulgas, carrapatos, ácaros, mosquitos, moscas, piolhos, varejeiras e suas combinações. Os exemplos específicos incluem, mas não estão limitadas a, as pulgas gato e de cão (Ctenocephalides felis, Ctenocephalides sp. e semelhantes), carrapatos (Rhipicephalus sp., Ixodes sp., Dermacentor spp. Amblyomma sp., Haemaphysalis spp. e semelhantes), os ácaros (Demodex sp. Sarcoptes sp., Otodectes spp., Cheyletiella spp., e semelhantes), piolhos (Trichodectes sp., Felicola spp., Linognathus spp., e semelhantes), mosquitos (Aedes sp., Culex sp. Anopheles sp., e semelhantes) e moscas (Hematobia sp. incluindo Haematobia irritans, Musca spp., Stomoxys sp. incluindo Stomoxys calcitrans, Dermatobia spp., Cochliomyia spp., e semelhantes).
[0235] Outros exemplos de ectoparasitas que incluem, mas não estão limitados ao carrapato do gênero Boophilus, especialmente, os da espécie microplus (carrapato bovino), decoloratus e annulatus; miíases, como D. hominis (conhecido como Berna no Brasil) e Cochliomyia hominivorax (greenbottle); miíases de ovelhas como Lucilia sericata, Lucilia cuprina (conhecido como varejeira grave na Austrália, Nova Zelândia e África do Sul) e Gasterophilus em cavalos. Moscas adequadas, ou seja, aquelas cujo adulto constitui o parasita, como Haematobia irritans (mosca do chifre) e Stomoxys calcitrans (mosca de estábulo); piolhos, tais como Linognathus vituli, etc; e ácaros, como Sarcoptes scabiei e Psoroptes ovis. A lista acima não é exaustiva e outros ectoparasitas são bem conhecidos no estado da técnica por serem prejudiciais para os animais e os seres humanos. Estes incluem, por exemplo, a migração de larvas de dípteros.
[0236] Em algumas concretizações da invenção, a composição também pode ser usada para tratar os animais de infestações por endoparasitas, tais como aqueles compostos de helmintos selecionados a partir do grupo que consiste em Anaplocephala, Ancylostoma, Anecator, Ascaris, Capillaria, Cooperia, Cyathostomum, Dipylidium, Dirofilaria, Echinococcus, Enterobius, Fasciola, Haemonchus, Oesophagostumum, Ostertagia, Parascaris, Toxocara, Strongylus, Strongyloides, Toxascaris, Trichinella, Trichuris e Trichostrongylus, entre outros.
[0237] Em uma concretização, a invenção proporciona métodos para o tratamento e prevenção de infecções parasitárias e infestações de animais (ou domésticos ou selvagens), incluindo gado e animais de companhia, tais como gatos, cães, cavalos, aves, incluindo galinhas, ovelhas, cabras, porcos, perus e gado, com o objetivo de livrar desses hospedeiros de parasitas comumente encontradas por esses animais.
[0238] Em uma outra concretização, a invenção proporciona métodos para o tratamento e/ou prevenção de infecções parasitárias e infestações em animais de companhia, incluindo, mas não limitado a, cães e gatos. Alguns métodos e composições da invenção que compreendem agentes ativos de isoxazolina são particularmente eficazes para a prevenção ou tratamento de infestações de parasitas de gatos e cães com pulgas e carrapatos e outros ectoparasitas.
[0239] Em uma outra concretização, os métodos e composições da invenção são utilizados para o tratamento ou prevenção de infecções parasitárias e infestações em bovinos ou ovinos. Quando o tratamento de animais de criação, tais como bovinos e ovinos, os métodos e composições da invenção que compreendem um agente ativo de isoxazolina são particularmente eficazes contra Rhipicephalus (Boophilus) microplus, Haematobia irritans (mosca dos chifres) Stomoxys calcitrans (mosca dos estábulos) e miíases ovinos como Lucilia sericata, Lucilia cuprina (conhecido como varejeira grave na Austrália, Nova Zelândia e África do Sul).
[0240] Em uma concretização, a invenção proporciona um método para a prevenção e/ou tratamento de uma infestação e/ou infecção parasítica em um animal que compreende a administração ao animal de uma composição veterinária macia para mastigar que compreende uma quantidade eficaz de pelo menos um agente ativo de isoxazolina em combinação com uma quantidade eficaz de pelo menos um segundo agente ativo em um veículo farmaceuticamente aceitável. Qualquer dos agentes ativos adicionais acima descritos pode ser combinados com o agente ativo isoxazolina nas composições veterinárias macias mastigáveis.
[0241] Em uma outra concretização, a invenção proporciona um método para a prevenção e/ou tratamento de uma infecção por endoparasitas em um animal que compreende a administração ao animal de uma composição veterinária macia para mastigar que compreende uma quantidade eficaz de um agente ativo de ação sistêmica de longa duração que é ativo contra parasitas internos incluindo um ou mais lactonas macrocíclicas, um ou mais agentes ativos benzimidazóis incluindo tiabendazol, oxibendazol, mebendazol, fenbendazol, oxfendazol, albendazol, triclabendazol e febantel; anti- helmínticos ou de outras classes, incluindo o levamisol, pirantel, morantel, praziquantel, closantel, clorsulon, um ou mais agentes ativos de amino acetonitrila, ou um ou mais agentes ativos de ariloazol-2-ilo cianoetilamina, ou uma combinação dos mesmos. Os métodos da invenção para o tratamento e/ou prevenção de endoparasitas são eficazes contra nematódeos parasitas, incluindo (lombriga, ancilóstomo, Trichuris e outros), e/ou Dirofilaria immitis (dirofilariose).
[0242] Em uma outra concretização, a invenção proporciona um método para a prevenção e/ou tratamento de uma infecção por endoparasitas em um animal que compreende a administração ao animal de uma composição veterinária macia para mastigar compreendendo uma quantidade eficaz de uma ou mais lactonas macrocíclicas, incluindo, mas não limitado a, abamectina, dimadectina, doramectina, emamectina, eprinomectina, ivermectina, latidectina, lepimectina, selamectina, ML-1694, 554 e milbemicinas, incluindo, mas não limitado a, milbemectina, milbemicina D, Milbemicina A3, Milbemicina A4, milbemicina oxima, moxidectina e nemadectina. Em uma outra concretização, o método compreende a administração de uma quantidade eficaz de uma composição macia mastigável que compreende um ou mais de abamectina, emamectina, eprinomectina, ivermectina, doramectina ou selamectina. Ainda em outra concretização, o método compreende a administração de uma quantidade eficaz de uma composição macia mastigável que compreende ivermectina, milbemectina, milbemicina oxima ou moxidectina ou uma combinação dos mesmos.
[0243] Ainda em uma concretização da invenção, os métodos e utilizações da invenção que compreende uma ou mais lactonas macrocíclicas, um ou mais compostos de espinosina, um ou mais benzimidazóis, levamisol, pirantel, morantel, praziquantel, closantel, clorsulon, um ou mais agente ativo de amino acetonitrila ou um ou mais agentes ativos de ariloazol-2-il cianoetilamina, ou uma combinação dos mesmos, nas composições irão proporcionar uma eficácia de pelo menos cerca de 90% contra lombrigas (Toxocara canis), Trichuris (Trichuris vulpis) ou ancilóstomo (Ancyloestoma caniemum). Em uma outra concretização, os métodos e utilizações da presente invenção compreendem um agente ativo que é ativo contra parasitas internos, incluindo, mas não limitado a, uma ou mais lactonas macrocíclicas, irá proporcionar uma eficácia de pelo menos 95% contra lombrigas (Toxocara canis), Trichuris (Trichuris vulpis) ou ancilostomíase (Ancyloestoma caniemum). Ainda em outra concretização, os métodos e utilizações da presente invenção irá proporcionar uma eficácia de até 100% em relação a Dirofilaria immitis (verme do coração).
[0244] Em algumas concretizações, a combinação de certos agentes ativos com um agente ativo isoxazolina vai ampliar o alcance de cobertura do método de acordo com a atividade biológica do agente ativo adicional. Por exemplo, é contemplado que a combinação do agente ativo isoxazolina com um ou mais agentes ativos adicionais que são ativos contra parasitas internos, tais como nematódeos parasitas, incluindo (lombriga, ancilóstomo, Trichuris e outros), e/ou a Dirofilaria immitis (dirofilariose) irá fornecer tratamento e/ou proteção contra parasitas internos, bem como parasitas externos (por exemplo, pulgas e carrapatos, etc.) Assim, a invenção proporciona um método para o tratamento e/ou prevenção de uma infestação por ectoparasitas e endoparasitas uma infecção, que compreende a administração a um animal em necessidade de uma composição veterinária macia para mastigar que compreende pelo menos um composto de isoxazolina em combinação com pelo menos um composto que é ativo contra parasitas internos.
[0245] Em uma concretização, a invenção proporciona um método para o tratamento e/ou prevenção de uma infestação ou infecção por endoparasitas e ectoparasitas em um animal que compreende a administração de uma composição veterinária macia para mastigar que compreende uma quantidade eficaz de pelo menos um agente ativo de isoxazolina em conjunto com uma quantidade eficaz de pelo menos um agente ativo de lactona macrocíclica. Em algumas concretizações, a composição pode compreender pelo menos um composto de isoxazolina em combinação com abamectina, dimadectina, doramectina, emamectina, eprinomectina, ivermectina, latidectina, lepimectina, selamectina, ML-1.694.554 e milbemicinas, incluindo, mas não limitado a, milbemectina, milbemicina D, Milbemicina A3, Milbemicina A4, milbemicina oxima, moxidectina ou nemadectina, ou uma combinação dos mesmos.
[0246] Em uma outra concretização, os métodos e utilizações para o tratamento e/ou prevenção de uma infestação por ectoparasitas e infecção por endoparasitas são fornecidos em que a composição administrada contém pelo menos um agente ativo de isoxazolina em combinação com uma ou mais lactonas macrocíclicas e um ou mais compostos de espinosina, um ou mais compostos de espinosóide, um ou mais dos benzimidazóis, levamisol, pirantel, morantel, praziquantel, closantel, clorsulon, um ou mais agente ativo de amino acetonitrila, um ou mais reguladores de crescimento de insetos, um ou mais neonicotinóides ou um ou mais agentes ativos de ariloazol-2-il cianoetilamina ou uma combinação dos mesmos.
[0247] Em uma concretização, a invenção proporciona métodos e usos para o tratamento e prevenção de infecções parasitárias e infestações de animais (ou domésticos ou selvagens), incluindo gado e animais de companhia, tais como gatos, cães, cavalos, aves, incluindo galinhas, ovelhas, cabras, porcos, perus e gado, com o objetivo de livrar desses hospedeiros de parasitas comumente encontradas por esses animais.
[0248] Em uma outra concretização, a invenção proporciona métodos e usos para o tratamento ou prevenção de infecções parasitárias e infestações em animais de companhia, incluindo, mas não limitado a, cães e gatos.
[0249] As composições da invenção são administrados em quantidades eficazes como parasiticida, que são adequados para controlar o parasita em questão, na medida necessária, tal como aqui descrito.
[0250] Em algumas concretizações para os métodos que compreendem um agente ativo de isoxazolina, uma dose de cerca de 0,05 a cerca de 100 mg por kg de peso corporal do agente ativo isoxazolina dada como uma dose única ou em doses divididas, durante um período compreendido entre 1 e 5 dias será satisfatória, mas, evidentemente, pode haver casos em que gamas de dosagem mais altas ou mais baixas sejam indicadas, e estas estão dentro do escopo da presente invenção. Mais tipicamente, a dose do agente ativo de isoxazolina pode estar entre cerca de 0,1 a cerca de 50 mg por kg, cerca de 0,1 a cerca de 25 mg/kg ou cerca de 0,1 a cerca de 10 mg/kg de peso corporal. Em uma concretização, a dose do agente ativo isoxazolina administrada será de cerca de 0,1 a cerca de 5 mg/kg ou cerca de 1 a cerca de 5 mg/kg de peso corporal. Em uma outra concretização para as composições de longa duração, as composições irão conter uma dose de cerca de 10 mg/kg a cerca 100 mg/kg de um agente ativo de isoxazolina. Mais geralmente, as composições de dose mais elevados irão conter uma dose de cerca de 10 mg/kg a cerca de 50 mg/kg ou cerca de 10 mg/kg a cerca de 30 mg/kg de um agente ativo isoxazolina. Em uma concretização, as composições de dose elevada irá conter uma dose de cerca de 15 mg/kg a cerca de 25 mg/kg por peso do corpo de uma isoxazolina agente ativo. É bem dentro das capacidades de rotina do médico para determinar um regime de dosagem específico para um determinado hospedeiro e parasita.
[0251] Em várias outras concretizações da invenção, os métodos e utilizações da presente invenção incluem a administração de uma composição veterinária macia para mastigar compreendendo agentes ativos de ação sistêmica que são ativos contra parasitas internos (endoparasiticídicos), incluindo, mas não limitado a, uma ou mais lactonas macrocíclicas, um ou mais compostos de espinosina, um ou mais compostos de espinosóide, um benzimidazol, pirantel, levamisol, morantel, praziquantel, closantel, clorsulon, um ou mais agente ativo de amino acetonitrila, ou de um ou mais agentes ativos de ariloazol-2-ilo cianoetilamina ou uma combinação destes.
[0252] Geralmente, o agente ativo contra parasitas internos podem ser incluídos na composição, para proporcionar uma dose de cerca de 0,05 mg/kg a cerca de 50 mg/kg ou cerca de 0,5 mg/kg a cerca de 50 mg/kg de peso corporal do animal. Em outras concretizações, o agente ativo endoparasiticídico estará tipicamente presente em uma quantidade suficiente para fornecer uma dose de cerca de 0,05 mg/kg a cerca de 30 mg/kg, cerca de 0,1 mg/kg a cerca de 20 mg/kg, cerca de 0,1 mg/kg a cerca de 10 mg/kg, cerca de 0,1 mg/kg a cerca de 1 mg/kg ou cerca de 0,5 mg/kg a cerca de 50 mg/kg por peso corporal do animal.
[0253] Em certas concretizações da invenção, onde o agente ativo endoparasiticídico é um composto muito potente, tal como uma lactona macrocíclica, o agente ativo estará presente em uma concentração para proporcionar uma dose de cerca de 0,001 mg/kg a cerca de 5 mg/kg, cerca de 000,1 mg/kg a cerca de 0,1 mg/kg ou cerca de 0,001 mg/kg a cerca de 0,01 mg/kg. Ainda em outras concretizações, o agente ativo está presente em uma quantidade suficiente para fornecer uma dose de cerca de 0,01 mg/kg a cerca de 2 mg/kg ou cerca de 0,1 mg/kg a cerca de 1 mg/kg por peso corporal do animal. Ainda em outras concretizações, o agente ativo pode estar presente em uma quantidade suficiente para fornecer uma dose de cerca de 1 μg/kg a cerca de 200 μg/kg, ou cerca de 0,1 mg/kg a cerca de 1 mg/kg de peso do animal.
[0254] Em uma concretização da invenção, os métodos e utilizações da presente invenção que compreende um agente ativo de isoxazolina fornece proteção de, pelo menos, 90% de eficácia contra pulgas (C. felis) durante pelo menos 30 dias, ou pelo menos 36 dias, como medido em comparação com controles não tratados, de acordo com os métodos descritos nos exemplos. Em uma outra concretização, as composições de comprimidos macios mastigáveis da presente invenção proporcionam, pelo menos, 90% de eficácia contra pulgas durante pelo menos 44 dias, ou pelo menos durante 58 dias.
[0255] Em certas concretização da invenção, os métodos e utilizações que compreendem um agente ativo de isoxazolina são fornecidos que proporcionam um elevado nível de eficácia contra pulgas, por períodos de tempo superiores há 60 dias. Por exemplo, em uma concretização, as composições da invenção fornecem uma eficácia de pelo menos 90% contra as pulgas durante pelo menos 72 dias. Em outras concretizações, as composições da invenção fornecem uma eficácia de pelo menos 90% contra as pulgas durante pelo menos 79 dias, pelo menos 86 dias, ou mesmo pelo menos 93 dias. Ainda em outras concretizações, as composições orais muito longa duração da presente invenção proporcionam uma eficácia de pelo menos 90% contra as pulgas durante pelo menos cerca de 100 dias, no mínimo, cerca de 107 dias, ou mesmo pelo menos cerca de 114 dias.
[0256] Ainda em outra concretização, os métodos e utilizações da invenção que compreendem um agente ativo de isoxazolina proporcionam uma eficácia de pelo menos cerca de 95% contra as pulgas (C. felis) durante pelo menos cerca de 30 dias ou pelo menos cerca de 36 dias. Ainda em outra concretização, os métodos e utilizações da presente invenção proporcionam uma eficácia de pelo menos cerca de 95% contra as pulgas durante pelo menos cerca de 44 dias, a, pelo menos, cerca de 58 dias ou pelo menos cerca de 72 dias. Ainda em outras concretizações, os métodos e utilizações da presente invenção proporcionam uma eficácia de pelo menos cerca de 95% contra as pulgas durante pelo menos cerca de 79 dias, a, pelo menos, cerca de 86 dias ou mesmo cerca de 93 dias ou mais. Por exemplo, os métodos e utilizações da invenção, em que as composições que contêm as doses mais elevadas de uma agente ativo de isoxazolina são administrados pode proporcionar uma eficácia de pelo menos cerca de 95% contra as pulgas durante pelo menos cerca de 100 dias, ou mesmo pelo menos cerca de 107 dias ou mais.
