CN116134027A - 杂芳基取代的3-(1-氧代异吲哚啉-2-基)哌啶-2,6-二酮衍生物及其用途 - Google Patents
杂芳基取代的3-(1-氧代异吲哚啉-2-基)哌啶-2,6-二酮衍生物及其用途 Download PDFInfo
- Publication number
- CN116134027A CN116134027A CN202180058916.0A CN202180058916A CN116134027A CN 116134027 A CN116134027 A CN 116134027A CN 202180058916 A CN202180058916 A CN 202180058916A CN 116134027 A CN116134027 A CN 116134027A
- Authority
- CN
- China
- Prior art keywords
- atoms
- optionally substituted
- alkyl
- cycloalkyl
- ring
- Prior art date
- Legal status (The legal status is an assumption and is not a legal conclusion. Google has not performed a legal analysis and makes no representation as to the accuracy of the status listed.)
- Granted
Links
- WENKGSGGXGQHSH-UHFFFAOYSA-N 3-(3-oxo-1h-isoindol-2-yl)piperidine-2,6-dione Chemical class C1C2=CC=CC=C2C(=O)N1C1CCC(=O)NC1=O WENKGSGGXGQHSH-UHFFFAOYSA-N 0.000 title description 2
- 150000001875 compounds Chemical class 0.000 claims abstract description 170
- 150000003839 salts Chemical class 0.000 claims abstract description 93
- 229940002612 prodrug Drugs 0.000 claims abstract description 83
- 239000000651 prodrug Substances 0.000 claims abstract description 83
- 239000012453 solvate Substances 0.000 claims abstract description 78
- 238000000034 method Methods 0.000 claims abstract description 53
- 125000004429 atom Chemical group 0.000 claims description 927
- 125000004169 (C1-C6) alkyl group Chemical group 0.000 claims description 554
- 125000001997 phenyl group Chemical group [H]C1=C([H])C([H])=C(*)C([H])=C1[H] 0.000 claims description 391
- 125000005842 heteroatom Chemical group 0.000 claims description 385
- 229910052757 nitrogen Inorganic materials 0.000 claims description 384
- 229910052760 oxygen Inorganic materials 0.000 claims description 384
- 229910052717 sulfur Inorganic materials 0.000 claims description 382
- 125000000592 heterocycloalkyl group Chemical group 0.000 claims description 359
- 125000000753 cycloalkyl group Chemical group 0.000 claims description 267
- 125000006570 (C5-C6) heteroaryl group Chemical group 0.000 claims description 254
- 125000001072 heteroaryl group Chemical group 0.000 claims description 254
- 125000006582 (C5-C6) heterocycloalkyl group Chemical group 0.000 claims description 188
- 125000006704 (C5-C6) cycloalkyl group Chemical group 0.000 claims description 181
- 229910052736 halogen Inorganic materials 0.000 claims description 160
- 150000002367 halogens Chemical class 0.000 claims description 159
- 208000037265 diseases, disorders, signs and symptoms Diseases 0.000 claims description 112
- 125000006577 C1-C6 hydroxyalkyl group Chemical group 0.000 claims description 99
- 101000599037 Homo sapiens Zinc finger protein Helios Proteins 0.000 claims description 94
- 102100037796 Zinc finger protein Helios Human genes 0.000 claims description 94
- 125000000041 C6-C10 aryl group Chemical group 0.000 claims description 91
- 125000003118 aryl group Chemical group 0.000 claims description 82
- 125000000217 alkyl group Chemical group 0.000 claims description 67
- 201000010099 disease Diseases 0.000 claims description 64
- XEEYBQQBJWHFJM-UHFFFAOYSA-N Iron Chemical group [Fe] XEEYBQQBJWHFJM-UHFFFAOYSA-N 0.000 claims description 60
- 206010028980 Neoplasm Diseases 0.000 claims description 49
- 208000035475 disorder Diseases 0.000 claims description 48
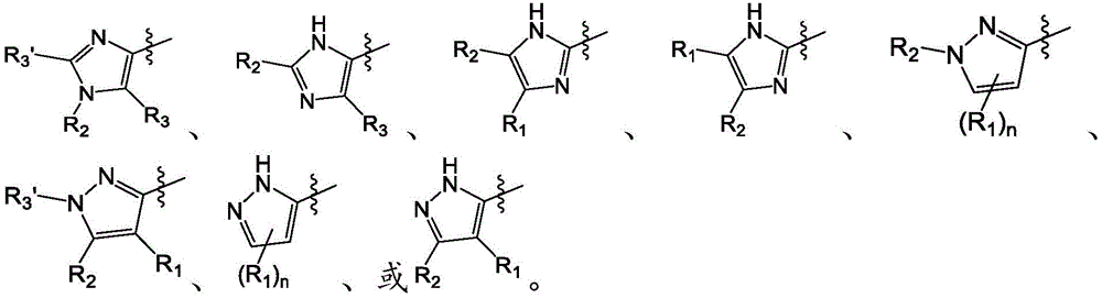
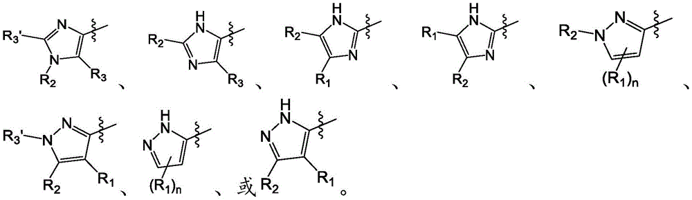
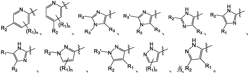
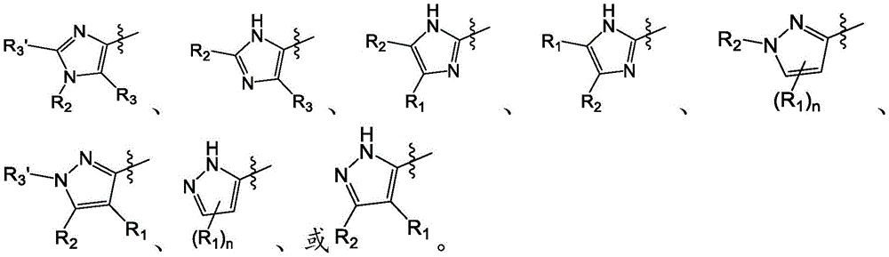
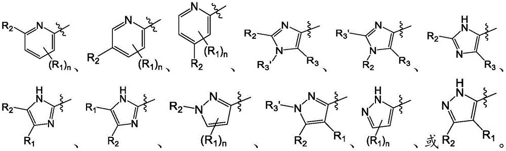
- -1 (3- (2, 6-dioxopiperidin-3-yl) -1-oxoisoindolin-5-yl) -5-methyl-1H-pyrazol-1-yl Chemical group 0.000 claims description 46
- 125000001424 substituent group Chemical group 0.000 claims description 37
- 201000011510 cancer Diseases 0.000 claims description 36
- 125000002496 methyl group Chemical group [H]C([H])([H])* 0.000 claims description 24
- 238000011282 treatment Methods 0.000 claims description 24
- 239000008194 pharmaceutical composition Substances 0.000 claims description 19
- 238000006467 substitution reaction Methods 0.000 claims description 19
- 125000006272 (C3-C7) cycloalkyl group Chemical group 0.000 claims description 16
- 239000003814 drug Substances 0.000 claims description 16
- 125000006705 (C5-C7) cycloalkyl group Chemical group 0.000 claims description 15
- 206010061306 Nasopharyngeal cancer Diseases 0.000 claims description 15
- 208000002154 non-small cell lung carcinoma Diseases 0.000 claims description 15
- 208000029729 tumor suppressor gene on chromosome 11 Diseases 0.000 claims description 15
- 208000003721 Triple Negative Breast Neoplasms Diseases 0.000 claims description 14
- PXBRQCKWGAHEHS-UHFFFAOYSA-N dichlorodifluoromethane Chemical compound FC(F)(Cl)Cl PXBRQCKWGAHEHS-UHFFFAOYSA-N 0.000 claims description 14
- 208000022679 triple-negative breast carcinoma Diseases 0.000 claims description 14
- 125000004432 carbon atom Chemical group C* 0.000 claims description 13
- 125000001188 haloalkyl group Chemical group 0.000 claims description 13
- KNCYXPMJDCCGSJ-UHFFFAOYSA-N piperidine-2,6-dione Chemical compound O=C1CCCC(=O)N1 KNCYXPMJDCCGSJ-UHFFFAOYSA-N 0.000 claims description 13
- 125000003545 alkoxy group Chemical group 0.000 claims description 12
- 201000001441 melanoma Diseases 0.000 claims description 12
- 208000002454 Nasopharyngeal Carcinoma Diseases 0.000 claims description 11
- 201000011216 nasopharynx carcinoma Diseases 0.000 claims description 11
- 125000002950 monocyclic group Chemical group 0.000 claims description 10
- 208000031261 Acute myeloid leukaemia Diseases 0.000 claims description 9
- 206010009944 Colon cancer Diseases 0.000 claims description 9
- 239000000546 pharmaceutical excipient Substances 0.000 claims description 9
- 208000033776 Myeloid Acute Leukemia Diseases 0.000 claims description 8
- 230000007423 decrease Effects 0.000 claims description 8
- 239000003937 drug carrier Substances 0.000 claims description 8
- 125000004438 haloalkoxy group Chemical group 0.000 claims description 8
- 125000002768 hydroxyalkyl group Chemical group 0.000 claims description 8
- 208000001333 Colorectal Neoplasms Diseases 0.000 claims description 7
- 108091092878 Microsatellite Proteins 0.000 claims description 7
- 125000003342 alkenyl group Chemical group 0.000 claims description 7
- 208000002458 carcinoid tumor Diseases 0.000 claims description 7
- 201000011243 gastrointestinal stromal tumor Diseases 0.000 claims description 7
- 239000008177 pharmaceutical agent Substances 0.000 claims description 7
- 208000008732 thymoma Diseases 0.000 claims description 7
- 125000000304 alkynyl group Chemical group 0.000 claims description 6
- 208000001894 Nasopharyngeal Neoplasms Diseases 0.000 claims description 4
- 125000005073 adamantyl group Chemical group C12(CC3CC(CC(C1)C3)C2)* 0.000 claims description 4
- 230000028993 immune response Effects 0.000 claims description 4
- 238000004519 manufacturing process Methods 0.000 claims description 4
- 230000000593 degrading effect Effects 0.000 claims description 3
- 230000002163 immunogen Effects 0.000 claims description 3
- 238000002347 injection Methods 0.000 claims description 3
- 239000007924 injection Substances 0.000 claims description 3
- MXYSURMOLUTVPI-UHFFFAOYSA-N 3-(3-oxo-6-phthalazin-1-yl-1H-isoindol-2-yl)piperidine-2,6-dione Chemical compound O=C(C(C(C1)=C2)=CC=C2C2=NN=CC3=CC=CC=C23)N1C(CCC(N1)=O)C1=O MXYSURMOLUTVPI-UHFFFAOYSA-N 0.000 claims description 2
- FPJRHEXCRFLNMO-UHFFFAOYSA-N 3-(3-oxo-6-pyridazin-3-yl-1H-isoindol-2-yl)piperidine-2,6-dione Chemical compound O=C(C(C(C1)=C2)=CC=C2C2=CC=CN=N2)N1C(CCC(N1)=O)C1=O FPJRHEXCRFLNMO-UHFFFAOYSA-N 0.000 claims description 2
- QVRZFEHWZUETBE-UHFFFAOYSA-N 3-(6-isoquinolin-1-yl-3-oxo-1H-isoindol-2-yl)piperidine-2,6-dione Chemical compound C1(=NC=CC2=CC=CC=C12)C=1C=C2CN(C(C2=CC=1)=O)C1C(NC(CC1)=O)=O QVRZFEHWZUETBE-UHFFFAOYSA-N 0.000 claims description 2
- PBPMZGFYEGADQI-UHFFFAOYSA-N 3-[3-oxo-6-(1H-pyrazol-5-yl)-1H-isoindol-2-yl]piperidine-2,6-dione Chemical compound O=C(C(C(C1)=C2)=CC=C2C2=NNC=C2)N1C(CCC(N1)=O)C1=O PBPMZGFYEGADQI-UHFFFAOYSA-N 0.000 claims description 2
- OHKAQAMBWOVMKW-UHFFFAOYSA-N 3-[3-oxo-6-(4,5,6,7-tetrahydro-1H-indazol-3-yl)-1H-isoindol-2-yl]piperidine-2,6-dione Chemical compound O=C(C(C(C1)=C2)=CC=C2C2=NNC3=C2CCCC3)N1C(CCC(N1)=O)C1=O OHKAQAMBWOVMKW-UHFFFAOYSA-N 0.000 claims description 2
- YUVKSVTUIDYJQB-UHFFFAOYSA-N 3-[3-oxo-6-(5,6,7,8-tetrahydrophthalazin-1-yl)-1H-isoindol-2-yl]piperidine-2,6-dione Chemical compound O=C(C(C(C1)=C2)=CC=C2C2=NN=CC3=C2CCCC3)N1C(CCC(N1)=O)C1=O YUVKSVTUIDYJQB-UHFFFAOYSA-N 0.000 claims description 2
- VRGVRTXDLLJERE-UHFFFAOYSA-N 3-[3-oxo-6-(5-oxo-1,4-dihydroimidazo[4,5-b]pyridin-2-yl)-1H-isoindol-2-yl]piperidine-2,6-dione Chemical compound O=C(C(C(C1)=C2)=CC=C2C2=NC(NC(C=C3)=O)=C3N2)N1C(CCC(N1)=O)C1=O VRGVRTXDLLJERE-UHFFFAOYSA-N 0.000 claims description 2
- VIEDCNRHPYRPKP-UHFFFAOYSA-N 3-[3-oxo-6-[5-(trifluoromethyl)-1H-pyrazol-3-yl]-1H-isoindol-2-yl]piperidine-2,6-dione Chemical compound O=C(C(C(C1)=C2)=CC=C2C2=NNC(C(F)(F)F)=C2)N1C(CCC(N1)=O)C1=O VIEDCNRHPYRPKP-UHFFFAOYSA-N 0.000 claims description 2
- SBIRXEODZXTAAP-UHFFFAOYSA-N 3-[6-(1-benzyl-4,5,6,7-tetrahydroindazol-3-yl)-3-oxo-1H-isoindol-2-yl]piperidine-2,6-dione Chemical compound O=C(C(C(C1)=C2)=CC=C2C2=NN(CC3=CC=CC=C3)C3=C2CCCC3)N1C(CCC(N1)=O)C1=O SBIRXEODZXTAAP-UHFFFAOYSA-N 0.000 claims description 2
- RGGVDESWGFGSOZ-UHFFFAOYSA-N 3-[6-(1-benzyl-4-methylpyrazol-3-yl)-3-oxo-1H-isoindol-2-yl]piperidine-2,6-dione Chemical compound CC1=CN(CC2=CC=CC=C2)N=C1C(C=C1CN2C(CCC(N3)=O)C3=O)=CC=C1C2=O RGGVDESWGFGSOZ-UHFFFAOYSA-N 0.000 claims description 2
- MBWPOLQWPFLFHG-UHFFFAOYSA-N 3-[6-(1-benzyl-5-methoxypyrazol-3-yl)-3-oxo-1H-isoindol-2-yl]piperidine-2,6-dione Chemical compound COC1=CC(C(C=C2CN3C(CCC(N4)=O)C4=O)=CC=C2C3=O)=NN1CC1=CC=CC=C1 MBWPOLQWPFLFHG-UHFFFAOYSA-N 0.000 claims description 2
- VAZCXJQEXQNXQR-UHFFFAOYSA-N 3-[6-(1-benzyl-5-methylpyrazol-3-yl)-3-oxo-1H-isoindol-2-yl]piperidine-2,6-dione Chemical compound CC1=CC(C(C=C2CN3C(CCC(N4)=O)C4=O)=CC=C2C3=O)=NN1CC1=CC=CC=C1 VAZCXJQEXQNXQR-UHFFFAOYSA-N 0.000 claims description 2
- VLZBUGKWNZAHCS-UHFFFAOYSA-N 3-[6-(1-benzylimidazol-4-yl)-3-oxo-1H-isoindol-2-yl]piperidine-2,6-dione Chemical compound O=C(C(C(C1)=C2)=CC=C2C2=CN(CC3=CC=CC=C3)C=N2)N1C(CCC(N1)=O)C1=O VLZBUGKWNZAHCS-UHFFFAOYSA-N 0.000 claims description 2
- GQDNNCFOJBZAMG-UHFFFAOYSA-N 3-[6-(1-benzylindazol-3-yl)-3-oxo-1H-isoindol-2-yl]piperidine-2,6-dione Chemical compound O=C(C(C(C1)=C2)=CC=C2C2=NN(CC3=CC=CC=C3)C3=CC=CC=C23)N1C(CCC(N1)=O)C1=O GQDNNCFOJBZAMG-UHFFFAOYSA-N 0.000 claims description 2
- PEGQHFHHTJIJKH-UHFFFAOYSA-N 3-[6-(1-benzylpyrazol-3-yl)-3-oxo-1H-isoindol-2-yl]piperidine-2,6-dione Chemical compound O=C(C(C(C1)=C2)=CC=C2C2=NN(CC3=CC=CC=C3)C=C2)N1C(CCC(N1)=O)C1=O PEGQHFHHTJIJKH-UHFFFAOYSA-N 0.000 claims description 2
- STTPYXRTJUEUTJ-UHFFFAOYSA-N 3-[6-(1-ethyl-5-methoxypyrazol-3-yl)-3-oxo-1H-isoindol-2-yl]piperidine-2,6-dione Chemical compound CCN(C(OC)=C1)N=C1C(C=C1CN2C(CCC(N3)=O)C3=O)=CC=C1C2=O STTPYXRTJUEUTJ-UHFFFAOYSA-N 0.000 claims description 2
- NSWANFIQAQLDKX-UHFFFAOYSA-N 3-[6-(1-ethylindazol-3-yl)-3-oxo-1H-isoindol-2-yl]piperidine-2,6-dione Chemical compound CCN(C1=CC=CC=C11)N=C1C(C=C1CN2C(CCC(N3)=O)C3=O)=CC=C1C2=O NSWANFIQAQLDKX-UHFFFAOYSA-N 0.000 claims description 2
- PXTXLGIHHRORDR-UHFFFAOYSA-N 3-[6-(1-methylimidazol-4-yl)-3-oxo-1H-isoindol-2-yl]piperidine-2,6-dione Chemical compound CN1C=NC(C(C=C2CN3C(CCC(N4)=O)C4=O)=CC=C2C3=O)=C1 PXTXLGIHHRORDR-UHFFFAOYSA-N 0.000 claims description 2
- ZCWNWHWKBROEIC-UHFFFAOYSA-N 3-[6-(1-methylpyrazol-3-yl)-3-oxo-1H-isoindol-2-yl]piperidine-2,6-dione Chemical compound CN(C=C1)N=C1C(C=C1CN2C(CCC(N3)=O)C3=O)=CC=C1C2=O ZCWNWHWKBROEIC-UHFFFAOYSA-N 0.000 claims description 2
- MZZHWKRNILLRIK-UHFFFAOYSA-N 3-[6-(1H-imidazo[4,5-b]pyridin-2-yl)-3-oxo-1H-isoindol-2-yl]piperidine-2,6-dione Chemical compound O=C(C(C(C1)=C2)=CC=C2C2=NC3=NC=CC=C3N2)N1C(CCC(N1)=O)C1=O MZZHWKRNILLRIK-UHFFFAOYSA-N 0.000 claims description 2
- SBSIWGLFCNYHMD-UHFFFAOYSA-N 3-[6-(1H-indazol-3-yl)-3-oxo-1H-isoindol-2-yl]piperidine-2,6-dione Chemical compound O=C(C(C(C1)=C2)=CC=C2C2=NNC3=CC=CC=C23)N1C(CCC(N1)=O)C1=O SBSIWGLFCNYHMD-UHFFFAOYSA-N 0.000 claims description 2
- XKKGAQISRUJTKG-UHFFFAOYSA-N 3-[6-(3-methoxy-1H-pyrazol-5-yl)-3-oxo-1H-isoindol-2-yl]piperidine-2,6-dione Chemical compound COC1=CC(C(C=C2CN3C(CCC(N4)=O)C4=O)=CC=C2C3=O)=NN1 XKKGAQISRUJTKG-UHFFFAOYSA-N 0.000 claims description 2
- DMVLXJXJQKVDKR-UHFFFAOYSA-N 3-[6-(4-methyl-1H-pyrazol-5-yl)-3-oxo-1H-isoindol-2-yl]piperidine-2,6-dione Chemical compound CC1=CNN=C1C(C=C1CN2C(CCC(N3)=O)C3=O)=CC=C1C2=O DMVLXJXJQKVDKR-UHFFFAOYSA-N 0.000 claims description 2
- WBNSZAKLCZDILB-UHFFFAOYSA-N 3-[6-(5-methyl-1H-pyrazol-3-yl)-3-oxo-1H-isoindol-2-yl]piperidine-2,6-dione Chemical compound CC1=CC(C(C=C2CN3C(CCC(N4)=O)C4=O)=CC=C2C3=O)=NN1 WBNSZAKLCZDILB-UHFFFAOYSA-N 0.000 claims description 2
- JVJWLVOQQSTQAQ-UHFFFAOYSA-N 3-[6-(6-benzyl-4-methoxypyridazin-3-yl)-3-oxo-1H-isoindol-2-yl]piperidine-2,6-dione Chemical compound COC1=C(C(C=C2CN3C(CCC(N4)=O)C4=O)=CC=C2C3=O)N=NC(CC2=CC=CC=C2)=C1 JVJWLVOQQSTQAQ-UHFFFAOYSA-N 0.000 claims description 2
- KIBZZVUJTYHERC-UHFFFAOYSA-N 3-[6-(6-benzyl-5-methoxypyridazin-3-yl)-3-oxo-1H-isoindol-2-yl]piperidine-2,6-dione Chemical compound COC1=C(CC2=CC=CC=C2)N=NC(C(C=C2CN3C(CCC(N4)=O)C4=O)=CC=C2C3=O)=C1 KIBZZVUJTYHERC-UHFFFAOYSA-N 0.000 claims description 2
- XKMFSUZQPCIXIR-UHFFFAOYSA-N 3-[6-(6-benzylpyridazin-3-yl)-3-oxo-1H-isoindol-2-yl]piperidine-2,6-dione Chemical compound O=C(C(C(C1)=C2)=CC=C2C2=CC=C(CC3=CC=CC=C3)N=N2)N1C(CCC(N1)=O)C1=O XKMFSUZQPCIXIR-UHFFFAOYSA-N 0.000 claims description 2
- YKEDAPHCONZCGB-UHFFFAOYSA-N 3-[6-[1-[(4-methoxyphenyl)methyl]indazol-3-yl]-3-oxo-1H-isoindol-2-yl]piperidine-2,6-dione Chemical compound COC1=CC=C(CN(C2=CC=CC=C22)N=C2C(C=C2CN3C(CCC(N4)=O)C4=O)=CC=C2C3=O)C=C1 YKEDAPHCONZCGB-UHFFFAOYSA-N 0.000 claims description 2
- OUFOOQFEXCKGTH-UHFFFAOYSA-N 3-[6-[1-benzyl-5-(dimethylamino)pyrazol-3-yl]-3-oxo-1H-isoindol-2-yl]piperidine-2,6-dione Chemical compound CN(C)C1=CC(C(C=C2CN3C(CCC(N4)=O)C4=O)=CC=C2C3=O)=NN1CC1=CC=CC=C1 OUFOOQFEXCKGTH-UHFFFAOYSA-N 0.000 claims description 2
- QTZJWOBRWRZOIE-UHFFFAOYSA-N 3-[6-[1-benzyl-5-(trifluoromethyl)pyrazol-3-yl]-3-oxo-1H-isoindol-2-yl]piperidine-2,6-dione Chemical compound O=C(C(C(C1)=C2)=CC=C2C2=NN(CC3=CC=CC=C3)C(C(F)(F)F)=C2)N1C(CCC(N1)=O)C1=O QTZJWOBRWRZOIE-UHFFFAOYSA-N 0.000 claims description 2
- RPAZIDHRLAEXTJ-UHFFFAOYSA-N 3-[6-[1-ethyl-5-(trifluoromethyl)pyrazol-3-yl]-3-oxo-1H-isoindol-2-yl]piperidine-2,6-dione Chemical compound CCN(C(C(F)(F)F)=C1)N=C1C(C=C1CN2C(CCC(N3)=O)C3=O)=CC=C1C2=O RPAZIDHRLAEXTJ-UHFFFAOYSA-N 0.000 claims description 2
- RVNHUBWOSQKZSE-UHFFFAOYSA-N 3-[6-[4-[(dimethylamino)methyl]pyridazin-3-yl]-3-oxo-1H-isoindol-2-yl]piperidine-2,6-dione Chemical compound CN(C)CC1=C(C(C=C2CN3C(CCC(N4)=O)C4=O)=CC=C2C3=O)N=NC=C1 RVNHUBWOSQKZSE-UHFFFAOYSA-N 0.000 claims description 2
- BEONSSQEMMDWPE-UHFFFAOYSA-N 3-[6-[5-(ethylamino)pyridazin-3-yl]-3-oxo-1H-isoindol-2-yl]piperidine-2,6-dione Chemical compound CCNC1=CN=NC(C(C=C2CN3C(CCC(N4)=O)C4=O)=CC=C2C3=O)=C1 BEONSSQEMMDWPE-UHFFFAOYSA-N 0.000 claims description 2
- QWMWALCCTJYZTN-UHFFFAOYSA-N 3-[6-[5-[(dimethylamino)methyl]pyridazin-3-yl]-3-oxo-1H-isoindol-2-yl]piperidine-2,6-dione Chemical compound CN(C)CC1=CN=NC(C(C=C2CN3C(CCC(N4)=O)C4=O)=CC=C2C3=O)=C1 QWMWALCCTJYZTN-UHFFFAOYSA-N 0.000 claims description 2
- SFKOLHMNBKTPQV-UHFFFAOYSA-N 3-[6-[5-methyl-1-(oxan-4-ylmethyl)pyrazol-3-yl]-3-oxo-1H-isoindol-2-yl]piperidine-2,6-dione Chemical compound CC1=CC(C(C=C2CN3C(CCC(N4)=O)C4=O)=CC=C2C3=O)=NN1CC1CCOCC1 SFKOLHMNBKTPQV-UHFFFAOYSA-N 0.000 claims description 2
- YKUKDNPXBOVMSX-UHFFFAOYSA-N 3-[6-[6-(diethylaminomethyl)pyridazin-3-yl]-3-oxo-1H-isoindol-2-yl]piperidine-2,6-dione Chemical compound CCN(CC)CC1=CC=C(C(C=C2CN3C(CCC(N4)=O)C4=O)=CC=C2C3=O)N=N1 YKUKDNPXBOVMSX-UHFFFAOYSA-N 0.000 claims description 2
- AFNDVOQCZSSNIH-UHFFFAOYSA-N 3-[6-[6-(ethylamino)pyridazin-3-yl]-3-oxo-1H-isoindol-2-yl]piperidine-2,6-dione Chemical compound CCNC1=CC=C(C(C=C2CN3C(CCC(N4)=O)C4=O)=CC=C2C3=O)N=N1 AFNDVOQCZSSNIH-UHFFFAOYSA-N 0.000 claims description 2
- NAPYVLXLURVVQI-UHFFFAOYSA-N C1CC(=O)NC(=O)C1N2CC3=C(C2=O)C=CC(=C3)C4=CC=CC=N4 Chemical compound C1CC(=O)NC(=O)C1N2CC3=C(C2=O)C=CC(=C3)C4=CC=CC=N4 NAPYVLXLURVVQI-UHFFFAOYSA-N 0.000 claims description 2
- 230000002950 deficient Effects 0.000 claims description 2
- 238000001802 infusion Methods 0.000 claims description 2
- 230000035755 proliferation Effects 0.000 claims description 2
- JFDZBHWFFUWGJE-UHFFFAOYSA-N benzonitrile Chemical compound N#CC1=CC=CC=C1 JFDZBHWFFUWGJE-UHFFFAOYSA-N 0.000 claims 3
- 125000004105 2-pyridyl group Chemical group N1=C([*])C([H])=C([H])C([H])=C1[H] 0.000 claims 2
- 125000002206 pyridazin-3-yl group Chemical group [H]C1=C([H])C([H])=C(*)N=N1 0.000 claims 2
- 125000003037 imidazol-2-yl group Chemical group [H]N1C([*])=NC([H])=C1[H] 0.000 claims 1
- 238000007920 subcutaneous administration Methods 0.000 claims 1
- 125000004433 nitrogen atom Chemical group N* 0.000 description 199
- 229910052739 hydrogen Inorganic materials 0.000 description 192
- 125000000171 (C1-C6) haloalkyl group Chemical group 0.000 description 167
- 125000004191 (C1-C6) alkoxy group Chemical group 0.000 description 132
- 125000004737 (C1-C6) haloalkoxy group Chemical group 0.000 description 105
- 125000006552 (C3-C8) cycloalkyl group Chemical group 0.000 description 43
- 239000000203 mixture Chemical class 0.000 description 29
- 230000000694 effects Effects 0.000 description 21
- 150000004677 hydrates Chemical class 0.000 description 20
- 125000006273 (C1-C3) alkyl group Chemical group 0.000 description 19
- 125000004178 (C1-C4) alkyl group Chemical group 0.000 description 16
- HBAQYPYDRFILMT-UHFFFAOYSA-N 8-[3-(1-cyclopropylpyrazol-4-yl)-1H-pyrazolo[4,3-d]pyrimidin-5-yl]-3-methyl-3,8-diazabicyclo[3.2.1]octan-2-one Chemical class C1(CC1)N1N=CC(=C1)C1=NNC2=C1N=C(N=C2)N1C2C(N(CC1CC2)C)=O HBAQYPYDRFILMT-UHFFFAOYSA-N 0.000 description 15
- 125000000882 C2-C6 alkenyl group Chemical group 0.000 description 15
- 125000003601 C2-C6 alkynyl group Chemical group 0.000 description 15
- 239000003795 chemical substances by application Substances 0.000 description 15
- 230000015556 catabolic process Effects 0.000 description 13
- 238000006731 degradation reaction Methods 0.000 description 13
- 230000001419 dependent effect Effects 0.000 description 13
- 239000002585 base Substances 0.000 description 10
- 210000003289 regulatory T cell Anatomy 0.000 description 10
- 125000005913 (C3-C6) cycloalkyl group Chemical group 0.000 description 9
- 229910052799 carbon Inorganic materials 0.000 description 9
- 210000004027 cell Anatomy 0.000 description 9
- 125000001495 ethyl group Chemical group [H]C([H])([H])C([H])([H])* 0.000 description 9
- 239000000126 substance Substances 0.000 description 9
- 239000002253 acid Substances 0.000 description 8
- 230000004071 biological effect Effects 0.000 description 8
- 150000001721 carbon Chemical group 0.000 description 8
- 230000001225 therapeutic effect Effects 0.000 description 8
- 102000039995 Ikaros C2H2-type zinc-finger protein family Human genes 0.000 description 7
- 108091069197 Ikaros C2H2-type zinc-finger protein family Proteins 0.000 description 7
- 206010025323 Lymphomas Diseases 0.000 description 7
- 125000002619 bicyclic group Chemical group 0.000 description 7
- 125000004076 pyridyl group Chemical group 0.000 description 7
- 230000009467 reduction Effects 0.000 description 7
- 238000000926 separation method Methods 0.000 description 7
- 239000002904 solvent Substances 0.000 description 7
- 125000006163 5-membered heteroaryl group Chemical group 0.000 description 6
- QTBSBXVTEAMEQO-UHFFFAOYSA-N Acetic acid Chemical compound CC(O)=O QTBSBXVTEAMEQO-UHFFFAOYSA-N 0.000 description 6
- MUBZPKHOEPUJKR-UHFFFAOYSA-N Oxalic acid Chemical compound OC(=O)C(O)=O MUBZPKHOEPUJKR-UHFFFAOYSA-N 0.000 description 6
- 239000004480 active ingredient Substances 0.000 description 6
- 125000002947 alkylene group Chemical group 0.000 description 6
- ZUOUZKKEUPVFJK-UHFFFAOYSA-N diphenyl Chemical compound C1=CC=CC=C1C1=CC=CC=C1 ZUOUZKKEUPVFJK-UHFFFAOYSA-N 0.000 description 6
- 229940079593 drug Drugs 0.000 description 6
- 230000000144 pharmacologic effect Effects 0.000 description 6
- 108090000623 proteins and genes Proteins 0.000 description 6
- 229920006395 saturated elastomer Polymers 0.000 description 6
- 229940124597 therapeutic agent Drugs 0.000 description 6
- 125000006583 (C1-C3) haloalkyl group Chemical group 0.000 description 5
- 125000006274 (C1-C3)alkoxy group Chemical group 0.000 description 5
- 241000282414 Homo sapiens Species 0.000 description 5
- 101001002579 Homo sapiens Zinc finger protein Pegasus Proteins 0.000 description 5
- 241000699670 Mus sp. Species 0.000 description 5
- 102100020893 Zinc finger protein Pegasus Human genes 0.000 description 5
- 125000001153 fluoro group Chemical group F* 0.000 description 5
- 238000009472 formulation Methods 0.000 description 5
- 239000001257 hydrogen Substances 0.000 description 5
- 125000001449 isopropyl group Chemical group [H]C([H])([H])C([H])(*)C([H])([H])[H] 0.000 description 5
- 235000018102 proteins Nutrition 0.000 description 5
- 102000004169 proteins and genes Human genes 0.000 description 5
- 230000001105 regulatory effect Effects 0.000 description 5
- 231100000419 toxicity Toxicity 0.000 description 5
- 230000001988 toxicity Effects 0.000 description 5
- HBEDSQVIWPRPAY-UHFFFAOYSA-N 2,3-dihydrobenzofuran Chemical compound C1=CC=C2OCCC2=C1 HBEDSQVIWPRPAY-UHFFFAOYSA-N 0.000 description 4
- HZAXFHJVJLSVMW-UHFFFAOYSA-N 2-Aminoethan-1-ol Chemical compound NCCO HZAXFHJVJLSVMW-UHFFFAOYSA-N 0.000 description 4
- 102100037799 DNA-binding protein Ikaros Human genes 0.000 description 4
- LFQSCWFLJHTTHZ-UHFFFAOYSA-N Ethanol Chemical compound CCO LFQSCWFLJHTTHZ-UHFFFAOYSA-N 0.000 description 4
- 101000599038 Homo sapiens DNA-binding protein Ikaros Proteins 0.000 description 4
- 206010027476 Metastases Diseases 0.000 description 4
- 238000005481 NMR spectroscopy Methods 0.000 description 4
- JUJWROOIHBZHMG-UHFFFAOYSA-N Pyridine Chemical compound C1=CC=NC=C1 JUJWROOIHBZHMG-UHFFFAOYSA-N 0.000 description 4
- LCTONWCANYUPML-UHFFFAOYSA-N Pyruvic acid Chemical compound CC(=O)C(O)=O LCTONWCANYUPML-UHFFFAOYSA-N 0.000 description 4
- 206010039491 Sarcoma Diseases 0.000 description 4
- 208000005718 Stomach Neoplasms Diseases 0.000 description 4
- 102000040945 Transcription factor Human genes 0.000 description 4
- 108091023040 Transcription factor Proteins 0.000 description 4
- HCHKCACWOHOZIP-UHFFFAOYSA-N Zinc Chemical compound [Zn] HCHKCACWOHOZIP-UHFFFAOYSA-N 0.000 description 4
- 230000009471 action Effects 0.000 description 4
- 230000009286 beneficial effect Effects 0.000 description 4
- 230000008901 benefit Effects 0.000 description 4
- 230000015572 biosynthetic process Effects 0.000 description 4
- 235000010290 biphenyl Nutrition 0.000 description 4
- 210000004369 blood Anatomy 0.000 description 4
- 239000008280 blood Substances 0.000 description 4
- RYYVLZVUVIJVGH-UHFFFAOYSA-N caffeine Chemical compound CN1C(=O)N(C)C(=O)C2=C1N=CN2C RYYVLZVUVIJVGH-UHFFFAOYSA-N 0.000 description 4
- 238000006243 chemical reaction Methods 0.000 description 4
- 208000037765 diseases and disorders Diseases 0.000 description 4
- 239000012636 effector Substances 0.000 description 4
- 206010017758 gastric cancer Diseases 0.000 description 4
- 230000014509 gene expression Effects 0.000 description 4
- 239000000463 material Substances 0.000 description 4
- 230000009401 metastasis Effects 0.000 description 4
- 125000004123 n-propyl group Chemical group [H]C([H])([H])C([H])([H])C([H])([H])* 0.000 description 4
- 201000011549 stomach cancer Diseases 0.000 description 4
- 208000024891 symptom Diseases 0.000 description 4
- 238000003786 synthesis reaction Methods 0.000 description 4
- 210000001519 tissue Anatomy 0.000 description 4
- GETQZCLCWQTVFV-UHFFFAOYSA-N trimethylamine Chemical compound CN(C)C GETQZCLCWQTVFV-UHFFFAOYSA-N 0.000 description 4
- 229910052725 zinc Inorganic materials 0.000 description 4
- 239000011701 zinc Substances 0.000 description 4
- 208000024893 Acute lymphoblastic leukemia Diseases 0.000 description 3
- 208000014697 Acute lymphocytic leukaemia Diseases 0.000 description 3
- 208000016683 Adult T-cell leukemia/lymphoma Diseases 0.000 description 3
- 208000023275 Autoimmune disease Diseases 0.000 description 3
- 208000032791 BCR-ABL1 positive chronic myelogenous leukemia Diseases 0.000 description 3
- 208000003174 Brain Neoplasms Diseases 0.000 description 3
- 201000009030 Carcinoma Diseases 0.000 description 3
- 208000010833 Chronic myeloid leukaemia Diseases 0.000 description 3
- XBPCUCUWBYBCDP-UHFFFAOYSA-N Dicyclohexylamine Chemical compound C1CCCCC1NC1CCCCC1 XBPCUCUWBYBCDP-UHFFFAOYSA-N 0.000 description 3
- 206010014733 Endometrial cancer Diseases 0.000 description 3
- 206010014759 Endometrial neoplasm Diseases 0.000 description 3
- UFHFLCQGNIYNRP-UHFFFAOYSA-N Hydrogen Chemical compound [H][H] UFHFLCQGNIYNRP-UHFFFAOYSA-N 0.000 description 3
- HEFNNWSXXWATRW-UHFFFAOYSA-N Ibuprofen Chemical compound CC(C)CC1=CC=C(C(C)C(O)=O)C=C1 HEFNNWSXXWATRW-UHFFFAOYSA-N 0.000 description 3
- 241000124008 Mammalia Species 0.000 description 3
- 241001465754 Metazoa Species 0.000 description 3
- 208000033761 Myelogenous Chronic BCR-ABL Positive Leukemia Diseases 0.000 description 3
- SJRJJKPEHAURKC-UHFFFAOYSA-N N-Methylmorpholine Chemical compound CN1CCOCC1 SJRJJKPEHAURKC-UHFFFAOYSA-N 0.000 description 3
- 206010035226 Plasma cell myeloma Diseases 0.000 description 3
- 208000006664 Precursor Cell Lymphoblastic Leukemia-Lymphoma Diseases 0.000 description 3
- OFOBLEOULBTSOW-UHFFFAOYSA-N Propanedioic acid Natural products OC(=O)CC(O)=O OFOBLEOULBTSOW-UHFFFAOYSA-N 0.000 description 3
- ZMANZCXQSJIPKH-UHFFFAOYSA-N Triethylamine Chemical compound CCN(CC)CC ZMANZCXQSJIPKH-UHFFFAOYSA-N 0.000 description 3
- 201000006966 adult T-cell leukemia Diseases 0.000 description 3
- 239000004305 biphenyl Substances 0.000 description 3
- 238000004587 chromatography analysis Methods 0.000 description 3
- KRKNYBCHXYNGOX-UHFFFAOYSA-N citric acid Chemical compound OC(=O)CC(O)(C(O)=O)CC(O)=O KRKNYBCHXYNGOX-UHFFFAOYSA-N 0.000 description 3
- 125000004093 cyano group Chemical group *C#N 0.000 description 3
- 125000004122 cyclic group Chemical group 0.000 description 3
- 230000018109 developmental process Effects 0.000 description 3
- 239000003085 diluting agent Substances 0.000 description 3
- 229960001680 ibuprofen Drugs 0.000 description 3
- 238000001727 in vivo Methods 0.000 description 3
- 125000003387 indolinyl group Chemical group N1(CCC2=CC=CC=C12)* 0.000 description 3
- 208000032839 leukemia Diseases 0.000 description 3
- 230000007246 mechanism Effects 0.000 description 3
- 125000001624 naphthyl group Chemical group 0.000 description 3
- 201000009410 rhabdomyosarcoma Diseases 0.000 description 3
- XLYOFNOQVPJJNP-UHFFFAOYSA-N water Substances O XLYOFNOQVPJJNP-UHFFFAOYSA-N 0.000 description 3
- 125000006727 (C1-C6) alkenyl group Chemical group 0.000 description 2
- PAMIQIKDUOTOBW-UHFFFAOYSA-N 1-methylpiperidine Chemical compound CN1CCCCC1 PAMIQIKDUOTOBW-UHFFFAOYSA-N 0.000 description 2
- IDUSJBBWEKNWAK-UHFFFAOYSA-N 3,4-dihydro-2h-1,2-benzothiazine Chemical compound C1=CC=C2SNCCC2=C1 IDUSJBBWEKNWAK-UHFFFAOYSA-N 0.000 description 2
- XMIIGOLPHOKFCH-UHFFFAOYSA-N 3-phenylpropionic acid Chemical compound OC(=O)CCC1=CC=CC=C1 XMIIGOLPHOKFCH-UHFFFAOYSA-N 0.000 description 2
- KDCGOANMDULRCW-UHFFFAOYSA-N 7H-purine Chemical compound N1=CNC2=NC=NC2=C1 KDCGOANMDULRCW-UHFFFAOYSA-N 0.000 description 2
- 208000009746 Adult T-Cell Leukemia-Lymphoma Diseases 0.000 description 2
- QGZKDVFQNNGYKY-UHFFFAOYSA-N Ammonia Chemical compound N QGZKDVFQNNGYKY-UHFFFAOYSA-N 0.000 description 2
- CIWBSHSKHKDKBQ-JLAZNSOCSA-N Ascorbic acid Chemical compound OC[C@H](O)[C@H]1OC(=O)C(O)=C1O CIWBSHSKHKDKBQ-JLAZNSOCSA-N 0.000 description 2
- IJGRMHOSHXDMSA-UHFFFAOYSA-N Atomic nitrogen Chemical group N#N IJGRMHOSHXDMSA-UHFFFAOYSA-N 0.000 description 2
- 208000010839 B-cell chronic lymphocytic leukemia Diseases 0.000 description 2
- 206010006187 Breast cancer Diseases 0.000 description 2
- 208000026310 Breast neoplasm Diseases 0.000 description 2
- FERIUCNNQQJTOY-UHFFFAOYSA-N Butyric acid Chemical compound CCCC(O)=O FERIUCNNQQJTOY-UHFFFAOYSA-N 0.000 description 2
- 206010008342 Cervix carcinoma Diseases 0.000 description 2
- 108020004414 DNA Proteins 0.000 description 2
- 230000004568 DNA-binding Effects 0.000 description 2
- YZCKVEUIGOORGS-OUBTZVSYSA-N Deuterium Chemical compound [2H] YZCKVEUIGOORGS-OUBTZVSYSA-N 0.000 description 2
- ROSDSFDQCJNGOL-UHFFFAOYSA-N Dimethylamine Chemical compound CNC ROSDSFDQCJNGOL-UHFFFAOYSA-N 0.000 description 2
- 208000000461 Esophageal Neoplasms Diseases 0.000 description 2
- QUSNBJAOOMFDIB-UHFFFAOYSA-N Ethylamine Chemical compound CCN QUSNBJAOOMFDIB-UHFFFAOYSA-N 0.000 description 2
- 208000006168 Ewing Sarcoma Diseases 0.000 description 2
- VZCYOOQTPOCHFL-OWOJBTEDSA-N Fumaric acid Chemical compound OC(=O)\C=C\C(O)=O VZCYOOQTPOCHFL-OWOJBTEDSA-N 0.000 description 2
- AEMRFAOFKBGASW-UHFFFAOYSA-N Glycolic acid Chemical compound OCC(O)=O AEMRFAOFKBGASW-UHFFFAOYSA-N 0.000 description 2
- 241000282412 Homo Species 0.000 description 2
- 241000598436 Human T-cell lymphotropic virus Species 0.000 description 2
- VEXZGXHMUGYJMC-UHFFFAOYSA-N Hydrochloric acid Chemical compound Cl VEXZGXHMUGYJMC-UHFFFAOYSA-N 0.000 description 2
- 108010013958 Ikaros Transcription Factor Proteins 0.000 description 2
- 102000017182 Ikaros Transcription Factor Human genes 0.000 description 2
- LPHGQDQBBGAPDZ-UHFFFAOYSA-N Isocaffeine Natural products CN1C(=O)N(C)C(=O)C2=C1N(C)C=N2 LPHGQDQBBGAPDZ-UHFFFAOYSA-N 0.000 description 2
- 208000008839 Kidney Neoplasms Diseases 0.000 description 2
- 206010058467 Lung neoplasm malignant Diseases 0.000 description 2
- 208000000172 Medulloblastoma Diseases 0.000 description 2
- AFVFQIVMOAPDHO-UHFFFAOYSA-N Methanesulfonic acid Chemical compound CS(O)(=O)=O AFVFQIVMOAPDHO-UHFFFAOYSA-N 0.000 description 2
- BAVYZALUXZFZLV-UHFFFAOYSA-N Methylamine Chemical compound NC BAVYZALUXZFZLV-UHFFFAOYSA-N 0.000 description 2
- 208000034578 Multiple myelomas Diseases 0.000 description 2
- 241000699666 Mus <mouse, genus> Species 0.000 description 2
- JLTDJTHDQAWBAV-UHFFFAOYSA-N N,N-dimethylaniline Chemical compound CN(C)C1=CC=CC=C1 JLTDJTHDQAWBAV-UHFFFAOYSA-N 0.000 description 2
- PVNIIMVLHYAWGP-UHFFFAOYSA-N Niacin Chemical compound OC(=O)C1=CC=CN=C1 PVNIIMVLHYAWGP-UHFFFAOYSA-N 0.000 description 2
- 206010030155 Oesophageal carcinoma Diseases 0.000 description 2
- 206010061902 Pancreatic neoplasm Diseases 0.000 description 2
- NBIIXXVUZAFLBC-UHFFFAOYSA-N Phosphoric acid Chemical compound OP(O)(O)=O NBIIXXVUZAFLBC-UHFFFAOYSA-N 0.000 description 2
- GLUUGHFHXGJENI-UHFFFAOYSA-N Piperazine Chemical compound C1CNCCN1 GLUUGHFHXGJENI-UHFFFAOYSA-N 0.000 description 2
- NQRYJNQNLNOLGT-UHFFFAOYSA-N Piperidine Chemical compound C1CCNCC1 NQRYJNQNLNOLGT-UHFFFAOYSA-N 0.000 description 2
- 208000000236 Prostatic Neoplasms Diseases 0.000 description 2
- 108010029485 Protein Isoforms Proteins 0.000 description 2
- 102000001708 Protein Isoforms Human genes 0.000 description 2
- 208000015634 Rectal Neoplasms Diseases 0.000 description 2
- 206010038389 Renal cancer Diseases 0.000 description 2
- 201000000582 Retinoblastoma Diseases 0.000 description 2
- 208000004337 Salivary Gland Neoplasms Diseases 0.000 description 2
- 206010061934 Salivary gland cancer Diseases 0.000 description 2
- QAOWNCQODCNURD-UHFFFAOYSA-N Sulfuric acid Chemical compound OS(O)(=O)=O QAOWNCQODCNURD-UHFFFAOYSA-N 0.000 description 2
- 208000031673 T-Cell Cutaneous Lymphoma Diseases 0.000 description 2
- 210000001744 T-lymphocyte Anatomy 0.000 description 2
- 208000024770 Thyroid neoplasm Diseases 0.000 description 2
- 206010062129 Tongue neoplasm Diseases 0.000 description 2
- DTQVDTLACAAQTR-UHFFFAOYSA-N Trifluoroacetic acid Chemical compound OC(=O)C(F)(F)F DTQVDTLACAAQTR-UHFFFAOYSA-N 0.000 description 2
- 208000006105 Uterine Cervical Neoplasms Diseases 0.000 description 2
- 230000002378 acidificating effect Effects 0.000 description 2
- 150000007513 acids Chemical class 0.000 description 2
- 230000004913 activation Effects 0.000 description 2
- WNLRTRBMVRJNCN-UHFFFAOYSA-N adipic acid Chemical compound OC(=O)CCCCC(O)=O WNLRTRBMVRJNCN-UHFFFAOYSA-N 0.000 description 2
- 125000002877 alkyl aryl group Chemical group 0.000 description 2
- 208000026935 allergic disease Diseases 0.000 description 2
- 150000001412 amines Chemical class 0.000 description 2
- 238000004458 analytical method Methods 0.000 description 2
- WPYMKLBDIGXBTP-UHFFFAOYSA-N benzoic acid Chemical compound OC(=O)C1=CC=CC=C1 WPYMKLBDIGXBTP-UHFFFAOYSA-N 0.000 description 2
- 229960001948 caffeine Drugs 0.000 description 2
- VJEONQKOZGKCAK-UHFFFAOYSA-N caffeine Natural products CN1C(=O)N(C)C(=O)C2=C1C=CN2C VJEONQKOZGKCAK-UHFFFAOYSA-N 0.000 description 2
- 239000000969 carrier Substances 0.000 description 2
- 230000004663 cell proliferation Effects 0.000 description 2
- 201000010881 cervical cancer Diseases 0.000 description 2
- OEYIOHPDSNJKLS-UHFFFAOYSA-N choline Chemical compound C[N+](C)(C)CCO OEYIOHPDSNJKLS-UHFFFAOYSA-N 0.000 description 2
- 229960001231 choline Drugs 0.000 description 2
- 208000029742 colonic neoplasm Diseases 0.000 description 2
- 201000007241 cutaneous T cell lymphoma Diseases 0.000 description 2
- NNBZCPXTIHJBJL-UHFFFAOYSA-N decalin Chemical compound C1CCCC2CCCCC21 NNBZCPXTIHJBJL-UHFFFAOYSA-N 0.000 description 2
- 239000001064 degrader Substances 0.000 description 2
- 238000013461 design Methods 0.000 description 2
- 229910052805 deuterium Inorganic materials 0.000 description 2
- 238000011161 development Methods 0.000 description 2
- IYYZUPMFVPLQIF-UHFFFAOYSA-N dibenzothiophene Chemical compound C1=CC=C2C3=CC=CC=C3SC2=C1 IYYZUPMFVPLQIF-UHFFFAOYSA-N 0.000 description 2
- HPNMFZURTQLUMO-UHFFFAOYSA-N diethylamine Chemical compound CCNCC HPNMFZURTQLUMO-UHFFFAOYSA-N 0.000 description 2
- 125000005436 dihydrobenzothiophenyl group Chemical group S1C(CC2=C1C=CC=C2)* 0.000 description 2
- 238000006471 dimerization reaction Methods 0.000 description 2
- XBDQKXXYIPTUBI-UHFFFAOYSA-N dimethylselenoniopropionate Natural products CCC(O)=O XBDQKXXYIPTUBI-UHFFFAOYSA-N 0.000 description 2
- 238000009510 drug design Methods 0.000 description 2
- 230000002255 enzymatic effect Effects 0.000 description 2
- 201000004101 esophageal cancer Diseases 0.000 description 2
- 230000006870 function Effects 0.000 description 2
- 125000000524 functional group Chemical group 0.000 description 2
- 208000005017 glioblastoma Diseases 0.000 description 2
- 125000005843 halogen group Chemical group 0.000 description 2
- 206010073071 hepatocellular carcinoma Diseases 0.000 description 2
- 231100000844 hepatocellular carcinoma Toxicity 0.000 description 2
- 125000004435 hydrogen atom Chemical group [H]* 0.000 description 2
- 230000007062 hydrolysis Effects 0.000 description 2
- 238000006460 hydrolysis reaction Methods 0.000 description 2
- 210000000987 immune system Anatomy 0.000 description 2
- 230000001965 increasing effect Effects 0.000 description 2
- 125000001041 indolyl group Chemical group 0.000 description 2
- 229940090044 injection Drugs 0.000 description 2
- 230000007794 irritation Effects 0.000 description 2
- JJWLVOIRVHMVIS-UHFFFAOYSA-N isopropylamine Chemical compound CC(C)N JJWLVOIRVHMVIS-UHFFFAOYSA-N 0.000 description 2
- 125000002183 isoquinolinyl group Chemical group C1(=NC=CC2=CC=CC=C12)* 0.000 description 2
- 230000000155 isotopic effect Effects 0.000 description 2
- 201000010982 kidney cancer Diseases 0.000 description 2
- JVTAAEKCZFNVCJ-UHFFFAOYSA-N lactic acid Chemical compound CC(O)C(O)=O JVTAAEKCZFNVCJ-UHFFFAOYSA-N 0.000 description 2
- 231100001231 less toxic Toxicity 0.000 description 2
- 230000000670 limiting effect Effects 0.000 description 2
- 201000005202 lung cancer Diseases 0.000 description 2
- 208000020816 lung neoplasm Diseases 0.000 description 2
- 208000015486 malignant pancreatic neoplasm Diseases 0.000 description 2
- 206010027191 meningioma Diseases 0.000 description 2
- BDAGIHXWWSANSR-UHFFFAOYSA-N methanoic acid Natural products OC=O BDAGIHXWWSANSR-UHFFFAOYSA-N 0.000 description 2
- 150000007522 mineralic acids Chemical class 0.000 description 2
- 201000005962 mycosis fungoides Diseases 0.000 description 2
- 231100000252 nontoxic Toxicity 0.000 description 2
- 230000003000 nontoxic effect Effects 0.000 description 2
- 230000003287 optical effect Effects 0.000 description 2
- 210000000056 organ Anatomy 0.000 description 2
- 150000007524 organic acids Chemical class 0.000 description 2
- 201000008968 osteosarcoma Diseases 0.000 description 2
- 230000002018 overexpression Effects 0.000 description 2
- 235000006408 oxalic acid Nutrition 0.000 description 2
- 201000002528 pancreatic cancer Diseases 0.000 description 2
- 208000008443 pancreatic carcinoma Diseases 0.000 description 2
- 125000003367 polycyclic group Chemical group 0.000 description 2
- UVSMNLNDYGZFPF-UHFFFAOYSA-N pomalidomide Chemical compound O=C1C=2C(N)=CC=CC=2C(=O)N1C1CCC(=O)NC1=O UVSMNLNDYGZFPF-UHFFFAOYSA-N 0.000 description 2
- 230000002265 prevention Effects 0.000 description 2
- 208000025638 primary cutaneous T-cell non-Hodgkin lymphoma Diseases 0.000 description 2
- 239000000047 product Substances 0.000 description 2
- UMJSCPRVCHMLSP-UHFFFAOYSA-N pyridine Natural products COC1=CC=CN=C1 UMJSCPRVCHMLSP-UHFFFAOYSA-N 0.000 description 2
- 229940107700 pyruvic acid Drugs 0.000 description 2
- 150000003254 radicals Chemical class 0.000 description 2
- 206010038038 rectal cancer Diseases 0.000 description 2
- 201000001275 rectum cancer Diseases 0.000 description 2
- 125000006413 ring segment Chemical group 0.000 description 2
- YGSDEFSMJLZEOE-UHFFFAOYSA-N salicylic acid Chemical compound OC(=O)C1=CC=CC=C1O YGSDEFSMJLZEOE-UHFFFAOYSA-N 0.000 description 2
- 229930195734 saturated hydrocarbon Natural products 0.000 description 2
- 239000007787 solid Substances 0.000 description 2
- 239000007858 starting material Substances 0.000 description 2
- 125000000547 substituted alkyl group Chemical group 0.000 description 2
- 125000000475 sulfinyl group Chemical group [*:2]S([*:1])=O 0.000 description 2
- 230000009885 systemic effect Effects 0.000 description 2
- 238000012360 testing method Methods 0.000 description 2
- 125000001412 tetrahydropyranyl group Chemical group 0.000 description 2
- 125000000147 tetrahydroquinolinyl group Chemical group N1(CCCC2=CC=CC=C12)* 0.000 description 2
- YAPQBXQYLJRXSA-UHFFFAOYSA-N theobromine Chemical compound CN1C(=O)NC(=O)C2=C1N=CN2C YAPQBXQYLJRXSA-UHFFFAOYSA-N 0.000 description 2
- 125000000335 thiazolyl group Chemical group 0.000 description 2
- 125000004568 thiomorpholinyl group Chemical group 0.000 description 2
- 201000002510 thyroid cancer Diseases 0.000 description 2
- JOXIMZWYDAKGHI-UHFFFAOYSA-N toluene-4-sulfonic acid Chemical compound CC1=CC=C(S(O)(=O)=O)C=C1 JOXIMZWYDAKGHI-UHFFFAOYSA-N 0.000 description 2
- 201000006134 tongue cancer Diseases 0.000 description 2
- 231100000331 toxic Toxicity 0.000 description 2
- 230000002588 toxic effect Effects 0.000 description 2
- VZCYOOQTPOCHFL-UHFFFAOYSA-N trans-butenedioic acid Natural products OC(=O)C=CC(O)=O VZCYOOQTPOCHFL-UHFFFAOYSA-N 0.000 description 2
- ZDPHROOEEOARMN-UHFFFAOYSA-N undecanoic acid Chemical compound CCCCCCCCCCC(O)=O ZDPHROOEEOARMN-UHFFFAOYSA-N 0.000 description 2
- 229930195735 unsaturated hydrocarbon Natural products 0.000 description 2
- 238000002424 x-ray crystallography Methods 0.000 description 2
- QBYIENPQHBMVBV-HFEGYEGKSA-N (2R)-2-hydroxy-2-phenylacetic acid Chemical compound O[C@@H](C(O)=O)c1ccccc1.O[C@@H](C(O)=O)c1ccccc1 QBYIENPQHBMVBV-HFEGYEGKSA-N 0.000 description 1
- FEOHYDSNGHIXOM-WLDMJGECSA-N (3R,4R,5S,6R)-3-amino-6-(hydroxymethyl)-2-methyloxane-2,4,5-triol Chemical compound CC1(O)[C@H](N)[C@@H](O)[C@H](O)[C@H](O1)CO FEOHYDSNGHIXOM-WLDMJGECSA-N 0.000 description 1
- 125000000008 (C1-C10) alkyl group Chemical group 0.000 description 1
- 125000006677 (C1-C3) haloalkoxy group Chemical group 0.000 description 1
- 125000006699 (C1-C3) hydroxyalkyl group Chemical group 0.000 description 1
- 125000004765 (C1-C4) haloalkyl group Chemical group 0.000 description 1
- 125000003161 (C1-C6) alkylene group Chemical group 0.000 description 1
- MIOPJNTWMNEORI-GMSGAONNSA-N (S)-camphorsulfonic acid Chemical compound C1C[C@@]2(CS(O)(=O)=O)C(=O)C[C@@H]1C2(C)C MIOPJNTWMNEORI-GMSGAONNSA-N 0.000 description 1
- BJEPYKJPYRNKOW-REOHCLBHSA-N (S)-malic acid Chemical compound OC(=O)[C@@H](O)CC(O)=O BJEPYKJPYRNKOW-REOHCLBHSA-N 0.000 description 1
- UWYVPFMHMJIBHE-OWOJBTEDSA-N (e)-2-hydroxybut-2-enedioic acid Chemical compound OC(=O)\C=C(\O)C(O)=O UWYVPFMHMJIBHE-OWOJBTEDSA-N 0.000 description 1
- WBYWAXJHAXSJNI-VOTSOKGWSA-M .beta-Phenylacrylic acid Natural products [O-]C(=O)\C=C\C1=CC=CC=C1 WBYWAXJHAXSJNI-VOTSOKGWSA-M 0.000 description 1
- FIARMZDBEGVMLV-UHFFFAOYSA-N 1,1,2,2,2-pentafluoroethanolate Chemical group [O-]C(F)(F)C(F)(F)F FIARMZDBEGVMLV-UHFFFAOYSA-N 0.000 description 1
- JYEUMXHLPRZUAT-UHFFFAOYSA-N 1,2,3-triazine Chemical compound C1=CN=NN=C1 JYEUMXHLPRZUAT-UHFFFAOYSA-N 0.000 description 1
- LRANPJDWHYRCER-UHFFFAOYSA-N 1,2-diazepine Chemical compound N1C=CC=CC=N1 LRANPJDWHYRCER-UHFFFAOYSA-N 0.000 description 1
- MEMYAJNODSYPGC-UHFFFAOYSA-N 1,3-dichlorocyclobutane Chemical compound ClC1CC(Cl)C1 MEMYAJNODSYPGC-UHFFFAOYSA-N 0.000 description 1
- SILNNFMWIMZVEQ-UHFFFAOYSA-N 1,3-dihydrobenzimidazol-2-one Chemical compound C1=CC=C2NC(O)=NC2=C1 SILNNFMWIMZVEQ-UHFFFAOYSA-N 0.000 description 1
- JPRPJUMQRZTTED-UHFFFAOYSA-N 1,3-dioxolanyl Chemical group [CH]1OCCO1 JPRPJUMQRZTTED-UHFFFAOYSA-N 0.000 description 1
- 125000005940 1,4-dioxanyl group Chemical group 0.000 description 1
- BAXOFTOLAUCFNW-UHFFFAOYSA-N 1H-indazole Chemical compound C1=CC=C2C=NNC2=C1 BAXOFTOLAUCFNW-UHFFFAOYSA-N 0.000 description 1
- YBYIRNPNPLQARY-UHFFFAOYSA-N 1H-indene Natural products C1=CC=C2CC=CC2=C1 YBYIRNPNPLQARY-UHFFFAOYSA-N 0.000 description 1
- AWBOSXFRPFZLOP-UHFFFAOYSA-N 2,1,3-benzoxadiazole Chemical compound C1=CC=CC2=NON=C21 AWBOSXFRPFZLOP-UHFFFAOYSA-N 0.000 description 1
- JKTCBAGSMQIFNL-UHFFFAOYSA-N 2,3-dihydrofuran Chemical compound C1CC=CO1 JKTCBAGSMQIFNL-UHFFFAOYSA-N 0.000 description 1
- LXFQSRIDYRFTJW-UHFFFAOYSA-N 2,4,6-trimethylbenzenesulfonic acid Chemical compound CC1=CC(C)=C(S(O)(=O)=O)C(C)=C1 LXFQSRIDYRFTJW-UHFFFAOYSA-N 0.000 description 1
- MSWZFWKMSRAUBD-IVMDWMLBSA-N 2-amino-2-deoxy-D-glucopyranose Chemical compound N[C@H]1C(O)O[C@H](CO)[C@@H](O)[C@@H]1O MSWZFWKMSRAUBD-IVMDWMLBSA-N 0.000 description 1
- BFSVOASYOCHEOV-UHFFFAOYSA-N 2-diethylaminoethanol Chemical compound CCN(CC)CCO BFSVOASYOCHEOV-UHFFFAOYSA-N 0.000 description 1
- 229940013085 2-diethylaminoethanol Drugs 0.000 description 1
- QKRMFCXDTFLKKT-UHFFFAOYSA-N 2-hydroxyethanesulfonic acid Chemical compound OCCS(O)(=O)=O.OCCS(O)(=O)=O QKRMFCXDTFLKKT-UHFFFAOYSA-N 0.000 description 1
- WLJVXDMOQOGPHL-PPJXEINESA-N 2-phenylacetic acid Chemical compound O[14C](=O)CC1=CC=CC=C1 WLJVXDMOQOGPHL-PPJXEINESA-N 0.000 description 1
- 125000001494 2-propynyl group Chemical group [H]C#CC([H])([H])* 0.000 description 1
- 125000000175 2-thienyl group Chemical group S1C([*])=C([H])C([H])=C1[H] 0.000 description 1
- NILNYNLDCUIMRI-UHFFFAOYSA-N 3-[6-(1H-benzimidazol-2-yl)-3-oxo-1H-isoindol-2-yl]piperidine-2,6-dione Chemical compound O=C(C(C(C1)=C2)=CC=C2C2=NC(C=CC=C3)=C3N2)N1C(CCC(N1)=O)C1=O NILNYNLDCUIMRI-UHFFFAOYSA-N 0.000 description 1
- BMYNFMYTOJXKLE-UHFFFAOYSA-N 3-azaniumyl-2-hydroxypropanoate Chemical compound NCC(O)C(O)=O BMYNFMYTOJXKLE-UHFFFAOYSA-N 0.000 description 1
- OSWFIVFLDKOXQC-UHFFFAOYSA-N 4-(3-methoxyphenyl)aniline Chemical compound COC1=CC=CC(C=2C=CC(N)=CC=2)=C1 OSWFIVFLDKOXQC-UHFFFAOYSA-N 0.000 description 1
- UOSHODJROUOBJB-UHFFFAOYSA-N 4-[[3-[2-(2,6-dioxopiperidin-3-yl)-1-oxo-3H-isoindol-5-yl]-5-methylpyrazol-1-yl]methyl]benzonitrile Chemical compound CC1=CC(C(C=C2CN3C(CCC(N4)=O)C4=O)=CC=C2C3=O)=NN1CC(C=C1)=CC=C1C#N UOSHODJROUOBJB-UHFFFAOYSA-N 0.000 description 1
- HVBSAKJJOYLTQU-UHFFFAOYSA-N 4-aminobenzenesulfonic acid Chemical compound NC1=CC=C(S(O)(=O)=O)C=C1 HVBSAKJJOYLTQU-UHFFFAOYSA-N 0.000 description 1
- AWQSAIIDOMEEOD-UHFFFAOYSA-N 5,5-Dimethyl-4-(3-oxobutyl)dihydro-2(3H)-furanone Chemical compound CC(=O)CCC1CC(=O)OC1(C)C AWQSAIIDOMEEOD-UHFFFAOYSA-N 0.000 description 1
- ZCYVEMRRCGMTRW-UHFFFAOYSA-N 7553-56-2 Chemical compound [I] ZCYVEMRRCGMTRW-UHFFFAOYSA-N 0.000 description 1
- 206010001413 Adult T-cell lymphoma/leukaemia Diseases 0.000 description 1
- ATRRKUHOCOJYRX-UHFFFAOYSA-N Ammonium bicarbonate Chemical class [NH4+].OC([O-])=O ATRRKUHOCOJYRX-UHFFFAOYSA-N 0.000 description 1
- 206010061424 Anal cancer Diseases 0.000 description 1
- 208000007860 Anus Neoplasms Diseases 0.000 description 1
- 239000004475 Arginine Substances 0.000 description 1
- BSYNRYMUTXBXSQ-UHFFFAOYSA-N Aspirin Chemical compound CC(=O)OC1=CC=CC=C1C(O)=O BSYNRYMUTXBXSQ-UHFFFAOYSA-N 0.000 description 1
- 206010003571 Astrocytoma Diseases 0.000 description 1
- 208000003950 B-cell lymphoma Diseases 0.000 description 1
- 206010004146 Basal cell carcinoma Diseases 0.000 description 1
- 206010062804 Basal cell naevus syndrome Diseases 0.000 description 1
- 239000005711 Benzoic acid Substances 0.000 description 1
- KWIUHFFTVRNATP-UHFFFAOYSA-N Betaine Natural products C[N+](C)(C)CC([O-])=O KWIUHFFTVRNATP-UHFFFAOYSA-N 0.000 description 1
- 206010004593 Bile duct cancer Diseases 0.000 description 1
- 206010005003 Bladder cancer Diseases 0.000 description 1
- 208000018084 Bone neoplasm Diseases 0.000 description 1
- 241000283690 Bos taurus Species 0.000 description 1
- WKBOTKDWSSQWDR-UHFFFAOYSA-N Bromine atom Chemical compound [Br] WKBOTKDWSSQWDR-UHFFFAOYSA-N 0.000 description 1
- 208000011691 Burkitt lymphomas Diseases 0.000 description 1
- OYPRJOBELJOOCE-UHFFFAOYSA-N Calcium Chemical compound [Ca] OYPRJOBELJOOCE-UHFFFAOYSA-N 0.000 description 1
- LSPHULWDVZXLIL-UHFFFAOYSA-N Camphoric acid Natural products CC1(C)C(C(O)=O)CCC1(C)C(O)=O LSPHULWDVZXLIL-UHFFFAOYSA-N 0.000 description 1
- WWZKQHOCKIZLMA-UHFFFAOYSA-N Caprylic acid Natural products CCCCCCCC(O)=O WWZKQHOCKIZLMA-UHFFFAOYSA-N 0.000 description 1
- OKTJSMMVPCPJKN-UHFFFAOYSA-N Carbon Chemical compound [C] OKTJSMMVPCPJKN-UHFFFAOYSA-N 0.000 description 1
- 239000004215 Carbon black (E152) Substances 0.000 description 1
- 241000700199 Cavia porcellus Species 0.000 description 1
- 241000282693 Cercopithecidae Species 0.000 description 1
- ZAMOUSCENKQFHK-UHFFFAOYSA-N Chlorine atom Chemical compound [Cl] ZAMOUSCENKQFHK-UHFFFAOYSA-N 0.000 description 1
- 208000005243 Chondrosarcoma Diseases 0.000 description 1
- 208000006332 Choriocarcinoma Diseases 0.000 description 1
- WBYWAXJHAXSJNI-SREVYHEPSA-N Cinnamic acid Chemical compound OC(=O)\C=C/C1=CC=CC=C1 WBYWAXJHAXSJNI-SREVYHEPSA-N 0.000 description 1
- RYGMFSIKBFXOCR-UHFFFAOYSA-N Copper Chemical compound [Cu] RYGMFSIKBFXOCR-UHFFFAOYSA-N 0.000 description 1
- 208000009798 Craniopharyngioma Diseases 0.000 description 1
- 102000004127 Cytokines Human genes 0.000 description 1
- 108090000695 Cytokines Proteins 0.000 description 1
- 102100039498 Cytotoxic T-lymphocyte protein 4 Human genes 0.000 description 1
- FEWJPZIEWOKRBE-JCYAYHJZSA-N Dextrotartaric acid Chemical compound OC(=O)[C@H](O)[C@@H](O)C(O)=O FEWJPZIEWOKRBE-JCYAYHJZSA-N 0.000 description 1
- BWLUMTFWVZZZND-UHFFFAOYSA-N Dibenzylamine Chemical compound C=1C=CC=CC=1CNCC1=CC=CC=C1 BWLUMTFWVZZZND-UHFFFAOYSA-N 0.000 description 1
- 241000283073 Equus caballus Species 0.000 description 1
- PIICEJLVQHRZGT-UHFFFAOYSA-N Ethylenediamine Chemical compound NCCN PIICEJLVQHRZGT-UHFFFAOYSA-N 0.000 description 1
- 201000006107 Familial adenomatous polyposis Diseases 0.000 description 1
- 241000282326 Felis catus Species 0.000 description 1
- 201000008808 Fibrosarcoma Diseases 0.000 description 1
- PXGOKWXKJXAPGV-UHFFFAOYSA-N Fluorine Chemical compound FF PXGOKWXKJXAPGV-UHFFFAOYSA-N 0.000 description 1
- 230000005526 G1 to G0 transition Effects 0.000 description 1
- 208000022072 Gallbladder Neoplasms Diseases 0.000 description 1
- 208000032612 Glial tumor Diseases 0.000 description 1
- 201000010915 Glioblastoma multiforme Diseases 0.000 description 1
- 206010018338 Glioma Diseases 0.000 description 1
- WHUUTDBJXJRKMK-UHFFFAOYSA-N Glutamic acid Natural products OC(=O)C(N)CCC(O)=O WHUUTDBJXJRKMK-UHFFFAOYSA-N 0.000 description 1
- 208000031995 Gorlin syndrome Diseases 0.000 description 1
- 208000002250 Hematologic Neoplasms Diseases 0.000 description 1
- 208000008051 Hereditary Nonpolyposis Colorectal Neoplasms Diseases 0.000 description 1
- 208000017095 Hereditary nonpolyposis colon cancer Diseases 0.000 description 1
- 208000017604 Hodgkin disease Diseases 0.000 description 1
- 208000021519 Hodgkin lymphoma Diseases 0.000 description 1
- 208000010747 Hodgkins lymphoma Diseases 0.000 description 1
- 101100005713 Homo sapiens CD4 gene Proteins 0.000 description 1
- 101000889276 Homo sapiens Cytotoxic T-lymphocyte protein 4 Proteins 0.000 description 1
- 101100452383 Homo sapiens IKZF2 gene Proteins 0.000 description 1
- 101001046687 Homo sapiens Integrin alpha-E Proteins 0.000 description 1
- 101001057504 Homo sapiens Interferon-stimulated gene 20 kDa protein Proteins 0.000 description 1
- 101001055144 Homo sapiens Interleukin-2 receptor subunit alpha Proteins 0.000 description 1
- 101000801234 Homo sapiens Tumor necrosis factor receptor superfamily member 18 Proteins 0.000 description 1
- 101000599042 Homo sapiens Zinc finger protein Aiolos Proteins 0.000 description 1
- 206010021042 Hypopharyngeal cancer Diseases 0.000 description 1
- 206010056305 Hypopharyngeal neoplasm Diseases 0.000 description 1
- 101150086468 IKZF2 gene Proteins 0.000 description 1
- DGAQECJNVWCQMB-PUAWFVPOSA-M Ilexoside XXIX Chemical compound C[C@@H]1CC[C@@]2(CC[C@@]3(C(=CC[C@H]4[C@]3(CC[C@@H]5[C@@]4(CC[C@@H](C5(C)C)OS(=O)(=O)[O-])C)C)[C@@H]2[C@]1(C)O)C)C(=O)O[C@H]6[C@@H]([C@H]([C@@H]([C@H](O6)CO)O)O)O.[Na+] DGAQECJNVWCQMB-PUAWFVPOSA-M 0.000 description 1
- 102100022341 Integrin alpha-E Human genes 0.000 description 1
- 102100027268 Interferon-stimulated gene 20 kDa protein Human genes 0.000 description 1
- VQTUBCCKSQIDNK-UHFFFAOYSA-N Isobutene Chemical group CC(C)=C VQTUBCCKSQIDNK-UHFFFAOYSA-N 0.000 description 1
- ODKSFYDXXFIFQN-BYPYZUCNSA-P L-argininium(2+) Chemical compound NC(=[NH2+])NCCC[C@H]([NH3+])C(O)=O ODKSFYDXXFIFQN-BYPYZUCNSA-P 0.000 description 1
- CKLJMWTZIZZHCS-REOHCLBHSA-N L-aspartic acid Chemical compound OC(=O)[C@@H](N)CC(O)=O CKLJMWTZIZZHCS-REOHCLBHSA-N 0.000 description 1
- WHUUTDBJXJRKMK-VKHMYHEASA-N L-glutamic acid Chemical compound OC(=O)[C@@H](N)CCC(O)=O WHUUTDBJXJRKMK-VKHMYHEASA-N 0.000 description 1
- HNDVDQJCIGZPNO-YFKPBYRVSA-N L-histidine Chemical compound OC(=O)[C@@H](N)CC1=CN=CN1 HNDVDQJCIGZPNO-YFKPBYRVSA-N 0.000 description 1
- KDXKERNSBIXSRK-YFKPBYRVSA-N L-lysine Chemical compound NCCCC[C@H](N)C(O)=O KDXKERNSBIXSRK-YFKPBYRVSA-N 0.000 description 1
- VVNCNSJFMMFHPL-GSVOUGTGSA-N L-penicillamine Chemical compound CC(C)(S)[C@H](N)C(O)=O VVNCNSJFMMFHPL-GSVOUGTGSA-N 0.000 description 1
- 206010023825 Laryngeal cancer Diseases 0.000 description 1
- 206010062038 Lip neoplasm Diseases 0.000 description 1
- WHXSMMKQMYFTQS-UHFFFAOYSA-N Lithium Chemical compound [Li] WHXSMMKQMYFTQS-UHFFFAOYSA-N 0.000 description 1
- 208000031422 Lymphocytic Chronic B-Cell Leukemia Diseases 0.000 description 1
- 201000005027 Lynch syndrome Diseases 0.000 description 1
- KDXKERNSBIXSRK-UHFFFAOYSA-N Lysine Natural products NCCCCC(N)C(O)=O KDXKERNSBIXSRK-UHFFFAOYSA-N 0.000 description 1
- 239000004472 Lysine Substances 0.000 description 1
- 241000282560 Macaca mulatta Species 0.000 description 1
- FYYHWMGAXLPEAU-UHFFFAOYSA-N Magnesium Chemical compound [Mg] FYYHWMGAXLPEAU-UHFFFAOYSA-N 0.000 description 1
- 208000009018 Medullary thyroid cancer Diseases 0.000 description 1
- 206010027406 Mesothelioma Diseases 0.000 description 1
- OKKJLVBELUTLKV-UHFFFAOYSA-N Methanol Chemical class OC OKKJLVBELUTLKV-UHFFFAOYSA-N 0.000 description 1
- 201000003793 Myelodysplastic syndrome Diseases 0.000 description 1
- KWIUHFFTVRNATP-UHFFFAOYSA-O N,N,N-trimethylglycinium Chemical compound C[N+](C)(C)CC(O)=O KWIUHFFTVRNATP-UHFFFAOYSA-O 0.000 description 1
- UEEJHVSXFDXPFK-UHFFFAOYSA-N N-dimethylaminoethanol Chemical compound CN(C)CCO UEEJHVSXFDXPFK-UHFFFAOYSA-N 0.000 description 1
- HTLZVHNRZJPSMI-UHFFFAOYSA-N N-ethylpiperidine Chemical compound CCN1CCCCC1 HTLZVHNRZJPSMI-UHFFFAOYSA-N 0.000 description 1
- 206010029260 Neuroblastoma Diseases 0.000 description 1
- GRYLNZFGIOXLOG-UHFFFAOYSA-N Nitric acid Chemical compound O[N+]([O-])=O GRYLNZFGIOXLOG-UHFFFAOYSA-N 0.000 description 1
- 208000015914 Non-Hodgkin lymphomas Diseases 0.000 description 1
- 206010033128 Ovarian cancer Diseases 0.000 description 1
- 206010061535 Ovarian neoplasm Diseases 0.000 description 1
- 241000282577 Pan troglodytes Species 0.000 description 1
- 206010033701 Papillary thyroid cancer Diseases 0.000 description 1
- 241001504519 Papio ursinus Species 0.000 description 1
- 208000000821 Parathyroid Neoplasms Diseases 0.000 description 1
- 206010033963 Parathyroid tumour Diseases 0.000 description 1
- 241001494479 Pecora Species 0.000 description 1
- 229920002230 Pectic acid Polymers 0.000 description 1
- 241001596784 Pegasus Species 0.000 description 1
- 208000027190 Peripheral T-cell lymphomas Diseases 0.000 description 1
- 241000009328 Perro Species 0.000 description 1
- 208000007913 Pituitary Neoplasms Diseases 0.000 description 1
- 208000007452 Plasmacytoma Diseases 0.000 description 1
- ZLMJMSJWJFRBEC-UHFFFAOYSA-N Potassium Chemical compound [K] ZLMJMSJWJFRBEC-UHFFFAOYSA-N 0.000 description 1
- 241000288906 Primates Species 0.000 description 1
- 208000037276 Primitive Peripheral Neuroectodermal Tumors Diseases 0.000 description 1
- 206010060862 Prostate cancer Diseases 0.000 description 1
- CZPWVGJYEJSRLH-UHFFFAOYSA-N Pyrimidine Chemical compound C1=CN=CN=C1 CZPWVGJYEJSRLH-UHFFFAOYSA-N 0.000 description 1
- IWYDHOAUDWTVEP-UHFFFAOYSA-N R-2-phenyl-2-hydroxyacetic acid Natural products OC(=O)C(O)C1=CC=CC=C1 IWYDHOAUDWTVEP-UHFFFAOYSA-N 0.000 description 1
- 241000700159 Rattus Species 0.000 description 1
- 108010029477 STAT5 Transcription Factor Proteins 0.000 description 1
- 201000010208 Seminoma Diseases 0.000 description 1
- 102100024481 Signal transducer and activator of transcription 5A Human genes 0.000 description 1
- 208000000453 Skin Neoplasms Diseases 0.000 description 1
- 206010041067 Small cell lung cancer Diseases 0.000 description 1
- 108020004459 Small interfering RNA Proteins 0.000 description 1
- 208000021712 Soft tissue sarcoma Diseases 0.000 description 1
- 235000021355 Stearic acid Nutrition 0.000 description 1
- KDYFGRWQOYBRFD-UHFFFAOYSA-N Succinic acid Natural products OC(=O)CCC(O)=O KDYFGRWQOYBRFD-UHFFFAOYSA-N 0.000 description 1
- NINIDFKCEFEMDL-UHFFFAOYSA-N Sulfur Chemical group [S] NINIDFKCEFEMDL-UHFFFAOYSA-N 0.000 description 1
- 241000282898 Sus scrofa Species 0.000 description 1
- 230000006044 T cell activation Effects 0.000 description 1
- 208000031672 T-Cell Peripheral Lymphoma Diseases 0.000 description 1
- 102100034922 T-cell surface glycoprotein CD8 alpha chain Human genes 0.000 description 1
- FEWJPZIEWOKRBE-UHFFFAOYSA-N Tartaric acid Natural products [H+].[H+].[O-]C(=O)C(O)C(O)C([O-])=O FEWJPZIEWOKRBE-UHFFFAOYSA-N 0.000 description 1
- 206010043276 Teratoma Diseases 0.000 description 1
- 208000024313 Testicular Neoplasms Diseases 0.000 description 1
- 206010057644 Testis cancer Diseases 0.000 description 1
- 102100033728 Tumor necrosis factor receptor superfamily member 18 Human genes 0.000 description 1
- 208000007097 Urinary Bladder Neoplasms Diseases 0.000 description 1
- 208000008385 Urogenital Neoplasms Diseases 0.000 description 1
- 208000036142 Viral infection Diseases 0.000 description 1
- 208000008383 Wilms tumor Diseases 0.000 description 1
- 102100037798 Zinc finger protein Aiolos Human genes 0.000 description 1
- 230000002159 abnormal effect Effects 0.000 description 1
- 239000008186 active pharmaceutical agent Substances 0.000 description 1
- 208000009956 adenocarcinoma Diseases 0.000 description 1
- 235000011037 adipic acid Nutrition 0.000 description 1
- 239000001361 adipic acid Substances 0.000 description 1
- 229960000250 adipic acid Drugs 0.000 description 1
- 201000005188 adrenal gland cancer Diseases 0.000 description 1
- 208000024447 adrenal gland neoplasm Diseases 0.000 description 1
- 230000002411 adverse Effects 0.000 description 1
- 235000010443 alginic acid Nutrition 0.000 description 1
- 239000000783 alginic acid Substances 0.000 description 1
- 229920000615 alginic acid Polymers 0.000 description 1
- 229960001126 alginic acid Drugs 0.000 description 1
- 150000004781 alginic acids Chemical class 0.000 description 1
- 150000001447 alkali salts Chemical class 0.000 description 1
- 125000005466 alkylenyl group Chemical group 0.000 description 1
- IYABWNGZIDDRAK-UHFFFAOYSA-N allene Chemical compound C=C=C IYABWNGZIDDRAK-UHFFFAOYSA-N 0.000 description 1
- HSFWRNGVRCDJHI-UHFFFAOYSA-N alpha-acetylene Natural products C#C HSFWRNGVRCDJHI-UHFFFAOYSA-N 0.000 description 1
- AWUCVROLDVIAJX-UHFFFAOYSA-N alpha-glycerophosphate Natural products OCC(O)COP(O)(O)=O AWUCVROLDVIAJX-UHFFFAOYSA-N 0.000 description 1
- BJEPYKJPYRNKOW-UHFFFAOYSA-N alpha-hydroxysuccinic acid Natural products OC(=O)C(O)CC(O)=O BJEPYKJPYRNKOW-UHFFFAOYSA-N 0.000 description 1
- 229910052782 aluminium Inorganic materials 0.000 description 1
- XAGFODPZIPBFFR-UHFFFAOYSA-N aluminium Chemical compound [Al] XAGFODPZIPBFFR-UHFFFAOYSA-N 0.000 description 1
- 229910000147 aluminium phosphate Inorganic materials 0.000 description 1
- 150000001408 amides Chemical class 0.000 description 1
- 235000001014 amino acid Nutrition 0.000 description 1
- 229940024606 amino acid Drugs 0.000 description 1
- 150000001413 amino acids Chemical class 0.000 description 1
- 229910021529 ammonia Inorganic materials 0.000 description 1
- 235000012538 ammonium bicarbonate Nutrition 0.000 description 1
- 150000003863 ammonium salts Chemical class 0.000 description 1
- 125000002178 anthracenyl group Chemical group C1(=CC=CC2=CC3=CC=CC=C3C=C12)* 0.000 description 1
- 229940121363 anti-inflammatory agent Drugs 0.000 description 1
- 239000002260 anti-inflammatory agent Substances 0.000 description 1
- 201000011165 anus cancer Diseases 0.000 description 1
- 238000013459 approach Methods 0.000 description 1
- ODKSFYDXXFIFQN-UHFFFAOYSA-N arginine Natural products OC(=O)C(N)CCCNC(N)=N ODKSFYDXXFIFQN-UHFFFAOYSA-N 0.000 description 1
- 125000002029 aromatic hydrocarbon group Chemical group 0.000 description 1
- 206010003246 arthritis Diseases 0.000 description 1
- 125000003710 aryl alkyl group Chemical group 0.000 description 1
- 235000010323 ascorbic acid Nutrition 0.000 description 1
- 239000011668 ascorbic acid Substances 0.000 description 1
- 229960005070 ascorbic acid Drugs 0.000 description 1
- 235000003704 aspartic acid Nutrition 0.000 description 1
- 229960005261 aspartic acid Drugs 0.000 description 1
- QVGXLLKOCUKJST-UHFFFAOYSA-N atomic oxygen Chemical group [O] QVGXLLKOCUKJST-UHFFFAOYSA-N 0.000 description 1
- 125000002393 azetidinyl group Chemical group 0.000 description 1
- JUHORIMYRDESRB-UHFFFAOYSA-N benzathine Chemical compound C=1C=CC=CC=1CNCCNCC1=CC=CC=C1 JUHORIMYRDESRB-UHFFFAOYSA-N 0.000 description 1
- SRSXLGNVWSONIS-UHFFFAOYSA-N benzenesulfonic acid Chemical compound OS(=O)(=O)C1=CC=CC=C1 SRSXLGNVWSONIS-UHFFFAOYSA-N 0.000 description 1
- 229940092714 benzenesulfonic acid Drugs 0.000 description 1
- 125000003785 benzimidazolyl group Chemical group N1=C(NC2=C1C=CC=C2)* 0.000 description 1
- 125000004603 benzisoxazolyl group Chemical group O1N=C(C2=C1C=CC=C2)* 0.000 description 1
- 125000005605 benzo group Chemical group 0.000 description 1
- 235000010233 benzoic acid Nutrition 0.000 description 1
- 229960004365 benzoic acid Drugs 0.000 description 1
- 125000004619 benzopyranyl group Chemical group O1C(C=CC2=C1C=CC=C2)* 0.000 description 1
- 125000001164 benzothiazolyl group Chemical group S1C(=NC2=C1C=CC=C2)* 0.000 description 1
- 125000004196 benzothienyl group Chemical group S1C(=CC2=C1C=CC=C2)* 0.000 description 1
- 125000004541 benzoxazolyl group Chemical group O1C(=NC2=C1C=CC=C2)* 0.000 description 1
- GONOPSZTUGRENK-UHFFFAOYSA-N benzyl(trichloro)silane Chemical compound Cl[Si](Cl)(Cl)CC1=CC=CC=C1 GONOPSZTUGRENK-UHFFFAOYSA-N 0.000 description 1
- MSWZFWKMSRAUBD-UHFFFAOYSA-N beta-D-galactosamine Natural products NC1C(O)OC(CO)C(O)C1O MSWZFWKMSRAUBD-UHFFFAOYSA-N 0.000 description 1
- OQFSQFPPLPISGP-UHFFFAOYSA-N beta-carboxyaspartic acid Natural products OC(=O)C(N)C(C(O)=O)C(O)=O OQFSQFPPLPISGP-UHFFFAOYSA-N 0.000 description 1
- 229960003237 betaine Drugs 0.000 description 1
- 208000026900 bile duct neoplasm Diseases 0.000 description 1
- 230000027455 binding Effects 0.000 description 1
- 230000031018 biological processes and functions Effects 0.000 description 1
- 230000033228 biological regulation Effects 0.000 description 1
- 239000000090 biomarker Substances 0.000 description 1
- 230000036983 biotransformation Effects 0.000 description 1
- 150000004074 biphenyls Chemical class 0.000 description 1
- 210000001185 bone marrow Anatomy 0.000 description 1
- GDTBXPJZTBHREO-UHFFFAOYSA-N bromine Substances BrBr GDTBXPJZTBHREO-UHFFFAOYSA-N 0.000 description 1
- 229910052794 bromium Inorganic materials 0.000 description 1
- KDYFGRWQOYBRFD-NUQCWPJISA-N butanedioic acid Chemical compound O[14C](=O)CC[14C](O)=O KDYFGRWQOYBRFD-NUQCWPJISA-N 0.000 description 1
- 125000000484 butyl group Chemical group [H]C([*])([H])C([H])([H])C([H])([H])C([H])([H])[H] 0.000 description 1
- 239000011575 calcium Substances 0.000 description 1
- 229910052791 calcium Inorganic materials 0.000 description 1
- 159000000007 calcium salts Chemical class 0.000 description 1
- LSPHULWDVZXLIL-QUBYGPBYSA-N camphoric acid Chemical compound CC1(C)[C@H](C(O)=O)CC[C@]1(C)C(O)=O LSPHULWDVZXLIL-QUBYGPBYSA-N 0.000 description 1
- 208000035269 cancer or benign tumor Diseases 0.000 description 1
- 230000000711 cancerogenic effect Effects 0.000 description 1
- 125000004452 carbocyclyl group Chemical group 0.000 description 1
- CREMABGTGYGIQB-UHFFFAOYSA-N carbon carbon Chemical compound C.C CREMABGTGYGIQB-UHFFFAOYSA-N 0.000 description 1
- 239000011203 carbon fibre reinforced carbon Substances 0.000 description 1
- 150000004649 carbonic acid derivatives Chemical class 0.000 description 1
- 125000003178 carboxy group Chemical group [H]OC(*)=O 0.000 description 1
- 150000001768 cations Chemical class 0.000 description 1
- 230000003915 cell function Effects 0.000 description 1
- NUHBBNDBRCHIDV-UHFFFAOYSA-N chembl1288974 Chemical compound C1=CC=C2C(C3=CC4=CC=CC=C4N3)=NNC2=C1 NUHBBNDBRCHIDV-UHFFFAOYSA-N 0.000 description 1
- 238000005557 chiral recognition Methods 0.000 description 1
- 239000000460 chlorine Substances 0.000 description 1
- 229910052801 chlorine Inorganic materials 0.000 description 1
- 208000006990 cholangiocarcinoma Diseases 0.000 description 1
- 125000003016 chromanyl group Chemical group O1C(CCC2=CC=CC=C12)* 0.000 description 1
- 208000032852 chronic lymphocytic leukemia Diseases 0.000 description 1
- 229930016911 cinnamic acid Natural products 0.000 description 1
- 235000013985 cinnamic acid Nutrition 0.000 description 1
- IAQRGUVFOMOMEM-ARJAWSKDSA-N cis-but-2-ene Chemical compound C\C=C/C IAQRGUVFOMOMEM-ARJAWSKDSA-N 0.000 description 1
- 208000029664 classic familial adenomatous polyposis Diseases 0.000 description 1
- 238000002648 combination therapy Methods 0.000 description 1
- 238000010668 complexation reaction Methods 0.000 description 1
- 239000010949 copper Substances 0.000 description 1
- 229910052802 copper Inorganic materials 0.000 description 1
- 238000002425 crystallisation Methods 0.000 description 1
- 230000008025 crystallization Effects 0.000 description 1
- 208000030381 cutaneous melanoma Diseases 0.000 description 1
- 125000001995 cyclobutyl group Chemical group [H]C1([H])C([H])([H])C([H])(*)C1([H])[H] 0.000 description 1
- 125000000582 cycloheptyl group Chemical group [H]C1([H])C([H])([H])C([H])([H])C([H])([H])C([H])(*)C([H])([H])C1([H])[H] 0.000 description 1
- 125000000113 cyclohexyl group Chemical group [H]C1([H])C([H])([H])C([H])([H])C([H])(*)C([H])([H])C1([H])[H] 0.000 description 1
- 125000000640 cyclooctyl group Chemical group [H]C1([H])C([H])([H])C([H])([H])C([H])([H])C([H])(*)C([H])([H])C([H])([H])C1([H])[H] 0.000 description 1
- 125000001511 cyclopentyl group Chemical group [H]C1([H])C([H])([H])C([H])([H])C([H])(*)C1([H])[H] 0.000 description 1
- 125000001559 cyclopropyl group Chemical group [H]C1([H])C([H])([H])C1([H])* 0.000 description 1
- 230000006378 damage Effects 0.000 description 1
- 230000003247 decreasing effect Effects 0.000 description 1
- 230000007547 defect Effects 0.000 description 1
- 230000001934 delay Effects 0.000 description 1
- 239000000032 diagnostic agent Substances 0.000 description 1
- 229940039227 diagnostic agent Drugs 0.000 description 1
- 235000005911 diet Nutrition 0.000 description 1
- 230000037213 diet Effects 0.000 description 1
- ZBCBWPMODOFKDW-UHFFFAOYSA-N diethanolamine Chemical compound OCCNCCO ZBCBWPMODOFKDW-UHFFFAOYSA-N 0.000 description 1
- 125000001028 difluoromethyl group Chemical group [H]C(F)(F)* 0.000 description 1
- 125000000723 dihydrobenzofuranyl group Chemical group O1C(CC2=C1C=CC=C2)* 0.000 description 1
- 238000009826 distribution Methods 0.000 description 1
- 230000003828 downregulation Effects 0.000 description 1
- 238000001647 drug administration Methods 0.000 description 1
- 238000012377 drug delivery Methods 0.000 description 1
- 238000009509 drug development Methods 0.000 description 1
- 238000007876 drug discovery Methods 0.000 description 1
- 229940088679 drug related substance Drugs 0.000 description 1
- 238000002651 drug therapy Methods 0.000 description 1
- 210000003162 effector t lymphocyte Anatomy 0.000 description 1
- 238000003821 enantio-separation Methods 0.000 description 1
- 150000002148 esters Chemical class 0.000 description 1
- CCIVGXIOQKPBKL-UHFFFAOYSA-M ethanesulfonate Chemical compound CCS([O-])(=O)=O CCIVGXIOQKPBKL-UHFFFAOYSA-M 0.000 description 1
- 229940012017 ethylenediamine Drugs 0.000 description 1
- 125000002534 ethynyl group Chemical group [H]C#C* 0.000 description 1
- 230000029142 excretion Effects 0.000 description 1
- 230000001747 exhibiting effect Effects 0.000 description 1
- 238000002474 experimental method Methods 0.000 description 1
- 230000002349 favourable effect Effects 0.000 description 1
- 239000000945 filler Substances 0.000 description 1
- 239000011737 fluorine Substances 0.000 description 1
- 229910052731 fluorine Inorganic materials 0.000 description 1
- 230000003325 follicular Effects 0.000 description 1
- 235000019253 formic acid Nutrition 0.000 description 1
- 239000012458 free base Substances 0.000 description 1
- 239000001530 fumaric acid Substances 0.000 description 1
- 125000002541 furyl group Chemical group 0.000 description 1
- 201000010175 gallbladder cancer Diseases 0.000 description 1
- 229940083124 ganglion-blocking antiadrenergic secondary and tertiary amines Drugs 0.000 description 1
- 210000001102 germinal center b cell Anatomy 0.000 description 1
- 229960002442 glucosamine Drugs 0.000 description 1
- 235000013922 glutamic acid Nutrition 0.000 description 1
- 239000004220 glutamic acid Substances 0.000 description 1
- 235000015220 hamburgers Nutrition 0.000 description 1
- 201000010536 head and neck cancer Diseases 0.000 description 1
- 208000014829 head and neck neoplasm Diseases 0.000 description 1
- 230000036541 health Effects 0.000 description 1
- 210000002443 helper t lymphocyte Anatomy 0.000 description 1
- 210000003958 hematopoietic stem cell Anatomy 0.000 description 1
- 125000000623 heterocyclic group Chemical group 0.000 description 1
- 125000006038 hexenyl group Chemical group 0.000 description 1
- 125000004051 hexyl group Chemical group [H]C([H])([H])C([H])([H])C([H])([H])C([H])([H])C([H])([H])C([H])([H])* 0.000 description 1
- 125000005980 hexynyl group Chemical group 0.000 description 1
- 238000004128 high performance liquid chromatography Methods 0.000 description 1
- HNDVDQJCIGZPNO-UHFFFAOYSA-N histidine Natural products OC(=O)C(N)CC1=CN=CN1 HNDVDQJCIGZPNO-UHFFFAOYSA-N 0.000 description 1
- XGIHQYAWBCFNPY-AZOCGYLKSA-N hydrabamine Chemical compound C([C@@H]12)CC3=CC(C(C)C)=CC=C3[C@@]2(C)CCC[C@@]1(C)CNCCNC[C@@]1(C)[C@@H]2CCC3=CC(C(C)C)=CC=C3[C@@]2(C)CCC1 XGIHQYAWBCFNPY-AZOCGYLKSA-N 0.000 description 1
- 229930195733 hydrocarbon Natural products 0.000 description 1
- 150000002430 hydrocarbons Chemical class 0.000 description 1
- XMBWDFGMSWQBCA-UHFFFAOYSA-N hydrogen iodide Chemical compound I XMBWDFGMSWQBCA-UHFFFAOYSA-N 0.000 description 1
- 229940071870 hydroiodic acid Drugs 0.000 description 1
- 150000004679 hydroxides Chemical class 0.000 description 1
- 125000002887 hydroxy group Chemical group [H]O* 0.000 description 1
- 201000006866 hypopharynx cancer Diseases 0.000 description 1
- 125000002883 imidazolyl group Chemical group 0.000 description 1
- 238000000338 in vitro Methods 0.000 description 1
- 125000003392 indanyl group Chemical group C1(CCC2=CC=CC=C12)* 0.000 description 1
- 125000003453 indazolyl group Chemical group N1N=C(C2=C1C=CC=C2)* 0.000 description 1
- 125000003454 indenyl group Chemical group C1(C=CC2=CC=CC=C12)* 0.000 description 1
- 239000004615 ingredient Substances 0.000 description 1
- 239000003112 inhibitor Substances 0.000 description 1
- 230000002401 inhibitory effect Effects 0.000 description 1
- 230000005764 inhibitory process Effects 0.000 description 1
- 150000007529 inorganic bases Chemical class 0.000 description 1
- 239000000543 intermediate Substances 0.000 description 1
- 239000011630 iodine Substances 0.000 description 1
- 229910052740 iodine Inorganic materials 0.000 description 1
- 239000003456 ion exchange resin Substances 0.000 description 1
- 229920003303 ion-exchange polymer Polymers 0.000 description 1
- 229910052742 iron Inorganic materials 0.000 description 1
- 125000000959 isobutyl group Chemical group [H]C([H])([H])C([H])(C([H])([H])[H])C([H])([H])* 0.000 description 1
- 125000004491 isohexyl group Chemical group C(CCC(C)C)* 0.000 description 1
- 125000000904 isoindolyl group Chemical group C=1(NC=C2C=CC=CC12)* 0.000 description 1
- 238000002955 isolation Methods 0.000 description 1
- 125000001972 isopentyl group Chemical group [H]C([H])([H])C([H])(C([H])([H])[H])C([H])([H])C([H])([H])* 0.000 description 1
- 125000001786 isothiazolyl group Chemical group 0.000 description 1
- 125000000842 isoxazolyl group Chemical group 0.000 description 1
- 210000003734 kidney Anatomy 0.000 description 1
- 238000011813 knockout mouse model Methods 0.000 description 1
- 239000004310 lactic acid Substances 0.000 description 1
- 235000014655 lactic acid Nutrition 0.000 description 1
- 206010023841 laryngeal neoplasm Diseases 0.000 description 1
- 210000000867 larynx Anatomy 0.000 description 1
- 201000006721 lip cancer Diseases 0.000 description 1
- 206010024627 liposarcoma Diseases 0.000 description 1
- 239000007788 liquid Substances 0.000 description 1
- 229910052744 lithium Inorganic materials 0.000 description 1
- 201000007270 liver cancer Diseases 0.000 description 1
- 208000014018 liver neoplasm Diseases 0.000 description 1
- 239000011777 magnesium Substances 0.000 description 1
- 229910052749 magnesium Inorganic materials 0.000 description 1
- 159000000003 magnesium salts Chemical class 0.000 description 1
- VZCYOOQTPOCHFL-UPHRSURJSA-N maleic acid Chemical compound OC(=O)\C=C/C(O)=O VZCYOOQTPOCHFL-UPHRSURJSA-N 0.000 description 1
- 239000011976 maleic acid Substances 0.000 description 1
- 239000001630 malic acid Substances 0.000 description 1
- 235000011090 malic acid Nutrition 0.000 description 1
- 230000003211 malignant effect Effects 0.000 description 1
- 208000026045 malignant tumor of parathyroid gland Diseases 0.000 description 1
- 208000016847 malignant urinary system neoplasm Diseases 0.000 description 1
- 229960002510 mandelic acid Drugs 0.000 description 1
- WPBNNNQJVZRUHP-UHFFFAOYSA-L manganese(2+);methyl n-[[2-(methoxycarbonylcarbamothioylamino)phenyl]carbamothioyl]carbamate;n-[2-(sulfidocarbothioylamino)ethyl]carbamodithioate Chemical compound [Mn+2].[S-]C(=S)NCCNC([S-])=S.COC(=O)NC(=S)NC1=CC=CC=C1NC(=S)NC(=O)OC WPBNNNQJVZRUHP-UHFFFAOYSA-L 0.000 description 1
- 208000020968 mature T-cell and NK-cell non-Hodgkin lymphoma Diseases 0.000 description 1
- 208000023356 medullary thyroid gland carcinoma Diseases 0.000 description 1
- 108020004999 messenger RNA Proteins 0.000 description 1
- 230000002503 metabolic effect Effects 0.000 description 1
- 230000004060 metabolic process Effects 0.000 description 1
- 229910052751 metal Inorganic materials 0.000 description 1
- 239000002184 metal Substances 0.000 description 1
- 229940098779 methanesulfonic acid Drugs 0.000 description 1
- WBYWAXJHAXSJNI-UHFFFAOYSA-N methyl p-hydroxycinnamate Natural products OC(=O)C=CC1=CC=CC=C1 WBYWAXJHAXSJNI-UHFFFAOYSA-N 0.000 description 1
- 125000002757 morpholinyl group Chemical group 0.000 description 1
- 210000000214 mouth Anatomy 0.000 description 1
- 230000035772 mutation Effects 0.000 description 1
- 201000000050 myeloid neoplasm Diseases 0.000 description 1
- UQEIFYRRSNJVDO-UHFFFAOYSA-N n,n-dibenzyl-2-phenylethanamine Chemical compound C=1C=CC=CC=1CN(CC=1C=CC=CC=1)CCC1=CC=CC=C1 UQEIFYRRSNJVDO-UHFFFAOYSA-N 0.000 description 1
- 125000004370 n-butenyl group Chemical group [H]\C([H])=C(/[H])C([H])([H])C([H])([H])* 0.000 description 1
- FUZZWVXGSFPDMH-UHFFFAOYSA-N n-hexanoic acid Natural products CCCCCC(O)=O FUZZWVXGSFPDMH-UHFFFAOYSA-N 0.000 description 1
- PSZYNBSKGUBXEH-UHFFFAOYSA-N naphthalene-1-sulfonic acid Chemical compound C1=CC=C2C(S(=O)(=O)O)=CC=CC2=C1 PSZYNBSKGUBXEH-UHFFFAOYSA-N 0.000 description 1
- KVBGVZZKJNLNJU-UHFFFAOYSA-N naphthalene-2-sulfonic acid Chemical compound C1=CC=CC2=CC(S(=O)(=O)O)=CC=C21 KVBGVZZKJNLNJU-UHFFFAOYSA-N 0.000 description 1
- 210000001989 nasopharynx Anatomy 0.000 description 1
- 125000001971 neopentyl group Chemical group [H]C([*])([H])C(C([H])([H])[H])(C([H])([H])[H])C([H])([H])[H] 0.000 description 1
- 210000005170 neoplastic cell Anatomy 0.000 description 1
- 201000005734 nevoid basal cell carcinoma syndrome Diseases 0.000 description 1
- 229960003512 nicotinic acid Drugs 0.000 description 1
- 235000001968 nicotinic acid Nutrition 0.000 description 1
- 239000011664 nicotinic acid Substances 0.000 description 1
- 229910017604 nitric acid Inorganic materials 0.000 description 1
- UMRZSTCPUPJPOJ-KNVOCYPGSA-N norbornane Chemical compound C1C[C@H]2CC[C@@H]1C2 UMRZSTCPUPJPOJ-KNVOCYPGSA-N 0.000 description 1
- QIQXTHQIDYTFRH-UHFFFAOYSA-N octadecanoic acid Chemical compound CCCCCCCCCCCCCCCCCC(O)=O QIQXTHQIDYTFRH-UHFFFAOYSA-N 0.000 description 1
- OQCDKBAXFALNLD-UHFFFAOYSA-N octadecanoic acid Natural products CCCCCCCC(C)CCCCCCCCC(O)=O OQCDKBAXFALNLD-UHFFFAOYSA-N 0.000 description 1
- 210000001672 ovary Anatomy 0.000 description 1
- 125000001715 oxadiazolyl group Chemical group 0.000 description 1
- 125000000160 oxazolidinyl group Chemical group 0.000 description 1
