RU2394879C2 - Полимерсодержащие моющие составы и их применение - Google Patents
Полимерсодержащие моющие составы и их применение Download PDFInfo
- Publication number
- RU2394879C2 RU2394879C2 RU2007140563/04A RU2007140563A RU2394879C2 RU 2394879 C2 RU2394879 C2 RU 2394879C2 RU 2007140563/04 A RU2007140563/04 A RU 2007140563/04A RU 2007140563 A RU2007140563 A RU 2007140563A RU 2394879 C2 RU2394879 C2 RU 2394879C2
- Authority
- RU
- Russia
- Prior art keywords
- detergent composition
- polymer
- composition according
- index
- detergent
- Prior art date
Links
Classifications
-
- C—CHEMISTRY; METALLURGY
- C11—ANIMAL OR VEGETABLE OILS, FATS, FATTY SUBSTANCES OR WAXES; FATTY ACIDS THEREFROM; DETERGENTS; CANDLES
- C11D—DETERGENT COMPOSITIONS; USE OF SINGLE SUBSTANCES AS DETERGENTS; SOAP OR SOAP-MAKING; RESIN SOAPS; RECOVERY OF GLYCEROL
- C11D3/00—Other compounding ingredients of detergent compositions covered in group C11D1/00
- C11D3/0005—Other compounding ingredients characterised by their effect
- C11D3/0094—High foaming compositions
-
- C—CHEMISTRY; METALLURGY
- C11—ANIMAL OR VEGETABLE OILS, FATS, FATTY SUBSTANCES OR WAXES; FATTY ACIDS THEREFROM; DETERGENTS; CANDLES
- C11D—DETERGENT COMPOSITIONS; USE OF SINGLE SUBSTANCES AS DETERGENTS; SOAP OR SOAP-MAKING; RESIN SOAPS; RECOVERY OF GLYCEROL
- C11D1/00—Detergent compositions based essentially on surface-active compounds; Use of these compounds as a detergent
- C11D1/38—Cationic compounds
- C11D1/65—Mixtures of anionic with cationic compounds
-
- C—CHEMISTRY; METALLURGY
- C11—ANIMAL OR VEGETABLE OILS, FATS, FATTY SUBSTANCES OR WAXES; FATTY ACIDS THEREFROM; DETERGENTS; CANDLES
- C11D—DETERGENT COMPOSITIONS; USE OF SINGLE SUBSTANCES AS DETERGENTS; SOAP OR SOAP-MAKING; RESIN SOAPS; RECOVERY OF GLYCEROL
- C11D1/00—Detergent compositions based essentially on surface-active compounds; Use of these compounds as a detergent
- C11D1/66—Non-ionic compounds
- C11D1/83—Mixtures of non-ionic with anionic compounds
-
- C—CHEMISTRY; METALLURGY
- C11—ANIMAL OR VEGETABLE OILS, FATS, FATTY SUBSTANCES OR WAXES; FATTY ACIDS THEREFROM; DETERGENTS; CANDLES
- C11D—DETERGENT COMPOSITIONS; USE OF SINGLE SUBSTANCES AS DETERGENTS; SOAP OR SOAP-MAKING; RESIN SOAPS; RECOVERY OF GLYCEROL
- C11D3/00—Other compounding ingredients of detergent compositions covered in group C11D1/00
- C11D3/16—Organic compounds
- C11D3/37—Polymers
- C11D3/3788—Graft polymers
-
- C—CHEMISTRY; METALLURGY
- C11—ANIMAL OR VEGETABLE OILS, FATS, FATTY SUBSTANCES OR WAXES; FATTY ACIDS THEREFROM; DETERGENTS; CANDLES
- C11D—DETERGENT COMPOSITIONS; USE OF SINGLE SUBSTANCES AS DETERGENTS; SOAP OR SOAP-MAKING; RESIN SOAPS; RECOVERY OF GLYCEROL
- C11D3/00—Other compounding ingredients of detergent compositions covered in group C11D1/00
- C11D3/16—Organic compounds
- C11D3/38—Products with no well-defined composition, e.g. natural products
- C11D3/386—Preparations containing enzymes, e.g. protease or amylase
- C11D3/38627—Preparations containing enzymes, e.g. protease or amylase containing lipase
-
- C—CHEMISTRY; METALLURGY
- C11—ANIMAL OR VEGETABLE OILS, FATS, FATTY SUBSTANCES OR WAXES; FATTY ACIDS THEREFROM; DETERGENTS; CANDLES
- C11D—DETERGENT COMPOSITIONS; USE OF SINGLE SUBSTANCES AS DETERGENTS; SOAP OR SOAP-MAKING; RESIN SOAPS; RECOVERY OF GLYCEROL
- C11D1/00—Detergent compositions based essentially on surface-active compounds; Use of these compounds as a detergent
- C11D1/02—Anionic compounds
- C11D1/12—Sulfonic acids or sulfuric acid esters; Salts thereof
- C11D1/22—Sulfonic acids or sulfuric acid esters; Salts thereof derived from aromatic compounds
-
- C—CHEMISTRY; METALLURGY
- C11—ANIMAL OR VEGETABLE OILS, FATS, FATTY SUBSTANCES OR WAXES; FATTY ACIDS THEREFROM; DETERGENTS; CANDLES
- C11D—DETERGENT COMPOSITIONS; USE OF SINGLE SUBSTANCES AS DETERGENTS; SOAP OR SOAP-MAKING; RESIN SOAPS; RECOVERY OF GLYCEROL
- C11D1/00—Detergent compositions based essentially on surface-active compounds; Use of these compounds as a detergent
- C11D1/02—Anionic compounds
- C11D1/12—Sulfonic acids or sulfuric acid esters; Salts thereof
- C11D1/29—Sulfates of polyoxyalkylene ethers
-
- C—CHEMISTRY; METALLURGY
- C11—ANIMAL OR VEGETABLE OILS, FATS, FATTY SUBSTANCES OR WAXES; FATTY ACIDS THEREFROM; DETERGENTS; CANDLES
- C11D—DETERGENT COMPOSITIONS; USE OF SINGLE SUBSTANCES AS DETERGENTS; SOAP OR SOAP-MAKING; RESIN SOAPS; RECOVERY OF GLYCEROL
- C11D1/00—Detergent compositions based essentially on surface-active compounds; Use of these compounds as a detergent
- C11D1/38—Cationic compounds
- C11D1/62—Quaternary ammonium compounds
-
- C—CHEMISTRY; METALLURGY
- C11—ANIMAL OR VEGETABLE OILS, FATS, FATTY SUBSTANCES OR WAXES; FATTY ACIDS THEREFROM; DETERGENTS; CANDLES
- C11D—DETERGENT COMPOSITIONS; USE OF SINGLE SUBSTANCES AS DETERGENTS; SOAP OR SOAP-MAKING; RESIN SOAPS; RECOVERY OF GLYCEROL
- C11D1/00—Detergent compositions based essentially on surface-active compounds; Use of these compounds as a detergent
- C11D1/66—Non-ionic compounds
- C11D1/72—Ethers of polyoxyalkylene glycols
Landscapes
- Chemical & Material Sciences (AREA)
- Life Sciences & Earth Sciences (AREA)
- Engineering & Computer Science (AREA)
- Chemical Kinetics & Catalysis (AREA)
- Oil, Petroleum & Natural Gas (AREA)
- Wood Science & Technology (AREA)
- Organic Chemistry (AREA)
- Detergent Compositions (AREA)
Abstract
Сущность: моющий состав включает в себя полимер в сочетании с поверхностно-активным веществом или неорганическим моющим компонентом и вспомогательными ингредиентами, при этом индекс эффективности очистки от жира моющего состава составляет по меньшей мере примерно 10. Полимер представляет собой статистический привитой сополимер, имеющий гидрофильный каркас и гидрофобные боковые цепи, полученный прививкой (а) полиэтиленоксида; (б) винилового сложного эфира уксусной и/или пропионовой кислоты; и/или С1-4 алкилового сложного эфира акриловой или метакриловой кислоты; и (с) модифицирующих мономеров. Моющие составы предпочтительно дополнительно содержат фермент липазы. Технический результат - улучшенное удаление жирных загрязнений, пятен при снижении количества традиционных поверхностно-активных веществ или неорганических моющих компонентов. 4 н. и 18 з.п. ф-лы.
Description
Область техники, к которой относится изобретение
Настоящее изобретение относится к содержащим полимер моющим составам и их применению.
Уровень техники
Неизменными целями производителей стиральных моющих средств являются улучшенное удаление жирных загрязнений, пятен и сохранение белизны при многократных стирках. С 1980-х гг. ферменты используются в моющих средствах для удаления жирных загрязнений посредством расщепления жирных загрязнений на основе триглицерида. Известно множество полимеров, используемых в моющих составах. См. WO 91/09932 на имя Manchin et а1., опубл. 11.07.1991; ЕР 219048 А2 на имя Kud et al., опубл. 22.04.1987, и ЕР 358474 А на имя Boscamp., опубл. 14.03.1990.
Неожиданно было обнаружено, что при применении некоторых оптимизированных полимеров может быть достигнута сравнимая эффективность очистки даже при использовании в составе моющего состава меньших количеств поверхностно-активного вещества и (или) неорганического моющего компонента.
Кроме того, существует потребность в улучшенных полимерах, которые обеспечивают улучшенную очистку от жира, удаление пятен, глинистой суспензии, сохранение белизны при многократных стирках, наличие синергизма по отношению к ферментам и (или) которые обеспечивают снижение количества традиционных неорганических моющих компонентов или поверхностно-активных веществ.
Сущность изобретения
Настоящее изобретение относится к улучшенным моющим составам, содержащим 0,5-20% полимера, 1-50% поверхностно-активного вещества и до 100% вспомогательных ингредиентов. Моющий состав обладает индексомs эффективности очистки от жира по меньшей мере 10, или процентное соотношение полимер : индексs эффективности очистки от жира составляет по меньшей мере 1:2.
Настоящее изобретение также относится к улучшенному моющему составу, содержащему 0,5-20% полимера, 5-40% неорганического моющего компонента и вспомогательные ингредиенты (до 100%). Данная композиция обладает индексом эффективности очистки от жира по меньшей мере 10, или процентное соотношение полимер : индексs эффективности очистки от жира составляет по меньшей мере 1:2.
Настоящее изобретение также относится к улучшенному моющему составу, содержащему 0,5-20% полимера, 1-50% анионного поверхностно-активного вещества и вспомогательные ингредиенты (до 100%). Индекс глинистой суспензии моющего средства составляет по меньшей мере 86, или индекс роста пены составляет по меньшей мере 10.
Изобретение также относится к улучшенному моющему составу, содержащему 5-20000 LU/г моющего состава липазы, 0,25-20% полимера, имеющего полиэтиленгликолевый каркас, и вспомогательные ингредиенты до 100%.
Изобретение также относится к применению полимера в моющем составе, содержащем липазу, с получением синергического эффекта. Синергический эффект заключается в улучшенном удалении жирных загрязнений, улучшенном удалении пятен и (или) улучшенном сохранении белизны при многократных стирках. Данный полимер имеет полиэтиленгликолевый каркас. Изобретение также относится к применению полимера в моющем составе для улучшения его профиля пены. Моющий состав содержит анионное поверхностно-активное вещество, а указанный полимер имеет полиэтиленгликолевый каркас.
В настоящее время обнаружено, что такой усовершенствованный полимер может неожиданно обеспечить различные преимущества, такие как улучшенное удаление жирных загрязнений, пятен, улучшенное сохранение белизны при многократных стирках и (или) профиля пены, в особенности в моющих составах для стиральных машин. Полимер может также обеспечивать значительный синергический эффект при использовании в сочетании с ферментом, таким как липаза, и в особенности липаза для первой стирки. Кроме того, тогда как остальные добавки обычно хорошо работают только с жиром животного (говяжьим, чоризо и т.д.) или растительного (арахисовое, оливковое масло и т.д.) происхождения, настоящее изобретение оказалось неожиданно эффективным для удаления обоих типов жиров/масел.
Подробное описание изобретения
Все приведенные здесь температуры даны в градусах Цельсия (°С). Все массы и проценты даны в расчете на массу моющего состава, если не указано иное. Термин «содержащий» подразумевает, что могут быть добавлены и другие этапы, компоненты, элементы и т.п., которые не оказывают решающего влияния на конечный результат, и включает в себя значения «состоящий из» и «состоящий по существу из».
Все диапазоны данной заявки, представленные в виде «от Х до Y», или «от примерно Х до примерно Y», или «X-Y», включают в себя все численные диапазоны внутри указанных. Следует понимать, что каждый указанный здесь предел включает в себя каждую верхнюю или нижнюю границу, как если бы такие верхняя и нижняя границы были бы описаны отдельно. Каждый диапазон настоящей заявки включает в себя любой попадающий в него более узкий диапазон, как если бы более узкие диапазоны были бы описаны отдельно.
Полимер здесь представляет собой статистический привитый гомо- или сополимер, имеющий гидрофильный каркас и гидрофобные боковые цепи. Обычно гидрофильный каркас составляет менее чем примерно 50%, или от примерно 50% до примерно 2%, или от примерно 45% до примерно 5%, или от примерно 40% до примерно 10% от массы полимера. Каркас предпочтительно содержит мономеры, выбранные из группы, содержащей ненасыщенную C1-6 кислоту, эфир, спирт, альдегид, кетон или сложный эфир, сахарное звено, алкоксильное звено, малеиновый ангидрид и насыщенный полиспирт, такой как глицерин, или их смесь. Гидрофильный каркас может содержать акриловую кислоту, метакриловую кислоту, малеиновую кислоту, винилуксусную кислоту, глюкозид, алкиленоксид, глицерин или их смесь. Полимер может содержать или линейный, или разветвленный полиалкиленоксидный каркас с этиленоксидом, пропиленоксидом и (или) бутиленоксидом. Полиалкиленоксидный каркас может содержать более чем примерно 80%, или от примерно 80% до примерно 100%, или от примерно 90% до примерно 100%, или от примерно 95% до примерно 100% по массе этиленоксида. Вес среднего молекулярного веса (Mw) полиалкиленоксидного каркаса обычно составляет от примерно 400 г/моль до 40000 г/моль, или от примерно 1000 г/моль до примерно 18000 г/моль, или от примерно 3000 г/моль до примерно 13500 г/моль, или от примерно 4000 г/моль до примерно 9000 г/моль. Полиалкиленоксидный каркас может быть удлинен конденсацией с подходящими молекулами связывания, такими как дикарбоновые кислоты и (или) диизоцианаты.
