JP2022177050A - 有機電子デバイスのための組成物 - Google Patents
有機電子デバイスのための組成物 Download PDFInfo
- Publication number
- JP2022177050A JP2022177050A JP2022137893A JP2022137893A JP2022177050A JP 2022177050 A JP2022177050 A JP 2022177050A JP 2022137893 A JP2022137893 A JP 2022137893A JP 2022137893 A JP2022137893 A JP 2022137893A JP 2022177050 A JP2022177050 A JP 2022177050A
- Authority
- JP
- Japan
- Prior art keywords
- atoms
- organic
- aromatic ring
- radicals
- aromatic
- Prior art date
- Legal status (The legal status is an assumption and is not a legal conclusion. Google has not performed a legal analysis and makes no representation as to the accuracy of the status listed.)
- Granted
Links
Classifications
-
- C—CHEMISTRY; METALLURGY
- C07—ORGANIC CHEMISTRY
- C07D—HETEROCYCLIC COMPOUNDS
- C07D405/00—Heterocyclic compounds containing both one or more hetero rings having oxygen atoms as the only ring hetero atoms, and one or more rings having nitrogen as the only ring hetero atom
- C07D405/14—Heterocyclic compounds containing both one or more hetero rings having oxygen atoms as the only ring hetero atoms, and one or more rings having nitrogen as the only ring hetero atom containing three or more hetero rings
-
- C—CHEMISTRY; METALLURGY
- C07—ORGANIC CHEMISTRY
- C07D—HETEROCYCLIC COMPOUNDS
- C07D409/00—Heterocyclic compounds containing two or more hetero rings, at least one ring having sulfur atoms as the only ring hetero atoms
- C07D409/14—Heterocyclic compounds containing two or more hetero rings, at least one ring having sulfur atoms as the only ring hetero atoms containing three or more hetero rings
-
- C—CHEMISTRY; METALLURGY
- C07—ORGANIC CHEMISTRY
- C07D—HETEROCYCLIC COMPOUNDS
- C07D471/00—Heterocyclic compounds containing nitrogen atoms as the only ring hetero atoms in the condensed system, at least one ring being a six-membered ring with one nitrogen atom, not provided for by groups C07D451/00 - C07D463/00
- C07D471/02—Heterocyclic compounds containing nitrogen atoms as the only ring hetero atoms in the condensed system, at least one ring being a six-membered ring with one nitrogen atom, not provided for by groups C07D451/00 - C07D463/00 in which the condensed system contains two hetero rings
- C07D471/04—Ortho-condensed systems
-
- C—CHEMISTRY; METALLURGY
- C07—ORGANIC CHEMISTRY
- C07D—HETEROCYCLIC COMPOUNDS
- C07D471/00—Heterocyclic compounds containing nitrogen atoms as the only ring hetero atoms in the condensed system, at least one ring being a six-membered ring with one nitrogen atom, not provided for by groups C07D451/00 - C07D463/00
- C07D471/02—Heterocyclic compounds containing nitrogen atoms as the only ring hetero atoms in the condensed system, at least one ring being a six-membered ring with one nitrogen atom, not provided for by groups C07D451/00 - C07D463/00 in which the condensed system contains two hetero rings
- C07D471/06—Peri-condensed systems
-
- C—CHEMISTRY; METALLURGY
- C07—ORGANIC CHEMISTRY
- C07D—HETEROCYCLIC COMPOUNDS
- C07D471/00—Heterocyclic compounds containing nitrogen atoms as the only ring hetero atoms in the condensed system, at least one ring being a six-membered ring with one nitrogen atom, not provided for by groups C07D451/00 - C07D463/00
- C07D471/12—Heterocyclic compounds containing nitrogen atoms as the only ring hetero atoms in the condensed system, at least one ring being a six-membered ring with one nitrogen atom, not provided for by groups C07D451/00 - C07D463/00 in which the condensed system contains three hetero rings
- C07D471/14—Ortho-condensed systems
-
- C—CHEMISTRY; METALLURGY
- C07—ORGANIC CHEMISTRY
- C07D—HETEROCYCLIC COMPOUNDS
- C07D487/00—Heterocyclic compounds containing nitrogen atoms as the only ring hetero atoms in the condensed system, not provided for by groups C07D451/00 - C07D477/00
- C07D487/02—Heterocyclic compounds containing nitrogen atoms as the only ring hetero atoms in the condensed system, not provided for by groups C07D451/00 - C07D477/00 in which the condensed system contains two hetero rings
- C07D487/04—Ortho-condensed systems
-
- C—CHEMISTRY; METALLURGY
- C07—ORGANIC CHEMISTRY
- C07D—HETEROCYCLIC COMPOUNDS
- C07D491/00—Heterocyclic compounds containing in the condensed ring system both one or more rings having oxygen atoms as the only ring hetero atoms and one or more rings having nitrogen atoms as the only ring hetero atoms, not provided for by groups C07D451/00 - C07D459/00, C07D463/00, C07D477/00 or C07D489/00
- C07D491/02—Heterocyclic compounds containing in the condensed ring system both one or more rings having oxygen atoms as the only ring hetero atoms and one or more rings having nitrogen atoms as the only ring hetero atoms, not provided for by groups C07D451/00 - C07D459/00, C07D463/00, C07D477/00 or C07D489/00 in which the condensed system contains two hetero rings
- C07D491/04—Ortho-condensed systems
-
- C—CHEMISTRY; METALLURGY
- C07—ORGANIC CHEMISTRY
- C07D—HETEROCYCLIC COMPOUNDS
- C07D495/00—Heterocyclic compounds containing in the condensed system at least one hetero ring having sulfur atoms as the only ring hetero atoms
- C07D495/02—Heterocyclic compounds containing in the condensed system at least one hetero ring having sulfur atoms as the only ring hetero atoms in which the condensed system contains two hetero rings
- C07D495/04—Ortho-condensed systems
-
- C—CHEMISTRY; METALLURGY
- C07—ORGANIC CHEMISTRY
- C07D—HETEROCYCLIC COMPOUNDS
- C07D498/00—Heterocyclic compounds containing in the condensed system at least one hetero ring having nitrogen and oxygen atoms as the only ring hetero atoms
- C07D498/02—Heterocyclic compounds containing in the condensed system at least one hetero ring having nitrogen and oxygen atoms as the only ring hetero atoms in which the condensed system contains two hetero rings
- C07D498/06—Peri-condensed systems
-
- C—CHEMISTRY; METALLURGY
- C09—DYES; PAINTS; POLISHES; NATURAL RESINS; ADHESIVES; COMPOSITIONS NOT OTHERWISE PROVIDED FOR; APPLICATIONS OF MATERIALS NOT OTHERWISE PROVIDED FOR
- C09K—MATERIALS FOR MISCELLANEOUS APPLICATIONS, NOT PROVIDED FOR ELSEWHERE
- C09K11/00—Luminescent, e.g. electroluminescent, chemiluminescent materials
- C09K11/06—Luminescent, e.g. electroluminescent, chemiluminescent materials containing organic luminescent materials
-
- H—ELECTRICITY
- H10—SEMICONDUCTOR DEVICES; ELECTRIC SOLID-STATE DEVICES NOT OTHERWISE PROVIDED FOR