- 125000005968 oxazolinyl group Chemical group 0.000 description 1
- 125000002971 oxazolyl group Chemical group 0.000 description 1
- AHHWIHXENZJRFG-UHFFFAOYSA-N oxetane Chemical compound C1COC1 AHHWIHXENZJRFG-UHFFFAOYSA-N 0.000 description 1
- 239000001301 oxygen Substances 0.000 description 1
- WLJNZVDCPSBLRP-UHFFFAOYSA-N pamoic acid Chemical compound C1=CC=C2C(CC=3C4=CC=CC=C4C=C(C=3O)C(=O)O)=C(O)C(C(O)=O)=CC2=C1 WLJNZVDCPSBLRP-UHFFFAOYSA-N 0.000 description 1
- FJKROLUGYXJWQN-UHFFFAOYSA-N papa-hydroxy-benzoic acid Natural products OC(=O)C1=CC=C(O)C=C1 FJKROLUGYXJWQN-UHFFFAOYSA-N 0.000 description 1
- 238000007911 parenteral administration Methods 0.000 description 1
- 230000037361 pathway Effects 0.000 description 1
- 238000003068 pathway analysis Methods 0.000 description 1
- LCLHHZYHLXDRQG-ZNKJPWOQSA-N pectic acid Chemical compound O[C@@H]1[C@@H](O)[C@@H](O)O[C@H](C(O)=O)[C@@H]1OC1[C@H](O)[C@@H](O)[C@@H](OC2[C@@H]([C@@H](O)[C@@H](O)[C@H](O2)C(O)=O)O)[C@@H](C(O)=O)O1 LCLHHZYHLXDRQG-ZNKJPWOQSA-N 0.000 description 1
- 230000035515 penetration Effects 0.000 description 1
- 229960001639 penicillamine Drugs 0.000 description 1
- 125000006340 pentafluoro ethyl group Chemical group FC(F)(F)C(F)(F)* 0.000 description 1
- 125000002255 pentenyl group Chemical group C(=CCCC)* 0.000 description 1
- 125000004115 pentoxy group Chemical group [*]OC([H])([H])C([H])([H])C([H])([H])C(C([H])([H])[H])([H])[H] 0.000 description 1
- 125000001147 pentyl group Chemical group C(CCCC)* 0.000 description 1
- 125000005981 pentynyl group Chemical group 0.000 description 1
- 208000016802 peripheral primitive neuroectodermal tumor Diseases 0.000 description 1
- 125000001792 phenanthrenyl group Chemical group C1(=CC=CC=2C3=CC=CC=C3C=CC12)* 0.000 description 1
- OXNIZHLAWKMVMX-UHFFFAOYSA-N picric acid Chemical compound OC1=C([N+]([O-])=O)C=C([N+]([O-])=O)C=C1[N+]([O-])=O OXNIZHLAWKMVMX-UHFFFAOYSA-N 0.000 description 1
- 125000004193 piperazinyl group Chemical group 0.000 description 1
- 125000003386 piperidinyl group Chemical group 0.000 description 1
- 201000002511 pituitary cancer Diseases 0.000 description 1
- IUGYQRQAERSCNH-UHFFFAOYSA-N pivalic acid Chemical compound CC(C)(C)C(O)=O IUGYQRQAERSCNH-UHFFFAOYSA-N 0.000 description 1
- 229920000768 polyamine Polymers 0.000 description 1
- 239000010318 polygalacturonic acid Substances 0.000 description 1
- 229960000688 pomalidomide Drugs 0.000 description 1
- 239000011591 potassium Substances 0.000 description 1
- 229910052700 potassium Inorganic materials 0.000 description 1
- 159000000001 potassium salts Chemical class 0.000 description 1
- 238000002360 preparation method Methods 0.000 description 1
- 150000003141 primary amines Chemical class 0.000 description 1
- 125000002924 primary amino group Chemical group [H]N([H])* 0.000 description 1
- 125000004368 propenyl group Chemical group C(=CC)* 0.000 description 1
- 238000011321 prophylaxis Methods 0.000 description 1
- 235000019260 propionic acid Nutrition 0.000 description 1
- 229940095574 propionic acid Drugs 0.000 description 1
- 125000001436 propyl group Chemical group [H]C([*])([H])C([H])([H])C([H])([H])[H] 0.000 description 1
- 201000001514 prostate carcinoma Diseases 0.000 description 1
- 125000004309 pyranyl group Chemical group O1C(C=CC=C1)* 0.000 description 1
- 125000003373 pyrazinyl group Chemical group 0.000 description 1
- 125000003226 pyrazolyl group Chemical group 0.000 description 1
- 125000002098 pyridazinyl group Chemical group 0.000 description 1
- UBQKCCHYAOITMY-UHFFFAOYSA-N pyridin-2-ol Chemical compound OC1=CC=CC=N1 UBQKCCHYAOITMY-UHFFFAOYSA-N 0.000 description 1
- 125000000714 pyrimidinyl group Chemical group 0.000 description 1
- 125000000719 pyrrolidinyl group Chemical group 0.000 description 1
- 125000000168 pyrrolyl group Chemical group 0.000 description 1
- 150000003856 quaternary ammonium compounds Chemical class 0.000 description 1
- IUVKMZGDUIUOCP-BTNSXGMBSA-N quinbolone Chemical compound O([C@H]1CC[C@H]2[C@H]3[C@@H]([C@]4(C=CC(=O)C=C4CC3)C)CC[C@@]21C)C1=CCCC1 IUVKMZGDUIUOCP-BTNSXGMBSA-N 0.000 description 1
- 125000002943 quinolinyl group Chemical group N1=C(C=CC2=CC=CC=C12)* 0.000 description 1
- 125000005493 quinolyl group Chemical group 0.000 description 1
- 239000011541 reaction mixture Substances 0.000 description 1
- 238000001953 recrystallisation Methods 0.000 description 1
- 230000002829 reductive effect Effects 0.000 description 1
- 238000011160 research Methods 0.000 description 1
- 239000011347 resin Substances 0.000 description 1
- 229920005989 resin Polymers 0.000 description 1
- 230000004044 response Effects 0.000 description 1
- 229960004889 salicylic acid Drugs 0.000 description 1
- 125000002914 sec-butyl group Chemical group [H]C([H])([H])C([H])([H])C([H])(*)C([H])([H])[H] 0.000 description 1
- 210000002027 skeletal muscle Anatomy 0.000 description 1
- 201000003708 skin melanoma Diseases 0.000 description 1
- 208000000587 small cell lung carcinoma Diseases 0.000 description 1
- 210000000813 small intestine Anatomy 0.000 description 1
- 210000002460 smooth muscle Anatomy 0.000 description 1
- AWUCVROLDVIAJX-GSVOUGTGSA-N sn-glycerol 3-phosphate Chemical compound OC[C@@H](O)COP(O)(O)=O AWUCVROLDVIAJX-GSVOUGTGSA-N 0.000 description 1
- 235000015424 sodium Nutrition 0.000 description 1
- 239000011734 sodium Substances 0.000 description 1
- 229910052708 sodium Inorganic materials 0.000 description 1
- 159000000000 sodium salts Chemical class 0.000 description 1
- 239000000243 solution Substances 0.000 description 1
- 150000003413 spiro compounds Chemical class 0.000 description 1
- 230000002269 spontaneous effect Effects 0.000 description 1
- 239000008117 stearic acid Substances 0.000 description 1
- 229960004274 stearic acid Drugs 0.000 description 1
- 230000000638 stimulation Effects 0.000 description 1
- IIACRCGMVDHOTQ-UHFFFAOYSA-N sulfamic acid Chemical compound NS(O)(=O)=O IIACRCGMVDHOTQ-UHFFFAOYSA-N 0.000 description 1
- 229950000244 sulfanilic acid Drugs 0.000 description 1
- 239000011593 sulfur Chemical group 0.000 description 1
- 125000004434 sulfur atom Chemical group 0.000 description 1
- 230000001629 suppression Effects 0.000 description 1
- 206010042863 synovial sarcoma Diseases 0.000 description 1
- 230000008685 targeting Effects 0.000 description 1
- 239000011975 tartaric acid Substances 0.000 description 1
- 235000002906 tartaric acid Nutrition 0.000 description 1
- 229960001367 tartaric acid Drugs 0.000 description 1
- 125000000999 tert-butyl group Chemical group [H]C([H])([H])C(*)(C([H])([H])[H])C([H])([H])[H] 0.000 description 1
- 201000003120 testicular cancer Diseases 0.000 description 1
- 210000001550 testis Anatomy 0.000 description 1
- CBXCPBUEXACCNR-UHFFFAOYSA-N tetraethylammonium Chemical class CC[N+](CC)(CC)CC CBXCPBUEXACCNR-UHFFFAOYSA-N 0.000 description 1
- 125000003718 tetrahydrofuranyl group Chemical group 0.000 description 1
- 125000001712 tetrahydronaphthyl group Chemical group C1(CCCC2=CC=CC=C12)* 0.000 description 1
- QEMXHQIAXOOASZ-UHFFFAOYSA-N tetramethylammonium Chemical class C[N+](C)(C)C QEMXHQIAXOOASZ-UHFFFAOYSA-N 0.000 description 1
- 229960004559 theobromine Drugs 0.000 description 1
- 238000002560 therapeutic procedure Methods 0.000 description 1
- VLLMWSRANPNYQX-UHFFFAOYSA-N thiadiazole Chemical compound C1=CSN=N1.C1=CSN=N1 VLLMWSRANPNYQX-UHFFFAOYSA-N 0.000 description 1
- 125000001984 thiazolidinyl group Chemical group 0.000 description 1
- 125000002769 thiazolinyl group Chemical group 0.000 description 1
- VJYJJHQEVLEOFL-UHFFFAOYSA-N thieno[3,2-b]thiophene Chemical compound S1C=CC2=C1C=CS2 VJYJJHQEVLEOFL-UHFFFAOYSA-N 0.000 description 1
- 125000001544 thienyl group Chemical group 0.000 description 1
- 208000030045 thyroid gland papillary carcinoma Diseases 0.000 description 1
- 230000000699 topical effect Effects 0.000 description 1
- IAQRGUVFOMOMEM-ONEGZZNKSA-N trans-but-2-ene Chemical compound C\C=C\C IAQRGUVFOMOMEM-ONEGZZNKSA-N 0.000 description 1
- 238000011277 treatment modality Methods 0.000 description 1
- 150000003852 triazoles Chemical class 0.000 description 1
- IMFACGCPASFAPR-UHFFFAOYSA-N tributylamine Chemical compound CCCCN(CCCC)CCCC IMFACGCPASFAPR-UHFFFAOYSA-N 0.000 description 1
- YNJBWRMUSHSURL-UHFFFAOYSA-N trichloroacetic acid Chemical compound OC(=O)C(Cl)(Cl)Cl YNJBWRMUSHSURL-UHFFFAOYSA-N 0.000 description 1
- 125000004784 trichloromethoxy group Chemical group ClC(O*)(Cl)Cl 0.000 description 1
- 125000003866 trichloromethyl group Chemical group ClC(Cl)(Cl)* 0.000 description 1
- 125000002023 trifluoromethyl group Chemical group FC(F)(F)* 0.000 description 1
- YFTHZRPMJXBUME-UHFFFAOYSA-N tripropylamine Chemical compound CCCN(CCC)CCC YFTHZRPMJXBUME-UHFFFAOYSA-N 0.000 description 1
- 208000017997 tumor of parathyroid gland Diseases 0.000 description 1
- 210000003932 urinary bladder Anatomy 0.000 description 1
- 201000005112 urinary bladder cancer Diseases 0.000 description 1
- 201000004435 urinary system cancer Diseases 0.000 description 1
- 201000009825 uterine corpus cancer Diseases 0.000 description 1
- 210000004291 uterus Anatomy 0.000 description 1
- 239000003981 vehicle Substances 0.000 description 1
- PXXNTAGJWPJAGM-UHFFFAOYSA-N vertaline Natural products C1C2C=3C=C(OC)C(OC)=CC=3OC(C=C3)=CC=C3CCC(=O)OC1CC1N2CCCC1 PXXNTAGJWPJAGM-UHFFFAOYSA-N 0.000 description 1
- 125000000391 vinyl group Chemical group [H]C([*])=C([H])[H] 0.000 description 1
- 229920002554 vinyl polymer Polymers 0.000 description 1
- 230000009385 viral infection Effects 0.000 description 1
Classifications
-
- C—CHEMISTRY; METALLURGY
- C07—ORGANIC CHEMISTRY
- C07D—HETEROCYCLIC COMPOUNDS
- C07D401/00—Heterocyclic compounds containing two or more hetero rings, having nitrogen atoms as the only ring hetero atoms, at least one ring being a six-membered ring with only one nitrogen atom
- C07D401/14—Heterocyclic compounds containing two or more hetero rings, having nitrogen atoms as the only ring hetero atoms, at least one ring being a six-membered ring with only one nitrogen atom containing three or more hetero rings
-
- A—HUMAN NECESSITIES
- A61—MEDICAL OR VETERINARY SCIENCE; HYGIENE
- A61P—SPECIFIC THERAPEUTIC ACTIVITY OF CHEMICAL COMPOUNDS OR MEDICINAL PREPARATIONS
- A61P35/00—Antineoplastic agents
-
- C—CHEMISTRY; METALLURGY
- C07—ORGANIC CHEMISTRY
- C07D—HETEROCYCLIC COMPOUNDS
- C07D405/00—Heterocyclic compounds containing both one or more hetero rings having oxygen atoms as the only ring hetero atoms, and one or more rings having nitrogen as the only ring hetero atom
- C07D405/14—Heterocyclic compounds containing both one or more hetero rings having oxygen atoms as the only ring hetero atoms, and one or more rings having nitrogen as the only ring hetero atom containing three or more hetero rings
-
- C—CHEMISTRY; METALLURGY
- C07—ORGANIC CHEMISTRY
- C07D—HETEROCYCLIC COMPOUNDS
- C07D471/00—Heterocyclic compounds containing nitrogen atoms as the only ring hetero atoms in the condensed system, at least one ring being a six-membered ring with one nitrogen atom, not provided for by groups C07D451/00 - C07D463/00
- C07D471/02—Heterocyclic compounds containing nitrogen atoms as the only ring hetero atoms in the condensed system, at least one ring being a six-membered ring with one nitrogen atom, not provided for by groups C07D451/00 - C07D463/00 in which the condensed system contains two hetero rings
- C07D471/04—Ortho-condensed systems
Landscapes
- Chemical & Material Sciences (AREA)
- Organic Chemistry (AREA)
- Health & Medical Sciences (AREA)
- Chemical Kinetics & Catalysis (AREA)
- General Chemical & Material Sciences (AREA)
- Medicinal Chemistry (AREA)
- Nuclear Medicine, Radiotherapy & Molecular Imaging (AREA)
- Pharmacology & Pharmacy (AREA)
- Life Sciences & Earth Sciences (AREA)
- Animal Behavior & Ethology (AREA)
- General Health & Medical Sciences (AREA)
- Public Health (AREA)
- Veterinary Medicine (AREA)
- Pharmaceuticals Containing Other Organic And Inorganic Compounds (AREA)
- Plural Heterocyclic Compounds (AREA)
- Nitrogen Condensed Heterocyclic Rings (AREA)
- Medicines That Contain Protein Lipid Enzymes And Other Medicines (AREA)
Abstract
披露提供了具有式(I)的化合物:(I),或其药学上可接受的盐、水合物、溶剂化物、前药、立体异构体、或互变异构体,其中Rx和X1如本文所定义;及其制造和使用方法。式(I)
Description
技术领域
本披露涉及杂芳基取代的3-(1-氧代异吲哚啉-2-基)哌啶-2,6-二酮化合物和组合物以及其用于治疗IKAROS家族锌指2(IKZF2)依赖性疾病或障碍或其中降低IKZF2或IKZF4蛋白水平可减轻疾病或障碍的用途。
序列表
本申请是与电子格式的序列表一起提交的。该序列表以2020年8月3日创建的名为PAT058464-US-PSP02_SL.txt的文件提供,其大小为358Kb。将电子格式的序列表中的信息通过引用以其全文并入本文。
背景技术
IKAROS家族锌指2(IKZF2)(也称为Helios)是哺乳动物中发现的Ikaros转录因子家族的五个成员之一。IKZF2含有涉及DNA结合的在N-末端附近的四个锌指结构域和涉及蛋白二聚化的在C-末端的两个锌指结构域。IKZF2与Ikaros家族成员Ikaros(IKZF1)、Aiolos(IKZF3)、和Eos(IKZF4)具有约50%同一性,其中在锌指区具有最高同源性(80%+同一性)。这四种Ikaros家族转录因子与相同的DNA共有位点结合,并且当在细胞中共表达时可以彼此异二聚体化。第五种Ikaros家族蛋白Pegasus(IKZF5)与IKZF2仅具有25%同一性,与其他Ikaros家族成员结合不同的DNA位点,并且不易与其他Ikaros家族蛋白异二聚体化。IKZF2、IKZF1和IKZF3主要在造血细胞中表达,而IKZF4和IKZF5在多种组织中表达。(John,L.B.等人,(2011),Mol.Immunol.[分子免疫学]48:1272-1278;Perdomo,J.等人,(2000),J.Biol.Chem.[生物化学杂志]275:38347-38354)。
据信IKZF2在调节性T细胞(Treg)的功能和稳定性中具有重要作用。IKZF2通过调节性T细胞群体在mRNA和蛋白水平上高度表达。已经显示通过siRNA的IKZF2敲低导致FoxP3的下调并且损害分离的人CD4+CD25+Treg在体外阻断T细胞活化的能力。此外,已经显示IKZF2在分离的鼠Treg中的过表达增加Treg相关标记如CD103和GITR的表达,并且过表达IKZF2的细胞显示出对应答T细胞的遏制增加。还发现IKZF2与FoxP3的启动子(调节性T细胞谱系的限定转录因子)结合,并且影响FoxP3表达。
已经显示小鼠中表达FoxP3的Treg内的IKZF2的敲除导致活化的Treg失去其抑制性特性,以表达T-效应细胞因子,并承担T-效应功能。IKZF2敲除突变体小鼠在6-8个月龄时发展自身免疫性疾病,活化的CD4和CD8 T细胞、滤泡辅助T细胞和生发中心B细胞的数量增加。这种观察到的作用被认为是细胞内在的,因为给予来自IKZF2敲除小鼠的骨髓但不给予来自IKZF2+/+的骨髓的Rag2-/-小鼠发展自身免疫性疾病。IKZF2影响调节性T细胞功能的直接证据已经在小鼠的分析中显示,其中IKZF2仅在表达FoxP3的细胞(FoxP3-YFP-CreHeliosfl/fl)中缺失。结果显示,小鼠还发展具有与在整个动物IKZF2敲除中观察到的相似特征的自身免疫性疾病。此外,CHIP-SEQ实验的途径分析还表明IKZF2影响调节性T细胞中STAT5/IL-2Rα途径中基因的表达。在免疫攻击(病毒感染或用绵羊血注射)后,显示IKZF2损失的这种作用更加明显,并且注意到在免疫刺激后,IKZF2负调节性T细胞开始承担效应T细胞的特征。(Getnet,D.等人,Mol.Immunol.[分子免疫学](2010),47:1595-1600;BinDhuban,K.等人,(2015),J.Immunol.[免疫学杂志]194:3687-96;Kim,H-J.等人,(2015),Science[科学]350:334-339;Nakawaga,H.等人,(2016)PNAS[美国国家科学院院刊],113:6248-6253)
已经显示缺乏DNA结合区的Ikaros同种型的过表达与多种人血液恶性肿瘤相关。最近,已经在成人T细胞白血病和低亚二倍体急性淋巴母细胞白血病中鉴定出导致异常剪接变体的IKZF2基因中的突变。已经提出这些能够二聚化的同种型对引起淋巴瘤发展的Ikaros家族转录因子具有显性负面作用。存活到成年期的IKZF2敲除突变体不会发展淋巴瘤,这支持了该假设(Asanuma,S.等人,(2013),Cancer Sci.[癌症科学]104:1097-1106;Zhang,Z.等人,(2007),Blood[血液]109:2190-2197;Kataoka,D.等人,(2015),NatureGenetics[自然遗传学]47:1304-1315)。
目前,抗CTLA4抗体在临床中用于靶向肿瘤中的Treg。然而,靶向CTLA4经常引起T效应细胞的全身活化,从而导致过度毒性并限制治疗性效用。多达3/4的用抗PD1和抗CTLA4的组合治疗的患者报道了3级或更高的不良事件。因此,强烈需要提供靶向肿瘤中的Treg而不引起T效应细胞的全身活化的化合物。
IKZF2特异性降解剂有可能将增强的免疫应答集中在肿瘤内或肿瘤附近的区域,从而为癌症的治疗提供可能更耐受且毒性更小的治疗剂。
发明内容
本披露的化合物具有作为治疗剂的用途,特别是用于癌症和相关疾病。在一方面,本披露的化合物具有IKZF2降解活性,优选地具有等于或低于50μM水平的活性,并且更优选地具有等于或低于10μM水平的活性。在另一方面,本披露的化合物具有针对IKZF2的降解活性,所述降解活性对IKZF1、IKZF3、IKZF4和/或IKZF5中的一种或多种具有选择性。在另一方面,本披露的化合物具有针对IKZF2和IKZF4两者的降解活性。本披露的化合物在治疗其中这种降解活性对患者而言有益的癌症和其他疾病方面具备有用性。例如,虽然不旨在受任何理论的束缚,但诸位发明人认为降低肿瘤中Treg中IKZF2的水平可以使患者免疫系统更有效地攻击疾病。总之,本披露提供了用于治疗癌症和其他疾病的新型IKZF2降解剂。
本披露的第一方面涉及具有式(I)的化合物
其中:
每个R1独立地是H、(C1-C6)烷基、(C1-C6)烷氧基、(C1-C6)卤代烷基、(C1-C6)卤代烷氧基、(C1-C6)羟基烷基、卤素、-OH、-(CH2)0-2NH2、-(CH2)0-2NH(C1-C6)烷基、-(CH2)0-2N((C1-C6)烷基)2、或CN;或
两个R1当在相邻原子上时与它们所附接的原子一起形成苯基环或包含1个至2个N原子的5元或6元杂芳基环,其中所述苯基和杂芳基任选地被一个至三个R13取代;或者两个R1当在相邻原子上时与它们所附接的原子一起形成(C5-C6)环烷基环或包含1个至2个选自O、N、和S的杂原子的5元或6元杂环烷基环,其中所述环烷基和杂环烷基任选地被一个至三个R13取代;或
R1和R2当在相邻原子上时与它们所附接的原子一起形成苯基环或包含1个至2个N原子的5元或6元杂芳基环,其中所述苯基和杂芳基任选地被一个至三个R13取代;或者R1和R2当在相邻原子上时与它们所附接的原子一起形成(C5-C6)环烷基环或包含1个至2个选自O、N、和S的杂原子的5元或6元杂环烷基环,其中所述环烷基和杂环烷基任选地被一个至三个R13取代;
R2是H、(C1-C6)烷基、(C6-C10)芳基、包含1个至3个选自O、N、和S的杂原子的5元或6元杂芳基、(C3-C8)环烷基、或包含1个至3个选自O、N、和S的杂原子的5元至7元杂环烷基,其中所述烷基任选地被一个或多个R4取代;并且所述芳基、杂芳基、环烷基、和杂环烷基任选地被一个或多个R5取代,或
R2和R1当在相邻原子上时与它们所附接的原子一起形成苯基环或包含1个至2个N原子的5元或6元杂芳基环,其中所述苯基和杂芳基任选地被一个至三个R13取代;或者R2和R1当在相邻原子上时与它们所附接的原子一起形成(C5-C6)环烷基环或包含1个至2个选自O、N、和S的杂原子的5元或6元杂环烷基环,其中所述环烷基和杂环烷基任选地被一个至三个R13取代;
R2和R3’当在相邻原子上时与它们所附接的原子一起形成苯基环或包含1个至2个N原子的5元或6元杂芳基环,其中所述苯基和杂芳基任选地被一个至三个R13取代;或者R2和R3’当在相邻原子上时与它们所附接的原子一起形成(C5-C6)环烷基环或包含1个至2个选自O、N、和S的杂原子的5元或6元杂环烷基环,其中所述环烷基和杂环烷基任选地被一个至三个R13取代;
R3是H、(C1-C6)烷基、(C1-C6)烷氧基、(C1-C6)卤代烷基、(C1-C6)卤代烷氧基、(C1-C6)羟基烷基、卤素、-OH、-(CH2)0-2NH2、-(CH2)0-2NH(C1-C6)烷基、-(CH2)0-2N((C1-C6)烷基)2、或CN;
R3’是H、(C1-C6)卤代烷基、(C1-C6)烷基、或(C3-C6)环烷基;或
R3’和R2当在相邻原子上时与它们所附接的原子一起形成苯基环或包含1个至2个N原子的5元或6元杂芳基环,其中所述苯基和杂芳基任选地被一个至三个R13取代;或者R3’和R2当在相邻原子上时与它们所附接的原子一起形成(C5-C6)环烷基环或包含1个至2个选自O、N、和S的杂原子的5元或6元杂环烷基环,其中所述环烷基和杂环烷基任选地被一个至三个R13取代;
每个R4独立地选自-C(O)OR6、-C(O)NR6R6'、-NR6C(O)R6'、卤素、-OH、-NH2、CN、(C6-C10)芳基、包含1个至4个选自O、N、和S的杂原子的5元或6元杂芳基、(C3-C8)环烷基,以及包含1个至3个选自O、N、和S的杂原子的4元至7元杂环烷基环,其中所述芳基、杂芳基、环烷基、和杂环烷基基团任选地被一个或多个R7取代;
每个R5独立地选自(C1-C6)烷基、(C2-C6)烯基、(C2-C6)炔基、(C1-C6)烷氧基、(C1-C6)卤代烷基、(C1-C6)卤代烷氧基、(C1-C6)羟基烷基、卤素、-OH、-NH2、CN、(C3-C7)环烷基、包含1个至3个选自O、N、和S的杂原子的5元至7元杂环烷基、(C6-C10)芳基、以及包含1个至3个选自O、N、和S的杂原子的5元或6元杂芳基,或
两个R5当在相邻原子上时与它们所附接的原子一起形成(C6-C10)芳基环或包含1个至3个选自O、N、和S的杂原子的5元或6元杂芳基环,其任选地被一个或多个R10取代,或
两个R5当在相邻原子上时与它们所附接的原子一起形成(C5-C7)环烷基环或包含1个至3个选自O、N、和S的杂原子的5元至7元杂环烷基环,其任选地被一个或多个R10取代;
R6和R6'各自独立地是H、(C1-C6)烷基、或(C6-C10)芳基;
每个R7独立地选自(C1-C6)烷基、(C2-C6)烯基、(C2-C6)炔基、(C1-C6)烷氧基、(C1-C6)卤代烷基、(C1-C6)卤代烷氧基、-C(O)R8、-(CH2)0-3C(O)OR8、-C(O)NR8R9、-NR8C(O)R9、-NR8C(O)OR9、-S(O)pNR8R9、-S(O)pR12、(C1-C6)羟基烷基、卤素、-OH、-O(CH2)1-3CN、-NH2、CN、-O(CH2)0-3(C6-C10)芳基、金刚烷基、包含1个至3个选自O、N、和S的杂原子的-O(CH2)0-3-5元或6元杂芳基、(C6-C10)芳基、包含1个至3个选自O、N、和S的杂原子的单环或双环5元至10元杂芳基、(C3-C7)环烷基、以及包含1个至3个选自O、N、和S的杂原子的5元至7元杂环烷基,其中所述烷基任选地被一个或多个R11取代,并且所述芳基、杂芳基、和杂环烷基任选地被一个或多个各自独立地选自以下的取代基取代:卤素、(C1-C6)烷基、(C1-C6)卤代烷基、和(C1-C6)烷氧基,或
两个R7与它们所附接的碳原子一起形成=(O),或
两个R7当在相邻原子上时与它们所附接的原子一起形成(C6-C10)芳基环或包含1个至3个选自O、N、和S的杂原子的5元或6元杂芳基环,其任选地被一个或多个R10取代,或
两个R7与它们所附接的原子一起形成(C5-C7)环烷基环或包含1个至3个选自O、N、和S的杂原子的5元至7元杂环烷基环,其任选地被一个或多个R10取代;
R8和R9各自独立地是H或(C1-C6)烷基;
每个R10独立地选自(C1-C6)烷基、(C1-C6)烷氧基、(C1-C6)卤代烷基、(C1-C6)卤代烷氧基、(C1-C6)羟基烷基、卤素、-OH、-NH2、和CN,或
两个R10与它们所附接的碳原子一起形成=(O);
每个R11独立地选自CN、(C1-C6)烷氧基、(C6-C10)芳基、以及包含1个至3个选自O、N、和S的杂原子的5元至7元杂环烷基,其中所述芳基和杂环烷基任选地被一个或多个各自独立地选自以下的取代基取代:(C1-C6)烷基、(C1-C6)烷氧基、(C1-C6)卤代烷基、(C1-C6)卤代烷氧基、(C1-C6)羟基烷基、卤素、-OH、-NH2、和CN;
R12是(C1-C6)烷基、(C1-C6)卤代烷基、(C6-C10)芳基、或包含1个至3个选自O、N、和S的杂原子的5元至7元杂环烷基;
每个R13独立地是(C1-C6)烷基、(C1-C6)烷氧基、(C1-C6)卤代烷基、(C1-C6)卤代烷氧基、(C1-C6)羟基烷基、卤素、-OH、-NH2、-NH(C1-C6)烷基、–N((C1-C6)烷基)2、或CN;或
两个R13与它们所附接的碳原子一起形成=(O);
Rx是H或D;
p是0、1或2;并且
n是1或2;
或其药学上可接受的盐、水合物、溶剂化物、前药、立体异构体、和互变异构体。
在本披露的一个方面,具有式(I)的化合物中的氢以其正常同位素丰度存在。在本披露的一个优选的方面,氢同位素地富集氘(D),并且在本发明的一个特别优选的方面,位置Rx的氢富集D,如下文关于同位素和同位素富集的更详细讨论。
本披露的另一方面涉及药物组合物,所述药物组合物包含治疗有效量的具有式(I)的化合物或其药学上可接受的盐、水合物、溶剂化物、前药、立体异构体、或互变异构体,以及药学上可接受的载体或赋形剂。所述药物组合物在治疗IKZF2依赖性疾病或障碍中是有用的。所述药物组合物可进一步包含至少一种另外的药物药剂。
在另一方面,本披露涉及药物组合物,所述药物组合物包含治疗有效量的具有式(I)的化合物或其药学上可接受的盐、水合物、溶剂化物、前药、立体异构体、或互变异构体,以及药学上可接受的载体或赋形剂,用于在通过降低IKZF2蛋白水平治疗IKZF2依赖性疾病或障碍中使用,其中IKZF2蛋白水平的降低治疗所述IKZF2依赖性疾病或障碍。所述药物组合物在治疗IKZF2依赖性疾病或障碍中是有用的。所述药物组合物可进一步包含至少一种另外的药物药剂。
本披露的另一方面涉及药物组合物,所述药物组合物包含治疗有效量的具有式(I)的化合物或其药学上可接受的盐、水合物、溶剂化物、前药、立体异构体、或互变异构体,以及药学上可接受的载体或赋形剂。所述药物组合物在治疗受IKZF2蛋白水平的降低影响的疾病或障碍中是有用的。所述药物组合物可进一步包含至少一种另外的药物药剂。
在另一方面,本披露涉及药物组合物,所述药物组合物包含治疗有效量的具有式(I)的化合物或其药学上可接受的盐、水合物、溶剂化物、前药、立体异构体、或互变异构体,以及药学上可接受的载体或赋形剂,用于在治疗受IKZF2蛋白水平的降低影响的疾病或障碍中使用,其中IKZF2蛋白水平的降低治疗所述疾病或障碍。所述药物组合物可进一步包含至少一种另外的药物药剂。
本披露的另一方面涉及降解IKZF2的方法,所述方法包括向有需要的患者施用具有式(I)的化合物或其药学上可接受的盐、水合物、溶剂化物、前药、立体异构体、或互变异构体。
在另一方面,本披露涉及治疗受IKZF2蛋白水平的调节影响的疾病或障碍的方法,所述方法包括向有需要的患者施用具有式(I)的化合物或其药学上可接受的盐、水合物、溶剂化物、前药、立体异构体、或互变异构体。
本披露的另一方面涉及调节IKZF2蛋白水平的方法,所述方法包括向有需要的患者施用具有式(I)的化合物或其药学上可接受的盐、水合物、溶剂化物、前药、立体异构体、或互变异构体。
在另一方面,本披露涉及降低细胞的增殖的方法,所述方法包括使所述细胞与具有式(I)的化合物或其药学上可接受的盐、水合物、溶剂化物、前药、立体异构体、或互变异构体接触,以及降低IKZF2蛋白水平。
本披露的另一方面涉及治疗癌症的方法,所述方法包括向有需要的患者施用具有式(I)的化合物或其药学上可接受的盐、水合物、溶剂化物、前药、立体异构体、或互变异构体。在一个实施例中,所述癌症选自非小细胞肺癌(NSCLC)、黑色素瘤、三阴性乳腺癌(TNBC)、鼻咽癌(NPC)、微卫星稳定结直肠癌(mssCRC)、胸腺瘤、类癌、急性髓细胞性白血病、和胃肠道间质瘤(GIST)。在另一个实施例中,所述癌症是免疫应答缺陷的癌症或免疫原性癌症。
在另一方面,本披露涉及用于降低受试者中IKZF2蛋白水平的方法,所述方法包括向有需要的受试者施用治疗有效量的具有式(I)的化合物或药学上可接受的盐的步骤。
本披露的另一方面涉及具有式(I)的化合物或其药学上可接受的盐、水合物、溶剂化物、前药、立体异构体、或互变异构体,用于在治疗受IKZF2蛋白水平的降低影响的疾病或障碍中使用。
在另一方面,本披露涉及具有式(I)的化合物或其药学上可接受的盐、水合物、溶剂化物、前药、立体异构体、或互变异构体在制造用于治疗受IKZF2蛋白水平的降低影响的疾病或障碍的药物中的用途。
本披露的另一方面涉及具有式(I)的化合物或其药学上可接受的盐、水合物、溶剂化物、前药、立体异构体、或互变异构体,用于在制造用于治疗与IKZF2蛋白水平的降低相关的疾病或障碍的药物中使用。在一个实施例中,所述疾病或障碍选自非小细胞肺癌(NSCLC)、黑色素瘤、三阴性乳腺癌(TNBC)、鼻咽癌(NPC)、微卫星稳定结直肠癌(mssCRC)、胸腺瘤、类癌、急性髓细胞性白血病、和胃肠道间质瘤(GIST)。
在另一方面,本披露涉及具有式(I)的化合物或其药学上可接受的盐、水合物、溶剂化物、前药、立体异构体、或互变异构体在治疗与IKZF2蛋白水平的降低相关的疾病或障碍中的用途。在一个实施例中,所述疾病或障碍选自非小细胞肺癌(NSCLC)、黑色素瘤、三阴性乳腺癌(TNBC)、鼻咽癌(NPC)、微卫星稳定结直肠癌(mssCRC)、胸腺瘤、类癌、急性髓细胞性白血病、和胃肠道间质瘤(GIST)。
在本披露的另一方面,将根据本披露的化合物配制为药物组合物,所述药物组合物包含有效量、优选药物有效量的根据本披露的化合物或其盐、水合物、溶剂化物、前药、立体异构体、或互变异构体,以及药学上可接受的赋形剂或载体。
在本文披露的方法的一些实施例中,具有式(I)的化合物或其药学上可接受的盐、水合物、溶剂化物、前药、立体异构体、或互变异构体的施用是口服地、肠胃外地、皮下地、通过注射、或通过输注进行的。
本披露提供IKZF2的降解剂,这些降解剂在治疗疾病如癌症和转移、在治疗受IKZF2蛋白水平的调节影响的疾病、以及在治疗IKZF2依赖性疾病或障碍中是治疗剂。
在一个实施例中,可以通过本披露的化合物治疗的疾病或障碍选自非小细胞肺癌(NSCLC)、黑色素瘤、三阴性乳腺癌(TNBC)、鼻咽癌(NPC)、微卫星稳定结直肠癌(mssCRC)、胸腺瘤、类癌、胃肠道间质瘤(GIST)、前列腺癌、乳腺癌、淋巴瘤、白血病、骨髓瘤、膀胱癌、结肠癌、皮肤黑色素瘤、肝细胞癌、子宫内膜癌、卵巢癌、宫颈癌、肺癌、肾癌、多形性胶质母细胞瘤、胶质瘤、甲状腺癌、甲状旁腺肿瘤、鼻咽癌、舌癌、胰腺癌、食管癌、胆管癌、胃癌、软组织肉瘤、横纹肌肉瘤(RMS)、滑膜肉瘤、骨肉瘤、横纹肌样癌、和尤因肉瘤。在另一个实施例中,所述IKZF2依赖性疾病或障碍是免疫应答缺陷的癌症或免疫原性癌症。
本披露提供药剂,这些药剂在治疗包括癌症和转移在内的不同类型的疾病、在治疗受IKZF2蛋白水平的调节影响的疾病、以及在治疗IKZF2依赖性疾病或障碍中具有针对IKZF2蛋白的新型作用机制。最终,本披露为医学界提供了用于治疗与IKZF2蛋白相关的疾病和障碍的新型药理学策略。
本披露提供药剂,这些药剂在治疗包括癌症和转移在内的不同类型的疾病、在治疗受IKZF2蛋白水平的调节影响的疾病、以及在治疗IKZF2依赖性疾病或障碍中具有针对IKZF2蛋白的新型作用机制。最终,本披露为医学界提供了用于治疗与IKZF2蛋白相关的疾病和障碍的新型药理学策略。
具体实施方式
本披露涉及能够调节IKZF2蛋白水平的化合物和组合物。本披露的特征在于治疗、预防、或减轻其中IKZF2发挥作用的疾病或障碍的方法,所述方法通过以下方式进行:向有需要的患者施用治疗有效量的具有式(I)的化合物或其药学上可接受的盐、水合物、溶剂化物、前药、立体异构体、或互变异构体。本披露的方法可以通过调节IKZF2蛋白水平而用于治疗多种IKZF2依赖性疾病和障碍。通过降解调节IKZF2蛋白水平提供了用于治疗、预防、或减轻疾病(包括但不限于癌症和转移)和其他IKZF2依赖性疾病或障碍的新方法。
在一方面,本披露的化合物具有作为治疗剂的用途,特别是用于癌症和相关疾病。在一方面,本披露的化合物具有IKZF2降解活性,优选地具有等于或低于50μM水平的活性,并且更优选地具有等于或低于10μM水平的活性。在另一方面,本披露的化合物具有针对IKZF2的降解活性,所述降解活性对IKZF1、IKZF3、IKZF4和/或IKZF5中的一种或多种具有选择性。在另一方面,本披露的化合物具有针对IKZF2和IKZF4两者的降解活性。本披露的化合物在治疗其中这种降解活性对患者而言有益的癌症和其他疾病方面具备有用性。例如,虽然不旨在受任何理论的束缚,但诸位发明人认为降低肿瘤中Treg中IKZF2的水平可以使患者免疫系统更有效地攻击疾病。总之,本披露提供了用于治疗癌症和其他疾病的新型IKZF2降解剂。
在本披露的第一方面,描述了具有式(I)的化合物:
或其药学上可接受的盐、水合物、溶剂化物、前药、立体异构体、和互变异构体,其中Rx和X1如本文所定义。
本披露的细节阐述于下文所附的说明书中。虽然与本文描述的那些方法和材料类似或等效的方法和材料可以用于本披露的实践或测试,但是现在描述说明性方法和材料。根据说明书并且根据权利要求书,本披露的其他特征、目标和优点将是清楚的。在本说明书和所附权利要求中,单数形式还包括复数,除非上下文另有明确地说明。除非另有定义,否则本文所用的全部技术和科学术语均具有与本披露所属领域的普通技术人员通常所理解的相同的含义。在本说明书中引证的所有专利以及公开文件均通过引用以其全文并入本文。
使用的术语和惯例的定义
在本文中未明确定义的术语应当被理解为具有本领域技术人员根据本披露和上下文能得出的含义。然而,除非指出与此相反,否则如本说明书和所附权利要求中所使用的以下术语具有所指示的含义并遵守以下惯例。
A.化学命名法、术语和惯例
在下文定义的基团(group、radical)或部分中,通常在基团之前指出碳原子数目,例如(C1-C10)烷基意指具有1至10个碳原子的烷基基团。一般而言,对于包含两种或更多种亚基团的基团,最后提及的基团为基团附接点,例如“烷基芳基”意指具有式烷基-芳基-的单价基团,而“芳基烷基”意指具有式芳基-烷基-的单价基团。此外,使用表示单价基团的术语而其中二价基团是合适的,则应理解为表示相应的二价基团,反之亦然。除非另有说明,否则假定术语对照的常规定义和常规的稳定原子的原子价,并在全部式和基团中体现。冠词“一个/种(a/an)”是指一个/种或多于一个/种(例如,至少一个/种)该冠词的语法宾语。通过举例,“一个元件”意指一个元件或多于一个元件。
除非另有指示,否则术语“和/或”意指“和”或者“或”。
术语“任选地取代的”意指给定的化学部分(例如,烷基基团)可以(但不是必须)与其他取代基(例如,杂原子)键合。例如,任选地取代的烷基基团可以是完全饱和的烷基链(例如,纯烃)。可替代地,相同的任选地取代的烷基基团可以具有不同于氢的取代基。例如,它可以在沿链的任何位置与卤素原子、羟基基团或本文所述的任何其他取代基结合。因此,术语“任选地取代的”意指给定的化学部分具有含有其他官能团的潜力,但不一定具有任何其他官能团。用于所述的基团的任选的取代的合适的取代基包括而不限于卤素、氧代、-OH、-CN、-COOH、-CH2CN、-O-(C1-C6)烷基、(C1-C6)烷基、(C1-C6)烷氧基、(C1-C6)卤代烷基、(C1-C6)卤代烷氧基、-O-(C2-C6)烯基、-O-(C2-C6)炔基、(C2-C6)烯基、(C2-C6)炔基、-OH、-OP(O)(OH)2、-OC(O)(C1-C6)烷基、-C(O)(C1-C6)烷基、-OC(O)O(C1-C6)烷基、-NH2、-NH((C1-C6)烷基)、-N((C1-C6)烷基)2、-NHC(O)(C1-C6)烷基、-C(O)NH(C1-C6)烷基、-S(O)2(C1-C6)烷基、-S(O)NH(C1-C6)烷基、和S(O)N((C1-C6)烷基)2。这些取代基本身可以是任选地取代的。如本文所使用的“任选地取代的”还是指取代的或未取代的,其含义描述于下文。
术语“取代的”是指指定的基团或部分携带一个或多个合适的取代基,其中这些取代基可以在一个或多个位置处与所述指定的基团或部分连接。例如,被环烷基取代的芳基可指示所述环烷基通过键或通过与芳基稠合并共享两个或更多个共同原子而与所述芳基的一个原子连接。
术语“未取代的”意指特定的基团不带取代基。
除非另有明确定义,否则“芳基”意指具有1个至3个芳香族环(包括单环或双环基团)的环芳香族烃基团,例如苯基、联苯基、或萘基。当含有两个芳香族环(双环等)时,芳基基团的芳香族环任选地在单个点处连接(例如,联苯基)或稠合(例如,萘基)。芳基基团在任何附接点处任选地被一个或多个取代基取代,例如1个至5个取代基。示例性取代基包括但不限于-H、-卤素、-CN、-O-(C1-C6)烷基、(C1-C6)烷基、-O-(C2-C6)烯基、-O-(C2-C6)炔基、(C2-C6)烯基、(C2-C6)炔基、-OH、-OP(O)(OH)2、-OC(O)(C1-C6)烷基、-C(O)(C1-C6)烷基、-OC(O)O(C1-C6)烷基、NH2、NH((C1-C6)烷基)、N((C1-C6)烷基)2、-S(O)2-(C1-C6)烷基、-S(O)NH(C1-C6)烷基、和S(O)N((C1-C6)烷基)2。取代基本身是任选地取代的。此外,当含有两个稠合环时,芳基基团任选地具有与完全饱和的环稠合的不饱和的或部分饱和的环。这些芳基基团的示例性环系统包括但不限于苯基、联苯基、萘基、蒽基、非那烯基、菲基、茚满基、茚基、四氢萘基、四氢苯并轮烯基等。
除非另有明确定义,否则“杂芳基”意指5个至24个环原子的单价单环芳香族基团或多环芳香族基团,其含有选自N、O、或S的一个或多个环杂原子,剩余的环原子是C。如本文所定义的杂芳基还意指双环杂芳香族基团,其中杂原子选自N、O、或S。芳香族基团任选地独立地被本文描述的一个或多个取代基取代。实例包括但不限于呋喃基、噻吩基、吡咯基、吡啶基(pyridyl)、吡唑基、吡啶基(pyridinyl)、哒嗪基、嘧啶基、咪唑基、异噁唑基、噁唑基、噁二唑基、吡嗪基、吲哚基、噻吩-2-基、喹啉基、苯并吡喃基、异噻唑基、噻唑基、噻二唑、吲唑、苯并咪唑基、噻吩并[3,2-b]噻吩、三唑基、三嗪基、咪唑并[1,2-b]吡唑基、氟[2,3-c]吡啶基、咪唑并[1,2-a]吡啶基、吲唑基、吡咯并[2,3-c]吡啶基、吡咯并[3,2-c]吡啶基、吡唑并[3,4-c]吡啶基、噻吩并[3,2-c]吡啶基、噻吩并[2,3-c]吡啶基、噻吩并[2,3-b]吡啶基、苯并噻唑基、吲哚基、吲哚啉基、吲哚酮基(indolinonyl)、二氢苯并硫苯基、二氢苯并呋喃基、苯并呋喃、色满基、硫代色满基、四氢喹啉基、二氢苯并噻嗪、二氢苯噁烷基、喹啉基、异喹啉基、1,6-萘啶基、苯并[de]异喹啉基、吡啶并[4,3-b][1,6]萘啶基、噻吩并[2,3-b]吡嗪基、喹唑啉基、四唑并[1,5-a]吡啶基、[1,2,4]三唑并[4,3-a]吡啶基、异吲哚基、吡咯并[2,3-b]吡啶基、吡咯并[3,4-b]吡啶基、吡咯并[3,2-b]吡啶基、咪唑并[5,4-b]吡啶基、吡咯并[1,2-a]嘧啶基、四氢吡咯并[1,2-a]嘧啶基、3,4-二氢-2H-1Δ2-吡咯并[2,1-b]嘧啶、二苯并[b,d]噻吩、吡啶-2-酮、氟[3,2-c]吡啶基、氟[2,3-c]吡啶基、1H-吡啶并[3,4-b][1,4]噻嗪基、苯并噁唑基、苯并异噁唑基、氟[2,3-b]吡啶基、苯并硫苯基、1,5-萘啶基、氟[3,2-b]吡啶、[1,2,4]三唑并[l,5-a]吡啶基、苯并[1,2,3]三唑基、咪唑并[1,2-a]嘧啶基、[1,2,4]三唑并[4,3-b]哒嗪基、苯并[c][1,2,5]噻二唑基、苯并[c][1,2,5]噁二唑、1,3-二氢-2H-苯并[d]咪唑-2-酮、3,4-二氢-2H-吡唑并[1,5-b][1,2]噁嗪基、4,5,6,7-四氢吡唑并[1,5-a]吡啶基、噻唑并[5,4d]噻唑基、咪唑并[2,1-b][1,3,4]噻二唑基、噻吩并[2,3-b]吡咯基、3H-吲哚基、及其衍生物。此外,当含有两个稠合环时,本文定义的芳基基团可以具有与完全饱和的环稠合的不饱和的或部分饱和的环。这些杂芳基基团的示例性环系统包括吲哚啉基、吲哚酮基、二氢苯并苯硫基、二氢苯并呋喃、色满基、硫代色满基、四氢喹啉基、二氢苯并噻嗪、3,4-二氢-lH-异喹啉基、2,3-二氢苯并呋喃、吲哚啉基、吲哚基、和二氢苯噁烷基。
卤素或“卤代”意指氟、氯、溴、或碘。
“烷基”意指含有1-12个碳原子的直链或支链饱和烃。(C1-C6)烷基基团的实例包括但不限于甲基、乙基、丙基、丁基、戊基、己基、异丙基、异丁基、仲丁基、叔丁基、异戊基、新戊基、和异己基。
“烷氧基”意指含有1-12个碳原子的直链或支链饱和烃,其在链中含有末端“O”,例如-O(烷基)。烷氧基基团的实例包括而不限于甲氧基、乙氧基、丙氧基、丁氧基、叔丁氧基、或戊氧基基团。
“烯基”意指含有2-12个碳原子的直链或支链不饱和烃。“烯基”基团在链中含有至少一个双键。烯基基团的双键可以是未缀合的或与另一个不饱和基团缀合的。烯基基团的实例包括乙烯基、丙烯基、正丁烯基、异丁烯、戊烯基、或己烯基。烯基基团可以是未取代的或取代的,并且可以是直链或支链的。
“炔基”意指含有2-12个碳原子的直链或支链不饱和烃。“炔基”基团在链中含有至少一个三键。炔基基团的实例包括乙炔基、炔丙基、正丁炔基、异丁炔基、戊炔基、或己炔基。炔基基团可以是未取代的或取代的。
“亚烷基(alkylene或alkylenyl)”意指二价烷基基团。上述单价烷基基团中的任一个可以通过从该烷基中提取第二氢原子而成为亚烷基。如本文所定义,亚烷基也可以是(C1-C6)亚烷基。亚烷基可以进一步是(C1-C4)亚烷基。典型的亚烷基基团包括但不限于-CH2-、-CH(CH3)-、-C(CH3)2-、-CH2CH2-、-CH2CH(CH3)-、-CH2C(CH3)2-、-CH2CH2CH2-、-CH2CH2CH2CH-等。
“环烷基”或“碳环基”意指含有3-18个碳原子的单环或多环饱和或部分不饱和非芳香族碳环。环烷基基团的实例包括而不限于环丙基、环丁基、环戊基、环己基、环庚基、环辛基、降冰片烷基(norboranyl)、降冰片烯基(norborenyl)、双环[2.2.2]辛基、或双环[2.2.2]辛烯基及其衍生物。(C3-C8)环烷基是含有3个与8个之间的碳原子的环烷基基团。环烷基基团可以稠合(例如,十氢化萘)或桥接(例如,降冰片烷(norbornane))。
“杂环基”或“杂环烷基”意指含有碳和至少一个选自氧、氮或硫(O、N或S)的杂原子的饱和的或部分饱和的单环或多环的环,并且其中在环碳或杂原子之间没有共用的非定域的n电子(芳香性)。杂环烷基环结构可以被一个或多个取代基取代。这些取代基本身可以是任选地取代的。杂环烷基环的实例包括但不限于氧杂环丁烷基、氮杂环丁烷基、四氢呋喃基、四氢吡喃基、吡咯烷基、噁唑啉基、噁唑烷基、噻唑啉基、噻唑烷基、吡喃基、噻喃基、四氢吡喃基、二噁啉基、哌啶基、吗啉基、硫代吗啉基、硫代吗啉基S-氧化物、硫代吗啉基S-二氧化物、哌嗪基、氮杂基、氧杂基、二氮杂基、托烷基、噁唑烷酮基、1,4-二噁烷基、二氢呋喃基、1,3-二氧戊环基、咪唑烷基、咪唑啉基、二硫戊环基、和同托烷基(homotropanyl)。
“羟基烷基”意指被一个或多个-OH基团取代的烷基基团。羟基烷基基团的实例包括HO-CH2-、HO-CH2CH2-和CH2-CH(OH)-。
“卤代烷基”意指被一个或多个卤素取代的烷基基团。卤代烷基基团的实例包括但不限于三氟甲基、二氟甲基、五氟乙基、三氯甲基等。
“卤代烷氧基”意指被一个或多个卤素取代的烷氧基基团。卤代烷基基团的实例包括但不限于三氟甲氧基、二氟甲氧基、五氟乙氧基、三氯甲氧基等。
“氰基”意指具有通过三键连接氮原子的碳原子的取代基,例如C≡N。
“氨基”意指含有至少一个氮原子的取代基(例如NH2)。
“泊马度胺”或4-氨基-2-(2,6-二氧代哌啶-3-基)异吲哚啉-1,3-二酮具有以下结构:
B.盐、前药、衍生物、和溶剂化物术语和惯例
“前药”或“前药衍生物”意指母体化合物或活性药物物质的共价键合的衍生物或载体,其在展示其一种或多种药理学作用之前经历至少一些生物转化。一般而言,此类前药具有代谢可切割的基团并在体内快速转化以产生母体化合物,例如通过在血液中水解,并且通常包括母体化合物的酯和酰胺类似物。以改善化学稳定性、改善患者的接受度和顺应性、改善生物利用度、延长作用时间、改善器官选择性、改善配制品(例如,增加的水溶性)和/或降低副作用(例如,毒性)目标配制前药。一般而言,前药本身具有弱的生物学活性或不具有生物学活性并且在通常条件下是稳定的。用本领域已知的方法可以容易地从母体化合物制备前药,例如描述于以下中的那些方法:A Textbook of Drug Design andDevelopment[药物设计与开发教材],Krogsgaard-Larsen和H.Bundgaard(编辑),Gordon&Breach[戈登和布里奇出版社],1991,特别是第5章:“Design and Applications ofProdrugs[前药的设计和应用]”;Design of Prodrugs[前药的设计],H.Bundgaard(编辑),Elsevier[爱思唯尔集团],1985;Prodrugs:Topical and Ocular Drug Delivery[前药:局部和眼部药物递送],K.B.Sloan(编辑),Marcel Dekker[马塞尔德克尔公司],1998;Methods in Enzymology[酶学方法],K.Widder等人(编辑),第42卷,Academic Press[学术出版社],1985,特别是309-396页;Burger’s Medicinal Chemistry and Drug Discovery[伯格药物化学和药物发现],第5版,M.Wolff(编辑),John Wiley&Sons[约翰威立父子出版公司],1995,特别是第1卷和第172-178页以及第949-982页;Pro-Drugs as NovelDelivery Systems[前药作为新型递送系统],T.Higuchi和V.Stella(编辑),Am.Chem.Soc.[美国化学会志],1975;Bioreversible Carriers in Drug Design[药物设计中的生物可逆性载体],E.B.Roche(编辑),Elsevier[爱思唯尔集团],1987,其各自通过引用以其全文并入本文。
如本文所使用的“药学上可接受的前药”意指本披露的化合物的前药,其在合理的医学判断范围内,适合用于与人和低等动物的组织接触,而没有过度的毒性、刺激、过敏反应等,与合理的利益/风险比相称,并且在可能的情况下使其预期用途以及两性离子形式有效。
“盐”意指母体化合物的离子形式或母体化合物与合适的酸或碱之间的反应以制备母体化合物的酸式盐或碱式盐的产物。本披露的化合物的盐可以通过传统化学方法从含有碱性或酸性部分的母体化合物合成。通常,通过使游离碱性或酸性母体化合物与化学计量的量或与过量的所需成盐无机或有机酸或碱在合适的溶剂或不同的溶剂组合中反应来制备盐。
“药学上可接受的盐”意指本披露的化合物的盐,其在合理的医学判断范围内,适合用于与人和低等动物的组织接触,而没有过度的毒性、刺激、过敏反应等,与合理的利益/风险比相称,通常为水溶性或油溶性或可分散的,并且使其预期用途有效。该术语包括药学上可接受的酸加成盐和药学上可接受的碱加成盐。由于本披露的化合物在游离碱形式和盐形式两者中是有用的,实际上使用盐形式相当于使用碱形式。合适的盐的列表发现于例如,S.M.Birge等人,J.Pharm.Sci.[药物科学杂志],1977,66,第1-19页,将其通过引用以其全文特此并入。
“药学上可接受的酸加成盐”意指那些保留游离碱的生物学有效性和特性且并非是生物学或在其他方面不希望的盐,这些盐是与无机酸(例如盐酸、氢溴酸、氢碘酸、硫酸、氨基磺酸、硝酸、磷酸等)和有机酸(例如乙酸、三氯乙酸、三氟乙酸、己二酸、海藻酸、抗坏血酸、天冬氨酸、苯磺酸、苯甲酸、2-乙酰氧基苯甲酸、丁酸、樟脑酸、樟脑磺酸、肉桂酸、柠檬酸、二葡萄糖酸、乙磺酸、谷氨酸、乙醇酸、甘油磷酸、半硫酸、庚酸、己酸、甲酸、富马酸、2-羟基乙磺酸(羟乙基磺酸)、乳酸、马来酸、羟基马来酸、苹果酸、丙二酸、扁桃酸、均三甲苯磺酸、甲磺酸、萘磺酸、烟酸、2-萘磺酸、草酸、双羟萘酸、果胶酸、苯基乙酸、3-苯基丙酸、苦味酸、新戊酸、丙酸、丙酮酸、丙酮酸、水杨酸、硬脂酸、琥珀酸、对氨基苯磺酸、酒石酸、对甲苯磺酸、十一烷酸等)形成的。
“药学上可接受的碱加成盐”意指那些保留游离酸的生物学有效性和特性且并非是生物学或在其他方面不希望的盐,这些盐是与无机碱(例如氨或氢氧化物、碳酸盐、或碳酸氢铵)或金属阳离子(如钠、钾、锂、钙、镁、铁、锌、铜、锰、铝等)形成的。特别优选的是铵盐、钾盐、钠盐、钙盐、和镁盐。衍生自药学上可接受的有机无毒碱的盐包括以下物质的盐:伯胺、仲胺和叔胺、季胺化合物,取代的胺(包括天然存在的取代的胺),环胺和碱性离子交换树脂,如甲胺、二甲胺、三甲胺、乙胺、二乙胺、三乙胺、异丙胺、三丙胺、三丁胺、乙醇胺、二乙醇胺、2-二甲基氨基乙醇、2-二乙基氨基乙醇、二环己胺、赖氨酸、精氨酸、组氨酸、咖啡因、海巴明(hydrabamine)、胆碱、甜菜碱、乙二胺、葡糖胺、甲葡糖胺、可可碱、嘌呤、哌嗪、哌啶、N-乙基哌啶、四甲基铵化合物、四乙基铵化合物、吡啶、N,N-二甲基苯胺、N-甲基哌啶、N-甲基吗啉、二环己胺、二苄胺、N,N-二苄基苯乙胺、1-二苯羟甲胺、N,N'-二苄基乙烯二胺、多胺树脂等。特别优选的有机无毒碱是异丙胺、二乙胺、乙醇胺、三甲胺、二环己胺、胆碱、和咖啡因。
“溶剂化物”意指由溶质(例如具有式(I)的化合物)和溶剂(例如水、乙醇、或乙酸)形成的可变化学计量的复合物。这种物理缔合可能涉及不同程度的离子键和共价键,包括氢键。在某些情况下,溶剂化物能够分离(例如当一种或多种溶剂分子掺入结晶固体的晶格中时)。一般而言,出于本披露的目的而选择的此类溶剂不会干扰溶质的生物学活性。溶剂化物涵盖溶液相和可分离的溶剂化物两者。代表性的溶剂化物包括水合物、乙醇化物、甲醇化物等。
“水合物”意指其中一种或多种溶剂分子是水的溶剂化物。
如下所讨论的本披露的化合物包括其游离碱或酸,其盐、溶剂化物和前药,并且可以在其结构中包括氧化的硫原子或季铵化的氮原子(尽管没有明确说明或显示),特别是其药学上可接受的形式。此类形式(特别是药学上可接受的形式)旨在包括在所附权利要求中。
C.异构体术语和惯例
“异构体”意指具有相同数量和种类原子、并因此具有相同的分子量,但在空间中原子的排列或构型方面不同的化合物。该术语包括立体异构体和几何异构体。
“立体异构体”或“光学异构体”意指具有至少一个手性原子或受限旋转导致具有垂直的不对称平面(例如,某些联苯基、丙二烯和螺环化合物)并且可以使平面偏振光旋转的稳定异构体。因为不对称中心和其他化学结构存在于可以导致立体异构现象的本披露的化合物中,本披露考虑了立体异构体及其混合物。本披露的化合物及其盐包括不对称碳原子,因此可以作为单个立体异构体、外消旋体、以及对映异构体和非对映异构体的混合物存在。典型地,此类化合物将以外消旋混合物进行制备。然而,如果需要,此类化合物可以制备或分离成立体异构体,即作为单独的对映异构体或非对映异构体,或作为富集立体异构体的混合物。如下文更详细讨论的,化合物的单独的立体异构体通过从含有所需手性中心的光学活性起始材料合成来制备,或通过制备对映异构体产物的混合物随后分离或拆分(如转化成非对映异构体的混合物随后分离或重结晶、色谱技术,使用手性拆分剂、或在手性色谱柱上直接分离对映异构体)来制备。特定立体化学的起始化合物是可商购的或通过下文描述的方法制备并通过本领域熟知的技术拆分的。
“对映异构体”意指彼此为不能重叠镜像的一对立体异构体。
“非对映异构体”或“非对映体”意指彼此之间不构成镜像的光学异构体。
“外消旋混合物”或“外消旋体”意指含有等份的单个对映异构体的混合物。
“非外消旋混合物”意指含有不等份的单个对映异构体的混合物。
“几何异构体”意指由双键(例如,顺式-2-丁烯和反式-2-丁烯)或环结构(例如,顺式-1,3-二氯环丁烷和反式-1,3-二氯环丁烷)中的旋转自由度限制产生的稳定异构体。因为碳-碳双(烯属)键、C=N双键、环结构等可以存在于本披露的化合物中,本披露考虑了由这些双键周围和这些环结构中的取代基排列产生的不同的稳定的几何异构体及其混合物中的每一种。使用顺式/反式惯例或使用E或Z系统表示取代基和异构体,其中术语“E”意指更高次序的取代基在双键的相对侧,术语“Z”意指更高次序的取代基在双键的同一侧。有关E和Z异构现象的详尽讨论提供于:J.March,Advanced Organic Chemistry:Reactions,Mechanisms,and Structure[高等有机化学:反应、机制和结构],第4版,John Wiley&Sons[约翰威立父子出版公司],1992,将其通过引用以其全文特此并入。以下几个实例代表单个E异构体、单个Z异构体和E/Z异构体的混合物。E和Z异构体的确定可以通过分析方法进行,例如X射线晶体学、1H NMR、和13C NMR。
本披露的一些化合物能以多于一种的互变异构形式存在。如上所提及的,本披露的化合物包括所有此类互变异构体。
本领域熟知的是化合物的生物学和药理学活性对化合物的立体化学敏感。因此,例如,对映异构体通常展示出显著不同的生物学活性,包括药代动力学特性的差异(包括代谢、蛋白结合等)和药理学特性(包括所展示的活性类型、活性程度、毒性等)。因此,本领域技术人员将理解,当相对于其他对映异构体富集时或当与其他对映异构体分开时,一种对映异构体可以更具活性或可以展示出有益作用。另外地,本领域技术人员将知道如何从本披露和现有技术的知识中分开、富集或选择性制备本披露的化合物的对映异构体。
因此,尽管可以使用药物的外消旋形式,但其通常不如施用等量的对映异构体纯的药物有效;实际上,在一些情况下,一种对映异构体可以是药理学上无活性的并且仅仅起简单的稀释剂作用。例如,虽然布洛芬先前曾以外消旋体施用,但已经发现只有布洛芬的S-异构体可有效用作抗炎剂(然而在布洛芬的情况下,尽管R-异构体是无活性的,但其在体内转化为S-异构体,因此该药物的外消旋形式起效的速度慢于纯的S-异构体)。此外,对映异构体的药理学活性可以具有明显不同的生物学活性。例如,S-青霉胺是用于慢性关节炎的治疗剂,而R-青霉胺却具有毒性。实际上,一些纯化的对映异构体相对于外消旋体更具优势,因为已有报道指出,与外消旋混合物相比,纯化的单独的异构体具有更快的经皮渗透速率。参见美国专利号5,114,946和4,818,541。
因此,如果一种对映异构体在药理学上比其他对映异构体具有更高的活性、更低的毒性或者具有更优选的体内分布,则优选施用这种对映异构体在治疗上将是更有益的。通过这种方式,接受治疗的患者将暴露于更低总剂量的药物和更低剂量的可能具有毒性的对映异构体或其他对映异构体的抑制剂。
纯对映异构体或者具有所需对映异构体过量(ee)或对映异构体纯度的混合物的制备可以通过一种或多种本领域技术人员已知的用于(a)分离或拆分对映异构体、或(b)对映异构体选择性合成的许多方法,或用这些方法的组合来完成。这些拆分方法通常依赖于手性识别,包括例如使用手性固定相的色谱法、对映异构体选择性主体-客体络合、拆分或使用手性助剂合成、对映异构体选择性合成、酶促和非酶促动力学拆分、或者自发的对映异构体选择性结晶。此类方法通常披露于:Chiral Separation Techniques:A PracticalApproach[手性分离技术:一种实用的方法](第2版),G.Subramanian(编辑),Wiley-VCH[威利-VCH公司],2000;T.E.Beesley和R.P.W.Scott,Chiral Chromatography[手性色谱法],John Wiley&Sons[约翰威立父子出版公司],1999;以及Satinder Ahuja,ChiralSeparations by Chromatography[通过色谱法的手性分离],Am.Chem.Soc.[美国化学会志],2000。此外,存在同样熟知的用于定量对映异构体过量或纯度的方法(例如GC、HPLC、CE或NMR)和用于识别绝对构型和构象的方法(例如CD ORD、X射线晶体学、或NMR)。
一般而言,化学结构或化合物的所有互变异构形式和异构形式及混合物,无论是单独的几何异构体或立体异构体还是外消旋或非外消旋混合物均是预期的,除非在该化合物名称或结构中明确指出了具体的立体化学或异构形式。
D.药物施用和治疗术语和惯例
“患者”或“受试者”是哺乳动物,例如人、小鼠、大鼠、豚鼠、狗、猫、马、牛、猪或非人灵长类动物,如猴、黑猩猩、狒狒或恒河猴。在某些实施例中,受试者为灵长类动物。在又其他实施例中,受试者是人。
当与化合物一起使用时,“有效量”或“治疗有效量”意指本披露的化合物的如下量,该量(i)治疗或预防特定疾病、病症或障碍,(ii)减弱、减轻、或消除特定疾病、病症或障碍的一种或多种症状,或(iii)预防或延迟本文所述的特定疾病、病症或障碍的一种或多种症状的发作。
术语“药物有效量”或“治疗有效量”意指根据本披露的化合物的如下量,当向有需要的患者施用时,该量足以实现对其中化合物具有效用的疾病状态、病症或障碍的治疗。这种量足以引起研究人员或临床医生所寻求的组织、系统或患者的生物学或医学反应。构成治疗有效量的根据本披露的化合物的量将根据如下因素变化,如化合物及其生物学活性,用于施用的组合物,施用时间,施用途径,化合物的排泄速率,治疗的持续时间,正治疗的疾病状态或障碍的类型及其严重程度,与本披露的化合物组合或一起使用的药物,以及患者的年龄、体重、一般健康、性别和饮食。这种治疗有效量可以由本领域普通技术人员根据他们自己的知识、现有技术和本披露常规地确定。
如本文所使用的,术语“药物组合物”是指呈适于口服施用或肠胃外施用的形式的本披露的化合物或其药学上可接受的盐、水合物、溶剂化物、前药、立体异构体、或互变异构体,以及至少一种药学上可接受的载体。
“载体”涵盖载体、赋形剂、和稀释剂,并且意指涉及从一个器官或受试者的身体部分向另一个器官或受试者的身体部分携带或运输药物药剂的材料、组合物或媒介物,例如液体或固体填充剂、稀释剂、赋形剂、溶剂或包封材料。
如果受试者将在生物学上、在医学上或在生活质量上从治疗中获益,则此类受试者是“需要”这种治疗的(优选地,人)。
如本文所用,术语“抑制(inhibit、inhibition或inhibiting)”是指降低或遏制给定病症、症状或障碍、或疾病,或在生物学活性或过程的基线活性方面的显著减少。
如本文所使用的,术语任何疾病或障碍的“治疗(treat、treating或treatment)”是指缓解或减轻疾病或障碍(即,减慢或阻止疾病或其至少一种临床症状的发展);或缓解或减轻与所述疾病或障碍相关的至少一种物理参数或生物标记,包括患者可能无法辨别的那些物理参数或生物标记。
如本文所使用的,术语任何疾病或障碍的“预防(prevent,preventing或prevention)”是指疾病或障碍的预防性治疗;或延迟疾病或障碍的发作或进展。
“药学上可接受的”意指物质或组合物必须在化学和/或毒理学上与包含配制品的其他成分和/或正用其治疗的哺乳动物相容。
除非另有指示,否则“障碍”意指术语疾病、病症、或病痛,并且可与这些术语互换地使用。
“施用(administer、administering或administration)”意指将所披露的化合物、或所披露的化合物的药学上可接受的盐或组合物直接施用至受试者,或将化合物、或化合物的药学上可接受的盐或组合物的前药衍生物或类似物施用至受试者,这可在受试者体内形成等量的活性化合物。
“前药”意指如下化合物,该化合物通过代谢方式(例如,通过水解)在体内可转化为所披露的化合物。
“本披露的化合物(Compounds of the present disclosure)”、“本披露的化合物(compounds of the disclosure)”以及等同的表述(除非另有特别指出)是指如本文所述的具有式(I)、(Ia)、(Ib)、(Ic)、(Id)、(Ie)、(If)、(Ig)、(Ih)、(Ii)、(Ij)、(Ik)、(Il)和(Im)的化合物,包括其互变异构体、前药、盐(特别是药学上可接受的盐)、及溶剂化物和水合物、(在上下文允许的情况下)以及所有立体异构体(包括非对映异构体和对映异构体)、旋转异构体、互变异构体、和同位素标记的化合物(包括氘取代),以及固有形成的部分(例如,多晶型物、溶剂化物和/或水合物)。出于本披露的目的,溶剂化物和水合物通常被认为是组合物。一般而言和优选地,本披露的化合物和表示本披露的化合物的式应理解为仅包括其稳定的化合物并排除不稳定的化合物,即使不稳定的化合物可以被认为是实际上包括在化合物式内。类似地,在上下文允许的情况下,提及中间体(无论它们本身是否被要求保护)都意在包括它们的盐和溶剂化物。为了清楚起见,有时在文本中指出了上下文允许的特定情况,但这些情况纯粹是说明性的,并且并不旨在排除上下文允许的其他情况。
“稳定的化合物”或“稳定的结构”意指足够稳健以经受从反应混合物中分离至有用纯度并配制成有效治疗剂或诊断剂的化合物。例如,具有“悬挂化合价(danglingvalency)”或是碳负离子的化合物不是本披露考虑的化合物。
在一个特定实施例中,术语“约”或“大约”意指在给定值或范围的20%以内、优选10%以内、并且更优选5%以内。
本文所述的每个反应的产率表示为理论产率的百分比。“癌症”意指由恶性赘生性细胞增殖引起的任何癌症,例如肿瘤、赘生物、癌、肉瘤、白血病、淋巴瘤等。例如,癌症包括但不限于间皮瘤、白血病、和淋巴瘤,例如皮肤T细胞淋巴瘤(CTCL)、非皮肤外周T细胞淋巴瘤、与人T细胞亲淋巴性病毒(HTLV)相关的淋巴瘤(如成人T细胞白血病/淋巴瘤(ATLL))、B细胞淋巴瘤、急性非淋巴细胞白血病、慢性淋巴细胞白血病、慢性髓细胞性白血病、急性髓细胞性白血病、淋巴瘤和多发性骨髓瘤、非霍奇金淋巴瘤、急性淋巴细胞白血病(ALL)、慢性淋巴细胞白血病(CLL)、霍奇金淋巴瘤、伯基特淋巴瘤、成人T细胞白血病淋巴瘤、急性髓系白血病(AML)、慢性髓系白血病(CML)、或肝细胞癌。另外的实例包括骨髓增生异常综合征、儿童实体瘤(如脑肿瘤、神经母细胞瘤、视网膜母细胞瘤、肾母细胞瘤(Wilms'tumor)、骨肿瘤、和软组织肉瘤)、成人常见实体瘤(如头颈癌(例如,口腔、喉、和鼻咽的癌)、食管癌、泌尿生殖系统癌症(例如,前列腺、膀胱、肾、子宫、卵巢、睾丸的癌)、肺癌(例如,小细胞和非小细胞肺癌)、乳腺癌、胰腺癌、黑色素瘤、和其他皮肤癌、胃癌、脑肿瘤、与戈林综合征相关的肿瘤(例如,成神经管细胞瘤、脑膜瘤等)、和肝癌。可以由主题化合物治疗的癌症的另外的示例性形式包括但不限于骨骼肌或平滑肌的癌症、胃癌、小肠的癌症、直肠癌、唾液腺的癌症、子宫内膜癌、肾上腺癌、肛门癌、直肠癌症、甲状旁腺癌、和垂体癌。
本文所述的化合物可以用于预防、治疗、和研究的另外的癌症是例如结肠癌、家族性腺瘤性息肉癌、和遗传性非息肉病性结直肠癌、或黑色素瘤。此外,癌症包括但不限于唇癌、喉癌、下咽癌、舌癌、唾液腺癌、胃癌、腺癌、甲状腺癌(髓质及乳头状甲状腺癌)、肾癌、肾实质癌、子宫颈癌、子宫体癌、子宫内膜癌、绒毛膜癌、睾丸癌、泌尿系统癌、黑色素瘤、脑肿瘤(如胶质母细胞瘤、星形细胞瘤、脑膜瘤、成神经管细胞瘤、和周围神经外胚层肿瘤)、胆囊癌、支气管癌、多发性骨髓瘤、基底细胞癌、畸胎瘤、视网膜母细胞瘤、脉络膜黑色素瘤、精原细胞瘤、横纹肌肉瘤、颅咽管瘤、骨肉瘤、软骨肉瘤、肌肉瘤、脂肪肉瘤、纤维肉瘤、尤因肉瘤、和浆细胞瘤。
当提及用具有式(I)的化合物或其药学上可接受的盐、水合物、溶剂化物、前药、立体异构体、或互变异构体以及一种或多种第二药剂的组合的治疗方法或治疗性用途手段时,“同时地”或“同时的”意指通过相同途径和在相同时间施用该化合物和该一种或多种第二药剂。
当提及用具有式(I)的化合物或其药学上可接受的盐、水合物、溶剂化物、前药、立体异构体、或互变异构体以及一种或多种第二药剂的组合的治疗方法或治疗性用途手段时,“分开地”或“分开”意指通过不同途径和在大致相同时间施用该化合物和该一种或多种第二药剂。
当提及用具有式(I)的化合物或其药学上可接受的盐、水合物、溶剂化物、前药、立体异构体、或互变异构体以及一种或多种第二药剂的组合的治疗方法或治疗性用途时,“在一段时间”的治疗性施用是通过相同或不同途径和在不同时间施用该化合物和该一种或多种第二药剂。在一些实施例中,化合物或一种或多种第二药剂的施用是在其他物质的施用开始之前发生。通过这种方式,在施用一种或多种其他活性成分之前,可以施用数月活性成分(即,具有式(I)的化合物或其药学上可接受的盐、水合物、溶剂化物、前药、立体异构体、或互变异构体,或一种或多种第二药剂)中的一种。在这种情况下,不会发生同时的施用。在一段时间的另一种治疗性施用由以下组成:随时间施用组合的两种或多种活性成分(对于每种活性成分使用不同的施用频率),由此在某些时间点同时施用所有活性成分,而在其他时间点可以仅施用组合的一部分活性成分(像例如,具有式(I)的化合物或其药学上可接受的盐、水合物、溶剂化物、前药、立体异构体、或互变异构体,以及一种或多种第二药剂,在一段时间的治疗性施用可以使得将该具有式(I)的化合物或其药学上可接受的盐、水合物、溶剂化物、前药、立体异构体、或互变异构体每天施用一次,并将该一种或多种第二药剂每四周施用一次)。
化合物可以与其他药物疗法或治疗模式同时地(作为单个制剂或单独制剂)顺序地、分开地或在一段时间施用。通常,组合疗法设想在单个周期或疗程期间施用两种或更多种药物。
“IKZF2依赖性疾病或障碍”意指任何直接地或间接地受IKZF2蛋白水平的调节影响的疾病或障碍。
“IKZF4依赖性疾病或障碍”意指任何直接地或间接地受IKZF4蛋白水平的调节影响的疾病或障碍。
D.用于测试具有式(I)的化合物的具体实施例和方法
本披露涉及能够调节IKZF2蛋白水平的化合物或其药学上可接受的盐、水合物、溶剂化物、前药、立体异构体、或互变异构体,它们可用于治疗与IKZF2蛋白水平的调节相关的疾病和障碍。本披露进一步涉及可用于降低或减少IKZF2蛋白水平的化合物或其药学上可接受的盐、水合物、溶剂化物、前药、立体异构体、或互变异构体。
在一个实施例中,具有式(I)的化合物具有式(Ia)的结构:
或其药学上可接受的盐、水合物、溶剂化物、前药、立体异构体、和互变异构体。
在另一个实施例中,具有式(I)的化合物具有式(Ib)的结构:
或其药学上可接受的盐、水合物、溶剂化物、前药、立体异构体、和互变异构体。
在另一个实施例中,具有式(I)的化合物具有式(Ic)的结构:
或其药学上可接受的盐、水合物、溶剂化物、前药、立体异构体、和互变异构体。
在另一个实施例中,具有式(I)的化合物具有式(Id)的结构:
或其药学上可接受的盐、水合物、溶剂化物、前药、立体异构体、和互变异构体。
在另一个实施例中,具有式(I)的化合物具有式(Ie)的结构:
或其药学上可接受的盐、水合物、溶剂化物、前药、立体异构体、和互变异构体。
在另一个实施例中,具有式(I)的化合物具有式(If)的结构:
或其药学上可接受的盐、水合物、溶剂化物、前药、立体异构体、和互变异构体。
在另一个实施例中,具有式(I)的化合物具有式(Ig)的结构:
或其药学上可接受的盐、水合物、溶剂化物、前药、立体异构体、和互变异构体。
在另一个实施例中,具有式(I)的化合物具有式(Ih)的结构:
或其药学上可接受的盐、水合物、溶剂化物、前药、立体异构体、和互变异构体。
在另一个实施例中,具有式(I)的化合物具有式(Ii)的结构:
或其药学上可接受的盐、水合物、溶剂化物、前药、立体异构体、和互变异构体。
在另一个实施例中,具有式(I)的化合物具有式(Ij)的结构:
或其药学上可接受的盐、水合物、溶剂化物、前药、立体异构体、和互变异构体。
在另一个实施例中,具有式(I)的化合物具有式(Ik)的结构:
或其药学上可接受的盐、水合物、溶剂化物、前药、立体异构体、和互变异构体。
在另一个实施例中,具有式(I)的化合物具有式(Il)的结构:
或其药学上可接受的盐、水合物、溶剂化物、前药、立体异构体、和互变异构体。
在另一个实施例中,具有式(I)的化合物具有式(Im)的结构:
或其药学上可接受的盐、水合物、溶剂化物、前药、立体异构体、和互变异构体。
在具有以上式(例如,式(I)、式(Ia)、式(Ib)、式(Ic)、或式(Id)、式(Ie)、式(If)、式(Ig)、或式(Ih)、式(Ii)、式(Ij)、式(Ik)、式(Il)、和/或式(Im))的一些实施例中,其中:
R2是H、(C1-C6)烷基、(C6-C10)芳基、包含1个至3个选自O、N、和S的杂原子的5元或6元杂芳基、(C3-C8)环烷基、或包含1个至3个选自O、N、和S的杂原子的5元至7元杂环烷基,其中所述烷基任选地被一个至四个R4取代;并且所述芳基、杂芳基、环烷基、和杂环烷基任选地被一个至四个R5取代,或
R2和R1当在相邻原子上时与它们所附接的原子一起形成苯基环或包含1个至2个N原子的5元或6元杂芳基环,其中所述苯基和杂芳基任选地被一个至三个R13取代;或者R2和R1当在相邻原子上时与它们所附接的原子一起形成(C5-C6)环烷基环或包含1个至2个选自O、N、和S的杂原子的5元或6元杂环烷基环,其中所述环烷基和杂环烷基任选地被一个至三个R13取代;
R2和R3’当在相邻原子上时与它们所附接的原子一起形成苯基环或包含1个至2个N原子的5元或6元杂芳基环,其中所述苯基和杂芳基任选地被一个至三个R13取代;或者R2和R3’当在相邻原子上时与它们所附接的原子一起形成(C5-C6)环烷基环或包含1个至2个选自O、N、和S的杂原子的5元或6元杂环烷基环,其中所述环烷基和杂环烷基任选地被一个至三个R13取代;
R3是H、(C1-C6)烷基、(C1-C6)烷氧基、(C1-C6)卤代烷基、(C1-C6)卤代烷氧基、(C1-C6)羟基烷基、卤素、-OH、-(CH2)0-2NH2、-(CH2)0-2NH(C1-C6)烷基、-(CH2)0-2N((C1-C6)烷基)2、或CN;
R3’是H、(C1-C6)卤代烷基、(C1-C6)烷基、或(C3-C6)环烷基;
R3’和R2当在相邻原子上时与它们所附接的原子一起形成苯基环或包含1个至2个N原子的5元或6元杂芳基环,其中所述苯基和杂芳基任选地被一个至三个R13取代;或者R3’和R2当在相邻原子上时与它们所附接的原子一起形成(C5-C6)环烷基环或包含1个至2个选自O、N、和S的杂原子的5元或6元杂环烷基环,其中所述环烷基和杂环烷基任选地被一个至三个R13取代;
每个R4独立地选自-C(O)OR6、-C(O)NR6R6'、-NR6C(O)R6'、卤素、-OH、-NH2、CN、(C6-C10)芳基、包含1个至4个选自O、N、和S的杂原子的5元或6元杂芳基、(C3-C8)环烷基、以及包含1个至3个选自O、N、和S的杂原子的4元至7元杂环烷基环,其中所述芳基、杂芳基、环烷基、和杂环烷基基团任选地被一个至四个R7取代;
每个R5独立地选自(C1-C6)烷基、(C2-C6)烯基、(C2-C6)炔基、(C1-C6)烷氧基、(C1-C6)卤代烷基、(C1-C6)卤代烷氧基、(C1-C6)羟基烷基、卤素、-OH、-NH2、CN、(C3-C7)环烷基、包含1个至3个选自O、N、和S的杂原子的5元至7元杂环烷基、(C6-C10)芳基、以及包含1个至3个选自O、N、和S的杂原子的5元或6元杂芳基,或
两个R5当在相邻原子上时与它们所附接的原子一起形成(C6-C10)芳基环或包含1个至3个选自O、N、和S的杂原子的5元或6元杂芳基环,其任选地被一个至四个R10取代,或
两个R5当在相邻原子上时与它们所附接的原子一起形成(C5-C7)环烷基环或包含1个至3个选自O、N、和S的杂原子的5元至7元杂环烷基环,其任选地被一个至四个R10取代;
每个R7独立地选自(C1-C6)烷基、(C2-C6)烯基、(C2-C6)炔基、(C1-C6)烷氧基、(C1-C6)卤代烷基、(C1-C6)卤代烷氧基、-C(O)R8、-(CH2)0-3C(O)OR8、-C(O)NR8R9、-NR8C(O)R9、-NR8C(O)OR9、-S(O)pNR8R9、-S(O)pR12、(C1-C6)羟基烷基、卤素、-OH、-O(CH2)1-3CN、-NH2、CN、-O(CH2)0-3(C6-C10)芳基、金刚烷基、包含1个至3个选自O、N、和S的杂原子的-O(CH2)0-3-5元或6元杂芳基、(C6-C10)芳基、包含1个至3个选自O、N、和S的杂原子的单环或双环5元至10元杂芳基、(C3-C7)环烷基、以及包含1个至3个选自O、N、和S的杂原子的5元至7元杂环烷基,其中所述烷基任选地被一个至四个R11取代,并且所述芳基、杂芳基、和杂环烷基任选地被一个至四个各自独立地选自以下的取代基取代:卤素、(C1-C6)烷基、(C1-C6)卤代烷基、和(C1-C6)烷氧基,或
两个R7与它们所附接的碳原子一起形成=(O),或
两个R7当在相邻原子上时与它们所附接的原子一起形成(C6-C10)芳基环或包含1个至3个选自O、N、和S的杂原子的5元或6元杂芳基环,其任选地被一个至四个R10取代,或
两个R7与它们所附接的原子一起形成(C5-C7)环烷基环或包含1个至3个选自O、N、和S的杂原子的5元至7元杂环烷基环,其任选地被一个至四个R10取代;
或其药学上可接受的盐、水合物、溶剂化物、前药、立体异构体、或互变异构体。
在以上式的一些实施例中,Rx是D。在另一个实施例中,Rx是H。
在以上式的一些实施例中,每个R1独立地是(C1-C6)烷基、(C1-C6)烷氧基、(C1-C6)卤代烷基、(C1-C6)卤代烷氧基、(C1-C6)羟基烷基、卤素、-OH、-(CH2)0-2NH2、-(CH2)0-2NH(C1-C6)烷基、-(CH2)0-2N((C1-C6)烷基)2、或CN。在另一个实施例中,每个R1独立地是H、(C1-C6)烷基、(C1-C6)烷氧基、(C1-C6)卤代烷基、(C1-C6)卤代烷氧基、(C1-C6)羟基烷基、或卤素。在又另一个实施例中,每个R1独立地是(C1-C6)烷基、(C1-C6)烷氧基、(C1-C6)卤代烷基、(C1-C6)卤代烷氧基、(C1-C6)羟基烷基、或卤素。在另一个实施例中,每个R1独立地是H、卤素、-OH、-(CH2)0-2NH2、-(CH2)0-2NH(C1-C6)烷基、-(CH2)0-2N((C1-C6)烷基)2、或CN。在又另一个实施例中,每个R1独立地是卤素、-OH、-(CH2)0-2NH2、-(CH2)0-2NH(C1-C6)烷基、-(CH2)0-2N((C1-C6)烷基)2、或CN。在另一个实施例中,每个R1独立地是H、(C1-C6)烷基、(C1-C6)烷氧基、(C1-C6)羟基烷基、卤素、-OH、-(CH2)0-2NH2、-(CH2)0-2NH(C1-C6)烷基、-(CH2)0-2N((C1-C6)烷基)2、或CN。在另一个实施例中,每个R1独立地是(C1-C6)烷基、(C1-C6)烷氧基、(C1-C6)羟基烷基、卤素、-OH、-(CH2)0-2NH2、-(CH2)0-2NH(C1-C6)烷基、-(CH2)0-2N((C1-C6)烷基)2、或CN。
在另一个实施例中,每个R1独立地是H、(C1-C6)烷基、(C1-C6)烷氧基、(C1-C6)卤代烷基、(C1-C6)卤代烷氧基、卤素、-OH、-(CH2)0-2NH2、-(CH2)0-2NH(C1-C6)烷基、-(CH2)0-2N((C1-C6)烷基)2、或CN。在另一个实施例中,每个R1独立地是(C1-C6)烷基、(C1-C6)烷氧基、(C1-C6)卤代烷基、(C1-C6)卤代烷氧基、卤素、-OH、-(CH2)0-2NH2、-(CH2)0-2NH(C1-C6)烷基、-(CH2)0-2N((C1-C6)烷基)2、或CN。在另一个实施例中,每个R1独立地是H、(C1-C6)烷基、(C1-C6)烷氧基、(C1-C6)卤代烷氧基、(C1-C6)羟基烷基、卤素、-OH、-(CH2)0-2NH2、-(CH2)0-2NH(C1-C6)烷基、-(CH2)0-2N((C1-C6)烷基)2、或CN。在另一个实施例中,每个R1独立地是(C1-C6)烷基、(C1-C6)烷氧基、(C1-C6)卤代烷氧基、(C1-C6)羟基烷基、卤素、-OH、-(CH2)0-2NH2、-(CH2)0-2NH(C1-C6)烷基、-(CH2)0-2N((C1-C6)烷基)2、或CN。
在另一个实施例中,每个R1独立地是H、(C1-C6)烷基、(C1-C6)烷氧基、(C1-C6)卤代烷基、(C1-C6)卤代烷氧基、卤素、-OH、-(CH2)0-2NH2、-(CH2)0-2NH(C1-C6)烷基、或-(CH2)0-2N((C1-C6)烷基)2。在又另一个实施例中,每个R1独立地是(C1-C6)烷基、(C1-C6)烷氧基、(C1-C6)卤代烷基、(C1-C6)卤代烷氧基、卤素、-OH、-(CH2)0-2NH2、-(CH2)0-2NH(C1-C6)烷基、或-(CH2)0-2N((C1-C6)烷基)2。在另一个实施例中,每个R1独立地是H、(C1-C6)烷基、(C1-C6)烷氧基、(C1-C6)卤代烷基、卤素、-OH、-(CH2)0-2NH2、-(CH2)0-2NH(C1-C6)烷基、或-(CH2)0-2N((C1-C6)烷基)2。在又另一个实施例中,每个R1独立地是(C1-C6)烷基、(C1-C6)烷氧基、(C1-C6)卤代烷基、卤素、-OH、-(CH2)0-2NH2、-(CH2)0-2NH(C1-C6)烷基、或-(CH2)0-2N((C1-C6)烷基)2。
在另一个实施例中,每个R1独立地是H、(C1-C6)烷基、(C1-C6)烷氧基、(C1-C6)卤代烷基、卤素、-(CH2)0-2NH2、-(CH2)0-2NH(C1-C6)烷基、或-(CH2)0-2N((C1-C6)烷基)2。在又另一个实施例中,每个R1独立地是(C1-C6)烷基、(C1-C6)烷氧基、(C1-C6)卤代烷基、卤素、-(CH2)0- 2NH2、-(CH2)0-2NH(C1-C6)烷基、或-(CH2)0-2N((C1-C6)烷基)2。在另一个实施例中,每个R1独立地是H、(C1-C3)烷基、(C1-C3)烷氧基、(C1-C3)卤代烷基、卤素、-(CH2)0-2NH2、-(CH2)0-2NH(C1-C6)烷基、或-(CH2)0-2N((C1-C6)烷基)2。在又另一个实施例中,每个R1独立地是(C1-C3)烷基、(C1-C3)烷氧基、(C1-C3)卤代烷基、卤素、-(CH2)0-2NH2、-(CH2)0-2NH(C1-C6)烷基、或-(CH2)0-2N((C1-C6)烷基)2。
在以上式的一些实施例中,两个R1当在相邻原子上时与它们所附接的原子一起形成苯基环或包含1个至2个N原子的5元或6元杂芳基环,其中所述苯基和杂芳基任选地被一个至三个R13取代。在另一个实施例中,两个R1当在相邻原子上时与它们所附接的原子一起形成任选地被一个至三个R13取代的苯基环。在另一个实施例中,两个R1当在相邻原子上时与它们所附接的原子一起形成包含1个至2个N原子的5元或6元杂芳基环,其任选地被一个至三个R13取代。在另一个实施例中,两个R1当在相邻原子上时与它们所附接的原子一起形成包含1个至2个N原子的5元杂芳基环,其任选地被一个至三个R13取代。
在另一个实施例中,两个R1当在相邻原子上时与它们所附接的原子一起形成包含1个至2个N原子的6元杂芳基环,其任选地被一个至三个R13取代。在又另一个实施例中,两个R1当在相邻原子上时与它们所附接的原子一起形成苯基环或包含1个至2个N原子的5元杂芳基环,其中所述苯基和杂芳基任选地被一个至三个R13取代。在另一个实施例中,两个R1当在相邻原子上时与它们所附接的原子一起形成苯基环或包含1个至2个N原子的6元杂芳基环,其中所述苯基和杂芳基任选地被一个至三个R13取代。
在另一个实施例中,两个R1当在相邻原子上时与它们所附接的原子一起形成(C5-C6)环烷基环或包含1个至2个选自O、N、和S的杂原子的5元或6元杂环烷基环,其中所述环烷基和杂环烷基任选地被一个至三个R13取代。在又另一个实施例中,两个R1当在相邻原子上时与它们所附接的原子一起形成(C5-C6)环烷基环或包含1个至2个选自O、N、和S的杂原子的5元杂环烷基环,其中所述环烷基和杂环烷基任选地被一个至三个R13取代。在另一个实施例中,两个R1当在相邻原子上时与它们所附接的原子一起形成(C5-C6)环烷基环或包含1个至2个选自O、N、和S的杂原子的6元杂环烷基环,其中所述环烷基和杂环烷基任选地被一个至三个R13取代。
在另一个实施例中,两个R1当在相邻原子上时与它们所附接的原子一起形成任选地被一个至三个R13取代的(C5)环烷基环。在另一个实施例中,两个R1当在相邻原子上时与它们所附接的原子一起形成任选地被一个至三个R13取代的(C6)环烷基环。在另一个实施例中,两个R1当在相邻原子上时与它们所附接的原子一起形成包含1个至2个选自O、N、和S的杂原子的5元杂环烷基环,其中所述环烷基和杂环烷基任选地被一个至三个R13取代。在另一个实施例中,两个R1当在相邻原子上时与它们所附接的原子一起形成包含1个至2个选自O、N、和S的杂原子的6元杂环烷基环,其中所述环烷基和杂环烷基任选地被一个至三个R13取代。
在另一个实施例中,两个R1当在相邻原子上时与它们所附接的原子一起形成任选地被一个至三个R13取代的苯基环;或者两个R1当在相邻原子上时与它们所附接的原子一起形成(C5-C6)环烷基环或包含1个至2个选自O、N、和S的杂原子的5元或6元杂环烷基环,其中所述环烷基和杂环烷基任选地被一个至三个R13取代。在另一个实施例中,两个R1当在相邻原子上时与它们所附接的原子一起形成包含1个至2个N原子的5元或6元杂芳基环,其任选地被一个至三个R13取代;或者两个R1当在相邻原子上时与它们所附接的原子一起形成(C5-C6)环烷基环或包含1个至2个选自O、N、和S的杂原子的5元或6元杂环烷基环,其中所述环烷基和杂环烷基任选地被一个至三个R13取代。
在另一个实施例中,两个R1当在相邻原子上时与它们所附接的原子一起形成苯基环或包含1个至2个N原子的5元或6元杂芳基环,其中所述苯基和杂芳基任选地被一个至三个R13取代;或者两个R1当在相邻原子上时与它们所附接的原子一起形成任选地被一个至三个R13取代的(C5-C6)环烷基环。在另一个实施例中,两个R1当在相邻原子上时与它们所附接的原子一起形成苯基环或包含1个至2个N原子的5元或6元杂芳基环,其中所述苯基和杂芳基任选地被一个至三个R13取代;或者两个R1当在相邻原子上时与它们所附接的原子一起形成包含1个至2个选自O、N、和S的杂原子的5元或6元杂环烷基环,其任选地被一个至三个R13取代。
在另一个实施例中,两个R1当在相邻原子上时与它们所附接的原子一起形成任选地被一个至三个R13取代的苯基环或任选地被一个至三个R13取代的(C5-C6)环烷基环。在另一个实施例中,两个R1当在相邻原子上时与它们所附接的原子一起形成任选地被一个至三个R13取代的苯基环或包含1个至2个选自O、N、和S的杂原子的任选地被一个至三个R13取代的5元或6元杂环烷基环。在另一个实施例中,两个R1当在相邻原子上时与它们所附接的原子一起形成包含1个至2个N原子的5元或6元杂芳基环(其中所述苯基和杂芳基任选地被一个至三个R13取代)、任选地被一个至三个R13取代的(C5-C6)环烷基环。
在另一个实施例中,两个R1当在相邻原子上时与它们所附接的原子一起形成包含1个至2个N原子的任选地被一个至三个R13取代的5元或6元杂芳基环,或包含1个至2个选自O、N、和S的杂原子的任选地被一个至三个R13取代的5元或6元杂环烷基环。
在以上式的一些实施例中,R1和R2当在相邻原子上时与它们所附接的原子一起形成苯基环或包含1个至2个N原子的5元或6元杂芳基环,其中所述苯基和杂芳基任选地被一个至三个R13取代。在另一个实施例中,R1和R2当在相邻原子上时与它们所附接的原子一起形成任选地被一个至三个R13取代的苯基环。在另一个实施例中,R1和R2当在相邻原子上时与它们所附接的原子一起形成包含1个至2个N原子的5元或6元杂芳基环,其任选地被一个至三个R13取代。在另一个实施例中,R1和R2当在相邻原子上时与它们所附接的原子一起形成包含1个至2个N原子的5元杂芳基环,其任选地被一个至三个R13取代。
在另一个实施例中,R1和R2当在相邻原子上时与它们所附接的原子一起形成包含1个至2个N原子的6元杂芳基环,其任选地被一个至三个R13取代。在又另一个实施例中,R1和R2当在相邻原子上时与它们所附接的原子一起形成苯基环或包含1个至2个N原子的5元杂芳基环,其中所述苯基和杂芳基任选地被一个至三个R13取代。在另一个实施例中,R1和R2当在相邻原子上时与它们所附接的原子一起形成苯基环或包含1个至2个N原子的6元杂芳基环,其中所述苯基和杂芳基任选地被一个至三个R13取代。
在另一个实施例中,R1和R2当在相邻原子上时与它们所附接的原子一起形成(C5-C6)环烷基环或包含1个至2个选自O、N、和S的杂原子的5元或6元杂环烷基环,其中所述环烷基和杂环烷基任选地被一个至三个R13取代。在又另一个实施例中,R1和R2当在相邻原子上时与它们所附接的原子一起形成(C5-C6)环烷基环或包含1个至2个选自O、N、和S的杂原子的5元杂环烷基环,其中所述环烷基和杂环烷基任选地被一个至三个R13取代。在另一个实施例中,R1和R2当在相邻原子上时与它们所附接的原子一起形成(C5-C6)环烷基环或包含1个至2个选自O、N、和S的杂原子的6元杂环烷基环,其中所述环烷基和杂环烷基任选地被一个至三个R13取代。
在另一个实施例中,R1和R2当在相邻原子上时与它们所附接的原子一起形成任选地被一个至三个R13取代的(C5)环烷基环。在另一个实施例中,R1和R2当在相邻原子上时与它们所附接的原子一起形成任选地被一个至三个R13取代的(C6)环烷基环。在另一个实施例中,R1和R2当在相邻原子上时与它们所附接的原子一起形成包含1个至2个选自O、N、和S的杂原子的5元杂环烷基环,其中所述环烷基和杂环烷基任选地被一个至三个R13取代。在另一个实施例中,R1和R2当在相邻原子上时与它们所附接的原子一起形成包含1个至2个选自O、N、和S的杂原子的6元杂环烷基环,其中所述环烷基和杂环烷基任选地被一个至三个R13取代。
在另一个实施例中,R1和R2当在相邻原子上时与它们所附接的原子一起形成任选地被一个至三个R13取代的苯基环;或者R1和R2当在相邻原子上时与它们所附接的原子一起形成(C5-C6)环烷基环或包含1个至2个选自O、N、和S的杂原子的5元或6元杂环烷基环,其中所述环烷基和杂环烷基任选地被一个至三个R13取代。在另一个实施例中,R1和R2当在相邻原子上时与它们所附接的原子一起形成包含1个至2个N原子的5元或6元杂芳基环,其任选地被一个至三个R13取代;或者R1和R2当在相邻原子上时与它们所附接的原子一起形成(C5-C6)环烷基环或包含1个至2个选自O、N、和S的杂原子的5元或6元杂环烷基环,其中所述环烷基和杂环烷基任选地被一个至三个R13取代。
在另一个实施例中,R1和R2当在相邻原子上时与它们所附接的原子一起形成苯基环或包含1个至2个N原子的5元或6元杂芳基环,其中所述苯基和杂芳基任选地被一个至三个R13取代;或者R1和R2当在相邻原子上时与它们所附接的原子一起形成任选地被一个至三个R13取代的(C5-C6)环烷基环。在另一个实施例中,R1和R2当在相邻原子上时与它们所附接的原子一起形成苯基环或包含1个至2个N原子的5元或6元杂芳基环,其中所述苯基和杂芳基任选地被一个至三个R13取代;或者R1和R2当在相邻原子上时与它们所附接的原子一起形成包含1个至2个选自O、N、和S的杂原子的5元或6元杂环烷基环,其任选地被一个至三个R13取代。
在另一个实施例中,R1和R2当在相邻原子上时与它们所附接的原子一起形成任选地被一个至三个R13取代的苯基环或任选地被一个至三个R13取代的(C5-C6)环烷基环。在另一个实施例中,R1和R2当在相邻原子上时与它们所附接的原子一起形成任选地被一个至三个R13取代的苯基环或包含1个至2个选自O、N、和S的杂原子的任选地被一个至三个R13取代的5元或6元杂环烷基环。在另一个实施例中,R1和R2当在相邻原子上时与它们所附接的原子一起形成包含1个至2个N原子的5元或6元杂芳基环(其中所述苯基和杂芳基任选地被一个至三个R13取代)、任选地被一个至三个R13取代的(C5-C6)环烷基环。
在另一个实施例中,R1和R2当在相邻原子上时与它们所附接的原子一起形成包含1个至2个N原子的任选地被一个至三个R13取代的5元或6元杂芳基环,或包含1个至2个选自O、N、和S的杂原子的任选地被一个至三个R13取代的5元或6元杂环烷基环。
在以上式的一些实施例中,R2和R3’当在相邻原子上时与它们所附接的原子一起形成苯基环或包含1个至2个N原子的5元或6元杂芳基环,其中所述苯基和杂芳基任选地被一个至三个R13取代。在另一个实施例中,R2和R3’当在相邻原子上时与它们所附接的原子一起形成任选地被一个至三个R13取代的苯基环。在另一个实施例中,R2和R3’当在相邻原子上时与它们所附接的原子一起形成包含1个至2个N原子的5元或6元杂芳基环,其任选地被一个至三个R13取代。在另一个实施例中,R2和R3’当在相邻原子上时与它们所附接的原子一起形成包含1个至2个N原子的5元杂芳基环,其任选地被一个至三个R13取代。
在另一个实施例中,R2和R3’当在相邻原子上时与它们所附接的原子一起形成包含1个至2个N原子的6元杂芳基环,其任选地被一个至三个R13取代。在又另一个实施例中,R2和R3’当在相邻原子上时与它们所附接的原子一起形成苯基环或包含1个至2个N原子的5元杂芳基环,其中所述苯基和杂芳基任选地被一个至三个R13取代。在另一个实施例中,R2和R3’当在相邻原子上时与它们所附接的原子一起形成苯基环或包含1个至2个N原子的6元杂芳基环,其中所述苯基和杂芳基任选地被一个至三个R13取代。
在另一个实施例中,R2和R3’当在相邻原子上时与它们所附接的原子一起形成(C5-C6)环烷基环或包含1个至2个选自O、N、和S的杂原子的5元或6元杂环烷基环,其中所述环烷基和杂环烷基任选地被一个至三个R13取代。在又另一个实施例中,R2和R3’当在相邻原子上时与它们所附接的原子一起形成(C5-C6)环烷基环或包含1个至2个选自O、N、和S的杂原子的5元杂环烷基环,其中所述环烷基和杂环烷基任选地被一个至三个R13取代。在另一个实施例中,R2和R3’当在相邻原子上时与它们所附接的原子一起形成(C5-C6)环烷基环或包含1个至2个选自O、N、和S的杂原子的6元杂环烷基环,其中所述环烷基和杂环烷基任选地被一个至三个R13取代。
在另一个实施例中,R2和R3’当在相邻原子上时与它们所附接的原子一起形成任选地被一个至三个R13取代的(C5)环烷基环。在另一个实施例中,R2和R3’当在相邻原子上时与它们所附接的原子一起形成任选地被一个至三个R13取代的(C6)环烷基环。在另一个实施例中,R2和R3’当在相邻原子上时与它们所附接的原子一起形成包含1个至2个选自O、N、和S的杂原子的5元杂环烷基环,其中所述环烷基和杂环烷基任选地被一个至三个R13取代。在另一个实施例中,R2和R3’当在相邻原子上时与它们所附接的原子一起形成包含1个至2个选自O、N、和S的杂原子的6元杂环烷基环,其中所述环烷基和杂环烷基任选地被一个至三个R13取代。
在另一个实施例中,R2和R3’当在相邻原子上时与它们所附接的原子一起形成任选地被一个至三个R13取代的苯基环;或者R2和R3’当在相邻原子上时与它们所附接的原子一起形成(C5-C6)环烷基环或包含1个至2个选自O、N、和S的杂原子的5元或6元杂环烷基环,其中所述环烷基和杂环烷基任选地被一个至三个R13取代。在另一个实施例中,R2和R3’当在相邻原子上时与它们所附接的原子一起形成包含1个至2个N原子的5元或6元杂芳基环,其任选地被一个至三个R13取代;或者R2和R3’当在相邻原子上时与它们所附接的原子一起形成(C5-C6)环烷基环或包含1个至2个选自O、N、和S的杂原子的5元或6元杂环烷基环,其中所述环烷基和杂环烷基任选地被一个至三个R13取代。
在另一个实施例中,R2和R3’当在相邻原子上时与它们所附接的原子一起形成苯基环或包含1个至2个N原子的5元或6元杂芳基环,其中所述苯基和杂芳基任选地被一个至三个R13取代;或者R2和R3’当在相邻原子上时与它们所附接的原子一起形成任选地被一个至三个R13取代的(C5-C6)环烷基环。在另一个实施例中,R2和R3’当在相邻原子上时与它们所附接的原子一起形成苯基环或包含1个至2个N原子的5元或6元杂芳基环,其中所述苯基和杂芳基任选地被一个至三个R13取代;或者R2和R3’当在相邻原子上时与它们所附接的原子一起形成包含1个至2个选自O、N、和S的杂原子的5元或6元杂环烷基环,其任选地被一个至三个R13取代。
在另一个实施例中,R2和R3’当在相邻原子上时与它们所附接的原子一起形成任选地被一个至三个R13取代的苯基环或任选地被一个至三个R13取代的(C5-C6)环烷基环。在另一个实施例中,R2和R3’当在相邻原子上时与它们所附接的原子一起形成任选地被一个至三个R13取代的苯基环或包含1个至2个选自O、N、和S的杂原子的任选地被一个至三个R13取代的5元或6元杂环烷基环。在另一个实施例中,R2和R3’当在相邻原子上时与它们所附接的原子一起形成包含1个至2个N原子的任选地被一个至三个R13取代的5元或6元杂芳基环,或任选地被一个至三个R13取代的(C5-C6)环烷基环。
在另一个实施例中,R2和R3’当在相邻原子上时与它们所附接的原子一起形成包含1个至2个N原子的任选地被一个至三个R13取代的5元或6元杂芳基环,或包含1个至2个选自O、N、和S的杂原子的任选地被一个至三个R13取代的5元或6元杂环烷基环。
在以上式的一些实施例中,R2是H、(C1-C6)烷基、(C6-C10)芳基、包含1个至3个选自O、N、和S的杂原子的5元或6元杂芳基、(C3-C8)环烷基、或包含1个至3个选自O、N、和S的杂原子的5元至7元杂环烷基,其中所述烷基任选地被一个至四个R4取代;并且所述芳基、杂芳基、环烷基、和杂环烷基任选地被一个至四个R5取代。在另一个实施例中,R2是(C1-C4)烷基、(C6-C10)芳基、(C3-C8)环烷基、或包含1个至3个选自O、N、和S的杂原子的5元至7元杂环烷基,其中所述烷基任选地被一个至三个R4取代;并且其中所述芳基、环烷基、和杂环烷基任选地被一个至三个R5取代。在另一个实施例中,R2是H、(C1-C4)烷基、包含1个至3个选自O、N、和S的杂原子的5元或6元杂芳基、(C3-C8)环烷基、或包含1个至3个选自O、N、和S的杂原子的5元至7元杂环烷基,其中所述烷基任选地被一个至三个R4取代;并且其中所述杂芳基、环烷基、和杂环烷基任选地被一个至三个R5取代。在另一个实施例中,R2是(C1-C4)烷基、包含1个至3个选自O、N、和S的杂原子的5元或6元杂芳基、(C3-C8)环烷基、或包含1个至3个选自O、N、和S的杂原子的5元至7元杂环烷基,其中所述烷基任选地被一个至三个R4取代;并且其中所述杂芳基、环烷基、和杂环烷基任选地被一个至三个R5取代。
在另一个实施例中,R2是H、(C1-C4)烷基、(C6-C10)芳基、包含1个至3个选自O、N、和S的杂原子的5元或6元杂芳基、或(C3-C8)环烷基,其中所述烷基任选地被一个至三个R4取代;并且其中所述芳基、杂芳基、和环烷基任选地被一个至三个R5取代。在另一个实施例中,R2是(C1-C4)烷基、(C6-C10)芳基、包含1个至3个选自O、N、和S的杂原子的5元或6元杂芳基、或(C3-C8)环烷基,其中所述烷基任选地被一个至三个R4取代;并且其中所述芳基、杂芳基、和环烷基任选地被一个至三个R5取代。在另一个实施例中,R2是H、(C1-C4)烷基、(C6-C10)芳基、包含1个至3个选自O、N、和S的杂原子的5元或6元杂芳基、包含1个至3个选自O、N、和S的杂原子的或5元至7元杂环烷基,其中所述烷基任选地被一个至三个R4取代;并且其中所述芳基、杂芳基、和杂环烷基任选地被一个至三个R5取代。在另一个实施例中,R2是(C1-C4)烷基、(C6-C10)芳基、包含1个至3个选自O、N、和S的杂原子的5元或6元杂芳基、或包含1个至3个选自O、N、和S的杂原子的5元至7元杂环烷基,其中所述烷基任选地被一个至三个R4取代;并且其中所述芳基、杂芳基、和杂环烷基任选地被一个至三个R5取代。
在以上式的一些实施例中,R2是H、(C1-C6)烷基、(C6-C10)芳基、包含1个至3个选自O、N、和S的杂原子的5元或6元杂芳基、(C3-C8)环烷基、或包含1个至3个选自O、N、和S的杂原子的5元至7元杂环烷基,其中所述烷基任选地被一个至四个R4取代;并且所述芳基、杂芳基、环烷基、和杂环烷基任选地被一个至四个R5取代。在另一个实施例中,R2是H、(C1-C4)烷基、(C6-C10)芳基、(C3-C8)环烷基、或包含1个至3个选自O、N、和S的杂原子的5元至7元杂环烷基,其中所述烷基任选地被一个至三个R4取代;并且其中所述芳基、环烷基、和杂环烷基任选地被一个至三个R5取代。
在另一个实施例中,R2是H、(C1-C4)烷基、包含1个至3个选自O、N、和S的杂原子的5元或6元杂芳基、(C3-C8)环烷基、或包含1个至3个选自O、N、和S的杂原子的5元至7元杂环烷基,其中所述烷基任选地被一个至三个R4取代;并且其中所述杂芳基、环烷基、和杂环烷基任选地被一个至三个R5取代。在另一个实施例中,R2是H、(C1-C4)烷基、(C6-C10)芳基、包含1个至3个选自O、N、和S的杂原子的5元或6元杂芳基、或(C3-C8)环烷基,其中所述烷基任选地被一个至三个R4取代;并且其中所述芳基、杂芳基、和环烷基任选地被一个至三个R5取代。在另一个实施例中,R2是H、(C1-C4)烷基、(C6-C10)芳基、包含1个至3个选自O、N、和S的杂原子的5元或6元杂芳基、包含1个至3个选自O、N、和S的杂原子的或5元至7元杂环烷基,其中所述烷基任选地被一个至三个R4取代;并且其中所述芳基、杂芳基、和杂环烷基任选地被一个至三个R5取代。
在以上式的一些实施例中,R2是(C1-C6)烷基、(C6-C10)芳基、包含1个至3个选自O、N、和S的杂原子的5元或6元杂芳基、(C3-C8)环烷基、或包含1个至3个选自O、N、和S的杂原子的5元至7元杂环烷基,其中所述烷基任选地被一个至四个R4取代;并且所述芳基、杂芳基、环烷基、和杂环烷基任选地被一个至四个R5取代。在另一个实施例中,R2是(C1-C4)烷基、(C6-C10)芳基、(C3-C8)环烷基、或包含1个至3个选自O、N、和S的杂原子的5元至7元杂环烷基,其中所述烷基任选地被一个至三个R4取代;并且其中所述芳基、环烷基、和杂环烷基任选地被一个至三个R5取代。在另一个实施例中,R2是(C1-C4)烷基、包含1个至3个选自O、N、和S的杂原子的5元或6元杂芳基、(C3-C8)环烷基、或包含1个至3个选自O、N、和S的杂原子的5元至7元杂环烷基,其中所述烷基任选地被一个至三个R4取代;并且其中所述杂芳基、环烷基、和杂环烷基任选地被一个至三个R5取代。
在另一个实施例中,R2是(C1-C4)烷基、(C6-C10)芳基、包含1个至3个选自O、N、和S的杂原子的5元或6元杂芳基、或(C3-C8)环烷基,其中所述烷基任选地被一个至三个R4取代;并且其中所述芳基、杂芳基、和环烷基任选地被一个至三个R5取代。在另一个实施例中,R2是(C1-C4)烷基、(C6-C10)芳基、包含1个至3个选自O、N、和S的杂原子的5元或6元杂芳基、或包含1个至3个选自O、N、和S的杂原子的5元至7元杂环烷基,其中所述烷基任选地被一个至三个R4取代;并且其中所述芳基、杂芳基、和杂环烷基任选地被一个至三个R5取代。
在另一个实施例中,R2是H、(C6-C10)芳基、包含1个至3个选自O、N、和S的杂原子的5元或6元杂芳基、(C3-C8)环烷基、或包含1个至3个选自O、N、和S的杂原子的5元至7元杂环烷基,其中所述芳基、杂芳基、环烷基、和杂环烷基任选地被一个至三个R5取代。在另一个实施例中,R2是H、(C6-C10)芳基、(C3-C8)环烷基、或包含1个至3个选自O、N、和S的杂原子的5元至7元杂环烷基,其中所述芳基、环烷基、和杂环烷基任选地被一个至三个R5取代。在又另一个实施例中,R2是H、苯基、(C3-C8)环烷基、或包含1个至3个选自O、N、和S的杂原子的5元至7元杂环烷基,其中所述苯基、环烷基、和杂环烷基任选地被一个至三个R5取代。在另一个实施例中,R2是H、任选地被一个至三个R4取代的(C1-C3)烷基。在又另一个实施例中,R2是H、被一个至三个R4取代的(C1-C3)烷基。
在另一个实施例中,R2是(C6-C10)芳基、包含1个至3个选自O、N、和S的杂原子的5元或6元杂芳基、(C3-C8)环烷基、或包含1个至3个选自O、N、和S的杂原子的5元至7元杂环烷基,其中所述芳基、杂芳基、环烷基、和杂环烷基任选地被一个至三个R5取代。在另一个实施例中,R2是(C6-C10)芳基、(C3-C8)环烷基、或包含1个至3个选自O、N、和S的杂原子的5元至7元杂环烷基,其中所述芳基、环烷基、和杂环烷基任选地被一个至三个R5取代。在又另一个实施例中,R2是苯基、(C3-C8)环烷基、或包含1个至3个选自O、N、和S的杂原子的5元至7元杂环烷基,其中所述苯基、环烷基、和杂环烷基任选地被一个至三个R5取代。在另一个实施例中,R2是任选地被一个至三个R4取代的(C1-C3)烷基。在又另一个实施例中,R2是被一个至三个R4取代的(C1-C3)烷基。
在另一个实施例中,R2是H、(C3-C8)环烷基、或包含1个至3个选自O、N、和S的杂原子的5元至7元杂环烷基,其中所述环烷基和杂环烷基任选地被一个至三个R5取代。在又另一个实施例中,R2是H、(C6-C10)芳基或包含1个至3个选自O、N、和S的杂原子的5元或6元杂芳基,其中所述芳基和杂芳基任选地被一个至三个R5取代。在另一个实施例中,R2是H、(C3-C8)环烷基、或(C6-C10)芳基,其中所述环烷基和芳基任选地被一个至三个R5取代。在又另一个实施例中,R2是H、包含1个至3个选自O、N、和S的杂原子的5元或6元杂芳基、或包含1个至3个选自O、N、和S的杂原子的5元至7元杂环烷基,其中所述杂芳基和杂环烷基任选地被一个至三个R5取代。在另一个实施例中,R2是H或任选地被一个至三个R5取代的(C6-C10)芳基。在又另一个实施例中,R2是H或包含1个至3个选自O、N、和S的杂原子的任选地被一个至三个R5取代的5元或6元杂芳基。在另一个实施例中,R2是H或任选地被一个至三个R5取代的(C3-C8)环烷基。在又另一个实施例中,R2是H或包含1个至3个选自O、N、和S的杂原子的任选地被一个至三个R5取代的5元至7元杂环烷基。
在另一个实施例中,R2是(C3-C8)环烷基或包含1个至3个选自O、N、和S的杂原子的5元至7元杂环烷基,其中所述环烷基和杂环烷基任选地被一个至三个R5取代。在又另一个实施例中,R2是(C6-C10)芳基或包含1个至3个选自O、N、和S的杂原子的5元或6元杂芳基,其中所述芳基和杂芳基任选地被一个至三个R5取代。在另一个实施例中,R2是(C3-C8)环烷基或(C6-C10)芳基,其中所述环烷基和芳基任选地被一个至三个R5取代。在又另一个实施例中,R2是包含1个至3个选自O、N、和S的杂原子的5元或6元杂芳基、或包含1个至3个选自O、N、和S的杂原子的5元至7元杂环烷基,其中所述杂芳基和杂环烷基任选地被一个至三个R5取代。在另一个实施例中,R2是任选地被一个至三个R5取代的(C6-C10)芳基。在又另一个实施例中,R2是包含1个至3个选自O、N、和S的杂原子的任选地被一个至三个R5取代的5元或6元杂芳基。在另一个实施例中,R2是任选地被一个至三个R5取代的(C3-C8)环烷基。在又另一个实施例中,R2是包含1个至3个选自O、N、和S的杂原子的任选地被一个至三个R5取代的5元至7元杂环烷基。
在以上式的一些实施例中,R3是(C1-C6)烷基、(C1-C6)烷氧基、(C1-C6)卤代烷基、(C1-C6)卤代烷氧基、(C1-C6)羟基烷基、卤素、-OH、-(CH2)0-2NH2、-(CH2)0-2NH(C1-C6)烷基、-(CH2)0-2N((C1-C6)烷基)2、或CN。在另一个实施例中,R3是H、(C1-C6)烷基、(C1-C6)烷氧基、(C1-C6)卤代烷基、(C1-C6)卤代烷氧基、(C1-C6)羟基烷基、或卤素。在又另一个实施例中,R3是(C1-C6)烷基、(C1-C6)烷氧基、(C1-C6)卤代烷基、(C1-C6)卤代烷氧基、(C1-C6)羟基烷基、或卤素。在另一个实施例中,R3是H、卤素、-OH、-(CH2)0-2NH2、-(CH2)0-2NH(C1-C6)烷基、-(CH2)0- 2N((C1-C6)烷基)2、或CN。在又另一个实施例中,R3是卤素、-OH、-(CH2)0-2NH2、-(CH2)0-2NH(C1-C6)烷基、-(CH2)0-2N((C1-C6)烷基)2、或CN。在另一个实施例中,R3是H、(C1-C6)烷基、(C1-C6)烷氧基、(C1-C6)羟基烷基、卤素、-OH、-(CH2)0-2NH2、-(CH2)0-2NH(C1-C6)烷基、-(CH2)0-2N((C1-C6)烷基)2、或CN。在另一个实施例中,R3是(C1-C6)烷基、(C1-C6)烷氧基、(C1-C6)羟基烷基、卤素、-OH、-(CH2)0-2NH2、-(CH2)0-2NH(C1-C6)烷基、-(CH2)0-2N((C1-C6)烷基)2、或CN。
在另一个实施例中,R3是H、(C1-C6)烷基、(C1-C6)烷氧基、(C1-C6)卤代烷基、(C1-C6)卤代烷氧基、卤素、-OH、-(CH2)0-2NH2、-(CH2)0-2NH(C1-C6)烷基、-(CH2)0-2N((C1-C6)烷基)2、或CN。在另一个实施例中,R3是(C1-C6)烷基、(C1-C6)烷氧基、(C1-C6)卤代烷基、(C1-C6)卤代烷氧基、卤素、-OH、-(CH2)0-2NH2、-(CH2)0-2NH(C1-C6)烷基、-(CH2)0-2N((C1-C6)烷基)2、或CN。在另一个实施例中,R3是H、(C1-C6)烷基、(C1-C6)烷氧基、(C1-C6)卤代烷氧基、(C1-C6)羟基烷基、卤素、-OH、-(CH2)0-2NH2、-(CH2)0-2NH(C1-C6)烷基、-(CH2)0-2N((C1-C6)烷基)2、或CN。在另一个实施例中,R3是(C1-C6)烷基、(C1-C6)烷氧基、(C1-C6)卤代烷氧基、(C1-C6)羟基烷基、卤素、-OH、-(CH2)0-2NH2、-(CH2)0-2NH(C1-C6)烷基、-(CH2)0-2N((C1-C6)烷基)2、或CN。
在另一个实施例中,R3是H、(C1-C6)烷基、(C1-C6)烷氧基、(C1-C6)卤代烷基、(C1-C6)卤代烷氧基、卤素、-OH、-(CH2)0-2NH2、-(CH2)0-2NH(C1-C6)烷基、或-(CH2)0-2N((C1-C6)烷基)2。在又另一个实施例中,R3是(C1-C6)烷基、(C1-C6)烷氧基、(C1-C6)卤代烷基、(C1-C6)卤代烷氧基、卤素、-OH、-(CH2)0-2NH2、-(CH2)0-2NH(C1-C6)烷基、或-(CH2)0-2N((C1-C6)烷基)2。在另一个实施例中,R3是H、(C1-C6)烷基、(C1-C6)烷氧基、(C1-C6)卤代烷基、卤素、-OH、-(CH2)0-2NH2、-(CH2)0-2NH(C1-C6)烷基、或-(CH2)0-2N((C1-C6)烷基)2。在又另一个实施例中,R3是(C1-C6)烷基、(C1-C6)烷氧基、(C1-C6)卤代烷基、卤素、-OH、-(CH2)0-2NH2、-(CH2)0-2NH(C1-C6)烷基、或-(CH2)0-2N((C1-C6)烷基)2。
在另一个实施例中,R3是H、(C1-C6)烷基、(C1-C6)烷氧基、(C1-C6)卤代烷基、卤素、-(CH2)0-2NH2、-(CH2)0-2NH(C1-C6)烷基、或-(CH2)0-2N((C1-C6)烷基)2。在又另一个实施例中,R3是(C1-C6)烷基、(C1-C6)烷氧基、(C1-C6)卤代烷基、卤素、-(CH2)0-2NH2、-(CH2)0-2NH(C1-C6)烷基、或-(CH2)0-2N((C1-C6)烷基)2。在另一个实施例中,R3是H、(C1-C3)烷基、(C1-C3)烷氧基、(C1-C3)卤代烷基、卤素、-(CH2)0-2NH2、-(CH2)0-2NH(C1-C6)烷基、或-(CH2)0-2N((C1-C6)烷基)2。在又另一个实施例中,R3是(C1-C3)烷基、(C1-C3)烷氧基、(C1-C3)卤代烷基、卤素、-(CH2)0- 2NH2、-(CH2)0-2NH(C1-C6)烷基、或-(CH2)0-2N((C1-C6)烷基)2。
在以上式的一些实施例中,R3’是(C1-C6)卤代烷基、(C1-C6)烷基、或(C3-C6)环烷基。在另一个实施例中,R3’是H、(C1-C6)烷基、或(C3-C6)环烷基。在又另一个实施例中,R3’是H、(C1-C6)卤代烷基、或(C3-C6)环烷基。在另一个实施例中,R3’是(C1-C6)烷基或(C3-C6)环烷基。在又另一个实施例中,R3’是(C1-C6)卤代烷基或(C3-C6)环烷基。在另一个实施例中,R3’是H或(C3-C6)环烷基。在又另一个实施例中,R3’是(C1-C6)卤代烷基或(C1-C6)烷基。在另一个实施例中,R3’是H或(C1-C6)卤代烷基。在又另一个实施例中,R3’是H或(C1-C6)烷基。在另一个实施例中,R3’是H或(C1-C3)烷基。在又另一个实施例中,R3’是H。在另一个实施例中,R3’是(C1-C6)烷基。在又另一个实施例中,R3’是(C1-C3)烷基。
在以上式的一些实施例中,每个R4独立地选自-C(O)OR6、-C(O)NR6R6'、-NR6C(O)R6'、卤素、-OH、-NH2、CN、(C6-C10)芳基、包含1个至4个选自O、N、和S的杂原子的5元或6元杂芳基、(C3-C8)环烷基、以及包含1个至3个选自O、N、和S的杂原子的4元至7元杂环烷基环,其中所述芳基、杂芳基、环烷基、和杂环烷基基团任选地被一个至四个R7取代。在另一个实施例中,每个R4独立地选自-C(O)OR6、-C(O)NR6R6'、-NR6C(O)R6'、卤素、-OH、-NH2、CN、(C6-C10)芳基、包含1个至4个选自O、N、和S的杂原子的5元或6元杂芳基、(C3-C8)环烷基、以及包含1个至3个选自O、N、和S的杂原子的5元至7元杂环烷基环,其中所述芳基、杂芳基、环烷基、和杂环烷基基团任选地被一个至四个R7取代。在另一个实施例中,每个R4独立地选自-C(O)OR6、-C(O)NR6R6'、-NR6C(O)R6'、卤素、–OH、-NH2、或CN。在另一个实施例中,每个R4独立地选自-C(O)OR6、-C(O)NR6R6'、-NR6C(O)R6'、卤素、或-OH。在另一个实施例中,每个R4独立地选自卤素、-OH、(C6-C10)芳基、包含1个至4个选自O、N、和S的杂原子的5元或6元杂芳基、(C3-C8)环烷基、以及包含1个至3个选自O、N、和S的杂原子的5元至7元杂环烷基环,其中所述芳基、杂芳基、环烷基、和杂环烷基基团任选地被一个至四个R7取代。在另一个实施例中,每个R4独立地选自卤素、-OH、(C6-C10)芳基、包含1个至3个选自O、N、和S的杂原子的5元或6元杂芳基、(C3-C8)环烷基、以及包含1个至3个选自O、N、和S的杂原子的5元至7元杂环烷基环,其中所述芳基、杂芳基、环烷基、和杂环烷基基团任选地被一个至四个R7取代。
在另一个实施例中,每个R4独立地选自-C(O)OR6、-C(O)NR6R6'、和-NR6C(O)R6'。在另一个实施例中,每个R4独立地选自-C(O)OR6、(C6-C10)芳基、包含1个至3个选自O、N、和S的杂原子的5元或6元杂芳基、(C3-C8)环烷基、以及包含1个至3个选自O、N、和S的杂原子的5元至7元杂环烷基,其中所述芳基、杂芳基、环烷基、和杂环烷基基团任选地被一个至四个R7取代。在又另一个实施例中,每个R4独立地选自(C6-C10)芳基、包含1个至3个选自O、N、和S的杂原子的5元或6元杂芳基、(C3-C8)环烷基、以及包含1个至3个选自O、N、和S的杂原子的5元至7元杂环烷基,其中所述芳基、杂芳基、环烷基、和杂环烷基基团任选地被一个至四个R7取代。在另一个实施例中,每个R4独立地选自(C6-C10)芳基、包含1个至3个选自O、N、和S的杂原子的5元或6元杂芳基、(C3-C8)环烷基、以及包含1个至3个选自O、N、和S的杂原子的5元至7元杂环烷基,其中所述芳基、杂芳基、环烷基、和杂环烷基基团任选地被一个至三个R7取代。
在另一个实施例中,每个R4独立地选自(C6-C10)芳基以及包含1个至3个选自O、N、和S的杂原子的5元或6元杂芳基,其中所述芳基和杂芳基任选地被一个至三个R7取代。在又另一个实施例中,每个R4独立地选自(C6-C10)芳基以及包含1个至3个选自O、N、和S的杂原子的5元或6元杂芳基,其中所述芳基和杂芳基被一个至三个R7取代。
在另一个实施例中,每个R4独立地选自(C3-C8)环烷基以及包含1个至3个选自O、N、和S的杂原子的5元至7元杂环烷基,其中所述环烷基和杂环烷基基团任选地被一个至三个R7取代。在另一个实施例中,每个R4独立地选自(C3-C8)环烷基以及包含1个至3个选自O、N、和S的杂原子的5元至7元杂环烷基,其中所述环烷基和杂环烷基基团被一个至三个R7取代。
在另一个实施例中,每个R4独立地是任选地被一个至三个R7取代的(C6-C10)芳基。在又另一个实施例中,每个R4独立地是包含1个至3个选自O、N、和S的杂原子的任选地被一个至三个R7取代的5元或6元杂芳基。
在另一个实施例中,每个R4是任选地被一个至三个R7取代的(C3-C8)环烷基。在另一个实施例中,每个R4独立地是包含1个至3个选自O、N、和S的杂原子的任选地被一个至三个R7取代的5元至7元杂环烷基。
在以上式的一些实施例中,每个R5独立地选自(C1-C6)烷基、(C2-C6)烯基、(C2-C6)炔基、(C1-C6)烷氧基、(C1-C6)卤代烷基、(C1-C6)卤代烷氧基、(C1-C6)羟基烷基、卤素、-OH、-NH2、CN、(C3-C7)环烷基、包含1个至3个选自O、N、和S的杂原子的5元至7元杂环烷基、(C6-C10)芳基、以及包含1个至3个选自O、N、和S的杂原子的5元或6元杂芳基。在另一个实施例中,每个R5独立地选自(C1-C6)烷基、(C2-C6)烯基、(C2-C6)炔基、(C1-C6)烷氧基、(C1-C6)卤代烷基、(C1-C6)卤代烷氧基、(C1-C6)羟基烷基、卤素、-OH、-NH2、和CN。在又另一个实施例中,每个R5独立地选自(C3-C7)环烷基、包含1个至3个选自O、N、和S的杂原子的5元至7元杂环烷基、(C6-C10)芳基、以及包含1个至3个选自O、N、和S的杂原子的5元或6元杂芳基。
在另一个实施例中,每个R5独立地选自(C1-C6)烷基、(C1-C6)烷氧基、(C1-C6)卤代烷基、(C1-C6)卤代烷氧基、(C1-C6)羟基烷基、卤素、-OH、-NH2、CN、(C3-C7)环烷基、包含1个至3个选自O、N、和S的杂原子的5元至7元杂环烷基、(C6-C10)芳基、以及包含1个至3个选自O、N、和S的杂原子的5元或6元杂芳基。
在另一个实施例中,每个R5独立地选自(C1-C6)烷基、(C1-C6)烷氧基、(C1-C6)卤代烷基、和(C1-C6)卤代烷氧基。在又另一个实施例中,每个R5独立地选自(C1-C6)羟基烷基、卤素、-OH、-NH2、和CN。在另一个实施例中,每个R5独立地选自(C1-C6)烷基、(C1-C6)烷氧基、(C1-C6)卤代烷基、(C1-C6)卤代烷氧基、(C1-C6)羟基烷基、卤素、-OH、和CN。
在以上式的一些实施例中,两个R5当在相邻原子上时与它们所附接的原子一起形成(C6-C10)芳基环或包含1个至3个选自O、N、和S的杂原子的任选地被一个至四个R10取代的5元或6元杂芳基环,或者两个R5当在相邻原子上时与它们所附接的原子一起形成(C5-C7)环烷基环或包含1个至3个选自O、N、和S的杂原子的任选地被一个至四个R10取代的5元至7元杂环烷基环。在另一个实施例中,两个R5当在相邻原子上时与它们所附接的原子一起形成(C6-C10)芳基环或包含1个至3个选自O、N、和S的杂原子的任选地被一个至三个R10取代的5元或6元杂芳基环,或者两个R5当在相邻原子上时与它们所附接的原子一起形成(C5-C7)环烷基环或包含1个至3个选自O、N、和S的杂原子的任选地被一个至三个R10取代的5元至7元杂环烷基环。
在另一个实施例中,两个R5当在相邻原子上时与它们所附接的原子一起形成(C6-C10)芳基环或包含1个至3个选自O、N、和S的杂原子的任选地被一个至三个R10取代的5元或6元杂芳基环。在又另一个实施例中,两个R5当在相邻原子上时与它们所附接的原子一起形成(C5-C7)环烷基环或包含1个至3个选自O、N、和S的杂原子的任选地被一个至三个R10取代的5元至7元杂环烷基环。
在另一个实施例中,两个R5当在相邻原子上时与它们所附接的原子一起形成任选地被一个至三个R10取代的(C6-C10)芳基环。在另一个实施例中,两个R5当在相邻原子上时与它们所附接的原子一起形成任选地被一个至三个R10取代的苯基环。在又另一个实施例中,两个R5当在相邻原子上时与它们所附接的原子一起形成包含1个至3个选自O、N、和S的杂原子的任选地被一个至三个R10取代的5元或6元杂芳基环。
在另一个实施例中,两个R5当在相邻原子上时与它们所附接的原子一起形成任选地被一个至三个R10取代的(C5-C7)环烷基环。在另一个实施例中,两个R5当在相邻原子上时与它们所附接的原子一起形成任选地被一个至三个R10取代的(C6-C7)环烷基环。在另一个实施例中,两个R5当在相邻原子上时与它们所附接的原子一起形成任选地被一个至三个R10取代的(C5-C6)环烷基环。在另一个实施例中,两个R5当在相邻原子上时与它们所附接的原子一起形成任选地被一个至三个R10取代的(C5)环烷基环。在另一个实施例中,两个R5当在相邻原子上时与它们所附接的原子一起形成任选地被一个至三个R10取代的(C6)环烷基环。在另一个实施例中,两个R5当在相邻原子上时与它们所附接的原子一起形成任选地被一个至三个R10取代的(C7)环烷基环。
在另一个实施例中,两个R5当在相邻原子上时与它们所附接的原子一起形成包含1个至3个选自O、N、和S的杂原子的任选地被一个至三个R10取代的5元至7元杂环烷基环。在另一个实施例中,两个R5当在相邻原子上时与它们所附接的原子一起形成包含1个至3个选自O、N、和S的杂原子的任选地被一个至三个R10取代的5元或6元杂环烷基环。在另一个实施例中,两个R5当在相邻原子上时与它们所附接的原子一起形成包含1个至3个选自O、N、和S的杂原子的任选地被一个至三个R10取代的6元或7元杂环烷基环。在另一个实施例中,两个R5当在相邻原子上时与它们所附接的原子一起形成包含1个至3个选自O、N、和S的杂原子的任选地被一个至三个R10取代的5元杂环烷基环。在另一个实施例中,两个R5当在相邻原子上时与它们所附接的原子一起形成包含1个至3个选自O、N、和S的杂原子的任选地被一个至三个R10取代的6元杂环烷基环。在另一个实施例中,两个R5当在相邻原子上时与它们所附接的原子一起形成包含1个至3个选自O、N、和S的杂原子的任选地被一个至三个R10取代的7元杂环烷基环。
在以上式的一些实施例中,R6是H或(C1-C3)烷基。在另一个实施例中,R6是H或(C6-C10)芳基。在又另一个实施例中,R6是(C1-C3)烷基或(C6-C10)芳基。在另一个实施例中,R6是H、甲基、乙基、正丙基、或异丙基。在另一个实施例中,R6是H、甲基或乙基。在又另一个实施例中,R6是H或甲基。在另一个实施例中,R6是H。
在以上式的一些实施例中,R6'是H或(C1-C3)烷基。在另一个实施例中,R6'是H或(C6-C10)芳基。在又另一个实施例中,R6'是(C1-C3)烷基或(C6-C10)芳基。在另一个实施例中,R6'是H、甲基、乙基、正丙基、或异丙基。在另一个实施例中,R6'是H、甲基或乙基。在又另一个实施例中,R6'是H或甲基。在另一个实施例中,R6'是H。
在以上式的一些实施例中,每个R7独立地选自(C1-C6)烷基、(C2-C6)烯基、(C2-C6)炔基、(C1-C6)烷氧基、(C1-C6)卤代烷基、(C1-C6)卤代烷氧基、-C(O)R8、-(CH2)0-3C(O)OR8、-C(O)NR8R9、-NR8C(O)R9、-NR8C(O)OR9、-S(O)pNR8R9、-S(O)pR12、(C1-C6)羟基烷基、卤素、-OH、-O(CH2)1-3CN、-NH2、CN、-O(CH2)0-3(C6-C10)芳基、金刚烷基、包含1个至3个选自O、N、和S的杂原子的-O(CH2)0-3-5元或6元杂芳基、(C6-C10)芳基、包含1个至3个选自O、N、和S的杂原子的单环或双环5元至10元杂芳基、(C3-C7)环烷基、以及包含1个至3个选自O、N、和S的杂原子的5元至7元杂环烷基,其中所述烷基任选地被一个至四个R11取代,并且所述芳基、杂芳基、和杂环烷基任选地被一个至四个各自独立地选自以下的取代基取代:卤素、(C1-C6)烷基、(C1-C6)卤代烷基、和(C1-C6)烷氧基。在另一个实施例中,每个R7独立地选自(C1-C6)烷基、(C2-C6)烯基、(C2-C6)炔基、(C1-C6)烷氧基、(C1-C6)卤代烷基、(C1-C6)卤代烷氧基、-C(O)R8、-(CH2)0-3C(O)OR8、-C(O)NR8R9、-NR8C(O)R9、-NR8C(O)OR9、-S(O)pNR8R9、-S(O)pR12、(C1-C6)羟基烷基、卤素、-OH、-O(CH2)1-3CN、-NH2、CN、-O(CH2)0-3(C6-C10)芳基、包含1个至3个选自O、N、和S的杂原子的-O(CH2)0-3-5元或6元杂芳基、(C6-C10)芳基、包含1个至3个选自O、N、和S的杂原子的单环或双环5元至10元杂芳基、(C3-C7)环烷基、以及包含1个至3个选自O、N、和S的杂原子的5元至7元杂环烷基,其中所述烷基任选地被一个至四个R11取代,并且所述芳基、杂芳基、和杂环烷基任选地被一个至四个各自独立地选自以下的取代基取代:卤素、(C1-C6)烷基、(C1-C6)卤代烷基、和(C1-C6)烷氧基。
在另一个实施例中,每个R7独立地选自(C1-C6)烷基、(C1-C6)烷氧基、(C1-C6)卤代烷基、(C1-C6)卤代烷氧基、-C(O)R8、-(CH2)0-3C(O)OR8、-C(O)NR8R9、-NR8C(O)R9、-NR8C(O)OR9、-S(O)pNR8R9、-S(O)pR12、(C1-C6)羟基烷基、卤素、-OH、-O(CH2)1-3CN、-NH2、CN、-O(CH2)0-3(C6-C10)芳基、包含1个至3个选自O、N、和S的杂原子的-O(CH2)0-3-5元或6元杂芳基、(C6-C10)芳基、包含1个至3个选自O、N、和S的杂原子的单环或双环5元至10元杂芳基、(C3-C7)环烷基、以及包含1个至3个选自O、N、和S的杂原子的5元至7元杂环烷基,其中所述烷基任选地被一个至四个R11取代,并且所述芳基、杂芳基、和杂环烷基任选地被一个至四个各自独立地选自以下的取代基取代:卤素、(C1-C6)烷基、(C1-C6)卤代烷基、和(C1-C6)烷氧基。
在另一个实施例中,每个R7独立地选自-(CH2)0-3C(O)OR8、-NR8C(O)OR9、-S(O)pNR8R9、-S(O)pR12、(C1-C6)羟基烷基、卤素、-OH、-O(CH2)1-3CN、-NH2、CN、-O(CH2)0-3(C6-C10)芳基、包含1个至3个选自O、N、和S的杂原子的-O(CH2)0-3-5元或6元杂芳基、包含1个至3个选自O、N、和S的杂原子的双环9元或10元杂芳基,其中所述芳基和杂芳基以及杂环烷基任选地被一个至四个各自独立地选自以下的取代基取代:卤素、(C1-C6)烷基、(C1-C6)卤代烷基、和(C1-C6)烷氧基。
在另一个实施例中,每个R7独立地选自(C1-C6)烷基、(C2-C6)烯基、(C2-C6)炔基、(C1-C6)烷氧基、(C1-C6)卤代烷基、(C1-C6)卤代烷氧基、-C(O)R8、-C(O)OR8、-C(O)NR8R9、-NR8C(O)R9、(C1-C6)羟基烷基、卤素、-OH、-NH2、CN、(C6-C10)芳基、包含1个至3个选自O、N、和S的杂原子的5元或6元杂芳基、(C3-C7)环烷基、以及包含1个至3个选自O、N、和S的杂原子的5元至7元杂环烷基。在另一个实施例中,每个R7独立地选自(C1-C6)烷基、(C2-C6)烯基、(C2-C6)炔基、(C1-C6)烷氧基、(C1-C6)卤代烷基、(C1-C6)卤代烷氧基、-C(O)R8、-C(O)OR8、-C(O)NR8R9、-NR8C(O)R9、(C1-C6)羟基烷基、卤素、-OH、-NH2、和CN。
在另一个实施例中,每个R7独立地选自(C1-C6)烷基、(C1-C6)烷氧基、(C1-C6)卤代烷基、(C1-C6)卤代烷氧基、-C(O)R8、-C(O)OR8、-C(O)NR8R9、-NR8C(O)R9、(C1-C6)羟基烷基、卤素、-OH、-NH2、和CN。在又另一个实施例中,每个R7独立地选自(C1-C6)烷基、(C1-C6)烷氧基、(C1-C6)卤代烷基、(C1-C6)卤代烷氧基。在另一个实施例中,每个R7独立地选自-C(O)R8、-C(O)OR8、-C(O)NR8R9、-NR8C(O)R9、(C1-C6)羟基烷基、卤素、-OH、-NH2、和CN。在另一个实施例中,每个R7独立地选自(C6-C10)芳基、包含1个至3个选自O、N、和S的杂原子的5元或6元杂芳基、(C3-C7)环烷基、以及包含1个至3个选自O、N、和S的杂原子的5元至7元杂环烷基。
在另一个实施例中,每个R7独立地选自(C1-C6)烷基、(C1-C6)烷氧基、(C1-C6)卤代烷基、(C1-C6)卤代烷氧基、-C(O)R8、-C(O)OR8、-C(O)NR8R9、-NR8C(O)R9、(C1-C6)羟基烷基、卤素、-OH、-NH2、CN、(C6-C10)芳基、包含1个至3个选自O、N、和S的杂原子的5元或6元杂芳基、(C3-C7)环烷基、以及包含1个至3个选自O、N、和S的杂原子的5元至7元杂环烷基。在又另一个实施例中,每个R7独立地选自(C1-C6)烷基、(C1-C6)烷氧基、卤素、-OH、CN、和(C6-C10)芳基。
在以上式的一些实施例中,两个R7当在相邻原子上时与它们所附接的原子一起形成(C6-C10)芳基环或包含1个至3个选自O、N、和S的杂原子的任选地被一个至四个R10取代的5元或6元杂芳基环。在另一个实施例中,两个R7当在相邻原子上时与它们所附接的原子一起形成任选地被一个至四个R10取代的(C6-C10)芳基环。在另一个实施例中,两个R7当在相邻原子上时与它们所附接的原子一起形成包含1个至3个选自O、N、和S的杂原子的任选地被一个至四个R10取代的5元或6元杂芳基环。在另一个实施例中,两个R7与它们所附接的原子一起形成任选地被一个至四个R10取代的(C5-C7)环烷基环。在另一个实施例中,两个R7与它们所附接的原子一起形成包含1个至3个选自O、N、和S的杂原子的任选地被一个至四个R10取代的5元至7元杂环烷基环。
在另一个实施例中,两个R7当在相邻原子上时与它们所附接的原子一起形成(C6-C10)芳基环或包含1个至3个选自O、N、和S的杂原子的任选地被一个至四个R10取代的5元或6元杂芳基环,或者两个R7当在相邻原子上时与它们所附接的原子一起形成(C5-C7)环烷基环或包含1个至3个选自O、N、和S的杂原子的任选地被一个至四个R10取代的5元至7元杂环烷基环。
在另一个实施例中,两个R7当在相邻原子上时与它们所附接的原子一起形成(C5-C7)环烷基环或包含1个至3个选自O、N、和S的杂原子的任选地被一个至四个R10取代的5元至7元杂环烷基环。在另一个实施例中,两个R7当在相邻原子上时与它们所附接的原子一起形成任选地被一个至四个R10取代的(C5-C7)环烷基环。在另一个实施例中,两个R7当在相邻原子上时与它们所附接的原子一起形成包含1个至3个选自O、N、和S的杂原子的任选地被一个至四个R10取代的5元至7元杂环烷基环。
在以上式的一些实施例中,R8是H或(C1-C3)烷基。在另一个实施例中,R8是H、甲基、乙基、正丙基、或异丙基。在另一个实施例中,R8是H、甲基或乙基。在又另一个实施例中,R8是H或甲基。在另一个实施例中,R8是H。
在以上式的一些实施例中,R9是H或(C1-C3)烷基。在另一个实施例中,R9是H、甲基、乙基、正丙基、或异丙基。在另一个实施例中,R9是H、甲基或乙基。在又另一个实施例中,R9是H或甲基。在另一个实施例中,R9是H。
在以上式的一些实施例中,每个R10独立地选自(C1-C6)烷基、(C1-C6)烷氧基、(C1-C6)卤代烷基、(C1-C6)卤代烷氧基、(C1-C6)羟基烷基、和卤素。在另一个实施例中,每个R10独立地选自-OH、-NH2、和CN。在又另一个实施例中,每个R10独立地选自(C1-C6)烷基、(C1-C6)烷氧基、(C1-C6)卤代烷基、(C1-C6)卤代烷氧基、和卤素。在另一个实施例中,每个R10独立地选自(C1-C6)烷基、(C1-C6)卤代烷基、和卤素。在又另一个实施例中,每个R10独立地选自(C1-C6)烷基和卤素。
在以上式的一些实施例中,两个R10与它们所附接的碳原子一起形成=(O)。
在以上式的一些实施例中,每个R11独立地选自CN、(C1-C6)烷氧基、(C6-C10)芳基、以及包含1个至3个选自O、N、和S的杂原子的5元至7元杂环烷基,其中所述芳基和杂环烷基任选地被一个至四个各自独立地选自以下的取代基取代:(C1-C6)烷基、(C1-C6)烷氧基、(C1-C6)卤代烷基、(C1-C6)卤代烷氧基、(C1-C6)羟基烷基、卤素、-OH、-NH2、和CN。在另一个实施例中,每个R11独立地选自CN、(C1-C6)烷氧基、(C6-C10)芳基、以及包含1个至3个选自O、N、和S的杂原子的5元至7元杂环烷基,其中所述芳基和杂环烷基任选地被一个至三个各自独立地选自以下的取代基取代:(C1-C6)烷基、(C1-C6)烷氧基、(C1-C6)卤代烷基、(C1-C6)卤代烷氧基、(C1-C6)羟基烷基、卤素、-OH、-NH2、和CN。在又另一个实施例中,每个R11独立地选自CN、(C1-C6)烷氧基、和(C6-C10)芳基,其中所述芳基任选地被一个至三个各自独立地选自以下的取代基取代:(C1-C6)烷基、(C1-C6)烷氧基、(C1-C6)卤代烷基、(C1-C6)卤代烷氧基、(C1-C6)羟基烷基、卤素、-OH、-NH2、和CN。
在另一个实施例中,每个R11独立地选自CN、(C1-C6)烷氧基、以及包含1个至3个选自O、N、和S的杂原子的5元至7元杂环烷基,其中所述杂环烷基任选地被一个至四个各自独立地选自以下的取代基取代:(C1-C6)烷基、(C1-C6)烷氧基、(C1-C6)卤代烷基、(C1-C6)卤代烷氧基、(C1-C6)羟基烷基、卤素、-OH、-NH2、和CN。在另一个实施例中,每个R11独立地选自CN和(C1-C6)烷氧基。在又另一个实施例中,每个R11独立地选自(C6-C10)芳基以及包含1个至3个选自O、N、和S的杂原子的5元至7元杂环烷基,其中所述芳基和杂环烷基任选地被一个至四个各自独立地选自以下的取代基取代:(C1-C6)烷基、(C1-C6)烷氧基、(C1-C6)卤代烷基、(C1-C6)卤代烷氧基、(C1-C6)羟基烷基、卤素、-OH、-NH2、和CN。
在以上式的一些实施例中,R12是(C1-C6)烷基、(C1-C6)卤代烷基、(C6-C10)芳基、或包含1个至3个选自O、N、和S的杂原子的5元或6元杂环烷基。在另一个实施例中,R12是(C1-C6)烷基、(C1-C6)卤代烷基、苯基、或包含1个至3个选自O、N、和S的杂原子的5元或6元杂环烷基。在另一个实施例中,R12是(C1-C4)烷基、(C1-C4)卤代烷基、苯基、或包含1个至3个选自O、N、和S的杂原子的5元或6元杂环烷基。
在以上式的一些实施例中,每个R13独立地是(C1-C3)烷基、(C1-C3)烷氧基、(C1-C3)卤代烷基、(C1-C3)卤代烷氧基、(C1-C3)羟基烷基、卤素、-OH、-NH2、-NH(C1-C3)烷基、–N((C1-C3)烷基)2、或CN。在另一个实施例中,每个R13独立地是(C1-C6)烷基、(C1-C6)烷氧基、(C1-C6)卤代烷基、(C1-C6)卤代烷氧基、或(C1-C6)羟基烷基。在又另一个实施例中,每个R13独立地是卤素、-OH、-NH2、-NH(C1-C6)烷基、–N((C1-C6)烷基)2、或CN。在另一个实施例中,每个R13独立地是(C1-C6)烷基、(C1-C6)卤代烷基、(C1-C6)羟基烷基、卤素、-OH、-NH2、-NH(C1-C6)烷基、–N((C1-C6)烷基)2、或CN。在又另一个实施例中,每个R13独立地是(C1-C6)烷氧基、(C1-C6)卤代烷氧基、(C1-C6)羟基烷基、卤素、-OH、-NH2、-NH(C1-C6)烷基、–N((C1-C6)烷基)2、或CN。在另一个实施例中,每个R13独立地是(C1-C6)烷基、(C1-C6)烷氧基、(C1-C6)卤代烷基、(C1-C6)卤代烷氧基、卤素、-OH、-NH2、-NH(C1-C6)烷基、–N((C1-C6)烷基)2、或CN。
在另一个实施例中,每个R13独立地是(C1-C6)烷基、(C1-C6)烷氧基、(C1-C6)卤代烷基、(C1-C6)卤代烷氧基、(C1-C6)羟基烷基、卤素、-OH、-NH2、-NH(C1-C6)烷基、或–N((C1-C6)烷基)2。在又另一个实施例中,每个R13独立地是(C1-C6)烷基、(C1-C6)烷氧基、(C1-C6)卤代烷基、(C1-C6)卤代烷氧基、(C1-C6)羟基烷基、卤素、-OH、-NH2、或CN。在另一个实施例中,每个R13独立地是(C1-C6)烷基、(C1-C6)烷氧基、(C1-C6)卤代烷基、(C1-C6)卤代烷氧基、(C1-C6)羟基烷基、卤素、-NH(C1-C6)烷基、–N((C1-C6)烷基)2、或CN。在另一个实施例中,每个R13独立地是(C1-C6)烷基、(C1-C6)烷氧基、(C1-C6)卤代烷基、(C1-C6)卤代烷氧基、卤素、或-OH。在又另一个实施例中,每个R13独立地是(C1-C6)烷基、(C1-C6)烷氧基、(C1-C6)卤代烷基、(C1-C6)卤代烷氧基、或卤素。
在以上式的一些实施例中,两个R13与它们所附接的碳原子一起形成=(O)。
在以上式的一些实施例中,p是0或1。在另一个实施例中,p是1或2。在又另一个实施例中,p是0或2。在另一个实施例中,p是0。在又另一个实施例中,p是1。在另一个实施例中,p是2。
在以上式的一些实施例中,n是1。在另一个实施例中,n是2。
在以上式的一些实施例中,Rx是H并且n是1或2。
在以上式的一些实施例中,Rx是H并且n是2。
在以上式的一些实施例中,Rx是H并且n是1。
在以上式的一些实施例中,Rx是H,n是1或2,并且每个R1独立地是H、(C1-C6)烷基、(C1-C6)卤代烷基、-(CH2)0-2NH2、-(CH2)0-2NH(C1-C6)烷基、或-(CH2)0-2N((C1-C6)烷基)2。
在以上式的一些实施例中,Rx是H,n是2,并且每个R1独立地是H、(C1-C6)烷基、(C1-C6)卤代烷基、-(CH2)0-2NH2、-(CH2)0-2NH(C1-C6)烷基、或-(CH2)0-2N((C1-C6)烷基)2。
在以上式的一些实施例中,Rx是H,n是1,并且每个R1独立地是H、(C1-C6)烷基、(C1-C6)卤代烷基、-(CH2)0-2NH2、-(CH2)0-2NH(C1-C6)烷基、或-(CH2)0-2N((C1-C6)烷基)2。
在以上式的一些实施例中,Rx是H,n是1或2,并且两个R1当在相邻原子上时与它们所附接的原子一起形成苯基环或包含1个至2个N原子的5元或6元杂芳基环,其中所述苯基和杂芳基任选地被一个至三个R13取代;或者两个R1当在相邻原子上时与它们所附接的原子一起形成(C5-C6)环烷基环或包含1个至2个选自O、N、和S的杂原子的5元或6元杂环烷基环,其中所述环烷基和杂环烷基任选地被一个至三个R13取代。
在以上式的一些实施例中,Rx是H,n是2,并且两个R1当在相邻原子上时与它们所附接的原子一起形成苯基环或包含1个至2个N原子的5元或6元杂芳基环,其中所述苯基和杂芳基任选地被一个至三个R13取代;或者两个R1当在相邻原子上时与它们所附接的原子一起形成(C5-C6)环烷基环或包含1个至2个选自O、N、和S的杂原子的5元或6元杂环烷基环,其中所述环烷基和杂环烷基任选地被一个至三个R13取代。
在以上式的一些实施例中,Rx是H,n是1,并且两个R1当在相邻原子上时与它们所附接的原子一起形成苯基环或包含1个至2个N原子的5元或6元杂芳基环,其中所述苯基和杂芳基任选地被一个至三个R13取代;或者两个R1当在相邻原子上时与它们所附接的原子一起形成(C5-C6)环烷基环或包含1个至2个选自O、N、和S的杂原子的5元或6元杂环烷基环,其中所述环烷基和杂环烷基任选地被一个至三个R13取代。
在以上式的一些实施例中,Rx是H,n是1或2,并且每个R1独立地是H、(C1-C6)烷基、(C1-C6)卤代烷基、-(CH2)0-2NH2、-(CH2)0-2NH(C1-C6)烷基、或-(CH2)0-2N((C1-C6)烷基)2;或者两个R1当在相邻原子上时与它们所附接的原子一起形成苯基环或包含1个至2个N原子的5元或6元杂芳基环,其中所述苯基和杂芳基任选地被一个至三个R13取代;或者两个R1当在相邻原子上时与它们所附接的原子一起形成(C5-C6)环烷基环或包含1个至2个选自O、N、和S的杂原子的5元或6元杂环烷基环,其中所述环烷基和杂环烷基任选地被一个至三个R13取代。
在以上式的一些实施例中,Rx是H,n是2,并且每个R1独立地是H、(C1-C6)烷基、(C1-C6)卤代烷基、-(CH2)0-2NH2、-(CH2)0-2NH(C1-C6)烷基、或-(CH2)0-2N((C1-C6)烷基)2;或者两个R1当在相邻原子上时与它们所附接的原子一起形成苯基环或包含1个至2个N原子的5元或6元杂芳基环,其中所述苯基和杂芳基任选地被一个至三个R13取代;或者两个R1当在相邻原子上时与它们所附接的原子一起形成(C5-C6)环烷基环或包含1个至2个选自O、N、和S的杂原子的5元或6元杂环烷基环,其中所述环烷基和杂环烷基任选地被一个至三个R13取代。
在以上式的一些实施例中,Rx是H,n是1,并且每个R1独立地是H、(C1-C6)烷基、(C1-C6)卤代烷基、-(CH2)0-2NH2、-(CH2)0-2NH(C1-C6)烷基、或-(CH2)0-2N((C1-C6)烷基)2;或者两个R1当在相邻原子上时与它们所附接的原子一起形成苯基环或包含1个至2个N原子的5元或6元杂芳基环,其中所述苯基和杂芳基任选地被一个至三个R13取代;或者两个R1当在相邻原子上时与它们所附接的原子一起形成(C5-C6)环烷基环或包含1个至2个选自O、N、和S的杂原子的5元或6元杂环烷基环,其中所述环烷基和杂环烷基任选地被一个至三个R13取代。
在以上式的一些实施例中,Rx是H,n是1或2,并且R2是H或任选地被一个或多个R4取代的(C1-C6)烷基。
在以上式的一些实施例中,Rx是H,n是2,并且R2是H或任选地被一个或多个R4取代的(C1-C6)烷基。
在以上式的一些实施例中,Rx是H,n是1,并且R2是H或任选地被一个或多个R4取代的(C1-C6)烷基。
在以上式的一些实施例中,Rx是H,n是1或2,并且R1和R2当在相邻原子上时与它们所附接的原子一起形成苯基环或包含1个至2个N原子的5元或6元杂芳基环,其中所述苯基和杂芳基任选地被一个至三个R13取代;或者R1和R2当在相邻原子上时与它们所附接的原子一起形成(C5-C6)环烷基环或包含1个至2个选自O、N、和S的杂原子的5元或6元杂环烷基环,其中所述环烷基和杂环烷基任选地被一个至三个R13取代。
在以上式的一些实施例中,Rx是H,n是2,并且R1和R2当在相邻原子上时与它们所附接的原子一起形成苯基环或包含1个至2个N原子的5元或6元杂芳基环,其中所述苯基和杂芳基任选地被一个至三个R13取代;或者R1和R2当在相邻原子上时与它们所附接的原子一起形成(C5-C6)环烷基环或包含1个至2个选自O、N、和S的杂原子的5元或6元杂环烷基环,其中所述环烷基和杂环烷基任选地被一个至三个R13取代。
在以上式的一些实施例中,Rx是H,n是1,并且R1和R2当在相邻原子上时与它们所附接的原子一起形成苯基环或包含1个至2个N原子的5元或6元杂芳基环,其中所述苯基和杂芳基任选地被一个至三个R13取代;或者R1和R2当在相邻原子上时与它们所附接的原子一起形成(C5-C6)环烷基环或包含1个至2个选自O、N、和S的杂原子的5元或6元杂环烷基环,其中所述环烷基和杂环烷基任选地被一个至三个R13取代。
在以上式的一些实施例中,Rx是H,n是1或2,R2是H或任选地被一个或多个R4取代的(C1-C6)烷基;或者R1和R2当在相邻原子上时与它们所附接的原子一起形成苯基环或包含1个至2个N原子的5元或6元杂芳基环,其中所述苯基和杂芳基任选地被一个至三个R13取代;或者R1和R2当在相邻原子上时与它们所附接的原子一起形成(C5-C6)环烷基环或包含1个至2个选自O、N、和S的杂原子的5元或6元杂环烷基环,其中所述环烷基和杂环烷基任选地被一个至三个R13取代。
在以上式的一些实施例中,Rx是H,n是2,R2是H或任选地被一个或多个R4取代的(C1-C6)烷基;或者R1和R2当在相邻原子上时与它们所附接的原子一起形成苯基环或包含1个至2个N原子的5元或6元杂芳基环,其中所述苯基和杂芳基任选地被一个至三个R13取代;或者R1和R2当在相邻原子上时与它们所附接的原子一起形成(C5-C6)环烷基环或包含1个至2个选自O、N、和S的杂原子的5元或6元杂环烷基环,其中所述环烷基和杂环烷基任选地被一个至三个R13取代。
在以上式的一些实施例中,Rx是H,n是1,R2是H或任选地被一个或多个R4取代的(C1-C6)烷基;或者R1和R2当在相邻原子上时与它们所附接的原子一起形成苯基环或包含1个至2个N原子的5元或6元杂芳基环,其中所述苯基和杂芳基任选地被一个至三个R13取代;或者R1和R2当在相邻原子上时与它们所附接的原子一起形成(C5-C6)环烷基环或包含1个至2个选自O、N、和S的杂原子的5元或6元杂环烷基环,其中所述环烷基和杂环烷基任选地被一个至三个R13取代。
在以上式的一些实施例中,Rx是H,n是1或2,每个R1独立地是H、(C1-C6)烷基、(C1-C6)卤代烷基、-(CH2)0-2NH2、-(CH2)0-2NH(C1-C6)烷基、或-(CH2)0-2N((C1-C6)烷基)2,并且R2是H或任选地被一个或多个R4取代的(C1-C6)烷基。
在以上式的一些实施例中,Rx是H,n是2,每个R1独立地是H、(C1-C6)烷基、(C1-C6)卤代烷基、-(CH2)0-2NH2、-(CH2)0-2NH(C1-C6)烷基、或-(CH2)0-2N((C1-C6)烷基)2,并且R2是H或任选地被一个或多个R4取代的(C1-C6)烷基。
在以上式的一些实施例中,Rx是H,n是1,每个R1独立地是H、(C1-C6)烷基、(C1-C6)卤代烷基、-(CH2)0-2NH2、-(CH2)0-2NH(C1-C6)烷基、或-(CH2)0-2N((C1-C6)烷基)2,并且R2是H或任选地被一个或多个R4取代的(C1-C6)烷基。
在以上式的一些实施例中,Rx是H,n是1或2,两个R1当在相邻原子上时与它们所附接的原子一起形成苯基环或包含1个至2个N原子的5元或6元杂芳基环,其中所述苯基和杂芳基任选地被一个至三个R13取代;或者两个R1当在相邻原子上时与它们所附接的原子一起形成(C5-C6)环烷基环或包含1个至2个选自O、N、和S的杂原子的5元或6元杂环烷基环,其中所述环烷基和杂环烷基任选地被一个至三个R13取代,并且R2是H或任选地被一个或多个R4取代的(C1-C6)烷基。
在以上式的一些实施例中,Rx是H,n是2,两个R1当在相邻原子上时与它们所附接的原子一起形成苯基环或包含1个至2个N原子的5元或6元杂芳基环,其中所述苯基和杂芳基任选地被一个至三个R13取代;或者两个R1当在相邻原子上时与它们所附接的原子一起形成(C5-C6)环烷基环或包含1个至2个选自O、N、和S的杂原子的5元或6元杂环烷基环,其中所述环烷基和杂环烷基任选地被一个至三个R13取代,并且R2是H或任选地被一个或多个R4取代的(C1-C6)烷基。
在以上式的一些实施例中,Rx是H,n是1,两个R1当在相邻原子上时与它们所附接的原子一起形成苯基环或包含1个至2个N原子的5元或6元杂芳基环,其中所述苯基和杂芳基任选地被一个至三个R13取代;或者两个R1当在相邻原子上时与它们所附接的原子一起形成(C5-C6)环烷基环或包含1个至2个选自O、N、和S的杂原子的5元或6元杂环烷基环,其中所述环烷基和杂环烷基任选地被一个至三个R13取代,并且R2是H或任选地被一个或多个R4取代的(C1-C6)烷基。
在以上式的一些实施例中,Rx是H,n是1或2,每个R1独立地是H、(C1-C6)烷基、(C1-C6)卤代烷基、-(CH2)0-2NH2、-(CH2)0-2NH(C1-C6)烷基、或-(CH2)0-2N((C1-C6)烷基)2,或者两个R1当在相邻原子上时与它们所附接的原子一起形成苯基环或包含1个至2个N原子的5元或6元杂芳基环,其中所述苯基和杂芳基任选地被一个至三个R13取代;或者两个R1当在相邻原子上时与它们所附接的原子一起形成(C5-C6)环烷基环或包含1个至2个选自O、N、和S的杂原子的5元或6元杂环烷基环,其中所述环烷基和杂环烷基任选地被一个至三个R13取代,并且R2是H或任选地被一个或多个R4取代的(C1-C6)烷基。
在以上式的一些实施例中,Rx是H,n是2,每个R1独立地是H、(C1-C6)烷基、(C1-C6)卤代烷基、-(CH2)0-2NH2、-(CH2)0-2NH(C1-C6)烷基、或-(CH2)0-2N((C1-C6)烷基)2,或者两个R1当在相邻原子上时与它们所附接的原子一起形成苯基环或包含1个至2个N原子的5元或6元杂芳基环,其中所述苯基和杂芳基任选地被一个至三个R13取代;或者两个R1当在相邻原子上时与它们所附接的原子一起形成(C5-C6)环烷基环或包含1个至2个选自O、N、和S的杂原子的5元或6元杂环烷基环,其中所述环烷基和杂环烷基任选地被一个至三个R13取代,并且R2是H或任选地被一个或多个R4取代的(C1-C6)烷基。
在以上式的一些实施例中,Rx是H,n是1,每个R1独立地是H、(C1-C6)烷基、(C1-C6)卤代烷基、-(CH2)0-2NH2、-(CH2)0-2NH(C1-C6)烷基、或-(CH2)0-2N((C1-C6)烷基)2,或者两个R1当在相邻原子上时与它们所附接的原子一起形成苯基环或包含1个至2个N原子的5元或6元杂芳基环,其中所述苯基和杂芳基任选地被一个至三个R13取代;或者两个R1当在相邻原子上时与它们所附接的原子一起形成(C5-C6)环烷基环或包含1个至2个选自O、N、和S的杂原子的5元或6元杂环烷基环,其中所述环烷基和杂环烷基任选地被一个至三个R13取代,并且R2是H或任选地被一个或多个R4取代的(C1-C6)烷基。
在以上式的一些实施例中,Rx是H,n是1或2,每个R1独立地是H、(C1-C6)烷基、(C1-C6)卤代烷基、-(CH2)0-2NH2、-(CH2)0-2NH(C1-C6)烷基、或-(CH2)0-2N((C1-C6)烷基)2,或者两个R1当在相邻原子上时与它们所附接的原子一起形成苯基环或包含1个至2个N原子的5元或6元杂芳基环,其中所述苯基和杂芳基任选地被一个至三个R13取代;或者两个R1当在相邻原子上时与它们所附接的原子一起形成(C5-C6)环烷基环或包含1个至2个选自O、N、和S的杂原子的5元或6元杂环烷基环,其中所述环烷基和杂环烷基任选地被一个至三个R13取代,并且R2是H或任选地被一个或多个R4取代的(C1-C6)烷基,或者R1和R2当在相邻原子上时与它们所附接的原子一起形成苯基环或包含1个至2个N原子的5元或6元杂芳基环,其中所述苯基和杂芳基任选地被一个至三个R13取代;或者R1和R2当在相邻原子上时与它们所附接的原子一起形成(C5-C6)环烷基环或包含1个至2个选自O、N、和S的杂原子的5元或6元杂环烷基环,其中所述环烷基和杂环烷基任选地被一个至三个R13取代。
在以上式的一些实施例中,Rx是H,n是2,每个R1独立地是H、(C1-C6)烷基、(C1-C6)卤代烷基、-(CH2)0-2NH2、-(CH2)0-2NH(C1-C6)烷基、或-(CH2)0-2N((C1-C6)烷基)2,或者两个R1当在相邻原子上时与它们所附接的原子一起形成苯基环或包含1个至2个N原子的5元或6元杂芳基环,其中所述苯基和杂芳基任选地被一个至三个R13取代;或者两个R1当在相邻原子上时与它们所附接的原子一起形成(C5-C6)环烷基环或包含1个至2个选自O、N、和S的杂原子的5元或6元杂环烷基环,其中所述环烷基和杂环烷基任选地被一个至三个R13取代,并且R2是H或任选地被一个或多个R4取代的(C1-C6)烷基,或者R1和R2当在相邻原子上时与它们所附接的原子一起形成苯基环或包含1个至2个N原子的5元或6元杂芳基环,其中所述苯基和杂芳基任选地被一个至三个R13取代;或者R1和R2当在相邻原子上时与它们所附接的原子一起形成(C5-C6)环烷基环或包含1个至2个选自O、N、和S的杂原子的5元或6元杂环烷基环,其中所述环烷基和杂环烷基任选地被一个至三个R13取代。
在以上式的一些实施例中,Rx是H,n是1,每个R1独立地是H、(C1-C6)烷基、(C1-C6)卤代烷基、-(CH2)0-2NH2、-(CH2)0-2NH(C1-C6)烷基、或-(CH2)0-2N((C1-C6)烷基)2,或者两个R1当在相邻原子上时与它们所附接的原子一起形成苯基环或包含1个至2个N原子的5元或6元杂芳基环,其中所述苯基和杂芳基任选地被一个至三个R13取代;或者两个R1当在相邻原子上时与它们所附接的原子一起形成(C5-C6)环烷基环或包含1个至2个选自O、N、和S的杂原子的5元或6元杂环烷基环,其中所述环烷基和杂环烷基任选地被一个至三个R13取代,并且R2是H或任选地被一个或多个R4取代的(C1-C6)烷基,或者R1和R2当在相邻原子上时与它们所附接的原子一起形成苯基环或包含1个至2个N原子的5元或6元杂芳基环,其中所述苯基和杂芳基任选地被一个至三个R13取代;或者R1和R2当在相邻原子上时与它们所附接的原子一起形成(C5-C6)环烷基环或包含1个至2个选自O、N、和S的杂原子的5元或6元杂环烷基环,其中所述环烷基和杂环烷基任选地被一个至三个R13取代。
在以上式的一些实施例中,Rx是H,n是1或2,每个R1独立地是H、(C1-C6)烷基、(C1-C6)卤代烷基、-(CH2)0-2NH2、-(CH2)0-2NH(C1-C6)烷基、或-(CH2)0-2N((C1-C6)烷基)2,或者两个R1当在相邻原子上时与它们所附接的原子一起形成苯基环或包含1个至2个N原子的5元或6元杂芳基环,其中所述苯基和杂芳基任选地被一个至三个R13取代;或者两个R1当在相邻原子上时与它们所附接的原子一起形成(C5-C6)环烷基环或包含1个至2个选自O、N、和S的杂原子的5元或6元杂环烷基环,其中所述环烷基和杂环烷基任选地被一个至三个R13取代,并且R2是任选地被一个或多个R4取代的(C1-C6)烷基,或者R1和R2当在相邻原子上时与它们所附接的原子一起形成苯基环或包含1个至2个N原子的5元或6元杂芳基环,其中所述苯基和杂芳基任选地被一个至三个R13取代;或者R1和R2当在相邻原子上时与它们所附接的原子一起形成(C5-C6)环烷基环或包含1个至2个选自O、N、和S的杂原子的5元或6元杂环烷基环,其中所述环烷基和杂环烷基任选地被一个至三个R13取代。
在以上式的一些实施例中,Rx是H,n是1或2,每个R1独立地是(C1-C6)烷基、(C1-C6)卤代烷基、-(CH2)0-2NH2、-(CH2)0-2NH(C1-C6)烷基、或-(CH2)0-2N((C1-C6)烷基)2,或者两个R1当在相邻原子上时与它们所附接的原子一起形成苯基环或包含1个至2个N原子的5元或6元杂芳基环,其中所述苯基和杂芳基任选地被一个至三个R13取代;或者两个R1当在相邻原子上时与它们所附接的原子一起形成(C5-C6)环烷基环或包含1个至2个选自O、N、和S的杂原子的5元或6元杂环烷基环,其中所述环烷基和杂环烷基任选地被一个至三个R13取代,并且R2是H或任选地被一个或多个R4取代的(C1-C6)烷基,或者R1和R2当在相邻原子上时与它们所附接的原子一起形成苯基环或包含1个至2个N原子的5元或6元杂芳基环,其中所述苯基和杂芳基任选地被一个至三个R13取代;或者R1和R2当在相邻原子上时与它们所附接的原子一起形成(C5-C6)环烷基环或包含1个至2个选自O、N、和S的杂原子的5元或6元杂环烷基环,其中所述环烷基和杂环烷基任选地被一个至三个R13取代。
每个R1独立地是H、(C1-C6)烷基、(C1-C6)烷氧基、(C1-C6)卤代烷基、(C1-C6)卤代烷氧基、(C1-C6)羟基烷基、卤素、-OH、-(CH2)0-2NH2、-(CH2)0-2NH(C1-C6)烷基、-(CH2)0-2N((C1-C6)烷基)2、或CN;并且R2是H或任选地被一个或多个R4取代的(C1-C6)烷基,或者R1和R2当在相邻原子上时与它们所附接的原子一起形成苯基环或包含1个至2个N原子的5元或6元杂芳基环,其中所述苯基和杂芳基任选地被一个至三个R13取代;或者R1和R2当在相邻原子上时与它们所附接的原子一起形成(C5-C6)环烷基环或包含1个至2个选自O、N、和S的杂原子的5元或6元杂环烷基环,其中所述环烷基和杂环烷基任选地被一个至三个R13取代。
每个R1独立地是H、(C1-C6)烷基、(C1-C6)卤代烷基、-(CH2)0-2NH2、-(CH2)0-2NH(C1-C6)烷基、或-(CH2)0-2N((C1-C6)烷基)2,或者两个R1当在相邻原子上时与它们所附接的原子一起形成苯基环或包含1个至2个N原子的5元或6元杂芳基环,其中所述苯基和杂芳基任选地被一个至三个R13取代;或者两个R1当在相邻原子上时与它们所附接的原子一起形成(C5-C6)环烷基环或包含1个至2个选自O、N、和S的杂原子的5元或6元杂环烷基环,其中所述环烷基和杂环烷基任选地被一个至三个R13取代,并且R2是H或任选地被一个或多个R4取代的(C1-C6)烷基,或者R1和R2当在相邻原子上时与它们所附接的原子一起形成苯基环或包含1个至2个N原子的5元或6元杂芳基环,其中所述苯基和杂芳基任选地被一个至三个R13取代;或者R1和R2当在相邻原子上时与它们所附接的原子一起形成(C5-C6)环烷基环或包含1个至2个选自O、N、和S的杂原子的5元或6元杂环烷基环,其中所述环烷基和杂环烷基任选地被一个至三个R13取代。
每个R1独立地是H、(C1-C6)烷基、(C1-C6)卤代烷基、-(CH2)0-2NH2、-(CH2)0-2NH(C1-C6)烷基、或-(CH2)0-2N((C1-C6)烷基)2,或者两个R1当在相邻原子上时与它们所附接的原子一起形成苯基环或包含1个至2个N原子的5元或6元杂芳基环,其中所述苯基和杂芳基任选地被一个至三个R13取代;或者两个R1当在相邻原子上时与它们所附接的原子一起形成(C5-C6)环烷基环或包含1个至2个选自O、N、和S的杂原子的5元或6元杂环烷基环,其中所述环烷基和杂环烷基任选地被一个至三个R13取代,并且R2是任选地被一个或多个R4取代的(C1-C6)烷基,或者R1和R2当在相邻原子上时与它们所附接的原子一起形成苯基环或包含1个至2个N原子的5元或6元杂芳基环,其中所述苯基和杂芳基任选地被一个至三个R13取代;或者R1和R2当在相邻原子上时与它们所附接的原子一起形成(C5-C6)环烷基环或包含1个至2个选自O、N、和S的杂原子的5元或6元杂环烷基环,其中所述环烷基和杂环烷基任选地被一个至三个R13取代。
在以上式的一些实施例中,Rx是H,n是1或2,X1是 每个R1独立地是H、(C1-C6)烷基、(C1-C6)烷氧基、(C1-C6)卤代烷基、(C1-C6)卤代烷氧基、(C1-C6)羟基烷基、卤素、-OH、-(CH2)0-2NH2、-(CH2)0-2NH(C1-C6)烷基、-(CH2)0-2N((C1-C6)烷基)2、或CN;并且R2是H或任选地被一个或多个R4取代的(C1-C6)烷基,或者R1和R2当在相邻原子上时与它们所附接的原子一起形成苯基环或包含1个至2个N原子的5元或6元杂芳基环,其中所述苯基和杂芳基任选地被一个至三个R13取代;或者R1和R2当在相邻原子上时与它们所附接的原子一起形成(C5-C6)环烷基环或包含1个至2个选自O、N、和S的杂原子的5元或6元杂环烷基环,其中所述环烷基和杂环烷基任选地被一个至三个R13取代。
在以上式的一些实施例中,Rx是H,n是1或2,X1是 每个R1独立地是H、(C1-C6)烷基、(C1-C6)烷氧基、(C1-C6)卤代烷基、(C1-C6)卤代烷氧基、(C1-C6)羟基烷基、卤素、-OH、-(CH2)0-2NH2、-(CH2)0-2NH(C1-C6)烷基、-(CH2)0-2N((C1-C6)烷基)2、或CN;并且R2是任选地被一个或多个R4取代的(C1-C6)烷基,或者R1和R2当在相邻原子上时与它们所附接的原子一起形成苯基环或包含1个至2个N原子的5元或6元杂芳基环,其中所述苯基和杂芳基任选地被一个至三个R13取代;或者R1和R2当在相邻原子上时与它们所附接的原子一起形成(C5-C6)环烷基环或包含1个至2个选自O、N、和S的杂原子的5元或6元杂环烷基环,其中所述环烷基和杂环烷基任选地被一个至三个R13取代。
每个R1独立地是H、(C1-C6)烷基、(C1-C6)烷氧基、(C1-C6)卤代烷基、(C1-C6)卤代烷氧基、(C1-C6)羟基烷基、卤素、-OH、-(CH2)0- 2NH2、-(CH2)0-2NH(C1-C6)烷基、-(CH2)0-2N((C1-C6)烷基)2、或CN;或者两个R1当在相邻原子上时与它们所附接的原子一起形成苯基环或包含1个至2个N原子的5元或6元杂芳基环,其中所述苯基和杂芳基任选地被一个至三个R13取代;或者两个R1当在相邻原子上时与它们所附接的原子一起形成(C5-C6)环烷基环或包含1个至2个选自O、N、和S的杂原子的5元或6元杂环烷基环,其中所述环烷基和杂环烷基任选地被一个至三个R13取代;并且R2是H或任选地被一个或多个R4取代的(C1-C6)烷基,或者R1和R2当在相邻原子上时与它们所附接的原子一起形成苯基环或包含1个至2个N原子的5元或6元杂芳基环,其中所述苯基和杂芳基任选地被一个至三个R13取代;或者R1和R2当在相邻原子上时与它们所附接的原子一起形成(C5-C6)环烷基环或包含1个至2个选自O、N、和S的杂原子的5元或6元杂环烷基环,其中所述环烷基和杂环烷基任选地被一个至三个R13取代。