Каркас содержит много гидрофобных боковых цепей, присоединенных к нему, таких как С4-25 алкильная группа; полипропилен; полибутилен; виниловый сложный эфир насыщенной монокарбоновой C1-6 кислоты; и (или) C1-6 алкиловый сложный эфир акриловой или метакриловой кислоты. Гидрофобные боковые цепи могут содержать, от массы гидрофобных боковых цепей, по меньшей мере примерно 50% винилацетата, или от примерно 50% до примерно 100% винилацетата, или от примерно 70% до примерно 100% винилацетата, или от примерно 90% до примерно 100% винилацетата. Гидрофобные боковые цепи могут содержать, от массы гидрофобных боковых цепей, от примерно 70% до примерно 99,9% винилацетата, или от примерно 90% до примерно 99% винилацетата. Гидрофобные боковые цепи могут также содержать, от массы гидрофобных боковых цепей, от примерно 0,1% до примерно 10% бутилакрилата, от примерно 1% до примерно 7% бутилакрилата, от примерно 2% до примерно 5% бутилакрилата. Гидрофобные боковые цепи могут также содержать модифицированный мономер, такой как стирол, N-винилпирролидон, акриловая кислота, метакриловая кислота, малеиновая кислота, акриламид, винилуксусная кислота и (или) винилформамид, особенно стирол и (или) N-винилпирролидон, на уровнях от примерно 0,1% до примерно 10%, или от примерно 0,1% до примерно 5%, или от примерно 0,5% до примерно 6%, или от примерно 0,5% до примерно 4%, или от примерно 1% до примерно 3% от массы гидрофобных боковых цепей.
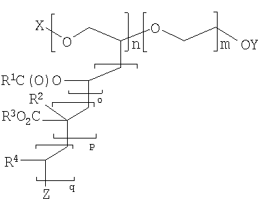
Полимер может быть получен прививкой (а) полиэтиленоксида; (б) винилового сложного эфира уксусной и (или) пропионовой кислоты; и (или) C1-4 алкилового сложного эфира акриловой или метакриловой кислоты; и (с) модифицирующих мономеров. Полимер может иметь общую формулу:
где X и Y представляют собой блокирующие звенья, независимо выбранные из Н или C1-6 алкила; каждый Z представляет собой блокирующее звено, независимо выбранное из Н или С-радикальной доли (например, углеродсодержащего фрагмента, полученного из радикального инициатора, присоединенного к растущей цепи в результате процесса рекомбинации); каждый R1 независимо выбран из метила и этила; каждый R2 независимо выбран из Н и метила; каждый R3 независимо представляет собой С1-4 алкил; и каждый R4 независимо выбран из пирролидоновой или фенильной групп. Mw полиэтиленоксидного каркаса приведен выше. Значение m, n, о, р и q выбрано таким образом, чтобы боковые группы составляли по меньшей мере 50%, или от примерно 50% до примерно 98%, или от примерно 55% до примерно 95%, или от примерно 60% до примерно 90% по массе полимера. Подходящий пригодный здесь полимер имеет Mw от примерно 1000 г/моль до примерно 150000 г/моль, или от примерно 2500 г/моль до примерно 100000 г/моль, или от примерно 7500 г/моль до примерно 45000 г/моль, или от примерно 10000 г/моль до примерно 34000 г/моль.
Реакцию радикальной графт-полимеризации обычно проводят с радикальным инициатором при температурах ниже примерно 100°С, или от примерно 60°С до примерно 100°С, или от примерно 65°С до примерно 90°С, или от примерно 70°С до примерно 80°С. Хотя ранее раскрыты полимеры, которые имеют температуры прививки выше примерно 100°С, более низкие температуры и кинетика настоящего изобретения приводят к значительно отличающейся первичной структуре полимера. Хотя такие полимеры представляют собой все же «статистические привитые полимеры», более низкая температура прививки увеличивает общий/средний размер каждой отдельной привитой цепи, и такие привитые цепи сильнее разнесены по полимеру. Таким образом, полимеры, образованные при более низких температурах прививки, в целом более гидрофильные и имеют сравнительно высокие точки помутнения в воде, чем полимеры, образованные при более высоких температурах прививки, даже если применяются одни и те же реагенты и исходные материалы, и конечные Mw и весовое соотношение каркас : привитая цепь те же самые. Полимер может иметь от примерно 0,5 до примерно 1,5, или от примерно 0,6 до примерно 1,25, или от примерно 0,75 до примерно 1,1 точек прививки на единицу мономера каркаса, этиленоксидную единицу, полиэтиленгликолевую единицу, или т.п., подходящие для такого индивидуального полимера. Количество точек прививки на единицу мономера каркаса (или другую единицу, подходящую для такого полимера) определяется ЯМР-спектрометрическим анализом чистого полимера, т.к. растворители могут помешать ЯМР-измерениям.
Полимер может дополнительно содержать множество гидролизируемых долей, таких как сложноэфирные или амидсодержащие группы, которые могут быть частично или полностью гидролизованы. Степень гидролиза полимера определяется как мольный % гидролизируемых долей, которые гидролизуются в соответствующие фрагменты. Обычно степень гидролиза полимера будет не более чем примерно 75 мол.%, или от примерно 0 мол.% до примерно 75 мол.%, или от примерно 0 мол.% до примерно 60 мол.%, или от примерно 0 мол.% до примерно 40 мол.%. В других вариантах осуществления степень гидролиза полимера составляет от примерно 30 мол.% до примерно 45 мол.%, или от примерно 0 мол.% до примерно 10 мол.%.
Моющий состав обычно содержит от примерно 0,5% до примерно 20%, или от примерно 0,6% до примерно 18%, или от примерно 0,75% до примерно 15%, или от примерно 1% до примерно 12% полимера. Однако для состава, содержащего липазу, обнаружено, что неожиданные результаты могут быть достигнуты, когда моющий состав содержит от примерно 0,25% до примерно 20%, или от примерно 0,4% до примерно 20%, или от примерно 0,5% до примерно 20%, или от примерно 0,6% до примерно 18%, или от примерно 0,75% до примерно 15%, или от примерно 1% до примерно 12% полимера.
Обычно поверхностно-активное вещество выбирают из анионного поверхностно-активного вещества, неионогенного поверхностно-активного вещества, катионного поверхностно-активного вещества, цвиттер-ионного поверхностно-активного вещества, амфолитного поверхностно-активного вещества, полуполярного неионогенного поверхностно-активного вещества, геминального поверхностно-активного вещества и их смеси; или из анионного поверностно-активного вещества, неионогенного поверхностно-активного вещества, цвиттер-ионного поверхностно-активного вещества и их смеси; или из анионного поверхностно-активного вещества, неионогенного поверхностно-активного вещества и их смеси; или из анионного поверхностно-активного вещества. Моющий состав обычно содержит от примерно 1% до примерно 50%, или от примерно 3% до примерно 40%, или от примерно 5% до примерно 35% поверхностно-активного вещества.
Пригодное в настоящем изобретении анионное поверхностно-активное вещество имеет алкильную цепь длиной от примерно 6 атомов углерода (С6) до примерно 22-х атомов углерода (C22) и само по себе известно из уровня техники. Неограничивающие примеры пригодных здесь анионных поверхностно-активных веществ включают в себя:
a) линейные алкилбензолсульфонаты (LAS), особенно С11-C18 LAS;
b) первичные разветвленные и статические алкилсульфаты (AS), особенно С10-С20 AS;
c) вторичные (2,3) алкилсульфаты, имеющие формулы (I) и (II), особенно С10-C20 вторичные алкилсульфаты:
в данных формулах М представляет собой водород или катион, обеспечивающий нейтральный заряд в зависимости от выделенной специалистом формы или от относительного рН системы, в которой применяют соединение. Неограничивающие изобретение катионы включают в себя натрий, калий, аммоний или их смесь. Величина х является целым числом между 7 и 15 или между 9 и 13; а величина у является целым числом между 8 и 14 или между 9 и 12, включительно;
d) алкилалкоксисульфаты (AAxS), особенно C10-C18 AAS, где алкокси-группа представляет собой этокси, и где х имеет значение примерно 1-30;
e) алкилалкоксикарбоксилаты, особенно С6-C18 алкилалкоскикарбоксилаты, особенно с примерно 1-5 этоксигруппами;
f) разветвленные алкилсульфаты со средней длиной цепи (см. патент США №6.020.303, выданный 1 февраля 2000, и патент США №6.060.443, выданный 9 мая 2000, оба на имя Cripe et al.);
g) разветвленные алкилалкоксисульфаты со средней длиной цепи (см. патент США №6.008.181, выданный 28 декабря 1999, и патент США №6.020.303, выданный 1 февраля 2000, оба на имя Cripe et al.);
i) метилсульфонат (MES), особенно часто используемый при стирке в холодной воде;
j) альфаолефинсульфонат (AOS); и
k) первичные разветвленные и упорядоченные алкил- или алкенилкарбоксилаты, особенно имеющие примерно 6-18 атомов углерода.
В общем, моющий состав может содержать от примерно 0,1% до примерно 25%, или от примерно 0,5% до примерно 20%, или от примерно 1% до примерно 17% неионо-генного поверхностно-активного вещества. Хотя неионогенные поверхностно-активные вещества NEODOL® от Shell Chemical LP (Houston, Texas, USA) и LUTENSON® XL и LUTENSON® XP от BASF Aktiengesellschaft (Mannheim, Germany) являются типичными представителями, неограничивающие примеры таких неиногенных поверхностно-активных веществ включают в себя:
a) С12-С18 алкилэтоксилаты (АЕ);
b) C6-С12 алкилфенолалкоксилаты, в которых алкоксилатные группы представляют собой смесь этиленокси- и пропиленоксигрупп;
c) блок-полимеры, являющиеся кондесатами C12-С18 спиртов и C6-С12 алкилфенолов с этиленоксидом/пропиленоксидом, такие как Pluronic® от BASF;
d) разветвленные C14-С22 спирты (ВА) со средней длиной цепи, обсужденные в патенте США №6.150.322, выданном 21 ноября 2000 на имя Singleton, et al.;
e) разветвленные C14-С22 алкилалкоксилаты (ВААх) со средней длиной цепи, особенно этоксилаты, в которых величина х составляет примерно 1-30; см. патент США №6.153.577, выданный 28 ноября 2000; патент США №6.020.303, выданный 1 февраля 2000; а также патент США №6.093.856, выданный 25 июля 2000 (все на имя Crippe et al);
f) полигидроксиамиды жирных кислот; см. патент США №5.332.528 на имя Pan and Gosselink, выданный 26 июля 1994; заявки WO 92/06162 на имя Murch et al., опубл. 16 апреля 1992; WO 93/19146 A1 на имя Fu et al., опубл. 30 сентября 1993; WO 93/19038 A1 на имя Conner et al., опубл. 30 сентября 1993; и WO 94/09099 A1 на имя Blake et al., опубл. 28 апреля 1994;
g) поверхностно-активные спирты, поли(оксиалкилированные) блокированные эфиром; см. патент США №6.482.994 на имя Scheper и Sivik, выдан 19 ноября 2002; и заявку WO 01/42408 А2 на имя Sivik et al., опубл. 14 июня 2001.
Не ограничивающие примеры катионных поверхностно-активных веществ включают в себя поверхностно-активные вещества четвертичного аммония, содержащие 1-26 углеродных атомов:
a) поверхностно-активные вещества на основе алкоксилатов четвертичного аммония (AQA); см. патент США №6.136.769 на имя Asano et al., выдан 24 октября 2000;
b) диметилгидроксиэтил четвертичного аммония; см. патент США №6.004.922 на имя Watson and Gosselink, выдан 21 декабря 1999;
c) катионные полиаминные поверхностно-активные вещества; см. заявки WO 98/35002 A1, WO 98/35003 A1, WO 98/35004 A1, WO 98/35005, WO 98/35006, все на имя Heinzman and Ingram, опубл. 13 августа 1998;
d) сложноэфирные катионные поверхностно-активные вещества, см. патенты США №4.228.042 на имя Letton, выдан 14 октября 1980; №4.239.660 на имя Kingry, выдан 16 декабря 1980; №4.260.529 на имя Letton, выдан 07 апреля 1981; и №6.022.844 на имя Baillely and Perkins, выдан 08 февраля 2000; и
e) аминсодержащие поверхностно-активные вещества; см. патент США №6.221.825 на имя Williams and Nair, выдан 24 апреля 2001, и заявку WO 00/47708 на имя Broeckx et al., опубл. 17 августа 2000, и в особенности - пропилдиметиламидоамин.
Цвиттер-ионные поверхностно-активные вещества включают в себя производные вторичных и третичных аминов, производные гетероциклических вторичных и третичных аминов, или производные четвертичного аммония, четвертичного фосфония или соединения третичного сульфония. См. патент США №3.929.678 на имя Laughlin et al., опубл. 30 декабря 1975. Амфолитные поверхностно-активные вещества включают в себя C8+ или C8-18 алифатические производные вторичных или третичных аминов, или алифатические производные гетероциклических вторичных и третичных аминов, в которых алифатический радикал может иметь разветвленную или неразветвленную цепь. Полуполярные неионогенные поверхностно-активные вещества включают в себя водорастворимые аминоксиды, фосфиноксиды и сульфоксиды, содержащие одну С10-С18алкильную долю и 2 доли, выбранные из C1-3алкильных групп и C1-3гидроксиалкильных групп. См. заявку WO 01/32816, патенты США №4.681.704 и №4.133.779. Геминальные поверхностно-активные вещества представляют собой соединения, имеющие по меньшей мере две гидрофобные группы и по меньшей мере две гидрофильные группы в молекуле. См., например, Chemtech, март 1993, стр.30-33, и J. Am. Chem. Soc., 115, 10083-90 (1993). Эти поверхностно-активные вещества являются типичными коммерчески доступными веществами во всем мире, в любом количестве и любого качества.
Неорганический моющий компонент обычно выбирается из группы, состоящей из фосфатных компонентов, силикатных компонентов, цеолитных компонентов и их смеси. Указанный фосфатный компонент включает в себя поли-, орто- и (или) метафосфаты солей щелочного металла, аммония и алканоламмония; или поли-, орто- и (или) метафосфатные соли щелочных металлов; или поли-, орто- и (или) метафосфат натрия и калия; или триполифосфат натрия (STPP).
Неорганический моющий компонент может включать в себя силикат щелочного металла, цеолит и их смесь. Как пластинчатые, так и аморфные силикаты пригодны для настоящего изобретения, например цеолит А, цеолит X, цеолит Р, цеолит MAP и их смесь. Моющий состав здесь обычно содержит от примерно 5% до примерно 40%, или от примерно 7% до примерно 35%, или от примерно 10% до примерно 30% неорганического моющего компонента, который является широко и повсеместно коммерчески доступным во всем мире.
Липаза, пригодная здесь, включает в себя такую, как описанная в патенте Великобритании №1.372.034 на имя Dijk and Berg, опубл. 30 октября 1974, заявке JP 53-20487 на имя Inuagi, опубл. 24 февраля 1978 (липаза Р «амано» или «амано-Р» от Амано Фармасьютикал Ко ЛТД, Нагоя, Япония); "Lipolase®", коммерчески доступная от Novozymes A/S (Bagsvaerd, Denmark); патент ЕПВ 341.947 на имя Cornelissen et al., выданный 31 августа 1994; заявка WO 94/14951 на имя Halkier et al., опубл. 07 июля 1994 на Novo; и заявка WO 92/05249 на имя Clausen et al., опубл. 02 апреля 1992.
«Липаза для первой стирки» представляет собой высокоэффективную липазу, разработанную для эффективной мойки на первой стадии стирки, так что, как и при очистке на второй стадии стирки, наблюдается значительное усиление чистящего эффекта в первом цикле стирки ввиду использования фермента липазы. См., например, заявку WO 00/60063 А1 на имя Vind et al., опубл. 12 октября 2000; исследовательский отчет IP6553 D; заявки WO 99/42566 A1 на имя Borch et al., опубл. 26 августа 1999; WO 02/062973 А2 на имя Munk et al., опубл. 05 августа 2002; WO 97/04078 A1 на имя Fuglslag et al., опубл. 06 февраля 1997; WO 97/04079 A1 на имя Fuglslag et al., опубл. 06 февраля 1997; и патент США №5.869.438 на имя Svedsen et al., опубл. 09 февраля 1999. Липаза для первой стирки коммерчески доступна под названием LIPEX® (зарегистрированный товарный знак Novozymes), вариант Humicola lanuginosa (Thermomyces lanuginosus) липазы (LIPOLASE®, зарегистрированный товарный знак Novozymes) с мутациями T231R и N233R.