- H10K—ORGANIC ELECTRIC SOLID-STATE DEVICES
- H10K50/00—Organic light-emitting devices
- H10K50/10—OLEDs or polymer light-emitting diodes [PLED]
- H10K50/11—OLEDs or polymer light-emitting diodes [PLED] characterised by the electroluminescent [EL] layers
-
- H—ELECTRICITY
- H10—SEMICONDUCTOR DEVICES; ELECTRIC SOLID-STATE DEVICES NOT OTHERWISE PROVIDED FOR
- H10K—ORGANIC ELECTRIC SOLID-STATE DEVICES
- H10K71/00—Manufacture or treatment specially adapted for the organic devices covered by this subclass
- H10K71/10—Deposition of organic active material
-
- H—ELECTRICITY
- H10—SEMICONDUCTOR DEVICES; ELECTRIC SOLID-STATE DEVICES NOT OTHERWISE PROVIDED FOR
- H10K—ORGANIC ELECTRIC SOLID-STATE DEVICES
- H10K85/00—Organic materials used in the body or electrodes of devices covered by this subclass
- H10K85/60—Organic compounds having low molecular weight
- H10K85/615—Polycyclic condensed aromatic hydrocarbons, e.g. anthracene
- H10K85/622—Polycyclic condensed aromatic hydrocarbons, e.g. anthracene containing four rings, e.g. pyrene
-
- H—ELECTRICITY
- H10—SEMICONDUCTOR DEVICES; ELECTRIC SOLID-STATE DEVICES NOT OTHERWISE PROVIDED FOR
- H10K—ORGANIC ELECTRIC SOLID-STATE DEVICES
- H10K85/00—Organic materials used in the body or electrodes of devices covered by this subclass
- H10K85/60—Organic compounds having low molecular weight
- H10K85/649—Aromatic compounds comprising a hetero atom
- H10K85/657—Polycyclic condensed heteroaromatic hydrocarbons
-
- H—ELECTRICITY
- H10—SEMICONDUCTOR DEVICES; ELECTRIC SOLID-STATE DEVICES NOT OTHERWISE PROVIDED FOR
- H10K—ORGANIC ELECTRIC SOLID-STATE DEVICES
- H10K85/00—Organic materials used in the body or electrodes of devices covered by this subclass
- H10K85/60—Organic compounds having low molecular weight
- H10K85/649—Aromatic compounds comprising a hetero atom
- H10K85/657—Polycyclic condensed heteroaromatic hydrocarbons
- H10K85/6572—Polycyclic condensed heteroaromatic hydrocarbons comprising only nitrogen in the heteroaromatic polycondensed ring system, e.g. phenanthroline or carbazole
-
- H—ELECTRICITY
- H10—SEMICONDUCTOR DEVICES; ELECTRIC SOLID-STATE DEVICES NOT OTHERWISE PROVIDED FOR
- H10K—ORGANIC ELECTRIC SOLID-STATE DEVICES
- H10K85/00—Organic materials used in the body or electrodes of devices covered by this subclass
- H10K85/60—Organic compounds having low molecular weight
- H10K85/649—Aromatic compounds comprising a hetero atom
- H10K85/657—Polycyclic condensed heteroaromatic hydrocarbons
- H10K85/6574—Polycyclic condensed heteroaromatic hydrocarbons comprising only oxygen in the heteroaromatic polycondensed ring system, e.g. cumarine dyes
-
- H—ELECTRICITY
- H10—SEMICONDUCTOR DEVICES; ELECTRIC SOLID-STATE DEVICES NOT OTHERWISE PROVIDED FOR
- H10K—ORGANIC ELECTRIC SOLID-STATE DEVICES
- H10K85/00—Organic materials used in the body or electrodes of devices covered by this subclass
- H10K85/60—Organic compounds having low molecular weight
- H10K85/649—Aromatic compounds comprising a hetero atom
- H10K85/657—Polycyclic condensed heteroaromatic hydrocarbons
- H10K85/6576—Polycyclic condensed heteroaromatic hydrocarbons comprising only sulfur in the heteroaromatic polycondensed ring system, e.g. benzothiophene
-
- H—ELECTRICITY
- H10—SEMICONDUCTOR DEVICES; ELECTRIC SOLID-STATE DEVICES NOT OTHERWISE PROVIDED FOR
- H10K—ORGANIC ELECTRIC SOLID-STATE DEVICES
- H10K2101/00—Properties of the organic materials covered by group H10K85/00
- H10K2101/10—Triplet emission
-
- H—ELECTRICITY
- H10—SEMICONDUCTOR DEVICES; ELECTRIC SOLID-STATE DEVICES NOT OTHERWISE PROVIDED FOR
- H10K—ORGANIC ELECTRIC SOLID-STATE DEVICES
- H10K2101/00—Properties of the organic materials covered by group H10K85/00
- H10K2101/90—Multiple hosts in the emissive layer
-
- H—ELECTRICITY
- H10—SEMICONDUCTOR DEVICES; ELECTRIC SOLID-STATE DEVICES NOT OTHERWISE PROVIDED FOR
- H10K—ORGANIC ELECTRIC SOLID-STATE DEVICES
- H10K2102/00—Constructional details relating to the organic devices covered by this subclass
- H10K2102/10—Transparent electrodes, e.g. using graphene
- H10K2102/101—Transparent electrodes, e.g. using graphene comprising transparent conductive oxides [TCO]
- H10K2102/103—Transparent electrodes, e.g. using graphene comprising transparent conductive oxides [TCO] comprising indium oxides, e.g. ITO
-
- H—ELECTRICITY
- H10—SEMICONDUCTOR DEVICES; ELECTRIC SOLID-STATE DEVICES NOT OTHERWISE PROVIDED FOR
- H10K—ORGANIC ELECTRIC SOLID-STATE DEVICES
- H10K50/00—Organic light-emitting devices
- H10K50/10—OLEDs or polymer light-emitting diodes [PLED]
- H10K50/14—Carrier transporting layers
- H10K50/16—Electron transporting layers
-
- H—ELECTRICITY
- H10—SEMICONDUCTOR DEVICES; ELECTRIC SOLID-STATE DEVICES NOT OTHERWISE PROVIDED FOR
- H10K—ORGANIC ELECTRIC SOLID-STATE DEVICES
- H10K50/00—Organic light-emitting devices
- H10K50/10—OLEDs or polymer light-emitting diodes [PLED]
- H10K50/17—Carrier injection layers
- H10K50/171—Electron injection layers
-
- H—ELECTRICITY
- H10—SEMICONDUCTOR DEVICES; ELECTRIC SOLID-STATE DEVICES NOT OTHERWISE PROVIDED FOR
- H10K—ORGANIC ELECTRIC SOLID-STATE DEVICES
- H10K71/00—Manufacture or treatment specially adapted for the organic devices covered by this subclass
- H10K71/10—Deposition of organic active material
- H10K71/12—Deposition of organic active material using liquid deposition, e.g. spin coating
-
- H—ELECTRICITY
- H10—SEMICONDUCTOR DEVICES; ELECTRIC SOLID-STATE DEVICES NOT OTHERWISE PROVIDED FOR
- H10K—ORGANIC ELECTRIC SOLID-STATE DEVICES
- H10K71/00—Manufacture or treatment specially adapted for the organic devices covered by this subclass
- H10K71/10—Deposition of organic active material
- H10K71/16—Deposition of organic active material using physical vapour deposition [PVD], e.g. vacuum deposition or sputtering
-
- H—ELECTRICITY
- H10—SEMICONDUCTOR DEVICES; ELECTRIC SOLID-STATE DEVICES NOT OTHERWISE PROVIDED FOR
- H10K—ORGANIC ELECTRIC SOLID-STATE DEVICES
- H10K85/00—Organic materials used in the body or electrodes of devices covered by this subclass
- H10K85/60—Organic compounds having low molecular weight
- H10K85/649—Aromatic compounds comprising a hetero atom
- H10K85/654—Aromatic compounds comprising a hetero atom comprising only nitrogen as heteroatom
-
- Y—GENERAL TAGGING OF NEW TECHNOLOGICAL DEVELOPMENTS; GENERAL TAGGING OF CROSS-SECTIONAL TECHNOLOGIES SPANNING OVER SEVERAL SECTIONS OF THE IPC; TECHNICAL SUBJECTS COVERED BY FORMER USPC CROSS-REFERENCE ART COLLECTIONS [XRACs] AND DIGESTS