在以上式的一些实施例中,Rx是H,n是1或2,X1是 每个R1独立地是H、(C1-C6)烷基、(C1-C6)烷氧基、(C1-C6)卤代烷基、(C1-C6)卤代烷氧基、(C1-C6)羟基烷基、卤素、-OH、-(CH2)0-2NH2、-(CH2)0-2NH(C1-C6)烷基、-(CH2)0-2N((C1-C6)烷基)2、或CN;或者两个R1当在相邻原子上时与它们所附接的原子一起形成苯基环或包含1个至2个N原子的5元或6元杂芳基环,其中所述苯基和杂芳基任选地被一个至三个R13取代;或者两个R1当在相邻原子上时与它们所附接的原子一起形成(C5-C6)环烷基环或包含1个至2个选自O、N、和S的杂原子的5元或6元杂环烷基环,其中所述环烷基和杂环烷基任选地被一个至三个R13取代;并且R2是任选地被一个或多个R4取代的(C1-C6)烷基,或者R1和R2当在相邻原子上时与它们所附接的原子一起形成苯基环或包含1个至2个N原子的5元或6元杂芳基环,其中所述苯基和杂芳基任选地被一个至三个R13取代;或者R1和R2当在相邻原子上时与它们所附接的原子一起形成(C5-C6)环烷基环或包含1个至2个选自O、N、和S的杂原子的5元或6元杂环烷基环,其中所述环烷基和杂环烷基任选地被一个至三个R13取代。
每个R1独立地是H、(C1-C6)烷基、(C1-C6)卤代烷基、-(CH2)0-2NH2、-(CH2)0-2NH(C1-C6)烷基、或-(CH2)0-2N((C1-C6)烷基)2,或者两个R1当在相邻原子上时与它们所附接的原子一起形成苯基环或包含1个至2个N原子的5元或6元杂芳基环,其中所述苯基和杂芳基任选地被一个至三个R13取代;或者两个R1当在相邻原子上时与它们所附接的原子一起形成(C5-C6)环烷基环或包含1个至2个选自O、N、和S的杂原子的5元或6元杂环烷基环,其中所述环烷基和杂环烷基任选地被一个至三个R13取代,并且R2是H或任选地被一个或多个R4取代的(C1-C6)烷基,或者R1和R2当在相邻原子上时与它们所附接的原子一起形成苯基环或包含1个至2个N原子的5元或6元杂芳基环,其中所述苯基和杂芳基任选地被一个至三个R13取代;或者R1和R2当在相邻原子上时与它们所附接的原子一起形成(C5-C6)环烷基环或包含1个至2个选自O、N、和S的杂原子的5元或6元杂环烷基环,其中所述环烷基和杂环烷基任选地被一个至三个R13取代。
每个R1独立地是H、(C1-C6)烷基、(C1-C6)烷氧基、(C1-C6)卤代烷基、(C1-C6)卤代烷氧基、(C1-C6)羟基烷基、卤素、-OH、-(CH2)0-2NH2、-(CH2)0-2NH(C1-C6)烷基、-(CH2)0-2N((C1-C6)烷基)2、或CN,或者两个R1当在相邻原子上时与它们所附接的原子一起形成苯基环或包含1个至2个N原子的5元或6元杂芳基环,其中所述苯基和杂芳基任选地被一个至三个R13取代;或者两个R1当在相邻原子上时与它们所附接的原子一起形成(C5-C6)环烷基环或包含1个至2个选自O、N、和S的杂原子的5元或6元杂环烷基环,其中所述环烷基和杂环烷基任选地被一个至三个R13取代,并且R2是H或任选地被一个或多个R4取代的(C1-C6)烷基,或者R1和R2当在相邻原子上时与它们所附接的原子一起形成苯基环或包含1个至2个N原子的5元或6元杂芳基环,其中所述苯基和杂芳基任选地被一个至三个R13取代;或者R1和R2当在相邻原子上时与它们所附接的原子一起形成(C5-C6)环烷基环或包含1个至2个选自O、N、和S的杂原子的5元或6元杂环烷基环,其中所述环烷基和杂环烷基任选地被一个至三个R13取代。
每个R1独立地是H、(C1-C6)烷基、(C1-C6)烷氧基、(C1-C6)卤代烷基、(C1-C6)卤代烷氧基、(C1-C6)羟基烷基、卤素、-OH、-(CH2)0-2NH2、-(CH2)0-2NH(C1-C6)烷基、-(CH2)0-2N((C1-C6)烷基)2、或CN,或者两个R1当在相邻原子上时与它们所附接的原子一起形成苯基环或包含1个至2个N原子的5元或6元杂芳基环,其中所述苯基和杂芳基任选地被一个至三个R13取代;或者两个R1当在相邻原子上时与它们所附接的原子一起形成(C5-C6)环烷基环或包含1个至2个选自O、N、和S的杂原子的5元或6元杂环烷基环,其中所述环烷基和杂环烷基任选地被一个至三个R13取代,并且R2是任选地被一个或多个R4取代的(C1-C6)烷基,或者R1和R2当在相邻原子上时与它们所附接的原子一起形成苯基环或包含1个至2个N原子的5元或6元杂芳基环,其中所述苯基和杂芳基任选地被一个至三个R13取代;或者R1和R2当在相邻原子上时与它们所附接的原子一起形成(C5-C6)环烷基环或包含1个至2个选自O、N、和S的杂原子的5元或6元杂环烷基环,其中所述环烷基和杂环烷基任选地被一个至三个R13取代。
每个R1独立地是H、(C1-C6)烷基、(C1-C6)卤代烷基、-(CH2)0-2NH2、-(CH2)0-2NH(C1-C6)烷基、或-(CH2)0-2N((C1-C6)烷基)2,或者两个R1当在相邻原子上时与它们所附接的原子一起形成苯基环或包含1个至2个N原子的5元或6元杂芳基环,其中所述苯基和杂芳基任选地被一个至三个R13取代;或者两个R1当在相邻原子上时与它们所附接的原子一起形成(C5-C6)环烷基环或包含1个至2个选自O、N、和S的杂原子的5元或6元杂环烷基环,其中所述环烷基和杂环烷基任选地被一个至三个R13取代,并且R2是H或任选地被一个或多个R4取代的(C1-C6)烷基,或者R1和R2当在相邻原子上时与它们所附接的原子一起形成苯基环或包含1个至2个N原子的5元或6元杂芳基环,其中所述苯基和杂芳基任选地被一个至三个R13取代;或者R1和R2当在相邻原子上时与它们所附接的原子一起形成(C5-C6)环烷基环或包含1个至2个选自O、N、和S的杂原子的5元或6元杂环烷基环,其中所述环烷基和杂环烷基任选地被一个至三个R13取代。
在以上式的一些实施例中,Rx是H,n是1或2,X1是 每个R1独立地是H、(C1-C6)烷基、(C1-C6)烷氧基、(C1-C6)卤代烷基、(C1-C6)卤代烷氧基、(C1-C6)羟基烷基、卤素、-OH、-(CH2)0-2NH2、-(CH2)0-2NH(C1-C6)烷基、-(CH2)0-2N((C1-C6)烷基)2、或CN,或者两个R1当在相邻原子上时与它们所附接的原子一起形成苯基环或包含1个至2个N原子的5元或6元杂芳基环,其中所述苯基和杂芳基任选地被一个至三个R13取代;或者两个R1当在相邻原子上时与它们所附接的原子一起形成(C5-C6)环烷基环或包含1个至2个选自O、N、和S的杂原子的5元或6元杂环烷基环,其中所述环烷基和杂环烷基任选地被一个至三个R13取代,并且R2是H或任选地被一个或多个R4取代的(C1-C6)烷基,或者R1和R2当在相邻原子上时与它们所附接的原子一起形成苯基环或包含1个至2个N原子的5元或6元杂芳基环,其中所述苯基和杂芳基任选地被一个至三个R13取代;或者R1和R2当在相邻原子上时与它们所附接的原子一起形成(C5-C6)环烷基环或包含1个至2个选自O、N、和S的杂原子的5元或6元杂环烷基环,其中所述环烷基和杂环烷基任选地被一个至三个R13取代。
在以上式的一些实施例中,Rx是H,n是1或2,并且X1是 每个R1独立地是H、(C1-C6)烷基、(C1-C6)烷氧基、(C1-C6)卤代烷基、(C1-C6)卤代烷氧基、(C1-C6)羟基烷基、卤素、-OH、-(CH2)0-2NH2、-(CH2)0-2NH(C1-C6)烷基、-(CH2)0-2N((C1-C6)烷基)2、或CN,或者两个R1当在相邻原子上时与它们所附接的原子一起形成苯基环或包含1个至2个N原子的5元或6元杂芳基环,其中所述苯基和杂芳基任选地被一个至三个R13取代;或者两个R1当在相邻原子上时与它们所附接的原子一起形成(C5-C6)环烷基环或包含1个至2个选自O、N、和S的杂原子的5元或6元杂环烷基环,其中所述环烷基和杂环烷基任选地被一个至三个R13取代,并且R2是任选地被一个或多个R4取代的(C1-C6)烷基,或者R1和R2当在相邻原子上时与它们所附接的原子一起形成苯基环或包含1个至2个N原子的5元或6元杂芳基环,其中所述苯基和杂芳基任选地被一个至三个R13取代;或者R1和R2当在相邻原子上时与它们所附接的原子一起形成(C5-C6)环烷基环或包含1个至2个选自O、N、和S的杂原子的5元或6元杂环烷基环,其中所述环烷基和杂环烷基任选地被一个至三个R13取代。
每个R1独立地是H、(C1-C6)烷基、(C1-C6)卤代烷基、-(CH2)0-2NH2、-(CH2)0-2NH(C1-C6)烷基、或-(CH2)0-2N((C1-C6)烷基)2,或者两个R1当在相邻原子上时与它们所附接的原子一起形成苯基环或包含1个至2个N原子的5元或6元杂芳基环,其中所述苯基和杂芳基任选地被一个至三个R13取代;或者两个R1当在相邻原子上时与它们所附接的原子一起形成(C5-C6)环烷基环或包含1个至2个选自O、N、和S的杂原子的5元或6元杂环烷基环,其中所述环烷基和杂环烷基任选地被一个至三个R13取代,并且R2是H或任选地被一个或多个R4取代的(C1-C6)烷基,或者R1和R2当在相邻原子上时与它们所附接的原子一起形成苯基环或包含1个至2个N原子的5元或6元杂芳基环,其中所述苯基和杂芳基任选地被一个至三个R13取代;或者R1和R2当在相邻原子上时与它们所附接的原子一起形成(C5-C6)环烷基环或包含1个至2个选自O、N、和S的杂原子的5元或6元杂环烷基环,其中所述环烷基和杂环烷基任选地被一个至三个R13取代。
每个R1独立地是H、(C1-C6)烷基、(C1-C6)烷氧基、(C1-C6)卤代烷基、(C1-C6)卤代烷氧基、(C1-C6)羟基烷基、卤素、-OH、-(CH2)0-2NH2、-(CH2)0-2NH(C1-C6)烷基、-(CH2)0-2N((C1-C6)烷基)2、或CN,或者两个R1当在相邻原子上时与它们所附接的原子一起形成苯基环或包含1个至2个N原子的5元或6元杂芳基环,其中所述苯基和杂芳基任选地被一个至三个R13取代;或者两个R1当在相邻原子上时与它们所附接的原子一起形成(C5-C6)环烷基环或包含1个至2个选自O、N、和S的杂原子的5元或6元杂环烷基环,其中所述环烷基和杂环烷基任选地被一个至三个R13取代,并且R2是H或任选地被一个或多个R4取代的(C1-C6)烷基,或者R1和R2当在相邻原子上时与它们所附接的原子一起形成苯基环或包含1个至2个N原子的5元或6元杂芳基环,其中所述苯基和杂芳基任选地被一个至三个R13取代;或者R1和R2当在相邻原子上时与它们所附接的原子一起形成(C5-C6)环烷基环或包含1个至2个选自O、N、和S的杂原子的5元或6元杂环烷基环,其中所述环烷基和杂环烷基任选地被一个至三个R13取代。
每个R1独立地是H、(C1-C6)烷基、(C1-C6)烷氧基、(C1-C6)卤代烷基、(C1-C6)卤代烷氧基、(C1-C6)羟基烷基、卤素、-OH、-(CH2)0-2NH2、-(CH2)0-2NH(C1-C6)烷基、-(CH2)0-2N((C1-C6)烷基)2、或CN,或者两个R1当在相邻原子上时与它们所附接的原子一起形成苯基环或包含1个至2个N原子的5元或6元杂芳基环,其中所述苯基和杂芳基任选地被一个至三个R13取代;或者两个R1当在相邻原子上时与它们所附接的原子一起形成(C5-C6)环烷基环或包含1个至2个选自O、N、和S的杂原子的5元或6元杂环烷基环,其中所述环烷基和杂环烷基任选地被一个至三个R13取代,并且R2是任选地被一个或多个R4取代的(C1-C6)烷基,或者R1和R2当在相邻原子上时与它们所附接的原子一起形成苯基环或包含1个至2个N原子的5元或6元杂芳基环,其中所述苯基和杂芳基任选地被一个至三个R13取代;或者R1和R2当在相邻原子上时与它们所附接的原子一起形成(C5-C6)环烷基环或包含1个至2个选自O、N、和S的杂原子的5元或6元杂环烷基环,其中所述环烷基和杂环烷基任选地被一个至三个R13取代。
在以上式的一些实施例中,Rx是H,n是1或2,X1是 每个R1独立地是H、(C1-C6)烷基、(C1-C6)卤代烷基、-(CH2)0-2NH2、-(CH2)0-2NH(C1-C6)烷基、或-(CH2)0- 2N((C1-C6)烷基)2,或者两个R1当在相邻原子上时与它们所附接的原子一起形成苯基环或包含1个至2个N原子的5元或6元杂芳基环,其中所述苯基和杂芳基任选地被一个至三个R13取代;或者两个R1当在相邻原子上时与它们所附接的原子一起形成(C5-C6)环烷基环或包含1个至2个选自O、N、和S的杂原子的5元或6元杂环烷基环,其中所述环烷基和杂环烷基任选地被一个至三个R13取代,并且R2是H或任选地被一个或多个R4取代的(C1-C6)烷基,或者R1和R2当在相邻原子上时与它们所附接的原子一起形成苯基环或包含1个至2个N原子的5元或6元杂芳基环,其中所述苯基和杂芳基任选地被一个至三个R13取代;或者R1和R2当在相邻原子上时与它们所附接的原子一起形成(C5-C6)环烷基环或包含1个至2个选自O、N、和S的杂原子的5元或6元杂环烷基环,其中所述环烷基和杂环烷基任选地被一个至三个R13取代。
在以上式的一些实施例中,Rx是H,n是1或2,X1是 每个R1独立地是H、(C1-C6)烷基、(C1-C6)烷氧基、(C1-C6)卤代烷基、(C1-C6)卤代烷氧基、(C1-C6)羟基烷基、卤素、-OH、-(CH2)0-2NH2、-(CH2)0-2NH(C1-C6)烷基、-(CH2)0-2N((C1-C6)烷基)2、或CN,或者两个R1当在相邻原子上时与它们所附接的原子一起形成苯基环或包含1个至2个N原子的5元或6元杂芳基环,其中所述苯基和杂芳基任选地被一个至三个R13取代;或者两个R1当在相邻原子上时与它们所附接的原子一起形成(C5-C6)环烷基环或包含1个至2个选自O、N、和S的杂原子的5元或6元杂环烷基环,其中所述环烷基和杂环烷基任选地被一个至三个R13取代,并且R2是H或任选地被一个或多个R4取代的(C1-C6)烷基,或者R1和R2当在相邻原子上时与它们所附接的原子一起形成苯基环或包含1个至2个N原子的5元或6元杂芳基环,其中所述苯基和杂芳基任选地被一个至三个R13取代;或者R1和R2当在相邻原子上时与它们所附接的原子一起形成(C5-C6)环烷基环或包含1个至2个选自O、N、和S的杂原子的5元或6元杂环烷基环,其中所述环烷基和杂环烷基任选地被一个至三个R13取代。
每个R1独立地是H、(C1-C6)烷基、(C1-C6)烷氧基、(C1-C6)卤代烷基、(C1-C6)卤代烷氧基、(C1-C6)羟基烷基、卤素、-OH、-(CH2)0-2NH2、-(CH2)0-2NH(C1-C6)烷基、-(CH2)0-2N((C1-C6)烷基)2、或CN,或者两个R1当在相邻原子上时与它们所附接的原子一起形成苯基环或包含1个至2个N原子的5元或6元杂芳基环,其中所述苯基和杂芳基任选地被一个至三个R13取代;或者两个R1当在相邻原子上时与它们所附接的原子一起形成(C5-C6)环烷基环或包含1个至2个选自O、N、和S的杂原子的5元或6元杂环烷基环,其中所述环烷基和杂环烷基任选地被一个至三个R13取代,并且R2是任选地被一个或多个R4取代的(C1-C6)烷基,或者R1和R2当在相邻原子上时与它们所附接的原子一起形成苯基环或包含1个至2个N原子的5元或6元杂芳基环,其中所述苯基和杂芳基任选地被一个至三个R13取代;或者R1和R2当在相邻原子上时与它们所附接的原子一起形成(C5-C6)环烷基环或包含1个至2个选自O、N、和S的杂原子的5元或6元杂环烷基环,其中所述环烷基和杂环烷基任选地被一个至三个R13取代。
在以上式的一些实施例中,Rx是H,n是1或2,X1是 每个R1独立地是H、(C1-C6)烷基、(C1-C6)卤代烷基、-(CH2)0-2NH2、-(CH2)0-2NH(C1-C6)烷基、或-(CH2)0- 2N((C1-C6)烷基)2,或者两个R1当在相邻原子上时与它们所附接的原子一起形成苯基环或包含1个至2个N原子的5元或6元杂芳基环,其中所述苯基和杂芳基任选地被一个至三个R13取代;或者两个R1当在相邻原子上时与它们所附接的原子一起形成(C5-C6)环烷基环或包含1个至2个选自O、N、和S的杂原子的5元或6元杂环烷基环,其中所述环烷基和杂环烷基任选地被一个至三个R13取代,并且R2是H或任选地被一个或多个R4取代的(C1-C6)烷基,或者R1和R2当在相邻原子上时与它们所附接的原子一起形成苯基环或包含1个至2个N原子的5元或6元杂芳基环,其中所述苯基和杂芳基任选地被一个至三个R13取代;或者R1和R2当在相邻原子上时与它们所附接的原子一起形成(C5-C6)环烷基环或包含1个至2个选自O、N、和S的杂原子的5元或6元杂环烷基环,其中所述环烷基和杂环烷基任选地被一个至三个R13取代。
在以上式的一些实施例中,Rx是H,n是1或2,X1是 每个R1独立地是H、(C1-C6)烷基、(C1-C6)烷氧基、(C1-C6)卤代烷基、(C1-C6)卤代烷氧基、(C1-C6)羟基烷基、卤素、-OH、-(CH2)0-2NH2、-(CH2)0-2NH(C1-C6)烷基、-(CH2)0-2N((C1-C6)烷基)2、或CN,或者两个R1当在相邻原子上时与它们所附接的原子一起形成苯基环或包含1个至2个N原子的5元或6元杂芳基环,其中所述苯基和杂芳基任选地被一个至三个R13取代;或者两个R1当在相邻原子上时与它们所附接的原子一起形成(C5-C6)环烷基环或包含1个至2个选自O、N、和S的杂原子的5元或6元杂环烷基环,其中所述环烷基和杂环烷基任选地被一个至三个R13取代,并且R2是H或任选地被一个或多个R4取代的(C1-C6)烷基,或者R1和R2当在相邻原子上时与它们所附接的原子一起形成苯基环或包含1个至2个N原子的5元或6元杂芳基环,其中所述苯基和杂芳基任选地被一个至三个R13取代;或者R1和R2当在相邻原子上时与它们所附接的原子一起形成(C5-C6)环烷基环或包含1个至2个选自O、N、和S的杂原子的5元或6元杂环烷基环,其中所述环烷基和杂环烷基任选地被一个至三个R13取代。
在以上式的一些实施例中,Rx是H,n是1或2,X1是 每个R1独立地是H、(C1-C6)烷基、(C1-C6)烷氧基、(C1-C6)卤代烷基、(C1-C6)卤代烷氧基、(C1-C6)羟基烷基、卤素、-OH、-(CH2)0-2NH2、-(CH2)0-2NH(C1-C6)烷基、-(CH2)0-2N((C1-C6)烷基)2、或CN,或者两个R1当在相邻原子上时与它们所附接的原子一起形成苯基环或包含1个至2个N原子的5元或6元杂芳基环,其中所述苯基和杂芳基任选地被一个至三个R13取代;或者两个R1当在相邻原子上时与它们所附接的原子一起形成(C5-C6)环烷基环或包含1个至2个选自O、N、和S的杂原子的5元或6元杂环烷基环,其中所述环烷基和杂环烷基任选地被一个至三个R13取代,并且R2是任选地被一个或多个R4取代的(C1-C6)烷基,或者R1和R2当在相邻原子上时与它们所附接的原子一起形成苯基环或包含1个至2个N原子的5元或6元杂芳基环,其中所述苯基和杂芳基任选地被一个至三个R13取代;或者R1和R2当在相邻原子上时与它们所附接的原子一起形成(C5-C6)环烷基环或包含1个至2个选自O、N、和S的杂原子的5元或6元杂环烷基环,其中所述环烷基和杂环烷基任选地被一个至三个R13取代。
在以上式的一些实施例中,Rx是H,n是1或2,X1是 每个R1独立地是H、(C1-C6)烷基、(C1-C6)卤代烷基、-(CH2)0-2NH2、-(CH2)0-2NH(C1-C6)烷基、或-(CH2)0- 2N((C1-C6)烷基)2,或者两个R1当在相邻原子上时与它们所附接的原子一起形成苯基环或包含1个至2个N原子的5元或6元杂芳基环,其中所述苯基和杂芳基任选地被一个至三个R13取代;或者两个R1当在相邻原子上时与它们所附接的原子一起形成(C5-C6)环烷基环或包含1个至2个选自O、N、和S的杂原子的5元或6元杂环烷基环,其中所述环烷基和杂环烷基任选地被一个至三个R13取代,并且R2是H或任选地被一个或多个R4取代的(C1-C6)烷基,或者R1和R2当在相邻原子上时与它们所附接的原子一起形成苯基环或包含1个至2个N原子的5元或6元杂芳基环,其中所述苯基和杂芳基任选地被一个至三个R13取代;或者R1和R2当在相邻原子上时与它们所附接的原子一起形成(C5-C6)环烷基环或包含1个至2个选自O、N、和S的杂原子的5元或6元杂环烷基环,其中所述环烷基和杂环烷基任选地被一个至三个R13取代。
在以上式的一些实施例中,Rx是H,n是1或2,X1是 每个R1独立地是H、(C1-C6)烷基、(C1-C6)烷氧基、(C1-C6)卤代烷基、(C1-C6)卤代烷氧基、(C1-C6)羟基烷基、卤素、-OH、-(CH2)0-2NH2、-(CH2)0-2NH(C1-C6)烷基、-(CH2)0-2N((C1-C6)烷基)2、或CN,或者两个R1当在相邻原子上时与它们所附接的原子一起形成苯基环或包含1个至2个N原子的5元或6元杂芳基环,其中所述苯基和杂芳基任选地被一个至三个R13取代;或者两个R1当在相邻原子上时与它们所附接的原子一起形成(C5-C6)环烷基环或包含1个至2个选自O、N、和S的杂原子的5元或6元杂环烷基环,其中所述环烷基和杂环烷基任选地被一个至三个R13取代,并且R2是H或任选地被一个或多个R4取代的(C1-C6)烷基,或者R1和R2当在相邻原子上时与它们所附接的原子一起形成苯基环或包含1个至2个N原子的5元或6元杂芳基环,其中所述苯基和杂芳基任选地被一个至三个R13取代;或者R1和R2当在相邻原子上时与它们所附接的原子一起形成(C5-C6)环烷基环或包含1个至2个选自O、N、和S的杂原子的5元或6元杂环烷基环,其中所述环烷基和杂环烷基任选地被一个至三个R13取代。
每个R1独立地是H、(C1-C6)烷基、(C1-C6)烷氧基、(C1-C6)卤代烷基、(C1-C6)卤代烷氧基、(C1-C6)羟基烷基、卤素、-OH、-(CH2)0-2NH2、-(CH2)0-2NH(C1-C6)烷基、-(CH2)0-2N((C1-C6)烷基)2、或CN,或者两个R1当在相邻原子上时与它们所附接的原子一起形成苯基环或包含1个至2个N原子的5元或6元杂芳基环,其中所述苯基和杂芳基任选地被一个至三个R13取代;或者两个R1当在相邻原子上时与它们所附接的原子一起形成(C5-C6)环烷基环或包含1个至2个选自O、N、和S的杂原子的5元或6元杂环烷基环,其中所述环烷基和杂环烷基任选地被一个至三个R13取代,并且R2是任选地被一个或多个R4取代的(C1-C6)烷基,或者R1和R2当在相邻原子上时与它们所附接的原子一起形成苯基环或包含1个至2个N原子的5元或6元杂芳基环,其中所述苯基和杂芳基任选地被一个至三个R13取代;或者R1和R2当在相邻原子上时与它们所附接的原子一起形成(C5-C6)环烷基环或包含1个至2个选自O、N、和S的杂原子的5元或6元杂环烷基环,其中所述环烷基和杂环烷基任选地被一个至三个R13取代。
在以上式的一些实施例中,Rx是H,n是1或2,X1是 每个R1独立地是H、(C1-C6)烷基、(C1-C6)卤代烷基、-(CH2)0-2NH2、-(CH2)0-2NH(C1-C6)烷基、或-(CH2)0- 2N((C1-C6)烷基)2,或者两个R1当在相邻原子上时与它们所附接的原子一起形成苯基环或包含1个至2个N原子的5元或6元杂芳基环,其中所述苯基和杂芳基任选地被一个至三个R13取代;或者两个R1当在相邻原子上时与它们所附接的原子一起形成(C5-C6)环烷基环或包含1个至2个选自O、N、和S的杂原子的5元或6元杂环烷基环,其中所述环烷基和杂环烷基任选地被一个至三个R13取代,并且R2是H或任选地被一个或多个R4取代的(C1-C6)烷基,或者R1和R2当在相邻原子上时与它们所附接的原子一起形成苯基环或包含1个至2个N原子的5元或6元杂芳基环,其中所述苯基和杂芳基任选地被一个至三个R13取代;或者R1和R2当在相邻原子上时与它们所附接的原子一起形成(C5-C6)环烷基环或包含1个至2个选自O、N、和S的杂原子的5元或6元杂环烷基环,其中所述环烷基和杂环烷基任选地被一个至三个R13取代。
在以上式的一些实施例中,Rx是H,n是1或2,X1是 每个R1独立地是H、(C1-C6)烷基、(C1-C6)烷氧基、(C1-C6)卤代烷基、(C1-C6)卤代烷氧基、(C1-C6)羟基烷基、卤素、-OH、-(CH2)0-2NH2、-(CH2)0-2NH(C1-C6)烷基、-(CH2)0-2N((C1-C6)烷基)2、或CN,或者两个R1当在相邻原子上时与它们所附接的原子一起形成苯基环或包含1个至2个N原子的5元或6元杂芳基环,其中所述苯基和杂芳基任选地被一个至三个R13取代;或者两个R1当在相邻原子上时与它们所附接的原子一起形成(C5-C6)环烷基环或包含1个至2个选自O、N、和S的杂原子的5元或6元杂环烷基环,其中所述环烷基和杂环烷基任选地被一个至三个R13取代,并且R2是H或任选地被一个或多个R4取代的(C1-C6)烷基,或者R1和R2当在相邻原子上时与它们所附接的原子一起形成苯基环或包含1个至2个N原子的5元或6元杂芳基环,其中所述苯基和杂芳基任选地被一个至三个R13取代;或者R1和R2当在相邻原子上时与它们所附接的原子一起形成(C5-C6)环烷基环或包含1个至2个选自O、N、和S的杂原子的5元或6元杂环烷基环,其中所述环烷基和杂环烷基任选地被一个至三个R13取代。
在以上式的一些实施例中,Rx是H,n是1或2,X1是 每个R1独立地是H、(C1-C6)烷基、(C1-C6)烷氧基、(C1-C6)卤代烷基、(C1-C6)卤代烷氧基、(C1-C6)羟基烷基、卤素、-OH、-(CH2)0-2NH2、-(CH2)0-2NH(C1-C6)烷基、-(CH2)0-2N((C1-C6)烷基)2、或CN,或者两个R1当在相邻原子上时与它们所附接的原子一起形成苯基环或包含1个至2个N原子的5元或6元杂芳基环,其中所述苯基和杂芳基任选地被一个至三个R13取代;或者两个R1当在相邻原子上时与它们所附接的原子一起形成(C5-C6)环烷基环或包含1个至2个选自O、N、和S的杂原子的5元或6元杂环烷基环,其中所述环烷基和杂环烷基任选地被一个至三个R13取代,并且R2是任选地被一个或多个R4取代的(C1-C6)烷基,或者R1和R2当在相邻原子上时与它们所附接的原子一起形成苯基环或包含1个至2个N原子的5元或6元杂芳基环,其中所述苯基和杂芳基任选地被一个至三个R13取代;或者R1和R2当在相邻原子上时与它们所附接的原子一起形成(C5-C6)环烷基环或包含1个至2个选自O、N、和S的杂原子的5元或6元杂环烷基环,其中所述环烷基和杂环烷基任选地被一个至三个R13取代。
在以上式的一些实施例中,Rx是H,n是1或2,X1是 每个R1独立地是H、(C1-C6)烷基、(C1-C6)卤代烷基、-(CH2)0-2NH2、-(CH2)0-2NH(C1-C6)烷基、或-(CH2)0- 2N((C1-C6)烷基)2,或者两个R1当在相邻原子上时与它们所附接的原子一起形成苯基环或包含1个至2个N原子的5元或6元杂芳基环,其中所述苯基和杂芳基任选地被一个至三个R13取代;或者两个R1当在相邻原子上时与它们所附接的原子一起形成(C5-C6)环烷基环或包含1个至2个选自O、N、和S的杂原子的5元或6元杂环烷基环,其中所述环烷基和杂环烷基任选地被一个至三个R13取代,并且R2是H或任选地被一个或多个R4取代的(C1-C6)烷基,或者R1和R2当在相邻原子上时与它们所附接的原子一起形成苯基环或包含1个至2个N原子的5元或6元杂芳基环,其中所述苯基和杂芳基任选地被一个至三个R13取代;或者R1和R2当在相邻原子上时与它们所附接的原子一起形成(C5-C6)环烷基环或包含1个至2个选自O、N、和S的杂原子的5元或6元杂环烷基环,其中所述环烷基和杂环烷基任选地被一个至三个R13取代。
每个R1独立地是H、(C1-C6)烷基、(C1-C6)烷氧基、(C1-C6)卤代烷基、(C1-C6)卤代烷氧基、(C1-C6)羟基烷基、卤素、-OH、-(CH2)0-2NH2、-(CH2)0-2NH(C1-C6)烷基、-(CH2)0-2N((C1-C6)烷基)2、或CN,或者两个R1当在相邻原子上时与它们所附接的原子一起形成苯基环或包含1个至2个N原子的5元或6元杂芳基环,其中所述苯基和杂芳基任选地被一个至三个R13取代;或者两个R1当在相邻原子上时与它们所附接的原子一起形成(C5-C6)环烷基环或包含1个至2个选自O、N、和S的杂原子的5元或6元杂环烷基环,其中所述环烷基和杂环烷基任选地被一个至三个R13取代,并且R2是H或任选地被一个或多个R4取代的(C1-C6)烷基,或者R1和R2当在相邻原子上时与它们所附接的原子一起形成苯基环或包含1个至2个N原子的5元或6元杂芳基环,其中所述苯基和杂芳基任选地被一个至三个R13取代;或者R1和R2当在相邻原子上时与它们所附接的原子一起形成(C5-C6)环烷基环或包含1个至2个选自O、N、和S的杂原子的5元或6元杂环烷基环,其中所述环烷基和杂环烷基任选地被一个至三个R13取代。
在以上式的一些实施例中,Rx是H,n是1或2,X1是 每个R1独立地是H、(C1-C6)烷基、(C1-C6)烷氧基、(C1-C6)卤代烷基、(C1-C6)卤代烷氧基、(C1-C6)羟基烷基、卤素、-OH、-(CH2)0-2NH2、-(CH2)0-2NH(C1-C6)烷基、-(CH2)0-2N((C1-C6)烷基)2、或CN,或者两个R1当在相邻原子上时与它们所附接的原子一起形成苯基环或包含1个至2个N原子的5元或6元杂芳基环,其中所述苯基和杂芳基任选地被一个至三个R13取代;或者两个R1当在相邻原子上时与它们所附接的原子一起形成(C5-C6)环烷基环或包含1个至2个选自O、N、和S的杂原子的5元或6元杂环烷基环,其中所述环烷基和杂环烷基任选地被一个至三个R13取代,并且R2是任选地被一个或多个R4取代的(C1-C6)烷基,或者R1和R2当在相邻原子上时与它们所附接的原子一起形成苯基环或包含1个至2个N原子的5元或6元杂芳基环,其中所述苯基和杂芳基任选地被一个至三个R13取代;或者R1和R2当在相邻原子上时与它们所附接的原子一起形成(C5-C6)环烷基环或包含1个至2个选自O、N、和S的杂原子的5元或6元杂环烷基环,其中所述环烷基和杂环烷基任选地被一个至三个R13取代。
在以上式的一些实施例中,Rx是H,n是1或2,X1是 每个R1独立地是H、(C1-C6)烷基、(C1-C6)卤代烷基、-(CH2)0-2NH2、-(CH2)0-2NH(C1-C6)烷基、或-(CH2)0- 2N((C1-C6)烷基)2,或者两个R1当在相邻原子上时与它们所附接的原子一起形成苯基环或包含1个至2个N原子的5元或6元杂芳基环,其中所述苯基和杂芳基任选地被一个至三个R13取代;或者两个R1当在相邻原子上时与它们所附接的原子一起形成(C5-C6)环烷基环或包含1个至2个选自O、N、和S的杂原子的5元或6元杂环烷基环,其中所述环烷基和杂环烷基任选地被一个至三个R13取代,并且R2是H或任选地被一个或多个R4取代的(C1-C6)烷基,或者R1和R2当在相邻原子上时与它们所附接的原子一起形成苯基环或包含1个至2个N原子的5元或6元杂芳基环,其中所述苯基和杂芳基任选地被一个至三个R13取代;或者R1和R2当在相邻原子上时与它们所附接的原子一起形成(C5-C6)环烷基环或包含1个至2个选自O、N、和S的杂原子的5元或6元杂环烷基环,其中所述环烷基和杂环烷基任选地被一个至三个R13取代。
在以上式的一些实施例中,Rx是H,n是1或2,X1是 每个R1独立地是H、(C1-C6)烷基、(C1-C6)烷氧基、(C1-C6)卤代烷基、(C1-C6)卤代烷氧基、(C1-C6)羟基烷基、卤素、-OH、-(CH2)0-2NH2、-(CH2)0-2NH(C1-C6)烷基、-(CH2)0-2N((C1-C6)烷基)2、或CN,或者两个R1当在相邻原子上时与它们所附接的原子一起形成苯基环或包含1个至2个N原子的5元或6元杂芳基环,其中所述苯基和杂芳基任选地被一个至三个R13取代;或者两个R1当在相邻原子上时与它们所附接的原子一起形成(C5-C6)环烷基环或包含1个至2个选自O、N、和S的杂原子的5元或6元杂环烷基环,其中所述环烷基和杂环烷基任选地被一个至三个R13取代,并且R2是H或任选地被一个或多个R4取代的(C1-C6)烷基,或者R1和R2当在相邻原子上时与它们所附接的原子一起形成苯基环或包含1个至2个N原子的5元或6元杂芳基环,其中所述苯基和杂芳基任选地被一个至三个R13取代;或者R1和R2当在相邻原子上时与它们所附接的原子一起形成(C5-C6)环烷基环或包含1个至2个选自O、N、和S的杂原子的5元或6元杂环烷基环,其中所述环烷基和杂环烷基任选地被一个至三个R13取代。
每个R1独立地是H、(C1-C6)烷基、(C1-C6)烷氧基、(C1-C6)卤代烷基、(C1-C6)卤代烷氧基、(C1-C6)羟基烷基、卤素、-OH、-(CH2)0-2NH2、-(CH2)0-2NH(C1-C6)烷基、-(CH2)0-2N((C1-C6)烷基)2、或CN,或者两个R1当在相邻原子上时与它们所附接的原子一起形成苯基环或包含1个至2个N原子的5元或6元杂芳基环,其中所述苯基和杂芳基任选地被一个至三个R13取代;或者两个R1当在相邻原子上时与它们所附接的原子一起形成(C5-C6)环烷基环或包含1个至2个选自O、N、和S的杂原子的5元或6元杂环烷基环,其中所述环烷基和杂环烷基任选地被一个至三个R13取代,并且R2是任选地被一个或多个R4取代的(C1-C6)烷基,或者R1和R2当在相邻原子上时与它们所附接的原子一起形成苯基环或包含1个至2个N原子的5元或6元杂芳基环,其中所述苯基和杂芳基任选地被一个至三个R13取代;或者R1和R2当在相邻原子上时与它们所附接的原子一起形成(C5-C6)环烷基环或包含1个至2个选自O、N、和S的杂原子的5元或6元杂环烷基环,其中所述环烷基和杂环烷基任选地被一个至三个R13取代。
在以上式的一些实施例中,Rx是H,n是1或2,X1是 每个R1独立地是H、(C1-C6)烷基、(C1-C6)卤代烷基、-(CH2)0-2NH2、-(CH2)0-2NH(C1-C6)烷基、或-(CH2)0- 2N((C1-C6)烷基)2,或者两个R1当在相邻原子上时与它们所附接的原子一起形成苯基环或包含1个至2个N原子的5元或6元杂芳基环,其中所述苯基和杂芳基任选地被一个至三个R13取代;或者两个R1当在相邻原子上时与它们所附接的原子一起形成(C5-C6)环烷基环或包含1个至2个选自O、N、和S的杂原子的5元或6元杂环烷基环,其中所述环烷基和杂环烷基任选地被一个至三个R13取代,并且R2是H或任选地被一个或多个R4取代的(C1-C6)烷基,或者R1和R2当在相邻原子上时与它们所附接的原子一起形成苯基环或包含1个至2个N原子的5元或6元杂芳基环,其中所述苯基和杂芳基任选地被一个至三个R13取代;或者R1和R2当在相邻原子上时与它们所附接的原子一起形成(C5-C6)环烷基环或包含1个至2个选自O、N、和S的杂原子的5元或6元杂环烷基环,其中所述环烷基和杂环烷基任选地被一个至三个R13取代。
在以上式的一些实施例中,Rx是H,n是1或2,X1是 每个R1独立地是H、(C1-C6)烷基、(C1-C6)烷氧基、(C1-C6)卤代烷基、(C1-C6)卤代烷氧基、(C1-C6)羟基烷基、卤素、-OH、-(CH2)0-2NH2、-(CH2)0-2NH(C1-C6)烷基、-(CH2)0-2N((C1-C6)烷基)2、或CN,或者两个R1当在相邻原子上时与它们所附接的原子一起形成苯基环或包含1个至2个N原子的5元或6元杂芳基环,其中所述苯基和杂芳基任选地被一个至三个R13取代;或者两个R1当在相邻原子上时与它们所附接的原子一起形成(C5-C6)环烷基环或包含1个至2个选自O、N、和S的杂原子的5元或6元杂环烷基环,其中所述环烷基和杂环烷基任选地被一个至三个R13取代,并且R2是H或任选地被一个或多个R4取代的(C1-C6)烷基,或者R1和R2当在相邻原子上时与它们所附接的原子一起形成苯基环或包含1个至2个N原子的5元或6元杂芳基环,其中所述苯基和杂芳基任选地被一个至三个R13取代;或者R1和R2当在相邻原子上时与它们所附接的原子一起形成(C5-C6)环烷基环或包含1个至2个选自O、N、和S的杂原子的5元或6元杂环烷基环,其中所述环烷基和杂环烷基任选地被一个至三个R13取代。
每个R1独立地是H、(C1-C6)烷基、(C1-C6)烷氧基、(C1-C6)卤代烷基、(C1-C6)卤代烷氧基、(C1-C6)羟基烷基、卤素、-OH、-(CH2)0-2NH2、-(CH2)0-2NH(C1-C6)烷基、-(CH2)0-2N((C1-C6)烷基)2、或CN,或者两个R1当在相邻原子上时与它们所附接的原子一起形成苯基环或包含1个至2个N原子的5元或6元杂芳基环,其中所述苯基和杂芳基任选地被一个至三个R13取代;或者两个R1当在相邻原子上时与它们所附接的原子一起形成(C5-C6)环烷基环或包含1个至2个选自O、N、和S的杂原子的5元或6元杂环烷基环,其中所述环烷基和杂环烷基任选地被一个至三个R13取代,并且R2是任选地被一个或多个R4取代的(C1-C6)烷基,或者R1和R2当在相邻原子上时与它们所附接的原子一起形成苯基环或包含1个至2个N原子的5元或6元杂芳基环,其中所述苯基和杂芳基任选地被一个至三个R13取代;或者R1和R2当在相邻原子上时与它们所附接的原子一起形成(C5-C6)环烷基环或包含1个至2个选自O、N、和S的杂原子的5元或6元杂环烷基环,其中所述环烷基和杂环烷基任选地被一个至三个R13取代。
在以上式的一些实施例中,Rx是H,n是1或2,X1是 每个R1独立地是H、(C1-C6)烷基、(C1-C6)卤代烷基、-(CH2)0-2NH2、-(CH2)0-2NH(C1-C6)烷基、或-(CH2)0- 2N((C1-C6)烷基)2,或者两个R1当在相邻原子上时与它们所附接的原子一起形成苯基环或包含1个至2个N原子的5元或6元杂芳基环,其中所述苯基和杂芳基任选地被一个至三个R13取代;或者两个R1当在相邻原子上时与它们所附接的原子一起形成(C5-C6)环烷基环或包含1个至2个选自O、N、和S的杂原子的5元或6元杂环烷基环,其中所述环烷基和杂环烷基任选地被一个至三个R13取代,并且R2是H或任选地被一个或多个R4取代的(C1-C6)烷基,或者R1和R2当在相邻原子上时与它们所附接的原子一起形成苯基环或包含1个至2个N原子的5元或6元杂芳基环,其中所述苯基和杂芳基任选地被一个至三个R13取代;或者R1和R2当在相邻原子上时与它们所附接的原子一起形成(C5-C6)环烷基环或包含1个至2个选自O、N、和S的杂原子的5元或6元杂环烷基环,其中所述环烷基和杂环烷基任选地被一个至三个R13取代。
在以上式的一些实施例中,Rx是H,n是1或2,X1是 每个R1独立地是H、(C1-C6)烷基、(C1-C6)烷氧基、(C1-C6)卤代烷基、(C1-C6)卤代烷氧基、(C1-C6)羟基烷基、卤素、-OH、-(CH2)0-2NH2、-(CH2)0-2NH(C1-C6)烷基、-(CH2)0-2N((C1-C6)烷基)2、或CN,或者两个R1当在相邻原子上时与它们所附接的原子一起形成苯基环或包含1个至2个N原子的5元或6元杂芳基环,其中所述苯基和杂芳基任选地被一个至三个R13取代;或者两个R1当在相邻原子上时与它们所附接的原子一起形成(C5-C6)环烷基环或包含1个至2个选自O、N、和S的杂原子的5元或6元杂环烷基环,其中所述环烷基和杂环烷基任选地被一个至三个R13取代,并且R2是H或任选地被一个或多个R4取代的(C1-C6)烷基,或者R1和R2当在相邻原子上时与它们所附接的原子一起形成苯基环或包含1个至2个N原子的5元或6元杂芳基环,其中所述苯基和杂芳基任选地被一个至三个R13取代;或者R1和R2当在相邻原子上时与它们所附接的原子一起形成(C5-C6)环烷基环或包含1个至2个选自O、N、和S的杂原子的5元或6元杂环烷基环,其中所述环烷基和杂环烷基任选地被一个至三个R13取代。
在以上式的一些实施例中,Rx是H,n是1或2,X1是 每个R1独立地是H、(C1-C6)烷基、(C1-C6)烷氧基、(C1-C6)卤代烷基、(C1-C6)卤代烷氧基、(C1-C6)羟基烷基、卤素、-OH、-(CH2)0-2NH2、-(CH2)0-2NH(C1-C6)烷基、-(CH2)0-2N((C1-C6)烷基)2、或CN,或者两个R1当在相邻原子上时与它们所附接的原子一起形成苯基环或包含1个至2个N原子的5元或6元杂芳基环,其中所述苯基和杂芳基任选地被一个至三个R13取代;或者两个R1当在相邻原子上时与它们所附接的原子一起形成(C5-C6)环烷基环或包含1个至2个选自O、N、和S的杂原子的5元或6元杂环烷基环,其中所述环烷基和杂环烷基任选地被一个至三个R13取代,并且R2是任选地被一个或多个R4取代的(C1-C6)烷基,或者R1和R2当在相邻原子上时与它们所附接的原子一起形成苯基环或包含1个至2个N原子的5元或6元杂芳基环,其中所述苯基和杂芳基任选地被一个至三个R13取代;或者R1和R2当在相邻原子上时与它们所附接的原子一起形成(C5-C6)环烷基环或包含1个至2个选自O、N、和S的杂原子的5元或6元杂环烷基环,其中所述环烷基和杂环烷基任选地被一个至三个R13取代。
在以上式的一些实施例中,Rx是H,n是1或2,X1是 每个R1独立地是H、(C1-C6)烷基、(C1-C6)卤代烷基、-(CH2)0-2NH2、-(CH2)0-2NH(C1-C6)烷基、或-(CH2)0- 2N((C1-C6)烷基)2,或者两个R1当在相邻原子上时与它们所附接的原子一起形成苯基环或包含1个至2个N原子的5元或6元杂芳基环,其中所述苯基和杂芳基任选地被一个至三个R13取代;或者两个R1当在相邻原子上时与它们所附接的原子一起形成(C5-C6)环烷基环或包含1个至2个选自O、N、和S的杂原子的5元或6元杂环烷基环,其中所述环烷基和杂环烷基任选地被一个至三个R13取代,并且R2是H或任选地被一个或多个R4取代的(C1-C6)烷基,或者R1和R2当在相邻原子上时与它们所附接的原子一起形成苯基环或包含1个至2个N原子的5元或6元杂芳基环,其中所述苯基和杂芳基任选地被一个至三个R13取代;或者R1和R2当在相邻原子上时与它们所附接的原子一起形成(C5-C6)环烷基环或包含1个至2个选自O、N、和S的杂原子的5元或6元杂环烷基环,其中所述环烷基和杂环烷基任选地被一个至三个R13取代。
每个R1独立地是H、(C1-C6)烷基、(C1-C6)烷氧基、(C1-C6)卤代烷基、(C1-C6)卤代烷氧基、(C1-C6)羟基烷基、卤素、-OH、-(CH2)0-2NH2、-(CH2)0-2NH(C1-C6)烷基、-(CH2)0-2N((C1-C6)烷基)2、或CN,或者两个R1当在相邻原子上时与它们所附接的原子一起形成苯基环或包含1个至2个N原子的5元或6元杂芳基环,其中所述苯基和杂芳基任选地被一个至三个R13取代;或者两个R1当在相邻原子上时与它们所附接的原子一起形成(C5-C6)环烷基环或包含1个至2个选自O、N、和S的杂原子的5元或6元杂环烷基环,其中所述环烷基和杂环烷基任选地被一个至三个R13取代,并且R2是H或任选地被一个或多个R4取代的(C1-C6)烷基,或者R1和R2当在相邻原子上时与它们所附接的原子一起形成苯基环或包含1个至2个N原子的5元或6元杂芳基环,其中所述苯基和杂芳基任选地被一个至三个R13取代;或者R1和R2当在相邻原子上时与它们所附接的原子一起形成(C5-C6)环烷基环或包含1个至2个选自O、N、和S的杂原子的5元或6元杂环烷基环,其中所述环烷基和杂环烷基任选地被一个至三个R13取代。
每个R1独立地是H、(C1-C6)烷基、(C1-C6)烷氧基、(C1-C6)卤代烷基、(C1-C6)卤代烷氧基、(C1-C6)羟基烷基、卤素、-OH、-(CH2)0-2NH2、-(CH2)0-2NH(C1-C6)烷基、-(CH2)0-2N((C1-C6)烷基)2、或CN,或者两个R1当在相邻原子上时与它们所附接的原子一起形成苯基环或包含1个至2个N原子的5元或6元杂芳基环,其中所述苯基和杂芳基任选地被一个至三个R13取代;或者两个R1当在相邻原子上时与它们所附接的原子一起形成(C5-C6)环烷基环或包含1个至2个选自O、N、和S的杂原子的5元或6元杂环烷基环,其中所述环烷基和杂环烷基任选地被一个至三个R13取代,并且R2是任选地被一个或多个R4取代的(C1-C6)烷基,或者R1和R2当在相邻原子上时与它们所附接的原子一起形成苯基环或包含1个至2个N原子的5元或6元杂芳基环,其中所述苯基和杂芳基任选地被一个至三个R13取代;或者R1和R2当在相邻原子上时与它们所附接的原子一起形成(C5-C6)环烷基环或包含1个至2个选自O、N、和S的杂原子的5元或6元杂环烷基环,其中所述环烷基和杂环烷基任选地被一个至三个R13取代。
在以上式的一些实施例中,Rx是H,n是1或2,X1是 每个R1独立地是H、(C1-C6)烷基、(C1-C6)卤代烷基、-(CH2)0-2NH2、-(CH2)0-2NH(C1-C6)烷基、或-(CH2)0- 2N((C1-C6)烷基)2,或者两个R1当在相邻原子上时与它们所附接的原子一起形成苯基环或包含1个至2个N原子的5元或6元杂芳基环,其中所述苯基和杂芳基任选地被一个至三个R13取代;或者两个R1当在相邻原子上时与它们所附接的原子一起形成(C5-C6)环烷基环或包含1个至2个选自O、N、和S的杂原子的5元或6元杂环烷基环,其中所述环烷基和杂环烷基任选地被一个至三个R13取代,并且R2是H或任选地被一个或多个R4取代的(C1-C6)烷基,或者R1和R2当在相邻原子上时与它们所附接的原子一起形成苯基环或包含1个至2个N原子的5元或6元杂芳基环,其中所述苯基和杂芳基任选地被一个至三个R13取代;或者R1和R2当在相邻原子上时与它们所附接的原子一起形成(C5-C6)环烷基环或包含1个至2个选自O、N、和S的杂原子的5元或6元杂环烷基环,其中所述环烷基和杂环烷基任选地被一个至三个R13取代。
每个R1独立地是H、(C1-C6)烷基、(C1-C6)烷氧基、(C1-C6)卤代烷基、(C1-C6)卤代烷氧基、(C1-C6)羟基烷基、卤素、-OH、-(CH2)0-2NH2、-(CH2)0-2NH(C1-C6)烷基、-(CH2)0-2N((C1-C6)烷基)2、或CN,或者两个R1当在相邻原子上时与它们所附接的原子一起形成苯基环或包含1个至2个N原子的5元或6元杂芳基环,其中所述苯基和杂芳基任选地被一个至三个R13取代;或者两个R1当在相邻原子上时与它们所附接的原子一起形成(C5-C6)环烷基环或包含1个至2个选自O、N、和S的杂原子的5元或6元杂环烷基环,其中所述环烷基和杂环烷基任选地被一个至三个R13取代,并且R2是H或任选地被一个或多个R4取代的(C1-C6)烷基,或者R1和R2当在相邻原子上时与它们所附接的原子一起形成苯基环或包含1个至2个N原子的5元或6元杂芳基环,其中所述苯基和杂芳基任选地被一个至三个R13取代;或者R1和R2当在相邻原子上时与它们所附接的原子一起形成(C5-C6)环烷基环或包含1个至2个选自O、N、和S的杂原子的5元或6元杂环烷基环,其中所述环烷基和杂环烷基任选地被一个至三个R13取代。
每个R1独立地是H、(C1-C6)烷基、(C1-C6)烷氧基、(C1-C6)卤代烷基、(C1-C6)卤代烷氧基、(C1-C6)羟基烷基、卤素、-OH、-(CH2)0-2NH2、-(CH2)0-2NH(C1-C6)烷基、-(CH2)0-2N((C1-C6)烷基)2、或CN,或者两个R1当在相邻原子上时与它们所附接的原子一起形成苯基环或包含1个至2个N原子的5元或6元杂芳基环,其中所述苯基和杂芳基任选地被一个至三个R13取代;或者两个R1当在相邻原子上时与它们所附接的原子一起形成(C5-C6)环烷基环或包含1个至2个选自O、N、和S的杂原子的5元或6元杂环烷基环,其中所述环烷基和杂环烷基任选地被一个至三个R13取代,并且R2是任选地被一个或多个R4取代的(C1-C6)烷基,或者R1和R2当在相邻原子上时与它们所附接的原子一起形成苯基环或包含1个至2个N原子的5元或6元杂芳基环,其中所述苯基和杂芳基任选地被一个至三个R13取代;或者R1和R2当在相邻原子上时与它们所附接的原子一起形成(C5-C6)环烷基环或包含1个至2个选自O、N、和S的杂原子的5元或6元杂环烷基环,其中所述环烷基和杂环烷基任选地被一个至三个R13取代。
在以上式的一些实施例中,Rx是H,n是1或2,X1是 每个R1独立地是H、(C1-C6)烷基、(C1-C6)卤代烷基、-(CH2)0-2NH2、-(CH2)0-2NH(C1-C6)烷基、或-(CH2)0- 2N((C1-C6)烷基)2,或者两个R1当在相邻原子上时与它们所附接的原子一起形成苯基环或包含1个至2个N原子的5元或6元杂芳基环,其中所述苯基和杂芳基任选地被一个至三个R13取代;或者两个R1当在相邻原子上时与它们所附接的原子一起形成(C5-C6)环烷基环或包含1个至2个选自O、N、和S的杂原子的5元或6元杂环烷基环,其中所述环烷基和杂环烷基任选地被一个至三个R13取代,并且R2是H或任选地被一个或多个R4取代的(C1-C6)烷基,或者R1和R2当在相邻原子上时与它们所附接的原子一起形成苯基环或包含1个至2个N原子的5元或6元杂芳基环,其中所述苯基和杂芳基任选地被一个至三个R13取代;或者R1和R2当在相邻原子上时与它们所附接的原子一起形成(C5-C6)环烷基环或包含1个至2个选自O、N、和S的杂原子的5元或6元杂环烷基环,其中所述环烷基和杂环烷基任选地被一个至三个R13取代。
每个R1独立地是H、(C1-C6)烷基、(C1-C6)烷氧基、(C1-C6)卤代烷基、(C1-C6)卤代烷氧基、(C1-C6)羟基烷基、卤素、-OH、-(CH2)0-2NH2、-(CH2)0-2NH(C1-C6)烷基、-(CH2)0-2N((C1-C6)烷基)2、或CN,或者两个R1当在相邻原子上时与它们所附接的原子一起形成苯基环或包含1个至2个N原子的5元或6元杂芳基环,其中所述苯基和杂芳基任选地被一个至三个R13取代;或者两个R1当在相邻原子上时与它们所附接的原子一起形成(C5-C6)环烷基环或包含1个至2个选自O、N、和S的杂原子的5元或6元杂环烷基环,其中所述环烷基和杂环烷基任选地被一个至三个R13取代,并且R2是H或任选地被一个或多个R4取代的(C1-C6)烷基,或者R1和R2当在相邻原子上时与它们所附接的原子一起形成苯基环或包含1个至2个N原子的5元或6元杂芳基环,其中所述苯基和杂芳基任选地被一个至三个R13取代;或者R1和R2当在相邻原子上时与它们所附接的原子一起形成(C5-C6)环烷基环或包含1个至2个选自O、N、和S的杂原子的5元或6元杂环烷基环,其中所述环烷基和杂环烷基任选地被一个至三个R13取代。
在以上式的一些实施例中,Rx是H,n是1或2,X1是 每个R1独立地是H、(C1-C6)烷基、(C1-C6)烷氧基、(C1-C6)卤代烷基、(C1-C6)卤代烷氧基、(C1-C6)羟基烷基、卤素、-OH、-(CH2)0-2NH2、-(CH2)0-2NH(C1-C6)烷基、-(CH2)0-2N((C1-C6)烷基)2、或CN,或者两个R1当在相邻原子上时与它们所附接的原子一起形成苯基环或包含1个至2个N原子的5元或6元杂芳基环,其中所述苯基和杂芳基任选地被一个至三个R13取代;或者两个R1当在相邻原子上时与它们所附接的原子一起形成(C5-C6)环烷基环或包含1个至2个选自O、N、和S的杂原子的5元或6元杂环烷基环,其中所述环烷基和杂环烷基任选地被一个至三个R13取代,并且R2是任选地被一个或多个R4取代的(C1-C6)烷基,或者R1和R2当在相邻原子上时与它们所附接的原子一起形成苯基环或包含1个至2个N原子的5元或6元杂芳基环,其中所述苯基和杂芳基任选地被一个至三个R13取代;或者R1和R2当在相邻原子上时与它们所附接的原子一起形成(C5-C6)环烷基环或包含1个至2个选自O、N、和S的杂原子的5元或6元杂环烷基环,其中所述环烷基和杂环烷基任选地被一个至三个R13取代。
在以上式的一些实施例中,Rx是H,n是1或2,X1是 每个R1独立地是H、(C1-C6)烷基、(C1-C6)卤代烷基、-(CH2)0-2NH2、-(CH2)0-2NH(C1-C6)烷基、或-(CH2)0- 2N((C1-C6)烷基)2,或者两个R1当在相邻原子上时与它们所附接的原子一起形成苯基环或包含1个至2个N原子的5元或6元杂芳基环,其中所述苯基和杂芳基任选地被一个至三个R13取代;或者两个R1当在相邻原子上时与它们所附接的原子一起形成(C5-C6)环烷基环或包含1个至2个选自O、N、和S的杂原子的5元或6元杂环烷基环,其中所述环烷基和杂环烷基任选地被一个至三个R13取代,并且R2是H或任选地被一个或多个R4取代的(C1-C6)烷基,或者R1和R2当在相邻原子上时与它们所附接的原子一起形成苯基环或包含1个至2个N原子的5元或6元杂芳基环,其中所述苯基和杂芳基任选地被一个至三个R13取代;或者R1和R2当在相邻原子上时与它们所附接的原子一起形成(C5-C6)环烷基环或包含1个至2个选自O、N、和S的杂原子的5元或6元杂环烷基环,其中所述环烷基和杂环烷基任选地被一个至三个R13取代。
在以上式的一些实施例中,Rx是H,n是1或2,X1是 每个R1独立地是H、(C1-C6)烷基、(C1-C6)烷氧基、(C1-C6)卤代烷基、(C1-C6)卤代烷氧基、(C1-C6)羟基烷基、卤素、-OH、-(CH2)0-2NH2、-(CH2)0-2NH(C1-C6)烷基、-(CH2)0-2N((C1-C6)烷基)2、或CN,或者两个R1当在相邻原子上时与它们所附接的原子一起形成苯基环或包含1个至2个N原子的5元或6元杂芳基环,其中所述苯基和杂芳基任选地被一个至三个R13取代;或者两个R1当在相邻原子上时与它们所附接的原子一起形成(C5-C6)环烷基环或包含1个至2个选自O、N、和S的杂原子的5元或6元杂环烷基环,其中所述环烷基和杂环烷基任选地被一个至三个R13取代,并且R2是H或任选地被一个或多个R4取代的(C1-C6)烷基,或者R1和R2当在相邻原子上时与它们所附接的原子一起形成苯基环或包含1个至2个N原子的5元或6元杂芳基环,其中所述苯基和杂芳基任选地被一个至三个R13取代;或者R1和R2当在相邻原子上时与它们所附接的原子一起形成(C5-C6)环烷基环或包含1个至2个选自O、N、和S的杂原子的5元或6元杂环烷基环,其中所述环烷基和杂环烷基任选地被一个至三个R13取代。
在以上式的一些实施例中,Rx是H,n是1或2,X1是 每个R1独立地是H、(C1-C6)烷基、(C1-C6)烷氧基、(C1-C6)卤代烷基、(C1-C6)卤代烷氧基、(C1-C6)羟基烷基、卤素、-OH、-(CH2)0-2NH2、-(CH2)0-2NH(C1-C6)烷基、-(CH2)0-2N((C1-C6)烷基)2、或CN,或者两个R1当在相邻原子上时与它们所附接的原子一起形成苯基环或包含1个至2个N原子的5元或6元杂芳基环,其中所述苯基和杂芳基任选地被一个至三个R13取代;或者两个R1当在相邻原子上时与它们所附接的原子一起形成(C5-C6)环烷基环或包含1个至2个选自O、N、和S的杂原子的5元或6元杂环烷基环,其中所述环烷基和杂环烷基任选地被一个至三个R13取代,并且R2是任选地被一个或多个R4取代的(C1-C6)烷基,或者R1和R2当在相邻原子上时与它们所附接的原子一起形成苯基环或包含1个至2个N原子的5元或6元杂芳基环,其中所述苯基和杂芳基任选地被一个至三个R13取代;或者R1和R2当在相邻原子上时与它们所附接的原子一起形成(C5-C6)环烷基环或包含1个至2个选自O、N、和S的杂原子的5元或6元杂环烷基环,其中所述环烷基和杂环烷基任选地被一个至三个R13取代。
在以上式的一些实施例中,Rx是H,n是1或2,X1是 每个R1独立地是H、(C1-C6)烷基、(C1-C6)卤代烷基、-(CH2)0-2NH2、-(CH2)0-2NH(C1-C6)烷基、或-(CH2)0-2N((C1-C6)烷基)2,或者两个R1当在相邻原子上时与它们所附接的原子一起形成苯基环或包含1个至2个N原子的5元或6元杂芳基环,其中所述苯基和杂芳基任选地被一个至三个R13取代;或者两个R1当在相邻原子上时与它们所附接的原子一起形成(C5-C6)环烷基环或包含1个至2个选自O、N、和S的杂原子的5元或6元杂环烷基环,其中所述环烷基和杂环烷基任选地被一个至三个R13取代,并且R2是H或任选地被一个或多个R4取代的(C1-C6)烷基,或者R1和R2当在相邻原子上时与它们所附接的原子一起形成苯基环或包含1个至2个N原子的5元或6元杂芳基环,其中所述苯基和杂芳基任选地被一个至三个R13取代;或者R1和R2当在相邻原子上时与它们所附接的原子一起形成(C5-C6)环烷基环或包含1个至2个选自O、N、和S的杂原子的5元或6元杂环烷基环,其中所述环烷基和杂环烷基任选地被一个至三个R13取代。
每个R1独立地是H、(C1-C6)烷基、(C1-C6)烷氧基、(C1-C6)卤代烷基、(C1-C6)卤代烷氧基、(C1-C6)羟基烷基、卤素、-OH、-(CH2)0-2NH2、-(CH2)0-2NH(C1-C6)烷基、-(CH2)0-2N((C1-C6)烷基)2、或CN,或者两个R1当在相邻原子上时与它们所附接的原子一起形成苯基环或包含1个至2个N原子的5元或6元杂芳基环,其中所述苯基和杂芳基任选地被一个至三个R13取代;或者两个R1当在相邻原子上时与它们所附接的原子一起形成(C5-C6)环烷基环或包含1个至2个选自O、N、和S的杂原子的5元或6元杂环烷基环,其中所述环烷基和杂环烷基任选地被一个至三个R13取代,并且R2是H或任选地被一个或多个R4取代的(C1-C6)烷基,或者R1和R2当在相邻原子上时与它们所附接的原子一起形成苯基环或包含1个至2个N原子的5元或6元杂芳基环,其中所述苯基和杂芳基任选地被一个至三个R13取代;或者R1和R2当在相邻原子上时与它们所附接的原子一起形成(C5-C6)环烷基环或包含1个至2个选自O、N、和S的杂原子的5元或6元杂环烷基环,其中所述环烷基和杂环烷基任选地被一个至三个R13取代。
每个R1独立地是H、(C1-C6)烷基、(C1-C6)烷氧基、(C1-C6)卤代烷基、(C1-C6)卤代烷氧基、(C1-C6)羟基烷基、卤素、-OH、-(CH2)0-2NH2、-(CH2)0-2NH(C1-C6)烷基、-(CH2)0-2N((C1-C6)烷基)2、或CN,或者两个R1当在相邻原子上时与它们所附接的原子一起形成苯基环或包含1个至2个N原子的5元或6元杂芳基环,其中所述苯基和杂芳基任选地被一个至三个R13取代;或者两个R1当在相邻原子上时与它们所附接的原子一起形成(C5-C6)环烷基环或包含1个至2个选自O、N、和S的杂原子的5元或6元杂环烷基环,其中所述环烷基和杂环烷基任选地被一个至三个R13取代,并且R2是任选地被一个或多个R4取代的(C1-C6)烷基,或者R1和R2当在相邻原子上时与它们所附接的原子一起形成苯基环或包含1个至2个N原子的5元或6元杂芳基环,其中所述苯基和杂芳基任选地被一个至三个R13取代;或者R1和R2当在相邻原子上时与它们所附接的原子一起形成(C5-C6)环烷基环或包含1个至2个选自O、N、和S的杂原子的5元或6元杂环烷基环,其中所述环烷基和杂环烷基任选地被一个至三个R13取代。
在以上式的一些实施例中,Rx是H,n是1或2,X1是 每个R1独立地是H、(C1-C6)烷基、(C1-C6)卤代烷基、-(CH2)0-2NH2、-(CH2)0-2NH(C1-C6)烷基、或-(CH2)0- 2N((C1-C6)烷基)2,或者两个R1当在相邻原子上时与它们所附接的原子一起形成苯基环或包含1个至2个N原子的5元或6元杂芳基环,其中所述苯基和杂芳基任选地被一个至三个R13取代;或者两个R1当在相邻原子上时与它们所附接的原子一起形成(C5-C6)环烷基环或包含1个至2个选自O、N、和S的杂原子的5元或6元杂环烷基环,其中所述环烷基和杂环烷基任选地被一个至三个R13取代,并且R2是H或任选地被一个或多个R4取代的(C1-C6)烷基,或者R1和R2当在相邻原子上时与它们所附接的原子一起形成苯基环或包含1个至2个N原子的5元或6元杂芳基环,其中所述苯基和杂芳基任选地被一个至三个R13取代;或者R1和R2当在相邻原子上时与它们所附接的原子一起形成(C5-C6)环烷基环或包含1个至2个选自O、N、和S的杂原子的5元或6元杂环烷基环,其中所述环烷基和杂环烷基任选地被一个至三个R13取代。
在以上式的一些实施例中,Rx是H,n是1或2,X1是 每个R1独立地是H、(C1-C6)烷基、(C1-C6)烷氧基、(C1-C6)卤代烷基、(C1-C6)卤代烷氧基、(C1-C6)羟基烷基、卤素、-OH、-(CH2)0-2NH2、-(CH2)0-2NH(C1-C6)烷基、-(CH2)0-2N((C1-C6)烷基)2、或CN,或者两个R1当在相邻原子上时与它们所附接的原子一起形成苯基环或包含1个至2个N原子的5元或6元杂芳基环,其中所述苯基和杂芳基任选地被一个至三个R13取代;或者两个R1当在相邻原子上时与它们所附接的原子一起形成(C5-C6)环烷基环或包含1个至2个选自O、N、和S的杂原子的5元或6元杂环烷基环,其中所述环烷基和杂环烷基任选地被一个至三个R13取代,并且R2是H或任选地被一个或多个R4取代的(C1-C6)烷基,或者R1和R2当在相邻原子上时与它们所附接的原子一起形成苯基环或包含1个至2个N原子的5元或6元杂芳基环,其中所述苯基和杂芳基任选地被一个至三个R13取代;或者R1和R2当在相邻原子上时与它们所附接的原子一起形成(C5-C6)环烷基环或包含1个至2个选自O、N、和S的杂原子的5元或6元杂环烷基环,其中所述环烷基和杂环烷基任选地被一个至三个R13取代。
每个R1独立地是H、(C1-C6)烷基、(C1-C6)烷氧基、(C1-C6)卤代烷基、(C1-C6)卤代烷氧基、(C1-C6)羟基烷基、卤素、-OH、-(CH2)0-2NH2、-(CH2)0-2NH(C1-C6)烷基、-(CH2)0-2N((C1-C6)烷基)2、或CN,或者两个R1当在相邻原子上时与它们所附接的原子一起形成苯基环或包含1个至2个N原子的5元或6元杂芳基环,其中所述苯基和杂芳基任选地被一个至三个R13取代;或者两个R1当在相邻原子上时与它们所附接的原子一起形成(C5-C6)环烷基环或包含1个至2个选自O、N、和S的杂原子的5元或6元杂环烷基环,其中所述环烷基和杂环烷基任选地被一个至三个R13取代,并且R2是任选地被一个或多个R4取代的(C1-C6)烷基,或者R1和R2当在相邻原子上时与它们所附接的原子一起形成苯基环或包含1个至2个N原子的5元或6元杂芳基环,其中所述苯基和杂芳基任选地被一个至三个R13取代;或者R1和R2当在相邻原子上时与它们所附接的原子一起形成(C5-C6)环烷基环或包含1个至2个选自O、N、和S的杂原子的5元或6元杂环烷基环,其中所述环烷基和杂环烷基任选地被一个至三个R13取代。
每个R1独立地是H、(C1-C6)烷基、(C1-C6)卤代烷基、-(CH2)0-2NH2、-(CH2)0-2NH(C1-C6)烷基、或-(CH2)0-2N((C1-C6)烷基)2,或者两个R1当在相邻原子上时与它们所附接的原子一起形成苯基环或包含1个至2个N原子的5元或6元杂芳基环,其中所述苯基和杂芳基任选地被一个至三个R13取代;或者两个R1当在相邻原子上时与它们所附接的原子一起形成(C5-C6)环烷基环或包含1个至2个选自O、N、和S的杂原子的5元或6元杂环烷基环,其中所述环烷基和杂环烷基任选地被一个至三个R13取代,并且R2是H或任选地被一个或多个R4取代的(C1-C6)烷基,或者R1和R2当在相邻原子上时与它们所附接的原子一起形成苯基环或包含1个至2个N原子的5元或6元杂芳基环,其中所述苯基和杂芳基任选地被一个至三个R13取代;或者R1和R2当在相邻原子上时与它们所附接的原子一起形成(C5-C6)环烷基环或包含1个至2个选自O、N、和S的杂原子的5元或6元杂环烷基环,其中所述环烷基和杂环烷基任选地被一个至三个R13取代。
每个R1独立地是H、(C1-C6)烷基、(C1-C6)烷氧基、(C1-C6)卤代烷基、(C1-C6)卤代烷氧基、(C1-C6)羟基烷基、卤素、-OH、-(CH2)0-2NH2、-(CH2)0-2NH(C1-C6)烷基、-(CH2)0-2N((C1-C6)烷基)2、或CN,或者两个R1当在相邻原子上时与它们所附接的原子一起形成苯基环或包含1个至2个N原子的5元或6元杂芳基环,其中所述苯基和杂芳基任选地被一个至三个R13取代;或者两个R1当在相邻原子上时与它们所附接的原子一起形成(C5-C6)环烷基环或包含1个至2个选自O、N、和S的杂原子的5元或6元杂环烷基环,其中所述环烷基和杂环烷基任选地被一个至三个R13取代,并且R2是H或任选地被一个或多个R4取代的(C1-C6)烷基,或者R1和R2当在相邻原子上时与它们所附接的原子一起形成苯基环或包含1个至2个N原子的5元或6元杂芳基环,其中所述苯基和杂芳基任选地被一个至三个R13取代;或者R1和R2当在相邻原子上时与它们所附接的原子一起形成(C5-C6)环烷基环或包含1个至2个选自O、N、和S的杂原子的5元或6元杂环烷基环,其中所述环烷基和杂环烷基任选地被一个至三个R13取代。
每个R1独立地是H、(C1-C6)烷基、(C1-C6)烷氧基、(C1-C6)卤代烷基、(C1-C6)卤代烷氧基、(C1-C6)羟基烷基、卤素、-OH、-(CH2)0-2NH2、-(CH2)0-2NH(C1-C6)烷基、-(CH2)0-2N((C1-C6)烷基)2、或CN,或者两个R1当在相邻原子上时与它们所附接的原子一起形成苯基环或包含1个至2个N原子的5元或6元杂芳基环,其中所述苯基和杂芳基任选地被一个至三个R13取代;或者两个R1当在相邻原子上时与它们所附接的原子一起形成(C5-C6)环烷基环或包含1个至2个选自O、N、和S的杂原子的5元或6元杂环烷基环,其中所述环烷基和杂环烷基任选地被一个至三个R13取代,并且R2是任选地被一个或多个R4取代的(C1-C6)烷基,或者R1和R2当在相邻原子上时与它们所附接的原子一起形成苯基环或包含1个至2个N原子的5元或6元杂芳基环,其中所述苯基和杂芳基任选地被一个至三个R13取代;或者R1和R2当在相邻原子上时与它们所附接的原子一起形成(C5-C6)环烷基环或包含1个至2个选自O、N、和S的杂原子的5元或6元杂环烷基环,其中所述环烷基和杂环烷基任选地被一个至三个R13取代。
在以上式的一些实施例中,Rx是H,n是1或2,X1是 每个R1独立地是H、(C1-C6)烷基、(C1-C6)卤代烷基、-(CH2)0-2NH2、-(CH2)0-2NH(C1-C6)烷基、或-(CH2)0-2N((C1-C6)烷基)2,或者两个R1当在相邻原子上时与它们所附接的原子一起形成苯基环或包含1个至2个N原子的5元或6元杂芳基环,其中所述苯基和杂芳基任选地被一个至三个R13取代;或者两个R1当在相邻原子上时与它们所附接的原子一起形成(C5-C6)环烷基环或包含1个至2个选自O、N、和S的杂原子的5元或6元杂环烷基环,其中所述环烷基和杂环烷基任选地被一个至三个R13取代,并且R2是H或任选地被一个或多个R4取代的(C1-C6)烷基,或者R1和R2当在相邻原子上时与它们所附接的原子一起形成苯基环或包含1个至2个N原子的5元或6元杂芳基环,其中所述苯基和杂芳基任选地被一个至三个R13取代;或者R1和R2当在相邻原子上时与它们所附接的原子一起形成(C5-C6)环烷基环或包含1个至2个选自O、N、和S的杂原子的5元或6元杂环烷基环,其中所述环烷基和杂环烷基任选地被一个至三个R13取代。
实施例1:一种具有式(I)的化合物,其中:
每个R1独立地是H、(C1-C6)烷基、(C1-C6)烷氧基、(C1-C6)卤代烷基、(C1-C6)卤代烷氧基、(C1-C6)羟基烷基、卤素、-OH、-(CH2)0-2NH2、-(CH2)0-2NH(C1-C6)烷基、-(CH2)0-2N((C1-C6)烷基)2、或CN;或
两个R1当在相邻原子上时与它们所附接的原子一起形成苯基环或包含1个至2个N原子的5元或6元杂芳基环,其中所述苯基和杂芳基任选地被一个至三个R13取代;或者两个R1当在相邻原子上时与它们所附接的原子一起形成(C5-C6)环烷基环或包含1个至2个选自O、N、和S的杂原子的5元或6元杂环烷基环,其中所述环烷基和杂环烷基任选地被一个至三个R13取代;或
R1和R2当在相邻原子上时与它们所附接的原子一起形成苯基环或包含1个至2个N原子的5元或6元杂芳基环,其中所述苯基和杂芳基任选地被一个至三个R13取代;或者R1和R2当在相邻原子上时与它们所附接的原子一起形成(C5-C6)环烷基环或包含1个至2个选自O、N、和S的杂原子的5元或6元杂环烷基环,其中所述环烷基和杂环烷基任选地被一个至三个R13取代;
R2是H、(C1-C6)烷基、(C6-C10)芳基、包含1个至3个选自O、N、和S的杂原子的5元或6元杂芳基、(C3-C8)环烷基、或包含1个至3个选自O、N、和S的杂原子的5元至7元杂环烷基,其中所述烷基任选地被一个或多个R4取代;并且所述芳基、杂芳基、环烷基、和杂环烷基任选地被一个或多个R5取代,或
R2和R1当在相邻原子上时与它们所附接的原子一起形成苯基环或包含1个至2个N原子的5元或6元杂芳基环,其中所述苯基和杂芳基任选地被一个至三个R13取代;或者R2和R1当在相邻原子上时与它们所附接的原子一起形成(C5-C6)环烷基环或包含1个至2个选自O、N、和S的杂原子的5元或6元杂环烷基环,其中所述环烷基和杂环烷基任选地被一个至三个R13取代;
R2和R3’当在相邻原子上时与它们所附接的原子一起形成苯基环或包含1个至2个N原子的5元或6元杂芳基环,其中所述苯基和杂芳基任选地被一个至三个R13取代;或者R2和R3’当在相邻原子上时与它们所附接的原子一起形成(C5-C6)环烷基环或包含1个至2个选自O、N、和S的杂原子的5元或6元杂环烷基环,其中所述环烷基和杂环烷基任选地被一个至三个R13取代;
R3是H、(C1-C6)烷基、(C1-C6)烷氧基、(C1-C6)卤代烷基、(C1-C6)卤代烷氧基、(C1-C6)羟基烷基、卤素、-OH、-(CH2)0-2NH2、-(CH2)0-2NH(C1-C6)烷基、-(CH2)0-2N((C1-C6)烷基)2、或CN;
R3’是H、(C1-C6)卤代烷基、(C1-C6)烷基、或(C3-C6)环烷基;或
R3’和R2当在相邻原子上时与它们所附接的原子一起形成苯基环或包含1个至2个N原子的5元或6元杂芳基环,其中所述苯基和杂芳基任选地被一个至三个R13取代;或者R3’和R2当在相邻原子上时与它们所附接的原子一起形成(C5-C6)环烷基环或包含1个至2个选自O、N、和S的杂原子的5元或6元杂环烷基环,其中所述环烷基和杂环烷基任选地被一个至三个R13取代;
每个R4独立地选自-C(O)OR6、-C(O)NR6R6'、-NR6C(O)R6'、卤素、-OH、-NH2、CN、(C6-C10)芳基、包含1个至4个选自O、N、和S的杂原子的5元或6元杂芳基、(C3-C8)环烷基,以及包含1个至3个选自O、N、和S的杂原子的4元至7元杂环烷基环,其中所述芳基、杂芳基、环烷基、和杂环烷基基团任选地被一个或多个R7取代;
每个R5独立地选自(C1-C6)烷基、(C2-C6)烯基、(C2-C6)炔基、(C1-C6)烷氧基、(C1-C6)卤代烷基、(C1-C6)卤代烷氧基、(C1-C6)羟基烷基、卤素、-OH、-NH2、CN、(C3-C7)环烷基、包含1个至3个选自O、N、和S的杂原子的5元至7元杂环烷基、(C6-C10)芳基、以及包含1个至3个选自O、N、和S的杂原子的5元或6元杂芳基,或
两个R5当在相邻原子上时与它们所附接的原子一起形成(C6-C10)芳基环或包含1个至3个选自O、N、和S的杂原子的5元或6元杂芳基环,其任选地被一个或多个R10取代,或
两个R5当在相邻原子上时与它们所附接的原子一起形成(C5-C7)环烷基环或包含1个至3个选自O、N、和S的杂原子的5元至7元杂环烷基环,其任选地被一个或多个R10取代;
R6和R6'各自独立地是H、(C1-C6)烷基、或(C6-C10)芳基;
每个R7独立地选自(C1-C6)烷基、(C2-C6)烯基、(C2-C6)炔基、(C1-C6)烷氧基、(C1-C6)卤代烷基、(C1-C6)卤代烷氧基、-C(O)R8、-(CH2)0-3C(O)OR8、-C(O)NR8R9、-NR8C(O)R9、-NR8C(O)OR9、-S(O)pNR8R9、-S(O)pR12、(C1-C6)羟基烷基、卤素、-OH、-O(CH2)1-3CN、-NH2、CN、-O(CH2)0-3(C6-C10)芳基、金刚烷基、包含1个至3个选自O、N、和S的杂原子的-O(CH2)0-3-5元或6元杂芳基、(C6-C10)芳基、包含1个至3个选自O、N、和S的杂原子的单环或双环5元至10元杂芳基、(C3-C7)环烷基、以及包含1个至3个选自O、N、和S的杂原子的5元至7元杂环烷基,其中所述烷基任选地被一个或多个R11取代,并且所述芳基、杂芳基、和杂环烷基任选地被一个或多个各自独立地选自以下的取代基取代:卤素、(C1-C6)烷基、(C1-C6)卤代烷基、和(C1-C6)烷氧基,或
两个R7与它们所附接的碳原子一起形成=(O),或
两个R7当在相邻原子上时与它们所附接的原子一起形成(C6-C10)芳基环或包含1个至3个选自O、N、和S的杂原子的5元或6元杂芳基环,其任选地被一个或多个R10取代,或
两个R7与它们所附接的原子一起形成(C5-C7)环烷基环或包含1个至3个选自O、N、和S的杂原子的5元至7元杂环烷基环,其任选地被一个或多个R10取代;
R8和R9各自独立地是H或(C1-C6)烷基;
每个R10独立地选自(C1-C6)烷基、(C1-C6)烷氧基、(C1-C6)卤代烷基、(C1-C6)卤代烷氧基、(C1-C6)羟基烷基、卤素、-OH、-NH2、和CN,或
两个R10与它们所附接的碳原子一起形成=(O);
每个R11独立地选自CN、(C1-C6)烷氧基、(C6-C10)芳基、以及包含1个至3个选自O、N、和S的杂原子的5元至7元杂环烷基,其中所述芳基和杂环烷基任选地被一个或多个各自独立地选自以下的取代基取代:(C1-C6)烷基、(C1-C6)烷氧基、(C1-C6)卤代烷基、(C1-C6)卤代烷氧基、(C1-C6)羟基烷基、卤素、-OH、-NH2、和CN;
R12是(C1-C6)烷基、(C1-C6)卤代烷基、(C6-C10)芳基、或包含1个至3个选自O、N、和S的杂原子的5元至7元杂环烷基;
每个R13独立地是(C1-C6)烷基、(C1-C6)烷氧基、(C1-C6)卤代烷基、(C1-C6)卤代烷氧基、(C1-C6)羟基烷基、卤素、-OH、-NH2、-NH(C1-C6)烷基、–N((C1-C6)烷基)2、或CN;或
两个R13与它们所附接的碳原子一起形成=(O);
Rx是H或D;
p是0、1或2;以及
n是1或2;
或其药学上可接受的盐、水合物、溶剂化物、前药、立体异构体、或互变异构体。
实施例2:根据实施例1所述的化合物,其中Rx是H。
实施例3:根据实施例1所述的化合物,所述化合物具有式(Ia)、式(Ib)、式(Ic)、式(Id)、式(Ie)、式(If)、或式(Ig),或其药学上可接受的盐、水合物、溶剂化物、前药、立体异构体、或互变异构体。
实施例4:根据实施例1-3中任一项所述的化合物,其中n是1。
实施例5:根据实施例1-3中任一项所述的化合物,其中n是2。
实施例6:根据实施例1所述的化合物,所述化合物具有式(Ih)、式(Ii)、式(Ij)、式(Ik)、式(Il)、或式(Im),或其药学上可接受的盐、水合物、溶剂化物、前药、立体异构体、或互变异构体。
实施例7:根据实施例1-6中任一项所述的化合物,其中R2是(C6-C10)芳基、(C3-C8)环烷基、或包含1个至3个选自O、N、和S的杂原子的5元至7元杂环烷基,其中所述芳基、环烷基、和杂环烷基任选地被一个至三个R5取代。
实施例8:根据实施例1-6中任一项所述的化合物,其中R2是(C6-C10)芳基、(C3-C8)环烷基、或包含1个至3个选自O、N、和S的杂原子的5元至7元杂环烷基。
实施例9:根据实施例1-6中任一项所述的化合物,其中R2是任选地被一个至三个R4取代的(C1-C6)烷基。
实施例10:根据实施例1-6中任一项所述的化合物,其中R2是被一个至三个R4取代的(C1-C6)烷基。
实施例11:根据实施例1-3中任一项所述的化合物,其中R1和R2当在相邻原子上时与它们所附接的原子一起形成苯基环或包含1个至2个N原子的6元杂芳基环,其中所述苯基和杂芳基任选地被一个至三个R13取代。
实施例12:根据实施例1-3中任一项所述的化合物,其中R1和R2当在相邻原子上时与它们所附接的原子一起形成包含1个至2个选自O、N、和S的杂原子的任选地被一个至三个R13取代的5元或6元杂环烷基环。
实施例13:一种化合物,所述化合物选自:
3-(5-(1-苄基-1H-咪唑-4-基)-1-氧代异吲哚啉-2-基)哌啶-2,6-二酮;
3-(5-(1-甲基-1H-吡唑-3-基)-1-氧代异吲哚啉-2-基)哌啶-2,6-二酮;
3-(5-(4-甲基-1H-吡唑-3-基)-1-氧代异吲哚啉-2-基)哌啶-2,6-二酮;
3-(5-(1-苄基-5-甲基-1H-吡唑-3-基)-1-氧代异吲哚啉-2-基)哌啶-2,6-二酮;
4-((3-(2-(2,6-二氧代哌啶-3-基)-1-氧代异吲哚啉-5-基)-5-甲基-1H-吡唑-1-基)甲基)苯甲腈;
3-(5-(5-甲氧基-1H-吡唑-3-基)-1-氧代异吲哚啉-2-基)哌啶-2,6-二酮;
3-(5-(1-乙基-5-(三氟甲基)-1H-吡唑-3-基)-1-氧代异吲哚啉-2-基)哌啶-2,6-二酮;
3-(1-氧代-5-(1H-吡唑-3-基)异吲哚啉-2-基)哌啶-2,6-二酮;
3-(5-(1-苄基-1H-吡唑-3-基)-1-氧代异吲哚啉-2-基)哌啶-2,6-二酮;
3-(5-(5-甲基-1-((四氢-2H-吡喃-4-基)甲基)-1H-吡唑-3-基)-1-氧代异吲哚啉-2-基)哌啶-2,6-二酮;
3-(5-(1-乙基-1H-吲唑-3-基)-1-氧代异吲哚啉-2-基)哌啶-2,6-二酮;
3-(5-(1-甲基-1H-咪唑-4-基)-1-氧代异吲哚啉-2-基)哌啶-2,6-二酮;
3-(1-氧代-5-(5-(三氟甲基)-1H-吡唑-3-基)异吲哚啉-2-基)哌啶-2,6-二酮;
3-(1-氧代-5-(4,5,6,7-四氢-1H-吲唑-3-基)异吲哚啉-2-基)哌啶-2,6-二酮;
3-(5-(1-苄基-4,5,6,7-四氢-1H-吲唑-3-基)-1-氧代异吲哚啉-2-基)哌啶-2,6-二酮;
3-(5-(5-甲基-1H-吡唑-3-基)-1-氧代异吲哚啉-2-基)哌啶-2,6-二酮;
3-(5-(1-苄基-4-甲基-1H-吡唑-3-基)-1-氧代异吲哚啉-2-基)哌啶-2,6-二酮;
3-(5-(1H-吲唑-3-基)-1-氧代异吲哚啉-2-基)哌啶-2,6-二酮;
3-(5-(1-苄基-1H-吲唑-3-基)-1-氧代异吲哚啉-2-基)哌啶-2,6-二酮;
3-(5-(1-苄基-5-(三氟甲基)-1H-吡唑-3-基)-1-氧代异吲哚啉-2-基)哌啶-2,6-二酮;
3-(5-(5-(乙基氨基)哒嗪-3-基)-1-氧代异吲哚啉-2-基)哌啶-2,6-二酮;
3-(5-(6-(乙基氨基)哒嗪-3-基)-1-氧代异吲哚啉-2-基)哌啶-2,6-二酮;
3-(1-氧代-5-(吡啶-2-基)异吲哚啉-2-基)哌啶-2,6-二酮;
3-(5-(6-苄基哒嗪-3-基)-1-氧代异吲哚啉-2-基)哌啶-2,6-二酮;
3-(5-(6-(((1r,4r)-4-甲氧基环己基)甲基)哒嗪-3-基)-1-氧代异吲哚啉-2-基)哌啶-2,6-二酮;
3-(5-(6-(((1s,4s)-4-甲氧基环己基)甲基)哒嗪-3-基)-1-氧代异吲哚啉-2-基)哌啶-2,6-二酮;
3-(5-(6-苄基-5-甲氧基哒嗪-3-基)-1-氧代异吲哚啉-2-基)哌啶-2,6-二酮;
3-(5-(6-苄基-4-甲氧基哒嗪-3-基)-1-氧代异吲哚啉-2-基)哌啶-2,6-二酮;
3-(5-(5-((二甲基氨基)甲基)哒嗪-3-基)-1-氧代异吲哚啉-2-基)哌啶-2,6-二酮;
3-(5-(4-((二甲基氨基)甲基)哒嗪-3-基)-1-氧代异吲哚啉-2-基)哌啶-2,6-二酮;
3-(1-氧代-5-(酞嗪-1-基)异吲哚啉-2-基)哌啶-2,6-二酮;
3-(1-氧代-5-(5,6,7,8-四氢酞嗪-1-基)异吲哚啉-2-基)哌啶-2,6-二酮;
3-(5-(异喹啉-1-基)-1-氧代异吲哚啉-2-基)哌啶-2,6-二酮;
3-(5-(1-乙基-5-甲氧基-1H-吡唑-3-基)-1-氧代异吲哚啉-2-基)哌啶-2,6-二酮;
3-(5-(1-苄基-5-(二甲基氨基)-1H-吡唑-3-基)-1-氧代异吲哚啉-2-基)哌啶-2,6-二酮;
3-(5-(1-(((1r,4r)-4-甲氧基环己基)甲基)-1H-吡唑-3-基)-1-氧代异吲哚啉-2-基)哌啶-2,6-二酮;
3-(5-(1-(((1s,4s)-4-甲氧基环己基)甲基)-1H-吡唑-3-基)-1-氧代异吲哚啉-2-基)哌啶-2,6-二酮;
3-(5-(5-(((1r,4r)-4-甲氧基环己基)甲基)吡啶-2-基)-1-氧代异吲哚啉-2-基)哌啶-2,6-二酮;
3-(5-(5-(((1s,4s)-4-甲氧基环己基)甲基)吡啶-2-基)-1-氧代异吲哚啉-2-基)哌啶-2,6-二酮;
3-(5-(1-苄基-5-甲氧基-1H-吡唑-3-基)-1-氧代异吲哚啉-2-基)哌啶-2,6-二酮;
3-(5-(1-(4-甲氧基苄基)-1H-吲唑-3-基)-1-氧代异吲哚啉-2-基)哌啶-2,6-二酮;
3-(1-氧代-5-(哒嗪-3-基)异吲哚啉-2-基)哌啶-2,6-二酮;
3-(5-(6-((二乙基氨基)甲基)哒嗪-3-基)-1-氧代异吲哚啉-2-基)哌啶-2,6-二酮;
3-(5-(1H-苯并[d]咪唑-2-基)-1-氧代异吲哚啉-2-基)哌啶-2,6-二酮;
3-(5-(1H-咪唑[4,5-b]吡啶-2-基)-1-氧代异吲哚啉-2-基)哌啶-2,6-二酮;以及
3-(1-氧代-5-(5-氧代-4,5-二氢-1H-咪唑[4,5-b]吡啶-2-基)异吲哚啉-2-基)哌啶-2,6-二酮;
或其药学上可接受的盐、水合物、溶剂化物、前药、立体异构体、或互变异构体。
实施例14:一种药物组合物,所述药物组合物包含治疗有效量的根据实施例1-13中任一项所述的化合物或其药学上可接受的盐、水合物、溶剂化物、前药、立体异构体、或互变异构体,以及药学上可接受的载体或赋形剂。
实施例15:根据实施例14所述的药物组合物,所述药物组合物进一步包含至少一种另外的药物药剂。
实施例16:根据实施例14或实施例15所述的药物组合物,用于在治疗受IKZF2蛋白水平的降低影响的疾病或障碍中使用。
实施例17:一种降解IKZF2的方法,所述方法包括向有需要的患者施用根据实施例1-13中任一项所述的化合物或其药学上可接受的盐、水合物、溶剂化物、前药、立体异构体、或互变异构体。
实施例18:一种治疗受IKZF2蛋白水平的调节影响的疾病或障碍的方法,所述方法包括向有需要的患者施用根据实施例1-13中任一项所述的化合物或其药学上可接受的盐、水合物、溶剂化物、前药、立体异构体、或互变异构体。
实施例19:一种调节IKZF2蛋白水平的方法,所述方法包括向有需要的患者施用根据实施例1-13中任一项所述的化合物或其药学上可接受的盐、水合物、溶剂化物、前药、立体异构体、或互变异构体。
实施例20:一种降低细胞的增殖的方法,所述方法包括使所述细胞与根据实施例1-13中任一项所述的化合物或其药学上可接受的盐、水合物、溶剂化物、前药、立体异构体、或互变异构体接触,以及降低IKZF2蛋白水平。
实施例21:一种治疗癌症的方法,所述方法包括向有需要的患者施用根据实施例1-13中任一项所述的化合物或其药学上可接受的盐、水合物、溶剂化物、前药、立体异构体、或互变异构体。
实施例22:根据实施例21所述的方法,其中所述癌症选自非小细胞肺癌(NSCLC)、黑色素瘤、三阴性乳腺癌(TNBC)、鼻咽癌(NPC)、微卫星稳定结直肠癌(mssCRC)、胸腺瘤、类癌、急性髓细胞性白血病、和胃肠道间质瘤(GIST)。
实施例23:根据实施例21所述的方法,其中所述癌症是免疫应答缺陷的癌症或免疫原性癌症。
实施例24:一种用于降低受试者中IKZF2蛋白水平的方法,所述方法包括向有需要的受试者施用治疗有效量的根据实施例1-13中任一项所述的化合物或药学上可接受的盐的步骤。
实施例25:根据实施例17-24中任一项所述的方法,其中施用是口服地、肠胃外地、皮下地、通过注射、或通过输注进行的。
实施例26:根据实施例1-13中任一项所述的化合物或其药学上可接受的盐、水合物、溶剂化物、前药、立体异构体、或互变异构体,用于在治疗受IKZF2蛋白水平的降低影响的疾病或障碍中使用。
实施例27:根据实施例1-13中任一项所述的化合物或其药学上可接受的盐、水合物、溶剂化物、前药、立体异构体、或互变异构体在制造用于治疗受IKZF2蛋白水平的降低影响的疾病或障碍的药物中的用途。
实施例28:根据实施例1-13中任一项所述的化合物或其药学上可接受的盐、水合物、溶剂化物、前药、立体异构体、或互变异构体,用于在制造用于治疗与IKZF2蛋白水平的降低相关的疾病或障碍的药物中使用。
实施例29:根据实施例1-13中任一项所述的化合物或其药学上可接受的盐、水合物、溶剂化物、前药、立体异构体、或互变异构体在治疗与IKZF2蛋白水平的降低相关的疾病或障碍中的用途。
实施例30:根据实施例26或28所述的化合物或根据实施例27或29所述的用途,其中所述疾病或障碍选自非小细胞肺癌(NSCLC)、黑色素瘤、三阴性乳腺癌(TNBC)、鼻咽癌(NPC)、微卫星稳定结直肠癌(mssCRC)、胸腺瘤、类癌、急性髓细胞性白血病、和胃肠道间质瘤(GIST)。
实施例31:一种化合物或其药学上可接受的盐、水合物、溶剂化物、前药、立体异构体、或互变异构体,所述化合物选自:
在本披露的另一个实施例中,本披露的化合物是对映异构体。在一些实施例中,化合物是(S)-对映异构体。在其他实施例中,化合物是(R)-对映异构体。在又其他实施例中,本披露的化合物可以是(+)或(-)对映异构体。
应理解的是,所有异构形式包括在本披露内,包括其混合物。如果化合物含有双键,则取代基可以处于E或Z构型。如果化合物含有二取代的环烷基,则环烷基取代基可以具有顺式构型或反式构型。所有互变异构形式也旨在包括在内。
本披露的化合物及其药学上可接受的盐、水合物、溶剂化物、立体异构体、和前药能以它们的互变异构形式存在(例如,作为酰胺或亚胺醚)。所有此类互变异构形式在本文中都被认为是本披露的一部分。
本披露的化合物可以含有不对称中心或手性中心,并且因此以不同的立体异构形式存在。意图是本披露的化合物的所有立体异构形式及其混合物(包括外消旋混合物)均构成本披露的一部分。此外,本披露包括所有几何异构体和位置异构体。例如,如果本披露的化合物包含双键或稠合环,则顺式形式和反式形式两者以及混合物都包括在本披露的范围内。本文披露的每种化合物包括符合化合物一般结构的所有对映异构体。化合物可以处于外消旋或对映异构体纯的形式,或就立体化学而言的任何其他形式。测定结果可以反映针对外消旋形式、对映异构体纯的形式或就立体化学而言的任何其他形式收集的数据。
非对映异构体混合物可以基于其物理化学差异,通过本领域技术人员熟知的方法(像例如通过色谱法和/或分步结晶)分成其单独的非对映异构体。对映异构体可以如下分离:通过与适当的光学活性化合物(例如,手性助剂,如手性醇或莫舍酸氯化物(Mosher’sacid chlorid))反应将对映异构体混合物转变成非对映混合物,分离这些非对映异构体,并将单独的非对映异构体转变(例如,水解)成对应的纯对映异构体。此外,本披露的一些化合物可以是阻转异构体(例如,取代的联芳基)并且被认为是本披露的一部分。还可以使用手性HPLC柱分离对映异构体。
本披露的化合物还可能以不同的互变异构形式存在,并且所有此类形式都包括在本披露的范围内以及化学结构和名称中。此外,例如,化合物的所有酮-烯醇和亚胺-烯胺形式都包括在本披露中。
本披露的化合物(包括那些化合物的盐、溶剂化物、酯、和前药,以及前药的盐、溶剂化物和酯)的所有立体异构体(例如,几何异构体、光学异构体等),例如由于不同取代基上的不对称碳而可能存在的那些(包括对映异构形式(甚至可以在没有不对称碳的情况下存在)、旋转异构形式、阻转异构体、和非对映异构形式)包括在本披露的范围内,位置异构体(像例如,4-吡啶基和3-吡啶基)也包括在本披露的范围内。(例如,如果具有式(I)的化合物包含双键或稠合环,则顺式形式和反式形式两者以及混合物都包括在本披露的范围内。此外,例如,化合物的所有酮-烯醇和亚胺-烯胺形式都包括在本披露中)。本披露的化合物的单独的立体异构体可以例如基本上不含其他异构体,或者例如作为外消旋体或与所有其他的、或其他选择的立体异构体混合。
本披露的化合物的手性中心可具有IUPAC 1974推荐定义的S构型或R构型。在某些实施例中,每个不对称的原子在(R)-构型或(S)-构型中具有至少50%对映异构体过量、至少60%对映异构体过量、至少70%对映异构体过量、至少80%对映异构体过量、至少90%对映异构体过量、至少95%对映异构体过量或至少99%对映异构体过量。如果可能,在具有不饱和双键的原子上的取代可以按顺式-(Z)-或反式-(E)-形式存在。
术语“盐”、“溶剂化物”、“酯”、“前药”等的使用旨在同样适用于发明化合物的对映异构体、立体异构体、旋转异构体、互变异构体、位置异构体、外消旋体、或前药的盐、溶剂化物、酯、和前药。
本披露的化合物可以形成盐,这些盐也在本披露的范围内。除非另有指示,否则提及具有本文的具有式的化合物通常理解为包括提及其盐。
可以分离化合物和中间体并将其作为化合物本身使用。本文给出的任何式还旨在表示化合物的未标记的形式以及同位素标记的形式。同位素标记的化合物具有由本文给出的式表示的结构,除了一个或多个原子被具有所选原子质量或质量数的原子代替。可以掺入本披露的化合物的同位素的实例包括氢、碳、氮、氧、磷、氯的同位素,以及例如分别是2H、3H、11C、13C、14C、15N、18F、31P、32P。本披露包括如本文所定义的各种同位素标记的化合物,例如其中存在放射性同位素(例如3H、13C、和14C)的那些化合物。此类同位素标记的化合物可用于代谢研究(用14C)、反应动力学研究(例如用2H或3H)、检测或成像技术(如正电子发射断层扫描(PET)或单光子发射计算机断层扫描(SPECT),包括药物或底物组织分布测定),或用于患者的放射性治疗。特别地,18F、11C、或标记的化合物对于PET或SPECT研究可能是特别希望的。
此外,用较重的同位素,特别是氘(即,2H或D)取代可以提供来源于更大的代谢稳定性(例如,体内半衰期延长、剂量需求减少、CYP450抑制减少(竞争性的或时间依赖性的)或治疗指数的改善)的某些治疗优点。例如,用氘取代可以调节未氘代的化合物的不希望的副作用,例如竞争性CYP450抑制、时间依赖性CYP450失活等。应理解的是,在本文上下文中的氘被认为是本披露的化合物中的取代基。这种较重的同位素(特别是氘)的浓度可以由同位素富集因子来定义。如本文所用,术语“同位素富集因子”是指同位素丰度与特定同位素的天然丰度之间的比率。如果本披露化合物中的取代基指示氘,这种化合物具有针对每个指定的氘原子的同位素富集因子为至少3500(在每个指定的氘原子处52.5%氘掺入)、至少4000(60%氘掺入)、至少4500(67.5%氘掺入)、至少5000(75%氘掺入)、至少5500(82.5%氘掺入)、至少6000(90%氘掺入)、至少6333.3(95%氘掺入)、至少6466.7(97%氘掺入)、至少6600(99%氘掺入)、或至少6633.3(99.5%氘掺入)。
本披露的同位素标记的化合物通常可以通过本领域技术人员已知的常规技术进行制备,或者通过使用适当的同位素标记的试剂代替非同位素标记的试剂,进行下文描述的方案或实例及制备中披露的程序进行制备。
根据本披露的药学上可接受的溶剂化物包括其中结晶溶剂可以被同位素取代的那些,例如,D2O、d6-丙酮、d6-DMSO。
本披露涉及化合物,这些化合物是IKZF2蛋白水平的调节剂。在一个实施例中,本披露的化合物减少IKZF2蛋白水平。在又一个实施例中,本披露的化合物降低IKZF2蛋白水平。在另一个实施例中,本披露的化合物是IKZF2的降解剂。
本披露涉及化合物,这些化合物是IKZF2和IKZF4蛋白水平的调节剂。在一个实施例中,本披露的化合物减少IKZF2和IKZF4蛋白水平。在又一个实施例中,本披露的化合物降低IKZF2和IKZF4蛋白水平。在另一个实施例中,本披露的化合物是IKZF2的降解剂。
在一些实施例中,本披露的化合物对其他蛋白质具有选择性。如本文所使用的,“选择性调节剂”、“选择性降解剂”、或“选择性化合物”意指例如本披露的化合物,所述化合物有效调节、减少、或降低特异性蛋白的水平或降解特异性蛋白(比任何其他蛋白质更大程度)。例如,可以通过将化合物调节、减少或降低特异性蛋白的水平或降解特异性蛋白的能力与所述化合物调节、减少或降低其他蛋白质水平或降解其他蛋白质的能力进行比较,鉴定“选择性调节剂”、“选择性降解剂”、或“选择性化合物”。在一些实施例中,可以通过测量化合物的AC50、EC50、或IC50鉴定选择性。
在一些实施例中,本申请的化合物是选择性IKZF2调节剂。如本文所使用的,“选择性IKZF2调节剂”、“选择性IKZF2降解剂”、或“选择性IKZF2化合物”是指本申请的化合物,所述化合物例如有效调节、减少、或降低IKZF2蛋白的水平或降解IKZF2蛋白(比任何其他蛋白质(特别是来自Ikaros蛋白家族(例如,IKZF1、IKZF3、IKZF4、和IKZF5)的任何蛋白质(转录因子))更大程度)。
可以通过例如将化合物调节IKZF2蛋白水平的能力与所述化合物调节Ikaros蛋白家族的其他成员或其他蛋白质的水平的能力进行比较,鉴定“选择性IKZF2调节剂”、“选择性IKZF2降解剂”、或“选择性IKZF2化合物”。例如,可以测定物质调节IKZF2蛋白水平以及IKZF1、IKZF3、IKZF4、IKZF5、和其他蛋白质的能力。在一些实施例中,可以通过测量化合物的EC50鉴定选择性。在一些实施例中,可以通过测量化合物的AC50鉴定选择性。在一些实施例中,通过将化合物降解IKZF2的能力与所述化合物降解Ikaros蛋白家族的其他成员或其他蛋白质的能力进行比较,鉴定选择性IKZF2降解剂。
在某些实施例中,本申请的化合物是IKZF2降解剂,这些降解剂对IKZF2的降解展示比对其他蛋白质(例如,IKZF1、IKZF3、IKZF4、和IKZF5)的降解至少2倍、3倍、5倍、10倍、25倍、50倍或100倍选择性。在不同实施例中,本申请的化合物对IKZF2的降解展示比对其他蛋白质的降解高达1000倍选择性。
在某些实施例中,本申请的化合物对IKZF2的降解展示比对Ikaros蛋白家族的其他成员(例如,IKZF1、IKZF3、IKZF4、和IKZF5)的降解至少2倍、3倍、5倍、10倍、25倍、50倍或100倍选择性。在不同实施例中,本申请的化合物对IKZF2的降解展示比对Ikaros蛋白家族的其他成员(例如,IKZF1、IKZF3、IKZF4、和IKZF5)的降解高达1000倍选择性。
在某些实施例中,本申请的化合物对IKZF2的降解展示比对IKZF1的降解至少2倍、3倍、5倍、10倍、25倍、50倍或100倍选择性。在不同实施例中,本申请的化合物对IKZF2的降解展示比对IKZF1的降解高达1000倍选择性。
在某些实施例中,本申请的化合物对IKZF2的降解展示比对IKZF3的降解至少2倍、3倍、5倍、10倍、25倍、50倍或100倍选择性。在不同实施例中,本申请的化合物对IKZF2的降解展示比对IKZF3的降解高达1000倍选择性。
在某些实施例中,本申请的化合物对IKZF2的降解展示比对IKZF4的降解至少2倍、3倍、5倍、10倍、25倍、50倍或100倍选择性。在不同实施例中,本申请的化合物对IKZF2的降解展示比对IKZF4的降解高达1000倍选择性。
在某些实施例中,本申请的化合物对IKZF2的降解展示比对IKZF5的降解至少2倍、3倍、5倍、10倍、25倍、50倍或100倍选择性。在不同实施例中,本申请的化合物对IKZF2的降解展示比对IKZF5的降解高达1000倍选择性。
在某些实施例中,本申请的化合物对IKZF2和IKZF4的降解展示比对Ikaros蛋白家族的其他成员(例如,IKZF1、IKZF3、和IKZF5)的降解至少2倍、3倍、5倍、10倍、25倍、50倍或100倍选择性。在不同实施例中,本申请的化合物对IKZF2和IKZF4的降解展示比对Ikaros蛋白家族的其他成员(例如,IKZF1、IKZF3、和IKZF5)的降解高达1000倍选择性。
在某些实施例中,本申请的化合物对IKZF2和IKZF4的降解展示比对IKZF1的降解至少2倍、3倍、5倍、10倍、25倍、50倍或100倍选择性。在不同实施例中,本申请的化合物对IKZF2和IKZF4的降解展示比对IKZF1的降解高达1000倍选择性。
在某些实施例中,本申请的化合物对IKZF2和IKZF4的降解展示比对IKZF3的降解至少2倍、3倍、5倍、10倍、25倍、50倍或100倍选择性。在不同实施例中,本申请的化合物对IKZF2和IKZF4的降解展示比对IKZF3的降解高达1000倍选择性。
在某些实施例中,本申请的化合物对IKZF2和IKZF4的降解展示比对IKZF5的降解至少2倍、3倍、5倍、10倍、25倍、50倍或100倍选择性。在不同实施例中,本申请的化合物对IKZF2和IKZF4的降解展示比对IKZF5的降解高达1000倍选择性。
在一些实施例中,通过AC50测量IKZF2的降解。
可以通过AC50值确定效力。如在基本相似的降解条件下所确定的,具有较低AC50值的化合物相对于具有较高AC50值的化合物是更有效的降解剂。在一些实施例中,基本相似的条件包括确定表达特异性蛋白或其任何片段的细胞中蛋白水平的降解。
本披露涉及如本文所述的化合物及其药学上可接受的盐、水合物、溶剂化物、前药、立体异构体、或互变异构体,以及药物组合物,这些药物组合物包含一种或多种如本文所述的化合物或其药学上可接受的盐、水合物、溶剂化物、前药、立体异构体、或互变异构体。
E.合成具有式(I)的化合物的方法
可以通过各种方法(包括标准化学)来制备本披露的化合物。合适的合成途径描述于下文给出的方案中。
本披露的化合物可以通过有机合成领域中已知的方法制备,如部分通过以下合成方案阐述的。在下文描述的方案中,很好理解,根据一般原理或化学,在必要时使用敏感基团或反应性基团的保护基团。根据有机合成的标准方法操作保护基团(T.W.Greene和P.G.M.Wuts,“Protective Groups in Organic Synthesis[有机合成中的保护基团]”,第三版,Wiley[威利出版社],纽约1999)。使用对本领域技术人员显而易见的方法,在化合物合成的方便阶段除去这些基团。选择过程以及反应条件和它们的实施顺序应与具有式(I)的化合物的制备一致。
本领域技术人员将认识到在本披露的化合物中是否存在立体中心。因此,本披露包括两种可能的立体异构体(除非在合成中指出)并且不仅包括外消旋化合物,还包括单独的对映异构体和/或非对映异构体。当需要化合物作为单一对映异构体或非对映异构体时,可以通过立体定向合成或通过拆分最终产物或任何方便的中间体来获得。最终产物、中间体或起始材料的拆分可受到本领域已知的任何适合方法的影响。参见,例如,“Stereochemistry of Organic Compounds[有机化合物的立体化学]”,E.L.Eliel、S.H.Wilen和L.N.Mander(Wiley-Interscience[威利国际科学],1994)。
本文描述的化合物可以由可商购的起始材料制备或使用已知的有机、无机和/或酶促方法合成。
化合物的制备
本披露的化合物能以有机合成领域技术人员熟知的多种方式制备。举例来说,本披露的化合物可以使用下述方法,以及合成有机化学领域中已知的合成方法,或如本领域技术人员所理解的其变体来合成。优选的方法包括但不限于下面描述的那些方法。
本披露的化合物可以通过遵循通用方案I、II和III中概述的步骤来合成,这些通用方案包含组装中间体I-a、I-b、I-c、I-d、II-a、II-b、III-a、和III-b的不同顺序。起始材料是可商购的或者通过报道的文献中的已知程序或如图所示制备。
通用方案I
其中Rx和X1如式(I)中所定义。
通过使用中间体I-a、I-b、I-c、和I-d制备具有式(I)的化合物的通用方式概述于通用方案I中。使用碱(例如,碳酸钾(K2CO3)、碳酸铯(Cs2CO3)等),在溶剂(例如N,N-二甲基甲酰胺(DMF))中并且任选地在升高的温度下,用3-氨基哌啶-2,6-二酮1-b或其HCl或CF3CO2H盐环化I-a,提供I-c。使用金属催化剂(例如,Pd(dppf)Cl2·DCM)以及任选的碱(例如,乙酸钾(KOAc)、碳酸铯(Cs2CO3)等),在溶剂(例如,DMF、1,4-二噁烷)中,任选地在升高的温度下,使I-c与杂芳基锡I-d偶联,提供具有式(I)的所需化合物。
通用方案II
其中Rx和X1如式(I)中所定义。
可替代地,具有式(I)的化合物可以通过使用中间体I-c、II-a、和II-b来制备,如通用方案II所概述。使用硼化试剂(例如,双(频哪醇)二硼(B2Pin2)或双联(邻苯二酚)硼酸酯(B2Cat2)等),在金属催化剂和碱(例如,K2CO3、Cs2CO3、乙酸钾(KOAc)等)存在下,在溶剂(例如DMF等)中并且任选地在升高的温度下硼化I-c,提供I-c。使用金属催化剂(例如,Pd(dppf)Cl2·DCM)以及任选的碱(例如,K2CO3、KOAc、Cs2CO3等),在溶剂(例如,DMF、1,4-二噁烷等)中,任选地在升高的温度下,使硼酸酯II-a与II-b偶联,产生具有式(I)的所需化合物。
通用方案III
其中Rx和X1如式(I)中所定义。
通过使用中间体I-c、III-a、和III-b制备具有式(I)的化合物的通用方式概述于通用方案III中。在金属催化剂和碱(例如,KOAc、K2CO3、Cs2CO3等)存在下,在溶剂(例如DMF)中,并且任选地在升高的温度下,使I-c与双(三丁基锡)反应,提供I-c。使用金属催化剂(例如,Pd(dppf)Cl2·DCM等)以及任选的碱(例如,K2CO3、KOAc、Cs2CO3等),在溶剂(例如,DMF、1,4-二噁烷等)中,任选地在升高的温度下,使III-a与III-b偶联,产生具有式(I)的所需化合物。
由上文所述的方法得到的对映异构体、非对映异构体和顺式/反式异构体的混合物可以通过手性盐技术,使用正常相、反相或手性柱的色谱法分离成它们的单一组分,这取决于分离的性质。
可以通过已知方法将任何所得的本披露化合物或中间体的外消旋体拆分成旋光对映体,例如通过将用光学活性酸或碱获得的其非对映异构体盐进行分离,并释放出光学活性的酸性或碱性化合物。特别地,因此可以采用碱性部分将本披露的化合物拆分成它们的旋光对映体,例如通过用光学活性酸(例如酒石酸、联苯甲酰酒石酸、二乙酰酒石酸、二-O,O'-对甲苯甲酰酒石酸、扁桃酸、苹果酸或樟脑-10-磺酸)形成的盐进行分步结晶。本披露外消旋化合物或外消旋中间体还可以通过手性色谱法(例如,使用手性吸附剂的高压液相色谱法(HPLC))拆分。
可以基于组分的物理化学差异,例如通过色谱法和/或分步结晶将任何所得的立体异构体混合物分离成纯的或基本上纯的几何或光学异构体、非对映异构体、外消旋体。
应理解的是,在上文所示的描述和式中,除非另外指明,各基团Rx和X1和其他变量如上文所定义。此外,出于合成目的,通用方案I、II、和III的化合物仅仅是具有选择的基团的代表,以说明如本文所定义的具有式(I)的化合物的通用合成方法。
F.使用具有式(I)的化合物的方法
本披露的另一方面涉及治疗、预防、抑制、或消除与IKZF2蛋白水平的调节相关或受其影响的患者中的疾病或障碍的方法。所述方法包括向需要治疗(针对与IKZF2蛋白水平的调节相关的疾病或障碍)的患者施用有效量的具有式(I)的化合物或其药学上可接受的盐、水合物、溶剂化物、前药、立体异构体、或互变异构体,或组合物(所述组合物包含具有式(I)的化合物或其药学上可接受的盐、水合物、溶剂化物、前药、立体异构体、或互变异构体)。
在另一方面,本披露涉及治疗、预防、抑制、或消除受IKZF2蛋白水平的降低或减少影响的疾病或障碍的方法。所述方法包括向需要治疗(针对受IKZF2蛋白水平的降低影响的疾病或障碍)的患者施用有效量的具有式(I)的化合物或其药学上可接受的盐、水合物、溶剂化物、前药、立体异构体、或互变异构体,或组合物(所述组合物包含具有式(I)的化合物或其药学上可接受的盐、水合物、溶剂化物、前药、立体异构体、或互变异构体)。
本披露的另一方面涉及具有式(I)的化合物或其药学上可接受的盐、水合物、溶剂化物、前药、立体异构体、或互变异构体,或组合物(所述组合物包含具有式(I)的化合物或其药学上可接受的盐、水合物、溶剂化物、前药、立体异构体、或互变异构体)在制造用于治疗、预防、抑制或消除与IKZF2蛋白水平的调节相关的或受IKZF2蛋白水平的调节影响的疾病或障碍的药物中的用途。
在另一方面,本披露涉及具有式(I)的化合物或其药学上可接受的盐、水合物、溶剂化物、前药、立体异构体、或互变异构体,或组合物(所述组合物包含具有式(I)的化合物或其药学上可接受的盐、水合物、溶剂化物、前药、立体异构体、或互变异构体)在制造用于治疗、预防、抑制或消除受IKZF2蛋白水平的降低或减少影响的疾病或障碍的药物中的用途。
本披露的另一方面涉及具有式(I)的化合物或其药学上可接受的盐、水合物、溶剂化物、前药、立体异构体、或互变异构体,或组合物(所述组合物包含具有式(I)的化合物或其药学上可接受的盐、水合物、溶剂化物、前药、立体异构体、或互变异构体),用于在制造用于治疗、预防、抑制、或消除与IKZF2蛋白水平的调节、降低、或减少相关的或受IKZF2蛋白水平的调节、降低、或减少影响的疾病或障碍的药物中使用。
在另一方面,本披露涉及调节、降低、或减少IKZF2蛋白水平的方法。所述方法涉及向有需要的患者施用有效量的具有式(I)的化合物或其药学上可接受的盐、水合物、溶剂化物、前药、立体异构体、或互变异构体,或组合物(所述组合物包含具有式(I)的化合物或其药学上可接受的盐、水合物、溶剂化物、前药、立体异构体、或互变异构体)。在一些实施例中,通过IKZF2蛋白的降解来调节、降低、或减少IKZF2蛋白水平。在其他实施例中,通过由E3连接酶介导的IKZF2蛋白的降解来调节、降低、或减少IKZF2蛋白水平。
本披露的另一方面涉及治疗、预防、抑制、或消除与IKZF2蛋白水平的降低或减少相关的患者中的疾病或障碍的方法,所述方法包括向有需要的患者施用有效量的具有式(I)的化合物或其药学上可接受的盐、水合物、溶剂化物、前药、立体异构体、或互变异构体,或组合物(所述组合物包含具有式(I)的化合物或其药学上可接受的盐、水合物、溶剂化物、前药、立体异构体、或互变异构体)。
本披露还涉及IKZF2的降解剂用于制备药物(该药物用于治疗、预防、抑制或消除IKZF2依赖性疾病或障碍)的用途,其中所述药物包含具有式(I)的化合物或其药学上可接受的盐、水合物、溶剂化物、前药、立体异构体、或互变异构体,或组合物(所述组合物包含具有式(I)的化合物或其药学上可接受的盐、水合物、溶剂化物、前药、立体异构体、或互变异构体)。
在另一方面,本披露涉及用于治疗、预防、抑制、或消除IKZF2依赖性疾病或障碍的方法,其中所述药物包含具有式(I)的化合物或其药学上可接受的盐、水合物、溶剂化物、前药、立体异构体、或互变异构体,或组合物(所述组合物包含具有式(I)的化合物或其药学上可接受的盐、水合物、溶剂化物、前药、立体异构体、或互变异构体)。
在另一方面,本披露涉及用于制造药物(所述药物用于治疗、预防、抑制、或消除介导的IKZF2依赖性疾病或障碍)的方法,其中所述药物包含具有式(I)的化合物或其药学上可接受的盐、水合物、溶剂化物、前药、立体异构体、或互变异构体,或组合物(所述组合物包含具有式(I)的化合物或其药学上可接受的盐、水合物、溶剂化物、前药、立体异构体、或互变异构体)。
本披露的另一方面涉及具有式(I)的化合物或其药学上可接受的盐、水合物、溶剂化物、前药、立体异构体、或互变异构体,或组合物(所述组合物包含具有式(I)的化合物或其药学上可接受的盐、水合物、溶剂化物、前药、立体异构体、或互变异构体),用于在制造用于治疗与IKZF2蛋白水平的调节、降低、或减少相关的疾病或障碍的药物中使用。在一些实施例中,通过IKZF2蛋白的降解来调节IKZF2水平。在一些实施例中,通过由E3连接酶介导的IKZF2蛋白的降解来调节IKZF2蛋白水平。
本披露的另一方面涉及具有式(I)的化合物或其药学上可接受的盐、水合物、溶剂化物、前药、立体异构体、或互变异构体,或组合物(所述组合物包含具有式(I)的化合物或其药学上可接受的盐、水合物、溶剂化物、前药、立体异构体、或互变异构体),用于在治疗与IKZF2蛋白水平的调节、降低、或减少相关的疾病中使用。在一些实施例中,通过IKZF2蛋白的降解来调节、降低、或减少IKZF2水平。在一些实施例中,通过由E3连接酶介导的IKZF2蛋白的降解来调节、降低、或减少IKZF2蛋白水平。
在另一方面,本披露涉及具有式(I)的化合物或其药学上可接受的盐、水合物、溶剂化物、前药、立体异构体、或互变异构体,或组合物(所述组合物包含具有式(I)的化合物或其药学上可接受的盐、水合物、溶剂化物、前药、立体异构体、或互变异构体)在治疗与IKZF2蛋白水平的调节、降低、或减少相关的疾病中的用途。在一些实施例中,通过IKZF2蛋白的降解来调节、降低、或减少IKZF2蛋白水平。在一些实施例中,通过由E3连接酶介导的IKZF2蛋白的降解来调节、降低、或减少IKZF2蛋白水平。
在另一方面,本披露涉及通过IKZF2的降解来抑制IKZF2活性的方法。在一些实施例中,IKZF2蛋白降解是由E3连接酶介导的。
本披露的另一方面涉及具有式(I)的化合物或其药学上可接受的盐、水合物、溶剂化物、前药、立体异构体、或互变异构体,或组合物(所述组合物包含具有式(I)的化合物或其药学上可接受的盐、水合物、溶剂化物、前药、立体异构体、或互变异构体)用于通过IKZF2的降解来抑制IKZF2活性的用途。在一些实施例中,IKZF2蛋白降解是由E3连接酶介导的。
在另一方面,本披露涉及具有式(I)的化合物或其药学上可接受的盐、水合物、溶剂化物、前药、立体异构体、或互变异构体,或组合物(所述组合物包含具有式(I)的化合物或其药学上可接受的盐、水合物、溶剂化物、前药、立体异构体、或互变异构体),用于在通过IKZF2的降解来抑制IKZF2活性中使用。在一些实施例中,IKZF2蛋白降解是由E3连接酶介导的。
本披露的另一方面涉及具有式(I)的化合物或其药学上可接受的盐、水合物、溶剂化物、前药、立体异构体、或互变异构体,或组合物(所述组合物包含具有式(I)的化合物或其药学上可接受的盐、水合物、溶剂化物、前药、立体异构体、或互变异构体),用于在制造用于通过IKZF2的降解来抑制IKZF2活性的药物中使用。在一些实施例中,IKZF2蛋白降解是由E3连接酶介导的。
在另一方面,本披露涉及通过IKZF2和IKZF4的降解来抑制IKZF2和IKZF4活性的方法。在一些实施例中,IKZF2和IKZF4蛋白降解是由E3连接酶介导的。
本披露的另一方面涉及具有式(I)的化合物或其药学上可接受的盐、水合物、溶剂化物、前药、立体异构体、或互变异构体,或组合物(所述组合物包含具有式(I)的化合物或其药学上可接受的盐、水合物、溶剂化物、前药、立体异构体、或互变异构体)用于通过IKZF2和IKZF4的降解来抑制IKZF2和IKZF4活性的用途。在一些实施例中,IKZF2和IKZF4蛋白降解是由E3连接酶介导的。
在另一方面,本披露涉及具有式(I)的化合物或其药学上可接受的盐、水合物、溶剂化物、前药、立体异构体、或互变异构体,或组合物(所述组合物包含具有式(I)的化合物或其药学上可接受的盐、水合物、溶剂化物、前药、立体异构体、或互变异构体),用于在通过IKZF2和IKZF4的降解来抑制IKZF2和IKZF4活性中使用。在一些实施例中,IKZF2和IKZF4蛋白降解是由E3连接酶介导的。
本披露的另一方面涉及具有式(I)的化合物或其药学上可接受的盐、水合物、溶剂化物、前药、立体异构体、或互变异构体,或组合物(所述组合物包含具有式(I)的化合物或其药学上可接受的盐、水合物、溶剂化物、前药、立体异构体、或互变异构体),用于在制造用于通过IKZF2和IKZF4的降解来抑制IKZF2和IKZF4活性的药物中使用。在一些实施例中,IKZF2和IKZF4蛋白降解是由E3连接酶介导的。
本披露的另一方面涉及治疗、预防、抑制、或消除与IKZF2和IKZF4蛋白水平的调节、降低、或减少相关的疾病或障碍的方法。所述方法包括向有需要的患者施用有效量的具有式(I)的化合物或其药学上可接受的盐、水合物、溶剂化物、前药、立体异构体、或互变异构体,或组合物(所述组合物包含具有式(I)的化合物或其药学上可接受的盐、水合物、溶剂化物、前药、立体异构体、或互变异构体)。
在另一方面,本披露涉及调节、降低、或减少IKZF2和IKZF4蛋白水平的方法。所述方法涉及向有需要的患者施用有效量的具有式(I)的化合物或其药学上可接受的盐、水合物、溶剂化物、前药、立体异构体、或互变异构体,或组合物(所述组合物包含具有式(I)的化合物或其药学上可接受的盐、水合物、溶剂化物、前药、立体异构体、或互变异构体)。在一些实施例中,通过IKZF2和IKZF4蛋白的降解来调节、降低、或减少IKZF2和IKZF4蛋白水平。在其他实施例中,通过由E3连接酶介导的IKZF2和IKZF4蛋白的降解来调节IKZF2和IKZF4蛋白水平。
本披露的另一方面涉及治疗、预防、抑制、或消除与IKZF4蛋白水平的调节、降低、或减少相关的疾病或障碍的方法。所述方法包括向有需要的患者施用有效量的具有式(I)的化合物或其药学上可接受的盐、水合物、溶剂化物、前药、立体异构体、或互变异构体,或组合物(所述组合物包含具有式(I)的化合物或其药学上可接受的盐、水合物、溶剂化物、前药、立体异构体、或互变异构体)。在一些实施例中,通过IKZF4蛋白的降解来调节、降低、或减少IKZF4蛋白水平。在一些实施例中,通过由E3连接酶介导的IKZF4蛋白的降解来调节、降低、或减少IKZF4蛋白水平。
在另一方面,本披露涉及调节、降低、或减少IKZF4蛋白水平的方法。所述方法涉及向有需要的患者施用有效量的具有式(I)的化合物或其药学上可接受的盐、水合物、溶剂化物、前药、立体异构体、或互变异构体,或组合物(所述组合物包含具有式(I)的化合物或其药学上可接受的盐、水合物、溶剂化物、前药、立体异构体、或互变异构体)。在一些实施例中,通过IKZF4蛋白的降解来调节、降低、或减少IKZF4蛋白水平。在其他实施例中,通过由E3连接酶介导的IKZF4蛋白的降解来调节、降低、或减少IKZF4蛋白水平。
本披露的另一方面涉及具有式(I)的化合物或其药学上可接受的盐、水合物、溶剂化物、前药、立体异构体、或互变异构体,或组合物(所述组合物包含具有式(I)的化合物或其药学上可接受的盐、水合物、溶剂化物、前药、立体异构体、或互变异构体)用于治疗、预防、抑制、或消除与IKZF4蛋白水平的调节、降低、或减少相关的疾病或障碍的用途。在一些实施例中,通过IKZF4蛋白的降解来调节、降低、或减少IKZF4蛋白水平。在一些实施例中,通过由E3连接酶介导的IKZF4蛋白的降解来调节、降低、或减少IKZF4蛋白水平。
本披露的另一方面涉及具有式(I)的化合物或其药学上可接受的盐、水合物、溶剂化物、前药、立体异构体、或互变异构体,或组合物(所述组合物包含具有式(I)的化合物或其药学上可接受的盐、水合物、溶剂化物、前药、立体异构体、或互变异构体),用于在治疗、预防、抑制、或消除与IKZF4蛋白水平的调节、降低、或减少相关的疾病或障碍中使用。在一些实施例中,通过IKZF4蛋白的降解来调节、降低、或减少IKZF4蛋白水平。在一些实施例中,通过由E3连接酶介导的IKZF4蛋白的降解来调节、降低、或减少IKZF4蛋白水平。
在另一方面,本披露涉及具有式(I)的化合物或其药学上可接受的盐、水合物、溶剂化物、前药、立体异构体、或互变异构体,或组合物(所述组合物包含具有式(I)的化合物或其药学上可接受的盐、水合物、溶剂化物、前药、立体异构体、或互变异构体),用于在制造用于治疗、预防、抑制、或消除与IKZF4蛋白水平的调节、降低、或减少相关的疾病或障碍的药物中使用。在一些实施例中,通过IKZF4蛋白的降解来调节、降低、或减少IKZF4蛋白水平。在一些实施例中,通过由E3连接酶介导的IKZF4蛋白的降解来调节、降低、或减少IKZF4蛋白水平。
本披露的另一方面涉及治疗、预防、抑制、或消除与IKZF2和IKZF4蛋白水平的减少相关的疾病或障碍的方法。所述方法包括向需要治疗(针对与IKZF2和IKZF4蛋白水平的减少相关的疾病或障碍)的患者施用有效量的具有式(I)的化合物或其药学上可接受的盐、水合物、溶剂化物、前药、立体异构体、或互变异构体,或组合物(所述组合物包含具有式(I)的化合物或其药学上可接受的盐、水合物、溶剂化物、前药、立体异构体、或互变异构体)。
本披露还涉及IKZF2和IKZF4蛋白水平的调节剂用于制备药物(该药物用于治疗、预防、抑制或消除IKZF2和IKZF4依赖性疾病或障碍)的用途,其中所述药物包含具有式(I)的化合物或其药学上可接受的盐、水合物、溶剂化物、前药、立体异构体、或互变异构体,或组合物(所述组合物包含具有式(I)的化合物或其药学上可接受的盐、水合物、溶剂化物、前药、立体异构体、或互变异构体)。在另一方面,本披露涉及用于制造药物(该药物用于治疗、预防、抑制、或消除IKZF2和IKZF4依赖性疾病或障碍)的方法,其中所述药物包含具有式(I)的化合物或其药学上可接受的盐、水合物、溶剂化物、前药、立体异构体、或互变异构体,或组合物(所述组合物包含具有式(I)的化合物或其药学上可接受的盐、水合物、溶剂化物、前药、立体异构体、或互变异构体)。
本披露的另一方面涉及具有式(I)的化合物或其药学上可接受的盐、水合物、溶剂化物、前药、立体异构体、或互变异构体,或组合物(所述组合物包含具有式(I)的化合物或其药学上可接受的盐、水合物、溶剂化物、前药、立体异构体、或互变异构体),用于在制造用于治疗与IKZF2和IKZF4蛋白水平的调节、降低、或减少相关的疾病的药物中使用。在一些实施例中,通过IKZF2和IKZF4蛋白的降解来调节、降低、或减少IKZF2和IKZF4蛋白水平。在其他实施例中,通过由E3连接酶介导的IKZF2和IKZF4蛋白的降解来调节、降低、或减少IKZF2和IKZF4蛋白水平。
在另一方面,本披露涉及具有式(I)的化合物或其药学上可接受的盐、水合物、溶剂化物、前药、立体异构体、或互变异构体,或组合物(所述组合物包含具有式(I)的化合物或其药学上可接受的盐、水合物、溶剂化物、前药、立体异构体、或互变异构体),用于在治疗与IKZF2和IKZF4蛋白水平的调节、降低、或减少相关的疾病中使用。在一些实施例中,通过IKZF2和IKZF4蛋白的降解来调节、降低、或减少IKZF2和IKZF4蛋白水平。在其他实施例中,通过由E3连接酶介导的IKZF2和IKZF4蛋白的降解来调节、降低、或减少IKZF2和IKZF4蛋白水平。
在另一方面,本披露涉及具有式(I)的化合物或其药学上可接受的盐、水合物、溶剂化物、前药、立体异构体、或互变异构体,或组合物(所述组合物包含具有式(I)的化合物或其药学上可接受的盐、水合物、溶剂化物、前药、立体异构体、或互变异构体)在治疗与IKZF2和IKZF4蛋白水平的调节、降低、或减少相关的疾病中的用途。在一些实施例中,通过IKZF2和IKZF4蛋白的降解来调节、降低、或减少IKZF2和IKZF4蛋白水平。在其他实施例中,通过由E3连接酶介导的IKZF2和IKZF4蛋白的降解来调节、降低、或减少IKZF2和IKZF4蛋白水平。
本披露的另一方面涉及具有式(I)的化合物或其药学上可接受的盐、水合物、溶剂化物、前药、立体异构体、或互变异构体,或组合物(所述组合物包含具有式(I)的化合物或其药学上可接受的盐、水合物、溶剂化物、前药、立体异构体、或互变异构体),用于在通过降低或减少IKZF2蛋白水平治疗IKZF2依赖性疾病或障碍中使用,其中IKZF2蛋白水平的降低或减少治疗IKZF2依赖性疾病或障碍。
在另一方面,本披露涉及具有式(I)的化合物或其药学上可接受的盐、水合物、溶剂化物、前药、立体异构体、或互变异构体,或组合物(所述组合物包含具有式(I)的化合物或其药学上可接受的盐、水合物、溶剂化物、前药、立体异构体、或互变异构体)在通过降低或减少IKZF2蛋白水平治疗IKZF2依赖性疾病或障碍中的用途,其中IKZF2蛋白水平的降低或减少治疗IKZF2依赖性疾病或障碍。
在另一方面,本披露涉及具有式(I)的化合物或其药学上可接受的盐、水合物、溶剂化物、前药、立体异构体、或互变异构体,或组合物(所述组合物包含具有式(I)的化合物或其药学上可接受的盐、水合物、溶剂化物、前药、立体异构体、或互变异构体)在制造用于通过降低或减少IKZF2蛋白水平治疗IKZF2依赖性疾病或障碍的药物中的用途,其中IKZF2蛋白水平的降低或减少治疗IKZF2依赖性疾病或障碍。
本披露的另一方面涉及具有式(I)的化合物或其药学上可接受的盐、水合物、溶剂化物、前药、立体异构体、或互变异构体,或组合物(所述组合物包含具有式(I)的化合物或其药学上可接受的盐、水合物、溶剂化物、前药、立体异构体、或互变异构体),用于在通过降低或减少IKZF2和IKZF4蛋白水平治疗IKZF2和IKZF4依赖性疾病或障碍中使用,其中IKZF2和IKZF4蛋白水平的降低或减少治疗IKZF2和IKZF4依赖性疾病或障碍。
在另一方面,本披露涉及具有式(I)的化合物或其药学上可接受的盐、水合物、溶剂化物、前药、立体异构体、或互变异构体,或组合物(所述组合物包含具有式(I)的化合物或其药学上可接受的盐、水合物、溶剂化物、前药、立体异构体、或互变异构体)在通过降低或减少IKZF2和IKZF4蛋白水平治疗IKZF2和IKZF4依赖性疾病或障碍中的用途,其中IKZF2和IKZF4蛋白水平的降低或减少治疗IKZF2和IKZF4依赖性疾病或障碍。
在另一方面,本披露涉及具有式(I)的化合物或其药学上可接受的盐、水合物、溶剂化物、前药、立体异构体、或互变异构体,或组合物(所述组合物包含具有式(I)的化合物或其药学上可接受的盐、水合物、溶剂化物、前药、立体异构体、或互变异构体)在制造用于通过降低或减少IKZF2和IKZF4蛋白水平治疗IKZF2和IKZF4依赖性疾病或障碍的药物中的用途,其中IKZF2和IKZF4蛋白水平的降低或减少治疗IKZF2和IKZF4依赖性疾病或障碍。
本披露的另一方面涉及治疗癌症的方法。所述方法包括向有需要的患者施用有效量的具有式(I)的化合物或其药学上可接受的盐、水合物、溶剂化物、前药、立体异构体、或互变异构体,或组合物(所述组合物包含具有式(I)的化合物或其药学上可接受的盐、水合物、溶剂化物、前药、立体异构体、或互变异构体)。
在另一方面,本披露涉及具有式(I)的化合物或其药学上可接受的盐、水合物、溶剂化物、前药、立体异构体、或互变异构体,或组合物(所述组合物包含具有式(I)的化合物或其药学上可接受的盐、水合物、溶剂化物、前药、立体异构体、或互变异构体)在治疗癌症的治疗中的用途。
本披露的另一方面涉及具有式(I)的化合物或其药学上可接受的盐、水合物、溶剂化物、前药、立体异构体、或互变异构体,或组合物(所述组合物包含具有式(I)的化合物或其药学上可接受的盐、水合物、溶剂化物、前药、立体异构体、或互变异构体),用于在制造用于治疗癌症的药物中使用。
在另一方面,本披露涉及具有式(I)的化合物或其药学上可接受的盐、水合物、溶剂化物、前药、立体异构体、或互变异构体,或组合物(所述组合物包含具有式(I)的化合物或其药学上可接受的盐、水合物、溶剂化物、前药、立体异构体、或互变异构体),用于在治疗癌症中使用。
本披露的另一方面涉及治疗IKZF2依赖性癌症的方法。所述方法包括向有需要的患者施用有效量的具有式(I)的化合物或其药学上可接受的盐、水合物、溶剂化物、前药、立体异构体、或互变异构体,或组合物(所述组合物包含具有式(I)的化合物或其药学上可接受的盐、水合物、溶剂化物、前药、立体异构体、或互变异构体)。
在另一方面,本披露涉及具有式(I)的化合物或其药学上可接受的盐、水合物、溶剂化物、前药、立体异构体、或互变异构体,或组合物(所述组合物包含具有式(I)的化合物或其药学上可接受的盐、水合物、溶剂化物、前药、立体异构体、或互变异构体)在治疗IKZF2依赖性癌症的治疗中的用途。
本披露的另一方面涉及具有式(I)的化合物或其药学上可接受的盐、水合物、溶剂化物、前药、立体异构体、或互变异构体,或组合物(所述组合物包含具有式(I)的化合物或其药学上可接受的盐、水合物、溶剂化物、前药、立体异构体、或互变异构体),用于在制造用于治疗IKZF2依赖性癌症的药物中使用。
在另一方面,本披露涉及具有式(I)的化合物或其药学上可接受的盐、水合物、溶剂化物、前药、立体异构体、或互变异构体,或组合物(所述组合物包含具有式(I)的化合物或其药学上可接受的盐、水合物、溶剂化物、前药、立体异构体、或互变异构体),用于在治疗IKZF2依赖性癌症中使用。
本披露的另一方面涉及治疗IKZF2依赖性和IKZF4依赖性癌症的方法。所述方法包括向有需要的患者施用有效量的具有式(I)的化合物或其药学上可接受的盐、水合物、溶剂化物、前药、立体异构体、或互变异构体,或组合物(所述组合物包含具有式(I)的化合物或其药学上可接受的盐、水合物、溶剂化物、前药、立体异构体、或互变异构体)。
在另一方面,本披露涉及具有式(I)的化合物或其药学上可接受的盐、水合物、溶剂化物、前药、立体异构体、或互变异构体,或组合物(所述组合物包含具有式(I)的化合物或其药学上可接受的盐、水合物、溶剂化物、前药、立体异构体、或互变异构体)在治疗IKZF2依赖性和IKZF4依赖性癌症的治疗中的用途。
本披露的另一方面涉及具有式(I)的化合物或其药学上可接受的盐、水合物、溶剂化物、前药、立体异构体、或互变异构体,或组合物(所述组合物包含具有式(I)的化合物或其药学上可接受的盐、水合物、溶剂化物、前药、立体异构体、或互变异构体),用于在制造用于治疗IKZF2依赖性和IKZF4依赖性癌症的药物中使用。
在另一方面,本披露涉及具有式(I)的化合物或其药学上可接受的盐、水合物、溶剂化物、前药、立体异构体、或互变异构体,或组合物(所述组合物包含具有式(I)的化合物或其药学上可接受的盐、水合物、溶剂化物、前药、立体异构体、或互变异构体),用于在治疗IKZF2依赖性和IKZF4依赖性癌症中使用。
本披露的另一方面涉及治疗受IKZF2蛋白水平的调节、降低、或减少影响的癌症的方法。所述方法包括向有需要的患者施用有效量的具有式(I)的化合物或其药学上可接受的盐、水合物、溶剂化物、前药、立体异构体、或互变异构体,或组合物(所述组合物包含具有式(I)的化合物或其药学上可接受的盐、水合物、溶剂化物、前药、立体异构体、或互变异构体)。
在另一方面,本披露涉及具有式(I)的化合物或其药学上可接受的盐、水合物、溶剂化物、前药、立体异构体、或互变异构体,或组合物(所述组合物包含具有式(I)的化合物或其药学上可接受的盐、水合物、溶剂化物、前药、立体异构体、或互变异构体)在治疗受IKZF2蛋白水平的调节、降低、或减少影响的癌症的治疗中的用途。
本披露的另一方面涉及具有式(I)的化合物或其药学上可接受的盐、水合物、溶剂化物、前药、立体异构体、或互变异构体,或组合物(所述组合物包含具有式(I)的化合物或其药学上可接受的盐、水合物、溶剂化物、前药、立体异构体、或互变异构体),用于在制造用于治疗受IKZF2蛋白水平的调节、降低、或减少影响的癌症的药物中使用。
在另一方面,本披露涉及具有式(I)的化合物或其药学上可接受的盐、水合物、溶剂化物、前药、立体异构体、或互变异构体,或组合物(所述组合物包含具有式(I)的化合物或其药学上可接受的盐、水合物、溶剂化物、前药、立体异构体、或互变异构体),用于在治疗受IKZF2蛋白水平的调节、降低、或减少影响的癌症中使用。
本披露的另一方面涉及治疗受IKZF2和IKZF4蛋白水平的调节、降低、或减少影响的癌症的方法。所述方法包括向有需要的患者施用有效量的具有式(I)的化合物或其药学上可接受的盐、水合物、溶剂化物、前药、立体异构体、或互变异构体,或组合物(所述组合物包含具有式(I)的化合物或其药学上可接受的盐、水合物、溶剂化物、前药、立体异构体、或互变异构体)。
在另一方面,本披露涉及具有式(I)的化合物或其药学上可接受的盐、水合物、溶剂化物、前药、立体异构体、或互变异构体,或组合物(所述组合物包含具有式(I)的化合物或其药学上可接受的盐、水合物、溶剂化物、前药、立体异构体、或互变异构体)在治疗受IKZF2和IKZF4蛋白水平的调节、降低、或减少影响的癌症的治疗中的用途。
本披露的另一方面涉及具有式(I)的化合物或其药学上可接受的盐、水合物、溶剂化物、前药、立体异构体、或互变异构体,或组合物(所述组合物包含具有式(I)的化合物或其药学上可接受的盐、水合物、溶剂化物、前药、立体异构体、或互变异构体),用于在制造用于治疗受IKZF2和IKZF4蛋白水平的调节、降低、或减少影响的癌症的药物中使用。
在另一方面,本披露涉及具有式(I)的化合物或其药学上可接受的盐、水合物、溶剂化物、前药、立体异构体、或互变异构体,或组合物(所述组合物包含具有式(I)的化合物或其药学上可接受的盐、水合物、溶剂化物、前药、立体异构体、或互变异构体),用于在治疗受IKZF2和IKZF4蛋白水平的调节、降低、或减少影响的癌症中使用。
本披露的另一方面涉及降解IKZF2的方法。所述方法包括向有需要的患者施用有效量的具有式(I)的化合物或其药学上可接受的盐、水合物、溶剂化物、前药、立体异构体、或互变异构体,或组合物(所述组合物包含具有式(I)的化合物或其药学上可接受的盐、水合物、溶剂化物、前药、立体异构体、或互变异构体)。在一些实施例中,IKZF2蛋白降解是由E3连接酶介导的。
在另一方面,本披露涉及具有式(I)的化合物或其药学上可接受的盐、水合物、溶剂化物、前药、立体异构体、或互变异构体,或组合物(所述组合物包含具有式(I)的化合物或其药学上可接受的盐、水合物、溶剂化物、前药、立体异构体、或互变异构体)用于降解IKZF2的用途。在一些实施例中,IKZF2蛋白降解是由E3连接酶介导的。
本披露的另一方面涉及具有式(I)的化合物或其药学上可接受的盐、水合物、溶剂化物、前药、立体异构体、或互变异构体,或组合物(所述组合物包含具有式(I)的化合物或其药学上可接受的盐、水合物、溶剂化物、前药、立体异构体、或互变异构体),用于在降解IKZF2中使用。在一些实施例中,IKZF2蛋白降解是由E3连接酶介导的。
在另一方面,本披露涉及具有式(I)的化合物或其药学上可接受的盐、水合物、溶剂化物、前药、立体异构体、或互变异构体,或组合物(所述组合物包含具有式(I)的化合物或其药学上可接受的盐、水合物、溶剂化物、前药、立体异构体、或互变异构体),用于在制造用于降解IKZF2的药物中使用。在一些实施例中,IKZF2蛋白降解是由E3连接酶介导的。
在另一方面,本披露涉及通过IKZF2的降解来调节IKZF2蛋白水平的方法。所述方法包括向有需要的患者施用有效量的具有式(I)的化合物或其药学上可接受的盐、水合物、溶剂化物、前药、立体异构体、或互变异构体,或组合物(所述组合物包含具有式(I)的化合物或其药学上可接受的盐、水合物、溶剂化物、前药、立体异构体、或互变异构体)。在一些实施例中,IKZF2蛋白降解是由E3连接酶介导的。
本披露的另一方面涉及具有式(I)的化合物或其药学上可接受的盐、水合物、溶剂化物、前药、立体异构体、或互变异构体,或组合物(所述组合物包含具有式(I)的化合物或其药学上可接受的盐、水合物、溶剂化物、前药、立体异构体、或互变异构体)用于通过IKZF2的降解来调节IKZF2蛋白水平的用途。在一些实施例中,IKZF2蛋白降解是由E3连接酶介导的。
在另一方面,本披露涉及具有式(I)的化合物或其药学上可接受的盐、水合物、溶剂化物、前药、立体异构体、或互变异构体,或组合物(所述组合物包含具有式(I)的化合物或其药学上可接受的盐、水合物、溶剂化物、前药、立体异构体、或互变异构体),用于在通过IKZF2的降解来调节IKZF2蛋白水平中使用。在一些实施例中,IKZF2蛋白降解是由E3连接酶介导的。
本披露的另一方面涉及具有式(I)的化合物或其药学上可接受的盐、水合物、溶剂化物、前药、立体异构体、或互变异构体,或组合物(所述组合物包含具有式(I)的化合物或其药学上可接受的盐、水合物、溶剂化物、前药、立体异构体、或互变异构体),用于在制造用于通过IKZF2的降解来调节IKZF2蛋白水平的药物中使用。在一些实施例中,IKZF2蛋白降解是由E3连接酶介导的。
本披露的另一方面涉及通过调节IKZF2蛋白水平(通过IKZF2的降解)治疗有需要的患者中的IKZF2依赖性疾病或障碍的方法。在一些实施例中,IKZF2蛋白降解是由E3连接酶介导的。
在另一方面,本披露涉及具有式(I)的化合物或其药学上可接受的盐、水合物、溶剂化物、前药、立体异构体、或互变异构体,或组合物(所述组合物包含具有式(I)的化合物或其药学上可接受的盐、水合物、溶剂化物、前药、立体异构体、或互变异构体)用于通过调节IKZF2蛋白水平(通过IKZF2的降解)治疗有需要的患者中的IKZF2依赖性疾病或障碍的用途。在一些实施例中,IKZF2蛋白降解是由E3连接酶介导的。
本披露的另一方面涉及具有式(I)的化合物或其药学上可接受的盐、水合物、溶剂化物、前药、立体异构体、或互变异构体,或组合物(所述组合物包含具有式(I)的化合物或其药学上可接受的盐、水合物、溶剂化物、前药、立体异构体、或互变异构体),用于在通过调节IKZF2蛋白水平(通过IKZF2的降解)治疗有需要的患者中的IKZF2依赖性疾病或障碍中使用。在一些实施例中,IKZF2蛋白降解是由E3连接酶介导的。
在另一方面,本披露涉及具有式(I)的化合物或其药学上可接受的盐、水合物、溶剂化物、前药、立体异构体、或互变异构体,或组合物(所述组合物包含具有式(I)的化合物或其药学上可接受的盐、水合物、溶剂化物、前药、立体异构体、或互变异构体),用于在制造用于通过调节IKZF2蛋白水平(通过IKZF2的降解)治疗有需要的患者中的IKZF2依赖性疾病或障碍的药物中使用。在一些实施例中,IKZF2蛋白降解是由E3连接酶介导的。
本披露的另一方面涉及降低细胞的增殖的方法,所述方法包括使所述细胞与具有式(I)的化合物或其药学上可接受的盐、水合物、溶剂化物、前药、立体异构体、或互变异构体,或组合物(所述组合物包含具有式(I)的化合物或其药学上可接受的盐、水合物、溶剂化物、前药、立体异构体、或互变异构体)接触,这降低IKZF2蛋白水平。在一些实施例中,通过IKZF2蛋白的降解来降低IKZF2蛋白水平。在一些实施例中,通过由E3连接酶介导的IKZF2蛋白的降解来降低IKZF2蛋白水平。
在另一方面,本披露涉及具有式(I)的化合物或其药学上可接受的盐、水合物、溶剂化物、前药、立体异构体、或互变异构体,或组合物(所述组合物包含具有式(I)的化合物或其药学上可接受的盐、水合物、溶剂化物、前药、立体异构体、或互变异构体)用于通过降低IKZF2蛋白水平来降低细胞的增殖的用途。在一些实施例中,通过IKZF2蛋白的降解来降低IKZF2蛋白水平。在一些实施例中,通过由E3连接酶介导的IKZF2蛋白的降解来降低IKZF2蛋白水平。
本披露的另一方面涉及具有式(I)的化合物或其药学上可接受的盐、水合物、溶剂化物、前药、立体异构体、或互变异构体,或组合物(所述组合物包含具有式(I)的化合物或其药学上可接受的盐、水合物、溶剂化物、前药、立体异构体、或互变异构体),用于在通过IKZF2蛋白水平来降低细胞的增殖中使用。在一些实施例中,通过IKZF2蛋白的降解来降低IKZF2蛋白水平。在一些实施例中,通过由E3连接酶介导的IKZF2蛋白的降解来降低IKZF2蛋白水平。
在另一方面,本披露涉及具有式(I)的化合物或其药学上可接受的盐、水合物、溶剂化物、前药、立体异构体、或互变异构体,或组合物(所述组合物包含具有式(I)的化合物或其药学上可接受的盐、水合物、溶剂化物、前药、立体异构体、或互变异构体),用于在制造用于通过降低IKZF2蛋白水平来降低细胞的增殖的药物中使用。在一些实施例中,通过IKZF2蛋白的降解来降低IKZF2蛋白水平。在一些实施例中,通过由E3连接酶介导的IKZF2蛋白的降解来降低IKZF2蛋白水平。
在另一方面,本披露涉及治疗、预防、抑制、或消除受IKZF2和IKZF4蛋白水平的调节、降低、或减少影响的疾病或障碍的方法。所述方法包括向有需要的患者施用有效量的具有式(I)的化合物或其药学上可接受的盐、水合物、溶剂化物、前药、立体异构体、或互变异构体,或组合物(所述组合物包含具有式(I)的化合物或其药学上可接受的盐、水合物、溶剂化物、前药、立体异构体、或互变异构体)。
在另一方面,本披露涉及具有式(I)的化合物或其药学上可接受的盐、水合物、溶剂化物、前药、立体异构体、或互变异构体,或组合物(所述组合物包含具有式(I)的化合物或其药学上可接受的盐、水合物、溶剂化物、前药、立体异构体、或互变异构体)在制造用于治疗、预防、抑制或消除受IKZF2和IKZF4蛋白水平的调节影响的疾病或障碍的药物中的用途。
本披露的另一方面涉及具有式(I)的化合物或其药学上可接受的盐、水合物、溶剂化物、前药、立体异构体、或互变异构体,或组合物(所述组合物包含具有式(I)的化合物或其药学上可接受的盐、水合物、溶剂化物、前药、立体异构体、或互变异构体),用于在制造用于治疗、预防、抑制、或消除受IKZF2和IKZF4蛋白水平的调节、降低、或减少影响的疾病或障碍的药物中使用。
在另一方面,本披露涉及具有式(I)的化合物或其药学上可接受的盐、水合物、溶剂化物、前药、立体异构体、或互变异构体,或组合物(所述组合物包含具有式(I)的化合物或其药学上可接受的盐、水合物、溶剂化物、前药、立体异构体、或互变异构体)在制造用于治疗、预防、抑制或消除受IKZF2和IKZF4蛋白水平的降低或减少影响的疾病或障碍的药物中的用途。
本披露的另一方面涉及具有式(I)的化合物或其药学上可接受的盐、水合物、溶剂化物、前药、立体异构体、或互变异构体,或组合物(所述组合物包含具有式(I)的化合物或其药学上可接受的盐、水合物、溶剂化物、前药、立体异构体、或互变异构体),用于在制造用于治疗、预防、抑制、或消除受IKZF2和IKZF4蛋白水平的降低或减少影响的疾病或障碍的药物中使用。
本披露的另一方面涉及降解IKZF2和IKZF4的方法。所述方法包括向有需要的患者施用有效量的具有式(I)的化合物或其药学上可接受的盐、水合物、溶剂化物、前药、立体异构体、或互变异构体,或组合物(所述组合物包含具有式(I)的化合物或其药学上可接受的盐、水合物、溶剂化物、前药、立体异构体、或互变异构体)。在一些实施例中,IKZF2和IKZF4蛋白降解是由E3连接酶介导的。
在另一方面,本披露涉及具有式(I)的化合物或其药学上可接受的盐、水合物、溶剂化物、前药、立体异构体、或互变异构体,或组合物(所述组合物包含具有式(I)的化合物或其药学上可接受的盐、水合物、溶剂化物、前药、立体异构体、或互变异构体)用于降解IKZF2和IKZF4的用途。在一些实施例中,IKZF2和IKZF4蛋白降解是由E3连接酶介导的。
本披露的另一方面涉及具有式(I)的化合物或其药学上可接受的盐、水合物、溶剂化物、前药、立体异构体、或互变异构体,或组合物(所述组合物包含具有式(I)的化合物或其药学上可接受的盐、水合物、溶剂化物、前药、立体异构体、或互变异构体),用于在降解IKZF2和IKZF4中使用。在一些实施例中,IKZF2和IKZF4蛋白降解是由E3连接酶介导的。
在另一方面,本披露涉及具有式(I)的化合物或其药学上可接受的盐、水合物、溶剂化物、前药、立体异构体、或互变异构体,或组合物(所述组合物包含具有式(I)的化合物或其药学上可接受的盐、水合物、溶剂化物、前药、立体异构体、或互变异构体),用于在制造用于降解IKZF2和IKZF4的药物中使用。在一些实施例中,IKZF2和IKZF4蛋白降解是由E3连接酶介导的。
在另一方面,本披露涉及通过IKZF2和IKZF4的降解来调节IKZF2和IKZF4蛋白水平的方法。在一些实施例中,IKZF2和IKZF4蛋白降解是由E3连接酶介导的。
本披露的另一方面涉及具有式(I)的化合物或其药学上可接受的盐、水合物、溶剂化物、前药、立体异构体、或互变异构体,或组合物(所述组合物包含具有式(I)的化合物或其药学上可接受的盐、水合物、溶剂化物、前药、立体异构体、或互变异构体)用于通过IKZF2和IKZF4的降解来调节IKZF2和IKZF4蛋白水平的用途。在一些实施例中,IKZF2和IKZF4蛋白降解是由E3连接酶介导的。
在另一方面,本披露涉及具有式(I)的化合物或其药学上可接受的盐、水合物、溶剂化物、前药、立体异构体、或互变异构体,或组合物(所述组合物包含具有式(I)的化合物或其药学上可接受的盐、水合物、溶剂化物、前药、立体异构体、或互变异构体),用于在通过IKZF2和IKZF4的降解来调节IKZF2和IKZF4蛋白水平中使用。在一些实施例中,IKZF2和IKZF4蛋白降解是由E3连接酶介导的。
本披露的另一方面涉及具有式(I)的化合物或其药学上可接受的盐、水合物、溶剂化物、前药、立体异构体、或互变异构体,或组合物(所述组合物包含具有式(I)的化合物或其药学上可接受的盐、水合物、溶剂化物、前药、立体异构体、或互变异构体),用于在制造用于通过IKZF2和IKZF4的降解来调节IKZF2和IKZF4蛋白水平的药物中使用。在一些实施例中,IKZF2和IKZF4蛋白降解是由E3连接酶介导的。
本披露的另一方面涉及通过调节IKZF2和IKZF4蛋白水平(通过IKZF2和IKZF4的降解)治疗有需要的患者中的IKZF2依赖性和IKZF4依赖性疾病或障碍的方法。在一些实施例中,IKZF2和IKZF4蛋白降解是由E3连接酶介导的。
在另一方面,本披露涉及具有式(I)的化合物或其药学上可接受的盐、水合物、溶剂化物、前药、立体异构体、或互变异构体,或组合物(所述组合物包含具有式(I)的化合物或其药学上可接受的盐、水合物、溶剂化物、前药、立体异构体、或互变异构体)用于通过调节IKZF2和IKZF4蛋白水平(通过IKZF2和IKZF4的降解)治疗有需要的患者中的IKZF2依赖性和IKZF4依赖性疾病或障碍的用途。在一些实施例中,IKZF2和IKZF4蛋白降解是由E3连接酶介导的。
本披露的另一方面涉及具有式(I)的化合物或其药学上可接受的盐、水合物、溶剂化物、前药、立体异构体、或互变异构体,或组合物(所述组合物包含具有式(I)的化合物或其药学上可接受的盐、水合物、溶剂化物、前药、立体异构体、或互变异构体),用于在通过调节IKZF2和IKZF4蛋白水平(通过IKZF2和IKZF4的降解)治疗有需要的患者中的IKZF2依赖性和IKZF4依赖性疾病或障碍中使用。在一些实施例中,IKZF2和IKZF4蛋白降解是由E3连接酶介导的。
在另一方面,本披露涉及具有式(I)的化合物或其药学上可接受的盐、水合物、溶剂化物、前药、立体异构体、或互变异构体,或组合物(所述组合物包含具有式(I)的化合物或其药学上可接受的盐、水合物、溶剂化物、前药、立体异构体、或互变异构体),用于在制造用于通过调节IKZF2和IKZF4蛋白水平(通过IKZF2和IKZF4的降解)治疗有需要的患者中的IKZF2依赖性或IKZF4依赖性疾病或障碍的药物中使用。在一些实施例中,IKZF2和IKZF4蛋白降解是由E3连接酶介导的。
本披露的另一方面涉及降低细胞的增殖的方法,所述方法包括使所述细胞与具有式(I)的化合物或其药学上可接受的盐、水合物、溶剂化物、前药、立体异构体、或互变异构体,或组合物(所述组合物包含具有式(I)的化合物或其药学上可接受的盐、水合物、溶剂化物、前药、立体异构体、或互变异构体)接触,以及降低IKZF2和IKZF4蛋白水平。在一些实施例中,通过IKZF2和IKZF4蛋白的降解来降低IKZF2和IKZF4蛋白水平。在其他实施例中,通过由E3连接酶介导的IKZF2和IKZF4蛋白的降解来降低IKZF2和IKZF4蛋白水平。
在另一方面,本披露涉及具有式(I)的化合物或其药学上可接受的盐、水合物、溶剂化物、前药、立体异构体、或互变异构体,或组合物(所述组合物包含具有式(I)的化合物或其药学上可接受的盐、水合物、溶剂化物、前药、立体异构体、或互变异构体)用于通过降低IKZF2和IKZF4蛋白水平来降低细胞的增殖的用途。在一些实施例中,通过IKZF2和IKZF4蛋白的降解来降低IKZF2和IKZF4蛋白水平。在其他实施例中,通过由E3连接酶介导的IKZF2和IKZF4蛋白的降解来降低IKZF2和IKZF4蛋白水平。
本披露的另一方面涉及具有式(I)的化合物或其药学上可接受的盐、水合物、溶剂化物、前药、立体异构体、或互变异构体,或组合物(所述组合物包含具有式(I)的化合物或其药学上可接受的盐、水合物、溶剂化物、前药、立体异构体、或互变异构体),用于在通过降低IKZF2和IKZF4蛋白水平来降低细胞的增殖中使用。在一些实施例中,通过IKZF2和IKZF4蛋白的降解来降低IKZF2和IKZF4蛋白水平。在其他实施例中,通过由E3连接酶介导的IKZF2和IKZF4蛋白的降解来降低IKZF2和IKZF4蛋白水平。
在另一方面,本披露涉及具有式(I)的化合物或其药学上可接受的盐、水合物、溶剂化物、前药、立体异构体、或互变异构体,或组合物(所述组合物包含具有式(I)的化合物或其药学上可接受的盐、水合物、溶剂化物、前药、立体异构体、或互变异构体),用于在制造用于通过降低IKZF2和IKZF4蛋白水平来降低细胞的增殖的药物中使用。在一些实施例中,通过IKZF2和IKZF4蛋白的降解来降低IKZF2和IKZF4蛋白水平。在其他实施例中,通过由E3连接酶介导的IKZF2和IKZF4蛋白的降解来降低IKZF2和IKZF4蛋白水平。
在另一方面,本披露涉及用于治疗IKZF2依赖性疾病或障碍的方法。所述方法包括向有需要的受试者施用治疗有效量的具有式(I)的化合物或其药学上可接受的盐、水合物、溶剂化物、前药、立体异构体、或互变异构体,或组合物(所述组合物包含具有式(I)的化合物或其药学上可接受的盐、水合物、溶剂化物、前药、立体异构体、或互变异构体)的步骤。
本披露的另一方面涉及具有式(I)的化合物或其药学上可接受的盐、水合物、溶剂化物、前药、立体异构体、或互变异构体,或组合物(所述组合物包含具有式(I)的化合物或其药学上可接受的盐、水合物、溶剂化物、前药、立体异构体、或互变异构体),用于在治疗IKZF2依赖性疾病或障碍中使用。
在另一方面,本披露涉及具有式(I)的化合物或其药学上可接受的盐、水合物、溶剂化物、前药、立体异构体、或互变异构体在制造用于治疗IKZF2依赖性疾病或障碍的药物中的用途。
本披露的另一方面涉及具有式(I)的化合物或其药学上可接受的盐、水合物、溶剂化物、前药、立体异构体、或互变异构体,或组合物(所述组合物包含具有式(I)的化合物或其药学上可接受的盐、水合物、溶剂化物、前药、立体异构体、或互变异构体),用于在制造用于治疗IKZF2依赖性疾病或障碍的药物中使用。
在另一方面,本披露涉及用于治疗IKZF2依赖性和IKZF4依赖性疾病或障碍的方法。所述方法包括向有需要的受试者施用治疗有效量的具有式(I)的化合物或其药学上可接受的盐、水合物、溶剂化物、前药、立体异构体、或互变异构体,或组合物(所述组合物包含具有式(I)的化合物或其药学上可接受的盐、水合物、溶剂化物、前药、立体异构体、或互变异构体)的步骤。
本披露的另一方面涉及具有式(I)的化合物或其药学上可接受的盐、水合物、溶剂化物、前药、立体异构体、或互变异构体,或组合物(所述组合物包含具有式(I)的化合物或其药学上可接受的盐、水合物、溶剂化物、前药、立体异构体、或互变异构体),用于在治疗IKZF2依赖性和IKZF4依赖性疾病或障碍中使用。
在另一方面,本披露涉及具有式(I)的化合物或其药学上可接受的盐、水合物、溶剂化物、前药、立体异构体、或互变异构体,或组合物(所述组合物包含具有式(I)的化合物或其药学上可接受的盐、水合物、溶剂化物、前药、立体异构体、或互变异构体)在制造用于治疗IKZF2依赖性和IKZF4依赖性疾病或障碍的药物中的用途。
本披露的另一方面涉及具有式(I)的化合物或其药学上可接受的盐、水合物、溶剂化物、前药、立体异构体、或互变异构体,或组合物(所述组合物包含具有式(I)的化合物或其药学上可接受的盐、水合物、溶剂化物、前药、立体异构体、或互变异构体),用于在制造用于治疗IKZF2依赖性和IKZF4依赖性疾病或障碍的药物中使用。
在另一方面,本披露涉及降低IKZF2蛋白水平的方法。所述方法包括向有需要的患者施用具有式(I)的化合物或其药学上可接受的盐、水合物、溶剂化物、前药、立体异构体、或互变异构体,或组合物(所述组合物包含具有式(I)的化合物或其药学上可接受的盐、水合物、溶剂化物、前药、立体异构体、或互变异构体)。
本披露的另一方面涉及降低IKZF2和IKZF4蛋白水平的方法。所述方法包括向有需要的患者施用具有式(I)的化合物或其药学上可接受的盐、水合物、溶剂化物、前药、立体异构体、或互变异构体,或组合物(所述组合物包含具有式(I)的化合物或其药学上可接受的盐、水合物、溶剂化物、前药、立体异构体、或互变异构体)。
在另一方面,本披露涉及具有式(I)的化合物或其药学上可接受的盐、水合物、溶剂化物、前药、立体异构体、或互变异构体,或组合物(所述组合物包含具有式(I)的化合物或其药学上可接受的盐、水合物、溶剂化物、前药、立体异构体、或互变异构体),用于在降低IKZF2蛋白水平中使用。
本披露的另一方面涉及具有式(I)的化合物或其药学上可接受的盐、水合物、溶剂化物、前药、立体异构体、或互变异构体,或组合物(所述组合物包含具有式(I)的化合物或其药学上可接受的盐、水合物、溶剂化物、前药、立体异构体、或互变异构体),用于在降低IKZF2和IKZF4蛋白水平中使用。
在另一方面,本披露涉及具有式(I)的化合物或其药学上可接受的盐、水合物、溶剂化物、前药、立体异构体、或互变异构体,或组合物在制造用于降低IKZF2蛋白水平的药物中的用途。
本披露的另一方面涉及具有式(I)的化合物或其药学上可接受的盐、水合物、溶剂化物、前药、立体异构体、或互变异构体,或组合物(所述组合物包含具有式(I)的化合物或其药学上可接受的盐、水合物、溶剂化物、前药、立体异构体、或互变异构体)在制造用于降低IKZF2和IKZF4蛋白水平的药物中的用途。
在另一方面,本披露涉及降低IKZF2蛋白水平的方法,其中IKZF2蛋白水平的降低治疗或减轻所述疾病或障碍。所述方法包括向有需要的患者施用具有式(I)的化合物或其药学上可接受的盐、水合物、溶剂化物、前药、立体异构体、或互变异构体,或组合物(所述组合物包含具有式(I)的化合物或其药学上可接受的盐、水合物、溶剂化物、前药、立体异构体、或互变异构体)。
本披露的另一方面涉及降低IKZF2和IKZF4蛋白水平的方法,其中IKZF2和IKZF4蛋白水平的降低治疗或减轻所述疾病或障碍。所述方法包括向有需要的患者施用具有式(I)的化合物或其药学上可接受的盐、水合物、溶剂化物、前药、立体异构体、或互变异构体,或组合物(所述组合物包含具有式(I)的化合物或其药学上可接受的盐、水合物、溶剂化物、前药、立体异构体、或互变异构体)。
在另一方面,本披露涉及具有式(I)的化合物或其药学上可接受的盐、水合物、溶剂化物、前药、立体异构体、或互变异构体,或组合物(所述组合物包含具有式(I)的化合物或其药学上可接受的盐、水合物、溶剂化物、前药、立体异构体、或互变异构体),用于在降低IKZF2蛋白水平中使用,其中IKZF2蛋白水平的降低治疗或减轻所述疾病或障碍。
本披露的另一方面涉及具有式(I)的化合物或其药学上可接受的盐、水合物、溶剂化物、前药、立体异构体、或互变异构体,或组合物(所述组合物包含具有式(I)的化合物或其药学上可接受的盐、水合物、溶剂化物、前药、立体异构体、或互变异构体),用于在降低IKZF2和IKZF4蛋白水平中使用,其中IKZF2和IKZF4蛋白水平的降低治疗或减轻所述疾病或障碍。
在另一方面,本披露涉及具有式(I)的化合物或其药学上可接受的盐、水合物、溶剂化物、前药、立体异构体、或互变异构体,或组合物在制造用于降低IKZF2蛋白水平的药物中的用途,其中IKZF2蛋白水平的降低治疗或减轻所述疾病或障碍。
本披露的另一方面涉及具有式(I)的化合物或其药学上可接受的盐、水合物、溶剂化物、前药、立体异构体、或互变异构体,或组合物(所述组合物包含具有式(I)的化合物或其药学上可接受的盐、水合物、溶剂化物、前药、立体异构体、或互变异构体)在制造用于降低IKZF2和IKZF4蛋白水平的药物中的用途,其中IKZF2和IKZF4蛋白水平的降低治疗或减轻所述疾病或障碍。
在另一方面,本披露涉及通过降低IKZF2蛋白水平治疗疾病或障碍的方法,其中IKZF2蛋白水平的降低治疗或减轻所述疾病或障碍。所述方法包括向有需要的患者施用具有式(I)的化合物或其药学上可接受的盐、水合物、溶剂化物、前药、立体异构体、或互变异构体,或组合物(所述组合物包含具有式(I)的化合物或其药学上可接受的盐、水合物、溶剂化物、前药、立体异构体、或互变异构体)。
本披露的另一方面涉及通过降低IKZF2和IKZF4蛋白水平治疗疾病或障碍的方法,其中IKZF2和IKZF4蛋白水平的降低治疗或减轻所述疾病或障碍。所述方法包括向有需要的患者施用具有式(I)的化合物或其药学上可接受的盐、水合物、溶剂化物、前药、立体异构体、或互变异构体,或组合物(所述组合物包含具有式(I)的化合物或其药学上可接受的盐、水合物、溶剂化物、前药、立体异构体、或互变异构体)。
在另一方面,本披露涉及具有式(I)的化合物或其药学上可接受的盐、水合物、溶剂化物、前药、立体异构体、或互变异构体,或组合物(所述组合物包含具有式(I)的化合物或其药学上可接受的盐、水合物、溶剂化物、前药、立体异构体、或互变异构体),用于在通过降低IKZF2蛋白水平治疗疾病或障碍中使用,其中IKZF2蛋白水平的降低治疗或减轻所述疾病或障碍。
本披露的另一方面涉及具有式(I)的化合物或其药学上可接受的盐、水合物、溶剂化物、前药、立体异构体、或互变异构体,或组合物(所述组合物包含具有式(I)的化合物或其药学上可接受的盐、水合物、溶剂化物、前药、立体异构体、或互变异构体),用于在通过降低IKZF2和IKZF4蛋白水平治疗疾病或障碍中使用,其中IKZF2和IKZF4蛋白水平的降低治疗或减轻所述疾病或障碍。
在另一方面,本披露涉及具有式(I)的化合物或其药学上可接受的盐、水合物、溶剂化物、前药、立体异构体、或互变异构体,或组合物在制造用于通过降低IKZF2蛋白水平治疗疾病或障碍的药物中的用途,其中IKZF2蛋白水平的降低治疗或减轻所述疾病或障碍。
本披露的另一方面涉及具有式(I)的化合物或其药学上可接受的盐、水合物、溶剂化物、前药、立体异构体、或互变异构体,或组合物(所述组合物包含具有式(I)的化合物或其药学上可接受的盐、水合物、溶剂化物、前药、立体异构体、或互变异构体)在制造用于通过降低IKZF2和IKZF4蛋白水平治疗疾病或障碍的药物中的用途,其中IKZF2和IKZF4蛋白水平的降低治疗或减轻所述疾病或障碍。
可以将本披露的化合物用于治疗选自以下的疾病或障碍:脂肪肉瘤、神经母细胞瘤、胶质母细胞瘤、膀胱癌、肾上腺皮质癌、多发性骨髓瘤、结直肠癌、非小细胞肺癌、人乳头瘤病毒相关的宫颈癌、口咽癌、阴茎癌、肛门癌、甲状腺癌、或阴道癌或爱泼斯坦-巴尔病毒相关的鼻咽癌、胃癌、直肠癌、甲状腺癌、霍奇金淋巴瘤或弥漫性大B细胞淋巴瘤。所述癌症选自前列腺癌、乳腺癌、淋巴瘤、白血病、骨髓瘤、膀胱癌、结肠癌、皮肤黑色素瘤、肝细胞癌、子宫内膜癌、卵巢癌、宫颈癌、肺癌、肾癌、多形性胶质母细胞瘤、胶质瘤、甲状腺癌、甲状旁腺肿瘤、鼻咽癌、舌癌、胰腺癌、食管癌、胆管癌、胃癌、软组织肉瘤、横纹肌肉瘤(RMS)、滑膜肉瘤、骨肉瘤、横纹肌样癌、免疫应答缺陷的癌症、免疫原性癌症、和尤因肉瘤。在一个实施例中,所述IKZF2依赖性疾病或障碍是选自如下的疾病或障碍:非小细胞肺癌(NSCLC)、黑色素瘤、三阴性乳腺癌(TNBC)、鼻咽癌(NPC)、微卫星稳定结直肠癌(mssCRC)、胸腺瘤、类癌、和胃肠道间质瘤(GIST)。在另一个实施例中,所述癌症选自非小细胞肺癌(NSCLC)、黑色素瘤、三阴性乳腺癌(TNBC)、鼻咽癌(NPC)、微卫星稳定结直肠癌(mssCRC)、胸腺瘤、类癌、急性髓细胞性白血病、和胃肠道间质瘤(GIST)。在另一个实施例中,所述IKZF2依赖性疾病或障碍是选自如下的疾病或障碍:非小细胞肺癌(NSCLC)、黑色素瘤、三阴性乳腺癌(TNBC)、鼻咽癌(NPC)、和微卫星稳定结直肠癌(mssCRC)。
所披露的本披露的化合物能以有效量施用,以在受试者中治疗或预防障碍和/或预防其发展。
G.本披露的化合物的施用、药物组合物和给药
所披露的化合物的施用可以经由治疗剂的任何施用方式完成。这些方式包括全身或局部施用,例如口服的、鼻腔的、肠胃外的、经皮的、皮下的、阴道的、颊的、直肠的或局部的施用方式。
取决于预期的施用方式,所披露的组合物可以处于固体、半固体或液体剂型,像例如,注射剂、片剂、栓剂、丸剂、随时间释放的胶囊、酏剂、酊剂、乳液、糖浆、粉末、液体、悬浮液等,有时处于单位剂量,并与常规药物实践一致。它们也能以静脉内(推注和输注两者)、腹膜内、皮下或肌内形式施用,并且所有使用的形式都是药学领域技术人员熟知的。
说明性药物组合物是片剂和明胶胶囊,这些片剂和明胶胶囊包含本披露的化合物和药学上可接受的载体,例如a)稀释剂,例如纯净水、甘油三酯油(如氢化或部分氢化的植物油或其混合物、com油、橄榄油、葵花籽油、红花油、鱼油(如EPA或DHA、或其酯或甘油三酯、或其混合物)、ω-3脂肪酸或其衍生物)、乳糖、右旋糖、蔗糖、甘露醇、山梨醇、纤维素、钠、糖精、葡萄糖和/或甘氨酸;b)润滑剂,例如二氧化硅,滑石,硬脂酸、其镁或钙盐,油酸钠,硬脂酸钠,硬脂酸镁,苯甲酸钠,乙酸钠,氯化钠,和/或聚乙二醇;就片剂而言还包含;c)粘合剂,例如硅酸镁铝、淀粉糊、明胶、黄芪胶、甲基纤维素、羧甲基纤维素钠、碳酸镁、天然糖如葡萄糖或β-乳糖、玉米甜味剂、天然和合成树胶(如阿拉伯树胶)、黄芪胶或海藻酸钠、蜡和/或聚乙烯吡咯烷酮,如果需要的话;d)崩解剂,例如淀粉、琼脂、甲基纤维素、膨润土、黄原胶、海藻酸或其钠盐、或泡腾混合物;e)吸收剂、着色剂、香料和甜味剂;f)乳化剂或分散剂,如Tween 80、Labrasol、HPMC、DOSS、caproyl909、labrafac、labrafil、peceol、transcutol、capmul MCM、capmul PG-12、captex 355、gelucire、维生素E TGPS或其他可接受的乳化剂;和/或g)增强化合物吸收的药剂,例如环糊精、羟基丙基-环糊精、PEG400、PEG200。
液体(特别是可注射的)组合物可以例如通过溶解、分散等制备。例如,所披露的化合物溶解于药学上可接受的溶剂(像例如,水、盐水、水性右旋糖、丙三醇、乙醇等)中或与其混合,由此形成可注射的等渗溶液或悬浮液。蛋白质(例如白蛋白、乳糜微滴颗粒、或血清蛋白)可以用于溶解所披露的化合物。
所披露的化合物还可以配制成栓剂,该栓剂能以脂肪乳液或悬浮液制备;使用聚亚烷基二醇(例如丙二醇)作为载体。
所披露的化合物还能以脂质体递送系统(例如小单层囊泡、大单层囊泡、和多室脂质体)的形式施用。脂质体可以由多种磷脂(含有胆固醇、硬脂酰胺或磷脂酰胆碱)形成。
在一些实施例中,脂质组分的膜与药物的水溶液水合以形成包封药物的脂质层,如美国专利号5,262,564(将其通过引用以其全文特此并入)中所述的。
所披露的化合物还可以通过使用单克隆抗体作为与所披露的化合物偶联的单独的载体来递送。所披露的化合物还可以与作为可靶向药物载体的可溶性聚合物偶联。此类聚合物可以包括聚乙烯吡咯烷酮、吡喃共聚物、聚羟基丙基甲基丙烯酰胺-苯酚、聚羟基乙基天冬酰胺苯酚、或被棕榈酰残基取代的聚乙烯氧化物聚赖氨酸。此外,所披露的化合物可以与一类可用于实现药物控制释放的可生物降解聚合物(例如聚乳酸、聚ε己内酯、聚羟基丁酸、聚原酸酯、聚乙缩醛、聚二氢吡喃、聚氰基丙烯酸酯、和交联的或两亲性水凝胶的嵌段共聚物)偶联。在一个实施例中,所披露的化合物不与聚合物(例如聚羧酸聚合物或聚丙烯酸酯)共价结合。
肠胃外的可注射施用通常用于皮下的、肌内的或静脉内的注射和输注。注射剂能以常规形式制备(作为液体溶液或悬浮液,或适于在注射前溶解在液体中的固体形式)。
本披露的另一方面涉及药物组合物,所述药物组合物包含具有式(I)的化合物和药学上可接受的载体。药学上可接受的载体可以进一步包括赋形剂、稀释剂、或表面活性剂。
组合物可分别根据常规混合、制粒或包衣方法制备,并且本发明的药物组合物可含有按重量或体积计从约0.1%至约99%、从约5%至约90%、或从约1%至约20%的所披露的化合物。
在一个实施例中,本披露提供了试剂盒,该试剂盒包含两种或更多种分开的药物组合物,其中至少一种药物组合物含有本披露的化合物。在一个实施例中,该试剂盒包含用于分别保留所述组合物的装置(例如容器、分开的瓶子、或分开的箔包)。这种试剂盒的实例是泡罩包装,如典型地用于片剂、胶囊及类似物的包装。
本披露的试剂盒可用于施用不同的剂型,例如口服和肠胃外剂型,用于以不同的剂量间隔施用分开的组合物,或用于相互滴定分开的组合物。为了促进依从性,本披露的试剂盒通常包含施用说明书。
利用所披露的化合物的给予方案根据多种因素选择,这些因素包括患者的类型、种类、年龄、体重、性别和医疗状况;待治疗的病症的严重程度;施用途径;患者的肾功能或肝功能;和使用的所披露的特定化合物。拥有普通技能的医师或兽医都可以容易地确定并在处方中开出预防、对抗或阻止病症进展所需的药物的有效量。
当用于所指示的作用时,所披露的化合物的有效剂量范围为治疗该病症所需的从约0.5mg至约5000mg的所披露的化合物。用于体内或体外使用的组合物可含有约0.5、5、20、50、75、100、150、250、500、750、1000、1250、2500、3500、或5000mg的所披露的化合物,或剂量列表中从一个量到另一个量的范围。在一个实施例中,组合物处于可以刻痕的片剂的形式。
H.组合疗法
本披露的化合物可以在与一种或多种治疗剂(药物组合)或方式(例如,非药物疗法)的组合疗法中以治疗有效量施用。例如,其他癌症药剂可以发生协同效应。当本申请的化合物与其他疗法联合施用时,共同施用的化合物的剂量当然将根据所用的联合药物的类型、所用的特定药物、所治疗的病症等而变化。
化合物可以与其他药物疗法或治疗模式同时地(作为单个制剂或单独制剂)顺序地、分开地或在一段时间施用。通常,组合疗法设想在单个周期或疗程期间施用两种或更多种药物。治疗剂是例如化学化合物、肽、抗体、抗体片段或核酸,当将该治疗剂与本披露的化合物组合施用至患者时,该治疗剂具有治疗活性或增强治疗活性。
在一方面,本披露的具有式(I)的化合物或其药学上可接受的盐、水合物、溶剂化物、前药、立体异构体、或互变异构体可以与其他治疗剂(例如其他抗癌剂、抗过敏剂、止吐剂(或抗呕剂)、止痛剂、细胞保护剂、及其组合)结合。
在一些实施例中,将本披露的具有式(I)的化合物或其药学上可接受的盐、水合物、溶剂化物、前药、立体异构体、或互变异构体与一种或多种第二药剂(选自PD-1抑制剂、PD-L1抑制剂、LAG-3抑制剂、细胞因子、A2A拮抗剂、GITR激动剂、TIM-3抑制剂、STING激动剂、和TLR7激动剂)组合施用,以治疗疾病(例如癌症)。
在另一个实施例中,将一种或多种化学治疗剂与具有式(I)的化合物或其药学上可接受的盐、水合物、溶剂化物、前药、立体异构体、或互变异构体组合使用,以治疗疾病(例如癌症),其中所述化学治疗剂包括但不限于阿那曲唑比卡鲁胺硫酸博来霉素白消安白消安注射液卡培他滨N4-戊氧基羰基-5-脱氧-5-氟胞苷、卡铂卡莫司汀苯丁酸氮芥顺铂克拉屈滨环磷酰胺(或)、阿糖胞苷、胞嘧啶阿拉伯糖苷(Cytosar-)、阿糖胞苷脂质体注射液达卡巴嗪(DTIC-)、更生霉素(放线菌素D,Cosmegan)、盐酸柔红霉素柠檬酸柔红霉素脂质体注射液地塞米松、多西他赛盐酸多柔比星依托泊苷磷酸氟达拉滨5-氟尿嘧啶氟他胺tezacitibine、吉西他滨(二氟脱氧胞苷(difluorodeoxycitidine))、羟基脲伊达比星异环磷酰胺伊立替康L-天冬酰胺酶亚叶酸钙、美法仑6-巯基嘌呤甲氨蝶呤米托蒽醌米罗他(mylotarg)、紫杉醇phoenix(Yttrium90/MX-DTPA)、喷司他汀、聚苯丙生(polifeprosan)20与卡莫司汀的植入物柠檬酸他莫昔芬替尼泊苷6-硫代鸟嘌呤、噻替派、替拉扎明注射用盐酸拓扑替康长春花碱长春新碱长春瑞滨表柔比星奥沙利铂依西美坦来曲唑和氟维司群
在其他实施例中,将本披露的具有式(I)的化合物或其药学上可接受的盐、水合物、溶剂化物、前药、立体异构体、或互变异构体与一种或多种其他抗HER2抗体(例如,上文所述的曲妥珠单抗、帕妥珠单抗、玛格妥昔单抗(margetuximab)、或HT-19)或与其他抗HER2缀合物(例如,ado-曲妥珠单抗-美坦新(emtansine)偶联物(也称为或T-DM1))组合使用。
在其他实施例中,将本披露的具有式(I)的化合物或其药学上可接受的盐、水合物、溶剂化物、前药、立体异构体、或互变异构体与一种或多种酪氨酸激酶抑制剂(包括但不限于EGFR抑制剂、Her3抑制剂、IGFR抑制剂、和Met抑制剂)组合使用,以治疗疾病(例如癌症)。
例如,酪氨酸激酶抑制剂包括但不限于盐酸埃罗替尼(erlotinib)利尼法尼(Linifanib)(N-[4-(3-氨基-1H-吲唑-4-基)苯基]-N'-(2-氟-5-甲基苯基)脲,也称为ABT 869,可购自基因泰克公司(Genentech));苹果酸舒尼替尼柏舒替尼(Bosutinib)(4-[(2,4-二氯-5-甲氧基苯基)氨基]-6-甲氧基-7-[3-(4-甲基哌嗪-1-基)丙氧基]喹啉-3-甲腈,也称为SKI-606,并且描述于美国专利号6,780,996中);达沙替尼帕唑帕尼索拉非尼凡德他尼(ZD6474);和伊马替尼或甲磺酸伊马替尼(和)。
表皮生长因子受体(EGFR)抑制剂包括但不限于盐酸埃罗替尼(erlotinib)吉非替尼N-[4-[(3-氯-4-氟苯基)氨基]-7-[[(3”S”)-四氢-3-呋喃基]氧基]-6-喹唑啉基]-4(二甲基氨基)-2-丁烯酰胺,);凡德他尼(Vandetanib)拉帕替尼(3R,4R)-4-氨基-1-((4-((3-甲氧基苯基)氨基)吡咯并[2,1-f][1,2,4]三嗪-5-基)甲基)哌啶-3-醇(BMS690514);二盐酸卡奈替尼(CI-1033);6-[4-[(4-乙基-1-哌嗪基)甲基]苯基]-N-[(1R)-1-苯基乙基]-7H-吡咯并[2,3-d]嘧啶-4-胺(AEE788,CAS 497839-62-0);木利替尼(Mubritinib)(TAK165);培立替尼(EKB569);阿法替尼(Afatinib)来那替尼(Neratinib)(HKI-272);N-[4-[[1-[(3-氟苯基)甲基]-1H-吲唑-5-基]氨基]-5-甲基吡咯并[2,1-f][1,2,4]三嗪-6-基]-氨基甲酸,(3S)-3-吗啉基甲酯(BMS599626);N-(3,4-二氯-2-氟苯基)-6-甲氧基-7-[[(3aα,5β,6aα)-八氢-2-甲基环戊[c]吡咯-5-基]甲氧基]-4-喹唑啉胺(XL647,CAS781613-23-8);和4-[4-[[(1R)-1-苯基乙基]氨基]-7H-吡咯并[2,3-d]嘧啶-6-基]-苯酚(PKI166,CAS187724-61-4)。
EGFR抗体包括但不限于西妥昔单抗帕尼单抗马妥珠单抗(EMD-72000);尼妥珠单抗(Nimotuzumab)(hR3);扎妥木单抗(Zalutumumab);TheraCIM h-R3;MDX0447(CAS339151-96-1);和ch806(mAb-806,CAS 946414-09-1)。
其他HER2抑制剂包括但不限于来那替尼(Neratinib)(HKI-272,(2E)-N-[4-[[3-氯-4-[(吡啶-2-基)甲氧基]苯基]氨基]-3-氰基-7-乙氧基喹啉-6-基]-4-(二甲基氨基)丁-2-烯酰胺,并且描述于PCT公开号WO05/028443);拉帕替尼或二甲苯磺酸拉帕替尼(3R,4R)-4-氨基-1-((4-((3-甲氧基苯基)氨基)吡咯并[2,1-f][1,2,4]三嗪-5-基)甲基)哌啶-3-醇(BMS690514);(2E)-N-[4-[(3-氯-4-氟苯基)氨基]-7-[[(3S)-四氢-3-呋喃基]氧基]-6-喹唑啉基]-4-(二甲基氨基)-2-丁烯酰胺(BIBW-2992,CAS850140-72-6);N-[4-[[1-[(3-氟苯基)甲基]-1H-吲唑-5-基]氨基]-5-甲基吡咯并[2,1-f][1,2,4]三嗪-6-基]-氨基甲酸、(3S)-3-吗啉基甲酯(BMS 599626,CAS 714971-09-2);二盐酸卡奈替尼(PD183805或CI-1033);和N-(3,4-二氯-2-氟苯基)-6-甲氧基-7-[[(3aα,5β,6aα)-八氢-2-甲基环戊[c]吡咯-5-基]甲氧基]-4-喹唑啉胺(XL647,CAS 781613-23-8)。
HER3抑制剂包括但不限于LJM716、MM-121、AMG-888、RG7116、REGN-1400、AV-203、MP-RM-1、MM-111、和MEHD-7945A。
MET抑制剂包括但不限于卡博替尼(Cabozantinib)(XL184,CAS849217-68-1);氟列替布(Foretinib)(GSK1363089,以前称为XL880,CAS 849217-64-7);替万替尼(Tivantinib)(ARQ197,CAS 1000873-98-2);1-(2-羟基-2-甲基丙基)-N-(5-(7-甲氧基喹啉-4-基氧基)吡啶-2-基)-5-甲基-3-氧代-2-苯基-2,3-二氢-1H-吡唑-4-甲酰胺(AMG458);克唑替尼(PF-02341066);(3Z)-5-(2,3-二氢-1H-吲哚-1-基磺酰基)-3-({3,5-二甲基-4-[(4-甲基哌嗪-1-基)羰基]-1H-吡咯-2-基}亚甲基)-1,3-二氢-2H-吲哚-2-酮(SU11271);(3Z)-N-(3-氯苯基)-3-({3,5-二甲基-4-[(4-甲基哌嗪-1-基)羰基]-1H-吡咯-2-基}亚甲基)-N-甲基-2-氧代吲哚啉-5-磺酰胺(SU11274);(3Z)-N-(3-氯苯基)-3-{[3,5-二甲基-4-(3-吗啉-4-基丙基)-1H-吡咯-2-基]亚甲基}-N-甲基-2-氧代吲哚啉-5-磺酰胺(SU11606);6-[二氟[6-(1-甲基-1H吡唑-4-基)-1,2,4-三唑并[4,3-b]哒嗪-3-基]甲基]-喹啉(JNJ38877605,CAS 943540-75-8);2-[4-[1-(喹啉-6-基甲基)-1H-[1,2,3]三唑并[4,5-b]吡嗪-6-基]-1H-吡唑-1-基]乙醇(PF04217903,CAS 956905-27-4);N-((2R)-1,4-二噁烷-2-基甲基)-N-甲基-N'-[3-(1-甲基-1H-吡唑-4-基)-5-氧代-5H-苯并[4,5]环庚并[1,2-b]吡啶-7-基]磺酰胺(MK2461,CAS 917879-39-1);6-[[6-(1-甲基-1H-吡唑-4-基)-1,2,4-三唑并[4,3-b]哒嗪3-基]硫代]-喹啉(SGX523,CAS1022150-57-7);和(3Z)-5-[[(2,6-二氯苯基)甲基]磺酰基]-3-[[3,5-二甲基-4-[[(2R)-2-(1-吡咯烷基甲基)-1-吡咯烷基]羰基]-1H-吡咯-2-基]亚甲基]-1,3-二氢-2H-吲哚-2-酮(PHA665752,CAS 477575-56-7)。
IGFR抑制剂包括但不限于BMS-754807、XL-228、OSI-906、GSK0904529A、A-928605、AXL1717、KW-2450、MK0646、AMG479、IMCA12、MEDI-573、和BI836845。参见例如,Yee,JNCI[国家癌症研究所杂志],104;975(2012)的综述。
在另一个实施例中,将本披露的具有式(I)的化合物与一种或多种增殖信号传导途径抑制剂(包括但不限于MEK抑制剂、BRAF抑制剂、PI3K/Akt抑制剂、SHP2抑制剂、以及还有mTOR抑制剂和CDK抑制剂)组合使用,以治疗疾病(例如癌症)。
例如,促分裂原活化蛋白激酶(MEK)抑制剂包括但不限于XL-518(也称为GDC-0973、CAS号1029872-29-4,可从ACC集团(ACC Corp.)获得);2-[(2-氯-4-碘苯基)氨基]-N-(环丙基甲氧基)-3,4-二氟-苯甲酰胺(也称为CI-1040或PD184352,并描述于PCT公开号WO2000035436);N-[(2R)-2,3-二羟基丙氧基]-3,4-二氟-2-[(2-氟-4-碘苯基)氨基]-苯甲酰胺(也称为PD0325901,并描述于PCT公开号WO 2002006213);2,3-双[氨基[(2-氨基苯基)硫代]亚甲基]-丁二腈(也称为U0126,并描述于美国专利号2,779,780);N-[3,4-二氟-2-[(2-氟-4-碘苯基)氨基]-6-甲氧基苯基]-1-[(2R)-2,3-二羟基丙基]-环丙烷磺酰胺(也称为RDEA119或BAY869766,并描述于PCT公开号WO 2007014011);(3S,4R,5Z,8S,9S,11E)-14-(乙基氨基)-8,9,16-三羟基-3,4-二甲基-3,4,9,19-四氢-1H-2-苯并氧杂环四癸炔-1,7(8H)-二酮](也称为E6201,并描述于PCT公开号WO 2003076424);2'-氨基-3'-甲氧基黄酮(也称为PD98059,可从德国比亚芬股份有限公司(Biaffin GmbH&Co.,KG)获得);威罗菲尼(PLX-4032,CAS 918504-65-1);(R)-3-(2,3-二羟基丙基)-6-氟-5-(2-氟-4-碘苯基氨基)-8-甲基吡啶并[2,3-d]嘧啶-4,7(3H,8H)-二酮(TAK-733,CAS 1035555-63-5);匹玛舍替(Pimasertib)(AS-703026,CAS1204531-26-9);和二甲亚砜曲美替尼(GSK-1120212,CAS1204531-25-80)。
BRAF抑制剂包括但不限于威罗菲尼(或)、GDC-0879、PLX-4720(可从赛门斯公司(Symansis)获得)、达拉菲尼(或GSK2118436)、LGX 818、CEP-32496、UI-152、RAF265、瑞戈非尼(Regorafenib)(BAY 73-4506)、CCT239065、或索拉非尼(或甲苯磺酸索拉非尼或)或伊匹单抗(ipilimumab)(或MDX-010、MDX-101、或Yervoy)。