Как правило, липаза присутствует в количестве от примерно 5 LU/г до примерно 20000 LU/г, или от примерно 35 LU/г до примерно 5000 LU/г моющего состава. Единица «LU» активности липазы определена в заявке WO 99/42566 A1 на имя Borch et al., опубл. 26 августа 1999. Доза липазы как ферментного белка в моющем растворе обычно составляет от примерно 0,005 до 5 мг/л, или от примерно 0,01 до 0,5 мг/л. В варианте осуществления здесь доза липазы, и особенно липазы для первичной стирки, составляет от примерно 0,01 до 20000 LU/мл моющего раствора, или 0,2-5000 LU/мл моющего раствора.
Липаза для первичной стирки здесь представляет собой полипептид, имеющий аминокислотную последовательность с по меньшей мере 90% идентичностью природной липазе, полученной из штамма Humicola lanuginosa DSM 4109, и сравнимый с указанной природной липазой, содержащий замещение электрически нейтральной или отрицательно заряженной аминокислоты в пределах 15А Е1 или Q249 положительно заряженной аминокислотой; и может дополнительно содержать:
а) присоединенный пептид при терминальном С; (b) присоединенный пептид при терминальном N; (с) удовлетворяет следующим ограничениям: (i) содержит отрицательно заряженную аминокислоту в позиции Е210 указанной природной липазы; (ii) содержит отрицательно заряженную аминокислоту в области, соответствующей позициям 90-101 указанной природной липазы; (iii) содержит электрически нейтральную или отрицательно заряженную аминокислоту в позиции, соответствующей N94 указанной природной липазы; и (или) (iv) имеет отрицательное или нейтральной значение электрического заряда в области, соответствующей позициям 90-101 указанной природной липазы; и (d) их смесь.
Цитируемая липаза, используемая в данном составе, представляет собой природную липазу, полученную из штамма Humicola lanuginosa DSM 4109. Она описана в заявке ЕПВ №258068 А2 на имя Huge-Jensen and Boel, опубл. 02 марта 1988, и заявке ЕПВ №305216 на имя Boel and Huge-Jensen, опубл. 01 марта 1989, и имеет аминокислотную последовательность, приведенную в позициях 1-269 SEQ ID NO:2 патента США №5.869.438. Данная цитируемая липаза также упоминается в настоящей заявке как LIPOLASE®.
Липаза здесь содержит один или несколько (например, 2-4, в частности 2) заместителей электронейтральной или отрицательно заряженной аминокислоты около Е1 или Q249 положительно заряженной аминокислотой, предпочтительно R. Замещение происходит на поверхности трехмерной структуры внутри 15А в Е1 или Q249, например в любом из положений 1-11, 90, 95, 169, 171-175, 192-211, 213-226, 228-258, 260-262. Замещение может быть в пределах 10А в Е1 или Q249, например в любом из положений 1-7, 10, 175, 195, 197-202, 204-206, 209, 215, 219-224, 230-239, 242-254. Замещение может в пределах 15А в Е1, например, в любом из положений 1-11, 169, 171, 192-199, 217-225, 228-240, 243-247, 249, 261-262. Замещение наиболее предпочтительно может быть в пределах 10А в Е1, например в любом из положений 1-7, 10, 219-224 и 230-239. Следовательно, некоторыми предпочтительными замещениями являются S3R, S224R, P229R, T231R, N233R, D234R и T244R.
Липаза может содержать пептидную добавку, присоединенную к С-концу L269. Эта пептидная добавка предпочтительно состоит из 1-5 аминокислот, например 2, 3 или 4 аминокислот. Аминокислоты пептидной добавки нумеруются как 270, 271 и т.д. Пептидная добавка может состоять из электронейтральных (например, гидрофобных) аминокислот, например PGL или PG. Либо пептидная добавка липазы состоит из нейтральных (например, гидрофобных) аминокислот и аминокислоты С, и липаза содержит замещение аминокислоты компонентом С в подходящем положении, так чтобы у пептидной добавки образовался дисульфидный мостик с С. Например: 270С, соединенный с G23C или Т37С; 271 С, соединенный с К24С, Т37С, N26C или R81C; 272С, соединенный с D27C, Т35С, Е56С, Т64С или R81C. Аминокислоты в положениях 90-101 и 210.
Обычно липаза имеет некоторые ограничения по электрически заряженным аминокислотам в положениях 90-101 и 210. Следовательно, аминокислота 210 может быть отрицательно заряженной. Е210 может быть неизмененной, или она может быть замещена Е21 OD/CN, в частности Е21 OD. Данная липаза может содержать отрицательно заряженную аминокислоту в любом из положений 90-101 (в частности, 94-101), например, в положении D96 и (или) Е99. Далее, липаза может содержать электронейтральную или отрицательно заряженную аминокислоту в положении N94, т.е. N94 (нейтральная или отрицательно заряженная), например N94N/D/E.
Липаза также может иметь отрицательный или нейтральный общий электрический заряд в области 90-101 (в частности, 94-101). Таким образом, указанная область может быть неизменной от LIPOLASE®, имеющей две отрицательно заряженные аминокислоты (D96 и Е99) и одну положительно заряженную аминокислоту (К98), и имеющей электрически нейтральную аминокислоту в положении 94 (N94), или этот участок может быть модифицирован одним или несколькими заместителями.
Альтернативно, две из трех аминокислот N94, N96 и Е99 могут иметь отрицательный или неизменный электрический заряд. Таким образом, все три аминокислоты могут быть неизмененными или могут быть изменены путем внесения слабого или отрицательного заместителя, то есть N94 (нейтральный или отрицательный), D (отрицательный) или Е99 (нейтральный или положительный). Примерами являются N94D/E и D96E. Также, одна из трех может быть замещена таким образом, чтобы увеличивался электрический заряд, т.е. N94 (положительная), D96 (нейтральная или положительная) или Е99 (нейтральная или положительная). Примерами являются N94K/R, D961/L/N/S/W или E99N/Q/K/R/H.
Липаза содержит положительно заряженный пептидный удлинитель на терминальном N. Пептидный удлинитель может содержать 1-15 (особенно 4-10) аминокислотных остатков и предпочтительно содержит 1, 2 или 3 положительно заряженные аминокислоты, более предпочтительно 1, 2 или 3 R. В дальнейшем электрический заряд терминального N может быть увеличен замещением Е1 электрически нейтральной или положительно заряженной аминокислотой, например Е1 Р. Некоторыми предпочтительными пептидными удлинителями являются SPIRR, PR(-E), SPIRPRP(-E), SPPRRP(-E) и SPIRPRID(-E).
Пептидный удлинитель может содержать С (цистеин), присоединенный дисуль-фидным мостиком к вторичному С в полипептиде (или С присутствует в Lipolase, или вводится замещением), например, SPPCGRRP(-E), SPCRPR, SPCRPRP(-E), SPPCGRRPRRP(-E), SPPNGSCGRRP(-E), SPPCRRRP(-E) или SCIRR, присоединенные к Е239С.Кроме того, могут быть использованы любые пептидные удлинители, описанные в заявках WO 97/04079 и WO 97/07202.
Как уже обсуждалось, аминокислоты классифицируют как отрицательно заряженные, положительно заряженные или электрически нейтральные в соответствии с их электрическим зарядом при рН 10. Так, отрицательно заряженные аминокислоты представляют собой E, D, С (цистеин) и Y, особенно Е и D. Положительно заряженные аминокислоты представляют собой R, K и H, в частности R и K. Нейтральные аминокислоты представляют собой G, А, V, L, I, Р, F, W, S, Т, М, N, Q и С, когда они образуют часть дисульфидного мостика. Замещение другой аминокислотой в ту же самую группу (отрицательную, положительную или нейтральную) называется слабым замещением. Электронейтральные аминокислоты могут подразделяться на гидрофобные (G, А, V, L, I, Р, Е, W и С, как часть дисульфидного мостика) и гидрофильные (S, Т, М, N, Q).
Липаза здесь имеет аминокислотную идентичность по меньшей мере 90% (предпочтительно, более чем 95%, или более 98%) с LIPOLASE ®. Степень идентичности может быть надлежащим образом определена при помощи таких известных компьютерных программ, как GAP, поступающий в программном пакете GCG (Program Manual for the Wisconsin Package, version 8, август 1994, Genetics Computer Group, 575 Science Drive, Madison, Wisconsin, USA 53711) (Needleman S.B. и Wunsch C.D. (1970), Journal of Molecular Biology, 48, 433-45), посредством использования GAP с последующей установкой полипептидной последовательности сравнением: штраф за создание GAP 3,0 и штраф за расширение GAP 0,1. Фермент липазы может быть включен в композицию моющего средства в любой подходящей форме, как правило, в форме не образующего пыли гранулята, стабилизированной жидкости или частиц фермента в оболочке.
Суммарно моющее средство для стирки обычно содержит от примерно 5% до примерно 70%, или примерно 10% до примерно 60% дополнительных ингредиентов, таких как осветлитель, подсинивающий агент, другие ферменты, отдушки, и т.д., которые общеизвестны из уровня техники.
Осветлители преобразуют невидимый свет в видимый свет и тем самым делают ткань и одежду ярче, белее, а цвета - насыщеннее. Подсинивающий агент обычно представляет собой слегка синеватый краситель и (или) пигмент, который фиксируется на тканях и который, таким образом, помогает скрыть желтоватые налеты и оттенки на тканях, чтобы сделать ткань белее.
Пригодные здесь другие (т.е. отличные от липазы) ферменты включают в себя протеазы, амилазы (α и (или) β), целлюлазы, цутиназы, эстеразу, карбогидразы, пероксидазы, лакказы, оксигеназы и т.д., в том числе модифицированные/генетически сконструированные ферменты и стабилизированные ферменты. Ферментное содержание таких других ферментов составляет в основном от 0,0001 до 2%, предпочтительно от 0,001% до 2%, более предпочтительно 0,005% до 0,1% чистого фермента.
Отдушки здесь придают эстетический эффект ткани либо во время, либо после стирки. Отдушки, доступные, например, от Givaudan, International Flavors & Fragrances и т.д., и обычно присутствуют в количестве от примерно 0,001% до 5%.
Методы тестирования
Тест на удаление грязи проводится следующим образом: стандартизированный образец красящего вещества, содержащий отдельные вкрапления грязного кулинарного жира, сальных загрязнений, ASDA - жира (супермаркет Великобритании), оливкового масла Napolina™, животного маргарина, арахисового масла, смеси (жир чоризо, жир бекона и кулинарный жир) и жира гамбургера высушивают на образце голубой трикотажной хлопчатобумажной ткани CW99. Стандартизированный загрязненный образец доступен от Warwick Equest Ltd. (Durham, UK). Образцы промаркированы в целях идентификации.
Контрольный моющий состав, не содержащий полимера, содержащий 1 мас.% полимера, приготовлен в качестве сравнительного моющего состава при сравнении с контрольным составом. Контрольный состав и тестируемый состав идентичны, за исключением 1% полимера, включенного в тестовый состав, и результирующего (практически пренебрежимого) 1% разбавления состава.
Получен исходный жесткий раствор 205 частей на миллион (ч/млн) СаСО3 и 87 ч/млн MgCO3 в воде, и проведен следующий тест.
1. Добавляют 33 л жесткого раствора в стиральный бак полуавтоматической двухбаковой стиральной машины (Panasonic, модель ХРВ 52-500S, Huangzhou, China).
2. Добавляют 80 г контрольного продукта в стиральный бак и перемешивают в течение трех минут до растворения продукта.
3. Помещают 0,65 кг загрузки (чистые белые хлопковые тенниски) в стиральный бак.
4. Помещают запятнанный образец в стиральный бак и добавляют дополнительно 0,65 кг загрузки сверху образца.
5. Стирают запятнанный образец в течение 20 минут (стандартный параметр). Стиральный бак высушивают.
6. Переносят загрузку из стирального бака во вращающийся бак и вращают в течение трех минут (при стандартных об/мин).
7. Добавляют 33 л жесткого раствора в стиральный бак для цикла полоскания. Переносят загрузку из вращающегося бака в стиральный бак и стирают в течение 5 минут при стандартных параметрах. Сливают стиральный бак.
8. Повторяют этапы 1-7 для тестируемого состава и с новым запятнанным образцом.
9. Высушивают на воздухе образцы в течение 24 часов при 25°С и влажности 35%. Во время сушки и потом образец предохраняют от воздействия прямых солнечных лучей. Хранят образец в темноте и в холодильнике при температуре примерно 4°С.
10. Затем образцы сортируют анализатором изображений, который имеет закрытую световую камеру (Mole-Richardson (модель Molequartz 2581, Hollywood, CA, USA)), содержащую источник света D65 и цифровую камеру корпорации Sony DXC-760MD, которая измеряет цвет каждого окрашенного пятна и сравнивает с соответствующим окрашенным пятном непромытого (т.е. «нового») загрязненного образца. Источник света D65 имитирует длины волн солнечного света. Данные передаются на компьютер, который вычисляет процент удаления каждого окрашенного пятна на основе процентного отличия в цвете для каждого пятна. Образцы выдерживают 1 день для полного высыхания.
11. Эффективность очистки от жира для конкретного моющего состава вычисляют усреднением процента удаления каждого окрашенного пятна.
Индексs эффективности очистки от жира (GCPIs) задает снижение поверхностно-активного вещества, обеспечиваемое полимером, при поддержании общей равной эффективности очистки от жира. Так, моющий состав, содержащий полимер, сравним с моющим составом, имеющим в общем равную эффективность очищения от жира, но который требует большего количества поверхностно-активного вещества.
GCPIs={1-[(количество ПАВ в Формуле А)/(количество ПАВ в Формуле В)]}·100, где Формула А представляет собой моющий состав, содержащий полимер, а Формула В представляет собой идентичный моющий состав, за исключением того, что он не содержит полимера. Формула А и Формула В обеспечивают равное очищение от грязи в соответствии с тестом на очищение от грязи. Как применяется здесь, «равное очищение от жира» означает, что усредненные измерения очищения всех окрашенных образцов равны по величине. В варианте осуществления настоящего изобретения GCPIs составляет по меньшей мере примерно 10, или от примерно 10 до примерно 90, или от примерно 12 до примерно 80, или от примерно 15 до примерно 75, или от примерно 20 до примерно 67.
Аналогично, индексsе эффективности очистки от жира (GCPIse) задает снижение поверхностно-активного вещества, вызываемое сочетанием полимер + липаза, при поддержании общей равной эффективности очистки от жира.
