KR20180027648A - 디아자벤즈이미다졸로카르벤 리간드를 포함하는 금속 착물 및 oled에서의 그의 용도 - Google Patents
디아자벤즈이미다졸로카르벤 리간드를 포함하는 금속 착물 및 oled에서의 그의 용도 Download PDFInfo
- Publication number
- KR20180027648A KR20180027648A KR1020187006484A KR20187006484A KR20180027648A KR 20180027648 A KR20180027648 A KR 20180027648A KR 1020187006484 A KR1020187006484 A KR 1020187006484A KR 20187006484 A KR20187006484 A KR 20187006484A KR 20180027648 A KR20180027648 A KR 20180027648A
- Authority
- KR
- South Korea
- Prior art keywords
- heteroatoms
- carbon atoms
- optionally
- substituted
- functional groups
- Prior art date
- Legal status (The legal status is an assumption and is not a legal conclusion. Google has not performed a legal analysis and makes no representation as to the accuracy of the status listed.)
- Granted
Links
- 239000003446 ligand Substances 0.000 title claims abstract description 104
- VQNDBXJTIJKJPV-UHFFFAOYSA-N 2h-triazolo[4,5-b]pyridine Chemical compound C1=CC=NC2=NNN=C21 VQNDBXJTIJKJPV-UHFFFAOYSA-N 0.000 title abstract 2
- 229910052751 metal Inorganic materials 0.000 title description 17
- 239000002184 metal Substances 0.000 title description 17
- 239000000463 material Substances 0.000 claims abstract description 86
- 239000011159 matrix material Substances 0.000 claims abstract description 69
- 229910052741 iridium Inorganic materials 0.000 claims abstract description 24
- 229910052697 platinum Inorganic materials 0.000 claims abstract description 9
- -1 alkyl radical Chemical class 0.000 claims description 252
- 125000004432 carbon atom Chemical group C* 0.000 claims description 188
- 125000005842 heteroatom Chemical group 0.000 claims description 181
- 150000001875 compounds Chemical class 0.000 claims description 127
- 125000003118 aryl group Chemical group 0.000 claims description 100
- 125000000524 functional group Chemical group 0.000 claims description 96
- 150000003254 radicals Chemical class 0.000 claims description 63
- 150000005840 aryl radicals Chemical class 0.000 claims description 53
- 125000000217 alkyl group Chemical group 0.000 claims description 52
- 125000001072 heteroaryl group Chemical group 0.000 claims description 52
- 229910052757 nitrogen Inorganic materials 0.000 claims description 49
- 125000000753 cycloalkyl group Chemical group 0.000 claims description 39
- 125000000592 heterocycloalkyl group Chemical group 0.000 claims description 37
- 238000000034 method Methods 0.000 claims description 37
- 125000001424 substituent group Chemical group 0.000 claims description 36
- 229910052799 carbon Inorganic materials 0.000 claims description 33
- 229910052760 oxygen Inorganic materials 0.000 claims description 33
- 229910052717 sulfur Inorganic materials 0.000 claims description 32
- 229910052739 hydrogen Inorganic materials 0.000 claims description 31
- 239000001257 hydrogen Substances 0.000 claims description 27
- 230000009471 action Effects 0.000 claims description 26
- 229920006395 saturated elastomer Polymers 0.000 claims description 22
- 239000007787 solid Substances 0.000 claims description 22
- 125000000129 anionic group Chemical group 0.000 claims description 21
- UFHFLCQGNIYNRP-UHFFFAOYSA-N Hydrogen Chemical compound [H][H] UFHFLCQGNIYNRP-UHFFFAOYSA-N 0.000 claims description 20
- 125000004433 nitrogen atom Chemical group N* 0.000 claims description 20
- HZVOZRGWRWCICA-UHFFFAOYSA-N methanediyl Chemical compound [CH2] HZVOZRGWRWCICA-UHFFFAOYSA-N 0.000 claims description 14
- 239000003574 free electron Substances 0.000 claims description 11
- XEEYBQQBJWHFJM-UHFFFAOYSA-N Iron Chemical compound [Fe] XEEYBQQBJWHFJM-UHFFFAOYSA-N 0.000 claims description 9
- 239000002243 precursor Substances 0.000 claims description 9
- 125000006413 ring segment Chemical group 0.000 claims description 9
- CIUQDSCDWFSTQR-UHFFFAOYSA-N [C]1=CC=CC=C1 Chemical class [C]1=CC=CC=C1 CIUQDSCDWFSTQR-UHFFFAOYSA-N 0.000 claims description 7
- 150000002431 hydrogen Chemical class 0.000 claims description 7
- 125000004435 hydrogen atom Chemical group [H]* 0.000 claims description 7
- 238000004519 manufacturing process Methods 0.000 claims description 7
- 229910052727 yttrium Inorganic materials 0.000 claims description 7
- 125000000623 heterocyclic group Chemical group 0.000 claims description 6
- HEDRZPFGACZZDS-UHFFFAOYSA-N Chloroform Chemical compound ClC(Cl)Cl HEDRZPFGACZZDS-UHFFFAOYSA-N 0.000 claims description 4
- 125000003342 alkenyl group Chemical group 0.000 claims description 3
- 125000000304 alkynyl group Chemical group 0.000 claims description 3
- 125000000732 arylene group Chemical group 0.000 claims description 3
- 125000005549 heteroarylene group Chemical group 0.000 claims description 3
- 125000004450 alkenylene group Chemical group 0.000 claims description 2
- 125000002947 alkylene group Chemical group 0.000 claims description 2
- 125000004419 alkynylene group Chemical group 0.000 claims description 2
- 239000002981 blocking agent Substances 0.000 claims 1
- BASFCYQUMIYNBI-UHFFFAOYSA-N platinum Chemical compound [Pt] BASFCYQUMIYNBI-UHFFFAOYSA-N 0.000 abstract description 18
- GKOZUEZYRPOHIO-UHFFFAOYSA-N iridium atom Chemical compound [Ir] GKOZUEZYRPOHIO-UHFFFAOYSA-N 0.000 abstract description 14
- 238000005286 illumination Methods 0.000 abstract description 2
- 239000010410 layer Substances 0.000 description 241
- 239000000203 mixture Substances 0.000 description 125
- YXFVVABEGXRONW-UHFFFAOYSA-N Toluene Chemical compound CC1=CC=CC=C1 YXFVVABEGXRONW-UHFFFAOYSA-N 0.000 description 120
- YMWUJEATGCHHMB-UHFFFAOYSA-N Dichloromethane Chemical compound ClCCl YMWUJEATGCHHMB-UHFFFAOYSA-N 0.000 description 116
- 239000000243 solution Substances 0.000 description 74
- OKKJLVBELUTLKV-UHFFFAOYSA-N Methanol Chemical compound OC OKKJLVBELUTLKV-UHFFFAOYSA-N 0.000 description 72
- CSCPPACGZOOCGX-UHFFFAOYSA-N Acetone Chemical compound CC(C)=O CSCPPACGZOOCGX-UHFFFAOYSA-N 0.000 description 60
- LFQSCWFLJHTTHZ-UHFFFAOYSA-N Ethanol Chemical compound CCO LFQSCWFLJHTTHZ-UHFFFAOYSA-N 0.000 description 53
- 238000010992 reflux Methods 0.000 description 45
- 238000001816 cooling Methods 0.000 description 43
- 239000000725 suspension Substances 0.000 description 38
- XLYOFNOQVPJJNP-UHFFFAOYSA-N water Substances O XLYOFNOQVPJJNP-UHFFFAOYSA-N 0.000 description 38
- 230000032258 transport Effects 0.000 description 37
- XEKOWRVHYACXOJ-UHFFFAOYSA-N Ethyl acetate Chemical compound CCOC(C)=O XEKOWRVHYACXOJ-UHFFFAOYSA-N 0.000 description 35
- CTQNGGLPUBDAKN-UHFFFAOYSA-N O-Xylene Chemical compound CC1=CC=CC=C1C CTQNGGLPUBDAKN-UHFFFAOYSA-N 0.000 description 32
- VYPSYNLAJGMNEJ-UHFFFAOYSA-N Silicium dioxide Chemical compound O=[Si]=O VYPSYNLAJGMNEJ-UHFFFAOYSA-N 0.000 description 31
- 239000000758 substrate Substances 0.000 description 31
- 239000004020 conductor Substances 0.000 description 30
- 239000000741 silica gel Substances 0.000 description 30
- 229910002027 silica gel Inorganic materials 0.000 description 30
- 238000004440 column chromatography Methods 0.000 description 29
- 239000000706 filtrate Substances 0.000 description 28
- IJGRMHOSHXDMSA-UHFFFAOYSA-N Atomic nitrogen Chemical compound N#N IJGRMHOSHXDMSA-UHFFFAOYSA-N 0.000 description 25
- 230000005525 hole transport Effects 0.000 description 24
- 125000001997 phenyl group Chemical group [H]C1=C([H])C([H])=C(*)C([H])=C1[H] 0.000 description 23
- 239000002904 solvent Substances 0.000 description 23
- XDTMQSROBMDMFD-UHFFFAOYSA-N Cyclohexane Chemical compound C1CCCCC1 XDTMQSROBMDMFD-UHFFFAOYSA-N 0.000 description 22
- 239000010408 film Substances 0.000 description 21
- 238000005424 photoluminescence Methods 0.000 description 21
- 229920003229 poly(methyl methacrylate) Polymers 0.000 description 21
- 239000004926 polymethyl methacrylate Substances 0.000 description 21
- RTZKZFJDLAIYFH-UHFFFAOYSA-N Diethyl ether Chemical compound CCOCC RTZKZFJDLAIYFH-UHFFFAOYSA-N 0.000 description 20
- 238000000151 deposition Methods 0.000 description 20
- 239000003480 eluent Substances 0.000 description 20
- 239000011541 reaction mixture Substances 0.000 description 20
- 238000002347 injection Methods 0.000 description 19
- 239000007924 injection Substances 0.000 description 19
- 238000003756 stirring Methods 0.000 description 19
- HEMHJVSKTPXQMS-UHFFFAOYSA-M Sodium hydroxide Chemical compound [OH-].[Na+] HEMHJVSKTPXQMS-UHFFFAOYSA-M 0.000 description 18
- 239000012074 organic phase Substances 0.000 description 18
- NDVLTYZPCACLMA-UHFFFAOYSA-N silver oxide Chemical compound [O-2].[Ag+].[Ag+] NDVLTYZPCACLMA-UHFFFAOYSA-N 0.000 description 18
- 230000008021 deposition Effects 0.000 description 17
- URGAHOPLAPQHLN-UHFFFAOYSA-N sodium aluminosilicate Chemical compound [Na+].[Al+3].[O-][Si]([O-])=O.[O-][Si]([O-])=O URGAHOPLAPQHLN-UHFFFAOYSA-N 0.000 description 17
- PCNDJXKNXGMECE-UHFFFAOYSA-N Phenazine Natural products C1=CC=CC2=NC3=CC=CC=C3N=C21 PCNDJXKNXGMECE-UHFFFAOYSA-N 0.000 description 16
- KYQCOXFCLRTKLS-UHFFFAOYSA-N Pyrazine Natural products C1=CN=CC=N1 KYQCOXFCLRTKLS-UHFFFAOYSA-N 0.000 description 16
- PMZURENOXWZQFD-UHFFFAOYSA-L Sodium Sulfate Chemical compound [Na+].[Na+].[O-]S([O-])(=O)=O PMZURENOXWZQFD-UHFFFAOYSA-L 0.000 description 16
- 230000015572 biosynthetic process Effects 0.000 description 16
- 125000002496 methyl group Chemical group [H]C([H])([H])* 0.000 description 16
- VLKZOEOYAKHREP-UHFFFAOYSA-N n-Hexane Chemical compound CCCCCC VLKZOEOYAKHREP-UHFFFAOYSA-N 0.000 description 16
- RYHBNJHYFVUHQT-UHFFFAOYSA-N 1,4-Dioxane Chemical compound C1COCCO1 RYHBNJHYFVUHQT-UHFFFAOYSA-N 0.000 description 15
- 239000002808 molecular sieve Substances 0.000 description 15
- 238000003786 synthesis reaction Methods 0.000 description 15
- KFZMGEQAYNKOFK-UHFFFAOYSA-N Isopropanol Chemical compound CC(C)O KFZMGEQAYNKOFK-UHFFFAOYSA-N 0.000 description 14
- 229940078552 o-xylene Drugs 0.000 description 14
- 239000000843 powder Substances 0.000 description 14
- 239000000047 product Substances 0.000 description 14
- 229910052938 sodium sulfate Inorganic materials 0.000 description 14
- 235000011152 sodium sulphate Nutrition 0.000 description 14
- VEXZGXHMUGYJMC-UHFFFAOYSA-N Hydrochloric acid Chemical compound Cl VEXZGXHMUGYJMC-UHFFFAOYSA-N 0.000 description 13
- 239000002244 precipitate Substances 0.000 description 13
- IAZDPXIOMUYVGZ-UHFFFAOYSA-N Dimethylsulphoxide Chemical compound CS(C)=O IAZDPXIOMUYVGZ-UHFFFAOYSA-N 0.000 description 12
- BZLVMXJERCGZMT-UHFFFAOYSA-N Methyl tert-butyl ether Chemical compound COC(C)(C)C BZLVMXJERCGZMT-UHFFFAOYSA-N 0.000 description 12
- CBENFWSGALASAD-UHFFFAOYSA-N Ozone Chemical compound [O-][O+]=O CBENFWSGALASAD-UHFFFAOYSA-N 0.000 description 12
- WYURNTSHIVDZCO-UHFFFAOYSA-N Tetrahydrofuran Chemical compound C1CCOC1 WYURNTSHIVDZCO-UHFFFAOYSA-N 0.000 description 12
- 235000019439 ethyl acetate Nutrition 0.000 description 12
- JUJWROOIHBZHMG-UHFFFAOYSA-N Pyridine Chemical compound C1=CC=NC=C1 JUJWROOIHBZHMG-UHFFFAOYSA-N 0.000 description 11
- 150000001721 carbon Chemical group 0.000 description 11
- 239000000178 monomer Substances 0.000 description 11
- GKASDNZWUGIAMG-UHFFFAOYSA-N triethyl orthoformate Chemical compound CCOC(OCC)OCC GKASDNZWUGIAMG-UHFFFAOYSA-N 0.000 description 11
- 239000004912 1,5-cyclooctadiene Substances 0.000 description 10
- PAYRUJLWNCNPSJ-UHFFFAOYSA-N Aniline Chemical compound NC1=CC=CC=C1 PAYRUJLWNCNPSJ-UHFFFAOYSA-N 0.000 description 10
- 125000000609 carbazolyl group Chemical group C1(=CC=CC=2C3=CC=CC=C3NC12)* 0.000 description 10
- 239000002800 charge carrier Substances 0.000 description 10
- 229920001577 copolymer Polymers 0.000 description 9
- 239000012043 crude product Substances 0.000 description 9
- 239000013078 crystal Substances 0.000 description 9
- 125000001495 ethyl group Chemical group [H]C([H])([H])C([H])([H])* 0.000 description 9
- RAXXELZNTBOGNW-UHFFFAOYSA-N imidazole Natural products C1=CNC=N1 RAXXELZNTBOGNW-UHFFFAOYSA-N 0.000 description 9
- 125000001449 isopropyl group Chemical group [H]C([H])([H])C([H])(*)C([H])([H])[H] 0.000 description 9
- 238000002360 preparation method Methods 0.000 description 9
- 229910001923 silver oxide Inorganic materials 0.000 description 9
- 238000001228 spectrum Methods 0.000 description 9
- 150000003624 transition metals Chemical class 0.000 description 9
- XKRFYHLGVUSROY-UHFFFAOYSA-N Argon Chemical compound [Ar] XKRFYHLGVUSROY-UHFFFAOYSA-N 0.000 description 8
- 239000002253 acid Substances 0.000 description 8
- 229910052783 alkali metal Inorganic materials 0.000 description 8
- 229910052784 alkaline earth metal Inorganic materials 0.000 description 8
- 125000004429 atom Chemical group 0.000 description 8
- TXCDCPKCNAJMEE-UHFFFAOYSA-N dibenzofuran Chemical compound C1=CC=C2C3=CC=CC=C3OC2=C1 TXCDCPKCNAJMEE-UHFFFAOYSA-N 0.000 description 8
- 239000011368 organic material Substances 0.000 description 8
- IUBQJLUDMLPAGT-UHFFFAOYSA-N potassium bis(trimethylsilyl)amide Chemical compound C[Si](C)(C)N([K])[Si](C)(C)C IUBQJLUDMLPAGT-UHFFFAOYSA-N 0.000 description 8
- 230000008569 process Effects 0.000 description 8
- 238000001291 vacuum drying Methods 0.000 description 8
- 229910052731 fluorine Inorganic materials 0.000 description 7
- 239000007789 gas Substances 0.000 description 7
- 239000003208 petroleum Substances 0.000 description 7
- 229920000642 polymer Polymers 0.000 description 7
- 229910052723 transition metal Inorganic materials 0.000 description 7
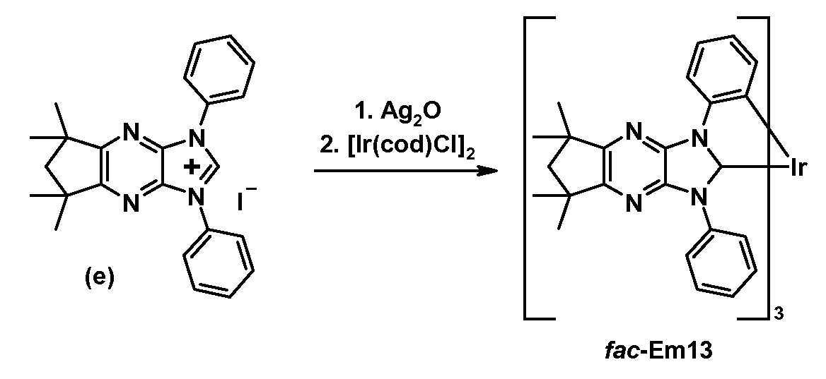
- NPGWGNZIPWCHOF-UHFFFAOYSA-M 1,3-diphenylimidazo[4,5-b]pyrazin-3-ium;iodide Chemical compound [I-].C12=NC=CN=C2[N+](C=2C=CC=CC=2)=CN1C1=CC=CC=C1 NPGWGNZIPWCHOF-UHFFFAOYSA-M 0.000 description 6
- WEVYAHXRMPXWCK-UHFFFAOYSA-N Acetonitrile Chemical compound CC#N WEVYAHXRMPXWCK-UHFFFAOYSA-N 0.000 description 6
- UHOVQNZJYSORNB-UHFFFAOYSA-N Benzene Chemical compound C1=CC=CC=C1 UHOVQNZJYSORNB-UHFFFAOYSA-N 0.000 description 6
- YLQBMQCUIZJEEH-UHFFFAOYSA-N Furan Chemical compound C=1C=COC=1 YLQBMQCUIZJEEH-UHFFFAOYSA-N 0.000 description 6
- IMNFDUFMRHMDMM-UHFFFAOYSA-N N-Heptane Chemical compound CCCCCCC IMNFDUFMRHMDMM-UHFFFAOYSA-N 0.000 description 6
- XYFCBTPGUUZFHI-UHFFFAOYSA-N Phosphine Chemical compound P XYFCBTPGUUZFHI-UHFFFAOYSA-N 0.000 description 6
- KWYUFKZDYYNOTN-UHFFFAOYSA-M Potassium hydroxide Chemical compound [OH-].[K+] KWYUFKZDYYNOTN-UHFFFAOYSA-M 0.000 description 6
- GQENPXQJRUSMDY-UHFFFAOYSA-N [Ir+].ClC1=CCCC=CCC1 Chemical class [Ir+].ClC1=CCCC=CCC1 GQENPXQJRUSMDY-UHFFFAOYSA-N 0.000 description 6
- 150000001342 alkaline earth metals Chemical class 0.000 description 6
- 229910052782 aluminium Inorganic materials 0.000 description 6
- XAGFODPZIPBFFR-UHFFFAOYSA-N aluminium Chemical compound [Al] XAGFODPZIPBFFR-UHFFFAOYSA-N 0.000 description 6
- 229940043397 deconex Drugs 0.000 description 6
- 239000003599 detergent Substances 0.000 description 6
- 150000004826 dibenzofurans Chemical class 0.000 description 6
- 125000004987 dibenzofuryl group Chemical group C1(=CC=CC=2OC3=C(C21)C=CC=C3)* 0.000 description 6
- 125000004988 dibenzothienyl group Chemical group C1(=CC=CC=2SC3=C(C21)C=CC=C3)* 0.000 description 6
- 239000003085 diluting agent Substances 0.000 description 6
- 238000005401 electroluminescence Methods 0.000 description 6
- 239000011521 glass Substances 0.000 description 6
- 125000001971 neopentyl group Chemical group [H]C([*])([H])C(C([H])([H])[H])(C([H])([H])[H])C([H])([H])[H] 0.000 description 6
- 239000012299 nitrogen atmosphere Substances 0.000 description 6
- UMJSCPRVCHMLSP-UHFFFAOYSA-N pyridine Natural products COC1=CC=CN=C1 UMJSCPRVCHMLSP-UHFFFAOYSA-N 0.000 description 6
- 125000000999 tert-butyl group Chemical group [H]C([H])([H])C(*)(C([H])([H])[H])C([H])([H])[H] 0.000 description 6
- 125000000335 thiazolyl group Chemical group 0.000 description 6
- 238000005406 washing Methods 0.000 description 6
- RIVUQDDFYIYWEK-UHFFFAOYSA-N 2-ethoxy-1,3-diphenyl-2h-imidazo[4,5-b]pyrazine Chemical compound CCOC1N(C=2C=CC=CC=2)C2=NC=CN=C2N1C1=CC=CC=C1 RIVUQDDFYIYWEK-UHFFFAOYSA-N 0.000 description 5
- ZMXDDKWLCZADIW-UHFFFAOYSA-N N,N-Dimethylformamide Chemical compound CN(C)C=O ZMXDDKWLCZADIW-UHFFFAOYSA-N 0.000 description 5
- 101000686491 Platymeris rhadamanthus Venom redulysin 1 Proteins 0.000 description 5
- 150000001340 alkali metals Chemical class 0.000 description 5
- 125000003545 alkoxy group Chemical group 0.000 description 5
- 229910052801 chlorine Inorganic materials 0.000 description 5
- 239000011248 coating agent Substances 0.000 description 5
- 238000000576 coating method Methods 0.000 description 5
- 239000002019 doping agent Substances 0.000 description 5
- 230000000694 effects Effects 0.000 description 5
- 229910052736 halogen Inorganic materials 0.000 description 5
- 125000002883 imidazolyl group Chemical group 0.000 description 5
- 150000002739 metals Chemical class 0.000 description 5