磷酸肌醇3-激酶(PI3K)抑制剂包括但不限于4-[2-(1H-吲唑-4-基)-6-[[4-(甲基磺酰基)哌嗪-1-基]甲基]噻吩并[3,2-d]嘧啶-4-基]吗啉(也称为GDC0941、RG7321、GNE0941、皮特里昔布(Pictrelisib)、或匹替利司(Pictilisib);并描述于PCT公开号WO09/036082和WO09/055730);托扎舍替(Tozasertib)(VX680或MK-0457,CAS639089-54-6);(5Z)-5-[[4-(4-吡啶基)-6-喹啉基]亚甲基]-2,4-噻唑烷二酮(GSK1059615,CAS 958852-01-2);(1E,4S,4aR,5R,6aS,9aR)-5-(乙酰基氧基)-1-[(二-2-丙烯基氨基)亚甲基]-4,4a,5,6,6a,8,9,9a-八氢-11-羟基-4-(甲氧基甲基)-4a,6a-二甲基环戊[5,6]萘并[1,2-c]吡喃-2,7,10(1H)-三酮(PX866,CAS 502632-66-8);8-苯基-2-(吗啉-4-基)-色原烯-4-酮(LY294002,CAS 154447-36-6);(S)-N1-(4-甲基-5-(2-(1,1,1-三氟-2-甲基丙-2-基)吡啶-4-基)噻唑-2-基)吡咯烷-1,2-二甲酰胺(也称为BYL719或阿培利司);2-(4-(2-(1-异丙基-3-甲基-1H-1,2,4-三唑-5-基)-5,6-二氢苯并[f]咪唑并[1,2-d][1,4]氧氮杂卓-9-基)-1H-吡唑-1-基)-2-甲基丙酰胺(也称为GDC0032、RG7604、或他塞利司(Taselisib))。
mTOR抑制剂包括但不限于坦罗莫司地磷莫司(ridaforolimus)(正式地称为deferolimus,(1R,2R,4S)-4-[(2R)-2[(1R,9S,12S,15R,16E,18R,19R,21R,23S,24E,26E,28Z,30S,32S,35R)-1,18-二羟基-19,30-二甲氧基-15,17,21,23,29,35-六甲基-2,3,10,14,20-五氧代-11,36-二氧杂-4-氮杂三环[30.3.1.04,9]三十六-16,24,26,28-四烯-12-基]丙基]-2-甲氧基环己基二甲基次膦酸酯,也称为AP23573和MK8669,并描述于PCT公开号WO 03/064383);依维莫司(或RAD001);雷帕霉素(Rapamycin)(AY22989,);塞马莫德(simapimod)(CAS 164301-51-3);(5-{2,4-双[(3S)-3-甲基吗啉-4-基]吡啶并[2,3-d]嘧啶-7-基}-2-甲氧基苯基)甲醇(AZD8055);2-氨基-8-[反式-4-(2-羟基乙氧基)环己基]-6-(6-甲氧基-3-吡啶基)-4-甲基-吡啶并[2,3-d]嘧啶-7(8H)-酮(PF04691502,CAS 1013101-36-4);和N2-[1,4-二氧代-4-[[4-(4-氧代-8-苯基-4H-1-苯并吡喃-2-基)吗啉鎓-4-基]甲氧基]丁基]-L-精氨酰甘氨酰-L-□-天冬氨酰L-丝氨酸-,内盐(SF1126,CAS 936487-67-1)。
在又另一个实施例中,将本披露的具有式(I)的化合物或其药学上可接受的盐、水合物、溶剂化物、前药、立体异构体、或互变异构体与一种或多种促凋亡剂(pro-apoptotics)(包括但不限于IAP抑制剂、BCL2抑制剂、MCL1抑制剂、TRAIL药剂、CHK抑制剂)组合使用,以治疗疾病(例如癌症)。
例如,IAP抑制剂包括但不限于LCL161、GDC-0917、AEG-35156、AT406、和TL32711。IAP抑制剂的其他实例包括但不限于WO04/005284、WO 04/007529、WO 05/097791、WO 05/069894、WO05/069888、WO 05/094818、US 2006/0014700、US 2006/0025347、WO06/069063、WO 06/010118、WO 06/017295、和WO 08/134679(所有这些文献都通过引用并入本文)中披露的那些。
BCL-2抑制剂包括但不限于4-[4-[[2-(4-氯苯基)-5,5-二甲基-1-环己烯-1-基]甲基]-1-哌嗪基]-N-[[4-[[(1R)-3-(4-吗啉基)-1-[(苯硫基)甲基]丙基]氨基]-3-[(三氟甲基)磺酰基]苯基]磺酰基]苯甲酰胺(也称为ABT-263,并描述于PCT公开号WO 09/155386);四制癌素A;抗霉素;棉酚((-)BL-193);奥巴妥拉(Obatoclax);乙基-2-氨基-6-环戊基-4-(1-氰基-2-乙氧基-2-氧乙基)-4H色酮-3-甲酸酯(HA14–1);奥利默森(Oblimersen)(G3139,);Bak BH3肽;(-)-棉酚乙酸(AT-101);4-[4-[(4'-氯[1,1'-联苯基]-2-基)甲基]-1-哌嗪基]-N-[[4-[[(1R)-3-(二甲基氨基)-1-[(苯硫基)甲基]丙基]氨基]-3-硝基苯基]磺酰基]-苯甲酰胺(ABT-737,CAS 852808-04-9);和那维托克莱克斯(Navitoclax)(ABT-263,CAS 923564-51-6)。
促凋亡受体激动剂(PARA)包括DR4(TRAILR1)和DR5(TRAILR2),包括但不限于杜拉乐明(Dulanermin)(AMG-951,RhApo2L/TRAIL);玛帕妥木单抗(Mapatumumab)(HRS-ETR1,CAS658052-09-6);来沙木单抗(Lexatumumab)(HGS-ETR2,CAS845816-02-6);Apomab西他土珠(Conatumumab)(AMG655,CAS 896731-82-1);和替加妥珠单抗(Tigatuzumab)(CS1008,CAS946415-34-5,可从第一三共株式会社(Daiichi Sankyo)获得)。
检查点激酶(CHK)抑制剂包括但不限于7-羟基星形孢菌素(UCN-01);6-溴-3-(1-甲基-1H-吡唑-4-基)-5-(3R)-3-哌啶基吡唑并[1,5-a]嘧啶-7-胺(SCH900776,CAS891494-63-6);5-(3-氟苯基)-3-脲基噻吩-2-羧酸N-[(S)-哌啶-3-基]酰胺(AZD7762,CAS860352-01-8);4-[((3S)-1-氮杂二环[2.2.2]辛-3-基)氨基]-3-(1H-苯并咪唑-2-基)-6-氯喹啉-2(1H)-酮(CHIR 124,CAS 405168-58-3);7-氨基更生霉素(7-AAD)、Isogranulatimide、debromohymenialdisine;N-[5-溴-4-甲基-2-[(2S)-2-吗啉基甲氧基]-苯基]-N'-(5-甲基-2-吡嗪基)脲(LY2603618,CAS911222-45-2);萝卜硫素(CAS 4478-93-7、4-甲基亚磺酰基丁基异硫氰酸盐);9,10,11,12-四氢-9,12-环氧-1H-二吲哚[1,2,3-fg:3',2',1'-kl]吡咯并[3,4-i][1,6]苯并二氮芳辛-1,3(2H)-二酮(SB-218078,CAS135897-06-2);和TAT-S216A(YGRKKRRQRRRLYRSPAMPENL(SEQ ID NO:33))、和CBP501((d-Bpa)sws(d-Phe-F5)(d-Cha)rrrqrr)。
在另外的实施例中,将本披露的具有式(I)的化合物或其药学上可接受的盐、水合物、溶剂化物、前药、立体异构体、或互变异构体与一种或多种免疫调节剂(例如,共刺激分子的活化剂或免疫检查点分子的抑制剂中的一种或多种)组合使用,以治疗疾病(例如癌症)。
在某些实施例中,免疫调节剂是共刺激分子的活化剂。在一个实施例中,共刺激分子的激动剂选自OX40、CD2、CD27、CDS、ICAM-1、LFA-1(CD11a/CD18)、ICOS(CD278)、4-1BB(CD137)、GITR、CD30、CD40、BAFFR、HVEM、CD7、LIGHT、NKG2C、SLAMF7、NKp80、CD160、B7-H3或CD83配体的激动剂(例如,激动性抗体或其抗原结合片段、或可溶性融合物)。
GITR激动剂
在一些实施例中,将GITR激动剂与具有式(I)的化合物或其药学上可接受的盐、水合物、溶剂化物、前药、立体异构体、或互变异构体组合使用,以治疗疾病(例如癌症)。在一些实施例中,GITR激动剂是GWN323(诺华股份有限公司(Novartis))、BMS-986156、MK-4166或MK-1248(默克公司(Merck))、TRX518(利普治疗公司(Leap Therapeutics))、INCAGN1876(因赛特公司/艾吉纳斯公司(Incyte/Agenus))、AMG 228(美商安进公司(Amgen))或INBRX-110(印希彼公司(Inhibrx))。
示例性GITR激动剂
在一个实施例中,GITR激动剂是抗GITR抗体分子。在一个实施例中,GITR激动剂是抗GITR抗体分子,如题为“Compositions and Methods of Use for Augmented ImmuneResponse and Cancer Therapy[用于增强免疫应答和癌症疗法的组合物和方法]”的2016年4月14日公开的WO2016/057846(将其通过引用以其全文并入)中所述的。
在一个实施例中,抗GITR抗体分子包含来自重链和轻链可变区的至少一个、两个、三个、四个、五个、或六个互补决定区(CDR)(或总体上全部CDR),该重链和轻链可变区包含表1(例如,来自表1中披露的MAB7的重链和轻链可变区序列)中所示的氨基酸序列、或由表1中所示的核苷酸序列编码的氨基酸序列。在一些实施例中,CDR根据卡巴特定义(例如,如表1中所列出的)。在一些实施例中,CDR根据乔西亚定义(例如,如表1中所列出的)。在一个实施例中,相对于表1中所示的氨基酸序列,或由表1中所示的核苷酸序列编码的氨基酸序列,CDR中的一种或多种(或总体上全部CDR)具有一个、两个、三个、四个、五个、六个或更多个变化,例如氨基酸取代(例如,保守氨基酸取代)或缺失。
在一个实施例中,抗GITR抗体分子包含:含有SEQ ID NO:9的VHCDR1氨基酸序列、SEQ ID NO:11的VHCDR2氨基酸序列、和SEQ ID NO:13的VHCDR3氨基酸序列的重链可变区(VH);以及含有SEQ ID NO:14的VLCDR1氨基酸序列、SEQ ID NO:16的VLCDR2氨基酸序列、和SEQ ID NO:18的VLCDR3氨基酸序列的轻链可变区(VL),各自披露于表1中。
在一个实施例中,抗GITR抗体分子包含:含有SEQ ID NO:1的氨基酸序列、或与SEQID NO:1具有至少85%、90%、95%、或99%、或更高同一性的氨基酸序列的VH。在一个实施例中,抗GITR抗体分子包含:含有SEQ ID NO:2的氨基酸序列、或与SEQ ID NO:2具有至少85%、90%、95%、或99%、或更高同一性的氨基酸序列的VL。在一个实施例中,抗GITR抗体分子包含:含有SEQ ID NO:1的氨基酸序列的VH和含有SEQ ID NO:2的氨基酸序列的VL。
在一个实施例中,抗体分子包含:由SEQ ID NO:5的核苷酸序列、或与SEQ ID NO:5具有至少85%、90%、95%、或99%、或更高同一性的核苷酸序列编码的VH。在一个实施例中,抗体分子包含:由SEQ ID NO:6的核苷酸序列、或与SEQ ID NO:6具有至少85%、90%、95%、或99%、或更高同一性的核苷酸序列编码的VL。在一个实施例中,抗体分子包含:由SEQ ID NO:5的核苷酸序列编码的VH和由SEQ ID NO:6的核苷酸序列编码的VL。
在一个实施例中,抗GITR抗体分子包含:含有SEQ ID NO:3的氨基酸序列、或与SEQID NO:3具有至少85%、90%、95%、或99%、或更高同一性的氨基酸序列的重链。在一个实施例中,抗GITR抗体分子包含:含有SEQ ID NO:4的氨基酸序列、或与SEQ ID NO:4具有至少85%、90%、95%、或99%、或更高同一性的氨基酸序列的轻链。在一个实施例中,抗GITR抗体分子包含:含有SEQ ID NO:3的氨基酸序列的重链和含有SEQ ID NO:4的氨基酸序列的轻链。
在一个实施例中,抗体分子包含:由SEQ ID NO:7的核苷酸序列、或与SEQ ID NO:7具有至少85%、90%、95%、或99%、或更高同一性的核苷酸序列编码的重链。在一个实施例中,抗体分子包含:由SEQ ID NO:8的核苷酸序列、或与SEQ ID NO:8具有至少85%、90%、95%、或99%、或更高同一性的核苷酸序列编码的轻链。在一个实施例中,抗体分子包含由SEQ ID NO:7的核苷酸序列编码的重链和由SEQ ID NO:8的核苷酸序列编码的轻链。
本文描述的抗体分子可以通过运载体、宿主细胞、和在WO2016/057846(将其通过引用以其全文并入)中描述的方法制得。
表1:示例性抗GITR抗体分子的氨基酸和核苷酸序列
其他示例性GITR激动剂
在一个实施例中,抗GITR抗体分子是BMS-986156(百时美施贵宝公司(Bristol-Myers Squibb)),也称为BMS 986156或BMS986156。BMS-986156和其他抗GITR抗体披露在例如US 9,228,016和WO2016/196792(将其通过引用以其全文并入)中。在一个实施例中,抗GITR抗体分子包含以下中的一种或多种:BMS-986156的CDR序列(或总体上全部CDR序列)、重链或轻链可变区序列、或重链或轻链序列,例如,在表2中所披露的。
在一个实施例中,抗GITR抗体分子是MK-4166或MK-1248(默克公司)。MK-4166、MK-1248、和其他抗GITR抗体披露于例如,US8,709,424、WO 2011/028683、WO 2015/026684、和Mahne等人,Cancer Res.[癌症研究]2017;77(5):1108-1118(将其通过引用以其全文并入)中。在一个实施例中,抗GITR抗体分子包含以下中的一种或多种:MK-4166或MK-1248的CDR序列(或总体上全部CDR序列)、重链或轻链可变区序列、或重链或轻链序列。
在一个实施例中,抗GITR抗体分子是TRX518(利普治疗公司)。TRX518和其他抗GITR抗体披露在例如,US 7,812,135、US 8,388,967、US 9,028,823、WO 2006/105021、和Ponte J等人,(2010)Clinical Immunology[临床免疫学];135:S96(将其通过引用以其全文并入)中。在一个实施例中,抗GITR抗体分子包含以下中的一种或多种:TRX518的CDR序列(或总体上全部CDR序列)、重链或轻链可变区序列、或重链或轻链序列。
在一个实施例中,抗GITR抗体分子是INCAGN1876(因赛特公司/艾吉纳斯公司)。INCAGN1876和其他抗GITR抗体披露在例如US2015/0368349和WO 2015/184099(将其通过引用以其全文并入)中。在一个实施例中,抗GITR抗体分子包含以下中的一种或多种:INCAGN1876的CDR序列(或总体上全部CDR序列)、重链或轻链可变区序列、或重链或轻链序列。
在一个实施例中,抗GITR抗体分子是AMG 228(美商安进公司)。AMG 228和其他抗GITR抗体披露在例如US 9,464,139和WO2015/031667(将其通过引用以其全文并入)中。在一个实施例中,抗GITR抗体分子包含以下中的一种或多种:AMG 228的CDR序列(或总体上全部CDR序列)、重链或轻链可变区序列、或重链或轻链序列。
在一个实施例中,抗GITR抗体分子是INBRX-110(印希彼公司)。INBRX-110和其他抗GITR抗体披露在例如US 2017/0022284和WO2017/015623(将其通过引用以其全文并入)中。在一个实施例中,GITR激动剂包含以下中的一种或多种:INBRX-110的CDR序列(或总体上全部CDR序列)、重链或轻链可变区序列、或重链或轻链序列。
在一个实施例中,GITR激动剂(例如,融合蛋白)是MEDI 1873(英商梅迪缪思有限公司(MedImmune)),也称为MEDI1873。MEDI1873和其他GITR激动剂披露在例如,US 2017/0073386、WO2017/025610、和Ross等人,Cancer Res[癌症研究]2016;76(14增刊):摘要nr561(将其通过引用以其全文并入)中。在一个实施例中,GITR激动剂包含MEDI 1873的IgGFc结构域、功能性多聚化结构域、和糖皮质激素诱导的TNF受体配体(GITRL)的受体结合结构域中的一种或多种。
另外的已知GITR激动剂(例如,抗GITR抗体)包括例如在WO2016/054638(将其通过引用以其全文并入)中描述的那些。
在一个实施例中,抗GITR抗体是与本文描述的抗GITR抗体之一竞争与GITR上的相同表位结合和/或结合GITR上的相同表位的抗体。
在一个实施例中,GITR激动剂是活化GITR信号传导途径的肽。在一个实施例中,GITR激动剂是与恒定区(例如,免疫球蛋白序列的Fc区)融合的免疫粘附素结合片段(例如,包含GITRL的细胞外或GITR的结合部分的免疫粘附素结合片段)。
表2:其他示例性抗GITR抗体分子的氨基酸序列
在某些实施例中,免疫调节剂是免疫检查点分子的抑制剂。在一个实施例中,免疫调节剂是PD-1、PD-L1、PD-L2、CTLA4、TIM3、LAG3、VISTA、BTLA、TIGIT、LAIR1、CD160、2B4和/或TGFRβ的抑制剂。在一个实施例中,免疫检查点分子的抑制剂抑制PD-1、PD-L1、LAG-3、TIM-3或CTLA4、或其任何组合。术语“抑制”或“抑制剂”包括给定分子(例如免疫检查点抑制剂)的某些参数(例如活性)的降低。例如,该术语包括至少5%、10%、20%、30%、40%、50%或更多的活性(例如PD-1或PD-L1活性)的抑制。因此,抑制不必是100%。
抑制性分子的抑制可以在DNA、RNA或蛋白水平进行。在一些实施例中,抑制性核酸(例如,dsRNA、siRNA或shRNA)可以用于对抑制性分子的表达进行抑制。在其他实施例中,抑制信号的抑制剂是多肽,例如,可溶性配体(例如,PD-1-Ig或CTLA-4Ig)或与抑制性分子结合的抗体或其抗原结合片段;例如,与PD-1、PD-L1、PD-L2、CTLA4、TIM3、LAG3、VISTA、BTLA、TIGIT、LAIR1、CD160、2B4和/或TGFRβ、或其组合结合的抗体或其片段(在本文中也称为“抗体分子”)。
在一个实施例中,抗体分子是完全抗体或其片段(例如,Fab、F(ab')2、Fv、或单链Fv片段(scFv))。在又其他实施例中,抗体分子具有重链恒定区(Fc),该重链恒定区选自例如IgG1、IgG2、IgG3、IgG4、IgM、IgA1、IgA2、IgD、和IgE的重链恒定区;特别地,选自例如IgG1、IgG2、IgG3、和IgG4的重链恒定区,更特别地,IgG1或IgG4(例如,人IgG1或IgG4)的重链恒定区。在一个实施例中,重链恒定区是人IgG1或人IgG4。在一个实施例中,将恒定区改变(例如突变)以修饰抗体分子的特性(例如,以增加或减少Fc受体结合、抗体糖基化、半胱氨酸残基数目、效应细胞功能、或补体功能中的一种或多种)。
在某些实施例中,抗体分子处于双特异性或多特异性抗体分子的形式。在一个实施例中,双特异性抗体分子具有针对PD-1或PD-L1的第一结合特异性,和第二结合特异性,例如针对TIM-3、LAG-3、或PD-L2的第二结合特异性。在一个实施例中,双特异性抗体分子与PD-1或PD-L1和TIM-3结合。在另一个实施例中,双特异性抗体分子与PD-1或PD-L1和LAG-3结合。在另一个实施例中,双特异性抗体分子与PD-1和PD-L1结合。在又另一个实施例中,双特异性抗体分子与PD-1和PD-L2结合。在另一个实施例中,双特异性抗体分子与TIM-3和LAG-3结合。上述分子的任何组合可以在多特异性抗体分子(例如,包含针对PD-1或PD-1的第一结合特异性,以及针对TIM-3、LAG-3、或PD-L2中的两种或更多种的第二和第三结合特异性的三特异性抗体)中制备。
在某些实施例中,免疫调节剂是PD-1(例如,人PD-1)的抑制剂。在另一个实施例中,免疫调节剂是PD-L1(例如,人PD-L1)的抑制剂。在一个实施例中,PD-1或PD-L1的抑制剂是PD-1或PD-L1的抗体分子。PD-1或PD-L1抑制剂可以单独施用、或与其他免疫调节剂组合施用,例如与LAG-3、TIM-3或CTLA4的抑制剂组合施用。在示例性实施例中,将PD-1或PD-L1的抑制剂(例如,抗PD-1或PD-L1抗体分子)与LAG-3抑制剂(例如,抗LAG-3抗体分子)组合施用。在另一个实施例中,将PD-1或PD-L1的抑制剂(例如,抗PD-1或PD-L1抗体分子)与TIM-3抑制剂(例如,抗TIM-3抗体分子)组合施用。在又其他实施例中,将PD-1或PD-L1的抑制剂(例如,抗PD-1抗体分子)与LAG-3抑制剂(例如,抗LAG-3抗体分子)和TIM-3抑制剂(例如,抗TIM-3抗体分子)组合施用。
免疫调节剂与PD-1抑制剂(例如,PD-L2、CTLA4、TIM3、LAG3、VISTA、BTLA、TIGIT、LAIR1、CD160、2B4和/或TGFR中的一种或多种)的其他组合也包含在本披露内。本领域已知的或本文披露的任何抗体分子均可用于上述检查点分子抑制剂的组合中。
PD-1抑制剂
在一些实施例中,将本披露的具有式(I)的化合物或其药学上可接受的盐、水合物、溶剂化物、前药、立体异构体、或互变异构体与PD-1抑制剂组合使用,以治疗疾病(例如癌症)。在一些实施例中,PD-1抑制剂选自PDR001(诺华股份有限公司)、纳武单抗(百时美施贵宝公司)、帕姆单抗(默克公司(Merck&Co))、匹地利珠单抗(治疗科技公司(CureTech))、MEDI0680(英商梅迪缪思有限公司)、REGN2810(再生元公司(Regeneron))、TSR-042(泰萨罗公司(Tesaro))、PF-06801591(辉瑞公司(Pfizer))、BGB-A317(百济神州公司(Beigene))、BGB-108(百济神州公司)、INCSHR1210(因赛特公司)、或AMP-224(安普利公司(Amplimmun))。
示例性PD-1抑制剂
在一个实施例中,PD-1抑制剂是抗PD-1抗体分子。在一个实施例中,PD-1抑制剂是抗PD-1抗体分子,如题为“Antibody Molecules to PD-1and Uses Thereof[PD-1的抗体分子及其用途]”的2015年7月30日公开的US 2015/0210769(将其通过引用以其全文并入)中所述的。
在一个实施例中,抗PD-1抗体分子包含来自重链和轻链可变区的至少一个、两个、三个、四个、五个或六个互补决定区(CDR)(或总体上全部CDR),该重链和轻链可变区包含表3(例如,来自表3中披露的BAP049-克隆-E或BAP049-克隆-B的重链和轻链可变区序列)中所示的氨基酸序列,或由表3中所示的核苷酸序列编码。在一些实施例中,CDR根据卡巴特定义(例如,如表3中所列出的)。在一些实施例中,CDR根据乔西亚定义(例如,如表3中所列出的)。在一些实施例中,CDR根据卡巴特和乔西亚两者的组合CDR定义(例如,如表3中所列出的)。在一个实施例中,VH CDR1的卡巴特和乔西亚CDR的组合包含氨基酸序列GYTFTTYWMH(SEQ ID NO:213)。在一个实施例中,相对于表3中所示的氨基酸序列,或由表3中所示的核苷酸序列编码的,CDR中的一个或多个(或总体上全部CDR)具有一个、两个、三个、四个、五个、六个或更多个变化,例如氨基酸取代(例如,保守氨基酸取代)或缺失。
在一个实施例中,抗PD-1抗体分子包含:含有SEQ ID NO:22的VHCDR1氨基酸序列、SEQ ID NO:23的VHCDR2氨基酸序列、和SEQ ID NO:24的VHCDR3氨基酸序列的重链可变区(VH);以及含有SEQ ID NO:31的VLCDR1氨基酸序列、SEQ ID NO:32的VLCDR2氨基酸序列、和SEQ ID NO:286的VLCDR3氨基酸序列的轻链可变区(VL),各自披露于表3中。
在一个实施例中,抗体分子包含:含有由SEQ ID NO:45的核苷酸序列编码的VHCDR1、由SEQ ID NO:46的核苷酸序列编码的VHCDR2、和由SEQ ID NO:47的核苷酸序列编码的VHCDR3的VH;以及含有由SEQ ID NO:50的核苷酸序列编码的VLCDR1、由SEQ ID NO:51的核苷酸序列编码的VLCDR2、和由SEQ ID NO:52的核苷酸序列编码的VLCDR3的VL,各自披露于表3中。
在一个实施例中,抗PD-1抗体分子包含:含有SEQ ID NO:27的氨基酸序列、或与SEQ ID NO:27具有至少85%、90%、95%、或99%、或更高同一性的氨基酸序列的VH。在一个实施例中,抗PD-1抗体分子包含:含有SEQ ID NO:41的氨基酸序列、或与SEQ ID NO:41具有至少85%、90%、95%、或99%、或更高同一性的氨基酸序列的VL。在一个实施例中,抗PD-1抗体分子包含:含有SEQ ID NO:37的氨基酸序列、或与SEQ ID NO:37具有至少85%、90%、95%、或99%、或更高同一性的氨基酸序列的VL。在一个实施例中,抗PD-1抗体分子包含:含有SEQ ID NO:27的氨基酸序列的VH和含有SEQ ID NO:41的氨基酸序列的VL。在一个实施例中,抗PD-1抗体分子包含:含有SEQ ID NO:27的氨基酸序列的VH和含有SEQ ID NO:37的氨基酸序列的VL。
在一个实施例中,抗体分子包含:由SEQ ID NO:28的核苷酸序列、或与SEQ ID NO:28具有至少85%、90%、95%、或99%、或更高同一性的核苷酸序列编码的VH。在一个实施例中,抗体分子包含:由SEQ ID NO:42或38的核苷酸序列、或与SEQ ID NO:42或38具有至少85%、90%、95%、或99%或更高同一性的核苷酸序列编码的VL。在一个实施例中,抗体分子包含:由SEQ ID NO:28的核苷酸序列编码的VH和由SEQ ID NO:42或38的核苷酸序列编码的VL。
在一个实施例中,抗PD-1抗体分子包含:含有SEQ ID NO:29的氨基酸序列、或与SEQ ID NO:29具有至少85%、90%、95%、或99%、或更高同一性的氨基酸序列的重链。在一个实施例中,抗PD-1抗体分子包含:含有SEQ ID NO:43的氨基酸序列、或与SEQ ID NO:43具有至少85%、90%、95%、或99%、或更高同一性的氨基酸序列的轻链。在一个实施例中,抗PD-1抗体分子包含:含有SEQ ID NO:39的氨基酸序列、或与SEQ ID NO:39具有至少85%、90%、95%、或99%、或更高同一性的氨基酸序列的轻链。在一个实施例中,抗PD-1抗体分子包含:含有SEQ ID NO:29的氨基酸序列的重链和含有SEQ ID NO:43的氨基酸序列的轻链。在一个实施例中,抗PD-1抗体分子包含:含有SEQ ID NO:29的氨基酸序列的重链和含有SEQID NO:39的氨基酸序列的轻链。
在一个实施例中,抗体分子包含:由SEQ ID NO:30的核苷酸序列、或与SEQ ID NO:30具有至少85%、90%、95%、或99%、或更高同一性的核苷酸序列编码的重链。在一个实施例中,抗体分子包含:由SEQ ID NO:44或40的核苷酸序列、或与SEQ ID NO:44或40具有至少85%、90%、95%、或99%或更高同一性的核苷酸序列编码的轻链。在一个实施例中,抗体分子包含:由SEQ ID NO:30的核苷酸序列编码的重链和由SEQ ID NO:44或40的核苷酸序列编码的轻链。
本文描述的抗体分子可以通过运载体、宿主细胞、和在US2015/0210769(将其通过引用以其全文并入)中描述的方法制得。
表3.示例性抗PD-1抗体分子的氨基酸和核苷酸序列
其他示例性PD-1抑制剂
在一些实施例中,抗PD-1抗体是纳武单抗(CAS登记号:946414-94-4)。纳武单抗的替代性名称包括MDX-1106、MDX-1106-04、ONO-4538、BMS-936558或。纳武单抗是特异性阻断PD1的完全人IgG4单克隆抗体。纳武单抗(克隆5C4)和特异性结合PD1的其他人单克隆抗体披露于美国专利号8,008,449和PCT公开号WO2006/121168(将其通过引用以其全文并入)中。在一个实施例中,抗PD-1抗体分子包含以下中的一种或多种:纳武单抗的CDR序列(或总体上全部CDR序列)、重链或轻链可变区序列、或重链或轻链序列,例如,如表4中所披露的。
在其他实施例中,抗PD-1抗体是派姆单抗。派姆单抗(商品名KEYTRUDA,以前称为Lambrolizumab,也称为Merck 3745、MK-3475或SCH-900475)是与PD1结合的人源化IgG4单克隆抗体。派姆单抗披露于例如Hamid,O.等人(2013)New England Journal of Medicine[新英格兰医学杂志]369(2):134–44、PCT公开号WO 2009/114335、以及美国专利号8,354,509(将其通过引用以其全文并入)中。在一个实施例中,抗PD-1抗体分子包含以下中的一种或多种:派姆单抗的CDR序列(或总体上全部CDR序列)、重链或轻链可变区序列、或重链或轻链序列,例如,如表4中所披露的。
在一些实施例中,抗PD-1抗体是匹地利珠单抗。匹地利珠单抗(CT-011;治疗科技公司(Cure Tech))是与PD1结合的人源化IgG1k单克隆抗体。匹地利珠单抗和其他人源化抗PD-1单克隆抗体披露于PCT公开号WO 2009/101611(将其通过引用以其全文并入)中。在一个实施例中,抗PD-1抗体分子包含以下中的一种或多种:匹地利珠单抗的CDR序列(或总体上全部CDR序列)、重链或轻链可变区序列、或重链或轻链序列,例如,如表4中所披露的。
其他抗PD1抗体披露于美国专利号8,609,089、美国公开号2010028330、和/或美国公开号20120114649(将其通过引用以其全文并入)中。其他抗PD1抗体包括AMP 514(安普利公司)。
在一个实施例中,抗PD-1抗体分子是MEDI0680(英商梅迪缪思有限公司),也称为AMP-514。MEDI0680和其他抗PD-1抗体在US9,205,148和WO 2012/145493(将其通过引用以其全文并入)中披露。在一个实施例中,抗PD-1抗体分子包含以下中的一个或多个:MEDI0680的CDR序列(或总体上全部CDR序列)、重链或轻链可变区序列、或重链或轻链序列。
在一个实施例中,抗PD-1抗体分子是REGN2810(再生元公司)。在一个实施例中,抗PD-1抗体分子包含以下中的一个或多个:REGN2810的CDR序列(或总体上全部CDR序列)、重链或轻链可变区序列、或重链或轻链序列。
在一个实施例中,抗PD-1抗体分子是PF-06801591(辉瑞公司)。在一个实施例中,抗PD-1抗体分子包含以下中的一个或多个:PF-06801591的CDR序列(或总体上全部CDR序列)、重链或轻链可变区序列、或重链或轻链序列。
在一个实施例中,抗PD-1抗体分子是BGB-A317或BGB-108(百济神州公司)。在一个实施例中,抗PD-1抗体分子包含以下中的一个或多个:BGB-A317或BGB-108的CDR序列(或总体上全部CDR序列)、重链或轻链可变区序列、或重链或轻链序列。
在一个实施例中,抗PD-1抗体分子是INCSHR1210(因赛特公司),也称为INCSHR01210或SHR-1210。在一个实施例中,抗PD-1抗体分子包含以下中的一个或多个:INCSHR1210的CDR序列(或总体上全部CDR序列)、重链或轻链可变区序列、或重链或轻链序列。
在一个实施例中,抗PD-1抗体分子是TSR-042(泰萨罗公司),也称为ANB011。在一个实施例中,抗PD-1抗体分子包含以下中的一个或多个:TSR-042的CDR序列(或总体上全部CDR序列)、重链或轻链可变区序列、或重链或轻链序列。
其他已知的抗PD-1抗体包括描述于例如以下中的那些:WO2015/112800、WO 2016/092419、WO 2015/085847、WO 2014/179664、WO 2014/194302、WO 2014/209804、WO 2015/200119、US 8,735,553、US 7,488,802、US 8,927,697、US 8,993,731、和US 9,102,727,将其通过引用以其全文并入。
在一个实施例中,抗PD-1抗体是与本文所述的抗PD-1抗体之一竞争PD-1上的相同表位结合和/或结合至PD-1上的相同表位的抗体。
在一个实施例中,PD-1抑制剂是抑制PD-1信号传导途径的肽,例如,如US 8,907,053(将其通过引用以其全文并入)中所述的。在一些实施例中,PD-1抑制剂是免疫粘附素(例如包含融合到恒定区(例如免疫球蛋白序列的Fc区)的PD-L1或PD-L2的细胞外或PD-1结合部分的免疫粘附素)。在一些实施例中,PD-1抑制剂是AMP-224(B7-DCIg(安普利公司),例如,披露于WO 2010/027827和WO 2011/066342,将其通过引用以其全文并入)中。
表4.其他示例性抗PD-1抗体分子的氨基酸序列
PD-L1抑制剂
在一些实施例中,将本披露的具有式(I)的化合物或其药学上可接受的盐、水合物、溶剂化物、前药、立体异构体、或互变异构体与PD-L1抑制剂组合使用,以治疗疾病(例如癌症)。在一些实施例中,PD-L1抑制剂选自FAZ053(诺华股份有限公司)、阿特珠单抗(atezolizumab)(基因泰克公司/罗氏公司(Roche))、阿维鲁单抗(默克雪兰诺公司(MerckSerono)和辉瑞公司)、度伐鲁单抗(英商梅迪缪思有限公司/阿斯利康公司)或BMS-936559(百时美施贵宝公司)。
示例性PD-L1抑制剂
在一个实施例中,PD-L1抑制剂是抗PD-L1抗体分子。在一个实施例中,PD-L1抑制剂是抗PD-L1抗体分子,如题为“Antibody Molecules to PD-L1 and Uses Thereof[PD-L1的抗体分子及其用途]”的2016年4月21日公开的US 2016/0108123(将其通过引用以其全文并入)中所披露的。
在一个实施例中,抗PD-L1抗体分子包含来自重链和轻链可变区的至少一个、两个、三个、四个、五个或六个互补决定区(CDR)(或总体上全部CDR),该重链和轻链可变区包含表5(例如,来自表5中披露的BAP058-克隆O或BAP058-克隆N的重链和轻链可变区序列)中所示的氨基酸序列,或由表5中所示的核苷酸序列编码。在一些实施例中,CDR根据卡巴特定义(例如,如表5中所列出的)。在一些实施例中,CDR根据乔西亚定义(例如,如表5中所列出的)。在一些实施例中,CDR根据卡巴特和乔西亚两者的组合CDR定义(例如,如表5中所列出的)。在一个实施例中,VH CDR1的卡巴特和乔西亚CDR的组合包含氨基酸序列GYTFTSYWMY(SEQ ID NO:214)。在一个实施例中,相对于表5中所示的氨基酸序列,或由表5中所示的核苷酸序列编码的,CDR中的一个或多个(或总体上全部CDR)具有一个、两个、三个、四个、五个、六个或更多个变化,例如氨基酸取代(例如,保守氨基酸取代)或缺失。
在一个实施例中,抗PD-L1抗体分子包含:含有SEQ ID NO:62的VHCDR1氨基酸序列、SEQ ID NO:63的VHCDR2氨基酸序列、和SEQ ID NO:64的VHCDR3氨基酸序列的重链可变区(VH);以及含有SEQ ID NO:70的VLCDR1氨基酸序列、SEQ ID NO:71的VLCDR2氨基酸序列、和SEQ ID NO:72的VLCDR3氨基酸序列的轻链可变区(VL),各自披露于表5中。
在一个实施例中,抗PD-L1抗体分子包含:含有由SEQ ID NO:89的核苷酸序列编码的VHCDR1、由SEQ ID NO:90的核苷酸序列编码的VHCDR2、和由SEQ ID NO:91的核苷酸序列编码的VHCDR3的VH;以及含有由SEQ ID NO:94的核苷酸序列编码的VLCDR1、由SEQ ID NO:95的核苷酸序列编码的VLCDR2、和由SEQ ID NO:96的核苷酸序列编码的VLCDR3的VL,各自披露于表5中。
在一个实施例中,抗PD-L1抗体分子包含:含有SEQ ID NO:67的氨基酸序列、或与SEQ ID NO:67具有至少85%、90%、95%、或99%、或更高同一性的氨基酸序列的VH。在一个实施例中,抗PD-L1抗体分子包含:含有SEQ ID NO:77的氨基酸序列、或与SEQ ID NO:77具有至少85%、90%、95%、或99%、或更高同一性的氨基酸序列的VL。在一个实施例中,抗PD-L1抗体分子包含:含有SEQ ID NO:81的氨基酸序列、或与SEQ ID NO:81具有至少85%、90%、95%、或99%、或更高同一性的氨基酸序列的VH。在一个实施例中,抗PD-L1抗体分子包含:含有SEQ ID NO:85的氨基酸序列、或与SEQ ID NO:85具有至少85%、90%、95%、或99%、或更高同一性的氨基酸序列的VL。在一个实施例中,抗PD-L1抗体分子包含:含有SEQID NO:67的氨基酸序列的VH和含有SEQ ID NO:77的氨基酸序列的VL。在一个实施例中,抗PD-L1抗体分子包含:含有SEQ ID NO:81的氨基酸序列的VH和含有SEQ ID NO:85的氨基酸序列的VL。
在一个实施例中,抗体分子包含:由SEQ ID NO:68的核苷酸序列、或与SEQ ID NO:68具有至少85%、90%、95%、或99%、或更高同一性的核苷酸序列编码的VH。在一个实施例中,抗体分子包含:由SEQ ID NO:78的核苷酸序列、或与SEQ ID NO:78具有至少85%、90%、95%、或99%、或更高同一性的核苷酸序列编码的VL。在一个实施例中,抗体分子包含:由SEQ ID NO:82的核苷酸序列、或与SEQ ID NO:82具有至少85%、90%、95%、或99%、或更高同一性的核苷酸序列编码的VH。在一个实施例中,抗体分子包含:由SEQ ID NO:86的核苷酸序列、或与SEQ ID NO:86具有至少85%、90%、95%、或99%、或更高同一性的核苷酸序列编码的VL。在一个实施例中,抗体分子包含:由SEQ ID NO:68的核苷酸序列编码的VH和由SEQID NO:78的核苷酸序列编码的VL。在一个实施例中,抗体分子包含:由SEQ ID NO:82的核苷酸序列编码的VH和由SEQ ID NO:86的核苷酸序列编码的VL。
在一个实施例中,抗PD-L1抗体分子包含:含有SEQ ID NO:69的氨基酸序列、或与SEQ ID NO:69具有至少85%、90%、95%、或99%、或更高同一性的氨基酸序列的重链。在一个实施例中,抗PD-L1抗体分子包含:含有SEQ ID NO:79的氨基酸序列、或与SEQ ID NO:79具有至少85%、90%、95%、或99%、或更高同一性的氨基酸序列的轻链。在一个实施例中,抗PD-L1抗体分子包含:含有SEQ ID NO:83的氨基酸序列、或与SEQ ID NO:83具有至少85%、90%、95%、或99%、或更高同一性的氨基酸序列的重链。在一个实施例中,抗PD-L1抗体分子包含:含有SEQ ID NO:87的氨基酸序列、或与SEQ ID NO:87具有至少85%、90%、95%、或99%、或更高同一性的氨基酸序列的轻链。在一个实施例中,抗PD-L1抗体分子包含:含有SEQ ID NO:69的氨基酸序列的重链和含有SEQ ID NO:79的氨基酸序列的轻链。在一个实施例中,抗PD-L1抗体分子包含:含有SEQ ID NO:83的氨基酸序列的重链和含有SEQID NO:87的氨基酸序列的轻链。
在一个实施例中,抗体分子包含:由SEQ ID NO:76的核苷酸序列、或与SEQ ID NO:76具有至少85%、90%、95%、或99%、或更高同一性的核苷酸序列编码的重链。在一个实施例中,抗体分子包含:由SEQ ID NO:80的核苷酸序列、或与SEQ ID NO:80具有至少85%、90%、95%、或99%、或更高同一性的核苷酸序列编码的轻链。在一个实施例中,抗体分子包含:由SEQ ID NO:84的核苷酸序列、或与SEQ ID NO:84具有至少85%、90%、95%、或99%、或更高同一性的核苷酸序列编码的重链。在一个实施例中,抗体分子包含:由SEQ ID NO:88的核苷酸序列、或与SEQ ID NO:88具有至少85%、90%、95%、或99%、或更高同一性的核苷酸序列编码的轻链。在一个实施例中,抗体分子包含由SEQ ID NO:76的核苷酸序列编码的重链和由SEQ ID NO:80的核苷酸序列编码的轻链。在一个实施例中,抗体分子包含由SEQID NO:84的核苷酸序列编码的重链和由SEQ ID NO:88的核苷酸序列编码的轻链。
本文描述的抗体分子可以通过运载体、宿主细胞、和在US2016/0108123(将其通过引用以其全文并入)中描述的方法制得。
表5.示例性抗PD-L1抗体分子的氨基酸和核苷酸序列
其他示例性PD-L1抑制剂
在一些实施例中,PD-L1抑制剂是抗PD-L1抗体。在一些实施例中,抗PD-L1抑制剂选自YW243.55.S70、MPDL3280A、MEDI-4736、或MDX-1105MSB-0010718C(也称为A09-246-2),披露于例如WO2013/0179174中,并且具有本文披露的序列(或与其基本上相同或相似的序列,例如与指定序列具有至少85%、90%、95%、或更高同一性的序列)。
在一个实施例中,该PD-L1抑制剂是MDX-1105。MDX-1105(也称为BMS-936559)是抗PD-L1抗体,描述于PCT公开号WO 2007/005874中。
在一个实施例中,该PD-L1抑制剂是YW243.55.S70。YW243.55.S70抗体是抗PD-L1,描述于PCT公开号WO 2010/077634中。
在一个实施例中,PD-L1抑制剂是MDPL3280A(基因泰克公司/罗氏公司),也称为阿特珠单抗、RG7446、RO5541267、YW243.55.S70、或TECENTRIQTM。MDPL3280A是与PD-L1结合的人Fc优化的IgG1单克隆抗体。MDPL3280A和针对PD-L1的其他人单克隆抗体披露于美国专利号:7,943,743和美国公开号:20120039906(将其通过引用以其全文并入)。在一个实施例中,抗PD-L1抗体分子包含以下中的一种或多种:阿特珠单抗的CDR序列(或总体上全部CDR序列)、重链或轻链可变区序列、或重链或轻链序列,例如,如表6中所披露的。
在其他实施例中,该PD-L2抑制剂是AMP-224。AMP-224是PD-L2Fc融合可溶性受体,其阻断PD1和B7-H1之间的相互作用(B7-DCIg;安普利公司;例如,披露于PCT公开号WO2010/027827和WO2011/066342中)。
在一个实施例中,PD-L1抑制剂是抗PD-L1抗体分子。在一个实施例中,抗PD-L1抗体分子是阿维鲁单抗(默克雪兰诺公司和辉瑞公司),也称为MSB0010718C。阿维鲁单抗和其他抗PD-L1抗体披露在WO2013/079174(将其通过引用以其全文并入)中。在一个实施例中,抗PD-L1抗体分子包含以下中的一种或多种:阿维鲁单抗的CDR序列(或总体上全部CDR序列)、重链或轻链可变区序列、或重链或轻链序列,例如,如表6中所披露的。
在一个实施例中,抗PD-L1抗体分子是度伐鲁单抗(英商梅迪缪思有限公司/阿斯利康公司),也称为MEDI4736。度伐鲁单抗和其他抗PD-L1抗体披露在US 8,779,108(将其通过引用以其全文并入)中。在一个实施例中,抗PD-L1抗体分子包含以下中的一种或多种:度伐鲁单抗的CDR序列(或总体上全部CDR序列)、重链或轻链可变区序列、或重链或轻链序列,例如,如表6中所披露的。
在一个实施例中,抗PD-L1抗体分子是BMS-936559(百时美施贵宝公司),也称为MDX-1105或12A4。BMS-936559和其他抗PD-L1抗体披露在US 7,943,743和WO 2015/081158中,这些申请通过引起以其全文并入。在一个实施例中,抗PD-L1抗体分子包含以下中的一种或多种:BMS-936559的CDR序列(或总体上全部CDR序列)、重链或轻链可变区序列、或重链或轻链序列,例如,如表6中所披露的。
其他已知的抗PD-L1抗体包括描述于例如以下中的那些:WO2015/181342、WO2014/100079、WO 2016/000619、WO 2014/022758、WO 2014/055897、WO 2015/061668、WO2013/079174、WO 2012/145493、WO 2015/112805、WO 2015/109124、WO 2015/195163、US 8,168,179、US 8,552,154、US 8,460,927、和US 9,175,082,将其通过引用以其全文并入。
在一个实施例中,抗PD-L1抗体是与本文描述的抗PD-L1抗体之一竞争与PD-L1上的相同表位结合和/或结合PD-L1上的相同表位的抗体。
表6.其他示例性抗PD-L1抗体分子的氨基酸序列
LAG-3抑制剂
在一些实施例中,将本披露的具有式(I)的化合物或其药学上可接受的盐、水合物、溶剂化物、前药、立体异构体、或互变异构体与LAG-3抑制剂组合使用,以治疗疾病(例如癌症)。在一些实施例中,LAG-3抑制剂选自LAG525(诺华股份有限公司)、BMS-986016(百时美施贵宝公司)或TSR-033(泰萨罗公司)。
示例性LAG-3抑制剂
在一个实施例中,LAG-3抑制剂是抗LAG-3抗体分子。在一个实施例中,LAG-3抑制剂是抗LAG-3抗体分子,如题为“Antibody Molecules to LAG-3and Uses Thereof[LAG-3的抗体分子及其用途]”的2015年9月17日公开的US 2015/0259420(将其通过引用以其全文并入)中所披露的。
在一个实施例中,抗LAG-3抗体分子包含来自重链和轻链可变区的至少一个、两个、三个、四个、五个或六个互补决定区(CDR)(或总体上全部CDR),该重链和轻链可变区包含表7(例如,来自表7中披露的BAP050-克隆I或BAP050-克隆J的重链和轻链可变区序列)中所示的氨基酸序列,或由表7中所示的核苷酸序列编码。在一些实施例中,CDR根据卡巴特定义(例如,如表7中所列出的)。在一些实施例中,CDR根据乔西亚定义(例如,如表7中所列出的)。在一些实施例中,CDR根据卡巴特和乔西亚两者的组合CDR定义(例如,如表7中所列出的)。在一个实施例中,VH CDR1的卡巴特和乔西亚CDR的组合包含氨基酸序列GFTLTNYGMN(SEQ ID NO:173)。在一个实施例中,相对于表7中所示的氨基酸序列,或由表7中所示的核苷酸序列编码的,CDR中的一个或多个(或总体上全部CDR)具有一个、两个、三个、四个、五个、六个或更多个变化,例如氨基酸取代(例如,保守氨基酸取代)或缺失。
在一个实施例中,抗LAG-3抗体分子包含:含有SEQ ID NO:108的VHCDR1氨基酸序列、SEQ ID NO:109的VHCDR2氨基酸序列、和SEQ ID NO:110的VHCDR3氨基酸序列的重链可变区(VH);以及含有SEQ ID NO:117的VLCDR1氨基酸序列、SEQ ID NO:118的VLCDR2氨基酸序列、和SEQ ID NO:119的VLCDR3氨基酸序列的轻链可变区(VL),各自披露于表7中。
在一个实施例中,抗LAG-3抗体分子包含:含有由SEQ ID NO:143或144的核苷酸序列编码的VHCDR1、由SEQ ID NO:145或146的核苷酸序列编码的VHCDR2、和由SEQ ID NO:147或148的核苷酸序列编码的VHCDR3的VH;以及含有由SEQ ID NO:153或154的核苷酸序列编码的VLCDR1、由SEQ ID NO:155或156的核苷酸序列编码的VLCDR2、和由SEQ ID NO:157或158的核苷酸序列编码的VLCDR3的VL,各自披露于表7中。在一个实施例中,抗LAG-3抗体分子包含:含有由SEQ ID NO:165或144的核苷酸序列编码的VHCDR1、由SEQ ID NO:166或146的核苷酸序列编码的VHCDR2、和由SEQ ID NO:167或148的核苷酸序列编码的VHCDR3的VH;以及含有由SEQ ID NO:153或154的核苷酸序列编码的VLCDR1、由SEQ ID NO:155或156的核苷酸序列编码的VLCDR2、和由SEQ ID NO:157或158的核苷酸序列编码的VLCDR3的VL,各自披露于表7中。
在一个实施例中,抗LAG-3抗体分子包含:含有SEQ ID NO:113的氨基酸序列、或与SEQ ID NO:113具有至少85%、90%、95%、或99%、或更高同一性的氨基酸序列的VH。在一个实施例中,抗LAG-3抗体分子包含:含有SEQ ID NO:125的氨基酸序列、或与SEQ ID NO:125具有至少85%、90%、95%、或99%、或更高同一性的氨基酸序列的VL。在一个实施例中,抗LAG-3抗体分子包含:含有SEQ ID NO:131的氨基酸序列、或与SEQ ID NO:131具有至少85%、90%、95%、或99%、或更高同一性的氨基酸序列的VH。在一个实施例中,抗LAG-3抗体分子包含:含有SEQ ID NO:137的氨基酸序列、或与SEQ ID NO:137具有至少85%、90%、95%、或99%、或更高同一性的氨基酸序列的VL。在一个实施例中,抗LAG-3抗体分子包含:含有SEQ ID NO:113的氨基酸序列的VH和含有SEQ ID NO:125的氨基酸序列的VL。在一个实施例中,抗LAG-3抗体分子包含:含有SEQ ID NO:131的氨基酸序列的VH和含有SEQ ID NO:137的氨基酸序列的VL。
在一个实施例中,抗体分子包含:由SEQ ID NO:114或115的核苷酸序列、或与SEQID NO:114或115具有至少85%、90%、95%、或99%或更高同一性的核苷酸序列编码的VH。在一个实施例中,抗体分子包含:由SEQ ID NO:126或127的核苷酸序列、或与SEQ ID NO:126或127具有至少85%、90%、95%、或99%或更高同一性的核苷酸序列编码的VL。在一个实施例中,抗体分子包含:由SEQ ID NO:132或133的核苷酸序列、或与SEQ ID NO:132或133具有至少85%、90%、95%、或99%或更高同一性的核苷酸序列编码的VH。在一个实施例中,抗体分子包含:由SEQ ID NO:138或139的核苷酸序列、或与SEQ ID NO:138或139具有至少85%、90%、95%、或99%或更高同一性的核苷酸序列编码的VL。在一个实施例中,抗体分子包含:由SEQ ID NO:114或115的核苷酸序列编码的VH和由SEQ ID NO:126或127的核苷酸序列编码的VL。在一个实施例中,抗体分子包含:由SEQ ID NO:132或133的核苷酸序列编码的VH和由SEQ ID NO:138或139的核苷酸序列编码的VL。
在一个实施例中,抗LAG-3抗体分子包含:含有SEQ ID NO:116的氨基酸序列、或与SEQ ID NO:116具有至少85%、90%、95%、或99%、或更高同一性的氨基酸序列的重链。在一个实施例中,抗LAG-3抗体分子包含:含有SEQ ID NO:128的氨基酸序列、或与SEQ ID NO:128具有至少85%、90%、95%、或99%、或更高同一性的氨基酸序列的轻链。在一个实施例中,抗LAG-3抗体分子包含:含有SEQ ID NO:134的氨基酸序列、或与SEQ ID NO:134具有至少85%、90%、95%、或99%、或更高同一性的氨基酸序列的重链。在一个实施例中,抗LAG-3抗体分子包含:含有SEQ ID NO:140的氨基酸序列、或与SEQ ID NO:140具有至少85%、90%、95%、或99%、或更高同一性的氨基酸序列的轻链。在一个实施例中,抗LAG-3抗体分子包含:含有SEQ ID NO:116的氨基酸序列的重链和含有SEQ ID NO:128的氨基酸序列的轻链。在一个实施例中,抗LAG-3抗体分子包含:含有SEQ ID NO:134的氨基酸序列的重链和含有SEQ ID NO:140的氨基酸序列的轻链。
在一个实施例中,抗体分子包含:由SEQ ID NO:123或124的核苷酸序列、或与SEQID NO:123或124具有至少85%、90%、95%、或99%或更高同一性的核苷酸序列编码的重链。在一个实施例中,抗体分子包含:由SEQ ID NO:129或130的核苷酸序列、或与SEQ IDNO:129或130具有至少85%、90%、95%、或99%或更高同一性的核苷酸序列编码的轻链。在一个实施例中,抗体分子包含:由SEQ ID NO:135或136的核苷酸序列、或与SEQ ID NO:135或136具有至少85%、90%、95%、或99%或更高同一性的核苷酸序列编码的重链。在一个实施例中,抗体分子包含:由SEQ ID NO:141或142的核苷酸序列、或与SEQ ID NO:141或142具有至少85%、90%、95%、或99%或更高同一性的核苷酸序列编码的轻链。在一个实施例中,抗体分子包含:由SEQ ID NO:123或124的核苷酸序列编码的重链和由SEQ ID NO:129或130的核苷酸序列编码的轻链。在一个实施例中,抗体分子包含:由SEQ ID NO:135或136的核苷酸序列编码的重链和由SEQ ID NO:141或142的核苷酸序列编码的轻链。
本文描述的抗体分子可以通过运载体、宿主细胞、和在US2015/0259420(将其通过引用以其全文并入)中描述的方法制得。
表7.示例性抗LAG-3抗体分子的氨基酸和核苷酸序列
其他示例性LAG-3抑制剂
在一个实施例中,LAG-3抑制剂是抗LAG-3抗体分子。在一个实施例中,LAG-3抑制剂是BMS-986016(百时美施贵宝公司),也称为BMS986016。BMS-986016和其他抗LAG-3抗体披露在WO 2015/116539和US 9,505,839(将其通过引用以其全文并入)中。在一个实施例中,抗LAG-3抗体分子包含以下中的一种或多种:BMS-986016的CDR序列(或总体上全部CDR序列)、重链或轻链可变区序列、或重链或轻链序列,例如,在表8中所披露的。
在一个实施例中,抗LAG-3抗体分子是TSR-033(泰萨罗公司)。在一个实施例中,抗LAG-3抗体分子包含以下中的一种或多种:TSR-033的CDR序列(或总体上全部CDR序列)、重链或轻链可变区序列、或重链或轻链序列。
在一个实施例中,抗LAG-3抗体分子是IMP731或GSK2831781(GSK公司和普瑞马生物医药公司(Prima BioMed))。IMP731和其他抗LAG-3抗体披露在WO 2008/132601和US 9,244,059(将其通过引用以其全文并入)中。在一个实施例中,抗LAG-3抗体分子包含以下中的一种或多种:IMP731的CDR序列(或总体上全部CDR序列)、重链或轻链可变区序列、或重链或轻链序列,例如,在表8中所披露的。在一个实施例中,抗LAG-3抗体分子包含以下中的一种或多种:GSK2831781的CDR序列(或总体上全部CDR序列)、重链或轻链可变区序列、或重链或轻链序列。
在一个实施例中,抗LAG-3抗体分子是IMP761(普瑞马生物医药公司)。在一个实施例中,抗LAG-3抗体分子包含以下中的一种或多种:IMP761的CDR序列(或总体上全部CDR序列)、重链或轻链可变区序列、或重链或轻链序列。
其他已知的抗LAG-3抗体可以在例如,WO 2008/132601、WO2010/019570、WO 2014/140180、WO 2015/116539、WO 2015/200119、WO 2016/028672、US 9,244,059、US 9,505,839(将其通过引用以其全文并入)中描述的那些。
在一个实施例中,抗LAG-3抗体是与本文描述的抗LAG-3抗体之一竞争与LAG-3上的相同表位结合和/或结合LAG-3上的相同表位的抗体。
在一个实施例中,抗LAG-3抑制剂是可溶性LAG-3蛋白质,例如,IMP321(普瑞马生物医药公司),例如,如披露于WO 2009/044273(将其通过引用以其全文并入)中。
表8.其他示例性抗LAG-3抗体分子的氨基酸序列
TIM-3抑制剂
在某些实施例中,免疫检查点分子的抑制剂是TIM-3的抑制剂。在一些实施例中,将本披露的具有式(I)的化合物或其药学上可接受的盐、水合物、溶剂化物、前药、立体异构体、或互变异构体与TIM-3抑制剂组合使用,以治疗疾病(例如癌症)。在一些实施例中,TIM-3抑制剂是MGB453(诺华股份有限公司)或TSR-022(泰萨罗公司)。
示例性TIM-3抑制剂
在一个实施例中,TIM-3抑制剂是抗TIM-3抗体分子。在一个实施例中,TIM-3抑制剂是抗TIM-3抗体分子,如题为“Antibody Molecules to TIM-3and Uses Thereof[TIM-3的抗体分子及其用途]”的2015年8月6日公开的US 2015/0218274(将其通过引用以其全文并入)中所披露的。
在一个实施例中,抗TIM-3抗体分子包含来自重链和轻链可变区的至少一个、两个、三个、四个、五个或六个互补决定区(CDR)(或总体上全部CDR),该重链和轻链可变区包含表9(例如,来自表9中披露的ABTIM3-hum11或ABTIM3-hum03的重链和轻链可变区序列)中所示的氨基酸序列,或由表9中所示的核苷酸序列编码。在一些实施例中,CDR根据卡巴特定义(例如,如表9中所列出的)。在一些实施例中,CDR根据乔西亚定义(例如,如表9中所列出的)。在一个实施例中,相对于表9中所示的氨基酸序列,或由表9中所示的核苷酸序列编码的,CDR中的一个或多个(或总体上全部CDR)具有一个、两个、三个、四个、五个、六个或更多个变化,例如氨基酸取代(例如,保守氨基酸取代)或缺失。
在一个实施例中,抗TIM-3抗体分子包含:含有SEQ ID NO:174的VHCDR1氨基酸序列、SEQ ID NO:175的VHCDR2氨基酸序列、和SEQ ID NO:176的VHCDR3氨基酸序列的重链可变区(VH);以及含有SEQ ID NO:183的VLCDR1氨基酸序列、SEQ ID NO:184的VLCDR2氨基酸序列、和SEQ ID NO:185的VLCDR3氨基酸序列的轻链可变区(VL),各自披露于表9中。在一个实施例中,抗TIM-3抗体分子包含:含有SEQ ID NO:174的VHCDR1氨基酸序列、SEQ ID NO:193的VHCDR2氨基酸序列、和SEQ ID NO:176的VHCDR3氨基酸序列的重链可变区(VH);以及含有SEQ ID NO:183的VLCDR1氨基酸序列、SEQ ID NO:184的VLCDR2氨基酸序列、和SEQ IDNO:185的VLCDR3氨基酸序列的轻链可变区(VL),各自披露于表9中。
在一个实施例中,抗TIM-3抗体分子包含:含有SEQ ID NO:179的氨基酸序列、或与SEQ ID NO:179具有至少85%、90%、95%、或99%、或更高同一性的氨基酸序列的VH。在一个实施例中,抗TIM-3抗体分子包含:含有SEQ ID NO:189的氨基酸序列、或与SEQ ID NO:189具有至少85%、90%、95%、或99%、或更高同一性的氨基酸序列的VL。在一个实施例中,抗TIM-3抗体分子包含:含有SEQ ID NO:195的氨基酸序列、或与SEQ ID NO:195具有至少85%、90%、95%、或99%、或更高同一性的氨基酸序列的VH。在一个实施例中,抗TIM-3抗体分子包含:含有SEQ ID NO:199的氨基酸序列、或与SEQ ID NO:199具有至少85%、90%、95%、或99%、或更高同一性的氨基酸序列的VL。在一个实施例中,抗TIM-3抗体分子包含:含有SEQ ID NO:179的氨基酸序列的VH和含有SEQ ID NO:189的氨基酸序列的VL。在一个实施例中,抗TIM-3抗体分子包含:含有SEQ ID NO:195的氨基酸序列的VH和含有SEQ ID NO:199的氨基酸序列的VL。
在一个实施例中,抗体分子包含:由SEQ ID NO:180的核苷酸序列、或与SEQ IDNO:180具有至少85%、90%、95%、或99%、或更高同一性的核苷酸序列编码的VH。在一个实施例中,抗体分子包含:由SEQ ID NO:190的核苷酸序列、或与SEQ ID NO:190具有至少85%、90%、95%、或99%、或更高同一性的核苷酸序列编码的VL。在一个实施例中,抗体分子包含:由SEQ ID NO:196的核苷酸序列、或与SEQ ID NO:196具有至少85%、90%、95%、或99%、或更高同一性的核苷酸序列编码的VH。在一个实施例中,抗体分子包含:由SEQ IDNO:200的核苷酸序列、或与SEQ ID NO:200具有至少85%、90%、95%、或99%、或更高同一性的核苷酸序列编码的VL。在一个实施例中,抗体分子包含:由SEQ ID NO:180的核苷酸序列编码的VH和由SEQ ID NO:190的核苷酸序列编码的VL。在一个实施例中,抗体分子包含:由SEQ ID NO:196的核苷酸序列编码的VH和由SEQ ID NO:200的核苷酸序列编码的VL。
在一个实施例中,抗TIM-3抗体分子包含:含有SEQ ID NO:181的氨基酸序列、或与SEQ ID NO:181具有至少85%、90%、95%、或99%、或更高同一性的氨基酸序列的重链。在一个实施例中,抗TIM-3抗体分子包含:含有SEQ ID NO:191的氨基酸序列、或与SEQ ID NO:191具有至少85%、90%、95%、或99%、或更高同一性的氨基酸序列的轻链。在一个实施例中,抗TIM-3抗体分子包含:含有SEQ ID NO:197的氨基酸序列、或与SEQ ID NO:197具有至少85%、90%、95%、或99%、或更高同一性的氨基酸序列的重链。在一个实施例中,抗TIM-3抗体分子包含:含有SEQ ID NO:201的氨基酸序列、或与SEQ ID NO:201具有至少85%、90%、95%、或99%、或更高同一性的氨基酸序列的轻链。在一个实施例中,抗TIM-3抗体分子包含:含有SEQ ID NO:181的氨基酸序列的重链和含有SEQ ID NO:191的氨基酸序列的轻链。在一个实施例中,抗TIM-3抗体分子包含:含有SEQ ID NO:197的氨基酸序列的重链和含有SEQ ID NO:201的氨基酸序列的轻链。
在一个实施例中,抗体分子包含:由SEQ ID NO:182的核苷酸序列、或与SEQ IDNO:182具有至少85%、90%、95%、或99%、或更高同一性的核苷酸序列编码的重链。在一个实施例中,抗体分子包含:由SEQ ID NO:192的核苷酸序列、或与SEQ ID NO:192具有至少85%、90%、95%、或99%、或更高同一性的核苷酸序列编码的轻链。在一个实施例中,抗体分子包含:由SEQ ID NO:198的核苷酸序列、或与SEQ ID NO:198具有至少85%、90%、95%、或99%、或更高同一性的核苷酸序列编码的重链。在一个实施例中,抗体分子包含:由SEQID NO:202的核苷酸序列、或与SEQ ID NO:202具有至少85%、90%、95%、或99%、或更高同一性的核苷酸序列编码的轻链。在一个实施例中,抗体分子包含:由SEQ ID NO:182的核苷酸序列编码的重链和由SEQ ID NO:192的核苷酸序列编码的轻链。在一个实施例中,抗体分子包含:由SEQ ID NO:198的核苷酸序列编码的重链和由SEQ ID NO:202的核苷酸序列编码的轻链。
本文描述的抗体分子可以通过运载体、宿主细胞、和在US2015/0218274(将其通过引用以其全文并入)中描述的方法制得。
表9.示例性抗TIM-3抗体分子的氨基酸和核苷酸序列
其他示例性TIM-3抑制剂
在一个实施例中,抗TIM-3抗体分子是TSR-022(安奈普泰斯生物有限公司(AnaptysBio)/泰萨罗公司)。在一个实施例中,抗TIM-3抗体分子包含以下中的一种或多种:TSR-022的CDR序列(或总体上全部CDR序列)、重链或轻链可变区序列、或重链或轻链序列。在一个实施例中,抗TIM-3抗体分子包含以下中的一种或多种:APE5137、或APE5121的CDR序列(或总体上全部CDR序列)、重链或轻链可变区序列、或重链或轻链序列,例如,如表10中所披露的。APE5137、APE5121和其他抗TIM-3抗体披露于WO 2016/161270(将其通过引用以其全文并入)中。
在一个实施例中,抗TIM-3抗体分子是抗体克隆F38-2E2。在一个实施例中,抗TIM-3抗体分子包含以下中的一种或多种:F38-2E2的CDR序列(或总体上全部CDR序列)、重链或轻链可变区序列、或重链或轻链序列。
其他已知的抗TIM-3抗体包括例如在WO 2016/111947、WO2016/071448、WO 2016/144803、US 8,552,156、US 8,841,418、和US9,163,087(将其通过引用以其全文并入)中描述的那些。
在一个实施例中,抗TIM-3抗体是与本文描述的抗TIM-3抗体之一竞争与TIM-3上的相同表位结合和/或结合TIM-3上的相同表位的抗体。
表10.其他示例性抗TIM-3抗体分子的氨基酸序列
细胞因子
在又另一个实施例中,将本披露的具有式(I)的化合物或其药学上可接受的盐、水合物、溶剂化物、前药、立体异构体、或互变异构体与一种或多种细胞因子(包括但不限于干扰素、IL-2、IL-15、IL-7、或IL21)组合使用。在某些实施例中,将具有式(I)的化合物或其药学上可接受的盐、水合物、溶剂化物、前药、立体异构体、或互变异构体与IL-15/IL-15Ra复合物组合施用。在一些实施例中,IL-15/IL-15Ra复合物选自NIZ985(诺华股份有限公司)、ATL-803(亚拉斯托公司(Altor))或CYP0150(赛腾制药(Cytune))。
示例性IL-15/IL-15Ra复合物
在一个实施例中,细胞因子是与可溶形式的IL-15受体α(IL-15Ra)复合的IL-15。IL-15/IL-15Ra复合物可以包含共价或非共价结合至IL-15Ra的可溶形式的IL-15。在特定实施例中,人IL-15非共价地与可溶形式的IL-15Ra结合。在特定实施例中,配制品的人IL-15包含表11中的SEQ ID NO:207的氨基酸序列或与SEQ ID NO:207具有至少85%、90%、95%、或99%、或更高同一性的氨基酸序列,并且可溶形式的人IL-15Ra包含表11中的SEQID NO:208的氨基酸序列、或与SEQ ID NO:208具有至少85%、90%、95%、或99%、或更高同一性的氨基酸序列,如WO 2014/066527(将其通过引用以其全文并入)中所述。本文描述的分子可以通过运载体、宿主细胞、和在WO 2007084342(将其通过引用以其全文并入)中所述的方法制得。
表11.示例性IL-15/IL-15Ra复合物的氨基酸和核苷酸序列
其他示例性IL-15/IL-15Ra复合物
在一个实施例中,IL-15/IL-15Ra复合物是ALT-803,IL-15/IL-15Ra Fc融合蛋白(IL-15N72D:IL-15RaSu/Fc可溶性复合物)。ALT-803描述于WO 2008/143794(将其通过引用以其全文并入)中。在一个实施例中,IL-15/IL-15Ra Fc融合蛋白包含如表12中披露的序列。
在一个实施例中,IL-15/IL-15Ra复合物包含与IL-15Ra的sushi结构域融合的IL-15(CYP0150,赛腾制药)。IL-15Ra的sushi结构域是指在IL-15Ra的信号肽之后的第一半胱氨酸残基处开始并且在所述信号肽之后的第四个半胱氨酸残基处结束的结构域。与IL-15Ra的sushi结构域融合的IL-15的复合物描述于WO 2007/04606和WO 2012/175222(将其通过引用以其全文并入)中。在一个实施例中,IL-15/IL-15Ra sushi结构域融合物包含如在表12中披露的序列。
表12.其他示例性IL-15/IL-15Ra复合物的氨基酸序列
在又另一个实施例中,将本披露的具有式(I)的化合物或其药学上可接受的盐、水合物、溶剂化物、前药、立体异构体、或互变异构体与一种或多种toll样受体(TLR,例如TLR7、TLR8、TLR9)的激动剂组合使用,以治疗疾病(例如癌症)。在一些实施例中,本披露的化合物可以与TLR7激动剂或TLR7激动剂缀合物组合使用。
在一些实施例中,TLR7激动剂包含国际申请公开号WO2011/049677(将其通过引用以其全文特此并入)中所披露的化合物。在一些实施例中,TLR7激动剂包含3-(5-氨基-2-(4-(2-(3,3-二氟-3-膦酰基丙氧基)乙氧基)-2-甲基苯乙基)苯并[f][1,7]萘啶-8-基)丙酸。在一些实施例中,TLR7激动剂包含具有以下式的化合物:
在另一个实施例中,将本披露的具有式(I)的化合物或其药学上可接受的盐、水合物、溶剂化物、前药、立体异构体、或互变异构体与一种或多种血管生成抑制剂组合使用,以治疗癌症,例如贝伐珠单抗阿西替尼(axitinib)丙氨酸布立尼布(Brivanib alaninate)(BMS-582664,(S)-((R)-1-(4-(4-氟-2-甲基-1H-吲哚-5-基氧基)-5-甲基吡咯并[2,1-f][1,2,4]三嗪-6-基氧基)丙-2-基)2-氨基丙酸);索拉非尼帕唑帕尼苹果酸舒尼替尼西地尼布(Cediranib)(AZD2171,CAS 288383-20-1);维加特(Vargatef)(BIBF1120,CAS 928326-83-4);福瑞替尼(GSK1363089);替拉替尼(Telatinib)(BAY57-9352,CAS 332012-40-5);阿帕替尼(Apatinib)(YN968D1,CAS 811803-05-1);伊马替尼普纳替尼(Ponatinib)(AP24534,CAS 943319-70-8);替沃扎尼(Tivozanib)(AV951,CAS 475108-18-0);瑞戈非尼(BAY73-4506,CAS755037-03-7);伐他拉尼二盐酸盐(PTK787,CAS 212141-51-0);布立尼布(Brivanib)(BMS-540215,CAS 649735-46-6);凡德他尼(或AZD6474);莫特塞尼二磷酸盐(Motesanib diphosphate)(AMG706,CAS 857876-30-3,N-(2,3-二氢-3,3-二甲基-1H-吲哚-6-基)-2-[(4-吡啶基甲基)氨基]-3-吡啶甲酰胺,描述于PCT公开号WO02/066470中);多韦替尼二乳酸(Dovitinib dilactic acid)(TKI258,CAS852433-84-2);林夫尼(Linfanib)(ABT869,CAS 796967-16-3);卡博替尼(XL184,CAS849217-68-1);来他替尼(Lestaurtinib)(CAS111358-88-4);N-[5-[[[5-(1,1-二甲基乙基)-2-噁唑基]甲基]硫代]-2-噻唑基]-4-哌啶甲酰胺(BMS38703,CAS 345627-80-7);(3R,4R)-4-氨基-1-((4-((3-甲氧基苯基)氨基)吡咯并[2,1-f][1,2,4]三嗪-5-基)甲基)哌啶-3-醇(BMS690514);N-(3,4-二氯-2-氟苯基)-6-甲氧基-7-[[(3aα,5β,6aα)-八氢-2-甲基环戊[c]吡咯-5-基]甲氧基]-4-喹唑啉胺(XL647,CAS781613-23-8);4-甲基-3-[[1-甲基-6-(3-吡啶基)-1H-吡唑并[3,4-d]嘧啶-4-基]氨基]-N-[3-(三氟甲基)苯基]-苯甲酰胺(BHG712,CAS 940310-85-0);或阿普西柏
在另一个实施例中,将本披露的具有式(I)的化合物或其药学上可接受的盐、水合物、溶剂化物、前药、立体异构体、或互变异构体与一种或多种热休克蛋白抑制剂组合使用,以治疗癌症,例如坦螺旋霉素(17-烯丙氨基-17-去甲氧基格尔德霉素,也称为KOS-953和17-AAG,可从西格玛公司(SIGMA)获得,并描述于美国专利号4,261,989中);瑞他霉素(Retaspimycin)(IPI504)、加特司匹(Ganetespib)(STA-9090);[6-氯-9-(4-甲氧基-3,5-二甲基吡啶-2-基甲基)-9H-嘌呤-2-基]胺(BIIB021或CNF2024,CAS 848695-25-0);反式-4-[[2-(氨基羰基)-5-[4,5,6,7-四氢-6,6-二甲基-4-氧代-3-(三氟甲基)-1H-吲唑-1-基]苯基]氨基]环己基甘氨酸酯(SNX5422或PF04929113,CAS 908115-27-5);5-[2,4-二羟基-5-(1-甲基乙基)苯基]-N-乙基-4-[4-(4-吗啉基甲基)苯基]-3-异噁唑甲酰胺(AUY922,CAS747412-49-3);或17-二甲基氨基乙基氨基-17-去甲氧基格尔德霉素(17-DMAG)。
在又另一个实施例中,将本披露的具有式(I)的化合物或其药学上可接受的盐、水合物、溶剂化物、前药、立体异构体、或互变异构体与一种或多种HDAC抑制剂或其他表观修饰剂组合使用。示例性HDAC抑制剂包括但不限于伏立诺他(Voninostat)洛米迪星(Romidepsin)曲古抑菌素A(Treichostatin A)(TSA);Oxamflatin;伏立诺他(Vorinostat)(辛二酰苯胺异羟肟酸);Pyroxamide(syberoyl-3-氨基吡啶酰胺异羟肟酸);Trapoxin A(RF-1023A);Trapoxin B(RF-10238);环[(αS,2S)-α-氨基-η-氧代-2-环氧乙烷辛酰基-O-甲基-D-酪氨酰-L-异亮氨酰基-L-脯氨酰](Cyl-1);环[(αS,2S)-α-氨基-η-氧代-2-环氧乙烷辛酰基-O-甲基-D-酪氨酰-L-异亮氨酰基-(2S)-2-哌啶羰基](Cyl-2);环[L-丙氨酰-D-丙氨酰-(2S)-η-氧代-L-α-氨基环氧乙烷辛酰基-D-脯氨酰](HC-毒素);环[(αS,2S)-α-氨基-η-氧代-2-环氧乙烷辛酰基-D-苯基丙氨酰-L-亮氨酰基-(2S)-2-哌啶羰基](WF-3161);氯洁霉素(Chlamydocin)((S)-环(2-甲基丙氨酰-L-苯基丙氨酰-D-脯氨酰-η-氧代-L-α-氨基环氧乙烷辛酰基);组蛋白脱乙酰酶抑制剂(Apicidin)(环(8-氧代-L-2-氨基癸酰基-1-甲氧基-L-色氨酰基-L-异亮氨酰基-D-2-哌啶羰基);洛米迪星(FR-901228);4-苯基丁酸酯;Spiruchostatin A;Mylproin(丙戊酸);恩诺司他(Entinostat)(MS-275,N-(2-氨基苯基)-4-[N-(吡啶-3-基-甲氧基羰基)-氨基-甲基]-苯甲酰胺);Depudecin(4,5:8,9-双酐-1,2,6,7,11-五脱氧-D-苏式-D-ido-十一-1,6-二烯醇);4-(乙酰基氨基)-N-(2-氨基苯基)-苯甲酰胺(也称为CI-994);N1-(2-氨基苯基)-N8-苯基-辛二酰胺(也称为BML-210);4-(二甲基氨基)-N-(7-(羟基氨基)-7-氧代庚基)苯甲酰胺(也称为M344);(E)-3-(4-(((2-(1H-吲哚-3-基)乙基)(2-羟基乙基)氨基)-甲基)苯基)-N-羟基丙烯酰胺;帕比司他莫诺司他(Mocetinostat)和贝利司他(也称为PXD101、或(2E)-N-羟基-3-[3-(苯基氨磺酰基)苯基]丙-2-烯酰胺)或西达本胺(chidamide)(也称为CS055或HBI-8000,(E)-N-(2-氨基-5-氟苯基)-4-((3-(吡啶-3-基)丙烯酰胺基)甲基)苯甲酰胺)。其他表观遗传修饰剂包括但不限于EZH2的抑制剂(zeste同源物2的增强剂)、EED(胚胎外胚层发育)或LSD1(赖氨酸特异性组蛋白去甲基化酶1A或KDM1A)。
在又另一个实施例中,将本披露的具有式(I)的化合物或其药学上可接受的盐、水合物、溶剂化物、前药、立体异构体、或互变异构体与一种或多种吲哚胺-吡咯2,3-双加氧酶(IDO)(例如,英多莫德(也称为NLG-8189)、α-环己基-5H-咪唑并[5,1-a]异吲哚-5-乙醇(也称为NLG919)或(4E)-4-[(3-氯-4-氟苯胺基)-亚硝基亚甲基]-1,2,5-噁二唑-3-胺(也称为INCB024360))的抑制剂组合使用,以治疗癌症。
嵌合抗原受体
本披露提供具有式(I)的化合物或其药学上可接受的盐、水合物、溶剂化物、前药、立体异构体、或互变异构体,用于在与过继免疫疗法方法和试剂(例如嵌合抗原受体(CAR)免疫效应细胞(例如,T细胞)、或嵌合TCR转导的免疫效应细胞(例如,T细胞)组合中使用。本节描述了通常用于与具有式(I)的化合物或其药学上可接受的盐、水合物、溶剂化物、前药、立体异构体、或互变异构体组合的CAR技术,并且描述了CAR试剂,例如细胞和组合物、及方法。
一般而言,本披露的方面涉及或包括编码嵌合抗原受体(CAR)的分离的核酸分子,其中所述CAR包含与如本文所述的肿瘤抗原结合的抗原结合结构域(例如,抗体或抗体片段、TCR或TCR片段)、跨膜结构域(例如,本文所述的跨膜结构域)、和细胞内信号传导结构域(例如,本文所述的细胞内信号传导结构域)(例如,包含共刺激结构域(例如,本文所述的共刺激结构域)和/或初级信号传导结构域(例如,本文所述的初级信号传导结构域)的细胞内信号传导结构域)。在其他方面,本披露包括:含有上述核酸和由此类核酸分子编码的分离的蛋白质的宿主细胞。与本披露有关的CAR核酸构建体、编码的蛋白质、含有运载体、宿主细胞、药物组合物以及施用和治疗的方法在国际专利申请公开号WO 2015142675(将其通过引用以其全文并入)中详细地披露。
在一方面,本披露涉及编码嵌合抗原受体(CAR)的分离的核酸分子,其中所述CAR包含与支持肿瘤的抗原(例如,如本文所述的支持肿瘤的抗原)结合的抗原结合结构域(例如,抗体或抗体片段、TCR或TCR片段)、跨膜结构域(例如,本文所述的跨膜结构域)、和细胞内信号传导结构域(例如,本文所述的细胞内信号传导结构域)(例如,包含共刺激结构域(例如,本文所述的共刺激结构域)和/或初级信号传导结构域(例如,本文所述的级信号传导结构域)的细胞内信号传导结构域)。在一些实施例中,支持肿瘤的抗原是存在于基质细胞或骨髓源性遏制细胞(MDSC)上的抗原。在其他方面,本披露的特征在于由此类核酸编码的多肽以及含有此类核酸和/或多肽的宿主细胞。
可替代地,本披露的方面涉及编码嵌合T细胞受体(TCR)(包含TCRα和/或TCRβ可变结构域,针对本文所述的癌症抗原具有特异性)的分离的核酸。参见例如,Dembic等人,Nature[自然],320,232-238(1986);Schumacher,Nat.Rev.Immunol.[免疫学自然综述],2,512-519(2002);Kershaw等人,Nat.Rev.Immunol.[免疫学自然综述],5,928-940(2005);Xue等人,Clin.Exp.Immunol.[临床与实验免疫学],139,167-172(2005);Rossig等人,Mol.Ther.[分子疗法],10,5-18(2004);以及Murphy等人,Immunity[免疫学],22,403-414(2005);Morgan等人J.Immunol.[免疫学杂志],171,3287-3295(2003);Hughes等人,Hum.Gene Ther.[人类基因治疗],16,1-16(2005);Zhao等人,J.Immunol.[免疫学杂志],174,4415-4423(2005);Roszkowski等人,Cancer Res.[癌症研究],65,1570-1576(2005);以及Engels等人,Hum.Gene Ther.,16,799-810(2005);US 2009/03046557,将其内容通过引用以其全文特此并入。此类嵌合TCR可以识别例如癌症抗原,如MART-1、gp-100、p53、和NY-ESO-1、MAGE A3/A6、MAGEA3、SSX2、HPV-16E6或HPV-16E7。在其他方面,本披露的特征在于由此类核酸编码的多肽以及含有此类核酸和/或多肽的宿主细胞。
可以是CAR的一部分的不同组分的非限制性实例的序列在表11a中列出,其中“aa”代表氨基酸,并且“na”代表编码相应肽的核酸。
表11a.CAR的不同组分的序列(aa–氨基酸序列,na–核酸序列)。
靶标
本披露提供细胞,例如包含或在任何时间包含如本文所述的gRNA分子或CRISPR系统的免疫效应细胞(例如,T细胞、NK细胞),将这些免疫效应细胞进一步工程化以含有将免疫效应细胞导向不希望的细胞(例如,癌细胞)的一个或多个CAR。这通过CAR上的抗原结合结构域实现,抗原结合结构域对癌症相关抗原具有特异性。存在两类可以通过本披露的CAR靶向的癌症相关抗原(肿瘤抗原):(1)在癌细胞表面上表达的癌症相关抗原;和(2)本身在细胞内的癌症相关抗原,然而,这种抗原(肽)的片段通过MHC(主要组织相容性复合物)呈递在癌细胞的表面上。
在一些实施例中,肿瘤抗原选自以下中的一种或多种:CD19;CD123;CD22;CD30;CD171;CS-1(也称为CD2亚群1、CRACC、SLAMF7、CD319、以及19A24);C型凝集素样分子-1(CLL-1或CLECL1);CD33;表皮生长因子受体变体III(EGFRvIII);神经节苷脂G2(GD2);神经节苷脂GD3(aNeu5Ac(2-8)aNeu5Ac(2-3)bDGalp(1-4)bDGlcp(1-1)Cer);TNF受体家族成员B细胞成熟(BCMA);Tn抗原((Tn Ag)或(GalNAcα-Ser/Thr));前列腺特异性膜抗原(PSMA);受体酪氨酸激酶样孤儿受体1(ROR1);Fms样酪氨酸激酶3(FLT3);肿瘤相关糖蛋白72(TAG72);CD38;CD44v6;癌胚抗原(CEA);上皮细胞粘附分子(EPCAM);B7H3(CD276);KIT(CD117);白细胞介素-13受体亚基α-2(IL-13Ra2或CD213A2);间皮素;白细胞介素11受体α(IL-11Ra);前列腺干细胞抗原(PSCA);蛋白酶丝氨酸21(睾蛋白或PRSS21);血管内皮生长因子受体2(VEGFR2);Lewis(Y)抗原;CD24;血小板来源的生长因子受体β(PDGFR-β);阶段特异性胚胎抗原-4(SSEA-4);CD20;叶酸受体α;受体酪氨酸蛋白激酶ERBB2(Her2/neu);粘蛋白1,细胞表面相关的(MUC1);表皮生长因子受体(EGFR);神经细胞粘附分子(NCAM);前列腺酶;前列腺酸性磷酸酶(PAP);突变的延伸因子2(ELF2M);肝配蛋白B2;成纤维细胞活化蛋白α(FAP);胰岛素样生长因子1受体(IGF-I受体),碳酸酐酶IX(CAIX);蛋白酶体(Prosome,Macropain)亚基,β型,9(LMP2);糖蛋白100(gp100);由断裂点簇集区(BCR)和Abelson鼠白血病病毒致癌基因同源物1(Abl)组成的致癌基因融合蛋白(bcr-abl);酪氨酸酶;肝配蛋白A型受体2(EphA2);岩藻糖基GM1;唾液酸Lewis粘附分子(sLe);神经节苷脂GM3(aNeu5Ac(2-3)bDGalp(1-4)bDGlcp(1-1)Cer);转谷氨酰胺酶5(TGS5);高分子量-黑色素瘤相关抗原(HMWMAA);o-乙酰基-GD2神经节苷脂(OAcGD2);叶酸受体β;肿瘤内皮标志物1(TEM1/CD248);肿瘤内皮标志物7相关蛋白(TEM7R);密封蛋白6(CLDN6);促甲状腺激素受体(TSHR);G蛋白偶联受体C类5组,成员D(GPRC5D);染色体X可读框61(CXORF61);CD97;CD179a;间变性淋巴瘤激酶(ALK);聚唾液酸;胎盘特异性1(PLAC1);globoH糖基神经酰胺(GloboH)的六糖部分;乳腺分化抗原(NY-BR-1);尿溶蛋白2(UPK2);甲型肝炎病毒细胞受体1(HAVCR1);肾上腺素受体β3(ADRB3);泛连接蛋白3(PANX3);G蛋白偶联受体20(GPR20);淋巴细胞抗原6复合物,基因座K9(LY6K);嗅觉受体51E2(OR51E2);TCRγ替代性阅读框蛋白(TARP);肾母细胞瘤蛋白(WT1);癌/睾丸抗原1(NY-ESO-1);癌/睾丸抗原2(LAGE-1a);黑色素瘤相关抗原1(MAGE-A1);ETS易位变异基因6,位于染色体12p上(ETV6-AML);精子蛋白17(SPA17);X抗原家族,成员1A(XAGE1);血管生成素结合细胞表面受体2(Tie 2);黑色素瘤癌睾丸抗原-1(MAD-CT-1);黑色素瘤癌睾丸抗原-2(MAD-CT-2);Fos相关抗原1;肿瘤蛋白p53(p53);p53突变体;前列腺特异性蛋白;存活蛋白;端粒酶;前列腺癌肿瘤抗原-1(PCTA-1或半乳糖蛋白8)、T细胞1识别的黑色素瘤抗原(MelanA或MART1);大鼠肉瘤(Ras)突变体;人端粒酶逆转录酶(hTERT);肉瘤易位断点;黑色素瘤细胞凋亡抑制剂(ML-IAP);ERG(跨膜蛋白酶、丝氨酸2(TMPRSS2)ETS融合基因);N-乙酰葡糖胺基转移酶V(NA17);配对盒蛋白Pax-3(PAX3);雄激素受体;细胞周期蛋白B1;v-myc禽类骨髓细胞瘤病毒致癌基因神经母细胞瘤来源同源物(MYCN);Ras同源物家族成员C(RhoC);酪氨酸酶相关蛋白2(TRP-2);细胞色素P450 1B1(CYP1B1);CCCTC-结合因子(锌指蛋白)样(BORIS或印记位点调节因子样蛋白(Brother of the Regulator ofImprinted Sites)),T细胞3识别的鳞状细胞癌抗原(SART3);配对盒蛋白Pax-5(PAX5);前顶体蛋白结合蛋白sp32(OY-TES1);淋巴细胞特异性蛋白酪氨酸激酶(LCK);激酶锚蛋白4(AKAP-4);滑膜肉瘤,X断点2(SSX2);晚期糖基化终产物受体(RAGE-1);肾遍在蛋白1(RU1);肾遍在蛋白2(RU2);豆荚蛋白;人乳头状瘤病毒E6(HPV E6);人乳头状瘤病毒E7(HPV E7);肠羧酸酯酶;突变的热休克蛋白70-2(mut hsp70-2);CD79a;CD79b;CD72;白细胞相关的免疫球蛋白样受体1(LAIR1);IgA受体的Fc片段(FCAR或CD89);白细胞免疫球蛋白样受体亚家族A成员2(LILRA2);CD300分子样家族成员f(CD300LF);C型凝集素结构域家族12成员A(CLEC12A);骨髓基质细胞抗原2(BST2);含EGF样模块的粘蛋白样激素受体样2(EMR2);淋巴细胞抗原75(LY75);磷脂酰肌醇蛋白聚糖-3(GPC3);Fc受体样5(FCRL5);以及免疫球蛋白λ样多肽1(IGLL1)。
本文所述的CAR可以包含与支持肿瘤的抗原(例如,如本文所述的支持肿瘤的抗原)结合的抗原结合结构域(例如,抗体或抗体片段,TCR或TCR片段)。在一些实施例中,支持肿瘤的抗原是存在于基质细胞或骨髓源性遏制细胞(MDSC)上的抗原。基质细胞可以分泌生长因子以促进微环境中的细胞分裂。MDSC细胞可以抑制T细胞增殖和活化。不希望受理论束缚,在一些实施例中,表达CAR的细胞破坏支持肿瘤的细胞,从而间接地抑制肿瘤生长或存活。
在实施例中,基质细胞抗原选自以下中的一种或多种:骨髓基质细胞抗原2(BST2)、成纤维细胞活化蛋白(FAP)和腱生蛋白。在一个实施例中,FAP特异性抗体是西罗珠单抗,与西罗珠单抗竞争结合、或具有与西罗珠单抗相同的CDR。在实施例中,MDSC抗原选自以下中的一种或多种:CD33、CD11b、C14、CD15、和CD66b。因此,在一些实施例中,支持肿瘤的抗原选自以下中的一种或多种:骨髓基质细胞抗原2(BST2)、成纤维细胞活化蛋白(FAP)或腱生蛋白、CD33、CD11b、C14、CD15、和CD66b。
抗原结合结构域结构
在一些实施例中,编码的CAR分子的抗原结合结构域包含抗体、抗体片段、scFv、Fv、Fab、(Fab’)2、单结构域抗体(SDAB)、VH或VL结构域、骆驼科VHH结构域或双功能(例如,双特异性)杂合抗体(例如,Lanzavecchia等人,Eur.J.Immunol.[欧洲免疫学杂志]17,105(1987))。
在一些情况下,可以根据本领域已知的方法制备scFv(参见例如,Bird等人,(1988)Science[科学]242:423-426和Huston等人,(1988)Proc.Natl.Acad.Sci.USA[美国国家科学院院刊]85:5879-5883)。可以通过使用柔性多肽接头将VH和VL区连接在一起来产生ScFv分子。scFv分子包含具有优化的长度和/或氨基酸组成的接头(例如,Ser-Gly接头)。接头长度可以极大地影响scFv的可变区折叠和相互作用的方式。事实上,如果采用短多肽接头(例如,在5-10个氨基酸之间),则可以防止链内折叠。还需要链间折叠以将两个可变区组合在一起以形成功能性表位结合位点。对于接头取向和大小的实例,参见例如,Hollinger等人1993Proc Natl Acad.Sci.U.S.A.[美国国家科学院院刊]90:6444-6448,美国专利申请公开号2005/0100543、2005/0175606、2007/0014794,以及PCT公开号WO 2006/020258和WO 2007/024715(将其通过引用并入本文)。
scFv可以在其VL与VH区之间包含具有至少1、2、3、4、5、6、7、8、9、10、11、12、13、14、15、16、17、18、19、20、25、30、35、40、45、50、或更多个氨基酸残基的接头。接头序列可以包含任何天然存在的氨基酸。在一些实施例中,接头序列包含氨基酸甘氨酸和丝氨酸。在另一个实施例中,接头序列包含甘氨酸和丝氨酸重复序列组,如(Gly4Ser)n,其中n为等于或大于1的正整数(SEQ ID NO:217)。在一个实施例中,接头可以是(Gly4Ser)4(SEQ ID NO:215)或(Gly4Ser)3(SEQ ID NO:216)。接头长度的变化可以保留或增强活性,从而在活性研究中产生优异的功效。
在另一方面,抗原结合结构域是T细胞受体(“TCR”)或其片段,例如,单链TCR(scTCR)。用于制备此类TCR的方法是本领域中已知的。参见例如Willemsen RA等人,GeneTherapy[基因疗法]7:1369–1377(2000);Zhang T等人,Cancer Gene Ther[癌症基因疗法]11:487–496(2004);Aggen等人,Gene Ther.[基因疗法]19(4):365-74(2012)(将参考文献以其全文并入本文)。例如,scTCR可以工程化为含有来自通过接头(例如,柔性肽)连接的T细胞克隆的Vα和Vβ基因。此途径对于本身在细胞内的与癌症相关的靶标非常有用,然而,这种抗原(肽)的片段通过MHC呈递在癌细胞的表面上。
在某些实施例中,编码的抗原结合结构域具有10-4M至10-8M的结合亲和力KD。
在一个实施例中,编码的CAR分子包含如下抗原结合结构域,所述抗原结合结构域对靶抗原的结合亲和力KD为10-4M至10-8M,例如10-5M至10-7M,例如10-6M或10-7M。在一个实施例中,抗原结合结构域的结合亲和力比参考抗体(例如本文所述的抗体)的结合亲和力低至少5倍、10倍、20倍、30倍、50倍、100倍或1,000倍。在一个实施例中,编码的抗原结合结构域的结合亲和力比参考抗体(例如,所述抗原结合结构域所衍生的抗体)的结合亲和力低至少5倍。在一方面,此类抗体片段是功能性的,因为它们提供生物学应答,所述生物学应答可以包括但不限于免疫应答的活化、起源于其靶抗原的信号转导的抑制、激酶活性的抑制等,如熟练技术人员所理解的那样。在一方面,CAR的抗原结合结构域是scFv抗体片段,所述scFv抗体片段与它所衍生的scFv的鼠序列相比是人源化的。
在一方面,本披露的CAR的抗原结合结构域(例如,scFv)由核酸分子编码,所述核酸分子的序列已进行密码子优化以在哺乳动物细胞中表达。在一方面,本披露的整个CAR构建体由核酸分子编码,所述核酸分子的整个序列已进行密码子优化以在哺乳动物细胞中表达。密码子优化是指如下发现:在编码DNA中同义密码子(即编码相同氨基酸的密码子)的出现频率在不同物种中有偏差。这种密码子简并性允许相同的多肽由各种核苷酸序列编码。多种密码子优化方法是本领域中已知的,并且包括例如在至少美国专利号5,786,464和6,114,148中披露的方法。
抗原结合结构域(和靶抗原)
在一个实施例中,针对CD19的抗原结合结构域是描述于例如以下中的CAR、抗体或其抗原结合片段的抗原结合部分(例如CDR):PCT公开WO 2012/079000;PCT公开WO 2014/153270;Kochenderfer,J.N.等人,J.Immunother.[免疫疗法杂志]32(7),689-702(2009);Kochenderfer,J.N.,等人,Blood[血液],116(20),4099-4102(2010);PCT公开WO2014/031687;Bejcek,Cancer Research[癌症研究],55,2346-2351,1995;或美国专利号7,446,190。
在一个实施例中,针对间皮素的抗原结合结构域是描述于例如PCT公开WO 2015/090230中的抗体、抗原结合片段或CAR的抗原结合部分(例如CDR)。在一个实施例中,针对间皮素的抗原结合结构域是描述于例如PCT公开WO 1997/025068、WO 1999/028471、WO 2005/014652、WO 2006/099141、WO 2009/045957、WO 2009/068204、WO 2013/142034、WO 2013/040557、或WO 2013/063419中的抗体、抗原结合片段、或CAR的抗原结合部分(例如CDR)。在一个实施例中,针对间皮素的抗原结合结构域是描述于WO/2015/090230中的抗体、抗原结合片段或CAR的抗原结合部分(例如CDR)。
在一个实施例中,针对CD123的抗原结合结构域是描述于例如PCT公开WO 2014/130635中的抗体、抗原结合片段或CAR的抗原结合部分(例如CDR)。在一个实施例中,针对CD123的抗原结合结构域是描述于例如PCT公开WO 2014/138805、WO 2014/138819、WO2013/173820、WO 2014/144622、WO 2001/66139、WO 2010/126066、WO 2014/144622、或US2009/0252742中的抗体、抗原结合片段、或CAR的抗原结合部分(例如CDR)。在一个实施例中,针对CD123的抗原结合结构域是描述于WO/2016/028896中的抗体、抗原结合片段或CAR的抗原结合部分(例如CDR)。
在一个实施例中,针对EGFRvIII的抗原结合结构域是描述于例如WO/2014/130657中的抗体、抗原结合片段或CAR的抗原结合部分(例如CDR)。
在一个实施例中,针对CD22的抗原结合结构域是描述于例如以下中的抗体的抗原结合部分(例如CDR):Haso等人,Blood[血液],121(7):1165-1174(2013);Wayne等人,ClinCancer Res[临床癌症研究]16(6):1894-1903(2010);Kato等人,Leuk Res[白血病研究]37(1):83-88(2013);Creative BioMart[创意生物公司](creativebiomart.net):MOM-18047-S(P)。
在一个实施例中,针对CS-1的抗原结合结构域是埃洛妥珠单抗(BMS)的抗原结合部分(例如CDR),参见例如,Tai等人,2008,Blood[血液]112(4):1329-37;Tai等人,2007,Blood.[血液]110(5):1656-63。
在一个实施例中,针对CLL-1的抗原结合结构域是可从R&D公司、电子生物科学公司(ebiosciences)、艾博抗公司(Abcam)获得的抗体的抗原结合部分(例如CDR),所述抗体为例如PE-CLL1-hu目录号353604(百进生物科技公司(BioLegend));和PE-CLL1(CLEC12A)目录号562566(BD)。在一个实施例中,针对CLL-1的抗原结合结构域是描述于WO/2016/014535中的抗体、抗原结合片段或CAR的抗原结合部分(例如CDR)。
在一个实施例中,针对CD33的抗原结合结构域是描述于例如以下中的抗体的抗原结合部分(例如CDR):Bross等人,Clin Cancer Res[临床癌症研究]7(6):1490-1496(2001)(吉妥珠单抗奥佐米星,hP67.6);Caron等人,Cancer Res[癌症研究]52(24):6761-6767(1992)(林妥珠单抗,HuM195);Lapusan等人,Invest New Drugs[新药物研究]30(3):1121-1131(2012)(AVE9633);Aigner等人,Leukemia[白血病]27(5):1107-1115(2013)(AMG330,CD33 BiTE);Dutour等人,Adv hematol[血液学进展]2012:683065(2012);以及Pizzitola等人,Leukemia[白血病]doi:10.1038/Lue.2014.62(2014)。在一个实施例中,针对CD33的抗原结合结构域是描述于WO/2016/014576中的抗体、抗原结合片段或CAR的抗原结合部分(例如,CDR)。
在一个实施例中,针对GD2的抗原结合结构域是描述于例如以下中的抗体的抗原结合部分(例如,CDR):Mujoo等人,Cancer Res[癌症研究]47(4):1098-1104(1987);Cheung等人,Cancer Res[癌症研究]45(6):2642-2649(1985);Cheung等人,J Clin Oncol[临床肿瘤学杂志]5(9):1430-1440(1987);Cheung等人,J Clin Oncol[临床肿瘤学杂志]16(9):3053-3060(1998);Handgretinger等人,Cancer Immunol Immunother[癌症免疫学和免疫疗法]35(3):199-204(1992)。在一些实施例中,针对GD2的抗原结合结构域是选自以下的抗体的抗原结合部分:mAb 14.18、14G2a、ch14.18、hu14.18、3F8、hu3F8、3G6、8B6、60C3、10B8、ME36.1、和8H9,参见例如WO 2012033885、WO 2013040371、WO 2013192294、WO 2013061273、WO 2013123061、WO 2013074916、和WO 201385552。在一些实施例中,针对GD2的抗原结合结构域是描述于以下中的抗体的抗原结合部分,美国公开号:20100150910或PCT公开号:WO2011160119。
在一个实施例中,针对BCMA的抗原结合结构域是描述于例如WO2012163805、WO200112812、和WO 2003062401中的抗体的抗原结合部分(例如CDR)。在一个实施例中,针对BCMA的抗原结合结构域是描述于WO/2016/014565中的抗体、抗原结合片段或CAR的抗原结合部分(例如CDR)。
在一个实施例中,针对Tn抗原的抗原结合结构域是描述于例如以下中的抗体的抗原结合部分(例如CDR):US8,440,798;Brooks等人,PNAS[美国国家科学院院刊]107(22):10056-10061(2010);以及Stone等人,OncoImmunology[肿瘤免疫学]1(6):863-873(2012)。
在一个实施例中,针对PSMA的抗原结合结构域是描述于例如以下中的抗体的抗原结合部分(例如,CDR):Parker等人,Protein Expr Purif[蛋白表达与纯化]89(2):136-145(2013),US 20110268656(J591 ScFv);Frigerio等人,European J Cancer[欧洲癌症杂志]49(9):2223-2232(2013)(scFvD2B);WO 2006125481(mAbs 3/A12,3/E7和3/F11)和单链抗体片段(scFv A5和D7)。
在一个实施例中,针对ROR1的抗原结合结构域是描述于例如以下中的抗体的抗原结合部分(例如,CDR):Hudecek等人,Clin Cancer Res[临床癌症研究]19(12):3153-3164(2013);WO 2011159847;和US20130101607。
在一个实施例中,针对FLT3的抗原结合结构域是描述于例如WO2011076922、US5777084、EP 0754230、US 20090297529中的抗体以及若干种商业目录抗体(R&D公司,电子生物科学公司(ebiosciences),艾博抗公司(Abcam))的抗原结合部分(例如,CDR)。
在一个实施例中,针对TAG72的抗原结合结构域是以下抗体的抗原结合部分(例如,CDR):描述于例如Hombach等人,Gastroenterology[肠胃病学]113(4):1163-1170(1997)中的抗体;和Abcam ab691。
在一个实施例中,针对FAP的抗原结合结构域是以下抗体的抗原结合部分(例如,CDR):描述于例如Ostermann等人,Clinical Cancer Research[临床癌症研究]14:4584-4592(2008)(FAP5),美国专利公开号2009/0304718中的抗体;西罗珠单抗(参见例如,Hofheinz等人,Oncology Research and Treatment[肿瘤学研究和治疗]26(1),2003;和Tran等人,J Exp Med[实验医学杂志]210(6):1125-1135(2013)。
在一个实施例中,针对CD38的抗原结合结构域是以下抗体的抗原结合部分(例如,CDR):达雷木单抗(daratumumab)(参见例如,Groen等人,Blood[血液]116(21):1261-1262(2010);MOR202(参见例如,US 8,263,746);或描述于US 8,362,211中的抗体。
在一个实施例中,针对CD44v6的抗原结合结构域是描述于例如Casucci等人,Blood[血液]122(20):3461-3472(2013)中的抗体的抗原结合部分(例如,CDR)。
在一个实施例中,针对CEA的抗原结合结构域是描述于例如Chmielewski等人,Gastoenterology[肠胃病学]143(4):1095-1107(2012)中的抗体的抗原结合部分(例如,CDR)。
在一个实施例中,针对EPCAM的抗原结合结构域是选自以下的抗体的抗原结合部分(例如CDR):MT110、EpCAM-CD3双特异性Ab(参见例如clinicaltrials.gov/ct2/show/NCT00635596);依决洛单抗;3622W94;ING-1;和阿德木单抗(MT201)。
在一个实施例中,针对PRSS21的抗原结合结构域是描述于以下中的抗体的抗原结合部分(例如,CDR):美国专利号:8,080,650。
在一个实施例中,针对B7H3的抗原结合结构域是抗体MGA271(宏观基因公司(Macrogenics))的抗原结合部分(例如,CDR)。
在一个实施例中,针对KIT的抗原结合结构域是描述于例如US7915391、US20120288506中的抗体和若干种商业目录抗体的抗原结合部分(例如,CDR)。
在一个实施例中,针对IL-13Ra2的抗原结合结构域是描述于例如WO 2008/146911、WO 2004087758中的抗体、若干种商业目录抗体和WO 2004087758中的抗体的抗原结合部分(例如,CDR)。
在一个实施例中,针对CD30的抗原结合结构域是描述于例如US7090843B1和EP0805871中的抗体的抗原结合部分(例如,CDR)。
在一个实施例中,针对GD3的抗原结合结构域是描述于例如以下中的抗体的抗原结合部分(例如,CDR):US 7253263;US 8,207,308、US 20120276046、EP 1013761、WO2005035577、以及US 6437098。
在一个实施例中,针对CD171的抗原结合结构域是描述于例如Hong等人,JImmunother[免疫疗法杂志]37(2):93-104(2014)中的抗体的抗原结合部分(例如,CDR)。
在一个实施例中,针对IL-11Ra的抗原结合结构域是可从艾博抗公司(目录号ab55262)或罗福斯生物制剂公司(Novus Biologicals)(目录号EPR5446)获得的抗体的抗原结合部分(例如,CDR)。在另一个实施例中,针对IL-11Ra的抗原结合结构域是肽,参见例如,Huang等人,Cancer Res[癌症研究]72(1):271-281(2012)。
在一个实施例中,针对PSCA的抗原结合结构域是描述于例如以下中的抗体的抗原结合部分(例如,CDR):Morgenroth等人,Prostate[前列腺]67(10):1121-1131(2007)(scFv7F5);Nejatollahi等人,J of Oncology[肿瘤学杂志]2013(2013),文章ID 839831(scFvC5-II);和美国专利公开号20090311181。
在一个实施例中,针对VEGFR2的抗原结合结构域是描述于例如Chinnasamy等人,JClin Invest[临床研究杂志]120(11):3953-3968(2010)中的抗体的抗原结合部分(例如,CDR)。
在一个实施例中,针对LewisY的抗原结合结构域是描述于例如以下中的抗体的抗原结合部分(例如,CDR):Kelly等人,Cancer Biother Radiopharm[癌症生物治疗和放射性药物]23(4):411-423(2008)(hu3S193Ab(scFvs));Dolezal等人,Protein Engineering[蛋白质工程]16(1):47-56(2003)(NC10 scFv)。
在一个实施例中,针对CD24的抗原结合结构域是描述于例如Maliar等人,Gastroenterology[肠胃病学]143(5):1375-1384(2012)中的抗体的抗原结合部分(例如,CDR)。
在一个实施例中,针对PDGFR-β的抗原结合结构域是抗体Abcam ab32570的抗原结合部分(例如,CDR)。
在一个实施例中,针对SSEA-4的抗原结合结构域是抗体MC813(细胞信号传导公司(Cell Signalling))、或其他可商购的抗体的抗原结合部分(例如CDR)。
在一个实施例中,针对CD20的抗原结合结构域是抗体利妥昔单抗、奥法木单抗、奥瑞珠单抗、维妥珠单抗、或GA101的抗原结合部分(例如CDR)。
在一个实施例中,针对叶酸受体α的抗原结合结构域是抗体IMGN853或描述于以下中的抗体的抗原结合部分(例如,CDR):US20120009181;US 4851332;LK26:US 5952484。
在一个实施例中,针对ERBB2(Her2/neu)的抗原结合结构域是抗体曲妥珠单抗或帕妥珠单抗的抗原结合部分(例如,CDR)。
在一个实施例中,针对MUC1的抗原结合结构域是抗体SAR566658的抗原结合部分(例如,CDR)。
在一个实施例中,针对EGFR的抗原结合结构域是抗体西妥昔单抗、帕尼单抗、扎妥木单抗、尼妥珠单抗或马妥珠单抗的抗原结合部分(例如,CDR)。
在一个实施例中,针对NCAM的抗原结合结构域是以下抗体的抗原结合部分(例如,CDR):抗体克隆2-2B:MAB5324(EMD密理博公司(EMD Millipore))。
在一个实施例中,针对肝配蛋白B2的抗原结合结构域是描述于例如Abengozar等人,Blood[血液]119(19):4565-4576(2012)中的抗体的抗原结合部分(例如,CDR)。
在一个实施例中,针对IGF-I受体的抗原结合结构域是描述于例如以下中的抗体的抗原结合部分(例如,CDR):US 8344112 B2;EP 2322550A1、WO 2006/138315、或PCT/US2006/022995。
在一个实施例中,针对CAIX的抗原结合结构域是抗体克隆303123(R&D系统公司(R&D Systems)的抗原结合部分(例如,CDR)。
在一个实施例中,针对LMP2的抗原结合结构域是描述于例如US7,410,640或US20050129701中的抗体的抗原结合部分(例如,CDR)。
在一个实施例中,针对gp100的抗原结合结构域是抗体HMB45、NKIβB、或描述于WO2013165940或US 20130295007中的抗体的抗原结合部分(例如,CDR)
在一个实施例中,针对酪氨酸酶的抗原结合结构域是描述于例如以下中的抗体的抗原结合部分(例如,CDR):US 5843674;或US19950504048。
在一个实施例中,针对EphA2的抗原结合结构域是描述于例如Yu等人,Mol Ther[分子疗法]22(1):102-111(2014)中的抗体的抗原结合部分(例如,CDR)。
在一个实施例中,针对GD3的抗原结合结构域是描述于例如以下中的抗体的抗原结合部分(例如,CDR):US 7253263;US 8,207,308、US 20120276046、EP 1013761 A3、20120276046、WO 2005035577、或US 6437098。
在一个实施例中,针对岩藻糖基GM1的抗原结合结构域是描述于例如以下中的抗体的抗原结合部分(例如,CDR):US 20100297138;或WO 2007/067992。
在一个实施例中,针对sLe的抗原结合结构域是抗体G193(针对lewis Y)的抗原结合部分(例如,CDR),参见Scott AM等人,Cancer Res[癌症研究]60:3254-61(2000),也如Neeson等人,J Immunol[免疫学杂志]2013年5月190(会议摘要补充)177.10中所述的。
在一个实施例中,针对GM3的抗原结合结构域是抗体CA 2523449(mAb 14F7)的抗原结合部分(例如,CDR)。
在一个实施例中,针对HMWMAA的抗原结合结构域是描述于例如以下中的抗体的抗原结合部分(例如CDR):Kmiecik等人,Oncoimmunology[肿瘤免疫学]3(1):e27185(2014)(PMID:24575382)(mAb9.2.27);US 6528481;WO 2010033866;或US 20140004124。
在一个实施例中,针对o-乙酰基-GD2的抗原结合结构域是抗体8B6的抗原结合部分(例如,CDR)。
在一个实施例中,针对TEM1/CD248的抗原结合结构域是描述于例如以下中的抗体的抗原结合部分(例如,CDR):Marty等人,Cancer Lett[癌症快报]235(2):298-308(2006);Zhao等人,J Immunol Methods[免疫法杂志]363(2):221-232(2011)。
在一个实施例中,针对CLDN6的抗原结合结构域是抗体IMAB027(咖尼米德制药公司(Ganymed Pharmaceuticals))的抗原结合部分(例如,CDR),参见例如clinicaltrial.gov/show/NCT02054351。
在一个实施例中,针对TSHR的抗原结合结构域是描述于例如以下中的抗体的抗原结合部分(例如,CDR):US 8,603,466;US 8,501,415;或US 8,309,693。
在一个实施例中,针对GPRC5D的抗原结合结构域是以下抗体的抗原结合部分(例如,CDR):抗体FAB6300A(R&D系统公司);或LS-A4180(莱仕邦生物科技公司(LifespanBiosciences))。
在一个实施例中,针对CD97的抗原结合结构域是以下抗体的抗原结合部分(例如CDR):US 6,846,911;de Groot等人,J Immunol[免疫学杂志]183(6):4127-4134(2009)中所述的抗体;或来自R&D:MAB3734的抗体。
在一个实施例中,针对ALK的抗原结合结构域是描述于,例如,Mino-Kenudson等人,Clin Cancer Res[临床癌症研究]16(5):1561-1571(2010)中的抗体的抗原结合部分(例如CDR)。
在一个实施例中,针对聚唾液酸的抗原结合结构域是描述于,例如,Nagae等人,JBiol Chem[生物化学杂志]288(47):33784-33796(2013)中的抗体的抗原结合部分(例如,CDR)。
在一个实施例中,针对PLAC1的抗原结合结构域是描述于例如Ghods等人,Biotechnol Appl Biochem[生物化学生物技术应用]2013doi:10.1002/bab.1177中的抗体的抗原结合部分(例如CDR)。
在一个实施例中,针对GloboH的抗原结合结构域是以下抗体的抗原结合部分:抗体VK9;或描述于,例如,Kudryashov V等人,Glycoconj J.[糖缀合物杂志]15(3):243-9(1998),Lou等人,Proc Natl Acad Sci USA[美国国家科学院院刊]111(7):2482-2487(2014)中的抗体;MBr1:Bremer E-G等人J Biol Chem[生物化学杂志]259:14773–14777(1984)。
在一个实施例中,针对NY-BR-1的抗原结合结构域是描述于例如Jager等人,ApplImmunohistochem Mol Morphol[应用免疫组织化学分子形态学]15(1):77-83(2007)中的抗体的抗原结合部分(例如,CDR)。
在一个实施例中,针对WT-1的抗原结合结构域是描述于以下中的抗体的抗原结合部分(例如,CDR):例如,Dao等人,Sci Transl Med[科学转化医学]5(176):176ra33(2013);或WO 2012/135854。
在一个实施例中,针对MAGE-A1的抗原结合结构域是描述于例如Willemsen等人,JImmunol[免疫学杂志]174(12):7853-7858(2005)(TCR样scFv)中的抗体的抗原结合部分(例如,CDR)。
在一个实施例中,针对精子蛋白17的抗原结合结构域是描述于例如以下中的抗体的抗原结合部分(例如,CDR):Song等人,Target Oncol[靶标肿瘤学]2013年8月14日(PMID:23943313);Song等人,Med Oncol[医学肿瘤学]29(4):2923-2931(2012)。
在一个实施例中,针对Tie 2的抗原结合结构域是抗体AB33(细胞信号传导技术公司(Cell Signaling Technology))的抗原结合部分(例如CDR)。
在一个实施例中,针对MAD-CT-2的抗原结合结构域是描述于例如以下中的抗体的抗原结合部分(例如,CDR):PMID:2450952;US7635753。
在一个实施例中,针对Fos相关抗原1的抗原结合结构域是抗体12F9(罗福斯生物制剂公司)的抗原结合部分(例如,CDR)。
在一个实施例中,针对MelanA/MART1的抗原结合结构域是描述于以下中的抗体的抗原结合部分(例如,CDR):EP 2514766 A2;或US7,749,719。
在一个实施例中,针对肉瘤易位断点的抗原结合结构域是描述于例如Luo等人,EMBO Mol.Med.[EMBO分子医学]4(6):453-461(2012)中的抗体的抗原结合部分(例如,CDR)。
在一个实施例中,针对TRP-2的抗原结合结构域是描述于例如Wang等人,J ExpMed.[实验医学杂志]184(6):2207-16(1996)中的抗体的抗原结合部分(例如,CDR)。
在一个实施例中,针对CYP1B1的抗原结合结构域是描述于例如Maecker等人,Blood[血液]102(9):3287-3294(2003)中的抗体的抗原结合部分(例如,CDR)。
在一个实施例中,针对RAGE-1的抗原结合结构域是抗体MAB5328(EMD密理博公司)的抗原结合部分(例如,CDR)。
在一个实施例中,针对人端粒酶逆转录酶的抗原结合结构域是以下抗体的抗原结合部分(例如,CDR):抗体目录号:LS-B95-100(莱仕邦生物科技公司)
在一个实施例中,针对肠羧酸酯酶的抗原结合结构域是以下抗体的抗原结合部分(例如,CDR):抗体4F12:目录号:LS-B6190-50(莱仕邦生物科技公司)的抗原结合部分(例如,CDR)。
在一个实施例中,针对mut hsp70-2的抗原结合结构域是以下抗体的抗原结合部分(例如,CDR):抗体(莱仕邦生物科技公司:单克隆:目录号:LS-C133261-100(莱仕邦生物科技公司)的抗原结合部分(例如,CDR)。
在一个实施例中,针对CD79a的抗原结合结构域是以下抗体的抗原结合部分(例如,CDR):可从艾博抗公司获得的抗体抗CD79a抗体[HM47/A9](ab3121);可从细胞信号传导技术公司获得的抗体CD79A抗体号3351;或产生自兔的、可从西格玛奥德里奇公司(SigmaAldrich)获得的抗体HPA017748-抗CD79A抗体。
在一个实施例中,针对CD79b的抗原结合结构域是以下抗体的抗原结合部分(例如,CDR):抗体维汀-珀拉妥珠单抗(polatuzumab vedotin)(抗CD79b)(描述于Dornan等人,“Therapeutic potential of an anti-CD79b antibody-drug conjugate,anti-CD79b-vc-MMAE,for the treatment of non-Hodgkin lymphoma[抗CD79b抗体-药物偶联物抗CD79b-vc-MMAE用于治疗非霍奇金淋巴瘤的治疗潜力]”Blood[血液].)2009年9月24日;114(13):2721-9.doi:10.1182/blood-2009-02-205500.Epub 2009年7月24日中),或双特异性抗体抗CD79b/CD3(描述于“4507Pre-Clinical Characterization of T Cell-DependentBispecific Antibody Anti-CD79b/CD3 As a Potential Therapy for B CellMalignancies[4507T细胞依赖性双特异性抗体抗CD79b/CD3的临床前表征作为B细胞恶性肿瘤的潜在疗法]”Abstracts of56th ASH Annual Meeting and Exposition[第56届ASH年会和博览会摘要],加利福尼亚州旧金山2014年12月6日至9日中)。
在一个实施例中,针对CD72的抗原结合结构域是以下抗体的抗原结合部分(例如,CDR):抗体J3-109(描述于Myers和Uckun,“An anti-CD72 immunotoxin against therapy-refractory B-lineage acute lymphoblastic leukemia[抗CD72免疫毒素抗治疗难治性B谱系急性淋巴母细胞白血病].”)Leuk Lymphoma[白血病淋巴瘤].1995年6月;18(1-2):119-22中)或抗CD72(10D6.8.1,mIgG1)(描述于Polson等人,“Antibody-Drug Conjugatesfor the Treatment of Non–Hodgkin's Lymphoma:Target and Linker-Drug Selection[用于治疗非霍奇金淋巴瘤的抗体-药物缀合物:靶标和接头-药物选择]”Cancer Res[癌症研究]2009年3月15日69;2358。
在一个实施例中,针对LAIR1的抗原结合结构域是以下抗体的抗原结合部分(例如,CDR):可从ProSpec公司获得的抗体ANT-301LAIR1抗体;或可从百进生物科技公司获得的抗人CD305(LAIR1)抗体。
在一个实施例中,针对FCAR的抗原结合结构域是可从Sino Biological公司获得的抗体CD89/FCAR抗体(目录号10414-H08H)的抗原结合部分(例如,CDR)。
在一个实施例中,针对LILRA2的抗原结合结构域是可从亚诺法公司(Abnova)获得的抗体LILRA2单克隆抗体(M17)(克隆3C7),或可从莱仕邦生物科技公司获得的小鼠抗LILRA2抗体(单克隆(2D7))的抗原结合部分(例如,CDR)。
在一个实施例中,针对CD300LF的抗原结合结构域是可从百进生物科技公司获得的抗体小鼠抗CMRF35样分子1抗体(单克隆[UP-D2]);或可从R&D系统公司获得的大鼠抗CMRF35样分子1抗体(单克隆[234903])的抗原结合部分(例如,CDR)。
在一个实施例中,针对CLEC12A的抗原结合结构域是以下抗体的抗原结合部分(例如,CDR):抗体双特异性T细胞衔接器(BiTE)scFv-抗体和ADC(描述于Noordhuis等人,“Targeting of CLEC12A In Acute Myeloid Leukemia by Antibody-Drug-Conjugatesand Bispecific CLL-1xCD3 BiTE Antibody[通过抗体-药物-缀合物和双特异性CLL-1xCD3 BiTE抗体靶向急性髓系白血病中的CLEC12A]”53rd ASH Annual Meeting andExposition[第53届ASH年会和博览会],2011年12月10日至13日中),以及MCLA-117(梅鲁斯公司(Merus))。
在一个实施例中,针对BST2(也称为CD317)的抗原结合结构域是可从抗体在线(Antibodies-Online)获得的抗体小鼠抗CD317抗体(单克隆[3H4])或可从R&D系统公司获得的小鼠抗CD317抗体(单克隆[696739])的抗原结合部分(例如,CDR)。
在一个实施例中,针对EMR2(也称为CD312)的抗原结合结构域是可从莱仕邦生物科技公司获得的抗体小鼠抗CD312抗体(单克隆[LS-B8033])或可从R&D系统公司获得的小鼠抗CD312抗体(单克隆[494025])的抗原结合部分(例如,CDR)。
在一个实施例中,针对LY75的抗原结合结构域是可从EMD密理博公司获得的抗体小鼠抗淋巴细胞抗原75抗体(单克隆[HD30])或可从生命科技公司(Life Technologies)获得的小鼠抗淋巴细胞抗原75抗体(单克隆[A15797])的抗原结合部分(例如,CDR)。
在一个实施例中,针对GPC3的抗原结合结构域是以下抗体的抗原结合部分(例如CDR):抗体hGC33(描述于Nakano K,Ishiguro T,Konishi H等人.Generation of ahumanized anti-glypican 3antibody by CDR grafting and stability optimization.[通过CDR移植和稳定性优化产生人源化抗磷脂酰肌醇蛋白聚糖3抗体]Anticancer Drugs.[抗癌药物]2010年11月;21(10):907–916),或MDX-1414、HN3或YP7(这三种抗体都描述于Feng等人,“Glypican-3antibodies:a new therapeutic target for liver cancer.[磷脂酰肌醇蛋白聚糖-3抗体:肝癌的新治疗靶标]”FEBS Lett.[欧洲生化学会联合会快报]2014年1月21日;588(2):377-82)。
在一个实施例中,针对FCRL5的抗原结合结构域是描述于以下中的抗FcRL5抗体的抗原结合部分(例如,CDR):Elkins等人,“FcRL5 as a target of antibody-drugconjugates for the treatment of multiple myeloma[FcRL5作为抗体-药物缀合物的靶标用于治疗多发性骨髓瘤]”Mol Cancer Ther.[分子癌症治疗学]2012年10月;11(10):2222-32。在一个实施例中,针对FCRL5的抗原结合结构域是描述于以下中的抗FcRL5抗体的抗原结合部分(例如,CDR):例如,WO 2001/038490、WO/2005/117986、WO 2006/039238、WO2006/076691、WO 2010/114940、WO 2010/120561、或WO 2014/210064。
在一个实施例中,针对IGLL1的抗原结合结构域是以下抗体的抗原结合部分(例如CDR):可从莱仕邦生物科技公司获得的抗体小鼠抗免疫球蛋白λ样多肽1(单克隆[AT1G4]),可从百进生物科技公司获得的小鼠抗免疫球蛋白λ样多肽1抗体(单克隆[HSL11])。
在一个实施例中,抗原结合结构域包含来自上文列出的抗体的一个、两个、三个(例如,全部三个)重链CDR(HC CDR1、HC CDR2和HC CDR3),和/或来自上文列出的抗体的一个、两个、三个(例如,全部三个)轻链CDR(LC CDR1、LC CDR2和LC CDR3)。在一个实施例中,抗原结合结构域包含上文列出抗体的重链可变区和/或可变轻链区。
在另一方面,抗原结合结构域包含人源化抗体或抗体片段。在一些方面,非人抗体是人源化的,其中抗体的特定序列或区域被修饰以增加与在人中天然产生的抗体或其片段的相似度。在一方面,抗原结合结构域是人源化的。
在一个实施例中,CAR(例如由本披露的细胞表达的CAR)的抗原结合结构域结合CD19。在从前/祖B细胞阶段直到终末分化的浆细胞阶段的整个谱系分化中,在B细胞上发现CD19。在一个实施例中,抗原结合结构域是结合人CD19的鼠scFv结构域,例如CTL019的抗原结合结构域(例如SEQ ID NO:218)。在一个实施例中,抗原结合结构域是衍生自鼠CTL019scFv的人源化抗体或抗体片段(例如scFv结构域)。在一个实施例中,抗原结合结构域是与人CD19结合的人抗体或抗体片段。表12a中提供了结合CD19的示例性scFv结构域(及其序列,例如CDR、VL和VH序列)。表12a中提供的scFv结构域序列包括轻链可变区(VL)和重链可变区(VH)。VL和VH通过包含序列GGGGSGGGGSGGGGS(SEQ ID NO:216)的接头附接,例如,处于以下方向:VL-接头-VH。
表12a.结合CD19的抗原结合结构域
表12a中提供的CD19抗原结合结构域的scFv结构域的CDR序列的序列示于表12b(针对重链可变结构域)和表12c中(针对轻链可变结构域)。“ID”代表每个CDR的相应SEQ IDNO。
表12b.重链可变结构域CDR
| 说明 | FW | HCDR1 | ID | HCDR2 | ID | HCDR3 | ID |
| 鼠_CART19 | GVSLPDYGVS | 306 | VIWGSETTYYNSALKS | 307 | HYYYGGSYAMDY | 231 | |
| 人源化_CART19a | VH4 | GVSLPDYGVS | 306 | VIWGSETTYYSSSLKS | 308 | HYYYGGSYAMDY | 231 |
| 人源化_CART19b | VH4 | GVSLPDYGVS | 306 | VIWGSETTYYQSSLKS | 309 | HYYYGGSYAMDY | 231 |
| 人源化_CART19c | VH4 | GVSLPDYGVS | 306 | VIWGSETTYYNSSLKS | 310 | HYYYGGSYAMDY | 231 |
表12c.轻链可变结构域CDR
| 说明 | FW | LCDR1 | ID | LCDR2 | ID | LCDR3 | ID |
| 鼠_CART19 | RASQDISKYLN | 311 | HTSRLHS | 312 | QQGNTLPYT | 232 | |
| 人源化_CART19a | VK3 | RASQDISKYLN | 311 | HTSRLHS | 312 | QQGNTLPYT | 232 |
| 人源化_CART19b | VK3 | RASQDISKYLN | 311 | HTSRLHS | 312 | QQGNTLPYT | 232 |
| 人源化_CART19c | VK3 | RASQDISKYLN | 311 | HTSRLHS | 312 | QQGNTLPYT | 232 |
在一个实施例中,抗原结合结构域包含抗CD19抗体或其片段(例如scFv)。例如,抗原结合结构域包含表12d中列出的可变重链和可变轻链。连接可变重链和可变轻链的接头序列可以是本文所述的接头序列中的任一个、或可替代地可以是GSTSGSGKPGSGEGSTKG(SEQID NO:233)。scFv的轻链可变区和重链可变区可以是例如处于以下取向中的任一个:轻链可变区-接头-重链可变区或重链可变区-接头-轻链可变区。
表12d.另外的抗CD19抗体结合结构域
在一个实施例中,CD19结合结构域包含本文所述的CD19结合结构域(例如在表12a或15中提供的)的一个或多个(例如全部三个)轻链互补决定区1(LC CDR1)、轻链互补决定区2(LC CDR2)和轻链互补决定区3(LC CDR3),和/或本文所述的CD19结合结构域(例如在表12a或16中提供的)的一个或多个(例如全部三个)重链互补决定区1(HC CDR1)、重链互补决定区2(HC CDR2)和重链互补决定区3(HC CDR3)。在一个实施例中,CD19结合结构域包含具有如表12c中提供的任何氨基酸序列的LC CDR1、LC CDR2和LC CDR3中的一个、两个、或全部,将这些氨基酸序列通过引用并入本文;以及具有如表12b中提供的任何氨基酸序列的HCCDR1、HC CDR2和HC CDR3中的一个、两个或全部。
可以根据本披露使用本领域中任何已知的CD19 CAR,例如任何已知CD19 CAR的CD19抗原结合结构域来构建CAR。例如,LG-740;CD19 CAR描述于以下中:美国专利号8,399,645;美国专利号7,446,190;Xu等人,Leuk Lymphoma.[白血病淋巴瘤]2013 54(2):255-260(2012);Cruz等人,Blood[血液]122(17):2965-2973(2013);Brentjens等人,Blood[血液]118(18):4817-4828(2011);Kochenderfer等人,Blood[血液]116(20):4099-102(2010);Kochenderfer等人,Blood[血液]122(25):4129-39(2013);以及16th Annu Meet Am SocGen Cell Ther(ASGCT)[美国基因与细胞治疗学会(ASGCT)第16届年度会议](5月15-18日,盐湖城)2013,文摘10。在一个实施例中,针对CD19的抗原结合结构域是描述于例如以下中的CAR、抗体或其抗原结合片段的抗原结合部分(例如CDR):PCT公开WO 2012/079000;PCT公开WO 2014/153270;Kochenderfer,J.N.等人,J.Immunother.[免疫疗法杂志]32(7),689-702(2009);Kochenderfer,J.N.,等人,Blood[血液],116(20),4099-4102(2010);PCT公开WO 2014/031687;Bejcek,Cancer Research[癌症研究],55,2346-2351,1995;或美国专利号7,446,190。
在一个实施例中,CAR(例如由本披露的细胞表达的CAR)的抗原结合结构域结合BCMA。发现BCMA优先在成熟B淋巴细胞中表达。在一个实施例中,抗原结合结构域是与人BCMA结合的鼠scFv结构域。在一个实施例中,抗原结合结构域是结合人BCMA的人源化抗体或抗体片段(例如scFv结构域)。在一个实施例中,抗原结合结构域是与人BCMA结合的人抗体或抗体片段。在实施例中,使用来自PCT公开WO2012/0163805(将其内容通过引用以其全文特此并入)的VH和VL序列产生示例性BCMA CAR构建体。在实施例中,使用来自PCT公开WO2016/014565(将其内容通过引用以其全文特此并入)的VH和VL序列产生另外的示例性BCMA CAR构建体。在实施例中,使用来自PCT公开WO 2014/122144(将其内容通过引用以其全文特此并入)的VH和VL序列产生另外的示例性BCMA CAR构建体。在实施例中,使用来自PCT公开WO 2016/014789(将其内容通过引用以其全文特此并入)的CAR分子和/或VH和VL序列产生另外的示例性BCMA CAR构建体。在实施例中,使用来自PCT公开WO 2014/089335(将其内容通过引用以其全文特此并入)的CAR分子和/或VH和VL序列产生另外的示例性BCMACAR构建体。在实施例中,使用来自PCT公开WO 2014/140248(将其内容通过引用以其全文特此并入)的CAR分子和/或VH和VL序列产生另外的示例性BCMA CAR构建体。
可以根据本披露使用本领域中任何已知的BCMA CAR,例如任何已知BCMA CAR的BMCA抗原结合结构域。例如,本文所述的那些。
示例性CAR分子
在一方面,CAR(例如由本披露的细胞表达的CAR)包含CAR分子,所述分子包含与B细胞抗原(例如,如本文所述的例如CD19或BCMA)结合的抗原结合结构域。
在一个实施例中,CAR包含CAR分子,所述分子包含CD19抗原结合结构域(例如,特异性结合CD19的鼠、人或人源化抗体或抗体片段)、跨膜结构域、和细胞内信号传导结构域(例如,包含共刺激结构域和/或初级信号传导结构域的细胞内信号传导结构域)。
表12e中提供了本文所述的示例性CAR分子。表12e中的CAR分子包含CD19抗原结合结构域,例如表12a中提供的任何CD19抗原结合结构域的氨基酸序列。
表12e.示例性CD19 CAR分子
在一方面,CAR(例如由本披露的细胞表达的CAR)包含CAR分子,所述分子包含与BCMA结合的抗原结合结构域,例如包含BCMA抗原结合结构域(例如,特异性结合BCMA(例如,人BCMA)的鼠、人或人源化抗体或抗体片段)、跨膜结构域、和细胞内信号传导结构域(例如,包含共刺激结构域和/或初级信号传导结构域的细胞内信号传导结构域)。
WO 2016/014565(将其通过引用并入本文)的表1中提供了本文所述的CAR的示例性CAR分子。
跨膜结构域
关于跨膜结构域,在各种实施例中,CAR可以设计为包含附接至CAR的细胞外结构域的跨膜结构域。跨膜结构域可以包括与跨膜区相邻的一个或多个另外的氨基酸,例如,与跨膜来源的蛋白质的细胞外区域相关的一个或多个氨基酸(例如,细胞外区域的1、2、3、4、5、6、7、8、9、10至15个氨基酸)和/或与跨膜蛋白来源的蛋白质的细胞内区域相关的一个或多个另外的氨基酸(例如,细胞内区域的1、2、3、4、5、6、7、8、9、10多至15个氨基酸)。在一方面,跨膜结构域是与CAR的其他结构域之一相关的结构域,例如,在一个实施例中,跨膜结构域可以来自衍生出信号传导结构域、共刺激结构域或铰链结构域的相同蛋白质。在另一方面,跨膜结构域不衍生自衍生出CAR的任何其他结构域的相同蛋白质。在一些情况下,可以选择或通过氨基酸取代修饰跨膜结构域,以避免此类域与相同或不同表面膜蛋白的跨膜结构域结合,例如,以最小化与受体复合物的其他成员的相互作用。在一方面,跨膜结构域能够与表达CAR的细胞的细胞表面上的另一种CAR同源二聚化。在一个不同的方面,跨膜结构域的氨基酸序列可以被修饰或取代,以便最小化与存在于相同表达CAR的细胞中的天然结合配偶体的结合结构域的相互作用。
跨膜结构域可以源自天然来源或来自重组来源。在来源是天然的情况下,结构域可以源自任何膜结合或跨膜蛋白。在一方面,每当CAR结合靶标时,跨膜结构域能够将信号传导至一个或多个细胞内结构域。在本披露中特别使用的跨膜结构域可以至少包括例如T细胞受体的α、β或ζ链、CD28、CD27、CD3ε、CD45、CD4、CD5、CD8、CD9、CD16、CD22、CD33、CD37、CD64、CD80、CD86、CD134、CD137、CD154的一个或多个跨膜区。在一些实施例中,跨膜结构域可至少包括例如KIRDS2、OX40、CD2、CD27、LFA-1(CD11a、CD18)、ICOS(CD278)、4-1BB(CD137)、GITR、CD40、BAFFR、HVEM(LIGHTR)、SLAMF7、NKp80(KLRF1)、NKp44、NKp30、NKp46、CD160、CD19、IL2Rβ、IL2Rγ、IL7Rα、ITGA1、VLA1、CD49a、ITGA4、IA4、CD49D、ITGA6、VLA-6、CD49f、ITGAD、CD11d、ITGAE、CD103、ITGAL、CD11a、LFA-1、ITGAM、CD11b、ITGAX、CD11c、ITGB1、CD29、ITGB2、CD18、LFA-1、ITGB7、TNFR2、DNAM1(CD226)、SLAMF4(CD244、2B4)、CD84、CD96(Tactile)、CEACAM1、CRTAM、Ly9(CD229)、CD160(BY55)、PSGL1、CD100(SEMA4D)、SLAMF6(NTB-A、Ly108)、SLAM(SLAMF1、CD150、IPO-3)、BLAME(SLAMF8)、SELPLG(CD162)、LTBR、PAG/Cbp、NKG2D、NKG2C的一个或多个跨膜区。
在一些情况下,跨膜结构域可以通过铰链(例如,来自人蛋白质的铰链)附接到CAR的细胞外区域(例如,CAR的抗原结合结构域)。例如,在一个实施例中,铰链可以是人Ig(免疫球蛋白)铰链(例如IgG4铰链、IgD铰链)、GS接头(例如本文所述的GS接头)、KIR2DS2铰链或CD8a铰链。在一个实施例中,铰链或间隔子包含SEQ ID NO:250的氨基酸序列(例如由其组成)。在一方面,跨膜结构域包含SEQ ID NO:251的跨膜结构域(例如由其组成)。
在某些实施例中,编码的跨膜结构域包含具有SEQ ID NO:251的氨基酸序列的至少一个、两个或三个修饰、但不超过20、10或5个修饰的CD8跨膜结构域的氨基酸序列,或与SEQ ID NO:251的氨基酸序列具有至少95%同一性的序列。在一个实施例中,编码的跨膜结构域包含SEQ ID NO:251的序列。
在其他实施例中,编码CAR的核酸分子包含CD8跨膜结构域的核苷酸序列,例如包含SEQ ID NO:252或SEQ ID NO:289的序列,或其具有至少95%同一性的序列。
在某些实施例中,编码的抗原结合结构域通过铰链区与跨膜结构域连接。在一个实施例中,编码的铰链区包含CD8铰链的氨基酸序列,例如SEQ ID NO:250;或IgG4绞链的氨基酸序列,例如SEQ ID NO:253,或与SEQ ID NO:250或SEQ ID NO:253具有至少95%同一性的序列。在其他实施例中,编码铰链区的核酸序列包含分别对应于CD8铰链或IgG4铰链的SEQ ID NO:254或SEQ ID NO:255的序列,或与SEQ ID NO:254或255具有至少95%同一性的序列。
在一方面,铰链或间隔子包含IgG4铰链。例如,在一个实施例中,铰链或间隔子包含氨基酸序列ESKYGPPCPPCPAPEFLGGPSVFLFPPKPKDTLMISRTPEVTCVVVDVSQEDPEVQFNWYVDGVEVHNAKTKPREEQFNSTYRVVSVLTVLHQDWLNGKEYKCKVSNKGLPSSIEKTISKAKGQPREPQVYTLPPSQEEMTKNQVSLTCLVKGFYPSDIAVEWESNGQPENNYKTTPPVLDSDGSFFLYSRLTVDKSRWQEGNVFSCSVMHEALHNHYTQKSLSLSLGKM(SEQ ID NO:253)的铰链。在一些实施例中,绞链或间隔子包含由GAGAGCAAGTACGGCCCTCCCTGCCCCCCTTGCCCTGCCCCCGAGTTCCTGGGCGGACCCAGCGTGTTCCTGTTCCCCCCCAAGCCCAAGGACACCCTGATGATCAGCCGGACCCCCGAGGTGACCTGTGTGGTGGTGGACGTGTCCCAGGAGGACCCCGAGGTCCAGTTCAACTGGTACGTGGACGGCGTGGAGGTGCACAACGCCAAGACCAAGCCCCGGGAGGAGCAGTTCAATAGCACCTACCGGGTGGTGTCCGTGCTGACCGTGCTGCACCAGGACTGGCTGAACGGCAAGGAATACAAGTGTAAGGTGTCCAACAAGGGCCTGCCCAGCAGCATCGAGAAAACCATCAGCAAGGCCAAGGGCCAGCCTCGGGAGCCCCAGGTGTACACCCTGCCCCCTAGCCAAGAGGAGATGACCAAGAACCAGGTGTCCCTGACCTGCCTGGTGAAGGGCTTCTACCCCAGCGACATCGCCGTGGAGTGGGAGAGCAACGGCCAGCCCGAGAACAACTACAAGACCACCCCCCCTGTGCTGGACAGCGACGGCAGCTTCTTCCTGTACAGCCGGCTGACCGTGGACAAGAGCCGGTGGCAGGAGGGCAACGTCTTTAGCTGCTCCGTGATGCACGAGGCCCTGCACAACCACTACACCCAGAAGAGCCTGAGCCTGTCCCTGGGCAAGATG(SEQ ID NO:255)的核苷酸序列编码的绞链。
在一方面,铰链或间隔子包含IgD铰链。例如,在一个实施例中,铰链或间隔子包含RWPESPKAQASSVPTAQPQAEGSLAKATTAPATTRNTGRGGEEKKKEKEKEEQEERETKTPECPSHTQPLGVYLLTPAVQDLWLRDKATFTCFVVGSDLKDAHLTWEVAGKVPTGGVEEGLLERHSNGSQSQHSRLTLP RSLWNAGTSVTCTLNHPSLPPQRLMALREPAAQAPVKLSLNLLASSDPPEAASWLLCEVSGFSPPNILLMWLEDQREVNTSGFAPARPPPQPGSTTFWAWSVLRVPAPPSPQPATYTCVVSHEDSRTLLNASRSLEVSYVTDH的氨基酸序列(SEQ IDNO:256)的铰链。在一些实施例中,绞链或间隔子包含由AGGTGGCCCGAAAGTCCCAAGGCCCAGGCATCTAGTGTTCCTACTGCACAGCCCCAGGCAGAAGGCAGCCTAGCCAAAGCTACTACTGCACCTGCCACTACGCGCAATACTGGCCGTGGCGGGGAGGAGAAGAAAAAGGAGAAAGAGAAAGAAGAACAGGAAGAGAGGGAGACCAAGACCCCTGAATGTCCATCCCATACCCAGCCGCTGGGCGTCTATCTCTTGACTCCCGCAGTACAGGACTTGTGGCTTAGAGATAAGGCCACCTTTACATGTTTCGTCGTGGGCTCTGACCTGAAGGATGCCCATTTGACTTGGGAGGTTGCCGGAAAGGTACCCACAGGGGGGGTTGAGGAAGGGTTGCTGGAGCGCCATTCCAATGGCTCTCAGAGCCAGCACTCAAGACTCACCCTTCCGAGATCCCTGTGGAACGCCGGGACCTCTGTCACATGTACTCTAAATCATCCTAGCCTGCCCCCACAGCGTCTGATGGCCCTTAGAGAGCCAGCCGCCCAGGCACCAGTTAAGCTTAGCCTGAATCTGCTCGCCAGTAGTGATCCCCCAGAGGCCGCCAGCTGGCTCTTATGCGAAGTGTCCGGCTTTAGCCCGCCCAACATCTTGCTCATGTGGCTGGAGGACCAGCGAGAAGTGAACACCAGCGGCTTCGCTCCAGCCCGGCCCCCACCCCAGCCGGGTTCTACCACATTCTGGGCCTGGAGTGTCTTAAGGGTCCCAGCACCACCTAGCCCCCAGCCAGCCACATACACCTGTGTTGTGTCCCATGAAGATAGCAGGACCCTGCTAAATGCTTCTAGGAGTCTGGAGGTTTCCTACGTGACTGACCATT(SEQ ID NO:257)的核苷酸序列编码的铰链。
在一方面,跨膜结构域可以是重组的,在这种情况下其将主要包含疏水性残基,如亮氨酸和缬氨酸。在一方面,可以在重组跨膜结构域的每个末端处发现苯丙氨酸、色氨酸和缬氨酸的三联体。
任选地,长度在2与10个氨基酸之间的短的寡肽或多肽接头可以在CAR的跨膜结构域与胞质区域之间形成键联。甘氨酸-丝氨酸双联体提供特别适合的接头。例如,在一方面,接头包含GGGGSGGGGS(SEQ ID NO:258)的氨基酸序列。在一些实施例中,接头由GGTGGCGGAGGTTCTGGAGGTGGAGGTTCC(SEQ ID NO:259)的核苷酸序列编码。
在一方面,铰链或间隔子包含KIR2DS2铰链。
信号传导结构域
在具有细胞内信号传导结构域的本披露的实施例中,这种结构域可以含有例如初级信号传导结构域和/或共刺激信号传导结构域中的一个或多个。在一些实施例中,细胞内信号传导结构域包含编码初级信号传导结构域的序列。在一些实施例中,细胞内信号传导结构域包含共刺激信号传导结构域。在一些实施例中,细胞内信号传导结构域包含初级信号传导结构域和共刺激信号传导结构域。
本披露的CAR的胞质部分内的细胞内信号传导序列可以按随机或指定的顺序彼此连接。任选地,短的寡肽或多肽接头,例如,长度在2与10个氨基酸之间(例如,2、3、4、5、6、7、8、9或10个氨基酸)可以形成细胞内信号传导序列之间的键联。在一个实施例中,甘氨酸-丝氨酸双联体可以用作适合的接头。在一个实施例中,单个氨基酸(例如丙氨酸、甘氨酸)可以用作适合的接头。
在一方面,细胞内信号传导结构域被设计成包含两个或更多个(例如2、3、4、5、或更多个)共刺激信号传导结构域。在一个实施例中,两个或更多个(例如2、3、4、5、或更多个)共刺激信号传导结构域通过接头分子(例如本文所述的接头分子)分开。在一个实施例中,细胞内信号传导结构域包含两个共刺激信号传导结构域。在一些实施例中,接头分子是甘氨酸残基。在一些实施例中,接头是丙氨酸残基。
初级信号传导结构域
初级信号传导结构域以刺激方式、或以抑制方式调控TCR复合物的初级活化。以刺激方式起作用的初级细胞内信号传导结构域可以含有被称为基于免疫受体酪氨酸的活化基序或ITAM的信号传导基序。
含有在本发明中特别使用的初级细胞内信号传导结构域的ITAM的实例包括以下的那些:CD3ζ、常见FcRγ(FCER1G)、FcγRIIa、FcRβ(FcεR1b)、CD3γ、CD3δ、CD3ε、CD79a、CD79b、DAP10、以及DAP12。在一个实施例中,本披露的CAR包含细胞内信号传导结构域,例如CD3-ζ的初级信号传导结构域。
在一个实施例中,编码的初级信号传导结构域包含CD3ζ的功能性信号传导结构域。编码的CD3ζ初级信号传导结构域可以包含具有SEQ ID NO:260或SEQ ID NO:261的氨基酸序列的至少一个、两个或三个修饰、但不超过20、10或5个修饰的氨基酸序列,或与SEQ IDNO:260或SEQ ID NO:261的氨基酸序列具有至少95%同一性的序列。在一些实施例中,编码的初级信号传导结构域包含SEQ ID NO:260或SEQ ID NO:261的序列。在其他实施例中,编码初级信号传导结构域的核酸序列包含SEQ ID NO:262、SEQ ID NO:291、或SEQ ID NO:263的序列,或其具有至少95%同一性的序列。
共刺激信号传导结构域
在一些实施例中,编码的细胞内信号传导结构域包含共刺激信号传导结构域。例如,细胞内信号传导结构域可以包含初级信号传导结构域和共刺激信号传导结构域。在一些实施例中,编码的共刺激信号传导结构域包含选自以下中的一种或多种的蛋白质的功能性信号传导结构域:CD27、CD28、4-1BB(CD137)、OX40、CD30、CD40、PD-1、ICOS、淋巴细胞功能相关抗原-1(LFA-1)、CD2、CD7、LIGHT、NKG2C、B7-H3、特异性结合CD83的配体、CDS、ICAM-1、GITR、BAFFR、HVEM(LIGHTR)、SLAMF7、NKp80(KLRF1)、CD160、CD19、CD4、CD8α、CD8β、IL2Rβ、IL2Rγ、IL7Rα、ITGA4、VLA1、CD49a、ITGA4、IA4、CD49D、ITGA6、VLA-6、CD49f、ITGAD、CD11d、ITGAE、CD103、ITGAL、CD11a、LFA-1、ITGAM、CD11b、ITGAX、CD11c、ITGB1、CD29、ITGB2、CD18、LFA-1、ITGB7、TNFR2、TRANCE/RANKL、DNAM1(CD226)、SLAMF4(CD244、2B4)、CD84、CD96(Tactile)、CEACAM1、CRTAM、Ly9(CD229)、CD160(BY55)、PSGL1、CD100(SEMA4D)、CD69、SLAMF6(NTB-A、Ly108)、SLAM(SLAMF1、CD150、IPO-3)、BLAME(SLAMF8)、SELPLG(CD162)、LTBR、LAT、GADS、SLP-76、PAG/Cbp、NKp44、NKp30、NKp46、或NKG2D。
在某些实施例中,编码的共刺激信号传导结构域包含具有SEQ ID NO:264或SEQID NO:265的氨基酸序列的至少一个、两个或三个修饰、但不超过20、10或5个修饰的氨基酸序列,或与SEQ ID NO:264或SEQ ID NO:265的氨基酸序列具有至少95%同一性的序列。在一个实施例中,编码的共刺激信号传导结构域包含SEQ ID NO:264或SEQ ID NO:265的序列。在其他实施例中,编码共刺激信号传导结构域的核酸序列包含SEQ ID NO:266、SEQ IDNO:290、或SEQ ID NO:267的序列,或其具有至少95%同一性的序列。
在其他实施例中,编码的细胞内结构域包含SEQ ID NO:264或SEQ ID NO:265的序列,和SEQ ID NO:260或SEQ ID NO:261的序列,其中包含细胞内信号传导结构域的序列在同一框架中表达并且表达为单个多肽链。
在某些实施例中,编码细胞内信号传导结构域的核酸序列包含SEQ ID NO:266、SEQ ID NO:290、或SEQ ID NO:267的序列或其具有至少95%同一性的序列,以及SEQ IDNO:262、SEQ ID NO:291、或SEQ ID NO:263的序列或其具有至少95%同一性的序列。
在一些实施例中,核酸分子进一步编码前导序列。在一个实施例中,前导序列包含SEQ ID NO:268的序列。
在一方面,细胞内信号传导结构域被设计成包含CD3-ζ的信号传导结构域和CD28的信号传导结构域。在一方面,细胞内信号传导结构域被设计成包含CD3-ζ的信号传导结构域和4-1BB的信号传导结构域。在一方面,4-1BB的信号传导结构域是SEQ ID NO:264的信号传导结构域。在一方面,CD3-ζ的信号传导结构域是SEQ ID NO:260的信号传导结构域。
在一方面,细胞内信号传导结构域被设计成包含CD3-ζ的信号传导结构域和CD27的信号传导结构域。在一方面,CD27的信号传导结构域包含QRRKYRSNKGESPVEPAEPCRYSCPREEEG STIPIQEDYRKPEPACSP(SEQ ID NO:265)的氨基酸序列。在一方面,CD27的信号传导结构域由Caacgaaggaaatatagatcaaacaaaggagaaagtcctgtggagcctgcagagccttgtcgttacagctg ccccagggaggaggagggcagcaccatccccatccaggaggattaccgaaaaccggagcctgcctgctc cccc的核酸序列(SEQ ID NO:267)编码。
运载体
在另一方面,本披露涉及包含编码本文所述的CAR的核酸序列的运载体。在一个实施例中,运载体选自DNA运载体、RNA运载体、质粒、慢病毒运载体、腺病毒运载体或逆转录病毒运载体。在一个实施例中,运载体是慢病毒运载体。这些运载体或其部分除其他之外可以用于产生模板核酸,如本文所述的用于与本文所述的CRISPR系统一起使用。可替代地,运载体可以用于将核酸直接递送至细胞,例如免疫效应细胞,例如T细胞,例如同种异体T细胞(独立于CRISPR系统)。
本披露还提供了其中插入本披露的DNA的运载体。衍生自逆转录病毒如慢病毒的运载体是实现长期基因转移的合适工具,因为它们允许转基因的长期稳定整合及其在子细胞中的繁殖。慢病毒运载体相对于衍生自肿瘤逆转录病毒如鼠白血病病毒的运载体具有附加优点,因为它们可以转导非增殖性细胞,例如肝细胞。它们还具有低免疫原性的附加优点。逆转录病毒运载体还可以是例如γ逆转录病毒运载体。γ逆转录病毒运载体可以包括例如启动子、包装信号(ψ)、引物结合位点(PBS)、一个或多个(例如两个)长末端重复序列(LTR)、和目的转基因(例如编码CAR的基因)。γ逆转录病毒运载体可能缺少病毒结构基因(如gag、pol、和env)。示例性γ逆转录病毒运载体包括鼠白血病病毒(MLV)、形成脾脏病灶病毒(SFFV)、和骨髓增生性肉瘤病毒(MPSV),以及由其衍生的运载体。其他γ逆转录病毒运载体描述于例如Tobias Maetzig等人,“Gammaretroviral Vectors:Biology,Technologyand Application[γ逆转录病毒运载体:生物学/技术和应用]”Viruses.[病毒]2011年6月;3(6):677-713。
在另一个实施例中,包含编码本披露所希望CAR的核酸的运载体是腺病毒运载体(A5/35)。在另一个实施例中,编码CAR的核酸的表达可以使用转座子如睡美人系统、crisper、CAS9和锌指核酸酶完成。参见下文June等人2009Nature Reviews Immunology[自然免疫学综述]9.10:704-716,将其通过引用并入本文。
可以将核酸克隆至许多类型的运载体中。例如,可以将核酸克隆到运载体中,该运载体包括但不限于质粒、噬菌粒、噬菌体衍生物、动物病毒和粘粒。特别感兴趣的运载体包括表达运载体、复制运载体、探针生成运载体和测序运载体。
本文披露了用于产生体外转录的RNA CAR的方法。本披露还包括编码CAR的RNA构建体,其可以直接转染到细胞中。产生用于转染的mRNA的方法可以涉及用特别设计的引物对模板进行体外转录(IVT)、然后添加聚A以产生含有3'和5'非翻译序列(“UTR”)、5'帽和/或内部核糖体进入位点(IRES)、待表达的核酸、和聚A尾的构建体,典型地长度为50-2000个碱基(SEQ ID NO:269)。这样产生的RNA可以有效地转染不同类型的细胞。在一方面,模板包括CAR的序列。
非病毒递送方法
在一些方面,可以使用非病毒方法将编码本文所述CAR的核酸递送至细胞或组织或受试者中。
在一些实施例中,非病毒方法包括使用转座子(也称为转座元件)。在一些实施例中,转座子是可以将自身插入基因组中一位置的一条DNA,例如,能够自我复制并将其拷贝插入基因组的一条DNA,或者是可以从较长的核酸中剪接出并插入基因组中的另一个位置的一条DNA。例如,转座子包含由侧接基因的用于转座的反向重复序列构成的DNA序列。
在一些实施例中,通过使用基因插入(使用SBTS)和基因编辑(使用核酸酶(例如,锌指核酸酶(ZFN)、转录激活因子样效应子核酸酶(TALEN)、CRISPR/Cas系统、或工程化大范围核酸酶重新工程化的归巢内切核酸酶))的组合产生表达本文所述CAR的细胞,例如T细胞或NK细胞。
在一些实施例中,通过将细胞与(a)包含(例如,如本文所述的)一个或多个gRNA分子和(例如,如本文所述的)一个或多个Cas分子(例如,Cas9分子)的组合物,和(b)包含编码(例如,本文所述的)CAR序列的核酸(例如,如本文所述的模板核酸分子)进行接触,产生本披露的细胞,例如T或NK细胞,例如同种异体T细胞(例如,本文所述的)(例如,表达本文所述的CAR)。不受理论束缚,上述(a)的所述组合物将在一个或多个gRNA分子的靶向结构域靶向的基因组DNA处或附近诱导断裂,并且(b)的核酸将在所述断裂处或附近掺入(例如,部分或全部地)基因组中,使得在整合时,表达编码的CAR分子。在实施例中,CAR的表达将由基因组内源的启动子或其他调节性元件(例如,控制来自插入(b)的核酸的基因的表达的启动子)控制。在其他实施例中,(b)的核酸进一步包含(例如,如本文所述的)启动子和/或其他调节性元件(例如EF1-α启动子),其可操作地连接至编码CAR的序列),使得在整合时CAR的表达受所述启动子和/或其他调节元件的控制。关于使用(例如,如本文所述的)CRISPR/Cas9系统以指导编码(例如,如本文所述的)CAR的核酸序列的掺入,本披露的另外的特征描述于本申请的其他地方,例如在关于基因插入和同源重组的部分中。在实施例中,上述a)的组合物是包含RNP(含有一个或多个gRNA分子)的组合物。在实施例中,将包含靶向独特靶序列的gRNA的RNP同时地引入细胞中,例如,作为包含一个或多个gRNA的RNP的混合物。在实施例中,将包含靶向独特靶序列的gRNA的RNP顺序地引入细胞中。
在一些实施例中,使用非病毒递送方法允许细胞例如T细胞或NK细胞的重编程,并且将这些细胞直接输注到受试者体内。非病毒运载体的优点包括但不限于容易且相对低成本地产生满足患者群体所需的足够量、储存期间的稳定性和缺乏免疫原性。
启动子
在一个实施例中,运载体进一步包含启动子。在一些实施例中,启动子选自EF-1启动子、CMV IE基因启动子、EF-1α启动子、泛素C启动子、或磷酸甘油酸激酶(PGK)启动子。在一个实施例中,启动子是EF-1启动子。在一个实施例中,EF-1启动子包含SEQ ID NO:270的序列。
用于CAR表达的宿主细胞
如上所述的,在一些方面,本发明涉及细胞,例如免疫效应细胞(例如,细胞群体,例如免疫效应细胞群体),所述细胞包含如本文所述的核酸分子、CAR多肽分子或运载体。
在本披露的某些方面,可以使用任何数量的本领域技术人员已知的技术(如FicollTM分离)从自受试者收集的血液单位获得免疫效应细胞,例如T细胞。在一个优选的方面,通过单采术获得来自个体的循环血液的细胞。单采术产物典型地含有淋巴细胞,包括T细胞、单核细胞、粒细胞、B细胞、其他有核白细胞、红细胞和血小板。在一方面,可以洗涤通过单采术收集的细胞以除去血浆部分,并任选地将细胞置于合适的缓冲液或培养基中以用于后续处理步骤。在本发明的一个实施例中,使用磷酸盐缓冲盐水(PBS)洗涤这些细胞。在一个替代性实施例中,洗涤溶液缺少钙并且可能缺少镁,或者可能缺少许多(如果不是全部)二价阳离子。
在不存在钙的情况下的初始活化步骤可以导致放大的活化。如本领域普通技术人员将容易理解的,洗涤步骤可以通过本领域技术人员已知的方法完成,如通过根据制造商的说明使用半自动“流通”离心机(例如,Cobe 2991细胞处理器、Baxter CytoMate、或Haemonetics Cell Saver5)。在洗涤后,可以将细胞重悬于多种生物相容性缓冲液中,例如,像无Ca无Mg的PBS、PlasmaLyte A、或者含有或不含缓冲液的其他盐溶液。可替代地,可以除去单采术样品中不希望的组分,并将细胞直接重悬于培养基中。
应当认识到,本申请的方法可利用包含5%或更少(例如2%)的人AB血清的培养基条件,并使用已知的培养基条件和组合物,例如描述于以下的那些:Smith等人,“Ex vivoexpansion of human T cells for adoptive immunotherapy using the novel Xeno-free CTS Immune Cell Serum Replacement[使用新型无Xeno CTS免疫细胞血清替代物进行过继免疫治疗的人T细胞的离体扩增]”Clinical&Translational Immunology[临床和移植免疫学](2015)4,e31;doi:10.1038/cti.2014.31。
在一方面,通过例如通过PERCOLLTM梯度离心或通过逆流离心淘洗来裂解红细胞和耗减单核细胞,从外周血淋巴细胞分离T细胞。
本文所述的方法可以包括,例如,使用例如(例如,本文所述的)阴性选择技术选择免疫效应细胞(例如,T细胞)的特定亚群,该亚群是T调节性细胞耗减的群体,CD25+耗减的细胞。优选地,T调节耗减的细胞群体含有少于30%、25%、20%、15%、10%、5%、4%、3%、2%、1%的CD25+细胞。
在一个实施例中,使用抗CD25抗体或其片段、或CD25结合配体IL-2从群体中除去T调节性细胞(例如CD25+T细胞)。在一个实施例中,抗CD25抗体或其片段或CD25结合配体与底物(例如,珠)缀合,或者以其他方式包被在底物例如珠上。在一个实施例中,抗CD25抗体或其片段与如本文所述的底物缀合。
在一个实施例中,使用来自MiltenyiTM的CD25耗减药剂从群体中除去T调节性细胞(例如CD25+T细胞)。在一个实施例中,细胞与CD25耗减药剂的比率是1e7个细胞至20uL、或1e7个细胞至15uL、或1e7个细胞至10uL、或1e7个细胞至5uL、或1e7个细胞至2.5uL、或1e7个细胞至1.25uL。在一个实施例中,例如对于T调节性细胞(例如CD25+)耗减,使用大于5亿个细胞/ml。在另外的方面,使用600、700、800、或900百万个细胞/ml的细胞浓度。
在一个实施例中,待耗减的免疫效应细胞群体包括约6×109个CD25+T细胞。在其他方面,待耗减的免疫效应细胞群体包括约1x 109至1x 1010个CD25+T细胞,以及其间的任何整数值。在一个实施例中,所得群体T调节性耗减的细胞具有2x 109个T调节性细胞(例如,CD25+细胞)或更少(例如,1x 109个、5x 108个、1x 108个、5x 107个、1x107个或更少的CD25+细胞)。
在一个实施例中,使用具有耗减管件组的CliniMAC系统(例如像管件162-01)从群体中除去T调节性细胞,例如CD25+细胞。在一个实施例中,CliniMAC系统在耗减设置例如像DEPLETION2.1上运行。
不希望受特定理论的束缚,在单采术之前或在制造表达CAR的细胞产物期间减少受试者中免疫细胞的阴性调节剂水平(例如,减少不需要的免疫细胞(例如,TREG细胞)的数量)可以降低受试者复发的风险。例如,耗减TREG细胞的方法是本领域已知的。减少TREG细胞的方法包括但不限于环磷酰胺、抗GITR抗体(本文所述的抗GITR抗体)、CD25耗减、及其组合。
在一些实施例中,制造方法包括在制造表达CAR的细胞之前降低(例如,耗减)TREG细胞的数量。例如,制造方法包括使样品(例如单采样品)与抗GITR抗体和/或抗CD25抗体(或其片段、或CD25结合配体)接触,例如以在制造表达CAR的细胞(例如T细胞、NK细胞)产物之前耗减TREG细胞。
在一个实施例中,在收集用于表达CAR的细胞产物制造的细胞之前,用一种或多种减少TREG细胞的疗法预先治疗受试者,从而降低受试者对表达CAR的细胞治疗复发的风险。在一个实施例中,减少TREG细胞的方法包括但不限于向受试者施用环磷酰胺、抗GITR抗体、CD25耗减、或其组合中的一种或多种。施用环磷酰胺、抗GITR抗体、CD25耗减、或其组合中的一种或多种可以在输注表达CAR的细胞产物之前、期间、或之后发生。
在一个实施例中,在收集用于表达CAR的细胞产物制造的细胞之前,用环磷酰胺预先治疗受试者,从而降低受试者对表达CAR的细胞治疗复发的风险。在一个实施例中,在收集用于表达CAR的细胞产物制造的细胞之前,用抗GITR抗体预先治疗受试者,从而降低受试者对表达CAR的细胞治疗复发的风险。
在一个实施例中,有待除去的细胞群体既不是调节性T细胞、或肿瘤细胞,也不是以其他方式对CART细胞的扩增和/或功能产生负面影响的细胞(例如表达CD14、CD11b、CD33、CD15、或由潜在免疫抑制细胞表达的其他标记的细胞)。在一个实施例中,设想将此类细胞与调节性T细胞和/或肿瘤细胞并行除去、或者在所述耗减之后、或以另一种顺序除去。
本文所述的方法可以包括多于一个的选择步骤,例如,多于一个的耗减步骤。可以例如用针对阴性选择的细胞特有的表面标志物的抗体组合来完成通过阴性选择富集T细胞群体。一种方法是通过阴性磁性免疫吸附或流式细胞术进行细胞分选和/或选择,阴性磁性免疫吸附或流式细胞术使用针对存在于阴性选择的细胞上的细胞表面标志物的单克隆抗体的混合物。例如,为了通过阴性选择富集CD4+细胞,单克隆抗体混合物可以包括针对CD14、CD20、CD11b、CD16、HLA-DR、和CD8的抗体。
本文所述的方法可进一步包括从表达肿瘤抗原(例如,不包含CD25的肿瘤抗原,例如,CD19、CD30、CD38、CD123、CD20、CD14或CD11b)的群体除去细胞,从而提供T调节性耗减的(例如,CD25+耗减的)和肿瘤抗原耗减的细胞群体,该细胞群体适于表达CAR(例如,本文所述的CAR)。在一个实施例中,将表达肿瘤抗原的细胞与T调节性例如CD25+细胞同时除去。例如,抗CD25抗体或其片段、和抗肿瘤抗原抗体或其片段可以附接至可以用于除去细胞、或抗CD25抗体或其片段、或抗肿瘤抗原抗体或其片段的同一底物(例如,珠),可以附接至分开的珠(其混合物可以用于除去细胞)。在其他实施例中,T调节性细胞(例如,CD25+细胞)的除去和表达肿瘤抗原的细胞的除去是连续的,并且可以,例如,以任何顺序发生。
还提供了包括以下的方法:从表达检查点抑制剂(例如,本文所述的检查点抑制剂)的群体中除去细胞(例如,PD1+细胞、LAG3+细胞、和TIM3+细胞中的一种或多种),从而提供T调节性耗减的(例如,CD25+耗减的)细胞和检查点抑制剂耗减的细胞(例如PD1+、LAG3+和/或TIM3+耗减的细胞)的群体。示例性检查点抑制剂包括B7-H1、B7-1、CD160、P1H、2B4、PD1、TIM3、CEACAM(例如CEACAM-1、CEACAM-3和/或CEACAM-5)、LAG3、TIGIT、CTLA-4、BTLA和LAIR1。在一个实施例中,将检查点抑制剂表达细胞与T调节性(例如CD25+)细胞同时除去。例如,抗CD25抗体或其片段、和抗检查点抑制剂抗体或其片段可以附接至可以用于除去细胞、或抗CD25抗体或其片段、和抗检查点抑制剂抗体或其片段的同一珠,可以附接至分开的珠(其混合物可以用于除去细胞)。在其他实施例中,T调节性细胞(例如,CD25+细胞)的除去和表达检查点抑制剂的细胞的除去是连续的,并且可以,例如,以任何顺序发生。
本文所述的方法可以包括阳性选择步骤。例如,可以通过与抗CD3/抗CD28(例如,3x28)缀合的珠(如M-450 CD3/CD28T)孵育足以阳性选择所希望的T细胞的时间段来分离T细胞。在一个实施例中,时间段是约30分钟。在另外的实施例中,时间段的范围为从30分钟至36小时或更长以及其间的所有整数值。在另外的实施例中,时间段是至少1、2、3、4、5、或6小时。在又另一个实施例中,时间段是10至24小时,例如24小时。与其他细胞类型相比,在存在较少T细胞的任何情况下,如从肿瘤组织或免疫受损个体分离肿瘤浸润淋巴细胞(TIL),可以使用更长的孵育时间来分离T细胞。此外,使用更长的孵育时间可以提高CD8+T细胞捕获的效率。因此,通过简单地缩短或延长使T细胞与CD3/CD28珠结合的时间和/或通过增加或减少珠与T细胞的比率(如本文进一步描述的),可以在培养起始时或在该过程期间的其他时间点优先地选择或针对T细胞亚群。另外,通过增加或减少抗CD3和/或抗CD28抗体在珠或其他表面上的比率,可以在培养起始时或在其他希望的时间点优先地选择或针对T细胞亚群。
在一个实施例中,可以选择表达以下中的一种或多种的T细胞群体:IFN-γ、TNFα、IL-17A、IL-2、IL-3、IL-4、GM-CSF、IL-10、IL-13、颗粒酶B、和穿孔素、或其他适当的分子(例如,其他细胞因子)。筛选细胞表达的方法可以通过例如PCT公开号:WO 2013/126712中所述的方法进行确定。
为了通过阳性或阴性选择分离希望的细胞群体,可以改变细胞和表面(例如,颗粒(如珠))的浓度。在某些方面,可能希望显著减小其中珠和细胞混合在一起的体积(例如,增加细胞的浓度),以确保细胞和珠的最大接触。例如,在一方面,使用100亿个细胞/ml、90亿/ml、80亿/ml、70亿/ml、60亿/ml、或50亿/ml的浓度。在一方面,使用10亿个细胞/ml的浓度。在又一个方面,使用75、80、85、90、95、或100百万个细胞/ml的细胞浓度。在另外的方面,可以使用125或150百万个细胞/ml的浓度。
使用高浓度可以导致细胞产量增加、细胞活化、和细胞扩增。此外,使用高细胞浓度允许更有效地捕获可能弱表达目的靶抗原的细胞(如CD28阴性T细胞),或来自存在许多肿瘤细胞的样品(例如,白血病的血、肿瘤组织等)的细胞。此类细胞群体可能具有治疗价值,并且是希望获得的。例如,使用高浓度的细胞允许更有效地选择通常具有较弱CD28表达的CD8+T细胞。
在相关方面,可能希望使用较低的细胞浓度。通过显著稀释T细胞和表面的混合物(例如颗粒(如珠)),使颗粒与细胞之间的相互作用最小化。这选择了表达大量有待结合颗粒的所希望抗原的细胞。例如,CD4+T细胞表达较高水平的CD28,并且在稀释浓度下比CD8+T细胞更有效地捕获。在一方面,所使用的细胞的浓度是5x 106/ml。在其他方面,所使用的浓度可以是从约1x 105/ml至1x 106/ml,以及其间的任何整数值。
在其他方面,可以将这些细胞在旋转器上以不同的速度在2℃-10℃或室温下孵育不同的时间长度。
用于刺激的T细胞也可以在洗涤步骤后冷冻。不希望受理论束缚,冷冻和随后的解冻步骤通过在细胞群体中除去粒细胞及在一定程度上除去单核细胞来提供更均匀的产物。在除去血浆和血小板的洗涤步骤之后,可以将细胞悬浮在冷冻溶液中。虽然许多冷冻溶液和参数是本领域已知的并且在这种情况下将是有用的,但一种方法涉及使用含有20%DMSO和8%人血清白蛋白的PBS,或含有10%葡聚糖40和5%葡萄糖、20%人血清白蛋白和7.5% DMSO的培养基,或含有31.25% Plasmalyte-A、31.25%葡萄糖5%、0.45% NaCl、10%葡聚糖40和5%葡萄糖、20%人血清白蛋白和7.5% DMSO的培养基,或含有例如Hespan和PlasmaLyte A的其他适合的细胞冷冻培养基,然后将细胞以每分钟1°的速率冷冻至-80℃并储存在液氮储罐的气相中。可以使用其他控制冷冻的方法以及在-20℃或液氮中立即不受控制的冷冻。
在某些方面,如本文所述的将冷冻保存的细胞解冻并洗涤,并在使用本披露的方法活化之前将其在室温下静置1小时。
在本披露的上下文中还考虑了在可能需要如本文所述的扩增细胞之前的时间段从受试者收集血液样品或单采术产物。因此,可以在任何必要的时间点收集待扩增细胞的来源,并且分离和冷冻所需的细胞(如T细胞)以便后续用于免疫效应细胞疗法中,以用于将受益于免疫效应细胞疗法的任意数目的疾病或病症,如本文所述的那些。在一方面,血液样品或单采术取自基本健康的受试者。在某些方面,血液样品或单采术取自基本健康的受试者,所述受试者处于发展疾病的风险中,但尚未患发展疾病,并且将目的细胞分离并冷冻供以后使用。在某些方面,可以将T细胞扩增、冷冻、并在以后使用。在某些方面,在诊断如本文描述的特定疾病之后但在任何治疗之前不久从患者收集样品。在另外的方面,在任何数量的相关治疗模式之前,从受试者的血液样品或单采术分离细胞,这些相关治疗模式包括但不限于用以下进行治疗:药剂(如那他珠单抗(natalizumab)、依法珠单抗、抗病毒剂)、化疗、放射、免疫遏制剂(如环孢菌素、硫唑嘌呤、甲氨蝶呤、霉酚酸酯、和FK506)、抗体或其他免疫清除剂(如CAMPATH、抗CD3抗体、环磷酰胺、氟达拉滨(fludarabine)、环孢菌素、FK506、雷帕霉素、霉酚酸、类固醇、FR901228)和照射。
在本披露的另外的方面,在使受试者离开功能性T细胞的治疗之后直接从患者获得T细胞。在这点上,已观察到在某些癌症治疗(特别是使用破坏免疫系统的药物的治疗)之后,在患者通常将从治疗恢复期间治疗后不久,所获得的T细胞的质量因其离体扩增的能力可能是最佳或改进的。同样地,在使用本文所述的方法进行离体操作之后,这些细胞可以处于优选的状态以增强植入和体内扩增。因此,在本披露的上下文中考虑了在所述恢复阶段期间收集血细胞,包括T细胞、树突细胞、或造血谱系的其他细胞。此外,在某些方面,动员(例如,用GM-CSF动员)和调整方案可以用于在受试者中产生病状,其中特定细胞类型的再增殖、再循环、再生、和/或扩增是有利的,尤其是在治疗后确定的时间窗口期间。说明性细胞类型包括免疫系统的T细胞、B细胞、树突细胞和其他细胞。
在一个实施例中,表达CAR分子(例如,本文所述的CAR分子)的免疫效应细胞获自已接受低免疫增强剂量的mTOR抑制剂的受试者。在一个实施例中,在足够的时间后(或在足够剂量的低免疫增强剂量的mTOR抑制剂后)收获被工程化以表达CAR的免疫效应细胞(例如T细胞)的群体,使得受试者中或从受试者收获的PD1阴性免疫效应细胞(例如T细胞)的水平、或PD1阴性免疫效应细胞(例如T细胞)/PD1阳性免疫效应细胞(例如T细胞)的比率已经至少是短暂的增加了。
在其他实施例中,已经被、或将被工程化以表达CAR的免疫效应细胞(例如T细胞)的群体可以通过接触一定量的mTOR抑制剂离体进行处理,所述mTOR抑制剂增加PD1阴性免疫效应子细胞(例如T细胞)的数量、或增加PD1阴性免疫效应细胞(例如T细胞)/PD1阳性免疫效应细胞(例如T细胞)的比率。
在一个实施例中,T细胞群体是二酰基甘油激酶(DGK)缺陷型。DGK缺陷型细胞包括不表达DGK RNA或蛋白质,或具有降低或抑制的DGK活性的细胞。DGK缺陷型细胞可以通过遗传方法产生,例如,施用RNA干扰剂(例如,siRNA、shRNA、miRNA)以降低或预防DGK表达。可替代地,可以通过用本文描述的DGK抑制剂处理产生DGK缺陷型细胞。
在一个实施例中,T细胞群体是Ikaros缺陷型。Ikaros缺陷型细胞包括不表达Ikaros RNA、或蛋白质、或具有降低或抑制的Ikaros活性的细胞,Ikaros缺陷型细胞可以通过遗传方法产生,例如施用RNA干扰剂(例如,siRNA、shRNA、miRNA)以降低或预防Ikaros表达。可替代地,可以通过用Ikaros抑制剂(例如,来那度胺(lenalidomide))处理产生Ikaros缺陷型细胞。
在实施例中,T细胞群体是DGK缺陷型且Ikaros缺陷型的,例如,不表达DGK和Ikaros,或者具有降低或抑制的DGK和Ikaros活性。可以通过本文描述的任何方法产生此类DGK和Ikaros缺陷型细胞。
在一个实施例中,从受试者获得NK细胞。在另一个实施例中,NK细胞属于NK细胞系,例如,NK-92细胞系(Conkwest公司)。
在一些方面,本披露的细胞(例如,本披露的免疫效应细胞,例如,本披露的表达CAR的细胞)是诱导的多能干细胞(“iPSC”)或胚胎干细胞(ESC),或是从所述iPSC和/或ESC(例如,区别于其)产生的T细胞。例如,可以通过本领域已知的方法从外周血T淋巴细胞(例如从健康志愿者分离的外周血T淋巴细胞)产生iPSC。同样,此类细胞可以通过本领域已知的方法分化成T细胞。参见例如,Themeli M.等人,Nat.Biotechnol.[自然生物技术],31,928-933页(2013);doi:10.1038/nbt.2678;WO 2014/165707,将其各自的全部内容以其全文并入本文。
在另一个实施例中,将本披露的具有式(I)的化合物或其药学上可接受的盐、水合物、溶剂化物、前药、立体异构体、或互变异构体与表13中列出的或表13中引用的专利和专利申请中列出的治疗剂中的一种或多种组合使用,以治疗癌症。表13中列出的每个出版物通过引用以其全文并入本文,包括其中的所有结构式。
表13.