[0257] Ainda em outra concretização da invenção, os métodos e utilizações da presente invenção, que compreende a administração de uma composição que compreende um agente ativo de isoxazolina proporcionam cerca de 100% de eficácia contra pulgas durante pelo menos cerca de 23 dias, no mínimo, cerca de 30 dias ou pelo menos cerca de 36 dias. Ainda em outras concretizações, os métodos e utilizações da presente invenção proporcionam uma eficácia de cerca de 100% contra pulgas durante pelo menos cerca de 44 dias, no mínimo, cerca de 58 dias ou pelo menos cerca de 72 dias.
[0258] Em uma outra concretização da invenção, os métodos e utilizações da invenção que compreendem a administração de uma composição oral que compreende um agente ativo de isoxazolina proporcionam uma eficácia de pelo menos cerca de 90% contra os carrapatos (incluindo, mas não limitado a, Dermacentor variabilis, Ixodes scapularis, Amblyomma americaemum, Rhipicephalus sanguineus, Ixodes ricinus, Dermacentor reticulatus e Ixodes holocyclus) durante pelo menos cerca de 23 dias. Mais tipicamente, as composições irão proporcionar uma eficácia de pelo menos cerca de 90% contra os carrapatos durante pelo menos cerca de 30 dias ou pelo menos cerca de 36 dias. Ainda em outra concretização, os métodos e utilizações da presente invenção irá proporcionar uma eficácia de pelo menos cerca de 95%, pelo menos cerca de 23 dias, no mínimo, cerca de 30 dias ou pelo menos cerca de 36 dias.
[0259] Em algumas concretizações, os métodos e utilizações da presente invenção, que compreende a administração de uma composição que inclui um agente ativo de isoxazolina proporcionam uma eficácia contra carrapatos de pelo menos cerca de 90%, pelo menos cerca de 44 dias, a, pelo menos, cerca de 58 dias, ou pelo menos cerca de 72 dias. Em outras concretizações, os métodos e utilizações da presente invenção proporcionam uma eficácia contra carrapatos de pelo menos cerca de 90%) durante pelo menos cerca de 79 dias, a, pelo menos, cerca de 86 dias ou pelo menos cerca de 93 dias. Em outras concretizações, os métodos e utilizações da presente invenção proporcionam uma eficácia contra carrapatos de pelo menos cerca de 95% o de, pelo menos, cerca de 44 dias, a pelo menos cerca de 58 dias, no mínimo, cerca de 72 dias, ou mesmo pelo menos cerca de 79 dias. Em certas outras concretizações, os métodos e utilizações da presente invenção fornecendo doses mais elevadas do agente ativo de isoxazolina pode proporcionar uma eficácia contra carrapatos de pelo menos 90% o, pelo menos, 95% ou mesmo 100%, durante pelo menos cerca de 100 dias ou mesmo para, pelo menos, cerca de 107 dias, dependendo das espécies de carraças. Este nível muito elevado de eficácia contra carrapatos para tais longos períodos de tempo a partir de uma forma de dosagem oral, é surpreendente e sem precedentes em formas de dosagem oral de liberação imediata. Além disso, os métodos e utilizações da invenção são surpreendentemente eficazes contra o difícil controle de carrapatos, incluindo Amblyomma americaemum e outros.
[0260] Ainda em outra concretização da invenção, os métodos e utilizações da invenção, que compreendem uma combinação de um agente ativo de isoxazolina em combinação com um agente ativo de lactona macrocíclica irá proporcionar uma eficácia de pelo menos cerca de 90% contra lombrigas (Toxocara canis), Trichuris (Trichuris vulpis) ou ancilostomíase (Ancyloestoma caninum) ao mesmo tempo, controlar os ectoparasitas (pulgas e carrapatos, por exemplo) com um alto nível de eficácia, como descrito acima. Em uma outra concretização, os métodos e utilizações da presente invenção que compreendem um ingrediente ativo de isoxazolina em combinação com uma lactona macrocíclica proporcionará uma eficácia de pelo menos 95% contra o verme {Toxocara canis), Trichuris (Trichuris vulpis) ou de ancilóstomo (Ancylostoma caninum). Ainda em outra concretização, os métodos e utilizações da presente invenção irão proporcionar uma eficácia de até 100%) contra a Dirofilaria immitis (verme do coração) e ao mesmo tempo o controle de pulgas e carraças, com um elevado nível de eficácia (ver acima). Assim, a administração das composições de comprimidos macios mastigáveis da presente invenção irá evitar dirofilariose e controlar infecções de endoparasitas, enquanto também controlar ectoparasitas (por exemplo, pulgas e carraças).
[0261] Em uma outra concretização, os métodos e utilizações da invenção, que compreendem pelo menos um agente ativo endoparasiticídico de ação sistêmica, com ou sem um ingrediente ativo de isoxazolina, incluindo uma ou mais lactonas macrocíclicas, um ou mais compostos espinosina, um ou mais compostos de espinosóide, um ou mais dos benzimidazóis, levamisol, morantel, pirantel, praziquantel, closantel, clorsulon, um ou mais agentes ativos de amino acetonitrila ou um ou mais agentes ativos de ariloazol-2-ilo cianoetilamina, ou uma combinação dos mesmos, proporcionará uma eficácia de pelo menos cerca de 90% em relação a lombriga (Toxocara canis), Trichuris (Trichuris vulpis) ou ancilostomíase (Ancylostoma caninum). Em uma outra concretização, os métodos e utilizações da invenção que compreendem pelo menos um agente ativo endoparasiticídico de ação sistêmica, incluindo uma ou mais lactonas macrocíclicas, um ou mais compostos de espinosina, um ou mais compostos de espinosóide, um ou mais benzimidazóis, levamisol, pirantel, morantel, praziquantel, closantel, clorsulon, um ou mais agentes ativos de amino acetonitrila ou um ou mais agentes ativos de ariloazol-2-il cianoetilamina, ou uma combinação dos mesmos, com ou sem um agente ativo de isoxazolina, irá proporcionar uma eficácia de pelo menos 95 % contra lombriga (Toxocara canis), Trichuris (Trichuris vulpis) ou ancilostomíase (Ancylostoma caninum). Ainda em outra concretização, os métodos e utilizações da invenção que compreende a administração de uma composição macia mastigável que inclui um ou mais agentes ativos de lactona macrocíclica, em combinação com um agente ativo isoxazolina proporcionará uma eficácia de até 100% em relação a Dirofilaria immitis (verme do coração), enquanto também o controle de pulgas e carraças, com um elevado nível de eficácia (ver acima).
[0262] Por “tratamento” ou “tratar” ou “tratamento” destina-se a aplicação ou administração de uma composição da invenção a um animal que tem uma infestação parasitária de erradicação do parasita ou a redução do número de parasitas que infestam os animais em tratamento. Note-se que as composições da invenção podem ser utilizadas para prevenir e controlar tal infestação parasítica.
[0263] As composições da invenção são administradas em quantidades eficazes como parasiticida, que são adequados para controlar o parasita em questão, na medida desejada, como descrito abaixo. Em cada aspecto da invenção, os compostos e composições da invenção podem ser aplicados contra um único parasita ou suas combinações.
[0264] As composições da invenção podem ser administradas continuamente para tratamento ou prevenção de infecções ou infestações parasitárias. Deste modo, as composições da presente invenção fornecem uma quantidade eficaz dos compostos ativos para o animal que dele necessite para controlar os parasitas alvo.
[0265] A invenção é ainda descrita pelos seguintes exemplos não-limitativos, que ilustram melhor a invenção, e não pretendem e nem devem ser interpretados para limitar o escopo da invenção.
[0266] Composição macia mastigável contendo o agente ativo 4-[5-[3-cloro-5-(trifluorometil)fenil]-4,5-di-hidro-5- (trifluorometil)-3-isoxazolil]-N-[2-oxo-2-[(2,2,2-trifluoroetil) amino]etil]-1-naftalenocarboxamida isoxazolina (Composto A) como um composto representativo de isoxazolina sozinho e em combinação com uma lactona macrocíclica foram preparados com uma variedade de excipientes não ativos e avaliado para a eficácia para controlar endoparasitas e ectoparasitas em gatos e cães. Além disso, as composições de comprimidos macios mastigáveis que compreendem um ou mais parasiticidas que são ativos contra os endoparasitas foram preparadas e avaliadas quanto à eficácia contra vários parasitas internos.
[0267] A formulação macia mastigável da Tabela l foi preparada pelo procedimento seguinte:
[0268] O agente ativo (s) e sorbato de potássio (se presente) foram dissolvidos na quantidade correspondente do solvente através da mistura, à temperatura ambiente. Em um misturador, o material de enchimento (por exemplo, farelos de proteína de soja e/ou amidos) são misturados à temperatura ambiente até que, em seguida, os outros componentes não ativos são misturados e a solução pré-feita de que o agente ativo (s) e sorbato de potássio (se presente) são adicionados à mistura. A mistura é agitada ainda mais, até uma mistura de tipo massa bem misturada seja formada.
[0269] A mistura de massa de farinha como é então formada em de unidades de dosagem de comprimidos macios mastigáveis individuais em tamanhos nominais de 0,5 g, 1 g e 4 g. As formulações das Tabelas 02-24 podem ser preparadas por procedimentos semelhantes. Nas tabelas abaixo, a abreviatura “QS”, significando “quantidade suficiente” destina-se a significar que a quantidade do componente correspondente pode ser ajustada para levar a composição até 100% (p/p).
[0270] Dezesseis beagles foram estudados para determinar a eficácia de uma composição veterinária macia mastigável compreendendo Composto A contra infestações induzidas por Dermacentor variabilis e Ctenocephalides felis.
[0271] Quatro grupos de tratamento contendo cada um quatro cães foram formados. Cães do Grupo 1 foram tratados. Os cães dos Grupos 2, 3 e 4 foram tratados com a composição mastigável macia descrito na Tabela 6 de dimensões nominais de 0,5 g e 1 g contendo o Composto A em concentrações de 7,35 mg/mastigação e 14,7 mg/mastigação, respectivamente, para administrar doses de cerca de 1,5 mg/kg, 2,5 mg/kg ou 3,5 mg/kg. Todos os cães foram tratados uma vez no dia 0.
[0272] Todos os cães foram infestados com cerca de 100 C. felis nos Dias 1, 8, 15, 22, 29, 35, 43, 57 e 71. Todos os cães foram também infestados com cerca de 50 D. variabilis nos dias -1, 7, 14, 21, 28, 34 e 42. Ambos os carrapatos e pulgas foram contados após a remoção nos dias 2, 9, 16, 23, 30, 36 e 44. Pulgas foram contadas após a remoção de todos os Grupos de Tratamento nos dias 58 e 72. A eficácia de pulgas é apresentada na Tabela 50 e eficácia de carrapato é apresentada na Tabela 51 abaixo.
[0273] A Redução percentual (também conhecida como a eficácia) contra pulgas foi de 100% até e incluindo o dia 30 para todos os grupos de tratamento (ver Tabela 50). A Redução percentual contra pulgas foi acima de 95% com o Dia 44 para todos os grupos e, acima de 95% até o Dia 58 para os Grupos 3 e 4.
[0274] A redução percentual contra carrapatos foi de até 90% e incluindo o dia 30 (ver Tabela 51) para todos os grupos de tratamento e permaneceu acima de 90% até o Dia 36 para os Grupos 3 e 4.
[0275] Estes dados do estudo demonstram que as composições de comprimidos mastigáveis macios que compreendem um composto de isoxazolina (Composto A) em três doses diferentes fornece excelente eficácia contra pulgas e carraças nos cães.Tabela 50: Eficácia de Pulgas Tabela 51: Eficácia de carrapatos
[0276] Seguindo um procedimento muito semelhante ao descrito no Exemplo 2 acima, beagles foram estudados para determinar a eficácia e a velocidade de extermínio contra infestações induzidas por Ctenocephalides felis.
[0277] Três grupos de tratamento foram formados. Cães do Grupo 1 foram tratados. Os cães dos Grupos 2 e 3 foram tratados com as composições de comprimidos mastigáveis macios que contêm o composto A descrito nas tabelas 7 e 8, respectivamente, em concentrações para fornecer uma dose de cerca de 2,5 mg/kg. Grupos 1 e 2 continha 12 cães cada e Grupo 3 continha 4 cães. Todos os cães foram tratados uma vez no dia 0.
[0278] Todos os cães foram infestados com cerca de 75 C. felis nos dias 0 e 7. Os cães do Grupo 3 e cães em subgrupos pré-atribuídos nos Grupos 1 e 2 foram também infestado com cerca de 75 C. felis nos dias 14, 21 e 28. As pulgas foram contadas após a remoção de indivíduos selecionados aos 30 minutos, 4 horas e 12 horas após o tratamento ou infestação nos dias 0 e 7. Nos dias 14, 21 e 28, as pulgas foram contadas após a remoção de indivíduos selecionados às 8 e 12 horas após a infestação. Os dados mostram que as composições iniciam a trabalhar dentro de 30 minutos após o tratamento no dia 0 e que 12 horas após a administração da composição foi observada eficácia das pulgas de 100%. Após infestação em intervalo de tempo mais tarde, a composição começou a trabalhar em 30 minutos, e por 12 horas após a infestação nos dias 7, 14 e 21, a eficácia de 98% foi alcançada.
[0279] Seguindo um procedimento muito semelhante ao descrito no Exemplo 2 acima, com a formulação mastigável descrita na Tabela 10, dezesseis beagles foram estudados para determinar a eficácia de uma composição veterinária macia para mastigar compreendendo o Composto A contra infestações induzidas por Amblyomma americanum (carrapato estrela).
[0280] Dois grupos de tratamento foram formados, contendo cada um oito animais cada. Cães do Grupo 1 foram tratados. Os cães do grupo 2 foram tratados uma vez no dia 0, com composições macias mastigáveis contendo o Composto A a uma concentração para fornecer uma dose de, pelo menos, cerca de 2,5 mg/kg.
[0281] Cães de ambos os grupos foram infestados com aproximadamente 50 Amblyomma americanum em Dias -1, 7, 14, 21, 28 e 35. Carrapatos foram contados nos dias 2, 9, 16, 23, 30 e 38. A percentagem de eficácia no grupo tratado versus o grupo de controle não tratado 48 horas após a infestação excedeu 91% nos dias 2, 9, 16 e 23, com valores de percentagem de eficácia de 99,2, 98,7, 99,4 e 91,7, respectivamente (valores de p < 0,001). No dia 38 a percentagem de eficácia foi medida a 89,7%. O estudo demonstra que as composições de comprimidos mastigáveis da invenção oferece excelente controle de Amblyomma americaenum em excesso de 30 dias.
[0282] Seguindo um procedimento muito semelhante ao descrito no Exemplo 2 e Exemplo 3 acima com as formulações mastigáveis descritas nas Tabelas 10 e 13, vinte e quatro cães foxhounds foram estudados para determinar a eficácia de duas composições veterinárias mastigáveis macios, compreendendo o Composto A e o Composto A sozinho, em combinação com milbemicina oxima (Tabelas 10 e 13, respectivamente), contra infestações induzidas por Ixodes holocyclus. Foram formados três grupos de tratamento que consistem em oito animais cada. O grupo 1 foi um controle sem tratamento. Os cães do grupo 2 foram tratados no dia 0, com uma composição macia para mastigar compreendendo o Composto A por si só para fornecer uma dose de pelo menos 2,5 mg/kg de peso corporal e os cães do grupo 3 foram tratados no dia 0, com uma composição macia para mastigar compreendendo uma combinação do Composto A e milbemicina oxima para administrar doses de, pelo menos, 2,5 mg/kg de peso corporal do Composto A e, pelo menos, 0,5 mg/kg de peso corporal de milbemicina oxima.
[0283] Os cães dos três grupos foram infestados com cerca de 50 Ixodes holocyclus nos dias -1, 7, 14, 21, 28 e 35. Carrapatos foram contados às 24 horas, 48 horas e 72 horas após a infestação, nos dias 1, 2, 3, 8, 9, 10, 15, 16, 17, 22, 23, 24, 29, 30, 31, 36, 37 e 38.
[0284] O Grupo de Tratamento 2 (Composto A sozinho) exibiu uma eficácia percentual de, pelo menos, 99,2% em 72 horas após a infestação, a todos os pontos de tempo medidos. Às 48 horas após a infestação, os cães do grupo 2 tiveram eficácias percentual de pelo menos 98,7% em todos os períodos avaliados. Às 24 horas após a infestação, os cães do grupo 2 tiveram eficácia de pelo menos 95,8% nos dias 1, 8, 15 e 22.
[0285] O Grupo de Tratamento 3 (Composto A e milbemicina oxima) exibiu uma eficácia de pelo menos 98,6% até 72 horas após a infestação em todos os pontos temporais. Às 48 horas após a infestação, cães do Grupo 3 demonstraram uma eficácia de pelo menos 99,1% de todos os tempos. Às 24 horas após a infestação, os cães do Grupo 3 tiveram eficácia de pelo menos 96,1% de todos os tempos. Este exemplo demonstra a eficácia excepcional das composições macias mastigáveis da invenção contra duração do tratamento aos carrapatos, pelo menos, 38 dias pós. A extensão e duração da eficácia de uma dose oral são excepcionais e surpreendentes.