- 238000002156 mixing Methods 0.000 description 5
- 238000007639 printing Methods 0.000 description 5
- OLRJXMHANKMLTD-UHFFFAOYSA-N silyl Chemical compound [SiH3] OLRJXMHANKMLTD-UHFFFAOYSA-N 0.000 description 5
- 238000007740 vapor deposition Methods 0.000 description 5
- ZWEHNKRNPOVVGH-UHFFFAOYSA-N 2-Butanone Chemical compound CCC(C)=O ZWEHNKRNPOVVGH-UHFFFAOYSA-N 0.000 description 4
- XZXYQEHISUMZAT-UHFFFAOYSA-N 2-[(2-hydroxy-5-methylphenyl)methyl]-4-methylphenol Chemical compound CC1=CC=C(O)C(CC=2C(=CC=C(C)C=2)O)=C1 XZXYQEHISUMZAT-UHFFFAOYSA-N 0.000 description 4
- DFZVCTPUFOPWSP-UHFFFAOYSA-N 2-ethoxy-1,3-bis(4-fluorophenyl)-2h-imidazo[4,5-b]pyrazine Chemical compound CCOC1N(C=2C=CC(F)=CC=2)C2=NC=CN=C2N1C1=CC=C(F)C=C1 DFZVCTPUFOPWSP-UHFFFAOYSA-N 0.000 description 4
- ZNQVEEAIQZEUHB-UHFFFAOYSA-N 2-ethoxyethanol Chemical compound CCOCCO ZNQVEEAIQZEUHB-UHFFFAOYSA-N 0.000 description 4
- 229940093475 2-ethoxyethanol Drugs 0.000 description 4
- QTBSBXVTEAMEQO-UHFFFAOYSA-N Acetic acid Chemical compound CC(O)=O QTBSBXVTEAMEQO-UHFFFAOYSA-N 0.000 description 4
- CSNNHWWHGAXBCP-UHFFFAOYSA-L Magnesium sulfate Chemical compound [Mg+2].[O-][S+2]([O-])([O-])[O-] CSNNHWWHGAXBCP-UHFFFAOYSA-L 0.000 description 4
- OFBQJSOFQDEBGM-UHFFFAOYSA-N Pentane Chemical compound CCCCC OFBQJSOFQDEBGM-UHFFFAOYSA-N 0.000 description 4
- KAESVJOAVNADME-UHFFFAOYSA-N Pyrrole Chemical compound C=1C=CNC=1 KAESVJOAVNADME-UHFFFAOYSA-N 0.000 description 4
- UIIMBOGNXHQVGW-UHFFFAOYSA-M Sodium bicarbonate Chemical compound [Na+].OC([O-])=O UIIMBOGNXHQVGW-UHFFFAOYSA-M 0.000 description 4
- YTPLMLYBLZKORZ-UHFFFAOYSA-N Thiophene Chemical compound C=1C=CSC=1 YTPLMLYBLZKORZ-UHFFFAOYSA-N 0.000 description 4
- 238000007792 addition Methods 0.000 description 4
- QGZKDVFQNNGYKY-UHFFFAOYSA-N ammonia Natural products N QGZKDVFQNNGYKY-UHFFFAOYSA-N 0.000 description 4
- 229940107816 ammonium iodide Drugs 0.000 description 4
- 239000008346 aqueous phase Substances 0.000 description 4
- 229910052786 argon Inorganic materials 0.000 description 4
- MCQRPQCQMGVWIQ-UHFFFAOYSA-N boron;methylsulfanylmethane Chemical compound [B].CSC MCQRPQCQMGVWIQ-UHFFFAOYSA-N 0.000 description 4
- 238000006243 chemical reaction Methods 0.000 description 4
- IYYZUPMFVPLQIF-UHFFFAOYSA-N dibenzothiophene Chemical compound C1=CC=C2C3=CC=CC=C3SC2=C1 IYYZUPMFVPLQIF-UHFFFAOYSA-N 0.000 description 4
- 208000027386 essential tremor 1 Diseases 0.000 description 4
- 208000026462 essential tremor 3 Diseases 0.000 description 4
- 208000031683 hereditary essential 3 tremor Diseases 0.000 description 4
- 229910052744 lithium Inorganic materials 0.000 description 4
- NUJOXMJBOLGQSY-UHFFFAOYSA-N manganese dioxide Chemical compound O=[Mn]=O NUJOXMJBOLGQSY-UHFFFAOYSA-N 0.000 description 4
- MZRVEZGGRBJDDB-UHFFFAOYSA-N n-Butyllithium Substances [Li]CCCC MZRVEZGGRBJDDB-UHFFFAOYSA-N 0.000 description 4
- 150000002825 nitriles Chemical class 0.000 description 4
- 239000012044 organic layer Substances 0.000 description 4
- NFHFRUOZVGFOOS-UHFFFAOYSA-N palladium;triphenylphosphane Chemical compound [Pd].C1=CC=CC=C1P(C=1C=CC=CC=1)C1=CC=CC=C1.C1=CC=CC=C1P(C=1C=CC=CC=1)C1=CC=CC=C1.C1=CC=CC=C1P(C=1C=CC=CC=1)C1=CC=CC=C1.C1=CC=CC=C1P(C=1C=CC=CC=1)C1=CC=CC=C1 NFHFRUOZVGFOOS-UHFFFAOYSA-N 0.000 description 4
- LPNYRYFBWFDTMA-UHFFFAOYSA-N potassium tert-butoxide Chemical compound [K+].CC(C)(C)[O-] LPNYRYFBWFDTMA-UHFFFAOYSA-N 0.000 description 4
- 125000002577 pseudohalo group Chemical group 0.000 description 4
- 150000003384 small molecules Chemical class 0.000 description 4
- 239000011734 sodium Substances 0.000 description 4
- 238000004528 spin coating Methods 0.000 description 4
- 239000000126 substance Substances 0.000 description 4
- 125000003944 tolyl group Chemical group 0.000 description 4
- MLCNOCRGSBCAGH-UHFFFAOYSA-N 2,3-dichloropyrazine Chemical compound ClC1=NC=CN=C1Cl MLCNOCRGSBCAGH-UHFFFAOYSA-N 0.000 description 3
- ASJSFLBZSNACQE-UHFFFAOYSA-N 2-n,3-n-diphenylpyrazine-2,3-diamine Chemical compound N=1C=CN=C(NC=2C=CC=CC=2)C=1NC1=CC=CC=C1 ASJSFLBZSNACQE-UHFFFAOYSA-N 0.000 description 3
- NSMJMUQZRGZMQC-UHFFFAOYSA-N 2-naphthalen-1-yl-1H-imidazo[4,5-f][1,10]phenanthroline Chemical compound C12=CC=CN=C2C2=NC=CC=C2C2=C1NC(C=1C3=CC=CC=C3C=CC=1)=N2 NSMJMUQZRGZMQC-UHFFFAOYSA-N 0.000 description 3
- DHDHJYNTEFLIHY-UHFFFAOYSA-N 4,7-diphenyl-1,10-phenanthroline Chemical compound C1=CC=CC=C1C1=CC=NC2=C1C=CC1=C(C=3C=CC=CC=3)C=CN=C21 DHDHJYNTEFLIHY-UHFFFAOYSA-N 0.000 description 3
- CXUDTGWLYIMSKM-UHFFFAOYSA-N 9-(8-bromodibenzofuran-2-yl)carbazole Chemical compound C12=CC=CC=C2C2=CC=CC=C2N1C1=CC=C2OC3=CC=C(Br)C=C3C2=C1 CXUDTGWLYIMSKM-UHFFFAOYSA-N 0.000 description 3
- VHUUQVKOLVNVRT-UHFFFAOYSA-N Ammonium hydroxide Chemical compound [NH4+].[OH-] VHUUQVKOLVNVRT-UHFFFAOYSA-N 0.000 description 3
- WHXSMMKQMYFTQS-UHFFFAOYSA-N Lithium Chemical compound [Li] WHXSMMKQMYFTQS-UHFFFAOYSA-N 0.000 description 3
- ABLZXFCXXLZCGV-UHFFFAOYSA-N Phosphorous acid Chemical class OP(O)=O ABLZXFCXXLZCGV-UHFFFAOYSA-N 0.000 description 3
- RWRDLPDLKQPQOW-UHFFFAOYSA-N Pyrrolidine Chemical compound C1CCNC1 RWRDLPDLKQPQOW-UHFFFAOYSA-N 0.000 description 3
- XUIMIQQOPSSXEZ-UHFFFAOYSA-N Silicon Chemical group [Si] XUIMIQQOPSSXEZ-UHFFFAOYSA-N 0.000 description 3
- 235000011114 ammonium hydroxide Nutrition 0.000 description 3
- 230000004888 barrier function Effects 0.000 description 3
- 239000002585 base Substances 0.000 description 3
- 229910052794 bromium Inorganic materials 0.000 description 3
- 238000005266 casting Methods 0.000 description 3
- 239000003795 chemical substances by application Substances 0.000 description 3
- URYYVOIYTNXXBN-UPHRSURJSA-N cyclooctene Chemical compound C1CCC\C=C/CC1 URYYVOIYTNXXBN-UPHRSURJSA-N 0.000 description 3
- 239000004913 cyclooctene Substances 0.000 description 3
- 125000004986 diarylamino group Chemical group 0.000 description 3
- 150000001993 dienes Chemical class 0.000 description 3
- 238000001035 drying Methods 0.000 description 3
- IIEWJVIFRVWJOD-UHFFFAOYSA-N ethyl cyclohexane Natural products CCC1CCCCC1 IIEWJVIFRVWJOD-UHFFFAOYSA-N 0.000 description 3
- 238000001914 filtration Methods 0.000 description 3
- 238000004770 highest occupied molecular orbital Methods 0.000 description 3
- 238000007641 inkjet printing Methods 0.000 description 3
- 125000000959 isobutyl group Chemical group [H]C([H])([H])C([H])(C([H])([H])[H])C([H])([H])* 0.000 description 3
- 229910044991 metal oxide Inorganic materials 0.000 description 3
- 150000004706 metal oxides Chemical class 0.000 description 3
- 125000000956 methoxy group Chemical group [H]C([H])([H])O* 0.000 description 3
- 125000004108 n-butyl group Chemical group [H]C([H])([H])C([H])([H])C([H])([H])C([H])([H])* 0.000 description 3
- 230000003472 neutralizing effect Effects 0.000 description 3
- 239000003921 oil Substances 0.000 description 3
- 150000002894 organic compounds Chemical class 0.000 description 3
- 239000003960 organic solvent Substances 0.000 description 3
- 230000000737 periodic effect Effects 0.000 description 3
- 229910000073 phosphorus hydride Inorganic materials 0.000 description 3
- 238000000746 purification Methods 0.000 description 3
- 150000003222 pyridines Chemical class 0.000 description 3
- 125000004076 pyridyl group Chemical group 0.000 description 3
- 238000001953 recrystallisation Methods 0.000 description 3
- 229910052710 silicon Inorganic materials 0.000 description 3
- 239000008096 xylene Substances 0.000 description 3
- 229910006400 μ-Cl Inorganic materials 0.000 description 3
- APPOKADJQUIAHP-GGWOSOGESA-N (2e,4e)-hexa-2,4-diene Chemical compound C\C=C\C=C\C APPOKADJQUIAHP-GGWOSOGESA-N 0.000 description 2
- 125000004209 (C1-C8) alkyl group Chemical group 0.000 description 2
- POILWHVDKZOXJZ-ARJAWSKDSA-M (z)-4-oxopent-2-en-2-olate Chemical compound C\C([O-])=C\C(C)=O POILWHVDKZOXJZ-ARJAWSKDSA-M 0.000 description 2
- OZRQQVJZHUAPTI-UHFFFAOYSA-M 1,3-diphenylimidazo[4,5-b]pyridin-3-ium;chloride Chemical compound [Cl-].C12=NC=CC=C2[N+](C=2C=CC=CC=2)=CN1C1=CC=CC=C1 OZRQQVJZHUAPTI-UHFFFAOYSA-M 0.000 description 2
- VYXHVRARDIDEHS-UHFFFAOYSA-N 1,5-cyclooctadiene Chemical compound C1CC=CCCC=C1 VYXHVRARDIDEHS-UHFFFAOYSA-N 0.000 description 2
- DGCQHTACQZUATF-UHFFFAOYSA-N 1-[2,6-di(propan-2-yl)phenyl]-2-phenylimidazole Chemical compound CC(C)C1=CC=CC(C(C)C)=C1N1C(C=2C=CC=CC=2)=NC=C1 DGCQHTACQZUATF-UHFFFAOYSA-N 0.000 description 2
- FFSUYFMBNPVQRQ-UHFFFAOYSA-N 1-[8-(2,4-diphenyl-4h-pyrimidin-1-yl)dibenzofuran-2-yl]-2,4-diphenyl-4h-pyrimidine Chemical compound C1=CN(C=2C=C3C4=CC(=CC=C4OC3=CC=2)N2C(=NC(C=C2)C=2C=CC=CC=2)C=2C=CC=CC=2)C(C=2C=CC=CC=2)=NC1C1=CC=CC=C1 FFSUYFMBNPVQRQ-UHFFFAOYSA-N 0.000 description 2
- QMMUVLYNUQYPNN-UHFFFAOYSA-N 1-[8-(4,6-diphenyl-4h-pyrimidin-1-yl)dibenzofuran-2-yl]-4,6-diphenyl-4h-pyrimidine Chemical compound C1=NC(C=2C=CC=CC=2)C=C(C=2C=CC=CC=2)N1C(C=C1C2=C3)=CC=C1OC2=CC=C3N1C=NC(C=2C=CC=CC=2)C=C1C1=CC=CC=C1 QMMUVLYNUQYPNN-UHFFFAOYSA-N 0.000 description 2
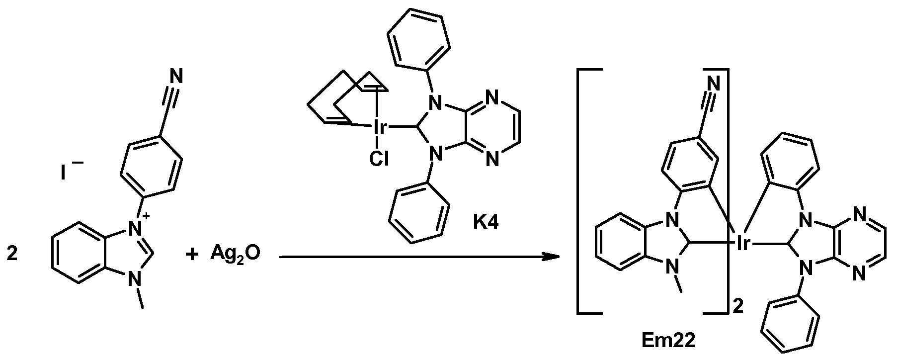
- AUMALJUBRYGINJ-UHFFFAOYSA-M 1-phenyl-3-propan-2-ylimidazo[4,5-b]pyrazin-3-ium;iodide Chemical compound [I-].C12=NC=CN=C2N(C(C)C)C=[N+]1C1=CC=CC=C1 AUMALJUBRYGINJ-UHFFFAOYSA-M 0.000 description 2
- TYUJGKFUZUYNCK-UHFFFAOYSA-N 2,8-di(dibenzofuran-2-yl)dibenzofuran Chemical compound C1=CC=C2C3=CC(C4=CC=C5OC6=CC=C(C=C6C5=C4)C4=CC=C5OC=6C(C5=C4)=CC=CC=6)=CC=C3OC2=C1 TYUJGKFUZUYNCK-UHFFFAOYSA-N 0.000 description 2
- STTGYIUESPWXOW-UHFFFAOYSA-N 2,9-dimethyl-4,7-diphenyl-1,10-phenanthroline Chemical compound C=12C=CC3=C(C=4C=CC=CC=4)C=C(C)N=C3C2=NC(C)=CC=1C1=CC=CC=C1 STTGYIUESPWXOW-UHFFFAOYSA-N 0.000 description 2
- TWIKJCHPXAXCDO-UHFFFAOYSA-N 2-chloro-n-propan-2-ylpyridin-3-amine Chemical compound CC(C)NC1=CC=CN=C1Cl TWIKJCHPXAXCDO-UHFFFAOYSA-N 0.000 description 2
- GDWJKTGSLLXSHE-UHFFFAOYSA-N 2-dibenzofuran-2-yl-4,4,5,5-tetramethyl-1,3,2-dioxaborolane Chemical compound O1C(C)(C)C(C)(C)OB1C1=CC=C(OC=2C3=CC=CC=2)C3=C1 GDWJKTGSLLXSHE-UHFFFAOYSA-N 0.000 description 2
- ZZAAYTBHMYTECY-UHFFFAOYSA-N 2-ethoxy-1,3-bis(4-methylphenyl)-2h-imidazo[4,5-b]pyrazine Chemical compound CCOC1N(C=2C=CC(C)=CC=2)C2=NC=CN=C2N1C1=CC=C(C)C=C1 ZZAAYTBHMYTECY-UHFFFAOYSA-N 0.000 description 2
- OPJJXQDHRCSKIR-UHFFFAOYSA-N 2-n,3-n-bis(4-fluorophenyl)pyrazine-2,3-diamine Chemical compound C1=CC(F)=CC=C1NC1=NC=CN=C1NC1=CC=C(F)C=C1 OPJJXQDHRCSKIR-UHFFFAOYSA-N 0.000 description 2
- KLLSRBPOPMSAMK-UHFFFAOYSA-N 2-n,3-n-bis(4-methylphenyl)pyrazine-2,3-diamine Chemical compound C1=CC(C)=CC=C1NC1=NC=CN=C1NC1=CC=C(C)C=C1 KLLSRBPOPMSAMK-UHFFFAOYSA-N 0.000 description 2
- NZWKAYMFHNNNPX-UHFFFAOYSA-N 2-n,3-n-diphenylpyridine-2,3-diamine Chemical compound C=1C=CN=C(NC=2C=CC=CC=2)C=1NC1=CC=CC=C1 NZWKAYMFHNNNPX-UHFFFAOYSA-N 0.000 description 2
- BTXCYNYUWLGJJZ-UHFFFAOYSA-N 2-n,3-n-diphenylpyridine-2,3-diamine;hydrochloride Chemical compound Cl.C=1C=CN=C(NC=2C=CC=CC=2)C=1NC1=CC=CC=C1 BTXCYNYUWLGJJZ-UHFFFAOYSA-N 0.000 description 2
- VQGHOUODWALEFC-UHFFFAOYSA-N 2-phenylpyridine Chemical compound C1=CC=CC=C1C1=CC=CC=N1 VQGHOUODWALEFC-UHFFFAOYSA-N 0.000 description 2
- AEVSSZHXGJAPIE-UHFFFAOYSA-N 3-chloropyrazin-2-amine Chemical compound NC1=NC=CN=C1Cl AEVSSZHXGJAPIE-UHFFFAOYSA-N 0.000 description 2
- REWYPRUOQZUSHC-UHFFFAOYSA-M 3-methyl-1-phenylimidazo[4,5-b]pyrazin-3-ium;iodide Chemical compound [I-].C12=NC=CN=C2N(C)C=[N+]1C1=CC=CC=C1 REWYPRUOQZUSHC-UHFFFAOYSA-M 0.000 description 2
- LSGMMIIBYPXTAB-UHFFFAOYSA-N 3-phenylimidazo[4,5-b]pyrazine Chemical compound C1=NC2=NC=CN=C2N1C1=CC=CC=C1 LSGMMIIBYPXTAB-UHFFFAOYSA-N 0.000 description 2
- UQRONKZLYKUEMO-UHFFFAOYSA-N 4-methyl-1-(2,4,6-trimethylphenyl)pent-4-en-2-one Chemical group CC(=C)CC(=O)Cc1c(C)cc(C)cc1C UQRONKZLYKUEMO-UHFFFAOYSA-N 0.000 description 2
- KDCGOANMDULRCW-UHFFFAOYSA-N 7H-purine Chemical compound N1=CNC2=NC=NC2=C1 KDCGOANMDULRCW-UHFFFAOYSA-N 0.000 description 2
- UHBIKXOBLZWFKM-UHFFFAOYSA-N 8-hydroxy-2-quinolinecarboxylic acid Chemical group C1=CC=C(O)C2=NC(C(=O)O)=CC=C21 UHBIKXOBLZWFKM-UHFFFAOYSA-N 0.000 description 2
- HJCUTNIGJHJGCF-UHFFFAOYSA-N 9,10-dihydroacridine Chemical compound C1=CC=C2CC3=CC=CC=C3NC2=C1 HJCUTNIGJHJGCF-UHFFFAOYSA-N 0.000 description 2
- LTUJKAYZIMMJEP-UHFFFAOYSA-N 9-[4-(4-carbazol-9-yl-2-methylphenyl)-3-methylphenyl]carbazole Chemical group C12=CC=CC=C2C2=CC=CC=C2N1C1=CC=C(C=2C(=CC(=CC=2)N2C3=CC=CC=C3C3=CC=CC=C32)C)C(C)=C1 LTUJKAYZIMMJEP-UHFFFAOYSA-N 0.000 description 2
- VFUDMQLBKNMONU-UHFFFAOYSA-N 9-[4-(4-carbazol-9-ylphenyl)phenyl]carbazole Chemical group C12=CC=CC=C2C2=CC=CC=C2N1C1=CC=C(C=2C=CC(=CC=2)N2C3=CC=CC=C3C3=CC=CC=C32)C=C1 VFUDMQLBKNMONU-UHFFFAOYSA-N 0.000 description 2
- GJCOSYZMQJWQCA-UHFFFAOYSA-N 9H-xanthene Chemical compound C1=CC=C2CC3=CC=CC=C3OC2=C1 GJCOSYZMQJWQCA-UHFFFAOYSA-N 0.000 description 2
- DJHGAFSJWGLOIV-UHFFFAOYSA-K Arsenate3- Chemical compound [O-][As]([O-])([O-])=O DJHGAFSJWGLOIV-UHFFFAOYSA-K 0.000 description 2
- 229940122361 Bisphosphonate Drugs 0.000 description 2
- KAKZBPTYRLMSJV-UHFFFAOYSA-N Butadiene Chemical compound C=CC=C KAKZBPTYRLMSJV-UHFFFAOYSA-N 0.000 description 2
- 125000003860 C1-C20 alkoxy group Chemical group 0.000 description 2
- OAKJQQAXSVQMHS-UHFFFAOYSA-N Hydrazine Chemical compound NN OAKJQQAXSVQMHS-UHFFFAOYSA-N 0.000 description 2
- 229910003849 O-Si Inorganic materials 0.000 description 2
- 229910003872 O—Si Inorganic materials 0.000 description 2
- GLUUGHFHXGJENI-UHFFFAOYSA-N Piperazine Chemical compound C1CNCCN1 GLUUGHFHXGJENI-UHFFFAOYSA-N 0.000 description 2
- NQRYJNQNLNOLGT-UHFFFAOYSA-N Piperidine Chemical compound C1CCNCC1 NQRYJNQNLNOLGT-UHFFFAOYSA-N 0.000 description 2
- WTKZEGDFNFYCGP-UHFFFAOYSA-N Pyrazole Chemical compound C=1C=NNC=1 WTKZEGDFNFYCGP-UHFFFAOYSA-N 0.000 description 2
- 229910052772 Samarium Inorganic materials 0.000 description 2
- CDBYLPFSWZWCQE-UHFFFAOYSA-L Sodium Carbonate Chemical compound [Na+].[Na+].[O-]C([O-])=O CDBYLPFSWZWCQE-UHFFFAOYSA-L 0.000 description 2
- BCRJHHFLBOQAMG-YNRRLODASA-N [(1e,3e)-penta-1,3-dienyl]benzene Chemical compound C\C=C\C=C\C1=CC=CC=C1 BCRJHHFLBOQAMG-YNRRLODASA-N 0.000 description 2
- DSKKRGFRMFZDTR-UHFFFAOYSA-M [I-].C1(=CC=CC=C1)[N+]1=C(C(=CC=C1)C(C)C)[N+]1=CNC=C1.[I-] Chemical compound [I-].C1(=CC=CC=C1)[N+]1=C(C(=CC=C1)C(C)C)[N+]1=CNC=C1.[I-] DSKKRGFRMFZDTR-UHFFFAOYSA-M 0.000 description 2
- KVNFSFSYJQTSQI-UHFFFAOYSA-N [Ir+].[Ir+].C1CC=CCCC=C1.C1CC=CCCC=C1 Chemical compound [Ir+].[Ir+].C1CC=CCCC=C1.C1CC=CCCC=C1 KVNFSFSYJQTSQI-UHFFFAOYSA-N 0.000 description 2
- 229960000583 acetic acid Drugs 0.000 description 2
- YRKCREAYFQTBPV-UHFFFAOYSA-N acetylacetone Chemical compound CC(=O)CC(C)=O YRKCREAYFQTBPV-UHFFFAOYSA-N 0.000 description 2
- 150000001298 alcohols Chemical class 0.000 description 2
- 125000001931 aliphatic group Chemical group 0.000 description 2
- 150000004703 alkoxides Chemical class 0.000 description 2
- 150000001412 amines Chemical class 0.000 description 2
- RDOXTESZEPMUJZ-UHFFFAOYSA-N anisole Chemical compound COC1=CC=CC=C1 RDOXTESZEPMUJZ-UHFFFAOYSA-N 0.000 description 2
- 125000002178 anthracenyl group Chemical group C1(=CC=CC2=CC3=CC=CC=C3C=C12)* 0.000 description 2
- 229940000489 arsenate Drugs 0.000 description 2
- 125000001769 aryl amino group Chemical group 0.000 description 2
- MCOQHIWZJUDQIC-UHFFFAOYSA-N barban Chemical compound ClCC#CCOC(=O)NC1=CC=CC(Cl)=C1 MCOQHIWZJUDQIC-UHFFFAOYSA-N 0.000 description 2
- 230000008901 benefit Effects 0.000 description 2
- HUMNYLRZRPPJDN-UHFFFAOYSA-N benzaldehyde Chemical compound O=CC1=CC=CC=C1 HUMNYLRZRPPJDN-UHFFFAOYSA-N 0.000 description 2
- 125000003785 benzimidazolyl group Chemical group N1=C(NC2=C1C=CC=C2)* 0.000 description 2
- 125000001797 benzyl group Chemical group [H]C1=C([H])C([H])=C(C([H])=C1[H])C([H])([H])* 0.000 description 2
- 150000004663 bisphosphonates Chemical class 0.000 description 2
- 229910021538 borax Inorganic materials 0.000 description 2
- 239000000872 buffer Substances 0.000 description 2
- 229910052791 calcium Inorganic materials 0.000 description 2
- 239000011575 calcium Substances 0.000 description 2
- 238000005229 chemical vapour deposition Methods 0.000 description 2
- 150000001805 chlorine compounds Chemical class 0.000 description 2
- 238000007796 conventional method Methods 0.000 description 2
- 238000004132 cross linking Methods 0.000 description 2
- 125000004122 cyclic group Chemical group 0.000 description 2
- 238000011161 development Methods 0.000 description 2
- RAABOESOVLLHRU-UHFFFAOYSA-N diazene Chemical compound N=N RAABOESOVLLHRU-UHFFFAOYSA-N 0.000 description 2
- 229910000071 diazene Inorganic materials 0.000 description 2
- IQJHQUMEEPSLMG-UHFFFAOYSA-N dibenzofuran-2,8-dicarboximidamide;hydrochloride Chemical compound Cl.C1=C(C(N)=N)C=C2C3=CC(C(=N)N)=CC=C3OC2=C1 IQJHQUMEEPSLMG-UHFFFAOYSA-N 0.000 description 2
- ZUOUZKKEUPVFJK-UHFFFAOYSA-N diphenyl Chemical compound C1=CC=CC=C1C1=CC=CC=C1 ZUOUZKKEUPVFJK-UHFFFAOYSA-N 0.000 description 2