雌激素受体拮抗剂
在一些实施例中,将雌激素受体(ER)拮抗剂与具有式(I)的化合物或其药学上可接受的盐、水合物、溶剂化物、前药、立体异构体、或互变异构体组合使用,以治疗疾病(例如癌症)。在一些实施例中,雌激素受体拮抗剂是选择性雌激素受体降解剂(SERD)。SERD是与受体结合并导致例如受体的降解或下调的雌激素受体拮抗剂(Boer K.等人,(2017)Therapeutic Advances in Medical Oncology[肿瘤医学治疗进展]9(7):465-479)。ER是激素活化的转录因子,其对于例如人生殖系统的生长、发育和生理学是重要的。ER被例如激素雌激素(17β雌二醇)活化。ER表达和信号传导涉及癌症(例如,乳腺癌),例如ER阳性(ER+)乳腺癌。在一些实施例中,SERD选自LSZ102、氟维司群、布利司群(brilanestrant)、或依拉司群(elacestrant)。
示例性雌激素受体拮抗剂
在一些实施例中,SERD包含国际申请公开号WO 2014/130310(将其通过引用以其全文特此并入)中所披露的化合物。在一些实施例中,SERD包含LSZ102。LSZ102具有化学名称:(E)-3-(4-((2-(2-(1,1-二氟乙基)-4-氟苯基)-6-羟基苯并[b]噻吩-3-基)氧基)苯基)丙烯酸。
其他示例性雌激素受体拮抗剂
在一些实施例中,SERD包含氟维司群(CAS登记号:129453-61-8)或国际申请公开号WO 2001/051056(将其通过引用以其全文特此并入)中所披露的化合物。氟维司群也称为ICI 182780、ZM 182780、或(7α,17β)-7-{9-[(4,4,5,5,5-五氟戊基)亚磺酰基]壬基}雌-1,3,5(10)-三烯-3,17-二醇。氟维司群是具有0.29nM的IC50的高亲和力的雌激素受体拮抗剂。
在一些实施例中,SERD包含依拉司群(CAS登记号:722533-56-4)或美国专利号7,612,114(将其通过引用以其全文并入)中所披露的化合物。依拉司群也称为RAD1901、ER-306323或(6R)-6-{2-[乙基({4-[2-(乙基氨基)乙基]苯基}甲基)氨基]-4-甲氧基苯基}-5,6,7,8-四氢萘-2-醇。依拉司群是口服生物可利用的、非甾体结合选择性雌激素受体调节剂(SERM)和SERD。依拉司群还披露于例如Garner F等人,(2015)Anticancer Drugs[抗癌药物]26(9):948-56中。
在一些实施例中,SERD是布利司群(CAS登记号:1365888-06-7)或国际申请公开号WO 2015/136017(将其通过引用以其全文并入)中所披露的化合物。布利司群也称为GDC-0810、ARN810、RG-6046、RO-7056118或(2E)-3-{4-[(1E)-2-(2-氯-4-氟苯基)-1-(1H-吲唑-5-基)丁-1-烯-1-基]苯基}丙-2-烯酸。布利司群是具有0.7nM的IC50的下一代口服生物可利用的选择性SERD。布利司群是还披露于例如Lai A.等人(2015)Journal of MedicinalChemistry[医药化学杂志]58(12):4888–4904中。
在一些实施例中,SERD选自RU 58668、GW7604、AZD9496、巴多昔芬、哌喷昔芬(pipendoxifene)、阿佐昔芬、OP-1074、或阿考比芬,例如,如McDonell等人(2015)Journalof Medicinal Chemistry[医药化学杂志]58(12)4883-4887中所披露的。其他示例性雌激素受体拮抗剂披露于例如WO 2011/156518、WO 2011/159769、WO 2012/037410、WO2012/037411、和US 2012/0071535(所有这些文献都通过引用以其全文特此并入)中。
CDK4/6抑制剂
在一些实施例中,将细胞周期蛋白依赖性激酶4或6(CDK4/6)的抑制剂与具有式(I)的化合物或其药学上可接受的盐、水合物、溶剂化物、前药、立体异构体、或互变异构体组合使用,以治疗疾病(例如癌症)。在一些实施例中,CDK4/6抑制剂选自瑞博西尼(Ribociclib)、阿贝西利(abemaciclib)(礼来公司)或帕柏西利。
示例性CDK4/6抑制剂
在一些实施例中,CDK4/6抑制剂包含瑞博西尼(CAS登记号:1211441-98-3)或美国专利号8,415,355和8,685,980(将其通过引用以其全文并入)中所披露的化合物。
在一些实施例中,CDK4/6抑制剂包含国际申请公开号WO2010/020675,以及美国专利号8,415,355和8,685,980(将其通过引用以其全文并入)中所披露的化合物。
在一些实施例中,CDK4/6抑制剂包含瑞博西尼(CAS登记号:1211441-98-3)。瑞博西尼也称为LEE011、或7-环戊基-N,N-二甲基-2-((5-(哌嗪-1-基)吡啶-2-基)氨基)-7H-吡咯并[2,3-d]嘧啶-6-甲酰胺。
其他示例性CDK4/6抑制剂
在一些实施例中,CDK4/6抑制剂包含阿贝西利(CAS登记号:1231929-97-7)。阿贝西利也称为LY835219或N-[5-[(4-乙基-1-哌嗪基)甲基]-2-吡啶基]-5-氟-4-[4-氟-2-甲基-1-(1-甲基乙基)-1H-苯并咪唑-6-基]-2-嘧啶胺。阿贝西利是对CDK4和CDK6具有选择性的CDK抑制剂,并披露于例如Torres-Guzman R等人(2017)Oncotarget[肿瘤靶标]10.18632/oncotarget.17778中。
在一些实施例中,CDK4/6抑制剂包含帕柏西利(CAS登记号:571190-30-2)。帕柏西利也称为PD-0332991、或6-乙酰基-8-环戊基-5-甲基-2-{[5-(1-哌嗪基)-2-吡啶基]氨基}吡啶并[2,3-d]嘧啶-7(8H)-酮。帕柏西利抑制CDK4(具有11nM的IC50)和抑制CDK6(具有16nM的IC50),并披露于例如Finn等人(2009)Breast Cancer Research[乳腺癌研究]11(5):R77中。
CXCR2抑制剂
在一些实施例中,将趋化因子(C-X-C基序)受体2(CXCR2)的抑制剂与具有式(I)的化合物或其药学上可接受的盐、水合物、溶剂化物、前药、立体异构体、或互变异构体组合使用,以治疗疾病(例如癌症)。在一些实施例中,CXCR2抑制剂选自6-氯-3-((3,4-二氧代-2-(戊烷-3-基氨基)环丁-1-烯-1-基)氨基)-2-羟基-N-甲氧基-N-甲基苯磺酰胺、达尼利星(danirixin)、瑞帕利星(reparixin)、或那伐利星(navarixin)。
示例性CXCR2抑制剂
在一些实施例中,CXCR2抑制剂包含美国专利号7989497、8288588、8329754、8722925、9115087,美国申请公开号US 2010/0152205、US2011/0251205和US 2011/0251206,以及国际申请公开号WO2008/061740、WO 2008/061741、WO 2008/062026、WO2009/106539、WO 2010/063802、WO 2012/062713、WO 2013/168108、WO 2010/015613和WO2013/030803中所披露的化合物。在一些实施例中,CXCR2抑制剂包含6-氯-3-((3,4-二氧代-2-(戊烷-3-基氨基)环丁-1-烯-1-基)氨基)-2-羟基-N-甲氧基-N-甲基苯磺酰胺或其胆碱盐。在一些实施例中,CXCR2抑制剂包含6-氯-3-((3,4-二氧代-2-(戊烷-3-基氨基)环丁-1-烯-1-基)氨基)-2-羟基-N-甲氧基-N-甲基苯磺酰胺胆碱盐。在一些实施例中,CXCR2抑制剂是2-羟基-N,N,N-三甲基乙-1-铵3-氯-6-({3,4-二氧代-2-[(戊烷-3-基)氨基]环丁-1-烯-1-基}氨基)-2-(N-甲氧基-N-甲基氨磺酰基)苯酚酯(即,6-氯-3-((3,4-二氧代-2-(戊烷-3-基氨基)环丁-1-烯-1-基)氨基)-2-羟基-N-甲氧基-N-甲基苯磺酰胺胆碱盐)并具有以下化学结构:
其他示例性CXCR2抑制剂
在一些实施例中,CXCR2抑制剂包含达尼利星(CAS登记号:954126-98-8)。达尼利星也称为GSK1325756或1-(4-氯-2-羟基-3-哌啶-3-基磺酰基苯基)-3-(3-氟-2-甲基苯基)脲。达尼利星披露于例如Miller等人Eur J Drug Metab Pharmacokinet[欧洲药物代谢和药代动力学杂志](2014)39:173–181;和Miller等人BMC Pharmacology and Toxicology[BMC药理学和毒理学](2015),16:18。
在一些实施例中,CXCR2抑制剂包含瑞帕利星(CAS登记号:266359-83-5)。瑞帕利星也称为瑞帕利辛或(2R)-2-[4-(2-甲基丙基)苯基]-N-甲基磺酰基丙酰胺。瑞帕利星是CXCR1/2的非竞争性变构抑制剂。瑞帕利星披露于例如Zarbock等人Br J Pharmacol.[英国药理学杂志]2008;155(3):357-64。
在一些实施例中,CXCR2抑制剂包含那伐利星。那伐利星也称为MK-7123、SCH527123、PS291822、或2-羟基-N,N-二甲基-3-[[2-[[(1R)-1-(5-甲基呋喃-2-基)丙基]氨基]-3,4-二氧代环丁烯-1-基]氨基]苯甲酰胺。那伐利星披露于例如Ning等人Mol CancerTher.[分子癌症治疗学]2012;11(6):1353-64。
CSF-1/1R结合剂
在一些实施例中,将CSF-1/1R结合剂与具有式(I)的化合物或其药学上可接受的盐、水合物、溶剂化物、前药、立体异构体、或互变异构体组合使用,以治疗疾病(例如癌症)。在一些实施例中,CSF-1/1R结合剂选自巨噬细胞集落刺激因子(M-CSF)的抑制剂(例如,M-CSF的单克隆抗体或Fab(例如,MCS110))、CSF-1R酪氨酸激酶抑制剂(例如,4-((2-(((1R,2R)-2-羟基环己基)氨基)苯并[d]噻唑-6-基)氧基)-N-甲基吡啶酰胺或BLZ945)、受体酪氨酸激酶抑制剂(RTK)(例如,培达替尼)、或靶向CSF-1R的抗体(例如,依米妥珠单抗(emactuzumab)或FPA008)。在一些实施例中,CSF-1/1R抑制剂是BLZ945。在一些实施例中,CSF-1/1R结合剂是MCS110。在其他实施例中,CSF-1/1R结合剂是培达替尼。
示例性CSF-1结合剂
在一些实施例中,CSF-1/1R结合剂包含巨噬细胞集落刺激因子(M-CSF)的抑制剂。M-CSF有时也称为CSF-1。在某些实施例中,CSF-1/1R结合剂是CSF-1的抗体(例如,MCS110)。在其他实施例中,CSF-1/1R结合剂是CSF-1R的抑制剂(例如,BLZ945)。
在一些实施例中,CSF-1/1R结合剂包含M-CSF的单克隆抗体或Fab(例如,MCS110/H-RX1)或CSF-1的结合剂,披露于国际申请公开号WO 2004/045532和WO 2005/068503(包括H-RX1或5H4,例如,针对M-CSF的抗体分子或Fab片段)和US 9079956中,将这些申请和专利通过引用以其全文并入。
表13a.示例性抗M-CSF抗体分子(MCS110)的氨基酸和核苷酸序列
在另一个实施例中,CSF-1/1R结合剂包含CSF-1R酪氨酸激酶抑制剂,即4-((2-(((1R,2R)-2-羟基环己基)氨基)苯并[d]噻唑-6-基)氧基)-N-甲基吡啶酰胺(BLZ945),或国际申请公开号WO 2007/121484和美国专利号7,553,854、8,173,689和8,710,048(将其通过引用以其全文并入)中所披露的化合物。
其他示例性CSF-1/1R结合剂
在一些实施例中,CSF-1/1R结合剂包含培达替尼(CAS登记号1029044-16-3)。培达替尼也称为PLX3397或5-((5-氯-1H-吡咯并[2,3-b]吡啶-3-基)甲基)-N-((6-(三氟甲基)吡啶-3-基)甲基)吡啶-2-胺。培达替尼是KIT、CSF1R和FLT3的小分子受体酪氨酸激酶(RTK)抑制剂。FLT3、CSF1R和FLT3在许多癌细胞类型中过表达或突变,并且在肿瘤细胞增殖和转移中起主要作用。PLX3397可以结合并抑制干细胞因子受体(KIT)、集落刺激因子-1受体(CSF1R)和FMS样酪氨酸激酶3(FLT3)的磷酸化,这可能导致抑制肿瘤细胞增殖和下调参与溶骨性转移性疾病的巨噬细胞、破骨细胞和肥大细胞。
在一些实施例中,CSF-1/1R结合剂是依米妥珠单抗。依米妥珠单抗也称为RG7155或RO5509554。依米妥珠单抗是人源化IgG1 mAb靶向的CSF1R。在一些实施例中,CSF-1/1R结合剂是FPA008。FPA008是抑制CSF1R的人源化mAb。
A2aR拮抗剂
在一些实施例中,将腺苷A2a受体(A2aR)拮抗剂(例如,A2aR途径的抑制剂,例如腺苷抑制剂,例如A2aR或CD-73的抑制剂)与具有式(I)的化合物或其药学上可接受的盐、水合物、溶剂化物、前药、立体异构体、或互变异构体组合使用,以治疗疾病(例如癌症)。在一些实施例中,A2aR拮抗剂选自PBF509/NIR178(帕罗生物制药公司(Palobiofarma)/诺华股份有限公司)、CPI444/V81444(卡沃斯公司(Corvus)/基因泰克公司)、AZD4635/HTL-1071(阿斯利康公司/海普泰公司(Heptares))、维帕迪南(Vipadenant)(雷达思公司/朱诺公司(Redox/Juno))、GBV-2034(Globavir公司)、AB928(阿克斯生物科学公司(ArcusBiosciences))、茶碱、伊曲茶碱(协和发酵工业株式会社(Kyowa Hakko Kogyo))、托扎迪南/SYN-115(阿索尔公司(Acorda))、KW-6356(协和发酵工业株式会社)、ST-4206(理地安生物科学公司(Leadiant Biosciences))、和普瑞迪南/SCH 420814(默克公司/谢林公司(Schering))。
示例性A2aR拮抗剂
在一些实施例中,A2aR拮抗剂包含PBF509(NIR178)或美国专利号8,796,284或国际申请公开号WO 2017/025918(将其通过引用以其全文并入本文)中所披露的化合物。PBF509(NIR178)也称为NIR178。
其他示例性A2aR拮抗剂
在某些实施例中,A2aR拮抗剂包含CPI444/V81444。CPI-444和其他A2aR拮抗剂披露于国际申请公开号WO 2009/156737(将其通过引用以其全文并入本文)中。在某些实施例中,A2aR拮抗剂是(S)-7-(5-甲基呋喃-2-基)-3-((6-(((四氢呋喃-3-基)氧基)甲基)吡啶-2-基)甲基)-3H-[1,2,3]三唑并[4,5-d]嘧啶-5-胺。在某些实施例中,A2aR拮抗剂是(R)-7-(5-甲基呋喃-2-基)-3-((6-(((四氢呋喃-3-基)氧基)甲基)吡啶-2-基)甲基)-3H-[1,2,3]三唑并[4,5-d]嘧啶-5-胺、或其外消旋体。在某些实施例中,A2aR拮抗剂是7-(5-甲基呋喃-2-基)-3-((6-(((四氢呋喃-3-基)氧基)甲基)吡啶-2-基)甲基)-3H-[1,2,3]三唑并[4,5-d]嘧啶-5-胺。
在某些实施例中,A2aR拮抗剂是AZD4635/HTL-1071。A2aR拮抗剂披露于国际申请公开号WO 2011/095625(将其通过引用以其全文并入本文)中。在某些实施例中,A2aR拮抗剂是6-(2-氯-6-甲基吡啶-4-基)-5-(4-氟苯基)-1,2,4-三嗪-3-胺。
在某些实施例中,A2aR拮抗剂是ST-4206(理地安生物科学公司)。在某些实施例中,A2aR拮抗剂是描述于美国专利号9,133,197(将其通过引用以其全文并入本文)中的A2aR拮抗剂。
在某些实施例中,A2aR拮抗剂是描述于美国专利号8,114,845和9,029,393、美国申请公开号2017/0015758和2016/0129108(将其通过引用以其全文并入本文)中的A2aR拮抗剂。
在一些实施例中,A2aR拮抗剂是伊曲茶碱(CAS登记号:155270-99-8)。伊曲茶碱也称为KW-6002或8-[(E)-2-(3,4-二甲氧基苯基)乙烯基]-1,3-二乙基-7-甲基-3,7-二氢-1H-嘌呤-2,6-二酮。例如,在LeWitt等人,(2008)Annals of Neurology[神经病学年鉴]63(3):295-302中披露了伊曲茶碱。
在一些实施例中,A2aR拮抗剂是托扎迪南(Biotie公司)。托扎迪南也称为SYN115或4-羟基-N-(4-甲氧基-7-吗啉-4-基-1,3-苯并噻唑-2-基)-4-甲基哌啶-1-甲酰胺。托扎迪南阻断在A2a受体上的内源性腺苷的作用,导致多巴胺对D2受体的作用增强,并抑制mGluR5受体上的谷氨酸的作用。在一些实施例中,A2aR拮抗剂是普瑞迪南(CAS登记号:377727-87-2)。普瑞迪南也称为SCH 420814或2-(2-呋喃基)-7-[2-[4-[4-(2-甲氧基乙氧基)苯基]-1-哌嗪基]乙基]7H-吡唑并[4,3-e][1,2,4]三唑并[1,5-c]嘧啶-5-胺。普瑞迪南被开发为一种药物,可作为腺苷A2A受体的有效和选择性拮抗剂。
在一些实施例中,A2aR拮抗剂是维帕迪南。维帕迪南也称为BIIB014、V2006、或3-[(4-氨基-3-甲基苯基)甲基]-7-(呋喃-2-基)三唑并[4,5-d]嘧啶-5-胺。其他示例性A2aR拮抗剂包括,例如ATL-444、MSX-3、SCH-58261、SCH-412,348、SCH-442,416、VER-6623、VER-6947、VER-7835、CGS-15943、和ZM-241,385。
在一些实施例中,A2aR拮抗剂是A2aR途径拮抗剂(例如,CD-73抑制剂,例如抗CD73抗体)是MEDI9447。MEDI9447是对CD73具有特异性的单克隆抗体。通过CD73靶向腺苷的细胞外产生可降低腺苷的免疫抑制作用。MEDI9447报道为具有一系列活性,例如,抑制CD73外核苷酸酶活性、减轻AMP介导的淋巴细胞遏制、以及抑制同基因肿瘤生长。MEDI9447可以驱动肿瘤微环境中骨髓和淋巴浸润白细胞群体两者的变化。这些变化包括例如CD8效应细胞和活化的巨噬细胞的增加,以及骨髓源性遏制细胞(MDSC)和调节性T淋巴细胞的比例的减少。
IDO抑制剂
在一些实施例中,将吲哚胺2,3-双加氧酶(IDO)和/或色氨酸2,3-双加氧酶(TDO)的抑制剂与具有式(I)的化合物或其药学上可接受的盐、水合物、溶剂化物、前药、立体异构体、或互变异构体组合使用,以治疗疾病(例如癌症)。在一些实施例中,IDO抑制剂选自(4E)-4-[(3-氯-4-氟苯胺基)-亚硝基亚甲基]-1,2,5-噁二唑-3-胺(也称为依多司他(epacadostat)或INCB24360)、英多莫德(),(1-甲基-D-色氨酸)、α-环己基-5H-咪唑并[5,1-a]异吲哚-5-乙醇(也称为NLG919)、英多莫德、和BMS-986205(以前称为F001287)。
示例性IDO抑制剂
在一些实施例中,IDO/TDO抑制剂是英多莫德(纽琳基因公司(New LinkGenetics))。英多莫德,1-甲基-色氨酸的D异构体,是一种口服施用的小分子吲哚胺2,3-双加氧酶(IDO)途径抑制剂,该抑制剂破坏了由肿瘤逃避免疫介导的破坏的机制。
在一些实施例中,IDO/TDO抑制剂是NLG919(纽琳基因公司)。NLG919是有效的IDO(吲哚胺-(2,3)-双加氧酶)途径抑制剂,在无细胞测定中具有7nM/75nM的Ki/EC50。
在一些实施例中,IDO/TDO抑制剂是依多司他(CAS登记号:1204669-58-8)。依多司他也称为INCB24360或INCB024360(因赛特公司)。依多司他是有效的和选择性的吲哚胺2,3-双加氧酶(IDO1)抑制剂,具有10nM的IC50,对其他相关酶(例如IDO2或色氨酸2,3-双加氧酶(TDO))具有高选择性。
在一些实施例中,IDO/TDO抑制剂是F001287(福克斯公司(Flexus)/BMS公司)。F001287是吲哚胺2,3-双加氧酶1(IDO1)的小分子抑制剂。
STING激动剂
在一些实施例中,将STING激动剂与具有式(I)的化合物或其药学上可接受的盐、水合物、溶剂化物、前药、立体异构体、或互变异构体组合使用,以治疗疾病(例如癌症)。在一些实施例中,STING激动剂是环二核苷酸,例如包含嘌呤或嘧啶核碱基(例如,腺苷、鸟嘌呤、尿嘧啶、胸腺嘧啶、或胞嘧啶核碱基)的环二核苷酸。在一些实施例中,环二核苷酸的核碱基包含相同核碱基或不同核碱基。
在一些实施例中,STING激动剂包含腺苷或鸟苷核碱基。在一些实施例中,STING激动剂包含一个腺苷核碱基和一个鸟苷核碱基。在一些实施例中,STING激动剂包含两个腺苷核碱基或两个鸟苷核碱基。
在一些实施例中,STING激动剂包含修饰的环二核苷酸,例如包含修饰的核碱基、修饰的核糖、或修饰的磷酸酯键。在一些实施例中,修饰的环二核苷酸包含修饰的磷酸酯键,例如硫代磷酸键。
在一些实施例中,STING激动剂包含具有2’,5’或3’,5’磷酸酯键的环二核苷酸(例如,修饰的环二核苷酸)。在一些实施例中,STING激动剂包含在磷酸酯键周围具有Rp或Sp立体化学的环二核苷酸(例如,修饰的环二核苷酸)。
在一些实施例中,STING激动剂是MK-1454(默克公司)。MK-1454是活化STING途径的干扰素基因(STING)激动剂的环二核苷酸刺激剂。示例性STING激动剂披露于例如PCT公开号WO 2017/027645中。
半乳凝素抑制剂
在一些实施例中,将半乳凝素(例如半乳凝素-1或半乳凝素-3)抑制剂与具有式(I)的化合物或其药学上可接受的盐、水合物、溶剂化物、前药、立体异构体、或互变异构体组合使用,以治疗疾病(例如癌症)。在一些实施例中,组合包含半乳凝素-1抑制剂和半乳凝素-3抑制剂。在一些实施例中,组合包含靶向半乳凝素-1和半乳凝素-3两者的双特异性抑制剂(例如,双特异性抗体分子)。在一些实施例中,半乳凝素抑制剂选自抗半乳凝素抗体分子、GR-MD-02(半乳凝素治疗学公司(Galectin Therapeutics))、半乳凝素-3C(曼德勒医学院(Mandal Med))、Anginex、或OTX-008(翁科埃斯克斯公司(OncoEthix),默克公司)。半乳凝素是与β-半乳糖苷酶糖结合的蛋白质家族。
蛋白质的半乳凝素家族包含至少半乳凝素-1、半乳凝素-2、半乳凝素-3、半乳凝素-4、半乳凝素-7、和半乳凝素-8。半乳凝素也称为S型凝集素,并且是具有例如细胞内和细胞外功能的可溶性蛋白质。
半乳凝素-1和半乳凝素-3在不同肿瘤类型中高度表达。半乳凝素-1和半乳凝素-3可以促进血管生成和/或将骨髓细胞重编程为前肿瘤表型,例如增强骨髓细胞的免疫遏制。可溶性半乳凝素-3也可以结合和/或灭活浸润性T细胞。
示例性半乳凝素抑制剂
在一些实施例中,半乳凝素抑制剂是抗体分子。在一个实施例中,抗体分子是单特异性抗体分子并结合单一表位。例如,具有多个免疫球蛋白可变结构域序列的单特异性抗体分子,每个免疫球蛋白可变结构域序列结合相同的表位。在一个实施例中,半乳凝素抑制剂是抗半乳凝素(例如抗半乳凝素-1或抗半乳凝素-3)抗体分子。在一些实施例中,半乳凝素抑制剂是抗半乳凝素-1抗体分子。在一些实施例中,半乳凝素抑制剂是抗半乳凝素-3抗体分子。
在一个实施例中,抗体分子是多特异性抗体分子,例如它包含多个免疫球蛋白可变结构域序列,其中该多个中的第一免疫球蛋白可变结构域序列对第一表位具有结合特异性并且该多个中的第二免疫球蛋白可变结构域序列对第二表位具有结合特异性。在一个实施例中,第一和第二表位在相同的抗原(例如相同的蛋白质(或多聚体蛋白质的亚基))上。在一个实施例中,第一表位和第二表位重叠。在一个实施例中,第一表位和第二表位不重叠。在一个实施例中,第一和第二表位在不同的抗原(例如不同的蛋白质(或多聚体蛋白质的不同亚基))上。在一个实施例中,多特异性抗体分子包含第三、第四或第五免疫球蛋白可变结构域。在一个实施例中,多特异性抗体分子是双特异性抗体分子、三特异性抗体分子、或四特异性抗体分子。
在一个实施例中,半乳凝素抑制剂是多特异性抗体分子。在一个实施例中,多特异性抗体分子是双特异性抗体分子。双特异性抗体对不多于两种抗原具有特异性。双特异性抗体分子的特征在于具有对第一表位的结合特异性的第一免疫球蛋白可变结构域序列、和具有对第二表位的结合特异性的第二免疫球蛋白可变结构域序列。在一个实施例中,第一和第二表位在相同的抗原(例如相同的蛋白质(或多聚体蛋白质的亚基))上。在一个实施例中,第一表位和第二表位重叠。在一个实施例中,第一表位和第二表位不重叠。在一个实施例中,第一和第二表位在不同的抗原(例如不同的蛋白质(或多聚体蛋白质的不同亚基))上。在一个实施例中,双特异性抗体分子包含对第一表位具有结合特异性的重链可变结构域序列和轻链可变结构域序列以及对第二表位具有结合特异性的重链可变结构域序列和轻链可变结构域序列。在一个实施例中,双特异性抗体分子包含对第一表位具有结合特异性的半抗体和对第二表位具有结合特异性的半抗体。在一个实施例中,双特异性抗体分子包含对第一表位具有结合特异性的半抗体、或其片段,以及对第二表位具有结合特异性的半抗体、或其片段。在一个实施例中,双特异性抗体分子包含对第一表位具有结合特异性的scFv、或其片段,以及对第二表位具有结合特异性的scFv、或其片段。在一个实施例中,半乳凝素抑制剂是双特异性抗体分子。在一个实施例中,第一表位位于半乳凝素-1上,并且第二表位位于半乳凝素-3上。
用于产生双特异性或异二聚体抗体分子的方案在本领域中是已知的;这些方案包括但不限于:“杵臼结构(knob in a hole)”途径,例如在US 5731168中所述;静电导向Fc配对,如例如在WO 09/089004、WO 06/106905和WO 2010/129304中所述;链交换工程化结构域(SEED)异二聚体形成,如例如在WO 07/110205中所述;Fab臂交换,如例如在WO 08/119353、WO 2011/131746和WO 2013/060867中所述;双抗体缀合物,例如使用具有胺反应性基团和巯基反应性基团的异双官能试剂,通过抗体交联以产生双特异性结构,如例如在US4433059中所述;通过对两条重链之间的二硫键进行还原和氧化的循环,通过重组来自不同抗体的半抗体(重-轻链对或Fab)产生的双特异性抗体决定簇,如例如在US 4444878中所述;三功能抗体,例如通过巯基反应性基团交联的三个Fab'片段,如例如在US 5273743中所述;生物合成结合蛋白,例如通过C-末端尾优选通过二硫键或胺反应性化学交联作用交联的scFv对,如例如在US 5534254中所述;双功能抗体,例如具有不同结合特异性的Fab片段,这些Fab片段通过已经替代恒定结构域的亮氨酸拉链(例如,c-fos和c-jun)二聚化,如例如在US 5582996中所述;如例如US 5591828中所述的双特异性和寡特异性单价和低价受体,例如通过一个抗体的CH1区与典型地具有相关轻链的另一个抗体的VH区之间的多肽间隔区连接的两个抗体(两个Fab片段)的VH-CH1区;双特异性DNA-抗体缀合物,例如抗体或Fab片段通过DNA的双链段交联,如例如在US 5635602中所述;双特异性融合蛋白,例如含有两个scFv(它们之间具有亲水性螺旋肽接头)和一个完全恒定区的表达构建体,如例如在US5637481中所述;多价和多特异性结合蛋白,例如具有Ig重链可变区结合区的第一结构域和Ig轻链可变区结合区的第二结构域的多肽二聚体,通常称为双体抗体(也披露了更高级结构,产生双特异性、三特异性或四特异性分子),如例如在US 5837242中所述;具有连接的VL和VH链(它们进一步用肽间隔区连接至抗体铰链区和CH3区)的微型抗体构建体,其可以二聚化形成双特异性/多价分子,如例如在US 5837821所述;用短肽接头(例如5或10个氨基酸)连接的或在任一取向上完全没有接头连接的VH和VL结构域,这些VH和VL结构域可以形成二聚体以形成双特异性双体抗体;三聚体和四聚体,如例如在US 5844094中所述;VH结构域(或家族成员中的VL结构域)的串,其通过肽键与C-末端的可交联基团连接,这些可交联基团进一步与VL结构域相关以形成一系列FV(或scFv),如例如在US 5864019中所述;以及具有经肽接头连接的VH和VL结构域两者的单链结合多肽通过非共价或化学交联组合成多价结构,以使用scFV或双体抗体类型形式形成例如同二价、异二价、三价和四价结构,如例如在US 5869620中所述。另外的示例性多特异性和双特异性分子及其制备方法发现于例如US 5910573、US 5932448、US5959083、US 5989830、US 6005079、US 6239259、US 6294353、US6333396、US 6476198、US 6511663、US 6670453、US 6743896、US6809185、US 6833441、US7129330、US 7183076、US 7521056、US7527787、US 7534866、US 7612181、US 2002/004587A1、US 2002/076406A1、US 2002/103345 A1、US 2003/207346 A1、US 2003/211078 A1、US2004/219643 A1、US 2004/220388 A1、US 2004/242847 A1、US2005/003403 A1、US2005/004352 A1、US 2005/069552 A1、US2005/079170 A1、US 2005/100543 A1、US 2005/136049 A1、US2005/136051 A1、US 2005/163782 A1、US 2005/266425 A1、US2006/083747A1、US 2006/120960 A1、US 2006/204493 A1、US2006/263367 A1、US 2007/004909A1、US2007/087381 A1、US2007/128150 A1、US 2007/141049 A1、US 2007/154901 A1、US2007/274985 A1、US 2008/050370 A1、US 2008/069820 A1、US2008/152645 A1、US 2008/171855A1、US 2008/241884 A1、US2008/254512 A1、US 2008/260738 A1、US 2009/130106 A1、US2009/148905 A1、US 2009/155275 A1、US 2009/162359 A1、US2009/162360 A1、US2009/175851 A1、US 2009/175867 A1、US2009/232811 A1、US 2009/234105 A1、US 2009/263392 A1、US2009/274649 A1、EP 346087 A2、WO 00/06605 A2、WO 02/072635A2、WO 04/081051 A1、WO 06/020258 A2、WO 2007/044887 A2、WO2007/095338 A2、WO 2007/137760A2、WO 2008/119353 A1、WO2009/021754 A2、WO 2009/068630 A1、WO 91/03493 A1、WO 93/23537A1、WO 94/09131 A1、WO 94/12625 A2、WO 95/09917 A1、WO 96/37621A2、WO 99/64460 A1。上述申请的内容通过引用以其全文并入本文。
在其他实施例中,抗半乳凝素(例如抗半乳凝素-1或抗半乳凝素-3)抗体分子(例如,单特异性、双特异性、或多特异性抗体分子)与另一个配偶体(蛋白质,例如作为融合分子,如融合蛋白)共价地连接(例如融合)。在一个实施例中,双特异性抗体分子对第一靶标(例如,针对半乳凝素-1)具有第一结合特异性,对第二靶标(例如,半乳凝素-3)具有第二结合特异性。
本发明提供了分离的核酸分子(其编码上述抗体分子)、其运载体和宿主细胞。核酸分子包括但不限于RNA、基因组DNA和cDNA。
在一些实施例中,半乳凝素抑制剂是可以结合和抑制半乳凝素(例如半乳凝素-1或半乳凝素-3)功能的肽,例如蛋白质。在一些实施例中,半乳凝素抑制剂是可以结合和抑制半乳凝素-3功能的肽。在一些实施例中,半乳凝素抑制剂是肽半乳凝素-3C。在一些实施例中,半乳凝素抑制剂是美国专利6,770,622(将其通过引用以其全文特此并入)中所披露的半乳凝素-3抑制剂。
半乳凝素-3C是半乳凝素-3的N末端截短的蛋白质,并且例如作为半乳凝素-3的竞争性抑制剂起作用。半乳凝素-3C预防内源性半乳凝素-3与例如癌细胞(例如表面上的层粘连蛋白)和细胞外基质(ECM)上的其他β-半乳糖苷酶的糖缀合物结合。半乳凝素-3C和其他示例性半乳凝素抑制肽披露于美国专利6,770,622中。
在一些实施例中,半乳凝素-3C包含SEQ ID NO:279或与其基本相同(例如,90%、95%或99%同一性)的氨基酸的氨基酸序列。
GAPAGPLIVPYNLPLPGGVVPRMLITILGTVKPNANRIALDFQRGNDVAFHFNPRFNENNRRVIVCNTKLDNNWGREERQSVFPFESGKPFKIQVLVEPDHFKVAVNDAHLLQYNHRVKKLNEISKLGISGDIDITSASYTMI(SEQ ID NO:279)。
在一些实施例中,半乳凝素抑制剂是可以结合并抑制半乳凝素-1功能的肽。在一些实施例中,半乳凝素抑制剂是肽Anginex:Anginex是结合半乳凝素-1的抗血管生成肽(Salomonsson E,等人,(2011)Journal of Biological Chemistry[生物化学杂志],286(16):13801-13804。Anginex与半乳凝素-1的结合可以干扰例如半乳凝素-1的促血管生成作用。
在一些实施例中,半乳凝素(例如半乳凝素-1或半乳凝素-3)抑制剂是非肽的拓扑模拟(topomimetic)分子。在一些实施例中,非肽的拓扑模拟半乳凝素抑制剂是OTX-008(OncoEthix)。在一些实施例中,非肽的拓扑模拟是披露于美国专利8,207,228(将其通过引用以其全文并入本文)中的非肽的拓扑模拟。OTX-008(也称为PTX-008或Calixarene0118)是半乳凝素-1的选择性变构抑制剂。OTX-008具有化学名称:N-[2-(二甲基氨基)乙基]-2-{[26,27,28-三({[2-(二甲基氨基)乙基]氨基甲酰基}甲氧基)五环[19.3.1.1,7.1,.15,]二十八-1(25),3(28),4,6,9(27),1012,15,17,19(26),21,23-十二烯-25-基]氧基}乙酰胺。
在一些实施例中,半乳凝素(例如半乳凝素-1或半乳凝素-3)抑制剂是基于碳水化合物的化合物。在一些实施例中,半乳凝素抑制剂是GR-MD-02(半乳凝素治疗学公司(Galectin Therapeutics))。
在一些实施例中,GR-MD-02是半乳凝素-3抑制剂。GR-MD-02是半乳糖-叉状多糖,也称为例如半乳糖阿拉伯-鼠李半乳糖醛酸酯。GR-MD-02和其他半乳糖-叉状聚合物(例如,半乳糖阿拉伯-鼠李半乳糖醛酸酯)披露于美国专利8,236,780和美国申请2014/0086932(将其全部内容通过引用以其全文并入本文)中。
MEK抑制剂
在一些实施例中,将MEK抑制剂与具有式(I)的化合物或其药学上可接受的盐、水合物、溶剂化物、前药、立体异构体、或互变异构体组合使用,以治疗疾病(例如癌症)。在一些实施例中,MEK抑制剂选自曲美替尼、司美替尼、AS703026、BIX 02189、BIX 02188、CI-1040、PD0325901、PD98059、U0126、XL-518、G-38963、或G02443714。在一些实施例中,MEK抑制剂是曲美替尼。
示例性MEK抑制剂
在一些实施例中,MEK抑制剂是曲美替尼。曲美替尼也称为JTP-74057、TMT212、N-(3-{3-环丙基-5-[(2-氟-4-碘苯基)氨基]-6,8-二甲基-2,4,7-三氧代-3,4,6,7-四氢吡啶并[4,3-d]嘧啶-1(2H)-基}苯基)乙酰胺、或Mekinist(CAS号871700-17-3)。
其他示例性MEK抑制剂
在一些实施例中,MEK抑制剂包含司美替尼,其具有化学名称:(5-[(4-溴-2-氯苯基)氨基]-4-氟-N-(2-羟基乙氧基)-1-甲基-1H-苯并咪唑-6-甲酰胺。司美替尼也称为AZD6244或ARRY 142886,例如,如PCT公开号WO 2003077914中所述。
在一些实施例中,MEK抑制剂包含AS703026、BIX 02189或BIX02188。
在一些实施例中,MEK抑制剂包含2-[(2-氯-4-碘苯基)氨基]-N-(环丙基甲氧基)-3,4-二氟-苯甲酰胺(也称为CI-1040或PD184352,例如,如PCT公开号WO 2000035436中所述)。
在一些实施例中,MEK抑制剂包含N-[(2R)-2,3-二羟基丙氧基]-3,4-二氟-2-[(2-氟-4-碘苯基)氨基]-苯甲酰胺(也称为PD0325901,例如,如PCT公开号WO 2002006213中所述)。
在一些实施例中,MEK抑制剂包含2’-氨基-3’-甲氧基黄酮(也称为PD98059),其可从德国比亚芬股份有限公司(Biaffin GmbH&Co.,KG)获得。
在一些实施例中,MEK抑制剂包含2,3-双[氨基[(2-氨基苯基)硫代]亚甲基]-丁二腈(也称为U0126,例如,如美国专利号2,779,780中所述)。
在一些实施例中,MEK抑制剂包含XL-518(也称为GDC-0973),其具有CAS号1029872-29-4,并且可从ACC集团(ACC Corp.)获得。
在一些实施例中,MEK抑制剂包含G-38963。
在一些实施例中,MEK抑制剂包含G02443714(也称为AS703206)。
MEK抑制剂的另外的实例披露于WO 2013/019906、WO 03/077914、WO 2005/121142、WO 2007/04415、WO 2008/024725和WO 2009/085983(将其内容通过引用以其全文并入本文)中。MEK抑制剂的另外的实例包括但不限于2,3-双[氨基[(2-氨基苯基)硫代]亚甲基]-丁二腈(也称为U0126,并描述于美国专利号2,779,780中);(3S,4R,5Z,8S,9S,11E)-14-(乙基氨基)-8,9,16-三羟基-3,4-二甲基-3,4,9,19-四氢-1H-2-苯并氧杂环四癸炔-1,7(8H)-二酮](也称为E6201,描述于PCT公开号WO 2003076424中);威罗菲尼(PLX-4032,CAS918504-65-1);(R)-3-(2,3-二羟基丙基)-6-氟-5-(2-氟-4-碘苯基氨基)-8-甲基吡啶并[2,3-d]嘧啶-4,7(3H,8H)-二酮(TAK-733,CAS 1035555-63-5);匹玛舍替(AS-703026,CAS1204531-26-9);2-(2-氟-4-碘苯基氨基)-N-(2-羟基乙氧基)-1,5-二甲基-6-氧代-1,6-二氢吡啶-3-甲酰胺(AZD 8330);和3,4-二氟-2-[(2-氟-4-碘苯基)氨基]-N-(2-羟基乙氧基)-5-[(3-氧代-[1,2]噁嗪烷-2-基)甲基]苯甲酰胺(CH 4987655或Ro 4987655)。
c-MET抑制剂
在一些实施例中,将c-MET抑制剂与具有式(I)的化合物或其药学上可接受的盐、水合物、溶剂化物、前药、立体异构体、或互变异构体组合使用,以治疗疾病(例如癌症)。c-MET(在许多肿瘤细胞类型中过表达或突变的受体酪氨酸激酶)在肿瘤细胞增殖、存活、侵袭、转移和肿瘤血管生成中起关键作用。c-MET的抑制可以在过表达c-MET蛋白或表达组成型活化的c-MET蛋白的肿瘤细胞中诱导细胞死亡。
在一些实施例中,c-MET抑制剂选自卡玛替尼(INC280)、JNJ-3887605、AMG 337、LY2801653、MSC2156119J、克唑替尼(crizotinib)、替万替尼、或戈伐替尼(golvatinib)。
示例性c-MET抑制剂
在一些实施例中,c-MET抑制剂包含卡玛替尼(INC280)或描述于美国专利号7,767,675、和US 8,461,330(将其通过引用以其全文并入)中的化合物。
其他示例性c-MET抑制剂
在一些实施例中,c-MET抑制剂包含JNJ-38877605。JNJ-38877605是口服可用的c-Met的小分子抑制剂。JNJ-38877605选择性结合c-MET,从而抑制c-MET磷酸化并破坏c-Met信号转导途径。
在一些实施例中,c-Met抑制剂是AMG 208。AMG 208是c-MET的选择性小分子抑制剂。AMG 208抑制c-MET的配体依赖性和配体非依赖性活化,抑制其酪氨酸激酶活性,这可能导致过表达c-Met的肿瘤中的细胞生长抑制。
在一些实施例中,c-Met抑制剂包含AMG 337。AMG 337是c-Met的口服生物可利用的抑制剂。AMG 337选择性结合c-MET,从而破坏c-MET信号转导途径。
在一些实施例中,c-Met抑制剂包含LY2801653。LY2801653是口服可用的c-Met的小分子抑制剂。LY2801653选择性结合c-MET,从而抑制c-MET磷酸化作用并破坏c-Met信号转导途径。
在一些实施例中,c-Met抑制剂包含MSC2156119J。MSC2156119J是口服生物可利用的c-Met抑制剂。MSC2156119J选择性结合c-MET,抑制c-MET磷酸化作用并破坏c-Met介导的信号转导途径。
在一些实施例中,c-MET抑制剂是卡玛替尼。卡玛替尼也称为INCB028060。卡玛替尼是口服生物可利用的c-MET抑制剂。卡玛替尼选择性结合c-Met,从而抑制c-Met磷酸化作用并破坏c-Met信号转导途径。
在一些实施例中,c-MET抑制剂包含克唑替尼。克唑替尼也称为PF-02341066。克唑替尼是口服可用的受体酪氨酸激酶间变性淋巴瘤激酶(ALK)和c-Met/肝细胞生长因子受体(HGFR)的基于氨基吡啶的抑制剂。克唑替尼以ATP竞争方式结合并抑制ALK激酶和ALK融合蛋白。此外,克唑替尼抑制c-Met激酶,并破坏c-Met信号传导通路。总之,该药剂抑制肿瘤细胞生长。
在一些实施例中,c-MET抑制剂包含戈伐替尼。戈伐替尼是口服生物可利用的c-MET和VEGFR-2的双激酶抑制剂,该抑制剂具有潜在的抗肿瘤活性。戈伐替尼结合并抑制c-MET和VEGFR-2的活性,这可能抑制肿瘤细胞生长和过表达这些受体酪氨酸激酶的肿瘤细胞的存活。
在一些实施例中,c-MET抑制剂是替万替尼。替万替尼也称为ARQ197。替万替尼是口服生物可利用的c-MET小分子抑制剂。替万替尼结合c-MET蛋白并破坏c-Met信号转导途径,可在过表达c-MET蛋白或表达组成型活化的c-Met蛋白的肿瘤细胞中诱导细胞死亡。
TGF-β抑制剂
在一些实施例中,将转化生长因子β(也称为TGF-βTGFβ、TGFb、或TGF-β,可在本文互换地使用)抑制剂与具有式(I)的化合物或其药学上可接受的盐、水合物、溶剂化物、前药、立体异构体、或互变异构体组合使用,以治疗疾病(例如癌症)。在某些实施例中,本文描述的组合包含转化生长因子β(也称为TGF-βTGFβ、TGFb、或TGF-β,可在本文互换地使用)抑制剂。
TGF-β属于结构相关的细胞因子的大家族,包括例如骨形态发生蛋白(BMP)、生长和分化因子、活化素和抑制素。在一些实施例中,本文描述的TGF-β抑制剂可以结合和/或抑制一种或多种TGF-β的同种型(例如,TGF-β1、TGF-β2、或TGF-β3中的一种、两种或全部)。
在正常条件下,TGF-β维持体内平衡并限制上皮细胞、内皮细胞、神经细胞和造血细胞谱系的生长(例如通过诱导抗增殖和凋亡应答)。典型和非典型信号传导途径参与细胞对TGF-β的应答。TGF-β/Smad典型途径的活化可介导TGF-β的抗增殖作用。非典型TGF-β途径可以活化另外的细胞内途径,例如促分裂原活化蛋白激酶(MAPK)、磷脂酰肌醇3激酶/蛋白激酶B、Rho样GTP酶(Tian等人Cell Signal.[细胞信号传导]2011;23(6):951-62;Blobe等人N Engl J Med.[新英格兰医学杂志]2000;342(18):1350-8),因此调节上皮细胞向间充质细胞转变(EMT)和/或细胞运动。
TGF-β信号传导途径的改变与人疾病(例如癌症、心血管疾病、纤维化、生殖障碍和伤口愈合)相关。不希望受理论束缚,据信在一些实施例中,TGF-β在癌症中的作用取决于疾病背景(例如,肿瘤阶段和遗传改变)和/或细胞环境。例如,在癌症的晚期阶段,TGF-β可以调节癌症相关过程,例如通过促进肿瘤生长(例如,诱导EMT)、阻断抗肿瘤免疫应答、增加肿瘤相关纤维化或增强血管生成(Wakefield和Hill Nat Rev Cancer.[癌症自然评论]2013;13(5):328-41)。在某些实施例中,包含本文描述的TGF-β抑制剂的组合用于治疗末期转移性癌症或晚期癌症。
临床前证据指示TGF-β在免疫调节中起重要作用(Wojtowicz-Praga Invest NewDrugs.[试验性新药]2003;21(1):21-32;Yang等人Trends Immunol.[趋势免疫]2010;31(6):220-7)。TGF-β可以经由若干种机制下调宿主免疫应答,例如,T辅助平衡转向Th2免疫表型;抑制抗肿瘤Th1型应答和M1型巨噬细胞;遏制细胞毒性CD8+T淋巴细胞(CTL)、NK淋巴细胞和树突细胞功能,产生CD4+CD25+T-调节性细胞;或促进具有促肿瘤活性(通过分泌免疫遏制性细胞因子(例如IL10或VEGF)、促炎细胞因子(例如IL6、TNFα或IL1)和产生具有遗传毒性活性的活性氧(ROS)介导)的M2型巨噬细胞(Yang等人Trends Immunol.[趋势免疫]2010;31(6):220-7;Truty和Urrutia Pancreatology.[胰腺学]2007;7(5-6):423-35;Achyut等人Gastroenterology.[肠胃病学]2011;141(4):1167-78)。
示例性TGF-β抑制剂
在一些实施例中,TGF-β抑制剂包含XOMA 089或国际申请公开号WO 2012/167143(将其通过引用以其全文并入)中所披露的化合物。
XOMA 089也称为XPA.42.089。XOMA 089是完全人单克隆抗体,该抗体特异性结合并中和TGF-β1和2配体。
XOMA 089的重链可变区具有以下氨基酸序列:QVQLVQSGAEVKKPGSSVKVSCKASGGTFSSYAISWVRQAPGQGLEWMGGIIPIFGTANYAQKFQGRVTITADESTSTAYMELSSLRSEDTAVYYCARGLWEVRALPSVYWGQGTLVTVSS(SEQ ID NO:284)(在WO2012/167143中披露为SEQ ID NO:6)。XOMA 089的轻链可变区具有以下氨基酸序列:SYELTQPPSVSVAPGQTARITCGANDIGSKSVHWYQQKAGQAPVLVVSEDIIRPSGIPERISGSNSGNTATLTISRVEAGDEADYYCQVWDRDSDQYVFGTGTKVTVLG(SEQ ID NO:285)(在WO2012/167143中披露为SEQ ID NO:8)。
XOMA 089以高亲和力结合人TGF-β同种型。通常,XOMA 089以高亲和力结合TGF-β1和TGF-β2,并且在较小程度上结合TGF-β3。在Biacore测定中,人TGF-β上的XOMA 089的KD是14.6pM(对于TGF-β1)、67.3pM(对于TGF-β2)、和948pM(对于TGF-β3)。鉴于与所有三种TGF-β同种型的高亲和力结合,在某些实施例中,预期XOMA 089以如本文所描述的XOMA 089的剂量结合TGF-β1、2和3。XOMA 089与啮齿动物和食蟹猴TGF-β交叉反应,并在体外和体内显示出功能活性,制作啮齿动物和食蟹猴相关物种用于毒理学研究。
其他示例性TGF-β抑制剂
在一些实施例中,TGF-β抑制剂包含夫苏木单抗(CAS登记号:948564-73-6)。夫苏木单抗也称为GC1008。夫苏木单抗是结合和抑制TGF-β同种型1、2和3的人单克隆抗体。
夫苏木单抗的重链具有以下氨基酸序列:QVQLVQSGAEVKKPGSSVKVSCKASGYTFSSNVISWVRQAPGQGLEWMGGVIPIVDIANYAQRFKGRVTITADESTSTTYMELSSLRSEDTAVYYCASTLGLVLDAMDYWGQGTLVTVSSASTKGPSVFPLAPCSRSTSESTAALGCLVKDYFPEPVTVSWNSGALTSGVHTFPAVLQSSGLYSLSSVVTVPSSSLGTKTYTCNVDHKPSNTKVDKRVESKYGPPCPSCPAPEFLGGPSVFLFPPKPKDTLMISRTPEVTCVVVDVSQEDPEVQFNWYVDGVEVHNAKTKPREEQFNSTYRVVSVLTVLHQDWLNGKEYKCKVSNKGLPSSIEKTISKAKGQPREPQVYTLPPSQEEMTKNQVSLTCLVKGFYPSDIAVEWESNGQPENNYKTTPPVLDSDGSFFLYSRLTVDKSRWQEGNVFSCSVMHEALHNHYTQKSLSLSLGK(SEQ ID NO:280)。
夫苏木单抗的轻链具有以下氨基酸序列:ETVLTQSPGTLSLSPGERATLSCRASQSLGSSYLAWYQQKPGQAPRLLIYGASSRAPGIPDRFSGSGSGTDFTLTISRLEPEDFAVYYCQQYADSPITFGQGTRLEIKRTVAAPSVFIFPPSDEQLKSGTASVVCLLNNFYPREAKVQWKVDNALQSGNSQESVTEQDSKDSTYSLSSTLTLSKADYEKHKVYACEVTHQGLSSPVTKSFNRGEC(SEQ ID NO:281)。
夫苏木单抗披露于例如国际申请公开号WO 2006/086469、和美国专利号8,383,780和8,591,901(将其通过引用以其全文并入)中。
IL-1β抑制剂
白介素-1(IL-1)细胞因子家族是一组分泌型多效性细胞因子,在炎症和免疫应答中起重要作用。在包括癌症的多种临床背景中观察到IL-1的增加(Apte等人(2006)CancerMetastas是Rev.[癌症和转移综述]387-408页;Dinarello(2010)Eur.J.Immunol.[欧洲免疫学杂志]599-606页)。IL-1家族尤其包含IL-1β(IL-1b)和IL-1α(IL-1a)。IL-1b在肺癌、乳腺癌和结直肠癌中升高(Voronov等人(2014)Front Physiol.[生物学前沿]114页)并且与预后不良相关(Apte等人(2000)Adv.Exp.Med.Biol.[实验医学与生物学进展]277-88页)。不希望受理论束缚,据信在一些实施例中,衍生自肿瘤微环境并由恶性细胞分泌的IL-1b促进肿瘤细胞增殖、增加侵袭性并抑制抗肿瘤免疫应答(部分通过招募抑制性嗜中性粒细胞)(Apte等人(2006)Cancer Metastas是Rev.[癌症和转移综述]387-408页;Miller等人(2007)J.Immunol.[免疫学杂志]6933-42页)。实验数据指示IL-1b的抑制导致肿瘤负荷和转移的减少(Voronov等人(2003)Proc.Natl.Acad.Sci.U.S.A.[美国国家科学院院刊]2645-50页)。
在一些实施例中,将白细胞介素-1β(IL-1β)抑制剂与具有式(I)的化合物或其药学上可接受的盐、水合物、溶剂化物、前药、立体异构体、或互变异构体组合使用,以治疗疾病(例如癌症)。在一些实施例中,IL-1β抑制剂选自卡那单抗(canakinumab)、格沃吉珠单抗(gevokizumab)、阿那白滞素、或利纳西普(Rilonacept)。在一些实施例中,IL-1β抑制剂是卡那单抗。
示例性IL-1β抑制剂
卡那单抗披露于例如WO 2002/16436、US 7,446,175、和EP 1313769中。卡那单抗的重链可变区具有以下氨基酸序列:MEFGLSWVFLVALLRGVQCQVQLVESGGGVVQPGRSLRLSCAASGFTFSVYGMNWVRQAPGKGLEWVAIIWYDGDNQYYADSVKGRFTISRDNSKNTLYLQMNGLRAEDTAVYYCARDLRTGPFDYWGQGTLVTVSS(SEQ ID NO:282)(在US 7,446,175中披露为SEQ ID NO:1)。卡那单抗的轻链可变区具有以下氨基酸序列:MLPSQLIGFLLLWVPASRGEIVLTQSPDFQSVTPKEKVTITCRASQSIGSSLHWYQQKPDQSPKLLIKYASQSFSGVPSRFSGSGSGTDFTLTINSLEAEDAAAYYCHQSSSLPFTFGPGTKVDIK(SEQ ID NO:283)(在US7,446,175中披露为SEQ ID NO:2)。
卡那单抗已被用于例如成人和儿童中的Cryopyrin蛋白相关周期综合征(CAPS)的治疗、用于系统性幼年型特发性关节炎(SJIA)的治疗、用于成人中急性痛风性关节炎发作的对症治疗、和用于其他IL-1β驱动的炎性疾病。不希望受理论束缚,据信在一些实施例中,IL-1β抑制剂(例如,卡那单抗)可以增加抗肿瘤免疫应答,例如通过阻断IL-1b的一种或多种功能,包括例如募集免疫遏制性嗜中性粒细胞对肿瘤微环境的影响、刺激肿瘤血管生成和/或促进转移(Dinarello(2010)Eur.J.Immunol.[欧洲免疫学杂志]599-606页)。
在一些实施例中,本文描述的组合包括IL-1β抑制剂、卡那单抗或WO 2002/16436中所披露的化合物、以及免疫检查点分子的抑制剂(例如,PD-1的抑制剂(例如,抗PD-1抗体分子))。IL-1是分泌型多效性细胞因子,在炎症和免疫应答中起重要作用。在包括癌症的多种临床背景中观察到IL-1的增加(Apte等人(2006)Cancer Metastas是Rev.[癌症和转移综述]387-408页;Dinarello(2010)Eur.J.Immunol.[欧洲免疫学杂志]599-606页)。IL-1b在肺癌、乳腺癌和结直肠癌中升高(Voronov等人(2014)Front Physiol.[生物学前沿]114页)并且与预后不良相关(Apte等人(2000)Adv.Exp.Med.Biol.[实验医学与生物学进展]277-88页)。不希望受理论束缚,据信在一些实施例中,衍生自肿瘤微环境并由恶性细胞分泌的IL-1b促进肿瘤细胞增殖、增加侵袭性并抑制抗肿瘤免疫应答(部分通过招募抑制性嗜中性粒细胞)(Apte等人(2006)Cancer Metastas是Rev.[癌症和转移综述]387-408页;Miller等人(2007)J.Immunol.[免疫学杂志]6933-42页)。实验数据指示IL-1b的抑制导致肿瘤负荷和转移的减少(Voronov等人(2003)Proc.Natl.Acad.Sci.U.S.A.[美国国家科学院院刊]2645-50页)。卡那单抗可以结合IL-1b并抑制IL-1介导的信号传导。因此,在某些实施例中,IL-1β抑制剂(例如,卡那单抗)增强或用于增强PD-1抑制剂(例如,抗PD-1抗体分子)的免疫介导的抗肿瘤作用。
在一些实施例中,IL-1β抑制剂、卡那单抗或WO 2002/16436中所披露的化合物、以及免疫检查点分子的抑制剂(例如,PD-1的抑制剂(例如,抗PD-1抗体分子))各自以剂量和/或时间表施用,组合以实现所希望的抗肿瘤活性。
MDM2抑制剂
在一些实施例中,将小鼠双微体2同源物(MDM2)抑制剂与具有式(I)的化合物或其药学上可接受的盐、水合物、溶剂化物、前药、立体异构体、或互变异构体组合使用,以治疗疾病(例如癌症)。MDM2的人同源物也称为HDM2。在一些实施例中,本文描述的MDM2抑制剂也称为HDM2抑制剂。在一些实施例中,MDM2抑制剂选自HDM201或CGM097。
在一个实施例中,MDM2抑制剂包含(S)-1-(4-氯苯基)-7-异丙氧基-6-甲氧基-2-(4-(甲基(((1r,4S)-4-(4-甲基-3-氧代哌嗪-1-基)环己基)甲基)氨基)苯基)-1,2-二氢异喹啉-3(4H)-酮(也称为CGM097)或PCT公开号WO2011/076786中所披露的化合物,以治疗障碍,例如本文描述的障碍。在一个实施例中,将本文披露的治疗剂与CGM097组合使用。
在一个实施例中,MDM2抑制剂包含p53和/或p53/Mdm2相互作用的抑制剂。在一个实施例中,MDM2抑制剂包含(S)-5-(5-氯-1-甲基-2-氧代-1,2-二氢吡啶-3-基)-6-(4-氯苯基)-2-(2,4-二甲氧基嘧啶-5-基)-1-异丙基-5,6-二氢吡咯并[3,4-d]咪唑-4(1H)-酮(也称为HDM201)或PCT公开号WO 2013/111105中所披露的化合物,以治疗障碍,例如本文描述的障碍。在一个实施例中,将本文披露的治疗剂与HDM201组合使用。在一些实施例中,口服施用HDM201。
在一个实施例中,本文披露的组合适用于体内癌症的治疗。例如,所述组合可用于抑制癌性肿瘤的生长。所述组合还可以与以下中的一种或多种组合使用:护理标准治疗(standard of care treatment)(例如,用于癌症或感染性障碍)、疫苗(例如治疗性癌症疫苗)、细胞疗法、放射疗法、手术或任何其他治疗剂或方式,以治疗本文的障碍。例如,为了实现免疫的抗原特异性增强,可以将所述组合与目的抗原一起施用。
实例
通过以下实例和合成方案进一步说明本披露,这些实例和合成方案不应解释为将本披露的范围或精神限制于本文描述的具体程序。应理解,这些实例被提供用来说明某些实施例,并且本披露的范围不旨被其限制。应进一步理解,在不脱离本披露的精神和/或所附权利要求的范围的情况下,可以采取可为本领域技术人员提出的各种其他实施例、修改和其等效物。
本披露的化合物可通过有机合成领域中已知的方法制备。在所有方法中,应理解,可以在必要时根据化学的通用原理使用针对敏感或反应性基团的保护基团。根据有机合成的标准方法操作保护基团(T.W.Green和P.G.M.Wuts(1999)Protective Groups inOrganic Synthesis[有机合成中的保护基团],第3版,John Wiley&Sons[约翰威立父子出版公司])。使用对本领域技术人员显而易见的方法,在化合物合成的方便阶段除去这些基团。
分析方法、材料和仪器
除非另有说明,否则使用从商业供应商处收到的试剂和溶剂。除非另有说明,否则在Bruker Avance光谱仪或Varian Oxford 400MHz光谱仪上获得质子核磁共振(NMR)光谱。光谱以ppm(δ)给出,并且以赫兹报告偶联常数J。将四甲基硅烷(TMS)用作内标。相对于二甲基亚砜(δ2.50)、甲醇(δ3.31)、氯仿(δ7.26)或NMR光谱数据中所示的其他溶剂,以ppm报告化学位移。将少量干燥样品(2mg至5mg)溶于适当的氘代溶剂(1mL)中。化学名称使用来自CambridgeSoft的ChemBioDraw Ultra v12生成。
使用Waters系统(Acquity UPLC和Micromass ZQ质谱仪)或Agilent-1260Infinity(6120四极杆)收集质谱(ESI-MS);除非另有说明,否则报告的所有质量均为质子化的母离子的m/z。将样品溶解于合适的溶剂(如MeCN、DMSO、或MeOH)中,并且使用自动样品处理器将其直接注入柱中。在Waters Acquity UPLC系统上进行分析(柱:WatersAcquity UPLC BEH C18 1.7μm,2.1x 30mm;流速:1mL/min;55℃(柱温);溶剂A:在水中的0.05%甲酸,溶剂B:在MeOH中的0.04%甲酸;梯度:从0至0.10min,95%溶剂A;从0.10至0.50min,95%溶剂A至20%溶剂A;从0.50至0.60min,20%溶剂A至5%溶剂A;从0.6至0.8min,保持在5%溶剂A;从0.80至0.90min,5%溶剂A至95%溶剂A;以及从0.90至1.15min,保持在95%溶剂A)。
以下实例和本文其他地方使用的缩写词是:
ACN 乙腈
AcOH 乙酸
AIBN 偶氮二异丁腈
aq. 水性的
B2pin2 双(频哪醇)二硼
Boc2O 二碳酸二叔丁酯
Bn 苄基
BnBr 苄基溴
br 宽峰
d 双重峰
dd 双二重峰
ddd 双重双重双重峰
ddq 双重双重四重峰
ddt 双重双重三重峰
dq 双四重峰
dt 双三重峰
dtd 双重三重双重峰
Cs2CO3 碳酸铯
DCE 1,2-二氯乙烷
DCM 二氯甲烷
DHP 二氢吡喃
DIBAL-H 氢化二异丁基铝
DIPEA(DIEA) 二异丙基乙胺
DIPEA N,N-二异丙基乙胺
DMA N,N-二甲基乙酰胺
DMAP 4-二甲基氨基吡啶
DME 1,2-二甲氧基乙烷
DMF N,N-二甲基甲酰胺
DMP 戴斯-马丁高碘烷或1,1,1-三(乙酰氧基)-1,1-二氢-1,2-苯碘酰-
3-(1H)-酮
DMSO 二甲亚砜
EC50 半数最大有效浓度
EtOH 乙醇
Et2O 乙醚
Et3N 三乙胺
EtOAc 乙酸乙酯
HCl 氯化氢
hept 七重峰
HPLC 高效液相色谱法
h或hr 小时
HRMS 高分辨质谱法
g 克
IC50 半数最大抑制浓度
K2CO3 碳酸钾
KI 碘化钾
KOAc 乙酸钾
K3PO4 磷酸三钾
LAH 氢化铝锂
LCMS 液相色谱质谱法
LDA 二异丙基氨基锂
m 多重峰
MeCN 乙腈
MeOH 甲醇
mg 毫克
MHz 兆赫
min 分钟
mL 毫升
mmol 毫摩尔
M 摩尔
MS 质谱法
NaH 氢化钠
NaHCO3 碳酸氢钠
NaBH(OAc)3 三乙酰氧基硼氢化钠
Na2SO4 硫酸钠
NBS N-溴代琥珀酰亚胺
NMP N-甲基-2-吡咯烷酮
NMR 核磁共振
Pd/C 钯碳
PdCl2(dppf)·DCM与二氯甲烷复合的[1,1'-双(二苯基膦基)二茂铁]二氯钯(II)
Pd(PPh3)4 四(三苯基膦)钯(0)
PMB 对甲氧基苄基
q 四重峰
qd 四重双重峰
quint 五重峰
quintd 五重双重峰
rt或r.t. 室温
Rt 保留时间
s 单峰
SnBu3 三丁基锡
t 三重峰
td 三重双重峰
tdd 三重双重双重峰
TBAI 四丁基碘化铵
TEA(NEt3) 三乙胺
TFA 三氟乙酸
TfOH 三氟甲磺酸
THF 四氢呋喃
THP 四氢吡喃
Ts 甲苯磺酰基
tt 三重三重峰
ttd 三重三重双重峰
TLC 薄层色谱法
UPLC 超高效液相色谱法
XPhos Pd G2氯(2-二环己基膦基-2',4',6'-三异丙基-1,1'-联苯基)[2-(2'-氨基-1,1'-联苯基)]钯(II)
μW微波
实例1:3-(5-溴-1-氧代异吲哚啉-2-基)哌啶-2,6-二酮(INT-1)
如美国专利申请US 2009/0142297中所述地制备中间体1a。
向甲基4-溴-2-(溴甲基)苯甲酸酯(1a,15g,48.7mmol)在DMF(150mL)中的搅拌溶液中添加3-氨基哌啶-2,6-二酮HCl盐(1b,6.9g,53.6mmol)和K2CO3(20.2g,146.1mmol),并将获得的反应混合物在70℃搅拌16h。使反应混合物冷却至室温并浓缩至干。添加水并将混合物在室温搅拌30min。将获得的固体过滤,用乙酸乙酯洗涤,并在真空过滤下干燥,以提供3-(5-溴-1-氧代异吲哚啉-2-基)哌啶-2,6-二酮INT-1(10.6g,32.9mmol,67%产率)。MS[M+H]+=323.0。1H NMR(400MHz,DMSO-d6)δ10.99(s,1H),7.91-7.88(m,1H),7.72(dd,J=8.1,1.6Hz,1H),7.67(d,J=8.0Hz,1H),5.11(dd,J=13.3,5.1Hz,1H),4.47(d,J=17.7Hz,1H),4.34(d,J=17.7Hz,1H),2.98-2.83(m,1H),2.65-2.55(m,1H),2.45-2.29(m,1H),2.01(dtd,J=12.7,5.3,2.3Hz,1H)。
实例2:3-(1-氧代-5-(4,4,5,5-四甲基-1,3,2-二氧杂环戊硼烷-2-基)异吲哚啉-2-基)哌啶-2,6-二酮(INT-2)
向含有3-(5-溴-1-氧代异吲哚啉-2-基)哌啶-2,6-二酮(INT-1,1g,3.09mmol)的微波小瓶中添加B2Pin2(0.943g,3.71mmol)、乙酸钾(0.911g,9.28mmol)、和PdCl2(dppf)·CH2Cl2(0.253g,0.309mmol)。将小瓶密封,添加DMF(10.3mL)并将混合物用氮气脱气5分钟。将所得混合物在100℃搅拌1h然后用DMF稀释。添加水,将所得棕色沉淀物通过过滤收集并用水和乙醚洗涤,以提供呈棕色固体的INT-2(1.06g,2.86mmol,93%)。MS[M+H]+=371.4。1HNMR(400MHz,DMSO-d6)δ11.01(s,1H),7.90(s,1H),7.71-7.83(m,2H),5.13(dd,J=13.25,5.04Hz,1H),4.31-4.52(m,2H),2.85-2.98(m,1H),2.60(br d,J=17.17Hz,1H),2.31-2.47(m,1H),1.97-2.07(m,1H),1.32(s,12H)。
实例3:3-(1-氧代-5-(三丁基甲锡烷基)异吲哚啉-2-基)哌啶-2,6-二酮(INT-3)
向装有INT-1(2.0g,1.69mmol)在二噁烷(40mL)中的溶液的微波小瓶中添加双(三丁基锡)(4.30g,7.42mmol),并将所得混合物用氩气脱气10min。添加PdCl2(PPh3)2(434mg,0.62mmol)并将反应混合物在110℃搅拌16h。将反应混合物用水淬灭并用EtOAc(2x 100mL)萃取。将合并的有机萃取物用饱和氯化钠水溶液洗涤,经Na2SO4干燥,过滤,并在减压下浓缩。将粗材料通过硅胶色谱法(用在己烷中的90%EtOAc洗脱)纯化,以提供呈白色固体的INT-3(1.2g,2.25mmol,36%)。MS[M+H]+=553.2。1H NMR(300MHz,DMSO-d6):δ10.99(s,1H),7.69-7.56(m,3H),5.12(dd,J=13.2,4.8Hz,1H),4.46(d,J=17.2Hz,1H),4.31(d,J=17.2Hz,1H),2.92-2.85(m,1H),2.62-2.41(m,2H),2.02-1.98(m,1H),1.52-1.43(m,6H),1.35-1.20(m,6H),1.17-1.06(m,6H),0.98-0.84(m,9H)。
实例4:1-(4-甲氧基苄基)-3-(1-氧代-5-(三丁基甲锡烷基)异吲哚啉-2-基)哌啶-2,6-二酮(INT-4)
步骤1.3-(5-溴-1-氧代异吲哚啉-2-基)-1-(4-甲氧基苄基)哌啶-2,6-二酮
向INT-1(5.0g,15.47mmol)和K2CO3(4.3g,30.94mmol)在DMF(50mL)中的搅拌溶液中添加4-甲氧基苄氯(2.66g,17.02mmol),随后添加TBAI(1.14g,3.09mmol),并将所得混合物在室温搅拌16h。将反应混合物用冰冷的水淬灭并搅拌1h。将所得沉淀物过滤并在减压下干燥,以提供呈灰色固体的4-2(6.0g,13.53mmol,87%)。MS[M+H]+=442.9。
步骤2.1-(4-甲氧基苄基)-3-(1-氧代-5-(三丁基甲锡烷基)异吲哚啉-2-基)哌啶-2,6-二酮(INT-4)
向装有在二噁烷(20mL)中的4-2(1.0g,2.25mmol)的微波管中添加双(三丁基锡)(1.57g,2.70mmol),并将所得混合物用氩气脱气10min。添加PdCl2(PPh3)2(157mg,0.22mmol)并将混合物在110℃搅拌16h。将反应混合物用水淬灭并用EtOAc(2x 75mL)萃取。将合并的有机萃取物用饱和氯化钠水溶液洗涤,经Na2SO4干燥,过滤,并在减压下浓缩。将粗材料通过硅胶色谱法(用在己烷中的60% EtOAc洗脱)纯化,以提供呈黏性液体的INT-4(300mg,0.46mmol,20%)。MS[M+H]+=655.2。1H NMR(300MHz,DMSO-d6):δ7.69-7.59(m,3H),7.18(d,J=9.2Hz,2H),6.85(d,J=8.6Hz,2H),5.26(dd,J=13.2,4.8Hz,1H),4.78(d,J=17.2Hz,1H),4.73(d,J=17.2Hz,1H),4.50-4.25(m,2H),3.71(s,3H),3.12-3.05(m,1H),2.72-2.65(m,1H),2.45-2.39(m,1H),2.05-2.01(m,1H),1.54-1.49(m,6H),1.32-1.23(m,6H),1.11-1.07(m,6H),0.86-0.83(m,9H)。
实例5:3-(5-(1H-咪唑-4-基)-1-氧代异吲哚啉-2-基)哌啶-2,6-二酮TFA盐(INT-5)
将INT-3(650mg,1.22mmol)和5-2(237mg,1.22mmol)在1,4-二噁烷(20mL)中的混合物放入微波管中。将所得混合物用氩气脱气15min,然后添加PdCl2(dppf)·DCM(84mg,0.12mmol)。将反应混合物在110℃搅拌36小时然后浓缩至干。将粗产物通过反相HPLC纯化,以提供呈TFA盐的INT-5(25mg,0.08mmol,23%)。MS[M+H]+=311.0。1H NMR(400MHz,DMSO-d6)δ13.07(br s,1H),11.02(s,1H),9.01(br s,1H),8.23(s,1H),8.04(s,1H),7.95(d,J=7.6Hz,1H),7.86(d,J=7.6Hz,1H),5.15(dd,J=13.2,4.8Hz,1H),4.53(d,J=17.2Hz,1H),4.40(d,J=17.2Hz,1H),2.95-2.88(m,1H),2.68-2.56(m,1H),2.55-2.50(m,1H),2.05-2.01(m,1H)。
实例6:3-(5-(1-苄基-5-甲氧基-1H-吡唑-3-基)-1-氧代异吲哚啉-2-基)哌啶-2,6-二酮(I-40)
步骤1. 3-(5-(3-甲氧基-1H-吡唑-5-基)-1-氧代异吲哚啉-2-基)-1-(4-甲氧基苄基)哌啶-2,6-二酮(6-2)
将5-碘-3-甲氧基-1H-吡唑(6-1,500mg,1.45mmol)[如WO2010015656中所述地制备],INT-4(1.21g,1.85mmol)和1,4-二噁烷(10mL)在微波管中的溶液用氩气脱气10min。添加Pd(PPh3)4(108mg,0.15mmol)并将所得混合物在110℃搅拌16小时。使反应混合物冷却至室温,用冰冷的水淬灭并用EtOAc(3x 50mL)萃取。将合并的有机萃取物用饱和氯化钠水溶液洗涤,经Na2SO4干燥,过滤,并在减压下浓缩。将粗材料通过硅胶色谱法(用在DCM中的7%MeOH洗脱)纯化,以提供呈浅黄色固体的6-2(300mg,0.65mmol,29%)。MS[M+H]+=461.2。
步骤2. 3-(5-(1-苄基-5-甲氧基-1H-吡唑-3-基)-1-氧代异吲哚啉-2-基)-1-(4-甲氧基苄基)哌啶-2,6-二酮(6-3)
向6-2(130mg,0.28mmol)和K2CO3(117mg,0.85mmol)在DMF(8mL)中的搅拌悬浮液中添加苄基溴(0.05mL,0.42mmol),并将所得混合物在室温搅拌16小时。将反应混合物用冰冷的水淬灭并用EtOAc(3x 30mL)萃取。将合并的有机萃取物用饱和氯化钠水溶液洗涤,经Na2SO4干燥,过滤,并在减压下浓缩。将粗材料通过硅胶色谱法(用在DCM中的6% MeOH洗脱)纯化,以提供呈浅黄色固体的6-3(80mg,0.14mmol,51%,呈两种位置异构体的混合物)MS[M+H]+=551.3。
步骤3.3-(5-(1-苄基-5-甲氧基-1H-吡唑-3-基)-1-氧代异吲哚啉-2-基)哌啶-2,6-二酮(I-40)
将6-2(160mg,0.29mmol)在TFA(3mL)和TfOH(3mL)中的溶液在80℃加热4小时。使反应混合物冷却至室温,用冰冷的水淬灭,用NaHCO3水溶液碱化,并用EtOAc(3x 30mL)萃取。将合并的有机萃取物用饱和氯化钠水溶液洗涤,经Na2SO4干燥,过滤,并在减压下浓缩。将粗材料通过硅胶色谱法(用在DCM中的8% MeOH洗脱)纯化,以提供45mg的两种位置异构体的混合物。将混合物进一步通过反相HPLC(KINETEX C18(150x 4.6mm,5μ),移动相:A=在水中的0.1% TFA,B=CH3CN)纯化,以提供呈灰白色固体的I-40(13mg,0.03mmol,10%)。MS[M+H]+=431.2。1H NMR(400MHz,DMSO-d6):δ10.99(s,1H),7.98(s,1H),7.90(d,J=7.6Hz,1H),7.72(d,J=8.0Hz,1H),7.33-7.25(m,3H),7.20(d,J=7.6Hz,2H),6.40(s,1H),5.18(s,2H),5.12(dd,J=13.2,4.8Hz,1H),4.48(d,J=17.2Hz,1H),4.35(d,J=17.2Hz,1H),3.95(s,3H),2.92-2.88(m,1H),2.65-2.45(m,2H),2.03-1.98(m,1H)。
实例7:3-(5-(1-甲基-1H-咪唑-4-基)-1-氧代异吲哚啉-2-基)哌啶-2,6-二酮(I-12)
向微波小瓶中装入溶解于DMF(2mL)中的INT-1(200mg,0.62mmol)和7-2(276mg,0.74mmol),并用氩气脱气10min。添加PdCl2(dppf)·DCM(14mg,0.03mmol)并将反应在130℃在微波中搅拌90min。将反应冷却至室温,用冰冷的水淬灭并用EtOAc(3x 30mL)萃取。将合并的有机萃取物用饱和氯化钠水溶液洗涤,经Na2SO4干燥,过滤,并在减压下浓缩。将粗材料通过硅胶色谱法(用在DCM中的10%MeOH洗脱)纯化,以提供呈棕色固体的I-12(15mg,0.04mmol,7.5%)。MS[M+H]+=325.3。1H NMR(400MHz,DMSO-d6):δ10.97(s,1H),7.95(s,1H),7.88(d,J=8.4Hz,1H),7.69(s,1H),7.68(d,J=7.6Hz,2H),5.11(dd,J=13.2,4.8Hz,1H),4.47(d,J=17.2Hz,1H),4.33(d,J=17.2Hz,1H),3.70(s,3H),2.96-2.87(m,1H),2.62-2.58(m,1H),2.42-2.35(m,1H),2.02-1.99(m,1H)。
实例8:中间体2和2A的制备:1-苄基-3-溴-1H-吡唑(8-2)和1-苄基-5-溴-1H-吡唑(INT-8-3)
向3-溴-1H-吡唑(8-1,500mg,3.40mmol)在乙醇(10mL)中的溶液中添加K2CO3(1.40g,12.20mmol),随后添加苄基溴(0.40mL,3.40mmol),并将所得混合物在80℃搅拌2h。然后将反应混合物冷却至室温,通过小垫过滤,并将垫用乙醇洗涤。在减压下除去乙醇后,将粗材料溶解于EtOAc(25mL)中,用饱和氯化钠水溶液洗涤,经Na2SO4干燥,过滤,并在减压下浓缩。将粗材料通过硅胶色谱法(用在己烷中的20% EtOAc洗脱)纯化,以提供呈透明液体的INT-8-2和INT-8-3的混合物(600mg,2.54mmol,75%)。MS[M+H]+=236.9。
实例9:3-(5-(1-苄基-1H-吡唑-3-基)-1-氧代异吲哚啉-2-基)哌啶-2,6-二酮(I-9)
向装有在DMF(10mL)中的INT-2(500mg,1.35mmol)、INT-8-2和INT-8-3(256mg,1.08mmol)的微波小瓶中添加K2CO3(560mg,4.05mmol),并将所得混合物用氩气脱气10min。然后添加PdCl2(dppf)·DCM(55mg,0.06mmol)并将反应混合物在130℃在微波中搅拌60分钟。使反应混合物冷却至室温,用冰冷的水淬灭,并用EtOAc(2x 50mL)萃取。将合并的有机萃取物用饱和氯化钠水溶液洗涤,经Na2SO4干燥,过滤,并在减压下浓缩。将粗材料通过硅胶色谱法(用在DCM中的10% MeOH洗脱)纯化,以提供位置异构产物的混合物。将位置异构体的混合物进一步通过反相HPLC(柱:Phenominex luna-C18(250x 21x 50nm),移动相:(A)在H2O中的0.1% TFA,(B)CH3CN,用0-70%(B)洗脱10分钟,流速:15mL/min)纯化,得到呈灰白色固体的I-9(13mg,0.03mmol,2.4%)。I-9:MS[M+H]+=401.1。1H NMR(400MHz,DMSO-d6):δ10.98(s,1H),8.02(s,1H),7.95-7.93(m,2H),7.73(d,J=8.0Hz,1H),7.38-7.34(m,2H),7.31-7.28(m,3H),6.88(d,J=2.4Hz,1H),5.40(s,2H),5.11(dd,J=13.2,5.6Hz,1H),4.48(d,J=17.2Hz,1H),4.36(d,J=17.2Hz,1H),2.96-2.87(m,1H),2.67-2.50(m,1H),2.46-2.38(m,1H),2.08-1.97(m,1H)。
实例10:3-(1-氧代-5-(1H-吡唑-3-基)异吲哚啉-2-基)哌啶-2,6-二酮(I-8)
向I-9及其位置异构体(200mg,0.50mmol)在甲醇(2mL)和乙酸(0.05mL)中的溶液中添加10% Pd/C,并将所得混合物在室温在氢气气氛下搅拌16小时。将反应混合物通过小垫过滤,用EtOAc洗涤,过滤,并在减压下浓缩。将粗材料通过硅胶色谱法(用在DCM中的5% MeOH洗脱)纯化,以提供呈灰白色固体的I-8(20mg,0.06mmol,13%产率)。MS[M+H]+=311.0。1H NMR(400MHz,DMSO-d6):δ13.04(s,1H),10.98(s,1H),8.05(s,1H),7.99(d,J=7.2Hz,1H),7.83(s,1H),7.74(d,J=8.0Hz,1H),6.84(d,J=2.0Hz,1H),5.12(dd,J=13.2,4.8Hz,1H),4.50(d,J=17.2Hz,1H),4.37(d,J=17.2Hz,1H),2.96-2.87(m,1H),2.67-2.52(m,1H),2.49-2.36(m,1H),2.04-1.99(m,1H)。
实例11:1-苄基-3-溴-4-甲基-1H-吡唑(INT-11-3)和1-苄基-5-溴-4-甲基-1H-吡唑(INT-11-4)
步骤1.1-苄基-4-甲基-1H-吡唑(11-2)
在0℃,向4-甲基吡唑(11-1,2.00g,24.4mmol)和NaH(1.95g,48.8mmol)在DMF(20mL)中的搅拌溶液中添加苄基溴(3.47mL,29.3mmol),并将所得混合物在室温搅拌16小时。然后将反应混合物用冰冷的水淬灭并用EtOAc(2x 100mL)萃取。将合并的有机萃取物用饱和氯化钠水溶液洗涤,经Na2SO4干燥,过滤,并在减压下浓缩。将粗材料通过硅胶色谱法(用在己烷中的10% EtOAc洗脱)纯化,以提供呈液体的11-2(3.00g,17.4mmol,71%)。MS[M+H]+=173.2。
步骤2.1-苄基-3-溴-4-甲基-1H-吡唑(INT-11-3)和1-苄基-5-溴-4-甲基-1H-吡唑(INT-11-4)
在0℃,向11-2(9.00g,52.3mmol)在CH3CN(90mL)中的溶液中添加NBS(11.2g,62.8mmol),并将所得混合物在室温搅拌16小时。将反应混合物用冰冷的水淬灭并用EtOAc(2x 300mL)萃取。将合并的有机萃取物用饱和氯化钠水溶液洗涤,经Na2SO4干燥,过滤,并在减压下浓缩。将粗材料通过硅胶色谱法(用在己烷中的10% EtOAc洗脱)纯化,以提供呈灰白色固体的INT-11-3和INT-11-4的混合物(6.00g,24.0mmol,46%,位置异构体的混合物)。将异构体的此混合物不经分离而用于下一步骤中。MS[M+H]+=250.9。
实例12:3-(5-(1-苄基-4-甲基-1H-吡唑-3-基)-1-氧代异吲哚啉-2-基)哌啶-2,6-二酮(I-17)
向微波小瓶中装入INT-2(500mg,1.35mmol)、中间体INT-11-3和INT-11-4的混合物(405mg,1.62mmol)、K2CO3(560mg,4.05mmol)、和DMF(4mL)。将所得混合物用氩气脱气10min并添加PdCl2(dppf)·DCM。将反应混合物在130℃在微波中搅拌50min。使混合物冷却至室温,用冰冷的水淬灭并用EtOAc(3x 30mL)萃取。将合并的有机萃取物用饱和氯化钠水溶液洗涤,经Na2SO4干燥,过滤,并在减压下浓缩。将粗材料通过硅胶色谱法(用在己烷中的90% EtOAc洗脱)纯化,以提供呈灰白色固体的I-17及其位置异构体的混合物(240mg,0.58mmol,42%)。将这两种异构体通过反相HPLC(柱:YMC-ACTUS TRIAT EXRS,流动相-A:在H2O中的0.1%乙酸铵,流动相-B:乙腈,方法:用35%-65%(B)洗脱10分钟,流速:15ml/min)分离,以提供呈灰白色固体的I-17(90mg,0.27mmol,31%)。I-17:MS[M+H]+=415.2。1H NMR(400MHz,DMSO-d6):δ10.98(s,1H),7.87(s,1H),7.81-7.27(m,3H),7.38-7.28(m,5H),5.33(s,2H),5.12(dd,J=13.2,4.8Hz,1H),4.49(d,J=17.6Hz,1H),4.36(d,J=17.6Hz,1H),2.96-2.87(m,1H),2.72-2.58(m,1H),2.42-2.28(m,1H),2.23(s,3H),2.03-2.00(m,1H)。
实例13:3-(5-(4-甲基-1H-吡唑-3-基)-1-氧代异吲哚啉-2-基)哌啶-2,6-二酮(I-3)
在惰性气氛下,向I-17(120mg,0.28mmol)在MeOH(2.4mL)和乙酸(0.1mL)中的溶液中添加20% Pd(OH)2(100mg)。将所得混合物用氢气吹扫并在室温在氢气气氛下搅拌16小时。使反应混合物通过小垫并将垫用MeOH洗涤。将滤液浓缩至干并通过硅胶色谱法(用在DCM中的10% MeOH洗脱)纯化,以提供呈灰白色固体的I-3(30mg,0.09mmol,32%)。MS[M+H]+=325.1。1H NMR(400MHz,DMSO-d6):δ12.80(s,1H),10.98(s,1H),7.88-7.63(m,4H),5.13(dd,J=13.2,5.2Hz,1H),4.51(d,J=17.6Hz,1H),4.38(d,J=17.6Hz,1H),2.97-2.88(m,1H),2.67-2.59(m,1H),2.43-2.37(m,1H),2.24(s,3H),2.04-2.01(m,1H)。
实例14:1-苄基-3-溴-5-甲基-1H-吡唑(INT-16-2)和1-苄基-5-溴-3-甲基-1H-吡唑(INT-16-3)
在0℃,向4-溴-1H-吡唑16-1(1.0g,6.25mmol)和NaH(0.5g,12.50mmol)在DMF(10mL)中的搅拌溶液中添加苄基溴(0.89mL,7.50mmol),并将所得混合物在室温搅拌16h。然后将反应混合物用冰冷的水淬灭并用EtOAc(2x 50mL)萃取。将合并的有机萃取物用饱和氯化钠水溶液洗涤,经Na2SO4干燥,过滤,并在减压下浓缩。将粗材料通过硅胶色谱法(用在己烷中的10% EtOAc洗脱)纯化,以提供呈灰白色固体的INT-16-2和INT-16-3的混合物(1.2g,4.80mmol,77%)。MS[M+H]+=251.1。
实例15:3-(5-(1-苄基-5-甲基-1H-吡唑-3-基)-1-氧代异吲哚啉-2-基)哌啶-2,6-二酮(I-4)
向含有在DMF(8mL)中的INT-2(800mg,2.16mmol)的微波小瓶中顺序地添加INT-16-2和INT-16-3的混合物(648mg,2.59mmol)以及K2CO3(894mg,6.48mmol)。将所得混合物用氩气脱气10min,并添加PdCl2(dppf)·DCM(88mg,0.10mmol)。将反应在130℃在微波中搅拌50min。使反应混合物冷却至室温,用冰冷的水淬灭并用EtOAc(3x 50mL)萃取。将合并的有机萃取物用饱和氯化钠水溶液洗涤,经Na2SO4干燥,过滤,并在减压下浓缩。将粗材料通过硅胶色谱法(用在己烷中的90% EtOAc洗脱)纯化,以提供呈灰白色固体的位置异构产物的混合物(160mg,0.38mmol,18%)。将这两种异构体通过反相HPLC(柱:Sunfire,流动相-A:在H2O中的0.1% TFA,流动相-B:乙腈,方法:0-80%(B)经10分钟,流速:15ml/min)分离,以提供呈灰白色固体的I-4(30mg,0.07mmol,4%)。I-4:MS[M+H]+=415.2。1H NMR(400MHz,DMSO-d6):δ10.96(s,1H),7.99(s,1H),7.91(d,J=7.6Hz,1H),7.72(d,J=8.0Hz,1H),7.37-7.26(m,3H),7.18(d,J=6.8Hz,2H),6.67(s,1H),5.37(s,2H),5.11(dd,J=13.2,4.8Hz,1H),4.48(d,J=17.2Hz,1H),4.36(d,J=17.2Hz,1H),2.93-2.87(m,1H),2.62-2.58(m,1H),2.49-2.39(m,1H),2.27(s,3H),2.03-2.00(m,1H)。
实例16:1-乙基-3-碘-1H-吲唑(INT-18-2)和2-乙基-3-碘-2H-吲唑(INT-18-3)
在0℃,向18-1(1.5g,6.14mmol)和NaH(295mg,7.37mmol)在THF(15mL)中的搅拌悬浮液中添加碘乙烷(0.60mL,mmol),并将所得混合物在室温搅拌16小时。将反应混合物用冰冷的水淬灭并用EtOAc(2x 100mL)萃取。将合并的有机萃取物用饱和氯化钠水溶液洗涤,经Na2SO4干燥,过滤,并在减压下浓缩。将粗材料通过硅胶色谱法(用在己烷中的6% EtOAc洗脱)纯化,以提供呈灰白色固体的INT-18-2(1.0g,3.67mmol,60%)和呈灰白色固体的INT-18-3(250mg,0.92mmol,15%)。INT-18-2:MS[M+H]+=273.0。1H NMR(400MHz,CDCl3):δ7.66(d,J=7.6Hz,1H),7.40(d,J=8.4Hz,1H),7.32-7.29(m,1H),7.22-7.18(m,1H),4.58(q,J=6.8Hz,2H),1.57(t,J=6.8Hz,3H)。
实例17:3-(5-(1-乙基-1H-吲唑-3-基)-1-氧代异吲哚啉-2-基)哌啶-2,6-二酮(I-11)
向含有在DMF(6mL)中的INT-2(300mg,0.81mmol)的微波小瓶中顺序地添加INT-18-2(220mg,0.81mmol)和K2CO3(223mg,1.62mmol)。将所得混合物用氩气脱气10min并添加PdCl2(dppf)·DCM(66mg,0.81mmol)。将反应混合物在130℃在微波中搅拌60min然后冷却至室温,用冰冷的水淬灭,并用EtOAc(2x 50mL)萃取。将合并的有机萃取物用饱和氯化钠水溶液洗涤,经Na2SO4干燥,过滤,并在减压下浓缩。将粗材料通过硅胶色谱法(用在DCM中的5% MeOH洗脱)纯化,以提供呈奶油色固体的I-11(45mg,0.11mmol,14%)。MS[M+H]+=389.1。1H NMR(400MHz,DMSO-d6):δ11.01(s,1H),8.23(s,1H),8.19-8.14(m,2H),7.84(d,J=8.2Hz,1H),7.78(d,J=8.0Hz,1H),7.48(td,J=6.8,1.2Hz,1H),7.28(td,J=6.8,1.2Hz,1H),5.16(dd,J=13.2,4.8Hz,1H),4.42(d,J=17.2Hz,1H),4.58(q,J=7.2Hz,2H),4.45(d,J=17.2Hz,1H),2.98-2.89(m,1H),2.65-2.55(m,1H),2.45-2.40(m,1H),2.09-2.01(m,1H),1.47(t,J=7.2Hz,3H)。
实例18:1-苄基-3-碘-1H-吲唑(INT-21-2)
在0℃,向21-1(1.0g,4.09mmol)和NaH(196mg,4.19mmol)在THF(10mL)中的搅拌悬浮液中添加苄基溴(0.58mL,4.19mmol),并将所得混合物在室温搅拌16小时。然后将反应混合物用冰冷的水淬灭并用EtOAc(2x 100mL)萃取。将合并的有机萃取物用饱和氯化钠水溶液洗涤,经Na2SO4干燥,过滤,并在减压下浓缩。将粗材料通过硅胶色谱法(用在己烷中的7%EtOAc洗脱)纯化,以提供呈灰白色固体的INT-21-2(1.1g,3.29mmol,81%)。MS[M+H]+=335.2。
实例19:3-(5-(1-苄基-1H-吲唑-3-基)-1-氧代异吲哚啉-2-基)哌啶-2,6-二酮(I-19)和3-(5-(1-苄基-4,5,6,7-四氢-1H-吲唑-3-基)-1-氧代异吲哚啉-2-基)哌啶-2,6-二酮(I-15)
步骤1.3-(5-(1-苄基-1H-吲唑-3-基)-1-氧代异吲哚啉-2-基)哌啶-2,6-二酮(I-19)
向装有在DMF(15mL)中的INT-2(1000mg,2.70mmol)的微波小瓶中顺序地添加INT-21-2(900mg,2.70mmol)和K2CO3(745mg,5.40mmol)。将所得溶液用氩气脱气10min并添加PdCl2(dppf)·DCM(220mg,0.27mmol)。将反应混合物在130℃在微波中搅拌60min然后冷却至室温,用冰冷的水淬灭,并用EtOAc(2x 100mL)萃取。将合并的有机萃取物用饱和氯化钠水溶液洗涤,经Na2SO4干燥,过滤,并在减压下浓缩。将粗材料通过硅胶色谱法纯化(用在DCM中的3% MeOH洗脱)纯化,以提供呈浅棕色固体的I-19(380mg,0.84mmol,32%)。MS[M+H]+=451.3。
步骤2.3-(5-(1-苄基-4,5,6,7-四氢-1H-吲唑-3-基)-1-氧代异吲哚啉-2-基)哌啶-2,6-二酮(I-15)
在惰性气氛下,向I-19(200mg,0.44mmol)在AcOH:TFA(3:2,5mL)中的溶液中添加10% Pd/C(50mg),并将所得混合物在室温在氢气气氛下搅拌16小时。然后使反应混合物通过小垫。将滤液用水稀释并用EtOAc(2x 50mL)萃取。将合并的有机萃取物用饱和氯化钠水溶液洗涤,经Na2SO4干燥,过滤,并在减压下浓缩。将粗材料通过硅胶色谱法(用在DCM中的3% MeOH洗脱)纯化,并进一步通过反相HPLC(GEMINI-NX(150mm x 21.20mm),5.0μ,移动相:水(A):MeCN(B),流速:20mL/min,T/%B:0/20、2/40、8/70)纯化,以提供呈白色固体的I-15(5mg,0.01mmol,2.5%)。MS[M+H]+=455.4。1H NMR(400MHz,DMSO-d6):δ11.01(s,1H),7.90(s,1H),7.84(d,J=8.0Hz,1H),7.74(d,J=8.0Hz,1H),7.37-7.27(m,3H),7.21(d,J=7.2Hz,2H),5.30(s,2H),5.12(dd,J=13.2,4.8Hz,1H),4.49(d,J=17.2Hz,1H),4.36(d,J=17.2Hz,1H),2.95-2.88(m,1H),2.75-2.71(m,2H),2.68-2.60(m,1H),2.58-2.51(m,2H),2.42-2.38(m,1H),2.03-2.00(m,1H),1.77-1.71(m,4H)。
实例20:3-碘-1-(4-甲氧基苄基)-1H-吲唑(INT-23-2)
在0℃,向23-1(1.9g,7.78mmol)和NaH(373mg,9.34mmol)在THF(20mL)中的搅拌悬浮液中添加PMB溴化物(1.26mL,9.34mmol),并将所得混合物在室温搅拌16小时。将反应混合物用冰冷的水淬灭并用EtOAc(3x 100mL)萃取。将合并的有机萃取物用饱和氯化钠水溶液洗涤,经Na2SO4干燥,过滤,并在减压下浓缩。将粗材料通过硅胶色谱法(用在己烷中的7%EtOAc洗脱)纯化,以提供呈灰白色固体的INT-23-2(400mg,1.10mmol,14%)。MS[M+H]+=365.0。
实例21:3-(5-(1-(4-甲氧基苄基)-1H-吲唑-3-基)-1-氧代异吲哚啉-2-基)哌啶-2,6-二酮(I-41)和3-(5-(1H-吲唑-3-基)-1-氧代异吲哚啉-2-基)哌啶-2,6-二酮(I-18)
步骤1.3-(5-(1-(4-甲氧基苄基)-1H-吲唑-3-基)-1-氧代异吲哚啉-2-基)哌啶-2,6-二酮(I-41)
向含有在DMF(5mL)中的INT-2(200mg,0.54mmol)的微波小瓶中添加INT-23-2(196mg,0.54mmol)和K2CO3(149mg,1.08mmol)。将所得混合物用氩气脱气10min并添加PdCl2(dppf)·DCM(44mg,0.05mmol)。将反应混合物在130℃在微波中搅拌60min然后冷却至室温,用冰冷的水淬灭,并用EtOAc(3x 50mL)萃取。将合并的有机萃取物用饱和氯化钠水溶液洗涤,经Na2SO4干燥,过滤,并在减压下浓缩。将粗材料通过硅胶色谱法纯化(用在DCM中的3% MeOH洗脱)纯化,以提供呈浅棕色固体的I-41(50mg,0.10mmol,19%)。MS[M+H]+=481.1。
步骤2.3-(5-(1H-吲唑-3-基)-1-氧代异吲哚啉-2-基)哌啶-2,6-二酮(I-18)
将I-41(50mg,0.10mmol)在TFA-TfOH(1:1,2mL)中的溶液在室温搅拌16小时。然后将溶剂蒸发,添加水,并将反应混合物用EtOAc(2x 30mL)萃取。将合并的有机萃取物用饱和氯化钠水溶液洗涤,经Na2SO4干燥,过滤,并在减压下浓缩。将粗材料用乙醚研磨,并将所得固体过滤并在减压下干燥,以提供呈浅色固体的I-18(15mg,0.04mmol,40%)。MS[M+H]+=361.3。1H NMR(400MHz,DMSO-d6):δ13.22(s,1H),11.02(s,1H),8.23(s,1H),8.18-8.14(m,2H),7.84(d,J=8.0Hz,1H),7.61(d,J=8.8Hz,1H),7.43(t,J=7.6Hz,1H),7.24(t,J=7.6Hz,1H),5.15(dd,J=13.2,4.8Hz,1H),4.56(d,J=17.2Hz,1H),4.43(d,J=17.2Hz,1H),2.93-2.88(m,1H),2.65-2.62(m,1H),2.41-2.37(m,1H),2.04-2.02(m,1H)。
实例22:3-(1-氧代-5-(吡啶-2-基)异吲哚啉-2-基)哌啶-2,6-二酮(I-23)
向INT-1(200mg,0.62mmol)在二噁烷(10ml)中的溶液中添加25-1(341mg,0.93mmol),并将所得混合物用氩气脱气10min。添加PdCl2(dppf)·DCM(22mg,0.03mmol)并将获得的反应混合物在110℃搅拌16小时。使反应混合物冷却至室温,用冰冷的水淬灭,并用EtOAc(3x 30mL)萃取。将合并的有机萃取物用饱和氯化钠水溶液洗涤,经Na2SO4干燥,过滤,并在减压下浓缩。将粗材料通过硅胶色谱法(用在DCM中的6% MeOH洗脱)纯化,以提供呈白色固体的I-23(120mg,0.37mmol,60%)。MS[M+H]+=322.2。1H NMR(400MHz,DMSO-d6):δ11.02(s,1H),8.73-8.71(m,1H),8.33(s,1H),8.24(dd,J=8.4,1.6Hz,1H),8.07(d,J=8.0Hz,1H),7.94(dt,J=8.0,2.0Hz,1H),7.83(d,J=8.0Hz,1H),7.44-7.41(m,1H),5.15(dd,J=13.2,4.8Hz,1H),4.54(d,J=17.2Hz,1H),4.42(d,J=17.2Hz,1H),2.97-2.88(m,1H),2.67-2.59(m,1H),2.47-2.32(m,1H),2.07-2.00(m,1H)。
实例23:3-(1-氧代-5-(哒嗪-3-基)异吲哚啉-2-基)哌啶-2,6-二酮(I-42)
步骤1.3-(5-(6-氯哒嗪-3-基)-1-氧代异吲哚啉-2-基)哌啶-2,6-二酮(23-1)
向化合物INT-3(500mg,0.93mmol)在二噁烷(10mL)中的溶液中添加26-1(209mg,1.40mmol),并将所得混合物用氩气脱气10min。添加PdCl2(dppf)·DCM(33mg,0.05mmol)并将反应混合物在110℃搅拌24小时然后冷却至室温。将所得沉淀物过滤,用二噁烷洗涤,并在减压下干燥,以提供呈灰色固体的23-1(200mg,0.56mmol,粗品)。将产物不经纯化用于下一步骤。MS[M+H]+=357.0
步骤2.3-(1-氧代-5-(哒嗪-3-基)异吲哚啉-2-基)哌啶-2,6-二酮(I-42)
在惰性气氛下,向23-1(200mg,0.56mmol)在DMF(10mL)中的溶液中添加三乙胺(1.0mL),随后添加10% Pd/C(10mg)。将所得溶液用氢气吹扫然后在室温在氢气气氛下搅拌8小时。将反应混合物通过小垫过滤并将垫用EtOAc(20mL)洗涤。将滤液在减压下蒸发并将粗材料通过反相HPLC(柱:ZORBAX ECLIPSE XDB C1(150mm x 21.0mm),5.0μ,移动相:A=在H2O中的0.1% TFA,B=MeCN,流速:20.0ml/min,T/%B:0/10、2/20、10/40)纯化,以提供呈白色固体的I-42(25mg,0.07mmol,14%)。MS[M+H]+=323.1。1H NMR(400MHz,DMSO-d6):δ11.05(s,1H),9.38-9.35(m,1H),8.41(s,1H),8.35-8.26(m,2H),7.91-7.86(m,2H),5.17(dd,J=13.2,4.8Hz,1H),4.59(d,J=17.2Hz,1H),4.45(d,J=17.2Hz,1H),2.98-2.88(m,1H),2.67-2.58(m,1H),2.48-2.42(m,1H),2.08-2.01(m,1H)。
实例24:叔丁基(6-氯哒嗪-3-基)(乙基)氨基甲酸酯(INT-27-3)
步骤1.6-氯-N-乙基哒嗪-3-胺(27-2)
在微波管中,向27-1(1.0g,6.71mmol)在MeOH(10mL)中的溶液中添加乙胺(3.4mL,6.71mmol,在MeOH中的2M溶液),并将所得混合物加热至100℃持续4小时。使反应混合物冷却至室温,用冰冷的水淬灭,并用EtOAc(3x 50mL)萃取。将合并的有机萃取物用饱和氯化钠水溶液洗涤,经Na2SO4干燥,过滤,并在减压下浓缩。将粗材料通过硅胶色谱法(用在己烷中的25% EtOAc洗脱)纯化,以提供呈白色固体的27-2(650mg,4.12mmol,61%)。1H NMR(300MHz,DMSO-d6):δ7.33(d,J=9.6Hz,1H),7.08-7.02(m,1H),6.86(d,J=9.6Hz,1H),3.33-3.26(m,2H),1.15(t,J=7.5Hz,3H)。
步骤2.叔丁基(6-氯哒嗪-3-基)(乙基)氨基甲酸酯(INT-27-3)
向27-2(300mg,1.90mmol)在CH3CN(9mL)中的溶液中添加DMAP(23mg,0.19mmol),随后添加Boc2O(830mg,3.80mmol),并将所得混合物在室温搅拌14小时。然后将溶剂蒸发并将粗材料通过硅胶色谱法(用在己烷中的20% EtOAc洗脱)纯化,以提供呈白色固体的INT-27-3(450mg,1.74mmol,92%)。1H NMR(300MHz,CDCl3):δ8.06(d,J=9.3Hz,1H),7.36(d,J=9.3Hz,1H),4.12(q,J=7.2Hz,2H),1.54(s,9H),1.30(t,J=7.2Hz,3H)。
实例25:3-(5-(6-(乙基氨基)哒嗪-3-基)-1-氧代异吲哚啉-2-基)哌啶-2,6-二酮(I-22)
步骤1.叔丁基(6-(2-(2,6-二氧代哌啶-3-基)-1-氧代异吲哚啉-5-基)哒嗪-3-基)(乙基)氨基甲酸酯(28-2)
向含有在二噁烷(5mL)中的INT-3(500mg,0.93mmol)的微波管中添加28-1(363mg,1.40mmol)。将所得溶液用氩气脱气10min并添加PdCl2(dppf)·DCM(44mg,0.05mmol)。将反应混合物在110℃在微波中搅拌40小时。使混合物冷却至室温,用冰冷的水淬灭,并用EtOAc(3x 50mL)萃取。将合并的有机萃取物用饱和氯化钠水溶液洗涤,经Na2SO4干燥,过滤,并在减压下浓缩。将粗材料通过硅胶色谱法(用在DCM中的7% MeOH洗脱)纯化,以提供呈浅黄色固体的28-2(130mg,0.28mmol,30%)。MS[M+H]+=466.3。
步骤2.3-(5-(6-(乙基氨基)哒嗪-3-基)-1-氧代异吲哚啉-2-基)哌啶-2,6-二酮(I-22)
在0℃,向28-2(130mg,0.28mmol)在二噁烷(5mL)中的溶液中添加在二噁烷(2.0mL)中的4M HCl,并将所得混合物在室温搅拌48小时。将溶剂蒸发并将粗材料用水稀释,用NaHCO3水溶液中和并用在DCM中的5% MeOH萃取。将合并的有机萃取物经Na2SO4干燥,过滤并在减压下浓缩。将粗材料通过硅胶色谱法(用在DCM中的10%MeOH洗脱)纯化,以提供呈灰白色固体的I-22(40mg,0.11mmol,39%)。MS[M+H]+=366.2。1H NMR(400MHz,DMSO-d6):δ11.02(s,1H),8.21(s,1H),8.13-8.10(m,1H),7.90(d,J=9.6Hz,1H),7.80(d,J=7.6Hz,1H),7.09-7.05(m,1H),6.90(d,J=9.6Hz,1H),5.12(dd,J=13.2,4.8Hz,1H),4.55(d,J=17.2Hz,1H),4.38(d,J=17.2Hz,1H),3.45-3.39(m,2H),2.94-2.90(m,1H),2.65-2.58(m,1H),2.46-2.39(m,1H),2.05-1.99(m,1H),1.21(t,J=7.2Hz,3H)。
实例26:叔丁基(6-氯哒嗪-3-基)(乙基)氨基甲酸酯(INT-29-3)
步骤1.6-氯-N-乙基哒嗪-3-胺(29-2)
在微波管中,向化合物29-1(1.0g,6.71mmol)在MeOH(10mL)中的溶液中添加乙胺(3.4mL,6.71mmol,在MeOH中的2M溶液),并将所得混合物在100℃搅拌16小时。使反应混合物冷却至室温,用冰冷的水淬灭,并用EtOAc(3x 50mL)萃取。将合并的有机萃取物用饱和氯化钠水溶液洗涤,经Na2SO4干燥,过滤,并在减压下浓缩。将粗材料通过硅胶色谱法(用在己烷中的25% EtOAc洗脱)纯化,以提供呈白色固体的29-2(500mg,3.17mmol,47%)。1H NMR(300MHz,DMSO-d6):δ8.50(d,J=2.4Hz,1H),7.40-7.35(m,1H),6.66(d,J=2.4Hz,1H),3.16-3.07(m,2H),1.14(t,J=7.2Hz,3H)。
步骤2.叔丁基(6-氯哒嗪-3-基)(乙基)氨基甲酸酯(INT-29-3)
向29-2(400mg,2.54mmol)在CH3CN(12mL)中的溶液中添加DMAP(31mg,0.25mmol),随后添加Boc2O(1128mg,5.07mmol),并将所得混合物在室温搅拌16小时。然后将溶剂蒸发并将粗产物通过硅胶色谱法(用在己烷中的20% EtOAc洗脱)纯化,以提供呈浅黄色固体的INT-29-3(600mg,2.33mmol,92%)。1H NMR(400MHz,CDCl3):δ9.21(d,J=2.4Hz,1H),7.59(d,J=2.4Hz,1H),3.82(q,J=7.2Hz,2H),1.55(s,9H),1.30(t,J=7.2Hz,3H)。
实例27:3-(5-(5-(乙基氨基)哒嗪-3-基)-1-氧代异吲哚啉-2-基)哌啶-2,6-二酮(I-21)
步骤1.叔丁基(6-(2-(2,6-二氧代哌啶-3-基)-1-氧代异吲哚啉-5-基)哒嗪-3-基)(乙基)氨基甲酸酯(30-1)
向含有在DMF(6mL)中的INT-2(300mg,0.81mmol)的微波小瓶中添加INT-29-3(250mg,0.97mmol)和K2CO3(336mg,2.43mmol)。将所得混合物用氩气脱气10min并添加PdCl2(dppf)·DCM(33mg,0.04mmol)。将反应混合物在130℃在微波中搅拌90min然后冷却至室温,用冰冷的水淬灭,并用EtOAc(3x 50mL)萃取。将合并的有机萃取物用饱和氯化钠水溶液洗涤,经Na2SO4干燥,过滤,并在减压下浓缩。将粗材料通过硅胶色谱法(用在DCM中的7%MeOH洗脱)纯化,以提供呈灰白色固体的30-1(100mg,0.21mmol,26%)。MS[M+H]+=466.2。
步骤2.3-(5-(5-(乙基氨基)哒嗪-3-基)-1-氧代异吲哚啉-2-基)哌啶-2,6-二酮(I-21)
在0℃,向30-1(100mg,0.21mmol)在二噁烷(5mL)中的溶液中添加在二噁烷(4.0mL)中的4M HCl,并将所得混合物在室温搅拌48小时。将溶剂蒸发并将粗材料用水稀释,用NaHCO3水溶液中和并用在DCM中的5% MeOH萃取。将合并的有机萃取物经Na2SO4干燥,过滤并在减压下浓缩。将粗材料通过硅胶色谱法(用在DCM中的10%MeOH洗脱)纯化,以提供呈灰白色固体的I-21(15mg,0.04mmol,19%)。MS[M+H]+=366.1。1H NMR(400MHz,DMSO-d6):δ11.08(s,1H),8.57(d,J=2.4Hz,1H),8.28(s,1H),8.18(d,J=7.6Hz,1H),7.86(d,J=8.0Hz,1H),7.41-7.35(m,1H),7.14(d,J=2.4Hz,1H),5.16(dd,J=13.2,4.8Hz,1H),4.56(d,J=17.2Hz,1H),4.43(d,J=17.2Hz,1H),3.33-3.24(m,2H),2.94-2.90(m,1H),2.67-2.58(m,1H),2.47-2.32(m,1H),2.09-2.02(m,1H),1.21(t,J=7.2Hz,3H)。
实例28:N-((6-氯哒嗪-3-基)甲基)-N-乙基乙胺(INT-31-4)
步骤1.6-氯哒嗪-3-甲酸酯(31-2)
在0℃,向31-1(1.0g,6.30mmol)在DCM中的(10mL)中的溶液中添加DMF(0.1mL),随后逐滴添加草酰氯(0.70mL,8.20mmol)。将所得混合物在室温搅拌3小时然后冷却至0℃。添加MeOH(10mL)并将反应混合物在室温再搅拌1小时。将反应混合物用冰冷的水淬灭并用DCM(3x 50mL)萃取。将合并的有机萃取物用饱和氯化钠水溶液洗涤,经Na2SO4干燥,过滤,并在减压下浓缩。将粗材料通过硅胶色谱法(用在己烷中的15% EtOAc洗脱)纯化,以提供呈浅黄色固体的31-2(450mg,2.60mmol,41%)。1H NMR(300MHz,CDCl3):δ8.16(d,J=8.8Hz,1H),7.67(d,J=8.8Hz,1H),4.08(s,3H)。
步骤2.6-氯哒嗪-3-甲醛(31-3)
在0℃,向31-2(450mg,2.60mmol)在THF(10mL)中的溶液中逐滴添加DIBAL-H(5.2mL,5.21mmol,在甲苯中的1M溶液),并将所得混合物搅拌1小时。将反应混合物用饱和氯化铵水溶液淬灭并用EtOAc(3x 30mL)萃取。将合并的有机萃取物用饱和氯化钠水溶液洗涤,经Na2SO4干燥,过滤,并在减压下浓缩。将粗材料通过硅胶色谱法(用在己烷中的10%EtOAc洗脱)纯化,以提供呈浅黄色黏性固体的31-3(160mg,1.12mmol,43%)。1H NMR(300MHz,CDCl3):δ10.34(s,1H),8.01(d,J=8.7Hz,1H),7.72(d,J=8.7Hz,1H)。
步骤3.N-((6-氯哒嗪-3-基)甲基)-N-乙基乙胺(INT-31-4)
在0℃,向化合物31-3(160mg,1.12mmol)和二乙胺盐酸盐(135mg,1.23mmol)在DCE(5mL)中的溶液中添加NaBH(OAc)3(595mg,2.80mmol)。将所得混合物在室温搅拌4小时。将反应混合物用饱和碳酸氢钠水溶液淬灭并用DCM(3x 30mL)萃取。将合并的有机萃取物用饱和氯化钠洗涤,经Na2SO4干燥,过滤,并在减压下浓缩。将粗材料通过硅胶色谱法(用在己烷中的50% EtOAc洗脱)纯化,以提供呈浅黄色黏性固体的INT-31-4(160mg,0.80mmol,71%)。1H NMR(300MHz,CDCl3):δ7.71(d,J=8.7Hz,1H),7.46(d,J=8.7Hz,1H),3.89(s,2H),2.57(q,J=7.5Hz,4H),1.03(t,J=7.5Hz,6H)。
实例29:3-(5-(6-((二乙基氨基)甲基)哒嗪-3-基)-1-氧代异吲哚啉-2-基)哌啶-2,6-二酮(I-43)
向含有在二噁烷(10mL)中的INT-31-4(160mg,0.80mmol)的密封管中添加INT-3(470mg,0.88mmol)。将所得溶液用氩气脱气10min并添加PdCl2(dppf)·DCM(56mg,0.08mmol)。将反应混合物在110℃搅拌16小时然后冷却至室温,用冰冷的水淬灭,并用EtOAc(3x50mL)萃取。将合并的有机萃取物用饱和氯化钠水溶液洗涤,经Na2SO4干燥,过滤,并在减压下浓缩。将粗材料通过硅胶色谱法(用在DCM中的7% MeOH洗脱)纯化,以提供呈灰白色固体的I-43(12mg,0.03mmol,4%)。MS[M+H]+=408.2。1H NMR(400MHz,DMSO-d6):δ11.03(s,1H),8.39(s,1H),8.31-8.27(m,2H),7.89(d,J=8.8Hz,1H),7.82(d,J=8.8Hz,1H),5.16(dd,J=13.2,4.8Hz,1H),4.58(d,J=17.2Hz,1H),4.45(d,J=17.2Hz,1H),3.91(s,2H),2.95-2.82(m,1H),2.66-2.58(m,1H),2.52-2.45(m,5H),2.09-2.01(m,1H),1.01(t,J=7.2Hz,6H)。
实例30:1-(四氢-2H-吡喃-2-基)-5-(三丁基甲锡烷基)-3-(三氟甲基)-1H-吡唑(INT-33-4)和1-(四氢-2H-吡喃-2-基)-3-(三丁基甲锡烷基)-5-(三氟甲基)-1H-吡唑(INT-33-5)
步骤1.1-(四氢-2H-吡喃-2-基)-3-(三氟甲基)-1H-吡唑(33-2)和1-(四氢-2H-吡喃-2-基)-5-(三氟甲基)-1H-吡唑(33-3)
在0℃,向33-1(25.0g,183.7mmol)在甲苯(250mL)中的溶液中添加3,4-二氢-2H-吡喃(DHP,25.10mL,275.57mmol)和TFA(0.7mL,9.18mmol)。将反应在室温搅拌16h。将反应混合物用饱和碳酸氢钠水溶液淬灭并用EtOAc(3x 200mL)萃取。将合并的有机萃取物用饱和氯化钠水溶液洗涤,经Na2SO4干燥,过滤,并在减压下浓缩。将粗材料通过硅胶色谱法(用在己烷中的10% EtOAc洗脱)纯化,以提供33-2和33-3的混合物(25.5g,116mmol,63%)。1HNMR(600MHz,CDCl3):δ7.65(s,1H),7.54(s,1H),5.42-5.40(m,1H),4.06-4.03(m,1H),3.71-3.67(m,1H),2.10-2.00(m,3H),1.71-1.59(m,3H)。
步骤2.1-(四氢-2H-吡喃-2-基)-5-(三丁基甲锡烷基)-3-(三氟甲基)-1H-吡唑(INT-33-4)和1-(四氢-2H-吡喃-2-基)-3-(三丁基甲锡烷基)-5-(三氟甲基)-1H-吡唑(INT-33-5)
在-78℃,向33-2和33-3的混合物(25.5g,116mmol)和三丁基氯化锡在THF(500mL)中的溶液中逐滴添加LDA(86.9mL,173mmol,在THF中的2M)。然后将所得混合物在-78℃搅拌2h然后在0℃搅拌1h。完全消耗起始材料后,将反应用饱和氯化铵水溶液淬灭并用Et2O(3x200mL)萃取。将合并的有机萃取物用盐水洗涤,经Na2SO4干燥,过滤,并在减压下浓缩。将粗材料通过硅胶柱色谱法(用在己烷中的3%EtOAc)纯化,以提供INT-33-4和INT-33-5的混合物(11.2g,22.0mmol,19%)。1H NMR(600MHz,CDCl3):δ6.52(br s,1H),5.28(br s,1H),4.04-4.02(m,1H),3.69-3.62(m,1H),2.16-2.04(m,3H),1.67-1.57(m,3H),1.55-1.42(m,6H),1.38-1.25(m,6H),1.14-1.05(m,6H),0.92-0.85(m,9H)。
实例31:3-(5-(1-苄基-5-(三氟甲基)-1H-吡唑-3-基)-1-氧代异吲哚啉-2-基)哌啶-2,6-二酮(I-20)
步骤1.3-(1-氧代-5-(1-(四氢-2H-吡喃-2-基)-5-(三氟甲基)-1H-吡唑-3-基)异吲哚啉-2-基)哌啶-2,6-二酮(34-1)
向含有在DMF(8mL)中的INT-1(200mg,0.62mmol)的微波小瓶中添加INT-33-4和INT-33-5(472mg,0.93mmol)。将所得溶液用氩气脱气10min并添加Pd(PPh3)4(70mg,0.06mmol)。将反应混合物在120℃在微波中搅拌60min,然后冷却至室温,用冰冷的水淬灭,并用EtOAc(3x 50mL)萃取。将合并的有机萃取物用饱和氯化钠水溶液洗涤,经Na2SO4干燥,过滤,并在减压下浓缩。将粗材料通过硅胶色谱法(用在DCM中的5% MeOH洗脱)纯化,以提供呈灰白色固体的34-1及其位置异构体的混合物(220mg,0.47mmol,77%)。MS[M-C5H9O+H]+=378.9。
步骤2.1-(4-甲氧基苄基)-3-(1-氧代-5-(1-(四氢-2H-吡喃-2-基)-5-(三氟甲基)-1H-吡唑-3-基)异吲哚啉-2-基)哌啶-2,6-二酮(34-2)
在0℃,向34-1及其位置异构体的混合物(750mg,1.62mmol)和K2CO3(447mg,3.24mmol)在DMF(10mL)中的搅拌悬浮液中添加PMBCl(280mg,1.78mmol)和TBAI(59mg,0.16mmol)。将所得混合物在室温搅拌16小时。将反应混合物用冰冷的水淬灭并用EtOAc(2x100mL)萃取。将合并的有机萃取物用饱和氯化钠水溶液洗涤,经Na2SO4干燥,过滤,并在减压下浓缩,以提供34-2及其位置异构体的混合物(680mg,1.16mmol)。MS[(M-C5H9O)+H]+=499.2。
步骤3.1-(4-甲氧基苄基)-3-(1-氧代-5-(3-(三氟甲基)-1H-吡唑-5-基)异吲哚啉-2-基)哌啶-2,6-二酮(34-3)
将34-2及其位置异构体(680mg,1.16mmol)溶解于二噁烷(10mL)中并在0℃添加在二噁烷中的4M HCl(8mL)。将所得混合物在室温搅拌3小时。将反应混合物用冰冷的水淬灭并用EtOAc(2x 100mL)萃取。将合并的有机萃取物用饱和氯化钠水溶液洗涤,经Na2SO4干燥,过滤,并在减压下浓缩。将粗材料通过硅胶色谱法(用在DCM中的5%MeOH洗脱)纯化,以提供34-3(380mg,0.76mmol,65%)。MS[M+H]+=499.0。
步骤4.3-(5-(1-苄基-5-(三氟甲基)-1H-吡唑-3-基)-1-氧代异吲哚啉-2-基)-1-(4-甲氧基苄基)哌啶-2,6-二酮(34-4)
在0℃,向34-3(800mg,1.60mmol)和K2CO3(664mg,4.81mmol)在DMF(16mL)中的搅拌溶液中添加苄基溴(0.479mL,4.01mmol)。将所得混合物在室温搅拌16小时。然后将反应混合物用冰冷的水淬灭并用EtOAc(2x 100mL)萃取。将合并的有机萃取物用饱和氯化钠洗涤,经Na2SO4干燥,过滤,并在减压下浓缩。将粗材料通过硅胶色谱法(用在己烷中的40% EtOAc洗脱)纯化,以提供34-4及其位置异构体的混合物(510mg,0.86mmol,54%)。MS[M+H]+=589.1。
步骤5.3-(5-(1-苄基-5-(三氟甲基)-1H-吡唑-3-基)-1-氧代异吲哚啉-2-基)哌啶-2,6-二酮(I-20)
将34-4及其位置异构体(510mg,0.86mmol)在TFA-TfOH的1:1混合物(8mL)中的溶液在70℃搅拌2小时。使反应混合物冷却至室温,用冰冷的水淬灭并用EtOAc(2x 100mL)萃取。将合并的有机萃取物用饱和碳酸氢钠水溶液和饱和氯化钠水溶液洗涤,经Na2SO4干燥,过滤,并在减压下浓缩。将粗材料通过硅胶色谱法(用在己烷中的70%EtOAc洗脱)纯化,以提供位置异构体产物的混合物(350mg),将其通过反相HPLC(柱:YMC(150mm x 20mm),5.0μ,移动相:(A)在水中的0.1% TFA,(B)MeCN,流速:13mL/min,从0-2min 45%至50%(B),以及从2-9min 50%至70%(B))分离,以提供呈灰白色固体的I-20(220mg,0.45mmol,60%):MS[M+H]+=469.2。1H NMR(400MHz,DMSO-d6):δ11.02(s,1H),8.13(s,1H),8.04(d,J=7.6Hz,1H),7.79(d,J=8.0Hz,1H),7.66(s,1H),7.39-7.21(m,5H),5.57(s,2H),5.14(dd,J=13.2,4.8Hz,1H),4.52(d,J=17.2Hz,1H),4.38(d,J=17.2Hz,1H),2.95-2.88(m,1H),2.66-2.56(m,1H),2.44-2.40(m,1H),2.05-2.01(m,1H)。
实例32:3-(5-(1-乙基-5-(三氟甲基)-1H-吡唑-3-基)-1-氧代异吲哚啉-2-基)哌啶-2,6-二酮(I-7)
步骤1.3-(5-(1-乙基-5-(三氟甲基)-1H-吡唑-3-基)-1-氧代异吲哚啉-2-基)-1-(4-甲氧基苄基)哌啶-2,6-二酮(35-1)
在0℃,向34-3(700mg,1.40mmol)和K2CO3(588mg,4.21mmol)在DMF(14mL)中的搅拌悬浮液中添加碘乙烷(0.28mL,3.5mmol),并将所得混合物在室温搅拌16小时。然后将反应混合物用冰冷的水淬灭并用EtOAc(2x 100mL)萃取。将合并的有机萃取物用饱和氯化钠水溶液洗涤,经Na2SO4干燥,过滤,并在减压下浓缩。将粗材料通过硅胶色谱法(用在己烷中的50% EtOAc洗脱)纯化,以提供35-1及其位置异构体的混合物(450mg,0.85mmol,61%)。MS[M+H]+=527.1。
步骤2.3-(5-(1-乙基-5-(三氟甲基)-1H-吡唑-3-基)-1-氧代异吲哚啉-2-基)哌啶-2,6-二酮(I-7)
将35-1及其位置异构体的混合物(450mg,0.85mmol)在TFA-TfOH的1:1混合物(8mL)中的溶液在70℃搅拌2小时。使反应混合物冷却至室温,用冰冷的水淬灭,并用EtOAc(2x 100mL)萃取。将合并的有机萃取物用饱和碳酸氢钠水溶液和饱和氯化钠水溶液洗涤,经Na2SO4干燥,过滤,并在减压下浓缩。将粗材料通过硅胶色谱法(用在己烷中的70% EtOAc洗脱)纯化,以提供异构产物的混合物(230mg),将其通过反相HPLC(柱:KINETEX EVO(150mmx 20mm),5.0μ,移动相:(A)在水中的0.1% TFA,(B)MeCN,流速:13mL/min,从0-2min 20%至30%(B)以及从2-10min 30%至60%(B))分离,以提供呈灰白色固体的I-7(115mg,0.28mmol,50%)。I-7:MS[M+H]+=407.4。1H NMR(400MHz,CDCl3):δ8.16(s,1H),7.93-7.88(m,3H),6.94(s,1H),5.25(dd,J=13.2,4.8Hz,1H),4.53(d,J=17.2Hz,1H),4.38(d,J=17.2Hz,1H),4.32(q,J=7.2Hz,2H),2.95-2.81(m,2H),2.40-2.36(m,1H),2.27-2.21(m,1H),1.55(t,J=7.2Hz,3H)。
实例33:4-((5-溴-3-甲基-1H-吡唑-1-基)甲基)苯甲腈(INT-36-3)和4-((3-溴-5-甲基-1H-吡唑-1-基)甲基)苯甲腈(INT-36-4)
将5-溴-3-甲基-1H-吡唑(36-1,250mg,1.553mmol)和4-(溴甲基)苯甲腈(36-2,335mg,1.708mmol)溶解于DMF(7.8mL)中并分批添加NaH(60%,在矿物油中)(93mg,2.329mmol)。将所得混合物在室温搅拌47小时。然后将反应混合物用乙酸乙酯稀释,用水和饱和氯化钠水溶液洗涤。将有机萃取物经硫酸钠干燥,过滤,并浓缩。将粗材料通过硅胶色谱法(用在庚烷中的0-100% EtOAc洗脱)纯化,以提供呈透明薄膜的INT-36-3和INT-36-4的混合物(439mg,1.6mmol,100%)。将材料作为异构体的混合物用于下一步骤中。MS[M+H]+=278.2。
实例34:4-((3-(2-(2,6-二氧代哌啶-3-基)-1-氧代异吲哚啉-5-基)-5-甲基-1H-吡唑-1-基)甲基)苯甲腈(I-5)
向含有在DMF中的INT-36-3和INT-36-4的混合物(221mg,0.80mmol)的微波小瓶中添加碳酸钾(332mg,2.40mmol)、INT-2(356mg,0.960mmol)、和PdCl2(dppf)·CH2Cl2(32.7mg,0.04mmol)。将小瓶密封,将混合物用氮气脱气5分钟并在130℃搅拌1小时。将反应混合物通过过滤,用乙酸乙酯稀释,用水和饱和氯化钠洗涤,经硫酸钠干燥,过滤,并浓缩。将粗材料通过硅胶色谱法(用在DCM中的0-20%异丙醇)纯化,以提供80mg的褐红色固体。将此材料通过反相HPLC(用在含有0.1%甲酸作为改性剂的水中的20%-60% ACN洗脱)纯化,以提供I-5(24mg,0.055mmol,13%)。I-5:MS[M+H]+440.4[M+H]+。1H NMR(500MHz,DMSO-d6)δ10.99(s,1H),7.99(s,1H),7.91(d,J=7.9Hz,1H),7.83(d,J=8.0Hz,2H),7.73(d,J=7.9Hz,1H),7.32(d,J=8.0Hz,2H),6.72(s,1H),5.50(s,2H),5.12(dd,J=13.4,5.1Hz,1H),4.48(d,J=17.2Hz,1H),4.36(d,J=17.2Hz,1H),2.92(td,J=17.0,15.3,5.4Hz,1H),2.61(d,J=18.0Hz,1H),2.46-2.34(m,1H),2.27(s,3H),2.01(d,J=12.2Hz,1H)。
实例35:5-溴-3-甲基-1-((四氢-2H-吡喃-4-基)甲基)-1H-吡唑(INT-38-3)和3-溴-5-甲基-1-((四氢-2H-吡喃-4-基)甲基)-1H-吡唑(INT-38-4)
将4-(溴甲基)四氢-2H-吡喃(38-1,250mg,1.55mmol)和5-溴-3-甲基-1H-吡唑(38-2,250mg,1.55mmol)的混合物溶解于DMF(7.8mL)中,分批添加NaH(60%,在矿物油中)(93mg,2.33mmol),并将所得混合物在室温搅拌18小时。将反应混合物用乙酸乙酯稀释,用水和饱和氯化钠水溶液洗涤,经硫酸钠干燥,过滤,并浓缩。将粗材料通过硅胶色谱法(用在庚烷中的0-100%乙酸乙酯洗脱)纯化,以提供呈透明薄膜的INT-38-3和INT-38-4(259mg,1.0mmol,64%产率)。MS[M+H]+=261.2。
实例36:3-(5-(5-甲基-1-((四氢-2H-吡喃-4-基)甲基)-1H-吡唑-3-基)-1-氧代异吲哚啉-2-基)哌啶-2,6-二酮(I-10)
向含有在DMF(5mL)中的INT-38-3和INT-38-4的混合物(259mg,0.999mmol)的微波小瓶中添加碳酸钾(414mg,3.00mmol)、INT-2(444mg,1.199mmol)、和PdCl2(dppf)·CH2Cl2(40.8mg,0.050mmol)。将小瓶密封,将混合物用氮气脱气5分钟并在130℃搅拌1小时。将反应混合物通过过滤,用乙酸乙酯稀释,用水和饱和氯化钠水溶液洗涤,经硫酸钠干燥,过滤并浓缩。将粗材料通过硅胶色谱法(用在DCM中的0-20%异丙醇)纯化,以提供80mg的褐红色固体。将此材料进一步通过反相HPLC(用在含有0.1%甲酸作为改性剂的水中的20%-60%ACN洗脱)纯化,以提供I-10(19.8mg,0.047mmol,9.2%)。I-10:MS[M+H]+=423.4。1H NMR(400MHz,DMSO-d6)δppm 11.02(s,1H)7.82(d,J=7.83Hz,1H)7.67(s,1H)7.56(d,J=7.87Hz,1H)6.21(s,1H)5.15(dd,J=13.28,5.06Hz,1H)4.49-4.58(m,1H)4.37-4.45(m,1H)3.96(d,J=7.14Hz,2H)3.72(br dd,J=10.98,2.42Hz,2H)3.16(br t,J=11.03Hz,2H)2.87-3.00(m,1H)2.56-2.66(m,1H)2.33-2.47(m,1H)2.20(s,3H)1.93-2.09(m,2H)1.29(br d,J=12.37Hz,2H)0.93-1.12(m,2H)。
实例37:3-(5-(6-苄基哒嗪-3-基)-1-氧代异吲哚啉-2-基)哌啶-2,6-二酮(I-24)
向含有在DMF(4mL)中的3-(1-氧代-5-(4,4,5,5-四甲基-1,3,2-二氧杂环戊硼烷-2-基)异吲哚啉-2-基)哌啶-2,6-二酮INT-2(235mg,0.635mmol)的微波小瓶中添加碳酸钾(203mg,1.466mmol)、3-苄基-6-氯哒嗪41-1(100mg,0.489mmol)、和PdCl2(dppf)·CH2Cl2(19.95mg,0.024mmol)。将小瓶密封,将混合物用N2脱气5分钟然后在130℃进行微波加热1小时。将反应混合物通过塑料烧结漏斗过滤。将滤液用乙酸乙酯稀释,用水和饱和氯化钠水溶液洗涤,经硫酸钠干燥,过滤,并浓缩到上。将粗材料通过硅胶色谱法(用在庚烷中的0至80%乙酸乙酯随后用在DCM中的0至20%异丙醇洗脱)纯化,以给出轻微不纯的产物。将材料进一步通过反相HPLC(用在含有0.1%甲酸作为改性剂的水中的20% MeCN洗脱)纯化,以获得I-24(6mg,0.014mmol,5.66%产率)。MS[M+H]+=413.4。1H NMR(500MHz,DMSO-d6)δ11.03(s,1H),8.51(s,1H),8.38(s,1H),8.26(t,J=8.1Hz,2H),7.89(d,J=7.9Hz,1H),7.73(d,J=8.8Hz,1H),7.35(q,J=8.1Hz,4H),7.25(d,J=7.0Hz,0H),6.84(s,1H),5.16(dd,J=13.2,5.1Hz,1H),4.58(d,J=17.4Hz,1H),4.45(d,J=17.3Hz,1H),4.37(s,2H),3.01–2.83(m,1H),2.64(s,1H),2.39(d,J=19.8Hz,1H),2.09–1.87(m,1H)。
实例38:3-(5-(1-甲基-1H-吡唑-3-基)-1-氧代异吲哚啉-2-基)哌啶-2,6-二酮(I-2)
向含有INT-1(200mg,0.62mmol)和43-1(155mg,0.74mmol)在DMF(4mL)中的溶液的微波小瓶中添加K2CO3(171mg,1.24mmol)。将所得混合物用氩气脱气5min。然后,添加PdCl2(dppf)·DCM(25mg,0.03mmol)并将所得混合物在微波中加热至120℃持续1h。使反应混合物冷却至室温,用冰冷的水淬灭并用EtOAc(2x 50mL)萃取。将合并的有机萃取物用饱和氯化钠水溶液洗涤,经Na2SO4干燥,过滤,并在减压下浓缩。将粗材料通过制备型HPLC(柱:LunaC-18(2)(21.2*250mm,5um),流动相-A:0.01%乙酸铵(水性),流动相-B:乙腈,方法:0/25、10/60,流速:15ml/min)纯化,以提供呈灰白色固体的I-2(8mg,0.02mmol,4%)。MS[M+H]+=325.2。1H NMR(400MHz,DMSO-d6):δ10.97(s,1H),8.01(s,1H),7.94(d,J=8.0Hz,1H),7.78(d,J=2.0Hz,1H),7.73(d,J=8.0Hz,1H),6.82(d,J=2.0Hz,1H),5.12(dd,J=13.2,4.8Hz,1H),4.49(d,J=17.2Hz,1H),4.36(d,J=17.2Hz,1H),3.91(s,3H),2.96-2.87(m,1H),2.67-2.32(m,2H),2.03-1.90(m,1H)。
实例39:1-苄基-3-溴-5-甲基-1H-吡唑(INT-44-2)
在0℃,向3-溴-5-甲基-1H-吡唑44-1(200mg,1.25mmol)和NaH(100mg,2.50mmol)在DMF(5mL)中的搅拌溶液中逐滴添加苄基溴(0.18mL,1.50mmol)。将所得混合物在室温搅拌16h。将反应混合物用冰冷的水淬灭并用EtOAc(2x 50mL)萃取。将合并的有机萃取物用水和饱和氯化钠水溶液洗涤,经Na2SO4干燥并在减压下浓缩。将粗材料通过硅胶色谱法(用在己烷中的10% EtOAc洗脱)纯化,以提供呈灰白色固体的INT-44-2(240mg,0.96mmol,77%)。MS[M+H]+=251.1。
实例40:3-(5-(5-甲基-1H-吡唑-3-基)-1-氧代异吲哚啉-2-基)哌啶-2,6-二酮(I-16)
步骤1.3-(5-(1-苄基-5-甲基-1H-吡唑-3-基)-1-氧代异吲哚啉-2-基)哌啶-2,6-二酮(I-4)
向含有INT-2(400mg,1.08mmol)和INT-44-2(324mg,1.30mmol)在DMF(5mL)中的溶液的微波小瓶中添加K2CO3(448mg,3.24mmol)。将所得混合物用氩气脱气5min。然后,添加PdCl2(dppf)·DCM(44mg,0.05mmol)并将所得混合物在130℃在微波中搅拌1h。使反应混合物冷却至室温,用冰冷的水淬灭并用EtOAc(2x 70mL)萃取。将合并的有机萃取物用饱和氯化钠水溶液洗涤,经Na2SO4干燥,过滤,并在减压下浓缩。将粗材料通过硅胶色谱法(用在DCM中的8% MeOH洗脱)纯化,以提供呈灰白色固体的I-4(150mg,0.36mmol,33%)。MS[M+H]+=415.2
步骤2.3-(5-(5-甲基-1H-吡唑-3-基)-1-氧代异吲哚啉-2-基)哌啶-2,6-二酮(I-16)
向I-4(150mg,0.36mmol)在MeOH(3mL)中的溶液中添加AcOH(0.1mL),随后添加20% Pd(OH)2(100mg,0.142mmol),并将所得混合物在氢气气氛下搅拌16h。将反应混合物通过小垫过滤并将垫用MeOH洗涤。将滤液经Na2SO4干燥,过滤,并在减压下浓缩,以提供呈白色固体的I-16(20mg,0.06mmol,17%)。MS[M+H]+=325.1。1H NMR(400MHz,DMSO-d6):δ12.71(s,1H),10.59(s,1H),7.97(s,1H),7.90(d,J=7.6Hz,1H),7.72(d,J=8.0Hz,1H),6.56(s,1H),5.12(dd,J=13.2,4.8Hz,1H),4.49(d,J=17.2Hz,1H),4.35(d,J=17.2Hz,1H),2.96-2.87(m,1H),2.67-2.32(m,2H),2.27(s,3H),2.03-1.98(m,1H)。
实例41:1-苄基-3-碘-1H-吲唑(INT-46-2)和2-苄基-3-碘-2H-吲唑(INT-46-3)
在0℃,向46-1(1.0g,4.09mmol)和NaH(196mg,4.19mmol)在THF(10mL)中的搅拌悬浮液中添加苄基溴(0.58mL,4.19mmol),并将所得混合物在室温搅拌16h。将反应混合物用冰冷的水淬灭并用EtOAc(2x 100mL)萃取。将合并的有机萃取物用饱和氯化钠水溶液洗涤,经Na2SO4干燥,过滤,并在减压下浓缩。将粗材料通过硅胶色谱法(用在己烷中的7% EtOAc洗脱)纯化,以提供呈灰白色固体的INT-46-2(1.1g,3.29mmol,81%)和呈灰白色固体的INT-46-3(170mg,0.51mmol,12%)。INT-46-2:MS[M+H]+=335.2。INT-46-3:MS[M+H]+=335.0。
实例42:3-(5-(1-苄基-1H-吲唑-3-基)-1-氧代异吲哚啉-2-基)哌啶-2,6-二酮(I-19)
向含有在DMF(5mL)中的INT-2(200mg,0.54mmol)的微波小瓶中添加INT-46-2(或INT-21-2,180mg,0.54mmol),随后添加K2CO3(149mg,1.08mmol)。将所得混合物用氩气脱气10min,然后添加PdCl2(dppf)·DCM(44mg,0.05mmol)。将反应混合物在130℃在微波辐照中搅拌60min然后冷却至室温,用冰冷的水淬灭,并用EtOAc(2x 50mL)萃取。将合并的有机萃取物用饱和氯化钠水溶液洗涤,经Na2SO4干燥,过滤,并在减压下浓缩。将粗材料通过制备型HPLC(柱:ZORBAX(21.2mm x 150mm),5.0μ,流动相-A:水,B:乙腈,流速:20ml/min,时间/%B:0/40、2/45、8/65)纯化,以提供呈灰白色固体的I-19(30mg,0.06mmol,12%)。MS[M+H]+=451.3。1H NMR(400MHz,DMSO-d6):δ11.05(s,1H),8.24-8.15(m,3H),7.87-7.81(m,2H),7.49-7.46(m,1H),7.33-7.27(m,6H),5.56(s,2H),5.15(dd,J=13.2,4.8Hz,1H),4.55(d,J=17.2HZ,1H),4.45(d,J=17.2Hz,1H),2.98-2.87(m,1H),2.67-2.41(m,2H),2.09-2.01(m,1H)。
实例43:3-(1-氧代-5-(4,5,6,7-四氢-1H-吲唑-3-基)异吲哚啉-2-基)哌啶-2,6-二酮(I-14)
在氩气气氛下,向I-19(200mg,0.44mmol)在AcOH:TFA的3:2混合物(5mL)中的溶液中添加10% Pd/C(50mg),并将所得混合物用氢气吹扫并在氢气气氛下搅拌16h。将反应混合物通过小垫过滤。将滤液用水淬灭并用EtOAc(2x 50mL)萃取。将合并的有机萃取物用饱和氯化钠水溶液洗涤,经Na2SO4干燥,过滤,并在减压下浓缩。将粗材料通过硅胶色谱法(用在DCM中的5% MeOH洗脱)纯化。将获得的材料用Et2O研磨,并将固体过滤并在减压下干燥,以提供呈白色固体的I-14(50mg,0.14mmol,31%)。MS[M+H]+=365.5。1H NMR(400MHz,DMSO-d6):δ12.61(s,1H),11.00(s,1H),7.89-7.72(m,3H),5.13(dd,J=13.2,4.8Hz,1H),4.49(d,J=17.2Hz,1H),4.36(d,J=17.2Hz,1H),2.97-2.87(m,1H),2.71-2.51(m,5H),2.41-2.32(m,1H),2.04-1.98(m,1H),1.79-1.69(m,4H)。
实例44:1-苄基-5-溴-3-甲氧基-1H-吡唑(INT-50-2)
向3-溴-5-甲氧基-1H-吡唑(50-1,500mg,2.82mmol)和K2CO3(1.17g,8.47mmol)在DMF(5mL)中的搅拌悬浮液中添加苄基溴(0.72g,4.23mmol),并将所得混合物在室温搅拌16h。将反应混合物用冰冷的水淬灭并用EtOAc(2x 75mL)萃取。将合并的有机萃取物用饱和氯化钠水溶液洗涤,经Na2SO4干燥,过滤,并在减压下浓缩。将粗材料通过硅胶色谱法(用在己烷中的7% EtOAc洗脱)纯化,以提供呈浅黄色液体的INT-50-2(370mg,1.38mmol,49%)。1H NMR(300MHz,CDCl3):δ7.32-7.18(m,5H),5.76(s,1H),5.21(s,2H),3.85(s,3H)。
实例45:3-(1-氧代-5-(5-(三氟甲基)-1H-吡唑-3-基)异吲哚啉-2-基)哌啶-2,6-二酮(I-13)
步骤1.3-(1-氧代-5-(1-(四氢-2H-吡喃-2-基)-5-(三氟甲基)-1H-吡唑-3-基)异吲哚啉-2-基)哌啶-2,6-二酮(52-2)
向含有INT-1(500mg,1.55mmol)在二噁烷(20mL)中的溶液的微波小瓶中添加52-1(1.18g,2.32mmol)[根据WO 2011137219中的程序由3-(三氟甲基)-1H-吡唑制备]。将所得溶液用氩气脱气10min,然后添加PdCl2(PPh3)2(108mg,0.15mmol)。将反应混合物在110℃搅拌60h。将溶剂在减压下蒸发并将粗材料通过硅胶色谱法(用在DCM中的5% MeOH洗脱)纯化,以提供52-2(410mg,0.87mmol,57%)。MS[(M-C5H9O)+H]+=378.9。
步骤2.3-(1-氧代-5-(5-(三氟甲基)-1H-吡唑-3-基)异吲哚啉-2-基)哌啶-2,6-二酮(I-13)
向52-2(410mg,0.87mmol)在二噁烷(10mL)中的溶液中添加在二噁烷中的4M HCl(4mL),并将所得混合物在室温搅拌16h。将溶剂蒸发。将粗产物溶解于EtOAc(50mL)中,用饱和NaHCO3、盐水洗涤,经Na2SO4干燥,过滤,并在减压下浓缩。将粗材料通过硅胶色谱法(用在DCM中的5% MeOH洗脱)纯化,以提供呈白色固体的I-13(200mg,0.53mmol,60%)。MS[M+H]+=379.2。1H NMR(400MHz,DMSO-d6):δ13.05(br s,1H),11.02(s,1H),8.07(br s,1H),7.98(d,J=7.6Hz,1H),7.84(d,J=8.0Hz,1H),7.37(s,1H),5.14(dd,J=13.2,4.8Hz,1H),4.53(d,J=17.2Hz,1H),4.40(d,J=17.2Hz,1H),2.98-2.89(m,1H),2.63-2.42(m,2H),2.06-2.01(m,1H)。
实例46:1-乙基-5-碘-3-甲氧基-1H-吡唑(INT-53-2)和1-乙基-3-碘-5-甲氧基-1H-吡唑(INT-53-3)
向53-1(500mg,2.24mmol)[根据WO 2010015656中披露的程序制备]和K2CO3(925mg,6.70mmol)在乙腈(10mL)中的搅拌悬浮液中添加EtI(1.04g,6.70mmol),并将所得混合物在室温搅拌16h。将反应混合物用冰冷的水淬灭并用EtOAc(3x 50mL)萃取。将合并的有机萃取物用饱和氯化钠水溶液洗涤,经Na2SO4干燥,过滤,并在减压下浓缩。将粗材料通过硅胶色谱法(用在己烷中的40% EtOAc洗脱)纯化,以提供呈无色液体的INT-53-2和INT-53-3的混合物(500mg,1.98mmol,88%)。MS[M+H]+=252.8。
实例47:3-(5-(1-乙基-5-甲氧基-1H-吡唑-3-基)-1-氧代异吲哚啉-2-基)哌啶-2,6-二酮(I-34)
向含有INT-3(400mg,1.58mmol)在二噁烷(20mL)中的溶液的微波管中添加INT-53-2和INT-53-3的混合物(930mg,1.74mmol),并将所得溶液用氩气脱气10min。然后添加PdCl2(PPh3)2(111mg,0.16mmol)并将反应混合物在110℃搅拌16h。将溶剂在减压下蒸发。将粗材料通过硅胶色谱法(用在DCM中的5% MeOH洗脱)纯化,以提供位置异构体的混合物。将两种位置异构体进一步通过制备型HPLC(柱:GEMININXC18(150mm x 21.0mm),5.0μ,流动相-A=在水中的0.1%TFA,B=CAN,流量:20ML,时间/%B:0/20、2/30、10/50)分离,以提供呈灰白色固体的I-34(30mg,0.08mmol,5%)。I-34:MS[M+H]+=369.2。1H NMR(400MHz,DMSO-d6):δ11.01(s,1H),7.97(s,1H),7.89(d,J=8.0Hz,1H),7.73(d,J=8.4Hz,1H),6.32(s,1H),5.12(dd,J=13.2,4.8Hz,1H),4.48(d,J=17.2Hz,1H),4.35(d,J=17.2Hz,1H),3.98(q,J=7.2Hz,2H),3.94(s,3H),2.96-2.87(m,1H),2.64-2.39(m,2H),2.04-1.99(m,1H),1.31(t,J=7.2Hz,3H)。
实例48:6-苄基-3-氯-4-甲氧基哒嗪(INT-55-3)
步骤1.3,6-二氯-4-甲氧基哒嗪(55-2)
在0℃,向55-1(1.1g,5.90mmol)在MeOH(11mL)中的溶液中逐滴添加NaOMe(1M,在MeOH中,5.39mL,2.45mmol),并将所得混合物在相同温度下搅拌1h。将溶剂蒸发,将获得的残余物溶解于水(75mL)中并用EtOAc(2x 75mL)萃取。将合并的有机萃取物用饱和氯化钠水溶液洗涤,经Na2SO4干燥,过滤,并在减压下浓缩。将粗材料通过硅胶色谱法(用在己烷中的20% EtOAc洗脱)纯化,以提供呈白色固体的55-2(850mg,4.75mmol,80%)。MS[M+H]+=178.9。
步骤2.6-苄基-3-氯-4-甲氧基哒嗪(INT-55-3)
在密封管中,向55-2(1.0g,5.58mmol)在THF(20mL)中的溶液中添加Pd(PPh3)4(320mg,0.28mmol),并将所得溶液用氩气脱气10min。添加苄基溴化锌(14.52mL,7.26mmol,0.5M,在THF中)并将所得混合物加热至80℃持续16h。然后将反应混合物冷却至室温,用饱和氯化铵水溶液淬灭并用EtOAc(2x 75mL)萃取。将合并的有机萃取物用饱和氯化钠水溶液洗涤,经Na2SO4干燥,过滤,并在减压下浓缩。将粗材料通过硅胶色谱法(用在己烷中的50%EtOAc洗脱)纯化,以提供呈白色固体的INT-55-3(390mg,1.60mmol,29%)。MS[M+H]+=235.0。
实例49:3-(5-(6-苄基-4-甲氧基哒嗪-3-基)-1-氧代异吲哚啉-2-基)哌啶-2,6-二酮(I-28)
向含有INT-55-3(390mg,1.60mmol)在二噁烷(10mL)中的溶液的密封管中添加INT-3(975mg,1.83mmol)。将所得溶液用氩气脱气10min。添加PdCl2(PPh3)2(116mg,0.17mmol)并将反应混合物在110℃搅拌16h。然后将反应混合物用水淬灭并用EtOAc(2x75mL)萃取。将合并的有机萃取物用饱和氯化钠水溶液洗涤,经Na2SO4干燥,过滤,并在减压下浓缩。将粗材料通过硅胶色谱法(用在DCM中的10%MeOH洗脱)纯化,以提供呈白色固体的I-28(16mg,1.04mmol,2%)。MS[M+H]+=443.1。1H NMR(400MHz,DMSO-d6):δ11.03(s,1H),8.42(s,1H),8.32(d,J=8.0Hz,1H),7.88(d,J=8.0Hz,1H),7.78(s,1H),7.29-7.28(m,3H),7.22-7.19(m,2H),5.17(dd,J=13.2,4.8Hz,1H),4.58(d,J=17.2Hz,1H),4.44(d,J=17.2Hz,1H),4.28(s,2H),4.02(s,3H),2.95-2.89(m,1H),2.64-2.42(m,2H),2.06-1.98(m,1H)。
实例50:3-(5-(1H-苯并[d]咪唑-2-基)-1-氧代异吲哚啉-2-基)哌啶-2,6-二酮(I-45)
步骤1.3-(1-氧代-5-乙烯基异吲哚啉-2-基)哌啶-2,6-二酮(56-1)
在氩气气氛下,向化合物INT-1(2.00g,6.20mmol)在1,4-二噁烷(100mL)中的脱气溶液中添加Pd(PPh3)2Cl2(0.21g,0.31mmol)和三丁基(乙烯基)锡烷(3.0g,9.3mmol)。将反应混合物在110℃搅拌16h。将反应混合物用水稀释并用EtOAc(3x 100mL)萃取。将合并的有机萃取物用盐水洗涤,经Na2SO4干燥并在减压下浓缩。将获得的粗材料通过硅胶色谱法(用在己烷中的50% EtOAc洗脱)纯化,以提供呈白色固体的化合物56-1(1.20g,4.43mmol,71.37%)。MS[M+H]+=271.10。
步骤2.2-(2,6-二氧代哌啶-3-基)-1-氧代异吲哚啉-5-甲醛(56-2)
在0℃,向化合物56-1(1.20g,4.43mmol)在1,4-二噁烷-H2O(v/v=4:1)(50mL)中的溶液中顺序地添加NaIO4(3.78g,17.7mmol)、2,6-二甲基吡啶(0.95g,8.9mmol)和OsO4(0.68mL,在t-BuOH中的0.13M溶液,0.080mmol)。将反应混合物在室温搅拌2h。将反应混合物用水稀释并用EtOAc(3x 50mL)萃取。将合并的有机萃取物用盐水洗涤,经Na2SO4干燥并在减压下浓缩。将获得的粗材料通过硅胶色谱法(用在己烷中的50% EtOAc洗脱)纯化,以提供呈灰白色固体的化合物56-2(0.80g,2.9mmol,66%)。MS[M+H]+=273.10。
步骤3.3-(5-(1H-苯并[d]咪唑-2-基)-1-氧代异吲哚啉-2-基)哌啶-2,6-二酮(I-45)
向化合物56-2(200mg,0.73mmol)在1,4-二噁烷-H2O(v/v=4:3)(15mL)中的溶液中添加化合物56-3(101mg,0.73mmol)和Na2S2O4(384mg,2.20mmol)。将反应混合物在100℃搅拌16h。反应完成后,将反应混合物浓缩至干,将残余物用水稀释,用30% NH4OH水溶液中和并用在DCM中的5% MeOH(3x 20mL)萃取。将合并的有机萃取物经Na2SO4干燥并在减压下浓缩。将获得的粗材料通过硅胶色谱法(用在DCM中的6%-10% MeOH洗脱)纯化,以提供呈白色固体的化合物I-45(35mg,0.09mmol,13%)。MS[M+H]+=360.95。1H NMR(400MHz,DMSO-d6):δ13.18(s,1H),11.04(s,1H),8.41(s,1H),8.33(d,J=8Hz,1H),7.91(d,J=8Hz,1H),7.71(d,J=7.6Hz,1H),7.57(d,J=7.2Hz,1H),7.26-7.22(m,2H),5.19(dd,J=13.2,4.8Hz,1H),4.61(d,J=17.2Hz,1H),4.85(d,J=17.2Hz,1H),2.97-2.89(m,1H),2.64-2.59(m,1H),2.55-2.472(m,1H),2.06-1.99(m,1H)。
实例51:3-(5-(1H-咪唑[4,5-b]吡啶-2-基)-1-氧代异吲哚啉-2-基)哌啶-2,6-二酮(I-46)
向化合物56-2(200mg,0.73mmol)在DMF(5mL)中的溶液中添加化合物57-1(88mg,0.80mmol)和Na2S2O5(280mg,1.46mmol)。将反应混合物在120℃搅拌16h。反应完成后,用水稀释并搅拌10分钟。将沉淀出的固体过滤,用水洗涤并在真空下干燥。将获得的粗材料通过制备型HPLC[柱:LUNA C18(250mm X 21.2mm),5.0μ,流动相-A:0.01% HCOOH(水性),流动相-B:乙腈,方法:0/10、2/10、9/50,流速:20ml/min,稀释剂:流动相]纯化,以提供呈浅棕色固体的化合物I-46(110mg,0.30mmol,41%)。MS[M+H]+=362.10。1H NMR(400MHz,DMSO-d6):δ13.78(brs,1H),11.04(s,1H),8.47(s,1H),839-8.36(m,2H),8.06(brs,1H),7.92(d,J=8.4Hz,1H),7.31-7.27(m,1H),5.17(dd,J=13.2,4.8Hz,1H),4.60(d,J=17.2Hz,1H),4.47(d,J=17.2Hz,1H),2.82-2.79(m,1H),2.62-2.59(m,1H),2.55-2.52(m,1H),2.05-1.99(m,1H)。
实例52:3-(1-氧代-5-(5-氧代-4,5-二氢-1H-咪唑[4,5-b]吡啶-2-基)异吲哚啉-2-基)哌啶-2,6-二酮(I-6)
步骤1.6-甲氧基-3-硝基吡啶-2-胺(58-2)
向化合物58-1(1.00g,5.31mmol)在DMF(10mL)中的溶液中添加30% NH4OH水溶液(2.7mL)并在65℃搅拌12h。反应完成后,用冰淬灭并搅拌10分钟。将沉淀出的固体过滤,用水洗涤并在真空下干燥,以提供呈浅黄色固体的化合物58-2(0.55g,3.25mmol,61%)。MS[M+H]+=170.05。
步骤2:6-甲氧基吡啶-2,3-二胺(58-3)
向化合物58-2(0.60g,3.54mmol)在MeOH(20mL)中的溶液中添加10% Pd/C(0.30g,50%wt/wt),并将反应混合物在氢气压力(1atm)下在室温搅拌6h。反应完成后,通过硅藻土过滤,用MeOH洗涤并将滤液在减压下浓缩,以提供呈棕色半固体的化合物58-3(0.40g,2.87mmol,81%)。MS[M+H]+=140.1。
步骤3.3-(5-(5-甲氧基-1H-咪唑[4,5-b]吡啶-2-基)-1-氧代异吲哚啉-2-基)哌啶-2,6-二酮(58-4)
向化合物56-2(250mg,0.92mmol)在DMF(10mL)中的溶液中添加化合物58-3(127mg,0.92mmol)和Na2S2O5(523mg,2.75mmol)。将反应混合物在120℃搅拌16h。反应完成后,用水稀释并搅拌10分钟。将沉淀出的固体过滤,用水洗涤并在真空下干燥。将获得的粗材料用乙醚研磨,以提供呈棕色固体的粗化合物58-4(200mg)。将粗材料带入假定定量产率的下一反应中。
步骤4.3-(1-氧代-5-(5-氧代-4,5-二氢-1H-咪唑[4,5-b]吡啶-2-基)异吲哚啉-2-基)哌啶-2,6-二酮(I-6)
向化合物58-4(200mg,0.51mmol)在乙腈(10mL)中的溶液中添加NaI(383mg,2.55mmol)和TMSCl(277mg,2.55mmol)并在100℃搅拌16。将反应混合物浓缩至干,用水稀释并搅拌10分钟。将获得的固体过滤,用水和乙醚洗涤。将获得的粗材料通过制备型HPLC[柱:Kinetex C18(150mm X 21.2mm),5.0μ,流动相-A:0.01%HCOOH(水性),流动相-B:乙腈,方法:0/10、2/10、10/50,流速:20ml/min,稀释剂:流动相],以提供呈浅棕色固体的化合物I-6(15mg,0.04mmol,8%)。MS[M+H]+=378.0。1H NMR(400MHz,DMSO-d6):δ13.21(brs,1H),11.02(s,1H),8.25-8.12(m,2H),7.82-7.68(m,2H),6.61-6.48(m,1H),6.63-6.28(m,1H),5.25(d,J=13.2,4.8Hz,1H),4.55(d,J=17.2Hz,1H),4.42(d,J=17.2Hz,1H),2.95-2.88(m,1H),2.65-2.62(m,1H),2.45-4.41(m,1H),2.03-1.99(m,1H)。
实例53:3-(5-(5-甲氧基-1H-吡唑-3-基)-1-氧代异吲哚啉-2-基)哌啶-2,6-二酮(I-44)
步骤1.3-(5-(1-苄基-3-甲氧基-1H-吡唑-5-基)-1-氧代异吲哚啉-2-基)哌啶-2,6-二酮(51-1)
向含有在DMF(10mL)中的INT-2(500mg,1.35mmol)的微波小瓶中添加INT-50-2(360mg,1.5mmol),随后添加K2CO3(560mg,4.05mmol)。将所得溶液用氩气脱气10min,然后添加PdCl2(dppf)·DCM(55mg,0.07mmol)。将反应混合物在130℃在微波中搅拌60min然后冷却至室温,用冰冷的水淬灭,并用EtOAc(2x 75mL)萃取。将合并的有机萃取物用饱和氯化钠水溶液洗涤,经Na2SO4干燥,过滤,并在减压下浓缩。将粗材料通过硅胶色谱法(用在DCM中的5% MeOH洗脱)纯化,以提供呈浅棕色固体的51-1(140mg,0.32mmol,24%)。MS[M+H]+=431.2。
步骤2.3-(5-(5-甲氧基-1H-吡唑-3-基)-1-氧代异吲哚啉-2-基)哌啶-2,6-二酮(I-44)
向51-1(100mg,0.23mmol)在TFA(10mL)中的溶液中添加AcOH(2mL),随后添加10%Pd/C(10mg,9.40μmol),并将所得混合物用氢气吹扫并在氢气气氛下搅拌16h。将反应混合物通过小垫过滤并将垫用MeOH洗涤。将合并的滤液浓缩通过硅胶色谱法(用在DCM中的5% MeOH洗脱)纯化,以提供呈灰白色固体的I-44(25mg,0.07mmol,32%)。MS[M+H]+=341.1。1H NMR(400MHz,DMSO-d6):δ12.59(s,1H),11.01(s,1H),7.93(s,1H),7.84(d,J=7.6Hz,1H),7.79(d,J=8.0Hz,1H),6.30(s,1H),5.14(dd,J=13.2,4.8Hz,1H),4.49(d,J=17.2Hz,1H),4.37(d,J=17.2Hz,1H),3.81(s,3H),2.92-2.89(m,1H),2.65-2.41(m,2H),2.15-2.01(m,1H)。
实例54:3-氯-6-((4-甲氧基苄基)氧基)哒嗪(INT-54)
向54-1(0.483g,10.7mmol)在THF(30mL)中的溶液中添加NaH(60%矿物油)(1.34g,33.6mmol)。添加后,将所得混合物加热至60℃并搅拌2h。然后将反应混合物冷却至0℃并逐滴添加3,6-二氯哒嗪(2.00g,13.4mmol)在THF(10mL)中的溶液。添加后,将所得混合物加热至60℃并搅拌4h。然后将反应混合物冷却至室温,然后小心地用水(20mL)淬灭并用EtOAc(3x 30mL)萃取。将合并的有机层用盐水洗涤,经Na2SO4干燥,过滤并在减压下浓缩。将粗材料通过硅胶色谱法(用在己烷中的20%-40% EtOAc洗脱)纯化,以提供呈白色固体的INT-54(1.40g,5.58mmol,42%)。
实例55:((1r,4r)-4-甲氧基环己基)甲基4-甲基苯磺酸酯(INT-55)
步骤1.((1r,4r)-4-甲氧基环己基)甲醇(55-2)
向LAH(1.50g,41.8mmol)在THF(40mL)中的冷(0℃)混合物中添加甲基(1s,4s)-4-甲氧基环己烷-1-甲酸酯(55-1,4.80g,27.9mmol)。添加后,使混合物的温度回到室温并搅拌4h。将反应小心地用冰冷的水淬灭并用EtOAc(3x 10mL)萃取。将合并的有机层用盐水洗涤,经Na2SO4干燥,过滤并在减压下浓缩。将粗材料通过硅胶色谱法(用在己烷中的20%EtOAc洗脱)纯化,以提供呈无色液体的55-2(3.30g,22.9mmol,80%)。
步骤2.((1r,4r)-4-甲氧基环己基)甲基4-甲基苯磺酸酯(INT-55)
向55-2(1.00g,6.93mmol)和NEt3(2.90mL,20.8mmol)在DCM中的(30mL)冷(0℃)溶液中添加TsCl(1.98g,10.4mmol)。添加后,使混合物的温度回到室温并搅拌16h。将反应在减压下浓缩并将粗材料通过硅胶色谱法(用在己烷中的30%-50% EtOAc洗脱)纯化,以提供呈浅黄色油状物的INT-55(1.80g,6.03mmol,87%)。
实例56:3-氯-6-(((1r,4r)-4-甲氧基环己基)甲基)哒嗪(INT-57)
步骤1.3-((4-甲氧基苄基)氧基)-6-(((1r,4r)-4-甲氧基环己基)甲基)哒嗪(56-1)
向NiBr2(乙二醇二甲醚)(0.123g,0.398mmol)在DMA(10mL)中的搅拌溶液中顺序地添加吡啶酰胺盐酸盐(0.051g,0.398mmol)和DIPEA(0.069mL,0.398mmol)。将所得混合物加热至60℃持续20min。在单独的烧瓶中,向INT-54(1.00g,4.00mmol)在DMA(20mL)中的搅拌溶液中顺序地添加INT-55(0.357g,4.00mmol)、Mn(0.593g,10.8mmol)、和KI(1.79g,10.8mmol)。然后将镍催化剂溶液添加到混合物中并将反应混合物在60℃搅拌16h。然后将反应混合物用水稀释并通过垫过滤。将垫用EtOAc洗涤并将滤液用EtOAc(2x)萃取。将合并的有机层用盐水洗涤,经Na2SO4干燥,过滤并在减压下浓缩。将粗材料通过硅胶色谱法(用在己烷中的20%-40% EtOAc洗脱)纯化,以提供呈灰白色固体的56-1(0.25g,0.73mmol,18%)。MS[M+H]+=343.2。
步骤2.6-(((1r,4r)-4-甲氧基环己基)甲基)哒嗪-3-醇(56-2)
将56-1(0.30g,0.867mmol,来自以上步骤1的两个批次的材料)在EtOAc(15mL)中的溶液用N2脱气15min,然后添加10% Pd/C(0.090g,0.008mmol)。烧瓶装有一个H2气球,并放置在H2气体的气氛下。然后将所得混合物在室温搅拌2h。将反应混合物通过垫过滤并将滤液浓缩,以提供56-2(0.20g),将其不经进一步纯化而直接用于下一步骤。MS[M-H]-=223.0。
步骤3.3-氯-6-(((1r,4r)-4-甲氧基环己基)甲基)哒嗪(INT-57)
将POCl3(5.0mL)添加到粗56-2(0.20g)中并将所得混合物加热至100℃持续2h。然后将反应混合物冷却至室温,倒在碎冰上,并用EtOAc(3x 20mL)萃取。将合并的有机层用盐水洗涤,经Na2SO4干燥,过滤,并在减压下浓缩,以给出INT-57(0.17g),将其不经进一步纯化而直接用于下一步骤。
实例57:3-(5-(6-(((1r,4r)-4-甲氧基环己基)甲基)哒嗪-3-基)-1-氧代异吲哚啉-2-基)哌啶-2,6-二酮(I-25)
向INT-57(0.10g,0.42mmol)在1,4-二噁烷(10mL)中的溶液中添加INT-3(0.33g,0.62mmol)。将所得混合物用氩气脱气然后添加PdCl2(PPh3)2(0.30g,0.041mmol)。将反应混合物加热至110℃持续16h然后用水(20mL)淬灭,并用EtOAc(3x)萃取。将合并的有机层用盐水洗涤,经Na2SO4干燥,过滤并在减压下浓缩。将粗材料通过硅胶色谱法(用在DCM中的5%-10% MeOH洗脱)纯化,以提供呈灰白色固体的I-25(0.030g,0.066mmol,16%)。MS[M+H]+=449.3。
生物学测定和数据
根据本披露的化合物的活性可以通过以下体外方法进行评估。
实例58:293GT细胞中IKZF1、IKZF2或GSPT1蛋白水平的Prolabel定量
将来自DiscoverX公司的Prolabel系统用于开发高通量和定量分析,以测量IKZF1、IKZF2和GSPT1蛋白水平对化合物的响应变化。prolabel标签衍生自β半乳糖苷酶的α片段,并且具有以下蛋白质序列:mssnslavvlqrrdwenpgvtqlnrlaahppfaswrnseeartdrpsqqlrslnge。将β-半乳糖苷酶(来自DiscoverX公司)的互补片段添加到prolabel标签中以形成活性β半乳糖苷酶,其活性可以精确测量。以这种方式,可以在细胞裂解物中定量具有prolabel标签的融合蛋白的水平。
构建慢病毒运载体(基于英杰公司(Invitrogen)pLenti6.2/V5 DEST骨架),使其将prolabel标签置于IKZF1、IKZF2或GSPT1的上游并表达来自CMV启动子的融合蛋白。
为了确保prolabel融合蛋白在群体中的所有细胞中的适度和一致的表达,从表达单拷贝构建体的细胞构建稳定的细胞系。使用来自英杰公司的Virapower试剂盒制备与构建体一起包装的慢病毒。在低感染复数下,将来自赛默飞世尔科技公司(Thermo FisherScientific)的强粘附293GT细胞(GripTite 293MSR细胞(目录号:R79507))用病毒感染,并通过5μg/mL杀稻瘟素选择2周。
如下测量化合物处理的细胞系中prolabel标记的融合蛋白的水平:
第1天,将细胞在正常生长培养基中稀释至1.0x 106个细胞/ml。将17.5μL的细胞接种到固体白色384孔板的每个孔中。将板在37℃组织培养箱中孵育过夜。
第2天,在来自10mM储备液的384孔板中制备连续稀释的化合物。将15μL的DMSO添加至384孔板的每个孔中。在第一柱中添加15μL的储备化合物。将溶液混合并将15μL转移至下一柱。重复该过程直至制备20个两倍稀释液。将2.5μL稀释的化合物转移到另一个384孔板中的60μL细胞培养基中,并充分混合。将2.5μL的该混合物添加到接种的细胞中。最终DMSO浓度为0.5%,并且化合物的最高浓度为50μM。将板在37℃组织培养箱中孵育过夜(例如,约14h、18h、或24h)。
第3天,将板从培养箱中取出并允许其在室温下平衡30分钟。如制造商方案所述的,添加Prolabel底物(DiscoverX PathHunter Prolabel检测试剂盒,用户手册:93-0180)。将板在室温孵育三小时,并使用Envision读数器(珀金埃尔默公司(Perkin Elmer))读取发光。使用Spotfire软件包分析数据并使其可视化。
表14示出了293GT细胞中Pro标记测定中本披露的化合物的Helios(IKZF2)和Ikaros(IKZF1)降解活性(%降解为在10μM下)。将泊马度胺作为对照进行了测试。
表14:
实例59:在化合物存在下扩增的原代人调节性T细胞的体外遏制性效力的定量
材料与方法
Treg细胞分选:
人血沉棕黄层获自美国的BioreclamationIVT公司。按照制造商的推荐,使用RosetteSep人CD4+T细胞富集混合物(干细胞技术公司(Stemcell technologies),美国)并通过Ficoll Paque Plus(GE医疗生命科学集团(GE HealthCare LifeSciences),美国)梯度离心,从所述血沉棕黄层中分离CD4+T细胞。将细胞重悬于补充有1%青霉素-链霉素溶液,10%胎牛血清、HEPES(10mM),MEM NEAA(100nM)、丙酮酸钠(1mM)(所有补充物来自赛默飞世尔科技公司,美国)的RPMI培养基(此后称为完全RPMI(cRPMI))中,并在2U/mL rhIL-2(阿地白介素(Proleukin),诺华股份有限公司)存在下于37℃,5% CO2下静置过夜。收集细胞并重悬于补充有BSA(美天旎生物技术公司(Miltenyi Biotec),美国)的autoMACS运行缓冲液中,并使用CD4-FITC抗体(克隆RPA-T4)、CD25-APC抗体(克隆M-A251)(百进生物科技)和CD25微珠(美天旎生物技术公司,美国)进行标记。然后使用autoMACS专业分离器(ProSeparator)分离富集CD25的细胞。然后通过使用Sony SH800细胞分选仪进一步分选CD4+CD25Hi细胞获得高度纯化的Treg细胞群。根据FOXP3表达,所得Treg细胞群体通常纯度高于90%。
Treg细胞扩增:
在存在或不存在100μM雷帕霉素(赛默飞世尔科技公司,美国)的情况下,根据制造商的推荐,将纯化的Treg细胞以每孔25000-50000个细胞的密度接种在96孔圆底板中的cRPMI中,并在500U/mL rhIL2和Treg扩增器Dynabeads(赛默飞世尔科技公司,美国)的存在下活化。然后添加终浓度为10μM的本披露的化合物,并添加DMSO作为媒介物对照。将细胞在37℃、5% CO2下孵育总共12-14天。在整个培养期间每48h补充化合物和rhIL2。
扩增的Treg细胞的表型分析:
将细胞进行收集并计数,并将倍数扩增计算为(回收的细胞数)/(接种的细胞数)。将一部分细胞使用电子生物科学公司的Foxp3染色缓冲液试剂盒(电子生物科学公司,赛默飞世尔科技公司,美国)固定并透化,并用Helios-PECyanine7抗体(克隆22F6)染色。为了确定IL2表达,将扩增的Treg细胞在具有蛋白质抑制剂(赛默飞世尔科技公司)的电子生物科学公司的Cell Stimulation Cocktail存在下进一步孵育4小时,随后固定并用IL2-BV711抗体(克隆MQ1-17H12)(百进生物科技,美国)染色。在LSRFortessa(贝迪公司(BectonDickinson),美国)上获得细胞,并使用FlowJo软件(翠丝塔公司(TreeStar),美国)进行分析。
扩增的Treg细胞的功能分析:
按照制造商的推荐,使用Ficoll Paque Plus上的梯度离心,从新制备的血沉棕黄层(BioReclamationIVT公司)获得原代人PBMC。然后将细胞用CFSE(5(6)-羧基荧光素二乙酸酯N-琥珀酰亚胺酯,西格玛奥德里奇公司(Sigma-Aldrich),美国)标记,并在圆底96孔板中一式三份地接种cRPMI(单独的,或以1:2PBMC:Treg比率与扩增的Treg细胞一起)。然后添加终浓度为10μM的本披露的化合物,并添加DMSO作为媒介对照。使用可溶性抗CD3抗体(克隆OKT3)(电子生物科学公司,赛默飞世尔科技公司(ThermoFisher Scientific),美国)以100ng/ml的终浓度活化细胞。将细胞在37℃、5% CO2下孵育总共4-5天。在培养结束时,按照制造商的说明,将细胞使用活/死蓝活力染色剂(Live/dead Blue viability stain)(赛默飞世尔科技公司,美国)进行染色,随后用CD4-BUV737(克隆SK3)(BD生物科学公司(BDBiosciences),美国)和CD8-BV711(克隆RPA-T8)(百进生物科技,美国)染色。在LSRFortessa(贝迪公司(Becton Dickinson),美国)上获得细胞,并使用FlowJo软件(翠丝塔公司(TreeStar),美国)进行分析。将增殖在每个群体中评估为具有稀释的CFSE的细胞的比例。与单独接种的应答者相比,评估每种病症的遏制。
本领域技术人员将认识到或能够仅使用常规实验就确定本文具体描述的特定实施例的许多等效物。此类等效物旨在被涵盖于以下权利要求的范围内。
序列表
<110> 诺华股份有限公司(NOVARTIS AG)
<120> 杂芳基取代的3-(1-氧代异吲哚啉-2-基)哌啶-2,6-二酮衍生物及其用途
<130> PAT058464-US-PSP02
<140>
<141>
<150>
<151>
<160> 314
<170> PatentIn 3.5版
<210> 1
<211> 121
<212> PRT
<213> 人工序列
<220>
<221> 来源
<223> /注释="人工序列的描述:合成
多肽"
<400> 1
Glu Val Gln Leu Val Glu Ser Gly Gly Gly Leu Val Gln Ser Gly Gly
1 5 10 15
Ser Leu Arg Leu Ser Cys Ala Ala Ser Gly Phe Ser Leu Ser Ser Tyr
20 25 30
Gly Val Asp Trp Val Arg Gln Ala Pro Gly Lys Gly Leu Glu Trp Val
35 40 45
Gly Val Ile Trp Gly Gly Gly Gly Thr Tyr Tyr Ala Ser Ser Leu Met
50 55 60
Gly Arg Phe Thr Ile Ser Arg Asp Asn Ser Lys Asn Thr Leu Tyr Leu
65 70 75 80
Gln Met Asn Ser Leu Arg Ala Glu Asp Thr Ala Val Tyr Tyr Cys Ala
85 90 95
Arg His Ala Tyr Gly His Asp Gly Gly Phe Ala Met Asp Tyr Trp Gly
100 105 110
Gln Gly Thr Leu Val Thr Val Ser Ser
115 120
<210> 2
<211> 107
<212> PRT
<213> 人工序列
<220>
<221> 来源
<223> /注释="人工序列的描述:合成
多肽"
<400> 2
Glu Ile Val Met Thr Gln Ser Pro Ala Thr Leu Ser Val Ser Pro Gly
1 5 10 15
Glu Arg Ala Thr Leu Ser Cys Arg Ala Ser Glu Ser Val Ser Ser Asn
20 25 30
Val Ala Trp Tyr Gln Gln Arg Pro Gly Gln Ala Pro Arg Leu Leu Ile
35 40 45
Tyr Gly Ala Ser Asn Arg Ala Thr Gly Ile Pro Ala Arg Phe Ser Gly
50 55 60
Ser Gly Ser Gly Thr Asp Phe Thr Leu Thr Ile Ser Arg Leu Glu Pro
65 70 75 80
Glu Asp Phe Ala Val Tyr Tyr Cys Gly Gln Ser Tyr Ser Tyr Pro Phe
85 90 95
Thr Phe Gly Gln Gly Thr Lys Leu Glu Ile Lys
100 105
<210> 3
<211> 451
<212> PRT
<213> 人工序列
<220>
<221> 来源
<223> /注释="人工序列的描述:合成
多肽"
<400> 3
Glu Val Gln Leu Val Glu Ser Gly Gly Gly Leu Val Gln Ser Gly Gly
1 5 10 15
Ser Leu Arg Leu Ser Cys Ala Ala Ser Gly Phe Ser Leu Ser Ser Tyr
20 25 30
Gly Val Asp Trp Val Arg Gln Ala Pro Gly Lys Gly Leu Glu Trp Val
35 40 45
Gly Val Ile Trp Gly Gly Gly Gly Thr Tyr Tyr Ala Ser Ser Leu Met
50 55 60
Gly Arg Phe Thr Ile Ser Arg Asp Asn Ser Lys Asn Thr Leu Tyr Leu
65 70 75 80
Gln Met Asn Ser Leu Arg Ala Glu Asp Thr Ala Val Tyr Tyr Cys Ala
85 90 95
Arg His Ala Tyr Gly His Asp Gly Gly Phe Ala Met Asp Tyr Trp Gly
100 105 110
Gln Gly Thr Leu Val Thr Val Ser Ser Ala Ser Thr Lys Gly Pro Ser
115 120 125
Val Phe Pro Leu Ala Pro Ser Ser Lys Ser Thr Ser Gly Gly Thr Ala
130 135 140
Ala Leu Gly Cys Leu Val Lys Asp Tyr Phe Pro Glu Pro Val Thr Val
145 150 155 160
Ser Trp Asn Ser Gly Ala Leu Thr Ser Gly Val His Thr Phe Pro Ala
165 170 175
Val Leu Gln Ser Ser Gly Leu Tyr Ser Leu Ser Ser Val Val Thr Val
180 185 190
Pro Ser Ser Ser Leu Gly Thr Gln Thr Tyr Ile Cys Asn Val Asn His
195 200 205
Lys Pro Ser Asn Thr Lys Val Asp Lys Arg Val Glu Pro Lys Ser Cys
210 215 220
Asp Lys Thr His Thr Cys Pro Pro Cys Pro Ala Pro Glu Leu Leu Gly
225 230 235 240
Gly Pro Ser Val Phe Leu Phe Pro Pro Lys Pro Lys Asp Thr Leu Met
245 250 255
Ile Ser Arg Thr Pro Glu Val Thr Cys Val Val Val Asp Val Ser His
260 265 270
Glu Asp Pro Glu Val Lys Phe Asn Trp Tyr Val Asp Gly Val Glu Val
275 280 285
His Asn Ala Lys Thr Lys Pro Arg Glu Glu Gln Tyr Asn Ser Thr Tyr
290 295 300
Arg Val Val Ser Val Leu Thr Val Leu His Gln Asp Trp Leu Asn Gly
305 310 315 320
Lys Glu Tyr Lys Cys Lys Val Ser Asn Lys Ala Leu Pro Ala Pro Ile
325 330 335
Glu Lys Thr Ile Ser Lys Ala Lys Gly Gln Pro Arg Glu Pro Gln Val
340 345 350
Tyr Thr Leu Pro Pro Ser Arg Glu Glu Met Thr Lys Asn Gln Val Ser
355 360 365
Leu Thr Cys Leu Val Lys Gly Phe Tyr Pro Ser Asp Ile Ala Val Glu
370 375 380
Trp Glu Ser Asn Gly Gln Pro Glu Asn Asn Tyr Lys Thr Thr Pro Pro
385 390 395 400
Val Leu Asp Ser Asp Gly Ser Phe Phe Leu Tyr Ser Lys Leu Thr Val
405 410 415
Asp Lys Ser Arg Trp Gln Gln Gly Asn Val Phe Ser Cys Ser Val Met
420 425 430
His Glu Ala Leu His Asn His Tyr Thr Gln Lys Ser Leu Ser Leu Ser
435 440 445
Pro Gly Lys
450
<210> 4
<211> 214
<212> PRT
<213> 人工序列
<220>
<221> 来源
<223> /注释="人工序列的描述:合成
多肽"
<400> 4
Glu Ile Val Met Thr Gln Ser Pro Ala Thr Leu Ser Val Ser Pro Gly
1 5 10 15
Glu Arg Ala Thr Leu Ser Cys Arg Ala Ser Glu Ser Val Ser Ser Asn
20 25 30
Val Ala Trp Tyr Gln Gln Arg Pro Gly Gln Ala Pro Arg Leu Leu Ile
35 40 45
Tyr Gly Ala Ser Asn Arg Ala Thr Gly Ile Pro Ala Arg Phe Ser Gly
50 55 60
Ser Gly Ser Gly Thr Asp Phe Thr Leu Thr Ile Ser Arg Leu Glu Pro
65 70 75 80
Glu Asp Phe Ala Val Tyr Tyr Cys Gly Gln Ser Tyr Ser Tyr Pro Phe
85 90 95
Thr Phe Gly Gln Gly Thr Lys Leu Glu Ile Lys Arg Thr Val Ala Ala
100 105 110
Pro Ser Val Phe Ile Phe Pro Pro Ser Asp Glu Gln Leu Lys Ser Gly
115 120 125
Thr Ala Ser Val Val Cys Leu Leu Asn Asn Phe Tyr Pro Arg Glu Ala
130 135 140
Lys Val Gln Trp Lys Val Asp Asn Ala Leu Gln Ser Gly Asn Ser Gln
145 150 155 160
Glu Ser Val Thr Glu Gln Asp Ser Lys Asp Ser Thr Tyr Ser Leu Ser
165 170 175
Ser Thr Leu Thr Leu Ser Lys Ala Asp Tyr Glu Lys His Lys Val Tyr
180 185 190
Ala Cys Glu Val Thr His Gln Gly Leu Ser Ser Pro Val Thr Lys Ser
195 200 205
Phe Asn Arg Gly Glu Cys
210
<210> 5
<211> 363
<212> DNA
<213> 人工序列
<220>
<221> 来源
<223> /注释="人工序列的描述:合成
多核苷酸"
<400> 5
gaggtgcagc tggtggaatc tggcggcgga ctggtgcagt ccggcggctc tctgagactg 60
tcttgcgctg cctccggctt ctccctgtcc tcttacggcg tggactgggt gcgacaggcc 120
cctggcaagg gcctggaatg ggtgggagtg atctggggcg gaggcggcac ctactacgcc 180
tcttccctga tgggccggtt caccatctcc cgggacaact ccaagaacac cctgtacctg 240
cagatgaact ccctgcgggc cgaggacacc gccgtgtact actgcgccag acacgcctac 300
ggccacgacg gcggcttcgc catggattat tggggccagg gcaccctggt gacagtgtcc 360
tcc 363
<210> 6
<211> 321
<212> DNA
<213> 人工序列
<220>
<221> 来源
<223> /注释="人工序列的描述:合成
多核苷酸"
<400> 6
gagatcgtga tgacccagtc ccccgccacc ctgtctgtgt ctcccggcga gagagccacc 60
ctgagctgca gagcctccga gtccgtgtcc tccaacgtgg cctggtatca gcagagacct 120
ggtcaggccc ctcggctgct gatctacggc gcctctaacc gggccaccgg catccctgcc 180
agattctccg gctccggcag cggcaccgac ttcaccctga ccatctcccg gctggaaccc 240
gaggacttcg ccgtgtacta ctgcggccag tcctactcat accccttcac cttcggccag 300
ggcaccaagc tggaaatcaa g 321
<210> 7
<211> 1353
<212> DNA
<213> 人工序列
<220>
<221> 来源
<223> /注释="人工序列的描述:合成
多核苷酸"
<400> 7
gaggtgcagc tggtggaatc tggcggcgga ctggtgcagt ccggcggctc tctgagactg 60
tcttgcgctg cctccggctt ctccctgtcc tcttacggcg tggactgggt gcgacaggcc 120
cctggcaagg gcctggaatg ggtgggagtg atctggggcg gaggcggcac ctactacgcc 180
tcttccctga tgggccggtt caccatctcc cgggacaact ccaagaacac cctgtacctg 240
cagatgaact ccctgcgggc cgaggacacc gccgtgtact actgcgccag acacgcctac 300
ggccacgacg gcggcttcgc catggattat tggggccagg gcaccctggt gacagtgtcc 360
tccgctagca ccaagggccc aagtgtgttt cccctggccc ccagcagcaa gtctacttcc 420
ggcggaactg ctgccctggg ttgcctggtg aaggactact tccccgagcc cgtgacagtg 480
tcctggaact ctggggctct gacttccggc gtgcacacct tccccgccgt gctgcagagc 540
agcggcctgt acagcctgag cagcgtggtg acagtgccct ccagctctct gggaacccag 600
acctatatct gcaacgtgaa ccacaagccc agcaacacca aggtggacaa gagagtggag 660
cccaagagct gcgacaagac ccacacctgc cccccctgcc cagctccaga actgctggga 720
gggccttccg tgttcctgtt cccccccaag cccaaggaca ccctgatgat cagcaggacc 780
cccgaggtga cctgcgtggt ggtggacgtg tcccacgagg acccagaggt gaagttcaac 840
tggtacgtgg acggcgtgga ggtgcacaac gccaagacca agcccagaga ggagcagtac 900
aacagcacct acagggtggt gtccgtgctg accgtgctgc accaggactg gctgaacggc 960
aaagaataca agtgcaaagt ctccaacaag gccctgccag ccccaatcga aaagacaatc 1020
agcaaggcca agggccagcc acgggagccc caggtgtaca ccctgccccc cagccgggag 1080
gagatgacca agaaccaggt gtccctgacc tgtctggtga agggcttcta ccccagcgat 1140
atcgccgtgg agtgggagag caacggccag cccgagaaca actacaagac caccccccca 1200
gtgctggaca gcgacggcag cttcttcctg tacagcaagc tgaccgtgga caagtccagg 1260
tggcagcagg gcaacgtgtt cagctgcagc gtgatgcacg aggccctgca caaccactac 1320
acccagaagt ccctgagcct gagccccggc aag 1353
<210> 8
<211> 642
<212> DNA
<213> 人工序列
<220>
<221> 来源
<223> /注释="人工序列的描述:合成
多核苷酸"
<400> 8
gagatcgtga tgacccagtc ccccgccacc ctgtctgtgt ctcccggcga gagagccacc 60
ctgagctgca gagcctccga gtccgtgtcc tccaacgtgg cctggtatca gcagagacct 120
ggtcaggccc ctcggctgct gatctacggc gcctctaacc gggccaccgg catccctgcc 180
agattctccg gctccggcag cggcaccgac ttcaccctga ccatctcccg gctggaaccc 240
gaggacttcg ccgtgtacta ctgcggccag tcctactcat accccttcac cttcggccag 300
ggcaccaagc tggaaatcaa gcgtacggtg gccgctccca gcgtgttcat cttccccccc 360
agcgacgagc agctgaagag cggcaccgcc agcgtggtgt gcctgctgaa caacttctac 420
ccccgggagg ccaaggtgca gtggaaggtg gacaacgccc tgcagagcgg caacagccag 480
gagagcgtca ccgagcagga cagcaaggac tccacctaca gcctgagcag caccctgacc 540
ctgagcaagg ccgactacga gaagcataag gtgtacgcct gcgaggtgac ccaccagggc 600
ctgtccagcc ccgtgaccaa gagcttcaac aggggcgagt gc 642
<210> 9
<211> 5
<212> PRT
<213> 人工序列
<220>
<221> 来源
<223> /注释="人工序列的描述:合成
肽"
<400> 9
Ser Tyr Gly Val Asp
1 5
<210> 10
<211> 7
<212> PRT
<213> 人工序列
<220>
<221> 来源
<223> /注释="人工序列的描述:合成
肽"
<400> 10
Gly Phe Ser Leu Ser Ser Tyr
1 5
<210> 11
<211> 16
<212> PRT
<213> 人工序列
<220>
<221> 来源
<223> /注释="人工序列的描述:合成
肽"
<400> 11
Val Ile Trp Gly Gly Gly Gly Thr Tyr Tyr Ala Ser Ser Leu Met Gly
1 5 10 15
<210> 12
<211> 5
<212> PRT
<213> 人工序列
<220>
<221> 来源
<223> /注释="人工序列的描述:合成
肽"
<400> 12
Trp Gly Gly Gly Gly
1 5
<210> 13
<211> 13
<212> PRT
<213> 人工序列
<220>
<221> 来源
<223> /注释="人工序列的描述:合成
肽"
<400> 13
His Ala Tyr Gly His Asp Gly Gly Phe Ala Met Asp Tyr
1 5 10
<210> 14
<211> 11
<212> PRT
<213> 人工序列
<220>
<221> 来源
<223> /注释="人工序列的描述:合成
肽"
<400> 14
Arg Ala Ser Glu Ser Val Ser Ser Asn Val Ala
1 5 10
<210> 15
<211> 7
<212> PRT
<213> 人工序列
<220>
<221> 来源
<223> /注释="人工序列的描述:合成
肽"
<400> 15
Ser Glu Ser Val Ser Ser Asn
1 5
<210> 16
<211> 7
<212> PRT
<213> 人工序列
<220>
<221> 来源
<223> /注释="人工序列的描述:合成
肽"
<400> 16
Gly Ala Ser Asn Arg Ala Thr
1 5
<210> 17
<211> 3
<212> PRT
<213> 人工序列
<220>
<221> 来源
<223> /注释="人工序列的描述:合成
肽"
<400> 17
Gly Ala Ser
1
<210> 18
<211> 9
<212> PRT
<213> 人工序列
<220>
<221> 来源
<223> /注释="人工序列的描述:合成
肽"
<400> 18
Gly Gln Ser Tyr Ser Tyr Pro Phe Thr
1 5
<210> 19
<211> 6
<212> PRT
<213> 人工序列
<220>
<221> 来源
<223> /注释="人工序列的描述:合成
肽"
<400> 19
Ser Tyr Ser Tyr Pro Phe
1 5
<210> 20
<211> 124
<212> PRT
<213> 人工序列
<220>
<221> 来源
<223> /注释="人工序列的描述:合成
多肽"
<400> 20
Gln Val Gln Leu Val Glu Ser Gly Gly Gly Val Val Gln Pro Gly Arg
1 5 10 15
Ser Leu Arg Leu Ser Cys Ala Ala Ser Gly Phe Thr Phe Ser Ser Tyr
20 25 30
Gly Met His Trp Val Arg Gln Ala Pro Gly Lys Gly Leu Glu Trp Val
35 40 45
Ala Val Ile Trp Tyr Glu Gly Ser Asn Lys Tyr Tyr Ala Asp Ser Val
50 55 60
Lys Gly Arg Phe Thr Ile Ser Arg Asp Asn Ser Lys Asn Thr Leu Tyr
65 70 75 80
Leu Gln Met Asn Ser Leu Arg Ala Glu Asp Thr Ala Val Tyr Tyr Cys
85 90 95
Ala Arg Gly Gly Ser Met Val Arg Gly Asp Tyr Tyr Tyr Gly Met Asp
100 105 110
Val Trp Gly Gln Gly Thr Thr Val Thr Val Ser Ser
115 120
<210> 21
<211> 107
<212> PRT
<213> 人工序列
<220>
<221> 来源
<223> /注释="人工序列的描述:合成
多肽"
<400> 21
Ala Ile Gln Leu Thr Gln Ser Pro Ser Ser Leu Ser Ala Ser Val Gly
1 5 10 15
Asp Arg Val Thr Ile Thr Cys Arg Ala Ser Gln Gly Ile Ser Ser Ala
20 25 30
Leu Ala Trp Tyr Gln Gln Lys Pro Gly Lys Ala Pro Lys Leu Leu Ile
35 40 45
Tyr Asp Ala Ser Ser Leu Glu Ser Gly Val Pro Ser Arg Phe Ser Gly
50 55 60
Ser Gly Ser Gly Thr Asp Phe Thr Leu Thr Ile Ser Ser Leu Gln Pro
65 70 75 80
Glu Asp Phe Ala Thr Tyr Tyr Cys Gln Gln Phe Asn Ser Tyr Pro Tyr
85 90 95
Thr Phe Gly Gln Gly Thr Lys Leu Glu Ile Lys
100 105
<210> 22
<211> 5
<212> PRT
<213> 人工序列
<220>
<221> 来源
<223> /注释="人工序列的描述:合成
肽"
<400> 22
Thr Tyr Trp Met His
1 5
<210> 23
<211> 17
<212> PRT
<213> 人工序列
<220>
<221> 来源
<223> /注释="人工序列的描述:合成
肽"
<400> 23
Asn Ile Tyr Pro Gly Thr Gly Gly Ser Asn Phe Asp Glu Lys Phe Lys
1 5 10 15
Asn
<210> 24
<211> 8
<212> PRT
<213> 人工序列
<220>
<221> 来源
<223> /注释="人工序列的描述:合成
肽"
<400> 24
Trp Thr Thr Gly Thr Gly Ala Tyr
1 5
<210> 25
<211> 7
<212> PRT
<213> 人工序列
<220>
<221> 来源
<223> /注释="人工序列的描述:合成
肽"
<400> 25
Gly Tyr Thr Phe Thr Thr Tyr
1 5
<210> 26
<211> 6
<212> PRT
<213> 人工序列
<220>
<221> 来源
<223> /注释="人工序列的描述:合成
肽"
<400> 26
Tyr Pro Gly Thr Gly Gly
1 5
<210> 27
<211> 117
<212> PRT
<213> 人工序列
<220>
<221> 来源
<223> /注释="人工序列的描述:合成
多肽"
<400> 27
Glu Val Gln Leu Val Gln Ser Gly Ala Glu Val Lys Lys Pro Gly Glu
1 5 10 15
Ser Leu Arg Ile Ser Cys Lys Gly Ser Gly Tyr Thr Phe Thr Thr Tyr
20 25 30
Trp Met His Trp Val Arg Gln Ala Thr Gly Gln Gly Leu Glu Trp Met
35 40 45
Gly Asn Ile Tyr Pro Gly Thr Gly Gly Ser Asn Phe Asp Glu Lys Phe
50 55 60
Lys Asn Arg Val Thr Ile Thr Ala Asp Lys Ser Thr Ser Thr Ala Tyr
65 70 75 80
Met Glu Leu Ser Ser Leu Arg Ser Glu Asp Thr Ala Val Tyr Tyr Cys
85 90 95
Thr Arg Trp Thr Thr Gly Thr Gly Ala Tyr Trp Gly Gln Gly Thr Thr
100 105 110
Val Thr Val Ser Ser
115
<210> 28
<211> 351
<212> DNA
<213> 人工序列
<220>
<221> 来源
<223> /注释="人工序列的描述:合成
多核苷酸"
<400> 28
gaggtgcagc tggtgcagtc aggcgccgaa gtgaagaagc ccggcgagtc actgagaatt 60
agctgtaaag gttcaggcta caccttcact acctactgga tgcactgggt ccgccaggct 120
accggtcaag gcctcgagtg gatgggtaat atctaccccg gcaccggcgg ctctaacttc 180
gacgagaagt ttaagaatag agtgactatc accgccgata agtctactag caccgcctat 240
atggaactgt ctagcctgag atcagaggac accgccgtct actactgcac taggtggact 300
accggcacag gcgcctactg gggtcaaggc actaccgtga ccgtgtctag c 351
<210> 29
<211> 443
<212> PRT
<213> 人工序列
<220>
<221> 来源
<223> /注释="人工序列的描述:合成
多肽"
<400> 29
Glu Val Gln Leu Val Gln Ser Gly Ala Glu Val Lys Lys Pro Gly Glu
1 5 10 15
Ser Leu Arg Ile Ser Cys Lys Gly Ser Gly Tyr Thr Phe Thr Thr Tyr
20 25 30
Trp Met His Trp Val Arg Gln Ala Thr Gly Gln Gly Leu Glu Trp Met
35 40 45
Gly Asn Ile Tyr Pro Gly Thr Gly Gly Ser Asn Phe Asp Glu Lys Phe
50 55 60
Lys Asn Arg Val Thr Ile Thr Ala Asp Lys Ser Thr Ser Thr Ala Tyr
65 70 75 80
Met Glu Leu Ser Ser Leu Arg Ser Glu Asp Thr Ala Val Tyr Tyr Cys
85 90 95
Thr Arg Trp Thr Thr Gly Thr Gly Ala Tyr Trp Gly Gln Gly Thr Thr
100 105 110
Val Thr Val Ser Ser Ala Ser Thr Lys Gly Pro Ser Val Phe Pro Leu
115 120 125
Ala Pro Cys Ser Arg Ser Thr Ser Glu Ser Thr Ala Ala Leu Gly Cys
130 135 140
Leu Val Lys Asp Tyr Phe Pro Glu Pro Val Thr Val Ser Trp Asn Ser
145 150 155 160
Gly Ala Leu Thr Ser Gly Val His Thr Phe Pro Ala Val Leu Gln Ser
165 170 175
Ser Gly Leu Tyr Ser Leu Ser Ser Val Val Thr Val Pro Ser Ser Ser
180 185 190
Leu Gly Thr Lys Thr Tyr Thr Cys Asn Val Asp His Lys Pro Ser Asn
195 200 205
Thr Lys Val Asp Lys Arg Val Glu Ser Lys Tyr Gly Pro Pro Cys Pro
210 215 220
Pro Cys Pro Ala Pro Glu Phe Leu Gly Gly Pro Ser Val Phe Leu Phe
225 230 235 240
Pro Pro Lys Pro Lys Asp Thr Leu Met Ile Ser Arg Thr Pro Glu Val
245 250 255
Thr Cys Val Val Val Asp Val Ser Gln Glu Asp Pro Glu Val Gln Phe
260 265 270
Asn Trp Tyr Val Asp Gly Val Glu Val His Asn Ala Lys Thr Lys Pro
275 280 285
Arg Glu Glu Gln Phe Asn Ser Thr Tyr Arg Val Val Ser Val Leu Thr
290 295 300
Val Leu His Gln Asp Trp Leu Asn Gly Lys Glu Tyr Lys Cys Lys Val
305 310 315 320
Ser Asn Lys Gly Leu Pro Ser Ser Ile Glu Lys Thr Ile Ser Lys Ala
325 330 335
Lys Gly Gln Pro Arg Glu Pro Gln Val Tyr Thr Leu Pro Pro Ser Gln
340 345 350
Glu Glu Met Thr Lys Asn Gln Val Ser Leu Thr Cys Leu Val Lys Gly
355 360 365
Phe Tyr Pro Ser Asp Ile Ala Val Glu Trp Glu Ser Asn Gly Gln Pro
370 375 380
Glu Asn Asn Tyr Lys Thr Thr Pro Pro Val Leu Asp Ser Asp Gly Ser
385 390 395 400
Phe Phe Leu Tyr Ser Arg Leu Thr Val Asp Lys Ser Arg Trp Gln Glu
405 410 415
Gly Asn Val Phe Ser Cys Ser Val Met His Glu Ala Leu His Asn His
420 425 430
Tyr Thr Gln Lys Ser Leu Ser Leu Ser Leu Gly
435 440
<210> 30
<211> 1329
<212> DNA
<213> 人工序列
<220>
<221> 来源
<223> /注释="人工序列的描述:合成
多核苷酸"
<400> 30