GCPIse={1-[(количество ПАВ в Формуле А)/(количество ПАВ в Формуле В)]}·100, где Формула А представляет собой моющий состав, содержащий полимер и липазу, а Формула В представляет собой идентичный моющий состав, за исключением того, что он не содержит ни полимера, ни липазы. Формула А и Формула В обеспечивают равное очищение от грязи в соответствии с тестом на очищение от грязи. В тестах определения GCPIs и GCPIse, приведенных ниже, количество липазы стандартизировано на уровне 10 LU/г моющего состава. В варианте осуществления здесь GCPIse составляет по меньшей мере примерно 10, или по меньшей мере примерно 15, или от примерно 15 до примерно 95, или от примерно 17 до примерно 90, или от примерно 20 до примерно 85, или от примерно 22 до примерно 75.
Индексb эффективности очистки от жира (GCPIb) задает уменьшение неорганического основного моющего вещества, вызываемое полимером, при поддержании общей равной эффективности очистки от жира.
GCPIb={1-[(количество неорганического основного вещества моющего средства в Формуле А)/(количество неорганического основного вещества моющего средства в Формуле В)]}·100,
где Формула А представляет собой моющий состав, содержащий полимер, а Формула В представляет собой идентичный моющий состав, за исключением того, что он не содержит полимера. Формула А и Формула В обеспечивают равное очищение от жира в соответствии с тестом на очищение от жира. В варианте осуществления здесь GCPIb составляет по меньшей мере примерно 10, или от примерно 10 до примерно 100, или от примерно 12 до примерно 80, или от примерно 15 до примерно 75, или от примерно 20 до примерно 67.
Аналогично, индексbе эффективности очистки от жира задает снижение неорганического основного моющего вещества, вызываемое полимером, при поддержании общей равной эффективности очистки от жира.
GCPIbe={1-[(количество неорганического основного вещества моющего средства в Формуле А)/(количество неорганического основного вещества моющего средства в Формуле В)]}·100,
где Формула А представляет собой моющий состав, содержащий полимер и липазу, а Формула В представляет собой идентичный моющий состав, за исключением того, что он не содержит ни полимер, ни липазу. Формула А и Формула В обеспечивают равное очищение от жира в соответствии с тестом на очищение от жира. В варианте осуществления здесь GCPIbe составляет по меньшей мере примерно 10, или по меньшей мере 15, или от примерно 15 до примерно 100, или от примерно 17 до примерно 100, или от примерно 20 до примерно 85, или от примерно 22 до примерно 75.
Во многих случаях полимер может быть более эффективным на основании масса-на-массу, чем равное количество поверхностно-активного вещества и (или) основного вещества. Соотношение между мас.% полимера и GCPIs (т.е. мас.% полимер:GCPIs) (и (или) GCPIb) моющего состава составляет по меньшей мере примерно 1:2, или от примерно 1:2 до примерно 1:90, или от примерно 1:2,5 до примерно 1:90, или от примерно 1:3 до примерно 1:90, или от примерно 1:10 до примерно 1:90. Мас.% полимер: GCPIse (и (или) GCPIbe) составляет по меньшей мере примерно 1:2, или от примерно 1:2 до примерно 1:90, или от примерно 1:5 до примерно 1:90, или от примерно 1:10 до примерно 1:90, или от примерно 1:15 до примерно 1:90. Если соотношение между мас.% полимера и GCPIs составляет 1:2, то 1% полимера позволяет эффективно снизить общее количество поверхностно-активного вещества на 2% с сохранением общей равной эффективности очистки от жира.
Исследование глинистой суспензии осуществляют следующим образом: 15 мг китайской глины (Warwick Equest Ltd.) суспендируют в 15 мл деминерализованной воды в 30 мл плоскодонном стакане при перемешивании. Добавляют 11 мг буферного раствора с pH 7,5 (см. ниже). Смесь обрабатывают ультразвуком в течение 30 минут и затем перемешивают в течение 20 минут. Добавляют при перемешивании 0,15 мл 0,1М водного раствора CaCl2 и смесь перемешивают еще 5 минут. Добавляют при перемешивании водный раствор полимера (0,075 мг, 2000 ч./млн в воде) и смесь перемешивают еще 5 минут. При перемешивании добавляют водный раствор линейного алкилбензола (0,15 г, 15000 ч./млн в воде) и смесь перемешивают еще 5 минут. Перемешивание прекращают и смесь оставляют на 60 минут. Это приводит к концентрации полимера 10 ч./млн.
150 мкл отбирают с глубины 2 мм от уровня поверхности жидкости и измеряют оптическую плотность на длине волны 620 нм (помутнение) посредством прибора BMG FLUOstar. Полученное значение оптической плотности затем индексируют по значению оптической плотности, полученному для Lutensit K-HD96® (коммерциализирован BASF), используемой в качестве справочной величины 100, т.е.:
Индекс глинистой суспензии = [оптическая проницаемость для полимера]/[оптическая проницаемость для Lutensit K-HD96]×100.
Буферный раствор: буферный раствор с рН=7,5 получают смешением 50 мл 0,1М трис(гидроксиметил)аминометана, 40,3 мл 0,1 М соляной кислоты и воды (добавленной до 100 мл общего объема). Трис(гидроксиметил) аминометан доступен от Riedel-deHaen под коммерческим наименованием основание Trizma®. Линейный алкилбензол поставляется BASF под коммерческим наименованием LutensitTM A-LBN®.
В варианте осуществления настоящего изобретения индекс глинистой суспензии составляет по меньшей мере примерно 86, или от примерно 86 до примерно 600, или от примерно 90 до примерно 500, или от примерно 95 до примерно 460, или от примерно 100 до примерно 420, или от примерно 120 до примерно 390, или от примерно 150 до примерно 360, или от 170 до примерно 340, или от примерно 200 до примерно 330. Не желая ограничиваться теорией, предполагается, что индекс глинистой суспензии по настоящему изобретению является точным и воспроизводимым предсказателем общих отбеливающих свойств полимера при добавлении его в моющий состав.
Индекс роста пены (SBI) измеряет профиль пены моющего состава в присутствии или без полимера, в присутствии стандартного количества масла. Профиль пены измеряют с использованием цилиндрического тестера пены (SCT), имеющего набор из четырех цилиндров. Каждый цилиндр имеет длину 65 см и диаметр 5 см. Стенки цилиндра имеют толщину 0,5 см, а дно цилиндра имеет толщину 1 см. SCT вращает раствор моющего средства в 4 чистых пластиковых цилиндрах с донышка на крышку при скорости 22 оборота в минуту, после чего измеряют высоту пузырей. В тестируемый раствор до начала вращения добавляют грязь. Для имитации исходного профиля пузырей композиции моющего средства могут использоваться модификации данного теста, так же как и профиль пузырей при использовании, когда больше грязи попадает в раствор со стираемых вещей. Способ проведения теста по пузырям здесь заключается в следующем.
1. Готовят тестовый незагрязненный раствор моющего средства, содержащий полимер, и контрольный незагрязненный раствор моющего вещества, не содержащий полимера. Концентрация каждого раствора моющего вещества составляет 2414 ч/млн, и жесткость определяется при 205 ч/млн СаСО3 и 87 ч/млн MgCO3. Загрязненное масло для жарки и техническое телесное загрязнение (оба от Warwick Equest Ltd.) использовались для симуляции типичных в стиральной промышленности загрязнений от масла и тела, соответственно. Техническое телесное загрязнение (т.е. «искусственное кожное сало» - 15% жирной кислоты, 15% олеиновой кислоты, 15% парафионового масла, 15% оливкового масла, 15% соевого масла, 5% сквалена, 5% холестерина, 5% миристиновой кислоты, 5% пальмитиновой кислоты, 5% стеариновой кислоты) представляет собой жидкость, тогда как загрязненное масло для жарки нанесено на отрезанный лоскут и получено из пятна масла для жарки на тканевом лоскуте, обсуждавшейся ранее в тесте по очищению от смазки. Такое пятно от масла разделяют на 4 равные части, и каждая часть становится отрезанным лоскутом.
2. Для каждого раствора моющего средства готовят 4 чистых сухих калиброванных цилиндра.
3. Для каждого раствора моющего средства вливают 300 мл раствора моющего средства в каждый из 4 одинаковых цилиндров. Вносят в 0,15 г технического телесного загрязнения и отрезанный лоскут.
4. В каждый цилиндр вводят по резиновому стопору и закрывают цилиндры в SCT.
5. Вращают цилиндры в течение 15 секунд. Останавливают цилиндры и фиксируют каждый цилиндр в вертикальном положении горлом вверх. В течение 10 секунд измеряют высоту пены в каждом из цилиндров с точностью до 1 мм, перемещаясь слева направо. Вращают цилиндры в течение еще 15 секунд, останавливают и фиксируют цилиндры на месте и повторно измеряют высоту пены. Повторяют стадии вращения, остановки, фиксации и измерения для дополнительных промежутков в 30 секунд, 1, 3 и 5 минут. Это позволяет получить данные по совместным вращениям в течение 15 секунд, 30 секунд, 1, 2, 5 и 10 минут, моделируя профиль пены во время стирки.
Профиль пены представляет собой среднюю высоту пузырей в мм, получаемых из моющего состава в момент, соответствующий 10 минутам совместного вращения. Индекс роста пены (SBI) представляет собой процент прироста высоты пены в присутствии полимера в момент 10 мин и рассчитывается как:
SBI={[(высота пены с полимером, мм)/(высота пены без полимера, мм)]-1 }·100.
Моющий состав, согласно изобретению, обычно имеет индекс роста пены по меньшей мере около 10, или от примерно 10 до примерно 80, или от примерно 15 до примерно 70.
Для моделирования исходного профиля пены из этапа 3 могут быть исключены загрязненное масло для жарки и техническое телесное загрязнение. Возможны дополнительные вариации данного теста, например добавление дополнительного использованного масла для жарки и (или) технического телесного загрязнения в промежутках между различными стадиями вращения, до тех пор пока уровень пены не опустится ниже заранее заданного уровня, например ниже 1 см. Это делается для профиля пены при различной концентрации масла, имитируя увеличение загрязнения, что проявляется по мере все большего отмывания одежды. Альтернативно, разные количества подготовленного масла могут добавляться к таким же растворам моющего средства для имитации стирки по-разному загрязненной одежды в качестве первой части стирки. Следовательно, применение полимера в соответствии с настоящим изобретением может увеличить профиль пены моющего состава, в особенности исходный профиль пены и (или) профиль пены в процессе стирки.
ПРИМЕР 1
Приготовлены нижеследующие составы средства для стирки
| A | B | C | D | E | F | G | H | I | J | |
| LAS | 18 | 18 | 18 | 18 | 17 | 17 | 15 | 17 | 11 | 13 |
| AE3S | - | 0,4 | - | 0,4 | 0,4 | - | - | 0,4 | - | - |
| Катионное ПАВ | 0,2 | - | 0,2 | - | - | 0,2 | - | 0,6 | - | - |
| АЕ | - | - | - | - | - | - | 0,8 | - | 3,8 | 3 |
| Полимер1 | 1 | 1 | 1 | 1 | 1 | 1 | 0,75 | 1 | 1 | 1 |
| STPP | 17 | 17 | 19 | 19 | 17 | 17 | 21 | 17 | - | - |
| Цеолит А | - | - | - | - | - | - | - | - | 1,3 | 19 |
| Другой фермент2 | 0,3 | 0,3 | 0,3 | 0,3 | 0,2 | 0,2 | 0,2 | 0,3 | 0,1 | 0,3 |
| Система отбеливателя | 3,1 | 3,1 | 3,5 | 3,5 | - | - | - | 3,1 | - | - |
| Добавки3 | до | до | до | до | до | до | до | до | до | до |
| 100 | 100 | 100 | 100 | 100 | 100 | 100 | 100 | 100 | 100 | |
| % | % | % | % | % | % | % | % | % | % | |
| GCPIs | 4 | 3,2 | 4 | 3,2 | 8,4 | 9,5 | 4,6 | 5,3 | - | - |
| GCPIb | 15 | 15 | 5 | 5 | 15 | 15 | 16 | 15 | - | - |
| SBI | - | - | - | - | - | 15 | 5 | 10 | - | - |
| 1полиэтиленгликолевый каркас с молекулярной массой 6000 г/моль, привитый при 70°С 60% винилацетата в расчете на массу каркаса. | ||||||||||
| 2не содержащие липазу ферменты. | ||||||||||
| 3например, карбонат, наполнители, отбеливатель, отдушка и т.д. до 100%. | ||||||||||
ПРИМЕР 2
Приготовлены нижеследующие составы моющего средства для стирки
| A | B | C | D | E | F | G | H | I | J | |
| LAS | 17 | 17 | 17 | 17 | 16 | 16 | 14 | 16 | 11 | 13 |
| AE3S | - | 0,4 | - | 0,4 | 0,4 | - | - | 0,4 | - | - |
| Катионное ПАВ | 0,2 | - | 0,2 | - | - | 0,2 | - | 0,6 | - | - |
| АЕ | - | - | - | - | - | - | 0,8 | - | 3,8 | 3 |
| Полимер1 | 1 | 1 | 1 | 1 | 1 | 1 | 0,75 | 1 | 1 | 1 |
| STPP | 16 | 16 | 18 | 18 | 15 | 15 | 21 | 16 | - | - |
| Цеолит А | - | - | - | - | - | - | - | - | 1,3 | 19 |
| Липаза (LU/г)2 | 100 | 100 | 100 | 100 | 100 | 100 | 100 | 100 | 100 | 100 |
| Другой фермент3 | 0,3 | 0,3 | 0,3 | 0,3 | 0,2 | 0,2 | 0,2 | 0,3 | 0,1 | 0,3 |
| Система отбеливателя | 3,1 | 3,1 | 3,5 | 3,5 | - | - | - | 3,1 | - | - |
| Добавки4 | до | до | до | до | до | до | до | до | до | до |
| 100 | 100 | 100 | 100 | 100 | 100 | 100 | 100 | 100 | 100 | |
| % | % | % | % | % | % | % | % | % | % | |
| GCPIs | 9,5 | 8,4 | 9,5 | 8,4 | 14 | 15 | 12 | 11 | - | - |
| GCPIb | 19 | 19 | 10 | 10 | 25 | 25 | 16 | 20 | - | - |
| SBI | 10 | 15 | 10 | 20 | - | - | - | - | - | - |
| 1полиэтиленгликолевый каркас с молекулярной массой 6000 г/моль, привитый при 70°С 60% винилацетата в расчете на массу каркаса. | |
| 2 Lipex® от Novozymes A/S. | |
| 3 не содержащие липазу ферменты. | |
| 4 например, карбонат, наполнители, отбеливатель, отдушка и т.д. до 100%. |
ПРИМЕР 3
Приготовлены нижеследующие составы моющего средства для стирки
| A | B | C | D | E | F | G | H | I | J | K | L | |
| LAS | 16 | 16 | 17 | 19,4 | 17,6 | 15,9 | 16 | 16 | 17 | 19,4 | 13 | 17 |
| AE3S | - | - | - | 0,9 | - | - | - | - | - | 0,9 | - | - |
| Катионное | - | - | - | 0,2 | 0,2 | - | - | - | - | 0,2 | - | 0,6 |
| ПАВ | ||||||||||||
| АЕ | 0,8 | 1,3 | 2 | - | - | - | 0,8 | 1,3 | 2 | - | 0,3 | 0,4 |
| Полимер1 | 1 | 1 | 1 | 1,2 | 4 | 2 | - | - | 0,5 | 0,2 | 1 | 1 |
| Полимер2 | - | - | - | - | - | 2 | 1 | - | - | 0,5 | 1 | 0,5 |
| Полимер3 | - | - | - | - | - | 1 | - | 0,5 | 0,5 | 0,5 | 1 | 0,5 |
| STPP | - | - | -6 | 24 | 20,3 | 10 | - | - | -6 | 24 | 17 | 16 |
| Цеолит А | 16 | 16 | -6 | - | - | - | 16 | 16 | -6 | - | - | 1,5 |
| Липаза (LU/г)4 | 50 | 100 | 100 | 200 | 100 | 100 | 100 | 400 | 100 | 100 | 100 | - |
| Другой фермент5 | 0,2 | 0,2 | 0,6 | 0,1 | 0,1 | 0,1 | 0,2 | 0,2 | 0,6 | 0,1 | 0,3 | 1,2 |
| Система отбеливателя | - | - | - | - | 3 | - | - | - | - | - | 1,5 | 6,6 |
| Добавки7 | до 100% | до 100% | до 100% | до 100% | до 100% | до 100% | до 100% | до 100% | до 100% | до 100% | до 100% | до 100% |
| 1полиэтиленгликолевый каркас с молекулярной массой 6000 г/моль, привитый при 70°С 60% винилацетата в расчете на массу каркаса. | ||||||||||||
| 2полиэтиленгликолевый каркас с молекулярной массой 6000 г/моль, привитый при 70°С 60% винилацетата и 40% гидролизованных сложноэфирных связей, в расчете на массу каркаса. | ||||||||||||
| 3полиэтиленгликолевый каркас с молекулярной массой 12000 г/моль, привитый при 70°С 54% винилацетата и 6% бутилакрилата, в расчете на массу каркаса. | ||||||||||||
| 4Lipex® от Novozymes A/S. | ||||||||||||
| 5не содержащие липазу ферменты. | ||||||||||||
| 6содержит 22% карбоната+6,4% силиката в качестве основного моющего вещества. | ||||||||||||
| 7например, карбонат, наполнители, отбеливатель, отдушка и т.д. до 100%. | ||||||||||||
ПРИМЕР 4
ЯМР-спектроскопией исследован полимер ПРИМЕРА 1 и, как обнаружено, содержащий 0,9 точек прививки на единицу полиэтиленгликоля. Составы ПРИМЕРА 1 повторяют с полимерами, привитыми при 90°С и имеющими 0,9 точек прививки и 0,8 точек прививки на единицу полиэтиленгликоля. В обоих случаях получены сходные результаты.