- Y02—TECHNOLOGIES OR APPLICATIONS FOR MITIGATION OR ADAPTATION AGAINST CLIMATE CHANGE
- Y02E—REDUCTION OF GREENHOUSE GAS [GHG] EMISSIONS, RELATED TO ENERGY GENERATION, TRANSMISSION OR DISTRIBUTION
- Y02E10/00—Energy generation through renewable energy sources
- Y02E10/50—Photovoltaic [PV] energy
- Y02E10/549—Organic PV cells
-
- Y—GENERAL TAGGING OF NEW TECHNOLOGICAL DEVELOPMENTS; GENERAL TAGGING OF CROSS-SECTIONAL TECHNOLOGIES SPANNING OVER SEVERAL SECTIONS OF THE IPC; TECHNICAL SUBJECTS COVERED BY FORMER USPC CROSS-REFERENCE ART COLLECTIONS [XRACs] AND DIGESTS
- Y02—TECHNOLOGIES OR APPLICATIONS FOR MITIGATION OR ADAPTATION AGAINST CLIMATE CHANGE
- Y02P—CLIMATE CHANGE MITIGATION TECHNOLOGIES IN THE PRODUCTION OR PROCESSING OF GOODS
- Y02P70/00—Climate change mitigation technologies in the production process for final industrial or consumer products
- Y02P70/50—Manufacturing or production processes characterised by the final manufactured product
Landscapes
- Chemical & Material Sciences (AREA)
- Organic Chemistry (AREA)
- Engineering & Computer Science (AREA)
- Physics & Mathematics (AREA)
- Materials Engineering (AREA)
- Spectroscopy & Molecular Physics (AREA)
- Optics & Photonics (AREA)
- Manufacturing & Machinery (AREA)
- Plural Heterocyclic Compounds (AREA)
- Electroluminescent Light Sources (AREA)
- Nitrogen Condensed Heterocyclic Rings (AREA)
- Nitrogen And Oxygen Or Sulfur-Condensed Heterocyclic Ring Systems (AREA)
- Heterocyclic Carbon Compounds Containing A Hetero Ring Having Oxygen Or Sulfur (AREA)
- Photovoltaic Devices (AREA)
- Indole Compounds (AREA)
- Electrodes Of Semiconductors (AREA)
- Thin Film Transistor (AREA)
Abstract
Description
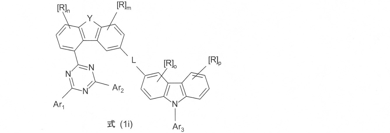
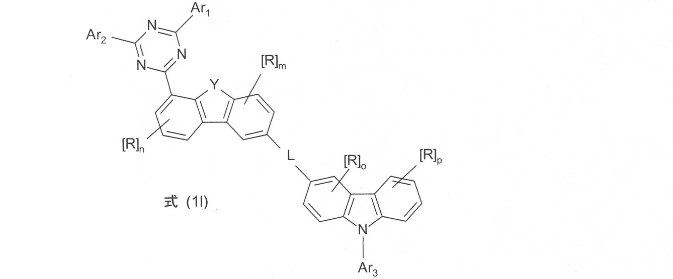
Xは、出現する毎に、同一でまたは異なって、CR0またはNであり、ただし、少なくとも1つの基Xは、Nを表し;
X1は、出現する毎に、同一でまたは異なって、CRまたはNであり;
X2は、出現する毎に、同一でまたは異なって、CR1またはNであり;
Yは、OまたはSから選択され;
Lは、出現する毎に、同一でまたは異なって、単結合、または芳香族環原子5~30個を有する芳香族もしくはヘテロ芳香族環系(これらは、1以上のラジカルR3によって置換されていてもよい)、好ましくは、C原子6~18個を有する芳香族もしくはヘテロ芳香族環系(これらは、1以上のラジカルR3によって置換されていてもよい)であり;
Ar1、Ar2は、各場合において、互いに独立に、出現する毎に、芳香族環原子5~40個を有するアリールまたはヘテロアリール基(これらは、1以上のラジカルR3によって置換されていてもよい)であり;
Ar3は、芳香族環原子6~40個を有する芳香族環系または芳香族環原子10~40個を有するヘテロ芳香族環系(これらは、1以上のラジカルR3によって置換されていてもよい)であり;
Ar4およびAr5は、各場合において、互いに独立に、芳香族環原子6~40個を有する芳香族環系または芳香族環原子10~40個を有するヘテロ芳香族環系(これらは、1以上のラジカルR3によって置換されていてもよい)であり、ただし、Ar4およびAr5は、同時にフェニルであることはできず;
R0、R、R1は、出現する毎に、同一でまたは異なって、H、D、F、Cl、Br、I、CN、NO2、N(Ar)2、N(R2)2、C(=O)Ar、C(=O)R2、P(=O)(Ar)2、P(Ar)2、B(Ar)2、Si(Ar)3、Si(R2)3、C原子1~20個を有する直鎖アルキル、アルコキシもしくはチオアルキル基、またはC原子3~20個を有する分枝もしくは環状アルキル、アルコキシ、もしくはチオアルキル基、またはC原子2~20個を有するアルケニル基(これらは、各場合において、1以上のラジカルR2によって置換されていてもよい)(ここで、1以上の隣接していないCH2基は、R2C=CR2、Si(R2)2、C=O、C=S、C=NR2、P(=O)(R2)、SO、SO2、NR2、O、SもしくはCONR2によって置きかえられていてもよく、1以上のH原子は、D、F、Cl、Br、I、CNもしくはNO2によって置きかえられていてもよい)、芳香環原子5~40個を有する芳香族もしくはヘテロ芳香族環系(これらは、各場合において、1以上のラジカルR2によって置換されていてもよい)、または芳香環原子5~40個を有するアリールオキシもしくはヘテロアリールオキシ基(これらは、1以上のラジカルR2によって置換されていてもよい)、または芳香環原子5~40個を有するアラルキルもしくはヘテロアラルキル基(これらは、1以上のラジカルR2によって置換されていてもよい)からなる群から選択され;同じ炭素原子または隣接している炭素原子に結合している、2つの置換基R0および/またはRおよび/またはR1は、単環式または多環式の脂肪族、芳香族またはヘテロ芳香族環系(これらは、1以上のラジカルR2によって置換されていてもよい)を任意に形成していてもよく;
R2は、出現する毎に、同一でまたは異なって、H、D、F、Cl、Br、I、CN、NO2、N(Ar)2、NH2、N(R3)2、C(=O)Ar、C(=O)H、C(=O)R3、P(=O)(Ar)2、C原子1~40個を有する直鎖アルキル、アルコキシもしくはチオアルキル基、またはC原子3~40個を有する分枝もしくは環状のアルキル、アルコキシもしくはチオアルキル基、またはC原子2~40個を有するアルケニルもしくはアルキニル基(これらは、各場合において、1以上のラジカルR3によって置換されていてもよい)(ここで、1以上の隣接していないCH2基は、HC=CH、R3C=CR3、C≡C、Si(R3)2、Ge(R3)2、Sn(R3)2、C=O、C=S、C=Se、C=NR3、P(=O)(R3)、SO、SO2、NH、NR3、O、S、CONHもしくはCONR3によって置きかえられていてもよく、1以上のH原子は、D、F、Cl、Br、I、CNもしくはNO2によって置きかえられていてもよい)、芳香環原子5~60個を有する芳香族もしくはヘテロ芳香族環系(これらは、各場合において、1以上のラジカルR3によって置換されていてもよい)、または芳香環原子5~60個を有するアリールオキシもしくはヘテロアリールオキシ基(これらは、1以上のラジカルR3によって置換されていてもよい)、またはこれらの系の組み合わせからなる群から選択され、ここで、2以上の隣接している置換基R2は、単環式または多環式の脂肪族、芳香族またはヘテロ芳香族環系(これらは、1以上のラジカルR3によって置換されていてもよい)を任意に形成していてもよく;
R3は、出現する毎に、同一でまたは異なって、H、D、F、CN、C原子1~20個を有する脂肪族炭化水素ラジカル、または芳香族環原子5~30個を有する芳香族もしくはヘテロ芳香族環系(ここで、1以上のH原子は、D、F、Cl、Br、IもしくはCNによって置きかえられていてもよく、それぞれ炭素原子1~4個を有する1以上のアルキル基によって置換されていてもよい)からなる群から選択され;2以上の隣接している置換基R3は、互いとともに、単環式または多環式の脂肪族環系を形成していてもよく;
Arは、出現する毎に、同一でまたは異なって、芳香族環原子5~30個を有する芳香族もしくはヘテロ芳香族環系(これらは、1以上の非芳香族ラジカルR3によって置換されていてもよい)であり;同じN原子、P原子またはB原子に結合している2つのラジカルArはまた、単結合、またはN(R3)、C(R3)2、OもしくはSから選択される架橋によって互いに架橋されていてもよく;
nおよびmは、互いに独立に、0、1、2または3を示す]
に関する。
本発明の態様において、Yが、OまたはSから選択され、置換基
によって表される。
によって表される。
トリアジン置換基は、1、2、3または4位で連結され、pおよびoは、各場合において、互いに独立に、0、1、2または3を示す]
は、好ましくは、本組成物のために選択される。
は、好ましくは、本組成物のために選択される。
は、好ましくは、本組成物のために選択される。
は、好ましくは、本組成物のために選択される。
に相当する。
に相当する。
に相当する。
に相当する。
から選択される。
本発明の態様において、上に記載もしくは上に好ましく記載の式(1)、(1a)、(1b)、(1c)、(1d)、(1e)、(1f)、(1g)、(1h)、(1i)、(1j)、(1k)および(1l)の化合物または化合物1~88との組成物中で使用される、上に記載の式(2)の化合物が、選択される。
によって表される。
によって表される。
1035、M1036、M1037、M1038、M1039、M1040、M1041、M1042、M1043、M1044、M1045、M1046、M1047、M1048、M1049、M1050、M1051、M1052、M1053、M1054、M1055、M1056、M1057、M1058、M1059、M1060、M1061、M1062、M1063、M1064、M1065、M1066、M1067、M1068、M1069、M1070、M1071、M1072、M1073、M1074、M1075、M1076、M1077、M1078、M1079、M1080、M1081、M1082、M1083、M1084、M1085、M1086、M1087、M1088、M1089、M1090、M1091、M1092、M1093、M1094、M1095、M1096、M1097、M1098、M1099、M1100、M1101、M1102、M1103、M1104、M1105、M1106、M1107、M1108、M1109、M1110、M1111、M1112、M1113、M1114、M1115、M1116、M1117、M1118、M1119、M1120、M1121、M1122、M1123、M1124、M1125、M1126、M1127、M1128、M1129、M1130、M1131、M1132、M1133、M1134、M1135、M1136またはM1137は、好ましくは、表14または15からの化合物と組み合わされる。
E(T1(eV))=1240/E(T1(nm))=1240/Plmax.(nm)
したがって、好ましい燐光エミッターは、三重項エネルギーT1が、好ましくは、約1.9eV~約1.0eVである、好ましくは表14または15からの赤外線エミッターである。
アノード/正孔注入層/正孔輸送層/発光層/電子輸送層/電子注入層/カソード
この層の順序が、好ましい順序である。
軌道エネルギーおよび電子状態の決定
材料の、HOMOおよびLUMOエネルギー、ならびに三重項準位および一重項準位は、量子化学計算によって決定される。この目的で、「Gaussian09、Revision D.01」ソフトウェアパッケージ(Gaussian Inc.)が本出願において使用される。金属を除く有機物質の計算のために(「org.」方法によって示される)、最初に、構造最適化は、電荷0および多重度1で、半経験的な方法であるAM1(Gaussian input line「# AM1 opt」)を使用して行われる。これに続いて、最適化された構造に基づいて、電子基底状態および三重項準位のためのエネルギー計算(単一ポイント)が行われる。ここで、6-31G(d)基底集合(Gaussian input line「# B3PW91/6-31G(d) td=(50-50,nstates=4)」)を用いるTDDFT(時間依存密度汎関数理論)方法であるB3PW91を使用する(電荷0、多重度1)。有機金属化合物(「org.-m」方法によって示される)のために、構造は、Hartree-Fock方法およびLanL2MB基底集合(Gaussian input line「# HF/LanL2MB opt」)を使用して最適化される(電荷0、多重度1)。エネルギー計算は、「LanL2DZ」基底集合が金属原子のために使用され、「6-31G(d)」基底集合が配位子のために使用されるという相違により、上に記載のようにして、有機物質と同様に行われる(Gaussian input line「#B3PW91/gen pseudo=lanl2 td=(50-50,nstates=4)」)。エネルギー計算は、ハートリー単位で、2個の電子によって占有される最後の軌道としてHOMO(Alpha occ.固有値)および最初の未占有軌道としてLUMO(Alpha virt.固有値)を与え、ここで、HEhおよびLEhは、ハートリー単位のHOMOエネルギー、およびハートリー単位のLUMOエネルギーをそれぞれ表す。サイクリックボルタンメトリー測定を参照して補正された電子ボルトのHOMOおよびLUMO値は、以下のようにして、これらから決定される。