gaggtgcagc tggtgcagtc aggcgccgaa gtgaagaagc ccggcgagtc actgagaatt 60
agctgtaaag gttcaggcta caccttcact acctactgga tgcactgggt ccgccaggct 120
accggtcaag gcctcgagtg gatgggtaat atctaccccg gcaccggcgg ctctaacttc 180
gacgagaagt ttaagaatag agtgactatc accgccgata agtctactag caccgcctat 240
atggaactgt ctagcctgag atcagaggac accgccgtct actactgcac taggtggact 300
accggcacag gcgcctactg gggtcaaggc actaccgtga ccgtgtctag cgctagcact 360
aagggcccgt ccgtgttccc cctggcacct tgtagccgga gcactagcga atccaccgct 420
gccctcggct gcctggtcaa ggattacttc ccggagcccg tgaccgtgtc ctggaacagc 480
ggagccctga cctccggagt gcacaccttc cccgctgtgc tgcagagctc cgggctgtac 540
tcgctgtcgt cggtggtcac ggtgccttca tctagcctgg gtaccaagac ctacacttgc 600
aacgtggacc acaagccttc caacactaag gtggacaagc gcgtcgaatc gaagtacggc 660
ccaccgtgcc cgccttgtcc cgcgccggag ttcctcggcg gtccctcggt ctttctgttc 720
ccaccgaagc ccaaggacac tttgatgatt tcccgcaccc ctgaagtgac atgcgtggtc 780
gtggacgtgt cacaggaaga tccggaggtg cagttcaatt ggtacgtgga tggcgtcgag 840
gtgcacaacg ccaaaaccaa gccgagggag gagcagttca actccactta ccgcgtcgtg 900
tccgtgctga cggtgctgca tcaggactgg ctgaacggga aggagtacaa gtgcaaagtg 960
tccaacaagg gacttcctag ctcaatcgaa aagaccatct cgaaagccaa gggacagccc 1020
cgggaacccc aagtgtatac cctgccaccg agccaggaag aaatgactaa gaaccaagtc 1080
tcattgactt gccttgtgaa gggcttctac ccatcggata tcgccgtgga atgggagtcc 1140
aacggccagc cggaaaacaa ctacaagacc acccctccgg tgctggactc agacggatcc 1200
ttcttcctct actcgcggct gaccgtggat aagagcagat ggcaggaggg aaatgtgttc 1260
agctgttctg tgatgcatga agccctgcac aaccactaca ctcagaagtc cctgtccctc 1320
tccctggga 1329
<210> 31
<211> 17
<212> PRT
<213> 人工序列
<220>
<221> 来源
<223> /注释="人工序列的描述:合成
肽"
<400> 31
Lys Ser Ser Gln Ser Leu Leu Asp Ser Gly Asn Gln Lys Asn Phe Leu
1 5 10 15
Thr
<210> 32
<211> 7
<212> PRT
<213> 人工序列
<220>
<221> 来源
<223> /注释="人工序列的描述:合成
肽"
<400> 32
Trp Ala Ser Thr Arg Glu Ser
1 5
<210> 33
<211> 22
<212> PRT
<213> 人工序列
<220>
<221> 来源
<223> /注释="人工序列的描述:合成
肽"
<400> 33
Tyr Gly Arg Lys Lys Arg Arg Gln Arg Arg Arg Leu Tyr Arg Ser Pro
1 5 10 15
Ala Met Pro Glu Asn Leu
20
<210> 34
<211> 13
<212> PRT
<213> 人工序列
<220>
<221> 来源
<223> /注释="人工序列的描述:合成
肽"
<400> 34
Ser Gln Ser Leu Leu Asp Ser Gly Asn Gln Lys Asn Phe
1 5 10
<210> 35
<211> 3
<212> PRT
<213> 人工序列
<220>
<221> 来源
<223> /注释="人工序列的描述:合成
肽"
<400> 35
Trp Ala Ser
1
<210> 36
<211> 6
<212> PRT
<213> 人工序列
<220>
<221> 来源
<223> /注释="人工序列的描述:合成
肽"
<400> 36
Asp Tyr Ser Tyr Pro Tyr
1 5
<210> 37
<211> 113
<212> PRT
<213> 人工序列
<220>
<221> 来源
<223> /注释="人工序列的描述:合成
多肽"
<400> 37
Glu Ile Val Leu Thr Gln Ser Pro Ala Thr Leu Ser Leu Ser Pro Gly
1 5 10 15
Glu Arg Ala Thr Leu Ser Cys Lys Ser Ser Gln Ser Leu Leu Asp Ser
20 25 30
Gly Asn Gln Lys Asn Phe Leu Thr Trp Tyr Gln Gln Lys Pro Gly Lys
35 40 45
Ala Pro Lys Leu Leu Ile Tyr Trp Ala Ser Thr Arg Glu Ser Gly Val
50 55 60
Pro Ser Arg Phe Ser Gly Ser Gly Ser Gly Thr Asp Phe Thr Phe Thr
65 70 75 80
Ile Ser Ser Leu Gln Pro Glu Asp Ile Ala Thr Tyr Tyr Cys Gln Asn
85 90 95
Asp Tyr Ser Tyr Pro Tyr Thr Phe Gly Gln Gly Thr Lys Val Glu Ile
100 105 110
Lys
<210> 38
<211> 339
<212> DNA
<213> 人工序列
<220>
<221> 来源
<223> /注释="人工序列的描述:合成
多核苷酸"
<400> 38
gagatcgtcc tgactcagtc acccgctacc ctgagcctga gccctggcga gcgggctaca 60
ctgagctgta aatctagtca gtcactgctg gatagcggta atcagaagaa cttcctgacc 120
tggtatcagc agaagcccgg taaagcccct aagctgctga tctactgggc ctctactaga 180
gaatcaggcg tgccctctag gtttagcggt agcggtagtg gcaccgactt caccttcact 240
atctctagcc tgcagcccga ggatatcgct acctactact gtcagaacga ctatagctac 300
ccctacacct tcggtcaagg cactaaggtc gagattaag 339
<210> 39
<211> 220
<212> PRT
<213> 人工序列
<220>
<221> 来源
<223> /注释="人工序列的描述:合成
多肽"
<400> 39
Glu Ile Val Leu Thr Gln Ser Pro Ala Thr Leu Ser Leu Ser Pro Gly
1 5 10 15
Glu Arg Ala Thr Leu Ser Cys Lys Ser Ser Gln Ser Leu Leu Asp Ser
20 25 30
Gly Asn Gln Lys Asn Phe Leu Thr Trp Tyr Gln Gln Lys Pro Gly Lys
35 40 45
Ala Pro Lys Leu Leu Ile Tyr Trp Ala Ser Thr Arg Glu Ser Gly Val
50 55 60
Pro Ser Arg Phe Ser Gly Ser Gly Ser Gly Thr Asp Phe Thr Phe Thr
65 70 75 80
Ile Ser Ser Leu Gln Pro Glu Asp Ile Ala Thr Tyr Tyr Cys Gln Asn
85 90 95
Asp Tyr Ser Tyr Pro Tyr Thr Phe Gly Gln Gly Thr Lys Val Glu Ile
100 105 110
Lys Arg Thr Val Ala Ala Pro Ser Val Phe Ile Phe Pro Pro Ser Asp
115 120 125
Glu Gln Leu Lys Ser Gly Thr Ala Ser Val Val Cys Leu Leu Asn Asn
130 135 140
Phe Tyr Pro Arg Glu Ala Lys Val Gln Trp Lys Val Asp Asn Ala Leu
145 150 155 160
Gln Ser Gly Asn Ser Gln Glu Ser Val Thr Glu Gln Asp Ser Lys Asp
165 170 175
Ser Thr Tyr Ser Leu Ser Ser Thr Leu Thr Leu Ser Lys Ala Asp Tyr
180 185 190
Glu Lys His Lys Val Tyr Ala Cys Glu Val Thr His Gln Gly Leu Ser
195 200 205
Ser Pro Val Thr Lys Ser Phe Asn Arg Gly Glu Cys
210 215 220
<210> 40
<211> 660
<212> DNA
<213> 人工序列
<220>
<221> 来源
<223> /注释="人工序列的描述:合成
多核苷酸"
<400> 40
gagatcgtcc tgactcagtc acccgctacc ctgagcctga gccctggcga gcgggctaca 60
ctgagctgta aatctagtca gtcactgctg gatagcggta atcagaagaa cttcctgacc 120
tggtatcagc agaagcccgg taaagcccct aagctgctga tctactgggc ctctactaga 180
gaatcaggcg tgccctctag gtttagcggt agcggtagtg gcaccgactt caccttcact 240
atctctagcc tgcagcccga ggatatcgct acctactact gtcagaacga ctatagctac 300
ccctacacct tcggtcaagg cactaaggtc gagattaagc gtacggtggc cgctcccagc 360
gtgttcatct tcccccccag cgacgagcag ctgaagagcg gcaccgccag cgtggtgtgc 420
ctgctgaaca acttctaccc ccgggaggcc aaggtgcagt ggaaggtgga caacgccctg 480
cagagcggca acagccagga gagcgtcacc gagcaggaca gcaaggactc cacctacagc 540
ctgagcagca ccctgaccct gagcaaggcc gactacgaga agcataaggt gtacgcctgc 600
gaggtgaccc accagggcct gtccagcccc gtgaccaaga gcttcaacag gggcgagtgc 660
<210> 41
<211> 113
<212> PRT
<213> 人工序列
<220>
<221> 来源
<223> /注释="人工序列的描述:合成
多肽"
<400> 41
Glu Ile Val Leu Thr Gln Ser Pro Ala Thr Leu Ser Leu Ser Pro Gly
1 5 10 15
Glu Arg Ala Thr Leu Ser Cys Lys Ser Ser Gln Ser Leu Leu Asp Ser
20 25 30
Gly Asn Gln Lys Asn Phe Leu Thr Trp Tyr Gln Gln Lys Pro Gly Gln
35 40 45
Ala Pro Arg Leu Leu Ile Tyr Trp Ala Ser Thr Arg Glu Ser Gly Val
50 55 60
Pro Ser Arg Phe Ser Gly Ser Gly Ser Gly Thr Asp Phe Thr Phe Thr
65 70 75 80
Ile Ser Ser Leu Glu Ala Glu Asp Ala Ala Thr Tyr Tyr Cys Gln Asn
85 90 95
Asp Tyr Ser Tyr Pro Tyr Thr Phe Gly Gln Gly Thr Lys Val Glu Ile
100 105 110
Lys
<210> 42
<211> 339
<212> DNA
<213> 人工序列
<220>
<221> 来源
<223> /注释="人工序列的描述:合成
多核苷酸"
<400> 42
gagatcgtcc tgactcagtc acccgctacc ctgagcctga gccctggcga gcgggctaca 60
ctgagctgta aatctagtca gtcactgctg gatagcggta atcagaagaa cttcctgacc 120
tggtatcagc agaagcccgg tcaagcccct agactgctga tctactgggc ctctactaga 180
gaatcaggcg tgccctctag gtttagcggt agcggtagtg gcaccgactt caccttcact 240
atctctagcc tggaagccga ggacgccgct acctactact gtcagaacga ctatagctac 300
ccctacacct tcggtcaagg cactaaggtc gagattaag 339
<210> 43
<211> 220
<212> PRT
<213> 人工序列
<220>
<221> 来源
<223> /注释="人工序列的描述:合成
多肽"
<400> 43
Glu Ile Val Leu Thr Gln Ser Pro Ala Thr Leu Ser Leu Ser Pro Gly
1 5 10 15
Glu Arg Ala Thr Leu Ser Cys Lys Ser Ser Gln Ser Leu Leu Asp Ser
20 25 30
Gly Asn Gln Lys Asn Phe Leu Thr Trp Tyr Gln Gln Lys Pro Gly Gln
35 40 45
Ala Pro Arg Leu Leu Ile Tyr Trp Ala Ser Thr Arg Glu Ser Gly Val
50 55 60
Pro Ser Arg Phe Ser Gly Ser Gly Ser Gly Thr Asp Phe Thr Phe Thr
65 70 75 80
Ile Ser Ser Leu Glu Ala Glu Asp Ala Ala Thr Tyr Tyr Cys Gln Asn
85 90 95
Asp Tyr Ser Tyr Pro Tyr Thr Phe Gly Gln Gly Thr Lys Val Glu Ile
100 105 110
Lys Arg Thr Val Ala Ala Pro Ser Val Phe Ile Phe Pro Pro Ser Asp
115 120 125
Glu Gln Leu Lys Ser Gly Thr Ala Ser Val Val Cys Leu Leu Asn Asn
130 135 140
Phe Tyr Pro Arg Glu Ala Lys Val Gln Trp Lys Val Asp Asn Ala Leu
145 150 155 160
Gln Ser Gly Asn Ser Gln Glu Ser Val Thr Glu Gln Asp Ser Lys Asp
165 170 175
Ser Thr Tyr Ser Leu Ser Ser Thr Leu Thr Leu Ser Lys Ala Asp Tyr
180 185 190
Glu Lys His Lys Val Tyr Ala Cys Glu Val Thr His Gln Gly Leu Ser
195 200 205
Ser Pro Val Thr Lys Ser Phe Asn Arg Gly Glu Cys
210 215 220
<210> 44
<211> 660
<212> DNA
<213> 人工序列
<220>
<221> 来源
<223> /注释="人工序列的描述:合成
多核苷酸"
<400> 44
gagatcgtcc tgactcagtc acccgctacc ctgagcctga gccctggcga gcgggctaca 60
ctgagctgta aatctagtca gtcactgctg gatagcggta atcagaagaa cttcctgacc 120
tggtatcagc agaagcccgg tcaagcccct agactgctga tctactgggc ctctactaga 180
gaatcaggcg tgccctctag gtttagcggt agcggtagtg gcaccgactt caccttcact 240
atctctagcc tggaagccga ggacgccgct acctactact gtcagaacga ctatagctac 300
ccctacacct tcggtcaagg cactaaggtc gagattaagc gtacggtggc cgctcccagc 360
gtgttcatct tcccccccag cgacgagcag ctgaagagcg gcaccgccag cgtggtgtgc 420
ctgctgaaca acttctaccc ccgggaggcc aaggtgcagt ggaaggtgga caacgccctg 480
cagagcggca acagccagga gagcgtcacc gagcaggaca gcaaggactc cacctacagc 540
ctgagcagca ccctgaccct gagcaaggcc gactacgaga agcataaggt gtacgcctgc 600
gaggtgaccc accagggcct gtccagcccc gtgaccaaga gcttcaacag gggcgagtgc 660
<210> 45
<211> 15
<212> DNA
<213> 人工序列
<220>
<221> 来源
<223> /注释="人工序列的描述:合成
寡核苷酸"
<400> 45
acctactgga tgcac 15
<210> 46
<211> 51
<212> DNA
<213> 人工序列
<220>
<221> 来源
<223> /注释="人工序列的描述:合成
寡核苷酸"
<400> 46
aatatctacc ccggcaccgg cggctctaac ttcgacgaga agtttaagaa t 51
<210> 47
<211> 24
<212> DNA
<213> 人工序列
<220>
<221> 来源
<223> /注释="人工序列的描述:合成
寡核苷酸"
<400> 47
tggactaccg gcacaggcgc ctac 24
<210> 48
<211> 21
<212> DNA
<213> 人工序列
<220>
<221> 来源
<223> /注释="人工序列的描述:合成
寡核苷酸"
<400> 48
ggctacacct tcactaccta c 21
<210> 49
<211> 18
<212> DNA
<213> 人工序列
<220>
<221> 来源
<223> /注释="人工序列的描述:合成
寡核苷酸"
<400> 49
taccccggca ccggcggc 18
<210> 50
<211> 51
<212> DNA
<213> 人工序列
<220>
<221> 来源
<223> /注释="人工序列的描述:合成
寡核苷酸"
<400> 50
aaatctagtc agtcactgct ggatagcggt aatcagaaga acttcctgac c 51
<210> 51
<211> 21
<212> DNA
<213> 人工序列
<220>
<221> 来源
<223> /注释="人工序列的描述:合成
寡核苷酸"
<400> 51
tgggcctcta ctagagaatc a 21
<210> 52
<211> 27
<212> DNA
<213> 人工序列
<220>
<221> 来源
<223> /注释="人工序列的描述:合成
寡核苷酸"
<400> 52
cagaacgact atagctaccc ctacacc 27
<210> 53
<211> 39
<212> DNA
<213> 人工序列
<220>
<221> 来源
<223> /注释="人工序列的描述:合成
寡核苷酸"
<400> 53
agtcagtcac tgctggatag cggtaatcag aagaacttc 39
<210> 54
<211> 9
<212> DNA
<213> 人工序列
<220>
<221> 来源
<223> /注释="人工序列的描述:合成
寡核苷酸"
<400> 54
tgggcctct 9
<210> 55
<211> 18
<212> DNA
<213> 人工序列
<220>
<221> 来源
<223> /注释="人工序列的描述:合成
寡核苷酸"
<400> 55
gactatagct acccctac 18
<210> 56
<211> 440
<212> PRT
<213> 人工序列
<220>
<221> 来源
<223> /注释="人工序列的描述:合成
多肽"
<400> 56
Gln Val Gln Leu Val Glu Ser Gly Gly Gly Val Val Gln Pro Gly Arg
1 5 10 15
Ser Leu Arg Leu Asp Cys Lys Ala Ser Gly Ile Thr Phe Ser Asn Ser
20 25 30
Gly Met His Trp Val Arg Gln Ala Pro Gly Lys Gly Leu Glu Trp Val
35 40 45
Ala Val Ile Trp Tyr Asp Gly Ser Lys Arg Tyr Tyr Ala Asp Ser Val
50 55 60
Lys Gly Arg Phe Thr Ile Ser Arg Asp Asn Ser Lys Asn Thr Leu Phe
65 70 75 80
Leu Gln Met Asn Ser Leu Arg Ala Glu Asp Thr Ala Val Tyr Tyr Cys
85 90 95
Ala Thr Asn Asp Asp Tyr Trp Gly Gln Gly Thr Leu Val Thr Val Ser
100 105 110
Ser Ala Ser Thr Lys Gly Pro Ser Val Phe Pro Leu Ala Pro Cys Ser
115 120 125
Arg Ser Thr Ser Glu Ser Thr Ala Ala Leu Gly Cys Leu Val Lys Asp
130 135 140
Tyr Phe Pro Glu Pro Val Thr Val Ser Trp Asn Ser Gly Ala Leu Thr
145 150 155 160
Ser Gly Val His Thr Phe Pro Ala Val Leu Gln Ser Ser Gly Leu Tyr
165 170 175
Ser Leu Ser Ser Val Val Thr Val Pro Ser Ser Ser Leu Gly Thr Lys
180 185 190
Thr Tyr Thr Cys Asn Val Asp His Lys Pro Ser Asn Thr Lys Val Asp
195 200 205
Lys Arg Val Glu Ser Lys Tyr Gly Pro Pro Cys Pro Pro Cys Pro Ala
210 215 220
Pro Glu Phe Leu Gly Gly Pro Ser Val Phe Leu Phe Pro Pro Lys Pro
225 230 235 240
Lys Asp Thr Leu Met Ile Ser Arg Thr Pro Glu Val Thr Cys Val Val
245 250 255
Val Asp Val Ser Gln Glu Asp Pro Glu Val Gln Phe Asn Trp Tyr Val
260 265 270
Asp Gly Val Glu Val His Asn Ala Lys Thr Lys Pro Arg Glu Glu Gln
275 280 285
Phe Asn Ser Thr Tyr Arg Val Val Ser Val Leu Thr Val Leu His Gln
290 295 300
Asp Trp Leu Asn Gly Lys Glu Tyr Lys Cys Lys Val Ser Asn Lys Gly
305 310 315 320
Leu Pro Ser Ser Ile Glu Lys Thr Ile Ser Lys Ala Lys Gly Gln Pro
325 330 335
Arg Glu Pro Gln Val Tyr Thr Leu Pro Pro Ser Gln Glu Glu Met Thr
340 345 350
Lys Asn Gln Val Ser Leu Thr Cys Leu Val Lys Gly Phe Tyr Pro Ser
355 360 365
Asp Ile Ala Val Glu Trp Glu Ser Asn Gly Gln Pro Glu Asn Asn Tyr
370 375 380
Lys Thr Thr Pro Pro Val Leu Asp Ser Asp Gly Ser Phe Phe Leu Tyr
385 390 395 400
Ser Arg Leu Thr Val Asp Lys Ser Arg Trp Gln Glu Gly Asn Val Phe
405 410 415
Ser Cys Ser Val Met His Glu Ala Leu His Asn His Tyr Thr Gln Lys
420 425 430
Ser Leu Ser Leu Ser Leu Gly Lys
435 440
<210> 57
<211> 214
<212> PRT
<213> 人工序列
<220>
<221> 来源
<223> /注释="人工序列的描述:合成
多肽"
<400> 57
Glu Ile Val Leu Thr Gln Ser Pro Ala Thr Leu Ser Leu Ser Pro Gly
1 5 10 15
Glu Arg Ala Thr Leu Ser Cys Arg Ala Ser Gln Ser Val Ser Ser Tyr
20 25 30
Leu Ala Trp Tyr Gln Gln Lys Pro Gly Gln Ala Pro Arg Leu Leu Ile
35 40 45
Tyr Asp Ala Ser Asn Arg Ala Thr Gly Ile Pro Ala Arg Phe Ser Gly
50 55 60
Ser Gly Ser Gly Thr Asp Phe Thr Leu Thr Ile Ser Ser Leu Glu Pro
65 70 75 80
Glu Asp Phe Ala Val Tyr Tyr Cys Gln Gln Ser Ser Asn Trp Pro Arg
85 90 95
Thr Phe Gly Gln Gly Thr Lys Val Glu Ile Lys Arg Thr Val Ala Ala
100 105 110
Pro Ser Val Phe Ile Phe Pro Pro Ser Asp Glu Gln Leu Lys Ser Gly
115 120 125
Thr Ala Ser Val Val Cys Leu Leu Asn Asn Phe Tyr Pro Arg Glu Ala
130 135 140
Lys Val Gln Trp Lys Val Asp Asn Ala Leu Gln Ser Gly Asn Ser Gln
145 150 155 160
Glu Ser Val Thr Glu Gln Asp Ser Lys Asp Ser Thr Tyr Ser Leu Ser
165 170 175
Ser Thr Leu Thr Leu Ser Lys Ala Asp Tyr Glu Lys His Lys Val Tyr
180 185 190
Ala Cys Glu Val Thr His Gln Gly Leu Ser Ser Pro Val Thr Lys Ser
195 200 205
Phe Asn Arg Gly Glu Cys
210
<210> 58
<211> 447
<212> PRT
<213> 人工序列
<220>
<221> 来源
<223> /注释="人工序列的描述:合成
多肽"
<400> 58
Gln Val Gln Leu Val Gln Ser Gly Val Glu Val Lys Lys Pro Gly Ala
1 5 10 15
Ser Val Lys Val Ser Cys Lys Ala Ser Gly Tyr Thr Phe Thr Asn Tyr
20 25 30
Tyr Met Tyr Trp Val Arg Gln Ala Pro Gly Gln Gly Leu Glu Trp Met
35 40 45
Gly Gly Ile Asn Pro Ser Asn Gly Gly Thr Asn Phe Asn Glu Lys Phe
50 55 60
Lys Asn Arg Val Thr Leu Thr Thr Asp Ser Ser Thr Thr Thr Ala Tyr
65 70 75 80
Met Glu Leu Lys Ser Leu Gln Phe Asp Asp Thr Ala Val Tyr Tyr Cys
85 90 95
Ala Arg Arg Asp Tyr Arg Phe Asp Met Gly Phe Asp Tyr Trp Gly Gln
100 105 110
Gly Thr Thr Val Thr Val Ser Ser Ala Ser Thr Lys Gly Pro Ser Val
115 120 125
Phe Pro Leu Ala Pro Cys Ser Arg Ser Thr Ser Glu Ser Thr Ala Ala
130 135 140
Leu Gly Cys Leu Val Lys Asp Tyr Phe Pro Glu Pro Val Thr Val Ser
145 150 155 160
Trp Asn Ser Gly Ala Leu Thr Ser Gly Val His Thr Phe Pro Ala Val
165 170 175
Leu Gln Ser Ser Gly Leu Tyr Ser Leu Ser Ser Val Val Thr Val Pro
180 185 190
Ser Ser Ser Leu Gly Thr Lys Thr Tyr Thr Cys Asn Val Asp His Lys
195 200 205
Pro Ser Asn Thr Lys Val Asp Lys Arg Val Glu Ser Lys Tyr Gly Pro
210 215 220
Pro Cys Pro Pro Cys Pro Ala Pro Glu Phe Leu Gly Gly Pro Ser Val
225 230 235 240
Phe Leu Phe Pro Pro Lys Pro Lys Asp Thr Leu Met Ile Ser Arg Thr
245 250 255
Pro Glu Val Thr Cys Val Val Val Asp Val Ser Gln Glu Asp Pro Glu
260 265 270
Val Gln Phe Asn Trp Tyr Val Asp Gly Val Glu Val His Asn Ala Lys
275 280 285
Thr Lys Pro Arg Glu Glu Gln Phe Asn Ser Thr Tyr Arg Val Val Ser
290 295 300
Val Leu Thr Val Leu His Gln Asp Trp Leu Asn Gly Lys Glu Tyr Lys
305 310 315 320
Cys Lys Val Ser Asn Lys Gly Leu Pro Ser Ser Ile Glu Lys Thr Ile
325 330 335
Ser Lys Ala Lys Gly Gln Pro Arg Glu Pro Gln Val Tyr Thr Leu Pro
340 345 350
Pro Ser Gln Glu Glu Met Thr Lys Asn Gln Val Ser Leu Thr Cys Leu
355 360 365
Val Lys Gly Phe Tyr Pro Ser Asp Ile Ala Val Glu Trp Glu Ser Asn
370 375 380
Gly Gln Pro Glu Asn Asn Tyr Lys Thr Thr Pro Pro Val Leu Asp Ser
385 390 395 400
Asp Gly Ser Phe Phe Leu Tyr Ser Arg Leu Thr Val Asp Lys Ser Arg
405 410 415
Trp Gln Glu Gly Asn Val Phe Ser Cys Ser Val Met His Glu Ala Leu
420 425 430
His Asn His Tyr Thr Gln Lys Ser Leu Ser Leu Ser Leu Gly Lys
435 440 445
<210> 59
<211> 218
<212> PRT
<213> 人工序列
<220>
<221> 来源
<223> /注释="人工序列的描述:合成
多肽"
<400> 59
Glu Ile Val Leu Thr Gln Ser Pro Ala Thr Leu Ser Leu Ser Pro Gly
1 5 10 15
Glu Arg Ala Thr Leu Ser Cys Arg Ala Ser Lys Gly Val Ser Thr Ser
20 25 30
Gly Tyr Ser Tyr Leu His Trp Tyr Gln Gln Lys Pro Gly Gln Ala Pro
35 40 45
Arg Leu Leu Ile Tyr Leu Ala Ser Tyr Leu Glu Ser Gly Val Pro Ala
50 55 60
Arg Phe Ser Gly Ser Gly Ser Gly Thr Asp Phe Thr Leu Thr Ile Ser
65 70 75 80
Ser Leu Glu Pro Glu Asp Phe Ala Val Tyr Tyr Cys Gln His Ser Arg
85 90 95
Asp Leu Pro Leu Thr Phe Gly Gly Gly Thr Lys Val Glu Ile Lys Arg
100 105 110
Thr Val Ala Ala Pro Ser Val Phe Ile Phe Pro Pro Ser Asp Glu Gln
115 120 125
Leu Lys Ser Gly Thr Ala Ser Val Val Cys Leu Leu Asn Asn Phe Tyr
130 135 140
Pro Arg Glu Ala Lys Val Gln Trp Lys Val Asp Asn Ala Leu Gln Ser
145 150 155 160
Gly Asn Ser Gln Glu Ser Val Thr Glu Gln Asp Ser Lys Asp Ser Thr
165 170 175
Tyr Ser Leu Ser Ser Thr Leu Thr Leu Ser Lys Ala Asp Tyr Glu Lys
180 185 190
His Lys Val Tyr Ala Cys Glu Val Thr His Gln Gly Leu Ser Ser Pro
195 200 205
Val Thr Lys Ser Phe Asn Arg Gly Glu Cys
210 215
<210> 60
<211> 447
<212> PRT
<213> 人工序列
<220>
<221> 来源
<223> /注释="人工序列的描述:合成
多肽"
<400> 60
Gln Val Gln Leu Val Gln Ser Gly Ser Glu Leu Lys Lys Pro Gly Ala
1 5 10 15
Ser Val Lys Ile Ser Cys Lys Ala Ser Gly Tyr Thr Phe Thr Asn Tyr
20 25 30
Gly Met Asn Trp Val Arg Gln Ala Pro Gly Gln Gly Leu Gln Trp Met
35 40 45
Gly Trp Ile Asn Thr Asp Ser Gly Glu Ser Thr Tyr Ala Glu Glu Phe
50 55 60
Lys Gly Arg Phe Val Phe Ser Leu Asp Thr Ser Val Asn Thr Ala Tyr
65 70 75 80
Leu Gln Ile Thr Ser Leu Thr Ala Glu Asp Thr Gly Met Tyr Phe Cys
85 90 95
Val Arg Val Gly Tyr Asp Ala Leu Asp Tyr Trp Gly Gln Gly Thr Leu
100 105 110
Val Thr Val Ser Ser Ala Ser Thr Lys Gly Pro Ser Val Phe Pro Leu
115 120 125
Ala Pro Ser Ser Lys Ser Thr Ser Gly Gly Thr Ala Ala Leu Gly Cys
130 135 140
Leu Val Lys Asp Tyr Phe Pro Glu Pro Val Thr Val Ser Trp Asn Ser
145 150 155 160
Gly Ala Leu Thr Ser Gly Val His Thr Phe Pro Ala Val Leu Gln Ser
165 170 175
Ser Gly Leu Tyr Ser Leu Ser Ser Val Val Thr Val Pro Ser Ser Ser
180 185 190
Leu Gly Thr Gln Thr Tyr Ile Cys Asn Val Asn His Lys Pro Ser Asn
195 200 205
Thr Lys Val Asp Lys Arg Val Glu Pro Lys Ser Cys Asp Lys Thr His
210 215 220
Thr Cys Pro Pro Cys Pro Ala Pro Glu Leu Leu Gly Gly Pro Ser Val
225 230 235 240
Phe Leu Phe Pro Pro Lys Pro Lys Asp Thr Leu Met Ile Ser Arg Thr
245 250 255
Pro Glu Val Thr Cys Val Val Val Asp Val Ser His Glu Asp Pro Glu
260 265 270
Val Lys Phe Asn Trp Tyr Val Asp Gly Val Glu Val His Asn Ala Lys
275 280 285
Thr Lys Pro Arg Glu Glu Gln Tyr Asn Ser Thr Tyr Arg Val Val Ser
290 295 300
Val Leu Thr Val Leu His Gln Asp Trp Leu Asn Gly Lys Glu Tyr Lys
305 310 315 320
Cys Lys Val Ser Asn Lys Ala Leu Pro Ala Pro Ile Glu Lys Thr Ile
325 330 335
Ser Lys Ala Lys Gly Gln Pro Arg Glu Pro Gln Val Tyr Thr Leu Pro
340 345 350
Pro Ser Arg Glu Glu Met Thr Lys Asn Gln Val Ser Leu Thr Cys Leu
355 360 365
Val Lys Gly Phe Tyr Pro Ser Asp Ile Ala Val Glu Trp Glu Ser Asn
370 375 380
Gly Gln Pro Glu Asn Asn Tyr Lys Thr Thr Pro Pro Val Leu Asp Ser
385 390 395 400
Asp Gly Ser Phe Phe Leu Tyr Ser Lys Leu Thr Val Asp Lys Ser Arg
405 410 415
Trp Gln Gln Gly Asn Val Phe Ser Cys Ser Val Met His Glu Ala Leu
420 425 430
His Asn His Tyr Thr Gln Lys Ser Leu Ser Leu Ser Pro Gly Lys
435 440 445
<210> 61
<211> 213
<212> PRT
<213> 人工序列
<220>
<221> 来源
<223> /注释="人工序列的描述:合成
多肽"
<400> 61
Glu Ile Val Leu Thr Gln Ser Pro Ser Ser Leu Ser Ala Ser Val Gly
1 5 10 15
Asp Arg Val Thr Ile Thr Cys Ser Ala Arg Ser Ser Val Ser Tyr Met
20 25 30
His Trp Phe Gln Gln Lys Pro Gly Lys Ala Pro Lys Leu Trp Ile Tyr
35 40 45
Arg Thr Ser Asn Leu Ala Ser Gly Val Pro Ser Arg Phe Ser Gly Ser
50 55 60
Gly Ser Gly Thr Ser Tyr Cys Leu Thr Ile Asn Ser Leu Gln Pro Glu
65 70 75 80
Asp Phe Ala Thr Tyr Tyr Cys Gln Gln Arg Ser Ser Phe Pro Leu Thr
85 90 95
Phe Gly Gly Gly Thr Lys Leu Glu Ile Lys Arg Thr Val Ala Ala Pro
100 105 110
Ser Val Phe Ile Phe Pro Pro Ser Asp Glu Gln Leu Lys Ser Gly Thr
115 120 125
Ala Ser Val Val Cys Leu Leu Asn Asn Phe Tyr Pro Arg Glu Ala Lys
130 135 140
Val Gln Trp Lys Val Asp Asn Ala Leu Gln Ser Gly Asn Ser Gln Glu
145 150 155 160
Ser Val Thr Glu Gln Asp Ser Lys Asp Ser Thr Tyr Ser Leu Ser Ser
165 170 175
Thr Leu Thr Leu Ser Lys Ala Asp Tyr Glu Lys His Lys Val Tyr Ala
180 185 190
Cys Glu Val Thr His Gln Gly Leu Ser Ser Pro Val Thr Lys Ser Phe
195 200 205
Asn Arg Gly Glu Cys
210
<210> 62
<211> 5
<212> PRT
<213> 人工序列
<220>
<221> 来源
<223> /注释="人工序列的描述:合成
肽"
<400> 62
Ser Tyr Trp Met Tyr
1 5
<210> 63
<211> 17
<212> PRT
<213> 人工序列
<220>
<221> 来源
<223> /注释="人工序列的描述:合成
肽"
<400> 63
Arg Ile Asp Pro Asn Ser Gly Ser Thr Lys Tyr Asn Glu Lys Phe Lys
1 5 10 15
Asn
<210> 64
<211> 11
<212> PRT
<213> 人工序列
<220>
<221> 来源
<223> /注释="人工序列的描述:合成
肽"
<400> 64
Asp Tyr Arg Lys Gly Leu Tyr Ala Met Asp Tyr
1 5 10
<210> 65
<211> 7
<212> PRT
<213> 人工序列
<220>
<221> 来源
<223> /注释="人工序列的描述:合成
肽"
<400> 65
Gly Tyr Thr Phe Thr Ser Tyr
1 5
<210> 66
<211> 6
<212> PRT
<213> 人工序列
<220>
<221> 来源
<223> /注释="人工序列的描述:合成
肽"
<400> 66
Asp Pro Asn Ser Gly Ser
1 5
<210> 67
<211> 120
<212> PRT
<213> 人工序列
<220>
<221> 来源
<223> /注释="人工序列的描述:合成
多肽"
<400> 67
Glu Val Gln Leu Val Gln Ser Gly Ala Glu Val Lys Lys Pro Gly Ala
1 5 10 15
Thr Val Lys Ile Ser Cys Lys Val Ser Gly Tyr Thr Phe Thr Ser Tyr
20 25 30
Trp Met Tyr Trp Val Arg Gln Ala Arg Gly Gln Arg Leu Glu Trp Ile
35 40 45
Gly Arg Ile Asp Pro Asn Ser Gly Ser Thr Lys Tyr Asn Glu Lys Phe
50 55 60
Lys Asn Arg Phe Thr Ile Ser Arg Asp Asn Ser Lys Asn Thr Leu Tyr
65 70 75 80
Leu Gln Met Asn Ser Leu Arg Ala Glu Asp Thr Ala Val Tyr Tyr Cys
85 90 95
Ala Arg Asp Tyr Arg Lys Gly Leu Tyr Ala Met Asp Tyr Trp Gly Gln
100 105 110
Gly Thr Thr Val Thr Val Ser Ser
115 120
<210> 68
<211> 360
<212> DNA
<213> 人工序列
<220>
<221> 来源
<223> /注释="人工序列的描述:合成
多核苷酸"
<400> 68
gaagtgcagc tggtgcagtc aggcgccgaa gtgaagaaac ccggcgctac cgtgaagatt 60
agctgtaaag tctcaggcta caccttcact agctactgga tgtactgggt ccgacaggct 120
agagggcaaa gactggagtg gatcggtaga atcgacccta atagcggctc tactaagtat 180
aacgagaagt ttaagaatag gttcactatt agtagggata actctaagaa caccctgtac 240
ctgcagatga atagcctgag agccgaggac accgccgtct actactgcgc tagagactat 300
agaaagggcc tgtacgctat ggactactgg ggtcaaggca ctaccgtgac cgtgtcttca 360
<210> 69
<211> 446
<212> PRT
<213> 人工序列
<220>
<221> 来源
<223> /注释="人工序列的描述:合成
多肽"
<400> 69
Glu Val Gln Leu Val Gln Ser Gly Ala Glu Val Lys Lys Pro Gly Ala
1 5 10 15
Thr Val Lys Ile Ser Cys Lys Val Ser Gly Tyr Thr Phe Thr Ser Tyr
20 25 30
Trp Met Tyr Trp Val Arg Gln Ala Arg Gly Gln Arg Leu Glu Trp Ile
35 40 45
Gly Arg Ile Asp Pro Asn Ser Gly Ser Thr Lys Tyr Asn Glu Lys Phe
50 55 60
Lys Asn Arg Phe Thr Ile Ser Arg Asp Asn Ser Lys Asn Thr Leu Tyr
65 70 75 80
Leu Gln Met Asn Ser Leu Arg Ala Glu Asp Thr Ala Val Tyr Tyr Cys
85 90 95
Ala Arg Asp Tyr Arg Lys Gly Leu Tyr Ala Met Asp Tyr Trp Gly Gln
100 105 110
Gly Thr Thr Val Thr Val Ser Ser Ala Ser Thr Lys Gly Pro Ser Val
115 120 125
Phe Pro Leu Ala Pro Cys Ser Arg Ser Thr Ser Glu Ser Thr Ala Ala
130 135 140
Leu Gly Cys Leu Val Lys Asp Tyr Phe Pro Glu Pro Val Thr Val Ser
145 150 155 160
Trp Asn Ser Gly Ala Leu Thr Ser Gly Val His Thr Phe Pro Ala Val
165 170 175
Leu Gln Ser Ser Gly Leu Tyr Ser Leu Ser Ser Val Val Thr Val Pro
180 185 190
Ser Ser Ser Leu Gly Thr Lys Thr Tyr Thr Cys Asn Val Asp His Lys
195 200 205
Pro Ser Asn Thr Lys Val Asp Lys Arg Val Glu Ser Lys Tyr Gly Pro
210 215 220
Pro Cys Pro Pro Cys Pro Ala Pro Glu Phe Leu Gly Gly Pro Ser Val
225 230 235 240
Phe Leu Phe Pro Pro Lys Pro Lys Asp Thr Leu Met Ile Ser Arg Thr
245 250 255
Pro Glu Val Thr Cys Val Val Val Asp Val Ser Gln Glu Asp Pro Glu
260 265 270
Val Gln Phe Asn Trp Tyr Val Asp Gly Val Glu Val His Asn Ala Lys
275 280 285
Thr Lys Pro Arg Glu Glu Gln Phe Asn Ser Thr Tyr Arg Val Val Ser
290 295 300
Val Leu Thr Val Leu His Gln Asp Trp Leu Asn Gly Lys Glu Tyr Lys
305 310 315 320
Cys Lys Val Ser Asn Lys Gly Leu Pro Ser Ser Ile Glu Lys Thr Ile
325 330 335
Ser Lys Ala Lys Gly Gln Pro Arg Glu Pro Gln Val Tyr Thr Leu Pro
340 345 350
Pro Ser Gln Glu Glu Met Thr Lys Asn Gln Val Ser Leu Thr Cys Leu
355 360 365
Val Lys Gly Phe Tyr Pro Ser Asp Ile Ala Val Glu Trp Glu Ser Asn
370 375 380
Gly Gln Pro Glu Asn Asn Tyr Lys Thr Thr Pro Pro Val Leu Asp Ser
385 390 395 400
Asp Gly Ser Phe Phe Leu Tyr Ser Arg Leu Thr Val Asp Lys Ser Arg
405 410 415
Trp Gln Glu Gly Asn Val Phe Ser Cys Ser Val Met His Glu Ala Leu
420 425 430
His Asn His Tyr Thr Gln Lys Ser Leu Ser Leu Ser Leu Gly
435 440 445
<210> 70
<211> 11
<212> PRT
<213> 人工序列
<220>
<221> 来源
<223> /注释="人工序列的描述:合成
肽"
<400> 70
Lys Ala Ser Gln Asp Val Gly Thr Ala Val Ala
1 5 10
<210> 71
<211> 7
<212> PRT
<213> 人工序列
<220>
<221> 来源
<223> /注释="人工序列的描述:合成
肽"
<400> 71
Trp Ala Ser Thr Arg His Thr
1 5
<210> 72
<211> 9
<212> PRT
<213> 人工序列
<220>
<221> 来源
<223> /注释="人工序列的描述:合成
肽"
<400> 72
Gln Gln Tyr Asn Ser Tyr Pro Leu Thr
1 5
<210> 73
<211> 7
<212> PRT
<213> 人工序列
<220>
<221> 来源
<223> /注释="人工序列的描述:合成
肽"
<400> 73
Ser Gln Asp Val Gly Thr Ala
1 5
<210> 74
<211> 3
<212> PRT
<213> 人工序列
<220>
<221> 来源
<223> /注释="人工序列的描述:合成
肽"
<400> 74
Trp Ala Ser
1
<210> 75
<211> 6
<212> PRT
<213> 人工序列
<220>
<221> 来源
<223> /注释="人工序列的描述:合成
肽"
<400> 75
Tyr Asn Ser Tyr Pro Leu
1 5
<210> 76
<211> 1338
<212> DNA
<213> 人工序列
<220>
<221> 来源
<223> /注释="人工序列的描述:合成
多核苷酸"
<400> 76
gaagtgcagc tggtgcagtc aggcgccgaa gtgaagaaac ccggcgctac cgtgaagatt 60
agctgtaaag tctcaggcta caccttcact agctactgga tgtactgggt ccgacaggct 120
agagggcaaa gactggagtg gatcggtaga atcgacccta atagcggctc tactaagtat 180
aacgagaagt ttaagaatag gttcactatt agtagggata actctaagaa caccctgtac 240
ctgcagatga atagcctgag agccgaggac accgccgtct actactgcgc tagagactat 300
agaaagggcc tgtacgctat ggactactgg ggtcaaggca ctaccgtgac cgtgtcttca 360
gctagcacta agggcccgtc cgtgttcccc ctggcacctt gtagccggag cactagcgaa 420
tccaccgctg ccctcggctg cctggtcaag gattacttcc cggagcccgt gaccgtgtcc 480
tggaacagcg gagccctgac ctccggagtg cacaccttcc ccgctgtgct gcagagctcc 540
gggctgtact cgctgtcgtc ggtggtcacg gtgccttcat ctagcctggg taccaagacc 600
tacacttgca acgtggacca caagccttcc aacactaagg tggacaagcg cgtcgaatcg 660
aagtacggcc caccgtgccc gccttgtccc gcgccggagt tcctcggcgg tccctcggtc 720
tttctgttcc caccgaagcc caaggacact ttgatgattt cccgcacccc tgaagtgaca 780
tgcgtggtcg tggacgtgtc acaggaagat ccggaggtgc agttcaattg gtacgtggat 840
ggcgtcgagg tgcacaacgc caaaaccaag ccgagggagg agcagttcaa ctccacttac 900
cgcgtcgtgt ccgtgctgac ggtgctgcat caggactggc tgaacgggaa ggagtacaag 960
tgcaaagtgt ccaacaaggg acttcctagc tcaatcgaaa agaccatctc gaaagccaag 1020
ggacagcccc gggaacccca agtgtatacc ctgccaccga gccaggaaga aatgactaag 1080
aaccaagtct cattgacttg ccttgtgaag ggcttctacc catcggatat cgccgtggaa 1140
tgggagtcca acggccagcc ggaaaacaac tacaagacca cccctccggt gctggactca 1200
gacggatcct tcttcctcta ctcgcggctg accgtggata agagcagatg gcaggaggga 1260
aatgtgttca gctgttctgt gatgcatgaa gccctgcaca accactacac tcagaagtcc 1320
ctgtccctct ccctggga 1338
<210> 77
<211> 107
<212> PRT
<213> 人工序列
<220>
<221> 来源
<223> /注释="人工序列的描述:合成
多肽"
<400> 77
Ala Ile Gln Leu Thr Gln Ser Pro Ser Ser Leu Ser Ala Ser Val Gly
1 5 10 15
Asp Arg Val Thr Ile Thr Cys Lys Ala Ser Gln Asp Val Gly Thr Ala
20 25 30
Val Ala Trp Tyr Leu Gln Lys Pro Gly Gln Ser Pro Gln Leu Leu Ile
35 40 45
Tyr Trp Ala Ser Thr Arg His Thr Gly Val Pro Ser Arg Phe Ser Gly
50 55 60
Ser Gly Ser Gly Thr Asp Phe Thr Phe Thr Ile Ser Ser Leu Glu Ala
65 70 75 80
Glu Asp Ala Ala Thr Tyr Tyr Cys Gln Gln Tyr Asn Ser Tyr Pro Leu
85 90 95
Thr Phe Gly Gln Gly Thr Lys Val Glu Ile Lys
100 105
<210> 78
<211> 321
<212> DNA
<213> 人工序列
<220>
<221> 来源
<223> /注释="人工序列的描述:合成
多核苷酸"
<400> 78
gctattcagc tgactcagtc acctagtagc ctgagcgcta gtgtgggcga tagagtgact 60
atcacctgta aagcctctca ggacgtgggc accgccgtgg cctggtatct gcagaagcct 120
ggtcaatcac ctcagctgct gatctactgg gcctctacta gacacaccgg cgtgccctct 180
aggtttagcg gtagcggtag tggcaccgac ttcaccttca ctatctcttc actggaagcc 240
gaggacgccg ctacctacta ctgtcagcag tataatagct accccctgac cttcggtcaa 300
ggcactaagg tcgagattaa g 321
<210> 79
<211> 214
<212> PRT
<213> 人工序列
<220>
<221> 来源
<223> /注释="人工序列的描述:合成
多肽"
<400> 79
Ala Ile Gln Leu Thr Gln Ser Pro Ser Ser Leu Ser Ala Ser Val Gly
1 5 10 15
Asp Arg Val Thr Ile Thr Cys Lys Ala Ser Gln Asp Val Gly Thr Ala
20 25 30
Val Ala Trp Tyr Leu Gln Lys Pro Gly Gln Ser Pro Gln Leu Leu Ile
35 40 45
Tyr Trp Ala Ser Thr Arg His Thr Gly Val Pro Ser Arg Phe Ser Gly
50 55 60
Ser Gly Ser Gly Thr Asp Phe Thr Phe Thr Ile Ser Ser Leu Glu Ala
65 70 75 80
Glu Asp Ala Ala Thr Tyr Tyr Cys Gln Gln Tyr Asn Ser Tyr Pro Leu
85 90 95
Thr Phe Gly Gln Gly Thr Lys Val Glu Ile Lys Arg Thr Val Ala Ala
100 105 110
Pro Ser Val Phe Ile Phe Pro Pro Ser Asp Glu Gln Leu Lys Ser Gly
115 120 125
Thr Ala Ser Val Val Cys Leu Leu Asn Asn Phe Tyr Pro Arg Glu Ala
130 135 140
Lys Val Gln Trp Lys Val Asp Asn Ala Leu Gln Ser Gly Asn Ser Gln
145 150 155 160
Glu Ser Val Thr Glu Gln Asp Ser Lys Asp Ser Thr Tyr Ser Leu Ser
165 170 175
Ser Thr Leu Thr Leu Ser Lys Ala Asp Tyr Glu Lys His Lys Val Tyr
180 185 190
Ala Cys Glu Val Thr His Gln Gly Leu Ser Ser Pro Val Thr Lys Ser
195 200 205
Phe Asn Arg Gly Glu Cys
210
<210> 80
<211> 642
<212> DNA
<213> 人工序列
<220>
<221> 来源
<223> /注释="人工序列的描述:合成
多核苷酸"
<400> 80
gctattcagc tgactcagtc acctagtagc ctgagcgcta gtgtgggcga tagagtgact 60
atcacctgta aagcctctca ggacgtgggc accgccgtgg cctggtatct gcagaagcct 120
ggtcaatcac ctcagctgct gatctactgg gcctctacta gacacaccgg cgtgccctct 180
aggtttagcg gtagcggtag tggcaccgac ttcaccttca ctatctcttc actggaagcc 240
gaggacgccg ctacctacta ctgtcagcag tataatagct accccctgac cttcggtcaa 300
ggcactaagg tcgagattaa gcgtacggtg gccgctccca gcgtgttcat cttccccccc 360
agcgacgagc agctgaagag cggcaccgcc agcgtggtgt gcctgctgaa caacttctac 420
ccccgggagg ccaaggtgca gtggaaggtg gacaacgccc tgcagagcgg caacagccag 480
gagagcgtca ccgagcagga cagcaaggac tccacctaca gcctgagcag caccctgacc 540
ctgagcaagg ccgactacga gaagcataag gtgtacgcct gcgaggtgac ccaccagggc 600
ctgtccagcc ccgtgaccaa gagcttcaac aggggcgagt gc 642
<210> 81
<211> 120
<212> PRT
<213> 人工序列
<220>
<221> 来源
<223> /注释="人工序列的描述:合成
多肽"
<400> 81
Glu Val Gln Leu Val Gln Ser Gly Ala Glu Val Lys Lys Pro Gly Ala
1 5 10 15
Thr Val Lys Ile Ser Cys Lys Val Ser Gly Tyr Thr Phe Thr Ser Tyr
20 25 30
Trp Met Tyr Trp Val Arg Gln Ala Thr Gly Gln Gly Leu Glu Trp Met
35 40 45
Gly Arg Ile Asp Pro Asn Ser Gly Ser Thr Lys Tyr Asn Glu Lys Phe
50 55 60
Lys Asn Arg Val Thr Ile Thr Ala Asp Lys Ser Thr Ser Thr Ala Tyr
65 70 75 80
Met Glu Leu Ser Ser Leu Arg Ser Glu Asp Thr Ala Val Tyr Tyr Cys
85 90 95
Ala Arg Asp Tyr Arg Lys Gly Leu Tyr Ala Met Asp Tyr Trp Gly Gln
100 105 110
Gly Thr Thr Val Thr Val Ser Ser
115 120
<210> 82
<211> 360
<212> DNA
<213> 人工序列
<220>
<221> 来源
<223> /注释="人工序列的描述:合成
多核苷酸"
<400> 82
gaagtgcagc tggtgcagtc aggcgccgaa gtgaagaaac ccggcgctac cgtgaagatt 60
agctgtaaag tctcaggcta caccttcact agctactgga tgtactgggt ccgacaggct 120
accggtcaag gcctggagtg gatgggtaga atcgacccta atagcggctc tactaagtat 180
aacgagaagt ttaagaatag agtgactatc accgccgata agtctactag caccgcctat 240
atggaactgt ctagcctgag atcagaggac accgccgtct actactgcgc tagagactat 300
agaaagggcc tgtacgctat ggactactgg ggtcaaggca ctaccgtgac cgtgtcttca 360
<210> 83
<211> 446
<212> PRT
<213> 人工序列
<220>
<221> 来源
<223> /注释="人工序列的描述:合成
多肽"
<400> 83
Glu Val Gln Leu Val Gln Ser Gly Ala Glu Val Lys Lys Pro Gly Ala
1 5 10 15
Thr Val Lys Ile Ser Cys Lys Val Ser Gly Tyr Thr Phe Thr Ser Tyr
20 25 30
Trp Met Tyr Trp Val Arg Gln Ala Thr Gly Gln Gly Leu Glu Trp Met
35 40 45
Gly Arg Ile Asp Pro Asn Ser Gly Ser Thr Lys Tyr Asn Glu Lys Phe
50 55 60
Lys Asn Arg Val Thr Ile Thr Ala Asp Lys Ser Thr Ser Thr Ala Tyr
65 70 75 80
Met Glu Leu Ser Ser Leu Arg Ser Glu Asp Thr Ala Val Tyr Tyr Cys
85 90 95
Ala Arg Asp Tyr Arg Lys Gly Leu Tyr Ala Met Asp Tyr Trp Gly Gln
100 105 110
Gly Thr Thr Val Thr Val Ser Ser Ala Ser Thr Lys Gly Pro Ser Val
115 120 125
Phe Pro Leu Ala Pro Cys Ser Arg Ser Thr Ser Glu Ser Thr Ala Ala
130 135 140
Leu Gly Cys Leu Val Lys Asp Tyr Phe Pro Glu Pro Val Thr Val Ser
145 150 155 160
Trp Asn Ser Gly Ala Leu Thr Ser Gly Val His Thr Phe Pro Ala Val
165 170 175
Leu Gln Ser Ser Gly Leu Tyr Ser Leu Ser Ser Val Val Thr Val Pro
180 185 190
Ser Ser Ser Leu Gly Thr Lys Thr Tyr Thr Cys Asn Val Asp His Lys
195 200 205
Pro Ser Asn Thr Lys Val Asp Lys Arg Val Glu Ser Lys Tyr Gly Pro
210 215 220
Pro Cys Pro Pro Cys Pro Ala Pro Glu Phe Leu Gly Gly Pro Ser Val
225 230 235 240
Phe Leu Phe Pro Pro Lys Pro Lys Asp Thr Leu Met Ile Ser Arg Thr
245 250 255
Pro Glu Val Thr Cys Val Val Val Asp Val Ser Gln Glu Asp Pro Glu
260 265 270
Val Gln Phe Asn Trp Tyr Val Asp Gly Val Glu Val His Asn Ala Lys
275 280 285
Thr Lys Pro Arg Glu Glu Gln Phe Asn Ser Thr Tyr Arg Val Val Ser
290 295 300
Val Leu Thr Val Leu His Gln Asp Trp Leu Asn Gly Lys Glu Tyr Lys
305 310 315 320
Cys Lys Val Ser Asn Lys Gly Leu Pro Ser Ser Ile Glu Lys Thr Ile
325 330 335
Ser Lys Ala Lys Gly Gln Pro Arg Glu Pro Gln Val Tyr Thr Leu Pro
340 345 350
Pro Ser Gln Glu Glu Met Thr Lys Asn Gln Val Ser Leu Thr Cys Leu
355 360 365
Val Lys Gly Phe Tyr Pro Ser Asp Ile Ala Val Glu Trp Glu Ser Asn
370 375 380
Gly Gln Pro Glu Asn Asn Tyr Lys Thr Thr Pro Pro Val Leu Asp Ser
385 390 395 400
Asp Gly Ser Phe Phe Leu Tyr Ser Arg Leu Thr Val Asp Lys Ser Arg
405 410 415
Trp Gln Glu Gly Asn Val Phe Ser Cys Ser Val Met His Glu Ala Leu
420 425 430
His Asn His Tyr Thr Gln Lys Ser Leu Ser Leu Ser Leu Gly
435 440 445
<210> 84
<211> 1338
<212> DNA
<213> 人工序列
<220>
<221> 来源
<223> /注释="人工序列的描述:合成
多核苷酸"
<400> 84
gaagtgcagc tggtgcagtc aggcgccgaa gtgaagaaac ccggcgctac cgtgaagatt 60
agctgtaaag tctcaggcta caccttcact agctactgga tgtactgggt ccgacaggct 120
accggtcaag gcctggagtg gatgggtaga atcgacccta atagcggctc tactaagtat 180
aacgagaagt ttaagaatag agtgactatc accgccgata agtctactag caccgcctat 240
atggaactgt ctagcctgag atcagaggac accgccgtct actactgcgc tagagactat 300
agaaagggcc tgtacgctat ggactactgg ggtcaaggca ctaccgtgac cgtgtcttca 360
gctagcacta agggcccgtc cgtgttcccc ctggcacctt gtagccggag cactagcgaa 420
tccaccgctg ccctcggctg cctggtcaag gattacttcc cggagcccgt gaccgtgtcc 480
tggaacagcg gagccctgac ctccggagtg cacaccttcc ccgctgtgct gcagagctcc 540
gggctgtact cgctgtcgtc ggtggtcacg gtgccttcat ctagcctggg taccaagacc 600
tacacttgca acgtggacca caagccttcc aacactaagg tggacaagcg cgtcgaatcg 660
aagtacggcc caccgtgccc gccttgtccc gcgccggagt tcctcggcgg tccctcggtc 720
tttctgttcc caccgaagcc caaggacact ttgatgattt cccgcacccc tgaagtgaca 780
tgcgtggtcg tggacgtgtc acaggaagat ccggaggtgc agttcaattg gtacgtggat 840
ggcgtcgagg tgcacaacgc caaaaccaag ccgagggagg agcagttcaa ctccacttac 900
cgcgtcgtgt ccgtgctgac ggtgctgcat caggactggc tgaacgggaa ggagtacaag 960
tgcaaagtgt ccaacaaggg acttcctagc tcaatcgaaa agaccatctc gaaagccaag 1020
ggacagcccc gggaacccca agtgtatacc ctgccaccga gccaggaaga aatgactaag 1080
aaccaagtct cattgacttg ccttgtgaag ggcttctacc catcggatat cgccgtggaa 1140
tgggagtcca acggccagcc ggaaaacaac tacaagacca cccctccggt gctggactca 1200
gacggatcct tcttcctcta ctcgcggctg accgtggata agagcagatg gcaggaggga 1260
aatgtgttca gctgttctgt gatgcatgaa gccctgcaca accactacac tcagaagtcc 1320
ctgtccctct ccctggga 1338
<210> 85
<211> 107
<212> PRT
<213> 人工序列
<220>
<221> 来源
<223> /注释="人工序列的描述:合成
多肽"
<400> 85
Asp Val Val Met Thr Gln Ser Pro Leu Ser Leu Pro Val Thr Leu Gly
1 5 10 15
Gln Pro Ala Ser Ile Ser Cys Lys Ala Ser Gln Asp Val Gly Thr Ala
20 25 30
Val Ala Trp Tyr Gln Gln Lys Pro Gly Gln Ala Pro Arg Leu Leu Ile
35 40 45
Tyr Trp Ala Ser Thr Arg His Thr Gly Val Pro Ser Arg Phe Ser Gly
50 55 60
Ser Gly Ser Gly Thr Glu Phe Thr Leu Thr Ile Ser Ser Leu Gln Pro
65 70 75 80
Asp Asp Phe Ala Thr Tyr Tyr Cys Gln Gln Tyr Asn Ser Tyr Pro Leu
85 90 95
Thr Phe Gly Gln Gly Thr Lys Val Glu Ile Lys
100 105
<210> 86
<211> 321
<212> DNA
<213> 人工序列
<220>
<221> 来源
<223> /注释="人工序列的描述:合成
多核苷酸"
<400> 86
gacgtcgtga tgactcagtc acccctgagc ctgcccgtga ccctggggca gcccgcctct 60
attagctgta aagcctctca ggacgtgggc accgccgtgg cctggtatca gcagaagcca 120
gggcaagccc ctagactgct gatctactgg gcctctacta gacacaccgg cgtgccctct 180
aggtttagcg gtagcggtag tggcaccgag ttcaccctga ctatctcttc actgcagccc 240
gacgacttcg ctacctacta ctgtcagcag tataatagct accccctgac cttcggtcaa 300
ggcactaagg tcgagattaa g 321
<210> 87
<211> 214
<212> PRT
<213> 人工序列
<220>
<221> 来源
<223> /注释="人工序列的描述:合成
多肽"
<400> 87
Asp Val Val Met Thr Gln Ser Pro Leu Ser Leu Pro Val Thr Leu Gly
1 5 10 15
Gln Pro Ala Ser Ile Ser Cys Lys Ala Ser Gln Asp Val Gly Thr Ala
20 25 30
Val Ala Trp Tyr Gln Gln Lys Pro Gly Gln Ala Pro Arg Leu Leu Ile
35 40 45
Tyr Trp Ala Ser Thr Arg His Thr Gly Val Pro Ser Arg Phe Ser Gly
50 55 60
Ser Gly Ser Gly Thr Glu Phe Thr Leu Thr Ile Ser Ser Leu Gln Pro
65 70 75 80
Asp Asp Phe Ala Thr Tyr Tyr Cys Gln Gln Tyr Asn Ser Tyr Pro Leu
85 90 95
Thr Phe Gly Gln Gly Thr Lys Val Glu Ile Lys Arg Thr Val Ala Ala
100 105 110
Pro Ser Val Phe Ile Phe Pro Pro Ser Asp Glu Gln Leu Lys Ser Gly
115 120 125
Thr Ala Ser Val Val Cys Leu Leu Asn Asn Phe Tyr Pro Arg Glu Ala
130 135 140
Lys Val Gln Trp Lys Val Asp Asn Ala Leu Gln Ser Gly Asn Ser Gln
145 150 155 160
Glu Ser Val Thr Glu Gln Asp Ser Lys Asp Ser Thr Tyr Ser Leu Ser
165 170 175
Ser Thr Leu Thr Leu Ser Lys Ala Asp Tyr Glu Lys His Lys Val Tyr
180 185 190
Ala Cys Glu Val Thr His Gln Gly Leu Ser Ser Pro Val Thr Lys Ser
195 200 205
Phe Asn Arg Gly Glu Cys
210
<210> 88
<211> 642
<212> DNA
<213> 人工序列
<220>
<221> 来源
<223> /注释="人工序列的描述:合成
多核苷酸"
<400> 88
gacgtcgtga tgactcagtc acccctgagc ctgcccgtga ccctggggca gcccgcctct 60
attagctgta aagcctctca ggacgtgggc accgccgtgg cctggtatca gcagaagcca 120
gggcaagccc ctagactgct gatctactgg gcctctacta gacacaccgg cgtgccctct 180
aggtttagcg gtagcggtag tggcaccgag ttcaccctga ctatctcttc actgcagccc 240
gacgacttcg ctacctacta ctgtcagcag tataatagct accccctgac cttcggtcaa 300
ggcactaagg tcgagattaa gcgtacggtg gccgctccca gcgtgttcat cttccccccc 360
agcgacgagc agctgaagag cggcaccgcc agcgtggtgt gcctgctgaa caacttctac 420
ccccgggagg ccaaggtgca gtggaaggtg gacaacgccc tgcagagcgg caacagccag 480
gagagcgtca ccgagcagga cagcaaggac tccacctaca gcctgagcag caccctgacc 540
ctgagcaagg ccgactacga gaagcataag gtgtacgcct gcgaggtgac ccaccagggc 600
ctgtccagcc ccgtgaccaa gagcttcaac aggggcgagt gc 642
<210> 89
<211> 15
<212> DNA
<213> 人工序列
<220>
<221> 来源
<223> /注释="人工序列的描述:合成
寡核苷酸"
<400> 89
agctactgga tgtac 15
<210> 90
<211> 51
<212> DNA
<213> 人工序列
<220>
<221> 来源
<223> /注释="人工序列的描述:合成
寡核苷酸"
<400> 90
agaatcgacc ctaatagcgg ctctactaag tataacgaga agtttaagaa t 51
<210> 91
<211> 33
<212> DNA
<213> 人工序列
<220>
<221> 来源
<223> /注释="人工序列的描述:合成
寡核苷酸"
<400> 91
gactatagaa agggcctgta cgctatggac tac 33
<210> 92
<211> 21
<212> DNA
<213> 人工序列
<220>
<221> 来源
<223> /注释="人工序列的描述:合成
寡核苷酸"
<400> 92
ggctacacct tcactagcta c 21
<210> 93
<211> 18
<212> DNA
<213> 人工序列
<220>
<221> 来源
<223> /注释="人工序列的描述:合成
寡核苷酸"
<400> 93
gaccctaata gcggctct 18
<210> 94
<211> 33
<212> DNA
<213> 人工序列
<220>
<221> 来源
<223> /注释="人工序列的描述:合成
寡核苷酸"
<400> 94
aaagcctctc aggacgtggg caccgccgtg gcc 33
<210> 95
<211> 21
<212> DNA
<213> 人工序列
<220>
<221> 来源
<223> /注释="人工序列的描述:合成
寡核苷酸"
<400> 95
tgggcctcta ctagacacac c 21
<210> 96
<211> 27
<212> DNA
<213> 人工序列
<220>
<221> 来源
<223> /注释="人工序列的描述:合成
寡核苷酸"
<400> 96
cagcagtata atagctaccc cctgacc 27
<210> 97
<211> 21
<212> DNA
<213> 人工序列
<220>
<221> 来源
<223> /注释="人工序列的描述:合成
寡核苷酸"
<400> 97
tctcaggacg tgggcaccgc c 21
<210> 98
<211> 9
<212> DNA
<213> 人工序列
<220>
<221> 来源
<223> /注释="人工序列的描述:合成
寡核苷酸"
<400> 98
tgggcctct 9
<210> 99
<211> 18
<212> DNA
<213> 人工序列
<220>
<221> 来源
<223> /注释="人工序列的描述:合成
寡核苷酸"
<400> 99
tataatagct accccctg 18
<210> 100
<211> 448
<212> PRT
<213> 人工序列
<220>
<221> 来源
<223> /注释="人工序列的描述:合成
多肽"
<400> 100
Glu Val Gln Leu Val Glu Ser Gly Gly Gly Leu Val Gln Pro Gly Gly
1 5 10 15
Ser Leu Arg Leu Ser Cys Ala Ala Ser Gly Phe Thr Phe Ser Asp Ser
20 25 30
Trp Ile His Trp Val Arg Gln Ala Pro Gly Lys Gly Leu Glu Trp Val
35 40 45
Ala Trp Ile Ser Pro Tyr Gly Gly Ser Thr Tyr Tyr Ala Asp Ser Val
50 55 60
Lys Gly Arg Phe Thr Ile Ser Ala Asp Thr Ser Lys Asn Thr Ala Tyr
65 70 75 80
Leu Gln Met Asn Ser Leu Arg Ala Glu Asp Thr Ala Val Tyr Tyr Cys
85 90 95
Ala Arg Arg His Trp Pro Gly Gly Phe Asp Tyr Trp Gly Gln Gly Thr
100 105 110
Leu Val Thr Val Ser Ser Ala Ser Thr Lys Gly Pro Ser Val Phe Pro
115 120 125
Leu Ala Pro Ser Ser Lys Ser Thr Ser Gly Gly Thr Ala Ala Leu Gly
130 135 140
Cys Leu Val Lys Asp Tyr Phe Pro Glu Pro Val Thr Val Ser Trp Asn
145 150 155 160
Ser Gly Ala Leu Thr Ser Gly Val His Thr Phe Pro Ala Val Leu Gln
165 170 175
Ser Ser Gly Leu Tyr Ser Leu Ser Ser Val Val Thr Val Pro Ser Ser
180 185 190
Ser Leu Gly Thr Gln Thr Tyr Ile Cys Asn Val Asn His Lys Pro Ser
195 200 205
Asn Thr Lys Val Asp Lys Lys Val Glu Pro Lys Ser Cys Asp Lys Thr
210 215 220
His Thr Cys Pro Pro Cys Pro Ala Pro Glu Leu Leu Gly Gly Pro Ser
225 230 235 240
Val Phe Leu Phe Pro Pro Lys Pro Lys Asp Thr Leu Met Ile Ser Arg
245 250 255
Thr Pro Glu Val Thr Cys Val Val Val Asp Val Ser His Glu Asp Pro
260 265 270
Glu Val Lys Phe Asn Trp Tyr Val Asp Gly Val Glu Val His Asn Ala
275 280 285
Lys Thr Lys Pro Arg Glu Glu Gln Tyr Ala Ser Thr Tyr Arg Val Val
290 295 300
Ser Val Leu Thr Val Leu His Gln Asp Trp Leu Asn Gly Lys Glu Tyr
305 310 315 320
Lys Cys Lys Val Ser Asn Lys Ala Leu Pro Ala Pro Ile Glu Lys Thr
325 330 335
Ile Ser Lys Ala Lys Gly Gln Pro Arg Glu Pro Gln Val Tyr Thr Leu
340 345 350
Pro Pro Ser Arg Glu Glu Met Thr Lys Asn Gln Val Ser Leu Thr Cys
355 360 365
Leu Val Lys Gly Phe Tyr Pro Ser Asp Ile Ala Val Glu Trp Glu Ser
370 375 380
Asn Gly Gln Pro Glu Asn Asn Tyr Lys Thr Thr Pro Pro Val Leu Asp
385 390 395 400
Ser Asp Gly Ser Phe Phe Leu Tyr Ser Lys Leu Thr Val Asp Lys Ser
405 410 415
Arg Trp Gln Gln Gly Asn Val Phe Ser Cys Ser Val Met His Glu Ala
420 425 430
Leu His Asn His Tyr Thr Gln Lys Ser Leu Ser Leu Ser Pro Gly Lys
435 440 445
<210> 101
<211> 214
<212> PRT
<213> 人工序列
<220>
<221> 来源
<223> /注释="人工序列的描述:合成
多肽"
<400> 101
Asp Ile Gln Met Thr Gln Ser Pro Ser Ser Leu Ser Ala Ser Val Gly
1 5 10 15
Asp Arg Val Thr Ile Thr Cys Arg Ala Ser Gln Asp Val Ser Thr Ala
20 25 30
Val Ala Trp Tyr Gln Gln Lys Pro Gly Lys Ala Pro Lys Leu Leu Ile
35 40 45
Tyr Ser Ala Ser Phe Leu Tyr Ser Gly Val Pro Ser Arg Phe Ser Gly
50 55 60
Ser Gly Ser Gly Thr Asp Phe Thr Leu Thr Ile Ser Ser Leu Gln Pro
65 70 75 80
Glu Asp Phe Ala Thr Tyr Tyr Cys Gln Gln Tyr Leu Tyr His Pro Ala
85 90 95
Thr Phe Gly Gln Gly Thr Lys Val Glu Ile Lys Arg Thr Val Ala Ala
100 105 110
Pro Ser Val Phe Ile Phe Pro Pro Ser Asp Glu Gln Leu Lys Ser Gly
115 120 125
Thr Ala Ser Val Val Cys Leu Leu Asn Asn Phe Tyr Pro Arg Glu Ala
130 135 140
Lys Val Gln Trp Lys Val Asp Asn Ala Leu Gln Ser Gly Asn Ser Gln
145 150 155 160
Glu Ser Val Thr Glu Gln Asp Ser Lys Asp Ser Thr Tyr Ser Leu Ser
165 170 175
Ser Thr Leu Thr Leu Ser Lys Ala Asp Tyr Glu Lys His Lys Val Tyr
180 185 190
Ala Cys Glu Val Thr His Gln Gly Leu Ser Ser Pro Val Thr Lys Ser
195 200 205
Phe Asn Arg Gly Glu Cys
210
<210> 102
<211> 450
<212> PRT
<213> 人工序列
<220>
<221> 来源
<223> /注释="人工序列的描述:合成
多肽"
<400> 102
Glu Val Gln Leu Leu Glu Ser Gly Gly Gly Leu Val Gln Pro Gly Gly
1 5 10 15
Ser Leu Arg Leu Ser Cys Ala Ala Ser Gly Phe Thr Phe Ser Ser Tyr
20 25 30
Ile Met Met Trp Val Arg Gln Ala Pro Gly Lys Gly Leu Glu Trp Val
35 40 45
Ser Ser Ile Tyr Pro Ser Gly Gly Ile Thr Phe Tyr Ala Asp Thr Val
50 55 60
Lys Gly Arg Phe Thr Ile Ser Arg Asp Asn Ser Lys Asn Thr Leu Tyr
65 70 75 80
Leu Gln Met Asn Ser Leu Arg Ala Glu Asp Thr Ala Val Tyr Tyr Cys
85 90 95
Ala Arg Ile Lys Leu Gly Thr Val Thr Thr Val Asp Tyr Trp Gly Gln
100 105 110
Gly Thr Leu Val Thr Val Ser Ser Ala Ser Thr Lys Gly Pro Ser Val
115 120 125
Phe Pro Leu Ala Pro Ser Ser Lys Ser Thr Ser Gly Gly Thr Ala Ala
130 135 140
Leu Gly Cys Leu Val Lys Asp Tyr Phe Pro Glu Pro Val Thr Val Ser
145 150 155 160
Trp Asn Ser Gly Ala Leu Thr Ser Gly Val His Thr Phe Pro Ala Val
165 170 175
Leu Gln Ser Ser Gly Leu Tyr Ser Leu Ser Ser Val Val Thr Val Pro
180 185 190
Ser Ser Ser Leu Gly Thr Gln Thr Tyr Ile Cys Asn Val Asn His Lys
195 200 205
Pro Ser Asn Thr Lys Val Asp Lys Lys Val Glu Pro Lys Ser Cys Asp
210 215 220
Lys Thr His Thr Cys Pro Pro Cys Pro Ala Pro Glu Leu Leu Gly Gly
225 230 235 240
Pro Ser Val Phe Leu Phe Pro Pro Lys Pro Lys Asp Thr Leu Met Ile
245 250 255
Ser Arg Thr Pro Glu Val Thr Cys Val Val Val Asp Val Ser His Glu
260 265 270
Asp Pro Glu Val Lys Phe Asn Trp Tyr Val Asp Gly Val Glu Val His
275 280 285
Asn Ala Lys Thr Lys Pro Arg Glu Glu Gln Tyr Asn Ser Thr Tyr Arg
290 295 300
Val Val Ser Val Leu Thr Val Leu His Gln Asp Trp Leu Asn Gly Lys
305 310 315 320
Glu Tyr Lys Cys Lys Val Ser Asn Lys Ala Leu Pro Ala Pro Ile Glu
325 330 335
Lys Thr Ile Ser Lys Ala Lys Gly Gln Pro Arg Glu Pro Gln Val Tyr
340 345 350
Thr Leu Pro Pro Ser Arg Asp Glu Leu Thr Lys Asn Gln Val Ser Leu
355 360 365
Thr Cys Leu Val Lys Gly Phe Tyr Pro Ser Asp Ile Ala Val Glu Trp
370 375 380
Glu Ser Asn Gly Gln Pro Glu Asn Asn Tyr Lys Thr Thr Pro Pro Val
385 390 395 400
Leu Asp Ser Asp Gly Ser Phe Phe Leu Tyr Ser Lys Leu Thr Val Asp
405 410 415
Lys Ser Arg Trp Gln Gln Gly Asn Val Phe Ser Cys Ser Val Met His
420 425 430
Glu Ala Leu His Asn His Tyr Thr Gln Lys Ser Leu Ser Leu Ser Pro
435 440 445
Gly Lys
450
<210> 103
<211> 216
<212> PRT
<213> 人工序列
<220>
<221> 来源
<223> /注释="人工序列的描述:合成
多肽"
<400> 103
Gln Ser Ala Leu Thr Gln Pro Ala Ser Val Ser Gly Ser Pro Gly Gln
1 5 10 15
Ser Ile Thr Ile Ser Cys Thr Gly Thr Ser Ser Asp Val Gly Gly Tyr
20 25 30
Asn Tyr Val Ser Trp Tyr Gln Gln His Pro Gly Lys Ala Pro Lys Leu
35 40 45
Met Ile Tyr Asp Val Ser Asn Arg Pro Ser Gly Val Ser Asn Arg Phe
50 55 60
Ser Gly Ser Lys Ser Gly Asn Thr Ala Ser Leu Thr Ile Ser Gly Leu
65 70 75 80
Gln Ala Glu Asp Glu Ala Asp Tyr Tyr Cys Ser Ser Tyr Thr Ser Ser
85 90 95
Ser Thr Arg Val Phe Gly Thr Gly Thr Lys Val Thr Val Leu Gly Gln
100 105 110
Pro Lys Ala Asn Pro Thr Val Thr Leu Phe Pro Pro Ser Ser Glu Glu
115 120 125
Leu Gln Ala Asn Lys Ala Thr Leu Val Cys Leu Ile Ser Asp Phe Tyr
130 135 140
Pro Gly Ala Val Thr Val Ala Trp Lys Ala Asp Gly Ser Pro Val Lys
145 150 155 160
Ala Gly Val Glu Thr Thr Lys Pro Ser Lys Gln Ser Asn Asn Lys Tyr
165 170 175
Ala Ala Ser Ser Tyr Leu Ser Leu Thr Pro Glu Gln Trp Lys Ser His
180 185 190
Arg Ser Tyr Ser Cys Gln Val Thr His Glu Gly Ser Thr Val Glu Lys
195 200 205
Thr Val Ala Pro Thr Glu Cys Ser
210 215
<210> 104
<211> 451
<212> PRT
<213> 人工序列
<220>
<221> 来源
<223> /注释="人工序列的描述:合成
多肽"
<400> 104
Glu Val Gln Leu Val Glu Ser Gly Gly Gly Leu Val Gln Pro Gly Gly
1 5 10 15
Ser Leu Arg Leu Ser Cys Ala Ala Ser Gly Phe Thr Phe Ser Arg Tyr
20 25 30
Trp Met Ser Trp Val Arg Gln Ala Pro Gly Lys Gly Leu Glu Trp Val
35 40 45
Ala Asn Ile Lys Gln Asp Gly Ser Glu Lys Tyr Tyr Val Asp Ser Val
50 55 60
Lys Gly Arg Phe Thr Ile Ser Arg Asp Asn Ala Lys Asn Ser Leu Tyr
65 70 75 80
Leu Gln Met Asn Ser Leu Arg Ala Glu Asp Thr Ala Val Tyr Tyr Cys
85 90 95
Ala Arg Glu Gly Gly Trp Phe Gly Glu Leu Ala Phe Asp Tyr Trp Gly
100 105 110
Gln Gly Thr Leu Val Thr Val Ser Ser Ala Ser Thr Lys Gly Pro Ser
115 120 125
Val Phe Pro Leu Ala Pro Ser Ser Lys Ser Thr Ser Gly Gly Thr Ala
130 135 140
Ala Leu Gly Cys Leu Val Lys Asp Tyr Phe Pro Glu Pro Val Thr Val
145 150 155 160
Ser Trp Asn Ser Gly Ala Leu Thr Ser Gly Val His Thr Phe Pro Ala
165 170 175
Val Leu Gln Ser Ser Gly Leu Tyr Ser Leu Ser Ser Val Val Thr Val
180 185 190
Pro Ser Ser Ser Leu Gly Thr Gln Thr Tyr Ile Cys Asn Val Asn His
195 200 205
Lys Pro Ser Asn Thr Lys Val Asp Lys Arg Val Glu Pro Lys Ser Cys
210 215 220
Asp Lys Thr His Thr Cys Pro Pro Cys Pro Ala Pro Glu Phe Glu Gly
225 230 235 240
Gly Pro Ser Val Phe Leu Phe Pro Pro Lys Pro Lys Asp Thr Leu Met
245 250 255
Ile Ser Arg Thr Pro Glu Val Thr Cys Val Val Val Asp Val Ser His
260 265 270
Glu Asp Pro Glu Val Lys Phe Asn Trp Tyr Val Asp Gly Val Glu Val
275 280 285
His Asn Ala Lys Thr Lys Pro Arg Glu Glu Gln Tyr Asn Ser Thr Tyr
290 295 300
Arg Val Val Ser Val Leu Thr Val Leu His Gln Asp Trp Leu Asn Gly
305 310 315 320
Lys Glu Tyr Lys Cys Lys Val Ser Asn Lys Ala Leu Pro Ala Ser Ile
325 330 335
Glu Lys Thr Ile Ser Lys Ala Lys Gly Gln Pro Arg Glu Pro Gln Val
340 345 350
Tyr Thr Leu Pro Pro Ser Arg Glu Glu Met Thr Lys Asn Gln Val Ser
355 360 365
Leu Thr Cys Leu Val Lys Gly Phe Tyr Pro Ser Asp Ile Ala Val Glu
370 375 380
Trp Glu Ser Asn Gly Gln Pro Glu Asn Asn Tyr Lys Thr Thr Pro Pro
385 390 395 400
Val Leu Asp Ser Asp Gly Ser Phe Phe Leu Tyr Ser Lys Leu Thr Val
405 410 415
Asp Lys Ser Arg Trp Gln Gln Gly Asn Val Phe Ser Cys Ser Val Met
420 425 430
His Glu Ala Leu His Asn His Tyr Thr Gln Lys Ser Leu Ser Leu Ser
435 440 445
Pro Gly Lys
450
<210> 105
<211> 215
<212> PRT
<213> 人工序列
<220>
<221> 来源
<223> /注释="人工序列的描述:合成
多肽"
<400> 105
Glu Ile Val Leu Thr Gln Ser Pro Gly Thr Leu Ser Leu Ser Pro Gly
1 5 10 15
Glu Arg Ala Thr Leu Ser Cys Arg Ala Ser Gln Arg Val Ser Ser Ser
20 25 30
Tyr Leu Ala Trp Tyr Gln Gln Lys Pro Gly Gln Ala Pro Arg Leu Leu
35 40 45
Ile Tyr Asp Ala Ser Ser Arg Ala Thr Gly Ile Pro Asp Arg Phe Ser
50 55 60
Gly Ser Gly Ser Gly Thr Asp Phe Thr Leu Thr Ile Ser Arg Leu Glu
65 70 75 80
Pro Glu Asp Phe Ala Val Tyr Tyr Cys Gln Gln Tyr Gly Ser Leu Pro
85 90 95
Trp Thr Phe Gly Gln Gly Thr Lys Val Glu Ile Lys Arg Thr Val Ala
100 105 110
Ala Pro Ser Val Phe Ile Phe Pro Pro Ser Asp Glu Gln Leu Lys Ser
115 120 125
Gly Thr Ala Ser Val Val Cys Leu Leu Asn Asn Phe Tyr Pro Arg Glu
130 135 140
Ala Lys Val Gln Trp Lys Val Asp Asn Ala Leu Gln Ser Gly Asn Ser
145 150 155 160
Gln Glu Ser Val Thr Glu Gln Asp Ser Lys Asp Ser Thr Tyr Ser Leu
165 170 175
Ser Ser Thr Leu Thr Leu Ser Lys Ala Asp Tyr Glu Lys His Lys Val
180 185 190
Tyr Ala Cys Glu Val Thr His Gln Gly Leu Ser Ser Pro Val Thr Lys
195 200 205
Ser Phe Asn Arg Gly Glu Cys
210 215
<210> 106
<211> 123
<212> PRT
<213> 人工序列
<220>
<221> 来源
<223> /注释="人工序列的描述:合成
多肽"
<400> 106
Gln Val Gln Leu Val Gln Ser Gly Ala Glu Val Lys Lys Pro Gly Ser
1 5 10 15
Ser Val Lys Val Ser Cys Lys Thr Ser Gly Asp Thr Phe Ser Thr Tyr
20 25 30
Ala Ile Ser Trp Val Arg Gln Ala Pro Gly Gln Gly Leu Glu Trp Met
35 40 45
Gly Gly Ile Ile Pro Ile Phe Gly Lys Ala His Tyr Ala Gln Lys Phe
50 55 60
Gln Gly Arg Val Thr Ile Thr Ala Asp Glu Ser Thr Ser Thr Ala Tyr
65 70 75 80
Met Glu Leu Ser Ser Leu Arg Ser Glu Asp Thr Ala Val Tyr Phe Cys
85 90 95
Ala Arg Lys Phe His Phe Val Ser Gly Ser Pro Phe Gly Met Asp Val
100 105 110
Trp Gly Gln Gly Thr Thr Val Thr Val Ser Ser
115 120
<210> 107
<211> 106
<212> PRT
<213> 人工序列
<220>
<221> 来源
<223> /注释="人工序列的描述:合成
多肽"
<400> 107
Glu Ile Val Leu Thr Gln Ser Pro Ala Thr Leu Ser Leu Ser Pro Gly
1 5 10 15
Glu Arg Ala Thr Leu Ser Cys Arg Ala Ser Gln Ser Val Ser Ser Tyr
20 25 30
Leu Ala Trp Tyr Gln Gln Lys Pro Gly Gln Ala Pro Arg Leu Leu Ile
35 40 45
Tyr Asp Ala Ser Asn Arg Ala Thr Gly Ile Pro Ala Arg Phe Ser Gly
50 55 60
Ser Gly Ser Gly Thr Asp Phe Thr Leu Thr Ile Ser Ser Leu Glu Pro
65 70 75 80
Glu Asp Phe Ala Val Tyr Tyr Cys Gln Gln Arg Ser Asn Trp Pro Thr
85 90 95
Phe Gly Gln Gly Thr Lys Val Glu Ile Lys
100 105
<210> 108
<211> 5
<212> PRT
<213> 人工序列
<220>
<221> 来源
<223> /注释="人工序列的描述:合成
肽"
<400> 108
Asn Tyr Gly Met Asn
1 5
<210> 109
<211> 17
<212> PRT
<213> 人工序列
<220>
<221> 来源
<223> /注释="人工序列的描述:合成
肽"
<400> 109
Trp Ile Asn Thr Asp Thr Gly Glu Pro Thr Tyr Ala Asp Asp Phe Lys
1 5 10 15
Gly
<210> 110
<211> 16
<212> PRT
<213> 人工序列
<220>
<221> 来源
<223> /注释="人工序列的描述:合成
肽"
<400> 110
Asn Pro Pro Tyr Tyr Tyr Gly Thr Asn Asn Ala Glu Ala Met Asp Tyr
1 5 10 15
<210> 111
<211> 7
<212> PRT
<213> 人工序列
<220>
<221> 来源
<223> /注释="人工序列的描述:合成
肽"
<400> 111
Gly Phe Thr Leu Thr Asn Tyr
1 5
<210> 112
<211> 6
<212> PRT
<213> 人工序列
<220>
<221> 来源
<223> /注释="人工序列的描述:合成
肽"
<400> 112
Asn Thr Asp Thr Gly Glu
1 5
<210> 113
<211> 125
<212> PRT
<213> 人工序列
<220>
<221> 来源
<223> /注释="人工序列的描述:合成
多肽"
<400> 113
Gln Val Gln Leu Val Gln Ser Gly Ala Glu Val Lys Lys Pro Gly Ala
1 5 10 15
Ser Val Lys Val Ser Cys Lys Ala Ser Gly Phe Thr Leu Thr Asn Tyr
20 25 30
Gly Met Asn Trp Val Arg Gln Ala Arg Gly Gln Arg Leu Glu Trp Ile
35 40 45
Gly Trp Ile Asn Thr Asp Thr Gly Glu Pro Thr Tyr Ala Asp Asp Phe
50 55 60
Lys Gly Arg Phe Val Phe Ser Leu Asp Thr Ser Val Ser Thr Ala Tyr
65 70 75 80
Leu Gln Ile Ser Ser Leu Lys Ala Glu Asp Thr Ala Val Tyr Tyr Cys
85 90 95
Ala Arg Asn Pro Pro Tyr Tyr Tyr Gly Thr Asn Asn Ala Glu Ala Met
100 105 110
Asp Tyr Trp Gly Gln Gly Thr Thr Val Thr Val Ser Ser
115 120 125
<210> 114
<211> 375
<212> DNA
<213> 人工序列
<220>
<221> 来源
<223> /注释="人工序列的描述:合成
多核苷酸"
<400> 114
caagtgcagc tggtgcagtc gggagccgaa gtgaagaagc ctggagcctc ggtgaaggtg 60
tcgtgcaagg catccggatt caccctcacc aattacggga tgaactgggt cagacaggcc 120
cggggtcaac ggctggagtg gatcggatgg attaacaccg acaccgggga gcctacctac 180
gcggacgatt tcaagggacg gttcgtgttc tccctcgaca cctccgtgtc caccgcctac 240
ctccaaatct cctcactgaa agcggaggac accgccgtgt actattgcgc gaggaacccg 300
ccctactact acggaaccaa caacgccgaa gccatggact actggggcca gggcaccact 360
gtgactgtgt ccagc 375
<210> 115
<211> 375
<212> DNA
<213> 人工序列
<220>
<221> 来源
<223> /注释="人工序列的描述:合成
多核苷酸"
<400> 115
caggtgcagc tggtgcagtc tggcgccgaa gtgaagaaac ctggcgcctc cgtgaaggtg 60
tcctgcaagg cctctggctt caccctgacc aactacggca tgaactgggt gcgacaggcc 120
aggggccagc ggctggaatg gatcggctgg atcaacaccg acaccggcga gcctacctac 180
gccgacgact tcaagggcag attcgtgttc tccctggaca cctccgtgtc caccgcctac 240
ctgcagatct ccagcctgaa ggccgaggat accgccgtgt actactgcgc ccggaacccc 300
ccttactact acggcaccaa caacgccgag gccatggact attggggcca gggcaccacc 360
gtgaccgtgt cctct 375
<210> 116
<211> 451
<212> PRT
<213> 人工序列
<220>
<221> 来源
<223> /注释="人工序列的描述:合成
多肽"
<400> 116
Gln Val Gln Leu Val Gln Ser Gly Ala Glu Val Lys Lys Pro Gly Ala
1 5 10 15
Ser Val Lys Val Ser Cys Lys Ala Ser Gly Phe Thr Leu Thr Asn Tyr
20 25 30
Gly Met Asn Trp Val Arg Gln Ala Arg Gly Gln Arg Leu Glu Trp Ile
35 40 45
Gly Trp Ile Asn Thr Asp Thr Gly Glu Pro Thr Tyr Ala Asp Asp Phe
50 55 60
Lys Gly Arg Phe Val Phe Ser Leu Asp Thr Ser Val Ser Thr Ala Tyr
65 70 75 80
Leu Gln Ile Ser Ser Leu Lys Ala Glu Asp Thr Ala Val Tyr Tyr Cys
85 90 95
Ala Arg Asn Pro Pro Tyr Tyr Tyr Gly Thr Asn Asn Ala Glu Ala Met
100 105 110
Asp Tyr Trp Gly Gln Gly Thr Thr Val Thr Val Ser Ser Ala Ser Thr
115 120 125
Lys Gly Pro Ser Val Phe Pro Leu Ala Pro Cys Ser Arg Ser Thr Ser
130 135 140
Glu Ser Thr Ala Ala Leu Gly Cys Leu Val Lys Asp Tyr Phe Pro Glu
145 150 155 160
Pro Val Thr Val Ser Trp Asn Ser Gly Ala Leu Thr Ser Gly Val His
165 170 175
Thr Phe Pro Ala Val Leu Gln Ser Ser Gly Leu Tyr Ser Leu Ser Ser
180 185 190
Val Val Thr Val Pro Ser Ser Ser Leu Gly Thr Lys Thr Tyr Thr Cys
195 200 205
Asn Val Asp His Lys Pro Ser Asn Thr Lys Val Asp Lys Arg Val Glu
210 215 220
Ser Lys Tyr Gly Pro Pro Cys Pro Pro Cys Pro Ala Pro Glu Phe Leu
225 230 235 240
Gly Gly Pro Ser Val Phe Leu Phe Pro Pro Lys Pro Lys Asp Thr Leu
245 250 255
Met Ile Ser Arg Thr Pro Glu Val Thr Cys Val Val Val Asp Val Ser
260 265 270
Gln Glu Asp Pro Glu Val Gln Phe Asn Trp Tyr Val Asp Gly Val Glu
275 280 285
Val His Asn Ala Lys Thr Lys Pro Arg Glu Glu Gln Phe Asn Ser Thr
290 295 300
Tyr Arg Val Val Ser Val Leu Thr Val Leu His Gln Asp Trp Leu Asn
305 310 315 320
Gly Lys Glu Tyr Lys Cys Lys Val Ser Asn Lys Gly Leu Pro Ser Ser
325 330 335
Ile Glu Lys Thr Ile Ser Lys Ala Lys Gly Gln Pro Arg Glu Pro Gln
340 345 350
Val Tyr Thr Leu Pro Pro Ser Gln Glu Glu Met Thr Lys Asn Gln Val
355 360 365
Ser Leu Thr Cys Leu Val Lys Gly Phe Tyr Pro Ser Asp Ile Ala Val
370 375 380
Glu Trp Glu Ser Asn Gly Gln Pro Glu Asn Asn Tyr Lys Thr Thr Pro
385 390 395 400
Pro Val Leu Asp Ser Asp Gly Ser Phe Phe Leu Tyr Ser Arg Leu Thr
405 410 415
Val Asp Lys Ser Arg Trp Gln Glu Gly Asn Val Phe Ser Cys Ser Val
420 425 430
Met His Glu Ala Leu His Asn His Tyr Thr Gln Lys Ser Leu Ser Leu
435 440 445
Ser Leu Gly
450
<210> 117
<211> 11
<212> PRT
<213> 人工序列
<220>
<221> 来源
<223> /注释="人工序列的描述:合成
肽"
<400> 117
Ser Ser Ser Gln Asp Ile Ser Asn Tyr Leu Asn
1 5 10
<210> 118
<211> 7
<212> PRT
<213> 人工序列
<220>
<221> 来源
<223> /注释="人工序列的描述:合成
肽"
<400> 118
Tyr Thr Ser Thr Leu His Leu
1 5
<210> 119
<211> 9
<212> PRT
<213> 人工序列
<220>
<221> 来源
<223> /注释="人工序列的描述:合成
肽"
<400> 119
Gln Gln Tyr Tyr Asn Leu Pro Trp Thr
1 5
<210> 120
<211> 7
<212> PRT
<213> 人工序列
<220>
<221> 来源
<223> /注释="人工序列的描述:合成
肽"
<400> 120
Ser Gln Asp Ile Ser Asn Tyr
1 5
<210> 121
<211> 3
<212> PRT
<213> 人工序列
<220>
<221> 来源
<223> /注释="人工序列的描述:合成
肽"
<400> 121
Tyr Thr Ser
1
<210> 122
<211> 6
<212> PRT
<213> 人工序列
<220>
<221> 来源
<223> /注释="人工序列的描述:合成
肽"
<400> 122
Tyr Tyr Asn Leu Pro Trp
1 5
<210> 123
<211> 1353
<212> DNA
<213> 人工序列
<220>
<221> 来源
<223> /注释="人工序列的描述:合成
多核苷酸"
<400> 123
caagtgcagc tggtgcagtc gggagccgaa gtgaagaagc ctggagcctc ggtgaaggtg 60
tcgtgcaagg catccggatt caccctcacc aattacggga tgaactgggt cagacaggcc 120
cggggtcaac ggctggagtg gatcggatgg attaacaccg acaccgggga gcctacctac 180
gcggacgatt tcaagggacg gttcgtgttc tccctcgaca cctccgtgtc caccgcctac 240
ctccaaatct cctcactgaa agcggaggac accgccgtgt actattgcgc gaggaacccg 300
ccctactact acggaaccaa caacgccgaa gccatggact actggggcca gggcaccact 360
gtgactgtgt ccagcgcgtc cactaagggc ccgtccgtgt tccccctggc accttgtagc 420
cggagcacta gcgaatccac cgctgccctc ggctgcctgg tcaaggatta cttcccggag 480
cccgtgaccg tgtcctggaa cagcggagcc ctgacctccg gagtgcacac cttccccgct 540
gtgctgcaga gctccgggct gtactcgctg tcgtcggtgg tcacggtgcc ttcatctagc 600
ctgggtacca agacctacac ttgcaacgtg gaccacaagc cttccaacac taaggtggac 660
aagcgcgtcg aatcgaagta cggcccaccg tgcccgcctt gtcccgcgcc ggagttcctc 720
ggcggtccct cggtctttct gttcccaccg aagcccaagg acactttgat gatttcccgc 780
acccctgaag tgacatgcgt ggtcgtggac gtgtcacagg aagatccgga ggtgcagttc 840
aattggtacg tggatggcgt cgaggtgcac aacgccaaaa ccaagccgag ggaggagcag 900
ttcaactcca cttaccgcgt cgtgtccgtg ctgacggtgc tgcatcagga ctggctgaac 960
gggaaggagt acaagtgcaa agtgtccaac aagggacttc ctagctcaat cgaaaagacc 1020
atctcgaaag ccaagggaca gccccgggaa ccccaagtgt ataccctgcc accgagccag 1080
gaagaaatga ctaagaacca agtctcattg acttgccttg tgaagggctt ctacccatcg 1140
gatatcgccg tggaatggga gtccaacggc cagccggaaa acaactacaa gaccacccct 1200
ccggtgctgg actcagacgg atccttcttc ctctactcgc ggctgaccgt ggataagagc 1260
agatggcagg agggaaatgt gttcagctgt tctgtgatgc atgaagccct gcacaaccac 1320
tacactcaga agtccctgtc cctctccctg gga 1353
<210> 124
<211> 1353
<212> DNA
<213> 人工序列
<220>
<221> 来源
<223> /注释="人工序列的描述:合成
多核苷酸"
<400> 124
caggtgcagc tggtgcagtc tggcgccgaa gtgaagaaac ctggcgcctc cgtgaaggtg 60
tcctgcaagg cctctggctt caccctgacc aactacggca tgaactgggt gcgacaggcc 120
aggggccagc ggctggaatg gatcggctgg atcaacaccg acaccggcga gcctacctac 180
gccgacgact tcaagggcag attcgtgttc tccctggaca cctccgtgtc caccgcctac 240
ctgcagatct ccagcctgaa ggccgaggat accgccgtgt actactgcgc ccggaacccc 300
ccttactact acggcaccaa caacgccgag gccatggact attggggcca gggcaccacc 360
gtgaccgtgt cctctgcttc taccaagggg cccagcgtgt tccccctggc cccctgctcc 420
agaagcacca gcgagagcac agccgccctg ggctgcctgg tgaaggacta cttccccgag 480
cccgtgaccg tgtcctggaa cagcggagcc ctgaccagcg gcgtgcacac cttccccgcc 540
gtgctgcaga gcagcggcct gtacagcctg agcagcgtgg tgaccgtgcc cagcagcagc 600
ctgggcacca agacctacac ctgtaacgtg gaccacaagc ccagcaacac caaggtggac 660
aagagggtgg agagcaagta cggcccaccc tgccccccct gcccagcccc cgagttcctg 720
ggcggaccca gcgtgttcct gttccccccc aagcccaagg acaccctgat gatcagcaga 780
acccccgagg tgacctgtgt ggtggtggac gtgtcccagg aggaccccga ggtccagttc 840
aactggtacg tggacggcgt ggaggtgcac aacgccaaga ccaagcccag agaggagcag 900
tttaacagca cctaccgggt ggtgtccgtg ctgaccgtgc tgcaccagga ctggctgaac 960
ggcaaagagt acaagtgtaa ggtctccaac aagggcctgc caagcagcat cgaaaagacc 1020
atcagcaagg ccaagggcca gcctagagag ccccaggtct acaccctgcc acccagccaa 1080
gaggagatga ccaagaacca ggtgtccctg acctgtctgg tgaagggctt ctacccaagc 1140
gacatcgccg tggagtggga gagcaacggc cagcccgaga acaactacaa gaccaccccc 1200
ccagtgctgg acagcgacgg cagcttcttc ctgtacagca ggctgaccgt ggacaagtcc 1260
agatggcagg agggcaacgt ctttagctgc tccgtgatgc acgaggccct gcacaaccac 1320
tacacccaga agagcctgag cctgtccctg ggc 1353
<210> 125
<211> 107
<212> PRT
<213> 人工序列
<220>
<221> 来源
<223> /注释="人工序列的描述:合成
多肽"
<400> 125
Asp Ile Gln Met Thr Gln Ser Pro Ser Ser Leu Ser Ala Ser Val Gly
1 5 10 15
Asp Arg Val Thr Ile Thr Cys Ser Ser Ser Gln Asp Ile Ser Asn Tyr
20 25 30
Leu Asn Trp Tyr Leu Gln Lys Pro Gly Gln Ser Pro Gln Leu Leu Ile
35 40 45
Tyr Tyr Thr Ser Thr Leu His Leu Gly Val Pro Ser Arg Phe Ser Gly
50 55 60
Ser Gly Ser Gly Thr Glu Phe Thr Leu Thr Ile Ser Ser Leu Gln Pro
65 70 75 80
Asp Asp Phe Ala Thr Tyr Tyr Cys Gln Gln Tyr Tyr Asn Leu Pro Trp
85 90 95
Thr Phe Gly Gln Gly Thr Lys Val Glu Ile Lys
100 105
<210> 126
<211> 321
<212> DNA
<213> 人工序列
<220>
<221> 来源
<223> /注释="人工序列的描述:合成
多核苷酸"
<400> 126
gatattcaga tgactcagtc acctagtagc ctgagcgcta gtgtgggcga tagagtgact 60
atcacctgta gctctagtca ggatatctct aactacctga actggtatct gcagaagccc 120
ggtcaatcac ctcagctgct gatctactac actagcaccc tgcacctggg cgtgccctct 180
aggtttagcg gtagcggtag tggcaccgag ttcaccctga ctatctctag cctgcagccc 240
gacgacttcg ctacctacta ctgtcagcag tactataacc tgccctggac cttcggtcaa 300
ggcactaagg tcgagattaa g 321
<210> 127
<211> 321
<212> DNA
<213> 人工序列
<220>
<221> 来源
<223> /注释="人工序列的描述:合成
多核苷酸"
<400> 127
gacatccaga tgacccagtc cccctccagc ctgtctgctt ccgtgggcga cagagtgacc 60
atcacctgtt cctccagcca ggacatctcc aactacctga actggtatct gcagaagccc 120
ggccagtccc ctcagctgct gatctactac acctccaccc tgcacctggg cgtgccctcc 180
agattttccg gctctggctc tggcaccgag tttaccctga ccatcagctc cctgcagccc 240
gacgacttcg ccacctacta ctgccagcag tactacaacc tgccctggac cttcggccag 300
ggcaccaagg tggaaatcaa g 321
<210> 128
<211> 214
<212> PRT
<213> 人工序列
<220>
<221> 来源
<223> /注释="人工序列的描述:合成
多肽"
<400> 128
Asp Ile Gln Met Thr Gln Ser Pro Ser Ser Leu Ser Ala Ser Val Gly
1 5 10 15
Asp Arg Val Thr Ile Thr Cys Ser Ser Ser Gln Asp Ile Ser Asn Tyr
20 25 30
Leu Asn Trp Tyr Leu Gln Lys Pro Gly Gln Ser Pro Gln Leu Leu Ile
35 40 45
Tyr Tyr Thr Ser Thr Leu His Leu Gly Val Pro Ser Arg Phe Ser Gly
50 55 60
Ser Gly Ser Gly Thr Glu Phe Thr Leu Thr Ile Ser Ser Leu Gln Pro
65 70 75 80
Asp Asp Phe Ala Thr Tyr Tyr Cys Gln Gln Tyr Tyr Asn Leu Pro Trp
85 90 95
Thr Phe Gly Gln Gly Thr Lys Val Glu Ile Lys Arg Thr Val Ala Ala
100 105 110
Pro Ser Val Phe Ile Phe Pro Pro Ser Asp Glu Gln Leu Lys Ser Gly
115 120 125
Thr Ala Ser Val Val Cys Leu Leu Asn Asn Phe Tyr Pro Arg Glu Ala
130 135 140
Lys Val Gln Trp Lys Val Asp Asn Ala Leu Gln Ser Gly Asn Ser Gln
145 150 155 160
Glu Ser Val Thr Glu Gln Asp Ser Lys Asp Ser Thr Tyr Ser Leu Ser
165 170 175
Ser Thr Leu Thr Leu Ser Lys Ala Asp Tyr Glu Lys His Lys Val Tyr
180 185 190
Ala Cys Glu Val Thr His Gln Gly Leu Ser Ser Pro Val Thr Lys Ser
195 200 205
Phe Asn Arg Gly Glu Cys
210
<210> 129
<211> 642
<212> DNA
<213> 人工序列
<220>
<221> 来源
<223> /注释="人工序列的描述:合成
多核苷酸"
<400> 129
gatattcaga tgactcagtc acctagtagc ctgagcgcta gtgtgggcga tagagtgact 60
atcacctgta gctctagtca ggatatctct aactacctga actggtatct gcagaagccc 120
ggtcaatcac ctcagctgct gatctactac actagcaccc tgcacctggg cgtgccctct 180
aggtttagcg gtagcggtag tggcaccgag ttcaccctga ctatctctag cctgcagccc 240
gacgacttcg ctacctacta ctgtcagcag tactataacc tgccctggac cttcggtcaa 300
ggcactaagg tcgagattaa gcgtacggtg gccgctccca gcgtgttcat cttccccccc 360
agcgacgagc agctgaagag cggcaccgcc agcgtggtgt gcctgctgaa caacttctac 420
ccccgggagg ccaaggtgca gtggaaggtg gacaacgccc tgcagagcgg caacagccag 480
gagagcgtca ccgagcagga cagcaaggac tccacctaca gcctgagcag caccctgacc 540
ctgagcaagg ccgactacga gaagcataag gtgtacgcct gcgaggtgac ccaccagggc 600
ctgtccagcc ccgtgaccaa gagcttcaac aggggcgagt gc 642
<210> 130
<211> 642
<212> DNA
<213> 人工序列
<220>
<221> 来源
<223> /注释="人工序列的描述:合成
多核苷酸"
<400> 130
gacatccaga tgacccagtc cccctccagc ctgtctgctt ccgtgggcga cagagtgacc 60
atcacctgtt cctccagcca ggacatctcc aactacctga actggtatct gcagaagccc 120
ggccagtccc ctcagctgct gatctactac acctccaccc tgcacctggg cgtgccctcc 180
agattttccg gctctggctc tggcaccgag tttaccctga ccatcagctc cctgcagccc 240
gacgacttcg ccacctacta ctgccagcag tactacaacc tgccctggac cttcggccag 300
ggcaccaagg tggaaatcaa gcgtacggtg gccgctccca gcgtgttcat cttcccccca 360
agcgacgagc agctgaagag cggcaccgcc agcgtggtgt gtctgctgaa caacttctac 420
cccagggagg ccaaggtgca gtggaaggtg gacaacgccc tgcagagcgg caacagccag 480
gagagcgtca ccgagcagga cagcaaggac tccacctaca gcctgagcag caccctgacc 540
ctgagcaagg ccgactacga gaagcacaag gtgtacgcct gtgaggtgac ccaccagggc 600
ctgtccagcc ccgtgaccaa gagcttcaac aggggcgagt gc 642
<210> 131
<211> 125
<212> PRT
<213> 人工序列
<220>
<221> 来源
<223> /注释="人工序列的描述:合成
多肽"
<400> 131
Gln Val Gln Leu Val Gln Ser Gly Ala Glu Val Lys Lys Pro Gly Ala
1 5 10 15
Ser Val Lys Val Ser Cys Lys Ala Ser Gly Phe Thr Leu Thr Asn Tyr
20 25 30
Gly Met Asn Trp Val Arg Gln Ala Pro Gly Gln Gly Leu Glu Trp Met
35 40 45
Gly Trp Ile Asn Thr Asp Thr Gly Glu Pro Thr Tyr Ala Asp Asp Phe
50 55 60
Lys Gly Arg Phe Val Phe Ser Leu Asp Thr Ser Val Ser Thr Ala Tyr
65 70 75 80
Leu Gln Ile Ser Ser Leu Lys Ala Glu Asp Thr Ala Val Tyr Tyr Cys
85 90 95
Ala Arg Asn Pro Pro Tyr Tyr Tyr Gly Thr Asn Asn Ala Glu Ala Met
100 105 110
Asp Tyr Trp Gly Gln Gly Thr Thr Val Thr Val Ser Ser
115 120 125
<210> 132
<211> 375
<212> DNA
<213> 人工序列
<220>
<221> 来源
<223> /注释="人工序列的描述:合成
多核苷酸"
<400> 132
caggtgcagc tggtgcagtc aggcgccgaa gtgaagaaac ccggcgctag tgtgaaagtc 60
agctgtaaag ctagtggctt caccctgact aactacggga tgaactgggt ccgccaggcc 120
ccaggtcaag gcctcgagtg gatgggctgg attaacaccg acaccggcga gcctacctac 180
gccgacgact ttaagggcag attcgtgttt agcctggaca ctagtgtgtc taccgcctac 240
ctgcagatct ctagcctgaa ggccgaggac accgccgtct actactgcgc tagaaacccc 300
ccctactact acggcactaa caacgccgag gctatggact actggggtca aggcactacc 360
gtgaccgtgt ctagc 375
<210> 133
<211> 375
<212> DNA
<213> 人工序列
<220>
<221> 来源
<223> /注释="人工序列的描述:合成
多核苷酸"
<400> 133
caggtgcagc tggtgcagtc tggcgccgaa gtgaagaaac ctggcgcctc cgtgaaggtg 60
tcctgcaagg cctctggctt caccctgacc aactacggca tgaactgggt gcgacaggcc 120
cctggacagg gcctggaatg gatgggctgg atcaacaccg acaccggcga gcctacctac 180
gccgacgact tcaagggcag attcgtgttc tccctggaca cctccgtgtc caccgcctac 240
ctgcagatct ccagcctgaa ggccgaggat accgccgtgt actactgcgc ccggaacccc 300
ccttactact acggcaccaa caacgccgag gccatggact attggggcca gggcaccacc 360
gtgaccgtgt cctct 375
<210> 134
<211> 451
<212> PRT
<213> 人工序列
<220>
<221> 来源
<223> /注释="人工序列的描述:合成
多肽"
<400> 134
Gln Val Gln Leu Val Gln Ser Gly Ala Glu Val Lys Lys Pro Gly Ala
1 5 10 15
Ser Val Lys Val Ser Cys Lys Ala Ser Gly Phe Thr Leu Thr Asn Tyr
20 25 30
Gly Met Asn Trp Val Arg Gln Ala Pro Gly Gln Gly Leu Glu Trp Met
35 40 45
Gly Trp Ile Asn Thr Asp Thr Gly Glu Pro Thr Tyr Ala Asp Asp Phe
50 55 60
Lys Gly Arg Phe Val Phe Ser Leu Asp Thr Ser Val Ser Thr Ala Tyr
65 70 75 80
Leu Gln Ile Ser Ser Leu Lys Ala Glu Asp Thr Ala Val Tyr Tyr Cys
85 90 95
Ala Arg Asn Pro Pro Tyr Tyr Tyr Gly Thr Asn Asn Ala Glu Ala Met
100 105 110
Asp Tyr Trp Gly Gln Gly Thr Thr Val Thr Val Ser Ser Ala Ser Thr
115 120 125
Lys Gly Pro Ser Val Phe Pro Leu Ala Pro Cys Ser Arg Ser Thr Ser
130 135 140
Glu Ser Thr Ala Ala Leu Gly Cys Leu Val Lys Asp Tyr Phe Pro Glu
145 150 155 160
Pro Val Thr Val Ser Trp Asn Ser Gly Ala Leu Thr Ser Gly Val His
165 170 175
Thr Phe Pro Ala Val Leu Gln Ser Ser Gly Leu Tyr Ser Leu Ser Ser
180 185 190
Val Val Thr Val Pro Ser Ser Ser Leu Gly Thr Lys Thr Tyr Thr Cys
195 200 205
Asn Val Asp His Lys Pro Ser Asn Thr Lys Val Asp Lys Arg Val Glu
210 215 220
Ser Lys Tyr Gly Pro Pro Cys Pro Pro Cys Pro Ala Pro Glu Phe Leu
225 230 235 240
Gly Gly Pro Ser Val Phe Leu Phe Pro Pro Lys Pro Lys Asp Thr Leu
245 250 255
Met Ile Ser Arg Thr Pro Glu Val Thr Cys Val Val Val Asp Val Ser
260 265 270
Gln Glu Asp Pro Glu Val Gln Phe Asn Trp Tyr Val Asp Gly Val Glu
275 280 285
Val His Asn Ala Lys Thr Lys Pro Arg Glu Glu Gln Phe Asn Ser Thr
290 295 300
Tyr Arg Val Val Ser Val Leu Thr Val Leu His Gln Asp Trp Leu Asn
305 310 315 320
Gly Lys Glu Tyr Lys Cys Lys Val Ser Asn Lys Gly Leu Pro Ser Ser
325 330 335
Ile Glu Lys Thr Ile Ser Lys Ala Lys Gly Gln Pro Arg Glu Pro Gln
340 345 350
Val Tyr Thr Leu Pro Pro Ser Gln Glu Glu Met Thr Lys Asn Gln Val
355 360 365
Ser Leu Thr Cys Leu Val Lys Gly Phe Tyr Pro Ser Asp Ile Ala Val
370 375 380
Glu Trp Glu Ser Asn Gly Gln Pro Glu Asn Asn Tyr Lys Thr Thr Pro
385 390 395 400
Pro Val Leu Asp Ser Asp Gly Ser Phe Phe Leu Tyr Ser Arg Leu Thr
405 410 415
Val Asp Lys Ser Arg Trp Gln Glu Gly Asn Val Phe Ser Cys Ser Val
420 425 430
Met His Glu Ala Leu His Asn His Tyr Thr Gln Lys Ser Leu Ser Leu
435 440 445
Ser Leu Gly
450
<210> 135
<211> 1353
<212> DNA
<213> 人工序列
<220>
<221> 来源
<223> /注释="人工序列的描述:合成
多核苷酸"
<400> 135
caggtgcagc tggtgcagtc aggcgccgaa gtgaagaaac ccggcgctag tgtgaaagtc 60
agctgtaaag ctagtggctt caccctgact aactacggga tgaactgggt ccgccaggcc 120
ccaggtcaag gcctcgagtg gatgggctgg attaacaccg acaccggcga gcctacctac 180
gccgacgact ttaagggcag attcgtgttt agcctggaca ctagtgtgtc taccgcctac 240
ctgcagatct ctagcctgaa ggccgaggac accgccgtct actactgcgc tagaaacccc 300
ccctactact acggcactaa caacgccgag gctatggact actggggtca aggcactacc 360
gtgaccgtgt ctagcgctag cactaagggc ccgtccgtgt tccccctggc accttgtagc 420
cggagcacta gcgaatccac cgctgccctc ggctgcctgg tcaaggatta cttcccggag 480
cccgtgaccg tgtcctggaa cagcggagcc ctgacctccg gagtgcacac cttccccgct 540
gtgctgcaga gctccgggct gtactcgctg tcgtcggtgg tcacggtgcc ttcatctagc 600
ctgggtacca agacctacac ttgcaacgtg gaccacaagc cttccaacac taaggtggac 660
aagcgcgtcg aatcgaagta cggcccaccg tgcccgcctt gtcccgcgcc ggagttcctc 720
ggcggtccct cggtctttct gttcccaccg aagcccaagg acactttgat gatttcccgc 780
acccctgaag tgacatgcgt ggtcgtggac gtgtcacagg aagatccgga ggtgcagttc 840
aattggtacg tggatggcgt cgaggtgcac aacgccaaaa ccaagccgag ggaggagcag 900
ttcaactcca cttaccgcgt cgtgtccgtg ctgacggtgc tgcatcagga ctggctgaac 960
gggaaggagt acaagtgcaa agtgtccaac aagggacttc ctagctcaat cgaaaagacc 1020
atctcgaaag ccaagggaca gccccgggaa ccccaagtgt ataccctgcc accgagccag 1080
gaagaaatga ctaagaacca agtctcattg acttgccttg tgaagggctt ctacccatcg 1140
gatatcgccg tggaatggga gtccaacggc cagccggaaa acaactacaa gaccacccct 1200
ccggtgctgg actcagacgg atccttcttc ctctactcgc ggctgaccgt ggataagagc 1260
agatggcagg agggaaatgt gttcagctgt tctgtgatgc atgaagccct gcacaaccac 1320
tacactcaga agtccctgtc cctctccctg gga 1353
<210> 136
<211> 1353
<212> DNA
<213> 人工序列
<220>
<221> 来源
<223> /注释="人工序列的描述:合成
多核苷酸"
<400> 136
caggtgcagc tggtgcagtc tggcgccgaa gtgaagaaac ctggcgcctc cgtgaaggtg 60
tcctgcaagg cctctggctt caccctgacc aactacggca tgaactgggt gcgacaggcc 120
cctggacagg gcctggaatg gatgggctgg atcaacaccg acaccggcga gcctacctac 180
gccgacgact tcaagggcag attcgtgttc tccctggaca cctccgtgtc caccgcctac 240
ctgcagatct ccagcctgaa ggccgaggat accgccgtgt actactgcgc ccggaacccc 300
ccttactact acggcaccaa caacgccgag gccatggact attggggcca gggcaccacc 360
gtgaccgtgt cctctgcttc taccaagggg cccagcgtgt tccccctggc cccctgctcc 420
agaagcacca gcgagagcac agccgccctg ggctgcctgg tgaaggacta cttccccgag 480
cccgtgaccg tgtcctggaa cagcggagcc ctgaccagcg gcgtgcacac cttccccgcc 540
gtgctgcaga gcagcggcct gtacagcctg agcagcgtgg tgaccgtgcc cagcagcagc 600
ctgggcacca agacctacac ctgtaacgtg gaccacaagc ccagcaacac caaggtggac 660
aagagggtgg agagcaagta cggcccaccc tgccccccct gcccagcccc cgagttcctg 720
ggcggaccca gcgtgttcct gttccccccc aagcccaagg acaccctgat gatcagcaga 780
acccccgagg tgacctgtgt ggtggtggac gtgtcccagg aggaccccga ggtccagttc 840
aactggtacg tggacggcgt ggaggtgcac aacgccaaga ccaagcccag agaggagcag 900
tttaacagca cctaccgggt ggtgtccgtg ctgaccgtgc tgcaccagga ctggctgaac 960
ggcaaagagt acaagtgtaa ggtctccaac aagggcctgc caagcagcat cgaaaagacc 1020
atcagcaagg ccaagggcca gcctagagag ccccaggtct acaccctgcc acccagccaa 1080
gaggagatga ccaagaacca ggtgtccctg acctgtctgg tgaagggctt ctacccaagc 1140
gacatcgccg tggagtggga gagcaacggc cagcccgaga acaactacaa gaccaccccc 1200
ccagtgctgg acagcgacgg cagcttcttc ctgtacagca ggctgaccgt ggacaagtcc 1260
agatggcagg agggcaacgt ctttagctgc tccgtgatgc acgaggccct gcacaaccac 1320
tacacccaga agagcctgag cctgtccctg ggc 1353
<210> 137
<211> 107
<212> PRT
<213> 人工序列
<220>
<221> 来源
<223> /注释="人工序列的描述:合成
多肽"
<400> 137
Asp Ile Gln Met Thr Gln Ser Pro Ser Ser Leu Ser Ala Ser Val Gly
1 5 10 15
Asp Arg Val Thr Ile Thr Cys Ser Ser Ser Gln Asp Ile Ser Asn Tyr
20 25 30
Leu Asn Trp Tyr Gln Gln Lys Pro Gly Lys Ala Pro Lys Leu Leu Ile
35 40 45
Tyr Tyr Thr Ser Thr Leu His Leu Gly Ile Pro Pro Arg Phe Ser Gly
50 55 60
Ser Gly Tyr Gly Thr Asp Phe Thr Leu Thr Ile Asn Asn Ile Glu Ser
65 70 75 80
Glu Asp Ala Ala Tyr Tyr Phe Cys Gln Gln Tyr Tyr Asn Leu Pro Trp
85 90 95
Thr Phe Gly Gln Gly Thr Lys Val Glu Ile Lys
100 105
<210> 138
<211> 321
<212> DNA
<213> 人工序列
<220>
<221> 来源
<223> /注释="人工序列的描述:合成
多核苷酸"
<400> 138
gatattcaga tgactcagtc acctagtagc ctgagcgcta gtgtgggcga tagagtgact 60
atcacctgta gctctagtca ggatatctct aactacctga actggtatca gcagaagccc 120
ggtaaagccc ctaagctgct gatctactac actagcaccc tgcacctggg aatcccccct 180
aggtttagcg gtagcggcta cggcaccgac ttcaccctga ctattaacaa tatcgagtca 240
gaggacgccg cctactactt ctgtcagcag tactataacc tgccctggac cttcggtcaa 300
ggcactaagg tcgagattaa g 321
<210> 139
<211> 321
<212> DNA
<213> 人工序列
<220>
<221> 来源
<223> /注释="人工序列的描述:合成
多核苷酸"
<400> 139
gacatccaga tgacccagtc cccctccagc ctgtctgctt ccgtgggcga cagagtgacc 60
atcacctgtt cctccagcca ggacatctcc aactacctga actggtatca gcagaagccc 120
ggcaaggccc ccaagctgct gatctactac acctccaccc tgcacctggg catcccccct 180
agattctccg gctctggcta cggcaccgac ttcaccctga ccatcaacaa catcgagtcc 240
gaggacgccg cctactactt ctgccagcag tactacaacc tgccctggac cttcggccag 300
ggcaccaagg tggaaatcaa g 321
<210> 140
<211> 214
<212> PRT
<213> 人工序列
<220>
<221> 来源
<223> /注释="人工序列的描述:合成
多肽"
<400> 140
Asp Ile Gln Met Thr Gln Ser Pro Ser Ser Leu Ser Ala Ser Val Gly
1 5 10 15
Asp Arg Val Thr Ile Thr Cys Ser Ser Ser Gln Asp Ile Ser Asn Tyr
20 25 30
Leu Asn Trp Tyr Gln Gln Lys Pro Gly Lys Ala Pro Lys Leu Leu Ile
35 40 45
Tyr Tyr Thr Ser Thr Leu His Leu Gly Ile Pro Pro Arg Phe Ser Gly
50 55 60
Ser Gly Tyr Gly Thr Asp Phe Thr Leu Thr Ile Asn Asn Ile Glu Ser
65 70 75 80
Glu Asp Ala Ala Tyr Tyr Phe Cys Gln Gln Tyr Tyr Asn Leu Pro Trp
85 90 95
Thr Phe Gly Gln Gly Thr Lys Val Glu Ile Lys Arg Thr Val Ala Ala
100 105 110
Pro Ser Val Phe Ile Phe Pro Pro Ser Asp Glu Gln Leu Lys Ser Gly
115 120 125
Thr Ala Ser Val Val Cys Leu Leu Asn Asn Phe Tyr Pro Arg Glu Ala
130 135 140
Lys Val Gln Trp Lys Val Asp Asn Ala Leu Gln Ser Gly Asn Ser Gln
145 150 155 160
Glu Ser Val Thr Glu Gln Asp Ser Lys Asp Ser Thr Tyr Ser Leu Ser
165 170 175
Ser Thr Leu Thr Leu Ser Lys Ala Asp Tyr Glu Lys His Lys Val Tyr
180 185 190
Ala Cys Glu Val Thr His Gln Gly Leu Ser Ser Pro Val Thr Lys Ser
195 200 205
Phe Asn Arg Gly Glu Cys
210
<210> 141
<211> 642
<212> DNA
<213> 人工序列
<220>
<221> 来源
<223> /注释="人工序列的描述:合成
多核苷酸"
<400> 141
gatattcaga tgactcagtc acctagtagc ctgagcgcta gtgtgggcga tagagtgact 60
atcacctgta gctctagtca ggatatctct aactacctga actggtatca gcagaagccc 120
ggtaaagccc ctaagctgct gatctactac actagcaccc tgcacctggg aatcccccct 180
aggtttagcg gtagcggcta cggcaccgac ttcaccctga ctattaacaa tatcgagtca 240
gaggacgccg cctactactt ctgtcagcag tactataacc tgccctggac cttcggtcaa 300
ggcactaagg tcgagattaa gcgtacggtg gccgctccca gcgtgttcat cttccccccc 360
agcgacgagc agctgaagag cggcaccgcc agcgtggtgt gcctgctgaa caacttctac 420
ccccgggagg ccaaggtgca gtggaaggtg gacaacgccc tgcagagcgg caacagccag 480
gagagcgtca ccgagcagga cagcaaggac tccacctaca gcctgagcag caccctgacc 540
ctgagcaagg ccgactacga gaagcataag gtgtacgcct gcgaggtgac ccaccagggc 600
ctgtccagcc ccgtgaccaa gagcttcaac aggggcgagt gc 642
<210> 142
<211> 642
<212> DNA
<213> 人工序列
<220>
<221> 来源
<223> /注释="人工序列的描述:合成
多核苷酸"
<400> 142
gacatccaga tgacccagtc cccctccagc ctgtctgctt ccgtgggcga cagagtgacc 60
atcacctgtt cctccagcca ggacatctcc aactacctga actggtatca gcagaagccc 120
ggcaaggccc ccaagctgct gatctactac acctccaccc tgcacctggg catcccccct 180
agattctccg gctctggcta cggcaccgac ttcaccctga ccatcaacaa catcgagtcc 240
gaggacgccg cctactactt ctgccagcag tactacaacc tgccctggac cttcggccag 300
ggcaccaagg tggaaatcaa gcgtacggtg gccgctccca gcgtgttcat cttcccccca 360
agcgacgagc agctgaagag cggcaccgcc agcgtggtgt gtctgctgaa caacttctac 420
cccagggagg ccaaggtgca gtggaaggtg gacaacgccc tgcagagcgg caacagccag 480
gagagcgtca ccgagcagga cagcaaggac tccacctaca gcctgagcag caccctgacc 540
ctgagcaagg ccgactacga gaagcacaag gtgtacgcct gtgaggtgac ccaccagggc 600
ctgtccagcc ccgtgaccaa gagcttcaac aggggcgagt gc 642
<210> 143
<211> 15
<212> DNA
<213> 人工序列
<220>
<221> 来源
<223> /注释="人工序列的描述:合成
寡核苷酸"
<400> 143
aattacggga tgaac 15
<210> 144
<211> 15
<212> DNA
<213> 人工序列
<220>
<221> 来源
<223> /注释="人工序列的描述:合成
寡核苷酸"
<400> 144
aactacggca tgaac 15
<210> 145
<211> 51
<212> DNA
<213> 人工序列
<220>
<221> 来源
<223> /注释="人工序列的描述:合成
寡核苷酸"
<400> 145
tggattaaca ccgacaccgg ggagcctacc tacgcggacg atttcaaggg a 51
<210> 146
<211> 51
<212> DNA
<213> 人工序列
<220>
<221> 来源
<223> /注释="人工序列的描述:合成
寡核苷酸"
<400> 146
tggatcaaca ccgacaccgg cgagcctacc tacgccgacg acttcaaggg c 51
<210> 147
<211> 48
<212> DNA
<213> 人工序列
<220>
<221> 来源
<223> /注释="人工序列的描述:合成
寡核苷酸"
<400> 147
aacccgccct actactacgg aaccaacaac gccgaagcca tggactac 48
<210> 148
<211> 48
<212> DNA
<213> 人工序列
<220>
<221> 来源
<223> /注释="人工序列的描述:合成
寡核苷酸"
<400> 148
aacccccctt actactacgg caccaacaac gccgaggcca tggactat 48
<210> 149
<211> 21
<212> DNA
<213> 人工序列
<220>
<221> 来源
<223> /注释="人工序列的描述:合成
寡核苷酸"
<400> 149
ggattcaccc tcaccaatta c 21
<210> 150
<211> 21
<212> DNA
<213> 人工序列
<220>
<221> 来源
<223> /注释="人工序列的描述:合成
寡核苷酸"
<400> 150
ggcttcaccc tgaccaacta c 21
<210> 151
<211> 18
<212> DNA
<213> 人工序列
<220>
<221> 来源
<223> /注释="人工序列的描述:合成
寡核苷酸"
<400> 151
aacaccgaca ccggggag 18
<210> 152
<211> 18
<212> DNA
<213> 人工序列
<220>
<221> 来源
<223> /注释="人工序列的描述:合成
寡核苷酸"
<400> 152
aacaccgaca ccggcgag 18
<210> 153
<211> 33
<212> DNA
<213> 人工序列
<220>
<221> 来源
<223> /注释="人工序列的描述:合成
寡核苷酸"
<400> 153
agctctagtc aggatatctc taactacctg aac 33
<210> 154
<211> 33
<212> DNA
<213> 人工序列
<220>
<221> 来源
<223> /注释="人工序列的描述:合成
寡核苷酸"
<400> 154
tcctccagcc aggacatctc caactacctg aac 33
<210> 155
<211> 21
<212> DNA
<213> 人工序列
<220>
<221> 来源
<223> /注释="人工序列的描述:合成
寡核苷酸"
<400> 155
tacactagca ccctgcacct g 21
<210> 156
<211> 21
<212> DNA
<213> 人工序列
<220>
<221> 来源
<223> /注释="人工序列的描述:合成
寡核苷酸"
<400> 156
tacacctcca ccctgcacct g 21
<210> 157
<211> 27
<212> DNA
<213> 人工序列
<220>
<221> 来源
<223> /注释="人工序列的描述:合成
寡核苷酸"
<400> 157
cagcagtact ataacctgcc ctggacc 27
<210> 158
<211> 27
<212> DNA
<213> 人工序列
<220>
<221> 来源
<223> /注释="人工序列的描述:合成
寡核苷酸"
<400> 158
cagcagtact acaacctgcc ctggacc 27
<210> 159
<211> 21
<212> DNA
<213> 人工序列
<220>
<221> 来源
<223> /注释="人工序列的描述:合成
寡核苷酸"
<400> 159
agtcaggata tctctaacta c 21
<210> 160
<211> 21
<212> DNA
<213> 人工序列
<220>
<221> 来源
<223> /注释="人工序列的描述:合成
寡核苷酸"
<400> 160
agccaggaca tctccaacta c 21
<210> 161
<211> 9
<212> DNA
<213> 人工序列
<220>
<221> 来源
<223> /注释="人工序列的描述:合成
寡核苷酸"
<400> 161
tacactagc 9
<210> 162
<211> 9
<212> DNA
<213> 人工序列
<220>
<221> 来源
<223> /注释="人工序列的描述:合成
寡核苷酸"
<400> 162
tacacctcc 9
<210> 163
<211> 18
<212> DNA
<213> 人工序列
<220>
<221> 来源
<223> /注释="人工序列的描述:合成
寡核苷酸"
<400> 163
tactataacc tgccctgg 18
<210> 164
<211> 18
<212> DNA
<213> 人工序列
<220>
<221> 来源
<223> /注释="人工序列的描述:合成
寡核苷酸"
<400> 164
tactacaacc tgccctgg 18
<210> 165
<211> 15
<212> DNA
<213> 人工序列
<220>
<221> 来源
<223> /注释="人工序列的描述:合成
寡核苷酸"
<400> 165
aactacggga tgaac 15
<210> 166
<211> 51
<212> DNA
<213> 人工序列
<220>
<221> 来源
<223> /注释="人工序列的描述:合成
寡核苷酸"
<400> 166
tggattaaca ccgacaccgg cgagcctacc tacgccgacg actttaaggg c 51
<210> 167
<211> 48
<212> DNA
<213> 人工序列
<220>
<221> 来源
<223> /注释="人工序列的描述:合成
寡核苷酸"
<400> 167
aaccccccct actactacgg cactaacaac gccgaggcta tggactac 48
<210> 168
<211> 21
<212> DNA
<213> 人工序列
<220>
<221> 来源
<223> /注释="人工序列的描述:合成
寡核苷酸"
<400> 168
ggcttcaccc tgactaacta c 21
<210> 169
<211> 447
<212> PRT
<213> 人工序列
<220>
<221> 来源
<223> /注释="人工序列的描述:合成
多肽"
<400> 169
Gln Val Gln Leu Gln Gln Trp Gly Ala Gly Leu Leu Lys Pro Ser Glu
1 5 10 15
Thr Leu Ser Leu Thr Cys Ala Val Tyr Gly Gly Ser Phe Ser Asp Tyr
20 25 30
Tyr Trp Asn Trp Ile Arg Gln Pro Pro Gly Lys Gly Leu Glu Trp Ile
35 40 45
Gly Glu Ile Asn His Arg Gly Ser Thr Asn Ser Asn Pro Ser Leu Lys
50 55 60
Ser Arg Val Thr Leu Ser Leu Asp Thr Ser Lys Asn Gln Phe Ser Leu
65 70 75 80
Lys Leu Arg Ser Val Thr Ala Ala Asp Thr Ala Val Tyr Tyr Cys Ala
85 90 95
Phe Gly Tyr Ser Asp Tyr Glu Tyr Asn Trp Phe Asp Pro Trp Gly Gln
100 105 110
Gly Thr Leu Val Thr Val Ser Ser Ala Ser Thr Lys Gly Pro Ser Val
115 120 125
Phe Pro Leu Ala Pro Cys Ser Arg Ser Thr Ser Glu Ser Thr Ala Ala
130 135 140
Leu Gly Cys Leu Val Lys Asp Tyr Phe Pro Glu Pro Val Thr Val Ser
145 150 155 160
Trp Asn Ser Gly Ala Leu Thr Ser Gly Val His Thr Phe Pro Ala Val
165 170 175
Leu Gln Ser Ser Gly Leu Tyr Ser Leu Ser Ser Val Val Thr Val Pro
180 185 190
Ser Ser Ser Leu Gly Thr Lys Thr Tyr Thr Cys Asn Val Asp His Lys
195 200 205
Pro Ser Asn Thr Lys Val Asp Lys Arg Val Glu Ser Lys Tyr Gly Pro
210 215 220
Pro Cys Pro Pro Cys Pro Ala Pro Glu Phe Leu Gly Gly Pro Ser Val
225 230 235 240
Phe Leu Phe Pro Pro Lys Pro Lys Asp Thr Leu Met Ile Ser Arg Thr
245 250 255
Pro Glu Val Thr Cys Val Val Val Asp Val Ser Gln Glu Asp Pro Glu
260 265 270
Val Gln Phe Asn Trp Tyr Val Asp Gly Val Glu Val His Asn Ala Lys
275 280 285
Thr Lys Pro Arg Glu Glu Gln Phe Asn Ser Thr Tyr Arg Val Val Ser
290 295 300
Val Leu Thr Val Leu His Gln Asp Trp Leu Asn Gly Lys Glu Tyr Lys
305 310 315 320
Cys Lys Val Ser Asn Lys Gly Leu Pro Ser Ser Ile Glu Lys Thr Ile
325 330 335
Ser Lys Ala Lys Gly Gln Pro Arg Glu Pro Gln Val Tyr Thr Leu Pro
340 345 350
Pro Ser Gln Glu Glu Met Thr Lys Asn Gln Val Ser Leu Thr Cys Leu
355 360 365
Val Lys Gly Phe Tyr Pro Ser Asp Ile Ala Val Glu Trp Glu Ser Asn
370 375 380
Gly Gln Pro Glu Asn Asn Tyr Lys Thr Thr Pro Pro Val Leu Asp Ser
385 390 395 400
Asp Gly Ser Phe Phe Leu Tyr Ser Arg Leu Thr Val Asp Lys Ser Arg
405 410 415
Trp Gln Glu Gly Asn Val Phe Ser Cys Ser Val Met His Glu Ala Leu
420 425 430
His Asn His Tyr Thr Gln Lys Ser Leu Ser Leu Ser Leu Gly Lys
435 440 445
<210> 170
<211> 214
<212> PRT
<213> 人工序列
<220>
<221> 来源
<223> /注释="人工序列的描述:合成
多肽"
<400> 170
Glu Ile Val Leu Thr Gln Ser Pro Ala Thr Leu Ser Leu Ser Pro Gly
1 5 10 15
Glu Arg Ala Thr Leu Ser Cys Arg Ala Ser Gln Ser Ile Ser Ser Tyr
20 25 30
Leu Ala Trp Tyr Gln Gln Lys Pro Gly Gln Ala Pro Arg Leu Leu Ile
35 40 45
Tyr Asp Ala Ser Asn Arg Ala Thr Gly Ile Pro Ala Arg Phe Ser Gly
50 55 60
Ser Gly Ser Gly Thr Asp Phe Thr Leu Thr Ile Ser Ser Leu Glu Pro
65 70 75 80
Glu Asp Phe Ala Val Tyr Tyr Cys Gln Gln Arg Ser Asn Trp Pro Leu
85 90 95
Thr Phe Gly Gln Gly Thr Asn Leu Glu Ile Lys Arg Thr Val Ala Ala
100 105 110
Pro Ser Val Phe Ile Phe Pro Pro Ser Asp Glu Gln Leu Lys Ser Gly
115 120 125
Thr Ala Ser Val Val Cys Leu Leu Asn Asn Phe Tyr Pro Arg Glu Ala
130 135 140
Lys Val Gln Trp Lys Val Asp Asn Ala Leu Gln Ser Gly Asn Ser Gln
145 150 155 160
Glu Ser Val Thr Glu Gln Asp Ser Lys Asp Ser Thr Tyr Ser Leu Ser
165 170 175
Ser Thr Leu Thr Leu Ser Lys Ala Asp Tyr Glu Lys His Lys Val Tyr
180 185 190
Ala Cys Glu Val Thr His Gln Gly Leu Ser Ser Pro Val Thr Lys Ser
195 200 205
Phe Asn Arg Gly Glu Cys
210
<210> 171
<211> 446
<212> PRT
<213> 人工序列
<220>
<221> 来源
<223> /注释="人工序列的描述:合成
多肽"
<400> 171
Gln Val Gln Leu Lys Glu Ser Gly Pro Gly Leu Val Ala Pro Ser Gln
1 5 10 15
Ser Leu Ser Ile Thr Cys Thr Val Ser Gly Phe Ser Leu Thr Ala Tyr
20 25 30
Gly Val Asn Trp Val Arg Gln Pro Pro Gly Lys Gly Leu Glu Trp Leu
35 40 45
Gly Met Ile Trp Asp Asp Gly Ser Thr Asp Tyr Asn Ser Ala Leu Lys
50 55 60
Ser Arg Leu Ser Ile Ser Lys Asp Asn Ser Lys Ser Gln Val Phe Leu
65 70 75 80
Lys Met Asn Ser Leu Gln Thr Asp Asp Thr Ala Arg Tyr Tyr Cys Ala
85 90 95
Arg Glu Gly Asp Val Ala Phe Asp Tyr Trp Gly Gln Gly Thr Thr Leu
100 105 110
Thr Val Ser Ser Ala Ser Thr Lys Gly Pro Ser Val Phe Pro Leu Ala
115 120 125
Pro Ser Ser Lys Ser Thr Ser Gly Gly Thr Ala Ala Leu Gly Cys Leu
130 135 140
Val Lys Asp Tyr Phe Pro Glu Pro Val Thr Val Ser Trp Asn Ser Gly
145 150 155 160
Ala Leu Thr Ser Gly Val His Thr Phe Pro Ala Val Leu Gln Ser Ser
165 170 175
Gly Leu Tyr Ser Leu Ser Ser Val Val Thr Val Pro Ser Ser Ser Leu
180 185 190
Gly Thr Gln Thr Tyr Ile Cys Asn Val Asn His Lys Pro Ser Asn Thr
195 200 205
Lys Val Asp Lys Lys Val Glu Pro Lys Ser Cys Asp Lys Thr His Thr
210 215 220
Cys Pro Pro Cys Pro Ala Pro Glu Leu Leu Gly Gly Pro Ser Val Phe
225 230 235 240
Leu Phe Pro Pro Lys Pro Lys Asp Thr Leu Met Ile Ser Arg Thr Pro
245 250 255
Glu Val Thr Cys Val Val Val Asp Val Ser His Glu Asp Pro Glu Val
260 265 270
Lys Phe Asn Trp Tyr Val Asp Gly Val Glu Val His Asn Ala Lys Thr
275 280 285
Lys Pro Arg Glu Glu Gln Tyr Asn Ser Thr Tyr Arg Val Val Ser Val
290 295 300
Leu Thr Val Leu His Gln Asp Trp Leu Asn Gly Lys Glu Tyr Lys Cys
305 310 315 320
Lys Val Ser Asn Lys Ala Leu Pro Ala Pro Ile Glu Lys Thr Ile Ser
325 330 335
Lys Ala Lys Gly Gln Pro Arg Glu Pro Gln Val Tyr Thr Leu Pro Pro
340 345 350
Ser Arg Asp Glu Leu Thr Lys Asn Gln Val Ser Leu Thr Cys Leu Val
355 360 365
Lys Gly Phe Tyr Pro Ser Asp Ile Ala Val Glu Trp Glu Ser Asn Gly
370 375 380
Gln Pro Glu Asn Asn Tyr Lys Thr Thr Pro Pro Val Leu Asp Ser Asp
385 390 395 400
Gly Ser Phe Phe Leu Tyr Ser Lys Leu Thr Val Asp Lys Ser Arg Trp
405 410 415
Gln Gln Gly Asn Val Phe Ser Cys Ser Val Met His Glu Ala Leu His
420 425 430
Asn His Tyr Thr Gln Lys Ser Leu Ser Leu Ser Pro Gly Lys
435 440 445
<210> 172
<211> 220
<212> PRT
<213> 人工序列
<220>
<221> 来源
<223> /注释="人工序列的描述:合成
多肽"
<400> 172
Asp Ile Val Met Thr Gln Ser Pro Ser Ser Leu Ala Val Ser Val Gly
1 5 10 15
Gln Lys Val Thr Met Ser Cys Lys Ser Ser Gln Ser Leu Leu Asn Gly
20 25 30
Ser Asn Gln Lys Asn Tyr Leu Ala Trp Tyr Gln Gln Lys Pro Gly Gln
35 40 45
Ser Pro Lys Leu Leu Val Tyr Phe Ala Ser Thr Arg Asp Ser Gly Val
50 55 60
Pro Asp Arg Phe Ile Gly Ser Gly Ser Gly Thr Asp Phe Thr Leu Thr
65 70 75 80
Ile Ser Ser Val Gln Ala Glu Asp Leu Ala Asp Tyr Phe Cys Leu Gln
85 90 95
His Phe Gly Thr Pro Pro Thr Phe Gly Gly Gly Thr Lys Leu Glu Ile
100 105 110
Lys Arg Thr Val Ala Ala Pro Ser Val Phe Ile Phe Pro Pro Ser Asp
115 120 125
Glu Gln Leu Lys Ser Gly Thr Ala Ser Val Val Cys Leu Leu Asn Asn
130 135 140
Phe Tyr Pro Arg Glu Ala Lys Val Gln Trp Lys Val Asp Asn Ala Leu
145 150 155 160
Gln Ser Gly Asn Ser Gln Glu Ser Val Thr Glu Gln Asp Ser Lys Asp
165 170 175
Ser Thr Tyr Ser Leu Ser Ser Thr Leu Thr Leu Ser Lys Ala Asp Tyr
180 185 190
Glu Lys His Lys Val Tyr Ala Cys Glu Val Thr His Gln Gly Leu Ser
195 200 205
Ser Pro Val Thr Lys Ser Phe Asn Arg Gly Glu Cys
210 215 220
<210> 173
<211> 10
<212> PRT
<213> 人工序列
<220>
<221> 来源
<223> /注释="人工序列的描述:合成
肽"
<400> 173
Gly Phe Thr Leu Thr Asn Tyr Gly Met Asn
1 5 10
<210> 174
<211> 5
<212> PRT
<213> 人工序列
<220>
<221> 来源
<223> /注释="人工序列的描述:合成
肽"
<400> 174
Ser Tyr Asn Met His
1 5
<210> 175
<211> 17
<212> PRT
<213> 人工序列
<220>
<221> 来源
<223> /注释="人工序列的描述:合成
肽"
<400> 175
Asp Ile Tyr Pro Gly Asn Gly Asp Thr Ser Tyr Asn Gln Lys Phe Lys
1 5 10 15
Gly
<210> 176
<211> 9
<212> PRT
<213> 人工序列
<220>
<221> 来源
<223> /注释="人工序列的描述:合成
肽"
<400> 176
Val Gly Gly Ala Phe Pro Met Asp Tyr
1 5
<210> 177
<211> 7
<212> PRT
<213> 人工序列
<220>
<221> 来源
<223> /注释="人工序列的描述:合成
肽"
<400> 177
Gly Tyr Thr Phe Thr Ser Tyr
1 5
<210> 178
<211> 6
<212> PRT
<213> 人工序列
<220>
<221> 来源
<223> /注释="人工序列的描述:合成
肽"
<400> 178
Tyr Pro Gly Asn Gly Asp
1 5
<210> 179
<211> 118
<212> PRT
<213> 人工序列
<220>
<221> 来源
<223> /注释="人工序列的描述:合成
多肽"
<400> 179
Gln Val Gln Leu Val Gln Ser Gly Ala Glu Val Lys Lys Pro Gly Ser
1 5 10 15
Ser Val Lys Val Ser Cys Lys Ala Ser Gly Tyr Thr Phe Thr Ser Tyr
20 25 30
Asn Met His Trp Val Arg Gln Ala Pro Gly Gln Gly Leu Glu Trp Met
35 40 45
Gly Asp Ile Tyr Pro Gly Asn Gly Asp Thr Ser Tyr Asn Gln Lys Phe
50 55 60
Lys Gly Arg Val Thr Ile Thr Ala Asp Lys Ser Thr Ser Thr Val Tyr
65 70 75 80
Met Glu Leu Ser Ser Leu Arg Ser Glu Asp Thr Ala Val Tyr Tyr Cys
85 90 95
Ala Arg Val Gly Gly Ala Phe Pro Met Asp Tyr Trp Gly Gln Gly Thr
100 105 110
Thr Val Thr Val Ser Ser
115
<210> 180
<211> 354
<212> DNA
<213> 人工序列
<220>
<221> 来源
<223> /注释="人工序列的描述:合成
多核苷酸"
<400> 180
caggtgcagc tggtgcagtc aggcgccgaa gtgaagaaac ccggctctag cgtgaaagtt 60
tcttgtaaag ctagtggcta caccttcact agctataata tgcactgggt tcgccaggcc 120
ccagggcaag gcctcgagtg gatgggcgat atctaccccg ggaacggcga cactagttat 180
aatcagaagt ttaagggtag agtcactatc accgccgata agtctactag caccgtctat 240
atggaactga gttccctgag gtctgaggac accgccgtct actactgcgc tagagtgggc 300
ggagccttcc ctatggacta ctggggtcaa ggcactaccg tgaccgtgtc tagc 354
<210> 181
<211> 444
<212> PRT
<213> 人工序列
<220>
<221> 来源
<223> /注释="人工序列的描述:合成
多肽"
<400> 181
Gln Val Gln Leu Val Gln Ser Gly Ala Glu Val Lys Lys Pro Gly Ser
1 5 10 15
Ser Val Lys Val Ser Cys Lys Ala Ser Gly Tyr Thr Phe Thr Ser Tyr
20 25 30
Asn Met His Trp Val Arg Gln Ala Pro Gly Gln Gly Leu Glu Trp Met
35 40 45
Gly Asp Ile Tyr Pro Gly Asn Gly Asp Thr Ser Tyr Asn Gln Lys Phe
50 55 60
Lys Gly Arg Val Thr Ile Thr Ala Asp Lys Ser Thr Ser Thr Val Tyr
65 70 75 80
Met Glu Leu Ser Ser Leu Arg Ser Glu Asp Thr Ala Val Tyr Tyr Cys
85 90 95
Ala Arg Val Gly Gly Ala Phe Pro Met Asp Tyr Trp Gly Gln Gly Thr
100 105 110
Thr Val Thr Val Ser Ser Ala Ser Thr Lys Gly Pro Ser Val Phe Pro
115 120 125
Leu Ala Pro Cys Ser Arg Ser Thr Ser Glu Ser Thr Ala Ala Leu Gly
130 135 140
Cys Leu Val Lys Asp Tyr Phe Pro Glu Pro Val Thr Val Ser Trp Asn