ПРИМЕР 5
В тесте на глинистую суспензию полимер ПРИМЕРА 1 с 0,9 точками прививки на единицу полиэтиленгликоля обеспечивает индекс глинистой суспензии на 10% выше, чем сравнимый полимер с 1,8 или 1,9 точками прививки на единицу полиэтиленгликоля. Результаты реального сохранения белизны такие же.
ПРИМЕР 6
Статистический привитый полимер с полиэтиленгликолевым (ПЭГ) каркасом (Mw=12000 г/моль; индекс глинистой суспензии = 269) полимеризуют при температуре 70°С с получением 0,8 точек прививки винилацетата на долю ПЭГ на основании ЯМР-анализов чистого образца. Mw каркаса = 6000 г/моль. Добавление 1% полимера в анионное поверхностно-активное вещество и содержащий STPP моющий состав дает GCPIs=20 и GCPIb=20. Соотношение мас.% полимер: GCPIs=1:20 и соотношение мас.% полимер: GCPIb=1:20. При смешении 1,2% полимера в аналогичном растворе с 0,3 LU/г (0,05 мг/л) жидкостью первичной стирки с жестким раствором, GCPIs=40 и GCPIb=40. GCPIse и GCPIbe=1:33,3. В условиях фактической стирки, в которой 39 г продукта используется на 33 л жесткого раствора, состав, содержащий 1% полимера, позволяет полностью удалить основное вещество STTP, что дает как GCPIb, так и GCPIbe (в нестандартных условиях, при которых 39 г продукта используют на 33 л жесткого раствора)=100.
Сходные результаты получают в случае, когда полимер имеет 0,9 точек прививки винилацетата на долю ПЭГ.
Все документы, процитированные в данном описании, в релевантной своей части включены сюда посредством ссылки; цитирование любого из указанных документов не может рассматриваться как отнесение его к уровню техники изобретения. Кроме того, если любое значение или определение термина, приведенного в настоящем документе, противоречит любому значению или определению из документа, включенного сюда посредством ссылки, то приниматься должно значение или определение настоящего документа.
Хотя были описаны и проиллюстрированы частные варианты осуществления настоящего изобретения, для специалиста очевидно, что могут быть сделаны различные вариации и изменения настоящего изобретения без отхода от его сути и объема. Нижеследующая формула изобретения предназначена для охвата всех таких вариаций и изменений, входящих в объем настоящего изобретения.
Claims (22)
1. Моющий состав, содержащий по массе:
A) от примерно 0,5% до примерно 20% полимера;
B) от примерно 1% до примерно 50% поверхностно-активного вещества и
C) до 100% вспомогательных ингредиентов,
причем полимер представляет собой статистический привитой сополимер, имеющий гидрофильный каркас и гидрофобные боковые цепи, полученный прививкой (а) полиэтиленоксида; (б) винилового сложного эфира уксусной и/или пропионовой кислоты и/или С1-4алкилового сложного эфира акриловой или метакриловой кислоты; и (с) модифицирующих мономеров,
при этом индекс эффективности очистки от жира моющего состава составляет по меньшей мере примерно 10.
A) от примерно 0,5% до примерно 20% полимера;
B) от примерно 1% до примерно 50% поверхностно-активного вещества и
C) до 100% вспомогательных ингредиентов,
причем полимер представляет собой статистический привитой сополимер, имеющий гидрофильный каркас и гидрофобные боковые цепи, полученный прививкой (а) полиэтиленоксида; (б) винилового сложного эфира уксусной и/или пропионовой кислоты и/или С1-4алкилового сложного эфира акриловой или метакриловой кислоты; и (с) модифицирующих мономеров,
при этом индекс эффективности очистки от жира моющего состава составляет по меньшей мере примерно 10.
2. Моющий состав по п.1, отличающийся тем, что содержит от примерно 0,6% до примерно 18% полимера.
3. Моющий состав по п.1, отличающийся тем, что индекс эффективности очистки от жира составляет от примерно 10 до примерно 90.
4. Моющий состав, содержащий по массе:
A) от примерно 0,5% до примерно 20% полимера;
B) от примерно 5% до примерно 40% неорганического моющего компонента и
C) до 100% вспомогательных ингредиентов,
причем полимер представляет собой статистический привитой сополимер, имеющий гидрофильный каркас и гидрофобные боковые цепи, полученный прививкой (а) полиэтиленоксида; (б) винилового сложного эфира уксусной и/или пропионовой кислоты и/или C1-4алкилового сложного эфира акриловой или метакриловой кислоты и (с) модифицирующих мономеров,
при этом индекс эффективности очистки от жира моющего состава составляет по меньшей мере примерно 10.
A) от примерно 0,5% до примерно 20% полимера;
B) от примерно 5% до примерно 40% неорганического моющего компонента и
C) до 100% вспомогательных ингредиентов,
причем полимер представляет собой статистический привитой сополимер, имеющий гидрофильный каркас и гидрофобные боковые цепи, полученный прививкой (а) полиэтиленоксида; (б) винилового сложного эфира уксусной и/или пропионовой кислоты и/или C1-4алкилового сложного эфира акриловой или метакриловой кислоты и (с) модифицирующих мономеров,
при этом индекс эффективности очистки от жира моющего состава составляет по меньшей мере примерно 10.
5. Моющий состав по п.4, отличающийся тем, что содержит от примерно 0,6% до примерно 18% полимера.
6. Моющий состав по п.4, отличающийся тем, что индекс эффективности очистки от жира составляет от примерно 10 до примерно 90.
7. Моющий состав по п.4, отличающийся тем, что дополнительно содержит по массе от примерно 1% до примерно 50% поверхностно-активного вещества и при этом индекс эффективности очистки от жира моющего состава составляет по меньшей мере примерно 10.
8. Моющий состав, содержащий по массе:
A) от примерно 0,5% до примерно 20% полимера;
B) от примерно 1% до примерно 50% поверхностно-активного вещества;
C) до 100% вспомогательных ингредиентов,
причем полимер представляет собой статистический привитой сополимер, имеющий гидрофильный каркас и гидрофобные боковые цепи, полученный прививкой (а) полиэтиленоксида; (б) винилового сложного эфира уксусной и/или пропионовой кислоты и/или C1-4алкилового сложного эфира акриловой или метакриловой кислоты и (с) модифицирующих мономеров,
при этом соотношение между мас.% полимера и индексом эффективности очистки от жира моющего состава составляет по меньшей мере 1:2.
A) от примерно 0,5% до примерно 20% полимера;
B) от примерно 1% до примерно 50% поверхностно-активного вещества;
C) до 100% вспомогательных ингредиентов,
причем полимер представляет собой статистический привитой сополимер, имеющий гидрофильный каркас и гидрофобные боковые цепи, полученный прививкой (а) полиэтиленоксида; (б) винилового сложного эфира уксусной и/или пропионовой кислоты и/или C1-4алкилового сложного эфира акриловой или метакриловой кислоты и (с) модифицирующих мономеров,
при этом соотношение между мас.% полимера и индексом эффективности очистки от жира моющего состава составляет по меньшей мере 1:2.
9. Моющий состав, содержащий по массе:
A) от примерно 0,5% до примерно 20% полимера;
B) от примерно 5% до примерно 40% неорганического моющего компонента и
С) до 100% вспомогательных ингредиентов,
причем полимер представляет собой статистический привитой сополимер, имеющий гидрофильный каркас и гидрофобные боковые цепи, полученный прививкой (а) полиэтиленоксида; (б) винилового сложного эфира уксусной и/или пропионовой кислоты и/или C1-4алкилового сложного эфира акриловой или метакриловой кислоты и (с) модифицирующих мономеров,
при этом соотношение между мас.% полимера и индексом эффективности очистки от грязи составляет по меньшей мере 1:2.
A) от примерно 0,5% до примерно 20% полимера;
B) от примерно 5% до примерно 40% неорганического моющего компонента и
С) до 100% вспомогательных ингредиентов,
причем полимер представляет собой статистический привитой сополимер, имеющий гидрофильный каркас и гидрофобные боковые цепи, полученный прививкой (а) полиэтиленоксида; (б) винилового сложного эфира уксусной и/или пропионовой кислоты и/или C1-4алкилового сложного эфира акриловой или метакриловой кислоты и (с) модифицирующих мономеров,
при этом соотношение между мас.% полимера и индексом эффективности очистки от грязи составляет по меньшей мере 1:2.
10. Моющий состав по любому из пп.1, 4, 8 или 9, отличающийся тем, что дополнительно содержит фермент липазы.
11. Моющий состав по п.1, отличающийся тем, что дополнительно содержит фермент липазы, при этом индекс эффективности очистки от жира моющего состава составляет по меньшей мере примерно 10.
12. Моющий состав по п.4, отличающийся тем, что дополнительно содержит фермент липазы, при этом индекс эффективности очистки от грязи моющего состава составляет по меньшей мере примерно 10.
13. Моющий состав по п.1, отличающийся тем, что содержит по массе:
A) от примерно 0,5% до примерно 20% полимера;
B) от примерно 1% до примерно 50% анионного поверхностно-активного вещества и
C) до 100% вспомогательных ингредиентов,
при этом моющий состав имеет индекс глинистой суспензии по меньшей мере примерно 86.
A) от примерно 0,5% до примерно 20% полимера;
B) от примерно 1% до примерно 50% анионного поверхностно-активного вещества и
C) до 100% вспомогательных ингредиентов,
при этом моющий состав имеет индекс глинистой суспензии по меньшей мере примерно 86.
14. Моющий состав по п.13, отличающийся тем, что индекс глинистой суспензии составляет от примерно 86 до примерно 600.
15. Моющий состав по п.1, отличающийся тем, что содержит по массе:
A) от примерно 0,5% до примерно 20% полимера;
B) от примерно 1% до примерно 50% анионного поверхностно-активного вещества и
С) до 100% вспомогательных ингредиентов,
при этом моющий состав имеет индекс роста пены по меньшей мере примерно 10.
A) от примерно 0,5% до примерно 20% полимера;
B) от примерно 1% до примерно 50% анионного поверхностно-активного вещества и
С) до 100% вспомогательных ингредиентов,
при этом моющий состав имеет индекс роста пены по меньшей мере примерно 10.
16. Моющий состав по любому из пп.1-9 или 11-15, отличающийся тем, что полимер содержит полиэтиленгликолевый каркас.
17. Моющий состав по п.1, отличающийся тем, что содержит
A) липазу от примерно 5 LU/г моющего состава до примерно 20000 LU/г моющего состава;
B) от примерно 0,25% до примерно 20% по весу полимера, содержащего полиэтиленгликолевый каркас; и
C) до 100% вспомогательных ингредиентов.
A) липазу от примерно 5 LU/г моющего состава до примерно 20000 LU/г моющего состава;
B) от примерно 0,25% до примерно 20% по весу полимера, содержащего полиэтиленгликолевый каркас; и
C) до 100% вспомогательных ингредиентов.
18. Моющий состав по любому из пп.1-9, 11-15 или 17, отличающийся тем, что полимер имеет вес среднего молекулярного веса от примерно 1000 г/моль до примерно 150000 г/моль.
19. Моющий состав по любому из пп.1-9, 11-15 или 17, отличающийся тем, что полимер содержит гидрофильный каркас, дополнительно содержащий присоединенные к нему гидрофобные доли.
20. Моющий состав по любому из пп.1-9, 11-15 или 17, отличающийся тем, что полимер содержит присоединенную к нему долю, при этом доля выбрана из группы, содержащей винилацетатную долю, бутилакрилатную долю и их смесь.
21. Моющий состав по любому из пп.1-9, 11-15 или 17, отличающийся тем, что полимер дополнительно содержит множество гидролизуемых долей.
22. Моющий состав по п.21, в котором степень гидролиза полимера составляет от примерно 0 мол. % до примерно 75 мол. %.