HOMO(eV)=(HEh×27.212)×0.8308-1.118
LUMO(eV)=(LEh×27.212)×1.0658-0.5049
材料の三重項状態T1は、量子化学エネルギー計算から生じる最低エネルギーを有する三重項状態の相対励起エネルギー(eV)として定義される。
OLEDにおける本発明による材料の組み合わせの使用を下記の例E1~E10aに提示する(表16を参照のこと)。
本発明による材料の組み合わせは、燐光OLEDにおける発光層中で利用することができる。化合物1に相当する化合物CbzT1と、BisC2(化合物89に相当する)またはBisC3(化合物90に相当する)との本発明による組み合わせが、発光層中のマトリックス材料として、例E1~E4において利用される。各場合において、化合物9、13および15と、化合物91との本発明による組み合わせが、発光層中のマトリックス材料として、例E5、E5a、E6、E7、E10およびE10aにおいて利用される。化合物69と化合物91との本発明による組み合わせが、発光層中のマトリックス材料として、例E8において利用される。
a)6-ブロモ-2-フルオロ-2’-メトキシビフェニル
b)6’-ブロモ-2’-フルオロビフェニル-2-オール
c)1-ブロモジベンゾフラン
d)ジベンゾフラン-1-ボロン酸
e)2-ジベンゾフラン-1-イル-4,6-ジフェニル-1,3,5-トリアジン
f)2-(8-ブロモジベンゾフラン-1-イル)-4,6-ジフェニル-1,3,5-トリアジン
g)3-[9-(4,6-ジフェニル-1,3,5-トリアジン-2-イル)ジベンゾフラン-2-イル]-9-フェニル-9H-カルバゾール
化合物89は、文献から公知であり、US20150001488と同様に調製される。
以下の化合物は、例2g)と同様に調製することができる。ここで、精製は、カラムクロマトグラフィーを使用して行うこともでき、または他の一般的な溶媒、たとえばn-ヘプタン、ブタノール、アセトン、酢酸エチル、アセトニトリル、トルエン、キシレン、ジクロロメタン、メタノール、N,N-ジメチルホルムアミド、テトラヒドロフラン、酢酸エチル、酢酸n-ブチルまたは1,4-ジオキサンを、再結晶または熱抽出のために使用することができる。
A)
2-(ジベンゾ[b,d]フラン-3-イル)-4,6-ジフェニル-1,3,5-トリアジン[1651203-47-2]から出発して、例2f)と同様の臭素中間体の調製。収率83%。
以下の化合物は、例2g)と同様に調製することができる。ここで、精製は、カラムクロマトグラフィーを使用して行うこともでき、または他の一般的な溶媒、たとえばn-ヘプタン、ブタノール、アセトン、酢酸エチル、アセトニトリル、トルエン、キシレン、ジクロロメタン、メタノール、N,N-ジメチルホルムアミド、テトラヒドロフラン、酢酸エチル、酢酸n-ブチルまたは1,4-ジオキサンを、再結晶または熱抽出のために使用することができる。
以下の化合物は、例2g)と同様に調製することができる。ここで、精製は、カラムクロマトグラフィーを使用して行うこともでき、または他の一般的な溶媒、たとえばn-ヘプタン、ブタノール、アセトン、酢酸エチル、アセトニトリル、トルエン、キシレン、ジクロロメタン、メタノール、N,N-ジメチルホルムアミド、テトラヒドロフラン、酢酸エチル、酢酸n-ブチルまたは1,4-ジオキサンを、再結晶または熱抽出のために使用することができる。
Claims (18)
- 少なくとも1つの式(1)の化合物および少なくとも1つの式(2)の化合物を含む組成物。
[式中、使用された記号および添え字には、以下が適用される:
Xは、出現する毎に、同一でまたは異なって、CR0またはNであり、ただし、少なくとも1つの基Xは、Nを表し;
X1は、出現する毎に、同一でまたは異なって、CRまたはNであり;
X2は、出現する毎に、同一でまたは異なって、CR1またはNであり;
Yは、OまたはSから選択され;
Lは、出現する毎に、同一でまたは異なって、単結合、または芳香族環原子5~30個を有する芳香族もしくはヘテロ芳香族環系(これらは、1以上のラジカルR3によって置換されていてもよい)、好ましくは、C原子6~18個を有する芳香族もしくはヘテロ芳香族環系(これらは、1以上のラジカルR3によって置換されていてもよい)であり;
Ar1、Ar2は、各場合において、互いに独立に、出現する毎に、芳香族環原子5~40個を有するアリールまたはヘテロアリール基(これらは、1以上のラジカルR3によって置換されていてもよい)であり;
Ar3は、芳香族環原子6~40個を有する芳香族環系または芳香族環原子10~40個を有するヘテロ芳香族環系(これらは、1以上のラジカルR3によって置換されていてもよい)であり;
Ar4およびAr5は、各場合において、互いに独立に、芳香族環原子6~40個を有する芳香族環系または芳香族環原子10~40個を有するヘテロ芳香族環系(これらは、1以上のラジカルR3によって置換されていてもよい)であり、ただし、Ar4およびAr5は、同時にフェニルであることはできず;
R0、R、R1は、出現する毎に、同一でまたは異なって、H、D、F、Cl、Br、I、CN、NO2、N(Ar)2、N(R2)2、C(=O)Ar、C(=O)R2、P(=O)(Ar)2、P(Ar)2、B(Ar)2、Si(Ar)3、Si(R2)3、C原子1~20個を有する直鎖アルキル、アルコキシもしくはチオアルキル基、またはC原子3~20個を有する分枝もしくは環状のアルキル、アルコキシもしくはチオアルキル基、またはC原子2~20個を有するアルケニル基(これらは、各場合において、1以上のラジカルR2によって置換されていてもよい)(ここで、1以上の隣接していないCH2基は、R2C=CR2、Si(R2)2、C=O、C=S、C=NR2、P(=O)(R2)、SO、SO2、NR2、O、SもしくはCONR2によって置きかえられていてもよく、1以上のH原子は、D、F、Cl、Br、I、CNもしくはNO2によって置きかえられていてもよい)、芳香環原子5~40個を有する芳香族もしくはヘテロ芳香族環系(これらは、各場合において、1以上のラジカルR2によって置換されていてもよい)、または芳香環原子5~40個を有するアリールオキシもしくはヘテロアリールオキシ基(これらは、1以上のラジカルR2によって置換されていてもよい)、または芳香環原子5~40個を有するアラルキルもしくはヘテロアラルキル基(これらは、1以上のラジカルR2によって置換されていてもよい)からなる群から選択され;同じ炭素原子または隣接している炭素原子に結合している、2つの置換基R0および/またはRおよび/またはR1は、単環式または多環式の脂肪族、芳香族またはヘテロ芳香族環系(これらは、1以上のラジカルR2によって置換されていてもよい)を任意に形成していてもよく;
R2は、出現する毎に、同一でまたは異なって、H、D、F、Cl、Br、I、CN、NO2、N(Ar)2、NH2、N(R3)2、C(=O)Ar、C(=O)H、C(=O)R3、P(=O)(Ar)2、C原子1~40個を有する直鎖アルキル、アルコキシもしくはチオアルキル基、またはC原子3~40個を有する分枝もしくは環状のアルキル、アルコキシもしくはチオアルキル基、またはC原子2~40個を有するアルケニルもしくはアルキニル基(これらは、各場合において、1以上のラジカルR3によって置換されていてもよい)(ここで、1以上の隣接していないCH2基は、HC=CH、R3C=CR3、C≡C、Si(R3)2、Ge(R3)2、Sn(R3)2、C=O、C=S、C=Se、C=NR3、P(=O)(R3)、SO、SO2、NH、NR3、O、S、CONHもしくはCONR3によって置きかえられていてもよく、1以上のH原子は、D、F、Cl、Br、I、CNもしくはNO2によって置きかえられていてもよい)、芳香環原子5~60個を有する芳香族もしくはヘテロ芳香族環系(これらは、各場合において、1以上のラジカルR3によって置換されていてもよい)、または芳香環原子5~60個を有するアリールオキシもしくはヘテロアリールオキシ基(これらは、1以上のラジカルR3によって置換されていてもよい)、またはこれらの系の組み合わせからなる群から選択され、ここで、2以上の隣接している置換基R2は、単環式または多環式の脂肪族、芳香族またはヘテロ芳香族環系(これらは、1以上のラジカルR3によって置換されていてもよい)を任意に形成していてもよく;
R3は、出現する毎に、同一でまたは異なって、H、D、F、CN、C原子1~20個を有する脂肪族炭化水素ラジカル、または芳香族環原子5~30個を有する芳香族もしくはヘテロ芳香族環系(ここで、1以上のH原子は、D、F、Cl、Br、IもしくはCNによって置きかえられていてもよく、それぞれ炭素原子1~4個を有する1以上のアルキル基によって置換されていてもよい)からなる群から選択され;2以上の隣接している置換基R3は、互いとともに、単環式または多環式の脂肪族環系を形成していてもよく;
Arは、出現する毎に、同一でまたは異なって、芳香族環原子5~30個を有する芳香族もしくはヘテロ芳香族環系(これらは、1以上の非芳香族ラジカルR3によって置換されていてもよい)であり;同じN原子、P原子またはB原子に結合している2つのラジカルArはまた、単結合、またはN(R3)、C(R3)2、OもしくはSから選択される架橋によって互いに架橋されていてもよく;
nおよびmは、互いに独立に、0、1、2または3を示す] - 前記置換基Ar4またはAr5の1つが、芳香環原子6~40個を有する芳香族環系、または芳香環原子10~40個を有するヘテロ芳香族系(これらは、1以上のラジカルR3によって置換されていてもよい)を示し、他の置換基が、芳香環原子6~40個を有する芳香族環系(これらは、1以上のラジカルR3によって置換されていてもよい)を示し、ただし、Ar4およびAr5は、同時にフェニルであることはできないことを特徴とする、請求項1~3の何れか1項に記載の組成物。
- 前記置換基Ar4またはAr5が、各場合において、互いに独立に、芳香環原子6~40個を有する芳香族環系(これらは、1以上のラジカルR3によって置換されていてもよい)を示し、ただし、Ar4およびAr5は、同時にフェニルではないことを特徴とする、請求項1~4の何れか1項に記載の組成物。
- 前記組成物が、正孔注入材料、正孔輸送材料、正孔阻止材料、ワイドバンドギャップ材料、蛍光エミッター、燐光エミッター、ホスト材料、電子阻止材料、電子輸送材料および電子注入材料、n-ドーパントおよびp-ドーパントからなる群から選択される少なくとも1つのさらなる化合物を含むことを特徴とする、請求項1~5の何れか1項に記載の化合物の組成物。
- 請求項1~6の何れか1項に記載の組成物、および少なくとも1つの溶媒を含む調合物。
- 有機電子デバイスにおける、請求項1~6の何れか1項に記載の組成物の使用。
- 前記有機電子デバイスが、有機集積回路(OIC)、有機電界効果トランジスタ(OFET)、有機薄膜トランジスタ(OTFT)、有機エレクトロルミネッセンスデバイス、有機ソーラーセル(OSC)、有機光学検出器および有機光受容器の群から選択されることを特徴とする、請求項8に記載の使用。
- 請求項1~6の何れか1項に記載の少なくとも1つの組成物を含有する、有機電子デバイス。
- 有機集積回路(OIC)、有機電界効果トランジスタ(OFET)、有機薄膜トランジスタ(OTFT)、有機エレクトロルミネッセンスデバイス、有機ソーラーセル(OSC)、有機光学検出器および有機光受容器の群から選択されることを特徴とする、請求項10に記載のデバイス。
- 有機発光トランジスタ(OLET)、有機電場消光デバイス(OFQD)、有機発光電気化学セル(OLEC、LEC、LEEC)、有機レーザーダイオード(O-laser)および有機発光ダイオード(OLED)から選択されるエレクトロルミネッセンスデバイスであることを特徴とする、請求項10または11に記載のデバイス。
- 発光層(EML)中、電子輸送層(ETL)中、電子注入層(EIL)中および/または正孔阻止層(HBL)中に請求項1~6の何れか1項に記載の組成物を含有することを特徴とする、請求項10~12の何れか1項に記載のデバイス。
- 発光層中に、燐光エミッターと一緒に請求項1~6の何れか1項に記載の組成物を含有することを特徴とする、請求項10~13の何れか1項に記載のデバイス。
- 請求項1~6の何れか1項に記載の組成物を含む少なくとも1つの有機層が、気相蒸着によってまたは溶液から適用されることを特徴とする、請求項10~14の何れか1項に記載のデバイスの製造のための方法。
- 請求項1~6のうちの1項に記載した通りの少なくとも1つの式(1)の化合物および少なくとも1つの式(2)の化合物が、任意にさらなる材料とともに、少なくとも2つの材料源から、連続してまたは同時に、気相から蒸着され、有機層を形成することを特徴とする、請求項15に記載の方法。
- 請求項1~6の何れか1項に記載の組成物が、気相蒸着のための材料源として利用され、有機層を形成することを特徴とする、請求項15に記載の方法。
- 請求項7に記載の調合物が、有機層を適用するために使用されることを特徴とする、請求項15に記載の方法。
Applications Claiming Priority (6)
| Application Number | Priority Date | Filing Date | Title |
|---|---|---|---|
| EP17179775 | 2017-07-05 | ||
| EP17179775.6 | 2017-07-05 | ||
| EP17195036 | 2017-10-05 | ||
| EP17195036.3 | 2017-10-05 | ||
| JP2019572031A JP7135012B2 (ja) | 2017-07-05 | 2018-07-02 | 有機電子デバイスのための組成物 |
| PCT/EP2018/067732 WO2019007866A1 (de) | 2017-07-05 | 2018-07-02 | Zusammensetzung für organische elektronische vorrichtungen |
Related Parent Applications (1)
| Application Number | Title | Priority Date | Filing Date |