- USIUVYZYUHIAEV-UHFFFAOYSA-N diphenyl ether Chemical compound C=1C=CC=CC=1OC1=CC=CC=C1 USIUVYZYUHIAEV-UHFFFAOYSA-N 0.000 description 2
- 239000012153 distilled water Substances 0.000 description 2
- 239000000975 dye Substances 0.000 description 2
- 238000001704 evaporation Methods 0.000 description 2
- 230000008020 evaporation Effects 0.000 description 2
- 230000005284 excitation Effects 0.000 description 2
- 239000000284 extract Substances 0.000 description 2
- 125000002541 furyl group Chemical group 0.000 description 2
- 239000012362 glacial acetic acid Substances 0.000 description 2
- 150000004820 halides Chemical class 0.000 description 2
- 125000005843 halogen group Chemical group 0.000 description 2
- 150000002367 halogens Chemical group 0.000 description 2
- 238000000589 high-performance liquid chromatography-mass spectrometry Methods 0.000 description 2
- 125000001041 indolyl group Chemical group 0.000 description 2
- 229910052740 iodine Inorganic materials 0.000 description 2
- QDLAGTHXVHQKRE-UHFFFAOYSA-N lichenxanthone Natural products COC1=CC(O)=C2C(=O)C3=C(C)C=C(OC)C=C3OC2=C1 QDLAGTHXVHQKRE-UHFFFAOYSA-N 0.000 description 2
- 239000007791 liquid phase Substances 0.000 description 2
- DLEDOFVPSDKWEF-UHFFFAOYSA-N lithium butane Chemical compound [Li+].CCC[CH2-] DLEDOFVPSDKWEF-UHFFFAOYSA-N 0.000 description 2
- 229910052943 magnesium sulfate Inorganic materials 0.000 description 2
- 235000019341 magnesium sulphate Nutrition 0.000 description 2
- AUHZEENZYGFFBQ-UHFFFAOYSA-N mesitylene Substances CC1=CC(C)=CC(C)=C1 AUHZEENZYGFFBQ-UHFFFAOYSA-N 0.000 description 2
- 125000001827 mesitylenyl group Chemical group [H]C1=C(C(*)=C(C([H])=C1C([H])([H])[H])C([H])([H])[H])C([H])([H])[H] 0.000 description 2
- BDAGIHXWWSANSR-UHFFFAOYSA-N methanoic acid Natural products OC=O BDAGIHXWWSANSR-UHFFFAOYSA-N 0.000 description 2
- 125000001624 naphthyl group Chemical group 0.000 description 2
- 230000003647 oxidation Effects 0.000 description 2
- 238000007254 oxidation reaction Methods 0.000 description 2
- RZXMPPFPUUCRFN-UHFFFAOYSA-N p-toluidine Chemical compound CC1=CC=C(N)C=C1 RZXMPPFPUUCRFN-UHFFFAOYSA-N 0.000 description 2
- 239000012071 phase Substances 0.000 description 2
- 125000001792 phenanthrenyl group Chemical group C1(=CC=CC=2C3=CC=CC=C3C=CC12)* 0.000 description 2
- 150000005041 phenanthrolines Chemical class 0.000 description 2
- XHXFXVLFKHQFAL-UHFFFAOYSA-N phosphoryl trichloride Chemical compound ClP(Cl)(Cl)=O XHXFXVLFKHQFAL-UHFFFAOYSA-N 0.000 description 2
- 238000005240 physical vapour deposition Methods 0.000 description 2
- 229920003227 poly(N-vinyl carbazole) Polymers 0.000 description 2
- 229920000548 poly(silane) polymer Polymers 0.000 description 2
- BWHMMNNQKKPAPP-UHFFFAOYSA-L potassium carbonate Chemical compound [K+].[K+].[O-]C([O-])=O BWHMMNNQKKPAPP-UHFFFAOYSA-L 0.000 description 2
- 125000002924 primary amino group Chemical group [H]N([H])* 0.000 description 2
- 125000001436 propyl group Chemical group [H]C([*])([H])C([H])([H])C([H])([H])[H] 0.000 description 2
- 239000011241 protective layer Substances 0.000 description 2
- 125000000168 pyrrolyl group Chemical group 0.000 description 2
- 238000010791 quenching Methods 0.000 description 2
- 230000000171 quenching effect Effects 0.000 description 2
- 230000035484 reaction time Effects 0.000 description 2
- 238000005215 recombination Methods 0.000 description 2
- 230000006798 recombination Effects 0.000 description 2
- 238000010020 roller printing Methods 0.000 description 2
- 125000003808 silyl group Chemical group [H][Si]([H])([H])[*] 0.000 description 2
- 235000017557 sodium bicarbonate Nutrition 0.000 description 2
- 229910000030 sodium bicarbonate Inorganic materials 0.000 description 2
- MFRIHAYPQRLWNB-UHFFFAOYSA-N sodium tert-butoxide Chemical compound [Na+].CC(C)(C)[O-] MFRIHAYPQRLWNB-UHFFFAOYSA-N 0.000 description 2
- 239000004328 sodium tetraborate Substances 0.000 description 2
- 235000010339 sodium tetraborate Nutrition 0.000 description 2
- 238000006467 substitution reaction Methods 0.000 description 2
- UGNWTBMOAKPKBL-UHFFFAOYSA-N tetrachloro-1,4-benzoquinone Chemical compound ClC1=C(Cl)C(=O)C(Cl)=C(Cl)C1=O UGNWTBMOAKPKBL-UHFFFAOYSA-N 0.000 description 2
- 125000001544 thienyl group Chemical group 0.000 description 2
- 125000004149 thio group Chemical group *S* 0.000 description 2
- 229930192474 thiophene Natural products 0.000 description 2
- JFLKFZNIIQFQBS-FNCQTZNRSA-N trans,trans-1,4-Diphenyl-1,3-butadiene Chemical compound C=1C=CC=CC=1\C=C\C=C\C1=CC=CC=C1 JFLKFZNIIQFQBS-FNCQTZNRSA-N 0.000 description 2
- 230000007704 transition Effects 0.000 description 2
- 150000003852 triazoles Chemical class 0.000 description 2
- 238000010626 work up procedure Methods 0.000 description 2
- JWZZKOKVBUJMES-UHFFFAOYSA-N (+-)-Isoprenaline Chemical compound CC(C)NCC(O)C1=CC=C(O)C(O)=C1 JWZZKOKVBUJMES-UHFFFAOYSA-N 0.000 description 1
- CYPYTURSJDMMMP-WVCUSYJESA-N (1e,4e)-1,5-diphenylpenta-1,4-dien-3-one;palladium Chemical compound [Pd].[Pd].C=1C=CC=CC=1\C=C\C(=O)\C=C\C1=CC=CC=C1.C=1C=CC=CC=1\C=C\C(=O)\C=C\C1=CC=CC=C1.C=1C=CC=CC=1\C=C\C(=O)\C=C\C1=CC=CC=C1 CYPYTURSJDMMMP-WVCUSYJESA-N 0.000 description 1
- VEJOYRPGKZZTJW-FDGPNNRMSA-N (z)-4-hydroxypent-3-en-2-one;platinum Chemical compound [Pt].C\C(O)=C\C(C)=O.C\C(O)=C\C(C)=O VEJOYRPGKZZTJW-FDGPNNRMSA-N 0.000 description 1
- AZEPJCYDCKVUJI-UHFFFAOYSA-N 1'-phenyl-9,9'-spirobi[fluorene] Chemical compound c1ccc(cc1)-c1cccc2-c3ccccc3C3(c4ccccc4-c4ccccc34)c12 AZEPJCYDCKVUJI-UHFFFAOYSA-N 0.000 description 1
- SFPQFQUXAJOWNF-UHFFFAOYSA-N 1,3-diiodobenzene Chemical compound IC1=CC=CC(I)=C1 SFPQFQUXAJOWNF-UHFFFAOYSA-N 0.000 description 1
- CKMFLEFBKFNOJP-UHFFFAOYSA-N 1-(8-acetyldibenzofuran-2-yl)ethanone Chemical compound C1=C(C(C)=O)C=C2C3=CC(C(=O)C)=CC=C3OC2=C1 CKMFLEFBKFNOJP-UHFFFAOYSA-N 0.000 description 1
- KGLYHHCCIBZMLN-UHFFFAOYSA-N 1-methyl-4-[4-(4-methylphenyl)buta-1,3-dienyl]benzene Chemical compound C1=CC(C)=CC=C1C=CC=CC1=CC=C(C)C=C1 KGLYHHCCIBZMLN-UHFFFAOYSA-N 0.000 description 1
- 125000001637 1-naphthyl group Chemical group [H]C1=C([H])C([H])=C2C(*)=C([H])C([H])=C([H])C2=C1[H] 0.000 description 1
- HYZJCKYKOHLVJF-UHFFFAOYSA-N 1H-benzimidazole Chemical class C1=CC=C2NC=NC2=C1 HYZJCKYKOHLVJF-UHFFFAOYSA-N 0.000 description 1
- YBYIRNPNPLQARY-UHFFFAOYSA-N 1H-indene Natural products C1=CC=C2CC=CC2=C1 YBYIRNPNPLQARY-UHFFFAOYSA-N 0.000 description 1
- ZKAMEFMDQNTDFK-UHFFFAOYSA-N 1h-imidazo[4,5-b]pyrazine Chemical compound C1=CN=C2NC=NC2=N1 ZKAMEFMDQNTDFK-UHFFFAOYSA-N 0.000 description 1
- JBOIAZWJIACNJF-UHFFFAOYSA-N 1h-imidazole;hydroiodide Chemical compound [I-].[NH2+]1C=CN=C1 JBOIAZWJIACNJF-UHFFFAOYSA-N 0.000 description 1
- VEPOHXYIFQMVHW-XOZOLZJESA-N 2,3-dihydroxybutanedioic acid (2S,3S)-3,4-dimethyl-2-phenylmorpholine Chemical compound OC(C(O)C(O)=O)C(O)=O.C[C@H]1[C@@H](OCCN1C)c1ccccc1 VEPOHXYIFQMVHW-XOZOLZJESA-N 0.000 description 1
- VKTLGHDNPWVFSY-UHFFFAOYSA-N 2,8-diiododibenzofuran Chemical compound C1=C(I)C=C2C3=CC(I)=CC=C3OC2=C1 VKTLGHDNPWVFSY-UHFFFAOYSA-N 0.000 description 1
- RIKNNBBGYSDYAX-UHFFFAOYSA-N 2-[1-[2-(4-methyl-n-(4-methylphenyl)anilino)phenyl]cyclohexyl]-n,n-bis(4-methylphenyl)aniline Chemical compound C1=CC(C)=CC=C1N(C=1C(=CC=CC=1)C1(CCCCC1)C=1C(=CC=CC=1)N(C=1C=CC(C)=CC=1)C=1C=CC(C)=CC=1)C1=CC=C(C)C=C1 RIKNNBBGYSDYAX-UHFFFAOYSA-N 0.000 description 1
- IXHWGNYCZPISET-UHFFFAOYSA-N 2-[4-(dicyanomethylidene)-2,3,5,6-tetrafluorocyclohexa-2,5-dien-1-ylidene]propanedinitrile Chemical compound FC1=C(F)C(=C(C#N)C#N)C(F)=C(F)C1=C(C#N)C#N IXHWGNYCZPISET-UHFFFAOYSA-N 0.000 description 1
- PEBRIGBNSYOMPV-UHFFFAOYSA-N 2-[4-(dicyanomethylidene)-2,5-bis(2-hydroxyethoxy)cyclohexa-2,5-dien-1-ylidene]propanedinitrile Chemical compound OCCOC1=CC(=C(C#N)C#N)C(OCCO)=CC1=C(C#N)C#N PEBRIGBNSYOMPV-UHFFFAOYSA-N 0.000 description 1
- DFJXWQJAMNCPII-UHFFFAOYSA-N 2-[4-(dicyanomethylidene)-2,5-dimethylcyclohexa-2,5-dien-1-ylidene]propanedinitrile Chemical compound CC1=CC(=C(C#N)C#N)C(C)=CC1=C(C#N)C#N DFJXWQJAMNCPII-UHFFFAOYSA-N 0.000 description 1
- BXPLEMMFZOKIHP-UHFFFAOYSA-N 2-[4-(dicyanomethylidene)-3-fluorocyclohexa-2,5-dien-1-ylidene]propanedinitrile Chemical compound FC1=CC(=C(C#N)C#N)C=CC1=C(C#N)C#N BXPLEMMFZOKIHP-UHFFFAOYSA-N 0.000 description 1
- JKFYKCYQEWQPTM-UHFFFAOYSA-N 2-azaniumyl-2-(4-fluorophenyl)acetate Chemical compound OC(=O)C(N)C1=CC=C(F)C=C1 JKFYKCYQEWQPTM-UHFFFAOYSA-N 0.000 description 1
- CRJISNQTZDMKQD-UHFFFAOYSA-N 2-bromodibenzofuran Chemical compound C1=CC=C2C3=CC(Br)=CC=C3OC2=C1 CRJISNQTZDMKQD-UHFFFAOYSA-N 0.000 description 1
- MEQBJJUWDCYIAB-UHFFFAOYSA-N 2-chloropyridin-3-amine Chemical compound NC1=CC=CN=C1Cl MEQBJJUWDCYIAB-UHFFFAOYSA-N 0.000 description 1
- GPLIMIJPIZGPIF-UHFFFAOYSA-N 2-hydroxy-1,4-benzoquinone Chemical compound OC1=CC(=O)C=CC1=O GPLIMIJPIZGPIF-UHFFFAOYSA-N 0.000 description 1
- JWUJQDFVADABEY-UHFFFAOYSA-N 2-methyltetrahydrofuran Chemical compound CC1CCCO1 JWUJQDFVADABEY-UHFFFAOYSA-N 0.000 description 1
- 125000003903 2-propenyl group Chemical group [H]C([*])([H])C([H])=C([H])[H] 0.000 description 1
- SLRMQYXOBQWXCR-UHFFFAOYSA-N 2154-56-5 Chemical compound [CH2]C1=CC=CC=C1 SLRMQYXOBQWXCR-UHFFFAOYSA-N 0.000 description 1
- OFGAFBWKVFEJLJ-UHFFFAOYSA-N 3-(2-methylpropyl)phenanthro[9,10-b]pyrazine Chemical compound C1=CC=C2C3=NC(CC(C)C)=CN=C3C3=CC=CC=C3C2=C1 OFGAFBWKVFEJLJ-UHFFFAOYSA-N 0.000 description 1
- KNFJSQZHTQXXGE-UHFFFAOYSA-N 3-(4-fluorophenyl)-1,2-dihydroimidazo[4,5-b]pyrazine Chemical compound FC1=CC=C(C=C1)N1CNC=2C1=NC=CN=2 KNFJSQZHTQXXGE-UHFFFAOYSA-N 0.000 description 1
- VHCWENVIQSXOQV-UHFFFAOYSA-N 3-chloro-n-propan-2-ylpyrazin-2-amine Chemical compound CC(C)NC1=NC=CN=C1Cl VHCWENVIQSXOQV-UHFFFAOYSA-N 0.000 description 1
- OOWFYDWAMOKVSF-UHFFFAOYSA-N 3-methoxypropanenitrile Chemical compound COCCC#N OOWFYDWAMOKVSF-UHFFFAOYSA-N 0.000 description 1
- MRWWWZLJWNIEEJ-UHFFFAOYSA-N 4,4,5,5-tetramethyl-2-propan-2-yloxy-1,3,2-dioxaborolane Chemical compound CC(C)OB1OC(C)(C)C(C)(C)O1 MRWWWZLJWNIEEJ-UHFFFAOYSA-N 0.000 description 1
- OSWFIVFLDKOXQC-UHFFFAOYSA-N 4-(3-methoxyphenyl)aniline Chemical compound COC1=CC=CC(C=2C=CC(N)=CC=2)=C1 OSWFIVFLDKOXQC-UHFFFAOYSA-N 0.000 description 1
- XAGDINBMKIXFAH-UHFFFAOYSA-M 4-(3-methylbenzimidazol-3-ium-1-yl)benzonitrile;iodide Chemical compound [I-].C12=CC=CC=C2N(C)C=[N+]1C1=CC=C(C#N)C=C1 XAGDINBMKIXFAH-UHFFFAOYSA-M 0.000 description 1
- MXCNKAOOHUCMBL-UHFFFAOYSA-N 4-(4-aminophenyl)-3-(4-methylphenyl)aniline Chemical compound C1=CC(C)=CC=C1C1=CC(N)=CC=C1C1=CC=C(N)C=C1 MXCNKAOOHUCMBL-UHFFFAOYSA-N 0.000 description 1
- FDRNXKXKFNHNCA-UHFFFAOYSA-N 4-(4-anilinophenyl)-n-phenylaniline Chemical compound C=1C=C(C=2C=CC(NC=3C=CC=CC=3)=CC=2)C=CC=1NC1=CC=CC=C1 FDRNXKXKFNHNCA-UHFFFAOYSA-N 0.000 description 1
- YGBCLRRWZQSURU-UHFFFAOYSA-N 4-[(diphenylhydrazinylidene)methyl]-n,n-diethylaniline Chemical compound C1=CC(N(CC)CC)=CC=C1C=NN(C=1C=CC=CC=1)C1=CC=CC=C1 YGBCLRRWZQSURU-UHFFFAOYSA-N 0.000 description 1
- 125000004860 4-ethylphenyl group Chemical group [H]C1=C([H])C(=C([H])C([H])=C1*)C([H])([H])C([H])([H])[H] 0.000 description 1
- KRZCOLNOCZKSDF-UHFFFAOYSA-N 4-fluoroaniline Chemical compound NC1=CC=C(F)C=C1 KRZCOLNOCZKSDF-UHFFFAOYSA-N 0.000 description 1
- 125000001255 4-fluorophenyl group Chemical group [H]C1=C([H])C(*)=C([H])C([H])=C1F 0.000 description 1
- ZOKIJILZFXPFTO-UHFFFAOYSA-N 4-methyl-n-[4-[1-[4-(4-methyl-n-(4-methylphenyl)anilino)phenyl]cyclohexyl]phenyl]-n-(4-methylphenyl)aniline Chemical compound C1=CC(C)=CC=C1N(C=1C=CC(=CC=1)C1(CCCCC1)C=1C=CC(=CC=1)N(C=1C=CC(C)=CC=1)C=1C=CC(C)=CC=1)C1=CC=C(C)C=C1 ZOKIJILZFXPFTO-UHFFFAOYSA-N 0.000 description 1
- MZYDBGLUVPLRKR-UHFFFAOYSA-N 9-(3-carbazol-9-ylphenyl)carbazole Chemical compound C12=CC=CC=C2C2=CC=CC=C2N1C1=CC(N2C3=CC=CC=C3C3=CC=CC=C32)=CC=C1 MZYDBGLUVPLRKR-UHFFFAOYSA-N 0.000 description 1
- PQJUJGAVDBINPI-UHFFFAOYSA-N 9H-thioxanthene Chemical compound C1=CC=C2CC3=CC=CC=C3SC2=C1 PQJUJGAVDBINPI-UHFFFAOYSA-N 0.000 description 1
- NLXLAEXVIDQMFP-UHFFFAOYSA-N Ammonium chloride Substances [NH4+].[Cl-] NLXLAEXVIDQMFP-UHFFFAOYSA-N 0.000 description 1
- FRYRJNHMRVINIZ-UHFFFAOYSA-N B1CCOO1 Chemical compound B1CCOO1 FRYRJNHMRVINIZ-UHFFFAOYSA-N 0.000 description 1
- ROFVEXUMMXZLPA-UHFFFAOYSA-N Bipyridyl Chemical compound N1=CC=CC=C1C1=CC=CC=N1 ROFVEXUMMXZLPA-UHFFFAOYSA-N 0.000 description 1
- NLZUEZXRPGMBCV-UHFFFAOYSA-N Butylhydroxytoluene Chemical compound CC1=CC(C(C)(C)C)=C(O)C(C(C)(C)C)=C1 NLZUEZXRPGMBCV-UHFFFAOYSA-N 0.000 description 1
- RGBNMKUHWXZIRZ-UHFFFAOYSA-N C1(=CC=C(C=C1)C1=C(C=CC=C1)C=1OC(=NN1)C1=CC=C(C=C1)C(C)(C)C)C1=CC=CC=C1 Chemical compound C1(=CC=C(C=C1)C1=C(C=CC=C1)C=1OC(=NN1)C1=CC=C(C=C1)C(C)(C)C)C1=CC=CC=C1 RGBNMKUHWXZIRZ-UHFFFAOYSA-N 0.000 description 1
- OYPRJOBELJOOCE-UHFFFAOYSA-N Calcium Chemical compound [Ca] OYPRJOBELJOOCE-UHFFFAOYSA-N 0.000 description 1
- OKTJSMMVPCPJKN-UHFFFAOYSA-N Carbon Chemical compound [C] OKTJSMMVPCPJKN-UHFFFAOYSA-N 0.000 description 1
- 229910052684 Cerium Inorganic materials 0.000 description 1
- VEXZGXHMUGYJMC-UHFFFAOYSA-M Chloride anion Chemical compound [Cl-] VEXZGXHMUGYJMC-UHFFFAOYSA-M 0.000 description 1
- 229920000742 Cotton Polymers 0.000 description 1
- XFXPMWWXUTWYJX-UHFFFAOYSA-N Cyanide Chemical compound N#[C-] XFXPMWWXUTWYJX-UHFFFAOYSA-N 0.000 description 1
- YZCKVEUIGOORGS-OUBTZVSYSA-N Deuterium Chemical compound [2H] YZCKVEUIGOORGS-OUBTZVSYSA-N 0.000 description 1
- 229910052691 Erbium Inorganic materials 0.000 description 1
- PIICEJLVQHRZGT-UHFFFAOYSA-N Ethylenediamine Chemical compound NCCN PIICEJLVQHRZGT-UHFFFAOYSA-N 0.000 description 1
- 229910052688 Gadolinium Inorganic materials 0.000 description 1
- DGAQECJNVWCQMB-PUAWFVPOSA-M Ilexoside XXIX Chemical compound C[C@@H]1CC[C@@]2(CC[C@@]3(C(=CC[C@H]4[C@]3(CC[C@@H]5[C@@]4(CC[C@@H](C5(C)C)OS(=O)(=O)[O-])C)C)[C@@H]2[C@]1(C)O)C)C(=O)O[C@H]6[C@@H]([C@H]([C@@H]([C@H](O6)CO)O)O)O.[Na+] DGAQECJNVWCQMB-PUAWFVPOSA-M 0.000 description 1
- 229910021638 Iridium(III) chloride Inorganic materials 0.000 description 1
- FYYHWMGAXLPEAU-UHFFFAOYSA-N Magnesium Chemical compound [Mg] FYYHWMGAXLPEAU-UHFFFAOYSA-N 0.000 description 1
- AFBPFSWMIHJQDM-UHFFFAOYSA-N N-methyl-N-phenylamine Natural products CNC1=CC=CC=C1 AFBPFSWMIHJQDM-UHFFFAOYSA-N 0.000 description 1
- ZCQWOFVYLHDMMC-UHFFFAOYSA-N Oxazole Chemical compound C1=COC=N1 ZCQWOFVYLHDMMC-UHFFFAOYSA-N 0.000 description 1
- 229910019142 PO4 Inorganic materials 0.000 description 1
- URLKBWYHVLBVBO-UHFFFAOYSA-N Para-Xylene Chemical compound CC1=CC=C(C)C=C1 URLKBWYHVLBVBO-UHFFFAOYSA-N 0.000 description 1
- 239000004793 Polystyrene Substances 0.000 description 1
- ZLMJMSJWJFRBEC-UHFFFAOYSA-N Potassium Chemical compound [K] ZLMJMSJWJFRBEC-UHFFFAOYSA-N 0.000 description 1
- CZPWVGJYEJSRLH-UHFFFAOYSA-N Pyrimidine Chemical compound C1=CN=CN=C1 CZPWVGJYEJSRLH-UHFFFAOYSA-N 0.000 description 1
- 239000002262 Schiff base Substances 0.000 description 1
- 150000004753 Schiff bases Chemical class 0.000 description 1
- 229910004298 SiO 2 Inorganic materials 0.000 description 1
- 229910021612 Silver iodide Inorganic materials 0.000 description 1
- FOIXSVOLVBLSDH-UHFFFAOYSA-N Silver ion Chemical compound [Ag+] FOIXSVOLVBLSDH-UHFFFAOYSA-N 0.000 description 1
- FAPWRFPIFSIZLT-UHFFFAOYSA-M Sodium chloride Chemical class [Na+].[Cl-] FAPWRFPIFSIZLT-UHFFFAOYSA-M 0.000 description 1
- QAOWNCQODCNURD-UHFFFAOYSA-L Sulfate Chemical compound [O-]S([O-])(=O)=O QAOWNCQODCNURD-UHFFFAOYSA-L 0.000 description 1
- 238000006069 Suzuki reaction reaction Methods 0.000 description 1
- 229910052771 Terbium Inorganic materials 0.000 description 1
- FZWLAAWBMGSTSO-UHFFFAOYSA-N Thiazole Chemical compound C1=CSC=N1 FZWLAAWBMGSTSO-UHFFFAOYSA-N 0.000 description 1
- 229910052775 Thulium Inorganic materials 0.000 description 1
- 239000007983 Tris buffer Substances 0.000 description 1
- 229910052769 Ytterbium Inorganic materials 0.000 description 1
- DGEZNRSVGBDHLK-UHFFFAOYSA-N [1,10]phenanthroline Chemical compound C1=CN=C2C3=NC=CC=C3C=CC2=C1 DGEZNRSVGBDHLK-UHFFFAOYSA-N 0.000 description 1
- ABRVLXLNVJHDRQ-UHFFFAOYSA-N [2-pyridin-3-yl-6-(trifluoromethyl)pyridin-4-yl]methanamine Chemical compound FC(C1=CC(=CC(=N1)C=1C=NC=CC=1)CN)(F)F ABRVLXLNVJHDRQ-UHFFFAOYSA-N 0.000 description 1
- HFKJQIJFRMRSKM-UHFFFAOYSA-N [3,5-bis(trifluoromethyl)phenoxy]boronic acid Chemical compound OB(O)OC1=CC(C(F)(F)F)=CC(C(F)(F)F)=C1 HFKJQIJFRMRSKM-UHFFFAOYSA-N 0.000 description 1
- JAZCEXBNIYKZDI-UHFFFAOYSA-N [Ir+] Chemical class [Ir+] JAZCEXBNIYKZDI-UHFFFAOYSA-N 0.000 description 1
- 125000005595 acetylacetonate group Chemical group 0.000 description 1
- 229910052768 actinide Inorganic materials 0.000 description 1
- 150000001255 actinides Chemical class 0.000 description 1
- 239000003513 alkali Substances 0.000 description 1
