KR101986469B1 - 이종 리간드 카르벤 착체 및 유기 전자장치에서의 이의 용도 - Google Patents
이종 리간드 카르벤 착체 및 유기 전자장치에서의 이의 용도 Download PDFInfo
- Publication number
- KR101986469B1 KR101986469B1 KR1020187006336A KR20187006336A KR101986469B1 KR 101986469 B1 KR101986469 B1 KR 101986469B1 KR 1020187006336 A KR1020187006336 A KR 1020187006336A KR 20187006336 A KR20187006336 A KR 20187006336A KR 101986469 B1 KR101986469 B1 KR 101986469B1
- Authority
- KR
- South Korea
- Prior art keywords
- carbon atoms
- radical
- formula
- methyl
- aryl
- Prior art date
- Legal status (The legal status is an assumption and is not a legal conclusion. Google has not performed a legal analysis and makes no representation as to the accuracy of the status listed.)
- Active
Links
- 0 CC*(C=CC=C1*2C)C=C1C1=C2C=CC(C)(*)C=C1 Chemical compound CC*(C=CC=C1*2C)C=C1C1=C2C=CC(C)(*)C=C1 0.000 description 14
- UZUDKFSOJJFLIF-UHFFFAOYSA-N CC1(C)C(C)=CC=C1 Chemical compound CC1(C)C(C)=CC=C1 UZUDKFSOJJFLIF-UHFFFAOYSA-N 0.000 description 1
- GVMYEQUFGUYMTP-UHFFFAOYSA-N CC1(C2)C2CCC1 Chemical compound CC1(C2)C2CCC1 GVMYEQUFGUYMTP-UHFFFAOYSA-N 0.000 description 1
- NHYYSOATCNQCEC-UHFFFAOYSA-N Cc(cc1)ccc1[NH+](Cc1cc([NH+](C)[O-])ccc1)[O-] Chemical compound Cc(cc1)ccc1[NH+](Cc1cc([NH+](C)[O-])ccc1)[O-] NHYYSOATCNQCEC-UHFFFAOYSA-N 0.000 description 1
Images
Classifications
-
- H—ELECTRICITY
- H10—SEMICONDUCTOR DEVICES; ELECTRIC SOLID-STATE DEVICES NOT OTHERWISE PROVIDED FOR
- H10K—ORGANIC ELECTRIC SOLID-STATE DEVICES
- H10K85/00—Organic materials used in the body or electrodes of devices covered by this subclass
- H10K85/30—Coordination compounds
- H10K85/341—Transition metal complexes, e.g. Ru(II)polypyridine complexes
- H10K85/342—Transition metal complexes, e.g. Ru(II)polypyridine complexes comprising iridium
-
- H01L51/0085—
-
- C—CHEMISTRY; METALLURGY
- C07—ORGANIC CHEMISTRY
- C07F—ACYCLIC, CARBOCYCLIC OR HETEROCYCLIC COMPOUNDS CONTAINING ELEMENTS OTHER THAN CARBON, HYDROGEN, HALOGEN, OXYGEN, NITROGEN, SULFUR, SELENIUM OR TELLURIUM
- C07F15/00—Compounds containing elements of Groups 8, 9, 10 or 18 of the Periodic Table
- C07F15/0006—Compounds containing elements of Groups 8, 9, 10 or 18 of the Periodic Table compounds of the platinum group
- C07F15/0033—Iridium compounds
-
- C—CHEMISTRY; METALLURGY
- C07—ORGANIC CHEMISTRY
- C07F—ACYCLIC, CARBOCYCLIC OR HETEROCYCLIC COMPOUNDS CONTAINING ELEMENTS OTHER THAN CARBON, HYDROGEN, HALOGEN, OXYGEN, NITROGEN, SULFUR, SELENIUM OR TELLURIUM
- C07F15/00—Compounds containing elements of Groups 8, 9, 10 or 18 of the Periodic Table
- C07F15/0006—Compounds containing elements of Groups 8, 9, 10 or 18 of the Periodic Table compounds of the platinum group
- C07F15/0086—Platinum compounds
-
- H01L51/0072—
-
- H01L51/009—
-
- H01L51/0094—
-
- H01L51/5012—
-
- H01L51/5048—
-
- H—ELECTRICITY
- H10—SEMICONDUCTOR DEVICES; ELECTRIC SOLID-STATE DEVICES NOT OTHERWISE PROVIDED FOR
- H10K—ORGANIC ELECTRIC SOLID-STATE DEVICES
- H10K50/00—Organic light-emitting devices
- H10K50/10—OLEDs or polymer light-emitting diodes [PLED]
- H10K50/11—OLEDs or polymer light-emitting diodes [PLED] characterised by the electroluminescent [EL] layers
-
- H—ELECTRICITY
- H10—SEMICONDUCTOR DEVICES; ELECTRIC SOLID-STATE DEVICES NOT OTHERWISE PROVIDED FOR
- H10K—ORGANIC ELECTRIC SOLID-STATE DEVICES
- H10K50/00—Organic light-emitting devices
- H10K50/10—OLEDs or polymer light-emitting diodes [PLED]
- H10K50/14—Carrier transporting layers
-
- H—ELECTRICITY
- H10—SEMICONDUCTOR DEVICES; ELECTRIC SOLID-STATE DEVICES NOT OTHERWISE PROVIDED FOR
- H10K—ORGANIC ELECTRIC SOLID-STATE DEVICES
- H10K85/00—Organic materials used in the body or electrodes of devices covered by this subclass
- H10K85/30—Coordination compounds
- H10K85/361—Polynuclear complexes, i.e. complexes comprising two or more metal centers
-
- H—ELECTRICITY
- H10—SEMICONDUCTOR DEVICES; ELECTRIC SOLID-STATE DEVICES NOT OTHERWISE PROVIDED FOR
- H10K—ORGANIC ELECTRIC SOLID-STATE DEVICES
- H10K85/00—Organic materials used in the body or electrodes of devices covered by this subclass
- H10K85/40—Organosilicon compounds, e.g. TIPS pentacene
-
- H—ELECTRICITY
- H10—SEMICONDUCTOR DEVICES; ELECTRIC SOLID-STATE DEVICES NOT OTHERWISE PROVIDED FOR
- H10K—ORGANIC ELECTRIC SOLID-STATE DEVICES
- H10K85/00—Organic materials used in the body or electrodes of devices covered by this subclass
- H10K85/60—Organic compounds having low molecular weight
- H10K85/649—Aromatic compounds comprising a hetero atom
- H10K85/657—Polycyclic condensed heteroaromatic hydrocarbons
- H10K85/6572—Polycyclic condensed heteroaromatic hydrocarbons comprising only nitrogen in the heteroaromatic polycondensed ring system, e.g. phenanthroline or carbazole
Landscapes
- Chemical & Material Sciences (AREA)
- Organic Chemistry (AREA)
- Materials Engineering (AREA)
- Engineering & Computer Science (AREA)
- Inorganic Chemistry (AREA)
- Physics & Mathematics (AREA)
- Crystallography & Structural Chemistry (AREA)
- High Energy & Nuclear Physics (AREA)
- Optics & Photonics (AREA)
- Spectroscopy & Molecular Physics (AREA)
- Electroluminescent Light Sources (AREA)
- Plural Heterocyclic Compounds (AREA)
- Nitrogen Condensed Heterocyclic Rings (AREA)
Abstract
Description
도 2는 Em1-i 결정 구조이다.
도 3은 Em2-i 결정 구조이다.
| Nr | R70 | R71 | R72 |
| 1 | 메틸 | 메틸 | 에틸 |
| 2 | 메틸 | 메틸 | i-프로필 |
| 3 | 메틸 | 메틸 | n-프로필 |
| 4 | 메틸 | 메틸 | n-부틸 |
| 5 | 메틸 | 메틸 | i-부틸 |
| 6 | 메틸 | 메틸 | t-부틸 |
| 7 | 메틸 | 메틸 | n-펜틸 |
| 8 | 메틸 | 메틸 | n-헥실 |
| 9 | 메틸 | 메틸 | -CH2CH2C(CH3)3 |
| 10 | 메틸 | 메틸 | n-C8H17 |
| 11 | 메틸 | 메틸 | i-C8H17 |
| 12 | 메틸 | 메틸 | n-C10H21 |
| 13 | 메틸 | 메틸 | n-C12H25 |
| 16 | 메틸 | 메틸 | n-C18H37 |
| 17 | 메틸 | 메틸 | n-C30H61 |
| 19 | 메틸 | 메틸 | 시클로헥실 |
| 20 | 메틸 | 메틸 | C(CH3)2Ph |
| 21 | 메틸 | 메틸 | -C(CH3)2CH(CH3)2 |
| 22 | 메틸 | 메틸 | -CCH2CH(CH3)(C2H5) |
| 23 | 메틸 | 메틸 | -CH2CH(C10H21)2 |
| 24 | 메틸 | 메틸 | -CH2CH(C12H25)2 |
| 25 | 메틸 | 메틸 | -CH2CH2(C3H6)CF3 |
| 26 | 메틸 | 메틸 | -CH2CH2(C7H14)CF3 |
| 27 | 메틸 | 메틸 | -CH2CH2(C5H10)CF3 |
| 29 | 메틸 | 메틸 | -CH2CH2CF3 |
| 30 | 메틸 | 메틸 | 페닐 |
| 31 | 메틸 | 메틸 | 2-비페닐 |
| 32 | 메틸 | 메틸 | p-톨릴 |
| 33 | 메틸 | 메틸 | C6F5 |
| 34 | 메틸 | 메틸 | 3,5-(cf3)2페닐 |
| 35 | 메틸 | 메틸 | -ch2c(ch3)2페닐 |
| 36 | 메틸 | 메틸 | 9-플루오레닐 |
| 37 | 메틸 | 메틸 | 3,6-디(tert-부틸)-9-플루오레닐 |
| 15 | 메틸 | 메틸 | R86 |
| 38 | 메틸 | 메틸 | -OMe |
| 39 | 메틸 | 메틸 | -OEt |
| 40 | 메틸 | 메틸 | 2,4,6-t-부틸페녹시 |
| 41 | 메틸 | 메틸 | -O-tBu(tert-부톡시) |
| 42 | 메틸 | 메틸 | -OSiEt3 |
| 43 | 메틸 | 에틸 | 에틸 |
| 44 | 메틸 | 에틸 | 페닐 |
| 45 | 메틸 | 에틸 | R86 |
| 46 | 메틸 | n-프로필 | n-프로필 |
| 47 | 메틸 | n-프로필 | 페닐 |
| 48 | 메틸 | n-프로필 | R86 |
| 49 | 메틸 | i-프로필 | i-프로필 |
| 50 | 메틸 | i-프로필 | 페닐 |
| 51 | 메틸 | i-프로필 | R86 |
| 52 | 메틸 | n-부틸 | n-프로필 |
| 53 | 메틸 | n-부틸 | 페닐 |
| 54 | 메틸 | n-부틸 | R86 |
| 55 | 메틸 | i-부틸 | i-부틸 |
| 56 | 메틸 | i-부틸 | 페닐 |
| 57 | 메틸 | i-부틸 | R86 |
| 58 | 메틸 | t-부틸 | t-부틸 |
| 59 | 메틸 | t-부틸 | 페닐 |