|---|---|---|---|
| JP2019572031A Division JP7135012B2 (ja) | 2017-07-05 | 2018-07-02 | 有機電子デバイスのための組成物 |
Publications (2)
| Publication Number | Publication Date |
|---|---|
| JP2022177050A true JP2022177050A (ja) | 2022-11-30 |
| JP7302080B2 JP7302080B2 (ja) | 2023-07-03 |
Family
ID=62816553
Family Applications (3)
| Application Number | Title | Priority Date | Filing Date |
|---|---|---|---|
| JP2019572031A Active JP7135012B2 (ja) | 2017-07-05 | 2018-07-02 | 有機電子デバイスのための組成物 |
| JP2022137893A Active JP7302080B2 (ja) | 2017-07-05 | 2022-08-31 | 有機電子デバイスのための組成物 |
| JP2022137892A Active JP7293474B2 (ja) | 2017-07-05 | 2022-08-31 | 有機電子デバイスのための組成物 |
Family Applications Before (1)
| Application Number | Title | Priority Date | Filing Date |
|---|---|---|---|
| JP2019572031A Active JP7135012B2 (ja) | 2017-07-05 | 2018-07-02 | 有機電子デバイスのための組成物 |
Family Applications After (1)
| Application Number | Title | Priority Date | Filing Date |
|---|---|---|---|
| JP2022137892A Active JP7293474B2 (ja) | 2017-07-05 | 2022-08-31 | 有機電子デバイスのための組成物 |
Country Status (7)
| Country | Link |
|---|---|
| US (2) | US11591320B2 (ja) |
| EP (2) | EP3649123B1 (ja) |
| JP (3) | JP7135012B2 (ja) |
| KR (4) | KR102594782B1 (ja) |
| CN (1) | CN110785415A (ja) |
| TW (1) | TWI808980B (ja) |
| WO (1) | WO2019007866A1 (ja) |
Families Citing this family (17)
| Publication number | Priority date | Publication date | Assignee | Title |
|---|---|---|---|---|
| KR102038031B1 (ko) * | 2017-09-15 | 2019-10-30 | 엘티소재주식회사 | 헤테로고리 화합물 및 이를 포함하는 유기 발광 소자 |
| KR102511183B1 (ko) * | 2017-12-01 | 2023-03-20 | 솔루스첨단소재 주식회사 | 유기 화합물 및 이를 이용한 유기 전계 발광 소자 |
| KR102392657B1 (ko) * | 2019-01-14 | 2022-04-28 | 주식회사 엘지화학 | 신규한 화합물 및 이를 이용한 유기발광 소자 |
| US20230080974A1 (en) * | 2019-02-18 | 2023-03-16 | Merck Patent Gmbh | Composition for organic electronic devices |
| CN109928945B (zh) * | 2019-04-11 | 2022-11-04 | 西安欧得光电材料有限公司 | 一种1-溴二苯并呋喃及其合成方法 |
| KR102298235B1 (ko) * | 2019-10-08 | 2021-09-07 | 엘티소재주식회사 | 헤테로고리 화합물, 이를 포함하는 유기 발광 소자, 유기 발광 소자의 유기물층용 조성물 및 유기 발광 소자의 제조 방법 |
| KR102234372B1 (ko) * | 2019-11-05 | 2021-04-01 | 엘티소재주식회사 | 헤테로고리 화합물 및 이를 포함하는 유기 발광 소자 |
| TW202146625A (zh) | 2020-03-11 | 2021-12-16 | 德商麥克專利有限公司 | 有機電致發光裝置 |
| WO2021259824A1 (de) | 2020-06-23 | 2021-12-30 | Merck Patent Gmbh | Verfahren zur herstellung einer mischung |
| CN113292545B (zh) * | 2021-06-28 | 2023-05-09 | 南京高光半导体材料有限公司 | 一种含有三嗪及三嗪衍生物的化合物及有机电致发光器件 |
| CN113801109B (zh) * | 2021-08-17 | 2023-01-20 | 南京高光半导体材料有限公司 | 一种含有双咔唑结构的化合物及有机电致发光器件 |
| KR102859823B1 (ko) * | 2022-03-26 | 2025-09-16 | 베이징 썸머 스프라우트 테크놀로지 컴퍼니 리미티드 | 유기 전계발광소자 |
| KR20250152618A (ko) | 2023-02-17 | 2025-10-23 | 메르크 파텐트 게엠베하 | 유기 전계발광 디바이스용 재료 |
| WO2025228800A1 (de) | 2024-04-30 | 2025-11-06 | Merck Patent Gmbh | Materialien für organische elektronische vorrichtungen |
| WO2026017611A1 (en) | 2024-07-15 | 2026-01-22 | Merck Patent Gmbh | Organic light emitting device |
| WO2026017607A1 (en) | 2024-07-15 | 2026-01-22 | Merck Patent Gmbh | Organic light-emitting device |
| WO2026017608A1 (de) | 2024-07-15 | 2026-01-22 | Merck Patent Gmbh | Materialien für organische lichtemittierende vorrichtungen |
Citations (2)
| Publication number | Priority date | Publication date | Assignee | Title |
|---|---|---|---|---|
| KR101744248B1 (ko) * | 2016-09-06 | 2017-06-07 | 주식회사 엘지화학 | 유기발광 소자 |
| JP2017514878A (ja) * | 2014-05-05 | 2017-06-08 | メルク パテント ゲーエムベーハー | 有機エレクトロルミネッセンス素子のための材料 |
Family Cites Families (146)
| Publication number | Priority date | Publication date | Assignee | Title |
|---|---|---|---|---|
| US4539507A (en) | 1983-03-25 | 1985-09-03 | Eastman Kodak Company | Organic electroluminescent devices having improved power conversion efficiencies |
| US5061569A (en) | 1990-07-26 | 1991-10-29 | Eastman Kodak Company | Electroluminescent device with organic electroluminescent medium |
| US5151629A (en) | 1991-08-01 | 1992-09-29 | Eastman Kodak Company | Blue emitting internal junction organic electroluminescent device (I) |
| DE69432054T2 (de) | 1993-09-29 | 2003-10-09 | Idemitsu Kosan Co | Organische elektrolumineszenzelemente und arylendiaminderivate |
| JPH07133483A (ja) | 1993-11-09 | 1995-05-23 | Shinko Electric Ind Co Ltd | El素子用有機発光材料及びel素子 |
| EP0676461B1 (de) | 1994-04-07 | 2002-08-14 | Covion Organic Semiconductors GmbH | Spiroverbindungen und ihre Verwendung als Elektrolumineszenzmaterialien |
| DE19652261A1 (de) | 1996-12-16 | 1998-06-18 | Hoechst Ag | Arylsubstituierte Poly(p-arylenvinylene), Verfahren zur Herstellung und deren Verwendung in Elektroluminszenzbauelementen |
| US5942340A (en) | 1997-10-02 | 1999-08-24 | Xerox Corporation | Indolocarbazole electroluminescent devices |
| US5952115A (en) | 1997-10-02 | 1999-09-14 | Xerox Corporation | Electroluminescent devices |
| US5843607A (en) | 1997-10-02 | 1998-12-01 | Xerox Corporation | Indolocarbazole photoconductors |
| JP3302945B2 (ja) | 1998-06-23 | 2002-07-15 | ネースディスプレイ・カンパニー・リミテッド | 新規な有機金属発光物質およびそれを含む有機電気発光素子 |
| WO2000070655A2 (en) | 1999-05-13 | 2000-11-23 | The Trustees Of Princeton University | Very high efficiency organic light emitting devices based on electrophosphorescence |
| KR100946314B1 (ko) | 1999-12-01 | 2010-03-09 | 더 트러스티즈 오브 프린스턴 유니버시티 | 인광성 유기금속화합물을 포함하는 유기 발광 장치 |
| KR100377321B1 (ko) | 1999-12-31 | 2003-03-26 | 주식회사 엘지화학 | 피-형 반도체 성질을 갖는 유기 화합물을 포함하는 전기소자 |
| US6660410B2 (en) | 2000-03-27 | 2003-12-09 | Idemitsu Kosan Co., Ltd. | Organic electroluminescence element |
| US20020121638A1 (en) | 2000-06-30 | 2002-09-05 | Vladimir Grushin | Electroluminescent iridium compounds with fluorinated phenylpyridines, phenylpyrimidines, and phenylquinolines and devices made with such compounds |
| US6392250B1 (en) | 2000-06-30 | 2002-05-21 | Xerox Corporation | Organic light emitting devices having improved performance |
| CN101924190B (zh) | 2000-08-11 | 2012-07-04 | 普林斯顿大学理事会 | 有机金属化合物和发射转换有机电致磷光 |
| JP4154140B2 (ja) | 2000-09-26 | 2008-09-24 | キヤノン株式会社 | 金属配位化合物 |
| JP4154139B2 (ja) | 2000-09-26 | 2008-09-24 | キヤノン株式会社 | 発光素子 |
| JP4154138B2 (ja) | 2000-09-26 | 2008-09-24 | キヤノン株式会社 | 発光素子、表示装置及び金属配位化合物 |
| US6803720B2 (en) | 2000-12-15 | 2004-10-12 | Universal Display Corporation | Highly stable and efficient OLEDs with a phosphorescent-doped mixed layer architecture |
| CN100379049C (zh) | 2001-03-14 | 2008-04-02 | 普林斯顿大学理事会 | 用于蓝色磷光基有机发光二极管的材料与器件 |