Applications Claiming Priority (2)
| Application Number | Priority Date | Filing Date | Title |
|---|---|---|---|
| US68594305P | 2005-05-31 | 2005-05-31 | |
| US60/685,943 | 2005-05-31 |
Publications (2)
| Publication Number | Publication Date |
|---|---|
| RU2007140563A RU2007140563A (ru) | 2009-07-20 |
| RU2394879C2 true RU2394879C2 (ru) | 2010-07-20 |
Family
ID=36950561
Family Applications (1)
| Application Number | Title | Priority Date | Filing Date |
|---|---|---|---|
| RU2007140563/04A RU2394879C2 (ru) | 2005-05-31 | 2006-05-25 | Полимерсодержащие моющие составы и их применение |
Country Status (10)
| Country | Link |
|---|---|
| US (1) | US20060270582A1 (ru) |
| EP (1) | EP1888734A2 (ru) |
| JP (1) | JP2008540814A (ru) |
| CN (1) | CN101184835A (ru) |
| BR (1) | BRPI0611337A2 (ru) |
| CA (1) | CA2605451A1 (ru) |
| MX (1) | MX2007015066A (ru) |
| RU (1) | RU2394879C2 (ru) |
| WO (1) | WO2006130575A2 (ru) |
| ZA (1) | ZA200709389B (ru) |
Cited By (2)
| Publication number | Priority date | Publication date | Assignee | Title |
|---|---|---|---|---|
| RU2712877C2 (ru) * | 2013-05-14 | 2020-01-31 | Новозимс А/С | Моющие композиции |
| RU2737709C1 (ru) * | 2019-09-24 | 2020-12-02 | АО "КИФ плюс" | Моющая композиция для стирки и чистки твёрдых поверхностей |
Families Citing this family (239)
| Publication number | Priority date | Publication date | Assignee | Title |
|---|---|---|---|---|
| DE602007007945D1 (de) | 2006-05-31 | 2010-09-02 | Basf Se | Amphiphile pfropfpolymere auf basis von polyalkylenoxiden und vinylestern |
| EP2014755B1 (en) * | 2007-05-29 | 2012-03-21 | The Procter & Gamble Company | Method of cleaning dishware |
| US7951768B2 (en) * | 2007-06-29 | 2011-05-31 | The Procter & Gamble Company | Laundry detergent compositions comprising amphiphilic graft polymers based on polyalkylene oxides and vinyl esters |
| US7741265B2 (en) * | 2007-08-14 | 2010-06-22 | S.C. Johnson & Son, Inc. | Hard surface cleaner with extended residual cleaning benefit |
| US8980813B2 (en) | 2008-02-21 | 2015-03-17 | S. C. Johnson & Son, Inc. | Cleaning composition having high self-adhesion on a vertical hard surface and providing residual benefits |
| US8143206B2 (en) | 2008-02-21 | 2012-03-27 | S.C. Johnson & Son, Inc. | Cleaning composition having high self-adhesion and providing residual benefits |
| US9481854B2 (en) | 2008-02-21 | 2016-11-01 | S. C. Johnson & Son, Inc. | Cleaning composition that provides residual benefits |
| BRPI0908179A2 (pt) | 2008-02-21 | 2015-11-24 | Johnson & Son Inc S C | composição de limpeza possuindo alta auto-adesão e provendo benefícios residuais |
| US9410111B2 (en) | 2008-02-21 | 2016-08-09 | S.C. Johnson & Son, Inc. | Cleaning composition that provides residual benefits |
| US8993502B2 (en) | 2008-02-21 | 2015-03-31 | S. C. Johnson & Son, Inc. | Cleaning composition having high self-adhesion to a vertical hard surface and providing residual benefits |
| EP2295530B2 (en) * | 2009-09-14 | 2019-04-17 | The Procter & Gamble Company | Detergent composition |
| EP2302026A1 (en) * | 2009-09-15 | 2011-03-30 | The Procter & Gamble Company | Detergent composition comprising surfactant boosting polymers |
| US8334250B2 (en) * | 2009-12-18 | 2012-12-18 | The Procter & Gamble Company | Method of making granular detergent compositions comprising amphiphilic graft copolymers |
| US20110152161A1 (en) * | 2009-12-18 | 2011-06-23 | Rohan Govind Murkunde | Granular detergent compositions comprising amphiphilic graft copolymers |
| US8629093B2 (en) | 2010-09-01 | 2014-01-14 | The Procter & Gamble Company | Detergent composition comprising mixture of chelants |
| US8641311B2 (en) | 2010-10-11 | 2014-02-04 | The Procter & Gamble Company | Cleaning head for a target surface |
| US20120246854A1 (en) | 2011-03-28 | 2012-10-04 | Hirotaka Uchiyama | Water Disposable Head Comprising Plural Water Disposable Materials |
| US8763192B2 (en) | 2011-03-28 | 2014-07-01 | The Procter & Gamble Company | Starch head having a stiffening member |
| US8726444B2 (en) | 2011-03-28 | 2014-05-20 | The Procter & Gamble Company | Starch head for cleaning a target surface |
| EP2723858B1 (en) | 2011-06-24 | 2017-04-12 | Novozymes A/S | Polypeptides having protease activity and polynucleotides encoding same |
| EP4026901B1 (en) | 2011-06-30 | 2025-01-22 | Novozymes A/S | Method for screening alpha-amylases |
| US9000138B2 (en) | 2011-08-15 | 2015-04-07 | Novozymes A/S | Expression constructs comprising a Terebella lapidaria nucleic acid encoding a cellulase, host cells, and methods of making the cellulase |
| JP2014530598A (ja) | 2011-09-22 | 2014-11-20 | ノボザイムスアクティーゼルスカブ | プロテアーゼ活性を有するポリペプチドおよびこれをコードするポリヌクレオチド |
| MX2014006205A (es) | 2011-11-25 | 2014-07-14 | Novozymes As | Variantes de subtilasa y polinucleotidos que las codifican. |
| AU2012342456B2 (en) | 2011-11-25 | 2016-11-24 | Novozymes A/S | Polypeptides having lysozyme activity and polynucleotides encoding same |
| CN104011204A (zh) | 2011-12-20 | 2014-08-27 | 诺维信公司 | 枯草杆菌酶变体和编码它们的多核苷酸 |
| DK2798053T3 (en) | 2011-12-29 | 2018-08-13 | Novozymes As | DETERGENT COMPOSITIONS WITH LIPASE VARIATIONS |
| CN104350149A (zh) | 2012-01-26 | 2015-02-11 | 诺维信公司 | 具有蛋白酶活性的多肽在动物饲料和洗涤剂中的用途 |
| WO2013120948A1 (en) | 2012-02-17 | 2013-08-22 | Novozymes A/S | Subtilisin variants and polynucleotides encoding same |
| US20150064773A1 (en) | 2012-03-07 | 2015-03-05 | Novozymes A/S | Detergent Composition and Substitution of Optical Brighteners in Detergent Composition |
| JP2015518059A (ja) * | 2012-03-09 | 2015-06-25 | ザ プロクター アンド ギャンブルカンパニー | 広い極性分布を有するグラフトポリマーを含む洗剤組成物 |
| ES2643216T3 (es) | 2012-05-07 | 2017-11-21 | Novozymes A/S | Polipéptidos con actividad de degradación de xantano y polinucleótidos que codifican la misma |
| WO2013189802A1 (en) | 2012-06-19 | 2013-12-27 | Novozymes A/S | Enzymatic reduction of hydroperoxides |
| AU2013279440B2 (en) | 2012-06-20 | 2016-10-06 | Novozymes A/S | Use of polypeptides having protease activity in animal feed and detergents |
| MX381779B (es) | 2012-12-07 | 2025-03-13 | Novozymes As | Prevención de la adhesión de bacterias. |
| WO2014090940A1 (en) | 2012-12-14 | 2014-06-19 | Novozymes A/S | Removal of skin-derived body soils |
| EP2934177B1 (en) | 2012-12-21 | 2017-10-25 | Novozymes A/S | Polypeptides having protease activiy and polynucleotides encoding same |
| EP2941485B1 (en) | 2013-01-03 | 2018-02-21 | Novozymes A/S | Alpha-amylase variants and polynucleotides encoding same |
| CN105189724A (zh) | 2013-03-14 | 2015-12-23 | 诺维信公司 | 含有酶和抑制剂的水溶性膜 |
| CN105164244B (zh) | 2013-05-03 | 2019-08-20 | 诺维信公司 | 洗涤剂酶的微囊化 |
| US20160083703A1 (en) | 2013-05-17 | 2016-03-24 | Novozymes A/S | Polypeptides having alpha amylase activity |
| CN118813589A (zh) | 2013-06-06 | 2024-10-22 | 诺维信公司 | α-淀粉酶变体以及对其进行编码的多核苷酸 |
| WO2014207224A1 (en) | 2013-06-27 | 2014-12-31 | Novozymes A/S | Subtilase variants and polynucleotides encoding same |
| CN105874067A (zh) | 2013-06-27 | 2016-08-17 | 诺维信公司 | 枯草杆菌酶变体以及编码它们的多核苷酸 |
| CN105358670A (zh) | 2013-07-04 | 2016-02-24 | 诺维信公司 | 具有抗再沉积效果的具黄原胶裂解酶活性的多肽与编码它们的多核苷酸 |
| CN105358684A (zh) | 2013-07-29 | 2016-02-24 | 诺维信公司 | 蛋白酶变体以及对其进行编码的多核苷酸 |
| CN105358686A (zh) | 2013-07-29 | 2016-02-24 | 诺维信公司 | 蛋白酶变体以及对其进行编码的多核苷酸 |
| PL2832842T3 (pl) | 2013-07-30 | 2019-09-30 | The Procter & Gamble Company | Sposób wytwarzania kompozycji granulowanych detergentów zawierających środki powierzchniowo czynne |
| EP2832843B1 (en) | 2013-07-30 | 2019-08-21 | The Procter & Gamble Company | Method of making granular detergent compositions comprising polymers |
| WO2015049370A1 (en) | 2013-10-03 | 2015-04-09 | Novozymes A/S | Detergent composition and use of detergent composition |
| EP3453757B1 (en) | 2013-12-20 | 2020-06-17 | Novozymes A/S | Polypeptides having protease activity and polynucleotides encoding same |
| CN106062271A (zh) | 2014-03-05 | 2016-10-26 | 诺维信公司 | 用于改进具有木葡聚糖内糖基转移酶的纤维素纺织材料的性质的组合物和方法 |
| CN106062270A (zh) | 2014-03-05 | 2016-10-26 | 诺维信公司 | 使用木葡聚糖内糖基转移酶改进非纤维素纺织材料的性质的组合物和方法 |
| CN106103708A (zh) | 2014-04-01 | 2016-11-09 | 诺维信公司 | 具有α淀粉酶活性的多肽 |
| CN106164236B (zh) | 2014-04-11 | 2021-02-02 | 诺维信公司 | 洗涤剂组合物 |
| CN106414729A (zh) | 2014-06-12 | 2017-02-15 | 诺维信公司 | α‑淀粉酶变体以及对其进行编码的多核苷酸 |
| WO2016001319A1 (en) | 2014-07-03 | 2016-01-07 | Novozymes A/S | Improved stabilization of non-protease enzyme |
| CA2950380A1 (en) | 2014-07-04 | 2016-01-07 | Novozymes A/S | Subtilase variants and polynucleotides encoding same |
| EP3164486B1 (en) | 2014-07-04 | 2020-05-13 | Novozymes A/S | Subtilase variants and polynucleotides encoding same |
| WO2016079305A1 (en) | 2014-11-20 | 2016-05-26 | Novozymes A/S | Alicyclobacillus variants and polynucleotides encoding same |
| ES3014600T3 (en) | 2014-12-04 | 2025-04-23 | Novozymes As | Liquid cleaning compositions comprising protease variants |
| CA2963331C (en) | 2014-12-04 | 2024-09-10 | Novozymes A/S | VARIANTS OF SUBTILASE AND THE POLYNUCLEOTIDES CODING FOR THESE |
| ES3017699T3 (en) | 2014-12-15 | 2025-05-13 | Henkel Ag & Co Kgaa | Detergent composition comprising subtilase variants |
| CN107002049A (zh) | 2014-12-16 | 2017-08-01 | 诺维信公司 | 具有n‑乙酰基葡萄糖胺氧化酶活性的多肽 |
| EP3741849A3 (en) | 2014-12-19 | 2021-03-17 | Novozymes A/S | Protease variants and polynucleotides encoding same |
| US10400230B2 (en) | 2014-12-19 | 2019-09-03 | Novozymes A/S | Protease variants and polynucleotides encoding same |
| EP3280791A1 (en) | 2015-04-10 | 2018-02-14 | Novozymes A/S | Laundry method, use of dnase and detergent composition |
| CN107636134A (zh) | 2015-04-10 | 2018-01-26 | 诺维信公司 | 洗涤剂组合物 |
| EP3106508B1 (en) | 2015-06-18 | 2019-11-20 | Henkel AG & Co. KGaA | Detergent composition comprising subtilase variants |
| CN108012544A (zh) | 2015-06-18 | 2018-05-08 | 诺维信公司 | 枯草杆菌酶变体以及编码它们的多核苷酸 |
| US20180171271A1 (en) | 2015-06-30 | 2018-06-21 | Novozymes A/S | Laundry detergent composition, method for washing and use of composition |
| CA2991114A1 (en) | 2015-09-17 | 2017-03-23 | Novozymes A/S | Polypeptides having xanthan degrading activity and polynucleotides encoding same |
| CN108026487B (zh) | 2015-09-17 | 2021-04-30 | 汉高股份有限及两合公司 | 包含具有黄原胶降解活性的多肽的洗涤剂组合物 |
| EP3359658A2 (en) | 2015-10-07 | 2018-08-15 | Novozymes A/S | Polypeptides |
| WO2017064253A1 (en) | 2015-10-14 | 2017-04-20 | Novozymes A/S | Polypeptides having protease activity and polynucleotides encoding same |
| WO2017064269A1 (en) | 2015-10-14 | 2017-04-20 | Novozymes A/S | Polypeptide variants |
| MX388896B (es) | 2015-10-28 | 2025-03-20 | Novozymes As | Composicion detergente que comprende variantes de amilasa y proteasa. |
| EP3380608A1 (en) | 2015-11-24 | 2018-10-03 | Novozymes A/S | Polypeptides having protease activity and polynucleotides encoding same |
| EP3387125B1 (en) | 2015-12-07 | 2022-10-12 | Henkel AG & Co. KGaA | Dishwashing compositions comprising polypeptides having beta-glucanase activity and uses thereof |
| WO2017117089A1 (en) | 2015-12-28 | 2017-07-06 | Novozymes Bioag A/S | Heat priming of bacterial spores |
| EP3433347B1 (en) | 2016-03-23 | 2020-05-06 | Novozymes A/S | Use of polypeptide having dnase activity for treating fabrics |
| CN114480035B (zh) | 2016-04-08 | 2024-10-11 | 诺维信公司 | 洗涤剂组合物及其用途 |
| EP3448978B1 (en) | 2016-04-29 | 2020-03-11 | Novozymes A/S | Detergent compositions and uses thereof |
| CA3022121A1 (en) | 2016-05-09 | 2017-11-16 | Novozymes A/S | Variant polypeptides with improved performance and use of the same |
| EP3464538A1 (en) | 2016-05-31 | 2019-04-10 | Novozymes A/S | Stabilized liquid peroxide compositions |
| EP3464582A1 (en) | 2016-06-03 | 2019-04-10 | Novozymes A/S | Subtilase variants and polynucleotides encoding same |
| CN117721095A (zh) | 2016-06-30 | 2024-03-19 | 诺维信公司 | 脂肪酶变体及包含表面活性剂和脂肪酶变体的组合物 |