| 60 | 메틸 | t-부틸 | R86 |
| 61 | 메틸 | n-펜틸 | n-펜틸 |
| 62 | 메틸 | n-펜틸 | n-헥실 |
| 63 | 메틸 | n-펜틸 | 페닐 |
| 64 | 메틸 | n-펜틸 | R86 |
| 65 | 메틸 | n-헥실 | 헥실 |
| 66 | 메틸 | n-헥실 | 페닐 |
| 67 | 메틸 | n-헥실 | R86 |
| 68 | 메틸 | n-헵틸 | R86 |
| 69 | 메틸 | n-옥틸 | R86 |
| 70 | 메틸 | n-데실 | R86 |
| 71 | 메틸 | n-C12H25 | R86 |
| 72 | 메틸 | n-C18H37 | R86 |
| 73 | 메틸 | n-C22H45 | R86 |
| 74 | 메틸 | n-C30H61 | R86 |
| 75 | 메틸 | 시클로펜틸 | 시클로펜틸 |
| 76 | 메틸 | 시클로펜틸 | 페닐 |
| 77 | 메틸 | 시클로펜틸 | R86 |
| 78 | 메틸 | 시클로헥실 | 시클로헥실 |
| 79 | 메틸 | 시클로헥실 | 페닐 |
| 80 | 메틸 | 시클로헥실 | R86 |
| 81 | 메틸 | -CF2CHF2 | R86 |
| 82 | 메틸 | -CH2CH2CF3 | R86 |
| 83 | 메틸 | -CH2CH2(CF2)3CF3 | R86 |
| 84 | 메틸 | -CH2CH2(CF2)5CF3 | R86 |
| 85 | 메틸 | -CH2CH2(CF2)7CF3 | R86 |
| 86 | 메틸 | 페닐 | 페닐 |
| 87 | 메틸 | 페닐 | p-톨릴 |
| 89 | 메틸 | 페닐 | 메시틸 |
| 90 | 메틸 | 페닐 | R86 |
| 91 | 메틸 | p-톨릴 | p-톨릴 |
| 92 | 메틸 | p-톨릴 | R86 |
| 93 | 메틸 | 메시틸 | 메시틸 |
| 94 | 메틸 | 메시틸 | R5 |
| 95 | 메틸 | R86 | R86 |
| 96 | 메틸 | 메톡시 | 메톡시 |
| 97 | 메틸 | 에톡시 | 에톡시 |
| 98 | 메틸 | -OSiEt3 | -OSiEt3 |
| 99 | 메틸 | -O-SiMe2-CH2CH2(CF2)4CF3 | -O-SiMe2-CH2CH2(CF2)4CF3 |
| 100 | 에틸 | 에틸 | 에틸 |
| 101 | 에틸 | 에틸 | n-프로필 |
| 102 | 에틸 | 에틸 | i-프로필 |
| 103 | 에틸 | 에틸 | n-부틸 |
| 104 | 에틸 | 에틸 | i-부틸 |
| 105 | 에틸 | 에틸 | t-부틸 |
| 106 | 에틸 | 에틸 | 페닐 |
| 107 | 에틸 | 에틸 | R5 |
| 108 | 에틸 | 페닐 | 페닐 |
| 109 | 에틸 | 페닐 | R86 |
| 110 | 에틸 | R86 | R86 |
| 111 | 에틸 | 에톡시 | 에톡시 |
| 112 | n-프로필 | n-프로필 | n-프로필 |
| 113 | n-프로필 | n-프로필 | 페닐 |
| 114 | n-프로필 | n-프로필 | R86 |
| 115 | n-프로필 | 페닐 | 페닐 |
| 116 | n-프로필 | 페닐 | R86 |
| 117 | n-프로필 | R86 | R86 |
| 118 | i-프로필 | i-프로필 | i-프로필 |
| 119 | i-프로필 | i-프로필 | 페닐 |
| 120 | i-프로필 | i-프로필 | R86 |
| 121 | i-프로필 | i-프로필 | 2-비페닐 |
| 122 | i-프로필 | i-프로필 | 에톡시 |
| 123 | i-프로필 | 페닐 | 페닐 |
| 124 | i-프로필 | 페닐 | R86 |
| 125 | i-프로필 | R86 | R86 |
| 126 | n-부틸 | n-부틸 | n-부틸 |
| 127 | n-부틸 | n-부틸 | 페닐 |
| 128 | n-부틸 | n-부틸 | R86 |
| 129 | n-부틸 | n-헥실 | R86 |
| 130 | n-부틸 | 페닐 | 페닐 |
| 131 | n-부틸 | 페닐 | R86 |
| 132 | n-부틸 | R86 | R86 |
| 133 | sec-부틸 | sec-부틸 | sec-부틸 |
| 134 | sec-부틸 | sec-부틸 | 페닐 |
| 135 | sec-부틸 | sec-부틸 | R86 |
| 136 | sec-부틸 | 페닐 | 페닐 |
| 137 | sec-부틸 | 페닐 | R86 |
| 138 | sec-부틸 | R86 | R86 |
| 139 | i-부틸 | i-부틸 | i-부틸 |
| 140 | i-부틸 | i-부틸 | n-C8H17 |
| 141 | i-부틸 | i-부틸 | n-C18H37 |
| 142 | i-부틸 | i-부틸 | 페닐 |
| 143 | i-부틸 | i-부틸 | R86 |
| 144 | i-부틸 | 페닐 | 페닐 |
| 145 | i-부틸 | 페닐 | R86 |
| 146 | i-부틸 | R86 | R86 |
| 147 | t-부틸 | t-부틸 | t-부틸 |
| 148 | t-부틸 | t-부틸 | n-C8H17 |
| 149 | t-부틸 | t-부틸 | 페닐 |
| 150 | t-부틸 | t-부틸 | R86 |
| 151 | t-부틸 | 페닐 | 페닐 |
| 152 | t-부틸 | 페닐 | R5 |
| 153 | t-부틸 | R86 | R86 |
| 154 | n-펜틸 | n-펜틸 | n-펜틸 |
| 155 | n-펜틸 | n-펜틸 | 페닐 |
| 156 | n-펜틸 | n-펜틸 | R86 |
| 157 | n-펜틸 | 페닐 | 페닐 |
| 158 | n-펜틸 | 페닐 | R86 |
| 159 | n-펜틸 | R86 | R86 |
| 160 | 시클로펜틸 | 시클로펜틸 | 시클로펜틸 |
| 161 | 시클로펜틸 | 시클로펜틸 | 페닐 |
| 162 | 시클로펜틸 | 시클로펜틸 | R86 |
| 163 | 시클로펜틸 | 페닐 | 페닐 |
| 164 | 시클로펜틸 | 페닐 | R86 |
| 165 | 시클로펜틸 | R86 | R86 |
| 166 | n-헥실 | n-헥실 | n-헥실 |
| 167 | n-헥실 | n-헥실 | 페닐 |
| 168 | n-헥실 | n-헥실 | R86 |
| 169 | n-헥실 | 페닐 | 페닐 |
| 170 | n-헥실 | 페닐 | R86 |
| 171 | n-헥실 | R86 | R86 |
| 172 | -CH2CH2C(CH3)3 | -CH2CH2C(CH3)3 | -CH2CH2C(CH3)3 |
| 173 | -CH2CH2C(CH3)3 | -CH2CH2C(CH3)3 | R86 |
| 174 | -CH2CH2C(CH3)3 | R86 | R86 |
| 175 | t-헥실 | t-헥실 | t-헥실 |
| 176 | t-헥실 | t-헥실 | R86 |
| 177 | t-헥실 | R86 | R86 |
| 178 | n-헵틸 | n-헵틸 | n-헵틸 |
| 179 | n-헵틸 | n-헵틸 | R86 |
| 180 | n-헵틸 | R86 | R86 |
| 181 | n-옥틸 | n-옥틸 | n-옥틸 |
| 182 | n-옥틸 | n-옥틸 | R86 |
| 183 | n-옥틸 | R86 | R86 |
| 184 | i-옥틸 | i-옥틸 | i-옥틸 |
| 185 | i-옥틸 | i-옥틸 | R86 |
| 186 | i-옥틸 | R86 | R86 |
| 187 | n-노닐 | n-노닐 | n-노닐 |
| 188 | n-노닐 | n-노닐 | R86 |
| 189 | n-노닐 | R86 | R86 |
| 190 | 시클로헥실 | 시클로헥실 | 시클로헥실 |
| 191 | 시클로헥실 | 시클로헥실 | R86 |
| 192 | 시클로헥실 | R86 | R86 |
| 193 | 시클로옥틸 | 시클로옥틸 | 시클로옥틸 |
| 194 | 시클로옥틸 | 시클로옥틸 | R86 |
| 195 | 시클로옥틸 | R86 | R86 |
| 196 | n-C10H21 | n-C10H21 | n-C10H21 |
| 197 | n-C10H21 | n-C10H21 | R86 |
| 198 | n-C10H21 | R86 | R86 |
| 199 | n-C11H23 | n-C11H23 | n-C11H23 |
| 200 | n-C11H23 | n-C11H23 | R86 |
| 201 | n-C11H23 | R86 | R86 |
| 202 | n-C12H25 | n-C12H25 | n-C12H25 |
| 203 | n-C12H25 | n-C12H25 | R86 |
| 204 | n-C12H25 | R86 | R86 |
| 205 | n-C14H29 | n-C14H29 | n-C14H29 |
| 206 | n-C14H29 | n-C14H29 | R86 |
| 207 | n-C14H29 | R86 | R86 |
| 208 | n-C16H33 | n-C16H33 | n-C16H33 |
| 209 | n-C16H33 | n-C16H33 | R86 |
| 210 | n-C16H33 | R86 | R86 |
| 211 | n-C18H37 | n-C18H37 | R86 |
| 212 | n-C18H37 | R86 | R86 |
| 213 | n-C18H37 | OEt | OEt |
| 214 | n-C18H37 | R86 | OMe |
| 215 | n-C20H41 | n-C20H41 | n-C20H41 |
| 216 | n-C20H41 | n-C20H41 | R86 |
| 217 | n-C20H41 | R86 | R86 |
| 218 | n-C22H45 | n-C22H45 | n-C22H45 |
| 219 | n-C22H45 | n-C22H45 | R86 |
| 220 | n-C22H45 | R86 | R86 |
| 221 | n-C26H53 | n-C26H53 | n-C26H53 |
| 222 | n-C26H53 | n-C26H53 | R86 |
| 223 | n-C26H53 | R86 | R86 |
| 224 | n-C30H61 | n-C30H61 | n-C30H61 |
| 225 | n-C30H61 | n-C30H61 | R86 |
| 226 | n-C30H61 | R86 | R86 |
| 227 | -CH2-시클로헥실 | -CH2-시클로헥실 | R86 |
| 228 | -CH2CH2CF3 | -CH2CH2CF3 | -CH2CH2CF3 |
| 229 | -CH2CH2CF3 | -CH2CH2CF3 | R86 |
| 230 | -CH2CH2CF3 | R86 | R86 |
| 231 | -CH2CH2(CF2)3CF3 | -CH2CH2(CF2)3CF3 | -CH2CH2(CF2)3CF3 |
| 232 | -CH2CH2(CF2)3CF3 | -CH2CH2(CF2)3CF3 | R86 |
| 233 | -CH2CH2(CF2)3CF3 | R86 | R86 |
| 234 | -CH2CH2(CF2)5CF3 | -CH2CH2(CF2)5CF3 | -CH2CH2(CF2)5CF3 |
| 235 | -CH2CH2(CF2)5CF3 | -CH2CH2(CF2)5CF3 | R86 |
| 236 | -CH2CH2(CF2)5CF3 | R86 | R86 |
| 237 | -CH2CH2(CF2)7CF3 | -CH2CH2(CF2)7CF3 | -CH2CH2(CF2)7CF3 |
| 238 | -CH2CH2(CF2)7CF3 | -CH2CH2(CF2)7CF3 | R86 |
| 239 | -CH2CH2(CF2)7CF3 | R86 | R86 |
| 240 | -CH2CH2(CF2)9CF3 | -CH2CH2(CF2)9CF3 | -CH2CH2(CF2)9CF3 |
| 241 | -CH2CH2(CF2)9CF3 | -CH2CH2(CF2)9CF3 | R86 |
| 242 | -CH2CH2(CF2)9CF3 | R86 | R86 |
| 243 | -CH2CH2(CF2)11CF3 | -CH2CH2(CF2)11CF3 | -CH2CH2(CF2)11CF3 |
| 244 | -CH2CH2(CF2)11CF3 | -CH2CH2(CF2)11CF3 | R86 |
| 245 | -CH2CH2(CF2)11CF3 | R86 | R86 |
| 246 | -CF2CHF2 | -CF2CHF2 | -CF2CHF2 |
| 247 | -CF2CHF2 | -CF2CHF2 | R86 |
| 248 | -CF2CHF2 | R86 | R86 |
| 249 | -(CF2)3CHF2 | -(CF2)3CHF2 | -(CF2)3CHF2 |
| 250 | -(CF2)3CHF2 | -(CF2)3CHF2 | R86 |
| 251 | -(CF2)3CHF2 | R86 | R86 |
| 14 | 페닐 | 페닐 | 페닐 |
| 252 | 페닐 | 페닐 | p-톨릴 |
| 253 | 페닐 | 페닐 | m-톨릴 |
| 254 | 페닐 | 페닐 | o-톨릴 |
| 255 | 페닐 | 페닐 | 2-자일릴 |
| 256 | 페닐 | 페닐 | 5-자일릴 |
| 257 | 페닐 | 페닐 | 메시틸 |
| 258 | 페닐 | 페닐 | 9-플루오레닐 |
| 18 | 페닐 | 페닐 | R86 |
| 259 | 페닐 | 페닐 | -O-tBu(tert-부톡시) |
| 260 | 페닐 | p-톨릴 | p-톨릴 |
| 261 | 페닐 | m-톨릴 | m-톨릴 |
| 262 | 페닐 | o-톨릴 | o-톨릴 |
| 263 | 페닐 | 2-자일릴 | 2-자일릴 |
| 264 | 페닐 | 5-자일릴 | 5-자일릴 |
| 265 | 페닐 | 메시틸 | 메시틸 |
| 266 | 페닐 | R86 | R86 |
| 267 | 페닐 | 에톡시 | 에톡시 |
| 268 | p-톨릴 | p-톨릴 | p-톨릴 |
| 269 | p-톨릴 | p-톨릴 | R86 |
| 270 | p-톨릴 | R86 | R86 |
| 271 | m-톨릴 | m-톨릴 | m-톨릴 |
| 272 | m-톨릴 | m-톨릴 | R86 |
| 273 | o-톨릴 | o-톨릴 | o-톨릴 |
| 274 | o-톨릴 | o-톨릴 | R86 |
| 275 | 2-자일릴 | 2-자일릴 | 2-자일릴 |