[0286] A eficácia de uma composição macia mastigável da invenção, a qual compreende uma maior concentração do agente ativo contra duas espécies de carrapatos foi avaliada usando um procedimento semelhante ao descrito nos Exemplos 2 e 3 acima com as formulações mastigáveis descritas nas Tabelas 30, 31 e 32. Quarenta e dois beagles foram distribuídos em sete grupos de seis cães cada. Os grupos 1 e 2 serviram como controles não tratados. Grupos 3, 4 e 5 foram cada um tratados no dia 0, com três composições diferentes da invenção descritas nas Tabelas 30, 31 e 32, respectivamente, contendo o composto A em uma quantidade suficiente para fornecer uma dose de cerca de 20 mg/kg de peso corporal. Do mesmo modo, no dia 0, grupos 6 e 7 foram cada um tratados com as composições descritas nas Tabelas 30 e 32, respectivamente, que contém o Composto A para fornecer uma dose de cerca de 20 mg/kg de peso corporal.
[0287] Os cães nos Grupos 1, 3, 4 e 5 foram infestadas com aproximadamente 50 A. americanum e cães nos grupos 2, 6 e 7 foram infestados com aproximadamente 50 D. variabilis em dias -1, 42, 56, 70, 77, 84, 91 e 98. Cães nos Grupos 1, 2, 3, 6 e 7 também estavam infestados no dia 105. Carrapatos foram contadas após a remoção de cerca de 48 horas após o tratamento no dia 2 e 48 horas após a infestação nos dias 44, 58, 72, 79, 86, 93, 100 e 107. As Tabelas 52 e 53 abaixo mostram a eficácia de longa duração excepcional das composições da invenção contra A. americanum e D. variabilis. A eficácia exibida contra estas duas espécies de carrapatos é notável, considerando que os cães foram tratados apenas uma vez no Dia 0.Tabela 52: Eficácia contra A. americanum Tabela 53: Eficácia contra D. variabilis
[0288] Exemplos 7 - 12: Seguindo procedimentos semelhantes aos descritos nos Exemplos 2 e 3, as composições orais do presente invento revelaram-se altamente eficaz contra Rhipicephalus sanguineus, Dermacentor reticulatus, Dermacentor variabilis, Ixodes ricinus, Ixodes scapularis e Haemaphysalis longicornis em cães. Por exemplo, a uma dose de 2,5 mg/kg, uma composição para mastigar de acordo com a Tabela 10, verificou-se ter uma eficácia superior a 95% até o Dia 37 contra D. sanguineus; uma eficácia superior a 95% até ao Dia 30 contra D. reticulatus e D. variabilis; e uma eficácia de 100%) contra I. ricinus (99,6% no dia 30 e 100,0% novamente no dia 37); superior a 98% até ao Dia 23, e superior a 94% até ao Dia 30 contra I. scapularis; e superior a 95% até ao Dia 23, e superior a 90% até ao Dia 30 contra H. longicornis.
[0289] Três Grupos de Tratamento de nove cães da raça Beagle infectados com T. canis foram formados. Cães do Grupo 1 não foram tratados. No dia 0 do estudo, os cães do grupo 2 foram tratados com a composição mastigável macia descrita na Tabela 11, que contém 7,5 mg de milbemicina oxima, um agente ativo de lactona macrocíclica, por 2 gramas de composição macia de mascar para proporcionar uma dose de cerca de 0,5 mg/kg de agente ativo por unidade de peso corporal de animal. No Dia 0, os cães do grupo 3 foram tratados com a composição mastigável macia descrita na Tabela 12, contendo 7,5 mg de milbemicina oxima e 37,5 mg de composto A por 2 gramas de composição de mascar para administrar doses de 0,5 mg/kg de milbemicina oxima e 2,5 mg/kg do Composto A. Depois de oito dias, os animais foram examinados quanto à presença de infecção de T. canis.
[0290] Os cães do grupo controle (Grupo 1) foram encontrados para conter 6 - 32 adultos de vermes T. canis (média geométrica de 13,5). Nenhum verme foi encontrada em qualquer cão no Grupo 2 e uma verme foi encontrada em um dos animais do Grupo 3. O estudo mostra que as composições de comprimidos mastigáveis macios contendo oxima milbemicina sozinho ou em combinação com um agente ativo isoxazolina (Composto A) foram altamente eficaz contra infecções por T. canis em cães.
[0291] Três Grupos de Tratamento de oito cães naturalmente infectados com T. vulpis foram formados. Cães do Grupo 1 não foram tratados. No dia 0 do estudo, os cães dos Grupos 2 e 3 foram tratados com as composições de comprimidos mastigáveis macios descritos no Exemplo 13,contendo oxima milbemicina sozinho (Grupo 2) ou uma combinação de milbemicina oxima com o Composto A (Grupo 3) para fornecer doses de 0,5 mg/kg de milbemicina oxima e 2,5 mg/kg do Composto A.
[0292] Após 7 dias, os animais foram examinados quanto à presença de infecções por T. vulpis. Sete dos cães do Grupo 1 foram encontrados contendo pelo menos nove T. vulpis. Contagens de parasitas indicaram que a composição contendo oxima milbemicina sozinha tinha uma eficácia de 94% contra T. vulpis, enquanto a composição de mascar macia contendo uma combinação de milbemicina oxima e o Composto A apresentaram uma eficácia de 98% contra T. vulpis. O estudo mostra que as composições de comprimidos mastigáveis macios contendo oxima milbemicina sozinho ou em combinação com um agente ativo isoxazolina (Composto A), são altamente eficazes contra T. vulpis.
[0293] Três Grupos de Tratamento de nove cães naturalmente infectados com A. caninum foram formados. Cães do Grupo 1 não foram tratados. No dia 0 do estudo, os cães dos Grupos 2 e 3 foram tratados com as composições de comprimidos mastigáveis macios descritos no Exemplo 13, contendo oxima milbemicina sozinha (Grupo 2) ou uma combinação de milbemicina oxima e Composto A (Grupo 3) para fornecer doses de 0,5 mg/kg de milbemicina oxima e 2,5 mg/kg de Composto A.
[0294] Após 7 dias, os animais foram examinados quanto à presença de infecções por A. caninum.
[0295] O exame de amostras de fezes antes da administração das composições da mastigação macias confirmou que os cães no estudo derramaram > 50 ovos de ancilóstomos por grama de matéria fecal. Contagens de parasitas indicaram que a composição contendo ou milbemicina oxima sozinha ou uma combinação de milbemicina oxima e o Composto A tiveram eficácias de 95% contra A. caninum. O estudo mostra que as composições de comprimidos mastigáveis macios contendo oxima milbemicina sozinha ou em combinação com um agente ativo isoxazolina (Composto A), são altamente eficazes contra A. caninum.
[0296] Três Grupos de Tratamento de oito cães infectados com D. immitis foram formados. Cães do Grupo 1 não foram tratados. No dia 0 do estudo, os cães do grupo 2 foram tratados com a composição mastigável macio descrito na Tabela 33, contendo 7,5 mg de milbemicina oxima, um agente ativo de lactona macrocíclica, por 2 gramas de formulação macia de mascar para proporcionar uma dose de cerca de 0,5 mg/kg de agente ativo por unidade de peso corporal de animal. Os cães do grupo 3 foram tratados com a composição mastigável macia descrito na Tabela 34, contendo 7,5 mg de milbemicina oxima e 37,5 mg de composto A por 2 gramas de formulação de mascar para administrar doses de 0,5 mg/kg de milbemicina oxima e 2,5 mg/kg de Composto A no dia 0 do estudo.
[0297] Após 119 dias, os animais foram examinados quanto à presença de infecção por D. immitis. Cães no grupo controle exibiram de 0 a 15 vermes adultos de D. immitis (média geométrica de 2,4). Os vermes adultos foram recuperados a partir de 5 dos 8 animais de controle. Nenhum verme foi recuperado a partir de qualquer um dos cães tratados nos grupos 2 e 3. Portanto, o estudo demonstra que as composições de comprimidos mastigáveis macios contendo oxima milbemicina sozinha ou em combinação com um agente ativo isoxazolina (Composto A), são altamente eficazes contra D. immitis (verme do coração) em cães.
[0298] Seguindo um procedimento semelhante ao do Exemplo 16, a eficácia das composições de comprimidos mastigáveis macios que compreendem moxidectina e milbemicina oxima foram avaliadas em relação a D. immitis em cães. Os cães do grupo de tratamento foram tratados com as composições de comprimidos mastigáveis macios contendo moxidectina ou oxima milbemicina descritos nas Tabelas 35 e 36 para proporcionar uma dose de 40 microgramas/kg de moxidectina e 500 microgramas/kg de milbemicina oxima. Na conclusão do estudo, as composições de comprimidos mastigáveis macios foram encontradas tendo um alto grau de eficácia contra o grupo controle não tratado.
[0299] Seguindo um procedimento semelhante ao do Exemplo 16, a eficácia das composições de comprimidos mastigáveis macios compreendendo ivermectina e milbemicina oxima foram avaliadas em relação a D. immitis em cães. Os cães do grupo de tratamento foram tratados com as composições de comprimidos mastigáveis macios contendo ivermectina ou oxima milbemicina descritos nas Tabelas 37 e 39 para fornecer doses de 20 microgramas/kg de ivermectina e 500 microgramas/kg de milbemicina oxima. Na conclusão do estudo, as composições de comprimidos mastigáveis macios foram encontradas tendo um alto grau de eficácia contra o grupo de controle não tratado.
[0300] Conforme os exemplos não limitativos acima demonstram, as composições veterinárias macias mastigáveis da invenção compreendendo pelo menos um agente ativo de isoxazolina mostram uma eficácia de longa duração superior contra ectoparasitas em mamíferos (por exemplo, cães e gatos), e composições compreendendo pelo menos um agente ativo de isoxazolina em combinação com um agente ativo de lactona macrocíclica são altamente eficazes contra os endoparasitas em mamíferos.
[0301] A invenção é ainda descrita nos seguintes parágrafos enumerados:
[0302] 1. Uma composição veterinária macia para mastigar para o tratamento e/ou prevenção de uma infecção ou infestação parasitária em um animal compreendendo: a) (i) pelo menos um agente ativo de isoxazolina de fórmula geral (I): em que A1, A2, A3, A4, A5 e A6 são, independentemente, CR3 ou N, desde que no máximo 3 de A1, A2, A3, A4, A5 e A6 sejam N; B1, B2 e B3 são, independentemente, selecionados do grupo consistindo de CR2 ou N; W é O ou S; R1 representa C1-C6 alquil, C2-C6 alquenil, C2-C6 alquinil, C3-C6 cicloalquil, C4-C7 alquilcicloalquil ou C4-C7 cicloalquilalquil, cada um, opcionalmente, substituído com um ou mais substituintes selecionados de forma independente a partir de R6; cada R2 representa, independentemente, H, halogênio, C1C6 alquil, C1-C6 halogenoalquil, C1-C6 alcóxi, C1-C6 haloalcóxi, C1-C6 alquiltio, C1-C6 6 halogenoalquiltio, C1-C6 alquilsulfinil, C1-C6 haloalquilsulfinilo, C1-C6 alquilsulfonil, C1-C6 haloalquilsulfonil, C1-C6 alquilamino, C2-C6 dialquilamina, C2-C6 alcóxicarbonil, -CN ou -NO2; cada R3 é, independentemente, H, halogênio, C1-C6 alquil, C1-C6 halogenoalquil, C3-C6 cicloalquil, C3-C6 halogenocicloalquil, C1-C6 alcóxi, C1-C6 haloalcóxi, C1-C6 alquiltio, C1-C6 halogenoalquiltio, C1-C6 alquilsulfinil, C1- C6 haloalquilsulfinilo, C1-C6 alquilsulfonil, C1-C6 haloalquilsulfonil, C1-C6 alquilamino, C2-C6 dialquilamino, - CN ou -NO2; R4 representa H, C1-C6 alquil, C2-C6 alquenil, C2-C6 alquinil, C3-C6 cicloalquil, C4-C7 alquilcicloalquil, C4-C7 aril C2-C7 alquilcarbonil ou C2-C7 carbonil; R5 é H, OR10, NR11R12 ou Q1; ou C1-C6 alquil, C2-C6 alquenil, C2 -C6 alquinil, C3-C6 cicloalquil, C4-C7 alquilcicloalquil ou C4-C7 cicloalquilalquil, cada um, opcionalmente, substituído com um ou mais substituintes selecionados independetemente a partir de R7; ou R4 e R5 tomados em conjunto com o nitrogênio ao qual eles estão ligados para formar um anel contendo 2 a 6 átomos de carbono e, opcionalmente, um átomo adicional selecionado a partir do grupo que consiste em N, S e O, o referido anel facultativamente substituído com 1 a 4 substituintes selecionados independentemente a partir do grupo que consiste em C1 -C2 alquil, halogênio, -CN, -N02 e C1-C2 alcóxi; cada R6 representa, independentemente, halogênio, C1-C6 alquil, C1-C6 alcóxi, C1-C6 alquiltio, C1-C6 alquilsulfinil, C1-C6 alquilsulfonil, -CN ou -NO2; cada R7 representa, independentemente, halogênio; C1-C6 alquil, C3-C6 cicloalquil, C1-C6 alcóxi, C1-C6 alquiltio, C1C6 alquilsulfinil, C1-C6 alquilsulfonil, C1-C6 alquilamino, C2-C8 dialquilamino, C3-C6 cicloalquilamino, C2-C7 -carbonil, C2-C7 alcóxi, C2-C7 alquilaminocarbonil, C3-C9 dialquilaminocarbonil, C2-C7 haloalquil, C2-C7 haloalcóxi, C2 - C7 haloalquilaminocarbonil, C3-C9 dihaloalquilaminocarbonil, hidróxi, -NH2, -CN ou -NO2; ou Q2; cada R8 representa, independentemente, halogênio, C1-C6 alcóxi, C1-C6 haloalcóxi, C1-C6 alquiltio, C1-C6 halogenoalquiltio, C1-C6 alquilsulfinilo, C1-C6 haloalquilsulfinilo, C1-C6 alquilsulfonil, C1-C6 haloalquilsulfonil, C1-C6 alquilamino, C2-C6 dialquilamina, C2 -C4 alcóxicarbonil, -CN ou -NO2; cada R9 representa, independentemente, halogênio, C1-C6 alquil, C1-C6 halogenoalquil, C3-C6 cicloalquil, C3-C6 halogenocicloalquil, C1-C6 alcóxi, C1-C6 haloalcóxi, C1-C6 alquiltio, C1-C6 halogenoalquiltio, C1-C6 alquilsulfinilo, C1-C6 haloalquilsulfinilo, C1-C6 alquilsulfonil, C1-C6 haloalquilsulfonil, C1-C6 alquilamino, C2-C6, dialquilamino, -CN, -NO2, fenil ou piridinil; R10 é H; ou C1-C6 alquil, C2-C6 alquenil, C2-C6 alquinil, C3-C6 cicloalquil, C4-C7 alquilcicloalquil ou C4-C7 cicloalquilalquil, cada um opcionalmente substituído com um ou mais átomos de halogênio; R11 representa H, C1-C6 alquil, C2-C6 alquenil, C2-C6 alquinil, C3-C6 cicloalquil, C4-C7 alquilcicloalquil, C4-C7 aril, C2-C7 alquilcarbonil ou C2-C7-carbonil; R12 é H; Q3; ou C1-C6 alquil, C2-C6 alquenil, C2-C6 alquinil, C3-C6 cicloalquil, C4-C7 alquilcicloalquil ou C4-C7 cicloalquilalquil, cada um, opcionalmente, substituído com um ou mais substituintes selecionados, independentemente, a partir de R7; ou R11 e R12 sejam tomados em conjunto com o nitrogênio ao qual eles estão ligados para formar um anel contendo 2 a 6 átomos de carbono e, opcionalmente, um átomo adicional selecionado a partir do grupo que consiste em N, S e O, o referido anel facultativamente substituído com 1 a 4 substituintes selecionados, independentemente, a partir do grupo consistindo de C1-C2 alquil, halogênio, -CN, -NO2 e C1C2 alcóxi; Q1 é um anel fenil, ou um anel heterocíclico de 5 ou 6 membros, ou um sistema de anel bicíclico fundido de 8, 9 ou 10 membros, contendo opcionalmente um até três heteroátomos selecionados a partir de até 1 O, até 1 S, até 3 N, cada anel ou sistema de anel, opcionalmente, substituído com um ou mais substituintes selecionados, independentemente, de R8; cada Q2 representa, independentemente, um anel fenil ou um anel heterocíclico de 5 ou 6 membros, cada anel opcionalmente substituído com um ou mais substituintes selecionados independentemente de R9; Q3 é um anel fenil ou um anel heterocíclico de 5 ou 6 membros, cada anel, opcionalmente, substituído com um ou mais substituintes selecionados, independentemente, de R9; e n é 0, 1 ou 2; ou (ii) pelo menos um agente ativo de ação sistêmica que é ativo contra parasitas internos, em que o agente ativo de ação sistêmica é uma ou mais lactonas macrocíclicas, um ou mais benzimidazóis, levamisol, pirantel, morantel, praziquantel, closantel, clorsulon, uma ou mais agentes ativos de amino acetonitrila, um ou mais reguladores de crescimento de insetos ou um ou mais agentes ativos ariloazol-2-ilo cianoetilamina, ou uma combinação dos mesmos; ou (iii) uma combinação de pelo menos um agente ativo de isoxazolina de fórmula (I) e pelo menos um agente ativo de ação sistêmica, em que o agente ativo de ação sistêmica é um ou mais de lactonas macrocíclicas, um ou mais compostos de espinosina, um ou mais compostos espinosóide, um ou mais dos benzimidazóis, levamisol, pirantel, morantel, praziquantel, closantel, clorsulon, um ou mais de agentes ativos de amino acetonitrila, um ou mais reguladores de crescimento de insetos, um ou mais neonicotinóides ou um ou mais agentes ativos de ariloazol-2-ilo cianoetilamina ou uma combinação dos mesmos; e b) um veículo farmaceuticamente aceitável.