| WO2018002261A1 (en) | 2016-07-01 | 2018-01-04 | Novozymes A/S | Detergent compositions |
| US10662417B2 (en) | 2016-07-05 | 2020-05-26 | Novozymes A/S | Pectate lyase variants and polynucleotides encoding same |
| WO2018007573A1 (en) | 2016-07-08 | 2018-01-11 | Novozymes A/S | Detergent compositions with galactanase |
| WO2018011276A1 (en) | 2016-07-13 | 2018-01-18 | The Procter & Gamble Company | Bacillus cibi dnase variants and uses thereof |
| KR102483218B1 (ko) | 2016-08-24 | 2023-01-02 | 헨켈 아게 운트 코. 카게아아 | 크산탄 리아제 변이체 i을 포함하는 세제 조성물 |
| US11512300B2 (en) | 2016-08-24 | 2022-11-29 | Novozymes A/S | Xanthan lyase variants and polynucleotides encoding same |
| US11072765B2 (en) | 2016-08-24 | 2021-07-27 | Novozymes A/S | GH9 endoglucanase variants and polynucleotides encoding same |
| WO2018037065A1 (en) | 2016-08-24 | 2018-03-01 | Henkel Ag & Co. Kgaa | Detergent composition comprising gh9 endoglucanase variants i |
| US20200140786A1 (en) | 2016-09-29 | 2020-05-07 | Novozymes A/S | Use of enzyme for washing, method for washing and warewashing composition |
| CN109996859B (zh) | 2016-09-29 | 2021-11-30 | 诺维信公司 | 含孢子的颗粒 |
| EP3532592A1 (en) | 2016-10-25 | 2019-09-04 | Novozymes A/S | Detergent compositions |
| US11753605B2 (en) | 2016-11-01 | 2023-09-12 | Novozymes A/S | Multi-core granules |
| US20190292493A1 (en) | 2016-12-12 | 2019-09-26 | Novozymes A/S | Use of polypeptides |
| CN110651040A (zh) | 2017-03-31 | 2020-01-03 | 诺维信公司 | 具有dna酶活性的多肽 |
| CN110651041A (zh) | 2017-03-31 | 2020-01-03 | 诺维信公司 | 具有dna酶活性的多肽 |
| US11053483B2 (en) | 2017-03-31 | 2021-07-06 | Novozymes A/S | Polypeptides having DNase activity |
| WO2018178061A1 (en) | 2017-03-31 | 2018-10-04 | Novozymes A/S | Polypeptides having rnase activity |
| US20200109354A1 (en) | 2017-04-04 | 2020-04-09 | Novozymes A/S | Polypeptides |
| CN110651029B (zh) | 2017-04-04 | 2022-02-15 | 诺维信公司 | 糖基水解酶 |
| WO2018185152A1 (en) | 2017-04-04 | 2018-10-11 | Novozymes A/S | Polypeptide compositions and uses thereof |
| EP3385362A1 (en) | 2017-04-05 | 2018-10-10 | Henkel AG & Co. KGaA | Detergent compositions comprising fungal mannanases |
| EP3385361B1 (en) | 2017-04-05 | 2019-03-27 | Henkel AG & Co. KGaA | Detergent compositions comprising bacterial mannanases |
| WO2018184818A1 (en) | 2017-04-06 | 2018-10-11 | Novozymes A/S | Cleaning compositions and uses thereof |
| US20200190437A1 (en) | 2017-04-06 | 2020-06-18 | Novozymes A/S | Cleaning compositions and uses thereof |
| US20200032170A1 (en) | 2017-04-06 | 2020-01-30 | Novozymes A/S | Cleaning compositions and uses thereof |
| US10968416B2 (en) | 2017-04-06 | 2021-04-06 | Novozymes A/S | Cleaning compositions and uses thereof |
| US11499121B2 (en) | 2017-04-06 | 2022-11-15 | Novozymes A/S | Detergent compositions and uses thereof |
| ES2763561T3 (es) | 2017-04-06 | 2020-05-29 | Novozymes As | Composiciones de limpieza y sus usos |
| CA3058519A1 (en) | 2017-04-06 | 2018-10-11 | Novozymes A/S | Cleaning compositions comprosing a dnase and a protease |
| EP3607043A1 (en) | 2017-04-06 | 2020-02-12 | Novozymes A/S | Cleaning compositions and uses thereof |
| WO2018206302A1 (en) | 2017-05-08 | 2018-11-15 | Novozymes A/S | Mannanase variants and polynucleotides encoding same |
| EP3401385A1 (en) | 2017-05-08 | 2018-11-14 | Henkel AG & Co. KGaA | Detergent composition comprising polypeptide comprising carbohydrate-binding domain |
| EP3622064B1 (en) | 2017-05-08 | 2025-05-14 | Novozymes A/S | Mannanase variants and polynucleotides encoding same |
| WO2018206535A1 (en) | 2017-05-08 | 2018-11-15 | Novozymes A/S | Carbohydrate-binding domain and polynucleotides encoding the same |
| CN111108183A (zh) | 2017-06-30 | 2020-05-05 | 诺维信公司 | 酶浆液组合物 |
| US11845915B2 (en) | 2017-07-24 | 2023-12-19 | Rhodia Operations | Enzyme-containing detergent composition |
| US11359188B2 (en) | 2017-08-24 | 2022-06-14 | Novozymes A/S | Xanthan lyase variants and polynucleotides encoding same |
| WO2019038058A1 (en) | 2017-08-24 | 2019-02-28 | Novozymes A/S | GH9 ENDOGLUCANASE VARIANTS AND POLYNUCLEOTIDES ENCODING SUCH VARIANTS |
| WO2019038059A1 (en) | 2017-08-24 | 2019-02-28 | Henkel Ag & Co. Kgaa | DETERGENT COMPOSITIONS COMPRISING GH9 ENDOGLUCANASE VARIANTS II |
| US20210130744A1 (en) | 2017-08-24 | 2021-05-06 | Henkel Ag & Co. Kgaa | Detergent composition comprising xanthan lyase variants ii |
| US20200277553A1 (en) | 2017-09-20 | 2020-09-03 | Novozymes A/S | Use of Enzymes for Improving Water Absorption And/Or Whiteness |
| US11414814B2 (en) | 2017-09-22 | 2022-08-16 | Novozymes A/S | Polypeptides |
| WO2019076833A1 (en) | 2017-10-16 | 2019-04-25 | Novozymes A/S | PELLETS RELEASING LOW DUST QUANTITY |
| EP3697880B1 (en) | 2017-10-16 | 2024-07-24 | Novozymes A/S | Low dusting granules |
| WO2019076800A1 (en) | 2017-10-16 | 2019-04-25 | Novozymes A/S | CLEANING COMPOSITIONS AND USES THEREOF |
| ES2908667T3 (es) | 2017-10-27 | 2022-05-03 | Procter & Gamble | Composiciones detergentes que comprenden variantes polipeptídicas |
| US20230416706A1 (en) | 2017-10-27 | 2023-12-28 | Novozymes A/S | Dnase Variants |
| DE102017125559A1 (de) | 2017-11-01 | 2019-05-02 | Henkel Ag & Co. Kgaa | Reinigungszusammensetzungen, die dispersine ii enthalten |
| BR112020008711A2 (pt) | 2017-11-01 | 2020-11-10 | Novozymes A/S | polipeptídeos e composições que compreendem tais polipeptídeos |
| DE102017125558A1 (de) | 2017-11-01 | 2019-05-02 | Henkel Ag & Co. Kgaa | Reinigungszusammensetzungen, die dispersine i enthalten |
| DE102017125560A1 (de) | 2017-11-01 | 2019-05-02 | Henkel Ag & Co. Kgaa | Reinigungszusammensetzungen, die dispersine iii enthalten |
| EP4379029A1 (en) | 2017-11-01 | 2024-06-05 | Novozymes A/S | Polypeptides and compositions comprising such polypeptides |
| WO2019086532A1 (en) | 2017-11-01 | 2019-05-09 | Novozymes A/S | Methods for cleaning medical devices |
| EP3755793A1 (en) | 2018-02-23 | 2020-12-30 | Henkel AG & Co. KGaA | Detergent composition comprising xanthan lyase and endoglucanase variants |
| WO2019175240A1 (en) | 2018-03-13 | 2019-09-19 | Novozymes A/S | Microencapsulation using amino sugar oligomers |
| WO2019180111A1 (en) | 2018-03-23 | 2019-09-26 | Novozymes A/S | Subtilase variants and compositions comprising same |
| EP3775190A1 (en) | 2018-03-29 | 2021-02-17 | Novozymes A/S | Mannanase variants and polynucleotides encoding same |
| WO2019201793A1 (en) | 2018-04-17 | 2019-10-24 | Novozymes A/S | Polypeptides comprising carbohydrate binding activity in detergent compositions and their use in reducing wrinkles in textile or fabric. |
| EP3781680A1 (en) | 2018-04-19 | 2021-02-24 | Novozymes A/S | Stabilized cellulase variants |
| WO2019201783A1 (en) | 2018-04-19 | 2019-10-24 | Novozymes A/S | Stabilized cellulase variants |
| US11326129B2 (en) | 2018-06-26 | 2022-05-10 | The Procter & Gamble Company | Fabric care compositions that include a graft copolymer and related methods |
| US12270012B2 (en) | 2018-06-28 | 2025-04-08 | Novozymes A/S | Detergent compositions and uses thereof |
| US20210189297A1 (en) | 2018-06-29 | 2021-06-24 | Novozymes A/S | Subtilase variants and compositions comprising same |
| US20210071116A1 (en) | 2018-06-29 | 2021-03-11 | Novozymes A/S | Detergent Compositions and Uses Thereof |
| WO2020007863A1 (en) | 2018-07-02 | 2020-01-09 | Novozymes A/S | Cleaning compositions and uses thereof |
| ES3027666T3 (en) | 2018-07-03 | 2025-06-16 | Henkel Ag & Co Kgaa | Cleaning compositions and uses thereof |
| WO2020008024A1 (en) | 2018-07-06 | 2020-01-09 | Novozymes A/S | Cleaning compositions and uses thereof |
| EP3818140A1 (en) | 2018-07-06 | 2021-05-12 | Novozymes A/S | Cleaning compositions and uses thereof |
| WO2020070063A2 (en) | 2018-10-01 | 2020-04-09 | Novozymes A/S | Detergent compositions and uses thereof |
| WO2020070009A1 (en) | 2018-10-02 | 2020-04-09 | Novozymes A/S | Endonuclease 1 ribonucleases for cleaning |
| WO2020070014A1 (en) | 2018-10-02 | 2020-04-09 | Novozymes A/S | Cleaning composition comprising anionic surfactant and a polypeptide having rnase activity |
| EP3861094A1 (en) | 2018-10-02 | 2021-08-11 | Novozymes A/S | Cleaning composition |
| WO2020070209A1 (en) | 2018-10-02 | 2020-04-09 | Novozymes A/S | Cleaning composition |
| EP3861008A1 (en) | 2018-10-03 | 2021-08-11 | Novozymes A/S | Polypeptides having alpha-mannan degrading activity and polynucleotides encoding same |
| WO2020070249A1 (en) | 2018-10-03 | 2020-04-09 | Novozymes A/S | Cleaning compositions |
| EP3864122A1 (en) | 2018-10-09 | 2021-08-18 | Novozymes A/S | Cleaning compositions and uses thereof |
| WO2020074499A1 (en) | 2018-10-09 | 2020-04-16 | Novozymes A/S | Cleaning compositions and uses thereof |
| US20220033739A1 (en) | 2018-10-11 | 2022-02-03 | Novozymes A/S | Cleaning compositions and uses thereof |
| EP3647397A1 (en) | 2018-10-31 | 2020-05-06 | Henkel AG & Co. KGaA | Cleaning compositions containing dispersins iv |
| EP3647398B1 (en) | 2018-10-31 | 2024-05-15 | Henkel AG & Co. KGaA | Cleaning compositions containing dispersins v |
| US20220056379A1 (en) | 2018-12-03 | 2022-02-24 | Novozymes A/S | Powder Detergent Compositions |
| CN113302270A (zh) | 2018-12-03 | 2021-08-24 | 诺维信公司 | 低pH粉末洗涤剂组合物 |
| EP3898962A2 (en) | 2018-12-21 | 2021-10-27 | Novozymes A/S | Polypeptides having peptidoglycan degrading activity and polynucleotides encoding same |
| CN113330101A (zh) | 2018-12-21 | 2021-08-31 | 诺维信公司 | 包含金属蛋白酶的洗涤剂袋 |
| EP3702452A1 (en) | 2019-03-01 | 2020-09-02 | Novozymes A/S | Detergent compositions comprising two proteases |
| CN113454214A (zh) | 2019-03-21 | 2021-09-28 | 诺维信公司 | α-淀粉酶变体以及对其进行编码的多核苷酸 |
| CN113785039B (zh) | 2019-04-03 | 2024-06-18 | 诺维信公司 | 具有β-葡聚糖酶活性的多肽、编码其的多核苷酸及其在清洁和洗涤剂组合物中的用途 |
| EP3953462A1 (en) | 2019-04-10 | 2022-02-16 | Novozymes A/S | Polypeptide variants |
| EP3953463B1 (en) | 2019-04-12 | 2025-08-06 | Novozymes A/S | Stabilized glycoside hydrolase variants |
| CN114364778B (zh) | 2019-07-12 | 2024-08-13 | 诺维信公司 | 用于洗涤剂的酶性乳剂 |
| US20220325204A1 (en) | 2019-08-27 | 2022-10-13 | Novozymes A/S | Detergent composition |
| EP4031644A1 (en) | 2019-09-19 | 2022-07-27 | Novozymes A/S | Detergent composition |
| US20220340843A1 (en) | 2019-10-03 | 2022-10-27 | Novozymes A/S | Polypeptides comprising at least two carbohydrate binding domains |
| US20220411773A1 (en) | 2019-12-20 | 2022-12-29 | Novozymes A/S | Polypeptides having proteolytic activity and use thereof |
| AU2020404593A1 (en) | 2019-12-20 | 2022-08-18 | Henkel Ag & Co. Kgaa | Cleaning compositions comprising dispersins VI |
| US11186805B2 (en) | 2019-12-20 | 2021-11-30 | The Procter & Gamble Company | Particulate fabric care composition |
| AU2020404594A1 (en) | 2019-12-20 | 2022-08-18 | Henkel Ag & Co. Kgaa | Cleaning compositions comprising dispersins VIII |
| KR20220119607A (ko) | 2019-12-20 | 2022-08-30 | 헨켈 아게 운트 코. 카게아아 | 디스페르신 ix를 포함하는 세정 조성물 |
| EP4077617A1 (en) | 2019-12-20 | 2022-10-26 | Novozymes A/S | Stabilized liquid boron-free enzyme compositions |
| EP4077619A1 (en) | 2019-12-20 | 2022-10-26 | Henkel AG & Co. KGaA | Cleaning composition coprising a dispersin and a carbohydrase |
| US20240228913A1 (en) | 2019-12-23 | 2024-07-11 | Novozymes A/S | Enzyme compositions and uses thereof |
| EP4093842A1 (en) | 2020-01-23 | 2022-11-30 | Novozymes A/S | Enzyme compositions and uses thereof |
| EP3892708A1 (en) | 2020-04-06 | 2021-10-13 | Henkel AG & Co. KGaA | Cleaning compositions comprising dispersin variants |
| CN115210371A (zh) | 2020-04-08 | 2022-10-18 | 诺维信公司 | 碳水化合物结合模块变体 |
| US20230167384A1 (en) | 2020-04-21 | 2023-06-01 | Novozymes A/S | Cleaning compositions comprising polypeptides having fructan degrading activity |
| EP3907271A1 (en) | 2020-05-07 | 2021-11-10 | Novozymes A/S | Cleaning composition, use and method of cleaning |