| 276 | 2-자일릴 | 2-자일릴 | R86 |
| 277 | 5-자일릴 | 5-자일릴 | 5-자일릴 |
| 278 | 5-자일릴 | 5-자일릴 | R86 |
| 279 | 메시틸 | 메시틸 | 메시틸 |
| 280 | 메시틸 | 메시틸 | R86 |
| 281 | C6F5 | C6F5 | C6F5 |
| 282 | C6F5 | C6F5 | R86 |
| 283 | C6F5 | R86 | R86 |
| 284 | R86 | R86 | R86 |
| 285 | R86 | 에톡시 | 에톡시 |
| 286 | R86 | n-부톡시 | n-부톡시 |
| 287 | R86 | R86 | 메톡시 |
| 288 | R86 | R86 | 에톡시 |
| 289 | R86 | R86 | OSiMe3 |
| 290 | R86 | R86 | -(CH2)11O-(CH2)2OCH3 |
| 291 | 메톡시 | 메톡시 | 메톡시 |
| 292 | 에톡시 | 에톡시 | 에톡시 |
| 293 | i-프로폭시 | i-프로폭시 | i-프로폭시 |
| 294 | t-부톡시 | t-부톡시 | t-부톡시 |
| 295 | OSiMe3 | OSiMe3 | OSiMe3 |
| 296 | 시클로부틸 | 메틸 | |
| 297 | 시클로부틸 | R86 | |
| 298 | 시클로부틸 | p-메톡시페닐 | |
| 299 | 시클로펜틸 | 메틸 | |
| 300 | 시클로펜틸 | R86 | |
| 301 | 시클로헥실 | 메틸 | |
| 302 | 시클로헥실 | R86 | |
| Nr | R70 | R71 | R72 | R87 | R88 | R89 | U |
| 303 | 메틸 | R86 | R86 | 메틸 | R5 | R86 | -CH2- |
| 304 | 메틸 | 메틸 | R86 | 메틸 | 메틸 | R86 | -CH2- |
| 305 | R86 | R86 | R86 | R86 | R86 | R86 | -CH2- |
| 306 | 메틸 | R86 | R86 | 메틸 | R5 | R86 | -C2H4- |
| 307 | 메틸 | 메틸 | R86 | 메틸 | 메틸 | R86 | -C2H4- |
| 308 | R86 | R86 | R86 | R86 | R86 | R86 | -C2H4- |
| 309 | 메틸 | R86 | R86 | 메틸 | R86 | R86 | -C3H6- |
| 310 | 메틸 | 메틸 | R86 | 메틸 | 메틸 | R86 | -C3H6- |
| 311 | R86 | R86 | R86 | R86 | R86 | R86 | -C3H6- |
| 312 | 메틸 | R86 | R86 | 메틸 | R86 | R86 | -C4H8- |
| 313 | 메틸 | 메틸 | R86 | 메틸 | 메틸 | R86 | -C4H8- |
| 314 | R86 | R86 | R86 | R86 | R86 | R86 | -C4H8- |
| 315 | 메틸 | R86 | R86 | 메틸 | R86 | R86 | -C6H12- |
| 316 | 메틸 | 메틸 | R86 | 메틸 | 메틸 | R86 | -C6H12- |
| 317 | R86 | R86 | R86 | R86 | R86 | R86 | -C6H12- |
| 318 | 메틸 | R86 | R86 | 메틸 | R86 | R86 | -C8H16- |
| 319 | 메틸 | 메틸 | R86 | 메틸 | 메틸 | R86 | -C8H16- |
| 320 | R86 | R86 | R86 | R86 | R86 | R86 | -C8H16- |
| 321 | 메틸 | R86 | R86 | 메틸 | R86 | R86 | -C9H18- |
| 322 | 메틸 | 메틸 | R86 | 메틸 | 메틸 | R86 | -C9H18- |
| 323 | R86 | R86 | R86 | R86 | R86 | R86 | -C9H18- |
| 324 | R86 | R86 | R86 | R86 | R86 | R86 | -CH(C8H17)CH2- |
| 325 | 메틸 | R86 | R86 | 메틸 | R86 | R86 | -C2H4(CF2)8C2H4- |
| 326 | 메틸 | 메틸 | R86 | 메틸 | 메틸 | R86 | -C2H4(CF2)8C2H4- |
| 327 | R86 | R86 | R86 | R86 | R86 | R86 | -C2H4(CF2)8C2H4- |
| 328 | 메틸 | R86 | R86 | 메틸 | R86 | R86 | -C≡C- |
| 329 | 메틸 | 메틸 | R86 | 메틸 | 메틸 | R86 | -C≡C- |
| 330 | R86 | R86 | R86 | R86 | R86 | R86 | -C≡C- |
| 331 | 메틸 | R86 | R86 | 메틸 | R86 | R86 | -1,4-(CH2)2-페닐-(CH2)2- |
| 332 | 메틸 | 메틸 | R86 | 메틸 | 메틸 | R86 | -1,4-(CH2)2-페닐-(CH2)2- |
| 333 | R86 | R86 | R86 | R86 | R86 | R86 | -1,4-(CH2)2-페닐-(CH2)2- |
| 334 | 메틸 | R86 | R86 | 메틸 | R86 | R86 | -1,3-(CH2)2-페닐-(CH2)2- |
| 335 | 메틸 | 메틸 | R86 | 메틸 | 메틸 | R86 | -1,3-(CH2)2-페닐-(CH2)2- |
| 336 | R86 | R86 | R86 | R86 | R86 | R86 | -1,3-(CH2)2-페닐-(CH2)2- |
| 337 | 메틸 | R86 | R86 | 메틸 | R86 | R86 | -1,4-(CH2)3-페닐-(CH2)3- |
| 338 | 메틸 | 메틸 | R86 | 메틸 | 메틸 | R86 | -1,4-(CH2)3-페닐-(CH2)3- |
| 339 | R86 | R86 | R86 | R86 | R86 | R86 | -1,4-(CH2)3-페닐-(CH2)3- |
| 340 | 메틸 | R86 | R86 | 메틸 | R86 | R86 | -1,3-(CH2)3-페닐-(CH2)3- |
| 341 | 메틸 | 메틸 | R86 | 메틸 | 메틸 | R86 | -1,3-(CH2)2-페닐-(CH2)2- |
| 342 | R86 | R86 | R86 | R86 | R86 | R86 | -1,3-(CH2)2-페닐-(CH2)2- |
| 343 | 메틸 | R86 | R86 | 메틸 | R86 | R86 | -1,4-페닐 |
| 344 | 메틸 | 메틸 | R86 | 메틸 | 메틸 | R86 | -1,4-페닐 |
| 345 | R86 | R86 | R86 | R86 | R86 | R86 | -1,4-페닐 |
| 346 | 메틸 | R86 | R86 | 메틸 | R86 | R86 | -1,3-페닐 |
| 347 | 메틸 | 메틸 | R86 | 메틸 | 메틸 | R86 | -1,3-페닐 |
| 348 | R86 | R86 | R86 | R86 | R86 | R86 | -1,3-페닐 |
| 28 | 메틸 | 메틸 | R86 | 메틸 | 메틸 | R86 | -O- |
| 349 | 메틸 | R86 | R86 | 메틸 | R86 | R86 | -O- |
| 350 | 메틸 | 메틸 | R86 | 메틸 | 메틸 | R86 | -O-Si(CH3)2-O- |
| 351 | 메틸 | 메틸 | R86 | 메틸 | 메틸 | R86 | -O-Si(CH3)(Ph)-O- |
| 352 | 메틸 | 메틸 | R86 | 메틸 | 메틸 | R86 | -O-Si(CH3)2-O-Si(CH3)2-O- |
| 353 | 메틸 | 메틸 | R86 | 메틸 | 메틸 | R86 | -O-Si(CH3)2-O-Si(CH3)2-O-Si(CH3)2-O- |
| 354 | 메틸 | -OSiMe3 | R86 | 메틸 | -OSiMe3 | R86 | -O- |
| 355 | 메틸 | 페닐 | R86 | 메틸 | 페닐 | R86 | -O- |
| 356 | i-프로필 | i-프로필 | R86 | i-프로필 | i-프로필 | R86 | -O- |
| 357 | 시클로펜틸 | 시클로펜틸 | R86 | 시클로펜틸 | 시클로펜틸 | R86 | -O- |
| 358 | 페닐 | 페닐 | R86 | 페닐 | 페닐 | R86 | -O- |
| 359 | 페닐 | R86 | R86 | 페닐 | R86 | R86 | -O- |
| 340 | R86 | R86 | R86 | R86 | R86 | R86 | -O- |
| 에미터 | CIE | 300 nits에서의 Cd/A | 1000 nits에서의 t1 /2 (CEm2의 값으로 정규화됨) |
| Em1 -i | 0.22/0.37 | 23.2 cd/A | 594% |
| Em3 -i | 0.18/0.28 | 19.5 cd/A | 135% |
| Em2 -i | 0.17/0.25 | 24.5 cd/A | 245% |
| CEm2 | 0.20/0.35 | 10.3 cd/A | 100% |
| 에미터 | CIE | 300 nits에서의 Cd/A | 1000 nits에서의 t1 /2 (Em1-s의 값으로 정규화됨) |
| Em1-s | 0.19/0.31 | 18.2 cd/A | 100% |
| Em1-i | 0.22/0.37 | 23.2 cd/A | 406% |
| 에미터 | CIE | 300 nits에서의 Cd/A | 1000 nits에서의 t1 /2 (Em2-s의 값으로 정규화됨) |
| Em2-s | 0.21/0.35 | 15.4 cd/A | 100% |
| Em2-i | 0.17/0.25 | 24.5 cd/A | 178% |
| 전자 전도체 | CIE | 300 nits에서의 Cd/A | 1000 nits에서의 t1 /2 (BCP의 값으로 정규화됨) |
| BCP | 0.22/0.36 | 16.8 cd/A | 100% |
| BCP:Liq 50% | 0.21/0.36 | 21.7 cd/A | 170% |
| 매트릭스 " MaX " | CIE | 300 nits에서의 전압(V) | 300 nits에서의 Cd/A | 300 nits에서의 EQE 및 Ma2의 값에 정규화됨 |
| Ma2 1 | 0.20/0.36 | 8.8 | 10.1 | 100% |
| Ma3 | 0.20/0.32 | 5.5 | 20.5 | 166% |
| Ma4 2 | 0.19/0.32 | 6.5 | 16.3 | 134% |
| Ma5 | 0.20/0.31 | 6.2 | 13.9 | 115% |
| Ma6 3 | 0.19/0.30 | 6.2 | 22.8 | 195% |
| 매트릭스 Max | 다이오드 구조 | CIE | 300 nits에서의 전압(V) | 300 nits에서의 Cd/A | 300 nits에서의 EQE 및 Ma7의 값에 정규화됨 |
| Ma7 | 구조 A | 0.22/0.36 | 5.8 | 18.8 | 100% |
| Ma8 | 구조 B | 0.23/0.38 | 7.0 | 17.3 | 91% |
| Ma9 | 구조 C | 0.23/0.38 | 4.3 | 17.9 | 95% |
| 매트릭스 MaX | CIE | 300 nits에서의 전압(V) |
| Ma10 | 0.19/0.35 | 3.8 |
Claims (17)
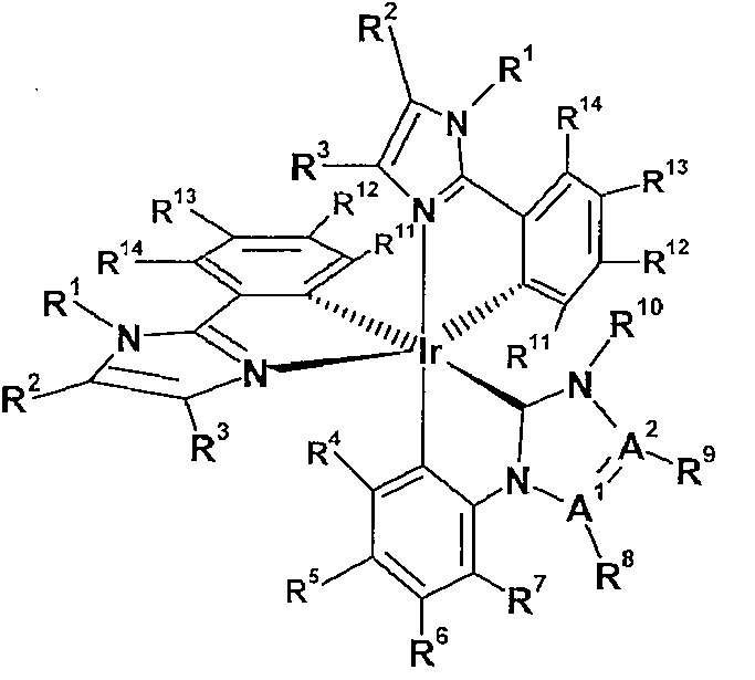
- 하기 화학식 (I)의 이종 리간드 착체:
[화학식 I]
[식 중, M, A1, A2, n, m, R1, R2, R3, R4, R5, R6, R7, R8, R9, R10, R11, R12, R13 및 R14는 각각 하기와 같이 정의된다:
M은 Ir이고,
A1 및 A2는 C이고,
n 및 m은 각각 독립적으로 1 또는 2이며, 여기서 n과 m의 합은 3이며,
R1은 1개 내지 20개의 탄소 원자를 가지는 선형 또는 분지형 알킬 라디칼; 6개 내지 30개의 탄소 원자를 가지는 치환 또는 비치환 아릴 라디칼; 또는 5개 내지 18개의 탄소 원자 및 이종 원자를 가지는 치환 또는 비치환 헤테로아릴 라디칼이며,
R2 및 R3은 각각 독립적으로 수소; 1개 내지 20개의 탄소 원자를 가지는 선형 또는 분지형 알킬 라디칼; 6개 내지 30개의 탄소 원자를 가지는 치환 또는 비치환 아릴 라디칼; 또는 5개 내지 18개의 탄소 원자 및 이종 원자를 가지는 치환 또는 비치환 헤테로아릴 라디칼이며,
R4, R5, R6 및 R7은 각각 수소이거나,
R4와 R5 또는 R5와 R6 또는 R6과 R7은 함께, 하기 화학식 (IIa) 또는 (IIb)의 고리를 형성하며:
[화학식 IIa]
[화학식 IIb]
R8 및 R9는 각각 수소이며,
R10은 1개 내지 20개의 탄소 원자를 가지는 선형 또는 분지형 알킬 라디칼; 또는 6개 내지 30개의 탄소 원자를 가지는 치환 또는 비치환 아릴 라디칼이고,
R11, R12, R13 및 R14는 각각 독립적으로 수소; 또는 1개 내지 20개의 탄소 원자를 가지는 선형 또는 분지형 알킬 라디칼이고,
R1과 R14는 함께, 임의로 이종 원자, 방향족 단위, 이종방향족 단위 또는 작용기를 포함하고, 총 1개 내지 30개의 탄소 원자 또는 총 1개 내지 30개의 탄소 원자 및 이종 원자를 가지며, 탄소 원자 또는 탄소 원자와 이종 원자를 포함하는 치환 또는 비치환 5원 내지 8원 고리가 임의로 축합된, 포화 또는 불포화, 선형 또는 분지형 브릿지를 형성하거나,
R7과 R8은 함께, 임의로 이종 원자, 방향족 단위, 이종방향족 단위 또는 작용기를 포함하고, 총 1개 내지 30개의 탄소 원자 또는 1개 내지 30개의 탄소 원자와 이종 원자를 가지며, 탄소 원자 또는 탄소 원자와 이종 원자를 포함하는 치환 또는 비치환 5원 내지 8원 고리가 임의로 축합된, 포화 또는 불포화, 선형 또는 분지형 브릿지를 형성한다]. - 제1항에 있어서, R1은 6개 내지 30개의 탄소 원자를 가지고, 각각의 경우 1개 내지 10개의 탄소 원자를 가지는 선형 또는 분지형 알킬 라디칼로 오르토, 오르토' 위치에서 치환된 아릴 라디칼인 이종 리간드 착체.