| KR100691543B1 (ko) | 2002-01-18 | 2007-03-09 | 주식회사 엘지화학 | 새로운 전자 수송용 물질 및 이를 이용한 유기 발광 소자 |
| EP1549112A4 (en) | 2002-09-20 | 2009-01-07 | Idemitsu Kosan Co | ORGANIC ELECTROLUMINESCENCE ELEMENT |
| JP2006511939A (ja) | 2002-12-23 | 2006-04-06 | コビオン・オーガニック・セミコンダクターズ・ゲーエムベーハー | 有機エレクトロルミネセンス素子 |
| DE10310887A1 (de) | 2003-03-11 | 2004-09-30 | Covion Organic Semiconductors Gmbh | Matallkomplexe |
| US7851071B2 (en) | 2003-03-13 | 2010-12-14 | Idemitsu Kosan Co., Ltd. | Nitrogen-containing heterocycle derivative and organic electroluminescent element using the same |
| JP4411851B2 (ja) | 2003-03-19 | 2010-02-10 | コニカミノルタホールディングス株式会社 | 有機エレクトロルミネッセンス素子 |
| JP5318347B2 (ja) | 2003-04-15 | 2013-10-16 | メルク パテント ゲーエムベーハー | 発光可能な、マトリックス材料と有機半導体との混合物、その使用、ならびに前記混合物を含む電子部品 |
| EP2236579B1 (en) | 2003-04-23 | 2014-04-09 | Konica Minolta Holdings, Inc. | Organic electroluminescent element and display |
| KR101105619B1 (ko) | 2003-07-07 | 2012-01-18 | 메르크 파텐트 게엠베하 | 유기 방출형 반도체 및 매트릭스 물질의 혼합물, 이들의용도 및 상기 물질을 함유하는 전자 부품 |
| DE10333232A1 (de) | 2003-07-21 | 2007-10-11 | Merck Patent Gmbh | Organisches Elektrolumineszenzelement |
| DE10338550A1 (de) | 2003-08-19 | 2005-03-31 | Basf Ag | Übergangsmetallkomplexe mit Carbenliganden als Emitter für organische Licht-emittierende Dioden (OLEDs) |
| DE10345572A1 (de) | 2003-09-29 | 2005-05-19 | Covion Organic Semiconductors Gmbh | Metallkomplexe |
| US7795801B2 (en) | 2003-09-30 | 2010-09-14 | Konica Minolta Holdings, Inc. | Organic electroluminescent element, illuminator, display and compound |
| DE10357044A1 (de) | 2003-12-04 | 2005-07-14 | Novaled Gmbh | Verfahren zur Dotierung von organischen Halbleitern mit Chinondiiminderivaten |
| DE102004008304A1 (de) | 2004-02-20 | 2005-09-08 | Covion Organic Semiconductors Gmbh | Organische elektronische Vorrichtungen |
| DE102004010954A1 (de) | 2004-03-03 | 2005-10-06 | Novaled Gmbh | Verwendung eines Metallkomplexes als n-Dotand für ein organisches halbleitendes Matrixmaterial, organisches Halbleitermaterial und elektronisches Bauteil |
| US7790890B2 (en) | 2004-03-31 | 2010-09-07 | Konica Minolta Holdings, Inc. | Organic electroluminescence element material, organic electroluminescence element, display device and illumination device |
| KR100787425B1 (ko) | 2004-11-29 | 2007-12-26 | 삼성에스디아이 주식회사 | 페닐카바졸계 화합물 및 이를 이용한 유기 전계 발광 소자 |
| DE102004023277A1 (de) | 2004-05-11 | 2005-12-01 | Covion Organic Semiconductors Gmbh | Neue Materialmischungen für die Elektrolumineszenz |
| US7598388B2 (en) | 2004-05-18 | 2009-10-06 | The University Of Southern California | Carbene containing metal complexes as OLEDs |
| JP4862248B2 (ja) | 2004-06-04 | 2012-01-25 | コニカミノルタホールディングス株式会社 | 有機エレクトロルミネッセンス素子、照明装置及び表示装置 |
| EP1655359A1 (de) | 2004-11-06 | 2006-05-10 | Covion Organic Semiconductors GmbH | Organische Elektrolumineszenzvorrichtung |
| WO2006081780A1 (de) | 2005-02-04 | 2006-08-10 | Novaled Ag | Dotanden für organische halbleiter |
| WO2006100896A1 (ja) | 2005-03-18 | 2006-09-28 | Idemitsu Kosan Co., Ltd. | 芳香族アミン誘導体及びそれを用いた有機エレクトロルミネッセンス素子 |
| WO2006108497A1 (de) | 2005-04-14 | 2006-10-19 | Merck Patent Gmbh | Verbindungen für organische elektronische vorrichtungen |
| CN101171320B (zh) | 2005-05-03 | 2013-04-10 | 默克专利有限公司 | 有机电致发光器件 |
| DE102005023437A1 (de) | 2005-05-20 | 2006-11-30 | Merck Patent Gmbh | Verbindungen für organische elektronische Vorrichtungen |
| EP1956022B1 (en) | 2005-12-01 | 2012-07-25 | Nippon Steel Chemical Co., Ltd. | Compound for organic electroluminescent element and organic electroluminescent element |
| US7919010B2 (en) | 2005-12-22 | 2011-04-05 | Novaled Ag | Doped organic semiconductor material |
| ATE394800T1 (de) | 2006-03-21 | 2008-05-15 | Novaled Ag | Heterocyclisches radikal oder diradikal, deren dimere, oligomere, polymere, dispiroverbindungen und polycyclen, deren verwendung, organisches halbleitendes material sowie elektronisches bauelement |
| EP1837927A1 (de) | 2006-03-22 | 2007-09-26 | Novaled AG | Verwendung von heterocyclischen Radikalen zur Dotierung von organischen Halbleitern |
| WO2007115540A1 (de) | 2006-03-30 | 2007-10-18 | Novaled Ag | Verwendung von bora-tetraazapentalenen |
| EP1860709B1 (de) | 2006-05-24 | 2012-08-08 | Novaled AG | Verwendung von quadratisch planaren Übergangsmetallkomplexen als Dotand |
| DE102006025777A1 (de) | 2006-05-31 | 2007-12-06 | Merck Patent Gmbh | Neue Materialien für organische Elektrolumineszenzvorrichtungen |
| DE102006025846A1 (de) | 2006-06-02 | 2007-12-06 | Merck Patent Gmbh | Neue Materialien für organische Elektrolumineszenzvorrichtungen |
| DE102006031990A1 (de) | 2006-07-11 | 2008-01-17 | Merck Patent Gmbh | Neue Materialien für organische Elektrolumineszenzvorrichtungen |
| US8062769B2 (en) | 2006-11-09 | 2011-11-22 | Nippon Steel Chemical Co., Ltd. | Indolocarbazole compound for use in organic electroluminescent device and organic electroluminescent device |
| DE102006053320B4 (de) | 2006-11-13 | 2012-01-19 | Novaled Ag | Verwendung einer Koordinationsverbindung zur Dotierung organischer Halbleiter |
| DE102006054524B4 (de) | 2006-11-20 | 2022-12-22 | Novaled Gmbh | Verwendung von Dithiolenübergangsmetallkomplexen und Selen- analoger Verbindungen als Dotand |
| DE102006054523B4 (de) | 2006-11-20 | 2009-07-23 | Novaled Ag | Dithiolenübergangsmetallkomplexe und Selen-analoge Verbindungen, deren Verwendung als Dotand, organisches halbleitendes Material enthaltend die Komplexe, sowie elektronische oder optoelektronisches Bauelement enthaltend einen Komplex |
| DE102007002714A1 (de) | 2007-01-18 | 2008-07-31 | Merck Patent Gmbh | Neue Materialien für organische Elektrolumineszenzvorrichtungen |
| DE102007018456B4 (de) | 2007-04-19 | 2022-02-24 | Novaled Gmbh | Verwendung von Hauptgruppenelementhalogeniden und/oder -pseudohalogeniden, organisches halbleitendes Matrixmaterial, elektronische und optoelektronische Bauelemente |
| EP3457451B1 (de) | 2007-04-30 | 2019-07-17 | Novaled GmbH | Die verwendung von oxokohlenstoff-, pseudooxokohlenstoff- und radialenverbindungen |
| EP1990847B1 (de) | 2007-05-10 | 2018-06-20 | Novaled GmbH | Verwendung von chinoiden Bisimidazolen und deren Derivaten als Dotand zur Dotierung eines organischen halbleitenden Matrixmaterials |
| DE102007024850A1 (de) | 2007-05-29 | 2008-12-04 | Merck Patent Gmbh | Neue Materialien für organische Elektrolumineszenzvorrichtungen |