- 125000006231 alkoxy propyl group Chemical group 0.000 description 1
- 125000003282 alkyl amino group Chemical group 0.000 description 1
- 125000002877 alkyl aryl group Chemical group 0.000 description 1
- 125000003368 amide group Chemical group 0.000 description 1
- 150000001408 amides Chemical class 0.000 description 1
- 150000001413 amino acids Chemical class 0.000 description 1
- 229910021529 ammonia Inorganic materials 0.000 description 1
- 238000013459 approach Methods 0.000 description 1
- 239000012300 argon atmosphere Substances 0.000 description 1
- VJWWIRSVNSXUAC-UHFFFAOYSA-N arsinic acid Chemical compound O[AsH2]=O VJWWIRSVNSXUAC-UHFFFAOYSA-N 0.000 description 1
- 125000004104 aryloxy group Chemical group 0.000 description 1
- YCOXTKKNXUZSKD-UHFFFAOYSA-N as-o-xylenol Natural products CC1=CC=C(O)C=C1C YCOXTKKNXUZSKD-UHFFFAOYSA-N 0.000 description 1
- 239000012298 atmosphere Substances 0.000 description 1
- 150000003851 azoles Chemical class 0.000 description 1
- 229910052788 barium Inorganic materials 0.000 description 1
- DSAJWYNOEDNPEQ-UHFFFAOYSA-N barium atom Chemical compound [Ba] DSAJWYNOEDNPEQ-UHFFFAOYSA-N 0.000 description 1
- 150000007514 bases Chemical class 0.000 description 1
- 229910052728 basic metal Inorganic materials 0.000 description 1
- LZCZIHQBSCVGRD-UHFFFAOYSA-N benzenecarboximidamide;hydron;chloride Chemical compound [Cl-].NC(=[NH2+])C1=CC=CC=C1 LZCZIHQBSCVGRD-UHFFFAOYSA-N 0.000 description 1
- 125000004618 benzofuryl group Chemical group O1C(=CC2=C1C=CC=C2)* 0.000 description 1
- 125000004196 benzothienyl group Chemical group S1C(=CC2=C1C=CC=C2)* 0.000 description 1
- 235000010290 biphenyl Nutrition 0.000 description 1
- 239000004305 biphenyl Substances 0.000 description 1
- UFVXQDWNSAGPHN-UHFFFAOYSA-K bis[(2-methylquinolin-8-yl)oxy]-(4-phenylphenoxy)alumane Chemical compound [Al+3].C1=CC=C([O-])C2=NC(C)=CC=C21.C1=CC=C([O-])C2=NC(C)=CC=C21.C1=CC([O-])=CC=C1C1=CC=CC=C1 UFVXQDWNSAGPHN-UHFFFAOYSA-K 0.000 description 1
- 230000000903 blocking effect Effects 0.000 description 1
- 229910000085 borane Inorganic materials 0.000 description 1
- 125000000484 butyl group Chemical group [H]C([*])([H])C([H])([H])C([H])([H])C([H])([H])[H] 0.000 description 1
- 239000006227 byproduct Substances 0.000 description 1
- 229910052792 caesium Inorganic materials 0.000 description 1
- 150000001716 carbazoles Chemical class 0.000 description 1
- 125000005708 carbonyloxy group Chemical group [*:2]OC([*:1])=O 0.000 description 1
- 230000008859 change Effects 0.000 description 1
- 125000001309 chloro group Chemical group Cl* 0.000 description 1
- 238000004587 chromatography analysis Methods 0.000 description 1
- 238000004140 cleaning Methods 0.000 description 1
- 239000003086 colorant Substances 0.000 description 1
- 229920001940 conductive polymer Polymers 0.000 description 1
- 238000002425 crystallisation Methods 0.000 description 1
- 230000008025 crystallization Effects 0.000 description 1
- 125000000113 cyclohexyl group Chemical group [H]C1([H])C([H])([H])C([H])([H])C([H])(*)C([H])([H])C1([H])[H] 0.000 description 1
- URYYVOIYTNXXBN-UHFFFAOYSA-N cyclooctene Chemical compound [CH]1[CH]CCCCCC1 URYYVOIYTNXXBN-UHFFFAOYSA-N 0.000 description 1
- 125000000058 cyclopentadienyl group Chemical group C1(=CC=CC1)* 0.000 description 1
- 125000001511 cyclopentyl group Chemical group [H]C1([H])C([H])([H])C([H])([H])C([H])(*)C1([H])[H] 0.000 description 1
- 125000001559 cyclopropyl group Chemical group [H]C1([H])C([H])([H])C1([H])* 0.000 description 1
- 238000013461 design Methods 0.000 description 1
- 229910052805 deuterium Inorganic materials 0.000 description 1
- 125000000664 diazo group Chemical group [N-]=[N+]=[*] 0.000 description 1
- UZVGSSNIUNSOFA-UHFFFAOYSA-N dibenzofuran-1-carboxylic acid Chemical compound O1C2=CC=CC=C2C2=C1C=CC=C2C(=O)O UZVGSSNIUNSOFA-UHFFFAOYSA-N 0.000 description 1
- ZFTFAPZRGNKQPU-UHFFFAOYSA-N dicarbonic acid Chemical compound OC(=O)OC(O)=O ZFTFAPZRGNKQPU-UHFFFAOYSA-N 0.000 description 1
- VVAOPCKKNIUEEU-PHFPKPIQSA-L dichloro(cycloocta-1,5-diene)platinum(ii) Chemical compound Cl[Pt]Cl.C\1C\C=C/CC\C=C/1 VVAOPCKKNIUEEU-PHFPKPIQSA-L 0.000 description 1
- 125000001664 diethylamino group Chemical group [H]C([H])([H])C([H])([H])N(*)C([H])([H])C([H])([H])[H] 0.000 description 1
- 238000003618 dip coating Methods 0.000 description 1
- GPAYUJZHTULNBE-UHFFFAOYSA-N diphenylphosphine Chemical compound C=1C=CC=CC=1PC1=CC=CC=C1 GPAYUJZHTULNBE-UHFFFAOYSA-N 0.000 description 1
- JZBWUTVDIDNCMW-UHFFFAOYSA-L dipotassium;oxido sulfate Chemical compound [K+].[K+].[O-]OS([O-])(=O)=O JZBWUTVDIDNCMW-UHFFFAOYSA-L 0.000 description 1
- 239000006185 dispersion Substances 0.000 description 1
- 239000011532 electronic conductor Substances 0.000 description 1
- 238000000295 emission spectrum Methods 0.000 description 1
- ZSWFCLXCOIISFI-UHFFFAOYSA-N endo-cyclopentadiene Natural products C1C=CC=C1 ZSWFCLXCOIISFI-UHFFFAOYSA-N 0.000 description 1
- 238000005516 engineering process Methods 0.000 description 1
- 208000027385 essential tremor 2 Diseases 0.000 description 1
- 208000026459 essential tremor 4 Diseases 0.000 description 1
- 150000002148 esters Chemical class 0.000 description 1
- 125000001301 ethoxy group Chemical group [H]C([H])([H])C([H])([H])O* 0.000 description 1
- 230000001747 exhibiting effect Effects 0.000 description 1
- 238000002474 experimental method Methods 0.000 description 1
- 230000005669 field effect Effects 0.000 description 1
- 238000003818 flash chromatography Methods 0.000 description 1
- RMBPEFMHABBEKP-UHFFFAOYSA-N fluorene Chemical compound C1=CC=C2C3=C[CH]C=CC3=CC2=C1 RMBPEFMHABBEKP-UHFFFAOYSA-N 0.000 description 1
- 125000003983 fluorenyl group Chemical group C1(=CC=CC=2C3=CC=CC=C3CC12)* 0.000 description 1
- 239000007850 fluorescent dye Substances 0.000 description 1
- 150000002222 fluorine compounds Chemical class 0.000 description 1
- 235000019253 formic acid Nutrition 0.000 description 1
- JVZRCNQLWOELDU-UHFFFAOYSA-N gamma-Phenylpyridine Natural products C1=CC=CC=C1C1=CC=NC=C1 JVZRCNQLWOELDU-UHFFFAOYSA-N 0.000 description 1
- 229910052732 germanium Inorganic materials 0.000 description 1
- GNPVGFCGXDBREM-UHFFFAOYSA-N germanium atom Chemical compound [Ge] GNPVGFCGXDBREM-UHFFFAOYSA-N 0.000 description 1
- 230000009477 glass transition Effects 0.000 description 1
- RBTKNAXYKSUFRK-UHFFFAOYSA-N heliogen blue Chemical compound [Cu].[N-]1C2=C(C=CC=C3)C3=C1N=C([N-]1)C3=CC=CC=C3C1=NC([N-]1)=C(C=CC=C3)C3=C1N=C([N-]1)C3=CC=CC=C3C1=N2 RBTKNAXYKSUFRK-UHFFFAOYSA-N 0.000 description 1
- 125000003187 heptyl group Chemical group [H]C([*])([H])C([H])([H])C([H])([H])C([H])([H])C([H])([H])C([H])([H])C([H])([H])[H] 0.000 description 1
- 208000031534 hereditary essential 2 tremor Diseases 0.000 description 1
- 125000004051 hexyl group Chemical group [H]C([H])([H])C([H])([H])C([H])([H])C([H])([H])C([H])([H])C([H])([H])* 0.000 description 1
- 239000012456 homogeneous solution Substances 0.000 description 1
- 229920001519 homopolymer Polymers 0.000 description 1
- 150000004678 hydrides Chemical class 0.000 description 1
- 239000005457 ice water Substances 0.000 description 1
- 125000002636 imidazolinyl group Chemical group 0.000 description 1
- 150000004693 imidazolium salts Chemical class 0.000 description 1
- 125000001841 imino group Chemical group [H]N=* 0.000 description 1
- 239000012535 impurity Substances 0.000 description 1
- 125000003454 indenyl group Chemical group C1(C=CC2=CC=CC=C12)* 0.000 description 1
- 229910052738 indium Inorganic materials 0.000 description 1
- APFVFJFRJDLVQX-UHFFFAOYSA-N indium atom Chemical compound [In] APFVFJFRJDLVQX-UHFFFAOYSA-N 0.000 description 1
- AMGQUBHHOARCQH-UHFFFAOYSA-N indium;oxotin Chemical compound [In].[Sn]=O AMGQUBHHOARCQH-UHFFFAOYSA-N 0.000 description 1
- 125000003387 indolinyl group Chemical group N1(CCC2=CC=CC=C12)* 0.000 description 1
- 229910010272 inorganic material Inorganic materials 0.000 description 1
- 239000011147 inorganic material Substances 0.000 description 1
- 239000000543 intermediate Substances 0.000 description 1
- 238000011835 investigation Methods 0.000 description 1
- SNHMUERNLJLMHN-UHFFFAOYSA-N iodobenzene Chemical compound IC1=CC=CC=C1 SNHMUERNLJLMHN-UHFFFAOYSA-N 0.000 description 1
- HLYTZTFNIRBLNA-LNTINUHCSA-K iridium(3+);(z)-4-oxopent-2-en-2-olate Chemical compound [Ir+3].C\C([O-])=C\C(C)=O.C\C([O-])=C\C(C)=O.C\C([O-])=C\C(C)=O HLYTZTFNIRBLNA-LNTINUHCSA-K 0.000 description 1
- LNJXVUXPFZKMNF-UHFFFAOYSA-K iridium(3+);trichloride;trihydrate Chemical compound O.O.O.Cl[Ir](Cl)Cl LNJXVUXPFZKMNF-UHFFFAOYSA-K 0.000 description 1
- 229910052742 iron Inorganic materials 0.000 description 1
- 125000004594 isoindolinyl group Chemical group C1(NCC2=CC=CC=C12)* 0.000 description 1
- 150000002576 ketones Chemical class 0.000 description 1
- 229910052747 lanthanoid Inorganic materials 0.000 description 1
- 150000002602 lanthanoids Chemical class 0.000 description 1
- 239000004973 liquid crystal related substance Substances 0.000 description 1
- CCZVEWRRAVASGL-UHFFFAOYSA-N lithium;2-methanidylpropane Chemical compound [Li+].CC(C)[CH2-] CCZVEWRRAVASGL-UHFFFAOYSA-N 0.000 description 1
- UBJFKNSINUCEAL-UHFFFAOYSA-N lithium;2-methylpropane Chemical compound [Li+].C[C-](C)C UBJFKNSINUCEAL-UHFFFAOYSA-N 0.000 description 1
- 238000001459 lithography Methods 0.000 description 1
- 125000000040 m-tolyl group Chemical group [H]C1=C([H])C(*)=C([H])C(=C1[H])C([H])([H])[H] 0.000 description 1
- 229910052749 magnesium Inorganic materials 0.000 description 1
- 239000011777 magnesium Substances 0.000 description 1
- 238000005259 measurement Methods 0.000 description 1
- 229910001092 metal group alloy Inorganic materials 0.000 description 1
- UZKWTJUDCOPSNM-UHFFFAOYSA-N methoxybenzene Substances CCCCOC=C UZKWTJUDCOPSNM-UHFFFAOYSA-N 0.000 description 1
- 229910003455 mixed metal oxide Inorganic materials 0.000 description 1
- 238000010295 mobile communication Methods 0.000 description 1
- 238000004776 molecular orbital Methods 0.000 description 1
- 125000002757 morpholinyl group Chemical group 0.000 description 1
- JGOAZQAXRONCCI-SDNWHVSQSA-N n-[(e)-benzylideneamino]aniline Chemical compound C=1C=CC=CC=1N\N=C\C1=CC=CC=C1 JGOAZQAXRONCCI-SDNWHVSQSA-N 0.000 description 1
- IBHBKWKFFTZAHE-UHFFFAOYSA-N n-[4-[4-(n-naphthalen-1-ylanilino)phenyl]phenyl]-n-phenylnaphthalen-1-amine Chemical group C1=CC=CC=C1N(C=1C2=CC=CC=C2C=CC=1)C1=CC=C(C=2C=CC(=CC=2)N(C=2C=CC=CC=2)C=2C3=CC=CC=C3C=CC=2)C=C1 IBHBKWKFFTZAHE-UHFFFAOYSA-N 0.000 description 1
- GKTNLYAAZKKMTQ-UHFFFAOYSA-N n-[bis(dimethylamino)phosphinimyl]-n-methylmethanamine Chemical compound CN(C)P(=N)(N(C)C)N(C)C GKTNLYAAZKKMTQ-UHFFFAOYSA-N 0.000 description 1
- 125000000740 n-pentyl group Chemical group [H]C([H])([H])C([H])([H])C([H])([H])C([H])([H])C([H])([H])* 0.000 description 1
- 125000004123 n-propyl group Chemical group [H]C([H])([H])C([H])([H])C([H])([H])* 0.000 description 1
- 238000006386 neutralization reaction Methods 0.000 description 1
- QJGQUHMNIGDVPM-UHFFFAOYSA-N nitrogen group Chemical group [N] QJGQUHMNIGDVPM-UHFFFAOYSA-N 0.000 description 1
- 125000000018 nitroso group Chemical group N(=O)* 0.000 description 1
- 229910052755 nonmetal Inorganic materials 0.000 description 1
- NIHNNTQXNPWCJQ-UHFFFAOYSA-N o-biphenylenemethane Natural products C1=CC=C2CC3=CC=CC=C3C2=C1 NIHNNTQXNPWCJQ-UHFFFAOYSA-N 0.000 description 1
- 125000002347 octyl group Chemical group [H]C([*])([H])C([H])([H])C([H])([H])C([H])([H])C([H])([H])C([H])([H])C([H])([H])C([H])([H])[H] 0.000 description 1
- 230000003287 optical effect Effects 0.000 description 1
- 238000013086 organic photovoltaic Methods 0.000 description 1
- 150000002902 organometallic compounds Chemical class 0.000 description 1
- 230000001590 oxidative effect Effects 0.000 description 1
- AUONHKJOIZSQGR-UHFFFAOYSA-N oxophosphane Chemical compound P=O AUONHKJOIZSQGR-UHFFFAOYSA-N 0.000 description 1
- 125000001037 p-tolyl group Chemical group [H]C1=C([H])C(=C([H])C([H])=C1*)C([H])([H])[H] 0.000 description 1
- 238000007649 pad printing Methods 0.000 description 1
- QNGNSVIICDLXHT-UHFFFAOYSA-N para-ethylbenzaldehyde Natural products CCC1=CC=C(C=O)C=C1 QNGNSVIICDLXHT-UHFFFAOYSA-N 0.000 description 1
- CBHCDHNUZWWAPP-UHFFFAOYSA-N pecazine Chemical compound C1N(C)CCCC1CN1C2=CC=CC=C2SC2=CC=CC=C21 CBHCDHNUZWWAPP-UHFFFAOYSA-N 0.000 description 1
- 125000001147 pentyl group Chemical group C(CCCC)* 0.000 description 1
- KBBSSGXNXGXONI-UHFFFAOYSA-N phenanthro[9,10-b]pyrazine Chemical compound C1=CN=C2C3=CC=CC=C3C3=CC=CC=C3C2=N1 KBBSSGXNXGXONI-UHFFFAOYSA-N 0.000 description 1
- 125000004625 phenanthrolinyl group Chemical group N1=C(C=CC2=CC=C3C=CC=NC3=C12)* 0.000 description 1
- 125000000951 phenoxy group Chemical group [H]C1=C([H])C([H])=C(O*)C([H])=C1[H] 0.000 description 1
- PARWUHTVGZSQPD-UHFFFAOYSA-N phenylsilane Chemical compound [SiH3]C1=CC=CC=C1 PARWUHTVGZSQPD-UHFFFAOYSA-N 0.000 description 1
- NBIIXXVUZAFLBC-UHFFFAOYSA-K phosphate Chemical compound [O-]P([O-])([O-])=O NBIIXXVUZAFLBC-UHFFFAOYSA-K 0.000 description 1
- 239000010452 phosphate Substances 0.000 description 1
- 150000003003 phosphines Chemical class 0.000 description 1
- AQSJGOWTSHOLKH-UHFFFAOYSA-N phosphite(3-) Chemical class [O-]P([O-])[O-] AQSJGOWTSHOLKH-UHFFFAOYSA-N 0.000 description 1
- UEZVMMHDMIWARA-UHFFFAOYSA-M phosphonate Chemical compound [O-]P(=O)=O UEZVMMHDMIWARA-UHFFFAOYSA-M 0.000 description 1
- SIOXPEMLGUPBBT-UHFFFAOYSA-M picolinate Chemical compound [O-]C(=O)C1=CC=CC=N1 SIOXPEMLGUPBBT-UHFFFAOYSA-M 0.000 description 1
- 125000005936 piperidyl group Chemical group 0.000 description 1
- 229920000767 polyaniline Polymers 0.000 description 1
- 239000004417 polycarbonate Substances 0.000 description 1
- 229920000515 polycarbonate Polymers 0.000 description 1
- 229920006254 polymer film Polymers 0.000 description 1
- 230000000379 polymerizing effect Effects 0.000 description 1
- 229920002223 polystyrene Polymers 0.000 description 1
- 229910052700 potassium Inorganic materials 0.000 description 1
- 239000011591 potassium Substances 0.000 description 1
- 229910000027 potassium carbonate Inorganic materials 0.000 description 1
- 230000001681 protective effect Effects 0.000 description 1
- 125000003226 pyrazolyl group Chemical group 0.000 description 1
- 125000005412 pyrazyl group Chemical group 0.000 description 1
- ZZYXNRREDYWPLN-UHFFFAOYSA-N pyridine-2,3-diamine Chemical compound NC1=CC=CN=C1N ZZYXNRREDYWPLN-UHFFFAOYSA-N 0.000 description 1
- 125000000714 pyrimidinyl group Chemical group 0.000 description 1
- 125000000719 pyrrolidinyl group Chemical group 0.000 description 1
- 238000006862 quantum yield reaction Methods 0.000 description 1
- 150000004053 quinones Chemical class 0.000 description 1
- 229910052761 rare earth metal Inorganic materials 0.000 description 1
- 150000002910 rare earth metals Chemical class 0.000 description 1
- 229910052701 rubidium Inorganic materials 0.000 description 1
- KZUNJOHGWZRPMI-UHFFFAOYSA-N samarium atom Chemical compound [Sm] KZUNJOHGWZRPMI-UHFFFAOYSA-N 0.000 description 1
- 238000007650 screen-printing Methods 0.000 description 1
- 238000005201 scrubbing Methods 0.000 description 1
- 125000002914 sec-butyl group Chemical group [H]C([H])([H])C([H])([H])C([H])(*)C([H])([H])[H] 0.000 description 1
- 125000003548 sec-pentyl group Chemical group [H]C([H])([H])C([H])([H])C([H])([H])C([H])(*)C([H])([H])[H] 0.000 description 1
- 238000000926 separation method Methods 0.000 description 1
- FZHAPNGMFPVSLP-UHFFFAOYSA-N silanamine Chemical compound [SiH3]N FZHAPNGMFPVSLP-UHFFFAOYSA-N 0.000 description 1
- 229940045105 silver iodide Drugs 0.000 description 1
- 229910052708 sodium Inorganic materials 0.000 description 1
- 229910000029 sodium carbonate Inorganic materials 0.000 description 1
- 125000006850 spacer group Chemical group 0.000 description 1
- 238000005507 spraying Methods 0.000 description 1
- 229910052712 strontium Inorganic materials 0.000 description 1
- 125000005504 styryl group Chemical group 0.000 description 1
- 125000003107 substituted aryl group Chemical group 0.000 description 1
- 229940124530 sulfonamide Drugs 0.000 description 1
- 150000003456 sulfonamides Chemical class 0.000 description 1
- BDHFUVZGWQCTTF-UHFFFAOYSA-M sulfonate Chemical compound [O-]S(=O)=O BDHFUVZGWQCTTF-UHFFFAOYSA-M 0.000 description 1
- 125000000472 sulfonyl group Chemical group *S(*)(=O)=O 0.000 description 1
- 150000003462 sulfoxides Chemical class 0.000 description 1
- 125000005555 sulfoximide group Chemical group 0.000 description 1
- 150000003513 tertiary aromatic amines Chemical class 0.000 description 1
- DZLFLBLQUQXARW-UHFFFAOYSA-N tetrabutylammonium Chemical compound CCCC[N+](CCCC)(CCCC)CCCC DZLFLBLQUQXARW-UHFFFAOYSA-N 0.000 description 1