[0303] 2. A composição veterinária macia mastigável do n° 1, em que: W é O; R4 representa H ou C1-C6 alquil; R5 é -CH2C(O)NHCH2CF3; cada um de A1, A2, A3, A4, A5 e A6 representa um grupo CH; R1 representa C1-C6 alquil, cada um, opcionalmente, substituído com um ou mais substituintes, independentemente, selecionados a partir de R6; R 6 é halogênio ou C1-C6 alquil; e B1, B2 e B3 são, independentemente, CH, C-halogênio, C-C1- C6 alquil, C- C1-C6 halogenoalquil ou C-C1-C6 alcóxi.
[0304] 3. A composição veterinária macia mastigável do n° 1, em que: W é O; R1 representa CF3; B2 é CH; B1 é C-Cl; B3 é C-CF 3 ; Cada um de A1, A2, A3, A4, A5 e A6 representa um grupo CH; R4 representa H; e R5 é -CH2C(O)NHCH2CF3.
[0305] 4. A composição veterinária macia para mastigar do número 1, em que o veículo compreende um ou mais materiais de enchimento, pelo menos, um agente aromatizante, pelo menos, um aglutinante, um ou mais solventes, um ou mais agentes surfactantes, pelo menos um umectante, opcionalmente, um antioxidante, e, opcionalmente, um conservante.
[0306] 5. A composição veterinária macia para mastigar do número 4, em que o um ou mais agentes de enchimento é farelo de proteína de soja, amido de milho, ou uma mistura dos mesmos.
[0307] 6. A composição veterinária macia mastigável do número 4, em que o ligante é polivinilpirrolidona ou um polietilenoglicol, ou uma combinação dos mesmos.
[0308] 7. A composição veterinária macia mastigável do número 4, que o solvente é um polietilenoglicol líquido ou um triglicerídeo caprílico/cáprico, ou uma combinação destes.
[0309] 8. A composição veterinária macia mastigável do número 4, em que o surfactante é o polietilenoglicol hidroxiestearato.
[0310] 9. A composição veterinária macia mastigável do número 4, em que o umectante é glicerina.
[0311] 10. A composição veterinária macia mastigável do número 4, em que o agente aromatizante é um sabor artificial de carne ou sabor de bife.
[0312] 11. A composição veterinária macia mastigável do número 4, em que a composição compreende: a) um agente de enchimento selecionado a partir de amido de milho, amido de milho pré-gelatinizado, farinha de glúten de milho e farelo de proteína de soja ou uma combinação destes; b) um solvente selecionado a partir de polietilenoglicóis líquidos, propileno glicol, carbonato de propileno, triglicerídeos caprílico/cáprico, triglicerídeos caprílico/cáprico/linoleico, triglicerídeos caprílico/cáprico, succínicos, propileno glicol dicaprilato/dicaprato, glicerol caprilato/caprato e glicerídeos poliglicolizados ou uma combinação destes; c) um ligante selecionado a partir de polivinilpirrolidona, glicóis de polietileno, copolímeros de acetato de vinila e vinilpirrolidona, amido de batata e amido de milho, ou uma combinação destes; d) um agente umectante selecionado de entre glicerol, propileno glicol, álcool cetílico, monoestearato de glicerina e polietileno-glicóis, ou uma combinação destes; e) um surfactante selecionado a partir de mono-oleato de gliceril, ésteres de ácidos graxos de polioxietileno- sorbitano, ésteres de sorbitano, álcool polivinílico, poli- sorbatos, lauril sulfato de sódio, copolímeros de óxido de etileno e óxido de propileno, propileno glicol monolaurato, glicerol caprilato/caprato, glicerídeos poliglicolizados e polietilenoglicol hidroxiestearato ou uma combinação destes; e f) um sabor natural ou artificial de carne ou bife.
[0313] 12. A composição veterinária macia para mastigar do número 11, em que a composição compreende um composto de fórmula (I) a uma concentração de cerca de 1% a cerca de 20% em peso.
[0314] 13. A composição veterinária macia mastigável do número 12, em que: a) o material de enchimento é uma combinação de amido de milho e farelo de proteína de soja e está presente em uma concentração de cerca de 30% a cerca de 50% (p/p); b) o solvente é uma mistura de polietilenoglicol líquido e triglicerídeos caprílico/cáprico e está presente em uma concentração de cerca de 5% a cerca de 20% (p/p); c) o ligante sendo polietilenoglicol ou polivinilpirrolidona, ou combinação dos mesmos, e está presente em uma concentração de cerca de 5% a cerca de 15% (p/p); d) o umectante é glicerina, e está presente em uma concentração de cerca de 5% a cerca de 20%; e) o surfactante é o polietilenoglicol 12- hidroxiestearato ou óleo de rícino polioxil hidrogenado e está presente em uma concentração de cerca de 1% a cerca de 5% (p/p).
[00314] 14. A composição veterinária macia para mastigar do número 12, em que o composto de Fórmula (I) está presente em uma concentração de cerca de 1% a cerca de 5% em peso.
[00315] 15. A composição veterinária macia para mastigar do número 12, em que o composto de Fórmula (I) está presente em uma concentração de cerca de 10% a cerca de 20% em peso.
[00316] 16. A composição veterinária macia para mastigar do número 1, em que a composição compreende um agente ativo de ação sistêmica que é ativo contra selecionado a partir do grupo que consiste em um ou mais lactonas macrocíclicas, um ou mais compostos de espinosina, um ou mais compostos de espinosóide, um ou mais benzimidazóis, levamisol, pirantel, morantel, praziquantel, closantel, clorsulon, um ou mais agentes ativos de amino acetonitrila, um ou mais reguladores de crescimento de insetos, um ou mais neonicotinóides e um ou mais agentes ativos ariloazol-2-ilo cianoetilamina, ou uma combinação dos mesmos.
[00317] 17. A composição veterinária macia para mastigar do número 1, em que a composição compreende uma combinação de pelo menos um agente ativo de isoxazolina de fórmula (I) e pelo menos um agente ativo de ação sistêmica selecionado a partir do grupo que consiste em uma ou mais lactonas macrocíclicas, um ou mais compostos de espinosina, um ou mais compostos espinosóide, um ou mais benzimidazóis, levamisol, pirantel, morantel, praziquantel, closantel, clorsulon, um ou mais agentes ativos de amino acetonitrila, um ou mais reguladores de crescimento de insetos, um ou mais neonicotinóides e um ou mais agentes ativos de ariloazol-2- il cianoetilamina, ou uma combinação dos mesmos.
[00318] 18. A composição veterinária macia mastigável do número 17, no qual a lactona macrocíclica é eprinomectina, ivermectina, selamectina, milbemectina, milbemicina D, milbemicina oxima ou moxidectina, ou uma combinação destas.
[00319] 19. A composição veterinária macia mastigável do número 17, em que o agente ativo isoxazolina é 4-[5-[3- cloro-5-(trifluorometil)fenil]-4,5-dihidro-5-(trifluorometil)-3- isoxazolil]-N-[2-oxo-2-[(2,2,2-trifluoroetil)amino]etil]-1- naftalenocarboxamida e o agente ativo de ação sistêmica é, uma avermectina, milbemicina oxima ou moxidectina ou uma combinação dos mesmos.
[00320] 20. Um método para o tratamento e/ou prevenção de uma infestação e/ou infecção parasítica em um animal compreendendo a administração ao animal de uma quantidade eficaz da composição veterinária macia para mastigar de acordo com o número 1 para o animal.
[00321] 21. O método do número 20, em que a composição compreende um agente ativo isoxazolina, e em que o agente ativo isoxazolina é 4-[5-[3-cloro-5-(trifluorometil)fenil]- 4,5-dihidro-5-(trifluorometil)-3-isoxazolil]-N-[2-oxo-2- [(2,2,2-trifluoroetil)amino]etil]-l-nafitalenocarboxamida.
[00322] 22. O método do número 20, em que a composição macia mastigável compreende um ingrediente ativo de ação sistêmica selecionado a partir do grupo que consiste em um ou mais compostos de avermectina ou milbemicina, um ou mais agentes ativos de benzimidazol, um ou mais compostos de uma espinosina, um ou mais compostos de espinosóide, levamisol, morantel, pirantel, praziquantel, closantel, clorsulon, um ou mais agentes ativos de amino acetonitrila, um ou mais reguladores de crescimento de insetos, um ou mais neonicotinóides e um ou mais agentes ativos ariloazol-2-ilo cianoetilamina, ou uma combinação dos mesmos.
[00323] 23. O método do número 20, no qual o parasita são pulgas ou carrapatos.
[00324] 24. O método do número 21, em que o parasita é um nematoide, um cestoide, um trematódeo ou um parasita filarial.
[00325] 25. Uso de um composto de fórmula (I) no n° 1 para a fabricação de uma composição veterinária macia mastigável para o tratamento e/ou prevenção de uma infestação e/ou infecção parasítica em um animal.
[00326] Tendo assim descrito em várias concretizações detalhadas da presente invenção, é para ser entendido que a invenção definida pelos parágrafos acima não é para ser limitada aos detalhes específicos estabelecidos na descrição acima de como muitas variações evidentes da mesma são possíveis sem se afastarem do espírito ou escopo da presente invenção.
Claims (44)
1. Composição veterinária macia para mastigar para o tratamento e/ou prevenção de uma infecção ou infestação parasitária em um animal caracterizada pelo fato de que compreende: a) uma combinação de (i) pelo menos um agente ativo isoxazolina de fórmula geral (I): em que A1, A2, A3, A4, A5 e A6 são, cada um CH; B1, B2 e B3 são, independentemente, CH, C-halogênio, C- C1-C6 alquil, C-C1-C6 haloalquil ou C-C1-C6 alcóxi; W é O; R1 é C1-C6 alquil opcionalmente, substituído com um ou mais substituintes selecionados de forma independente a partir de R6; R4 é H, C1-C6 alquil; R5 é -CH2C(O)NHCH2CF3; ou cada R6 é, independentemente, halogênio; e n é 0, 1 ou 2; e (ii) pelo menos um agente ativo de ação sistêmica, em que o agente ativo de ação sistêmica é um ou mais de lactonas macrocíclicas, um ou mais compostos de espinosina, um ou mais compostos espinosóide, um ou mais dos benzimidazóis, levamisol, pirantel, morantel, praziquantel, closantel, clorsulon, um ou mais de agentes ativos de amino acetonitrila, um ou mais reguladores de crescimento de insetos, um ou mais neonicotinóides ou um ou mais agentes ativos de ariloazol-2-ilo cianoetilamina ou uma combinação dos mesmos; e b) um veículo farmaceuticamente aceitável, em que o veículo farmaceuticamente aceitável compreende um ou mais surfactantes, e em que o surfactante é selecionado dentre estearato de polietilenoglicol e hidroxiestearato de polietilenoglicol.
3. Composição veterinária macia para mastigar, de acordo com qualquer uma das reivindicações 1 a 2, caracterizada pelo fato de que a composição compreende uma ou mais lactonas macrocíclicas, um ou mais compostos espinosina, um ou mais compostos espinosóide, pirantel, praziquantel, um ou mais reguladores do crescimento de insetos, ou uma combinação dos mesmos.
4. Composição veterinária macia para mastigar, de acordo com a reivindicação 3, caracterizada pelo fato de que a composição compreende uma ou mais lactonas macrocíclicas e em que a uma ou mais lactona macrocíclica é um agente ativo avermectina ou milbemicina.
5. Composição veterinária macia para mastigar, de acordo com a reivindicação 4, caracterizada pelo fato de que o agente ativo avermectina ou milbemicina é selecionado do grupo que consiste em eprinomectina, evermectina, selamectina abamectina, emamectina, latidectina, lepimectina, milbemectina, milbemicina D, milbemicina oxima e moxidectina e combinações dos mesmos.
6. Composição veterinária macia para mastigar, de acordo com a reivindicação 5, caracterizada pelo fato de que o agente ativo avermectina ou milbemicina é eprinomectina, ivermectina, milbemicina oxima ou moxidectina.
7. Composição veterinária macia para mastigar, de acordo com a reivindicação 6, caracterizada pelo fato de que o agente ativo avermectina ou milbemicina é milbemicina oxima.
8. Composição veterinária macia para mastigar, de acordo com a reivindicação 3, caracterizada pelo fato de que a composição compreende praziquantel.
9. Composição veterinária macia para mastigar, de acordo com qualquer uma das reivindicações 1 a 8, caracterizada pelo fato de que o veículo farmaceuticamente aceitável compreende um ou mais agentes de enchimentos.
10. Composição veterinária macia para mastigar, de acordo com qualquer uma das reivindicações 1 a 8, caracterizada pelo fato de que o veículo farmaceuticamente aceitável compreende um ou mais agentes ligantes.
11. Composição veterinária macia para mastigar, de acordo com qualquer uma das reivindicações 1 a 8, caracterizada pelo fato de que o veículo farmaceuticamente aceitável compreende um ou mais solventes.
12. Composição veterinária macia para mastigar, de acordo com qualquer uma das reivindicações 1 a 8, caracterizada pelo fato de que o veículo farmaceuticamente aceitável compreende um ou mais umectantes.
13. Composição veterinária macia para mastigar, de acordo com qualquer uma das reivindicações 1 a 8, caracterizada pelo fato de que compreende um ou mais lubrificantes.
14. Composição veterinária macia para mastigar, de acordo com qualquer uma das reivindicações 1 a 8, caracterizada pelo fato de que o veículo farmaceuticamente aceitável compreende ainda: (i) um ou mais agentes de enchimento; (ii) um ou mais agentes ligantes; e (iii) um ou mais solventes.
15. Composição veterinária macia para mastigar, de acordo com qualquer uma das reivindicações 1 a 8, caracterizada pelo fato de que o veículo farmaceuticamente aceitável compreende ainda: (i) um ou mais agentes de enchimento; (ii) um ou mais agentes ligantes; e (iii) um ou mais lubrificantes.
16. Composição veterinária macia para mastigar, de acordo com qualquer uma das reivindicações 1 a 8, caracterizada pelo fato de que o veículo farmaceuticamente aceitável compreende ainda: (i) um ou mais agentes de enchimento; (ii) um ou mais agentes ligantes; e (iii) um ou mais umectantes.
17. Composição veterinária macia para mastigar, de acordo com qualquer uma das reivindicações 1 a 8, caracterizada pelo fato de que o veículo compreende ainda um ou mais agentes de enchimento, pelo menos um agente aromatizante, pelo menos um ligante, um ou mais solventes, um ou mais surfactantes, pelo menos um umectante, opcionalmente, um antioxidante, e, opcionalmente, um conservante.
18. Composição veterinária macia para mastigar, de acordo com qualquer uma das reivindicações 1 a 17, caracterizada pelo fato de que o surfactante é selecionado dentre estearato de polioxil 8 (monoestearato de PEG 400), estearato de polioxil 40 (monoestearato de PEG 1750) 12- hidroxiestearato de polietileno glicol e 12- hidroxiestearato de polietileno glicol 15.
19. Composição veterinária macia para mastigar, de acordo com qualquer uma das reivindicações 1 a 18, caracterizada pelo fato de que o surfactante é hidroxiestearato de polietilenoglicol.
20. Composição veterinária macia para mastigar, de acordo com a reivindicação 19, caracterizada pelo fato de que o surfactante é 12-hidroxiestearato de polietileno glicol.
21. Composição veterinária macia para mastigar, de acordo com a reivindicação 19, caracterizada pelo fato de que o surfactante é 12-hidroxiestearato de polietileno glicol 15.
22. Composição veterinária macia para mastigar, de acordo com qualquer uma das reivindicações 9 e 14 a 21, caracterizada pelo fato de que o um ou mais agentes de enchimento é farelo de proteína de soja, amido de milho, ou uma mistura dos mesmos.
23. Composição veterinária macia para mastigar, de acordo com qualquer uma das reivindicações 10 e 14 a 21, caracterizada pelo fato de que o agente ligante é polivinilpirrolidona, um copolímero de acetato de vinila e vinipirrolidona, ou um polietilenoglicol, ou uma combinação dos mesmos.
24. Composição veterinária macia mastigável, de acordo com a reivindicação 23, caracterizada pelo fato de que o ligante é polivinilpirrolidona ou um polietileno glicol ou uma combinação dos mesmos.