145 150 155 160
Ser Gly Ala Leu Thr Ser Gly Val His Thr Phe Pro Ala Val Leu Gln
165 170 175
Ser Ser Gly Leu Tyr Ser Leu Ser Ser Val Val Thr Val Pro Ser Ser
180 185 190
Ser Leu Gly Thr Lys Thr Tyr Thr Cys Asn Val Asp His Lys Pro Ser
195 200 205
Asn Thr Lys Val Asp Lys Arg Val Glu Ser Lys Tyr Gly Pro Pro Cys
210 215 220
Pro Pro Cys Pro Ala Pro Glu Phe Leu Gly Gly Pro Ser Val Phe Leu
225 230 235 240
Phe Pro Pro Lys Pro Lys Asp Thr Leu Met Ile Ser Arg Thr Pro Glu
245 250 255
Val Thr Cys Val Val Val Asp Val Ser Gln Glu Asp Pro Glu Val Gln
260 265 270
Phe Asn Trp Tyr Val Asp Gly Val Glu Val His Asn Ala Lys Thr Lys
275 280 285
Pro Arg Glu Glu Gln Phe Asn Ser Thr Tyr Arg Val Val Ser Val Leu
290 295 300
Thr Val Leu His Gln Asp Trp Leu Asn Gly Lys Glu Tyr Lys Cys Lys
305 310 315 320
Val Ser Asn Lys Gly Leu Pro Ser Ser Ile Glu Lys Thr Ile Ser Lys
325 330 335
Ala Lys Gly Gln Pro Arg Glu Pro Gln Val Tyr Thr Leu Pro Pro Ser
340 345 350
Gln Glu Glu Met Thr Lys Asn Gln Val Ser Leu Thr Cys Leu Val Lys
355 360 365
Gly Phe Tyr Pro Ser Asp Ile Ala Val Glu Trp Glu Ser Asn Gly Gln
370 375 380
Pro Glu Asn Asn Tyr Lys Thr Thr Pro Pro Val Leu Asp Ser Asp Gly
385 390 395 400
Ser Phe Phe Leu Tyr Ser Arg Leu Thr Val Asp Lys Ser Arg Trp Gln
405 410 415
Glu Gly Asn Val Phe Ser Cys Ser Val Met His Glu Ala Leu His Asn
420 425 430
His Tyr Thr Gln Lys Ser Leu Ser Leu Ser Leu Gly
435 440
<210> 182
<211> 1332
<212> DNA
<213> 人工序列
<220>
<221> 来源
<223> /注释="人工序列的描述:合成
多核苷酸"
<400> 182
caggtgcagc tggtgcagtc aggcgccgaa gtgaagaaac ccggctctag cgtgaaagtt 60
tcttgtaaag ctagtggcta caccttcact agctataata tgcactgggt tcgccaggcc 120
ccagggcaag gcctcgagtg gatgggcgat atctaccccg ggaacggcga cactagttat 180
aatcagaagt ttaagggtag agtcactatc accgccgata agtctactag caccgtctat 240
atggaactga gttccctgag gtctgaggac accgccgtct actactgcgc tagagtgggc 300
ggagccttcc ctatggacta ctggggtcaa ggcactaccg tgaccgtgtc tagcgctagc 360
actaagggcc cgtccgtgtt ccccctggca ccttgtagcc ggagcactag cgaatccacc 420
gctgccctcg gctgcctggt caaggattac ttcccggagc ccgtgaccgt gtcctggaac 480
agcggagccc tgacctccgg agtgcacacc ttccccgctg tgctgcagag ctccgggctg 540
tactcgctgt cgtcggtggt cacggtgcct tcatctagcc tgggtaccaa gacctacact 600
tgcaacgtgg accacaagcc ttccaacact aaggtggaca agcgcgtcga atcgaagtac 660
ggcccaccgt gcccgccttg tcccgcgccg gagttcctcg gcggtccctc ggtctttctg 720
ttcccaccga agcccaagga cactttgatg atttcccgca cccctgaagt gacatgcgtg 780
gtcgtggacg tgtcacagga agatccggag gtgcagttca attggtacgt ggatggcgtc 840
gaggtgcaca acgccaaaac caagccgagg gaggagcagt tcaactccac ttaccgcgtc 900
gtgtccgtgc tgacggtgct gcatcaggac tggctgaacg ggaaggagta caagtgcaaa 960
gtgtccaaca agggacttcc tagctcaatc gaaaagacca tctcgaaagc caagggacag 1020
ccccgggaac cccaagtgta taccctgcca ccgagccagg aagaaatgac taagaaccaa 1080
gtctcattga cttgccttgt gaagggcttc tacccatcgg atatcgccgt ggaatgggag 1140
tccaacggcc agccggaaaa caactacaag accacccctc cggtgctgga ctcagacgga 1200
tccttcttcc tctactcgcg gctgaccgtg gataagagca gatggcagga gggaaatgtg 1260
ttcagctgtt ctgtgatgca tgaagccctg cacaaccact acactcagaa gtccctgtcc 1320
ctctccctgg ga 1332
<210> 183
<211> 15
<212> PRT
<213> 人工序列
<220>
<221> 来源
<223> /注释="人工序列的描述:合成
肽"
<400> 183
Arg Ala Ser Glu Ser Val Glu Tyr Tyr Gly Thr Ser Leu Met Gln
1 5 10 15
<210> 184
<211> 7
<212> PRT
<213> 人工序列
<220>
<221> 来源
<223> /注释="人工序列的描述:合成
肽"
<400> 184
Ala Ala Ser Asn Val Glu Ser
1 5
<210> 185
<211> 9
<212> PRT
<213> 人工序列
<220>
<221> 来源
<223> /注释="人工序列的描述:合成
肽"
<400> 185
Gln Gln Ser Arg Lys Asp Pro Ser Thr
1 5
<210> 186
<211> 11
<212> PRT
<213> 人工序列
<220>
<221> 来源
<223> /注释="人工序列的描述:合成
肽"
<400> 186
Ser Glu Ser Val Glu Tyr Tyr Gly Thr Ser Leu
1 5 10
<210> 187
<211> 3
<212> PRT
<213> 人工序列
<220>
<221> 来源
<223> /注释="人工序列的描述:合成
肽"
<400> 187
Ala Ala Ser
1
<210> 188
<211> 6
<212> PRT
<213> 人工序列
<220>
<221> 来源
<223> /注释="人工序列的描述:合成
肽"
<400> 188
Ser Arg Lys Asp Pro Ser
1 5
<210> 189
<211> 111
<212> PRT
<213> 人工序列
<220>
<221> 来源
<223> /注释="人工序列的描述:合成
多肽"
<400> 189
Ala Ile Gln Leu Thr Gln Ser Pro Ser Ser Leu Ser Ala Ser Val Gly
1 5 10 15
Asp Arg Val Thr Ile Thr Cys Arg Ala Ser Glu Ser Val Glu Tyr Tyr
20 25 30
Gly Thr Ser Leu Met Gln Trp Tyr Gln Gln Lys Pro Gly Lys Ala Pro
35 40 45
Lys Leu Leu Ile Tyr Ala Ala Ser Asn Val Glu Ser Gly Val Pro Ser
50 55 60
Arg Phe Ser Gly Ser Gly Ser Gly Thr Asp Phe Thr Leu Thr Ile Ser
65 70 75 80
Ser Leu Gln Pro Glu Asp Phe Ala Thr Tyr Phe Cys Gln Gln Ser Arg
85 90 95
Lys Asp Pro Ser Thr Phe Gly Gly Gly Thr Lys Val Glu Ile Lys
100 105 110
<210> 190
<211> 333
<212> DNA
<213> 人工序列
<220>
<221> 来源
<223> /注释="人工序列的描述:合成
多核苷酸"
<400> 190
gctattcagc tgactcagtc acctagtagc ctgagcgcta gtgtgggcga tagagtgact 60
atcacctgta gagctagtga atcagtcgag tactacggca ctagcctgat gcagtggtat 120
cagcagaagc ccgggaaagc ccctaagctg ctgatctacg ccgcctctaa cgtggaatca 180
ggcgtgccct ctaggtttag cggtagcggt agtggcaccg acttcaccct gactatctct 240
agcctgcagc ccgaggactt cgctacctac ttctgtcagc agtctaggaa ggaccctagc 300
accttcggcg gaggcactaa ggtcgagatt aag 333
<210> 191
<211> 218
<212> PRT
<213> 人工序列
<220>
<221> 来源
<223> /注释="人工序列的描述:合成
多肽"
<400> 191
Ala Ile Gln Leu Thr Gln Ser Pro Ser Ser Leu Ser Ala Ser Val Gly
1 5 10 15
Asp Arg Val Thr Ile Thr Cys Arg Ala Ser Glu Ser Val Glu Tyr Tyr
20 25 30
Gly Thr Ser Leu Met Gln Trp Tyr Gln Gln Lys Pro Gly Lys Ala Pro
35 40 45
Lys Leu Leu Ile Tyr Ala Ala Ser Asn Val Glu Ser Gly Val Pro Ser
50 55 60
Arg Phe Ser Gly Ser Gly Ser Gly Thr Asp Phe Thr Leu Thr Ile Ser
65 70 75 80
Ser Leu Gln Pro Glu Asp Phe Ala Thr Tyr Phe Cys Gln Gln Ser Arg
85 90 95
Lys Asp Pro Ser Thr Phe Gly Gly Gly Thr Lys Val Glu Ile Lys Arg
100 105 110
Thr Val Ala Ala Pro Ser Val Phe Ile Phe Pro Pro Ser Asp Glu Gln
115 120 125
Leu Lys Ser Gly Thr Ala Ser Val Val Cys Leu Leu Asn Asn Phe Tyr
130 135 140
Pro Arg Glu Ala Lys Val Gln Trp Lys Val Asp Asn Ala Leu Gln Ser
145 150 155 160
Gly Asn Ser Gln Glu Ser Val Thr Glu Gln Asp Ser Lys Asp Ser Thr
165 170 175
Tyr Ser Leu Ser Ser Thr Leu Thr Leu Ser Lys Ala Asp Tyr Glu Lys
180 185 190
His Lys Val Tyr Ala Cys Glu Val Thr His Gln Gly Leu Ser Ser Pro
195 200 205
Val Thr Lys Ser Phe Asn Arg Gly Glu Cys
210 215
<210> 192
<211> 654
<212> DNA
<213> 人工序列
<220>
<221> 来源
<223> /注释="人工序列的描述:合成
多核苷酸"
<400> 192
gctattcagc tgactcagtc acctagtagc ctgagcgcta gtgtgggcga tagagtgact 60
atcacctgta gagctagtga atcagtcgag tactacggca ctagcctgat gcagtggtat 120
cagcagaagc ccgggaaagc ccctaagctg ctgatctacg ccgcctctaa cgtggaatca 180
ggcgtgccct ctaggtttag cggtagcggt agtggcaccg acttcaccct gactatctct 240
agcctgcagc ccgaggactt cgctacctac ttctgtcagc agtctaggaa ggaccctagc 300
accttcggcg gaggcactaa ggtcgagatt aagcgtacgg tggccgctcc cagcgtgttc 360
atcttccccc ccagcgacga gcagctgaag agcggcaccg ccagcgtggt gtgcctgctg 420
aacaacttct acccccggga ggccaaggtg cagtggaagg tggacaacgc cctgcagagc 480
ggcaacagcc aggagagcgt caccgagcag gacagcaagg actccaccta cagcctgagc 540
agcaccctga ccctgagcaa ggccgactac gagaagcata aggtgtacgc ctgcgaggtg 600
acccaccagg gcctgtccag ccccgtgacc aagagcttca acaggggcga gtgc 654
<210> 193
<211> 17
<212> PRT
<213> 人工序列
<220>
<221> 来源
<223> /注释="人工序列的描述:合成
肽"
<400> 193
Asp Ile Tyr Pro Gly Gln Gly Asp Thr Ser Tyr Asn Gln Lys Phe Lys
1 5 10 15
Gly
<210> 194
<211> 6
<212> PRT
<213> 人工序列
<220>
<221> 来源
<223> /注释="人工序列的描述:合成
肽"
<400> 194
Tyr Pro Gly Gln Gly Asp
1 5
<210> 195
<211> 118
<212> PRT
<213> 人工序列
<220>
<221> 来源
<223> /注释="人工序列的描述:合成
多肽"
<400> 195
Gln Val Gln Leu Val Gln Ser Gly Ala Glu Val Lys Lys Pro Gly Ala
1 5 10 15
Ser Val Lys Val Ser Cys Lys Ala Ser Gly Tyr Thr Phe Thr Ser Tyr
20 25 30
Asn Met His Trp Val Arg Gln Ala Pro Gly Gln Gly Leu Glu Trp Ile
35 40 45
Gly Asp Ile Tyr Pro Gly Gln Gly Asp Thr Ser Tyr Asn Gln Lys Phe
50 55 60
Lys Gly Arg Ala Thr Met Thr Ala Asp Lys Ser Thr Ser Thr Val Tyr
65 70 75 80
Met Glu Leu Ser Ser Leu Arg Ser Glu Asp Thr Ala Val Tyr Tyr Cys
85 90 95
Ala Arg Val Gly Gly Ala Phe Pro Met Asp Tyr Trp Gly Gln Gly Thr
100 105 110
Leu Val Thr Val Ser Ser
115
<210> 196
<211> 354
<212> DNA
<213> 人工序列
<220>
<221> 来源
<223> /注释="人工序列的描述:合成
多核苷酸"
<400> 196
caggtgcagc tggtgcagtc aggcgccgaa gtgaagaaac ccggcgctag tgtgaaagtt 60
agctgtaaag ctagtggcta tactttcact tcttataata tgcactgggt ccgccaggcc 120
ccaggtcaag gcctcgagtg gatcggcgat atctaccccg gtcaaggcga cacttcctat 180
aatcagaagt ttaagggtag agctactatg accgccgata agtctacttc taccgtctat 240
atggaactga gttccctgag gtctgaggac accgccgtct actactgcgc tagagtgggc 300
ggagccttcc caatggacta ctggggtcaa ggcaccctgg tcaccgtgtc tagc 354
<210> 197
<211> 444
<212> PRT
<213> 人工序列
<220>
<221> 来源
<223> /注释="人工序列的描述:合成
多肽"
<400> 197
Gln Val Gln Leu Val Gln Ser Gly Ala Glu Val Lys Lys Pro Gly Ala
1 5 10 15
Ser Val Lys Val Ser Cys Lys Ala Ser Gly Tyr Thr Phe Thr Ser Tyr
20 25 30
Asn Met His Trp Val Arg Gln Ala Pro Gly Gln Gly Leu Glu Trp Ile
35 40 45
Gly Asp Ile Tyr Pro Gly Gln Gly Asp Thr Ser Tyr Asn Gln Lys Phe
50 55 60
Lys Gly Arg Ala Thr Met Thr Ala Asp Lys Ser Thr Ser Thr Val Tyr
65 70 75 80
Met Glu Leu Ser Ser Leu Arg Ser Glu Asp Thr Ala Val Tyr Tyr Cys
85 90 95
Ala Arg Val Gly Gly Ala Phe Pro Met Asp Tyr Trp Gly Gln Gly Thr
100 105 110
Leu Val Thr Val Ser Ser Ala Ser Thr Lys Gly Pro Ser Val Phe Pro
115 120 125
Leu Ala Pro Cys Ser Arg Ser Thr Ser Glu Ser Thr Ala Ala Leu Gly
130 135 140
Cys Leu Val Lys Asp Tyr Phe Pro Glu Pro Val Thr Val Ser Trp Asn
145 150 155 160
Ser Gly Ala Leu Thr Ser Gly Val His Thr Phe Pro Ala Val Leu Gln
165 170 175
Ser Ser Gly Leu Tyr Ser Leu Ser Ser Val Val Thr Val Pro Ser Ser
180 185 190
Ser Leu Gly Thr Lys Thr Tyr Thr Cys Asn Val Asp His Lys Pro Ser
195 200 205
Asn Thr Lys Val Asp Lys Arg Val Glu Ser Lys Tyr Gly Pro Pro Cys
210 215 220
Pro Pro Cys Pro Ala Pro Glu Phe Leu Gly Gly Pro Ser Val Phe Leu
225 230 235 240
Phe Pro Pro Lys Pro Lys Asp Thr Leu Met Ile Ser Arg Thr Pro Glu
245 250 255
Val Thr Cys Val Val Val Asp Val Ser Gln Glu Asp Pro Glu Val Gln
260 265 270
Phe Asn Trp Tyr Val Asp Gly Val Glu Val His Asn Ala Lys Thr Lys
275 280 285
Pro Arg Glu Glu Gln Phe Asn Ser Thr Tyr Arg Val Val Ser Val Leu
290 295 300
Thr Val Leu His Gln Asp Trp Leu Asn Gly Lys Glu Tyr Lys Cys Lys
305 310 315 320
Val Ser Asn Lys Gly Leu Pro Ser Ser Ile Glu Lys Thr Ile Ser Lys
325 330 335
Ala Lys Gly Gln Pro Arg Glu Pro Gln Val Tyr Thr Leu Pro Pro Ser
340 345 350
Gln Glu Glu Met Thr Lys Asn Gln Val Ser Leu Thr Cys Leu Val Lys
355 360 365
Gly Phe Tyr Pro Ser Asp Ile Ala Val Glu Trp Glu Ser Asn Gly Gln
370 375 380
Pro Glu Asn Asn Tyr Lys Thr Thr Pro Pro Val Leu Asp Ser Asp Gly
385 390 395 400
Ser Phe Phe Leu Tyr Ser Arg Leu Thr Val Asp Lys Ser Arg Trp Gln
405 410 415
Glu Gly Asn Val Phe Ser Cys Ser Val Met His Glu Ala Leu His Asn
420 425 430
His Tyr Thr Gln Lys Ser Leu Ser Leu Ser Leu Gly
435 440
<210> 198
<211> 1332
<212> DNA
<213> 人工序列
<220>
<221> 来源
<223> /注释="人工序列的描述:合成
多核苷酸"
<400> 198
caggtgcagc tggtgcagtc aggcgccgaa gtgaagaaac ccggcgctag tgtgaaagtt 60
agctgtaaag ctagtggcta tactttcact tcttataata tgcactgggt ccgccaggcc 120
ccaggtcaag gcctcgagtg gatcggcgat atctaccccg gtcaaggcga cacttcctat 180
aatcagaagt ttaagggtag agctactatg accgccgata agtctacttc taccgtctat 240
atggaactga gttccctgag gtctgaggac accgccgtct actactgcgc tagagtgggc 300
ggagccttcc caatggacta ctggggtcaa ggcaccctgg tcaccgtgtc tagcgctagc 360
actaagggcc cgtccgtgtt ccccctggca ccttgtagcc ggagcactag cgaatccacc 420
gctgccctcg gctgcctggt caaggattac ttcccggagc ccgtgaccgt gtcctggaac 480
agcggagccc tgacctccgg agtgcacacc ttccccgctg tgctgcagag ctccgggctg 540
tactcgctgt cgtcggtggt cacggtgcct tcatctagcc tgggtaccaa gacctacact 600
tgcaacgtgg accacaagcc ttccaacact aaggtggaca agcgcgtcga atcgaagtac 660
ggcccaccgt gcccgccttg tcccgcgccg gagttcctcg gcggtccctc ggtctttctg 720
ttcccaccga agcccaagga cactttgatg atttcccgca cccctgaagt gacatgcgtg 780
gtcgtggacg tgtcacagga agatccggag gtgcagttca attggtacgt ggatggcgtc 840
gaggtgcaca acgccaaaac caagccgagg gaggagcagt tcaactccac ttaccgcgtc 900
gtgtccgtgc tgacggtgct gcatcaggac tggctgaacg ggaaggagta caagtgcaaa 960
gtgtccaaca agggacttcc tagctcaatc gaaaagacca tctcgaaagc caagggacag 1020
ccccgggaac cccaagtgta taccctgcca ccgagccagg aagaaatgac taagaaccaa 1080
gtctcattga cttgccttgt gaagggcttc tacccatcgg atatcgccgt ggaatgggag 1140
tccaacggcc agccggaaaa caactacaag accacccctc cggtgctgga ctcagacgga 1200
tccttcttcc tctactcgcg gctgaccgtg gataagagca gatggcagga gggaaatgtg 1260
ttcagctgtt ctgtgatgca tgaagccctg cacaaccact acactcagaa gtccctgtcc 1320
ctctccctgg ga 1332
<210> 199
<211> 111
<212> PRT
<213> 人工序列
<220>
<221> 来源
<223> /注释="人工序列的描述:合成
多肽"
<400> 199
Asp Ile Val Leu Thr Gln Ser Pro Asp Ser Leu Ala Val Ser Leu Gly
1 5 10 15
Glu Arg Ala Thr Ile Asn Cys Arg Ala Ser Glu Ser Val Glu Tyr Tyr
20 25 30
Gly Thr Ser Leu Met Gln Trp Tyr Gln Gln Lys Pro Gly Gln Pro Pro
35 40 45
Lys Leu Leu Ile Tyr Ala Ala Ser Asn Val Glu Ser Gly Val Pro Asp
50 55 60
Arg Phe Ser Gly Ser Gly Ser Gly Thr Asp Phe Thr Leu Thr Ile Ser
65 70 75 80
Ser Leu Gln Ala Glu Asp Val Ala Val Tyr Tyr Cys Gln Gln Ser Arg
85 90 95
Lys Asp Pro Ser Thr Phe Gly Gly Gly Thr Lys Val Glu Ile Lys
100 105 110
<210> 200
<211> 333
<212> DNA
<213> 人工序列
<220>
<221> 来源
<223> /注释="人工序列的描述:合成
多核苷酸"
<400> 200
gatatcgtcc tgactcagtc acccgatagc ctggccgtca gcctgggcga gcgggctact 60
attaactgta gagctagtga atcagtcgag tactacggca ctagcctgat gcagtggtat 120
cagcagaagc ccggtcaacc ccctaagctg ctgatctacg ccgcctctaa cgtggaatca 180
ggcgtgcccg ataggtttag cggtagcggt agtggcaccg acttcaccct gactattagt 240
agcctgcagg ccgaggacgt ggccgtctac tactgtcagc agtctaggaa ggaccctagc 300
accttcggcg gaggcactaa ggtcgagatt aag 333
<210> 201
<211> 218
<212> PRT
<213> 人工序列
<220>
<221> 来源
<223> /注释="人工序列的描述:合成
多肽"
<400> 201
Asp Ile Val Leu Thr Gln Ser Pro Asp Ser Leu Ala Val Ser Leu Gly
1 5 10 15
Glu Arg Ala Thr Ile Asn Cys Arg Ala Ser Glu Ser Val Glu Tyr Tyr
20 25 30
Gly Thr Ser Leu Met Gln Trp Tyr Gln Gln Lys Pro Gly Gln Pro Pro
35 40 45
Lys Leu Leu Ile Tyr Ala Ala Ser Asn Val Glu Ser Gly Val Pro Asp
50 55 60
Arg Phe Ser Gly Ser Gly Ser Gly Thr Asp Phe Thr Leu Thr Ile Ser
65 70 75 80
Ser Leu Gln Ala Glu Asp Val Ala Val Tyr Tyr Cys Gln Gln Ser Arg
85 90 95
Lys Asp Pro Ser Thr Phe Gly Gly Gly Thr Lys Val Glu Ile Lys Arg
100 105 110
Thr Val Ala Ala Pro Ser Val Phe Ile Phe Pro Pro Ser Asp Glu Gln
115 120 125
Leu Lys Ser Gly Thr Ala Ser Val Val Cys Leu Leu Asn Asn Phe Tyr
130 135 140
Pro Arg Glu Ala Lys Val Gln Trp Lys Val Asp Asn Ala Leu Gln Ser
145 150 155 160
Gly Asn Ser Gln Glu Ser Val Thr Glu Gln Asp Ser Lys Asp Ser Thr
165 170 175
Tyr Ser Leu Ser Ser Thr Leu Thr Leu Ser Lys Ala Asp Tyr Glu Lys
180 185 190
His Lys Val Tyr Ala Cys Glu Val Thr His Gln Gly Leu Ser Ser Pro
195 200 205
Val Thr Lys Ser Phe Asn Arg Gly Glu Cys
210 215
<210> 202
<211> 654
<212> DNA
<213> 人工序列
<220>
<221> 来源
<223> /注释="人工序列的描述:合成
多核苷酸"
<400> 202
gatatcgtcc tgactcagtc acccgatagc ctggccgtca gcctgggcga gcgggctact 60
attaactgta gagctagtga atcagtcgag tactacggca ctagcctgat gcagtggtat 120
cagcagaagc ccggtcaacc ccctaagctg ctgatctacg ccgcctctaa cgtggaatca 180
ggcgtgcccg ataggtttag cggtagcggt agtggcaccg acttcaccct gactattagt 240
agcctgcagg ccgaggacgt ggccgtctac tactgtcagc agtctaggaa ggaccctagc 300
accttcggcg gaggcactaa ggtcgagatt aagcgtacgg tggccgctcc cagcgtgttc 360
atcttccccc ccagcgacga gcagctgaag agcggcaccg ccagcgtggt gtgcctgctg 420
aacaacttct acccccggga ggccaaggtg cagtggaagg tggacaacgc cctgcagagc 480
ggcaacagcc aggagagcgt caccgagcag gacagcaagg actccaccta cagcctgagc 540
agcaccctga ccctgagcaa ggccgactac gagaagcata aggtgtacgc ctgcgaggtg 600
acccaccagg gcctgtccag ccccgtgacc aagagcttca acaggggcga gtgc 654
<210> 203
<211> 114
<212> PRT
<213> 人工序列
<220>
<221> 来源
<223> /注释="人工序列的描述:合成
多肽"
<400> 203
Glu Val Gln Leu Leu Glu Ser Gly Gly Gly Leu Val Gln Pro Gly Gly
1 5 10 15
Ser Leu Arg Leu Ser Cys Ala Ala Ala Ser Gly Phe Thr Phe Ser Ser
20 25 30
Tyr Asp Met Ser Trp Val Arg Gln Ala Pro Gly Lys Gly Leu Asp Trp
35 40 45
Val Ser Thr Ile Ser Gly Gly Gly Thr Tyr Thr Tyr Tyr Gln Asp Ser
50 55 60
Val Lys Gly Arg Phe Thr Ile Ser Arg Asp Asn Ser Lys Asn Thr Leu
65 70 75 80
Tyr Leu Gln Met Asn Ser Leu Arg Ala Glu Asp Thr Ala Val Tyr Tyr
85 90 95
Cys Ala Ser Met Asp Tyr Trp Gly Gln Gly Thr Thr Val Thr Val Ser
100 105 110
Ser Ala
<210> 204
<211> 108
<212> PRT
<213> 人工序列
<220>
<221> 来源
<223> /注释="人工序列的描述:合成
多肽"
<400> 204
Asp Ile Gln Met Thr Gln Ser Pro Ser Ser Leu Ser Ala Ser Val Gly
1 5 10 15
Asp Arg Val Thr Ile Thr Cys Arg Ala Ser Gln Ser Ile Arg Arg Tyr
20 25 30
Leu Asn Trp Tyr His Gln Lys Pro Gly Lys Ala Pro Lys Leu Leu Ile
35 40 45
Tyr Gly Ala Ser Thr Leu Gln Ser Gly Val Pro Ser Arg Phe Ser Gly
50 55 60
Ser Gly Ser Gly Thr Asp Phe Thr Leu Thr Ile Ser Ser Leu Gln Pro
65 70 75 80
Glu Asp Phe Ala Val Tyr Tyr Cys Gln Gln Ser His Ser Ala Pro Leu
85 90 95
Thr Phe Gly Gly Gly Thr Lys Val Glu Ile Lys Arg
100 105
<210> 205
<211> 120
<212> PRT
<213> 人工序列
<220>
<221> 来源
<223> /注释="人工序列的描述:合成
多肽"
<400> 205
Glu Val Gln Val Leu Glu Ser Gly Gly Gly Leu Val Gln Pro Gly Gly
1 5 10 15
Ser Leu Arg Leu Tyr Cys Val Ala Ser Gly Phe Thr Phe Ser Gly Ser
20 25 30
Tyr Ala Met Ser Trp Val Arg Gln Ala Pro Gly Lys Gly Leu Glu Trp
35 40 45
Val Ser Ala Ile Ser Gly Ser Gly Gly Ser Thr Tyr Tyr Ala Asp Ser
50 55 60
Val Lys Gly Arg Phe Thr Ile Ser Arg Asp Asn Ser Lys Asn Thr Leu
65 70 75 80
Tyr Leu Gln Met Asn Ser Leu Arg Ala Glu Asp Thr Ala Val Tyr Tyr
85 90 95
Cys Ala Lys Lys Tyr Tyr Val Gly Pro Ala Asp Tyr Trp Gly Gln Gly
100 105 110
Thr Leu Val Thr Val Ser Ser Gly
115 120
<210> 206
<211> 113
<212> PRT
<213> 人工序列
<220>
<221> 来源
<223> /注释="人工序列的描述:合成
多肽"
<400> 206
Asp Ile Val Met Thr Gln Ser Pro Asp Ser Leu Ala Val Ser Leu Gly
1 5 10 15
Glu Arg Ala Thr Ile Asn Cys Lys Ser Ser Gln Ser Val Leu Tyr Ser
20 25 30
Ser Asn Asn Lys Asn Tyr Leu Ala Trp Tyr Gln His Lys Pro Gly Gln
35 40 45
Pro Pro Lys Leu Leu Ile Tyr Trp Ala Ser Thr Arg Glu Ser Gly Val
50 55 60
Pro Asp Arg Phe Ser Gly Ser Gly Ser Gly Thr Asp Phe Thr Leu Thr
65 70 75 80
Ile Ser Ser Leu Gln Ala Glu Asp Val Ala Val Tyr Tyr Cys Gln Gln
85 90 95
Tyr Tyr Ser Ser Pro Leu Thr Phe Gly Gly Gly Thr Lys Ile Glu Val
100 105 110
Lys
<210> 207
<211> 114
<212> PRT
<213> 智人(Homo sapiens)
<400> 207
Asn Trp Val Asn Val Ile Ser Asp Leu Lys Lys Ile Glu Asp Leu Ile
1 5 10 15
Gln Ser Met His Ile Asp Ala Thr Leu Tyr Thr Glu Ser Asp Val His
20 25 30
Pro Ser Cys Lys Val Thr Ala Met Lys Cys Phe Leu Leu Glu Leu Gln
35 40 45
Val Ile Ser Leu Glu Ser Gly Asp Ala Ser Ile His Asp Thr Val Glu
50 55 60
Asn Leu Ile Ile Leu Ala Asn Asn Ser Leu Ser Ser Asn Gly Asn Val
65 70 75 80
Thr Glu Ser Gly Cys Lys Glu Cys Glu Glu Leu Glu Glu Lys Asn Ile
85 90 95
Lys Glu Phe Leu Gln Ser Phe Val His Ile Val Gln Met Phe Ile Asn
100 105 110
Thr Ser
<210> 208
<211> 170
<212> PRT
<213> 智人(Homo sapiens)
<400> 208
Ile Thr Cys Pro Pro Pro Met Ser Val Glu His Ala Asp Ile Trp Val
1 5 10 15
Lys Ser Tyr Ser Leu Tyr Ser Arg Glu Arg Tyr Ile Cys Asn Ser Gly
20 25 30
Phe Lys Arg Lys Ala Gly Thr Ser Ser Leu Thr Glu Cys Val Leu Asn
35 40 45
Lys Ala Thr Asn Val Ala His Trp Thr Thr Pro Ser Leu Lys Cys Ile
50 55 60
Arg Asp Pro Ala Leu Val His Gln Arg Pro Ala Pro Pro Ser Thr Val
65 70 75 80
Thr Thr Ala Gly Val Thr Pro Gln Pro Glu Ser Leu Ser Pro Ser Gly
85 90 95
Lys Glu Pro Ala Ala Ser Ser Pro Ser Ser Asn Asn Thr Ala Ala Thr
100 105 110
Thr Ala Ala Ile Val Pro Gly Ser Gln Leu Met Pro Ser Lys Ser Pro
115 120 125
Ser Thr Gly Thr Thr Glu Ile Ser Ser His Glu Ser Ser His Gly Thr
130 135 140
Pro Ser Gln Thr Thr Ala Lys Asn Trp Glu Leu Thr Ala Ser Ala Ser
145 150 155 160
His Gln Pro Pro Gly Val Tyr Pro Gln Gly
165 170
<210> 209
<211> 114
<212> PRT
<213> 人工序列
<220>
<221> 来源
<223> /注释="人工序列的描述:合成
多肽"
<400> 209
Asn Trp Val Asn Val Ile Ser Asp Leu Lys Lys Ile Glu Asp Leu Ile
1 5 10 15
Gln Ser Met His Ile Asp Ala Thr Leu Tyr Thr Glu Ser Asp Val His
20 25 30
Pro Ser Cys Lys Val Thr Ala Met Lys Cys Phe Leu Leu Glu Leu Gln
35 40 45
Val Ile Ser Leu Glu Ser Gly Asp Ala Ser Ile His Asp Thr Val Glu
50 55 60
Asn Leu Ile Ile Leu Ala Asn Asp Ser Leu Ser Ser Asn Gly Asn Val
65 70 75 80
Thr Glu Ser Gly Cys Lys Glu Cys Glu Glu Leu Glu Glu Lys Asn Ile
85 90 95
Lys Glu Phe Leu Gln Ser Phe Val His Ile Val Gln Met Phe Ile Asn
100 105 110
Thr Ser
<210> 210
<211> 297
<212> PRT
<213> 人工序列
<220>
<221> 来源
<223> /注释="人工序列的描述:合成
多肽"
<400> 210
Ile Thr Cys Pro Pro Pro Met Ser Val Glu His Ala Asp Ile Trp Val
1 5 10 15
Lys Ser Tyr Ser Leu Tyr Ser Arg Glu Arg Tyr Ile Cys Asn Ser Gly
20 25 30
Phe Lys Arg Lys Ala Gly Thr Ser Ser Leu Thr Glu Cys Val Leu Asn
35 40 45
Lys Ala Thr Asn Val Ala His Trp Thr Thr Pro Ser Leu Lys Cys Ile
50 55 60
Arg Glu Pro Lys Ser Cys Asp Lys Thr His Thr Cys Pro Pro Cys Pro
65 70 75 80
Ala Pro Glu Leu Leu Gly Gly Pro Ser Val Phe Leu Phe Pro Pro Lys
85 90 95
Pro Lys Asp Thr Leu Met Ile Ser Arg Thr Pro Glu Val Thr Cys Val
100 105 110
Val Val Asp Val Ser His Glu Asp Pro Glu Val Lys Phe Asn Trp Tyr
115 120 125
Val Asp Gly Val Glu Val His Asn Ala Lys Thr Lys Pro Arg Glu Glu
130 135 140
Gln Tyr Asn Ser Thr Tyr Arg Val Val Ser Val Leu Thr Val Leu His
145 150 155 160
Gln Asp Trp Leu Asn Gly Lys Glu Tyr Lys Cys Lys Val Ser Asn Lys
165 170 175
Ala Leu Pro Ala Pro Ile Glu Lys Thr Ile Ser Lys Ala Lys Gly Gln
180 185 190
Pro Arg Glu Pro Gln Val Tyr Thr Leu Pro Pro Ser Arg Asp Glu Leu
195 200 205
Thr Lys Asn Gln Val Ser Leu Thr Cys Leu Val Lys Gly Phe Tyr Pro
210 215 220
Ser Asp Ile Ala Val Glu Trp Glu Ser Asn Gly Gln Pro Glu Asn Asn
225 230 235 240
Tyr Lys Thr Thr Pro Pro Val Leu Asp Ser Asp Gly Ser Phe Phe Leu
245 250 255
Tyr Ser Lys Leu Thr Val Asp Lys Ser Arg Trp Gln Gln Gly Asn Val
260 265 270
Phe Ser Cys Ser Val Met His Glu Ala Leu His Asn His Tyr Thr Gln
275 280 285
Lys Ser Leu Ser Leu Ser Pro Gly Lys
290 295
<210> 211
<211> 114
<212> PRT
<213> 智人(Homo sapiens)
<220>
<221> 变体
<222> (93)..(93)
<223> /替换="Lys"
<220>
<221> 位点
<222> (1)..(114)
<223> /注释="序列中给出的变异残基相对于变异位置的注释中的那些没有偏好"
<400> 211
Asn Trp Val Asn Val Ile Ser Asp Leu Lys Lys Ile Glu Asp Leu Ile
1 5 10 15
Gln Ser Met His Ile Asp Ala Thr Leu Tyr Thr Glu Ser Asp Val His
20 25 30
Pro Ser Cys Lys Val Thr Ala Met Lys Cys Phe Leu Leu Glu Leu Gln
35 40 45
Val Ile Ser Leu Glu Ser Gly Asp Ala Ser Ile His Asp Thr Val Glu
50 55 60
Asn Leu Ile Ile Leu Ala Asn Asn Ser Leu Ser Ser Asn Gly Asn Val
65 70 75 80
Thr Glu Ser Gly Cys Lys Glu Cys Glu Glu Leu Glu Glu Lys Asn Ile
85 90 95
Lys Glu Phe Leu Gln Ser Phe Val His Ile Val Gln Met Phe Ile Asn
100 105 110
Thr Ser
<210> 212
<211> 77
<212> PRT
<213> 智人(Homo sapiens)
<400> 212
Ile Thr Cys Pro Pro Pro Met Ser Val Glu His Ala Asp Ile Trp Val
1 5 10 15
Lys Ser Tyr Ser Leu Tyr Ser Arg Glu Arg Tyr Ile Cys Asn Ser Gly
20 25 30
Phe Lys Arg Lys Ala Gly Thr Ser Ser Leu Thr Glu Cys Val Leu Asn
35 40 45
Lys Ala Thr Asn Val Ala His Trp Thr Thr Pro Ser Leu Lys Cys Ile
50 55 60
Arg Asp Pro Ala Leu Val His Gln Arg Pro Ala Pro Pro
65 70 75
<210> 213
<211> 10
<212> PRT
<213> 人工序列
<220>
<221> 来源
<223> /注释="人工序列的描述:合成
肽"
<400> 213
Gly Tyr Thr Phe Thr Thr Tyr Trp Met His
1 5 10
<210> 214
<211> 10
<212> PRT
<213> 人工序列
<220>
<221> 来源
<223> /注释="人工序列的描述:合成
肽"
<400> 214
Gly Tyr Thr Phe Thr Ser Tyr Trp Met Tyr
1 5 10
<210> 215
<211> 20
<212> PRT
<213> 人工序列
<220>
<221> 来源
<223> /注释="人工序列的描述:合成
肽"
<400> 215
Gly Gly Gly Gly Ser Gly Gly Gly Gly Ser Gly Gly Gly Gly Ser Gly
1 5 10 15
Gly Gly Gly Ser
20
<210> 216
<211> 15
<212> PRT
<213> 人工序列
<220>
<221> 来源
<223> /注释="人工序列的描述:合成
肽"
<400> 216
Gly Gly Gly Gly Ser Gly Gly Gly Gly Ser Gly Gly Gly Gly Ser
1 5 10 15
<210> 217
<211> 5
<212> PRT
<213> 人工序列
<220>
<221> 来源
<223> /注释="人工序列的描述:合成
肽"
<400> 217
Gly Gly Gly Gly Ser
1 5
<210> 218
<211> 242
<212> PRT
<213> 人工序列
<220>
<221> 来源
<223> /注释="人工序列的描述:合成
多肽"
<400> 218
Asp Ile Gln Met Thr Gln Thr Thr Ser Ser Leu Ser Ala Ser Leu Gly
1 5 10 15
Asp Arg Val Thr Ile Ser Cys Arg Ala Ser Gln Asp Ile Ser Lys Tyr
20 25 30
Leu Asn Trp Tyr Gln Gln Lys Pro Asp Gly Thr Val Lys Leu Leu Ile
35 40 45
Tyr His Thr Ser Arg Leu His Ser Gly Val Pro Ser Arg Phe Ser Gly
50 55 60
Ser Gly Ser Gly Thr Asp Tyr Ser Leu Thr Ile Ser Asn Leu Glu Gln
65 70 75 80
Glu Asp Ile Ala Thr Tyr Phe Cys Gln Gln Gly Asn Thr Leu Pro Tyr
85 90 95
Thr Phe Gly Gly Gly Thr Lys Leu Glu Ile Thr Gly Gly Gly Gly Ser
100 105 110
Gly Gly Gly Gly Ser Gly Gly Gly Gly Ser Glu Val Lys Leu Gln Glu
115 120 125
Ser Gly Pro Gly Leu Val Ala Pro Ser Gln Ser Leu Ser Val Thr Cys
130 135 140
Thr Val Ser Gly Val Ser Leu Pro Asp Tyr Gly Val Ser Trp Ile Arg
145 150 155 160
Gln Pro Pro Arg Lys Gly Leu Glu Trp Leu Gly Val Ile Trp Gly Ser
165 170 175
Glu Thr Thr Tyr Tyr Asn Ser Ala Leu Lys Ser Arg Leu Thr Ile Ile
180 185 190
Lys Asp Asn Ser Lys Ser Gln Val Phe Leu Lys Met Asn Ser Leu Gln
195 200 205
Thr Asp Asp Thr Ala Ile Tyr Tyr Cys Ala Lys His Tyr Tyr Tyr Gly
210 215 220
Gly Ser Tyr Ala Met Asp Tyr Trp Gly Gln Gly Thr Ser Val Thr Val
225 230 235 240
Ser Ser
<210> 219
<211> 242
<212> PRT
<213> 人工序列
<220>
<221> 来源
<223> /注释="人工序列的描述:合成
多肽"
<400> 219
Glu Ile Val Met Thr Gln Ser Pro Ala Thr Leu Ser Leu Ser Pro Gly
1 5 10 15
Glu Arg Ala Thr Leu Ser Cys Arg Ala Ser Gln Asp Ile Ser Lys Tyr
20 25 30
Leu Asn Trp Tyr Gln Gln Lys Pro Gly Gln Ala Pro Arg Leu Leu Ile
35 40 45
Tyr His Thr Ser Arg Leu His Ser Gly Ile Pro Ala Arg Phe Ser Gly
50 55 60
Ser Gly Ser Gly Thr Asp Tyr Thr Leu Thr Ile Ser Ser Leu Gln Pro
65 70 75 80
Glu Asp Phe Ala Val Tyr Phe Cys Gln Gln Gly Asn Thr Leu Pro Tyr
85 90 95
Thr Phe Gly Gln Gly Thr Lys Leu Glu Ile Lys Gly Gly Gly Gly Ser
100 105 110
Gly Gly Gly Gly Ser Gly Gly Gly Gly Ser Gln Val Gln Leu Gln Glu
115 120 125
Ser Gly Pro Gly Leu Val Lys Pro Ser Glu Thr Leu Ser Leu Thr Cys
130 135 140
Thr Val Ser Gly Val Ser Leu Pro Asp Tyr Gly Val Ser Trp Ile Arg
145 150 155 160
Gln Pro Pro Gly Lys Gly Leu Glu Trp Ile Gly Val Ile Trp Gly Ser
165 170 175
Glu Thr Thr Tyr Tyr Ser Ser Ser Leu Lys Ser Arg Val Thr Ile Ser
180 185 190
Lys Asp Asn Ser Lys Asn Gln Val Ser Leu Lys Leu Ser Ser Val Thr
195 200 205
Ala Ala Asp Thr Ala Val Tyr Tyr Cys Ala Lys His Tyr Tyr Tyr Gly
210 215 220
Gly Ser Tyr Ala Met Asp Tyr Trp Gly Gln Gly Thr Leu Val Thr Val
225 230 235 240
Ser Ser
<210> 220
<211> 242
<212> PRT
<213> 人工序列
<220>
<221> 来源
<223> /注释="人工序列的描述:合成
多肽"
<400> 220
Glu Ile Val Met Thr Gln Ser Pro Ala Thr Leu Ser Leu Ser Pro Gly
1 5 10 15
Glu Arg Ala Thr Leu Ser Cys Arg Ala Ser Gln Asp Ile Ser Lys Tyr
20 25 30
Leu Asn Trp Tyr Gln Gln Lys Pro Gly Gln Ala Pro Arg Leu Leu Ile
35 40 45
Tyr His Thr Ser Arg Leu His Ser Gly Ile Pro Ala Arg Phe Ser Gly
50 55 60
Ser Gly Ser Gly Thr Asp Tyr Thr Leu Thr Ile Ser Ser Leu Gln Pro
65 70 75 80
Glu Asp Phe Ala Val Tyr Phe Cys Gln Gln Gly Asn Thr Leu Pro Tyr
85 90 95
Thr Phe Gly Gln Gly Thr Lys Leu Glu Ile Lys Gly Gly Gly Gly Ser
100 105 110
Gly Gly Gly Gly Ser Gly Gly Gly Gly Ser Gln Val Gln Leu Gln Glu
115 120 125
Ser Gly Pro Gly Leu Val Lys Pro Ser Glu Thr Leu Ser Leu Thr Cys
130 135 140
Thr Val Ser Gly Val Ser Leu Pro Asp Tyr Gly Val Ser Trp Ile Arg
145 150 155 160
Gln Pro Pro Gly Lys Gly Leu Glu Trp Ile Gly Val Ile Trp Gly Ser
165 170 175
Glu Thr Thr Tyr Tyr Gln Ser Ser Leu Lys Ser Arg Val Thr Ile Ser
180 185 190
Lys Asp Asn Ser Lys Asn Gln Val Ser Leu Lys Leu Ser Ser Val Thr
195 200 205
Ala Ala Asp Thr Ala Val Tyr Tyr Cys Ala Lys His Tyr Tyr Tyr Gly
210 215 220
Gly Ser Tyr Ala Met Asp Tyr Trp Gly Gln Gly Thr Leu Val Thr Val
225 230 235 240
Ser Ser
<210> 221
<211> 242
<212> PRT
<213> 人工序列
<220>
<221> 来源
<223> /注释="人工序列的描述:合成
多肽"
<400> 221
Gln Val Gln Leu Gln Glu Ser Gly Pro Gly Leu Val Lys Pro Ser Glu
1 5 10 15
Thr Leu Ser Leu Thr Cys Thr Val Ser Gly Val Ser Leu Pro Asp Tyr
20 25 30
Gly Val Ser Trp Ile Arg Gln Pro Pro Gly Lys Gly Leu Glu Trp Ile
35 40 45
Gly Val Ile Trp Gly Ser Glu Thr Thr Tyr Tyr Ser Ser Ser Leu Lys
50 55 60
Ser Arg Val Thr Ile Ser Lys Asp Asn Ser Lys Asn Gln Val Ser Leu
65 70 75 80
Lys Leu Ser Ser Val Thr Ala Ala Asp Thr Ala Val Tyr Tyr Cys Ala
85 90 95
Lys His Tyr Tyr Tyr Gly Gly Ser Tyr Ala Met Asp Tyr Trp Gly Gln
100 105 110
Gly Thr Leu Val Thr Val Ser Ser Gly Gly Gly Gly Ser Gly Gly Gly
115 120 125
Gly Ser Gly Gly Gly Gly Ser Glu Ile Val Met Thr Gln Ser Pro Ala
130 135 140
Thr Leu Ser Leu Ser Pro Gly Glu Arg Ala Thr Leu Ser Cys Arg Ala
145 150 155 160
Ser Gln Asp Ile Ser Lys Tyr Leu Asn Trp Tyr Gln Gln Lys Pro Gly
165 170 175
Gln Ala Pro Arg Leu Leu Ile Tyr His Thr Ser Arg Leu His Ser Gly
180 185 190
Ile Pro Ala Arg Phe Ser Gly Ser Gly Ser Gly Thr Asp Tyr Thr Leu
195 200 205
Thr Ile Ser Ser Leu Gln Pro Glu Asp Phe Ala Val Tyr Phe Cys Gln
210 215 220
Gln Gly Asn Thr Leu Pro Tyr Thr Phe Gly Gln Gly Thr Lys Leu Glu
225 230 235 240
Ile Lys
<210> 222
<211> 242
<212> PRT
<213> 人工序列
<220>
<221> 来源
<223> /注释="人工序列的描述:合成
多肽"
<400> 222
Gln Val Gln Leu Gln Glu Ser Gly Pro Gly Leu Val Lys Pro Ser Glu
1 5 10 15
Thr Leu Ser Leu Thr Cys Thr Val Ser Gly Val Ser Leu Pro Asp Tyr
20 25 30
Gly Val Ser Trp Ile Arg Gln Pro Pro Gly Lys Gly Leu Glu Trp Ile
35 40 45
Gly Val Ile Trp Gly Ser Glu Thr Thr Tyr Tyr Gln Ser Ser Leu Lys
50 55 60
Ser Arg Val Thr Ile Ser Lys Asp Asn Ser Lys Asn Gln Val Ser Leu
65 70 75 80
Lys Leu Ser Ser Val Thr Ala Ala Asp Thr Ala Val Tyr Tyr Cys Ala
85 90 95
Lys His Tyr Tyr Tyr Gly Gly Ser Tyr Ala Met Asp Tyr Trp Gly Gln
100 105 110
Gly Thr Leu Val Thr Val Ser Ser Gly Gly Gly Gly Ser Gly Gly Gly
115 120 125
Gly Ser Gly Gly Gly Gly Ser Glu Ile Val Met Thr Gln Ser Pro Ala
130 135 140
Thr Leu Ser Leu Ser Pro Gly Glu Arg Ala Thr Leu Ser Cys Arg Ala
145 150 155 160
Ser Gln Asp Ile Ser Lys Tyr Leu Asn Trp Tyr Gln Gln Lys Pro Gly
165 170 175
Gln Ala Pro Arg Leu Leu Ile Tyr His Thr Ser Arg Leu His Ser Gly
180 185 190
Ile Pro Ala Arg Phe Ser Gly Ser Gly Ser Gly Thr Asp Tyr Thr Leu
195 200 205
Thr Ile Ser Ser Leu Gln Pro Glu Asp Phe Ala Val Tyr Phe Cys Gln
210 215 220
Gln Gly Asn Thr Leu Pro Tyr Thr Phe Gly Gln Gly Thr Lys Leu Glu
225 230 235 240
Ile Lys
<210> 223
<211> 247
<212> PRT
<213> 人工序列
<220>
<221> 来源
<223> /注释="人工序列的描述:合成
多肽"
<400> 223
Glu Ile Val Met Thr Gln Ser Pro Ala Thr Leu Ser Leu Ser Pro Gly
1 5 10 15
Glu Arg Ala Thr Leu Ser Cys Arg Ala Ser Gln Asp Ile Ser Lys Tyr
20 25 30
Leu Asn Trp Tyr Gln Gln Lys Pro Gly Gln Ala Pro Arg Leu Leu Ile
35 40 45
Tyr His Thr Ser Arg Leu His Ser Gly Ile Pro Ala Arg Phe Ser Gly
50 55 60
Ser Gly Ser Gly Thr Asp Tyr Thr Leu Thr Ile Ser Ser Leu Gln Pro
65 70 75 80
Glu Asp Phe Ala Val Tyr Phe Cys Gln Gln Gly Asn Thr Leu Pro Tyr
85 90 95
Thr Phe Gly Gln Gly Thr Lys Leu Glu Ile Lys Gly Gly Gly Gly Ser
100 105 110
Gly Gly Gly Gly Ser Gly Gly Gly Gly Ser Gly Gly Gly Gly Ser Gln
115 120 125
Val Gln Leu Gln Glu Ser Gly Pro Gly Leu Val Lys Pro Ser Glu Thr
130 135 140
Leu Ser Leu Thr Cys Thr Val Ser Gly Val Ser Leu Pro Asp Tyr Gly
145 150 155 160
Val Ser Trp Ile Arg Gln Pro Pro Gly Lys Gly Leu Glu Trp Ile Gly
165 170 175
Val Ile Trp Gly Ser Glu Thr Thr Tyr Tyr Ser Ser Ser Leu Lys Ser
180 185 190
Arg Val Thr Ile Ser Lys Asp Asn Ser Lys Asn Gln Val Ser Leu Lys
195 200 205
Leu Ser Ser Val Thr Ala Ala Asp Thr Ala Val Tyr Tyr Cys Ala Lys
210 215 220
His Tyr Tyr Tyr Gly Gly Ser Tyr Ala Met Asp Tyr Trp Gly Gln Gly
225 230 235 240
Thr Leu Val Thr Val Ser Ser
245
<210> 224
<211> 247
<212> PRT
<213> 人工序列
<220>
<221> 来源
<223> /注释="人工序列的描述:合成
多肽"
<400> 224
Glu Ile Val Met Thr Gln Ser Pro Ala Thr Leu Ser Leu Ser Pro Gly
1 5 10 15
Glu Arg Ala Thr Leu Ser Cys Arg Ala Ser Gln Asp Ile Ser Lys Tyr
20 25 30
Leu Asn Trp Tyr Gln Gln Lys Pro Gly Gln Ala Pro Arg Leu Leu Ile
35 40 45
Tyr His Thr Ser Arg Leu His Ser Gly Ile Pro Ala Arg Phe Ser Gly
50 55 60
Ser Gly Ser Gly Thr Asp Tyr Thr Leu Thr Ile Ser Ser Leu Gln Pro
65 70 75 80
Glu Asp Phe Ala Val Tyr Phe Cys Gln Gln Gly Asn Thr Leu Pro Tyr
85 90 95
Thr Phe Gly Gln Gly Thr Lys Leu Glu Ile Lys Gly Gly Gly Gly Ser
100 105 110
Gly Gly Gly Gly Ser Gly Gly Gly Gly Ser Gly Gly Gly Gly Ser Gln
115 120 125
Val Gln Leu Gln Glu Ser Gly Pro Gly Leu Val Lys Pro Ser Glu Thr
130 135 140
Leu Ser Leu Thr Cys Thr Val Ser Gly Val Ser Leu Pro Asp Tyr Gly
145 150 155 160
Val Ser Trp Ile Arg Gln Pro Pro Gly Lys Gly Leu Glu Trp Ile Gly
165 170 175
Val Ile Trp Gly Ser Glu Thr Thr Tyr Tyr Gln Ser Ser Leu Lys Ser
180 185 190
Arg Val Thr Ile Ser Lys Asp Asn Ser Lys Asn Gln Val Ser Leu Lys
195 200 205
Leu Ser Ser Val Thr Ala Ala Asp Thr Ala Val Tyr Tyr Cys Ala Lys
210 215 220
His Tyr Tyr Tyr Gly Gly Ser Tyr Ala Met Asp Tyr Trp Gly Gln Gly
225 230 235 240
Thr Leu Val Thr Val Ser Ser
245
<210> 225
<211> 247
<212> PRT
<213> 人工序列
<220>
<221> 来源
<223> /注释="人工序列的描述:合成
多肽"
<400> 225
Gln Val Gln Leu Gln Glu Ser Gly Pro Gly Leu Val Lys Pro Ser Glu
1 5 10 15
Thr Leu Ser Leu Thr Cys Thr Val Ser Gly Val Ser Leu Pro Asp Tyr
20 25 30
Gly Val Ser Trp Ile Arg Gln Pro Pro Gly Lys Gly Leu Glu Trp Ile
35 40 45
Gly Val Ile Trp Gly Ser Glu Thr Thr Tyr Tyr Ser Ser Ser Leu Lys
50 55 60
Ser Arg Val Thr Ile Ser Lys Asp Asn Ser Lys Asn Gln Val Ser Leu
65 70 75 80
Lys Leu Ser Ser Val Thr Ala Ala Asp Thr Ala Val Tyr Tyr Cys Ala
85 90 95
Lys His Tyr Tyr Tyr Gly Gly Ser Tyr Ala Met Asp Tyr Trp Gly Gln
100 105 110
Gly Thr Leu Val Thr Val Ser Ser Gly Gly Gly Gly Ser Gly Gly Gly
115 120 125
Gly Ser Gly Gly Gly Gly Ser Gly Gly Gly Gly Ser Glu Ile Val Met
130 135 140
Thr Gln Ser Pro Ala Thr Leu Ser Leu Ser Pro Gly Glu Arg Ala Thr
145 150 155 160
Leu Ser Cys Arg Ala Ser Gln Asp Ile Ser Lys Tyr Leu Asn Trp Tyr
165 170 175
Gln Gln Lys Pro Gly Gln Ala Pro Arg Leu Leu Ile Tyr His Thr Ser
180 185 190
Arg Leu His Ser Gly Ile Pro Ala Arg Phe Ser Gly Ser Gly Ser Gly
195 200 205
Thr Asp Tyr Thr Leu Thr Ile Ser Ser Leu Gln Pro Glu Asp Phe Ala
210 215 220
Val Tyr Phe Cys Gln Gln Gly Asn Thr Leu Pro Tyr Thr Phe Gly Gln
225 230 235 240
Gly Thr Lys Leu Glu Ile Lys
245
<210> 226
<211> 247
<212> PRT
<213> 人工序列
<220>
<221> 来源
<223> /注释="人工序列的描述:合成
多肽"
<400> 226
Gln Val Gln Leu Gln Glu Ser Gly Pro Gly Leu Val Lys Pro Ser Glu
1 5 10 15
Thr Leu Ser Leu Thr Cys Thr Val Ser Gly Val Ser Leu Pro Asp Tyr
20 25 30
Gly Val Ser Trp Ile Arg Gln Pro Pro Gly Lys Gly Leu Glu Trp Ile
35 40 45
Gly Val Ile Trp Gly Ser Glu Thr Thr Tyr Tyr Gln Ser Ser Leu Lys
50 55 60
Ser Arg Val Thr Ile Ser Lys Asp Asn Ser Lys Asn Gln Val Ser Leu
65 70 75 80
Lys Leu Ser Ser Val Thr Ala Ala Asp Thr Ala Val Tyr Tyr Cys Ala
85 90 95
Lys His Tyr Tyr Tyr Gly Gly Ser Tyr Ala Met Asp Tyr Trp Gly Gln
100 105 110
Gly Thr Leu Val Thr Val Ser Ser Gly Gly Gly Gly Ser Gly Gly Gly
115 120 125
Gly Ser Gly Gly Gly Gly Ser Gly Gly Gly Gly Ser Glu Ile Val Met
130 135 140
Thr Gln Ser Pro Ala Thr Leu Ser Leu Ser Pro Gly Glu Arg Ala Thr
145 150 155 160
Leu Ser Cys Arg Ala Ser Gln Asp Ile Ser Lys Tyr Leu Asn Trp Tyr
165 170 175
Gln Gln Lys Pro Gly Gln Ala Pro Arg Leu Leu Ile Tyr His Thr Ser
180 185 190
Arg Leu His Ser Gly Ile Pro Ala Arg Phe Ser Gly Ser Gly Ser Gly
195 200 205
Thr Asp Tyr Thr Leu Thr Ile Ser Ser Leu Gln Pro Glu Asp Phe Ala
210 215 220
Val Tyr Phe Cys Gln Gln Gly Asn Thr Leu Pro Tyr Thr Phe Gly Gln
225 230 235 240
Gly Thr Lys Leu Glu Ile Lys
245
<210> 227
<211> 247
<212> PRT
<213> 人工序列
<220>
<221> 来源
<223> /注释="人工序列的描述:合成
多肽"
<400> 227
Glu Ile Val Met Thr Gln Ser Pro Ala Thr Leu Ser Leu Ser Pro Gly
1 5 10 15
Glu Arg Ala Thr Leu Ser Cys Arg Ala Ser Gln Asp Ile Ser Lys Tyr
20 25 30
Leu Asn Trp Tyr Gln Gln Lys Pro Gly Gln Ala Pro Arg Leu Leu Ile
35 40 45
Tyr His Thr Ser Arg Leu His Ser Gly Ile Pro Ala Arg Phe Ser Gly
50 55 60
Ser Gly Ser Gly Thr Asp Tyr Thr Leu Thr Ile Ser Ser Leu Gln Pro
65 70 75 80
Glu Asp Phe Ala Val Tyr Phe Cys Gln Gln Gly Asn Thr Leu Pro Tyr
85 90 95
Thr Phe Gly Gln Gly Thr Lys Leu Glu Ile Lys Gly Gly Gly Gly Ser
100 105 110
Gly Gly Gly Gly Ser Gly Gly Gly Gly Ser Gly Gly Gly Gly Ser Gln
115 120 125
Val Gln Leu Gln Glu Ser Gly Pro Gly Leu Val Lys Pro Ser Glu Thr
130 135 140
Leu Ser Leu Thr Cys Thr Val Ser Gly Val Ser Leu Pro Asp Tyr Gly
145 150 155 160
Val Ser Trp Ile Arg Gln Pro Pro Gly Lys Gly Leu Glu Trp Ile Gly
165 170 175
Val Ile Trp Gly Ser Glu Thr Thr Tyr Tyr Asn Ser Ser Leu Lys Ser
180 185 190
Arg Val Thr Ile Ser Lys Asp Asn Ser Lys Asn Gln Val Ser Leu Lys
195 200 205
Leu Ser Ser Val Thr Ala Ala Asp Thr Ala Val Tyr Tyr Cys Ala Lys
210 215 220
His Tyr Tyr Tyr Gly Gly Ser Tyr Ala Met Asp Tyr Trp Gly Gln Gly
225 230 235 240
Thr Leu Val Thr Val Ser Ser
245
<210> 228
<211> 247
<212> PRT
<213> 人工序列
<220>
<221> 来源
<223> /注释="人工序列的描述:合成
多肽"
<400> 228
Gln Val Gln Leu Gln Glu Ser Gly Pro Gly Leu Val Lys Pro Ser Glu
1 5 10 15
Thr Leu Ser Leu Thr Cys Thr Val Ser Gly Val Ser Leu Pro Asp Tyr
20 25 30
Gly Val Ser Trp Ile Arg Gln Pro Pro Gly Lys Gly Leu Glu Trp Ile
35 40 45
Gly Val Ile Trp Gly Ser Glu Thr Thr Tyr Tyr Asn Ser Ser Leu Lys
50 55 60
Ser Arg Val Thr Ile Ser Lys Asp Asn Ser Lys Asn Gln Val Ser Leu
65 70 75 80
Lys Leu Ser Ser Val Thr Ala Ala Asp Thr Ala Val Tyr Tyr Cys Ala
85 90 95
Lys His Tyr Tyr Tyr Gly Gly Ser Tyr Ala Met Asp Tyr Trp Gly Gln
100 105 110
Gly Thr Leu Val Thr Val Ser Ser Gly Gly Gly Gly Ser Gly Gly Gly
115 120 125
Gly Ser Gly Gly Gly Gly Ser Gly Gly Gly Gly Ser Glu Ile Val Met
130 135 140
Thr Gln Ser Pro Ala Thr Leu Ser Leu Ser Pro Gly Glu Arg Ala Thr
145 150 155 160
Leu Ser Cys Arg Ala Ser Gln Asp Ile Ser Lys Tyr Leu Asn Trp Tyr
165 170 175
Gln Gln Lys Pro Gly Gln Ala Pro Arg Leu Leu Ile Tyr His Thr Ser
180 185 190
Arg Leu His Ser Gly Ile Pro Ala Arg Phe Ser Gly Ser Gly Ser Gly
195 200 205
Thr Asp Tyr Thr Leu Thr Ile Ser Ser Leu Gln Pro Glu Asp Phe Ala
210 215 220
Val Tyr Phe Cys Gln Gln Gly Asn Thr Leu Pro Tyr Thr Phe Gly Gln
225 230 235 240
Gly Thr Lys Leu Glu Ile Lys
245
<210> 229
<211> 242
<212> PRT
<213> 人工序列
<220>
<221> 来源
<223> /注释="人工序列的描述:合成
多肽"
<400> 229
Glu Ile Val Met Thr Gln Ser Pro Ala Thr Leu Ser Leu Ser Pro Gly
1 5 10 15
Glu Arg Ala Thr Leu Ser Cys Arg Ala Ser Gln Asp Ile Ser Lys Tyr
20 25 30
Leu Asn Trp Tyr Gln Gln Lys Pro Gly Gln Ala Pro Arg Leu Leu Ile
35 40 45
Tyr His Thr Ser Arg Leu His Ser Gly Ile Pro Ala Arg Phe Ser Gly
50 55 60
Ser Gly Ser Gly Thr Asp Tyr Thr Leu Thr Ile Ser Ser Leu Gln Pro
65 70 75 80
Glu Asp Phe Ala Val Tyr Phe Cys Gln Gln Gly Asn Thr Leu Pro Tyr
85 90 95
Thr Phe Gly Gln Gly Thr Lys Leu Glu Ile Lys Gly Gly Gly Gly Ser
100 105 110
Gly Gly Gly Gly Ser Gly Gly Gly Gly Ser Gln Val Gln Leu Gln Glu
115 120 125
Ser Gly Pro Gly Leu Val Lys Pro Ser Glu Thr Leu Ser Leu Thr Cys
130 135 140
Thr Val Ser Gly Val Ser Leu Pro Asp Tyr Gly Val Ser Trp Ile Arg
145 150 155 160
Gln Pro Pro Gly Lys Gly Leu Glu Trp Ile Gly Val Ile Trp Gly Ser
165 170 175
Glu Thr Thr Tyr Tyr Asn Ser Ser Leu Lys Ser Arg Val Thr Ile Ser
180 185 190
Lys Asp Asn Ser Lys Asn Gln Val Ser Leu Lys Leu Ser Ser Val Thr
195 200 205
Ala Ala Asp Thr Ala Val Tyr Tyr Cys Ala Lys His Tyr Tyr Tyr Gly
210 215 220
Gly Ser Tyr Ala Met Asp Tyr Trp Gly Gln Gly Thr Leu Val Thr Val
225 230 235 240
Ser Ser
<210> 230
<211> 242
<212> PRT
<213> 人工序列
<220>
<221> 来源
<223> /注释="人工序列的描述:合成
多肽"
<400> 230
Gln Val Gln Leu Gln Glu Ser Gly Pro Gly Leu Val Lys Pro Ser Glu
1 5 10 15
Thr Leu Ser Leu Thr Cys Thr Val Ser Gly Val Ser Leu Pro Asp Tyr
20 25 30
Gly Val Ser Trp Ile Arg Gln Pro Pro Gly Lys Gly Leu Glu Trp Ile
35 40 45
Gly Val Ile Trp Gly Ser Glu Thr Thr Tyr Tyr Asn Ser Ser Leu Lys
50 55 60
Ser Arg Val Thr Ile Ser Lys Asp Asn Ser Lys Asn Gln Val Ser Leu
65 70 75 80
Lys Leu Ser Ser Val Thr Ala Ala Asp Thr Ala Val Tyr Tyr Cys Ala
85 90 95
Lys His Tyr Tyr Tyr Gly Gly Ser Tyr Ala Met Asp Tyr Trp Gly Gln
100 105 110
Gly Thr Leu Val Thr Val Ser Ser Gly Gly Gly Gly Ser Gly Gly Gly
115 120 125
Gly Ser Gly Gly Gly Gly Ser Glu Ile Val Met Thr Gln Ser Pro Ala
130 135 140
Thr Leu Ser Leu Ser Pro Gly Glu Arg Ala Thr Leu Ser Cys Arg Ala
145 150 155 160
Ser Gln Asp Ile Ser Lys Tyr Leu Asn Trp Tyr Gln Gln Lys Pro Gly
165 170 175
Gln Ala Pro Arg Leu Leu Ile Tyr His Thr Ser Arg Leu His Ser Gly
180 185 190
Ile Pro Ala Arg Phe Ser Gly Ser Gly Ser Gly Thr Asp Tyr Thr Leu
195 200 205
Thr Ile Ser Ser Leu Gln Pro Glu Asp Phe Ala Val Tyr Phe Cys Gln
210 215 220
Gln Gly Asn Thr Leu Pro Tyr Thr Phe Gly Gln Gly Thr Lys Leu Glu
225 230 235 240
Ile Lys
<210> 231
<211> 12
<212> PRT
<213> 人工序列
<220>
<221> 来源
<223> /注释="人工序列的描述:合成
肽"
<400> 231
His Tyr Tyr Tyr Gly Gly Ser Tyr Ala Met Asp Tyr
1 5 10
<210> 232
<211> 9
<212> PRT
<213> 人工序列
<220>
<221> 来源
<223> /注释="人工序列的描述:合成
肽"
<400> 232
Gln Gln Gly Asn Thr Leu Pro Tyr Thr
1 5
<210> 233
<211> 18
<212> PRT
<213> 人工序列
<220>
<221> 来源
<223> /注释="人工序列的描述:合成
肽"
<400> 233
Gly Ser Thr Ser Gly Ser Gly Lys Pro Gly Ser Gly Glu Gly Ser Thr
1 5 10 15
Lys Gly
<210> 234
<211> 119
<212> PRT
<213> 人工序列
<220>
<221> 来源
<223> /注释="人工序列的描述:合成
多肽"
<400> 234
Gln Val Gln Leu Leu Glu Ser Gly Ala Glu Leu Val Arg Pro Gly Ser
1 5 10 15
Ser Val Lys Ile Ser Cys Lys Ala Ser Gly Tyr Ala Phe Ser Ser Tyr
20 25 30
Trp Met Asn Trp Val Lys Gln Arg Pro Gly Gln Gly Leu Glu Trp Ile
35 40 45
Gly Gln Ile Tyr Pro Gly Asp Gly Asp Thr Asn Tyr Asn Gly Lys Phe
50 55 60
Lys Gly Gln Ala Thr Leu Thr Ala Asp Lys Ser Ser Ser Thr Ala Tyr
65 70 75 80
Met Gln Leu Ser Gly Leu Thr Ser Glu Asp Ser Ala Val Tyr Ser Cys
85 90 95
Ala Arg Lys Thr Ile Ser Ser Val Val Asp Phe Tyr Phe Asp Tyr Trp
100 105 110
Gly Gln Gly Thr Thr Val Thr
115
<210> 235
<211> 111
<212> PRT
<213> 人工序列
<220>
<221> 来源
<223> /注释="人工序列的描述:合成
多肽"
<400> 235
Glu Leu Val Leu Thr Gln Ser Pro Lys Phe Met Ser Thr Ser Val Gly
1 5 10 15
Asp Arg Val Ser Val Thr Cys Lys Ala Ser Gln Asn Val Gly Thr Asn
20 25 30
Val Ala Trp Tyr Gln Gln Lys Pro Gly Gln Ser Pro Lys Pro Leu Ile
35 40 45
Tyr Ser Ala Thr Tyr Arg Asn Ser Gly Val Pro Asp Arg Phe Thr Gly
50 55 60
Ser Gly Ser Gly Thr Asp Phe Thr Leu Thr Ile Thr Asn Val Gln Ser
65 70 75 80
Lys Asp Leu Ala Asp Tyr Phe Tyr Phe Cys Gln Tyr Asn Arg Tyr Pro
85 90 95
Tyr Thr Ser Gly Gly Gly Thr Lys Leu Glu Ile Lys Arg Arg Ser
100 105 110
<210> 236
<211> 248
<212> PRT
<213> 人工序列
<220>
<221> 来源
<223> /注释="人工序列的描述:合成
多肽"
<400> 236
Gln Val Gln Leu Leu Glu Ser Gly Ala Glu Leu Val Arg Pro Gly Ser
1 5 10 15
Ser Val Lys Ile Ser Cys Lys Ala Ser Gly Tyr Ala Phe Ser Ser Tyr
20 25 30
Trp Met Asn Trp Val Lys Gln Arg Pro Gly Gln Gly Leu Glu Trp Ile
35 40 45
Gly Gln Ile Tyr Pro Gly Asp Gly Asp Thr Asn Tyr Asn Gly Lys Phe
50 55 60
Lys Gly Gln Ala Thr Leu Thr Ala Asp Lys Ser Ser Ser Thr Ala Tyr
65 70 75 80
Met Gln Leu Ser Gly Leu Thr Ser Glu Asp Ser Ala Val Tyr Ser Cys
85 90 95
Ala Arg Lys Thr Ile Ser Ser Val Val Asp Phe Tyr Phe Asp Tyr Trp
100 105 110
Gly Gln Gly Thr Thr Val Thr Gly Ser Thr Ser Gly Ser Gly Lys Pro
115 120 125
Gly Ser Gly Glu Gly Ser Thr Lys Gly Glu Leu Val Leu Thr Gln Ser
130 135 140
Pro Lys Phe Met Ser Thr Ser Val Gly Asp Arg Val Ser Val Thr Cys
145 150 155 160
Lys Ala Ser Gln Asn Val Gly Thr Asn Val Ala Trp Tyr Gln Gln Lys
165 170 175
Pro Gly Gln Ser Pro Lys Pro Leu Ile Tyr Ser Ala Thr Tyr Arg Asn
180 185 190
Ser Gly Val Pro Asp Arg Phe Thr Gly Ser Gly Ser Gly Thr Asp Phe
195 200 205
Thr Leu Thr Ile Thr Asn Val Gln Ser Lys Asp Leu Ala Asp Tyr Phe
210 215 220
Tyr Phe Cys Gln Tyr Asn Arg Tyr Pro Tyr Thr Ser Gly Gly Gly Thr
225 230 235 240
Lys Leu Glu Ile Lys Arg Arg Ser
245
<210> 237
<211> 486
<212> PRT
<213> 人工序列
<220>
<221> 来源
<223> /注释="人工序列的描述:合成
多肽"
<400> 237
Met Ala Leu Pro Val Thr Ala Leu Leu Leu Pro Leu Ala Leu Leu Leu
1 5 10 15
His Ala Ala Arg Pro Asp Ile Gln Met Thr Gln Thr Thr Ser Ser Leu
20 25 30
Ser Ala Ser Leu Gly Asp Arg Val Thr Ile Ser Cys Arg Ala Ser Gln
35 40 45
Asp Ile Ser Lys Tyr Leu Asn Trp Tyr Gln Gln Lys Pro Asp Gly Thr
50 55 60
Val Lys Leu Leu Ile Tyr His Thr Ser Arg Leu His Ser Gly Val Pro
65 70 75 80
Ser Arg Phe Ser Gly Ser Gly Ser Gly Thr Asp Tyr Ser Leu Thr Ile
85 90 95
Ser Asn Leu Glu Gln Glu Asp Ile Ala Thr Tyr Phe Cys Gln Gln Gly
100 105 110
Asn Thr Leu Pro Tyr Thr Phe Gly Gly Gly Thr Lys Leu Glu Ile Thr
115 120 125
Gly Gly Gly Gly Ser Gly Gly Gly Gly Ser Gly Gly Gly Gly Ser Glu
130 135 140
Val Lys Leu Gln Glu Ser Gly Pro Gly Leu Val Ala Pro Ser Gln Ser
145 150 155 160
Leu Ser Val Thr Cys Thr Val Ser Gly Val Ser Leu Pro Asp Tyr Gly
165 170 175
Val Ser Trp Ile Arg Gln Pro Pro Arg Lys Gly Leu Glu Trp Leu Gly
180 185 190
Val Ile Trp Gly Ser Glu Thr Thr Tyr Tyr Asn Ser Ala Leu Lys Ser
195 200 205
Arg Leu Thr Ile Ile Lys Asp Asn Ser Lys Ser Gln Val Phe Leu Lys
210 215 220
Met Asn Ser Leu Gln Thr Asp Asp Thr Ala Ile Tyr Tyr Cys Ala Lys
225 230 235 240
His Tyr Tyr Tyr Gly Gly Ser Tyr Ala Met Asp Tyr Trp Gly Gln Gly
245 250 255
Thr Ser Val Thr Val Ser Ser Thr Thr Thr Pro Ala Pro Arg Pro Pro
260 265 270
Thr Pro Ala Pro Thr Ile Ala Ser Gln Pro Leu Ser Leu Arg Pro Glu
275 280 285
Ala Cys Arg Pro Ala Ala Gly Gly Ala Val His Thr Arg Gly Leu Asp
290 295 300
Phe Ala Cys Asp Ile Tyr Ile Trp Ala Pro Leu Ala Gly Thr Cys Gly
305 310 315 320
Val Leu Leu Leu Ser Leu Val Ile Thr Leu Tyr Cys Lys Arg Gly Arg
325 330 335
Lys Lys Leu Leu Tyr Ile Phe Lys Gln Pro Phe Met Arg Pro Val Gln
340 345 350
Thr Thr Gln Glu Glu Asp Gly Cys Ser Cys Arg Phe Pro Glu Glu Glu
355 360 365
Glu Gly Gly Cys Glu Leu Arg Val Lys Phe Ser Arg Ser Ala Asp Ala
370 375 380
Pro Ala Tyr Lys Gln Gly Gln Asn Gln Leu Tyr Asn Glu Leu Asn Leu
385 390 395 400
Gly Arg Arg Glu Glu Tyr Asp Val Leu Asp Lys Arg Arg Gly Arg Asp
405 410 415
Pro Glu Met Gly Gly Lys Pro Arg Arg Lys Asn Pro Gln Glu Gly Leu
420 425 430
Tyr Asn Glu Leu Gln Lys Asp Lys Met Ala Glu Ala Tyr Ser Glu Ile
435 440 445
Gly Met Lys Gly Glu Arg Arg Arg Gly Lys Gly His Asp Gly Leu Tyr
450 455 460
Gln Gly Leu Ser Thr Ala Thr Lys Asp Thr Tyr Asp Ala Leu His Met
465 470 475 480
Gln Ala Leu Pro Pro Arg
485
<210> 238
<211> 486
<212> PRT
<213> 人工序列
<220>
<221> 来源
<223> /注释="人工序列的描述:合成
多肽"
<400> 238
Met Ala Leu Pro Val Thr Ala Leu Leu Leu Pro Leu Ala Leu Leu Leu
1 5 10 15
His Ala Ala Arg Pro Glu Ile Val Met Thr Gln Ser Pro Ala Thr Leu
20 25 30
Ser Leu Ser Pro Gly Glu Arg Ala Thr Leu Ser Cys Arg Ala Ser Gln
35 40 45
Asp Ile Ser Lys Tyr Leu Asn Trp Tyr Gln Gln Lys Pro Gly Gln Ala
50 55 60
Pro Arg Leu Leu Ile Tyr His Thr Ser Arg Leu His Ser Gly Ile Pro
65 70 75 80
Ala Arg Phe Ser Gly Ser Gly Ser Gly Thr Asp Tyr Thr Leu Thr Ile
85 90 95
Ser Ser Leu Gln Pro Glu Asp Phe Ala Val Tyr Phe Cys Gln Gln Gly
100 105 110
Asn Thr Leu Pro Tyr Thr Phe Gly Gln Gly Thr Lys Leu Glu Ile Lys
115 120 125
Gly Gly Gly Gly Ser Gly Gly Gly Gly Ser Gly Gly Gly Gly Ser Gln
130 135 140
Val Gln Leu Gln Glu Ser Gly Pro Gly Leu Val Lys Pro Ser Glu Thr
145 150 155 160
Leu Ser Leu Thr Cys Thr Val Ser Gly Val Ser Leu Pro Asp Tyr Gly
165 170 175
Val Ser Trp Ile Arg Gln Pro Pro Gly Lys Gly Leu Glu Trp Ile Gly
180 185 190
Val Ile Trp Gly Ser Glu Thr Thr Tyr Tyr Ser Ser Ser Leu Lys Ser
195 200 205
Arg Val Thr Ile Ser Lys Asp Asn Ser Lys Asn Gln Val Ser Leu Lys
210 215 220
Leu Ser Ser Val Thr Ala Ala Asp Thr Ala Val Tyr Tyr Cys Ala Lys
225 230 235 240
His Tyr Tyr Tyr Gly Gly Ser Tyr Ala Met Asp Tyr Trp Gly Gln Gly
245 250 255
Thr Leu Val Thr Val Ser Ser Thr Thr Thr Pro Ala Pro Arg Pro Pro
260 265 270
Thr Pro Ala Pro Thr Ile Ala Ser Gln Pro Leu Ser Leu Arg Pro Glu
275 280 285
Ala Cys Arg Pro Ala Ala Gly Gly Ala Val His Thr Arg Gly Leu Asp
290 295 300
Phe Ala Cys Asp Ile Tyr Ile Trp Ala Pro Leu Ala Gly Thr Cys Gly
305 310 315 320
Val Leu Leu Leu Ser Leu Val Ile Thr Leu Tyr Cys Lys Arg Gly Arg
325 330 335
Lys Lys Leu Leu Tyr Ile Phe Lys Gln Pro Phe Met Arg Pro Val Gln
340 345 350
Thr Thr Gln Glu Glu Asp Gly Cys Ser Cys Arg Phe Pro Glu Glu Glu
355 360 365
Glu Gly Gly Cys Glu Leu Arg Val Lys Phe Ser Arg Ser Ala Asp Ala
370 375 380
Pro Ala Tyr Lys Gln Gly Gln Asn Gln Leu Tyr Asn Glu Leu Asn Leu
385 390 395 400
Gly Arg Arg Glu Glu Tyr Asp Val Leu Asp Lys Arg Arg Gly Arg Asp
405 410 415
Pro Glu Met Gly Gly Lys Pro Arg Arg Lys Asn Pro Gln Glu Gly Leu
420 425 430
Tyr Asn Glu Leu Gln Lys Asp Lys Met Ala Glu Ala Tyr Ser Glu Ile
435 440 445
Gly Met Lys Gly Glu Arg Arg Arg Gly Lys Gly His Asp Gly Leu Tyr
450 455 460
Gln Gly Leu Ser Thr Ala Thr Lys Asp Thr Tyr Asp Ala Leu His Met
465 470 475 480
Gln Ala Leu Pro Pro Arg
485
<210> 239
<211> 486
<212> PRT
<213> 人工序列
<220>
<221> 来源
<223> /注释="人工序列的描述:合成
多肽"
<400> 239
Met Ala Leu Pro Val Thr Ala Leu Leu Leu Pro Leu Ala Leu Leu Leu
1 5 10 15
His Ala Ala Arg Pro Glu Ile Val Met Thr Gln Ser Pro Ala Thr Leu
20 25 30
Ser Leu Ser Pro Gly Glu Arg Ala Thr Leu Ser Cys Arg Ala Ser Gln
35 40 45
Asp Ile Ser Lys Tyr Leu Asn Trp Tyr Gln Gln Lys Pro Gly Gln Ala
50 55 60
Pro Arg Leu Leu Ile Tyr His Thr Ser Arg Leu His Ser Gly Ile Pro
65 70 75 80
Ala Arg Phe Ser Gly Ser Gly Ser Gly Thr Asp Tyr Thr Leu Thr Ile
85 90 95
Ser Ser Leu Gln Pro Glu Asp Phe Ala Val Tyr Phe Cys Gln Gln Gly
100 105 110
Asn Thr Leu Pro Tyr Thr Phe Gly Gln Gly Thr Lys Leu Glu Ile Lys
115 120 125
Gly Gly Gly Gly Ser Gly Gly Gly Gly Ser Gly Gly Gly Gly Ser Gln
130 135 140
Val Gln Leu Gln Glu Ser Gly Pro Gly Leu Val Lys Pro Ser Glu Thr
145 150 155 160
Leu Ser Leu Thr Cys Thr Val Ser Gly Val Ser Leu Pro Asp Tyr Gly
165 170 175
Val Ser Trp Ile Arg Gln Pro Pro Gly Lys Gly Leu Glu Trp Ile Gly
180 185 190
Val Ile Trp Gly Ser Glu Thr Thr Tyr Tyr Gln Ser Ser Leu Lys Ser
195 200 205
Arg Val Thr Ile Ser Lys Asp Asn Ser Lys Asn Gln Val Ser Leu Lys
210 215 220
Leu Ser Ser Val Thr Ala Ala Asp Thr Ala Val Tyr Tyr Cys Ala Lys
225 230 235 240
His Tyr Tyr Tyr Gly Gly Ser Tyr Ala Met Asp Tyr Trp Gly Gln Gly
245 250 255
Thr Leu Val Thr Val Ser Ser Thr Thr Thr Pro Ala Pro Arg Pro Pro
260 265 270
Thr Pro Ala Pro Thr Ile Ala Ser Gln Pro Leu Ser Leu Arg Pro Glu
275 280 285
Ala Cys Arg Pro Ala Ala Gly Gly Ala Val His Thr Arg Gly Leu Asp
290 295 300
Phe Ala Cys Asp Ile Tyr Ile Trp Ala Pro Leu Ala Gly Thr Cys Gly
305 310 315 320
Val Leu Leu Leu Ser Leu Val Ile Thr Leu Tyr Cys Lys Arg Gly Arg
325 330 335
Lys Lys Leu Leu Tyr Ile Phe Lys Gln Pro Phe Met Arg Pro Val Gln
340 345 350
Thr Thr Gln Glu Glu Asp Gly Cys Ser Cys Arg Phe Pro Glu Glu Glu
355 360 365
Glu Gly Gly Cys Glu Leu Arg Val Lys Phe Ser Arg Ser Ala Asp Ala
370 375 380
Pro Ala Tyr Lys Gln Gly Gln Asn Gln Leu Tyr Asn Glu Leu Asn Leu
385 390 395 400
Gly Arg Arg Glu Glu Tyr Asp Val Leu Asp Lys Arg Arg Gly Arg Asp
405 410 415
Pro Glu Met Gly Gly Lys Pro Arg Arg Lys Asn Pro Gln Glu Gly Leu
420 425 430
Tyr Asn Glu Leu Gln Lys Asp Lys Met Ala Glu Ala Tyr Ser Glu Ile
435 440 445
Gly Met Lys Gly Glu Arg Arg Arg Gly Lys Gly His Asp Gly Leu Tyr
450 455 460
Gln Gly Leu Ser Thr Ala Thr Lys Asp Thr Tyr Asp Ala Leu His Met
465 470 475 480
Gln Ala Leu Pro Pro Arg
485
<210> 240
<211> 486
<212> PRT
<213> 人工序列
<220>
<221> 来源
<223> /注释="人工序列的描述:合成
多肽"
<400> 240
Met Ala Leu Pro Val Thr Ala Leu Leu Leu Pro Leu Ala Leu Leu Leu
1 5 10 15
His Ala Ala Arg Pro Gln Val Gln Leu Gln Glu Ser Gly Pro Gly Leu
20 25 30
Val Lys Pro Ser Glu Thr Leu Ser Leu Thr Cys Thr Val Ser Gly Val
35 40 45
Ser Leu Pro Asp Tyr Gly Val Ser Trp Ile Arg Gln Pro Pro Gly Lys
50 55 60
Gly Leu Glu Trp Ile Gly Val Ile Trp Gly Ser Glu Thr Thr Tyr Tyr
65 70 75 80
Ser Ser Ser Leu Lys Ser Arg Val Thr Ile Ser Lys Asp Asn Ser Lys
85 90 95
Asn Gln Val Ser Leu Lys Leu Ser Ser Val Thr Ala Ala Asp Thr Ala
100 105 110
Val Tyr Tyr Cys Ala Lys His Tyr Tyr Tyr Gly Gly Ser Tyr Ala Met
115 120 125
Asp Tyr Trp Gly Gln Gly Thr Leu Val Thr Val Ser Ser Gly Gly Gly
130 135 140
Gly Ser Gly Gly Gly Gly Ser Gly Gly Gly Gly Ser Glu Ile Val Met
145 150 155 160
Thr Gln Ser Pro Ala Thr Leu Ser Leu Ser Pro Gly Glu Arg Ala Thr
165 170 175
Leu Ser Cys Arg Ala Ser Gln Asp Ile Ser Lys Tyr Leu Asn Trp Tyr
180 185 190
Gln Gln Lys Pro Gly Gln Ala Pro Arg Leu Leu Ile Tyr His Thr Ser
195 200 205
Arg Leu His Ser Gly Ile Pro Ala Arg Phe Ser Gly Ser Gly Ser Gly
210 215 220
Thr Asp Tyr Thr Leu Thr Ile Ser Ser Leu Gln Pro Glu Asp Phe Ala
225 230 235 240
Val Tyr Phe Cys Gln Gln Gly Asn Thr Leu Pro Tyr Thr Phe Gly Gln
245 250 255
Gly Thr Lys Leu Glu Ile Lys Thr Thr Thr Pro Ala Pro Arg Pro Pro
260 265 270
Thr Pro Ala Pro Thr Ile Ala Ser Gln Pro Leu Ser Leu Arg Pro Glu
275 280 285
Ala Cys Arg Pro Ala Ala Gly Gly Ala Val His Thr Arg Gly Leu Asp
290 295 300
Phe Ala Cys Asp Ile Tyr Ile Trp Ala Pro Leu Ala Gly Thr Cys Gly
305 310 315 320
Val Leu Leu Leu Ser Leu Val Ile Thr Leu Tyr Cys Lys Arg Gly Arg
325 330 335
Lys Lys Leu Leu Tyr Ile Phe Lys Gln Pro Phe Met Arg Pro Val Gln
340 345 350
Thr Thr Gln Glu Glu Asp Gly Cys Ser Cys Arg Phe Pro Glu Glu Glu
355 360 365
Glu Gly Gly Cys Glu Leu Arg Val Lys Phe Ser Arg Ser Ala Asp Ala
370 375 380
Pro Ala Tyr Lys Gln Gly Gln Asn Gln Leu Tyr Asn Glu Leu Asn Leu
385 390 395 400
Gly Arg Arg Glu Glu Tyr Asp Val Leu Asp Lys Arg Arg Gly Arg Asp
405 410 415
Pro Glu Met Gly Gly Lys Pro Arg Arg Lys Asn Pro Gln Glu Gly Leu
420 425 430
Tyr Asn Glu Leu Gln Lys Asp Lys Met Ala Glu Ala Tyr Ser Glu Ile
435 440 445
Gly Met Lys Gly Glu Arg Arg Arg Gly Lys Gly His Asp Gly Leu Tyr
450 455 460
Gln Gly Leu Ser Thr Ala Thr Lys Asp Thr Tyr Asp Ala Leu His Met
465 470 475 480
Gln Ala Leu Pro Pro Arg
485
<210> 241
<211> 486
<212> PRT
<213> 人工序列
<220>
<221> 来源
<223> /注释="人工序列的描述:合成
多肽"
<400> 241
Met Ala Leu Pro Val Thr Ala Leu Leu Leu Pro Leu Ala Leu Leu Leu
1 5 10 15
His Ala Ala Arg Pro Gln Val Gln Leu Gln Glu Ser Gly Pro Gly Leu
20 25 30
Val Lys Pro Ser Glu Thr Leu Ser Leu Thr Cys Thr Val Ser Gly Val
35 40 45
Ser Leu Pro Asp Tyr Gly Val Ser Trp Ile Arg Gln Pro Pro Gly Lys
50 55 60
Gly Leu Glu Trp Ile Gly Val Ile Trp Gly Ser Glu Thr Thr Tyr Tyr
65 70 75 80
Gln Ser Ser Leu Lys Ser Arg Val Thr Ile Ser Lys Asp Asn Ser Lys
85 90 95
Asn Gln Val Ser Leu Lys Leu Ser Ser Val Thr Ala Ala Asp Thr Ala
100 105 110
Val Tyr Tyr Cys Ala Lys His Tyr Tyr Tyr Gly Gly Ser Tyr Ala Met
115 120 125
Asp Tyr Trp Gly Gln Gly Thr Leu Val Thr Val Ser Ser Gly Gly Gly
130 135 140
Gly Ser Gly Gly Gly Gly Ser Gly Gly Gly Gly Ser Glu Ile Val Met
145 150 155 160
Thr Gln Ser Pro Ala Thr Leu Ser Leu Ser Pro Gly Glu Arg Ala Thr
165 170 175
Leu Ser Cys Arg Ala Ser Gln Asp Ile Ser Lys Tyr Leu Asn Trp Tyr
180 185 190
Gln Gln Lys Pro Gly Gln Ala Pro Arg Leu Leu Ile Tyr His Thr Ser
195 200 205
Arg Leu His Ser Gly Ile Pro Ala Arg Phe Ser Gly Ser Gly Ser Gly
210 215 220
Thr Asp Tyr Thr Leu Thr Ile Ser Ser Leu Gln Pro Glu Asp Phe Ala
225 230 235 240
Val Tyr Phe Cys Gln Gln Gly Asn Thr Leu Pro Tyr Thr Phe Gly Gln
245 250 255
Gly Thr Lys Leu Glu Ile Lys Thr Thr Thr Pro Ala Pro Arg Pro Pro
260 265 270
Thr Pro Ala Pro Thr Ile Ala Ser Gln Pro Leu Ser Leu Arg Pro Glu
275 280 285
Ala Cys Arg Pro Ala Ala Gly Gly Ala Val His Thr Arg Gly Leu Asp
290 295 300
Phe Ala Cys Asp Ile Tyr Ile Trp Ala Pro Leu Ala Gly Thr Cys Gly
305 310 315 320
Val Leu Leu Leu Ser Leu Val Ile Thr Leu Tyr Cys Lys Arg Gly Arg
325 330 335
Lys Lys Leu Leu Tyr Ile Phe Lys Gln Pro Phe Met Arg Pro Val Gln
340 345 350
Thr Thr Gln Glu Glu Asp Gly Cys Ser Cys Arg Phe Pro Glu Glu Glu
355 360 365
Glu Gly Gly Cys Glu Leu Arg Val Lys Phe Ser Arg Ser Ala Asp Ala
370 375 380
Pro Ala Tyr Lys Gln Gly Gln Asn Gln Leu Tyr Asn Glu Leu Asn Leu
385 390 395 400
Gly Arg Arg Glu Glu Tyr Asp Val Leu Asp Lys Arg Arg Gly Arg Asp
405 410 415
Pro Glu Met Gly Gly Lys Pro Arg Arg Lys Asn Pro Gln Glu Gly Leu
420 425 430
Tyr Asn Glu Leu Gln Lys Asp Lys Met Ala Glu Ala Tyr Ser Glu Ile
435 440 445
Gly Met Lys Gly Glu Arg Arg Arg Gly Lys Gly His Asp Gly Leu Tyr
450 455 460
Gln Gly Leu Ser Thr Ala Thr Lys Asp Thr Tyr Asp Ala Leu His Met
465 470 475 480
Gln Ala Leu Pro Pro Arg
485
<210> 242
<211> 491
<212> PRT
<213> 人工序列
<220>
<221> 来源
<223> /注释="人工序列的描述:合成
多肽"
<400> 242
Met Ala Leu Pro Val Thr Ala Leu Leu Leu Pro Leu Ala Leu Leu Leu
1 5 10 15
His Ala Ala Arg Pro Glu Ile Val Met Thr Gln Ser Pro Ala Thr Leu
20 25 30
Ser Leu Ser Pro Gly Glu Arg Ala Thr Leu Ser Cys Arg Ala Ser Gln
35 40 45
Asp Ile Ser Lys Tyr Leu Asn Trp Tyr Gln Gln Lys Pro Gly Gln Ala
50 55 60
Pro Arg Leu Leu Ile Tyr His Thr Ser Arg Leu His Ser Gly Ile Pro
65 70 75 80
Ala Arg Phe Ser Gly Ser Gly Ser Gly Thr Asp Tyr Thr Leu Thr Ile
85 90 95
Ser Ser Leu Gln Pro Glu Asp Phe Ala Val Tyr Phe Cys Gln Gln Gly
100 105 110
Asn Thr Leu Pro Tyr Thr Phe Gly Gln Gly Thr Lys Leu Glu Ile Lys
115 120 125
Gly Gly Gly Gly Ser Gly Gly Gly Gly Ser Gly Gly Gly Gly Ser Gly
130 135 140
Gly Gly Gly Ser Gln Val Gln Leu Gln Glu Ser Gly Pro Gly Leu Val
145 150 155 160
Lys Pro Ser Glu Thr Leu Ser Leu Thr Cys Thr Val Ser Gly Val Ser
165 170 175
Leu Pro Asp Tyr Gly Val Ser Trp Ile Arg Gln Pro Pro Gly Lys Gly
180 185 190
Leu Glu Trp Ile Gly Val Ile Trp Gly Ser Glu Thr Thr Tyr Tyr Ser
195 200 205
Ser Ser Leu Lys Ser Arg Val Thr Ile Ser Lys Asp Asn Ser Lys Asn
210 215 220
Gln Val Ser Leu Lys Leu Ser Ser Val Thr Ala Ala Asp Thr Ala Val
225 230 235 240
Tyr Tyr Cys Ala Lys His Tyr Tyr Tyr Gly Gly Ser Tyr Ala Met Asp
245 250 255
Tyr Trp Gly Gln Gly Thr Leu Val Thr Val Ser Ser Thr Thr Thr Pro
260 265 270
Ala Pro Arg Pro Pro Thr Pro Ala Pro Thr Ile Ala Ser Gln Pro Leu
275 280 285
Ser Leu Arg Pro Glu Ala Cys Arg Pro Ala Ala Gly Gly Ala Val His
290 295 300
Thr Arg Gly Leu Asp Phe Ala Cys Asp Ile Tyr Ile Trp Ala Pro Leu
305 310 315 320
Ala Gly Thr Cys Gly Val Leu Leu Leu Ser Leu Val Ile Thr Leu Tyr
325 330 335
Cys Lys Arg Gly Arg Lys Lys Leu Leu Tyr Ile Phe Lys Gln Pro Phe
340 345 350
Met Arg Pro Val Gln Thr Thr Gln Glu Glu Asp Gly Cys Ser Cys Arg
355 360 365
Phe Pro Glu Glu Glu Glu Gly Gly Cys Glu Leu Arg Val Lys Phe Ser
370 375 380
Arg Ser Ala Asp Ala Pro Ala Tyr Lys Gln Gly Gln Asn Gln Leu Tyr
385 390 395 400
Asn Glu Leu Asn Leu Gly Arg Arg Glu Glu Tyr Asp Val Leu Asp Lys
405 410 415
Arg Arg Gly Arg Asp Pro Glu Met Gly Gly Lys Pro Arg Arg Lys Asn
420 425 430
Pro Gln Glu Gly Leu Tyr Asn Glu Leu Gln Lys Asp Lys Met Ala Glu
435 440 445
Ala Tyr Ser Glu Ile Gly Met Lys Gly Glu Arg Arg Arg Gly Lys Gly
450 455 460
His Asp Gly Leu Tyr Gln Gly Leu Ser Thr Ala Thr Lys Asp Thr Tyr
465 470 475 480
Asp Ala Leu His Met Gln Ala Leu Pro Pro Arg
485 490
<210> 243
<211> 491
<212> PRT
<213> 人工序列
<220>
<221> 来源
<223> /注释="人工序列的描述:合成
多肽"
<400> 243
Met Ala Leu Pro Val Thr Ala Leu Leu Leu Pro Leu Ala Leu Leu Leu
1 5 10 15
His Ala Ala Arg Pro Glu Ile Val Met Thr Gln Ser Pro Ala Thr Leu
20 25 30
Ser Leu Ser Pro Gly Glu Arg Ala Thr Leu Ser Cys Arg Ala Ser Gln
35 40 45
Asp Ile Ser Lys Tyr Leu Asn Trp Tyr Gln Gln Lys Pro Gly Gln Ala
50 55 60
Pro Arg Leu Leu Ile Tyr His Thr Ser Arg Leu His Ser Gly Ile Pro
65 70 75 80
Ala Arg Phe Ser Gly Ser Gly Ser Gly Thr Asp Tyr Thr Leu Thr Ile
85 90 95
Ser Ser Leu Gln Pro Glu Asp Phe Ala Val Tyr Phe Cys Gln Gln Gly
100 105 110
Asn Thr Leu Pro Tyr Thr Phe Gly Gln Gly Thr Lys Leu Glu Ile Lys
115 120 125
Gly Gly Gly Gly Ser Gly Gly Gly Gly Ser Gly Gly Gly Gly Ser Gly
130 135 140
Gly Gly Gly Ser Gln Val Gln Leu Gln Glu Ser Gly Pro Gly Leu Val
145 150 155 160
Lys Pro Ser Glu Thr Leu Ser Leu Thr Cys Thr Val Ser Gly Val Ser
165 170 175
Leu Pro Asp Tyr Gly Val Ser Trp Ile Arg Gln Pro Pro Gly Lys Gly
180 185 190
Leu Glu Trp Ile Gly Val Ile Trp Gly Ser Glu Thr Thr Tyr Tyr Gln
195 200 205
Ser Ser Leu Lys Ser Arg Val Thr Ile Ser Lys Asp Asn Ser Lys Asn
210 215 220
Gln Val Ser Leu Lys Leu Ser Ser Val Thr Ala Ala Asp Thr Ala Val
225 230 235 240
Tyr Tyr Cys Ala Lys His Tyr Tyr Tyr Gly Gly Ser Tyr Ala Met Asp
245 250 255
Tyr Trp Gly Gln Gly Thr Leu Val Thr Val Ser Ser Thr Thr Thr Pro
260 265 270
Ala Pro Arg Pro Pro Thr Pro Ala Pro Thr Ile Ala Ser Gln Pro Leu
275 280 285
Ser Leu Arg Pro Glu Ala Cys Arg Pro Ala Ala Gly Gly Ala Val His
290 295 300
Thr Arg Gly Leu Asp Phe Ala Cys Asp Ile Tyr Ile Trp Ala Pro Leu
305 310 315 320
Ala Gly Thr Cys Gly Val Leu Leu Leu Ser Leu Val Ile Thr Leu Tyr
325 330 335
Cys Lys Arg Gly Arg Lys Lys Leu Leu Tyr Ile Phe Lys Gln Pro Phe
340 345 350
Met Arg Pro Val Gln Thr Thr Gln Glu Glu Asp Gly Cys Ser Cys Arg
355 360 365
Phe Pro Glu Glu Glu Glu Gly Gly Cys Glu Leu Arg Val Lys Phe Ser
370 375 380
Arg Ser Ala Asp Ala Pro Ala Tyr Lys Gln Gly Gln Asn Gln Leu Tyr
385 390 395 400
Asn Glu Leu Asn Leu Gly Arg Arg Glu Glu Tyr Asp Val Leu Asp Lys
405 410 415
Arg Arg Gly Arg Asp Pro Glu Met Gly Gly Lys Pro Arg Arg Lys Asn
420 425 430
Pro Gln Glu Gly Leu Tyr Asn Glu Leu Gln Lys Asp Lys Met Ala Glu
435 440 445
Ala Tyr Ser Glu Ile Gly Met Lys Gly Glu Arg Arg Arg Gly Lys Gly
450 455 460
His Asp Gly Leu Tyr Gln Gly Leu Ser Thr Ala Thr Lys Asp Thr Tyr
465 470 475 480
Asp Ala Leu His Met Gln Ala Leu Pro Pro Arg
485 490
<210> 244
<211> 491
<212> PRT
<213> 人工序列
<220>
<221> 来源
<223> /注释="人工序列的描述:合成
多肽"
<400> 244
Met Ala Leu Pro Val Thr Ala Leu Leu Leu Pro Leu Ala Leu Leu Leu
1 5 10 15
His Ala Ala Arg Pro Gln Val Gln Leu Gln Glu Ser Gly Pro Gly Leu
20 25 30
Val Lys Pro Ser Glu Thr Leu Ser Leu Thr Cys Thr Val Ser Gly Val
35 40 45
Ser Leu Pro Asp Tyr Gly Val Ser Trp Ile Arg Gln Pro Pro Gly Lys
50 55 60
Gly Leu Glu Trp Ile Gly Val Ile Trp Gly Ser Glu Thr Thr Tyr Tyr
65 70 75 80
Ser Ser Ser Leu Lys Ser Arg Val Thr Ile Ser Lys Asp Asn Ser Lys
85 90 95
Asn Gln Val Ser Leu Lys Leu Ser Ser Val Thr Ala Ala Asp Thr Ala
100 105 110
Val Tyr Tyr Cys Ala Lys His Tyr Tyr Tyr Gly Gly Ser Tyr Ala Met
115 120 125
Asp Tyr Trp Gly Gln Gly Thr Leu Val Thr Val Ser Ser Gly Gly Gly
130 135 140
Gly Ser Gly Gly Gly Gly Ser Gly Gly Gly Gly Ser Gly Gly Gly Gly
145 150 155 160
Ser Glu Ile Val Met Thr Gln Ser Pro Ala Thr Leu Ser Leu Ser Pro
165 170 175
Gly Glu Arg Ala Thr Leu Ser Cys Arg Ala Ser Gln Asp Ile Ser Lys
180 185 190
Tyr Leu Asn Trp Tyr Gln Gln Lys Pro Gly Gln Ala Pro Arg Leu Leu
195 200 205
Ile Tyr His Thr Ser Arg Leu His Ser Gly Ile Pro Ala Arg Phe Ser
210 215 220
Gly Ser Gly Ser Gly Thr Asp Tyr Thr Leu Thr Ile Ser Ser Leu Gln
225 230 235 240
Pro Glu Asp Phe Ala Val Tyr Phe Cys Gln Gln Gly Asn Thr Leu Pro
245 250 255
Tyr Thr Phe Gly Gln Gly Thr Lys Leu Glu Ile Lys Thr Thr Thr Pro
260 265 270
Ala Pro Arg Pro Pro Thr Pro Ala Pro Thr Ile Ala Ser Gln Pro Leu
275 280 285
Ser Leu Arg Pro Glu Ala Cys Arg Pro Ala Ala Gly Gly Ala Val His
290 295 300
Thr Arg Gly Leu Asp Phe Ala Cys Asp Ile Tyr Ile Trp Ala Pro Leu
305 310 315 320
Ala Gly Thr Cys Gly Val Leu Leu Leu Ser Leu Val Ile Thr Leu Tyr
325 330 335
Cys Lys Arg Gly Arg Lys Lys Leu Leu Tyr Ile Phe Lys Gln Pro Phe
340 345 350
Met Arg Pro Val Gln Thr Thr Gln Glu Glu Asp Gly Cys Ser Cys Arg
355 360 365
Phe Pro Glu Glu Glu Glu Gly Gly Cys Glu Leu Arg Val Lys Phe Ser
370 375 380
Arg Ser Ala Asp Ala Pro Ala Tyr Lys Gln Gly Gln Asn Gln Leu Tyr
385 390 395 400
Asn Glu Leu Asn Leu Gly Arg Arg Glu Glu Tyr Asp Val Leu Asp Lys
405 410 415
Arg Arg Gly Arg Asp Pro Glu Met Gly Gly Lys Pro Arg Arg Lys Asn
420 425 430
Pro Gln Glu Gly Leu Tyr Asn Glu Leu Gln Lys Asp Lys Met Ala Glu
435 440 445
Ala Tyr Ser Glu Ile Gly Met Lys Gly Glu Arg Arg Arg Gly Lys Gly
450 455 460
His Asp Gly Leu Tyr Gln Gly Leu Ser Thr Ala Thr Lys Asp Thr Tyr
465 470 475 480
Asp Ala Leu His Met Gln Ala Leu Pro Pro Arg
485 490
<210> 245
<211> 491
<212> PRT
<213> 人工序列
<220>
<221> 来源
<223> /注释="人工序列的描述:合成
多肽"
<400> 245
Met Ala Leu Pro Val Thr Ala Leu Leu Leu Pro Leu Ala Leu Leu Leu
1 5 10 15
His Ala Ala Arg Pro Gln Val Gln Leu Gln Glu Ser Gly Pro Gly Leu
20 25 30
Val Lys Pro Ser Glu Thr Leu Ser Leu Thr Cys Thr Val Ser Gly Val
35 40 45
Ser Leu Pro Asp Tyr Gly Val Ser Trp Ile Arg Gln Pro Pro Gly Lys
50 55 60
Gly Leu Glu Trp Ile Gly Val Ile Trp Gly Ser Glu Thr Thr Tyr Tyr
65 70 75 80
Gln Ser Ser Leu Lys Ser Arg Val Thr Ile Ser Lys Asp Asn Ser Lys
85 90 95
Asn Gln Val Ser Leu Lys Leu Ser Ser Val Thr Ala Ala Asp Thr Ala
100 105 110
Val Tyr Tyr Cys Ala Lys His Tyr Tyr Tyr Gly Gly Ser Tyr Ala Met
115 120 125
Asp Tyr Trp Gly Gln Gly Thr Leu Val Thr Val Ser Ser Gly Gly Gly
130 135 140
Gly Ser Gly Gly Gly Gly Ser Gly Gly Gly Gly Ser Gly Gly Gly Gly
145 150 155 160
Ser Glu Ile Val Met Thr Gln Ser Pro Ala Thr Leu Ser Leu Ser Pro
165 170 175
Gly Glu Arg Ala Thr Leu Ser Cys Arg Ala Ser Gln Asp Ile Ser Lys
180 185 190
Tyr Leu Asn Trp Tyr Gln Gln Lys Pro Gly Gln Ala Pro Arg Leu Leu
195 200 205
Ile Tyr His Thr Ser Arg Leu His Ser Gly Ile Pro Ala Arg Phe Ser
210 215 220
Gly Ser Gly Ser Gly Thr Asp Tyr Thr Leu Thr Ile Ser Ser Leu Gln
225 230 235 240
Pro Glu Asp Phe Ala Val Tyr Phe Cys Gln Gln Gly Asn Thr Leu Pro
245 250 255
Tyr Thr Phe Gly Gln Gly Thr Lys Leu Glu Ile Lys Thr Thr Thr Pro
260 265 270
Ala Pro Arg Pro Pro Thr Pro Ala Pro Thr Ile Ala Ser Gln Pro Leu
275 280 285
Ser Leu Arg Pro Glu Ala Cys Arg Pro Ala Ala Gly Gly Ala Val His
290 295 300
Thr Arg Gly Leu Asp Phe Ala Cys Asp Ile Tyr Ile Trp Ala Pro Leu
305 310 315 320
Ala Gly Thr Cys Gly Val Leu Leu Leu Ser Leu Val Ile Thr Leu Tyr
325 330 335
Cys Lys Arg Gly Arg Lys Lys Leu Leu Tyr Ile Phe Lys Gln Pro Phe
340 345 350
Met Arg Pro Val Gln Thr Thr Gln Glu Glu Asp Gly Cys Ser Cys Arg
355 360 365
Phe Pro Glu Glu Glu Glu Gly Gly Cys Glu Leu Arg Val Lys Phe Ser
370 375 380
Arg Ser Ala Asp Ala Pro Ala Tyr Lys Gln Gly Gln Asn Gln Leu Tyr
385 390 395 400
Asn Glu Leu Asn Leu Gly Arg Arg Glu Glu Tyr Asp Val Leu Asp Lys
405 410 415
Arg Arg Gly Arg Asp Pro Glu Met Gly Gly Lys Pro Arg Arg Lys Asn
420 425 430
Pro Gln Glu Gly Leu Tyr Asn Glu Leu Gln Lys Asp Lys Met Ala Glu
435 440 445
Ala Tyr Ser Glu Ile Gly Met Lys Gly Glu Arg Arg Arg Gly Lys Gly
450 455 460
His Asp Gly Leu Tyr Gln Gly Leu Ser Thr Ala Thr Lys Asp Thr Tyr
465 470 475 480
Asp Ala Leu His Met Gln Ala Leu Pro Pro Arg
485 490
<210> 246
<211> 491
<212> PRT
<213> 人工序列
<220>
<221> 来源
<223> /注释="人工序列的描述:合成
多肽"
<400> 246
Met Ala Leu Pro Val Thr Ala Leu Leu Leu Pro Leu Ala Leu Leu Leu
1 5 10 15
His Ala Ala Arg Pro Glu Ile Val Met Thr Gln Ser Pro Ala Thr Leu
20 25 30
Ser Leu Ser Pro Gly Glu Arg Ala Thr Leu Ser Cys Arg Ala Ser Gln
35 40 45
Asp Ile Ser Lys Tyr Leu Asn Trp Tyr Gln Gln Lys Pro Gly Gln Ala
50 55 60
Pro Arg Leu Leu Ile Tyr His Thr Ser Arg Leu His Ser Gly Ile Pro
65 70 75 80
Ala Arg Phe Ser Gly Ser Gly Ser Gly Thr Asp Tyr Thr Leu Thr Ile
85 90 95
Ser Ser Leu Gln Pro Glu Asp Phe Ala Val Tyr Phe Cys Gln Gln Gly
100 105 110
Asn Thr Leu Pro Tyr Thr Phe Gly Gln Gly Thr Lys Leu Glu Ile Lys
115 120 125
Gly Gly Gly Gly Ser Gly Gly Gly Gly Ser Gly Gly Gly Gly Ser Gly
130 135 140
Gly Gly Gly Ser Gln Val Gln Leu Gln Glu Ser Gly Pro Gly Leu Val
145 150 155 160
Lys Pro Ser Glu Thr Leu Ser Leu Thr Cys Thr Val Ser Gly Val Ser
165 170 175
Leu Pro Asp Tyr Gly Val Ser Trp Ile Arg Gln Pro Pro Gly Lys Gly
180 185 190
Leu Glu Trp Ile Gly Val Ile Trp Gly Ser Glu Thr Thr Tyr Tyr Asn
195 200 205
Ser Ser Leu Lys Ser Arg Val Thr Ile Ser Lys Asp Asn Ser Lys Asn
210 215 220
Gln Val Ser Leu Lys Leu Ser Ser Val Thr Ala Ala Asp Thr Ala Val
225 230 235 240
Tyr Tyr Cys Ala Lys His Tyr Tyr Tyr Gly Gly Ser Tyr Ala Met Asp
245 250 255
Tyr Trp Gly Gln Gly Thr Leu Val Thr Val Ser Ser Thr Thr Thr Pro
260 265 270
Ala Pro Arg Pro Pro Thr Pro Ala Pro Thr Ile Ala Ser Gln Pro Leu
275 280 285
Ser Leu Arg Pro Glu Ala Cys Arg Pro Ala Ala Gly Gly Ala Val His
290 295 300
Thr Arg Gly Leu Asp Phe Ala Cys Asp Ile Tyr Ile Trp Ala Pro Leu
305 310 315 320
Ala Gly Thr Cys Gly Val Leu Leu Leu Ser Leu Val Ile Thr Leu Tyr
325 330 335
Cys Lys Arg Gly Arg Lys Lys Leu Leu Tyr Ile Phe Lys Gln Pro Phe
340 345 350
Met Arg Pro Val Gln Thr Thr Gln Glu Glu Asp Gly Cys Ser Cys Arg
355 360 365
Phe Pro Glu Glu Glu Glu Gly Gly Cys Glu Leu Arg Val Lys Phe Ser
370 375 380
Arg Ser Ala Asp Ala Pro Ala Tyr Lys Gln Gly Gln Asn Gln Leu Tyr
385 390 395 400
Asn Glu Leu Asn Leu Gly Arg Arg Glu Glu Tyr Asp Val Leu Asp Lys
405 410 415
Arg Arg Gly Arg Asp Pro Glu Met Gly Gly Lys Pro Arg Arg Lys Asn
420 425 430
Pro Gln Glu Gly Leu Tyr Asn Glu Leu Gln Lys Asp Lys Met Ala Glu
435 440 445
Ala Tyr Ser Glu Ile Gly Met Lys Gly Glu Arg Arg Arg Gly Lys Gly
450 455 460
His Asp Gly Leu Tyr Gln Gly Leu Ser Thr Ala Thr Lys Asp Thr Tyr
465 470 475 480
Asp Ala Leu His Met Gln Ala Leu Pro Pro Arg
485 490
<210> 247
<211> 491
<212> PRT
<213> 人工序列
<220>
<221> 来源
<223> /注释="人工序列的描述:合成
多肽"
<400> 247
Met Ala Leu Pro Val Thr Ala Leu Leu Leu Pro Leu Ala Leu Leu Leu
1 5 10 15
His Ala Ala Arg Pro Glu Ile Val Met Thr Gln Ser Pro Ala Thr Leu
20 25 30
Ser Leu Ser Pro Gly Glu Arg Ala Thr Leu Ser Cys Arg Ala Ser Gln
35 40 45
Asp Ile Ser Lys Tyr Leu Asn Trp Tyr Gln Gln Lys Pro Gly Gln Ala
50 55 60
Pro Arg Leu Leu Ile Tyr His Thr Ser Arg Leu His Ser Gly Ile Pro
65 70 75 80
Ala Arg Phe Ser Gly Ser Gly Ser Gly Thr Asp Tyr Thr Leu Thr Ile
85 90 95
Ser Ser Leu Gln Pro Glu Asp Phe Ala Val Tyr Phe Cys Gln Gln Gly
100 105 110
Asn Thr Leu Pro Tyr Thr Phe Gly Gln Gly Thr Lys Leu Glu Ile Lys
115 120 125
Gly Gly Gly Gly Ser Gly Gly Gly Gly Ser Gly Gly Gly Gly Ser Gly
130 135 140
Gly Gly Gly Ser Gln Val Gln Leu Gln Glu Ser Gly Pro Gly Leu Val
145 150 155 160
Lys Pro Ser Glu Thr Leu Ser Leu Thr Cys Thr Val Ser Gly Val Ser
165 170 175
Leu Pro Asp Tyr Gly Val Ser Trp Ile Arg Gln Pro Pro Gly Lys Gly
180 185 190
Leu Glu Trp Ile Gly Val Ile Trp Gly Ser Glu Thr Thr Tyr Tyr Asn
195 200 205
Ser Ser Leu Lys Ser Arg Val Thr Ile Ser Lys Asp Asn Ser Lys Asn
210 215 220
Gln Val Ser Leu Lys Leu Ser Ser Val Thr Ala Ala Asp Thr Ala Val
225 230 235 240
Tyr Tyr Cys Ala Lys His Tyr Tyr Tyr Gly Gly Ser Tyr Ala Met Asp
245 250 255
Tyr Trp Gly Gln Gly Thr Leu Val Thr Val Ser Ser Thr Thr Thr Pro
260 265 270
Ala Pro Arg Pro Pro Thr Pro Ala Pro Thr Ile Ala Ser Gln Pro Leu
275 280 285
Ser Leu Arg Pro Glu Ala Cys Arg Pro Ala Ala Gly Gly Ala Val His
290 295 300
Thr Arg Gly Leu Asp Phe Ala Cys Asp Ile Tyr Ile Trp Ala Pro Leu
305 310 315 320
Ala Gly Thr Cys Gly Val Leu Leu Leu Ser Leu Val Ile Thr Leu Tyr
325 330 335
Cys Lys Arg Gly Arg Lys Lys Leu Leu Tyr Ile Phe Lys Gln Pro Phe
340 345 350
Met Arg Pro Val Gln Thr Thr Gln Glu Glu Asp Gly Cys Ser Cys Arg
355 360 365
Phe Pro Glu Glu Glu Glu Gly Gly Cys Glu Leu Arg Val Lys Phe Ser
370 375 380
Arg Ser Ala Asp Ala Pro Ala Tyr Lys Gln Gly Gln Asn Gln Leu Tyr
385 390 395 400
Asn Glu Leu Asn Leu Gly Arg Arg Glu Glu Tyr Asp Val Leu Asp Lys
405 410 415
Arg Arg Gly Arg Asp Pro Glu Met Gly Gly Lys Pro Arg Arg Lys Asn
420 425 430
Pro Gln Glu Gly Leu Tyr Asn Glu Leu Gln Lys Asp Lys Met Ala Glu
435 440 445
Ala Tyr Ser Glu Ile Gly Met Lys Gly Glu Arg Arg Arg Gly Lys Gly
450 455 460
His Asp Gly Leu Tyr Gln Gly Leu Ser Thr Ala Thr Lys Asp Thr Tyr
465 470 475 480
Asp Ala Leu His Met Gln Ala Leu Pro Pro Arg
485 490
<210> 248
<211> 491
<212> PRT
<213> 人工序列
<220>
<221> 来源
<223> /注释="人工序列的描述:合成
多肽"
<400> 248
Met Ala Leu Pro Val Thr Ala Leu Leu Leu Pro Leu Ala Leu Leu Leu
1 5 10 15
His Ala Ala Arg Pro Gln Val Gln Leu Gln Glu Ser Gly Pro Gly Leu
20 25 30
Val Lys Pro Ser Glu Thr Leu Ser Leu Thr Cys Thr Val Ser Gly Val
35 40 45
Ser Leu Pro Asp Tyr Gly Val Ser Trp Ile Arg Gln Pro Pro Gly Lys
50 55 60
Gly Leu Glu Trp Ile Gly Val Ile Trp Gly Ser Glu Thr Thr Tyr Tyr
65 70 75 80
Asn Ser Ser Leu Lys Ser Arg Val Thr Ile Ser Lys Asp Asn Ser Lys
85 90 95
Asn Gln Val Ser Leu Lys Leu Ser Ser Val Thr Ala Ala Asp Thr Ala
100 105 110
Val Tyr Tyr Cys Ala Lys His Tyr Tyr Tyr Gly Gly Ser Tyr Ala Met
115 120 125
Asp Tyr Trp Gly Gln Gly Thr Leu Val Thr Val Ser Ser Gly Gly Gly
130 135 140
Gly Ser Gly Gly Gly Gly Ser Gly Gly Gly Gly Ser Gly Gly Gly Gly
145 150 155 160
Ser Glu Ile Val Met Thr Gln Ser Pro Ala Thr Leu Ser Leu Ser Pro
165 170 175
Gly Glu Arg Ala Thr Leu Ser Cys Arg Ala Ser Gln Asp Ile Ser Lys
180 185 190
Tyr Leu Asn Trp Tyr Gln Gln Lys Pro Gly Gln Ala Pro Arg Leu Leu
195 200 205
Ile Tyr His Thr Ser Arg Leu His Ser Gly Ile Pro Ala Arg Phe Ser
210 215 220
Gly Ser Gly Ser Gly Thr Asp Tyr Thr Leu Thr Ile Ser Ser Leu Gln
225 230 235 240
Pro Glu Asp Phe Ala Val Tyr Phe Cys Gln Gln Gly Asn Thr Leu Pro
245 250 255
Tyr Thr Phe Gly Gln Gly Thr Lys Leu Glu Ile Lys Thr Thr Thr Pro
260 265 270
Ala Pro Arg Pro Pro Thr Pro Ala Pro Thr Ile Ala Ser Gln Pro Leu
275 280 285
Ser Leu Arg Pro Glu Ala Cys Arg Pro Ala Ala Gly Gly Ala Val His
290 295 300
Thr Arg Gly Leu Asp Phe Ala Cys Asp Ile Tyr Ile Trp Ala Pro Leu
305 310 315 320
Ala Gly Thr Cys Gly Val Leu Leu Leu Ser Leu Val Ile Thr Leu Tyr
325 330 335
Cys Lys Arg Gly Arg Lys Lys Leu Leu Tyr Ile Phe Lys Gln Pro Phe
340 345 350
Met Arg Pro Val Gln Thr Thr Gln Glu Glu Asp Gly Cys Ser Cys Arg
355 360 365
Phe Pro Glu Glu Glu Glu Gly Gly Cys Glu Leu Arg Val Lys Phe Ser
370 375 380
Arg Ser Ala Asp Ala Pro Ala Tyr Lys Gln Gly Gln Asn Gln Leu Tyr
385 390 395 400
Asn Glu Leu Asn Leu Gly Arg Arg Glu Glu Tyr Asp Val Leu Asp Lys
405 410 415
Arg Arg Gly Arg Asp Pro Glu Met Gly Gly Lys Pro Arg Arg Lys Asn
420 425 430
Pro Gln Glu Gly Leu Tyr Asn Glu Leu Gln Lys Asp Lys Met Ala Glu
435 440 445
Ala Tyr Ser Glu Ile Gly Met Lys Gly Glu Arg Arg Arg Gly Lys Gly
450 455 460
His Asp Gly Leu Tyr Gln Gly Leu Ser Thr Ala Thr Lys Asp Thr Tyr
465 470 475 480
Asp Ala Leu His Met Gln Ala Leu Pro Pro Arg
485 490
<210> 249
<211> 486
<212> PRT
<213> 人工序列
<220>
<221> 来源
<223> /注释="人工序列的描述:合成
多肽"
<400> 249
Met Ala Leu Pro Val Thr Ala Leu Leu Leu Pro Leu Ala Leu Leu Leu
1 5 10 15
His Ala Ala Arg Pro Glu Ile Val Met Thr Gln Ser Pro Ala Thr Leu
20 25 30
Ser Leu Ser Pro Gly Glu Arg Ala Thr Leu Ser Cys Arg Ala Ser Gln
35 40 45
Asp Ile Ser Lys Tyr Leu Asn Trp Tyr Gln Gln Lys Pro Gly Gln Ala
50 55 60
Pro Arg Leu Leu Ile Tyr His Thr Ser Arg Leu His Ser Gly Ile Pro
65 70 75 80
Ala Arg Phe Ser Gly Ser Gly Ser Gly Thr Asp Tyr Thr Leu Thr Ile
85 90 95
Ser Ser Leu Gln Pro Glu Asp Phe Ala Val Tyr Phe Cys Gln Gln Gly
100 105 110
Asn Thr Leu Pro Tyr Thr Phe Gly Gln Gly Thr Lys Leu Glu Ile Lys
115 120 125
Gly Gly Gly Gly Ser Gly Gly Gly Gly Ser Gly Gly Gly Gly Ser Gln
130 135 140
Val Gln Leu Gln Glu Ser Gly Pro Gly Leu Val Lys Pro Ser Glu Thr
145 150 155 160
Leu Ser Leu Thr Cys Thr Val Ser Gly Val Ser Leu Pro Asp Tyr Gly
165 170 175
Val Ser Trp Ile Arg Gln Pro Pro Gly Lys Gly Leu Glu Trp Ile Gly
180 185 190
Val Ile Trp Gly Ser Glu Thr Thr Tyr Tyr Asn Ser Ser Leu Lys Ser
195 200 205
Arg Val Thr Ile Ser Lys Asp Asn Ser Lys Asn Gln Val Ser Leu Lys
210 215 220
Leu Ser Ser Val Thr Ala Ala Asp Thr Ala Val Tyr Tyr Cys Ala Lys
225 230 235 240
His Tyr Tyr Tyr Gly Gly Ser Tyr Ala Met Asp Tyr Trp Gly Gln Gly
245 250 255
Thr Leu Val Thr Val Ser Ser Thr Thr Thr Pro Ala Pro Arg Pro Pro
260 265 270
Thr Pro Ala Pro Thr Ile Ala Ser Gln Pro Leu Ser Leu Arg Pro Glu
275 280 285
Ala Cys Arg Pro Ala Ala Gly Gly Ala Val His Thr Arg Gly Leu Asp
290 295 300
Phe Ala Cys Asp Ile Tyr Ile Trp Ala Pro Leu Ala Gly Thr Cys Gly
305 310 315 320
Val Leu Leu Leu Ser Leu Val Ile Thr Leu Tyr Cys Lys Arg Gly Arg
325 330 335
Lys Lys Leu Leu Tyr Ile Phe Lys Gln Pro Phe Met Arg Pro Val Gln
340 345 350
Thr Thr Gln Glu Glu Asp Gly Cys Ser Cys Arg Phe Pro Glu Glu Glu
355 360 365
Glu Gly Gly Cys Glu Leu Arg Val Lys Phe Ser Arg Ser Ala Asp Ala
370 375 380
Pro Ala Tyr Lys Gln Gly Gln Asn Gln Leu Tyr Asn Glu Leu Asn Leu
385 390 395 400
Gly Arg Arg Glu Glu Tyr Asp Val Leu Asp Lys Arg Arg Gly Arg Asp
405 410 415
Pro Glu Met Gly Gly Lys Pro Arg Arg Lys Asn Pro Gln Glu Gly Leu
420 425 430
Tyr Asn Glu Leu Gln Lys Asp Lys Met Ala Glu Ala Tyr Ser Glu Ile
435 440 445
Gly Met Lys Gly Glu Arg Arg Arg Gly Lys Gly His Asp Gly Leu Tyr
450 455 460
Gln Gly Leu Ser Thr Ala Thr Lys Asp Thr Tyr Asp Ala Leu His Met
465 470 475 480
Gln Ala Leu Pro Pro Arg
485
<210> 250
<211> 45
<212> PRT
<213> 人工序列
<220>
<221> 来源
<223> /注释="人工序列的描述:合成
多肽"
<400> 250
Thr Thr Thr Pro Ala Pro Arg Pro Pro Thr Pro Ala Pro Thr Ile Ala
1 5 10 15
Ser Gln Pro Leu Ser Leu Arg Pro Glu Ala Cys Arg Pro Ala Ala Gly
20 25 30
Gly Ala Val His Thr Arg Gly Leu Asp Phe Ala Cys Asp
35 40 45
<210> 251
<211> 24
<212> PRT
<213> 人工序列
<220>
<221> 来源
<223> /注释="人工序列的描述:合成
肽"
<400> 251
Ile Tyr Ile Trp Ala Pro Leu Ala Gly Thr Cys Gly Val Leu Leu Leu
1 5 10 15
Ser Leu Val Ile Thr Leu Tyr Cys
20
<210> 252
<211> 72
<212> DNA
<213> 人工序列
<220>
<221> 来源
<223> /注释="人工序列的描述:合成
寡核苷酸"
<400> 252
atctacatct gggcgccctt ggccgggact tgtggggtcc ttctcctgtc actggttatc 60
accctttact gc 72
<210> 253
<211> 230
<212> PRT
<213> 人工序列
<220>
<221> 来源
<223> /注释="人工序列的描述:合成
多肽"
<400> 253
Glu Ser Lys Tyr Gly Pro Pro Cys Pro Pro Cys Pro Ala Pro Glu Phe
1 5 10 15
Leu Gly Gly Pro Ser Val Phe Leu Phe Pro Pro Lys Pro Lys Asp Thr
20 25 30
Leu Met Ile Ser Arg Thr Pro Glu Val Thr Cys Val Val Val Asp Val
35 40 45
Ser Gln Glu Asp Pro Glu Val Gln Phe Asn Trp Tyr Val Asp Gly Val
50 55 60
Glu Val His Asn Ala Lys Thr Lys Pro Arg Glu Glu Gln Phe Asn Ser
65 70 75 80
Thr Tyr Arg Val Val Ser Val Leu Thr Val Leu His Gln Asp Trp Leu
85 90 95
Asn Gly Lys Glu Tyr Lys Cys Lys Val Ser Asn Lys Gly Leu Pro Ser
100 105 110
Ser Ile Glu Lys Thr Ile Ser Lys Ala Lys Gly Gln Pro Arg Glu Pro
115 120 125
Gln Val Tyr Thr Leu Pro Pro Ser Gln Glu Glu Met Thr Lys Asn Gln
130 135 140
Val Ser Leu Thr Cys Leu Val Lys Gly Phe Tyr Pro Ser Asp Ile Ala
145 150 155 160
Val Glu Trp Glu Ser Asn Gly Gln Pro Glu Asn Asn Tyr Lys Thr Thr
165 170 175
Pro Pro Val Leu Asp Ser Asp Gly Ser Phe Phe Leu Tyr Ser Arg Leu
180 185 190
Thr Val Asp Lys Ser Arg Trp Gln Glu Gly Asn Val Phe Ser Cys Ser
195 200 205
Val Met His Glu Ala Leu His Asn His Tyr Thr Gln Lys Ser Leu Ser
210 215 220
Leu Ser Leu Gly Lys Met
225 230
<210> 254
<211> 135
<212> DNA
<213> 人工序列
<220>
<221> 来源
<223> /注释="人工序列的描述:合成
多核苷酸"
<400> 254
accacgacgc cagcgccgcg accaccaaca ccggcgccca ccatcgcgtc gcagcccctg 60
tccctgcgcc cagaggcgtg ccggccagcg gcggggggcg cagtgcacac gagggggctg 120
gacttcgcct gtgat 135
<210> 255
<211> 690
<212> DNA
<213> 人工序列
<220>
<221> 来源
<223> /注释="人工序列的描述:合成
多核苷酸"
<400> 255
gagagcaagt acggccctcc ctgcccccct tgccctgccc ccgagttcct gggcggaccc 60
agcgtgttcc tgttcccccc caagcccaag gacaccctga tgatcagccg gacccccgag 120
gtgacctgtg tggtggtgga cgtgtcccag gaggaccccg aggtccagtt caactggtac 180
gtggacggcg tggaggtgca caacgccaag accaagcccc gggaggagca gttcaatagc 240
acctaccggg tggtgtccgt gctgaccgtg ctgcaccagg actggctgaa cggcaaggaa 300
tacaagtgta aggtgtccaa caagggcctg cccagcagca tcgagaaaac catcagcaag 360
gccaagggcc agcctcggga gccccaggtg tacaccctgc cccctagcca agaggagatg 420
accaagaacc aggtgtccct gacctgcctg gtgaagggct tctaccccag cgacatcgcc 480
gtggagtggg agagcaacgg ccagcccgag aacaactaca agaccacccc ccctgtgctg 540
gacagcgacg gcagcttctt cctgtacagc cggctgaccg tggacaagag ccggtggcag 600
gagggcaacg tctttagctg ctccgtgatg cacgaggccc tgcacaacca ctacacccag 660
aagagcctga gcctgtccct gggcaagatg 690
<210> 256
<211> 282
<212> PRT
<213> 人工序列
<220>
<221> 来源
<223> /注释="人工序列的描述:合成
多肽"
<400> 256
Arg Trp Pro Glu Ser Pro Lys Ala Gln Ala Ser Ser Val Pro Thr Ala
1 5 10 15
Gln Pro Gln Ala Glu Gly Ser Leu Ala Lys Ala Thr Thr Ala Pro Ala
20 25 30
Thr Thr Arg Asn Thr Gly Arg Gly Gly Glu Glu Lys Lys Lys Glu Lys
35 40 45
Glu Lys Glu Glu Gln Glu Glu Arg Glu Thr Lys Thr Pro Glu Cys Pro
50 55 60
Ser His Thr Gln Pro Leu Gly Val Tyr Leu Leu Thr Pro Ala Val Gln
65 70 75 80
Asp Leu Trp Leu Arg Asp Lys Ala Thr Phe Thr Cys Phe Val Val Gly
85 90 95
Ser Asp Leu Lys Asp Ala His Leu Thr Trp Glu Val Ala Gly Lys Val
100 105 110
Pro Thr Gly Gly Val Glu Glu Gly Leu Leu Glu Arg His Ser Asn Gly
115 120 125
Ser Gln Ser Gln His Ser Arg Leu Thr Leu Pro Arg Ser Leu Trp Asn
130 135 140
Ala Gly Thr Ser Val Thr Cys Thr Leu Asn His Pro Ser Leu Pro Pro
145 150 155 160
Gln Arg Leu Met Ala Leu Arg Glu Pro Ala Ala Gln Ala Pro Val Lys
165 170 175
Leu Ser Leu Asn Leu Leu Ala Ser Ser Asp Pro Pro Glu Ala Ala Ser
180 185 190
Trp Leu Leu Cys Glu Val Ser Gly Phe Ser Pro Pro Asn Ile Leu Leu
195 200 205
Met Trp Leu Glu Asp Gln Arg Glu Val Asn Thr Ser Gly Phe Ala Pro
210 215 220
Ala Arg Pro Pro Pro Gln Pro Gly Ser Thr Thr Phe Trp Ala Trp Ser
225 230 235 240
Val Leu Arg Val Pro Ala Pro Pro Ser Pro Gln Pro Ala Thr Tyr Thr
245 250 255
Cys Val Val Ser His Glu Asp Ser Arg Thr Leu Leu Asn Ala Ser Arg
260 265 270
Ser Leu Glu Val Ser Tyr Val Thr Asp His
275 280
<210> 257
<211> 847
<212> DNA
<213> 人工序列
<220>
<221> 来源
<223> /注释="人工序列的描述:合成
多核苷酸"
<400> 257
aggtggcccg aaagtcccaa ggcccaggca tctagtgttc ctactgcaca gccccaggca 60
gaaggcagcc tagccaaagc tactactgca cctgccacta cgcgcaatac tggccgtggc 120
ggggaggaga agaaaaagga gaaagagaaa gaagaacagg aagagaggga gaccaagacc 180
cctgaatgtc catcccatac ccagccgctg ggcgtctatc tcttgactcc cgcagtacag 240
gacttgtggc ttagagataa ggccaccttt acatgtttcg tcgtgggctc tgacctgaag 300
gatgcccatt tgacttggga ggttgccgga aaggtaccca cagggggggt tgaggaaggg 360
ttgctggagc gccattccaa tggctctcag agccagcact caagactcac ccttccgaga 420
tccctgtgga acgccgggac ctctgtcaca tgtactctaa atcatcctag cctgccccca 480
cagcgtctga tggcccttag agagccagcc gcccaggcac cagttaagct tagcctgaat 540
ctgctcgcca gtagtgatcc cccagaggcc gccagctggc tcttatgcga agtgtccggc 600
tttagcccgc ccaacatctt gctcatgtgg ctggaggacc agcgagaagt gaacaccagc 660
ggcttcgctc cagcccggcc cccaccccag ccgggttcta ccacattctg ggcctggagt 720
gtcttaaggg tcccagcacc acctagcccc cagccagcca catacacctg tgttgtgtcc 780
catgaagata gcaggaccct gctaaatgct tctaggagtc tggaggtttc ctacgtgact 840
gaccatt 847
<210> 258
<211> 10
<212> PRT
<213> 人工序列
<220>
<221> 来源
<223> /注释="人工序列的描述:合成
肽"
<400> 258
Gly Gly Gly Gly Ser Gly Gly Gly Gly Ser
1 5 10
<210> 259
<211> 30
<212> DNA
<213> 人工序列
<220>
<221> 来源
<223> /注释="人工序列的描述:合成
寡核苷酸"
<400> 259
ggtggcggag gttctggagg tggaggttcc 30
<210> 260
<211> 112
<212> PRT
<213> 人工序列
<220>
<221> 来源
<223> /注释="人工序列的描述:合成
多肽"
<400> 260
Arg Val Lys Phe Ser Arg Ser Ala Asp Ala Pro Ala Tyr Lys Gln Gly
1 5 10 15
Gln Asn Gln Leu Tyr Asn Glu Leu Asn Leu Gly Arg Arg Glu Glu Tyr
20 25 30
Asp Val Leu Asp Lys Arg Arg Gly Arg Asp Pro Glu Met Gly Gly Lys
35 40 45
Pro Arg Arg Lys Asn Pro Gln Glu Gly Leu Tyr Asn Glu Leu Gln Lys
50 55 60
Asp Lys Met Ala Glu Ala Tyr Ser Glu Ile Gly Met Lys Gly Glu Arg
65 70 75 80
Arg Arg Gly Lys Gly His Asp Gly Leu Tyr Gln Gly Leu Ser Thr Ala
85 90 95
Thr Lys Asp Thr Tyr Asp Ala Leu His Met Gln Ala Leu Pro Pro Arg
100 105 110
<210> 261
<211> 112
<212> PRT
<213> 人工序列
<220>
<221> 来源
<223> /注释="人工序列的描述:合成
多肽"
<400> 261
Arg Val Lys Phe Ser Arg Ser Ala Asp Ala Pro Ala Tyr Gln Gln Gly
1 5 10 15
Gln Asn Gln Leu Tyr Asn Glu Leu Asn Leu Gly Arg Arg Glu Glu Tyr
20 25 30
Asp Val Leu Asp Lys Arg Arg Gly Arg Asp Pro Glu Met Gly Gly Lys
35 40 45
Pro Arg Arg Lys Asn Pro Gln Glu Gly Leu Tyr Asn Glu Leu Gln Lys
50 55 60
Asp Lys Met Ala Glu Ala Tyr Ser Glu Ile Gly Met Lys Gly Glu Arg
65 70 75 80
Arg Arg Gly Lys Gly His Asp Gly Leu Tyr Gln Gly Leu Ser Thr Ala
85 90 95
Thr Lys Asp Thr Tyr Asp Ala Leu His Met Gln Ala Leu Pro Pro Arg
100 105 110
<210> 262
<211> 336
<212> DNA
<213> 人工序列
<220>
<221> 来源
<223> /注释="人工序列的描述:合成
多核苷酸"
<400> 262
agagtgaagt tcagcaggag cgcagacgcc cccgcgtaca agcagggcca gaaccagctc 60
tataacgagc tcaatctagg acgaagagag gagtacgatg ttttggacaa gagacgtggc 120
cgggaccctg agatgggggg aaagccgaga aggaagaacc ctcaggaagg cctgtacaat 180
gaactgcaga aagataagat ggcggaggcc tacagtgaga ttgggatgaa aggcgagcgc 240
cggaggggca aggggcacga tggcctttac cagggtctca gtacagccac caaggacacc 300
tacgacgccc ttcacatgca ggccctgccc cctcgc 336
<210> 263
<211> 336
<212> DNA
<213> 人工序列
<220>
<221> 来源
<223> /注释="人工序列的描述:合成
多核苷酸"
<400> 263
agagtgaagt tcagcaggag cgcagacgcc cccgcgtacc agcagggcca gaaccagctc 60
tataacgagc tcaatctagg acgaagagag gagtacgatg ttttggacaa gagacgtggc 120
cgggaccctg agatgggggg aaagccgaga aggaagaacc ctcaggaagg cctgtacaat 180
gaactgcaga aagataagat ggcggaggcc tacagtgaga ttgggatgaa aggcgagcgc 240
cggaggggca aggggcacga tggcctttac cagggtctca gtacagccac caaggacacc 300
tacgacgccc ttcacatgca ggccctgccc cctcgc 336
<210> 264
<211> 42
<212> PRT
<213> 人工序列
<220>
<221> 来源
<223> /注释="人工序列的描述:合成
多肽"
<400> 264
Lys Arg Gly Arg Lys Lys Leu Leu Tyr Ile Phe Lys Gln Pro Phe Met
1 5 10 15
Arg Pro Val Gln Thr Thr Gln Glu Glu Asp Gly Cys Ser Cys Arg Phe
20 25 30
Pro Glu Glu Glu Glu Gly Gly Cys Glu Leu
35 40
<210> 265
<211> 48
<212> PRT
<213> 人工序列
<220>
<221> 来源
<223> /注释="人工序列的描述:合成
多肽"
<400> 265
Gln Arg Arg Lys Tyr Arg Ser Asn Lys Gly Glu Ser Pro Val Glu Pro
1 5 10 15
Ala Glu Pro Cys Arg Tyr Ser Cys Pro Arg Glu Glu Glu Gly Ser Thr
20 25 30
Ile Pro Ile Gln Glu Asp Tyr Arg Lys Pro Glu Pro Ala Cys Ser Pro
35 40 45
<210> 266
<211> 126
<212> DNA
<213> 人工序列
<220>
<221> 来源
<223> /注释="人工序列的描述:合成
多核苷酸"
<400> 266
aaacggggca gaaagaaact cctgtatata ttcaaacaac catttatgag accagtacaa 60
actactcaag aggaagatgg ctgtagctgc cgatttccag aagaagaaga aggaggatgt 120
gaactg 126
<210> 267
<211> 144
<212> DNA
<213> 人工序列
<220>
<221> 来源
<223> /注释="人工序列的描述:合成
多核苷酸"
<400> 267
caacgaagga aatatagatc aaacaaagga gaaagtcctg tggagcctgc agagccttgt 60
cgttacagct gccccaggga ggaggagggc agcaccatcc ccatccagga ggattaccga 120
aaaccggagc ctgcctgctc cccc 144
<210> 268
<211> 21
<212> PRT
<213> 人工序列
<220>
<221> 来源
<223> /注释="人工序列的描述:合成
肽"
<400> 268
Met Ala Leu Pro Val Thr Ala Leu Leu Leu Pro Leu Ala Leu Leu Leu
1 5 10 15
His Ala Ala Arg Pro
20
<210> 269
<211> 2000
<212> DNA
<213> 人工序列
<220>
<221> 来源
<223> /注释="人工序列的描述:合成
多核苷酸"
<220>
<221> 尚未归类的特征
<222> (1)..(2000)
<223> /注释="该序列可以包含50-2000个核苷酸
<400> 269
aaaaaaaaaa aaaaaaaaaa aaaaaaaaaa aaaaaaaaaa aaaaaaaaaa aaaaaaaaaa 60
aaaaaaaaaa aaaaaaaaaa aaaaaaaaaa aaaaaaaaaa aaaaaaaaaa aaaaaaaaaa 120
aaaaaaaaaa aaaaaaaaaa aaaaaaaaaa aaaaaaaaaa aaaaaaaaaa aaaaaaaaaa 180
aaaaaaaaaa aaaaaaaaaa aaaaaaaaaa aaaaaaaaaa aaaaaaaaaa aaaaaaaaaa 240
aaaaaaaaaa aaaaaaaaaa aaaaaaaaaa aaaaaaaaaa aaaaaaaaaa aaaaaaaaaa 300
aaaaaaaaaa aaaaaaaaaa aaaaaaaaaa aaaaaaaaaa aaaaaaaaaa aaaaaaaaaa 360
aaaaaaaaaa aaaaaaaaaa aaaaaaaaaa aaaaaaaaaa aaaaaaaaaa aaaaaaaaaa 420
aaaaaaaaaa aaaaaaaaaa aaaaaaaaaa aaaaaaaaaa aaaaaaaaaa aaaaaaaaaa 480
aaaaaaaaaa aaaaaaaaaa aaaaaaaaaa aaaaaaaaaa aaaaaaaaaa aaaaaaaaaa 540
aaaaaaaaaa aaaaaaaaaa aaaaaaaaaa aaaaaaaaaa aaaaaaaaaa aaaaaaaaaa 600
aaaaaaaaaa aaaaaaaaaa aaaaaaaaaa aaaaaaaaaa aaaaaaaaaa aaaaaaaaaa 660
aaaaaaaaaa aaaaaaaaaa aaaaaaaaaa aaaaaaaaaa aaaaaaaaaa aaaaaaaaaa 720
aaaaaaaaaa aaaaaaaaaa aaaaaaaaaa aaaaaaaaaa aaaaaaaaaa aaaaaaaaaa 780
aaaaaaaaaa aaaaaaaaaa aaaaaaaaaa aaaaaaaaaa aaaaaaaaaa aaaaaaaaaa 840
aaaaaaaaaa aaaaaaaaaa aaaaaaaaaa aaaaaaaaaa aaaaaaaaaa aaaaaaaaaa 900
aaaaaaaaaa aaaaaaaaaa aaaaaaaaaa aaaaaaaaaa aaaaaaaaaa aaaaaaaaaa 960
aaaaaaaaaa aaaaaaaaaa aaaaaaaaaa aaaaaaaaaa aaaaaaaaaa aaaaaaaaaa 1020
aaaaaaaaaa aaaaaaaaaa aaaaaaaaaa aaaaaaaaaa aaaaaaaaaa aaaaaaaaaa 1080
aaaaaaaaaa aaaaaaaaaa aaaaaaaaaa aaaaaaaaaa aaaaaaaaaa aaaaaaaaaa 1140
aaaaaaaaaa aaaaaaaaaa aaaaaaaaaa aaaaaaaaaa aaaaaaaaaa aaaaaaaaaa 1200
aaaaaaaaaa aaaaaaaaaa aaaaaaaaaa aaaaaaaaaa aaaaaaaaaa aaaaaaaaaa 1260
aaaaaaaaaa aaaaaaaaaa aaaaaaaaaa aaaaaaaaaa aaaaaaaaaa aaaaaaaaaa 1320
aaaaaaaaaa aaaaaaaaaa aaaaaaaaaa aaaaaaaaaa aaaaaaaaaa aaaaaaaaaa 1380
aaaaaaaaaa aaaaaaaaaa aaaaaaaaaa aaaaaaaaaa aaaaaaaaaa aaaaaaaaaa 1440
aaaaaaaaaa aaaaaaaaaa aaaaaaaaaa aaaaaaaaaa aaaaaaaaaa aaaaaaaaaa 1500
aaaaaaaaaa aaaaaaaaaa aaaaaaaaaa aaaaaaaaaa aaaaaaaaaa aaaaaaaaaa 1560
aaaaaaaaaa aaaaaaaaaa aaaaaaaaaa aaaaaaaaaa aaaaaaaaaa aaaaaaaaaa 1620
aaaaaaaaaa aaaaaaaaaa aaaaaaaaaa aaaaaaaaaa aaaaaaaaaa aaaaaaaaaa 1680
aaaaaaaaaa aaaaaaaaaa aaaaaaaaaa aaaaaaaaaa aaaaaaaaaa aaaaaaaaaa 1740
aaaaaaaaaa aaaaaaaaaa aaaaaaaaaa aaaaaaaaaa aaaaaaaaaa aaaaaaaaaa 1800
aaaaaaaaaa aaaaaaaaaa aaaaaaaaaa aaaaaaaaaa aaaaaaaaaa aaaaaaaaaa 1860
aaaaaaaaaa aaaaaaaaaa aaaaaaaaaa aaaaaaaaaa aaaaaaaaaa aaaaaaaaaa 1920
aaaaaaaaaa aaaaaaaaaa aaaaaaaaaa aaaaaaaaaa aaaaaaaaaa aaaaaaaaaa 1980
aaaaaaaaaa aaaaaaaaaa 2000
<210> 270
<211> 1184
<212> DNA
<213> 人工序列
<220>
<221> 来源
<223> /注释="人工序列的描述:合成
多核苷酸"
<400> 270
cgtgaggctc cggtgcccgt cagtgggcag agcgcacatc gcccacagtc cccgagaagt 60
tggggggagg ggtcggcaat tgaaccggtg cctagagaag gtggcgcggg gtaaactggg 120
aaagtgatgt cgtgtactgg ctccgccttt ttcccgaggg tgggggagaa ccgtatataa 180
gtgcagtagt cgccgtgaac gttctttttc gcaacgggtt tgccgccaga acacaggtaa 240
gtgccgtgtg tggttcccgc gggcctggcc tctttacggg ttatggccct tgcgtgcctt 300
gaattacttc cacctggctg cagtacgtga ttcttgatcc cgagcttcgg gttggaagtg 360
ggtgggagag ttcgaggcct tgcgcttaag gagccccttc gcctcgtgct tgagttgagg 420
cctggcctgg gcgctggggc cgccgcgtgc gaatctggtg gcaccttcgc gcctgtctcg 480
ctgctttcga taagtctcta gccatttaaa atttttgatg acctgctgcg acgctttttt 540
tctggcaaga tagtcttgta aatgcgggcc aagatctgca cactggtatt tcggtttttg 600
gggccgcggg cggcgacggg gcccgtgcgt cccagcgcac atgttcggcg aggcggggcc 660
tgcgagcgcg gccaccgaga atcggacggg ggtagtctca agctggccgg cctgctctgg 720
tgcctggcct cgcgccgccg tgtatcgccc cgccctgggc ggcaaggctg gcccggtcgg 780
caccagttgc gtgagcggaa agatggccgc ttcccggccc tgctgcaggg agctcaaaat 840
ggaggacgcg gcgctcggga gagcgggcgg gtgagtcacc cacacaaagg aaaagggcct 900
ttccgtcctc agccgtcgct tcatgtgact ccacggagta ccgggcgccg tccaggcacc 960
tcgattagtt ctcgagcttt tggagtacgt cgtctttagg ttggggggag gggttttatg 1020
cgatggagtt tccccacact gagtgggtgg agactgaagt taggccagct tggcacttga 1080
tgtaattctc cttggaattt gccctttttg agtttggatc ttggttcatt ctcaagcctc 1140
agacagtggt tcaaagtttt tttcttccat ttcaggtgtc gtga 1184
<210> 271
<211> 448
<212> PRT
<213> 人工序列
<220>
<221> 来源
<223> /注释="人工序列的描述:合成
多肽"
<400> 271
Gln Val Gln Leu Gln Glu Ser Gly Pro Gly Leu Val Lys Pro Ser Gln
1 5 10 15
Thr Leu Ser Leu Thr Cys Thr Val Ser Asp Tyr Ser Ile Thr Ser Asp
20 25 30
Tyr Ala Trp Asn Trp Ile Arg Gln Phe Pro Gly Lys Gly Leu Glu Trp