- DPKBAXPHAYBPRL-UHFFFAOYSA-M tetrabutylazanium;iodide Chemical compound [I-].CCCC[N+](CCCC)(CCCC)CCCC DPKBAXPHAYBPRL-UHFFFAOYSA-M 0.000 description 1
- NLDYACGHTUPAQU-UHFFFAOYSA-N tetracyanoethylene Chemical group N#CC(C#N)=C(C#N)C#N NLDYACGHTUPAQU-UHFFFAOYSA-N 0.000 description 1
- PCCVSPMFGIFTHU-UHFFFAOYSA-N tetracyanoquinodimethane Chemical compound N#CC(C#N)=C1C=CC(=C(C#N)C#N)C=C1 PCCVSPMFGIFTHU-UHFFFAOYSA-N 0.000 description 1
- 125000003831 tetrazolyl group Chemical group 0.000 description 1
- 238000002207 thermal evaporation Methods 0.000 description 1
- 150000003557 thiazoles Chemical class 0.000 description 1
- 239000010409 thin film Substances 0.000 description 1
- 125000002813 thiocarbonyl group Chemical group *C(*)=S 0.000 description 1
- DQFBYFPFKXHELB-VAWYXSNFSA-N trans-chalcone Chemical compound C=1C=CC=CC=1C(=O)\C=C\C1=CC=CC=C1 DQFBYFPFKXHELB-VAWYXSNFSA-N 0.000 description 1
- 125000001425 triazolyl group Chemical group 0.000 description 1
- DANYXEHCMQHDNX-UHFFFAOYSA-K trichloroiridium Chemical compound Cl[Ir](Cl)Cl DANYXEHCMQHDNX-UHFFFAOYSA-K 0.000 description 1
- MJRFDVWKTFJAPF-UHFFFAOYSA-K trichloroiridium;hydrate Chemical compound O.Cl[Ir](Cl)Cl MJRFDVWKTFJAPF-UHFFFAOYSA-K 0.000 description 1
- UORVGPXVDQYIDP-UHFFFAOYSA-N trihydridoboron Substances B UORVGPXVDQYIDP-UHFFFAOYSA-N 0.000 description 1
- ODHXBMXNKOYIBV-UHFFFAOYSA-N triphenylamine Chemical compound C1=CC=CC=C1N(C=1C=CC=CC=1)C1=CC=CC=C1 ODHXBMXNKOYIBV-UHFFFAOYSA-N 0.000 description 1
- 229910052721 tungsten Inorganic materials 0.000 description 1
- 125000000391 vinyl group Chemical group [H]C([*])=C([H])[H] 0.000 description 1
- 238000001429 visible spectrum Methods 0.000 description 1
Images
Classifications
-
- C—CHEMISTRY; METALLURGY
- C07—ORGANIC CHEMISTRY
- C07D—HETEROCYCLIC COMPOUNDS
- C07D307/00—Heterocyclic compounds containing five-membered rings having one oxygen atom as the only ring hetero atom
- C07D307/77—Heterocyclic compounds containing five-membered rings having one oxygen atom as the only ring hetero atom ortho- or peri-condensed with carbocyclic rings or ring systems
- C07D307/91—Dibenzofurans; Hydrogenated dibenzofurans
-
- C—CHEMISTRY; METALLURGY
- C07—ORGANIC CHEMISTRY
- C07D—HETEROCYCLIC COMPOUNDS
- C07D405/00—Heterocyclic compounds containing both one or more hetero rings having oxygen atoms as the only ring hetero atoms, and one or more rings having nitrogen as the only ring hetero atom
- C07D405/14—Heterocyclic compounds containing both one or more hetero rings having oxygen atoms as the only ring hetero atoms, and one or more rings having nitrogen as the only ring hetero atom containing three or more hetero rings
-
- C—CHEMISTRY; METALLURGY
- C07—ORGANIC CHEMISTRY
- C07F—ACYCLIC, CARBOCYCLIC OR HETEROCYCLIC COMPOUNDS CONTAINING ELEMENTS OTHER THAN CARBON, HYDROGEN, HALOGEN, OXYGEN, NITROGEN, SULFUR, SELENIUM OR TELLURIUM
- C07F15/00—Compounds containing elements of Groups 8, 9, 10 or 18 of the Periodic Table
- C07F15/0006—Compounds containing elements of Groups 8, 9, 10 or 18 of the Periodic Table compounds of the platinum group
- C07F15/0033—Iridium compounds
-
- C—CHEMISTRY; METALLURGY
- C07—ORGANIC CHEMISTRY
- C07F—ACYCLIC, CARBOCYCLIC OR HETEROCYCLIC COMPOUNDS CONTAINING ELEMENTS OTHER THAN CARBON, HYDROGEN, HALOGEN, OXYGEN, NITROGEN, SULFUR, SELENIUM OR TELLURIUM
- C07F15/00—Compounds containing elements of Groups 8, 9, 10 or 18 of the Periodic Table
- C07F15/0006—Compounds containing elements of Groups 8, 9, 10 or 18 of the Periodic Table compounds of the platinum group
- C07F15/0086—Platinum compounds
-
- C—CHEMISTRY; METALLURGY
- C07—ORGANIC CHEMISTRY
- C07F—ACYCLIC, CARBOCYCLIC OR HETEROCYCLIC COMPOUNDS CONTAINING ELEMENTS OTHER THAN CARBON, HYDROGEN, HALOGEN, OXYGEN, NITROGEN, SULFUR, SELENIUM OR TELLURIUM
- C07F7/00—Compounds containing elements of Groups 4 or 14 of the Periodic Table
- C07F7/02—Silicon compounds
- C07F7/08—Compounds having one or more C—Si linkages
- C07F7/0803—Compounds with Si-C or Si-Si linkages
- C07F7/081—Compounds with Si-C or Si-Si linkages comprising at least one atom selected from the elements N, O, halogen, S, Se or Te
- C07F7/0812—Compounds with Si-C or Si-Si linkages comprising at least one atom selected from the elements N, O, halogen, S, Se or Te comprising a heterocyclic ring
- C07F7/0816—Compounds with Si-C or Si-Si linkages comprising at least one atom selected from the elements N, O, halogen, S, Se or Te comprising a heterocyclic ring said ring comprising Si as a ring atom
-
- C—CHEMISTRY; METALLURGY
- C09—DYES; PAINTS; POLISHES; NATURAL RESINS; ADHESIVES; COMPOSITIONS NOT OTHERWISE PROVIDED FOR; APPLICATIONS OF MATERIALS NOT OTHERWISE PROVIDED FOR
- C09K—MATERIALS FOR MISCELLANEOUS APPLICATIONS, NOT PROVIDED FOR ELSEWHERE
- C09K11/00—Luminescent, e.g. electroluminescent, chemiluminescent materials
- C09K11/02—Use of particular materials as binders, particle coatings or suspension media therefor
- C09K11/025—Use of particular materials as binders, particle coatings or suspension media therefor non-luminescent particle coatings or suspension media
-
- C—CHEMISTRY; METALLURGY
- C09—DYES; PAINTS; POLISHES; NATURAL RESINS; ADHESIVES; COMPOSITIONS NOT OTHERWISE PROVIDED FOR; APPLICATIONS OF MATERIALS NOT OTHERWISE PROVIDED FOR
- C09K—MATERIALS FOR MISCELLANEOUS APPLICATIONS, NOT PROVIDED FOR ELSEWHERE
- C09K11/00—Luminescent, e.g. electroluminescent, chemiluminescent materials
- C09K11/06—Luminescent, e.g. electroluminescent, chemiluminescent materials containing organic luminescent materials
-
- H01L51/0065—
-
- H01L51/0067—
-
- H01L51/0072—
-
- H01L51/0077—
-
- H01L51/0085—
-
- H01L51/0087—
-
- H01L51/0094—
-
- H—ELECTRICITY
- H10—SEMICONDUCTOR DEVICES; ELECTRIC SOLID-STATE DEVICES NOT OTHERWISE PROVIDED FOR
- H10K—ORGANIC ELECTRIC SOLID-STATE DEVICES
- H10K85/00—Organic materials used in the body or electrodes of devices covered by this subclass
- H10K85/30—Coordination compounds
-
- H—ELECTRICITY
- H10—SEMICONDUCTOR DEVICES; ELECTRIC SOLID-STATE DEVICES NOT OTHERWISE PROVIDED FOR
- H10K—ORGANIC ELECTRIC SOLID-STATE DEVICES
- H10K85/00—Organic materials used in the body or electrodes of devices covered by this subclass
- H10K85/30—Coordination compounds
- H10K85/341—Transition metal complexes, e.g. Ru(II)polypyridine complexes
- H10K85/342—Transition metal complexes, e.g. Ru(II)polypyridine complexes comprising iridium
-
- H—ELECTRICITY
- H10—SEMICONDUCTOR DEVICES; ELECTRIC SOLID-STATE DEVICES NOT OTHERWISE PROVIDED FOR
- H10K—ORGANIC ELECTRIC SOLID-STATE DEVICES
- H10K85/00—Organic materials used in the body or electrodes of devices covered by this subclass
- H10K85/30—Coordination compounds
- H10K85/341—Transition metal complexes, e.g. Ru(II)polypyridine complexes
- H10K85/346—Transition metal complexes, e.g. Ru(II)polypyridine complexes comprising platinum
-
- H—ELECTRICITY
- H10—SEMICONDUCTOR DEVICES; ELECTRIC SOLID-STATE DEVICES NOT OTHERWISE PROVIDED FOR
- H10K—ORGANIC ELECTRIC SOLID-STATE DEVICES
- H10K85/00—Organic materials used in the body or electrodes of devices covered by this subclass
- H10K85/40—Organosilicon compounds, e.g. TIPS pentacene
-
- H—ELECTRICITY
- H10—SEMICONDUCTOR DEVICES; ELECTRIC SOLID-STATE DEVICES NOT OTHERWISE PROVIDED FOR
- H10K—ORGANIC ELECTRIC SOLID-STATE DEVICES
- H10K85/00—Organic materials used in the body or electrodes of devices covered by this subclass
- H10K85/60—Organic compounds having low molecular weight
- H10K85/649—Aromatic compounds comprising a hetero atom
- H10K85/653—Aromatic compounds comprising a hetero atom comprising only oxygen as heteroatom
-
- H—ELECTRICITY
- H10—SEMICONDUCTOR DEVICES; ELECTRIC SOLID-STATE DEVICES NOT OTHERWISE PROVIDED FOR
- H10K—ORGANIC ELECTRIC SOLID-STATE DEVICES
- H10K85/00—Organic materials used in the body or electrodes of devices covered by this subclass
- H10K85/60—Organic compounds having low molecular weight
- H10K85/649—Aromatic compounds comprising a hetero atom
- H10K85/654—Aromatic compounds comprising a hetero atom comprising only nitrogen as heteroatom
-
- H—ELECTRICITY
- H10—SEMICONDUCTOR DEVICES; ELECTRIC SOLID-STATE DEVICES NOT OTHERWISE PROVIDED FOR
- H10K—ORGANIC ELECTRIC SOLID-STATE DEVICES
- H10K85/00—Organic materials used in the body or electrodes of devices covered by this subclass
- H10K85/60—Organic compounds having low molecular weight
- H10K85/649—Aromatic compounds comprising a hetero atom
- H10K85/657—Polycyclic condensed heteroaromatic hydrocarbons
- H10K85/6572—Polycyclic condensed heteroaromatic hydrocarbons comprising only nitrogen in the heteroaromatic polycondensed ring system, e.g. phenanthroline or carbazole
-
- H—ELECTRICITY
- H10—SEMICONDUCTOR DEVICES; ELECTRIC SOLID-STATE DEVICES NOT OTHERWISE PROVIDED FOR
- H10K—ORGANIC ELECTRIC SOLID-STATE DEVICES
- H10K85/00—Organic materials used in the body or electrodes of devices covered by this subclass
- H10K85/60—Organic compounds having low molecular weight
- H10K85/649—Aromatic compounds comprising a hetero atom
- H10K85/657—Polycyclic condensed heteroaromatic hydrocarbons
- H10K85/6574—Polycyclic condensed heteroaromatic hydrocarbons comprising only oxygen in the heteroaromatic polycondensed ring system, e.g. cumarine dyes
-
- C—CHEMISTRY; METALLURGY
- C09—DYES; PAINTS; POLISHES; NATURAL RESINS; ADHESIVES; COMPOSITIONS NOT OTHERWISE PROVIDED FOR; APPLICATIONS OF MATERIALS NOT OTHERWISE PROVIDED FOR
- C09K—MATERIALS FOR MISCELLANEOUS APPLICATIONS, NOT PROVIDED FOR ELSEWHERE
- C09K2211/00—Chemical nature of organic luminescent or tenebrescent compounds
- C09K2211/10—Non-macromolecular compounds
- C09K2211/1003—Carbocyclic compounds
- C09K2211/1007—Non-condensed systems
-
- C—CHEMISTRY; METALLURGY
- C09—DYES; PAINTS; POLISHES; NATURAL RESINS; ADHESIVES; COMPOSITIONS NOT OTHERWISE PROVIDED FOR; APPLICATIONS OF MATERIALS NOT OTHERWISE PROVIDED FOR
- C09K—MATERIALS FOR MISCELLANEOUS APPLICATIONS, NOT PROVIDED FOR ELSEWHERE
- C09K2211/00—Chemical nature of organic luminescent or tenebrescent compounds
- C09K2211/10—Non-macromolecular compounds
- C09K2211/1018—Heterocyclic compounds
- C09K2211/1025—Heterocyclic compounds characterised by ligands
- C09K2211/1044—Heterocyclic compounds characterised by ligands containing two nitrogen atoms as heteroatoms
-
- C—CHEMISTRY; METALLURGY
- C09—DYES; PAINTS; POLISHES; NATURAL RESINS; ADHESIVES; COMPOSITIONS NOT OTHERWISE PROVIDED FOR; APPLICATIONS OF MATERIALS NOT OTHERWISE PROVIDED FOR
- C09K—MATERIALS FOR MISCELLANEOUS APPLICATIONS, NOT PROVIDED FOR ELSEWHERE
- C09K2211/00—Chemical nature of organic luminescent or tenebrescent compounds
- C09K2211/10—Non-macromolecular compounds
- C09K2211/1018—Heterocyclic compounds
- C09K2211/1025—Heterocyclic compounds characterised by ligands
- C09K2211/1059—Heterocyclic compounds characterised by ligands containing three nitrogen atoms as heteroatoms
-
- C—CHEMISTRY; METALLURGY
- C09—DYES; PAINTS; POLISHES; NATURAL RESINS; ADHESIVES; COMPOSITIONS NOT OTHERWISE PROVIDED FOR; APPLICATIONS OF MATERIALS NOT OTHERWISE PROVIDED FOR
- C09K—MATERIALS FOR MISCELLANEOUS APPLICATIONS, NOT PROVIDED FOR ELSEWHERE
- C09K2211/00—Chemical nature of organic luminescent or tenebrescent compounds
- C09K2211/10—Non-macromolecular compounds
- C09K2211/1018—Heterocyclic compounds
- C09K2211/1025—Heterocyclic compounds characterised by ligands
- C09K2211/1088—Heterocyclic compounds characterised by ligands containing oxygen as the only heteroatom
-
- C—CHEMISTRY; METALLURGY
- C09—DYES; PAINTS; POLISHES; NATURAL RESINS; ADHESIVES; COMPOSITIONS NOT OTHERWISE PROVIDED FOR; APPLICATIONS OF MATERIALS NOT OTHERWISE PROVIDED FOR
- C09K—MATERIALS FOR MISCELLANEOUS APPLICATIONS, NOT PROVIDED FOR ELSEWHERE
- C09K2211/00—Chemical nature of organic luminescent or tenebrescent compounds
- C09K2211/18—Metal complexes
- C09K2211/185—Metal complexes of the platinum group, i.e. Os, Ir, Pt, Ru, Rh or Pd
-
- H—ELECTRICITY
- H10—SEMICONDUCTOR DEVICES; ELECTRIC SOLID-STATE DEVICES NOT OTHERWISE PROVIDED FOR
- H10K—ORGANIC ELECTRIC SOLID-STATE DEVICES
- H10K2101/00—Properties of the organic materials covered by group H10K85/00
- H10K2101/10—Triplet emission
-
- H—ELECTRICITY
- H10—SEMICONDUCTOR DEVICES; ELECTRIC SOLID-STATE DEVICES NOT OTHERWISE PROVIDED FOR
- H10K—ORGANIC ELECTRIC SOLID-STATE DEVICES
- H10K50/00—Organic light-emitting devices
- H10K50/10—OLEDs or polymer light-emitting diodes [PLED]
- H10K50/11—OLEDs or polymer light-emitting diodes [PLED] characterised by the electroluminescent [EL] layers
-
- H—ELECTRICITY
- H10—SEMICONDUCTOR DEVICES; ELECTRIC SOLID-STATE DEVICES NOT OTHERWISE PROVIDED FOR
- H10K—ORGANIC ELECTRIC SOLID-STATE DEVICES
- H10K50/00—Organic light-emitting devices
- H10K50/10—OLEDs or polymer light-emitting diodes [PLED]
- H10K50/11—OLEDs or polymer light-emitting diodes [PLED] characterised by the electroluminescent [EL] layers
- H10K50/125—OLEDs or polymer light-emitting diodes [PLED] characterised by the electroluminescent [EL] layers specially adapted for multicolour light emission, e.g. for emitting white light
-
- H—ELECTRICITY
- H10—SEMICONDUCTOR DEVICES; ELECTRIC SOLID-STATE DEVICES NOT OTHERWISE PROVIDED FOR
- H10K—ORGANIC ELECTRIC SOLID-STATE DEVICES
- H10K50/00—Organic light-emitting devices
- H10K50/10—OLEDs or polymer light-emitting diodes [PLED]
- H10K50/14—Carrier transporting layers
-
- H—ELECTRICITY
- H10—SEMICONDUCTOR DEVICES; ELECTRIC SOLID-STATE DEVICES NOT OTHERWISE PROVIDED FOR
- H10K—ORGANIC ELECTRIC SOLID-STATE DEVICES
- H10K50/00—Organic light-emitting devices
- H10K50/10—OLEDs or polymer light-emitting diodes [PLED]
- H10K50/14—Carrier transporting layers
- H10K50/15—Hole transporting layers
- H10K50/155—Hole transporting layers comprising dopants
-
- H—ELECTRICITY
- H10—SEMICONDUCTOR DEVICES; ELECTRIC SOLID-STATE DEVICES NOT OTHERWISE PROVIDED FOR
- H10K—ORGANIC ELECTRIC SOLID-STATE DEVICES
- H10K50/00—Organic light-emitting devices
- H10K50/10—OLEDs or polymer light-emitting diodes [PLED]
- H10K50/14—Carrier transporting layers
- H10K50/16—Electron transporting layers
-
- H—ELECTRICITY
- H10—SEMICONDUCTOR DEVICES; ELECTRIC SOLID-STATE DEVICES NOT OTHERWISE PROVIDED FOR
- H10K—ORGANIC ELECTRIC SOLID-STATE DEVICES
- H10K50/00—Organic light-emitting devices
- H10K50/10—OLEDs or polymer light-emitting diodes [PLED]
- H10K50/14—Carrier transporting layers
- H10K50/16—Electron transporting layers
- H10K50/165—Electron transporting layers comprising dopants
-
- H—ELECTRICITY
- H10—SEMICONDUCTOR DEVICES; ELECTRIC SOLID-STATE DEVICES NOT OTHERWISE PROVIDED FOR
- H10K—ORGANIC ELECTRIC SOLID-STATE DEVICES
- H10K50/00—Organic light-emitting devices
- H10K50/10—OLEDs or polymer light-emitting diodes [PLED]
- H10K50/18—Carrier blocking layers
-
- Y—GENERAL TAGGING OF NEW TECHNOLOGICAL DEVELOPMENTS; GENERAL TAGGING OF CROSS-SECTIONAL TECHNOLOGIES SPANNING OVER SEVERAL SECTIONS OF THE IPC; TECHNICAL SUBJECTS COVERED BY FORMER USPC CROSS-REFERENCE ART COLLECTIONS [XRACs] AND DIGESTS
- Y02—TECHNOLOGIES OR APPLICATIONS FOR MITIGATION OR ADAPTATION AGAINST CLIMATE CHANGE
- Y02E—REDUCTION OF GREENHOUSE GAS [GHG] EMISSIONS, RELATED TO ENERGY GENERATION, TRANSMISSION OR DISTRIBUTION
- Y02E10/00—Energy generation through renewable energy sources
- Y02E10/50—Photovoltaic [PV] energy
- Y02E10/549—Organic PV cells
Landscapes
- Chemical & Material Sciences (AREA)
- Organic Chemistry (AREA)
- Engineering & Computer Science (AREA)
- Materials Engineering (AREA)
- Inorganic Chemistry (AREA)
- Physics & Mathematics (AREA)
- Spectroscopy & Molecular Physics (AREA)
- Crystallography & Structural Chemistry (AREA)
- Electroluminescent Light Sources (AREA)
- Nitrogen Condensed Heterocyclic Rings (AREA)
- Plural Heterocyclic Compounds (AREA)
- Photovoltaic Devices (AREA)
Abstract
Description
Claims (14)
- 하기 화학식 I의 금속-카르벤 착물:
<화학식 I>
상기 화학식에서,
M, n, Y, A2, A3, A4, A5, R1, R2, R3, R4, R5, R6, R7, R8, R9, R10, K, L, m 및 o는 각각 하기에서 정의된 바와 같다:
M은 Ir 또는 Pt이고,
n은 1, 2 및 3으로부터 선택된 정수이고,
Y는 NR1, O, S 또는 C(R10)2이고,
A2, A3, A4, A5는 각각 독립적으로 N 또는 C이고, 여기서 2개의 A는 질소 원자이고, 1종 이상의 탄소 원자는 고리에서 2개의 질소 원자 사이에 존재하며,
R1은 1종 이상의 이종원자로 임의로 개재되며, 임의로 1종 이상의 작용기를 지니며 그리고 1 내지 20개의 탄소 원자를 갖는 선형 또는 분지형 알킬 라디칼; 1종 이상의 이종원자로 임의로 개재되며, 임의로 1종 이상의 작용기를 지니며 그리고 3 내지 20개의 탄소 원자를 갖는 시클로알킬 라디칼; 1종 이상의 이종원자로 임의로 개재되며, 임의로 1종 이상의 작용기를 지니며 그리고 6 내지 30개의 탄소 원자를 갖는 치환 또는 비치환 아릴 라디칼; 1종 이상의 이종원자로 임의로 개재되며, 임의로 1종 이상의 작용기를 지니며 그리고 총 5 내지 18개의 탄소 원자 및/또는 이종원자를 갖는 치환 또는 비치환 헤테로아릴 라디칼이며,
R2, R3, R4, R5는 각각, A2, A3, A4 및/또는 A5가 N인 경우 유리 전자쌍이거나 또는, A2, A3, A4 및/또는 A5가 C인 경우 각각 독립적으로 수소; 1종 이상의 이종원자로 임의로 개재되며, 임의로 1종 이상의 작용기를 지니며 그리고 1 내지 20개의 탄소 원자를 갖는 선형 또는 분지형 알킬 라디칼; 1종 이상의 이종원자로 임의로 개재되며, 임의로 1종 이상의 작용기를 지니며 그리고 3 내지 20개의 탄소 원자를 갖는 시클로알킬 라디칼; 1종 이상의 이종원자로 임의로 개재되며, 임의로 1종 이상의 작용기를 지니며 그리고 6 내지 30개의 탄소 원자를 갖는 치환 또는 비치환 아릴 라디칼; 1종 이상의 이종원자로 임의로 개재되며, 임의로 1종 이상의 작용기를 지니며 그리고 총 5 내지 18개의 탄소 원자 및/또는 이종원자를 갖는 치환 또는 비치환 헤테로아릴 라디칼; 공여체 또는 수용체 작용을 갖는 기이거나 또는