25. Composição veterinária macia mastigável, de acordo com qualquer uma das reivindicações 11, 14 e 17 a 22, caracterizada pelo fato de que o solvente é um polietileno glicol líquido ou um triglicerídeo caprílico/cáprico ou uma combinação destes.
26. Composição veterinária macia mastigável, de acordo com qualquer uma das reivindicações 12, 16 e 17 a 22, caracterizada pelo fato de que o umectante é glicerina, propilenoglicol, álcool cetílico ou monoestearato de glicerol.
27. Composição veterinária macia mastigável, de acordo com a reivindicação 26, caracterizada pelo fato de que o umectante é glicerina.
28. Composição veterinária macia mastigável, de acordo com a reivindicação 17, caracterizada pelo fato de que o agente aromatizante é um sabor artificial de carne ou sabor artificial de bife.
29. Composição veterinária macia mastigável, de acordo com a reivindicação 17, caracterizada pelo fato de que a composição compreende: a) um agente de enchimento selecionado a partir de amido de milho, amido de milho pré-gelatinizado, farinha de glúten de milho e farelo de proteína de soja e uma combinação destes; b) um solvente selecionado a partir de polietilenoglicóis líquidos, propileno glicol, carbonato de propileno, triglicerídeos caprílico/cáprico, triglicerídeos caprílico/cáprico/linoleico, triglicerídeos caprílico/cáprico/succínicos, propileno glicol dicaprilato/dicaprato, glicerol caprilato/caprato e glicerídeos poliglicolizados e uma combinação destes; c) um ligante selecionado a partir de polivinilpirrolidona, polietilenoglicóis, copolímeros de acetato de vinila e vinilpirrolidona, amido de batata e amido de milho, e uma combinação destes; d) um agente umectante selecionado a partir de glicerol, propileno glicol, álcool cetílico, monoestearato de glicerina e polietileno-glicóis, e uma combinação destes; e e) um sabor natural ou artificial de carne ou bife.
30. Composição veterinária macia para mastigar, de acordo com qualquer uma das reivindicações 1 a 29, caracterizada pelo fato de que a composição compreende um composto de fórmula (I) a uma concentração de cerca de 1% a cerca de 20% em peso.
31. Composição veterinária macia mastigável, de acordo com a reivindicação 29, caracterizada pelo fato de que: a) o agente de enchimento é uma combinação de amido de milho e farelo de proteína de soja e está presente em uma concentração de cerca de 30% a cerca de 60% (p/p); b) o solvente é uma mistura de polietileno glicol líquido e triglicerídeos caprílico/cáprico e está presente em uma concentração de cerca de 5% a cerca de 20% (p/p); c) o ligante sendo polietilenoglicol ou polivinilpirrolidona, ou combinação dos mesmos, e está presente em uma concentração de cerca de 5% a cerca de 15% (p/p); d) o umectante é glicerina, e está presente em uma concentração de cerca de 5% a cerca de 20%; e) o surfactante é 12-hidroxiestearato de polietileno glicol e está presente em uma concentração de cerca de 1% a cerca de 5% (p/p).
32. Composição veterinária macia para mastigar, de acordo com qualquer uma das reivindicações 1 a 31, caracterizada pelo fato de que o composto de Fórmula (I) está presente em uma concentração de cerca de 1% a cerca de 5% em peso.
33. Composição veterinária macia para mastigar, de acordo com qualquer uma das reivindicações 1 a 31, caracterizada pelo fato de que o composto de Fórmula (I) está presente em uma concentração de cerca de 10% a cerca de 20% em peso.
34. Composição veterinária macia mastigável, de acordo com qualquer uma das reivindicações 9 e 14 a 21, caracterizada pelo fato de que o agente de enchimento está presente em uma concentração de 35 a 55% em peso.
35. Composição veterinária macia mastigável, de acordo com qualquer uma das reivindicações 10 e 14 a 21, caracterizada pelo fato de que o ligante está presente em uma concentração de 5% a 10% em peso.
36. Composição veterinária macia mastigável, de acordo com qualquer uma das reivindicações 12 e 16 a 21, caracterizada pelo fato de que o umectante está presente em uma concentração de 5% a 15% em peso.
37. Composição veterinária macia mastigável, de acordo com qualquer uma das reivindicações 11 e 17 a 21, caracterizada pelo fato de que o solvente está presente em uma concentração de 5% a 15% em peso.
38. Composição veterinária macia mastigável, de acordo com qualquer uma das reivindicações 1 a 37, caracterizada pelo fato de que o surfactante está presente em uma concentração de 1% a 5% em peso.
39. Composição veterinária macia mastigável, de acordo com a reivindicação 1, caracterizada pelo fato de ser selecionada do grupo que consiste em: a) Composto A (ativo): 1,89% p/p Milbemicina oxima (ativo): 0,375% p/p Farelo de proteína de soja (enchimento): 20,0 (QS) Amido de milho (enchimento): 24,7% p/p sabor de bife (aromatizante): 20,2% p/p Povidona K-30 (ligante): 2,7% p/p PEG 400 (solvente): 7,1% p/p PEG 4000 (ligante): 6,3% p/p 12-hidroxiestearato de polietilenoglicol (surfactante): 3,0% p/p Glicerina (umectante): 10,1% p/p Triglicerídeos caprílico/cáprico (solvente/ lubrificante): 3,1% p/p Sorbato de potássio (conservante): 0,3% p/p BHT (antioxidante): 0,14% p/p b) Composto A (ativo): 1,875% p/p Milbemicina oxima (ativo): 0,375% p/p Farelo de proteína de soja (enchimento): 19,4 (QS) Amido de milho (enchimento): 25,0% p/p sabor de bife (aromatizante): 20,0% p/p Povidona K-30 (ligante): 2,75% p/p PEG 400 (solvente): 7,1% p/p PEG 4000 (ligante): 6,35% p/p 12-hidroxiestearato de polietilenoglicol (surfactante): 3,1% p/p Glicerina (umectante): 10,0% p/p Triglicerídeos caprílico/cáprico (solvente/ lubrificante): 3,15% p/p Sorbato de potássio (conservante): 0,3% p/p BHT (antioxidante): 0,14% p/p Monohidrato de ácido cítrico (modificador do pH): 0,50% p/p c) Composto A (ativo): 1,875% p/p Milbemicina oxima (ativo): 0,375% p/p Amido de milho (enchimento): 20,0% p/p Farelo de proteína de soja (enchimento): 28,3 (QS) sabor de bife (aromatizante): 25,0% p/p Povidona K-30 (ligante): 6,0% p/p PEG 400 (solvente): 12,0% p/p 12-hidroxiestearato de polietilenoglicol (surfactante): 3,0% p/p Triglicerídeos caprílico/cáprico (solvente/ lubrificante): 3,0% p/p Sorbato de potássio (conservante): 0,3% p/p BHT (antioxidante): 0,14% p/p d) Moxidectina (ativo): 0,03% p/p Milbemicina oxima (ativo): 0,375% p/p Composto A (ativo): 1,875% p/p Farelo de proteína de soja (enchimento): 23 (QS) Amido (enchimento): 21% p/p sabor de bife (aromatizante): 20% p/p Povidona K-30 (ligante): 2,75% p/p PEG 400 (solvente): 7,1% p/p 12-hidroxiestearato de polietilenoglicol (surfactante): 3,1% p/p PEG 4000 (ligante): 6,35% p/p Triglicerídeos caprílico/cáprico (solvente/ lubrificante): 3,15% p/p Glicerina (umectante): 10,0% p/p Sorbato de potássio (conservante): 0,3% p/p BHT (antioxidante): 0,14% p/p Ácido cítrico (conservante): 0,5% p/p e) Ivermectina (ativo): 0,015% p/p Milbemicina oxima (ativo): 0,375% p/p Composto A (ativo): 1,875% p/p Farelo de proteína de soja (enchimento): 19,3 (QS) Amido de milho (enchimento): 25% p/p sabor de bife (aromatizante): 20% p/p Povidona K-30 (ligante): 2,75% p/p PEG 400 (solvente): 7,1% p/p 12-hidroxiestearato de polietilenoglicol (surfactante): 3,1% p/p PEG 4000 (ligante): 6,35% p/p Triglicerídeos caprílico/cáprico (solvente/ lubrificante): 3,15% p/p Glicerina (umectante): 10,0% p/p Sorbato de potássio (conservante): 0,3% p/p BHT (antioxidante): 0,14% p/p Ácido cítrico (conservante): 0,5% p/p; e f) Moxidectina (ativo): 0,03% p/p Milbemicina oxima (ativo): 0,375% p/p Composto A (ativo): 1,875% p/p Farelo de proteína de soja (enchimento): 19,3 (QS) Amido de milho (enchimento): 25% p/p sabor de bife (aromatizante): 20% p/p Povidona K-30 (ligante): 2,75% p/p PEG 400 (solvente): 7,1% p/p 12-hidroxiestearato de polietilenoglicol (surfactante): 3,1% p/p PEG 4000 (ligante): 6,35% p/p Triglicerídeos caprílico/cáprico (solvente/ lubrificante): 3,15% p/p Glicerina (umectante):10,0% p/p Sorbato de potássio (conservante): 0,3% p/p BHT (antioxidante): 0,14% p/p Ácido cítrico (conservante): 0,5% p/p em que o composto A é
40. Uso de uma quantidade efetiva da composição veterinária macia para mastigar conforme definida pela reivindicação 1 caracterizado pelo fato de que é para preparação de um medicamento para o tratamento e/ou prevenção de uma infestação e/ou infecção parasítica em um animal.
41. Uso, de acordo com a reivindicação 40, caracterizado pelo fato de que a composição compreende um agente ativo isoxazolina, e em que o agente ativo isoxazolina é o 4-[5-[3-cloro-5-(trifluorometil)fenil]-4,5- dihidro-5-(trifluorometil)-3-isoxazolil]-N-[2-oxo-2-[(2,2,2- trifluoroetil) amino]etil]-1-nafitalenocarboxamida.
42. Uso, de acordo com a reivindicação 40, caracterizado pelo fato de que a composição macia mastigável compreende um ingrediente ativo de ação sistêmica selecionado a partir do grupo que consiste em um ou mais compostos de avermectina ou milbemicina, um ou mais agentes ativos de benzimidazol, um ou mais compostos de uma espinosina, um ou mais compostos de espinosóide, levamisol, morantel, pirantel, praziquantel, closantel, clorsulon, um ou mais agentes ativos de amino acetonitrila, um ou mais reguladores de crescimento de insetos, um ou mais neonicotinóides e um ou mais agentes ativos ariloazol-2-ilo cianoetilamina, ou uma combinação dos mesmos.
43. Uso, de acordo com a reivindicação 40, caracterizado pelo fato de que o parasita são pulgas ou carrapatos.
44. Uso, de acordo com a reivindicação 41, caracterizado pelo fato de que o parasita é um nematóide, um cestóide, um trematódeo ou um parasita filarial.
Applications Claiming Priority (4)
| Application Number | Priority Date | Filing Date | Title |
|---|---|---|---|
| US201261595463P | 2012-02-06 | 2012-02-06 | |
| US61/595,463 | 2012-02-06 | ||
| PCT/US2013/023969 WO2013119442A1 (en) | 2012-02-06 | 2013-01-31 | Parasiticidal oral veterinary compositions comprising systemically-acting active agents, methods and uses thereof |
| BR112014019262-6A BR112014019262B1 (pt) | 2012-02-06 | 2013-01-31 | Composições orais veterinárias parasíticas compreendendo ingredientes ativos de ação sistêmica, métodos e uso das mesmas |
Publications (1)
| Publication Number | Publication Date |
|---|---|
| BR122020022192B1 true BR122020022192B1 (pt) | 2021-12-07 |
Family
ID=47684067
Family Applications (2)
| Application Number | Title | Priority Date | Filing Date |
|---|---|---|---|
| BR122020022192-5A BR122020022192B1 (pt) | 2012-02-06 | 2013-01-31 | Composições orais veterinárias parasíticas compreendendo ingredientes ativos de ação sistêmica, métodos e uso das mesmas |
| BR112014019262-6A BR112014019262B1 (pt) | 2012-02-06 | 2013-01-31 | Composições orais veterinárias parasíticas compreendendo ingredientes ativos de ação sistêmica, métodos e uso das mesmas |
Family Applications After (1)
| Application Number | Title | Priority Date | Filing Date |
|---|---|---|---|
| BR112014019262-6A BR112014019262B1 (pt) | 2012-02-06 | 2013-01-31 | Composições orais veterinárias parasíticas compreendendo ingredientes ativos de ação sistêmica, métodos e uso das mesmas |
Country Status (52)
Families Citing this family (54)
| Publication number | Priority date | Publication date | Assignee | Title |
|---|---|---|---|---|
| RS61048B1 (sr) * | 2011-09-12 | 2020-12-31 | Boehringer Ingelheim Animal Health Usa Inc | Paraziticidne kompozicije koje sadrže izoksazolin aktivni agens, postupak i njihove primene |
| ES2720201T3 (es) * | 2012-02-06 | 2019-07-18 | Merial Inc | Composiciones parasiticidas orales veterinarias que comprenden agentes activos de acción sistémica y usos de las mismas |
| US20150057321A1 (en) * | 2012-04-04 | 2015-02-26 | Intervet Inc. | Soft chewable pharmaceutical products |
| AU2013245478A1 (en) * | 2012-11-01 | 2014-05-15 | Sumitomo Chemical Company, Limited | Method for administering agent for controlling ectoparasite to dog |
| US9532946B2 (en) | 2012-11-20 | 2017-01-03 | Intervet Inc. | Manufacturing of semi-plastic pharmaceutical dosage units |
| US10543170B2 (en) | 2012-12-19 | 2020-01-28 | Bayer Animal Health Gmbh | Tablets with improved acceptance and good storage stability |
| SMT201800309T1 (it) | 2013-01-31 | 2018-07-17 | Merial Inc | Metodo per trattare e curare leishmaniosi utilizzando fexinidazolo |
| CA2906295C (en) * | 2013-03-15 | 2019-01-22 | Argenta Manufacturing Limited | Chewable formulation |
| AU2014332597A1 (en) * | 2013-10-07 | 2016-04-28 | Nexan Ip Holdings Limited | Veterinary formulations and methods |
| SG11201603430XA (en) * | 2013-11-01 | 2016-05-30 | Merial Ltd | Antiparasitic and pesticidal isoxazoline compounds |
| DK3079474T3 (da) | 2013-12-10 | 2019-09-16 | Intervet Int Bv | Anvendelse af isoxazolinforbindelser mod parasiter |
| JP6706262B2 (ja) | 2014-12-22 | 2020-06-03 | インターベット インターナショナル ベー. フェー. | 毛包虫症治療のためのイソオキサゾリン化合物の使用 |
| UY36570A (es) | 2015-02-26 | 2016-10-31 | Merial Inc | Formulaciones inyectables de acción prolongada que comprenden un agente activo isoxazolina, métodos y usos de las mismas |
| WO2016155815A1 (en) * | 2015-04-01 | 2016-10-06 | Ceva Sante Animale | Oral solid dosage form of amlodipine and veterinary uses thereof |
| EP3280413A1 (en) | 2015-04-08 | 2018-02-14 | Merial, Inc. | Extended release injectable formulations comprising an isoxazoline active agent, methods and uses thereof |
| SG10202103403SA (en) | 2015-05-20 | 2021-05-28 | Boehringer Ingelheim Animal Health Usa Inc | Anthelmintic depsipeptide compounds |
| US10675252B2 (en) | 2015-12-05 | 2020-06-09 | Canna-B Cure Ltd | Veterinary composition and methods for production and use |
| UY37137A (es) | 2016-02-24 | 2017-09-29 | Merial Inc | Compuestos antiparasitarios de isoxazolina, formulaciones inyectables de acción prolongada que los comprenden, métodos y usos de los mismos |