- 제1항에 있어서, R1과 R14는 함께, 임의로 이종 원자, 방향족 단위, 이종방향족 단위 또는 작용기를 포함하고, 총 1개 내지 30개의 탄소 원자 또는 1개 내지 30개의 탄소 원자와 이종 원자를 가지며, 탄소 원자 또는 탄소 원자와 이종 원자를 포함하는 치환 또는 비치환 5원 내지 8원 고리가 임의로 축합된, 포화 또는 불포화, 선형 또는 분지형 브릿지를 형성하는 것인 이종 리간드 착체.
- 금속 M, 및 화학식 (I)의 착체에서 비카르벤 결합을 통해 M에 부착된 1개 이상의 리간드를 포함하는 1종 이상의 전구체 화합물을, 화학식 (I)의 착체에서 1개 이상의 카르벤 결합을 통해 M에 부착된 1개 이상의 리간드, 또는 이의 리간드 전구체와 접촉시키거나,
금속 M, 및 화학식 (I)의 착체에서 1개 이상의 카르벤 결합을 통해 M에 부착된 리간드를 포함하는 1종 이상의 전구체 화합물을, 화학식 (I)의 착체에서 비카르벤 결합을 통해 M에 부착된 1개 이상의 리간드와 접촉시킴으로써,
제1항에 따른 이종 리간드 착체를 제조하는 방법. - 제1항에 따른 1종 이상의 이종 리간드 착체를 포함하는 OLED.
- 제1항에 따른 이종 리간드 착체와, 1종 이상의 하기 화학식 (X)의 화합물 또는 화학식 (X)의 2개의 단위가 임의로 1개 이상의 이종 원자가 개재된 선형 또는 분지형, 포화 또는 불포화 브릿지; 결합; 또는 O에 의해, 브릿지된 1종 이상의 화합물을 포함하는 OLED:
[화학식 X]
[식 중,
T는 NR57, S, O 또는 PR57이고;
R57은 아릴, 헤테로아릴, 알킬, 시클로알킬 또는 헤테로시클로알킬이며;
Q'은 -NR58R59, -P(O)R60R61, -PR62R63, -S(O)2R64, -S(O)R65, -SR66 또는 -OR67이고;
R55 및 R56은 각각 독립적으로 알킬, 시클로알킬, 헤테로시클로알킬, 아릴, 헤테로아릴, SiR70R71R72, Q' 기, 또는 도너 또는 어셉터 작용을 가지는 기이고;
a"는 0, 1, 2, 3 또는 4이며;
b'는 0, 1, 2 또는 3이고;
R58과 R59는, 질소 원자와 함께, 3개 내지 10개의 고리 원자를 가지는 환식 라디칼을 형성하고, 환식 라디칼은 알킬, 시클로알킬, 헤테로시클로알킬, 아릴, 헤테로아릴, 및 도너 또는 어셉터 작용을 가지는 기로부터 선택되는 1개 이상의 치환기로 치환되거나 비치환될 수 있거나, 3개 내지 10개의 고리 원자를 가지는 1개 이상의 추가의 환식 라디칼에 축합될 수 있으며, 여기서 축합 라디칼은 알킬, 시클로알킬, 헤테로시클로알킬, 아릴, 헤테로아릴, 및 도너 또는 어셉터 작용을 가지는 기로부터 선택되는 1개 이상의 치환기로 치환되거나 비치환될 수 있으며;
R70, R71, R72, R60, R61, R62, R63, R64, R65, R66 및 R67은 각각 독립적으로 아릴, 헤테로아릴, 알킬, 시클로알킬 또는 헤테로시클로알킬이다]. - 제7항에 있어서, 1종 이상의 하기 화학식 (XI) 또는 (XI*)의 화합물 또는
화학식 (XI)와 (XI*), (XI)와 (XI), 또는 (XI*)와 (XI*)의 2개의 단위가, 임의로 1개 이상의 이종 원자가 개재된 선형 또는 분지형, 포화 또는 불포화 브릿지; 또는 O에 의해 브릿지되고, 여기서 상기 브릿지는 화학식 (XI), (XI*) 또는 (XI)와 (XI*)에서 각각의 경우 R71 대신에 Si 원자에 결합된, 1종 이상의 화합물을 포함하는 OLED:
[화학식 XI]
[화학식 XI*]
[식 중,
T는 NR57, S, O 또는 PR57이고;
R57은 아릴, 헤테로아릴, 알킬, 시클로알킬 또는 헤테로시클로알킬이며;
Q'은 -NR58R59, -P(O)R60R61, -PR62R63, -S(O)2R64, -S(O)R65, -SR66 또는 -OR67이며;
R70, R71 및 R72는 각각 독립적으로 아릴, 헤테로아릴, 알킬, 시클로알킬 또는 헤테로시클로알킬이고, 여기서 R70, R71 및 R72 라디칼 중 1개 이상은 2개 이상의 탄소 원자 또는 OR73를 포함하고,
R55 및 R56은 각각 독립적으로 알킬, 시클로알킬, 헤테로시클로알킬, 아릴, 헤테로아릴, Q 기, 또는 도너 또는 어셉터 작용을 가지는 기이고;
a' 및 b'는 화학식 (XI)의 화합물의 경우는 각각 독립적으로 0, 1, 2 또는 3이고; 화학식 (XI*)의 화합물의 경우는, a'는 0, 1, 또는 2이고, b'는 0, 1, 2, 3 또는 4이며;
R58과 R59는, 질소 원자와 함께, 3개 내지 10개의 고리 원자를 가지는 환식 라디칼을 형성하고, 환식 라디칼은 알킬, 시클로알킬, 헤테로시클로알킬, 아릴, 헤테로아릴, 및 도너 또는 어셉터 작용을 가지는 기로부터 선택되는 1개 이상의 치환기로 치환되거나 비치환될 수 있거나, 3개 내지 10개의 고리 원자를 가지는 1개 이상의 추가의 환식 라디칼에 축합될 수 있으며, 여기서 축합 라디칼은 알킬, 시클로알킬, 헤테로시클로알킬, 아릴, 헤테로아릴, 및 도너 또는 어셉터 작용을 가지는 기로부터 선택되는 1개 이상의 치환기로 치환되거나 비치환될 수 있으며;
R73은 독립적으로 OR77 기로 임의로 치환된, SiR74R75R76, 아릴, 헤테로아릴, 알킬, 시클로알킬 또는 헤테로시클로알킬이고,
R77은 독립적으로 SiR74R75R76, 아릴, 헤테로아릴, 알킬, 시클로알킬 또는 헤테로시클로알킬이며,
R60, R61, R62, R63, R64, R65, R66, R67, R74, R75 및 R76은 각각 독립적으로 아릴, 헤테로아릴, 알킬, 시클로알킬 또는 헤테로시클로알킬이다]. - 제1항에 따른 1종 이상의 이종 리간드 착체를 포함하는 발광층.
- 제10항에 따른 발광층을 포함하는 OLED.
- 제6항에 있어서, 2종 이상의 상이한 물질을 포함하고, 이중 1종 이상의 물질이 전자 전도성이어야 하는 전자 수송층을 포함하는 OLED.
- 제12항에 있어서, 전자 수송층은 1종 이상의 페난트롤린 유도체를 포함하는 것인 OLED.
- 제13항에 있어서, 전자 수송층은 1종 이상의 페난트롤린 유도체 및 1종 이상의 알칼리 금속 히드록시퀴놀레이트 착체를 포함하는 것인 OLED.
- 제1항에 따른 1종 이상의 이종 리간드 착체 또는 이를 포함하는 발광층을 포함하는 하나 이상의 OLED를 포함하는, 조명 소자, 정지형 시각 표시 장치 및 이동형 시각 표시 장치로 이루어진 군으로부터 선택되는 장치.