R3 및 R4는 A3 및 A4와 함께 1종 이상의 추가의 이종원자로 임의로 개재되며 그리고 총 5 내지 18개의 탄소 원자 및/또는 이종원자를 갖는 임의로 치환된 불포화 고리를 형성하며,
R6, R7, R8, R9는 각각 독립적으로 수소; 1종 이상의 이종원자로 임의로 개재되며, 임의로 1종 이상의 작용기를 지니며 그리고 1 내지 20개의 탄소 원자를 갖는 선형 또는 분지형 알킬 라디칼; 1종 이상의 이종원자로 임의로 개재되며, 임의로 1종 이상의 작용기를 지니며 그리고 3 내지 20개의 탄소 원자를 갖는 시클로알킬 라디칼; 1종 이상의 이종원자로 임의로 개재되며, 임의로 1종 이상의 작용기를 지니며 그리고 3 내지 20개의 탄소 원자를 갖는 시클로헤테로알킬 라디칼; 1종 이상의 이종원자로 임의로 개재되며, 임의로 1종 이상의 작용기를 지니며 그리고 6 내지 30개의 탄소 원자를 갖는 치환 또는 비치환 아릴 라디칼; 1종 이상의 이종원자로 임의로 개재되며, 임의로 1종 이상의 작용기를 지니며 그리고 총 5 내지 18개의 탄소 원자 및/또는 이종원자를 갖는 치환 또는 비치환 헤테로아릴 라디칼; 공여체 또는 수용체 작용을 갖는 기이거나 또는
R6과 R7, R7과 R8 또는 R8과 R9는 이들이 결합되어 있는 탄소 원자와 함께 1종 이상의 이종원자로 임의로 개재되며 그리고 총 5 내지 18개의 탄소 원자 및/또는 이종원자를 갖는 포화, 불포화 또는 방향족, 임의로 치환된 고리를 형성하며 및/또는
A5가 C인 경우, R5 및 R6은 함께 임의로 이종원자, 방향족 단위, 헤테로방향족 단위 및/또는 작용기를 포함하며 그리고 총 1 내지 30개의 탄소 원자 및/또는 이종원자를 갖고, 이에 탄소 원자 및/또는 이종원자를 포함하는 치환 또는 비치환, 5- 내지 8-원 고리가 임의로 융합되어 있는 포화 또는 불포화, 선형 또는 분지형 가교를 형성하며,
R10은 독립적으로 1종 이상의 이종원자로 임의로 개재되며, 임의로 1종 이상의 작용기를 지니며 그리고 1 내지 20개의 탄소 원자를 갖는 선형 또는 분지형 알킬 라디칼; 1종 이상의 이종원자로 임의로 개재되며, 임의로 1종 이상의 작용기를 지니며 그리고 3 내지 20개의 탄소 원자를 갖는 시클로알킬 라디칼; 1종 이상의 이종원자로 임의로 개재되며, 임의로 1종 이상의 작용기를 지니며 그리고 6 내지 30개의 탄소 원자를 갖는 치환 또는 비치환 아릴 라디칼; 1종 이상의 이종원자로 임의로 개재되며, 임의로 1종 이상의 작용기를 지니며 그리고 총 5 내지 18개의 탄소 원자 및/또는 이종원자를 갖는 치환 또는 비치환 헤테로아릴 라디칼이고,
K는 비하전된 1좌 배위자 또는 2좌 배위자 리간드이고,
L이 1좌 배위자 또는 2좌 배위자일 수 있는, 1가 또는 2가 음이온 리간드이며,
m은 0, 1 또는 2이고, 여기서 m이 2인 경우, K 리간드는 동일하거나 또는 상이할 수 있으며,
o는 0, 1 또는 2이고, 여기서 o가 2인 경우, L 리간드는 동일하거나 또는 상이할 수 있다. - 제1항에 있어서,
M, n, Y, A2, A3, A4, A5, R1, R2, R3, R4, R5, R6, R7, R8, R9, L, m 및 o가 각각 하기와 같이 정의되며;
M은 Ir이고,
n은 1, 2 또는 3이고,
Y는 NR1이고,
A2, A3, A4, A5는 각각 독립적으로 N 또는 C이고, 여기서 2개의 A는 질소 원자이고, 1종 이상의 탄소 원자는 고리에서 2개의 질소 원자 사이에 존재하며,
R1은 1 내지 6개의 탄소 원자를 갖는 선형 또는 분지형 알킬 라디칼; 6 내지 30개의 탄소 원자를 갖는 치환 또는 비치환 아릴 라디칼; 총 5 내지 18개의 탄소 원자 및/또는 이종원자를 갖는 치환 또는 비치환 헤테로아릴 라디칼이고,
R2, R3, R4, R5는 각각, A2, A3, A4 및/또는 A5가 N인 경우 유리 전자쌍이거나 또는, A2, A3, A4 및/또는 A5가 C인 경우 각각 독립적으로 수소; 1 내지 6개의 탄소 원자를 갖는 선형 또는 분지형 알킬 라디칼; 6 내지 30개의 탄소 원자를 갖는 치환 또는 비치환 아릴 라디칼; 총 5 내지 18개의 탄소 원자 및/또는 이종원자를 갖는 치환 또는 비치환 헤테로아릴 라디칼이거나 또는
R3 및 R4는 A3 및 A4와 함께 1종 이상의 추가의 이종원자로 임의로 개재되며 그리고 총 5 내지 18개의 탄소 원자 및/또는 이종원자를 갖는 임의로 치환된 불포화 고리를 형성하며,
R6, R7, R8, R9는 각각 독립적으로 수소; 1종 이상의 이종원자로 임의로 개재되며, 임의로 1종 이상의 작용기를 지니며 그리고 1 내지 20개의 탄소 원자를 갖는 선형 또는 분지형 알킬 라디칼; 1종 이상의 이종원자로 임의로 개재되며, 임의로 1종 이상의 작용기를 지니며 그리고 6 내지 30개의 탄소 원자를 갖는 치환 또는 비치환 아릴 라디칼; 1종 이상의 이종원자로 임의로 개재되며, 임의로 1종 이상의 작용기를 지니며 그리고 총 5 내지 18개의 탄소 원자 및/또는 이종원자를 갖는 치환 또는 비치환 헤테로아릴 라디칼이고,
L은 1가 음이온성 2좌 배위자 리간드이고,
m은 0이고,
o는 0, 1 또는 2인 금속-카르벤 착물. - 제1항에 있어서,
M, n, Y, A2, A3, A4, A5, R1, R2, R3, R4, R5, R6, R7, R8, R9, L, m 및 o가 각각 하기와 같이 정의되며;
M은 Ir이고,
n은 2 또는 3이고,
Y는 NR1이고,
A2, A3, A4, A5에서 A2 및 A5가 각각 N이고 그리고 A3 및 A4는 각각 C이거나 또는
A2 및 A4는 각각 N이고 그리고 A3 및 A5는 각각 C이거나 또는
A3 및 A5는 각각 N이고 그리고 A2 및 A4는 각각 C이고,
R1은 1 내지 6개의 탄소 원자를 갖는 선형 또는 분지형 알킬 라디칼; 치환 또는 비치환 페닐 라디칼; 총 6 내지 18개의 탄소 원자 및/또는 이종원자를 갖는 치환 또는 비치환 헤테로아릴 라디칼이고,
R2, R3, R4, R5는 각각, A2, A3, A4 및/또는 A5가 N인 경우, 유리 전자쌍이거나 또는, A2, A3, A4 및/또는 A5가 C인 경우 각각 독립적으로 수소, 1 내지 6개의 탄소 원자를 갖는 선형 또는 분지형 알킬 라디칼, 치환된 또는 비치환 페닐 라디칼이거나 또는
R3 및 R4는 A3 및 A4와 함께 총 5 내지 7개의 탄소 원자를 갖는 임의로 치환된, 단일불포화 고리를 형성하며,
R6, R7, R8, R9는 각각 독립적으로 수소, 1 내지 20개의 탄소 원자를 갖는 선형 또는 분지형 알킬 라디칼, 6 내지 30개의 탄소 원자를 갖는 o,o'-디알킬화 아릴 라디칼이고,
L은 1가 음이온성 2좌 배위자 리간드이고,
m은 0이고,
o는 0 또는 1인 금속-카르벤 착물. - 제1항에 있어서, 화학식 I에서, L이 하기 화학식 II의 카르벤 리간드인 금속-카르벤 착물:
<화학식 II>
상기 화학식에서,
A6, A7은 각각 독립적으로 C 또는 N이고,
R11은 1종 이상의 이종원자로 임의로 개재되며, 임의로 1종 이상의 작용기를 지니며 그리고 1 내지 20개의 탄소 원자를 갖는 선형 또는 분지형 알킬 라디칼; 1종 이상의 이종원자로 임의로 개재되며, 임의로 1종 이상의 작용기를 지니며 그리고 3 내지 20개의 탄소 원자를 갖는 시클로알킬 라디칼; 1종 이상의 이종원자로 임의로 개재되며, 임의로 1종 이상의 작용기를 지니며 그리고 3 내지 20개의 탄소 원자를 갖는 시클로헤테로알킬 라디칼; 1종 이상의 이종원자로 임의로 개재되며, 임의로 1종 이상의 작용기를 지니며 그리고 6 내지 30개의 탄소 원자를 갖는 치환 또는 비치환 아릴 라디칼; 1종 이상의 이종원자로 임의로 개재되며, 임의로 1종 이상의 작용기를 지니며 그리고 총 5 내지 18개의 탄소 원자 및/또는 이종원자를 갖는 치환 또는 비치환 헤테로아릴 라디칼이고,
R12, R13은 각각 독립적으로, A가 N인 경우 유리 전자쌍이거나 또는, A가 C인 경우 수소; 1종 이상의 이종원자로 임의로 개재되며, 임의로 1종 이상의 작용기를 지니며 그리고 1 내지 20개의 탄소 원자를 갖는 선형 또는 분지형 알킬 라디칼; 1종 이상의 이종원자로 임의로 개재되며, 임의로 1종 이상의 작용기를 지니며 그리고 3 내지 20개의 탄소 원자를 갖는 시클로알킬 라디칼; 1종 이상의 이종원자로 임의로 개재되며, 임의로 1종 이상의 작용기를 지니며 그리고 3 내지 20개의 탄소 원자를 갖는 시클로헤테로알킬 라디칼; 1종 이상의 이종원자로 임의로 개재되며, 임의로 1종 이상의 작용기를 지니며 그리고 6 내지 30개의 탄소 원자를 갖는 치환 또는 비치환 아릴 라디칼; 1종 이상의 이종원자로 임의로 개재되며, 임의로 1종 이상의 작용기를 지니며 그리고 총 5 내지 18개의 탄소 원자 및/또는 이종원자를 갖는 치환 또는 비치환 헤테로아릴 라디칼; 공여체 또는 수용체 작용을 갖는 기이고,
R14, R15, R16, R17은 각각 독립적으로 수소; 1종 이상의 이종원자로 임의로 개재되며, 임의로 1종 이상의 작용기를 지니며 그리고 1 내지 20개의 탄소 원자를 갖는 선형 또는 분지형 알킬 라디칼; 1종 이상의 이종원자로 임의로 개재되며, 임의로 1종 이상의 작용기를 지니며 그리고 3 내지 20개의 탄소 원자를 갖는 시클로알킬 라디칼; 1종 이상의 이종원자로 임의로 개재되며, 임의로 1종 이상의 작용기를 지니며 그리고 3 내지 20개의 탄소 원자를 갖는 시클로헤테로알킬 라디칼; 1종 이상의 이종원자로 임의로 개재되며, 임의로 1종 이상의 작용기를 지니며 그리고 6 내지 30개의 탄소 원자를 갖는 치환 또는 비치환 아릴 라디칼; 1종 이상의 이종원자로 임의로 개재되며, 임의로 1종 이상의 작용기를 지니며 그리고 총 5 내지 18개의 탄소 원자 및/또는 이종원자를 갖는 치환 또는 비치환 헤테로아릴 라디칼; 공여체 또는 수용체 작용을 갖는 기이거나 또는
R12와 R13, R14와 R15, R15와 R16 또는 R16과 R17은 이들이 결합되어 있는 A 또는 탄소 원자와 함께 1종 이상의 이종원자로 임의로 개재되며 그리고 총 5 내지 18개의 탄소 원자 및/또는 이종원자를 갖는 불포화 또는 방향족, 임의로 치환된 고리를 형성하며 및/또는
A6이 C인 경우, R13 및 R14는 함께 임의로 이종원자, 방향족 단위, 헤테로방향족 단위 및/또는 작용기를 포함하며 그리고 총 1 내지 30개의 탄소 원자 및/또는 이종원자를 갖고, 이에 탄소 원자 및/또는 이종원자를 포함하는 치환 또는 비치환, 5- 내지 8-원 고리가 임의로 융합되어 있는 포화 또는 불포화, 선형 또는 분지형 가교를 형성한다. - 제1항에 있어서, 화학식 I에서의 L은 하기 화학식 III의 헤테로시클릭 비카르벤 리간드인 금속-카르벤 착물:
<화학식 III>
상기 화학식 III의 리간드에서의 부호는 각각 하기에서 정의한 바와 같으며:
D는 각각 독립적으로 CR18 또는 N이고;
W는 C, N이고;
E는 각각 독립적으로 CR19, N, NR20이고;
G는 CR21, N, NR22, S, O이고;
R18, R19, R21은 각각 독립적으로 수소; 1종 이상의 이종원자로 임의로 개재되며, 임의로 1종 이상의 작용기를 지니며 그리고 1 내지 20개의 탄소 원자를 갖는 선형 또는 분지형 알킬 라디칼; 1종 이상의 이종원자로 임의로 개재되며, 임의로 1종 이상의 작용기를 지니며 그리고 3 내지 20개의 탄소 원자를 갖는 시클로알킬 라디칼; 1종 이상의 이종원자로 임의로 개재되며, 임의로 1종 이상의 작용기를 지니며 그리고 3 내지 20개의 탄소 원자를 갖는 시클로헤테로알킬 라디칼; 1종 이상의 이종원자로 임의로 개재되며, 임의로 1종 이상의 작용기를 지니며 그리고 6 내지 30개의 탄소 원자를 갖는 치환 또는 비치환 아릴 라디칼; 1종 이상의 이종원자로 임의로 개재되며, 임의로 1종 이상의 작용기를 지니며 그리고 총 5 내지 18개의 탄소 원자 및/또는 이종원자를 갖는 치환 또는 비치환 헤테로아릴 라디칼; 공여체 또는 수용체 작용을 갖는 기이거나 또는
각각의 경우에서 2개의 R18, R19 및 R21 라디칼은 이들이 결합되어 있는 탄소 원자와 함께 1종 이상의 이종원자로 임의로 개재되며 그리고 총 5 내지 18개의 탄소 원자 및/또는 이종원자를 갖는 포화, 불포화 또는 방향족, 임의로 치환된 고리를 형성하며,
R20, R22는 각각 독립적으로 1종 이상의 이종원자로 임의로 개재되며, 임의로 1종 이상의 작용기를 지니며 그리고 1 내지 20개의 탄소 원자를 갖는 선형 또는 분지형 알킬 라디칼; 1종 이상의 이종원자로 임의로 개재되며, 임의로 1종 이상의 작용기를 지니며 그리고 3 내지 20개의 탄소 원자를 갖는 시클로알킬 라디칼; 1종 이상의 이종원자로 임의로 개재되며, 임의로 1종 이상의 작용기를 지니며 그리고 3 내지 20개의 탄소 원자를 갖는 시클로헤테로알킬 라디칼; 1종 이상의 이종원자로 임의로 개재되며, 임의로 1종 이상의 작용기를 지니며 그리고 6 내지 30개의 탄소 원자를 갖는 치환 또는 비치환 아릴 라디칼; 1종 이상의 이종원자로 임의로 개재되며, 임의로 1종 이상의 작용기를 지니며 그리고 총 5 내지 18개의 탄소 원자 및/또는 이종원자를 갖는 치환 또는 비치환 헤테로아릴 라디칼; 공여체 또는 수용체 작용을 갖는 기이며,
여기서 실선 곡선은 D 기 중 하나 및 G 기 사이의 임의의 가교이며; 여기서 가교는 알킬렌, 아릴렌, 헤테로아릴렌, 알키닐렌, 알케닐렌, NR23, O, S, SiR24R25 및 (CR26R27)d로 정의될 수 있으며, 여기서 1종 이상의 이웃하지 않는 (CR26R27) 기는 NR23, O, S, SiR24R25로 치환될 수 있으며, 여기서
d는 2 내지 10이며;
R24, R25, R26, R27은 각각 H, 알킬, 아릴, 헤테로아릴, 알케닐, 알키닐이다. - M을 포함하는 화합물을 상기 M을 포함하는 화합물과 반응하는 리간드 또는 리간드 전구체와 접촉시켜 제1항 내지 제5항 중 어느 한 항에 따른 금속-카르벤 착물을 제조하는 방법.
- 제1항 내지 제5항 중 어느 한 항에 따른 1종 이상의 금속-카르벤 착물을 포함하는 유기 전자 부품.
- 제1항 내지 제5항 중 어느 한 항에 따른 1종 이상의 금속-카르벤 착물을 포함하는 발광층.
- 제8항에 따른 발광층을 포함하는 OLED.
- 제1항 내지 제5항 중 어느 한 항에 따른 1종 이상의 금속-카르벤 착물 및 1종 이상의 하기 화학식 X의 화합물을 포함하는 OLED:
<화학식 X>
상기 화학식에서,
T는 NR57, S, O 또는 PR57이고;
R57은 아릴, 헤테로아릴, 알킬, 시클로알킬 또는 헤테로시클로알킬이고;
Q'는 -NR58R59, -P(O)R60R61, -PR62R63, -S(O)2R64, -S(O)R65, -SR66 또는 -OR67이고,
R55, R56은 각각 독립적으로 알킬, 시클로알킬, 헤테로시클로알킬, 아릴, 헤테로아릴, SiR70R71R72, Q' 기 또는, 공여체 또는 수용체 작용을 갖는 기이고;
a"는 0, 1, 2, 3 또는 4이고;
b'는 0, 1, 2 또는 3이고;
R58, R59는 질소 원자와 함께, 3 내지 10개의 고리 원자를 가지며 그리고 알킬, 시클로알킬, 헤테로시클로알킬, 아릴, 헤테로아릴 및, 공여체 또는 수용체 작용을 갖는 기로부터 선택된 1종 이상의 치환기로 치환되거나 또는 비치환될 수 있으며 및/또는 3 내지 10개의 고리 원자를 갖는 1종 이상의 추가의 고리형 라디칼로 융합될 수 있는 고리형 라디칼을 형성하며, 여기서 융합된 라디칼은 알킬, 시클로알킬, 헤테로시클로알킬, 아릴, 헤테로아릴 및, 공여체 또는 수용체 작용을 갖는 기로부터 선택된 1종 이상의 치환기로 치환되거나 또는 비치환될 수 있으며;
R70, R71, R72, R60, R61, R62, R63, R64, R65, R66, R67은 각각 독립적으로 아릴, 헤테로아릴, 알킬, 시클로알킬 또는 헤테로시클로알킬이거나 또는
화학식 X의 2개의 단위는 1종 이상의 이종원자로 임의로 개재된 선형 또는 분지형, 포화 또는 불포화 가교에 의하여, 결합에 의하여 또는 O에 의하여 서로 가교된다. - 제10항에 있어서, 상기 1종 이상의 금속-카르벤 착물을 포함하는 발광층, 제10항에서 정의된 바와 같은 화학식 X의 1종 이상의 매트릭스 물질 및 1종 이상의 추가의 매트릭스 물질을 포함하는 OLED.
- 제9항에 있어서, 2종 이상의 상이한 물질을 포함하는 전자 수송층을 포함하며, 이중 1종 이상의 물질이 전자-전도성인 OLED.
- 제9항에 따른 1종 이상의 OLED를 포함하는, 정지(stationary) 영상 디스플레이 장치, 이동 영상 디스플레이 장치 및 조명 수단으로 이루어진 군으로부터 선택된 디바이스.
- 제1항 내지 제5항 중 어느 한 항에 따른 금속-카르벤 착물을, 이미터, 매트릭스 물질, 전하 수송 물질 및/또는 전하 차단제로서 포함하는 OLED.
Applications Claiming Priority (9)
| Application Number | Priority Date | Filing Date | Title |
|---|---|---|---|
| US28604609P | 2009-12-14 | 2009-12-14 | |
| US61/286,046 | 2009-12-14 | ||
| US32388510P | 2010-04-14 | 2010-04-14 | |
| US61/323,885 | 2010-04-14 | ||
| US39171210P | 2010-10-11 | 2010-10-11 | |
| EP10187176.2 | 2010-10-11 | ||
| EP10187176 | 2010-10-11 | ||
| US61/391,712 | 2010-10-11 | ||
| PCT/EP2010/069541 WO2011073149A1 (de) | 2009-12-14 | 2010-12-13 | Metallkomplexe, enthaltend diazabenzimidazolcarben-liganden und deren verwendung in oleds |
Related Parent Applications (1)
| Application Number | Title | Priority Date | Filing Date |
|---|---|---|---|
| KR1020127018221A Division KR101838199B1 (ko) | 2009-12-14 | 2010-12-13 | 디아자벤즈이미다졸로카르벤 리간드를 포함하는 금속 착물 및 oled에서의 그의 용도 |
Related Child Applications (1)
| Application Number | Title | Priority Date | Filing Date |
|---|---|---|---|
| KR1020197004904A Division KR102128072B1 (ko) | 2009-12-14 | 2010-12-13 | 디아자벤즈이미다졸로카르벤 리간드를 포함하는 금속 착물 및 oled에서의 그의 용도 |
Publications (2)
| Publication Number | Publication Date |
|---|---|
| KR20180027648A true KR20180027648A (ko) | 2018-03-14 |
| KR101951851B1 KR101951851B1 (ko) | 2019-02-26 |
Family
ID=44246822
Family Applications (2)
| Application Number | Title | Priority Date | Filing Date |
|---|---|---|---|
| KR1020127018221A Active KR101838199B1 (ko) | 2009-12-14 | 2010-12-13 | 디아자벤즈이미다졸로카르벤 리간드를 포함하는 금속 착물 및 oled에서의 그의 용도 |
| KR1020187006484A Active KR101951851B1 (ko) | 2009-12-14 | 2010-12-13 | 디아자벤즈이미다졸로카르벤 리간드를 포함하는 금속 착물 및 oled에서의 그의 용도 |
Family Applications Before (1)
| Application Number | Title | Priority Date | Filing Date |
|---|---|---|---|
| KR1020127018221A Active KR101838199B1 (ko) | 2009-12-14 | 2010-12-13 | 디아자벤즈이미다졸로카르벤 리간드를 포함하는 금속 착물 및 oled에서의 그의 용도 |
Country Status (8)
| Country | Link |
|---|---|
| US (5) | US9487548B2 (ko) |
| EP (1) | EP2513125B1 (ko) |
| JP (1) | JP5882223B2 (ko) |
| KR (2) | KR101838199B1 (ko) |
| CN (1) | CN102762582B (ko) |
| ES (1) | ES2525757T3 (ko) |
| PL (1) | PL2513125T3 (ko) |
| WO (1) | WO2011073149A1 (ko) |
Cited By (1)
| Publication number | Priority date | Publication date | Assignee | Title |
|---|---|---|---|---|
| US12534666B2 (en) | 2019-11-13 | 2026-01-27 | Korea University Research And Business Foundation, Sejong Campus | Blue phosphorescent material, production method thereof, and photophysical properties thereof |
Families Citing this family (174)
| Publication number | Priority date | Publication date | Assignee | Title |
|---|---|---|---|---|
| KR102128072B1 (ko) * | 2009-12-14 | 2020-06-30 | 유디씨 아일랜드 리미티드 | 디아자벤즈이미다졸로카르벤 리간드를 포함하는 금속 착물 및 oled에서의 그의 용도 |
| WO2011073149A1 (de) * | 2009-12-14 | 2011-06-23 | Basf Se | Metallkomplexe, enthaltend diazabenzimidazolcarben-liganden und deren verwendung in oleds |
| US9079872B2 (en) | 2010-10-07 | 2015-07-14 | Basf Se | Phenanthro[9, 10-B]furans for electronic applications |
| EP2625171B1 (en) | 2010-10-07 | 2014-07-30 | Basf Se | Phenanthro[9,10-b]furans for electronic applications |
| JP6012024B2 (ja) | 2010-12-13 | 2016-10-25 | ユー・ディー・シー アイルランド リミテッド | 電子装置用途のためのビスピリミジン |
| US8362246B2 (en) | 2010-12-13 | 2013-01-29 | Basf Se | Bispyrimidines for electronic applications |
| US9005772B2 (en) * | 2011-02-23 | 2015-04-14 | Universal Display Corporation | Thioazole and oxazole carbene metal complexes as phosphorescent OLED materials |
| CN103380192B (zh) | 2011-02-24 | 2016-04-20 | 巴斯夫欧洲公司 | 新照明器件 |
| US8883322B2 (en) * | 2011-03-08 | 2014-11-11 | Universal Display Corporation | Pyridyl carbene phosphorescent emitters |
| US9806270B2 (en) | 2011-03-25 | 2017-10-31 | Udc Ireland Limited | 4H-imidazo[1,2-a]imidazoles for electronic applications |
| CN114315840A (zh) | 2011-03-25 | 2022-04-12 | Udc 爱尔兰有限责任公司 | 用于电子应用的4H-咪唑并[1,2-a]咪唑 |
| WO2012152812A1 (en) | 2011-05-10 | 2012-11-15 | Basf Se | Novel color converters |
| KR20120135363A (ko) * | 2011-06-01 | 2012-12-13 | 엘지디스플레이 주식회사 | 청색 인광 화합물 및 이를 이용한 유기전계 발광소자 |
| CA2871190C (en) * | 2011-06-03 | 2019-01-15 | Queen's University At Kingston | Substituted diarylamines and use of same as antioxidants |
| KR102119353B1 (ko) * | 2011-06-08 | 2020-06-29 | 유니버셜 디스플레이 코포레이션 | 헤테로렙틱 이리듐 카르벤 착물 및 이를 사용한 발광 디바이스 |
| RU2608411C2 (ru) | 2011-06-10 | 2017-01-18 | Басф Се | Новый преобразователь цвета |
| CN107501330A (zh) * | 2011-06-14 | 2017-12-22 | Udc 爱尔兰有限责任公司 | 包含氮杂苯并咪唑碳烯配体的金属配合物及其在oled中的用途 |
| US9315724B2 (en) * | 2011-06-14 | 2016-04-19 | Basf Se | Metal complexes comprising azabenzimidazole carbene ligands and the use thereof in OLEDs |
| JP2013089608A (ja) * | 2011-10-13 | 2013-05-13 | Konica Minolta Holdings Inc | 有機el素子 |
| JP5825043B2 (ja) * | 2011-10-26 | 2015-12-02 | コニカミノルタ株式会社 | 有機エレクトロルミネッセンス素子用材料、有機エレクトロルミネッセンス素子、有機エレクトロルミネッセンス素子の製造方法、表示装置及び照明装置 |
| DE102011117357A1 (de) * | 2011-10-29 | 2013-05-02 | Karlsruher Institut für Technologie | Ein Verfahren zur n-Dotierung von organischen Halbleitern mit Alkalimetallen aus der Flüssigphase |
| CN108299439B (zh) | 2011-11-10 | 2021-02-09 | Udc 爱尔兰有限责任公司 | 用于电子应用的4H-咪唑并[1,2-a]咪唑 |
| CN103946215B (zh) | 2011-11-17 | 2016-09-28 | 默克专利有限公司 | 螺二氢吖啶衍生物和其作为有机电致发光器件用材料的用途 |
| KR102357439B1 (ko) | 2012-02-14 | 2022-02-08 | 메르크 파텐트 게엠베하 | 유기 전계발광 소자용 스피로비플루오렌 화합물 |
| CN104205390B (zh) | 2012-03-15 | 2017-08-25 | 默克专利有限公司 | 电子器件 |
| DE102012011335A1 (de) | 2012-06-06 | 2013-12-12 | Merck Patent Gmbh | Verbindungen für Organische Elekronische Vorrichtungen |
| CN103483267B (zh) * | 2012-06-13 | 2016-08-03 | 上海赛迦化工产品有限公司 | 多样性的芳基并咪唑类季铵盐及其制备方法和应用 |
| CN108191870A (zh) | 2012-07-10 | 2018-06-22 | Udc 爱尔兰有限责任公司 | 用于电子应用的苯并咪唑并[1,2-a]苯并咪唑衍生物 |
| CN108003196B (zh) | 2012-07-19 | 2021-07-23 | Udc 爱尔兰有限责任公司 | 含有碳烯配体的双核金属配合物及其在oled中的用途 |
| JP6363075B2 (ja) * | 2012-08-07 | 2018-07-25 | メルク パテント ゲーエムベーハー | 金属錯体 |
| CN104540840B (zh) * | 2012-08-09 | 2019-01-25 | Udc 爱尔兰有限责任公司 | 具有碳烯配体的过渡金属配合物及其在oled中的用途 |
| EP2890221A4 (en) | 2012-08-24 | 2016-09-14 | Konica Minolta Inc | TRANSPARENT ELECTRODE, ELECTRONIC DEVICE AND METHOD FOR PRODUCING THE TRANSPARENT ELECTRODE |
| CN102850334A (zh) * | 2012-08-28 | 2013-01-02 | 李崇 | 一种以二苯并呋喃为核心骨架的衍生物化合物及其在oled上的应用 |
| KR102184852B1 (ko) | 2012-09-18 | 2020-12-01 | 메르크 파텐트 게엠베하 | 전자 소자용 물질 |
| CN104662023B (zh) | 2012-09-20 | 2017-08-18 | Udc 爱尔兰有限责任公司 | 供电子应用的氮杂二苯并呋喃 |
| KR101963104B1 (ko) | 2012-10-31 | 2019-03-28 | 메르크 파텐트 게엠베하 | 전자 디바이스 |
| US10319917B2 (en) | 2012-11-06 | 2019-06-11 | Udc Ireland Limited | Phenoxasiline based compounds for electronic application |
| WO2014072017A1 (de) | 2012-11-12 | 2014-05-15 | Merck Patent Gmbh | Materialien für elektronische vorrichtungen |
| EP2941472B1 (de) | 2013-01-03 | 2018-07-25 | Merck Patent GmbH | Materialien für elektronische vorrichtungen |
| US8927749B2 (en) | 2013-03-07 | 2015-01-06 | Universal Display Corporation | Organic electroluminescent materials and devices |
| WO2014147006A1 (en) * | 2013-03-20 | 2014-09-25 | Basf Se | White organic light-emitting device |
| US10374172B2 (en) | 2013-03-20 | 2019-08-06 | Udc Ireland Limited | Azabenzimidazole carbene complexes as efficiency booster in OLEDs |
| JP6269655B2 (ja) | 2013-03-29 | 2018-01-31 | コニカミノルタ株式会社 | 有機エレクトロルミネッセンス素子用材料、有機エレクトロルミネッセンス素子、表示装置及び照明装置 |
| US10135002B2 (en) | 2013-03-29 | 2018-11-20 | Konica Minolta, Inc. | Organic electroluminescent element, and lighting device and display device which are provided with same |
| JP6556694B2 (ja) | 2013-04-08 | 2019-08-07 | メルク パテント ゲーエムベーハー | 遅延蛍光を有する有機発光素子 |
| EP2984151B1 (de) | 2013-04-08 | 2018-04-25 | Merck Patent GmbH | Organische elektrolumineszenzvorrichtung |
| US10069079B2 (en) | 2013-04-08 | 2018-09-04 | Merck Patent Gmbh | Organic electroluminescent device with thermally activated delayed fluorescence material |
| CN111430557A (zh) * | 2013-04-08 | 2020-07-17 | 默克专利有限公司 | 有机电致发光器件 |
| US10128448B2 (en) | 2013-04-29 | 2018-11-13 | Udc Ireland Limited | Transition metal complexes with carbene ligands and the use thereof in OLEDs |
| JP6506272B2 (ja) * | 2013-07-02 | 2019-04-24 | ユー・ディー・シー アイルランド リミテッド | 有機発光ダイオードにおいて使用するための一置換されたジアザベンゾイミダゾールカルベン金属錯体 |
| JP6388803B2 (ja) * | 2013-07-22 | 2018-09-12 | 日本曹達株式会社 | ルテニウム錯体 |
| JP6486353B2 (ja) * | 2013-07-31 | 2019-03-20 | ユー・ディー・シー アイルランド リミテッド | 発光性ジアザベンゾイミダゾールカルベン金属錯体 |
| JP6580571B2 (ja) | 2013-09-11 | 2019-09-25 | メルク パテント ゲーエムベーハー | 電子素子 |