| MD1164Z (ro) * | 2016-03-24 | 2018-02-28 | Институт Зоологии Академии Наук Молдовы | Compoziţie şi procedeu de alimentare şi deparazitare a fazanilor |
| WO2018039508A1 (en) | 2016-08-25 | 2018-03-01 | Merial, Inc. | Method for reducing unwanted effects in parasiticidal treatments |
| WO2018071535A1 (en) | 2016-10-14 | 2018-04-19 | Merial, Inc. | Pesticidal and parasiticidal vinyl isoxazoline compounds |
| US11382949B2 (en) | 2016-11-16 | 2022-07-12 | Boehringer Ingelheim Animal Health USA Inc. | Anthelmintic depsipeptide compounds |
| DE18837223T1 (de) | 2017-07-26 | 2020-03-26 | Tgx Soft Chew, Llc | Stärkefreier weicher kausnack für veterinärmedizinische anwendungen |
| WO2019036407A1 (en) | 2017-08-14 | 2019-02-21 | Merial, Inc. | PYRAZOLE-ISOXAZOLINE COMPOUNDS WITH PESTICIDE AND PARASITICIDE ACTIVITY |
| EP3668492A1 (en) * | 2017-08-17 | 2020-06-24 | Ceva Sante Animale | Oral compositions and the preparation methods thereof |
| US11872208B2 (en) | 2017-11-23 | 2024-01-16 | Ceva Sante Animale | Composition for treating parasites infestations |
| AU2018385363B2 (en) * | 2017-12-12 | 2024-06-13 | Intervet International B.V. | Implantable isoxazoline pharmaceutical compositions and uses thereof |
| TWI812673B (zh) * | 2018-02-12 | 2023-08-21 | 美商富曼西公司 | 用於防治無脊椎害蟲之萘異噁唑啉化合物 |
| KR101881318B1 (ko) * | 2018-03-21 | 2018-07-26 | 케이엘건설 주식회사 | 내항균성이 우수한 pet계 수지조성물, 이 pet계 수지조성물이 코팅된 방수/방근 시트, 이 방수/방근 시트를 이용한 방수/방근 공법 |
| CN108669309A (zh) * | 2018-05-21 | 2018-10-19 | 山东福禾菌业科技有限公司 | 一种利用食用菌菌渣生产动物饲料的工艺 |
| IL279977B2 (en) | 2018-07-09 | 2024-06-01 | Boehringer Ingelheim Animal Health Usa Inc | Heterocyclic anthelmintic compounds |
| EP3846786B1 (en) | 2018-09-05 | 2024-11-13 | Zoetis Services LLC | Palatable antiparasitic formulations |
| AR116524A1 (es) * | 2018-10-04 | 2021-05-19 | Elanco Tiergesundheit Ag | Potenciación de tratamiento de helmintos |
| US11773066B2 (en) | 2018-11-20 | 2023-10-03 | Boehringer Ingelheim Animal Health USA Inc. | Indazolylcyanoethylamino compound, compositions of same, method of making, and methods of using thereof |
| US11560388B2 (en) | 2019-03-19 | 2023-01-24 | Boehringer Ingelheim Vetmedica Gmbh | Anthelmintic aza-benzothiophene and aza-benzofuran compounds |
| KR102295230B1 (ko) * | 2019-06-14 | 2021-08-30 | 이종혁 | 반려동물 구취 억제용 껌과자 및 그 제조방법 |
| WO2021013825A1 (en) | 2019-07-22 | 2021-01-28 | Intervet International B.V. | Soft chewable veterinary dosage form |
| KR102166746B1 (ko) | 2019-08-27 | 2020-10-19 | 민필홍 | 과산화지질 생성 억제 효과를 가지는 가축 사료용 조성물 및 그의 제조방법 |
| AU2021278871A1 (en) | 2020-05-28 | 2023-01-19 | Boehringer Ingelheim Animal Health USA Inc. | Bi-modal release intra-ruminal capsule device and methods of use thereof |
| CA3183100A1 (en) | 2020-05-29 | 2021-12-02 | Boehringer Ingelheim Pharma Gmbh & Co. Kg | Anthelmintic heterocyclic compounds |
| AU2021311722A1 (en) | 2020-07-24 | 2023-02-02 | Elanco Us Inc. | Process for making an isoxazoline compound and intermediate thereof |
| MX2023007150A (es) | 2020-12-18 | 2023-09-04 | Boehringer Ingelheim Animal Health Usa Inc | Compuestos de pirazol que contienen boro, composiciones que los comprenden, métodos y usos de los mismos. |
| WO2022140728A1 (en) | 2020-12-21 | 2022-06-30 | Boehringer Ingelheim Animam Health Usa Inc. | Parasiticidal collar comprising isoxazoline compounds |
| KR20230162001A (ko) * | 2021-03-11 | 2023-11-28 | 인 더 보울 애니멀 헬스, 인크. | 갯과에서 진드기 감염을 방제하기 위한 경구용 갯과 사료 및 방법 |
| WO2022192614A1 (en) * | 2021-03-11 | 2022-09-15 | In The Bowl Animal Health, Inc. | Oral canine feed and methods for controlling flea infestations in a canine |
| EP4304605A4 (en) * | 2021-03-11 | 2025-01-22 | In the Bowl Animal Health, Inc. | FOOD AND METHODS FOR CONTROLLING TICK INFESTATIONS IN A MAMMAL |
| AR127495A1 (es) | 2021-11-01 | 2024-01-31 | Boehringer Ingelheim Vetmedica Gmbh | Compuestos de pirrolopiridazina como antihelmínticos |
| EP4447702A2 (en) * | 2021-12-17 | 2024-10-23 | Kemin Industries, Inc. | Compositions containing organic acids and their esters to prevent mold contamination in animal feed |
| WO2023126969A1 (en) * | 2021-12-30 | 2023-07-06 | Laurus Labs Limited | Oral films of anit-parasitic drugs |
| WO2023198476A1 (en) | 2022-04-15 | 2023-10-19 | Krka, D.D., Novo Mesto | Soft chewable veterinary dosage form |
| WO2024007014A2 (en) * | 2022-06-30 | 2024-01-04 | Board Of Trustees Of The University Of Arkansas | Process for treating livestock exposed to toxic forage using melatonin compositions |
| FR3138315A1 (fr) | 2022-07-27 | 2024-02-02 | Virbac | Produit à usage vétérinaire et procédé pour sa fabrication |
| UA130006C2 (uk) | 2023-08-07 | 2025-10-08 | Юрій Юрійович Синиця | Водорозчинний комплекс афоксоланера, спосіб його отримання та ветеринарні протипаразитарні препарати, що його містять |
| WO2025257633A1 (en) | 2024-06-12 | 2025-12-18 | Boehringer Ingelheim Vetmedica Gmbh | Long-acting castor oil-containing injectable formulations and methods of use thereof |
Family Cites Families (203)
| Publication number | Priority date | Publication date | Assignee | Title |
|---|---|---|---|---|
| US3486186A (en) | 1967-05-08 | 1969-12-30 | Hollymatic Corp | Molding apparatus |
| NL160809C (nl) | 1970-05-15 | 1979-12-17 | Duphar Int Res | Werkwijze ter bereiding van benzoylureumverbindingen, alsmede werkwijze ter bereiding van insekticide prepara- ten op basis van benzoylureumverbindingen. |
| US3887964A (en) | 1972-01-24 | 1975-06-10 | Formax Inc | Food patty molding machine |
| US3950360A (en) | 1972-06-08 | 1976-04-13 | Sankyo Company Limited | Antibiotic substances |
| JPS4914624A (pt) | 1972-06-08 | 1974-02-08 | ||
| US3818047A (en) | 1972-08-07 | 1974-06-18 | C Henrick | Substituted pyrones |
| US3952478A (en) | 1974-10-10 | 1976-04-27 | Formax, Inc. | Vacuum sheet applicator |
| US4054967A (en) | 1975-10-20 | 1977-10-25 | Formax, Inc. | Food patty molding machine |
| SE434277B (sv) | 1976-04-19 | 1984-07-16 | Merck & Co Inc | Sett att framstella nya antihelmintiskt verkande foreningar genom odling av streptomyces avermitilis |
| CH604517A5 (pt) | 1976-08-19 | 1978-09-15 | Ciba Geigy Ag | |
| US4284652A (en) | 1977-01-24 | 1981-08-18 | The Quaker Oats Company | Matrix, product therewith, and process |
| US4134973A (en) | 1977-04-11 | 1979-01-16 | Merck & Co., Inc. | Carbohydrate derivatives of milbemycin and processes therefor |
| US4199569A (en) | 1977-10-03 | 1980-04-22 | Merck & Co., Inc. | Selective hydrogenation products of C-076 compounds and derivatives thereof |
| US4144352A (en) | 1977-12-19 | 1979-03-13 | Merck & Co., Inc. | Milbemycin compounds as anthelmintic agents |
| US4182003A (en) | 1978-02-28 | 1980-01-08 | Formax, Inc. | Food patty molding machine |
| US4203976A (en) | 1978-08-02 | 1980-05-20 | Merck & Co., Inc. | Sugar derivatives of C-076 compounds |
| US4338702A (en) | 1979-03-29 | 1982-07-13 | Holly Harry H | Apparatus for making a ground food patty |
| US4334339A (en) | 1980-05-12 | 1982-06-15 | Hollymatic Corporation | Mold device with movable compression insert |
| US4356595A (en) | 1980-11-07 | 1982-11-02 | Formax, Inc. | Method and apparatus for molding food patties |
| US4327076A (en) | 1980-11-17 | 1982-04-27 | Life Savers, Inc. | Compressed chewable antacid tablet and method for forming same |
| US4343068A (en) | 1981-01-19 | 1982-08-10 | Holly James A | Method and apparatus for unidirectional formation of a plug-formed patty with cleanout feature |
| JPS57139012A (en) | 1981-02-23 | 1982-08-27 | Sankyo Co Ltd | Anthelmintic composition |
| US4372008A (en) | 1981-04-23 | 1983-02-08 | Formax, Inc. | Food patty molding machine with multi-orifice fill passage and stripper plate |
| US4393085A (en) | 1981-08-13 | 1983-07-12 | General Foods Corporation | Enzyme digestion for a dog food of improved palatability |
| IE53474B1 (en) | 1981-09-17 | 1988-11-23 | Warner Lambert Co | A chewable comestible product and process for its production |
| CH657506A5 (de) | 1981-12-10 | 1986-09-15 | Hollymatic Ag | Portioniermaschine zum fuellen von hohlraeumen mit verformbarem material und verwendung derselben. |
| US4427663A (en) | 1982-03-16 | 1984-01-24 | Merck & Co., Inc. | 4"-Keto-and 4"-amino-4"-deoxy avermectin compounds and substituted amino derivatives thereof |
| US4535505A (en) | 1982-11-23 | 1985-08-20 | Holly Systems, Inc. | Method and apparatus for forming a patty to accommodate tissue fiber flow |
| US4608731A (en) | 1983-01-11 | 1986-09-02 | Holly Systems, Inc. | Food patty with improved void structure, shape, and strength and method and apparatus for forming said patty |
| JPS59199673A (ja) | 1983-04-25 | 1984-11-12 | Sumitomo Chem Co Ltd | 含窒素複素環化合物、その製造法およびそれを有効成分とする有害生物防除剤 |
| US4609543A (en) | 1983-11-14 | 1986-09-02 | Nabisco Brands, Inc. | Soft homogeneous antacid tablet |
| US4523520A (en) | 1984-01-17 | 1985-06-18 | North Side Packing Company | Meat processing equipment |
| US4597135A (en) | 1984-02-21 | 1986-07-01 | Holly Systems, Inc. | Food patty forming method and apparatus employing two or more agitator bars |
| IL76708A (en) | 1984-10-18 | 1990-01-18 | Ciba Geigy Ag | Substituted n-benzoyl-n'-(2,5-dichloro-4(1,1,2,3,3,3-hexafluoropropyloxy)-phenyl)ureas,their preparation and pesticidal compositions containing them |
| EP0192060B1 (de) | 1985-02-04 | 1991-09-18 | Nihon Bayer Agrochem K.K. | Heterocyclische Verbindungen |
| EP0237482A1 (de) | 1986-03-06 | 1987-09-16 | Ciba-Geigy Ag | C(29)-Carbonyloxi-milbemycin-Derivate zur Bekämpfung von tier- und pflanzenparasitären Schädlingen |
| BR8701302A (pt) | 1986-03-25 | 1987-12-22 | Sankyo Co | Compostos macrolideos,sua preparacao e seu uso |
| US4768941A (en) | 1986-06-16 | 1988-09-06 | Hollymatic Corporation | Food patty and machine and method for making thereof |
| ES2039258T3 (es) | 1986-07-02 | 1993-09-16 | Ciba-Geigy Ag | Pesticidas. |
| US4697308A (en) | 1986-10-29 | 1987-10-06 | Formax, Inc. | Patty molding mechanism for whole fiber food product |
| DE3636882C1 (de) | 1986-10-30 | 1988-05-19 | Schreiber Berthold | Vorrichtung zur feinblasigen Einleitung eines Gases in eine Fluessigkeit |
| US4714620A (en) | 1986-12-12 | 1987-12-22 | Warner-Lambert Company | Soft, sugarless aerated confectionery composition |
| US4780931A (en) | 1987-02-13 | 1988-11-01 | Marlen Research Corporation | Feeding device for patty forming machine |
| US4855317A (en) | 1987-03-06 | 1989-08-08 | Ciba-Geigy Corporation | Insecticides and parasiticides |
| US4871719A (en) | 1987-03-24 | 1989-10-03 | Ciba-Geigy Corporation | Composition for controlling parasites in productive livestock |
| US4874749A (en) | 1987-07-31 | 1989-10-17 | Merck & Co., Inc. | 4"-Deoxy-4-N-methylamino avermectin Bla/Blb |
| EP0319142B1 (en) | 1987-11-03 | 1994-04-06 | Beecham Group Plc | Intermediates for the preparation of anthelmintic macrolide antibiotics |
| US4821376A (en) | 1988-06-02 | 1989-04-18 | Formax, Inc. | Seal-off for food patty molding machine with multi-orifice fill passage and stripper plate |
| US4997671A (en) | 1988-09-09 | 1991-03-05 | Nabisco Brands, Inc. | Chewy dog snacks |
| US4872241A (en) | 1988-10-31 | 1989-10-10 | Formax, Inc. | Patty molding mechanism for fibrous food product |
| US4935243A (en) | 1988-12-19 | 1990-06-19 | Pharmacaps, Inc. | Chewable, edible soft gelatin capsule |
| PE5591A1 (es) | 1988-12-19 | 1991-02-15 | Lilly Co Eli | Un nuevo grupo de compuestos de macrolida |
| NZ232422A (en) | 1989-02-16 | 1992-11-25 | Merck & Co Inc | 13-ketal milbemycin derivatives and parasiticides |
| US5021025A (en) | 1989-09-12 | 1991-06-04 | Wagner Richard C | Method and machine for making food patties |
| US4975039A (en) | 1989-09-18 | 1990-12-04 | Dare Gary L | Food molding and portioning apparatus |
| IE904606A1 (en) | 1989-12-21 | 1991-07-03 | Beecham Group Plc | Novel products |
| US4996743A (en) | 1990-01-29 | 1991-03-05 | Formax, Inc. | Mold plate drive linkage |
| US5022888A (en) | 1990-05-03 | 1991-06-11 | Formax, Inc. | Co-forming apparatus for food patty molding machine |
| US5262167A (en) | 1990-12-20 | 1993-11-16 | Basf Corporation | Edible, non-baked low moisture cholestyramine composition |
| NZ247278A (en) | 1991-02-12 | 1995-03-28 | Ancare Distributors | Veterinary anthelmintic drench comprising a suspension of praziquantel in a liquid carrier |
| US5380535A (en) | 1991-05-28 | 1995-01-10 | Geyer; Robert P. | Chewable drug-delivery compositions and methods for preparing the same |
| WO1992022555A1 (en) | 1991-06-17 | 1992-12-23 | Beecham Group Plc | Paraherquamide derivatives, precursor thereof, processes for their preparation, microorganism used and their use as antiparasitic agents |
| JP2575325B2 (ja) | 1991-06-18 | 1997-01-22 | サクマ製菓株式会社 | キャンディ |
| US5165218A (en) | 1991-06-20 | 1992-11-24 | Callahan Jr Bernard C | Automatic sorting, stacking and packaging apparatus and method |
| US5202242A (en) | 1991-11-08 | 1993-04-13 | Dowelanco | A83543 compounds and processes for production thereof |
| US5439924A (en) | 1991-12-23 | 1995-08-08 | Virbac, Inc. | Systemic control of parasites |
| US5345377A (en) | 1992-10-30 | 1994-09-06 | Electric Power Research Institute, Inc. | Harmonic controller for an active power line conditioner |
| US5591606A (en) | 1992-11-06 | 1997-01-07 | Dowelanco | Process for the production of A83543 compounds with Saccharopolyspora spinosa |
| GB9300883D0 (en) | 1993-01-18 | 1993-03-10 | Pfizer Ltd | Antiparasitic agents |
| ES2099604T3 (es) | 1993-03-12 | 1997-05-16 | Dowelanco | Nuevos compuestos a83543 y procedimiento para su produccion. |
| US5399582A (en) | 1993-11-01 | 1995-03-21 | Merck & Co., Inc. | Antiparasitic agents |
| US5750548A (en) | 1994-01-24 | 1998-05-12 | Novartis Corp. | 1- N-(halo-3-pyridylmethyl)!-N-methylamino-1-alklamino-2-nitroethylene derivatives for controlling fleas in domestic animals |