- 삭제
- 삭제
Applications Claiming Priority (3)
| Application Number | Priority Date | Filing Date | Title |
|---|---|---|---|
| US25549909P | 2009-10-28 | 2009-10-28 | |
| US61/255,499 | 2009-10-28 | ||
| PCT/EP2010/066400 WO2011051404A1 (de) | 2009-10-28 | 2010-10-28 | Heteroleptische carben-komplexe und deren verwendung in der organischen elektronik |
Related Parent Applications (1)
| Application Number | Title | Priority Date | Filing Date |
|---|---|---|---|
| KR1020127012849A Division KR101837095B1 (ko) | 2009-10-28 | 2010-10-28 | 이종 리간드 카르벤 착체 및 유기 전자장치에서의 이의 용도 |
Publications (2)
| Publication Number | Publication Date |
|---|---|
| KR20180026583A KR20180026583A (ko) | 2018-03-12 |
| KR101986469B1 true KR101986469B1 (ko) | 2019-06-05 |
Family
ID=43478148
Family Applications (2)
| Application Number | Title | Priority Date | Filing Date |
|---|---|---|---|
| KR1020187006336A Active KR101986469B1 (ko) | 2009-10-28 | 2010-10-28 | 이종 리간드 카르벤 착체 및 유기 전자장치에서의 이의 용도 |
| KR1020127012849A Active KR101837095B1 (ko) | 2009-10-28 | 2010-10-28 | 이종 리간드 카르벤 착체 및 유기 전자장치에서의 이의 용도 |
Family Applications After (1)
| Application Number | Title | Priority Date | Filing Date |
|---|---|---|---|
| KR1020127012849A Active KR101837095B1 (ko) | 2009-10-28 | 2010-10-28 | 이종 리간드 카르벤 착체 및 유기 전자장치에서의 이의 용도 |
Country Status (6)
| Country | Link |
|---|---|
| US (4) | US20120205645A1 (ko) |
| EP (1) | EP2493906B1 (ko) |
| JP (1) | JP5939984B2 (ko) |
| KR (2) | KR101986469B1 (ko) |
| CN (1) | CN102741265B (ko) |
| WO (1) | WO2011051404A1 (ko) |
Families Citing this family (179)
| Publication number | Priority date | Publication date | Assignee | Title |
|---|---|---|---|---|
| KR101600624B1 (ko) | 2006-02-10 | 2016-03-21 | 유니버셜 디스플레이 코포레이션 | 시클로금속화 이미다조[1,2-f]페난트리딘 및디이미다조[1,2-a:1',2'-c]퀴나졸린 리간드, 및 이의등전자성 및 벤즈고리화된 유사체의 금속 착체 |
| KR101986469B1 (ko) * | 2009-10-28 | 2019-06-05 | 유디씨 아일랜드 리미티드 | 이종 리간드 카르벤 착체 및 유기 전자장치에서의 이의 용도 |
| WO2011073149A1 (de) | 2009-12-14 | 2011-06-23 | Basf Se | Metallkomplexe, enthaltend diazabenzimidazolcarben-liganden und deren verwendung in oleds |
| US8288187B2 (en) | 2010-01-20 | 2012-10-16 | Universal Display Corporation | Electroluminescent devices for lighting applications |
| US8691401B2 (en) | 2010-04-16 | 2014-04-08 | Basf Se | Bridged benzimidazole-carbene complexes and use thereof in OLEDS |
| CN103380192B (zh) | 2011-02-24 | 2016-04-20 | 巴斯夫欧洲公司 | 新照明器件 |
| CN114315840A (zh) | 2011-03-25 | 2022-04-12 | Udc 爱尔兰有限责任公司 | 用于电子应用的4H-咪唑并[1,2-a]咪唑 |
| US9806270B2 (en) | 2011-03-25 | 2017-10-31 | Udc Ireland Limited | 4H-imidazo[1,2-a]imidazoles for electronic applications |
| WO2012152812A1 (en) | 2011-05-10 | 2012-11-15 | Basf Se | Novel color converters |
| JP6015124B2 (ja) * | 2011-05-18 | 2016-10-26 | 東ソー株式会社 | カルベン化合物誘導体を構成成分とする有機薄膜電子デバイス |
| US8748012B2 (en) | 2011-05-25 | 2014-06-10 | Universal Display Corporation | Host materials for OLED |
| JP2013010752A (ja) | 2011-06-03 | 2013-01-17 | Semiconductor Energy Lab Co Ltd | 有機金属錯体、有機発光素子、発光装置、電子機器、及び照明装置 |
| KR102119353B1 (ko) * | 2011-06-08 | 2020-06-29 | 유니버셜 디스플레이 코포레이션 | 헤테로렙틱 이리듐 카르벤 착물 및 이를 사용한 발광 디바이스 |
| RU2608411C2 (ru) | 2011-06-10 | 2017-01-18 | Басф Се | Новый преобразователь цвета |
| US9315724B2 (en) | 2011-06-14 | 2016-04-19 | Basf Se | Metal complexes comprising azabenzimidazole carbene ligands and the use thereof in OLEDs |
| CN107501330A (zh) | 2011-06-14 | 2017-12-22 | Udc 爱尔兰有限责任公司 | 包含氮杂苯并咪唑碳烯配体的金属配合物及其在oled中的用途 |
| US8409729B2 (en) * | 2011-07-28 | 2013-04-02 | Universal Display Corporation | Host materials for phosphorescent OLEDs |
| US9583719B2 (en) | 2011-08-12 | 2017-02-28 | Basf Se | Carbazolocarbazol-bis(dicarboximides) and their use as semiconductors |
| JP5742586B2 (ja) * | 2011-08-25 | 2015-07-01 | コニカミノルタ株式会社 | 有機エレクトロルミネッセンス素子、照明装置及び表示装置 |
| CN108299439B (zh) | 2011-11-10 | 2021-02-09 | Udc 爱尔兰有限责任公司 | 用于电子应用的4H-咪唑并[1,2-a]咪唑 |
| KR20140117432A (ko) * | 2011-12-28 | 2014-10-07 | 솔베이(소시에떼아노님) | 이종 리간드 금속 착물의 제조 |
| KR102012047B1 (ko) | 2012-01-06 | 2019-08-19 | 유니버셜 디스플레이 코포레이션 | 효율이 큰 인광 물질 |
| JP5978843B2 (ja) | 2012-02-02 | 2016-08-24 | コニカミノルタ株式会社 | イリジウム錯体化合物、有機エレクトロルミネッセンス素子材料、有機エレクトロルミネッセンス素子、照明装置及び表示装置 |
| US9386657B2 (en) | 2012-03-15 | 2016-07-05 | Universal Display Corporation | Organic Electroluminescent materials and devices |
| JP6024744B2 (ja) * | 2012-04-03 | 2016-11-16 | コニカミノルタ株式会社 | 有機エレクトロルミネッセンス素子 |
| CN108191870A (zh) | 2012-07-10 | 2018-06-22 | Udc 爱尔兰有限责任公司 | 用于电子应用的苯并咪唑并[1,2-a]苯并咪唑衍生物 |
| US9540329B2 (en) | 2012-07-19 | 2017-01-10 | Universal Display Corporation | Organic electroluminescent materials and devices |
| EP2890221A4 (en) | 2012-08-24 | 2016-09-14 | Konica Minolta Inc | TRANSPARENT ELECTRODE, ELECTRONIC DEVICE AND METHOD FOR PRODUCING THE TRANSPARENT ELECTRODE |
| CN104662023B (zh) | 2012-09-20 | 2017-08-18 | Udc 爱尔兰有限责任公司 | 供电子应用的氮杂二苯并呋喃 |
| US9252363B2 (en) | 2012-10-04 | 2016-02-02 | Universal Display Corporation | Aryloxyalkylcarboxylate solvent compositions for inkjet printing of organic layers |
| JP6199023B2 (ja) * | 2012-11-20 | 2017-09-20 | コニカミノルタ株式会社 | イリジウム錯体のフェイシャル体の製造方法 |
| US9196860B2 (en) | 2012-12-04 | 2015-11-24 | Universal Display Corporation | Compounds for triplet-triplet annihilation upconversion |
| US8716484B1 (en) | 2012-12-05 | 2014-05-06 | Universal Display Corporation | Hole transporting materials with twisted aryl groups |
| US9653691B2 (en) | 2012-12-12 | 2017-05-16 | Universal Display Corporation | Phosphorescence-sensitizing fluorescence material system |
| US10400163B2 (en) | 2013-02-08 | 2019-09-03 | Universal Display Corporation | Organic electroluminescent materials and devices |
| KR102046153B1 (ko) * | 2013-03-12 | 2019-12-02 | 삼성전자주식회사 | 유기 금속 착물, 이를 이용한 유기 전계 발광 소자 및 표시 장치 |
| US10374172B2 (en) | 2013-03-20 | 2019-08-06 | Udc Ireland Limited | Azabenzimidazole carbene complexes as efficiency booster in OLEDs |
| US10135002B2 (en) | 2013-03-29 | 2018-11-20 | Konica Minolta, Inc. | Organic electroluminescent element, and lighting device and display device which are provided with same |
| JP6269655B2 (ja) | 2013-03-29 | 2018-01-31 | コニカミノルタ株式会社 | 有機エレクトロルミネッセンス素子用材料、有機エレクトロルミネッセンス素子、表示装置及び照明装置 |
| JP6048281B2 (ja) * | 2013-03-29 | 2016-12-21 | コニカミノルタ株式会社 | 有機エレクトロルミネッセンス素子、照明装置及び表示装置 |
| US10128448B2 (en) | 2013-04-29 | 2018-11-13 | Udc Ireland Limited | Transition metal complexes with carbene ligands and the use thereof in OLEDs |
| CN104183754A (zh) * | 2013-05-22 | 2014-12-03 | 海洋王照明科技股份有限公司 | 有机电致发光器件及其制备方法 |
| CN104183723A (zh) * | 2013-05-22 | 2014-12-03 | 海洋王照明科技股份有限公司 | 有机电致发光器件及其制备方法 |
| JP6506272B2 (ja) | 2013-07-02 | 2019-04-24 | ユー・ディー・シー アイルランド リミテッド | 有機発光ダイオードにおいて使用するための一置換されたジアザベンゾイミダゾールカルベン金属錯体 |
| JP6486353B2 (ja) | 2013-07-31 | 2019-03-20 | ユー・ディー・シー アイルランド リミテッド | 発光性ジアザベンゾイミダゾールカルベン金属錯体 |
| EP2837634A1 (en) | 2013-08-12 | 2015-02-18 | Saudi Basic Industries Corporation | Catalyst system for polymerisation of an olefin |
| EA032503B1 (ru) | 2013-08-12 | 2019-06-28 | Сауди Бейсик Индастриз Корпорейшн | Каталитическая система для полимеризации олефинов |
| EP3063153B1 (en) | 2013-10-31 | 2018-03-07 | Idemitsu Kosan Co., Ltd. | Azadibenzothiophenes for electronic applications |
| US9905784B2 (en) | 2013-11-15 | 2018-02-27 | Universal Display Corporation | Organic electroluminescent materials and devices |
| US9876173B2 (en) | 2013-12-09 | 2018-01-23 | Universal Display Corporation | Organic electroluminescent materials and devices |
| DE102013225682A1 (de) | 2013-12-12 | 2015-06-18 | Friedrich-Alexander-Universität Erlangen-Nürnberg | Metallionaddukte von neutralen phosphoreszenten Emittern zur Verwendung in lichtemittierenden organischen optoelektronischen Bauteilen |
| WO2015091716A1 (en) | 2013-12-20 | 2015-06-25 | Basf Se | Highly efficient oled devices with very short decay times |
| BR112016014012B1 (pt) | 2013-12-20 | 2021-01-05 | Saudi Basic Industries Corporation | sistema de catalisador para polimerização de uma olefina, compreendendo um composto, processo de preparação do referido sistema e usos do composto |
| CN106661068A (zh) | 2014-03-31 | 2017-05-10 | Udc 爱尔兰有限责任公司 | 包含具有o‑取代非环金属化芳基的碳烯配位体的金属络合物和其在有机发光二极管中的用途 |
| US9450198B2 (en) | 2014-04-15 | 2016-09-20 | Universal Display Corporation | Organic electroluminescent materials and devices |
| EP3174885B1 (en) | 2014-07-28 | 2019-10-02 | Idemitsu Kosan Co., Ltd. | 2,9-functionalized benzimidazolo[1,2-a]benzimidazoles as hosts for organic light emitting diodes (oleds) |
| EP2982676B1 (en) | 2014-08-07 | 2018-04-11 | Idemitsu Kosan Co., Ltd. | Benzimidazo[2,1-B]benzoxazoles for electronic applications |
| DE102014112618B4 (de) * | 2014-09-02 | 2023-09-07 | Pictiva Displays International Limited | Organisches Licht emittierendes Bauelement |
| EP2993215B1 (en) | 2014-09-04 | 2019-06-19 | Idemitsu Kosan Co., Ltd. | Azabenzimidazo[2,1-a]benzimidazoles for electronic applications |
| KR102308117B1 (ko) | 2014-10-17 | 2021-10-01 | 삼성전자주식회사 | 카바졸계 화합물 및 이를 포함한 유기 발광 소자 |
| EP3015469B1 (en) | 2014-10-30 | 2018-12-19 | Idemitsu Kosan Co., Ltd. | 5-(benzimidazol-2-yl)benzimidazo[1,2-a]benzimidazoles for electronic applications |
| WO2016079667A1 (en) | 2014-11-17 | 2016-05-26 | Idemitsu Kosan Co., Ltd. | Indole derivatives for electronic applications |
| EP3034507A1 (en) | 2014-12-15 | 2016-06-22 | Idemitsu Kosan Co., Ltd | 1-functionalized dibenzofurans and dibenzothiophenes for organic light emitting diodes (OLEDs) |
| EP3034506A1 (en) | 2014-12-15 | 2016-06-22 | Idemitsu Kosan Co., Ltd | 4-functionalized carbazole derivatives for electronic applications |
| EP3054498B1 (en) | 2015-02-06 | 2017-09-20 | Idemitsu Kosan Co., Ltd. | Bisimidazodiazocines |
| EP3053918B1 (en) | 2015-02-06 | 2018-04-11 | Idemitsu Kosan Co., Ltd. | 2-carbazole substituted benzimidazoles for electronic applications |
| JP5831654B1 (ja) | 2015-02-13 | 2015-12-09 | コニカミノルタ株式会社 | 芳香族複素環誘導体、それを用いた有機エレクトロルミネッセンス素子、照明装置及び表示装置 |
| US9929361B2 (en) | 2015-02-16 | 2018-03-27 | Universal Display Corporation | Organic electroluminescent materials and devices |
| GB2535476A (en) * | 2015-02-16 | 2016-08-24 | Cambridge Display Tech Ltd | Compound, composition and organic light-emitting device |
| EP3061759B1 (en) | 2015-02-24 | 2019-12-25 | Idemitsu Kosan Co., Ltd | Nitrile substituted dibenzofurans |