| US20230212548A1 (en) | 2020-05-26 | 2023-07-06 | Novozymes A/S | Subtilase variants and compositions comprising same |
| EP4172298A1 (en) | 2020-06-24 | 2023-05-03 | Novozymes A/S | Use of cellulases for removing dust mite from textile |
| EP3936593A1 (en) | 2020-07-08 | 2022-01-12 | Henkel AG & Co. KGaA | Cleaning compositions and uses thereof |
| CN116323889B (zh) | 2020-08-25 | 2025-11-04 | 诺维信公司 | 家族44木葡聚糖酶变体 |
| WO2022043547A1 (en) | 2020-08-28 | 2022-03-03 | Novozymes A/S | Protease variants with improved solubility |
| WO2022074037A2 (en) | 2020-10-07 | 2022-04-14 | Novozymes A/S | Alpha-amylase variants |
| EP4232539A2 (en) | 2020-10-20 | 2023-08-30 | Novozymes A/S | Use of polypeptides having dnase activity |
| EP4237525A1 (en) | 2020-10-28 | 2023-09-06 | Novozymes A/S | Use of lipoxygenase |
| WO2022106400A1 (en) | 2020-11-18 | 2022-05-27 | Novozymes A/S | Combination of immunochemically different proteases |
| WO2022106404A1 (en) | 2020-11-18 | 2022-05-27 | Novozymes A/S | Combination of proteases |
| EP4032966A1 (en) | 2021-01-22 | 2022-07-27 | Novozymes A/S | Liquid enzyme composition with sulfite scavenger |
| US20240124805A1 (en) | 2021-01-28 | 2024-04-18 | Novozymes A/S | Lipase with low malodor generation |
| EP4039806A1 (en) | 2021-02-04 | 2022-08-10 | Henkel AG & Co. KGaA | Detergent composition comprising xanthan lyase and endoglucanase variants with im-proved stability |
| WO2022171872A1 (en) | 2021-02-12 | 2022-08-18 | Novozymes A/S | Stabilized biological detergents |
| WO2022171780A2 (en) | 2021-02-12 | 2022-08-18 | Novozymes A/S | Alpha-amylase variants |
| EP4053256A1 (en) | 2021-03-01 | 2022-09-07 | Novozymes A/S | Use of enzymes for improving fragrance deposition |
| US20240301328A1 (en) | 2021-03-12 | 2024-09-12 | Novozymes A/S | Polypeptide variants |
| EP4060036A1 (en) | 2021-03-15 | 2022-09-21 | Novozymes A/S | Polypeptide variants |
| US20240060061A1 (en) | 2021-03-15 | 2024-02-22 | Novozymes A/S | Dnase variants |
| WO2022199418A1 (en) | 2021-03-26 | 2022-09-29 | Novozymes A/S | Detergent composition with reduced polymer content |
| WO2022268885A1 (en) | 2021-06-23 | 2022-12-29 | Novozymes A/S | Alpha-amylase polypeptides |
| EP4206309A1 (en) | 2021-12-30 | 2023-07-05 | Novozymes A/S | Protein particles with improved whiteness |
| KR20240154591A (ko) | 2022-02-24 | 2024-10-25 | 에보닉 오퍼레이션스 게엠베하 | 바이오 기반 조성물 |
| US20250179393A1 (en) | 2022-03-02 | 2025-06-05 | Novozymes A/S | Use of xyloglucanase for improvement of sustainability of detergents |
| US20250179449A1 (en) | 2022-03-04 | 2025-06-05 | Novozymes A/S | DNase Variants and Compositions |
| CN118974228A (zh) | 2022-04-08 | 2024-11-15 | 诺维信公司 | 氨基己糖苷酶变体和组合物 |
| KR20250033238A (ko) | 2022-06-28 | 2025-03-07 | 에보닉 오퍼레이션스 게엠베하 | 생물계면활성제 및 페르시코마이신을 포함하는 조성물 |
| EP4555060A1 (en) | 2022-07-11 | 2025-05-21 | The Procter & Gamble Company | Laundry detergent composition containing graft copolymer and benefit agent |
| WO2024046952A1 (en) | 2022-08-30 | 2024-03-07 | Novozymes A/S | Improvements in or relating to organic compounds |
| CN120187831A (zh) | 2022-11-22 | 2025-06-20 | 诺维信公司 | 具有改善的着色剂稳定性的有色颗粒 |
| AU2023388516A1 (en) | 2022-12-05 | 2025-04-10 | Novozymes A/S | Protease variants and polynucleotides encoding same |
| AU2023393689A1 (en) | 2022-12-14 | 2025-05-01 | Novozymes A/S | Improved lipase (gcl1) variants |
| JP2026501223A (ja) | 2022-12-23 | 2026-01-14 | ノボザイムス アクティーゼルスカブ | カタラーゼ及びアミラーゼを含む洗剤組成物 |
| EP4655371A1 (en) | 2023-01-23 | 2025-12-03 | Novozymes A/S | Cleaning compositions and uses thereof |
| WO2024194245A1 (en) | 2023-03-21 | 2024-09-26 | Novozymes A/S | Detergent compositions based on biosurfactants |
| KR20250174069A (ko) | 2023-04-12 | 2025-12-11 | 노보자임스 에이/에스 | 알칼리성 포스파타아제 활성을 갖는 폴리펩타이드를 포함하는 조성물 |
| CN116904266A (zh) * | 2023-06-05 | 2023-10-20 | 宝洁公司 | 洗涤织物的方法 |
| CN121358834A (zh) | 2023-06-28 | 2026-01-16 | 诺维信公司 | 包含脂肪酶的洗涤剂组合物 |
| WO2025011933A1 (en) | 2023-07-07 | 2025-01-16 | Novozymes A/S | Washing method for removing proteinaceous stains |
| WO2025036643A1 (en) | 2023-08-15 | 2025-02-20 | Evonik Operations Gmbh | Biosurfactant for washing wool |
| WO2025088003A1 (en) | 2023-10-24 | 2025-05-01 | Novozymes A/S | Use of xyloglucanase for replacement of optical brightener |
| WO2025103765A1 (en) | 2023-11-17 | 2025-05-22 | Novozymes A/S | Lytic polysaccharide monooxygenases and their use in detergent |
| WO2025114053A1 (en) | 2023-11-30 | 2025-06-05 | Novozymes A/S | Biopolymers for use in detergent |
| WO2025153046A1 (en) | 2024-01-19 | 2025-07-24 | Novozymes A/S | Detergent compositions and uses thereof |
| WO2025257254A1 (en) | 2024-06-12 | 2025-12-18 | Novozymes A/S | Lipases and lipase variants and the use thereof |
| WO2026017636A1 (en) | 2024-07-17 | 2026-01-22 | Novozymes A/S | Compositions comprising combination of enzymes |
Citations (4)
| Publication number | Priority date | Publication date | Assignee | Title |
|---|---|---|---|---|
| US5496490A (en) * | 1993-09-07 | 1996-03-05 | Colgate-Palmolive Co. | Laundry detergent compositions containing lipase and soil release polymer |
| WO1999027053A1 (en) * | 1997-11-21 | 1999-06-03 | The Procter & Gamble Company | Foam stable liquid dishwashing compositions |
| US5981460A (en) * | 1996-05-31 | 1999-11-09 | The Procter & Gamble Company | Detergent compositions comprising a cationic ester surfactant and a grease dispensing agent |
| EP1146110A2 (en) * | 2000-04-12 | 2001-10-17 | Unilever Plc | Use of polymers in laundry cleaning |
Family Cites Families (15)
| Publication number | Priority date | Publication date | Assignee | Title |
|---|---|---|---|---|
| DE3536530A1 (de) * | 1985-10-12 | 1987-04-23 | Basf Ag | Verwendung von pfropfcopolymerisaten aus polyalkylenoxiden und vinylacetat als vergrauungsinhibitoren beim waschen und nachbehandeln von synthesefasern enthaltendem textilgut |
| GB8928023D0 (en) * | 1989-12-12 | 1990-02-14 | Unilever Plc | Detergent compositions |
| BR9509729A (pt) * | 1994-11-18 | 1997-09-30 | Procter & Gamble | Composições detergentes contendo lipase e protease |
| ES2221012T3 (es) * | 1996-01-25 | 2004-12-16 | Unilever N.V. | Composiciones en barra de pretratamiento. |
| KR100329879B1 (ko) * | 1996-05-03 | 2002-08-27 | 더 프록터 앤드 갬블 캄파니 | 양이온성계면활성제와개질된폴리아민오물분산제를포함하는세탁용세제조성물 |
| EP0973855B1 (en) * | 1997-03-07 | 2003-08-06 | The Procter & Gamble Company | Bleach compositions containing metal bleach catalyst, and bleach activators and/or organic percarboxylic acids |
| AU3247699A (en) * | 1998-02-17 | 1999-09-06 | Novo Nordisk A/S | Lipase variant |
| ATE289627T1 (de) * | 1998-10-13 | 2005-03-15 | Procter & Gamble | Waschmittelzusammensetzungen enthaltend eine kombination von auf cyklischem amin basierenden copolymeren und hydrophob modifizierten cellulosen |
| US6425959B1 (en) * | 1999-06-24 | 2002-07-30 | Ecolab Inc. | Detergent compositions for the removal of complex organic or greasy soils |
| US6337313B1 (en) * | 1999-11-16 | 2002-01-08 | National Starch And Chemical Investment Company | Textile manufacturing and treating processes comprising a hydrophobically modified polymer |
| DE10027636A1 (de) * | 2000-06-06 | 2001-12-13 | Basf Ag | Verwendung von kationisch modifizierten, teilchenförmigen, hydrophoben Polymeren als Zusatz zu Spül-, Pflege-, Wasch- und Reinigungsmitteln |
| DE10027634A1 (de) * | 2000-06-06 | 2001-12-13 | Basf Ag | Verwendung von kationisch modifizierten, teilchenförmigen, hydrophoben Polymeren als Zusatz zu Spül- oder Pflegemitteln für Textilien und als Zusatz zu Waschmitteln |
| JP3986873B2 (ja) * | 2001-05-08 | 2007-10-03 | 花王株式会社 | 液体洗浄剤組成物 |
| DE10128894A1 (de) * | 2001-06-15 | 2002-12-19 | Basf Ag | Verfahren zur schmutzablösungsfördernden Behandlung von Oberflächen textiler und nicht-textiler Materialien |
| US20030162679A1 (en) * | 2002-01-15 | 2003-08-28 | Rodrigues Klein A. | Hydrophobically modified polymer formulations |
-
2006
- 2006-05-25 EP EP06771529A patent/EP1888734A2/en not_active Withdrawn
- 2006-05-25 BR BRPI0611337-0A patent/BRPI0611337A2/pt not_active IP Right Cessation
- 2006-05-25 MX MX2007015066A patent/MX2007015066A/es not_active Application Discontinuation
- 2006-05-25 CA CA002605451A patent/CA2605451A1/en not_active Abandoned
- 2006-05-25 RU RU2007140563/04A patent/RU2394879C2/ru not_active IP Right Cessation
- 2006-05-25 JP JP2008512616A patent/JP2008540814A/ja not_active Withdrawn
- 2006-05-25 CN CNA2006800191214A patent/CN101184835A/zh active Pending
- 2006-05-25 WO PCT/US2006/020823 patent/WO2006130575A2/en not_active Ceased
- 2006-05-30 US US11/443,242 patent/US20060270582A1/en not_active Abandoned
-
2007
- 2007-10-31 ZA ZA200709389A patent/ZA200709389B/xx unknown
Patent Citations (4)
| Publication number | Priority date | Publication date | Assignee | Title |
|---|---|---|---|---|
| US5496490A (en) * | 1993-09-07 | 1996-03-05 | Colgate-Palmolive Co. | Laundry detergent compositions containing lipase and soil release polymer |
| US5981460A (en) * | 1996-05-31 | 1999-11-09 | The Procter & Gamble Company | Detergent compositions comprising a cationic ester surfactant and a grease dispensing agent |
| WO1999027053A1 (en) * | 1997-11-21 | 1999-06-03 | The Procter & Gamble Company | Foam stable liquid dishwashing compositions |
| EP1146110A2 (en) * | 2000-04-12 | 2001-10-17 | Unilever Plc | Use of polymers in laundry cleaning |
Cited By (3)
| Publication number | Priority date | Publication date | Assignee | Title |
|---|---|---|---|---|
| RU2712877C2 (ru) * | 2013-05-14 | 2020-01-31 | Новозимс А/С | Моющие композиции |
| US12116601B2 (en) | 2013-05-14 | 2024-10-15 | Novozymes A/S | Detergent compositions |
| RU2737709C1 (ru) * | 2019-09-24 | 2020-12-02 | АО "КИФ плюс" | Моющая композиция для стирки и чистки твёрдых поверхностей |
Also Published As
| Publication number | Publication date |
|---|---|
| WO2006130575A3 (en) | 2007-06-21 |
| BRPI0611337A2 (pt) | 2010-08-31 |
| CN101184835A (zh) | 2008-05-21 |
| WO2006130575A2 (en) | 2006-12-07 |
| RU2007140563A (ru) | 2009-07-20 |
| JP2008540814A (ja) | 2008-11-20 |
| ZA200709389B (en) | 2008-11-26 |
| EP1888734A2 (en) | 2008-02-20 |
| CA2605451A1 (en) | 2006-12-07 |
| US20060270582A1 (en) | 2006-11-30 |
| MX2007015066A (es) | 2008-01-24 |
Similar Documents
| Publication | Publication Date | Title |
|---|---|---|
| RU2394879C2 (ru) | Полимерсодержащие моющие составы и их применение | |
| US6939702B1 (en) | Lipase variant | |
| RU2108374C1 (ru) | Детергентная композиция | |
| US7282233B2 (en) | Chemically modified lipolytic enzyme | |
| US20090217463A1 (en) | Detergent composition comprising lipase | |
| MX2008016230A (es) | Composiciones de tratamiento y/o limpieza que comprenden alfa-amilasas mutantes. | |
| BRPI0707209A2 (pt) | composições detergentes | |
| JP2013231180A (ja) | 酵素および布帛色調剤を含む組成物 | |
| RU2706000C1 (ru) | Жидкая моющая композиция, содержащая инкапсулированный фермент | |
| MX2007010725A (es) | Composiciones detergentes. | |
| JPS63161085A (ja) | 酵素洗剤組成物 | |
| TR201808134T4 (tr) | Katı serbest dolaşan partiküllü çamaşır deterjanı bileşimi. | |
| CN100455663C (zh) | 脂肪酶变体 | |
| MX2007010125A (es) | Composiciones detergentes. | |
| CN1229427A (zh) | 洗涤剂组合物 | |
| JP2022529356A (ja) | 撹拌感受性成分の選択的投入を用いて布地を処理する方法 | |
| EP1888764B1 (en) | Swatch for testing the washing performance of an enzyme | |
| CN101432411B (zh) | 洗涤剂组合物 | |
| CN101374934A (zh) | 包含酶和织物着色剂的组合物 | |
| US20080139404A1 (en) | Residual Enzyme Assays | |
| TR201911020T4 (tr) | Çamaşır deterjanı bileşimi. | |
| MX2008009426A (en) | Detergent compositions | |
| MX2008009489A (en) | Detergent compositions |
Legal Events
| Date | Code | Title | Description |
|---|---|---|---|
| MM4A | The patent is invalid due to non-payment of fees |
Effective date: 20120526 |