| US5605889A (en) | 1994-04-29 | 1997-02-25 | Pfizer Inc. | Method of administering azithromycin |
| ATE208611T1 (de) | 1994-05-20 | 2001-11-15 | Janssen Pharmaceutica Nv | Flubendazole-kautabletten für haustiere |
| AUPM969994A0 (en) | 1994-11-28 | 1994-12-22 | Virbac S.A. | Equine anthelmintic formulations |
| US5637313A (en) | 1994-12-16 | 1997-06-10 | Watson Laboratories, Inc. | Chewable dosage forms |
| US6221894B1 (en) | 1995-03-20 | 2001-04-24 | Merck & Co., Inc. | Nodulisporic acid derivatives |
| US5962499A (en) | 1995-03-20 | 1999-10-05 | Merck & Co., Inc. | Nodulisporic acid derivatives |
| GB9508443D0 (en) | 1995-04-26 | 1995-06-14 | Gilbertson & Page | Biscuit for working racing or sporting dogs |
| AUPN290395A0 (en) | 1995-05-10 | 1995-06-01 | Virbac (Australia) Pty Limited | Canine anthelmintic preparation |
| US5578336A (en) | 1995-06-07 | 1996-11-26 | Monte; Woodrow C. | Confection carrier for vitamins, enzymes, phytochemicals and ailmentary vegetable compositions and method of making |
| CA2178686A1 (en) | 1995-06-13 | 1996-12-14 | Leslie G. Humber | Oral formulations of s(+)-etodolac |
| TW334436B (en) | 1995-07-21 | 1998-06-21 | Upjohn Co | Antiparasitic marcfortines and paraherquamides |
| IE80657B1 (en) | 1996-03-29 | 1998-11-04 | Merial Sas | Insecticidal combination to control mammal fleas in particular fleas on cats and dogs |
| US5885607A (en) | 1996-03-29 | 1999-03-23 | Rhone Merieux | N-phenylpyrazole-based anti-flea and anti-tick external device for cats and dogs |
| FR2752525B1 (fr) | 1996-08-20 | 2000-05-05 | Rhone Merieux | Procede de lutte contre les myiases des cheptels bovins et ovins et compositions pour la mise en oeuvre de ce procede |
| US6010710A (en) | 1996-03-29 | 2000-01-04 | Merial | Direct pour-on skin solution for antiparasitic use in cattle and sheep |
| US5735603A (en) | 1996-05-03 | 1998-04-07 | Littleford Day, Inc. | Horizontal mixer apparatus and method with improved shaft and seal structure |
| US6001981A (en) | 1996-06-13 | 1999-12-14 | Dow Agrosciences Llc | Synthetic modification of Spinosyn compounds |
| DE19628776A1 (de) | 1996-07-17 | 1998-01-22 | Bayer Ag | Oral applizierbare Granulate von Hexahydropyrazinderivaten |
| US5655436A (en) | 1996-08-29 | 1997-08-12 | Progressive Technology Of Manitowoc, Inc. | Food patty molding machine |
| US5730650A (en) | 1996-08-29 | 1998-03-24 | Progressive Technology Of Wisconsin, Inc. | Food patty molding machine |
| US6998131B2 (en) | 1996-09-19 | 2006-02-14 | Merial Limited | Spot-on formulations for combating parasites |
| US6093427A (en) | 1997-09-03 | 2000-07-25 | T.F.H.Publications, Inc. | Vegetable-based dog chew |
| US6086940A (en) | 1996-10-25 | 2000-07-11 | T.F.H. Publications, Inc. | High starch content dog chew |
| US5827565A (en) | 1996-10-25 | 1998-10-27 | T.F.H. Publications, Inc. | Process for making an edible dog chew |
| US6110521A (en) | 1996-10-25 | 2000-08-29 | T.F.H. Publications, Inc. | Wheat and casein dog chew with modifiable texture |
| US5753255A (en) | 1997-02-11 | 1998-05-19 | Chavkin; Leonard | Chewable molded tablet containing medicinally active substances |
| US6207647B1 (en) | 1997-07-18 | 2001-03-27 | Smithkline Beecham Corporation | RatA |
| PT1065936E (pt) | 1998-03-23 | 2009-09-24 | Gen Mills Inc | Encapsulação de componentes em produtos comestíveis |
| US6093441A (en) | 1998-07-15 | 2000-07-25 | Tfh Publications, Inc. | Heat modifiable peanut dog chew |
| US6270790B1 (en) | 1998-08-18 | 2001-08-07 | Mxneil-Ppc, Inc. | Soft, convex shaped chewable tablets having reduced friability |
| US6174540B1 (en) | 1998-09-14 | 2001-01-16 | Merck & Co., Inc. | Long acting injectable formulations containing hydrogenated caster oil |
| US6387381B2 (en) | 1998-09-24 | 2002-05-14 | Ez-Med Company | Semi-moist oral delivery system |
| US6060078A (en) | 1998-09-28 | 2000-05-09 | Sae Han Pharm Co., Ltd. | Chewable tablet and process for preparation thereof |
| US6498153B1 (en) | 1998-12-31 | 2002-12-24 | Akzo Nobel N.V. | Extended release growth promoting two component composition |
| US6159516A (en) | 1999-01-08 | 2000-12-12 | Tfh Publication, Inc. | Method of molding edible starch |
| GB9902073D0 (en) | 1999-01-29 | 1999-03-24 | Nestle Sa | Chewy confectionery product |
| US6248363B1 (en) * | 1999-11-23 | 2001-06-19 | Lipocine, Inc. | Solid carriers for improved delivery of active ingredients in pharmaceutical compositions |
| PT1171100E (pt) * | 1999-04-13 | 2003-11-28 | Leo Pharma As | Composicao farmaceutica solubilizada para administracao parenteral |
| US6500463B1 (en) | 1999-10-01 | 2002-12-31 | General Mills, Inc. | Encapsulation of sensitive components into a matrix to obtain discrete shelf-stable particles |
| US6787342B2 (en) | 2000-02-16 | 2004-09-07 | Merial Limited | Paste formulations |
| PE20011289A1 (es) | 2000-04-07 | 2001-12-21 | Upjohn Co | Composiciones antihelminticas que comprenden lactonas macrociclicas y espirodioxepinoindoles |
| DE10031044A1 (de) | 2000-06-26 | 2002-01-03 | Bayer Ag | Endoparasitizide Mittel zur freiwilligen oralen Aufnahme durch Tiere |
| US6399786B1 (en) | 2000-07-14 | 2002-06-04 | Merck & Co., Inc. | Nonacyclic nodulisporic acid derivatives |
| RU2351132C2 (ru) | 2001-01-31 | 2009-04-10 | Байер Кропсайенс Аг | Комбинация гербицид - антидот и способ уничтожения сорняков в посевах полезных растений |
| EP1247456A3 (en) | 2001-02-28 | 2003-12-10 | Pfizer Products Inc. | Palatable pharmaceutical compositions for companion animals |
| GB0108485D0 (en) | 2001-04-04 | 2001-05-23 | Pfizer Ltd | Combination therapy |
| US6893652B2 (en) * | 2001-08-27 | 2005-05-17 | Wyeth | Endoparasiticidal gel composition |
| WO2003030653A2 (en) | 2001-10-05 | 2003-04-17 | Rubicon Scientific Llc | Animal feeds including actives and methods of using same |
| PT2314171T (pt) | 2002-08-13 | 2020-01-27 | Intervet Int Bv | Composições e processo para entregar um aditivo |
| US20040037869A1 (en) | 2002-08-16 | 2004-02-26 | Douglas Cleverly | Non-animal product containing veterinary formulations |
| US20040151759A1 (en) | 2002-08-16 | 2004-08-05 | Douglas Cleverly | Non-animal product containing veterinary formulations |
| AR042420A1 (es) | 2002-09-11 | 2005-06-22 | Novartis Ag | Benzotriazolil- aminoacetonitril compuestos, proceso para su preparacion, metodo y uso de los mismos en el control de endo- y ecto-parasitos dentro y sobre ganado productor de sangre caliente y animales domesticos y plantas, y en la preparacion de una composicion farmaceutica |
| US20040234579A1 (en) | 2003-05-22 | 2004-11-25 | Mark D. Finke, Inc. | Dietary supplements and methods of preparing and administering dietary supplements |
| AU2008201605B2 (en) | 2003-07-30 | 2010-04-29 | Novartis Ag | Palatable ductile chewable veterinary composition |
| AR045142A1 (es) * | 2003-07-30 | 2005-10-19 | Novartis Ag | Composicion veterinaria masticable ductil de buen sabor |
| US7396819B2 (en) | 2003-08-08 | 2008-07-08 | Virbac Corporation | Anthelmintic formulations |
| WO2005016356A1 (en) | 2003-08-08 | 2005-02-24 | The Hartz Mountain Corporation | Improved anthelmintic formulations |
| CN102558082B (zh) | 2004-03-05 | 2015-09-30 | 日产化学工业株式会社 | 异噁唑啉取代苯甲酰胺化合物的制备中间体 |
| AU2005232685A1 (en) | 2004-04-07 | 2005-10-27 | Intervet International B.V. | Efficacious composition of a benzimidazole, an avermectin and praziquantel and related methods of use |
| US20050234119A1 (en) | 2004-04-16 | 2005-10-20 | Soll Mark D | Antiparasitical agents and methods for treating, preventing and controlling external parasites in animals |
| EP1807352A1 (en) | 2004-11-11 | 2007-07-18 | Basell Poliolefine Italia S.r.l. | Preparation of tio2 powders from a waste liquid containing titanium compounds |
| US7348027B2 (en) | 2005-04-08 | 2008-03-25 | Bayer Healthcare Llc | Taste masked veterinary formulation |
| AU2006285613B2 (en) | 2005-09-02 | 2011-11-17 | Nissan Chemical Corporation | Isoxazoline-substituted benzamide compound and harmful organism-controlling agent |
| US20070128251A1 (en) | 2005-12-07 | 2007-06-07 | Piedmont Pharmaceuticals, Inc. | Process for manufacturing chewable dosage forms for drug delivery and products thereof |
| US7955632B2 (en) | 2005-12-07 | 2011-06-07 | Bayer B.V. | Process for manufacturing chewable dosage forms for drug delivery and products thereof |
| US20090143410A1 (en) | 2005-12-14 | 2009-06-04 | Kanu Maganbhai Patel | Isoxazolines for Controlling Invertebrate Pests |
| TW200803740A (en) | 2005-12-16 | 2008-01-16 | Du Pont | 5-aryl isoxazolines for controlling invertebrate pests |
| TWI412322B (zh) * | 2005-12-30 | 2013-10-21 | Du Pont | 控制無脊椎害蟲之異唑啉 |
| DE602007006288D1 (de) | 2006-03-10 | 2010-06-17 | Nissan Chemical Ind Ltd | Substituierte isoxazolin-verbindung und schädlingsbekämpfungsmittel |
| AU2007240954A1 (en) | 2006-04-20 | 2007-11-01 | E. I. Du Pont De Nemours And Company | Pyrazolines for controlling invertebrate pests |
| JPWO2007125984A1 (ja) | 2006-04-28 | 2009-09-10 | 日本農薬株式会社 | イソキサゾリン誘導体及び有害生物防除剤並びにその使用方法 |
| JP5433412B2 (ja) | 2006-07-05 | 2014-03-05 | アヴェンティス アグリカルチャ | 1−アリール−5−アルキルピラゾール誘導体化合物、その作製方法及び使用方法 |
| JP2008044880A (ja) | 2006-08-15 | 2008-02-28 | Bayer Cropscience Ag | 殺虫性イソオキサゾリン類 |
| WO2008030469A2 (en) | 2006-09-07 | 2008-03-13 | Merial Limited | Soft chewable, tablet, and long-acting injectable veterinary antibiotic formulations |
| JP5206993B2 (ja) | 2007-03-07 | 2013-06-12 | 日産化学工業株式会社 | イソキサゾリン置換ベンズアミド化合物及び有害生物防除剤 |
| JP5380278B2 (ja) | 2007-03-16 | 2014-01-08 | クミアイ化学工業株式会社 | 除草剤組成物 |
| JP5256753B2 (ja) | 2007-03-29 | 2013-08-07 | 住友化学株式会社 | イソオキサゾリン化合物とその有害生物防除用途 |
| BRPI0810196A2 (pt) | 2007-04-10 | 2011-12-06 | Bayer Cropscience Ag | inseticidas de derivados de aril isoxazolina |
| BRPI0721629B1 (pt) | 2007-05-03 | 2019-03-19 | Merial, Inc. | Composições compreendendo compostos macrolídeos com éter de alquila em c-13 e compostos de fenilpirazol |
| NZ580357A (en) | 2007-05-07 | 2011-06-30 | Jurox Pty Ltd | Chewable gelatinised protein dosage form and process |
| DK2155699T5 (en) | 2007-05-15 | 2017-05-22 | Merial Inc | ARYLAZOL-2-YL-CYANOETHYLAMINO COMPOUNDS, METHOD OF PREPARATION AND PROCEDURE FOR USING THEREOF |
| US20080293645A1 (en) * | 2007-05-25 | 2008-11-27 | Schneider Lawrence F | Antiparasitic combination and method for treating domestic animals |
| BRPI0809770B8 (pt) * | 2007-06-13 | 2022-12-06 | Du Pont | Composto e composição para controlar uma praga de invertebrados |
| WO2009002451A2 (en) | 2007-06-22 | 2008-12-31 | Genera, Doo | Adamts4 as a blood biomarker and therapeutic target for chronis renal failure |
| TWI430995B (zh) * | 2007-06-26 | 2014-03-21 | Du Pont | 萘異唑啉無脊椎有害動物控制劑 |
| US8952175B2 (en) | 2007-06-27 | 2015-02-10 | Nissan Chemical Industries, Ltd. | Method for production of 3-hydroxypropan-1-one compound, method for production of 2-propen-1-one compound and method for production of isoxazoline compound |
| PT2170321E (pt) | 2007-06-29 | 2013-08-01 | Zoetis Llc | Combinação anti-helmíntica |
| WO2009005015A1 (ja) | 2007-06-29 | 2009-01-08 | Nissan Chemical Industries, Ltd. | 置換イソキサゾリン又はエノンオキシム化合物および有害生物防除剤 |
| TWI556741B (zh) | 2007-08-17 | 2016-11-11 | 英特威特國際股份有限公司 | 異唑啉組成物及其作為抗寄生蟲藥上的應用 |
| EP2199287A4 (en) | 2007-09-10 | 2011-04-27 | Nissan Chemical Ind Ltd | SUBSTITUTED ISOXAZOLINE COMPOUND AND AGENT FOR CONTROLLING PESTS |
| KR20100075996A (ko) | 2007-10-03 | 2010-07-05 | 이 아이 듀폰 디 네모아 앤드 캄파니 | 무척추 해충의 방제를 위한 나프탈렌 이속사졸린 화합물 |
| BRPI0915818A2 (pt) | 2008-07-09 | 2015-08-04 | Basf Se | Mistura pesticida, composição pesticida, método para controlar fungos nocivos fitopatogênicos, para proteger plantas de fungos nocivos fitopatogênicos, para controlar insetos, aracnídeos ou nematódeos, para proteger plantas do ataque ou infestação por insetos, acarídeos ou nematódeos, e para a proteção de semente, semente, e, uso de uma mistura. |
| US8389738B2 (en) | 2008-07-09 | 2013-03-05 | Nissan Chemical Industries, Ltd. | Production method of isoxazoline-substituted benzoic acid amide compound |
| WO2010003923A1 (en) | 2008-07-09 | 2010-01-14 | Basf Se | Pestcidal active mixtures comprising isoxazoline compounds i |
| WO2010025998A1 (en) | 2008-09-04 | 2010-03-11 | Syngenta Participations Ag | Insecticidal compounds |
| NZ592382A (en) | 2008-10-21 | 2013-03-28 | Merial Ltd | Thioamide compounds, method of making and method of using thereof |
| MX2011005011A (es) | 2008-11-14 | 2011-07-29 | Merial Ltd | Compuestos de arilazol-2-il-cianoetilamino enantiomericamente enriquecidos, metodo de elaboracion y de uso de los mismos. |
| CA2747060A1 (en) | 2008-12-18 | 2010-07-15 | Novartis Ag | Isoxazolines derivatives and their use as pesticide |
| PL2379537T3 (pl) | 2008-12-19 | 2013-03-29 | Elanco Tiergesundheit Ag | Pochodne izooksazoliny i ich zastosowanie jako pestycydów |
| BRPI0918305A2 (pt) * | 2008-12-23 | 2015-08-11 | Basf Se | Compostos de amidina substituídos da fórmula (i), composto de amidina substituído da fórmula (i-5), composto de amidina substituído de 4-hidróximinometil da fórmula geral (ii-a), composto de amidina substituído de 4-hidróximinometil da fórmula geral (ii-b), composição agrícola, composição veterinária, uso de um composto, método para controlar pragas de invertebrados, método para proteger culturas ou plantas de ataque ou infestação por pragas de invertebrados, método para proteger material de propagação da planta e/ou as plantas, material de propagação da planta, método para tratar ou proteger um animal de infestação ou infecção por pragas de invertebrados e uso de um composto da fórmula i |
| WO2010084067A2 (en) | 2009-01-22 | 2010-07-29 | Syngenta Participations Ag | Insecticidal compounds |
| BRPI1012247A2 (pt) | 2009-03-26 | 2015-09-22 | Syngenta Ltd | compostos inseticidas |