| US11056657B2 (en) | 2015-02-27 | 2021-07-06 | University Display Corporation | Organic electroluminescent materials and devices |
| EP3070144B1 (en) | 2015-03-17 | 2018-02-28 | Idemitsu Kosan Co., Ltd. | Seven-membered ring compounds |
| EP3072943B1 (en) | 2015-03-26 | 2018-05-02 | Idemitsu Kosan Co., Ltd. | Dibenzofuran/carbazole-substituted benzonitriles |
| EP3075737B1 (en) | 2015-03-31 | 2019-12-04 | Idemitsu Kosan Co., Ltd | Benzimidazolo[1,2-a]benzimidazole carrying aryl- or heteroarylnitril groups for organic light emitting diodes |
| US9859510B2 (en) | 2015-05-15 | 2018-01-02 | Universal Display Corporation | Organic electroluminescent materials and devices |
| US10418568B2 (en) | 2015-06-01 | 2019-09-17 | Universal Display Corporation | Organic electroluminescent materials and devices |
| EP4060757A1 (en) | 2015-06-03 | 2022-09-21 | UDC Ireland Limited | Highly efficient oled devices with very short decay times |
| US11127905B2 (en) | 2015-07-29 | 2021-09-21 | Universal Display Corporation | Organic electroluminescent materials and devices |
| US10672996B2 (en) | 2015-09-03 | 2020-06-02 | Universal Display Corporation | Organic electroluminescent materials and devices |
| EP3150606B1 (en) | 2015-10-01 | 2019-08-14 | Idemitsu Kosan Co., Ltd. | Benzimidazolo[1,2-a]benzimidazoles carrying benzofurane or benzothiophene groups for organic light emitting diodes |
| WO2017056053A1 (en) | 2015-10-01 | 2017-04-06 | Idemitsu Kosan Co., Ltd. | Benzimidazolo[1,2-a]benzimidazole carrying benzimidazolo[1,2-a]benzimidazolyl groups, carbazolyl groups, benzofurane groups or benzothiophene groups for organic light emitting diodes |
| EP3150604B1 (en) | 2015-10-01 | 2021-07-14 | Idemitsu Kosan Co., Ltd. | Benzimidazolo[1,2-a]benzimidazole carrying benzimidazolo[1,2-a]benzimidazolylyl groups, carbazolyl groups, benzofurane groups or benzothiophene groups for organic light emitting diodes |
| WO2017056055A1 (en) | 2015-10-01 | 2017-04-06 | Idemitsu Kosan Co., Ltd. | Benzimidazolo[1,2-a]benzimidazole carrying triazine groups for organic light emitting diodes |
| KR20180079328A (ko) | 2015-11-04 | 2018-07-10 | 이데미쓰 고산 가부시키가이샤 | 벤즈이미다졸 축합 헤테로아릴 |
| WO2017093958A1 (en) | 2015-12-04 | 2017-06-08 | Idemitsu Kosan Co., Ltd. | Benzimidazolo[1,2-a]benzimidazole derivatives for organic light emitting diodes |
| JP6160685B2 (ja) * | 2015-12-24 | 2017-07-12 | コニカミノルタ株式会社 | 有機エレクトロルミネッセンス素子、照明装置及び表示装置 |
| JP6788314B2 (ja) | 2016-01-06 | 2020-11-25 | コニカミノルタ株式会社 | 有機エレクトロルミネッセンス素子、有機エレクトロルミネッセンス素子の製造方法、表示装置及び照明装置 |
| US20170229663A1 (en) | 2016-02-09 | 2017-08-10 | Universal Display Corporation | Organic electroluminescent materials and devices |
| US10236456B2 (en) | 2016-04-11 | 2019-03-19 | Universal Display Corporation | Organic electroluminescent materials and devices |
| WO2017178864A1 (en) | 2016-04-12 | 2017-10-19 | Idemitsu Kosan Co., Ltd. | Seven-membered ring compounds |
| US10727423B2 (en) | 2016-06-20 | 2020-07-28 | Universal Display Corporation | Organic electroluminescent materials and devices |
| US10651403B2 (en) * | 2016-06-20 | 2020-05-12 | Universal Display Corporation | Organic electroluminescent materials and devices |
| US10686140B2 (en) | 2016-06-20 | 2020-06-16 | Universal Display Corporation | Organic electroluminescent materials and devices |
| US11482683B2 (en) | 2016-06-20 | 2022-10-25 | Universal Display Corporation | Organic electroluminescent materials and devices |
| US10862054B2 (en) | 2016-06-20 | 2020-12-08 | Universal Display Corporation | Organic electroluminescent materials and devices |
| US10672997B2 (en) | 2016-06-20 | 2020-06-02 | Universal Display Corporation | Organic electroluminescent materials and devices |
| US10608186B2 (en) | 2016-09-14 | 2020-03-31 | Universal Display Corporation | Organic electroluminescent materials and devices |
| US10680187B2 (en) | 2016-09-23 | 2020-06-09 | Universal Display Corporation | Organic electroluminescent materials and devices |
| US11196010B2 (en) | 2016-10-03 | 2021-12-07 | Universal Display Corporation | Organic electroluminescent materials and devices |
| US11011709B2 (en) | 2016-10-07 | 2021-05-18 | Universal Display Corporation | Organic electroluminescent materials and devices |
| US12317745B2 (en) | 2016-11-09 | 2025-05-27 | Universal Display Corporation | Organic electroluminescent materials and devices |
| US10680188B2 (en) | 2016-11-11 | 2020-06-09 | Universal Display Corporation | Organic electroluminescent materials and devices |
| US11780865B2 (en) | 2017-01-09 | 2023-10-10 | Universal Display Corporation | Organic electroluminescent materials and devices |
| US10844085B2 (en) | 2017-03-29 | 2020-11-24 | Universal Display Corporation | Organic electroluminescent materials and devices |
| US10944060B2 (en) | 2017-05-11 | 2021-03-09 | Universal Display Corporation | Organic electroluminescent materials and devices |
| JP2017200929A (ja) * | 2017-06-05 | 2017-11-09 | コニカミノルタ株式会社 | イリジウム錯体のフェイシャル体の製造方法 |
| US12098157B2 (en) | 2017-06-23 | 2024-09-24 | Universal Display Corporation | Organic electroluminescent materials and devices |
| US11228010B2 (en) | 2017-07-26 | 2022-01-18 | Universal Display Corporation | Organic electroluminescent materials and devices |
| US11744142B2 (en) | 2017-08-10 | 2023-08-29 | Universal Display Corporation | Organic electroluminescent materials and devices |
| EP3471164B1 (en) | 2017-08-11 | 2023-03-29 | LG Chem, Ltd. | Organic electroluminescent element and manufacturing method therefor |
| US12180230B2 (en) | 2017-11-28 | 2024-12-31 | University Of Southern California | Carbene compounds and organic electroluminescent devices |
| EP3492480B1 (en) | 2017-11-29 | 2021-10-20 | Universal Display Corporation | Organic electroluminescent materials and devices |
| US11937503B2 (en) | 2017-11-30 | 2024-03-19 | Universal Display Corporation | Organic electroluminescent materials and devices |
| EP3503234B1 (en) * | 2017-12-20 | 2020-11-04 | Novaled GmbH | Organic electronic device comprising an inverse coordination complex and a method for preparing the same |
| GB2569635A (en) * | 2017-12-21 | 2019-06-26 | Sumitomo Chemical Co | Compound |
| US11542289B2 (en) | 2018-01-26 | 2023-01-03 | Universal Display Corporation | Organic electroluminescent materials and devices |
| CN108191827A (zh) * | 2018-02-09 | 2018-06-22 | 广东省石油与精细化工研究院 | 一种喹啉三唑类稀土配合物及其制备方法和应用 |
| US11165028B2 (en) | 2018-03-12 | 2021-11-02 | Universal Display Corporation | Organic electroluminescent materials and devices |
| CN108586539B (zh) * | 2018-04-13 | 2020-06-05 | 苏州科技大学 | 含二苯并噻吩环金属铱配合物及其作为有机电致发光器件发光层掺杂材料的应用 |
| KR102661471B1 (ko) * | 2018-04-27 | 2024-04-29 | 삼성디스플레이 주식회사 | 유기금속 화합물 및 이를 포함한 유기 발광 소자 |
| US12453279B2 (en) | 2018-08-22 | 2025-10-21 | Universal Display Corporation | Organic electroluminescent materials and devices |
| TW202030902A (zh) | 2018-09-12 | 2020-08-16 | 德商麥克專利有限公司 | 電致發光裝置 |
| TWI826522B (zh) | 2018-09-12 | 2023-12-21 | 德商麥克專利有限公司 | 電致發光裝置 |
| JP7459065B2 (ja) | 2018-09-12 | 2024-04-01 | メルク パテント ゲーエムベーハー | 有機エレクトロルミネッセンスデバイス用の材料 |
| US11737349B2 (en) | 2018-12-12 | 2023-08-22 | Universal Display Corporation | Organic electroluminescent materials and devices |
| US11780829B2 (en) | 2019-01-30 | 2023-10-10 | The University Of Southern California | Organic electroluminescent materials and devices |
| US12477890B2 (en) | 2019-02-01 | 2025-11-18 | Universal Display Corporation | Organic electroluminescent materials and devices |
| US20220127286A1 (en) | 2019-03-04 | 2022-04-28 | Merck Patent Gmbh | Ligands for nano-sized materials |
| JP2020158491A (ja) | 2019-03-26 | 2020-10-01 | ユニバーサル ディスプレイ コーポレイション | 有機エレクトロルミネセンス材料及びデバイス |
| WO2020208051A1 (en) | 2019-04-11 | 2020-10-15 | Merck Patent Gmbh | Materials for organic electroluminescent devices |
| US12281128B2 (en) | 2019-07-30 | 2025-04-22 | Universal Display Corporation | Organic electroluminescent materials and devices |
| US12139501B2 (en) | 2019-08-16 | 2024-11-12 | Universal Display Corporation | Organic electroluminescent materials and devices |
| CN114641482A (zh) | 2019-11-04 | 2022-06-17 | 默克专利有限公司 | 用于有机电致发光器件的材料 |
| US20210135130A1 (en) | 2019-11-04 | 2021-05-06 | Universal Display Corporation | Organic electroluminescent materials and devices |
| TW202134252A (zh) | 2019-11-12 | 2021-09-16 | 德商麥克專利有限公司 | 有機電致發光裝置用材料 |
| TW202136181A (zh) | 2019-12-04 | 2021-10-01 | 德商麥克專利有限公司 | 有機電致發光裝置用的材料 |
| US12538698B2 (en) | 2020-01-06 | 2026-01-27 | Universal Display Corporation | Organic electroluminescent materials and devices |
| US12426495B2 (en) | 2020-01-28 | 2025-09-23 | Universal Display Corporation | Organic electroluminescent materials and devices |
| CN115052865A (zh) | 2020-01-29 | 2022-09-13 | 默克专利有限公司 | 苯并咪唑衍生物 |
| EP4126884B1 (en) | 2020-03-23 | 2025-07-09 | Merck Patent GmbH | Materials for organic electroluminescent devices |
| EP3937268B1 (en) | 2020-07-10 | 2025-05-07 | Universal Display Corporation | Plasmonic oleds and vertical dipole emitters |
| US12187748B2 (en) | 2020-11-02 | 2025-01-07 | Universal Display Corporation | Organic electroluminescent materials and devices |
| US20220158096A1 (en) | 2020-11-16 | 2022-05-19 | Universal Display Corporation | Organic electroluminescent materials and devices |
| US20220165967A1 (en) | 2020-11-24 | 2022-05-26 | Universal Display Corporation | Organic electroluminescent materials and devices |
| US12325717B2 (en) | 2020-11-24 | 2025-06-10 | Universal Display Corporation | Organic electroluminescent materials and devices |
| US20220271241A1 (en) | 2021-02-03 | 2022-08-25 | Universal Display Corporation | Organic electroluminescent materials and devices |
| EP4059915B1 (en) | 2021-02-26 | 2025-12-24 | Universal Display Corporation | Organic electroluminescent materials and devices |
| EP4060758A3 (en) | 2021-02-26 | 2023-03-29 | Universal Display Corporation | Organic electroluminescent materials and devices |
| US20220298192A1 (en) | 2021-03-05 | 2022-09-22 | Universal Display Corporation | Organic electroluminescent materials and devices |
| US12428599B2 (en) | 2021-03-09 | 2025-09-30 | Universal Display Corporation | Organic electroluminescent materials and devices |
| US20220298190A1 (en) | 2021-03-12 | 2022-09-22 | Universal Display Corporation | Organic electroluminescent materials and devices |
| US12421262B2 (en) | 2021-03-15 | 2025-09-23 | Universal Display Corporation | Organic electroluminescent materials and devices |