| EP2009014B1 (de) | 2007-06-22 | 2018-10-24 | Novaled GmbH | Verwendung eines Precursors eines n-Dotanden zur Dotierung eines organischen halbleitenden Materials, Precursor und elektronisches oder optoelektronisches Bauelement |
| DE102007031220B4 (de) | 2007-07-04 | 2022-04-28 | Novaled Gmbh | Chinoide Verbindungen und deren Verwendung in halbleitenden Matrixmaterialien, elektronischen und optoelektronischen Bauelementen |
| DE102008051737B4 (de) | 2007-10-24 | 2022-10-06 | Novaled Gmbh | Quadratisch planare Übergangsmetallkomplexe, organische halbleitende Materialien sowie elektronische oder optoelektronische Bauelemente, die diese umfassen und Verwendung derselben |
| DE102007053771A1 (de) | 2007-11-12 | 2009-05-14 | Merck Patent Gmbh | Organische Elektrolumineszenzvorrichtungen |
| WO2009069442A1 (ja) | 2007-11-26 | 2009-06-04 | Konica Minolta Holdings, Inc. | 有機エレクトロルミネッセンス素子、表示装置及び照明装置 |
| DE112009000621A5 (de) | 2008-01-15 | 2010-12-16 | Novaled Ag | Dithiolenübergangsmetallkomplexe und elektronische oder optoelektronische Bauelemente |
| US8057712B2 (en) | 2008-04-29 | 2011-11-15 | Novaled Ag | Radialene compounds and their use |
| DE102008027005A1 (de) | 2008-06-05 | 2009-12-10 | Merck Patent Gmbh | Organische elektronische Vorrichtung enthaltend Metallkomplexe |
| DE102008033943A1 (de) | 2008-07-18 | 2010-01-21 | Merck Patent Gmbh | Neue Materialien für organische Elektrolumineszenzvorrichtungen |
| DE102008035413A1 (de) | 2008-07-29 | 2010-02-04 | Merck Patent Gmbh | Verbindungen für organische elektronische Vorrichtungen |
| DE102008036247A1 (de) | 2008-08-04 | 2010-02-11 | Merck Patent Gmbh | Elektronische Vorrichtungen enthaltend Metallkomplexe |
| DE102008036982A1 (de) | 2008-08-08 | 2010-02-11 | Merck Patent Gmbh | Organische Elektrolumineszenzvorrichtung |
| DE102008048336A1 (de) | 2008-09-22 | 2010-03-25 | Merck Patent Gmbh | Einkernige neutrale Kupfer(I)-Komplexe und deren Verwendung zur Herstellung von optoelektronischen Bauelementen |
| US8119037B2 (en) | 2008-10-16 | 2012-02-21 | Novaled Ag | Square planar transition metal complexes and organic semiconductive materials using them as well as electronic or optoelectric components |
| ES2370120T3 (es) | 2008-10-23 | 2011-12-12 | Novaled Ag | Compuesto de radialeno y su utilización. |
| DE102008056688A1 (de) | 2008-11-11 | 2010-05-12 | Merck Patent Gmbh | Materialien für organische Elektrolumineszenzvorrichtungen |
| KR20110097612A (ko) | 2008-11-11 | 2011-08-31 | 메르크 파텐트 게엠베하 | 유기 전계발광 소자 |
| DE102008057050B4 (de) | 2008-11-13 | 2021-06-02 | Merck Patent Gmbh | Materialien für organische Elektrolumineszenzvorrichtungen |
| DE102008057051B4 (de) | 2008-11-13 | 2021-06-17 | Merck Patent Gmbh | Materialien für organische Elektrolumineszenzvorrichtungen |
| DE102008064200A1 (de) | 2008-12-22 | 2010-07-01 | Merck Patent Gmbh | Organische Elektrolumineszenzvorrichtung |
| DE102009007038A1 (de) | 2009-02-02 | 2010-08-05 | Merck Patent Gmbh | Metallkomplexe |
| US8592806B2 (en) | 2009-02-26 | 2013-11-26 | Novaled Ag | Quinone compounds as dopants in organic electronics |
| DE102009011223A1 (de) | 2009-03-02 | 2010-09-23 | Merck Patent Gmbh | Metallkomplexe |
| DE102009013041A1 (de) | 2009-03-13 | 2010-09-16 | Merck Patent Gmbh | Materialien für organische Elektrolumineszenzvorrichtungen |
| DE102009014513A1 (de) | 2009-03-23 | 2010-09-30 | Merck Patent Gmbh | Organische Elektrolumineszenzvorrichtung |
| DE102009023155A1 (de) | 2009-05-29 | 2010-12-02 | Merck Patent Gmbh | Materialien für organische Elektrolumineszenzvorrichtungen |
| DE102009031021A1 (de) | 2009-06-30 | 2011-01-05 | Merck Patent Gmbh | Materialien für organische Elektrolumineszenzvorrichtungen |
| DE102009041414A1 (de) | 2009-09-16 | 2011-03-17 | Merck Patent Gmbh | Metallkomplexe |
| JPWO2011046182A1 (ja) | 2009-10-16 | 2013-03-07 | 出光興産株式会社 | 含フルオレン芳香族化合物、有機エレクトロルミネッセンス素子用材料及びそれを用いた有機エレクトロルミネッセンス素子 |
| DE102009053382A1 (de) | 2009-11-14 | 2011-05-19 | Merck Patent Gmbh | Materialien für elektronische Vorrichtungen |
| DE102009057167A1 (de) | 2009-12-05 | 2011-06-09 | Merck Patent Gmbh | Elektronische Vorrichtung enthaltend Metallkomplexe |
| DE102010005697A1 (de) | 2010-01-25 | 2011-07-28 | Merck Patent GmbH, 64293 | Verbindungen für elektronische Vorrichtungen |
| DE102010012738A1 (de) | 2010-03-25 | 2011-09-29 | Merck Patent Gmbh | Materialien für organische Elektrolumineszenzvorrichtungen |
| DE102010014933A1 (de) | 2010-04-14 | 2011-10-20 | Merck Patent Gmbh | Materialien für elektronische Vorrichtungen |
| WO2011131185A1 (de) | 2010-04-21 | 2011-10-27 | Novaled Ag | Mischung zur herstellung einer dotierten halbleiterschicht |
| CN102892859B (zh) | 2010-04-27 | 2016-03-09 | 诺瓦莱德公开股份有限公司 | 有机半导体材料和电子构件 |
| DE102010019306B4 (de) | 2010-05-04 | 2021-05-20 | Merck Patent Gmbh | Organische Elektrolumineszenzvorrichtungen |
| DE112011102008B4 (de) | 2010-06-15 | 2022-04-21 | Merck Patent Gmbh | Metallkomplexe |
| DE102010027317A1 (de) | 2010-07-16 | 2012-01-19 | Merck Patent Gmbh | Metallkomplexe |
| US20140144509A1 (en) | 2010-09-10 | 2014-05-29 | Novaled Ag | Compounds for Organic Photovoltaic Devices |
| DE102010045405A1 (de) | 2010-09-15 | 2012-03-15 | Merck Patent Gmbh | Materialien für organische Elektrolumineszenzvorrichtungen |
| DE102010046040B4 (de) | 2010-09-22 | 2021-11-11 | Novaled Gmbh | Verfahren zur Herstellung von Fulleren-Derivaten |
| EP2452946B1 (en) | 2010-11-16 | 2014-05-07 | Novaled AG | Pyridylphosphinoxides for organic electronic device and organic electronic device |
| EP2463927B1 (en) | 2010-12-08 | 2013-08-21 | Novaled AG | Material for organic electronic device and organic electronic device |
| TWI526418B (zh) | 2011-03-01 | 2016-03-21 | 諾瓦發光二極體股份公司 | 有機半導體材料及有機組成物 |
| KR101884496B1 (ko) | 2011-05-05 | 2018-08-01 | 메르크 파텐트 게엠베하 | 전자 소자용 화합물 |
| US9142781B2 (en) | 2011-06-09 | 2015-09-22 | Novaled Ag | Compound for organic electronic device |
| WO2012175535A1 (de) | 2011-06-22 | 2012-12-27 | Novaled Ag | Organisches elektronisches bauelement |
| JP6461599B2 (ja) | 2011-06-22 | 2019-01-30 | ノヴァレッド ゲーエムベーハー | 電子装置 |
| CN103946215B (zh) | 2011-11-17 | 2016-09-28 | 默克专利有限公司 | 螺二氢吖啶衍生物和其作为有机电致发光器件用材料的用途 |
| EP2872590B1 (de) | 2012-07-13 | 2018-11-14 | Merck Patent GmbH | Metallkomplexe |
| CN110444694B (zh) | 2012-07-23 | 2023-04-07 | 默克专利有限公司 | 化合物以及有机电致发光器件 |
| KR20210076207A (ko) | 2012-07-23 | 2021-06-23 | 메르크 파텐트 게엠베하 | 플루오렌 및 이를 함유하는 전자 소자 |