35 40 45
Met Gly Tyr Ile Ser Tyr Ser Gly Ser Thr Ser Tyr Asn Pro Ser Leu
50 55 60
Lys Ser Arg Ile Thr Ile Ser Arg Asp Thr Ser Lys Asn Gln Phe Ser
65 70 75 80
Leu Gln Leu Asn Ser Val Thr Ala Ala Asp Thr Ala Val Tyr Tyr Cys
85 90 95
Ala Ser Phe Asp Tyr Ala His Ala Met Asp Tyr Trp Gly Gln Gly Thr
100 105 110
Thr Val Thr Val Ser Ser Ala Ser Thr Lys Gly Pro Ser Val Phe Pro
115 120 125
Leu Ala Pro Ser Ser Lys Ser Thr Ser Gly Gly Thr Ala Ala Leu Gly
130 135 140
Cys Leu Val Lys Asp Tyr Phe Pro Glu Pro Val Thr Val Ser Trp Asn
145 150 155 160
Ser Gly Ala Leu Thr Ser Gly Val His Thr Phe Pro Ala Val Leu Gln
165 170 175
Ser Ser Gly Leu Tyr Ser Leu Ser Ser Val Val Thr Val Pro Ser Ser
180 185 190
Ser Leu Gly Thr Gln Thr Tyr Ile Cys Asn Val Asn His Lys Pro Ser
195 200 205
Asn Thr Lys Val Asp Lys Arg Val Glu Pro Lys Ser Cys Asp Lys Thr
210 215 220
His Thr Cys Pro Pro Cys Pro Ala Pro Glu Leu Leu Gly Gly Pro Ser
225 230 235 240
Val Phe Leu Phe Pro Pro Lys Pro Lys Asp Thr Leu Met Ile Ser Arg
245 250 255
Thr Pro Glu Val Thr Cys Val Val Val Asp Val Ser His Glu Asp Pro
260 265 270
Glu Val Lys Phe Asn Trp Tyr Val Asp Gly Val Glu Val His Asn Ala
275 280 285
Lys Thr Lys Pro Arg Glu Glu Gln Tyr Asn Ser Thr Tyr Arg Val Val
290 295 300
Ser Val Leu Thr Val Leu His Gln Asp Trp Leu Asn Gly Lys Glu Tyr
305 310 315 320
Lys Cys Lys Val Ser Asn Lys Ala Leu Pro Ala Pro Ile Glu Lys Thr
325 330 335
Ile Ser Lys Ala Lys Gly Gln Pro Arg Glu Pro Gln Val Tyr Thr Leu
340 345 350
Pro Pro Ser Arg Glu Glu Met Thr Lys Asn Gln Val Ser Leu Thr Cys
355 360 365
Leu Val Lys Gly Phe Tyr Pro Ser Asp Ile Ala Val Glu Trp Glu Ser
370 375 380
Asn Gly Gln Pro Glu Asn Asn Tyr Lys Thr Thr Pro Pro Val Leu Asp
385 390 395 400
Ser Asp Gly Ser Phe Phe Leu Tyr Ser Lys Leu Thr Val Asp Lys Ser
405 410 415
Arg Trp Gln Gln Gly Asn Val Phe Ser Cys Ser Val Met His Glu Ala
420 425 430
Leu His Asn His Tyr Thr Gln Lys Ser Leu Ser Leu Ser Pro Gly Lys
435 440 445
<210> 272
<211> 214
<212> PRT
<213> 人工序列
<220>
<221> 来源
<223> /注释="人工序列的描述:合成
多肽"
<400> 272
Asp Ile Val Leu Thr Gln Ser Pro Ala Phe Leu Ser Val Thr Pro Gly
1 5 10 15
Glu Lys Val Thr Phe Thr Cys Gln Ala Ser Gln Ser Ile Gly Thr Ser
20 25 30
Ile His Trp Tyr Gln Gln Lys Thr Asp Gln Ala Pro Lys Leu Leu Ile
35 40 45
Lys Tyr Ala Ser Glu Ser Ile Ser Gly Ile Pro Ser Arg Phe Ser Gly
50 55 60
Ser Gly Ser Gly Thr Asp Phe Thr Leu Thr Ile Ser Ser Val Glu Ala
65 70 75 80
Glu Asp Ala Ala Asp Tyr Tyr Cys Gln Gln Ile Asn Ser Trp Pro Thr
85 90 95
Thr Phe Gly Gly Gly Thr Lys Leu Glu Ile Lys Arg Thr Val Ala Ala
100 105 110
Pro Ser Val Phe Ile Phe Pro Pro Ser Asp Glu Gln Leu Lys Ser Gly
115 120 125
Thr Ala Ser Val Val Cys Leu Leu Asn Asn Phe Tyr Pro Arg Glu Ala
130 135 140
Lys Val Gln Trp Lys Val Asp Asn Ala Leu Gln Ser Gly Asn Ser Gln
145 150 155 160
Glu Ser Val Thr Glu Gln Asp Ser Lys Asp Ser Thr Tyr Ser Leu Ser
165 170 175
Ser Thr Leu Thr Leu Ser Lys Ala Asp Tyr Glu Lys His Lys Val Tyr
180 185 190
Ala Cys Glu Val Thr His Gln Gly Leu Ser Ser Pro Val Thr Lys Ser
195 200 205
Phe Asn Arg Gly Glu Cys
210
<210> 273
<211> 6
<212> PRT
<213> 人工序列
<220>
<221> 来源
<223> /注释="人工序列的描述:合成
肽"
<400> 273
Ser Asp Tyr Ala Trp Asn
1 5
<210> 274
<211> 16
<212> PRT
<213> 人工序列
<220>
<221> 来源
<223> /注释="人工序列的描述:合成
肽"
<400> 274
Tyr Ile Ser Tyr Ser Gly Ser Thr Ser Tyr Asn Pro Ser Leu Lys Ser
1 5 10 15
<210> 275
<211> 9
<212> PRT
<213> 人工序列
<220>
<221> 来源
<223> /注释="人工序列的描述:合成
肽"
<400> 275
Phe Asp Tyr Ala His Ala Met Asp Tyr
1 5
<210> 276
<211> 11
<212> PRT
<213> 人工序列
<220>
<221> 来源
<223> /注释="人工序列的描述:合成
肽"
<400> 276
Gln Ala Ser Gln Ser Ile Gly Thr Ser Ile His
1 5 10
<210> 277
<211> 7
<212> PRT
<213> 人工序列
<220>
<221> 来源
<223> /注释="人工序列的描述:合成
肽"
<400> 277
Tyr Ala Ser Glu Ser Ile Ser
1 5
<210> 278
<211> 9
<212> PRT
<213> 人工序列
<220>
<221> 来源
<223> /注释="人工序列的描述:合成
肽"
<400> 278
Gln Gln Ile Asn Ser Trp Pro Thr Thr
1 5
<210> 279
<211> 143
<212> PRT
<213> 人工序列
<220>
<221> 来源
<223> /注释="人工序列的描述:合成
多肽"
<400> 279
Gly Ala Pro Ala Gly Pro Leu Ile Val Pro Tyr Asn Leu Pro Leu Pro
1 5 10 15
Gly Gly Val Val Pro Arg Met Leu Ile Thr Ile Leu Gly Thr Val Lys
20 25 30
Pro Asn Ala Asn Arg Ile Ala Leu Asp Phe Gln Arg Gly Asn Asp Val
35 40 45
Ala Phe His Phe Asn Pro Arg Phe Asn Glu Asn Asn Arg Arg Val Ile
50 55 60
Val Cys Asn Thr Lys Leu Asp Asn Asn Trp Gly Arg Glu Glu Arg Gln
65 70 75 80
Ser Val Phe Pro Phe Glu Ser Gly Lys Pro Phe Lys Ile Gln Val Leu
85 90 95
Val Glu Pro Asp His Phe Lys Val Ala Val Asn Asp Ala His Leu Leu
100 105 110
Gln Tyr Asn His Arg Val Lys Lys Leu Asn Glu Ile Ser Lys Leu Gly
115 120 125
Ile Ser Gly Asp Ile Asp Ile Thr Ser Ala Ser Tyr Thr Met Ile
130 135 140
<210> 280
<211> 447
<212> PRT
<213> 人工序列
<220>
<221> 来源
<223> /注释="人工序列的描述:合成
多肽"
<400> 280
Gln Val Gln Leu Val Gln Ser Gly Ala Glu Val Lys Lys Pro Gly Ser
1 5 10 15
Ser Val Lys Val Ser Cys Lys Ala Ser Gly Tyr Thr Phe Ser Ser Asn
20 25 30
Val Ile Ser Trp Val Arg Gln Ala Pro Gly Gln Gly Leu Glu Trp Met
35 40 45
Gly Gly Val Ile Pro Ile Val Asp Ile Ala Asn Tyr Ala Gln Arg Phe
50 55 60
Lys Gly Arg Val Thr Ile Thr Ala Asp Glu Ser Thr Ser Thr Thr Tyr
65 70 75 80
Met Glu Leu Ser Ser Leu Arg Ser Glu Asp Thr Ala Val Tyr Tyr Cys
85 90 95
Ala Ser Thr Leu Gly Leu Val Leu Asp Ala Met Asp Tyr Trp Gly Gln
100 105 110
Gly Thr Leu Val Thr Val Ser Ser Ala Ser Thr Lys Gly Pro Ser Val
115 120 125
Phe Pro Leu Ala Pro Cys Ser Arg Ser Thr Ser Glu Ser Thr Ala Ala
130 135 140
Leu Gly Cys Leu Val Lys Asp Tyr Phe Pro Glu Pro Val Thr Val Ser
145 150 155 160
Trp Asn Ser Gly Ala Leu Thr Ser Gly Val His Thr Phe Pro Ala Val
165 170 175
Leu Gln Ser Ser Gly Leu Tyr Ser Leu Ser Ser Val Val Thr Val Pro
180 185 190
Ser Ser Ser Leu Gly Thr Lys Thr Tyr Thr Cys Asn Val Asp His Lys
195 200 205
Pro Ser Asn Thr Lys Val Asp Lys Arg Val Glu Ser Lys Tyr Gly Pro
210 215 220
Pro Cys Pro Ser Cys Pro Ala Pro Glu Phe Leu Gly Gly Pro Ser Val
225 230 235 240
Phe Leu Phe Pro Pro Lys Pro Lys Asp Thr Leu Met Ile Ser Arg Thr
245 250 255
Pro Glu Val Thr Cys Val Val Val Asp Val Ser Gln Glu Asp Pro Glu
260 265 270
Val Gln Phe Asn Trp Tyr Val Asp Gly Val Glu Val His Asn Ala Lys
275 280 285
Thr Lys Pro Arg Glu Glu Gln Phe Asn Ser Thr Tyr Arg Val Val Ser
290 295 300
Val Leu Thr Val Leu His Gln Asp Trp Leu Asn Gly Lys Glu Tyr Lys
305 310 315 320
Cys Lys Val Ser Asn Lys Gly Leu Pro Ser Ser Ile Glu Lys Thr Ile
325 330 335
Ser Lys Ala Lys Gly Gln Pro Arg Glu Pro Gln Val Tyr Thr Leu Pro
340 345 350
Pro Ser Gln Glu Glu Met Thr Lys Asn Gln Val Ser Leu Thr Cys Leu
355 360 365
Val Lys Gly Phe Tyr Pro Ser Asp Ile Ala Val Glu Trp Glu Ser Asn
370 375 380
Gly Gln Pro Glu Asn Asn Tyr Lys Thr Thr Pro Pro Val Leu Asp Ser
385 390 395 400
Asp Gly Ser Phe Phe Leu Tyr Ser Arg Leu Thr Val Asp Lys Ser Arg
405 410 415
Trp Gln Glu Gly Asn Val Phe Ser Cys Ser Val Met His Glu Ala Leu
420 425 430
His Asn His Tyr Thr Gln Lys Ser Leu Ser Leu Ser Leu Gly Lys
435 440 445
<210> 281
<211> 215
<212> PRT
<213> 人工序列
<220>
<221> 来源
<223> /注释="人工序列的描述:合成
多肽"
<400> 281
Glu Thr Val Leu Thr Gln Ser Pro Gly Thr Leu Ser Leu Ser Pro Gly
1 5 10 15
Glu Arg Ala Thr Leu Ser Cys Arg Ala Ser Gln Ser Leu Gly Ser Ser
20 25 30
Tyr Leu Ala Trp Tyr Gln Gln Lys Pro Gly Gln Ala Pro Arg Leu Leu
35 40 45
Ile Tyr Gly Ala Ser Ser Arg Ala Pro Gly Ile Pro Asp Arg Phe Ser
50 55 60
Gly Ser Gly Ser Gly Thr Asp Phe Thr Leu Thr Ile Ser Arg Leu Glu
65 70 75 80
Pro Glu Asp Phe Ala Val Tyr Tyr Cys Gln Gln Tyr Ala Asp Ser Pro
85 90 95
Ile Thr Phe Gly Gln Gly Thr Arg Leu Glu Ile Lys Arg Thr Val Ala
100 105 110
Ala Pro Ser Val Phe Ile Phe Pro Pro Ser Asp Glu Gln Leu Lys Ser
115 120 125
Gly Thr Ala Ser Val Val Cys Leu Leu Asn Asn Phe Tyr Pro Arg Glu
130 135 140
Ala Lys Val Gln Trp Lys Val Asp Asn Ala Leu Gln Ser Gly Asn Ser
145 150 155 160
Gln Glu Ser Val Thr Glu Gln Asp Ser Lys Asp Ser Thr Tyr Ser Leu
165 170 175
Ser Ser Thr Leu Thr Leu Ser Lys Ala Asp Tyr Glu Lys His Lys Val
180 185 190
Tyr Ala Cys Glu Val Thr His Gln Gly Leu Ser Ser Pro Val Thr Lys
195 200 205
Ser Phe Asn Arg Gly Glu Cys
210 215
<210> 282
<211> 137
<212> PRT
<213> 人工序列
<220>
<221> 来源
<223> /注释="人工序列的描述:合成
多肽"
<400> 282
Met Glu Phe Gly Leu Ser Trp Val Phe Leu Val Ala Leu Leu Arg Gly
1 5 10 15
Val Gln Cys Gln Val Gln Leu Val Glu Ser Gly Gly Gly Val Val Gln
20 25 30
Pro Gly Arg Ser Leu Arg Leu Ser Cys Ala Ala Ser Gly Phe Thr Phe
35 40 45
Ser Val Tyr Gly Met Asn Trp Val Arg Gln Ala Pro Gly Lys Gly Leu
50 55 60
Glu Trp Val Ala Ile Ile Trp Tyr Asp Gly Asp Asn Gln Tyr Tyr Ala
65 70 75 80
Asp Ser Val Lys Gly Arg Phe Thr Ile Ser Arg Asp Asn Ser Lys Asn
85 90 95
Thr Leu Tyr Leu Gln Met Asn Gly Leu Arg Ala Glu Asp Thr Ala Val
100 105 110
Tyr Tyr Cys Ala Arg Asp Leu Arg Thr Gly Pro Phe Asp Tyr Trp Gly
115 120 125
Gln Gly Thr Leu Val Thr Val Ser Ser
130 135
<210> 283
<211> 126
<212> PRT
<213> 人工序列
<220>
<221> 来源
<223> /注释="人工序列的描述:合成
多肽"
<400> 283
Met Leu Pro Ser Gln Leu Ile Gly Phe Leu Leu Leu Trp Val Pro Ala
1 5 10 15
Ser Arg Gly Glu Ile Val Leu Thr Gln Ser Pro Asp Phe Gln Ser Val
20 25 30
Thr Pro Lys Glu Lys Val Thr Ile Thr Cys Arg Ala Ser Gln Ser Ile
35 40 45
Gly Ser Ser Leu His Trp Tyr Gln Gln Lys Pro Asp Gln Ser Pro Lys
50 55 60
Leu Leu Ile Lys Tyr Ala Ser Gln Ser Phe Ser Gly Val Pro Ser Arg
65 70 75 80
Phe Ser Gly Ser Gly Ser Gly Thr Asp Phe Thr Leu Thr Ile Asn Ser
85 90 95
Leu Glu Ala Glu Asp Ala Ala Ala Tyr Tyr Cys His Gln Ser Ser Ser
100 105 110
Leu Pro Phe Thr Phe Gly Pro Gly Thr Lys Val Asp Ile Lys
115 120 125
<210> 284
<211> 121
<212> PRT
<213> 人工序列
<220>
<221> 来源
<223> /注释="人工序列的描述:合成
多肽"
<400> 284
Gln Val Gln Leu Val Gln Ser Gly Ala Glu Val Lys Lys Pro Gly Ser
1 5 10 15
Ser Val Lys Val Ser Cys Lys Ala Ser Gly Gly Thr Phe Ser Ser Tyr
20 25 30
Ala Ile Ser Trp Val Arg Gln Ala Pro Gly Gln Gly Leu Glu Trp Met
35 40 45
Gly Gly Ile Ile Pro Ile Phe Gly Thr Ala Asn Tyr Ala Gln Lys Phe
50 55 60
Gln Gly Arg Val Thr Ile Thr Ala Asp Glu Ser Thr Ser Thr Ala Tyr
65 70 75 80
Met Glu Leu Ser Ser Leu Arg Ser Glu Asp Thr Ala Val Tyr Tyr Cys
85 90 95
Ala Arg Gly Leu Trp Glu Val Arg Ala Leu Pro Ser Val Tyr Trp Gly
100 105 110
Gln Gly Thr Leu Val Thr Val Ser Ser
115 120
<210> 285
<211> 109
<212> PRT
<213> 人工序列
<220>
<221> 来源
<223> /注释="人工序列的描述:合成
多肽"
<400> 285
Ser Tyr Glu Leu Thr Gln Pro Pro Ser Val Ser Val Ala Pro Gly Gln
1 5 10 15
Thr Ala Arg Ile Thr Cys Gly Ala Asn Asp Ile Gly Ser Lys Ser Val
20 25 30
His Trp Tyr Gln Gln Lys Ala Gly Gln Ala Pro Val Leu Val Val Ser
35 40 45
Glu Asp Ile Ile Arg Pro Ser Gly Ile Pro Glu Arg Ile Ser Gly Ser
50 55 60
Asn Ser Gly Asn Thr Ala Thr Leu Thr Ile Ser Arg Val Glu Ala Gly
65 70 75 80
Asp Glu Ala Asp Tyr Tyr Cys Gln Val Trp Asp Arg Asp Ser Asp Gln
85 90 95
Tyr Val Phe Gly Thr Gly Thr Lys Val Thr Val Leu Gly
100 105
<210> 286
<211> 9
<212> PRT
<213> 人工序列
<220>
<221> 来源
<223> /注释="人工序列的描述:合成
肽"
<400> 286
Gln Asn Asp Tyr Ser Tyr Pro Tyr Thr
1 5
<210> 287
<211> 63
<212> DNA
<213> 人工序列
<220>
<221> 来源
<223> /注释="人工序列的描述:合成
寡核苷酸"
<400> 287
atggccctgc ctgtgacagc cctgctgctg cctctggctc tgctgctgca tgccgctaga 60
ccc 63
<210> 288
<211> 63
<212> DNA
<213> 人工序列
<220>
<221> 来源
<223> /注释="人工序列的描述:合成
寡核苷酸"
<400> 288
atggccctcc ctgtcaccgc cctgctgctt ccgctggctc ttctgctcca cgccgctcgg 60
ccc 63
<210> 289
<211> 72
<212> DNA
<213> 人工序列
<220>
<221> 来源
<223> /注释="人工序列的描述:合成
寡核苷酸"
<400> 289
atctacattt gggcccctct ggctggtact tgcggggtcc tgctgctttc actcgtgatc 60
actctttact gt 72
<210> 290
<211> 126
<212> DNA
<213> 人工序列
<220>
<221> 来源
<223> /注释="人工序列的描述:合成
多核苷酸"
<400> 290
aagcgcggtc ggaagaagct gctgtacatc tttaagcaac ccttcatgag gcctgtgcag 60
actactcaag aggaggacgg ctgttcatgc cggttcccag aggaggagga aggcggctgc 120
gaactg 126
<210> 291
<211> 336
<212> DNA
<213> 人工序列
<220>
<221> 来源
<223> /注释="人工序列的描述:合成
多核苷酸"
<400> 291
cgcgtgaaat tcagccgcag cgcagatgct ccagcctaca agcaggggca gaaccagctc 60
tacaacgaac tcaatcttgg tcggagagag gagtacgacg tgctggacaa gcggagagga 120
cgggacccag aaatgggcgg gaagccgcgc agaaagaatc cccaagaggg cctgtacaac 180
gagctccaaa aggataagat ggcagaagcc tatagcgaga ttggtatgaa aggggaacgc 240
agaagaggca aaggccacga cggactgtac cagggactca gcaccgccac caaggacacc 300
tatgacgctc ttcacatgca ggccctgccg cctcgg 336
<210> 292
<211> 5
<212> PRT
<213> 人工序列
<220>
<221> 来源
<223> /注释="人工序列的描述:合成
肽"
<400> 292
Gly Gly Gly Gly Ser
1 5
<210> 293
<211> 150
<212> PRT
<213> 人工序列
<220>
<221> 来源
<223> /注释="人工序列的描述:合成
多肽"
<400> 293
Pro Gly Trp Phe Leu Asp Ser Pro Asp Arg Pro Trp Asn Pro Pro Thr
1 5 10 15
Phe Ser Pro Ala Leu Leu Val Val Thr Glu Gly Asp Asn Ala Thr Phe
20 25 30
Thr Cys Ser Phe Ser Asn Thr Ser Glu Ser Phe Val Leu Asn Trp Tyr
35 40 45
Arg Met Ser Pro Ser Asn Gln Thr Asp Lys Leu Ala Ala Phe Pro Glu
50 55 60
Asp Arg Ser Gln Pro Gly Gln Asp Cys Arg Phe Arg Val Thr Gln Leu
65 70 75 80
Pro Asn Gly Arg Asp Phe His Met Ser Val Val Arg Ala Arg Arg Asn
85 90 95
Asp Ser Gly Thr Tyr Leu Cys Gly Ala Ile Ser Leu Ala Pro Lys Ala
100 105 110
Gln Ile Lys Glu Ser Leu Arg Ala Glu Leu Arg Val Thr Glu Arg Arg
115 120 125
Ala Glu Val Pro Thr Ala His Pro Ser Pro Ser Pro Arg Pro Ala Gly
130 135 140
Gln Phe Gln Thr Leu Val
145 150
<210> 294
<211> 450
<212> DNA
<213> 人工序列
<220>
<221> 来源
<223> /注释="人工序列的描述:合成
多核苷酸"
<400> 294
cccggatggt ttctggactc tccggatcgc ccgtggaatc ccccaacctt ctcaccggca 60
ctcttggttg tgactgaggg cgataatgcg accttcacgt gctcgttctc caacacctcc 120
gaatcattcg tgctgaactg gtaccgcatg agcccgtcaa accagaccga caagctcgcc 180
gcgtttccgg aagatcggtc gcaaccggga caggattgtc ggttccgcgt gactcaactg 240
ccgaatggca gagacttcca catgagcgtg gtccgcgcta ggcgaaacga ctccgggacc 300
tacctgtgcg gagccatctc gctggcgcct aaggcccaaa tcaaagagag cttgagggcc 360
gaactgagag tgaccgagcg cagagctgag gtgccaactg cacatccatc cccatcgcct 420
cggcctgcgg ggcagtttca gaccctggtc 450
<210> 295
<211> 394
<212> PRT
<213> 人工序列
<220>
<221> 来源
<223> /注释="人工序列的描述:合成
多肽"
<400> 295
Met Ala Leu Pro Val Thr Ala Leu Leu Leu Pro Leu Ala Leu Leu Leu
1 5 10 15
His Ala Ala Arg Pro Pro Gly Trp Phe Leu Asp Ser Pro Asp Arg Pro
20 25 30
Trp Asn Pro Pro Thr Phe Ser Pro Ala Leu Leu Val Val Thr Glu Gly
35 40 45
Asp Asn Ala Thr Phe Thr Cys Ser Phe Ser Asn Thr Ser Glu Ser Phe
50 55 60
Val Leu Asn Trp Tyr Arg Met Ser Pro Ser Asn Gln Thr Asp Lys Leu
65 70 75 80
Ala Ala Phe Pro Glu Asp Arg Ser Gln Pro Gly Gln Asp Cys Arg Phe
85 90 95
Arg Val Thr Gln Leu Pro Asn Gly Arg Asp Phe His Met Ser Val Val
100 105 110
Arg Ala Arg Arg Asn Asp Ser Gly Thr Tyr Leu Cys Gly Ala Ile Ser
115 120 125
Leu Ala Pro Lys Ala Gln Ile Lys Glu Ser Leu Arg Ala Glu Leu Arg
130 135 140
Val Thr Glu Arg Arg Ala Glu Val Pro Thr Ala His Pro Ser Pro Ser
145 150 155 160
Pro Arg Pro Ala Gly Gln Phe Gln Thr Leu Val Thr Thr Thr Pro Ala
165 170 175
Pro Arg Pro Pro Thr Pro Ala Pro Thr Ile Ala Ser Gln Pro Leu Ser
180 185 190
Leu Arg Pro Glu Ala Cys Arg Pro Ala Ala Gly Gly Ala Val His Thr
195 200 205
Arg Gly Leu Asp Phe Ala Cys Asp Ile Tyr Ile Trp Ala Pro Leu Ala
210 215 220
Gly Thr Cys Gly Val Leu Leu Leu Ser Leu Val Ile Thr Leu Tyr Cys
225 230 235 240
Lys Arg Gly Arg Lys Lys Leu Leu Tyr Ile Phe Lys Gln Pro Phe Met
245 250 255
Arg Pro Val Gln Thr Thr Gln Glu Glu Asp Gly Cys Ser Cys Arg Phe
260 265 270
Pro Glu Glu Glu Glu Gly Gly Cys Glu Leu Arg Val Lys Phe Ser Arg
275 280 285
Ser Ala Asp Ala Pro Ala Tyr Lys Gln Gly Gln Asn Gln Leu Tyr Asn
290 295 300
Glu Leu Asn Leu Gly Arg Arg Glu Glu Tyr Asp Val Leu Asp Lys Arg
305 310 315 320
Arg Gly Arg Asp Pro Glu Met Gly Gly Lys Pro Arg Arg Lys Asn Pro
325 330 335
Gln Glu Gly Leu Tyr Asn Glu Leu Gln Lys Asp Lys Met Ala Glu Ala
340 345 350
Tyr Ser Glu Ile Gly Met Lys Gly Glu Arg Arg Arg Gly Lys Gly His
355 360 365
Asp Gly Leu Tyr Gln Gly Leu Ser Thr Ala Thr Lys Asp Thr Tyr Asp
370 375 380
Ala Leu His Met Gln Ala Leu Pro Pro Arg
385 390
<210> 296
<211> 1182
<212> DNA
<213> 人工序列
<220>
<221> 来源
<223> /注释="人工序列的描述:合成
多核苷酸"
<400> 296
atggccctcc ctgtcactgc cctgcttctc cccctcgcac tcctgctcca cgccgctaga 60
ccacccggat ggtttctgga ctctccggat cgcccgtgga atcccccaac cttctcaccg 120
gcactcttgg ttgtgactga gggcgataat gcgaccttca cgtgctcgtt ctccaacacc 180
tccgaatcat tcgtgctgaa ctggtaccgc atgagcccgt caaaccagac cgacaagctc 240
gccgcgtttc cggaagatcg gtcgcaaccg ggacaggatt gtcggttccg cgtgactcaa 300
ctgccgaatg gcagagactt ccacatgagc gtggtccgcg ctaggcgaaa cgactccggg 360
acctacctgt gcggagccat ctcgctggcg cctaaggccc aaatcaaaga gagcttgagg 420
gccgaactga gagtgaccga gcgcagagct gaggtgccaa ctgcacatcc atccccatcg 480
cctcggcctg cggggcagtt tcagaccctg gtcacgacca ctccggcgcc gcgcccaccg 540
actccggccc caactatcgc gagccagccc ctgtcgctga ggccggaagc atgccgccct 600
gccgccggag gtgctgtgca tacccgggga ttggacttcg catgcgacat ctacatttgg 660
gctcctctcg ccggaacttg tggcgtgctc cttctgtccc tggtcatcac cctgtactgc 720
aagcggggtc ggaaaaagct tctgtacatt ttcaagcagc ccttcatgag gcccgtgcaa 780
accacccagg aggaggacgg ttgctcctgc cggttccccg aagaggaaga aggaggttgc 840
gagctgcgcg tgaagttctc ccggagcgcc gacgcccccg cctataagca gggccagaac 900
cagctgtaca acgaactgaa cctgggacgg cgggaagagt acgatgtgct ggacaagcgg 960
cgcggccggg accccgaaat gggcgggaag cctagaagaa agaaccctca ggaaggcctg 1020
tataacgagc tgcagaagga caagatggcc gaggcctact ccgaaattgg gatgaaggga 1080
gagcggcgga ggggaaaggg gcacgacggc ctgtaccaag gactgtccac cgccaccaag 1140
gacacatacg atgccctgca catgcaggcc cttccccctc gc 1182
<210> 297
<211> 4
<212> PRT
<213> 人工序列
<220>
<221> 来源
<223> /注释="人工序列的描述:合成
肽"
<400> 297
Gly Gly Gly Ser
1
<210> 298
<211> 5000
<212> DNA
<213> 人工序列
<220>
<221> 来源
<223> /注释="人工序列的描述:合成
多核苷酸"
<220>
<221> 尚未归类的特征
<222> (1)..(5000)
<223> /注释="该序列可以包含50-5000个核苷酸
<400> 298
aaaaaaaaaa aaaaaaaaaa aaaaaaaaaa aaaaaaaaaa aaaaaaaaaa aaaaaaaaaa 60
aaaaaaaaaa aaaaaaaaaa aaaaaaaaaa aaaaaaaaaa aaaaaaaaaa aaaaaaaaaa 120
aaaaaaaaaa aaaaaaaaaa aaaaaaaaaa aaaaaaaaaa aaaaaaaaaa aaaaaaaaaa 180
aaaaaaaaaa aaaaaaaaaa aaaaaaaaaa aaaaaaaaaa aaaaaaaaaa aaaaaaaaaa 240
aaaaaaaaaa aaaaaaaaaa aaaaaaaaaa aaaaaaaaaa aaaaaaaaaa aaaaaaaaaa 300
aaaaaaaaaa aaaaaaaaaa aaaaaaaaaa aaaaaaaaaa aaaaaaaaaa aaaaaaaaaa 360
aaaaaaaaaa aaaaaaaaaa aaaaaaaaaa aaaaaaaaaa aaaaaaaaaa aaaaaaaaaa 420
aaaaaaaaaa aaaaaaaaaa aaaaaaaaaa aaaaaaaaaa aaaaaaaaaa aaaaaaaaaa 480
aaaaaaaaaa aaaaaaaaaa aaaaaaaaaa aaaaaaaaaa aaaaaaaaaa aaaaaaaaaa 540
aaaaaaaaaa aaaaaaaaaa aaaaaaaaaa aaaaaaaaaa aaaaaaaaaa aaaaaaaaaa 600
aaaaaaaaaa aaaaaaaaaa aaaaaaaaaa aaaaaaaaaa aaaaaaaaaa aaaaaaaaaa 660
aaaaaaaaaa aaaaaaaaaa aaaaaaaaaa aaaaaaaaaa aaaaaaaaaa aaaaaaaaaa 720
aaaaaaaaaa aaaaaaaaaa aaaaaaaaaa aaaaaaaaaa aaaaaaaaaa aaaaaaaaaa 780
aaaaaaaaaa aaaaaaaaaa aaaaaaaaaa aaaaaaaaaa aaaaaaaaaa aaaaaaaaaa 840
aaaaaaaaaa aaaaaaaaaa aaaaaaaaaa aaaaaaaaaa aaaaaaaaaa aaaaaaaaaa 900
aaaaaaaaaa aaaaaaaaaa aaaaaaaaaa aaaaaaaaaa aaaaaaaaaa aaaaaaaaaa 960
aaaaaaaaaa aaaaaaaaaa aaaaaaaaaa aaaaaaaaaa aaaaaaaaaa aaaaaaaaaa 1020
aaaaaaaaaa aaaaaaaaaa aaaaaaaaaa aaaaaaaaaa aaaaaaaaaa aaaaaaaaaa 1080
aaaaaaaaaa aaaaaaaaaa aaaaaaaaaa aaaaaaaaaa aaaaaaaaaa aaaaaaaaaa 1140
aaaaaaaaaa aaaaaaaaaa aaaaaaaaaa aaaaaaaaaa aaaaaaaaaa aaaaaaaaaa 1200
aaaaaaaaaa aaaaaaaaaa aaaaaaaaaa aaaaaaaaaa aaaaaaaaaa aaaaaaaaaa 1260
aaaaaaaaaa aaaaaaaaaa aaaaaaaaaa aaaaaaaaaa aaaaaaaaaa aaaaaaaaaa 1320
aaaaaaaaaa aaaaaaaaaa aaaaaaaaaa aaaaaaaaaa aaaaaaaaaa aaaaaaaaaa 1380
aaaaaaaaaa aaaaaaaaaa aaaaaaaaaa aaaaaaaaaa aaaaaaaaaa aaaaaaaaaa 1440
aaaaaaaaaa aaaaaaaaaa aaaaaaaaaa aaaaaaaaaa aaaaaaaaaa aaaaaaaaaa 1500
aaaaaaaaaa aaaaaaaaaa aaaaaaaaaa aaaaaaaaaa aaaaaaaaaa aaaaaaaaaa 1560
aaaaaaaaaa aaaaaaaaaa aaaaaaaaaa aaaaaaaaaa aaaaaaaaaa aaaaaaaaaa 1620
aaaaaaaaaa aaaaaaaaaa aaaaaaaaaa aaaaaaaaaa aaaaaaaaaa aaaaaaaaaa 1680
aaaaaaaaaa aaaaaaaaaa aaaaaaaaaa aaaaaaaaaa aaaaaaaaaa aaaaaaaaaa 1740
aaaaaaaaaa aaaaaaaaaa aaaaaaaaaa aaaaaaaaaa aaaaaaaaaa aaaaaaaaaa 1800
aaaaaaaaaa aaaaaaaaaa aaaaaaaaaa aaaaaaaaaa aaaaaaaaaa aaaaaaaaaa 1860
aaaaaaaaaa aaaaaaaaaa aaaaaaaaaa aaaaaaaaaa aaaaaaaaaa aaaaaaaaaa 1920
aaaaaaaaaa aaaaaaaaaa aaaaaaaaaa aaaaaaaaaa aaaaaaaaaa aaaaaaaaaa 1980
aaaaaaaaaa aaaaaaaaaa aaaaaaaaaa aaaaaaaaaa aaaaaaaaaa aaaaaaaaaa 2040
aaaaaaaaaa aaaaaaaaaa aaaaaaaaaa aaaaaaaaaa aaaaaaaaaa aaaaaaaaaa 2100
aaaaaaaaaa aaaaaaaaaa aaaaaaaaaa aaaaaaaaaa aaaaaaaaaa aaaaaaaaaa 2160
aaaaaaaaaa aaaaaaaaaa aaaaaaaaaa aaaaaaaaaa aaaaaaaaaa aaaaaaaaaa 2220
aaaaaaaaaa aaaaaaaaaa aaaaaaaaaa aaaaaaaaaa aaaaaaaaaa aaaaaaaaaa 2280
aaaaaaaaaa aaaaaaaaaa aaaaaaaaaa aaaaaaaaaa aaaaaaaaaa aaaaaaaaaa 2340
aaaaaaaaaa aaaaaaaaaa aaaaaaaaaa aaaaaaaaaa aaaaaaaaaa aaaaaaaaaa 2400
aaaaaaaaaa aaaaaaaaaa aaaaaaaaaa aaaaaaaaaa aaaaaaaaaa aaaaaaaaaa 2460
aaaaaaaaaa aaaaaaaaaa aaaaaaaaaa aaaaaaaaaa aaaaaaaaaa aaaaaaaaaa 2520
aaaaaaaaaa aaaaaaaaaa aaaaaaaaaa aaaaaaaaaa aaaaaaaaaa aaaaaaaaaa 2580
aaaaaaaaaa aaaaaaaaaa aaaaaaaaaa aaaaaaaaaa aaaaaaaaaa aaaaaaaaaa 2640
aaaaaaaaaa aaaaaaaaaa aaaaaaaaaa aaaaaaaaaa aaaaaaaaaa aaaaaaaaaa 2700
aaaaaaaaaa aaaaaaaaaa aaaaaaaaaa aaaaaaaaaa aaaaaaaaaa aaaaaaaaaa 2760
aaaaaaaaaa aaaaaaaaaa aaaaaaaaaa aaaaaaaaaa aaaaaaaaaa aaaaaaaaaa 2820
aaaaaaaaaa aaaaaaaaaa aaaaaaaaaa aaaaaaaaaa aaaaaaaaaa aaaaaaaaaa 2880
aaaaaaaaaa aaaaaaaaaa aaaaaaaaaa aaaaaaaaaa aaaaaaaaaa aaaaaaaaaa 2940
aaaaaaaaaa aaaaaaaaaa aaaaaaaaaa aaaaaaaaaa aaaaaaaaaa aaaaaaaaaa 3000
aaaaaaaaaa aaaaaaaaaa aaaaaaaaaa aaaaaaaaaa aaaaaaaaaa aaaaaaaaaa 3060
aaaaaaaaaa aaaaaaaaaa aaaaaaaaaa aaaaaaaaaa aaaaaaaaaa aaaaaaaaaa 3120
aaaaaaaaaa aaaaaaaaaa aaaaaaaaaa aaaaaaaaaa aaaaaaaaaa aaaaaaaaaa 3180
aaaaaaaaaa aaaaaaaaaa aaaaaaaaaa aaaaaaaaaa aaaaaaaaaa aaaaaaaaaa 3240
aaaaaaaaaa aaaaaaaaaa aaaaaaaaaa aaaaaaaaaa aaaaaaaaaa aaaaaaaaaa 3300
aaaaaaaaaa aaaaaaaaaa aaaaaaaaaa aaaaaaaaaa aaaaaaaaaa aaaaaaaaaa 3360
aaaaaaaaaa aaaaaaaaaa aaaaaaaaaa aaaaaaaaaa aaaaaaaaaa aaaaaaaaaa 3420
aaaaaaaaaa aaaaaaaaaa aaaaaaaaaa aaaaaaaaaa aaaaaaaaaa aaaaaaaaaa 3480
aaaaaaaaaa aaaaaaaaaa aaaaaaaaaa aaaaaaaaaa aaaaaaaaaa aaaaaaaaaa 3540
aaaaaaaaaa aaaaaaaaaa aaaaaaaaaa aaaaaaaaaa aaaaaaaaaa aaaaaaaaaa 3600
aaaaaaaaaa aaaaaaaaaa aaaaaaaaaa aaaaaaaaaa aaaaaaaaaa aaaaaaaaaa 3660
aaaaaaaaaa aaaaaaaaaa aaaaaaaaaa aaaaaaaaaa aaaaaaaaaa aaaaaaaaaa 3720
aaaaaaaaaa aaaaaaaaaa aaaaaaaaaa aaaaaaaaaa aaaaaaaaaa aaaaaaaaaa 3780
aaaaaaaaaa aaaaaaaaaa aaaaaaaaaa aaaaaaaaaa aaaaaaaaaa aaaaaaaaaa 3840
aaaaaaaaaa aaaaaaaaaa aaaaaaaaaa aaaaaaaaaa aaaaaaaaaa aaaaaaaaaa 3900
aaaaaaaaaa aaaaaaaaaa aaaaaaaaaa aaaaaaaaaa aaaaaaaaaa aaaaaaaaaa 3960
aaaaaaaaaa aaaaaaaaaa aaaaaaaaaa aaaaaaaaaa aaaaaaaaaa aaaaaaaaaa 4020
aaaaaaaaaa aaaaaaaaaa aaaaaaaaaa aaaaaaaaaa aaaaaaaaaa aaaaaaaaaa 4080
aaaaaaaaaa aaaaaaaaaa aaaaaaaaaa aaaaaaaaaa aaaaaaaaaa aaaaaaaaaa 4140
aaaaaaaaaa aaaaaaaaaa aaaaaaaaaa aaaaaaaaaa aaaaaaaaaa aaaaaaaaaa 4200
aaaaaaaaaa aaaaaaaaaa aaaaaaaaaa aaaaaaaaaa aaaaaaaaaa aaaaaaaaaa 4260
aaaaaaaaaa aaaaaaaaaa aaaaaaaaaa aaaaaaaaaa aaaaaaaaaa aaaaaaaaaa 4320
aaaaaaaaaa aaaaaaaaaa aaaaaaaaaa aaaaaaaaaa aaaaaaaaaa aaaaaaaaaa 4380
aaaaaaaaaa aaaaaaaaaa aaaaaaaaaa aaaaaaaaaa aaaaaaaaaa aaaaaaaaaa 4440
aaaaaaaaaa aaaaaaaaaa aaaaaaaaaa aaaaaaaaaa aaaaaaaaaa aaaaaaaaaa 4500
aaaaaaaaaa aaaaaaaaaa aaaaaaaaaa aaaaaaaaaa aaaaaaaaaa aaaaaaaaaa 4560
aaaaaaaaaa aaaaaaaaaa aaaaaaaaaa aaaaaaaaaa aaaaaaaaaa aaaaaaaaaa 4620
aaaaaaaaaa aaaaaaaaaa aaaaaaaaaa aaaaaaaaaa aaaaaaaaaa aaaaaaaaaa 4680
aaaaaaaaaa aaaaaaaaaa aaaaaaaaaa aaaaaaaaaa aaaaaaaaaa aaaaaaaaaa 4740
aaaaaaaaaa aaaaaaaaaa aaaaaaaaaa aaaaaaaaaa aaaaaaaaaa aaaaaaaaaa 4800
aaaaaaaaaa aaaaaaaaaa aaaaaaaaaa aaaaaaaaaa aaaaaaaaaa aaaaaaaaaa 4860
aaaaaaaaaa aaaaaaaaaa aaaaaaaaaa aaaaaaaaaa aaaaaaaaaa aaaaaaaaaa 4920
aaaaaaaaaa aaaaaaaaaa aaaaaaaaaa aaaaaaaaaa aaaaaaaaaa aaaaaaaaaa 4980
aaaaaaaaaa aaaaaaaaaa 5000
<210> 299
<211> 373
<212> PRT
<213> 人工序列
<220>
<221> 来源
<223> /注释="人工序列的描述:合成
多肽"
<400> 299
Pro Gly Trp Phe Leu Asp Ser Pro Asp Arg Pro Trp Asn Pro Pro Thr
1 5 10 15
Phe Ser Pro Ala Leu Leu Val Val Thr Glu Gly Asp Asn Ala Thr Phe
20 25 30
Thr Cys Ser Phe Ser Asn Thr Ser Glu Ser Phe Val Leu Asn Trp Tyr
35 40 45
Arg Met Ser Pro Ser Asn Gln Thr Asp Lys Leu Ala Ala Phe Pro Glu
50 55 60
Asp Arg Ser Gln Pro Gly Gln Asp Cys Arg Phe Arg Val Thr Gln Leu
65 70 75 80
Pro Asn Gly Arg Asp Phe His Met Ser Val Val Arg Ala Arg Arg Asn
85 90 95
Asp Ser Gly Thr Tyr Leu Cys Gly Ala Ile Ser Leu Ala Pro Lys Ala
100 105 110
Gln Ile Lys Glu Ser Leu Arg Ala Glu Leu Arg Val Thr Glu Arg Arg
115 120 125
Ala Glu Val Pro Thr Ala His Pro Ser Pro Ser Pro Arg Pro Ala Gly
130 135 140
Gln Phe Gln Thr Leu Val Thr Thr Thr Pro Ala Pro Arg Pro Pro Thr
145 150 155 160
Pro Ala Pro Thr Ile Ala Ser Gln Pro Leu Ser Leu Arg Pro Glu Ala
165 170 175
Cys Arg Pro Ala Ala Gly Gly Ala Val His Thr Arg Gly Leu Asp Phe
180 185 190
Ala Cys Asp Ile Tyr Ile Trp Ala Pro Leu Ala Gly Thr Cys Gly Val
195 200 205
Leu Leu Leu Ser Leu Val Ile Thr Leu Tyr Cys Lys Arg Gly Arg Lys
210 215 220
Lys Leu Leu Tyr Ile Phe Lys Gln Pro Phe Met Arg Pro Val Gln Thr
225 230 235 240
Thr Gln Glu Glu Asp Gly Cys Ser Cys Arg Phe Pro Glu Glu Glu Glu
245 250 255
Gly Gly Cys Glu Leu Arg Val Lys Phe Ser Arg Ser Ala Asp Ala Pro
260 265 270
Ala Tyr Lys Gln Gly Gln Asn Gln Leu Tyr Asn Glu Leu Asn Leu Gly
275 280 285
Arg Arg Glu Glu Tyr Asp Val Leu Asp Lys Arg Arg Gly Arg Asp Pro
290 295 300
Glu Met Gly Gly Lys Pro Arg Arg Lys Asn Pro Gln Glu Gly Leu Tyr
305 310 315 320
Asn Glu Leu Gln Lys Asp Lys Met Ala Glu Ala Tyr Ser Glu Ile Gly
325 330 335
Met Lys Gly Glu Arg Arg Arg Gly Lys Gly His Asp Gly Leu Tyr Gln
340 345 350
Gly Leu Ser Thr Ala Thr Lys Asp Thr Tyr Asp Ala Leu His Met Gln
355 360 365
Ala Leu Pro Pro Arg
370
<210> 300
<211> 35
<212> PRT
<213> 人工序列
<220>
<221> 来源
<223> /注释="人工序列的描述:合成
多肽"
<400> 300
Thr Lys Lys Lys Tyr Ser Ser Ser Val His Asp Pro Asn Gly Glu Tyr
1 5 10 15
Met Phe Met Arg Ala Val Asn Thr Ala Lys Lys Ser Arg Leu Thr Asp
20 25 30
Val Thr Leu
35
<210> 301
<211> 105
<212> DNA
<213> 人工序列
<220>
<221> 来源
<223> /注释="人工序列的描述:合成
多核苷酸"
<400> 301
acaaaaaaga agtattcatc cagtgtgcac gaccctaacg gtgaatacat gttcatgaga 60
gcagtgaaca cagccaaaaa atccagactc acagatgtga cccta 105
<210> 302
<211> 69
<212> PRT
<213> 人工序列
<220>
<221> 来源
<223> /注释="人工序列的描述:合成
多肽"
<400> 302
Thr Thr Thr Pro Ala Pro Arg Pro Pro Thr Pro Ala Pro Thr Ile Ala
1 5 10 15
Ser Gln Pro Leu Ser Leu Arg Pro Glu Ala Cys Arg Pro Ala Ala Gly
20 25 30
Gly Ala Val His Thr Arg Gly Leu Asp Phe Ala Cys Asp Phe Trp Leu
35 40 45
Pro Ile Gly Cys Ala Ala Phe Val Val Val Cys Ile Leu Gly Cys Ile
50 55 60
Leu Ile Cys Trp Leu
65
<210> 303
<211> 207
<212> DNA
<213> 人工序列
<220>
<221> 来源
<223> /注释="人工序列的描述:合成
多核苷酸"
<400> 303
accacgacgc cagcgccgcg accaccaaca ccggcgccca ccatcgcgtc gcagcccctg 60
tccctgcgcc cagaggcgtg ccggccagcg gcggggggcg cagtgcacac gagggggctg 120
gacttcgcct gtgatttctg gttacccata ggatgtgcag cctttgttgt agtctgcatt 180
ttgggatgca tacttatttg ttggctt 207
<210> 304
<211> 41
<212> PRT
<213> 人工序列
<220>
<221> 来源
<223> /注释="人工序列的描述:合成
多肽"
<400> 304
Arg Ser Lys Arg Ser Arg Leu Leu His Ser Asp Tyr Met Asn Met Thr
1 5 10 15
Pro Arg Arg Pro Gly Pro Thr Arg Lys His Tyr Gln Pro Tyr Ala Pro
20 25 30
Pro Arg Asp Phe Ala Ala Tyr Arg Ser
35 40
<210> 305
<211> 123
<212> DNA
<213> 人工序列
<220>
<221> 来源
<223> /注释="人工序列的描述:合成
多核苷酸"
<400> 305
aggagtaaga ggagcaggct cctgcacagt gactacatga acatgactcc ccgccgcccc 60
gggcccaccc gcaagcatta ccagccctat gccccaccac gcgacttcgc agcctatcgc 120
tcc 123
<210> 306
<211> 10
<212> PRT
<213> 人工序列
<220>
<221> 来源
<223> /注释="人工序列的描述:合成
肽"
<400> 306
Gly Val Ser Leu Pro Asp Tyr Gly Val Ser
1 5 10
<210> 307
<211> 16
<212> PRT
<213> 人工序列
<220>
<221> 来源
<223> /注释="人工序列的描述:合成
肽"
<400> 307
Val Ile Trp Gly Ser Glu Thr Thr Tyr Tyr Asn Ser Ala Leu Lys Ser
1 5 10 15
<210> 308
<211> 16
<212> PRT
<213> 人工序列
<220>
<221> 来源
<223> /注释="人工序列的描述:合成
肽"
<400> 308
Val Ile Trp Gly Ser Glu Thr Thr Tyr Tyr Ser Ser Ser Leu Lys Ser
1 5 10 15
<210> 309
<211> 16
<212> PRT
<213> 人工序列
<220>
<221> 来源
<223> /注释="人工序列的描述:合成
肽"
<400> 309
Val Ile Trp Gly Ser Glu Thr Thr Tyr Tyr Gln Ser Ser Leu Lys Ser
1 5 10 15
<210> 310
<211> 16
<212> PRT
<213> 人工序列
<220>
<221> 来源
<223> /注释="人工序列的描述:合成
肽"
<400> 310
Val Ile Trp Gly Ser Glu Thr Thr Tyr Tyr Asn Ser Ser Leu Lys Ser
1 5 10 15
<210> 311
<211> 11
<212> PRT
<213> 人工序列
<220>
<221> 来源
<223> /注释="人工序列的描述:合成
肽"
<400> 311
Arg Ala Ser Gln Asp Ile Ser Lys Tyr Leu Asn
1 5 10
<210> 312
<211> 7
<212> PRT
<213> 人工序列
<220>
<221> 来源
<223> /注释="人工序列的描述:合成
肽"
<400> 312
His Thr Ser Arg Leu His Ser
1 5
<210> 313
<211> 40
<212> PRT
<213> 人工序列
<220>
<221> 来源
<223> /注释="人工序列的描述:合成
多肽"
<220>
<221> 位点
<222> (1)..(40)
<223> /注释="该序列可以包含1-10个 'Gly Gly Gly Ser'
重复单元"
<400> 313
Gly Gly Gly Ser Gly Gly Gly Ser Gly Gly Gly Ser Gly Gly Gly Ser
1 5 10 15
Gly Gly Gly Ser Gly Gly Gly Ser Gly Gly Gly Ser Gly Gly Gly Ser
20 25 30
Gly Gly Gly Ser Gly Gly Gly Ser
35 40
<210> 314
<211> 4
<212> PRT
<213> 人工序列
<220>
<221> 来源
<223> /注释="人工序列的描述:合成
肽"
<400> 314
Arg Gly Asp Ser
1
Claims (30)
1.一种具有式(I)的化合物,
其中:
每个R1独立地是H、(C1-C6)烷基、(C1-C6)烷氧基、(C1-C6)卤代烷基、(C1-C6)卤代烷氧基、(C1-C6)羟基烷基、卤素、-OH、-(CH2)0-2NH2、-(CH2)0-2NH(C1-C6)烷基、-(CH2)0-2N((C1-C6)烷基)2、或CN;或
两个R1当在相邻原子上时与它们所附接的原子一起形成苯基环或包含1个至2个N原子的5元或6元杂芳基环,其中所述苯基和杂芳基任选地被一个至三个R13取代;或者两个R1当在相邻原子上时与它们所附接的原子一起形成(C5-C6)环烷基环或包含1个至2个选自O、N、和S的杂原子的5元或6元杂环烷基环,其中所述环烷基和杂环烷基任选地被一个至三个R13取代;或
R1和R2当在相邻原子上时与它们所附接的原子一起形成苯基环或包含1个至2个N原子的5元或6元杂芳基环,其中所述苯基和杂芳基任选地被一个至三个R13取代;或者R1和R2当在相邻原子上时与它们所附接的原子一起形成(C5-C6)环烷基环或包含1个至2个选自O、N、和S的杂原子的5元或6元杂环烷基环,其中所述环烷基和杂环烷基任选地被一个至三个R13取代;
R2是H、(C1-C6)烷基、(C6-C10)芳基、包含1个至3个选自O、N、和S的杂原子的5元或6元杂芳基、(C3-C8)环烷基、或包含1个至3个选自O、N、和S的杂原子的5元至7元杂环烷基,其中所述烷基任选地被一个或多个R4取代;并且所述芳基、杂芳基、环烷基、和杂环烷基任选地被一个或多个R5取代,或
R2和R1当在相邻原子上时与它们所附接的原子一起形成苯基环或包含1个至2个N原子的5元或6元杂芳基环,其中所述苯基和杂芳基任选地被一个至三个R13取代;或者R2和R1当在相邻原子上时与它们所附接的原子一起形成(C5-C6)环烷基环或包含1个至2个选自O、N、和S的杂原子的5元或6元杂环烷基环,其中所述环烷基和杂环烷基任选地被一个至三个R13取代;
R2和R3’当在相邻原子上时与它们所附接的原子一起形成苯基环或包含1个至2个N原子的5元或6元杂芳基环,其中所述苯基和杂芳基任选地被一个至三个R13取代;或者R2和R3’当在相邻原子上时与它们所附接的原子一起形成(C5-C6)环烷基环或包含1个至2个选自O、N、和S的杂原子的5元或6元杂环烷基环,其中所述环烷基和杂环烷基任选地被一个至三个R13取代;
R3是H、(C1-C6)烷基、(C1-C6)烷氧基、(C1-C6)卤代烷基、(C1-C6)卤代烷氧基、(C1-C6)羟基烷基、卤素、-OH、-(CH2)0-2NH2、-(CH2)0-2NH(C1-C6)烷基、-(CH2)0-2N((C1-C6)烷基)2、或CN;
R3’是H、(C1-C6)卤代烷基、(C1-C6)烷基、或(C3-C6)环烷基;或
R3’和R2当在相邻原子上时与它们所附接的原子一起形成苯基环或包含1个至2个N原子的5元或6元杂芳基环,其中所述苯基和杂芳基任选地被一个至三个R13取代;或者R3’和R2当在相邻原子上时与它们所附接的原子一起形成(C5-C6)环烷基环或包含1个至2个选自O、N、和S的杂原子的5元或6元杂环烷基环,其中所述环烷基和杂环烷基任选地被一个至三个R13取代;
每个R4独立地选自-C(O)OR6、-C(O)NR6R6'、-NR6C(O)R6'、卤素、-OH、-NH2、CN、(C6-C10)芳基、包含1个至4个选自O、N、和S的杂原子的5元或6元杂芳基、(C3-C8)环烷基,以及包含1个至3个选自O、N、和S的杂原子的4元至7元杂环烷基环,其中所述芳基、杂芳基、环烷基、和杂环烷基基团任选地被一个或多个R7取代;
每个R5独立地选自(C1-C6)烷基、(C2-C6)烯基、(C2-C6)炔基、(C1-C6)烷氧基、(C1-C6)卤代烷基、(C1-C6)卤代烷氧基、(C1-C6)羟基烷基、卤素、-OH、-NH2、CN、(C3-C7)环烷基、包含1个至3个选自O、N、和S的杂原子的5元至7元杂环烷基、(C6-C10)芳基、以及包含1个至3个选自O、N、和S的杂原子的5元或6元杂芳基,或
两个R5当在相邻原子上时与它们所附接的原子一起形成(C6-C10)芳基环或包含1个至3个选自O、N、和S的杂原子的5元或6元杂芳基环,其任选地被一个或多个R10取代,或
两个R5当在相邻原子上时与它们所附接的原子一起形成(C5-C7)环烷基环或包含1个至3个选自O、N、和S的杂原子的5元至7元杂环烷基环,其任选地被一个或多个R10取代;
R6和R6'各自独立地是H、(C1-C6)烷基、或(C6-C10)芳基;
每个R7独立地选自(C1-C6)烷基、(C2-C6)烯基、(C2-C6)炔基、(C1-C6)烷氧基、(C1-C6)卤代烷基、(C1-C6)卤代烷氧基、-C(O)R8、-(CH2)0-3C(O)OR8、-C(O)NR8R9、-NR8C(O)R9、-NR8C(O)OR9、-S(O)pNR8R9、-S(O)pR12、(C1-C6)羟基烷基、卤素、-OH、-O(CH2)1-3CN、-NH2、CN、-O(CH2)0-3(C6-C10)芳基、金刚烷基、包含1个至3个选自O、N、和S的杂原子的-O(CH2)0-3-5元或6元杂芳基、(C6-C10)芳基、包含1个至3个选自O、N、和S的杂原子的单环或双环5元至10元杂芳基、(C3-C7)环烷基、以及包含1个至3个选自O、N、和S的杂原子的5元至7元杂环烷基,其中所述烷基任选地被一个或多个R11取代,并且所述芳基、杂芳基、和杂环烷基任选地被一个或多个各自独立地选自以下的取代基取代:卤素、(C1-C6)烷基、(C1-C6)卤代烷基、和(C1-C6)烷氧基,或
两个R7与它们所附接的碳原子一起形成=(O),或
两个R7当在相邻原子上时与它们所附接的原子一起形成(C6-C10)芳基环或包含1个至3个选自O、N、和S的杂原子的5元或6元杂芳基环,其任选地被一个或多个R10取代,或
两个R7与它们所附接的原子一起形成(C5-C7)环烷基环或包含1个至3个选自O、N、和S的杂原子的5元至7元杂环烷基环,其任选地被一个或多个R10取代;
R8和R9各自独立地是H或(C1-C6)烷基;
每个R10独立地选自(C1-C6)烷基、(C1-C6)烷氧基、(C1-C6)卤代烷基、(C1-C6)卤代烷氧基、(C1-C6)羟基烷基、卤素、-OH、-NH2、和CN,或
两个R10与它们所附接的碳原子一起形成=(O);
每个R11独立地选自CN、(C1-C6)烷氧基、(C6-C10)芳基、以及包含1个至3个选自O、N、和S的杂原子的5元至7元杂环烷基,其中所述芳基和杂环烷基任选地被一个或多个各自独立地选自以下的取代基取代:(C1-C6)烷基、(C1-C6)烷氧基、(C1-C6)卤代烷基、(C1-C6)卤代烷氧基、(C1-C6)羟基烷基、卤素、-OH、-NH2、和CN;
R12是(C1-C6)烷基、(C1-C6)卤代烷基、(C6-C10)芳基、或包含1个至3个选自O、N、和S的杂原子的5元至7元杂环烷基;
每个R13独立地是(C1-C6)烷基、(C1-C6)烷氧基、(C1-C6)卤代烷基、(C1-C6)卤代烷氧基、(C1-C6)羟基烷基、卤素、-OH、-NH2、-NH(C1-C6)烷基、–N((C1-C6)烷基)2、或CN;或
两个R13与它们所附接的碳原子一起形成=(O);
Rx是H或D;
p是0、1或2;并且
n是1或2;
或其药学上可接受的盐、水合物、溶剂化物、前药、立体异构体、或互变异构体。
2.根据权利要求1所述的化合物,其中Rx是H。
4.根据权利要求1-3中任一项所述的化合物,其中n是1。
5.根据权利要求1-3中任一项所述的化合物,其中n是2。
7.根据权利要求1-6中任一项所述的化合物,其中R2是(C6-C10)芳基、(C3-C8)环烷基、或包含1个至3个选自O、N、和S的杂原子的5元至7元杂环烷基,其中所述芳基、环烷基、和杂环烷基任选地被一个至三个R5取代。
8.根据权利要求1-6中任一项所述的化合物,其中R2是(C6-C10)芳基、(C3-C8)环烷基、或包含1个至3个选自O、N、和S的杂原子的5元至7元杂环烷基。
9.根据权利要求1-6中任一项所述的化合物,其中R2是任选地被一个至三个R4取代的(C1-C6)烷基。
10.根据权利要求1-6中任一项所述的化合物,其中R2是被一个至三个R4取代的(C1-C6)烷基。
11.根据权利要求1-3中任一项所述的化合物,其中R1和R2当在相邻原子上时与它们所附接的原子一起形成苯基环或包含1个至2个N原子的6元杂芳基环,其中所述苯基和杂芳基任选地被一个至三个R13取代。
12.根据权利要求1-3中任一项所述的化合物,其中R1和R2当在相邻原子上时与它们所附接的原子一起形成包含1个至2个选自O、N、和S的杂原子的5元或6元杂环烷基环,其任选地被一个至三个R13取代。
13.根据权利要求1所述的化合物,所述化合物选自:
3-(5-(1-苄基-1H-咪唑-4-基)-1-氧代异吲哚啉-2-基)哌啶-2,6-二酮;
3-(5-(1-甲基-1H-吡唑-3-基)-1-氧代异吲哚啉-2-基)哌啶-2,6-二酮;
3-(5-(4-甲基-1H-吡唑-3-基)-1-氧代异吲哚啉-2-基)哌啶-2,6-二酮;
3-(5-(1-苄基-5-甲基-1H-吡唑-3-基)-1-氧代异吲哚啉-2-基)哌啶-2,6-二酮;
4-((3-(2-(2,6-二氧代哌啶-3-基)-1-氧代异吲哚啉-5-基)-5-甲基-1H-吡唑-1-基)甲基)苯甲腈;
3-(5-(5-甲氧基-1H-吡唑-3-基)-1-氧代异吲哚啉-2-基)哌啶-2,6-二酮;
3-(5-(1-乙基-5-(三氟甲基)-1H-吡唑-3-基)-1-氧代异吲哚啉-2-基)哌啶-2,6-二酮;
3-(1-氧代-5-(1H-吡唑-3-基)异吲哚啉-2-基)哌啶-2,6-二酮;
3-(5-(1-苄基-1H-吡唑-3-基)-1-氧代异吲哚啉-2-基)哌啶-2,6-二酮;
3-(5-(5-甲基-1-((四氢-2H-吡喃-4-基)甲基)-1H-吡唑-3-基)-1-氧代异吲哚啉-2-基)哌啶-2,6-二酮;
3-(5-(1-乙基-1H-吲唑-3-基)-1-氧代异吲哚啉-2-基)哌啶-2,6-二酮;
3-(5-(1-甲基-1H-咪唑-4-基)-1-氧代异吲哚啉-2-基)哌啶-2,6-二酮;
3-(1-氧代-5-(5-(三氟甲基)-1H-吡唑-3-基)异吲哚啉-2-基)哌啶-2,6-二酮;
3-(1-氧代-5-(4,5,6,7-四氢-1H-吲唑-3-基)异吲哚啉-2-基)哌啶-2,6-二酮;
3-(5-(1-苄基-4,5,6,7-四氢-1H-吲唑-3-基)-1-氧代异吲哚啉-2-基)哌啶-2,6-二酮;
3-(5-(5-甲基-1H-吡唑-3-基)-1-氧代异吲哚啉-2-基)哌啶-2,6-二酮;
3-(5-(1-苄基-4-甲基-1H-吡唑-3-基)-1-氧代异吲哚啉-2-基)哌啶-2,6-二酮;
3-(5-(1H-吲唑-3-基)-1-氧代异吲哚啉-2-基)哌啶-2,6-二酮;
3-(5-(1-苄基-1H-吲唑-3-基)-1-氧代异吲哚啉-2-基)哌啶-2,6-二酮;
3-(5-(1-苄基-5-(三氟甲基)-1H-吡唑-3-基)-1-氧代异吲哚啉-2-基)哌啶-2,6-二酮;
3-(5-(5-(乙基氨基)哒嗪-3-基)-1-氧代异吲哚啉-2-基)哌啶-2,6-二酮;
3-(5-(6-(乙基氨基)哒嗪-3-基)-1-氧代异吲哚啉-2-基)哌啶-2,6-二酮;
3-(1-氧代-5-(吡啶-2-基)异吲哚啉-2-基)哌啶-2,6-二酮;
3-(5-(6-苄基哒嗪-3-基)-1-氧代异吲哚啉-2-基)哌啶-2,6-二酮;
3-(5-(6-(((1r,4r)-4-甲氧基环己基)甲基)哒嗪-3-基)-1-氧代异吲哚啉-2-基)哌啶-2,6-二酮;
3-(5-(6-(((1s,4s)-4-甲氧基环己基)甲基)哒嗪-3-基)-1-氧代异吲哚啉-2-基)哌啶-2,6-二酮;
3-(5-(6-苄基-5-甲氧基哒嗪-3-基)-1-氧代异吲哚啉-2-基)哌啶-2,6-二酮;
3-(5-(6-苄基-4-甲氧基哒嗪-3-基)-1-氧代异吲哚啉-2-基)哌啶-2,6-二酮;
3-(5-(5-((二甲基氨基)甲基)哒嗪-3-基)-1-氧代异吲哚啉-2-基)哌啶-2,6-二酮;
3-(5-(4-((二甲基氨基)甲基)哒嗪-3-基)-1-氧代异吲哚啉-2-基)哌啶-2,6-二酮;
3-(1-氧代-5-(酞嗪-1-基)异吲哚啉-2-基)哌啶-2,6-二酮;
3-(1-氧代-5-(5,6,7,8-四氢酞嗪-1-基)异吲哚啉-2-基)哌啶-2,6-二酮;
3-(5-(异喹啉-1-基)-1-氧代异吲哚啉-2-基)哌啶-2,6-二酮;
3-(5-(1-乙基-5-甲氧基-1H-吡唑-3-基)-1-氧代异吲哚啉-2-基)哌啶-2,6-二酮;
3-(5-(1-苄基-5-(二甲基氨基)-1H-吡唑-3-基)-1-氧代异吲哚啉-2-基)哌啶-2,6-二酮;
3-(5-(1-(((1r,4r)-4-甲氧基环己基)甲基)-1H-吡唑-3-基)-1-氧代异吲哚啉-2-基)哌啶-2,6-二酮;
3-(5-(1-(((1s,4s)-4-甲氧基环己基)甲基)-1H-吡唑-3-基)-1-氧代异吲哚啉-2-基)哌啶-2,6-二酮;
3-(5-(5-(((1r,4r)-4-甲氧基环己基)甲基)吡啶-2-基)-1-氧代异吲哚啉-2-基)哌啶-2,6-二酮;
3-(5-(5-(((1s,4s)-4-甲氧基环己基)甲基)吡啶-2-基)-1-氧代异吲哚啉-2-基)哌啶-2,6-二酮;
3-(5-(1-苄基-5-甲氧基-1H-吡唑-3-基)-1-氧代异吲哚啉-2-基)哌啶-2,6-二酮;
3-(5-(1-(4-甲氧基苄基)-1H-吲唑-3-基)-1-氧代异吲哚啉-2-基)哌啶-2,6-二酮;
3-(1-氧代-5-(哒嗪-3-基)异吲哚啉-2-基)哌啶-2,6-二酮;
3-(5-(6-((二乙基氨基)甲基)哒嗪-3-基)-1-氧代异吲哚啉-2-基)哌啶-2,6-二酮;
3-(5-(1H-苯并[d]咪唑-2-基)-1-氧代异吲哚啉-2-基)哌啶-2,6-二酮;
3-(5-(1H-咪唑[4,5-b]吡啶-2-基)-1-氧代异吲哚啉-2-基)哌啶-2,6-二酮;以及
3-(1-氧代-5-(5-氧代-4,5-二氢-1H-咪唑[4,5-b]吡啶-2-基)异吲哚啉-2-基)哌啶-2,6-二酮;
或其药学上可接受的盐、水合物、溶剂化物、前药、立体异构体、或互变异构体。
14.一种药物组合物,所述药物组合物包含治疗有效量的根据权利要求1-13中任一项所述的化合物或其药学上可接受的盐、水合物、溶剂化物、前药、立体异构体、或互变异构体,以及药学上可接受的载体或赋形剂。
15.根据权利要求14所述的药物组合物,所述药物组合物进一步包含至少一种另外的药物药剂。
16.根据权利要求14或权利要求15所述的药物组合物,用于在治疗受IKZF2蛋白水平的降低影响的疾病或障碍中使用。
17.一种降解IKZF2的方法,所述方法包括向有需要的患者施用根据权利要求1-13中任一项所述的化合物或其药学上可接受的盐、水合物、溶剂化物、前药、立体异构体、或互变异构体。
18.一种治疗受IKZF2蛋白水平的调节影响的疾病或障碍的方法,所述方法包括向有需要的患者施用根据权利要求1-13中任一项所述的化合物或其药学上可接受的盐、水合物、溶剂化物、前药、立体异构体、或互变异构体。
19.一种调节IKZF2蛋白水平的方法,所述方法包括向有需要的患者施用根据权利要求1-13中任一项所述的化合物或其药学上可接受的盐、水合物、溶剂化物、前药、立体异构体、或互变异构体。
20.一种降低细胞的增殖的方法,所述方法包括使所述细胞与根据权利要求1-13中任一项所述的化合物或其药学上可接受的盐、水合物、溶剂化物、前药、立体异构体、或互变异构体接触,以及降低IKZF2蛋白水平。
21.一种治疗癌症的方法,所述方法包括向有需要的患者施用根据权利要求1-13中任一项所述的化合物或其药学上可接受的盐、水合物、溶剂化物、前药、立体异构体、或互变异构体。
22.根据权利要求21所述的方法,其中所述癌症选自非小细胞肺癌(NSCLC)、黑色素瘤、三阴性乳腺癌(TNBC)、鼻咽癌(NPC)、微卫星稳定结直肠癌(mssCRC)、胸腺瘤、类癌、急性髓细胞性白血病、和胃肠道间质瘤(GIST)。
23.根据权利要求21所述的方法,其中所述癌症是免疫应答缺陷的癌症或免疫原性癌症。
24.一种用于降低受试者中IKZF2蛋白水平的方法,所述方法包括向有需要的受试者施用治疗有效量的根据权利要求1-13中任一项所述的化合物或药学上可接受的盐的步骤。
25.根据权利要求17-24中任一项所述的方法,其中施用是口服地、肠胃外地、皮下地、通过注射、或通过输注进行的。
26.根据权利要求1-13中任一项所述的化合物或其药学上可接受的盐、水合物、溶剂化物、前药、立体异构体、或互变异构体,用于在治疗受IKZF2蛋白水平的降低影响的疾病或障碍中使用。
27.根据权利要求1-13中任一项所述的化合物或其药学上可接受的盐、水合物、溶剂化物、前药、立体异构体、或互变异构体在制造用于治疗受IKZF2蛋白水平的降低影响的疾病或障碍的药物中的用途。
28.根据权利要求1-13中任一项所述的化合物或其药学上可接受的盐、水合物、溶剂化物、前药、立体异构体、或互变异构体,用于在制造用于治疗与IKZF2蛋白水平的降低相关的疾病或障碍的药物中使用。
29.根据权利要求1-13中任一项所述的化合物或其药学上可接受的盐、水合物、溶剂化物、前药、立体异构体、或互变异构体在治疗与IKZF2蛋白水平的降低相关的疾病或障碍中的用途。
30.根据权利要求26或28所述的化合物或根据权利要求27或29所述的用途,其中所述疾病或障碍选自非小细胞肺癌(NSCLC)、黑色素瘤、三阴性乳腺癌(TNBC)、鼻咽癌(NPC)、微卫星稳定结直肠癌(mssCRC)、胸腺瘤、类癌、急性髓细胞性白血病、和胃肠道间质瘤(GIST)。
Applications Claiming Priority (3)
| Application Number | Priority Date | Filing Date | Title |
|---|---|---|---|
| US202063060349P | 2020-08-03 | 2020-08-03 | |
| US63/060,349 | 2020-08-03 | ||
| PCT/IB2021/056924 WO2022029573A1 (en) | 2020-08-03 | 2021-07-29 | Heteroaryl substituted 3-(1-oxoisoindolin-2-yl)piperidine-2,6-dione derivatives and uses thereof |
Publications (2)
| Publication Number | Publication Date |
|---|---|
| CN116134027A true CN116134027A (zh) | 2023-05-16 |
| CN116134027B CN116134027B (zh) | 2025-01-24 |
Family
ID=77249850
Family Applications (1)
| Application Number | Title | Priority Date | Filing Date |
|---|---|---|---|
| CN202180058916.0A Active CN116134027B (zh) | 2020-08-03 | 2021-07-29 | 杂芳基取代的3-(1-氧代异吲哚啉-2-基)哌啶-2,6-二酮衍生物及其用途 |
Country Status (5)
| Country | Link |
|---|---|
| US (1) | US20230271940A1 (zh) |
| EP (1) | EP4188549A1 (zh) |
| JP (1) | JP2023536164A (zh) |
| CN (1) | CN116134027B (zh) |
| WO (1) | WO2022029573A1 (zh) |
Families Citing this family (11)
| Publication number | Priority date | Publication date | Assignee | Title |
|---|---|---|---|---|
| BR112022009514A2 (pt) * | 2019-11-19 | 2022-08-16 | Bristol Myers Squibb Co | Compostos úteis como inibidores de proteína helios |
| AU2022253450A1 (en) * | 2021-04-05 | 2023-11-16 | Bristol-Myers Squibb Company | Pyridinyl substituted oxoisoindoline compounds for the treatment of cancer |
| AU2022306297A1 (en) | 2021-07-09 | 2024-02-08 | Plexium, Inc. | Aryl compounds and pharmaceutical compositions that modulate ikzf2 |
| CN118488948A (zh) | 2021-12-22 | 2024-08-13 | 吉利德科学公司 | Ikaros锌指家族降解剂及其用途 |
| CN116640122A (zh) * | 2022-02-16 | 2023-08-25 | 苏州国匡医药科技有限公司 | Ikzf2降解剂及包含其的药物组合物和用途 |
| JP2025509610A (ja) | 2022-03-17 | 2025-04-11 | ギリアード サイエンシーズ, インコーポレイテッド | Ikarosジンクフィンガーファミリー分解剤及びその使用 |
| US20250215012A1 (en) * | 2022-03-25 | 2025-07-03 | Regents Of The University Of Michigan | Ikzf2 degraders and uses thereof |
| WO2023201012A1 (en) * | 2022-04-15 | 2023-10-19 | Regents Of The University Of Michigan | Ikzf2 degraders and uses thereof |
| US20240158370A1 (en) * | 2022-09-09 | 2024-05-16 | Innovo Therapeutics, Inc. | CK1 alpha AND DUAL CK1 alpha / GSPT1 DEGRADING COMPOUNDS |
| WO2024096753A1 (en) | 2022-11-02 | 2024-05-10 | Captor Therapeutics S.A. | Nek7 degraders and methods of use thereof |
| WO2025179161A1 (en) * | 2024-02-21 | 2025-08-28 | Innovo Therapeutics, Inc. | Protein degrading compounds |
Citations (2)
| Publication number | Priority date | Publication date | Assignee | Title |
|---|---|---|---|---|
| WO2019079569A1 (en) * | 2017-10-18 | 2019-04-25 | Novartis Ag | COMPOSITIONS AND METHODS FOR SELECTIVE DEGRADATION OF A PROTEIN |
| CN111051298A (zh) * | 2017-08-23 | 2020-04-21 | 诺华股份有限公司 | 3-(1-氧代异吲哚啉-2-基)哌啶-2,6-二酮衍生物及其用途 |
Family Cites Families (352)
| Publication number | Priority date | Publication date | Assignee | Title |
|---|---|---|---|---|
| FR901228A (fr) | 1943-01-16 | 1945-07-20 | Deutsche Edelstahlwerke Ag | Système d'aimant à entrefer annulaire |
| US2779780A (en) | 1955-03-01 | 1957-01-29 | Du Pont | 1, 4-diamino-2, 3-dicyano-1, 4-bis (substituted mercapto) butadienes and their preparation |
| US4261989A (en) | 1979-02-19 | 1981-04-14 | Kaken Chemical Co. Ltd. | Geldanamycin derivatives and antitumor drug |
| US4433059A (en) | 1981-09-08 | 1984-02-21 | Ortho Diagnostic Systems Inc. | Double antibody conjugate |
| US4444878A (en) | 1981-12-21 | 1984-04-24 | Boston Biomedical Research Institute, Inc. | Bispecific antibody determinants |
| US4851332A (en) | 1985-04-01 | 1989-07-25 | Sloan-Kettering Institute For Cancer Research | Choriocarcinoma monoclonal antibodies and antibody panels |
| US5869620A (en) | 1986-09-02 | 1999-02-09 | Enzon, Inc. | Multivalent antigen-binding proteins |
| US5114946A (en) | 1987-06-12 | 1992-05-19 | American Cyanamid Company | Transdermal delivery of pharmaceuticals |
| US4818541A (en) | 1987-08-19 | 1989-04-04 | Schering Corporation | Transdermal delivery of enantiomers of phenylpropanolamine |
| JPH021556A (ja) | 1988-06-09 | 1990-01-05 | Snow Brand Milk Prod Co Ltd | ハイブリッド抗体及びその作製方法 |
| DE3920358A1 (de) | 1989-06-22 | 1991-01-17 | Behringwerke Ag | Bispezifische und oligospezifische, mono- und oligovalente antikoerperkonstrukte, ihre herstellung und verwendung |
| AU6290090A (en) | 1989-08-29 | 1991-04-08 | University Of Southampton | Bi-or trispecific (fab)3 or (fab)4 conjugates |
| US5273743A (en) | 1990-03-09 | 1993-12-28 | Hybritech Incorporated | Trifunctional antibody-like compounds as a combined diagnostic and therapeutic agent |
| GB9012995D0 (en) | 1990-06-11 | 1990-08-01 | Celltech Ltd | Multivalent antigen-binding proteins |
| US5582996A (en) | 1990-12-04 | 1996-12-10 | The Wistar Institute Of Anatomy & Biology | Bifunctional antibodies and method of preparing same |
| DE4118120A1 (de) | 1991-06-03 | 1992-12-10 | Behringwerke Ag | Tetravalente bispezifische rezeptoren, ihre herstellung und verwendung |
| US6511663B1 (en) | 1991-06-11 | 2003-01-28 | Celltech R&D Limited | Tri- and tetra-valent monospecific antigen-binding proteins |
| US5637481A (en) | 1993-02-01 | 1997-06-10 | Bristol-Myers Squibb Company | Expression vectors encoding bispecific fusion proteins and methods of producing biologically active bispecific fusion proteins in a mammalian cell |
| CA2078539C (en) | 1991-09-18 | 2005-08-02 | Kenya Shitara | Process for producing humanized chimera antibody |
| US5932448A (en) | 1991-11-29 | 1999-08-03 | Protein Design Labs., Inc. | Bispecific antibody heterodimers |
| ATE151113T1 (de) | 1992-01-23 | 1997-04-15 | Merck Patent Gmbh | Fusionsproteine von monomeren und dimeren von antikörperfragmenten |
| ATE503496T1 (de) | 1992-02-06 | 2011-04-15 | Novartis Vaccines & Diagnostic | Biosynthetisches bindeprotein für tumormarker |
| US5646253A (en) | 1994-03-08 | 1997-07-08 | Memorial Sloan-Kettering Cancer Center | Recombinant human anti-LK26 antibodies |
| DE69318016D1 (de) | 1992-05-08 | 1998-05-20 | Creative Biomolecules Inc | Mehrwertige Chimäre Proteine Anologe und Verfahren zu deren Anwendungen |
| US6005079A (en) | 1992-08-21 | 1999-12-21 | Vrije Universiteit Brussels | Immunoglobulins devoid of light chains |
| SG41929A1 (en) | 1992-09-25 | 1997-08-15 | Commw Scient Ind Res Org | Target binding polypeptide |
| GB9221657D0 (en) | 1992-10-15 | 1992-11-25 | Scotgen Ltd | Recombinant bispecific antibodies |
| US5262564A (en) | 1992-10-30 | 1993-11-16 | Octamer, Inc. | Sulfinic acid adducts of organo nitroso compounds useful as retroviral inactivating agents anti-retroviral agents and anti-tumor agents |
| US5837821A (en) | 1992-11-04 | 1998-11-17 | City Of Hope | Antibody construct |
| GB9323648D0 (en) | 1992-11-23 | 1994-01-05 | Zeneca Ltd | Proteins |
| DK0672142T3 (da) | 1992-12-04 | 2001-06-18 | Medical Res Council | Multivalente og multispecifikke bindingsproteiner samt fremstilling og anvendelse af disse |
| US5504048A (en) | 1993-06-02 | 1996-04-02 | Fina Technology, Inc. | Addition of lithium compounds to Ziegler-Natta catalysts for increased molecular weight in polyolefins |
| US6476198B1 (en) | 1993-07-13 | 2002-11-05 | The Scripps Research Institute | Multispecific and multivalent antigen-binding polypeptide molecules |
| US5635602A (en) | 1993-08-13 | 1997-06-03 | The Regents Of The University Of California | Design and synthesis of bispecific DNA-antibody conjugates |
| WO1995009917A1 (en) | 1993-10-07 | 1995-04-13 | The Regents Of The University Of California | Genetically engineered bispecific tetravalent antibodies |
| AU7863794A (en) | 1993-11-16 | 1995-06-06 | Pola Chemical Industries Inc. | Antihuman tyrosinase monoclonal antibody |
| US5635388A (en) | 1994-04-04 | 1997-06-03 | Genentech, Inc. | Agonist antibodies against the flk2/flt3 receptor and uses thereof |
| WO1995029193A2 (en) | 1994-04-22 | 1995-11-02 | The Government Of The United States Of America Represented By The Secretary, Department Of Health And Human Services | Melanoma antigens |
| US5786464C1 (en) | 1994-09-19 | 2012-04-24 | Gen Hospital Corp | Overexpression of mammalian and viral proteins |
| JP3659261B2 (ja) | 1994-10-20 | 2005-06-15 | モルフォシス・アクチェンゲゼルシャフト | 組換体タンパク質の多機能性複合体への標的化ヘテロ結合 |
| CA2210620C (en) | 1995-01-18 | 2004-06-22 | Boehringer Mannheim Gmbh | Anti-cd 30 antibodies preventing proteolytic cleavage and release of membrane-bound cd 30 antigen |
| US5731168A (en) | 1995-03-01 | 1998-03-24 | Genentech, Inc. | Method for making heteromultimeric polypeptides |
| EP0827544B1 (en) | 1995-05-23 | 2004-08-18 | MorphoSys AG | Multimeric proteins |
| BR9606706A (pt) | 1995-10-16 | 1999-04-06 | Unilever Nv | Análogo de fragmento de anticorpo biespecífico ou bivalente uso processo para produzir o mesmo |
| ATE254931T1 (de) | 1996-01-05 | 2003-12-15 | Us Gov Health & Human Serv | Mesothelinantigen, verfahren und testsatz zur targetierung |
| DE19608769C1 (de) | 1996-03-07 | 1997-04-10 | Univ Eberhard Karls | Antikörper BV10A4H2 |
| ES2225961T3 (es) | 1996-04-04 | 2005-03-16 | Unilever N.V. | Proteina de union a antigeno multivalente y multiespecifica. |
| US6114148C1 (en) | 1996-09-20 | 2012-05-01 | Gen Hospital Corp | High level expression of proteins |
| EP0938557B1 (en) | 1996-10-25 | 2000-09-13 | THE GOVERNMENT OF THE UNITED STATES OF AMERICA as represented by the SECRETARY OF THE DEPARTMENT OF HEALTH AND HUMAN SERVICES | Methods and compositions for inhibiting inflammation and angiogenesis comprising a mammalian cd97 alpha subunit |
| JP2002505574A (ja) | 1997-04-30 | 2002-02-19 | エンゾン,インコーポレイテッド | ポリアルキレンオキシド修飾された単鎖ポリペプチド |
| US20030207346A1 (en) | 1997-05-02 | 2003-11-06 | William R. Arathoon | Method for making multispecific antibodies having heteromultimeric and common components |
| US20020062010A1 (en) | 1997-05-02 | 2002-05-23 | Genentech, Inc. | Method for making multispecific antibodies having heteromultimeric and common components |
| ES2231991T3 (es) | 1997-06-11 | 2005-05-16 | Borean Pharma A/S | Modulo de trimerizacion. |
| AU2152299A (en) | 1997-10-27 | 1999-05-24 | Unilever Plc | Multivalent antigen-binding proteins |
| WO1999028471A2 (en) | 1997-12-01 | 1999-06-10 | The Government Of The United States Of America, Represented By The Secretary, Department Of Health And Human Services | ANTIBODIES, INCLUDING Fv MOLECULES, AND IMMUNOCONJUGATES HAVING HIGH BINDING AFFINITY FOR MESOTHELIN AND METHODS FOR THEIR USE |
| ES2234241T3 (es) | 1998-01-23 | 2005-06-16 | Vlaams Interuniversitair Instituut Voor Biotechnologie | Derivados de anticuerpo de multiples fines. |
| CZ121599A3 (cs) | 1998-04-09 | 1999-10-13 | Aventis Pharma Deutschland Gmbh | Jednořetězcová molekula vázající několik antigenů, způsob její přípravy a léčivo obsahující tuto molekulu |
| DE19819846B4 (de) | 1998-05-05 | 2016-11-24 | Deutsches Krebsforschungszentrum Stiftung des öffentlichen Rechts | Multivalente Antikörper-Konstrukte |
| GB9812545D0 (en) | 1998-06-10 | 1998-08-05 | Celltech Therapeutics Ltd | Biological products |
| US6803448B1 (en) | 1998-07-22 | 2004-10-12 | Vanderbilt University | GBS toxin receptor |
| JP2002521053A (ja) | 1998-07-28 | 2002-07-16 | マイクロメット アーゲー | ヘテロミニ体 |
| US6333396B1 (en) | 1998-10-20 | 2001-12-25 | Enzon, Inc. | Method for targeted delivery of nucleic acids |
| KR100609800B1 (ko) | 1998-12-16 | 2006-08-09 | 워너-램버트 캄파니 엘엘씨 | Mek 저해제를 사용한 관절염 치료 방법 |
| US6528481B1 (en) | 1999-02-16 | 2003-03-04 | The Burnam Institute | NG2/HM proteoglycan-binding peptides that home to angiogenic vasculature and related methods |
| US7534866B2 (en) | 2005-10-19 | 2009-05-19 | Ibc Pharmaceuticals, Inc. | Methods and compositions for generating bioactive assemblies of increased complexity and uses |
| US7527787B2 (en) | 2005-10-19 | 2009-05-05 | Ibc Pharmaceuticals, Inc. | Multivalent immunoglobulin-based bioactive assemblies |
| GEP20053685B (en) | 1999-08-17 | 2005-12-12 | Biogen Inc | BAFF Receptor (BCMA), an Immunoregulatory Agent |
| JP4689124B2 (ja) | 1999-09-30 | 2011-05-25 | 協和発酵キリン株式会社 | ガングリオシドgd3に対するヒト型相補性決定領域移植抗体およびガングリオシドgd3に対する抗体の誘導体 |
| EP2363403B1 (en) | 1999-11-29 | 2016-04-20 | The Trustees of Columbia University in the City of New York | Isolation of five novel genes coding for new fc receptors-type melanoma involved in the pathogenesis of lymphoma/melanoma |
| CA3016482A1 (en) | 1999-11-30 | 2001-06-07 | Mayo Foundation For Medical Education And Research | B7-h1, a novel immunoregulatory molecule |
| GB0000313D0 (en) | 2000-01-10 | 2000-03-01 | Astrazeneca Uk Ltd | Formulation |
| US20040002068A1 (en) | 2000-03-01 | 2004-01-01 | Corixa Corporation | Compositions and methods for the detection, diagnosis and therapy of hematological malignancies |
| JP2004509835A (ja) | 2000-03-06 | 2004-04-02 | ユニヴァーシティ オブ ケンタッキー リサーチ ファンデーション | 血液癌前駆細胞を障害する方法およびその関連化合物 |
| DK2857516T3 (en) | 2000-04-11 | 2017-08-07 | Genentech Inc | Multivalent antibodies and uses thereof |
| US20020103345A1 (en) | 2000-05-24 | 2002-08-01 | Zhenping Zhu | Bispecific immunoglobulin-like antigen binding proteins and method of production |
| AU2001270609A1 (en) | 2000-06-30 | 2002-01-14 | Vlaams Interuniversitair Instituut Voor Biotechnologie Vzw | Heterodimeric fusion proteins |
| HU230251B1 (hu) | 2000-07-19 | 2015-11-30 | Warner-Lambert Co. | 4-Jód-fenil-amino-benzhidroxámsav-észter-származékok és ezeket tartalmazó gyógyászati készítmények |
| CN1461344A (zh) | 2000-07-25 | 2003-12-10 | 免疫医疗公司 | 多价靶结合蛋白 |
| CN1308447C (zh) | 2000-10-20 | 2007-04-04 | 中外制药株式会社 | 低分子化的激动剂抗体 |
| US7090843B1 (en) | 2000-11-28 | 2006-08-15 | Seattle Genetics, Inc. | Recombinant anti-CD30 antibodies and uses thereof |
| US6995162B2 (en) | 2001-01-12 | 2006-02-07 | Amgen Inc. | Substituted alkylamine derivatives and methods of use |
| US7829084B2 (en) | 2001-01-17 | 2010-11-09 | Trubion Pharmaceuticals, Inc. | Binding constructs and methods for use thereof |
| WO2002072635A2 (en) | 2001-03-13 | 2002-09-19 | University College London | Specific binding members |
| CN1294148C (zh) | 2001-04-11 | 2007-01-10 | 中国科学院遗传与发育生物学研究所 | 环状单链三特异抗体 |
| US6770622B2 (en) | 2001-06-08 | 2004-08-03 | Gary A. Jarvis | N-terminally truncated galectin-3 for use in treating cancer |
| DE60237282D1 (de) | 2001-06-28 | 2010-09-23 | Domantis Ltd | Doppelspezifischer ligand und dessen verwendung |
| US6833441B2 (en) | 2001-08-01 | 2004-12-21 | Abmaxis, Inc. | Compositions and methods for generating chimeric heteromultimers |
| AU2002323063B2 (en) * | 2001-08-06 | 2007-11-08 | Entremed, Inc. | Synthesis and anti-tumor activity of nitrogen substituted thalidomide analogs |
| CN101799476B (zh) | 2001-08-23 | 2013-01-02 | Rsr有限公司 | 筛选针对tsh受体的自身抗体的试剂盒 |
| DE60124912T2 (de) | 2001-09-14 | 2007-06-14 | Affimed Therapeutics Ag | Multimerische, einzelkettige, Tandem-Fv-Antikörper |
| CA2468259C (en) | 2001-12-04 | 2015-11-24 | Dana-Farber Cancer Institute, Inc. | Antibody to latent membrane proteins and uses thereof |
| WO2003049684A2 (en) | 2001-12-07 | 2003-06-19 | Centocor, Inc. | Pseudo-antibody constructs |
| EP2407473A3 (en) | 2002-02-01 | 2012-03-21 | ARIAD Pharmaceuticals, Inc | Method for producing phosphorus-containing compounds |
| EP1487879B1 (en) | 2002-03-01 | 2012-12-26 | Immunomedics, Inc. | Bispecific antibody point mutations for enhancing rate of clearance |
| IL163711A0 (en) | 2002-03-08 | 2005-12-18 | Eisai Co Ltd | Macrocyclic compounds useful as pharmaceuticals |
| AU2003227504A1 (en) | 2002-04-15 | 2003-10-27 | Chugai Seiyaku Kabushiki Kaisha | METHOD OF CONSTRUCTING scDb LIBRARY |
| TWI275390B (en) | 2002-04-30 | 2007-03-11 | Wyeth Corp | Process for the preparation of 7-substituted-3- quinolinecarbonitriles |
| US20050276812A1 (en) | 2004-06-01 | 2005-12-15 | Genentech, Inc. | Antibody-drug conjugates and methods |
| US7446190B2 (en) | 2002-05-28 | 2008-11-04 | Sloan-Kettering Institute For Cancer Research | Nucleic acids encoding chimeric T cell receptors |
| EP2206517B1 (en) | 2002-07-03 | 2023-08-02 | Ono Pharmaceutical Co., Ltd. | Immunopotentiating compositions comprising anti-PD-L1 antibodies |
| GB0215823D0 (en) | 2002-07-09 | 2002-08-14 | Astrazeneca Ab | Quinazoline derivatives |
| EP1578777B1 (en) | 2002-07-15 | 2008-11-26 | The Trustees of Princeton University | Iap binding compounds |
| AU2003291002A1 (en) | 2002-11-15 | 2004-06-15 | Chiron Corporation | Methods for preventing and treating cancer metastasis and bone loss associated with cancer metastasis |
| DE50306067D1 (de) | 2002-11-26 | 2007-02-01 | Brahms Ag | Nachweis von tsh-rezeptor-autoantikörpern mit affinitätsgereinigten antikörpern |
| JP4511943B2 (ja) | 2002-12-23 | 2010-07-28 | ワイス エルエルシー | Pd−1に対する抗体およびその使用 |
| AU2003292625B2 (en) | 2002-12-26 | 2008-07-24 | Eisai R & D Management Co., Ltd. | Selective estrogen receptor modulators |
| GB0230203D0 (en) | 2002-12-27 | 2003-02-05 | Domantis Ltd | Fc fusion |
| GB0305702D0 (en) | 2003-03-12 | 2003-04-16 | Univ Birmingham | Bispecific antibodies |
| WO2004087758A2 (en) | 2003-03-26 | 2004-10-14 | Neopharm, Inc. | Il 13 receptor alpha 2 antibody and methods of use |
| AU2004232928A1 (en) | 2003-04-22 | 2004-11-04 | Ibc Pharmaceuticals | Polyvalent protein complex |
| CA2530388A1 (en) | 2003-06-27 | 2005-01-06 | Biogen Idec Ma Inc. | Modified binding molecules comprising connecting peptides |
| AU2004289172A1 (en) | 2003-06-27 | 2005-05-26 | Diadexus, Inc. | Pro 104 antibody compositions and methods of use |
| WO2005004809A2 (en) | 2003-07-01 | 2005-01-20 | Immunomedics, Inc. | Multivalent carriers of bi-specific antibodies |
| US7696322B2 (en) | 2003-07-28 | 2010-04-13 | Catalent Pharma Solutions, Inc. | Fusion antibodies |
| EP1651675A1 (en) | 2003-08-05 | 2006-05-03 | Morphotek, Inc. | A variant cell surface molecule associated with cancer |
| US7399865B2 (en) | 2003-09-15 | 2008-07-15 | Wyeth | Protein tyrosine kinase enzyme inhibitors |
| WO2005035586A1 (ja) | 2003-10-08 | 2005-04-21 | Kyowa Hakko Kogyo Co., Ltd. | 融合蛋白質組成物 |
| JPWO2005035577A1 (ja) | 2003-10-08 | 2007-11-22 | 協和醗酵工業株式会社 | ガングリオシドgd3に特異的に結合する抗体組成物 |
| US7435596B2 (en) | 2004-11-04 | 2008-10-14 | St. Jude Children's Research Hospital, Inc. | Modified cell line and method for expansion of NK cell |
| EP1697748A4 (en) | 2003-12-22 | 2007-07-04 | Centocor Inc | METHODS FOR GENERATING MULTIMEDIA MOLECULES |
| GB0329825D0 (en) | 2003-12-23 | 2004-01-28 | Celltech R&D Ltd | Biological products |
| US20050266425A1 (en) | 2003-12-31 | 2005-12-01 | Vaccinex, Inc. | Methods for producing and identifying multispecific antibodies |
| RU2401277C2 (ru) | 2004-01-07 | 2010-10-10 | Чирон Корпорейшн | Не мышиное анти-m-csf-антитело (варианты), его получение и использование |
| CN1960728A (zh) | 2004-01-16 | 2007-05-09 | 密歇根大学董事会 | 构象受限的smac模拟物及其应用 |
| CA2553871A1 (en) | 2004-01-16 | 2005-08-04 | The Regents Of The University Of Michigan | Smac peptidomimetics and the uses thereof |
| US8383575B2 (en) | 2004-01-30 | 2013-02-26 | Paul Scherrer Institut | (DI)barnase-barstar complexes |
| MXPA06008700A (es) | 2004-02-06 | 2007-01-19 | Morphosys Ag | Anticuerpos anti-cd38 humanos y usos para los mismos. |
| CA2558615C (en) | 2004-03-23 | 2013-10-29 | Genentech, Inc. | Azabicyclo-octane inhibitors of iap |
| PL2253614T3 (pl) | 2004-04-07 | 2013-03-29 | Novartis Ag | Inhibitory IAP |
| SI1778718T1 (sl) | 2004-07-02 | 2015-01-30 | Genentech, Inc. | Inhibitorji IAP |
| US7674787B2 (en) | 2004-07-09 | 2010-03-09 | The Regents Of The University Of Michigan | Conformationally constrained Smac mimetics and the uses thereof |
| EP1773348A4 (en) | 2004-07-12 | 2009-05-20 | Idun Pharmaceuticals Inc | TETRA PEPTIDE ANALOGS |
| ES2475207T3 (es) | 2004-07-15 | 2014-07-10 | Tetralogic Pharmaceuticals Corporation | Compuestos de unión a IAP |
| EP1786918A4 (en) | 2004-07-17 | 2009-02-11 | Imclone Systems Inc | NEW BISPECIFIC ANTIBODY TETRAVALENT |
| MX2007002856A (es) | 2004-09-02 | 2007-09-25 | Genentech Inc | Metodos para el uso de ligandos receptores de muerte y anticuerpos c20. |
| WO2006039238A2 (en) | 2004-09-30 | 2006-04-13 | The Goverment Of The United States Of America As Represented By The Secretary Of The Department Of Health And Human Services | Irta2 antibodies and methods of use |
| CA2867023A1 (en) | 2004-10-04 | 2006-04-20 | Kevin H. Mayo | Calixarene-based peptide conformation mimetics, methods of use, and methods of making |
| KR20120127754A (ko) | 2004-12-20 | 2012-11-23 | 제넨테크, 인크. | Iap의 피롤리딘 억제제 |
| MY146381A (en) | 2004-12-22 | 2012-08-15 | Amgen Inc | Compositions and methods relating relating to anti-igf-1 receptor antibodies |
| CN101103042A (zh) | 2005-01-12 | 2008-01-09 | 米德列斯公司 | Irta-2抗体及其用途 |
| EP2322560B1 (en) | 2005-03-10 | 2013-09-04 | Morphotek, Inc. | Anti-mesothelin antibodies |
| CA2602777C (en) | 2005-03-25 | 2018-12-11 | Tolerrx, Inc. | Gitr binding molecules and uses therefor |
| WO2006106905A1 (ja) | 2005-03-31 | 2006-10-12 | Chugai Seiyaku Kabushiki Kaisha | 会合制御によるポリペプチド製造方法 |
| EP1874824A4 (en) | 2005-04-06 | 2009-12-30 | Ibc Pharmaceuticals Inc | METHODS OF GENERATING STABLE COMPOUND RELATED COMPLEXES OF HOMODIMERS, HOMOTRATEERS OR DIMER SIZES AND USES THEREOF |
| WO2006113665A2 (en) | 2005-04-15 | 2006-10-26 | Macrogenics, Inc. | Covalent diabodies and uses thereof |
| PL2161336T5 (pl) | 2005-05-09 | 2017-10-31 | Ono Pharmaceutical Co | Ludzkie przeciwciała monoklonalne przeciwko białku Programmed Death 1 (PD-1) oraz sposoby leczenia raka z zastosowaniem samych przeciwciał anty-PD-1 lub w połączeniu z innymi środkami immunoterapeutycznymi |
| US20060263367A1 (en) | 2005-05-23 | 2006-11-23 | Fey Georg H | Bispecific antibody devoid of Fc region and method of treatment using same |
| EP1726650A1 (en) | 2005-05-27 | 2006-11-29 | Universitätsklinikum Freiburg | Monoclonal antibodies and single chain antibody fragments against cell-surface prostate specific membrane antigen |
| EP1896505A2 (en) | 2005-06-15 | 2008-03-12 | Schering Corporation | Anti-igf1r antibody formulations |
| CN104356236B (zh) | 2005-07-01 | 2020-07-03 | E.R.施贵宝&圣斯有限责任公司 | 抗程序性死亡配体1(pd-l1)的人单克隆抗体 |
| JP5411430B2 (ja) | 2005-07-04 | 2014-02-12 | 株式会社 ニコンビジョン | 測距装置 |
| CA2618218C (en) | 2005-07-21 | 2015-06-30 | Ardea Biosciences, Inc. | N-(arylamino)-sulfonamide inhibitors of mek |
| US7612181B2 (en) | 2005-08-19 | 2009-11-03 | Abbott Laboratories | Dual variable domain immunoglobulin and uses thereof |
| MY169746A (en) | 2005-08-19 | 2019-05-14 | Abbvie Inc | Dual variable domain immunoglobulin and uses thereof |
| EP1757622B1 (en) | 2005-08-26 | 2009-12-23 | PLS Design GmbH | Bivalent IgY antibody constructs for diagnostic and therapeutic applications |
| WO2007044887A2 (en) | 2005-10-11 | 2007-04-19 | Transtarget, Inc. | Method for producing a population of homogenous tetravalent bispecific antibodies |
| US8623356B2 (en) | 2005-11-29 | 2014-01-07 | The University Of Sydney | Demibodies: dimerization-activated therapeutic agents |
| PL1960434T3 (pl) | 2005-12-08 | 2012-12-31 | Squibb & Sons Llc | Ludzkie przeciwciała monoklonalne przeciw fozylowi-gm1 i sposoby zastosowania antyfukozylu-gm1 |
| EP1806365A1 (en) | 2006-01-05 | 2007-07-11 | Boehringer Ingelheim International GmbH | Antibody molecules specific for fibroblast activation protein and immunoconjugates containing them |
| WO2007084342A2 (en) | 2006-01-13 | 2007-07-26 | The Government Of The United States, As Represented By The Secretary Of The Department Of Health And Human Services, National Institutes Of Health | Codon optimi zed il- 15 and il- 15r-alpha genes for expression in mammalian cells |
| BRPI0707824A2 (pt) | 2006-02-15 | 2011-05-10 | Imclone Systems Inc | proteÍna de ligaÇço a antÍgeno, e, mÉtodos de neutralizaÇço da ativaÇço de um receptor de tirosina quinase, de inibiÇço de angiogÊnese, de reduÇço de crescimento de tumor e de produÇço de uma proteÍna de ligaÇço a antÍgeno |
| NZ591252A (en) | 2006-03-17 | 2012-06-29 | Biogen Idec Inc | Methods of designing antibody or antigen binding fragments thereof with substituted non-covarying amino acids |
| JP2009531324A (ja) | 2006-03-20 | 2009-09-03 | ザ リージェンツ オブ ザ ユニバーシティ オブ カリフォルニア | 癌標的化のための操作された抗前立腺幹細胞抗原(psca)抗体 |
| PT1999154E (pt) | 2006-03-24 | 2013-01-24 | Merck Patent Gmbh | Domínios proteicos heterodiméricos modificados |
| WO2007112362A2 (en) | 2006-03-24 | 2007-10-04 | The Regents Of The University Of California | Construction of a multivalent scfv through alkyne-azide 1,3-dipolar cycloaddition |
| US8603466B2 (en) | 2006-03-29 | 2013-12-10 | King's College London | Agonist antibodies against TSHR |
| JP5144499B2 (ja) | 2006-03-31 | 2013-02-13 | 中外製薬株式会社 | 二重特異性抗体を精製するための抗体改変方法 |
| SI2010528T1 (en) | 2006-04-19 | 2018-02-28 | Novartis Ag | 6-O-substituted benzoxazole and benzothiazole compounds and procedures for inhibiting CSF-1R signaling |
| TWI395754B (zh) | 2006-04-24 | 2013-05-11 | Amgen Inc | 人類化之c-kit抗體 |
| CA2651174A1 (en) | 2006-05-03 | 2007-11-15 | Government Of The United States Of America, Represented By The Secretary , Department Of Health And Human Services | Chimeric t cell receptors and related materials and methods of use |
| WO2008011216A2 (en) | 2006-05-16 | 2008-01-24 | Pro-Pharmaceuticals, Inc. | Galactose-pronged polysaccharides in a formulation for antifibrotic therapies |
| WO2007137760A2 (en) | 2006-05-25 | 2007-12-06 | Bayer Schering Pharma Aktiengesellschaft | Dimeric molecular complexes |
| US20070274985A1 (en) | 2006-05-26 | 2007-11-29 | Stefan Dubel | Antibody |
| RU2487888C2 (ru) | 2006-06-12 | 2013-07-20 | ЭМЕРДЖЕНТ ПРОДАКТ ДИВЕЛОПМЕНТ СИЭТЛ, ЭлЭлСи | Одноцепочечные мультивалентные связывающие белки с эффекторной функцией |
| AU2007285763B2 (en) | 2006-08-18 | 2011-12-15 | Armagen Technologies, Inc. | Agents for blood-brain barrier delivery |
| WO2008027236A2 (en) | 2006-08-30 | 2008-03-06 | Genentech, Inc. | Multispecific antibodies |
| US8440798B2 (en) | 2006-10-04 | 2013-05-14 | Københavns Universitet | Generation of a cancer-specific immune response toward MUC1 and cancer specific MUC1 antibodies |
| FR2906808B1 (fr) | 2006-10-10 | 2012-10-05 | Univ Nantes | Utilisation d'anticorps monoclonaux specifiques de la forme o-acetylee du ganglioside gd2 dans le traitement de certains cancers |
| NZ576445A (en) | 2006-11-02 | 2012-03-30 | Daniel J Capon | Hybrid immunoglobulins with moving parts |
| EP2094697A1 (en) | 2006-11-23 | 2009-09-02 | Novartis AG | 5-sulfanylmethyl-pyrazolo [1,5-a]pyrimidin-7-ol derivatives as cxcr2 antagonists |
| WO2008061740A1 (en) | 2006-11-23 | 2008-05-29 | Novartis Ag | Pyrimidines and their use as cxcr2 receptor antagonists |
| KR20090080998A (ko) | 2006-11-23 | 2009-07-27 | 노파르티스 아게 | Cxcr2 길항제로서의 5-술파닐메틸-[1,2,4]트리아졸[1,5-a]피리미딘-7-올 유도체 |
| WO2008101234A2 (en) | 2007-02-16 | 2008-08-21 | Sloan-Kettering Institute For Cancer Research | Anti ganglioside gd3 antibodies and uses thereof |
| WO2008103645A2 (en) | 2007-02-19 | 2008-08-28 | Wisconsin Alumni Research Foundation | Prostate cancer and melanoma antigens |
| MX2009010282A (es) | 2007-03-29 | 2009-10-12 | Genmab As | Anticuerpos biespecificos y metodos para su produccion. |
| CA2682093A1 (en) | 2007-03-29 | 2008-10-09 | Technion Research & Development Foundation Ltd. | Antibodies, methods and kits for diagnosing and treating melanoma |
| US8163279B2 (en) | 2007-04-13 | 2012-04-24 | Stemline Therapeutics, Inc. | IL3Rα antibody conjugates and uses thereof |
| WO2008131242A1 (en) | 2007-04-18 | 2008-10-30 | Zymogenetics, Inc. | Single chain fc, methods of making and methods of treatment |
| EP1987839A1 (en) | 2007-04-30 | 2008-11-05 | I.N.S.E.R.M. Institut National de la Sante et de la Recherche Medicale | Cytotoxic anti-LAG-3 monoclonal antibody and its use in the treatment or prevention of organ transplant rejection and autoimmune disease |
| US9244059B2 (en) | 2007-04-30 | 2016-01-26 | Immutep Parc Club Orsay | Cytotoxic anti-LAG-3 monoclonal antibody and its use in the treatment or prevention of organ transplant rejection and autoimmune disease |
| CA2683392A1 (en) | 2007-04-30 | 2008-11-06 | Genentech, Inc. | Inhibitors of iap |
| CN101743249B (zh) | 2007-05-11 | 2017-08-08 | 阿尔托生物科学有限公司 | 融合分子与il‑15变异体 |
| JP2010190572A (ja) | 2007-06-01 | 2010-09-02 | Sapporo Medical Univ | IL13Ra2に対する抗体およびこれを含む診断・治療薬 |
| CA2691357C (en) | 2007-06-18 | 2014-09-23 | N.V. Organon | Antibodies to human programmed death receptor pd-1 |
| KR20100058509A (ko) | 2007-07-31 | 2010-06-03 | 메디뮨 엘엘씨 | 다중특이적 에피토프 결합 단백질 및 이의 용도 |
| CA2694990A1 (en) | 2007-07-31 | 2009-02-05 | Merck Sharp & Dohme Corp. | Igf-1r specific antibodies useful in the detection and diagnosis of cellular proliferative disorders |
| ES2628395T3 (es) | 2007-08-15 | 2017-08-02 | Bayer Pharma Aktiengesellschaft | Anticuerpo regulado por proteasa |
| PE20090678A1 (es) | 2007-09-12 | 2009-06-27 | Genentech Inc | Combinaciones de compuestos inhibidores de fosfoinositida 3-quinasa y agentes quimioterapeuticos y los metodos de uso |
| PL2195017T3 (pl) | 2007-10-01 | 2015-03-31 | Bristol Myers Squibb Co | Ludzkie antyciała, które wiążą mezotelinę i ich zastosowania |
| EP2044949A1 (en) | 2007-10-05 | 2009-04-08 | Immutep | Use of recombinant lag-3 or the derivatives thereof for eliciting monocyte immune response |
| JP5348725B2 (ja) | 2007-10-25 | 2013-11-20 | ジェネンテック, インコーポレイテッド | チエノピリミジン化合物の製造方法 |
| US9023351B2 (en) | 2007-11-26 | 2015-05-05 | Bayer Intellectual Property Gmbh | Anti-mesothelin antibodies and uses thereof |
| AU2008328781A1 (en) | 2007-11-27 | 2009-06-04 | Ablynx N.V. | Amino acid sequences directed against heterodimeric cytokines and/or their receptors and polypeptides comprising the same |
| WO2009068649A2 (en) | 2007-11-30 | 2009-06-04 | Glaxo Group Limited | Antigen-binding constructs |
| US20090162359A1 (en) | 2007-12-21 | 2009-06-25 | Christian Klein | Bivalent, bispecific antibodies |
| US8242247B2 (en) | 2007-12-21 | 2012-08-14 | Hoffmann-La Roche Inc. | Bivalent, bispecific antibodies |
| US9266967B2 (en) | 2007-12-21 | 2016-02-23 | Hoffmann-La Roche, Inc. | Bivalent, bispecific antibodies |
| US8227577B2 (en) | 2007-12-21 | 2012-07-24 | Hoffman-La Roche Inc. | Bivalent, bispecific antibodies |
| SI2235064T1 (sl) | 2008-01-07 | 2016-04-29 | Amgen Inc. | Metoda za izdelavo heterodimernih molekul - protitelesa fc z uporabo elektrostatičnih usmerjevalnih učinkov |
| HUE034465T2 (en) | 2008-02-11 | 2018-02-28 | Cure Tech Ltd | Monoclonal antibodies for tumor treatment |
| BRPI0908529A2 (pt) | 2008-02-26 | 2015-09-29 | Novartis Ag | composto orgânicos |
| US8168757B2 (en) | 2008-03-12 | 2012-05-01 | Merck Sharp & Dohme Corp. | PD-1 binding proteins |
| AR071891A1 (es) | 2008-05-30 | 2010-07-21 | Imclone Llc | Anticuerpos humanos anti-flt3 (receptor tirosina cinasa 3 tipo fms humano) |
| US8168784B2 (en) | 2008-06-20 | 2012-05-01 | Abbott Laboratories | Processes to make apoptosis promoters |
| GB0906579D0 (en) | 2009-04-16 | 2009-05-20 | Vernalis R&D Ltd | Pharmaceuticals, compositions and methods of making and using the same |
| UA103198C2 (en) | 2008-08-04 | 2013-09-25 | Новартис Аг | Squaramide derivatives as cxcr2 antagonists |
| AR072999A1 (es) | 2008-08-11 | 2010-10-06 | Medarex Inc | Anticuerpos humanos que se unen al gen 3 de activacion linfocitaria (lag-3) y los usos de estos |
| PL2331547T3 (pl) | 2008-08-22 | 2015-01-30 | Novartis Ag | Związki pirolopirymidynowe jako inhibitory CDK |
| EP2328919A2 (en) | 2008-08-25 | 2011-06-08 | Amplimmune, Inc. | Pd-i antagonists and methods for treating infectious disease |
| PL2350129T3 (pl) | 2008-08-25 | 2015-12-31 | Amplimmune Inc | Kompozycje antagonistów PD-1 i sposoby stosowania |
| CA2736829C (en) | 2008-09-12 | 2018-02-27 | Isis Innovation Limited | Pd-1 specific antibodies and uses thereof |
| EP2338055A4 (en) | 2008-09-19 | 2012-10-31 | Univ Pittsburgh | MONOCLONAL ANTIBODIES FOR CSPG4 FOR THE DIAGNOSIS AND TREATMENT OF BASAL MAMMARY CARCINOMA |
| CA2998281C (en) | 2008-09-26 | 2022-08-16 | Dana-Farber Cancer Institute, Inc. | Human anti-pd-1 antobodies and uses therefor |
| WO2010063802A1 (en) | 2008-12-05 | 2010-06-10 | Novartis Ag | 3, 4-di-substituted cyclobutene- 1, 2 -diones as cxcr2 receptor antagonists |
| EP4331604B9 (en) | 2008-12-09 | 2025-07-23 | F. Hoffmann-La Roche AG | Anti-pd-l1 antibodies and their use to enhance t-cell function |
| EP2210891A1 (en) | 2009-01-26 | 2010-07-28 | Domain Therapeutics | New adenosine receptor ligands and uses thereof |
| ES2629337T3 (es) | 2009-02-09 | 2017-08-08 | Inserm - Institut National De La Santé Et De La Recherche Médicale | Anticuerpos contra PD-1 y anticuerpos contra PD-L1 y usos de los mismos |
| WO2010106145A1 (en) | 2009-03-20 | 2010-09-23 | Sigma-Tau Industrie Farmaceutiche Riunite S.P.A. | Oxidated derivatives of triazolypurines useful as ligands of the adenosine a2a receptor and their use as medicaments |
| AU2010232682A1 (en) | 2009-04-01 | 2011-11-10 | Genentech, Inc. | Anti-FcRH5 antibodies and immunoconjugates and methods of use |
| CN102471380B (zh) | 2009-04-01 | 2015-01-14 | 霍夫曼-拉罗奇有限公司 | 抗FcRH5抗体和免疫偶联物及使用方法 |
| WO2010129304A2 (en) | 2009-04-27 | 2010-11-11 | Oncomed Pharmaceuticals, Inc. | Method for making heteromultimeric molecules |
| EP2426148B1 (en) | 2009-04-27 | 2015-08-05 | Kyowa Hakko Kirin Co., Ltd. | Anti-il-3ra antibody for use in treatment of blood tumor |
| JO3257B1 (ar) | 2009-09-02 | 2018-09-16 | Novartis Ag | مركبات وتركيبات كمعدلات لفاعلية tlr |
| CA2772613C (en) | 2009-09-03 | 2020-03-10 | Schering Corporation | Anti-gitr antibodies |
| CA2778714C (en) | 2009-11-24 | 2018-02-27 | Medimmune Limited | Targeted binding agents against b7-h1 |
| US20130017199A1 (en) | 2009-11-24 | 2013-01-17 | AMPLIMMUNE ,Inc. a corporation | Simultaneous inhibition of pd-l1/pd-l2 |
| JP6251477B2 (ja) | 2009-12-02 | 2017-12-20 | イマジナブ・インコーポレーテッド | ヒト前立腺特異的膜抗原(psma)をターゲッティングするj591ミニボディおよびcysダイアボディならびにこれらを使用するための方法 |
| US9023996B2 (en) | 2009-12-23 | 2015-05-05 | Synimmune Gmbh | Anti-FLT3 antibodies |
| SG183146A1 (en) | 2010-02-05 | 2012-09-27 | Heptares Therapeutics Ltd | 1,2,4-triazine-4-amine derivatives |
| CA3014767C (en) | 2010-02-24 | 2023-08-29 | Immunogen, Inc. | Folate receptor 1 antibodies and immunoconjugates and uses thereof |
| US8993731B2 (en) | 2010-03-11 | 2015-03-31 | Ucb Biopharma Sprl | PD-1 antibody |
| ES2365960B1 (es) | 2010-03-31 | 2012-06-04 | Palobiofarma, S.L | Nuevos antagonistas de los receptores de adenosina. |
| ES2989108T3 (es) | 2010-04-20 | 2024-11-25 | Genmab As | Proteínas que contienen FC de anticuerpos heterodiméricos y métodos para producir las mismas |
| MX2012014431A (es) | 2010-06-10 | 2013-02-26 | Aragon Pharmaceuticals Inc | Modulares del receptor de estrogenos y usos de los mismos. |
| JP6158511B2 (ja) | 2010-06-11 | 2017-07-05 | 協和発酵キリン株式会社 | 抗tim−3抗体 |
| US9242014B2 (en) | 2010-06-15 | 2016-01-26 | The Regents Of The University Of California | Receptor tyrosine kinase-like orphan receptor 1 (ROR1) single chain Fv antibody fragment conjugates and methods of use thereof |
| US8853423B2 (en) | 2010-06-17 | 2014-10-07 | Seragon Pharmaceuticals, Inc. | Indane estrogen receptor modulators and uses thereof |
| CA2802344C (en) | 2010-06-18 | 2023-06-13 | The Brigham And Women's Hospital, Inc. | Bi-specific antibodies against tim-3 and pd-1 for immunotherapy in chronic immune conditions |
| CA2801210C (en) | 2010-06-19 | 2020-07-21 | Memorial Sloan-Kettering Cancer Center | Anti-gd2 antibodies |
| US8907053B2 (en) | 2010-06-25 | 2014-12-09 | Aurigene Discovery Technologies Limited | Immunosuppression modulating compounds |
| EP2614143B1 (en) | 2010-09-08 | 2018-11-07 | Baylor College Of Medicine | Immunotherapy of non-small lung cancer using genetically engineered gd2-specific t cells |
| GB2483736B (en) | 2010-09-16 | 2012-08-29 | Aragon Pharmaceuticals Inc | Estrogen receptor modulators and uses thereof |
| CU24111B1 (es) | 2010-11-08 | 2015-08-27 | Novartis Ag | Polipéptidos que se enlazan a cxcr2 |
| PH12013501201A1 (en) | 2010-12-09 | 2013-07-29 | Univ Pennsylvania | Use of chimeric antigen receptor-modified t cells to treat cancer |
| JOP20210044A1 (ar) | 2010-12-30 | 2017-06-16 | Takeda Pharmaceuticals Co | الأجسام المضادة لـ cd38 |
| EP2694553B1 (en) | 2011-04-01 | 2017-10-11 | Memorial Sloan-Kettering Cancer Center | T cell receptor-like antibodies specific for a wt1 peptide presented by hla-a2 |
| PT2699264T (pt) | 2011-04-20 | 2018-05-23 | Medimmune Llc | Anticorpos e outras moléculas que ligam b7-h1 e pd-1 |
| AR086044A1 (es) | 2011-05-12 | 2013-11-13 | Imclone Llc | Anticuerpos que se unen especificamente a un dominio extracelular de c-kit y usos de los mismos |
| HUE063461T2 (hu) | 2011-05-27 | 2024-01-28 | Glaxo Group Ltd | BCMA (CD269/TNFRSF17)-kötõ fehérjék |
| EP2537933A1 (en) | 2011-06-24 | 2012-12-26 | Institut National de la Santé et de la Recherche Médicale (INSERM) | An IL-15 and IL-15Ralpha sushi domain based immunocytokines |
| WO2013006490A2 (en) | 2011-07-01 | 2013-01-10 | Cellerant Therapeutics, Inc. | Antibodies that specifically bind to tim3 |
| CN103842330B (zh) | 2011-09-02 | 2016-10-19 | 诺华股份有限公司 | 抗炎的取代的环丁烯二酮化合物的胆碱盐 |
| EA201490636A1 (ru) | 2011-09-16 | 2014-08-29 | Дзе Трастиз Оф Дзе Юниверсити Оф Пенсильвания | Сконструированные с помощью рнк t-клетки для лечения злокачественных новообразований |
| ES2795023T3 (es) | 2011-09-16 | 2020-11-20 | Baylor College Medicine | Reconocimiento específico del microambiente tumoral mediante el uso de células NKT manipuladas |
| ITMO20110270A1 (it) | 2011-10-25 | 2013-04-26 | Sara Caldrer | Una cellula effettrice modificata per il trattamento di neoplasie esprimenti il disialonganglioside gd2 |
| SG10201805291TA (en) | 2011-10-27 | 2018-08-30 | Genmab As | Production of heterodimeric proteins |
| US9272002B2 (en) | 2011-10-28 | 2016-03-01 | The Trustees Of The University Of Pennsylvania | Fully human, anti-mesothelin specific chimeric immune receptor for redirected mesothelin-expressing cell targeting |
| WO2013074916A1 (en) | 2011-11-18 | 2013-05-23 | Board Of Regents, The University Of Texas System | Car+ t cells genetically modified to eliminate expression of t- cell receptor and/or hla |
| ES2808152T3 (es) | 2011-11-28 | 2021-02-25 | Merck Patent Gmbh | Anticuerpos anti-PD-L1 y usos de los mismos |
| US9439768B2 (en) | 2011-12-08 | 2016-09-13 | Imds Llc | Glenoid vault fixation |
| JP6850528B2 (ja) | 2012-02-13 | 2021-03-31 | シアトル チルドレンズ ホスピタル ドゥーイング ビジネス アズ シアトル チルドレンズ リサーチ インスティテュート | 二重特異性キメラ抗原受容体およびその治療的使用 |
| BR112014020499A2 (pt) | 2012-02-22 | 2019-09-24 | Univ Pennsylvania | sequência de ácido nucleico isolada, célula - t, vetor, e, população persistente de células - t |
| EP3421489B1 (en) | 2012-03-23 | 2021-05-05 | The United States of America, as represented by The Secretary, Department of Health and Human Services | Anti-mesothelin chimeric antigen receptors |
| AU2013256596A1 (en) | 2012-05-01 | 2014-10-09 | Genentech, Inc. | Anti-PMEL17 antibodies and immunoconjugates |
| US9328174B2 (en) | 2012-05-09 | 2016-05-03 | Novartis Ag | Chemokine receptor binding polypeptides |
| PT2850106T (pt) | 2012-05-18 | 2022-07-18 | Aptevo Res & Development Llc | Imunofusão biespecífica (bif) de scfv de ligação a cd123 e cd3 |
| WO2013179174A1 (en) | 2012-05-29 | 2013-12-05 | Koninklijke Philips N.V. | Lighting arrangement |
| JP2015519375A (ja) | 2012-05-31 | 2015-07-09 | ソレント・セラピューティクス・インコーポレイテッドSorrento Therapeutics, Inc. | Pd−l1に結合する抗原結合蛋白質 |
| WO2013192294A1 (en) | 2012-06-20 | 2013-12-27 | Boston 3T Biotechnologies, Inc. | Cellular therapies for treating and preventing cancers and other immune system disorders |
| UY34887A (es) | 2012-07-02 | 2013-12-31 | Bristol Myers Squibb Company Una Corporacion Del Estado De Delaware | Optimización de anticuerpos que se fijan al gen de activación de linfocitos 3 (lag-3) y sus usos |
| WO2014022758A1 (en) | 2012-08-03 | 2014-02-06 | Dana-Farber Cancer Institute, Inc. | Single agent anti-pd-l1 and pd-l2 dual binding antibodies and methods of use |
| ES2842102T3 (es) | 2012-08-20 | 2021-07-12 | Hutchinson Fred Cancer Res | Método y composiciones para inmunoterapia celular |
| BR112015005772A2 (pt) | 2012-09-17 | 2017-08-08 | Galectin Therapeutics Inc | método para a intensificação de imunoterapias específicas no tratamento de câncer |
| CN114507282B (zh) | 2012-10-04 | 2025-05-16 | 达纳-法伯癌症研究所公司 | 人单克隆抗-pd-l1抗体和使用方法 |
| NZ630790A (en) | 2012-10-24 | 2016-11-25 | Admune Therapeutics Llc | Il-15r alpha forms, cells expressing il-15r alpha forms, and therapeutic uses of il-15r alpha and il-15/il-15r alpha complexes |
| TW201425336A (zh) | 2012-12-07 | 2014-07-01 | Amgen Inc | Bcma抗原結合蛋白質 |
| AR093984A1 (es) | 2012-12-21 | 2015-07-01 | Merck Sharp & Dohme | Anticuerpos que se unen a ligando 1 de muerte programada (pd-l1) humano |
| CN104968682A (zh) | 2013-02-05 | 2015-10-07 | 英格玛布股份公司 | 针对CD3ε和BCMA的双特异性抗体 |
| ES2671516T3 (es) | 2013-02-19 | 2018-06-06 | Novartis Ag | Derivados de benzotiofeno y composiciones de los mismos como degradantes selectivos de los receptores de estrógeno |
| EP2958942B1 (en) | 2013-02-20 | 2020-06-03 | Novartis AG | Effective targeting of primary human leukemia using anti-cd123 chimeric antigen receptor engineered t cells |
| KR102685501B1 (ko) | 2013-02-20 | 2024-07-17 | 노파르티스 아게 | 인간화 항-EGFRvIII 키메라 항원 수용체를 사용한 암의 치료 |
| US20160046718A1 (en) | 2013-03-14 | 2016-02-18 | Csl Limited | Agents that neutralize il-3 signalling and uses thereof |
| US20160031996A1 (en) | 2013-03-14 | 2016-02-04 | Csl Limited | Anti il-3r alpha agents and uses thereof |
| AR095374A1 (es) | 2013-03-15 | 2015-10-14 | Amgen Res Munich Gmbh | Moléculas de unión para bcma y cd3 |
| US9657105B2 (en) | 2013-03-15 | 2017-05-23 | City Of Hope | CD123-specific chimeric antigen receptor redirected T cells and methods of their use |
| ES2808654T3 (es) | 2013-03-15 | 2021-03-01 | Glaxosmithkline Ip Dev Ltd | Proteínas de unión anti-LAG-3 |
| TWI654206B (zh) | 2013-03-16 | 2019-03-21 | 諾華公司 | 使用人類化抗-cd19嵌合抗原受體治療癌症 |
| CA2908668C (en) | 2013-04-03 | 2023-03-14 | Memorial Sloan-Kettering Cancer Center | Effective generation of tumor-targeted t cells derived from pluripotent stem cells |
| HUE053069T2 (hu) | 2013-05-02 | 2021-06-28 | Anaptysbio Inc | Programozott halál-1 (PD-1) ellen irányuló ellenanyagok |
| CA2913977C (en) | 2013-05-31 | 2022-11-29 | Sorrento Therapeutics, Inc. | Antigen binding proteins that bind pd-1 |
| TWI725931B (zh) | 2013-06-24 | 2021-05-01 | 美商建南德克公司 | 抗fcrh5抗體 |
| WO2014209804A1 (en) | 2013-06-24 | 2014-12-31 | Biomed Valley Discoveries, Inc. | Bispecific antibodies |
| AR097306A1 (es) | 2013-08-20 | 2016-03-02 | Merck Sharp & Dohme | Modulación de la inmunidad tumoral |
| TW201605896A (zh) | 2013-08-30 | 2016-02-16 | 安美基股份有限公司 | Gitr抗原結合蛋白 |
| PT3702373T (pt) | 2013-09-13 | 2022-09-27 | Beigene Switzerland Gmbh | Anticorpos anti-pd1 e a sua utilização como agentes terapêuticos e de diagnóstico |
| US10202454B2 (en) | 2013-10-25 | 2019-02-12 | Dana-Farber Cancer Institute, Inc. | Anti-PD-L1 monoclonal antibodies and fragments thereof |
| WO2015081158A1 (en) | 2013-11-26 | 2015-06-04 | Bristol-Myers Squibb Company | Method of treating hiv by disrupting pd-1/pd-l1 signaling |
| SG10201804945WA (en) | 2013-12-12 | 2018-07-30 | Shanghai hengrui pharmaceutical co ltd | Pd-1 antibody, antigen-binding fragment thereof, and medical application thereof |
| JP6779785B2 (ja) | 2013-12-19 | 2020-11-04 | ノバルティス アーゲー | ヒトメソテリンキメラ抗原受容体およびその使用 |
| US10407502B2 (en) | 2014-01-15 | 2019-09-10 | Kadmon Corporation, Llc | Immunomodulatory agents |
| WO2015112534A2 (en) | 2014-01-21 | 2015-07-30 | Medimmune, Llc | Compositions and methods for modulating and redirecting immune responses |
| TWI681969B (zh) | 2014-01-23 | 2020-01-11 | 美商再生元醫藥公司 | 針對pd-1的人類抗體 |
| TWI680138B (zh) | 2014-01-23 | 2019-12-21 | 美商再生元醫藥公司 | 抗pd-l1之人類抗體 |
| JOP20200094A1 (ar) | 2014-01-24 | 2017-06-16 | Dana Farber Cancer Inst Inc | جزيئات جسم مضاد لـ pd-1 واستخداماتها |
| KR20160106762A (ko) | 2014-01-28 | 2016-09-12 | 브리스톨-마이어스 스큅 컴퍼니 | 혈액 악성종양을 치료하기 위한 항-lag-3 항체 |
| JOP20200096A1 (ar) | 2014-01-31 | 2017-06-16 | Children’S Medical Center Corp | جزيئات جسم مضاد لـ tim-3 واستخداماتها |
| EP3116496A1 (en) | 2014-03-13 | 2017-01-18 | F. Hoffmann-La Roche AG | Methods and compositions for modulating estrogen receptor mutants |
| LT3116909T (lt) | 2014-03-14 | 2020-02-10 | Novartis Ag | Antikūno molekulės prieš lag-3 ir jų panaudojimas |
| CN106163547A (zh) | 2014-03-15 | 2016-11-23 | 诺华股份有限公司 | 使用嵌合抗原受体治疗癌症 |
| SMT202100116T1 (it) | 2014-05-28 | 2021-05-07 | Agenus Inc | Anticorpi anti-gitr e metodi di utilizzo degli stessi |
| EP3149042B1 (en) | 2014-05-29 | 2019-08-28 | Spring Bioscience Corporation | Pd-l1 antibodies and uses thereof |
| PT3151921T (pt) | 2014-06-06 | 2019-11-21 | Bristol Myers Squibb Co | Anticorpos contra recetor do fator de necrose tumoral induzido por glicocorticoide e utilizações dos mesmos |
| WO2015195163A1 (en) | 2014-06-20 | 2015-12-23 | R-Pharm Overseas, Inc. | Pd-l1 antagonist fully human antibody |
| TWI693232B (zh) | 2014-06-26 | 2020-05-11 | 美商宏觀基因股份有限公司 | 與pd-1和lag-3具有免疫反應性的共價結合的雙抗體和其使用方法 |
| CN110156892B (zh) | 2014-07-03 | 2023-05-16 | 百济神州有限公司 | 抗pd-l1抗体及其作为治疗剂及诊断剂的用途 |
| TWI718992B (zh) | 2014-07-21 | 2021-02-21 | 瑞士商諾華公司 | 使用cll-1嵌合抗原受體治療癌症 |
| BR112017001242A2 (pt) | 2014-07-21 | 2017-12-05 | Novartis Ag | tratamento de câncer usando um receptor antigênico quimérico a cd33 |
| EP3172237A2 (en) | 2014-07-21 | 2017-05-31 | Novartis AG | Treatment of cancer using humanized anti-bcma chimeric antigen receptor |
| EP3172231B1 (en) | 2014-07-24 | 2021-05-05 | Bluebird Bio, Inc. | Bcma chimeric antigen receptors |
| JO3663B1 (ar) | 2014-08-19 | 2020-08-27 | Merck Sharp & Dohme | الأجسام المضادة لمضاد lag3 وأجزاء ربط الأنتيجين |
| TW202140557A (zh) | 2014-08-19 | 2021-11-01 | 瑞士商諾華公司 | 使用cd123嵌合抗原受體治療癌症 |
| MX2017004311A (es) | 2014-10-03 | 2017-12-07 | Dana Farber Cancer Inst Inc | Anticuerpos del receptor del factor de necrosis tumoral inducido por glucocorticoide (gitr) y metodos de uso de los mismos. |
| MA41044A (fr) | 2014-10-08 | 2017-08-15 | Novartis Ag | Compositions et procédés d'utilisation pour une réponse immunitaire accrue et traitement contre le cancer |
| JP6877339B2 (ja) | 2014-10-14 | 2021-05-26 | ノバルティス アーゲー | Pd−l1に対する抗体分子およびその使用 |
| CA2964830C (en) | 2014-11-06 | 2024-01-02 | F. Hoffmann-La Roche Ag | Anti-tim3 antibodies and methods of use |
| WO2016075176A1 (en) | 2014-11-11 | 2016-05-19 | Medimmune Limited | Therapeutic combinations comprising anti-cd73 antibodies and a2a receptor inhibitor and uses thereof |
| TWI595006B (zh) | 2014-12-09 | 2017-08-11 | 禮納特神經系統科學公司 | 抗pd-1抗體類和使用彼等之方法 |
| WO2016111947A2 (en) | 2015-01-05 | 2016-07-14 | Jounce Therapeutics, Inc. | Antibodies that inhibit tim-3:lilrb2 interactions and uses thereof |
| TW201639888A (zh) | 2015-03-06 | 2016-11-16 | 索倫多醫療公司 | 結合tim3之抗體治療劑 |
| SMT202400420T1 (it) | 2015-04-01 | 2024-11-15 | Anaptysbio Inc | Anticorpi diretti contro la proteina dell’immunoglobulina delle cellule t e della mucina 3 (tim-3) |
| BR112017025297A2 (pt) | 2015-06-03 | 2018-08-14 | Bristol-Myers Squibb Company | anticorpos anti-gitr para diagnóstico do câncer |
| US10093742B2 (en) | 2015-07-23 | 2018-10-09 | Inhibrx, Inc. | Multispecific GITR-binding fusion proteins and methods of use thereof |
| BR112018002585A2 (pt) | 2015-08-11 | 2018-10-16 | Novartis Ag | 5-bromo-2,6-di-(1h-pirazol-1-il)pirimidin-4-amina para uso no tratamento de câncer |
| CA2994346A1 (en) | 2015-08-12 | 2017-02-16 | Medimmune Limited | Gitrl fusion proteins and uses thereof |
| UA123701C2 (uk) | 2015-08-13 | 2021-05-19 | Мерк Шарп І Доум Корп. | Циклічні динуклеотидні сполуки як агоністи sting |
| JOP20190221A1 (ar) * | 2017-04-05 | 2019-09-23 | Seal Rock Therapeutics Inc | مركبات مثبطات كيناز منظم لإشارات الاستماتة 1 (ask1) واستخداماتها |
| US11358948B2 (en) * | 2017-09-22 | 2022-06-14 | Kymera Therapeutics, Inc. | CRBN ligands and uses thereof |
| EP3891128A4 (en) * | 2018-12-05 | 2022-08-17 | Vividion Therapeutics, Inc. | SUBSTITUTED ISOINDOLINONES AS MODULATORS OF CEREBLON-MEDIATED NEOSUBSTRATE RECRUITMENT |
| JP7593998B2 (ja) * | 2019-08-23 | 2024-12-03 | 北京泰徳製薬股▲フン▼有限公司 | Egfrおよびalkを阻害してそれらの分解を阻害する化合物 |
| CR20220234A (es) * | 2019-10-30 | 2022-07-19 | Dana Farber Cancer Inst Inc | Degradadores de moléculas pequeñas de helios y procedimientos de uso |
| BR112022009514A2 (pt) * | 2019-11-19 | 2022-08-16 | Bristol Myers Squibb Co | Compostos úteis como inibidores de proteína helios |
| TW202140441A (zh) * | 2020-03-23 | 2021-11-01 | 美商必治妥美雅史谷比公司 | 經取代之側氧基異吲哚啉化合物 |
-
2021
- 2021-07-29 WO PCT/IB2021/056924 patent/WO2022029573A1/en not_active Ceased
- 2021-07-29 EP EP21751874.5A patent/EP4188549A1/en active Pending
- 2021-07-29 US US18/006,894 patent/US20230271940A1/en active Pending
- 2021-07-29 CN CN202180058916.0A patent/CN116134027B/zh active Active
- 2021-07-29 JP JP2023506326A patent/JP2023536164A/ja active Pending
Patent Citations (2)
| Publication number | Priority date | Publication date | Assignee | Title |
|---|---|---|---|---|
| CN111051298A (zh) * | 2017-08-23 | 2020-04-21 | 诺华股份有限公司 | 3-(1-氧代异吲哚啉-2-基)哌啶-2,6-二酮衍生物及其用途 |
| WO2019079569A1 (en) * | 2017-10-18 | 2019-04-25 | Novartis Ag | COMPOSITIONS AND METHODS FOR SELECTIVE DEGRADATION OF A PROTEIN |
Non-Patent Citations (1)
| Title |
|---|
| SCOTT G. STEWART ET AL.: "New thalidomide analogues derived through Sonogashira or Suzuki reactions and their TNF expression inhibition profiles", 《BIOORGANIC & MEDICINAL CHEMISTRY》, vol. 18, 6 December 2009 (2009-12-06), pages 650 * |
Also Published As
| Publication number | Publication date |
|---|---|
| US20230271940A1 (en) | 2023-08-31 |
| WO2022029573A1 (en) | 2022-02-10 |
| CN116134027B (zh) | 2025-01-24 |
| JP2023536164A (ja) | 2023-08-23 |
| EP4188549A1 (en) | 2023-06-07 |
Similar Documents
| Publication | Publication Date | Title |
|---|---|---|
| AU2020222345B2 (en) | 3-(1-oxo-5-(piperidin-4-yl)isoindolin-2-yl)piperidine-2,6-dione derivatives and uses thereof | |
| AU2020222346B2 (en) | Substituted 3-(1-oxoisoindolin-2-yl)piperidine-2,6-dione derivatives and uses thereof | |
| TWI830747B (zh) | 3-(5-胺基-1-側氧基異吲哚啉-2-基)哌啶-2,6-二酮衍生物及其用途 | |
| KR102873348B1 (ko) | 3-(5-하이드록시-1-옥소이소인돌린-2-일)피페리딘-2,6-디온 유도체 및 ikaros 패밀리 아연 핑거 2(ikzf2)-의존성 질환의 치료에 있어서의 이의 용도 | |
| CN116134027B (zh) | 杂芳基取代的3-(1-氧代异吲哚啉-2-基)哌啶-2,6-二酮衍生物及其用途 | |
| CA3123511A1 (en) | Dosing regimen and pharmaceutical combination comprising 3-(1-oxoisoindolin-2-yl)piperidine-2,6-dione derivatives | |
| JP2023529211A (ja) | Zbtb32阻害剤及びその使用 |
Legal Events
| Date | Code | Title | Description |
|---|---|---|---|
| PB01 | Publication | ||
| PB01 | Publication | ||
| SE01 | Entry into force of request for substantive examination | ||
| SE01 | Entry into force of request for substantive examination | ||
| GR01 | Patent grant | ||
| GR01 | Patent grant |
















































































































































































































































































































































































































































































































































































































































