| US20220340607A1 (en) | 2021-04-05 | 2022-10-27 | Universal Display Corporation | Organic electroluminescent materials and devices |
| US12480042B2 (en) | 2021-04-09 | 2025-11-25 | Universal Display Corporation | Organic electroluminescent materials and devices |
| US20220352478A1 (en) | 2021-04-14 | 2022-11-03 | Universal Display Corporation | Organic eletroluminescent materials and devices |
| US20220407020A1 (en) | 2021-04-23 | 2022-12-22 | Universal Display Corporation | Organic electroluminescent materials and devices |
| US20230006149A1 (en) | 2021-04-23 | 2023-01-05 | Universal Display Corporation | Organic electroluminescent materials and devices |
| US20230133787A1 (en) | 2021-06-08 | 2023-05-04 | University Of Southern California | Molecular Alignment of Homoleptic Iridium Phosphors |
| EP4151699A1 (en) | 2021-09-17 | 2023-03-22 | Universal Display Corporation | Organic electroluminescent materials and devices |
| US12473318B2 (en) | 2021-10-08 | 2025-11-18 | Universal Display Corporation | Organic electroluminescent materials and devices |
| US12509628B2 (en) | 2021-12-16 | 2025-12-30 | Universal Display Corporation | Organic electroluminescent materials and devices |
| EP4231804A3 (en) | 2022-02-16 | 2023-09-20 | Universal Display Corporation | Organic electroluminescent materials and devices |
| US20230292592A1 (en) | 2022-03-09 | 2023-09-14 | Universal Display Corporation | Organic electroluminescent materials and devices |
| JP2023148087A (ja) | 2022-03-30 | 2023-10-13 | 学校法人関西学院 | 金属錯体 |
| US20230337516A1 (en) | 2022-04-18 | 2023-10-19 | Universal Display Corporation | Organic electroluminescent materials and devices |
| US20230389421A1 (en) | 2022-05-24 | 2023-11-30 | Universal Display Corporation | Organic electroluminescent materials and devices |
| EP4293001A1 (en) | 2022-06-08 | 2023-12-20 | Universal Display Corporation | Organic electroluminescent materials and devices |
| US20240016051A1 (en) | 2022-06-28 | 2024-01-11 | Universal Display Corporation | Organic electroluminescent materials and devices |
| US20240107880A1 (en) | 2022-08-17 | 2024-03-28 | Universal Display Corporation | Organic electroluminescent materials and devices |
| US20240188316A1 (en) | 2022-10-27 | 2024-06-06 | Universal Display Corporation | Organic electroluminescent materials and devices |
| US20240188419A1 (en) | 2022-10-27 | 2024-06-06 | Universal Display Corporation | Organic electroluminescent materials and devices |
| US20240196730A1 (en) | 2022-10-27 | 2024-06-13 | Universal Display Corporation | Organic electroluminescent materials and devices |
| US20240188319A1 (en) | 2022-10-27 | 2024-06-06 | Universal Display Corporation | Organic electroluminescent materials and devices |
| US20240180025A1 (en) | 2022-10-27 | 2024-05-30 | Universal Display Corporation | Organic electroluminescent materials and devices |
| WO2024105066A1 (en) | 2022-11-17 | 2024-05-23 | Merck Patent Gmbh | Materials for organic electroluminescent devices |
| US20240247017A1 (en) | 2022-12-14 | 2024-07-25 | Universal Display Corporation | Organic electroluminescent materials and devices |
| CN115961298B (zh) * | 2022-12-31 | 2024-10-01 | 广西师范大学 | 一种电化学介导乙烯基苯胺与醇合成2,3-二烷氧基取代吲哚啉化合物、合成方法及应用 |
| US20250204239A1 (en) | 2023-12-15 | 2025-06-19 | Universal Display Corporation | Organic electroluminescent materials and devices |
| US20250204238A1 (en) | 2023-12-15 | 2025-06-19 | Universal Display Corporation | Organic electroluminscent materials and devices |
Citations (2)
| Publication number | Priority date | Publication date | Assignee | Title |
|---|---|---|---|---|
| WO2009008100A1 (ja) * | 2007-07-10 | 2009-01-15 | Idemitsu Kosan Co., Ltd. | 有機エレクトロルミネッセンス素子用材料及びそれを用いた有機エレクトロルミネッセンス素子 |
| JP2009057505A (ja) * | 2007-09-03 | 2009-03-19 | Konica Minolta Holdings Inc | 有機エレクトロルミネッセンス素子材料、有機エレクトロルミネッセンス素子、表示装置及び照明装置 |
Family Cites Families (92)
| Publication number | Priority date | Publication date | Assignee | Title |
|---|---|---|---|---|
| US5984539A (en) | 1997-11-06 | 1999-11-16 | Eastman Kodak Company | Method and apparatus of applying a solution of a predetermined viscosity to photosensitive material to form a protective coating thereon |
| WO2000070655A2 (en) | 1999-05-13 | 2000-11-23 | The Trustees Of Princeton University | Very high efficiency organic light emitting devices based on electrophosphorescence |
| JP3924648B2 (ja) | 1999-11-02 | 2007-06-06 | ソニー株式会社 | 有機電界発光素子 |
| SG138466A1 (en) * | 2000-12-28 | 2008-01-28 | Semiconductor Energy Lab | Luminescent device |
| DE10104426A1 (de) | 2001-02-01 | 2002-08-08 | Covion Organic Semiconductors | Verfahren zur Herstellung von hochreinen, tris-ortho-metallierten Organo-Iridium-Verbindungen |
| DE10338550A1 (de) | 2003-08-19 | 2005-03-31 | Basf Ag | Übergangsmetallkomplexe mit Carbenliganden als Emitter für organische Licht-emittierende Dioden (OLEDs) |
| US7601436B2 (en) * | 2004-05-18 | 2009-10-13 | The University Of Southern California | Carbene metal complexes as OLED materials |
| US7534505B2 (en) * | 2004-05-18 | 2009-05-19 | The University Of Southern California | Organometallic compounds for use in electroluminescent devices |
| WO2005113704A2 (en) | 2004-05-18 | 2005-12-01 | The University Of Southern California | Luminescent compounds with carbene ligands |
| DE102004037451A1 (de) | 2004-08-02 | 2006-03-16 | Niels Raeder | Verpackung, insbesondere Tüte, mit einem Informationsträger |
| DE102004057072A1 (de) | 2004-11-25 | 2006-06-01 | Basf Ag | Verwendung von Übergangsmetall-Carbenkomplexen in organischen Licht-emittierenden Dioden (OLEDs) |
| CA2589711A1 (en) | 2004-12-23 | 2006-06-29 | Ciba Specialty Chemicals Holding Inc. | Electroluminescent metal complexes with nucleophilic carbene ligands |
| US20060246315A1 (en) * | 2005-04-27 | 2006-11-02 | Begley William J | Phosphorescent oled with mixed electron transport materials |
| US9051344B2 (en) | 2005-05-06 | 2015-06-09 | Universal Display Corporation | Stability OLED materials and devices |
| US7902374B2 (en) * | 2005-05-06 | 2011-03-08 | Universal Display Corporation | Stability OLED materials and devices |
| DE602006011734D1 (de) | 2005-05-30 | 2010-03-04 | Basf Se | Elektrolumineszenz-gerät |
| JP4935024B2 (ja) * | 2005-08-25 | 2012-05-23 | コニカミノルタホールディングス株式会社 | 有機エレクトロルミネッセンス素子、それを用いた表示装置および照明装置 |
| US8148891B2 (en) * | 2005-10-04 | 2012-04-03 | Universal Display Corporation | Electron impeding layer for high efficiency phosphorescent OLEDs |
| DE502005009802D1 (de) | 2005-11-10 | 2010-08-05 | Novaled Ag | Dotiertes organisches Halbleitermaterial |
| DE102005058543A1 (de) | 2005-12-08 | 2007-06-14 | Merck Patent Gmbh | Organische Elektrolumineszenzvorrichtungen |
| USRE44831E1 (en) | 2006-01-05 | 2014-04-08 | Konica Minolta Holdings, Inc. | Organic electroluminescent device, display, and illuminating device |
| KR101600624B1 (ko) * | 2006-02-10 | 2016-03-21 | 유니버셜 디스플레이 코포레이션 | 시클로금속화 이미다조[1,2-f]페난트리딘 및디이미다조[1,2-a:1',2'-c]퀴나졸린 리간드, 및 이의등전자성 및 벤즈고리화된 유사체의 금속 착체 |
| US20090091253A1 (en) | 2006-03-17 | 2009-04-09 | Konica Minolta Holdings, Inc. | Organic electroluminescent element, display device and lighting device |
| ATE394800T1 (de) | 2006-03-21 | 2008-05-15 | Novaled Ag | Heterocyclisches radikal oder diradikal, deren dimere, oligomere, polymere, dispiroverbindungen und polycyclen, deren verwendung, organisches halbleitendes material sowie elektronisches bauelement |
| EP2615153B1 (en) * | 2006-03-23 | 2017-03-01 | Konica Minolta Holdings, Inc. | Organic electroluminescent device, display and illuminating device |
| US20070224446A1 (en) | 2006-03-24 | 2007-09-27 | Idemitsu Kosan Co., Ltd. | Material for organic electroluminescence device and organic electroluminescence device using the same |
| EP2001065B1 (en) | 2006-03-30 | 2016-11-09 | Konica Minolta Holdings, Inc. | Organic electroluminescent device, illuminating device and display device |
| KR20090007389A (ko) * | 2006-04-04 | 2009-01-16 | 바스프 에스이 | 1개의 비카르벤 리간드 및 1 또는 2 개의 카르벤 리간드를 포함하는 전이 금속 착체 및 이의 oled에서의 용도 |
| ATE550342T1 (de) | 2006-04-05 | 2012-04-15 | Basf Se | Heteroleptische übergangsmetall-carben-komplexe und deren verwendung in organischen leuchtdioden (oleds) |
| JP5055818B2 (ja) | 2006-04-19 | 2012-10-24 | コニカミノルタホールディングス株式会社 | 有機エレクトロルミネッセンス素子材料、有機エレクトロルミネッセンス素子、表示装置及び照明装置 |
| JP5298460B2 (ja) * | 2006-06-08 | 2013-09-25 | コニカミノルタ株式会社 | 有機エレクトロルミネッセンス素子、表示装置および照明装置 |
| JP2009541431A (ja) | 2006-06-26 | 2009-11-26 | ビーエーエスエフ ソシエタス・ヨーロピア | 非カルベン経由のシクロメタル化のない遷移金属−カルベン錯体の利用 |
| JP2008021687A (ja) * | 2006-07-10 | 2008-01-31 | Mitsubishi Chemicals Corp | 有機電界発光素子用材料、有機電界発光素子用組成物及び有機電界発光素子 |
| WO2008029729A1 (fr) | 2006-09-08 | 2008-03-13 | Konica Minolta Holdings, Inc. | Dispositif électroluminescent organique, dispositif d'éclairage et affichage utilisant un tel dispositif |
| JP5332614B2 (ja) | 2006-09-08 | 2013-11-06 | コニカミノルタ株式会社 | 有機エレクトロルミネッセンス素子、照明装置及び表示装置 |
| JP2008066569A (ja) | 2006-09-08 | 2008-03-21 | Konica Minolta Holdings Inc | 有機エレクトロルミネッセンス素子、照明装置及び表示装置 |
| JP5556014B2 (ja) | 2006-09-20 | 2014-07-23 | コニカミノルタ株式会社 | 有機エレクトロルミネッセンス素子 |
| JP5589251B2 (ja) | 2006-09-21 | 2014-09-17 | コニカミノルタ株式会社 | 有機エレクトロルミネッセンス素子材料 |
| US8241764B2 (en) | 2006-09-21 | 2012-08-14 | Basf Aktiengesellschaft | OLED display with extended lifetime |
| JP5011908B2 (ja) | 2006-09-26 | 2012-08-29 | コニカミノルタホールディングス株式会社 | 有機エレクトロルミネッセンス素子、表示装置および照明装置 |
| KR100846590B1 (ko) * | 2006-11-08 | 2008-07-16 | 삼성에스디아이 주식회사 | 실란일아민계 화합물, 이의 제조 방법 및 이를 포함한유기막을 구비한 유기 발광 소자 |
| US8541112B2 (en) | 2006-12-13 | 2013-09-24 | Konica Minolta Holdings, Inc. | Organic electroluminescent element, display device and lighting device |
| GB0625540D0 (en) * | 2006-12-22 | 2007-01-31 | Oled T Ltd | Electroluminescent devices |
| WO2008090912A1 (ja) | 2007-01-23 | 2008-07-31 | Konica Minolta Holdings, Inc. | 有機エレクトロルミネッセンス素子の製造方法、該製造方法により得られた有機エレクトロルミネッセンス素子、表示装置及び照明装置 |
| JP2008207520A (ja) | 2007-02-28 | 2008-09-11 | Konica Minolta Holdings Inc | 有機薄膜、有機薄膜の製造方法、電子デバイス、有機エレクトロルミネッセンス素子、表示装置及び照明装置 |
| EP3457451B1 (de) | 2007-04-30 | 2019-07-17 | Novaled GmbH | Die verwendung von oxokohlenstoff-, pseudooxokohlenstoff- und radialenverbindungen |
| US20100141126A1 (en) | 2007-05-16 | 2010-06-10 | Konica Minolta Holdings, Inc. | Organic electroluminescent element, display and illuminating device |