| JP2012522750A (ja) | 2009-04-01 | 2012-09-27 | ビーエーエスエフ ソシエタス・ヨーロピア | 無脊椎動物害虫を駆除するためのイソキサゾリン化合物 |
| ES2472918T3 (es) * | 2009-07-06 | 2014-07-03 | Basf Se | Compuestos de piridazina para controlar plagas de invertebrados |
| TWI487486B (zh) | 2009-12-01 | 2015-06-11 | Syngenta Participations Ag | 以異唑啉衍生物為主之殺蟲化合物 |
| EA021522B9 (ru) | 2009-12-17 | 2016-08-31 | Мериал Лимитед | Противопаразитарные дигидроазоловые соединения и содержащие их композиции |
| EP2531493B1 (en) | 2010-02-01 | 2015-07-22 | Basf Se | Substituted ketonic isoxazoline compounds and derivatives for combating animal pests |
| BR112012021238A2 (pt) | 2010-02-25 | 2016-06-21 | Syngenta Ltd | misturas pesticidas contendo derivados de isoxazolina e um fungicida |
| CA2790963A1 (en) | 2010-02-25 | 2011-09-01 | Syngenta Participations Ag | Process for the preparation of isoxazoline derivatives |
| US20130085064A1 (en) | 2010-02-25 | 2013-04-04 | Syngenta Crop Protection Llc | Pesticidal mixtures containing isoxazoline derivatives and insecticide or nematoicidal biological agent |
| JP2013523805A (ja) | 2010-04-08 | 2013-06-17 | ゾエティス・エルエルシー | 殺虫剤および殺ダニ剤としての置換3,5−ジフェニル−イソオキサゾリン誘導体 |
| PL2576523T3 (pl) * | 2010-05-27 | 2016-08-31 | Du Pont | Krystaliczna postać 4-[5 - [3 -chloro-5 -(trifluorometylo)fenylo] -4,5 -dihydro-5 -(trifluorometylo)-3 - izoksazolilo]-n-[2-okso-2-[(2,2,2-trifluoroetylo)amino]etylo]-1- naftalenokarboksyamidu |
| US20130261069A1 (en) | 2010-06-09 | 2013-10-03 | Syngenta Crop Protection Llc | Pesticidal mixtures comprising isoxazoline derivatives |
| US20130203591A1 (en) | 2010-06-09 | 2013-08-08 | Syngenta Crop Protection Llc | Pesticidal mixtures including isoxazoline derivatives |
| BR112012031088A8 (pt) | 2010-06-09 | 2017-10-10 | Syngenta Participations Ag | Misturas pesticidas incluindo os derivados da isoxazolina |
| UY33403A (es) | 2010-06-17 | 2011-12-30 | Novartis Ag | Compuestos orgánicos con novedosas isoxazolinas, sus n-óxidos, s-óxidos y sales |
| DK178277B1 (da) | 2010-06-18 | 2015-10-26 | Novartis Tiergesundheit Ag | Diaryloxazolinforbindelser til bekæmpelse af fiskelus |
| WO2012007426A1 (en) | 2010-07-13 | 2012-01-19 | Basf Se | Azoline substituted isoxazoline benzamide compounds for combating animal pests |
| CN103270036B (zh) | 2010-08-05 | 2015-11-25 | 佐蒂斯有限责任公司 | 作为抗寄生物剂的异噁唑啉衍生物 |
| BR112013006686A2 (pt) | 2010-09-24 | 2017-11-14 | Zoetis Llc | isoxazolina oximas como agentes antiparasitários |
| US9744127B2 (en) | 2010-10-12 | 2017-08-29 | Bayer Intellectual Property Gmbh | Non-starch based soft chewables |
| WO2012086462A1 (ja) | 2010-12-20 | 2012-06-28 | 日本曹達株式会社 | イソオキサゾリン化合物および有害生物防除剤 |
| KR101920476B1 (ko) | 2010-12-27 | 2018-11-21 | 인터벳 인터내셔널 비.브이. | 글리코푸롤을 포함하는 국소 적용 이속사졸린 제제 |
| KR102027723B1 (ko) | 2010-12-27 | 2019-10-01 | 인터벳 인터내셔널 비.브이. | 국소 적용 이속사졸린 제제 |
| JP2014505089A (ja) | 2011-02-10 | 2014-02-27 | ノバルティス アーゲー | 無脊椎有害動物を防除するためのイソオキサゾリン誘導体 |
| ES2542409T3 (es) | 2011-03-10 | 2015-08-05 | Novartis Tiergesundheit Ag | Derivados de isoxazol |
| WO2012120399A1 (en) | 2011-03-10 | 2012-09-13 | Pfizer Inc. | Spirocyclic isoxazoline derivatives as antiparasitic agents |
| RS61048B1 (sr) * | 2011-09-12 | 2020-12-31 | Boehringer Ingelheim Animal Health Usa Inc | Paraziticidne kompozicije koje sadrže izoksazolin aktivni agens, postupak i njihove primene |
| ES2720201T3 (es) | 2012-02-06 | 2019-07-18 | Merial Inc | Composiciones parasiticidas orales veterinarias que comprenden agentes activos de acción sistémica y usos de las mismas |
| US20150057321A1 (en) | 2012-04-04 | 2015-02-26 | Intervet Inc. | Soft chewable pharmaceutical products |
| US9532946B2 (en) | 2012-11-20 | 2017-01-03 | Intervet Inc. | Manufacturing of semi-plastic pharmaceutical dosage units |
-
2013
- 2013-01-31 ES ES13703705T patent/ES2720201T3/es active Active
- 2013-01-31 SI SI201331333T patent/SI2811998T1/sl unknown
- 2013-01-31 MD MDA20170009A patent/MD20170009A2/ro not_active Application Discontinuation
- 2013-01-31 PT PT2013023696A patent/PT2013119442B/pt active IP Right Grant
- 2013-01-31 LT LTEP17152504.1T patent/LT3216448T/lt unknown
- 2013-01-31 RU RU2014136390A patent/RU2660346C1/ru active
- 2013-01-31 EP EP16163407.6A patent/EP3061454B1/en not_active Revoked
- 2013-01-31 CN CN201380014170.9A patent/CN104168900A/zh active Pending
- 2013-01-31 ES ES16163407T patent/ES2882217T3/es active Active
- 2013-01-31 DK DK17152504.1T patent/DK3216448T3/da active
- 2013-01-31 EP EP17152504.1A patent/EP3216448B8/en active Active
- 2013-01-31 DK DK16163407.6T patent/DK3061454T3/da active
- 2013-01-31 EP EP20181238.5A patent/EP3766491A1/en active Pending
- 2013-01-31 CZ CZ2014-606A patent/CZ308507B6/cs unknown
- 2013-01-31 PL PL420160A patent/PL232463B1/pl unknown
- 2013-01-31 HR HRP20190164TT patent/HRP20190164T1/hr unknown
- 2013-01-31 TR TR2019/02125T patent/TR201902125T4/tr unknown
- 2013-01-31 FI FI20145771A patent/FI128926B/en active IP Right Grant
- 2013-01-31 SE SE1751350A patent/SE540796C2/en unknown
- 2013-01-31 GB GB1415480.1A patent/GB2514951C/en active Active
- 2013-01-31 SI SI201331870T patent/SI3061454T1/sl unknown
- 2013-01-31 GE GEAP201313567A patent/GEP201706772B/en unknown
- 2013-01-31 HU HU1700487A patent/HU231098B1/hu unknown
- 2013-01-31 SI SI201331444T patent/SI3216448T1/sl unknown
- 2013-01-31 ES ES17152504T patent/ES2743673T3/es active Active
- 2013-01-31 BR BR122020022192-5A patent/BR122020022192B1/pt active IP Right Grant
- 2013-01-31 SE SE1450995A patent/SE539857C2/en unknown
- 2013-01-31 PT PT13703705T patent/PT2811998T/pt unknown
- 2013-01-31 RU RU2018121905A patent/RU2763496C2/ru active
- 2013-01-31 NZ NZ719079A patent/NZ719079A/en unknown
- 2013-01-31 SM SM20210261T patent/SMT202100261T1/it unknown
- 2013-01-31 TR TR2019/09461T patent/TR201909461T4/tr unknown
- 2013-01-31 PT PT161634076T patent/PT3061454T/pt unknown
- 2013-01-31 ME MEP-2019-156A patent/ME03389B/me unknown
- 2013-01-31 MX MX2020002188A patent/MX380711B/es unknown
- 2013-01-31 EA EA201400878A patent/EA030398B1/ru unknown
- 2013-01-31 KR KR1020147025276A patent/KR102023225B1/ko active Active
- 2013-01-31 RS RS20210690A patent/RS61949B1/sr unknown
- 2013-01-31 EP EP13703705.7A patent/EP2811998B1/en active Active
- 2013-01-31 MX MX2014009429A patent/MX351702B/es active IP Right Grant
- 2013-01-31 DK DK13703705.7T patent/DK2811998T3/en active
- 2013-01-31 PT PT109395A patent/PT109395B/pt active IP Right Grant
- 2013-01-31 CA CA2863498A patent/CA2863498C/en active Active
- 2013-01-31 LT LTEP13703705.7T patent/LT2811998T/lt unknown
- 2013-01-31 PL PL13703705T patent/PL2811998T3/pl unknown
- 2013-01-31 CA CA3094706A patent/CA3094706A1/en not_active Abandoned
- 2013-01-31 MD MDA20170008A patent/MD20170008A2/ro not_active Application Discontinuation
- 2013-01-31 SG SG10201609030SA patent/SG10201609030SA/en unknown
- 2013-01-31 UA UAA201409708A patent/UA119843C2/uk unknown
- 2013-01-31 ME MEP-2019-42A patent/ME03323B/me unknown
- 2013-01-31 CN CN201910725011.9A patent/CN110251509A/zh active Pending
- 2013-01-31 PL PL410258A patent/PL230178B1/pl unknown
- 2013-01-31 MY MYPI2014002287A patent/MY167560A/en unknown
- 2013-01-31 LT LTEP16163407.6T patent/LT3061454T/lt unknown
- 2013-01-31 DK DKPA201470535A patent/DK179451B1/da active IP Right Grant
- 2013-01-31 AU AU2013217633A patent/AU2013217633B2/en active Active
- 2013-01-31 GB GB1903924.7A patent/GB2569249C/en active Active
- 2013-01-31 PT PT17152504T patent/PT3216448T/pt unknown
- 2013-01-31 SM SM20190312T patent/SMT201900312T1/it unknown
- 2013-01-31 HR HRP20140841AA patent/HRP20140841B1/hr active IP Right Grant
- 2013-01-31 PE PE2014001211A patent/PE20141907A1/es active IP Right Grant
- 2013-01-31 PL PL16163407T patent/PL3061454T3/pl unknown
- 2013-01-31 ES ES201490089A patent/ES2515015B2/es not_active Expired - Fee Related
- 2013-01-31 WO PCT/US2013/023969 patent/WO2013119442A1/en not_active Ceased
- 2013-01-31 HU HU1400439A patent/HU230959B1/hu unknown
- 2013-01-31 HU HUE16163407A patent/HUE054367T2/hu unknown
- 2013-01-31 DE DE112013000869.6T patent/DE112013000869T5/de not_active Ceased
- 2013-01-31 CN CN201910725373.8A patent/CN110403937A/zh active Pending
- 2013-01-31 BR BR112014019262-6A patent/BR112014019262B1/pt active IP Right Grant
- 2013-01-31 NZ NZ628144A patent/NZ628144A/en unknown
- 2013-01-31 SM SM20190083T patent/SMT201900083T1/it unknown
- 2013-01-31 US US13/754,969 patent/US9233100B2/en active Active
- 2013-01-31 HU HUE17152504A patent/HUE043949T2/hu unknown
- 2013-01-31 MD MDA20140093A patent/MD4577C1/ro active IP Right Grant
- 2013-01-31 EA EA201692257A patent/EA036899B1/ru unknown
- 2013-01-31 RS RS20190651A patent/RS58771B1/sr unknown
- 2013-01-31 HU HUE13703705A patent/HUE041514T2/hu unknown
- 2013-01-31 KR KR1020197001299A patent/KR102030338B1/ko active Active
- 2013-01-31 EA EA201991919A patent/EA201991919A1/ru unknown
- 2013-01-31 NZ NZ731588A patent/NZ731588A/en unknown
- 2013-01-31 KR KR1020197024510A patent/KR20190102084A/ko not_active Ceased
- 2013-01-31 PL PL17152504T patent/PL3216448T3/pl unknown
- 2013-01-31 RS RS20190199A patent/RS58370B1/sr unknown
- 2013-01-31 AP AP2014007874A patent/AP2014007874A0/xx unknown
- 2013-01-31 NZ NZ746271A patent/NZ746271A/en unknown
- 2013-01-31 SG SG11201404595TA patent/SG11201404595TA/en unknown
- 2013-01-31 CA CA2966703A patent/CA2966703C/en active Active
- 2013-02-05 UY UY0001034617A patent/UY34617A/es unknown
- 2013-02-05 UY UY0001039500A patent/UY39500A/es active IP Right Grant
- 2013-02-06 TW TW105141301A patent/TWI641370B/zh active
- 2013-02-06 TW TW107131397A patent/TWI707679B/zh active
- 2013-02-06 AR ARP130100357A patent/AR089910A1/es active IP Right Grant
- 2013-02-06 TW TW102104691A patent/TWI632910B/zh active
-
2014
- 2014-07-30 IL IL233888A patent/IL233888A/en active IP Right Grant
- 2014-08-01 PH PH12014501739A patent/PH12014501739A1/en unknown
- 2014-08-01 CR CR20140369A patent/CR20140369A/es unknown
- 2014-08-04 NI NI201400084A patent/NI201400084A/es unknown
- 2014-08-04 GT GT201400172A patent/GT201400172A/es unknown
- 2014-08-04 NI NI2014000841A patent/NI201400841A/es unknown
- 2014-08-04 DO DO2014000181A patent/DOP2014000181A/es unknown
- 2014-08-05 TN TNP2014000336A patent/TN2014000336A1/fr unknown
- 2014-08-06 CL CL2014002087A patent/CL2014002087A1/es unknown
- 2014-08-27 EC ECIEPI201416036A patent/ECSP14016036A/es unknown
- 2014-09-04 MA MA37321A patent/MA35923B1/fr unknown
- 2014-09-04 UA UAA201904140A patent/UA129512C2/uk unknown
- 2014-09-05 CO CO14196145A patent/CO7061080A2/es unknown
- 2014-09-05 NO NO20141084A patent/NO344062B1/no unknown
- 2014-12-23 CL CL2014003509A patent/CL2014003509A1/es unknown
-
2015
- 2015-02-20 US US14/627,499 patent/US9259417B2/en active Active
- 2015-12-22 US US14/977,680 patent/US9931320B2/en active Active
-
2016
- 2016-01-29 US US15/009,996 patent/US20160143285A1/en not_active Abandoned
- 2016-04-19 DK DKPA201670242A patent/DK180038B1/en active IP Right Grant
-
2017
- 2017-01-19 AU AU2017200362A patent/AU2017200362B2/en active Active
- 2017-04-06 IL IL251647A patent/IL251647B/en active IP Right Grant
-
2018
- 2018-02-26 US US15/904,798 patent/US20180185336A1/en not_active Abandoned
- 2018-03-27 US US15/936,778 patent/US10596156B2/en active Active
- 2018-03-28 DO DO2018000085A patent/DOP2018000085A/es unknown
- 2018-06-27 CL CL2018001762A patent/CL2018001762A1/es unknown
-
2019
- 2019-01-11 AU AU2019200201A patent/AU2019200201B9/en active Active
- 2019-02-14 CY CY20191100208T patent/CY1121800T1/el unknown
- 2019-05-30 CY CY20191100574T patent/CY1122097T1/el unknown
- 2019-06-03 HR HRP20191004TT patent/HRP20191004T1/hr unknown
- 2019-07-19 NO NO20190907A patent/NO345058B1/no unknown
- 2019-08-14 NI NI2014000842A patent/NI201400842A/es unknown
- 2019-09-17 AR ARP190102624A patent/AR116415A2/es active IP Right Grant
-
2020
- 2020-02-12 US US16/788,750 patent/US20200179345A1/en not_active Abandoned
- 2020-11-05 AU AU2020264341A patent/AU2020264341A1/en not_active Abandoned
-
2021
- 2021-04-23 HR HRP20210649TT patent/HRP20210649T1/hr unknown
- 2021-04-27 CY CY20211100358T patent/CY1124075T1/el unknown
-
2022
- 2022-01-21 AR ARP220100127A patent/AR124687A2/es unknown
Also Published As
Similar Documents
| Publication | Publication Date | Title |
|---|---|---|
| US10596156B2 (en) | Parasiticidal oral veterinary compositions comprising systemically-acting active agents, methods and uses thereof | |
| HK40043434A (en) | Parasiticidal oral veterinary compositions comprising systemically-acting active agents, methods and uses thereof | |
| HK1236130A1 (en) | Parasiticidal oral veterinary compositions comprising systemically-acting active agents, methods and uses thereof | |
| HK1236130B (en) | Parasiticidal oral veterinary compositions comprising systemically-acting active agents, methods and uses thereof | |
| HK1236130A (en) | Parasiticidal oral veterinary compositions comprising systemically-acting active agents, methods and uses thereof | |
| HK1223023B (en) | Parasiticidal oral veterinary compositions comprising systemically-acting active agents, methods and uses thereof | |
| HK1199708B (en) | Parasiticidal oral veterinary compositions comprising systemically acting active agents, methods and uses thereof |
Legal Events
| Date | Code | Title | Description |
|---|---|---|---|
| B07A | Application suspended after technical examination (opinion) [chapter 7.1 patent gazette] | ||
| B09A | Decision: intention to grant [chapter 9.1 patent gazette] | ||
| B16A | Patent or certificate of addition of invention granted [chapter 16.1 patent gazette] |
Free format text: PRAZO DE VALIDADE: 20 (VINTE) ANOS CONTADOS A PARTIR DE 31/01/2013, OBSERVADAS AS CONDICOES LEGAIS. |















