| EP3063153B1 (en) | 2013-10-31 | 2018-03-07 | Idemitsu Kosan Co., Ltd. | Azadibenzothiophenes for electronic applications |
| DE102013225682A1 (de) | 2013-12-12 | 2015-06-18 | Friedrich-Alexander-Universität Erlangen-Nürnberg | Metallionaddukte von neutralen phosphoreszenten Emittern zur Verwendung in lichtemittierenden organischen optoelektronischen Bauteilen |
| WO2015091716A1 (en) | 2013-12-20 | 2015-06-25 | Basf Se | Highly efficient oled devices with very short decay times |
| WO2015139808A1 (de) | 2014-03-18 | 2015-09-24 | Merck Patent Gmbh | Organische elektrolumineszenzvorrichtung |
| CN106661068A (zh) * | 2014-03-31 | 2017-05-10 | Udc 爱尔兰有限责任公司 | 包含具有o‑取代非环金属化芳基的碳烯配位体的金属络合物和其在有机发光二极管中的用途 |
| US10862053B2 (en) * | 2014-04-04 | 2020-12-08 | Konica Minolta, Inc. | Method for synthesizing organic metal complex and organic electroluminescent element using compound synthesized by said synthesis method |
| EP3174885B1 (en) | 2014-07-28 | 2019-10-02 | Idemitsu Kosan Co., Ltd. | 2,9-functionalized benzimidazolo[1,2-a]benzimidazoles as hosts for organic light emitting diodes (oleds) |
| EP2982676B1 (en) | 2014-08-07 | 2018-04-11 | Idemitsu Kosan Co., Ltd. | Benzimidazo[2,1-B]benzoxazoles for electronic applications |
| EP3186264B1 (en) * | 2014-08-08 | 2018-11-28 | UDC Ireland Limited | Electroluminescent imidazo-quinoxaline carbene metal complexes |
| EP2993215B1 (en) | 2014-09-04 | 2019-06-19 | Idemitsu Kosan Co., Ltd. | Azabenzimidazo[2,1-a]benzimidazoles for electronic applications |
| KR102308117B1 (ko) | 2014-10-17 | 2021-10-01 | 삼성전자주식회사 | 카바졸계 화합물 및 이를 포함한 유기 발광 소자 |
| EP3015469B1 (en) | 2014-10-30 | 2018-12-19 | Idemitsu Kosan Co., Ltd. | 5-(benzimidazol-2-yl)benzimidazo[1,2-a]benzimidazoles for electronic applications |
| WO2016079667A1 (en) | 2014-11-17 | 2016-05-26 | Idemitsu Kosan Co., Ltd. | Indole derivatives for electronic applications |
| CN107001336A (zh) * | 2014-12-11 | 2017-08-01 | 广州华睿光电材料有限公司 | 一种有机金属配合物、包含其的聚合物、混合物、组合物、有机电子器件及应用 |
| EP3230403B1 (de) | 2014-12-12 | 2019-10-09 | Merck Patent GmbH | Organische verbindungen mit löslichen gruppen |
| GB2533285A (en) * | 2014-12-12 | 2016-06-22 | Cambridge Display Tech Ltd | Light-emitting material and organic light-emitting device |
| EP3034507A1 (en) | 2014-12-15 | 2016-06-22 | Idemitsu Kosan Co., Ltd | 1-functionalized dibenzofurans and dibenzothiophenes for organic light emitting diodes (OLEDs) |
| EP3034506A1 (en) | 2014-12-15 | 2016-06-22 | Idemitsu Kosan Co., Ltd | 4-functionalized carbazole derivatives for electronic applications |
| KR102408143B1 (ko) | 2015-02-05 | 2022-06-15 | 삼성전자주식회사 | 유기금속 화합물, 유기금속 화합물-함유 조성물 및 이를 포함한 유기 발광 소자 |
| EP3053918B1 (en) | 2015-02-06 | 2018-04-11 | Idemitsu Kosan Co., Ltd. | 2-carbazole substituted benzimidazoles for electronic applications |
| US10326086B2 (en) | 2015-02-06 | 2019-06-18 | Samsung Electronics Co., Ltd. | Organometallic compound, composition containing the organometallic compound, and organic light-emitting device including the organometallic compound or composition |
| EP3054498B1 (en) | 2015-02-06 | 2017-09-20 | Idemitsu Kosan Co., Ltd. | Bisimidazodiazocines |
| JP5831654B1 (ja) | 2015-02-13 | 2015-12-09 | コニカミノルタ株式会社 | 芳香族複素環誘導体、それを用いた有機エレクトロルミネッセンス素子、照明装置及び表示装置 |
| GB2535476A (en) * | 2015-02-16 | 2016-08-24 | Cambridge Display Tech Ltd | Compound, composition and organic light-emitting device |
| EP3061759B1 (en) | 2015-02-24 | 2019-12-25 | Idemitsu Kosan Co., Ltd | Nitrile substituted dibenzofurans |
| JP6775303B2 (ja) * | 2015-02-27 | 2020-10-28 | 株式会社半導体エネルギー研究所 | 有機金属錯体、発光素子、発光装置、電子機器、および照明装置 |
| US11056657B2 (en) * | 2015-02-27 | 2021-07-06 | University Display Corporation | Organic electroluminescent materials and devices |
| GB2536212A (en) * | 2015-03-04 | 2016-09-14 | Cambridge Display Tech Ltd | Light-emitting material and organic light-emitting device |
| EP3070144B1 (en) | 2015-03-17 | 2018-02-28 | Idemitsu Kosan Co., Ltd. | Seven-membered ring compounds |
| EP3072943B1 (en) | 2015-03-26 | 2018-05-02 | Idemitsu Kosan Co., Ltd. | Dibenzofuran/carbazole-substituted benzonitriles |
| EP3075737B1 (en) | 2015-03-31 | 2019-12-04 | Idemitsu Kosan Co., Ltd | Benzimidazolo[1,2-a]benzimidazole carrying aryl- or heteroarylnitril groups for organic light emitting diodes |
| CN107810188B (zh) | 2015-04-08 | 2020-09-22 | 拜耳作物科学股份公司 | 作为害虫防治剂和中间体产物的稠合双环杂环衍生物 |
| EP4060757A1 (en) * | 2015-06-03 | 2022-09-21 | UDC Ireland Limited | Highly efficient oled devices with very short decay times |
| US20180219156A1 (en) | 2015-07-22 | 2018-08-02 | Merck Patent Gmbh | Materials for organic electroluminescent devices |
| WO2017016632A1 (en) | 2015-07-29 | 2017-02-02 | Merck Patent Gmbh | Materials for organic electroluminescent devices |
| JP6786591B2 (ja) | 2015-08-14 | 2020-11-18 | メルク、パテント、ゲゼルシャフト、ミット、ベシュレンクテル、ハフツングMerck Patent GmbH | 有機エレクトロルミネッセンス素子のためのフェノキサジン誘導体 |
| WO2017056055A1 (en) | 2015-10-01 | 2017-04-06 | Idemitsu Kosan Co., Ltd. | Benzimidazolo[1,2-a]benzimidazole carrying triazine groups for organic light emitting diodes |
| WO2017056053A1 (en) | 2015-10-01 | 2017-04-06 | Idemitsu Kosan Co., Ltd. | Benzimidazolo[1,2-a]benzimidazole carrying benzimidazolo[1,2-a]benzimidazolyl groups, carbazolyl groups, benzofurane groups or benzothiophene groups for organic light emitting diodes |
| EP3150606B1 (en) | 2015-10-01 | 2019-08-14 | Idemitsu Kosan Co., Ltd. | Benzimidazolo[1,2-a]benzimidazoles carrying benzofurane or benzothiophene groups for organic light emitting diodes |
| EP3150604B1 (en) | 2015-10-01 | 2021-07-14 | Idemitsu Kosan Co., Ltd. | Benzimidazolo[1,2-a]benzimidazole carrying benzimidazolo[1,2-a]benzimidazolylyl groups, carbazolyl groups, benzofurane groups or benzothiophene groups for organic light emitting diodes |
| RU2018119344A (ru) | 2015-10-26 | 2019-11-28 | Байер Кропсайенс Акциенгезельшафт | Конденсированные бициклические гетероциклические производные в качестве средства для борьбы с вредителями |
| KR20180079328A (ko) | 2015-11-04 | 2018-07-10 | 이데미쓰 고산 가부시키가이샤 | 벤즈이미다졸 축합 헤테로아릴 |
| WO2017093958A1 (en) | 2015-12-04 | 2017-06-08 | Idemitsu Kosan Co., Ltd. | Benzimidazolo[1,2-a]benzimidazole derivatives for organic light emitting diodes |
| JP6160685B2 (ja) * | 2015-12-24 | 2017-07-12 | コニカミノルタ株式会社 | 有機エレクトロルミネッセンス素子、照明装置及び表示装置 |
| JP6788314B2 (ja) | 2016-01-06 | 2020-11-25 | コニカミノルタ株式会社 | 有機エレクトロルミネッセンス素子、有機エレクトロルミネッセンス素子の製造方法、表示装置及び照明装置 |
| WO2017133829A1 (de) | 2016-02-05 | 2017-08-10 | Merck Patent Gmbh | Materialien für elektronische vorrichtungen |
| US10457864B2 (en) | 2016-02-09 | 2019-10-29 | Universal Display Corporation | Organic electroluminescent materials and devices |
| WO2017178864A1 (en) | 2016-04-12 | 2017-10-19 | Idemitsu Kosan Co., Ltd. | Seven-membered ring compounds |
| CN106920899A (zh) * | 2016-04-26 | 2017-07-04 | 广东聚华印刷显示技术有限公司 | 有机电致发光器件及其制备方法 |
| US12486230B2 (en) | 2016-06-03 | 2025-12-02 | Merck Patent Gmbh | Materials for organic electroluminescent devices |
| US10153443B2 (en) | 2016-07-19 | 2018-12-11 | Universal Display Corporation | Organic electroluminescent materials and devices |
| TWI764942B (zh) | 2016-10-10 | 2022-05-21 | 德商麥克專利有限公司 | 電子裝置 |
| DE102017008794A1 (de) | 2016-10-17 | 2018-04-19 | Merck Patent Gmbh | Materialien zur Verwendung in elektronischen Vorrichtungen |
| JP2020512273A (ja) | 2016-11-02 | 2020-04-23 | メルク パテント ゲーエムベーハー | 電子デバイス用材料 |
| JP7073388B2 (ja) | 2016-11-08 | 2022-05-23 | メルク パテント ゲーエムベーハー | 電子デバイスのための化合物 |
| KR102727253B1 (ko) * | 2016-11-14 | 2024-11-08 | 삼성디스플레이 주식회사 | 헤테로환 화합물 및 이를 포함하는 유기 전계 발광 소자 |
| JP7101670B2 (ja) | 2016-11-25 | 2022-07-15 | メルク パテント ゲゼルシャフト ミット ベシュレンクテル ハフツング | 有機エレクトロルミネッセンス素子(oled)の材料としてのビスベンゾフラン縮合2,8-ジアミノインデノ[1,2-b]フルオレン誘導体およびその関連化合物 |
| US11453680B2 (en) | 2016-11-25 | 2022-09-27 | Merck Patent Gmbh | Bisbenzofuran-fused indeno[1,2-B]fluorene derivatives and related compounds as materials for organic electroluminescent devices (OLED) |
| US11545636B2 (en) | 2016-12-15 | 2023-01-03 | Universal Display Corporation | Organic electroluminescent materials and devices |
| KR102454951B1 (ko) * | 2017-01-16 | 2022-10-17 | 삼성전자주식회사 | 유기 발광 소자 |
| KR102557209B1 (ko) * | 2017-01-20 | 2023-07-18 | 유니버셜 디스플레이 코포레이션 | 유기 전계발광 재료 및 디바이스 |
| WO2018138050A1 (de) | 2017-01-26 | 2018-08-02 | Bayer Aktiengesellschaft | Kondensierte bicyclische heterocyclen-derivate als schädlingsbekämpfungsmittel |
| CN110291064B (zh) | 2017-02-02 | 2023-04-28 | 默克专利有限公司 | 用于电子器件的材料 |
| CN110325524A (zh) | 2017-03-02 | 2019-10-11 | 默克专利有限公司 | 用于有机电子器件的材料 |
| KR102429875B1 (ko) * | 2017-04-21 | 2022-08-05 | 삼성전자주식회사 | 유기금속 화합물 및 이를 포함한 유기 발광 소자 |
| JP2020520949A (ja) * | 2017-05-22 | 2020-07-16 | ユニバーシティ オブ ヴァージニア パテント ファウンデーションUniversity Of Verginia Patent Foundation | 組成物、並びにミトコンドリア脱共役剤を調製及び使用する方法 |
| US11767299B2 (en) | 2017-06-23 | 2023-09-26 | Merck Patent Gmbh | Materials for organic electroluminescent devices |
| TW201920070A (zh) | 2017-06-28 | 2019-06-01 | 德商麥克專利有限公司 | 用於電子裝置之材料 |
| TWI779067B (zh) | 2017-07-28 | 2022-10-01 | 德商麥克專利有限公司 | 電子裝置用材料 |
| CN118405981A (zh) | 2017-09-08 | 2024-07-30 | 默克专利有限公司 | 用于电子器件的材料 |
| CN108675975A (zh) | 2017-10-17 | 2018-10-19 | 默克专利有限公司 | 用于有机电致发光器件的材料 |
| EP4242286A3 (de) | 2017-11-23 | 2023-10-04 | Merck Patent GmbH | Materialien für elektronische vorrichtungen |
| TWI820057B (zh) | 2017-11-24 | 2023-11-01 | 德商麥克專利有限公司 | 用於有機電致發光裝置的材料 |
| TWI838352B (zh) | 2017-11-24 | 2024-04-11 | 德商麥克專利有限公司 | 用於有機電致發光裝置的材料 |
| KR102638811B1 (ko) | 2017-12-15 | 2024-02-21 | 메르크 파텐트 게엠베하 | 유기 전계 발광 디바이스용 치환된 방향족 아민 |
| KR20200100699A (ko) | 2017-12-20 | 2020-08-26 | 메르크 파텐트 게엠베하 | 헤테로방향족 화합물 |
| KR102163072B1 (ko) * | 2017-12-27 | 2020-10-07 | 주식회사 엘지화학 | 유기 발광 소자 |
| TW201938761A (zh) | 2018-03-06 | 2019-10-01 | 德商麥克專利有限公司 | 用於有機電致發光裝置的材料 |
| TWI802656B (zh) | 2018-03-06 | 2023-05-21 | 德商麥克專利有限公司 | 用於有機電致發光裝置之材料 |
| US20210020843A1 (en) | 2018-03-16 | 2021-01-21 | Merck Patent Gmbh | Materials for organic electroluminescent devices |
| TWI823993B (zh) | 2018-08-28 | 2023-12-01 | 德商麥克專利有限公司 | 用於有機電致發光裝置之材料 |
| KR20210052487A (ko) | 2018-08-28 | 2021-05-10 | 메르크 파텐트 게엠베하 | 유기 전계 발광 디바이스용 재료 |
| TWI837167B (zh) | 2018-08-28 | 2024-04-01 | 德商麥克專利有限公司 | 用於有機電致發光裝置之材料 |
| TW202030902A (zh) | 2018-09-12 | 2020-08-16 | 德商麥克專利有限公司 | 電致發光裝置 |
| TWI826522B (zh) | 2018-09-12 | 2023-12-21 | 德商麥克專利有限公司 | 電致發光裝置 |
| JP7459065B2 (ja) | 2018-09-12 | 2024-04-01 | メルク パテント ゲーエムベーハー | 有機エレクトロルミネッセンスデバイス用の材料 |
| CN109126875B (zh) * | 2018-09-14 | 2021-03-16 | 洛阳师范学院 | 一种碳60-双齿氮杂环卡宾钯(0)化合物及其制备方法和应用 |
| WO2020091344A1 (ko) * | 2018-10-29 | 2020-05-07 | 고려대학교 산학협력단 | 직각구조의 아릴-작용기가 결합된 청색 인광 화합물 및 이를 이용한 유기발광소자 |
| KR20210088597A (ko) | 2018-10-31 | 2021-07-14 | 메르크 파텐트 게엠베하 | 유기 전계발광 디바이스용 재료 |
| US20220127286A1 (en) | 2019-03-04 | 2022-04-28 | Merck Patent Gmbh | Ligands for nano-sized materials |
| WO2020208051A1 (en) | 2019-04-11 | 2020-10-15 | Merck Patent Gmbh | Materials for organic electroluminescent devices |
| CN110783473B (zh) * | 2019-10-31 | 2022-10-21 | 昆山国显光电有限公司 | 一种发光器件和显示面板 |
| CN114641482A (zh) | 2019-11-04 | 2022-06-17 | 默克专利有限公司 | 用于有机电致发光器件的材料 |
| TW202134252A (zh) | 2019-11-12 | 2021-09-16 | 德商麥克專利有限公司 | 有機電致發光裝置用材料 |
| TW202136181A (zh) | 2019-12-04 | 2021-10-01 | 德商麥克專利有限公司 | 有機電致發光裝置用的材料 |
| CN115052865A (zh) | 2020-01-29 | 2022-09-13 | 默克专利有限公司 | 苯并咪唑衍生物 |
| EP4126884B1 (en) | 2020-03-23 | 2025-07-09 | Merck Patent GmbH | Materials for organic electroluminescent devices |
| WO2022017997A1 (en) | 2020-07-22 | 2022-01-27 | Merck Patent Gmbh | Materials for organic electroluminescent devices |
| DE102020214076A1 (de) * | 2020-11-10 | 2022-05-12 | Heraeus Deutschland GmbH & Co. KG | Herstellungsverfahren für Edelmetall-Elektroden |
| CN113024612A (zh) * | 2021-03-22 | 2021-06-25 | 北京八亿时空液晶科技股份有限公司 | 包含氮杂硼烷卡宾配体的金属配合物及其在oled中的应用 |
| US20220402955A1 (en) * | 2021-05-18 | 2022-12-22 | City University Of Hong Kong | Metal complex and light emitting device |
| US20230006152A1 (en) * | 2021-05-18 | 2023-01-05 | City University Of Hong Kong | Metal complex and light emitting device |
| US20230111588A1 (en) * | 2021-08-06 | 2023-04-13 | Samsung Display Co., Ltd. | Organometallic compound and light-emitting device including the same |
| KR20230023123A (ko) * | 2021-08-09 | 2023-02-17 | 삼성디스플레이 주식회사 | 발광 소자 및 이를 포함하는 전자 장치 |
| WO2023052275A1 (de) | 2021-09-28 | 2023-04-06 | Merck Patent Gmbh | Materialien für elektronische vorrichtungen |
| KR20240075888A (ko) | 2021-09-28 | 2024-05-29 | 메르크 파텐트 게엠베하 | 전자 디바이스용 재료 |
| KR20240075872A (ko) | 2021-09-28 | 2024-05-29 | 메르크 파텐트 게엠베하 | 전자 디바이스용 재료 |
| WO2023052313A1 (de) | 2021-09-28 | 2023-04-06 | Merck Patent Gmbh | Materialien für elektronische vorrichtungen |
| EP4437814A1 (de) | 2021-11-25 | 2024-10-02 | Merck Patent GmbH | Materialien für elektronische vorrichtungen |
| EP4453128A1 (en) | 2021-12-21 | 2024-10-30 | Merck Patent GmbH | Electronic devices |
| KR20240127395A (ko) | 2021-12-21 | 2024-08-22 | 메르크 파텐트 게엠베하 | 전자 디바이스 |
| KR20240128020A (ko) | 2021-12-21 | 2024-08-23 | 메르크 파텐트 게엠베하 | 중수소화 유기 화합물의 제조 방법 |
| US20250160204A1 (en) | 2022-02-14 | 2025-05-15 | Merck Patent Gmbh | Materials for electronic devices |
| EP4526279A1 (de) | 2022-05-18 | 2025-03-26 | Merck Patent GmbH | Verfahren zur herstellung von deuterierten organischen verbindungen |
| KR20250037489A (ko) | 2022-07-11 | 2025-03-17 | 메르크 파텐트 게엠베하 | 전자 디바이스용 재료 |
| WO2024105066A1 (en) | 2022-11-17 | 2024-05-23 | Merck Patent Gmbh | Materials for organic electroluminescent devices |
| WO2024170605A1 (en) | 2023-02-17 | 2024-08-22 | Merck Patent Gmbh | Materials for organic electroluminescent devices |
| WO2024218109A1 (de) | 2023-04-20 | 2024-10-24 | Merck Patent Gmbh | Materialien für elektronische vorrichtungen |
| WO2025012253A1 (en) | 2023-07-12 | 2025-01-16 | Merck Patent Gmbh | Materials for electronic devices |
| WO2025021855A1 (de) | 2023-07-27 | 2025-01-30 | Merck Patent Gmbh | Materialien für organische lichtemittierende vorrichtungen und organische sensoren |
| WO2025210013A1 (de) | 2024-04-04 | 2025-10-09 | Merck Patent Gmbh | Verbindungen für elektronische vorrichtungen, insbesondere verbindungen für oleds |
Citations (4)
| Publication number | Priority date | Publication date | Assignee | Title |
|---|---|---|---|---|
| US20050260447A1 (en) * | 2004-05-18 | 2005-11-24 | Jason Brooks | Cyclometallated iridium carbene complexes for use as hosts |
| KR20070090953A (ko) * | 2004-11-25 | 2007-09-06 | 바스프 악티엔게젤샤프트 | 유기 발광 다이오드(oled)에서의 전이 금속 카르벤착체의 용도 |
| WO2009003898A1 (de) * | 2007-07-05 | 2009-01-08 | Basf Se | Organische leuchtdioden enthaltend carben-übergangsmetall-komplex-emitter und mindestens eine verbindung ausgewählt aus disilylcarbazolen; disilyldibenzofuranen, disilyldibenzothiophenen, disilyldibenzophospholen, disilyldibenzothiophen-s-oxiden und disilyldibenzothiophen-s,s-dioxiden |
| KR101838199B1 (ko) * | 2009-12-14 | 2018-04-26 | 유디씨 아일랜드 리미티드 | 디아자벤즈이미다졸로카르벤 리간드를 포함하는 금속 착물 및 oled에서의 그의 용도 |
Family Cites Families (100)
| Publication number | Priority date | Publication date | Assignee | Title |
|---|---|---|---|---|
| US5984539A (en) | 1997-11-06 | 1999-11-16 | Eastman Kodak Company | Method and apparatus of applying a solution of a predetermined viscosity to photosensitive material to form a protective coating thereon |
| GB9826406D0 (en) | 1998-12-02 | 1999-01-27 | South Bank Univ Entpr Ltd | Quinolates |
| WO2000070655A2 (en) | 1999-05-13 | 2000-11-23 | The Trustees Of Princeton University | Very high efficiency organic light emitting devices based on electrophosphorescence |
| JP3924648B2 (ja) | 1999-11-02 | 2007-06-06 | ソニー株式会社 | 有機電界発光素子 |
| CN101924190B (zh) | 2000-08-11 | 2012-07-04 | 普林斯顿大学理事会 | 有机金属化合物和发射转换有机电致磷光 |
| DE10104426A1 (de) | 2001-02-01 | 2002-08-08 | Covion Organic Semiconductors | Verfahren zur Herstellung von hochreinen, tris-ortho-metallierten Organo-Iridium-Verbindungen |
| DE10338550A1 (de) | 2003-08-19 | 2005-03-31 | Basf Ag | Übergangsmetallkomplexe mit Carbenliganden als Emitter für organische Licht-emittierende Dioden (OLEDs) |
| US7642297B2 (en) | 2003-08-20 | 2010-01-05 | Koninklijke Philips Electronics N.V. | Non-leaching adhesive system and its use in a liquid immersion objective |
| WO2005113704A2 (en) * | 2004-05-18 | 2005-12-01 | The University Of Southern California | Luminescent compounds with carbene ligands |
| JP4700442B2 (ja) | 2004-08-19 | 2011-06-15 | ケミプロ化成株式会社 | フェナザシリン誘導体、それよりなるホール輸送材料、ホール注入材料、発光層ホスト材料およびそれを含む有機el素子。 |
| US9051344B2 (en) | 2005-05-06 | 2015-06-09 | Universal Display Corporation | Stability OLED materials and devices |
| JP4797440B2 (ja) | 2005-05-19 | 2011-10-19 | 住友化学株式会社 | 芳香族化合物の製造方法 |
| DE602006011734D1 (de) | 2005-05-30 | 2010-03-04 | Basf Se | Elektrolumineszenz-gerät |