| WO2008146838A1 (ja) | 2007-05-30 | 2008-12-04 | Konica Minolta Holdings, Inc. | 有機エレクトロルミネッセンス素子、表示装置及び照明装置 |
| JP5540701B2 (ja) | 2007-06-21 | 2014-07-02 | コニカミノルタ株式会社 | 有機エレクトロルミネッセンス素子材料 |
| US8373159B2 (en) | 2007-07-05 | 2013-02-12 | Basf Se | Organic light-emitting diodes comprising carbene-transition metal complex emitter, and at least one compound selected from disilylcarbazoles, disilyldibenzofurans, disilyldibenzothiophenes, disilyldibenzophospholes, disilyldibenzothiophene s-oxides and disilyldibe |
| EP3345983B1 (de) | 2007-07-05 | 2020-08-26 | UDC Ireland Limited | Verbindungen enthaltend mindestens eine disilylverbindung ausgewählt aus disilylcarbazolen, disilyldibenzofuranen, disilyldibenzothiophenen, disilyldibenzophospholen, disilyldibenzothiophen-s-oxiden und disilyldibenzothiophen-s, s-dioxiden |
| JP5194596B2 (ja) | 2007-07-11 | 2013-05-08 | コニカミノルタホールディングス株式会社 | 有機エレクトロルミネッセンス素子、表示装置及び照明装置 |
| FR2918892B1 (fr) | 2007-07-16 | 2010-02-12 | Fabre Pierre Dermo Cosmetique | Composition dermatologique anti-inflammatoire comprenant des corticoides et des fragments de hyaluronate, et ses utilisations |
| JP2009046408A (ja) * | 2007-08-17 | 2009-03-05 | Konica Minolta Holdings Inc | ジハロ多環芳香族化合物、ピロリル多環芳香族化合物、及びそれらの製造方法 |
| JP5186843B2 (ja) | 2007-08-30 | 2013-04-24 | コニカミノルタホールディングス株式会社 | 有機エレクトロルミネッセンス素子、照明装置及び表示装置 |
| KR101612135B1 (ko) | 2007-10-17 | 2016-04-12 | 바스프 에스이 | 가교된 카르벤 리간드를 갖는 전이 금속 착체 및 oled에 있어서의 이의 용도 |
| WO2009060780A1 (ja) | 2007-11-08 | 2009-05-14 | Konica Minolta Holdings, Inc. | 有機エレクトロルミネッセンス素子、表示装置及び照明装置 |
| JP2009114369A (ja) | 2007-11-08 | 2009-05-28 | Konica Minolta Holdings Inc | 有機エレクトロルミネッセンス材料、有機エレクトロルミネッセンス素子、表示装置及び照明装置 |
| JP2009114370A (ja) | 2007-11-08 | 2009-05-28 | Konica Minolta Holdings Inc | 有機エレクトロルミネッセンス素子材料、有機エレクトロルミネッセンス素子及び表示装置、照明装置 |
| JP5458890B2 (ja) | 2007-11-08 | 2014-04-02 | コニカミノルタ株式会社 | 有機エレクトロルミネッセンス素子、表示装置及び照明装置 |
| WO2009060779A1 (ja) | 2007-11-08 | 2009-05-14 | Konica Minolta Holdings, Inc. | 有機エレクトロルミネッセンス素子材料、有機エレクトロルミネッセンス素子、表示装置及び照明装置 |
| WO2009060757A1 (ja) | 2007-11-08 | 2009-05-14 | Konica Minolta Holdings, Inc. | 有機エレクトロルミネッセンス素子、表示装置及び照明装置 |
| JPWO2009063757A1 (ja) | 2007-11-14 | 2011-03-31 | コニカミノルタホールディングス株式会社 | 有機エレクトロルミネッセンス素子材料、有機エレクトロルミネッセンス素子、有機エレクトロルミネッセンス素子の製造方法、表示装置及び照明装置 |
| JP2009135183A (ja) | 2007-11-29 | 2009-06-18 | Konica Minolta Holdings Inc | 有機エレクトロルミネッセンス素子、表示装置及び照明装置 |
| US20090153034A1 (en) | 2007-12-13 | 2009-06-18 | Universal Display Corporation | Carbazole-containing materials in phosphorescent light emittinig diodes |
| WO2009084413A1 (ja) | 2007-12-28 | 2009-07-09 | Konica Minolta Holdings, Inc. | 有機エレクトロルミネッセンス素子、及び有機エレクトロルミネッセンス素子の製造方法 |
| US8221905B2 (en) | 2007-12-28 | 2012-07-17 | Universal Display Corporation | Carbazole-containing materials in phosphorescent light emitting diodes |
| JP5549053B2 (ja) | 2008-01-18 | 2014-07-16 | コニカミノルタ株式会社 | 有機エレクトロルミネッセンス素子用材料、有機エレクトロルミネッセンス素子、有機エレクトロルミネッセンス素子の製造方法、表示装置及び照明装置 |
| JP2009182298A (ja) | 2008-02-01 | 2009-08-13 | Konica Minolta Holdings Inc | 有機エレクトロルミネッセンス素子、照明装置及び表示装置 |
| WO2009104488A1 (ja) | 2008-02-20 | 2009-08-27 | コニカミノルタホールディングス株式会社 | 白色発光有機エレクトロルミネッセンス素子 |
| JP2009267255A (ja) | 2008-04-28 | 2009-11-12 | Idemitsu Kosan Co Ltd | 有機エレクトロルミネッセンス素子用材料及びそれを用いた有機エレクトロルミネッセンス素子 |
| EP2479234B1 (en) | 2008-05-13 | 2017-06-21 | Konica Minolta Holdings, Inc. | Organic electroluminescent element, display device and lighting device |
| JP5533652B2 (ja) | 2008-07-01 | 2014-06-25 | コニカミノルタ株式会社 | 白色発光有機エレクトロルミネッセンス素子、照明装置及び表示装置 |
| JP2010021336A (ja) | 2008-07-10 | 2010-01-28 | Konica Minolta Holdings Inc | 有機エレクトロルミネッセンス素子、照明装置及び表示装置 |
| JP5609641B2 (ja) | 2008-07-10 | 2014-10-22 | コニカミノルタ株式会社 | 有機エレクトロルミネッセンス素子、表示装置及び照明装置 |
| JP5338184B2 (ja) | 2008-08-06 | 2013-11-13 | コニカミノルタ株式会社 | 有機エレクトロルミネッセンス素子、表示装置、照明装置 |
| JP5661635B2 (ja) | 2008-10-07 | 2015-01-28 | オスラム オプト セミコンダクターズ ゲゼルシャフト ミット ベシュレンクテル ハフツングOsram Opto Semiconductors GmbH | 縮合環系で置換されたシロール及び有機エレクトロニクスにおけるその使用 |
| WO2010044342A1 (ja) | 2008-10-15 | 2010-04-22 | コニカミノルタホールディングス株式会社 | 有機エレクトロルミネッセンス素子、有機エレクトロルミネッセンス素子の製造方法、白色有機エレクトロルミネッセンス素子、表示装置及び照明装置 |
| ES2370120T3 (es) | 2008-10-23 | 2011-12-12 | Novaled Ag | Compuesto de radialeno y su utilización. |
| JP5493333B2 (ja) | 2008-11-05 | 2014-05-14 | コニカミノルタ株式会社 | 有機エレクトロルミネッセンス素子、白色有機エレクトロルミネッセンス素子、表示装置及び照明装置 |
| JP5707665B2 (ja) | 2008-12-03 | 2015-04-30 | コニカミノルタ株式会社 | 有機エレクトロルミネッセンス素子、該素子を備えた照明装置及び表示装置 |
| WO2010067746A1 (ja) | 2008-12-08 | 2010-06-17 | コニカミノルタホールディングス株式会社 | 有機エレクトロルミネッセンス素子、表示装置、及び照明装置 |
| US9458182B2 (en) * | 2009-01-07 | 2016-10-04 | Basf Se | Silyl- and heteroatom-substituted compounds selected from carbazoles, dibenzofurans, dibenzothiophenes and dibenzophospholes, and use thereof in organic electronics |
| JP5810529B2 (ja) | 2009-01-09 | 2015-11-11 | コニカミノルタ株式会社 | 有機エレクトロルミネッセンス素子、表示装置及び照明装置 |
| JP5472121B2 (ja) | 2009-01-28 | 2014-04-16 | コニカミノルタ株式会社 | 有機エレクトロルミネッセンス素子、表示装置および照明装置、ならびに有機エレクトロルミネッセンス素子の製造方法 |
| EP3046156A1 (en) | 2009-02-06 | 2016-07-20 | Konica Minolta Holdings, Inc. | Organic electroluminescent element, and illumination device and display device each comprising the element |
| WO2010095564A1 (ja) | 2009-02-18 | 2010-08-26 | コニカミノルタホールディングス株式会社 | 有機エレクトロルミネッセンス素子、該素子を備えた照明装置及び表示装置 |
| KR101986469B1 (ko) * | 2009-10-28 | 2019-06-05 | 유디씨 아일랜드 리미티드 | 이종 리간드 카르벤 착체 및 유기 전자장치에서의 이의 용도 |
| US20110203649A1 (en) | 2010-02-19 | 2011-08-25 | Basf Se | Use of indanthrene compounds in organic photovoltaics |
| US8691401B2 (en) | 2010-04-16 | 2014-04-08 | Basf Se | Bridged benzimidazole-carbene complexes and use thereof in OLEDS |
| KR102119353B1 (ko) * | 2011-06-08 | 2020-06-29 | 유니버셜 디스플레이 코포레이션 | 헤테로렙틱 이리듐 카르벤 착물 및 이를 사용한 발광 디바이스 |
| US8692241B1 (en) * | 2012-11-08 | 2014-04-08 | Universal Display Corporation | Transition metal complexes containing triazole and tetrazole carbene ligands |
-
2010
- 2010-10-28 KR KR1020187006336A patent/KR101986469B1/ko active Active
- 2010-10-28 WO PCT/EP2010/066400 patent/WO2011051404A1/de not_active Ceased
- 2010-10-28 JP JP2012535834A patent/JP5939984B2/ja active Active
- 2010-10-28 EP EP10778919.0A patent/EP2493906B1/de active Active
- 2010-10-28 KR KR1020127012849A patent/KR101837095B1/ko active Active
- 2010-10-28 US US13/504,725 patent/US20120205645A1/en not_active Abandoned
- 2010-10-28 CN CN201080059461.6A patent/CN102741265B/zh active Active
-
2019
- 2019-03-06 US US16/294,403 patent/US11189806B2/en active Active
-
2021
- 2021-11-15 US US17/526,503 patent/US11871654B2/en active Active
-
2023
- 2023-11-22 US US18/517,812 patent/US12376484B2/en active Active
Patent Citations (2)
| Publication number | Priority date | Publication date | Assignee | Title |
|---|---|---|---|---|
| WO2009008100A1 (ja) * | 2007-07-10 | 2009-01-15 | Idemitsu Kosan Co., Ltd. | 有機エレクトロルミネッセンス素子用材料及びそれを用いた有機エレクトロルミネッセンス素子 |
| JP2009057505A (ja) * | 2007-09-03 | 2009-03-19 | Konica Minolta Holdings Inc | 有機エレクトロルミネッセンス素子材料、有機エレクトロルミネッセンス素子、表示装置及び照明装置 |
Also Published As
| Publication number | Publication date |
|---|---|
| EP2493906B1 (de) | 2015-10-21 |
| US20200373503A1 (en) | 2020-11-26 |
| KR101837095B1 (ko) | 2018-03-09 |
| US11871654B2 (en) | 2024-01-09 |
| KR20120096493A (ko) | 2012-08-30 |
| CN102741265B (zh) | 2015-12-09 |
| CN102741265A (zh) | 2012-10-17 |
| US12376484B2 (en) | 2025-07-29 |
| US20240130221A1 (en) | 2024-04-18 |
| JP5939984B2 (ja) | 2016-06-29 |
| US11189806B2 (en) | 2021-11-30 |
| US20120205645A1 (en) | 2012-08-16 |
| JP2013509380A (ja) | 2013-03-14 |
| WO2011051404A1 (de) | 2011-05-05 |
| EP2493906A1 (de) | 2012-09-05 |
| KR20180026583A (ko) | 2018-03-12 |
| US20220144869A1 (en) | 2022-05-12 |
Similar Documents
| Publication | Publication Date | Title |
|---|---|---|
| KR101986469B1 (ko) | 이종 리간드 카르벤 착체 및 유기 전자장치에서의 이의 용도 | |
| EP2558476B1 (en) | Bridged benzimidazole-carbene complexes and use thereof in oleds | |
| JP6486451B2 (ja) | カルベン配位子を含む複核金属錯体およびoledにおけるその使用 | |
| KR102090916B1 (ko) | 아자벤즈이미다졸 카르벤 리간드를 포함하는 금속 착물 및 oled 에서의 이의 용도 | |
| KR101838199B1 (ko) | 디아자벤즈이미다졸로카르벤 리간드를 포함하는 금속 착물 및 oled에서의 그의 용도 | |
| US8691401B2 (en) | Bridged benzimidazole-carbene complexes and use thereof in OLEDS | |
| KR102098340B1 (ko) | 카르벤 리간드를 갖는 전이 금속 착물 및 oled에서의 그의 용도 | |
| KR102128072B1 (ko) | 디아자벤즈이미다졸로카르벤 리간드를 포함하는 금속 착물 및 oled에서의 그의 용도 |
Legal Events
| Date | Code | Title | Description |
|---|---|---|---|
| A107 | Divisional application of patent | ||
| PA0104 | Divisional application for international application |
Comment text: Divisional Application for International Patent Patent event code: PA01041R01D Patent event date: 20180305 Application number text: 1020127012849 Filing date: 20120518 |
|
| PG1501 | Laying open of application | ||
| A201 | Request for examination | ||
| PA0201 | Request for examination |
Patent event code: PA02012R01D Patent event date: 20180404 Comment text: Request for Examination of Application |
|
| E902 | Notification of reason for refusal | ||
| PE0902 | Notice of grounds for rejection |
Comment text: Notification of reason for refusal Patent event date: 20180620 Patent event code: PE09021S01D |
|
| PN2301 | Change of applicant |
Patent event date: 20181109 Comment text: Notification of Change of Applicant Patent event code: PN23011R01D |
|
| PN2301 | Change of applicant |
Patent event date: 20190212 Comment text: Notification of Change of Applicant Patent event code: PN23011R01D |
|
| E701 | Decision to grant or registration of patent right | ||
| PE0701 | Decision of registration |
Patent event code: PE07011S01D Comment text: Decision to Grant Registration Patent event date: 20190325 |
|
| GRNT | Written decision to grant | ||
| PR0701 | Registration of establishment |
Comment text: Registration of Establishment Patent event date: 20190530 Patent event code: PR07011E01D |
|
| PR1002 | Payment of registration fee |
Payment date: 20190530 End annual number: 3 Start annual number: 1 |
|
| PG1601 | Publication of registration | ||
| PR1001 | Payment of annual fee |
Payment date: 20220513 Start annual number: 4 End annual number: 4 |
|
| PR1001 | Payment of annual fee |
Payment date: 20230510 Start annual number: 5 End annual number: 5 |

















































































































