| CN108054293B (zh) | 2012-07-23 | 2020-05-22 | 默克专利有限公司 | 2-二芳基氨基芴的衍生物和含有所述2-二芳基氨基芴衍生物的有机电子复合体 |
| KR102125199B1 (ko) | 2012-07-23 | 2020-06-22 | 메르크 파텐트 게엠베하 | 유기 전계발광 소자용 재료 |
| JP6363075B2 (ja) | 2012-08-07 | 2018-07-25 | メルク パテント ゲーエムベーハー | 金属錯体 |
| US9209411B2 (en) * | 2012-12-07 | 2015-12-08 | Universal Display Corporation | Organic electroluminescent materials and devices |
| EP2935292B1 (de) | 2012-12-21 | 2019-04-10 | Merck Patent GmbH | Metallkomplexe |
| WO2014094960A1 (de) | 2012-12-21 | 2014-06-26 | Merck Patent Gmbh | Metallkomplexe |
| EP2821459B1 (en) | 2013-07-01 | 2017-10-04 | Cheil Industries Inc. | Composition and organic optoelectric device and display device |
| WO2015014434A1 (de) | 2013-07-30 | 2015-02-05 | Merck Patent Gmbh | Materialien für elektronische vorrichtungen |
| EP3044284B1 (de) | 2013-09-11 | 2019-11-13 | Merck Patent GmbH | Metallkomplexe |
| US10529930B2 (en) * | 2013-10-08 | 2020-01-07 | Merck Patent Gmbh | Materials for electronic devices |
| US11005050B2 (en) | 2014-01-13 | 2021-05-11 | Merck Patent Gmbh | Metal complexes |
| KR102177213B1 (ko) | 2014-01-20 | 2020-11-11 | 삼성디스플레이 주식회사 | 유기 발광 소자 |
| CN105980519B (zh) | 2014-02-05 | 2019-06-14 | 默克专利有限公司 | 金属络合物 |
| WO2015156587A1 (en) | 2014-04-08 | 2015-10-15 | Rohm And Haas Electronic Materials Korea Ltd. | Multi-component host material and organic electroluminescent device comprising the same |
| CN106255687B (zh) | 2014-04-30 | 2020-06-05 | 默克专利有限公司 | 用于电子器件的材料 |
| KR102255197B1 (ko) | 2014-05-02 | 2021-05-25 | 삼성디스플레이 주식회사 | 유기 발광 소자 |
| WO2016015815A1 (de) | 2014-07-28 | 2016-02-04 | Merck Patent Gmbh | Metallkomplexe |
| CN106661006B (zh) * | 2014-07-29 | 2019-11-08 | 默克专利有限公司 | 用于有机电致发光器件的材料 |
| KR20160028254A (ko) * | 2014-09-03 | 2016-03-11 | 현대자동차주식회사 | 카메라를 이용한 제진재 도포 품질 검사 시스템 및 그 품질 검사 방법 |
| JP6772188B2 (ja) | 2015-02-03 | 2020-10-21 | メルク、パテント、ゲゼルシャフト、ミット、ベシュレンクテル、ハフツングMerck Patent GmbH | 金属錯体 |
| US11031562B2 (en) | 2015-08-25 | 2021-06-08 | Merck Patent Gmbh | Metal complexes |
| KR101982715B1 (ko) | 2016-03-28 | 2019-05-27 | 주식회사 엘지화학 | 신규한 화합물 및 이를 포함하는 유기 발광 소자 |
| KR102061246B1 (ko) | 2016-09-28 | 2020-02-20 | 삼성에스디아이 주식회사 | 유기 광전자 소자용 화합물, 유기 광전자 소자용 조성물, 유기 광전자 소자 및 표시 장치 |
| KR102078302B1 (ko) * | 2016-11-29 | 2020-02-18 | 주식회사 엘지화학 | 유기 발광 소자 |
| WO2018101691A1 (ko) * | 2016-11-29 | 2018-06-07 | 주식회사 엘지화학 | 유기 발광 소자 |
-
2018
- 2018-07-02 CN CN201880039441.9A patent/CN110785415A/zh active Pending
- 2018-07-02 EP EP18737229.7A patent/EP3649123B1/de active Active
- 2018-07-02 KR KR1020207002898A patent/KR102594782B1/ko active Active
- 2018-07-02 KR KR1020247031924A patent/KR102840663B1/ko active Active
- 2018-07-02 EP EP23150252.7A patent/EP4186898A1/de active Pending
- 2018-07-02 KR KR1020237036164A patent/KR102616338B1/ko active Active
- 2018-07-02 JP JP2019572031A patent/JP7135012B2/ja active Active
- 2018-07-02 WO PCT/EP2018/067732 patent/WO2019007866A1/de not_active Ceased
- 2018-07-02 TW TW107122748A patent/TWI808980B/zh active
- 2018-07-02 US US16/628,280 patent/US11591320B2/en active Active
- 2018-07-02 KR KR1020237043180A patent/KR102717279B1/ko active Active
-
2022
- 2022-08-31 JP JP2022137893A patent/JP7302080B2/ja active Active
- 2022-08-31 JP JP2022137892A patent/JP7293474B2/ja active Active
- 2022-12-29 US US18/090,711 patent/US12435070B2/en active Active
Patent Citations (2)
| Publication number | Priority date | Publication date | Assignee | Title |
|---|---|---|---|---|
| JP2017514878A (ja) * | 2014-05-05 | 2017-06-08 | メルク パテント ゲーエムベーハー | 有機エレクトロルミネッセンス素子のための材料 |
| KR101744248B1 (ko) * | 2016-09-06 | 2017-06-07 | 주식회사 엘지화학 | 유기발광 소자 |
Also Published As
| Publication number | Publication date |
|---|---|
| KR20230152167A (ko) | 2023-11-02 |
| TW201920156A (zh) | 2019-06-01 |
| JP2020526027A (ja) | 2020-08-27 |
| KR102616338B1 (ko) | 2023-12-20 |
| KR102717279B1 (ko) | 2024-10-15 |
| KR102840663B1 (ko) | 2025-07-30 |
| US20200231578A1 (en) | 2020-07-23 |
| US12435070B2 (en) | 2025-10-07 |
| EP3649123A1 (de) | 2020-05-13 |
| US11591320B2 (en) | 2023-02-28 |
| EP3649123B1 (de) | 2023-03-15 |
| EP4186898A1 (de) | 2023-05-31 |
| KR20200024879A (ko) | 2020-03-09 |
| JP2022177049A (ja) | 2022-11-30 |
| JP7302080B2 (ja) | 2023-07-03 |
| WO2019007866A1 (de) | 2019-01-10 |
| KR20230174290A (ko) | 2023-12-27 |
| CN110785415A (zh) | 2020-02-11 |
| KR20240148441A (ko) | 2024-10-11 |
| JP7293474B2 (ja) | 2023-06-19 |
| TWI808980B (zh) | 2023-07-21 |
| US20230150987A1 (en) | 2023-05-18 |
| KR102594782B1 (ko) | 2023-10-27 |
| JP7135012B2 (ja) | 2022-09-12 |
Similar Documents
| Publication | Publication Date | Title |
|---|---|---|
| JP7293474B2 (ja) | 有機電子デバイスのための組成物 | |
| JP7794753B2 (ja) | 有機エレクトロルミネッセント装置 | |
| JP7247121B2 (ja) | 有機電子デバイスのための組成物 | |
| KR102804818B1 (ko) | 유기 전자 디바이스용 조성물 | |
| JP7621955B2 (ja) | 有機電子デバイス用の組成物 | |
| CN115280538A (zh) | 有机电致发光器件 | |
| CN115669281A (zh) | 有机电致发光器件 | |
| JP7693654B2 (ja) | 2種のホスト材料の混合物、およびこれを含む有機エレクトロルミネッセントデバイス | |
| JP7322018B2 (ja) | 有機電子デバイス用組成物 | |
| JP2017502007A (ja) | 電子素子のための材料 | |
| WO2025045816A1 (en) | Materials for organic electroluminescent devices | |
| WO2025087892A1 (de) | Neue materialien für organische elektrolumineszenzvorrichtungen |
Legal Events
| Date | Code | Title | Description |
|---|---|---|---|
| A521 | Request for written amendment filed |
Free format text: JAPANESE INTERMEDIATE CODE: A523 Effective date: 20220930 |
|
| A621 | Written request for application examination |
Free format text: JAPANESE INTERMEDIATE CODE: A621 Effective date: 20220930 |
|
| RD02 | Notification of acceptance of power of attorney |
Free format text: JAPANESE INTERMEDIATE CODE: A7422 Effective date: 20230104 |
|
| TRDD | Decision of grant or rejection written | ||
| A01 | Written decision to grant a patent or to grant a registration (utility model) |
Free format text: JAPANESE INTERMEDIATE CODE: A01 Effective date: 20230523 |
|
| A61 | First payment of annual fees (during grant procedure) |
Free format text: JAPANESE INTERMEDIATE CODE: A61 Effective date: 20230621 |
|
| R150 | Certificate of patent or registration of utility model |
Ref document number: 7302080 Country of ref document: JP Free format text: JAPANESE INTERMEDIATE CODE: R150 |






















































































































































































