| DE102005027548A1 (de) * | 2005-06-14 | 2006-12-21 | Basf Ag | Verfahren zur Isomerisierung cyclometallierter, Carbenliganden enthaltender Übergangsmetallkomplexe |
| DE502005009802D1 (de) | 2005-11-10 | 2010-08-05 | Novaled Ag | Dotiertes organisches Halbleitermaterial |
| DE102005058543A1 (de) | 2005-12-08 | 2007-06-14 | Merck Patent Gmbh | Organische Elektrolumineszenzvorrichtungen |
| USRE44831E1 (en) | 2006-01-05 | 2014-04-08 | Konica Minolta Holdings, Inc. | Organic electroluminescent device, display, and illuminating device |
| EP2338593B1 (de) | 2006-01-31 | 2013-06-19 | Basf Se | Verfahren zur Herstellung von Übergangsmetall-Carbenkomplexen |
| US20090091253A1 (en) | 2006-03-17 | 2009-04-09 | Konica Minolta Holdings, Inc. | Organic electroluminescent element, display device and lighting device |
| ATE394800T1 (de) | 2006-03-21 | 2008-05-15 | Novaled Ag | Heterocyclisches radikal oder diradikal, deren dimere, oligomere, polymere, dispiroverbindungen und polycyclen, deren verwendung, organisches halbleitendes material sowie elektronisches bauelement |
| EP2615153B1 (en) * | 2006-03-23 | 2017-03-01 | Konica Minolta Holdings, Inc. | Organic electroluminescent device, display and illuminating device |
| US20070224446A1 (en) | 2006-03-24 | 2007-09-27 | Idemitsu Kosan Co., Ltd. | Material for organic electroluminescence device and organic electroluminescence device using the same |
| EP2001065B1 (en) | 2006-03-30 | 2016-11-09 | Konica Minolta Holdings, Inc. | Organic electroluminescent device, illuminating device and display device |
| KR20090007389A (ko) | 2006-04-04 | 2009-01-16 | 바스프 에스이 | 1개의 비카르벤 리간드 및 1 또는 2 개의 카르벤 리간드를 포함하는 전이 금속 착체 및 이의 oled에서의 용도 |
| ATE550342T1 (de) | 2006-04-05 | 2012-04-15 | Basf Se | Heteroleptische übergangsmetall-carben-komplexe und deren verwendung in organischen leuchtdioden (oleds) |
| JP5055818B2 (ja) | 2006-04-19 | 2012-10-24 | コニカミノルタホールディングス株式会社 | 有機エレクトロルミネッセンス素子材料、有機エレクトロルミネッセンス素子、表示装置及び照明装置 |
| JP2009541431A (ja) | 2006-06-26 | 2009-11-26 | ビーエーエスエフ ソシエタス・ヨーロピア | 非カルベン経由のシクロメタル化のない遷移金属−カルベン錯体の利用 |
| JP2008021687A (ja) | 2006-07-10 | 2008-01-31 | Mitsubishi Chemicals Corp | 有機電界発光素子用材料、有機電界発光素子用組成物及び有機電界発光素子 |
| JP2008066569A (ja) | 2006-09-08 | 2008-03-21 | Konica Minolta Holdings Inc | 有機エレクトロルミネッセンス素子、照明装置及び表示装置 |
| WO2008029729A1 (fr) | 2006-09-08 | 2008-03-13 | Konica Minolta Holdings, Inc. | Dispositif électroluminescent organique, dispositif d'éclairage et affichage utilisant un tel dispositif |
| JP5332614B2 (ja) | 2006-09-08 | 2013-11-06 | コニカミノルタ株式会社 | 有機エレクトロルミネッセンス素子、照明装置及び表示装置 |
| JP5556014B2 (ja) | 2006-09-20 | 2014-07-23 | コニカミノルタ株式会社 | 有機エレクトロルミネッセンス素子 |
| US8241764B2 (en) | 2006-09-21 | 2012-08-14 | Basf Aktiengesellschaft | OLED display with extended lifetime |
| JP5589251B2 (ja) | 2006-09-21 | 2014-09-17 | コニカミノルタ株式会社 | 有機エレクトロルミネッセンス素子材料 |
| JP5011908B2 (ja) | 2006-09-26 | 2012-08-29 | コニカミノルタホールディングス株式会社 | 有機エレクトロルミネッセンス素子、表示装置および照明装置 |
| JP5063992B2 (ja) | 2006-11-20 | 2012-10-31 | ケミプロ化成株式会社 | 新規なジ(ピリジルフェニル)誘導体、それよりなる電子輸送材料およびそれを含む有機エレクトロルミネッセンス素子 |
| US8541112B2 (en) | 2006-12-13 | 2013-09-24 | Konica Minolta Holdings, Inc. | Organic electroluminescent element, display device and lighting device |
| WO2008090912A1 (ja) | 2007-01-23 | 2008-07-31 | Konica Minolta Holdings, Inc. | 有機エレクトロルミネッセンス素子の製造方法、該製造方法により得られた有機エレクトロルミネッセンス素子、表示装置及び照明装置 |
| JP2008207520A (ja) | 2007-02-28 | 2008-09-11 | Konica Minolta Holdings Inc | 有機薄膜、有機薄膜の製造方法、電子デバイス、有機エレクトロルミネッセンス素子、表示装置及び照明装置 |
| DE102007012794B3 (de) | 2007-03-16 | 2008-06-19 | Novaled Ag | Pyrido[3,2-h]chinazoline und/oder deren 5,6-Dihydroderivate, deren Herstellungsverfahren und diese enthaltendes dotiertes organisches Halbleitermaterial |
| EP3457451B1 (de) | 2007-04-30 | 2019-07-17 | Novaled GmbH | Die verwendung von oxokohlenstoff-, pseudooxokohlenstoff- und radialenverbindungen |
| US20100141126A1 (en) | 2007-05-16 | 2010-06-10 | Konica Minolta Holdings, Inc. | Organic electroluminescent element, display and illuminating device |
| WO2008146838A1 (ja) | 2007-05-30 | 2008-12-04 | Konica Minolta Holdings, Inc. | 有機エレクトロルミネッセンス素子、表示装置及び照明装置 |
| US8045022B2 (en) | 2007-06-12 | 2011-10-25 | Fujifilm Corporation | Imaging apparatus for correcting a luminance signal |
| JP5540701B2 (ja) | 2007-06-21 | 2014-07-02 | コニカミノルタ株式会社 | 有機エレクトロルミネッセンス素子材料 |
| EP3345983B1 (de) | 2007-07-05 | 2020-08-26 | UDC Ireland Limited | Verbindungen enthaltend mindestens eine disilylverbindung ausgewählt aus disilylcarbazolen, disilyldibenzofuranen, disilyldibenzothiophenen, disilyldibenzophospholen, disilyldibenzothiophen-s-oxiden und disilyldibenzothiophen-s, s-dioxiden |
| TW200903877A (en) | 2007-07-10 | 2009-01-16 | Idemitsu Kosan Co | Material for organic electroluminescence device and organic electroluminescence device utilizing the same |
| JP5194596B2 (ja) | 2007-07-11 | 2013-05-08 | コニカミノルタホールディングス株式会社 | 有機エレクトロルミネッセンス素子、表示装置及び照明装置 |
| JP5186843B2 (ja) | 2007-08-30 | 2013-04-24 | コニカミノルタホールディングス株式会社 | 有機エレクトロルミネッセンス素子、照明装置及び表示装置 |
| US8067100B2 (en) | 2007-10-04 | 2011-11-29 | Universal Display Corporation | Complexes with tridentate ligands |
| JP2009114369A (ja) | 2007-11-08 | 2009-05-28 | Konica Minolta Holdings Inc | 有機エレクトロルミネッセンス材料、有機エレクトロルミネッセンス素子、表示装置及び照明装置 |
| WO2009060780A1 (ja) | 2007-11-08 | 2009-05-14 | Konica Minolta Holdings, Inc. | 有機エレクトロルミネッセンス素子、表示装置及び照明装置 |
| JP5458890B2 (ja) | 2007-11-08 | 2014-04-02 | コニカミノルタ株式会社 | 有機エレクトロルミネッセンス素子、表示装置及び照明装置 |
| JP2009114370A (ja) | 2007-11-08 | 2009-05-28 | Konica Minolta Holdings Inc | 有機エレクトロルミネッセンス素子材料、有機エレクトロルミネッセンス素子及び表示装置、照明装置 |
| WO2009060779A1 (ja) | 2007-11-08 | 2009-05-14 | Konica Minolta Holdings, Inc. | 有機エレクトロルミネッセンス素子材料、有機エレクトロルミネッセンス素子、表示装置及び照明装置 |
| WO2009060757A1 (ja) | 2007-11-08 | 2009-05-14 | Konica Minolta Holdings, Inc. | 有機エレクトロルミネッセンス素子、表示装置及び照明装置 |
| JPWO2009063757A1 (ja) | 2007-11-14 | 2011-03-31 | コニカミノルタホールディングス株式会社 | 有機エレクトロルミネッセンス素子材料、有機エレクトロルミネッセンス素子、有機エレクトロルミネッセンス素子の製造方法、表示装置及び照明装置 |
| WO2009069442A1 (ja) | 2007-11-26 | 2009-06-04 | Konica Minolta Holdings, Inc. | 有機エレクトロルミネッセンス素子、表示装置及び照明装置 |
| JP2009135183A (ja) | 2007-11-29 | 2009-06-18 | Konica Minolta Holdings Inc | 有機エレクトロルミネッセンス素子、表示装置及び照明装置 |
| US20090153034A1 (en) | 2007-12-13 | 2009-06-18 | Universal Display Corporation | Carbazole-containing materials in phosphorescent light emittinig diodes |
| US8221905B2 (en) | 2007-12-28 | 2012-07-17 | Universal Display Corporation | Carbazole-containing materials in phosphorescent light emitting diodes |
| WO2009084413A1 (ja) | 2007-12-28 | 2009-07-09 | Konica Minolta Holdings, Inc. | 有機エレクトロルミネッセンス素子、及び有機エレクトロルミネッセンス素子の製造方法 |
| JP5549053B2 (ja) | 2008-01-18 | 2014-07-16 | コニカミノルタ株式会社 | 有機エレクトロルミネッセンス素子用材料、有機エレクトロルミネッセンス素子、有機エレクトロルミネッセンス素子の製造方法、表示装置及び照明装置 |
| WO2009092671A2 (en) | 2008-01-25 | 2009-07-30 | Basf Se | Organic light emitting systems |
| JP2009182298A (ja) | 2008-02-01 | 2009-08-13 | Konica Minolta Holdings Inc | 有機エレクトロルミネッセンス素子、照明装置及び表示装置 |
| KR101691610B1 (ko) | 2008-02-12 | 2017-01-02 | 유디씨 아일랜드 리미티드 | 디벤조[f,h]퀴녹살린과의 전계발광 금속 착물 |
| WO2009104488A1 (ja) | 2008-02-20 | 2009-08-27 | コニカミノルタホールディングス株式会社 | 白色発光有機エレクトロルミネッセンス素子 |
| JP2009267255A (ja) * | 2008-04-28 | 2009-11-12 | Idemitsu Kosan Co Ltd | 有機エレクトロルミネッセンス素子用材料及びそれを用いた有機エレクトロルミネッセンス素子 |
| EP2479234B1 (en) | 2008-05-13 | 2017-06-21 | Konica Minolta Holdings, Inc. | Organic electroluminescent element, display device and lighting device |
| CN102046754B (zh) | 2008-06-02 | 2015-05-06 | 巴斯夫欧洲公司 | 用于电致发光器件的氧芴聚合物 |
| WO2009150151A1 (de) | 2008-06-10 | 2009-12-17 | Basf Se | Deuterierte übergangsmetall- komplexe und deren verwendung in organischen leuchtdioden - v |
| JP2011524868A (ja) | 2008-06-10 | 2011-09-08 | ビーエーエスエフ ソシエタス・ヨーロピア | 新規の遷移金属錯体及びそれを有機発光ダイオードにおいて用いる使用−iii |
| CN102119205A (zh) | 2008-06-10 | 2011-07-06 | 巴斯夫欧洲公司 | 新型过渡金属配合物及其在有机发光二极管-iv中的用途 |
| KR102174125B1 (ko) | 2008-06-20 | 2020-11-06 | 오엘이디워크스 게엠베하 | 환형 포스파젠 화합물 및 유기 발광 다이오드에서 이의 용도 |
| JP5748660B2 (ja) | 2008-06-23 | 2015-07-15 | ビーエーエスエフ ソシエタス・ヨーロピアBasf Se | 新規のポリマー |
| JP5533652B2 (ja) | 2008-07-01 | 2014-06-25 | コニカミノルタ株式会社 | 白色発光有機エレクトロルミネッセンス素子、照明装置及び表示装置 |
| JP5609641B2 (ja) | 2008-07-10 | 2014-10-22 | コニカミノルタ株式会社 | 有機エレクトロルミネッセンス素子、表示装置及び照明装置 |
| JP2010021336A (ja) | 2008-07-10 | 2010-01-28 | Konica Minolta Holdings Inc | 有機エレクトロルミネッセンス素子、照明装置及び表示装置 |
| JP5338184B2 (ja) | 2008-08-06 | 2013-11-13 | コニカミノルタ株式会社 | 有機エレクトロルミネッセンス素子、表示装置、照明装置 |
| JP5661635B2 (ja) | 2008-10-07 | 2015-01-28 | オスラム オプト セミコンダクターズ ゲゼルシャフト ミット ベシュレンクテル ハフツングOsram Opto Semiconductors GmbH | 縮合環系で置換されたシロール及び有機エレクトロニクスにおけるその使用 |
| WO2010044342A1 (ja) | 2008-10-15 | 2010-04-22 | コニカミノルタホールディングス株式会社 | 有機エレクトロルミネッセンス素子、有機エレクトロルミネッセンス素子の製造方法、白色有機エレクトロルミネッセンス素子、表示装置及び照明装置 |
| WO2010046259A1 (en) | 2008-10-21 | 2010-04-29 | Basf Se | Polycyclic compounds for electronic applications |
| ES2370120T3 (es) | 2008-10-23 | 2011-12-12 | Novaled Ag | Compuesto de radialeno y su utilización. |
| JP5493333B2 (ja) | 2008-11-05 | 2014-05-14 | コニカミノルタ株式会社 | 有機エレクトロルミネッセンス素子、白色有機エレクトロルミネッセンス素子、表示装置及び照明装置 |
| JP5707665B2 (ja) | 2008-12-03 | 2015-04-30 | コニカミノルタ株式会社 | 有機エレクトロルミネッセンス素子、該素子を備えた照明装置及び表示装置 |
| WO2010067746A1 (ja) | 2008-12-08 | 2010-06-17 | コニカミノルタホールディングス株式会社 | 有機エレクトロルミネッセンス素子、表示装置、及び照明装置 |
| US9458182B2 (en) | 2009-01-07 | 2016-10-04 | Basf Se | Silyl- and heteroatom-substituted compounds selected from carbazoles, dibenzofurans, dibenzothiophenes and dibenzophospholes, and use thereof in organic electronics |
| JP5810529B2 (ja) | 2009-01-09 | 2015-11-11 | コニカミノルタ株式会社 | 有機エレクトロルミネッセンス素子、表示装置及び照明装置 |
| JP5472121B2 (ja) | 2009-01-28 | 2014-04-16 | コニカミノルタ株式会社 | 有機エレクトロルミネッセンス素子、表示装置および照明装置、ならびに有機エレクトロルミネッセンス素子の製造方法 |
| EP3046156A1 (en) | 2009-02-06 | 2016-07-20 | Konica Minolta Holdings, Inc. | Organic electroluminescent element, and illumination device and display device each comprising the element |
| WO2010095564A1 (ja) | 2009-02-18 | 2010-08-26 | コニカミノルタホールディングス株式会社 | 有機エレクトロルミネッセンス素子、該素子を備えた照明装置及び表示装置 |
| US8592806B2 (en) | 2009-02-26 | 2013-11-26 | Novaled Ag | Quinone compounds as dopants in organic electronics |
| US8629238B2 (en) | 2009-05-27 | 2014-01-14 | Basf Se | Diketopyrrolopyrrole polymers for use in organic semiconductor devices |
| DE102009023304A1 (de) | 2009-05-29 | 2010-12-02 | Siemens Aktiengesellschaft | Rechnergestützte Überwachung eines Energieverbrauchs eines Beförderungsmittels |
| CN102482574B (zh) | 2009-06-18 | 2014-09-24 | 巴斯夫欧洲公司 | 用作场致发光器件的空穴传输材料的菲并唑化合物 |
| WO2011045337A1 (de) | 2009-10-14 | 2011-04-21 | Basf Se | Dinukleare platin-carben-komplexe und deren verwendung in oleds |
| KR101986469B1 (ko) | 2009-10-28 | 2019-06-05 | 유디씨 아일랜드 리미티드 | 이종 리간드 카르벤 착체 및 유기 전자장치에서의 이의 용도 |
| US20110198478A1 (en) | 2010-02-17 | 2011-08-18 | Hiwin Mikrosystem Corp. | Multistage adjustable support assembly |
| CN107501330A (zh) | 2011-06-14 | 2017-12-22 | Udc 爱尔兰有限责任公司 | 包含氮杂苯并咪唑碳烯配体的金属配合物及其在oled中的用途 |
| US9315724B2 (en) | 2011-06-14 | 2016-04-19 | Basf Se | Metal complexes comprising azabenzimidazole carbene ligands and the use thereof in OLEDs |
-
2010
- 2010-12-13 WO PCT/EP2010/069541 patent/WO2011073149A1/de not_active Ceased
- 2010-12-13 KR KR1020127018221A patent/KR101838199B1/ko active Active
- 2010-12-13 US US13/516,117 patent/US9487548B2/en active Active
- 2010-12-13 JP JP2012543664A patent/JP5882223B2/ja active Active
- 2010-12-13 KR KR1020187006484A patent/KR101951851B1/ko active Active
- 2010-12-13 CN CN201080063772.XA patent/CN102762582B/zh active Active
- 2010-12-13 ES ES10790441.9T patent/ES2525757T3/es active Active
- 2010-12-13 PL PL10790441T patent/PL2513125T3/pl unknown
- 2010-12-13 EP EP10790441.9A patent/EP2513125B1/de active Active
-
2016
- 2016-10-07 US US15/288,057 patent/US10090476B2/en active Active
-
2018
- 2018-08-03 US US16/054,011 patent/US10916716B2/en active Active
-
2020
- 2020-12-23 US US17/132,829 patent/US11444254B2/en active Active
-
2022
- 2022-08-31 US US17/823,523 patent/US11839140B2/en active Active
Patent Citations (4)
| Publication number | Priority date | Publication date | Assignee | Title |
|---|---|---|---|---|
| US20050260447A1 (en) * | 2004-05-18 | 2005-11-24 | Jason Brooks | Cyclometallated iridium carbene complexes for use as hosts |
| KR20070090953A (ko) * | 2004-11-25 | 2007-09-06 | 바스프 악티엔게젤샤프트 | 유기 발광 다이오드(oled)에서의 전이 금속 카르벤착체의 용도 |
| WO2009003898A1 (de) * | 2007-07-05 | 2009-01-08 | Basf Se | Organische leuchtdioden enthaltend carben-übergangsmetall-komplex-emitter und mindestens eine verbindung ausgewählt aus disilylcarbazolen; disilyldibenzofuranen, disilyldibenzothiophenen, disilyldibenzophospholen, disilyldibenzothiophen-s-oxiden und disilyldibenzothiophen-s,s-dioxiden |
| KR101838199B1 (ko) * | 2009-12-14 | 2018-04-26 | 유디씨 아일랜드 리미티드 | 디아자벤즈이미다졸로카르벤 리간드를 포함하는 금속 착물 및 oled에서의 그의 용도 |
Cited By (1)
| Publication number | Priority date | Publication date | Assignee | Title |
|---|---|---|---|---|
| US12534666B2 (en) | 2019-11-13 | 2026-01-27 | Korea University Research And Business Foundation, Sejong Campus | Blue phosphorescent material, production method thereof, and photophysical properties thereof |
Also Published As
| Publication number | Publication date |
|---|---|
| US10916716B2 (en) | 2021-02-09 |
| KR101951851B1 (ko) | 2019-02-26 |
| US9487548B2 (en) | 2016-11-08 |
| EP2513125A1 (de) | 2012-10-24 |
| CN102762582A (zh) | 2012-10-31 |
| US20130032766A1 (en) | 2013-02-07 |
| JP2013513641A (ja) | 2013-04-22 |
| US20230026258A1 (en) | 2023-01-26 |
| KR20120096568A (ko) | 2012-08-30 |
| US20170025626A1 (en) | 2017-01-26 |
| EP2513125B1 (de) | 2014-10-29 |
| KR101838199B1 (ko) | 2018-04-26 |
| US20210126207A1 (en) | 2021-04-29 |
| JP5882223B2 (ja) | 2016-03-09 |
| US20180351115A1 (en) | 2018-12-06 |
| WO2011073149A1 (de) | 2011-06-23 |
| ES2525757T3 (es) | 2014-12-30 |
| CN102762582B (zh) | 2015-11-25 |
| PL2513125T3 (pl) | 2015-04-30 |
| US11839140B2 (en) | 2023-12-05 |
| US10090476B2 (en) | 2018-10-02 |
| US11444254B2 (en) | 2022-09-13 |
Similar Documents
| Publication | Publication Date | Title |
|---|---|---|
| US11839140B2 (en) | Metal complexes comprising diazabenzmidazolocarbene ligands and the use thereof in OLEDS | |
| KR102090916B1 (ko) | 아자벤즈이미다졸 카르벤 리간드를 포함하는 금속 착물 및 oled 에서의 이의 용도 | |
| JP6486451B2 (ja) | カルベン配位子を含む複核金属錯体およびoledにおけるその使用 | |
| US9315724B2 (en) | Metal complexes comprising azabenzimidazole carbene ligands and the use thereof in OLEDs | |
| CN102741265B (zh) | 杂配卡宾配合物及其在有机电子品中的用途 | |
| KR102098340B1 (ko) | 카르벤 리간드를 갖는 전이 금속 착물 및 oled에서의 그의 용도 | |
| KR20160035043A (ko) | Oled와 같은 전자 디바이스에 사용하기 위한 발광 디아자- 모노아자-및 벤즈이미다졸 금속 카르벤 착물 | |
| KR20160027087A (ko) | 유기 발광 다이오드에 사용하기 위한 일치환된 디아자벤즈이미다졸 카르벤 금속 착체 | |
| KR102231266B1 (ko) | 디아자벤즈이미다졸로카르벤 리간드를 포함하는 금속 착물 및 oled에서의 그의 용도 |
Legal Events
| Date | Code | Title | Description |
|---|---|---|---|
| A107 | Divisional application of patent | ||
| A201 | Request for examination | ||
| PA0104 | Divisional application for international application |
Comment text: Divisional Application for International Patent Patent event code: PA01041R01D Patent event date: 20180306 Application number text: 1020127018221 Filing date: 20120712 |
|
| PA0201 | Request for examination | ||
| PG1501 | Laying open of application | ||
| E902 | Notification of reason for refusal | ||
| PE0902 | Notice of grounds for rejection |
Comment text: Notification of reason for refusal Patent event date: 20180515 Patent event code: PE09021S01D |
|
| E701 | Decision to grant or registration of patent right | ||
| PE0701 | Decision of registration |
Patent event code: PE07011S01D Comment text: Decision to Grant Registration Patent event date: 20181119 |
|
| A107 | Divisional application of patent | ||
| GRNT | Written decision to grant | ||
| PA0104 | Divisional application for international application |
Comment text: Divisional Application for International Patent Patent event code: PA01041R01D Patent event date: 20190219 Application number text: 1020127018221 Filing date: 20120712 |
|
| PR0701 | Registration of establishment |
Comment text: Registration of Establishment Patent event date: 20190219 Patent event code: PR07011E01D |
|
| PR1002 | Payment of registration fee |
Payment date: 20190220 End annual number: 3 Start annual number: 1 |
|
| PG1601 | Publication of registration | ||
| PR1001 | Payment of annual fee |
Payment date: 20220118 Start annual number: 4 End annual number: 4 |
|
| PR1001 | Payment of annual fee |
Payment date: 20250204 Start annual number: 7 End annual number: 7 |







































































































































































































